WO2025021855A1 - Materials for organic light-emitting devices and organic sensors - Google Patents
Materials for organic light-emitting devices and organic sensors Download PDFInfo
- Publication number
- WO2025021855A1 WO2025021855A1 PCT/EP2024/070987 EP2024070987W WO2025021855A1 WO 2025021855 A1 WO2025021855 A1 WO 2025021855A1 EP 2024070987 W EP2024070987 W EP 2024070987W WO 2025021855 A1 WO2025021855 A1 WO 2025021855A1
- Authority
- WO
- WIPO (PCT)
- Prior art keywords
- group
- atoms
- radicals
- substituted
- formula
- Prior art date
- Legal status (The legal status is an assumption and is not a legal conclusion. Google has not performed a legal analysis and makes no representation as to the accuracy of the status listed.)
- Pending
Links
Classifications
-
- C—CHEMISTRY; METALLURGY
- C07—ORGANIC CHEMISTRY
- C07D—HETEROCYCLIC COMPOUNDS
- C07D495/00—Heterocyclic compounds containing in the condensed system at least one hetero ring having sulfur atoms as the only ring hetero atoms
- C07D495/02—Heterocyclic compounds containing in the condensed system at least one hetero ring having sulfur atoms as the only ring hetero atoms in which the condensed system contains two hetero rings
- C07D495/04—Ortho-condensed systems
-
- C—CHEMISTRY; METALLURGY
- C07—ORGANIC CHEMISTRY
- C07D—HETEROCYCLIC COMPOUNDS
- C07D495/00—Heterocyclic compounds containing in the condensed system at least one hetero ring having sulfur atoms as the only ring hetero atoms
- C07D495/12—Heterocyclic compounds containing in the condensed system at least one hetero ring having sulfur atoms as the only ring hetero atoms in which the condensed system contains three hetero rings
- C07D495/14—Ortho-condensed systems
-
- C—CHEMISTRY; METALLURGY
- C07—ORGANIC CHEMISTRY
- C07D—HETEROCYCLIC COMPOUNDS
- C07D517/00—Heterocyclic compounds containing in the condensed system at least one hetero ring having selenium, tellurium, or halogen atoms as ring hetero atoms
- C07D517/02—Heterocyclic compounds containing in the condensed system at least one hetero ring having selenium, tellurium, or halogen atoms as ring hetero atoms in which the condensed system contains two hetero rings
- C07D517/04—Ortho-condensed systems
-
- C—CHEMISTRY; METALLURGY
- C09—DYES; PAINTS; POLISHES; NATURAL RESINS; ADHESIVES; COMPOSITIONS NOT OTHERWISE PROVIDED FOR; APPLICATIONS OF MATERIALS NOT OTHERWISE PROVIDED FOR
- C09K—MATERIALS FOR MISCELLANEOUS APPLICATIONS, NOT PROVIDED FOR ELSEWHERE
- C09K11/00—Luminescent, e.g. electroluminescent, chemiluminescent materials
- C09K11/06—Luminescent, e.g. electroluminescent, chemiluminescent materials containing organic luminescent materials
-
- H—ELECTRICITY
- H10—SEMICONDUCTOR DEVICES; ELECTRIC SOLID-STATE DEVICES NOT OTHERWISE PROVIDED FOR
- H10K—ORGANIC ELECTRIC SOLID-STATE DEVICES
- H10K85/00—Organic materials used in the body or electrodes of devices covered by this subclass
- H10K85/60—Organic compounds having low molecular weight
- H10K85/631—Amine compounds having at least two aryl rest on at least one amine-nitrogen atom, e.g. triphenylamine
- H10K85/636—Amine compounds having at least two aryl rest on at least one amine-nitrogen atom, e.g. triphenylamine comprising heteroaromatic hydrocarbons as substituents on the nitrogen atom
-
- H—ELECTRICITY
- H10—SEMICONDUCTOR DEVICES; ELECTRIC SOLID-STATE DEVICES NOT OTHERWISE PROVIDED FOR
- H10K—ORGANIC ELECTRIC SOLID-STATE DEVICES
- H10K85/00—Organic materials used in the body or electrodes of devices covered by this subclass
- H10K85/60—Organic compounds having low molecular weight
- H10K85/649—Aromatic compounds comprising a hetero atom
- H10K85/657—Polycyclic condensed heteroaromatic hydrocarbons
-
- H—ELECTRICITY
- H10—SEMICONDUCTOR DEVICES; ELECTRIC SOLID-STATE DEVICES NOT OTHERWISE PROVIDED FOR
- H10K—ORGANIC ELECTRIC SOLID-STATE DEVICES
- H10K85/00—Organic materials used in the body or electrodes of devices covered by this subclass
- H10K85/60—Organic compounds having low molecular weight
- H10K85/649—Aromatic compounds comprising a hetero atom
- H10K85/657—Polycyclic condensed heteroaromatic hydrocarbons
- H10K85/6572—Polycyclic condensed heteroaromatic hydrocarbons comprising only nitrogen in the heteroaromatic polycondensed ring system, e.g. phenanthroline or carbazole
-
- H—ELECTRICITY
- H10—SEMICONDUCTOR DEVICES; ELECTRIC SOLID-STATE DEVICES NOT OTHERWISE PROVIDED FOR
- H10K—ORGANIC ELECTRIC SOLID-STATE DEVICES
- H10K50/00—Organic light-emitting devices
- H10K50/10—OLEDs or polymer light-emitting diodes [PLED]
- H10K50/14—Carrier transporting layers
- H10K50/15—Hole transporting layers
-
- H—ELECTRICITY
- H10—SEMICONDUCTOR DEVICES; ELECTRIC SOLID-STATE DEVICES NOT OTHERWISE PROVIDED FOR
- H10K—ORGANIC ELECTRIC SOLID-STATE DEVICES
- H10K50/00—Organic light-emitting devices
- H10K50/10—OLEDs or polymer light-emitting diodes [PLED]
- H10K50/14—Carrier transporting layers
- H10K50/16—Electron transporting layers
-
- H—ELECTRICITY
- H10—SEMICONDUCTOR DEVICES; ELECTRIC SOLID-STATE DEVICES NOT OTHERWISE PROVIDED FOR
- H10K—ORGANIC ELECTRIC SOLID-STATE DEVICES
- H10K50/00—Organic light-emitting devices
- H10K50/10—OLEDs or polymer light-emitting diodes [PLED]
- H10K50/18—Carrier blocking layers
-
- Y—GENERAL TAGGING OF NEW TECHNOLOGICAL DEVELOPMENTS; GENERAL TAGGING OF CROSS-SECTIONAL TECHNOLOGIES SPANNING OVER SEVERAL SECTIONS OF THE IPC; TECHNICAL SUBJECTS COVERED BY FORMER USPC CROSS-REFERENCE ART COLLECTIONS [XRACs] AND DIGESTS
- Y02—TECHNOLOGIES OR APPLICATIONS FOR MITIGATION OR ADAPTATION AGAINST CLIMATE CHANGE
- Y02E—REDUCTION OF GREENHOUSE GAS [GHG] EMISSIONS, RELATED TO ENERGY GENERATION, TRANSMISSION OR DISTRIBUTION
- Y02E10/00—Energy generation through renewable energy sources
- Y02E10/50—Photovoltaic [PV] energy
- Y02E10/549—Organic PV cells
Definitions
- the present invention relates to organic compounds for use in electronic devices, in particular in organic, photoelectric devices, and to electronic devices, in particular organic, photoelectric devices, containing these compounds.
- Organic-based charge transport materials e.g. triarylamine-based hole transporters
- organic or polymer light-emitting diodes OLEDs or PLEDs
- organic photoreceptors O-SC
- organic solar cells O-SC
- organic field-effect transistors O-FET
- organic thin-film transistors O-TFT
- organic switching elements O-IC
- organic optical amplifiers and organic laser diodes O-lasers
- Heterocyclic compounds are often used as photosensitizers in organic optical detectors.
- Heterocyclic compounds that can be used in optical detectors are known from CN 110964007 A, EP 3026722 A1, EP 3243822 A1, EP 3473622 A1, EP 3757108 A1, EP 3770163 A1, US 2019/0131541 A1 and EP 3848374 A1.
- CN 110964007 A EP 3026722 A1, EP 3243822 A1, EP 3473622 A1, EP 3757108 A1, EP 3770163 A1, US 2019/0131541 A1 and EP 3848374 A1.
- there is still room for improvement with these heterocyclic compounds for example for use as photosensitizers, particularly in terms of service life, but also in terms of the efficiency and operating voltage of the device.
- Electronic devices in the sense of this invention are understood to mean organic electronic devices which contain organic semiconductor materials as functional materials.
- the electronic devices represent electroluminescent devices such as OLEDs or photosensitizers.
- OLEDs in which organic compounds are used as functional materials are known to those skilled in the art.
- OLEDs are understood to be electronic devices that have one or more layers that comprise organic compounds and emit light when a voltage is applied.
- Electronic devices usually comprise a cathode, an anode and at least one functional layer, with OLEDs having at least one emitting layer.
- they can contain further layers, for example one or more hole injection layers, hole transport layers, hole blocking layers, electron transport layers, electron injection layers, exciton blocking layers, electron blocking layers and/or charge generation layers.
- the object of the present invention is therefore to provide compounds which are suitable for use in an organic electronic device, in particular in an organic optical detector or OLEDs, in particular as photosensitizers in an organic optical detector, and which lead to good device properties when used in this device, as well as to provide the corresponding electronic device.
- the object of the present invention is to provide compounds which lead to a long service life, good efficiency and low operating voltage.
- photosensitizers which are suitable for infrared, red, green or blue optical detectors, preferably for green or red optical detectors.
- the present invention relates to a compound of formula (1),
- X is the same or different at each occurrence and stands for CR a or N, where a maximum of 2 non-adjacent X per cycle stand for N;
- Y is a single bond, BR b , C(R b )2, Si(R b )2, GeR b 2, NR b , R b P(O), O, S, SO, SO2, Se or Te, preferably a single bond, BR b , C(R b )2, SiR b 2, NR b , O or S;
- X I stands at each occurrence, the same or different, for N, CR C or CZ, with the proviso that not both X 1 stand for N;
- Y 1 is the same or different at each occurrence and is NR C , O, S, Se or Te;
- Z is an electron acceptor group; Z can also form a ring system with R c ;
- R 2 is selected on each occurrence, identically or differently, from the group consisting of H, D, F, CN, an aliphatic hydrocarbon radical having 1 to 20 C atoms or an aromatic or heteroaromatic ring system having 5 to 30 aromatic ring atoms, in which one or more H atoms can be replaced by D, F, CI, Br, I or CN and which can be substituted by one or more alkyl groups each having 1 to 4 carbon atoms, where two or more, preferably adjacent, substituents R 2 can form a ring system with each other;
- Electron acceptor groups are generally known to the person skilled in the art. In general, this is a group that is able to accept electrons, i.e. to be reduced.
- An electron acceptor group in the sense of the present invention is preferably an organic group that has a LUMO of ⁇ -2.8 eV, preferably
- ⁇ -2.9 eV particularly preferably ⁇ -3.0 eV and most preferably
- the LUMO of the electron acceptor group in the sense of the present compound is defined as the LUMO of the group Z, which has a hydrogen atom instead of the compound represented by formula (1) and formula (2-1) to (2-7).
- the LUMO is determined by quantum chemical calculation, as generally described in the examples section below.
- An aryl group in the sense of this invention contains 6 to 40 C atoms; a heteroaryl group in the sense of this invention contains 2 to 40 C atoms and at least one heteroatom, with the proviso that the sum of C atoms and heteroatoms is at least 5.
- the heteroatoms are preferably selected from N, O and/or S.
- An aryl group or heteroaryl group is understood to be either a simple aromatic cycle, i.e.
- benzene or a simple heteroaromatic cycle, for example pyridine, pyrimidine, thiophene, etc., or a condensed (fused) aryl or heteroaryl group, for example naphthalene, anthracene, phenanthrene, quinoline, isoquinoline, etc.
- Aromatics linked to one another by a single bond, such as biphenyl, are not referred to as aryl or heteroaryl groups, but as aromatic ring systems.
- An electron-poor heteroaryl group in the sense of the present invention is a heteroaryl group which has at least one heteroaromatic six-membered ring with at least one nitrogen atom. Further aromatic or heteroaromatic five-membered rings or six-membered rings can be fused to this six-membered ring. Examples of electron-poor poor heteroaryl groups are pyridine, pyrimidine, pyrazine, pyridazine, triazine, quinoline, quinazoline or quinoxaline.
- An aromatic ring system in the sense of this invention contains 6 to 60 C atoms in the ring system, preferably 6 to 40 C atoms in the ring system.
- a heteroaromatic ring system in the sense of this invention contains 2 to 60 C atoms, preferably 3 to 40 C atoms, and at least one heteroatom in the ring system, with the proviso that the sum of C atoms and heteroatoms is at least 5.
- the heteroatoms are preferably selected from N, O and/or S.
- An aromatic or heteroaromatic ring system in the sense of this invention is to be understood as a system which does not necessarily only contain aryl or heteroaryl groups, but in which several aryl or heteroaryl groups can also be connected by a non-aromatic unit, such as a C, N or O atom.
- a non-aromatic unit such as a C, N or O atom.
- systems such as fluorene, 9,9'-spirobifluorene, 9,9-diarylfluorene, triarylamine, diaryl ether, stilbene, etc. are to be understood as aromatic ring systems in the sense of this invention, as are systems in which two or more aryl groups are linked, for example, by a short alkyl group.
- the aromatic ring system is preferably selected from fluorene, 9,9'-spirobifluorene, 9,9-diarylamine or groups in which two or more aryl and/or heteroaryl groups are linked to one another by single bonds.
- An electron-rich heteroaromatic ring system is characterized by the fact that it is a heteroaromatic ring system that does not contain any electron-poor heteroaryl groups.
- An electron-poor heteroaryl group is a six-membered heteroaryl group with at least one nitrogen atom or a five-membered heteroaryl group with at least two heteroatoms, one of which is a nitrogen atom and the other is oxygen, sulfur or a substituted nitrogen atom, where further aryl or heteroaryl groups can be condensed onto these groups.
- electron-rich heteroaryl groups are five-membered heteroaryl groups with exactly one heteroatom, selected from oxygen, sulfur or substituted nitrogen, to which further aryl groups and/or further electron-rich Five-membered ring heteroaryl groups can be fused on.
- electron-rich heteroaryl groups are pyrrole, furan, thiophene, indole, benzofuran, benzothiophene, carbazole, dibenzofuran, dibenzothiophene or indenocarbazole.
- An electron-rich heteroaryl group is also called an electron-rich heteroaromatic residue.
- An electron-poor heteroaromatic ring system is characterized in that it contains at least one electron-poor heteroaryl group, and particularly preferably no electron-rich heteroaryl groups.
- an aliphatic hydrocarbon radical or an alkyl group or an alkenyl or alkynyl group which can contain 1 to 20 C atoms and in which individual H atoms or CH2 groups can also be substituted by the abovementioned groups, preferably means the radicals methyl, ethyl, n-propyl, i-propyl, n-butyl, i-butyl, s-butyl, t-butyl, 2-methylbutyl, n-pentyl, s-pentyl, neo-pentyl, cyclopentyl, n-hexyl, neo-hexyl, cyclohexyl, n-heptyl, cycloheptyl, n-octyl, cyclooctyl, 2-ethylhexyl, trifluoromethyl, pentafluoroethyl, 2,
- An alkoxy group with 1 to 40 carbon atoms is preferably methoxy, trifluoromethoxy, ethoxy, n-propoxy, i-propoxy, n-butoxy, i-butoxy, s-butoxy, t-butoxy, n-pentoxy, s-pentoxy, 2-methylbutoxy, n-hexoxy, cyclohexyloxy, n-heptoxy, Cycloheptyloxy, n-octyloxy, cyclo-octyloxy, 2-ethylhexyloxy, pentafluoroethoxy and 2,2,2-trifluoroethoxy.
- a thioalkyl group with 1 to 40 C atoms includes in particular methylthio, ethylthio, n-propylthio, i-propylthio, n-butylthio,
- Alkyl, alkoxy or thioalkyl groups according to the present invention can be straight-chain, branched or cyclic, wherein one or more non-adjacent CH2 groups can be replaced by the above-mentioned groups; furthermore, one or more H atoms by D, F, CI, Br, I, CN or NO2, preferably F, CI or CN, more preferably F or CN, particularly preferably CN.
- alkyl group includes both straight-chain alkyl groups and branched or cyclic alkyl groups. The same applies to alkenyl, alkynyl, alkoxy and thioalkoxy groups.
- An aromatic or heteroaromatic ring system with 5 to 60 or 5 to 40 aromatic ring atoms, which can be substituted with the above-mentioned radicals and which can be linked to the aromatic or heteroaromatic ring via any position is understood to mean in particular groups which are derived from benzene, naphthalene, anthracene, benzanthracene, phenanthrene, pyrene, chrysene, perylene, fluoranthene, naphthacene, pentacene, benzopyrene, biphenyl, biphenylene, terphenyl, triphenylene, fluorene, spirobifluorene, dihydrophenanthrene, dihydropyrene, tetrahydropyrene, cis- or trans-indenofluorene, cis- or trans-indenocarbazole, cis- or trans-indolocarbazole, truxene, is
- 2.3-diazapyrene 1,6-diazapyrene, 1,8-diazapyrene, 4,5-diazapyrene, 4,5,9, 10-tetraazaperylene, pyrazine, phenazine, phenoxazine, phenothiazine, fluorubin, naphthyridine, azacarbazole, benzocarboline, phenanthroline,
- 1,2,3-triazole, 1,2,4-triazole benzotriazole, 1,2,3-oxadiazole, 1,2,4-oxadi- azole, 1,2,5-oxadiazole, 1,3,4-oxadiazole, 1,2,3-thiadiazole, 1,2,4-thiadiazole, 1,2,5-thiadiazole, 1,3,4-thiadiazole, 1,3,5-triazine, 1,2,4-triazine,
- two or more radicals can form a ring is to be understood to mean, among other things, that the two radicals are linked to one another by a chemical bond with formal elimination of two hydrogen atoms. This is illustrated by the following scheme.
- a maximum of three Xs stand for N particularly preferably a maximum of two Xs stand for N, very particularly preferably a maximum of one X stands for N and particularly preferably all Xs stand for CR a .
- at least one R c is an electron acceptor group or an aromatic or heteroaromatic ring system having 5 to 60 aromatic ring atoms, each of which may be substituted by one or more radicals R 1 , where two adjacent R c can also form an electron acceptor group or an aromatic or heteroaromatic ring system having 5 to 60 aromatic ring atoms, each of which may be substituted by one or more radicals R 1 .
- Compounds having an electron acceptor group are particularly suitable as photosensitizers, while the compounds having an aromatic or heteroaromatic ring system are particularly suitable as materials for OLEDs, in particular as triplet matrix materials. Such compounds preferably do not have an electron acceptor group.
- At least one group X 1 preferably exactly one group X 1 , is CZ or a group CR C , where R c is an aromatic or heteroaromatic ring system having 5 to 60 aromatic ring atoms, which may in each case be substituted by one or more radicals R 1 .
- the compounds of formula (1) are selected from the compounds of the following formulas (3-1) to (3-14),
- the compounds of formula (1) are selected from the compounds of the following formulas (4-1) to (4-14),
- the compound is particularly suitable for photosensitizers, where Y is a single bond, C(R b )2 or S, particularly preferably a single bond or S. Particularly preferably, these compounds also have at least one group Z, particularly preferably exactly one group Z.
- the compound is particularly suitable for OLEDs, where Y 1 at each occurrence is the same or different and represents a single bond, NR C , O or S.
- the compound is particularly suitable for photosensitizers, where Y 1 is the same or different on each occurrence and is S or Se, preferably S. Particularly preferably, these compounds also have at least one group Z, particularly preferably exactly one group Z.
- the compound is particularly suitable for photosensitizers, where Y 1 on each occurrence is the same or different and represents S or Se, preferably S, and Y represents a single bond or S.
- these compounds also have at least one group Z, particularly preferably exactly one group Z.
- the group Z is an electron acceptor group.
- Alkenyl groups substituted by at least two CN groups, alkenyl groups substituted by at least one CN group and at least one substituted carbonyl group, alkenyl groups substituted by two substituted carbonyl groups, where the substituents on the carbonyl groups form a ring system with one another, or aromatic or heteroaromatic ring systems substituted by at least two CN groups are particularly suitable for this purpose.
- These electron acceptor groups are described in more detail below.
- the group Z is an alkenyl group having 2 to 20 C atoms, where the alkenyl group may be substituted by one or more radicals R, where one or more non-adjacent CH2 groups may be replaced by O, S, Se or Si(R)2, with the proviso that the group Z has at least two CN groups or is substituted by at least one CN group and at least one substituted carbonyl group; the group Z can form a ring system with R c .
- R is defined analogously to R a above.
- the alkenyl group can be straight-chain, cyclic or branched, with the branched groups having at least 3 carbon atoms and the cyclic groups having at least 4 carbon atoms.
- the cyclic groups can also have one or more heteroatoms.
- the alkenyl group has at least two CN groups or at least one CN group and at least one substituted carbonyl group, which are preferably bonded to the same carbon atom. It is preferred if the at least two CN groups or at least one CN group and at least one substituted carbonyl group of the group Z are continuously conjugated with the 5-membered ring to which the group Z is bonded.
- conjugation or “conjugated” is known to those skilled in the art.
- a continuous conjugation of the at least two CN groups of the Z group is formed as soon as alternating double and single bonds are present between the at least two CN groups or the at least one CN group and at least one substituted carbonyl group of the Z group and the 5-membered ring which comprises the Y 1 group and to which the Z group is bonded.
- a further link between the previously mentioned conjugated groups, which occurs, for example, via an S, N or O atom, does not harm a conjugation.
- Z is an alkenyl group having 2 to 10 C atoms, preferably having 2 to 6 C atoms, particularly preferably having 2 to 4 C atoms, which can be substituted by one or more radicals R, where at least two CN groups or at least one CN group and at least one substituted carbonyl group are bonded to the alkenyl group, preferably terminally; the alkenyl group can form a ring system with the group R c .
- Z is particularly preferably an alkenyl group having 2 C atoms which is substituted by a radical R and two CN groups or one CN group and one substituted carbonyl group, where the two CN groups or the CN group and the substituted carbonyl group are preferably bonded terminally.
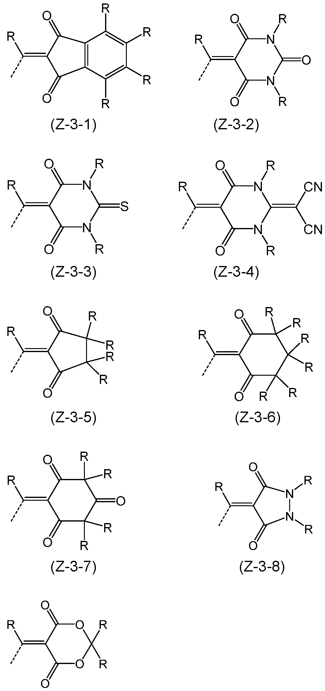
- Preferred embodiments of the group Z are the structures of the formulas (Z-1 ), (Z-1 ') and (Z-2), where R and R 1 have the meanings given above, the dashed bond represents the attachment point and furthermore:
- Formula (Z-1-1) Formula (Z-1-2) Formula (Z-1-3) where the dashed bond represents the attachment point and R" has the meanings given above.
- Formula (Z-1-1) is particularly preferred.
- R which is bonded to the non-cyclic alkenyl group in formula (Z-2), is preferably the same or different on each occurrence and is H, D or an optionally deuterated alkyl group having 1 to 5 C atoms, particularly preferably H, D or optionally deuterated methyl and very particularly preferably H or D.
- R which is bonded to the five-membered ring in formula (Z-2), is preferably H, D, CN, F, an optionally deuterated alkyl group having 1 to 5 C atoms or an optionally deuterated phenyl group, which can also be substituted by one or more preferably non-aromatic radicals R 1 .
- this R is selected from H, D, methyl, CD3 or CN.
- the groups R 1 which are bonded to the five-membered ring in formula (Z-2) are preferably identical or different on each occurrence and are H, D, an optionally deuterated alkyl group having 1 to 5 C atoms or an optionally deuterated phenyl group, which can also be substituted by one or more preferably non-aromatic radicals R 1 .
- the two groups R 1 can also form a ring system with one another.
- these groups R 1 are identical or different on each occurrence and are an optionally deuterated alkyl group having 1 to 4 C atoms, in particular an optionally deuterated methyl group.
- Particularly preferred embodiments of the formula (Z-2) are the structures of the following formulas (Z-2a) to (Z-2d), where these groups can also be partially or completely deuterated,
- the group L is a divalent organic group.
- a preferred embodiment of this group Z is a group of the following formula (Z-3), where the dashed bond represents the attachment of this group, R is defined analogously to R a above and furthermore: L is an optionally deuterated bivalent aryl or heteroaryl group with
- Preferred embodiments of the formula (Z-3) are thus the structures of the formulas (Z-3-1) to (Z-3-9), where the dashed bond represents the attachment of this group and R has the meanings given above.
- the radical R which is bonded to the double bond in formula (Z-3) or (Z-3-1) to (Z-3-9) is preferably H or D.
- the radicals R which are bonded to the benzo group in formula (Z-3-1) are preferably identical or different on each occurrence and are H, D, F or CN.
- the radicals R which are bonded to the nitrogen atoms in formula (Z-3-2) to (Z-3-4) and (Z-3-8) are preferably identical or different and are H, D or an optionally deuterated alkyl group having 1 to 6 C atoms.
- R radicals which are bonded to the carbon atoms of the aliphatic cycle in formula (Z-3-5) to (Z-3-7) and (Z-3-9) are preferably identical or different on each occurrence and are H, D or an optionally deuterated alkyl group having 1 to 6 C atoms, where several R radicals can also form a ring with one another. It is preferred if the R radicals which are bonded to a carbon atom which is adjacent to a carbonyl group are identical or different on each occurrence and are D or an optionally deuterated alkyl group having 1 to 6 C atoms, in particular D or methyl.
- Particularly preferred embodiments of the structure of formula (Z-3) are the structures of the following formulas (Z-3a) to (Z-3zz), whereby these structures can also be partially or completely deuterated, where the dashed bond represents the attachment of this group.
- the group Z is an aromatic or heteroaromatic ring system having 5 to 40 aromatic ring atoms, each of which may be substituted by one or more radicals R, with the proviso that the group Z has at least two CN groups.
- R is defined analogously to R a above. Preference is given to compounds in which at least one CN group and preferably at least two CN groups are continuously conjugated with the 5-membered ring containing Y 1 to which the aromatic or heteroaromatic ring system is bonded.
- conjugation is known to the person skilled in the art.
- a continuous conjugation of the at least one CN group is formed, for example, by this group binding directly to an aryl or heteroaryl group, wherein this aryl or heteroaryl group is continuously conjugated with the 5-membered ring which comprises the group Y 1 and to which the aryl or heteroaryl group is bound.
- a continuous conjugation of the at least one CN group of the group Z is formed as soon as alternating double and single bonds are formed between the CN group of the group Z and the 5-membered ring comprising the group Y 1 .
- this group Z is a group according to the following formula (Z-4), where the dashed bond represents the attachment of this group, R is defined analogously to R a above and furthermore:
- X 2 is the same or different on each occurrence and is CR or N, with the proviso that a maximum of three X 2s stand for N and that a maximum of two N atoms are directly bonded to one another, and further with the proviso that at least two groups X 2 stand for C-CN.
- a maximum of two groups X 2 stand for N, particularly preferably a maximum of one group X 2 stands for N and very particularly preferably all groups X 2 stand for CR.
- a preferred embodiment of the formula (Z-4) is thus the structure of the formula (Z-4-1 ), where the dashed bond represents the attachment of this group, R is as defined above and at least two R groups represent CN.
- the group Z can represent a partial structure of the formulas (Z-4a) to (Z-4i),
- R indicates the linkage of the group and R has the meanings given above.
- a maximum of two R radicals are not H or D, particularly preferably a maximum of one R radical is not H or D and very particularly preferably all R radicals are H or D.
- the group Z is a terminal alkenyl group having 2 to 10 C atoms, preferably having 2 to 4 C atoms and particularly preferably having 2 C atoms, which can be substituted by one or more substituents R and where the terminal C atom is substituted by two groups -SO2R"'.
- the substituent R"' is preferably an alkyl group having 1 to 6 C atoms, where the two substituents R"' can also form a ring system with one another.
- a preferred embodiment of this group Z is a group of the following formula (Z-5), where the dashed bond represents the attachment of this group, R is defined analogously to R a to R e above and furthermore:
- R"' is an optionally deuterated alkyl group having 1 to 6 C atoms; or the two groups R"' together form a ring and stand for -CR2-CR2- or -CR2-CR2-CR2-, where R in each case preferably stands for H, D or an optionally deuterated alkyl group having 1 to 6 C atoms and several radicals R can also form a ring with each other.
- a preferred embodiment of this group is the group of formulas (Z-5-1 ), where the symbols used have the meanings given above and the group can optionally be deuterated.
- acceptor groups Z are the structures shown in the table below, where these structures are linked via the dashed bond.
- the LUMO is also given for each of these structures, which is defined according to the invention as the LUMO for the corresponding compound which carries an H instead of the dashed bond, where the LUMO was calculated as described in the example section.
- Preferred embodiments for an electron acceptor group or group Z are the formulas (Z-1) to (Z-5) given above, and particularly preferred structures are the formulas (Z-1-1) to (Z-1-3), (Z-2-1) to (Z-2-4), (Z-3-1) to (Z-3-8), (Z-4-1) and (Z-5-1) given above, and very particularly preferred structures are the formulas (Z-1-1), (Z-1-2), (Z-1-3), (Z-2a) to (Z-2d), (Z-3a) to (Z-3zz) and (Z-4a) to (Z-4i) given above.
- the structures (Z-1-1) and (Z-2a) to (Z-2d) are particularly preferred.
- R b is preferably the same or different on each occurrence and is a straight-chain alkyl group having 1 to 10 C atoms or a branched or cyclic alkyl group having 3 to 12 C atoms, where the alkyl group may in each case be partially or fully deuterated and may be substituted by one or more radicals R 1 , or an aryl or heteroaryl group having 5 to 12 aromatic ring atoms, preferably a phenyl group, which may be partially or fully deuterated and may be substituted by one or more radicals R 1 , where the two radicals R b of the group Y together can form a ring.
- R b particularly preferably represents F, methyl, ethyl, neo-pentyl or phenyl, where these groups may also be partially or fully deuterated and where the two R b groups may also form a ring with one another, or the two R b groups together with the C atom to which they are bound form a cyclopentyl, cyclohexyl or adamantanyl group, which may also be partially or fully deuterated.
- R b particularly preferably represents methyl, which may also be partially or fully deuterated.
- the radical R a is H, D, a straight-chain alkyl group having 1 to 10 C atoms, a branched or cyclic alkyl group having 3 to 12 C atoms, where the alkyl group can be substituted in each case by one or more radicals R 1 , or an aryl or heteroaryl group having 5 to 12 aromatic ring atoms, preferably a phenyl group, which can be substituted by one or more radicals R 1 , where the radical R a can form a ring together with the radical R 1.
- the radical R a is H, D, optionally deuterated methyl or optionally deuterated phenyl, very particularly preferably H or D.
- radicals which can be selected in particular from R, R a , R b , R c , R 1 and/or R 2 , form a ring system with one another, this can be mono- or polycyclic, aliphatic, heteroaliphatic, aromatic or heteroaromatic.
- the radicals which form a ring system with one another can be adjacent, ie these radicals are bonded to the same carbon atom or to carbon atoms which are directly bonded to one another, or they can be further apart from one another.
- preferred compounds according to the invention are characterized in that they are sublimable.
- R, R a , R b and R c are the same or different on each occurrence and are selected from the group consisting of H, D, F, CN, Si(R 1 )s, B(OR 1 )2, a straight-chain alkyl or an alkoxy group having 1 to 20 C atoms or a branched or cyclic alkyl or alkoxy group having 3 to 20 C atoms, where the alkyl group may be substituted in each case by one or more radicals R 1 , or an aromatic or heteroaromatic ring system having 6 to 40 aromatic ring atoms, which may be substituted in each case by one or more radicals R 1 ; two or more radicals may form a ring system with one another.
- R, R a , R b and R c are the same or different on each occurrence and are selected from the group consisting of H, D, F, CN, a straight-chain alkyl group having 1 to 10 C atoms, preferably having 1 to 4 C atoms, or a branched or cyclic alkyl group having 3 to 10 C atoms, preferably having 3 to 6 C atoms, where the alkyl group can in each case be substituted by one or more radicals R 1 , or an aromatic or heteroaromatic ring system having 6 to 24 aromatic ring atoms, particularly preferably having 6 to 18 aromatic ring atoms, very particularly preferably having 6 to 13 aromatic ring atoms, which can in each case be substituted by one or more radicals R 1 ; two or more radicals can form a ring system with one another.
- Preferred aromatic or heteroaromatic ring systems R, R a , R b and/or R c are selected from phenyl, biphenyl, in particular ortho-, meta- or para-biphenyl, terphenyl, in particular ortho-, meta-, para- or branched terphenyl, quaterphenyl, in particular ortho-, meta-, para- or branched quaterphenyl, fluorene, which can be linked via the 1-, 2-, 3- or 4-position, spirobifluorene, which can be linked via the 1-, 2-, 3- or 4-position, naphthalene, in particular 1- or 2-linked naphthalene, indole, benzofuran, benzothiophene, Carbazole, which can be linked via the 1-, 2-, 3-, 4- or 9-position, dibenzofuran, which can be linked via the 1-, 2-, 3- or 4-position, dibenzothiophene, which can be linked via the 1-, 2-, 3-
- R, R a , R b and/or R c represent an aromatic or heteroaromatic ring system, these are preferably selected, identically or differently on each occurrence, from the groups of the following formulae R-1 to R-184,
- Ar 3 is, identically or differently at each occurrence, a bivalent aromatic or heteroaromatic ring system having 6 to 18 aromatic ring atoms, which may each be substituted by one or more radicals R 1 ;
- Ar 3 comprises divalent aromatic or heteroaromatic ring systems based on the groups R-1 to R-184, where p is 0 and the dashed bond and an R 1 are the bond to the aromatic or heteroaromatic group is after R-1 to R-184.
- the substituent R 1 which is bonded to the nitrogen atom preferably represents an aromatic or heteroaromatic ring system having 5 to 24 aromatic ring atoms, which may also be substituted by one or more radicals R 2.
- this substituent R 1 identical or different on each occurrence, represents an aromatic or heteroaromatic ring system having 6 to 24 aromatic ring atoms, preferably having 6 to 12 aromatic ring atoms, and which may in each case also be substituted by one or more radicals R 2.
- phenyl, biphenyl, terphenyl and quaterphenyl with linkage patterns as listed above for R-1 to R-35 where these structures may be substituted by one or more radicals R 1 , but are preferably unsubstituted.
- a 1 is C(R 1 ) 2
- the substituents R 1 which are bonded to this carbon atom are preferably identical or different on each occurrence and represent a linear alkyl group having 1 to 10 C atoms or a branched or cyclic alkyl group having 3 to 10 C atoms or an aromatic or heteroaromatic ring system having 5 to 24 aromatic ring atoms, which may also be substituted by one or more radicals R 2 .
- R 1 is very particularly preferably a methyl group or a phenyl group.
- the radicals R 1 can also form a ring system with one another, resulting in a spiro system.
- R, R a , R b and R c are groups of
- Ar 2 , Ar 3 and Ar 4 represent an aromatic or heteroaromatic ring system with 5 to 24 aromatic ring atoms, which can each be substituted by one or more radicals R 1 .
- the total number of aromatic ring atoms of Ar 2 , Ar 3 and Ar 4 is a maximum of 60 and preferably a maximum of 40.
- Ar 4 and Ar 2 can be connected to one another and/or Ar 2 and Ar 3 can also be connected to one another by a group selected from C(R 1 ) 2, NR 1 , O or S.
- Ar 4 and Ar 2 are connected to one another or Ar 2 and Ar 3 are connected to one another ortho to the position of the connection to the nitrogen atom.
- none of the groups Ar 2 , Ar 3 or Ar 4 are connected to one another.
- Ar 4 is preferably an aromatic or heteroaromatic ring system with 6 to 24 aromatic ring atoms, preferably with 6 to 12 aromatic ring atoms, each of which can be substituted by one or more radicals R 1 .
- Ar 4 is particularly preferably selected from the group consisting of ortho-, meta- or para-phenylene or ortho-, meta- or para-biphenyl, each of which can be substituted by one or more radicals R 1 , but is preferably unsubstituted.
- Ar 4 is very particularly preferably an unsubstituted phenylene group.
- Ar 2 and Ar 3 are the same or different on each occurrence and are an aromatic or heteroaromatic ring system having 6 to 24 aromatic ring atoms, which may each be substituted by one or more radicals R 1 .
- Particularly preferred groups Ar 2 and Ar 3 are the same or different on each occurrence and are selected from the group consisting of benzene, ortho-, meta- or para-biphenyl, ortho-, meta-, para- or branched terphenyl, ortho-, meta-, para- or branched quaterphenyl, 1-, 2-, 3- or 4-fluorenyl, 1-, 2-, 3- or 4-spiro-bifluorenyl, 1- or 2-naphthyl, indole, benzofuran, benzothiophene, 1-, 2-
- Ar 2 and Ar 3 are particularly preferably the same or different on each occurrence and are selected from the group consisting of from benzene, biphenyl, in particular ortho-, meta- or para-biphenyl, terphenyl, in particular ortho-, meta-, para- or branched terphenyl, quaterphenyl, in particular ortho-, meta-, para- or branched quaterphenyl, fluorene, in particular 1-, 2-, 3- or 4-fluorene, or spirobifluorene, in particular 1-, 2-, 3- or 4-spirobifluorene.
- R 1 is the same or different on each occurrence and is selected from the group consisting of H, D, F, CN, a straight-chain alkyl group having 1 to 10 C atoms or a branched or cyclic alkyl group having 3 to 10 C atoms, where the alkyl group may in each case be substituted by one or more radicals R 2 , or an aromatic or heteroaromatic ring system having 6 to 24 aromatic ring atoms, which may in each case be substituted by one or more radicals R 2 ; two or more radicals R 1 may form a ring system with one another.
- R 1 is the same or different on each occurrence and is selected from the group consisting of H, a straight-chain alkyl group having 1 to 6 C atoms, in particular having 1, 2, 3 or 4 C atoms, or a branched or cyclic alkyl group having 3 to 6 C atoms, where the alkyl group may in each case be substituted by one or more radicals R 2 , but is preferably unsubstituted, or an aromatic or heteroaromatic ring system having 6 to 13 aromatic ring atoms, which may in each case be substituted by one or more radicals R 2 , but is preferably unsubstituted; two or more radicals R 1 can form a ring system with one another.
- R 2 is the same or different on each occurrence and is H, D, an alkyl group having 1 to 4 C atoms or an aryl group having 6 to 10 C atoms, which may be substituted by an alkyl group having 1 to 4 C atoms, but is preferably unsubstituted.
- R c and, if present, Z form an aryl or Heteroaryl group with 4 to 14 aromatic ring atoms, which can be substituted with R 1 .
- the alkyl groups preferably have no more than five C atoms, particularly preferably no more than 4 C atoms, very particularly preferably no more than 1 C atom.
- compounds which are substituted with alkyl groups, in particular branched alkyl groups, with up to 10 C atoms or which are substituted with oligoarylene groups, for example ortho-, meta-, para- or branched terphenyl or quaterphenyl groups, are also suitable.
- the compounds according to the invention can in principle be prepared by various methods. However, the methods described below have proven to be particularly suitable.
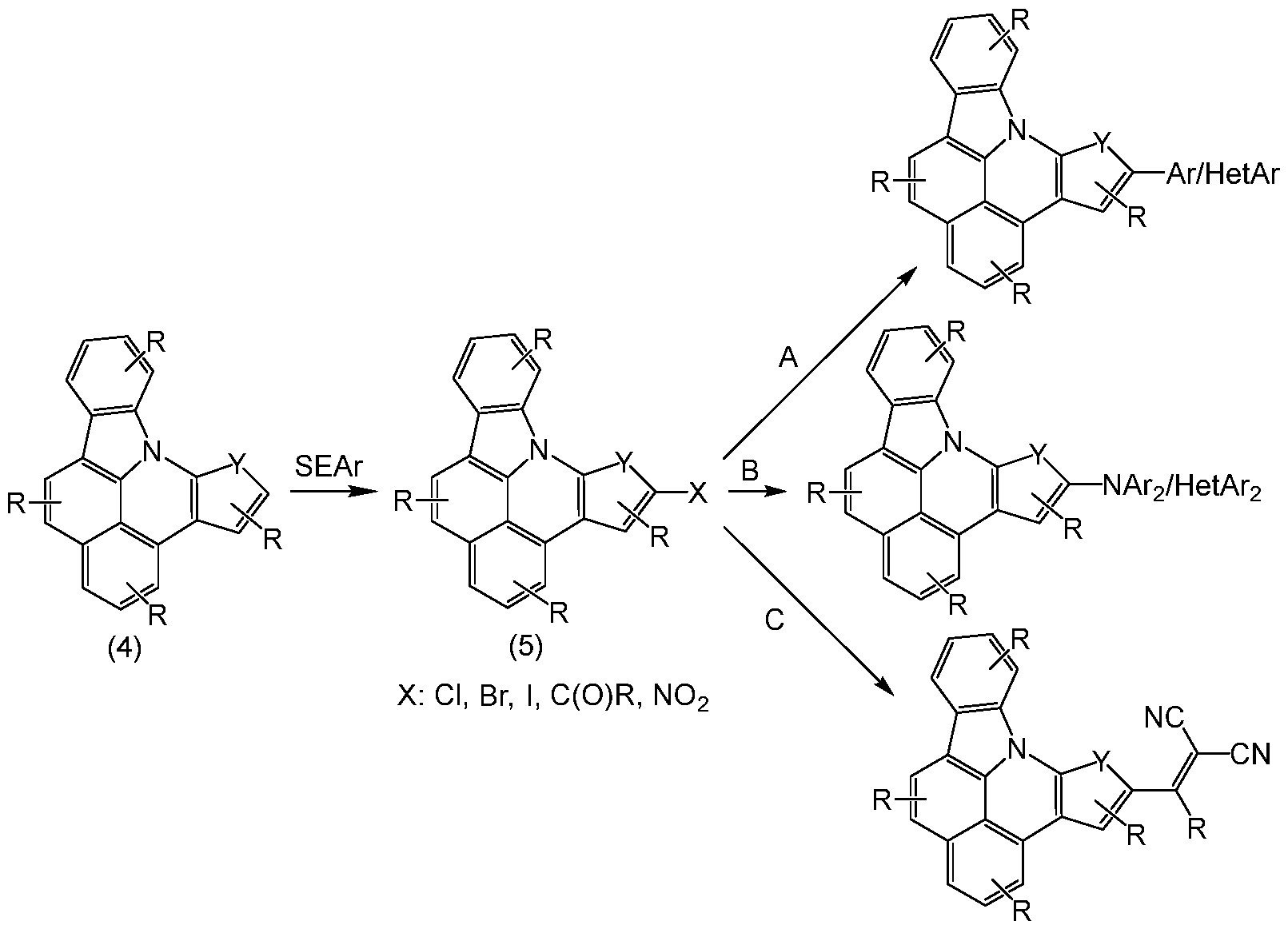
- a further subject matter of the invention is a process for preparing the compounds according to the invention, in which a benzo[a]carbazole is provided and coupled at the nitrogen atom with a corresponding heteroaryl group and the compound according to formula (1) is obtained by intramolecular cyclization.
- further radicals can be introduced by coupling reactions.
- the parent compound (4) is converted by reacting a benzo[a]carbazole (1) with a 2-bromo- or 2-iodo-substituted 5-membered ring heterocycle (2) in a copper-catalyzed Ullmann coupling to give the intermediate (3), which is then intramolecularly cyclized using palladium-2-phosphine catalysis, see Scheme 1.
- a benzo[a]carbazole (1) with a 2-bromo- or 2-iodo-substituted 5-membered ring heterocycle (2) in a copper-catalyzed Ullmann coupling to give the intermediate (3), which is then intramolecularly cyclized using palladium-2-phosphine catalysis, see Scheme 1.
- compounds with two or three fused five-membered rings can be used as starting materials.
- Scheme 1 The basic structure (4) thus prepared can then be further functionalized in the o-position to Y via SeAr reaction, e.g. a halogenation, preferably a bromination with N-bromosuccinimide, a formylation or acylation or nitration, etc.
- SeAr reaction e.g. a halogenation, preferably a bromination with N-bromosuccinimide, a formylation or acylation or nitration, etc.
- the reactive halogen intermediates can be further converted to the other compounds according to the invention in CC couplings (A) such as a Suzuki, Negishi, Grignard-Cross, Sonogashira coupling, etc., or in CN couplings (B) such as Buchwald-Hartwig or Ullmann coupling, the carbonyl intermediates can be further converted to the other compounds according to the invention by means of Knoevenagel condensation (C), e.g. with malononitrile (Scheme 2).
- the compounds according to the invention can also be mixed with a polymer. It is also possible to incorporate these compounds covalently into a polymer.
- the invention also relates to an oligomer, polymer or dendrimer containing one or more compounds according to formula (1) or the preferred embodiments, wherein the bond(s) to the Oligomer, polymer or dendrimer can occur at any position in formula (1).
- compounds according to the invention which are characterized by a high glass transition temperature.
- formulations of the compounds according to the invention are required. These formulations can be, for example, solutions, dispersions or emulsions. It may be preferable to use mixtures of two or more solvents for this purpose.
- Suitable and preferred solvents are, for example, toluene, anisole, o-, m- or p-xylene, methyl benzoate, mesitylene, tetralin, veratrole, THF, methyl-THF, THP, chlorobenzene, dioxane, phenoxytoluene, in particular 3-phenoxytoluene, (-)-fenchone, 1,2,3,5-tetramethylbenzene, 1,2,4,5-tetramethylbenzene, 1-methylnaphthalene, 2-methylbenzothiazole, 2-phenoxyethanol, 2-pyrrolidinone, 3-methylanisole, 4-methylanisole, 3,4-dimethylanisole, 3,5-dimethylanisole, acetophenone, a-terpineol, benzothiazole, butylbenzoate, cumene, cyclohexanol, cyclohexanone, Cyclohexylbenzene, decalin, do
- a further subject matter of the present invention is therefore a formulation or a composition containing at least one compound according to the invention and at least one further compound.
- the further compound can be, for example, a solvent, in particular one of the above-mentioned solvents or a mixture of these solvents.
- the further compound can also be at least one further organic or inorganic compound which is also used in the electronic device, for example a comaterial, whereby these compounds differ from the compounds according to the invention. Suitable comaterials are listed below in connection with the organic electronic device.
- the further compound can also be polymeric.
- compositions containing a compound according to the invention and at least one further organic functional material.
- Functional materials are generally the organic or inorganic materials which are introduced between the anode and the cathode.
- the organic functional material is preferably selected from the group consisting of photosensitizers, electron transport materials, electron injection materials, hole conductor materials, hole injection materials, electron blocking materials and hole blocking materials, preferably photosensitizers, electron transport materials, electron injection materials or hole blocking materials.
- a further subject matter of the present invention is the use of a compound according to the invention in an electronic device, preferably an organic, photoelectric device, in particular in an organic optical detector, preferably as a photosensitizer, particularly preferably as a green, red, infrared or blue photosensitizer, especially preferably as a green photosensitizer.
- Yet another subject of the present invention is an electronic device containing at least one compound according to the invention.
- An electronic device in the sense of the present The invention relates to a device which contains at least one layer which contains at least one organic compound.
- the component can also contain inorganic materials or layers which are made entirely of inorganic materials.
- the electronic device is preferably selected from the group consisting of organic photoelectric devices, organic electroluminescent devices (OLEDs, sOLEDs, PLEDs, LECs, etc.), light-emitting electrochemical cells (LECs), organic laser diodes (O-lasers), “organic plasmon emitting devices” (D. M.
- organic integrated circuits O-ICs
- organic field-effect transistors O-FETs
- organic thin-film transistors O-TFTs
- organic light-emitting transistors O-LETs
- organic solar cells O-SCs
- organic optical detectors organic photoreceptors, organic photodiodes (OPDs), organic field quench devices (O-FQDs) and organic electrical sensors, preferably organic optical detectors, organic photoreceptors and organic electronic sensors.
- OPDs organic photodiodes
- O-FQDs organic field quench devices
- organic electrical sensors preferably organic optical detectors, organic photoreceptors and organic electronic sensors.
- Organic optical detectors are particularly preferred.
- the organic optical detector contains a cathode, an anode and at least one light-absorbing layer. In addition to these layers, it can contain further layers, for example one or more hole injection layers, hole transport layers, hole blocking layers, electron transport layers, electron injection layers, exciton blocking layers, electron blocking layers and/or charge generation layers. Interlayers can also be introduced between two light-absorbing layers, which, for example, have an exciton-blocking function. It should be noted, however, that not all of these layers necessarily have to be present.
- the organic optical detector can contain one light-absorbing layer, or it can contain several light-absorbing layers.
- the compound according to the invention can be used in different ways
- a Organic optical detector containing a compound according to formula (1) or (2) or the preferred embodiments set out above in a light-absorbing layer as a photosensitizer, preferably an infrared, red, green or blue photosensitizer, particularly preferably as a green photosensitizer, the color in each case indicating the color of the light which is absorbed by the photosensitizer.
- a photosensitizer preferably an infrared, red, green or blue photosensitizer, particularly preferably as a green photosensitizer, the color in each case indicating the color of the light which is absorbed by the photosensitizer.
- the compound according to the invention is used as a photosensitizer in a light-absorbing layer
- a suitable co-material which is known as such is preferably used.
- the co-material is used either as a mixture with the photosensitizer or in a layer which is adjacent to the layer containing the photosensitizer.
- Suitable co-materials which can be used in combination, i.e. as a mixture with the compounds according to the invention or in a layer adjacent to the layer containing the compounds according to the invention, are aromatic ketones, aromatic phosphine oxides or aromatic sulfoxides or sulfones, e.g. according to WO 2004/013080, WO 2004/093207, WO 2006/005627 or WO 2010/006680, triarylamines, carbazole derivatives, e.g. B.
- CBP N,N-bis-carbazolylbiphenyl
- CBP CBP (N,N-bis-carbazolylbiphenyl) or those in WO 2005/039246, US 2005/0069729, JP 2004/288381, EP 1205527, WO 2008/086851 or WO 2013/041176, indolocarbazole derivatives, e.g. according to WO 2007/063754 or WO 2008/056746, indenocarbazole derivatives, e.g. according to WO 2010/136109, WO 2011/000455, WO 2013/041176 or WO 2013/056776, azacarbazole derivatives, e.g. B.
- diazasilol or tetraazasilol derivatives e.g. according to WO 2010/054729, diazaphosphol derivatives, e.g. according to WO 2010/054730, bridged carbazole derivatives, e.g. according to WO 2011/042107, WO 2011/060867, WO 2011/088877 and WO 2012/143080, triphenylene- derivatives, e.g. according to WO 2012/048781, dibenzofuran derivatives, e.g. according to WO 2015/169412, WO 2016/015810, WO 2016/023608, WO 2017/148564 or WO 2017/148565 or biscarbazoles, e.g. according to JP 3139321 B2.
- one or more compounds according to the invention according to formula (1) or the preferred embodiments are used in combination with electron transport materials, electron injection materials, hole blocking materials.
- electron transport materials particularly preference is given to using subphthalocyanines, subphthalocyanine derivatives, fullerenes or fullerene derivatives, among others.
- subphthalocyanines particularly preference is given to using subphthalocyanines, subphthalocyanine derivatives, fullerenes or fullerene derivatives, among others.
- Such compounds are known to the person skilled in the art for use in organic optical detectors.
- This embodiment is particularly preferred in the case that the compound according to the invention can be used as hole conductor materials, hole injection materials and/or electron blocking materials.
