KR20190099246A - 효소적으로 절단가능한 기를 갖는 항체 약물 접합체 (adc) - Google Patents
효소적으로 절단가능한 기를 갖는 항체 약물 접합체 (adc) Download PDFInfo
- Publication number
- KR20190099246A KR20190099246A KR1020197020706A KR20197020706A KR20190099246A KR 20190099246 A KR20190099246 A KR 20190099246A KR 1020197020706 A KR1020197020706 A KR 1020197020706A KR 20197020706 A KR20197020706 A KR 20197020706A KR 20190099246 A KR20190099246 A KR 20190099246A
- Authority
- KR
- South Korea
- Prior art keywords
- antibody
- seq
- variable
- tpp
- heavy chain
- Prior art date
- Legal status (The legal status is an assumption and is not a legal conclusion. Google has not performed a legal analysis and makes no representation as to the accuracy of the status listed.)
- Granted
Links
- HIKKHPAJMWLBPO-HPIUHYHASA-N CC(C)(C)[C@H](c1cc(-c(cc(cc2)F)c2F)c[n]1Cc1ccccc1)N(CC[C@@H](C(NCCC(N[C@H](CCC(OC(C)(C)C)=O)C(OC(C)(C)C)=O)=O)=O)N)C(CO)O Chemical compound CC(C)(C)[C@H](c1cc(-c(cc(cc2)F)c2F)c[n]1Cc1ccccc1)N(CC[C@@H](C(NCCC(N[C@H](CCC(OC(C)(C)C)=O)C(OC(C)(C)C)=O)=O)=O)N)C(CO)O HIKKHPAJMWLBPO-HPIUHYHASA-N 0.000 description 1
- QMWFDSIDRQIJQN-NRFANRHFSA-N CC(C)(C)[C@H](c1cc(-c2cc(F)ccc2F)c[n]1Cc1ccccc1)N Chemical compound CC(C)(C)[C@H](c1cc(-c2cc(F)ccc2F)c[n]1Cc1ccccc1)N QMWFDSIDRQIJQN-NRFANRHFSA-N 0.000 description 1
- LOKXPVZZGTVULW-ZOBUZTSGSA-N CC(C)C[C@@H](C(O)=O)NC([C@H](C)N(C)C([C@H](C)NC(OCc1ccccc1)=O)=O)=O Chemical compound CC(C)C[C@@H](C(O)=O)NC([C@H](C)N(C)C([C@H](C)NC(OCc1ccccc1)=O)=O)=O LOKXPVZZGTVULW-ZOBUZTSGSA-N 0.000 description 1
- DDRCVCJNFAVUDZ-UGLDVTSDSA-N CC(C)[C@@H](C(N[C@@H](C)C(N[C@@H](CCN([C@H](C(C)(C)C)c1cc(-c(cc(cc2)F)c2F)c[n]1Cc1ccccc1)C(CO)=O)C(NCCC(N[C@H](CCC(O)=O)C(O)=O)=O)=O)=O)=O)NC(CNC(CC(C)(CC(O)=O)C(C)(C)[AlH2])=O)=O Chemical compound CC(C)[C@@H](C(N[C@@H](C)C(N[C@@H](CCN([C@H](C(C)(C)C)c1cc(-c(cc(cc2)F)c2F)c[n]1Cc1ccccc1)C(CO)=O)C(NCCC(N[C@H](CCC(O)=O)C(O)=O)=O)=O)=O)=O)NC(CNC(CC(C)(CC(O)=O)C(C)(C)[AlH2])=O)=O DDRCVCJNFAVUDZ-UGLDVTSDSA-N 0.000 description 1
- HNHQGULWKKUPQL-QRYIBGABSA-N C[C@@H](C(N[C@@H](C)C(N[C@@H](CC(N)=O)C(N[C@@H](CCN([C@H](C(C)(C)C)c1cc(-c(cc(cc2)F)c2F)c[n]1Cc1ccccc1)C(CO)=O)C(NCCC(N[C@H](CCC(O)=O)C(O)=O)=O)=O)=O)=O)=O)NC(CCCC(ON(C(CC1)=O)C1=O)=O)=O Chemical compound C[C@@H](C(N[C@@H](C)C(N[C@@H](CC(N)=O)C(N[C@@H](CCN([C@H](C(C)(C)C)c1cc(-c(cc(cc2)F)c2F)c[n]1Cc1ccccc1)C(CO)=O)C(NCCC(N[C@H](CCC(O)=O)C(O)=O)=O)=O)=O)=O)=O)NC(CCCC(ON(C(CC1)=O)C1=O)=O)=O HNHQGULWKKUPQL-QRYIBGABSA-N 0.000 description 1
Images
Classifications
-
- A—HUMAN NECESSITIES
- A61—MEDICAL OR VETERINARY SCIENCE; HYGIENE
- A61K—PREPARATIONS FOR MEDICAL, DENTAL OR TOILETRY PURPOSES
- A61K47/00—Medicinal preparations characterised by the non-active ingredients used, e.g. carriers or inert additives; Targeting or modifying agents chemically bound to the active ingredient
- A61K47/50—Medicinal preparations characterised by the non-active ingredients used, e.g. carriers or inert additives; Targeting or modifying agents chemically bound to the active ingredient the non-active ingredient being chemically bound to the active ingredient, e.g. polymer-drug conjugates
- A61K47/51—Medicinal preparations characterised by the non-active ingredients used, e.g. carriers or inert additives; Targeting or modifying agents chemically bound to the active ingredient the non-active ingredient being chemically bound to the active ingredient, e.g. polymer-drug conjugates the non-active ingredient being a modifying agent
- A61K47/62—Medicinal preparations characterised by the non-active ingredients used, e.g. carriers or inert additives; Targeting or modifying agents chemically bound to the active ingredient the non-active ingredient being chemically bound to the active ingredient, e.g. polymer-drug conjugates the non-active ingredient being a modifying agent the modifying agent being a protein, peptide or polyamino acid
- A61K47/65—Peptidic linkers, binders or spacers, e.g. peptidic enzyme-labile linkers
-
- A—HUMAN NECESSITIES
- A61—MEDICAL OR VETERINARY SCIENCE; HYGIENE
- A61K—PREPARATIONS FOR MEDICAL, DENTAL OR TOILETRY PURPOSES
- A61K47/00—Medicinal preparations characterised by the non-active ingredients used, e.g. carriers or inert additives; Targeting or modifying agents chemically bound to the active ingredient
- A61K47/50—Medicinal preparations characterised by the non-active ingredients used, e.g. carriers or inert additives; Targeting or modifying agents chemically bound to the active ingredient the non-active ingredient being chemically bound to the active ingredient, e.g. polymer-drug conjugates
- A61K47/51—Medicinal preparations characterised by the non-active ingredients used, e.g. carriers or inert additives; Targeting or modifying agents chemically bound to the active ingredient the non-active ingredient being chemically bound to the active ingredient, e.g. polymer-drug conjugates the non-active ingredient being a modifying agent
- A61K47/68—Medicinal preparations characterised by the non-active ingredients used, e.g. carriers or inert additives; Targeting or modifying agents chemically bound to the active ingredient the non-active ingredient being chemically bound to the active ingredient, e.g. polymer-drug conjugates the non-active ingredient being a modifying agent the modifying agent being an antibody, an immunoglobulin or a fragment thereof, e.g. an Fc-fragment
- A61K47/6889—Conjugates wherein the antibody being the modifying agent and wherein the linker, binder or spacer confers particular properties to the conjugates, e.g. peptidic enzyme-labile linkers or acid-labile linkers, providing for an acid-labile immuno conjugate wherein the drug may be released from its antibody conjugated part in an acidic, e.g. tumoural or environment
-
- A—HUMAN NECESSITIES
- A61—MEDICAL OR VETERINARY SCIENCE; HYGIENE
- A61K—PREPARATIONS FOR MEDICAL, DENTAL OR TOILETRY PURPOSES
- A61K47/00—Medicinal preparations characterised by the non-active ingredients used, e.g. carriers or inert additives; Targeting or modifying agents chemically bound to the active ingredient
- A61K47/50—Medicinal preparations characterised by the non-active ingredients used, e.g. carriers or inert additives; Targeting or modifying agents chemically bound to the active ingredient the non-active ingredient being chemically bound to the active ingredient, e.g. polymer-drug conjugates
- A61K47/51—Medicinal preparations characterised by the non-active ingredients used, e.g. carriers or inert additives; Targeting or modifying agents chemically bound to the active ingredient the non-active ingredient being chemically bound to the active ingredient, e.g. polymer-drug conjugates the non-active ingredient being a modifying agent
- A61K47/68—Medicinal preparations characterised by the non-active ingredients used, e.g. carriers or inert additives; Targeting or modifying agents chemically bound to the active ingredient the non-active ingredient being chemically bound to the active ingredient, e.g. polymer-drug conjugates the non-active ingredient being a modifying agent the modifying agent being an antibody, an immunoglobulin or a fragment thereof, e.g. an Fc-fragment
-
- A—HUMAN NECESSITIES
- A61—MEDICAL OR VETERINARY SCIENCE; HYGIENE
- A61K—PREPARATIONS FOR MEDICAL, DENTAL OR TOILETRY PURPOSES
- A61K47/00—Medicinal preparations characterised by the non-active ingredients used, e.g. carriers or inert additives; Targeting or modifying agents chemically bound to the active ingredient
- A61K47/50—Medicinal preparations characterised by the non-active ingredients used, e.g. carriers or inert additives; Targeting or modifying agents chemically bound to the active ingredient the non-active ingredient being chemically bound to the active ingredient, e.g. polymer-drug conjugates
- A61K47/51—Medicinal preparations characterised by the non-active ingredients used, e.g. carriers or inert additives; Targeting or modifying agents chemically bound to the active ingredient the non-active ingredient being chemically bound to the active ingredient, e.g. polymer-drug conjugates the non-active ingredient being a modifying agent
- A61K47/68—Medicinal preparations characterised by the non-active ingredients used, e.g. carriers or inert additives; Targeting or modifying agents chemically bound to the active ingredient the non-active ingredient being chemically bound to the active ingredient, e.g. polymer-drug conjugates the non-active ingredient being a modifying agent the modifying agent being an antibody, an immunoglobulin or a fragment thereof, e.g. an Fc-fragment
- A61K47/6801—Drug-antibody or immunoglobulin conjugates defined by the pharmacologically or therapeutically active agent
- A61K47/6803—Drugs conjugated to an antibody or immunoglobulin, e.g. cisplatin-antibody conjugates
-
- A—HUMAN NECESSITIES
- A61—MEDICAL OR VETERINARY SCIENCE; HYGIENE
- A61K—PREPARATIONS FOR MEDICAL, DENTAL OR TOILETRY PURPOSES
- A61K47/00—Medicinal preparations characterised by the non-active ingredients used, e.g. carriers or inert additives; Targeting or modifying agents chemically bound to the active ingredient
- A61K47/50—Medicinal preparations characterised by the non-active ingredients used, e.g. carriers or inert additives; Targeting or modifying agents chemically bound to the active ingredient the non-active ingredient being chemically bound to the active ingredient, e.g. polymer-drug conjugates
- A61K47/51—Medicinal preparations characterised by the non-active ingredients used, e.g. carriers or inert additives; Targeting or modifying agents chemically bound to the active ingredient the non-active ingredient being chemically bound to the active ingredient, e.g. polymer-drug conjugates the non-active ingredient being a modifying agent
- A61K47/68—Medicinal preparations characterised by the non-active ingredients used, e.g. carriers or inert additives; Targeting or modifying agents chemically bound to the active ingredient the non-active ingredient being chemically bound to the active ingredient, e.g. polymer-drug conjugates the non-active ingredient being a modifying agent the modifying agent being an antibody, an immunoglobulin or a fragment thereof, e.g. an Fc-fragment
- A61K47/6835—Medicinal preparations characterised by the non-active ingredients used, e.g. carriers or inert additives; Targeting or modifying agents chemically bound to the active ingredient the non-active ingredient being chemically bound to the active ingredient, e.g. polymer-drug conjugates the non-active ingredient being a modifying agent the modifying agent being an antibody, an immunoglobulin or a fragment thereof, e.g. an Fc-fragment the modifying agent being an antibody or an immunoglobulin bearing at least one antigen-binding site
- A61K47/6849—Medicinal preparations characterised by the non-active ingredients used, e.g. carriers or inert additives; Targeting or modifying agents chemically bound to the active ingredient the non-active ingredient being chemically bound to the active ingredient, e.g. polymer-drug conjugates the non-active ingredient being a modifying agent the modifying agent being an antibody, an immunoglobulin or a fragment thereof, e.g. an Fc-fragment the modifying agent being an antibody or an immunoglobulin bearing at least one antigen-binding site the antibody targeting a receptor, a cell surface antigen or a cell surface determinant
-
- A—HUMAN NECESSITIES
- A61—MEDICAL OR VETERINARY SCIENCE; HYGIENE
