Antikörper- Wirkstoff-Konjugate (ADCs) von KSP-Inhibitoren mit aglycosylierten anti-TWEAKRAntikörpern
Einleitung und Stand der Technik
Die Erfindung betrifft Binder-Wirkstoff-Konjugate (ADCs) von Kinesin Spindel Protein- Inhibitoren, wirksamer Metabolite dieser ADCs, Verfahren zur Herstellung dieser ADCs, die Verwendung dieser ADCs zur Behandlung und/oder Prävention von Krankheiten sowie die Verwendung dieser ADCs zur Herstellung von Arzneimitteln zur Behandlung und/oder Prävention von Krankheiten, insbesondere von hyperproliferativen und/oder angiogenen Erkrankungen wie beispielsweise Krebserkrankungen. Solche Behandlungen können als Monotherapie oder auch in Kombination mit anderen Arzneimitteln oder weiteren therapeutischen Maßnahmen erfolgen.
Krebserkrankungen sind die Folge unkontrollierten Zellwachstums verschiedenster Gewebe. In vielen Fällen dringen die neuen Zellen in bestehende Gewebe ein (invasives Wachstum), oder sie metastasieren in entfernte Organe. Krebserkrankungen treten in verschiedensten Organen auf und haben oft gewebespezifische Krankheitsverläufe. Daher beschreibt die Bezeichnung Krebserkrankung als Oberbegriff eine große Gruppe definierter Erkrankungen verschiedener Organe, Gewebe und Zelltypen.
Tumore früher Stadien lassen sich gegebenenfalls durch chirurgische und radiotherapeutische Maßnahmen entfernen. Metastasierte Tumore können im Regelfall durch Chemotherapeutika nur palliativ therapiert werden. Ziel hierbei ist, die optimale Kombination aus einer Verbesserung der Lebensqualität und der Verlängerung der Lebenszeit zu erreichen.
Konjugate von Binderproteinen mit einem oder mehreren Wirkstoffmolekülen sind bekannt, insbesondere in Form sogannter „antibody drug conjugates" (ADCs), in welchen ein internalisierender, gegen ein Tumor-assoziiertes Antigen gerichteter Antikörper auf kovalente Weise über eine Verknüpfungseinheit ("linker") mit einem cytotoxisch wirkenden Agens verbunden ist. Nach Einschleusung des ADCs in die Tumorzelle und anschließender Spaltung des Konjugats wird dann innerhalb der Tumorzelle entweder das cytotoxische Agens selbst oder ein anderer daraus gebildeter cytotoxisch wirksamer Metabolit freigesetzt, und kann dort seine Wirkung direkt und selektiv entfalten. Auf diesem Wege könnte die Schädigung von normalem Gewebe im Vergleich zu einer konventionellen Chemotherapie der Krebserkrankung in signifikant engeren Grenzen gehalten werden [siehe z.B. J. M. Lambert, Curr. Opin. Pharmacol. 5, 543-549
(2005); A. M. Wu und P. D. Senter, Nat. Biotechnol. 23, 1137-1146 (2005); P. D. Senter, Curr. Opin. Chem. Biol. 13, 235-244 (2009); L. Ducry und B. Stump, Bioconjugate Chem. 21, 5-13 (2010)] . So beschreibt WO2012/171020 ADCs, bei denen mehrere Toxophormoleküle über einen polymeren Linker an einen Antikörper verknüpft ist. Als mögliche Toxophore werden in WO2012/171020 unter anderem die Substanzen SB 743921, SB 715992 (Ispinesib), MK-0371, AZD8477, AZ3146 und ARRY-520 erwähnt.
Die zuletzt genannten Substanzen sind sogenannte Kinesin Spindel Protein-Inhibitoren. Kinesin Spindel Protein (KSP, auch bekannt als Eg5, HsEg5, KNSL1 oder KIF11) ist ein Kinesin-ähnliches Motorprotein, welches für die Funktion der bipolaren mitotischen Spindel essentiell ist. Die Inhibierung von KSP führt zum mitotischen Stillstand und über einen längeren Zeitraum zur Apoptose (Tao et al., Cancer Cell 2005 Jul 8(1), 39-59). Nach dem Auffinden des ersten zellgängigen KSP-Inhibitors, Monastrol, haben sich KSP-Inhibitoren als eine Klasse neuer Chemotherapeutika etabliert (Mayer et al., Science 286: 971-974, 1999) und sind Gegenstand einer Reihe von Patentanmeldungen (z.B. WO2006/044825; WO2006/002236; WO2005/051922; WO2006/060737; WO03/060064; WO03/040979; und WO03/049527). Da KSP jedoch nur in einem kurzen Zeitraum der Mitosephase seine Wirkung entfaltet, müssen KSP-Inhibitoren in ausreichend hoher Konzentration während dieser Phase vorliegen. WO2014/151030 offenbart ADCs mit bestimmten KSP-Inhibitoren.
Zusammenfassung der Erfindung
Vor diesem Hintergrund ist es die Aufgabe der vorliegenden Erfindung, Substanzen bereitzustellen, die nach Verabreichung in relativ geringer Konzentration eine apoptotische Wirkung zeigen und damit für die Krebstherapie nützlich sein können.
Zur Lösung dieser Aufgabe stellt die Erfindung Konjugate eines aglycosylierten bzw. Aglycosyl- anti-TWEAKR-Antikörpers mit Verbindungen der folgenden Formel (I) bereit, wobei eine oder mehrere der Verbindungen der Formel (I) mit dem Antikörper über einen Linker L verbunden ist bzw. sind. Aglycosylierte Antikörper sind Antikörper, die keine Glycane an der konservierten N- Bindungsstelle in der CH2-Domäne der Fc-Region aufweisen. Der Antikörper ist vorzugsweise ein humaner, humanisierter oder chimärer monoklonaler Antikörper. Besonders bevorzugt ist ein anti- TWEAKR-Antikörper, der spezifisch an die Aminosäure D in Position 47 (D47) von TWEAKR (SEQ ID NO: 169) bindet, insbesondere der anti-TWEAKR- Antikörper TPP-2658.
Formel (I):
(I) wobei
R1 H, -L-#l, -MOD oder -(CH2)0-3Z darstellt, wobei Z -H, -NHY3, -OY3, -SY3, Halogen, -CO- NY^2, oder -CO-OY3 darstellt,
wobei Y1 und Y2 unabhängig voneinander H, NH2, -(CH2CH20)o-3-(CH2)o-3Z'(z.B. -(CH2)0-3Z'), oder -CH(CH2W)Z' darstellen, und Y3 H oder -(CH2)0-3Z' darstellt, wobei Z' H, NH2, S03H, COOH, -NH-CO-CH2-CH2-CH(NH2)COOH oder -(CO-NH-CHY4)i_3COOH darstellt; wobei W H oder OH darstellt,
wobei Y4 lineares oder verzweigtes, gegebenenfalls mit-NHCONH2 substituiertes, C1-6 Alkyl oder gegebenenfalls mit -NH2 substituiertes Aryl oder Benzyl darstellt;
R2 H, -MOD, -CO-CHY4-NHY5 oder -(CH2)0-3Z darstellt,
wobei Z -H, Halogen, -OY3, -SY3, NHY3, -CO-NY^2, oder -CO-OY3 darstellt,
wobei Y1 und Y2 unabhängig voneinander H, NH2, oder -(CH2)o-3Z' darstellen, und Y3 H oder -
(CH2)0-3Z' darstellt, wobei Z' H, S03H, NH2 oder COOH darstellt;
wobei Y4 lineares oder verzweigtes, gegebenenfalls mit-NHCONH2 substituiertes, C1-6 Alkyl oder gegebenenfalls mit -NH2 substituiertes Aryl oder Benzyl darstellt und Y5 H oder -CO-CHY6-NH2 darstellt, wobei Y6 lineares oder verzweigtes C1-6 Alkyl darstellt;
R4 H, -L-#l, -SGlys-(CO)0-i-R4', -CO-CHY4-NHY5 oder -(CH2)0-3Z darstellt,
wobei SGjyg eine durch lysosomale Enzyme spaltbare Gruppe darstellt, insbesondere eine Gruppe bestehend aus einem Di- oder Tripeptid, R4'eine Ci-10-Alkyl-, Cs-io-Aryl- oder Cö-io-Aralkyl-, C5-10- Heteroalkyl-, Ci-io-Alkyl-O-Cö-io-Aryl-, Cs-io-Heterocycloalkyl-, Heteroaryl-, Heteroaryl-alkyl-, Heteroaryl-alkoxy-, Ci-10-Alkoxy-, Cö-io-Aryloxy- oder Cö-io-Araikoxy-, Cs-io-Heteroaralkoxy-, Ci- lo-Alkyl-O-Cö-io-Aryloxy-, Cs-io-Heterocycloalkoxy-Gruppe darstellt, die ein oder mehrfach mit - NH2, -NH-Alkyl, -N(Alkyl)2, NH-CO-Alkyl, N( Alkyl) -CO Alkyl, -S03H, -S02NH2, -SO2-
N(Alkyl)2, -COOH, -CONH2, -CON(Alkyl)2, oder -OH substituiert sein kann, -H oder eine Gruppe
-Ox-(CH2CH20)y-R4" darstellt, (wobei x 0 oder 1 und n eine Zahl von 1 bis 10 darstellt, und
R4" -H, -Alkyl (vorzugsweise Cl-12-Alkyl), -CH2-COOH, -CH2-CH2-COOH, oder -CH2-CH2-
NH2), wobei nach Spaltung eine primäre Amingruppe vorliegt (entsprechend R4 = H);
wobei Z -H, Halogen, -OY3, -SY3, NHY3, -CO-NY^2, oder -CO-OY3 darstellt,
wobei Y1 und Y2 unabhängig voneinander H, NH2, oder -(CH2)o-3Z' darstellen, und Y3 H oder -
(CH2)0-3Z' darstellt, wobei Z' H, S03H, NH2 oder COOH darstellt;
wobei Y4 lineares oder verzweigtes, gegebenenfalls mit -NHCONH2 substituiertes, Ci-6 Alkyl oder gegebenenfalls mit -NH2 substituiertes Aryl oder Benzyl darstellt und Y5 H oder -CO-CHY6-NH2 darstellt, wobei Y6 lineares oder verzweigtes Ci-6 Alkyl darstellt;
oder R2 und R4 gemeinsam (unter Bildung eines Pyrrolidinringes) -CH2-CHRU- oder -CHRU-CH2- darstellen, wobei R11 H, NH2, S03H, COOH, SH, Halogen (insbesondere F oder Cl), G-4 Alkyl, Ci- 4 Haloalkyl, C1-4 Alkoxy, Hydroxyl-substituiertes C1-4 Alkyl, COO(Ci_4 Alkyl) oder OH darstellt;
A CO, SO, S02, S02NH oder CNNH darstellt;
R3 -L-#l, -MOD, oder eine gegebenenfalls substituierte Alkyl-, Cycloalkyl-, Aryl-, Heteroaryl- Heteroalkyl-, Heterocycloalkyl- Gruppe darstellt, bevorzugt -L-#l oder eine Ci-10-Alkyl-, CÖ-IO- Aryl- oder Cö-io-Aralkyl-, Cs-io-Heteroalkyl-, C 1-10- Alkyl-O-Cö-io- Aryl- oder C5-10- Heterocycloalkyl-Gruppe, die mit 1-3 -OH Gruppen, 1-3 Halogenatomen, 1-3 halogenierten Alkylgruppen (die jeweils 1-3 Halogenatome aufweisen), 1-3 O- Alkyl Gruppen, 1-3 -SH Gruppen, 1-3 -S-Alkyl Gruppen, 1-3 -O-CO-Alkyl Gruppen, 1-3 -O-CO-NH-Alkyl Gruppen, 1-3 -NH-CO- Alkyl Gruppen, 1-3 -NH-CO-NH-Alkyl Gruppen, 1-3 -S(0)„-Alkyl Gruppen, 1-3 -S02-NH-Alkyl Gruppen, 1-3 -NH- Alkyl Gruppen, 1-3 -N(Alkyl)2 Gruppen, 1-3 -NH2 Gruppen oder 1-3 -(CH2)0- 3Z Gruppen, wobei Z -H, Halogen, -OY3, -SY3, -NHY3, -CO-NY^2, oder -CO-OY3 darstellt, mit Y1 und Y2 unabhängig voneinander H, NH2, oder -(CH2)o-3Z' darstellen, und Y3 H, -(CH2)o-3-CH(NHCOCH3)Z',-(CH2)0-3-CH(NH2)Z', oder -(CH2)0-3Z' darstellt, wobei Z' H, S03H, NH2 oder COOH darstellt,
substituiert sein kann (wobei„Alkyl" bevorzugt C1-10- Alkyl bedeutet);
R5 H, NH2, N02, Halogen (insbesondere F, Cl, Br), -CN, CF3, -OCF3, -CH2F, -CH2F, SH oder - (CH2)0-3Z darstellt, wobei Z -H, -OY3, -SY3, Halogen, NHY3, -CO-NY^2, oder -CO-OY3 darstellt, wobei Y1 und Y2 unabhängig voneinander H, NH2, oder -(CH2)o-3Z' darstellen, und Y3 H oder - (CH2)0-3Z' darstellt, wobei Z' H, S03H, NH2 oder COOH darstellt;
darstellt,
R6 und R7 unabhängig voneinander H, Cyano, (ggf. fluoriertes) Ci-io-Alkyl, (ggf. fluoriertes) C2-10- Alkenyl, (ggf. fluoriertes) C2-io-Alkinyl, Hydroxy, NO2, NH2, COOH oder Halogen (insbesondere F, Cl, Br) darstellen,
R8 (ggf. fluoriertes) Ci-10-Alkyl, (ggf. fluoriertes) C2-io-Alkenyl, (ggf. fluoriertes) C2-io-Alkinyl, (ggf. fluoriertes) C4-io-Cycloalkyl oder-(CH2)o-2-(HZ2) darstellt, wobei HZ2 ein 4 bis 7-gliedriger Heterocyclus mit bis zu zwei Heteroatomen ausgewählt aus N, O und S darstellt, wobei jede dieser Gruppen mit -OH, CO2H oder NH2 substituiert sein kann;
R9 H, F, CH3, CF3, CH2F oder CHF2 darstellt;
wobei einer der Substituenten R1 , R3 oder R4 -L-#l darstellt bzw. (im Falle von R8) aufweist, L für den Linker steht und #1 für die Bindung zum Binder bzw. Derivat hiervon steht, wobei -MOD -(NR10)n-(Gl)o-G2-H darstellt, wobei R10 H oder Ci-C -Alkyl darstellt;
— N N-CO—
r \ / darstellt (wobei wenn Gl -NHCO- oder
nicht NH2 ist);
n 0 oder 1 ist;
o 0 oder 1 ist; und
G2 eine geradkettige und/oder verzweigte Kohlenwasserstoff gruppe mit 1 bis 10 Kohlenstoffatomen ist, die einfach oder mehrfach durch eine oder mehrere der Gruppen -O-, -S-, -
SO-, SO2, -NRY-, -NRYCO-, CONRY-, -NRYNRY-, -S02NRYNRy-, -CONRYNRY-, (wobei Ry H, Phenyl, Ci -Ci g-Alkyl, C2-Ci Q-Alkenyl, oder C2-Ci ()-Aikinyl darstellt, die jeweils mit
NHCONH2, -COOH, -OH, -NH2, NH-CNNH2, Sulfonamid, Sulfon, Sulfoxid, oder Sulfonsäure substituiert sein können), -CO-, oder -CRx=N-0- (wobei Rx H, Ci -C3-Alkyl oder Phenyl darstellt) unterbrochen sein kann, wobei die Kohlenwasserstoffkette einschließlich der Seitenketten, sofern vorhanden, mit -NHCONH2, -COOH, -OH, -NH2, NH-CNNH2, Sulfonamid, Sulfon, Sulfoxid, oder Sulfonsäure substituiert sein kann, wobei die Gruppe -MOD vorzugsweise zumindest eine Gruppe -COOH aufweist;
sowie ihre Salze, Solvate und Salze der Solvate.
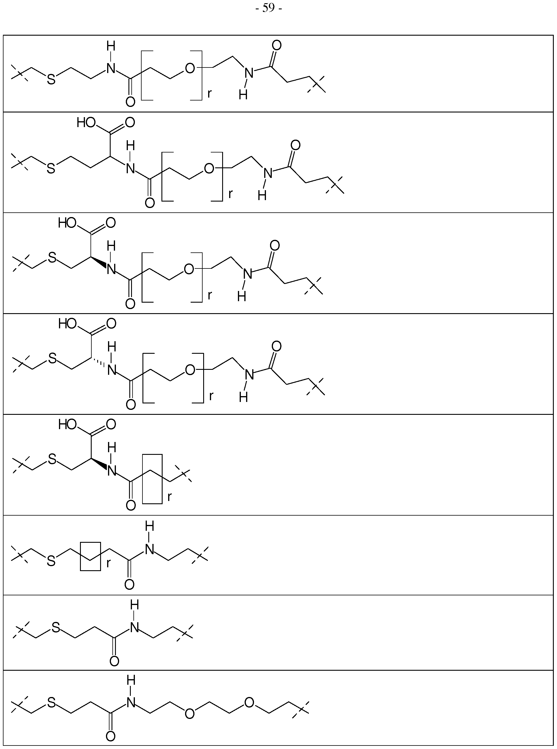
Die erfindungsgemäßen Konjugate können chemisch labile Linker, enzymatisch labile Linker oder stabile Linker aufweisen. Besonders bevorzugt sind stabile Linker und durch Cathepsin spaltbare Linker.
Die Erfindung stellt ferner bereit Verfahren zur Herstellung der erfindungsgemäßen Konjugate sowie Vorstufen und Intermediate zur Herstellung.
Die Herstellung der erfindungsgemäßen Konjugate umfasst regelmäßig die folgenden Schritte:
Herstellen einer ggf. Schutzgruppen tragenden Linkervorstufe mit einer reaktiven Gruppe, die an den Antikörper koppeln kann;
Konjugieren der Linkervorstufe an das ggf. Schutzgruppen tragende Derivat eines KSP-Inhibitors der Formel (I) , wobei in diesen Formeln eine Bindung an einen Linker noch nicht vorliegt), wobei ein ggf. Schutzgruppen tragendes reaktives KSP-Inhibitor-Linker-Konjugat erhalten wird;
Abspaltung der ggf. vorhandenen Schutzgruppen im KSP-Inhibitor-Linker-Konjugat und
Konjugieren des Antikörpers an das KSP-Inhibitor-Linker-Konjugat, wobei das erfindungsgemäße Antikörper- KSP-Inhibitor-Konjugat erhalten wird.
Die Anknüpfung der reaktiven Gruppe kann auch nach Aufbau einer ggf. geschützt vorliegenden KSP-Inhibitor-Linkervorstufe Konjugats erfolgen.
In Abhängigkeit vom Linker können Succinimid-verknüfte ADCs nach der Konjugation nach Schema 26 in die offenkettigenen Bernsteinsäureamide überführt werden, die ein vorteilhaftes Stabilitätsprofil aufweisen.
Wie oben erläutert, kann das Konjugieren der Linkervorstufe an einen niedermolekularen KSP- Inhibitor durch Substitution eines Wasserstoffatoms an R1, R3 oder R4 in Formel (I) durch den Linker erfolgen. In den Syntheseschritten vor der Konjugation können ggf. vorhandene funktionelle Gruppen auch in geschützter Form vorliegen. Vor dem Konjugationsschritt werden diese Schutzgruppen nach bekannten Methoden der Peptidchemie entfernt. Die Konjugation kann chemisch auf verschiedenen Wegen erfolgen, wie in den Schemata 20 bis 31 in den Beispielen exemplarisch dargelegt. Es ist insbesondere möglich, den niedermolekularen KSP-Inhibitor für die
Konjugation an den Linker ggf. zu modifizieren, z.B. durch Einführen von Schutzgruppen oder Abgangsgruppen zur einfacheren Substituierung.
Insbesondere stellt die Erfindung neue niedermolekulare KSP-Inhibitoren bereit, die an einen anti- TWEAKR-Antikörper konjugiert werden sind. Diese KSP-Inhibitoren bzw. ihre Antikörper- Konjugate weisen die folgende allgemeine Formel (II) auf:
(Π) wobei
R1 H, -L-BINDER, -MOD oder -(CH2)0-3Z darstellt, wobei Z -H, -NHY3, -OY3, -SY3, Halogen, - CO-NY^2, oder -CO-OY3 darstellt,
wobei Y1 und Y2 unabhängig voneinander H, NH2, -(CH2CH20)o-3-(CH2)o-3Z'(z.B. -(CH2)o-3Z'), oder -CH(CH2W)Z' darstellen, und Y3 H oder -(CH2)0-3Z' darstellt, wobei Z' H, NH2, SO3H, COOH, -NH-CO-CH2-CH2-CH(NH2)COOH oder -(CO-NH-CHY4)i_3COOH darstellt; wobei W H oder OH darstellt,
wobei Y4 lineares oder verzweigtes, gegebenenfalls mit-NHCONH2 substituiertes, C1-6 Alkyl oder gegebenenfalls mit -NH2 substituiertes Aryl oder Benzyl darstellt;
R2 H, -MOD, -CO-CHY4-NHY5 oder -(CH2)0-3Z darstellt, oder R2 und R4 gemeinsam (unter Bildung eines Pyrrolidinringes) -CH2-CHR10- oder -CHR10-CH2- darstellen, wobei R10 H, NH2, SO3H, COOH, SH, oder OH darstellt;
wobei Z -H, Halogen, -OY3, -SY3, NHY3, -CO-NY^2, oder -CO-OY3 darstellt,
wobei Y1 und Y2 unabhängig voneinander H, NH2, oder -(CH2)o-3Z' darstellen, und Y3 H oder -
(CH2)0-3Z' darstellt, wobei Z' H, S03H, NH2 oder COOH darstellt;
wobei Y4 lineares oder verzweigtes, gegebenenfalls mit-NHCONH2 substituiertes, C1-6 Alkyl oder gegebenenfalls mit -NH2 substituiertes Aryl oder Benzyl darstellt und Y5 H oder -CO-CHY6-NH2 darstellt, wobei Y6 lineares oder verzweigtes C1-6 Alkyl darstellt;
R4 H, -L-BINDER, -SGlys-(CO)0-i-R4', -CO-CHY4-NHY5 oder -(CH2)0-3Z darstellt,
wobei SGjyS eine durch lysosomale Enzyme spaltbare Gruppe darstellt, insbesondere eine Gruppe bestehend aus einem Di- oder Tripeptid, R4'eine Ci-io-Alkyl-, Cs-io-Aryl- oder Cö-io-Aralkyl-, C5-10- Heteroalkyl-, Ci-io-Alkyl-O-Cö-io-Aryl-, Cs-io-Heterocycloalkyl-, Heteroaryl-, Heteroaryl-alkyl-, Heteroaryl-alkoxy-, Ci-10-Alkoxy-, Cö-io-Aryloxy- oder Cö-io-Araikoxy-, Cs-io-Heteroaralkoxy-, Ci- lo-Alkyl-O-Cö-io-Aryloxy-, Cs-io-Heterocycloalkoxy-Gruppe darstellt, die ein oder mehrfach mit - NH2, -NH-Alkyl, -N(Alkyl)2, NH-CO-Alkyl, N( Alkyl) -CO Alkyl, -S03H, -S02NH2, -SO2- N(Alkyl)2, -COOH, -CONH2, -CON(Alkyl)2, oder -OH substituiert sein kann, -H oder eine Gruppe -Ox-(CH2CH20)y-R4" darstellt, (wobei x 0 oder 1 und n eine Zahl von 1 bis 10 darstellt, und R4" -H, -Alkyl (vorzugsweise Cl-12-Alkyl), -CH2-COOH, -CH2-CH2-COOH, oder -CH2-CH2- NH2), wobei nach Spaltung eine primäre Amingruppe vorliegt (entsprechend R4 = H);
wobei Z -H, Halogen, -OY3, -SY3, NHY3, -CO-NY^2, oder -CO-OY3 darstellt,
wobei Y1 und Y2 unabhängig voneinander H, NH2, oder -(CH2)o-3Z' darstellen, und Y3 H oder - (CH2)0-3Z' darstellt, wobei Z' H, S03H, NH2 oder COOH darstellt;
wobei Y4 lineares oder verzweigtes, gegebenenfalls mit-NHCONH2 substituiertes, C1-6 Alkyl oder gegebenenfalls mit -NH2 substituiertes Aryl oder Benzyl darstellt und Y5 H oder -CO-CHY6-NH2 darstellt, wobei Y6 lineares oder verzweigtes C1-6 Alkyl darstellt;
oder R2 und R4 gemeinsam (unter Bildung eines Pyrrolidinringes) -CH2-CHRU- oder -CHRU-CH2- darstellen, wobei R11 H, NH2, S03H, COOH, SH, Halogen (insbesondere F oder Cl), G-4 Alkyl, Ci-zt Haloalkyl, C1-4 Alkoxy, Hydroxyl-substituiertes C1-4 Alkyl, COO(Ci_4 Alkyl) oder OH darstellt;
A CO, SO, S02, S02NH oder CNNH darstellt;
R3 -L-BINDER, -MOD, oder eine gegebenenfalls substituierte Alkyl-, Cycloalkyl-, Aryl-, Heteroaryl- Heteroalkyl-, Heterocycloalkyl- Gruppe darstellt, bevorzugt -L-BINDER oder eine Ci- 10-Alkyl-, Cö-io-Aryl- oder Cö-io-Aralkyl-, Cs-io-Heteroalkyl-, Ci-io-Alkyl-O-Cö-io-Aryl- oder C5-10- Heterocycloalkyl-Gruppe, die mit 1-3 -OH Gruppen, 1-3 Halogenatomen, 1-3 halogenierten Alkylgruppen (die jeweils 1-3 Halogenatome aufweisen), 1-3 O- Alkyl Gruppen, 1-3 -SH Gruppen, 1-3 -S-Alkyl Gruppen, 1-3 -O-CO-Alkyl Gruppen, 1-3 -O-CO-NH-Alkyl Gruppen, 1-3 -NH-CO- Alkyl Gruppen, 1-3 -NH-CO-NH-Alkyl Gruppen, 1-3 -S(0)„-Alkyl Gruppen, 1-3 -S02-NH-Alkyl Gruppen, 1-3 -NH-Alkyl Gruppen, 1-3 -N(Alkyl)2 Gruppen, 1-3 -NH2 Gruppen oder 1-3 -(CH2)0- 3Z Gruppen, wobei Z -H, Halogen, -OY3, -SY3, -NHY3, -CO-NY^2, oder -CO-OY3 darstellt, mit Y1 und Y2 unabhängig voneinander H, NH2, oder -(CH2)o-3Z' darstellen, und Y3 H, -(CH2)o-3-CH(NHCOCH3)Z',-(CH2)0-3-CH(NH2)Z', oder -(CH2)0-3Z' darstellt, wobei Z' H, SO3H, NH2 oder COOH darstellt,
substituiert sein kann (wobei„Alkyl" bevorzugt C1-10- Alkyl bedeutet);
R5 H, NH2, N02, Halogen (insbesondere F, Cl, Br), -CN, CF3, -OCF3, -CH2F, -CH2F, SH oder - (CH2)0-3Z darstellt, wobei Z -H, -OY3, -SY3, Halogen, NHY3, -CO-NY^2, oder -CO-OY3 darstellt, wobei Y1 und Y2 unabhängig voneinander H, NH2, oder -(CH2)o-3Z' darstellen, und Y3 H oder - (CH2)0-3Z' darstellt, wobei Z' H, S03H, NH2 oder COOH darstellt;
darstellt,
R8 (ggf. fluoriertes) Ci-10-Alkyl, (ggf. fluoriertes) C2-io-Alkenyl, (ggf. fluoriertes) C2-io-Alkinyl, (ggf. fluoriertes) C4-io-Cycloalkyl oder -(CH2)o-2-(HZ2) darstellt, wobei HZ2 ein 4 bis 7-gliedriger Heterocyclus mit bis zu zwei Heteroatomen ausgewählt aus N, O und S darstellt (vorzugsweise Oxetan), wobei jede dieser Gruppen mit -OH, C02H oder NH2 substituiert sein kann;
R9 H, F, CH3, CF3, CH2F oder CHF2 darstellt; wobei L für einen Linker steht und BINDER für einen aglycosylierten anti-TWEAKR- Antikörper steht, wobei der Binder ggf. an mehrere Wirkstoffmoleküle gebunden sein kann, wobei ein oder kein Vertreter von R1, R3und R4 -L-Binder darstellt;
R6 und R7 unabhängig voneinander H, Cyano, (ggf. fluoriertes) Ci-10-Alkyl, (ggf. fluoriertes) C2-10- Alkenyl, (ggf. fluoriertes) C2-io-Alkinyl, Hydroxy, N02, NH2, COOH oder Halogen (insbesondere F, Cl, Br) darstellen, wobei -MOD -(NR10)n-(Gl)o-G2-H darstellt, wobei
R H oder Ci-C,-Alkyl darstellt;
— N N-CO—
Gl -NHCO- , -CONH- oder \ / darstellt (wobei wenn Gl -NHCO- oder
— N N-CO—
\ / darstellt, Rlü nicht NH2 ist);
n 0 oder 1 ist;
o 0 oder 1 ist; und
G2 eine geradkettige und/oder verzweigte Kohlenwasserstoff gruppe mit 1 bis 10 Kohlenstoffatomen ist, die einfach oder mehrfach durch eine oder mehrere der Gruppen -O-, -S-, -
SO-, S02, -NRY-, -NRYCO-, CONRY-, -NRYNRY-, -S02NRYNRy-, -CONRYNRY-, (wobei Ry H,
Phenyl, C i -Ci g-Alkyl, C2-Ci Q-Alkenyl, oder C2-Ci o-Alkinyl darstellt, die jeweils mit NHCONH2, -COOH, -OH, -NH2, NH-CNNH2, Sulfonamid, Sulfon, Sulfoxid, oder Sulfonsäure substituiert sein können), -CO-, -CRx=N-0- (wobei Rx H, Ci -C3-Alkyl oder Phenyl darstellt) unterbrochen sein kann, wobei die Kohlenwasserstoffkette einschließlich der Seitenketten, sofern vorhanden, mit -NHCONH2, -COOH, -OH, -NH2, NH-CNNH2, Sulfonamid, Sulfon, Sulfoxid, oder Sulfonsäure substituiert sein kann, wobei die Gruppe -MOD vorzugsweise zumindest eine Gruppe -COOH aufweist; sowie ihre Salze, Solvate und Salze der Solvate.
Beschreibung der Figuren
Figur 1: Alignment der TWEAKR-cysteinreichen Domäne (Aminosäure 34 bis 68) von verschienden Spezies. (Die Zahlen zeigen die Aminosäureposition in Vollängenkonstrukten inklusive der Signalsequenzen; SEQ ID NO: 169).
Figur 2: A - Schematisches Diagram der Struktur von TWEAKR (SEQ ID NO: 169). Das Diagramm zeigt die extrazelluläre Domäne (Aminosäuren 28-80) (SEQ ID NO: 168) einschließlich der cysteinreichen Domäne (36-67), der Transmembrandomäne - TM (81-101) und der intrazellulären Domäne (102-129). TPP-2202 - die vollständige Ektodomäne (28-80), an die Fc- Domäne von hlgGl fusioniert. TPP-2203 - extrazelluläre Domäne mit N- und C-terminaler Verkürzung (34-68), fusioniert an die Fc-Domäne von hlgGl . Disulfidbrücken Cys36-Cys49, Cys52-Cys67 und Cys55-Cys64 sind durch schwarze Balken angezeigt. N-terminal erhält TPP- 2203 zwei Aminosäuren und C-terminal eine Aminosäure mehr verglichen mit der reinen cysteinreichen Domäne, um eine korrekte Faltung zu gewährleisten. TPP-1984 - extrazelluläre Domäne mit C-terminaler Verkürzung (28-68), an einen HIS6-Tag fusioniert. Alle drei Konstrukte zeigen eine vergleichbare Bindung an die erfindungsgemäßen Antikörper und PDL- 192 (TPP- 1104). P4A8 (TPP-1324) bindet nur an die Vollängen-extrazelluläre Domäne (TPP-2202).
B - Aminosäuresequenz der extrazellulären Domäne: Es ist veröffentlicht worden, dass die Aminosäure 64 essentiell für die TWEAK-Ligandenbindung ist; und die Aminosäure 47 ist essentiell für die Bindung der erfindungsgemäßen Antikörper, wie hier bestimmt wurde.
Detaillierte Beschreibung der Erfindung
Die Erfindung stellt Konjugate eines Aglycosyl-anti-TWEAKR-Antikörpers mit einem oder mehreren Wirkstoffmolekülen bereit, wobei das Wirkstoffmolekül ein Kinesin Spindel Protein- Inhibitor (KSP-Inhibitor) ist, das mit dem Antikörper über einen Linker L verbunden ist.
Das erfindungsgemäße Konjugat kann durch die allgemeine Formel
BIND
dargestellt werden, wobei BINDER für den anti-TWEAKR-Antikörper, L für den Linker, KSP für den KSP-Inhibitor, und n für eine Zahl von 1 bis 50, vorzugsweise 1,2 bis 20 und besonders bevorzugt 2 bis 8 steht. Hierbei ist n ein Mittelwert der Anzahl an KSP-Inhibitor-Linker-Konjugate pro BINDER. KSP-L weist vorzugsweise die oben aufgeführte Formel (I) auf. Weiterhin ist es bevorzugt, dass der Linker an verschiedene Aminosäuren des Antikörpers gebunden ist. Besonders bevorzugt ist eine Bindung an unterschiedliche Cysteinreste des Binders. Der aglycolysierte anti- TWEAKR-Antikörper ist vorzugsweise ein humaner, humanisierter oder chimärer monoklonaler Antikörper. Besonders bevorzugt ist ein anti-TWEAKR-Antikörper, der spezifisch an die Aminosäure D in Position 47 (D47) von TWEAKR (SEQ ID NO: 169) bindet, insbesondere der anti-TWEAKR-Antikörper TPP-2658.
Im Folgenden werden erfindungsgemäß verwendbare Antikörper, erfindungsgemäß verwendbare KSP-Inhibitoren sowie erfindungsgemäß verwendbare Linker beschrieben, die ohne Einschränkung in Kombination verwendet werden können. Insbesondere können die jeweils als bevorzugt bzw. besonders bevorzugt dargestellten Binder in Kombination mit den jeweils als bevorzugt bzw. besonders bevorzugt dargestellten KSP-Inhibitoren, ggf. in Kombination mit den jeweils als bevorzugt bzw. besonders bevorzugt dargestellten Linkern verwendet werden.
KSP-Inhibitoren und deren Binderkonjugate
Ci-io-Alkyl steht im Rahmen der Erfindung (d.h. in den obigen Formeln wie auch in den folgenden Formeln) für einen linearen oder verzweigten Alkylrest mit 1 bis 10 Kohlenstoff atomen. Beispielhaft und vorzugsweise seien genannt: Methyl, Ethyl, n-Propyl, Isopropyl, w-Butyl, Isobutyl, 1-Methylpropyl und feri.-Butyl.
Cö-io-Aryl- steht im Rahmen der Erfindung für einen mono-oder bicyclischen aromatischen Homocyclus, beispielhaft Phenyl und Naphthyl.
Cö-io-Aralkyl-Gruppe steht im Rahmen der Erfindung für einen monocyclischen aromatischen Homocyclus, bespielhaft Phenyl, an den eine Cl-C4-Alkylgruppe gebunden ist. Eine beispielhafte Cö-io-Aralkyl-Gruppe ist Benzyl.
C5-io-Heteroaryl steht im Rahmen der Erfindung für einen mono-oder bicychschen, aromatischen Heterocyclus mit insgesamt 6 bis 10 Ring-Kohlenstoffatome, wobei der bzw. die Ringe ein oder zwei Ring-Heteroatome aus der Reihe N, O, S, SO und/oder SO2 enthält und über ein Ring- Kohlenstoffatom oder gegebenenfalls ein Ring-Stickstoffatom verknüpft ist. Beispielhaft seien genannt Pyridyl, Furanyl, Pyrimidyl, Imidazolyl, Thienyl, Thiophenyl, Isoxazoyl, Isothiazoyl, 1,2,3-Oxadiazoyl, Furazanyl, 1,2,3-Triazoyl, 1,2,4-Triazoyl, Pyridazyl, Pyrrolyl, Triazinyl, Indolyl, Chinolinyl, Chinazolinyl, 1,3-Benzodioxol, Isoindolyl, Indazolyl, lH-Pyrazolo [3, 4-d] pyrimidyl, Benzotriazolyl, Isochinolinyl, Sinolinyl, Phthalazinyl, Pteredinyl, Naphthyridinyl, Benzimidazolinyl, Benzothiazolinyl, Benzoxazolinyl, 3,4-Methylenedioxyphenyl, and Benzo[6]furanyl.
Mono- oder bicyclischer Heterozyklus steht im Rahmen der Erfindung für einen mono-oder bicychschen Heterocyclus mit insgesamt 5 bis 10 Ring-Kohlenstoff atome, wobei der bzw. die Ringe ein bis drei Ring-Heteroatome aus der Reihe N, O, S, SO und/oder SO2 enthält und über ein Ring-Kohlenstoffatom oder gegebenenfalls ein Ring-Stickstoffatom verknüpft ist. Beispielhaft seien genannt Piperidyl, Pyrrolinyl, Morpholinyl, 3,4-Methylenedioxyphenyl, and Tetrahydrofuranyl.
Halogenatom steht im Rahmen der Erfindung für F, Cl, Br, oder I.
Die Konjugation des KSP-Inhibitors an den Antikörper kann chemisch auf verschiedenen Wegen erfolgen, wie in den Schemata 20 bis 31 in den Beispielen exemplarisch dargelegt. Es ist insbesondere möglich, den niedermolekularen KSP-Inhibitor für die Konjugation an den Linker ggf. zu modifizieren, z.B. durch Einführen von Schutzgruppen oder Abgangsgruppen zur einfacheren Substituierung (so dass in der Reaktion diese Abgangsgruppe durch den Linker substituiert wird, und nicht ein H-Atom). Das so erhaltene KSP-Inhibitor - Linker - Molekül (wobei der Linker eine reaktive Gruppe zur Ankopplung an den Binder aufweist) kann dann mit dem Binder umgesetzt werden, um ein erfindungsgemäßes Binderkonjugat zu erhalten. Diese Vorgehensweise ist im experimentellen Teil anhand einer Vielzahl von Beispielen exemplarisch veranschaulicht.
Andere besonders bevorzugte Verbindungen weisen die folgende Formel (I) oder (Ia) auf:
Formel (I):
(I) wobei
R1 H, -L-#l, -MOD oder -(CH2)0-3Z darstellt, wobei Z -H, -NHY3, -OY3, -SY3, Halogen, -CO- NY^2, oder -CO-OY3 darstellt,
wobei Y1 und Y2 unabhängig voneinander H, NH2, -(CH2CH20)o-3-(CH2)o-3Z'(z.B. -(CH2)0-3Z'), oder -CH(CH2W)Z' darstellen, und Y3 H oder -(CH2)0-3Z' darstellt, wobei Z' H, NH2, S03H, COOH, -NH-CO-CH2-CH2-CH(NH2)COOH oder -(CO-NH-CHY4)i_3COOH darstellt; wobei W H oder OH darstellt,
wobei Y4 lineares oder verzweigtes, gegebenenfalls mit-NHCONH2 substituiertes, C1-6 Alkyl oder gegebenenfalls mit -NH2 substituiertes Aryl oder Benzyl darstellt;
R2 H, -MOD, -CO-CHY4-NHY5 oder -(CH2)0-3Z darstellt,
wobei Z -H, Halogen, -OY3, -SY3, NHY3, -CO-NY^2, oder -CO-OY3 darstellt,
wobei Y1 und Y2 unabhängig voneinander H, NH2, oder -(CH2)o-3Z' darstellen, und Y3 H oder -
(CH2)0-3Z' darstellt, wobei Z' H, S03H, NH2 oder COOH darstellt;
wobei Y4 lineares oder verzweigtes, gegebenenfalls mit-NHCONH2 substituiertes, C1-6 Alkyl oder gegebenenfalls mit -NH2 substituiertes Aryl oder Benzyl darstellt und Y5 H oder -CO-CHY6-NH2 darstellt, wobei Y6 lineares oder verzweigtes C1-6 Alkyl darstellt;
R4 H, -L-#l, -SGlys-(CO)0-i-R4', -CO-CHY4-NHY5 oder -(CH2)0-3Z darstellt,
wobei SGjyS eine durch lysosomale Enzyme spaltbare Gruppe darstellt, insbesondere eine Gruppe bestehend aus einem Di- oder Tripeptid, R4'eine Ci-10-Alkyl-, Cs-io-Aryl- oder Cö-io-Aralkyl-, C5-10- Heteroalkyl-, Ci-io-Alkyl-O-Cö-io-Aryl-, Cs-io-Heterocycloalkyl-, Heteroaryl-, Heteroaryl-alkyl-, Heteroaryl-alkoxy-, Ci-10-Alkoxy-, Cö-io-Aryloxy- oder Cö-io-Araikoxy-, Cs-io-Heteroaralkoxy-, Ci- lo-Alkyl-O-Cö-io-Aryloxy-, Cs-io-Heterocycloalkoxy-Gruppe darstellt, die ein oder mehrfach mit - NH2, -NH-Alkyl, -N(Alkyl)2, NH-CO-Alkyl, N( Alkyl) -CO Alkyl, -S03H, -S02NH2, -SO2- N(Alkyl)2, -COOH, -CONH2, -CON(Alkyl)2, oder -OH substituiert sein kann, -H oder eine Gruppe
-Ox-(CH2CH20)y-R4" darstellt, (wobei x 0 oder 1 und n eine Zahl von 1 bis 10 darstellt, und R4" -H, -Alkyl (vorzugsweise Cl-12-Alkyl), -CH2-COOH, -CH2-CH2-COOH, oder -CH2-CH2- NH2); wobei Z -H, Halogen, -OY3, -SY3, NHY3, -CO-NY^2, oder -CO-OY3 darstellt,
wobei Y1 und Y2 unabhängig voneinander H, NH2, oder -(CH2V3Z' darstellen, und Y3 H oder -
(CH2)0-3Z' darstellt, wobei Z' H, S03H, NH2 oder COOH darstellt;
wobei Y4 lineares oder verzweigtes, gegebenenfalls mit-NHCONEb substituiertes, C1-6 Alkyl oder gegebenenfalls mit -NH2 substituiertes Aryl oder Benzyl darstellt und Y5 H oder -CO-CHY6-NH2 darstellt, wobei Y6 lineares oder verzweigtes C1-6 Alkyl darstellt;
oder R2 und R4 gemeinsam (unter Bildung eines Pyrrolidinringes) -CH2-CHR10- oder -CHR10-CH2- darstellen, wobei R10 H, NH2, S03H, COOH, SH, Halogen (insbesondere F oder Cl), G-4 Alkyl, Ci-zt Haloalkyl, C1-4 Alkoxy, Hydroxyl-substituiertes C1-4 Alkyl, COO(Ci_4 Alkyl) oder OH darstellt;
A CO, SO, S02, SO2NH oder CNNH darstellt;
R3 -L-#l, -MOD oder eine gegebenenfalls substituierte Alkyl-, Cycloalkyl-, Aryl-, Heteroaryl-, Heteroalkyl-, Heterocycloalkyl- Gruppe darstellt, bevorzugt eine Ci-10-Alkyl-, Cö-io-Aryl- oder Ce- 10-Aralkyl-, C5-io-Heteroalkyl-, Ci-io-Alkyl-O-Cö-io-Aryl- oder Cs-io-Heterocycloalkyl-Gruppe, die mit 1-3 -OH Gruppen, 1-3 Halogenatomen, 1-3 halogenierten Alkylgruppen (die jeweils 1-3 Halogenatome aufweisen), 1-3 O-Alkyl Gruppen, 1-3 -SH Gruppen, 1-3 -S-Alkyl Gruppen, 1-3 -
0- CO- Alkyl Gruppen, 1-3 -O-CO-NH- Alkyl Gruppen, 1-3 -NH-CO-Alkyl Gruppen, 1-3 -NH-CO- NH-Alkyl Gruppen, 1-3 -S(0)„-Alkyl Gruppen, 1-3 -S02-NH-Alkyl Gruppen, 1-3 -NH-Alkyl Gruppen, 1-3 -N(Alkyl)2 Gruppen, 1-3 -NH((CH2CH20) i _2()H)-Gruppen, 1-3 -NH2 Gruppen oder
1- 3 -(CH2)0-3Z Gruppen, wobei Z -H, Halogen, -OY3, -SY3, -NHY3, -CO-NY^2, oder -CO-OY3 darstellt, mit Y1 und Y2 unabhängig voneinander H, NH2, oder -(CH2)o-3Z' darstellen, und Y3 H, -(CH2)o-3-CH(NHCOCH3)Z',-(CH2)o-3-CH(NH2)Z', oder -(CH2)0-3Z' darstellt, wobei Z' H, SO3H, NH2 oder COOH darstellt, substituiert sein kann (wobei „Alkyl" bevorzugt C 1-10- Alkyl bedeutet);
R5 H, -MOD, NH2, N02, Halogen (insbesondere F, Cl, Br), -CN, CF3, -OCF3, -CH2F, -CH2F, SH oder -(CH2)0-3Z darstellt, wobei Z -H, -OY3, -SY3, Halogen, NHY3, -CO-NY^2, oder -CO-OY3 darstellt,
wobei Y1 und Y2 unabhängig voneinander H, NH2, oder -(CH2V3Z' darstellen, und Y3 H oder - (CH2)0-3Z' darstellt, wobei Z' H, S03H, NH2 oder COOH darstellt;
R6 und R7 unabhängig voneinander H, Cyano, (ggf. fluoriertes) Ci-io-Alkyl, (ggf. fluoriertes) C2-10- Alkenyl, (ggf. fluoriertes) C2-io-Alkinyl, Hydroxy, NO2, NH2, COOH oder Halogen (insbesondere F, Cl, Br) darstellen,
R (ggf. fluoriertes) Ci-10-Alkyl, (ggf. fluoriertes) C2-io-Alkenyl, (ggf. fluoriertes) C2-io-Alkinyl, (ggf. fluoriertes) C t-io-Cycloalkyl oder -(CH2)o-2-(HZ2) darstellt, wobei HZ2 ein 4 bis 7-gliedriger Heterocyclus mit bis zu zwei Heteroatomen ausgewählt aus N, O und S darstellt (vorzugsweise Oxetan), wobei jede dieser Gruppen mit -OH, CO2H oder NH2 substituiert sein kann; wobei einer der Substituenten R1, R3und R4-L-#l darstellt,
L für den Linker steht und #1 für die Bindung zum Antikörper steht,
R9 H, F, CH3, CF3, CH2F oder CHF2 darstellt; wobei -MOD -(NR10)n-(Gl)o-G2-H darstellt, wobei R10 H oder Ci-CL-Alkyl darstellt;
— N N-CO—
Gl -NHCO- , -CONH- oder \ / darstellt (wobei wenn Gl -NHCO- oder
\ / darstellt, R nicht NH2 ist);
n 0 oder 1 ist;
o 0 oder 1 ist; und
G2 eine geradkettige und/oder verzweigte Kohlenwasserstoff gruppe mit 1 bis 10 Kohlenstoffatomen ist, die einfach oder mehrfach durch eine oder mehrere der Gruppen -O-, -S-, -
SO-, S02, -NRY-, -NRYCO-, CONRY-, -NRYNRY-, -S02NRYNRy-, -CONRYNRY-, (wobei Ry H, Phenyl, Ci -Ci g-Alkyl, C2-Ci Q-Alkenyl, oder C2-Ci ()-Aikinyl darstellt, die jeweils mit
NHCONH2, -COOH, -OH, -NH2, NH-CNNH2, Sulfonamid, Sulfon, Sulfoxid, oder Sulfonsäure substituiert sein können), -CO- oder -CRx=N-0- (wobei Rx H, Ci -C3-Alkyl oder Phenyl darstellt) unterbrochen sein kann, wobei die Kohlenwasserstoffkette einschließlich der Seitenketten, sofern vorhanden, mit -NHCONH2, -COOH, -OH, -NH2, NH-CNNH2, Sulfonamid, Sulfon, Sulfoxid, oder Sulfonsäure substituiert sein kann, wobei die Gruppe -MOD vorzugsweise zumindest eine Gruppe -COOH aufweist;
sowie ihre Salze, Solvate und Salze der Solvate.
In einer bevorzugten Ausführungsform der Formel (I) stellt einer der Substituenten R1 oder R3 #1 dar. In dieser Ausführungsform ist es besonders bevorzugt, wenn R4 H oder
Ausführungsform der Formel (I) stellt der Substituenten R4-L-#l dar, wobei der Linker ein Linker ist, der am Stickstoffatom, das an R4 bindet, spaltbar ist, so dass nach Spaltung eine primäre Amingruppe vorliegt (entsprechend R4 = H). Entsprechende spaltbare Gruppen werden unten näher beschrieben.
Formel (Ia):
(Ia) wobei
R1 H, -L-#l, oder -(CH2)0-3Z darstellt, wobei Z -H, -NHY3, -OY3, -SY3, Halogen, -CO-NY^2, oder -CO-OY3 darstellt,
wobei Y1 und Y2 unabhängig voneinander H, NH2, -(CH2CH20)o-3-(CH2)o-3Z' (z.B. -(CH2)o-3Z'), oder -CH(CH2W)Z' darstellen, und Y3 H oder -(CH2)0-3Z' darstellt, wobei Z' H, NH2, S03H, COOH, -NH-CO-CH2-CH2-CH(NH2)COOH oder -(CO-NH-CHY4)i_3COOH darstellt; wobei W H oder OH darstellt;
wobei Y4 lineares oder verzweigtes, gegebenenfalls mit-NHCONH2 substituiertes, Ci-6 Alkyl oder gegebenenfalls mit -NH2 substituiertes Aryl oder Benzyl darstellt.
R2 und R4 unabhängig voneinander H, -SGlys-(CO)0-l-R4', -CO-CHY4-NHY5 oder -(CH2)0-3Z darstellen,
wobei SGjyS eine durch lysosomale Enzyme spaltbare Gruppe darstellt, insbesondere eine Gruppe bestehend aus einem Di- oder Tripeptid, R4'eine Ci-io-Alkyl-, Cs-io-Aryl- oder Cö-io-Aralkyl-, C5-10- Heteroalkyl-, Ci-io-Alkyl-O-Cö-io-Aryl-, Cs-io-Heterocycloalkyl-, Heteroaryl-, Heteroaryl-alkyl-, Heteroaryl-alkoxy-, Ci-10-Alkoxy-, Cö-io-Aryloxy- oder Cö-io-Aralkoxy-, Cs-io-Heteroaralkoxy-, Ci- lo-Alkyl-O-Cö-io-Aryloxy-, Cs-io-Heterocycloalkoxy-Gruppe darstellt, die ein oder mehrfach mit - NH2, -NH-Alkyl, -N(Alkyl)2, NH-CO-Alkyl, N(Alkyl)-COAlkyl, -S03H, -S02NH2, -SO2- N(Alkyl)2, -COOH, -CONH2, -CON(Alkyl)2, oder -OH substituiert sein kann, -H oder eine Gruppe -Ox-(CH2CH20)y-R4" darstellt, (wobei x 0 oder 1 und n eine Zahl von 1 bis 10 darstellt, und R4" -H, -Alkyl (vorzugsweise Cl-12-Alkyl), -CH2-COOH, -CH2-CH2-COOH, oder -CH2-CH2- NH2);
, oder R2 und R4 gemeinsam (unter Bildung eines Pyrrolidinringes) -CH2-CHRU- oder -CHR11- CH2- darstellen, wobei R11 H, NH2, S03H, COOH, SH, Halogen (insbesondere F oder Cl), CI Alkyl, CM Haloalkyl, C1-4 Alkoxy, Hydroxyl-substituiertes Cw Alkyl, COO(Cw Alkyl) oder OH darstellt; oder R2 H, -CO-CHY4-NHY5 oder -(CH2)0-3Z darstellt und R4 -L-#l darstellt, wobei Z - H, Halogen, -OY3, -SY3, NHY3, -CO-NY^2, oder -CO-OY3 darstellt,
wobei Y1 und Y2 unabhängig voneinander H, NH2, oder -(CH2)o-3Z' darstellen, und Y3 H oder - (CH2)0-3Z' darstellt, wobei Z' H, S03H, NH2 oder COOH darstellt;
wobei Y4 unabhängig voneinander lineares oder verzweigtes, gegebenenfalls mit-NHCONH2 substituiertes, C1-6 Alkyl oder gegebenenfalls mit -NH2 substituiertes Aryl oder Benzyl darstellt, wobei Y4 lineares oder verzweigtes, gegebenenfalls mit-NHCONH2 substituiertes, C1-6 Alkyl oder gegebenenfalls mit -NH2 substituiertes Aryl oder Benzyl darstellt und Y5 H oder -CO-CHY6-NH2 darstellt, wobei Y6 lineares oder verzweigtes C1-6 Alkyl darstellt;
A CO, SO, S02, S02NH oder CNNH darstellt;
R3 eine gegebenenfalls substituierte Alkyl-, Aryl-, Heteroaryl- Heteroalkyl-, Heterocycloalkyl- Gruppe darstellt, bevorzugt -L-#l oder eine Ci-10-Alkyl-, Cö-io-Aryl- oder Cö-io-Aralkyl-, C5-10- Heteroalkyl-, Ci-io-Alkyl-O-Cö-io-Aryl- oder Cs-io-Heterocycloalkyl-Gruppe, die mit 1-3 -OH Gruppen, 1-3 Halogenatomen, 1-3 halogenierten Alkylgruppen (die jeweils 1-3 Halogenatome aufweisen),, 1-3 O-Alkyl Gruppen, 1-3 -SH Gruppen, 1-3 -S-Alkyl Gruppen, 1-3 -O-CO-Alkyl Gruppen, 1-3 -O-CO-NH- Alkyl Gruppen, 1-3 -NH-CO-Alkyl Gruppen, 1-3 -NH-CO-NH-Alkyl Gruppen, 1-3 -S(0)„-Alkyl Gruppen, 1-3 -S02-NH-Alkyl Gruppen, 1-3 -NH-Alkyl Gruppen, 1-3 - N(Alkyl)2 Gruppen, 1-3 -NH2 Gruppen oder 1-3 -(CH2)0-3Z Gruppen, wobei Z -H, Halogen, -OY3, -SY3, -NHY3, -CO-NY^2, oder -CO-OY3 darstellt, mit Y1 und Y2 unabhängig voneinander H,
NH2, oder -(CH2)0-3Z' darstellen, und Y3 H, -(CH2)o-3-CH(NHCOCH3)Z',-(CH2)o-3-CH(NH2)Z', oder -(CH2)0-3Z' darstellt, wobei Z' H, S03H, NH2 oder COOH darstellt,
substituiert sein kann (wobei„Alkyl" bevorzugt Ci-10-Alkyl bedeutet);
R5 H, F, NH2, N02, Halogen, SH oder -(CH2)0-3Z darstellt, wobei Z -H, Halogen, -OY3, -SY3, NHY3, -CO-NY^2, oder -CO-OY3 darstellt,
wobei Y1 und Y2 unabhängig voneinander H, NH2, oder -(CH2)o-3Z' darstellen, und Y3 H oder - (CH2)0-3Z' darstellt, wobei Z' H, S03H, NH2 oder COOH darstellt;
R6 und R7 unabhängig voneinander H, Cyano, (ggf. fluoriertes) Ci-10-Alkyl, (ggf. fluoriertes) C2-10- Alkenyl, (ggf. fluoriertes) C2-io-Alkinyl, Hydroxy oder Halogen darstellen,
R8 (ggf. fluoriertes) Ci-10-Alkyl, (ggf. fluoriertes) C t-io-Cycloalkyl oder optional substituiertes Oxetan darstellt; und
R9 H, F, CH3, CF3, CH2F oder CHF2 darstellt; sowie ihre Salze, Solvate und Salze der Solvate.
Durch Substitution eines H-Atoms an R1, R3 oder R4 kann in einer dem Durchschnittsfachmann bekannten Weise eine Verbindung der Formel (I) oder (Ia), in der keiner der Substituenten R1, R3 und R4 -L-#l darstellt, mit einem Linker verbunden werden. Hierdurch werden Konjugate der Formel (I) oder (Ia) erhalten, wobei einer der Substituenten R1, R3 oder R4 -L-#l darstellt, L für den Linker steht und #1 für die Bindung zum Antikörper steht. Wenn der KSP-Inhibitor nach Formel (I) oder (Ia) mit einem Antikörper konjugiert ist, stellt einer der Substituenten R1, R3 oder R4 also -L-#l dar, wobei L für den Linker steht und #1 für die Bindung zum Antikörper steht. D.h. im Falle der Konjugate stellt einer der Substituenten R1, R3 oder R4 -L-#l dar, wobei -L-#l die Bindung an den Antikörper darstellt. Der Binder ist vorzugsweise ein humaner, humanisierter oder chimärer monoklonaler Antikörper oder ein Antigen-bindendes Fragment hiervon. In einer bevorzugten Ausführungsform der Formel (I) oder (Ia) stellt einer der Substituenten R1 oder R3 -L- #1 dar. In dieser Ausführungsform ist es besonders bevorzugt, wenn R4 H oder -SGjyS-(CO)o-i-R4' darstellt, wobei SGjyS und R4'dieselbe Bedeutung haben wie oben. In einer anderen bevorzugten Ausführungsform der Formel (I) stellt der Substituenten R4-L-#l dar, wobei der Linker ein Linker ist, der am Stickstoffatom, das an R4 bindet, spaltbar ist, so dass nach Spaltung eine primäre Amingruppe vorliegt (entsprechend R4 = H). Entsprechende spaltbare Gruppen werden unten näher beschrieben.Besonders bevorzugt sind ein anti-TWEAKR-Antikörper, der spezifisch an die
Aminosäure D in Position 47 (D47) von TWEAKR (SEQ ID NO: 169) bindet, insbesondere der anti-TWEAKR-Antikörper TPP-2658.
Anstelle von -L-#l kann auch die Gruppe -L-#3 in der Verbindung vorhanden sein, wobei L für den Linker steht und #3 für die reaktive Gruppe zur Bindung an Antikörper steht. Verbindungen mit -L-#3 sind reaktive Verbindungen, die mit dem Antikörper reagieren. #3 ist vorzugsweise eine Gruppe, die mit einer Amino- oder Thiolgruppe unter Bildung einer kovalenten Bindung reagiert, vorzugsweise mit dem Cysteinrest in einem Protein. Der Cysteinrest in einem Protein kann natürlich im Protein vorliegen, durch biochemische Methoden eingebracht werden oder vorzugsweise durch vorherige Reduktion von Disulfiden des Binders generiert werden kann.
Als A ist CO (carbonyl) bevorzugt.
Als R1 ist bevorzugt -L-#l, H, -COOH, -CONHNH2, -(CH2)i-3NH2, -CONZ"(CH2)i-3 NH2 und - CONZ' 'CH2COOH, wobei Z' ' H oder NH2.
Als R2 und R4 sind bevorzugt H oder R2 und R4 stellen gemeinsam (unter Bildung eines Pyrrolidinringes) -CH2-CHR11- oder -CHRU-CH2- darstellen, wobei R11 H oder F darstellt. Als R4 ist zudem -L-#l bevorzugt, wobei -L-#l spaltbarer Linker ist, vorzugsweise ein intrazellulär enzymatisch spaltbarer Linker.
Als R3 ist bevorzugt -L-#l oder eine Cno-Alkyl-, die ggf. mit -OH, O-Alkyl, SH, S-Alkyl, O-CO- Alkyl, O-CO-NH-Alkyl, NH-CO-Alkyl, NH-CO-NH-Alkyl, S(0)„-Alkyl, S02-NH-Alkyl, NH- Alkyl, N(Alkyl)2, oder NH2 substituiert sein kann (wobei Alkyl vorzugsweise C1-3 Alkyl bedeutet).
Als R5 ist bevorzugt H oder F.
Als R6 und R7 sind unabhängig voneinander bevorzugt H, (ggf. fluoriertes) Ci-3-Alkyl, (ggf. fluoriertes) C2-4-Alkenyl, (ggf. fluoriertes) C2^-Alkinyl, Hydroxy oder Halogen.
Als R8 ist bevorzugt eine verzweigte Ci-5-Alkyl-Gruppe, insbesondere eine Gruppe der Formel - C(CH3)2-(CH2)o-2 -Ry, wobei Ry -H, -OH, C02H, oder NH2, oder eine (ggf. fluoriertes) C5-7- Cycloalkyl Besonders bevorzugt ist eine Gruppe der Formel -C(CH3)3 oder eine Cyclohexylgruppe.
Als R9 ist bevorzugt H oder F.
Insbesondere bevorzugt sind Verbindungen der Formel (I) oder (Ia), in der
A CO (carbonyl) ist;
R1 H, -L-#l, -COOH, -CONHNH2, -(CH2)i-3NH2, -CONZ"(CH2)i-3 NH2 und -CONZ"CH2COOH ist, wobei Z' ' H oder NH2;
R2 und R4 H ist, oder R2 und R4 gemeinsam (unter Bildung eines Pyrrolidinringes) -CH2-CHRU- oder -CHRU-CH2- darstellen, wobei R11 H oder F darstellt; oder R4 -L-#l ist und R2 H ist;
R3 -L-#l oder eine Phenylgruppe, die ein oder mehrfach mit Halogen (insbesondere F) oder ggf. fluoriertes C1 .3 Alkyl substituiert sein kann, oder eine ggf. fluorierte Ci-10-Alkylgruppe darstellt, die ggf. mit -OY4, -SY4, -O-CO-Y4, -O-CO-NH-Y4, NH-CO-Y4, -NH-CO-NH-Y4, S(0)„- Y (wobei n 0, 1 oder 2 darstellt), -S02-NH-Y4, NH-Y4, oder N(Y )2, substituiert sein kann, wobei Y4 H, Phenyl (ggf. ein oder mehrfach mit Halogen (insbesondere F) oder ggf. fluoriertes C1.3 Alkyl substituiert), oder Alkyl (wobei die Alkylgruppe mit -OH, -COOH, und/oder -NHCO-C1-3- Alkyl substituiert sein kann, und wobei Alkyl vorzugsweise C1-3 Alkyl bedeutet) darstellt;
wobei insbesondere bevorzugt R3mit -OH, O-Alkyl, SH, S-Alkyl, O-CO-Alkyl, O-CO-NH-Alkyl, NH-CO-Alkyl, NH-CO-NH- Alkyl, S(0)„-Alkyl, S02-NH-Alkyl, NH-Alkyl, N(Alkyl)2, oder NH2 substituiert sein kann (wobei Alkyl vorzugsweise C1-3 Alkyl bedeutet);
R5 H oder F ist;
R6 und R7 unabhängig voneinander H, (ggf. fluoriertes) Ci-3-Alkyl, (ggf. fluoriertes) C2-4-Alkenyl, (ggf. fluoriertes) C2-4-Alkinyl, Hydroxy oder Halogen darstellen;
R8 eine verzweigte Ci-5-Alkyl-Gruppe oder Cyclohexyl ist; und
R9 H oder F ist.
Weiterhin sind bevorzugt (allein oder in Kombination), wenn R1 -L-#l, COOH oder H darstellt,
R2 und R4 H sind oder R2 und R4 gemeinsam (unter Bildung eines Pyrrolidinringes) -CH2-CHRU- oder -CHRU-CH2- darstellen, wobei R11 H darstellt, oder R4 -L-#l ist und R2 H ist;
A CO darstellt,
R3 -(CH2)OH, -CH(CH3)OH, -CH2SCH2CH(COOH)NHCOCH3, -CH(CH3)OCH3, eine Phenylgruppe, die mit 1-3 Halogenatomen, 1-3 Aminogruppen oder 1-3 Alkylgruppen (die ggf. halogeniert sein können, substituiert sein kann, oder -L-#l darstellt,
5
R oder H darstellt,
R6 und R7 unabhängig voneinander H, Ci-3-Alkyl oder Halogen darstellen, insbesondere dass R6 und R7 F darstellen;
R8 Ci-4-Alkyl (vorzugsweise tert-butyl) oder Cyclohexyl darstellt; und/ oder
R9 H darstellt.
Zudem ist es erfindungsgemäß bevorzugt, wenn
R1 -L-#l, COOH oder H darstellt,
R2 und R4H oder R2 und R4 gemeinsam (unter Bildung eines Pyrrolidinringes) -CH2-CHR11- oder - CHRU-CH2- darstellen, wobei R11 H darstellt,
A CO darstellt,
R3 -(CH2)OH, -CH(CH3)OH, -CH2SCH2CH(COOH)NHCOCH3, -CH(CH3)OCH3, eine Phenylgruppe, die mit 1-3 Halogenatomen, 1-3 Aminogruppen oder 1-3 Alkylgruppen (die ggf. halogeniert sein können, substituiert sein kann, oder -L-#l darstellt,
R5 H darstellt,
R6 und R7 unabhängig voneinander H, Ci-3-Alkyl oder Halogen darstellen, insbesondere dass R6 und R7 F darstellen;
R8 Ci-4-Alkyl (vorzugsweise tert-butyl) darstellt; und
R9 H darstellt.
Andere besonders bevorzugte Verbindungen weisen die folgende Formel (II) oder (IIa) auf:
Formel (II):
R1 H, -L-Binder, -MOD oder -(CH2)o-3Z darstellt, wobei Z -H, -NHY3, -OY3, -SY3, Halogen, -CO- NYlY2, oder -CO-OY3 darstellt,
wobei Y1 und Y2 unabhängig voneinander H, NH2, -(CH2CH20)o-3-(CH2)o-3Z'(z.B. -(CH2)o-3Z'), oder -CH(CH2W)Z' darstellen, und Y3 H oder -(CH2)0-3Z' darstellt, wobei Z' H, NH2, S03H, - COOH, -NH-CO-CH2-CH2-CH(NH2)COOH oder -(CO-NH-CHY4)i-3COOH darstellt; wobei W H oder OH darstellt,
wobei Y4 lineares oder verzweigtes, gegebenenfalls mit-NHCONH2 substituiertes, C1-6 Alkyl oder gegebenenfalls mit -NH2 substituiertes Aryl oder Benzyl darstellt;
R2 H, -MOD, -CO-CHY4-NHY5 oder -(CH2)0-3Z darstellt, wobei Y4 lineares oder verzweigtes, gegebenenfalls mit-NHCONH2 substituiertes, C 1-6 Alkyl oder gegebenenfalls mit -NH2 substituiertes Aryl oder Benzyl darstellt und Y5 H oder -CO-CHY6-NH2 darstellt, wobei Y6 lineares oder verzweigtes C1-6 Alkyl darstellt,
wobei Z -H, Halogen, -OY3, -SY3, NHY3, -CO-NY^2, oder -CO-OY3 darstellt,
wobei Y1 und Y2 unabhängig voneinander H, NH2, oder -(CH2)o-3Z' darstellen, und Y3 H oder -
(CH2)0-3Z' darstellt, wobei Z' H, S03H, NH2 oder COOH darstellt;
R4 H, -L-Binder, -SGlys-(CO)0-i -R4', -CO-CHY4-NHY5 oder -(CH2)0-3Z darstellen,
wobei SGiyS eine durch lysosomale Enzyme spaltbare Gruppe darstellt, insbesondere eine Gruppe bestehend aus einem Di- oder Tripeptid, R4'eine Ci-10-Alkyl-, Cs-io-Aryl- oder Cö-io-Aralkyl-, C5-10- Heteroalkyl-, Ci-io-Aikyl-O-Cö io-Aryl-, Cs io-Heterocycloalkyl-, Heteroaryl-, Heteroaryl-alkyl-, Heteroaryl-alkoxy-, Ci-10-Alkoxy-, Cö-io-Aryloxy- oder Cö-io-Aralkoxy-, Cs-io-Heteroaralkoxy-, Ci- lo-Alkyl-O-Cö io-Aryloxy-, Cs io-Heterocycloalkoxy-Gruppe darstellt, die ein oder mehrfach mit - NH2, -NH-Alkyl, -N(Alkyl)2, NH-CO-Alkyl, N( Alkyl) -CO Alkyl, -S03H, -S02NH2, -S02- N(Alkyl)2, -COOH, -CONH2, -CON(Alkyl)2, oder -OH substituiert sein kann, -H oder eine Gruppe -Ox-(CH2CH20)y-R4" darstellt, (wobei x 0 oder 1 und n eine Zahl von 1 bis 10 darstellt, und R4" -H, -Alkyl (vorzugsweise Cl-12-Alkyl), -CH2-COOH, -CH2-CH2-COOH, oder -CH2-CH2- NH2);
darstellt,
wobei Z -H, Halogen, -OY3, -SY3, NHY3, -CO-NY^2, oder -CO-OY3 darstellt,
wobei Y1 und Y2 unabhängig voneinander H, NH2, oder -(CH2)o-3Z' darstellen, und Y3 H oder -
(CH2)0-3Z' darstellt, wobei Z' H, S03H, NH2 oder COOH darstellt;
wobei Y4 lineares oder verzweigtes, gegebenenfalls mit-NHCONEb substituiertes, Ci-6 Alkyl oder gegebenenfalls mit -NH2 substituiertes Aryl oder Benzyl darstellt und Y5 H oder -CO-CHY6-NH2 darstellt, wobei Y6 lineares oder verzweigtes C1-6 Alkyl darstellt;
oder R2 und R4 gemeinsam (unter Bildung eines Pyrrolidinringes) -CH2-CHR11- oder -CHRU-CH2- darstellen, wobei R10 H, NH2, S03H, COOH, SH, Halogen (insbesondere F oder Cl), G-4 Alkyl, Ci- 4 Haloalkyl, C1-4 Alkoxy, Hydroxyl-substituiertes C 1-4 Alkyl, COO(Ci_4 Alkyl) oder OH darstellt;
A CO, SO, S02, SO2NH oder CNNH darstellt;
R3 -L-Binder, -MOD, oder eine gegebenenfalls substituierte Alkyl-, Cycloalkyl-, Aryl-, Heteroaryl- Heteroalkyl-, Heterocycloalkyl- Gruppe darstellt, bevorzugt -L-BINDER oder eine Ci-10-Alkyl-, Cö-io-Aryl- oder Cö-io-Aralkyl-, Cs-io-Heteroalkyl-, Ci-io-Alkyl-O-Cö-io-Aryl- oder C5-10- Heterocycloalkyl-Gruppe, die mit 1-3 -OH Gruppen, 1-3 Halogenatomen, 1-3 halogenierten Alkylgruppen (die jeweils 1-3 Halogenatome aufweisen), 1-3 O- Alkyl Gruppen, 1-3 -SH Gruppen, 1-3 -S-Alkyl Gruppen, 1-3 -O-CO-Alkyl Gruppen, 1-3 -O-CO-NH-Alkyl Gruppen, 1-3 -NH-CO- Alkyl Gruppen, 1-3 -NH-CO-NH-Alkyl Gruppen, 1-3 -S(0)„-Alkyl Gruppen, 1-3 -S02-NH-Alkyl Gruppen, 1-3 -NH- Alkyl Gruppen, 1-3 -N(Alkyl)2 Gruppen, 1-3 -NH2 Gruppen oder 1-3 -(CH2)0- 3Z Gruppen, wobei Z -H, Halogen, -OY3, -SY3, -NHY3, -CO-NY^2, oder -CO-OY3 darstellt, mit Y1 und Y2 unabhängig voneinander H, NH2, oder -(CH2)o-3Z' darstellen, und Y3 H, -(CH2)o-3-CH(NHCOCH3)Z',-(CH2)o-3-CH(NH2)Z', oder -(CH2)0-3Z' darstellt, wobei Z' H, SO3H, NH2 oder COOH darstellt,
substituiert sein kann (wobei„Alkyl" bevorzugt C1-10- Alkyl bedeutet);
R5 H, NH2, N02, Halogen (insbesondere F, Cl, Br), -CN, CF3, -OCF3, -CH2F, -CH2F, SH oder - (CH2)0-3Z darstellt, wobei Z -H, -OY3, -SY3, Halogen, NHY3, -CO-NY^2, oder -CO-OY3 darstellt, wobei Y1 und Y2 unabhängig voneinander H, NH2, oder -(CH2V3Z' darstellen, und Y3 H oder - (CH2)0-3Z' darstellt, wobei Z' H, S03H, NH2 oder COOH darstellt;
R6 und R7 unabhängig voneinander H, Cyano, (ggf. fluoriertes) Ci-10-Alkyl, (ggf. fluoriertes) C2-10- Alkenyl, (ggf. fluoriertes) C2-io-Alkinyl, Hydroxy, NO2, NH2, COOH oder Halogen (insbesondere F, Cl, Br) darstellen,
R8 (ggf. fluoriertes) Ci-10-Alkyl, (ggf. fluoriertes) C2-io-Alkenyl, (ggf. fluoriertes) C2-io-Alkinyl, (ggf. fluoriertes) C t-io-Cycloalkyl oder-(CH2)o-2-(HZ2) darstellt, wobei HZ2 ein 4 bis 7-gliedriger Heterocyclus mit bis zu zwei Heteroatomen ausgewählt aus N, O und S darstellt, wobei jede dieser Gruppen mit -OH, CO2H oder NH2 substituiert sein kann darstellt;
R9 H, F, CH3, CF3, CH2F oder CHF2 darstellt; wobei -MOD -(NR10)n-(Gl)o-G2-H darstellt, wobei
R H oder Ci-C
3-Alkyl darstellt; darstellt (wobei wenn Gl -NHCO- oder
n 0 oder 1 ist;
o 0 oder 1 ist; und
G2 eine geradkettige und/oder verzweigte Kohlenwasserstoff gruppe mit 1 bis 10 Kohlenstoffatomen ist, die einfach oder mehrfach durch eine oder mehrere der Gruppen -O-, -S-, -
SO-, SO2, -NRY-, -NRYCO-, CONRY-, -NRYNRY-, -S02NRYNRy-, -CONRYNRY-, (wobei Ry H, Phenyl, Ci -Ci g-Alkyl, C2-Ci Q-Alkenyl, oder C2-Ci o-Alkinyl darstellt, die jeweils mit
NHCONH2, -COOH, -OH, -NH2, NH-CNNH2, Sulfonamid, Sulfon, Sulfoxid, oder Sulfonsäure substituiert sein können), -CO-, -CRx=N-0- (wobei Rx H, Ci -C3-Alkyl oder Phenyl darstellt) unterbrochen sein kann, wobei die Kohlenwasserstoffkette einschließlich der Seitenketten, sofern vorhanden, mit -NHCONH2, -COOH, -OH, -NH2, NH-CNNH2, Sulfonamid, Sulfon, Sulfoxid, oder Sulfonsäure substituiert sein kann, wobei die Gruppe -MOD vorzugsweise zumindest eine Gruppe -COOH aufweist; sowie ihre Salze, Solvate und Salze der Solvate.
Im Falle von Binderkonjugaten der KSP-Inhibitoren der Formel (II) kann maximal ein Vertreter von R1, R3und R4 (alternativ zu einer der oben angegebenen Bedeutungen) -L-Binder darstellen, wobei L für einen Linker steht und BINDER für den Antikörper steht, wobei der Antikörper ggf. an mehrere Wirkstoffmoleküle gebunden sein kann.
Formel (IIa):
Rl -L-BINDER, H, oder -(CH2)o-3Z darstellt, wobei Z -H, -NHY3, -OY3, -SY3, Halogen, -CO- NY^2, oder -CO-OY3 darstellt,
wobei Y1 und Y2 unabhängig voneinander H, NH2, -(CH2CH20)o-3-(CH2)0_3Z', oder -CH(CH2W)Z' darstellen, und Y3 H oder -(CH2)0-3Z' darstellt, wobei Z' H, NH2, S03H, COOH, -NH-CO-CH2- CH2-CH(NH2)COOH oder -(CO-NH-CHY4)i-3COOH darstellt; wobei W H oder OH darstellt; wobei Y4 lineares oder verzweigtes, gegebenenfalls mit-NHCONH2 substituiertes, C1-6 Alkyl oder gegebenenfalls mit -NH2 substituiertes Aryl oder Benzyl darstellt;
R2 und R4 unabhängig voneinander H, -SGlys-(CO)o-l-R4', -CO-CHY4-NHY5 oder -(CH2)0-3Z darstellen,
, oder R2 und R4 gemeinsam (unter Bildung eines Pyrrolidinringes) -CH2-CHRU- oder -CHR11- CH2- darstellen, oder R2 H, -CO-CHY4-NHY5 oder -(CH2)0-3Z darstellt und R4 -L-#l darstellt, wobei R11 H, NH2, SO3H, COOH, SH, Halogen (insbesondere F oder Cl), CM Alkyl, CM Haloalkyl, C1-4 Alkoxy, Hydroxyl-substituiertes C1-4 Alkyl, COO(C 1-4 Alkyl) oder OH darstellt; wobei SGiyS eine durch lysosomale Enzyme spaltbare Gruppe darstellt, insbesondere eine Gruppe bestehend aus einem Di- oder Tripeptid, R4'eine Ci-10-Alkyl-, Cs-io-Aryl- oder Cö-io-Aralkyl-, C5-10- Heteroalkyl-, Ci-io-Aikyl-O-Cö io-Aryl-, Cs io-Heterocycloalkyl-, Heteroaryl-, Heteroaryl-alkyl-, Heteroaryl-alkoxy-, Ci-10-Alkoxy-, Cö-io-Aryloxy- oder Cö-io-Aralkoxy-, Cs-io-Heteroaralkoxy-, Ci- lo-Alkyl-O-Cö io-Aryloxy-, Cs io-Heterocycloalkoxy-Gruppe darstellt, die ein oder mehrfach mit - NH2, -NH-Alkyl, -N(Alkyl)2, NH-CO-Alkyl, N( Alkyl) -CO Alkyl, -S03H, -S02NH2, -SO2- N(Alkyl)2, -COOH, -CONH2, -CON(Alkyl)2, oder -OH substituiert sein kann, -H oder eine Gruppe -Ox-(CH2CH20)y-R4" darstellt, (wobei x 0 oder 1 und n eine Zahl von 1 bis 10 darstellt, und R4" -H, -Alkyl (vorzugsweise Cl-12-Alkyl), -CH2-COOH, -CH2-CH2-COOH, oder -CH2-CH2- NH2);
wobei Z -H, Halogen, -OY3, -SY3, NHY3, -CO-NY^2, oder -CO-OY3 darstellt,
wobei Y1 und Y2 unabhängig voneinander H, NH2, oder -(CH2V3Z' darstellen, und Y3 H oder - (CH2)0-3Z' darstellt, wobei Z' H, S03H, NH2 oder COOH darstellt;
wobei Y4 lineares oder verzweigtes, gegebenenfalls mit-NHCONEb substituiertes, C1-6 Alkyl oder gegebenenfalls mit -NH2 substituiertes Aryl oder Benzyl darstellt und Y5 H oder -CO-CHY6-NH2 darstellt, wobei Y6 lineares oder verzweigtes C1-6 Alkyl darstellt;
A CO, SO, S02, SO2NH oder CNNH darstellt;
R3 -L-BINDER oder eine gegebenenfalls substituierte Alkyl-, Aryl-, Heteroaryl- Heteroalkyl-, Heterocycloalkyl- Gruppe darstellt, bevorzugt -L-BINDER oder eine C1-10- Alkyl-, Cö-io-Aryl- oder Cö-io-Aralkyl-, Cs-io-Heteroalkyl-, Ci-io-Alkyl-O-Cö-io-Aryl- oder Cs-io-Heterocycloalkyl-Gruppe, die mit 1-3 -OH Gruppen, 1-3 Halogenatomen, 1-3 halogenierten Alkylgruppen (die jeweils 1-3 Halogenatome aufweisen),, 1-3 O- Alkyl Gruppen, 1-3 -SH Gruppen, 1-3 -S-Alkyl Gruppen, 1-3 - O-CO- Alkyl Gruppen, 1-3 -O-CO-NH- Alkyl Gruppen, 1-3 -NH-CO- Alkyl Gruppen, 1-3 -NH-CO- NH-Alkyl Gruppen, 1-3 -S(0)„-Alkyl Gruppen, 1-3 -S02-NH-Alkyl Gruppen, 1-3 -NH-Alkyl Gruppen, 1-3 -N(Alkyl)2 Gruppen, 1-3 -NH2 Gruppen oder 1-3 -(CH2V3Z Gruppen, wobei Z -H, Halogen, -OY3, -SY3, -NHY3, -CO-NY^2, oder -CO-OY3 darstellt, mit Y1 und Y2 unabhängig voneinander H, NH2, oder -(CH2V3Z' darstellen, und Y3 H, -(CH2)o-3-CH(NHCOCH3)Z',-(CH2)o-3-CH(NH2)Z', oder -(CH2)0-3Z' darstellt, wobei Z' H, SO3H, NH2 oder COOH darstellt,
substituiert sein kann (wobei„Alkyl" bevorzugt C1-10- Alkyl bedeutet);
R5 H, F, NH2, N02, Halogen, SH oder -(CH2)0-3Z darstellt, wobei Z -H, Halogen, -OY3, -SY3, - NHY3, -CO-NY^2, oder -CO-OY3 darstellt,
wobei Y1 und Y2 unabhängig voneinander H, NH2, oder -(CH2V3Z' darstellen, und Y3 H oder - (CH2)0-3Z' darstellt, wobei Z' H, S03H, NH2 oder COOH darstellt;
wobei L für einen Linker steht und BINDER für Binder bzw. Derivat hiervon steht, wobei der Binder ggf. an mehrere Wirkstoffmoleküle gebunden sein kann,
R6 und R7 unabhängig voneinander H, Cyano, (ggf. fluoriertes) Ci-10-Alkyl, (ggf. fluoriertes) C2-10- Alkenyl, (ggf. fluoriertes) C2-io-Alkinyl, Hydroxy oder Halogen darstellen,
R8 (ggf. fluoriertes) Ci-10-Alkyl, (ggf. fluoriertes) C t-io-Cycloalkyl oder optional substituiertes Oxetan darstellt; und
R9 H, F, CH3, CF3, CH2F oder CHF2 darstellt;
sowie ihre Salze, Solvate und Salze der Solvate.
Weiterhin sind erfindungsgemäß bevorzugt folgende KSP-Inhibitoren-Antikörper-Konjugate:: Formel (IIb):
wobei R1, R2, R4, R5, R6, R7, R8 und R9 die gleiche Bedeutung wie in Formel (II) oder (IIa) aufweisen, A CO darstellt, B eine Einfachbindung, -O-CH2- oder -CH2-0- darstellt, und R20 NH2> F, CF3, oder CH3, und n 0, 1, oder 2 darstellt.
Formel (IIc):
wobei A, R
1, R
3, R
6, R
7, R
8, und R
9 die gleiche Bedeutung wie in Formel (II) oder (IIa) aufweisen, wobei A vorzugsweise CO und R
3 -CH
2OH, -CH
2OCH
3, CH(CH3)OH oder CH(CH
3)OCH
3 darstellt.
Formel (Ild):
wobei A, R
3, R
6, R
7, R
8 und R
9 die gleiche Bedeutung wie in Formel (II) oder (IIa) aufweisen, wobei A vorzugsweise CO und R
3 -CH
2-S
X-(CH
2)
CM-CHY
5-CC)OH auf, wobei x 0 oder 1 ist, und Y
5 H oder NHY
6 darstellt, wobei Y
6 H oder -COCH
3 darstellt.
Formel (Ile):
wobei A, R2, R3, R4, R6, R7, R8 und R9 die gleiche Bedeutung wie in Formel (II) oder (IIa) aufweisen, und R! -L-B INDER darstellt.
Formel (Iii):
wobei A, R
1, R
2, R
3, R
6, R
7, R
8 und R
9 die gleiche Bedeutung wie in Formel (II) oder (IIa) aufweisen, und R4 -L-BINDER darstellt, vorzugsweise einen enzymatisch spaltbaren Binder, so dass nach Spaltung R4 =H. R
1 oder R
3 stellen besonders bevorzugt -MOD dar.
Formel (Ilj) aufweist:
wobei
R3 -L-#l darstellt;
A CO darstellt; und
R6, R7, R8 und R9 die gleiche Bedeutung wie in Formel (I) aufweisen Formel (Ilk):
(Ilk) wobei
R1 -L-#l darstellt;
A CO und R3 -CH2OH - darstellt;
R3, R6, R7, R8, und R9 die gleiche Bedeutung wie in Formel (I) aufweisen.
Weiterhin sind bevorzugt in den Verbindungen der Formeln (II), (IIa), (IIb), (IIc), (Ild), (Ile), (Iii), (Ilj) und (Ilk) (allein oder in Kombination), wenn:
Z Cl oder Br darstellt;
R1 -(CH2)0-3Z darstellt, wobei Z -COOH oder -CO-NY^2 darstellt, wobei Y2 -(CH2CH20)o-3-
(CH2)Q 3Z' und Y1 H, NH2, oder -(CH2CH2O)0-3-(CH2)0 3Z'darstellt;
Y1 H darstellt, Y2 -(CH2CH20)3-CH2CH2Z' darstellt und Z' -COOH darstellt;
Y1 H darstellt, Y2 -CHzCHzZ' darstellt und Z' -(CONHCHY4)2COOH stellt;
Y1 H darstellt, Y2 -CH2CH2Z' darstellt, Z' -(CONHCHY4)2COOH stellt und eine Y4 i-propyl darstellt und der andere ein -(CH2)3-NHCONH2 darstellt ;
Y1 H darstellt, Y2 -CHzCHzZ' darstellt, Z' -(CONHCHY4)2COOH stellt und eine Y4 -CH3 darstellt und der andere ein -(CH2)3-NHCONH2 darstellt ;
Y4 lineares oder verzweigtes, gegebenenfalls mit -NHCONH2 substituiertes, Ci-6 Alkyl darstellt; mindestens ein Vertreter von Y4 ausgewählt wird aus z-propyl oder -CH3.
Y1 H darstellt, Y2 -CHzCHzZ' darstellt, Z' -CONHCHY4COOH darstellt und Y4 gegebenenfalls mit
-NH2 substituiertes Aryl oder Benzyl darstellt;
Y4 Aminobenzyl darstellt;
R2 -(CH2)0-3Z darstellt und Z -SY3 darstellt;
R4 -CO-CHY4-NHY5 darstellt und Y5 H darstellt;
R4 -CO-CHY4-NHY5 darstellt und Y5-CO-CHY6-NH2 darstellt; oder
Y4 lineares oder verzweigtes, gegebenenfalls substituiertes mit -NHCONH2 C 1-6 Alkyl darstellt.
Weiterhin ist es bevorzugt, wenn R1, R2 oder R3 in Formel (I) oder (II) -MOD darstellt,
Besonders bevorzugt stellt R3 -MOD und R1 oder R4 -L-#l bzw. -L-BINDER dar, wobei -MOD -(NR10)n-(Gl)o-G2-H darstellt, wobei
R H oder Ci-C
3-Alkyl darstellt; darstellt (wobei wenn Gl -NHCO- oder
n 0 oder 1 ist;
o 0 oder 1 ist; und
G2 eine geradkettige und/oder verzweigte Kohlenwasserstoff gruppe mit 1 bis 10 Kohlenstoffatomen ist, die einfach oder mehrfach durch eine oder mehrere der Gruppen -O-, -S-, -
SO-, SO2, -NRY-, -NRYCO-, CONRY-, -NRYNRY-, -S02NRYNRy-, -CONRYNRY-, (wobei Ry H, Phenyl, Ci -Ci g-Alkyl, C2-Ci Q-Alkenyl, oder C2-Ci ()-Aikinyl darstellt, die jeweils mit
NHCONH2, -COOH, -OH, -NH2, NH-CNNH2, Sulfonamid, Sulfon, Sulfoxid, oder Sulfonsäure substituiert sein können), -CO-, -CRx=N-0- (wobei Rx H, Ci -C3-Alkyl oder Phenyl darstellt) unterbrochen sein kann, wobei die Kohlenwasserstoffkette einschließlich der Seitenketten, sofern vorhanden, mit -NHCONH2, -COOH, -OH, -NH2, NH-CNNH2, Sulfonamid, Sulfon, Sulfoxid, oder Sulfonsäure substituiert sein kann, wobei die Gruppe -MOD vorzugsweise zumindest eine Gruppe -COOH aufweist;
Besonders bevorzugt weist die Gruppe -MOD eine (vorzugsweise terminale) -COOH-Gruppe auf, z.B. in einer Betaingruppe. Vorzugsweise weist die Gruppe -MOD die Formel -CH2-Sx-(CH2)o-4- CHY5-COOH auf, wobei x 0 oder 1 ist, und Y5 H oder NHY6 darstellt, wobei Y6 H oder -COCH3 darstellt.
Andere besonders bevorzugte Verbindungen weisen die folgende Formel (III) auf:
Rl -L-BINDER, H, oder -(CH2)o-3Z darstellt, wobei Z -H, -NHY3, -OY3, -SY3, Halogen, -CO- NY^2, oder -CO-OY3 darstellt,
wobei Y1 und Y2 unabhängig voneinander H, NH2, oder -(CH2CH20)o-3-(CH2)0 3Z' oder - CH(CH2W)Z' darstellen, und Y3 H oder -(CH2)0-3Z' darstellt, wobei Z' H, NH2, S03H, COOH, - NH-CO-CH2-CH2-CH(NH2)COOH oder -(CO-NH-CHY4)i-3COOH darstellt;
wobei Y4 lineares oder verzweigtes, gegebenenfalls mit -NHCONH2 substituiertes, C1-5 Alkyl oder gegebenenfalls mit -NH2 substituiertes Aryl oder Benzyl darstellt;
R2 und R4 unabhängig voneinander H, -SGlys-(CO)o-l-R4', -CO-CHY4-NHY5 oder -(CH2)o-3Z darstellen,
, oder R2 und R4 gemeinsam (unter Bildung eines Pyrrolidinringes) -CH2-CHR11- oder -CHR11- CH2- darstellen, wobei R11 H, NH2, S03H, COOH, SH, Halogen (insbesondere F oder Cl), CI Alkyl, CM Haloalkyl, C1-4 Alkoxy, Hydroxyl-substituiertes CM Alkyl, COO(Cw Alkyl) oder OH darstellt;
wobei SGiyS eine durch lysosomale Enzyme spaltbare Gruppe darstellt, insbesondere eine Gruppe bestehend aus einem Di- oder Tripeptid, R4'eine Ci-10-Alkyl-, Cs-io-Aryl- oder Cö-io-Aralkyl-, C5-10- Heteroalkyl-, Ci-io-Aikyl-O-Cö io-Aryl-, Cs io-Heterocycloalkyl-, Heteroaryl-, Heteroaryl-alkyl-, Heteroaryl-alkoxy-, Ci-10-Alkoxy-, Cö-io-Aryloxy- oder Cö-io-Aralkoxy-, Cs-io-Heteroaralkoxy-, Ci- lo-Alkyl-O-Cö io-Aryloxy-, Cs io-Heterocycloalkoxy-Gruppe darstellt, die ein oder mehrfach mit - NH2, -NH-Alkyl, -N(Alkyl)2, NH-CO-Alkyl, N( Alkyl) -CO Alkyl, -S03H, -S02NH2, -SO2- N(Alkyl)2, -COOH, -CONH2, -CON(Alkyl)2, oder -OH substituiert sein kann, -H oder eine Gruppe -Ox-(CH2CH20)y-R4" darstellt, (wobei x 0 oder 1 und n eine Zahl von 1 bis 10 darstellt, und R4" -H, -Alkyl (vorzugsweise Cl-12-Alkyl), -CH2-COOH, -CH2-CH2-COOH, oder -CH2-CH2- NH2);
wobei Z -H, Halogen, -OY3, -SY3, NHY3, -CO-NY^2, oder -CO-OY3 darstellt,
wobei Y1 und Y2 unabhängig voneinander H, NH2, oder -(CH2V3Z' darstellen, und Y3 H oder - (CH2)0-3Z' darstellt, wobei Z' H, S03H, NH2 oder COOH darstellt;
wobei Y4 lineares oder verzweigtes, gegebenenfalls mit-NHCONEb substituiertes, C1-6 Alkyl oder gegebenenfalls mit -NH2 substituiertes Aryl oder Benzyl darstellt und Y5 H oder -CO-CHY6-NH2 darstellt, wobei Y6 lineares oder verzweigtes C1-6 Alkyl darstellt;
A CO, SO, S02, SO2NH oder CNNH darstellt;
R3 -L-BINDER, eine gegebenenfalls substituierte Alkyl-, Aryl-, Heteroaryl- Heteroalkyl-, Heterocycloalkyl- Gruppe, oder-CH2-Sx-(CH2)o-4-CHY5-COOH darstellt, wobei x 0 oder 1 ist, und Y5 H oder NHY6 darstellt, wobei Y6 H oder -COCH3. darstellt, bevorzugt -L-BINDER oder eine Ci-10-Alkyl-, Cö-io-Aryl- oder Cö-io-Aralkyl-, Cs-io-Heteroalkyl-, Ci-io-Aikyl-O-Cö-io-Aryl- oder C5- 10-Heterocycloalkyl-Gruppe, die mit 1-3 -OH Gruppen, 1-3 Halogenatomen, 1-3 halogenierten Alkylgruppen (die jeweils 1-3 Halogenatome aufweisen),, 1-3 O-Alkyl Gruppen, 1-3 -SH Gruppen, 1-3 -S-Alkyl Gruppen, 1-3 -O-CO- Alkyl Gruppen, 1-3 -O-CO-NH-Alkyl Gruppen, 1-3 - NH-CO-Alkyl Gruppen, 1-3 -NH-CO-NH- Alkyl Gruppen, 1-3 -S(0)„-Alkyl Gruppen, 1-3 -S02- NH- Alkyl Gruppen, 1-3 -NH-Alkyl Gruppen, 1-3 -N(Alkyl)2 Gruppen, 1-3 -NH2 Gruppen oder 1- 3 -(CH2)0-3Z Gruppen, wobei Z -H, Halogen, -OY3, -SY3, -NHY3, -CO-NY^2, oder -CO-OY3 darstellt, mit Y1 und Y2 unabhängig voneinander H, NH2, oder -(CH2)o-3Z' darstellen, und Y3 H, -(CH2)o-3-CH(NHCOCH3)Z',-(CH2)o-3-CH(NH2)Z', oder -(CH2)0-3Z' darstellt, wobei Z' H, SO3H, NH2 oder COOH darstellt,
substituiert sein kann (wobei„Alkyl" bevorzugt C1-10- Alkyl bedeutet);
R5 H, F, NH2, N02, Halogen, SH oder -(CH2)0-3Z darstellt, wobei Z -H, Halogen, -OY3, -SY3, - NHY3, -CO-NY^2, oder -CO-OY3 darstellt,
wobei Y1 und Y2 unabhängig voneinander H, NH2, oder -(CH2V3Z' darstellen, und Y3 H oder - (CH2)0-3Z' darstellt, wobei Z' H, S03H, NH2 oder COOH darstellt; wobei L für einen Linker steht und BINDER für den Antikörper steht, wobei der Binder ggf. an mehrere Wirkstoffmoleküle gebunden sein kann,
R6 und R7 unabhängig voneinander H, Cyano, (ggf. fluoriertes) Ci-10-Alkyl, (ggf. fluoriertes) C2-10- Alkenyl, (ggf. fluoriertes) C2-io-Alkinyl, Hydroxy oder Halogen darstellen,
R8 (ggf. fluoriertes) Ci-10-Alkyl, (ggf. fluoriertes) C t-io-Cycloalkyl oder optional substituiertes Oxetan darstellt; und
R9 H, F, CH3, CF3, CH2F oder CHF2 darstellt; sowie ihre Salze, Solvate und Salze der Solvate.