- an organic optical detector characterized in that one or more layers are provided with a sublimation
- the materials are vapor-deposited in vacuum sublimation systems at an initial pressure of less than 10' 5 mbar, preferably less than 10' 6 mbar. However, it is also possible for the initial pressure to be even lower, for example less than 10' 7 mbar.
- An organic optical detector is also preferred, characterized in that one or more layers are coated using the OVPD (Organic Vapour Phase Deposition) method or with the aid of carrier gas sublimation.
- the materials are applied at a pressure between 10' 5 mbar and 1 bar.
- OVPD Organic Vapour Phase Deposition
- OVJP Organic Vapour Jet Printing
- an organic optical detector characterized in that one or more layers are produced from solution, such as by spin coating, or using any printing method, such as screen printing, flexographic printing, offset printing, LITI (light induced thermal imaging, thermal transfer printing), ink-jet printing or nozzle printing. Soluble compounds are required for this, which are obtained, for example, by suitable substitution.
- hybrid processes are possible, in which, for example, one or more layers are applied from solution and one or more further layers are vapor-deposited.
- the device is also preferably an organic electroluminescent device comprising a cathode, anode and at least one emitting layer, wherein at least one organic layer, which can be an emitting layer, hole transport layer, electron transport layer, hole blocking layer, electron blocking layer or another functional layer, comprises at least one compound according to the invention.
- the layer depends on the substitution of the compound.
- the organic electroluminescent device can contain further layers, for example one or more hole injection layers, hole transport layers, hole blocking layers, electron transport layers, electron injection layers, exciton blocking layers, electron blocking layers, charge generation layers and/or organic or inorganic p/n junctions. Interlayers can also be introduced between two emitting layers, which, for example, have an exciton blocking function. It should be noted, however, that not all of these layers necessarily have to be present.
- the organic electroluminescent device can contain one emitting layer or it can contain several emitting layers. If several emitting layers are present, these preferably have a total of several emission maxima between 380 nm and 750 nm, so that overall white emission results, ie different emitting compounds that can fluoresce or phosphoresce are used in the emitting layers. Systems with three emitting layers are particularly preferred, with the three layers showing blue, green and orange or red emission (the basic structure is described, for example, in WO 2005/011013).
- the organic electroluminescent device according to the invention can Electroluminescent device can also be a tandem OLED, especially for white-emitting OLEDs.
- the compound according to formula (1) is preferably used in an organic electroluminescent device which comprises one or more phosphorescent emitters.
- the compound according to the invention according to the embodiments listed above can be used in different layers, depending on the precise structure.
- the organic electroluminescent device can contain one emitting layer, or it can contain several emitting layers, with at least one layer containing at least one compound according to the invention.
- the compound according to the invention can also be used in an electron transport layer and/or in a hole blocking layer and/or in a hole transport layer and/or in an exciton blocking layer and/or as a matrix material.
- the compound according to the invention is particularly preferably used as a matrix material in an emitting layer and/or as an electron transport material in an electron transport or hole blocking layer, in particular as a matrix material in a phosphorescent layer.
- phosphorescent compound typically refers to compounds in which the emission of light occurs through a spin-forbidden transition, e.g. a transition from an excited triplet state or a state with a higher spin quantum number, e.g. a quintet state.
- Suitable phosphorescent compounds are in particular compounds which emit light, preferably in the visible range, when suitably excited and also contain at least one atom with an atomic number greater than 20, preferably greater than 38 and less than 84, particularly preferably greater than 56 and less than 80.
- All luminescent complexes with transition metals or lanthanides are preferably regarded as phosphorescent compounds, in particular if they contain copper, molybdenum, tungsten, rhenium, Contain ruthenium, osmium, rhodium, iridium, palladium, platinum, silver, gold or europium, in particular compounds containing indium, platinum or copper.
- all luminescent indium, platinum or copper complexes are considered to be phosphorescent emitting compounds.
- Examples of the emitters described above can be found in the applications WO 00/70655, WO 2001/41512, WO 2002/02714, WO 2002/15645, EP 1191613, EP 1191612, EP 1191614, WO 05/033244, WO 05/019373, US 2005/0258742, WO 2009/146770, WO 2010/015307, WO 2010/031485, WO 2010/054731, WO 2010/054728, WO 2010/086089, WO 2010/099852, WO 2010/102709, WO 2011/032626, WO 2011/066898, WO 2011/157339, WO 2012/007086, WO 2014/008982, WO 2014/023377, WO 2014/094961, WO 2014/094960, WO 2015/036074, WO 2015/104045, WO 2015/117718, WO 2016/015815, WO 2016/124304, WO 2017/032439,
- the compound of formula (1) in an electronic device containing one or more fluorescent emitting compounds.
- the compounds of formula (1) are used as electron-transporting material.
- the compounds are preferably present in an electron-transport layer or a hole-blocking layer or a electron-conducting or bipolar host material. Use in an electron transport layer or host material is particularly preferred.
- An electron transport layer in the sense of the present application is a layer with an electron-transporting function between the cathode and the emitting layer.
- electron injection layers and hole blocking layers are understood to mean certain embodiments of electron transport layers.
- an electron injection layer is an electron transport layer that directly borders the cathode or is only separated from it by a single coating of the cathode.
- a hole blocking layer is the electron transport layer that directly borders the emitting layer on the cathode side.
- the OLED according to the invention preferably comprises two, three or four electron-transporting layers between the cathode and the emitting layer, of which preferably at least one, particularly preferably exactly one or two, contains compounds of the formula (1).
- the compound of formula (1) is used as an electron transport material in an electron transport layer, an electron injection layer or a hole blocking layer, the compound can be used as a pure material, i.e. in a proportion of 100% in the electron transport layer, or it can be used in combination with one or more other compounds.
- Hole transport layers or electron blocking layers of the electronic devices according to the invention can additionally comprise one or more p-dopants.
- p-dopants used according to the present invention are preferably those organic electron acceptor compounds which are capable of oxidizing one or more of the other compounds in the mixture.
- Particularly preferred embodiments of p-dopants are the compounds disclosed in WO 2011/073149, EP 1968131, EP 2276085, EP 2213662, EP 1722602, EP 2045848, DE 102007031220, US 8044390, US 8057712, WO 2009/003455, WO 2010/094378, WO 2011/120709, US 2010/0096600, WO 2012/095143 and DE 102012209523.
- the compound of formula (1) is used in an emitting layer as a matrix material in combination with one or more emitting compounds, preferably phosphorescent compounds.
- the proportion of matrix material in the emitting layer in this case is between 50.0 and 99.9 vol. %, preferably between 80.0 and 99.5 vol. %, particularly preferably between 92.0 and 99.5 vol. % for fluorescent emitting layers and between 85.0 and 97.0 vol. % for phosphorescent emitting layers.
- the proportion of the emitting compound is between 0.1 and 50.0 vol.%, preferably between 0.5 and 20.0 vol.%, particularly preferably between 0.5 and 8.0 vol.% for fluorescent emitting layers and between 3.0 and 15.0 vol.% for phosphorescent emitting layers.
- An emitting layer of an organic electroluminescent device can also comprise systems that contain a large number of matrix materials (mixed matrix systems) and/or a large number of emitting compounds.
- the emitting compounds are generally those that have the smaller proportion in the system and the matrix materials are those that have the larger proportion in the system.
- the proportion of an individual matrix material in the system can be lower than the proportion of an individual emitting compound.
- the compounds of formula (1) are preferably used as a component of mixed matrix systems.
- the mixed matrix systems preferably consist of two or three different matrix materials, particularly preferably of two different matrix materials. In this case, one of the two materials is preferably a material with hole-transporting properties and the other material is a material with electron-transporting properties.
- the compound of formula (1) is, depending on the substitution, the matrix material with electron-transporting properties or the matrix material with hole-transporting properties.
- the desired electron-transporting and hole-transporting properties of the mixed matrix components can also be predominantly or completely combined in a single mixed matrix component, with the other mixed matrix component(s) fulfilling other functions.
- the two different matrix materials can be present in a ratio of 1:50 to 1:1, preferably 1:20 to 1:1, even more preferably 1:10 to 1:1 and most preferably 1:4 to 1:1.
- Mixed matrix systems are preferably used in phosphorescent organic electroluminescent devices. A source for more detailed information on mixed matrix systems is the application WO 2010/108579.
- the mixed matrix systems can contain one or more emitting compounds, preferably one or more phosphorescent compounds.
- mixed matrix systems are preferably used in phosphorescent organic electroluminescent devices.
- Particularly suitable matrix materials which can be used in combination with the compounds according to the invention as matrix components of a mixed matrix system are selected from the preferred matrix materials for phosphorescent compounds or the preferred matrix materials for fluorescent compounds mentioned below, depending on which type of emitting compound is used in the mixed matrix system.
- Preferred phosphorescent compounds for use in mixed matrix systems are the same as those described above as generally preferred phosphorescent emitter materials.
- Preferred fluorescent emitting compounds are selected from the class of arylamines.
- an arylamine or an aromatic amine is understood to mean a compound which contains three substituted or unsubstituted aromatic or heteroaromatic ring systems which are directly bonded to the nitrogen.
- at least one of these aromatic or heteroaromatic ring systems is a condensed ring system, particularly preferably with at least 14 aromatic ring atoms.
- Preferred examples of these are aromatic anthraceneamines, aromatic anthracenediamines, aromatic pyreneamines, aromatic pyrenediamines, aromatic chrysenamines or aromatic chrysenediamines.
- aromatic anthraceneamine is understood to mean a compound in which a diarylamino group is directly bonded to an anthracene group, preferably in position 9.
- An aromatic anthracenediamine is understood to mean a compound in which two diarylamino groups are directly bonded to an anthracene group, preferably in positions 9, 10.
- Aromatic pyrenamines, pyrenediamines, chrysenamines and chrysenediamines are defined analogously, in which the diarylamino groups are preferably bonded to the pyrene in the 1-position or 1,6-position.
- indenofluorenamines or fluorenediamines for example according to WO 2006/108497 or WO 2006/122630
- benzoindenofluorenamines or -fluorenediamines for example according to WO 2008/006449
- dibenzoindenofluorenamines or -diamines for example according to WO 2007/140847
- the indenofluorene derivatives with condensed aryl groups disclosed in WO 2010/012328 are also preferred.
- pyrenearylamines disclosed in WO 2012/048780 and WO 2013/185871.
- benzoindenofluorenamines disclosed in WO 2014/037077 are also preferred.
- the benzofluorenamines disclosed in WO 2014/106522 are also preferred.
- the extended benzoindenofluorenes disclosed in WO 2014/111269 and WO 2017/036574 are also preferred.
- the phenoxazines disclosed in WO 2017/028940 and WO 2017/028941 are also preferred.
- boron compounds according to W02020208051, W02015102118, WO2016152418, WO2018095397, WO201 9004248, WO2019132040, US20200161552, WO2021089450 can be used.
- Useful matrix materials include materials from different substance classes.
- Preferred matrix materials are selected from the classes of oligoaryls (e.g. 2,2',7,7'-tetraphenylspirobifluorene according to EP 676461 or dinaphthyl-anthracene), in particular oligoaryls with fused aromatic groups, oligoarylenevinylenes (e.g. DPVBi or spiro-DPVBi according to EP 676461), polypodal metal complexes (e.g. according to WO 2004/081017), hole-conducting compounds (e.g.
- electron-conducting compounds in particular ketones, phosphine oxides, sulfoxides etc. (for example according to WO 2005/084081 and WO 2005/084082), atropisomers (for example according to WO 2006/048268), boronic acid derivatives (for example according to WO 2006/117052) or the benzanthracenes (for example according to WO 2008/145239).
- Particularly preferred matrix materials are selected from the classes of oligoarylenes with naphthalene, anthracene, benzanthracene and/or pyrene or atropisomers of these compounds, the oligoarylenevinylenes, the ketones, the phosphine oxides and the sulfoxides.
- Very particularly preferred matrix materials are selected from the classes of oligoarylenes which include anthracene, benzanthracene, benzophenanthrene and/or pyrene or atropisomers of these compounds.
- an oligoarylene is understood to mean a compound in which at least three aryl or arylene groups are connected to one another.
- Preferred matrix materials for phosphorescent compounds are, as well as compounds according to formula (1), aromatic ketones, aromatic phosphine oxides or aromatic sulfoxides or sulfones, e.g. according to WO 2004/013080, WO 2004/093207, WO 2006/005627 or WO 2010/006680, triarylamines, carbazole derivatives, e.g. CBP (N,N-biscarbazolylbiphenyl) or WO 2005/039246, US 2005/0069729, JP 2004/288381, EP 1205527, WO 2008/086851 or WO 2013/041176, indolocarbazole derivatives, e.g. B.
- aromatic ketones aromatic phosphine oxides or aromatic sulfoxides or sulfones
- triarylamines e.g. CBP (N,N-biscarbazolylbiphenyl) or WO 2005/039246, US 2005/
- indenocarbazole derivatives e.g. according to WO 2010/136109, WO 2011/000455, WO 2013/041176 or WO 2013/056776, azacarbazole derivatives, e.g. according to EP 1617710, EP 1617711, EP 1731584, JP 2005/347160, bipolar matrix materials, e.g. according to WO 2007/137725, silanes, e.g. according to WO 2005/111172, azaboroles or boronic esters, e.g. according to WO 2006/117052, triazine derivatives, e.g. B.
- WO 2012/048781 lactams, e.g. according to WO 2011/116865 or WO 2011/137951, or dibenzofuran derivatives, e.g. B. according to WO 2015/169412, WO 2016/015810, WO 2016/023608, WO 2017/148564 or WO 2017/148565.
- a further phosphorescent emitter which emits at a shorter wavelength than the actual emitter can be present in the mixture as a co-host or a compound which does not participate, or does not participate to a significant extent, in charge transport, as described, for example, in WO 2010/108579. Since the compounds according to the invention are electron-transporting compounds, they are preferably combined with a hole-transporting matrix material.
- Particularly suitable hole-transporting matrix materials which are advantageously combined with compounds of the formula (1), as described above or preferably described, in a mixed matrix system can be selected from the compounds of the formulas (HH-1), (HH-2), (HH-3), (HH-4), (HH-5) or (HH-6), as described below. This applies in particular when the compounds of the formula (1) are substituted by at least one electron-deficient heteroaryl group.
- a further subject matter of the invention is therefore an organic electronic device comprising an anode, a cathode and at least one organic layer containing at least one light-emitting layer, wherein the at least one light-emitting layer contains at least one compound of the formula (1) as matrix material 1, as described above or described as preferred, and at least one compound of the formulas (HH-1), (HH-2), (HH-3), (HH-4), (HH-5) or (HH-6) as matrix material 2, Formula (HH-6), where the symbols and indices used are:
- a 1 is C(R 7 )2, NR 7 , 0 or S;
- L is a bond, O, S, C(R 7 )2 or NR 7 ;
- A is, at each occurrence, independently of each other, a group of
- X2 is the same or different at each occurrence and is CH, CR 6 or N, where a maximum of 2 symbols X2 N can be used;
- U 1 , U 2 are, when a bond occurs, 0, S, C(R 7 )2 or NR 7 ;
- R 8 is, identically or differently on each occurrence, H, D, F or an aliphatic, aromatic or heteroaromatic organic radical, in particular a hydrocarbon radical, having 1 to 20 C atoms, in which one or more H atoms may be replaced by F; c, c1, c2 each independently of one another on each occurrence
- s is preferably 0 or 1 if the radical R 6 is different from D, or particularly preferably 0.
- t is preferably 0 or 1 if the radical R 6 is different from D, or particularly preferably 0.
- u is preferably 0 or 1 if the radical R 6 is different from D, or particularly preferably 0.
- the sum of the indices s, t and u in compounds of the formulas (HH-1), (HH-2), (HH-3), (HH-5) or (HH-6) is preferably at most 6, particularly preferably at most 4 and particularly preferably at most 2. This preferably applies when R 6 is different from D.
- c, c1, c2 each independently represent 0 or 1 at each occurrence, where the sum of the indices c+c1 +c2 represents 1 at each occurrence.
- c2 represents 1.
- L is preferably a single bond or C(R 7 ) 2 , where R 7 has a meaning mentioned above, particularly preferably L is a single bond.
- v is preferably 0 or 1 if the radical R 6 is different from D.
- U 1 or U 2 is preferably a single bond or C(R 7 ) 2 , where R 7 has a meaning as previously mentioned, particularly preferably U 1 or U 2 is a single bond.
- q, q1 , q2 are preferably 0 or 1 if the radical R 6 is different from D.
- R 6 is the same or different on each occurrence and is selected from the group consisting of D, F, CN, a straight-chain alkyl group having 1 to 20 C atoms or a branched or cyclic alkyl group having 3 to 20 C atoms, where the alkyl group may in each case be substituted by one or more radicals R 7 , or an aromatic or heteroaromatic ring system having 5 to 60 ring atoms, preferably having 5 to 40 ring atoms, which may in each case be substituted by one or more radicals R 7 .
- R 6 is the same or different on each occurrence and is selected from the group consisting of D or an aromatic or heteroaromatic ring system having 6 to 30 ring atoms, which may be substituted by one or more radicals R 7 .
- Ars in compounds of the formulas (HH-1), (HH-2), (HH-3), (HH-5) or (HH-6) is selected from phenyl, biphenyl, in particular ortho-, meta- or para-biphenyl, terphenyl, in particular ortho-, meta-, para- or branched terphenyl, quaterphenyl, in particular ortho-, meta-, para- or branched quaterphenyl, fluorenyl, which can be linked via the 1-, 2-, 3- or 4-position, spirobifluorenyl, which can be linked via the 1-, 2-, 3- or 4-position, naphthyl, in particular 1- or 2-linked naphthyl, or residues derived from indole, benzofuran, benzothiophene, carbazole, which can be linked via the 1-, 2-, 3- or 4-position, dibenzofuran, which can be linked via the 1-, 2-, 3- or 4-position dibenzothiophene, which can be linked via
- Ars is preferably unsubstituted. If A 1 in formula (HH-2) or (HH-3) or (HH-6) is NR 7 , the substituent R 7 which is bonded to the nitrogen atom preferably represents an aromatic or heteroaromatic ring system having 5 to 24 aromatic ring atoms, which may also be substituted by one or more radicals R 8 . In a particularly preferred embodiment, this substituent R 7 is the same or different on each occurrence and represents an aromatic or heteroaromatic ring system having 6 to 24 aromatic ring atoms, in particular having 6 to 18 aromatic ring atoms.
- R 7 Preferred embodiments for R 7 are phenyl, biphenyl, terphenyl and quaterphenyl, which are preferably unsubstituted, and radicals derived from triazine, pyrimidine and quinazoline, which may be substituted by one or more radicals R 8 .
- a 1 in formula (HH-2) or (HH-3) or (HH-6) is C(R 7 ) 2
- the substituents R 7 which are bonded to this carbon atom are preferably identical or different on each occurrence and are a linear alkyl group having 1 to 10 C atoms or a branched or cyclic alkyl group having 3 to 10 C atoms or an aromatic or heteroaromatic ring system having 5 to 24 aromatic ring atoms, which may also be substituted by one or more radicals R 8 .
- R 7 is very particularly preferably a methyl group or a phenyl group.
- the radicals R 7 can also form a ring system with one another, resulting in a spiro system.
- these compounds are partially or completely deuterated, particularly preferably completely deuterated.
- HH-4 Compounds of formula (HH-4) are disclosed, for example, in WO2021/180614, on pages 110 to 119, in particular as examples on pages 120 to 127. Their preparation is described in WO2021/180614 A1 on page 128 and in the synthesis examples on pages 214 to 218.
- the at least one further matrix material is a deuterated compound
- this at least one matrix material is a mixture of deuterated compounds with the same basic chemical structure, which differ only in the degree of deuteration.
- this is a mixture of deuterated compounds of the formulas (HH-1), (HH-2), (HH-3), (HH-4), (HH-5) or (HH-6), as described above, wherein the degree of deuteration of these compounds is at least 50% to 90%, preferably 70% to 100%.
- Suitable further matrix materials for a combination with compounds of formula (1) as previously described or preferably described are the compounds described in WO2019/229011 A1, Table 3, pages 137 to 203, which may also be partially or completely deuterated.
- suitable further matrix materials for combination with compounds of formula (1) or preferred compounds of formula (1) are the compounds described in WO2021/180625 A1, Table 3, pages 131 to 127 and in Table 4, pages 137 to 139, which may also be partially or completely deuterated.
- suitable further matrix materials for combination with compounds of formula (1) or preferred compounds of formula (1), as previously described or preferably described are the compounds described in KR20230034896 A, on pages 42 to 47, compounds [2-1] to [2-110], or on pages 49 to 51, compounds [3-1] to [3-26],
- Suitable host materials of the formulas (HH-1), (HH-2), (HH-3), (HH-4), (HH-5) and (HH-6) for combination with compounds of the formula (1) or preferred embodiments are the structures given in Tables T1 and T2 below.
- Particularly suitable compounds of the formulas (HH-1), (HH-2), (HH-3), (HH-4), (HH-5) or (HH-6), which are selected according to the invention and are preferably used in combination with at least one compound of the formula (1) in the electroluminescent device according to the invention, are the compounds of Table T2.
- the above-mentioned host materials of the formula (1) and their preferred embodiments can be combined as desired in the device according to the invention with the previously mentioned matrix materials/host materials, the matrix materials/host materials of the formulas (HH-1), (HH-2), (HH-3), (HH-4), (HH-5) or (HH-6) and their preferred embodiments of Table T1 or the compounds H1 to H27.
- the concentration of the host material of formula (1), as previously described or preferably described, in the mixture according to the invention or in the light-emitting layer of the device according to the invention is usually in the range from 5 wt.% to 90 wt.%, preferably in the range from 10 wt.% to 85 wt.%, more preferably in the range from 20 wt.% to 85 wt.%, even more preferably in the range from 30 wt.% to 80 wt.%, very particularly preferably in the range from 20 wt.% to 60 wt.% and most preferably in the range from 30 wt.% to 50 wt.%, based on the entire mixture or based on the entire composition of the light-emitting layer.
- the concentration of the sum of all host materials of the formulas (HH-1), (HH-2), (HH-3), (HH-4), (HH-5) and (HH-6), as described above or described as preferred, in the mixture according to the invention or in the light-emitting layer of the device according to the invention is usually in the range from 10 wt.% to 95 wt.%, preferably in the range from 15 wt.% to 90 wt.%, more preferably in the range from 15 wt.% to 80 wt.%, even more preferably in the range from 20 wt.% to 70 wt.%, very particularly preferably in the range from 40 wt.% to 80 wt.% and most preferably in the range from 50 wt.% to 70 wt.%, based on the entire mixture or based on the entire composition of the light-emitting layer.
- the present invention also relates to a mixture which, in addition to the above-mentioned host materials of formula (1), hereinafter referred to as host material 1, and the host material of at least one of the formulas (HH-1), (HH-2), (HH-3), (HH-4), (HH-5) and (HH-6), hereinafter referred to as host material 2, as previously described or preferably described, contains at least one phosphorescent emitter.
- the present invention also relates to an organic electroluminescent device as described above or preferably described, wherein the light-emitting layer contains at least one phosphorescent emitter in addition to the above-mentioned host materials of the formulas (1) and at least one of the formulas (HH-1), (HH-2), (HH-3), (HH-4), (HH-5) and (HH-6), as described above.
- Suitable charge transport materials are, in addition to the compounds of formula (1), for example those mentioned in Y. Shirota et al., Chem. Rev. 2007, 107(4), 953-1010, or other materials as are used in these layers according to the prior art.
- Aromatic amine compounds can be used.
- Further compounds which are preferably used in hole-transporting layers of the OLEDs according to the invention are in particular indenofluorenamine derivatives (for example according to WO 06/122630 or WO 06/100896), the amine derivatives disclosed in EP 1661888, hexaazatriphenylene derivatives (for example according to WO 01/049806), amine derivatives with fused aromatics (for example according to US 5,061,569), the amine derivatives disclosed in WO 95/09147, monobenzoindenofluorenamines (for example according to WO 08/006449), dibenzoindenofluorenamines (for example according to WO 07/140847), spirobifluorenamines (for example according to WO 2012/034627 or WO 2013/120577), fluorenamines (for example according to WO 2014/
- the OLED according to the invention preferably comprises two or more different electron-transporting layers.
- the compound of formula (1) can be used in one or more or in all electron-transporting layers.
- the compound of formula (1) is used in exactly one or exactly two electron-transporting layers, and other compounds are used in the other electron-transporting layers present.
- Other compounds that can be used in addition to the compounds of formula (1) are all materials that are used according to the prior art as electron-transport materials in the electron-transport layer.
- Particularly suitable are aluminium complexes, e.g. Alq3, zirconium complexes, e.g. Zrq4, lithium complexes, e.g.
- Liq Liq, benzimidazole derivatives, triazine derivatives, pyrimidine derivatives, pyridine derivatives, pyrazine derivatives, quinoxaline derivatives, quinoline derivatives, oxadiazole derivatives, aromatic ketones, lactams, boranes, diazaphosphole derivatives and phosphine oxide derivatives.
- Other suitable materials are derivatives of the above-mentioned Compounds as disclosed in JP 2000/053957, WO 2003/060956, WO 2004/028217, WO 2004/080975 and WO 2010/072300.
- the device is structured accordingly (depending on the application), contacted and finally sealed to exclude harmful influences from water and air.
- an organic electroluminescent device characterized in that one or more layers are coated using a sublimation process.
- the materials are vapor-deposited in vacuum sublimation systems at an initial pressure of less than 10' 5 mbar, preferably less than 10' 6 mbar. However, it is also possible for the initial pressure to be even lower, for example less than 10' 7 mbar.
- an organic electroluminescent device characterized in that one or more layers are coated using the OVPD (Organic Vapour Phase Deposition) method or with the aid of carrier gas sublimation.
- the materials are applied at a pressure between 10' 5 mbar and 1 bar.
- OVPD Organic Vapour Phase Deposition
- OVJP Organic Vapour Jet Printing
- an organic electroluminescent device characterized in that one or more layers are deposited from solution, such as by spin coating, or by any printing method, such as screen printing, flexographic printing, offset printing, LITI (Light Induced Thermal Imaging, thermal transfer printing), ink-jet printing or nozzle printing. Soluble compounds are required for this, which can be obtained, for example, by suitable substitution.
- hybrid processes are possible in which, for example, one or more layers are applied from solution and one or more further layers are vapor deposited.
- the electronic devices containing one or more compounds of formula (1) can be used in displays, as light sources in lighting applications and as light sources in medical and/or cosmetic applications (e.g. light therapy).
- the electronic devices according to the invention are characterized by one or more of the following surprising advantages over the prior art:
- Electronic devices in particular organic optical detectors or organic electroluminescent devices, containing compounds according to formula (1) or the preferred embodiments described, in particular as photosensitizers or OLEDs, have a very good lifetime.
- Electronic devices, in particular organic optical detectors, containing compounds according to formula (1) or the preferred embodiments described as photosensitizers have excellent efficiency.
- the compounds according to the invention according to formula (1) or the preferred embodiments described result in a low operating voltage when used in electronic devices.
- optical loss channels can be avoided in electronic devices, in particular organic optical detectors. As a result, these devices are characterized by a high photocurrent efficiency of photosensitizers or an excellent energy transfer.
- the mixture is filtered off with suction through a Celite bed pre-slurried with 1,2-dichlorobenzene, the filtrate is concentrated to dryness in a vacuum, the residue is taken up in 500 ml of dichloromethane (DCM), filtered through a silica gel bed pre-slurried with DCM, the filtrate is mixed with 300 ml of methanol and concentrated to approx. 150 ml in a vacuum at 40 °C. The crystallized product is filtered off with suction, washed three times with 50 ml of methanol and dried in a vacuum. Recrystallization from acetonitrile / DCM.
- DCM dichloromethane
- CH-acidic compounds such as 1,3-indandione, barbituric acids and thiobarbituric acids, 2-(4,5,5-trimethyl-2(5/-/)-furanylidene)-propanedinitrile and 2-(4,5,5-trimethyl-2(5/-/)-thiophenylidene)-propanedinitrile and their derivatives can be reacted, see US 2021/0234103, page 71, Compound 1 and following.
- Example B200 Carry out analogously to example S1. Preparation: 2.5 g (10 mmol) LS1, 2.6 g (10 mmol) 2-iodobenzothiophene [36748-89-7].
- the crude product is purified by chromatography (Torrent column machine from A. Semrau) and/or repeated hot extraction crystallization (usual organic solvents or combinations thereof, preferably acetonitrile-DCM, 1:3 to 3:1 vv) and fractional sublimation or annealing in a high vacuum. Yield: 2.0 g (5.7 mmol), 57%: Purity: > 99.9% in n. HPLC
- Example B300 The following connections can be represented analogously:
- the LUMO value of the acceptor groups Z is determined by quantum chemical
- the LUMO the electron acceptor group in the sense of the present compound is defined as the LUMO of the group Z which has a hydrogen atom instead of the group represented by formula (1) and formula (2-1) to (2-7).
- the Gaussian16 (Rev. B.01) program package is used in all quantum chemical calculations.
- the neutral singlet ground state is optimized at the B3LYP/6-31 G(d) level.
- LUMO calcd values are determined at the B3LYP/6-31 G(d) level for the ground state energy optimized with B3LYP/6-31 G(d). The default settings for SCF and gradient convergence are used.
- IPCE Identity Photon to Charge Carrier Efficiency
- Cleaned quartz substrates (15 min. ultrasound in an acetone/isopropanol/water bath (1:1:1 v:v:v), then UV ozone) are sputtered with a 150 nm thick indium tin oxide anode (ITO). All other materials are thermally vapor-deposited in a vacuum chamber.
- the materials used to manufacture the BLPDs are shown in Table 3.
- the electron transport layer 2 (ETL2) can be produced by co-evaporation of two materials.
- a specification such as ETM1:EIL (50:50) means that the co-evaporated layer contains 50% by volume of each of the individual materials.
- HIL Hole injection layer made of HTM1 doped with 5% NDP-9 (commercially available from Novaled), 10 nm
- HTL1 Hole transport layer 1
- HTL2 Hole transport layer 2
- EDL electron donor layer
- EAL electron acceptor layer
- Electron transport layer 1 (ETL1), see Table 2
- ETL2 electron transport layer 2
- Electron injection layer 1 (EIL1), 3 nm EIM
- IPCE Identity Photon to Charge Carrier Efficiency
- OLEDs according to the invention as well as OLEDs according to the prior art is carried out according to a general process according to WO 2004/058911, which is adapted to the conditions described here (layer thickness variation, materials used).
- the compounds according to the invention can be used in the hole injection layer (HIL), hole transport layer (HTL) and in the electron blocking layer (EBL). All materials are thermally vapor-deposited in a vacuum chamber.
- the emission layer (EML) always consists of at least one matrix material (host material) SMB (see Table 4) and an emitting dopant (dopant, emitter) D, which is mixed into the matrix material or materials by co-evaporation in a certain volume proportion.
- a specification such as SMB:D (97:3%) means that the SMB material is present in the layer in a volume proportion of 97% and the dopant D in a proportion of 3%.
- the electron transport layer can also consist of a mixture of two materials, see Table 4. The results are summarized in Table 5. The materials used to manufacture the OLEDs are shown in Table 8.
- the OLEDs are characterized as standard.
- the electroluminescence spectra, the current efficiency (measured in cd/A), the power efficiency (measured in Im/W) and the external quantum efficiency (EQE, measured in percent) are determined as a function of the luminance, calculated from current-voltage-luminance characteristics (IUL characteristics) assuming a Lambertian radiation characteristic, as well as the service life.
- the EQE in (%) and the voltage in (V) are specified at a luminance of 1000 cd/m 2
- the OLEDs have the following layer structure:
- HIL Hole injection layer made of HTM1 doped with 5% NDP-9 (commercially available from Novaled), 20 nm
- HTL Hole transport layer
- EBL electron blocking layer
- EML emission layer
- ETL electron transport layer
- Electron injection layer made of ETM2, 1 nm
- the compounds A according to the invention can be used in the hole injection layer (HIL), the hole transport layer (HTL), the electron blocking layer (EBL) and in the emission layer (EML) as matrix material (host material) M (see Table 8) or A (see materials according to the invention).
- HIL hole injection layer
- HTL hole transport layer
- EBL electron blocking layer
- EML emission layer
- all materials are thermally vapor-deposited in a vacuum chamber.
- the emission layer always consists of at least one or more matrix materials M and a phosphorescent dopant Ir, which is mixed into the matrix material or materials by co-evaporation in a certain volume proportion.
- a specification such as M1:M2:lr (55%:35%:10%) means that the material M1 is present in the layer in a volume proportion of 55%, M2 in a volume proportion of 35% and Ir in a volume proportion of 10%.
- the electron transport layer can also consist of a mixture of two materials.
- the exact structure of the OLEDs can be found in Table 6. The results are summarized in Table 7. The materials used to manufacture the OLEDs are shown in Table 8. The OLEDs are characterized as standard.
- the electroluminescence spectra, the current efficiency (measured in cd/A), the power efficiency (measured in Im/W) and the external quantum efficiency (EQE, measured in percent) are determined as a function of the luminance, calculated from current-voltage-luminance characteristics (IUL characteristics) assuming a Lambertian radiation characteristic, as well as the service life.
- the EQE in (%) and the voltage in (V) are given at a luminance of 1000 cd/m 2 .
- the service life is determined at a starting luminance of 1000 cd/m 2 .
- the OLEDs have the following layer structure:
- HIL Hole injection layer made of HTM1 doped with 5% NDP-9 (commercially available from Novaled), 20 nm
- HTL Hole transport layer
- EBL electron blocking layer
- EML emission layer
- HBL hole blocking layer
- Electron transport layer made of ETM1:ETM2 (50%:50%), 30 nm
- Electron injection layer made of ETM2, 1 nm
Landscapes
- Chemical & Material Sciences (AREA)
- Organic Chemistry (AREA)
- Engineering & Computer Science (AREA)
- Materials Engineering (AREA)
- Physics & Mathematics (AREA)
- Spectroscopy & Molecular Physics (AREA)
- Electroluminescent Light Sources (AREA)
Abstract
Description
Materialien für organische lichtemittierende Vorrichtungen und organische Sensoren Materials for organic light-emitting devices and organic sensors
Die vorliegende Erfindung betrifft organische Verbindungen für die Ver- wendung in elektronischen Vorrichtungen, insbesondere in organischen, photoelektrischen Vorrichtungen, sowie elektronische Vorrichtungen, insbesondere organische, photoelektrische Vorrichtungen, enthaltend diese Verbindungen. The present invention relates to organic compounds for use in electronic devices, in particular in organic, photoelectric devices, and to electronic devices, in particular organic, photoelectric devices, containing these compounds.
Elektronische Vorrichtungen, welche organische, metallorganische und/oder polymere Halbleiter enthalten, gewinnen zunehmend an Bedeutung und werden in vielen kommerziellen Produkten eingesetzt. Als Beispiele seien hier Ladungstransportmatenalien auf organischer Basis (z.B. Lochtransporter auf Triarylamin-Basis) in Kopiergeräten, organischen oder polymeren Leuchtdioden (OLEDs oder PLEDs) in Anzeige- und Displayvorrichtungen oder organische Photorezeptoren in Kopierern genannt. Organische Solarzellen (O-SC), organische Feldeffekt- Transistoren (O-FET), organische Dünnfilm-Transistoren (O-TFT), organische Schaltelemente (O-IC), organische optische Verstärker und organische Laserdioden (O-Laser) sind in einem fortgeschrittenen Entwicklungsstand und können in der Zukunft große Bedeutung erlangen. Electronic devices containing organic, organometallic and/or polymer semiconductors are becoming increasingly important and are used in many commercial products. Examples include organic-based charge transport materials (e.g. triarylamine-based hole transporters) in copiers, organic or polymer light-emitting diodes (OLEDs or PLEDs) in display devices, or organic photoreceptors in copiers. Organic solar cells (O-SC), organic field-effect transistors (O-FET), organic thin-film transistors (O-TFT), organic switching elements (O-IC), organic optical amplifiers and organic laser diodes (O-lasers) are at an advanced stage of development and may become very important in the future.
In organischen optischen Detektoren werden als Photosensitizer häufig heterocyclische Verbindungen eingesetzt. Aus CN 110964007 A, EP 3026722 A1 , EP 3243822 A1 , EP 3473622 A1 , EP 3757108 A1 , EP 3770163 A1 , US 2019/0131541 A1 und EP 3848374 A1 sind hetero- cyclische Verbindungen bekannt, die in optischen Detektoren eingesetzt werden können. Generell besteht bei diesen heterocyclischen Verbin- dungen, beispielsweise für die Verwendung als Photosensitizer, noch Ver- besserungsbedarf, insbesondere in Bezug auf die Lebensdauer, aber auch in Bezug auf die Effizienz und die Betriebsspannung der Vorrichtung. Heterocyclic compounds are often used as photosensitizers in organic optical detectors. Heterocyclic compounds that can be used in optical detectors are known from CN 110964007 A, EP 3026722 A1, EP 3243822 A1, EP 3473622 A1, EP 3757108 A1, EP 3770163 A1, US 2019/0131541 A1 and EP 3848374 A1. In general, there is still room for improvement with these heterocyclic compounds, for example for use as photosensitizers, particularly in terms of service life, but also in terms of the efficiency and operating voltage of the device.
Als elektronische Vorrichtungen im Sinne dieser Erfindung werden orga- nische elektronische Vorrichtungen verstanden, welche organische Halb- leitermaterialien als funktionelle Materialien enthalten. Insbesondere stehen die elektronischen Vorrichtungen für Elektrolumineszenzvor- richtungen wie OLEDs oder Photosensitizer. Electronic devices in the sense of this invention are understood to mean organic electronic devices which contain organic semiconductor materials as functional materials. In particular The electronic devices represent electroluminescent devices such as OLEDs or photosensitizers.
Der Aufbau von OLEDs, in welchen organische Verbindungen als funktionelle Materialien verwendet werden, ist dem Fachmann aus dem Stand der Technik bekannt. Im Allgemeinen werden unter OLEDs elektronische Vorrichtungen verstanden, welche eine oder mehrere Schichten haben, welche organische Verbindungen umfassen und beim Anlegen einer Spannung Licht emittieren. The structure of OLEDs in which organic compounds are used as functional materials is known to those skilled in the art. In general, OLEDs are understood to be electronic devices that have one or more layers that comprise organic compounds and emit light when a voltage is applied.
In elektronischen Vorrichtungen, insbesondere OLEDs, gibt es weiterhin den Bedarf einer Verbesserung der Leistungsdaten, insbesondere der Lebensdauer, Effizienz und Betriebsspannung. In electronic devices, especially OLEDs, there is still a need to improve performance, particularly lifetime, efficiency and operating voltage.
Elektronische Vorrichtungen umfassen üblicherweise Kathode, Anode und mindestens eine funktionale, wobei OLEDs mindestens eine emittierende Schicht aufweisen. Außer diesen Schichten können sie noch weitere Schichten enthalten, beispielsweise jeweils eine oder mehrere Lochinjek- tionsschichten, Lochtransportschichten, Lochblockierschichten, Elek- tronentransportschichten, Elektroneninjektionsschichten, Exzitonen- blockierschichten, Elektronenblockierschichten und/oder Ladungs- erzeugungsschichten (Charge-Generation Layers). Electronic devices usually comprise a cathode, an anode and at least one functional layer, with OLEDs having at least one emitting layer. In addition to these layers, they can contain further layers, for example one or more hole injection layers, hole transport layers, hole blocking layers, electron transport layers, electron injection layers, exciton blocking layers, electron blocking layers and/or charge generation layers.
Einen großen Einfluss auf die Leistungsdaten von elektronischen Vor- richtungen haben die Lochtransportschichten und Elektronentransport- schichten, aber auch die Matrixmaterialien der emittierenden Schicht. The hole transport layers and electron transport layers, but also the matrix materials of the emitting layer, have a major influence on the performance data of electronic devices.
Aufgabe der vorliegenden Erfindung ist daher die Bereitstellung von Ver- bindungen, welche sich für den Einsatz in einer organischen elektro- nischen Vorrichtung, insbesondere in einem organischen optischen Detek- tor oder OLEDs, insbesondere als Photosensitizer in einem organischen optischen Detektor, eignen und welche bei Verwendung in dieser Vor- richtung zu guten Deviceeigenschaften führen, sowie die Bereitstellung der entsprechenden elektronischen Vorrichtung. Insbesondere ist es die Aufgabe der vorliegenden Erfindung, Verbindungen zur Verfügung zu stellen, die zu hoher Lebensdauer, guter Effizienz und geringer Betriebs- Spannung führen. Weiterhin ist es eine Aufgabe der vorliegenden Erfin- dung, Photosensitizer bereitzustellen, welche sich für infrarote, rote, grüne oder blaue optische Detektoren, vorzugweise für grüne oder rote optische Detektoren eignen. The object of the present invention is therefore to provide compounds which are suitable for use in an organic electronic device, in particular in an organic optical detector or OLEDs, in particular as photosensitizers in an organic optical detector, and which lead to good device properties when used in this device, as well as to provide the corresponding electronic device. In particular, the object of the present invention is to provide compounds which lead to a long service life, good efficiency and low operating voltage. Furthermore, it is an object of the present invention to provide photosensitizers which are suitable for infrared, red, green or blue optical detectors, preferably for green or red optical detectors.
Überraschend wurde gefunden, dass bestimmte, unten näher beschrie- bene Verbindungen diese Aufgabe lösen, sich sehr gut für die Verwen- dung in elektronischen Vorrichtungen eignen und zu organischen optischen Detektoren oder OLEDs führen, die insbesondere in Bezug auf die Lebensdauer, der Effizienz und der Betriebsspannung sehr gute Eigenschaften vorweisen. Diese Verbindungen, sowie elektronische Vor- richtungen, insbesondere organische optische Detektoren oder OLEDs, welche derartige Verbindungen enthalten, sind daher der Gegenstand der vorliegenden Erfindung. Die Art der Verwendung hängt dabei von der Art der Substitution ab. Surprisingly, it has been found that certain compounds described in more detail below solve this problem, are very suitable for use in electronic devices and lead to organic optical detectors or OLEDs which have very good properties, particularly with regard to service life, efficiency and operating voltage. These compounds, as well as electronic devices, particularly organic optical detectors or OLEDs, which contain such compounds, are therefore the subject of the present invention. The type of use depends on the type of substitution.
Gegenstand der vorliegenden Erfindung ist eine Verbindung der Formel (1 ), The present invention relates to a compound of formula (1),
Formel (1 ) wobei an die beiden mit * gekennzeichneten Positionen eine Gruppe gemäß einer der Formeln (2-1 ) bis (2-7) unter Bildung eines heteroaroma- tischen Fünfrings ankondensiert ist, Formula (1 ) wherein a group according to one of the formulas (2-1 ) to (2-7) is condensed to the two positions marked with * to form a heteroaromatic five-membered ring,
Formel (2-1 ) Formel (2-2) Formel (2-3) Formel (2-4) Formula (2-1) Formula (2-2) Formula (2-3) Formula (2-4)
Formel (2-5) Formel (2-6) Formel (2-7) wobei für die verwendeten Symbole gilt: Formula (2-5) Formula (2-6) Formula (2-7) where the symbols used are:
X ist bei jedem Auftreten gleich oder verschieden und steht für CRa oder N, wobei maximal 2 nicht benachbarte X pro Cyclus für N stehen; X is the same or different at each occurrence and stands for CR a or N, where a maximum of 2 non-adjacent X per cycle stand for N;
Y ist eine Einfachbindung, BRb, C(Rb)2, Si(Rb)2, GeRb2, NRb, RbP(O), 0, S, SO, SO2, Se oder Te, bevorzugt eine Einfachbindung, BRb, C(Rb)2, SiRb2, NRb, 0 oder S; Y is a single bond, BR b , C(R b )2, Si(R b )2, GeR b 2, NR b , R b P(O), O, S, SO, SO2, Se or Te, preferably a single bond, BR b , C(R b )2, SiR b 2, NR b , O or S;
XI steht bei jedem Auftreten gleich oder verschieden für N, CRC oder C-Z, mit der Maßgabe, dass nicht beide X1 für N stehen; X I stands at each occurrence, the same or different, for N, CR C or CZ, with the proviso that not both X 1 stand for N;
Y1 ist bei jedem Auftreten gleich oder verschieden NRC, 0, S, Se oder Te; Y 1 is the same or different at each occurrence and is NR C , O, S, Se or Te;
Z ist eine Elektronenakzeptorgruppe; dabei kann Z mit Rc auch ein Ring- system bilden; Z is an electron acceptor group; Z can also form a ring system with R c ;
Ra, Rb ist bei jedem Auftreten gleich oder verschieden H, D, OH, F, CI, Br, I, CN, NO2, N(R1)2, C(=0)N(R1)2, C(R1)3, Si(R1)3, Ge(R1)3, B(R1)2, C(=O)R1, P(=0)(R1)2, P(R1)2, S(=O)R1, S(=O)2R1, OSO2R1 , eine geradkettige Alkyl-, Alkoxy- oder Thioalkoxygruppe mit 1 bis 40 C-Atomen oder eine Alkenyl- oder Alkinylgruppe mit 2 bis 40 C- Atomen oder eine verzweigte oder cyclische Alkyl-, Alkoxy- oder Thio- alkoxygruppe mit 3 bis 40 C-Atomen, wobei die Alkyl-, Alkoxy-, Thio- alkoxy-, Alkenyl- oder Alkinylgruppe jeweils mit einem oder mehreren Resten R1 substituiert sein kann, wobei eine oder mehrere nicht benachbarte CH2-Gruppen durch R1C=CR1, C=C, Si(R1 )2, C=O, C=S, C=Se, C=NR1 , C(=O)O, C(=O)NR1 , NR1, P(=O)(R1), Se, Te, BR1 , Ge(R1)2, 0, S, SO oder SO2 ersetzt sein können, oder ein aroma- tisches oder heteroaromatisches Ringsystem mit 5 bis 60 aroma- tischen Ringatomen, das jeweils durch einen oder mehrere Reste R1 substituiert sein kann, oder eine Aryloxy- oder Heteroaryloxygruppe mit 5 bis 60 aromatischen Ringatomen, die durch einen oder mehrere Reste R1 substituiert sein kann, oder eine Arylthio- oder Heteroaryl- thiogruppe mit 5 bis 60 aromatischen Ringatomen, die durch einen oder mehrere Reste R1 substituiert sein kann, oder eine Diarylamino-, Arylheteroarylamino-, Diheteroarylaminogruppe mit 5 bis 60 aroma- tischen Ringatomen, die durch einen oder mehrere Reste R1 substi- tuiert sein kann, oder eine Aralkyl- oder Heteroarylalkylgruppe mit 5 bis 60 aromatischen Ringatomen und 1 bis 10 C-Atomen im Alkylrest, die durch einen oder mehrere Reste R1 substituiert sein kann; dabei können zwei Reste Ra, Rb und/oder Rc auch miteinander oder einer weiteren Gruppe ein Ringsystem bilden; R a , R b is, identically or differently on each occurrence, H, D, OH, F, CI, Br, I, CN, NO2, N(R 1 ) 2 , C(=O)N(R 1 )2, C(R 1 ) 3 , Si(R 1 ) 3 , Ge(R 1 ) 3 , B(R 1 ) 2 , C(=O)R 1 , P(=O)(R 1 )2, P(R 1 )2, S(=O)R 1 , S(=O) 2 R 1 , OSO2R 1 , a straight-chain alkyl, alkoxy or thioalkoxy group having 1 to 40 C atoms or an alkenyl or alkynyl group having 2 to 40 C atoms or a branched or cyclic alkyl, alkoxy or thio- alkoxy group having 3 to 40 C atoms, where the alkyl, alkoxy, thioalkoxy, alkenyl or alkynyl group can each be substituted by one or more radicals R 1 , where one or more non-adjacent CH2 groups can be replaced by R 1 C=CR 1 , C=C, Si(R 1 )2, C=O, C=S, C=Se, C=NR 1 , C(=O)O, C(=O)NR 1 , NR 1 , P(=O)(R 1 ), Se, Te, BR 1 , Ge(R 1 )2, O, S, SO or SO2, or an aromatic aryl or heteroaromatic ring system having 5 to 60 aromatic ring atoms, each of which may be substituted by one or more radicals R 1 , or an aryloxy or heteroaryloxy group having 5 to 60 aromatic ring atoms, which may be substituted by one or more radicals R 1 , or an arylthio or heteroarylthio group having 5 to 60 aromatic ring atoms, which may be substituted by one or more radicals R 1 , or a diarylamino, arylheteroarylamino, diheteroarylamino group having 5 to 60 aromatic ring atoms, which may be substituted by one or more radicals R 1 , or an aralkyl or heteroarylalkyl group having 5 to 60 aromatic ring atoms and 1 to 10 C atoms in the alkyl radical, which may be substituted by one or more radicals R 1 ; two radicals R a , R b and/or R c can also form a ring system with each other or with another group;
Rc ist bei jedem Auftreten gleich oder verschieden H, D, OH, F, CI, Br, I, CN, NO2, N(R1)2, C(=O)N(R1)2, C(R1)3, Si(R1)3, Ge(R1)3, B(R1)2, C(=O)R1, P(=O)(R1)2, P(R1)2, S(=O)R1, S(=O)2R1, OSO2R1 , eine geradkettige Alkyl-, Alkoxy- oder Thioalkoxygruppe mit 1 bis 40 C-Atomen oder eine Alkenyl- oder Alkinylgruppe mit 2 bis 40 C- Atomen oder eine verzweigte oder cyclische Alkyl-, Alkoxy- oder Thio- alkoxygruppe mit 3 bis 40 C-Atomen, wobei die Alkyl-, Alkoxy-, Thio- alkoxy-, Alkenyl- oder Alkinylgruppe jeweils mit einem oder mehreren Resten R1 substituiert sein kann, wobei eine oder mehrere nicht benachbarte CH2-Gruppen durch R1C=CR1, C=C, Si(R1 )2, C=O, C=S, C=Se, C=NR1 , C(=O)O, C(=O)NR1 , NR1, P(=O)(R1), Se, Te, BR1 , Ge(R1)2, O, S, SO oder SO2 ersetzt sein können, oder ein aroma- tisches oder heteroaromatisches Ringsystem mit 5 bis 60 aroma- tischen Ringatomen, das jeweils durch einen oder mehrere Reste R1 substituiert sein kann, oder eine Aryloxy- oder Heteroaryloxygruppe mit 5 bis 60 aromatischen Ringatomen, die durch einen oder mehrere Reste R1 substituiert sein kann, oder eine Arylthio- oder Heteroaryl- thiogruppe mit 5 bis 60 aromatischen Ringatomen, die durch einen oder mehrere Reste R1 substituiert sein kann, oder eine Diarylamino-, Arylheteroarylamino-, Diheteroarylaminogruppe mit 5 bis 60 aroma- tischen Ringatomen, die durch einen oder mehrere Reste R1 substi- tuiert sein kann, oder eine Aralkyl- oder Heteroarylalkylgruppe mit 5 bis 60 aromatischen Ringatomen und 1 bis 10 C-Atomen im Alkylrest, die durch einen oder mehrere Reste R1 substituiert sein kann; dabei können zwei Reste Ra, Rb und/oder Rc auch miteinander oder einer weiteren Gruppe ein Ringsystem bilden; R c is, identically or differently on each occurrence, H, D, OH, F, CI, Br, I, CN, NO2, N(R 1 ) 2 , C(=O)N(R 1 )2, C(R 1 )3, Si(R 1 ) 3 , Ge(R 1 ) 3 , B(R 1 ) 2 , C(=O)R 1 , P(=O)(R 1 )2, P(R 1 )2, S(=O)R 1 , S(=O) 2 R 1 , OSO2R 1 , a straight-chain alkyl, alkoxy or thioalkoxy group having 1 to 40 C atoms or an alkenyl or alkynyl group having 2 to 40 C atoms or a branched or cyclic alkyl, alkoxy or thioalkoxy group having 3 to 40 C atoms, where the alkyl, alkoxy, thioalkoxy, alkenyl or alkynyl group can each be substituted by one or more radicals R 1 , where one or more non-adjacent CH2 groups can be replaced by R 1 C=CR 1 , C=C, Si(R 1 )2, C=O, C=S, C=Se, C=NR 1 , C(=O)O, C(=O)NR 1 , NR 1 , P(=O)(R 1 ), Se, Te, BR 1 , Ge(R 1 )2, O, S, SO or SO2, or an aromatic or heteroaromatic ring system with 5 to 60 aromatic ring atoms, which can each be substituted by one or more radicals R 1 , or an aryloxy or heteroaryloxy group with 5 to 60 aromatic ring atoms, which can be substituted by one or more radicals R 1 , or an arylthio or heteroarylthio group having 5 to 60 aromatic ring atoms, which can be substituted by one or more radicals R 1 , or a diarylamino, arylheteroarylamino, diheteroarylamino group having 5 to 60 aromatic ring atoms, which can be substituted by one or more radicals R 1. or an aralkyl or heteroarylalkyl group having 5 to 60 aromatic ring atoms and 1 to 10 C atoms in the alkyl radical, which may be substituted by one or more radicals R 1 ; two radicals R a , R b and/or R c can also form a ring system with each other or with another group;
R1 ist bei jedem Auftreten gleich oder verschieden H, D, F, CI, Br, I, CN, NO2, N(R2)2, C(=O)R2, P(=O)(R2)2, P(R2)2, B(R2)2, C(R2)3, Si(R2)3, Ge(R2)3, eine geradkettige Alkyl-, Alkoxy- oder Thioalkoxygruppe mit 1 bis 40 C-Atomen oder eine verzweigte oder cyclische Alkyl-, Alkoxy- oder Thioalkoxygruppe mit 3 bis 40 C-Atomen oder eine Alkenyl- gruppe mit 2 bis 40 C-Atomen, die jeweils mit einem oder mehreren Resten R2 substituiert sein kann, wobei eine oder mehrere nicht benachbarte CH2-Gruppen durch R2C=CR2, C=C, Si(R2)2, C=O, C=S, C=Se, C=NR2, C(=O)O, C(=O)NR2, NR2, P(=O)(R2), O, S, SO oder SO2 ersetzt sein können und wobei ein oder mehrere H-Atome durch D, F, CI, Br, I, CN oder NO2 ersetzt sein können, oder ein aroma- tisches oder heteroaromatisches Ringsystem mit 5 bis 60 aroma- tischen Ringatomen, das jeweils durch einen oder mehrere Reste R2 substituiert sein kann, oder eine Aryloxy- oder Heteroaryloxygruppe mit 5 bis 60 aromatischen Ringatomen, die durch einen oder mehrere Reste R2 substituiert sein kann, oder eine Aralkyl- oder Heteroaralkyl- gruppe mit 5 bis 60 aromatischen Ringatomen, die mit einem oder mehreren Resten R2 substituiert sein kann, oder eine Kombination dieser Systeme; dabei können zwei oder mehrere, vorzugsweise benachbarte Reste R1 miteinander ein Ringsystem bilden; dabei können ein oder mehrere Reste R1 mit einem weiteren Teil der Verbindung ein Ringsystem bilden; R 1 is, identically or differently on each occurrence, H, D, F, CI, Br, I, CN, NO2, N(R 2 ) 2 , C(=O)R 2 , P(=O)(R 2 )2, P(R 2 )2, B(R 2 )2, C(R 2 )3, Si(R 2 ) 3 , Ge(R 2 )3, a straight-chain alkyl, alkoxy or thioalkoxy group having 1 to 40 C atoms or a branched or cyclic alkyl, alkoxy or thioalkoxy group having 3 to 40 C atoms or an alkenyl group having 2 to 40 C atoms, each of which may be substituted by one or more radicals R 2 , where one or more non-adjacent CH2 groups are represented by R 2 C=CR 2 , C=C, Si(R 2 ) 2, C = O, C = S, C = Se, C = NR 2 , C ( = O) O, C ( = O) NR 2 , NR 2 , P ( = O) (R 2 ), O, S, SO or SO 2 and where one or more H atoms can be replaced by D, F, CI, Br, I, CN or NO 2 , or an aromatic or heteroaromatic ring system having 5 to 60 aromatic ring atoms, each of which can be substituted by one or more R 2 radicals, or an aryloxy or heteroaryloxy group having 5 to 60 aromatic ring atoms, which can be substituted by one or more R 2 radicals, or an aralkyl or heteroaralkyl group having 5 to 60 aromatic ring atoms, which can be substituted by one or more R 2 radicals, or a combination of these systems; two or more, preferably adjacent, radicals R 1 can form a ring system with one another; one or more radicals R 1 can form a ring system with another part of the compound;
R2 ist bei jedem Auftreten gleich oder verschieden ausgewählt aus der Gruppe bestehend aus H, D, F, CN, einem aliphatischen Kohlen- wasserstoffrest mit 1 bis 20 C-Atomen oder einem aromatischen oder heteroaromatischen Ringsystem mit 5 bis 30 aromatischen Ring- atomen, in dem ein oder mehrere H-Atome durch D, F, CI, Br, I oder CN ersetzt sein können und das durch ein oder mehrere Alkylgruppen mit jeweils 1 bis 4 Kohlenstoffatomen substituiert sein kann, dabei können zwei oder mehrere, vorzugsweise benachbarte Substituenten R2 miteinander ein Ringsystem bilden; R 2 is selected on each occurrence, identically or differently, from the group consisting of H, D, F, CN, an aliphatic hydrocarbon radical having 1 to 20 C atoms or an aromatic or heteroaromatic ring system having 5 to 30 aromatic ring atoms, in which one or more H atoms can be replaced by D, F, CI, Br, I or CN and which can be substituted by one or more alkyl groups each having 1 to 4 carbon atoms, where two or more, preferably adjacent, substituents R 2 can form a ring system with each other;
Elektronenakzeptorgruppen sind dem Fachmann generell bekannt. Generell handelt es sich dabei um eine Gruppe, welche in der Lage ist, Elektronen aufzunehmen, also reduziert zu werden. Bevorzugt handelt es sich bei einer Elektronenakzeptorgruppe im Sinne der vorliegenden Erfin- dung um eine organische Gruppe, die ein LUMO von < -2.8 eV, bevorzugtElectron acceptor groups are generally known to the person skilled in the art. In general, this is a group that is able to accept electrons, i.e. to be reduced. An electron acceptor group in the sense of the present invention is preferably an organic group that has a LUMO of < -2.8 eV, preferably
< -2.9 eV, besonders bevorzugt < -3.0 eV und ganz besonders bevorzugt< -2.9 eV, particularly preferably < -3.0 eV and most preferably
< -3.2 eV aufweist. Dabei ist das LUMO der Elektronenakzeptorgruppe im Sinne der vorliegenden Verbindung definiert als das LUMO der Gruppe Z, die statt der Verbindung, die durch Formel (1 ) und Formel (2-1 ) bis (2-7) dargestellt wird, ein Wasserstoffatom aufweist. Dabei wird das LUMO durch quantenchemische Rechnung bestimmt, wie hinten im Beispielteil allgemein beschrieben. < -3.2 eV. The LUMO of the electron acceptor group in the sense of the present compound is defined as the LUMO of the group Z, which has a hydrogen atom instead of the compound represented by formula (1) and formula (2-1) to (2-7). The LUMO is determined by quantum chemical calculation, as generally described in the examples section below.