- A61K—PREPARATIONS FOR MEDICAL, DENTAL OR TOILETRY PURPOSES
- A61K47/00—Medicinal preparations characterised by the non-active ingredients used, e.g. carriers or inert additives; Targeting or modifying agents chemically bound to the active ingredient
- A61K47/50—Medicinal preparations characterised by the non-active ingredients used, e.g. carriers or inert additives; Targeting or modifying agents chemically bound to the active ingredient the non-active ingredient being chemically bound to the active ingredient, e.g. polymer-drug conjugates
- A61K47/51—Medicinal preparations characterised by the non-active ingredients used, e.g. carriers or inert additives; Targeting or modifying agents chemically bound to the active ingredient the non-active ingredient being chemically bound to the active ingredient, e.g. polymer-drug conjugates the non-active ingredient being a modifying agent
- A61K47/68—Medicinal preparations characterised by the non-active ingredients used, e.g. carriers or inert additives; Targeting or modifying agents chemically bound to the active ingredient the non-active ingredient being chemically bound to the active ingredient, e.g. polymer-drug conjugates the non-active ingredient being a modifying agent the modifying agent being an antibody, an immunoglobulin or a fragment thereof, e.g. an Fc-fragment
- A61K47/6835—Medicinal preparations characterised by the non-active ingredients used, e.g. carriers or inert additives; Targeting or modifying agents chemically bound to the active ingredient the non-active ingredient being chemically bound to the active ingredient, e.g. polymer-drug conjugates the non-active ingredient being a modifying agent the modifying agent being an antibody, an immunoglobulin or a fragment thereof, e.g. an Fc-fragment the modifying agent being an antibody or an immunoglobulin bearing at least one antigen-binding site
- A61K47/6851—Medicinal preparations characterised by the non-active ingredients used, e.g. carriers or inert additives; Targeting or modifying agents chemically bound to the active ingredient the non-active ingredient being chemically bound to the active ingredient, e.g. polymer-drug conjugates the non-active ingredient being a modifying agent the modifying agent being an antibody, an immunoglobulin or a fragment thereof, e.g. an Fc-fragment the modifying agent being an antibody or an immunoglobulin bearing at least one antigen-binding site the antibody targeting a determinant of a tumour cell
-
- A—HUMAN NECESSITIES
- A61—MEDICAL OR VETERINARY SCIENCE; HYGIENE
- A61K—PREPARATIONS FOR MEDICAL, DENTAL OR TOILETRY PURPOSES
- A61K47/00—Medicinal preparations characterised by the non-active ingredients used, e.g. carriers or inert additives; Targeting or modifying agents chemically bound to the active ingredient
- A61K47/50—Medicinal preparations characterised by the non-active ingredients used, e.g. carriers or inert additives; Targeting or modifying agents chemically bound to the active ingredient the non-active ingredient being chemically bound to the active ingredient, e.g. polymer-drug conjugates
- A61K47/51—Medicinal preparations characterised by the non-active ingredients used, e.g. carriers or inert additives; Targeting or modifying agents chemically bound to the active ingredient the non-active ingredient being chemically bound to the active ingredient, e.g. polymer-drug conjugates the non-active ingredient being a modifying agent
- A61K47/68—Medicinal preparations characterised by the non-active ingredients used, e.g. carriers or inert additives; Targeting or modifying agents chemically bound to the active ingredient the non-active ingredient being chemically bound to the active ingredient, e.g. polymer-drug conjugates the non-active ingredient being a modifying agent the modifying agent being an antibody, an immunoglobulin or a fragment thereof, e.g. an Fc-fragment
- A61K47/6835—Medicinal preparations characterised by the non-active ingredients used, e.g. carriers or inert additives; Targeting or modifying agents chemically bound to the active ingredient the non-active ingredient being chemically bound to the active ingredient, e.g. polymer-drug conjugates the non-active ingredient being a modifying agent the modifying agent being an antibody, an immunoglobulin or a fragment thereof, e.g. an Fc-fragment the modifying agent being an antibody or an immunoglobulin bearing at least one antigen-binding site
- A61K47/6851—Medicinal preparations characterised by the non-active ingredients used, e.g. carriers or inert additives; Targeting or modifying agents chemically bound to the active ingredient the non-active ingredient being chemically bound to the active ingredient, e.g. polymer-drug conjugates the non-active ingredient being a modifying agent the modifying agent being an antibody, an immunoglobulin or a fragment thereof, e.g. an Fc-fragment the modifying agent being an antibody or an immunoglobulin bearing at least one antigen-binding site the antibody targeting a determinant of a tumour cell
- A61K47/6855—Medicinal preparations characterised by the non-active ingredients used, e.g. carriers or inert additives; Targeting or modifying agents chemically bound to the active ingredient the non-active ingredient being chemically bound to the active ingredient, e.g. polymer-drug conjugates the non-active ingredient being a modifying agent the modifying agent being an antibody, an immunoglobulin or a fragment thereof, e.g. an Fc-fragment the modifying agent being an antibody or an immunoglobulin bearing at least one antigen-binding site the antibody targeting a determinant of a tumour cell the tumour determinant being from breast cancer cell
-
- A—HUMAN NECESSITIES
- A61—MEDICAL OR VETERINARY SCIENCE; HYGIENE
- A61P—SPECIFIC THERAPEUTIC ACTIVITY OF CHEMICAL COMPOUNDS OR MEDICINAL PREPARATIONS
- A61P35/00—Antineoplastic agents
-
- A—HUMAN NECESSITIES
- A61—MEDICAL OR VETERINARY SCIENCE; HYGIENE
- A61P—SPECIFIC THERAPEUTIC ACTIVITY OF CHEMICAL COMPOUNDS OR MEDICINAL PREPARATIONS
- A61P43/00—Drugs for specific purposes, not provided for in groups A61P1/00-A61P41/00
-
- C—CHEMISTRY; METALLURGY
- C07—ORGANIC CHEMISTRY
- C07K—PEPTIDES
- C07K16/00—Immunoglobulins [IGs], e.g. monoclonal or polyclonal antibodies
- C07K16/18—Immunoglobulins [IGs], e.g. monoclonal or polyclonal antibodies against material from animals or humans
- C07K16/28—Immunoglobulins [IGs], e.g. monoclonal or polyclonal antibodies against material from animals or humans against receptors, cell surface antigens or cell surface determinants
- C07K16/2803—Immunoglobulins [IGs], e.g. monoclonal or polyclonal antibodies against material from animals or humans against receptors, cell surface antigens or cell surface determinants against the immunoglobulin superfamily
- C07K16/2827—Immunoglobulins [IGs], e.g. monoclonal or polyclonal antibodies against material from animals or humans against receptors, cell surface antigens or cell surface determinants against the immunoglobulin superfamily against B7 molecules, e.g. CD80, CD86
-
- C—CHEMISTRY; METALLURGY
- C07—ORGANIC CHEMISTRY
- C07K—PEPTIDES
- C07K16/00—Immunoglobulins [IGs], e.g. monoclonal or polyclonal antibodies
- C07K16/18—Immunoglobulins [IGs], e.g. monoclonal or polyclonal antibodies against material from animals or humans
- C07K16/28—Immunoglobulins [IGs], e.g. monoclonal or polyclonal antibodies against material from animals or humans against receptors, cell surface antigens or cell surface determinants
- C07K16/2863—Immunoglobulins [IGs], e.g. monoclonal or polyclonal antibodies against material from animals or humans against receptors, cell surface antigens or cell surface determinants against receptors for growth factors, growth regulators
-
- C—CHEMISTRY; METALLURGY
- C07—ORGANIC CHEMISTRY
- C07K—PEPTIDES
- C07K16/00—Immunoglobulins [IGs], e.g. monoclonal or polyclonal antibodies
- C07K16/18—Immunoglobulins [IGs], e.g. monoclonal or polyclonal antibodies against material from animals or humans
- C07K16/28—Immunoglobulins [IGs], e.g. monoclonal or polyclonal antibodies against material from animals or humans against receptors, cell surface antigens or cell surface determinants
- C07K16/2866—Immunoglobulins [IGs], e.g. monoclonal or polyclonal antibodies against material from animals or humans against receptors, cell surface antigens or cell surface determinants against receptors for cytokines, lymphokines, interferons
-
- C—CHEMISTRY; METALLURGY
- C07—ORGANIC CHEMISTRY
- C07K—PEPTIDES
- C07K16/00—Immunoglobulins [IGs], e.g. monoclonal or polyclonal antibodies
- C07K16/18—Immunoglobulins [IGs], e.g. monoclonal or polyclonal antibodies against material from animals or humans
- C07K16/28—Immunoglobulins [IGs], e.g. monoclonal or polyclonal antibodies against material from animals or humans against receptors, cell surface antigens or cell surface determinants
- C07K16/2878—Immunoglobulins [IGs], e.g. monoclonal or polyclonal antibodies against material from animals or humans against receptors, cell surface antigens or cell surface determinants against the NGF-receptor/TNF-receptor superfamily, e.g. CD27, CD30, CD40, CD95
-
- C—CHEMISTRY; METALLURGY
- C07—ORGANIC CHEMISTRY
- C07K—PEPTIDES
- C07K16/00—Immunoglobulins [IGs], e.g. monoclonal or polyclonal antibodies
- C07K16/18—Immunoglobulins [IGs], e.g. monoclonal or polyclonal antibodies against material from animals or humans
- C07K16/32—Immunoglobulins [IGs], e.g. monoclonal or polyclonal antibodies against material from animals or humans against translation products of oncogenes
-
- A—HUMAN NECESSITIES
- A61—MEDICAL OR VETERINARY SCIENCE; HYGIENE
- A61K—PREPARATIONS FOR MEDICAL, DENTAL OR TOILETRY PURPOSES
- A61K39/00—Medicinal preparations containing antigens or antibodies
- A61K2039/505—Medicinal preparations containing antigens or antibodies comprising antibodies
-
- C—CHEMISTRY; METALLURGY
- C07—ORGANIC CHEMISTRY
- C07K—PEPTIDES
- C07K2317/00—Immunoglobulins specific features
- C07K2317/20—Immunoglobulins specific features characterized by taxonomic origin
- C07K2317/24—Immunoglobulins specific features characterized by taxonomic origin containing regions, domains or residues from different species, e.g. chimeric, humanized or veneered
Landscapes
- Health & Medical Sciences (AREA)
- Chemical & Material Sciences (AREA)
- Life Sciences & Earth Sciences (AREA)
- General Health & Medical Sciences (AREA)
- Medicinal Chemistry (AREA)
- Immunology (AREA)
- Bioinformatics & Cheminformatics (AREA)
- Engineering & Computer Science (AREA)
- Organic Chemistry (AREA)
- Pharmacology & Pharmacy (AREA)
- Animal Behavior & Ethology (AREA)
- Public Health (AREA)
- Veterinary Medicine (AREA)
- Epidemiology (AREA)
- Proteomics, Peptides & Aminoacids (AREA)
- Genetics & Genomics (AREA)
- Molecular Biology (AREA)
- Biophysics (AREA)
- Biochemistry (AREA)
- General Chemical & Material Sciences (AREA)
- Chemical Kinetics & Catalysis (AREA)
- Nuclear Medicine, Radiotherapy & Molecular Imaging (AREA)
- Cell Biology (AREA)
- Oncology (AREA)
- Peptides Or Proteins (AREA)
- Medicines Containing Antibodies Or Antigens For Use As Internal Diagnostic Agents (AREA)
- Medicinal Preparation (AREA)
- Pharmaceuticals Containing Other Organic And Inorganic Compounds (AREA)
- Medicines That Contain Protein Lipid Enzymes And Other Medicines (AREA)
Abstract
Description
도 2: 결합제-약물 접합체를 위한 바람직한 항체의 서열 및 표적 단백질의 서열의 서열 목록.