Weiterhin sind bevorzugt (allein oder in Kombination), wenn in Formel (I), (Ia), (II), (IIa), (IIb), (IIc), (Ild), (Ile), (Iii), (IIj), (Ilk) oder (III):
Z Cl oder Br darstellt;
R1 -(CH2)0-3Z darstellt, wobei Z -CO-NY^2 darstellt, wobei Y2 -(CHzCHzO HCHz^Z' und Y1 H, NH2, oder -(CH2CH20)o-3-(CH2)0 3Z' darstellt;
Y1 H darstellt, Y2 -(CH2CH20)3-CH2CH2Z' darstellt und Z' -COOH darstellt;
Y1 H darstellt, Y2 -CH2CH2Z' darstellt und Z' -(CONHCHY4)2COOH stellt;
Y1 H darstellt, Y2 -CH2CH2Z' darstellt, Z' -(CONHCHY4)2COOH stellt und ein Vertreter von Y4 i- propyl darstellt und der andere -(CH2)3-NHCONH2 darstellt ;
Y1 H darstellt, Y2 -CH2CH2Z' darstellt, Z' -(CONHCHY4)2COOH stellt und ein Vertreter vonY4 - CH3 darstellt und der andere -(CH2)3-NHCONH2 darstellt ;
Y4 lineares oder verzweigtes, gegebenenfalls mit -NHCONH2 substituiertes, C1-6 Alkyl darstellt; mindestens ein Vertreter von Y4 ausgewählt wird aus z-propyl or -CH3.
Y1 H darstellt, Y2 -CH2CH2Z' darstellt, Z' -CONHCHY4COOH darstellt und Y4 gegebenenfalls mit -NH2 substituiertes Aryl oder Benzyl darstellt;
Y4 eine Aminobenzyl darstellt;
R2 -(CH2)0-3Z darstellt und Z -SY3 darstellt;
R4 -CO-CHY4-NHY5 darstellt und Y5 H darstellt;
R4 -CO-CHY4-NHY5 darstellt und Y5-CO-CHY6-NH2 darstellt; oder
Y4 lineares oder verzweigtes gegebenenfalls substituiertes -NHCONH2 C1-6 Alkyl darstellt.
Weiterhin sind bevorzugt Verbindungen der Formel (I), (Ia), (II), (IIa) oder (III),
wobei
R1 H, -L-#l bzw. -L-BINDER, -MOD oder -(CH2)0-3Z darstellt, wobei Z -H, -NHY3, -OY3, -SY3, Halogen, -CO-NY^2, oder -CO-OY3 darstellt,
wobei Y1 und Y2 unabhängig voneinander H, NH2, -(CH2CH20)o-3-(CH2)o-3Z'(z.B. -(CH2)0-3Z'), oder -CH(CH2W)Z' darstellen, und Y3 H oder -(CH2)0-3Z' darstellt, wobei Z' H, NH2, S03H, COOH, -NH-CO-CH2-CH2-CH(NH2)COOH oder -(CO-NH-CHY4)i_3COOH darstellt; wobei W H oder OH darstellt,
wobei Y4 lineares oder verzweigtes, gegebenenfalls mit-NHCON substituiertes, C1-6 Alkyl oder gegebenenfalls mit -NH2 substituiertes Aryl oder Benzyl darstellt;
R2 H, -CO-CHY4-NHY5 oder -(CH2)0-3Z darstellt,
wobei Z -H, Halogen, -OY3, -SY3, NHY3, -CO-NY^2, oder -CO-OY3 darstellt,
wobei Y1 und Y2 unabhängig voneinander H, NH2, oder -(CH2V3Z' darstellen, und Y3 H oder -
(CH2)0-3Z' darstellt, wobei Z' H, S03H, NH2 oder COOH darstellt;
wobei Y4 unabhängig voneinander lineares oder verzweigtes, gegebenenfalls mit-NHCONH2 substituiertes, C1-6 Alkyl oder gegebenenfalls mit -NH2 substituiertes Aryl oder Benzyl darstellt und Y5 H oder -CO-CHY6-NH2 darstellt, wobei Y6 lineares oder verzweigtes C1-6 Alkyl darstellt;
R4 H oder -L-#l bzw. -L-BINDER darstellt (wobei -L-#l bzw. -L-BINDER ein enzymatisch spaltbarer Linker ist, der zur Umwandlung von R4 zu H führt);
A CO, SO, S02, SO2NH oder CNNH darstellt;
R3 -L-#l bzw. -L-BINDER, -MOD oder eine gegebenenfalls substituierte Alkyl-, Cycloalkyl-, Aryl-, Heteroaryl-, Heteroalkyl-, Heterocycloalkyl- Gruppe darstellt, bevorzugt eine Ci-10-Alkyl-, Cö-io-Aryl- oder Cö-io-Aralkyl-, Cs-io-Heteroalkyl-, Ci-io-Alkyl-O-Cö-io-Aryl- oder C5-10- Heterocycloalkyl-Gruppe, die mit 1-3 -OH Gruppen, 1-3 Halogenatomen, 1-3 halogenierten Alkylgruppen (die jeweils 1-3 Halogenatome aufweisen), 1-3 O- Alkyl Gruppen, 1-3 -SH Gruppen, 1-3 -S-Alkyl Gruppen, 1-3 -O-CO-Alkyl Gruppen, 1-3 -O-CO-NH-Alkyl Gruppen, 1-3 -NH-CO- Alkyl Gruppen, 1-3 -NH-CO-NH- Alkyl Gruppen, 1-3 -S(0)„-Alkyl Gruppen, 1-3 -S02-NH-Alkyl Gruppen, 1-3 -NH-Alkyl Gruppen, 1-3 -N(Alkyl)2 Gruppen, 1-3 -NH((CH2CH20)i _2oH)-Gruppen, 1-3 -NH2 Gruppen oder 1-3 -(CH2)0-3Z Gruppen, wobei Z -H, Halogen, -OY3, -SY3, -NHY3, -CO- NY Y2, oder -CO-OY3 darstellt, mit Y1 und Y2 unabhängig voneinander H, NH2, oder -(CH2)o-3Z' darstellen, und Y3 H, -(CH2)o-3-CH(NHCOCH3)Z',-(CH2)o-3-CH(NH2)Z', oder -(CH2)0-3Z' darstellt, wobei Z' H, SO3H, NH2 oder COOH darstellt, substituiert sein kann (wobei„Alkyl" bevorzugt C1-10- Alkyl bedeutet);
R5 H, -MOD, NH2, N02, Halogen (insbesondere F, Cl, Br), -CN, CF3, -OCF3, -CH2F, -CH2F, SH oder -(CH2)0-3Z darstellt, wobei Z -H, -OY3, -SY3, Halogen, NHY3, -CO-NY^2, oder -CO-OY3 darstellt,
wobei Y1 und Y2 unabhängig voneinander H, NH2, oder -(CH2V3Z' darstellen, und Y3 H oder - (CH2)0-3Z' darstellt, wobei Z' H, S03H, NH2 oder COOH darstellt;
R6 und R7 unabhängig voneinander H, Cyano, (ggf. fluoriertes) Ci-10-Alkyl, (ggf. fluoriertes) C2-10- Alkenyl, (ggf. fluoriertes) C2-io-Alkinyl, Hydroxy, NO2, NH2, COOH oder Halogen (insbesondere F, Cl, Br) darstellen,
R8 (ggf. fluoriertes) Ci-io-Alkyl, (ggf. fluoriertes) C2-io-Alkenyl, (ggf. fluoriertes) C2-io-Alkinyl, oder (ggf. fluoriertes) C t-io-Cycloalkyl; wobei einer der Substituenten R1 und R3-L-#l bzw. -L-BINDER darstellt,
L für den Linker steht und #1 für die Bindung zum Antikörper und BINDER für den Antikörper steht,
R9 H, F, CH3, CF3, CH2F oder CHF2 darstellt; wobei -MOD -(NR10)n-(Gl)o-G2-H darstellt, wobei R10 H oder Ci-C -Alkyl darstellt;
— N N-CO—
-NHCO-, -CONH- oder \ / darstellt (wobei wenn Gl -NHCO- oder
\ / darstellt, R nicht NH2 ist);
n 0 oder 1 ist;
o 0 oder 1 ist; und
G2 eine geradkettige und/oder verzweigte Kohlenwasserstoff gruppe mit 1 bis 10 Kohlenstoffatomen ist, die einfach oder mehrfach durch eine oder mehrere der Gruppen -O-, -S-, -
SO-, SO2, -NRY-, -NRYCO-, CONRY-, -NRYNRY-, -S02NRYNRy-, -CONRYNRY-, (wobei Ry H, Phenyl, Ci -Ci g-Alkyl, C2-Ci Q-Alkenyl, oder C2-Ci ()-Aikinyl darstellt, die jeweils mit
NHCONH2, -COOH, -OH, -NH2, NH-CNNH2, Sulfonamid, Sulfon, Sulfoxid, oder Sulfonsäure substituiert sein können), -CO-, -CRx=N-0- (wobei Rx H, Ci -C3-Alkyl oder Phenyl darstellt) unterbrochen sein kann, wobei die Kohlenwasserstoffkette einschließlich der Seitenketten, sofern vorhanden, mit -NHCONH2, -COOH, -OH, -NH2, NH-CNNH2, Sulfonamid, Sulfon, Sulfoxid, oder Sulfonsäure substituiert sein kann, wobei die Gruppe -MOD vorzugsweise zumindest eine Gruppe -COOH aufweist; sowie ihre Salze, Solvate und Salze der Solvate.
Weiterhin sind bevorzugt Verbindungen der Formel Formel (I), (Ia), (II), (IIa) oder (III), in denen
R1 H, -L-#l bzw. -L-BINDER, -MOD oder -(CH2)0-3Z darstellt, wobei Z -H, -NHY3, -OY3, -SY3, Halogen, -CO-NY^2, oder -CO-OY3 darstellt,
wobei Y1 und Y2 unabhängig voneinander H, NH2, -(CH2CH20)o-3-(CH2)o-3Z'(z.B. -(CH2)0-3Z'), oder -CH(CH2W)Z' darstellen, und Y3 H oder -(CH2)0-3Z' darstellt, wobei Z' H, NH2, S03H, COOH, -NH-CO-CH2-CH2-CH(NH2)COOH oder -(CO-NH-CHY4)i_3COOH darstellt; wobei W H oder OH darstellt,
wobei Y4 lineares oder verzweigtes, gegebenenfalls mit-NHCONH2 substituiertes, C1-6 Alkyl oder gegebenenfalls mit -NH2 substituiertes Aryl oder Benzyl darstellt;
R2 H, -CO-CHY4-NHY5 oder -(CH2)0-3Z darstellt,
wobei Z -H, Halogen, -OY3, -SY3, NHY3, -CO-NY^2, oder -CO-OY3 darstellt,
wobei Y1 und Y2 unabhängig voneinander H, NH2, oder -(CH2)o-3Z' darstellen, und Y3 H oder -
(CH2)0-3Z' darstellt, wobei Z' H, S03H, NH2 oder COOH darstellt;
wobei Y4 lineares oder verzweigtes, gegebenenfalls mit-NHCONH2 substituiertes, C1-6 Alkyl oder gegebenenfalls mit -NH2 substituiertes Aryl oder Benzyl darstellt und Y5 H oder -CO-CHY6-NH2 darstellt, wobei Y6 lineares oder verzweigtes C1-6 Alkyl darstellt;
R4 H darstellt,
A CO, SO, S02, S02NH oder CNNH darstellt;
R3 -L-#l bzw. -L-BINDER, -MOD oder eine gegebenenfalls substituierte Alkyl-, Cycloalkyl-, Aryl-, Heteroaryl-, Heteroalkyl-, Heterocycloalkyl- Gruppe darstellt, bevorzugt eine Ci-10-Alkyl-, Cö-io-Aryl- oder Cö-io-Aralkyl-, Cs-io-Heteroalkyl-, Ci-io-Alkyl-O-Cö-io-Aryl- oder C5-10- Heterocycloalkyl-Gruppe, die mit 1-3 -OH Gruppen, 1-3 Halogenatomen, 1-3 halogenierten Alkylgruppen (die jeweils 1-3 Halogenatome aufweisen), 1-3 O- Alkyl Gruppen, 1-3 -SH Gruppen, 1-3 -S-Alkyl Gruppen, 1-3 -O-CO-Alkyl Gruppen, 1-3 -O-CO-NH-Alkyl Gruppen, 1-3 -NH-CO- Alkyl Gruppen, 1-3 -NH-CO-NH- Alkyl Gruppen, 1-3 -S(0)„-Alkyl Gruppen, 1-3 -S02-NH-Alkyl Gruppen, 1-3 -NH-Alkyl Gruppen, 1-3 -N(Alkyl)2 Gruppen, 1-3 -NH((CH2CH20) i _2()H)-Gruppen, 1-3 -NH2 Gruppen oder 1-3 -(CH2)0-3Z Gruppen, wobei Z -H, Halogen, -OY3, -SY3, -NHY3, -CO- NY Y2, oder -CO-OY3 darstellt, mit Y1 und Y2 unabhängig voneinander H, NH2, oder -(CH2)0.3Z' darstellen, und Y3 H, -(CH2)0-3-CH(NHCOCH3)Z',-(CH2)0-3-CH(NH2)Z', oder -(CH2)0-3Z' darstellt, wobei Z' H, S03H, NH2 oder COOH darstellt, substituiert sein kann (wobei „Alkyl" bevorzugt C1-10- Alkyl bedeutet);
R5 H, -MOD, NH2, N02, Halogen (insbesondere F, Cl, Br), -CN, CF3, -OCF3, -CH2F, -CH2F, SH oder -(CH2)0-3Z darstellt, wobei Z -H, -OY3, -SY3, Halogen, NHY3, -CO-NY^2, oder -CO-OY3 darstellt,
wobei Y1 und Y2 unabhängig voneinander H, NH2, oder -(CH2)o-3Z' darstellen, und Y3 H oder - (CH2)0-3Z' darstellt, wobei Z' H, S03H, NH2 oder COOH darstellt;
R6 und R7 unabhängig voneinander H oder Halogen (insbesondere F, Cl, Br) darstellen;
R8 (ggf. fluoriertes) Ci-10-Alkyl darstellt; wobei einer der Substituenten R1 und R3-L-#l bzw. -L-BINDER darstellt,
L für den Linker steht und #1 für die Bindung zum Antikörper und BINDER für den Antikörper steht,
R9 H, F, CH3, CF3, CH2F oder CHF2 darstellt; wobei -MOD -CH2-Sx-(CH2)0-4-CHY5-COOH auf, wobei x 0 oder 1 ist, und Y5 H oder NHY6 darstellt, wobei Y6 H oder -COCH3 darstellt, sowie ihre Salze, Solvate und Salze der Solvate.
Weiterhin sind die folgenden Verbindungen bevorzugt, die ggf. gemeinsam mit einer Säure wie z.B. Trifluoressigsäure vorliegen können. Diese Verbindungen können über die Positionen entsprechend den Positionen R1, R3 und R4 über einen Linker an den Antikörper gebunden werden (wobei ein Wasserstoff atom durch den Linker substituiert wird):
N-(3- Aminopropyl)-N- { ( 1 R) - 1 - [ 1 -benzyl-4-(2,5-difluorphenyl)- 1 H-pyrrol-2-yl] -2,2- dimethylpropyl } -2-hydroxyacetamid;
(2S)-2-amino-4-[ { (1R)-1-[1 -benzyl-4-(2,5-difluorphenyl)- lH-pyrrol-2-yl]-2,2- dimethylpropyl } (glycoloyl) amino] -N-methylbutanamid( 1 : 1);
N-(3- Aminopropyl)-N- { ( 1 S)- 1 - [ 1 -benzyl-4-(2,5-difluorphenyl)- 1 H-pyrrol-2yl] -2,2- dimethylpropyl } acetamid.
N-(3- Aminopropyl)-N- { ( 1 S)- 1 - [ 1 -benzyl-4-(2,5-difluorphenyl)- 1 H-pyrrol-2-yl] -2,2- dimethylpropyl } -2-hydroxyacetamid;
S-( 1 - { 2- [(N- { (2S)-2- Amino-4- [ { ( 1R) - 1 - [ 1 -benzyl-4-(2,5-difluorphenyl)- lH-pyrrol-2-yl] -2,2- dimethylpropyl } (glycoloyl)amino]butanoyl } -beta-alanyl) amino] ethyl } -2,5-dioxopyrrolidin-3-yl)- L-cystein;
S-(l-{2-[(N-{(2S)-2-Amino-4-[{(lR)-l-[l-benzyl-4-(2,5-difluorphenyl)-lH-pyrrol-2-yl]-2,2- dimethylpropyl } (glycoloyl)amino]butanoyl } -beta-alanyl) amino] ethyl } -2,5-dioxopyrrolidin-3-yl)- L-cystein;
S- [ 1 -(2- { [2-( { (2S)-2- Amino-4- [ { ( 1 R)- 1 - [ 1 -benzyl-4-(2,5-difluorphenyl)- 1 H-pyrrol-2-yl] -2,2- dimethylpropyl } (glycoloyl)amino]butanoyl } amino)ethyl] amino }-2-oxoethyl)-2,5-dioxopyrrolidin- 3-yl]-L-cystein;
N-[19-(3(R/S)-{ [(2R)-2-Amino-2-carboxyethyl]sulfanyl}-2,5-dioxopyrrolidin-l-yl)-17-oxo- 4,7,10,13-tetraoxa-16-azanonadecan-l-oyl]-R/S-{2-[(3-aminopropyl){(lR)-l-[l-benzyl-4-(2,5- difluorphenyl)- 1 H-pyrrol-2-yl] -2,2-dimethylpropyl } amino] -2-oxoethyl Jhomocy stein;
S- { (3R/S)- 1 - [2-( { (2S)-2- Amino-4- [ { ( 1 R)- 1 - [ 1 -benzyl-4-(2,5-difluorphenyl)- 1 H-pyrrol-2-yl] -2,2- dimethylpropyl } (glycoloyl)amino]butanoyl } amino)ethyl] -2,5-dioxopyrrolidin-3-yl } -L-cystein; S-[(3R/S)-l-(2-{ [6-({2-[(3-Aminopropyl){(lR)-l-[l-benzyl-4-(2,5-difluorphenyl)-lH-pyrrol-2-yl]- 2,2-dimethylpropyl } amino] -2-oxoethyl } sulfanyl)hexanoyl] amino }ethyl)-2,5-dioxopyrrolidin-3-yl] - L-cystein;
S-{ l-[2-({ [(lR,3S)-3-({(2S)-2-Amino-4-[{(lR)-l-[l-benzyl-4-(2,5-difluorphenyl)-lH-pyrrol-2-yl]- 2,2-dimethylpropyl } (glycoloyl)amino]butanoyl } amino)cyclopentyl] carbonyl } amino)ethyl] -2,5- dioxopyrrolidin-3-yl } -L-cystein;
S-(2- { [2-( { (2S)-2- Amino-4- [ { ( 1R)- 1 - [ 1 -benzyl-4-(2,5-difluorphenyl)- 1 H-pyrrol-2-yl] -2,2- dimethylpropyl } (glycoloyl)amino]butanoyl } amino)ethyl] amino }-2-oxoethyl)-L-cystein;
N6-(N- { (2S)-2- Amino-4- [ { ( 1R)- 1 - [ 1 -benzyl-4-(2,5-difluorphenyl)- 1 H-pyrrol-2-yl] -2,2- dimethylpropyl } (glycoloyl)amino]butanoyl } -beta-alanyl) -N2- { N-[6-(3- { [(2R)-2-amino-2- carboxy ethyl] sulfanyl } -2,5-dioxopyrrolidin- 1 -yl)hexanoyl] -L-valyl-L-alanyl } -L-ly sin;
N- [2-( { (2S)-2- Amino-4- [ { ( 1R) - 1 - [ 1 -benzyl-4-(2,5-difluorphenyl)- 1 H-pyrrol-2-yl] -2,2- dimethylpropyl } (glycoloyl)amino]butanoyl } amino)ethyl] -L-glutamin;
N6-(N- { (2S)-2- Amino-4- [ { ( 1R)- 1 - [ 1 -benzyl-4-(2,5-difluorphenyl)- 1 H-pyrrol-2-yl] -2,2- dimethylpropyl } (glycoloyl)amino]butanoyl } -beta-alanyl)-L-lysin;
N-(3- Aminopropyl)-N- { ( 1 R) - 1 - [ 1 -benzyl-4-(2,5-difluorphenyl)- 1 H-pyrrol-2-yl] -2,2- dimethylpropyl } -3,3,3-trifluorpropanamid;
N-(3- Aminopropyl)-N- { ( 1 R) - 1 - [ 1 -benzyl-4-(2,5-difluorphenyl)- 1 H-pyrrol-2-yl] -2,2- dimethylpropyl } -4-fluorbenzamid;
N-(3- Aminopropyl)-N- { ( 1 R) - 1 - [ 1 -benzyl-4-(2,5-difluorphenyl)- 1 H-pyrrol-2-yl] -2,2- dimethylpropyl } acetamid;
N-(3- Aminopropyl)-N- { ( 1 R) - 1 - [ 1 -benzyl-4-(2,5-difluorphenyl)- 1 H-pyrrol-2-yl] -2,2- dimethylpropyl } -4-(trifluoromethyl)benzamid;
(2S)-2-Amino-4-[ { ( 1R)- 1- [1 -benzyl-4-(2,5-difluorphenyl)- lH-pyrrol-2-yl]-2,2-dimethylpropyl } (glycoloyl)amino]butansäure;
(2S)-2-amino-N-(2-aminoethyl)-4-[{(lR)-l-[l-benzyl-4-(2,5-difluorphenyl)-lH-pyrrol-2-yl]-2,2- dimethylpropyl } (glycoloyl)amino]butanamid;
4- [(2- { [2-( { (2S)-2- Amino-4- [ { ( 1 R)- 1 - [ 1 -benzyl-4-(2,5-difluorphenyl)- 1 H-pyrrol-2-yl] -2,2- dimethylpropyl } (glycoloyl)amino]butanoyl } amino)ethyl] amino }-2-oxoethyl)amino]-3- { [(2R)-2- amino-2-carboxyethyl]sulfanyl}-4-oxobutansäure;
4- [(2- { [2-( { (2S)-2- Amino-4- [ { ( 1 R)- 1 - [ 1 -benzyl-4-(2,5-difluorphenyl)- 1 H-pyrrol-2-yl] -2,2- dimethylpropyl } (glycoloyl)amino]butanoyl } amino)ethyl] amino }-2-oxoethyl)amino]-2- { [(2R)-2- amino-2-carboxyethyl]sulfanyl}-4-oxobutansäure;
N- { (2S)-2-Amino-4-[ { ( 1R)- 1- [1 -benzyl-4-(2,5-difluorphenyl)- lH-pyrrol-2-yl]-2,2- dimethylpropyl } (glycoloyl)amino]butanoyl } -beta-alanin;
N- { (2S)-2-Amino-4-[ { ( 1R)- 1- [1 -benzyl-4-(2,5-difluorphenyl)- lH-pyrrol-2-yl]-2,2- dimethylpropyl } (glycoloyl)amino]butanoyl } -L-serin;
N- { (2S)-2-Amino-4-[ { ( 1R)- 1- [1 -benzyl-4-(2,5-difluorphenyl)- lH-pyrrol-2-yl]-2,2- dimethylpropyl } (glycoloyl)amino]butanoyl } -L-alanin;
N- { (2S)-2-Amino-4-[ { ( 1R)- 1- [1 -benzyl-4-(2,5-difluorphenyl)- lH-pyrrol-2-yl]-2,2- dimethylpropyl } (glycoloyl)amino]butanoyl } glycin;
N-(3-aminopropyl)-N- { ( 1 R) - 1 - [ 1 -benzyl-4-(2,5-difluorphenyl)- lH-pyrrol-2-yl] -2,2- dimethylpropyl } -4-methylbenzamid;
N-(3-aminopropyl)-N- { ( 1 R) - 1 - [ 1 -benzyl-4-(2,5-difluorphenyl)- lH-pyrrol-2-yl] -2,2- dimethylpropyl } -4-(methylsulfanyl)benzamid;
(2S)-N-(3-aminopropyl)-N- { ( 1R)- 1-[ 1 -benzyl-4-(2,5-difluorphenyl)- lH-pyrrol-2-yl]-2,2- dimethylpropyl } -2-hydroxypropanamid;
N-(3-aminopropyl)-N- { ( 1 R) - 1 - [ 1 -benzyl-4-(2,5-difluorphenyl)- lH-pyrrol-2-yl] -2,2- dimethylpropyl } -2-(methylsulfanyl)acetamid;
(2S)-N-(3-aminopropyl)-N- { ( 1R)- l-[4-benzyl- 1 -(2,5-difluorphenyl)- lH-pyrazol-3-yl] -2,2- dimethylpropyl } -2-hydroxypropanamid;
Methyl-4-[(3-aminopropyl) { ( 1R)- 1 - [1 -benzyl-4-(2,5-difluorphenyl)- lH-pyrrol-2-yl] -2,2- dimethylpropyl } amino] -4-oxobutanoat;
4- [(3- Aminopropyl) { ( 1R) - 1 - [ 1 -benzyl-4-(2,5-difluorphenyl)- 1 H-pyrrol-2-yl] -2,2- dimethylpropyl } amino] -4-oxobutansäure;
(2R)-22- [(3R/S)-3- { [(2R)-2- Amino-2-carboxyethyl] sulfanyl } -2,5-dioxopyrrolidin- 1 -yl] -2- [( { 2- [(3- aminopropyl) { ( 1R) - 1 - [ 1 -benzyl-4-(2,5-difluorphenyl)- 1 H-pyrrol-2-yl] -2,2- dimethylpropyl } amino] -2-oxoethyl } sulfanyl)methyl] -4,20-dioxo-7, 10, 13, 16-tetraoxa-3, 19- diazadocosan- 1 -säure;
N- Acetyl-S- { 2- [(3-aminopropyl) { ( 1 R) - 1 - [ 1 -benzyl-4-(2,5-difluorphenyl)- 1 H-pyrrol-2-yl] -2,2- dimethylpropyl } amino] -2-oxoethyl } -L-cystein;
N-Acetyl-S-[2-([3-(L-alanylamino)propyl] {(lR)-l-[l-benzyl-4-(2,5-difluorphenyl)-lH-pyrrol-2- yl]-2,2-dimethylpropyl}amino)-2-oxoethyl]-L-cystein;
(2S)-N-(3-aminopropyl)-N- { ( 1R)- 1-[ 1 -benzyl-4-(2,5-difluorphenyl)- lH-pyrrol-2-yl]-2,2- dimethylpropyl } tetrahydrofuran-2-carboxamid;
3- ( { 2- [(3- Aminopropyl) { ( 1R) - 1 - [ 1 -benzyl-4-(2,5-difluorphenyl)- 1 H-pyrrol-2-yl] -2,2- dimethylpropyl } amino] -2-oxoethyl } sulfanyl)propansäure;
5- { 2- [(3- Aminopropyl) { ( 1R) - 1 - [ 1 -benzyl-4-(2,5-difluorphenyl)- 1 H-pyrrol-2-yl] -2,2- dimethylpropyl } amino] -2-oxoethyl Jhomocy stein;
4- amino-N-(3-aminopropyl)-N- { ( 1R)- 1-[ 1 -benzyl-4-(2,5-difluorphenyl)- lH-pyrrol-2-yl] -2,2- dimethylpropyl Jbenzamid;
4-[(2-{ [(2R)-2-({(2S)-2-Amino-4-[{(lR)-l-[l-benzyl-4-(2,5-difluorphenyl)-lH-pyrrol-2-yl]-2,2- dimethylpropyl } (glycoloyl)amino]butanoyl } amino)-2-carboxyethyl] amino }-2-oxoethyl)amino]-3- { [(2R)-2-amino-2-carboxyethyl] sulfanyl } -4-oxobutansäure;
4-[(2-{ [(2R)-2-({(2S)-2-Amino-4-[{(lR)-l-[l-benzyl-4-(2,5-difluorphenyl)-lH-pyrrol-2-yl]-2,2- dimethylpropyl } (glycoloyl)amino]butanoyl } amino)-2-carboxyethyl] amino }-2-oxoethyl)amino]-2- { [(2R)-2-amino-2-carboxyethyl] sulfanyl } -4-oxobutansäure.
Erfindungsgemäß besonders bevorzugt sind die folgenden Verbindungen der Formeln IV, wobei R1, R2, R3, R4 und R5 die oben genannten Bedeutungen (wie z.B. für Formel (I) oder (II) angegeben) haben:
Formel IV
Besonders bevorzugt sind die Verbindungen der Formeln IV, wobei R1 und R5 H oder -L-#l darstellen; R2 und R4 H oder R2 und R4 gemeinsam (unter Bildung eines Pyrrolidinringes) -CH2- CHR11- oder -CHRU-CH2- darstellen, wobei R11 H darstellt; und R3 CH2OH, CH(CH3)OH oder - L-#l darstellt, wobei einer der Substituenten R1, und R3 -L-#l darstellt. Zudem sind besonders bevorzugt die Verbindungen der Formeln IV, wobei R1 H oder COOH darstellt; R2 und R5 H darstellen; R4 -L-#l darstellt; und R3 CH2OH, oder CH(CH3)OH darstellt, wobei-L-#l ein enzymatisch spaltbarer Linker ist, der zur Umwandlung von R4 zu H führt darstellt.
Linker
Aus der Literatur sind verschiedene Möglichkeiten der kovalenten Kopplung (Konjugation) von organischen Molekülen an Binder wie z.B. Antikörper bekannt (siehe z.B. K. Lang and J. W. Chin. Chem. Rev. 2014, 114, 4764-4806, M. Rashidian et al. Bioconjugate Chem. 2013, 24, 1277-1294). Erfindungsgemäß bevorzugt ist die Konjugation der KSP-Inhibitoren an einen Antikörper über ein oder mehrere Schwefelatome von Cystein-Resten des Antikörpers, die entweder als freie Thiole bereits vorliegen oder durch Reduktion von Disulfidbrücken generiert werden, und/oder über eine oder mehrere NH-Gruppen von Lysin-Resten des Antikörpers. Es ist jedoch auch möglich, den KSP-Inhibitor an den Antikörper über Tyrosinreste, über Glutaminreste, über Reste unnatürlicher Aminosäuren, über freie Carboxylgruppen oder über Zuckerreste des Antikörpers zu binden. Zur Kopplung werden sogenannte Linker verwendet. Linker lassen sich in die Gruppe der in vivo spaltbaren Linker und in die Gruppe der in vivo stabilen Linker unterteilen (siehe L. Ducry und B. Stump, Bioconjugate Chem. 21, 5-13 (2010)). Die in vivo spaltbaren Linker weisen eine in vivo spaltbare Gruppe auf, wobei wiederum zwischen chemisch in vivo spaltbaren und enzymatisch in vivo spaltbaren Gruppen unterschieden werden kann. „Chemisch in vivo spaltbar" bzw. „enzymatisch in vivo spaltbar" bedeutet, dass die Linker bzw. Gruppen im Blutkreislauf stabil sind und erst an bzw. in der Zielzelle durch die dort veränderte chemische bzw. enzymatische Umgebung (niedrigerer pH-Wert; erhöhte Glutathion-Konzentration; Vorliegen lysosomaler
Enzyme wie Cathepsin oder Plasmin, oder Glyosidasen wie beispielsweise ß-Glucuronidasen) sich spalten, um so den niedermolekularen KSP-Inhibitor oder ein Derivat davon freizusetzen. Die chemisch in vivo spaltbaren Gruppen sind insbesondere Disulfid, Hydrazon, Acetal und Aminal; die enzymatisch in vivo spaltbaren Gruppen, insbesondere solche, die durch lysosomale Enzyme spaltbar sind, sind insbesondere 2-8-Oligopeptidgruppe, insbesondere eine Tri- oder Dipeptidgruppe oder Glycoside. Peptidspaltstellen sind in Bioconjugate Chem. 2002, 13, 855-869, sowie Bioorganic & Medicinal Chemistry Letters 8 (1998) 3341-3346 sowie Bioconjugate Chem. 1998, 9, 618-626 offenbart. Hierzu gehören z.B. Valin- Alanin, Valin- Lysin, Valin-Citrullin, Alanin-Lysin und Phenylalanin-Lysin (ggf. mit zusätzlicher Amidgruppe).
Die in vivo stabilen Linker zeichnen sich durch eine hohe Stabilität aus (weniger als 5 % Metabolite nach 24 Stunden in Plasma) und weisen die oben genannten chemisch oder enzymatisch in vivo spaltbaren Gruppen nicht auf.
Der Linker -L- weist vorzugsweise eine der folgenden Grundstrukturen (i) bis (iv) auf:
-(CO)m-SGl-Ll-L2- -(CO)m -Ll-SG-Ll-L2- -(CO)m -Ll-L2- -(CO)m -Ll-SG-L2 wobei m 0 oder 1 ist; SG eine (chemisch oder enzymatisch) in vivo spaltbare Gruppe (insbesondere Disulfid, Hydrazon, Acetal und Aminal; oder eine mit Cathepsin oder Plasmin spaltbare 2-8- Oligopeptidgruppe) ist, SGI eine Oligopeptidgruppe oder vorzugsweise eine Dipeptidgruppe ist, LI unabhängig voneinander für in vivo stabile organische Gruppen stehen, und L2 für eine Kopplungsgruppe an den Binder oder eine Einfachbindung steht. Die Kopplung erfolgt hierbei vorzugsweise an einen Cysteinrest oder einen Lysinrest des Antikörpers. Alternativ kann die Kopplung an einen Tyrosinrest, Glutaminrest oder an eine unnatürliche Aminosäure des Antikörpers erfolgen. Die unnatürlichen Aminosäuren können beispielsweise Aldehyd- oder Ketogruppen (wie z.B. Formylglycin) oder Azid- oder Alkingruppen enthalten (siehe hierzu Lan & Chin, Cellular Incorporation of Unnatural Amino Acids and Bioorthogonal Labeling of Proteins, Chem.Rev. 2014, 114, 4764-4806).
Erfindungsgemäß bevorzugt ist insbesondere die Linker-Grundstruktur (iii). Die Verabreichung eines erfindungsgemäßen Konjugats mit einer Linker-Grundstruktur (iii) und Kopplung des Linkers an einen Cystein- oder Lysinrest des Antikörpers führt durch Metabolisierung zu Cystein- bzw. Lysinderivaten der folgenden Formeln:
wobei LI jeweils an den niedermolekularen KSP-Inhibitor gebunden ist, z.B. einer Verbindung der Formel (I), (Ia), (II), (IIa), (IIb), (Ilca), (Ild), (Ile), (Ilf), (III) oder (IV).
Erfindungsgemäß bevorzugt sind auch die Linker-Grundstrukturen (ii) and (iv), insbesondere bei Anbindung an die Position R1, insbesondere wenn die Gruppe LI eine der folgenden Strukturen aufweist:
(a) -NH-(CH
2 -(CHCH
3)o-4-CHY
5-CO-Y
7, wobei Y
5 H oder NHY
6 darstellt, wobei Y
6 H oder - COCH3 darstellt, und Y
7 eine Einfachbindung oder -NH -(CH
2)CM -CHNH2-CO- darstellt, so dass nach der Spaltung die entsprechende Struktur -NH-(CH
2)o-4-(CHCH
3)o-4-CHY
5-COOH bzw. -NH-
-(CH
2)
0-4 -CHNH
2-COOH erhalten wird.
(b) -CH
2-Sx-(CH
2)o-4-CHY
5-CO- auf, wobei x 0 oder 1 ist, und Y
5 H oder NHY
6 darstellt, wobei Y6 H oder -COCH3 darstellt, so dass nach der Spaltung die entsprechende Struktur -CH
2-S
X-
erhalten wird.
Erfindungsgemäß bevorzugt ist auch die Linker-Grundstruktur(i) bei Anbindung an die Position R4, insbesondere wenn m=0.
Wenn der Linker an eine Cystein-Seitenkette bzw. einen Cysteinrest gebunden ist, leitet sich L2 vorzugsweise von einer mit der Sulfhydryl-Gruppe des Cysteins reaktiven Gruppe ab. Hierzu zählen Haloacetyle, Maleimide, Aziridine, Acryloyle, Arylierende Verbindungen, Vinylsulfone, Pyridyldisulfide, TNB-thiole and Disulfid-reduzierende Mittel. Diese Gruppen reagieren in der Regel elektrophil mit der Sulfhydryl-Bindung unter Bildung einer Sulfid (z.B. Thioether)- oder Disulfid-Brücke. Bevorzugt sind stabile Sulfidbrücken. L2 ist vorzugsweise
wobei
#l die Verknüpfungsstelle mit dem Schwefelatom des Antikörpers kennzeichnet, #2 die Verknüpfungsstelle mit der Gruppe L1 kennzeichnet, und
R22 COOH, COOR, COR, CONHR, CONR2 (mit R jeweils Cl-3-Alkyl), CONH2, vorzugsweise COOH darstellt.
Besonders bevorzugt als L2 ist:
Formel A4 wobei #
l die Verknüpfungsstelle mit dem Schwefelatom des Antikörpers kennzeichnet, #
2 die Verknüpfungsstelle mit der dem Wirkstoff kennzeichnet, x 1 oder 2 darstellt, und R22 COOH, COOR, COR, CONR
2, CONHR (mit R jeweils Cl-3-Alkyl), CONH2, vorzugsweise COOH darstellt. Bevorzugt ist es, wenn x= 1 und R
22 COOH darstellt.
In einem erfindungsgemäßen Konjugat bzw. in einem Gemisch der erfindungsgemäßen Konjugate liegen die Bindungen an einen Cysteinrest des Antikörpers vorzugsweise zu über 80 %, besonders bevorzugt zu über 90 % (jeweils bezogen auf die Gesamtanzahl von Bindungen des Linkers an den Antikörper), besonders bevorzugt in einer der beiden Strukturen der Formel A3 oder A4 vor. Hierbei liegen die Strukturen der Formel A3 oder A4 in der Regel gemeinsam vor, vorzugsweise in einem Verhältnis von 60:40 bis 40:60 bezogen auf die Anzahl der Bindungen an den Antikörper. Die restlichen Bindungen liegen dann in der Struktur
vor.
Erfindungsgemäß wird LI vorzugsweise durch die Formel
#1-(NR10)n-(Gl)o-G2-#2
dargestellt, wobei
R10 H, NH2 oder Ci-C -Alkyl darstellt;
—
-NHCO- . -CONH- oder
(R
iU ist vorzugsweie nicht NH2, wenn Gl
— N N-CO—
NHCO oder \ / ).
n 0 oder 1 ist;
o 0 oder 1 ist; und
G2 eine geradkettige oder verzweigte Kohlenwasserstoffkette mit 1 bis 100 Kohlenstoffatomen aus Arylengruppen und/oder geradkettigen und/oder verzweigten und/oder cyclischen Alkylengruppen ist, die einfach oder mehrfach durch eine oder mehrere der Gruppen -O-, -S-, -SO-, SO2, -NRY-, -
NRYCO-, -C(NH)NRy-, -CONRY-, -NRYNRY-, -S02NRYNRy-, -CONRYNRY-, (wobei Ry H, Phenyl, Ci -Ci g-Alkyl, C2-Ci Q-Alkenyl, oder C2-Ci ()-Aikinyl darstellt, die jeweils mit
NHCONH2, -COOH, -OH, -NH2, NH-CNNH2, Sulfonamid, Sulfon, Sulfoxid, oder Sulfonsäure substituiert sein können), -CO-, -CRx=N-0- (wobei Rx H, Ci -C3-Alkyl oder Phenyl darstellt) und/oder einen 3 bis 10-gliedriger, aromatischen oder nicht aromatischen Heterozyklus mit bis zu 4 Heteroatomen ausgewählt aus N, O und S, -SO- oder -S02- unterbrochen sein kann (vorzugsweise
— N N-CO—
\ / ), wobei die Kohlenwasserstoffkette einschließlich der Seitenketten, sofern vorhanden, mit -NHCONH2, -COOH, -OH, -NH2, NH-CNNH2, Sulfonamid, Sulfon, Sulfoxid, oder Sulfonsäure substituiert sein können.
G2 eine geradkettige oder verzweigte Kohlenwasserstoffkette mit 1 bis 100 Kohlenstoffatomen aus Arylengruppen und/oder geradkettigen und/oder verzweigten und/oder cyclischen Alkylengruppen ist, die einfach oder mehrfach durch eine oder mehrere der Gruppen -O-, -S-, -SO-, S02, -NH-, - CO-, -NHCO-, -CONH-, -NMe-, -NHNH-, -S02NHNH-, -CONHNH- und einen 5 bis lOghedriger, aromatischen oder nicht aromatischen Heterozyklus mit bis zu 4 Heteroatomen ausgewählt aus N, O und S, oder -SO- unterbrochen sein kann (vorzugsweise
— N N-CO—
), wobei die Seitenketten, sofern vorhanden, mit -NHCONH2, -COOH, - OH, -NH2, NH-CNNH2, Sulfonamid, Sulfon, Sulfoxid, oder Sulfonsäure substituiert sein können.
G2 ist vorzugsweise eine geradkettige oder verzweigte Kohlenwasserstoffkette mit 1 bis 100 Kohlenstoffatomen aus Arylengruppen und/oder geradkettigen und/oder verzweigten und/oder cyclischen Alkylengruppen ist, die einfach oder mehrfach durch eine oder mehrere der Gruppen - O-, -S-, -SO-, S02, -NH-, -CO-, -NHCO-, -CONH-, -NMe-, -NHNH-, -S02NHNH-, -CONHNH-, -CR
x=N-0- (wobei Rx H, Ci -C3-Alkyl oder Phenyl darstellt) und einen 3 bis 10-gliedriger, z.B. 5 bis lOghedriger aromatischen oder nicht aromatischen Heterozyklus mit bis zu 4 Heteroatomen
usgewählt aus N, O und S, -SO- oder -S02- unterbrochen sein kann (vorzugsweise
wobei Kohlenwasserstoffkette einschließlich der Seitenketten, sofern vorhanden, mit -NHCONH2, -COOH, -OH, -NH2, NH-CNNH2, Sulfonamid, Sulfon, Sulfoxid, oder Sulfonsäure substituiert sein können.
Weitere unterbrechende Gruppen in G2 sind vorzugsweise
wobei Rx H, Ci -C3-Alkyl oder Phenyl darstellt.
Hierbei ist die Bindung zum KSP-Inhibitor und #2 die Bindung zur Kopplungsgruppe zum Antikörper (z.B. L2).
Eine geradkettige oder verzweigte Kohlenwasserstoffkette aus Arylengruppen und/oder geradkettigen und/oder verzweigten und/oder cyclischen Alkylengruppen umfasst in der Regel einen α,ω-divalenten Alkylrest mit der jeweils angegebenen Zahl von Kohlenstoffatomen. Beispielhaft und vorzugsweise seien genannt: Methylen, Ethan-l,2-diyl (1,2-Ethylen), Propan-1,3- diyl (1,3-Propylen), Butan- 1,4-diyl (1,4-Butylen), Pentan-l,5-diyl (1,5-Pentylen), Hexan- 1,6-diyl (1,6-Hexylen), Heptan-l,7-diyl (1,7-Hexylen), Octan-l,8-diyl (1,8-Octylen), Nonan-l,9-diyl (1,9- Nonylen), Decan-l,10-diyl (1,10-Decylen). Die Alkylengruppen in der Kohlenwasserstoffkette können jedoch auch verzweigt sein, d.h. ein oder mehrere H- Atome der oben genannten linearen Alkylengruppen können ggf. durch Cl-10-Alkylgruppen substituiert sein und so Seitenketten bilden. Die Kohlenwasserstoffkette kann weiterhin cyclische Alkylengruppen (Cycloalkandiyl) enthalten, z.B. 1,4-Cyclohexandiyl oder 1,3-Cyclopentandiyl. Diese cyclischen Gruppen können ungesättigt sein. Insbesondere können in der Kohlenwasserstoffgruppe aromatische Gruppen (Arylengruppen) vorliegen, z.B. Phenylen. Auch in den cyclischen Alkylengruppen und den Arylengruppen können wiederum in oder mehrere H- Atome ggf. durch Cl-10-Alkylgruppen
substituiert sein. Es wird so eine Kohlenwasserstoffkette gebildet, die ggf. verzweigt ist. Diese Kohlenwasserstoffkette weist insgesamt 0 bis 100 Kohlenstoffatomen, vorzugsweise 1 bis 50, besonders bevorzugt 2 bis 25 Kohlenstoffatome auf.
Die Seitenketten können, sofern vorhanden, mit -NHCONH2, -COOH, -OH, -NH2, NH-CNNH2, Sulfonamid, Sulfon, Sulfoxid, oder Sulfonsäure substituiert sein.
Die Kohlenwasserstoffkette kann einfach oder mehrfach durch eine oder mehrere der Gruppen -O-, -S-, -SO-, S02, -NH-, -CO-, -NHCO-, -CONH-, -NMe-, -NHNH-, -S02NHNH-, -CONHNH- und einen 5 bis lOgliedriger, aromatischen oder nicht aromatischen Heterozyklus mit bis zu 4 Heteroatomen ausgewählt aus N, O und S, -SO- oder -S02- unterbrochen sein (vorzugsweise
' N-CO—
)·
Weitere unterbrechende Gruppen in G2 sind vorzugsweise
Vorzugsweise entspricht der Linker der folgenden Formel:
§-(CO)m-Ll-L2-§§ wobei
m 0 oder 1 ist;
§ die Bindung an das Wirkstoffmolekül darstellt und
§§ die Bindung an das Binderpeptid oder -protein darstellt, und
LI und L2 die oben genannten Bedeutungen aufweisen.
Besonders bevorzugt weist LI die Formel -NR^ Iß- auf, wobei
R11 H oder NH2 darstellt;
B -[(CH2)x-(X4)y]w-(CH2)z- darstellt,
w = 0 bis 20 ist;
x = 0 bis 5 ist;
x = 0 bis 5 ist;
y = 0 oder 1 ist;
z = 0 bis 5 ist; und
-CONH- -NHCO- oder
darstellt.
Erfindungsgemäß bevorzugte Linker L weisen die folgende Formel auf:
#3-CONRl
wobei
#3 die Bindung an das Wirkstoffmolekül darstellt,
#4 die Bindung an das Binderpeptid oder -protein darstellt,
RH H oder NH2 darstellt;
B -[(CH2)x-(X4)y]w-(CH2)z- darstellt,
w = 0 bis 20 ist;
x = 0 bis 5 ist;
y = 0 oder 1 ist;
z = 1 bis 5 ist; und
X
4 -O-, -CONH-, -NHCO- oder
darstellt.
Die oben genannten Linker werden insbesondere bevorzugt in Konjugaten der Formel (I) oder (II), in denen der Linker durch Substitution eines H- Atoms an Rl oder in Verbindung mit einem spaltbaren Linker SGI an R4 ankoppelt, d.h. Rl-L-#1 darstellt oder R4 -SG1-L-#1, wobei #1 die Bindung an den Antikörper darstellt.
Weiterhin sind die folgenden Linker erfindungsgemäß bevorzugt: In einem erfindungsgemäßen Konjugat bzw. in einem Gemisch der erfindungsgemäßen Konjugate liegen die Bindungen an einen Cy steinrest des Antikörpers vorzugsweise zu über 80 %, besonders bevorzugt zu über 90 % (jeweils bezogen auf die Gesamtanzahl von Bindungen des Linkers an den Antikörper), besonders bevorzugt in einer der beiden Strukturen der Formel A5 oder A6 vor:
Formel A5
Formel A6 wobei
#l die Verknüpfungsstelle mit dem Schwefelatom des Antikörpers kennzeichnet, #2 die Verknüpfungsstelle mit der Gruppe L1 kennzeichnet, und
R22 COOH, COOR, COR, CONR2, CONHR (mit R jeweils Cl-3-Alkyl), CONH2, vorzugsweise COOH darstellt.
Hierbei liegen die Strukturen der Formel A5 oder A6 in der Regel gemeinsam vor, vorzugsweise in einem Verhältnis von 60:40 bis 40:60 bezogen auf die Anzahl der Bindungen an den Antikörper. Die restlichen Bindungen liegen dann in der Struktur
vor.
Andere Linker -L-, die an eine Cystein-Seitenkette bzw. Cysteinrest gebunden sind, weisen die folgende Formel auf
wobei
§ die Bindung an das Wirkstoffmolekül darstellt und
§§ die Bindung an das Binderpeptid oder -protein darstellt,
m 0, 1, 2, oder 3 ist;
n 0, 1 oder 2 ist;
p 0 bis 20 beträgt; und
L3
wobei
o 0 oder 1 ist;
und
G3 eine geradkettige oder verzweigte Kohlenwasserstoffkette mit 1 bis 100 Kohlenstoffatomen aus
Arylengruppen und/oder geradkettigen und/oder cyclischen Alkylengruppen ist, die einfach oder mehrfach durch eine oder mehrere der Gruppen -O-, -S-, -SO-, S02, -NH-, -CO-, -NHCO-, - CONH-, -NMe-, -NHNH-, -S02NHNH-, -CONHNH- und einen 3 bis lOgliedriger (vorzugsweise 5 bislOgliedriger), aromatischen oder nicht aromatischen Heterozyklus mit bis zu 4 Heteroatomen ausgewählt aus N, O und S, -SO- oder -S02- unterbrochen sein kann (vorzugsweise
\ / ), wobei die Seitenketten, sofern vorhanden, mit -NHCONH2, -COOH, -OH,
NH2, NH-CNNH2, Sulfonamid, Sulfon, Sulfoxid oder Sulfonsäure substituiert sein können.
Bevorzugt ist in der obigen Formel
m 1 ist;
p 0 ist;
n 0 ist;
und L3
wobei
o 0 oder 1 ist; und
G3 -(CH2CH20)s(CH2)t(CONH)u CH2CH20)v(CH2)w- darstellt, wobei
s, t, v und w jeweils unabhängig voneinander 0 bis 20 betragen, und u 0 oder 1 beträgt.
Bevorzugte Gruppen LI in der obigen Formel §-(CO)m-Ll-L2-§§ sind die folgenden, wobei r jeweils unabhängig voneinander eine Zahl von 0 bis 20, vorzugsweise von 0 bis 15, besonders bevorzugt von 1 bis 20, insbesondere bevorzugt von 2 bis 10 aufweist:
Weitere Beispiele für LI sind in Tabelle C angegeben, in denen diese Gruppe in einem Kasten hervorgehoben ist.
In den folgenden Tabellen A und A' sind Beispiele für einen Linkerteil LI angegeben. In der Tabelle ist weiterhin angegeben, mit welcher Gruppe L2 diese Beispiele für LI vorzugsweise kombiniert werden, sowie die bevorzugte Ankopplungs stelle (R1 oder R3 oder R4) sowie der bevorzugte Wert für m, also ob vor LI eine Carbonylgruppe vorliegt oder nicht (vgl. §-(CO)m-Ll- L2-§§). Diese Linker werden vorzugsweise an einen Cysteinrest gekoppelt. Wenn L2 ein Bernsteinsäureimid ist bzw. sich hiervon ableitet, kann dieses Imid ganz oder teilweise auch in Form des hydrolysierten offenkettigen Bernsteinsäureamids vorliegen, wie oben beschrieben. In Abhängigkeit von LI kann diese Hydrolyse zu offenkettigen Bernsteinsäureamiden mehr oder weniger stark oder gar nicht ausgeprägt sein.
Tabelle A
**Besonders bevorzugt werden die in diesen Zeilen angegebenen Linker LI mit einem Linker L2 verknüpft, der ausgewählt ist aus:
Formel A7
und/oder
Formel A8 vor, wobei #l die Verknüpfungsstelle mit dem Schwefelatom des Binders kennzeichnet, #2 die
Verknüpfungsstelle mit der Gruppe L1 kennzeichnet, R^2 vorzugsweise COOH darstellt. In einem erfindungsgemäßen Konjugat bzw. in einem Gemisch der erfindungsgemäßen Konjugate liegen die Bindungen an einen Cysteinrest des Binders vorzugsweise zu über 80 %, besonders bevorzugt zu über 90 % (jeweils bezogen auf die Gesamtanzahl von Bindungen des Linkers an den Binder), besonders bevorzugt in einer der beiden Strukturen der Formel A7 oder A8 vor. Hierbei liegen die Strukturen der Formel A7 oder A8 in der Regel gemeinsam vor, vorzugsweise in einem Verhältnis von 60:40 bis 40:60 bezogen auf die Anzahl der Bindungen an den Binder. Die restlichen Bindungen liegen dann in der Struktur
vor.
SEITE BEABSICHTIGT LEER
**: Siehe Anmerkung ** zu Tabelle A.
***: Bei Vorhandensein dieser Struktur L2 kann zugleich eine Struktur L2 der folgenden Formel vorliegen:
Beispiele für Konjugate mit entsprechenden Linkern weisen folgende Strukturen auf, wobei XI CH, X2 C, und X3 N darstellt, und LI die oben angegebenen Bedeutung aufweist, L2 und L3 dieselbe Bedeutung wie LI hat, AKl für einen aglycosylierten anti-TWEAKR-Antikörper steht, der über einen Cysteinrest gebunden ist, und n eine Zahl von 1 bis 10 ist. Besonders bevorzugt ist AKl ein humaner, humanisierter oder chimärer monoklonaler Antikörper Besonders bevorzugt ist ein aglycosylierter anti-TWEAKR-Antikörper, der spezifisch an die Aminosäure D in Position 47 (D47) von TWEAKR (SEQ ID NO: 169) bindet, insbesondere der anti-TWEAKR-Antikörper TPP- 2658.
Wenn der Linker an eine Lysin-Seitenkette bzw. einen Lysinrest gebunden ist, weist er vorzugsweise die folgende Formel aufweist:
-§-(SG)x-L4-CO-§§, wobei
§ die Bindung an das Wirkstoffmolekül darstellt und
§§ die Bindung an das Binderpeptid oder -protein darstellt,
x 0 oder 1 darstellt,
SG eine spaltbare Gruppe, vorzugsweise ein 2-8 Oligopeptid, besonders, bevorzugt ein Dipeptid darstellt,
und
L4 eine Einfachbindung oder eine Gruppe -(CO)
y-G4- darstellt, wobei y 0 oder 1 darstellt, und G4 eine geradkettige oder verzweigte Kohlenwasserstoffkette mit 1 bis 100 Kohlenstoffatomen aus Arylengruppen und/oder geradkettigen und/oder verzweigte und/oder cyclischen Alkylengruppen ist, die einfach oder mehrfach durch eine oder mehrere der Gruppen -O-, -S-, -SO-, SO
2, -NH-, - CO-, -NHCO-, -CONH-, -NMe-, -NHNH-, -S02NHNH-, -CONHNH- und einen 5 bis 10- gliedriger, aromatischen oder nicht aromatischen Heterozyklus mit bis zu 4 Heteroatomen ausgewählt aus N, O und S, -SO- oder -S02- unterbrochen sein kann (vorzugsweise
), wobei die Seitenketten, sofern vorhanden, mit -NHCONH2, -COOH, -OH, -
NH2, NH-CNNH2, Sulfonamid, Sulfon, Sulfoxid oder Sulfonsäure substituiert sein können.
In der folgenden Tabelle B sind Beispiele für Linker an einen Lysinrest angegeben. In der Tabelle ist weiterhin die bevorzugte Ankopplungsstelle (R^R5) angegeben. In der ersten Spalte sind weiterhin die Beispielnummern angegeben, in denen entsprechende Linker Anwendung finden.
Tabelle B: Lysin-Linker
-§-(SG)x-L4-CO-§§,
Beispiele für Konjugate mit entsprechenden Linkern weisen folgende Strukturen auf, wobei XI CH, X2 C, und X3 N darstellt, und L4 die oben angegebenen Bedeutungen aufweisen, AK2 für einen Antikörper steht, der über einen Lysinrest gebunden ist, und n eine Zahl von 1 bis 10 ist. Besonders bevorzugt ist AK2 ein humaner, humanisierter oder chimärer monoklonaler, aglycosylierter anti-TWEAKR-Antikörper oder ein Antigen-bindendes Fragment hiervon Besonders bevorzugt ist ein aglycosylierter anti-TWEAKR-Antikörper, der spezifisch an die Aminosäure D in Position 47 (D47) von TWEAKR (SEQ ID NO: 169) bindet, insbesondere der anti-TWEAKR-Antikörper TPP-2658.
Weiterhin ist erfindungsgemäß bevorzugt die Grundstruktur (i), (ii), oder (iv), wobei SGI bzw. SG eine durch Cathepsin spaltbare Gruppe darstellt, und LI und L2 die oben aufgeführten Bedeutungen aufweisen. Besonders bevorzugt sind die folgenden Gruppen:
-Val-Ala-CONH- (hierdurch Spaltung der Amid-Bindung am C-terminalen Amid von Alanin) -NH-Val-Lys-CONH- (Spaltung der Amid-Bindung am C-terminalen Amid von Lysin)
-NH-Val-Cit-CONH- (Spaltung der Amid-Bindung am C-terminalen Amid von Citrullin) -NH-Phe-Lys-CONH (Spaltung der Amid-Bindung am C-terminalen Amid von Lysin)
-NH-Ala-Lys-CONH- (Spaltung der Amid-Bindung am C-terminalen Amid von Lysin)
-NH-Ala-Cit-CONH- (Spaltung der Amid-Bindung am C-terminalen Amid von Citrullin)
SGI bzw. SG ist besonders bevorzugt
bzw.
wobei X H, eine G-io-Alkylgruppe ist, die gegebenenfalls mit -NHCONH
2, -COOH, -OH, NH
2, NH-CNNH
2, oder Sulfonsäure substituiert sein kann.
In der folgenden Tabelle C sind Beispiele für einen Linkerteil -SG1-L1- bzw. -Ll-SG-Ll- angegeben, wobei SGI bzw. SG eine durch Cathepsin spaltbare Gruppe ist. In der Tabelle C ist weiterhin angegeben, mit welcher Gruppe L2 diese Beispiele für -SGI -LI- bzw. -Ll-SG-Ll- vorzugsweise kombiniert werden, sowie die bevorzugte Ankopplungsstelle (R^R
5) sowie der bevorzugte Wert für m, also ob vor LI eine Carbonylgruppe vorliegt oder nicht (vgl. §-(CO)m-Ll- L2-§§). Diese Linker werden vorzugsweise an einen Cysteinrest gekoppelt. Die Ll-Gruppe ist in einem Kasten hervorgehoben. Diese Gruppen LI können jedoch durch eine der Gruppe LI, die für die obige Formel §-(CO)m-Ll-L2-§§ angegeben ist, ausgetauscht werden. Wenn L2 ein Bernsteinsäureamid ist bzw. sich hiervon ableitet, kann dieses Amid ganz oder teilweise auch in Form des hydrolysierten offenkettigen Bernsteinsäureamids vorleigen, wie oben beschrieben.
Beispiele für Konjugate mit der Grundstruktur (i) weisen die folgende Struktur auf, wobei XI CH, X2 C, und X3 N darstellt, LA dieselbe Bedeutung wie LI hat, AK1 für einen aglycosylierten anti- TWEAKR-Antikörper steht, der über einen Cysteinrest gebunden ist, und n eine Zahl von 1 bis 10 ist. Besonders bevorzugt ist der anti-TWEAKR-Antikörper, der spezifisch an die Aminosäure D in Position 47 (D47) von TWEAKR (SEQ ID NO: 169) bindet, insbesondere der aglycosylierte anti- TWEAKR-Antikörper TPP-2658.
KSP-Inhibitor - Linker-Intermediate und Herstellung der Konjugate
Die erfindungsgemäßen Konjugate werden hergestellt, in dem zunächst der niedermolekulare KSP- Inhibitor mit einem Linker versehen wird. Da so erhaltene Intermediat wird dann mit dem Binder (vorzugsweise Antikörper) umgesetzt.
Für die Kopplung an einen Cysteinrest wird vorzugsweise eine der folgenden Verbindungen mit dem Cystein-haltigen Binder wie z.B. einem Antikörper, der dazu ggf. partiell reduziert wurde, umgesetzt:
TFA
wobei R -H oder -COOH darstellt,
wobei K lineares oder verzweigtes, gegebenenfalls mit CI-CÖ Alkoxy oder -OH substituiertes Ci- CÖ Alkyl darstellt, und
wobei XI CH, X2 C, und X3 N darstellt, SGI, LI, L2, L3 und L4 die gleiche Bedeutung haben wie oben beschrieben.
In jeder der obigen Verbindungen wie auch den folgenden Verbindungen kann die tert.-butyl- Gruppe durch Cyclohexyl ersetzt sein.
Die Verbindung kann z.B in Form ihres Trifluoressigsäuresalzes verwendet werden. Zur Reaktion mit dem Binder wie z.B. dem Antikörper wird die Verbindung vorzugsweise in 2 bis 12 fächern molaren Überschuss gegenüber dem Binder verwendet.
Für die Kopplung an einen Lysinrest wird vorzugsweise eine der folgenden Verbindungen mit dem Lysin-haltigen Binder wie z.B. einem Antikörper umgesetzt:
wobei XI CH, X2 C, und X3 N darstellt,, und L4 die gleiche Bedeutung wie LI hat, und LI die gleiche Bedeutung hat wie oben beschrieben,
Für ein an einen Cysteinrest ankoppelndes Intermediat können die Reaktionen wie folgt veranschaulicht werden:
Die anderen Intermediate und andere Antikörper können entsprechend umgesetzt werden.
Für ein an einen Lysinrest ankoppelndes Intermediat kann die Reaktion wie folgt veranschaulicht werden:
Erfindungsgemäß werden so die folgenden Konjugate erhalten:
In Abhängigkeit vom Linker können Succinimid-verknüfte ADCs nach der Konjugation in die offenkettigen Bernsteinsäureamide überführt werden, die ein vorteilhaftes Stabilitätsprofil aufweisen.
Diese Umsetzung (Ringöffnung) kann bei pH 7.5 bis 9, vorzugsweise bei pH 8, bei einer Temperatur von 25 ° C bis 37 °C erfolgen, z.B. durch Rühren. Die bevorzugte Rührzeit beträgt 8 bis 30 Stunden.
In den obigen Formeln stellen XI CH, X2 C, und X3 N dar; haben SGI und LI die gleiche Bedeutung wie oben beschrieben, und L2, L3 und LA die gleiche Bedeutung wie LI ; und R und K haben die gleiche Bedeutung wie oben beschrieben. AK1 ist ein über einen Cysteinrest gekoppelter, aglycosylierter anti-TWEAKR-Antikörper, und AK2 ist ein über einen Lysinrest gekoppelter, aglycosylierter anti-TWEAKR-Antikörper. Besonders bevorzugt stellt AK1 und AK2 einen aglycosylierten anti-TWEAKR-Antikörper, der spezifisch an die Aminosäure D in Position
47 (D47) von TWEAKR (SEQ ID NO: 169) bindet, insbesondere der aglycosylierte anti- TWEAKR-Antikörper TPP-2658.
Aglycosylierte Antikörper
Aglycosyl bzw. aglycosylierte Antikörper sind Antikörper, die keine Glycane an der konservierten N-Bindungsstelle in der CH2-Domäne der Fc-Region aufweisen. Der aglycosylierte anti- TWEAKR-Antikörper. ist vorzugsweise ein humaner, humanisierter oder chimärer monoklonaler Antikörper. Besonders bevorzugt ist ein anti-TWEAKR -Antikörper, der spezifisch an die Aminosäure D in Position 47 (D47) von TWEAKR (SEQ ID NO: 169) bindet, insbesondere der anti-TWEAKR-Antikörper TPP-2658.
Aus der Literatur sind verschiedene Möglichkeiten der kovalenten Kopplung (Konjugation) von organischen Molekülen an Antikörper bekannt. Erfindungsgemäß bevorzugt ist die Konjugation der Toxophore an den Antikörper über ein oder mehrere Schwefelatome von Cystein-Resten des Antikörpers und/oder über ein oder mehrere NH-Gruppen von Lysin-Resten des Antikörpers. Es ist jedoch auch möglich, das Toxophor an den Antikörper über freie Carboxylgruppen oder über Zuckerreste des Antikörpers zu binden.
Der Antikörper kann über eine Bindung mit dem Linker verknüpft werden. Die Verknüpfung des Antikörpers kann mittels eines Heteroatoms des Binders erfolgen. Erfindungsgemäße Heteroatome des Antikörper, die zur Verknüpfung verwendet werden können, sind Schwefel (in einer Ausführungsform via einer Sulfhydrylgruppe des Antikörper), Sauerstoff (erfindungsgemäß mittels einer Carboxyl oder Hydroxylgruppe des Antikörper) und Stickstoff (in einer Ausführungsform via einer primären oder sekundären Amingruppe oder Amidgruppe des Antikörper). Diese Heteroatome können im natürlichen Antikörper vorhanden sein oder durch chemische oder molekularbiologische Methoden eingeführt werden. Erfindungsgemäß hat die Verknüpfung des Antikörpers mit dem Toxophor nur einen geringen Einfluß auf die Bindeaktivität des Antikörper zum Zielmolekül. In einer bevorzugten Ausführungsform hat die Verknüpfung keinen Einfluß auf die Bindeaktivität des Antikörpers zum Zielmolekül.
Der Begriff "Antikörper" wird gemäß der vorliegenden Erfindung in seinem breitesten Sinne verstanden und umfasst Immunglobulinmoleküle, beispielsweise intakte oder modifizierte monoklonale Antikörper, polyklonale Antikörper oder multispezifische Antikörper (z.B. bispezifische Antikörper). Ein Immunglobuhnmolekül umfasst bevorzugt ein Molekül mit vier
Polypeptidketten, zwei schwere Ketten (H Ketten) und zwei leichte Ketten (L Ketten), welche typischerweise durch Disulfidbrücken verknüpft sind. Jede schwere Kette umfasst eine variable Domäne der schweren Kette (abgekürzt VH) und konstante Domäne der schweren Kette. Die konstante Domäne der schweren Kette kann beispielsweise drei Domänen CHI, CH2 und CH3 umfassen. Jede leichte Kette umfasst eine variable Domäne (abgekürzt VL) und eine konstante Domäne. Die konstante Domäne der leichten Kette umfasst eine Domäne (abgekürzt CL). Die VH und VL Domänen können weiter unterteilt werden in Regionen mit Hypervariabilität, auch Komplementaritäts-bestimmende Regionen genannt („complementarity determining region", abgekürzt CDR) und Regionen mit geringerer Sequenzvariabilität („framework region", abgekürzt FR). Jede VH und VL Region setzt sich typischerweise aus drei CDRs und bis zu vier FRs zusammen. Beispielsweise vom Aminoterminus zum Carboxyterminus in der folgenden Reihenfolge FR1, CDR1, FR2, CDR2, FR3, CDR3, FR4. Ein Antikörper kann aus jeder dafür geeeigneten Spezies erhalten werden z.B. Kaninchen, Lama, Kamel, Maus, oder Ratte. In einer Ausführungsform ist der Antikörper humanen oder murinen Ursprungs. Ein Antikörper kann z.B. human, humanisiert oder chimär sein.
Der Begriff „monoklonaler" Antikörper bezeichnet Antikörper, die aus einer Population substantiell homogener Antikörper erhalten wurde, d.h. individuelle Antikörper der Population sind bis auf natürlich auftretende Mutationen, welche in geringfügiger Anzahl auftreten können, identisch. Monoklonale Antikörper erkennen mit hoher Spezifität eine einzige antigene Bindestelle. Der Begriff monoklonaler Antikörper bezieht sich nicht auf ein bestimmtes Herstellungsverfahren.
Der Begriff„intakter" Antikörper bezieht sich auf Antikörper, die sowohl eine Antigen-bindende Domäne als auch die konstante Domäne der leichten und schweren Kette umfassen. Die konstante Domäne kann eine natürlich vorkommende Domäne sein, oder eine Variante davon, bei der mehrere Aminosäurepositionen verändert wurden.
Der Begriff „modifizierter intakter" Antikörper bezieht sich auf intakte Antikörper, die mit einem weiteren Polypeptid oder Protein, welche nicht von einem Antikörper stammen, über ihren Aminoterminus oder Carboxyterminus mittels einer kovalenten Bindung (z.B. einer Peptidverknüpfung) fusioniert wurden. Des Weiteren können Antikörper dahingehend modifiziert werden, dass an definierten Stellen reaktive Cysteine eingeführt werden, um die Kopplung an ein Toxophor zu erleichtern (siehe Junutula et al. Nat Biotechnol. 2008, 26(8):925-32).
Der Begriff „humaner" Antikörper bezeichnet Antikörper, die aus einem Menschen erhalten werden können oder synthetische humane Antikörper sind. Ein „synthetischer" humaner Antikörper ist ein Antikörper, der in Teilen oder schweren als ganzes von synthetischen Sequenzen in silico erhältlich ist, die auf der Analyse humaner Antikörpersequenzen basieren. Ein humaner
Antikörper kann z.B. durch eine Nukleinsäure kodiert sein, die aus einer Bibliothek von Antikörpersequenzen, die humanen Ursprungs sind, isoliert wurde. Ein Beispiel solcher Antikörper ist in Söderlind et al., Nature Biotech. 2000, 18:853-856 zu finden.
Der Begriff „humanisierter" oder„chimärer" Antikörper beschreibt Antikörper, die aus einem nicht-humanen und einem humanen Sequenzanteil bestehen. Bei diesen Antikörpern wird ein Teil der Sequenzen des humanen Immunoglobulins (Rezipient) durch Sequenzanteile eines nichthumanen Immunoglobulins (Donor) ersetzt. Der Donor ist in vielen Fällen ein murines Immunoglobulin. Bei humanisierten Antikörpern werden Aminosäuren der CDR des Rezipienten durch Aminosäuren des Donors ersetzt. Manchmal werden auch noch Aminosäuren des Frameworks durch korrespondierende Aminosäuren des Donors ersetzt. In machen Fällen enthält der humanisierte Antikörper Aminosäuren, die weder im Rezipient noch im Donor enthalten waren und die während der Optimierung des Antikörpers eingefügt wurden. Bei chimären Antikörpern werden die variablen Domänen des Donor-Immunoglobulins mit den konstanten Regionen eines humanen Antikörpers fusioniert.
Der Begriff Komplementaritäts-bestimmende Region (CDR) wie er hier verwendet wird, bezieht sich auf diejenigen Aminosäuren einer variablen Antikörperdomäne, die für die Bindung an das Antigen notwendig sind. Jede variable Region hat typischerweise drei CDR Regionen, welche als CDR1, CDR2 und CDR3 bezeichnet werden. Jede CDR Region kann Aminosäuren nach der Definition von Kabat und/oder Aminosäuren eines Hypervariablen Loops definiert nach Chotia umfassen. Die Definition nach Kabat umfasst zum Beispiel die Region von ungefähr Aminosäureposition 24 - 34 (CDR1), 50 - 56 (CDR2) und 89 - 97 (CDR3) der variablen leichten Kette und 31 - 35 (CDR1), 50 - 65 (CDR2) und 95 - 102 (CDR3) der variablen schweren Kette (Kabat et al., Sequences of Proteins of Immunological Interest, 5th Ed. Public Health Service, National Institutes of Health, Bethesda, MD. (1991)). Die Definition nach Chotia umfasst zum Beispiel die Region von ungefähr Aminosäureposition 26 - 32 (CDR1), 50 - 52 (CDR2) und 91 - 96 (CDR3) der variablen leichetn Kette und 26 - 32 (CDR1), 53 - 55 (CDR2) und 96 - 101 (CDR3) der variablen schweren Kette Chothia and Lesk; J Mol Biol 196: 901-917 (1987)). In manchen Fällen kann eine CDR Aminosäuren aus einer CDR Region definiert nach Kabat und Chotia umfassen.
Abhängig von der Aminosäure-Sequenz der konstanten Domäne der schweren Kette können Antikörper in verschiedene Klassen eingeteilt werden. Es gibt fünf Hauptklassen von intakten Antikörpern: IgA, IgD, IgE, IgG und IgM, wobei mehrere davon in weitere Unterklassen aufgegliedert werden können. (Isotypen), z.B. IgGl, IgG2, IgG3, IgG4, IgAl und IgA2. Die konstante Domäne der schweren Kette, die zu den unterschiedlichen Klassen korrespondieren,
werden als [alpha/a], [delta/δ], [epsilon/ε], [gamma/γ] und [my/μ] bezeichnet. Sowohl die dreidimensionale Struktur als auch die Untereinheitenstruktur von Antikörpern sind bekannt.
Der Begriff „funktionales Fragment" oder „antigen-bindendes Antikörperfragment" eines Antikörpers/Immunoglobulins ist definiert als ein Fragment eines Antikörpers/Immunoglobulins (z.B. die variable Domänen eines IgG), welches die Antigen-Bindedomänen des Antikörpers/Immunoglobulins noch umfasst. Die „Antigen-Bindedomäne" eines Antikörpers umfasst typischerweise eine oder mehrere Hypervariable Regionen eines Antikörpers, z.B. die CDR, CDR2 und/oder CDR3 Region. Allerdings kann auch die„Framework" oder die„Gerüst" Region eines Antikörpers zur Bindung des Antikörpers an das Antigen eine Rolle spielen. Die Framework Region bildet das Gerüst für die CDRs. Vorzugsweise umfasst die Antigen- Bindedomäne mindestens die Aminosäuren 4 bis 103 der variablen leichten Kette und Aminosäure 5 bis 109 der variablen schweren Kette, bevorzugter die Aminosäure 3 bis 107 der variablen leichten Kette und 4 bis 111 der variablen schweren Kette, besonders bevorzugt sind die kompletten variablen leichten und schweren Ketten , also Aminosäure 1 - 109 der VL und 1 bis 113 der VH (Nummerierung nach WO97/08320).
„Funktionale Fragmente" oder„antigen-bindende Antikörperfragmente" der Erfindung umfassen nicht abschliessend Fab, Fab', F(ab')2 und Fv Fragmente, Diabodies, Single Domain Antibodies (DAbs), linerae Antikörper, Einzelketten Antikörper (single-chain Fv, abgekürzt scFv); und multispezifische, wie z.B. bi- und tri-spezifische, Antikörper, gebildet aus Antikörperfragmenten C. A. K Borrebaeck, editor (1995) Antibody Engineering (Breakthroughs in Molecular Biology), Oxford University Press; R. Kontermann & S. Duebel, editors (2001) Antibody Engineering (Springer Laboratory Manual), Springer Verlag). Andere Antikörper als„multi-spezifische" oder „multi-funktionale" sind solche mit identischen Bindestellen. Multispezifische Antikörper können spezifisch für unterschiedliche Epitope eines Antigens sein oder spezifisch für Epitope von mehr als einem Antigen sein (siehe z.B. WO 93/17715; WO 92/08802; WO 91/00360; WO 92/05793; Tutt, et al., 1991, J. Immunol. 147:60 69; U. S. Pat. Nos. 4,474,893; 4,7 14,68 1 ; 4,925,648; 5,573,920; 5,601,8 19; oder Kostelny et al., 1992, J. Immunol. 148: 1547 1553). Ein F(ab')2 oder Fab Molekül kann so konstruiert werden, dass die Zahl der intermolekularen Disulfidinteraktionen, die zwischen den Chi und den CL Domänen stattfindet, reduziert oder oder komplett verhindert werden kann.
„Epitope" bezeichnen Proteindeterminanten, die eine spezifische Bindung mit einem Immunglobulin oder T-Zell-Rezeptoren eingehen können. Epitopische Determinanten bestehen normalerweise aus chemisch aktiven Oberflächengruppen von Molekülen wie Aminosäuren oder Zuckerseitenketten, oder Kombinationen hiervon, und weisen normalerweise spezifische 3- dimensionale Struktureigenschaften wie auch spezifische Ladungseigenschaften auf.
„Funktionale Fragmente" oder „antigen-bindende Antikörperfragmente" können mit einem weiteren Polypeptid oder Protein, welche nicht von einem Antikörper stammen, über ihren Aminoterminus oder Carboxyterminus mittels einer kovalenten Bindung (z.B. einer Peptidverknüpfung) fusioniert werden. Des Weiteren können Antikörper und antigen-bindende Fragmente dahingehend modifiziert werden, dass an definierten Stellen reaktive Cysteine eingeführt werden, um die Kopplung an ein Toxophor zu erleichtern (siehe Junutula et al. Nat Biotechnol. 2008 Aug; 26(8):925-32).
Polyklonale Antikörper können durch für den Durchschnittsfachmann bekannte Methoden hergestellt werden. Monoklonale Antiköper können durch für den Durchschnittsfachmann bekannte Methoden hergestellt werden (Köhler und Milstein, Nature, 256, 495-497, 1975). Humane bzw. humanisierte monoklonale Antiköper können durch für den Durchschnittsfachmann bekannte Methoden hergestellt werden (Olsson et al., Meth Enzymol. 92, 3-16 bzw. Cabilly et al US 4,816,567 oder Boss et al US 4,816,397).
Der Durchschnittsfachmann kennt vielfältige Methoden, um humane Antikörper und deren Fragmente herzustellen, wie beispielsweise mittels transgener Mäuse (N Lonberg und D Huszar, Int Rev Immunol. 1995; 13(l):65-93) oder Phage Display Technologien (Clackson et al., Nature. 1991 Aug 15;352(6336):624-8). Antikörper der Erfindung können aus rekombinanten Antikörperbibliotheken erhalten werden, die z.B. auf den Aminosäuresequenzen einer Vielzahl von Antikörpern besteht, die aus einer großen Anzahl gesunder Freiwilliger erstellt wurden. Antikörper können auch mittels bekannter rekombinanter DNS -Technologien hergestellt werden. Die Nukleinsäuresequenz eines Antikörpers kann durch Routinesequenzierung erhalten werden, oder ist aus öffentlich zugänglichen Datenbanken erhältlich.
Ein„isolierter" Antikörper oder Binder wurde von anderen Bestandteilen der Zelle gereinigt. Kontaminierende Bestandteile einer Zelle, welche mit einer diagnostischen oder therapeutischen Verwendung interferieren können, sind z.B. Enzyme, Hormone, oder andere peptidische- oder nicht-peptidische Bestandteile einer Zelle. Bevorzugt ist ein Antikörper oder Binder, der zu mehr als 95 Gew-% bezogen auf den Antikörper bzw. Binder aufgereinigt wurde (bestimmt durch z.B. Lowry Verfahren, UV-Vis Spektroskopie oder durch SDS-Kapillargelelektrophorese). Ausserdem ein Antikörper, der soweit aufgereinigt wurde, dass mindestens 15 Aminosäuren des Aminoterminus oder einer internen Aminosäuresequenz bestimmt werden können, oder zur Homogenität aufgereinigt wurde, wobei die Homogenität bestimmt wird durch SDS-PAGE unter reduzierenden oder nicht-reduzierenden Bedingungen (die Detektion kann mittels Coomassie Blau Anfärbung oder bevorzugt durch Silberfärbung bestimmt werden). Jedoch wird ein Antikörper normalerweise durch einen oder mehrere Reinigungsschritte hergestellt.
Der Begriff„spezifische Bindung" oder„bindet spezifisch" bezieht sich auf einen Antikörper oder Binder, der an ein vorbestimmtes Antigen/Zielmolekül bindet. Spezifische Bindung eines Antikörpers oder Binders beschreibt typischerweise einen Antikörper bzw. Binder mit einer Affinität von mindestens 10"7 M (als Kd-Wert; also vorzugsweise solche mit kleineren Kd-Werten als 10~7 M), wobei der Antikörper bzw. Binder eine mindestens zweifach höhere Affinität zum vorbestimmten Antigen/Zielmolekül als zu einem nicht-spezifischen Antigen/Zielmolekül hat (z.B. Rinder Serumalbumin, oder Casein), welches nicht das vorbestimmte Antigen/Zielmolekül oder ein eng verwandtes Antigen/Zielmolekül ist. Die Antikörper weisen vorzugsweise eine Affinität von mindestens 10~7 M (als Kd-Wert; also vorzugsweise solche mit kleineren Kd-Werten als 10~7 M), vorzugsweise von mindestens 10~8 M, besonders bevorzugt in dem Bereich von 10"9 M bis 10" 1 1 M auf. Die Kd-Werte können durch z.B. Oberflächenplasmonresonanzspektroskopie bestimmt werden.
Die erfindungsgemäßen Antikörper-Wirkstoff-Konjugate weisen ebenfalls Affinitäten in diesen Bereichen auf. Durch die Konjugation der Wirkstoffe wird die Affinität vorzugsweise nicht wesentlich beeinflusst (in der Regel wird die Affinität weniger als eine Größenordnung verringert, also z.B. maximal von 10"8 M auf 10"7 M).
Die erfindungsgemäßen verwendeten Antikörper zeichnen sich weiterhin vorzugsweise durch eine hohe Selektivität aus. Eine hohe Selektivität liegt vor, wenn der erfindungsgemäße Antikörper eine mindestens um den Faktor 2, bevorzugt Faktor 5 oder insbesondere bevorzugt Faktor 10 bessere Affinität am Zielprotein aufweiset als an einem unabhängigen anderen Antigen, z.B. humanem Serumalbumin (die Affinität kann z.B. durch Oberflächenplasmonenresonanzspektroskopie bestimmt werden).
Zudem sind die erfindungsgemäßen verwendeten Antikörper vorzugsweise kreuzreaktiv. Um präklinische Studien, z.B. toxikologische oder Wirksamkeitsstudien (z.B. in Xenograft-Mäusen), zu erleichtern und besser interpretieren zu können, ist es von Vorteil, wenn der erfindungsgemäß verwendete Antikörper nicht nur das humane Zielprotein bindet, sondern auch in der für die Studien verwendeten Spezies das Spezies-Zielprotein bindet. In einer Ausführungsform ist der erfindungsgemäß verwendete Antikörper zusätzlich zum humanen Zielprotein kreuzreaktiv zum Zielprotein mindestens einer weiteren Spezies. Für toxikologische und Wirksamkeitsstudien werden bevorzugt Spezien der Familien Nager, Hunde und nicht-humane Primaten, verwendet. Bevorzugte Nager Spezien sind Maus und Ratte. Bevorzugte nicht-humane Primaten sind Rhesusaffen, Schimpansen und Langschwanzmakaken.
In einer Ausführungsform ist der erfindungsgemäß verwendete Antikörper zusätzlich zum humanen Zielprotein kreuzreaktiv zum Zielprotein mindestens einer weiteren Spezies ausgewählt
aus der Gruppe von Spezien bestehend aus Maus, Ratte und Langschwanzmakak (Macaca fascicularis). Insbesondere bevorzugt sind erfindungsgemäß verwendete Antikörper, die zusätzlich zum humanen Zielprotein mindestens kreuzreaktiv zum Maus-Zielprotein sind. Bevorzugt sind kreuzreaktive Antikörper, deren Affinität zum Zielprotein der weiteren nicht-humanen Spezies sich nicht um mehr als den Faktor 50, insbesondere nicht mehr als den Faktor zehn von der Affinität zum humanen Zielprotein unterscheidet.
Gegen ein Krebs-Zielmolekül gerichtete Antikörper
Bevorzugt ist das Zielmolekül, gegen das der Binder, z.B. ein Antikörper oder ein Antigen bindendes Fragment davon, gerichtet ist, ein Krebs-Zielmolekül. Der Begriff„Krebs-Zielmolekül" beschreibt ein Zielmolekül, welches auf einer oder mehreren Krebszellarten im Vergleich zu nichtKrebszellen des gleichen Gewebetypus vermehrt vorhanden ist. Bevorzugt ist das Krebs- Zielmolekül auf einer oder mehreren Krebszellarten im Vergleich zu nicht-Krebszellen des gleichen Gewebetypus selektiv vorhanden, wobei selektiv eine mindestens zweifache Anreicherung auf Krebszellen im Vergleich zu nicht-Krebszellen des gleichen Gewebetypus beschreibt (ein „selektives Krebs-Zielmolekül"). Die Verwendung von Krebs-Zielmolekülen erlaubt die selektive Therapie von Krebszellen mit den erfindungsgemäßen Konjugaten.
Besonders bevorzugt ist hierbei das extrazelluläre Krebs Zielmolekül TWEAKR (SEQ ID NO: 169 (Protein); SEQ ID NO: 170 (DNA).
Antikörper, die Krebs-Zielmoleküle binden, können vom Durchschnittsfachmann mit bekannten Verfahren hergestellt werden, wie z.B. chemische Synthese oder rekombinante Expression. Binder für Krebs-Zielmoleküle können kommerziell erworben werden oder können durch den Durchschnittsfachmann mit bekannten Verfahren hergestellt werden, wie z.B. chemische Synthese oder rekombinante Expression. Weitere Verfahren zur Herstellung von Antikörpern oder antigen- bindenden Antikörperfragmenten sind in WO 2007/070538 beschrieben (siehe Seite 22 „Antibodies"). Der Fachmann kennt Verfahren wie sogenannte Phage-Display Bibliotheken (z.B. Morphosys HuCAL Gold) erstellt und zur Auffindung von Antikörpern oder antigen-bindenden Antikörperfragmenten verwendet werden können (siehe WO 2007/070538, Seite 24 ff und AK- Beispiel 1 auf Seite 70, AK-Beispiel 2 auf Seite 72). Weitere Verfahren zur Herstellung von Antikörper, die DNA Bibliotheken aus B-Zellen verwenden, sind zum Beispiel auf Seite 26 (WO 2007/070538) beschrieben. Verfahren zur Humanisierung von Antikörpern sind auf Seite 30-32 von WO2007070538 und im Detail in Queen, et al.,.Pros. Natl. Acad. Sei. USA 86: 10029- 10033,1989 oder in WO 90/0786 beschrieben. Des Weiteren sind dem Fachmann Verfahren zur rekombinanten Expression von Proteinen im allgemeinen und im speziellen von Antikörpern bekannt (siehe z.B. in Berger and Kimrnel (Guide to Molecular Cloning Techniques, Methods in
Enzymology, Vol. 152, Academic Press, Inc.); Sambrook, et al., (Molecular Cloning: A Laboratory Manual, (Second Edition, Cold Spring Harbor Laboratory Press; Cold Spring Harbor, N.Y.; 1989) Vol. 1-3); Current Protocols in Molecular Biolony, (F. M. Ausabel et al. [Eds.], Current Protocols, Green Publishing Associates, Inc. / John Wiley & Sons, Inc.); Harlow et al., (Monoclonal Antibodies: A Laboratory Manual, Cold Spring Harbor Laboratory Press (19881, Paul [Ed.]); Fundamental Immunology, (Lippincott Williams & Wilkins (1998)); and Harlow, et al., (Using Antibodies: A Laboratory Manual, Cold Spring Harbor Laboratory Press (1998)). Der Fachmann kennt die entsprechenden Vektoren, Promotoren und Signalpeptide die zur Expression eines Proteins/Antikörpers notwendig sind. Gebräuchliche Verfahren sind auch in WO 2007/070538 auf den Seiten 41 - 45 beschrieben. Verfahren zur Herstellung eines IgGl- Antikörpers sind z.B. in WO 2007/070538 in Beispiel 6 auf Seite 74 ff beschrieben. Verfahren, mit denen die Internalisierung eines Antikörpers nach Bindung an sein Antigen bestimmt werden kann, sind dem Fachmann bekannt und sind z.B. in WO 2007/070538 auf Seite 80 beschrieben. Der Fachmann kann die in WO 2007/070538 beschriebenen Verfahren, die zur Herstellung von Carboanhydrase IX (Mn) -Antikörpern verwendet wurden, anlog zur Herstellung für Antikörper mit anderer Zielmolekülspezifität verwenden.
Die erfindungsgemäßen Antikörper sind aglycosyliert, d.h. sie weisen keine Glycane an der konservierten N-Bindungsstelle in der CH2-Domäne der Fc-Region auf. Im Folgenden werden neben solchen aglycosylierten Antikörpern (wie der Antikörper TPP-2658) Antikörper beschrieben, aus denen durch Substitutionen von einer oder mehrerer Aminosäuren N im Fc-Teil entsprechende aglycosylierte Antikörper generiert werden können. Ein Beispiel hierfür ist der Antikörper TPP- 2090, aus dem durch Mutation an N297 der Antikörper TPP-2658 erhalten wurde.
Anti-TWEAKR- Antikörper
Erfindungsgemäß wird ein anti-TWEAKR- Antikörper oder ein antigenbindendes Fragment davon verwendet, vorzugsweise einer, der unter den nachfolgend beschriebenen ausgewählt bzw. durch geeignete Mutation aglycosyliert vorliegt. Darüber hinaus sind dem Fachmann Antikörper, die an TWEAKR binden bekannt, siehe z.B. WO2009/020933(A2) oder WO2009140177 (A2).
Die Erfindung betrifft insbesondere Konjugate mit Antikörpern oder antigenbindende Antikörperfragmente davon oder Varianten davon, die zu einer starken Aktivierung des TWEAKR
(SEQ ID NO: 169 (Protein); SEQ ID NO: 170 (DNA)) führen, was zu einer starken Induktion von Apoptose in verschiedenen Krebszellen, die eine Überexpression des TWEAKR zeigen, führt.
Die agonistische Aktivität von TWEAKR in Bezug auf die Induktion von Apoptose und Inhibition der Proliferation der früher beschriebenen anti-TWEAKR-Antikörper (z.B. PDL-192) ist beschränkt und erreicht nicht die Wirksamkeit des endogenen Liganden TWEAK. Dieser Mangel an agonistischer Aktivität beruht nicht auf einer verminderten Affinität, da diese Antikörper an den TWEAKR mit Affinitäten binden, die verglichen mit dem endogenen Liganden TWEAK in einem ähnlichen Bereich liegen (Michaelson JS et al, MAbs. 2011 Jul-Aug;3(4):362-75; Culp PA et al, Clin Cancer Res. 2010 Jan 15;16(2):497-508), und auch Antikörper mit höherer Bindeaffinität nicht notwendigerweise eine wirksamere Signalgebungsaktivität zeigen (Culp PA, et al, Clin Cancer Res. 2010 Jan 15;16(2):497-508). Zusätzlich wurde gezeigt, dass die Anti-Tumoraktivität der früher beschriebenen Antikörper abhängig von der Fc-Effektorfunktion ist, und es wurde gezeigt, dass ADCC eine bedeutsame Rolle für die in-vivo-Wirksamkeit in Mausmodellen spielt.
Erzeugung der anti-TWEAKR-Antikörper
Eine vollständig humane Antikörper-Phagen-Bibliothek (Hoet RM et al, Nat Biotechnol 2005;23(3):344-8) wurde verwendet, um TWEAKR- spezifische, humane, monoklonale Antikörper der vorliegenden Erfindung durch Protein-Panning (Hoogenboom H.R., Nat Biotechnol 2005;23(3): 1105-16) mit dimeren, Fc-fusionierten extrazellulären Domänen von humanem und Maus-TWEAKR als immobilisiertes Target zu isolieren. 11 unterschiedliche Fab-Phagen wurden identifiziert, und die entsprechenden Antikörper wurden in einen Säuger-IgG-Expressionsvektor umkloniert, der die im löslichen FAb fehlenden CH2-CH3 Domänen bereitstellt. Nach der Identifizierung bevorzugter Antikörper, wurden diese als Volllängen-IgGs exprimiert. Diese Konstrukte wurden zum Beispiel transient in Säugerzellen exprimiert, wie von Tom et al., Kapitel 12 in Methods Express: Expression Systems herausgegeben von Micheal R. Dyson and Yves Durocher, Scion Publishing Ltd, 2007 (siehe AK-Beispiel 1) beschrieben. Die Antikörper wurden durch Protein-A-Chomatographie gereinigt und weiter über ihre Bindungsaffinität an löslichen monomeren TWEAKR mittels ELISA- und BIAcore- Analyse charakterisiert, wie in AK-Beispiel 2 beschrieben. Um die Zellbindungscharakteristika der anti-TWEAKR Antikörper zu bestimmen, wurde die Bindung mittels Druchflusszytometrie an einer Reihe von Zelllinien (HT29, HS68, HS578) getestet. NFKB -Reporter-Gen-Assays wurden durchgeführt, um die agonistische Aktivität aller 11 identifizierten Antikörper zu untersuchen (humanes IgGl). Der Antikörper mit der stärksten in-vitro- Wirksamkeit (TPP-883) wurde für weitere Wirksamkeits- und Affinitätsreifung ausgewählt (siehe AK-Beispiel 1 für Details). Eine Einzelsubstitutionsvariante mit verbesserter agonistischer Aktivität wurde nachgewiesen: G102T von CDR-H3. Letztlich wurden 7 Varianten basierend auf der erhöhten Affinität, verglichen mit der besten Einzelsubstitutionsvariante G102T,
ausgewählt. Die entsprechende DNA davon wurde in einen Säuger-IgG-Expressionsvektor umkloniert und auf funktionale Aktivität im zuvor erwähnten NF-kappaB-Reporter-Gen-Assay untersucht. Letztlich wurden die erhaltenen Sequenzen mit humanen Keimbahnsequenzen verglichen und Abweichungen ohne signifikanten Einfluss auf die Affinität und die Wirksamkeit wurden angepasst. Die folgenden Antikörper wurden durch Antikörper-Bibliotheksscreening und durch Affinitäts- und/oder Wirksamkeitsreifung erhalten: "TPP-2090", "TPP-2149", "TPP-2093", "TPP-2148", "TPP-2084", "TPP-2077", "TPP-1538", "TPP-883", "TPP-1854", "TPP-1853", "TPP-1857", und "TPP-1858".
Antikörper der Erfindung können weiter durch fachbekannte Verfahren wie Antikörper-Phagen- Display-Screening (z.B. siehe Hoet RM et al, Nat Biotechnol 2005;23(3):344-8), der gut etablierten Hybridomtechnologie (z.B. siehe Köhler and Milstein Nature. 1975 Aug 7;256(5517):495-7), oder Immunisierung von Mäusen, unter anderem Immunisierung von hMAb Mäusen (z.B. Veloclmmune mouse®) gewonnen werden.
Besondere Ausführungsformen von anti-TWEAKR-Antikörpern
Eine Ausführungsform der Erfindung ist die Bereitstellung von Antikörpern oder antigenbindenden Antikörperfragmenten davon oder Varianten davon, die eine starke Induktion von Caspase 3/7 in einer oder mehreren TWEAKR-exprimierenden Zelllinien zeigen. In einer bevorzugten Ausführungsform ist die eine oder mehrere TWEAKR-exprimierende Zellline in der Gruppe bestehend aus WiDr, A253, NCI-H322, HT29 und 786-0 enthalten.„Induktion von Caspase 3/7" kann durch übliche fachbekannte Verfahren gemessen werden, einschließlich der hierin beschriebenen. In einer Ausführungsform wird die„Induktion von Caspase 3/7" gemäß dieser Erfindung unter Verwendung der Aktivitätsbestimmung mit Caspase 3/7-Lösung (Promega, #G8093) und Auslesen der Lumineszenz auf einem VICTOR V (Perkin Elmer) bestimmt. Am Ende der Inkubationszeit wurde die Caspase 3/7-Aktivität bestimmt und der Faktor der Induktion von Caspase 3/7 wurde im Vergleich zu unbehundelten Zellen bestimmt. Es wird gesagt, dass ein Antikörper„starke Induktion" von Caspase 3/7 aufweist, wenn der Faktor der Induktion größer als 1,2, bevorzugt größer als 1,5, noch bevorzugter größer als 1,8, noch bevorzugter größer als 2,1, noch bevorzugter größer als 2,5 ist. Es werden anti-TWEAKR-Antikörper bereitgestellt, die zu einer stärkeren Induktion von Caspase 3/7 in HT29-Zellen führen, verglichen mit früher beschriebenen agonistischen Antikörpern [z.B. PDL-192 (TPP-1104), P4A8 (TPP-1324), 136.1 (TPP-2194)] und auch verglichen mit 300 ng/ml rekombinantem humanen TWEAK. Diese starke Wirksamkeit, Caspase 3/7 in Krebszellen zu induzieren, wurde auch in WiDr-, A253-, NIC-H322- und 786-O-Zellen beobachtet, wo die untersuchten Antikörper der Erfindung in den meisten
Experimenten höhere Faktoren der Veränderung verglichen mit den Referenzantikörpern [PDL- 192 (TPP-1104), P4A8 (TPP-1324)] und mit 300 ng/ml TWEAK induzierten. Einige Antikörper der Erfindung binden an den TWEAKR mit lediglich moderater Affinität (>10nM), die klar niedriger ist, als die Affinität des endogenen Liganden TWEAK, als auch niedriger verglichen mit anderen bekannten agonitischen Antikörpern. Diese Eigenschaft bietet weitere mögliche Vorteile wie z.B. potentiell tieferes Eindringen in den Tumor.