Eine Arylgruppe im Sinne dieser Erfindung enthält 6 bis 40 C-Atome; eine Heteroarylgruppe im Sinne dieser Erfindung enthält 2 bis 40 C-Atome und mindestens ein Heteroatom, mit der Maßgabe, dass die Summe aus C-Atomen und Heteroatomen mindestens 5 ergibt. Die Heteroatome sind bevorzugt ausgewählt aus N, O und/oder S. Dabei wird unter einer Aryl- gruppe bzw. Heteroarylgruppe entweder ein einfacher aromatischer Cyclus, also Benzol, bzw. ein einfacher heteroaromatischer Cyclus, beispielsweise Pyridin, Pyrimidin, Thiophen, etc., oder eine kondensierte (anellierte) Aryl- oder Heteroarylgruppe, beispielsweise Naphthalin, Anthracen, Phenanthren, Chinolin, Isochinolin, etc., verstanden. Mitein- ander durch Einfachbindung verknüpfte Aromaten, wie zum Beispiel Biphenyl, werden dagegen nicht als Aryl- oder Heteroarylgruppe, sondern als aromatisches Ringsystem bezeichnet. An aryl group in the sense of this invention contains 6 to 40 C atoms; a heteroaryl group in the sense of this invention contains 2 to 40 C atoms and at least one heteroatom, with the proviso that the sum of C atoms and heteroatoms is at least 5. The heteroatoms are preferably selected from N, O and/or S. An aryl group or heteroaryl group is understood to be either a simple aromatic cycle, i.e. benzene, or a simple heteroaromatic cycle, for example pyridine, pyrimidine, thiophene, etc., or a condensed (fused) aryl or heteroaryl group, for example naphthalene, anthracene, phenanthrene, quinoline, isoquinoline, etc. Aromatics linked to one another by a single bond, such as biphenyl, are not referred to as aryl or heteroaryl groups, but as aromatic ring systems.
Eine elektronenarme Heteroarylgruppe im Sinne der vorliegenden Erfin- dung ist eine Heteroarylgruppe, die mindestens einen heteroaromatischen Sechsring mit mindestens einem Stickstoffatom aufweist. An diesen Sechsring können noch weitere aromatische oder heteroaromatische Fünfringe oder Sechsringe ankondensiert sein. Beispiele für elektronen- arme Heteroarylgruppen sind Pyridin, Pyrimidin, Pyrazin, Pyridazin, Triazin, Chinolin, Chinazolin oder Chinoxalin. An electron-poor heteroaryl group in the sense of the present invention is a heteroaryl group which has at least one heteroaromatic six-membered ring with at least one nitrogen atom. Further aromatic or heteroaromatic five-membered rings or six-membered rings can be fused to this six-membered ring. Examples of electron-poor poor heteroaryl groups are pyridine, pyrimidine, pyrazine, pyridazine, triazine, quinoline, quinazoline or quinoxaline.
Ein aromatisches Ringsystem im Sinne dieser Erfindung enthält 6 bis 60 C-Atome im Ringsystem, vorzugsweise 6 bis 40 C-Atome im Ringsystem. Ein heteroaromatisches Ringsystem im Sinne dieser Erfindung enthält 2 bis 60 C-Atome, vorzugsweise 3 bis 40 C-Atome, und mindestens ein Heteroatom im Ringsystem, mit der Maßgabe, dass die Summe aus C- Atomen und Heteroatomen mindestens 5 ergibt. Die Heteroatome sind bevorzugt ausgewählt aus N, O und/oder S. Unter einem aromatischen oder heteroaromatischen Ringsystem im Sinne dieser Erfindung soll ein System verstanden werden, das nicht notwendigerweise nur Aryl- oder Heteroarylgruppen enthält, sondern in dem auch mehrere Aryl- oder Heteroarylgruppen durch eine nicht-aromatische Einheit, wie z. B. ein C-, N- oder O-Atom, verbunden sein können. So sollen beispielsweise auch Systeme wie Fluoren, 9,9‘-Spirobifluoren, 9,9-Diarylfluoren, Triarylamin, Diarylether, Stilben, etc. als aromatische Ringsysteme im Sinne dieser Erfindung verstanden werden, und ebenso Systeme, in denen zwei oder mehrere Arylgruppen beispielsweise durch eine kurze Alkylgruppe ver- bunden sind. Bevorzugt ist das aromatische Ringsystem gewählt aus Fluoren, 9,9‘-Spirobifluoren, 9,9-Diarylamin oder Gruppen, in denen zwei oder mehr Aryl- und/oder Heteroarylgruppen durch Einfachbindungen miteinander verknüpft sind. An aromatic ring system in the sense of this invention contains 6 to 60 C atoms in the ring system, preferably 6 to 40 C atoms in the ring system. A heteroaromatic ring system in the sense of this invention contains 2 to 60 C atoms, preferably 3 to 40 C atoms, and at least one heteroatom in the ring system, with the proviso that the sum of C atoms and heteroatoms is at least 5. The heteroatoms are preferably selected from N, O and/or S. An aromatic or heteroaromatic ring system in the sense of this invention is to be understood as a system which does not necessarily only contain aryl or heteroaryl groups, but in which several aryl or heteroaryl groups can also be connected by a non-aromatic unit, such as a C, N or O atom. For example, systems such as fluorene, 9,9'-spirobifluorene, 9,9-diarylfluorene, triarylamine, diaryl ether, stilbene, etc. are to be understood as aromatic ring systems in the sense of this invention, as are systems in which two or more aryl groups are linked, for example, by a short alkyl group. The aromatic ring system is preferably selected from fluorene, 9,9'-spirobifluorene, 9,9-diarylamine or groups in which two or more aryl and/or heteroaryl groups are linked to one another by single bonds.
Ein elektronenreiches heteroaromatisches Ringsystem ist dadurch ge- kennzeichnet, dass es sich dabei um ein heteroaromatisches Ringsystem handelt, das keine elektronenarmen Heteroarylgruppen enthält. Eine elektronenarme Heteroarylgruppe ist eine Sechsring-Heteroarylgruppe mit mindestens einem Stickstoffatom oder eine Fünfring-Heteroarylgruppe mit mindestens zwei Heteroatomen, von denen eines ein Stickstoffatom und das andere Sauerstoff, Schwefel oder ein substituiertes Stickstoffatom ist, wobei an diese Gruppen jeweils noch weitere Aryl- oder Heteroaryl- gruppen ankondensiert sein können. Dagegen sind elektronenreiche Heteroarylgruppen Fünfring-Heteroarylgruppen mit genau einem Hetero- atom, ausgewählt aus Sauerstoff, Schwefel oder substituiertem Stickstoff, an welche noch weitere Arylgruppen und/oder weitere elektronenreiche Fünfring-Heteroarylgruppen ankondensiert sein können. So sind Beispiele für elektronenreiche Heteroarylgruppen Pyrrol, Furan, Thiophen, Indol, Benzofuran, Benzothiophen, Carbazol, Dibenzofuran, Dibenzothiophen oder Indenocarbazol. Eine elektronenreiche Heteroarylgruppe wird auch als elektronenreicher heteroaromatischer Rest bezeichnet. An electron-rich heteroaromatic ring system is characterized by the fact that it is a heteroaromatic ring system that does not contain any electron-poor heteroaryl groups. An electron-poor heteroaryl group is a six-membered heteroaryl group with at least one nitrogen atom or a five-membered heteroaryl group with at least two heteroatoms, one of which is a nitrogen atom and the other is oxygen, sulfur or a substituted nitrogen atom, where further aryl or heteroaryl groups can be condensed onto these groups. In contrast, electron-rich heteroaryl groups are five-membered heteroaryl groups with exactly one heteroatom, selected from oxygen, sulfur or substituted nitrogen, to which further aryl groups and/or further electron-rich Five-membered ring heteroaryl groups can be fused on. Examples of electron-rich heteroaryl groups are pyrrole, furan, thiophene, indole, benzofuran, benzothiophene, carbazole, dibenzofuran, dibenzothiophene or indenocarbazole. An electron-rich heteroaryl group is also called an electron-rich heteroaromatic residue.
Ein elektronenarmes heteroaromatisches Ringsystem ist dadurch gekenn- zeichnet, dass es mindestens eine elektronenarme Heteroarylgruppe enthält, und insbesondere bevorzugt keine elektronenreiche Heteroaryl- gruppen. An electron-poor heteroaromatic ring system is characterized in that it contains at least one electron-poor heteroaryl group, and particularly preferably no electron-rich heteroaryl groups.
Im Rahmen der vorliegenden Erfindung werden unter einem aliphatischen Kohlenwasserstoffrest bzw. einer Alkylgruppe bzw. einer Alkenyl- oder Alkinylgruppe, die 1 bis 20 C-Atome enthalten kann, und in der auch einzelne H-Atome oder CH2-Gruppen durch die oben genannten Gruppen substituiert sein können, bevorzugt die Reste Methyl, Ethyl, n-Propyl, i- Propyl, n-Butyl, i-Butyl, s-Butyl, t-Butyl, 2-Methylbutyl, n-Pentyl, s-Pentyl, neo-Pentyl, Cyclopentyl, n-Hexyl, neo-Hexyl, Cyclohexyl, n-Heptyl, Cyclo- heptyl, n-Octyl, Cyclooctyl, 2-Ethylhexyl, Trifluormethyl, Pentafluorethyl, 2,2,2-Trifluorethyl, Ethenyl, Propenyl, Butenyl, Pentenyl, Cyclopentenyl, Hexenyl, Cyclohexenyl, Heptenyl, Cycloheptenyl, Octenyl, Cyclooctenyl, Ethinyl, Propinyl, Butinyl, Pentinyl, Hexinyl, Heptinyl oder Octinyl ver- standen. Unter einer Alkoxygruppe mit 1 bis 40 C-Atomen werden bevor- zugt Methoxy, Trifluormethoxy, Ethoxy, n-Propoxy, i-Propoxy, n-Butoxy, i-Butoxy, s-Butoxy, t-Butoxy, n-Pentoxy, s-Pentoxy, 2-Methylbutoxy, n- Hexoxy, Cyclohexyloxy, n-Heptoxy, Cycloheptyloxy, n-Octyloxy, Cyclo- octyloxy, 2-Ethylhexyloxy, Pentafluorethoxy und 2,2,2-Trifluorethoxy ver- standen. Unter einer Thioalkylgruppe mit 1 bis 40 C-Atomen werden ins- besondere Methylthio, Ethylthio, n-Propylthio, i-Propylthio, n-Butylthio,In the context of the present invention, an aliphatic hydrocarbon radical or an alkyl group or an alkenyl or alkynyl group which can contain 1 to 20 C atoms and in which individual H atoms or CH2 groups can also be substituted by the abovementioned groups, preferably means the radicals methyl, ethyl, n-propyl, i-propyl, n-butyl, i-butyl, s-butyl, t-butyl, 2-methylbutyl, n-pentyl, s-pentyl, neo-pentyl, cyclopentyl, n-hexyl, neo-hexyl, cyclohexyl, n-heptyl, cycloheptyl, n-octyl, cyclooctyl, 2-ethylhexyl, trifluoromethyl, pentafluoroethyl, 2,2,2-trifluoroethyl, ethenyl, propenyl, butenyl, pentenyl, Cyclopentenyl, hexenyl, cyclohexenyl, heptenyl, cycloheptenyl, octenyl, cyclooctenyl, ethynyl, propynyl, butynyl, pentinyl, hexynyl, heptynyl or octynyl. An alkoxy group with 1 to 40 carbon atoms is preferably methoxy, trifluoromethoxy, ethoxy, n-propoxy, i-propoxy, n-butoxy, i-butoxy, s-butoxy, t-butoxy, n-pentoxy, s-pentoxy, 2-methylbutoxy, n-hexoxy, cyclohexyloxy, n-heptoxy, Cycloheptyloxy, n-octyloxy, cyclo-octyloxy, 2-ethylhexyloxy, pentafluoroethoxy and 2,2,2-trifluoroethoxy. A thioalkyl group with 1 to 40 C atoms includes in particular methylthio, ethylthio, n-propylthio, i-propylthio, n-butylthio,
1-Butylthio, s-Butylthio, t-Butylthio, n-Pentylthio, s-Pentylthio, n-Hexylthio, Cyclohexylthio, n-Heptylthio, Cycloheptylthio, n-Octylthio, Cyclooctylthio,1-Butylthio, s-Butylthio, t-Butylthio, n-Pentylthio, s-Pentylthio, n-Hexylthio, Cyclohexylthio, n-Heptylthio, Cycloheptylthio, n-Octylthio, Cyclooctylthio,
2-Ethylhexylthio, Trifluormethylthio, Pentafluorethylthio, 2,2,2-Trifluorethyl- thio, Ethenylthio, Propenylthio, Butenylthio, Pentenylthio, Cyclopentenyl- thio, Hexenylthio, Cyclohexenylthio, Heptenylthio, Cycloheptenylthio, Octenylthio, Cyclooctenylthio, Ethinylthio, Propinylthio, Butinylthio, Pentinylthio, Hexinylthio, Heptinylthio oder Octinylthio verstanden. Allge- mein können Alkyl-, Alkoxy- oder Thioalkylgruppen gemäß der vorliegen- den Erfindung geradkettig, verzweigt oder cyclisch sein, wobei eine oder mehrere nicht-benachbarte CH2-Gruppen durch die oben genannten Gruppen ersetzt sein können; weiterhin können auch ein oder mehrere H- Atome durch D, F, CI, Br, I, CN oder NO2, bevorzugt F, CI oder CN, weiter bevorzugt F oder CN, besonders bevorzugt CN ersetzt sein. 2-Ethylhexylthio, trifluoromethylthio, pentafluoroethylthio, 2,2,2-trifluoroethylthio, ethenylthio, propenylthio, butenylthio, pentenylthio, cyclopentenylthio, hexenylthio, cyclohexenylthio, heptenylthio, cycloheptenylthio, octenylthio, cyclooctenylthio, Ethynylthio, propynylthio, butynylthio, pentinylthio, hexynylthio, heptynylthio or octynylthio are understood. general Alkyl, alkoxy or thioalkyl groups according to the present invention can be straight-chain, branched or cyclic, wherein one or more non-adjacent CH2 groups can be replaced by the above-mentioned groups; furthermore, one or more H atoms by D, F, CI, Br, I, CN or NO2, preferably F, CI or CN, more preferably F or CN, particularly preferably CN.
Der Oberbegriff „Alkylgruppe“ umfasst im Sinne der vorliegenden Erfindung sowohl geradkettige Alkylgruppen, wie auch verzweigte oder cyclische Alkylgruppen. Entsprechendes gilt für Alkenyl-, Alkinyl-, Alkoxy- und Thioalkoxygruppen. For the purposes of the present invention, the generic term “alkyl group” includes both straight-chain alkyl groups and branched or cyclic alkyl groups. The same applies to alkenyl, alkynyl, alkoxy and thioalkoxy groups.
Unter einem aromatischen oder heteroaromatischen Ringsystem mit 5 bis 60 bzw. 5 bis 40 aromatischen Ringatomen, welches noch jeweils mit den oben genannten Resten substituiert sein kann und welches über beliebige Positionen am Aromaten bzw. Heteroaromaten verknüpft sein kann, wer- den insbesondere Gruppen verstanden, die abgeleitet sind von Benzol, Naphthalin, Anthracen, Benzanthracen, Phenanthren, Pyren, Chrysen, Perylen, Fluoranthen, Naphthacen, Pentacen, Benzpyren, Biphenyl, Biphenylen, Terphenyl, Triphenylen, Fluoren, Spirobifluoren, Dihydro- phenanthren, Dihydropyren, Tetrahydropyren, cis- oder trans-lndeno- fluoren, cis- oder trans-lndenocarbazol, cis- oder trans-lndolocarbazol, Truxen, Isotruxen, Spirotruxen, Spiroisotruxen, Furan, Benzofuran, Iso- benzofuran, Dibenzofuran, Thiophen, Benzothiophen, Isobenzothiophen, Dibenzothiophen, Pyrrol, Indol, Isoindol, Carbazol, Pyridin, Chinolin, Iso- chinolin, Acridin, Phenanthridin, Benzo-5,6-chinolin, Benzo-6,7-chinolin, Benzo-7,8-chinolin, Phenothiazin, Phenoxazin, Pyrazol, Indazol, Imidazol, Benzimidazol, Naphthimidazol, Phenanthrimidazol, Pyridimidazol, Pyrazin- imidazol, Chinoxalinimidazol, Oxazol, Benzoxazol, Naphthoxazol, Anthroxazol, Phenanthroxazol, Isoxazol, 1 ,2-Thiazol, 1 ,3-Thiazol, Benzo- thiazol, Pyridazin, Hexaazatriphenylen, Benzopyridazin, Pyrimidin, Benz- pyrimidin, Chinazolin, Chinoxalin, 1 ,5-Diazaanthracen, 2,7-Diazapyren,An aromatic or heteroaromatic ring system with 5 to 60 or 5 to 40 aromatic ring atoms, which can be substituted with the above-mentioned radicals and which can be linked to the aromatic or heteroaromatic ring via any position, is understood to mean in particular groups which are derived from benzene, naphthalene, anthracene, benzanthracene, phenanthrene, pyrene, chrysene, perylene, fluoranthene, naphthacene, pentacene, benzopyrene, biphenyl, biphenylene, terphenyl, triphenylene, fluorene, spirobifluorene, dihydrophenanthrene, dihydropyrene, tetrahydropyrene, cis- or trans-indenofluorene, cis- or trans-indenocarbazole, cis- or trans-indolocarbazole, truxene, isotruxene, spirotruxene, spiroisotruxene, furan, benzofuran, iso- benzofuran, dibenzofuran, thiophene, benzothiophene, isobenzothiophene, dibenzothiophene, pyrrole, indole, isoindole, carbazole, pyridine, quinoline, iso-quinoline, acridine, phenanthridine, benzo-5,6-quinoline, benzo-6,7-quinoline, benzo-7,8-quinoline, phenothiazine, Phenoxazine, pyrazole, indazole, imidazole, benzimidazole, naphthimidazole, phenanthrimidazole, pyridimidazole, pyrazine-imidazole, quinoxalinimidazole, oxazole, benzoxazole, naphthoxazole, anthroxazole, phenanthroxazole, isoxazole, 1,2-thiazole, 1,3-thiazole, benzothiazole, pyridazine, Hexaazatriphenylene, benzopyridazine, pyrimidine, benzopyrimidine, quinazoline, Quinoxaline, 1,5-diazaanthracene, 2,7-diazapyrene,
2.3-Diazapyren, 1 ,6-Diazapyren, 1 ,8-Diazapyren, 4,5-Diazapyren, 4,5,9, 10-Tetraazaperylen, Pyrazin, Phenazin, Phenoxazin, Phenothiazin, Fluorubin, Naphthyridin, Azacarbazol, Benzocarbolin, Phenanthrolin,2.3-diazapyrene, 1,6-diazapyrene, 1,8-diazapyrene, 4,5-diazapyrene, 4,5,9, 10-tetraazaperylene, pyrazine, phenazine, phenoxazine, phenothiazine, fluorubin, naphthyridine, azacarbazole, benzocarboline, phenanthroline,
1 .2.3-Triazol, 1 ,2,4-Triazol, Benzotriazol, 1 ,2,3-Oxadiazol, 1 ,2,4-Oxadi- azol, 1 ,2,5-Oxadiazol, 1 ,3,4-Oxadiazol, 1 ,2,3-Thiadiazol, 1 ,2,4-Thiadiazol, 1 ,2,5-Thiadiazol, 1 ,3,4-Thiadiazol, 1 ,3,5-Triazin, 1 ,2,4-Triazin, 1,2,3-triazole, 1,2,4-triazole, benzotriazole, 1,2,3-oxadiazole, 1,2,4-oxadi- azole, 1,2,5-oxadiazole, 1,3,4-oxadiazole, 1,2,3-thiadiazole, 1,2,4-thiadiazole, 1,2,5-thiadiazole, 1,3,4-thiadiazole, 1,3,5-triazine, 1,2,4-triazine,
1 ,2,3-Triazin, Tetrazol, 1 ,2,4,5-Tetrazin, 1 ,2,3,4-Tetrazin, 1 ,2,3,5-Tetrazin, Purin, Pteridin, Indolizin und Benzothiadiazol oder Gruppen, die abgeleitet sind von Kombinationen dieser Systeme. 1,2,3-triazine, tetrazole, 1,2,4,5-tetrazine, 1,2,3,4-tetrazine, 1,2,3,5-tetrazine, purine, pteridine, indolizine and benzothiadiazole or groups derived from combinations of these systems.
Unter der Formulierung, dass zwei oder mehr Reste miteinander einen Ring bilden können, soll im Rahmen der vorliegenden Beschreibung unter anderem verstanden werden, dass die beiden Reste miteinander durch eine chemische Bindung unter formaler Abspaltung von zwei Wasserstoff- atomen verknüpft sind. Dies wird durch das folgende Schema verdeutlicht. In the context of the present description, the phrase "two or more radicals can form a ring" is to be understood to mean, among other things, that the two radicals are linked to one another by a chemical bond with formal elimination of two hydrogen atoms. This is illustrated by the following scheme.
Rin bildun Rin education
Weiterhin soll unter der oben genannten Formulierung aber auch ver- standen werden, dass für den Fall, dass einer der beiden Reste Wasser- stoff darstellt, der zweite Rest unter Bildung eines Rings an die Position, an die das Wasserstoffatom gebunden war, bindet. Dies soll durch das folgende Schema verdeutlicht werden: Furthermore, the above formulation should also be understood to mean that if one of the two residues represents hydrogen, the second residue binds to the position to which the hydrogen atom was bound, forming a ring. This is illustrated by the following scheme:
In einer bevorzugten Ausführungsform sind die Gruppen der Formeln (2-1 ) bis (2-7) durch die folgenden Formeln (2-1 a) bis (2 -7a) dargestellt, In a preferred embodiment, the groups of formulas (2-1) to (2-7) are represented by the following formulas (2-1 a) to (2-7a),
wobei die verwendeten Symbole die oben genannten Bedeutungen auf- weisen. where the symbols used have the meanings given above.
Dabei ist die Struktur der Formel (2-1 a) besonders geeignet für Verbin- dungen, die in organischen Elektrolumineszenzvorrichtungen verwendet werden, wobei in diesem Fall Y1 bevorzugt für NRC, 0 oder S steht. Die Strukturen der Formeln (2-1 b) und (2-2a) bis (2-7a) sind besonders geeignet für Verbindungen, die in Photorezeptoren verwendet werden, wobei in diesem Fall Y1 bevorzugt gleich oder verschieden bei jedem Auftreten für S, Se oder Te, besonders bevorzugt gleich oder verschieden bei jedem Auftreten für S oder Se und ganz besonders bevorzugt für S stehen. The structure of formula (2-1 a) is particularly suitable for compounds which are used in organic electroluminescent devices, in which case Y 1 preferably represents NR C , O or S. The structures of formulae (2-1 b) and (2-2a) to (2-7a) are particularly suitable for compounds which are used in photoreceptors, in which case Y 1 preferably represents S, Se or Te, which are identical or different on each occurrence, particularly preferably S or Se, and very particularly preferably S.
In einer bevorzugten Ausführungsform stehen maximal drei X für N, besonders bevorzugt stehen maximal zwei X für N, ganz besonders bevorzugt steht maximal ein X für N und insbesondere bevorzugt stehen alle X für CRa. In einer bevorzugten Ausführungsform steht mindestens ein Rc für eine Elektronenakzeptorgruppe oder für ein aromatisches oder heteroaroma- tisches Ringsystem mit 5 bis 60 aromatischen Ringatomen, das jeweils durch einen oder mehrere Reste R1 substituiert sein kann, wobei auch zwei benachbarte Rc eine Elektronenakzeptorgruppe oder ein aroma- tisches oder heteroaromatisches Ringsystem mit 5 bis 60 aromatischen Ringatomen, das jeweils durch einen oder mehrere Reste R1 substituiert sein kann, bilden können. Verbindungen mit einer Elektronenakzeptor- gruppe sind besonders als Photosensitizer geeignet, während sich die Verbindungen mit einem aromatischen oder heteroaromatischen Ring- system besonders als Materialien für OLEDs, insbesondere als Triplett- matrixmaterialien eignen. Solche Verbindungen weisen bevorzugt keine Elektronenakzeptorgruppe auf. In a preferred embodiment, a maximum of three Xs stand for N, particularly preferably a maximum of two Xs stand for N, very particularly preferably a maximum of one X stands for N and particularly preferably all Xs stand for CR a . In a preferred embodiment, at least one R c is an electron acceptor group or an aromatic or heteroaromatic ring system having 5 to 60 aromatic ring atoms, each of which may be substituted by one or more radicals R 1 , where two adjacent R c can also form an electron acceptor group or an aromatic or heteroaromatic ring system having 5 to 60 aromatic ring atoms, each of which may be substituted by one or more radicals R 1 . Compounds having an electron acceptor group are particularly suitable as photosensitizers, while the compounds having an aromatic or heteroaromatic ring system are particularly suitable as materials for OLEDs, in particular as triplet matrix materials. Such compounds preferably do not have an electron acceptor group.
In einer bevorzugten Ausführungsform der Erfindung steht mindestens eine Gruppe X1 , bevorzugt genau eine Gruppe X1 für C-Z oder für eine Gruppe CRC, wobei Rc für ein aromatisches oder heteroaromatisches Ringsystem mit 5 bis 60 aromatischen Ringatomen steht, das jeweils durch einen oder mehrere Reste R1 substituiert sein kann. In a preferred embodiment of the invention, at least one group X 1 , preferably exactly one group X 1 , is CZ or a group CR C , where R c is an aromatic or heteroaromatic ring system having 5 to 60 aromatic ring atoms, which may in each case be substituted by one or more radicals R 1 .
In einer bevorzugten Ausführungsform steht maximal ein X1 für C-Z. In a preferred embodiment, a maximum of one X 1 stands for CZ.
In einer bevorzugten Ausführungsform der Erfindung ist die Struktur der Formel (1 ) eine Struktur der folgenden Formel (1 -1 ), In a preferred embodiment of the invention, the structure of formula (1) is a structure of the following formula (1 -1),
Formel (1 -1 ) wobei die verwendeten Symbole die oben genannten Bedeutungen auf- weisen. formula (1 -1 ) where the symbols used have the meanings given above.
In einer bevorzugten Ausführungsform der Erfindung sind die Verbin- dungen der Formel (1 ) ausgewählt aus den Verbindungen der folgenden Formeln (3-1 ) bis (3-14), In a preferred embodiment of the invention, the compounds of formula (1) are selected from the compounds of the following formulas (3-1) to (3-14),
Formel (3-11) Formel (3-12) Formula (3-11) Formula (3-12)
Formel (3-13) Formel (3-14) wobei die verwendeten Symbole die oben genannten Bedeutungen auf- weisen. Formula (3-13) Formula (3-14) where the symbols used have the meanings given above.
In einer bevorzugten Ausführungsform der Erfindung sind die Verbin- dungen der Formel (1 ) ausgewählt aus den Verbindungen der folgenden Formeln (4-1 ) bis (4-14), In a preferred embodiment of the invention, the compounds of formula (1) are selected from the compounds of the following formulas (4-1) to (4-14),
Formel (4-1 ) Formel (4-2) Formula (4-1 ) Formula (4-2)
Formel (4-13) Formel (4-14) wobei die verwendeten Symbole die oben genannten Bedeutungen auf- weisen. In einer bevorzugten Ausführungsform ist die Verbindung besonders für OLEDs geeignet, dabei steht Y für eine Einfachbindung, BRb, C(Rb)2, NRb oder 0. Formula (4-13) Formula (4-14) where the symbols used have the meanings given above. In a preferred embodiment, the compound is particularly suitable for OLEDs, where Y stands for a single bond, BR b , C(R b )2, NR b or 0.
In einer weiteren bevorzugten Ausführungsform ist die Verbindung beson- ders für Photosensitizer geeignet, dabei steht Y für eine Einfachbindung, C(Rb)2 oder S, besonders bevorzugt für eine Einfachbindung oder S. Besonders bevorzugt weisen diese Verbindungen außerdem mindestens eine Gruppe Z auf, besonders bevorzugt genau eine Gruppe Z. In a further preferred embodiment, the compound is particularly suitable for photosensitizers, where Y is a single bond, C(R b )2 or S, particularly preferably a single bond or S. Particularly preferably, these compounds also have at least one group Z, particularly preferably exactly one group Z.
In einer bevorzugten Ausführungsform ist die Verbindung besonders für OLEDs geeignet, dabei steht Y1 bei jedem Auftreten gleich oder verschieden für eine Einfachbindung, NRC, 0 oder S. In a preferred embodiment, the compound is particularly suitable for OLEDs, where Y 1 at each occurrence is the same or different and represents a single bond, NR C , O or S.
In einer bevorzugten Ausführungsform ist die Verbindung besonders für Photosensitizer geeignet, dabei steht Y1 bei jedem Auftreten gleich oder verschieden für S oder Se, bevorzugt S. Besonders bevorzugt weisen diese Verbindungen außerdem mindestens eine Gruppe Z auf, besonders bevorzugt genau eine Gruppe Z. In a preferred embodiment, the compound is particularly suitable for photosensitizers, where Y 1 is the same or different on each occurrence and is S or Se, preferably S. Particularly preferably, these compounds also have at least one group Z, particularly preferably exactly one group Z.
In einer bevorzugten Ausführungsform ist die Verbindung besonders für Photosensitizer geeignet, wobei Y1 bei jedem Auftreten gleich oder verschieden für S oder Se steht, bevorzugt S, und Y für eine Einfach- bindung oder S steht. Besonders bevorzugt weisen diese Verbindungen außerdem mindestens eine Gruppe Z auf, besonders bevorzugt genau eine Gruppe Z. In a preferred embodiment, the compound is particularly suitable for photosensitizers, where Y 1 on each occurrence is the same or different and represents S or Se, preferably S, and Y represents a single bond or S. Particularly preferably, these compounds also have at least one group Z, particularly preferably exactly one group Z.
Bei der Gruppe Z handelt es sich um eine Elektronenakzeptorgruppe. Hierfür eignen sich besonders Alkenylgruppen, die mit mindestens zwei CN-Gruppen substituiert sind, Alkenylgruppen, die mit mindestens einer CN-Gruppe und mindestens einer substituierten Carbonylgruppe substi- tuiert sind, Alkenylgruppen, die mit zwei substituierten Carbonylgruppen substituiert sind, wobei die Substituenten an den Carbonylgruppen mit- einander ein Ringsystem bilden, oder aromatische oder heteroaroma- tische Ringsysteme, die mit mindestens zwei CN-Gruppen substituiert sind. Diese Elektronenakzeptorgruppen werden nachfolgend genauer ausgeführt. The group Z is an electron acceptor group. Alkenyl groups substituted by at least two CN groups, alkenyl groups substituted by at least one CN group and at least one substituted carbonyl group, alkenyl groups substituted by two substituted carbonyl groups, where the substituents on the carbonyl groups form a ring system with one another, or aromatic or heteroaromatic ring systems substituted by at least two CN groups are particularly suitable for this purpose. These electron acceptor groups are described in more detail below.
In einer bevorzugten Ausführungsform der Erfindung handelt es sich bei der Gruppe Z um eine Alkenylgruppe mit 2 bis 20 C-Atomen, wobei die Alkenylgruppe mit einem oder mehreren Resten R substituiert sein kann, wobei eine oder mehrere nicht benachbarte CH2-Gruppen durch 0, S, Se oder Si(R)2 ersetzt sein können, mit der Maßgabe, dass die Gruppe Z mindestens zwei CN-Gruppen aufweist oder mit mindestens einer CN- Gruppe und mindestens einer substituierten Carbonylgruppe substituiert ist; dabei kann die Gruppe Z mit Rc ein Ringsystem bilden. Insbesondere handelt es sich um eine terminale Alkenylgruppe, die am terminalen C- Atom mit zwei CN-Gruppen substituiert ist. Dabei ist R analog zu Ra oben definiert. In a preferred embodiment of the invention, the group Z is an alkenyl group having 2 to 20 C atoms, where the alkenyl group may be substituted by one or more radicals R, where one or more non-adjacent CH2 groups may be replaced by O, S, Se or Si(R)2, with the proviso that the group Z has at least two CN groups or is substituted by at least one CN group and at least one substituted carbonyl group; the group Z can form a ring system with R c . In particular, it is a terminal alkenyl group which is substituted on the terminal C atom by two CN groups. R is defined analogously to R a above.
Die Alkenylgruppe kann geradkettig, cyclisch oder verzweigt sein, wobei die verzweigten Gruppen mindestens 3, die cyclischen Gruppen min- destens 4 Kohlenstoffatome aufweisen. Dabei können die cyclischen Gruppen auch ein oder mehrere Heteroatome aufweisen. Die Alkenyl- gruppe weist mindestens zwei CN-Gruppen bzw. mindestens eine CN- Gruppe und mindestens eine substituierte Carbonylgruppe auf, welche bevorzugt an dasselbe Kohlenstoffatom gebunden sind. Dabei ist es bevorzugt, wenn die mindestens zwei CN-Gruppen bzw. mindestens eine CN-Gruppe und mindestens eine substituierte Carbonylgruppe der Gruppe Z mit dem 5-Ring, an den die Gruppe Z gebunden ist, durchgängig konjugiert sind. The alkenyl group can be straight-chain, cyclic or branched, with the branched groups having at least 3 carbon atoms and the cyclic groups having at least 4 carbon atoms. The cyclic groups can also have one or more heteroatoms. The alkenyl group has at least two CN groups or at least one CN group and at least one substituted carbonyl group, which are preferably bonded to the same carbon atom. It is preferred if the at least two CN groups or at least one CN group and at least one substituted carbonyl group of the group Z are continuously conjugated with the 5-membered ring to which the group Z is bonded.
Der Begriff „Konjugation“ beziehungsweise „konjugiert“ ist in dem Fach- mann bekannt. Eine durchgängige Konjugation der mindestens zwei CN- Gruppen der Gruppe Z wird ausgebildet, sobald alternierende Doppel- und Einfachbindungen zwischen den mindestens zwei CN-Gruppen bzw. der mindestens einen CN-Gruppe und mindestens einen substituierten Carbo- nylgruppe der Gruppe Z und dem 5-Ring, der die Gruppe Y1 umfasst und an den die Gruppe Z gebunden ist, vorliegen. Eine weitere Verknüpfung zwischen den zuvor genannten konjugierten Gruppen, die beispielsweise über ein S-, N- oder O-Atom erfolgt, schadet einer Konjugation nicht. In einer bevorzugten Ausführungsform der Erfindung ist Z eine Alkenyl- gruppe mit 2 bis 10 C-Atomen, bevorzugt mit 2 bis 6 C-Atomen, beson- ders bevorzugt mit 2 bis 4 C-Atomen, welche mit einem oder mehreren Resten R substituiert sein kann, wobei mindestens zwei CN-Gruppen bzw. mindestens eine CN-Gruppe und mindestens eine substituierte Carbonyl- gruppe an die Alkenylgruppe gebunden sind, bevorzugt terminal; dabei kann die Alkenylgruppe mit der Gruppe Rc ein Ringsystem bilden. The term "conjugation" or "conjugated" is known to those skilled in the art. A continuous conjugation of the at least two CN groups of the Z group is formed as soon as alternating double and single bonds are present between the at least two CN groups or the at least one CN group and at least one substituted carbonyl group of the Z group and the 5-membered ring which comprises the Y 1 group and to which the Z group is bonded. A further link between the previously mentioned conjugated groups, which occurs, for example, via an S, N or O atom, does not harm a conjugation. In a preferred embodiment of the invention, Z is an alkenyl group having 2 to 10 C atoms, preferably having 2 to 6 C atoms, particularly preferably having 2 to 4 C atoms, which can be substituted by one or more radicals R, where at least two CN groups or at least one CN group and at least one substituted carbonyl group are bonded to the alkenyl group, preferably terminally; the alkenyl group can form a ring system with the group R c .
Besonders bevorzugt ist Z eine Alkenylgruppe mit 2 C-Atomen, welche mit einem Rest R und zwei CN-Gruppen bzw. einer CN-Gruppe und einer substituierten Carbonylgruppe substituiert ist, wobei die beiden CN- Gruppen bzw. die CN-Gruppe und die substituierte Carbonylgruppe bevor- zugt terminal gebunden sind. Z is particularly preferably an alkenyl group having 2 C atoms which is substituted by a radical R and two CN groups or one CN group and one substituted carbonyl group, where the two CN groups or the CN group and the substituted carbonyl group are preferably bonded terminally.
Bevorzugte Ausführungsformen der Gruppe Z sind die Strukturen der Formeln (Z-1 ), (Z-1 ‘) und (Z-2), wobei R und R1 die oben genannten Bedeutungen aufweisen, die gestrichelte Bindung die Anbindungsstelle darstellt und weiterhin gilt: Preferred embodiments of the group Z are the structures of the formulas (Z-1 ), (Z-1 ') and (Z-2), where R and R 1 have the meanings given above, the dashed bond represents the attachment point and furthermore:
R‘ steht für CN oder für C(=O)R“, wobei R“ für OH, OD, eine Alkylgruppe mit 1 bis 6 C-Atomen oder eine Alkoxygruppe mit 1 bis 6 C-Atomen steht; bevorzugt ist R‘ = CN; R' is CN or C(=O)R", where R" is OH, OD, an alkyl group having 1 to 6 C atoms or an alkoxy group having 1 to 6 C atoms; preferably R' = CN;
Xz ist 0, S oder Se, bevorzugt 0 oder S und besonders bevorzugt 0; p ist 0, 1 oder 2, bevorzugt 0 oder 1 und besonders bevorzugt 1 . Vorzugsweise steht R in Formel (Z-1 ) und (Z-1 ') für H oder D, so dass die Gruppen (Z-1 ) und (Z-1 ') für ein Gruppe der Formel (Z-1 -1 ), (Z-1 -2) oder (Z-1-3) steht, die auch optional deuteriert sein kann: X z is 0, S or Se, preferably 0 or S and particularly preferably 0; p is 0, 1 or 2, preferably 0 or 1 and particularly preferably 1. Preferably, R in formula (Z-1 ) and (Z-1 ') is H or D, so that the groups (Z-1 ) and (Z-1 ') are a group of the formula (Z-1 -1 ), (Z-1 -2) or (Z-1-3), which can also optionally be deuterated:
Formel (Z-1-1 ) Formel (Z-1 -2) Formel (Z-1 -3) wobei die gestrichelte Bindung die Anbindungsstelle darstellt und R“ die oben genannten Bedeutungen aufweist. Besonders bevorzugt ist Formel (Z-1-1 ). Formula (Z-1-1) Formula (Z-1-2) Formula (Z-1-3) where the dashed bond represents the attachment point and R" has the meanings given above. Formula (Z-1-1) is particularly preferred.
Für Formel (Z-2) gilt bevorzugt: For formula (Z-2) the following applies:
R, welches an die nicht-cyclische Alkenylgruppe in Formel (Z-2) gebunden ist, ist bevorzugt gleich oder verschieden bei jedem Auftreten H, D oder eine optional deuterierte Alkylgruppe mit 1 bis 5 C-Atomen, besonders bevorzugt H, D oder optional deuteriertes Methyl und ganz besonders bevorzugt H oder D. R, which is bonded to the non-cyclic alkenyl group in formula (Z-2), is preferably the same or different on each occurrence and is H, D or an optionally deuterated alkyl group having 1 to 5 C atoms, particularly preferably H, D or optionally deuterated methyl and very particularly preferably H or D.
R, welches an den Fünfring in Formel (Z-2) gebunden ist, ist bevorzugt H, D, CN, F, eine optional deuterierte Alkylgruppe mit 1 bis 5 C-Atomen oder eine optional deuterierte Phenylgruppe, welche auch durch einen oder mehrere bevorzugt nicht-aromatische Reste R1 substituiert sein kann. Bevorzugt ist dieses R gewählt aus H, D, Methyl, CD3 oder CN. R, which is bonded to the five-membered ring in formula (Z-2), is preferably H, D, CN, F, an optionally deuterated alkyl group having 1 to 5 C atoms or an optionally deuterated phenyl group, which can also be substituted by one or more preferably non-aromatic radicals R 1 . Preferably, this R is selected from H, D, methyl, CD3 or CN.
Die Gruppen R1, welche an den Fünfring in Formel (Z-2) gebunden sind, sind bevorzugt gleich oder verschieden bei jedem Auftreten H, D, eine optional deuterierte Alkylgruppe mit 1 bis 5 C-Atomen oder eine optional deuterierte Phenylgruppe, welche auch durch einen oder mehrere bevor- zugt nicht-aromatische Reste R1 substituiert sein kann. Dabei können die beiden Gruppen R1 auch miteinander ein Ringsystem bilden. Bevorzugt sind diese Gruppen R1 gleich oder verschieden bei jedem Auftreten eine optional deuterierte Alkylgruppe mit 1 bis 4 C-Atomen, insbesondere optional deuterierte Methylgruppe. Bevorzugte Ausführungsformen der Formel (Z-2) sind die Strukturen der folgenden Formeln (Z-2-1 ), (Z-2 -2), (Z-2-3) und (Z-2-4), wobei diese Gruppen auch teilweise oder vollständig deuteriert sein können, wobei die gestrichelte Bindung die Anbindungsstelle darstellt, R für H, D, optional deuteriertes Methyl oder CN steht und R1 gleich oder verschieden bei jedem Auftreten für H, D oder optional deuteriertes Methyl, insbeson- dere für optional deuteriertes Methyl steht. The groups R 1 which are bonded to the five-membered ring in formula (Z-2) are preferably identical or different on each occurrence and are H, D, an optionally deuterated alkyl group having 1 to 5 C atoms or an optionally deuterated phenyl group, which can also be substituted by one or more preferably non-aromatic radicals R 1 . The two groups R 1 can also form a ring system with one another. Preferably, these groups R 1 are identical or different on each occurrence and are an optionally deuterated alkyl group having 1 to 4 C atoms, in particular an optionally deuterated methyl group. Preferred embodiments of the formula (Z-2) are the structures of the following formulas (Z-2-1), (Z-2-2), (Z-2-3) and (Z-2-4), where these groups can also be partially or completely deuterated, where the dashed bond represents the attachment point, R represents H, D, optionally deuterated methyl or CN and R 1 , identical or different on each occurrence, represents H, D or optionally deuterated methyl, in particular optionally deuterated methyl.
Besonders bevorzugte Ausführungsformen der Formel (Z-2) sind die Strukturen der folgenden Formeln (Z-2a) bis (Z-2d), wobei diese Gruppen auch teilweise oder vollständig deuteriert sein können, Particularly preferred embodiments of the formula (Z-2) are the structures of the following formulas (Z-2a) to (Z-2d), where these groups can also be partially or completely deuterated,
wobei die gestrichelte Bindung die Anbindungsstelle darstellt. where the dashed bond represents the attachment point.
In einer weiteren bevorzugten Ausführungsform der Erfindung handelt es sich bei der Gruppe Z um eine terminale Alkenylgruppe mit 2 bis 10 C- Atomen, bevorzugt mit 2 bis 4 C-Atomen und besonders bevorzugt mit 2 C-Atomen, die mit einem oder mehreren Substituenten R substituiert sein kann und wobei das terminale C-Atom mit einer Gruppe -C(=O)-L-C(=O)- substituiert ist. Dabei sind die beiden C(=O)-Gruppen der Gruppe -C(=O)-L-C(=O)- jeweils an das terminale C-Atom der Alkenyl- gruppe gebunden, so dass eine cyclische Gruppe entsteht. Dabei ist die Gruppe L eine bivalente organische Gruppe. In a further preferred embodiment of the invention, the group Z is a terminal alkenyl group with 2 to 10 C atoms, preferably with 2 to 4 C atoms and particularly preferably with 2 C atoms, which can be substituted with one or more substituents R and where the terminal C atom is substituted with a group -C(=O)-L-C(=O)-. The two C(=O) groups of the group -C(=O)-L-C(=O)- are each bonded to the terminal C atom of the alkenyl group, so that a cyclic group is formed. The group L is a divalent organic group.