Claims (24)
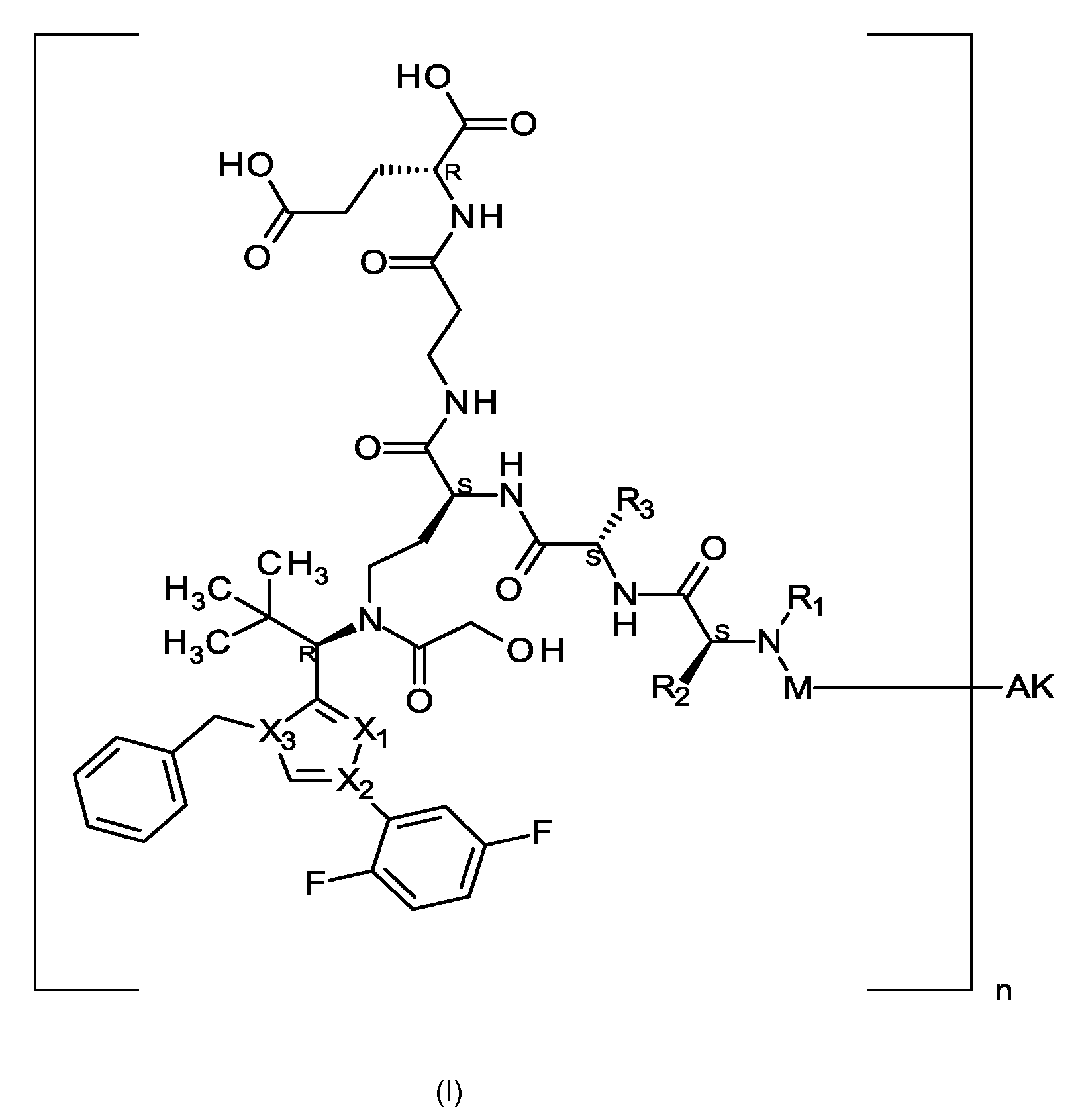
- 화학식 (I)의 결합제-약물 접합체 및 그의 염, 용매화물 및 이들 용매화물의 염.
여기서
X1은 N을 나타내고,
X2는 N을 나타내고,
X3은 C를 나타내거나;
또는
X1은 N을 나타내고,
X2는 C를 나타내고,
X3은 N을 나타내거나;
또는
X1은 CH 또는 CF를 나타내고,
X2는 C를 나타내고,
X3은 N을 나타내거나;
또는
X1은 NH를 나타내고,
X2는 C를 나타내고,
X3은 C를 나타내거나;
또는
X1은 CH를 나타내고,
X2는 N을 나타내고,
X3은 C를 나타내고,
R1은 수소 또는 메틸을 나타내고,
R2는 메틸, 에틸, -CH2-CH(CH3)2, -CH2-C(=O)OH 또는 이소프로필을 나타내고,
R3은 메틸, 에틸, -CH2-CH(CH3)2 또는 -CH2-C(=O)-NH2를 나타내고,
M은 다음 기:
#-C(=O)-CH(CH3)-NH-C(=O)-CH2-NH-C(=O)-CH2-CH(##)-COOH,
#-C(=O)-CH(CH3)-NH-C(=O)-CH2-NH-C(=O)-CH(##)-CH2-COOH,
#-C(=O)-CH(CH3)-NH-C(=O)-CH2-W,
#-C(=O)-CH2-NH-C(=O)-CH2-CH(##)-COOH,
#-C(=O)-CH2-NH-C(=O)-CH(##)-CH2-COOH,
#-C(=O)-CH2-W,
#-C(=O)-CH(CH3)-NH-C(=O)-(CH2)2-8-C(=O)-###,
#-C(=O)-(CH2)3-C(=O)-###,
#-C(=O)-CH(CH3)-NH-C(=O)-(CH2)5-W,
#-C(=O)-CH(CH3)-NH-C(=O)-(CH2)-## 또는
#-C(=O)-CH(CH3)-NH-C(=O)-(CH2-CH2-O)1-8-(CH2)2-NH-C(=O)-CH2-##를 나타내고,
W는 기 를 나타내고,
n은 1 내지 50의 수를 나타내고,
AK는 결합제 또는 그의 유도체, 바람직하게는 항체 또는 항원-결합 항체 단편을 나타내고,
#는 화합물에 대한 결합을 나타내고,
##는 결합제의 시스테인 측쇄의 황 원자에 대한 결합을 나타내고,
###는 결합제의 리신 측쇄의 질소 원자에 대한 결합을 나타낸다. - 제1항에 있어서,
X1은 CH를 나타내고,
X2는 C를 나타내고,
X3은 N을 나타내고;
R1은 수소 또는 메틸을 나타내고,
R2는 메틸, -CH2-CH(CH3)2, -CH2-C(=O)OH 또는 이소프로필을 나타내고,
R3은 메틸, -CH2-CH(CH3)2 또는 -CH2-C(=O)-NH2를 나타내고,
M은 다음 기:
#-C(=O)-CH(CH3)-NH-C(=O)-CH2-NH-C(=O)-CH2-CH(##)-COOH,
#-C(=O)-CH(CH3)-NH-C(=O)-CH2-NH-C(=O)-CH(##)-CH2-COOH,
#-C(=O)-CH(CH3)-NH-C(=O)-CH2-W,
#-C(=O)-CH2-NH-C(=O)-CH2-CH(##)-COOH,
#-C(=O)-CH2-NH-C(=O)-CH(##)-CH2-COOH,
#-C(=O)-CH2-W,
#-C(=O)-CH(CH3)-NH-C(=O)-(CH2)3-C(=O)-###,
#-C(=O)-(CH2)3-C(=O)-###,
#-C(=O)-CH(CH3)-NH-C(=O)-(CH2)5-W,
#-C(=O)-CH(CH3)-NH-C(=O)-(CH2)-## 또는
#-C(=O)-CH(CH3)-NH-C(=O)-(CH2-CH2-O)4-(CH2)2-NH-C(=O)-CH2-##를 나타내고,
W는 기 를 나타내고,
n은 1 내지 50의 수를 나타내고,
AK는 결합제 또는 그의 유도체, 바람직하게는 항체 또는 항원-결합 항체 단편을 나타내고,
#는 화합물에 대한 결합을 나타내고,
##는 결합제의 시스테인 측쇄의 황 원자에 대한 결합을 나타내고,
###는 결합제의 리신 측쇄의 질소 원자에 대한 결합을 나타내는 것인,
화학식 (I)의 결합제-약물 접합체 및 그의 염, 용매화물 및 이들 용매화물의 염. - 제1항 또는 제2항에 있어서,
R1은 수소 또는 메틸을 나타내고,
R2는 메틸 또는 이소프로필을 나타내고,
R3은 메틸 또는 -CH2-C(=O)-NH2를 나타내고,
M은 기 #-C(=O)-CH(CH3)-NH-C(=O)-(CH2)3-C(=O)-###를 나타내고,
n은 1 내지 50의 수를 나타내고,
AK는 결합제 또는 그의 유도체, 바람직하게는 항체 또는 항원-결합 항체 단편을 나타내고,
#는 화합물에 대한 결합을 나타내고,
###는 결합제의 리신 측쇄의 질소 원자에 대한 결합을 나타내는 것인,
화학식 (I)의 결합제-약물 접합체 및 그의 염, 용매화물 및 이들 용매화물의 염. - 제1항 내지 제3항 중 어느 한 항에 있어서,
R1은 메틸을 나타내고,
R2는 메틸을 나타내고,
R3은 -CH2-C(=O)-NH2를 나타내고,
M은 기 #-C(=O)-CH(CH3)-NH-C(=O)-(CH2)3-C(=O)-###를 나타내고,
n은 1 내지 50의 수를 나타내고,
AK는 결합제 또는 그의 유도체, 바람직하게는 항체 또는 항원-결합 항체 단편을 나타내고,
#는 화합물에 대한 결합을 나타내고,
###는 결합제의 리신 측쇄의 질소 원자에 대한 결합을 나타내는 것인,
화학식 (I)의 결합제-약물 접합체 및 그의 염, 용매화물 및 이들 용매화물의 염. - 제1항 내지 제4항 중 어느 한 항에 있어서,
R1은 메틸을 나타내고,
R2는 메틸을 나타내고,
R3은 -CH2-C(=O)-NH2를 나타내고,
M은 기 #-C(=O)-CH(CH3)-NH-C(=O)-(CH2)3-C(=O)-###를 나타내고,
n은 1 내지 20의 수를 나타내고,
AK는 결합제 또는 그의 유도체, 바람직하게는 항체 또는 항원-결합 항체 단편을 나타내고,
#는 화합물에 대한 결합을 나타내고,
###는 결합제의 리신 측쇄의 질소 원자에 대한 결합을 나타내는 것인,
화학식 (I)의 결합제-약물 접합체 및 그의 염, 용매화물 및 이들 용매화물의 염. - 제1항 내지 제5항 중 어느 한 항에 있어서,
R1은 메틸을 나타내고,
R2는 메틸을 나타내고,
R3은 -CH2-C(=O)-NH2를 나타내고,
M은 기 #-C(=O)-CH(CH3)-NH-C(=O)-(CH2)3-C(=O)-###를 나타내고,
n은 1 내지 20의 수를 나타내고,
AK는 항-CD123 항체, 항-CXCR5 항체, 항-B7H3 항체, 항-TWEAKR 항체, 항-Her2 항체 또는 항-EGFR 항체를 나타내거나, 또는 이들의 항원-결합 항체 단편을 나타내고,
#는 화합물에 대한 결합을 나타내고,
###는 항체 (AK) 또는 그의 항원-결합 항체 단편의 리신 측쇄의 질소 원자에 대한 결합을 나타내는 것인,
화학식 (I)의 결합제-약물 접합체 및 그의 염, 용매화물 및 이들 용매화물의 염. - 제1항 내지 제6항 중 어느 한 항에 있어서,
R1은 메틸을 나타내고,
R2는 메틸을 나타내고,
R3은 -CH2-C(=O)-NH2를 나타내고,
M은 기 #-C(=O)-CH(CH3)-NH-C(=O)-(CH2)3-C(=O)-###를 나타내고,
n은 1 내지 20의 수를 나타내고,
AK는 TPP-9476, TPP-8988, TPP-8987 및 TPP-6013으로 이루어진 군으로부터 선택된 항-CD123 항체를 나타내거나, TPP-9574 및 TPP-9580으로 이루어진 군으로부터 선택된 항-CXCR5 항체를 나타내거나, 항-B7H3 항체 TPP-8382를 나타내거나, TPP-7006 및 TPP-7007로 이루어진 군으로부터 선택된 항-TWEAKR 항체를 나타내거나, 항-Her2 항체 TPP-1015를 나타내거나, 항-EGFR 항체 TPP-981을 나타내거나, 또는 이들의 항원-결합 항체 단편을 나타내고,
#는 화합물에 대한 결합을 나타내고,
###는 항체 (AK) 또는 그의 항원-결합 항체 단편의 리신 측쇄의 질소 원자에 대한 결합을 나타내는 것인,
화학식 (I)의 결합제-약물 접합체 및 그의 염, 용매화물 및 이들 용매화물의 염. - 제8항에 있어서, n이 1 내지 20을 나타내는 것인 결합제-약물 접합체 및 그의 염, 용매화물 및 이들 용매화물의 염.
- 제8항 또는 제9항에 있어서, n이 1 내지 8을 나타내는 것인 결합제-약물 접합체 및 그의 염, 용매화물 및 이들 용매화물의 염.
- 제8항 내지 제10항 중 어느 한 항에 있어서, n이 4 내지 8을 나타내는 것인 결합제-약물 접합체 및 그의 염, 용매화물 및 이들 용매화물의 염.
- 제1항 내지 제11항 중 어느 한 항에 있어서, AK (AK1, AK2)가 TPP-8382 (항 B7H3), TPP-6013 (항-CD123), TPP-8987 (항-CD123), TPP-8988 (항-CD123), TPP 9476 (항-CD123), TPP-9580 (항-CXCR5) 및 TPP 9574 (항-CXCR5)로 이루어진 군으로부터 선택된 항체 또는 이들의 항원-결합 단편을 나타내는 것인 결합제-약물 접합체.
- 제1항 내지 제12항 중 어느 한 항에 있어서, AK (AK1, AK2)가
항-CD123 항체 TPP-6013을 나타내거나,
항-CD123 항체 TPP-8987을 나타내거나,
항-CD123 항체 TPP-8988을 나타내거나,
항-CD123 항체 TPP-9476을 나타내거나,
또는 이들의 항원-결합 단편을 나타내는 것인 결합제-약물 접합체. - 제1항 내지 제13항 중 어느 한 항에 있어서, AK (AK1, AK2)가
(i) 서열식별번호: 52에 의해 제시된 바와 같은 중쇄의 가변 CDR1 서열 (H-CDR1), 서열식별번호: 53에 의해 제시된 바와 같은 중쇄의 가변 CDR2 서열 (H-CDR2) 및 서열식별번호: 54에 의해 제시된 바와 같은 중쇄의 가변 CDR3 서열 (H-CDR3)을 포함하는 중쇄의 가변 영역 (VH), 및 서열식별번호: 56에 의해 제시된 바와 같은 경쇄의 가변 CDR1 서열 (L-CDR1), 서열식별번호: 57에 의해 제시된 바와 같은 경쇄의 가변 CDR2 서열 (L-CDR2) 및 서열식별번호: 58에 의해 제시된 바와 같은 경쇄의 가변 CDR3 서열 (L-CDR3)을 포함하는 경쇄의 가변 영역 (VL)을 포함하는 항-B7H3 항체를 나타내거나,
(ii) 서열식별번호: 22에 의해 제시된 바와 같은 중쇄의 가변 CDR1 서열 (H-CDR1), 서열식별번호: 23에 의해 제시된 바와 같은 중쇄의 가변 CDR2 서열 (H-CDR2) 및 서열식별번호: 24에 의해 제시된 바와 같은 중쇄의 가변 CDR3 서열 (H-CDR3)을 포함하는 중쇄의 가변 영역 (VH), 및 서열식별번호: 26에 의해 제시된 바와 같은 경쇄의 가변 CDR1 서열 (L-CDR1), 서열식별번호: 27에 의해 제시된 바와 같은 경쇄의 가변 CDR2 서열 (L-CDR2) 및 서열식별번호: 28에 의해 제시된 바와 같은 경쇄의 가변 CDR3 서열 (L-CDR3)을 포함하는 경쇄의 가변 영역 (VL)을 포함하는 항-CD123 항체를 나타내거나,
(iii) 서열식별번호: 62에 의해 제시된 바와 같은 중쇄의 가변 CDR1 서열 (H-CDR1), 서열식별번호: 63에 의해 제시된 바와 같은 중쇄의 가변 CDR2 서열 (H-CDR2) 및 서열식별번호: 64에 의해 제시된 바와 같은 중쇄의 가변 CDR3 서열 (H-CDR3)을 포함하는 중쇄의 가변 영역 (VH), 및 서열식별번호: 66에 의해 제시된 바와 같은 경쇄의 가변 CDR1 서열 (L-CDR1), 서열식별번호: 67에 의해 제시된 바와 같은 경쇄의 가변 CDR2 서열 (L-CDR2) 및 서열식별번호: 68에 의해 제시된 바와 같은 경쇄의 가변 CDR3 서열 (L-CDR3)을 포함하는 경쇄의 가변 영역 (VL)을 포함하는 항-CD123 항체를 나타내거나,
(iv) 서열식별번호: 72에 의해 제시된 바와 같은 중쇄의 가변 CDR1 서열 (H-CDR1), 서열식별번호: 73에 의해 제시된 바와 같은 중쇄의 가변 CDR2 서열 (H-CDR2) 및 서열식별번호: 74에 의해 제시된 바와 같은 중쇄의 가변 CDR3 서열 (H-CDR3)을 포함하는 중쇄의 가변 영역 (VH), 및 서열식별번호: 76에 의해 제시된 바와 같은 경쇄의 가변 CDR1 서열 (L-CDR1), 서열식별번호: 77에 의해 제시된 바와 같은 경쇄의 가변 CDR2 서열 (L-CDR2) 및 서열식별번호: 78에 의해 제시된 바와 같은 경쇄의 가변 CDR3 서열 (L-CDR3)을 포함하는 경쇄의 가변 영역 (VL)을 포함하는 항-CD123 항체를 나타내거나,
(v) 서열식별번호: 82에 의해 제시된 바와 같은 중쇄의 가변 CDR1 서열 (H-CDR1), 서열식별번호: 83에 의해 제시된 바와 같은 중쇄의 가변 CDR2 서열 (H-CDR2) 및 서열식별번호: 84에 의해 제시된 바와 같은 중쇄의 가변 CDR3 서열 (H-CDR3)을 포함하는 중쇄의 가변 영역 (VH), 및 서열식별번호: 86에 의해 제시된 바와 같은 경쇄의 가변 CDR1 서열 (L-CDR1), 서열식별번호: 87에 의해 제시된 바와 같은 경쇄의 가변 CDR2 서열 (L-CDR2) 및 서열식별번호: 88에 의해 제시된 바와 같은 경쇄의 가변 CDR3 서열 (L-CDR3)을 포함하는 경쇄의 가변 영역 (VL)을 포함하는 항-CD123 항체를 나타내거나,