Diesbezüglich ist eine Ausführungsform der Erfindung die Bereitstellung von Antikörpern oder antigenbindenden Antikörperfragmenten davon, die spezifisch an einen TWEAKR an einem neuen Epitop binden, das durch das selektive Binden an Aspartat (D) an der Position 47 (D47) von TWEAKR (SEQ ID NO: 169; siehe auch Figur 1) ausgezeichnet ist. Die identifizierten Abhängigkeiten von bestimmten TWEAKR- Aminosäuren für die Antikörperinteraktion korrelieren mit der agonistischen Aktivität, die für diese Antikörper bestimmt worden ist. Der native Ligand TWEAK zeigt eine wirksame Aktivierung des TWEAKR und bindet abhängig von Leucin 46 in der cysteinreichen Domäne von TWEAKR (Pellegrini et al, FEBS 280: 1818-1829). P4A8 zeigt eine sehr niedrige agonistische Aktivität und interagiert mindestens teilweise mit Domänen außerhalb der cysteinreichen Domäne von TWEAKR. PDL-192 zeigt eine moderate agonistische Aktivität und bindet abhängig von R56 an die cysteinreiche Domäne, aber gegenüber der TWEAK- Ligandenstelle. Antikörper dieser Erfindung (z.B. TPP-2090) binden abhängig von D47, und TWEAK bindet abhängig von L46. Somit bindet TWEAK an eine ähnliche aber unterscheidbare Bindestelle (Figur 7). Deshalb binden die Antikörper dieser Erfindung, die eine starke agonistische Aktivität zeigen, an ein neues Epitop (D47-abhängig), das mit sehr starker agonistischer Aktivität Zusammenhang steht.
Die Aminosäure an der Position 47 (D47) von TWEAKR (SEQ ID NO: 169) wird als kritisch für das Binden der erfindungsgemäßen Antikörper angesehen, was bedeutet, dass der Antikörper spezifisch an das D an der Position 47 (D47) von TWEAKR (SEQ ID NO: 169) bindet, wenn der Antikörper mehr als 20%, alternativ mehr als 30%, alternativ mehr als 40%, alternativ mehr als 50%, alternativ mehr als 60%, alternativ mehr als 70%, alternativ mehr als 80%, alternativ mehr als 90%, alternativ 100% seines ELISA-Signals durch Änderung dieses Rests in Alanin, wie in AK- Beispiel 2 und Figur 6 beschrieben, verliert. Alternativ bindet ein Antikörper spezifisch an das D an der Position 47 (D47) von TWEAKR (SEQ ID NO: 169), wenn der Antikörper mehr als 20%, alternativ mehr als 30%, alternativ mehr als 40%, alternativ mehr als 50%, alternativ mehr als 60%, alternativ mehr als 70%, alternativ mehr als 80%, alternativ mehr als 90%, alternativ 100% seines ELISA-Signals auf TPP-2614 verglichen mit TPP-2203 verliert. Bevorzugt bindet ein Antikörper
spezifisch an das D an der Position 47 (D47) von TWEAKR (SEQ ID NO: 169), wenn der Antikörper mehr als 80% seines ELISA-Signals auf TPP-2614 verglichen mit TPP-2203 verliert.
In dieser Anmeldung wird auf die folgenden bevorzugten Antikörper der Erfindung Bezug genommen, wie in der nachstehenden Tabelle gezeigt: "TPP-2090", "TPP-2149", "TPP-2093", "TPP-2148", "TPP-2084", "TPP-2077", "TPP-1538", "TPP-883", "TPP-1854", "TPP-1853", "TPP-1857", "TPP-1858;„TPP-2658")".
TPP-2090 ist: ein Antikörper umfassend eine Region der schweren Kette entsprechend SEQ ID NO: 2 sowie eine Region der leichten Kette entsprechend SEQ ID NO: 1.
TPP-2658 ist: ein Antikörper umfassend eine Region der schweren Kette entsprechend SEQ ID NO: 213 sowie eine Region der leichten Kette entsprechend SEQ ID NO: 1.
TPP-2149 ist: ein Antikörper umfassend eine Region der schweren Kette entsprechend SEQ ID NO: 12 sowie eine Region der leichten Kette entsprechend SEQ ID NO: 11.
TPP-2093 ist: ein Antikörper umfassend eine Region der schweren Kette entsprechend SEQ ID NO: 22 sowie eine Region der leichten Kette entsprechend SEQ ID NO: 21.
TPP-2148 ist: ein Antikörper umfassend eine Region der schweren Kette entsprechend SEQ ID NO: 32 sowie eine Region der leichten Kette entsprechend SEQ ID NO: 31.
TPP-2084 ist: ein Antikörper umfassend eine Region der schweren Kette entsprechend SEQ ID NO: 42 sowie eine Region der leichten Kette entsprechend SEQ ID NO: 41.
TPP-2077 ist: ein Antikörper umfassend eine Region der schweren Kette entsprechend SEQ ID NO: 52 sowie eine Region der leichten Kette entsprechend SEQ ID NO: 51.
TPP-1538 ist: ein Antikörper umfassend eine Region der schweren Kette entsprechend SEQ ID NO: 62 sowie eine Region der leichten Kette entsprechend SEQ ID NO: 61.
TPP-883 ist: ein Antikörper umfassend eine Region der schweren Kette entsprechend SEQ ID NO: 72 sowie eine Region der leichten Kette entsprechend SEQ ID NO: 71.
TPP-1854 ist: ein Antikörper umfassend eine Region der schweren Kette entsprechend SEQ ID NO: 82 sowie eine Region der leichten Kette entsprechend SEQ ID NO: 81.
TPP-1853 ist: ein Antikörper umfassend eine Region der schweren Kette entsprechend SEQ ID NO: 92 sowie eine Region der leichten Kette entsprechend SEQ ID NO: 91.
TPP-1857 ist: ein Antikörper umfassend eine Region der schweren Kette entsprechend SEQ ID NO: 102 sowie eine Region der leichten Kette entsprechend SEQ ID NO: 101.
TPP-1858 ist: ein Antikörper umfassend eine Region der schweren Kette entsprechend SEQ ID NO: 112 sowie eine Region der leichten Kette entsprechend SEQ ID NO: 111.
TPP-2090 ist: ein Antikörper umfassend eine variable Region der schweren Kette entsprechend SEQ ID NO: 10 sowie eine variable Region der leichten Kette entsprechend SEQ ID NO: 9.
TPP-2658 ist: ein Antikörper umfassend eine variable Region der schweren Kette entsprechend SEQ ID NO: 10 sowie eine variable Region der leichten Kette entsprechend SEQ ID NO: 9.
TPP-2149 ist: ein Antikörper umfassend eine variable Region der schweren Kette entsprechend SEQ ID NO: 20 sowie eine variable Region der leichten Kette entsprechend SEQ ID NO: 19.
TPP-2093 ist: ein Antikörper umfassend eine variable Region der schweren Kette entsprechend SEQ ID NO: 30 sowie eine variable Region der leichten Kette entsprechend SEQ ID NO: 29.
TPP-2148 ist: ein Antikörper umfassend eine variable Region der schweren Kette entsprechend SEQ ID NO: 40 sowie eine variable Region der leichten Kette entsprechend SEQ ID NO: 39.
TPP-2084 ist: ein Antikörper umfassend eine variable Region der schweren Kette entsprechend SEQ ID NO: 50 sowie eine variable Region der leichten Kette entsprechend SEQ ID NO: 49.
TPP-2077 ist: ein Antikörper umfassend eine variable Region der schweren Kette entsprechend SEQ ID NO: 60 sowie eine variable Region der leichten Kette entsprechend SEQ ID NO: 59.
TPP-1538 ist: ein Antikörper umfassend eine variable Region der schweren Kette entsprechend SEQ ID NO: 70 sowie eine variable Region der leichten Kette entsprechend SEQ ID NO: 69. TPP-883 ist: ein Antikörper umfassend eine variable Region der schweren Kette entsprechend SEQ ID NO: 80 sowie eine variable Region der leichten Kette entsprechend SEQ ID NO: 79.
TPP-1854 ist: ein Antikörper umfassend eine variable Region der schweren Kette entsprechend SEQ ID NO: 90 sowie eine variable Region der leichten Kette entsprechend SEQ ID NO: 89.
TPP-1853 ist: ein Antikörper umfassend a eine variable Region der schweren Kette entsprechend SEQ ID NO: 100 sowie eine variable Region der leichten Kette entsprechend SEQ ID NO: 99.
TPP-1857 ist: ein Antikörper umfassend eine variable Region der schweren Kette entsprechend SEQ ID NO: 1 10 sowie eine variable Region der leichten Kette entsprechend SEQ ID NO: 109.
TPP-1858 ist: ein Antikörper umfassend eine variable Region der schweren Kette entsprechend SEQ ID NO: 120 sowie eine variable Region der leichten Kette entsprechend SEQ ID NO: 1 19.
Tabelle: DNA-Sequenzen der Antikörper
Bevorzugte Ausführungsformen des anti-TWEAKR- Antikörpers sind die folgenden:
Ein aglycosylierter anti-TWEAKR- Antikörper oder ein antigenbindendes Fragment davon, der/das spezifisch an das D an der Position 47 (D47) des TWEAKR (SEQ ID NO: 169) bindet.
Der Antikörper oder ein antigenbindendes Fragment davon gemäß Ausführungsform 1, wobei der Antikörper ein agonistischer Antikörper ist.
Der Antikörper oder ein antigenbindendes Fragment davon gemäß den Ausführungsformen 1 oder 2, der/das umfasst: eine variable schwere Kette umfassend: eine CDRl der schweren Kette, die von einer Aminosäuresequenz umfassend die Formel PYPMX (SEQ ID NO: 171) kodiert wird, wobei X I oder M ist; eine CDR2 der schweren Kette, die von einer Aminosäuresequenz umfassend die Formel YISPSGGXTHYADSVKG (SEQ ID NO: 172) kodiert wird, wobei X S oder K ist; und eine CDR3 der schweren Kette, die von einer Aminosäuresequenz umfassend die Formel GGDTYFDYFDY (SEQ ID NO: 173) kodiert wird; und eine variable leichte Kette umfassend:
eine CDR1 der leichten Kette, die von einer Aminosäuresequenz umfassend die Formel RASQSISXYLN (SEQ ID NO: 174) kodiert wird, wobei X G oder S ist; eine CDR2 der leichten Kette, die von einer Aminosäuresequenz umfassend die Formel XASSLQS (SEQ ID NO: 175) kodiert wird, wobei X Q, A oder N ist; und eine CDR3 der leichten Kette, die von einer Aminosäuresequenz umfassend die Formel QQSYXXPXIT (SEQ ID NO: 176) kodiert wird, wobei X an der Position 5 T oder S ist, X an der Position 6 T oder S ist und X an der Position 8 G oder F ist.
Der Antikörper oder ein antigenbindendes Fragment davon gemäß einer der vorhergehenden Ausführungsformen umfassend:
eine variable schwere Kette umfassend die variable CDRl-Sequenz der schweren Kette, wie dargestellt durch SEQ ID NO: 6, die variable CDR2-Sequenz der schweren Kette, wie dargestellt durch SEQ ID NO: 7 und die variable CDR3-Sequenz der schweren Kette, wie dargestellt durch SEQ ID NO: 8, sowie
eine variable leichte Kette umfassend die variable CDRl-Sequenz der leichten Kette dargestellt durch SEQ ID NO: 3, die variable CDR2-Sequenz der leichten Kette dargestellt durch SEQ ID NO: 4 und die variable CDR3-Sequenz der leichten Kette dargestellt durch SEQ ID NO: 5 oder eine variable schwere Kette umfassend die variable CDRl-Sequenz der schweren Kette, wie dargestellt durch SEQ ID NO: 16, die variable CDR2-Sequenz der schweren Kette, wie dargestellt durch SEQ ID NO: 17, die variable CDR3-Sequenz der schweren Kette, wie dargestellt durch SEQ ID NO: 18, sowie eine variable leichte Kette umfassend die variable CDRl-Sequenz der leichten Kette dargestellt durch SEQ ID NO: 13, die variable CDR2-Sequenz der leichten Kette dargestellt durch SEQ ID NO: 14 und die variable CDR3-Sequenz der leichten Kette dargestellt durch SEQ ID NO: 15 oder eine variable schwere Kette umfassend die variable CDRl-Sequenz der schweren Kette, wie dargestellt durch SEQ ID NO: 26, die variable CDR2-Sequenz der schweren Kette, wie dargestellt durch SEQ ID NO: 27, die variable CDR3-Sequenz der schweren Kette, wie dargestellt durch SEQ ID NO:28, sowie eine variable leichte Kette umfassend die variable CDRl-Sequenz der leichten Kette dargestellt durch SEQ ID NO: 23, die variable CDR2-Sequenz der leichten Kette dargestellt durch SEQ ID NO: 24 und die variable CDR3-Sequenz der leichten Kette dargestellt durch SEQ ID NO:25 oder
eine variable schwere Kette umfassend die variable CDRl-Sequenz der schweren Kette, wie dargestellt durch SEQ ID NO: 36, die variable CDR2-Sequenz der schweren Kette, wie dargestellt durch SEQ ID NO: 37, die variable CDR3-Sequenz der schweren Kette, wie dargestellt durch SEQ ID NO:38, sowie eine variable leichte Kette umfassend die variable CDRl-Sequenz der leichten Kette dargestellt durch SEQ ID NO: 33, die variable CDR2-Sequenz der leichten Kette dargestellt durch SEQ ID NO: 34 und die variable CDR3-Sequenz der leichten Kette dargestellt durch SEQ ID NO:35 oder eine variable schwere Kette umfassend die variable CDRl-Sequenz der schweren Kette, wie dargestellt durch SEQ ID NO: 46, die variable CDR2-Sequenz der schweren Kette, wie dargestellt durch SEQ ID NO: 47, die variable CDR3-Sequenz der schweren Kette, wie dargestellt durch SEQ ID NO:48, sowie eine variable leichte Kette umfassend die variable CDRl-Sequenz der leichten Kette dargestellt durch SEQ ID NO: 43, die variable CDR2-Sequenz der leichten Kette dargestellt durch SEQ ID NO: 44 und die variable CDR3-Sequenz der leichten Kette dargestellt durch SEQ ID NO:45 oder eine variable schwere Kette umfassend die variable CDRl-Sequenz der schweren Kette, wie dargestellt durch SEQ ID NO: 56, die variable CDR2-Sequenz der schweren Kette, wie dargestellt durch SEQ ID NO: 57, die variable CDR3-Sequenz der schweren Kette, wie dargestellt durch SEQ ID NO:58, sowie eine variable leichte Kette umfassend die variable CDRl-Sequenz der leichten Kette dargestellt durch SEQ ID NO: 53, die variable CDR2-Sequenz der leichten Kette dargestellt durch SEQ ID NO: 54 und die variable CDR3-Sequenz der leichten Kette dargestellt durch SEQ ID NO:55 oder eine variable schwere Kette umfassend die variable CDRl-Sequenz der schweren Kette, wie dargestellt durch SEQ ID NO: 66, die variable CDR2-Sequenz der schweren Kette, wie dargestellt durch SEQ ID NO: 67, die variable CDR3-Sequenz der schweren Kette, wie dargestellt durch SEQ ID NO:68, sowie eine variable leichte Kette umfassend die variable CDRl-Sequenz der leichten Kette dargestellt durch SEQ ID NO: 63, die variable CDR2-Sequenz der leichten Kette dargestellt durch SEQ ID NO: 64 und die variable CDR3-Sequenz der leichten Kette dargestellt durch SEQ ID NO:65oder eine variable schwere Kette umfassend die variable CDRl-Sequenz der schweren Kette, wie dargestellt durch SEQ ID NO: 76, die variable CDR2-Sequenz der schweren Kette, wie dargestellt
durch SEQ ID NO: 77, die variable CDR3-Sequenz der schweren Kette, wie dargestellt durch SEQ ID NO:78, sowie eine variable leichte Kette umfassend die variable CDRl-Sequenz der leichten Kette dargestellt durch SEQ ID NO: 73, die variable CDR2-Sequenz der leichten Kette dargestellt durch SEQ ID NO: 74 und die variable CDR3-Sequenz der leichten Kette dargestellt durch SEQ ID NO:75 oder eine variable schwere Kette umfassend die variable CDRl-Sequenz der schweren Kette, wie dargestellt durch SEQ ID NO: 86, die variable CDR2-Sequenz der schweren Kette, wie dargestellt durch SEQ ID NO: 87, die variable CDR3-Sequenz der schweren Kette, wie dargestellt durch SEQ ID NO:88, sowie eine variable leichte Kette umfassend die variable CDRl-Sequenz der leichten Kette dargestellt durch SEQ ID NO: 83, die variable CDR2-Sequenz der leichten Kette dargestellt durch SEQ ID NO: 84 und die variable CDR3-Sequenz der leichten Kette dargestellt durch SEQ ID NO: 85 oder eine variable schwere Kette umfassend die variable CDRl-Sequenz der schweren Kette, wie dargestellt durch SEQ ID NO: 96, die variable CDR2-Sequenz der schweren Kette, wie dargestellt durch SEQ ID NO: 97, die variable CDR3-Sequenz der schweren Kette, wie dargestellt durch SEQ ID NO:98, sowie eine variable leichte Kette umfassend die variable CDRl-Sequenz der leichten Kette dargestellt durch SEQ ID NO: 93, die variable CDR2-Sequenz der leichten Kette dargestellt durch SEQ ID NO: 94 und die variable CDR3-Sequenz der leichten Kette dargestellt durch SEQ ID NO:95 oder eine variable schwere Kette umfassend die variable CDRl-Sequenz der schweren Kette, wie dargestellt durch SEQ ID NO: 106, die variable CDR2-Sequenz der schweren Kette, wie dargestellt durch SEQ ID NO: 107, die variable CDR3-Sequenz der schweren Kette, wie dargestellt durch SEQ ID NO: 108, sowie eine variable leichte Kette umfassend die variable CDRl-Sequenz der leichten Kette dargestellt durch SEQ ID NO: 103, die variable CDR2-Sequenz der leichten Kette dargestellt durch SEQ ID NO: 104 und die variable CDR3-Sequenz der leichten Kette dargestellt durch SEQ ID NO: 105 oder eine variable schwere Kette umfassend die variable CDRl-Sequenz der schweren Kette, wie dargestellt durch SEQ ID NO: 116, die variable CDR2-Sequenz der schweren Kette, wie dargestellt durch SEQ ID NO: 117, die variable CDR3-Sequenz der schweren Kette, wie dargestellt durch SEQ ID NO: 118, sowie
eine variable leichte Kette umfassend die variable CDRl-Sequenz der leichten Kette dargestellt durch SEQ ID NO: 113, die variable CDR2-Sequenz der leichten Kette dargestellt durch SEQ ID NO: 114 und die variable CDR3-Sequenz der leichten Kette dargestellt durch SEQ ID NO: 115.
Der Antikörper oder das antigenbindende Fragment davon gemäß gemäß einer der vorhergehenden Ausführungsformen, umfassend: eine variable Sequenz der schweren Kette, wie dargestellt durch SEQ ID NO: 10 , sowie eine variable Sequenz der leichten Kette, wie dargestellt durch SEQ ID NO:9 oder eine variable Sequenz der schweren Kette, wie dargestellt durch SEQ ID NO:20 , sowie eine variable Sequenz der leichten Kette, wie dargestellt durch SEQ ID NO: 19 oder eine variable Sequenz der schweren Kette, wie dargestellt durch SEQ ID NO:30 , sowie eine variable Sequenz der leichten Kette, wie dargestellt durch SEQ ID NO:29 oder eine variable Sequenz der schweren Kette, wie dargestellt durch SEQ ID NO:40 , sowie eine variable Sequenz der leichten Kette, wie dargestellt durch SEQ ID NO: 39 oder eine variable Sequenz der schweren Kette, wie dargestellt durch SEQ ID NO:50 , sowie eine variable Sequenz der leichten Kette, wie dargestellt durch SEQ ID NO:49 oder eine variable Sequenz der schweren Kette, wie dargestellt durch SEQ ID NO:60 , sowie eine variable Sequenz der leichten Kette, wie dargestellt durch SEQ ID NO:59 oder eine variable Sequenz der schweren Kette, wie dargestellt durch SEQ ID NO:70 , sowie eine variable Sequenz der leichten Kette, wie dargestellt durch SEQ ID NO:69 oder eine variable Sequenz der schweren Kette, wie dargestellt durch SEQ ID NO: 80 , sowie eine variable Sequenz der leichten Kette, wie dargestellt durch SEQ ID NO:79 oder eine variable Sequenz der schweren Kette, wie dargestellt durch SEQ ID NO:90 , sowie eine variable Sequenz der leichten Kette, wie dargestellt durch SEQ ID NO: 89 oder eine variable Sequenz der schweren Kette, wie dargestellt durch SEQ ID NO: 100 , sowie eine variable Sequenz der leichten Kette, wie dargestellt durch SEQ ID NO:99 oder eine variable Sequenz der schweren Kette, wie dargestellt durch SEQ ID NO: 110 , sowie eine variable Sequenz der leichten Kette, wie dargestellt durch SEQ ID NO: 109 oder
eine variable Sequenz der schweren Kette, wie dargestellt durch SEQ ID NO: 120 , sowie eine variable Sequenz der leichten Kette, wie dargestellt durch SEQ ID NO: 119.
Der Antikörper gemäß einer der vorhergehenden Ausführungsformen, der ein IgG Antikörper ist.
Der Antikörper gemäß einer der vorhergehenden Ausführungsformen, umfassend: eine Sequenz der schweren Kette, wie dargestellt durch SEQ ID NO:2 , sowie eine Sequenz der leichten Kette, wie dargestellt durch SEQ ID NO: l oder eine Sequenz der schweren Kette, wie dargestellt durch SEQ ID NO: 12, sowie eine Sequenz der leichten Kette, wie dargestellt durch SEQ ID NO: 11 oder
eine Sequenz der schweren Kette, wie dargestellt durch SEQ ID NO:22, sowie eine Sequenz der leichten Kette, wie dargestellt durch SEQ ID NO:21 oder
eine Sequenz der schweren Kette, wie dargestellt durch SEQ ID NO:32, sowie eine Sequenz der leichten Kette, wie dargestellt durch SEQ ID NO:31 oder
eine Sequenz der schweren Kette, wie dargestellt durch SEQ ID NO:42, sowie eine Sequenz der leichten Kette, wie dargestellt durch SEQ ID NO:41 oder
eine Sequenz der schweren Kette, wie dargestellt durch SEQ ID NO:52, sowie eine Sequenz der leichten Kette, wie dargestellt durch SEQ ID NO:51 oder
eine Sequenz der schweren Kette, wie dargestellt durch SEQ ID NO:62, sowie eine Sequenz der leichten Kette, wie dargestellt durch SEQ ID NO:61 oder
eine Sequenz der schweren Kette, wie dargestellt durch SEQ ID NO:72, sowie eine Sequenz der leichten Kette, wie dargestellt durch SEQ ID NO:71 oder
eine Sequenz der schweren Kette, wie dargestellt durch SEQ ID NO: 82, sowie eine Sequenz der leichten Kette, wie dargestellt durch SEQ ID NO: 81 oder
eine Sequenz der schweren Kette, wie dargestellt durch SEQ ID NO:92, sowie eine Sequenz der leichten Kette, wie dargestellt durch SEQ ID NO:91 oder
eine Sequenz der schweren Kette, wie dargestellt durch SEQ ID NO: 102, sowie eine Sequenz der leichten Kette, wie dargestellt durch SEQ ID NO: 101 oder
eine Sequenz der schweren Kette, wie dargestellt durch SEQ ID NO: 112, sowie eine Sequenz der leichten Kette, wie dargestellt durch SEQ ID NO: 111. eine Sequenz der schweren Kette, wie dargestellt durch SEQ ID NO:213 , sowie eine Sequenz der leichten Kette, wie dargestellt durch SEQ ID NO: 1 oder
Das antigenbindende Fragment gemäß einer der vorhergehenden Ausführungsformen oder ein antigenbindendes Fragment eines Antikörpers gemäß einer der vorhergehenden Ausführungsformen, das ein scFv-, Fab-, Fab ' -Fragment oder ein F(ab ^-Fragment ist.
Der Antikörper oder das antigenbindende Fragment gemäß einer der vorhergehenden Ausführungsformen, der ein monoklonaler Antikörper oder ein antigenbindendes Fragment davon ist.
Der Antikörper oder das antigenbindende Fragment gemäß einem der vorhergehenden Ansprüche, der ein humaner, humanisierter oder chimärer Antikörper oder ein antigenbindendes Fragment ist.
Besonders bevorzugt ist der anti-TWEAKR-Antikörper TPP-2658.
Isotope, Salze, Solvate, isotopische Varianten
Die vorliegende Erfindung umfasst auch alle geeigneten isotopischen Varianten der erfindungsgemäßen Verbindungen. Unter einer isotopischen Variante einer erfindungsgemäßen Verbindung wird hierbei eine Verbindung verstanden, in welcher mindestens ein Atom innerhalb der erfindungsgemäßen Verbindung gegen ein anderes Atom der gleichen Ordnungszahl, jedoch mit einer anderen Atommasse als der gewöhnlich oder überwiegend in der Natur vorkommenden Atommasse ausgetauscht ist. Beispiele für Isotope, die in eine erfindungsgemäße Verbindung inkorporiert werden können, sind solche von Wasserstoff, Kohlenstoff, Stickstoff, Sauerstoff, Phosphor, Schwefel, Fluor, Chlor, Brom und Iod, wie 2H (Deuterium), 3H (Tritium), 13C, 14C, 15N, 170, 180, 32P, 33P, 33S, 34S, 35S, 36S, 18F, 36C1, 82Br, 123I, 124I, 129I und 131I. Bestimmte isotopische Varianten einer erfindungsgemäßen Verbindung, wie insbesondere solche, bei denen ein oder mehrere radioaktive Isotope inkorporiert sind, können von Nutzen sein beispielsweise für die Untersuchung des Wirkmechanismus oder der Wirkstoff-Verteilung im Körper; aufgrund der vergleichsweise leichten Herstell- und Detektierbarkeit sind hierfür insbesondere mit 3H- oder 14C- Isotopen markierte Verbindungen geeignet. Darüber hinaus kann der Einbau von Isotopen, wie beispielsweise von Deuterium, zu bestimmten therapeutischen Vorteilen als Folge einer größeren metabolischen Stabilität der Verbindung führen, wie beispielsweise eine Verlängerung der Halbwertszeit im Körper oder eine Reduktion der erforderlichen Wirkdosis; solche Modifikationen der erfindungsgemäßen Verbindungen können daher gegebenenfalls auch eine bevorzugte Ausführungsform der vorliegenden Erfindung darstellen. Isotopische Varianten der erfindungsgemäßen Verbindungen können nach den dem Fachmann bekannten Verfahren hergestellt werden, so beispielsweise nach den weiter unten beschriebenen Methoden und den bei den Ausführungs-
beispielen wiedergegebenen Vorschriften, indem entsprechende isotopische Modifikationen der jeweiligen Reagenzien und/oder Ausgangsverbindungen eingesetzt werden.
Als Salze sind im Rahmen der vorliegenden Erfindung physiologisch unbedenkliche Salze der erfindungsgemäßen Verbindungen bevorzugt. Umfasst sind auch Salze, die für pharmazeutische Anwendungen selbst nicht geeignet sind, jedoch beispielsweise für die Isolierung oder Reinigung der erfindungsgemäßen Verbindungen verwendet werden können.
Physiologisch unbedenkliche Salze der erfindungsgemäßen Verbindungen umfassen Säureadditionssalze von Mineralsäuren, Carbonsäuren und Sulfonsäuren, z.B. Salze der Chlorwasserstoffsäure, Bromwasserstoffsäure, Schwefelsäure, Phosphorsäure, Methansulfonsäure, Ethansulfon- säure, Benzolsulfonsäure, Toluolsulfonsäure, Naphthalindisulfonsäure, Essigsäure, Trifluoressig- säure, Propionsäure, Milchsäure, Weinsäure, Äpfelsäure, Zitronensäure, Fumarsäure, Maleinsäure und Benzoesäure.
Physiologisch unbedenkliche Salze der erfindungsgemäßen Verbindungen umfassen auch Salze üblicher Basen, wie beispielhaft und vorzugsweise Alkalimetallsalze (z.B. Natrium- und Kaliumsalze), Erdalkalisalze (z.B. Calcium- und Magnesiumsalze) und Ammoniumsalze, abgeleitet von Ammoniak oder organischen Aminen mit 1 bis 16 C- Atomen, wie beispielhaft und vorzugsweise Ethylamin, Diethylamin, Triethylamin, Ethyldiisopropylamin, Monoethanolamin, Diethanolamin, Triethanolamin, Dicyclohexylamin, Dimethylaminoethanol, Prokain, Dibenzylamin, /V-Methyl- piperidin, /V-Methylmorpholin, Arginin, Lysin und 1,2-Ethylendiamin.
Als Solvate werden im Rahmen der Erfindung solche Formen der erfindungsgemäßen Verbindungen bezeichnet, welche in festem oder flüssigem Zustand durch Koordination mit Lösungsmittelmolekülen einen Komplex bilden. Hydrate sind eine spezielle Form der Solvate, bei denen die Koordination mit Wasser erfolgt. Als Solvate sind im Rahmen der vorliegenden Erfindung Hydrate bevorzugt.
Außerdem umfasst die vorliegende Erfindung auch Prodrugs der erfindungsgemäßen Verbindungen. Der Begriff "Prodrugs" bezeichnet hierbei Verbindungen, welche selbst biologisch aktiv oder inaktiv sein können, jedoch während ihrer Verweilzeit im Körper zu erfindungsgemäßen Verbindungen umgesetzt werden (beispielsweise metabolisch oder hydrolytisch).
Besondere Ausführungsformen
Die folgenden Ausführungsformen sind besonders bevorzugt:
Ausführungsform A:
Ein ADC der Formel
BINDER-K.— KSP
n wobei KSP-L- eine Verbindung der folgenden Formel (I), (Ia), (II), (IIa), (IIb), (IIc), (Ild), (Ile), (Iii), (Ilj), (Ilk) oder der folgenden Formel (Ilf) ist, der Binder ein aglycosylierter anti-TWEAKR- Antikörper (besonders bevorzugt ein anti-TWEAKR-Antikörper, der spezifisch an die Aminosäure D in Position 47 (D47) von TWEAKR (SEQ ID NO: 169) bindet, insbesondere der anti-TWEAKR- Antikörper TPP-2658), und n eine Zahl von 1 bis 10 ist:
Formel (Ilf):
(Ilf) wobei
A CO (carbonyl) ist;
R -L-#l, H, -COOH, -CONHNH2, -(CH2)i-3NH2, -CONZ"(CH2)i-3 NH2 und -CONZ"CH2COOH ist, wobei Z' ' H oder NH2;
R2 und R4 H ist, oder R2 und R4 gemeinsam (unter Bildung eines Pyrrolidinringes) -CH2-CHRU- oder -CHRU-CH2- darstellen, wobei R11 H oder F darstellt;
R3 -L-#l oder eine Cl-10-Alkyl-, die ggf. mit -OH, O-Alkyl, SH, S-Alkyl, O-CO-Alkyl, O-CO- NH-Alkyl, NH-CO-Alkyl, NH-CO-NH-Alkyl, S(0)„-Alkyl, S02-NH-Alkyl, NH-Alkyl, N(Alkyl)2, oder NH2 substituiert sein kann (wobei Alkyl vorzugsweise C1-3 Alkyl bedeutet) ist;
R5 H oder F ist;
R6 und R7 unabhängig voneinander H, (ggf. fluoriertes) Ci-3-Alkyl, (ggf. fluoriertes) C2-4-Alkenyl, (ggf. fluoriertes) C2-4-Alkinyl, Hydroxy oder Halogen darstellen;
R8 eine verzweigte Ci-5-Alkyl-Gruppe ist; und
R9 H oder F ist, wobei einer der Substituenten R1 und R3-L-#l darstellt, und
-L-den Linker und #1 die Bindung zum Antikörper darstellt, sowie Salze, Solvate und Salze der Solvate des ADCs.
Der Linker ist vorzugsweise ein Linker
§-(CO)m-Ll-L2-§§
wobei
m 0 oder 1 ist;
§ die Bindung an KSP darstellt und
§§ die Bindung an den Antikörper darstellt, und
#l die Verknüpfungsstelle mit dem Schwefelatom des Antikörpers kennzeichnet, #2 die Verknüpfungsstelle mit der Gruppe L1 kennzeichnet, und LI durch die Formel
#l_(NRlO)n-(Gl)0-G2-#2
dargestellt wird,
wobei
R10 H, NH2 oder Cl-C3-Alkyl darstellt;
— N N-CO—
Gl -NHCO- oder \ / darstellt;
n 0 oder 1 ist;
o 0 oder 1 ist; und
G2 eine geradkettige oder verzweigte Kohlenwasserstoffkette mit 1 bis 100 Kohlenstoff atomen aus Arylengruppen und/oder geradkettigen und/oder verzweigten und/oder cyclischen Alkylengruppen ist, die einfach oder mehrfach durch eine oder mehrere der Gruppen -O-, -S-, -SO-, S02, -NH-, - CO-, -NHCO-, -CONH-, -NMe-, -NHNH-, -S02NHNH-, -CONHNH- und einen 3 bis lOgliedriger, aromatischen oder nicht aromatischen Heterozyklus mit bis zu 4 Heteroatomen
— N N-CO— ausgewählt aus N, O und S, oder -SO- unterbrochen sein kann (vorzugsweise \ / ), wobei die Seitenketten, sofern vorhanden, mit -NHCONH2, -COOH, -OH, -NH2, NH-CNNH2, Sulfonamid, Sulfon, Sulfoxid, oder Sulfonsäure substituiert sein können.
Hierbei ist die Bindung zum KSP-Inhibitor und #2 die Bindung zur Kopplungsgruppe zum Antikörper (z.B. L2).
Ausführungsform B:
Ein ADC der Formel
BINDER-H-— KSP
wobei KSP-L- eine Verbindung der folgenden Formel (I), (Ia), (II), (IIa), (IIb), (IIc), (Ild), (Ile), (Ilf), (Iii), (Ilj), (Ilk) oder der folgenden Formel (Ilg) oder der folgenden Formel (Ilg)ist, der Binder ein aglycosylierter anti-TWEAKR- Antikörper ist, und n eine Zahl von 1 bis 10 ist:
Formel (Ilg):
(Hg) wobei
A CO (carbonyl) ist;
R1 -L-#l, H, -COOH, -CONHNH2, -(CH2)i-3NH2, -CONZ"(CH2)i-3 NH2 und -CONZ"CH2COOH ist, wobei Z' ' H oder NH2;
R2 und R4 H ist, oder R2 und R4 gemeinsam (unter Bildung eines Pyrrolidinringes) -CH2-CHRU- oder -CHRU-CH2- darstellen, wobei R11 H darstellt;
R3 -L-#l oder eine Cno-Alkyl-, die ggf. mit -OH, O-Alkyl, SH, S-Alkyl, O-CO-Alkyl, O-CO- NH-Alkyl, NH-CO-Alkyl, NH-CO-NH-Alkyl, S(0)„-Alkyl, S02-NH-Alkyl, NH-Alkyl, N(Alkyl)2, oder NH2 substituiert sein kann (wobei Alkyl vorzugsweise C1-3 Alkyl bedeutet) ist;
R5 H oder F ist;
R6 und R7 unabhängig voneinander H, (ggf. fluoriertes) Ci-3-Alkyl, (ggf. fluoriertes) C2-4-Alkenyl, (ggf. fluoriertes) C2-4-Alkinyl, Hydroxy oder Halogen darstellen;
R8 eine verzweigte Ci-5-Alkyl-Gruppe ist; und
R9 H oder F ist,
wobei einer der Substituenten R1 und R3-L-#l darstellt, und
-L-den Linker und #1 die Bindung zum Antikörper darstellt,
wobei -L- dargestellt wird durch
§-(CO)m-Ll-L2-§§
wobei
m 0 oder 1 ist;
§ die Bindung an KSP darstellt und
§§ die Bindung an den Antikörper darstellt, und
#l die Verknüpfungsstelle mit dem Schwefelatom des Antikörpers kennzeichnet, #2 die Verknüpfungsstelle mit der Gruppe L1 kennzeichnet, und LI durch die Formel
#l_(NRlO)n-(Gl)0-G2-#2
dargestellt wird,
wobei
R
10 H, NH
2 oder Cl-C3-Alkyl darstellt; Gl -NHCO- oder
darstellt;
n 0 oder 1 ist;
o 0 oder 1 ist; und
G2 eine geradkettige oder verzweigte Kohlenwasserstoffkette mit 1 bis 100 Kohlenstoff atomen aus Arylengruppen und/oder geradkettigen und/oder verzweigten und/oder cyclischen Alkylengruppen ist, die einfach oder mehrfach durch eine oder mehrere der Gruppen -O-, -S-, -SO-, S02, -NH-, - CO-, -NHCO-, -CONH-, -NMe-, -NHNH-, -S02NHNH-, -CONHNH- und einen 3 bis lOgliedriger, aromatischen oder nicht aromatischen Heterozyklus mit bis zu 4 Heteroatomen
— N N-CO— ausgewählt aus N, O und S, oder -SO- unterbrochen sein kann (vorzugsweise \ / ), wobei die Seitenketten, sofern vorhanden, mit -NHCONH2, -COOH, -OH, -NH2, NH-CNNH2, Sulfonamid, Sulfon, Sulfoxid, oder Sulfonsäure substituiert sein können,
#1 die Bindung zum KSP-Inhibitor und #2 die Bindung zur Kopplungsgruppe zum Antikörper ist (z.B. L2),
sowie Salze, Solvate und Salze der Solvate des ADCs.
Ausführungsform C:
Ein ADC der Formel
BINDER- ■L— KSP
wobei KSP-L- eine Verbindung der folgenden Formel (II), (IIa), (IIb), (IIc), (Ild), (Ile), (Ilf), (Ilg); (Iii), (Ilj), (Ilk) oder der folgenden Formel (Ilh) ist, der Binder ein aglycosylierter anti-TWEAKR- Antikörper, und n eine Zahl von 1 bis 10 ist:
Formel (Ilh):
(Ilh)
wobei
A CO (carbonyl) ist;
R1 -L-#l ist,;
R2 und R4 H ist, oder R2 und R4 gemeinsam (unter Bildung eines Pyrrolidinringes) -CH2-CHRU- oder -CHRU-CH2- darstellen, wobei R11 H darstellt;
R3 eine G-10-Alkyl-, die ggf. mit -OH, O-Alkyl, SH, S-Alkyl, O-CO-Alkyl, O-CO-NH-Alkyl, NH-CO-Alkyl, NH-CO-NH-Alkyl, S(0)„-Alkyl, S02-NH-Alkyl, NH-Alkyl, N(Alkyl)2, oder NH2 substituiert sein kann (wobei Alkyl vorzugsweise C1-3 Alkyl bedeutet), oder -MOD ist;
wobei -MOD -(NR10)n-(Gl)o-G2-H darstellt, wobei
R
10 H oder Ci-C
3-Alkyl darstellt; darstellt (wobei wenn Gl -NHCO- oder
nicht NH2 ist);
n 0 oder 1 ist;
o 0 oder 1 ist; und
G2 eine geradkettige und/oder verzweigte Kohlenwasserstoff gruppe mit 1 bis 10 Kohlenstoffatomen ist, die einfach oder mehrfach durch eine oder mehrere der Gruppen -O-, -S-, -
SO-, S02, -NRY-, -NRYCO-, CONRY-, -NRYNRY-, -S02NRYNRy-, -CONRYNRY-, (wobei Ry H, Phenyl, Ci -Ci Q-Alkyl, C2-Ci Q-Alkenyl, oder C2-Ci Q-Alkinyl darstellt, die jeweils mit
NHCONH2, -COOH, -OH, -NH2, NH-CNNH2, Sulfonamid, Sulfon, Sulfoxid, oder Sulfonsäure substituiert sein können), -CO-, -CRx=N-0- (wobei Rx H, Ci -C -Alkyl oder Phenyl darstellt) unterbrochen sein kann, wobei die Kohlenwasserstoffkette einschließlich der Seitenketten, sofern vorhanden, mit -NHCONH2, -COOH, -OH, -NH2, NH-CNNH2, Sulfonamid, Sulfon, Sulfoxid, oder Sulfonsäure substituiert sein kann, wobei die Gruppe -MOD vorzugsweise zumindest eine Gruppe -COOH aufweist;
R5 H oder F ist;
R6 und R7 unabhängig voneinander H, (ggf. fluoriertes) Ci-3-Alkyl, (ggf. fluoriertes) C2-4-Alkenyl, (ggf. fluoriertes) C2-4-Alkinyl, Hydroxy oder Halogen darstellen;
R8 eine verzweigte Ci-5-Alkyl-Gruppe ist; und
R9 H oder F ist, wobei -L-den Linker und #1 die Bindung zum Antikörper darstellt,
wobei -L- dargestellt wird durch
§-(CO)m-Ll-L2-§§
wobei
m 0 oder 1 ist;
§ die Bindung an KSP darstellt und
§§ die Bindung an den Antikörper darstellt, und
#l die Verknüpfungsstelle mit dem Schwefelatom des Antikörpers kennzeichnet, #2 die Verknüpfungsstelle mit der Gruppe L1 kennzeichnet, und LI durch die Formel
#l_(NRlO)n-(Gl)0-G2-#2
dargestellt wird,
wobei
R10 H, NH2 oder Cl-C3-Alkyl darstellt;
— N N-CO—
Gl -NHCO- oder \ / darstellt;
n 0 oder 1 ist;
o 0 oder 1 ist; und
G2 eine geradkettige oder verzweigte Kohlenwasserstoffkette mit 1 bis 100 Kohlenstoff atomen aus Arylengruppen und/oder geradkettigen und/oder verzweigten und/oder cyclischen Alkylengruppen ist, die einfach oder mehrfach durch eine oder mehrere der Gruppen -O-, -S-, -SO-, S02, -NH-, - CO-, -NHCO-, -CONH-, -NMe-, -NHNH-, -S02NHNH-, -CONHNH-, -CRx=N-0- (wobei Rx H, Ci -C -Alkyl oder Phenyl darstellt) und einen 3 bis 10-gliedriger, aromatischen oder nicht aromatischen Heterozyklus mit bis zu 4 Heteroatomen ausgewählt aus N, O und S, -SO- oder -
S02- unterbrochen sein kann (vorzugsweise
wobei Kohlenwasserstoffkette einschließlich der Seitenketten, sofern vorhanden, mit -NHCONH2, -COOH, -OH, -NH
2, NH- CNNH2, Sulfonamid, Sulfon, Sulfoxid, oder Sulfonsäure substituiert sein können,
#1 die Bindung zum KSP-Inhibitor und #2 die Bindung zur Kopplungsgruppe zum Antikörper ist (z.B. L2),
sowie Salze, Solvate und Salze der Solvate des ADCs.
Ausführungsform D:
Die Erfindung stellt auch Binder-Wirkstoff-Konjugate der folgenden allgemeinen Formel bereit:
BINDER HWS
m
n wobei BINDER für den B aglycosylierter anti-TWEAKR-Antikörper), , L für den Linker, WS für den Wirkstoff, vorzugsweise einen KSP-Inhibitor, wie z.B. ein erfindungsgemäßer KSP-Inhibitor einer der Formeln (I), (Ia), (II), (IIa), (IIb), (IIc), (Ild), (Ile), (Ilf), (Ilg), (Ith) (Iii) ist, m für eine Zahl von 1 bis 2, vorzugsweise 1, und n für eine Zahl von 1 bis 50, vorzugsweise 1,2 bis 20 und besonders bevorzugt 2 bis 8 steht, wobei L eine der folgenden Strukturen aufweist. Hierbei ist m
die Zahl der Wirkstoffmoleküle pro Linker und n ein Mittelwert der Anzahl an Wirkstoff-Linker- Konjugaten pro BINDER. Die Summe aller WS, die in einem Konjugatmolekül vorliegen, ist also das Produkt von m und n.
WS ist ein Wirkstoff, der in Tieren, bevorzugt Menschen, eine lokale oder systemische Wirkung therapeutische Wirkung zeigt. Diese Wirkstoffe haben in der Regel ein Molekulargewicht von unter 5 kDa, bevorzugt unter 1.5 kDa. Bevorzugte Wirkstoffe sind Vinca-Alkaloide, Auristatine, Tubulysine, Duocarmycine, Kinase-Inhibitoren, MEK- Inhibitoren und KSP-Inhibitoren.
Hierbei steht L für eine der folgenden Formeln A3 oder A4
Formel A3
Formel A4 wobei #l die Verknüpfungsstelle mit dem Schwefelatom des Binders kennzeichnet, #2 die Verknüpfungsstelle mit der dem Wirkstoff kennzeichnet, x 1 oder 2 darstellt, und R^2 COOH, COOR, COR (mit R jeweils Cl-3-Alkyl), CONH2, Br, vorzugsweise COOH darstellt,.
LI weist dieselbe Bedeutung wie oben auf. Vorzugsweise wird -Ll-#2 durch die folgende Formel dargestellt:
dargestellt, wobei
#3 die Verknüpfungsstelle mit dem Stickstoffatom kennzeichnet
R10 H, NH2 oder G-C3-Alkyl darstellt;
Gl -NHCO-, -CONH- oder
darstellt; (wobei wenn Gl NHCO oder
— N N-CO—
\ / darstellt, RIO nicht NH2 ist),
n 0 oder 1 ist;
o 0 oder 1 ist; und
G2 eine geradkettige oder verzweigte Kohlenwasserstoffkette mit 1 bis 100 Kohlenstoff atomen aus Arylengruppen und/oder geradkettigen und/oder verzweigten und/oder cychschen Alkylengruppen ist, die einfach oder mehrfach durch eine oder mehrere der Gruppen -O-, -S-, -SO-, SO2, -NRY-, -
NRYCO-, -C(NH)NRy-, -CONRY-, -NRYNRY-, -S02NRYNRy-, -CONRYNRy-, (wobei Ry H, Phenyl, Ci -Ci Q-Alkyl, C2-Ci Q-Alkenyl, oder C2-Ci Q-Alkinyl darstellt, die jeweils mit
NHCONH2, -COOH, -OH, -NH2, NH-CNNH2, Sulfonamid, Sulfon, Sulfoxid, oder Sulfonsäure substituiert sein können), -CO-, -CRx=N-0- (wobei Rx H, Ci -C -Alkyl oder Phenyl darstellt) und/oder einen 3 bis 10-gliedriger, aromatischen oder nicht aromatischen Heterozyklus mit bis zu 4 Heteroatomen ausgewählt aus N, O und S, -SO- oder -S02- unterbrochen sein kann (vorzugsweise
— N j r N-CO—
), wobei die Kohlenwasserstoffkette einschließlich der Seitenketten, sofern vorhanden, mit -NHCONH2, -COOH, -OH, -NH2, NH-CNNH2, Sulfonamid, Sulfon, Sulfoxid, oder Sulfonsäure substituiert sein können.
Weitere unterbrechende Gruppen in G2 sind vorzugsweise
wobei Rx H, Ci -C -Alkyl oder Phenyl darstellt.
In dem erfindungsgemäßen Konjugat bzw. in einem Gemisch der erfindungsgemäßen Konjugate liegen die Bindungen an einen Cysteinrest des Antikörpers liegen vorzugsweise zu über 80 %, besonders bevorzugt zu über 90 %, besonders bevorzugt (bezogen auf die Gesamtanzahl von Bindungen des Linkers an den Antikörper) in einer der beiden Strukturen der Formel A3 oder A4 vor.
Die Konjugate mit den Linkern der Formel A3 bzw. A4 können durch Kupplung der Antikörper an die entsprechenden Bromderivate der folgenden Formeln A3 ' bzw. A4' erhalten werden:
Formel A3 '
Formel A4'
Diese Bromderivate der Formel A3' bzw. A4' können durch Reaktion von HOOCCH2CHBrCOOR22 bzw. HOOCCHBrCH2COOR22 mit einer Amingruppe des Binders erhalten werden, wie in den folgenden Schemata 30 bis 32 beispielhaft veranschaulicht.
Schema 30:
[a): 2-Brom-l-ethylpyridinium-Tetrafluoroborat (BEP), DCM, Pyridin, RT; b) Zinkchlorid, Trifluorethanol, 50°C, EDTA; c) 3-4 Äquivalente TCEP, PBS Puffer; d) PBS Puffer, 20h RT.]
[a): 2-Brom-l-ethylpyridinium-Tetrafluoroborat (BEP), DCM, Pyridin, RT; b) Zinkchlorid, Trifluorethanol, 50°C, EDTA; c) 3-4 Äquivalente TCEP, PBS Puffer; d) PBS Puffer, 20h RT.]
Ausführungsform E:
Die Erfindung stellt auch Binder-Wirkstoff-Konjugate der folgenden allgemeinen Formel bereit:
BINDER- WS
m
wobei BINDER für den aglycosylierten anti-TWEAKR-Antikörper , L für den Linker, WS für den Wirkstoff, vorzugsweise einen KSP-Inhibitor, wie z.B. ein erfindungsgemäßer KSP-Inhibitor einer der Formeln (I), (Ia), (II), oder (IIa), m für eine Zahl von 1 bis 2, vorzugsweise 1, und n für eine Zahl von 1 bis 50, vorzugsweise 1,2 bis 20 und besonders bevorzugt 2 bis 8 steht, wobei L eine der folgenden Strukturen aufweist. Hierbei ist m die Zahl der Wirkstoffmoleküle pro Linker und n ein Mittelwert der Anzahl an Wirkstoff-Linker-Konjugaten pro BINDER. Die Summe aller WS, die in einem Konjugatmolekül vorliegen, ist also das Produkt von m und n.
Formel A wobei #l die Verknüpfungsstelle mit dem Schwefelatom des Antikörpers kennzeichnet, #2 die
Verknüpfungsstelle mit der dem Wirkstoff kennzeichnet, und R22 COOH, COOR, COR (mit R jeweils Cl-3-Alkyl), CONH2, Br, vorzugsweise COOH darstellt. Die Verknüpfung mit dem Schwefelatom des Binders kann somit eine der folgenden Strukturen aufweisen:
Formel AI
Formel A2
Bei Antikörper— Wirkstoff-Konjugaten, die mehr als ein Wirkstoffmolekül WS pro Wirkstoff- Antikörper -Konjugat enthalten, können beide Strukturen gemäß den Formeln AI und/oder A2 in einem Antikörper— Wirkstoff-Konjugat vorliegen. Da es sich bei den erfindungsgemäßen Antikörper— Wirkstoff-Konjugaten um eine Mischung unterschiedlicher Antikörper— Wirkstoff-
Konjugate handeln kann, ist es auch möglich, dass in dieser Mischung Antikörper— Wirkstoff- Konjugate sowohl mit der Formel AI oder Formel A2 als auch mit der Formel AI und A2 enthalten sind.
L5 ist eine Gruppe ausgewählt aus -(CH2)m-(CHR^)n-(OCH2CH2)0-(X)p-(CH2)q-, wobei m, n, o, p und q unabhängig voneinander die folgenden Werte aufweisen: m=0- 10; n=0 oder 1 ; o=0-10; p=0 oder 1 ; und q=0-10, wobei m+n+o=l-15, vorzugsweise 1-6 ist. X stellt einen 5- oder 6-gliedrigen, aromatischen oder nicht-aromatischen Hetero- oder Homocyclus dar, vorzugsweise -C5H4- oder -
C H1 Q- . RS stellt eine Säuregruppe, vorzugsweise -COOH oder SO
3H dar. sgewählt aus -CONH-, -OCONH-, -NHCO-, -NHCOO-,
wobei r 1, 2 oder 3 ist.
L7 ist eine Einfachbindung oder eine Gruppe ausgewählt aus einer geradkettige oder verzweigten Kohlenwasserstoffkette mit 1 bis 100 (vorzugsweise 1 bis 10) Kohlenstoffatomen aus Arylengruppen und/oder geradkettigen und/oder verzweigten und/oder cyclischen Alkylengruppen ist, die einfach oder mehrfach durch eine oder mehrere der Gruppen -O-, -S-, -SO-, SO2, -NRY-, -
NRYCO-, -C(NH)NRy-, -CONRY-, -NRYNRY-, -S02NRYNRy-, -CONRYNRY-, (wobei Ry H, Phenyl, C i -Ci Q-Alkyl, C2-Ci Q-Alkenyl, oder C2-Ci Q-Alkinyl darstellt, die jeweils mit
NHCONH2, -COOH, -OH, -NH2, NH-CNNH2, Sulfonamid, Sulfon, Sulfoxid, oder Sulfonsäure substituiert sein können), -CO-, -CRx=N-0- (wobei Rx H, Ci -C -Alkyl oder Phenyl darstellt) und/oder einen 3 bis 10-gliedriger, vorzugsweise 5 bis 10-gliedriger, aromatischen oder nicht aromatischen Heterozyklus mit bis zu 4 Heteroatomen ausgewählt aus N, O und S, -SO- oder -
— N N-CO—
S02- unterbrochen sein kann (vorzugsweise \ / ), wobei die
Kohlenwasserstoffkette einschließlich der Seitenketten, sofern vorhanden, mit -NHCONH2, -
COOH, -OH, -NH2, NH-CNNH2, Sulfonamid, Sulfon, Sulfoxid, oder Sulfonsäure substituiert sein können.
L5 ist bevorzugt eine Gruppe -(CH2)m-(CHRs)n-(OCH2CH2)o-(X)p-(CH2)q-, wobei m=l-3, n=0, o=0-7, p=0, und q=0 oder 1 darstellt. Besonders bevorzugt ist eine Gruppe -(CH2)m-(CHR^)n- (OCH2CH2)0-(X)p-(CH2)q-, wobei m=l oder 2, n=0, o=0 oder 1, p=0, und q=0 oder 1 darstellt.
LÖ ist bevorzugt eine Gruppe ausgewählt aus -CONH- und -NHCO-.
Li ist bevorzugt eine Einfachbindung oder -[(CH2)x-(X4)y]w-(CFi2)z-,
wobei
w = 0 bis 20 ist;
x = 0 bis 5 ist;
y = 0 oder 1 ist;
z = 1 bis 5 ist; und
darstellt.
Besonders bevorzugt ist L7 eine Einfachbindung oder eine Gruppe -[(CH2)x-NHCO-)], wobei x = 1 bis 5 ist.
Besonders bevorzugt stellt -L5-L6-L7- -(CH2)m-(CHRs)n-(OCH2CH2)0-(X)p-(CH2)q-NHCO-
[(CH2)x-NHCO-)] dar, wobei m=l oder 2, n=0, o=0 oder 1, p=0, und q=0 oder 1, und x=l-5 darstellt.
Es ist jedoch auch möglich, dass diese beiden Strukturen gemeinsam in dem erfindungsgemäßen Konjugat vorliegen.
Diese Antikörper- Wirkstoff-Konjugate können erfindungsgemäß aus den Verbindungen der Formel
wobei L die folgende Formel A' aufweist, hergestellt werden:
Formel A'
Vorzugsweise erfolgt die Umsetzung von A' zu A durch Rühren in einem pH-Puffer mit einem pH- Wert von 7.5 bis 8.5, vorzugsweise 8, bei einer Temperatur unterhalb 37°C, vorzugsweise 10 bis 25 °C, über einen Zeitraum von bis zu 40 Stunden, vorzugsweise 1 bis 15 Stunden.
Ausführungsform I:
Ein Antikörper-Wirkstoff-Konjugat der Formel
R2, R4 und R5 H darstellen;
R3 -CH20H darstellt;
Rl -L1-L2-BINDER darstellt, wobei
LI
darstellt, wobei #2 die Verknüfung mit der L2 darstellt, und #1 die Verknüfung mit die andere Verknüpfung darstellt;
eine oder beide der folgenden Strukturen der Formeln A5 und A6 darstellt:
Formel A5
Formel A6 wobei
#l die Verknüpfungsstelle mit dem Schwefelatom des Antikörpers kennzeichnet, #2 die Verknüpfungsstelle mit der Gruppe L1 kennzeichnet, und
R22 COOH, COOR, COR, CONHR (mit R jeweils Cl-3-Alkyl), CONH2, vorzugsweise COOH darstellt.
In einem erfindungsgemäßen Konjugat bzw. in einem Gemisch der erfindungsgemäßen Konjugate liegen die Bindungen an einen Cysteinrest des Antikörpers vorzugsweise zu über 80 %, besonders bevorzugt zu über 90 % (jeweils bezogen auf die Gesamtanzahl von Bindungen des Linkers an den Antikörper), besonders bevorzugt in einer der beiden Strukturen der Formel A5 oder A6 vor:
Hierbei liegen die Strukturen der Formel A5 oder A6 in der Regel gemeinsam vor, vorzugsweise in einem Verhältnis von 60:40 bis 40:60 bezogen auf die Anzahl der Bindungen an den Antikörper. Die restlichen Bindungen liegen dann in der Struktur
vor.
Der Antikörper ist vorzugsweise ein anti-TWEAKR-Antikörper, der spezifisch an die Aminosäure D in Position 47 (D47) von TWEAKR (SEQ ID NO: 169) bindet, insbesondere der anti-TWEAKR- Antikörper TPP-2658.
Spezielle Ausführungsformen
Es werden Antikörper-Konjugate gemäß einer der folgenden Formeln bereitgestellt, wobei n eine Zahl von 1 bis 20 ist und AKl bzw. AK2 einen Antikörper darstellen. AKl stellt einen über Cystein verknüpften Antikörper, AK2 einen über Lysin verknüpften Antikörper dar.
- 189-
- 192-
Therapeutische Verwendung
Zu den hyperproliferativen Erkrankungen, zu deren Behandlung die erfindungsgemäßen Verbindungen eingesetzt werden können, zählt insbesondere die Gruppe der Krebs- und Tumorerkrankungen. Hierunter werden im Rahmen der vorliegenden Erfindung insbesondere die folgenden Erkrankungen verstanden, ohne jedoch auf sie beschränkt zu sein: Brustkarzinome und Brust- tumore (Mammakarzinome einschließlich ductaler und lobulärer Formen, auch in situ), Atemwegs- tumore (kleinzelliges und nicht-kleinzelliges Karzinom, Bronchialkarzinome), Hirntumore (z.B. des Hirnstamms und des Hypothalamus, Astrocytoma, Ependymoma, Glioblastoma, Gliome, Medulloblastoma, Meningiome sowie neuro-ektodermale und pineale Tumore), Tumore der Verdauungsorgane (Speiseröhren-, Magen-, Gallenblasen-, Dünndarm-, Dickdarm-, Rektum- und Analkarzinome), Lebertumore (u.a. hepatozelluläres Karzinom, Cholangiokarzinom und gemischt- hepatozelluläres Cholangiokarzinom), Tumore des Kopf- und Halsbereiches (Larynx-, Hypo- pharynx-, Nasopharynx-, Oropharynx-, Lippen- und Mundhöhlenkarzinome, orale Melanome), Hauttumore (Basaliome, Spinaliome, Plattenepithelkarzinome, Kaposi-Sarkom, maligne Melanome, nicht-melanomartiger Hautkrebs, Merkelzell-Hautkrebs, Mastzelltumore), Tumore des Stütz- und Bindegewebes (u.a. Weichteilsarkome, Osteosarkome, maligne fibröse Histiozytome, Chondrosarkome, Fibrosarkome, Hämangiosarkome, Leiomyosarkome, Liposarkome, Lymphosar-
kome und Rhabdomyosarkome), Tumore der Augen (u.a. intraokuläres Melanom und Retino- blastom), Tumore der endokrinen und exokrinen Drüsen (z.B. der thyroiden und parathyroiden Drüsen, Bauchspeicheldrüsen- und Speicheldrüsenkarzinome, Adenokarzinome), Tumore des Harntrakts (Blasen-, Penis-, Nieren-, Nierenbecken- und Harnleitertumore) sowie Tumore der reproduktiven Organe (Endometrium-, Zervix-, Ovarial-, Vaginal-, Vulva- und Uteruskarzinome der Frau sowie Prostata- und Hodenkarzinome des Mannes). Dazu gehören auch proliferative Erkrankungen des Blutes, des Lymphsystems und des Rückenmarks, in solider Form und als zirkulierende Zellen, wie Leukämien, Lymphome und myeloproliferative Erkrankungen, z.B. akute myeloide, akute lymphoblastische, chronisch-lymphozytische, chronisch-myelogene und Haarzell- Leukämie, sowie AIDS -korrelierte Lymphome, Hodgkin-Lymphome, Non-Hodgkin-Lymphome, kutane T-Zell-Lymphome, Burkitt-Lymphome und Lymphome im zentralen Nervensystem.
Diese gut charakterisierten Krankheiten des Menschen können mit vergleichbarer Ätiologie auch in anderen Säugetieren vorkommen und dort ebenfalls mit den Verbindungen der vorliegenden Erfindung behandelt werden.
Die Behandlung der zuvor genannten Krebserkrankungen mittels der erfindungsgemäßen Verbindungen umfasst sowohl eine Behandlung der soliden Tumore als auch eine Behandlung meta- stasierter oder zirkulierender Formen hiervon.
Der Begriff "Behandlung" oder "behandeln" wird im Rahmen dieser Erfindung konventionell verwendet und bedeutet die Versorgung, Pflege und Betreuung eines Patienten mit dem Ziel, eine Krankheit oder gesundheitliche Abweichung zu bekämpfen, zu verringern, abzuschwächen oder zu erleichtern und die Lebensbedingungen zu verbessern, die durch diese Krankheit beeinträchtigt werden, wie beispielsweise bei einer Krebserkrankung.
Weiterer Gegenstand der vorliegenden Erfindung ist somit die Verwendung der erfindungsgemäßen Verbindungen zur Behandlung und/oder Prävention von Erkrankungen, insbesondere der zuvor genannten Erkrankungen.
Weiterer Gegenstand der vorliegenden Erfindung ist die Verwendung der erfindungsgemäßen Verbindungen zur Herstellung eines Arzneimittels zur Behandlung und/oder Prävention von Erkrankungen, insbesondere der zuvor genannten Erkrankungen.
Weiterer Gegenstand der vorliegenden Erfindung ist die Verwendung der erfindungsgemäßen Verbindungen in einem Verfahren zur Behandlung und/oder Prävention von Erkrankungen, insbesondere der zuvor genannten Erkrankungen.
Weiterer Gegenstand der vorliegenden Erfindung ist ein Verfahren zur Behandlung und/oder Prävention von Erkrankungen, insbesondere der zuvor genannten Erkrankungen, unter Verwendung einer wirksamen Menge von mindestens einer der erfindungsgemäßen Verbindungen.
Die erfindungsgemäßen Verbindungen können allein oder bei Bedarf in Kombination mit einer oder mehreren anderen pharmakologisch wirksamen Substanzen eingesetzt werden, solange diese Kombination nicht zu unerwünschten und inakzeptablen Nebenwirkungen führt. Weiterer Gegenstand der vorliegenden Erfindung sind daher Arzneimittel, enthaltend mindestens eine der erfindungsgemäßen Verbindungen und einen oder mehrere weitere Wirkstoffe, insbesondere zur Behandlung und/oder Prävention der zuvor genannten Erkrankungen.
Beispielsweise können die Verbindungen der vorliegenden Erfindung mit bekannten anti-hyperproliferativen, zytostatischen oder zytotoxischen Substanzen zur Behandlung von Krebserkrankungen kombiniert werden. Als geeignete Kombinationswirkstoffe seien beispielhaft genannt:
1311-chTNT, Abarelix, Abirateron, Aclarubicin, Afatinib, Aflibercept, Aldesleukin, Alemtuzumab, Alisertib, Alitretinoin, Alpharadin (Radium-223-chlorid), Altretamin, Aminoglutethimid, AMP- 514, Amrubicin, Amsacrin, Anastrozol, Arglabin, Arsentrioxid, Asparaginase, Atacicept, Atezolizumab, AT9283, Avelumab, Axitinib, Azacitidin, Basiliximab, Belotecan, Bendamustin, Bevacizumab, Bexaroten, Bicalutamid, Bisantren, Bleomycin, Blinatumomab, BMS-936559, Bosutinib, Bortezomib, Brentuximab vedotin, Buserelin, Busulfan, Cabazitaxel, Cabozantinib, Calciumfolinat, Calciumlevofolinat, Capecitabin, Carboplatin, Carfilzomib (proteasome inhibitor), Carmofur, Carmustin, Catumaxomab, Celecoxib, Celmoleukin, Cetuximab, Chlorambucil, Chlormadinon, Chlormethin, Cisplatin, Cladribin, Clodronsäure, Clofarabin, Copanlisib , Crisantaspase, Crizotinib, Cyclophosphamid, CYC116, Cyproteron, Cytarabin, Dacarbazin, Dactinomycin, Darbepoetin-alfa, Dabrafenib, Danusertib, Dasatinib, Daunorubicin, Decitabin, Degarelix, Denileukin-Diftitox, Denosumab, Deslorelin, Dibrospidiumchlorid, Docetaxel, Doxifluridin, Doxorubicin, Doxorubicin + Estron, Durvalumab, Eculizumab, Edrecolomab, Elliptiniumacetat, Eltrombopag, Endostatin, ENMD-2076, Enocitabin, Epacadostat, Epirubicin, Epitiostanol, Epoetin-alfa, Epoetin-beta, Eptaplatin, Eribulin, Erlotinib, Estradiol, Estramustin, Etoposid, Everolimus, Exemestan, Fadrozol, Filgrastim, Fludarabin, Fluoruracil, Flutamid, Formestan, Fotemustin, Fulvestrant, Galliumnitrat, Ganirelix, Gefitinib, Gemcitabin, Gemtuzumab, Glutoxim, Goserelin, GSK3174998, GSK3359609, Histamindihydrochlorid, Histrelin, Hydroxycarbamid, I-125-Seeds, Ibandronsäure, Ibritumomab-Tiuxetan, Ibrutinib, Idarubicin, Ifosfamid, Imatinib, Imiquimod, INCB24360, Improsulfan, Interferon-alfa, Interferon-beta, Interferon-gamma, Ipilimumab, Irinotecan, Ixabepilon, Lambrolizumab, Lanreotid, Lapatinib,
Lenalidomid, Lenograstim, Lentinan, Letrozol, Leuprorelin, Levamisol, Lirilumab, Lisurid, Lobaplatin, Lomustin, Lonidamin, Lumiliximab, Masoprocol, Medroxyprogesteron, Megestrol, Melphalan, Mepitiostan, Mercaptopurin, Methotrexat, Methoxsalen, Methylaminolevulinat, Methyltestosteron, Mifamurtid, Miltefosin, Miriplatin, Mitobronitol, Mitoguazon, Mitolactol, Mitomycin, Mitotan, Mitoxantron, MLN-8054, Mpsl -Inhibitoren (offenbart in WO2013/087579, insbesondere Beispiel 01.01, WO2014/131739, insbesondere Beispiel 2), Nedaplatin, Nelarabin, Nemorubicin, Nilotinib, Nilutamid, Nimotuzumab, Nimustin, Nitracrin, Nivolumab, NMS-P715, NMS-P937, Ofatumumab, Omeprazol, Oprelvekin, Oregovomab, Oxaliplatin, p53 -Gentherapie, Paclitaxel, Palbociclib, Palifermin, Palladium-103-Seed, Pamidronsäure, Panitumumab, Pazopanib, Pegaspargase, PEG-epoetin-beta (Methoxy-PEG-epoetin-beta), Pegfilgrastim, Peg-interferon-alfa- 2b, Pembrolizumab, Pemetrexed, Pentazocin, Pentostatin, Peplomycin, Perfosfamid, Picibanil, Pirarubicin, Pidilizumab, Plerixafor, Plicamycin, Poliglusam, Polyestradiolphosphat, Polysaccharid-K, Ponatinib, Porfimer-Natrium, Pralatrexat, Prednimustin, Procarbazin, Quinagolid, R763, Raloxifen, Raltitrexed, Ranimustin, Razoxan, Refametinib (, Regorafenib, Risedronsäure, Rituximab, Romidepsin, Romiplostim, Roninciclib, Ruxolitinib, Sargramostim, Sipuleucel-T, Sizofiran, Sobuzoxan, Natriumglycididazol, SNS-314, Sorafenib, Streptozocin, Sunitinib, Talaporfin, Tamibaroten, Tamoxifen, Tasonermin, Teceleukin, Tegafur, Tegafur + Gimeracil + Oteracil, Temoporfin, Temozolomid, Temsirolimus, Teniposid, Testosteron, Tetrofosmin, Thalidomid, Thiotepa, Thymalfasin, TKM-PLK1, Tioguanin, Tocilizumab, Topotecan, Toremifen, Tositumomab, Tozasertib, Trabectedin, Trametinib, Trastuzumab, Trastuzumab emtansine, Tremelimumab, Treosulfan, Tretinoin, Trilostan, Triptorelin, Trofosfamid, Tryptophan, Ubenimex, Urelumab, Valrubicin, Vandetanib, Vapreotid, Varlilumab, Vemurafenib, Vinblastin, Vincristin, Vindesin, Vinflunin, Vinorelbin, Volasertib, Vorinostat, Vorozol, XL228, Yttrium-90- Glasmikrokugeln, Zinostatin, Zinostatin-Stimalamer, Zoledronsäure, Zorubicin.
Darüber hinaus können die Verbindungen der vorliegenden Erfindung beispielsweise mit Bindern kombiniert werden, die beispielhaft an die folgenden Targets binden können: OX-40, CD137/4- 1BB, DR3, ID01/ID02, LAG-3, CD40.
Darüber hinaus können die erfindungsgemäßen Verbindungen auch in Kombination mit einer Strahlentherapie und/oder einer chirurgischen Intervention eingesetzt werden.
Generell können mit der Kombination von Verbindungen der vorliegenden Erfindung mit anderen, zytostatisch oder zytotoxisch wirksamen Agenzien folgende Ziele verfolgt werden:
eine verbesserte Wirksamkeit bei der Verlangsamung des Wachstums eines Tumors, bei der Reduktion seiner Größe oder sogar bei seiner völligen Eliminierung im Vergleich zu einer Behandlung mit einem einzelnen Wirkstoff; die Möglichkeit, die verwendeten Chemotherapeutika in geringerer Dosierung als bei der Monotherapie einzusetzen; die Möglichkeit einer verträglicheren Therapie mit weniger Nebeneffekten im Vergleich zur Einzelgabe; die Möglichkeit zur Behandlung eines breiteren Spektrums von Tumorerkrankungen; das Erreichen einer höheren Ansprechrate auf die Therapie; eine längere Überlebenszeit der Patienten im Vergleich zur heutigen Standardtherapie.
Darüber hinaus können die erfindungsgemäßen Verbindungen auch in Kombination mit einer Strahlentherapie und/oder einer chirurgischen Intervention eingesetzt werden.
Weiterer Gegenstand der vorliegenden Erfindung sind Arzneimittel, die mindestens eine erfindungsgemäße Verbindung, üblicherweise zusammen mit einem oder mehreren inerten, nichttoxischen, pharmazeutisch geeigneten Hilfsstoffen enthalten, sowie deren Verwendung zu den zuvor genannten Zwecken.
Die erfindungsgemäßen Verbindungen können systemisch und/oder lokal wirken. Zu diesem Zweck können sie auf geeignete Weise appliziert werden, wie beispielsweise, parenteral, möglicherweise inhalativ oder als Implantat bzw. Stent.
Für diese Applikationswege können die erfindungsgemäßen Verbindungen in geeigneten Applikationsformen verabreicht werden.
Die parenterale Applikation kann unter Umgehung eines Resorptionsschrittes geschehen (z.B. intravenös, intraarteriell, intrakardial, intraspinal oder intralumbal) oder unter Einschaltung einer Resorption (z.B. . intramuskulär, subkutan, intrakutan, perkutan oder intraperitoneal). Für die parenterale Applikation eignen sich als Applikationsformen u.a. Injektions- und Infusionszubereitungen in Form von Lösungen, Suspensionen, Emulsionen oder Lyophilisaten. Bevorzugt ist die parenterale Applikation, insbesondere die intravenöse Applikation.
Im Allgemeinen hat es sich als vorteilhaft erwiesen, bei parenteraler Applikation Mengen von etwa 0.001 bis 1 mg/kg, vorzugsweise etwa 0.01 bis 0.5 mg kg Körpergewicht zur Erzielung wirksamer Ergebnisse zu verabreichen.
Trotzdem kann es gegebenenfalls erforderlich sein, von den genannten Mengen abzuweichen, und zwar in Abhängigkeit von Körpergewicht, Applikationsweg, individuellem Verhalten gegenüber dem Wirkstoff, Art der Zubereitung und Zeitpunkt bzw. Intervall, zu welchem die Applikation erfolgt. So kann es in einigen Fällen ausreichend sein, mit weniger als der vorgenannten Mindestmenge auszukommen, während in anderen Fällen die genannte obere Grenze überschritten werden muss. Im Falle der Applikation größerer Mengen kann es empfehlenswert sein, diese in mehreren Einzelgaben über den Tag zu verteilen.
Beispiele
Die nachfolgenden Beispiele erläutern die Erfindung. Die Erfindung ist nicht auf die Beispiele beschränkt.
Die Prozentangaben in den folgenden Tests und Beispielen sind, sofern nicht anders angegeben, Gewichtsprozente; Teile sind Gewichtsteile. Lösungsmittelverhältnisse, Verdünnungsverhältnisse und Konzentrationsangaben von flüssig/flüssig-Lösungen beziehen sich jeweils auf das Volumen.
Wenn bei Versuchsbeschreibungen keine Angaben bzgl. einer Temperatur gemacht werden, bei der die Reaktion durchgefürht wird, ist von Raumtemperatur auszugehen.
Synthesewege:
Exemplarisch für die Ausführungsbeispiele sind in folgenden Schemata beispielhafte Synthesewege zu den Ausführungsbeispielen dargestellt:
[a): beispielsweise Natriumtriacetoxyborhydrid, Essigsäure, DCM, RT; b) beispielsweise
Acetoxyacetylchlorid, NEt3, DCM, RT; c) beispielsweise LiOH, THF/Wasser, RT; d) beispielsweise H
2, Pd-C, EtOH, RT; e) beispielsweise Teoc-OSu, NEt3, Dioxan, RT; f) beispielsweise Fmoc-Cl, Diisopropylethylamin, DioxanAVasser 2: 1, RT]
[a): beispielsweise Benzylbromid, CS2CO3, DMF, RT; b) beispielsweise Pd(dppf)2Cl2, DMF, Na2C03, 85 °C; c) beispielsweise L1AIH4, THF, 0 °C; Mn02, DCM, RT; d) beispielsweise Ti(iOPr)4, THF, RT; e) beispielsweise tBuLi, THF, -78 °C; MeOH, NH4C1; f) beispielsweise HCl/1, 4-Dioxan]
Schema 26: Synthese von Cystein-verknüpften ADCs über hydrolysierte Bernsteinsäureamide
Dieses Verfahren wurde insbesondere bei ADCs mit LI = CH
2 oder mit LI = CH-CH
3 oder mit Ll= Phenyl angewendetem diese ADCs in die offenkettigen Verknüpfungsformen zu überführen.
[a): Natriumtriacetoxyborhydrid, Essigsäure, DCM, RT; b) Acetoxyacetylchlorid, Diisopropylethylamin, DCM, RT; c) LiOH, MeOH, RT; d) Trifluoressigsäure— l-(2-aminoethyl)- lH-pyrrol-2,5-dion (1: 1) HATU, DMF, Diisopropylethylamin, RT; e) Zinkchlorid, Trifluorethanol, 50°C, EDTA.] chema 28: Synthese von ADC-Precurser Molekülen
[a): HATU, DMF, Diisopropylethylamin, RT; b) Zinkchlorid, Trifluorethanol, 50°C, EDTA.]
chema 29: Synthese von ADC-Precurser Molekülen
[a): Natriumtriacetoxyborhydrid, Essigsäure, DCM, RT; b) Acetoxyacetylchlorid, Triethylamin, DCM, RT; c) LiOH, MeOH, RT; d) Trifluoressigsäure-l-(2-aminoethyl)-lH-pyrrol-2,5-dion (1: 1) HATU, DMF, Diisopropylethylamin, RT; e) Zinkchlorid, Trifluorethanol, 50°C, EDTA.]
Schema 30:
[a): 2-Brom-l-ethylpyridinium-Tetrafluoroborat (BEP), DCM, Pyridin, RT; b) Zinkchlorid, Trifluorethanol, 50°C, EDTA; c) 3-4 Äquivalente TCEP, PBS Puffer; d) PBS Puffer, 20h RT.]
Schema 31 :
[a): 2-Brom-l-ethylpyridinium-Tetrafluoroborat (BEP), DCM, Pyridin, RT; b) Zinkchlorid, Trifluorethanol, 50°C, EDTA; c) 3-4 Äquivalente TCEP, PBS Puffer; d) PBS Puffer, 20h RT.]
Schema 32: Synthese von Pyrrol-basierten KSP-I Precursern
[a) beispielsweise Dimethylzink, CyhexylMgCl, THF, -78 °C; NH4C1; b) beispielsweise HCl/ 1,4- Dioxan]
Schema 33: Synthese von ADC-Precurser Molekülen
[a): Natriumtriacetoxyborhydrid, Essigsäure, DCM, RT; b) Acetoxyacetylchlorid, Triethylamin, DCM, RT; c) L-Csytein, NaHCC>3, DBU, isopropanolA asser , RT; d) 3-Sulfanylpropansäure, K2C03,RT; e) Linker, HATU, DMF, Diisopropylethylamin, RT; e) Zinkchlorid, Trifluorethanol, 50°C, EDTA.]
Schema 34: Synthese von Lysin-verknüpften ADCs
A. Beispiele
Abkürzungen und Akronyme:
A431 NS humane Tumorzelllinie
A549 humane Tumorzelllinie
ABCB 1 ATP-binding cassette sub-family B member 1 (Synonym für P-gp und MDR1)
abs. Absolut
Ac Acetyl
ACN Acetonitril
aq. wässrig, wässrige Lösung
ATP Adenosintriphosphat
BCRP Brustkrebs-Resistenz-Protein, ein Efflux-Transporter
BEP 2-Brom- 1 -ethylpyridinium-Tetrafluoroborat
Boc ieri.-Butoxycarbonyl
br. breit (bei NMR)
Bsp. Beispiel
BxPC3 humane Tumorzelllinie
ca. circa, ungefähr
CI chemische Ionisation (bei MS)
d Dublett (bei NMR)
d Tag(e)
DC Dünnschichtchromatographie
DCI direkte chemische Ionisation (bei MS)
DCM Dichlormethan
dd Dublett von Dublett (bei NMR)
DMAP 4-N,N-Dimethylaminopyridin
DME 1,2-Dimethoxyethan
DMEM Dulbecco's Modified Eagle Medium (standardisiertes Nährmedium für die Zellkultur)
DMF N,N-Dimethylformamid
DMSO Dimethylsulfoxid
DPBS, D-PBS, PBS Dulbecco's Phosphat-gepufferte Salz-Lösung
PBS = DPBS = D-PBS, pH7,4, Fa. Sigma, No D8537
Zusammensetzung:
0,2 g KCl
0,2 g KH2PO4 (anhyd)
8,0 g NaCl
l,15 g Na2HP04 (anhyd)
ad 1 1 mit H20 auffüllen
dt Dublett von Triplett (bei NMR)
DTT DL-Dithiothreitol
d. Th. der Theorie (bei chemischer Ausbeute)
EDC 7V'-(3-Dimethylaminopropyl)-7V-ethylcarbodiimid-Hydrochlorid
EGFR Epidermal growth factor receptor = Epidermaler Wachstumsfaktor
Rezeptor
EI Elektronenstoß-Ionisation (bei MS)
ELISA Enzyme-linked Immunosorbent Assay
eq. Äquivalent(e)
ESI Elektrospray-Ionisation (bei MS)
ESI-MicroTofq ESI- MicroTofq (Name des Massenspektrometer mit Tof = Time Of
Flight und q = Quadrupol)
FCS fötales Kälberserum
Fmoc (9i7-Fluoren-9-ylmethoxy)carbonyl
ges. gesättigt
GTP Guanosin-5'-triphosphat
h Stunde(n)
HATU 0-(7-Azabenzotriazol-l-yl)-/V,/V,/V',/V'-tetramethyluronium- hexafluorophosphat
HCT- 116 Human eTumorzelllinie
HEPES 4-(2-Hydroxyethyl)piperazin-l-ethansulfonsäure
HOAc Essigsäure
HOAt l-Hydroxy-7-azabenzotriazol
HOBt l-Hydroxy-li7-benzotriazol-Hydrat
HOSu /V-Hydroxysuccinimid
HPLC Hochdruck-, Hochleistungsflüssigchromatographie
HT29 humane Tumorzelllinie
IC50 halbmaximale Inhibitionskonzentration
i.m. intramuskulär, Applikation in den Muskel
i.v. intravenös, Applikation in die Vene
konz. konzentriert
KU- 19-19 Humane Tumorzelllinie
LC-MS Flüssigchromatographie-gekoppelte Massenspektrometrie
LLC-PK1 -Zellen Lewis lung Carcinoma pork kidney cell line
L-MDR Human MDR1 transfizierte LLC-PK1 Zellen
L0V0 Humane Tumorzelllinie
m Multiplett (bei NMR)
MDR1 Multidrug resistence protein 1
MeCN Acetonitril
min Minute(n)
MS Massenspektrometrie
MIT 3-(4,5-Dimethylthiazol-2-yl)-2,5-diphenyl-2ii-tetrazoliumbromid 3
NCI-H292 humane Tumorzelllinie
NCI-H520 humane Tumorzelllinie
NMM N-Methylmorpholin
NMP N-Methyl-2-pyrrolidinon
NMR Kernresonanzspektrometrie
NMRI Mausstamm, Herkunft aus dem Naval Medical Research Institute
(NMRI)
Nude Mäuse Nacktmäuse (Versuchstiere)
NSCLC Non small cell lung Cancer (Nicht-kleinzelliges Bronchialkarzinom)
PBS Phosphat-gepufferte Salz-Lösung
Pd/C Palladium auf Aktivkohle
P-gp P-Glycoprotein, ein Transporterprotein
PNGaseF Enzym zur Zuckerabspaltung
quant. quantitativ (bei Ausbeute)
quart Quartett (bei NMR)
quint Quintett (bei NMR)
Rf Retentionsindex (bei DC)
RT Raumtemperatur
Rt Retentionszeit (bei HPLC)
s Singulett (bei NMR)
s.c. subcutan, Applikation unter die Haut
SCC-4 Humane Tumorzelllinie
SCC-9 Humane Tumorzelllinie
SCID Mäuse Versuchsmäuse mit einem schweren kombinierten Immundefekt
(severe combined immunodeficiency)
t Triplett (bei NMR)
TBAF Tetra-n-butylammoniumfluorid
TEMPO (2,2,6,6-Tetramethyl-piperidin- 1 -yl)oxyl
tert. tertiär
TFA Trifluoressigsäure
THF Tetrahydrofuran
T3P® 2,4,6-Tripropyl-l,3,5,2,4,6-trioxatriphosphinan-2,4,6-trioxid
UV Ultraviolett-Spektrometrie
v/v Volumen zu Volumen- Verhältnis (einer Lösung)
Z Benzyloxycarbonyl
HPLC- und LC-MS-Methoden:
Methode 1 (LC-MS):
Instrument: Waters ACQUITY SQD UPLC System; Säule: Waters Acquity UPLC HSS T3 1.8 μ 50 x 1 mm; Eluent A: 1 1 Wasser + 0.25 mL 99%ige Ameisensäure, Eluent B: 1 1 Acetonitril + 0.25 mL 99%ige Ameisensäure; Gradient: 0.0 min 90% A -> 1.2 min 5% A -> 2.0 min 5% A Ofen: 50°C; Fluss: 0.40 mL/min; UV-Detektion: 208 - 400 nm.
Methode 2 (LC-MS):
Gerätetyp MS: Waters Synapt G2S; Gerätetyp UPLC: Waters Acquity I-CLASS; Säule: Waters, BEH300, 2.1 x 150 mm, C18 1.7 μιη; Eluent A: 1 1 Wasser + 0.01% Ameisensäure; Eluent B: 1 1 Acetonitril + 0.01% Ameisensäure; Gradient: 0.0 min 2% B -> 1.5 min 2% B -> 8.5 min 95% B -> 10.0 min 95% B; Ofen: 50°C; Fluss: 0.50 mL/min; UV-Detektion: 220 nm
Methode 3 (LC-MS):
Instrument MS: Waters (Micromass) QM; Instrument HPLC: Agilent 1100 Serie; Säule : Agient ZORBAX Extend-C18 3.0x50mm 3.5-Micron; Eluent A: 1 1 Wasser + 0.01 mol Ammoniumcarbonat, Eluent B: 1 1 Acetonitril; Gradient: 0.0 min 98% A— > 0.2min 98% A— > 3.0 min 5% A-> 4.5 min 5% A ; Ofen: 40°C; Fluss: 1.75 mL/min; UV-Detektion: 210 nm
Methode 4 (LC-MS):
Gerätetyp MS: Waters Synapt G2S; Gerätetyp UPLC: Waters Acquity I-CLASS; Säule: Waters, HSST3, 2.1 x 50 mm, C18 1.8 μιη; Eluent A: 1 1 Wasser + 0.01% Ameisensäure; Eluent B: 1 1 Acetonitril + 0.01% Ameisensäure; Gradient: 0.0 min 10% B -> 0.3 min 10% B -> 1.7 min 95% B -> 2.5 min 95% B; Ofen: 50°C; Fluss: 1.20 mL/min; UV-Detektion: 210 nm
Methode 5 (LC-MS):
Instrument: Waters ACQUITY SQD UPLC System; Säule: Waters Acquity UPLC HSS T3 1.8 μ 50 x 1 mm; Eluent A: 1 1 Wasser + 0.25 mL 99%ige Ameisensäure , Eluent B: 1 1 Acetonitril + 0.25 mL 99%ige Ameisensäure; Gradient: 0.0 min 95% A -> 6.0 min 5% A -> 7.5 min 5% A Ofen: 50°C; Fluss: 0.35 mL/min; UV-Detektion: 210 - 400 nm.
Methode 6 (LC-MS):
Instrument: Micromass Quattro Premier mit Waters UPLC Acquity; Säule: Thermo Hypersil GOLD 1.9 μ 50 x 1 mm; Eluent A: 1 1 Wasser + 0.5 mL 50%ige Ameisensäure, Eluent B: 1 1 Acetonitril + 0.5 mL 50%ige Ameisensäure; Gradient: 0.0 min 97% A -> 0.5 min 97% A -> 3.2 min 5% A -> 4.0 min 5% A Ofen: 50°C; Fluss: 0.3 mL/min; UV-Detektion: 210 nm.
Methode 7 (LC-MS):
Instrument: Agilent MS Quad 6150;HPLC: Agilent 1290; Säule: Waters Acquity UPLC HSS T3 1.8 μ 50 x 2.1 mm; Eluent A: 1 1 Wasser + 0.25 mL 99%ige Ameisensäure , Eluent B: 1 1 Acetonitril + 0.25 mL 99%ige Ameisensäure; Gradient: 0.0 min 90% A -> 0.3 min 90% A -> 1.7 min 5% A -> 3.0 min 5% A Ofen: 50°C; Fluss: 1,20 mL/min; UV-Detektion: 205 - 305 nm.
Methode 8 (LC-MS):
Gerätetyp MS: Waters Synapt G2S; Gerätetyp UPLC: Waters Acquity I-CLASS; Säule: Waters, HSST3, 2.1 x 50 mm, C18 1.8 μιη; Eluent A: 1 1 Wasser + 0.01% Ameisensäure; Eluent B: 1 1 Acetonitril + 0.01% Ameisensäure; Gradient: 0.0 min 2% B -> 2.0 min 2% B -> 13.0 min 90% B -> 15.0 min 90% B; Ofen: 50°C; Fluss: 1.20 ml/min; UV-Detektion: 210 nm
Methode 9: LC-MS-Prep Reinigungsmethode für die Beispiele 181-191 (Methode LIND-LC-MS- Prep)
Instrument MS: Waters, Instrument HPLC: Waters (Säule Waters X-Bridge C18, 19 mm x 50 mm, 5 μιη, Eluent A: Wasser + 0.05% Ammoniak, Eluent B: Acetonitril (ULC) mit Gradient; Fluss: 40 ml/min; UV-Detektion: DAD; 210 - 400 nm). bzw.
Instrument MS: Waters, Instrument HPLC: Waters (Säule Phenomenex Luna 5μ C18(2) 100A, AXIA Tech. 50 x 21.2 mm, Eluent A: Wasser + 0.05% Ameisensäure, Eluent B: Acetonitril (ULC) mit Gradient; Fluss: 40 ml/min; UV-Detektion: DAD; 210 - 400 nm).
Methode 10: LC-MS-Analytik-Methode für die Beispiele 181-191 (LIND_SQD_SB_AQ)
Instrument MS: Waters SQD; Instrument HPLC: Waters UPLC; Säule: Zorbax SB-Aq (Agilent), 50 mm x 2.1 mm, 1.8 μιη; Eluent A: Wasser + 0.025% Ameisensäure, Eluent B: Acetonitril (ULC) + 0.025% Ameisensäure; Gradient: 0.0 min 98%A - 0.9 min 25%A - 1.0 min 5%A - 1.4 min 5%A - 1.41 min 98%A - 1.5 min 98%A; Ofen: 40°C; Fluss: 0.600 ml/min; UV-Detektion: DAD; 210 nm.
Methode 11 (HPLC):
Gerät: HP1100 Serie
Säule: Merck Chromolith SpeedROD RP-18e, 50-4,6mm, Best.- Nr.1.51450.0001, Vorsäule Chromolith Guard Cartridge Kit, RP-18e, 5-4,6mm, Best.-Nr. 1.51470.0001
Gradient: Flow 5mL/ Min
Injection Volume 5μ1
Solvent A: HCL04 (70%ig) in Wasser (4mL/ 1)
Solvent B: Acetonitril
Start 20% B
0.50 Min 20% B
3.00 Min 90% B
3.50 Min 90% B
3.51 Min 20% B
4.00 Min 20% B
Säulentemperatur: 40°C
Wellenlänge: 210nm
Methode 12 (LC-MS):
Gerätetyp MS: Thermo Scientific FT-MS; Gerätetyp UHPLC+: Thermo Scientific UltiMate 3000; Säule: Waters, HSST3, 2.1 x 75 mm, C18 1.8 μιη; Eluent A: 1 1 Wasser + 0.01% Ameisensäure; Eluent B: 1 1 Acetonitril + 0.01% Ameisensäure; Gradient: 0.0 min 10% B -> 2.5 min 95% B -> 3.5 min 95% B; Ofen: 50°C; Fluss: 0.90 ml/min; UV-Detektion: 210 nm/ Optimum Integration Path 210-300 nm
Methode 13: (LC-MS):
Instrument MS: Waters (Micromass) Quattro Micro; Instrument Waters UPLC Acquity; Säule : Waters BEH C18 1.7 μ 50 x 2.1 mm; Eluent A: 1 1 Wasser + 0.01 mol Ammoniumformiat, Eluent B: 1 1 Acetonitril; Gradient: 0.0 min 95% A -> 0.1 min 95% A -> 2.0 min 15% A -> 2.5 min 15% A^ 2.51 min 10% A -> 3.0 min 10% A; Ofen: 40°C; Fluss: 0.5 ml/min; UV-Detektion: 210 nm.
Methode 14: (LC-MS):
Gerätetyp MS: ThermoFisherScientific LTQ-Orbitrap-XL; Gerätetyp HPLC: Agilent 1200SL; Säule: Agilent, POROSHELL 120, 3 x 150 mm, SB - C18 2.7 μιη; Eluent A: 1 1 Wasser + 0.1% Trifluoressigsäure; Eluent B: 1 1 Acetonitril + 0.1% Trifluoressigsäure; Gradient: 0.0 min 2% B— > 0.3 min 2% B -> 5.0 min 95% B -> 10.0 min 95% B; Ofen: 40°C; Fluss: 0.75 ml/min; UV- Detektion: 210 nm
Für alle Reaktanden oder Reagenzien, deren Herstellung im Folgenden nicht explizit beschrieben ist, gilt, dass sie von allgemein zugänglichen Quellen kommerziell bezogen wurden. Für alle übrigen Reaktanden oder Reagenzien, deren Herstellung im Folgenden ebenfalls nicht beschrieben ist und die nicht kommerziell erhältlich waren oder von Quellen bezogen wurden, die nicht allgemein zugänglich sind, ist ein Verweis auf die veröffentlichte Literatur angegeben, in der ihre Herstellung beschrieben ist.
Ausgangsverbindungen und Intermediate: Intermediat C2 tert-Butyl-(2S)-4-({(lR)-l-[l-benzyl-4-(2,5-difluorphenyl)-lH-imidazol-2-yl]-2,2- dimethylpropyl}amino)-2-[(ter -butoxycarbonyl)amino]butanoat
4.22 g (14.5 mmol) tert-Butyl-N-(tert-butoxycarbonyl)-L-homoserinat wurden in 180 mL
Dichlormethan gelöst und dann mit 3.5 mL Pyridin sowie mit 9.2 g (21.7 mmol) 1,1,1-Triacetoxy- llambda5,2-benziodoxol-3(lH)-on versetzt. Der Ansatz wurde 1 h bei RT gerührt, anschließend mit 500 mL Dichlormethan verdünnt und zweimal mit 10%-iger Natriumtiosulfatlösung und dann nacheinander zweimal mit 5%-iger Zitronensäure und zweimal mit 10%-iger Natriumhydrogencarbonatlösung ausgeschüttelt. Die organische Phase wurde abgetrennt, über Magnesiumsulfat getrocknet und anschließend im Vakuum eingeengt. Der Rückstand wurde in DCM aufgenommen und mit einer Mischung aus Diethylether und n-Pentan versetzt. Der Niederschlag wurde abfiltriert und das Filtrat anschließend einggengt und aus Acetonitril/Wasser lyophilisiert. Es wurden 3.7 g (93%) tert-Butyl-(2S)-2-[(tert-butoxycarbonyl)amino]-4-oxobutanoat
erhalten, die ohne weitere Reinigung in die nächste Stufe eingesetzt wurden. (Rf-Wert: 0.5 (DCM/Methanol 95/5).
3.5 g (9.85 mmol) von Intermediat Cl wurden in 160 mL DCM gelöst und mit 3.13 g (14.77 mmol) Natriumtriacetoxyborhydrid sowie mit 0.7 mL Essigsäure versetzt. Nach 5 min Rühren bei RT wurden 3.23 g (11.85 mmol) tert-Butyl-(2S)-2-[(tert-butoxycarbonyl)amino]-4-oxobutanoat zugegeben und der Ansatz weitere 30 min bei RT gerührt. Dann wurde das Lösunsgmittel im Vakuum eingedampft und der Rückstand in Acetonitril/Wasser aufgenommen. Der ausgefallene Feststoff wurde abfiltriert und getrocknet und man erhielt 5.46 g (84%) der Titelverbindung.
HPLC (Methode 11): Rt = 2.5 min;
LC-MS (Methode 1): Rt = 1.13 min; MS (ESIpos): m/z = 613 (M+H)+.
Intermediat Cll
R/S-( 11 - { ( 1 R)- 1 - [ 1 -Benzyl-4-(2,5-difluorphenyl)- 1 H-pyrrol-2-yl] -2,2-dimethylpropyl } -2,2- dimethyl-6,12-dioxo-5-oxa-7,l l-diaza-2-silatridecan-13- l)-homocystein-trifluoressigsäure(l: l)
990.0 mg (2.79 mmol) (lR)-l-[l-Benzyl-4-(2,5-difluorphenyl)-lH-pyrrol-2-yl]-2,2- dimethylpropan-l-amin wurden in 15.0 mL Dichlormethan vorgelegt und mit 828.8 mg (3.91 mmol) Natriumtriacetoxyborhydrid und 129.9 mg (3.21 mmol) Essigsäure versetzt und 5 min bei RT grührt. Es wurden 698.1 mg (3.21 mmol) 2-(Trimethylsilyl)ethyl-(3-oxopropyl)carbamat (Intermediat L58) gelöst in 15.0 mL Dichlormethan zugegeben und die Reaktionsmischung über Nacht bei RT gerührt. Die Reaktionsmischung wurde mit Ethylacetat verdünnt und die organische
Phase je zweimal mit ges. Natriumcarbonat-Lösurig und ges. NaCl-Lösung gewaschen. Die organische Phase wurde über Magnesiumsulfat getrocknet und das Lösemittel im Vakuum verdampft. Der Rückstand wurde mittels Kieselgel (Laufmittel: Dichlormethan/Methanol 100:2) gereinigt. Die Lösemittel wurden im Vakuum verdampft und der Rückstand im Hochvakuum getrocknet. Man erhielt 1.25 g (73 % d. Th.) der Verbindung 2-(Trimethylsilyl)ethyl-[3-({(lR)-l- [ 1 -benzyl-4-(2,5-difluorphenyl)- 1 H-pyrrol-2-yl] -2,2-dimethylpropyl } amino)propyl] carbamat. LC-MS (Methode 1): Rt = 1.09 min; MS (ESIpos): m/z = 556 (M+H)+.