Eine bevorzugte Ausführungsform dieser Gruppe Z ist eine Gruppe der folgenden Formel (Z-3), wobei die gestrichelte Bindung die Anknüpfung dieser Gruppe darstellt, R analog zu Ra oben definiert ist und weiterhin gilt: L ist eine optional deuterierte bivalente Aryl- oder Heteroarylgruppe mitA preferred embodiment of this group Z is a group of the following formula (Z-3), where the dashed bond represents the attachment of this group, R is defined analogously to R a above and furthermore: L is an optionally deuterated bivalent aryl or heteroaryl group with
5 bis 14 aromatischen Ringatomen, bevorzugt mit 6 bis 10 aroma- tischen Ringatomen, besonders bevorzugt eine Phenylengruppe, die jeweils mit einem oder mehreren Resten R substituiert sein kann, oder eine Gruppe gemäß einer der Formeln -NR-C(=O)-NR-, -NR-C(=S)- NR oder -NR-C(=C(CN)2)-NR, wobei R bevorzugt für H, D oder eine optional deuterierte Alkylgruppe mit 1 bis 6 C-Atomen steht, insbeson- dere für eine optional deutierte Methylgruppe, oder eine Gruppe gemäß einer der Formeln -CR2-CR2-, -CR2-CR2-CR2-, -CR2-C(=O)-CR2-, -O-CR2-O- oder -NR-NR-, wobei R jeweils bevorzugt für H, D oder eine optional deuterierte Alkylgruppe mit 1 bis5 to 14 aromatic ring atoms, preferably with 6 to 10 aromatic ring atoms, particularly preferably a phenylene group, which can each be substituted by one or more radicals R, or a group according to one of the formulas -NR-C(=O)-NR-, -NR-C(=S)- NR or -NR-C(=C(CN)2)-NR, where R preferably represents H, D or an optionally deuterated alkyl group having 1 to 6 C atoms, in particular an optionally deuterated methyl group, or a group according to one of the formulas -CR2-CR2-, -CR2-CR2-CR2-, -CR2-C(=O)-CR2-, -O-CR2-O- or -NR-NR-, where R each preferably represents H, D or an optionally deuterated alkyl group having 1 to
6 C-Atomen steht und mehrere Reste R auch miteinander einen Ring bilden können. 6 C atoms and several R residues can also form a ring with each other.
Bevorzugte Ausführungsformen der Formel (Z-3) sind somit die Strukturen der Formeln (Z-3-1 ) bis (Z-3-9), wobei die gestrichelte Bindung die Anknüpfung dieser Gruppe darstellt und R die oben genannten Bedeutungen aufweist. Preferred embodiments of the formula (Z-3) are thus the structures of the formulas (Z-3-1) to (Z-3-9), where the dashed bond represents the attachment of this group and R has the meanings given above.
Dabei steht der Rest R, der in Formel (Z-3), bzw. (Z-3-1 ) bis (Z-3-9) an die Doppelbindung gebunden ist, bevorzugt für H oder D. Die Reste R, die in Formel (Z-3-1 ) an die Benzogruppe gebunden sind, stehen bevorzugt gleich oder verschieden bei jedem Auftreten für H, D, F oder CN. Die Reste R, die in Formel (Z-3-2) bis (Z-3-4) und (Z-3-8) an die Stickstoff- atome gebunden sind, stehen bevorzugt gleich oder verschieden für H, D oder eine optional deuterierte Alkylgruppe mit 1 bis 6 C-Atomen. Die Reste R, die in Formel (Z-3-5) bis (Z-3-7) und (Z-3-9) an die Kohlenstoff- atome des aliphatischen Cyclus gebunden sind, stehen bevorzugt gleich oder verschieden bei jedem Auftreten für H, D oder eine optional deuterierte Alkylgruppe mit 1 bis 6 C-Atomen, wobei mehrere Reste R auch miteinander einen Ring bilden können. Dabei ist es bevorzugt, wenn die Reste R, die an ein Kohlenstoffatom gebunden sind, welches einer Carbonylgruppe benachbart ist, gleich oder verschieden bei jedem Auftreten für D oder eine optional deuterierte Alkylgruppe mit 1 bis 6 C- Atomen stehen, insbesondere für D oder Methyl. The radical R which is bonded to the double bond in formula (Z-3) or (Z-3-1) to (Z-3-9) is preferably H or D. The radicals R which are bonded to the benzo group in formula (Z-3-1) are preferably identical or different on each occurrence and are H, D, F or CN. The radicals R which are bonded to the nitrogen atoms in formula (Z-3-2) to (Z-3-4) and (Z-3-8) are preferably identical or different and are H, D or an optionally deuterated alkyl group having 1 to 6 C atoms. The R radicals which are bonded to the carbon atoms of the aliphatic cycle in formula (Z-3-5) to (Z-3-7) and (Z-3-9) are preferably identical or different on each occurrence and are H, D or an optionally deuterated alkyl group having 1 to 6 C atoms, where several R radicals can also form a ring with one another. It is preferred if the R radicals which are bonded to a carbon atom which is adjacent to a carbonyl group are identical or different on each occurrence and are D or an optionally deuterated alkyl group having 1 to 6 C atoms, in particular D or methyl.
Besonders bevorzugte Ausführungsformen der Struktur der Formel (Z-3) sind die Strukturen der folgenden Formeln (Z-3a) bis (Z-3zz), wobei diese Strukturen auch teilweise oder vollständig deuteriert sein können, wobei die gestrichelte Bindung die Anknüpfung dieser Gruppe darstellt. Particularly preferred embodiments of the structure of formula (Z-3) are the structures of the following formulas (Z-3a) to (Z-3zz), whereby these structures can also be partially or completely deuterated, where the dashed bond represents the attachment of this group.
In einer weiteren Ausführungsform der Erfindung handelt es sich bei der Gruppe Z um ein aromatisches oder heteroaromatisches Ringsystem mit 5 bis 40 aromatischen Ringatomen, das jeweils durch einen oder mehrere Reste R substituiert sein kann, mit der Maßgabe, dass die Gruppe Z min- destens zwei CN-Gruppen aufweist. Dabei ist R analog zu Ra oben definiert. Dabei sind Verbindungen bevorzugt, bei denen mindestens eine CN- Gruppe und bevorzugt mindestens zwei CN-Gruppen mit dem 5-Ring enthaltend Y1, an den das aromatische oder heteroaromatische Ring- system gebunden ist, durchgängig konjugiert ist. In a further embodiment of the invention, the group Z is an aromatic or heteroaromatic ring system having 5 to 40 aromatic ring atoms, each of which may be substituted by one or more radicals R, with the proviso that the group Z has at least two CN groups. R is defined analogously to R a above. Preference is given to compounds in which at least one CN group and preferably at least two CN groups are continuously conjugated with the 5-membered ring containing Y 1 to which the aromatic or heteroaromatic ring system is bonded.
Der Begriff „konjugiert“ ist dem Fachmann bekannt. Eine durchgängige Konjugation der mindestens einen CN-Gruppe wird beispielsweise dadurch ausgebildet, dass diese Gruppe direkt an eine Aryl- oder Hetero- arylgruppe bindet, wobei diese Aryl- oder Heteroarylgruppe mit dem 5-Ring, der die Gruppe Y1 umfasst und an den die Aryl- oder Heteroaryl- gruppe gebunden ist, durchgängig konjugiert ist. The term "conjugated" is known to the person skilled in the art. A continuous conjugation of the at least one CN group is formed, for example, by this group binding directly to an aryl or heteroaryl group, wherein this aryl or heteroaryl group is continuously conjugated with the 5-membered ring which comprises the group Y 1 and to which the aryl or heteroaryl group is bound.
Ferner wird eine durchgängige Konjugation der mindestens einen CN- Gruppe der Gruppe Z ausgebildet, sobald alternierende Doppel- und Einfachbindungen zwischen der CN-Gruppe der Gruppe Z und dem 5- Ring, der die Gruppe Y1 umfasst, gebildet werden. Furthermore, a continuous conjugation of the at least one CN group of the group Z is formed as soon as alternating double and single bonds are formed between the CN group of the group Z and the 5-membered ring comprising the group Y 1 .
In einer bevorzugten Ausführungsform der Erfindung handelt es sich bei dieser Gruppe Z um eine Gruppe gemäß der folgenden Formel (Z-4), wobei die gestrichelte Bindung die Anknüpfung dieser Gruppe darstellt, R analog zu Ra oben definiert ist und weiterhin gilt: In a preferred embodiment of the invention, this group Z is a group according to the following formula (Z-4), where the dashed bond represents the attachment of this group, R is defined analogously to R a above and furthermore:
X2 ist gleich oder verschieden bei jedem Auftreten CR oder N, mit der Maßgabe, dass maximal drei X2 für N stehen und dass maximal zwei N-Atome direkt aneinander gebunden sind, und weiterhin mit der Maßgabe, dass mindestens zwei Gruppen X2 für C-CN stehen. X 2 is the same or different on each occurrence and is CR or N, with the proviso that a maximum of three X 2s stand for N and that a maximum of two N atoms are directly bonded to one another, and further with the proviso that at least two groups X 2 stand for C-CN.
In einer bevorzugten Ausführungsform der Formel (Z-4) stehen maximal zwei Gruppen X2 für N, besonders bevorzugt steht maximal eine Gruppe X2 für N und ganz besonders bevorzugt stehen alle Gruppen X2 für CR. Eine bevorzugte Ausführungsform der Formel (Z-4) ist somit die Struktur der Formel (Z-4-1 ), wobei die gestrichelte Bindung die Anknüpfung dieser Gruppe darstellt, R wie oben definiert ist und mindestens zwei Gruppen R für CN stehen. In a preferred embodiment of the formula (Z-4), a maximum of two groups X 2 stand for N, particularly preferably a maximum of one group X 2 stands for N and very particularly preferably all groups X 2 stand for CR. A preferred embodiment of the formula (Z-4) is thus the structure of the formula (Z-4-1 ), where the dashed bond represents the attachment of this group, R is as defined above and at least two R groups represent CN.
Besonders bevorzugt kann vorgesehen sein, dass die Gruppe Z eine Teilstruktur der Formeln (Z-4a) bis (Z-4i) darstellt, Particularly preferably, the group Z can represent a partial structure of the formulas (Z-4a) to (Z-4i),
wobei die gestrichelte Bindung die Verknüpfung der Gruppe andeutet und R die oben genannten Bedeutungen aufweist. Bevorzugt sind maximal zwei Reste R ungleich H oder D, besonders bevorzugt ist maximal ein Rest R ungleich H oder D und ganz besonders bevorzugt stehen alle Reste R für H oder D. where the dashed bond indicates the linkage of the group and R has the meanings given above. Preferably, a maximum of two R radicals are not H or D, particularly preferably a maximum of one R radical is not H or D and very particularly preferably all R radicals are H or D.
Hierbei sind die Gruppen der Formeln (Z-4a), (Z-4e), (Z-4f) und (Z-4g) bevorzugt. The groups of formulas (Z-4a), (Z-4e), (Z-4f) and (Z-4g) are preferred.
In einer weiteren bevorzugten Ausführungsform der Erfindung handelt es sich bei der Gruppe Z um eine terminale Alkenylgruppe mit 2 bis 10 C- Atomen, bevorzugt mit 2 bis 4 C-Atomen und besonders bevorzugt mit 2 C-Atomen, die mit einem oder mehreren Substituenten R substituiert sein kann und wobei das terminale C-Atom mit zwei Gruppen -SO2R“' substitu- iert ist. Dabei ist der Substituent R“‘ bevorzugt eine Alkylgruppe mit 1 bis 6 C-Atomen, wobei die beiden Substituenten R“‘ auch miteinander ein Ring- system bilden können. In a further preferred embodiment of the invention, the group Z is a terminal alkenyl group having 2 to 10 C atoms, preferably having 2 to 4 C atoms and particularly preferably having 2 C atoms, which can be substituted by one or more substituents R and where the terminal C atom is substituted by two groups -SO2R"'. The substituent R"' is preferably an alkyl group having 1 to 6 C atoms, where the two substituents R"' can also form a ring system with one another.
Eine bevorzugte Ausführungsform dieser Gruppe Z ist eine Gruppe der folgenden Formel (Z-5), wobei die gestrichelte Bindung die Anknüpfung dieser Gruppe darstellt, R analog zu Ra bis Re oben definiert ist und weiterhin gilt: A preferred embodiment of this group Z is a group of the following formula (Z-5), where the dashed bond represents the attachment of this group, R is defined analogously to R a to R e above and furthermore:
R“‘ ist eine optional deuterierte Alkylgruppe mit 1 bis 6 C-Atomen; oder die beiden Gruppen R“‘ bilden zusammen einen Ring und stehen für -CR2-CR2- oder -CR2-CR2-CR2-, wobei R jeweils bevorzugt für H, D oder eine optional deuterierte Alkylgruppe mit 1 bis 6 C-Atomen steht und mehrere Reste R auch miteinander einen Ring bilden können. R"' is an optionally deuterated alkyl group having 1 to 6 C atoms; or the two groups R"' together form a ring and stand for -CR2-CR2- or -CR2-CR2-CR2-, where R in each case preferably stands for H, D or an optionally deuterated alkyl group having 1 to 6 C atoms and several radicals R can also form a ring with each other.
Eine bevorzugte Ausführungsform dieser Gruppe ist die Gruppe der Formeln (Z-5-1 ), wobei die verwendeten Symbole die oben genannten Bedeutungen aufweisen und die Gruppe optional deuteriert sein kann. A preferred embodiment of this group is the group of formulas (Z-5-1 ), where the symbols used have the meanings given above and the group can optionally be deuterated.
Beispiele für geeignete Akzeptorgruppen Z sind die in der nachfolgenden Tabelle abgebildeten Strukturen, wobei diese Strukturen über die gestrichelte Bindung verknüpft sind. Dabei ist für diese Strukturen auch jeweils das LUMO angegeben, welches erfindungsgemäß definiert ist als das LUMO für die entsprechende Verbindung, welche statt der gestrichel- ten Bindung ein H trägt, wobei das LUMO wie im Beispielteil beschrieben berechnet wurde. Examples of suitable acceptor groups Z are the structures shown in the table below, where these structures are linked via the dashed bond. The LUMO is also given for each of these structures, which is defined according to the invention as the LUMO for the corresponding compound which carries an H instead of the dashed bond, where the LUMO was calculated as described in the example section.
Bevorzugte Ausführungsformen für eine Elektronenakzeptorgruppe oder Gruppe Z sind die oben ausgeführten Formeln (Z-1 ) bis (Z-5) und besonders bevorzugte Strukturen sind die oben ausgeführten Formeln (Z- 1-1 ) bis (Z-1 -3), (Z-2-1 ) bis (Z-2-4), (Z-3-1 ) bis (Z-3-8), (Z-4-1) und (Z-5-1 ) und ganz besonders bevorzugte Strukturen sind die oben ausgeführten Formeln (Z-1 -1 ), (Z-1 -2), (Z-1 -3), (Z-2a) bis (Z-2d), (Z-3a) bis (Z-3zz) und (Z-4a) bis (Z-4i). Insbesondere bevorzugt sind die Strukturen (Z-1 -1 ) und (Z-2a) bis (Z-2d). Preferred embodiments for an electron acceptor group or group Z are the formulas (Z-1) to (Z-5) given above, and particularly preferred structures are the formulas (Z-1-1) to (Z-1-3), (Z-2-1) to (Z-2-4), (Z-3-1) to (Z-3-8), (Z-4-1) and (Z-5-1) given above, and very particularly preferred structures are the formulas (Z-1-1), (Z-1-2), (Z-1-3), (Z-2a) to (Z-2d), (Z-3a) to (Z-3zz) and (Z-4a) to (Z-4i) given above. The structures (Z-1-1) and (Z-2a) to (Z-2d) are particularly preferred.
Im Falle der Verwendung als Photosensitizer sind Verbindungen bevor- zugt, in denen eine Gruppe X1 für C-Z steht und für welche gilt: In case of use as photosensitizers, compounds are preferred in which a group X 1 stands for CZ and for which:
Besonders bevorzugt sind Verbindungen, für die gilt: Particularly preferred are compounds for which:
Außerdem sind folgende Verbindungen für Photosensitizer bervorzugt: In addition, the following compounds are preferred for photosensitizers:
Verbindungen der Formel (5-1 ), für welche gilt, dass Y1 für S oder Se, bevorzugt S, und Y für eine Einfachbindung oder S steht. Compounds of the formula (5-1 ) for which Y 1 stands for S or Se, preferably S, and Y stands for a single bond or S.
Ganz besonders bevorzugt sind Verbindungen der Formel (5-1 ), bei denen Y1 für S und Z für eine Struktur der Formel (Z-1 ) steht, bevorzugt stehen dabei mit Rc und R für D oder H, besonders bevorzugt H. Very particular preference is given to compounds of the formula (5-1 ) in which Y 1 is S and Z is a structure of the formula (Z-1 ), preferably R c and R are D or H, particularly preferably H.
Wenn Y für C(Rb)2 steht, steht Rb bevorzugt gleich oder verschieden bei jedem Auftreten für eine geradkettige Alkylgruppe mit 1 bis 10 C Atomen oder für eine verzweigte oder cyclische Alkylgruppe mit 3 bis 12 C- Atomen, wobei die Alkylgruppe jeweils teilweise oder vollständig deuteriert sein kann und mit einem oder mehreren Resten R1 substituiert sein kann, oder für eine Aryl- oder Heteroarylgruppe mit 5 bis 12 aromatischen Ring- atomen, vorzugsweise eine Phenylgruppe, die teilweise oder vollständig deuteriert sein kann und durch einen oder mehrere Reste R1 substituiert sein kann, wobei die zwei Reste Rb der Gruppe Y zusammen einen Ring bilden können. Wenn zwei Reste Rb zusammen einen Ring bilden, ent- steht ein Spirosystem, wobei der durch die zwei Reste Rb gebildete Ring vorzugsweise einen 5-Ring oder einen 6-Ring darstellt. Wenn Y für C(Re)2 steht, steht Rb besonders bevorzugt für F, Methyl, Ethyl, neo-Pentyl oder Phenyl, wobei diese Gruppen jeweils auch teilweise oder vollständig deuteriert sein können und wobei die beiden Gruppen Rb auch mitein- ander einen Ring bilden können, oder die beiden Gruppen Rb bilden zusammen mit dem C-Atom, an das sie binden, eine Cyclopentyl-, Cyclo- hexyl- oder Adamantanylgruppe, die auch teilweise oder vollständig deuteriert sein kann. Besonders bevorzugt steht Rb für Methyl, welches auch teilweise oder vollständig deuteriert sein kann. In einer weiteren bevorzugten Ausführungsform der Erfindung steht der Rest Ra für H, D, eine geradkettige Alkylgruppe mit 1 bis 10 C Atomen, eine verzweigte oder cyclische Alkylgruppe mit 3 bis 12 C-Atomen, wobei die Alkylgruppe jeweils mit einem oder mehreren Resten R1 substituiert sein kann, oder für eine Aryl- oder Heteroarylgruppe mit 5 bis 12 aroma- tischen Ringatomen, vorzugsweise eine Phenylgruppe, die durch einen oder mehrere Reste R1 substituiert sein kann, wobei der Rest Ra mit dem Rest R1 zusammen einen Ring bilden kann. In einer besonders bevor- zugten Ausführungsform der Erfindung steht der Rest Ra für H, D, optional deuteriertes Methyl oder optional deuteriertes Phenyl, ganz besonders bevorzugt H oder D. If Y is C(R b ) 2 , R b is preferably the same or different on each occurrence and is a straight-chain alkyl group having 1 to 10 C atoms or a branched or cyclic alkyl group having 3 to 12 C atoms, where the alkyl group may in each case be partially or fully deuterated and may be substituted by one or more radicals R 1 , or an aryl or heteroaryl group having 5 to 12 aromatic ring atoms, preferably a phenyl group, which may be partially or fully deuterated and may be substituted by one or more radicals R 1 , where the two radicals R b of the group Y together can form a ring. If two radicals R b together form a ring, a spiro system is formed, where the ring formed by the two radicals R b is preferably a 5-membered ring or a 6-membered ring. If Y is C(R e )2, R b particularly preferably represents F, methyl, ethyl, neo-pentyl or phenyl, where these groups may also be partially or fully deuterated and where the two R b groups may also form a ring with one another, or the two R b groups together with the C atom to which they are bound form a cyclopentyl, cyclohexyl or adamantanyl group, which may also be partially or fully deuterated. R b particularly preferably represents methyl, which may also be partially or fully deuterated. In a further preferred embodiment of the invention, the radical R a is H, D, a straight-chain alkyl group having 1 to 10 C atoms, a branched or cyclic alkyl group having 3 to 12 C atoms, where the alkyl group can be substituted in each case by one or more radicals R 1 , or an aryl or heteroaryl group having 5 to 12 aromatic ring atoms, preferably a phenyl group, which can be substituted by one or more radicals R 1 , where the radical R a can form a ring together with the radical R 1. In a particularly preferred embodiment of the invention, the radical R a is H, D, optionally deuterated methyl or optionally deuterated phenyl, very particularly preferably H or D.
Wenn zwei Reste, die insbesondere ausgewählt sein können aus R, Ra, Rb, Rc, R1 und/oder R2, miteinander ein Ringsystem bilden, so kann dieses mono- oder polycyclisch, aliphatisch, heteroaliphatisch, aromatisch oder heteroaromatisch sein. Dabei können die Reste, die miteinander ein Ring- system bilden, benachbart sein, d.h. dass diese Reste an dasselbe Kohlenstoffatom oder an Kohlenstoffatome, die direkt aneinander gebun- den sind, gebunden sind, oder sie können weiter voneinander entfernt sein. If two radicals, which can be selected in particular from R, R a , R b , R c , R 1 and/or R 2 , form a ring system with one another, this can be mono- or polycyclic, aliphatic, heteroaliphatic, aromatic or heteroaromatic. The radicals which form a ring system with one another can be adjacent, ie these radicals are bonded to the same carbon atom or to carbon atoms which are directly bonded to one another, or they can be further apart from one another.
Vorzugsweise weisen die erfindungsgemäßen Verbindungen ein Moleku- largewicht von kleiner oder gleich 5000 g/mol, bevorzugt kleiner oder gleich 4000 g/mol, besonders bevorzugt kleiner oder gleich 3000 g/mol, ganz besonders bevorzugt kleiner oder gleich 2000 g/mol und insbeson- dere bevorzugt kleiner oder gleich 1200 g/mol auf. The compounds according to the invention preferably have a molecular weight of less than or equal to 5000 g/mol, preferably less than or equal to 4000 g/mol, particularly preferably less than or equal to 3000 g/mol, very particularly preferably less than or equal to 2000 g/mol and particularly preferably less than or equal to 1200 g/mol.
Weiterhin zeichnen sich bevorzugte erfindungsgemäße Verbindungen dadurch aus, dass diese sublimierbar sind. Furthermore, preferred compounds according to the invention are characterized in that they are sublimable.
Im Folgenden werden bevorzugte Substituenten R, Ra, Rb und Rc beschrieben. Preferred substituents R, R a , R b and R c are described below.
In einer bevorzugten Ausführungsform der Erfindung sind R, Ra, Rb und Rc gleich oder verschieden bei jedem Auftreten ausgewählt aus der Gruppe bestehend aus H, D, F, CN, Si(R1)s, B(OR1)2, einer geradkettigen Alkyl- oder Alkoxygruppe mit 1 bis 20 C-Atomen oder einer verzweigten oder cyclischen Alkyl- oder Alkoxygruppe mit 3 bis 20 C-Atomen, wobei die Alkylgruppe jeweils mit einem oder mehreren Resten R1 substituiert sein kann, oder einem aromatischen oder heteroaromatischen Ringsystem mit 6 bis 40 aromatischen Ringatomen, das jeweils durch einen oder mehrere Reste R1 substituiert sein kann; dabei können zwei oder mehrere Reste miteinander ein Ringsystem bilden. In einer besonders bevorzugten Aus- führungsform der Erfindung sind R, Ra, Rb und Rc gleich oder verschieden bei jedem Auftreten ausgewählt aus der Gruppe bestehend aus H, D, F, CN, einer geradkettigen Alkylgruppe mit 1 bis 10 C-Atomen, bevorzugt mit 1 bis 4 C-Atomen, oder einer verzweigten oder cyclischen Alkylgruppe mit 3 bis 10 C-Atomen, bevorzugt mit 3 bis 6 C-Atomen, wobei die Alkyl- gruppe jeweils mit einem oder mehreren Resten R1 substituiert sein kann, oder einem aromatischen oder heteroaromatischen Ringsystem mit 6 bis 24 aromatischen Ringatomen, besonders bevorzugt mit 6 bis 18 aroma- tischen Ringatomen, ganz besonders bevorzugt mit 6 bis 13 aromatischen Ringatomen, das jeweils durch einen oder mehrere Reste R1 substituiert sein kann; dabei können zwei oder mehrere Reste miteinander ein Ring- system bilden. In a preferred embodiment of the invention, R, R a , R b and R c are the same or different on each occurrence and are selected from the group consisting of H, D, F, CN, Si(R 1 )s, B(OR 1 )2, a straight-chain alkyl or an alkoxy group having 1 to 20 C atoms or a branched or cyclic alkyl or alkoxy group having 3 to 20 C atoms, where the alkyl group may be substituted in each case by one or more radicals R 1 , or an aromatic or heteroaromatic ring system having 6 to 40 aromatic ring atoms, which may be substituted in each case by one or more radicals R 1 ; two or more radicals may form a ring system with one another. In a particularly preferred embodiment of the invention, R, R a , R b and R c are the same or different on each occurrence and are selected from the group consisting of H, D, F, CN, a straight-chain alkyl group having 1 to 10 C atoms, preferably having 1 to 4 C atoms, or a branched or cyclic alkyl group having 3 to 10 C atoms, preferably having 3 to 6 C atoms, where the alkyl group can in each case be substituted by one or more radicals R 1 , or an aromatic or heteroaromatic ring system having 6 to 24 aromatic ring atoms, particularly preferably having 6 to 18 aromatic ring atoms, very particularly preferably having 6 to 13 aromatic ring atoms, which can in each case be substituted by one or more radicals R 1 ; two or more radicals can form a ring system with one another.
Dabei kann es bevorzugt sein, wenn mindestens einer der Substituenten R, Ra, Rb, und Rc gleich oder verschieden bei jedem Auftreten für ein aromatisches oder heteroaromatisches Ringsystem mit 6 bis 24 aroma- tischen Ringatomen, besonders bevorzugt mit 6 bis 18 aromatischen Ringatomen, ganz besonders bevorzugt mit 6 bis 13 aromatischen Ring- atomen steht, welches jeweils mit einem oder mehreren Resten R1 substi- tuiert sein kann. It may be preferred if at least one of the substituents R, R a , R b , and R c , identical or different on each occurrence, represents an aromatic or heteroaromatic ring system having 6 to 24 aromatic ring atoms, particularly preferably having 6 to 18 aromatic ring atoms, very particularly preferably having 6 to 13 aromatic ring atoms, which may in each case be substituted by one or more radicals R 1 .
Bevorzugte aromatische bzw. heteroaromatische Ringsysteme R, Ra, Rb und/oder Rc sind ausgewählt aus Phenyl, Biphenyl, insbesondere ortho-, meta- oder para-Biphenyl, Terphenyl, insbesondere ortho-, meta-, para- oder verzweigtem Terphenyl, Quaterphenyl, insbesondere ortho-, meta-, para- oder verzweigtem Quaterphenyl, Fluoren, welches über die 1-, 2-, 3- oder 4-Position verknüpft sein kann, Spirobifluoren, welches über die 1 -, 2-, 3- oder 4-Position verknüpft sein kann, Naphthalin, insbesondere 1 - oder 2-verknüpftem Naphthalin, Indol, Benzofuran, Benzothiophen, Carbazol, welches über die 1-, 2-, 3-, 4- oder 9-Position verknüpft sein kann, Dibenzofuran, welches über die 1-, 2-, 3- oder 4-Position verknüpft sein kann, Dibenzothiophen, welches über die 1-, 2-, 3- oder 4-Position verknüpft sein kann, Indenocarbazol, Indolocarbazol, Pyridin, Pyrimidin, Pyrazin, Pyridazin, Triazin, Chinolin, Isochinolin, Chinazolin, Chinoxalin, Phenanthren oder Triphenylen, welche jeweils mit einem oder mehreren Resten R, R1 bzw. R2 substituiert sein können. Preferred aromatic or heteroaromatic ring systems R, R a , R b and/or R c are selected from phenyl, biphenyl, in particular ortho-, meta- or para-biphenyl, terphenyl, in particular ortho-, meta-, para- or branched terphenyl, quaterphenyl, in particular ortho-, meta-, para- or branched quaterphenyl, fluorene, which can be linked via the 1-, 2-, 3- or 4-position, spirobifluorene, which can be linked via the 1-, 2-, 3- or 4-position, naphthalene, in particular 1- or 2-linked naphthalene, indole, benzofuran, benzothiophene, Carbazole, which can be linked via the 1-, 2-, 3-, 4- or 9-position, dibenzofuran, which can be linked via the 1-, 2-, 3- or 4-position, dibenzothiophene, which can be linked via the 1-, 2-, 3- or 4-position, indenocarbazole, indolocarbazole, pyridine, pyrimidine, pyrazine, pyridazine, triazine, quinoline, isoquinoline, quinazoline, quinoxaline, phenanthrene or triphenylene, each of which can be substituted by one or more radicals R, R 1 or R 2 .
Wenn R, Ra, Rb und/oder Rc für ein aromatisches oder heteroaroma- tisches Ringsystem stehen, sind diese bevorzugt gleich oder verschieden bei jedem Auftreten ausgewählt aus den Gruppen der folgenden Formeln R-1 bis R-184, If R, R a , R b and/or R c represent an aromatic or heteroaromatic ring system, these are preferably selected, identically or differently on each occurrence, from the groups of the following formulae R-1 to R-184,
R-58 R-58
R-114 R-115 R-116 R-117 R-114 R-115 R-116 R-117
wobei R1 die oben genannten Bedeutungen aufweist, die gestrichelte Bindung die Bindung darstellt und weiterhin gilt: where R 1 has the meanings given above, the dashed bond represents the bond and furthermore:
Ar3 ist bei jedem Auftreten gleich oder verschieden ein bivalentes aroma- tisches oder heteroaromatisches Ringsystem mit 6 bis 18 aroma- tischen Ringatomen, welches jeweils mit einem oder mehreren Resten R1 substituiert sein kann; Ar 3 is, identically or differently at each occurrence, a bivalent aromatic or heteroaromatic ring system having 6 to 18 aromatic ring atoms, which may each be substituted by one or more radicals R 1 ;
A1 ist bei jedem Auftreten gleich oder verschieden BR1 , C(R1)2, C=O, NR1, 0 oder S, wobei A1 in den Formeln R-150, R-151 und R-152 für BR1 , C=O, NR1, 0 oder S steht; A 1 is, identically or differently at each occurrence, BR 1 , C(R 1 )2, C=O, NR 1 , 0 or S, where A 1 in the formulas R-150, R-151 and R-152 stands for BR 1 , C=O, NR 1 , 0 or S;
A2 ist bei jedem Auftreten gleich oder verschieden C(R1)2, NR1, 0 oder S; p ist 0 oder 1 , wobei p = 0 bedeutet, dass die Gruppe Ar3 nicht vorhan- den ist und dass die entsprechende aromatische bzw. heteroaroma- tische Gruppe direkt an das zugehörige Atom, beispielsweise ein Kohlenstoffatom oder an ein Heteroatom wie ein Stickstoff gebunden ist, wobei, im Fall von Bindung an ein Heteroatom, für die Formeln R- 44, R-49, R-53, R-57, R-58, R-62, R-66, R-70, R-71 , R-112, R-152 bis R-160, R-167, R-172, R-177, R-182 p gleich 1 gilt; r ist 0 oder 1 , wobei r = 0 bedeutet, dass an dieser Position keine Gruppe A1 gebunden ist und an die entsprechenden Kohlenstoffatome stattdessen Reste R1 gebunden sind. A 2 is, identically or differently on each occurrence, C(R 1 ) 2, NR 1 , 0 or S; p is 0 or 1, where p = 0 means that the group Ar 3 is not present and that the corresponding aromatic or heteroaromatic group is bonded directly to the associated atom, for example a carbon atom or to a heteroatom such as a nitrogen, where, in the case of bonding to a heteroatom, for the formulas R- 44, R-49, R-53, R-57, R-58, R-62, R-66, R-70, R-71 , R-112, R-152 to R-160, R-167, R-172, R-177, R-182 p is equal to 1; r is 0 or 1 , where r = 0 means that no group A 1 is bonded at this position and residues R 1 are bonded to the corresponding carbon atoms instead.
In einer bevorzugten Ausführungsform umfasst Ar3 bivalente aromatische oder heteroaromatische Ringsysteme basierend auf den Gruppen der R-1 bis R-184, wobei p gleich 0 gilt und die gestrichelte Bindung und ein R1 für die Bindung zur aromatischen oder heteroaromatischen Gruppe nach R-1 bis R-184 steht. In a preferred embodiment, Ar 3 comprises divalent aromatic or heteroaromatic ring systems based on the groups R-1 to R-184, where p is 0 and the dashed bond and an R 1 are the bond to the aromatic or heteroaromatic group is after R-1 to R-184.
Wenn die oben genannten Gruppen R-1 bis R-184 mehrere Gruppen A1 aufweisen, so kommen hierfür alle Kombinationen aus der Definition von A1 in Frage. Bevorzugte Ausführungsformen sind dann solche, in denen eine Gruppe A1 für C(R1)2, NR1, 0 oder S und die andere Gruppe A1 für C(R1)2, NR1 , 0 oder S steht. If the above-mentioned groups R-1 to R-184 have several groups A 1 , all combinations from the definition of A 1 are possible. Preferred embodiments are then those in which one group A 1 stands for C(R 1 )2, NR 1 , 0 or S and the other group A 1 stands for C(R 1 )2, NR 1 , 0 or S.
Wenn A1 für NR1 steht, steht der Substituent R1 , der an das Stickstoffatom gebunden ist, bevorzugt für ein aromatisches oder heteroaromatisches Ringsystem mit 5 bis 24 aromatischen Ringatomen, welches auch durch einen oder mehrere Reste R2 substituiert sein kann. In einer besonders bevorzugten Ausführungsform steht dieser Substituent R1 gleich oder ver- schieden bei jedem Auftreten für ein aromatisches oder heteroaroma- tisches Ringsystem mit 6 bis 24 aromatischen Ringatomen, bevorzugt mit 6 bis 12 aromatischen Ringatomen, und welches jeweils auch durch einen oder mehrere Reste R2 substituiert sein kann. Besonders bevorzugt sind Phenyl, Biphenyl, Terphenyl und Quaterphenyl mit Verknüpfungsmustern, wie vorne für R-1 bis R-35 aufgeführt, wobei diese Strukturen durch einen oder mehrere Reste R1 substituiert sein können, bevorzugt aber unsubsti- tuiert sind. If A 1 is NR 1 , the substituent R 1 which is bonded to the nitrogen atom preferably represents an aromatic or heteroaromatic ring system having 5 to 24 aromatic ring atoms, which may also be substituted by one or more radicals R 2. In a particularly preferred embodiment, this substituent R 1 , identical or different on each occurrence, represents an aromatic or heteroaromatic ring system having 6 to 24 aromatic ring atoms, preferably having 6 to 12 aromatic ring atoms, and which may in each case also be substituted by one or more radicals R 2. Particular preference is given to phenyl, biphenyl, terphenyl and quaterphenyl with linkage patterns as listed above for R-1 to R-35, where these structures may be substituted by one or more radicals R 1 , but are preferably unsubstituted.
Wenn A1 für C(R1)2 steht, stehen die Substituenten R1, die an dieses Kohlenstoffatom gebunden sind, bevorzugt gleich oder verschieden bei jedem Auftreten für eine lineare Alkylgruppe mit 1 bis 10 C-Atomen oder für eine verzweigte oder cyclische Alkylgruppe mit 3 bis 10 C-Atomen oder für ein aromatisches oder heteroaromatisches Ringsystem mit 5 bis 24 aromatischen Ringatomen, welches auch durch einen oder mehrere Reste R2 substituiert sein kann. Ganz besonders bevorzugt steht R1 für eine Methylgruppe oder für eine Phenylgruppe. Dabei können die Reste R1 auch miteinander ein Ringsystem bilden, was zu einem Spirosystem führt. If A 1 is C(R 1 ) 2 , the substituents R 1 which are bonded to this carbon atom are preferably identical or different on each occurrence and represent a linear alkyl group having 1 to 10 C atoms or a branched or cyclic alkyl group having 3 to 10 C atoms or an aromatic or heteroaromatic ring system having 5 to 24 aromatic ring atoms, which may also be substituted by one or more radicals R 2 . R 1 is very particularly preferably a methyl group or a phenyl group. The radicals R 1 can also form a ring system with one another, resulting in a spiro system.
Weitere geeignete Gruppen R, Ra, Rb und Rc sind Gruppen derOther suitable groups R, R a , R b and R c are groups of
Formel -Ar4-N(Ar2)(Ar3), wobei Ar2, Ar3 und Ar4 gleich oder verschieden bei jedem Auftreten für ein aromatisches oder heteroaromatisches Ring- system mit 5 bis 24 aromatischen Ringatomen stehen, welches jeweils mit einem oder mehreren Resten R1 substituiert sein kann. Dabei beträgt die Gesamtzahl der aromatischen Ringatome von Ar2, Ar3 und Ar4 maximal 60 und bevorzugt maximal 40. Formula -Ar 4 -N(Ar 2 )(Ar 3 ), where Ar 2 , Ar 3 and Ar 4 , the same or different at each occurrence, represent an aromatic or heteroaromatic ring system with 5 to 24 aromatic ring atoms, which can each be substituted by one or more radicals R 1 . The total number of aromatic ring atoms of Ar 2 , Ar 3 and Ar 4 is a maximum of 60 and preferably a maximum of 40.
Dabei können Ar4 und Ar2 miteinander und/oder Ar2 und Ar3 miteinander auch durch eine Gruppe ausgewählt aus C(R1)2, NR1 , O oder S verbunden sein. Bevorzugt erfolgt die Verknüpfung von Ar4 und Ar2 miteinander bzw. von Ar2 und Ar3 miteinander jeweils ortho zur Position der Verknüpfung mit dem Stickstoffatom. In einer weiteren Ausführungsform der Erfindung sind keine der Gruppen Ar2, Ar3 bzw. Ar4 miteinander verbunden. Ar 4 and Ar 2 can be connected to one another and/or Ar 2 and Ar 3 can also be connected to one another by a group selected from C(R 1 ) 2, NR 1 , O or S. Preferably, Ar 4 and Ar 2 are connected to one another or Ar 2 and Ar 3 are connected to one another ortho to the position of the connection to the nitrogen atom. In a further embodiment of the invention, none of the groups Ar 2 , Ar 3 or Ar 4 are connected to one another.
Bevorzugt ist Ar4 ein aromatisches oder heteroaromatisches Ringsystem mit 6 bis 24 aromatischen Ringatomen, bevorzugt mit 6 bis 12 aroma- tischen Ringatomen, das jeweils mit einem oder mehreren Resten R1 sub- stituiert sein kann. Besonders bevorzugt ist Ar4 ausgewählt aus der Gruppe bestehend aus ortho-, meta- oder para-Phenylen oder ortho-, meta- oder para-Biphenyl, welche jeweils durch einen oder mehrere Reste R1 substituiert sein können, bevorzugt aber unsubstituiert sind. Ganz besonders bevorzugt ist Ar4 eine unsubstituierte Phenylengruppe. Ar 4 is preferably an aromatic or heteroaromatic ring system with 6 to 24 aromatic ring atoms, preferably with 6 to 12 aromatic ring atoms, each of which can be substituted by one or more radicals R 1 . Ar 4 is particularly preferably selected from the group consisting of ortho-, meta- or para-phenylene or ortho-, meta- or para-biphenyl, each of which can be substituted by one or more radicals R 1 , but is preferably unsubstituted. Ar 4 is very particularly preferably an unsubstituted phenylene group.
Bevorzugt sind Ar2 und Ar3 gleich oder verschieden bei jedem Auftreten ein aromatisches oder heteroaromatisches Ringsystem mit 6 bis 24 aromatischen Ringatomen, das jeweils mit einem oder mehreren Resten R1 substituiert sein kann. Besonders bevorzugte Gruppen Ar2 bzw. Ar3 sind gleich oder verschieden bei jedem Auftreten ausgewählt aus der Gruppe bestehend aus Benzol, ortho-, meta- oder para-Biphenyl, ortho-, meta-, para- oder verzweigtem Terphenyl, ortho-, meta-, para- oder ver- zweigtem Quaterphenyl, 1 -, 2-, 3- oder 4-Fluorenyl, 1 -, 2-, 3- oder 4-Spiro- bifluorenyl, 1 - oder 2-Naphthyl, Indol, Benzofuran, Benzothiophen, 1 -, 2-Preferably, Ar 2 and Ar 3 are the same or different on each occurrence and are an aromatic or heteroaromatic ring system having 6 to 24 aromatic ring atoms, which may each be substituted by one or more radicals R 1 . Particularly preferred groups Ar 2 and Ar 3 are the same or different on each occurrence and are selected from the group consisting of benzene, ortho-, meta- or para-biphenyl, ortho-, meta-, para- or branched terphenyl, ortho-, meta-, para- or branched quaterphenyl, 1-, 2-, 3- or 4-fluorenyl, 1-, 2-, 3- or 4-spiro-bifluorenyl, 1- or 2-naphthyl, indole, benzofuran, benzothiophene, 1-, 2-
3- oder 4-Carbazol, 1 -, 2-, 3- oder 4-Dibenzofuran, 1 -, 2-, 3- oder 4-Di- benzothiophen, Indenocarbazol, Indolocarbazol, 2-, 3- oder 4-Pyridin, 2-,3- or 4-carbazole, 1-, 2-, 3- or 4-dibenzofuran, 1-, 2-, 3- or 4-di-benzothiophene, indenocarbazole, indolocarbazole, 2-, 3- or 4-pyridine, 2 -,
4- oder 5-Pyrimidin, Pyrazin, Pyridazin, Triazin, Phenanthren oder Tri- phenylen, welche jeweils mit einem oder mehreren Resten R1 substituiert sein können. Ganz besonders bevorzugt sind Ar2 und Ar3 gleich oder verschieden bei jedem Auftreten ausgewählt aus der Gruppe bestehend aus Benzol, Biphenyl, insbesondere ortho-, meta- oder para-Biphenyl, Terphenyl, insbesondere ortho-, meta-, para- oder verzweigtem Ter- phenyl, Quaterphenyl, insbesondere ortho-, meta-, para- oder ver- zweigtem Quaterphenyl, Fluoren, insbesondere 1 -, 2-, 3- oder 4-Fluoren, oder Spirobifluoren, insbesondere 1 -, 2-, 3- oder 4-Spirobifluoren. 4- or 5-pyrimidine, pyrazine, pyridazine, triazine, phenanthrene or triphenylene, each of which may be substituted by one or more radicals R 1 . Ar 2 and Ar 3 are particularly preferably the same or different on each occurrence and are selected from the group consisting of from benzene, biphenyl, in particular ortho-, meta- or para-biphenyl, terphenyl, in particular ortho-, meta-, para- or branched terphenyl, quaterphenyl, in particular ortho-, meta-, para- or branched quaterphenyl, fluorene, in particular 1-, 2-, 3- or 4-fluorene, or spirobifluorene, in particular 1-, 2-, 3- or 4-spirobifluorene.
In einer weiteren bevorzugten Ausführungsform der Erfindung ist R1 gleich oder verschieden bei jedem Auftreten ausgewählt aus der Gruppe be- stehend aus H, D, F, CN, einer geradkettigen Alkylgruppe mit 1 bis 10 C-Atomen oder einer verzweigten oder cyclischen Alkylgruppe mit 3 bis 10 C-Atomen, wobei die Alkylgruppe jeweils mit einem oder mehreren Resten R2 substituiert sein kann, oder einem aromatischen oder heteroaroma- tischen Ringsystem mit 6 bis 24 aromatischen Ringatomen, das jeweils durch einen oder mehrere Reste R2 substituiert sein kann; dabei können zwei oder mehrere Reste R1 miteinander ein Ringsystem bilden. In einer besonders bevorzugten Ausführungsform der Erfindung ist R1 gleich oder verschieden bei jedem Auftreten ausgewählt aus der Gruppe bestehend aus H, einer geradkettigen Alkylgruppe mit 1 bis 6 C-Atomen, insbeson- dere mit 1 , 2, 3 oder 4 C-Atomen, oder einer verzweigten oder cyclischen Alkylgruppe mit 3 bis 6 C-Atomen, wobei die Alkylgruppe jeweils mit einem oder mehreren Resten R2 substituiert sein kann, bevorzugt aber unsubsti- tuiert ist, oder einem aromatischen oder heteroaromatischen Ringsystem mit 6 bis 13 aromatischen Ringatomen, das jeweils durch einen oder mehrere Reste R2 substituiert sein kann, bevorzugt aber unsubstituiert ist; dabei können zwei oder mehrere Reste R1 miteinander ein Ringsystem bilden. In a further preferred embodiment of the invention, R 1 is the same or different on each occurrence and is selected from the group consisting of H, D, F, CN, a straight-chain alkyl group having 1 to 10 C atoms or a branched or cyclic alkyl group having 3 to 10 C atoms, where the alkyl group may in each case be substituted by one or more radicals R 2 , or an aromatic or heteroaromatic ring system having 6 to 24 aromatic ring atoms, which may in each case be substituted by one or more radicals R 2 ; two or more radicals R 1 may form a ring system with one another. In a particularly preferred embodiment of the invention, R 1 is the same or different on each occurrence and is selected from the group consisting of H, a straight-chain alkyl group having 1 to 6 C atoms, in particular having 1, 2, 3 or 4 C atoms, or a branched or cyclic alkyl group having 3 to 6 C atoms, where the alkyl group may in each case be substituted by one or more radicals R 2 , but is preferably unsubstituted, or an aromatic or heteroaromatic ring system having 6 to 13 aromatic ring atoms, which may in each case be substituted by one or more radicals R 2 , but is preferably unsubstituted; two or more radicals R 1 can form a ring system with one another.
In einer weiteren bevorzugten Ausführungsform der Erfindung ist R2 gleich oder verschieden bei jedem Auftreten H, D, eine Alkylgruppe mit 1 bis 4 C- Atomen oder eine Arylgruppe mit 6 bis 10 C-Atomen, welche mit einer Alkylgruppe mit 1 bis 4 C-Atomen substituiert sein kann, bevorzugt aber unsubstituiert ist. In a further preferred embodiment of the invention, R 2 is the same or different on each occurrence and is H, D, an alkyl group having 1 to 4 C atoms or an aryl group having 6 to 10 C atoms, which may be substituted by an alkyl group having 1 to 4 C atoms, but is preferably unsubstituted.
In einer weiteren Ausführungsform der Erfindung bilden Rc und soweit vorhanden Z, eine an den letzten Fünfring ankondensierte Aryl- oder Heteroarylgruppe mit 4 bis 14 aromatischen Ringatomen, welche noch mit R1 substiuiert sein kann. In a further embodiment of the invention, R c and, if present, Z, form an aryl or Heteroaryl group with 4 to 14 aromatic ring atoms, which can be substituted with R 1 .
Dabei haben in erfindungsgemäßen Verbindungen, die durch Vakuum- verdampfung verarbeitet werden, die Alkylgruppen bevorzugt nicht mehr als fünf C-Atome, besonders bevorzugt nicht mehr als 4 C-Atome, ganz besonders bevorzugt nicht mehr als 1 C-Atom. Für Verbindungen, die aus Lösung verarbeitet werden, eignen sich auch Verbindungen, die mit Alkyl- gruppen, insbesondere verzweigten Alkylgruppen, mit bis zu 10 C-Atomen substituiert sind oder die mit Oligoarylengruppen, beispielsweise ortho-, meta-, para- oder verzweigten Terphenyl- oder Quaterphenylgruppen, substituiert sind. In compounds according to the invention which are processed by vacuum evaporation, the alkyl groups preferably have no more than five C atoms, particularly preferably no more than 4 C atoms, very particularly preferably no more than 1 C atom. For compounds which are processed from solution, compounds which are substituted with alkyl groups, in particular branched alkyl groups, with up to 10 C atoms or which are substituted with oligoarylene groups, for example ortho-, meta-, para- or branched terphenyl or quaterphenyl groups, are also suitable.
Die oben genannten bevorzugten Ausführungsformen können beliebig innerhalb der in Anspruch 1 definierten Einschränkungen miteinander kombiniert werden. In einer besonders bevorzugten Ausführungsform der Erfindung treten die oben genannten Bevorzugungen gleichzeitig auf. The above-mentioned preferred embodiments can be combined with one another as desired within the limitations defined in claim 1. In a particularly preferred embodiment of the invention, the above-mentioned advantages occur simultaneously.
Beispiele für bevorzugte Verbindungen gemäß den oben aufgeführten Ausführungsformen sind die in der folgenden Tabelle aufgeführten Verbin- dungen: Examples of preferred compounds according to the embodiments listed above are the compounds listed in the following table:
Die erfindungsgemäßen Verbindungen sind prinzipiell durch verschiedene Verfahren darstellbar. Es haben sich jedoch die im Folgenden beschriebe- nen Verfahren als besonders geeignet herausgestellt. The compounds according to the invention can in principle be prepared by various methods. However, the methods described below have proven to be particularly suitable.
Daher ist ein weiterer Gegenstand der Erfindung ein Verfahren zur Her- stellung der erfindungsgemäßen Verbindungen, bei dem ein Benzo[a]carbazol bereitgestellt wird und am Stickstoffatom mit einer entsprechenden Heteroarylgruppe gekuppelt wird und die Verbindung nach Formel (1 ) durch intramolekulare Cyclisierung erhalten wird. Optional können weitere Reste durch Kupplungsreaktionen eingeführt werden. Therefore, a further subject matter of the invention is a process for preparing the compounds according to the invention, in which a benzo[a]carbazole is provided and coupled at the nitrogen atom with a corresponding heteroaryl group and the compound according to formula (1) is obtained by intramolecular cyclization. Optionally, further radicals can be introduced by coupling reactions.
Die Synthese der erfindungsgemäßen Verbindungen kann unter anderem gemäß den nachfolgenden Schemata erfolgen. Zunächst wird der Grund- körper (4), durch Umsetzung eines Benzo[a]carbazols (1 ) mit einem 2-Brom- bzw. 2-lod-substituierten 5-Ringheterocyclus (2) in einer Kupfer- katalysierten Ullmann-Kupplung zum Intermediat (3) umgesetzt, das dann Palladium-ZPhosphin-katalysiert intramolekular cycl isiert wird, dargestellt, s. Schema 1 . Analog können Verbindungen mit zwei oder drei aneinander ankondensierten Fünfringen als Edukt eingesetzt werden. The synthesis of the compounds according to the invention can be carried out, among other things, according to the following schemes. First, the parent compound (4) is converted by reacting a benzo[a]carbazole (1) with a 2-bromo- or 2-iodo-substituted 5-membered ring heterocycle (2) in a copper-catalyzed Ullmann coupling to give the intermediate (3), which is then intramolecularly cyclized using palladium-2-phosphine catalysis, see Scheme 1. Analogously, compounds with two or three fused five-membered rings can be used as starting materials.
Schema 1 : Der so dargestellte Grundköper (4) kann dann weiter via SeAr-Reaktion, z. B. einer Halogenierung, bevorzugt einer Bromierung mit N-Bromsuccin- imid, einer Formylierung oder Acylierung bzw. Nitrierung, etc., in o-Position zu Y weiter funktionalisiert werden. Die reaktiven Halogen- Intermediate können in C-C-Kupplungen (A) wie einer Suzuki-, Negishi, Grignard-Cross, Sonogashira-Kupplung, etc., bzw. in C-N-Kupplungen (B) wie Buchwald-Hartwig- oder Ullmann-Kupplung, die Carbonyl-Intermediate können mittels Knoevenagel-Kondensation (C), z.B. mit Malonsäuredinitril, weiter zu den weiterne erfindungsgemäßen Verbindungen umgesetzt werden (Schema 2). Scheme 1 : The basic structure (4) thus prepared can then be further functionalized in the o-position to Y via SeAr reaction, e.g. a halogenation, preferably a bromination with N-bromosuccinimide, a formylation or acylation or nitration, etc. The reactive halogen intermediates can be further converted to the other compounds according to the invention in CC couplings (A) such as a Suzuki, Negishi, Grignard-Cross, Sonogashira coupling, etc., or in CN couplings (B) such as Buchwald-Hartwig or Ullmann coupling, the carbonyl intermediates can be further converted to the other compounds according to the invention by means of Knoevenagel condensation (C), e.g. with malononitrile (Scheme 2).