(vi) 서열식별번호: 92에 의해 제시된 바와 같은 중쇄의 가변 CDR1 서열 (H-CDR1), 서열식별번호: 93에 의해 제시된 바와 같은 중쇄의 가변 CDR2 서열 (H-CDR2) 및 서열식별번호: 94에 의해 제시된 바와 같은 중쇄의 가변 CDR3 서열 (H-CDR3)을 포함하는 중쇄의 가변 영역 (VH), 및 서열식별번호: 96에 의해 제시된 바와 같은 경쇄의 가변 CDR1 서열 (L-CDR1), 서열식별번호: 97에 의해 제시된 바와 같은 경쇄의 가변 CDR2 서열 (L-CDR2) 및 서열식별번호: 98에 의해 제시된 바와 같은 경쇄의 가변 CDR3 서열 (L-CDR3)을 포함하는 경쇄의 가변 영역 (VL)을 포함하는 항-CXCR5 항체를 나타내거나,
(vii) 서열식별번호: 102에 의해 제시된 바와 같은 중쇄의 가변 CDR1 서열 (H-CDR1), 서열식별번호: 103에 의해 제시된 바와 같은 중쇄의 가변 CDR2 서열 (H-CDR2) 및 서열식별번호: 104에 의해 제시된 바와 같은 중쇄의 가변 CDR3 서열 (H-CDR3)을 포함하는 중쇄의 가변 영역 (VH), 및 서열식별번호: 106에 의해 제시된 바와 같은 경쇄의 가변 CDR1 서열 (L-CDR1), 서열식별번호: 107에 의해 제시된 바와 같은 경쇄의 가변 CDR2 서열 (L-CDR2) 및 서열식별번호: 108에 의해 제시된 바와 같은 경쇄의 가변 CDR3 서열 (L-CDR3)을 포함하는 경쇄의 가변 영역 (VL)을 포함하는 항-CXCR5 항체를 나타내거나,
또는 이들 항체의 항원-결합 단편을 나타내는 것인 결합제-약물 접합체. - 제1항 내지 제14항 중 어느 한 항에 있어서, AK (AK1, AK2)가
(i) 서열식별번호: 51에 제시된 바와 같은 중쇄의 가변 영역 (VH) 및 서열식별번호: 55에 제시된 바와 같은 경쇄의 가변 영역 (VL)을 포함하는 항-B7H3 항체를 나타내거나,
(ii) 서열식별번호: 21에 제시된 바와 같은 중쇄의 가변 영역 (VH) 및 서열식별번호: 25에 제시된 바와 같은 경쇄의 가변 영역 (VL)을 포함하는 항-CD123 항체를 나타내거나,
(iii) 서열식별번호: 61에 제시된 바와 같은 중쇄의 가변 영역 (VH) 및 서열식별번호: 65에 제시된 바와 같은 경쇄의 가변 영역 (VL)을 포함하는 항-CD123 항체를 나타내거나,
(iv) 서열식별번호: 71에 제시된 바와 같은 중쇄의 가변 영역 (VH) 및 서열식별번호: 75에 제시된 바와 같은 경쇄의 가변 영역 (VL)을 포함하는 항-CD123 항체를 나타내거나,
(v) 서열식별번호: 81에 제시된 바와 같은 중쇄의 가변 영역 (VH) 및 서열식별번호: 85에 제시된 바와 같은 경쇄의 가변 영역 (VL)을 포함하는 항-CD123 항체를 나타내거나,
(vi) 서열식별번호: 91에 제시된 바와 같은 중쇄의 가변 영역 (VH) 및 서열식별번호: 95에 제시된 바와 같은 경쇄의 가변 영역 (VL)을 포함하는 항-CXCR5 항체를 나타내거나,
(vii) 서열식별번호: 101에 제시된 바와 같은 중쇄의 가변 영역 (VH) 및 서열식별번호: 105에 제시된 바와 같은 경쇄의 가변 영역 (VL)을 포함하는 항-CXCR5 항체를 나타내거나,
또는 이들 항체의 항원-결합 단편을 나타내는 것인 결합제-약물 접합체. - 제1항 내지 제15항 중 어느 한 항에 있어서, AK (AK1, AK2)가
(i) 서열식별번호: 59에 제시된 바와 같은 중쇄의 영역 및 서열식별번호: 60에 제시된 바와 같은 경쇄의 영역을 포함하는 항-B7H3 항체를 나타내거나,
(ii) 서열식별번호: 29에 제시된 바와 같은 중쇄의 영역 및 서열식별번호: 30에 제시된 바와 같은 경쇄의 영역을 포함하는 항-CD123 항체를 나타내거나,
(iii) 서열식별번호: 69에 제시된 바와 같은 중쇄의 영역 및 서열식별번호: 70에 제시된 바와 같은 경쇄의 영역을 포함하는 항-CD123 항체를 나타내거나,
(iv) 서열식별번호: 79에 제시된 바와 같은 중쇄의 영역 및 서열식별번호: 80에 제시된 바와 같은 경쇄의 영역을 포함하는 항-CD123 항체를 나타내거나,
(v) 서열식별번호: 89에 제시된 바와 같은 중쇄의 영역 및 서열식별번호: 90에 제시된 바와 같은 경쇄의 영역을 포함하는 항-CD123 항체를 나타내거나,
(vi) 서열식별번호: 99에 제시된 바와 같은 중쇄의 영역 및 서열식별번호: 100에 제시된 바와 같은 경쇄의 영역을 포함하는 항-CXCR5 항체를 나타내거나,
(vii) 서열식별번호: 109에 제시된 바와 같은 중쇄의 영역 및 서열식별번호: 110에 제시된 바와 같은 경쇄의 영역을 포함하는 항-CXCR5 항체를 나타내거나,
또는 이들 항체의 항원-결합 단편을 나타내는 것인 결합제-약물 접합체. - 제1항 내지 제16항 중 어느 한 항에 있어서, 항체 또는 항원-결합 항체 단편이 세포외 표적 분자에 결합하는 것인 결합제-약물 접합체.
- 제1항 내지 제17항 중 어느 한 항에 있어서, 항체 또는 항원-결합 항체 단편이 세포외 암 표적 분자에 결합하는 것인 결합제-약물 접합체.
- 제1항 내지 제18항 중 어느 한 항에 있어서, 항체 또는 항원-결합 항체 단편이 표적 세포 상의 그의 세포외 표적 분자에 결합한 후, 결합을 통해 표적 세포에 의해 내재화되는 것인 결합제-약물 접합체.
- 제1항 내지 제19항 중 어느 한 항에 따른 적어도 1종의 결합제-약물 접합체를 불활성 비-독성의 제약상 적합한 보조제와 조합하여 포함하는 제약 조성물.
- 제1항 내지 제19항 중 어느 한 항에 있어서, 질환의 치료 및/또는 예방 방법에 사용하기 위한 결합제-약물 접합체.
- 제1항 내지 제19항 중 어느 한 항에 있어서, 과다증식성 및/또는 혈관신생 장애의 치료 방법에 사용하기 위한 결합제-약물 접합체.
- 제1항 내지 제19항 중 어느 한 항에 있어서, 암 및 종양의 치료 방법에 사용하기 위한 결합제-약물 접합체.
- 제1항 내지 제19항 중 어느 한 항에 있어서, 암 면역요법에 대한 1종 이상의 치료 접근법 또는 암 면역요법의 분자 표적에 대하여 지시된 1종 이상의 활성 화합물과 조합하여 암 및 종양의 치료 방법에 사용하기 위한 결합제-약물 접합체.
Priority Applications (2)
| Application Number | Priority Date | Filing Date | Title |
|---|---|---|---|
| KR1020237018668A KR102583006B1 (ko) | 2016-12-21 | 2017-12-14 | 효소적으로 절단가능한 기를 갖는 항체 약물 접합체 (adc) |
| KR1020237018663A KR102628678B1 (ko) | 2016-12-21 | 2017-12-14 | 효소적으로 절단가능한 기를 갖는 항체 약물 접합체 (adc) |
Applications Claiming Priority (3)
| Application Number | Priority Date | Filing Date | Title |
|---|---|---|---|
| EP16205868 | 2016-12-21 | ||
| EP16205868.9 | 2016-12-21 | ||
| PCT/EP2017/082789 WO2018114578A1 (de) | 2016-12-21 | 2017-12-14 | Binder-wirkstoff-konjugate (adcs) mit enzymatisch spaltbaren gruppen |
Related Child Applications (2)
| Application Number | Title | Priority Date | Filing Date |
|---|---|---|---|
| KR1020237018668A Division KR102583006B1 (ko) | 2016-12-21 | 2017-12-14 | 효소적으로 절단가능한 기를 갖는 항체 약물 접합체 (adc) |
| KR1020237018663A Division KR102628678B1 (ko) | 2016-12-21 | 2017-12-14 | 효소적으로 절단가능한 기를 갖는 항체 약물 접합체 (adc) |
Publications (2)
| Publication Number | Publication Date |
|---|---|
| KR20190099246A true KR20190099246A (ko) | 2019-08-26 |
| KR102556826B1 KR102556826B1 (ko) | 2023-07-18 |
Family
ID=57614197
Family Applications (3)
| Application Number | Title | Priority Date | Filing Date |
|---|---|---|---|
| KR1020197020706A Active KR102556826B1 (ko) | 2016-12-21 | 2017-12-14 | 효소적으로 절단가능한 기를 갖는 항체 약물 접합체 (adc) |
| KR1020237018668A Active KR102583006B1 (ko) | 2016-12-21 | 2017-12-14 | 효소적으로 절단가능한 기를 갖는 항체 약물 접합체 (adc) |
| KR1020237018663A Active KR102628678B1 (ko) | 2016-12-21 | 2017-12-14 | 효소적으로 절단가능한 기를 갖는 항체 약물 접합체 (adc) |
Family Applications After (2)
| Application Number | Title | Priority Date | Filing Date |
|---|---|---|---|
| KR1020237018668A Active KR102583006B1 (ko) | 2016-12-21 | 2017-12-14 | 효소적으로 절단가능한 기를 갖는 항체 약물 접합체 (adc) |
| KR1020237018663A Active KR102628678B1 (ko) | 2016-12-21 | 2017-12-14 | 효소적으로 절단가능한 기를 갖는 항체 약물 접합체 (adc) |
Country Status (14)
| Country | Link |
|---|---|
| US (3) | US11660351B2 (ko) |
| EP (1) | EP3558388A1 (ko) |
| JP (2) | JP7066714B2 (ko) |
| KR (3) | KR102556826B1 (ko) |
| CN (2) | CN110312534B (ko) |
| AR (1) | AR110418A1 (ko) |
| AU (3) | AU2017380871C1 (ko) |
| CA (1) | CA3047489A1 (ko) |
| IL (3) | IL291308B2 (ko) |
| MX (3) | MX2019007641A (ko) |
| PE (1) | PE20191235A1 (ko) |
| RU (1) | RU2761390C2 (ko) |
| TW (2) | TWI781125B (ko) |
| WO (1) | WO2018114578A1 (ko) |
Families Citing this family (19)
| Publication number | Priority date | Publication date | Assignee | Title |
|---|---|---|---|---|
| WO2016207089A1 (de) | 2015-06-22 | 2016-12-29 | Bayer Pharma Aktiengesellschaft | Binder-wirkstoff-konjugate (adcs) und binder-prodrug-konjugate (apdcs) mit enzymatisch spaltbaren gruppen |
| US10973923B2 (en) | 2015-06-23 | 2021-04-13 | Bayer Pharma Aktiengesellschaft | Site specific homogeneous with KSP inhibitors |
| CA2990398A1 (en) | 2015-06-23 | 2016-12-29 | Bayer Pharma Aktiengesellschaft | Antibody drug conjugates of kinesin spindel protein (ksp) inhibitors with anti-cd123-antibodies |
| KR20180123047A (ko) | 2016-03-24 | 2018-11-14 | 바이엘 파마 악티엔게젤샤프트 | 효소적으로 절단가능한 기를 갖는 세포독성 활성제의 전구약물 |
| WO2017216028A1 (en) | 2016-06-15 | 2017-12-21 | Bayer Pharma Aktiengesellschaft | Specific antibody-drug-conjugates (adcs) with ksp inhibitors and anti-cd123-antibodies |
| US12059472B2 (en) | 2016-12-21 | 2024-08-13 | Bayer Aktiengesellschaft | Prodrugs of cytotoxic active agents having enzymatically cleavable groups |
| WO2018114578A1 (de) | 2016-12-21 | 2018-06-28 | Bayer Pharma Aktiengesellschaft | Binder-wirkstoff-konjugate (adcs) mit enzymatisch spaltbaren gruppen |