400.0 mg (0.65 mmol) 2-(Trimethylsilyl)ethyl-[3-({(lR)-l-[l-benzyl-4-(2,5-difluorphenyl)-lH- pyrrol-2-yl] -2,2-dimethylpropyl }amino)propyl] carbamat wurden mit 151.4 mg (1.5 mmol) Triethylamin und mit 161.6 mg (1.43 mmol) Chloracetylchlorid versetzt. Die Reaktionsmischung wurde über Nacht bei RT gerührt. Die Reaktionsmischung wurde mit Ethylacetat versetzt und die organische Phase dreimal mit Wasser und einmal mit ges. NaCl-Lösung gewaschen. Es wurde über Magnesiumsulfat getrocknet und das Lösemittel im Vakuum verdampft. Der Rückstand wurde mittels Kieselgel (Laufmittel: Cyclohexan/Ethylacetat 3: 1) gereinigt. Die Lösemittel wurden im Vakuum verdampft und der Rückstand im Hochvakuum getrocknet. Man erhielt 254.4 mg (57 % d. Th.) der Verbindung 2-(Trimethylsilyl)ethyl-{3-[{(lR)-l-[l-benzyl-4-(2,5-difluorphenyl)-lH- pyrrol-2-yl] -2,2-dimethylpropyl } (chloracetyl)amino]propyl } carbamat.
LC-MS (Methode 1): Rt = 1.49 min; MS (ESIneg): m/z = 676 (M+HCOO )\
117.4 mg (0.19 mmol) 2-(Trimethylsilyl)ethyl-{3-[{(lR)-l-[l-benzyl-4-(2,5-difluorphenyl)-lH- pyrrol-2-yl]-2,2-dimethylpropyl}(chloracetyl)amino]propyl}carbamat wurde in 10.0 mL Isopropanol gelöst und mit 928.4 μΕ IM NaOH und 50.2 mg (0.37 mmol) DL-Homocystein versetzt. Die Reaktionsmischung wurde 4.5 h bei 50 °C gerührt. Die Reaktionsmischung wurde mit Ethylacetat versetzt und die organische Phase mit ges. Natriumhydrogencarbonat-Lösung und ges. NaCl-Lösung gewaschen. Die organische Phase wurde über Magnesiumsulfat getrocknet und das Lösemittel im Vakuum verdampft. Der Rückstand wurde mittles präp. RP-HPLC gereinigt (Säule: Reprosil 250x40; 10μ, Fluss: 50 mL/min, MeCN/Wasser, 0.1 % TFA). Die Lösemittel wurden im Vakuum verdampft und der Rückstand im Hochvakuum getrocknet. Man erhielt 75.3 mg (48 % d. Th.) der Titelverbindung.
LC-MS (Methode 1): Rt = 1.24 min; MS (ESIpos): m/z = 731 (M+H)+.
XH-NMR (400 MHz, DMSO-d6): δ [ppm] = 0.03 (s, 9H), 0.40 (m, 1H), 0.75-0.91 (m, 11H), 1.30 (m, 1H), 1.99-2.23 (m, 2H), 2.63-2.88 (m, 4H), 3.18-3.61 (m, 5H), 3.79-4.10 (m, 3H), 4.89 (d, 1H), 4.89 (d, 1H), 5.16 (d, 1H), 5.56 (s, 1H), 6.82 (m, 1H), 6.91 (s, 1H), 6.97 (m, 1H), 7.13-7.38 (m, 6H), 7.49 (s, 1H), 7.63 (m, 1H), 8.26 (s, 3H).
Intermediat C12
R/S (8S) 1-{(lR) 1-Benzyl-4-(2,5-dirluoφhenyl) H-pyrrol-2-yl]-2,2-dimethylpropyl}-8- carboxy-2,2-dimeth l-6,12-dioxo-5-oxa-7,l l-diaza-2-silatridecan-13-yl]homocystein
Die Synthese erfolgte in Analogie zur Synthese von Intermediat Cl 1 mit
Methyl-(2S)-4-oxo-2-({ [2-(trimethylsilyl)ethoxy]carbonyl}amino)butanoat (Intermediat L57) und Intermediat C52 als Edukten.
LC-MS (Methode 1): Rt = 1.18 min; MS (ESIpos): m/z = 775 (M+H)+. Intermediat C52
( 1 R)- 1 - [ 1 -Benzyl-4-(2,5-difluor henyl)- 1 H-pyrrol-2-yl] -2,2-dimethylpropan- 1 -amin
10.00 g (49.01 mmol) Methyl-4-brom-lH-pyrrol-2-carboxylat wurden in 100.0 mL DMF vorgelegt und mit 20.76 g (63.72 mmol) Cäsiumcarbonat und 9.22 g (53.91 mmol) Benzylbromid versetzt. Die Reaktionsmischung rührte über Nacht bei RT. Die Reaktionsmischung wurde zwischen Wasser und Ethylacetat verteilt und die wässrige Phase mit Ethylacetat extrahiert. Die vereinigten
organischen Phasen wurden über Magnesiumsulfat getrocknet und das Lösemittel im Vakuum verdampft. Der Ansatz wurde mit 90.0 g Methyl-4-brom-lH-pyrrol-2-carboxylat wiederholt. Die Reinigung der vereinigten beiden Ansätze erfolgte mittles präp. RP-HPLC (Säule: Daiso 300x100; 10μ, Fluss: 250 mL/min, MeCN/W asser). Die Lösemittel wurden im Vakuum verdampft und der Rückstand im Hochvakuum getrocknet. Man erhielt 125.15 g (87 % d. Th.) der Verbindung Methyl- 1 -benzyl-4-brom- 1 H-pyrrol-2-carboxylat.
LC-MS (Methode 1): Rt = 1.18 min; MS (ESIpos): m/z = 295 [M+H]+.
Unter Argon wurden 4.80 g (16.32 mmol) Methyl- l-benzyl-4-brom-lH-pyrrol-2-carboxylat in DMF vorgelegt und mit 3.61 g (22.85 mmol) (2,5-Difluorphenyl)boronsäure und 19.20 mL ges. Natriumcarbonat-Lösung und 1.33 g (1.63 mmol) [l,l'-Bis-(diphenylphosphino)-ferrocen]- dichlorpalladium(II):Dichlormethan versetzt. Die Reaktionsmischung wurde über Nacht bei 85 °C gerührt. Die Reaktionsmischung wurde über Celite filtriert und der Filterkuchen mit Ethylacetat gewaschen. Die organische Phase wurde mit Wasser extahiert und dann mit ges. NaCl-Lösung gewaschen. Die organische Phase wurde über Magnesiumsulfat getrocknet und das Lösemittel im Vakuum verdampft. Der Rückstand wurde mittels Kieselgel (Laufmittel: Cyclohexan/Ethylacetat 100:3) gereinigt. Die Lösemittel wurden im Vakuum verdampft und der Rückstand im Hochvakuum getrocknet. Man erhielt 3.60 g (67 % d. Th.) der Verbindung Methyl- l-benzyl-4- (2,5-difluorphenyl)-lH-pyrrol-2-carboxylat.
LC-MS (Methode 7): Rt = 1.59 min; MS (ESIpos): m/z = 328 [M+H]+.
3.60 g (11.00 mmol) Methyl-l-benzyl-4-(2,5-difluorphenyl)-lH-pyrrol-2-carboxylat wurden in 90.0 mL THF vorgelegt und bei 0 °C mit 1.04 g (27.50 mmol) Lithiumaluminiumhydrid (2.4 M in THF) versetzt. Die Reaktionsmischung wurde 30 Minuten bei 0 °C gerührt. Es wurde bei 0 °C ges. Kaliumnatriumtartrat-Lösung zugegeben und die Reaktionsmischung mit Ethylacetat versetzt. Die organische Phase wurde dreimal mit ges. Kaliumnatriumtartrat-Lösung extrahiert. Die organische Phase wurde einmal mit ges. NaCl-Lösung gewaschen und über Magnesiumsulfat getrocknet. Das Lösemittel wurde im Vakuum verdampft und der Rückstand in 30.0 mL Dichlormethan gelöst. Es wurden 3.38 g (32.99 mmol) Mangan(IV)oxid zugegeben und 48 h bei RT gerührt. Es wurden nochmals 2.20 g (21.47 mmol) Mangan(IV)oxid zugegeben und über Nacht bei RT gerührt. Die Reaktionsmischung wurde über Celite filtriert und der Filterkuchen mit Dichlormethan gewaschen. Das Lösemittel wurde im Vakuum verdampft und der Rückstand 2.80 g (l-Benzyl-4-(2,5- difluorphenyl)-lH-pyrrol-2-carbaldehyd) wurde ohne weitere Reinigung in der nächsten Synthesestufe eingesetzt.
LC-MS (Methode 7): Rt = 1.48 min; MS (ESIpos): m/z = 298 [M+H]+.
28.21 g (94.88 mmol) l-Benzyl-4-(2,5-difluorphenyl)-lH-pyrrol-2-carbaldehyd wurden zusammen mit 23.00 g (189.77 mmol) (R)-2-Methylpropan-2-sulfinamid in 403.0 mL absol. THF vorgelegt und mit 67.42 g (237.21 mmol) Titan(IV)isopropylat versetzt und über Nacht bei RT gerührt. Es wurden 500.0 mL ges. NaCl-Lösung und 1000.0 mL Ethylacetat zugegeben und 1 h bei RT gerührt. Es wurde über Kieselgur filtriert und das Filtrat zweimal mit ges. NaCl-Lösung gewaschen. Die org. Phase wurde über Magnesiumsulfat getrocknet und das Lösemittel wurde im Vakuum verdampft und der Rückstand wurde mittels Biotage Isolera gereinigt (Kieselgel, Säule 1500+340 g SNAP, Fluss 200 mL/min, Ethylacetat/Cyclohexan 1: 10).
LC-MS (Methode 7): Rt = 1.63 min; MS (ESIpos): m/z = 401 [M+H]+.
25.00 g (62.42 mmol) (R)-N-{(E/Z)-[l-Benzyl-4-(2,5-difluorphenyl)-lH-pyrrol-2-yl]methylen}-2- methylpropan-2-sulfinamid wurden in absol. THF unter Argon vorgelegt und auf -78 °C abgekühlt. Dann wurden 12.00 g (187.27 mmol) tert.-Butyllithium (1.7 M Lösung in Pentan) bei -78 °C zugegeben und 3 h bei dieser Temperatur gerührt. Dann wurden bei -78 °C 71.4 mL Methanol und 214.3 mL ges. Ammoniumchlorid- Lösung nacheinander zugegeben und die Reaktionsmischung wurde auf RT kommen lassen und 1 h bei RT gerührt. Es wurde mit Ethylacetat verdünnt und mit Wasser gewaschen. Die organische Phase wurde über Magnesiumsulfat getrocknet und das Lösemittel wurde im Vakuum verdampft. Der Rückstand (R)-N-{(lR)-l-[l-Benzyl-4-(2,5- difluorphenyl)-lH-pyrrol-2-yl]-2,2-dimethylpropyl}-2-methylpropan-2-sulfinamid wurde ohne weitere Reinigung in der nächsten Synthesestufe eingesetzt.
LC-MS (Methode 6): Rt = 2.97 min; MS (ESIpos): m/z = 459 [M+H]+.
28.00 g (61.05 mmol) (R)-N-{(lR)-l-[l-Benzyl-4-(2,5-difluorphenyl)-lH-pyrrol-2-yl]-2,2- dimethylpropyl}-2-methylpropan-2-sulfinamid wurden in 186.7 mL 1,4-Dioxan vorgelegt und dann mit 45.8 mL HCl in 1,4-Dioxan-Lösung (4.0 M) versetzt. Die Reaktionsmischung wurde 2 h bei RT gerührt und das Lösemittel wurde im Vakuum verdampft. Der Rückstand wurde mittles präp. RP-HPLC gereinigt (Säule: Kinetix 100x30; Fluss: 60 mL/min, MeCN/Wasser). Das Acetonitril wurde im Vakuum verdampft und der wässrige Rückstand wurde mit Dichlormethan versetzt. Die organische Phase wurde mit Natriumhydrogencarbonat-Lösung gewaschen und über Magnesiumsulfat getrocknet. Das Lösemittel wurde im Vakuum verdampft und der Rückstand wurde im Hochvakuum getrocknet. Man erhielt 16.2 g (75 % d. Th.) der Titel Verbindung.
LC-MS (Methode 6): Rt = 2.10 min; MS (ESIpos): m/z = 338 [M-NH2]+, 709 [2M+H]+.
XH-NMR (400 MHz, DMSO-d6): δ [ppm] = 0.87 (s, 9H), 1.53 (s, 2H), 3.59 (s, 1H), 5.24 (d, 2H), 6.56 (s, 1H), 6.94 (m, 1H), 7.10 (d, 2H), 7.20 (m, 1H), 7.26 (m, 2H), 7.34 (m, 2H), 7.46 (m, 1H).
Intermediat C53
(2S)-4- [ { ( 1 R) - 1 - [ 1 -Benzyl-4-(2,5-difluorphenyl)- 1 H-pyrrol-2-yl] -2,2- dimethylpropyl } (glycoloyl)amino] -2- [ 9H-fluoren-9- lmethox )carbonyl] amino } butansäure
Zunächst wurde Intermediat C52 mit Benzyl-(2S)-2-{ [(benzyloxy)carbonyl]amino}-4-oxobutanoat in Analogie zu Intermediat C58 reduktiv alkyliert. Anschließend wurde die sekundäre Aminogruppe mit 2-Chlor-2-oxoethylacetat wie in Intermediat C58 beschrieben acyliert und schließlich mit 2M Lithiumhydroxidlösung in Methanol die Hydrolyse der beiden Estergruppen durchgeführt. Das so erhaltene Intermediat wurde in Ethanol gelöst, mit Palladium auf Kohle (10%ig) versetzt und bei RT mit Wasserstoff unter Normaldruck 1 h hydriert. Die entschützte Verbindung wurde in Dioxan/Wasser 2: 1 aufgenommen und mit 9H-Fluoren-9- ylmethylchlorocarbonat in Gegenwart von N, N-Diisopropylethylamin wurde im letzten Schritt die Fmoc-Schutzgruppe eingeführt.
LC-MS (Methode 1): Rt = 1.37 min; MS (ESIpos): m/z = 734 (M-H)\ Intermediat C54
N-[(2S)-4-[ { ( 1R)- 1 -[1 -Benzyl-4-(2,5-difluorphenyl)- lH-pyrrol-2-yl] -2,2-dimethylpropyl } (glycoloyl)amino]-2-{ [(9H-fluoren-9-ylmethoxy)carbonyl]amino}butanoyl] -beta-alanin
Zunächst wurde Intermediat C52 mit Benzyl-N-[(2S)-2-{ [(benzyloxy)carbonyl]amino}-4- oxobutanoyl]-beta-alaninat in Analogie zu Intermediat C2 reduktiv alkyliert. Anschließend wurde die sekundäre Aminogruppe mit 2-Chlor-2-oxoethylacetat wie in Intermediat C58 beschrieben acyliert. Das so erhaltene Intermediat wurde in Methanol gelöst, mit Palladium auf Kohle (10%ig) versetzt und bei RT mit Wasserstoff unter Normaldruck 1 h hydriert. Anschließend wurde mit 2M Lithiumhydroxidlösung in Methanol die Hydrolyse der Estergruppe durchgeführt. Die entschützte Verbindung wurde in Dioxan/Wasser 2: 1 aufgenommen und mit 9H-Fluoren-9- ylmethylchlorocarbonat in Gegenwart von N, N-Diisopropylethylamin wurde im letzten Schritt die Fmoc-Schutzgruppe eingeführt. Es wurden 48 mg der Titelverbindung erhalten.
LC-MS (Methode 1): Rt = 1.38 min; MS (ESIpos): m/z = 807 (M+H)+. Intermediat C58
(2S)-4-[{(lR)-l-[l-Benzyl-4-(2,5-difluorphenyl)-lH-pyrrol-2-yl]-2,2-dimethylpropyl}(glycoloyl) amino] -2-( { [2-(trimethylsilyl)ethoxy] carbonyl } amino)butansäure
Zunächst wurde Intermediat C52 mit Benzyl-(2S)-2-{ [(benzyloxy)carbonyl]amino}-4-oxobutanoat in Analogie zu Intermediat C2 reduktiv alkyliert. Anschließend wurde die sekundäre Aminogruppe mit 2-Chlor-2-oxoethylacetat wie in Intermediat C27 beschrieben acyliert und schließlich mit 2M Lithiumhydroxidlösung in Methanol die Hydrolyse der beiden Estergruppen durchgeführt. Das so erhaltene Intermediat wurde in Ethanol gelöst, mit Palladium auf Kohle (10%ig) versetzt und bei RT mit Wasserstoff unter Normaldruck 1 h hydriert.
500 mg (0.886 mmol) von diesem vollständig entschützten Intermediat wurden in 60 ml Dioxan aufgenommen und mit 253 mg (0.975 mmol) l-({ [2-(Trimethylsilyl)ethoxy]carbonyl}oxy) pyrrolidin-2,5-dion sowie 198 μΕ Triethylamin versetzt. Nach 24 h Rühren bei RT wurde der Ansatz eingeengt und der Rückstand durch präparative HPLC gereinigt. Nach Vereinigung der entsprechenden Fraktionen, Einengen im Vakuum und Trocknen im Hochvakuum wurden 312 mg (50% d.Th.) der Titelverbindung erhalten.
LC-MS (Methode 5): Rt = 4.61 min; MS (ESIpos): m/z = 658 (M+H)+.
Alternativ wurde Intermediat C58 auf folgendem Weg hergestellt:
4.3 g (12.2 mmol) von Intermediat C52 wurden in 525 mL DCM gelöst und mit 3.63 g (17.12 mmol) Natriumtriacetoxyborhydrid sowie mit 8.4 mL Essigsäure versetzt. Nach 5 min Rühren bei RT wurden 8.99 g (24.5 mmol) von Intermediat L57 gelöst in 175 mL DCM hinzugegeben und der Ansatz weitere 45 min bei RT gerührt. Der Ansatz wurde dann mit 300 mL DCM verdünnt und
zweimal mit 100 mL Natriumhydrogencarbonat-Lösung und einmal mit ges. NaCl-Lösung gewaschen. Die organische Phase wurde über Magnesiumsulfat getrocknet, das Lösemittel im Vakuum verdampft und der Rückstand im Hochvakuum getrocknet. Der Rückstand wurde anschließend mittels präparativer RP-HPLC (Säule: Chromatorex C18) gereinigt. Nach Vereinigung der entsprechenden Fraktionen wurde das Lösemittel im Vakuum verdampft und der Rückstand im Hochvakuum getrocknet. So wurden 4.6 g (61 % d. Th.) Methyl-(2S)-4-({(lR)-l-[l- benzyl-4-(2,5-difluorphenyl)-lH-pyrrol-2-yl]-2,2-dimethylpropyl}amino)-2-({ [2- (trimethylsilyl)ethoxy]carbonyl } amino)butanoat erhalten.
LC-MS (Methode 12): Rt = 1.97 min; MS (ESIpos): m/z = 614 (M+H)+.
2.06 g (3.36 mmol) von diesem Intermediat wurden in 76 mL DCM vorgelegt und mit 0.81 mL (7.17 mmol) 2-Chlor-2-oxoethylacetat in Gegenwart von 2.1 ml Triethylamin acyliert. Nach 20 h Rühren bei RT wurden weitere 0.36 mL 2-Chlor-2-oxoethylacetat und 0.94 ml Triethylamin zugegeben und der Ansatz weitere 15 min bei RT gerührt. Anschließend wurde mit 500 mL Ethylacetat verdünnt und nacheinander zweimal mit 300 mL 5%-iger Zitronensäure, zweimal mit 300 mL gesättigter Natriumhydrogencarbonatlösung und einmal mit 100 mL gesättigter Natriumchloridlösung ausgeschüttelt, dann über Magnesiumsulfat getrocknet und eingeengt. Nach Trocknung im Hochvakuum wurden 2.17 g (79% d. Th.) des geschützten Intermediats erhalten.
LC-MS (Methode 1): Rt = 1.48 min; MS (ESIpos): m/z = 714 (M+H)+.
2.17 g (2.64 mmol) dieses Intermediats wurden in 54 mL THF und 27 mL Wasser gelöst und mit 26 mL einer 2 molaren Lithiumhydroxidlösung versetzt. Der Ansatz wurde 30 min bei RT gerührt und dann mit 1.4 mL TFA auf einen pH -Wert zwischen 3 und 4 eingestellt. Der Ansatz wurde im Vakuum aufkonzentriert. Nachdem THF weitgehend abdestilliert war wurde die wäßrige Lösung zweimal mit DCM extrahiert und anschließend im Vakuum bis zur Trockne eingeengt. Der Rückstand wurde durch präparative HPLC (Säule: Chromatorex C18) gereinigt. Nach Vereinigung der entsprechenden Fraktionen wurde das Lösemittel im Vakuum verdampft und der Rückstand und aus Acetonitril/Wasser lyophilisiert. So wurden 1.1 g (63% d. Th.) der Titelverbindung erhalten.
LC-MS (Methode 1): Rt = 1.34 min; MS (ESIpos): m/z = 656 (M-H)".
XH-NMR (400 MHz, DMSO-d6): δ [ppm] = 0.03 (s, 9H), 0.58 (m, 1H), 0.74-0.92 (m, 11H), 1.40 (m, 1H), 3.3 (m, 2H), 3.7 (m, 1H), 3.8-4.0 (m, 2H), 4.15 (q, 2H), 4.9 und 5.2 (2d, 2H), 5.61 (s, 1H), 6.94 (m, 2H), 7.13-7.38 (m, 7H), 7.48 (s, 1H), 7.60 (m, 1H), 12.35 (s, 1H).
Intermediat C59
(2S)-4-({(m) -[l-Benzyl-4-(2,5-difluoφhenyl) H-pyrrol-2-yl]-2,2-dimethylpropyl} [(2S)-2- methoxypropanoyl] amino)-2- { 9H-fluoren-9-ylmethoxy)carbonyl] amino } butansäure
Zunächst wurde die sekundäre Aminogruppe von Benzyl-(2S)-4-({(lR)-l-[l-benzyl-4-(2,5- difluorphenyl)- 1 H-pyrrol-2-yl] -2,2-dimethylpropyl } amino)-2- { [(benzyloxy)carbonyl] amino } butanoat mit (2S)-2-Methoxypropanoylchlorid (Zwischenstufe aus Intermediat C53) in Gegenwart von Triethylamin wie in Intermediat C53 beschrieben acyliert. Das erhaltene Intermediat wurde in Ethanol aufgenommen, mit Palladium auf Kohle (10%ig) versetzt und bei RT mit Wasserstoff unter Normaldruck 1 h hydriert. Die entschützte Verbindung wurde in Dioxan/W asser 2: 1 aufgenommen und mit 9H-Fluoren-9-ylmethylchlorocarbonat in Gegenwart von N,N- Diisopropylethylamin wurde im letzten Schritt die Fmoc-Schutzgruppe eingeführt.
LC-MS (Methode 1): Rt = 1.39 min; MS (ESIpos): m/z = 764 (M-H)\
Intermediat C60
(2S)-4-( { ( 1 R) - 1 - [ 1 -Benzyl-4-(2,5-difluorphenyl)- 1 H-pyrrol-2-yl] -2,2-dimethylpropyl } [(2S)-2- methoxypropanoyl] amino)-2- { [(9H-fluoren-9-ylmethoxy)carbonyl] amino } butansäure
Die Synthese erfolgte in Analogie zu Intermediat C53.
LC-MS (Methode 1): Rt = 1.41 min; MS (ESIpos): m/z = 750 (M+H)+.
Intermediat C61
N-[(2S)-4-[ { ( 1R)- 1 -[1 -Benzyl-4-(2,5-difluorphenyl)- lH-pyrrol-2-yl] -2,2- dimethylpropyl } (glycoloyl)amino] -2-( { [2-(trimethylsilyl)ethoxy] carbonyl } amino)butanoyl] -betaal anin
Die Titelverbindung wurde durch Kupplung von 60 mg (0.091 mmol) Intermediat C58 mit ß- Alaninmethylester und anschließender Esterspaltung mit 2m Lithiumhydroxidlösung hergestellt. Es wurden 67mg (61% d.Th.) der Titel Verbindung über 2 Stufen erhalten.
LC-MS (Methode 1): Rt = 1.29 min; MS (ESIpos): m/z = 729 (M+H)+.
Intermediat C62
N-[(2S)-4-[ { ( 1R)- 1 -[1 -Benzyl-4-(2,5-difluorphenyl)- lH-pyrrol-2-yl] -2,2- dimethylpropyl } (glycoloyl)amino] -2-( { [2-(trimethylsilyl)ethoxy] carbonyl } amino)butanoyl] -D- alanin
Die Titelverbindung wurde in Analogie zu Intermediat C61 aus Intermediat C58 und Methyl-D- alaninat hergestellt.
LC-MS (Methode 1): Rt = 1.32 min; MS (ESIpos): m/z = 729 (M+H)+. Intermediat C64
Trifluoressigsäure— 2-(trimethylsilyl)ethyl-{(2S)-l-[(2-aminoethyl)amino]-4-[{(lR)-l-[l-benzyl-4- (2,5-difluorphenyl)- 1 H-pyrrol-2-yl] -2,2-dimethylpropyl } (glycoloyl)amino] - 1 -oxobutan-2- yljcarbamat (1: 1)
Die Titelverbindung wurde ausgehend von Intermediat C58 in Analogie zu Intermediat C63 hergestellt.
HPLC (Methode 11): Rt = 2.4 min;
LC-MS (Methode 1): Rt = 1.01 min; MS (ESIpos): m/z = 700 (M+H)+.
Intermediat C65
(8S)-8-{2-[{(lR)-l-[l-Benzyl-4-(2,5-difluorphenyl)-lH-pyrrol-2-yl]-2,2-dimethylpropyl} (glycoloyl)amino]ethyl } -2,2-dimethyl-6, 11 -dioxo-5-oxa-7, 10-diaza-2-silatetradecan- 14-säure
215 mg (0.59 mmol) von Intermediat L66 wurden in 25 mL Dichlormethan vorgelegt und mit 377 mg (0.89 mmol) Dess-Martin Periodinan und 144 μΐ^ (1.78 mmol) Pyridin versetzt. Man rührte 30 min bei RT. Anschließend wurde der Ansatz mit 300 ml Dichlormethan verdünnt und die organische Phase je zweimal mit 10%iger NaiSiC -Lösung, 10%iger Citronensäure-Lösung und ges. Natriumhydrogencarbonat-Lösung gewaschen. Die organische Phase wurde über Magnesiumsulfat getrocknet und das Lösemittel im Vakuum abgedampft. Man erhielt 305 mg des Aldehyds, der ohne weitere Reinigung umgesetzt wurde.
175 mg (0.49 mmol) von Intermediat C52 wurden in 50 ml Dichlormethan gelöst und mit 147mg (0.69 mmol) Natriumtriacetoxyborhydrid sowie 32.5 μΐ^ Essigsäure versetzt. Nach 5 min Rühren bei RT wurden 214 mg (0.593 mmol) vom oben beschriebenen Aldehyd hinzugegeben und der Ansatz über Nacht bei RT gerührt. Dabei ist anstelle erwarteten Produktes 2-(Trimethylsilyl)ethyl- [(2S)-4-( { ( 1 R)- 1 - [ 1 -benzyl-4-(2,5-difluorphenyl)- 1 H-pyrrol-2-yl] -2,2-dimethylpropyl } amino)- 1 - (2,5-dioxopyrrolidin-l-yl)butan-2-yl]carbamat entstanden. Da auch dieses Imid sich weiter zur Titelverbindung umsetzen lassen sollte, wurde der Ansatz eingeengt und der Rückstand durch präparative HPLC gereinigt. Nach Vereinigung der entsprechenden Imid-enthaltenden Fraktionen wurde das Lösungsmittel im Vakuum abgedampft und der Rückstand im Hochvakuum getrocknet. So wurden 195 mg (58%) des oben benannten Imids erhalten.
LC-MS (Methode 5): Rt = 3.32 min; MS (ESIpos): m/z = 667 (M+H)+.
65 mg (97.5 μιηοΐ) dieses Imids wurden in 15 ml Dichlormethan aufgenommen und mit 367 μΕ (3.4 mmol) Acetoxyacetylchlorid sowie 595 μΕ /V,/V-Diisopropylethylamin versetzt. Nach 30 min Rühren bei RT wurde der Ansatz ohne Erwärmung im Vakuum eingeengt und der Rückstand durch
präparative HPLC gereinigt. Die entsprechenden Fraktionen wurden vereinigt und nach Abdampfen der Lösungsmittel und Trocknung im Hochvakuum verblieben 28 mg (37% d. Th.) (8S)-l l-{(lR)-l-[l-Benzyl-4-(2,5-difluorphenyl)-lH-pyrrol-2-yl]-2,2-dimethylpropyl}-8-[(2,5- dioxopyrro lidin- 1 -yl)methyl] -2,2-dimethyl-6, 12-dioxo-5-oxa-7, 11 -diaza-2-silatridecan- 13 -yl- acetat.
LC-MS (Methode 1): Rt = 1.44 min; MS (ESIpos): m/z = 767 (M+H)+.
28 mg (37 μιηοΐ) von diesem Intermediat wurden in 3 mL Methanol gelöst und mit 548 μΐ^ einer 2M Lithiumhydroxidlösung versetzt. Nach 10 min Rühren bei RT wurde der Ansatz mit Trifluoressigsäure auf pH 4 gebracht und dann eingeengt. Der Rückstand wurde durch präparative HPLC gereinigt. Nach Vereinigung der entsprechenden Fraktionen, Abdampfen des Lösungsmittels und Trocknung des Rückstandes im Hochvakuum wurden 26 mg (96% d. Th.) der Titelverbindung als weißer Feststoff erhalten.
LC-MS (Methode 1): Rt = 1.33 min; MS (ESIpos): m/z = 743 (M+H)+.
Intermediat C66
2-(Trimethylsilyl)ethyl- [(2S)-4- [ { ( 1 R) - 1 - [ 1 -benzyl-4-(2,5-difluorphenyl)- 1 H-pyrrol-2-yl] -2,2- dimethylpropyl } lycoloyl)amino] - 1 - { [2-(glycylamino)ethyl] amino } - 1 -oxobutan-2-yl] carbamat
Zuächst wurde aus N-[(benzyloxy)carbonyl]glycin und tert-Butyl (2-aminoethyl)carbamat nach klassischen Methoden der Peptidchemie (HATU-Kupplung und Boc-Spaltung) Trifluoressigsäure - benzyl-{2-[(2-aminoethyl)amino]-2-oxoethyl}carbamat (1: 1) hergestellt.
13 mg (0.036 mmol) von diesem Intermediat sowie 25 mg (0.033 mmol) von Intermediat C58 wurden in 3 mL DMF aufgenommen und mit 19 mg (0.05 mmol) HATU und 17 μΐ Ν,Ν- Diisopropylethylamin versetzt. Nach 10 min Rühren bei RT wurde eingeengt und der Rückstand durch präparative HPLC gereinigt. Es wurden 17.8 mg (60% d. Th.) der Zwischenstufe erhalten. LC-MS (Methode 1): Rt = 1.36 min; MS (ESIpos): m/z = 891 (M+H)+.
17 mg (0.019 mmol) dieser Zwischenstufe wurden in 10 ml Ethanol gelöst, mit Palladium auf Kohle (10%ig) versetzt und bei RT mit Wasserstoff unter Normaldruck 2 h hydriert. Der Katalysator wurde abfiltriert, die Lösemittel im Vakuum verdampft und der Rückstand im Hochvakuum getrocknet. Es wurden 9 mg (62% d. Th.) der Titelverbindung erhalten.
LC-MS (Methode 1): Rt = 1.03 min; MS (ESIpos): m/z = 757 (M+H)+.
Intermediat C67
9H-Fluoren-9-ylmethyl-[3-( { ( 1R)- 1- [1 -benzyl-4-(2,5-difluorphenyl)- lH-pyrrol-2-yl] -2,2- dimethylpropyl amino)propyl]carbamat
605.3 mg (1.71 mmol) (lR)-l-[l-Benzyl-4-(2,5-difluorphenyl)-lH-pyrrol-2-yl]-2,2- dimethylpropan-l-amin (Intermediat C52) wurden in 10.0 mL Dichlormethan vorgelegt und mit 506.7 mg (2.39 mmol) Natriumtriacetoxyborhydrid und 117.9 mg (1.96 mmol) Essigsäure versetzt und 5 min bei RT gerührt. Es wurden 580.0 mg (1.96 mmol) 9H-Fluoren-9-ylmethyl-(3- oxopropyl)carbamat (Intermediat L70) gelöst in 10.0 mL Dichlormethan zugegeben und die Reaktionsmischung über Nacht bei RT gerührt. Die Reaktionsmischung wurde mit Ethylacetat
verdünnt und die organische Phase je zweimal mit ges. Natriumcarbonat-Lösung und ges. NaCl- Lösung gewaschen. Die organische Phase wurde über Magnesiumsulfat getrocknet und das Lösemittel im Vakuum verdampft. Der Rückstand wurde mittels Kieselgel (Laufmittel: Cyclohexan/Ethylacetat 3: 1) gereinigt. Die Lösemittel wurden im Vakuum verdampft und der Rückstand im Hochvakuum getrocknet. Man erhielt 514.7 mg (46 % d. Th.) der Titelverbindung. LC-MS (Methode 1): Rt = 1.10 min; MS (ESIpos): m/z = 634 (M+H)+.
Intermediat C69
11 - { ( 1R)- 1 - [ 1 -Benzyl-4-(2,5-difluorphenyl)- 1 H-pyrrol-2-yl] -2,2-dimethylpropyl } -2,2-dimethyl- 6,12-dioxo-5-oxa-14-thia-7 l l-diaza-2-silaheptadecan-17-säure
117.0 mg (0.19 mmol) (2-(Trimethylsilyl)ethyl-{3-[{(lR)-l-[l-benzyl-4-(2,5-difluorphenyl)-lH- pyrrol-2-yl]-2,2-dimethylpropyl}(chloracetyl)amino]propyl}carbamat (Intermediat C70) und 21.6 mg (0.20 mmol) 3-Sulfanylpropansäure wurden in 3.0 mL Methanol vorgelegt und mit 89.5 mg (0.65 mmol) Kaliumcarbonat versetzt und 4 h bei 50 °C gerührt. Die Reaktionsmischung wurde mit Ethylacetat verdünnt und die organische Phase wurde mit Wasser und ges. NaCl-Lösung gewaschen. Die organische Phase wurde über Magnesiumsulfat getrocknet und das Lösemittel im Vakuum verdampft und der Rückstand im Hochvakuum getrocknet. Der Rückstand wurde ohne weitere Reinigung in der nächsten Synthesestufe eingesetzt. Man erhielt 106.1 mg (73 % d. Th.) der Titel Verbindung.
LC-MS (Methode 1): Rt = 1.42 min; MS (ESIneg): m/z = 700 (M-H)\
Intermediat C70
(2-(Trimethylsilyl)ethyl- { 3 - [ { ( 1 R) - 1 - [ 1 -benzyl-4-(2,5-difluorphenyl)- 1 H-pyrrol-2-yl] -2,2- dimethylpropyl } (chloracetyl)amino]propyl Jcarbamat
908.1 mg (1.63 mmol) 2-(Trimethylsilyl)ethyl-[3-({(lR)-l-[l-benzyl-4-(2,5-difluorphenyl)-lH- pyrrol-2-yl]-2,2-dimethylpropyl}amino)propyl]carbamat (siehe Synthese Intermediat Cl l) und 545.6 mg (5.39 mmol) Triethylamin wurden in 10.0 mL Dichlormethan vorgelegt und auf 0 °C abgekühlt. Bei dieser Temperatur wurden 590.5 mg (5.23 mmol) Chloracetylchlorid zugegeben und über Nacht bei RT gerührt. Die Reaktionsmischung wurde mit Ethylacetat verdünnt und die organische Phase wurde je dreimal mit ges. Natriumhydrogencarbonat-Lösung und ges. Ammoniumchlorid-Lösung gewaschen. Die organische Phase wurde mit ges. NaCl-Lösung gewaschen und über Magnesiumsulfat getrocknet. Der Rückstand wurde mittels präp. RP-HPLC (Säule: Reprosil 250x30; 10μ, Fluss: 50 mL/min, MeCNAVasser, 0.1% TFA) gereinigt. Die Lösemittel wurden im Vakuum verdampft und der Rückstand im Hochvakuum getrocknet. Man erhielt 673.8 mg (65 % d. Th.) der Titelverbindung.
LC-MS (Methode 1): Rt = 1.53 min; MS (ESIneg): m/z = 676 (M+HCOO )\ Intermediat C71
S-( 11 - { ( 1 R)- 1 - [ 1 -Benzyl-4-(2,5-difluorphenyl)- 1 H-pyrrol-2-yl] -2,2-dimethylpropyl } -2,2-dimethyl- 6,12-dioxo-5-oxa-7,l l-diaza-2-silatridecan-13-yl)-L-cystein-trifluoressigsäure (1: 1)
536.6 mg (4.43 mmol) L-Cystein wurden in 2.5 mL Wasser zusammen mit 531.5 mg (6.33 mmol) Natriumhydrogencarbonat suspendiert. Dazu wurden 400.0 mg (0.63 mmol) (2- (Trimethylsilyl)ethyl- { 3-[ { ( 1R)- 1-[ 1 -benzyl-4-(2,5-difluorphenyl)- lH-pyrrol-2-yl]-2,2- dimethylpropyl}(chloracetyl)amino]propyl }carbamat (Intermediat C70) gelöst in 25.0 mL iso- Propanol und 1.16 g (7.59 mmol) l,8-Diazabicyclo(5.4.0)undec-7-en gegeben. Die Reaktionsmischung wurde 1.5 h bei 50 °C gerührt. Die Reaktionsmischung wurde mit Ethylacetat versetzt und die org. Phase wurde mehrmals mit ges. Natriumhydrogencarbonat-Lösung und einmal mit ges. NaCl-Lösung gewaschen. Die organische Phase wurde über Magnesiumsulfat getrocknet und das Lösemittel im Vakuum verdampft und der Rückstand im Hochvakuum getrocknet. Der Rückstand wurde mittels präp. RP-HPLC (Säule: Reprosil 250x30; 10μ, Fluss: 50 mL/min, MeCN/Wasser, 0.1% TFA) gereinigt. Die Lösemittel wurden im Vakuum verdampft und der Rückstand im Hochvakuum getrocknet. Man erhielt 449.5 mg (86 % d. Th.) der Titelverbindung.
LC-MS (Methode 1): Rt = 1.20 min; MS (ESIpos): m/z = 717 (M+H)+. Intermediat C72
(9S)-9- { [ { ( 1R)- 1 - [ 1 -Benzyl-4-(2,5-difluorphenyl)- 1 H-pyrrol-2-yl] -2,2-dimethylpropyl } (glycoloyl) amino]methyl }-2,2-dimethyl-6,l l-dioxo-5-oxa-7,10-diaza-2-silatetradecan-14-säure
CH3 O
90 mg (0.212 mmol) von Intermediat L72 wurden in 6 mL Dichlormethan vorgelegt und mit 86 μL (1.06 mmol) Pyridin sowie 135 mg (0.318 mmol) Dess-Martin Periodinan versetzt. Man rührte 30 min bei RT. Anschließend wurde der Ansatz mit 30 ml Dichlormethan verdünnt und die organische Phase zweimal mit 10%iger Na2S203-Lösung und einmal mit 5%iger Citronensäure-Lösung gewaschen. Die organische Phase wurde über Magnesiumsulfat getrocknet und das Lösemittel im Vakuum abgedampft. Der so erhaltene Aldehyd wurde ohne weitere Reinigung umgesetzt.
63 mg (0.177 mmol) von Intermediat C52 wurden in 15 ml Dichlormethan gelöst und mit 52.4 mg (0.247 mmol) Natriumtriacetoxyborhydrid sowie 20.2 μL Essigsäure versetzt. Nach 5 min Rühren bei RT wurden 89.6 mg (0.212 mmol) vom oben beschriebenen Aldehyd hinzugegeben und der Ansatz 20 min bei RT gerührt. Der Ansatz wurde im Vakuum eingeengt und der Rückstand durch präparative HPLC gereinigt. Nach Vereinigung der entsprechenden Fraktionen wurde das Lösungsmittel im Vakuum abgedampft und der Rückstand aus AcetonitrilA asser lyophilisiert. So wurden 71 mg (53% d. Th. Über 2 Stufen) Benzyl-(9R)-9-[({(lR)-l-[l-benzyl-4-(2,5- difluorphenyl)- 1 H-pyrrol-2-yl] -2,2-dimethylpropyl } amino)methyl] -2,2-dimethyl-6, 11 -dioxo-5- oxa-7,10-diaza-2-silatetradecan-14-oat erhalten.
LC-MS (Methode 1): Rt = 1.21 min; MS (ESIpos): m/z = 761 (M+H)+.
70 mg (92 μιηοΐ) dieses Intermediats wurden in 15 ml Dichlormethan aufgenommen, auf 10°C abgekühlt und mit 54 μΕ Triethylamin sowie mit 25.5 μΕ (0.23 mmol) Acetoxyacetylchlorid versetzt. Nach 1 h Rühren bei RT wurden nochmals gleiche Mengen an Säurechlorid und Triethylamin zugegeben und nach einer weiteren Stunde Rühren bei RT erneut. Der Ansatz wurde anschließend für weitere 30 min bei RT gerührt und dann im Vakuum eingeengt und der Rückstand durch präparative HPLC gereinigt. Die entsprechenden Fraktionen wurden vereinigt und nach
Abdampfen der Lösungsmittel und Lyophilisation des Rückstandes aus Acetonitril/Wasser verblieben 46.5 mg (59% d. Th.) des acylierten Intermediats.
LC-MS (Methode 1): Rt = 1.53 min; MS (ESIpos): m/z = 861 (M+H)+.
46 mg (53 μιηοΐ) von diesem Intermediat wurden in 5 mL Methanol gelöst und mit 2.7 mL einer 2M Lithiumhydroxidlösung versetzt. Nach 10 min Rühren bei RT wurde der Ansatz mit Essigsäure auf pH 3-4 gebracht und dann mit 15 ml Wasser verdünnt. Die wäßrige Phase wurde mit Ethylacetat extrahiert und die organische Phase über Magnesiumsulfat getrocknet und eingeengt. Der Rückstand wurde aus Acetronitril/Wasser lyophilisiert und nach Trocknung des Rückstandes im Hochvakuum wurden 37 mg (90% d. Th.) der Titelverbindung als weißer Feststoff erhalten.
LC-MS (Methode 1): Rt = 1.32 min; MS (ESIpos): m/z = 729 (M+H)+.
Intermediat C73
S-( 11 - { ( 1 R)- 1 - [ 1 -Benzyl-4-(2,5-difluorphenyl)- 1 H-pyrrol-2-yl] -2,2-dimethylpropyl } -2,2-dimethyl- 6,12-dioxo-5-oxa-7 11 -diaza-2-silatridecan- 13-yl)-N- [3-(trimethylsilyl)propanoyl] -L-cystein
619 mg (0.86 mmol) S-(l l-{(lR)-l-[l-Benzyl-4-(2,5-difluorphenyl)-lH-pyrrol-2-yl]-2,2- dimethylpropyl } -2,2-dimethyl-6, 12-dioxo-5-oxa-7, 11 -diaza-2-silatridecan- 13 -yl)-L-cy stein- trifluoressigsäure (1: 1) (Intermediat C71) wurden in 8.8 ml Dichlormethan vorgelegt und mit 87 mg (0.86 mmol) Triethylamin und 224 mg (0.86 mmol) N-[2-(Trimethylsilyl)-ethoxycarbonyloxy]- pyrrolidin-2,5-dion versetzt. Nach lh wurden 45 mg (0.17 mmol) N-[2-(Trimethylsilyl)-
ethoxycarbonyloxy]-pyrrolidin-2,5-dion zugegeben. Die Reaktionsmischung wurde 1 h bei RT gerührt. Das Gemisch wurde im Vakuum verdampft und der Rückstand in Dichlormethan aufgenommen und dann wurde die organische Phase zweimal mit Wasser und einer gesättigten Natriumhydrogenkarbonat-Lösung gewaschen. Die organische Phase wurde über Magnesiumsulfat getrocknet, am Rotationsverdampfer eingeengt und im Hochvakuum getrocknet. Der Rückstand wurde ohne weitere Reinigung weiter eingesetzt. Man erhielt 602 mg (71%, Reinheit 87%) der Titelverbindung.
LC-MS (Methode 1): Rt = 1.58 min; MS (ESIpos): m/z = 861 (M+H)+.
Intermediat C74
Trifluoressigsäure -2-(trimethylsilyl)ethyl-3 -amino-N- [(2S)-4- [ { ( 1 R)- 1 - [ 1 -benzyl-4-(2,5- difluorphenyl)- 1 H-pyrrol-2-yl] -2,2-dimethylpropyl } (glycoloyl)amino] -2-( { [2- (trimethylsilyl)etho
75mg (0.1 14 mmol) von Intermediat C58 wurden in 12.5 ml DMF aufgenommen und mit 78 mg (0.171 mmol) von Intermediat L75 in Gegenwart von 65 mg (0.1 1 mmol) HATU und 79 μΐ^ Ν,Ν- Diisopropylethylamin gekuppelt. Nach Reinigung durch präparative HPLC wurde das Intermediat in 20 ml Ethanol aufgenommen und über 10%-igem Palladium auf Aktivkohle 1 h bei RT unter Wasserstoff-Normaldruck hydriert. Der Katalysator wurde danach abfiltriert und das Lösungsmittel im Vakuum entfernt und das Produkt durch präparative HPLC gereinigt. Nach Lyophilisation aus Acetonitril/Wasser 1 : 1 wurden 63 mg (64% d.Th. über 2 Stufen) der Titelverbindung erhalten. LC-MS (Methode 1): Rt = 1.16 min; MS (EIpos): m/z = 844 [M+H]+.
Intermediat C75
Methyl-(2S)-4- [(acetoxy acetyl) { ( 1R)- 1 - [ 1 -benzyl-4-(2,5-difluorphenyl)- 1 H-pyrrol-2-yl] -2,2- dimethylpropyl } amino] -2-( { [2-(trimethylsilyl)ethoxy]carbonyl } amino)butanoat
4.3 g (12.2 mmol) von Intermediat C52 wurden in 525 mL DCM gelöst und mit 3.63 g (17.12 mmol) Natriumtriacetoxyborhydrid sowie mit 8.4 mL Essigsäure versetzt. Nach 5 min Rühren bei RT wurden 3.23 g (11.85 mmol) Methyl-(2S)-4-oxo-2-({ [2-(trimethylsilyl)ethoxy]carbonyl} amino)butanoat (hergestellt aus (3S)-3-Amino-4-methoxy-4-oxobutansäure nach klassischen Methoden) gelöst in 175 mL DCM zugegeben und der Ansatz weitere 45 min bei RT gerührt. Der Ansatz wurde dann mit DCM verdünnt und zweimal mit 100 mL gesättigter Natriumhydrogencarbonatlösung und dann mit gesättigter Natriumchloridlösung ausgeschüttelt. Die organische Phase wurde über Magnesiumsulfat getrocknet, filtriert und anschließend eingeengt. Der Rückstand wurde mittels präparativer HPLC aufgereinigt. Nach Vereinigung der entsprechenden Fraktionen, Einengen und Trocknen des Rückstandes im Hochvakuum erhielt man 4.6 g (61% d. Th.) des Intermediats.
LC-MS (Methode 12): Rt = 1.97 min; MS (ESIpos): m/z = 614.32 (M+H)+.
200 mg (0.33 mmol) dieses Intermediats wurden in 10 mL DCM gelöst und dann mit 105 μΕ Triethylamin sowie mit 77 μΕ (0.717 mmol) Acetoxyacetylchlorid versetzt. Der Ansatz wurde über Nacht bei RT gerührt und dann im Vakuum eingeengt. Der Rückstand wurde in Ethylacetat aufgenommen und zweimal mit gesättigter Natriumhydrogencarbonatlösung und dann mit gesättigter Natriumchloridlösung ausgeschüttelt. Die organische Phase wurde über Magnesiumsulfat getrocknet und anschließend eingeengt. Es wurden 213 mg (75%) der Titelverbindung als beiger Schaum erhalten.
LC-MS (Methode 1): Rt = 1.46 min; MS (ESIpos): m/z = 714 (M+H)+. Intermediat C76
N-[(Benzyloxy)carbonyl]-L-valyl-N-{(lS)-3-[{(lR)-l-[l-benzyl-4-(2,5-difluorphenyl)-lH-pyrrol- 2-yl] -2,2-
Die Titelverbindung wurde ausgehend von Intermediat C75 nach klassischen Methoden der Peptidchemie hergestellt (Spaltung der Teoc-Schutzgruppe mit Zinkchlorid, Acylierung mit N- [(Benzyloxy)carbonyl]-L-valyl-L-alanin in Gegenwart von HATU und Esterspaltung mit Lithiumhydroxid in THF/Wasser).
LC-MS (Methode 1): Rt = 1.23 min; MS (ESIpos): m/z = 818 (M+H)+. Intermediat C77
S-( 11 - { ( 1 R)- 1 - [ 1 -Benzyl-4-(2,5-difluorphenyl)- 1 H-pyrrol-2-yl] -2,2-dimethylpropyl } -2,2-dimethyl- 6,12-dioxo-5-oxa-7,l l-diaza-2-silatridecan-13-yl)-N-(4-tert-butoxy-4-oxobutanoyl)-L-cystein
4- tert-Butoxy-4-oxobutansäure (8.39 mg, 48.1 μιηοΐ) wurde in 1.0 mL DMF vorgelegt, mit 7.37 mg (48.1 μιηοΐ) 1-Hydroxy-lH-benzotriazol Hydrat, 15.5 mg ((48.1 μιηοΐ) (Benzotriazol-1- yloxy)bisdimethylaminomethyliumfluoroborat und 8.60 μΐ (48.1 μmol) Ν,Ν- Diisopropylethylamin versetzt und 10 Minuten bei RT gerührt. 40.0 mg (0.048 mmol) S-(11-{(1R)-
I - [ 1 -Benzyl-4-(2,5-difluorphenyl)- 1 H-pyrrol-2-yl] -2,2-dimethylpropyl } -2,2-dimethyl-6, 12-dioxo-
5- oxa-7,l l-diaza-2-silatridecan-13-yl)-L-cystein -trifluoressigsäure (1: 1) (Intermediat C71) wurden in 1.0 mL DMF vorgelegt, mit 25.4 μΐ (141.9 μιηοΐ) Ν,Ν-Diisopropylethylamin versetzt, zum Ansatz gegeben und 4 h bei RT gerührt. Die Reaktionsmischung wurde direkt mittles präp. RP- HPLC (Säule: Reprosil 125x30; 10μ, Fluss: 50 mL/min, MeCNAVasser, 0.1% TFA) gereinigt. Die Lösemittel wurden im Vakuum verdampft und der Rückstand im Hochvakuum getrocknet. Man erhielt 35.0 mg (83 % d. Th.) der Titelverbindung.
LC-MS (Methode 12): Rt = 2.76 min; MS (ESIpos): m/z = 873 [M+H]+
Intermediat C78
I I - { ( 1R)- 1 - [ 1 -Benzyl-4-(2,5-difluorphenyl)- 1 H-pyrrol-2-yl] -2,2-dimethylpropyl } -2,2-dimethyl- 6,12-dioxo-5-oxa-7 l l-diaza-2-silapentadecan-15-säure
197 mg (0.354 mmol) 2-(Trimethylsilyl)ethyl-[3-({(lR)-l-[l-benzyl-4-(2,5-difluorphenyl)-lH- pyrrol-2-yl] -2,2-dimethylpropyl }amino)propyl]carbamat (siehe Synthese Intermediat Cl l) wurden in 5.0 mL Dichlormethan vorgelegt und auf 40°C erhitzt. Bei dieser Temperatur wurden 240 μΐ (3.0 mmol) Pyridin und 220 μΐ (1.8 mmol) Methyl-4-chlor-4-oxobutanoat zugegeben und 1 h bei RT gerührt. Dann wurden 240 μΐ (3.0 mmol) Pyridin und 220 μΐ (1.8 mmol) Methyl-4-chlor-4- oxobutanoat zugegeben und 1 hbei RT gerührt. Dann wurden 240 μΐ (3.0 mmol) Pyridin und 220 μΐ (1.8 mmol) Methyl-4-chlor-4-oxobutanoat zugegeben und 1 h bei RT gerührt. Die Reaktionsmischung wurde mit Ethylacetat verdünnt und die organische Phase wurde je dreimal mit 5%iger KHSO -Lösung extrahiert. Die organische Phase wurde mit ges. NaCl-Lösung gewaschen und über Magnesiumsulfat getrocknet. Die Lösemittel wurden im Vakuum verdampft. Der
Rückstand wurde mittels präp. RP-HPLC (Säule: Reprosil 250x30; 10μ, Fluss: 50 mL/min, MeCN/Wasser, 0.1% TFA) gereinigt. Die Lösemittel wurden im Vakuum verdampft und der Rückstand im Hochvakuum getrocknet. Man erhielt 74.1 mg (31 % d. Th.) Methyl-I l-{(1R)-1-[1- benzyl-4-(2,5-difluo henyl)-lH-pyrrol-2-yl]-2,2-dimethylpropyl}-2,2-dimethyl-6,12-dioxo-5-oxa- 7,l l-diaza-2-silapentadecan-15-oat.
LC-MS (Methode 1): Rt = 1.49 min; MS (ESIpos): m/z = 670 [M+H]+
78.3 mg (117 μιηοΐ) Methyl-l l-{(lR)-l-[l-benzyl-4-(2,5-difluorphenyl)-lH-pyrrol-2-yl]-2,2- dimethylpropyl}-2,2-dimethyl-6,12-dioxo-5-oxa-7,l l-diaza-2-silapentadecan-15-oat wurden in 4.0 mL THF vorgelegt, mit 800 μΐ Methanol, 160 μΐ Wasser und 230 μΐ (230 μmol) wässriger LiOH- Lösung (IM) versetzt. Die Reaktionsmischung wurde 3 h bei RT gerührt, mit Essigsäure gequencht und direkt mittels präp. RP-HPLC (Säule: Reprosil 250x30; 10μ, Fluss: 50 mL/min, MeCN/Wasser, 0.1% TFA) gereinigt. Die Lösemittel wurden im Vakuum verdampft und der Rückstand im Hochvakuum getrocknet. Man erhielt 64.8 mg (85 % d. Th.) der Titel Verbindung. LC-MS (Methode 12): Rt = 2.61 min; MS (ESIneg): m/z = 654 [M-H]"
Intermediat C79
Trifluoressigsäure 2-(trimethylsilyl)ethyl-3-amino-N-(l l-{(lR)-l-[l-benzyl-4-(2,5-difluorphenyl)- lH-pyrrol-2-yl]-2,2-dimethylpropyl } -2,2-dimethyl-6, 12, 17-trioxo-5-oxa- 14-thia-7, 11 -diaza-2- silaheptadecan- 17- l)-D-alaninat (1: 1)

57.4 mg (81.8 μηιοΐ) l l-{(lR)-l-[l-Benzyl-4-(2,5-difluorphenyl)-lH-pyrrol-2-yl]-2,2- dimethylpropyl } -2,2-dimethyl-6, 12-dioxo-5-oxa- 14-thia-7, 1 l-diaza-2-silaheptadecan- 17-säure (Intermediat C69) wurden in 5.7 mL DMF vorgelegt, mit 74.0 mg (164 μηιοΐ) Trifluoressigsäure 2- (trimethylsilyl)ethyl-3-{ [(benzyloxy)carbonyl]amino}-D-alaninat (1: 1) (Intermediat L75), 43 μΐ (250 μmol) Ν,Ν-Diisopropylethylamin und 62.2 mg (164 μηιοΐ) HATU versetzt und 1 h bei RT nachgerührt. Die Reaktionsmischung wurde 1 h bei RT gerührt, mit Essigsäure gequencht und direkt mittels präp. RP-HPLC (Säule: Reprosil 125x30; 10μ, Fluss: 50 mL/min, MeCNAVasser, 0.1% TFA) gereinigt. Die Lösemittel wurden im Vakuum verdampft und der Rückstand im Hochvakuum getrocknet. Man erhielt 52.4 mg (63 % d. Th.) der Verbindung 2- (Trimethylsilyl)ethyl-N-( 11- { ( 1R)- 1-[ 1 -benzyl-4-(2,5-difluorphenyl)- lH-pyrrol-2-yl] -2,2- dimethylpropyl}-2,2-dimethyl-6,12,17-trioxo-5-oxa-14-thia-7,l l-diaza-2-silaheptadecan-17-yl)-3- { [(benzyloxy)carbonyl] amino } -D-alaninat.
LC-MS (Methode 1): Rt = 1.64 min; MS (ESIpos): m/z = 1022 [M]+
Unter Argon wurden 6.23 mg (27.7 μηιοΐ) Palladium(II)acetat: in 3.0 ml Dichloromethan vorgelegt, mit 12 μΕ (83 μηιοΐ) Triethylamin und 89 μΕ (550 μηιοΐ) Triethylsilan versetzt und 5 Minuten, gerührt. Dann wurden 56.7 mg (55.5 μηιοΐ) 2-(Trimethylsilyl)ethyl-N-(l l-{(lR)-l-[l- benzyl-4-(2,5-difluorphenyl)-lH-pyrrol-2-yl]-2,2-dimethylpropyl}-2,2-dimethyl-6,12,17-trioxo-5- oxa- 14-thia-7, 11 -diaza-2-silaheptadecan- 17-yl)-3 - { [(benzyloxy)carbonyl] amino } -D-alaninat in 3.0 mL Dichloromethan zugegeben und über Nacht bei RT gerührt. Der Ansatz wurde bis fast zur Trockene eingeengt, mit Acetonitril/Wasser versetzt, filtriert und mittels präp. RP-HPLC (Säule: Reprosil 125x30; 10μ, Fluss: 50 mL/min, MeCN/Wasser, 0.1% TFA) gereinigt. Die Lösemittel wurden im Vakuum verdampft und der Rückstand im Hochvakuum getrocknet. Man erhielt 37.4 mg (67 % d. Th.) der Titel Verbindung.
LC-MS (Methode 12): ): Rt = 2.15 min; MS (ESIpos): m/z = 888 [M+H]+ Intermediat C80
S-( 11 - { ( 1 R)- 1 - [ 1 -Benzyl-4-(2,5-difluorphenyl)- 1 H-pyrrol-2-yl] -2,2-dimethylpropyl } -2,2-dimethyl- 6,12-dioxo-5-oxa-7,l l-diaza-2-silatridecan-13-yl)-N-[15-(glycylamino)-4,7,10,13- tetraoxapentadecan-l-oyl]-L-cy stein -trifluoressigsäure (1: 1)
Unter Argon, wurden 43.4 mg (95.1 μιηοΐ) l-({N-[(Benzyloxy)carbonyl]glycyl}amino)-3,6,9,12- tetraoxapentadecan-15-säure (Intermediat L90) in 2.5 ml DMF vorgelegt, mit 14.6 mg (95.1 μιηοΐ) 1-Hydroxy-lH-benzotriazol Hydrat, 30.5 mg (95.1 μιηοΐ) (Benzotriazol-1- yloxy)bisdimethylaminomethyliumfluoroborat und 16.5 μΐ (95.1 μιηοΐ) Ν,Ν-Diisopropylethylamin versetzt und 10 min gerührt. 79.0 mg (95.1 μιηοΐ) S-(l l-{(lR)-l-[l-Benzyl-4-(2,5-difluorphenyl)- 1 H-pyrrol-2-yl] -2,2-dimethylpropyl } -2,2-dimethyl-6, 12-dioxo-5-oxa-7, 11 -diaza-2-silatridecan- 13 - yl)-L-cystein -trifluoressigsäure (1: 1) (Intermediat C71) wurden in 2.5 ml DMF gelöst mit 49.5μ1 (285.3 μιηοΐ) Ν,Ν-Diisopropylethylamin versetzt und zum Ansatz gegeben. Die Reactionmischung wurde 2 h bei RT gerührt und direkt mittels präp. RP-HPLC (Säule: Reprosil 125x30; 10μ, Fluss: 50 mL/min, MeCNA asser, 0.1% TFA) gereinigt. Die Lösemittel wurden im Vakuum verdampft und der Rückstand im Hochvakuum getrocknet. Man erhielt 44.2 mg (40 % d. Th.) der Verbindung S-( 11 - { ( 1 R)- 1 - [ 1 -Benzyl-4-(2,5-difluorphenyl)- 1 H-pyrrol-2-yl] -2,2-dimethylpropyl } -2,2-dimethyl- 6,12-dioxo-5-oxa-7, 11 -diaza-2-silatridecan- 13-yl)-N- [15-( {N- [(benzyloxy)carbonyl] glycyl } amino)-4,7, 10, 13 -tetraoxapentadecan- 1 -oyl] -L-cystein.
LC-MS (Methode 12): Rt = 2.57 min; MS (ESIpos): m/z = 1156 [M+H]+
60.2 mg (52.1 μιηοΐ) S-(l l-{(lR)-l-[l-Benzyl-4-(2,5-difluorphenyl)-lH-pyrrol-2-yl]-2,2- dimethylpropyl } -2,2-dimethyl-6, 12-dioxo-5-oxa-7, 11 -diaza-2-silatridecan- 13 -yl)-N- [ 15-( { N- [(benzyloxy)carbonyl] glycyl }amino)-4,7,l 0,13 -tetraoxapentadecan- 1 -oyl] -L-cystein wurden in 3.0 mL Ethanol suspendiert und mit 6.0 mg Palladium auf Aktivkohle (10%ig) versetzt und bei RT 1 h lang mit Wasserstoff unter Normaldruck hydriert. Zweimal wurden 6.0 mg Palladium auf Aktivkohle (10%ig) versetzt und bei RT 1 h lang mit Wasserstoff unter Normaldruck hydriert. Der Katalysator wurde abfiltriert und die Reaktionsmischung im Vakuum vom Lösemittel befreit und im Hochvakuum getrocknet. Der Rückstand wurde mittels präp. RP-HPLC (Säule: Reprosil
125x30; 10μ, Fluss: 50 mL/min, MeCN/Wasser, 0.1% TFA) gereinigt. Die Lösemittel wurden im Vakuum verdampft und der Rückstand im Hochvakuum getrocknet. Man erhielt 29.4 mg (50 % d. Th.) der Titel Verbindung.
LC-MS (Methode 5): Rt = 3.77 min; MS (ESIpos): m/z = 1021 [M+H]+ Intermediat C81
(R)- 1-[ 1 -Benzyl-4-(2,5-difluor 1 -cyclohexylmethanamin
Eine Lösung von 3.12 ml (6.24 mmol) Dimethylzink in Toluol (2.0 M) unter Argon bei -78 °C wurde mit 18.7 ml (37.45 mmol) Cyclohexylmagnesiumchlorid in Diethylether (2M) versetzt und die Mischung wurde 30 Minuten bei -78 °C gerührt. Anschließend wurde eine Lösung von 5.0 g (12.48 mmol) (R)-N- { (E/Z)- [ 1 -Benzyl-4-(2,5-difluorphenyl)- 1 H-pyrrol-2-yl]methylen } -2- methylpropan-2-sulfinamid in THF bei -78 °C zugegeben und das Reaktionsgemisch wurde 1 h bei dieser Temperatur gerührt und dann 4 h bei RT. Dann wurden bei -78 °C mL ges. Ammoniumchlorid-Lösung zugegeben und die Reaktionsmischung wurde auf RT kommen lassen. Es wurde mit Ethylacetat verdünnt und mit Wasser gewaschen. Die organische Phase wurde über Magnesiumsulfat getrocknet und das Lösemittel wurde im Vakuum verdampft. Der Rückstand wurde mittels Biotage Isolera gereinigt (Kieselgel, Ethylacetat/Cyclohexan 25:75). Man erhielt 1.59 g (26% d. Th.) der Zwischenstufe erhalten.
LC-MS (Methode 12): Rt = 2.76 min; MS (ESIneg): m/z = 483 [M-H]"
264.0 mg (0.54 mmol) dieser Zwischenstufe wurden in 0.5 mL 1,4-Dioxan unter Argon vorgelegt und dann mit 1.36 mL HCl in 1,4-Dioxan-Lösung (4.0 M) versetzt. Das Reaktionsgemisch wurde 1 h bei RT gerührt. Die Reaktionsmischung wurde mit Dichlormethan versetzt und mit einer was. IM Natriumhydroxid-Lösung gewaschen. Die organische Phase wurde mit Magnesiumsulfat getrocknet und das Lösemittel wurde im Vakuum verdampft. Der Rückstand wurde mittels Biotage Isolera gereinigt (Kieselgel, Methanol/Dichlornethan 98:2). Das Lösemittel wurde im Vakuum
verdampft und der Rückstand wurde in Dichlormethan gelöst und mit einer Natriumhydrogencarbonat-Lösung gewaschen und über Natriumsulfat getrocknet. Das Lösemittel wurde im Vakuum verdampft und der Rückstand wurde im Hochvakuum getrocknet. Man erhielt 148 mg (72% d. Th.) der Titelverbindung.
LC-MS (Methode 13): Rt = 2.07 min; MS (ESIpos): m/z = 364 [M-NH2]+
Intermediat C82
2-(Trimethylsilyl)ethyl-(3 - { [(R)- [ 1 -benzyl-4-(2,5-difluorphenyl)- 1 H-pyrrol-2- yl] (cyclohexyl)
Eine Lösung von 503.0 mg (1.32 mmol) l-[l-Benzyl-4-(2,5-difluorphenyl)-lH-pyrrol-2-yl]-l- cyclohexylmethanamin (Intermediat C81) in 1.4 ml Dichlormethan unter Argon wurde mit 392.2 mg (1.85 mmol) Natriumtriacetoxyborhydrid und 91.29 mg (1.52 mmol) Essigsaüre versetzt und das Reaktionsgemisch wurde 10 Minuten bei RT gerührt. Anschließend wurde eine Lösung von 574.6 (2.38 mmol) 2-(Trimethylsilyl)ethyl-(3-oxopropyl)carbamat in Dichlormethan hinzugegeben und das Gemisch wurde über Nacht bei RT gerührt. Nach Zugabe von 143 mg (0.66 mmol) 2- (Trimethylsilyl)ethyl-(3-oxopropyl)carbamat wurde die Mischung noch 2 h weiter gerührt. Das Reaktionsmgemisch wurde mit Dichlormethan verdünnt und die organische Phase wurde je zweimal mit ges. Natriumcarbonat-Lösung und mit ges. NaCl-Lösung gewaschen und über Natriumsulfat getrocknet und eingeengt. Der Rückstand wurde mittels präparative HPLC gereinigt. Die Lösemittel wurden im Vakuum verdampft und der Rückstand im Hochvakuum getrocknet. Man erhielt g (50% d. Th.) der Titelverbindung. Man erhielt 488 g (63 % d. Th.) der Titelverbindung.
LC-MS (Methode 12): Rt = 1.89 min; MS (ESIpos): m/z = 582 (M+H)+.
Intermediat C83
2-(Trimethylsilyl)ethyl-(3 - { [(R)-[ 1 -benzyl-4-(2,5-difluorphenyl)- 1 H-pyrrol-2- yl] (cyclohexyl)methyl](chloracetyl)amino}propyl)carbamat
Zur eine Lösung von 487.9 mg (0.84 mmol) 2-(Trimethylsilyl)ethyl-(3-{ [(R)-[l-benzyl-4-(2,5- difluorphenyl)-lH-pyrrol-2-yl](cyclohexyl)methyl]amino}propyl)carbamat (Intermediat C82) in 8.40 ml Dichlormethan mit Mol Sieb 4 Ä wurden 280.0 mg (2.77 mmol) Triethylamin und 397.8 mg (3.52 mmol) Chloracetylchlorid zugegeben und das Reakionsgemisch wurde 6 h bei RT gerührt. Die Reaktionsmischung wurde mit Dichlormethan verdünnt und die organische Phase wurde mit ges. Natriumhydrogencarbonat-Lösung und ges. Ammoniumchlorid-Lösung gewaschen. Die organische Phase wurde über Natriumsulfat getrocknet und eingeengt. Der Rückstand wurde ohne Reinigung weiter eingesetzt. Man erhielt 470 mg (85 % d. Th.) der Titel Verbindung.
LC-MS (Methode 12): Rt = 2.88 min; MS (ESIpos): m/z = 680 (M+Na)+.
Intermediat C84
S - { 11 - [(R)- [ 1 -Benzyl-4-(2,5-difluorphenyl)- 1 H-pyrrol-2-yl] (cyclohexyl)methyl] -2,2-dimefhyl- 6, 12-dioxo-5-oxa-7, 11 -diaza-2-silatridecan- 13-yl } -L-cy stein
322.1 mg (2.66 mmol) L-Cystein wurden in 0.19 mL Wasser zusammen mit 319.0 mg (3.80 mmol) Natriumhydrogencarbonat suspendiert. Dazu wurden 250.0 mg (0.38 mmol) 2- (Trimethylsilyl)ethyl-(3- { [(R)- [1 -benzyl-4-(2,5-difluorphenyl)- lH-pyrrol-2- yl](cyclohexyl)methyl](chloracetyl)amino}propyl)carbamat (Intermediat C83) gelöst in 1.90 mL wo-Propanol und 693.8 mg (4.56 mmol) l,8-Diazabicyclo(5.4.0)undec-7-en gegeben. Die Reaktionsmischung wurde 3.5 h bei 50 °C gerührt. Die Reaktionsmischung wurde mit Ethylacetat versetzt und die org. Phase wurde mehrmals mit ges. Natriumhydrogencarbonat-Lösung und mit ges. NaCl-Lösung gewaschen. Die organische Phase wurde über Natriumsulfat getrocknet und das Lösemittel im Vakuum verdampft. Der Rückstand wurde ohne weitere Reinigung weiter eingesetzt. Man erhielt 276 mg (97 % d. Th.) der Titelverbindung.
LC-MS (Methode 12): Rt = 2.34 min; MS (ESIpos): m/z = 744 (M+H)+.
Intermediat C85
S - { 11 - [(R)- [ 1 -Benzyl-4-(2,5-difluorphenyl)- 1 H-pyrrol-2-yl] (cyclohexyl)methyl] -2,2-dimethyl- 6,12-dioxo-5-oxa-7,l l-diaza-2-silatridecan-13-yl}-N-[6-(2,5-dioxo-2,5-dihydro-lH-pyrrol-l- yl)hexanoyl] -L-cy stein
Zu einer Mischung von 100 mg (0.13 mmol) S-{ l l-[(R)-[l-Benzyl-4-(2,5-difluorphenyl)-lH- pyrrol-2-yl] (cyclohexyl)methyl] -2,2-dimethyl-6, 12-dioxo-5-oxa-7, 11 -diaza-2-silatridecan- 13 -yl } - L-cystein (1: 1) (Intermediat C84) und 41.5 mg ( 0.13 mmol) l-{6-[(2,5-Dioxopyrrolidin-l-yl)oxy]- 6-oxohexyl}-lH-pyrrol-2,5-dion in 4.0 ml DMF wurden 34.8 mg ( 0.27 mmol) N,N- diisopropylethylamin hinzugegeben und das Reaktionsgemisch wurde 3 h bei RT gerührt. Die Mischung wurde ohne Aufarbeitung mittels präparative HPLC gereinigt. Man erhielt 88 mg (70% d. Th.) der Titelverbindung.
LC-MS (Methode 12): Rt = 2.71 min; MS (ESIpos): m/z = 936 (M+H)+.
Intermediat C86 l l-[(R)-[l-Benzyl-4-(2,5-difluorphenyl)-lH-pyrrol-2-yl](cyclohexyl)methyl]-2,2-dimethyl-6,12- dioxo-5-oxa-14-thia-7,l l-diaza-2-silaheptadecan-17-säure
Eine Mischung von 220.0 mg (0.33 mmol) 2-(Trimethylsilyl)ethyl-(3-{ [(R)-[l-benzyl-4-(2,5- difluorphenyl)-lH-pyrrol-2-yl](cyclohexyl)methyl](chloracetyl)amino}propyl)carbamat
(Intermediat C83) und 39.02 mg (0.37 mmol) 3-Sulfanylpropansäure in 7.45 ml Methanol und einige Tropfen Wasser wurde mit 161.65 mg (1.17 mmol) Kaliumcarbonat versetzt. Das Reaktionsgemisch wurde 4 h bei 50 °C gerührt. Die Reaktionsmischung wurde mit Ethylacetat versetzt und die org. Phase wurde mehrmals mit Wasser und mit ges. NaCl-Lösung gewaschen. Die organische Phase wurde über Natriummsulfat getrocknet und das Lösemittel im Vakuum verdampft. Der Rückstand wurde ohne Aufarbeitung weiter eingesetzt. Man erhielt 201 mg (83 % d. Th.) der Titelverbindung.
LC-MS (Methode 12): Rt = 2.72 min; MS (ESIneg): m/z = 726 (M-H)\
Intermediat C87
2-(Trimethylsilyl)ethyl-{ 13-[(R)-[l-benzyl-4-(2,5-difluorphenyl)-lH-pyrrol-2- yl] (cyclohexyl)methyl] - 1 -(2,5-dioxo-2,5-dihydro- lH-pyrrol- 1 -yl)-2,7, 12-trioxo- 10-thia-3,6, 13 - triazahexadecan-16-yl}carbamat
Zu einer Lösung von 100 mg (0.14 mmol) l l-[(R)-[l-Benzyl-4-(2,5-difluo henyl)-lH-pyrrol-2- yl](cyclohexyl)methyl]-2,2-dimethyl-6,12-dioxo-5-oxa-14-thia-7,l l-diaza-2-silaheptadecan-17- säure (Intermediat C86) in 1.37 ml DMF wurden 54.18 mg (0.28 mmol) N-(2-Aminoefhyl)-2- (2,5-dioxo-2,5-dihydro-lH-pyrrol-l-yl)acetamid (Intermediat LI), 71.01 mg (0.50 mmol) N,N- diisopropylethylamin, 104.46 mg (0.27 mmol) HATU und 0.23 ml (0.14 mmol) l-Hydoxy-7- Azabenzotriazole 0.5 M in DMF hinzugegeben. Das Reaktionsgemisch wurde 5 h bei RT gerührt. Die Mischung wurde ohne weitere Aufarbeitung mittels wurde mittels präparative HPLC gereinigt. Man erhielt 41 mg (33 % d. Th ) der Titel Verbindung.
LC-MS (Methode 12): Rt = 2.61 min; MS (ESIpos): m/z = 907 (M+H)+.
Intermediat C88 iert-Butyl-3 - [( { ( 1 R)- 1 - [ 1 -benzyl-4-(2,5-difluorphenyl)- 1 H-pyrrol-2-yl] -2,2- dimethylpropyl } amino)methyl]pyrrolidin- 1 -carboxylat-trifluoressigsäure (1: 1)
Mischung aus Stereoisomeren
F H3C CH3
Eine Lösung von 2.04 g (5.75 mmol) (lR)-l-[l-Benzyl-4-(2,5-difluorphenyl)-lH-pyrrol-2-yl]-2,2- dimethylpropan-l-amin (Intermediat C52) in 51 ml Dichlormethan wurde mit 1.71 g (8.05 mmol) Natriumtriacetoxyborhydrid und 0.40 g (6.61 mmol) Essigsaüre versetzt und die Reaktionsgemisch wurde 5 Minuten bei RT gerührt. Anschließend wurde eine Lösung von 1.32 g (6.61 mmol) tert- Butyl-3-formylpyrrolidin-l-carboxylat in 20 ml Dichlormethan hinzugegeben und die Mischung wurde über Nacht bei RT gerührt. Die Reaktionsmischung wurde mit Ethylacetat verdünnt und die organische Phase wurde je zweimal mit ges. Natriumcarbonat-Lösung und mit ges. NaCl-Lösung gewaschen und über Magnesiumsulfat getrocknet und eingeengt. Der Rückstand wurde mittels präparative HPLC gereinigt. Die Lösemittel wurden im Vakuum verdampft und der Rückstand im Hochvakuum getrocknet. Man erhielt 1.86 g (50% d. Th.) der Titelverbindung.
LC-MS (Methode 1): Rt = 0.99 min; MS (ESIpos): m/z = 538 (M+H-CF3C02H)+.
Intermediat C89 ieri-Butyl-3- { [ { ( 1 R) - 1 - [ 1 -benzyl-4-(2,5-difluorphenyl)- 1 H-pyrrol-2-yl] -2,2- dimethylpropyl } (chloracetyl)amino]methyl Jpyrrolidin- 1 -carboxylat
Eine Lösung von 2.89 g (4.19 mmol, 80 Reinheit) von tert-Butyl-3-[({(lR)-l-[l-benzyl-4-(2,5- difluorphenyl)- 1 H-pyrrol-2-yl] -2,2-dimethylpropyl } amino)methyl] Pyrrolidin- 1 -carboxylat (Intermediat C88) in 42 ml Dichlormethan mit Molsieb 4 Ä wurde mit 1.36 g (13.42 mmol) Triethylamin und 2.13 g (18.87 mmol) Chloracetylchlorid versetzt. Das Reaktionsgemisch wurde bei RT 5 h gerührt. Die Mischung wurde einrotiert und der Rückstand wurde mittels präparative HPLC gereinigt. Man erhielt 449 mg (17 % d. Th.) von Isomere 1 und 442 mg (17 % d. Th) von Isomere 2 der Titelverbindung.
Isomer 1 LC-MS (Methode 1): Rt = 2.74 min; MS (ESIpos): m/z = 614 (M+H)+.
Isomer 2 LC-MS (Methode 1): Rt = 2.78 min; MS (ESIpos): m/z = 614 (M+H)
Intermediat C90
S - [2-( { ( 1 R) - 1 - [ 1 -Benzyl-4-(2,5-difluorphenyl)- 1 H-pyrrol-2-yl] -2,2-dimethylpropyl } { [ 1 -(tert- butoxycarbonyl)pyrrolidin-3-yl]methyl}amino)-2-oxoethyl]-L-cysteiri (Isomer 1)
357.3 mg (0.58 mmol) L-Cystein wurden in 2.3 mL Wasser zusammen mit 488.7 mg (4.07 mmol) Natriumhydrogencarbonat suspendiert. Dazu wurden 357.0 mg (0.58 mmol tert-Butyl-3-{ [{(lR)-l- [ 1 -benzyl-4-(2,5-difluorphenyl)- 1 H-pyrrol-2-yl] -2,2- dimethylpropyl } (chloracetyl)amino]methyl Jpyrrolidin- 1-carboxylat (Isomer 1)
(Intermediat C89, Isomer 1) in 23.0 mL wo-Propanol gelöst und 1.06 g (6.98 mmol) 1,8- Diazabicyclo(5.4.0)undec-7-en gegeben. Die Reaktionsmischung wurde 3 h bei 50 °C gerührt. Die Reaktionsmischung wurde mit Ethylacetat versetzt und die org. Phase wurde mehrmals mit ges. Natriumhydrogencarbonat-Lösung und einmal mit ges. NaCl-Lösung gewaschen. Die organische Phase wurde über Magnesiumsulfat getrocknet und das Lösemittel im Vakuum verdampft. Der Rückstand wurde ohne Reinigung weiter eingesetzt. Man erhielt 255.0 mg (62 % d. Th.) der Titelverbindung.
LC-MS (Methode 1): Rt = 1.09 min; MS (ESIpos): m/z = 699 (M+H)+.
Intermediat C91
S - [2-( { ( 1 R) - 1 - [ 1 -Benzyl-4-(2,5-difluorphenyl)- 1 H-pyrrol-2-yl] -2,2-dimethylpropyl } { [ 1 -(tert- butoxycarbonyl)pyrrolidin-3-yl]methyl}amino)-2-oxoethyl]-L-cysteiri (Isomer 2)
453.5 mg (3.74 mmol) L-Cystein wurden in 2.1 mL Wasser zusammen mit 449.2 mg (5.35 mmol) Natriumhydrogencarbonat suspendiert. Dazu wurden 3287.4 mg (0.54) mmol tert-Butyl-3-{ [{(lR)- 1 - [ 1 -benzyl-4-(2,5-difluorphenyl)- 1 H-pyrrol-2-yl] -2,2- dimethylpropyl}(chloracetyl)amino]methyl}pyrrolidin-l-carboxylat (Intermediat C89, Isomer 2) in 21.1 mL wo-Propanol gelöst und 0.98 g (6.42 mmol) l,8-Diazabicyclo(5.4.0)undec-7-en gegeben. Die Reaktionsmischung wurde 3 h bei 50 °C gerührt. Die Reaktionsmischung wurde mit Ethylacetat versetzt und die org. Phase wurde mehrmals mit ges. Natriumhydrogencarbonat- Lösung und einmal mit ges. NaCl-Lösung gewaschen. Die organische Phase wurde über Magnesiumsulfat getrocknet und das Lösemittel im Vakuum verdampft. Der Rückstand wurde ohne Reinigung weiter eingesetzt. Man erhielt 221.0 mg (59 % d. Th.) der Titel Verbindung.
LC-MS (Methode 1): Rt = 1.12 min; MS (ESIpos): m/z = 699 (M+H)+.
Intermediat C92
S - [2-( { ( 1 R) - 1 - [ 1 -Benzyl-4-(2,5-difluorphenyl)- 1 H-pyrrol-2-yl] -2,2-dimethylpropyl } { [ 1 -(tert- butoxycarbonyl)pyrrolidin-3-yl]methyl}amino)-2-oxoethyl]-N-[6-(2,5-dioxo-2,5-dihydro-lH pyrrol-l-yl)hexanoyl]-L-cystein (Isomer 1)
Eine Mischung von 50 mg ( 0.07 mmol) S-[2-({(lR)-l-[l-Benzyl-4-(2,5-difluorphenyl)-lH-pyrrol- 2-yl] -2,2-dimethylpropyl } { [ 1 -(tert-butoxycarbonyl)pyrrolidin-3 -yl] methyl } amino)-2-oxoethyl] -L- cystein (Intermediat C90) und 22.06 mg (0.07 mmol) l-{6-[(2,5-Dioxopyrrolidin-l-yl)oxy]-6- oxohexyl}-lH-pyrrol-2,5-dion in 3.3 ml DMF wurde mit 18.49 mg (0.14 mmol) N,N- Diisopropylethylamin versetzt und das Reaktionsgemisch wurde bei RT 45 Minuten gerührt. Die Mischung wurde ohne Aufarbeitung mittels mittels präparative HPLC gereinigt. Man erhielt 65 mg (100 % d. Th, 71 % Reinheit) der Titelverbindung.
LC-MS (Methode 1): Rt = 1.31 min; MS (ESIpos): m/z = 892 (M+H)+.
Intermediat C93
S - [2-( { ( 1 R) - 1 - [ 1 -Benzyl-4-(2,5-difluorphenyl)- 1 H-pyrrol-2-yl] -2,2-dimethylpropyl } { [ 1 -(tert- butoxycarbonyl)pyrrolidin-3-yl]methyl}amino)-2-oxoethyl]-N-[6-(2,5-dioxo-2,5-dihydro-lH- pyrrol-l-yl)hexanoyl]-L-cystein (Isomer 2)
Eine Mischung von 50.0 mg ( 0.07 mmol) S-[2-({(lR)-l-[l-Benzyl-4-(2,5-difluorphenyl)-lH- pyrrol-2-yl] -2,2-dimethylpropyl } { [ 1 -(tert-butoxycarbonyl)pyrrolidin-3-yl] methyl } amino)-2- oxoethyl]-L-cy stein (Intermediat C91) und 22.06 mg (0.07 mmol) l-{6-[(2,5-Dioxopyrrolidin-l- yl)oxy]-6-oxohexyl}-lH-pyrrol-2,5-dion in 3.0 ml DMF wurde mit 18.49 mg (0.14 mmol) N,N- Diisopropylethylamin versetzt und das Reaktionsgemisch wurde bei RT 90 Minuten gerührt. Die Mischung wurde ohne Aufarbeitung mittels präparative HPLC gereinigt. Man erhielt 63 mg (98 % d. Th, 73 % Reinheit)der Titelverbindung.
LC-MS (Methode 1): Rt = 1.34 min; MS (ESIpos): m/z = 892 (M+H)+.
Intermediat C94
S- [2-( { ( 1 R)- 1 - [ 1 -Benzyl-4-(2,5-difluorphenyl)- 1 H-pyrrol-2-yl] -2,2-dimethylpropyl } { [( 1 -(tert- butoxycarbonyl)pyrrolidin-3-yl]methyl}amino)-2-oxoethyl]-N-[(2,5-dioxo-2,5-dihydro-lH-pyrrol- l-yl)acetyl]-L-cystein (Isomer 1)
Eine Mischung von (50.0 mg, 0.07 mmol) S-[2-({(lR)-l-[l-Benzyl-4-(2,5-difluorphenyl)-lH- pyrrol-2-yl] -2,2-dimethylpropyl } { [(3R)- 1 -(tert-butoxycarbonyl)pyrrolidin-3 -yl] methyl } amino)-2- oxoethyl]-L-cy stein (Intermediat C90) und 18.0 mg (0.07 mmol) -{2-[(2,5-Dioxopyrrolidin-l- yl)oxy]-2-oxoethyl}-lH-pyrrol-2,5-dion in 3.3 ml DMF wurde mit 18.5 mg (0.14 mmol) N,N- Diisopropylethylamin versetzt und das Reaktionsgemisch wurde 30 Minuten bei RT gerührt. Die Reaktionsmischung wurde mit Ethylacetat versetzt und die organische Phase wurde mehrmals mit ges. NEUCl-Lösung und mit ges. NaCl-Lösung gewaschen. Die organische Phase wurde über Magnesiumsulfat getrocknet und das Lösemittel im Vakuum verdampft. Der Rückstand wurde ohne weitere Reinigung eingesetzt. Man erhielt 57 mg (81 % d. Th, 85 % Reinheit) der Titelverbindung.
LC-MS (Methode 1): Rt = 0.96 min; MS (ESIpos): m/z = 836 (M+H)+.
Intermediat C95
3 - { [2-( { ( 1 R)- 1 - [ 1 -Benzyl-4-(2,5-difluorphenyl)- 1 H-pyrrol-2-yl] -2,2-dimethylpropyl } { [ 1 -(tert- butoxycarbonyl)pyrrolidin-3 -yl] methyl } amino) -2-oxoethyl] sulf anyl } propansäure (Isomer 1 )
Eine Mischung von 384.0 mg (0.62 mmol) tert-Butyl-3-{ [{(lR)-l-[l-benzyl-4-(2,5-difluorphenyl)- 1 H-pyrrol-2-yl] -2,2-dimethylpropyl } (chloracetyl) amino] methyl } Pyrrolidin- 1 -carboxylat
(Intermediat C89, Isomer 1) und 73.0 mg (0.69 mmol) 3-Sulfanylpropansäure in 14 ml Methanol und einige Tropfen Wasser wurde mit 302.5 mg (2.19 mmol) Kaliumcarbonat versetzt. Das Reaktionsgemisch wurde 2.5 h bei 50 °C gerührt. Die Reaktionsmischung wurde mit Ethylacetat versetzt und die organische Phase wurde mehrmals mit Wasser und mit ges. NaCl-Lösung gewaschen. Die organische Phase wurde über Magnesiumsulfat getrocknet und das Lösemittel im Vakuum verdampft und der Rückstand im Hochvakuum getrocknet. Der Rückstand wurde ohne Aufarbeitung weiter eingesetzt. Man erhielt 358.0 mg (84 % d. Th.) der Titelverbindung.
LC-MS (Methode 1): Rt = 1.33 min; MS (ESIpos): m/z = 684 (M+H)+.
Intermediat C96
3 - { [2-( { ( 1 R)- 1 - [ 1 -Benzyl-4-(2,5-difluorphenyl)- 1 H-pyrrol-2-yl] -2,2-dimethylpropyl } { [ 1 -(tert- butoxycarbonyl)pyrrolidin-3-yl]methyl}amino)-2-oxoethyl]sulfanyl}propansäure (Isomer 2)
Eine Mischung von 287.0 mg (0.45 mmol) tert-Butyl-3-{ [{(lR)-l-[l-benzyl-4-(2,5-difluorphenyl)- 1 H-pyrrol-2-yl] -2,2-dimethylpropyl } (chloracetyl) amino] methyl } Pyrrolidin- 1 -carboxylat
(Intermediat C89, Isomer 2) und 54.6 mg (0.51 mmol) 3-Sulfanylpropansäure in 14 ml Methanol und einige Tropfen Wasser wurde mit 226.0 mg (1.64 mmol) Kaliumcarbonat versetzt. Das Reaktionsgemisch wurde 2.5 h bei 50 °C gerührt. Die Reaktionsmischung wurde mit Ethylacetat versetzt und die org. Phase wurde mehrmals mit Wasser und mit ges. NaCl-Lösung gewaschen. Die organische Phase wurde über Magnesiumsulfat getrocknet und das Lösemittel im Vakuum verdampft und der Rückstand im Hochvakuum getrocknet. Der Rückstand wurde ohne Aufarbeitung weiter eingesetzt. Man erhielt 318.7 mg (88 % d. Th., 88 % Reinheit) der Titelverbindung.
LC-MS (Methode 1): Rt = 1.36 min; MS (ESIpos): m/z = 684 (M+H)+. Intermediat C97 tert-Butyl-3 - [2- { ( 1 R) - 1 - [ 1 -benzyl-4-(2,5-difluorphenyl)- 1 H-pyrrol-2-yl] -2,2-dimethylpropyl } - 14- (2,5-dioxo-2,5-dihydro-lH-pyrrol-l-yl)-3,8,13-trioxo-5-thia-2,9,12-triazatetradec-l-yl]pyrrolidin- 1 -carboxylat (Isomer 2)
Zu einer Lösung von 25.0 mg (0.04 mmol) von 3-{ [2-({(lR)-l-[l-Benzyl-4-(2,5-difluorphenyl)- 1 H-pyrrol-2-yl] -2,2-dimethylpropyl } { [ 1 -(tert-butoxycarbonyl)pyrrolidin-3 -yl] methyl } amino)-2- oxoethyl]sulfanyl}propansäure (Intermediat C96) in 2.81 ml DMF unter Argon wurden 14.17 mg (0.11 mmol) Ν,Ν-diisoprylethylamin und 27.80 mg (0.07 mmol) HATU hinzugegeben. Das Reaktionsgemisch wurde 10 Minuten bei RT gerührt. Anschließend wurde eine Lösung von 22.75 mg (0.07 mmol) N-(2-Aminoethyl)-2-(2,5-dioxo-2,5-dihydro-lH-pyrrol-l-yl)acetamid -ethan (1: 1) Trifluoressigsäure (Intermediat LI) in 1.4 ml DMF und 5 mg (0.04 mmol) N,N- diisopropylethylamin hinzugegeben und das Gemisch wurde ü.N bei RT gerührt. Die Mischung wurde
LC-MS (Methode 5): Rt = 4.39 min; MS (ESIpos): m/z = 86 mit Wasser versetzt und mit Dichlormethan extrahiert. Die organische Phase wurde über Magnesiumsulfat getrocknet und das Lösemittel im Vakuum verdampft. Der Rückstand wurde ohne Aufarbeitung weiter eingesetzt. Man erhielt 26 mg (84 % d. Th.) der Titelverbindung.3 (M+H)+.
Intermediat C98 tert-Butyl-3 - [2- { ( 1 R) - 1 - [ 1 -benzyl-4-(2,5-difluorphenyl)- 1 H-pyrrol-2-yl] -2,2-dimethylpropyl } - 18- (2,5-dioxo-2,5-dihydro-lH-pyrrol-l-yl)-3,8 3-trioxo-5-thia-2,9,12-triazaoctadec-l-yl]pyrrolidin-l- carboxylat (Isomer 2)
Zu einer Lösung von 25.0 mg (0.04 mmol) von 3-{ [2-({(lR)-l-[l-Benzyl-4-(2,5-difluorphenyl)- 1 H-pyrrol-2-yl] -2,2-dimethylpropyl } { [ 1 -(tert-butoxycarbonyl)pyrrolidin-3 -yl] methyl } amino)-2- oxoethyl]sulfanyl}propansäure (Intermediat C96) in 2.81 ml DMF unter Argon wurden 14.17 mg (0.11 mmol) Ν,Ν-diisoprylethylamin und 27.80 mg (0.07 mmol) HATU hinzugegeben. Das Reaktionsgemisch wurde 10 Minuten bei RT gerührt. Anschließend wurde eine Lösung von 37.30 mg (0.07 mmol) N-(2-Aminoethyl)-6-(2,5-dioxo-2,5-dihydro-lH-pyrrol-l-yl)hexanamid -ethan (1: 1) Trifluoressigsäure in 1.4 ml DMF und 5 mg (0.04 mmol) N,N-diisopropylethylamin hinzugegeben und das Gemisch wurde üN bei RT gerührt. Die Mischung wurde mit Wasser versetzt und mit Dichlormethan extrahiert. Die organische Phase wurde über Magnesiumsulfat getrocknet und das Lösemittel im Vakuum verdampft. Der Rückstand wurde ohne weitere Reinigung eingesetzt. Man erhielt 22 mg (63 % d. Th.) der Titel Verbindung.
LC-MS (Methode 5): Rt = 4.54 min; MS (ESIpos): m/z = 919 (M+H)+.
Intermediat C99 tert-Butyl-3 - [2- { ( 1 R) - 1 - [ 1 -benzyl-4-(2,5-difluorphenyl)- 1 H-pyrrol-2-yl] -2,2-dimethylpropyl } -24- (2,5-dioxo-2,5-dihydro-lH-pyrrol-l-yl)-3,8,19-trioxo-12,15-dioxa-5-thia-2,9,18-triazatetracos-l- yl]pyrrolidin-l-carboxylat (Isomer 2)
Zu einer Lösung von 25.0 mg (0.04 mmol) von 3-{ [2-({(lR)-l-[l-Benzyl-4-(2,5-difluorphenyl)- 1 H-pyrrol-2-yl] -2,2-dimethylpropyl } { [ 1 -(tert-butoxycarbonyl)pyrrolidin-3 -yl] methyl } amino)-2- oxoethyl]sulfanyl}propansäure (Intermediat C96) in 2.81 ml DMF unter Argon wurden 14.17 mg (0.11 mmol) Ν,Ν-diisoprylethylamin und 27.80 mg (0.07 mmol) HATU hinzugegeben. Das Reaktionsgemisch wurde 10 Minuten bei RT gerührt. Anschließend wurde eine Lösung von 35.05 mg (0.07 mmol) N-{2-[2-(2-Aminoethoxy)ethoxy]ethyl}-6-(2,5-dioxo-2,5-dihydro-lH-pyrrol-l- yl)hexanamid -ethan (l: l)Trifluoressigsäure (Intermediat L82) in 1.4 ml DMF und 5 mg (0.04 mmol) Ν,Ν-diisopropylethylamin hinzugegeben und das Gemisch wurde üN bei RT gerührt. Die Mischung wurde mit Wasser versetzt und mit Dichlormethan extrahiert. Die organische Phase wurde über Magnesiumsulfat getrocknet und das Lösemittel im Vakuum verdampft und der Rückstand im Hochvakuum getrocknet. Der Rückstand wurdemittels präp. HPLC gereinigt Man erhielt 25 mg (60 % d. Th.) der Titelverbindung.