Schema 2: Scheme 2:
Die erfindungsgemäßen Verbindungen können auch mit einem Polymer gemischt werden. Ebenso ist es möglich, diese Verbindungen kovalent in ein Polymer einzubauen. The compounds according to the invention can also be mixed with a polymer. It is also possible to incorporate these compounds covalently into a polymer.
Die Erfindung betrifft außerdem ein Oligomer, Polymer oder Dendrimer, enthaltend eine oder mehrere Verbindungen gemäß Formel (1 ) oder der bevorzguten Ausführungsformen, wobei die Bindung(en) zu dem Oligomer, Polymer oder Dendrimer an beliebigen Positionen in Formel (1 ) erfolgen kann (können). The invention also relates to an oligomer, polymer or dendrimer containing one or more compounds according to formula (1) or the preferred embodiments, wherein the bond(s) to the Oligomer, polymer or dendrimer can occur at any position in formula (1).
Von besonderem Interesse sind erfindungsgemäße Verbindungen, die sich durch eine hohe Glasübergangstemperatur auszeichnen. In diesem Zusammenhang sind insbesondere erfindungsgemäße Verbindungen der Formel (1 ) bzw. die bevorzugten Ausführungsformen bevorzugt, die eine Glasübergangstemperatur von mindestens 70 °C, besonders bevorzugt von mindestens 110 °C, ganz besonders bevorzugt von mindestens 125 °C und insbesondere bevorzugt von mindestens 150 °C aufweisen, bestimmt nach DIN 51005 (Version 2005-08). Of particular interest are compounds according to the invention which are characterized by a high glass transition temperature. In this context, preference is given in particular to compounds according to the invention of the formula (1) or the preferred embodiments which have a glass transition temperature of at least 70 °C, particularly preferably of at least 110 °C, very particularly preferably of at least 125 °C and especially preferably of at least 150 °C, determined according to DIN 51005 (version 2005-08).
Für die Verarbeitung der erfindungsgemäßen Verbindungen aus flüssiger Phase, beispielsweise durch Spin-Coating oder durch Druckverfahren, sind Formulierungen der erfindungsgemäßen Verbindungen erforderlich. Diese Formulierungen können beispielsweise Lösungen, Dispersionen oder Emulsionen sein. Es kann bevorzugt sein, hierfür Mischungen aus zwei oder mehr Lösemitteln zu verwenden. Geeignete und bevorzugte Lösemittel sind beispielsweise Toluol, Anisol, o-, m- oder p-Xylol, Methyl- benzoat, Mesitylen, Tetralin, Veratrol, THF, Methyl-THF, THP, Chlor- benzol, Dioxan, Phenoxytoluol, insbesondere 3-Phenoxytoluol, (-)- Fenchon, 1 ,2,3,5-Tetramethylbenzol, 1 ,2,4,5-Tetramethylbenzol, 1 -Methyl- naphthalin, 2-Methylbenzothiazol, 2-Phenoxyethanol, 2-Pyrrolidinon, 3- Methylanisol, 4-Methylanisol, 3,4-Dimethylanisol, 3,5-Dimethylanisol, Acetophenon, a-Terpineol, Benzothiazol, Butylbenzoat, Cumol, Cyclo- hexanol, Cyclohexanon, Cyclohexylbenzol, Decalin, Dodecylbenzol, Ethyl- benzoat, Indan, NMP, p-Cymol, Phenetol, 1 ,4-Diisopropylbenzol, Di- benzylether, Diethylenglycolbutylmethylether, T riethylenglycolbutylmethyl- ether, Diethylenglycoldibutylether, Triethylenglycoldimethylether, Di- ethylenglycolmonobutylether, Tripropylenglycoldimethylether, Tetra- ethylenglycoldimethylether, 2-lsopropylnaphthalin, Pentylbenzol, Hexyl- benzol, Heptylbenzol, Octylbenzol, 1 ,1 -Bis(3,4-dimethylphenyl)ethan, 2- Methylbiphenyl, 3-Methylbiphenyl, 1 -Methylnaphthalin, 1 -Ethylnaphthalin, Ethyloctanoat, Sebacinsäure-diethylester, Octyloctanoat, Heptylbenzol, Menthyl-isovalerat, Cyclohexylhexanoat oder Mischungen dieser Löse- mittel. Ein weiterer Gegenstand der vorliegenden Erfindung ist daher eine Formulierung bzw. eine Zusammensetzung, enthaltend mindestens eine erfindungsgemäße Verbindung und mindestens eine weitere Verbindung. Die weitere Verbindung kann beispielsweise ein Lösemittel sein, insbeson- dere eines der oben genannten Lösemittel oder eine Mischung dieser Lösemittel. Die weitere Verbindung kann aber auch mindestens eine weitere organische oder anorganische Verbindung sein, die ebenfalls in der elektronischen Vorrichtung eingesetzt wird, beispielsweise ein Comaterial, wobei sich diese Verbindungen von den erfindungsgemäßen Verbindungen unterscheiden. Geeignete Comaterialien sind hinten im Zusammenhang mit der organischen elektronischen Vorrichtung aufge- führt. Die weitere Verbindung kann auch polymer sein. For processing the compounds according to the invention from the liquid phase, for example by spin coating or by printing processes, formulations of the compounds according to the invention are required. These formulations can be, for example, solutions, dispersions or emulsions. It may be preferable to use mixtures of two or more solvents for this purpose. Suitable and preferred solvents are, for example, toluene, anisole, o-, m- or p-xylene, methyl benzoate, mesitylene, tetralin, veratrole, THF, methyl-THF, THP, chlorobenzene, dioxane, phenoxytoluene, in particular 3-phenoxytoluene, (-)-fenchone, 1,2,3,5-tetramethylbenzene, 1,2,4,5-tetramethylbenzene, 1-methylnaphthalene, 2-methylbenzothiazole, 2-phenoxyethanol, 2-pyrrolidinone, 3-methylanisole, 4-methylanisole, 3,4-dimethylanisole, 3,5-dimethylanisole, acetophenone, a-terpineol, benzothiazole, butylbenzoate, cumene, cyclohexanol, cyclohexanone, Cyclohexylbenzene, decalin, dodecylbenzene, ethyl benzoate, indane, NMP, p-cymene, phenetol, 1,4-diisopropylbenzene, di-benzyl ether, diethylene glycol butyl methyl ether, triethylene glycol butyl methyl ether, diethylene glycol dibutyl ether, triethylene glycol dimethyl ether, di- ethylene glycol monobutyl ether, tripropylene glycol dimethyl ether, tetra-ethylene glycol dimethyl ether, 2-isopropylnaphthalene, pentylbenzene, hexylbenzene, heptylbenzene, octylbenzene, 1,1-bis(3,4-dimethylphenyl)ethane, 2-methylbiphenyl, 3-methylbiphenyl, 1-methylnaphthalene, 1 -Ethylnaphthalene, ethyl octanoate, diethyl sebacate, octyloctanoate, heptylbenzene, menthyl isovalerate, Cyclohexylhexanoate or mixtures of these solvents. A further subject matter of the present invention is therefore a formulation or a composition containing at least one compound according to the invention and at least one further compound. The further compound can be, for example, a solvent, in particular one of the above-mentioned solvents or a mixture of these solvents. However, the further compound can also be at least one further organic or inorganic compound which is also used in the electronic device, for example a comaterial, whereby these compounds differ from the compounds according to the invention. Suitable comaterials are listed below in connection with the organic electronic device. The further compound can also be polymeric.
Nochmals ein weiterer Gegenstand der vorliegenden Erfindung ist daher eine Zusammensetzung, enthaltend eine erfindungsgemäße Verbindung und wenigstens ein weiteres organisches funktionelles Material. Funktio- nelle Materialen sind generell die organischen oder anorganischen Materialien, welche zwischen Anode und Kathode eingebracht sind. Vorzugsweise ist das organisch funktionelle Material ausgewählt aus der Gruppe bestehend aus Photosensitizern, Elektronentransportmaterialien, Elektroneninjektionsmatenalien, Lochleitermatenalien, Lochinjektions- matenalien, Elektronenblockiermaterialien und Lochblockiermaterialien, vorzugsweise Photosensitizern, Elektronentransportmaterialien, Elektroneninjektionsmaterialien oder Lochblockiermaterialien. Yet another subject matter of the present invention is therefore a composition containing a compound according to the invention and at least one further organic functional material. Functional materials are generally the organic or inorganic materials which are introduced between the anode and the cathode. The organic functional material is preferably selected from the group consisting of photosensitizers, electron transport materials, electron injection materials, hole conductor materials, hole injection materials, electron blocking materials and hole blocking materials, preferably photosensitizers, electron transport materials, electron injection materials or hole blocking materials.
Ein weiterer Gegenstand der vorliegenden Erfindung ist die Verwendung einer erfindungsgemäßen Verbindung in einer elektronischen Vorrichtung, vorzugsweise einer organischen, photoelektrischen Vorrichtung, insbeson- dere in einem organischen optischen Detektor, vorzugsweise als Photo- sensitizer, besonders bevorzugt als grüner, roter, infraroter oder blauer Photosensitizer, speziell bevorzugt als grüner Photosensitizer. A further subject matter of the present invention is the use of a compound according to the invention in an electronic device, preferably an organic, photoelectric device, in particular in an organic optical detector, preferably as a photosensitizer, particularly preferably as a green, red, infrared or blue photosensitizer, especially preferably as a green photosensitizer.
Ein nochmals weiterer Gegenstand der vorliegenden Erfindung ist eine elektronische Vorrichtung, enthaltend mindestens eine erfindungsgemäße Verbindung. Eine elektronische Vorrichtung im Sinne der vorliegenden Erfindung ist eine Vorrichtung, welche mindestens eine Schicht enthält, die mindestens eine organische Verbindung enthält. Das Bauteil kann dabei auch anorganische Materialien enthalten oder auch Schichten, welche vollständig aus anorganischen Materialien aufgebaut sind. Yet another subject of the present invention is an electronic device containing at least one compound according to the invention. An electronic device in the sense of the present The invention relates to a device which contains at least one layer which contains at least one organic compound. The component can also contain inorganic materials or layers which are made entirely of inorganic materials.
Die elektronische Vorrichtung ist bevorzugt ausgewählt aus der Gruppe bestehend aus organischen photoelektrischen Vorrichtungen, organischen Elektrolumineszenzvorrichtungen (OLEDs, sOLED, PLEDs, LECs, etc.), lichtemittierenden elektrochemischen Zellen (LECs), organischen Laserdioden (O-Laser), „organic plasmon emitting devices“ (D. M. Koller et al., Nature Photonics 2008, 1-4), organischen integrierten Schaltungen (O- ICs), organischen Feld-Effekt-Transistoren (O-FETs), organischen Dünn- filmtransistoren (O-TFTs), organischen lichtemittierenden Transistoren (O-LETs), organischen Solarzellen (O-SCs), organischen optischen Detektoren, organischen Photorezeptoren, organischen Photodioden (OPDs), organischen Feld-Quench-Devices (O-FQDs) und organischen elektrischen Sensoren, bevorzugt organischen optischen Detektoren, organischen Photorezeptoren und organischen elektronischen Sensoren. Besonders bevorzugt sind organische optische Detektoren. The electronic device is preferably selected from the group consisting of organic photoelectric devices, organic electroluminescent devices (OLEDs, sOLEDs, PLEDs, LECs, etc.), light-emitting electrochemical cells (LECs), organic laser diodes (O-lasers), “organic plasmon emitting devices” (D. M. Koller et al., Nature Photonics 2008, 1-4), organic integrated circuits (O-ICs), organic field-effect transistors (O-FETs), organic thin-film transistors (O-TFTs), organic light-emitting transistors (O-LETs), organic solar cells (O-SCs), organic optical detectors, organic photoreceptors, organic photodiodes (OPDs), organic field quench devices (O-FQDs) and organic electrical sensors, preferably organic optical detectors, organic photoreceptors and organic electronic sensors. Organic optical detectors are particularly preferred.
Der organische optische Detektor enthält Kathode, Anode und mindestens eine lichtabsorbierende Schicht. Außer diesen Schichten kann sie noch weitere Schichten enthalten, beispielsweise jeweils eine oder mehrere Lochinjektionsschichten, Lochtransportschichten, Lochblockierschichten, Elektronentransportschichten, Elektroneninjektionsschichten, Exzitonen- blockierschichten, Elektronenblockierschichten und/oder Ladungs- erzeugungsschichten (Charge-Generation Layers). Ebenso können zwischen zwei lichtabsorbierenden Schichten Interlayer eingebracht sein, welche beispielsweise eine exzitonenblockierende Funktion aufweisen. Es sei aber darauf hingewiesen, dass nicht notwendigerweise jede dieser Schichten vorhanden sein muss. Dabei kann der organische optische Detektor eine lichtabsorbierende Schicht enthalten, oder er kann mehrere lichtabsorbierende Schichten enthalten. The organic optical detector contains a cathode, an anode and at least one light-absorbing layer. In addition to these layers, it can contain further layers, for example one or more hole injection layers, hole transport layers, hole blocking layers, electron transport layers, electron injection layers, exciton blocking layers, electron blocking layers and/or charge generation layers. Interlayers can also be introduced between two light-absorbing layers, which, for example, have an exciton-blocking function. It should be noted, however, that not all of these layers necessarily have to be present. The organic optical detector can contain one light-absorbing layer, or it can contain several light-absorbing layers.
Die erfindungsgemäße Verbindung kann dabei in unterschiedlichenThe compound according to the invention can be used in different
Schichten eingesetzt werden, je nach genauer Struktur. Bevorzugt ist ein organischer optischer Detektor, enthaltend eine Verbindung gemäß Formel (1 ) oder (2) bzw. die oben ausgeführten bevorzugten Ausführungs- formen in einer lichtabsorbierenden Schicht als Photosensitizer, vorzugs- weise infraroter, roter, grüner oder blauer Photosensitizer, besonders bevorzugt als grüner Photosensitizer, wobei die Farbe jeweils die Farbe des Lichtes angibt, die von dem Photosensitizer absorbiert wird. Layers can be used, depending on the exact structure. Preferably a Organic optical detector containing a compound according to formula (1) or (2) or the preferred embodiments set out above in a light-absorbing layer as a photosensitizer, preferably an infrared, red, green or blue photosensitizer, particularly preferably as a green photosensitizer, the color in each case indicating the color of the light which is absorbed by the photosensitizer.
Wenn die erfindungsgemäße Verbindung als Photosensitizer in einer lichtabsorbierenden Schicht eingesetzt wird, wird bevorzugt ein geeignetes Co-Material eingesetzt, welches als solches bekannt ist. Dabei wird das Co-Material entweder als Mischung mit dem Photosensitizer eingesetzt oder in einer Schicht, die der Schicht enthaltend den Photo- sensitizer benachbart ist. If the compound according to the invention is used as a photosensitizer in a light-absorbing layer, a suitable co-material which is known as such is preferably used. The co-material is used either as a mixture with the photosensitizer or in a layer which is adjacent to the layer containing the photosensitizer.
Geeignete Co-Materialien, welche in Kombination, also als Mischung mit den erfindungsgemäßen Verbindungen oder in einer Schicht benachbart zu der Schicht, enthaltend die erfindungsgemäßen Verbindungen, einge- setzt werden können, sind aromatische Ketone, aromatische Phosphin- oxide oder aromatische Sulfoxide oder Sulfone, z. B. gemäß WO 2004/013080, WO 2004/093207, WO 2006/005627 oder WO 2010/006680, Triarylamine, Carbazolderivate, z. B. CBP (N,N-Bis- carbazolylbiphenyl) oder die in WO 2005/039246, US 2005/0069729, JP 2004/288381 , EP 1205527, WO 2008/086851 oder WO 2013/041176, Indolocarbazolderivate, z. B. gemäß WO 2007/063754 oder WO 2008/056746, Indenocarbazolderivate, z. B. gemäß WO 2010/136109, WO 2011/000455, WO 2013/041176 oder WO 2013/056776, Azacarbazol- derivate, z. B. gemäß EP 1617710, EP 1617711 , EP 1731584, JP 2005/347160, bipolare Comaterialien, z. B. gemäß WO 2007/137725, Silane, z. B. gemäß WO 2005/111172, Azaborole oder Boronester, z. B. gemäß WO 2006/117052, Triazinderivate, z. B. gemäß WO 2007/063754, WO 2008/056746, WO 2010/015306, WO 2011/057706, WO 2011/060859 oder WO 2011/060877, Zinkkomplexe, z. B. gemäß EP 652273 oder WO 2009/062578, Diazasilol- bzw. Tetraazasilol-Derivate, z. B. gemäß WO 2010/054729, Diazaphosphol-Derivate, z. B. gemäß WO 2010/054730, verbrückte Carbazol-Derivate, z. B. gemäß WO 2011/042107, WO 2011/060867, WO 2011/088877 und WO 2012/143080, Triphenylen- derivate, z. B. gemäß WO 2012/048781 , Dibenzofuranderivate, z. B. gemäß WO 2015/169412, WO 2016/015810, WO 2016/023608, WO 2017/148564 oder WO 2017/148565 oder Biscarbazole, z. B. gemäß JP 3139321 B2. Suitable co-materials which can be used in combination, i.e. as a mixture with the compounds according to the invention or in a layer adjacent to the layer containing the compounds according to the invention, are aromatic ketones, aromatic phosphine oxides or aromatic sulfoxides or sulfones, e.g. according to WO 2004/013080, WO 2004/093207, WO 2006/005627 or WO 2010/006680, triarylamines, carbazole derivatives, e.g. B. CBP (N,N-bis-carbazolylbiphenyl) or those in WO 2005/039246, US 2005/0069729, JP 2004/288381, EP 1205527, WO 2008/086851 or WO 2013/041176, indolocarbazole derivatives, e.g. according to WO 2007/063754 or WO 2008/056746, indenocarbazole derivatives, e.g. according to WO 2010/136109, WO 2011/000455, WO 2013/041176 or WO 2013/056776, azacarbazole derivatives, e.g. B. according to EP 1617710, EP 1617711 , EP 1731584, JP 2005/347160, bipolar comaterials, e.g. according to WO 2007/137725, silanes, e.g. according to WO 2005/111172, azaboroles or boronic esters, e.g. according to WO 2006/117052, triazine derivatives, e.g. according to WO 2007/063754, WO 2008/056746, WO 2010/015306, WO 2011/057706, WO 2011/060859 or WO 2011/060877, zinc complexes, e.g. B. according to EP 652273 or WO 2009/062578, diazasilol or tetraazasilol derivatives, e.g. according to WO 2010/054729, diazaphosphol derivatives, e.g. according to WO 2010/054730, bridged carbazole derivatives, e.g. according to WO 2011/042107, WO 2011/060867, WO 2011/088877 and WO 2012/143080, triphenylene- derivatives, e.g. according to WO 2012/048781, dibenzofuran derivatives, e.g. according to WO 2015/169412, WO 2016/015810, WO 2016/023608, WO 2017/148564 or WO 2017/148565 or biscarbazoles, e.g. according to JP 3139321 B2.
In einer bevorzugten Ausführungsform der Erfindung werden eine oder mehrere erfindungsgemäße Verbindungen gemäß Formel (1 ) oder den bevorzugten Ausführungsformen in Kombination mit Elektronentransport- matenalien, Elektroneninjektionsmatenalien, Lochblockiermaterialien ein- gesetzt. Besonders bevorzugt werden unter anderem Subphthalocyanine, Subphthalocyanin-Derivate, Fullerene oder Fulleren-Derivate verwendet. Derartige Verbindungen sind dem Fachmann für die Verwendung in organischen optischen Detektoren bekannt. In a preferred embodiment of the invention, one or more compounds according to the invention according to formula (1) or the preferred embodiments are used in combination with electron transport materials, electron injection materials, hole blocking materials. Particular preference is given to using subphthalocyanines, subphthalocyanine derivatives, fullerenes or fullerene derivatives, among others. Such compounds are known to the person skilled in the art for use in organic optical detectors.
Diese Ausgestaltung ist insbesondere bevorzugt für den Fall, dass die erfindungsgemäße Verbindung als Lochleitermatenalien, Lochinjektions- materialien und/oder Elektronenblockiermaterialien eingesetzt werden kann. This embodiment is particularly preferred in the case that the compound according to the invention can be used as hole conductor materials, hole injection materials and/or electron blocking materials.
Bevorzugte einsetzbare Subphthalocyanine, Subphthalocyanin-Derivate, Fullerene oder Fulleren-Derivate werden unter anderem in der euro- päischen Patentanmeldung EP 3848374 A1 beschrieben, wobei diese Druckschrift zu Offenbarungszwecken durch Referenz hierauf eingefügt wird. Diese Materialien werden insbesondere auf den Seiten 84 bis 86 dargelegt (vgl. Absätze [322] bis [332]). Preferred subphthalocyanines, subphthalocyanine derivatives, fullerenes or fullerene derivatives which can be used are described, inter alia, in European patent application EP 3848374 A1, which is incorporated by reference for disclosure purposes. These materials are set out in particular on pages 84 to 86 (cf. paragraphs [322] to [332]).
In den weiteren Schichten des erfindungsgemäßen organischen optischen Detektors können alle Materialien verwendet werden, wie sie üblicher- weise gemäß dem Stand der Technik eingesetzt werden. Der Fachmann kann daher ohne erfinderisches Zutun alle für organische optische Detektoren bekannten Materialien in Kombination mit den erfindungs- gemäßen Verbindungen gemäß Formel (1 ) bzw. den oben ausgeführten bevorzugten Ausführungsformen einsetzen. In the further layers of the organic optical detector according to the invention, all materials can be used as are usually used according to the prior art. The person skilled in the art can therefore, without inventive step, use all materials known for organic optical detectors in combination with the compounds according to the invention according to formula (1) or the preferred embodiments described above.
Weiterhin bevorzugt ist ein organischer optischer Detektor, dadurch gekennzeichnet, dass eine oder mehrere Schichten mit einem Sublima- tionsverfahren beschichtet werden. Dabei werden die Materialien in Vakuum-Sublimationsanlagen bei einem Anfangsdruck kleiner 10’5 mbar, bevorzugt kleiner 10’6 mbar aufgedampft. Es ist aber auch möglich, dass der Anfangsdruck noch geringer ist, beispielsweise kleiner 10’7 mbar. Also preferred is an organic optical detector, characterized in that one or more layers are provided with a sublimation The materials are vapor-deposited in vacuum sublimation systems at an initial pressure of less than 10' 5 mbar, preferably less than 10' 6 mbar. However, it is also possible for the initial pressure to be even lower, for example less than 10' 7 mbar.
Bevorzugt ist ebenfalls ein organischer optischer Detektor, dadurch gekennzeichnet, dass eine oder mehrere Schichten mit dem OVPD (Organic Vapour Phase Deposition) Verfahren oder mit Hilfe einer Trägergassublimation beschichtet werden. Dabei werden die Materialien bei einem Druck zwischen 10’5 mbar und 1 bar aufgebracht. Ein Spezialfall dieses Verfahrens ist das OVJP (Organic Vapour Jet Printing) Verfahren, bei dem die Materialien direkt durch eine Düse aufgebracht und so strukturiert werden. An organic optical detector is also preferred, characterized in that one or more layers are coated using the OVPD (Organic Vapour Phase Deposition) method or with the aid of carrier gas sublimation. The materials are applied at a pressure between 10' 5 mbar and 1 bar. A special case of this method is the OVJP (Organic Vapour Jet Printing) method, in which the materials are applied directly through a nozzle and thus structured.
Weiterhin bevorzugt ist ein organischer optischer Detektor, dadurch gekennzeichnet, dass eine oder mehrere Schichten aus Lösung, wie z. B. durch Spincoating, oder mit einem beliebigen Druckverfahren, wie z. B. Siebdruck, Flexodruck, Offsetdruck, LITI (Light Induced Thermal Imaging, Thermotransferdruck), Ink-Jet Druck (Tintenstrahldruck) oder Nozzle Printing, hergestellt werden. Hierfür sind lösliche Verbindungen nötig, welche beispielsweise durch geeignete Substitution erhalten werden. Also preferred is an organic optical detector, characterized in that one or more layers are produced from solution, such as by spin coating, or using any printing method, such as screen printing, flexographic printing, offset printing, LITI (light induced thermal imaging, thermal transfer printing), ink-jet printing or nozzle printing. Soluble compounds are required for this, which are obtained, for example, by suitable substitution.
Weiterhin sind Hybridverfahren möglich, bei denen beispielsweise eine oder mehrere Schichten aus Lösung aufgebracht werden und eine oder mehrere weitere Schichten aufgedampft werden. Furthermore, hybrid processes are possible, in which, for example, one or more layers are applied from solution and one or more further layers are vapor-deposited.
Diese Verfahren sind dem Fachmann generell bekannt und können von ihm ohne erfinderisches Zutun auf organische optische Detektoren enthaltend die erfindungsgemäßen Verbindungen angewandt werden. These methods are generally known to the person skilled in the art and can be applied by him without inventive step to organic optical detectors containing the compounds according to the invention.
Weitere Einzelheiten bevorzugter elektronischer Vorrichtungen, insbeson- dere organischer optischer Detektoren, sowie deren Herstellung sind aus dem Stand der Technik bekannt. Diese werden unter anderem in der euro- päischen Patentanmeldung EP 3848374 A1 beschrieben, wobei diese Druckschrift zu Offenbarungszwecken durch Referenz hierauf eingefügt wird. Hierzu wird insbesondere auf die in EP 3848374 A1 beschriebenen Figuren 1 bis 10 verwiesen, die unter anderem auf den Seiten 83 bis 90 der Druckschrift EP 3848374 A1 dargelegt sind. Further details of preferred electronic devices, in particular organic optical detectors, as well as their manufacture are known from the prior art. These are described, inter alia, in the European patent application EP 3848374 A1, whereby this document is incorporated by reference for disclosure purposes. In this regard, reference is made in particular to the devices described in EP 3848374 A1. Figures 1 to 10, which are set out, inter alia, on pages 83 to 90 of the document EP 3848374 A1.
Die Vorrichtung ist außerdem bevorzugt eine organische Elektrolumines- zenzvorrichtung umfassend Kathode, Anode und mindestens eine emittierende Schicht, wobei mindestens eine organische Schicht, welche eine emittierende Schicht, Lochtransportschicht, Elektronentransport- schicht, Lochblockierschicht, Elektronenblockierschicht oder eine andere funktionelle Schicht sein kann, mindestens eine erfindungsgemäße Verbindung umfasst. Die Schicht ist abhängig von der Substitution der Verbindung. The device is also preferably an organic electroluminescent device comprising a cathode, anode and at least one emitting layer, wherein at least one organic layer, which can be an emitting layer, hole transport layer, electron transport layer, hole blocking layer, electron blocking layer or another functional layer, comprises at least one compound according to the invention. The layer depends on the substitution of the compound.
Außer diesen Schichten kann die organische Elektrolumineszenzvor- richtung noch weitere Schichten enthalten, beispielsweise jeweils eine oder mehrere Lochinjektionsschichten, Lochtransportschichten, Loch- blockierschichten, Elektronentransportschichten, Elektroneninjektions- schichten, Exzitonenblockierschichten, Elektronenblockierschichten, Ladungserzeugungsschichten (Charge-Generation Layers) und/oder organische oder anorganische p/n Übergänge. Ebenso können zwischen zwei emittierende Schichten Interlayer eingebracht sein, welche beispiels- weise eine exzitonenblockierende Funktion aufweisen. Es sei aber darauf hingewiesen, dass nicht notwendigerweise jede dieser Schichten vorhanden sein muss. In addition to these layers, the organic electroluminescent device can contain further layers, for example one or more hole injection layers, hole transport layers, hole blocking layers, electron transport layers, electron injection layers, exciton blocking layers, electron blocking layers, charge generation layers and/or organic or inorganic p/n junctions. Interlayers can also be introduced between two emitting layers, which, for example, have an exciton blocking function. It should be noted, however, that not all of these layers necessarily have to be present.
Dabei kann die organische Elektrolumineszenzvorrichtung eine emittierende Schicht enthalten, oder sie kann mehrere emittierende Schichten enthalten. Wenn mehrere Emissionsschichten vorhanden sind, weisen diese bevorzugt insgesamt mehrere Emissionsmaxima zwischen 380 nm und 750 nm auf, sodass insgesamt weiße Emission resultiert, d. h. in den emittierenden Schichten werden verschiedene emittierende Verbin- dungen verwendet, die fluoreszieren oder phosphoreszieren können. Insbesondere bevorzugt sind Systeme mit drei emittierenden Schichten, wobei die drei Schichten blaue, grüne und orange oder rote Emission zeigen (Der prinzipielle Aufbau ist beispielsweise in WO 2005/011013 beschrieben.). Es kann sich bei der erfindungsgemäßen organischen Elektrolumineszenzvorrichtung auch um eine Tandem-OLED handeln, insbesondere für weiß emittierende OLEDs. The organic electroluminescent device can contain one emitting layer or it can contain several emitting layers. If several emitting layers are present, these preferably have a total of several emission maxima between 380 nm and 750 nm, so that overall white emission results, ie different emitting compounds that can fluoresce or phosphoresce are used in the emitting layers. Systems with three emitting layers are particularly preferred, with the three layers showing blue, green and orange or red emission (the basic structure is described, for example, in WO 2005/011013). The organic electroluminescent device according to the invention can Electroluminescent device can also be a tandem OLED, especially for white-emitting OLEDs.
Bevorzugt wird die Verbindung gemäß Formel (1 ) in einer organischen Elektrolumineszenzvorrichtung verwendet, welche einen oder mehrere phosphoreszierende Emitter umfasst. Die erfindungsgemäße Verbindung gemäß den oben aufgeführten Ausführungsformen kann dabei in unter- schiedlichen Schichten eingesetzt werden, je nach genauer Struktur. The compound according to formula (1) is preferably used in an organic electroluminescent device which comprises one or more phosphorescent emitters. The compound according to the invention according to the embodiments listed above can be used in different layers, depending on the precise structure.
Dabei kann die organische Elektrolumineszenzvorrichtung eine emittieren- de Schicht enthalten, oder sie kann mehrere emittierende Schichten ent- halten, wobei mindestens eine Schicht mindestens eine erfindungs- gemäße Verbindung enthält. Weiterhin kann die erfindungsgemäße Verbindung auch in einer Elektronentransportschicht und/oder in einer Lochblockierschicht und/oder in einer Lochtransportschicht und/oder in einer Exzitonenblockierschicht und/oder als Matrixmaterial eingesetzt werden. Besonders bevorzugt wird die erfindungsgemäße Verbindung als Matrixmaterial in einer emittierenden Schicht und/oder als Elektronen- transportmaterial in einer Elektronentransport- oder Lochblockierschicht eingesetzt, insbesondere als Matrixmaterial in einer phosphoreszierenden Schicht. The organic electroluminescent device can contain one emitting layer, or it can contain several emitting layers, with at least one layer containing at least one compound according to the invention. Furthermore, the compound according to the invention can also be used in an electron transport layer and/or in a hole blocking layer and/or in a hole transport layer and/or in an exciton blocking layer and/or as a matrix material. The compound according to the invention is particularly preferably used as a matrix material in an emitting layer and/or as an electron transport material in an electron transport or hole blocking layer, in particular as a matrix material in a phosphorescent layer.
Der Ausdruck „phosphoreszierende Verbindung“ bezeichnet typischer- weise Verbindungen, bei denen die Aussendung von Licht durch einen spin-verbotenen Übergang erfolgt, z. B. einen Übergang von einem angeregten Triplett-Zustand oder einem Zustand mit einer höheren Spin- Quantenzahl, z. B. einem Quintett-Zustand. The term "phosphorescent compound" typically refers to compounds in which the emission of light occurs through a spin-forbidden transition, e.g. a transition from an excited triplet state or a state with a higher spin quantum number, e.g. a quintet state.
Geeignete phosphoreszierende Verbindungen (= Triplett-Emitter) sind ins- besondere Verbindungen, die bei geeigneter Anregung Licht, vorzugs- weise im sichtbaren Bereich, emittieren und außerdem mindestens ein Atom der Ordnungszahl größer als 20, vorzugsweise größer als 38 und kleiner als 84, besonders bevorzugt größer als 56 und kleiner als 80 enthalten. Bevorzugt werden als phosphoreszierende Verbindungen alle lumineszierenden Komplexe mit Übergangsmetallen oder Lanthaniden angesehen, insbesondere wenn sie Kupfer, Molybdän, Wolfram, Rhenium, Ruthenium, Osmium, Rhodium, Iridium, Palladium, Platin, Silber, Gold oder Europium enthalten, insbesondere Verbindungen, die Indium, Platin oder Kupfer enthalten. Im Rahmen der vorliegenden Erfindung werden alle lumineszierenden Indium-, Platin- oder Kupferkomplexe als phosphores- zierende emittierende Verbindungen betrachtet. Suitable phosphorescent compounds (= triplet emitters) are in particular compounds which emit light, preferably in the visible range, when suitably excited and also contain at least one atom with an atomic number greater than 20, preferably greater than 38 and less than 84, particularly preferably greater than 56 and less than 80. All luminescent complexes with transition metals or lanthanides are preferably regarded as phosphorescent compounds, in particular if they contain copper, molybdenum, tungsten, rhenium, Contain ruthenium, osmium, rhodium, iridium, palladium, platinum, silver, gold or europium, in particular compounds containing indium, platinum or copper. In the context of the present invention, all luminescent indium, platinum or copper complexes are considered to be phosphorescent emitting compounds.
Beispiele der oben beschriebenen Emitter können den Anmeldungen WO 00/70655, WO 2001/41512, WO 2002/02714, WO 2002/15645, EP 1191613, EP 1191612, EP 1191614, WO 05/033244, WO 05/019373, US 2005/0258742, WO 2009/146770, WO 2010/015307, WO 2010/031485, WO 2010/054731 , WO 2010/054728, WO 2010/086089, WO 2010/099852, WO 2010/102709, WO 2011/032626, WO 2011/066898, WO 2011/157339, WO 2012/007086, WO 2014/008982, WO 2014/023377, WO 2014/094961 , WO 2014/094960, WO 2015/036074, WO 2015/104045, WO 2015/117718, WO 2016/015815, WO 2016/124304, WO 2017/032439, WO 2018/011186, WO 2018/041769, WO 2019/020538, WO 2018/178001 , WO 2019/115423 und WO 2019/158453 entnommen werden. Generell eignen sich alle phospho- reszierenden Komplexe, wie sie gemäß dem Stand der Technik für phos- phoreszierende OLEDs verwendet werden und wie sie dem Fachmann auf dem Gebiet der organischen Elektrolumineszenz bekannt sind, und der Fachmann kann ohne erfinderisches Zutun weitere phosphoreszierende Komplexe verwenden. Für den Fachmann ist es auch ohne erfinderische Tätigkeit möglich, weitere phosphoreszierende Komplexe in Kombination mit den Verbindungen der Formel (1 ) in organischen Elektrolumineszenz- vorrichtungen zu verwenden. Weitere Beispiele sind in einer nach- folgenden Tabelle aufgeführt. Examples of the emitters described above can be found in the applications WO 00/70655, WO 2001/41512, WO 2002/02714, WO 2002/15645, EP 1191613, EP 1191612, EP 1191614, WO 05/033244, WO 05/019373, US 2005/0258742, WO 2009/146770, WO 2010/015307, WO 2010/031485, WO 2010/054731, WO 2010/054728, WO 2010/086089, WO 2010/099852, WO 2010/102709, WO 2011/032626, WO 2011/066898, WO 2011/157339, WO 2012/007086, WO 2014/008982, WO 2014/023377, WO 2014/094961, WO 2014/094960, WO 2015/036074, WO 2015/104045, WO 2015/117718, WO 2016/015815, WO 2016/124304, WO 2017/032439, WO 2018/011186, WO 2018/041769, WO 2019/020538, WO 2018/178001, WO 2019/115423 and WO 2019/158453. In general, all phosphorescent complexes as used in accordance with the prior art for phosphorescent OLEDs and as known to the person skilled in the art in the field of organic electroluminescence are suitable, and the person skilled in the art can use further phosphorescent complexes without inventive step. It is also possible for the person skilled in the art to use further phosphorescent complexes in combination with the compounds of formula (1) in organic electroluminescent devices without inventive step. Further examples are listed in a table below.
Erfindungsgemäß ist es auch möglich, die Verbindung der Formel (1 ) in einer elektronischen Vorrichtung zu verwenden, die eine oder mehrere fluoreszierende emittierende Verbindungen enthält. According to the invention, it is also possible to use the compound of formula (1) in an electronic device containing one or more fluorescent emitting compounds.
In einer bevorzugten Ausführungsform der Erfindung werden die Verbindungen der Formel (1 ) als elektronentransportierendes Material verwendet. In diesem Fall sind die Verbindungen vorzugsweise in einer Elektronentransportschicht oder einer Lochblockierschicht oder einem elektronenleitendem oder bipolaren Hostmaterial enthalten. Besonders bevorzugt ist die Verwendung in einer Elektronentransportschicht oder Hostmaterial. In a preferred embodiment of the invention, the compounds of formula (1) are used as electron-transporting material. In this case, the compounds are preferably present in an electron-transport layer or a hole-blocking layer or a electron-conducting or bipolar host material. Use in an electron transport layer or host material is particularly preferred.
Eine Elektronentransportschicht im Sinne der vorliegenden Anmeldung ist eine Schicht mit elektronentransportierender Funktion zwischen der Kathode und der emittierenden Schicht. An electron transport layer in the sense of the present application is a layer with an electron-transporting function between the cathode and the emitting layer.
Unter Elektroneninjektionsschichten und Lochblockierschichten werden im Rahmen der vorliegenden Anmeldung bestimmte Ausführungsformen von Elektronentransportschichten verstanden. Eine Elektroneninjektions- schicht ist im Falle einer Mehrzahl von Elektronentransportschichten zwischen Kathode und emittierender Schicht eine Elektronentransport- schicht, die direkt an die Kathode angrenzt oder nur durch eine einzige Beschichtung der Kathode von dieser getrennt ist. Eine Lochblockier- schicht ist im Falle mehrerer Elektronentransportschichten zwischen Kathode und emittierender Schicht diejenige Elektronentransportschicht, die kathodenseitig direkt an die emittierende Schicht angrenzt. Vorzugs- weise umfasst die erfindungsgemäße OLED zwischen Kathode und emittierender Schicht zwei, drei oder vier elektronentransportierende Schichten, von denen vorzugsweise mindestens eine, besonders bevorzugt genau eine oder zwei, Verbindungen der Formel (1 ) enthalten. In the context of the present application, electron injection layers and hole blocking layers are understood to mean certain embodiments of electron transport layers. In the case of a plurality of electron transport layers between the cathode and the emitting layer, an electron injection layer is an electron transport layer that directly borders the cathode or is only separated from it by a single coating of the cathode. In the case of several electron transport layers between the cathode and the emitting layer, a hole blocking layer is the electron transport layer that directly borders the emitting layer on the cathode side. The OLED according to the invention preferably comprises two, three or four electron-transporting layers between the cathode and the emitting layer, of which preferably at least one, particularly preferably exactly one or two, contains compounds of the formula (1).
Wird die Verbindung der Formel (1 ) als Elektronentransportmatenal in einer Elektronentransportschicht, einer Elektroneninjektionsschicht oder einer Lochblockierschicht verwendet, so kann die Verbindung als reines Material, d.h. in einem Anteil von 100 %, in der Elektronentransportschicht eingesetzt werden, oder sie kann in Kombination mit einer oder mehreren weiteren Verbindungen verwendet werden. If the compound of formula (1) is used as an electron transport material in an electron transport layer, an electron injection layer or a hole blocking layer, the compound can be used as a pure material, i.e. in a proportion of 100% in the electron transport layer, or it can be used in combination with one or more other compounds.
Lochtransportschichten oder Elektronenblockierschichten der erfindungs- gemäßen elektronischen Vorrichtungen können zusätzlich ein oder mehrere p-Dotiermittel umfassen. p-Dotiermittel, die gemäß der vorliegenden Erfindung verwendet werden, sind vorzugsweise solche organischen Elektronenakzeptorverbindungen, die in der Lage sind, eine oder mehrere der anderen Verbindungen in der Mischung zu oxidieren. Besonders bevorzugte Ausführungsformen von p-Dotiermitteln sind die in WO 2011/073149, EP 1968131 , EP 2276085, EP 2213662, EP 1722602, EP 2045848, DE 102007031220, US 8044390, US 8057712, WO 2009/003455, WO 2010/094378, WO 2011/120709, US 2010/0096600, WO 2012/095143 und DE 102012209523 offenbarten Verbindungen. Hole transport layers or electron blocking layers of the electronic devices according to the invention can additionally comprise one or more p-dopants. p-dopants used according to the present invention are preferably those organic electron acceptor compounds which are capable of oxidizing one or more of the other compounds in the mixture. Particularly preferred embodiments of p-dopants are the compounds disclosed in WO 2011/073149, EP 1968131, EP 2276085, EP 2213662, EP 1722602, EP 2045848, DE 102007031220, US 8044390, US 8057712, WO 2009/003455, WO 2010/094378, WO 2011/120709, US 2010/0096600, WO 2012/095143 and DE 102012209523.
In einer weiteren Ausführungsform der vorliegenden Erfindung wird die Verbindung der Formel (1 ) in einer emittierenden Schicht als Matrix- material in Kombination mit einer oder mehreren emittierenden Verbindungen, vorzugsweise phosphoreszierenden Verbindungen, eingesetzt. In a further embodiment of the present invention, the compound of formula (1) is used in an emitting layer as a matrix material in combination with one or more emitting compounds, preferably phosphorescent compounds.
Der Anteil des Matrixmaterials in der emittierenden Schicht liegt in diesem Fall zwischen 50,0 und 99,9 Vol.-%, bevorzugt zwischen 80,0 und 99,5 Vol.-%, besonders bevorzugt zwischen 92,0 und 99,5 Vol-%. für fluoreszierende emittierende Schichten und zwischen 85,0 und 97,0 Vol.- % für phosphoreszierende emittierende Schichten. The proportion of matrix material in the emitting layer in this case is between 50.0 and 99.9 vol. %, preferably between 80.0 and 99.5 vol. %, particularly preferably between 92.0 and 99.5 vol. % for fluorescent emitting layers and between 85.0 and 97.0 vol. % for phosphorescent emitting layers.
Entsprechend liegt der Anteil der emittierenden Verbindung zwischen 0,1 und 50,0 Vol.-%, bevorzugt zwischen 0,5 und 20,0 Vol.-%, besonders bevorzugt zwischen 0,5 und 8,0 Vol.-% für fluoreszierende emittierende Schichten und zwischen 3,0 und 15,0 Vol.-% für phosphoreszierende emittierende Schichten. Accordingly, the proportion of the emitting compound is between 0.1 and 50.0 vol.%, preferably between 0.5 and 20.0 vol.%, particularly preferably between 0.5 and 8.0 vol.% for fluorescent emitting layers and between 3.0 and 15.0 vol.% for phosphorescent emitting layers.
Eine emittierende Schicht einer organischen Elektrolumineszenzvor- richtung kann auch Systeme umfassen, die eine Vielzahl von Matrix- materialien (Mischmatrixsysteme) und/oder eine Vielzahl von emittierenden Verbindungen enthalten. Auch in diesem Fall sind in der Regel die emittierenden Verbindungen diejenigen, die den kleineren Anteil im System haben und die Matrixmaterialien diejenigen, die den größeren Anteil im System haben. In Einzelfällen kann jedoch der Anteil eines einzelnen Matrixmaterials im System geringer sein als der Anteil einer einzelnen emittierenden Verbindung. Vorzugsweise werden die Verbindungen der Formel (1 ) als Bestandteil von Mischmatrixsystemen eingesetzt. Die Mischmatrixsysteme bestehen vorzugsweise aus zwei oder drei verschiedenen Matrixmaterialien, besonders bevorzugt aus zwei verschiedenen Matrixmaterialien. Vorzugs- weise ist in diesem Fall eines der beiden Materialien ein Material mit löchertransportierenden Eigenschaften und das andere Material ist ein Material mit elektronentransportierenden Eigenschaften. Die Verbindung der Formel (1 ) ist, je nach Substitution, das Matrixmaterial mit elektronen- transportierenden Eigenschaften oder das Matrixmaterial mit lochtranspor- tierenden Eigenschaften. Die gewünschten elektronentransportierenden und löchertransportierenden Eigenschaften der gemischten Matrixkompo- nenten können jedoch auch überwiegend oder vollständig in einer ein- zigen gemischten Matrixkom ponente kombiniert sein, wobei die weitere(n) gemischte(n) Matrixkomponente(n) andere Funktionen erfüllt (erfüllen). Die beiden unterschiedlichen Matrixmaterialien können in einem Verhält- nis von 1 :50 bis 1 : 1 , bevorzugt 1 :20 bis 1 : 1 , noch bevorzugter 1 : 10 bis 1 : 1 und am meisten bevorzugt 1 :4 bis 1 :1 vorliegen. Bevorzugt werden Misch- matrixsysteme in phosphoreszierenden organischen Elektrolumineszenz- vorrichtungen eingesetzt. Eine Quelle für detailliertere Informationen über Mischmatrixsysteme ist die Anmeldung WO 2010/108579. An emitting layer of an organic electroluminescent device can also comprise systems that contain a large number of matrix materials (mixed matrix systems) and/or a large number of emitting compounds. In this case too, the emitting compounds are generally those that have the smaller proportion in the system and the matrix materials are those that have the larger proportion in the system. In individual cases, however, the proportion of an individual matrix material in the system can be lower than the proportion of an individual emitting compound. The compounds of formula (1) are preferably used as a component of mixed matrix systems. The mixed matrix systems preferably consist of two or three different matrix materials, particularly preferably of two different matrix materials. In this case, one of the two materials is preferably a material with hole-transporting properties and the other material is a material with electron-transporting properties. The compound of formula (1) is, depending on the substitution, the matrix material with electron-transporting properties or the matrix material with hole-transporting properties. However, the desired electron-transporting and hole-transporting properties of the mixed matrix components can also be predominantly or completely combined in a single mixed matrix component, with the other mixed matrix component(s) fulfilling other functions. The two different matrix materials can be present in a ratio of 1:50 to 1:1, preferably 1:20 to 1:1, even more preferably 1:10 to 1:1 and most preferably 1:4 to 1:1. Mixed matrix systems are preferably used in phosphorescent organic electroluminescent devices. A source for more detailed information on mixed matrix systems is the application WO 2010/108579.
Die Mischmatrixsysteme können eine oder mehrere emittierende Verbin- dungen enthalten, vorzugsweise eine oder mehrere phosphoreszierende Verbindungen. Im Allgemeinen werden Mischmatrixsysteme bevorzugt in phosphoreszierenden organischen Elektrolumineszenzvorrichtungen eingesetzt. The mixed matrix systems can contain one or more emitting compounds, preferably one or more phosphorescent compounds. In general, mixed matrix systems are preferably used in phosphorescent organic electroluminescent devices.
Besonders geeignete Matrixmaterialien, die in Kombination mit den erfindungsgemäßen Verbindungen als Matrixbestandteile eines Misch- matrixsystems verwendet werden können, werden aus den unten genannten bevorzugten Matrixmaterialien für phosphoreszierende Verbin- dungen oder den bevorzugten Matrixmaterialien für fluoreszierende Ver- bindungen ausgewählt, je nachdem, welche Art von emittierender Verbin- dung in dem Mischmatrixsystem verwendet wird. Bevorzugte phosphoreszierende Verbindungen zur Verwendung in gemischten Matrixsystem en sind die gleichen, wie weiter oben als allge- mein bevorzugte phosphoreszierende Emittermatenalien beschrieben. Particularly suitable matrix materials which can be used in combination with the compounds according to the invention as matrix components of a mixed matrix system are selected from the preferred matrix materials for phosphorescent compounds or the preferred matrix materials for fluorescent compounds mentioned below, depending on which type of emitting compound is used in the mixed matrix system. Preferred phosphorescent compounds for use in mixed matrix systems are the same as those described above as generally preferred phosphorescent emitter materials.
Bevorzugte fluoreszierende emittierende Verbindungen sind ausgewählt aus der Klasse der Arylamine. Unter einem Arylamin oder einem aroma- tischen Amin wird im Rahmen der vorliegenden Erfindung eine Verbin- dung verstanden, die drei substituierte oder unsubstituierte aromatische oder heteroaromatische Ringsysteme enthält, die direkt an den Stickstoff gebunden sind. Vorzugsweise ist mindestens eines dieser aromatischen oder heteroaromatischen Ringsysteme ein kondensiertes Ringsystem, besonders bevorzugt mit mindestens 14 aromatischen Ringatomen. Bevorzugte Beispiele hierfür sind aromatische Anthracenamine, aroma- tische Anthracendiamine, aromatische Pyrenamine, aromatische Pyren- diamine, aromatische Chrysenamine oder aromatische Chrysendiamine. Unter einem aromatischen Anthracenamin versteht man eine Verbindung, bei der eine Diarylaminogruppe direkt an eine Anthracengruppe, vorzugs- weise in Position 9, gebunden ist. Unter einem aromatischen Anthracen- diamin ist eine Verbindung zu verstehen, in der zwei Diarylaminogruppen direkt an eine Anthracengruppe gebunden sind, vorzugsweise in den Positionen 9, 10. Analog sind aromatische Pyrenamine, Pyrendiamine, Chrysenamine und Chrysendiamine definiert, bei denen die Diarylamino- gruppen vorzugsweise in 1 -Position oder 1 ,6-Position an das Pyren gebunden sind. Weitere bevorzugte emittierende Verbindungen sind Indenofluorenamine oder Fluorendiamine, beispielsweise nach WO 2006/108497 oder WO 2006/122630, Benzoindenofluorenamine oder -fluorendiamine, beispielsweise nach WO 2008/006449, und Dibenzoindenofluorenamine oder -diamine, beispielsweise nach WO 2007/140847, sowie die in WO 2010/012328 offenbarten Indenofluoren- derivate mit kondensierten Arylgruppen. Ebenso bevorzugt sind die in WO 2012/048780 und in WO 2013/185871 offenbarten Pyrenearylamine. Ebenfalls bevorzugt sind die in WO 2014/037077 offenbarten Benzo- indenofluorenamine, die in WO 2014/106522 offenbarten Benzofluoren- amine, die in WO 2014/111269 und in WO 2017/036574 offenbarten verlängerten Benzoindenofluorene, die in WO 2017/028940 und in WO 2017/028941 offenbarten Phenoxazine und die in WO 2016/150544 offenbarten an Furaneinheiten oder an Thiopheneinheiten gebundenen Fluorderivate. Weiterhin können Bor-Verbindungen gemäß W02020208051 , W02015102118, WO2016152418 , WO2018095397, WO201 9004248 , WO2019132040, US20200161552, WO2021089450 Verwendung finden. Preferred fluorescent emitting compounds are selected from the class of arylamines. In the context of the present invention, an arylamine or an aromatic amine is understood to mean a compound which contains three substituted or unsubstituted aromatic or heteroaromatic ring systems which are directly bonded to the nitrogen. Preferably, at least one of these aromatic or heteroaromatic ring systems is a condensed ring system, particularly preferably with at least 14 aromatic ring atoms. Preferred examples of these are aromatic anthraceneamines, aromatic anthracenediamines, aromatic pyreneamines, aromatic pyrenediamines, aromatic chrysenamines or aromatic chrysenediamines. An aromatic anthraceneamine is understood to mean a compound in which a diarylamino group is directly bonded to an anthracene group, preferably in position 9. An aromatic anthracenediamine is understood to mean a compound in which two diarylamino groups are directly bonded to an anthracene group, preferably in positions 9, 10. Aromatic pyrenamines, pyrenediamines, chrysenamines and chrysenediamines are defined analogously, in which the diarylamino groups are preferably bonded to the pyrene in the 1-position or 1,6-position. Further preferred emitting compounds are indenofluorenamines or fluorenediamines, for example according to WO 2006/108497 or WO 2006/122630, benzoindenofluorenamines or -fluorenediamines, for example according to WO 2008/006449, and dibenzoindenofluorenamines or -diamines, for example according to WO 2007/140847, and the indenofluorene derivatives with condensed aryl groups disclosed in WO 2010/012328. Also preferred are the pyrenearylamines disclosed in WO 2012/048780 and WO 2013/185871. Also preferred are the benzoindenofluorenamines disclosed in WO 2014/037077, the benzofluorenamines disclosed in WO 2014/106522, the extended benzoindenofluorenes disclosed in WO 2014/111269 and WO 2017/036574, the phenoxazines disclosed in WO 2017/028940 and WO 2017/028941 and the fluorine derivatives bound to furan units or to thiophene units disclosed in WO 2016/150544. Furthermore, boron compounds according to W02020208051, W02015102118, WO2016152418, WO2018095397, WO201 9004248, WO2019132040, US20200161552, WO2021089450 can be used.