| CA3047522A1 (en) | 2016-12-21 | 2018-06-28 | Bayer Pharma Aktiengesellschaft | Specific antibody drug conjugates (adcs) having ksp inhibitors |
| EP3658172A4 (en) | 2017-07-25 | 2021-05-05 | TrueBinding, Inc. | TREATING CANCER BY BLOCKING THE INTERACTION OF TIM-3 AND HIS LIGAND |
| KR102804751B1 (ko) * | 2017-08-23 | 2025-05-13 | 막스-델부뤽-센트럼 퓌어 몰레쿨라레 메디친 인 데어 헬름홀츠-게마인샤프트 | Cxcr5에 결합하는 키메라 항원 수용체 및 car-t 세포 |
| WO2019243159A1 (de) * | 2018-06-18 | 2019-12-26 | Bayer Aktiengesellschaft | Gegen cxcr5 gerichtete binder-wirkstoff-konjugate mit enzymatisch spaltbaren linkern und verbessertem wirkungsprofil |
| CN120058944A (zh) | 2019-01-30 | 2025-05-30 | 真和制药有限公司 | 抗gal3抗体及其用途 |
| MX2022014786A (es) | 2020-05-26 | 2023-01-16 | Truebinding Inc | Metodos para tratar enfermedades inflamatorias mediante el bloqueo de galectina-3. |
| WO2022175595A1 (en) * | 2021-02-16 | 2022-08-25 | Glykos Finland Oy | Linker-payloads and conjugates thereof |
| TW202320857A (zh) | 2021-07-06 | 2023-06-01 | 美商普方生物製藥美國公司 | 連接子、藥物連接子及其結合物及其使用方法 |
| WO2024105205A1 (en) | 2022-11-17 | 2024-05-23 | Bayer Aktiengesellschaft | Antibody-drug conjugates (a2dcs) with enzymatically cleavable groups |
| WO2025027529A1 (en) | 2023-07-31 | 2025-02-06 | Advesya | Anti-il-1rap antibody drug conjugates and methods of use thereof |
| TW202530255A (zh) | 2023-12-15 | 2025-08-01 | 法商亞維西亞有限公司 | 抗il-1rap結合結構域及其抗體-藥物偶聯物 |
| WO2025149667A1 (en) | 2024-01-12 | 2025-07-17 | Pheon Therapeutics Ltd | Antibody drug conjugates and uses thereof |
Citations (2)
| Publication number | Priority date | Publication date | Assignee | Title |
|---|---|---|---|---|
| WO2007064759A2 (en) * | 2005-11-29 | 2007-06-07 | The Scripps Research Institute | Inhibiting tumour cell invasion, metastasis and angiogenesis through targetting legumain |
| WO2016096610A1 (de) * | 2014-12-15 | 2016-06-23 | Bayer Pharma Aktiengesellschaft | Antikörper-wirkstoff-konjugate (adcs) von ksp-inhibitoren mit aglycosylierten anti-tweakrantikörpern |
Family Cites Families (150)
| Publication number | Priority date | Publication date | Assignee | Title |
|---|---|---|---|---|
| CU22545A1 (es) | 1994-11-18 | 1999-03-31 | Centro Inmunologia Molecular | Obtención de un anticuerpo quimérico y humanizado contra el receptor del factor de crecimiento epidérmico para uso diagnóstico y terapéutico |
| US5179017A (en) | 1980-02-25 | 1993-01-12 | The Trustees Of Columbia University In The City Of New York | Processes for inserting DNA into eucaryotic cells and for producing proteinaceous materials |
| US4634665A (en) | 1980-02-25 | 1987-01-06 | The Trustees Of Columbia University In The City Of New York | Processes for inserting DNA into eucaryotic cells and for producing proteinaceous materials |
| US4399216A (en) | 1980-02-25 | 1983-08-16 | The Trustees Of Columbia University | Processes for inserting DNA into eucaryotic cells and for producing proteinaceous materials |
| US4714681A (en) | 1981-07-01 | 1987-12-22 | The Board Of Reagents, The University Of Texas System Cancer Center | Quadroma cells and trioma cells and methods for the production of same |
| US4474893A (en) | 1981-07-01 | 1984-10-02 | The University of Texas System Cancer Center | Recombinant monoclonal antibodies |
| US4510245A (en) | 1982-11-18 | 1985-04-09 | Chiron Corporation | Adenovirus promoter system |
| GB8308235D0 (en) | 1983-03-25 | 1983-05-05 | Celltech Ltd | Polypeptides |
| US4816567A (en) | 1983-04-08 | 1989-03-28 | Genentech, Inc. | Recombinant immunoglobin preparations |
| US5168062A (en) | 1985-01-30 | 1992-12-01 | University Of Iowa Research Foundation | Transfer vectors and microorganisms containing human cytomegalovirus immediate-early promoter-regulatory DNA sequence |
| US4968615A (en) | 1985-12-18 | 1990-11-06 | Ciba-Geigy Corporation | Deoxyribonucleic acid segment from a virus |
| DE8808645U1 (de) | 1988-07-06 | 1988-08-25 | Hofer, Daniel, 7730 Villingen-Schwenningen | Anzeigeeinrichtung für Feuerlöscher |
| US4925648A (en) | 1988-07-29 | 1990-05-15 | Immunomedics, Inc. | Detection and treatment of infectious and inflammatory lesions |
| US5601819A (en) | 1988-08-11 | 1997-02-11 | The General Hospital Corporation | Bispecific antibodies for selective immune regulation and for selective immune cell binding |
| ES2096590T3 (es) | 1989-06-29 | 1997-03-16 | Medarex Inc | Reactivos biespecificos para la terapia del sida. |
| DK0595798T3 (da) | 1989-10-20 | 1999-09-27 | Medarex Inc | Bispecifikke heteroantistoffer med dobbelte effektorfunktioner |
| US5270163A (en) | 1990-06-11 | 1993-12-14 | University Research Corporation | Methods for identifying nucleic acid ligands |
| CA2093022C (en) | 1990-10-05 | 2005-02-22 | Michael W. Fanger | Targeted immunostimulation with bispecific reagents |
| EP0557300B1 (en) | 1990-10-29 | 1997-11-19 | Chiron Corporation | Bispecific antibodies, method of production, and uses thereof |
| DE69233153T2 (de) | 1991-03-06 | 2004-05-27 | Merck Patent Gmbh | Humanisierte monoklonale antikörper |
| WO1992019973A1 (en) | 1991-04-26 | 1992-11-12 | Surface Active Limited | Novel antibodies, and methods for their use |
| ES2193143T3 (es) | 1992-03-05 | 2003-11-01 | Univ Texas | Uso de inmunoconjugados para la diagnosis y/o terapia de tumores vascularizaos. |
| ATE188874T1 (de) | 1992-08-18 | 2000-02-15 | Centro Inmunologia Molecular | Monoklonale antikörper gegen den epidermalen wachstumsfaktorrezeptor, zellen und verfahren zur ihrer herstellung und sie erhaltende zusammensetzungen |
| DE69531187T2 (de) | 1994-12-20 | 2004-04-22 | Merck Patent Gmbh | Monoklonaler Antikörper gegen das Alpha-V-Integrin |
| DK1143006T3 (da) | 1995-08-18 | 2008-07-14 | Morphosys Ip Gmbh | Vektorer/DNA-sekvenser fra humane kombinatoriske antistofbiblioteker |
| WO1997024373A1 (en) | 1995-12-29 | 1997-07-10 | Medvet Science Pty. Limited | Monoclonal antibody antagonists to haemopoietic growth factors |
| AU725583B2 (en) | 1996-03-25 | 2000-10-12 | E. R. Squibb & Sons, L.L.C. | Monoclonal antibodies specific for the extracellular domain of prostate specific membrane antigen |
| US6150508A (en) | 1996-03-25 | 2000-11-21 | Northwest Biotherapeutics, Inc. | Monoclonal antibodies specific for the extracellular domain of prostate-specific membrane antigen |
| NZ517331A (en) | 1999-07-29 | 2004-02-27 | Medarex Inc | Human monoclonal antibodies to prostate specific membrane antigen and a transgenic mouse to produce the antibody |