LC-MS (Methode 1): Rt = 4.52 min; MS (ESIpos): m/z = 1007 (M+H)+. Intermediat C100
2-(Trimethylsilyl)ethyl- { (2S)-4- [ { ( 1R)- 1 - [ 1 -benzyl-4-(2,5-difluorphenyl)- 1 H-pyrrol-2-yl]- 2,2-dimethylpropyl}(glycoloyl)amino]-l-[(2-{ [(2R)-2-(2,5-dioxo-2,5-dihydro-lH-pyrrol- 1 -yl)propanoyl] amino } ethyl)amino] - 1 -oxobutan-2-yl } carbamat
Zu einer Lösung von 45 mg (0.068 mmol) (2S)-4-[{(lR)-l-[l-Benzyl-4-(2,5-difluorphenyl)-lH- pyrrol-2-yl] -2,2-dimethylpropyl } (glycoloyl)amino] -2-( { [2-(trimethylsilyl)ethoxy] carbonyl } amino) butansäure (Intermediat C58) in 5.8 ml DMF wurden 22.2 mg (0.068 mmol) (2R)-N-(2- aminoethyl)-2-(2,5-dioxo-2,5-dihydro-lH-pyrrol-l-yl)propanamid (1: 1) Trifluoressigsäure zugegeben. Nach 30 Minuten Rühren bei RT die Mischung wurde mit 39 mg (0.10 mmol) HATU und 36 mg (0.27 mmol) Ν,Ν-Diisopropylethylamin versetzt. Das Reaktionsgemisch wurde 1 h bei RT gerührt. Das Gemisch wurde ohne Aufarbeitung mittels präparative HPLC gereinigt. Man erhielt 7 mg (12 % d. Th) der Titelverbindung.
LC-MS (Methode 1): Rt = 1.41 min; MS (ESIpos): m/z 851 (M+H)+.
Intermediat C101
Trifluoressigsäure -methyl-(2S)-4- [(acetoxyacetyl) { ( 1 R)- 1 - [ 1 -benzyl-4-(2,5-difluorphenyl)- 1 H- pyrrol-2-yl] -2,2-dimethylpropyl } amino] -2-aminobutanoat (1: 1)
4.3 g (12.2 mmol) von Intermediat C52 wurden in 525 mL DCM gelöst und mit 3.63 g (17.12 mmol) Natriumtriacetoxyborhydrid sowie mit 8.4 mL Essigsäure versetzt. Nach 5 min Rühren bei RT wurden 3.23 g (11.85 mmol) Methyl-(2S)-4-oxo-2-({ [2-(trimethylsilyl)ethoxy]carbonyl} amino)butanoat (hergestellt aus (3S)-3-Amino-4-methoxy-4-oxobutansäure nach klassischen Methoden) gelöst in 175 mL DCM zugegeben und der Ansatz weitere 45 min bei RT gerührt. Der Ansatz wurde dann mit DCM verdünnt und zweimal mit 100 mL gesättigter Natriumhydrogencarbonatlösung und dann mit gesättigter Natriumchloridlösung ausgeschüttelt. Die organische Phase wurde über Magnesiumsulfat getrocknet, filtriert und anschließend eingeengt. Der Rückstand wurde mittels präparativer HPLC aufgereinigt. Nach Vereinigung der entsprechenden Fraktionen, Einengen und Trocknen des Rückstandes im Hochvakuum erhielt man 4.6 g (61% d. Th.) des Intermediats.
LC-MS (Methode 12): Rt = 1.97 min; MS (ESIpos): m/z = 614.32 (M+H)+.
2.06 g (3.36 mmol) von diesem Intermediat wurden in 76 mL DCM vorgelegt und mit 0.81 mL (7.17 mmol) 2-Chlor-2-oxoethylacetat in Gegenwart von 2.1 ml Triethylamin acyliert. Nach 20 h Rühren bei RT wurden weitere 0.36 mL 2-Chlor-2-oxoethylacetat und 0.94 ml Triethylamin zugegeben und der Ansatz weitere 15 min bei RT gerührt. Anschließend wurde mit 500 mL Ethylacetat verdünnt und nacheinander zweimal mit 300 mL 5%-iger Zitronensäure, zweimal mit 300 mL gesättigter Natriumhydrogencarbonatlösung und einmal mit 100 mL gesättigter Natriumchloridlösung ausgeschüttelt, dann über Magnesiumsulfat getrocknet und eingeengt. Nach Trocknung im Hochvakuum wurden 2.17 g (79% d. Th.) des geschützten Intermediats erhalten.
LC-MS (Methode 1): Rt = 1.48 min; MS (ESIpos): m/z = 714 (M+H)+.
321 mg (0.342 mmol) von diesem Intermediat wurde in 7 mL 2,2,2-Trifluorethanol gelöst. Es wurden 279.5 mg (2.05 mmol) Zinkchlorid zugegeben und der Ansatz 2 h bei 50°C gerührt. Anschließend wurden 599 mg (2.05 mmol) Ethylendiamin-N,N,N',N'-tetraessigsäure und 2 mL
einer 0.1%igen Trifluoressigsäurelösung in Wasser hinzugegeben und der Ansatz anschließend im Vakuum eingeengt. Der Rückstand wurde mittels präparativer HPLC gereinigt. Nach Einengen der entsprechenden Fraktionen und Lyophilisation des Rückstands aus Acetonitril/Wasser wurden 60 mg (26% d.Th.) der Titelverbindung erhalten, die noch einen Teil der de-acetylierten Verbindung enthielt.
LC-MS (Methode 1): Rt = 0.91 min und 0.95 min; MS (ESIpos): m/z = 528 und 570 (M+H)+.
Intermediat C102
(2S)-4-[{(lR)-l-[l-Benzyl-4-(2,5-difluorphenyl)-lH-pyrrol-2-yl]-2,2-dimethylpropyl}
(glycoloyl)amino]-2-
Zunächst wurde Intermediat C52 mit Benzyl-(2S)-2-{ [(benzyloxy)carbonyl]amino}-4-oxobutanoat in Analogie zu Intermediat C2 reduktiv alkyliert. Anschließend wurde die sekundäre Aminogruppe mit 2-Chlor-2-oxoethylacetat acyliert und schließlich mit 2M Lithiumhydroxidlösung in Methanol die Hydrolyse der beiden Estergruppen durchgeführt.
LC-MS (Methode 1): Rt = 1.31 min; MS (ESIpos): m/z = 646 (M-H)\
Intermediat C103
2-(Trimethylsilyl)ethyl-N- [2-( { (2S)-2-amino-4- [ { ( 1 R) - 1 - [ 1 -benzyl-4-(2,5-difluorphenyl)- 1H- pyrrol-2-yl] -2,2-dimethylpropyl } (glycoloyl)amino]butanoyl } amino)ethyl] -N2- { [2-(trimethylsilyl) ethoxy] carbonyl } -L-glutaminat ö
Die Titelverbindung wurde zunächst durch Kupplung von 151 mg (0.23 mmol) Intermediat C102 mit 128 mg (0.234 mmol) Intermediat L98 in DMF in Gegenwart von HATU und N,N- Diisopropylethylamin hergestellt. Anschließend wurde die Z-Schutzgruppe durch 30-minütige Hydrierung über 10%-igem Palladium auf Aktivkohle bei RT unter Wasserstoff-Normaldruck entfernt, wobei die Titelverbindung erhalten wurde.
Ausb.: 30% d. Th. über 2 Stufen
LC-MS (Methode 1): Rt = 1.14 min; MS (ESIpos): m/z = 929 (M+H)+. Intermediat C104
2-(Trimethylsilyl)ethyl-(3R,4R)-3- [( { ( 1 R)- 1 - [ 1 -benzyl-4-(2,5-difluorphenyl)- lH-pyrrol-2-yl] -2,2- dimethylpropyl } amino)methyl] -4-fluorpyrrolidin- 1 -carboxylat
— Si
/ \
Eine Lösung von 2.24 g (6.31 mmol) (lR)-l-[l-Benzyl-4-(2,5-difluorphenyl)-lH-pyrrol-2-yl]-2,2- dimethylpropan-l-amin in 56.0 ml Dichlormethan mit Mol Sieb 4 Ä wurde mit 1.87 g (8.84 mmol) Natriumtriacetoxyborhydrid versetz, und das Gemisch wurde 15 Minuten bei Raumtemperatur gerührt. Anschließend wurden 2.20 g (7.58 mmol) 2-(Trimethylsilyl)ethyl-(3R,4S)-3-fluor-4- formylpyrrolidin-l-carboxylat (Ref: WO 2014/151030A1) zugegeben, und das Reaktionsgemisch wurde 3.5 h bei Raumtemperatur gerührt. Das Gemisch wurde mit Dichlormethan verdünnt und die organische Phase wurde mit ges. Natriumhydrogencarbonat-Lösung und Wasser gewaschen. Die organische Phase wurde über Natriumsulfat getrocknet und eingeengt. Der Rückstand wurdemittels präp. HPLC gereinigt. Man erhielt 1.39 g (24 % d. Th.) der Titelverbindung.
LC-MS (Methode 1): Rt = 1.15 min; MS (ESIpos): m/z = 600 (M+H)+.
Intermediat C105
2-(Trimethylsilyl)ethyl-(3R,4R)-3- { [ { ( 1 R)- 1 - [ 1 -benzyl-4-(2,5-difluorphenyl)- 1 H-pyrrol-2-yl] -2,2- dimethylpropyl } (chloracetyl)amino]methyl } -4-fluorpyrrolidin- 1 -carboxylat
Zur eine Lösung von 692.8 mg (0.88 mmol) 2-(Trimethylsilyl)ethyl-(3R,4R)-3-[({(lR)-l-[l- benzyl-4-(2,5-difluorphenyl)-lH-pyrrol-2-yl]-2,2-dimethylpropyl}amino)methyl] -4- fluorpyrrolidin-l-carboxylat (Intermediat C104) in 8.7 ml Dichlormethan mit Mol Sieb 4 Ä wurden 295.0 mg (2.91 mmol) Triethylamin und 418.9 mg (3.71 mmol) Chloracetylchlorid zugegeben und das Reakionsgemisch wurde 2.5 h bei RT gerührt. Die Reaktionsmischung wurde mit Dichlormethan verdünnt und die organische Phase wurde mit ges. Natriumhydrogencarbonat- Lösung und ges. Ammoniumchlorid-Lösung gewaschen. Die organische Phase wurde über Natriumsulfat getrocknet und eingeengt. Der Rückstand wurde nochmal in 8.7 ml Dichlormethan mit Mol Sieb 4 Ä wurden 295.0 mg (2.91 mmol) Triethylamin und 418.9 mg (3.71 mmol) Chloracetylchlorid zugegeben und das Reakionsgemisch wurde 3 h bei RT gerührt. Die Reaktionsmischung wurde mit Dichlormethan verdünnt und die organische Phase wurde mit ges. Natriumhydrogencarbonat-Lösung und ges. Ammoniumchlorid-Lösung gewaschen. Die organische Phase wurde über Natriumsulfat getrocknet und eingeengt. Die organische Phase wurde über Natriumsulfat getrocknet, eingeengt und ohne Reinigung weiter eingesetzt. Man erhielt 691 mg (74 % d. Th., 64% Reinheit) der Titel Verbindung.
LC-MS (Methode 1): Rt = 1.78 min; MS (ESIpos): m/z = 676 (M+H)+.
Intermediat C106
3 - { [2-( { ( 1 R)- 1 - [ 1 -Benzyl-4-(2,5-difluorphenyl)- 1 H-pyrrol-2-yl] -2,2-dimethylpropyl } { [(3R,4R)-4- fluor- 1 - { [2-(trimethylsilyl)ethoxy]carbonyl }pyrrolidin-3-yl]methyl }amino)-2- oxoethyl] sulf anyl Jpropansäu
Eine Mischung von 691.0 mg (0.65 mmol) 2-(Trimethylsilyl)ethyl-(3R,4R)-3-{ [{(lR)-l- [l-benzyl-4-(2,5-difluorphenyl)-lH-pyrrol-2-yl]-2,2- dimethylpropyl } (chloracetyl)amino]methyl } -4-fluorpyrrolidin- 1 -carboxylat (Intermediat C105) und 76.3 mg (0.72 mmol) 3-Sulfanylpropansäure in 15 ml Methanol und einige Tropfen Wasser wurde mit 316 mg (2.29 mmol) Kaliumcarbonat versetzt. Das Reaktionsgemisch wurde 1.5 h bei 50 °C gerührt. Die Reaktionsmischung wurde mit Ethylacetat versetzt und die org. Phase wurde mehrmals mit Wasser und mit ges. NaCl-Lösung gewaschen. Die organische Phase wurde über Magnesiumsulfat getrocknet und das Lösemittel im Vakuum verdampft und der Rückstand im Hochvakuum getrocknet. Der Rückstand wurde ohne Aufarbeitung weiter eingesetzt. Man erhielt 502 mg (67 % d. Th., 65% Reinheit) der Titelverbindung.
LC-MS (Methode 1): R = 1.48 min; MS (ESIneg): m/z = 744 (M-H)\
Intermediat C107
S 2-({(lR) 1-Benzyl-4-(2,5-difluoφhenyl) H-pyrrol-2-yl]-2,2-dimethylpropyl} { [(3R,4R)-4- fluor- 1 - { [2-(trimethylsilyl)ethoxy]carbonyl }pyrrolidin-3-yl]methyl }amino)-2-oxoethyl] -L-cystein
203.6 mg (1.68 mmol) L-Cystein wurden in 0.95 mL Wasser zusammen mit 201.7 mg (2.40 mmol) Natriumhydrogencarbonat suspendiert. Dazu wurden 170.0 mg (0.24 mmol 2- (Trimethylsilyl)ethyl-(3R,4R)-3- { [ { ( 1 R)- 1 - [ 1 -benzyl-4-(2,5-difluorphenyl)- 1 H-pyrrol-2-yl] -2,2- dimethylpropyl } (chloracetyl)amino]methyl } -4-fluorpyrrolidin- 1 -carboxylat (Intermediat 105) gelöst in 9.5 mL wo-Propanol und 438.5 mg (2.40 mmol) und l,8-Diazabicyclo(5.4.0)undec-7-en gegeben. Die Reaktionsmischung wurde 3 h bei 50 °C gerührt. Das Gemisch wurde mit Ethylacetat versetzt und die org. Phase wurde mehrmals mit ges. Natriumhydrogencarbonat-Lösung und mit ges. NaCl-Lösung gewaschen. Die organische Phase wurde über Natriumsulfat getrocknet und das Lösemittel im Vakuum verdampft. Der Rückstand wurde ohne weitere Reinigung weiter eingesetzt. Man erhielt 152 mg (83 % d. Th.) der Titelverbindung.
LC-MS (Methode 1): Rt = 1.26 min; MS (ESIpos): m/z = 762 (M+H)+.
Intermediat LI
Trifluoressigsäure--N-(2-aminoethyl)-2-(2,5-dioxo-2,5-dihydro-lH-pyrrol-l-yl)acetam
Die Titelverbindung wurde nach klassischen Methoden der Peptidchemie aus kommerziell erhältlicher (2,5-Dioxo-2,5-dihydro-lH-pyrrol-l-yl)essigsäure und tert-Butyl-(2-aminoethyl) carbamat hergestellt.
HPLC (Methode 11): Rt = 0.19 min;
LC-MS (Methode 1): Rt = 0.17 min; MS (ESIpos): m/z = 198 (M+H)+. Intermediat L2
Trifluoressigsäure— rel-(lR,2S)-2-amino-N-[2-(2,5-dioxo-2,5-dihydro-lH-pyrrol-l- yl)ethyl]cyclopentancarboxamid(l : 1)
Die Titelverbindung wurde ausgehend von 50 mg (0.214 mmol) von kommerziell erhältlicher cis- 2-[(tert-Butoxycarbonyl)amino]-l-cyclopentancarbonsäure mit 60 mg (0.235 mmol) von ebenso kommerziell erhältlichem Trifluoressigsäure— l-(2-aminoethyl)-lH-pyrrol-2,5-dion(l : l) durch Kupplung mit EDC/HOBT und anschließender Entschützung mit TFA hergestellt. Es wurden 36 mg (38% d.Th. über 2 Stufen) der Titelverbindung erhalten.
HPLC (Methode 11): Rt = 0.2 min;
LC-MS (Methode 1): Rt = 0.17 min; MS (ESIpos): m/z = 252 (M+H)+.
Intermediat L3
Trifluoressigsäure--(lS,2R)-2-amino-N-[2-(2,5-dioxo-2,5-dihydro-lH-pyrrol-l- yl)ethyl]cyclopentancarboxamid(l : 1)
Die Titelverbindung wurde ausgehend von 50 mg (0.214 mmol) von kommerziell erhältlicher (lS,2R)-2-[(tert-Butoxycarbonyl)amino]cyclopentancarbonsäure mit 72 mg (0.283 mmol) von ebenso kommerziell erhältlichem Trifluoressigsäure-l-(2-aminoethyl)-lH-pyrrol-2,5-dion(l: l) durch Kupplung mit EDC/HOBT und anschließender Entschützung mit TFA hergestellt. Es wurden 13 mg (16% d.Th. über 2 Stufen) der Titelverbindung erhalten.
HPLC (Methode 11): Rt = 0.2 min;
LC-MS (Methode 1): Rt = 0.2 min; MS (ESIpos): m/z = 252 (M+H)+. Intermediat L4
Trifluoressigsäure— N-(2-aminoethyl)-4-(2,5-dioxo-2,5-dihydro-lH-pyrrol-l- yl)cyclohexancarboxamid( 1: 1)
Die Titelverbindung wurde nach klassischen Methoden der Peptidchemie aus kommerziell erhältlichem 1 - [(4- { [(2,5-Dioxopyrrolidin- 1 -yl)oxy] carbonyl } cyclohexyl)methyl] - 1 H-pyrrol-2,5- dion und tert-Butyl-(2-aminoethyl) carbamat hergestellt.
HPLC (Methode 11): Rt = 0.26 min;
LC-MS (Methode 1): Rt = 0.25 min; MS (ESIpos): m/z = 280 (M+H)+.
Intermediat L5
Trifluoressigsäure— N-[4-( 1 -yl)phenyl] -beta-alaninamid( 1: 1)
Die Titelverbindung wurde nach klassischen Methoden der Peptidchemie aus kommerziell erhältlichem l-(4-Aminophenyl)-lH-pyrrol-2,5-dion und N-(tert-Butoxycarbonyl)-beta-alanin hergestellt.
HPLC (Methode 11): Rt = 0.22 min;
LC-MS (Methode 1): Rt = 0.22 min; MS (ESIpos): m/z = 260 (M+H)+. Intermediat L6
Trifluoressigsäure— tert-butyl-N-[6-(2,5-dioxo-2,5-dihydro-lH-pyrrol-l-yl)hexanoyl]-L-valyl-L- alanyl-L-lysinat
Die Titelverbindung wurde zunächst durch Kupplung von kommerziell erhältlicher 6-(2,5-Dioxo- 2,5-dihydro-lH-pyrrol-l-yl)hexansäure mit dem nach klassischen Methoden der Peptidchemie hergestellten partiell geschützten Peptid tert-Butyl-L-valyl-L-alanyl-N6-(tert-butoxycarbonyl)-L- lysinat in Gegenwart von EDC/HOBT hergestellt. Anschließend erfolgte die Entschützung an der Aminogruppe unter schonenden Bedingungen durch Rühren in 5%iger Trifluoressigsäure in DCM bei RT, wobei in 37%iger Ausbeute die Titelverbindung erhalten wurde.
HPLC (Methode 11): Rt = 1.29 min;
LC-MS (Methode 1): Rt = 0.62 min; MS (ESIpos): m/z = 566 (M+H)+.
Intermediat L7
Trifluoressigsäure--beta-alanyl-L-valyl-N5-carbamoyl-N-[4-(2,5-dioxo-2,5-dihydro-lH-pyrrol^ yl)phenyl] -L-ornithinamid( 1 : 1)
Die Titelverbindung wurde nach klassischen Methoden der Peptidchemie ausgehend von kommerziell erhältlichem l-(4-Aminophenyl)-lH-pyrrol-2,5-dion durch sequentielle Kupplung mit N2-(tert-Butoxycarbonyl)-N5-carbamoyl-L-ornithin in Gegenwart von HATU, Entschützung mit TFA, Kupplung mit 2,5-Dioxopyrrolidin-l-yl-N-(tert-butoxycarbonyl)-L-valinat, Entschützung mit TFA, Kupplung mit 2,5-Dioxopyrrolidin-l-yl-N-(tert-butoxycarbonyl)-beta-alaninat und erneute Entschützung mit TFA hergestellt. Es wurden 32 mg der Titelverbindung erhalten.
HPLC (Methode 11): Rt = 0.31 min;
LC-MS (Methode 1): Rt = 0.47 min; MS (ESIpos): m/z = 516 (M+H)+. Intermediat L8
Trifluoressigsäure— L-alanyl-N5-carbamoyl-N-[4-(2,5-dioxo-2,5-dihydro-lH-pyrrol-l-yl)phenyl]- L-ornithinamid(l : 1)
Die Titelverbindung wurde nach klassischen Methoden der Peptidchemie ausgehend von kommerziell erhältlichem l-(4-Aminophenyl)-lH-pyrrol-2,5-dion durch sequentielle Kupplung mit N
2-(tert-Butoxycarbonyl)-N
5-carbamoyl-L-ornithin in Gegenwart von HATU, Entschützung mit TFA, Kupplung mit 2,5-Dioxopyrrolidin-l-yl-N-(tert-butoxycarbonyl)-L-alaninat und erneute Entschützung mit TFA hergestellt. Es wurden 171 mg der Titel Verbindung erhalten.
HPLC (Methode 11): Rt = 0.23 min;
LC-MS (Methode 7): Rt = 0.3 min; MS (ESIpos): m/z = 417 (M+H)+. Intermediat L9
Trifluoressigsäure— beta-alanyl-L-valyl-N5-carbamoyl-N-[4-(2-methoxy-2-oxoethyl)phenyl]-L- ornithinamid(
Die Titelverbindung in Analogie zu Intermediat L7 ausgehend von kommerziell erhältlichem Methyl-(4-aminophenyl)acetat hergestellt. Es wurden 320 mg der Titelverbindung erhalten.
HPLC (Methode 11): Rt = 0.45 min;
LC-MS (Methode 1): Rt = 0.48 min; MS (ESIpos): m/z = 493 (M+H)+. Intermediat L10
N-[6-(2,5-Dioxo-2,5-dihydro-lH-pyrrol-l-yl)hexanoyl]-L-valyl-L-alanyl-rel-N6-{ [(lR,2S)-2- aminocyclopentyl] carbonyl } -L-ly sin-trifluoressigsäure( 1 :2)
Die Titelverbindung wurde ausgehend von Intermediat L6 durch Kupplung mit cis-2-[(tert- Butoxycarbonyl)amino]-l -cyclopentancarbonsäure mit EDC/HOBT und anschließender Entschützung mit TFA hergestellt. Es wurden 12 mg (52% d.Th. über 2 Stufen) der Titelverbindung erhalten.
HPLC (Methode 11): Rt = 1.45 min;
LC-MS (Methode 1): Rt = 0.73 min; MS (ESIpos): m/z = 677 (M+H)+. Intermediat LH
N-[6-(2,5-Dioxo-2,5-dihydro-lH-pyrrol-l-yl)hexanoyl]-L-valyl-L-alanyl-N6-{ [(lS,2R)-2- aminocyclopentyl] carbonyl } -L-ly sin-trifluoressigsäure( 1 :2)
Die Titelverbindung wurde ausgehend von Intermediat L6 durch Kupplung mit (lS,2R)-2-[(tert- Butoxycarbonyl)amino]cyclopentancarbonsäure mit EDC/HOBT und anschließender Entschützung mit TFA hergestellt. Es wurden 11 mg (39% d.Th. über 2 Stufen) der Titelverbindung erhalten. HPLC (Methode 11): R
t = 1.45 min;
LC-MS (Methode 1): Rt = 0.74 min; MS (ESIpos): m/z = 677 (M+H)+. Intermediat L12
Trifluoressigsäure— 1 - [2-(2-aminoethoxy)ethyl] - 1 H-pyrrol-2,5-dion( 1: 1)
Zu 228 mg (1.12 mmol) tert-Butyl-[2-(2-aminoethoxy)ethyl]carbamat gelöst in 7 mL Dioxan/W asser 1 : 1 gelöst wurden 381 mg (2.46 mmol) Methyl-2,5-dioxo-2,5-dihydro-lH-pyrrol- 1-carboxylat gegeben. Dann wurden 1.2 mL einer gesättigten Natriumhydrogencarbonat Lösung zugesetzt und der Ansatz bei RT gerührt. Nach insgesamt 5-tägigem Rühren bei 2 weiteren Zugaben von gleichen Mengen der Natriumhydrogencarbonat Lösung wurde der Ansatz durch Ansäuern mit Trifluoressigsäure, Einrotieren und Reinigung des Rückstandes durch präparative HPLC aufgearbeitet. Die entsprechenden Fraktionen wurden vereinigt, das Lösungsmittel im Vakuum entfernt und der Rückstand aus Acetonitril/W asser 1 : 1 lyophilisiert.
Der Rückstand wurde in 3 mL Dichlormethan aufgenommen und mit 1 mL Trifluoressigsäure versetzt. Nach 15 min Rühren bei RT wurde das Lösungsmittel im Vakuum entfernt und der Rückstand aus Acetonitril/Wasser 1: 1 lyophilisiert. So wurden 70 mg (67% d.Th. über 2 Stufen) der Titelverbindung als harziger Rückstand erhalten.
HPLC (Methode 11): Rt = 0.2 min;
LC-MS (Methode 1): Rt = 0.18 min; MS (ESIpos): m/z = 185 (M+H)+. Intermediat L13
Trifluoressigsäure— tert-butyl-N2- [(2,5-dioxo-2,5-dihydro- 1 H-pyrrol- 1 -yl)acetyl] -L-lysinat( 1
Die Titelverbindung wurde durch Kupplung von (2,5-Dioxo-2,5-dihydro-lH-pyrrol-l-yl)essigsäure mit tert-Butyl-N6-(tert-butoxycarbonyl)-L-lysinathydrochlorid(l: l) in Gegenwart von EDC/HOBT und anschließender schonender Abspaltung der tert-Butoxycarbonyl Schutzgruppe in Analogie zu Intermediat L6 hergestellt.
HPLC (Methode 11): Rt = 0.42 min;
LC-MS (Methode 1): Rt = 0.43 min; MS (ESIpos): m/z = 340 (M+H)+. Intermediat L14
Trifluoressigsäure--l-[2-(4-aminopiperazin-l-yl)-2-oxoethyl]-lH-pyrrol-2,5-dion(l: l)
Die Titelverbindung wurde in Analogie zu Intermediat L2 über 2 Stufen aus tert-Butyl-piperazin-1- ylcarbamat und (2,5-dioxo-2,5-dihydro-lH-pyrrol-l-yl)essigsäure hergestellt.
HPLC (Methode 11): Rt = 0.2 min;
LC-MS (Methode 3): Rt = 0.25 min; MS (ESIpos): m/z = 239 (M+H)+. Intermediat L15
Trifluoressigsäure— N-(2-aminoethyl)-3-(2- { 2- [2-(2,5-dioxo-2,5-dihydro- lH-pyrrol- 1 - yl)ethoxy] etho
2.93 g (10.58 mmol) tert-Butyl-3-{2-[2-(2-aminoethoxy)ethoxy]ethoxy}propanoat wurden in 100 mL Dioxan/Wasser 1: 1 gelöst und mit 3.28 g (21.15 mmol) Mefhyl-2,5-dioxo-2,5-dihydro-lH- pyrrol-l-carboxylat sowie einer gesättigten Natriumhydrogencarbonatlösung bis zum Erreichen eines pH- Wertes von 6-7 versetzt. Die Lösung wurde 30 min bei RT gerührt und anschließend wurde das 1,4-Dioxan im Vakuum abgedampft. Dann wurden 200 mL Wasser zugegeben und die Mischung dreimal mit jeweils 300 mL Ethylacetat ausgeschüttelt. Die organischen Extrakte wurden vereinigt, über Magnesiumsulfat getrocknet und filtriert. Nach Einengen wurde tert-Butyl-3-(2-{2- [2-(2,5-dioxo-2,5-dihydro-lH-pyrrol-l-yl)ethoxy]ethoxy}ethoxy)propanoat als braunes Öl erhalten, das anschließend im Hochvakuum getrocknet wurde.
HPLC (Methode 11): Rt = 1.5 min;
LC-MS (Methode 3): Rt = 0.88 min; MS (ESIpos): m/z = 375 (M+NH4)+.
Dieses Intermediat wurde nach Standardverfahren (Entschützung mit TFA, Kupplung mit tert- Butyl-(2-aminoethyl)carbamat und erneute Entschützung mit TFA) in die Titelverbindung überführt.
HPLC (Methode 11): Rt = 0.2 min;
LC-MS (Methode 3): Rt = 0.25 min; MS (ESIpos): m/z = 344 (M+H)+. Intermediat L16
N-[6-(2,5-Dioxo-2,5-dihydro-lH-pyrrol-l-yl)hexanoyl]-L-valyl-N5-carbamoyl-L-ornithin
Zu einer Lösung von 266 mg (1.33 mmol) L-Valyl-N5-carbamoyl-L-ornithin in 24 mL DMF wurden 535 mg (1.73 mmol) von kommerziell erhältlichem l-{6-[(2,5-Dioxopyrrolidin-l-yl)oxy]- 6-oxohexyl}-lH-pyrrol-2,5-dion sowie 930 mL /V,/V-Diisopropylethylamin hinzugegeben. Der Ansatz wurde 24 h im Ultraschallbad behandelt und anschließend im Vakuum bis zur Trockene eingeengt. Der verbliebene Rückstand wurde mittels präparativer HPCL gereinigt und nach
Einengen der entsprechenden Fraktionen und Trocknung des Rückstandes im Hochvakuum verblieben 337 mg (50% d.Th.) der Titelverbindung.
HPLC (Methode 11): Rt = 0.4 min;
LC-MS (Methode 3): Rt = 0.58 min; MS (ESIpos): m/z = 468 (M+H)+.
Intermediat L17
Trifluoressigsäure--tert-butyl-N-[6-(2,5-dioxo-2,5-dihydro-lH-pyrrol-l-yl)hexanoyl]-L-valyl-N5- carbamoyl-L-or
Die Titelverbindung wurde zunächst durch Kupplung von 172 mg (0.37 mmol) Intermediat L16 und 125 mg (0.37 mmol) tert-Butyl-N6-(tert-butoxycarbonyl)-L-lysinat hydrochlorid(l : l) in Gegenwart von EDC/HOBT und /V,/V-Diisopropylefhylamin und anschließende Entschützung der Aminogruppe unter schonenden Bedingungen durch 2h Rühren in 10%iger Trifluoressigsäure in DCM bei RT hergestellt. Nach Gefriertrocknung aus Acetonitril/ Wasser wurden 194 mg (49% d.Th.) der Titelverbindung über 2 Stufen erhalten.
HPLC (Methode 11): Rt = 1.1 min;
LC-MS (Methode 1): Rt = 0.58 min; MS (ESIpos): m/z = 652 (M+H)+. Intermediat L18
Trifluoressigsäure— beta-al anyl-L-al anyl-N
5-carbamo yl-N-[4-(2-methoxy-2-oxoethyl)phenyl]-L- ornithinamid(l: l)
Die Titelverbindung wurde ausgehend von Methyl-(4-aminophenyl)acetat analog Intermediat L7 sequentiell nach klassischen Methoden der Peptidchemie durch Anknüpfung von N2-(tert- Butoxycarbonyl)-N5-carbamoyl-L-ornithin in Gegenwart von HATU, Entschützung mit TFA, Kupplung mit 2,5-Dioxopyrrolidin-l-yl-N-(tert-butoxycarbonyl)-L-alaninat, Entschützung mit TFA, Kupplung mit 2,5-Dioxopyrrolidin-l-yl-N-(tert-butoxycarbonyl)-beta-alaninat und erneute Entschützung mit TFA hergestellt. Es wurden 330 mg der Titelverbindung erhalten.
HPLC (Methode 11): Rt = 0.29 min;
LC-MS (Methode 1): Rt = 0.41 min; MS (ESIpos): m/z = 465 (M+H)+. Intermediat L19
Trifluoressigsäure— L-alanyl-N5-carbamoyl-N-(4-{ [(2,5-dioxo-2,5-dihydro-lH-pyrrol-l- yl)acetyl]amino}phenyl)-L-ornithinamid(l: l)
Die Titelverbindung wurde ausgehend von 1,4 Phenylendiamin sequentiell nach klassischen Methoden der Peptidchemie hergestellt. Im ersten Schritt wurden 942 mg (8.72 mmol) 1,4 Phenylendiamin mit 0.8 g (2.9 mmol) N2-(tert-Butoxycarbonyl)-N5-carbamoyl-L-ornithin in Gegenwart von HATU und /V,/V-Diisopropylethylamin monoacyliert. Im zweiten Schritt wurde in analoger Weise die zweite anilinische Aminogruppe mit (2,5-Dioxo-2,5-dihydro-lH-pyrrol-l- yl)essigsäure in Gegenwart von HATU und /V,/V-Diisopropylethylamin acyliert. Entschützung mit TFA, Kupplung mit 2,5-Dioxopyrrolidin-l-yl-N-(tert-butoxycarbonyl)-L-alaninat und erneute Entschützung mit TFA führten dann in 3 weiteren Syntheseschritten zur Titelverbindung, von der auf diesem Weg 148 mg erhalten wurden.
LC-MS (Methode 1): Rt = 0.21 min; MS (ESIpos): m/z = 474 (M+H)+. LC-MS (Methode 4): Rt = 0.2 min; MS (ESIpos): m/z = 474 (M+H)+. Intermediat L20
Trifluoressigsäure--L-valyl-N5-carbamoyl-N-[4-(2,5-dioxo-2,5-dihydro-lH-pyrrol-l-yl)phenyl]-L- ornithinamid(l: l)
Die Titelverbindung wurde nach klassischen Methoden der Peptidchemie analog zu Intermediat L8 ausgehend von kommerziell erhältlichem l-(4-Aminophenyl)-lH-pyrrol-2,5-dion durch sequentielle Kupplung mit N2-(tert-Butoxycarbonyl)-N5-carbamoyl-L-ornithin in Gegenwart von HATU, Entschützung mit TFA, Kupplung mit 2,5-Dioxopyrrolidin-l-yl-N-(tert-butoxycarbonyl)- L-valinat und erneute Entschützung mit TFA hergestellt. Es wurden 171 mg der Titel Verbindung erhalten.
HPLC (Methode 11): Rt = 0.28 min;
LC-MS (Methode 1): Rt = 0.39 min; MS (ESIpos): m/z = 445 (M+H)+. Intermediat L21
L-Valyl-N6-(tert-butoxyc -lysinamid
Die Titelverbindung wurde nach klassischen Methoden der Peptidchemie ausgehend von kommerziell erhältlichem 0.42 g (2.56 mmol) Methyl-(4-aminophenyl)acetat durch sequentielle Kupplung mit N6-(tert-Butoxycarbonyl)-N2-[(9H-fluoren-9-ylmethoxy)carbonyl]-L-lysin in Gegenwart von HATU, und /V-Diisopropylefhylamin, Entschützung mit Piperidin, Kupplung mit 2,5-Dioxopyrrolidin-l-yl-N-[(benzyloxy)carbonyl]-L-valinat in Gegenwart von /V,/V-Diisopropyl- ethylamin und anschließende hydrogenolytische Abspaltung der Benzyloxycarbonylschutzgruppe über 10% -Palladium- Aktivkohle. Es wurden 360 mg (32% d.Th. über 4 Stufen) der Titelverbindung erhalten.
HPLC (Methode 11): Rt = 1.5 min;
LC-MS (Methode 1): Rt = 0.73 min; MS (ESIpos): m/z = 493 (M+H)+. Intermediat L22
Trifluoressigsäure— N-[(9H-fluoren-9-ylmethoxy)carbonyl]-L-valyl-N-{4-[(2S)-2-amino-3- methoxy-3 -
Die Titelverbindung wurde ausgehend von N-(tert-Butoxycarbonyl)-4-nitro-L-phenylalanin sequentiell nach klassischen Methoden der Peptidchemie hergestellt. 2.5 g (8.06 mmol) von diesem Edukt wurde im ersten Schritt zunächst in das Caesiumsalz und dann mit lodmethan in DMF in den Methylester überführt.
Hydrogenolytisch wurde dann in Methanol über 10% Palladium-Aktivkohle die Nitrogruppe in eine Aminogruppe überführt.
Die so generierte Aminogruppe wurde dann mit N5-Carbamoyl-N2-[(9H-fluoren-9- ylmethoxy)carbonyl]-L-ornithin in DMF in Gegenwart von HATU und /V,/V-Diisopropylethylamin acyliert. Im nächsten Schritt wurde die Fmoc-Gruppe mit Piperidin in DMF abgespalten.
Anschließend erfolgte in DMF die Kupplung mit N-[(9H-Fluoren-9-ylmethoxy)carbonyl]-L-valin in Gegenwart von l-(3-Dimethylaminopropyl)-3-ethylcarbodiimid-Hydrochlorid, l-Hydroxy-1 ί-
benzotriazol-Hydrat und Af /V-Diisopropylethylamin und schließlich die Abspaltung der tert- Butoxycarbonylgruppe mit Trifluoressigsäure.
HPLC (Methode 11): Rt = 1.6 min;
LC-MS (Methode 1): Rt = 0.77 min; MS (ESIpos): m/z = 673 (M+H)+. Intermediat L23
Trifluoressigsäure— N-[2-(2,5-dioxo-2,5-dihydro- lH-pyrrol- 1 -yl)ethyl] -beta-alaninamid( 1 : 1)
Die Titelverbindung wurde ausgehend von kommerziell erhältlichem Trifluoressigsäure— 1 -(2- aminoethyl)-lH-pyrrol-2,5-dion(l: l) durch Kupplung mit N-(tert-Butoxycarbonyl)-beta-alanin in Gegenwart von EDCI/HOBT und /V,/V-Diisopropylethylamin und anschließende Entschützung mit Trifluoressigsäure hergestellt.
HPLC (Methode 11): Rt = 0.19 min.
Intermediat L24
Trifluoressigsäure— l-amino-N-[2-(2,5-dioxo-2,5-dihydro-lH-pyrrol-l-yl)ethyl]
cyclopropancarboxamid( 1 :1)
114 mg (0.67 mmol) von kommerziell erhältlicher l-[(tert-Butoxycarbonyl)amino]cyclopropan carbonsäure wurden in 25 mL DCM gelöst und mit 110 mg (0.623 mmol) von kommerziell erhältlichem Trifluoressigsäure— l-(2-aminoethyl)-lH-pyrrol-2,5-dion(l: l) sowie mit 395 μΐ Ν,Ν- Diisopropylethylamin versetzt und auf -10°C abgekühlt. Dann wurden 217 mg (0.793 mmol) 2- Brom-l-ethylpyridiniumtetrafluoroborat zugegeben und der Ansatz 2 h bei RT gerührt. Anschließend wurde mit Ethylacetat verdünnt und nacheinander mit 10%-iger Zitronensäure, gesättigter Natriumhydrogencarbonatlösung un gesättigter Natriumchloridlösubng ausgeschüttelt,
dann über Magnesiumsulfat getrocknet und eingeengt. Nach Trocknung im Hochvakuum wurden 152 mg des geschützten Intermediats erhalten.
Diese wurden anschließend in 10 mL DCM aufgenommen und mit 1 mL Trifluoressigsäure entschützt. Nach Lyophilisation aus Acetonitril/Wasser wurden 158 mg (71% d.Th. über 2 Stufen) der Titelverbindung erhalten.
HPLC (Methode 11): Rt = 0.19 min.
LC-MS (Methode 3): Rt = 0.98 min; MS (ESIpos): m/z = 224 (M+H)+. Intermediat L25
N-[31 -(2,5-Dioxo-2,5-dihydro- lH-pyrrol- 1 -yl)-29-oxo-4,7, 10, 13, 16, 19,22,25-octaoxa-28- azahentriacontan- 1 -oyl] -L-valyl-L- alanin
31.4 mg (0.17 mmol) Valyl-L-alanin wurden in 3.0 mL DMF gelöst und mit 115.0 mg (0.17 mmol) 3-(2,5-Dioxo-2,5-dihydro- lH-pyrrol- 1 -yl)-N- { 27- [(2,5-dioxopyrrolidin- 1 -yl)oxy] -27-oxo- 3,6,9,12, 15, 18,21,24-octaoxaheptacos-l-yl}propanamid und mit 33.7 mg (0.0.33 mmol) Triethylamin versetzt. Es wurde über Nacht bei RT gerührt. Die Reaktionsmischung wurde direkt über die präp. RP-HPLC gereinigt (Säule: Reprosil 250x30; 10μ, Fluss: 50 mL/min, MeCN/Wasser). Die Lösemittel wurden im Vakuum verdampft und der Rückstand im Hochvakuum getrocknet. Man erhielt 74.1 mg (58 % d. Th.) der Titelverbindung.
LC-MS (Methode 1): Rt = 0.61 min; MS (ESIpos): m/z = 763 [M+H]+.
Intermediat L26
L-Valyl-N6-(tert-butoxycarbonyl)-L-lysin
600.0 mg (1.58 mmol) N2-[(Benzyloxy)carbonyl]-N6-(tert-butoxycarbonyl)-L-lysin wurden in 25.0 mL Wasser/Ethanol/THF (1 : 1 :0.5) suspendiert und mit Palladium auf Kohle (10%ig) versetzt und bei RT mit Wasserstoff unter Normaldruck 5 h hydriert. Der Katalysator wurde abfiltriert und die Lösemittel im Vakuum verdampft. Die erhaltene Verbindung wurde ohne weitere Reinigung in der nächsten Stufe eingesetzt.
LC-MS (Methode 1): Rt = 0.42 min; MS (ESIpos): m/z = 247 [M+H]+.
180 mg (0.73 mmol) N6-(tert-Butoxycarbonyl)-L-lysin wurden in 5.0 mL DMF gelöst und mit 74.0 mg (0.73 mmol) Triethylamin versetzt. Dann wurden 254.6 mg (0.73 mmol) 2,5-Dioxopyrrolidin- l-yl-N-[(benzyloxy)carbonyl]-L-valinat und 74.0 mg (0.73 mmol) Triethylamin zugegeben. Die Reaktionsmischung wurde 3.5 h bei RT gerührt. Die Reaktionslösung wurde direkt über die präp. RP-HPLC gereinigt (Säule: Reprosil 250x30; 10μ, Fluss: 50 mL/min, MeCN/Wasser, 0.1 % TFA). Die Lösemittel wurden im Vakuum verdampft und der Rückstand im Hochvakuum getrocknet. Man erhielt 294.1 mg (76 % d. Th.) N-[(Benzyloxy)carbonyl]-L-valyl-N6-(tert-butoxycarbonyl)-L- lysin.
LC-MS (Methode 1): Rt = 0.97 min; MS (ESIpos): m/z = 480 [M+H]+.
272.2 mg (0.57 mmol) N-[(Benzyloxy)carbonyl]-L-valyl-N6-(tert-butoxycarbonyl)-L-lysin wurden in 20.0 mL Ethylacetat/Ethanol/THF (1: 1: 1) vorgelegt und mit 27.2 mg Palladium auf Aktivkohle versetzt. Man hydrierte mit Wasserstoff bei RT unter Normaldruck 5 h. Es wurde mit Hilfe von Celite(R) abfiltriert und der Filterkuchen mit Ethylacetat/Ethanol/THF (1 : 1: 1) nachgewaschen. Die Lösemittel wurden im Vakuum verdampft und der Rückstand im Hochvakuum getrocknet. Die Titelverbindung (182 mg, 72 % d. Th.) wurde in der nächsten Reaktionsstufe ohne weitere Reinigung eingesetzt.
LC-MS (Methode 1): Rt = 0.53 min; MS (ESIpos): m/z = 346 [M+H]+.
Intermediat L27
N-[31 -(2,5-Dioxo-2,5-dihydro- lH-pyrrol- 1 -yl)-29-oxo-4,7, 10, 13, 16, 19,22,25-octaoxa-28- azahentriacontan- 1 -oyl] -L-valyl-N6-(tert-butoxycarbonyl)-L-lysin
30 mg (0.07 mmol) L-Valyl-N6-(tert-butoxycarboriyl)-L-lysin (Intermediat L26)und 46.1 mg (0.07 mmol) 3-(2,5-Dioxo-2,5-dihydro- lH-pyrrol- 1 -yl)-N- {27- [(2,5-dioxopyrrolidin-l -yl)oxy] -27-oxo- 3,6,9,12, 15, 18,21,24-octaoxaheptacos-l-yl}propanamid wurden in 1.5 mL DMF vorgelegt und mit 6.8 mg (0.07 mmol) 4-Methylmorpholin versetzt. Die Reaktionslösung rührte bei RT über Nacht. Die Reaktionsmischung wurde direkt über die präp. RP-HPLC gereinigt (Säule: Reprosil 250x30; 10μ, Fluss: 50 mL/min, MeCN/Wasser). Die Lösemittel wurden im Vakuum verdampft und der Rückstand im Hochvakuum getrocknet. Man erhielt 55.6 mg (90 % d. Th.) der Titel Verbindung. LC-MS (Methode 1): Rt = 0.77 min; MS (ESIpos): m/z = 920 [M+H]+.
Intermediat L28 tert-Butyl-3-formyl-4-({ [2-(trimethylsilyl)ethoxy]carbonyl}amino)pyrrolidin-l-carboxylat
461.7 mg (1.15 mmol) l-tert-Butyl-3-ethyl-4-({ [2-(trimethylsilyl) ethoxy]carbonyl}amino)pyrrolidin-l,3-dicarboxylat (Diese Verbindung wurde gemäß Literaturvorschrift WO 2006/066896 hergestellt) wurden in 5.0 mL absol. Dichlormethan vorgelegt und auf -78 °C abgekühlt. Dann wurde langsam 326.2 mg (2.29 mmol) Diisobutylaluminiumhydrid- Lösung (1 M in THF) zugetropft und 2 h bei -78 °C gerührt (Dünnschichtchromatographische Kontrolle (Petrolether/Ethylacetat = 3: 1). Es wurden 1.3 g (4.59 mmol) Kaliumnatriumtartrat gelöst in 60 mL Wasser zugetropft und die Reaktionsmischung auf RT kommen gelassen. Die Reaktionsmischung wurde mit Ethylacetat versetzt und die wässrige Phase dreimal mit Ethylacetat extrahiert. Die vereinigten organischen Phasen wurden einmal mit ges. NaCl-Lösung gewaschen und über Magnesiumsulfat getrocknet. Das Lösemittel wurde im Vakuum verdampft und der Rückstand im Hochvakuum getrocknet. Man erhielt 629.0 mg der Titelverbindung als Rohprodukt, welches ohne weitere Reinigung sofort in der nächsten Reaktionsstufe eingesetzt wurde.
Intermediat L29 tert-Butyl-3-formyl-4-[( { [2-(trimethylsilyl)ethoxy] carbonyl } amino)methyl]pyrrolidin- 1 -carboxylat Mischung aus Diastereomeren.
807.1 mg (2.34 mmol) tert-Butyl-3-({ [tert-butyl(dimethyl)silyl]oxy}methyl)-4- (hydroxymethyl)pyrrolidin-l-carboxylat (Die Herstellung erfolgte gemäß der Literaturvorschrift WO 2006/100036) wurden in 8.0 mL Dichlormethan vorgelegt und 236.4 mg (2.34 mmol) Triethylamin zugegeben. Bei 0 °C wurden 267.6 mg (2.34 mmol) Methansulfonsäurechlorid zugetropft und die Reaktionsmischung über Nacht bei RT gerührt. Es erfolgte eine weitere Zugabe von 133.8 mg (1.17 mmol) Methansulfonsäurechlorid und 118.2 mg (1.17 mmol) Triethylamin. Die Reaktionsmischung wurde über Nacht bei RT gerührt. Es wurde mit Dichlormethan verdünnt und die organische Phase je einmal mit ges. Natriumhydrogencarbonat-Lösung, 5%iger Kaliumhydrogensulfat-Lösung und ges. NaCl-Lösung gewaschen. Nach der Trocknung über Magnesiumsulfat wurde das Lösemittel im Vakuum verdampft und der Rückstand wurde mittels Biotage Isolera gereinigt (Kieselgel, Säule 50 g SNAP, Fluss 66 mL/min, Cyclohexan/Ethylacetat). Die Lösemittel wurden im Vakuum verdampft und der Rückstand im Hochvakuum getrocknet. Man erhielt 402.0 mg (41 % d. Th.) der Verbindung tert-Butyl-3-({ [tert- butyl(dimethyl)silyl]oxy}methyl)-4-{ [(methylsulfonyl)oxy]methyl}pyrrolidin-l-carboxylat LC-MS (Methode 1): Rt = 1.38 min; MS (ESIpos): m/z = 424 [M+H]+.
400.0 mg (0.94 mmol) tert-Butyl-3-({ [tert-butyl(dimethyl)silyl]oxy}methyl)-4- { [(methylsulfonyl)oxy]methyl}pyrrolidin-l-carboxylat wurden in 5.0 mL DMF vorgelegt und mit 98.2 mg (1.51 mmol) Natriumazid versetzt. Die Reaktionsmischung wurde 10 h bei 40 °C gerührt. Dann wurden nochmals 30.7 mg (0.47 mmol) Natriumazid zugegeben und weitere 10 h bei 40 °C gerührt. Es wurde Ethylacetat zugegeben und die organsiche Phase mehrmals mit Wasser gewaschen. Nach der Trocknung der organischen Phase über Magnesiumsulfat wurde das Lösemittel im Vakuum verdampft und der Rückstand im Hochvakuum getrocknet. Man erhielt
309.5 mg (89 % d. Th.) der Verbindung tert-Butyl-3-(azidomethyl)-4-({ [tert- butyl(dimethyl)silyl]oxy}methyl)pyrrolidin-l-carboxylat. Die Verbindung wurde ohne weitere Reinigung in der nächsten Synthesestufe eingesetzt.
LC-MS (Methode 1): Rt = 1.50 min; MS (ESIpos): m/z = 371 [M+H]+.
250 mg (0.68 mmol) tert-Butyl-3-(azidomefhyl)-4-({ [tert- butyl(dimethyl)silyl]oxy}methyl)pyrrolidin-l-carboxylat wurden in 10.0 mL Ethylacetat/Ethanol (1: 1) gelöst und mit 25.0 mg Palladium auf Aktivkohle (10%) versetzt. Man hydrierte mit Wasserstoff bei RT unter Normaldruck 8 h. Die Reaktion wurde über Celite(R) filtiert und der Filterkuchen intensiv mit Ethylacetat gewaschen. Das Lösemittel wurde im Vakuum verdampft und der Rückstand im Hochvakuum getrocknet. Man erhielt 226.2 mg (82 % d. Th.) der Verbindung tert-Butyl-3-(aminomethyl)-4-({ [tert-butyl(dimethyl)silyl]oxy}methyl)pyrrolidin-l-carboxylat. Die Verbindung wurde ohne weitere Reinigung in der nächsten Synthesestufe eingesetzt.
LC-MS (Methode 1): Rt = 0.89 min; MS (ESIpos): m/z = 345 [M+H]+.
715.0 mg (2.08 mmol) tert-Butyl-3-(aminomethyl)-4-({ [tert- butyl(dimethyl)silyl]oxy}methyl)pyrrolidin-l-carboxylat wurden in 15.0 mL THF gelöst und mit 2.28 mL (2.28 mmol) TBAF-Lösung (IM in THF) versetzt. Die Reaktionsmischung wurde bei RT über Nacht gerührt. Das Lösemittel wurde im Vakuum verdampft und der Rückstand (1.54 g) ohne weitere Reinigung in der nächsten Synthesestufe eingesetzt.
LC-MS (Methode 1): Rt = 0.41 min; MS (ESIpos): m/z = 231 [M+H]+.
1.54 g (4.88 mmol) tert-Butyl-3-(aminomethyl)-4-(hydroxymethyl)pyrrolidin-l-carboxylat wurden in 1,4-Dioxan vorgelegt mit 541.8 mg (4.88 mmol) Calciumchlorid (wasserfrei) und 488.6 mg (4.88 mmol) Calciumcarbonat versetzt und kräftig gerührt. Dann wurden 592.8 mg (5.86 mmol) Triethylamin und 1.52 g (5.86 mmol) l-({ [2-(Trimethylsilyl)ethoxy]carbonyl}oxy)pyrrolidin-2,5- dion zugegeben und die Reaktionsmischung über Nacht bei RT gerührt. Es wurden 644.9 mg (10.7 mmol) HOAc und Ethylacetat zugegeben. Die organische Phase wurde zweimal mit Wasser und einmal mit ges. NaCl-Lösung gewaschen. Nach der Trocknung über Magnesiumsulfat wurde das Lsöemittel im Vakuum verdampft und der Rückstand mittels Kieselgel (Laufmittel: Dichlormethan/Methanol = 100: 1) gereinigt. Die Lösemittel wurden im Vakuum verdampft und der Rückstand im Hochvakuum getrocknet. Man erhielt 346.9 mg (19 % d. Th.) der Verbindung tert-Butyl-3-(hydroxymethyl)-4-[({ [2-(trimethylsilyl)ethoxy]carbonyl}amino)methyl]pyrrolidin-l- carboxylat.
LC-MS (Methode 1): Rt = 1.08 min; MS (ESIpos): m/z = 375 [M+H]+.
804.0 mg (2.15 mmol) tert-Butyl-3-(hydroxymefhyl)-4-[({ [2-
(trimethylsilyl)ethoxy]carbonyl}amino)methyl]pyrrolidin-l-carboxylat wurden in 20.0 mL Chloroform und 20.0 mL 0.05 N Kaliumcarbonat/0.05 N Natriumhydrogencarbonat-Lösung (1 : 1) vorgelegt. Dann wurden 59.7 mg (0.22 mmol) Tetra-n-butylammoniumchlorid, 429.9 mg (3.22 mmol) N-Chlorsuccinimid und 33.5 mg (0.22 mmol) TEMPO zugegeben und die Reaktionsmischung kräftig über Nacht bei RT gerührt. Die organische Phase wurde abgetrennt und im Vakuum vom Lösemittel befreit. Der Rückstand wurde mittels Kieselgel (Lausfmittel: Cyclohexan/Ethylacetat = 3: 1) gereinigt. Man erhielt 517.0 mg (46 % d. Th.) der Titelverbindung. LC-MS (Methode 1): Rt = 1.13 min; MS (ESIpos): m/z = 373 [M+H]+.
Intermediat L30 tert-Butyl-3-({ [tert-butyl(dimethyl)silyl]oxy}methyl)-4-formylpyrrolidin-l-carboxylat
Mischung aus Stereoisomeren
250.0 mg (0.72 mmol) tert-Butyl-3-({ [tert-butyl(dimethyl)silyl]oxy}methyl)-4- (hydroxymethyl)pyrrolidin-l-carboxylat (Die Verbindung wurde gemäß der Literaturvorschrift WO2006/100036 hergestellt.) wurde in 12.5 mL Dichlormethan/DMSO (4: 1) vorgelegt und mit 219.6 mg (2.17 mmol) Triethylamin versetzt. Bei 2 °C wurde 345.5 mg (2.17 mmol) Schwefeltrioxid-Pyridin-Komplex portionsweise zugegeben und 3 h bei 2 °C gerührt. Es wurden nochmals 345.5 mg (2.17 mmol) Schwefeltrioxid-Pyridin-Komplex portionsweise zugegeben und 17 h bei RT gerührt. Die Reaktionsmischung wurde zwischen Dichlormethan und Wasser verteilt. Die wässrige Phase wurde dreimal mit Dichlormethan extrahiert und die vereinigten organischen Phasen einmal mit Wasser gewaschen und über Magnesiumsulfat getrocknet. Das Lösemittel wurde im Vakuum verdampft und der Rückstand im Hochvakuum getrocknet. Die Rückstand
wurde ohne weitere Reinigung in der nächsten Synthesestufe
(Dünnschichtchromatographie: Petrolether/Ethylacetat 7:3).
Intermediat L31
Di-tert-butyl- { [(tert-butoxycarbonyl) amino] methyl } malonat
Zu 600 mL Wasser wurden 57.2 g (488.27 mmol) tert-Butylcarbamat, 51.2 mL (683.57 mmol) einer 37%-igen Lösung von Formaldehyd in Wasser und 25.9 g (244.13 mmol) Natriumcarbonat addiert. Das Gemisch wurde erwärmt, bis eine Lösung entstand und dann bei RT für 16 h gerührt. Die entstandene Suspension wurde mit 500 mL Dichlormethan extrahiert, die organische Phase abgetrennt, mit gesättigter Natriumchlorid-Lösung gewaschen und über Natriumsulfat getrocknet. Es wurde am Rotationsverdampfer eingeengt und der Rückstand im Hochvakuum getrocknet, wobei ein kristalliner Feststoff anfällt. Der Rückstand wurde in 1000 mL absoluten THF aufgenommen und bei RT ein Gemisch aus 322 mL (3.414 mol) Essigsäureanhydrid und 138 mL (1.707 mol) Pyridin zugetropft. Die Reaktionsmischung wurde bei RT für 16 h gerührt und anschließend am Rotationsverdampfer eingenegt, wobei das Wasserbad Raumtemperatur hatte. Der Rückstand wurde in Diethylether aufgenommen und drei mal mit einer gesättigten Natriumhydrogencarbonat-Lösung sowie ein mal mit einer gesättigten Natriumchlorid-Lösung gewaschen. Die organische Phase wurde über Natriumsulfat getrocknet, am Rotationsverdampfer eingeengt und der Rückstand 2 d im Hochvakuum getrocknet. Der Rückstand wurde in 2000 mL absolutem THF aufgenommen und unter Eiskühlung mit 456 mL (456.52 mmol) einer 1 M Lösung von Kalium-tert-butanolat in THF versetzt. Es wurde 20 Min. bei 0°C gerührt und anschließend 100.8 g (456.52 mmol) Di-tert-butylmalonat gelöst in 200 mL absolutem THF zugetropft. Es wurde 48 h bei RT gerührt und anschließend Wasser addiert. Das Reaktionsgemisch wurde am Rotationsverdampfer eingeengt und in 500 mL Essigsäureethylester aufgenommen. Das Gemisch wurde mit 500 mL Wasser und 100 mL einer gesättigten Natriumchlorid-Lösung gewaschen und
die organische Phase über Natriumsulfat getrocknet. Die organische Phase wurde am Rotationsverdampfer eingeengt und der Rückstand im Hochvakuum getrocknet. Der Rückstand wurde mittels Filtration über Kieselgel (Eluent: Cylohexan/Essigsäureethylester, Gradient = 30: 1 — > 5: 1) gereinigt. Es wurden 37.07 g (22% d. Th.) der Zielverbindung erhalten.
LC-MS (Methode 6): Rt = 2.87 min; MS (ESIpos): m/z = 346 [M+H]+.
Intermediat L32 tert-Butyl-[3-hydroxy-2-(hydroxymethyl)propyl]carbamat
37.0 g (107.11 mmol) Di-tert-butyl-(acetoxymethyl)malonat wurden in 1000 mL absolutem THF gelöst und unter Eiskühlung mit 535.5 mL (1071.10 mmol) einer 2 M Lösung von Lithiumborhydrid in THF tropfenweise versetzt. Es wurden 19.3 mL (1071.10 mmol) Wasser zugetropft und 4.5 h bei RT gerührt. Das Reaktionsgemisch wurde am Rotationsverdampfer eingeengt und im Hochvakuum getrocknet. Der Rückstand wurde in 1500 mL Essigsäureethylester aufgenommen und mit 100 mL Wasser versetzt und 30 Min. unter Wasserkühlung gerührt (leicht exotherm). Die organische Phase wurde abgetrennt und die wässrige Phase zwei mal mit 500 mL Essigsäureethylester extrahiert. Die organische Phase wurde am Rotationsverdampfer eingeengt und der Rückstand im Hochvakuum getrocknet. Es wurden 20.7 g (94% d. Th.) der Zeilverbindung erhalten.
LC-MS (Methode 6): Rt = 1.49 min; MS (EIpos): m/z = 106 [M-C5H802]+. Intermediat L33 tert-Butyl- [3- { [tert-butyl(dimethyl)silyl] oxy } -2-(hydroxymethyl)propyl] carbamat
20.00 g (97.44 mmol) tert-Butyl-[3-hydroxy-2-(hydroxymethyl)propyl]carbamat wurden in 1000 mL absolutem Dichlormethan gelöst und bei RT mit 6.63 g (97.44 mmol) Imidazol sowie 16.16 g (107.18 mmol) tert-Butyl(chlor)dimethylsilan versetzt. Es wurde 16 h bei RT gerührt und das Reaktionsgemisch mit halbkonzentrierter Natriumchlorid-Lösung gewaschen. Die wässrige Phase wurde mit Essigsäureethylester extrahiert und die vereinigten oranischen Phasen über Natriumsulfat getrocknet, am Rotationsverdampfer eingeengt und im Hochvakuum getrocknet. Es wurden 28.50 g (92% d. Th.) der Zielverbindung erhalten.
^-NMR (400 MHz, DMSO-d6): δ [ppm] = 0.02 (s, 6H), 0.86 (s, 9H), 1.37 (s, 9H), 1.58-1.73 (m, 1H), 2.91 (q, 2H), 3.33-3.36 [m, (2H, verdeckt)], 3.53-3.58 (m, 2H), 6.65-6.72 (m, 1H).
Intermediat L34 tert-Butyl-(3- { [tert-butyl(dimethyl)silyl] oxy } -2-formylpropyl)carbamat
12.65 g ( 39.591 mmol) tert-Butyl-[3-{ [tert-butyl(dimethyl)silyl]oxy}-2-(hydroxymethyl)pro- pyl]carbamat wurden in 200 mL Dichlormethan gelöst und bei RT mit und mit 19.31 g (45.53 mmol) Dess-Martin-Periodinan gelöst in 150 mL Dichlormethan tropfenweise versetzt. Das Gemisch wurde 2 h bei Raumtemperatur gerührt und anschließend mit 250 mL einer
halbkonzentrierten Natriumhydrogencarbonat-Lösung sowie mit 250 mL einer 10%-igen Natriumthiosulfat-Lösung versetzt, und für 20 Min. gerührt. Die organische Phase wurde abgetrennt und die wässrige Phase mit Essigsäureethylester extrahiert. Die vereinigten organischen Phasen wurden mit 300 mL Wasser gewaschen, über Natriumsulfat getrocknet, am Rotationsverdampfer eingeengt und im Hochvakuum getrocknet. Es wurden 11.35 g ( 90% d. Th.) der Zielverbindung erhalten.
XH-NMR (400 MHz, DMSO-d6): δ [ppm] = 0.02 (s, 6H), 0.84(s, 9H), 1.36 (s, 9H), 1.48- 1.51 (m, IH), 3.08-3.32 [m, (IH, verdeckt)], 3.50-3.58 (m, 2H), 3.81-3.91 (m, IH), 6.71 (t, IH), 9.60 (d, IH).
Intermediat L35 tert-Butyl-(3-oxopropyl)carbamat
Die Titel Verbindung wurde nach literaturbekannten Verfahren hergestellt (z.B. Jean Bastide et al. /. Med. Chem. 2003, 46(16), 3536-3545).
Intermediat L36
N-[(Benzyloxy)carbonyl]-L-valyl-N5-carbamoyl-L-ornithin
100 mg (0.57 mmol) N5-Carbamoyl-L-ornithin wurden in 4.0 mL DMF aufgenommen und mit 0.08 mL (0.57 mmol) Triethylamin versetzt. Dann wurden 199.0 mg (0.57 mmol) 2,5- Dioxopyrrolidin-l-yl-N-[(benzyloxy)carbonyl]-L-valin und 0.08 mL (0.57 mmol) Triethylamin zugesetzt. Es wurde 48 h bei RT gerührt. Die Reaktionsmischung wurde direkt über die präp. RP- HPLC gereinigt (Säule: Reprosil 250x30; 10μ, Fluss: 50 mL/min, MeCN/Wasser mit 0.1 % TFA). Die Lösemittel wurden im Vakuum verdampft und der Rückstand im Hochvakuum getrocknet. Man erhielt 75.7 mg (33 % d. Th.) der Titelverbindung.
LC-MS (Methode 1): Rt = 0.69 min; MS (ESIpos): m/z = 409 [M+H]+.
Intermediat L37
L-Valyl-N5-carbamoyl-L-ornith
75.7 mg (0.19 mmol) von Intermediat L36 wurden in 25 mL Wasser/Ethanol/THF suspendiert und mit 7.5 mg Palladium auf Aktivkohle (10%ig) versetzt und bei RT 4.5 h lang mit Wasserstoff unter Normaldruck hydriert. Der Katalysator wurde abfiltriert und die Reaktionsmischung im Vakuum vom Lösemittel befreit und im Hochvakuum getrocknet. Der Rückstand wurde ohne weitere Reinigung in der nächsten Stufe eingesetzt. Man erhielt 64.9 mg (93 % d. Th.) der Titelverbindung. LC-MS (Methode 6): Rt = 0.25 min; MS (ESIpos): m/z = 275 [M+H]+.
Intermediat L38
N-[31 -(2,5-Dioxo-2,5-dihydro- lH-pyrrol- 1 -yl)-29-oxo-4,7, 10, 13, 16, 19,22,25-octaoxa-28- azahentriacontan- 1 -oyl] -L- valyl-N5-carbamoyl-L-ornithin
38.3 mg (0.14 mmol) von Intermediat L37 wurden in 3.0 mL DMF vorgelegt und mit 96.4 mg (0.14 mmol) 3-(2,5-Dioxo-2,5-dihydro- 1 H-pyrrol- 1 -yl)-N- { 27- [(2,5-dioxopyrrolidin- 1 -yl)oxy] - 27-oxo-3,6,9, 12, 15,18,2 l,24-octaoxaheptacos-l-yl}propanamid und mit 39.0 μΐ^ (0.28 mmol) Triethylamin versetzt. Es wurde über Nacht bei RT gerührt. Die Reaktionsmischung wurde anschließend mit 16.0 μΕ (0.28 mmol) HOAc versetzt und direkt über die präp. RP-HPLC gereinigt (Säule: Reprosil 250x30; 10μ, Fluss: 50 mL/min, MeCN/Wasser). Die Lösemittel wurden im Vakuum verdampft und der Rückstand im Hochvakuum getrocknet. Man erhielt 58.9 mg (45 % d. Th.) der Titelverbindung.
LC-MS (Methode 1): Rt = 0.61 min; MS (ESIpos): m/z = 849 [M+H]+.
Intermediat L39
2-(Trimethylsilyl)ethyl-(2-sulfanylethyl)carbamat
300 mg (2.64 mmol) 2-Aminoethanthiolhydrochlorid (1 :1) wurden in 3.0 mL Dichlormethan vorgelegt und mit 668.0 mg (6.60 mmol)Triethylamin mit 719.1 mg (2.77 mmol) l-({ [2- (Trimethylsilyl)ethoxy]carbonyl}oxy)pyrrolidin-2,5-dion versetzt. Es wurde 2 Tage bei RT gerührt. (Dünnschichtchromatographische Kontrolle: Dichlormethan/Methanol = 100: 1.5) Die Reaktionsmischung wurde mit Ethylacetat versetzt und dreimal mit Wasser gewaschen. Die
organische Phase wurde zweimal mit ges. NaCl-Lösung gewaschen und über Magnesiumsulfat getrocknet. Das Lösemittel wurde im Vakuum verdampft und der Rückstand im Hochvakuum getrocknet. Einsatz der Verbindung ohne weitere Reinigung in der nächsten Synthesestufe.
Intermediat L40
N-[31 -(2,5-Dioxo-2,5-dihydro- lH-pyrrol- 1 -yl)-29-oxo-4,7, 10, 13, 16, 19,22,25-octaoxa-28- azahentriacontan- 1 -oyl] -L-valyl-N6-(tert-butoxycarbonyl)-L-lysin
600 mg (1.58 mmol) N2-[(Benzyloxy)carbonyl]-N6-(tert-butoxycarbonyl)-L-lysin wurden in 25.0 mL Wasser/Ethanol/THF (1: 1:0.5) mittels Palladium auf Kohle (10 %) bei RT unter Normaldruck mit Wasserstoff hydriert. Die Verbindung N6-(tert-Butoxycarbonyl)-L-lysin wird ohne weitere Reinigung in der nächsten Synthesestufe eingesetzt.
LC-MS (Methode 1): Rt = 0.99 min; MS (ESIpos): m/z = 247 [M+H]+.
180.0 (0.73 mmol) N6-(tert-Butoxycarbonyl)-L-lysin wurden in 5.0 mL DMF gelöst und mit 74.0 mg (0.73 mmol) Triethylamin versetzt. Es wurden 254.6 mg (0.73 mmol) 2,5-Dioxopyrrolidin-l- yl-N-[(benzyloxy)carbonyl]-L-valinat und 74.0 mg (0.73 mmol) Triethylamin zugegeben. Die Reaktionsmischung wurde 3.5 h bei RT gerührt. Die Reaktionsmischung wurde direkt mittles präp. RP-HPLC gereinigt (Säule: Reprosil 250x30; 10μ, Fluss: 50 mL/min, MeCN/Wasser, 0.1 % TFA). Die Lösemittel wurden im Vakuum verdampft und der Rückstand im Hochvakuum getrocknet. Man erhielt 294.1 mg (76 % d. Th.) der Verbindung N-[(Benzyloxy)carbonyl]-L-valyl-N6-(tert- butoxycarbonyl)-L-lysin.
LC-MS (Methode 1): Rt = 0.97 min; MS (ESIpos): m/z = 480 [M+H]+.
272.2 mg (0.57 mmol) N-[(Benzyloxy)carbonyl]-L-valyl-N6-(tert-butoxycarbonyl)-L-lysin wurden in 20 mL Ethylacetat/Ethanol/THF (1: 1: 1) gelöst und mit 27.2 mg Palladium auf Aktivkohle versetzt und unter Normaldruck und bei RT mit Wasserstoff hydriert. Es wurde über Celite(R) filtriert und der Filterkuchen intensiv mit Ethylacetat Ethanol/THF (1 : 1 : 1) gewaschen. Die Lösemittel wurden im Vakuum verdampft und der Rückstand im Hochvakuum getrocknet. Man erhielt 182.0 mg (72 % d. Th.) der Verbindung L-Valyl-N6-(tert-butoxycarbonyl)-L-lysin.
LC-MS (Methode 1): Rt = 0.53 min; MS (ESIpos): m/z = 346 [M+H]+.
30.0 mg (0.07 mmol) L-Valyl-N6-(tert-butoxycarbonyl)-L-lysin und 46.1 mg (0.07 mmol) 3-(2,5- Dioxo-2,5-dihydro- 1 H-pyrrol- 1 -yl)-N- { 27- [(2,5-dioxopyrrolidin- 1 -yl)oxy] -27-oxo- 3,6,9,12, 15, 18,21,24-octaoxaheptacos-l-yl}propanamid wurden in 1.5 mL DMF gelöst und mit 6.8 mg (0.07 mmol) 4-Methylmorpholin versetzt. Dir Reaktionsmischung wurde über Nacht bei RT gerührt. Die Reaktionsmischung wurde direkt mittles präp. RP-HPLC gereinigt (Säule: Reprosil 250x30; 10μ, Fluss: 50 mL/min, MeCN/Wasser). Die Lösemittel wurden im Vakuum verdampft und der Rückstand im Hochvakuum getrocknet. Man erhielt 55.6 mg (90 % d. Th.) der Titelverbindung.
LC-MS (Methode 1): Rt = 0.77 min; MS (ESIpos): m/z = 920 [M+H]+.
Intermediat L41
N-[19-(2,5-Dioxo-2,5-dihydro-lH-pyrrol-l-yl)- 17-oxo-4,7, 10,13-tetraoxa-16-az anonadecan-1- oyl]-L-valyl-N6-(tert-butoxycarbonyl)-L-lysin
600 mg (1.58 mmol) N2-[(Benzyloxy)carbonyl]-N6-(tert-butoxycarbonyl)-L-lysin wurden in 25.0 mL Wasser/Ethanol/THF (1: 1:0.5) mittels Palladium auf Kohle (10 %) bei RT unter Normaldruck mit Wasserstoff hydriert. Die Verbindung N6-(tert-Butoxycarbonyl)-L-lysin wird ohne weitere Reinigung in der nächsten Synthesestufe eingesetzt.
LC-MS (Methode 1): Rt = 0.99 min; MS (ESIpos): m/z = 247 [M+H]+.
180.0 (0.73 mmol) N6-(tert-Butoxycarbonyl)-L-lysin wurden in 5.0 mL DMF gelöst und mit 74.0 mg (0.73 mmol) Triethylamin versetzt. Es wurden 254.6 mg (0.73 mmol) 2,5-Dioxopyrrolidin-l- yl-N-[(benzyloxy)carbonyl]-L-valinat und 74.0 mg (0.73 mmol) Triethylamin zugegeben. Die Reaktionsmischung wurde 3.5 h bei RT gerührt. Die Reaktionsmischung wurde direkt mittles präp. RP-HPLC gereinigt (Säule: Reprosil 250x30; 10μ, Fluss: 50 mL/min, MeCN/Wasser, 0.1 % TFA). Die Lösemittel wurden dann im Vakuum verdampft und der Rückstand im Hochvakuum getrocknet. Man erhielt 294.1 mg (76 % d. Th.) der Verbindung N-[(Benzyloxy)carbonyl]-L-valyl- N6-(tert-butoxycarbonyl)-L-lysin.
LC-MS (Methode 1): Rt = 0.97 min; MS (ESIpos): m/z = 480 [M+H]+.
272.2 mg (0.57 mmol) N-[(Benzyloxy)carbonyl]-L-valyl-N6-(tert-butoxycarbonyl)-L-lysin wurden in 20.0 mL Ethylacetat/Ethanol/THF (1 : 1 : 1) gelöst und mit 27.2 mg Palladium auf Aktivkohle versetzt und unter Normaldruck und bei RT mit Wasserstoff hydriert. Es wurde über Celite(R)
filtriert und der Filterkuchen intensiv mit Ethylacetat/Ethanol/THF (1 : 1 : 1) gewaschen. Die Lösemittel wurden im Vakuum verdampft und der Rückstand im Hochvakuum getrocknet. Man erhielt 182.0 mg (72 % d. Th.) der Verbindung L-Valyl-N6-(tert-butoxycarbonyl)-L-lysin.
LC-MS (Methode 1): Rt = 0.53 min; MS (ESIpos): m/z = 346 [M+H]+.
30.0 mg (0.07 mmol) L-Valyl-N6-(tert-butoxycarbonyl)-L-lysin und 34.3 mg (0.07 mmol) 3-(2,5- Dioxo-2,5-dihydro- 1 H-pyrrol- 1 -yl)-N- { 15- [(2,5-dioxopyrrolidin- 1 -yl)oxy] - 15-oxo-3,6,9, 12- tetraoxapentadec-l-yl}propanamid wurden in 1.5 mL DMF gelöst und mit 6.8 mg (0.07 mmol) 4- Methylmorpholin versetzt. Dir Reaktionsmischung wurde über Nacht bei RT gerührt. Die Reaktionsmischung wurde direkt mittles präp. RP-HPLC gereinigt (Säule: Reprosil 250x30; 10μ, Fluss: 50 mL/min, MeCN/Wasser). Die Lösemittel wurden im Vakuum verdampft und der Rückstand im Hochvakuum getrocknet. Man erhielt 40.6 mg (82 % d. Th.) der Titelverbindung. LC-MS (Methode 1): Rt = 0.73 min; MS (ESIpos): m/z = 744 [M+H]+.
Intermediat L42
N-[19-(2,5-Dioxo-2,5-dihydro-lH-pyrrol-l-yl)- 17-oxo-4,7, 10,13-tetraoxa-16-az anonadecan-1- oyl]-L-valyl-N5-carbamoyl-L-ornithin
50.0 mg (0.18 mmol) L-Valyl-N5-carbamoyl-L-ornithin (Intermediat L37) wurden in DMF vorgelegt und mit 93.6 mg (0.18 mmol) 3-(2,5-Dioxo-2,5-dihydro-lH-pyrrol-l-yl)-N-{ 15-[(2,5- dioxopyrrolidin-l-yl)oxy]-15-oxo-3,6,9,12-tetraoxapentadec-l-yl}propanamid und 36.9 mg (0.37 mmol) Triethylamin versetzt. Die Reaktionsmischung rührte bei RT über Nacht. Es wurden 21.9
mg (0.37 mmol) HOAc hinzugefügt und die Reaktionsmischung direkt über die präp. RP-HPLC gereinigt (Säule: Reprosil 250x30; 10μ, Fluss: 50 mL/min, MeCN/Wasser). Die Lösemittel wurden im Vakuum verdampft und der Rückstand im Hochvakuum getrocknet. Man erhielt 20.6 mg (14 % d. Th.) der Titelverbindung.
LC-MS (Methode 1): Rt = 0.55 min; MS (ESIpos): m/z = 673 [M+H]+.
Intermediat L43
N-[67-(2,5-Dioxo-2,5-dihydro-lH-pyrrol-l-yl)-65-oxo-
4,7, 10, 13, 16, 19,22,25,28,31 ,34,37,40,43,46,49,52,55,58,6 l-icosaoxa-64-azaheptahexacontan- 1- oyl]-L-valyl-N5-carbamoyl-L-ornithin
11.3 mg (0.04 mmol) L-Valyl-N5-carbamoyl-L-ornithin (Intermediat L37) wurden in DMF vorgelegt und mit 50.0 mg (0.04 mmol) 3-(2,5-Dioxo-2,5-dihydro-lH-pyrrol-l-yl)-N-{63-[(2,5- dioxopyrrolidin- 1 -yl)oxy] -63-oxo-3,6,9, 12, 15, 18,21 ,24,27,30,33,36,39,42,45,48,51 ,54,57,60- icosaoxatrihexacont-l-yl}propanamid und 8.3 mg (0.08 mmol) Triethylamin versetzt. Die Reaktionsmischung rührte bei RT über Nacht. Es wurden 4.9 mg (0.08 mmol) HOAc hinzugefügt und die Reaktionsmischung direkt über die präp. RP-HPLC gereinigt (Säule: Reprosil 250x30; 10μ, Fluss: 50 mL/min, MeCN/Wasser). Die Lösemittel wurden im Vakuum verdampft und der Rückstand im Hochvakuum getrocknet. Man erhielt 15.8 mg (20 % d. Th.) der Titelverbindung. LC-MS (Methode 4): Rt = 0.94 min; MS (ESIpos): m/z = 1377 [M+H]+.
Intermediat L44
N-[19-(2,5-Dioxo-2,5-dihydro-lH-pyrrol-l-yl)- 17-oxo-4,7, 10, 13-tetraoxa-16-azanonadecan-l- oyl] -L-valyl-L- alanin
73.3 mg (0.39 mmol) L-Valyl-L-alanin wurden in 7.0 mL DMF gelöst und mit 200.0 mg (0.39 mmol) 3-(2,5-Dioxo-2,5-dihydro- lH-pyrrol- 1 -yl)-N- { 15- [(2,5-dioxopyrrolidin-l -yl)oxy] - 15-oxo- 3,6,9,12-tetraoxapentadec-l-yl}propanamid und 78.8 mg (0.78 mmol) Triethylamin versetzt. Die Reaktionsmischung wurde bei RT über Nacht gerührt. Die Reaktionsmischung wurde direkt über die präp. RP-HPLC gereinigt (Säule: Reprosil 250x30; 10μ, Fluss: 50 mL/min, MeCNAVasser). Die Lösemittel wurden im Vakuum verdampft und der Rückstand im Hochvakuum getrocknet. Man erhielt 103.3 mg (45 % d. Th.) der Titel Verbindung.
LC-MS (Methode 1): Rt = 0.58 min; MS (ESIpos): m/z = 587 [M+H]+.
Intermediat L45 tert-Butyl-(2S)-2-[(tert-butoxycarbonyl)amino]-4-oxobutanoat
2.00 g (7.26 mmol) tert-Butyl-N-(tert-butoxycarbonyl)-L-homoserinat wurden in 90 ml Dichlormethan gelöst und dann mit 1.76 ml Pyridin sowie mit 4.62 g (10.90 mmol) 1,1,1- Triacetoxy-llambda
5,2-benziodoxol-3(lH)-on (Dess-Martin-Periodinan) versetzt. Der Ansatz wurde 2 h bei RT gerührt, anschließend mit 200 ml Dichlormethan verdünnt und zweimal mit 10%- iger Natriumtiosulfat-Lösung und dann nacheinander zweimal mit 5%-iger Zitronensäure und zweimal mit gesättigter Natriumhydrogencarbonat-Lösung ausgeschüttelt. Die organische Phase wurde abgetrennt, über Natriumsulfat getrocknet und anschließend im Vakuum eingeengt. Der Rückstand wurde mit 100 ml Diethy lether und Cyclohecan (v/v=l : l) versetzt, etwas eingeengt, wobei ein weißer Niederschlag ausfiel. Dieser wurde abgesaugt. Das Filtrat wurde am Rotationsverdampfer eingeengt und im Hochvakuum getrocknet, wobei 1.74 g (88% d. Th.) der Zielverbindung als hellgelbes Öl erhalten wurden.
LC-MS (Methode 1): Rt = 0.85 min; MS (ESIpos): m/z = 274 [M+H]+.
XH-NMR (400 MHz, DMSO-d6): δ [ppm] = 1.38 (s, 18H), 2.64-2.81 (m, 2H), 4.31-4.36 (m, 1H), 7.23 (d, 1H), 9.59 (s, 1H).
Intermediat L46
Trifluoressigsäure— tert-butyl-N-[2-(2,5-dioxo-2,5-dihydro-lH-pyrrol-l-yl)ethyl]-L-glutaminat(l: l)
Die Titelverbindung wurde zunächst durch Kupplung von 200 mg (0.79 mmol) Trifluoressigsäure-
-l-(2-aminoethyl)-lH-pyrrol-2,5-dion(l : l) mit 263 mg (0.87 mmol) (4S)-5-tert-Butoxy-4-[(tert- butoxycarbonyl)amino]-5-oxopentansäure-trifluoressigsäure(l: l) in Gegenwart von EDC/HOBT und /V,/V-Diisopropylethylamin und anschließende Entschützung der Aminogruppe unter schonenden Bedingungen durch lh Rühren in 10%iger Trifluoressigsäure in DCM bei RT hergestellt. Nach Gefriertrocknung aus Acetonitril/ Wasser wurden 85 mg (20% d.Th.) der Titelverbindung über 2 Stufen erhalten.
LC-MS (Methode 1): Rt = 0.37 min; MS (ESIpos): m/z = 326 [M+H]+.
Intermediat L47
Trifluoressigsäure--beta-alanyl-L-alanyl-N5-carbamoyl-N-[4-(^^
y l)phenyl] -L-ornithinamid( 1 : 1)
Die Titel Verbindung wurde durch Kupplung von Intermediat L8 mit 2,5-Dioxopyrrolidin-l-yl-N- (tert-butoxycarbonyl)-beta-alaninat und anschließender Entschützung mit TFA hergestellt.
LC-MS (Methode 3): Rt = 1.36 min; MS (ESIpos): m/z = 488 (M+H)+.
Intermediat L48
Trifluoressigsäure— (lR,2S)-2-amino-N-[2-(2,5-dioxo-2,5-dihydro-lH-pyrrol-l- yl)ethyl]cyclopentancarboxamid(l : 1)
Die Titelverbindung wurde ausgehend von kommerziell erhältlicher (1R, 2S)-2-[(tert- Butoxycarbonyl)amino]cyclopentancarbonsäure in Analogie zu Intermediat L2 hergestellt.
LC-MS (Methode 3): Rt = 1.22 min; MS (ESIpos): m/z = 252 (M+H)+.
Intermediat L49
Die Titelverbindung wurde zunächst durch Kupplung von kommerziell erhältlichem
Bromessigsäureanhydrid mit dem nach klassischen Methoden der Peptidchemie hergestellten partiell geschützten Peptid tert-Butyl-L-valyl-L-alanyl-N6-(tert-butoxycarbonyl)-L-lysinat in Gegenwart von /V,/V-Diisopropylefhylamin in Dichlormethan hergestellt. Anschließend erfolgte die Entschützung an der Aminogruppe unter schonenden Bedingungen durch Rühren in 10%iger Trifluoressigsäure in DCM bei RT, wobei in 49%-iger Ausbeute über 2 Stufen die Titelverbindung erhalten wurde.
LC-MS (Methode 1): Rt = 1.09 min; MS (ESIpos): m/z = 593 und 595 (M+H)+. Intermediat L50
Trifluoressigsäure— (IS, 3R)-3-amino-N-[2-(2,5-dioxo-2,5-dihydro-lH-pyrrol-l- yl)ethyl]cyclopentancarboxamid(l : 1)
Die Titelverbindung wurde ausgehend von kommerziell erhältlicher (lS,3R)-3-[(tert- Butoxycarbonyl)amino]cyclopentancarbonsäure und ebenso kommerziell erhältlichem
Trifluoressigsäure--l-(2-aminoethyl)-lH-pyrrol-2,5-dion(l: l) durch Kupplung mit HATU in Gegenwart von /V,/V-Diisopropylefhylamin und anschließender Entschützung mit TFA hergestellt.
HPLC (Methode 11): Rt = 0.2 min;
LC-MS (Methode 3): Rt = 0.88 min; MS (ESIpos): m/z = 252 (M+H)+. Intermediat L51
Trifluoressigsäure— (lR,3R)-3-amino-N-[2-(2,5-dioxo-2,5-dihydro-lH-pyrrol-l- yl)ethyl]cyclopentancarboxamid(l : 1)
Die Titelverbindung wurde ausgehend von kommerziell erhältlicher (lR,3R)-3-[(tert- Butoxycarbonyl)amino]cyclopentancarbonsäure und ebenso kommerziell erhältlichem Trifluoressigsäure— l-(2-aminoethyl)-lH-pyrrol-2,5-dion(l: l) durch Kupplung mit HATU in Gegenwart von /V,/V-Diisopropylethylamin und anschließender Entschützung mit TFA hergestellt.
LC-MS (Methode 3): Rt = 0.98 min; MS (ESIpos): m/z = 250 (M-H)\
Intermediat L52
Trifluoressigsäure— N-(2-aminoethyl)-2-bromacetamid (1 :1)
420 mg (2.62 mmol) tert-Butyl-(2-aminoethyl)carbamat wurden in 50 ml Dichlormethan aufgenommen und mit 817 mg (3.15 mmol) Bromessigsäureanhydrid sowie 913 μΐ (5.24 mmol)
/V-Diisopropylethylamin versetzt. Der Ansatz wurde 1 h bei RT gerührt und anschließend im Vakuum eingeengt. Der Rückstand wurde duch präparative HPLC gereinigt.
Es wurden 577 mg der geschützten Zwischenstufe erhalten, die anschließend in 50 ml Dichlormethan aufgenommen und mit 10 ml Trifluoressigsäure versetzt wurde. Nach 1 h Rühren bei RT wurde der Ansatz im Vakuum eingeengt und der Rückstand aus AcentonitrilA asser lyophilisert. So wurden 705 mg (65% d. Th.) der Titelverbindung erhalten.
LC-MS (Methode 3): Rt = 0.34 min; MS (ESIpos): m/z = 181 und 183 (M+H)+. Intermediat L53
Trifluoressigsäure— (IS, 3S)-3-amino-N-[2-(2,5-dioxo-2,5-dihydro-lH-pyrrol-l- yl)ethyl]cyclopentancarboxamid(l : 1)
Die Titelverbindung wurde ausgehend von kommerziell erhältlicher (lS,3S)-3-[(tert- Butoxycarbonyl)amino]cyclopentancarbonsäure und ebenso kommerziell erhältlichem Trifluoressigsäure— l-(2-aminoethyl)-lH-pyrrol-2,5-dion(l: l) durch Kupplung mit HATU in Gegenwart von /V,/V-Diisopropylethylamin und anschließender Entschützung mit TFA hergestellt.
HPLC (Methode 11): Rt = 0.19 min;
LC-MS (Methode 3): Rt = 0.88 min; MS (ESIpos): m/z = 250 (M-H)".
Intermediat L54
Trifluoressigsäure— (lR,3S)-3-amino-N-[2-(2,5-dioxo-2,5-dihydro- lH-pyrrol-1- yl)ethyl]cyclopentancarboxamid(l : 1)
Die Titelverbindung wurde ausgehend von kommerziell erhältlicher (lR,3S)-3-[(tert- Butoxycarbonyl)amino]cyclopentancarbonsäure und ebenso kommerziell erhältlichem Trifluoressigsäure— l-(2-aminoethyl)-lH-pyrrol-2,5-dion(l: l) durch Kupplung mit HATU in Gegenwart von /V,/V-Diisopropylethylamin und anschließender Entschützung mit TFA hergestellt.
LC-MS (Methode 3): Rt = 0.89 min; MS (ESIpos): m/z = 252 (M+H)+. Intermediat L55
Trifluoressigsäure— tert-butyl-N6-D-alanyl-N2- { N-[6-(2,5-dioxo-2,5-dihydro- lH-pyrrol- 1 - yl)hexanoyl] -L- valyl-L-alanyl } -L-lysinat (1 : 1)
Die Titelverbindung wurde zunächst durch Kupplung von Intermediat L6 mit N-(tert- Butoxycarbonyl)-D-alanin in Gegenwart von HATU und anschließender Entschützung an der Aminogruppe unter schonenden Bedingungen durch 90 minütiges Rühren in 5%iger
Trifluoressigsäure in DCM bei RT hergestellt.
HPLC (Methode 11): Rt = 1.35 min;
LC-MS (Methode 1): Rt = 0.67 min; MS (ESIpos): m/z = 637 (M+H)+. Intermediat L56
Trifluoressigsäure — tert-butyl-N-[6-(2,5-dioxo-2,5-dihydro-lH-pyrrol-l-yl)hexanoyl]-L-valyl-L- alanyl-N6-{ [(lR,3S)-3-aminocyclopentyl]carbonyl}-L-lysinat (1 : 1)
Die Titelverbindung wurde zunächst durch Kupplung von Intermediat L6 mit (lR,3S)-3-[(tert- Butoxycarbonyl)amino]cyclopentancarbonsäure in Gegenwart von HATU und anschließender Entschützung an der Aminogruppe unter schonenden Bedingungen durch 15 minütiges Rühren in 25%-iger Trifluoressigsäure in DCM bei RT hergestellt.
HPLC (Methode 11): Rt = 1.4 min;
LC-MS (Methode 1): Rt = 0.7 min; MS (ESIpos): m/z = 677 (M+H)+. Intermediat L57
Methyl-(2S)-4-oxo-2-({ [2-(trimethylsilyl)ethoxy]carbonyl}amino)butanoat
500.0 mg (2.72 mmol) L-Asparaginsäuremethylester Hydrochlorid und 706.3 mg (2.72 mmol) 2- (Trimethylsilyl)ethyl-2,5-dioxopyrrolidin-l-carboxylat wurden in 5.0 mL 1,4-Dioxan vorgelegt und
mit 826.8 mg (8.17 mmol) Triethylamin versetzt. Die Reaktionsmischung wurde über Nacht bei RT gerührt. Die Reaktionsmischung wurde direkt mittles präp. RP-HPLC gereinigt (Säule: Reprosil 250x40; 10μ, Fluss: 50 mL/min, MeCN/Wasser, 0.1 % TFA). Die Lösemittel wurden dann im Vakuum verdampft und der Rückstand im Hochvakuum getrocknet. Man erhielt 583.9 mg (74 % d. Th.) der Verbindung (3S)-4-Methoxy-4-oxo-3-({ [2-(trimethylsilyl)ethoxy]carbonyl}amino) butansäure.
LC-MS (Methode 1): Rt = 0.89 min; MS (ESIneg): m/z = 290 (M-H)\
592.9 mg (3S)-4-Methoxy-4-oxo-3-({ [2-(trimethylsilyl)ethoxy]carbonyl}amino)butansäure wurden in 10.0 mL 1,2-Dimethoxyethan vorgelegt und auf -15 °C abgekühlt und mit 205.8 mg (2.04 mmol) 4-Methylmorpholin und 277.9 mg (2.04 mmol) Isobutylchlorformiat versetzt. Der Niederschlag wird nach 15 min abgesaugt und zweimal mit je 10.0 mL 1,2-Dimethoxyethan gewaschen. Das Filtrat wird auf -10 °C abgekühlt und mit 115.5 mg (3.05 mmol) Natriumborhydrid gelöst in 10 mL Wasser unter starkem Rühren versetzt. Die Phasen werden getrennt und die organische Phase je einmal mit ges. Natriumhydrogencarbonat-Lösung und ges. NaCl-Lösung gewaschen. Die organische Phase wurde über Magnesiumsulfat getrocknet und das Lösemittel im Vakuum verdampft und der Rückstand im Hochvakuum getrocknet. Man erhielt 515.9 mg (91 % d. Th.) der Verbindung Methyl-N- { [2-(trimethylsilyl)ethoxy]carbonyl } -L-homoserinat.
LC-MS (Methode 1): Rt = 0.87 min; MS (ESIpos): m/z = 278 (M+H)+.
554.9 mg (2.00 mmol) Methyl-N- { [2-(trimethylsilyl)ethoxy]carbonyl} -L-homoserinat wurden in 30.0 mL Dichlormethan vorgelegt und mit 1.27 g (3.0 mmol) Dess-Martin periodinan und 474.7 mg (6.00 mmol) Pyridin versetzt. Man rührte über Nacht bei RT. Nach 4 h wurde der Ansatz mit Dichlormethan verdünnt und die organische Phase je dreimal mit 10%iger Na2S203-Lösung, 10%iger Citronensäure-Lösung und ges. Natriumhydrogencarbonat-Lösung gewaschen. Die organische Phase wurde über Magnesiumsulfat getrocknet und das Lösemittel im Vakuum verdampft. Man erhielt 565.7 mg (97 % d. Th.) der Titelverbindung.
XH-NMR (400 MHz, DMSO-d6): δ [ppm] = 0.03 (s, 9H), 0.91 (m, 2H), 2.70-2.79 (m, 1H), 2.88 (dd, 1H), 3.63 (s, 3H), 4.04 (m, 2H), 4.55 (m, 1H), 7.54 (d, 1H), 9.60 (t, 1H).
Intermediat L58
2-(Trimethylsilyl)ethyl-(3-oxopropyl)carbamat
434.4 mg (5.78 mmol) 3-Amino-l-propanol und 1.50 g (5.78 mmol) 2-(Trimefhylsilyl)efhyl-2,5- dioxopyrrolidin-l-carboxylat wurden in 10.0 mL Dichlormethan gelöst und mit 585.3 mg (5.78 mmol) Triethylamin versetzt und über Nacht bei RT gerührt. Die Reaktionsmischung wurde mit Dichlormethan verdünnt und die organische Phase mit Wasser und ges. Natriumhydrogencarbonat- Lösung gewaschen und anschließend über Magnesiumsulfat getrocknet. Das Lösemittel wurde im Vakuum verdampft. Der Rückstand 2-(Trimethylsilyl)ethyl-(3-hydroxypropyl)carbamat (996.4 mg, 79 % d. Th.) wurde im Hochvakuum getrocknet und ohne weitere Reinigung in der nächsten Synthesestufe eingesetzt.
807.0 mg (3.68 mmol) 2-(Trimethylsilyl)ethyl-(3-hydroxypropyl)carbamat wurden in 15.0 mL Chloroform und 15.0 mL 0.05 N Kaliumcarbonat/0.05 N Natriumhydrogencarbonat-Lösung (1 : 1) vorgelegt. Dann wurden 102.2 mg (0.37 mmol) Tetra-n-butylammoniumchlorid, 736.9 mg (5.52 mmol) N-Chlorsuccinimid und 57.5 mg (0.37 mmol) TEMPO zugegeben und die Reaktionsmischung kräftig über Nacht bei RT gerührt. Die Reaktionsmischung wurde mit Dichlormethan verdünnt und die organische Phase wurde mit Wasser und ges. NaCl-Lösung gewaschen. Die organische Phase wurde über Magnesiumsulfat getrocknet und das Lösemittel im Vakuum verdampft. Der Rückstand wurde im Hochvakuum getrocknet und ohne weitere Reinigung in der nächsten Synthesestufe eingesetzt (890.3 mg).