Nützliche Matrixmaterialien, vorzugsweise für fluoreszierende Verbin- dungen, umfassen Materialien verschiedener Substanzklassen. Bevor- zugte Matrixmaterialien sind ausgewählt aus den Klassen der Oligoaryle (z.B. 2,2',7,7'-Tetraphenylspirobifluoren nach EP 676461 oder Dinaphthyl- anthracen), insbesondere der Oligoaryle mit anellierten aromatischen Gruppen, der Oligoarylenvinylene (z.B. DPVBi oder Spiro-DPVBi gemäß EP 676461 ), der polypodalen Metallkomplexe (z.B. gemäß WO 2004/081017), der lochleitenden Verbindungen (z.B. gemäß WO 2004/058911 ), der elektronenleitenden Verbindungen, insbesondere Ketone, Phosphinoxide, Sulfoxide etc. (zum Beispiel nach WO 2005/084081 und WO 2005/084082), die Atropisomere (zum Beispiel nach WO 2006/048268), die Boronsäurederivate (zum Beispiel nach WO 2006/117052) oder die Benzanthracene (zum Beispiel nach WO 2008/145239). Besonders bevorzugte Matrixmaterialien sind ausgewählt aus den Klassen der Oligoarylene mit Naphthalin, Anthracen, Benz- anthracen und/oder Pyren oder Atropisomeren dieser Verbindungen, den Oligoarylenvinylenen, den Ketonen, den Phosphinoxiden und den Sulfoxiden. Ganz besonders bevorzugte Matrixmaterialien sind ausge- wählt aus den Klassen der Oligoarylene, die Anthracen, Benzanthracen, Benzophenanthren und/oder Pyren oder Atropisomere dieser Verbin- dungen umfassen. Unter einem Oligoarylen ist im Rahmen der vorliegen- den Erfindung eine Verbindung zu verstehen, in der mindestens drei Aryl- oder Arylengruppen miteinander verbunden sind. Weiter bevorzugt sind die in WO 2006/097208, WO 2006/131192, WO 2007/065550, WO 2007/110129, WO 2007/065678, WO 2008/145239, WO 2009/100925, WO 2011/054442 und EP 1553154 offenbarten Anthracenderivate, die in EP 1749809, EP 1905754 und US 2012/0187826 offenbarten Pyren- verbindungen, die in WO 2015/158409 offenbarten Benzanthracenyl- anthracenverbindungen, die in WO 2017/025165 offenbarten Indeno- benzofurane und die in WO 2017/036573 offenbarten Phenanthryl- anthracene. Useful matrix materials, preferably for fluorescent compounds, include materials from different substance classes. Preferred matrix materials are selected from the classes of oligoaryls (e.g. 2,2',7,7'-tetraphenylspirobifluorene according to EP 676461 or dinaphthyl-anthracene), in particular oligoaryls with fused aromatic groups, oligoarylenevinylenes (e.g. DPVBi or spiro-DPVBi according to EP 676461), polypodal metal complexes (e.g. according to WO 2004/081017), hole-conducting compounds (e.g. according to WO 2004/058911), electron-conducting compounds, in particular ketones, phosphine oxides, sulfoxides etc. (for example according to WO 2005/084081 and WO 2005/084082), atropisomers (for example according to WO 2006/048268), boronic acid derivatives (for example according to WO 2006/117052) or the benzanthracenes (for example according to WO 2008/145239). Particularly preferred matrix materials are selected from the classes of oligoarylenes with naphthalene, anthracene, benzanthracene and/or pyrene or atropisomers of these compounds, the oligoarylenevinylenes, the ketones, the phosphine oxides and the sulfoxides. Very particularly preferred matrix materials are selected from the classes of oligoarylenes which include anthracene, benzanthracene, benzophenanthrene and/or pyrene or atropisomers of these compounds. In the context of the present invention, an oligoarylene is understood to mean a compound in which at least three aryl or arylene groups are connected to one another. Further preferred are the anthracene derivatives disclosed in WO 2006/097208, WO 2006/131192, WO 2007/065550, WO 2007/110129, WO 2007/065678, WO 2008/145239, WO 2009/100925, WO 2011/054442 and EP 1553154, the pyrene compounds disclosed in EP 1749809, EP 1905754 and US 2012/0187826, the benzanthracenyl-anthracene compounds disclosed in WO 2015/158409, the indenobenzofurans disclosed in WO 2017/025165 and the pyrene compounds disclosed in WO 2017/036573 disclosed phenanthryl-anthracenes.
Bevorzugte Matrixmaterialien für phosphoreszierende Verbindungen sind, ebenso wie Verbindungen gemäß Formel (1 ), aromatische Ketone, aromatische Phosphinoxide oder aromatische Sulfoxide oder Sulfone, z. B. gemäß WO 2004/013080, WO 2004/093207, WO 2006/005627 oder WO 2010/006680, Triarylamine, Carbazolderivate, z. B. CBP (N,N-Bis- carbazolylbiphenyl) oder WO 2005/039246, US 2005/0069729, JP 2004/288381 , EP 1205527, WO 2008/086851 oder WO 2013/041176, Indolocarbazolderivate, z. B. gemäß WO 2007/063754 oder WO 2008/056746, Indenocarbazolderivate, z. B. gemäß WO 2010/136109, WO 2011/000455, WO 2013/041176 oder WO 2013/056776, Azacarbazol- derivate, z. B. gemäß EP 1617710, EP 1617711 , EP 1731584, JP 2005/347160, bipolare Matrixmaterialien, z. B. gemäß WO 2007/137725, Silane, z. B. gemäß WO 2005/111172, Azaborole oder Boronester, z. B. gemäß WO 2006/117052, Triazinderivate, z. B. gemäß WO 2007/063754, WO 2008/056746, WO 2010/015306, WO 2011/057706, WO 2011/060859 oder WO 2011/060877, Zinkkomplexe, z. B. gemäß EP 652273 oder WO 2009/062578, Diazasilol- bzw. Tetraazasilol-Derivate, z. B. gemäß WO 2010/054729, Diazaphosphol-Derivate, z. B. gemäß WO 2010/054730, verbrückte Carbazol-Derivate, z. B. gemäß WO 2011/042107, WO 2011/060867, WO 2011/088877 und WO 2012/143080, Triphenylen- derivate, z. B. gemäß WO 2012/048781 , Lactame, z. B. gemäß WO 2011/116865 oder WO 2011/137951 , oder Dibenzofuranderivate, z. B. gemäß WO 2015/169412, WO 2016/015810, WO 2016/023608, WO 2017/148564 oder WO 2017/148565. Ebenso kann ein weiterer phos- phoreszierender Emitter, welcher kürzerwellig als der eigentliche Emitter emittiert, als Co-Host in der Mischung vorhanden sein oder eine Verbin- dung, die nicht oder nicht in wesentlichem Umfang am Ladungstransport teilnimmt, wie beispielsweise in WO 2010/108579 beschrieben. Da es sich bei den erfindungsgemäßen Verbindungen um elektronentransportierende Verbindungen handelt, werden diese bevorzugt mit einem lochtranspor- tierenden Matrixmaterial kombiniert. Preferred matrix materials for phosphorescent compounds are, as well as compounds according to formula (1), aromatic ketones, aromatic phosphine oxides or aromatic sulfoxides or sulfones, e.g. according to WO 2004/013080, WO 2004/093207, WO 2006/005627 or WO 2010/006680, triarylamines, carbazole derivatives, e.g. CBP (N,N-biscarbazolylbiphenyl) or WO 2005/039246, US 2005/0069729, JP 2004/288381, EP 1205527, WO 2008/086851 or WO 2013/041176, indolocarbazole derivatives, e.g. B. according to WO 2007/063754 or WO 2008/056746, indenocarbazole derivatives, e.g. according to WO 2010/136109, WO 2011/000455, WO 2013/041176 or WO 2013/056776, azacarbazole derivatives, e.g. according to EP 1617710, EP 1617711, EP 1731584, JP 2005/347160, bipolar matrix materials, e.g. according to WO 2007/137725, silanes, e.g. according to WO 2005/111172, azaboroles or boronic esters, e.g. according to WO 2006/117052, triazine derivatives, e.g. B. according to WO 2007/063754, WO 2008/056746, WO 2010/015306, WO 2011/057706, WO 2011/060859 or WO 2011/060877, zinc complexes, e.g. according to EP 652273 or WO 2009/062578, diazasilol or tetraazasilol derivatives, e.g. according to WO 2010/054729, diazaphosphole derivatives, e.g. according to WO 2010/054730, bridged carbazole derivatives, e.g. according to WO 2011/042107, WO 2011/060867, WO 2011/088877 and WO 2012/143080, triphenylene derivatives, e.g. according to WO 2012/048781, lactams, e.g. according to WO 2011/116865 or WO 2011/137951, or dibenzofuran derivatives, e.g. B. according to WO 2015/169412, WO 2016/015810, WO 2016/023608, WO 2017/148564 or WO 2017/148565. Likewise, a further phosphorescent emitter which emits at a shorter wavelength than the actual emitter can be present in the mixture as a co-host or a compound which does not participate, or does not participate to a significant extent, in charge transport, as described, for example, in WO 2010/108579. Since the compounds according to the invention are electron-transporting compounds, they are preferably combined with a hole-transporting matrix material.
Besonders geeignete lochtransportierende Matrixmaterialien, die vorteilhaft mit Verbindungen der Formel (1 ), wie zuvor beschrieben oder bevorzugt beschrieben, in einem Mixed-Matrix-System kombiniert werden, können aus den Verbindungen der Formeln (HH-1 ), (HH-2), (HH-3), (HH- 4), (HH-5) oder (HH-6) ausgewählt werden, wie nachfolgend beschrieben. Dies gilt insbesondere, wenn die Verbindungen der Formel (1 ) mit mindestens einer elektronenarmen Heteroarylgruppe substituiert sind. Particularly suitable hole-transporting matrix materials which are advantageously combined with compounds of the formula (1), as described above or preferably described, in a mixed matrix system can be selected from the compounds of the formulas (HH-1), (HH-2), (HH-3), (HH-4), (HH-5) or (HH-6), as described below. This applies in particular when the compounds of the formula (1) are substituted by at least one electron-deficient heteroaryl group.
Ein weiterer Gegenstand der Erfindung ist demzufolge eine organische elektronische Vorrichtung umfassend eine Anode, eine Kathode und mindestens eine organische Schicht, enthaltend mindestens eine licht- emittierende Schicht, wobei die mindestens eine lichtemittierende Schicht mindestens eine Verbindung der Formel (1 ) als Matrixmaterial 1 , wie zuvor beschrieben oder als bevorzugt beschrieben, und mindestens eine Verbindung der Formeln (HH-1 ), (HH-2), (HH-3), (HH-4), (HH-5) oder (HH- 6) als Matrixmaterial 2 enthält, Formel (HH-6), wobei für die verwendeten Symbole und Indizes gilt: A further subject matter of the invention is therefore an organic electronic device comprising an anode, a cathode and at least one organic layer containing at least one light-emitting layer, wherein the at least one light-emitting layer contains at least one compound of the formula (1) as matrix material 1, as described above or described as preferred, and at least one compound of the formulas (HH-1), (HH-2), (HH-3), (HH-4), (HH-5) or (HH-6) as matrix material 2, Formula (HH-6), where the symbols and indices used are:
A1 ist C(R7)2, NR7, 0 oder S; A 1 is C(R 7 )2, NR 7 , 0 or S;
L ist eine Bindung, 0, S, C(R7)2 oder NR7; L is a bond, O, S, C(R 7 )2 or NR 7 ;
A ist bei jedem Auftreten unabhängig voneinander eine Gruppe der A is, at each occurrence, independently of each other, a group of
Formel (HH-4-1 ) Formel (HH-4-2); Formula (HH-4-1 ) Formula (HH-4-2);
X2 ist bei jedem Auftreten gleich oder verschieden CH, CR6 oder N, wobei maximal 2 Symbole X2 N bedeuten können; X2 is the same or different at each occurrence and is CH, CR 6 or N, where a maximum of 2 symbols X2 N can be used;
* kennzeichnet die Bindungsstelle an die Formel (HH-4); * indicates the binding site to the formula (HH-4);
U1, U2 sind bei Auftreten einer Bindung, 0, S, C(R7)2 oder NR7; U 1 , U 2 are, when a bond occurs, 0, S, C(R 7 )2 or NR 7 ;
R6 ist bei jedem Auftreten gleich oder verschieden D, F, CN, eine geradkettige Alkylgruppe mit 1 bis 20 C-Atomen oder eine Alkenyl- oder Alkinylgruppe mit 2 bis 20 C-Atomen oder eine verzweigte oder cyclische Alkylgruppe mit 3 bis 20 C-Atomen, wobei die Alkyl- , Alkenyl- oder Alkinylgruppe jeweils mit einem oder mehreren Resten R7 substituiert sein kann und wobei eine oder mehrere nicht benachbarte CH2-Gruppen durch Si(R7)2, C=O, NR7, 0, S oder CONR7 ersetzt sein können, oder ein aromatisches oder heteroaromatisches Ringsystem mit 5 bis 60 Ringatomen, das jeweils durch einen oder mehrere Reste R7 substituiert sein kann; dabei können zwei Reste R6 auch miteinander ein aromatisches, heteroaromatisches, aliphatisches oder heteroaliphatisches Ring- system bilden; Ars steht gleich oder verschieden bei jedem Auftreten unabhängig für ein aromatisches oder heteroaromatisches Ringsystem mit 5 bis 40 Ringatomen, welches mit einem oder mehreren Resten R7 substi- tuiert sein kann; R 6 is, identically or differently on each occurrence, D, F, CN, a straight-chain alkyl group having 1 to 20 C atoms or an alkenyl or alkynyl group having 2 to 20 C atoms or a branched or cyclic alkyl group having 3 to 20 C atoms, where the alkyl, alkenyl or alkynyl group may in each case be substituted by one or more radicals R 7 and where one or more non-adjacent CH 2 groups may be replaced by Si(R 7 ) 2, C=O, NR 7 , O, S or CONR 7 , or an aromatic or heteroaromatic ring system having 5 to 60 ring atoms, which may in each case be substituted by one or more radicals R 7 ; two radicals R 6 can also form an aromatic, heteroaromatic, aliphatic or heteroaliphatic ring system with one another; Ars, identical or different at each occurrence, independently represents an aromatic or heteroaromatic ring system having 5 to 40 ring atoms, which may be substituted by one or more radicals R 7 ;
R7 ist bei jedem Auftreten gleich oder verschieden D, F, CI, Br, I, N(R8)2, CN, NO2, OR8, SR8, Si(R8)3, B(OR8)2, C(=O)R8, P(=O)(R8)2, S(=O)R8, S(=O)2R8, OSO2R8, eine geradkettige Alkylgruppe mit 1 bis 20 C-Atomen oder eine Alkenyl- oder Alkinylgruppe mit 2 bis 20 C-Atomen oder eine verzweigte oder cyclische Alkylgruppe mit 3 bis 20 C-Atomen, wobei die Alkyl-, Alkenyl- oder Alkinylgruppe jeweils mit einem oder mehreren Resten R8 substituiert sein kann, wobei eine oder mehrere nicht benachbarte CH2-Gruppen durch Si(R8)2, C=O, NR8, O, S oder CONR8 ersetzt sein können, oder ein aromatisches oder heteroaromatisches Ringsystem mit 5 bis 40 Ringatomen, das jeweils durch einen oder mehrere Reste R8 substituiert sein kann; dabei können zwei oder mehrere Reste R7 miteinander ein aromatisches, heteroaromatisches, aliphatisches oder heteroaliphatisches Ringsystem bilden, vorzugsweise bilden die Reste R7 kein solches Ringsystem; R 7 is, identically or differently on each occurrence, D, F, CI, Br, I, N(R 8 )2, CN, NO2, OR 8 , SR 8 , Si(R 8 ) 3 , B(OR 8 ) 2 , C(=O)R 8 , P(=O)(R 8 ) 2 , S(=O)R 8 , S(=O)2R 8 , OSO2R 8 , a straight-chain alkyl group having 1 to 20 C atoms or an alkenyl or alkynyl group having 2 to 20 C atoms or a branched or cyclic alkyl group having 3 to 20 C atoms, where the alkyl, alkenyl or alkynyl group may each be substituted by one or more radicals R 8 , where one or more non-adjacent CH2 groups are replaced by Si(R 8 )2, C=O, NR 8 , O, S or CONR 8 , or an aromatic or heteroaromatic ring system having 5 to 40 ring atoms, each of which may be substituted by one or more radicals R 8 ; two or more radicals R 7 can form an aromatic, heteroaromatic, aliphatic or heteroaliphatic ring system with one another, preferably the radicals R 7 do not form such a ring system;
R8 ist bei jedem Auftreten gleich oder verschieden H, D, F oder ein aliphatischer, aromatischer oder heteroaromatischer organischer Rest, insbesondere ein Kohlenwasserstoffrest, mit 1 bis 20 C- Atomen, in dem auch ein oder mehrere H-Atome durch F ersetzt sein können; c, c1 , c2 bedeuten jeweils unabhängig voneinander bei jedemR 8 is, identically or differently on each occurrence, H, D, F or an aliphatic, aromatic or heteroaromatic organic radical, in particular a hydrocarbon radical, having 1 to 20 C atoms, in which one or more H atoms may be replaced by F; c, c1, c2 each independently of one another on each occurrence
Auftreten 0 oder 1 , wobei die Summe der Indizes bei jedem Auftreten c+c1 +c2 = 1 bedeutet; d, d1 , d2 bedeuten jeweils unabhängig voneinander bei jedemOccurrence 0 or 1 , where the sum of the indices at each occurrence c+c1 +c2 = 1; d, d1 , d2 each independently mean at each occurrence
Auftreten 0 oder 1 , wobei die Summe der Indizes bei jedem Auftreten d+d1 +d2 = 1 bedeutet; q, q1 , q2 bedeuten jeweils unabhängig voneinander bei jedem Auftreten 0, 1 , 2, 3 oder 4; s ist bei jedem Auftreten gleich oder verschieden 0, 1 , 2, 3 oder 4; t ist bei jedem Auftreten gleich oder verschieden 0, 1 , 2, oder 3; u ist bei jedem Auftreten gleich oder verschieden 0, 1 oder 2; u1 , u2 bedeuten jeweils unabhängig voneinander bei jedem Auftreten 0 oder 1 , wobei die Summe u1 + u2 = 1 bedeutet; und v ist 0, 1 , 2 oder 3. Occurrence 0 or 1, where the sum of the indices on each occurrence d+d1 +d2 = 1; q, q1, q2 each independently on each occurrence mean 0, 1, 2, 3 or 4; s is the same or different on each occurrence 0, 1, 2, 3 or 4; t is the same or different on each occurrence 0, 1, 2, or 3; u is the same or different on each occurrence 0, 1 or 2; u1 , u2 each independently mean 0 or 1 on each occurrence, where the sum u1 + u2 = 1; and v is 0, 1 , 2 or 3.
In Verbindungen der Formeln (HH-1 ), (HH-2), (HH-3), (HH-5) oder (HH-6) ist s bevorzugt 0 oder 1 , wenn der Rest R6 von D verschieden ist, oder besonders bevorzugt 0. In compounds of the formulas (HH-1), (HH-2), (HH-3), (HH-5) or (HH-6), s is preferably 0 or 1 if the radical R 6 is different from D, or particularly preferably 0.
In Verbindungen der Formeln (HH-1 ), (HH-2) oder (HH-3) ist t bevorzugt 0 oder 1 , wenn der Rest R6 von D verschieden ist, oder besonders bevorzugt 0. In compounds of the formulas (HH-1), (HH-2) or (HH-3), t is preferably 0 or 1 if the radical R 6 is different from D, or particularly preferably 0.
In Verbindungen der Formeln (HH-1 ), (HH-2), (HH-3) oder (HH-5) ist u bevorzugt 0 oder 1 , wenn der Rest R6 von D verschieden ist, oder besonders bevorzugt 0. In compounds of the formulas (HH-1), (HH-2), (HH-3) or (HH-5), u is preferably 0 or 1 if the radical R 6 is different from D, or particularly preferably 0.
Die Summe der Indizes s, t und u in Verbindungen der Formeln (HH-1 ), (HH-2), (HH-3), (HH-5) oder (HH-6) beträgt vorzugsweise höchstens 6, insbesondere bevorzugt höchstens 4 und besonders bevorzugt höchstens 2. Dies gilt bevorzugt, wenn R6 verschieden von D ist. The sum of the indices s, t and u in compounds of the formulas (HH-1), (HH-2), (HH-3), (HH-5) or (HH-6) is preferably at most 6, particularly preferably at most 4 and particularly preferably at most 2. This preferably applies when R 6 is different from D.
In Verbindungen der Formel (HH-4) bedeuten c, c1 , c2 jeweils unabhängig voneinander bei jedem Auftreten 0 oder 1 , wobei die Summe der Indizes bei jedem Auftreten c+c1 +c2 1 bedeutet. Bevorzugt hat c2 die Bedeutung 1. In compounds of the formula (HH-4), c, c1, c2 each independently represent 0 or 1 at each occurrence, where the sum of the indices c+c1 +c2 represents 1 at each occurrence. Preferably, c2 represents 1.
In Verbindungen der Formel (HH-4) ist L bevorzugt eine Einfachbindung oder C(R7)2, wobei R7 eine zuvor genannte Bedeutung hat, besonders bevorzugt ist L eine Einfachbindung. In compounds of the formula (HH-4), L is preferably a single bond or C(R 7 ) 2 , where R 7 has a meaning mentioned above, particularly preferably L is a single bond.
In Formel (HH-4-1 ) ist v bevorzugt 0 oder 1 , wenn der Rest R6 von D verschieden ist. In formula (HH-4-1 ) v is preferably 0 or 1 if the radical R 6 is different from D.
In Formel (HH-4-2) sind U1 oder U2 bei Auftreten bevorzugt eine Ein- fachbindung oder C(R7)2, wobei R7 eine zuvor genannte Bedeutung hat, besonders bevorzugt sind U1 oder U2 bei Auftreten eine Einfachbindung. In Formel (HH-4-2) sind q, q1 , q2 bevorzugt 0 oder 1 , wenn der Rest R6 von D verschieden ist. In formula (HH-4-2), U 1 or U 2 is preferably a single bond or C(R 7 ) 2 , where R 7 has a meaning as previously mentioned, particularly preferably U 1 or U 2 is a single bond. In formula (HH-4-2), q, q1 , q2 are preferably 0 or 1 if the radical R 6 is different from D.
In einer bevorzugten Ausführungsform der Verbindungen der Formeln (HH-1 ), (HH-2), (HH-3), (HH-4), (HH-5) oder (HH-6), die erfindungsgemäß mit Verbindungen der Formel (1 ) oder bevorzugten Verbindungen der Formel (1 ) kombiniert werden können, wie zuvor beschrieben, ist R6 gleich oder verschieden bei jedem Auftreten ausgewählt aus der Gruppe bestehend aus D, F, CN, eine geradkettige Alkylgruppe mit 1 bis 20 C-Atomen oder eine verzweigte oder cyclische Alkylgruppe mit 3 bis 20 C- Atomen, wobei die Alkylgruppe jeweils mit einem oder mehreren Resten R7 substituiert sein kann, oder ein aromatisches oder heteroaromatisches Ringsystem mit 5 bis 60 Ringatomen, bevorzugt mit 5 bis 40 Ringatomen, das jeweils durch einen oder mehrere Reste R7 substituiert sein kann. In a preferred embodiment of the compounds of formulas (HH-1), (HH-2), (HH-3), (HH-4), (HH-5) or (HH-6) which are reacted according to the invention with compounds of formula (1) or preferred compounds of Formula (1) can be combined as described above, R 6 is the same or different on each occurrence and is selected from the group consisting of D, F, CN, a straight-chain alkyl group having 1 to 20 C atoms or a branched or cyclic alkyl group having 3 to 20 C atoms, where the alkyl group may in each case be substituted by one or more radicals R 7 , or an aromatic or heteroaromatic ring system having 5 to 60 ring atoms, preferably having 5 to 40 ring atoms, which may in each case be substituted by one or more radicals R 7 .
In einer bevorzugten Ausführungsform der Verbindungen der Formeln (HH-1 ), (HH-2), (HH-3), (HH-4), (HH-5) oder (HH-6), die erfindungsgemäß mit Verbindungen der Formel (1 ) oder bevorzugten Verbindungen der Formel (1 ) kombiniert werden können, wie zuvor beschrieben, ist R6 gleich oder verschieden bei jedem Auftreten ausgewählt aus der Gruppe bestehend aus D oder einem aromatischen oder heteroaromatischen Ringsystem mit 6 bis 30 Ringatomen, welches mit einem oder mehreren Resten R7 substituiert sein kann. In a preferred embodiment of the compounds of the formulas (HH-1), (HH-2), (HH-3), (HH-4), (HH-5) or (HH-6), which can be combined according to the invention with compounds of the formula (1) or preferred compounds of the formula (1), as described above, R 6 is the same or different on each occurrence and is selected from the group consisting of D or an aromatic or heteroaromatic ring system having 6 to 30 ring atoms, which may be substituted by one or more radicals R 7 .
Bevorzugt wird Ars in Verbindungen der Formeln (HH-1 ), (HH-2), (HH-3), (HH-5) oder (HH-6) ausgewählt aus Phenyl, Biphenyl, insbesondere ortho- , meta- oder para-Biphenyl, Terphenyl, insbesondere ortho-, meta-, para- oder verzweigtem Terphenyl, Quaterphenyl, insbesondere ortho-, meta-, para- oder verzweigtem Quaterphenyl, Fluorenyl, welches über die 1-, 2- 3- oder 4-Position verknüpft sein kann, Spirobifluorenyl, welches über die 1-, 2-, 3- oder 4-Position verknüpft sein kann, Naphthyl, insbesondere 1- oder 2-verknüpftes Naphthyl, oder Reste abgeleitet von Indol, Benzofuran, Benzothiophen, Carbazol, welches über die 1-, 2-, 3- oder 4-Position verknüpft sein kann, Dibenzofuran, welches über die 1-, 2-, 3- oder 4- Position verknüpft sein kann, Dibenzothiophen, welches über die 1-, 2-, 3- oder 4-Position verknüpft sein kann, Indenocarbazol, Indolocarbazol, Pyridin, Pyrimidin, Pyrazin, Pyridazin, Triazin, Chinolin, Isochinolin, Chinazolin, Chinoxalin, Phenanthren oder Triphenylen, welche jeweils mit einem oder mehreren Resten R7 substituiert sein können. Bevorzugt ist Ars nicht substituiert. Wenn A1 in Formel (HH-2) oder (HH-3) oder (HH-6) für NR7 steht, steht der Substituent R7, der an das Stickstoffatom gebunden ist, bevorzugt für ein aromatisches oder heteroaromatisches Ringsystem mit 5 bis 24 aromatischen Ringatomen, welches auch durch einen oder mehrere Reste R8 substituiert sein kann. In einer besonders bevorzugten Ausführungs- form steht dieser Substituent R7 gleich oder verschieden bei jedem Auf- treten für ein aromatisches oder heteroaromatisches Ringsystem mit 6 bis 24 aromatischen Ringatomen, insbesondere mit 6 bis 18 aromatischen Ringatomen. Bevorzugte Ausführungsformen für R7 sind Phenyl, Biphenyl, Terphenyl und Quaterphenyl, die bevorzugt unsubstituiert sind, sowie Reste abgeleitet von Triazin, Pyrimidin und Chinazolin, die durch einen oder mehrere Reste R8 substituiert sein können. Preferably, Ars in compounds of the formulas (HH-1), (HH-2), (HH-3), (HH-5) or (HH-6) is selected from phenyl, biphenyl, in particular ortho-, meta- or para-biphenyl, terphenyl, in particular ortho-, meta-, para- or branched terphenyl, quaterphenyl, in particular ortho-, meta-, para- or branched quaterphenyl, fluorenyl, which can be linked via the 1-, 2-, 3- or 4-position, spirobifluorenyl, which can be linked via the 1-, 2-, 3- or 4-position, naphthyl, in particular 1- or 2-linked naphthyl, or residues derived from indole, benzofuran, benzothiophene, carbazole, which can be linked via the 1-, 2-, 3- or 4-position, dibenzofuran, which can be linked via the 1-, 2-, 3- or 4-position dibenzothiophene, which can be linked via the 1-, 2-, 3- or 4-position, indenocarbazole, indolocarbazole, pyridine, pyrimidine, pyrazine, pyridazine, triazine, quinoline, isoquinoline, quinazoline, quinoxaline, phenanthrene or triphenylene, each of which can be substituted by one or more radicals R 7 . Ars is preferably unsubstituted. If A 1 in formula (HH-2) or (HH-3) or (HH-6) is NR 7 , the substituent R 7 which is bonded to the nitrogen atom preferably represents an aromatic or heteroaromatic ring system having 5 to 24 aromatic ring atoms, which may also be substituted by one or more radicals R 8 . In a particularly preferred embodiment, this substituent R 7 is the same or different on each occurrence and represents an aromatic or heteroaromatic ring system having 6 to 24 aromatic ring atoms, in particular having 6 to 18 aromatic ring atoms. Preferred embodiments for R 7 are phenyl, biphenyl, terphenyl and quaterphenyl, which are preferably unsubstituted, and radicals derived from triazine, pyrimidine and quinazoline, which may be substituted by one or more radicals R 8 .
Wenn A1 in Formel (HH-2) oder (HH-3) oder (HH-6) für C(R7)2 steht, stehen die Substituenten R7, die an dieses Kohlenstoffatom gebunden sind, bevorzugt gleich oder verschieden bei jedem Auftreten für eine lineare Alkylgruppe mit 1 bis 10 C-Atomen oder für eine verzweigte oder cyclische Alkylgruppe mit 3 bis 10 C-Atomen oder für ein aromatisches oder heteroaromatisches Ringsystem mit 5 bis 24 aromatischen Ring- atomen, welches auch durch einen oder mehrere Reste R8 substituiert sein kann. Ganz besonders bevorzugt steht R7 für eine Methylgruppe oder für eine Phenylgruppe. Dabei können die Reste R7 auch miteinander ein Ringsystem bilden, was zu einem Spirosystem führt. If A 1 in formula (HH-2) or (HH-3) or (HH-6) is C(R 7 ) 2 , the substituents R 7 which are bonded to this carbon atom are preferably identical or different on each occurrence and are a linear alkyl group having 1 to 10 C atoms or a branched or cyclic alkyl group having 3 to 10 C atoms or an aromatic or heteroaromatic ring system having 5 to 24 aromatic ring atoms, which may also be substituted by one or more radicals R 8 . R 7 is very particularly preferably a methyl group or a phenyl group. The radicals R 7 can also form a ring system with one another, resulting in a spiro system.
In einer bevorzugten Ausführungsform der Verbindungen der Formeln (HH-1 ), (HH-2), (HH-3), (HH-4), (HH-5) und (HH-6) sind diese Verbin- dungen teilweise oder vollständig deuteriert, besonders bevorzugt voll- ständig deuteriert. In a preferred embodiment of the compounds of the formulas (HH-1), (HH-2), (HH-3), (HH-4), (HH-5) and (HH-6), these compounds are partially or completely deuterated, particularly preferably completely deuterated.
Die Herstellung der Verbindungen der Formeln (HH-1 ), (HH-2), (HH-3), (HH-4), (HH-5) und (HH-6) sind generell bekannt und einige der Verbin- dungen sind kommerziell erhältlich. The preparation of the compounds of formulas (HH-1), (HH-2), (HH-3), (HH-4), (HH-5) and (HH-6) are generally known and some of the compounds are commercially available.
Verbindungen der Formel (HH-4) sind beispielsweise in W02021/180614, auf den Seiten 110 bis 119, insbesondere als Beispiele auf den Seiten 120 bis 127, offenbart. Deren Herstellung ist in W02021/180614 A1 auf Seite 128 sowie in den Synthesebeispielen auf den Seiten 214 bis 218 offenbart. Compounds of formula (HH-4) are disclosed, for example, in WO2021/180614, on pages 110 to 119, in particular as examples on pages 120 to 127. Their preparation is described in WO2021/180614 A1 on page 128 and in the synthesis examples on pages 214 to 218.
Die Herstellung der Triarylamine der Formel (HH-6) ist dem Fachmann bekannt und einige der Verbindungen sind kommerziell erhältlich. The preparation of the triarylamines of formula (HH-6) is known to those skilled in the art and some of the compounds are commercially available.
Handelt es sich bei dem mindestens einen weiteren Matrixmaterial um eine deuterierte Verbindung, so ist es möglich, dass dieses mindestens eine Matrixmaterial eine Mischung an deuterierten Verbindungen gleicher chemischer Grundstruktur ist, die sich lediglich durch den Deuterierungs- grad unterscheiden. If the at least one further matrix material is a deuterated compound, it is possible that this at least one matrix material is a mixture of deuterated compounds with the same basic chemical structure, which differ only in the degree of deuteration.
In einer bevorzugten Ausführungsform des mindestens einen weiteren Matrixmaterials ist dieses ein Gemisch aus deuterierten Verbindungen der Formeln (HH-1), (HH-2), (HH-3), (HH-4), (HH-5) oder (HH-6), wie zuvor beschrieben, wobei der Deuterierungsgrad dieser Verbindungen mindestens 50% bis 90%, bevorzugt 70% bis 100 % beträgt. In a preferred embodiment of the at least one further matrix material, this is a mixture of deuterated compounds of the formulas (HH-1), (HH-2), (HH-3), (HH-4), (HH-5) or (HH-6), as described above, wherein the degree of deuteration of these compounds is at least 50% to 90%, preferably 70% to 100%.
Entsprechende Deuterierungsmethoden sind dem Fachmann bekannt und beispielsweise in KR2016041014 A, WO2017/122988 A1 , KR2020052820 A, KR101978651 B1 und WO2018/110887 A1 oder in Bulletin of the Chemical Society of Japan, 2021 , 94(2), 600-605 oder Asian Journal of Organic Chemistry, 2017, 6(8), 1063-1071 beschrieben. Corresponding deuteration methods are known to the person skilled in the art and are described, for example, in KR2016041014 A, WO2017/122988 A1, KR2020052820 A, KR101978651 B1 and WO2018/110887 A1 or in Bulletin of the Chemical Society of Japan, 2021, 94(2), 600-605 or Asian Journal of Organic Chemistry, 2017, 6(8), 1063-1071.
Beispiele für geeignete weitere Matrixmaterialien für eine Kombination mit Verbindungen der Formel (1 ), wie zuvor beschrieben oder bevorzugt beschrieben, sind die Verbindungen, beschrieben in WO2019/229011 A1 , Tabelle 3, Seiten 137 bis 203, die auch teilweise oder vollständig deuteriert sein können. Examples of suitable further matrix materials for a combination with compounds of formula (1) as previously described or preferably described are the compounds described in WO2019/229011 A1, Table 3, pages 137 to 203, which may also be partially or completely deuterated.
Beispiele für geeignete weitere Matrixmaterialien für eine Kombination mit Verbindungen der Formel (1 ) oder bevorzugten Verbindungen der Formel (1 ), wie zuvor beschrieben oder bevorzugt beschrieben, sind die Verbin- dungen, beschrieben in WO2021/180625 A1 , Tabelle 3, Seiten 131 bis 127 und in Tabelle 4, Seiten 137 bis 139, die auch teilweise oder voll- ständig deuteriert sein können. Beispiele für geeignete weitere Matrixmaterialien für eine Kombination mit Verbindungen der Formel (1 ) oder bevorzugten Verbindungen der Formel (1 ), wie zuvor beschrieben oder bevorzugt beschrieben, sind die Verbin- dungen, beschrieben in KR20230034896 A, auf den Seiten 42 bis 47, Verbindungen [2-1 ] bis [2-110], oder auf den Seiten 49 bis 51 , Verbin- dungen [3-1] bis [3-26], Examples of suitable further matrix materials for combination with compounds of formula (1) or preferred compounds of formula (1), as previously described or preferably described, are the compounds described in WO2021/180625 A1, Table 3, pages 131 to 127 and in Table 4, pages 137 to 139, which may also be partially or completely deuterated. Examples of suitable further matrix materials for combination with compounds of formula (1) or preferred compounds of formula (1), as previously described or preferably described, are the compounds described in KR20230034896 A, on pages 42 to 47, compounds [2-1] to [2-110], or on pages 49 to 51, compounds [3-1] to [3-26],
Weitere Beispiele für geeignete Hostmaterialien der Formeln (HH-1 ), (HH- 2), (HH-3), (HH-4), (HH-5) und (HH-6) für eine Kombination mit Verbin- dungen der Formel (1 ) oder bevorzugten Ausführungsformen sind die in den nachstehenden Tabellen T1 und T2 genannten Strukturen. Further examples of suitable host materials of the formulas (HH-1), (HH-2), (HH-3), (HH-4), (HH-5) and (HH-6) for combination with compounds of the formula (1) or preferred embodiments are the structures given in Tables T1 and T2 below.
Tabelle T1 : Table T1 :
Besonders geeignete Verbindungen der Formeln (HH-1 ), (HH-2), (HH-3), (HH-4), (HH-5) oder (HH-6), die erfindungsgemäß ausgewählt werden und bevorzugt in Kombination mit mindestens einer Verbindung der Formel (1 ) in der erfindungsgemäßen elektrolumineszierenden Vorrichtung verwendet werden, sind die Verbindungen der Tabelle T2. Die vorstehend genannten Hostmaterialien der Formel (1 ) sowie deren bevorzugt beschriebene Ausführungsformen können in der erfindungs- gemäßen Vorrichtung beliebig mit den zuvor genannten Matrixmaterialien/ Hostmaterialien, den Matrixmaterialien/Hostmaterialien der Formeln (HH- 1 ), (HH-2), (HH-3), (HH-4), (HH-5) oder (HH-6) sowie deren bevorzugt beschriebenen Ausführungsformen der Tabelle T1 oder den Verbindungen H1 bis H27 kombiniert werden. Particularly suitable compounds of the formulas (HH-1), (HH-2), (HH-3), (HH-4), (HH-5) or (HH-6), which are selected according to the invention and are preferably used in combination with at least one compound of the formula (1) in the electroluminescent device according to the invention, are the compounds of Table T2. The above-mentioned host materials of the formula (1) and their preferred embodiments can be combined as desired in the device according to the invention with the previously mentioned matrix materials/host materials, the matrix materials/host materials of the formulas (HH-1), (HH-2), (HH-3), (HH-4), (HH-5) or (HH-6) and their preferred embodiments of Table T1 or the compounds H1 to H27.
Die Konzentration des Hostmaterials der Formel (1 ), wie zuvor beschrie- ben oder bevorzugt beschrieben, in der erfindungsgemäßen Mischung oder in der lichtemittierenden Schicht der erfindungsgemäßen Vorrichtung liegt üblicherweise im Bereich von 5 Gew.-% bis 90 Gew.-%, bevorzugt im Bereich von 10 Gew.-% bis 85 Gew.-%, mehr bevorzugt im Bereich von 20 Gew.-% bis 85 Gew.-%, noch mehr bevorzugt im Bereich von 30 Gew.- % bis 80 Gew.-%, ganz besonders bevorzugt im Bereich von 20 Gew.-% bis 60 Gew.-% und am meisten bevorzugt im Bereich von 30 Gew.-% bis 50 Gew.-%, bezogen auf die gesamte Mischung oder bezogen auf die gesamte Zusammensetzung der lichtemittierenden Schicht. The concentration of the host material of formula (1), as previously described or preferably described, in the mixture according to the invention or in the light-emitting layer of the device according to the invention is usually in the range from 5 wt.% to 90 wt.%, preferably in the range from 10 wt.% to 85 wt.%, more preferably in the range from 20 wt.% to 85 wt.%, even more preferably in the range from 30 wt.% to 80 wt.%, very particularly preferably in the range from 20 wt.% to 60 wt.% and most preferably in the range from 30 wt.% to 50 wt.%, based on the entire mixture or based on the entire composition of the light-emitting layer.
Die Konzentration der Summe aller Hostmaterialien der Formeln (HH-1 ), (HH-2), (HH-3), (HH-4), (HH-5) und (HH-6), wie zuvor beschrieben oder als bevorzugt beschrieben, in der erfindungsgemäßen Mischung oder in der lichtemittierenden Schicht der erfindungsgemäßen Vorrichtung liegt üblicherweise im Bereich von 10 Gew.-% bis 95 Gew.-%, bevorzugt im Bereich von 15 Gew.-% bis 90 Gew.-%, mehr bevorzugt im Bereich von 15 Gew.-% bis 80 Gew.-%, noch mehr bevorzugt im Bereich von 20 Gew.- % bis 70 Gew.-%, ganz besonders bevorzugt im Bereich von 40 Gew.-% bis 80 Gew.-% und am meisten bevorzugt im Bereich von 50 Gew.-% bis 70 Gew.-%, bezogen auf die gesamte Mischung oder bezogen auf die gesamte Zusammensetzung der lichtemittierenden Schicht. The concentration of the sum of all host materials of the formulas (HH-1), (HH-2), (HH-3), (HH-4), (HH-5) and (HH-6), as described above or described as preferred, in the mixture according to the invention or in the light-emitting layer of the device according to the invention is usually in the range from 10 wt.% to 95 wt.%, preferably in the range from 15 wt.% to 90 wt.%, more preferably in the range from 15 wt.% to 80 wt.%, even more preferably in the range from 20 wt.% to 70 wt.%, very particularly preferably in the range from 40 wt.% to 80 wt.% and most preferably in the range from 50 wt.% to 70 wt.%, based on the entire mixture or based on the entire composition of the light-emitting layer.
Die vorliegende Erfindung betrifft auch eine Mischung, die neben den vorstehend genannten Hostmaterialien der Formel (1 ), zukünftig Host- material 1 genannt, und des Hostmaterials mindestens einer der Formeln (HH-1 ), (HH-2), (HH-3), (HH-4), (HH-5) und (HH-6), zukünftig Hostmaterial 2 genannt, wie zuvor beschrieben oder bevorzugt beschrieben, mindestens noch einen phosphoreszierenden Emitter enthält. The present invention also relates to a mixture which, in addition to the above-mentioned host materials of formula (1), hereinafter referred to as host material 1, and the host material of at least one of the formulas (HH-1), (HH-2), (HH-3), (HH-4), (HH-5) and (HH-6), hereinafter referred to as host material 2, as previously described or preferably described, contains at least one phosphorescent emitter.
Die vorliegende Erfindung betrifft auch eine organische elektrolumines- zierende Vorrichtung, wie zuvor beschrieben oder bevorzugt beschrieben, wobei die lichtemittierende Schicht neben den vorstehend genannten Hostmaterialien der Formeln (1 ) und mindestens einer der Formeln (HH- 1 ), (HH-2), (HH-3), (HH-4), (HH-5) und (HH-6), wie zuvor beschrieben, mindestens noch einen phosphoreszierenden Emitter enthält. The present invention also relates to an organic electroluminescent device as described above or preferably described, wherein the light-emitting layer contains at least one phosphorescent emitter in addition to the above-mentioned host materials of the formulas (1) and at least one of the formulas (HH-1), (HH-2), (HH-3), (HH-4), (HH-5) and (HH-6), as described above.
Geeignete Ladungstransportmatenalien, wie sie in der Lochinjektions- oder Lochtransportschicht oder in der Elektronensperrschicht oder in der Elektronentransportschicht des erfindungsgemäßen elektronischen Bau- elements verwendet werden können, sind neben den Verbindungen der Formel (1 ) zum Beispiel die in Y. Shirota et al., Chem. Rev. 2007, 107(4), 953-1010 genannten, oder andere Materialien, wie sie in diesen Schichten gemäß dem Stand der Technik verwendet werden. Suitable charge transport materials, as can be used in the hole injection or hole transport layer or in the electron barrier layer or in the electron transport layer of the electronic component according to the invention, are, in addition to the compounds of formula (1), for example those mentioned in Y. Shirota et al., Chem. Rev. 2007, 107(4), 953-1010, or other materials as are used in these layers according to the prior art.
Als Materialien für die Löchertransportschicht können alle Materialien verwendet werden, die nach dem Stand der Technik als Lochtransport- materialien in der Lochtransportschicht eingesetzt werden. Es können aromatische Aminverbindungen eingesetzt werden. Weitere Verbin- dungen, die vorzugsweise in löchertransportierenden Schichten der erfin- dungsgemäßen OLEDs eingesetzt werden, sind insbesondere Indeno- fluorenamin-Derivate (z.B. nach WO 06/122630 oder WO 06/100896), die in EP 1661888 offenbarten Aminderivate, Hexaazatriphenylen-Derivate (z.B. nach WO 01/049806), Aminderivate mit anellierten Aromaten (zum Beispiel nach US 5,061 ,569), die in WO 95/09147 offenbarten Amin- derivate, Monobenzoindenofluorenamine (zum Beispiel nach WO 08/006449), Dibenzoindenofluorenamine (zum Beispiel nach WO 07/140847), Spirobifluorenamine (zum Beispiel nach WO 2012/034627 oder WO 2013/120577), Fluorenamine (zum Beispiel nach WO 2014/015937, WO 2014/015938, WO 2014/015935 und WO 2015/082056), Spirodibenzopyranamine (zum Beispiel gemäß WO 2013/083216), Dihydroacridin-Derivate (zum Beispiel gemäß WO 2012/150001 ), Spirodibenzofurane und Spirodibenzothiophene (zum Beispiel nach WO 2015/022051 , WO 2016/102048 und WO 2016/131521 ), Phenanthrendiarylamine (zum Beispiel nach WO 2015/131976), Spirotribenzotropolone (zum Beispiel gemäß WO 2016/087017), Spirobifluorene mit meta-Phenyldiamingruppen (zum Beispiel gemäß WO 2016/078738), Spirobisacridine (zum Beispiel gemäß WO 2015/158411 ), Xanthendiarylamine (zum Beispiel gemäß WO 2014/072017), und 9,10-Dihydroanthracen-Spiroverbindungen mit Diarylaminogruppen gemäß WO 2015/086108. All materials that are used as hole transport materials in the hole transport layer according to the state of the art can be used as materials for the hole transport layer. Aromatic amine compounds can be used. Further compounds which are preferably used in hole-transporting layers of the OLEDs according to the invention are in particular indenofluorenamine derivatives (for example according to WO 06/122630 or WO 06/100896), the amine derivatives disclosed in EP 1661888, hexaazatriphenylene derivatives (for example according to WO 01/049806), amine derivatives with fused aromatics (for example according to US 5,061,569), the amine derivatives disclosed in WO 95/09147, monobenzoindenofluorenamines (for example according to WO 08/006449), dibenzoindenofluorenamines (for example according to WO 07/140847), spirobifluorenamines (for example according to WO 2012/034627 or WO 2013/120577), fluorenamines (for example according to WO 2014/015937, WO 2014/015938, WO 2014/015935 and WO 2015/082056), spirodibenzopyranamines (for example according to WO 2013/083216), dihydroacridine derivatives (for example according to WO 2012/150001), spirodibenzofurans and spirodibenzothiophenes (for Example according to WO 2015/022051 , WO 2016/102048 and WO 2016/131521 ), phenanthrenediarylamines (for example according to WO 2015/131976), spirotribenzotropolones (for example according to WO 2016/087017), spirobifluorenes with meta-phenyldiamine groups (for example according to WO 2016/078738), spirobisacridines (for example according to WO 2015/158411 ), xanthenediarylamines (for example according to WO 2014/072017), and 9,10-dihydroanthracene spiro compounds with diarylamino groups according to WO 2015/086108.
Ganz besonders bevorzugt ist die Verwendung von durch Diarylamino- gruppen in 4-Position substituierten Spirobifluorenen als löchertranspor- tierende Verbindungen, insbesondere die Verwendung derjenigen Verbin- dungen, die in WO 2013/120577 beansprucht und offenbart sind, und die Verwendung von durch Diarylaminogruppen in 2-Position substituierten Spirobifluorenen als löchertransportierende Verbindungen, insbesondere die Verwendung derjenigen Verbindungen, die in WO 2012/034627 beansprucht und offenbart sind. Very particular preference is given to the use of spirobifluorenes substituted by diarylamino groups in the 4-position as hole-transporting compounds, in particular the use of those compounds which are claimed and disclosed in WO 2013/120577, and the use of spirobifluorenes substituted by diarylamino groups in the 2-position as hole-transporting compounds, in particular the use of those compounds which are claimed and disclosed in WO 2012/034627.
Vorzugsweise umfasst die erfindungsgemäße OLED zwei oder mehr verschiedene elektronentransportierende Schichten. Die Verbindung der Formel (1 ) kann dabei in einer oder mehreren oder in allen elektronen- transportierenden Schichten verwendet werden. In einer bevorzugten Ausführungsform wird die Verbindung der Formel (1 ) in genau einer oder genau zwei elektronentransportierenden Schichten eingesetzt, und in den weiteren vorhandenen elektronentransportierenden Schichten werden andere Verbindungen eingesetzt. Weitere Verbindungen, die neben den Verbindungen der Formel (1 ) verwendet werden können, sind alle Materialien, die nach dem Stand der Technik als Elektronentransport- materialien in der Elektronentransportschicht eingesetzt werden. Besonders geeignet sind Aluminiumkomplexe, z.B. Alq3, Zirkonium- komplexe, z.B. Zrq4, Lithiumkomplexe, z.B. Liq, Benzimidazol-Derivate, Triazin-Derivate, Pyrimidin-Derivate, Pyridin-Derivate, Pyrazin-Derivate, Chinoxalin-Derivate, Chinolin-Derivate, Oxadiazol-Derivate, aromatische Ketone, Lactame, Borane, Diazaphosphol-Derivate und Phosphinoxid- Derivate. Weitere geeignete Materialien sind Derivate der vorgenannten Verbindungen, wie sie in JP 2000/053957, WO 2003/060956, WO 2004/028217, WO 2004/080975 und WO 2010/072300 offenbart sind. The OLED according to the invention preferably comprises two or more different electron-transporting layers. The compound of formula (1) can be used in one or more or in all electron-transporting layers. In a preferred embodiment, the compound of formula (1) is used in exactly one or exactly two electron-transporting layers, and other compounds are used in the other electron-transporting layers present. Other compounds that can be used in addition to the compounds of formula (1) are all materials that are used according to the prior art as electron-transport materials in the electron-transport layer. Particularly suitable are aluminium complexes, e.g. Alq3, zirconium complexes, e.g. Zrq4, lithium complexes, e.g. Liq, benzimidazole derivatives, triazine derivatives, pyrimidine derivatives, pyridine derivatives, pyrazine derivatives, quinoxaline derivatives, quinoline derivatives, oxadiazole derivatives, aromatic ketones, lactams, boranes, diazaphosphole derivatives and phosphine oxide derivatives. Other suitable materials are derivatives of the above-mentioned Compounds as disclosed in JP 2000/053957, WO 2003/060956, WO 2004/028217, WO 2004/080975 and WO 2010/072300.
Die Vorrichtung wird entsprechend (je nach Anwendung) strukturiert, kontaktiert und abschließend versiegelt, um schädliche Einflüsse durch Wasser und Luft auszuschließen. The device is structured accordingly (depending on the application), contacted and finally sealed to exclude harmful influences from water and air.