| SK12232002A3 (sk) | 2000-02-25 | 2003-03-04 | The Government Of The United States, As Represented By The | Anti-ERGFRvIII scFv so zlepšenou cytotoxicitou a výťažkom, imunotoxíny a spôsoby ich použitia |
| JP2003533987A (ja) | 2000-05-19 | 2003-11-18 | イス ケミカル カンパニー リミテッド | 表皮成長因子収容体に対するヒト化抗体 |
| US6884446B1 (en) | 2000-07-27 | 2005-04-26 | Red Arrow Products Co., Llc | Article for browning and flavoring foodstuffs |
| US7288390B2 (en) | 2000-08-07 | 2007-10-30 | Centocor, Inc. | Anti-dual integrin antibodies, compositions, methods and uses |
| AUPR395801A0 (en) | 2001-03-26 | 2001-04-26 | Austin Research Institute, The | Antibodies against cancer |
| HUP0501113A3 (en) | 2001-04-26 | 2007-12-28 | Biogen Idec Inc | Cripto blocking antibodies and uses thereof |
| PT1392359E (pt) | 2001-05-11 | 2010-01-27 | Ludwig Inst For Cancer Res Ltd | Proteínas de ligação específica e suas utilizações |
| US7595378B2 (en) | 2001-06-13 | 2009-09-29 | Genmab A/S | Human monoclonal antibodies to epidermal growth factor receptor (EGFR) |
| CN100497389C (zh) | 2001-06-13 | 2009-06-10 | 根马布股份公司 | 表皮生长因子受体(egfr)的人单克隆抗体 |
| WO2003060064A2 (en) | 2001-07-12 | 2003-07-24 | Incyte Genomics, Inc. | Intracellular signaling molecules |
| SG114505A1 (en) | 2001-10-17 | 2005-09-28 | First Cube Pte Ltd | System and method for facilitating delivery and return service |
| EP2360169B1 (en) | 2001-10-23 | 2015-10-14 | Psma Development Company, L.L.C. | PSMA antibodies |
| DE60232994D1 (de) | 2001-12-06 | 2009-08-27 | Merck & Co Inc | Inhibitoren von mitotischem kinesin |
| US20080193445A1 (en) | 2002-01-18 | 2008-08-14 | Liliane Goetsch | Novel anti-IGF-IR antibodies and uses thereof |
| US7282567B2 (en) | 2002-06-14 | 2007-10-16 | Immunomedics, Inc. | Monoclonal antibody hPAM4 |
| CA2478833C (en) | 2002-03-13 | 2015-11-10 | Biogen, Inc. | Anti-.alpha.v.beta.6 antibodies |
| EP1494693B1 (en) | 2002-03-22 | 2010-12-08 | Biogen Idec MA Inc. | Cripto-specific antibodies |
| MXPA05003830A (es) | 2002-10-11 | 2005-06-23 | Cytokinetics Inc | Compuestos, composiciones y metodos. |
| US8658377B2 (en) * | 2002-11-15 | 2014-02-25 | Morehouse School Of Medicine | Detecting cancer with anti-CCL25 and anti-CCR9 antibodies |
| US8512701B2 (en) * | 2002-11-15 | 2013-08-20 | Morehouse School Of Medicine | Anti-CXCL13 and anti-CXCR5 antibodies for the prevention and treatment of cancer and cancer cell migration |
| JP2006524693A (ja) | 2003-04-11 | 2006-11-02 | メディミューン,インコーポレーテッド | EphA2および非腫瘍性過増殖性細胞障害 |
| WO2004100873A2 (en) | 2003-05-07 | 2004-11-25 | Cytokinetics, Inc. | Compounds, compositions, and methods |
| BRPI0411803A (pt) | 2003-06-27 | 2006-05-23 | Abgenix Inc | anticorpos dirigidos aos mutantes de deleção de receptor de fator de crescimento epidérmico e seus usos |
| FR2857811A1 (fr) | 2003-07-16 | 2005-01-21 | St Microelectronics Sa | Methode de chiffrage d'un flux audio ou video compresse a tolerance d'erreurs |
| WO2005009369A2 (en) | 2003-07-21 | 2005-02-03 | Immunogen, Inc. | A ca6 antigen-specific cytotoxic conjugate and methods of using the same |
| PT2489364E (pt) | 2003-11-06 | 2015-04-16 | Seattle Genetics Inc | Compostos de monometilvalina conjugados com anticorpos |
| KR20060127413A (ko) | 2003-11-25 | 2006-12-12 | 카이론 코포레이션 | 항암제로서의 퀴나졸리논 화합물 |
| EP1701979A2 (en) | 2003-12-03 | 2006-09-20 | Xencor, Inc. | Optimized antibodies that target the epidermal growth factor receptor |
| US7662581B1 (en) | 2003-12-18 | 2010-02-16 | Novartis Vaccines And Diagnostics, Inc. | Eg5 co-crystals |
| US7767792B2 (en) | 2004-02-20 | 2010-08-03 | Ludwig Institute For Cancer Research Ltd. | Antibodies to EGF receptor epitope peptides |
| US7598350B2 (en) | 2004-03-19 | 2009-10-06 | Imclone Llc | Human anti-epidermal growth factor receptor antibody |
| KR101170925B1 (ko) | 2004-06-18 | 2012-08-07 | 노바티스 백신즈 앤드 다이아그노스틱스 인코포레이티드 | 암 치료용 키네신 방추 단백질 (ksp) 억제제로서의n-(1-(1-벤질-4-페닐-1h-이미다졸-2-일)-2,2-디메틸프로필)벤자미드 유도체 및 관련 화합물 |
| EP1773884B1 (en) | 2004-08-03 | 2012-03-07 | Innate Pharma | Therapeutic and diagnostic methods and compositions targeting 4ig-b7-h3 and its counterpart nk cell receptor |
| US7449486B2 (en) | 2004-10-19 | 2008-11-11 | Array Biopharma Inc. | Mitotic kinesin inhibitors and methods of use thereof |
| US20100093767A1 (en) | 2004-12-03 | 2010-04-15 | Takeda San Diego, Inc. | Mitotic Kinase Inhibitors |
| EA013323B1 (ru) | 2004-12-09 | 2010-04-30 | Сентокор, Инк. | Иммуноконъюгаты против интегрина, способы и варианты применения |
| GB0428250D0 (en) | 2004-12-23 | 2005-01-26 | Novartis Ag | Organic compounds |
| EP2230517A1 (en) | 2005-01-07 | 2010-09-22 | Diadexus, Inc. | OVR110 antibody compositions and methods of use |
| US8207303B2 (en) | 2005-02-18 | 2012-06-26 | Medarex, Inc. | Monoclonal antibodies against CD30 lacking in fucosyl residues |
| GB0505969D0 (en) | 2005-03-23 | 2005-04-27 | Novartis Ag | Organic compounds |
| CN103127523A (zh) | 2005-06-20 | 2013-06-05 | Psma开发有限公司 | Psma抗体-药物缀合物 |
| TW200800951A (en) | 2005-08-09 | 2008-01-01 | Novartis Ag | Substituted imidazole compounds as KSP inhibitors |
| CA2893252C (en) | 2005-08-24 | 2018-05-29 | Immunogen, Inc. | Process for preparing antibody maytansinoid conjugates |
| EA016186B1 (ru) | 2005-09-26 | 2012-03-30 | Медарекс, Инк. | Человеческие моноклональные антитела к cd70 и их применение |
| EP1790664A1 (en) | 2005-11-24 | 2007-05-30 | Ganymed Pharmaceuticals AG | Monoclonal antibodies against claudin-18 for treatment of cancer |
| DOP2006000277A (es) | 2005-12-12 | 2007-08-31 | Bayer Pharmaceuticals Corp | Anticuerpos anti mn y métodos para su utilización |
| WO2008004834A1 (en) | 2006-07-06 | 2008-01-10 | Isu Abxis Co., Ltd | Humanized monoclonal antibody highly binding to epidermal growth factor receptor, egf receptor |
| EP2066349B1 (en) | 2006-09-08 | 2012-03-28 | MedImmune, LLC | Humanized anti-cd19 antibodies and their use in treatment of tumors, transplantation and autoimmune diseases |
| AU2007294122B2 (en) | 2006-09-10 | 2013-03-07 | Glycotope Gmbh | Use of human cells of myeloid leukaemia origin for expression of antibodies |
| EP1900750A1 (en) | 2006-09-18 | 2008-03-19 | Glycotope Gmbh | Fully human high yield production system for improved antibodies |
| EP1911766A1 (en) | 2006-10-13 | 2008-04-16 | Glycotope Gmbh | Use of human cells of myeloid leukaemia origin for expression of antibodies |
| WO2008036688A2 (en) | 2006-09-18 | 2008-03-27 | Xencor, Inc. | Optimized antibodies that target hm1.24 |
| EP1914242A1 (en) | 2006-10-19 | 2008-04-23 | Sanofi-Aventis | Novel anti-CD38 antibodies for the treatment of cancer |