Intermediat L59
Trifluoressigsäure— 1 - { 2- [2-(2-aminoethoxy)ethoxy] ethyl } - 1 H-pyrrol-2,5-dion( 1 : 1)
300.0 mg (0.91 mmol) tert-Butyl-(2-{2-[2-(2,5-dioxo-2,5-dihydro-lH-pyrrol-l- yl)ethoxy]ethoxy}ethyl)carbamat wurden in Dichlormethan vorgelegt und mit 4.2 g (36.54 mmol) TFA versetzt und 1 h bei RT gerührt (DC-Kontrolle: Dichlormethan/Methanol 10: 1). Die flüchtigen Bestandteile wurden im Vakuum verdampft und der Rückstand viermal mit Dichlormethan kodestilliert. Der Rückstand wurde im Hochvakuum getrocknet und ohne weitere Reinigung in der nächsten Synthesestufe eingesetzt.
LC-MS (Methode 1): Rt = 0.19 min; MS (ESIpos): m/z = 229 (M+H)+.
Intermediat L60
6-(2,5-Dioxo-2,5-dihydro- lH-pyrrol- 1 -yl)hexanoylchlorid
200.0 mg (0.95 mmol) 6-(2,5-Dioxo-2,5-dihydro-lH-pyrrol-l-yl)hexansäure wurden in 4.0 mL Dichlormethan gelöst und mit 338.0 mg (2.84 mmol) Thionylchlorid versetzt. Die Reaktionsmischung wurde 3 h bei RT gerührt und dann mit 1 Tropfen DMF vesetzt. Es wurde nochmal 1 h gerührt. Das Lösemittel wurde im Vakuum verdampft und es wurde dreimal mit Dichlormethan kodestilliert. Das Rohprodukt wurde ohne weitere Reinigung in der nächsten Synthesestufe eingesetzt.
Intermediat L61
Trifluoressigsäure— 2-(trimethylsilyl)ethyl-N-[6-(2,5-dioxo-2,5-dihydro-lH-pyrrol-l-yl)hexanoyl]- L-valyl-L-alanyl-L-lysinat (1 : 1)
Zunächst wurde ausgehend von N
2-[(Benzyloxy)carbonyl]-N6-(tert-butoxycarbonyl)-L-lysin nach klassischen Methoden der Peptidchemie (Veresterung mit 2-(Trimethylsilylethanol mittels EDCI/DMAP, Hydrogenolyse, Kupplung mit N-[(Benzyloxy)carbonyl]-L-valyl-L-alanin in Gegenwart von HATU und erneute Hydrogenolyse) das Tripeptidderivat 2-Trimefhylsilyl)efhyl-L- valyl-L-alanyl-N
6-(tert-butoxycarbonyl)-L-lysinat hergestellt. Die Titelverbindung wurde durch Kupplung dieses partiell geschützten Peptidderivats mit kommerziell erhältlicher 6-(2,5-Dioxo-2,5- dihydro-lH-pyrrol-l-yl)hexansäure in Gegenwart von HATU und /V-Diisopropylefhylamin hergestellt. Anschließend erfolgte die Entschützung an der Aminogruppe unter schonenden Bedingungen durch 2.5 stündiges Rühren in 5%iger Trifluoressigsäure in DCM bei RT unter Erhalt der Esterschutzgruppe. Nach Aufarbeitung und Reinigung durch präparative HPLC wurden 438 mg der Titelverbindung erhalten.
HPLC (Methode 11): Rt = 1.69 min;
LC-MS (Methode 1): Rt = 0.78 min; MS (ESIpos): m/z = 610 (M+H)+.
Intermediat L62
Trifluoressigsäure— 2-(trimethylsilyl)ethyl-N-[6-(2,5-dioxo-2,5-dihydro-lH-pyrrol-l-yl)hexanoyl]- L-valyl-N5-carb
Zunächst wurde ausgehend von N2-[(Benzyloxy)carbonyl]-N6-(tert-butoxycarbonyl)-L-lysin nach klassischen Methoden der Peptidchemie 2-(Trimethylsilyl)ethyl-N6-(tert-butoxycarbonyl)-L-lysinat hergestellt. 148 mg (0.43 mmol) von diesem Intermediat wurden dann in Gegenwart von 195 mg (0.51 mmol) HATU und 149 μΕ /V,/V-Diisopropylethylamin mit 200 mg (0.43 mmol) von Intermediat L16 gekuppelt. Nach Einengen und Reinigung des Rückstandes mittels präparativer
HPLC wurde das geschützte Intermediat in 20 mL DCM aufgenommen und durch Zugabe von 2 mL Trifluoressigsäure und 1 h Rühren bei RT die tert. Butoxycarbonyl-Schutzgruppe abgelöst. Nach Einengen und Lyophilisation des Rückstandes aus AcetonitrilA asser wurden 254 mg (63% d. Th. über 2 Stufen) erhalten.
HPLC (Methode 11): Rt = 1.51 min;
LC-MS (Methode 1): Rt = 0.68 min; MS (ESIpos): m/z = 696 (M+H)+.
Intermediat L63
(4S)-4- { [(2S)-2- { [(2S)-2- { [6-(2,5-Dioxo-2,5-dihydro- lH-pyrrol- l-yl)hexanoyl] amino } -3- methylbutanoyl] ntansäure
Zunächst wurde ausgehend von (2S)-5-(Benzyloxy)-2-[(tert-butoxycarbonyl)amino]-5- oxopentansäure nach klassischen Methoden der Peptidchemie (Veresterung mit 2- (Trimethylsilylethanol mittels EDCI/DMAP, Abspaltung der Boc-Schutzgruppe mit Trifluoressigsäure, Kupplung mit N-[(Benzyloxy)carbonyl]-L-valyl-L-alanin in Gegenwart von HATU und Hydrogenolyse in Methanol über 10%-igem Palladium auf Aktivkohle) das Tripeptidderivat (4S)-4- { [(2S)-2- { [(2S)-2-Amino-3-methylbutanoyl] amino Jpropanoyl] amino }-5- oxo-5-[2-(trimethylsilyl)ethoxy]pentansäure hergestellt. Die Titelverbindung wurde durch Kupplung dieses partiell geschützten Peptidderivats mit kommerziell erhältlichem l-{6-[(2,5- Dioxopyrrolidin-l-yl)oxy]-6-oxohexyl}-lH-pyrrol-2,5-dion hergestellt. Nach Aufarbeitung und Reinigung durch präparative HPLC wurden 601 mg der Titelverbindung erhalten.
LC-MS (Methode 1): Rt = 0.96 min; MS (ESIpos): m/z = 611 (M+H)+.
Intermediat L64
(4S)-4-{ [(2,5-Dioxo-2,5-dihydro-lH-pyrro
pentansäure
Die Titelverbindung wurde ausgehend von (2S)-5-(Benzyloxy)-2-[(tert-butoxycarbonyl)amino]-5- oxopentansäure nach klassischen Methoden der Peptidchemie (Veresterung mit 2- (Trimethylsilylethanol mittels EDCI/DMAP, Abspaltung der Boc-Schutzgruppe mit Trifluoressigsäure, hydrogenolytische Spaltung des Benzylesters in Methanol über 10%-igem Palladium auf Aktivkohle und Kupplung mit l-{2-[(2,5-Dioxopyrrolidin-l-yl)oxy]-2-oxoethyl}- lH-pyrrol-2,5-dion in Gegenwart von /V,/V-Diisopropylefhylamin) hergestellt.
LC-MS (Methode 1): Rt = 0.84 min; MS (ESIpos): m/z = 385 (M+H)+.
Intermediat L65
Trifluoressigsäure— 2-(trimethylsilyl)ethyl-3- { [(benzyloxy)carbonyl]amino } -L-alaninat (1: 1)
Die Titelverbindung wurde ausgehend von 3-{ [(Benzyloxy)carbonyl]amino}-N-(tert- butoxycarbonyl)-L-alanin nach klassischen Methoden der Peptidchemie (Veresterung mit 2- (Trimethylsilylethanol mittels EDCI/DMAP und Abspaltung der Boc-Schutzgruppe mit Trifluoressigsäure hergestellt. Man erhielt 373 mg (79 % d. Th. über 2 Stufen) der Titelverbindung.
LC-MS (Methode 1): Rt = 0.72 min; MS (ESIpos): m/z = 339 (M+H)+.
Intermediat L66
Methyl-(8S)-8-(2-hy 2-silatetradecan-14-oat
OH
1000 mg (2.84 mmol) (3S)-3-{ [(Benzyloxy)carbonyl]amino}-4-[(tert-butoxycarbonyl)amino] butansäure wurden in 10.0 mL 1,2-Dimethoxyethan vorgelegt und mit 344.4 mg (3.4 mmol) 4- Methylmorpholin und 504 mg (3.69 mmol) Isobutylchlorformiat versetzt. Nach 10min Rühren bei RT wurde der Ansatz auf 5°C abgekühlt und portionsweise mit 161 mg (4.26 mmol) Natriumborhydrid gelöst in 3 mL Wasser unter starkem Rühren versetzt. Nach 1 h erfolgte nochmals eine Zugabe der gleichen Menge an Natriumborhydrid und der Ansatz wurde anschließend langsam auf RT erwärmt. Es wurden 170 ml Wasser zugegeben und der Ansatz dann viermal mit jeweils 200 ml Ethylacetat extrahiert. Die Phasen wurden getrennt und die organische Phase einmal mit Citronensäure und anschließend mit gesättigter Natriumhydrogencarbonat- Lösung gewaschen. Die organische Phase wurde über Magnesiumsulfat getrocknet und das Lösemittel im Vakuum verdampft und der Rückstand im Hochvakuum getrocknet. Man erhielt 760 mg (78 % d. Th.) der Verbindung Benzyl-tert-butyl-[(2S)-4-hydroxybutan-l,2-diyl]biscarbamat. LC-MS (Methode 1): Rt = 0.84 min; MS (ESIpos): m/z = 339 (M+H)+.
760 mg (2.16 mmol) von diesem Intermediat wurden in 13 ml Chlorwasserstoff/Dioxan gelöst 20 min bei RT gerührt. Anschließend wurde der Ansatz auf 5 ml aufkonzentriert und mit Diethylether versetzt. Der Niederschlag wurde abfiltriert und aus Acetonitril/Wasser 1 : 1 lyophilisiert.
Das so erhaltene Produkt wurde in 132 ml DMF gelöst und mit 345.5 mg (2.35 mmol) 4-Methoxy- 4-oxobutansäure, 970 mg (2.55 mmol) HATU und 1025 μΐ /V,/V-Diisopropylethylamin versetzt. Die Mischung wurde 5 min bei RT gerührt. Das Lösungsmittel wurde im Vakuum entfernt und der verbliebene Rückstand mittels präparativer HPLC gereinigt. Die entsprechenden Fraktionen wurden vereinigt und das Acetonitril im Vakuum abgedampft. Die verbleibende wässrige Phase wurde zweimal mit Ethylacetat extrahiert und die organische Phase anschließend einggengt und im Hochvakuum getrocknet.
Das so erhaltene Zwischenprodukt wurde in Methanol aufgenommen und über 10%-igem Palladium auf Aktivkohle 1 h lang bei RT unter Wasserstoff-Normaldruck hydriert. Der Katalysator wurde danach abfiltriert und das Lösungsmittel im Vakuum entfernt.
247 mg von dieser entschützten Verbindung wurden in 20 ml DMF aufgenommen und mit 352 mg (1.36 mmol) l-({ [2-(Trimethylsilyl)ethoxy]carbonyl }oxy)pyrrolidin-2,5-dion sowie 592 μΐ^ Ν,Ν- Diisopropylethylamin versetzt. Die Reaktionsmischung wurde lh bei RT gerührt, anschließend eingeengt und der Rückstand mittles präparativer HPLC gereinigt. Die Lösemittel wurden dann im Vakuum verdampft und der Rückstand im Hochvakuum getrocknet. Man erhielt über diese 5 Reaktionsschritte in einer 21%-igen Gesamtausbeute 218 mg der Titelverbindung.
LC-MS (Methode 1): Rt = 0.74 min; MS (ESIpos): m/z = 363 (M+H)+.
Intermediat L67
Trifluoressigsäure— 2-(2,5-dioxo-2,5-dihydro-lH-pyrrol-l-yl)ethyl-beta-alaninat (1 : 1)
Die Titelverbindung wurde ausgehend von 50 mg (0.354 mmol) von kommerziell erhältlichem 1- (2-Hydroxyethyl)-lH-pyrrol-2,5-dion durch Kupplung mit 134 mg (0.71 mmol) N-(tert- Butoxycarbonyl)-beta-alanin in 10 ml Dichlormethan in Gegenwart von 1.5 Equivalenten EDCI und 0.1 Equivalent 4-N, /V-Dimethylaminopyridin und anschließende Entschützung mit Trifluoressigsäure hergestellt.
Ausbeute: 56 mg (48% d. Th. über 2 Stufen)
LC-MS (Methode 3): Rt = 1.15 min; MS (ESIpos): m/z = 213 (M+H)+. Intermediat L68
Trifluoressigsäure— N-(2-aminoethyl)-2-(2,5-dioxo-2,5-dihydro-lH-pyrrol-l-yl)propanamid(l : l)
Die Titelverbindung wurde in Analogie zu Intermediat LI nach klassischen Methoden der Peptidchemie aus kommerziell erhältlicher (2,5-Dioxo-2,5-dihydro-lH-pyrrol-l-yl)propansäure und tert-Butyl-(2-aminoethyl) carbamat hergestellt.
LC-MS (Methode 1): Rt = 0.17 min; MS (ESIpos): m/z = 212 (M+H)+.
Intermediat L69
Trifluoressigsäure— l-[(benzyloxy)carbonyl]piperidin-4-yl-L-valyl-N5-carbamoyl-L-ornithinat (1: 1)
Die Titelverbindung wurde nach klassischen Methoden der Peptidchemie aus kommerziell erhältlichem Benzyl-4-hydroxypiperidin-l-carboxylat durch Veresterung mit N2-(tert- Butoxycarbonyl)-N5-carbamoyl-L-ornithin mittels EDCI/DMAP, anschließende Boc-Spaltung mit TFA, dann folgende Kupplung mit N-[(tert.-Butoxy)carbonyl]-L-valin in Gegenwart von HATU und /V,/V-Diisopropylethylamin und schließlich erneute Boc- Abspaltung mit TFA hergestellt.
LC-MS (Methode 1): Rt = 0.62 min; MS (ESIpos): m/z = 492 (M+H)+.
Intermediat L70
9H-Fluoren-9-ylmethyl-(3-oxopropyl)carbamat
1000.0 mg (3.36 mmol) 9H-Fluoren-9-ylmethyl-(3-hydroxypropyl)carbamat wurden in 15.0 mL Chloroform und 15.0 mL 0.05 N Kaliumcarbonat/0.05 N Natriumhydrogencarbonat-Lösung (1 : 1) vorgelegt. Dann wurden 93.5 mg (0.34 mmol) Tetra-n-butylammoniumchlorid, 673.6 mg (5.04 mmol) N-Chlorsuccinimid und 52.5 mg (0.34 mmol) TEMPO zugegeben und die Reaktionsmischung kräftig über Nacht bei RT gerührt. Die Reaktionsmischung wurde mit Dichlormethan verdünnt und die organische Phase wurde mit Wasser und ges. NaCl-Lösung gewaschen. Die organische Phase wurde über Magnesiumsulfat getrocknet und das Lösemittel im Vakuum verdampft. Der Rückstand wurde im Hochvakuum getrocknet und mittels Kieselgel (Laufmittel: Cyclohexan/Ethylacetat 3: 1-1 : 1) gereinigt. Die Lösemittel wurden im Vakuum verdampft und der Rückstand im Hochvakuum getrocknet. Man erhielt 589.4 mg (58 % d. Th.) der Titelverbindung.
LC-MS (Methode 6): Rt = 2.15 min; MS (ESIpos): m/z = 296 (M-H)+. Intermediat L71 tert-Butyl-[4-(chlorcarbonyl)phenyl]carbamat
100.0 mg (0.42 mmol) 4-[(tert-Butoxycarbonyl)amino]benzoesäure wurden in 2.0 mL Dichlormethan vorgelegt und mit 64.2 mg (0.51 mmol) Oxalsäuredichlorid versetzt. Die Reaktionsmischung rührte bei RT 30 min (DC-Kontrolle: Dichlormethan/Methanol). Dann wurden nochmals 192.6 mg (1.53 mmol) Oxalsäuredichlorid und 1 Tropfen DMF zugegeben und 1 h bei
RT gerührt. Das Lösemittel wurde im Vakuum verdampft und der Rückstand mehrmals mit Dichlormethan kodestilliert. Der Rückstand wurde ohne weitere Reinigung in der nächsten Synthesestufe eingesetzt.
Intermediat L72
Benzyl-(9S)-9-(hydr latetradecan-14-oat
Die Titelverbindung wurde ausgehend von kommerziell erhältlichem Benzyl-tert-butyl-[(2S)-3- hydroxypropan-l,2-diyl]biscarbamat nach klassischen Methoden der Peptidchemie durch hydrogenolytische Abspaltung der Z-Schutzgruppe, anschließende Kupplung mit 4-(Benzyloxy)-4- oxobutansäure in Gegenwart von EDCI/HOBT, dann Abspaltung der Boc-Schutzgruppe mit TFA und schließlich durch Umsetzung mit l-({ [2-(Trimethylsilyl)ethoxy]carbonyl}oxy)pyrrolidin-2,5- dion in Gegenwart von Triethylamin hergestellt.
LC-MS (Methode 1): Rt = 0.94 min; MS (ESIpos): m/z = 425 [M+H]+.
Intermediat L73
N-(2-aminoethyl)-6-(2,5
Zu einer Lösung von 300 mg (1.87 mmol) tert-butyl (2-aminoethyl)carbamate in 20 ml Dimethylformamid wurden 395.5 mg (1.87 mmol) 6-(2,5-Dioxo-2,5-dihydro-lH-pyrrol-l- yl)hexansäure, 1.21 g ( 9.36 mmol) Ν,Ν-Diisopropylethylamin und 854.3 mg (2.25 mmol) HATU zugegeben. Die Reaktionsmischung wurde 5 Minuten bei Rt gerührt. Nach Einengen der Mischung wurde der Rückstand in DCM aufgenommen und mit Wasser gewaschen. Die organische Phase wurde mit Brine gewaschen, über Magnesiumsulfat getrocknet, abfiltriert und
eingeengt. Man erhielt 408 mg (33%, Reinheit 53%) der Titelverbindung, die ohne weitere Reinigung eingesetzt wurden.
LC-MS (Methode 1): Rt = 0.75 min; MS (ESIpos): m/z = 354 (M+H)+.
Zu einer Lösung von ieri-butyl (2-{ [6-(2,5-dioxo-2,5-dihydro-lH-pyrrol-l- yl)hexanoyl]amino }ethyl)carbamate (408 mg, 0.365 mmol) in 7 ml dichlormethan wurde 1 ml TFA zugegeben. Das Reaktionsgemisch wird 0.5 h bei RT gerührt. Die Reaktionsmischung wurde im Vakuum verdampft und der Rückstand wurde zweimal mit Dichlormethan kodestilliert. Der Rückstand wurde ohne weitere Reinigung weiter eingesetzt. Man erhielt 384 mg (94%, Reinheit 57%) der Titelverbindung.
LC-MS (Methode 1): Rt = 0.26 min; MS (ESIpos): m/z = 254 (M+H)+. Intermediat L74
3-[2-[2- -[2-[[2-(2,5-dioxopyrrol-l-yl)acetyl]amino]ethoxy]ethoxy]ethoxy]ethoxy]propansäure
107 mg (0.335 mmol) ieri-butyl 3-[2-[2-[2-(2-aminoethoxy)ethoxy]ethoxy]ethoxy]propanoate und 93 mg (0.369 mmol) (2,5-dioxopyrrolidin-l-yl) 2-(2,5-dioxopyrrol-l-yl)acetate wurden in 5 ml Dimethylformamid gelöst und mit 0.074 mL (0.671 mmol) N-Methylmorpholin versetzt. Die Reaktionsmischung wurde über Nacht bei RT gerührt. Es wurde 0.048 mL (0.838 mmol) Essigsäure zugegeben und die Reaktionsmischung wurde direkt mittles präp. RP-HPLC gereinigt (Säule: Reprosil 125x30; 10μ, Fluss: 50 mL/min, MeCN/Wasser/0.1%TFA). Die Lösemittel wurden im Vakuum verdampft und der Rückstand im Hochvakuum getrocknet. Man erhielt 133 mg (86%, Reinheit 100%) feri-butyl 3-[2-[2-[2-[2-[[2-(2,5-dioxopyrrol-l- yl) acetyl] amino] ethoxy] ethoxy] ethoxy] ethoxy] propano ate.
LC-MS (Methode 1): Rt = 0.82 min; MS (ESIpos): m/z = 459 (M+H)+.
Zu einer Lösung von ieri-butyl 3-[2-[2-[2-[2-[[2-(2,5-dioxopyrrol-l- yl)acetyl]amino]ethoxy]ethoxy]ethoxy]ethoxy]propanoate (130 mg, 0.284 mmol) in 5 ml
dichlormethan wurde 0.5 ml TFA zugegeben. Das Reaktionsgemisch wird über Nacht bei RT gerührt. Die Reaktionsmischung wurde im Vakuum verdampft und der Rückstand wurde in Wasser aufgenommen und lyophilisiert. Der Rückstand wurde ohne weitere Reinigung weiter eingesetzt. Man erhielt 102 mg (90%, Reinheit 100%) der Titelverbindung.
LC-MS (Methode 1): Rt = 0.52 min; MS (ESIpos): m/z = 402 (M+H)+. Intermediat L75
Trifluoressigsäure— 2-(trimethylsilyl)ethyl-3-{ [(benzyloxy)carbonyl]amino}-D-alaninat (1 : 1)
Die Titelverbindung wurde ausgehend von 3-{ [(Benzyloxy)carbonyl]amino}-N-(tert- butoxycarbonyl)-D-alanin nach klassischen Methoden der Peptidchemie (Veresterung mit 2- (Trimethylsilylethanol mittels EDCI/DMAP und Abspaltung der Boc-Schutzgruppe mit Trifluoressigsäure hergestellt. Man erhielt 405 mg (58 % d. Th. über 2 Stufen) der Titelverbindung. LC-MS (Methode 1): Rt = 0.75 min; MS (ESIpos): m/z = 339 (M+H)+.
Intermediat L76
Zunächst wurde ein geeignet geschütztes Asparaginsäurederivat ausgehend von (3S)-4- (Benzyloxy)-3-{ [(benzyloxy)carbonyl]amino}-4-oxobutansäure nach klassischen Methoden der Peptidchemie (Veresterung mit 2-(Trimethylsilylethanol mittels EDCI/DMAP und hydrogenolytische Abspaltung der Z-Schutzgruppe und des Benzylesters hergestellt.
470 mg (1.8 mmol) der so erhaltenen (2S)-2-Amino-4-oxo-4-[2-(trimethylsilyl)ethoxy]butansäure wurden in 10 ml Wasser suspendiert und mit 1.8 mL einer 1 molaren Salzsäure sowie 0.5 ml konzentrierter Schwefelsäure und anschließend mit 863 mg (7.25 mmol Kaliumbromid versetzt. Dann wurden bei 10°C über einen Zeitraum von 30 min eine Lösung aus 150 mg (2.175 mmol) Natriumnitrit in 1 ml Wasser zugetropft und der Ansatz 2 h bei 10-15°C gerührt. Anschließend wurde der Ansatz mit 50 mL Ethylacetat ausgeschüttelt. Die organische Phase wurde mit gesättigter Natriumchloridlösung gewaschen und über Magnesiumsulfat getrocknet. Nach Abdampfen des Lösungsmittels und Reinigung durch präparative HPLC wurden 260 mg (48% d.Th.) der Titelverbindung erhalten.
LC-MS (Methode 1): Rt = 1.03 min; MS (ESIneg): m/z = 295 und 297 (M-H)\
^-NMR (400 MHz, CDCL): δ [ppm] = 0.03 (s, 9H), 0.95 (t, 2H), 2.94 und 3.2 (2dd, 2H), 4.18 (t, 2H), 4.57 (t, 1H).
Intermediat L77
Trifluoressigsäure— N-[2-(2-aminoethoxy)ethyl]-2-bromacetamid (1 : 1)
Zunächst wurden 418 mg (2.05 mmol) tert-Butyl-[2-(2-aminoethoxy)ethyl]carbamat mit 638 mg (2.46 mmol) Bromessigsäureanhydrid umgesetzt und anschließend die Boc-Schutzgruppe mit Trifluoressigsäure entfernt. Man erhielt 551 mg (63 % d. Th. über 2 Stufen) der Titel Verbindung.
LC-MS (Methode ): Rt = 0.32 min; MS (ESIpos): m/z = 227 und 225 (M+H)+. Intermediat L78
N-[(2,5-Dioxo-2,5-dihydro-lH-pyrrol-l-yl)acetyl] -beta-alanin
Die Titelverbindung wurde ausgehend von kommerziell erhältlichem (2,5-Dioxo-2,5-dihydro-lH- pyrrol-l-yl)essigsäure durch Kupplung mit ieri-Butyl-beta-alaninathydrochlorid (1 : 1) in Gegenwart von EDCI/HOBt und /V-Diisopropylefhylamin und anschließende Entschützung mit Trifluoressigsäure hergestellt.
LC-MS (Methode 1): Rt = 0.32 min; MS (ESIpos): m/z = 227 (M+H)+. Intermediat L79
N-[6-(2,5-Dioxo-2,5-dihydro-lH-pyrrol-l-yl)hexanoyl]-beta-alanin
64.8 mg (0.357 mmol) teri-Butyl-beta-alaninathydrochlorid (1: 1) und 100 mg (0.324 mmol) l-{6- [(2,5-Dioxopyrrolidin-l-yl)oxy]-6-oxohexyl}-lH-pyrrol-2,5-dion wurden in 4 ml Dimethylformamid gelöst und mit 65.6 mg (0.649 mmol) N-Methylmorpholin versetzt. Die Reaktionsmischung wurde über Nacht bei RT gerührt. Es wurde 0.048 mL (0.838 mmol) Essigsäure zugegeben und die Reaktionsmischung wurde direkt mittles präp. RP-HPLC gereinigt (Säule: Reprosil 250x30; 10μ, Fluss: 50 mL/min, MeCN/Wasser/0.1%TFA). Die Lösemittel wurden im Vakuum verdampft und der Rückstand im Hochvakuum getrocknet. Man erhielt 84.5 mg (77%, Reinheit 100%) ieri-Butyl-N-[6-(2,5-dioxo-2,5-dihydro-lH-pyrrol-l-yl)hexanoyl]-beta- alaninat.
LC-MS (Methode 1): Rt = 0.78 min; MS (ESIpos): m/z = 339 (M+H)+.
Zu einer Lösung von ieri-Butyl-N-[6-(2,5-dioxo-2,5-dihydro-lH-pyrrol-l-yl)hexanoyl]-beta- alaninat (82.8 mg, 0.244 mmol) in 8 ml dichlormethan wurde 1.62 ml TFA zugegeben. Das Reaktionsgemisch wird 2 Stunden bei RT gerührt. Die Reaktionsmischung wurde im Vakuum verdampft und der Rückstand wurde in Wasser aufgenommen und lyophilisiert. Der Rückstand wurde ohne weitere Reinigung weiter eingesetzt. Man erhielt 62.7 mg (87%, Reinheit 95%) der Titelverbindung.
LC-MS (Methode 1): Rt = 0.75 min; MS (ESIpos): m/z = 283 (M+H)+.
Intermediat L80
2-(Trimethylsilyl)ethyl-3-[(15-amino-4 0 3-tetraoxapentadecan-l-oyl)amino]-N-(tert- butoxycarbonyl)-D-alanin
Die Titelverbindung wurde ausgehend von kommerziell erhältlichem 3-{ [(Benzyloxy)carbonyl] amino}-N-(tert-butoxycarbonyl)-D-alanin— N-cyclohexylcyclohexanamin (1 : 1) nach klassischen Methoden der Peptidchemie (Freisetzung aus dem Salz und Veresterung mit 2- (Trimethylsilylethanol mittels EDCI/DMAP, hydrogenolytische Abspaltung der Z-Schutzgruppe, Kupplung mit kommerziell erhältlicher 3-Oxo-l-phenyl-2,7, 10,13, 16-pentaoxa-4-azanonadecan- 19-säure in Gegenwart von HATU und N, N-Diisopropylethylamin und erneute hydrogenolytische Abspaltung der Z-Schutzgruppe) hergestellt.
LC-MS (Methode 1): Rt = 0.70 min; MS (ESIpos): m/z = 552 (M+H)+.
Intermediat L81
Trifluoressigsäure -benzyl- {2-[(2-aminoethyl)sulfonyl]ethyl Jcarbamat (1 : 1)
250 mg (1.11 mmol) 2,2'-Sulfonyldiethanamin wurden mit 92.3 mg (0.37 mmol) 1- { [(Benzyloxy)carbonyl] oxy}pyrrolidin-2,5-dion in Gegenwart von N, N-Diisopropylethylamin in DMF gekuppelt. Nach anschließender HPLC Reinigung wurden 70 mg (47% d. Th.) der Titelverbindung erhalten.
C-MS (Methode 12): Rt = 0.64 min; MS (ESIpos): m/z = 257.11 (M+H)+.
Intermediat L82
Trifluoressigsäure N- { 2- [2-(2-aminoethoxy)ethoxy] ethyl } -6-(2,5-dioxo-2,5-dihydro- 1 H-pyrrol- 1 - yl)hexanamid (1 : 1)
88.6 mg (0.357 mmol) N-Boc-2,2'-(ethylenedioxy)diethylamine und 100 mg (0.324 mmol) N- Succinimidyl 6-maleimidohexanoate wurden in 4.0 ml Dimethylformamid gelöst und mit 0.071 mL (0.650 mmol) N-Methylmorpholin versetzt. Die Reaktionsmischung wurde über Nacht bei RT gerührt. Es wurde 0.048 mL (0.838 mmol) Essigsäure zugegeben und die Reaktionsmischung wurde direkt mittles präp. RP-HPLC gereinigt (Säule: Reprosil 125x30; 10μ, Fluss: 75 mL/min, MeCN/Wasser/0.1%TFA). Die Lösemittel wurden im Vakuum verdampft und der Rückstand im Hochvakuum getrocknet. Man erhielt 127 mg (81% d. Th) tert-Butyl-{2-[2-(2-{ [6-(2,5-dioxo-2,5- dihy dro- 1 H-pyrrol- 1 -yl)hexanoyl] amino } ethoxy)ethoxy] ethyl } carbamat.
LC-MS (Methode 1): Rt = 0.78 min; MS (ESIpos): m/z = 442 (M+H)+.
Zu einer Lösung von 123 mg (225 μιηοΐ) tert-Butyl-{2-[2-(2-{ [6-(2,5-dioxo-2,5-dihydro-lH- pyrrol-l-yl)hexanoyl]amino}ethoxy)ethoxy]ethyl}carbamat in 7.5 ml dichlormethan wurde 2.0 ml TFA zugegeben. Das Reaktionsgemisch wird 2 h bei RT gerührt. Die Reaktionsmischung wurde im Vakuum verdampft und der Rückstand wurde in Wasser aufgenommen und lyophilisiert. Der Rückstand wurde ohne weitere Reinigung weiter eingesetzt. Man erhielt 111 mg (100% d. Th) der Titelverbindung.
LC-MS (Methode 1): Rt = 0.31 min; MS (ESIpos): m/z = 342 (M+H)+.
XH-NMR (400 MHz, DMSO-d6): δ [ppm] = 1.17 (m, 2H), 1.47 (m, 4H), 2.04 (m, 2H), 2.98 (m, 2H), 3.19 (m, 2H), 3.39 (m, 4H), 3,56 (m, 6H), 7.01 (s, 2H), 7.72 (bs, 3H), 7.80 (m, 1H).
Intermediat L83
Trifluoressigsäure N- { 2- [2-(2-aminoethoxy)ethoxy] ethyl } -2-(2,5-dioxo-2,5-dihydro- 1 H-pyrrol- 1 - yl)acetamid (1 : 1)
200 mg (0.805 mmol) tert-Butyl-{2-[2-(2-aminoethoxy)ethoxy]ethyl}carbamat, 150 mg (0.966 mmol) (2,5-Dioxo-2,5-dihydro-lH-pyrrol-l-yl)essigsäure und 560 μΐ (3.2 mmol) N,N- Diisopropylethylamin wurden in 10 ml Dimethylformamid gelöst und mit 459 mg (1,21 mmol) HATU versetzt. Die Reaktionsmischung wurde 30 Minuten bei RT gerührt. Die Lösemittel wurden im Vakuum verdampft und der Rückstand in Dichloromethan gelöst. Die organische Phase wurde zweimal mit 5%iger Citronensäure-Lösung gewaschen, über Magnesiumsulfat getrocknet und das Lösemittel im Vakuum verdampft. Der Rückstand wurde mittels Biotage Isolera gereinigt (Kieselgel, Säule 25 g SNAP, Dischloromethan: Methanol 98:2). Man erhielt 276 mg (89 % d. Th) tert-Butyl- { 2-[2-(2- { [(2,5-dioxo-2,5-dihydro- lH-pyrrol- 1 - yl) acetyl] amino } ethoxy)ethoxy] ethyl } carbamat.
LC-MS (Methode 1): Rt = 0.67 min; MS (ESIpos): m/z = 386 (M+H)+.
Zu einer Lösung von tert-Butyl-{2-[2-(2-{ [(2,5-dioxo-2,5-dihydro-lH-pyrrol-l- yl)acetyl]amino}ethoxy)ethoxy]ethyl}carbamat (275 mg, 714 μιηοΐ) in 15 ml dichlormethan wurde 4 ml TFA zugegeben. Das Reaktionsgemisch wird 30 Minuten bei RT gerührt. Die Reaktionsmischung wurde im Vakuum verdampft und der Rückstand wurde in Wasser aufgenommen und lyophilisiert. Man erhielt 281 mg (99% d. Th) der Titelverbindung.
LC-MS (Methode 1): Rt = 0.17 min; MS (ESIpos): m/z = 286 (M+H)+.
Intermediat L84
Trifluoressigsäure N-(14-amino-3,6,9,12-tetraoxatetradec-l-yl)-6-(2,5-dioxo-2,5-dihydro-lH- pyrrol-l-yl)hexanamid (1: 1)
200 mg (0.594 mmol) tert-Butyl-(14-amino-3,6,9,12-tetraoxatetradec-l-yl)carbamat und 202 mg (0.654 mmol) l-{6-[(2,5-Dioxopyrrolidin-l-yl)oxy]-6-oxohexyl}-lH-pyrrol-2,5-dion wurden in 4.0
ml Dimethylformamid gelöst und mit 0.130 mL (1.2 mmol) N-Methylmorpholin versetzt. Die Reaktionsmischung wurde über Nacht bei RT gerührt. Es wurde 0.085 ml (1.5 mmol) Essigsäure zugegeben und die Reaktionsmischung wurde direkt mittles präp. RP-HPLC gereinigt (Säule: Reprosil 125x30; 10μ, Fluss: 50 mL/min, MeCN/Wasser/0.1%TFA). Die Lösemittel wurden im Vakuum verdampft und der Rückstand im Hochvakuum getrocknet. Man erhielt 275 mg (73% d. Th) tert-Butyl-[21-(2,5-dioxo-2,5-dihydro-lH-pyrrol-l-yl)-16-oxo-3,6,9,12-tetraoxa-15- azahenicos- 1 -yl]carbamat.
LC-MS (Methode 1): Rt = 0.81 min; MS (ESIpos): m/z = 530 (M+H)+.
Zu einer Lösung von tert-Butyl-[21-(2,5-dioxo-2,5-dihydro-lH-pyrrol-l-yl)-16-oxo-3,6,9,12- tetraoxa-15-azahenicos-l-yl]carbamat (268 mg, 505 μιηοΐ) in 5.0 ml dichlormethan wurde 780 μΐ (10 mmol) TFA zugegeben. Das Reaktionsgemisch wurde über Nacht bei RT gerührt. Die Reaktionsmischung wurde im Vakuum verdampft und der Rückstand wurde in Wasser aufgenommen und lyophilisiert. Der Rückstand wurde ohne weitere Reinigung weiter eingesetzt. Man erhielt 266 mg (97% d. Th) der Titel Verbindung.
LC-MS (Methode 1): Rt = 0.46 min; MS (ESIpos): m/z = 430 (M+H)+.
XH-NMR (400 MHz, DMSO-d6): δ [ppm] = 1.17 (m, 2H), 1.47 (m, 4H), 2.03 (m, 2H), 2.99 (m, 2H), 3.18 (m, 2H), 3.38 (m, 4H), 3,52 (m, 8H), 3,58 (m, 6H), 7.01 (s, 2H), 7.73 (bs, 3H), 7.80 (m, 1H).
Intermediat L85
Trifluoressigsäure N-(14-amino-3,6,9,12-tetraoxatetradec-l-yl)-2-(2,5-dioxo-2,5-dihydro-lH- pyrrol-l-yl)acetamid (1 : 1)
200 mg (0.594 mmol) tert-Butyl-(14-amino-3,6,9,12-tetraoxatetradec-l-yl)carbamat, 111 mg (0.713 mmol) (2,5-Dioxo-2,5-dihydro-lH-pyrrol-l-yl)essigsäure und 410 μΐ (2.4 mmol) N,N- Diisopropylethylamin wurden in 6 ml Dimethylformamid gelöst und mit 339 mg (0.892 mmol) HATU versetzt. Die Reaktionsmischung wurde 1 h bei RT gerührt und direkt mittles präp. RP- HPLC gereinigt (Säule: Reprosil 250x30; 10μ, Fluss: 50 mL/min, MeCN/Wasser/0.1%TFA). Die Lösemittel wurden im Vakuum verdampft und der Rückstand im Hochvakuum getrocknet. Man
erhielt 130 mg (43% d: Th) tert-Butyl-[17-(2,5-dioxo-2,5-dihydro-lH-pyrrol-l-yl)-16-oxo-
3,6,9, 12-tetraoxa- 15-azaheptadec- 1 -yl] carbamat.
LC-MS (Methode 1): Rt = 0.71 min; MS (ESIpos): m/z = 474 (M+H)+.
Zu einer Lösung tert-Butyl-[17-(2,5-dioxo-2,5-dihydro-lH-pyrrol-l-yl)-16-oxo-3,6,9,12-tetraoxa- 15-azaheptadec-l-yl]carbamat (126 mg, 267 μιηοΐ) in 4.0 ml Dichlormethan wurde 410 μΐ (5.3 mmol) TFA zugegeben. Das Reaktionsgemisch wurde über Nacht bei RT gerührt. Die Reaktionsmischung wurde im Vakuum verdampft und der Rückstand am Hochvakuum getrocknet. Man erhielt 124 mg (95% d: Th) der Titel Verbindung.
LC-MS (Methode 13): Rt = 0.74 min; MS (ESIpos): m/z = 374 (M+H)+.
XH-NMR (400 MHz, DMSO-d6): δ [ppm] = 2.99 (m, 2H), 3.22 (m, 2H), 3.41 (m, 2H), 3,53 (m, 8H), 3,58 (m, 6H), 4.02 (s, 2H), 7.09 (s, 2H), 7.73 (bs, 3H), 8.21 (m, 1H).
Intermediat L86
N-[(2,5-Dioxo-2,5-dihydro-
100 mg (0.531 mmol) L-Valyl-L-alanin und 134 mg (0.531 mmol) l-{2-[(2,5-Dioxopyrrolidin-l- yl)oxy]-2-oxoethyl}-lH-pyrrol-2,5-dion wurden in 3 ml Dimethylformamid gelöst und mit 0.150 mL (1.1 mmol) Triethylamin versetzt. Die Reaktionsmischung wurde 8 h bei RT gerührt. Die Reaktionsmischung wurde direkt mittles präp. RP-HPLC gereinigt (Säule: Reprosil 250x30; 10μ, Fluss: 50 mL/min, MeCN/Wasser). Die Lösemittel wurden im Vakuum verdampft und der Rückstand im Hochvakuum getrocknet. Man erhielt 71.5 mg (41 % d. Th.) der Titel Verbindung. LC-MS (Methode 1): Rt = 0.42 min; MS (ESIpos): m/z = 326 (M+H)+.
Intermediat L87
3-[2-(2-{ [(2,5-Dioxo-2,5-dihydro-lH-pyrrol-l-yl)acetyl]amino}ethoxy)ethoxy]propansäure
250 mg (1.07 mmol) tert-Butyl-3-[2-(2-aminoethoxy)ethoxy]propanoat, 151 mg (0.974 mmol) 2- (2,5-Dioxo-2,5-dihydro-lH-pyrrol-l-yl)acetic acid, 224 mg (1.46 mmol) 1-Hydroxy-lH- benzotriazol Hydrat und 224 mg (1.17 mmol) l-(3-Dimethylaminopropyl)-3- ethylcarbodiimidhydrochlorid wurden in 5.0 ml Dimethylformamid gelöst. Die Reaktionsmischung wurde 1 h bei RT gerührt. Der Ansatz wurde mit Ethylacetat versetzt, zweimal mit 5%iger Citronensäure-Lösung und mit ges. Natriumhydrogencarbonat-Lösung extrartiert. Die organische Phase wurde zweimal mit ges. Natriumchlorid-Lösung gewaschen,, über Magnesiumsulfat getrocknet und das Lösemittel im Vakuum abgedampft. Der Rückstand wurde über die präp. RP- HPLC gereinigt (Säule: Reprosil 250x40; 10μ, Fluss: 50 mL/min, MeCN/Wasser/0.1%TFA). Die Lösemittel wurden im Vakuum verdampft und der Rückstand im Hochvakuum getrocknet. Man erhielt 267 mg (64% d: Th) tert-Butyl-3-[2-(2-{ [(2,5-dioxo-2,5-dihydro-lH-pyrrol-l- yl)acetyl] amino }ethoxy)ethoxy]propanoat.
LC-MS (Methode 1): Rt = 0.73 min; MS (ESIpos): m/z = 371 (M+H)+.
Zu einer Lösung von tert-Butyl-3-[2-(2-{ [(2,5-dioxo-2,5-dihydro-lH-pyrrol-l- yl)acetyl] amino }ethoxy)ethoxy]propanoat (263 mg, 710 μιηοΐ) in 10 ml dichlormethan wurde 1.1 ml (14 mmol) TFA zugegeben. Das Reaktionsgemisch wurde über Nacht bei RT gerührt. Die Reaktionsmischung wurde im Vakuum verdampft und der Rückstand am Hochvakuum getrocknet. Man erhielt 240 mg (94% d: Th) der Titel Verbindung.
LC-MS (Methode 12): Rt = 0.57 min; MS (ESIpos): m/z = 315 (M+H)+.
Intermediat L88
2,5-Dioxopyrrolidin-l-yl-N-[6-(2,5-dioxo-2,5-dihydro-lH-pyrrol-l-yl)hexanoyl]-L-valyl-L- alaninat
150 mg (0.797 mmol) L-Valyl-L-alanin und 246 mg (0.797 mmol) l-{6-[(2,5-Dioxopyrrolidin-l- yl)oxy]-6-oxohexyl}-lH-pyrrol-2,5-dion wurden in 4.0 ml Dimethylformamid gelöst und mit 0.220 mL (1.6 mmol) Triethylamin versetzt. Die Reaktionsmischung wurde über Nacht bei RT gerührt. Die Reaktionsmischung wurde direkt mittles präp. RP-HPLC gereinigt (Säule: Reprosil 250x30; 10μ, Fluss: 50 mL/min, MeCN/Wasser). Die Lösemittel wurden im Vakuum verdampft und der Rückstand im Hochvakuum getrocknet. Man erhielt 302 mg (97 % d. Th.) N-[6-(2,5-Dioxo-2,5- dihydro- lH-pyrrol- 1 -yl)hexanoyl] -L-valyl-L- alanin.
LC-MS (Methode 12): Rt = 1.02 min; MS (ESIpos): m/z = 382 (M+H)+.
XH-NMR (400 MHz, DMSO-d6): δ [ppm] = 0.82 (dd, 6H), 1.17 (m, 2H), 1.27 (d, 3H), 1.48 (m, 4H), 1.94 (m, IH), 2.13 (m, 2H), 3.38 (t, 2H), 4.17 (m, 2H), 7.00 (s, 2H), 7.75 (d, IH), 8.19 (d, IH).
130 mg (0.531 mmol) N-[6-(2,5-Dioxo-2,5-dihydro-lH-pyrrol-l-yl)hexanoyl]-L-valyl-L-alanin wurden in 6.5 ml Dichloromethan gelöst und mit 58.8 mg (0.511 mmol) l-Hydroxypyrrolidin-2,5- dion und 78.4 mg (0.409 mmol) l-(3-Dimethylaminopropyl)-3-ethylcarbodiimidhydrochlorid versetzt. 58.8 mg (0.511 mmol) l-Hydroxypyrrolidin-2,5-dion und 78.4 mg (0.409 mmol) l-(3- Dimethylaminopropyl)-3-ethylcarbodiimidhydrochlorid wurden nocheinmal zugegeben. Der Ansatz wurde mit Dichloromethan versetzt une dreimal mit Wasser gewaschen. Die organische Phase wurde über Magnesiumsulfat getrocknet, das Lösemittel im Vakuum abgedampft und der Rückstand im Hochvakuum getrocknet. Man erhielt 172 mg (87 % d. Th.) der Titelverbindung. LC-MS (Methode 12): Rt = 1.28 min; MS (ESIpos): m/z = 479 (M+H)+.
Intermediat L89 l-Benzyl-5-[2-(tri
, \
H
1.00 g (2.96 mmol) (4S)-5-(Benzyloxy)-4-[(tert-butoxycarbonyl)amino]-5-oxopentansäure wurden in 13.0 ml THF vorgelegt und mit 510 μΐ (3.6 mmol) 2-(Trimethylsilyl)ethanol und 109 mg (889 μιηοΐ)
4-Dimethylaminopyridin versetzt. Die Reaktionsmischung wurde auf 0°C gekühlt und mit 682 mg (3.56 mmol) N-Ethyl-N'-3-(dimethylaminopropyl)carbodiimid hydrochlorid versetzt. Die Reaktionsmischung wurde über Nacht bei RT gerührt. Die Lösemittel wurden im Vakuum verdampft und der Rückstand in Ethylacetat gelöst. Die organische Phase wurde zweimal mit 0.1N HCl-Lösung und ges. Natriumchlorid-Lösung gewaschen, über Magnesiumsulfat getrocknet und das Lösemittel im Vakuum verdampft. Der Rückstand wurde mittels Biotage Isolera gereinigt (Kieselgel, Säule 25 g SNAP, Cyclohexan: Ethylacetat 80:20). Man erhielt 649 mg (50 % d. Th) der Verbindung l-Benzyl-5-[2-(trimethylsilyl)ethyl]-N-(tert-butoxycarbonyl)-L-glutamat.
LC-MS (Methode 1): Rt = 4.6 min; MS (ESIpos): m/z = 438 (M+H)+.
649 mg (1.48 mmol) l-Benzyl-5-[2-(trimethylsilyl)ethyl]-N-(tert-butoxycarbonyl)-L-glutamat wurden in 7.0 ml Dioxan gelöst und unter Eisbadkühlung wurden 14 ml (59 mmol) 4N HCl in Dioxan dazugegeben. Die Reaktionsmischung wurde über Nacht bei RT gerührt und anschließend im Vakuum verdampft, der Rückstand am Hochvakuum getrocknet und mittels Biotage Isolera gereinigt (Kieselgel, Säule 25 g SNAP, Dischloromethan: Methanol 90: 10). Man erhielt 320 mg (57 % d. Th) der Titelverbindung.
LC-MS (Methode 1): Rt = 0.79 min; MS (ESIpos): m/z = 338 (M+H)+.
Intermediat L90
1 - { N- [(Benzyloxy)carbonyl]glycyl } amino)-3,6,9, 12-tetraoxapentadecan- 15-säure
118 mg (566 μιηοΐ) N-[(Benzyloxy)carbonyl]glycin wurden in 5.0 ml DMF vorgelegt, mit 200 mg (622 μιηοΐ) tert-Butyl-l-amino-3,6,9,12-tetraoxapentadecan-15-oat, 130 mg (849 μιηοΐ) 1- Hydroxy-lH-benzotriazol Hydrat und 130 mg (679 μιηοΐ) l-(3-Dimethylaminopropyl)-3- ethylcarbodiimidhydrochlorid versetzt und 1 h bei RT gerührt. Der Ansatz wurde mit Ethylacetat versetzt, zweimal mit 5%iger Citronensäure-Lösung und mit ges. Natriumhydrogencarbonat- Lösung extrartiert. Die organische Phase wurde zweimal mit ges. Natriumchlorid-Lösung gewaschen und. über Magnesiumsulfat getrocknet. Die Lösemittel wurden im Vakuum verdampft
und der Rückstand im Hochvakuum getrocknet. Man erhielt 274 mg (95% d: Th) tert-Butyl-l-({N- [(benzyloxy)carbonyl]glycyl } amino)-3,6,9, 12-tetraoxapentadecan- 15-oat.
LC-MS (Methode 12): Rt = 1.69 min; MS (ESIpos): m/z = 513 (M+H)+.
Zu einer Lösung von 274 mg (535 μmol)tert-Butyl-l-({N-[(benzyloxy)carbonyl]glycyl}amino)- 3,6,9,12-tetraoxapentadecan-15-oat in 5.0 ml Dichlormethan wurde 820 μΐ (11 mmol) TFA zugegeben. Das Reaktionsgemisch wurde 3 h bei RT gerührt. Die Reaktionsmischung wurde im Vakuum verdampft und der Rückstand in Wasser aufgenommen und lyophilisiert. Man erhielt 262 mg (100% d: Th) der Titelverbindung.
LC-MS (Methode 12): Rt = 1.12 min; MS (ESIpos): m/z = 457 (M+H)+.
Intermediat L91
Trifluoressigsäure— 2-(trimethylsilyl)ethyl- 1 - { [3-amino-N-(tert-butoxycarbonyl)-D-alanyl]amino } - 3,6,9,12-tetraoxapentadecan-15-oat (1 : 1)
Die Titelverbindung wurde ausgehend von kommerziell erhältlicher 3-Oxo-l-phenyl-2,7, 10, 13,16- pentaoxa-4-azanonadecan-19-säure nach klassischen Methoden der Peptidchemie (Veresterung mit 2-Trimethylsilylethanol mittels EDCI/DMAP, hydrogenolytische Abspaltung der Z-Schutzgruppe, Kupplung mit kommerziell erhältlichem N-(tert-Butoxycarbonyl)-3-{ [(9H-fluoren-9-ylmethoxy) carbonyl]amino} -D-alanin und Abspaltung der Fmoc-Schutzgruppe) hergestellt.
LC-MS (Methode 1): Rt = 0.74 min; MS (ESIpos): m/z = 552 (M+H)+.
Intermediat L92
N-[(Benzyloxy)carbonyl]-L-alanyl-L-alanyl-L-alpha-asparagin
Die Titelverbindung wurde nach klassischen Methoden der Peptidchemie durch HATU-Kupplung in Gegenwart von Ν,Ν-Diisopropylethylamin von kommerziell erhältlichen N-[(Benzyloxy) carbonyl]-L-alanyl-L-alanin mit tert-Butyl-L-asparaginat und anschließender Entschützung der Carboxygruppe mit Trifluoressigsäure hergestellt.
LC-MS (Methode 1): Rt = 0.5 min; MS (ESIpos): m/z = 409 (M+H)+.
Intermediat L93
Die Titelverbindung wurde nach klassischen Methoden der Peptidchemie durch HATU-Kupplung in Gegenwart von Ν,Ν-Diisopropylethylamin von kommerziell erhältlichen N-[(Benzyloxy) carbonyl]-L-alanyl-L-alanin mit tert-Butyl-L-asparaginat, anschließender Abspaltung der Z- Schutzgruppe durch Hydrierung in DCM-Methanol über 10% Palladium auf Aktivkohle, dann folgender Acetylierung mit Essigsäure in DMF in Gegenwart von HATU und N,N- Diisopropylethylamin und schließlich Entschützung der Carboxygruppe mit Trifluoressigsäure hergestellt.
LC-MS (Methode 1): Rt = 0.16 min; MS (ESIpos): m/z = 317 (M+H)+.
XH-NMR (400 MHz, DMSO-d6): δ [ppm] = 1.19 (2d, 6H), 1.82 (s, 3H), 2.5 (m, 2H), 4.26 (:
4.48 (q, 1H), 6.9 (s, 1H), 7.36 (s, 1H), 8.0 (m, 3H), 12.54 (s, 1H).
Intermediat L94 paragin
Zunächst wurde 4-Oxo-4-[2-(trimethylsilyl)ethoxy]butansäure durch Umsetzung von 4- (Benzyloxy)-4-oxobutansäure mit 2-(Trimethylsilyl)ethanol in Gegenwart von EDCI/DMAP in DCM und anschließender hydrogenolytischen Spaltung des Benzylesters hergestellt.
LC-MS (Methode 1): Rt = 0.89 min; MS (ESIpos): m/z = 217 (M-H)\
Weiterhin wurde Trifluoressigsäure — 4-nitrobenzyl-L-alanyl-L-alanyl-L-asparaginat (1 : 1) durch Kupplung von N-(tert-Butoxycarbonyl)-L-alanyl-L-alanin mit 4-Nitrobenzyl-L-asparaginat hydrobromid (1 : 1) in DMF in Gegenwart von HATU und Ν,Ν-Diisopropylethylamin und anschließender Entschützung der Aminogruppe mit Trifluoressigsäure in DCM hergestellt.
LC-MS (Methode 1): Rt = 0.43 min; MS (ESIpos): m/z = 410 (M+H)+.
Die Titelverbindung wurde dann durch Kupplung dieser beiden Intermediate in DMF in Gegenwart von HATU und Ν,Ν-Diisopropylethylamin und anschließender Abspaltung des p-Nitro- benzylesters durch Hydrierung in DCM-Methanol 1 :9 über 10% Palladium auf Aktivkohle hergestellt.
LC-MS (Methode 1): Rt = 0.79 min; MS (ESIpos): m/z = 475 (M+H)+.
Intermediat L95
N-[(Benzyloxy)carbonyl]-L-valyl-L- alanin
Dieses Intermediat wurde ausgehend von N-[(Benzyloxy)carbonyl]-L-valin und tert-Butyl-L- alaninathydrochlorid (1 : 1) mit klassischen Methoden der Peptidchemie hergestellt.
LC-MS (Methode 12): Rt = 1.34 min; MS (ESIpos): m/z = 323.16 (M+H)+.
Intermediat L96
N-Acetyl-L-valyl-N5-carbamoyl-L-ornithinamid
Dieses Intermediat wurde nach klassischen Methoden der Peptidchemie hergestellt beginnend mit der Kupplung von 2,5-Dioxopyrrolidin-l-yl-N-[(benzyloxy)carbonyl]-L-valinat mit N5- Carbamoyl-L-ornithin, dann folgender hydrogenolytischer Abspaltlung der Z-Schutzgruppe über 10% Palladium/ Aktivkohle in Ethanol und schließlich durch Umsetzung des erhaltenen Dipeptids mit l-Acetoxypyrrolidin-2,5-dion.
LC-MS (Methode 1): Rt = 0.25 min; MS (ESIpos): m/z = 317 (M+H)+.
Intermediat L97
1 -(2,5-Dioxo-2,5-dihydro- lH-pyrrol- 1 -yl)-2-oxo-6,9, 12, 15, 18,21 ,24,27-octaoxa-3-azatriacontan- 30-säure

Tert-Butyl-l-amino-3,6,9,12,15,18,21,24-octaoxaheptacosan-27-oat (100 mg, 201 μιηοΐ) wurde in 1.0 ml DMF vorgelegt und mit (2,5-Dioxo-2,5-dihydro-lH-pyrrol-l-yl)essigsäure (46.8 mg, 301 μιηοΐ), 1-Hydroxy-lH-benzotriazol Hydrat (76.9 mg, 502 μιηοΐ) und l-(3-Dimefhylaminopropyl)- 3-ethylcarbodiimidhydrochlorid (77.0 mg, 402 μmol) versetzt. Die Reaktionsmischung wurde über Nacht bei RT gerührt und dann mit Ethylacetat versetzt. Die organische Phase wurde zweimal mit 5%iger Citronensäure-Lösung, mit ges. Natriumhydrogencarbonat-Lösung und dann mit ges. Natriumchlorid-Lösung gewaschen. Die organische Phase wurde über Magnesiumsulfat getrocknet. Die Lösemittel wurden im Vakuum verdampft und der Rückstand mittles präp. RP-HPLC gereinigt (Säule: Reprosil 125x30; 10μ, Fluss: 50 mL/min, MeCNA asser/0.1 %TFA). Die Lösemittel wurden im Vakuum verdampft und der Rückstand im Hochvakuum getrocknet. Man erhielt 19.1 mg (13% d. Th.) der Verbindung tert-Butyl-l-(2,5-dioxo-2,5-dihydro-lH-pyrrol-l-yl)-2-oxo- 6,9, 12, 15, 18,21 ,24,27-octaoxa-3-azatriacontan-30-oat.
LC-MS (Methode 1): Rt = 0.87 min; MS (ESIpos): m/z = 635 [M+H]+
Zu einer Lösung von tert-Butyl-l-(2,5-dioxo-2,5-dihydro-lH-pyrrol-l-yl)-2-oxo- 6,9,12,15,18,21,24,27-octaoxa-3-azatriacontan-30-oat (19.1 mg, 30.1 μιηοΐ) in 1.0 ml DCM wurde TFA (62 μΐ, 600 μιηοΐ) zugegeben. Das Reaktionsgemisch wurde 3h bei RT gerührt. Die Reaktionsmischung wurde im Vakuum verdampft und der Rückstand wurde in Wasser aufgenommen und lyophilisiert. Der Rückstand wurde ohne weitere Reinigung weiter eingesetzt. Man erhielt 10.8 mg (46 % d. Th.) der Titelverbindung.
LC-MS (Methode 1): Rt = 0.55 min; MS (ESIneg): m/z = 577 [M-H]\
Intermediat L98
2,2-Dimethylpropansäure— 2-(trimethylsilyl)ethyl-N-(2-aminoethyl)-N2-{ [2-(trimethylsilyl) ethoxy] carbonyl } -L-glutaminat (1: 1)
Zunächst wurde (4S)-5-tert-Butoxy-4-[(tert-butoxycarbonyl)amino]-5-oxopentansäure in Gegenwart von HATU und /V,/V-Diisopropylethylamin mit Benzyl-(2-aminoethyl)carbamat
gekuppelt. Anschließend wurden mittels Trifluoressigsäure in DCM die Boc-Schutzgruppe sowie der tert.-Butylester abgespalten. Dann wurde zunächst die Aminogruppe durch Umsetzung mit 1- ({ [2-(Trimethylsilyl)ethoxy]carbonyl}oxy)pyrrolidin-2,5-dion in DMF/Wasser in Gegenwart von /V,/V-Diisopropylethylamin und anschließend die Carboxygruppe durch Umsetzung mit 2- (Trimethylsilyl)ethanol in DCM in Gegenwart von EDCI /DMAP erneut geschützt. Im letzten Schritt erfolgte die Entschützung der terminalen Aminogruppe mittels Hydrogenolyse über 10%- igem Palladium auf Aktivkohle in Ethanol unter Normaldruck. Nach Abfiltrieren des Katalysators, Einengen, Reinigung durch präparative HPLC und Gefriertrocknung des Rückstandes aus AcetonitrilA asser wurde die Titel Verbindung erhalten.
LC-MS (Methode 1): Rt = 0.82 min; MS (ESIpos): m/z = 434 (M+H)+.
Intermediat L99
Trifluoressigsäure — 2-(trimethylsilyl)ethyl-N-[(2,5-dioxo-2,5-dihydro-lH-pyrrol-l-yl);
val
Zunächst wurde ausgehend von N2-[(Benzyloxy)carbonyl]-N6-(tert-butoxycarbonyl)-L-lysin nach klassischen Methoden der Peptidchemie 2-(Trimethylsilyl)ethyl-N6-(tert-butoxycarbonyl)-L- lysinat hergestellt. Dieses Intermediat wurde dann in Gegenwart von HATU und /V,/V-Diisopropyl- ethylamin mit dem nach Standardmethoden hergestellten Tripeptidbaustein N-[(Benzyloxy) carbonyl]-L-valyl-L-alanyl-beta-alanin gekuppelt. Die Z-Schutzgruppe wurde anschließend durch Hydrogenolyse in Methanol entfernt und das erhaltene Intermediat mit (2,5-Dioxo-2,5-dihydro-lH- pyrrol-l-yl)essigsäure in Gegenwart von HATU und N, N Diisopropylethylamin gekuppelt. Im letzten Schritt erfolgte die Entschützung der Seitenkettenaminogruppe unter schonenden Bedingungen durch lh Rühren in 10%iger Trifluoressigsäure in DCM bei RT. Nach Einengen und Gefriertrocknung aus AcetonitrilA asser wurde die Titelverbindung erhalten.
LC-MS (Methode 1): Rt = 0.64 min; MS (ESIpos): m/z = 625 (M+H)+.
Intermediat LIPO
3 5-(2 r(2 -Dioxo-2 -dihvdro-lH-pyrrol-l-yl)acetyllamino}ethyl)-l,2,4-oxadiazol-3- yllpropansäure
Zu einer Lösung von Methyl-3-cyanpropanoat Lösung (500 mg, 4.42 mmol) in 40 ml Ethanol was added 461 mg (6.60 mmol) Hydroxylaminehydrochlorid und 1341.86 mg (13.26 mmol) Triethylamin. Das Reaktionsgemisch wurde bei 50 °C 3h gerührt. Das Gemischt wurde eingeengt und der Rückstand wurde in Ethylacetat gelöst und anschließend mit Wasser und Brine gewaschen. Die organische Phase wurde über Magnesiumsulfat getrocknet und eingeengt. Der Rückstand wurde ohne weitere Reinigung eingesetzt. Man erhielt 400 mg (62% d. Th) der Titelverbindung.
Zu einer Lösung von Methyl-(4E)-4-{ [N-(tert-butoxycarbonyl)-beta-alanyl]amino}-4- (hydroxyimino)butanoat (4.85 g, 33.19 mmol) in 120.0 ml ml Dioxan wurde 6.91 g (36.50 mmol) N-(tert-Butoxycarbonyl)-beta-alanin und 8.22 g (39.82 mmol) 1,3-Dicycloxexylcarbodiimid zugegeben. Das Reaktionsgemisch wurde bei Raumtemperatur 3h gerührt. Das Gemisch wurde eingeengt und der Rückstand wurde in Wasser gelöst und mit Ethylacetat extrahiert. Die organisch Phase wurde über Natriumsulfat getrocknet und eingeent. Der Rückstand wurde mittels Flash- Chromatographie. Man erhielt 6.0 g (57% d.Th) der Titelverbindung.
Eine Lösung von Methyl-(4E)-4-{ [N-(tert-butoxycarbonyl)-beta-alanyl]amino}-4- (hydroxyimino)butanoat ( 6.0g, 18.91 mmol) in 100 ml DMF wurde 5h bei 120 °C gerührt. Das Gemisch wurde mit Wasser versetzt und mit Ethylacetat extrahiert. Die organische Phase wurde über Natriumsulfat getrocknet und eingeengt. Der Rückstand wurde präp. HPLC gereinigt. Man erhielt 4 g (71% d. Th.) der Titel Verbindung.
Zur eine Lösung von 3-(5-{2-[(tert-Butoxycarbonyl)amino]ethyl}-l,2,4-oxadiazol-3- yl)propansäure ( 2.0 g, 7.01 mmol) in 30 ml Dichlormethan wurden 2.96 g (25.96 mmol) Trifluoressigsäure zugegeben. Das Reaktionsgemisch wurde lh bei Raumtemperatur gerührt. Das Gemisch wurde mit Wasser versetzt und extrahiert mit Dichlormethan. Die organische Phase
wurde über Natriumsulfat getrocknet und eingeengt. Der Rückstand wurde ohne weitere reinigung eingesetzt. Man erhielt 1.50 g (72% d. Th.) der Titel Verbindung.
Zur eine Lösung von 3-[5-(2-Aminoethyl)-l,2,4-oxadiazol-3-yl]propansäure ( 1.5 g, 5.01 mmol) in 25 ml DMF wurden 1.30 g (5.52 mmol) l-[2-(2,5-Dioxopyrrolidin-l-yl)-2-oxoethyl]-lH-pyrrol- 2,5-dion und 1.52 g (15.04 mmol) Triethylmin zugegeben. Das Reaktionsgemisch wurde lh bei rt gerührt. Das Gemisch wurde mit Wasser versetzt und extrahiert mit Dichlormethan. Die organische Phase wurde über Natriumsulfat getrocknet und eingeengt. Der Rückstand wurde präp. HPLC gereinigt. Man erhielt 774 m g (47% d. Th.) der Titel Verbindung.
'H-NMR (300 MHz, DMSO-d6): δ [ppm] = 2.67 (t, 2H), 2.91 (t, 2H), 3.03 (t, 2H), 3.46 (q, 2H), 4.28 (s, 2H), 7.01 (s, 2H), 8.37 (t, 1H), 12.28 (bs, 1H).
Intermediat F104
Trifluoressigsäure--(2S)-2-amino-4-[{(lR)-l-[l-benzyl-4-(2,5-difluorphenyl)-lH-pyrrol-2-yl]-2,2- dimethylpropyl } (glycoloyl)amino]-N-(2- { [(2,5-dioxo-2,5-dihydro- lH-pyrrol- 1 - yl) acetyl] amino } eth l)butanamid( 1 : 1)
10 mg (0.014 mmol) von Intermediat C53 wurden in 3.3 mL DMF gelöst und mit 8.5 mg (0.027 mmol) von Intermediat LI sowie mit 7.8 mg (0.02 mmol) HATU und 12 μΐ Ν,Ν- Diisopropylethylamin versetzt. Der Ansatz wurde 15 min bei RT gerührt und anschließend eingeengt. Der Rückstand wurde durch präparative HPLC gereinigt und nach Lyophihsation wurden 5.6 mg (38% d. Th.) der geschützten Zwischstufe erhalten.
LC-MS (Methode 1): Rt = 1.32 min; MS (ESIpos): m/z = 915 (M+H)+.
5.6 mg (0.006 mmol) dieses Intermediats wurden in 2 ml DMF aufgenommen und mit 69 mg (0.61 mmol) l,4-Diazabicyclo(2.2.2)octan versetzt. Der Ansatz wurde 2 h im Ultraschallbad behandelt. Anschließend wurden 35 μΐ Essigsäure zugegeben und der Ansatz im Hochvakuum eingeengt. Der Rückstand wurde durch präparative HPLC gereinigt. Es wurden 2.4 mg (48% d. Th.) der Titelverbindung erhalten.
LC-MS (Methode 1): Rt = 0.84 min; MS (EIpos): m/z = 693 [M+H]+. HPLC (Methode 11): Rt = 1.91 min;
Alternativ wurde die Titelverbindung auch ausgehend von Intermediat C58 hergestellt. 15 mg (0.023 mmol) von Intermediat C58 wurden zunächst mit 11 mg (0.036 mmol) Intermediat LI in Gegenwart von 13 mg ( 0.034 mmol) HATU sowie 10 μΐ Ν,Ν-Diisopropylethylamin umgesetzt. Nach 60 min Rühren bei RT wurde eingeengt und der Rückstand durch präparative HPLC gereinigt. Es wurden 12.3 mg (63% d. Th.) des geschützten Intermediats erhalten.
LC-MS (Methode 1): Rt = 1.3 min; MS (EIpos): m/z = 837 [M+H]+.
Im zweiten Schritt wurde dieses Intermediat in 3 mL 2,2,2-Trifluorethanol gelöst. Es wurden 12 mg (0.088 mmol) Zinkchlorid zugegeben und der Ansatz 2 h bei 50°C gerührt. Anschließend wurden 26 mg (0.088 mmol) Ethylendiamin-N,N,N',N'-tetraessigsäure sowie 2 mL einer 0.1%-igen wässrigen Trifluoressigsäurelösung zugesetzt. Der Ansatz wurde mittels präparativer HPLC gereinigt. Nach Einengen der entsprechenden Fraktionen und Lyophilisation des Rückstands aus Acetonitril/Wasser wurden 8.1 mg (68% d.Th.) der Titelverbindung erhalten.
LC-MS (Methode 1): Rt = 0.89 min; MS (ESIpos): m/z = 693 (M+H)+. Intermediat F119
Trifluoressigsäure-(2S)-2-amino-4-[{(lR)-l-[l-benzyl-4-(2,5-difluorphenyl)-lH-pyrrol-2-yl]-2,2- dimethylpropyl}(glycoloyl)amino]-N-{2-[(bromacetyl)amino]ethyl}butanamid (1 : 1)
29 mg (0.044 mmol) von Intermediat C58 wurden in 3.4 mL DMF aufgenommen und mit 36 mg (0.087 mmol) von Intermediat L52 sowie mit 25 mg ( 0.065 mmol) HATU und 19 μΐ Ν,Ν- Diisopropylethylamin versetzt. Nach 60 min Rühren bei RT wurde eingeengt und der Rückstand durch präparative HPLC gereinigt. Es wurden 26.4 mg (73% d. Th.) der Zwischenstufe erhalten.
LC-MS (Methode 1): Rt = 1.34 min; MS (ESIpos): m/z = 820 und 822 (M+H)+.
Dieses Intermediat wurde in 3 mL 2,2,2-Trifluorethanol gelöst. Es wurden 6.5 mg (0.048 mmol) Zinkchlorid zugegeben und der Ansatz 4 h bei 50°C gerührt. Dann wurden 13.9 mg (0.048 mmol) Ethylendiamin-N,N,N',N'-tetraessigsäure sowie 2 mL einer 0.1%-igen wässrigen Trifluoressigsäurelösung zugesetzt. Der Ansatz wurde mittels präparativer HPLC gereinigt. Nach Einengen der entsprechenden Fraktionen und Lyophilisation des Rückstands aus Acetonitril/Wasser wurden 14.4 mg (58% d.Th.) der Titelverbindung erhalten.
LC-MS (Methode 1): Rt = 0.88 min; MS (ESIpos): m/z = 676 und 678 (M+H)+. Intermediat F127
Trifluoressigsäure -(2S)-2-amino-4-( { ( 1 R)- 1 - [ 1 -benzyl-4-(2,5-difluorphenyl)- 1 H-pyrrol-2-yl] -2,2- dimethylpropyl} [(2S)-2-methoxypropanoyl]amino)-N-(2-{ [(2,5-dioxo-2,5-dihydro-lH-pyrrol-l- yl) acetyl] amino } ethyl)butanamid (1 : 1)
12 mg (0.015 mmol) von Intermediat C59 wurden in 2.4 mL DMF gelöst und mit 14.6 mg (0.046 mmol) von Intermediat LI sowie mit 6 mg (0.031 mmol) l-(3-Dimethylaminopropyl)-3-ethyl- carbodiimid-Hydrochlorid, 5.9 mg (0.039 mmol) 1 -Hydro xy-li7-benzotriazol-Hydrat und 8 μΐ Ν,Ν-
Diisopropylethylamin versetzt. Nach 1 h Rühren bei RT wurde eingeengt und der Rückstand durch präparative HPLC gereinigt. 11 mg (70% d. Th.) dieser Zwischenstufe wurden erhalten.
LC-MS (Methode 1): Rt = 1.34 min; MS (ESIpos): m/z = 942 (M+H)+.
11 mg (0.011 mmol) dieses Intermediats wurden in 2 ml DMF aufgenommen und mit 123 mg (1.1 mmol) l,4-Diazabicyclo(2.2.2)octan versetzt. Der Ansatz wurde 2 h im Ultraschallbad behandelt. Anschließend wurden 63 μΐ Essigsäure zugegeben und der Ansatz im Hochvakuum eingeengt. Der Rückstand wurde durch präparative HPLC gereinigt. Es wurden 2 mg (22% d. Th.) der Titelverbindung erhalten.
LC-MS (Methode 1): Rt = 0.89 min; MS (EIpos): m/z = 721 [M+H]+.
HPLC (Methode 11): Rt = 1.95 min;
Intermediat F153
Trifluoressigsäure -(2S)-2-amino-4-( { ( 1 R)- 1 - [ 1 -benzyl-4-(2,5-difluorphenyl)- 1 H-pyrrol-2-yl] -2,2- dimethylpropyl } [(2S)-2-hydroxypropanoyl] amino)-N-(2- { [(2,5-dioxo-2,5-dihydro- lH-pyrrol- 1 - yl) acetyl] amino } ethyl)butanamid (1 : 1)
Die Synthese erfolgte in Analogie zu Intermediat Fl 04 ausgehend von Intermediat C60.
LC-MS (Methode 1): Rt = 1.1 min; MS (ESIpos): m/z = 707 (M+H)+.
Intermediat F155
N6-(N- { (2S)-2- Amino-4- [ { ( 1R)- 1 - [ 1 -benzyl-4-(2,5-difluorphenyl)- 1 H-pyrrol-2-yl] -2,2- dimethylpropyl } (glycoloyl)amino]butanoyl } -beta-alanyl)-N2- { N-[6-(2,5-dioxo-2,5-dihydi pyrrol-l-yl)hexanoyl]-L-valyl-L-alanyl}-L-lysin -trifluoressigsäure (1: 1)
Die Titelverbindung wurde durch Kupplung von 14 mg (0.019 mmol) des Intermediats C61 mit 15 mg (0.021 mmol) von Intermediat L61 in Gegenwart von 8.7 mg (0.023 mmol) HATU sowie 17 μΐ Ν,Ν-Diisopropylethylamin und anschließender Entschützung mit Zinkchlorid in Trifluorethanol wie in Intermediat Fl 19 beschrieben hergestellt. Nach Reinigung durch präparative HPLC wurden 13 mg (59% d. Th. über 2 Stufen) der Titelverbindung erhalten.
LC-MS (Methode 1): Rt = 0.86 min; MS (ESIpos): m/z = 1076 (M+H)+.
Intermediat F168
N-[6-(2,5-Dioxo-2,5-dihydro-lH-pyrrol-l-yl)hexanoyl]-L-valyl-L-alanyl-N6-{ [(lR,2S)-2-({(2S)-2- amino-4- [ { ( 1 R)- 1 - [ 1 -benzyl-4-(2,5-difluorphenyl)- 1 H-pyrrol-2-yl] -2,2-dimethylpropyl }
(glycoloyl)amino (1 : 1)
Zunächst wurde ausgehend von kommerziell erhältlicher (lR,2S)-2-[(tert-Butoxycarbonyl) amino]cyclopentancarbonsäure nach klassischen Methoden der Peptidchemie durch Veresterung mit Benzylalkohol mittels EDCI/DMAP und anschließender Abspaltung der tert Butoxycarbonylschutzgruppe mit TFA in DCM Trifluoressigsäure -benzyl-(lR,2S)-2- aminocyclopentancarboxylat (1 : 1) hergestellt.
102mg (0.305 mmol) von diesem Intermediat wurden in 12 ml DMF aufgenommen und mit 100 mg (0.152 mmol) von Intermediat C58 in Gegenwart von HATU und /V-Diisopropylethylamin gekuppelt. Nach Reinigung durch präparative HPLC wurde das Intermediat in Methanol aufgenommen und über 10%-igem Palladium auf Aktivkohle 2 h lang bei RT unter Wasserstoff- Normaldruck hydriert. Der Katalysator wurde danach abfiltriert und das Lösungsmittel im Vakuum entfernt und das Produkt durch präparative HPLC gereinigt. Nach Lyophilisation aus AcetonitrilAVasser 1 : 1 wurden 70 mg (59% d.Th. über 2 Stufen) von (lR,2S)-2-{ [(2S)-4-[{(lR)-l-
[ 1 -Benzyl-4-(2,5-difluorphenyl)- lH-pyrrol-2-yl] -2,2-dimethylpropyl } (glycoloyl)amino] -2-( { [2- (trimethylsilyl)ethoxy]carbonyl } amino)butanoyl] amino Jcyclopentancarbonsäure erhalten.
Die Titelverbindung wurde dann durch Kupplung von 20 mg (0.013 mmol) dieses Intermediats mit 16.6 mg (0.023 mmol) von Intermediat L61 in Gegenwart von 9.5 mg ( 0.025 mmol) HATU sowie 18 μΐ Ν,Ν-Diisopropylethylamin und anschließender Entschützung mit Zinkchlorid in Trifluorethanol wie in Intermediat Fl 19 beschrieben hergestellt. Nach Reinigung durch präparative HPLC wurden 9.3 mg (30% d. Th. über 2 Stufen) der Titelverbindung erhalten.
LC-MS (Methode 1): Rt = 0.98 min; MS (ESIpos): m/z = 1116 (M+H)+.
Intermediat F173
N-[6-(2,5-Dioxo-2,5-dihydro-lH-pyrrol-l-yl)hexanoyl]-L-valyl-L-alanyl-N-[2-({(2S)-2-amino-4- [ { ( 1R)- 1 - [ 1 -benzyl-4-(2,5-difluorphenyl)- 1 H-pyrrol-2-yl] -2,2-dimethylpropyl } (glycoloyl)amino]
Die Titelverbindung wurde ausgehend von 15 mg (0.018 mmol) Intermediat C64 durch Kupplung mit 12 mg (0.02 mmol) von Intermediat L63 in Gegenwart von 7.7 mg ( 0.02 mmol) HATU sowie 16 μΐ Ν,Ν-Diisopropylethylamin und anschließender Entschützung mittels Zinkchlorid in Trifluorethanol wie in Intermediat Fl 19 beschrieben hergestellt. Nach Reinigung durch präparative HPLC wurden 12 mg (58% d. Th. über 2 Stufen) der Titelverbindung erhalten.
LC-MS (Methode 1): Rt = 0.91 min; MS (EIpos): m/z = 1048 [M+H]+.
Intermediat F178
Trifluoressigsäure--(m,2S)-2-({(2S)-2-amino-4-[{(lR)-l-[l-benzyl-4-(2,5-difluorphenyl)-lH- pyrrol-2-yl] -2,2-dimethylpropyl }(glycoloyl)amino]butanoyl } amino)-N- { 2-[(bromacetyl)amino] ethyl } cy clopentancarboxamid 1: 1)
Die Titelverbindung wurde in Anlogie zu Intermediat F168 hergestellt, wobei an Stelle von Intermediat L61 das Intermediat L52 eingesetzt wurde.
LC-MS (Methode 1): Rt = 0.89 min; MS (EIpos): m/z = 787 und 789 [M+H]+. Intermediat F180
N-[2-({(2S)-2-Amino-4-[{(lR)-l-[l-benzyl-4-(2,5-difluorphenyl)-lH-pyrrol-2-yl]-2,2- dimethylpropyl } (glycoloyl)amino]butanoyl } amino)ethyl] -N2-[(2,5-dioxo-2,5-dihydro- lH-pyrrol- 1 - yl)acetyl]-L-glutamin -trifluoressigsäure (1 : 1)
NH2 O
Die Titelverbindung wurde durch Kupplung von 9.6 mg (0.012 mmol) Intermediat C64 mit 5 mg (0.013 mmol) von Intermediat L64 in Gegenwart von 7 mg ( 0.018 mmol) HATU sowie 6 μΐ Ν,Ν- Diisopropylethylamin und anschließender Entschützung mittels Zinkchlorid in Trifluorethanol wie in Intermediat Fl 19 beschrieben hergestellt. Nach Reinigung durch präparative HPLC wurden 3.1 mg (28% d. Th. über 2 Stufen) der Titelverbindung erhalten.
LC-MS (Methode 1): Rt = 0.85 min; MS (EIpos): m/z = 822 [M+H]+.
Intermediat F192
N-{ (2S)-2-Amino-4-[{(lR)-l-[l-benzyl-4-(2,5-difluorphenyl)-lH-pyrrol-2-yl]-2,2- dimethylpropyl } (glycoloyl)amino]butanoyl } -3- { [(2,5-dioxo-2,5-dihydro- lH-pyrrol- 1 - yl)acetyl]amino }-L-alanin -trifluoressi säure (1 : 1)
60mg (0.091 mmol) von Intermediat C58 wurden in 8 ml DMF aufgenommen und mit 45 mg (0.100 mmol) von Intermediat L65 in Gegenwart von 42 mg (0.11 mmol) HATU und 64 μΕ Ν,Ν- Diisopropylethylamin gekuppelt. Nach Reinigung durch präparative HPLC wurde das Intermediat in 10 ml Ethanol aufgenommen und über 10%-igem Palladium auf Aktivkohle 45 min lang bei RT
unter Wasserstoff-Normaldruck hydriert. Der Katalysator wurde danach abfiltriert und das Lösungsmittel im Vakuum entfernt und das Produkt durch präparative HPLC gereinigt. Nach Lyophilisation aus AcetonitrilA asser 1 : 1 wurden 24.5 mg (31% d.Th. über 2 Stufen) von 2- (Trimethylsilyl)ethyl-3-amino-N- [(2S)-4- [ { ( 1 R)- 1 - [ 1 -benzyl-4-(2,5-difluorphenyl)- 1 H-pyrrol-2- yl] -2,2-dimethylpropyl } (glycoloyl)amino] -2-({ [2-(trimethylsilyl)ethoxy]carbonyl } amino) butanoyl]-L-alaninat erhalten.
LC-MS (Methode 1): Rt = 1.17 min; MS (EIpos): m/z = 844 [M+H]+.
Die Titelverbindung wurde dann durch Kupplung von 10 mg (0.012 mmol) dieses Intermediats mit 2 mg (0.013 mmol) von kommerziell erhältlicher (2,5-Dioxo-2,5-dihydro-lH-pyrrol-l- yl)essigsäure Intermediat in Gegenwart von 5.4 mg ( 0.014 mmol) HATU sowie 8 μΐ Ν,Ν- Diisopropylethylamin und anschließender Entschützung mit Zinkchlorid in Trifluorethanol wie in Intermediat Fl 19 beschrieben hergestellt. Nach Reinigung durch präparative HPLC wurden 3.5 mg (33% d. Th. über 2 Stufen) der Titelverbindung erhalten.
LC-MS (Methode 1): Rt = 0.81 min; MS (ESIpos): m/z = 737 (M+H)+.
Intermediat F193
N-{(2S)-2-Amino-4-[{(lR)-l-[l-benzyl-4-(2,5-difluorphenyl)-lH-pyrrol-2-yl]-2,2- dimethylpropyl } (glycoloyl)amino]butanoyl } -3- { [(2,5-dioxo-2,5-dihydro- lH-pyrrol- 1 - yl)acetyl]amino}-D-alanin -trifluoressi säure (1 : 1)
Die Synthese der Titelverbindung erfolgte in Analogie zu Intermediat F192 ausgehend von 3- { [(Benzyloxy)carbonyl] amino }-N-(tert-butoxycarbonyl)-D-alanin - N-cyclohexylcyclohexanamine (1: 1).
LC-MS (Methode 1): Rt = 0.87 min; MS (ESIpos): m/z = 737 (M+H)+.
Intermediat F194
N-{5-[(2,5-Dioxopyrrolidin-l-yl)oxy]-5-oxopentanoyl}-L-valyl-N-{3-[{(lR)-l-[l-benzyl-4-(2,5- difluor henyl)- 1 H-pyrrol-2-yl] -2,2-dimethylpropyl } (glycoloyl)amino]propyl } -L-alaninamid
Die Titelverbindung wurde ausgehend von Beispiel M9 zunächst durch Kupplung mit N- [(Benzyloxy)carbonyl]-L-valyl-L-alanin in Gegenwart von HATU und N,N-Diisopropylethylamin hergestellt. Im nächsten Schritt wurde die Z-Schutzgruppe durch 1-stündige Hydrierung über 10%- igem Palladium auf Aktivkohle bei RT unter Wasserstoff-Normaldruck entfernt und das entschützte Intermediat anschließend durch Umsetzung mit l,l'-[(l,5-Dioxopentan-l,5- diyl)bis(oxy)] dipyrrolidin-2,5-dion in die Titelverbindung überführt.
LC-MS (Methode 1): Rt = 1.19 min; MS (ESIpos): m/z = 851 [M+H]+. Intermediat F207
N6-(N- { (2S)-2- Amino-4- [ { ( 1R)- 1 - [ 1 -benzyl-4-(2,5-difluorphenyl)- 1 H-pyrrol-2-yl] -2,2- dimethylpropyl } (glycoloyl)amino]butanoyl } -beta-alanyl)-N2- { N-[(2,5-dioxo-2,5-dihydro- 1H- pyrrol-l-yl)acetyl]-L-valyl-L-alanyl}-L-lysin -trifluoressigsäure (1: 1)
Die Titel Verbindung wurde in Analogie zu Intermediat Fl 55 hergestellt.
LC-MS (Methode 1): Rt = 0.81 min; MS (ESIpos): m/z = 1020 (M+H)+. Intermediat F216
S- { 2- [(3- Aminopropyl) { ( 1R) - 1 - [ 1 -benzyl-4-(2,5-difluorphenyl)- 1 H-pyrrol-2-yl] -2,2- dimethylpropyl } amino] -2-oxoethyl } -N- [ 19-(2,5-dioxo-2,5-dihydro- lH-pyrrol- 1 -yl)- 17-oxo- 4,7, 10, 13-tetraoxa- 16-azanonadecan- 1 -oyl] -L-cysteinyl-beta-alanin -trifluoressigsäure (1 : 1)
Unter Argon wurden 30.2 mg (0.06 mmol) N,N'-Bis[(benzyloxy)carbonyl]-L-cystin in 2.0 mL Wasser und 2.0 mL wo-Propanol vorgelegt und mit 56.7 mg (0.20 mmol) TCEP versetzt. Die Reaktionsmischung wurde 30 min bei RT gerührt. Es wurden dann 50.0 mg (0.08 mmol) 2- (Trimethylsilyl)ethyl- { 3-[ { ( 1R)- 1-[ 1 -benzyl-4-(2,5-difluorphenyl)- lH-pyrrol-2-yl]-2,2- dimethylpropyl}(chloracetyl)amino]propyl }carbamat (Intermediat C70) gelöst in 2.0 mL iso- Propanol und 122.2 mg (0.48 mmol) l,8-Diazabicyclo(5.4.0)undec-7-en zugegeben und die Reaktionsmischung wurde 7 h bei 50 °C gerührt. Dann wurden nochmals 122.2 mg (0.48 mmol) l,8-Diazabicyclo(5.4.0)undec-7-en zugegeben und die Reaktionsmischung wurde 1 h bei 50 °C gerührt. Es wurde mit Ethylacetat verdünnt und die organische Phase wurde mit Wasser und ges. Natriumhydrogencarbonat-Lsg. extrahiert und mit ges. NaCl-Lsg. gewaschen. Die organische Phase wurde über Magnesiumsulfat getrocknet und das Lösemittel im Vakuum verdampft. Der Rückstand wurde mittles präp. RP-HPLC (Säule: Reprosil 250x30; 10μ, Fluss: 50 mL/min, MeCN/Wasser, 0.1 % TFA) gereinigt. Die Lösemittel wurden im Vakuum verdampft und der Rückstand im Hochvakuum getrocknet. Man erhielt 43.1 mg (64 % d. Th.) der Verbindung S-(l l- { ( 1 R)- 1 - [ 1 -Benzyl-4-(2,5-difluorphenyl)- 1 H-pyrrol-2-yl] -2,2-dimethylpropyl } -2,2-dimethyl-6, 12- dioxo-5-oxa-7, 1 l-diaza-2-silatridecan- 13-yl)-N-[(benzyloxy)carbonyl] -L-cystein.
LC-MS (Methode 1): Rt = 1.46 min; MS (ESIpos): m/z = 851 (M+H)+.
16.5 mg (0.05 mmol) 4-Methylbenzolsulfonsäure-benzyl-beta-alaninat (1 : 1) wurden zusammen mit 14.0 mg (0.11 mmol) Ν,Ν-Diisopropylethylamin in 1.5 mL Acetonitril vorgelegt. Die Reaktionsmischung wurde 3 min bei RT gerührt und dann wurden 30.8 mg (0.04 mmol) S-(l l- { ( 1 R)- 1 - [ 1 -Benzyl-4-(2,5-difluorphenyl)- 1 H-pyrrol-2-yl] -2,2-dimethylpropyl } -2,2-dimefhyl-6, 12- dioxo-5-oxa-7,l l-diaza-2-silatridecan-13-yl)-N-[(benzyloxy)carbonyl]-L-cystein gelöst in 1.5 mL Acetonitril, 23.4 mg (0.18 mmol) Ν,Ν-Diisopropylethylamin und 29.9 mg (0.05 mmol) T3P (50 % in Ethylacetat) zugegeben. Die Reaktionsmischung wurde über Nacht bei RT gerührt. Es wurde Wasser zugegeben und die Reaktionsmischung wurde direkt mittles präp. RP-HPLC (Säule: Reprosil 250x30; 10μ, Fluss: 50 mL/min, MeCN/Wasser, 0.1% TFA) gereinigt. Die Lösemittel wurden im Vakuum verdampft und der Rückstand im Hochvakuum getrocknet. Benzyl-S-(11- { ( 1 R)- 1 - [ 1 -benzyl-4-(2,5-difluorphenyl)- 1 H-pyrrol-2-yl] -2,2-dimethylpropyl } -2,2-dimethyl-6, 12- dioxo-5-oxa-7,l l-diaza-2-silatridecan-13-yl)-N-[(benzyloxy)carbonyl]-L-cysteinyl-beta-alaninat wurde als Verbindung erhalten.
LC-MS (Methode 1): Rt = 1.59 min; MS (ESIpos): m/z = 1012 (M+H)+.
43.8 mg (43.3 μιηοΐ) Benzyl-S-(l l-{(lR)-l-[l-benzyl-4-(2,5-difluorphenyl)-lH-pyrrol-2-yl]-2,2- dimethylpropyl } -2,2-dimethyl-6, 12-dioxo-5-oxa-7, 11 -diaza-2-silatridecan- 13-yl)-N- [(benzyloxy)carbonyl]-L-cysteinyl-beta-alaninat wurden in 8.0 mL Ethanol gelöst, mit 4.4 mg Palladium auf Aktivkohle (10%) versetzt und bei RT und Normaldruck über Nacht hydriert. Die Reaktionsmischung wurde über einen Pappfilter filtriert und der Filterkuchen wurde mit einem Ethanol nachgewaschen. Das Lösemittel wurden im Vakuum verdampft. Der Rückstand wurde noch zweimal wie soeben beschrieben behandelt. Der Rückstand wurde mittles präp. RP-HPLC (Säule: Reprosil 250x30; 10μ, Fluss: 50 mL/min, MeCN/Wasser, 0.1% TFA) gereinigt. Die Lösemittel wurden im Vakuum verdampft und der Rückstand im Hochvakuum getrocknet. Man erhielt 14.5 mg (37 % d. Th.) der Verbindung S-(l l-{(lR)-l-[l-Benzyl-4-(2,5-difluorphenyl)-lH- pyrrol-2-yl] -2,2-dimethylpropyl }-2,2-dimethyl-6,12-dioxo-5-oxa-7,l l-diaza-2-silatridecan-13-yl)- L-cysteinyl-beta-alanin -trifluoressigsäure (1 : 1).
LC-MS (Methode 1): Rt = 1.08 min; MS (ESIpos): m/z = 788 (M+H)+.
14.5 mg (16.1 μιηοΐ) S-(l l-{(lR)-l-[l-Benzyl-4-(2,5-difluorphenyl)-lH-pyrrol-2-yl]-2,2- dimethylpropyl } -2,2-dimethyl-6, 12-dioxo-5-oxa-7, 1 l-diaza-2-silatridecan- 13-yl)-L-cysteinyl-beta- alanin-trifluoressigsäure (1 : 1) wurden zusammen mit 9.1 mg (17.7 μιηοΐ) 3-(2,5-Dioxo-2,5- dihydro-lH-pyrrol-l-yl)-N-{ 15-[(2,5-dioxopyrrolidin-l-yl)oxy]-15-oxo-3,6,9,12-tetraoxapentadec-
l-yl}propanamid in 1.0 mL DMF vorgelegt und mit 4.9 mg (48.2 μιηοΐ) 4-Methylmorpholin versetzt. Die Reaktionsmischung wurde über Nacht bei RT gerührt und dann mit 3.4 mg (0.06 mmol) Essigsäure versetzt. Die Reaktionsmischung wurde direkt mittles präp. RP-HPLC (Säule: Reprosil 250x30; 10μ, Fluss: 50 mL/min, MeCN/Wasser, 0.1% TFA) gereinigt. Die Lösemittel wurden im Vakuum verdampft und der Rückstand im Hochvakuum getrocknet. Man erhielt 4.9 mg (50 % d. Th.) der Verbindung S-(l l-{(lR)-l-[l-Benzyl-4-(2,5-difluorphenyl)-lH-pyrrol-2-yl]-2,2- dimethylpropyl } -2,2-dimethyl-6, 12-dioxo-5-oxa-7, 1 l-diaza-2-silatridecan- 13-yl)-L-cysteinyl-beta- alanin-trifluoressigsäure (1: 1).
LC-MS (Methode 1): Rt = 1.28 min; MS (ESIpos): m/z = 1186 (M+H)+.
14.1 mg (11.9 mol) S-(l l-{(lR)-l-[l-Benzyl-4-(2,5-difluorphenyl)-lH-pyrrol-2-yl]-2,2- dimethylpropyl } -2,2-dimethyl-6, 12-dioxo-5-oxa-7, 11 -diaza-2-silatridecan- 13-yl)-N- [ 19-(2,5- dioxo-2,5-dihydro- lH-pyrrol- 1-yl)- 17-oxo-4,7, 10, 13-tetraoxa- 16-azanonadecan- 1 -oyl] -L- cysteinyl-beta-alanin-trifluoressigsäure (1: 1) wurden in 1.5 mL Trifluorethanol gelöst und mit 9.7 mg (71.3 mol) Zinkdichlorid versetzt. Die Reaktionsmischung rührte 3 h bei 50 °C. Es wurden nochmals 9.7 mg (71.3 mol) Zinkdichlorid zugegeben und die Reaktionsmischung rührte 3 h bei 50 °C. Es wurden nochmals 9.7 mg (71.3 Mmol) Zinkdichlorid zugegeben und die Reaktionsmischung rührte 4 h bei 70 °C. Die Reaktionsmischung wurde mit 20.8 mg (0.07 mmol) Ethylendiamin-N,N,N',N'-tetraessigsäure versetzt, 10 min gerührt und dann mit Wasser (0.1% TFA) versetzt. Die Reinigung erfolgte direkt mittles präp. RP-HPLC (Säule: Reprosil 125x30; 10M, Fluss: 50 mL/min, MeCN/Wasser, 0.1% TFA). Die Lösemittel wurden im Vakuum verdampft und der Rückstand wurde lyophilisiert. Man erhielt 6.2 mg (44 % d. Th.) der Titel Verbindung.
LC-MS (Methode 1): Rt = 0.82 min; MS (ESIpos): m/z = 1042 (M+H)+.
Intermediat F239
S- { 2- [(3- Aminopropyl) { ( 1R) - 1 - [ 1 -benzyl-4-(2,5-difluorphenyl)- 1 H-pyrrol-2-yl] -2,2- dimethylpropyl } amino] -2-oxoethyl }-N-[(2,5-dioxo-2,5-dihydro- lH-pyrrol- 1 -yl)acetyl] -L-cystein - trifluoressigsäure (1: 1)
Unter Argon wurden 7.5 mg (0.05 mmol) (2,5-Dioxo-2,5-dihydro-lH-pyrrol-l-yl)essigsäure in 1.5 mL DMF vorgelegt und mit 7.5 mg (0.05 mmol) HOBt, 15.5 mg (0.05 mmol) TB TU und 6.2 mg (0.05 mmol) Ν,Ν-Diisopropylethylamin versetzt. Die Reaktionsmischung wurde 10 min bei RT gerührt. Es wurden dann 40.0 mg (0.05 mmol) S-(l l-{(lR)-l-[l-Benzyl-4-(2,5-difluorphenyl)-lH- pyrrol-2-yl]-2,2-dimethylpropyl}-2,2-dimethyl-6,12-dioxo-5-oxa-7,l l-diaza-2-silatridecan-13-yl)- L-cystein-trifluoressigsäure (1 : 1) (Intermediat C71) gelöst in 1.5 mL DMF und 18.7 mg (0.14 mmol) Ν,Ν-Diisopropylethylamin zugegeben und die Reaktionsmischung wurde über Nacht bei RT gerührt. Die Reaktionsmischung wurde direkt mittles präp. RP-HPLC (Säule: Reprosil 250x30; 10μ, Fluss: 50 mL/min, MeCN/W asser, 0.1 % TFA) gereinigt. Die Lösemittel wurden im Vakuum verdampft und der Rückstand im Hochvakuum getrocknet. Man erhielt 11.2 mg (25 % d. Th.) der Verbindung S-( 11 - { ( 1 R)- 1 - [ 1 -Benzyl-4-(2,5-difluorphenyl)- 1 H-pyrrol-2-yl] -2,2-dimethylpropyl } - 2,2-dimethyl-6,12-dioxo-5-oxa-7,l l-diaza-2-silatridecan-13-yl)-N-[(2,5-dioxo-2,5-dihydro-lH- pyrrol- 1 -yl)acetyl] -L-cystein.