In den weiteren Schichten der erfindungsgemäßen organischen Elektro- lumineszenzvorrichtung können alle Materialien verwendet werden, wie sie üblicherweise gemäß dem Stand der Technik eingesetzt werden. Der Fachmann kann daher ohne erfinderisches Zutun alle für organische Elektrolumineszenzvorrichtungen bekannten Materialien in Kombination mit den erfindungsgemäßen Verbindungen gemäß Formel (1 ) bzw. den oben ausgeführten bevorzugten Ausführungsformen einsetzen. In the further layers of the organic electroluminescent device according to the invention, all materials can be used as are usually used according to the prior art. The person skilled in the art can therefore, without inventive step, use all materials known for organic electroluminescent devices in combination with the compounds according to the invention according to formula (1) or the preferred embodiments described above.
Weiterhin bevorzugt ist eine organische Elektrolumineszenzvorrichtung, dadurch gekennzeichnet, dass eine oder mehrere Schichten mit einem Sublimationsverfahren beschichtet werden. Dabei werden die Materialien in Vakuum-Sublimationsanlagen bei einem Anfangsdruck kleiner 10’5 mbar, bevorzugt kleiner 10’6 mbar aufgedampft. Es ist aber auch möglich, dass der Anfangsdruck noch geringer ist, beispielsweise kleiner 10’7 mbar. Also preferred is an organic electroluminescent device, characterized in that one or more layers are coated using a sublimation process. The materials are vapor-deposited in vacuum sublimation systems at an initial pressure of less than 10' 5 mbar, preferably less than 10' 6 mbar. However, it is also possible for the initial pressure to be even lower, for example less than 10' 7 mbar.
Bevorzugt ist ebenfalls eine organische Elektrolumineszenzvorrichtung, dadurch gekennzeichnet, dass eine oder mehrere Schichten mit dem OVPD (Organic Vapour Phase Deposition) Verfahren oder mit Hilfe einer Trägergassublimation beschichtet werden. Dabei werden die Materialien bei einem Druck zwischen 10’5 mbar und 1 bar aufgebracht. Ein Spezialfall dieses Verfahrens ist das OVJP (Organic Vapour Jet Printing) Verfahren, bei dem die Materialien direkt durch eine Düse aufgebracht und so strukturiert werden. Also preferred is an organic electroluminescent device, characterized in that one or more layers are coated using the OVPD (Organic Vapour Phase Deposition) method or with the aid of carrier gas sublimation. The materials are applied at a pressure between 10' 5 mbar and 1 bar. A special case of this method is the OVJP (Organic Vapour Jet Printing) method, in which the materials are applied directly through a nozzle and thus structured.
Weiterhin bevorzugt ist eine organische Elektrolumineszenzvorrichtung, dadurch gekennzeichnet, dass eine oder mehrere Schichten aus Lösung, wie z. B. durch Spincoating, oder mit einem beliebigen Druckverfahren, wie z. B. Siebdruck, Flexodruck, Offsetdruck, LITI (Light Induced Thermal Imaging, Thermotransferdruck), Ink-Jet Druck (Tintenstrahldruck) oder Nozzle Printing, hergestellt werden. Hierfür sind lösliche Verbindungen nötig, welche beispielsweise durch geeignete Substitution erhalten werden. Also preferred is an organic electroluminescent device, characterized in that one or more layers are deposited from solution, such as by spin coating, or by any printing method, such as screen printing, flexographic printing, offset printing, LITI (Light Induced Thermal Imaging, thermal transfer printing), ink-jet printing or nozzle printing. Soluble compounds are required for this, which can be obtained, for example, by suitable substitution.
Weiterhin sind Hybridverfahren möglich, bei denen beispielsweise eine oder mehrere Schichten aus Lösung aufgebracht werden und eine oder mehrere weitere Schichten aufgedampft werden. Furthermore, hybrid processes are possible in which, for example, one or more layers are applied from solution and one or more further layers are vapor deposited.
Diese Verfahren sind dem Fachmann generell bekannt und können von ihm ohne erfinderisches Zutun auf organische Elektrolumineszenzvor- richtungen enthaltend die erfindungsgemäßen Verbindungen angewandt werden. These methods are generally known to the person skilled in the art and can be applied by him without inventive step to organic electroluminescent devices containing the compounds according to the invention.
Erfindungsgemäß können die elektronischen Vorrichtungen, die eine oder mehrere Verbindungen der Formel (1 ) enthalten, in Displays, als Licht- quellen in Beleuchtungsanwendungen und als Lichtquellen in medizinischen und/oder kosmetischen Anwendungen (z.B. Lichttherapie) eingesetzt werden. According to the invention, the electronic devices containing one or more compounds of formula (1) can be used in displays, as light sources in lighting applications and as light sources in medical and/or cosmetic applications (e.g. light therapy).
Die erfindungsgemäßen elektronischen Vorrichtungen, insbesondere organische optische Detektoren und organische Elektrolumineszenz- vorrichtungen, zeichnen sich durch einen oder mehrere der folgenden überraschenden Vorteile gegenüber dem Stand der Technik aus: The electronic devices according to the invention, in particular organic optical detectors and organic electroluminescent devices, are characterized by one or more of the following surprising advantages over the prior art:
1 . Die Verbindungen gemäß Formel (1 ) bzw. die ausgeführten bevorzugten Ausführungsformen, welche eine Gruppe Z enthalten, weisen einen sehr hohen Extinktionskoeffizienten auf. Dies ist ein wesentlicher Vorteil für die Verwendung der Materialien in organischen optischen Detektoren. 1 . The compounds according to formula (1 ) or the preferred embodiments described which contain a group Z have a very high extinction coefficient. This is a significant advantage for the use of the materials in organic optical detectors.
2. Elektronische Vorrichtungen, insbesondere organische optische Detektoren oder organische Elektrolumineszenzvorrichtungen, enthaltend Verbindungen gemäß Formel (1 ) bzw. die ausgeführten bevorzugten Ausführungsformen, insbesondere als Photosensitizer oder OLEDs, weisen eine sehr gute Lebensdauer auf. 3. Elektronische Vorrichtungen, insbesondere organische optische Detektoren, enthaltend Verbindungen gemäß Formel (1 ) bzw. die ausgeführten bevorzugten Ausführungsformen als Photosensitizer weisen eine hervorragende Effizienz auf. Hierbei bewirken die erfin- dungsgemäßen Verbindungen gemäß Formel (1 ) bzw. die ausgeführten bevorzugten Ausführungsformen eine geringe Betriebs- spannung bei Verwendung in elektronischen Vorrichtungen. 2. Electronic devices, in particular organic optical detectors or organic electroluminescent devices, containing compounds according to formula (1) or the preferred embodiments described, in particular as photosensitizers or OLEDs, have a very good lifetime. 3. Electronic devices, in particular organic optical detectors, containing compounds according to formula (1) or the preferred embodiments described as photosensitizers have excellent efficiency. The compounds according to the invention according to formula (1) or the preferred embodiments described result in a low operating voltage when used in electronic devices.
4. Die erfindungsgemäßen Verbindungen gemäß Formel (1 ) bzw. die ausgeführten bevorzugten Ausführungsformen zeigen eine hohe Stabilität, insbesondere thermische Stabilität und geringe Aufdampf- temperaturen. 4. The compounds according to the invention according to formula (1) or the preferred embodiments shown show high stability, in particular thermal stability and low vapor deposition temperatures.
5. Mit Verbindungen gemäß Formel (1 ) bzw. den ausgeführten bevor- zugten Ausführungsformen kann in elektronischen Vorrichtungen, ins- besondere organischen optischen Detektoren, die Bildung optischer Verlustkanäle vermieden werden. Hierdurch zeichnen sich diese Vor- richtungen durch eine hohe Photostrom-Effizienz von Photosensitizer bzw. eine ausgezeichnete Energieübertragung aus. 5. Using compounds according to formula (1) or the preferred embodiments described, the formation of optical loss channels can be avoided in electronic devices, in particular organic optical detectors. As a result, these devices are characterized by a high photocurrent efficiency of photosensitizers or an excellent energy transfer.
6. Verbindungen gemäß Formel (1 ) bzw. die ausgeführten bevorzugten Ausführungsformen weisen eine ausgezeichnete Glasfilmbildung auf. 6. Compounds according to formula (1) or the preferred embodiments shown exhibit excellent glass film formation.
7. Verbindungen der Formel (1 ) bzw. die bevorzugten Ausführungs- formen führen bei der Verwendung als Matrixmaterialien für phospho- reszierende Dotanden, insbesondere für rot, orange oder gelb phos- phoreszierende Dotanden, zu guten Deviceergebnissen. 7. Compounds of formula (1) or the preferred embodiments lead to good device results when used as matrix materials for phosphorescent dopants, in particular for red, orange or yellow phosphorescent dopants.
Diese oben genannten Vorteile gehen nicht mit einer Verschlechterung der weiteren elektronischen Eigenschaften einher. These advantages mentioned above are not accompanied by a deterioration of the other electronic properties.
Die Erfindung wird durch die nachfolgenden Beispiele näher erläutert, ohne sie dadurch einschränken zu wollen. Der Fachmann kann aus den Schilderungen die Erfindung im gesamten offenbarten Bereich ausführen und ohne erfinderisches Zutun weitere erfindungsgemäße Verbindungen herstellen und diese in elektronischen Vorrichtungen verwenden bzw. das erfindungsgemäße Verfahren anwenden. The invention is explained in more detail by the following examples, without intending to limit it. The person skilled in the art can carry out the invention in the entire disclosed area from the descriptions. and without inventive step, prepare further compounds according to the invention and use them in electronic devices or apply the method according to the invention.
Beispiele: Examples:
Die nachfolgenden Synthesen werden, sofern nicht anders angegeben, unter einer Schutzgasatmosphäre in getrockneten Lösungsmitteln durch- geführt. Die Lösungsmittel und Reagenzien können z. B. von Sigma- ALDRICH bzw. ABCR bezogen werden. Die jeweiligen Angaben in eckigen Klammern bzw. die zu einzelnen Verbindungen angegebenen Nummern beziehen sich auf die CAS-Nummern der literaturbekannten Verbindungen. Bei Verbindungen, die mehrere enantiomere, diastereo- mere oder tautomere Formen aufweisen können, wird eine Form stell- vertretend gezeigt. The following syntheses are carried out under a protective gas atmosphere in dried solvents, unless otherwise stated. The solvents and reagents can be obtained from Sigma-ALDRICH or ABCR, for example. The respective information in square brackets or the numbers given for individual compounds refer to the CAS numbers of the compounds known from the literature. For compounds that can have several enantiomeric, diastereomeric or tautomeric forms, one form is shown as a representative.
Literaturbekannte Synthone LS: Literature-known Synthone LS:
Synthese von Synthonen: Synthesis of synthons:
Beispiel S1 : Example S1 :
Ein gut gerührtes Gemisch aus 25.2 g (100 mmol) 1 -Chloro-11 H-benzo[a]- carbazol [111960-32-8], 31.5 g (150 mmol) 2-lodthiophen [3437-95-4], 20.7 g (150 mmol) Kaliumcarbonat, 35.5 g (250 mmol) Natriumsulfat, 1.3 g (20 mmol) Kupferpulver, 100 g Glaskugeln (3 mmol Durchmesser) und 600 ml 1 ,2-Dichlor-benzol wird 48 h unter Rückfluss erhitzt. Man saugt noch heiß über ein mit 1 ,2-Dichlorbenzol vorgeschlämmtes Celitebett ab, engt das Filtrat im Vakuum zur Trockene ein, nimmt den Rückstand in 500 ml Dichlormethan (DCM) auf, filtriert über ein mit DCM vorge- schlämmtes Kieselgelbett ab, versetzt das Filtrat mit 300 ml Methanol und engt bei 40 °C im Vakuum auf ca. 150 ml ein. Man saugt vom aus- kristallisierten Produkt ab, wäscht dieses dreimal mit 50 ml Methanol und trocknet im Vakuum. Umkristallisation aus Acetonitril / DCM. Ausbeute: 20.0 g (60 mmol), 60 %: Reinheit: ca. 97 % in n. 1H-NMR. Ein gut gerührtes Gemisch aus 33.3 g (100 mmol) S2, Stufe A, 41 .5 g (300 mmol) Kaliumcarbonat, 3, 1 g (30 mmol) Pivalinsäure, 1.16 g (4 mmol) Tri-tert-butylphosphonium-tetrafluoroborat und 449 mg (2 mmol) Palladium(ll)acetat, 100 g Glaskugeln (3 mm Durchmesser) und 300 ml Dimethylacetamid (DMAC) wird 3 h bei 150 °C gerührt. Man lässt auf 80 °C abkühlen, tropft 1000 ml Wasser zu, saugt vom ausgefallenen Roh- produkt ab, wäscht dieses dreimal mit je 100 ml Wasser und dreimal mit je 50 ml Methanol und trocknet im Vakuum. Man löst das Rohprodukt in 500 ml DCM und 50 ml Ethylacetat, filtriert über ein mit DCM vorgeschlämmtes Kieselgelbett ab und entfernt dieses im Vakuum, wobei das abdestillierte DCM gegen Ende durch simultane Zugabe von 200 ml Methanol substi- tuiert wird. Man saugt vom auskristallisierten Produkt ab, wäscht dieses dreimal mit je 50 ml EtOH und trocknet im Vakuum. Ausbeute: 15.3 g (51 mmol), 51 %: Reinheit: ca. 97 % in n. 1H-NMR. A well-stirred mixture of 25.2 g (100 mmol) 1-chloro-11H-benzo[a]-carbazole [111960-32-8], 31.5 g (150 mmol) 2-iodothiophene [3437-95-4], 20.7 g (150 mmol) potassium carbonate, 35.5 g (250 mmol) sodium sulfate, 1.3 g (20 mmol) copper powder, 100 g glass beads (3 mmol diameter) and 600 ml 1,2-dichlorobenzene is heated under reflux for 48 h. While still hot, the mixture is filtered off with suction through a Celite bed pre-slurried with 1,2-dichlorobenzene, the filtrate is concentrated to dryness in a vacuum, the residue is taken up in 500 ml of dichloromethane (DCM), filtered through a silica gel bed pre-slurried with DCM, the filtrate is mixed with 300 ml of methanol and concentrated to approx. 150 ml in a vacuum at 40 °C. The crystallized product is filtered off with suction, washed three times with 50 ml of methanol and dried in a vacuum. Recrystallization from acetonitrile / DCM. Yield: 20.0 g (60 mmol), 60%: Purity: approx. 97% in n. 1 H-NMR. A well-stirred mixture of 33.3 g (100 mmol) S2, step A, 41.5 g (300 mmol) potassium carbonate, 3.1 g (30 mmol) pivalic acid, 1.16 g (4 mmol) tri-tert-butylphosphonium tetrafluoroborate and 449 mg (2 mmol) palladium(II) acetate, 100 g glass beads (3 mm diameter) and 300 ml dimethylacetamide (DMAC) is stirred for 3 h at 150 °C. It is allowed to cool to 80 °C, 1000 ml water is added dropwise, the precipitated crude product is filtered off with suction, washed three times with 100 ml water each time and three times with 50 ml methanol each time and dried in vacuo. The crude product is dissolved in 500 ml DCM and 50 ml ethyl acetate, filtered through a silica gel bed pre-slurried with DCM and removed in vacuo, whereby the distilled DCM is replaced towards the end by simultaneous addition of 200 ml methanol. The crystallized product is filtered off with suction, washed three times with 50 ml EtOH each time and dried in vacuo. Yield: 15.3 g (51 mmol), 51%: Purity: approx. 97% in n. 1 H-NMR.
Analog können folgende Verbindungen dargestellt werden: The following connections can be represented analogously:
Synthese der erfindungsgemäßen Verbindungen: Synthesis of the compounds according to the invention:
Beispiel B1 : Example B1 :
Stufe A: Level A:
Durchführung der Vielsmeier-Haak Formylierung analog zu Carrying out the Vielsmeier-Haak formylation analogously to
US 2021/0234103, Seite 70, Verbindung 1-1 D. Ansatz: 4.6 g (15.5 mmol)US 2021/0234103, page 70, compound 1-1 D. Preparation: 4.6 g (15.5 mmol)
S1. Die Reinigung des Rohprodukts erfolgt durch Chromatographie (Torrent Säulenautomat der Fa. A. Semrau). Ausbeute: 2.8 g (8.5 mmol), 55 %: Reinheit: ca. 98 % in n. 1H-NMR. S1. The crude product is purified by chromatography (Torrent column machine from A. Semrau). Yield: 2.8 g (8.5 mmol), 55%: Purity: approx. 98% in n. 1 H-NMR.
Stufe B: Level B:
Durchführung gemäß Haig et al., Chem. Mat., 2011 , 23(20), 4435, Seite 4436, Verb. 3. Ansatz: 3.3 g (10.0 mmol) B1 Stufe A. Die Reinigung des Rohprodukts erfolgt durch Chromatographie (Torrent Säulenautomat der Fa. A. Semrau) und/oder wiederholte Heißextraktionskristallisation (übliche org. Lösungsmittel bzw. deren Kombinationen, bevorzugt Acetonitril-DCM, 1 :3 bis 3:1 vv) sowie fraktionierte Sublimation bzw. Tempern im Hochvakuum. Ausbeute: 2.6 g (7.0 mmol), 70 %: Reinheit: >99.9 % in n. HPLC. Procedure according to Haig et al., Chem. Mat., 2011 , 23(20), 4435, page 4436, verb. 3. Batch: 3.3 g (10.0 mmol) B1 step A. The crude product is purified by chromatography (Torrent column machine from A. Semrau) and/or repeated hot extraction crystallization (usual organic solvents or combinations thereof, preferably acetonitrile-DCM, 1:3 to 3:1 vv) and fractional sublimation or annealing under high vacuum. Yield: 2.6 g (7.0 mmol), 70%: Purity: >99.9% in n. HPLC.
Anstelle des Malonsäuredinitrils können andere CH-acide Verbindungen, wie 1 ,3-lndandion, Barbitursäuren und Thiobarbitursäuren, 2-(4,5,5- trimethyl-2(5/-/)-furanyliden)-propandinitril und 2-(4,5,5-trimethyl-2(5/-/)- thiophenyliden)-propandinitril und deren Derivate umgesetzt werden, s. US 2021/0234103, Seite 71 , Compound 1 und folgende. Instead of malononitrile, other CH-acidic compounds such as 1,3-indandione, barbituric acids and thiobarbituric acids, 2-(4,5,5-trimethyl-2(5/-/)-furanylidene)-propanedinitrile and 2-(4,5,5-trimethyl-2(5/-/)-thiophenylidene)-propanedinitrile and their derivatives can be reacted, see US 2021/0234103, page 71, Compound 1 and following.
Analog können folgende Verbindungen dargestellt werden: The following connections can be represented analogously:
Beispiel B100: Example B100:
Stufe A: Level A:
Darstellung analog V. G. Nenajdenko, Russian Chemical Bulletin (2012), 61 (7), 1463. Ansatz: 3.0 g (10.0 mmol) S1. Ausbeute: 3.3 g (8.7 mmol), 87 %: Reinheit: ca. 98 % in n. 1H-NMR. Preparation analogous to VG Nenajdenko, Russian Chemical Bulletin (2012), 61 (7), 1463. Preparation: 3.0 g (10.0 mmol) S1. Yield: 3.3 g (8.7 mmol), 87 %: Purity: approx. 98 % in n. 1 H-NMR.
Stufe B: Level B:
Darstellung analog Z. He et al., Tetrahedron (2020), 76(51 ), 131315, General Procedure A. Ansatz: 3.8 g (10.0 mmol) B100 Stufe A. Reaktionskontrolle via DC auf Verbrauch von B100 Stufe A, typische Reaktionszeit 16 - 24 h. Die Reinigung des Rohprodukts erfolgt durch Chromatographie (Torrent Säulenautomat der Fa. A. Semrau) und/oder wiederholte Heißextraktionskristallisation (übliche org. Lösungsmittel bzw. deren Kombinationen, bevorzugt Acetonitril-DCM, 1 :3 bis 3:1 vv) sowie fraktionierte Sublimation bzw. Tempern im Hochvakuum. Ausbeute: 2.7 g (7.3 mmol), 73 %: Reinheit: > 99.9 % in n. HPLC. Preparation analogous to Z. He et al., Tetrahedron (2020), 76(51 ), 131315, General Procedure A. Preparation: 3.8 g (10.0 mmol) B100 stage A. Reaction control via TLC for consumption of B100 stage A, typical reaction time 16 - 24 h. The crude product is purified by chromatography (Torrent column machine from A. Semrau) and/or repeated hot extraction crystallization (usual organic solvents or combinations thereof, preferably acetonitrile-DCM, 1:3 to 3:1 vv) and fractional sublimation or annealing under high vacuum. Yield: 2.7 g (7.3 mmol), 73%: Purity: > 99.9% in n. HPLC.
Beispiel B200: Durchführung analog Beispiel S1. Ansatz: 2.5 g (10 mmol) LS1 , 2.6 g (10 mmol) 2-lodbenzothiophen [36748-89-7], Die Reinigung des Roh- produkts erfolgt durch Chromatographie (Torrent Säulenautomat der Fa. A. Semrau) und/oder wiederholte Heißextraktionskristallisation (übliche org. Lösungsmittel bzw. deren Kombinationen, bevorzugt Acetonitril-DCM, 1 :3 bis 3:1 vv) sowie fraktionierte Sublimation bzw. Tempern im Hoch- vakuum. Ausbeute: 2.0 g (5.7 mmol), 57 %: Reinheit: > 99.9 % in n. HPLC Example B200: Carry out analogously to example S1. Preparation: 2.5 g (10 mmol) LS1, 2.6 g (10 mmol) 2-iodobenzothiophene [36748-89-7]. The crude product is purified by chromatography (Torrent column machine from A. Semrau) and/or repeated hot extraction crystallization (usual organic solvents or combinations thereof, preferably acetonitrile-DCM, 1:3 to 3:1 vv) and fractional sublimation or annealing in a high vacuum. Yield: 2.0 g (5.7 mmol), 57%: Purity: > 99.9% in n. HPLC
Analog können folgende Verbindungen dargestellt werden: Beispiel B300: The following connections can be represented analogously: Example B300:
Durchführung analog K. Ogawa et al., Journal of Organic Chemistry (2001 ), 66(26), 9067. Ansatz: 3.8 g (10 mmol) S1 , 1 .7 g (10 mmol) Diphenylamin [122-39-4], Die Reinigung des Rohprodukts erfolgt durch Chromatographie (Torrent Säulenautomat der Fa. A. Semrau) und/oder wiederholte Heißextraktionskristallisation (übliche org. Lösungsmittel bzw. deren Kombinationen, bevorzugt Acetonitril-DCM, 1 :3 bis 3:1 vv) sowie fraktionierte Sublimation bzw. Tempern im Hochvakuum. Ausbeute: 2.1 g (4.4 mmol), 44 %: Reinheit: > 99.9 % in n. HPLC Procedure analogous to K. Ogawa et al., Journal of Organic Chemistry (2001 ), 66(26), 9067. Preparation: 3.8 g (10 mmol) S1, 1.7 g (10 mmol) diphenylamine [122-39-4]. The crude product is purified by chromatography (Torrent column machine from A. Semrau) and/or repeated hot extraction crystallization (usual organic solvents or combinations thereof, preferably acetonitrile-DCM, 1:3 to 3:1 vv) and fractional sublimation or annealing in a high vacuum. Yield: 2.1 g (4.4 mmol), 44%: Purity: > 99.9% in n. HPLC
Bestimmung des LUMO der Akzeptorgruppen Determination of the LUMO of the acceptor groups
Der LUMO-Wert der Akzeptorgruppen Z wird durch quantenchemischeThe LUMO value of the acceptor groups Z is determined by quantum chemical
Rechnung wie nachfolgend beschrieben bestimmt. Dabei ist das LUMO der Elektronenakzeptorgruppe im Sinne der vorliegenden Verbindung definiert als das LUMO der Gruppe Z, die statt der durch Formel (1 ) und Formel (2-1 ) bis (2-7) dargestellten Gruppe ein Wasserstoffatom aufweist. Invoice as described below. The LUMO the electron acceptor group in the sense of the present compound is defined as the LUMO of the group Z which has a hydrogen atom instead of the group represented by formula (1) and formula (2-1) to (2-7).
In allen quantenchemischen Berechnungen wird das Programmpaket Gaussian16 (Rev. B.01 ) verwendet. Der neutrale Singulettgrundzustand wird auf dem B3LYP/6-31 G(d)-Niveau optimiert. LUMO ber. -Werte werden auf dem B3LYP/6-31 G(d)-Niveau für die mit B3LYP/6-31 G(d) optimierte Grundzustandsenergie bestimmt. Die Standardeinstellungen für SCF- und Gradientenkonvergenz werden verwendet. The Gaussian16 (Rev. B.01) program package is used in all quantum chemical calculations. The neutral singlet ground state is optimized at the B3LYP/6-31 G(d) level. LUMO calcd values are determined at the B3LYP/6-31 G(d) level for the ground state energy optimized with B3LYP/6-31 G(d). The default settings for SCF and gradient convergence are used.
Der aus der quantenchemischen Rechnung stammende LUMO ber. -Wert in eV wird zusätzlich mit folgenden Faktoren skaliert: LUMO = 0.99687 * LUMO ber. - 0.72445. The LUMO calc. value in eV resulting from the quantum chemical calculation is additionally scaled with the following factors: LUMO = 0.99687 * LUMO calc. - 0.72445.
Beispiele Photodioden: Examples of photodiodes:
1) Herstellung der Mono-Layer Photodioden (MLPD) 1) Manufacturing of mono-layer photodiodes (MLPD)
Gereinigte Quarzsubstrate (15 min. Ultraschall im Aceton/iso-Propanol/ Wasser-Bad (1 :1 :1 v:v:v), dann UV-Ozon) werden via Sputtering mit einer 150 nm dicken Indium-Zinn-Oxid-Anode (ITO) versehen. Darauf wird im Hochvakuum eine 30 nm dicke Schicht aus HTM2 (s. Tabelle 3) und dann durch Co-Verdampfen eine 80 nm dicke Schicht aus den erfindungs- gemäßen Verbindungen B und Ceo im Volumenverhältnis 1 :1 aufgedampft. Anschließend wird eine 1.5 nm dicke Ytterbium-Schicht aufgedampft.Cleaned quartz substrates (15 min. ultrasound in an acetone/isopropanol/water bath (1:1:1 v:v:v), then UV ozone) are sputtered with a 150 nm thick indium tin oxide anode (ITO). A 30 nm thick layer of HTM2 (see Table 3) is then vapor-deposited on top of this in a high vacuum, followed by an 80 nm thick layer of the compounds B and Ceo according to the invention in a volume ratio of 1:1 by co-evaporation. A 1.5 nm thick ytterbium layer is then vapor-deposited.
Abschließend wird durch Sputtering eine 10 nm dicke ITO Kathode aufge- bracht. Anschließend wird die IPCE (Incident Photon to Charge Carrier Efficiency) der initialen Devices mit Hilfe eines PTS-2-QE, Fa. Photonic Solutions (UK) im Maximum der Absorption im Wellenlängenbereich 400 - 700 nm bei einer Spannung von 3 V bestimmt (Tabelle 1 ). Finally, a 10 nm thick ITO cathode is applied by sputtering. The IPCE (Incident Photon to Charge Carrier Efficiency) of the initial devices is then determined using a PTS-2-QE from Photonic Solutions (UK) at the maximum absorption in the wavelength range 400 - 700 nm at a voltage of 3 V (Table 1).
Tabelle 1 : 2) Herstellung der Bi-Layer Photodioden (BLPD) Table 1 : 2) Manufacturing of bi-layer photodiodes (BLPD)
Gereinigte Quarzsubstrate (15 min. Ultraschall im Aceton/iso-Propanol/ Wasser-Bad (1 :1 :1 v:v:v), dann UV-Ozon) werden via Sputtering mit einer 150 nm dicken Indium-Zinn-Oxid-Anode (ITO) versehen. Alle weiteren Materialien werden in einer Vakuumkammer thermisch aufgedampft. Die zur Herstellung der BLPDs verwendeten Materialien sind in Tabelle 3 gezeigt. Die Elektronentransportschicht 2 (ETL2) kann durch Co- Verdampfen zweier Materialen hergestellt werden. Eine Angabe wie ETM1 :EIL (50:50) bedeutet, dass die co-verdampfte Schicht jeweils 50 Volumen-% der Einzelmatenalien enthält. Cleaned quartz substrates (15 min. ultrasound in an acetone/isopropanol/water bath (1:1:1 v:v:v), then UV ozone) are sputtered with a 150 nm thick indium tin oxide anode (ITO). All other materials are thermally vapor-deposited in a vacuum chamber. The materials used to manufacture the BLPDs are shown in Table 3. The electron transport layer 2 (ETL2) can be produced by co-evaporation of two materials. A specification such as ETM1:EIL (50:50) means that the co-evaporated layer contains 50% by volume of each of the individual materials.
Aufbau der BLPD: Structure of the BLPD:
ITO-Substrat-BLPD ITO-substrate-BLPD
Lochinjektionsschicht (HIL) aus HTM1 dotiert mit 5 % NDP-9 (kommerziell erhältlich von der Fa. Novaled), 10 nm Hole injection layer (HIL) made of HTM1 doped with 5% NDP-9 (commercially available from Novaled), 10 nm
Lochtransportschicht 1 (HTL1 ), s. Tabelle 2 Hole transport layer 1 (HTL1), see Table 2
Lochtransportschicht 2 (HTL2), s. Tabelle 2Hole transport layer 2 (HTL2), see Table 2
Elektronendonorschichtschicht (EDL), s. Tabelle 2electron donor layer (EDL), see Table 2
Elektronenakzeptorschicht (EAL), s. Tabelle 2electron acceptor layer (EAL), see Table 2
Elektronentransportschicht 1 (ETL1 ), s.Tabelle 2Electron transport layer 1 (ETL1), see Table 2
Elektronentransportschicht 2 (ETL2), s.Tabelle 2electron transport layer 2 (ETL2), see Table 2
Elektroneninjektionsschicht 1 (EIL1 ), 3 nm EIM Electron injection layer 1 (EIL1), 3 nm EIM
Kathode aus Magnesium:Silber (10:90), 100 nm Cathode of magnesium:silver (10:90), 100 nm
Anschließend wird die IPCE (Incident Photon to Charge Carrier Efficiency) der initialen Devices mit Hilfe eines PTS-2-QE, Fa. Photonic Solutions (UK) im Maximum der Absorption im Wellenlängenbereich 400-700 nm bei einer Spannung von 9 V bestimmt (Tabelle 2). Subsequently, the IPCE (Incident Photon to Charge Carrier Efficiency) of the initial devices is determined using a PTS-2-QE, Photonic Solutions (UK) at the maximum absorption in the wavelength range 400-700 nm at a voltage of 9 V (Table 2).
Tabelle 2: Aufbau Bi-Layer Photodioden (BLPD) Table 2: Structure of bi-layer photodiodes (BLPD)
Tabelle 3: Verwendete Materialien Table 3: Materials used
Beispiel: Herstellung der OLEDs Example: Production of OLEDs
1) Vakuum-prozessierte Devices: 1) Vacuum-processed devices:
Die Herstellung von erfindungsgemäßen OLEDs sowie OLEDs nach dem Stand der Technik erfolgt nach einem allgemeinen Verfahren gemäß WO 2004/058911 , das auf die hier beschriebenen Gegebenheiten (Schichtdickenvariation, verwendete Materialien) angepasst wird. The production of OLEDs according to the invention as well as OLEDs according to the prior art is carried out according to a general process according to WO 2004/058911, which is adapted to the conditions described here (layer thickness variation, materials used).
In den folgenden Beispielen werden die Ergebnisse verschiedener OLEDs vorgestellt. Gereinigte Glasplättchen (Reinigung in Miele Laborspül- maschine, Reiniger Merck Extran), die mit strukturiertem ITO (Indium Zinn Oxid) der Dicke 50 nm beschichtet sind, werden 25 Minuten mit UV-Ozon vorbehandelt (UV-Ozon Generator PR-100, Firma UVP). Diese beschich- teten Glasplättchen bilden die Substrate, auf welche die OLEDs aufge- bracht werden. The following examples present the results of various OLEDs. Cleaned glass plates (cleaned in a Miele laboratory dishwasher, Merck Extran cleaner) coated with structured ITO (indium tin oxide) with a thickness of 50 nm are pretreated with UV ozone for 25 minutes (UV ozone generator PR-100, UVP). These coated glass plates form the substrates onto which the OLEDs are applied.
1a) Blaue Fluoreszenz-OLED- Bauteile - BF: 1a) Blue Fluorescence OLED Components - BF:
Die erfindungsgemäßen Verbindungen können in der Lochinjektions- schicht (HIL), Lochtransportschicht (HTL) und in der Elektronenblockier- schicht (EBL) verwendet werden. Alle Materialien werden in einer Vakuumkammer thermisch aufgedampft. Dabei besteht die Emissions- schicht (EML) immer aus mindestens einem Matrixmaterial (Hostmaterial, Wirtsmaterial) SMB (s. Tabelle 4) und einem emittierenden Dotierstoff (Dotand, Emitter) D, der dem Matrixmaterial bzw. den Matrixmaterialien durch Co-Verdampfung in einem bestimmten Volumenanteil beigemischt wird. Eine Angabe wie SMB:D (97:3%) bedeutet hierbei, dass das Material SMB in einem Volumenanteil von 97% und der Dotand D in einem Anteil von 3% in der Schicht vorliegt. Analog kann auch die Elektronentransport- schicht aus einer Mischung zweier Materialien bestehen, s. Tabelle 4. Die Ergebnisse sind in Tabelle 5 zusammengefasst. Die zur Herstellung der OLEDs verwendeten Materialien sind in Tabelle 8 gezeigt. The compounds according to the invention can be used in the hole injection layer (HIL), hole transport layer (HTL) and in the electron blocking layer (EBL). All materials are thermally vapor-deposited in a vacuum chamber. The emission layer (EML) always consists of at least one matrix material (host material) SMB (see Table 4) and an emitting dopant (dopant, emitter) D, which is mixed into the matrix material or materials by co-evaporation in a certain volume proportion. A specification such as SMB:D (97:3%) means that the SMB material is present in the layer in a volume proportion of 97% and the dopant D in a proportion of 3%. Analogously, the electron transport layer can also consist of a mixture of two materials, see Table 4. The results are summarized in Table 5. The materials used to manufacture the OLEDs are shown in Table 8.
Die OLEDs werden standardmäßig charakterisiert. Hierfür werden die Elektrolumineszenzspektren, die Strom effizienz (gemessen in cd/A), die Leistungseffizienz (gemessen in Im/W) und die externe Quanteneffizienz (EQE, gemessen in Prozent) in Abhängigkeit der Leuchtdichte, berechnet aus Strom-Spannungs-Leuchtdichte-Kennlinien (IUL-Kennlinien) unter Annahme einer lambertschen Abstrahlcharakteristik sowie die Lebens- dauer bestimmt. Die Angabe der EQE in (%) und der Spannung in (V) erfolgt bei einer Leuchtdichte von 1000 cd/m2 The OLEDs are characterized as standard. For this purpose, the electroluminescence spectra, the current efficiency (measured in cd/A), the power efficiency (measured in Im/W) and the external quantum efficiency (EQE, measured in percent) are determined as a function of the luminance, calculated from current-voltage-luminance characteristics (IUL characteristics) assuming a Lambertian radiation characteristic, as well as the service life. The EQE in (%) and the voltage in (V) are specified at a luminance of 1000 cd/m 2
Die OLEDs haben folgenden Schichtaufbau: The OLEDs have the following layer structure:
Substrat substrate
Lochinjektionsschicht (HIL) aus HTM1 dotiert mit 5 % NDP-9 (kommerziell erhältlich von der Fa. Novaled), 20 nm Hole injection layer (HIL) made of HTM1 doped with 5% NDP-9 (commercially available from Novaled), 20 nm
Lochtransportschicht (HTL), s. Tabelle 4 Hole transport layer (HTL), see Table 4
Elektronenblockierschicht (EBL), s. Tabelle 4 electron blocking layer (EBL), see Table 4
Emissionsschicht (EML), s. Tabelle 4 emission layer (EML), see Table 4
Elektronentransportschicht (ETL), s. Tabelle 4electron transport layer (ETL), see Table 4
Elektroneninjektionsschicht (EIL) aus ETM2, 1 nm Electron injection layer (EIL) made of ETM2, 1 nm
Kathode aus Aluminium, 100 nm aluminum cathode, 100 nm
Tabelle 4: Aufbau Blaue Fluoreszenz-OLED-Bauteile Table 4: Structure of blue fluorescent OLED components
Tabelle 5: Ergebnisse Blaue Fluoreszenz-OLED- Bauteile Table 5: Results of blue fluorescence OLED devices
1 b) Phosphoreszenz-OLED-Bauteile: 1 b) Phosphorescent OLED components:
Die erfindungsgemäßen Verbindungen A können in der Lochinjektions- schicht (HIL), der Lochtransportschicht (HTL), der Elektronenblockier- schicht (EBL) und in der Emissionsschicht (EML) als Matrixmaterial (Hostmaterial, Wirtsmaterial) M (s. Tabelle 8) bzw. A (s. erfindungs- gemäße Materialien) verwendet werden. Hierfür werden alle Materialien in einer Vakuumkammer thermisch aufgedampft. Dabei besteht die Emissionsschicht immer aus mindestens einem bzw. mehreren Matrix- materialien M und einem phosphoreszierenden Dotierstoff Ir, der dem Matrixmaterial bzw. den Matrixmaterialien durch Co-Verdampfung in einem bestimmten Volumenanteil beigemischt wird. Eine Angabe wie M1 :M2:lr (55%:35%:10%) bedeutet hierbei, dass das Material M1 in einem Volumenanteil von 55%, M2 in einem Volumenanteil von 35% und Ir in einem Volumenanteil von 10% in der Schicht vorliegt. Analog kann auch die Elektronentransportschicht aus einer Mischung zweier Materialien bestehen. Der genaue Aufbau der OLEDs ist Tabelle 6 zu entnehmen. Die Ergebnisse sind in Tabelle 7 zusammengefasst. Die zur Herstellung der OLEDs verwendeten Materialien sind in Tabelle 8 gezeigt. Die OLEDs werden standardmäßig charakterisiert. Hierfür werden die Elektrolumineszenzspektren, die Strom effizienz (gemessen in cd/A), die Leistungseffizienz (gemessen in Im/W) und die externe Quanteneffizienz (EQE, gemessen in Prozent) in Abhängigkeit der Leuchtdichte, berechnet aus Strom-Spannungs-Leuchtdichte-Kennlinien (IUL-Kennlinien) unter Annahme einer lambertschen Abstrahlcharakteristik sowie die Lebens- dauer bestimmt. Die Angabe der EQE in (%) und der Spannung in (V) erfolgt bei einer Leuchtdichte von 1000 cd/m2 Die Lebensdauer wird bei einer Startleuchtdichte von 1000 cd/m2 bestimmt. The compounds A according to the invention can be used in the hole injection layer (HIL), the hole transport layer (HTL), the electron blocking layer (EBL) and in the emission layer (EML) as matrix material (host material) M (see Table 8) or A (see materials according to the invention). For this purpose, all materials are thermally vapor-deposited in a vacuum chamber. The emission layer always consists of at least one or more matrix materials M and a phosphorescent dopant Ir, which is mixed into the matrix material or materials by co-evaporation in a certain volume proportion. A specification such as M1:M2:lr (55%:35%:10%) means that the material M1 is present in the layer in a volume proportion of 55%, M2 in a volume proportion of 35% and Ir in a volume proportion of 10%. Analogously, the electron transport layer can also consist of a mixture of two materials. The exact structure of the OLEDs can be found in Table 6. The results are summarized in Table 7. The materials used to manufacture the OLEDs are shown in Table 8. The OLEDs are characterized as standard. For this purpose, the electroluminescence spectra, the current efficiency (measured in cd/A), the power efficiency (measured in Im/W) and the external quantum efficiency (EQE, measured in percent) are determined as a function of the luminance, calculated from current-voltage-luminance characteristics (IUL characteristics) assuming a Lambertian radiation characteristic, as well as the service life. The EQE in (%) and the voltage in (V) are given at a luminance of 1000 cd/m 2 . The service life is determined at a starting luminance of 1000 cd/m 2 .