| PT2099823E (pt) | 2006-12-01 | 2014-12-22 | Seattle Genetics Inc | Agentes de ligação ao alvo variantes e suas utilizações |
| WO2008140603A2 (en) | 2006-12-08 | 2008-11-20 | Macrogenics, Inc. | METHODS FOR THE TREATMENT OF DISEASE USING IMMUNOGLOBULINS HAVING FC REGIONS WITH ALTERED AFFINITIES FOR FCγR ACTIVATING AND FCγR INHIBITING |
| GEP20125415B (en) | 2007-01-05 | 2012-03-12 | Novartis Ag | Imidazole derivatives as kinesin spindle protein inhibitors (eg-5) |
| WO2008092117A2 (en) | 2007-01-25 | 2008-07-31 | Xencor, Inc. | Immunoglobulins with modifications in the fcr binding region |
| US20100143245A1 (en) | 2007-03-22 | 2010-06-10 | Sloan-Kettering Institute For Cancer Research | Uses of monoclonal antibody 8h9 |
| KR20090122403A (ko) | 2007-03-29 | 2009-11-27 | 노파르티스 아게 | 증식성 질환의 치료를 위한 3-이미다졸릴-인돌 |
| US8163279B2 (en) | 2007-04-13 | 2012-04-24 | Stemline Therapeutics, Inc. | IL3Rα antibody conjugates and uses thereof |
| NZ556142A (en) | 2007-06-25 | 2009-11-27 | Novartis Ag | Animal remedy dispensing means |
| KR20100029099A (ko) | 2007-06-28 | 2010-03-15 | 톰슨 라이센싱 | 비디오 믹서 교차점 매트릭스의 2중 사용 |
| JP5409628B2 (ja) | 2007-08-03 | 2014-02-05 | アッヴィ・バイオセラピューティクス・インコーポレイテッド | 抗tweak受容体抗体の治療上の使用 |
| JP5532486B2 (ja) | 2007-08-14 | 2014-06-25 | ルードヴィッヒ インスティテュート フォー キャンサー リサーチ | Egf受容体を標的とするモノクローナル抗体175ならびにその誘導体および用途 |
| US8865875B2 (en) | 2007-08-22 | 2014-10-21 | Medarex, L.L.C. | Site-specific attachment of drugs or other agents to engineered antibodies with C-terminal extensions |
| MX2010001975A (es) | 2007-08-29 | 2010-03-10 | Sanofi Aventis | Anticuerpos anti-cxcr5 humanizados, derivados de los mismos y su uso. |
| HRP20130649T1 (hr) | 2007-09-07 | 2013-08-31 | Agensys, Inc. | Protutijela i povezane molekule koje se vežu za 24p4c12 proteine |
| US8039597B2 (en) | 2007-09-07 | 2011-10-18 | Agensys, Inc. | Antibodies and related molecules that bind to 24P4C12 proteins |
| US9023351B2 (en) | 2007-11-26 | 2015-05-05 | Bayer Intellectual Property Gmbh | Anti-mesothelin antibodies and uses thereof |
| EA201070687A1 (ru) | 2007-12-06 | 2010-12-30 | Си Эс Эл ЛИМИТЕД | Способ ингибирования лейкозных стволовых клеток |
| US8252832B2 (en) | 2007-12-14 | 2012-08-28 | Novartis Ag | Kinesin inhibitors as cancer therapeutics |
| ES2526433T3 (es) | 2007-12-26 | 2015-01-12 | Biotest Ag | Inmunoconjugados dirigidos a CD138 y usos de los mismos |
| EP2238168B8 (en) | 2007-12-26 | 2014-07-23 | Biotest AG | Agents targeting cd138 and uses thereof |
| AU2009231991B2 (en) | 2008-04-02 | 2014-09-25 | Macrogenics, Inc. | HER2/neu-specific antibodies and methods of using same |
| CA2723973A1 (en) | 2008-05-15 | 2009-11-19 | Biogen Idec Ma Inc. | Anti-fn14 antibodies and uses thereof |
| EP2331577B1 (en) | 2008-08-29 | 2017-06-07 | Symphogen A/S | Recombinant anti-epidermal growth factor receptor antibody compositions |
| WO2010084186A1 (en) | 2009-01-26 | 2010-07-29 | Novartis Ag | Salts and polymorphs of a kinesin inhibitor compound |
| SG174963A1 (en) | 2009-03-31 | 2011-11-28 | Roche Glycart Ag | Treatment of cancer with a humanized anti-egfr igg1 antibody and irinotecan |
| AR075982A1 (es) | 2009-03-31 | 2011-05-11 | Roche Glycart Ag | Terapia de combinacion de un anticuerpo afucosilado y una o mas de las citoquinas seleccionadas de gm- csf humano, m -csf humano y/o il-3 humano y composicion |
| EP2426148B1 (en) | 2009-04-27 | 2015-08-05 | Kyowa Hakko Kirin Co., Ltd. | Anti-il-3ra antibody for use in treatment of blood tumor |
| CN101959216B (zh) | 2009-07-20 | 2014-06-18 | 电信科学技术研究院 | 一种分载波配置增强cell_fach的方法、系统和设备 |
| PL2486141T3 (pl) | 2009-10-07 | 2018-07-31 | Macrogenics, Inc. | Polipeptydy zawierające regiony fc i mające w wyniku zmian w zakresie fukozylacji ulepszoną funkcję efektorową, i sposoby zastosowania tych polipeptydów |
| WO2012010582A1 (en) * | 2010-07-21 | 2012-01-26 | Roche Glycart Ag | Anti-cxcr5 antibodies and methods of use |
| NZ604510A (en) | 2010-08-17 | 2013-10-25 | Csl Ltd | Dilutable biocidal compositions and methods of use |
| AR086363A1 (es) | 2011-04-21 | 2013-12-11 | Bayer Ip Gmbh | Conjugados de principio activo-ligante (adc) y el uso de los mismos |
| KR102087854B1 (ko) | 2011-06-10 | 2020-03-12 | 메르사나 테라퓨틱스, 인코포레이티드 | 단백질-중합체-약물 접합체 |
| US9726666B2 (en) * | 2011-06-13 | 2017-08-08 | Tla Targeted Immunotherapies Ab | Diagnosing and treating inflammatory diseases |
| AR088941A1 (es) | 2011-11-23 | 2014-07-16 | Bayer Ip Gmbh | Anticuerpos anti-fgfr2 y sus usos |
| UA112096C2 (uk) | 2011-12-12 | 2016-07-25 | Байєр Інтеллектуал Проперті Гмбх | Заміщені триазолопіридини та їх застосування як інгібіторів ttk |
| AU2013222935B2 (en) * | 2012-02-24 | 2016-03-10 | Alteogen Inc. | Modified antibody in which motif comprising cysteine residue is bound, modified antibody-drug conjugate comprising the modified antibody, and production method for same |
| PT2850106T (pt) | 2012-05-18 | 2022-07-18 | Aptevo Res & Development Llc | Imunofusão biespecífica (bif) de scfv de ligação a cd123 e cd3 |
| WO2014061277A1 (ja) | 2012-10-19 | 2014-04-24 | 第一三共株式会社 | 親水性構造を含むリンカーで結合させた抗体-薬物コンジュゲート |
| WO2014093640A1 (en) | 2012-12-12 | 2014-06-19 | Mersana Therapeutics,Inc. | Hydroxy-polmer-drug-protein conjugates |
| TW201437211A (zh) | 2013-03-01 | 2014-10-01 | Bayer Pharma AG | 經取代咪唑并嗒□ |
| US9498532B2 (en) | 2013-03-13 | 2016-11-22 | Novartis Ag | Antibody drug conjugates |
| US9498540B2 (en) | 2013-03-15 | 2016-11-22 | Novartis Ag | Cell proliferation inhibitors and conjugates thereof |
| CN105451773A (zh) * | 2013-03-15 | 2016-03-30 | 诺华股份有限公司 | 细胞增殖抑制剂及其缀合物 |
| WO2014177652A1 (en) | 2013-05-02 | 2014-11-06 | Ares Trading S.A | Monoclonal antibody directed against cxcr5 |
| CN105308070A (zh) | 2013-06-14 | 2016-02-03 | 拜耳制药股份公司 | 抗tweakr抗体及其用途 |
| KR102087850B1 (ko) | 2013-10-11 | 2020-03-12 | 메르사나 테라퓨틱스, 인코포레이티드 | 단백질-고분자-약물 접합체 |
| CA2932476A1 (en) | 2013-12-12 | 2015-06-18 | Stemcentrx, Inc. | Novel anti-dpep3 antibodies and methods of use |
| KR102329024B1 (ko) | 2013-12-23 | 2021-11-19 | 바이엘 파마 악티엔게젤샤프트 | 키네신 스핀들 단백질(ksp)과의 항체 약물 접합체 (adcs) |
| AU2015229463A1 (en) | 2014-03-12 | 2016-09-15 | Novartis Ag | Specific sites for modifying antibodies to make immunoconjugates |
| WO2015189143A1 (en) | 2014-06-12 | 2015-12-17 | Bayer Pharma Aktiengesellschaft | Aglycosyl anti-tweakr antibodies and uses thereof |
| US10786578B2 (en) | 2014-08-05 | 2020-09-29 | Novartis Ag | CKIT antibody drug conjugates |
| JP2017525710A (ja) | 2014-08-22 | 2017-09-07 | ソレント・セラピューティクス・インコーポレイテッドSorrento Therapeutics, Inc. | Cxcr5に結合する抗原結合タンパク質 |