LC-MS (Methode 1): Rt = 1.37 min; MS (ESIpos): m/z = 854 (M+H)+.
10.9 mg (12.8 μιηοΐ) S-(l l-{(lR)-l-[l-Benzyl-4-(2,5-difluorphenyl)-lH-pyrrol-2-yl]-2,2- dimethylpropyl}-2,2-dimethyl-6,12-dioxo-5-oxa-7,l l-diaza-2-silatridecan-13-yl)-N-[(2,5-dioxo- 2,5-dihydro-lH-pyrrol-l-yl)acetyl]-L-cystein wurden in 2.0 mL Trifluorethanol gelöst und mit 10.4 mg (76.6 μιηοΐ) Zinkdichlorid versetzt. Die Reaktionsmischung rührte 4 h bei 50 °C. Die Reaktionsmischung wurde mit 22.4 mg (0.08 mmol) Ethylendiamin-N,N,N',N'-tetraessigsäure versetzt, 10 min gerührt und dann mit Wasser (0.1% TFA) versetzt. Die Reinigung erfolgte direkt mittles präp. RP-HPLC (Säule: Reprosil 250x30; 10μ, Fluss: 50 mL/min, MeCN/Wasser, 0.1% TFA). Die Lösemittel wurden im Vakuum verdampft und der Rückstand wurde lyophilisiert. Man erhielt 7.5 mg (65 % d. Th.) der Titel Verbindung.
LC-MS (Methode 1): Rt = 0.92 min; MS (ESIpos): m/z = 710 (M+H)+.
Intermediat F240
Trifluoressigsäure— 3-( { 2- [(3-aminopropyl) { ( 1 R)- 1 - [ 1 -benzyl-4-(2,5-difluorphenyl)- 1 H-pyrrol-2- yl] -2,2-dimethylpropyl } amino] -2-oxoethyl }sulfanyl)-N-(2- { [(2,5-dioxo-2,5-dihydro- lH-pyrrol- 1 - yl) acetyl] amino ethyl)propanamid (1 :1)
27.5 mg (0.04 mmol) H-{(lR)-l-[l-Benzyl-4-(2,5-difluorphenyl)-lH-pyrrol-2-yl]-2,2- dimethylpropyl}-2,2-dimethyl-6 2-dioxo-5-oxa-14-thia-7,l l-diaza-2-silaheptadecan-17-säure (Intermediat C69) wurden zusammen mit 15.9 mg (0.05 mmol) Trifluoressigsäure — N-(2- aminoethyl)-2-(2,5-dioxo-2,5-dihydro-lH-pyrrol-l-yl)acetamid (1 : 1) (Intermediat LI) in 1.8 mL Acetonitril vorgelegt. Dann wurden 32.4 mg (0.31 mmol) Ν,Ν-Diisopropylethylamin zugegeben und 32.4 mg (0.05 mmol) T3P (50 % in Ethylacetat) zugetropft. Die Reaktionsmischung wurde über Nacht bei RT gerührt. Die Reaktionsmischung wurde direkt mittles präp. RP-HPLC (Säule: Reprosil 125x30; 10μ, Fluss: 50 mL/min, MeCN/Wasser). Die Lösemittel wurden im Vakuum verdampft und der Rückstand im Hochvakuum getrocknet. Man erhielt 11.9 mg (35 % d. Th.) der Verbindung 2-(Trimethylsilyl)ethyl- [ 13- { ( 1 R)- 1 - [ 1 -benzyl-4-(2,5-difluorphenyl)- 1 H-pyrrol-2-yl] - 2,2-dimethylpropyl } - 1 -(2,5-dioxo-2,5-dihydro- 1 H-pyrrol- 1 -yl)-2,7, 12-trioxo- 10-thia-3,6, 13- triazahexadecan-16-yl]carbamat.
LC-MS (Methode 1): Rt = 1.39 min; MS (ESIpos): m/z = 881 (M+H)+.
11.9 mg (0.01 mol) 2-(Trimethylsilyl)ethyl-[13-{(lR)-l-[l-benzyl-4-(2,5-difluorphenyl)-lH- pyrrol-2-yl] -2,2-dimethylpropyl }- l-(2,5-dioxo-2,5-dihydro- lH-pyrrol- 1 -yl)-2,7, 12-trioxo- 10-fhia- 3,6,13-triazahexadecan-16-yl]carbamat wurden in 1.0 mL Trifluorethanol gelöst und mit 5.5 mg (0.04 mmol) Zinkdichlorid versetzt. Die Reaktionsmischung rührte über Nacht bei 50 °C. Die Reaktionsmischung wurde mit 11.8 mg (0.04 mmol) Ethylendiamin-N,N,N',N'-tetraessigsäure versetzt, 10 min gerührt und dann mit Wasser (0.1% TFA) versetzt. Die Reinigung erfolgte direkt mittles präp. RP-HPLC (Säule: Reprosil 125x30; 10μ, Fluss: 50 mL/min, MeCN/Wasser, 0.1% TFA). Die Lösemittel wurden im Vakuum verdampft und der Rückstand im Hochvakuum getrocknet. Man erhielt 7.4 mg (60 % d. Th.) der Titelverbindung.
LC-MS (Methode 5): Rt = 2.75 min; MS (ESIpos): m/z = 737 (M+H)+.
Intermediat F241
Trifluoressigsäure -(2S)-2-amino-4- [ { ( 1 R)- 1 - [ 1 -benzyl-4-(2,5-difluorphenyl)- 1 H-pyrrol-2-yl] -2,2- dimethy (1 : 1)
Die Titelverbindung wurde aus Intermediat C66 durch Kupplung mit kommerziell erhältlichem 1- (2-Bromacetoxy)pyrrolidin-2,5-dion und anschließender Deblockierung mit Zinkchlorid hergestellt.
LC-MS (Methode 1): Rt = 0.84 min; MS (EIpos): m/z = 733 und 735 [M+H]+. Intermediat F242
Trifluoressigsäure -(2S)-2-amino-4- [ { ( 1 R)- 1 - [ 1 -benzyl-4-(2,5-difluorphenyl)- 1 H-pyrrol-2-yl] -2,2- dimethylpropyl } (glycoloyl)amino]-N-(3- { [(2,5-dioxo-2,5-dihydro- lH-pyrrol- 1 - yl)acetyl] amino }propyl)butanamid (1 : 1)
Die Synthese der Titelverbindung erfolgte in Analogie zu Intermediat F104.
LC-MS (Methode 1): Rt = 0.84 min; MS (ESIpos): m/z = 707 (M+H)+. Intermediat F243
Trifluoressigsäure -(2S)-2-amino-4- [ { ( 1 R)- 1 - [ 1 -benzyl-4-(2,5-difluorphenyl)- 1 H-pyrrol-2-yl] -2,2- dimethylpropyl } (glycoloyl)amino] -N- [2-(2- { [(2,5-dioxo-2,5-dihydro- 1 H-pyrrol- 1 - yl)acetyl
Die Synthese der Titelverbindung erfolgte in Analogie zu Intermediat F242 und Intermediat F104. LC-MS (Methode 1): Rt = 0.81 min; MS (ESIpos): m/z = 737 (M+H)+.
Intermediat F245
Trifluoressigsäure --N- { (2S)-2-amino-4- [ { ( 1 R)- 1 - [ 1 -benzyl-4-(2,5-difluorphenyl)- 1 H-pyrrol-2-yl] - 2,2-dimethylpropyl } (glycoloyl)amino]butyl }-N'-(2- { [(2,5-dioxo-2,5-dihydro- lH-pyrrol- 1 - yl) acetyl]
Die Titelverbindung wurde durch Kupplung von 10 mg (0.0135 mmol) von Intermediat C65 mit 8 mg (0.027 mmol) von Intermediat LI in 8 ml DMF in Gegenwart von 15 mg ( 0.04 mmol) HATU sowie 9 μΐ Ν,Ν-Diisopropylethylamin und anschließender Entschützung mit Zinkchlorid in Trifluorethanol wie in Intermediat Fl 19 beschrieben hergestellt. Nach Reinigung durch präparative HPLC wurden 8.8 mg (58% d. Th. über 2 Stufen) der Titelverbindung erhalten.
LC-MS (Methode 1): Rt = 0.84 min; MS (ESIpos): m/z = 778 (M+H)+.
Intermediat F247
Trifluoressigsäure -methyl-4- [(2- { [2-( { (2S)-2-amino-4- [ { ( 1 R)- 1 - [ 1 -benzyl-4-(2,5-difluorphenyl)- 1 H-pyrrol-2-yl] -2,2-dimethylpropyl } (glycoloyl)amino]butanoyl } amino)ethyl] amino } -2- oxoethyl)amino]-2-brom-4-oxobutanoat (1: 1)
14 mg (0.018 mmol) von Intermediat C66 wurden in 14 mL DCM gelöst und mit 19.5 mg (0.092 mmol) von kommerziell erhältlicher 3-Brom-4-methoxy-4-oxobutansäure sowie 10.1 mg (0.037 mmol) 2-Brom-l-ethylpyridinium-Tetrafluoroborat (BEP) sowie portionsweise mit insgesamt 250 μΐ Pyridin versetzt, wobei der pH-Wert zwischen 5 und 6 gehalten wurde. Dann wurde mit Essigsäure ein pH- Wert von 4 eingestellt, der Ansatz eingeengt und der Rückstand durch präparative HPLC gereinigt. Nach Vereinigung der entsprechenden Fraktionen, Lyophihsation und Trocknung wurden 4 mg (21% d.Th.) der geschützten Zwischenstufe erhalten, die anschließend mit Zinkchlorid an der Aminofunktion entschützt wurde. Nach HPLC-Reinigung und Lyophihsation wurden 3 mg (72% d.Th.) der Titelverbindung als farbloser Schaum erhalten.
LC-MS (Methode 1): Rt = 0.88 min; MS (ESIpos): m/z = 805 und 807(M+H)+.
Intermediat F248
Trifluoressigsäure -(2S)-2-amino-4- [ { ( 1 R)- 1 - [ 1 -benzyl-4-(2,5-difluorphenyl)- 1 H-pyrrol-2-yl] -2,2- dimethylpropyl } (glycoloyl) amino] -N- { 2- [2-(2,5 -dioxo -2,5 -dihydro- 1 H-pyrrol- 1 - yl)ethoxy]ethyl}butanamid 1 : 1)
Die Titelverbindung wurde durch Kupplung von 10 mg (0.015 mmol) Intermediat C58 mit 5 mg (0.017 mmol) Intermediat L12 in Gegenwart von HATU und anschließende Entschützung mit Zinkchlorid hergestellt. Es wurden 6.5 mg (52% d.Th. über 2 Stufen) der Titelverbindung erhalten. LC-MS (Methode 1): Rt = 0.91 min; MS (ESIpos): m/z = 680 (M+H)+.
Intermediat F254
Trifluoressigsäure -methyl-(3S)-4- [(2- { [2-( { (2S)-2-amino-4- [ { ( 1 R)- 1 - [ 1 -benzyl-4-(2,5-difluor phenyl)-lH-pyrrol-2-yl]-2,2-dimethylpropyl}(glycoloyl)amino]butanoyl}amino)ethyl] amino}-2- oxoethyl)ami -3-brom-4-oxobutanoat (1: 1)
Die Titelverbindung wurde in Analogie zu Intermediat 247 durch Kupplung von 15 mg (0.02 mmol) Intermediat C66 mit 21 mg (0.099 mmol) (2S)-2-Brom-4-methoxy-4-oxobutansäure, die wie in (J.Org.Chem. 200, 65, 517-522) beschrieben aus (2S)-2-Amino-4-methoxy-4- oxobutansäurehydrochlorid (1 : 1) synthetisiert wurde, hergestellt.
LC-MS (Methode 1): Rt = 0.89 min; MS (ESIpos): m/z = 805 und 807(M+H)+.
Intermediat F255
R/S-(N-[19-(2,5-Dioxo-2,5-dihydro-lH-pyrrol-l-yl)-17-oxo-4,7,10,13-tetraoxa-16-azanonadecan- l-oyl]-L-alpha-glutamyl-S-{2-[(3-aminopropyl){(lR)-l-[l-benzyl-4-(2,5-difluorphenyl)-lH- pyrrol-2-yl]-2,2-dimethylpropyl}amino]-2-oxoethyl})- homocystein-trifluoressigsäure (1 : 1)
13.1 mg (0.04 mmol) (2S)-5-(Benzyloxy)-2-{ [(benzyloxy)carbonyl]amino}-5-oxopentansäure wurden in 1.0 mL DMF vorgelegt und mit 5.4 mg (0.04 mmol) HOBt, 11.4 mg (0.04 mmol) TB TU und 4.6 mg (0.04 mmol) Ν,Ν-Diisopropylethylamin versetzt. Die Reaktionsmischung wurde 10 min bei RT gerührt. 30.0 mg (0.04 mmol) R/S-(l l-{(lR)-l-[l-Benzyl-4-(2,5-difluorphenyl)-lH- pyrrol-2-yl]-2,2-dimethylpropyl}-2,2-dimethyl-6,12-dioxo-5-oxa-7,l l-diaza-2-silatridecan-13-yl)- homocystein-trifluoressigsäure(l : l) (Intermediat O l) gelöst in 12.9 mg (0.1 mmol) N,N- Diisopropylethylamin und 1 mL DMF wurden dann zugegeben. Die Reaktionsmischung wurde über Nacht bei RT gerührt. Die Reaktionsmischung wurde direkt mittles präp. RP-HPLC (Säule: Reprosil 250x30; 10μ, Fluss: 50 mL/min, MeCN/Wasser/0.1%TFA). Die Lösemittel wurden im Vakuum verdampft und der Rückstand im Hochvakuum getrocknet. Man erhielt 32 mg (73 %) der Verbindung 4- [2- [[( 1 R)- 1 - [ 1 -benzyl-4-(2,5-difluorophenyl)pyrrol-2-yl] -2,2-dimethyl-propyl] - [3- (2-trimethylsilylethoxycarbonylamino)propyl]amino]-2-oxo-ethyl]sulfanyl-2-[[(2S)-5-benzyloxy- 2-(benzyloxycarbonylamino)-5-oxo-pentanoyl]amino]butansäure.
LC-MS (Methode 1): Rt = 1.53 min; MS (ESIpos): m/z = 1084 (M+H)+.
41.4 mg (0.038 mmol) 4-[2-[[(lR)-l-[l-benzyl-4-(2,5-difluorophenyl)pyrrol-2-yl]-2,2-dimethyl- propyl] - [3-(2-trimethylsilylethoxycarbonylamino)propyl] amino] -2-oxo-ethyl] sulfanyl-2- [ [(2S)-5- benzyloxy-2-(benzyloxycarbonylamino)-5-oxo-pentanoyl]amino]butansäure wird in 10 mL Ethanol, mit 4.2 mg Pd/C versetzt und mit Normaldruck hydriert. Die Reaktionsmischung wurde über einen Pappfilter filtriert und der Filterkuchen mit Ethanol nachgewaschen. Das Lösemittel wurde im Vakuum ohne Erwärmen verdampft. Der Rückstand wurde mittles präp. RP-HPLC (Säule: Reprosil 250x40; 10μ, Fluss: 50 mL/min, MeCN/Wasser, 0.1% TFA) gereinigt. Die
Lösemittel wurden im Vakuum verdampft und der Rückstand im Hochvakuum getrocknet. Man erhielt 21.1 mg (56 %) der Verbindung R/S-(L-alpha-Glutamyl-S-(l l-{(lR)-l-[l-benzyl-4-(2,5- difluorphenyl)- 1 H-pyrrol-2-yl] -2,2-dimethylpropyl } -2,2-dimethyl-6, 12-dioxo-5-oxa-7, 11 -diaza-2- silatridecan-13-yl))-homocystein -trifluoressigsäure (1: 1).
LC-MS (Methode 1): Rt = 1.11 min; MS (ESIpos): m/z = 860 (M+H)+.
20.4 mg (20.94 μιηοΐ) R/S-(L-alpha-Glutamyl-S-(l l-{(lR)-l-[l-benzyl-4-(2,5-difluorphenyl)-lH- pyrrol-2-yl] -2,2-dimethylpropyl }-2,2-dimethyl-6,12-dioxo-5-oxa-7,l l-diaza-2-silatridecan-13-yl))- homocystein -trifluoressigsäure (1: 1) wurden zusammen mit 11.8 mg (23.04 μιηοΐ) 3-(2,5-Dioxo- 2,5-dihydro-lH-pyrrol-l-yl)-N-{ 15-[(2,5-dioxopyrrolidin-l-yl)oxy]-15-oxo-3,6,9,12- tetraoxapentadec-l-yl}propanamid in 1.0 mL DMF vorgelegt und mit 4.2 mg (41.88 μιηοΐ) 4- Methylmorpholin versetzt. Die Reaktionsmischung wurde über Nacht bei RT gerührt und dann mit 3.1 mg (0.05 mmol) Essigsäure versetzt. Die Reaktionsmischung wurde direkt mittles präp. RP- HPLC (Säule: Reprosil 250x30; 10μ, Fluss: 50 mL/min, MeCN/Wasser/0.1% TFA) gereinigt. Die Lösemittel wurden im Vakuum verdampft und der Rückstand im Hochvakuum getrocknet. Man erhielt 9.5 mg (36 %) der Verbindung R/S-(N-[19-(2,5-Dioxo-2,5-dihydro-lH-pyrrol-l-yl)-17-oxo- 4,7,10,13-tetraoxa-16-azanonadecan-l-oyl]-L-alpha-glutamyl-S-(l l-{(lR)-l-[l-benzyl-4-(2,5- difluorphenyl)- 1 H-pyrrol-2-yl] -2,2-dimethylpropyl } -2,2-dimethyl-6, 12-dioxo-5-oxa-7, 11 -diaza-2- silatridecan- 13-yl))-homocystein.
LC-MS (Methode 1): Rt = 1.66 min; MS (ESIpos): m/z = 1259 (M+H)+.
9.4 mg (7.47 μιηοΐ) R/S-(N-[19-(2,5-Dioxo-2,5-dihydro-lH-pyrrol-l-yl)-17-oxo-4,7,10,13- tetraoxa-16-azanonadecan-l-oyl]-L-alpha-glutamyl-S-(l l-{(lR)-l-[l-benzyl-4-(2,5- difluorphenyl)- 1 H-pyrrol-2-yl] -2,2-dimethylpropyl } -2,2-dimethyl-6, 12-dioxo-5-oxa-7, 11 -diaza-2- silatridecan-13-yl))-homocystein wurden in 1.5 mL Trifluorethanol gelöst und mit 6.1 mg (44.81 μιηοΐ) Zinkdichlorid versetzt. Die Reaktionsmischung rührte 3 h bei 50 °C. Die Reaktionsmischung wurde mit 13.1 mg (0.05 mmol) Ethylendiamin-N,N,N',N'-tetraessigsäure versetzt, 10 min gerührt und dann mit Wasser (0.1% TFA) versetzt. Die Reinigung erfolgte direkt mittles präp. RP-HPLC (Säule: Reprosil 125x30; 10μ, Fluss: 50 mL/min, MeCN/Wasser, 0.1% TFA). Die Lösemittel wurden im Vakuum verdampft und der Rückstand im Hochvakuum getrocknet. Man erhielt 6.9 mg (75 %) der Titelverbindung
LC-MS (Methode 1): Rt = 0.87 min; MS (ESIpos): m/z = 1114 (M+H)+.
Intermediat F256
Trifluoressigsäure --N- { (2S)-2-amino-4- [ { ( 1 R)- 1 - [ 1 -benzyl-4-(2,5-difluorphenyl)- 1 H-pyrrol-2-yl] - 2,2-dimethylpropyl } (glycoloyl)amino]butyl }-N'- [2-(2-{ [(2,5-dioxo-2,5-dihydro- lH-pyrrol- 1 - yl)ace
Die Titelverbindung wurde durch Kupplung von 10 mg (0.014 mmol) von Intermediat C65 und 9.6 mg (0.027 mmol) Trifluoressigsäure— N-[2-(2-aminoethoxy)ethyl]-2-(2,5-dioxo-2,5-dihydro- lH-pyrrol-l-yl)acet amid (1 : 1) in Gegenwart von HATU und Ν,Ν-Diisopropylethylamin und anschließender Entschützung mit Zinkchlorid in Trifluorethanol wie in Intermediat Fl 19 beschrieben hergestellt. Nach Reinigung durch präparative HPLC wurden 8 mg (64% d. Th. über 2 Stufen) der Titelverbindung erhalten.
LC-MS (Methode 1): Rt = 0.84 min; MS (ESIpos): m/z = 822 (M+H)+.
Intermediat F257
R- { 2- [(3- Aminopropyl) { ( 1R)- 1 - [ 1 -benzyl-4-(2,5-difluorphenyl)- 1 H-pyrrol-2-yl] -2,2- dimethylpropyl } amino] -2-oxoethyl }-N-[ 18-(2,5-dioxo-2,5-dihydro- lH-pyrrol- 1 -yl)- 17-oxo- 4,7, 10, 13-tetraoxa- 16-azaoctadecan- 1 -oyl] -L-cystein-trifluoressigsäure (1 : 1)
50.0 mg (0.06 mmol) R-(l l-{(lR)-l-[l-Benzyl-4-(2,5-difluorphenyl)-lH-pyrrol-2-yl]-2,2- dimethylpropyl } -2,2-dimethyl-6, 12-dioxo-5-oxa-7, 1 l-diaza-2-silatridecan- 13-yl)-L-cystein- trifluoressigsäure (1 : 1) (Intermediat C71) und 29 mg (0.07 mmol) 3-[2-[2-[2-[2-[[2-(2,5- dioxopyrrol-l-yl)acetyl]amino]ethoxy]ethoxy]ethoxy]ethoxy]propansäure (Intermediat L74) wurden in 3.0 mL DMF gelöst und mit 27.3 mg (0.07 mmol) HATU und 23.3 mg (0.18 mmol) Ν,Ν-Diisopropylethylamin versetzt. Die Reaktionsmischung wurde 2 Stunde bei RT gerührt. Die Reaktionsmischung wurde direkt mittels präp. RP-HPLC gereinigt (Säule: Reprosil 125x30; 10μ, Fluss: 50 mL/min, MeCN/Wasser; 0.1 % TFA). Die Lösemittel wurden im Vakuum verdampft und der Rückstand im Hochvakuum getrocknet. Man erhielt 17.4 mg (26 %) der Verbindung R-(l l- { ( 1 R)- 1 - [ 1 -Benzyl-4-(2,5-difluorphenyl)- 1 H-pyrrol-2-yl] -2,2-dimethylpropyl } -2,2-dimefhyl-6, 12- dioxo-5-oxa-7,l l-diaza-2-silatridecan-13-yl)-N-[18-(2,5-dioxo-2,5-dihydro-lH-pyrrol-l-yl)-17- oxo-4,7, 10, 13-tetraoxa-16-azaoctadecan-l-oyl]-L-cystein.
LC-MS (Methode 6): Rt = 1.34 min; MS (ESIpos): m/z = 1101 (M+H)+.
17 mg (0.02 mmol) R-(l l-{(lR)-l-[l-Benzyl-4-(2,5-difluorphenyl)-lH-pyrrol-2-yl]-2,2- dimethylpropyl } -2,2-dimethyl-6, 12-dioxo-5-oxa-7, 1 l-diaza-2-silatridecan- 13-yl)-N-[l 8-(2,5- dioxo-2,5-dihydro-lH-pyrrol-l-yl)- 17-oxo-4,7, 10, 13-tetraoxa-16-azaoctadecan-l-oyl]-L-cystein wurden in 1.0 mL Trifluorethanol gelöst und mit 6.3 mg (0.05 mmol) Zinkdichlorid versetzt. Die Reaktionsmischung rührte über Nacht bei 50 °C. Die Reaktionsmischung wurde mit 13.5 mg (0.05 mmol) Ethylendiamin-N,N,N',N'-tetraessigsäure versetzt, 10 min gerührt und dann mit Wasser (0.1% TFA) versetzt. Die Reinigung erfolgte direkt mittles präp. RP-HPLC (Säule: Reprosil 125x30; 10μ, Fluss: 50 mL/min, MeCN/Wasser, 0.1% TFA). Die Lösemittel wurden im Vakuum verdampft und der Rückstand im Hochvakuum getrocknet. Man erhielt 7.6 mg (46 %) der Titelverbindung.
LC-MS (Methode 1): Rt = 0.91 min; MS (ESIpos): m/z = 957 (M+H)+.
Intermediat F258
Trifluoressigsäure -(2S)-2-amino-4- [ { ( 1 R)- 1 - [ 1 -benzyl-4-(2,5-difluorphenyl)- 1 H-pyrrol-2-yl] -2,2- dimethylpropyl}(glycoloyl)amino]-N-[3-({2-[(bromacetyl)amino]ethyl}amino)-3- oxopropyl]butanamid (1: 1)
Die Titelverbindung wurde durch Kupplung von Intermediat C58 mit Trifluoressigsäure -benzyl- [2-(beta-alanylamino)ethyl]carbamat (1 : 1) mittels HATU, anschließender Hydrogenolyse, dann folgender Kupplung mit l-(2-Bromacetoxy)pyrrolidin-2,5-dion und schließlich durch Entschützung mit Zinkchlorid hergestellt.
LC-MS (Methode 1): Rt = 0.86 min; MS (ESIpos): m/z = 747 und 749(M+H)+. Intermediat F259
N-{(2S)-2-Amino-4-[{(lR)-l-[l-benzyl-4-(2,5-difluorphenyl)-lH-pyrrol-2-yl]-2,2-dimethyl propyl }(glycoloyl)amino]butanoyl } -3- { [N-(bromacetyl)glycyl] amino } -D-alanin -trifluoressigsäure (1: 1)
75mg (0.114 mmol) von Intermediat C58 wurden in 12.5 ml DMF aufgenommen und mit 78 mg (0.171 mmol) von Intermediat L75 in Gegenwart von 65 mg (0.11 mmol) HATU und 79 μΐ
^ Ν,Ν- Diisopropylethylamin gekuppelt. Nach Reinigung durch präparative HPLC wurde das Intermediat in 20 ml Ethanol aufgenommen und über 10%-igem Palladium auf Aktivkohle 1 h bei RT unter Wasserstoff-Normaldruck hydriert. Der Katalysator wurde danach abfiltriert und das Lösungsmittel im Vakuum entfernt und das Produkt durch präparative HPLC gereinigt. Nach Lyophilisation aus Acetonitril/Wasser 1 : 1 wurden 63 mg (64% d.Th. über 2 Stufen) von 2-(Trimethylsilyl)ethyl-3- amino-N-[(2S)-4-[{(lR)-l-[l-benzyl-4-(2,5-difluorphenyl)-lH-pyrrol-2-yl]-2,2- dimethylpropyl } (glycoloyl)amino] -2-( { [2-(trimethylsilyl)ethoxy] carbonyl } amino) butanoyl] -D- alaninat erhalten.
LC-MS (Methode 1): Rt = 1.16 min; MS (EIpos): m/z = 844 [M+H]+.
40 mg (0.047 mmol) von diesem Intermediat wurden dann wie oben beschrieben mit N- [(Benzyloxy)carbonyl]glycin in Gegenwart von HATU gekuppelt und anschließend erneut hydrogenolytisch entschützt.
Die Titelverbindung wurde dann durch Kupplung von 10 mg (0.012 mmol) dieses Intermediats mit 7.7 mg (0.032 mmol) von kommerziell erhältlichem l-(2-Bromacetoxy)pyrrolidin-2,5-dion in Gegenwart von 4 μΐ Ν,Ν-Diisopropylethylamin und anschließender Entschützung mit Zinkchlorid in Trifluorethanol wie in Intermediat Fl 19 beschrieben hergestellt. Nach Reinigung durch präparative HPLC wurden 1.3 mg der Titelverbindung erhalten.
LC-MS (Methode 1): Rt = 0.83 min; MS (ESIpos): m/z = 777 und 779 (M+H)+.
Intermediat F260
N6-(N- { (2S)-2- Amino-4- [ { ( 1R)- 1 - [ 1 -benzyl-4-(2,5-difluorphenyl)- 1 H-pyrrol-2-yl] -2,2- dimethylpropyl } (glycoloyl)amino]butanoyl } -beta-alanyl)-N2- { N-[(2,5-dioxo-2,5-dihydro- 1H- pyrrol-l-yl)acetyl]-L-valyl-L-alanyl}-L-lysin -trifluoressigsäure (1 : 1)
Die Titel Verbindung wurde in Analogie zu Intermediat Fl 55 hergestellt. LC-MS (Methode 1): Rt = 0.81 min; MS (ESIpos): m/z = 1020 (M+H)+. Intermediat F261
Trifluoressigsäure -(2S)-2-amino-4- [ { ( 1 R)- 1 - [ 1 -benzyl-4-(2,5-difluorphenyl)- 1 H-pyrrol-2-yl] -2,2- dimethylpropyl}(gly utanamid (1 : 1)
Die Titelverbindung wurde durch Kupplung von 20 mg (0.03 mmol) Intermediat C58 mit 25.8 mg (0.061 mmol) Intermediat L77 in Gegenwart von HATU und anschließende Entschützung mit Zinkchlorid hergestellt. Es wurden 11.9 mg (47% d.Th. über 2 Stufen) der Titelverbindung erhalten.
LC-MS (Methode 1): Rt = 0.84 min; MS (ESIpos): m/z = 722 und 720 (M+H)+.
Intermediat F262
S- { 2- [(3- Aminopropyl) { ( 1R) - 1 - [ 1 -benzyl-4-(2,5-difluorphenyl)- 1 H-pyrrol-2-yl] -2,2- dimethylpropyl } amino] -2-oxoethyl }-N- { 3-[2-(2- { [3-(2,5-dioxo-2,5-dihydro- lH-pyrrol- 1- l)propanoyl]amino}ethoxy)ethoxy]propanoyl}-L-cystein -trifluoressigsäure (1: 1)
30 mg (36 μιηοΐ) S-{2-[(3-Aminopropyl){(lR)-l-[l-benzyl-4-(2,5-difluorphenyl)-lH-pyrrol-2-yl]- 2,2-dimethylpropyl} amino] -2-oxoethyl }-L-cy stein -trifluoressigsäure (1 : 1) (Intermediat C71) wurden zusammen mit 16,9 mg (40 μιηοΐ) 3-(2,5-Dioxo-2,5-dihydro-lH-pyrrol-l-yl)-N-[2-(2-{3- [(2,5-dioxopyrrolidin-l-yl)oxy]-3-oxopropoxy}ethoxy)ethyl]propanamid in 1.5 mL DMF vorgelegt und mit 10,9 mg (108 μιηοΐ) 4-Methylmorpholin versetzt. Die Reaktionsmischung wurde über Nacht bei RT gerührt und dann mit 7.58 mg (0.13 mmol) Essigsäure versetzt. Die Reaktionsmischung wurde direkt mittles präp. RP-HPLC (Säule: Reprosil 250x30; 10μ, Fluss: 50 mL/min, MeCN/Wasser, 0.1% TFA) gereinigt. Die Lösemittel wurden im Vakuum verdampft und der Rückstand im Hochvakuum getrocknet. Man erhielt 33,4 mg (80 % d. Th.) der Verbindung S- ( 11 - { ( 1 R) - 1 - [ 1 -Benzyl-4-(2,5-difluorphenyl)- lH-pyrrol-2-yl] -2,2-dimethylpropyl } -2,2-dimethyl- 6,12-dioxo-5-oxa-7, 11 -diaza-2-silatridecan- 13-yl)-N- { 3-[2-(2- { [3-(2,5-dioxo-2,5-dihydro- 1H- pyrrol-l-yl)propanoyl] amino }ethoxy)ethoxy]propanoyl}-L-cystein.
LC-MS (Methode 1): Rt = 1.34 min; MS (ESIpos): m/z = 1027 (M+H)+.
32.8 mg (32 μιηοΐ) S-(l l-{(lR)-l-[l-Benzyl-4-(2,5-difluorphenyl)-lH-pyrrol-2-yl]-2,2- dimethylpropyl}-2,2-dimethyl-6,12-dioxo-5-oxa-7,l l-diaza-2-silatridecan-13-yl)-N-{3-[2-(2-{ [3- (2,5-dioxo-2,5-dihydro- lH-pyrrol- 1 -yl)propanoyl] amino }ethoxy)ethoxy]propanoyl } -L-cystein wurden in 3.0 mL Trifluorethanol gelöst und mit 26.1 mg (192 μιηοΐ) Zinkdichlorid versetzt. Die
Reaktionsmischung rührte 2 h bei 50 °C. Die Reaktionsmischung wurde mit 56.0 mg (0.192 mmol) Ethylendiamin-N,N,N',N'-tetraessigsäure versetzt, 10 min gerührt und dann mit Wasser (0.1% TFA) versetzt. Die Reinigung erfolgte direkt mittles präp. RP-HPLC (Säule: Reprosil 250x30; 10μ, Fluss: 50 mL/min, MeCN/W asser, 0.1% TFA). Die Lösemittel wurden im Vakuum verdampft und der Rückstand wurde lyophilisiert. Man erhielt 22.9 mg (71 % d. Th.) der Titelverbindung.
LC-MS (Methode 1): Rt = 0.88 min; MS (ESIpos): m/z = 883 (M+H)+.
Intermediat F263
N-[(2,5-Dioxo-2,5-dihydro-lH-pyrrol-l-yl)acetyl]-beta-alanyl-S-{2-[(3-aminopropyl){(lR)-l-[l- benzyl-4-(2,5-difluorphenyl)- 1 H-pyrrol-2-yl] -2,2-dimethylpropyl } amino] -2-oxoethyl } -L-cystein trifluoressigsäur
30.0 mg (0.036 mmol) R-(l l-{(lR)-l-[l-Benzyl-4-(2,5-difluorphenyl)-lH-pyrrol-2-yl]-2,2- dimethylpropyl } -2,2-dimethyl-6, 12-dioxo-5-oxa-7, 1 l-diaza-2-silatridecan- 13-yl)-L-cystein- trifluoressigsäure (1: 1) (Intermediat C71) und 9.8 mg (0.04 mmol) N-[(2,5-Dioxo-2,5-dihydro-lH- pyrrol-l-yl)acetyl]-beta-alanin (Intermediat L78) wurden in 1.0 mL DMF gelöst und mit 16.4 mg (0.04 mmol) HATU und 14.0 mg (0.11 mmol) Ν,Ν-Diisopropylethylamin versetzt. Die Reaktionsmischung wurde 2 Stunde bei RT gerührt. Die Reaktionsmischung wurde direkt mittels präp. RP-HPLC gereinigt (Säule: Reprosil 125x30; 10μ, Fluss: 50 mL/min, MeCN/Wasser; 0.1 % TFA). Die Lösemittel wurden im Vakuum verdampft und der Rückstand im Hochvakuum getrocknet. Man erhielt 4.2 mg (13 %) der Verbindung N-[(2,5-Dioxo-2,5-dihydro-lH-pyrrol-l- yl)acetyl]-beta-alanyl-S-(l l-{(lR)-l-[l-benzyl-4-(2,5-difluorphenyl)-lH-pyrrol-2-yl]-2,2- dimethylpropyl } -2,2-dimethyl-6, 12-dioxo-5-oxa-7, 1 l-diaza-2-silatridecan- 13-yl)-L-cystein.
LC-MS (Methode 6): Rt = 1.31 min; MS (ESIpos): m/z = 925 (M+H)+.
11.3 mg (0.011 mmol) N-[(2,5-Dioxo-2,5-dihydro-lH-pyrrol-l-yl)acetyl]-beta-alanyl-S-(l l-{(lR)- 1 - [ 1 -benzyl-4-(2,5-difluorphenyl)- 1 H-pyrrol-2-yl] -2,2-dimethylpropyl } -2,2-dimethyl-6, 12-dioxo- 5-oxa-7,l l-diaza-2-silatridecan-13-yl)-L-cystein wurden in 2.0 mL Trifluorethanol gelöst und mit 5.0 mg (0.04 mmol) Zinkdichlorid versetzt. Die Reaktionsmischung rührte 2 Stunde bei 50 °C. Die Reaktionsmischung wurde mit 10.7 mg (0.04 mmol) Ethylendiamin-N,N,N',N'-tetraessigsäure versetzt, 10 min gerührt und dann mit Wasser (0.1% TFA) versetzt. Die Reinigung erfolgte direkt mittles präp. RP-HPLC (Säule: Reprosil 125x30; 10μ, Fluss: 50 mL/min, MeCN/Wasser, 0.1% TFA). Die Lösemittel wurden im Vakuum verdampft und der Rückstand im Hochvakuum getrocknet. Man erhielt 4.4 mg (40 %) der Titel Verbindung.
LC-MS (Methode 1): Rt = 0.91 min; MS (ESIpos): m/z = 781 (M+H)+.
Intermediat F264
N-[6-(2,5-Dioxo-2,5-dihydro-lH-pyrrol-l-yl)hexanoyl]-beta-alanyl-S-{2-[(3-aminopropyl){(lR)- 1 - [ 1 -benzyl-4-(2,5-difluorphenyl)- 1 H-pyrrol-2-yl] -2,2-dimethylpropyl } amino] -2-oxoethyl } -L- cystein -
30.0 mg (0.036 mmol) R-(l l-{(lR)-l-[l-Benzyl-4-(2,5-difluorphenyl)-lH-pyrrol-2-yl]-2,2- dimethylpropyl } -2,2-dimethyl-6, 12-dioxo-5-oxa-7, 1 l-diaza-2-silatridecan- 13-yl)-L-cystein- trifluoressigsäure (1: 1) (Intermediat C71) und 12.2 mg (0.04 mmol) N-[6-(2,5-Dioxo-2,5-dihydro- lH-pyrrol-l-yl)hexanoyl]-beta- alanin (Intermediat L79) wurden in 1.0 mL DMF gelöst und mit 16.4 mg (0.04 mmol) HATU und 14.0 mg (0.11 mmol) Ν,Ν-Diisopropylethylamin versetzt. Die Reaktionsmischung wurde 2 Stunde bei RT gerührt. Die Reaktionsmischung wurde direkt mittels präp. RP-HPLC gereinigt (Säule: Reprosil 125x30; 10μ, Fluss: 50 mL/min, MeCN/Wasser; 0.1 % TFA). Die Lösemittel wurden im Vakuum verdampft und der Rückstand im Hochvakuum getrocknet. Man erhielt 8.9 mg (24 %) der Verbindung N-[6-(2,5-Dioxo-2,5-dihydro-lH-pyrrol-l-
yl)hexanoyl]-beta-alanyl-S-(l l-{(lR)-l-[l-benzyl-4-(2,5-difluorphenyl)-lH-pyrrol-2-yl]-2,2- dimethylpropyl } -2,2-dimethyl-6, 12-dioxo-5-oxa-7, 1 l-diaza-2-silatridecan- 13-yl)-L-cystein.
LC-MS (Methode 6): Rt = 1.38 min; MS (ESIpos): m/z = 981 (M+H)+.
15.3 mg (0.015 mmol) N-[6-(2,5-Dioxo-2,5-dihydro-lH-pyrrol-l-yl)hexanoyl]-beta-alanyl-S-(l l- { ( 1 R)- 1 - [ 1 -benzyl-4-(2,5-difluorphenyl)- 1 H-pyrrol-2-yl] -2,2-dimethylpropyl } -2,2-dimefhyl-6, 12- dioxo-5-oxa-7,l l-diaza-2-silatridecan-13-yl)-L-cystein wurden in 2.0 mL Trifluorethanol gelöst und mit 6.3 mg (0.045 mmol) Zinkdichlorid versetzt. Die Reaktionsmischung rührte 2 Stunde bei 50 °C. Die Reaktionsmischung wurde mit 13.5 mg (0.045 mmol) Ethylendiamin-Ν,Ν,Ν',Ν'- tetraessigsäure versetzt, 10 min gerührt und dann mit Wasser (0.1% TFA) versetzt. Die Reinigung erfolgte direkt mittles präp. RP-HPLC (Säule: Reprosil 125x30; 10μ, Fluss: 50 mL/min, MeCN/Wasser, 0.1% TFA). Die Lösemittel wurden im Vakuum verdampft und der Rückstand im Hochvakuum getrocknet. Man erhielt 9.1 mg (62 %) der Titel Verbindung.
LC-MS (Methode 1): Rt = 0.92 min; MS (ESIpos): m/z = 837 (M+H)+.
Intermediat F265
Trifluoressigsäure N-(3-aminopropyl)-N- { ( 1R)- 1 -[1 -benzyl-4-(2,5-difluorphenyl)- lH-pyrrol-2-yl]- 2,2-dimethylpropyl}-22-(2,5-dioxo-2,5-dihydro-lH-pyrrol-l-yl)-6,17-dioxo-10,13-dioxa-3-thia- 7,16-diazadocosan-l-amid 1: 1)
30.0 mg (42.7 μιηοΐ) H-{(lR)-l-[l-Benzyl-4-(2,5-difluorphenyl)-lH-pyrrol-2-yl]-2,2- dimethylpropyl } -2,2-dimethyl-6, 12-dioxo-5-oxa- 14-thia-7, 1 l-diaza-2-silaheptadecan- 17-säure (Intermediat C69) und 25.3 mg (55.6 μιηοΐ) Trifluoressigsäure N-{2-[2-(2-
aminoethoxy)ethoxy]ethyl}-6-(2,5-dioxo-2,5-dihydro-lH-pyrrol-l-yl)hexanam (1 : 1) (Intermediat L82) wurden in 1.9 mL Acetonitril vorgelegt und mit 60 μΐ (340 μιηοΐ) Ν,Ν-Diisopropylethylamin und 33 μΐ (56 μιηοΐ) 2,4,6-Tripropyl-l,3,5,2,4,6-trioxatriphosphinan-2,4,6-trioxid 50 % in Ethylacetat versetzt. Die Reaktionsmischung wurde über Nacht bei RT nachgerührt. Es wurde Wasser (2.0 mL) zugegeben und die Reinigung erfolgte direkt mittles präp. RP-HPLC (Säule: Reprosil 250x30; 10μ, Fluss: 50 mL/min, MeCN/Wasser, 0.1% TFA). Die Lösemittel wurden im Vakuum verdampft und der Rückstand im Hochvakuum getrocknet. Man erhielt 26.7 mg (60 % d. Th.) der Verbindung 2-(Trimethylsilyl)ethyl-[4-{(lR)-l-[l-benzyl-4-(2,5-difluorphenyl)-lH- pyrrol-2-yl]-2,2-dimethylpropyl}-26-(2,5-dioxo-2,5-dihydro H-pyrrol-l-yl)-5,10,21-trioxo-14,17- dioxa-7-thia-4, 11,20-triazahexacos- 1 -yl]carbamat.
LC-MS (Methode 1): Rt = 1.40 min; MS (ESIpos): m/z = 1025 (M+H)+.
25.3 mg (24.7 μιηοΐ) 2-(Trimethylsilyl)ethyl-[4-{(lR)-l-[l-benzyl-4-(2,5-difluorphenyl)-lH- pyrrol-2-yl]-2,2-dimethylpropyl}-26-(2,5-dioxo-2,5-dihydro H-pyrrol-l-yl)-5,10,21-trioxo-14,17- dioxa-7-thia-4,l l,20-triazahexacos-l-yl]carbamat wurden in 2.0 mL Trifluorethanol gelöst und mit 20.2 mg (148 μιηοΐ) Zinkdichlorid versetzt. Die Reaktionsmischung rührte 1 h bei 50 °C. Die Reaktionsmischung wurde mit 43.3 mg (148 μιηοΐ) Ethylendiamin-N,N,N',N'-tetraessigsäure versetzt, 10 min gerührt und dann mit Wasser (0.1% TFA) versetzt. Die Reinigung erfolgte direkt mittles präp. RP-HPLC (Säule: Reprosil 250x30; 10μ, Fluss: 50 mL/min, MeCN/Wasser, 0.1% TFA). Die Lösemittel wurden im Vakuum verdampft und der Rückstand im Hochvakuum getrocknet. Man erhielt 23.4 mg (95 % d. Th.) der Titel Verbindung.
LC-MS (Methode 1): Rt = 0.89 min; MS (ESIpos): m/z = 881 (M+H)+.
Intermediat F266
Trifluoressigsäure N-(3-aminopropyl)-N- { ( 1R)- 1 -[1 -benzyl-4-(2,5-difluorphenyl)- lH-pyrrol-2-yl]- 2,2-dimethylpropyl } - 1 -(2,5-dioxo-2,5-dihydro- 1 H-pyrrol- 1 -yl)-2, 13-dioxo-6,9-dioxa- 16-thia-3, 12- diazaoctadecan-18-amid (1: 1)
30.0 mg (0.043 mmol) H-{(lR)-l-[l-Benzyl-4-(2,5-difluorphenyl)-lH-pyrrol-2-yl]-2,2- dimethylpropyl } -2,2-dimethyl-6, 12-dioxo-5-oxa- 14-thia-7, 1 l-diaza-2-silaheptadecan- 17-säure (Intermediat C69) wurden zusammen mit 22.2 mg (0.056 mmol) Trifluoressigsäure N-{2-[2-(2- aminoethoxy)ethoxy]ethyl}-2-(2,5-dioxo-2,5-dihydro-lH-pyrrol-l-yl)acetamid (1: 1) (Intermediat L83) in 1.9 mL Acetonitril vorgelegt. Dann wurden 60 μΐ (0.34 mmol) N,N-Diisopropylethylamin zugegeben und 33 μΐ (0.056 mmol) T3P (50 % in Ethylacetat) zugetropft. Die Reaktionsmischung wurde über Nacht bei RT gerührt. Es wurde Wasser (2.0 mL) zugegeben. Die Reaktionsmischung wurde direkt mittles präp. RP-HPLC (Säule: Reprosil 125x30; 10μ, Fluss: 50 mL/min, MeCN/Wasser, 0.1% TFA) gereinigt. Die Lösemittel wurden im Vakuum verdampft und der Rückstand im Hochvakuum getrocknet. Man erhielt 20.5 mg (49 % d. Th.) der Verbindung 2- (Trimethylsilyl)ethyl-[ 19- { ( 1R)- 1-[ 1 -benzyl-4-(2,5-difluorphenyl)- lH-pyrrol-2-yl]-2,2- dimethylpropyl } - 1 -(2,5-dioxo-2,5-dihydro- lH-pyrrol- 1 -yl)-2, 13, 18-trioxo-6,9-dioxa- 16-thia- 3,12,19-triazadocosan-22-yl]carbamat.
LC-MS (Methode 1): Rt = 1.38 min; MS (ESIpos): m/z = 969 (M+H)+.
19.1 mg (19.7 μιηοΐ) 2-(Trimethylsilyl)ethyl-[19-{(lR)-l-[l-benzyl-4-(2,5-difluorphenyl)-lH- pyrrol-2-yl] -2,2-dimethylpropyl } - 1 -(2,5-dioxo-2,5-dihydro- 1 H-pyrrol- 1 -yl)-2, 13,18-trioxo-6,9- dioxa-16-thia-3,12,19-triazadocosan-22-yl]carbamat wurden in 2.0 mL Trifluorethanol gelöst und mit 16.1 mg (118 μιηοΐ) Zinkdichlorid versetzt. Die Reaktionsmischung rührte 1 h bei 50 °C. Die Reaktionsmischung wurde mit 34.6 mg (118 μιηοΐ) Ethylendiamin-N,N,N',N'-tetraessigsäure versetzt, 10 min gerührt und dann mit Wasser (0.1% TFA) versetzt. Die Reinigung erfolgte direkt mittles präp. RP-HPLC (Säule: Reprosil 250x30; 10μ, Fluss: 50 mL/min, MeCN/Wasser, 0.1%
TFA). Die Lösemittel wurden im Vakuum verdampft und der Rückstand im Hochvakuum getrocknet. Man erhielt 13.9 mg (75 % d. Th.) der Titel Verbindung.
LC-MS (Methode 1): Rt = 0.86 min; MS (ESIpos): m/z = 825 (M+H)+.
Intermediat F267
S- { 2- [(3- Aminopropyl) { ( 1R) - 1 - [ 1 -benzyl-4-(2,5-difluorphenyl)- 1 H-pyrrol-2-yl] -2,2- dimethylpropyl } amino] -2-oxoethyl } -N- [ 1 -(2,5-dioxo-2,5-dihydro- 1 H-pyrrol- 1 -yl)-2, 18-dioxo- 6,9,12,15-tetraoxa-3-azaoctadecan-18-yl]-L-cysteinyl-beta-alanin -trifluoressigsäure 1 : 1)
Unter Argon wurden 13.4 mg (33.3 μιηοΐ) l-(2,5-Dioxo-2,5-dihydro-lH-pyrrol-l-yl)-2-oxo- 6,9,12,15-tetraoxa-3-azaoctadecan-18-säure (Intermediat L74) in 1.0 ml DMF vorgelegt, mit 9.3 μΐ (54.4 μιηοΐ) Ν,Ν-Diisopropylethylamin und 12.6 mg (33.3 μιηοΐ) HATU versetzt. Die Reaktionsmischung wurde 10 min bei RT gerührt. 25.0 mg (27.7 μιηοΐ) S-(11-{(1R)-1-[1-Benzyl- 4-(2,5-difluorphenyl)- lH-pyrrol-2-yl] -2,2-dimethylpropyl } -2,2-dimethyl-6, 12-dioxo-5-oxa-7, 11 - diaza-2-silatridecan-13-yl)-L-cysteinyl-beta-alanin -trifluoressigsäure (1 : 1) (siehe Synthese Intermediat F216) gelöst in 4,7 μΐ (27.7 μιηοΐ) Ν,Ν-Diisopropylethylamin und 1.0 mL DMF wurden dann zugegeben. Die Reaktionsmischung wurde 90 Minuten bei RT gerührt. Die Reaktionsmischung wurde direkt mittles präp. RP-HPLC (Säule: Reprosil 250x30; 10μ, Fluss: 50 mL/min, MeCN/Wasser, 0.1% TFA). Die Lösemittel wurden im Vakuum verdampft und der Rückstand im Hochvakuum getrocknet. Man erhielt 6.90 mg (19 % d. Th.) der Verbindung S-(l l- { ( 1 R)- 1 - [ 1 -Benzyl-4-(2,5-difluorphenyl)- 1 H-pyrrol-2-yl] -2,2-dimethylpropyl } -2,2-dimethyl-6, 12- dioxo-5-oxa-7, 1 l-diaza-2-silatridecan- 13-yl)-N-[l -(2,5-dioxo-2,5-dihydro- lH-pyrrol- l-yl)-2, 18- dioxo-6,9, 12, 15-tetraoxa-3-azaoctadecan- 18-yl] -L-cysteinyl-beta-alanin.
LC-MS (Methode 5): Rt = 4.44 min; MS (ESIpos): m/z = 1172 (M+H)+.
6.70 mg (5.71 μιηοΐ) S-(l l-{(lR)-l-[l-Benzyl-4-(2,5-difluorphenyl)-lH-pyrrol-2-yl]-2,2- dimethylpropyl } -2,2-dimethyl-6, 12-dioxo-5-oxa-7, 1 l-diaza-2-silatridecan- 13-yl)-N-[l -(2,5-dioxo- 2,5-dihydro-lH-pyrrol-l-yl)-2,18-dioxo-6,9,12,15-tetraoxa-3-azaoctadecan-18-yl]-L-cysteinyl- beta-alanin wurden in 1.0 mL Trifluorethanol gelöst und mit 4.67 mg (34.3 μιηοΐ) Zinkdichlorid versetzt. Die Reaktionsmischung rührte 1 h bei 50 °C. Die Reaktionsmischung wurde mit 10 mg (34.3 μιηοΐ) Ethylendiamin-N,N,N',N'-tetraessigsäure versetzt, 10 min gerührt und dann mit Wasser (0.1% TFA) versetzt. Die Reinigung erfolgte direkt mittles präp. RP-HPLC (Säule: Reprosil 250x30; 10μ, Fluss: 50 mL/min, MeCN/Wasser, 0.1% TFA). Die Lösemittel wurden im Vakuum verdampft und der Rückstand im Hochvakuum getrocknet. Man erhielt 4.4 mg (67 % d. Th.) der Titel Verbindung.
LC-MS (Methode 1): Rt = 0.85 min; MS (ESIpos): m/z = 1028 (M+H)+. Intermediat F268
Trifluoressigsäure N-(3-aminopropyl)-N- { ( 1R)- 1 -[1 -benzyl-4-(2,5-difluorphenyl)- lH-pyrrol-2-yl]- 2,2-dimethylpropyl}-28-(2,5-dioxo-2,5-dihydro-lH-pyrrol-l-yl)-6,23-dioxo-10,13,16,19-tetraoxa- 3-thia-7,22-diazaoctacosan- 1-amid (1 : 1)
30.0 mg (0.043 mmol) H-{(lR)-l-[l-Benzyl-4-(2,5-difluorphenyl)-lH-pyrrol-2-yl]-2,2- dimethylpropyl } -2,2-dimethyl-6, 12-dioxo-5-oxa- 14-thia-7, 1 l-diaza-2-silaheptadecan- 17-säure (Intermediat C69) wurden zusammen mit 30.2 mg (0.056 mmol) Trifluoressigsäure N-(14-amino- 3,6,9, 12-tetraoxatetradec- 1 -yl)-6-(2,5-dioxo-2,5-dihydro- 1 H-pyrrol- 1 -yl)hexanamid (1: 1) (Intermediat L84) in 2.0 mL Acetonitril vorgelegt. Dann wurden 60 μΐ (0.34 mmol) N,N- Diisopropylethylamin zugegeben und 33 μΐ (0.056 mmol) T3P (50 % in Ethylacetat) zugetropft. Die Reaktionsmischung wurde über Nacht bei RT gerührt. Es wurde Wasser (2.0 mL) zugegeben.
Die Reaktionsmischung wurde direkt mittles präp. RP-HPLC (Säule: Reprosil 250x30; 10μ, Fluss: 50 mL/min, MeCN/Wasser, 0.1% TFA) gereinigt. Die Lösemittel wurden im Vakuum verdampft und der Rückstand im Hochvakuum getrocknet. Man erhielt 27.9 mg (59 % d. Th.) der Verbindung 2-(Trimethylsilyl)ethyl- [4- { ( 1 R)- 1 - [ 1 -benzyl-4-(2,5-difluorphenyl)- 1 H-pyrrol-2-yl] -2,2- dimethylpropyl } -32-(2,5-dioxo-2,5-dihydro- lH-pyrrol- 1 -yl)-5, 10,27-trioxo- 14, 17,20,23-tetraoxa- 7-thia-4, 11 ,26-triazadotriacont- 1 -yl] carbamat.
LC-MS (Methode 1): Rt = 1.41 min; MS (ESIpos): m/z = 1114 (M+H)+.
25.6 mg (23.0 μιηοΐ) 2-(Trimethylsilyl)ethyl-[4-{(lR)-l-[l-benzyl-4-(2,5-difluorphenyl)-lH- pyrrol-2-yl]-2,2-dimethylpropyl}-32-(2,5-dioxo-2,5-dihydro-lH-pyrrol-l-yl)-5,10,27-trioxo- 14,17,20,23-tetraoxa-7-thia-4,l l,26-triazadotriacont-l-yl]carbamat wurden in 2.5 mL Trifluorethanol gelöst und mit 18.8 mg (138 μιηοΐ) Zinkdichlorid versetzt. Die Reaktionsmischung rührte 1 h bei 50 °C. Die Reaktionsmischung wurde mit 40.3 mg (138 μιηοΐ) Efhylendiamin- Ν,Ν,Ν',Ν'-tetraessigsäure versetzt, 10 min gerührt und dann mit Wasser (0.1% TFA) versetzt. Die Reinigung erfolgte direkt mittles präp. RP-HPLC (Säule: Reprosil 250x30; 10μ, Fluss: 50 mL/min, MeCN/Wasser, 0.1% TFA). Die Lösemittel wurden im Vakuum verdampft und der Rückstand im Hochvakuum getrocknet. Man erhielt 22.2 mg (88 % d. Th.) der Titel Verbindung.
LC-MS (Methode 1): Rt = 0.94 min; MS (ESIpos): m/z = 969 (M+H)+.
Intermediat F269
4-{ [(8R,14R)-13-(3-Aminopropyl)-14-[l-benzyl-4-(2,5-difluorphenyl)-lH-pyrrol-2-yl]-l-(2,5- dioxo-2,5-dihydro-lH-pyrrol-l-yl)-15,15-dimethyl-2,7,12-trioxo-10-thia-3,6,13-triazahexadecan-8- yl]amino}-4-oxobutansäure -trifluoressigsäure (1: 1)
17.0 mg (0.0195 mmol) S-(l l-{(lR)-l-[l-Benzyl-4-(2,5-difluorphenyl)-lH-pyrrol-2-yl]-2,2- dimethylpropyl } -2,2-dimethyl-6, 12-dioxo-5-oxa-7, 1 l-diaza-2-silatridecan- 13-yl)-N-(4-tert-butoxy- 4-oxobutanoyl)-L-cystein (Intermediat C77) wurden zusammen mit 4.99 mg (0.0253 mmol) N-(2- Aminoethyl)-2-(2,5-dioxo-2,5-dihydro-lH-pyrrol-l-yl)acetamid (Intermediat LI) in 1.0 mL Acetonitril vorgelegt. Dann wurden 27 μΐ (0.16 mmol) Ν,Ν-Diisopropylethylamin zugegeben und 15 μΐ (0.025 mmol) T3P (50 % in Ethylacetat) zugetropft. Die Reaktionsmischung wurde über Nacht bei RT gerührt. Es wurde Wasser (2.0 mL) zugegeben. Die Reaktionsmischung wurde direkt mittles präp. RP-HPLC (Säule: Reprosil 125x30; 10μ, Fluss: 50 mL/min, MeCN/Wasser, 0.1% TFA) gereinigt. Die Lösemittel wurden im Vakuum verdampft und der Rückstand im Hochvakuum getrocknet. Man erhielt 9.5 mg (46 % d. Th.) der Verbindung tert-Butyl-4-{ [(16R)-l l-{(lR)-l-[l- benzyl-4-(2,5-difluorphenyl)-lH-pyrrol-2-yl]-2,2-dimethylpropyl}-23-(2,5-dioxo-2,5-dihydro-lH- pyrrol-l-yl)-2,2-dimethyl-6,12,17,22-tetraoxo-5-oxa-14-thia-7,l l,18,21-tetraaza-2-silatricosan-16- yl] amino } -4-oxobutanoat.
LC-MS (Methode 1): Rt = 1.47 min; MS (ESIpos): m/z = 1052 (M+H)+.
8.3 mg (7.89 μιηοΐ) tert-Butyl-4-{ [(16R)-l l-{(lR)-l-[l-benzyl-4-(2,5-difluorphenyl)-lH-pyrrol-2- yl] -2,2-dimethylpropyl } -23-(2,5-dioxo-2,5-dihydro- lH-pyrrol- l-yl)-2,2-dimethyl-6, 12, 17,22- tetraoxo-5-oxa-14-thia-7,l l,18,21-tetraaza-2-silatricosan-16-yl]amino}-4-oxobutanoat wurden in 1.0 mL Trifluorethanol gelöst und mit 6.45 mg (47.3 μιηοΐ) Zinkdichlorid versetzt. Die
Reaktionsmischung rührte 6 h bei 50 °C. 6.45 mg (47.3 μιηοΐ) Zinkdichlorid wurden zugegeben und die Reaktionsmischung rührte über Nacht bei 50 °C Die Reaktionsmischung wurde mit 27.7 mg (94.6 μιηοΐ) Ethylendiamin-N,N,N',N'-tetraessigsäure versetzt, 10 min gerührt und dann mit Wasser (0.1% TFA) versetzt. Die Reinigung erfolgte direkt mittles präp. RP-HPLC (Säule: Reprosil 125x30; 10μ, Fluss: 50 mL/min, MeCNAVasser, 0.1% TFA). Die Lösemittel wurden im Vakuum verdampft und der Rückstand im Hochvakuum getrocknet. Man erhielt 1.10 mg (14 % d. Th.) der Titel Verbindung.
LC-MS (Methode 1): Rt = 0.89 min; MS (ESIpos): m/z = 852 (M+H)+. Intermediat F270
Trifluoressigsäure — N-(3-aminopropyl)-N-{(lR)-l-[l-benzyl-4-(2,5-difluorphenyl)-lH-pyrrol-2- yl] -2,2-dimethylpropyl } -N'-(2- { [(2,5-dioxo-2,5-dihydro- 1 H-pyrrol- 1 - yl) acetyl] amino ethyl) succinamid (1: 1)
Unter Argon wurden 15.0 mg (22.9 μιηοΐ) l l-{(lR)-l-[l-Benzyl-4-(2,5-difluorphenyl)-lH-pyrrol- 2-yl] -2,2-dimethylpropyl } -2,2-dimethyl-6, 12-dioxo-5-oxa-7, 11 -diaza-2-silapentadecan- 15-säure (Intermediat C78) in 1.0 ml DMF vorgelegt, mit 8.0 μΐ (45.8 μιηοΐ) Ν,Ν-Diisopropylethylamin und 10.4 mg (27.4 μιηοΐ) HATU versetzt. Die Reaktionsmischung wurde 10 min bei RT gerührt. 8.54 mg (27.4 μιηοΐ) Trifluoressigsäure N-(2-aminoethyl)-2-(2,5-dioxo-2,5-dihydro-lH-pyrrol-l- yl)acetamid (1 : 1) (Intermediat LI) gelöst in 4.0 μΐ (22.9 μιηοΐ) Ν,Ν-Diisopropylethylamin und 1.0 mL DMF wurden dann zugegeben. Die Reaktionsmischung wurde 1 h bei RT gerührt. Die Reaktionsmischung wurde direkt mittles präp. RP-HPLC (Säule: Reprosil 250x30; 10μ, Fluss: 50 mL/min, MeCNAVasser, 0.1% TFA). Die Lösemittel wurden im Vakuum verdampft und der Rückstand im Hochvakuum getrocknet. Man erhielt 14.7 mg (77 % d. Th.) der Verbindung 2-
(Trimethylsilyl)ethyl- [3-( { ( 1 R) - 1 - [ 1 -benzyl-4-(2,5-difluorphenyl)- 1 H-pyrrol-2-yl] -2,2- dimethylpropyl } { 4- [(2- { [(2,5-dioxo-2,5-dihydro- 1 H-pyrrol- 1 -yl)acetyl] amino } ethyl)amino] -4- oxobutanoyl } amino)propyl] carbamat.
LC-MS (Methode 5): Rt = 1.33 min; MS (ESIpos): m/z = 835 (M+H)+.
13.2 mg (15.8 μιηοΐ) 2-(Trimethylsilyl)ethyl-[3-({(lR)-l-[l-benzyl-4-(2,5-difluorphenyl)-lH- pyrrol-2-yl] -2,2-dimethylpropyl } { 4- [(2- { [(2,5-dioxo-2,5-dihydro- 1 H-pyrrol- 1 - yl)acetyl] amino }ethyl)amino]-4-oxobutanoyl}amino)propyl]carbamat wurden in 2.0 mL Trifluorethanol gelöst und mit 12.9 mg (94.8 μιηοΐ) Zinkdichlorid versetzt. Die Reaktionsmischung rührte 1 h bei 50 °C. Die Reaktionsmischung wurde mit 27.7 mg (94.6 μιηοΐ) Efhylendiamin- Ν,Ν,Ν',Ν'-tetraessigsäure versetzt, 10 min gerührt und dann mit Wasser (0.1% TFA) versetzt. Die Reinigung erfolgte direkt mittles präp. RP-HPLC (Säule: Reprosil 250x30; 10μ, Fluss: 50 mL/min, MeCN/Wasser, 0.1% TFA). Die Lösemittel wurden im Vakuum verdampft und der Rückstand im Hochvakuum getrocknet. Man erhielt 10.9 mg (83 % d. Th.) der Titel Verbindung.
LC-MS (Methode 1): Rt = 0.83 min; MS (ESIpos): m/z = 691 (M+H)+.
Intermediat F271
4- { [(20R,26R)-25-(3- Aminopropyl)-26- [ 1 -benzyl-4-(2,5-difluorphenyl)- 1 H-pyrrol-2-yl] - 1 -(2,5- dioxo-2,5-dihydro-lH-pyrrol-l-yl)-27,27-dimethyl-2,19,24-trioxo-6,9,12,15-tetraoxa-22-thia- 3,18,25-triazaoctacosan-20-yl] amino } -4-oxobutansäure -trifluoressigsäure (1: 1)

Unter Argon wurden 19.4 mg (22.2 μιηοΐ) S-(l l-{(lR)-l-[l-Benzyl-4-(2,5-difluorphenyl)-lH- pyrrol-2-yl]-2,2-dimethylpropyl}-2,2-dimethyl-6,12-dioxo-5-oxa-7,l l-diaza-2-silatridecan-13-yl)- N-(4-tert-butoxy-4-oxobutanoyl)-L-cystein (Intermediat C77) in 2.0 ml DMF vorgelegt und mit 21.7 mg (44.4 μιηοΐ) Trifluoressigsäure — N-(14-amino-3,6,9,12-tetraoxatetradec-l-yl)-2-(2,5- dioxo-2,5-dihydro-lH-pyrrol-l-yl)acetamid (1 :1) (Intermediat L74), 12 μΐ (67 μιηοΐ) Ν,Ν- Diisopropylethylamin und 16.9 mg (44.4 μιηοΐ) HATU versetzt. Die Reaktionsmischung wurde 1 h bei RT gerührt. Die Reaktionsmischung wurde direkt mittles präp. RP-HPLC (Säule: Reprosil 125x30; 10μ, Fluss: 50 mL/min, MeCN/Wasser, 0.1% TFA). Die Lösemittel wurden im Vakuum verdampft und der Rückstand im Hochvakuum getrocknet. Man erhielt 18.1 mg (66 % d. Th.) der Verbindung tert-Butyl-4- { [( 16R) - 11 - { ( 1 R)- 1 - [ 1 -benzyl-4-(2,5-difluorphenyl)- 1 H-pyrrol-2-yl] -2,2- dimethylpropyl } -35-(2,5-dioxo-2,5-dihydro- 1 H-pyrrol- 1 -yl)-2,2-dimethyl-6, 12, 17,34-tetraoxo- 5,21,24,27,30-pentaoxa-14-thia-7,l l,18,33-tetraaza-2-silapentatriacontan-16-yl]amino}-4- oxobutanoat.
LC-MS (Methode 4): Rt = 1.79 min; MS (ESIpos): m/z = 1250 (M+Na)+.
18.1 mg (14.7 μιηοΐ) tert-Butyl-4-{ [(16R)-l l-{(lR)-l-[l-benzyl-4-(2,5-difluorphenyl)-lH-pyrrol- 2-yl] -2,2-dimethylpropyl } -35-(2,5-dioxo-2,5-dihydro- 1 H-pyrrol- 1 -yl)-2,2-dimethyl-6, 12, 17,34- tetraoxo-5,21 ,24,27, 30-pentaoxa- 14-thia-7, 11 , 18,33-tetraaza-2-silapentatriacontan- 16-yl] amino } -4- oxobutanoat wurden in 2.0 mL Trifluorethanol gelöst und mit 12.0 mg (88.4 μιηοΐ) Zinkdichlorid versetzt. Die Reaktionsmischung rührte 4 h bei 50 °C. Die Reaktionsmischung wurde mit 25.8 mg (88.4 μιηοΐ) Ethylendiamin-N,N,N',N'-tetraessigsäure versetzt, 10 min gerührt und dann mit Wasser (0.1% TFA) versetzt. Die Reinigung erfolgte direkt mittles präp. RP-HPLC (Säule: Reprosil 125x30; 10μ, Fluss: 50 mL/min, MeCN/Wasser, 0.1% TFA). Die Lösemittel wurden im Vakuum verdampft und der Rückstand im Hochvakuum getrocknet. Man erhielt 12.3 mg (73 % d. Th.) der Titel Verbindung.
LC-MS (Methode 1): Rt = 0.87 min; MS (ESIpos): m/z = 1028 (M+H)+. Intermediat F272
Trifluoressigsäure — N-(3-aminopropyl)-N-{(lR)-l-[l-benzyl-4-(2,5-difluorphenyl)-lH-pyrrol-2- yl]-2,2-dimethylpropyl}-N'-[17-(2,5-dioxo-2,5-dihydro-lH-pyrrol-l-yl)-16-oxo-3,6,9,12-tetraoxa- 15-azaheptadec-l-yl]succinamid (1 : 1)
Unter Argon wurden 15.0 mg (22.9 μηιοΐ) l l-{(lR)-l-[l-Benzyl-4-(2,5-difluorphenyl)-lH-pyrrol- 2-yl] -2,2-dimethylpropyl } -2,2-dimethyl-6, 12-dioxo-5-oxa-7, 11 -diaza-2-silapentadecan- 15-säure (Intermediat C78) in 1.0 ml DMF vorgelegt, mit 8.0 μΐ (45.8 μηιοΐ) Ν,Ν-Diisopropylethylamin und 10.4 mg (27.4 μηιοΐ) HATU versetzt. Die Reaktionsmischung wurde 10 min bei RT gerührt. 13.4 mg (27.4 μηιοΐ) Trifluoressigsäure N-(14-amino-3,6,9,12-tetraoxatetradec-l-yl)-2-(2,5-dioxo-2,5- dihydro-lH-pyrrol-l-yl)acetamid (1 : 1) (Intermediat L85) gelöst in 4.0 μΐ (22.9 μηιοΐ) Ν,Ν- Diisopropylethylamin und 1.0 mL DMF wurden dann zugegeben. Die Reaktionsmischung wurde 1 h bei RT gerührt. Die Reaktionsmischung wurde direkt mittles präp. RP-HPLC (Säule: Reprosil 250x30; 10μ, Fluss: 50 mL/min, MeCN/Wasser, 0.1% TFA). Die Lösemittel wurden im Vakuum verdampft und der Rückstand im Hochvakuum getrocknet. Man erhielt 15.8 mg (68 % d. Th.) der Verbindung 2-(Trimethylsilyl)ethyl- [23- { ( 1 R)- 1 - [ 1 -benzyl-4-(2,5-difluorphenyl)- 1 H-pyrrol-2-yl] - 2,2-dimethylpropyl } - 1 -(2,5-dioxo-2,5-dihydro- 1 H-pyrrol- 1 -yl)-2, 19,22-trioxo-6,9, 12, 15-tetraoxa- 3,18,23-triazahexacosan-26-yl]carbamat.
LC-MS (Methode 1): Rt = 1.35 min; MS (ESIpos): m/z = 1011 (M+H)+.
15.1 mg (14.9 μηιοΐ) 2-(Trimethylsilyl)ethyl-[23-{(lR)-l-[l-benzyl-4-(2,5-difluorphenyl)-lH- pyrrol-2-yl] -2,2-dimethylpropyl } - 1 -(2,5-dioxo-2,5-dihydro- 1 H-pyrrol- 1 -yl)-2, 19,22-trioxo- 6,9,12,15-tetraoxa-3,18,23-triazahexacosan-26-yl]carbamat wurden in 2.0 mL Trifluorethanol gelöst und mit 12.2 mg (89.6 μηιοΐ) Zinkdichlorid versetzt. Die Reaktionsmischung rührte 1 h bei 50 °C. Die Reaktionsmischung wurde mit 26.2 mg (89.6 μηιοΐ) Ethylendiamin-Ν,Ν,Ν',Ν'- tetraessigsäure versetzt, 10 min gerührt und dann mit Wasser (0.1% TFA) versetzt. Die Reinigung erfolgte direkt mittles präp. RP-HPLC (Säule: Reprosil 250x30; 10μ, Fluss: 50 mL/min, MeCN/Wasser, 0.1% TFA). Die Lösemittel wurden im Vakuum verdampft und der Rückstand im Hochvakuum getrocknet. Man erhielt 10.3 mg (70 % d. Th.) der Titel Verbindung.
LC-MS (Methode 1): Rt = 0.88 min; MS (ESIpos): m/z = 867 (M+H)+.
Intermediat F273
Trifluoressigsäure N-(3-aminopropyl)-N- { ( 1R)- 1 - [1 -benzyl-4-(2,5-difluorphenyl)- lH-pyrrol-2-yl]- 2,2-dimethylpropyl } - 1 -(2,5-dioxo-2,5-dihydro- 1 H-pyrrol- 1 -yl)-2, 19-dioxo-6,9, 12, 15-tetraoxa-22- thia-3,18-diazatetracosan-24-amid 1 : 1)
Unter Argon wurden 20.0 mg (28.5 μιηοΐ) l l-{(lR)-l-[l-Benzyl-4-(2,5-difluorphenyl)-lH-pyrrol- 2-yl] -2,2-dimethylpropyl } -2,2-dimethyl-6, 12-dioxo-5-oxa- 14-thia-7, 11 -diaza-2-silaheptadecan- 17- säure (Intermediat C69) in 1.0 ml DMF vorgelegt, mit 10.0 μΐ (57.0 μιηοΐ) Ν,Ν- Diisopropylethylamin und 13.0 mg (34.2 μιηοΐ) HATU versetzt. Die Reaktionsmischung wurde 10 min bei RT gerührt. 16.7 mg (34.2 μιηοΐ) Trifluoressigsäure N-(14-amino-3,6,9,12- tetraoxatetradec-l-yl)-2-(2,5-dioxo-2,5-dihydro-lH-pyrrol-l-yl)acetamid (1 : 1) (Intermediat L85) gelöst in 5.0 μΐ (28.5 μιηοΐ) Ν,Ν-Diisopropylethylamin und 1.0 mL DMF wurden dann zugegeben. Die Reaktionsmischung wurde 1 h bei RT gerührt. Die Reaktionsmischung wurde direkt mittles präp. RP-HPLC (Säule: Reprosil 250x30; 10μ, Fluss: 50 mL/min, MeCNAVasser, 0.1% TFA). Die Lösemittel wurden im Vakuum verdampft und der Rückstand im Hochvakuum getrocknet. Man erhielt 18.6 mg (62 % d. Th.) der Verbindung 2-(Trimethylsilyl)ethyl-[25-{(lR)-l-[l-benzyl-4- (2,5-difluorphenyl)-lH-pyrrol-2-yl]-2,2-dimethylpropyl}-l-(2,5-dioxo-2,5-dihydro-lH-pyrrol-l- yl)-2,19,24-trioxo-6,9,12,15-tetraoxa-22-thia-3,18,25-triazaoctacosan-28-yl]carbamat.
LC-MS (Methode 1): Rt = 1.37 min; MS (ESIpos): m/z = 1057 (M+H)+.
17.1 mg (16.2 μιηοΐ) 2-(Trimethylsilyl)ethyl-[25-{(lR)-l-[l-benzyl-4-(2,5-difluorphenyl)-lH- pyrrol-2-yl] -2,2-dimethylpropyl } - 1 -(2,5-dioxo-2,5-dihydro- 1 H-pyrrol- 1 -yl)-2, 19,24-trioxo-
6,9,12,15-tetraoxa-22-thia-3,18,25-triazaoctacosan-28-yl]carbamat wurden in 2.0 mL Trifluorethanol gelöst und mit 13.2 mg (97.0 μιηοΐ) Zinkdichlorid versetzt. Die Reaktionsmischung rührte 1 h bei 50 °C. Die Reaktionsmischung wurde mit 28.4 mg (97.0 μιηοΐ) Efhylendiamin- Ν,Ν,Ν',Ν'-tetraessigsäure versetzt, 10 min gerührt und dann mit Wasser (0.1% TFA) versetzt. Die Reinigung erfolgte direkt mittles präp. RP-HPLC (Säule: Reprosil 250x30; 10μ, Fluss: 50 mL/min, MeCN/Wasser, 0.1% TFA). Die Lösemittel wurden im Vakuum verdampft und der Rückstand im Hochvakuum getrocknet. Man erhielt 9.80 mg (59 % d. Th.) der Titel Verbindung.
LC-MS (Methode 1): Rt = 0.88 min; MS (ESIpos): m/z = 913 (M+H)+.
Intermediat F274
N-[(2,5-Dioxo-2,5-dihydro-lH-pyrrol-l-yl)acetyl]-L-valyl-L-alanyl-S-{2-[(3-aminopropyl){(lR)- 1 - [ 1 -benzyl-4-(2,5-difluorphenyl)- 1 H-pyrrol-2-yl] -2,2-dimethylpropyl } amino] -2-oxoethyl } -L- cystein -trifluoressi säure (1 : 1)
13.9 mg (0.0167 mmol) S-(l l-{(lR)-l-[l-Benzyl-4-(2,5-difluorphenyl)-lH-pyrrol-2-yl]-2,2- dimethylpropyl } -2,2-dimethyl-6, 12-dioxo-5-oxa-7, 1 l-diaza-2-silatridecan- 13-yl)-L-cystein trifluoressigsäure (1: 1) (Intermediat C71) wurden zusammen mit 7.07 mg (0.0217 mmol) N-[(2,5- Dioxo-2,5-dihydro-lH-pyrrol-l-yl)acetyl]-L-valyl-L-alanin (Intermediat L86) in 2.0 mL Acetonitril vorgelegt. Dann wurden 23 μΐ (0.13 mmol) Ν,Ν-Diisopropylethylamin zugegeben und 13 μΐ (0.022 mmol) T3P (50 % in Ethylacetat) zugetropft. Die Reaktionsmischung wurde über Nacht bei RT gerührt. Die Reaktionsmischung wurde direkt mittles präp. RP-HPLC (Säule:
Reprosil 125x30; 10μ, Fluss: 50 mL/min, MeCN/Wasser, 0.1% TFA) gereinigt. Die Lösemittel wurden im Vakuum verdampft und der Rückstand im Hochvakuum getrocknet. Man erhielt 3.70 mg (19 % d. Th.) der Verbindung N-[(2,5-Dioxo-2,5-dihydro-lH-pyrrol-l-yl)acetyl]-L-valyl-L- alanyl-S-( 11 - { ( 1R)- 1 - [ 1 -benzyl-4-(2,5-difluorphenyl)- 1 H-pyrrol-2-yl] -2,2-dimethylpropyl } -2,2- dimethyl-6,12-dioxo-5-oxa-7,l l-diaza-2-silatridecan-13-yl)-L-cystein.
LC-MS (Methode 1): Rt = 1.34 min; MS (ESIpos): m/z = 1024 (M+H)+.
10.6 mg (10.3 μιηοΐ) N-[(2,5-Dioxo-2,5-dihydro-lH-pyrrol-l-yl)acetyl]-L-valyl-L-alanyl-S-(l l- { ( 1 R)- 1 - [ 1 -benzyl-4-(2,5-difluorphenyl)- 1 H-pyrrol-2-yl] -2,2-dimethylpropyl } -2,2-dimethyl-6, 12- dioxo-5-oxa-7,l l-diaza-2-silatridecan-13-yl)-L-cystein wurden in 2.0 mL Trifluorethanol gelöst und mit 8.46 mg (62.1 μιηοΐ) Zinkdichlorid versetzt. Die Reaktionsmischung rührte 1 h bei 50 °C. Die Reaktionsmischung wurde mit 18.1 mg (62.1 μιηοΐ) Ethylendiamin-N,N,N',N'-tetraessigsäure versetzt, 10 min gerührt und dann mit Wasser (0.1% TFA) versetzt. Die Reinigung erfolgte direkt mittles präp. RP-HPLC (Säule: Reprosil 125x30; 10μ, Fluss: 50 mL/min, MeCN/Wasser, 0.1% TFA). Die Lösemittel wurden im Vakuum verdampft und der Rückstand im Hochvakuum getrocknet. Man erhielt 5.60 mg (54 % d. Th.) der Titel Verbindung.
LC-MS (Methode 12): Rt = 1.69 min; MS (ESIpos): m/z = 880 (M+H)+.
Intermediat F275
N-[3-( { 2-[(3-Aminopropyl) { ( 1R)- 1-[ 1 -benzyl-4-(2,5-difluorphenyl)- lH-pyrrol-2-yl]-2,2- dimethylpropyl } amino] -2-oxoethyl } sulfanyl)propanoyl] -N-(2- { [(2,5-dioxo-2,5-dihydro- 1 H-pyrrol- l-yl)acetyl]amino}ethyl)-L-alpha-glutamin -trifluoressigsäure (1 : 1)
39.0 mg (55.6 μmol) l l-{(lR)-l-[l-Benzyl-4-(2,5-difluorphenyl)-lH-pyrrol-2-yl]-2,2- dimethylpropyl } -2,2-dimethyl-6, 12-dioxo-5-oxa- 14-thia-7, 1 l-diaza-2-silaheptadecan- 17-säure (Intermediat C69) wurden in 4.0 mL DMF vorgelegt, mit 41.6 mg (111 μιηοΐ) l-Benzyl-5-[2- (trimethylsilyl)ethyl]-L-glutamathydrochlorid (1: 1) (Intermediat L89), 29 μΐ (170 μιηοΐ) Ν,Ν- Diisopropylethylamin und 42.3 mg (111 μιηοΐ) HATU versetzt und 1 Stunde bei RT nachgerührt. Die Reaktionsmischung wurde 1 Stunde bei RT gerührt, mit Essigsäure gequencht und direkt mittels präp. RP-HPLC (Säule: Reprosil 250x30; 10μ, Fluss: 50 mL/min, MeCNAVasser, 0.1% TFA) gereinigt. Die Lösemittel wurden im Vakuum verdampft und der Rückstand im Hochvakuum getrocknet. Man erhielt 53.1 mg (93 % d. Th.) der Verbindung l-Benzyl-5-[2- (trimethylsilyl)ethyl] -N-( 11- { ( 1R)- 1-[ 1 -benzyl-4-(2,5-difluorphenyl)- lH-pyrrol-2-yl] -2,2- dimethylpropyl}-2,2-dimethyl-6,12,17-trioxo-5-oxa-14-thia-7,l l-diaza-2-silaheptadecan-17-yl)-L- glutamat.
LC-MS (Methode 1): Rt = 1.71 min; MS (ESIpos): m/z = 1021 [M+H]+
Unter Argon wurden 7.60 mg (33,9 μιηοΐ) Palladium(II)acetat in 3.0 ml Dichloromethan vorgelegt und mit 14 μΐ (100 μιηοΐ) Triethylamin und 110 μΐ (680 μιηοΐ) Triethylsilan versetzt. Die Reaktionsmischung wurde 5 min bei RT gerührt und mit 69.2 mg (67.7 μιηοΐ) l-Benzyl-5-[2- (trimethylsilyl)ethyl] -N-( 11- { ( 1R)- 1-[ 1 -benzyl-4-(2,5-difluorphenyl)- lH-pyrrol-2-yl] -2,2- dimethylpropyl}-2,2-dimethyl-6,12,17-trioxo-5-oxa-14-thia-7,l l-diaza-2-silaheptadecan-17-yl)-L-
glutamat gelöst in 3.0 mL Dichlormethan versetzt. Die Reaktionsmischung wurde über Nacht bei RT gerührt. Die Reaktionsmischung wurde über einen Pappfilter filtriert und der Filterkuchen mit Dichlormethan nachgewaschen. Das Lösemittel wurde im Vakuum verdampft. Der Rückstand wurde mittles präp. RP-HPLC (Säule: Reprosil 250x30; 10μ, Fluss: 50 mL/min, MeCNAVasser, 0.1% TFA) gereinigt. Die Lösemittel wurden im Vakuum verdampft und der Rückstand im Hochvakuum getrocknet. Man erhielt 38.4 mg (61 % d. Th.) der Verbindung 19S)-11-{(1R)-1-[1- Benzyl-4-(2,5-difluorphenyl)- 1 H-pyrrol-2-yl] -2,2-dimethylpropyl } -2,2-dimethyl-6, 12, 17-trioxo- 19-{3-oxo-3-[2-(trimethylsilyl)ethoxy]propyl}-5-oxa-14-thia-7,l l,18-triaza-2-silaicosan-20-säure. LC-MS (Methode 1): Rt = 1.53 min; MS (ESIpos): m/z = 931 (M+H)+.
10.0 mg (10.7 μιηοΐ) (19S)-l l-{(lR)-l-[l-Benzyl-4-(2,5-difluorphenyl)-lH-pyrrol-2-yl]-2,2- dimethylpropyl}-2,2-dimethyl-6,12,17-trioxo-19-{3-oxo-3-[2-(trimethylsilyl)ethoxy]propyl}-5- oxa-14-thia-7,l l,18-triaza-2-silaicosan-20-säure wurden in 1.0 mL DMF vorgelegt, mit 6.73 mg (21.5 μιηοΐ) N-(2-Aminoethyl)-2-(2,5-dioxo-2,5-dihydro-lH-pyrrol-l-yl)acetamid 2,2,2- trifluorethan-l,l-diol (1 : 1) (Intermediat LI), 5.6 μΐ (32 μιηοΐ) Ν,Ν-Diisopropylethylamin und 8.17 mg (21.5 μιηοΐ) HATU versetzt und 1 Stunde bei RT nachgerührt. Die Reaktionsmischung wurde 3 Stunde bei RT gerührt, mit Essigsäure gequencht und direkt mittels präp. RP-HPLC (Säule: Reprosil 125x30; 10μ, Fluss: 50 mL/min, MeCN/Wasser, 0.1% TFA) gereinigt. Die Lösemittel wurden im Vakuum verdampft und der Rückstand im Hochvakuum getrocknet. Man erhielt 6.90 mg (58 % d. Th.) der Verbindung 2-(Trimethylsilyl)ethyl-N2-(l l-{(lR)-l-[l-benzyl-4-(2,5- difluorphenyl)- 1 H-pyrrol-2-yl] -2,2-dimethylpropyl } -2,2-dimethyl-6, 12, 17-trioxo-5-oxa- 14-thia- 7,11 -diaza-2-silaheptadecan- 17-yl)-N-(2- { [(2,5-dioxo-2,5-dihydro- lH-pyrrol- 1 - yl)acetyl] amino }ethyl)-L-alpha-glutaminat.
LC-MS (Methode 1): Rt = 1.57 min; MS (ESIpos): m/z = 1110 [M+H]+
6.90 mg (6.21 μιηοΐ) 2-(Trimethylsilyl)ethyl-N2-(l l-{(lR)-l-[l-benzyl-4-(2,5-difluorphenyl)-lH- pyrrol-2-yl] -2,2-dimethylpropyl } -2,2-dimethyl-6, 12, 17-trioxo-5-oxa- 14-thia-7, 11 -diaza-2- silaheptadecan-17-yl)-N-(2-{ [(2,5-dioxo-2,5-dihydro-lH-pyrrol-l-yl)acetyl] amino }ethyl)-L-alpha- glutaminat wurden in 2.0 mL Trifluorethanol gelöst und mit 5.1 mg (37.2 μιηοΐ) Zinkdichlorid versetzt. Die Reaktionsmischung rührte 3 h bei 50 °C. 5.1 mg (37.2 μιηοΐ) Zinkdichlorid wurden zugegeben und die Reaktionsmischung rührte 3 h bei 50 °C. 5.1 mg (37.2 μιηοΐ) Zinkdichlorid wurden zugegeben und die Reaktionsmischung rührte 3 h bei 50 °C. 10.1 mg (74.4 μιηοΐ) Zinkdichlorid wurden zugegeben und die Reaktionsmischung rührte über Nacht bei 50 °C und 72 h bei RT. Die Reaktionsmischung wurde mit 54.5 mg (186 μιηοΐ) Ethylendiamin-Ν,Ν,Ν',Ν'- tetraessigsäure versetzt, 10 min gerührt und dann mit Wasser (0.1% TFA) versetzt. Die Reinigung
erfolgte direkt mittles präp. RP-HPLC (Säule: Reprosil 125x30; 10μ, Fluss: 50 mL/min, MeCN/Wasser, 0.1% TFA). Die Lösemittel wurden im Vakuum verdampft und der Rückstand im Hochvakuum getrocknet. Man erhielt 2.4 mg (39 % d. Th.) der Titel Verbindung.
LC-MS (Methode 1): Rt = 0.86 min; MS (ESIpos): m/z = 866 (M+H)+.
Intermediat F276
S- { 2- [(3- Aminopropyl) { ( 1R) - 1 - [ 1 -benzyl-4-(2,5-difluorphenyl)- 1 H-pyrrol-2-yl] -2,2- dimethylpropyl } amino] -2-oxoethyl } -N- { 3- [2-(2- { [(2,5-dioxo-2,5-dihydro- 1 H-pyrrol- 1 - yl)acetyl] amino ethoxy)ethoxy]propanoyl } -L-cystein -trifluoressigsäure (1 : 1)
Unter Argon wurden 9.08 mg (28.9 μιηοΐ) 3-[2-(2-{ [(2,5-Dioxo-2,5-dihydro-lH-pyrrol-l- yl)acetyl] amino }ethoxy)ethoxy]propansäure (Intermediat L87) in 1.0 ml DMF vorgelegt, mit 8.33 μΐ (48.2 μιηοΐ) Ν,Ν-Diisopropylethylamin und 11.0 mg (28.9 μιηοΐ) HATU versetzt. Die Reaktionsmischung wurde 10 min bei RT gerührt. 20.0 mg (27.7 μιηοΐ) S-(11-{(1R)-1-[1-Benzyl- 4-(2,5-difluorphenyl)- lH-pyrrol-2-yl] -2,2-dimethylpropyl } -2,2-dimethyl-6, 12-dioxo-5-oxa-7, 11 - diaza-2-silatridecan-13-yl)-L-cystein -trifluoressigsäure (1 : 1) (Intermediat C71) gelöst in 4,67 μΐ (24.1 μιηοΐ) Ν,Ν-Diisopropylethylamin und 1.0 mL DMF wurden dann zugegeben. Die Reaktionsmischung wurde 1 h bei RT gerührt. Die Reaktionsmischung wurde direkt mittles präp. RP-HPLC (Säule: Reprosil 250x30; 10μ, Fluss: 50 mL/min, MeCN/Wasser, 0.1% TFA). Die Lösemittel wurden im Vakuum verdampft und der Rückstand im Hochvakuum getrocknet. Man erhielt 4.70 mg (19 % d. Th.) der Verbindung S-(l l-{(lR)-l-[l-Benzyl-4-(2,5-difluorphenyl)-lH- pyrrol-2-yl] -2,2-dimethylpropyl }-2,2-dimethyl-6,12-dioxo-5-oxa-7,l l-diaza-2-silatridecan-13-yl)- N- { 3- [2-(2- { [(2,5-dioxo-2,5-dihydro- 1 H-pyrrol- 1 -yl)acetyl] amino } ethoxy)ethoxy]propanoyl } -L- cystein.
LC-MS (Methode 12): Rt = 2.47 min; MS (ESIpos): m/z = 1013 (M+H)
13.9 mg (13.7 μιηοΐ) S-(l l-{(lR)-l-[l-Benzyl-4-(2,5-difluorphenyl)-lH-pyrrol-2-yl]-2,2- dimethylpropyl } -2,2-dimethyl-6, 12-dioxo-5-oxa-7, 1 l-diaza-2-silatridecan- 13-yl)-N- { 3-[2-(2- { [(2,5 -dioxo-2,5 -dihy dro- 1 H-pyrrol- 1 -yl) acetyl] amino } ethoxy )ethoxy] propanoyl } -L-cy stein wurden in 2.0 mL Trifluorethanol gelöst und mit 5.6 mg (41.2 μιηοΐ) Zinkdichlorid versetzt. Die Reaktionsmischung rührte 1 h bei 50 °C. 5.6 mg (41.2 μιηοΐ) Zinkdichlorid wurden zugegeben und die Reaktionsmischung rührte 30 Minuten bei 50 °C. Die Reaktionsmischung wurde mit 24.1 mg (82.4 μιηοΐ) Ethylendiamin-N,N,N',N'-tetraessigsäure versetzt, 10 min gerührt und dann mit Wasser (0.1% TFA) versetzt. Die Reinigung erfolgte direkt mittles präp. RP-HPLC (Säule: Reprosil 250x30; 10μ, Fluss: 50 mL/min, MeCN/Wasser, 0.1% TFA). Die Lösemittel wurden im Vakuum verdampft und der Rückstand im Hochvakuum getrocknet. Man erhielt 10.8 mg (80 % d. Th.) der Titel Verbindung.
LC-MS (Methode 12): Rt = 1.58 min; MS (ESIpos): m/z = 869 (M+H)+. Intermediat F277
N-[3-( { 2-[(3-Aminopropyl) { ( 1R)- 1-[ 1 -benzyl-4-(2,5-difluorphenyl)- lH-pyrrol-2-yl]-2,2- dimethylpropyl } amino] -2-oxoethyl } sulfanyl)propanoyl] -3- [(bromacetyl) amino] -D-alanin trifluoressigsäure 1: 1)
8.90 mg (8.88 μmol) Trifluoressigsäure 2-(trimethylsilyl)ethyl-3-arnino-N-(l l-{(lR)-l-[l-benzyl- 4-(2,5-difluorphenyl)- lH-pyrrol-2-yl] -2,2-dimethylpropyl } -2,2-dimethyl-6, 12, 17-trioxo-5-oxa- 14- thia-7,l l-diaza-2-silaheptadecan-17-yl)-D-alaninat (1 : 1) (Intermediat C80) und 2.31 mg (9.77 μιηοΐ) l-(2-Bromacetoxy)pyrrolidin-2,5-dion wurden in 1 ml Dimethylformamid gelöst und mit 2.9 μΐ (27 μιηοΐ) N-Methylmorpholin versetzt. Die Reaktionsmischung wurde 1 h bei RT gerührt. Die Reaktionsmischung wurde direkt mittles präp. RP-HPLC gereinigt (Säule: Reprosil 125x30; 10μ, Fluss: 50 mL/min, MeCN/ Wasser/0.1% TFA). Die Lösemittel wurden im Vakuum verdampft und der Rückstand im Hochvakuum getrocknet. Man erhielt 5.80 mg (65% d. Th.) der Verbinfung 2- (Trimethylsilyl)ethyl-N-( 11- { ( 1R)- 1-[ 1 -benzyl-4-(2,5-difluorphenyl)- lH-pyrrol-2-yl] -2,2- dimethylpropyl }-2,2-dimethyl-6, 12, 17-trioxo-5-oxa-14-thia-7, 11 -diaza-2-silaheptadecan-17-yl)-3- [(bromacetyl)amino] -D-alaninat.
LC-MS (Methode 1): Rt = 1.57 min; MS (ESIpos): m/z = 1008 (M+H)+.
5.80 mg (5.75 μιηοΐ) 2-(Trimethylsilyl)ethyl-N-(l l-{(lR)-l-[l-benzyl-4-(2,5-difluorphenyl)-lH- pyrrol-2-yl] -2,2-dimethylpropyl } -2,2-dimethyl-6, 12, 17-trioxo-5-oxa- 14-thia-7, 11 -diaza-2- silaheptadecan-17-yl)-3-[(bromacetyl)amino]-D-alaninat wurden in 2.0 mL Trifluorethanol gelöst und mit 4.70 mg (34.5 μιηοΐ) Zinkdichlorid versetzt. Die Reaktionsmischung rührte 3 h bei 50 °C. 4.70 mg (34.5 μιηοΐ) Zinkdichlorid wurden zugegeben und die Reaktionsmischung rührte 5 h bei 50 °C. Die Reaktionsmischung wurde mit 20.2 mg (69.0 μιηοΐ) Ethylendiamin-Ν,Ν,Ν',Ν'- tetraessigsäure versetzt, 10 min gerührt und dann mit Wasser (0.1% TFA) versetzt. Die Reinigung erfolgte direkt mittles präp. RP-HPLC (Säule: Reprosil 125x30; 10μ, Fluss: 50 mL/min, MeCN/Wasser, 0.1% TFA). Die Lösemittel wurden im Vakuum verdampft und der Rückstand im Hochvakuum getrocknet. Man erhielt 1.70 mg (34 % d. Th.) der Titel Verbindung.