Die OLEDs haben folgenden Schichtaufbau: The OLEDs have the following layer structure:
Substrat substrate
Lochinjektionsschicht (HIL) aus HTM1 dotiert mit 5 % NDP-9 (kommerziell erhältlich von der Fa. Novaled), 20 nm Hole injection layer (HIL) made of HTM1 doped with 5% NDP-9 (commercially available from Novaled), 20 nm
Lochtransportschicht (HTL), s. Tabelle 6 Hole transport layer (HTL), see Table 6
Elektronenblockierschicht (EBL), s. Tabelle 6 electron blocking layer (EBL), see Table 6
Emissionsschicht (EML), s. Tabelle 6 emission layer (EML), see Table 6
Lochblockerschicht (HBL), s. Tabelle 6 hole blocking layer (HBL), see Table 6
Elektronentransportschicht (ETL), aus ETM1 :ETM2 (50%:50%), 30 nmElectron transport layer (ETL), made of ETM1:ETM2 (50%:50%), 30 nm
Elektroneninjektionsschicht (EIL) aus ETM2, 1 nm Electron injection layer (EIL) made of ETM2, 1 nm
Kathode aus Aluminium, 100 nm aluminum cathode, 100 nm
Tabelle 6: Aufbau Phosphoreszenz-OLED-Bauteile Table 6: Structure of phosphorescent OLED components
T abelle 7: Ergebnisse Phosphoreszenz-OLED-Bauteile Table 7: Results of phosphorescent OLED devices
Tabelle 8: Strukturformeln der verwendeten Materialien Table 8: Structural formulas of the materials used
Claims
Applications Claiming Priority (2)
| Application Number | Priority Date | Filing Date | Title |
|---|---|---|---|
| EP23188027.9 | 2023-07-27 | ||
| EP23188027 | 2023-07-27 |
Publications (1)
| Publication Number | Publication Date |
|---|---|
| WO2025021855A1 true WO2025021855A1 (en) | 2025-01-30 |
Family
ID=87517284
Family Applications (1)
| Application Number | Title | Priority Date | Filing Date |
|---|---|---|---|
| PCT/EP2024/070987 Pending WO2025021855A1 (en) | 2023-07-27 | 2024-07-24 | Materials for organic light-emitting devices and organic sensors |
Country Status (1)
| Country | Link |
|---|---|
| WO (1) | WO2025021855A1 (en) |
Citations (180)
| Publication number | Priority date | Publication date | Assignee | Title |
|---|---|---|---|---|
| US5061569A (en) | 1990-07-26 | 1991-10-29 | Eastman Kodak Company | Electroluminescent device with organic electroluminescent medium |
| WO1995009147A1 (en) | 1993-09-29 | 1995-04-06 | Idemitsu Kosan Co., Ltd. | Organic electroluminescent element and arylenediamine derivative |
| EP0652273A1 (en) | 1993-11-09 | 1995-05-10 | Shinko Electric Industries Co. Ltd. | Organic material for electroluminescent device and electroluminescent device |
| EP0676461A2 (en) | 1994-04-07 | 1995-10-11 | Hoechst Aktiengesellschaft | Spiro compounds and their application as electroluminescence materials |
| JP2000053957A (en) | 1998-06-23 | 2000-02-22 | Koto Gijutsu Kenkyuin Kenkyu Kumiai | Novel organometallic luminescent material and organic electroluminescent device containing the same |
| WO2000070655A2 (en) | 1999-05-13 | 2000-11-23 | The Trustees Of Princeton University | Very high efficiency organic light emitting devices based on electrophosphorescence |
| JP3139321B2 (en) | 1994-03-31 | 2001-02-26 | 東レ株式会社 | Light emitting element |
| WO2001041512A1 (en) | 1999-12-01 | 2001-06-07 | The Trustees Of Princeton University | Complexes of form l2mx as phosphorescent dopants for organic leds |
| WO2001049806A1 (en) | 1999-12-31 | 2001-07-12 | Lg Chemical Co., Ltd | Electronic device comprising organic compound having p-type semiconducting characteristics |
| WO2002015645A1 (en) | 2000-08-11 | 2002-02-21 | The Trustees Of Princeton University | Organometallic compounds and emission-shifting organic electrophosphorescence |
| EP1191613A2 (en) | 2000-09-26 | 2002-03-27 | Canon Kabushiki Kaisha | Luminescence device, display apparatus and metal coordination compound |
| EP1191612A2 (en) | 2000-09-26 | 2002-03-27 | Canon Kabushiki Kaisha | Luminescence device, display apparatus and metal coordination compound |
| EP1191614A2 (en) | 2000-09-26 | 2002-03-27 | Canon Kabushiki Kaisha | Luminescence device and metal coordination compound therefor |
| EP1205527A1 (en) | 2000-03-27 | 2002-05-15 | Idemitsu Kosan Co., Ltd. | Organic electroluminescence device |
| WO2002002714A3 (en) | 2000-06-30 | 2002-10-24 | Du Pont | Electroluminescent iridium compounds with fluorinated phenylpyridines, phenylpyrimidines, and phenylquinolines and devices made with such compounds |
| WO2003060956A2 (en) | 2002-01-18 | 2003-07-24 | Lg Chem, Ltd. | New material for transporting electrons and organic electroluminescent display using the same |
| WO2004013080A1 (en) | 2002-08-01 | 2004-02-12 | Covion Organic Semiconductors Gmbh | Spirobifluorene derivatives, their preparation and uses thereof |
| WO2004028217A1 (en) | 2002-09-20 | 2004-04-01 | Idemitsu Kosan Co., Ltd. | Organic electroluminescent element |
| WO2004058911A2 (en) | 2002-12-23 | 2004-07-15 | Covion Organic Semiconductors Gmbh | Organic electroluminescent element |
| WO2004080975A1 (en) | 2003-03-13 | 2004-09-23 | Idemitsu Kosan Co., Ltd. | Nitrogen-containing heterocycle derivative and organic electroluminescent element using the same |
| WO2004081017A1 (en) | 2003-03-11 | 2004-09-23 | Covion Organic Semiconductors Gmbh | Metal complexes |
| JP2004288381A (en) | 2003-03-19 | 2004-10-14 | Konica Minolta Holdings Inc | Organic electroluminescent element |
| WO2004093207A2 (en) | 2003-04-15 | 2004-10-28 | Covion Organic Semiconductors Gmbh | Mixtures of matrix materials and organic semiconductors capable of emission, use of the same and electronic components containing said mixtures |
| WO2005011013A1 (en) | 2003-07-21 | 2005-02-03 | Covion Organic Semiconductors Gmbh | Organic electroluminescent element |
| WO2005019373A2 (en) | 2003-08-19 | 2005-03-03 | Basf Aktiengesellschaft | Transition metal complexes comprising carbene ligands serving as emitters for organic light-emitting diodes (oled's) |
| US20050069729A1 (en) | 2003-09-30 | 2005-03-31 | Konica Minolta Holdings, Inc. | Organic electroluminescent element, illuminator, display and compound |
| WO2005033244A1 (en) | 2003-09-29 | 2005-04-14 | Covion Organic Semiconductors Gmbh | Metal complexes |
| EP1553154A1 (en) | 2002-08-23 | 2005-07-13 | Idemitsu Kosan Co., Ltd. | Organic electroluminescence device and anthracene derivative |
| WO2005084081A1 (en) | 2004-02-20 | 2005-09-09 | Merck Patent Gmbh | Organic electronic devices |
| US20050258742A1 (en) | 2004-05-18 | 2005-11-24 | Yui-Yi Tsai | Carbene containing metal complexes as OLEDs |
| WO2005111172A2 (en) | 2004-05-11 | 2005-11-24 | Merck Patent Gmbh | Novel material mixtures for use in electroluminescence |
| JP2005347160A (en) | 2004-06-04 | 2005-12-15 | Konica Minolta Holdings Inc | Organic electroluminescence element, lighting device and display device |
| EP1617710A1 (en) | 2003-04-23 | 2006-01-18 | Konica Minolta Holdings, Inc. | Material for organic electroluminescent device, organic electroluminescent device, illuminating device and display |
| WO2006005627A1 (en) | 2004-07-15 | 2006-01-19 | Merck Patent Gmbh | Oligomeric derivatives of spirobifluorene, their preparation and use |
| WO2006048268A1 (en) | 2004-11-06 | 2006-05-11 | Merck Patent Gmbh | Organic electroluminescent device |
| EP1661888A1 (en) | 2004-11-29 | 2006-05-31 | Samsung SDI Co., Ltd. | Phenylcarbazole-based compound and organic electroluminescent device employing the same |
| WO2006097208A1 (en) | 2005-03-16 | 2006-09-21 | Merck Patent Gmbh | Novel materials for organic electroluminescent devices |
| WO2006100896A1 (en) | 2005-03-18 | 2006-09-28 | Idemitsu Kosan Co., Ltd. | Aromatic amine derivative and organic electroluminescence device utilizing the same |
| WO2006108497A1 (en) | 2005-04-14 | 2006-10-19 | Merck Patent Gmbh | Compounds for organic electronic devices |
| WO2006117052A1 (en) | 2005-05-03 | 2006-11-09 | Merck Patent Gmbh | Organic electroluminescent device and boric acid and borinic acid derivatives used therein |
| EP1722602A1 (en) | 2004-03-05 | 2006-11-15 | Idemitsu Kosan Co., Ltd. | Organic electroluminescent device and organic electroluminescent display |
| WO2006122630A1 (en) | 2005-05-20 | 2006-11-23 | Merck Patent Gmbh | Compounds for organic electronic devices |
| EP1731584A1 (en) | 2004-03-31 | 2006-12-13 | Konica Minolta Holdings, Inc. | Organic electroluminescent device material, organic electroluminescent device, display and illuminating device |
| WO2006131192A1 (en) | 2005-06-09 | 2006-12-14 | Merck Patent Gmbh | New materials for organic electroluminescence devices |
| EP1749809A1 (en) | 2004-05-27 | 2007-02-07 | Idemitsu Kosan Co., Ltd. | Asymmetric pyrene derivative and organic electroluminescent device using same |
| WO2007063754A1 (en) | 2005-12-01 | 2007-06-07 | Nippon Steel Chemical Co., Ltd. | Compound for organic electroluminescent element and organic electroluminescent element |
| WO2007065678A1 (en) | 2005-12-08 | 2007-06-14 | Merck Patent Gmbh | Novel materials for organic electroluminiescent devices |
| WO2007065550A1 (en) | 2005-12-08 | 2007-06-14 | Merck Patent Gmbh | Novel materials for organic electroluminescent devices |
| WO2007110129A1 (en) | 2006-03-24 | 2007-10-04 | Merck Patent Gmbh | New materials for organic electroluminescent devices |
| WO2007137725A1 (en) | 2006-05-31 | 2007-12-06 | Merck Patent Gmbh | New materials for organic electroluminescent devices |
| WO2007140847A1 (en) | 2006-06-02 | 2007-12-13 | Merck Patent Gmbh | Materials for organic electroluminescent devices |
| WO2008006449A1 (en) | 2006-07-11 | 2008-01-17 | Merck Patent Gmbh | Novel materials for organic electroluminescent devices |
| EP1905754A1 (en) | 2005-07-06 | 2008-04-02 | Idemitsu Kosan Co., Ltd. | Pyrene derivative and organic electroluminescence device making use of the same |
| WO2008056746A1 (en) | 2006-11-09 | 2008-05-15 | Nippon Steel Chemical Co., Ltd. | Compound for organic electroluminescent device and organic electroluminescent device |
| WO2008086851A1 (en) | 2007-01-18 | 2008-07-24 | Merck Patent Gmbh | Carbazole derivatives for organc electroluminescent devices |
| EP1968131A1 (en) | 2005-12-27 | 2008-09-10 | Idemitsu Kosan Co., Ltd. | Material for organic electroluminescent device and organic electroluminescent device |
| WO2008145239A2 (en) | 2007-05-29 | 2008-12-04 | Merck Patent Gmbh | Benzanthracene derivatives for organic electroluminescent devices |
| WO2009003455A1 (en) | 2007-07-04 | 2009-01-08 | Novaled Ag | Quinoid compounds and the use thereof in semiconducting matrix materials, electronic and optoelectronic components |
| EP2045848A1 (en) | 2007-07-18 | 2009-04-08 | Idemitsu Kosan Co., Ltd. | Organic electroluminescent device material and organic electroluminescent device |
| WO2009062578A1 (en) | 2007-11-12 | 2009-05-22 | Merck Patent Gmbh | Organic electroluminescent devices comprising azomethine-metal complexes |
| WO2009100925A1 (en) | 2008-02-13 | 2009-08-20 | Merck Patent Gmbh | Novel materials for organic electroluminescent devices |
| WO2009146770A2 (en) | 2008-06-05 | 2009-12-10 | Merck Patent Gmbh | Electronic device comprising metal complexes |
| WO2010006680A1 (en) | 2008-07-18 | 2010-01-21 | Merck Patent Gmbh | Materials for organic electroluminescence devices |
| WO2010012328A1 (en) | 2008-07-29 | 2010-02-04 | Merck Patent Gmbh | Compounds for electronic devices |
| WO2010015307A1 (en) | 2008-08-04 | 2010-02-11 | Merck Patent Gmbh | Electronic devices comprising metal complexes having isonitrile ligands |
| WO2010015306A1 (en) | 2008-08-08 | 2010-02-11 | Merck Patent Gmbh, | Organic electroluminescence device |
| WO2010031485A1 (en) | 2008-09-22 | 2010-03-25 | Merck Patent Gmbh | Materials for organic electroluminescence devices |
| US20100096600A1 (en) | 2008-10-16 | 2010-04-22 | Novaled Ag | Square Planar Transition Metal Complexes and Organic Semiconductive Materials Using Them as Well as Electronic or Optoelectric Components |
| WO2010054731A1 (en) | 2008-11-13 | 2010-05-20 | Merck Patent Gmbh | Materials for organic electroluminescent devices |
| WO2010054730A1 (en) | 2008-11-11 | 2010-05-20 | Merck Patent Gmbh | Organic electroluminescent devices |
| WO2010054728A1 (en) | 2008-11-13 | 2010-05-20 | Merck Patent Gmbh | Materials for organic electroluminescent devices |
| WO2010054729A2 (en) | 2008-11-11 | 2010-05-20 | Merck Patent Gmbh | Materials for organic electroluminescence devices |
| WO2010072300A1 (en) | 2008-12-22 | 2010-07-01 | Merck Patent Gmbh | Organic electroluminescent device comprising triazine derivatives |
| EP2213662A1 (en) | 2007-11-30 | 2010-08-04 | Idemitsu Kosan Co., Ltd. | Azaindenofluorenedione derivative, organic electroluminescent device material, and organic electroluminescent device |
| WO2010086089A1 (en) | 2009-02-02 | 2010-08-05 | Merck Patent Gmbh | Metal complexes |
| WO2010094378A1 (en) | 2009-02-17 | 2010-08-26 | Merck Patent Gmbh | Organic electronic device |
| WO2010099852A1 (en) | 2009-03-02 | 2010-09-10 | Merck Patent Gmbh | Metal complexes having azaborol ligands and electronic device having the same |
| WO2010102709A1 (en) | 2009-03-13 | 2010-09-16 | Merck Patent Gmbh | Materials for organic electroluminescence devices |
| WO2010108579A1 (en) | 2009-03-23 | 2010-09-30 | Merck Patent Gmbh | Organic electroluminescent device |
| WO2010136109A1 (en) | 2009-05-29 | 2010-12-02 | Merck Patent Gmbh | Materials for organic electroluminescent devices |
| WO2011000455A1 (en) | 2009-06-30 | 2011-01-06 | Merck Patent Gmbh | Materials for organic electroluminescence devices |
| EP2276085A1 (en) | 2008-03-27 | 2011-01-19 | Nippon Steel Chemical Co., Ltd. | Organic electroluminescent device |
| WO2011032626A1 (en) | 2009-09-16 | 2011-03-24 | Merck Patent Gmbh | Metal complexes |
| WO2011042107A2 (en) | 2009-10-08 | 2011-04-14 | Merck Patent Gmbh | Materials for organic electroluminescent devices |
| WO2011054442A2 (en) | 2009-11-06 | 2011-05-12 | Merck Patent Gmbh | Materials for electronic devices |
| WO2011057706A2 (en) | 2009-11-14 | 2011-05-19 | Merck Patent Gmbh | Materials for electronic devices |
| WO2011060877A2 (en) | 2009-11-17 | 2011-05-26 | Merck Patent Gmbh | Materials for organic light emitting devices |
| WO2011060867A1 (en) | 2009-11-18 | 2011-05-26 | Merck Patent Gmbh | Nitrogen-containing condensed heterocyclic compounds for oleds |
| WO2011060859A1 (en) | 2009-11-17 | 2011-05-26 | Merck Patent Gmbh | Materials for organic electroluminescent devices |
| WO2011066898A1 (en) | 2009-12-05 | 2011-06-09 | Merck Patent Gmbh | Electronic device containing metal complexes |
| WO2011073149A1 (en) | 2009-12-14 | 2011-06-23 | Basf Se | Metal complexes comprising diazabenzimidazol carbene-ligands and the use thereof in oleds |
| WO2011088877A1 (en) | 2010-01-25 | 2011-07-28 | Merck Patent Gmbh | Compounds for electronic devices |
| WO2011116865A1 (en) | 2010-03-25 | 2011-09-29 | Merck Patent Gmbh | Materials for organic electroluminescence devices |
| WO2011120709A1 (en) | 2010-03-31 | 2011-10-06 | Osram Opto Semiconductors Gmbh | Dopant for a hole conductor layer for organic semiconductor components, and use thereof |
| US8044390B2 (en) | 2007-05-25 | 2011-10-25 | Idemitsu Kosan Co., Ltd. | Material for organic electroluminescent device, organic electroluminescent device, and organic electroluminescent display |
| WO2011137951A1 (en) | 2010-05-04 | 2011-11-10 | Merck Patent Gmbh | Organic electroluminescence devices |
| US8057712B2 (en) | 2008-04-29 | 2011-11-15 | Novaled Ag | Radialene compounds and their use |
| WO2011157339A1 (en) | 2010-06-15 | 2011-12-22 | Merck Patent Gmbh | Metal complexes |
| WO2012007086A1 (en) | 2010-07-16 | 2012-01-19 | Merck Patent Gmbh | Metal complexes |
| WO2012034627A1 (en) | 2010-09-15 | 2012-03-22 | Merck Patent Gmbh | Materials for organic electroluminescent devices |
| WO2012048780A1 (en) | 2010-10-15 | 2012-04-19 | Merck Patent Gmbh | Compounds for electronic devices |
| WO2012048781A1 (en) | 2010-10-15 | 2012-04-19 | Merck Patent Gmbh | Triphenylene-based materials for organic electroluminescent devices |
| WO2012095143A1 (en) | 2011-01-13 | 2012-07-19 | Merck Patent Gmbh | Compounds for organic electroluminescent devices |
| US20120187826A1 (en) | 2009-12-21 | 2012-07-26 | Idemitsu Kosan Co., Ltd. | Organic electroluminescent element using pyrene derivative |
| WO2012143080A2 (en) | 2011-04-18 | 2012-10-26 | Merck Patent Gmbh | Materials for organic electroluminescent devices |
| WO2012150001A1 (en) | 2011-05-05 | 2012-11-08 | Merck Patent Gmbh | Compounds for electronic devices |
| WO2013041176A1 (en) | 2011-09-21 | 2013-03-28 | Merck Patent Gmbh | Carbazole derivatives for organic electroluminescence devices |
| WO2013056776A1 (en) | 2011-10-20 | 2013-04-25 | Merck Patent Gmbh | Materials for organic electroluminescent devices |
| WO2013083216A1 (en) | 2011-11-17 | 2013-06-13 | Merck Patent Gmbh | Spiro dihydroacridine derivatives and the use thereof as materials for organic electroluminescence devices |
| WO2013120577A1 (en) | 2012-02-14 | 2013-08-22 | Merck Patent Gmbh | Spirobifluorene compounds for organic electroluminescent devices |
| DE102012209523A1 (en) | 2012-06-06 | 2013-12-12 | Osram Opto Semiconductors Gmbh | Main group metal complexes as p-dopants for organic electronic matrix materials |
| WO2013185871A1 (en) | 2012-06-12 | 2013-12-19 | Merck Patent Gmbh | Compounds for electronic devices |
| WO2014008982A1 (en) | 2012-07-13 | 2014-01-16 | Merck Patent Gmbh | Metal complexes |
| WO2014015938A1 (en) | 2012-07-23 | 2014-01-30 | Merck Patent Gmbh | Derivatives of 2-diarylaminofluorene and organic electronic compounds containing them |
| WO2014015935A2 (en) | 2012-07-23 | 2014-01-30 | Merck Patent Gmbh | Compounds and organic electronic devices |
| WO2014015937A1 (en) | 2012-07-23 | 2014-01-30 | Merck Patent Gmbh | Compounds and organic electroluminescent devices |
| WO2014023377A2 (en) | 2012-08-07 | 2014-02-13 | Merck Patent Gmbh | Metal complexes |
| WO2014037077A1 (en) | 2012-09-04 | 2014-03-13 | Merck Patent Gmbh | Connections for electronic devices |
| WO2014072017A1 (en) | 2012-11-12 | 2014-05-15 | Merck Patent Gmbh | Materials for electronic devices |
| WO2014094960A1 (en) | 2012-12-21 | 2014-06-26 | Merck Patent Gmbh | Metal complexes |
| WO2014094961A1 (en) | 2012-12-21 | 2014-06-26 | Merck Patent Gmbh | Metal complexes |
| WO2014106522A1 (en) | 2013-01-03 | 2014-07-10 | Merck Patent Gmbh | Materials for electronic devices |
| WO2014111269A2 (en) | 2013-10-14 | 2014-07-24 | Merck Patent Gmbh | Materials for electronic devices |
| WO2015022051A1 (en) | 2013-08-15 | 2015-02-19 | Merck Patent Gmbh | Materials for electronic devices |
| WO2015036074A1 (en) | 2013-09-11 | 2015-03-19 | Merck Patent Gmbh | Metal complexes |
| WO2015082056A1 (en) | 2013-12-06 | 2015-06-11 | Merck Patent Gmbh | Compounds and organic electronic devices |
| WO2015086108A1 (en) | 2013-12-12 | 2015-06-18 | Merck Patent Gmbh | Materials for electronic devices |
| WO2015102118A1 (en) | 2014-02-18 | 2015-07-09 | 学校法人関西学院 | Polycyclic aromatic compound |
| WO2015104045A1 (en) | 2014-01-13 | 2015-07-16 | Merck Patent Gmbh | Metal complexes |
| WO2015117718A1 (en) | 2014-02-05 | 2015-08-13 | Merck Patent Gmbh | Metal complexes |
| WO2015131976A1 (en) | 2014-03-07 | 2015-09-11 | Merck Patent Gmbh | Materials for electronic devices |
| WO2015158409A1 (en) | 2014-04-16 | 2015-10-22 | Merck Patent Gmbh | Materials for electronic devices |
| WO2015158411A1 (en) | 2014-04-14 | 2015-10-22 | Merck Patent Gmbh | Materials for electronic devices |
| WO2015169412A1 (en) | 2014-05-05 | 2015-11-12 | Merck Patent Gmbh | Materials for organic light emitting devices |
| CN105131938A (en) * | 2015-07-29 | 2015-12-09 | 中节能万润股份有限公司 | Organic electroluminescent material and use thereof |
| WO2016015815A1 (en) | 2014-07-28 | 2016-02-04 | Merck Patent Gmbh | Metal complexes |
| WO2016015810A1 (en) | 2014-07-29 | 2016-02-04 | Merck Patent Gmbh | Materials for organic electroluminescent devices |
| WO2016023608A1 (en) | 2014-08-13 | 2016-02-18 | Merck Patent Gmbh | Materials for organic electroluminescent devices |
| KR20160041014A (en) | 2014-10-06 | 2016-04-15 | 유니버셜 디스플레이 코포레이션 | Organic electroluminescent materials and devices |
| WO2016078738A1 (en) | 2014-11-18 | 2016-05-26 | Merck Patent Gmbh | Materials for organic electroluminescent devices |
| WO2016087017A1 (en) | 2014-12-01 | 2016-06-09 | Merck Patent Gmbh | Materials for organic electroluminescent devices |
| WO2016102048A1 (en) | 2014-12-22 | 2016-06-30 | Merck Patent Gmbh | Materials for electronic devices |
| WO2016124304A1 (en) | 2015-02-03 | 2016-08-11 | Merck Patent Gmbh | Metal complexes |
| WO2016131521A1 (en) | 2015-02-16 | 2016-08-25 | Merck Patent Gmbh | Spirobifluorene derivative-based materials for electronic devices |
| WO2016152418A1 (en) | 2015-03-25 | 2016-09-29 | 学校法人関西学院 | Polycyclic aromatic compound and light emission layer-forming composition |
| WO2016150544A1 (en) | 2015-03-25 | 2016-09-29 | Merck Patent Gmbh | Materials for organic electroluminescent devices |
| WO2017025165A1 (en) | 2015-08-12 | 2017-02-16 | Merck Patent Gmbh | Materials for electronic devices |
| WO2017028941A1 (en) | 2015-08-14 | 2017-02-23 | Merck Patent Gmbh | Phenoxazine derivatives for organic electroluminescent devices |
| WO2017028940A1 (en) | 2015-08-14 | 2017-02-23 | Merck Patent Gmbh | Phenoxazine derivatives for organic electroluminescent devices |
| WO2017032439A1 (en) | 2015-08-25 | 2017-03-02 | Merck Patent Gmbh | Metal complexes |
| WO2017036574A1 (en) | 2015-08-28 | 2017-03-09 | Merck Patent Gmbh | 6,9,15,18-tetrahydro-s-indaceno[1,2-b:5,6-b']difluorene derivatives and use thereof in electronic devices |
| WO2017036573A1 (en) | 2015-08-28 | 2017-03-09 | Merck Patent Gmbh | Compounds for electronic devices |
| WO2017122988A1 (en) | 2016-01-13 | 2017-07-20 | 덕산네오룩스 주식회사 | Compound for organic electric element, organic electric element using same, and electronic device thereof |
| WO2017148564A1 (en) | 2016-03-03 | 2017-09-08 | Merck Patent Gmbh | Materials for organic electroluminescent devices |
| WO2017149958A1 (en) * | 2016-03-03 | 2017-09-08 | キヤノン株式会社 | Organic photoelectric conversion element, two-dimensional sensor, image sensor, and imaging device |
| WO2018011186A1 (en) | 2016-07-14 | 2018-01-18 | Merck Patent Gmbh | Metal complexes |
| WO2018041769A1 (en) | 2016-08-30 | 2018-03-08 | Merck Patent Gmbh | Binuclear and trinuclear metal complexes composed of two inter-linked tripodal hexadentate ligands for use in electroluminescent devices |
| WO2018095397A1 (en) | 2016-11-23 | 2018-05-31 | 广州华睿光电材料有限公司 | Organic compound containing boron and uses thereof, organic mixture, and organic electronic device |
| WO2018110887A1 (en) | 2016-12-14 | 2018-06-21 | 주식회사 엘지화학 | Heterocyclic compound, and organic light-emitting element comprising same |
| WO2018178001A1 (en) | 2017-03-29 | 2018-10-04 | Merck Patent Gmbh | Metal complexes |
| WO2019004248A1 (en) | 2017-06-30 | 2019-01-03 | 住友化学株式会社 | Macromolecular compound and light-emitting element using same |
| WO2019020538A1 (en) | 2017-07-25 | 2019-01-31 | Merck Patent Gmbh | METALLIC COMPLEXES |
| US20190131541A1 (en) | 2017-10-31 | 2019-05-02 | Samsung Electronics Co., Ltd. | Compound and photoelectric device, image sensor and electronic device including the same |
| KR101978651B1 (en) | 2018-10-30 | 2019-05-15 | 머티어리얼사이언스 주식회사 | Method for preparing deuterated orgarnic compounds and deuterated orgarnic compounds produced by the same |
| WO2019115423A1 (en) | 2017-12-13 | 2019-06-20 | Merck Patent Gmbh | Metal complexes |
| WO2019132040A1 (en) | 2017-12-28 | 2019-07-04 | 出光興産株式会社 | Novel compound and organic electroluminescence element |
| WO2019158453A1 (en) | 2018-02-13 | 2019-08-22 | Merck Patent Gmbh | Metal complexes |
| WO2019229011A1 (en) | 2018-05-30 | 2019-12-05 | Merck Patent Gmbh | Composition for organic electronic devices |
| CN110964007A (en) | 2018-09-30 | 2020-04-07 | 江苏三月光电科技有限公司 | Compound with quinolinone derivative as core and application of compound in organic electroluminescent device |
| KR20200052820A (en) | 2018-11-07 | 2020-05-15 | 머티어리얼사이언스 주식회사 | An organic compound and an organic light emitting diode |
| US20200161552A1 (en) | 2018-11-21 | 2020-05-21 | Sfc Co., Ltd. | Indolocarbazole derivatives and organic electroluminescent devices using the same |
| WO2020208051A1 (en) | 2019-04-11 | 2020-10-15 | Merck Patent Gmbh | Materials for organic electroluminescent devices |
| EP3770163A1 (en) | 2019-07-26 | 2021-01-27 | Samsung Electronics Co., Ltd. | Compound and photoelectric device, image sensor and electronic device including the same |
| WO2021089450A1 (en) | 2019-11-04 | 2021-05-14 | Merck Patent Gmbh | Materials for organic electroluminescent devices |
| EP3848374A1 (en) | 2020-01-13 | 2021-07-14 | Samsung Electronics Co., Ltd. | Compound and photoelectric device, image sensor, and electronic device including the same |
| WO2021180614A1 (en) | 2020-03-11 | 2021-09-16 | Merck Patent Gmbh | Organic electroluminescent apparatus |
| WO2021180625A1 (en) | 2020-03-11 | 2021-09-16 | Merck Patent Gmbh | Organic electroluminescent apparatus |
| CN114891000A (en) * | 2022-04-26 | 2022-08-12 | 北京八亿时空液晶科技股份有限公司 | Indole derivative, organic electroluminescent element, display device and lighting device |
| KR20230034896A (en) | 2021-09-03 | 2023-03-10 | 삼성에스디아이 주식회사 | Composition for optoelectronic device and organic optoelectronic device and display device |
| CN116444547A (en) * | 2023-03-10 | 2023-07-18 | 浙江八亿时空先进材料有限公司 | Naphthalene boron-nitrogen compound and application thereof |
-
2024
- 2024-07-24 WO PCT/EP2024/070987 patent/WO2025021855A1/en active Pending
Patent Citations (186)
| Publication number | Priority date | Publication date | Assignee | Title |
|---|---|---|---|---|
| US5061569A (en) | 1990-07-26 | 1991-10-29 | Eastman Kodak Company | Electroluminescent device with organic electroluminescent medium |
| WO1995009147A1 (en) | 1993-09-29 | 1995-04-06 | Idemitsu Kosan Co., Ltd. | Organic electroluminescent element and arylenediamine derivative |
| EP0652273A1 (en) | 1993-11-09 | 1995-05-10 | Shinko Electric Industries Co. Ltd. | Organic material for electroluminescent device and electroluminescent device |
| JP3139321B2 (en) | 1994-03-31 | 2001-02-26 | 東レ株式会社 | Light emitting element |
| EP0676461A2 (en) | 1994-04-07 | 1995-10-11 | Hoechst Aktiengesellschaft | Spiro compounds and their application as electroluminescence materials |
| JP2000053957A (en) | 1998-06-23 | 2000-02-22 | Koto Gijutsu Kenkyuin Kenkyu Kumiai | Novel organometallic luminescent material and organic electroluminescent device containing the same |
| WO2000070655A2 (en) | 1999-05-13 | 2000-11-23 | The Trustees Of Princeton University | Very high efficiency organic light emitting devices based on electrophosphorescence |
| WO2001041512A1 (en) | 1999-12-01 | 2001-06-07 | The Trustees Of Princeton University | Complexes of form l2mx as phosphorescent dopants for organic leds |
| WO2001049806A1 (en) | 1999-12-31 | 2001-07-12 | Lg Chemical Co., Ltd | Electronic device comprising organic compound having p-type semiconducting characteristics |
| EP1205527A1 (en) | 2000-03-27 | 2002-05-15 | Idemitsu Kosan Co., Ltd. | Organic electroluminescence device |
| WO2002002714A3 (en) | 2000-06-30 | 2002-10-24 | Du Pont | Electroluminescent iridium compounds with fluorinated phenylpyridines, phenylpyrimidines, and phenylquinolines and devices made with such compounds |
| WO2002015645A1 (en) | 2000-08-11 | 2002-02-21 | The Trustees Of Princeton University | Organometallic compounds and emission-shifting organic electrophosphorescence |
| EP1191613A2 (en) | 2000-09-26 | 2002-03-27 | Canon Kabushiki Kaisha | Luminescence device, display apparatus and metal coordination compound |
| EP1191612A2 (en) | 2000-09-26 | 2002-03-27 | Canon Kabushiki Kaisha | Luminescence device, display apparatus and metal coordination compound |
| EP1191614A2 (en) | 2000-09-26 | 2002-03-27 | Canon Kabushiki Kaisha | Luminescence device and metal coordination compound therefor |
| WO2003060956A2 (en) | 2002-01-18 | 2003-07-24 | Lg Chem, Ltd. | New material for transporting electrons and organic electroluminescent display using the same |
| WO2004013080A1 (en) | 2002-08-01 | 2004-02-12 | Covion Organic Semiconductors Gmbh | Spirobifluorene derivatives, their preparation and uses thereof |
| EP1553154A1 (en) | 2002-08-23 | 2005-07-13 | Idemitsu Kosan Co., Ltd. | Organic electroluminescence device and anthracene derivative |
| WO2004028217A1 (en) | 2002-09-20 | 2004-04-01 | Idemitsu Kosan Co., Ltd. | Organic electroluminescent element |
| WO2004058911A2 (en) | 2002-12-23 | 2004-07-15 | Covion Organic Semiconductors Gmbh | Organic electroluminescent element |
| WO2004081017A1 (en) | 2003-03-11 | 2004-09-23 | Covion Organic Semiconductors Gmbh | Metal complexes |
| WO2004080975A1 (en) | 2003-03-13 | 2004-09-23 | Idemitsu Kosan Co., Ltd. | Nitrogen-containing heterocycle derivative and organic electroluminescent element using the same |
| JP2004288381A (en) | 2003-03-19 | 2004-10-14 | Konica Minolta Holdings Inc | Organic electroluminescent element |
| WO2004093207A2 (en) | 2003-04-15 | 2004-10-28 | Covion Organic Semiconductors Gmbh | Mixtures of matrix materials and organic semiconductors capable of emission, use of the same and electronic components containing said mixtures |
| EP1617711A1 (en) | 2003-04-23 | 2006-01-18 | Konica Minolta Holdings, Inc. | Organic electroluminescent device and display |
| EP1617710A1 (en) | 2003-04-23 | 2006-01-18 | Konica Minolta Holdings, Inc. | Material for organic electroluminescent device, organic electroluminescent device, illuminating device and display |
| WO2005011013A1 (en) | 2003-07-21 | 2005-02-03 | Covion Organic Semiconductors Gmbh | Organic electroluminescent element |
| WO2005019373A2 (en) | 2003-08-19 | 2005-03-03 | Basf Aktiengesellschaft | Transition metal complexes comprising carbene ligands serving as emitters for organic light-emitting diodes (oled's) |
| WO2005033244A1 (en) | 2003-09-29 | 2005-04-14 | Covion Organic Semiconductors Gmbh | Metal complexes |
| WO2005039246A1 (en) | 2003-09-30 | 2005-04-28 | Konica Minolta Holdings, Inc. | Organic electroluminescent device, illuminating device, and display |
| US20050069729A1 (en) | 2003-09-30 | 2005-03-31 | Konica Minolta Holdings, Inc. | Organic electroluminescent element, illuminator, display and compound |
| WO2005084081A1 (en) | 2004-02-20 | 2005-09-09 | Merck Patent Gmbh | Organic electronic devices |
| WO2005084082A1 (en) | 2004-02-20 | 2005-09-09 | Merck Patent Gmbh | Organic electronic devices |
| EP1722602A1 (en) | 2004-03-05 | 2006-11-15 | Idemitsu Kosan Co., Ltd. | Organic electroluminescent device and organic electroluminescent display |
| EP1731584A1 (en) | 2004-03-31 | 2006-12-13 | Konica Minolta Holdings, Inc. | Organic electroluminescent device material, organic electroluminescent device, display and illuminating device |
| WO2005111172A2 (en) | 2004-05-11 | 2005-11-24 | Merck Patent Gmbh | Novel material mixtures for use in electroluminescence |
| US20050258742A1 (en) | 2004-05-18 | 2005-11-24 | Yui-Yi Tsai | Carbene containing metal complexes as OLEDs |
| EP1749809A1 (en) | 2004-05-27 | 2007-02-07 | Idemitsu Kosan Co., Ltd. | Asymmetric pyrene derivative and organic electroluminescent device using same |
| JP2005347160A (en) | 2004-06-04 | 2005-12-15 | Konica Minolta Holdings Inc | Organic electroluminescence element, lighting device and display device |
| WO2006005627A1 (en) | 2004-07-15 | 2006-01-19 | Merck Patent Gmbh | Oligomeric derivatives of spirobifluorene, their preparation and use |
| WO2006048268A1 (en) | 2004-11-06 | 2006-05-11 | Merck Patent Gmbh | Organic electroluminescent device |
| EP1661888A1 (en) | 2004-11-29 | 2006-05-31 | Samsung SDI Co., Ltd. | Phenylcarbazole-based compound and organic electroluminescent device employing the same |
| WO2006097208A1 (en) | 2005-03-16 | 2006-09-21 | Merck Patent Gmbh | Novel materials for organic electroluminescent devices |
| WO2006100896A1 (en) | 2005-03-18 | 2006-09-28 | Idemitsu Kosan Co., Ltd. | Aromatic amine derivative and organic electroluminescence device utilizing the same |
| WO2006108497A1 (en) | 2005-04-14 | 2006-10-19 | Merck Patent Gmbh | Compounds for organic electronic devices |
| WO2006117052A1 (en) | 2005-05-03 | 2006-11-09 | Merck Patent Gmbh | Organic electroluminescent device and boric acid and borinic acid derivatives used therein |
| WO2006122630A1 (en) | 2005-05-20 | 2006-11-23 | Merck Patent Gmbh | Compounds for organic electronic devices |
| WO2006131192A1 (en) | 2005-06-09 | 2006-12-14 | Merck Patent Gmbh | New materials for organic electroluminescence devices |
| EP1905754A1 (en) | 2005-07-06 | 2008-04-02 | Idemitsu Kosan Co., Ltd. | Pyrene derivative and organic electroluminescence device making use of the same |
| WO2007063754A1 (en) | 2005-12-01 | 2007-06-07 | Nippon Steel Chemical Co., Ltd. | Compound for organic electroluminescent element and organic electroluminescent element |
| WO2007065678A1 (en) | 2005-12-08 | 2007-06-14 | Merck Patent Gmbh | Novel materials for organic electroluminiescent devices |
| WO2007065550A1 (en) | 2005-12-08 | 2007-06-14 | Merck Patent Gmbh | Novel materials for organic electroluminescent devices |
| EP1968131A1 (en) | 2005-12-27 | 2008-09-10 | Idemitsu Kosan Co., Ltd. | Material for organic electroluminescent device and organic electroluminescent device |
| WO2007110129A1 (en) | 2006-03-24 | 2007-10-04 | Merck Patent Gmbh | New materials for organic electroluminescent devices |
| WO2007137725A1 (en) | 2006-05-31 | 2007-12-06 | Merck Patent Gmbh | New materials for organic electroluminescent devices |
| WO2007140847A1 (en) | 2006-06-02 | 2007-12-13 | Merck Patent Gmbh | Materials for organic electroluminescent devices |
| WO2008006449A1 (en) | 2006-07-11 | 2008-01-17 | Merck Patent Gmbh | Novel materials for organic electroluminescent devices |
| WO2008056746A1 (en) | 2006-11-09 | 2008-05-15 | Nippon Steel Chemical Co., Ltd. | Compound for organic electroluminescent device and organic electroluminescent device |
| WO2008086851A1 (en) | 2007-01-18 | 2008-07-24 | Merck Patent Gmbh | Carbazole derivatives for organc electroluminescent devices |
| US8044390B2 (en) | 2007-05-25 | 2011-10-25 | Idemitsu Kosan Co., Ltd. | Material for organic electroluminescent device, organic electroluminescent device, and organic electroluminescent display |
| WO2008145239A2 (en) | 2007-05-29 | 2008-12-04 | Merck Patent Gmbh | Benzanthracene derivatives for organic electroluminescent devices |
| WO2009003455A1 (en) | 2007-07-04 | 2009-01-08 | Novaled Ag | Quinoid compounds and the use thereof in semiconducting matrix materials, electronic and optoelectronic components |
| DE102007031220A1 (en) | 2007-07-04 | 2009-01-08 | Novaled Ag | Chinoid compounds and their use in semiconducting matrix materials, electronic and optoelectronic devices |
| EP2045848A1 (en) | 2007-07-18 | 2009-04-08 | Idemitsu Kosan Co., Ltd. | Organic electroluminescent device material and organic electroluminescent device |
| WO2009062578A1 (en) | 2007-11-12 | 2009-05-22 | Merck Patent Gmbh | Organic electroluminescent devices comprising azomethine-metal complexes |
| EP2213662A1 (en) | 2007-11-30 | 2010-08-04 | Idemitsu Kosan Co., Ltd. | Azaindenofluorenedione derivative, organic electroluminescent device material, and organic electroluminescent device |
| WO2009100925A1 (en) | 2008-02-13 | 2009-08-20 | Merck Patent Gmbh | Novel materials for organic electroluminescent devices |
| EP2276085A1 (en) | 2008-03-27 | 2011-01-19 | Nippon Steel Chemical Co., Ltd. | Organic electroluminescent device |
| US8057712B2 (en) | 2008-04-29 | 2011-11-15 | Novaled Ag | Radialene compounds and their use |
| WO2009146770A2 (en) | 2008-06-05 | 2009-12-10 | Merck Patent Gmbh | Electronic device comprising metal complexes |
| WO2010006680A1 (en) | 2008-07-18 | 2010-01-21 | Merck Patent Gmbh | Materials for organic electroluminescence devices |
| WO2010012328A1 (en) | 2008-07-29 | 2010-02-04 | Merck Patent Gmbh | Compounds for electronic devices |
| WO2010015307A1 (en) | 2008-08-04 | 2010-02-11 | Merck Patent Gmbh | Electronic devices comprising metal complexes having isonitrile ligands |
| WO2010015306A1 (en) | 2008-08-08 | 2010-02-11 | Merck Patent Gmbh, | Organic electroluminescence device |
| WO2010031485A1 (en) | 2008-09-22 | 2010-03-25 | Merck Patent Gmbh | Materials for organic electroluminescence devices |
| US20100096600A1 (en) | 2008-10-16 | 2010-04-22 | Novaled Ag | Square Planar Transition Metal Complexes and Organic Semiconductive Materials Using Them as Well as Electronic or Optoelectric Components |
| WO2010054730A1 (en) | 2008-11-11 | 2010-05-20 | Merck Patent Gmbh | Organic electroluminescent devices |
| WO2010054729A2 (en) | 2008-11-11 | 2010-05-20 | Merck Patent Gmbh | Materials for organic electroluminescence devices |
| WO2010054728A1 (en) | 2008-11-13 | 2010-05-20 | Merck Patent Gmbh | Materials for organic electroluminescent devices |
| WO2010054731A1 (en) | 2008-11-13 | 2010-05-20 | Merck Patent Gmbh | Materials for organic electroluminescent devices |
| WO2010072300A1 (en) | 2008-12-22 | 2010-07-01 | Merck Patent Gmbh | Organic electroluminescent device comprising triazine derivatives |
| WO2010086089A1 (en) | 2009-02-02 | 2010-08-05 | Merck Patent Gmbh | Metal complexes |
| WO2010094378A1 (en) | 2009-02-17 | 2010-08-26 | Merck Patent Gmbh | Organic electronic device |
| WO2010099852A1 (en) | 2009-03-02 | 2010-09-10 | Merck Patent Gmbh | Metal complexes having azaborol ligands and electronic device having the same |
| WO2010102709A1 (en) | 2009-03-13 | 2010-09-16 | Merck Patent Gmbh | Materials for organic electroluminescence devices |
| WO2010108579A1 (en) | 2009-03-23 | 2010-09-30 | Merck Patent Gmbh | Organic electroluminescent device |
| WO2010136109A1 (en) | 2009-05-29 | 2010-12-02 | Merck Patent Gmbh | Materials for organic electroluminescent devices |
| WO2011000455A1 (en) | 2009-06-30 | 2011-01-06 | Merck Patent Gmbh | Materials for organic electroluminescence devices |
| WO2011032626A1 (en) | 2009-09-16 | 2011-03-24 | Merck Patent Gmbh | Metal complexes |
| WO2011042107A2 (en) | 2009-10-08 | 2011-04-14 | Merck Patent Gmbh | Materials for organic electroluminescent devices |
| WO2011054442A2 (en) | 2009-11-06 | 2011-05-12 | Merck Patent Gmbh | Materials for electronic devices |
| WO2011057706A2 (en) | 2009-11-14 | 2011-05-19 | Merck Patent Gmbh | Materials for electronic devices |
| WO2011060877A2 (en) | 2009-11-17 | 2011-05-26 | Merck Patent Gmbh | Materials for organic light emitting devices |
| WO2011060859A1 (en) | 2009-11-17 | 2011-05-26 | Merck Patent Gmbh | Materials for organic electroluminescent devices |
| WO2011060867A1 (en) | 2009-11-18 | 2011-05-26 | Merck Patent Gmbh | Nitrogen-containing condensed heterocyclic compounds for oleds |
| WO2011066898A1 (en) | 2009-12-05 | 2011-06-09 | Merck Patent Gmbh | Electronic device containing metal complexes |
| WO2011073149A1 (en) | 2009-12-14 | 2011-06-23 | Basf Se | Metal complexes comprising diazabenzimidazol carbene-ligands and the use thereof in oleds |
| US20120187826A1 (en) | 2009-12-21 | 2012-07-26 | Idemitsu Kosan Co., Ltd. | Organic electroluminescent element using pyrene derivative |
| WO2011088877A1 (en) | 2010-01-25 | 2011-07-28 | Merck Patent Gmbh | Compounds for electronic devices |
| WO2011116865A1 (en) | 2010-03-25 | 2011-09-29 | Merck Patent Gmbh | Materials for organic electroluminescence devices |
| WO2011120709A1 (en) | 2010-03-31 | 2011-10-06 | Osram Opto Semiconductors Gmbh | Dopant for a hole conductor layer for organic semiconductor components, and use thereof |
| WO2011137951A1 (en) | 2010-05-04 | 2011-11-10 | Merck Patent Gmbh | Organic electroluminescence devices |
| WO2011157339A1 (en) | 2010-06-15 | 2011-12-22 | Merck Patent Gmbh | Metal complexes |
| WO2012007086A1 (en) | 2010-07-16 | 2012-01-19 | Merck Patent Gmbh | Metal complexes |
| WO2012034627A1 (en) | 2010-09-15 | 2012-03-22 | Merck Patent Gmbh | Materials for organic electroluminescent devices |
| WO2012048781A1 (en) | 2010-10-15 | 2012-04-19 | Merck Patent Gmbh | Triphenylene-based materials for organic electroluminescent devices |
| WO2012048780A1 (en) | 2010-10-15 | 2012-04-19 | Merck Patent Gmbh | Compounds for electronic devices |
| WO2012095143A1 (en) | 2011-01-13 | 2012-07-19 | Merck Patent Gmbh | Compounds for organic electroluminescent devices |
| WO2012143080A2 (en) | 2011-04-18 | 2012-10-26 | Merck Patent Gmbh | Materials for organic electroluminescent devices |
| WO2012150001A1 (en) | 2011-05-05 | 2012-11-08 | Merck Patent Gmbh | Compounds for electronic devices |
| WO2013041176A1 (en) | 2011-09-21 | 2013-03-28 | Merck Patent Gmbh | Carbazole derivatives for organic electroluminescence devices |
| WO2013056776A1 (en) | 2011-10-20 | 2013-04-25 | Merck Patent Gmbh | Materials for organic electroluminescent devices |
| WO2013083216A1 (en) | 2011-11-17 | 2013-06-13 | Merck Patent Gmbh | Spiro dihydroacridine derivatives and the use thereof as materials for organic electroluminescence devices |
| WO2013120577A1 (en) | 2012-02-14 | 2013-08-22 | Merck Patent Gmbh | Spirobifluorene compounds for organic electroluminescent devices |
| DE102012209523A1 (en) | 2012-06-06 | 2013-12-12 | Osram Opto Semiconductors Gmbh | Main group metal complexes as p-dopants for organic electronic matrix materials |
| WO2013185871A1 (en) | 2012-06-12 | 2013-12-19 | Merck Patent Gmbh | Compounds for electronic devices |
| WO2014008982A1 (en) | 2012-07-13 | 2014-01-16 | Merck Patent Gmbh | Metal complexes |
| WO2014015938A1 (en) | 2012-07-23 | 2014-01-30 | Merck Patent Gmbh | Derivatives of 2-diarylaminofluorene and organic electronic compounds containing them |
| WO2014015937A1 (en) | 2012-07-23 | 2014-01-30 | Merck Patent Gmbh | Compounds and organic electroluminescent devices |
| WO2014015935A2 (en) | 2012-07-23 | 2014-01-30 | Merck Patent Gmbh | Compounds and organic electronic devices |
| WO2014023377A2 (en) | 2012-08-07 | 2014-02-13 | Merck Patent Gmbh | Metal complexes |
| WO2014037077A1 (en) | 2012-09-04 | 2014-03-13 | Merck Patent Gmbh | Connections for electronic devices |
| WO2014072017A1 (en) | 2012-11-12 | 2014-05-15 | Merck Patent Gmbh | Materials for electronic devices |
| WO2014094960A1 (en) | 2012-12-21 | 2014-06-26 | Merck Patent Gmbh | Metal complexes |
| WO2014094961A1 (en) | 2012-12-21 | 2014-06-26 | Merck Patent Gmbh | Metal complexes |
| WO2014106522A1 (en) | 2013-01-03 | 2014-07-10 | Merck Patent Gmbh | Materials for electronic devices |
| WO2015022051A1 (en) | 2013-08-15 | 2015-02-19 | Merck Patent Gmbh | Materials for electronic devices |
| WO2015036074A1 (en) | 2013-09-11 | 2015-03-19 | Merck Patent Gmbh | Metal complexes |
| WO2014111269A2 (en) | 2013-10-14 | 2014-07-24 | Merck Patent Gmbh | Materials for electronic devices |
| WO2015082056A1 (en) | 2013-12-06 | 2015-06-11 | Merck Patent Gmbh | Compounds and organic electronic devices |
| WO2015086108A1 (en) | 2013-12-12 | 2015-06-18 | Merck Patent Gmbh | Materials for electronic devices |
| WO2015104045A1 (en) | 2014-01-13 | 2015-07-16 | Merck Patent Gmbh | Metal complexes |
| WO2015117718A1 (en) | 2014-02-05 | 2015-08-13 | Merck Patent Gmbh | Metal complexes |
| WO2015102118A1 (en) | 2014-02-18 | 2015-07-09 | 学校法人関西学院 | Polycyclic aromatic compound |
| WO2015131976A1 (en) | 2014-03-07 | 2015-09-11 | Merck Patent Gmbh | Materials for electronic devices |
| WO2015158411A1 (en) | 2014-04-14 | 2015-10-22 | Merck Patent Gmbh | Materials for electronic devices |
| WO2015158409A1 (en) | 2014-04-16 | 2015-10-22 | Merck Patent Gmbh | Materials for electronic devices |
| WO2015169412A1 (en) | 2014-05-05 | 2015-11-12 | Merck Patent Gmbh | Materials for organic light emitting devices |
| WO2016015815A1 (en) | 2014-07-28 | 2016-02-04 | Merck Patent Gmbh | Metal complexes |
| WO2016015810A1 (en) | 2014-07-29 | 2016-02-04 | Merck Patent Gmbh | Materials for organic electroluminescent devices |
| WO2016023608A1 (en) | 2014-08-13 | 2016-02-18 | Merck Patent Gmbh | Materials for organic electroluminescent devices |
| KR20160041014A (en) | 2014-10-06 | 2016-04-15 | 유니버셜 디스플레이 코포레이션 | Organic electroluminescent materials and devices |
| WO2016078738A1 (en) | 2014-11-18 | 2016-05-26 | Merck Patent Gmbh | Materials for organic electroluminescent devices |
| WO2016087017A1 (en) | 2014-12-01 | 2016-06-09 | Merck Patent Gmbh | Materials for organic electroluminescent devices |
| WO2016102048A1 (en) | 2014-12-22 | 2016-06-30 | Merck Patent Gmbh | Materials for electronic devices |
| WO2016124304A1 (en) | 2015-02-03 | 2016-08-11 | Merck Patent Gmbh | Metal complexes |
| WO2016131521A1 (en) | 2015-02-16 | 2016-08-25 | Merck Patent Gmbh | Spirobifluorene derivative-based materials for electronic devices |
| WO2016152418A1 (en) | 2015-03-25 | 2016-09-29 | 学校法人関西学院 | Polycyclic aromatic compound and light emission layer-forming composition |
| WO2016150544A1 (en) | 2015-03-25 | 2016-09-29 | Merck Patent Gmbh | Materials for organic electroluminescent devices |
| CN105131938A (en) * | 2015-07-29 | 2015-12-09 | 中节能万润股份有限公司 | Organic electroluminescent material and use thereof |
| WO2017025165A1 (en) | 2015-08-12 | 2017-02-16 | Merck Patent Gmbh | Materials for electronic devices |
| WO2017028941A1 (en) | 2015-08-14 | 2017-02-23 | Merck Patent Gmbh | Phenoxazine derivatives for organic electroluminescent devices |
| WO2017028940A1 (en) | 2015-08-14 | 2017-02-23 | Merck Patent Gmbh | Phenoxazine derivatives for organic electroluminescent devices |
| WO2017032439A1 (en) | 2015-08-25 | 2017-03-02 | Merck Patent Gmbh | Metal complexes |
| WO2017036574A1 (en) | 2015-08-28 | 2017-03-09 | Merck Patent Gmbh | 6,9,15,18-tetrahydro-s-indaceno[1,2-b:5,6-b']difluorene derivatives and use thereof in electronic devices |
| WO2017036573A1 (en) | 2015-08-28 | 2017-03-09 | Merck Patent Gmbh | Compounds for electronic devices |
| WO2017122988A1 (en) | 2016-01-13 | 2017-07-20 | 덕산네오룩스 주식회사 | Compound for organic electric element, organic electric element using same, and electronic device thereof |
| WO2017148564A1 (en) | 2016-03-03 | 2017-09-08 | Merck Patent Gmbh | Materials for organic electroluminescent devices |
| WO2017148565A1 (en) | 2016-03-03 | 2017-09-08 | Merck Patent Gmbh | Materials for organic electroluminescence devices |
| WO2017149958A1 (en) * | 2016-03-03 | 2017-09-08 | キヤノン株式会社 | Organic photoelectric conversion element, two-dimensional sensor, image sensor, and imaging device |
| WO2018011186A1 (en) | 2016-07-14 | 2018-01-18 | Merck Patent Gmbh | Metal complexes |
| WO2018041769A1 (en) | 2016-08-30 | 2018-03-08 | Merck Patent Gmbh | Binuclear and trinuclear metal complexes composed of two inter-linked tripodal hexadentate ligands for use in electroluminescent devices |
| WO2018095397A1 (en) | 2016-11-23 | 2018-05-31 | 广州华睿光电材料有限公司 | Organic compound containing boron and uses thereof, organic mixture, and organic electronic device |
| WO2018110887A1 (en) | 2016-12-14 | 2018-06-21 | 주식회사 엘지화학 | Heterocyclic compound, and organic light-emitting element comprising same |
| WO2018178001A1 (en) | 2017-03-29 | 2018-10-04 | Merck Patent Gmbh | Metal complexes |
| WO2019004248A1 (en) | 2017-06-30 | 2019-01-03 | 住友化学株式会社 | Macromolecular compound and light-emitting element using same |
| WO2019020538A1 (en) | 2017-07-25 | 2019-01-31 | Merck Patent Gmbh | METALLIC COMPLEXES |
| US20190131541A1 (en) | 2017-10-31 | 2019-05-02 | Samsung Electronics Co., Ltd. | Compound and photoelectric device, image sensor and electronic device including the same |
| WO2019115423A1 (en) | 2017-12-13 | 2019-06-20 | Merck Patent Gmbh | Metal complexes |
| WO2019132040A1 (en) | 2017-12-28 | 2019-07-04 | 出光興産株式会社 | Novel compound and organic electroluminescence element |
| WO2019158453A1 (en) | 2018-02-13 | 2019-08-22 | Merck Patent Gmbh | Metal complexes |
| WO2019229011A1 (en) | 2018-05-30 | 2019-12-05 | Merck Patent Gmbh | Composition for organic electronic devices |
| CN110964007A (en) | 2018-09-30 | 2020-04-07 | 江苏三月光电科技有限公司 | Compound with quinolinone derivative as core and application of compound in organic electroluminescent device |
| KR101978651B1 (en) | 2018-10-30 | 2019-05-15 | 머티어리얼사이언스 주식회사 | Method for preparing deuterated orgarnic compounds and deuterated orgarnic compounds produced by the same |
| KR20200052820A (en) | 2018-11-07 | 2020-05-15 | 머티어리얼사이언스 주식회사 | An organic compound and an organic light emitting diode |
| US20200161552A1 (en) | 2018-11-21 | 2020-05-21 | Sfc Co., Ltd. | Indolocarbazole derivatives and organic electroluminescent devices using the same |
| WO2020208051A1 (en) | 2019-04-11 | 2020-10-15 | Merck Patent Gmbh | Materials for organic electroluminescent devices |
| EP3770163A1 (en) | 2019-07-26 | 2021-01-27 | Samsung Electronics Co., Ltd. | Compound and photoelectric device, image sensor and electronic device including the same |
| WO2021089450A1 (en) | 2019-11-04 | 2021-05-14 | Merck Patent Gmbh | Materials for organic electroluminescent devices |
| EP3848374A1 (en) | 2020-01-13 | 2021-07-14 | Samsung Electronics Co., Ltd. | Compound and photoelectric device, image sensor, and electronic device including the same |
| US20210234103A1 (en) | 2020-01-13 | 2021-07-29 | Samsung Electronics Co., Ltd. | Compound and photoelectric device, image sensor, and electronic device including the same |
| WO2021180614A1 (en) | 2020-03-11 | 2021-09-16 | Merck Patent Gmbh | Organic electroluminescent apparatus |
| WO2021180625A1 (en) | 2020-03-11 | 2021-09-16 | Merck Patent Gmbh | Organic electroluminescent apparatus |
| KR20230034896A (en) | 2021-09-03 | 2023-03-10 | 삼성에스디아이 주식회사 | Composition for optoelectronic device and organic optoelectronic device and display device |
| CN114891000A (en) * | 2022-04-26 | 2022-08-12 | 北京八亿时空液晶科技股份有限公司 | Indole derivative, organic electroluminescent element, display device and lighting device |
| CN116444547A (en) * | 2023-03-10 | 2023-07-18 | 浙江八亿时空先进材料有限公司 | Naphthalene boron-nitrogen compound and application thereof |
Non-Patent Citations (8)
| Title |
|---|
| ASIAN JOURNAL OF ORGANIC CHEMISTRY, vol. 6, no. 8, 2017, pages 1063 - 1071 |
| BULLETIN OF THE CHEMICAL SOCIETY OF JAPAN, vol. 94, no. 2, 2021, pages 600 - 605 |
| CAO XUDONG ET AL: "CN-Containing donor-acceptor-type small-molecule materials for thermally activated delayed fluorescence OLEDs", JOURNAL OF MATERIALS CHEMISTRY C, vol. 5, no. 31, 1 January 2017 (2017-01-01), GB, pages 7699 - 7714, XP093197812, ISSN: 2050-7526, DOI: 10.1039/C7TC02481A * |
| D. M. KOLLER ET AL.: "Nature Photonics", 2008, article "organic plasmon emitting devices", pages: 1 - 4 |
| HAIG ET AL., CHEM. MAT., vol. 23, no. 20, 2011, pages 4435 |
| K. OGAWA ET AL., JOURNAL OF ORGANIC CHEMISTRY, vol. 66, no. 26, 2001, pages 9067 |
| Y. SHIROTA ET AL., CHEM. REV., vol. 107, no. 4, 2007, pages 953 - 1010 |
| Z. HE ET AL., TETRAHEDRON, vol. 76, no. 51, 2020, pages 131315 |
Similar Documents
| Publication | Publication Date | Title |
|---|---|---|
| DE112010004381B4 (en) | materials for electronic devices | |
| DE112011103904B4 (en) | Materials for organic electroluminescent devices | |
| DE102010012738A1 (en) | Materials for organic electroluminescent devices | |
| DE112011102056B4 (en) | connections for electronic devices | |
| EP4263543A1 (en) | Nitrogenous compounds for organic electroluminescent devices | |
| EP4229064A1 (en) | Heterocyclic compounds for organic electroluminescent devices | |
| EP4519383A1 (en) | Cyclic compounds for organic electroluminescent devices | |
| EP4437814A1 (en) | Materials for electronic devices | |
| WO2023052272A1 (en) | Materials for electronic devices | |
| EP4132939B1 (en) | Polycyclic compounds for organic electroluminescent devices | |
| EP4229145A1 (en) | Compounds comprising heteroatoms for organic electroluminescent devices | |
| WO2011160758A1 (en) | Materials for organic electroluminescent devices | |
| WO2023052314A1 (en) | Materials for electronic devices | |
| WO2023052313A1 (en) | Materials for electronic devices | |
| WO2022200638A1 (en) | Materials for organic electroluminescent devices | |
| EP4244228A1 (en) | Sulfurous compounds for organic electroluminescent devices | |
| EP4402221B1 (en) | Boronic heterocyclic compounds for organic electroluminescent devices | |
| WO2025021855A1 (en) | Materials for organic light-emitting devices and organic sensors | |
| WO2024256357A1 (en) | Organic heterocycles for photoelectric devices | |
| WO2023247345A1 (en) | Heterocycles for photoelectric devices | |
| EP4612157A2 (en) | Nitrogenous heterocycles for organic electroluminescent devices | |
| WO2024240725A1 (en) | Tris[1,2,4]triazolo[1,5-a:1',5'-c:1'',5''-e][1,3,5]triazine derivatives for use in organic electroluminescent devices | |
| EP4676924A1 (en) | Cyclic nitrogen compounds for organic electroluminescent devices | |
| WO2025181124A1 (en) | Materials for organic electroluminescent devices | |
| WO2023152346A1 (en) | Materials for electronic devices |
Legal Events
| Date | Code | Title | Description |
|---|---|---|---|
| 121 | Ep: the epo has been informed by wipo that ep was designated in this application |
Ref document number: 24743871 Country of ref document: EP Kind code of ref document: A1 |


























































































































