| MX2017003123A (es) * | 2014-09-12 | 2017-05-12 | Genentech Inc | Anticuerpos y conjugados modificados geneticamente con cisteina. |
| TW201709932A (zh) | 2015-06-12 | 2017-03-16 | 西雅圖遺傳學公司 | Cd123抗體及其共軛物 |
| WO2016207089A1 (de) | 2015-06-22 | 2016-12-29 | Bayer Pharma Aktiengesellschaft | Binder-wirkstoff-konjugate (adcs) und binder-prodrug-konjugate (apdcs) mit enzymatisch spaltbaren gruppen |
| US10973923B2 (en) * | 2015-06-23 | 2021-04-13 | Bayer Pharma Aktiengesellschaft | Site specific homogeneous with KSP inhibitors |
| CN108025085A (zh) | 2015-06-23 | 2018-05-11 | 拜耳制药股份公司 | Ksp抑制剂与抗b7h3抗体的抗体药物缀合物(adc) |
| JP2018525334A (ja) | 2015-06-23 | 2018-09-06 | バイエル ファーマ アクチエンゲゼルシャフト | キネシンスピンドルタンパク質(ksp)阻害剤の抗tweakr抗体との抗体薬物複合体 |
| CA2990411A1 (en) | 2015-06-23 | 2016-12-29 | Bayer Pharma Aktiengesellschaft | Antibody drug conjugates of kinesin spindel protein (ksp) inhibitors with anti-b7h3-antibodies |
| CA2990398A1 (en) | 2015-06-23 | 2016-12-29 | Bayer Pharma Aktiengesellschaft | Antibody drug conjugates of kinesin spindel protein (ksp) inhibitors with anti-cd123-antibodies |
| KR20180123047A (ko) | 2016-03-24 | 2018-11-14 | 바이엘 파마 악티엔게젤샤프트 | 효소적으로 절단가능한 기를 갖는 세포독성 활성제의 전구약물 |
| WO2017216028A1 (en) | 2016-06-15 | 2017-12-21 | Bayer Pharma Aktiengesellschaft | Specific antibody-drug-conjugates (adcs) with ksp inhibitors and anti-cd123-antibodies |
| CA3047522A1 (en) | 2016-12-21 | 2018-06-28 | Bayer Pharma Aktiengesellschaft | Specific antibody drug conjugates (adcs) having ksp inhibitors |
| WO2018114578A1 (de) | 2016-12-21 | 2018-06-28 | Bayer Pharma Aktiengesellschaft | Binder-wirkstoff-konjugate (adcs) mit enzymatisch spaltbaren gruppen |
| US12059472B2 (en) | 2016-12-21 | 2024-08-13 | Bayer Aktiengesellschaft | Prodrugs of cytotoxic active agents having enzymatically cleavable groups |
| WO2019243159A1 (de) | 2018-06-18 | 2019-12-26 | Bayer Aktiengesellschaft | Gegen cxcr5 gerichtete binder-wirkstoff-konjugate mit enzymatisch spaltbaren linkern und verbessertem wirkungsprofil |
| IL282748B2 (en) | 2018-11-05 | 2025-07-01 | Bayer Pharma AG | Cytostatic conjugates with integrin ligands |
-
2017
- 2017-12-14 WO PCT/EP2017/082789 patent/WO2018114578A1/de not_active Ceased
- 2017-12-14 EP EP17837949.1A patent/EP3558388A1/de active Pending
- 2017-12-14 MX MX2019007641A patent/MX2019007641A/es unknown
- 2017-12-14 JP JP2019533395A patent/JP7066714B2/ja active Active
- 2017-12-14 IL IL291308A patent/IL291308B2/en unknown
- 2017-12-14 KR KR1020197020706A patent/KR102556826B1/ko active Active
- 2017-12-14 KR KR1020237018668A patent/KR102583006B1/ko active Active
- 2017-12-14 CN CN201780087040.6A patent/CN110312534B/zh active Active
- 2017-12-14 US US16/472,749 patent/US11660351B2/en active Active
- 2017-12-14 CN CN202310307417.1A patent/CN116327974A/zh active Pending
- 2017-12-14 PE PE2019001293A patent/PE20191235A1/es unknown
- 2017-12-14 RU RU2019122802A patent/RU2761390C2/ru active
- 2017-12-14 AU AU2017380871A patent/AU2017380871C1/en active Active
- 2017-12-14 KR KR1020237018663A patent/KR102628678B1/ko active Active
- 2017-12-14 CA CA3047489A patent/CA3047489A1/en active Pending
- 2017-12-19 TW TW106144529A patent/TWI781125B/zh active
- 2017-12-19 TW TW111134796A patent/TWI823564B/zh active
- 2017-12-21 AR ARP170103619A patent/AR110418A1/es unknown
-
2019
- 2019-06-18 IL IL267473A patent/IL267473B/en unknown
- 2019-06-21 MX MX2024008464A patent/MX2024008464A/es unknown
- 2019-06-21 MX MX2023009205A patent/MX2023009205A/es unknown
-
2021
- 2021-09-01 US US17/464,565 patent/US11478554B2/en active Active
-
2022
- 2022-04-26 JP JP2022072343A patent/JP7307231B2/ja active Active
-
2023
- 2023-03-10 US US18/182,093 patent/US20230338559A1/en active Pending
-
2024
- 2024-01-31 IL IL310558A patent/IL310558B2/en unknown
- 2024-09-27 AU AU2024220179A patent/AU2024220179A1/en active Pending
- 2024-09-27 AU AU2024220178A patent/AU2024220178A1/en active Pending
Patent Citations (2)
| Publication number | Priority date | Publication date | Assignee | Title |
|---|---|---|---|---|
| WO2007064759A2 (en) * | 2005-11-29 | 2007-06-07 | The Scripps Research Institute | Inhibiting tumour cell invasion, metastasis and angiogenesis through targetting legumain |
| WO2016096610A1 (de) * | 2014-12-15 | 2016-06-23 | Bayer Pharma Aktiengesellschaft | Antikörper-wirkstoff-konjugate (adcs) von ksp-inhibitoren mit aglycosylierten anti-tweakrantikörpern |
Also Published As
Similar Documents
| Publication | Publication Date | Title |
|---|---|---|
| JP7307231B2 (ja) | 酵素的に切断可能な基を有する抗体薬物コンジュゲート(adc) | |
| US11643469B2 (en) | Specific antibody-drug-conjugates (ADCs) with KSP inhibitors and anti-CD123-antibodies | |
| US12059472B2 (en) | Prodrugs of cytotoxic active agents having enzymatically cleavable groups | |
| US20190365916A1 (en) | Specific antibody drug conjugates (adcs) having ksp inhibitors | |
| KR20210033470A (ko) | 효소에 의해 절단 가능한 링커 및 개선된 활성 프로파일을 갖는, cxcr5에 대해 유도된 결합제-약물 접합체 | |
| HK40096469A (zh) | 具有酶促可裂解基团的抗体-药物-缀合物(adc) | |
| BR112019012883B1 (pt) | Conjugados de anticorpo-fármaco, uso dos mesmos e composição farmacêutica | |
| HK40016986A (en) | Antibody drug conjugates (adcs) having enzymatically cleavable groups | |
| HK40016986B (en) | Antibody drug conjugates (adcs) having enzymatically cleavable groups |
Legal Events
| Date | Code | Title | Description |
|---|---|---|---|
| PA0105 | International application |
Patent event date: 20190716 Patent event code: PA01051R01D Comment text: International Patent Application |
|
| PG1501 | Laying open of application | ||
| PA0201 | Request for examination |
Patent event code: PA02012R01D Patent event date: 20201210 Comment text: Request for Examination of Application |
|
| E902 | Notification of reason for refusal | ||
| PE0902 | Notice of grounds for rejection |
Comment text: Notification of reason for refusal Patent event date: 20230401 Patent event code: PE09021S01D |
|
| E701 | Decision to grant or registration of patent right | ||
| PE0701 | Decision of registration |
Patent event code: PE07011S01D Comment text: Decision to Grant Registration Patent event date: 20230609 |
|
| GRNT | Written decision to grant | ||
| PR0701 | Registration of establishment |
Comment text: Registration of Establishment Patent event date: 20230713 Patent event code: PR07011E01D |
|
| PR1002 | Payment of registration fee |
Payment date: 20230713 End annual number: 3 Start annual number: 1 |
|
| PG1601 | Publication of registration |



































































