LC-MS (Methode 1): Rt = 0.90 min; MS (ESIpos): m/z = 764 (M+H)+.
Intermediat F278
N-[3-( { 2-[(3-Aminopropyl) { ( 1R)- 1-[ 1 -benzyl-4-(2,5-difluorphenyl)- lH-pyrrol-2-yl]-2,2- dimethylpropyl } amino] -2-oxoethyl } sulfanyl)propanoyl] -3- { [(2,5-dioxo-2,5-dihydro- 1 H-pyrrol- 1 - yl)acetyl]amino}-D-alanin -trifluoressigsäure (1 : 1)
10.0 mg (9.98 μιηοΐ) Trifluoressigsäure 2-(trimethylsilyl)ethyl-3-arnino-N-(l l-{(lR)-l-[l-benzyl- 4-(2,5-difluorphenyl)- lH-pyrrol-2-yl] -2,2-dimethylpropyl } -2,2-dimethyl-6, 12, 17-trioxo-5-oxa- 14- thia-7,l l-diaza-2-silaheptadecan-17-yl)-D-alaninat (1 : 1) (Intermediat C80) und 2.77 mg (11.0 μιηοΐ) l-{2-[(2,5-Dioxopyrrolidin-l-yl)oxy]-2-oxoethyl}-lH-pyrrol-2,5-dion wurden in 1 ml Dimethylformamid gelöst und mit 3.3 μΐ (30 μιηοΐ) N-Methylmorpholin versetzt. Die Reaktionsmischung wurde über Nacht bei RT gerührt. Die Reaktionsmischung wurde mit 2.0 μΐ (35 μιηοΐ) Essigsaeure versetzt und direkt mittles präp. RP-HPLC gereinigt (Säule: Reprosil 125x30; 10μ, Fluss: 50 mL/min, MeCN/Wasser/0.1%TFA). Die Lösemittel wurden im Vakuum verdampft und der Rückstand im Hochvakuum getrocknet. Man erhielt 5.50 mg (54% d. Th.) der Verbinfung 2-(Trimethylsilyl)ethyl-N-( 11 - { ( 1 R)- 1 - [ 1 -benzyl-4-(2,5-difluorphenyl)- 1 H-pyrrol-2- yl] -2,2-dimethylpropyl } -2,2-dimethyl-6, 12, 17-trioxo-5-oxa- 14-thia-7, 11 -diaza-2-silaheptadecan- 17-yl)-3- { [(2,5-dioxo-2,5-dihydro- 1 H-pyrrol- 1 -yl)acetyl] amino } -D-alaninat.
LC-MS (Methode 1): Rt = 1.51 min; MS (ESIpos): m/z = 1024 (M+H)+.
5.50 mg (5.36 μιηοΐ) 2-(Trimethylsilyl)ethyl-N-(l l-{(lR)-l-[l-benzyl-4-(2,5-difluorphenyl)-lH- pyrrol-2-yl] -2,2-dimethylpropyl } -2,2-dimethyl-6, 12, 17-trioxo-5-oxa- 14-thia-7, 11 -diaza-2- silaheptadecan- 17-yl)-3- { [(2,5-dioxo-2,5-dihydro- lH-pyrrol- 1 -yl)acetyl] amino } -D-alaninat wurden in 1.0 mL Trifluorethanol gelöst und mit 4.39 mg (32.2 μιηοΐ) Zinkdichlorid versetzt. Die Reaktionsmischung rührte 1 h bei 50 °C. 4.39 mg (32.2 μιηοΐ) Zinkdichlorid wurden zugegeben und die Reaktionsmischung rührte 1 h bei 50 °C. . 4.39 mg (32.2 μιηοΐ) Zinkdichlorid wurden
zugegeben und die Reaktionsmischung rührte 4 h bei 50 °C. Die Reaktionsmischung wurde mit 28.2 mg (96.5 μιηοΐ) Ethylendiamin-N,N,N',N'-tetraessigsäure versetzt, 10 min gerührt und dann mit Wasser (0.1% TFA) versetzt. Die Reinigung erfolgte direkt mittles präp. RP-HPLC (Säule: Reprosil 125x30; 10μ, Fluss: 50 mL/min, MeCN/Wasser, 0.1% TFA). Die Lösemittel wurden im Vakuum verdampft und der Rückstand im Hochvakuum getrocknet. Man erhielt 2.70 mg (56 % d. Th.) der Titel Verbindung.
LC-MS (Methode 1): Rt = 0.89 min; MS (ESIpos): m/z = 781 (M+H)+. Intermediat F279
N-[6-(2,5-Dioxo-2,5-dihydro-lH-pyrrol-l-yl)hexanoyl]-L-valyl-N-[3-({(lR)-l-[l-benzyl-4-(2,5- difluorphenyl)- 1 H-pyrrol-2-yl] -2,2-dimethylpropyl } [( { (2R)-2-carboxy-2- [(3- carbox ropanoyl) amino] ethy 1 } sulf anyl) acetyl] amino)propyl] -L- alaninamid
12.2 mg (14 μιηοΐ) S-(l l-{(lR)-l-[l-Benzyl-4-(2,5-difluorphenyl)-lH-pyrrol-2-yl]-2,2- dimethylpropyl}-2,2-dimethyl-6,12-dioxo-5-oxa-7,l l-diaza-2-silatridecan-13-yl)-N-(4-tert-butoxy- 4-oxobutanoyl)-L-cystein (Intermediat C77) wurden in 2.0 mL Trifluorethanol gelöst und mit 11.4 mg (83.8 μιηοΐ) Zinkdichlorid versetzt. Die Reaktionsmischung rührte 3 h bei 50 °C. Die Reaktionsmischung wurde mit 24.5 mg (83.8 μιηοΐ) Ethylendiamin-N,N,N',N'-tetraessigsäure versetzt, 10 min gerührt und dann mit Wasser (0.1% TFA) versetzt. Die Reinigung erfolgte direkt mittles präp. RP-HPLC (Säule: Reprosil 125x30; 10μ, Fluss: 50 mL/min, MeCN/Wasser, 0.1% TFA). Die Lösemittel wurden im Vakuum verdampft und der Rückstand im Hochvakuum getrocknet. Man erhielt 4.60 mg (42 % d. Th.) der Verbindung 4-{ [(lR)-2-({2-[(3- Aminopropyl) { ( 1 R)- 1 - [ 1 -benzyl-4-(2,5-difluorphenyl)- 1 H-pyrrol-2-yl] -2,2-
dimethylpropyl } amino] -2-oxoethyl } sulfanyl)- 1 -carboxyethyl] amino } -4-oxobutansäure trifluoressigsäure (1: 1).
LC-MS (Methode 1): Rt = 0.88 min; MS (ESIpos): m/z = 673 (M+H)+.
10.0 mg (12.7 μιηοΐ) 4-{ [(lR)-2-({2-[(3-Aminopropyl) {(lR)-l-[l-benzyl-4-(2,5-difluorphenyl)- 1 H-pyrrol-2-yl] -2,2-dimethylpropyl } amino] -2-oxoethyl } sulfanyl)- 1 -carboxyethyl] amino } -4- oxobutansäure -trifluoressigsäure (1 : 1) und 7.41 mg (12.7 μιηοΐ) 2,5-Dioxopyrrolidin-l-yl-N-[6- (2,5-dioxo-2,5-dihydro-lH-pyrrol-l-yl)hexanoyl]-L-valyl-L-alaninat (Intermediat L88) wurden in 1.5 ml Dimethylformamid gelöst und mit 4.4 μΐ (25 μιηοΐ) Ν,Ν-Diisopropylethylamin versetzt. Die Reaktionsmischung wurde 2 h bei RT gerührt. Die Reaktionsmischung wurde mit 2.0 μΐ (35 μιηοΐ) Essigsaeure versetzt und direkt mittles präp. RP-HPLC gereinigt (Säule: Reprosil 250x30; 10μ, Fluss: 50 mL/min, MeCN/Wasser/0.1%TFA). Die Lösemittel wurden im Vakuum verdampft und der Rückstand im Hochvakuum getrocknet. Man erhielt 5.20 mg (39% d. Th.) der Titel Verbinfung.
LC-MS (Methode 1): Rt = 1.11 min; MS (ESIpos): m/z = 1036 (M+H)+. Intermediat F280
Trifluoressigsäure -N-[2-({(2S)-2-amino-4-[{(lR)-l-[l-benzyl-4-(2,5-difluorphenyl)-lH-pyrrol-2- yl] -2,2-dimethylpropyl } (glycoloyl) amino] butanoyl } amino)ethyl]-3-(2,5-dioxo-2,5-dihydro- 1H- pyrrol-l-yl)benzamid (1 : 1)
Die Titelverbindung wurde ausgehend von Intermediat C64 durch Kupplung mit kommerziell erhältlichem l-(3-{ [(2,5-Dioxopyrrolidin-l-yl)oxy]carbonyl}phenyl)-lH-pyrrol-2,5-dion und anschließender Entschützung mit Zinkchlorid hergestellt.
LC-MS (Methode 1): Rt = 0.88 min; MS (ESIpos): m/z = 755 (M+H)+.
Intermediat F281
N-{(2S)-2-Amino-4-[{(lR)-l-[l-benzyl-4-(2,5-difluorphenyl)-lH-pyrrol-2-yl]-2,2- dimethylpropyl } (glycoloyl)amino]butanoyl } -3- { [N-(bromacetyl)-beta-alanyl] amino }
trifluoressigsäure
Zunächst wurden die modifizierten Aminosäurebausteine N-(Bromacetyl)-beta-alanin sowie 2- (Trimethylsilyl)ethyl-3-amino-N-(tert-butoxycarbonyl)-D-alaninat nach klassischen Methoden der Peptidchemie hergestellt. Anschließend wurden diese in Gegenwart von HATU und Morpholin miteinander gekuppelt. Dann wurde mittels 10%-iger Trifluoressigsäure in Dichlormethan die tert. Butoxycarbonyl-Schutzgruppe abgelöst und so das Intermediat 2-(Trimethylsilyl) ethyl-3-{ [N- (bromacetyl)-beta-alanyl] amino } -D-alaninat erhalten.
Schließlich wurde die Titelverbindung durch Kupplung dieses Intermediats mit Intermediat C58 in Gegenwart von HATU und 4-Methylmorpholin und anschließender Entschützung mit Zinkchlorid hergestellt.
LC-MS (Methode 1): Rt = 0.87 min; MS (ESIpos): m/z = 791 und 793 (M+H)+.
Intermediat F282
Trifluoressigsäure -(2S)-2-amino-4- [ { ( 1 R)- 1 - [ 1 -benzyl-4-(2,5-difluorphenyl)- 1 H-pyrrol-2-yl] -2,2- dimethylpropyl } (glycoloyl) amino] -N-(3- { [N-(bromacetyl)glycyl] amino }propyl)butanamid (1: 1)
Zunächst wurde nach klassischen Methoden der Peptidchemie ausgehend von tert-Butylglycinat und Bromessigsäureanhydrid das Intermediat Trifluoressigsäure — N-(3-aminopropyl)-N2- (bromacetyl)glycinamid (1: 1) hergestellt.
Schließlich wurde die Titelverbindung durch Kupplung dieses Intermediats mit Intermediat C58 in Gegenwart von HATU und 4-Methylmorpholin und anschließender Entschützung mit Zinkchlorid hergestellt.
LC-MS (Methode 1): Rt = 0.83 min; MS (ESIpos): m/z = 747 und 749 (M+H)+.
Intermediat F283
N-[(2R)-2-({(2S)-2-Amino-4-[{(lR)-l-[l-benzyl-4-(2,5-difluorphenyl)-lH-pyrrol-2-yl]-2,2- dimethylpropyl } (glycoloyl)amino]butanoyl } amino)-2-carboxyethyl] -N2-(bromacetyl)-L-alpha- asparagin -trifluoressigsäure (1 : 1)
Zunächst wurde ausgehend von (2S)-2-Amino-4-oxo-4-[2-(trimethylsilyl)ethoxy]butansäure und Bromessigsäureanhydrid der modifizierten Aminosäurebaustein (2S)-2-[(Bromacetyl)amino]-4- oxo-4-[2-(trimethylsilyl)ethoxy]butansäure sowie ausgehend von kommerziell erhältlichem 3- { [(Benzyloxy)carbonyl]amino}-N-(tert-butoxycarbonyl)-D-alanin — N-cyclohexylcyclohexanamin (1: 1) der Aminosäurebaustein 2-(Trimethylsilyl)ethyl-3-amino-N-(tert-butoxycarbonyl)-D-alaninat hergestellt. Beide Bausteine wurden in Gegenwart von HATU und Morpholin miteinander gekuppelt und anschließend wurde mittels 5%-iger Trifluoressigsäure in Dichlormethan die tert. Butoxycarbonyl-Schutzgruppe unter Erhalt der Silylethylester-Schutzgruppen abgelöst und so das Intermediat Trifluoressigsäure — 2-(trimethylsilyl)ethyl-N-{(2R)-2-amino-3-oxo-3-[2-
(trimethylsilyl)ethoxy] propyl}-N2-(bromacetyl)-L-alpha-asparaginat (1 : 1) erhalten.
Schließlich wurde die Titelverbindung durch Kupplung dieses Intermediats mit Intermediat C58 in Gegenwart von HATU und 4-Methylmorpholin und anschließender Entschützung mit Zinkchlorid hergestellt.
LC-MS (Methode 1): Rt = 0.84 min; MS (ESIpos): m/z = 835 und 837 (M+H)+.
Intermediat F284
N-{(2S)-2-Amino-4-[{(lR)-l-[l-benzyl-4-(2,5-difluorphenyl)-lH-pyrrol-2-yl]-2,2- dimethylpropyl } (glycoloyl)amino]butanoyl } -3- { [ l-(2,5-dioxo-2,5-dihydro- lH-pyrrol- 1 -yl)-2, 18- dioxo-6,9,12,15- (1 : 1)
Zunächst wurde Intermediat L80 mit kommerziell erhältlicher (2,5-Dioxo-2,5-dihydro-lH-pyrrol- l-yl)essigsäure in Gegenwart von HATU und Ν,Ν-Diisopropylethylamin gekuppelt und anschließend wurde mittels 16%-iger Trifluoressigsäure in Dichlormethan die tert. Butoxycarbonyl-Schutzgruppe unter Erhalt der Silylethylester-Schutzgruppe abgelöst.
Schließlich wurde die Titelverbindung durch Kupplung dieses Intermediats mit Intermediat C58 Gegenwart von HATU und N, N-Diisopropylethylamin und anschließender Entschützung Zinkchlorid hergestellt.
LC-MS (Methode 12): Rt = 1.46 min; MS (ESIpos): m/z = 984.45 (M+H)+.
Intermediat F285
N-{(2S)-2-Amino-4-[{(lR)-l-[l-benzyl-4-(2,5-difluorphenyl)-lH-pyrrol-2-yl]-2,2- dimethylpropyl } (glycoloyl)amino]butanoyl } -3- [( 18-brom- 17-oxo-4,7, 10, 13-tetraoxa- 16- azaoctadecan-l-oyl)amino] -D-alanin -trifluoressigsäure (1: 1)
Zunächst wurde Intermediat L80 mit kommerziell erhältlichem Bromessigsäureanhydrid acyliert und anschließend wurde mittels 20%-iger Trifluoressigsäure in Dichlormethan die tert. Butoxycarbonyl-Schutzgruppe unter Erhalt der Silylethylester-Schutzgruppe abgelöst.
Schließlich wurde die Titelverbindung durch Kupplung dieses Intermediats mit Intermediat C58 in Gegenwart von HATU und N, N-Diisopropylethylamin und anschließender Entschützung mit Zinkchlorid hergestellt.
LC-MS (Methode 1): Rt = 0.85 min; MS (ESIpos): m/z = 967 und 969 (M+H)+.
Intermediat F286
1 - [(N- { (2S)-2- Amino-4- [ { ( 1R) - 1 - [ 1 -benzyl-4-(2,5-difluorphenyl)- 1 H-pyrrol-2-yl] -2,2- dimethylpropyl } (glycoloyl)amino]butarioyl } -3- { [(2,5-dioxo-2,5-dihydro- lH-pyrrol- 1 -yl) acetyl] (1 : 1)
Zunächst wurde Intermediat L91 mit (2,5-Dioxo-2,5-dihydro-lH-pyrrol-l-yl)essigsäure in Gegenwart von HATU und N, N Diisopropylethylamin gekuppelt und anschließend wurde mit 12.5%-iger TFA in DCM die Boc-Schutzgruppe abgelöst. Das so erhaltene Intermediat wurde mit Intermediat C58 in Gegenwart von HATU und N, N Diisopropylethylamin gekuppelt und anschließend durch Entschützung mit Zinkchlorid in die Titelverbindung überführt.
LC-MS (Methode 1): Rt = 0.84 min; MS (ESIpos): m/z = 984 (M+H)+.
Intermediat F288
N-{(2S)-2-Amino-4-[{(lR)-l-[l-benzyl-4-(2,5-difluorphenyl)-lH-pyrrol-2-yl]-2,2- dimethylpropyl } (glycoloyl)amino]butanoyl } -3-({ N-[(2,5-dioxo-2,5-dihydro- lH-pyrrol- 1 - yl)acetyl]-L-seryl}amino)-D-alanin -trifluoressigsäure (1: 1)
35 mg (39 μιηοΐ) von Intermediat C74 wurden in Gegenwart von HATU und N, N- Diisopropyethylamin mit N-[(2,5-Dioxo-2,5-dihydro-lH-pyrrol-l-yl)acetyl]-L-serin gekuppelt, das zuvor ausgehend von tert-Butyl-O-tert-butyl-L-serinat und (2,5-Dioxo-2,5-dihydro-lH-pyrrol-l- yl)essigsäure hergestellt wurde. Nach Entschützung mit Zinkchlorid und HPLC Reinigung wurden 14 mg (38% d. Th.) der Titelverbindung erhalten.
LC-MS (Methode 12): Rt = 1.43 min; MS (ESIpos): m/z = 824.34 (M+H)+.
Intermediat F289
N2- { (2S)-2- Amino-4- [ { ( 1 R)- 1 - [ 1 -benzyl-4-(2,5-difluorphenyl)- 1 H-pyrrol-2-yl] -2,2- dimethylpropyl } (glycoloyl)amino]butanoyl } -N6- [(2,5-dioxo-2,5-dihydro- 1 H-pyrrol- 1 -yl);
lysin -trifluoressigsäure (1: 1)
Zunächst wurde Trifluoressigsäure— 2-(trimethylsilyl)ethyl-N
6-[(2,5-dioxo-2,5-dihydro- lH-pyrrol- l-yl)acetyl]-D-lysinat (1 : 1) nach klassischen Methoden der Peptidchemie ausgehend von N
6- [(Benzyloxy)carbonyl]-N
2-(tert-butoxycarbonyl)-D-lysin hergestellt.
12.5 mg (25 μιηοΐ) von diesem Intermediat wurden in Gegenwart von HATU und 4- Methylmorpholin mit 15 mg (23 μιηοΐ) von Intermediat C58 gekuppelt. Nach Entschützung mit Zinkchlorid und HPLC Reinigung wurden 14 mg (53% d. Th.) der Titelverbindung erhalten.
LC-MS (Methode 1): Rt = 0.83 min; MS (ESIpos): m/z = 779 (M+H)+.
Intermediat F290
N2- { (2S)-2- Amino-4- [ { ( 1 R)- 1 - [ 1 -benzyl-4-(2,5-difluorphenyl)- 1 H-pyrrol-2-yl] -2,2- dimethylpropyl } (glycoloyl)amino]butanoyl } -N6-(bromacetyl)-D-lysin -trifluoressigsä
Zunächst wurde Trifluoressigsäure— 2-(trimethylsilyl)ethyl-N6-(bromacetyl)-D-lysinat (1: 1) nach klassischen Methoden der Peptidchemie ausgehend von N6-[(Benzyloxy)carbonyl]-N2-(tert- butoxycarbonyl)-D-lysin hergestellt.
12 mg (25 μιηοΐ) von diesem Intermediat wurden in Gegenwart von HATU und 4- Methylmorpholin mit 15 mg (23 μιηοΐ) von Intermediat C58 gekuppelt. Nach Entschützung mit Zinkchlorid und HPLC Reinigung wurden 7 mg (36% d. Th.) der Titelverbindung erhalten.
LC-MS (Methode 1): Rt = 0.86 min; MS (ESIpos): m/z = 762 und 764 (M+H)
Intermediat F291
N-[(2,5-Dioxo-2,5-dihydro-lH-pyrrol-l-yl)acetyl]-L-valyl-N-{3-[{(lR)-l-[l-benzyl-4-(2,5- diflu
Die Titelverbindung wurde ausgehend von Beispiel M9 zunächst durch Kupplung mit N- [(Benzyloxy)carbonyl]-L-valyl-L-alanin in Gegenwart von HATU und N,N-Diisopropylethylamin hergestellt. Im nächsten Schritt wurde die Z-Schutzgruppe durch 1-stündige Hydrierung über 10%- igem Palladium auf Aktivkohle bei RT unter Wasserstoff-Normaldruck entfernt und das entschützte Intermediat anschließend durch Kupplung mit (2,5-Dioxo-2,5-dihydro-lH-pyrrol-l- yl)essigsäure in Gegenwart von HATU und N, N Diisopropylethylamin in die Titelverbindung überführt.
LC-MS (Methode 1): Rt = 1.21 min; MS (ESIpos): m/z = 777 (M+H)+.
Intermediat F293
N-{(2S)-2-Amino-4-[{(lR)-l-[l-benzyl-4-(2,5-difluorphenyl)-lH-pyrrol-2-yl]-2,2- dimethylpropyl } (glycoloyl)amino]butanoyl } -3- { [3-(2,5-dioxo-2,5-dihydro- lH-pyrrol- 1 - yl)benzoyl]amino}-D- alanin -trifluoressigsäure (1 : 1)
35 mg (39 μιηοΐ) von Intermediat C74 wurden in 4 ml DMF gelöst und in Gegenwart von N, N- Diisopropylethylamin mit 13.5 mg (43 μιηοΐ) kommerziell erhältlichem l-(3-{ [(2,5- Dioxopyrrolidin-l-yl)oxy] carbonyl}phenyl)-lH-pyrrol-2,5-dion gekuppelt. Nach Entschützung mit Zinkchlorid und HPLC Reinigung wurden 12 mg (34% d. Th.) der Titelverbindung erhalten.
LC-MS (Methode 12): Rt = 0.93 min; MS (ESIpos): m/z = 799 (M+H)+.
Intermediat F294
N- { 5- [(2,5-Dioxopyrrolidin- 1 -yl)oxy] -5-oxopentanoyl } -L- valyl-N- { ( 1 S)-3- [ { ( 1 R)- 1 - [ 1 -benzyl-4- (2,5-difluorphenyl)- 1 H-pyrrol-2-yl] -2,2-dimethylpropyl } (glycoloyl)amino] - 1 -carboxypropyl } -L- alani
41 mg (0.05 mmol) von Intermediat C76 gelöst in 12 mL Methanol wurden über 10 mg 10%-igem Palladium auf Aktivkohle 1 h lang bei RT unter Wasserstoff-Normaldruck hydriert. Der Katalysa-
tor wurde danach abfiltriert und das Lösungsmittel im Vakuum entfernt. Man erhielt 32 mg (92% d.Th.) des entschützten Intermediats.
15 mg (0.022 mmol) von diesem Intermediat wurden in DMF gelöst und mit 13 mg (0.039 mmol) l,l'-[(l,5-Dioxopentan-l,5-diyl)bis(oxy)]dipyrrolidin-2,5-dion und 7 μΐ^ N, N-Diisopropylethyl amin versetzt. Nach 1 h Rühren bei RT wurde der Ansatz eingeengt und der Rückstand mittels HPLC gereinigt. So wurden 9 mg (45% d. Th.) der Titel Verbindung erhalten.
LC-MS (Methode 1): Rt = 1.08 min; MS (ESIpos): m/z = 895 (M+H)+.
Intermediat F295
N-[(2,5-Dioxo-2,5-dihydro- lH-pyrrol- 1 -yl)acetyl] -L- valyl-N- { ( 1 S)-3- [ { ( 1 R)- 1 - [ 1 -benzyl-4-(2,5- difluorphenyl)- 1 H-pyrrol-2-yl] -2,2-dimethylpropyl } (glycoloyl)amino] - 1 -carboxypropyl } -L- alaninamid
41 mg (0.05 mmol) von Intermediat C76 gelöst in 12 mL Methanol wurden über 10 mg 10%-igem Palladium auf Aktivkohle 1 h lang bei RT unter Wasserstoff-Normaldruck hydriert. Der Katalysator wurde danach abfiltriert und das Lösungsmittel im Vakuum entfernt. Man erhielt 32 mg (92% d.Th.) des entschützten Intermediats.
15 mg (0.022 mmol) von diesem Intermediat wurden in 4 mL DMF gelöst und mit 10 mg (0.039 mmol) l-{2-[(2,5-Dioxopyrrolidin-l-yl)oxy]-2-oxoethyl}-lH-pyrrol-2,5-dion und 7 μΐ^ N, N- Diisopropylethyl amin versetzt. Nach 2 h Rühren bei RT wurde der Ansatz eingeengt und der Rückstand mittels HPLC gereinigt. So wurden 10 mg (56% d. Th.) der Titelverbindung erhalten.
LC-MS (Methode 1): Rt = 1.08 min; MS (ESIpos): m/z = 821 (M+H)+.
Intermediat F296
Trifluoressigsäure -(2S)-2-amino-4- [ { ( 1 R)- 1 - [ 1 -benzyl-4-(2,5-difluorphenyl)- 1 H-pyrrol-2-yl] -2,2- dimethylpropyl } (glycoloyl)amino] -N- { 2- [(2- { [(2,5-dioxo-2,5-dihydro- 1 H-pyrrol- 1 - yl) acetyl
Die Titelverbindung wurde ausgehend von Intermediat L81 durch Kupplung mit Intermediat C58 in Gegenwart von HATU und Ν,Ν-Diisopropylethylamin hergestellt. Im nächsten Schritt wurde die Z-Schutzgruppe durch 30-minütige Hydrierung über 10%-igem Palladium auf Aktivkohle in DCM/Methanol 1 : 1 bei RT unter Wasserstoff-Normaldruck entfernt. Das entschützte Intermediat wurde anschließend durch Kupplung mit (2,5-Dioxo-2,5-dihydro-lH-pyrrol-l-yl)essigsäure in Gegenwart von HATU und N, N Diisopropylethylamin und schließlich durch Entschützung mit Zinkchlorid in die Titelverbindung überführt.
LC-MS (Methode 1): Rt = 0.83 min; MS (ESIpos): m/z = 785 (M+H)+.
Intermediat F297
S - { 2- [ { ( 1 R)- 1 - [ 1 -Benzyl-4-(2,5-difluorphenyl)- 1 H-pyrrol-2-yl] -2,2-dimethylpropyl } (pyrrolidin-3- ylmethyl)amino]-2-oxoethyl}-N- [6-(2,5-dioxo-2,5-dihydro-lH-pyrrol-l-yl)hexanoyl]-L-cystein- trifluoressigsäure (1: 1) (Isomer 1)
Eine Lösung von 36 mg (0.03 mmol, 68% Reinheit) S-[2-({(lR)-l-[l-Benzyl-4-(2,5- difluorphenyl)- 1 H-pyrrol-2-yl] -2,2-dimethylpropyl } { [ 1 -(tert-butoxycarbonyl)pyrrolidin-3- yl] methyl } amino)-2-oxoethyl] -N- [6-(2,5-dioxo-2,5-dihydro- 1 H-pyrrol- 1 -yl)hexanoyl] -L-cy stein (Intermediat C92) in 0.74 ml 2,2,2-Trifluoroethanol unter Argon wurde mit 15 mg (0.11 mmol) Zinkchlorid versetzt und das Reaktionsgemisch wurde 7 h bei 50 °C gerührt. Anschließend wurden 32 mg (0.11 mmol) EDTA hinzugegeben und die Mischung wurde 15 Minuten gerührt. Die Reaktionsmischung wurde mit Ethylacetat versetzt und die organische Phase wurde mehrmals mit Wasser und mit ges. NaCl-Lösung gewaschen. Die organische Phase wurde über Magnesiumsulfat getrocknet und das Lösemittel im Vakuum verdampft. Der Rückstand wurde mittels präparative HPLC gereinigt. Man erhielt 6,4 mg (25 % d. Th) der Titelverbindung.
LC-MS (Methode 1): Rt = 0.95 min; MS (ESIpos): m/z = 792 (M+H-CF3C02H)+.
Intermediat F298
S - { 2- [ { ( 1 R)- 1 - [ 1 -Benzyl-4-(2,5-difluorphenyl)- 1 H-pyrrol-2-yl] -2,2-dimethylpropyl } (pyrrolidin-3- ylmethyl)amino]-2-oxoethyl}-N- [6-(2,5-dioxo-2,5-dihydro-lH-pyrrol-l-yl)hexanoyl]-L-cystein- trifluoressigsäure (1: 1) (Isomer 2)
Eine Lösung von 45 mg (0.04 mmol, 71% Reinheit) S-[2-({(lR)-l-[l-Benzyl-4-(2,5- difluorphenyl)- 1 H-pyrrol-2-yl] -2,2-dimethylpropyl } { [ 1 -(tert-butoxycarbonyl)pyrrolidin-3- yl] methyl } amino)-2-oxoethyl] -N- [6-(2,5-dioxo-2,5-dihydro- 1 H-pyrrol- 1 -yl)hexanoyl] -L-cy stein (Intermediat C91) in 0.94 ml 2,2,2-Trifluoroethanol unter Argon wurde mit 19 mg (0.14 mmol) Zinkchlorid versetzt und das Reaktionsgemisch wurde 3 h bei 50 °C gerührt. Anschließend wurden 42 mg (0.14 mmol) EDTA hinzugegeben und die Mischung wurde 15 Minuten gerührt. Die Reaktionsmischung wurde mit Ethylacetat versetzt und die organische Phase wurde mehrmals mit Wasser und mit ges. NaCl-Lösung gewaschen. Die organische Phase wurde über Magnesiumsulfat getrocknet und das Lösemittel im Vakuum verdampft. Der Rückstand wurde mittels präparative HPLC gereinigt. Man erhielt 5,7 mg (18 % d. Th) der Titelverbindung.
LC-MS (Methode 1): Rt = 0.96 min; MS (ESIpos): m/z = 791 (M+H-CF3C02H)+.
Intermediat F299
S-(2- { (3- Aminopropyl) [(R)- [ 1 -benzyl-4-(2,5-difluorphenyl)- 1 H-pyrrol-2- yl] (cyclohexyl)methyl] amino } -2-oxoethyl)-N- [6-(2,5-dioxo-2,5-dihydro- 1 H-pyrrol- 1 - yl)hexanoyl] -L-cy stein -trifluoressigsäure (1 : 1)
Eine Lösung von 88.0 mg (0.09 mmol) S-{ l l-[(R)-[l-Benzyl-4-(2,5-difluorphenyl)-lH-pyrrol-2- yl] (cyclohexyl)methyl]-2,2-dimethyl-6,12-dioxo-5-oxa-7,l l-diaza-2-silatridecan-13-yl}-N-[6-(2,5- dioxo-2,5-dihydro-lH-pyrrol-l-yl)hexanoyl]-L-cystein (Intermediat C84) in 1.88 ml 2,2,2- Trifluoroethanol wurde mit 76.8 mg (0.57 mmol) Zinkchlorid versetzt und das Reaktionsgemisch wurde 3 h bei 50 °C gerührt. Anschließend wurden 164.6 mg (0.57 mmol) EDTA hinzugegeben und die Mischung wurde 15 Minuten gerührt. Die Reaktionsmischung wurde mit Ethylacetat versetzt und die org. Phase wurde mehrmals mit Wasser und mit ges. NaCl-Lösung gewaschen. Die organische Phase wurde über Natriumsulfat getrocknet und das Lösemittel im Vakuum verdampft. Der Rückstand wurde mittels präparative HPLC gereinigt. Man erhielt 31 mg (35 % d. Th ) der Titelverbindung.
LC-MS (Methode 12): Rt = 1.82 min; MS (ESIpos): m/z = 792 (M+H)+. Intermediat F300
(2S)-2- Amino-4- [ { ( 1 R) - 1 - [ 1 -benzyl-4-(2,5-difluorphenyl)- 1 H-pyrrol-2-yl] -2,2- dimethylpropyl } (glycoloyl)amino] -N-(2- { [(2R)-2-(2,5-dioxo-2,5-dihydro- 1 H-pyrrol- 1 - yl)propanoy 1] amino } ethyl)butanamid
Eine Lösung von 7 mg (0.08 mmol)) 2-(Trimethylsilyl)ethyl-{(2S)-4-[{(lR)-l-[l-benzyl-4-(2,5- difluorphenyl)- 1 H-pyrrol-2-yl] -2,2-dimethylpropyl } (glycoloyl)amino] - 1 - [(2- { [(2R)-2-(2,5-dioxo- 2,5-dihydro- lH-pyrrol- 1 -yl)propanoyl] amino } ethyl)amino] - 1 -oxobutan-2-yl } carbamat
(Intermediat C100) in 0.2 ml 2,2,2-Trifluoroethanol unter Argon wurde mit 11 mg (0.08 mmol) Zinkchlorid versetzt und das Reaktionsgemisch wurde 8 h bei 50 °C gerührt. Anschließend wurden 14 mg (0.05 mmol) EDTA hinzugegeben und die Mischung wurde 15 Minuten gerührt. Die Reaktionsmischung wurde mit Ethylacetat versetzt und die organische Phase wurde mehrmals mit Wasser und mit ges. NaCl-Lösung gewaschen. Die organische Phase wurde über Magnesiumsulfat getrocknet und das Lösemittel im Vakuum verdampft. Der Rückstand wurde mittels präparative HPLC gereinigt. Man erhielt 1,6 mg (27 % d. Th) der Titel Verbindung.
LC-MS (Methode 1): Rt = 0.88 min; MS (ESIpos): m/z = 707 (M+H-CF3C02H)+.
Intermediat F302
S-{2-[{(lR)-l-[l-benzyl-4-(2,5-difluorophenyl)-lH-pyrrol-2-yl]-2,2-dimethylpropyl}(pyrrolidin-3- ylmethyl)amino] -2-oxoethyl }-N- [(2,5-dioxo-2,5-dihydro- lH-pyrrol- 1 -yl)acetyl] -L-cysteine trifluoroacetate (1 : 1) (Isomer 1)
Eine Mischung von 56.9 mg (58.2 mmol, 85 % Reinheit) S-[2-({(lR)-l-[l-Benzyl-4-(2,5- difluorphenyl)- 1 H-pyrrol-2-yl] -2,2-dimethylpropyl } { [( 1 -(tert-butoxycarbonyl)pyrrolidin-3- yl] methyl } amino)-2-oxoethyl] -N- [(2,5-dioxo-2,5-dihy dro- 1 H-pyrrol- 1 -yl)acetyl] -L-cy stein (Intermediat C94) in 1.4 ml 2,2,2-Trifluoroethanol unter Argon wurde mit 31.7 mg (0.23 mmol) Zinkchlorid versetzt und das Reaktionsgemisch wurde 3 h bei 50 °C gerührt. Anschließend wurden 68.0 mg (0.23 mmol) EDTA hinzugegeben und die Mischung wurde 15 Minuten gerührt. Die Reaktionsmischung wurde mit Ethylacetat versetzt und die organische Phase wurde mehrmals mit Wasser und mit ges. NaCl-Lösung gewaschen. Die organische Phase wurde über Magnesiumsulfat getrocknet und das Lösemittel im Vakuum verdampft. Der Rückstand wurde mittels präparative HPLC gereinigt. Man erhielt 7 mg (13 % d. Th) der Titelverbindung.
LC-MS (Methode 1): Rt = 0.91 min; MS (ESIpos): m/z = 736 (M+H-CF3C02H)+.
Intermediat F304
N-(2-{ [3-({2-[{(lR)-l-[l-benzyl-4-(2,5-difluorphenyl)-lH-pyrrol-2-yl]-2,2- dimethylpropyl } (pyrrolidin-3-ylmethyl)amino] -2-oxoethyl } sulfanyl)propanoyl] amino } ethyl)-6- (2,5-dioxo-2,5-dihydro-lH-pyrrol-l-yl)hexanamid (1 : 1) Trifluoressigsäure (Isomer 2)
Eine Lösung von 22.3 mg (0.02 mmol) tert-Butyl-3-[2-{(lR)-l-[l-benzyl-4-(2,5-difluorphenyl)- lH-pyrrol-2-yl]-2,2-dimethylpropyl}-18-(2,5-dioxo-2,5-dihydro-lH-pyrrol-l-yl)-3,8,13-trioxo-5- thia-2,9,12-triazaoctadec-l-yl]pyrrolidin-l-carboxylat (Intermediat 98) in 0.64 ml 2,2,2- Trifluoroethanol wurde mit 13.2 mg (0.10 mmol) Zinkchlorid versetzt und das Reaktionsgemisch wurde 8 h bei 50 °C gerührt. Anschließend wurden 28.36 mg (0.10 mmol) EDTA hinzugegeben und die Mischung wurde 15 Minuten gerührt. Die Reaktionsmischung wurde mit Ethylacetat versetzt und die organische Phase wurde mehrmals mit Wasser und mit ges. NaCl-Lösung gewaschen. Die organische Phase wurde über Magnesiumsulfat getrocknet und das Lösemittel im Vakuum verdampft. Der Rückstand wurde mittels präp. HPLC gereinigt. Man erhielt 5 mg ( 24 % d. Th ) der Titelverbindung.
LC-MS (Methode 5): Rt 3.05 min; MS (ESIpos): m/z = 819 (M+H-CF3C02H)+. Intermediat F305
N- { ( 1 R)- 1 - [ 1 -Benzyl-4-(2,5-difluorphenyl)- lH-pyrrol-2-yl] -2,2-dimethylpropyl } -22-(2,5-dioxo- 2,5-dihydro-lH-pyrrol-l-yl)-6,17-dioxo-N-(pyrrolidin-3-ylmethyl)-10,13-dioxa-3-thia-7,16- diazadocosan-l-amid (1: 1) Trifluoressigsäure (Isomer 2)
Eine Lösung von 24.80 mg (0.02 mmol) tert-Butyl-3-[2-{(lR)-l-[l-benzyl-4-(2,5-difluorphenyl)- lH-pyrrol-2-yl]-2,2-dimethylpropyl}-24-(2,5-dioxo-2,5-dihydro-lH-pyrrol-l-yl)-3,8,19-trioxo- 12,15-dioxa-5-thia-2,9,18-triazatetracos-l-yl]pyrrolidin-l-carboxylat (Intermediat C99) in 0.65 ml 2,2,2-Trifluoroethanol wurde mit 13.42 mg (0.10 mmol) Zinkchlorid versetzt und das Reaktionsgemisch wurde 8 h bei 50 °C gerührt. Anschließend wurden 28.78 mg (0.10 mmol) EDTA hinzugegeben und die Mischung wurde 15 Minuten gerührt. Die Reaktionsmischung wurde mit Ethylacetat versetzt und die org. Phase wurde mehrmals mit Wasser und mit ges. NaCl-Lösung gewaschen. Die organische Phase wurde über Magnesiumsulfat getrocknet und das Lösemittel im Vakuum verdampft. Der Rückstand wurde mittels präparative HPLC gereinigt. Man erhielt 10 mg (44 % d. Th) der Titelverbindung.
LC-MS (Methode 5): Rt = 3.11 min; MS (ESIpos): m/z = 907 (M+H-CF3C02H)+.
Intermediat F306
N6-(N- { (2S)-2- Amino-4- [ { ( 1R)- 1 - [ 1 -benzyl-4-(2,5-difluorphenyl)- 1 H-pyrrol-2-yl] -2,2- dimethylpropyl } (glycoloyl)amino]butanoyl } -beta-alanyl)-N2- { N-[(2,5-dioxo-2,5-dihydro- 1H- pyrrol-l-yl)acetyl]-L-valyl-L-alanyl-beta-alanyl}-L-lysin -trifluoressigsäure (1 : 1)
Die Titelverbindung wurde durch Kupplung von 24 mg (0.029 mmol) des Intermediats C61 mit 30 mg (0.035 mmol) von Intermediat L99 in Gegenwart von 16.7 mg (0.044 mmol) HATU sowie 15 μΐ Ν,Ν-Diisopropylethylamin und anschließender Entschützung mit Zinkchlorid in Trifluorethanol wie in Intermediat Fl 19 beschrieben hergestellt. Nach Reinigung durch präparative HPLC wurden 19 mg (52% d. Th. über 2 Stufen) der Titelverbindung erhalten.
LC-MS (Methode 1): Rt = 0.84 min; MS (ESIpos): m/z = 1091 (M+H)+. Intermediat F307
N-[6-(2,5-Dioxo-2,5-dihydro-lH-pyrrol-l-yl)hexanoyl]-L-valyl-L-alanyl-S-{(5R,14R)-13-(3- aminopropyl)- 14-[ 1 -benzyl-4-(2,5-difluorphenyl)- lH-pyrrol-2-yl] -5-carboxy- 15, 15-dimethyl- 2,7,12-trioxo-10-thia-3,6,13-triazahexadec-l-yl}-L-cystein -trifluoressigsäure (1 : 1)
8.90 mg (8.88 μιηοΐ) Trifluoressigsäure 2-(trimethylsilyl)ethyl-3-arnino-N-(l l-{(lR)-l-[l-benzyl-
4- (2,5-difluorphenyl)- lH-pyrrol-2-yl] -2,2-dimethylpropyl } -2,2-dimethyl-6, 12, 17-trioxo-5-oxa- 14- thia-7,l l-diaza-2-silaheptadecan-17-yl)-D-alaninat (1 : 1) (Intermediat C80) und 2.31 mg (9.77 μιηοΐ) l-(2-Bromacetoxy)pyrrolidin-2,5-dion wurden in 1 ml Dimethylformamid gelöst und mit 2.9 μΐ (27 μιηοΐ) N-Methylmorpholin versetzt. Die Reaktionsmischung wurde 1 h bei RT gerührt. Die Reaktionsmischung wurde direkt mittles präp. RP-HPLC gereinigt (Säule: Reprosil 125x30; 10μ, Fluss: 50 mL/min, MeCN/Wasser/0.1%TFA). Die Lösemittel wurden im Vakuum verdampft und der Rückstand im Hochvakuum getrocknet. Man erhielt 5.80 mg (65% d. Th.) der Verbinfung 2- (Trimethylsilyl)ethyl-N-( 11- { ( 1R)- 1-[ 1 -benzyl-4-(2,5-difluorphenyl)- lH-pyrrol-2-yl] -2,2- dimethylpropyl }-2,2-dimethyl-6, 12, 17-trioxo-5-oxa-14-thia-7, 11 -diaza-2-silaheptadecan-17-yl)-3- [(bromacetyl)amino] -D-alaninat.
LC-MS (Methode 1): Rt = 1.57 min; MS (ESIpos): m/z = 1008 (M+H)+.
2-(Trimethylsilyl)ethyl-N-( 11 - { ( 1 R) - 1 - [ 1 -benzyl-4-(2,5-difluorphenyl)- 1 H-pyrrol-2-yl] -2,2- dimethylpropyl }-2,2-dimethyl-6, 12, 17-trioxo-5-oxa-14-thia-7, 11 -diaza-2-silaheptadecan-17-yl)-3- [(bromacetyl)amino] -D-alaninat (31.9 mg, 31.6 μιηοΐ) und L-Cystein (7.66 mg, 63.2 μιηοΐ) wurden in 3.0 ml DMF gelöst und über Nacht bei RT nachgerührt. Die Reaktionsmischung wurde direkt mittles präp. RP-HPLC gereinigt (Säule: Reprosil 250x30; 10μ, Fluss: 50 mL/min, MeCN/Wasser/0.1%TFA). Die Lösemittel wurden im Vakuum verdampft und der Rückstand im Hochvakuum getrocknet. Man erhielt 28.1 mg (76% d. Th.) der Verbinfung S-[(19R)-11-{(1R)-1- [ 1 -Benzyl-4-(2,5-difluorphenyl)- lH-pyrrol-2-yl] -2,2-dimethylpropyl } -2,2-dimethyl-6, 12, 17,22- tetraoxo- 19- { [2-(trimethylsilyl)ethoxy]carbonyl }-5-oxa- 14-thia-7, 11 , 18,21 -tetraaza-2-silatricosan- 23-yl]-L-cystein -trifluoressigsäure (1 : 1).
LC-MS (Methode 12): Rt = 2.52 min; MS (ESIpos): m/z = 1049 [M+H]+
5- [(19R)-l l-{(lR)-l-[l-Benzyl-4-(2,5-difluorphenyl)-lH-pyrrol-2-yl]-2,2-dimethylpropyl}-2,2- dimethyl-6, 12, 17,22-tetraoxo- 19- { [2-(trimethylsilyl)ethoxy] carbonyl } -5-oxa- 14-thia-7, 11, 18,21 - tetraaza-2-silatricosan-23-yl]-L-cystein -trifluoressigsäure (1: 1) (13.5 mg, 11.6 μιηοΐ) wurde in 1.0 ml DMF gelöst, mit 2,5-Dioxopyrrolidin-l-yl-N-[6-(2,5-dioxo-2,5-dihydro-lH-pyrrol-l- yl)hexanoyl]-L-valyl-L-alaninat (6.76 mg, 11.6 μιηοΐ) (Intermediat L88) und N,N- Diisopropylethylamin (4.0 μΐ, 23 μιηοΐ) versetzt und lh bei RT nachgerührt gerührt. Die Reaktionsmischung wurde direkt mittles präp. RP-HPLC gereinigt (Säule: Reprosil 250x30; 10μ, Fluss: 50 mL/min, MeCN/Wasser/0.1%TFA). Die Lösemittel wurden im Vakuum verdampft und der Rückstand im Hochvakuum getrocknet. Man erhielt 11.1 mg (68% d. Th.) der Verbinfung N- [6-(2,5-Dioxo-2,5-dihydro-lH-pyrrol-l-yl)hexanoyl]-L-valyl-L-alanyl-S-[(19R)-l l-{(lR)-l-[l-
benzyl-4-(2,5-difluorphenyl)- lH-pyrrol-2-yl]-2,2-dimethylpropyl } -2,2-dimefhyl-6, 12, 17,22- tetraoxo- 19- { [2-(trimethylsilyl)ethoxy]carbonyl }-5-oxa- 14-thia-7, 11 , 18,21 -tetraaza-2-silatricosan- 23-yl]-L-cystein.
LC-MS (Methode 14): Rt = 7.38 min; MS (ESIpos): m/z = 1412 [M+H]+
N-[6-(2,5-Dioxo-2,5-dihydro-lH-pyrrol-l-yl)hexanoyl]-L-valyl-L-alanyl-S-[(19R)-l l-{(lR)-l-[l- benzyl-4-(2,5-difluorphenyl)- lH-pyrrol-2-yl]-2,2-dimethylpropyl } -2,2-dimefhyl-6, 12, 17,22- tetraoxo- 19- { [2-(trimethylsilyl)ethoxy]carbonyl }-5-oxa- 14-thia-7, 11 , 18,21 -tetraaza-2-silatricosan- 23-yl]-L-cystein (9.40 mg, 6.65 μιηοΐ) wurde in 2.0 ml Trifluorethanol gelöst, mit Zinkdichlorid (5.44 mg, 39.9 μmol) versetzt. Die Reaktionsmischung rührte 1 h bei 50 °C. Zinkdichlorid (5.44 mg, 39.9 μιηοΐ) wurden zugegeben und die Reaktionsmischung rührte 1 h bei 50 °C. Die Reaktionsmischung wurde mit Ethylendiamin-N,N,N',N'-tetraessigsäure (23.4 mg, 79.8 μιηοΐ) versetzt, 10 min gerührt und dann mit Wasser (0.1% TFA) versetzt. Die Reinigung erfolgte direkt mittles präp. RP-HPLC (Säule: Reprosil 250x30; 10μ, Fluss: 50 mL/min, MeCN/Wasser, 0.1% TFA). Die Lösemittel wurden im Vakuum verdampft und der Rückstand im Hochvakuum getrocknet. Man erhielt 5.60 mg (66 % d. Th.) der Titel Verbindung.
LC-MS (Methode 1): Rt = 0.93 min; MS (ESIpos): m/z = 1168 (M+H)+.
Intermediat F308
N-[6-(2,5-Dioxo-2,5-dihydro-lH-pyrrol-l-yl)hexanoyl]-L-valyl-N-[(12R,19R)-19-amino-4-{(lR)- 1 - [ 1 -benzyl-4-(2,5-difluorphenyl)- 1 H-pyrrol-2-yl] -2,2-dimethylpropyl } - 12, 19-dicarboxy-5, 10,15- trioxo-7,17-dithia-4,l l,14-triazanonadec-l-yl]-L-alaninamid -trifluoressigsäure (1 : 1)
N-[3-( { 2-[(3-Aminopropyl) { ( 1R)- 1-[ 1 -benzyl-4-(2,5-difluorphenyl)- lH-pyrrol-2-yl]-2,2- dimethylpropyl } amino] -2-oxoethyl } sulfanyl)propanoyl] -3- [(bromacetyl)amino] -D-alanin trifluoressigsäure (1: 1) (12.7 mg, 14.5 μιηοΐ) und N-{ [2-(Trimethylsilyl)ethoxy]carbonyl}-L- cystein (3.84 mg, 14.5 μιηοΐ) wurden in 1.5 ml DMF gelöst und über Nacht bei RT nachgerührt. Dann wurde N,N-Diisopropylethylamin (2.5 μΐ, 14 μmol)zugegeben. Die Reaktionsmischung rührte 3 h bei RT und wurde dann mit Wasser (0.1 % TFA) versetzt. Die Reinigung erfolgte direkt mittles präp. RP-HPLC (Säule: Reprosil 250x30; 10μ, Fluss: 50 mL/min, MeCN/Wasser, 0.1% TFA). Die Lösemittel wurden im Vakuum verdampft und der Rückstand im Hochvakuum getrocknet. Man erhielt 7.40 mg (48 % d. Th.) der Verbindung S-{(5R,14R)-13-(3-Aminopropyl)- 14-[l-benzyl-4-(2,5-difluorphenyl)-lH-pyrrol-2-yl]-5-carboxy-15,15-dimethyl-2,7,12-trioxo-10- thia-3,6, 13-triazahexadec- 1 -yl } -N- { [2-(trimethylsilyl)ethoxy]carbonyl } -L-cystein
trifluoressigsäure (1: 1).
LC-MS (Methode 1): Rt = 1.03 min; MS (ESIpos): m/z = 949 [M+H]+
S-{(5R,14R)-13-(3-Aminopropyl)-14-[l-benzyl-4-(2,5-difluorphenyl)-lH-pyrrol-2-yl]-5-carboxy- 15, 15-dimethyl-2,7, 12-trioxo- 10-thia-3,6, 13-triazahexadec- 1 -yl } -N- { [2-
(trimethylsilyl)ethoxy]carbonyl} -L-cystein -trifluoressigsäure (1 : 1) (7.50 mg, 7.05 μιηοΐ) wurde in 1.0 ml DMF gelöst und mit 2,5-Dioxopyrrolidin-l-yl-N-[6-(2,5-dioxo-2,5-dihydro-lH-pyrrol-l- yl)hexanoyl]-L-valyl-L-alaninat (4.11 mg, 82 % Reinheit, 7.05 μιηοΐ) (Intermediat L88) und N,N- Diisopropylethylamin (2.5 μΐ, 14 μιηοΐ) versetzt. Die Reaktionsmischung wurde lh bei RT gerührt
und dann direkt mittles präp. RP-HPLC (Säule: Reprosil 250x30; 10μ, Fluss: 50 mL/min, MeCN/Wasser/0.1% TFA) gereinigt. Die Lösemittel wurden im Vakuum verdampft und der Rückstand im Hochvakuum getrocknet. Man erhielt 4.30 mg (46 %) der Verbindung N-[6-(2,5- Dioxo-2,5-dihydro- 1 H-pyrrol- 1 -yl)hexanoyl] -L-valyl-N- [(8R, 15R)-23- { ( 1 R)- 1 - [ 1 -benzyl-4-(2,5- difluorphenyl)- 1 H-pyrrol-2-yl] -2,2-dimethylpropyl } - 8, 15-dicarboxy-2,2-dimethyl-6, 12, 17,22- tetraoxo-5-oxa- 10,20-dithia-7, 13,16,23-tetraaza-2-silahexacosan-26-yl] -L-alaninamid.
LC-MS (Methode 14): Rt = 6.47 min; MS (ESIpos): m/z = 1312 [M+H] +
N-[6-(2,5-Dioxo-2,5-dihydro-lH-pyrrol-l-yl)hexanoyl]-L-valyl-N-[(8R,15R)-23-{(lR)-l-[l- benzyl-4-(2,5-difluorphenyl)-lH-pyrrol-2-yl]-2,2-dimethylpropyl}-8,15-dicarboxy-2,2-dimethyl- 6, 12, 17,22-tetraoxo-5-oxa-10,20-dithia-7,l 3, 16,23-tetraaza-2-silahexacosan-26-yl] -L-alaninamid (4.00 mg, 3.05 μιηοΐ) wurde in 1.0 ml Trifluorethanol gelöst und mit Zinkdichlorid (2.49 mg, 18.3 μιηοΐ) versetzt. Die Reaktionsmischung rührte 1 h bei 50 °C und wurde dann mit Ethylendiamin- Ν,Ν,Ν',Ν'-tetraessigsäure (5.34 mg, 18.3 μιηοΐ) versetzt, 10 min gerührt und dann mit Wasser (0.1% TFA) versetzt. Die Reinigung erfolgte direkt mittles präp. RP-HPLC (Säule: Reprosil 250x30; 10μ, Fluss: 50 mL/min, MeCN/Wasser, 0.1% TFA). Die Lösemittel wurden im Vakuum verdampft und der Rückstand im Hochvakuum getrocknet. Man erhielt 2.50 mg (64 % d. Th.) der Titel Verbindung.
LC-MS (Methode 1): Rt = 1.00 min; MS (ESIpos): m/z = 1168 [M+H]+ Intermediat F309
4- { [( 11 R, 17R)- 16-(3- Aminopropyl)- 17- [ 1 -benzyl-4-(2,5-difluorphenyl)- 1 H-pyrrol-2-yl] - 1 -(2,5- dioxo-2,5-dihydro-lH-pyrrol-l-yl)-18,18-dimethyl-6,6-dioxido-2,10,15-trioxo-61ambda6,13-dithia- 3,9,16-triazanonadecan-l l-yl]amino}-4-oxobutansäure -trifluoressigsäure (1 : 1)
S-( 11 - { ( 1 R)- 1 - [ 1 -Benzyl-4-(2,5-difluorphenyl)- 1 H-pyrrol-2-yl] -2,2-dimethylpropyl } -2,2-dimefhyl- 6,12-dioxo-5-oxa-7,l l-diaza-2-silatridecan-13-yl)-N-(4-tert-butoxy-4-oxobutanoyl)-L-cystein (50.0 mg, 57.3 μηιοΐ) (Intermediat C77) und Trifluoressigsäure -benzyl-{2-[(2- aminoethyl)sulfonyl]ethyl}carbamat (1 : 1) (27.5 mg, 68.7 μηιοΐ) (Intermediat L81) wurden in 4.0 ml DMF vorgelegt, mit HATU (26.1 mg, 68.7 μηιοΐ) und N,N-Diisopropylethylamin: (30 μΐ, 170 μηιοΐ) versetzt. Die Reaktionsmischung wurde 10 min bei RT gerührt und dann direkt mittles präp. RP-HPLC (Säule: Reprosil 250x30; 10μ, Fluss: 50 mL/min, MeCN/Wasser/0.1% TFA) gereinigt. Die Lösemittel wurden im Vakuum verdampft und der Rückstand im Hochvakuum getrocknet. Man erhielt 53.9 mg (81 %) der Verbindung tert-Butyl-4-{ [(12R)-17-{(lR)-l-[l-benzyl-4-(2,5- difluorphenyl)- 1 H-pyrrol-2-yl] -2,2-dimethylpropyl } -26,26-dimethyl-7,7-dioxido-3, 11 , 16,22- tetraoxo- 1 -phenyl-2,23-dioxa-71ambda6, 14-dithia-4, 10, 17,21 -tetraaza-26-silaheptacosan- 12- yl] amino } -4-oxobutanoat.
LC-MS (Methode 1): Rt = 1.54 min; MS (ESIpos): m/z = 1141 [M+H]+
Unter Argon, wurde Palladium(II)acetat (5.12 mg, 22.8 μηιοΐ) in 3.0 ml DCM vorgelegt, mit Triethylamin (9.5 μΐ, 68 μηιοΐ) und Triethylsilan (73 μΐ, 460 μηιοΐ) versetzt und 5 min. gerührt. Dann wurde tert-Butyl-4-{ [(12R)-17-{(lR)-l-[l-benzyl-4-(2,5-difluorphenyl)-lH-pyrrol-2-yl]-2,2- dimethylpropyl } -26,26-dimethyl-7,7-dioxido-3, 11 , 16,22-tetraoxo- 1 -phenyl-2,23-dioxa- 71ambda6,14-dithia-4, 10, 17,21 -tetraaza-26-silaheptacosan-12-yl] amino} -4-oxobutanoat (52.1 mg, 45.6 μηιοΐ) in 2.0 ml DCM zugegeben. Die Reaktionsmischung wurde über Nacht bei RT nachgerührt und mit 2.0 ml Wasser versetzt. Die Lösemittel wurden im Vakuum verdampft. Der Rückstand wurde mit Acetonitril versetzt, filtriert und mittles präp. RP-HPLC (Säule: Reprosil 125x30; 10μ, Fluss: 50 mL/min, MeCN/Wasser/0.1% TFA) gereinigt. Die Lösemittel wurden im
Vakuum verdampft und der Rückstand im Hochvakuum getrocknet. Man erhielt 43.4 mg (85 %) der Verbindung trifluoressigsäure-tert-butyl-4-{ [(16R)-23-amino-l l-{(lR)-l-[l-benzyl-4-(2,5- difluorphenyl)- 1 H-pyrrol-2-yl] -2,2-dimethylpropyl } -2,2-dimethyl-21 ,21 -dioxido-6, 12, 17-trioxo-5- oxa- 14,2 llambda6-dithia-7, 11 , 18-triaza-2-silatricosan- 16-yl] amino } -4-oxobutanoat (1: 1).
LC-MS (Method 1): Rt = 1.21 min; MS (ESIpos): m/z = 1007 [M+H]+
Trifluoressigsäure-tert-butyl-4- { [( 16R)-23-amino- 11 - { ( 1 R) - 1 - [ 1 -benzyl-4-(2,5-difluorphenyl)- 1 H- pyrrol-2-yl] -2,2-dimethylpropyl } -2,2-dimethyl-21 ,21 -dioxido-6, 12, 17-trioxo-5-oxa- 14,21 lambda6- dithia-7,l l,18-triaza-2-silatricosan-16-yl]amino}-4-oxobutanoat (1 : 1) (20.0 mg, 17.8 μιηοΐ) und (2,5-dioxo-2,5-dihydro-lH-pyrrol-l-yl)essigsäure (3.32 mg, 21.4 μιηοΐ) wurden in 2.0 ml DMF vorgelegt, und mit HATU (8.14 mg, 21.4 μιηοΐ) und N,N-Diisopropylethylamin (9.3 μΐ, 54 μιηοΐ) versetzt.
Die Reaktionsmischung wurde 10 min bei RT nachgerührt. Die Reaktionsmischung wurde direkt mittles präp. RP-HPLC (Säule: Reprosil 250x30; 10μ, Fluss: 50 mL/min, MeCN/Wasser/0.1% TFA) gereinigt. Die Lösemittel wurden im Vakuum verdampft und der Rückstand im Hochvakuum getrocknet. Man erhielt 17.4 mg (85 %) der Verbindung tert-Butyl-4-{ [(16R)-l l-{(lR)-l-[l- benzyl-4-(2,5-difluorphenyl)-lH-pyrrol-2-yl]-2,2-dimethylpropyl}-26-(2,5-dioxo-2,5-dihydro-lH- pyrrol- l-yl)-2,2-dimethyl-21,21 -dioxido-6, 12, 17,25-tetraoxo-5-oxa- 14,2 llambdaö-dithia-
7.11.18.24- tetraaza-2-silahexacosan- 16-yl] amino } -4-oxobutanoat.
LC-MS (Methode 1): Rt = 1.46 min; MS (ESIpos): m/z = 1144 [M+H]+
Tert-Butyl-4-{ [(16R)-l l-{(lR)-l-[l-benzyl-4-(2,5-difluorphenyl)-lH-pyrrol-2-yl]-2,2- dimethylpropyl } -26-(2,5-dioxo-2,5-dihydro- 1 H-pyrrol- 1 -yl)-2,2-dimethyl-21 ,21 -dioxido-
6.12.17.25- tetraoxo-5-oxa- 14,2 llambda6-dithia-7,l l,18,24-tetraaza-2-silahexacosan- 16-yl] amino}- 4-oxobutanoat (15.9 mg, 13.9 μιηοΐ) wurde in 2.0 ml Trifluorethanol gelöst, mit Zinkdichlorid (11.4 mg, 83.4 μιηοΐ) versetzt. Die Reaktionsmischung rührte 1 h bei 50 °C. Zinkdichlorid (11.4 mg, 83.4 μιηοΐ) wurden zugegeben und die Reaktionsmischung rührte 1 h bei 50 °C. Zinkdichlorid (11.4 mg, 83.4 μιηοΐ) wurden zugegeben und die Reaktionsmischung rührte 1 h bei 50 °C. Die Reaktionsmischung wurde mit Ethylendiamin-N,N,N',N'-tetraessigsäure (73.2 mg, 250 μιηοΐ) versetzt, 10 min gerührt und dann mit Wasser (0.1% TFA) versetzt. Die Reinigung erfolgte direkt mittles präp. RP-HPLC (Säule: Reprosil 250x30; 10μ, Fluss: 50 mL/min, MeCN/Wasser, 0.1% TFA). Die Lösemittel wurden im Vakuum verdampft und der Rückstand im Hochvakuum getrocknet. Man erhielt 10 mg (68 % d. Th.) der Titel Verbindung.
LC-MS (Methode 12): Rt = 1.45 min; MS (ESIpos): m/z = 944 [M+H]+
Intermediat F310
Trifluoressigsäure-N-[(8R,14R)-13-(3-arrünopropyl)-14-[l-benzyl-4-(2,5-difluorphenyl)-lH- pyrrol-2-yl] - 1 -(2,5-dioxo-2,5-dihydro- 1 H-pyrrol- 1 -yl)- 15, 15-dimethyl-2,7, 12-trioxo- 10-fhia- 3,6,13-triazahexadecan-8-yl]-2,5,8,l l-tetraoxatetradecan-14-amid (1 : 1)
S-( 11 - { ( 1 R)- 1 - [ 1 -Benzyl-4-(2,5-difluorphenyl)- 1 H-pyrrol-2-yl] -2,2-dimethylpropyl } -2,2-dimefhyl- 6,12-dioxo-5-oxa-7,l l-diaza-2-silatridecan-13-yl)-L-cystein -trifluoressigsäure (1: 1) (100 mg, 120 μιηοΐ) (Intermediat C70) und l-[(14-Oxo-2,5,8,l l-tetraoxatetradecan-14-yl)oxy]pyrrolidin-2,5- dion (44.1 mg, 132 μιηοΐ) wurden in 3.0 ml DMF vorgelegt und mit 4-Methylmorpholin (40 μΐ, 360 μmol) versetzt. Die Reaktionsmischung wurde über Nacht bei RT gerührt, mit Essigsäure (420 μιηοΐ) gequencht und direkt mittles präp. RP-HPLC (Säule: Reprosil 125x30; 10μ, Fluss: 50 mL/min, MeCN/Wasser/0.1% TFA) gereinigt. Die Lösemittel wurden im Vakuum verdampft und der Rückstand im Hochvakuum getrocknet. Man erhielt 69.4 mg (62 % d. Th.) der Verbindung S- ( 11 - { ( 1 R) - 1 - [ 1 -Benzyl-4-(2,5-difluorphenyl)- lH-pyrrol-2-yl] -2,2-dimethylpropyl } -2,2-dimethyl- 6, 12-dioxo-5-oxa-7, 11 -diaza-2-silatridec an- 13-yl)-N-( 14-oxo-2,5, 8,11 -tetraoxatetradecan-14-yl)-L- cystein.
LC-MS (Methode 12): Rt = 2.61 min; MS (ESIneg): m/z = 933 [M-H]"
S-( 11 - { ( 1 R)- 1 - [ 1 -Benzyl-4-(2,5-difluorphenyl)- 1 H-pyrrol-2-yl] -2,2-dimethylpropyl } -2,2-dimethyl- 6, 12-dioxo-5-oxa-7, 11 -diaza-2-silatridec an- 13-yl)-N-( 14-oxo-2,5, 8,11 -tetraoxatetradecan-14-yl)-L- cystein (27.0 mg, 28.9 μιηοΐ) wurde in 2.0 ml DMF vorgelegt und mit N-(2-Aminoethyl)-2-(2,5- dioxo-2,5-dihydro-l H-pyrrol- l-yl)acetamid (11.4 mg, 57.7 μιηοΐ) (Intermediat LI), N,N-
Diisopropylethylamin (15 μΐ, 87 μmol) und HATU (22.0 mg, 57.7 μιηοΐ) versetzt. Die Reaktionsmischung wurde 3h bei RT gerührt und direkt mittles präp. RP-HPLC (Säule: Reprosil 250x30; 10μ, Fluss: 50 mL/min, MeCN/Wasser/0.1% TFA) gereinigt. Die Lösemittel wurden im Vakuum verdampft und der Rückstand im Hochvakuum getrocknet. Man erhielt 13.7 mg (43 % d. Th.) der Verbindung 2-(Trimethylsilyl)ethyl-{(16R)-21-{(lR)-l-[l-benzyl-4-(2,5-difluorphenyl)- 1 H-pyrrol-2-yl] -2,2-dimethylpropyl } - 16- [(2- { [(2,5-dioxo-2,5-dihydro- 1 H-pyrrol- 1 - yl)acetyl] amino }ethyl)carbamoyl]- 14,20-dioxo-2,5,8, 11-tetraoxa- 18-thia- 15,21 -diazatetracosan-24- yljcarbamat.
LC-MS (Methode 12): Rt = 2.54 min; MS (ESIpos): m/z = 1114 [M+H] +
2-(Trimethylsilyl)ethyl-{(16R)-21-{(lR)-l-[l-benzyl-4-(2,5-difluorphenyl)-lH-pyrrol-2-yl]-2,2- dimethylpropyl } - 16- [(2- { [(2,5-dioxo-2,5-dihydro- 1 H-pyrrol- 1 -yl)acetyl] amino } ethyl)carbamoyl] - 14,20-dioxo-2,5,8,l l-tetraoxa-18-thia-15,21-diazatetracosan-24-yl}carbamat (13.7 mg, 12.3 μιηοΐ) wurde in 2.0 ml Trifluorethanol gelöst, mit Zinkdichlorid (10.1 mg, 73.8 μιηοΐ) versetzt. Die Reaktionsmischung rührte 4 h bei 50 °C. Die Reaktionsmischung wurde mit Efhylendiamin- Ν,Ν,Ν',Ν'-tetraessigsäure (21.6 mg, 73.8 μιηοΐ) versetzt, 10 min gerührt und dann mit Wasser (0.1% TFA) versetzt. Die Reinigung erfolgte direkt mittles präp. RP-HPLC (Säule: Reprosil 250x30; 10μ, Fluss: 50 mL/min, MeCN/Wasser, 0.1% TFA). Die Lösemittel wurden im Vakuum verdampft und der Rückstand im Hochvakuum getrocknet. Man erhielt 7.30 mg (47 % d. Th.) der Titel Verbindung.
LC-MS (Methode 1): Rt = 1.01 min; MS (ESIpos): m/z = 970 [M+H]+ Intermediat F311
S- { 2- [(3- Aminopropyl) { ( 1R)- 1 - [ 1 -benzyl-4-(2,5-difluorphenyl)- 1 H-pyrrol-2-yl] -2,2- dimethylpropyl } amino] -2-oxoethyl } -N- [ 1 -(2,5-dioxo-2,5-dihydro- 1 H-pyrrol- 1 -yl)-2,30-dioxo- 6,9,12,15,18,21 ,24,27-octaoxa-3-azatriacontan-30-yl] -L-cystein-trifluoressigsäure (1: 1)
1 -(2,5-Dioxo-2,5-dihydro- lH-pyrrol- 1 -yl)-2-oxo-6,9, 12, 15, 18,21 ,24,27-octaoxa-3-azatriacontan- 30-säure (10.8 mg, 18.7 μιηοΐ) (Intermediat L97) wurde in 1.0 ml DMF vorgelegt, mit N,N- Diisopropylethylamin (5.4 μΐ, 31.2 μιηοΐ) und HATU (7.10 mg, 18.7 μιηοΐ) versetzt und 10min. nachgerührt. Dann wurde S-(l l-{(lR)-l-[l-Benzyl-4-(2,5-difluorphenyl)-lH-pyrrol-2-yl]-2,2- dimethylpropyl } -2,2-dimethyl-6, 12-dioxo-5-oxa-7, 1 l-diaza-2-silatridecan- 13-yl)-L-cystein trifluoressigsäure (1 : 1) (12.9 mg, 15.6 μιηοΐ) (Intermediat C71) in 1.0 ml DMF und N,N- Diisopropylethylamin (2.7 μΐ, 15.6 μmol) gelöst, zugegeben. Die Reaktionsmischung wurde 2 h bei RT gerührt und dann direkt mittles präp. RP-HPLC (Säule: Reprosil 125x30; 10μ, Fluss: 50 mL/min, MeCN/Wasser/0.1% TFA) gereinigt. Die Lösemittel wurden im Vakuum verdampft und der Rückstand im Hochvakuum getrocknet. Man erhielt 3.5 mg (18 %) der Verbindung S-(l l- { ( 1 R)- 1 - [ 1 -Benzyl-4-(2,5-difluorphenyl)- 1 H-pyrrol-2-yl] -2,2-dimethylpropyl } -2,2-dimethyl-6, 12- dioxo-5-oxa-7, 1 l-diaza-2-silatridecan- 13-yl)-N-[l -(2,5-dioxo-2,5-dihydro- ΙΗ-pyrrol- l-yl)-2,30- dioxo-6,9, 12, 15,18,21, 24,27-octaoxa-3-azatriacontan-30-yl]-L-cystein.
LC-MS (Methode 1): Rt = 1.30 min; MS (ESIneg): m/z = 1276 [M-H]"
S-( 11 - { ( 1 R)- 1 - [ 1 -Benzyl-4-(2,5-difluorphenyl)- 1 H-pyrrol-2-yl] -2,2-dimethylpropyl } -2,2-dimethyl- 6, 12-dioxo-5-oxa-7, 11 -diaza-2-silatridecan- 13-yl)-N- [ 1 -(2,5-dioxo-2,5-dihydro- 1 H-pyrrol- 1 -yl)- 2,30-dioxo-6,9,12,15,18,21,24,27-octaoxa-3-azatriacontan-30-yl]-L-cystein (3.50 mg, 2.74 μιηοΐ) wurde in 1.0 ml Trifluorethanol gelöst, mit Zinkdichlorid (6.25 mg, 16.4 μιηοΐ) versetzt. Die Reaktionsmischung rührte 4 h bei 50 °C. Die Reaktionsmischung wurde mit Ethylendiamin-
Ν,Ν,Ν',Ν'-tetraessigsäure (47 μΐ, 16 μmol) versetzt, 10 min gerührt und dann mit Wasser (0.1% TFA) versetzt. Die Reinigung erfolgte direkt mittles präp. RP-HPLC (Säule: Reprosil 125x30; 10μ, Fluss: 50 mL/min, MeCN/W asser, 0.1% TFA). Die Lösemittel wurden im Vakuum verdampft und der Rückstand im Hochvakuum getrocknet. Man erhielt 2.0 mg (59 % d. Th.) der Titel Verbindung. LC-MS (Methode 1): Rt = 0.94 min; MS (ESIpos): m/z = 1133 (M+H)+.
Intermediat F312
N-[(2,5-Dioxo-2,5-dihydro-lH-pyrrol-l-yl)acetyl]-L-valyl-N-[(2S)-4-[{(lR)-l-[l-benzyl-4-(2,5- difluorphenyl)- 1 H-pyrrol-2-yl] -2,2-dimethylpropyl } (glycoloyl)amino] - 1 - { [2-(L-gamma- glutamyl
Die Titelverbindung wurde ausgehend von Intermediat C103 durch Kupplung mit N- [(Benzyloxy)carbonyl]-L-valyl-L-alanin in Gegenwart von HATU und N,N-Diisopropylethylamin hergestellt. Im nächsten Schritt wurde die Z-Schutzgruppe durch 1-stündige Hydrierung über 10%- igem Palladium auf Aktivkohle in DCM/Methanol 1 : 1 bei RT unter Wasserstoff-Normaldruck entfernt. Das entschützte Intermediat wurde anschließend durch Kupplung mit (2,5-Dioxo-2,5- dihydro-lH-pyrrol-l-yl)essigsäure in Gegenwart von HATU und N, N Diisopropylethylamin und schließlich durch Entschützung mit Zinkchlorid und Reinigung durch präparative HPLC in die Titelverbindung überführt.
LC-MS (Methode 1): Rt = 0.9 min; MS (ESIpos): m/z = 992 (M+H)+.
Intermediat F313
S 2-({(lR) 1-Benzyl-4-(2,5-difluorphenyl)-lH-pyrrol-2-yl]-2,2-dimethylpropyl} { [(3R,4R)-4- fluorpyrrolidin-3-yl]methyl }amino)-2-oxoethyl] -N-[ 1 -(2,5-dioxo-2,5-dihydro- lH-pyrrol- 1 -yl)- 2,18-dioxo-6,9,12,15-tetraoxa-3-azaoctadecan-18-yl]-L-cystein-trifluoressigsäure (1 : 1)
Zu einer Lösung von 55.0 mg (0.14 mmol) von l-(2,5-Dioxo-2,5-dihydro-lH-pyrrol-l-yl)-2-oxo- 6,9,12,15-tetraoxa-3-azaoctadecan-18-säure in 2.60 ml DMF unter Argon wurden 16.9 mg (0.13 mmol) Ν,Ν-diisoprylethylamin und 50.0 mg (0.13 mmol) HATU hinzugegeben. Das Reaktionsgemisch wurde 10 Minuten bei RT gerührt. Anschließend wurde eine Lösung von 40.0 mg (0.05 mmol) S-[2-({(lR)-l-[l-Benzyl-4-(2,5-difluorphenyl)-lH-pyrrol-2-yl]-2,2- dimethylpropyl} { [(3R,4R)-4-fluor-l-{ [2-(trimethylsilyl)ethoxy]carbonyl}pyrrolidin-3- yl]methyl}amino)-2-oxoethyl]-L-cystein (Intermediat C107) hinzugegeben und das Gemisch über Nacht bei RT gerührt. Die Mischung wurde mit Wasser versetzt und mit Dichlormethan extrahiert. Die organische Phase wurde über Magnesiumsulfat getrocknet und das Lösemittel im Vakuum verdampft und der Rückstand im Hochvakuum getrocknet. Der Rückstand wurdemittels präp. HPLC gereinigt Man erhielt 10 mg (13 % d. Th., Reinheit 82%) der Titelverbindung.
LC-MS (Methode 1): Rt = 1.36 min; MS (ESIpos): m/z = 1145 (M+H)+.
Eine Lösung von 10.9 mg (7.8 mmol, 82% Reinheit) S-[2-({(lR)-l-[l-Benzyl-4-(2,5- difluorphenyl)-lH-pyrrol-2-yl]-2,2-dimethylpropyl} { [(3R,4R)-4-fluor-l-{ [2- (trimethylsilyl)ethoxy]carbonyl }pyrrolidin-3-yl]methyl } amino)-2-oxoethyl]-N- [ 1 -(2,5- dioxo-2,5-dihydro- lH-pyrrol- 1 -yl)-2, 18-dioxo-6,9, 12,15-tetraoxa-3-azaoctadecan- 18-yl]- L-cystein in 0.85 ml 2,2,2-Trifluoroethanol wurde mit 4.3 mg (0.03 mmol) Zinkchlorid versetzt und das Reaktionsgemisch wurde 2.5 h bei 50 °C gerührt. Anschließend wurden 9.1 mg (0.03
mmol) EDTA hinzugegeben und die Mischung wurde 15 Minuten gerührt. Die Reaktionsmischung mittels präp. HPLC gereinigt. Man erhielt 2.3 mg ( 26 % d. Th ) der Titelverbindung.
LC-MS (Methode 1): Rt 0.89 min; MS (ESIpos): m/z = 781 (M+H-CF3C02H)+.
Intermediat F314
Trifluoressigsäure -3- { [2-( { ( 1R)- 1-[ 1 -Benzyl-4-(2,5-difluorphenyl)- lH-pyrrol-2-yl]-2,2- dimethylpropyl } { [(3S,4R)-4-fluorpyrrolidin-3-yl]methyl } amino)-2-oxoethyl] sulfanyl } -N-(2- { [(2,5 -dioxo-2,5 -dihy dro- 1 H-pyrrol- 1 -yl) acetyl] amino } ethyl)propanamid
Zu einer Lösung von 50.0 mg (0.04 mmol, ) von 3-{ [2-({(lR)-l-[l-Benzyl-4-(2,5-difluorphenyl)- 1 H-pyrrol-2-yl] -2,2-dimethylpropyl } { [(3R, 4R)-4-fluor- 1 - { [2-(trimethylsilyl)ethoxy] carbonyl } pyrrolidin-3-yl]methyl}amino)-2-oxoethyl]sulfanyl}propansäure (Intermediat 106) in 3.14 ml DMF unter Argon wurden 16.89 mg (0.13 mmol) Ν,Ν-diisoprylethylamin und 33.13 mg (0.087 mmol) HATU hinzugegeben. Das Reaktionsgemisch wurde 10 Minuten bei RT gerührt. Anschließend wurde eine Lösung von 27.29 mg (0.09 mmol) N-(2-Aminoethyl)-2-(2,5-dioxo-2,5- dihy dro- 1 H-pyrrol- l-yl)acetamid (l: l)Trifluoressigsäure (Intermediat LI) hinzugegeben und das Gemisch 15 Minuten bei RT gerührt. Die Mischung wurde mit Wasser versetzt und mit Dichlormethan extrahiert. Die organische Phase wurde über Magnesiumsulfat getrocknet und das Lösemittel im Vakuum verdampft und der Rückstand im Hochvakuum getrocknet. Der Rückstand wurdemittels präp. HPLC gereinigt Man erhielt 41 mg (68 % d. Th, Reinheit 66%.) der Titelverbindung.
LC-MS (Methode 12): Rt = 2.55 min; MS (ESIneg): m/z = 959 (M-H+Na)\
Eine Lösung von 41.1 mg (0.03 mmol, Reinheit 66%) 2-(Trimethylsilyl)ethyl-(3R,4R)-3-[2- { (lR)-l-[l-benzyl-4-(2,5-difluorphenyl)-lH-pyrrol-2-yl]-2,2-dimethylpropyl}-14-(2,5- dioxo-2,5-dihydro-lH-pyrrol-l-yl)-3,8J3-trioxo-5-thia-2,9,12-triazatetradec-l-yl]-4- fluorpyrrolidin-l-carboxylat in 2.54 ml 2,2,2-Trifluoroethanol wurde mit 24.7 mg (0.18 mmol) Zinkchlorid versetzt und das Reaktionsgemisch wurde 2.5 h bei 50 °C gerührt. Anschließend wurden 53.0 mg (0.18 mmol) EDTA hinzugegeben und die Mischung wurde 15 Minuten gerührt. Die Reaktionsmischung mittels präp. HPLC gereinigt. Man erhielt 10 mg ( 36 % d. Th ) der Titelverbindung.
LC-MS (Methode 1): Rt 0.89 min; MS (ESIpos): m/z = 781 (M+H-CF3C02H)+. Intermediat F315
S- { 2- [(3- Aminopropyl) { ( 1R) - 1 - [ 1 -benzyl-4-(2,5-difluorphenyl)- 1 H-pyrrol-2-yl] -2,2- dimethylpropyl } amino] -2-oxoethyl } -N- { 3- [5-(2- { [(2,5-dioxo-2,5-dihydro- 1 H-pyrrol- 1 - yl)
Zu einer Lösung von 50.0 mg (0.07 mmol) von 3-[5-(2-{ [(2,5-Dioxo-2,5-dihydro-lH-pyrrol-l- yl)acetyl] amino }ethyl)-l,2,4-oxadiazol-3-yl]propansäure (Intermediat L100) in 3.5 ml DMF unter Argon wurden 18.02 mg (0.14 mmol) Ν,Ν-diisoprylethylamin und 31.82 mg (0.09 mmol) HATU hinzugegeben. Das Reaktionsgemisch wurde 10 Minuten bei RT gerührt. Anschließend wurde eine Lösung von 50.0 mg (0.07 mmol) N-(2-Aminoethyl)-6-(2,5-dioxo-2,5-dihydro-lH-pyrrol-l- yl)hexanamidacetat (1: 1) (Intermediat C107) hinzugegeben und das Gemisch 2h bei RT gerührt. Die Mischung wurde mit Wasser versetzt und mit Dichlormethan extrahiert. Die organische Phase
wurde über Magnesiumsulfat getrocknet und das Lösemittel im Vakuum verdampft und der Rückstand im Hochvakuum getrocknet. Der Rückstand wurde ohne Reinigung weiter eingesetzt. Man erhielt 49 mg (21 % d. Th, Reinheit 31%.) der Titelverbindung.
LC-MS (Methode 1): Rt = 1.30 min; MS (ESIpos): m/z = 1022 (M+H)+.
Eine Lösung von 49.0 mg (0.015 mmol, 31% Reinheit) S-(l l-{(lR)-l-[l-Benzyl-4-(2,5- difluorphenyl)- 1 H-pyrrol-2-yl] -2,2-dimethylpropyl } -2,2-dimethyl-6, 12-dioxo-5-oxa-7, 11 -diaza-2- silatridecan- 13-yl)-N- { 3- [5-(2- { [(2,5-dioxo-2,5-dihydro- 1 H-pyrrol- 1 -yl)acetyl] amino } ethyl)- 1 ,2,4- oxadiazol-3-yl]propanoyl}-L-cystein_in 0.5 ml 2,2,2-Trifluoroethanol wurde mit 8.0 mg (0.06 mmol) Zinkchlorid versetzt und das Reaktionsgemisch wurde 2h bei 50 °C gerührt. Anschließend wurden 17.2 mg (0.06 mmol) EDTA hinzugegeben und die Mischung wurde 15 Minuten gerührt. Die Reaktionsmischung mittels präp. HPLC gereinigt. Man erhielt 3 mg ( 21 % d. Th.) der Titelverbindung.
LC-MS (Methode 1): Rt = 0.91 min; MS (ESIpos): m/z = 877 (M+H-CF3C02H)+. Intermediat F316
Trifluoressigsäure-N- { 2- [(3- { [2-( { ( 1R)- 1 - [ 1 -benzyl-4-(2,5-difluorphenyl)- lH-pyrrol-2-yl] -2,2- dimethylpropyl} { [(3S,4R)-4-fluorpyrrolidin-3-yl]methyl}amino)-2- oxoethyl] sulfanyl }propanoyl)amino]ethyl } -6-(2,5-dioxo-2,5-dihydro- lH-pyrrol- l-yl)hexanamid (1: 1)
Zu einer Lösung von 50.0 mg (0.04 mmol, 65% Reinheit) von 3-{ [2-({(lR)-l-[l-Benzyl-4-(2,5- difluorphenyl)- 1 H-pyrrol-2-yl] -2,2-dimethylpropyl } { [(3R, 4R)-4-fluor- 1 - { [2-(trimethylsilyl) ethoxy]carbonyl}pyrrolidin-3-yl]methyl}amino)-2-oxoethyl]sulfanyl}propansäure (Intermediat 106) in 3.0 ml DMF unter Argon wurden 16.89 mg (0.13 mmol) Ν,Ν-diisoprylethylamin und 33.13 mg (0.087 mmol) HATU hinzugegeben. Das Reaktionsgemisch wurde 10 Minuten bei RT gerührt. Anschließend wurde eine Lösung von 37.2 mg (0.09 mmol, Reinheiete 70%) N-(2- Aminoethyl)-6-(2,5-dioxo-2,5-dihydro-lH-pyrrol-l-yl)hexanamidacetat (1 : 1) (Intermediat L73) hinzugegeben und das Gemisch 7 Minuten bei RT gerührt. Die Mischung wurde mit Wasser versetzt und mit Dichlormethan extrahiert. Die organische Phase wurde über Magnesiumsulfat getrocknet und das Lösemittel im Vakuum verdampft und der Rückstand im Hochvakuum getrocknet. Der Rückstand wurde ohne Reinigung weiter eingesetzt. Man erhielt 57 mg (77 % d. Th, Reinheit 59%.) der Titelverbindung.
LC-MS (Methode 12): Rt = 2.60 min; MS (ESIpos): m/z = 981 (M+H)+.
Eine Lösung von 56.0 mg (0.03 mmol, 59% Reinheit) 2-(Trimethylsilyl)ethyl-(3R,4R)-3-[2-{(lR)- 1 -[1 -benzyl-4-(2,5-difluorphenyl)- lH-pyrrol-2-yl] -2,2-dimethylpropyl } - 18-(2,5-dioxo-2,5-dihydro-
1 H-pyrrol- 1 -yl)-3,8, 13-trioxo-5-thia-2,9, 12-triazaoctadec- 1 -yl] -4-fluorpyrrolidin- 1 -carboxylat in
2.8 ml 2,2,2-Trifluoroethanol wurde mit 36.0 mg (0.27 mmol) Zinkchlorid versetzt und das Reaktionsgemisch wurde 2h bei 50 °C gerührt. Anschließend wurden 78.3 mg (0.27 mmol) EDTA
hinzugegeben und die Mischung wurde 15 Minuten gerührt. Die Reaktionsmischung mittels präp. HPLC gereinigt. Man erhielt 16 mg ( 44 % d. Th., 85% Reinheit ) der Titelverbindung.
LC-MS (Methode 1): Rt = 0.89 min; MS (ESIpos): m/z = 837 (M+H-AcOH)+.
B: Herstellung von Antikörper- Wirkstoff-Konjugaten (ADO
B-l. Allgemeines Verfahren zur Generierung von anti-TWEAKR Antikörpern
Die anti-TWEAKR-Antikörper wurden beispielsweise durch das Screening einer Phagen Display Bibliothek auf rekombinantem humanem TWEAKR SEQ ID NO: 138 und murinem TWEAKR SEQ ID NO: 137 generiert. Die so gewonnenen Antikörper wurden ins humane IgGl Format reformatiert und für die hier beschriebenen Ausführungsbeispiele verwendet. Darüber hinaus sind dem Fachmann Antikörper, die an TWEAKR binden bekannt, siehe z.B. WO2009/020933(A2) oder WO2009140177 (A2).
SEQ ID NO: 138 (Polypeptid):
EQAPGTAPCS GSSWSADLDKCM DCASC A PHSDFCLGCAAAPPAPF LLWP SDKTHT CPPCPAPELLGGPSVFLFPPKPKDTLM ISRTPEVTCVVVDVSHEDPEVKFNWYVDGVEVH NAKTKPREEQYNSTYRVVSVLTVLHQDWLNGKEYKCKVSNKALPAPIEKTISKAKGQPRE PQVYTLPPSREEMTKNQVSLTCLVKGFYPSDIAVEWESNGQPENNYKTTPPVLDSDGSFF LYS K LTVD KS RWQQG NVFSCSVMHEALHNH YTQKS LS LS PG K
SEQ ID NO: 137 (Polypeptid):
EQAPGTSPCSSGSSWSADLDKCMDCASCPARPHSDFCLGCAAAPPAHFRLLWPRSDKTHT CPPCPAPELLGGPSVFLFPPKPKDTLM ISRTPEVTCVVVDVSHEDPEVKFNWYVDGVEVH NAKTKPREEQYNSTYRVVSVLTVLHQDWLNGKEYKCKVSNKALPAPIEKTISKAKGQPRE PQVYTLPPSREEMTKNQVSLTCLVKGFYPSDIAVEWESNGQPENNYKTTPPVLDSDGSFF LYS K LTVD KS RWQQG NVFSCSVMHEALHNH YTQKS LS LS PG K
B-2. Allgemeines Verfahren zur Expression von anti-TWEAKR Antikörpern in Säugerzellen
Die Antikörper, zum Beispiel TPP-2090 und TPP-2658 wurden in transienten Säugerzellkulturen produziert, wie von Tom et al., Kapitel 12 in Methods Express: Expression Systems herausgegeben von Micheal R. Dyson and Yves Durocher, Scion Publishing Ltd, 2007 (siehe AK-Beispiel 1) beschrieben.
B-3. Allgemeines Verfahren zur Aufreinigung von Antikörpern aus Zellüberständen.
Die Antikörper, zum Beispiel TPP-2090 und TPP-2658 wurde aus den Zellkulturüberständen gewonnen. Die Zellüberstände wurden durch Zentrifugation von Zellen geklärt. Anschließend wurde der Zellüberstand durch Affinitätschromatographie auf einer MabSelect Sure (GE Healthcare) Chromatographiesäule gereinigt. Dazu wurde die Säule in DPBS pH 7.4 (Sigma/Aldrich) equillibriert, der Zellüberstand aufgtretragen und die Säule mit ca 10 Säulen volumina DPBS pH 7.4 + 500 mM Natriumchlorid gewaschen. Die Antikörper wurden in 50 mM Natriumacetat pH 3.5 + 500 mM Natriumchlorid eluiert und anschliessend durch Gelfiltrationschromatographie auf einer Superdex 200 Säule (GE Healthcare) in DPBS pH 7.4 weiter gereinigt.
B-4. Allgemeines Verfahren zur Kupplung an Cystein-Seitenketten In die Kupplungsreaktionen wurde folgender Antikörper eingesetzt: Anti-TWEAKR AKiA (TPP-2658) Anti-TWEAKR AKiB (TPP-2090)
Zu einer Lösung des entsprechenden Antikörpers in PBS-Puffer im Konzentrationsbereich zwischen 1 mg/mL und 20 mg/mL, bevorzugt im Bereich von ungefähr 10mg/ml bis 15 mg/ml wurden zwischen 2 und 5 Äquivalenten Tris(2-carboxyethyl)phosphin-Hydrochlorid (TCEP), gelöst in PBS-Puffer, gegeben und lh bei RT gerührt. Dazu kann die Lösung des jeweils eingesetzten Antikörpers in der in den Ausführungsbeispielen angegebenen Konzentration eingesetzt werden oder gegebenenfalls auch mit PBS Puffer bis etwa auf die Hälfte der angegebenen Startkonzentration verdünnt werden, um in den bevorzugten Konzentrationsbereich zu kommen. Anschließend wurden, je nach angestrebter Beladung, zwischen 2 und 12 Äquivalenten, bevorzugt etwa 5-10 Äquivalente der zu kuppelnden Maleinimid- Vorläufer- Verbindung oder Halogenid- Vorläufer- Verbindung als Lösung in DMSO hinzugefügt. Dabei sollte
die Menge an DMSO 10% des Gesamtvolumens nicht überschreiten. Der Ansatz wurde bei Maleinimid-Precursern 60-240 min bei RT und bei Halogenid-Precursern zwischen 8 und 24 h bei RT gerührt und anschließend über in PBS equillibierte PD 10-Säulen (Sephadex® G-25, GE Healthcare) gegeben und mit PBS-Puffer eluiert. Üblicherweise wurden, wenn nicht anders angegeben, 5 mg des entsprechenden Antikörpers in PBS-Puffer zur Reduktion und der nachfolgenden Kupplung eingesetzt. Nach Aufreinigung über die PD10 Säule wurden so jeweils Lösungen des entsprechenden ADCs in 3.5 mL PBS-Puffer erhalten. Anschließend wurde eine Aufkonzentration mittels Ultrazentrifugation durchgeführt und die Probe ggf. mit PBS-Puffer zurückverdünnt. Falls notwendig wurde zur besseren Abtrennung niedermolekularer Bestandteile die Aufkonzentration mittels Ultrafiltration nach Rückverdünnung mit PBS Puffer wiederholt. Für biologische Testungen wurden je nach Bedarf in den finalen ADC Proben ggf. durch Rückverdünnung Konzentrationen im Bereich von 0.5-15 mg/mL eingestellt. Für die ADC Lösungen wurde die in den Ausführungsbeispielen jeweils angegebene Proteinkonzentration bestimmt. Weiterhin wurde die Beladung des Antikörpers (Drug/mAb Ratio) nach den unter B-7. beschriebenen Methoden ermittelt.
Wenn nicht anders angegeben wurden die in den Beispielen dargestellten Immunokonjugate nach diesem Verfahren hergestellt. Die in den Beispielen dargestellten ADCs können in Abhängigkeit vom Linker gegebenenfalls auch mehr oder weniger stark ausgeprägt in Form der hydrolysierten offenkettigen Bernsteinsäureamide mit den Antikörpern verknüpft vorliegen.
Insbesondere die KSP-I-ADCs, die über die Linker-Substruktur
mit Thiolgruppen der Antikörper verknüpft sind, können auch ggf. durch Umpuffern im Anschluss an die Kupplung und ca. 20-24-stündiges Rühren bei pH 8 gemäß Schema 28 gezielt in die die über offenkettige Bersteinsäureamide verknüpften ADCs hergestellt werden.
#1 stellt die Schwefelbrücke zum Antikörper dar und #2 die Verknüpfungsstelle zum modifizierten KSP-Inhibitor
Solche ADCs, bei denen der Linker über hydrolysierte offenkettige Bernsteinsäureamide mit den Antikörpern verknüpft vorliegt, können gegebenenfalls auch gezielt nach einer exemplarischen Vorschrift wie folgt dargestellt werden:
60 mg des betreffenden Antikörpers in 5 ml PBS-Puffer (c~12 mg/mL) wurden unter Argon mit einer Lösung aus 0,344mg TCEP in ΙΟΟμΙ PBS-Puffer versetzt. Der Ansatz wurde 30min bei RT gerührt und anschließend wurden 0.003 mmol einer Maleinimid- Vorläuferverbindung gelöst in 600μ1 DMSO zugegeben. Nach weiteren 1.5h-2h Rühren bei RT wurde der Ansatz mit 1075μ1 PBS-Puffer, der zuvor auf pH 8 eingestellt wurde, verdünnt.
Diese Lösung wurde dann über mit PBS-Puffer pH8 equillibrierte PD 10-Säulen (Sephadex® G-25, GE Healthcare) gegeben und mit PBS-Puffer pH8 eluiert. Das Eluat wurde mit PBS-Puffer pH8 auf ein Gesamtvolumen von 14 ml verdünnt. Diese Lösung wurde über Nacht bei RT unter Argon gerührt. Dann erfolgte ggf. wieder ein Umpuffern auf pH 7.2. Die ADC-Lösung wurde durch Ultrazentrifugation aufkonzentriert, rückverdünnt mit PBS-Puffer (pH7.2) und dann ggf. erneut bis auf eine Konzentration von etwa 10mg/mL aufkonzentriert.
Weitere potentiell hydrolyse-sensitive Thianylsuccinimid-Brücken zum Antikörper in den Ausführungsbeispielen enthalten folgende Linker-Substrukturen, wobei #1 die Thioetherverknüpfung zum Antikörper und #1 die Verknüpfungsstelle zum modifizierten KSP- Inhibitor darstellt:
Diese Linker-Substrukturen stellen die Verknüpfungseinheit zum Antikörper dar und haben (neben der weiteren Linkerzusammensetzung) einen signifikanten Einfluß auf die Struktur und das Profil der in Tumorzellen gebildeten Metabolite.
In den dargestellten Strukturformeln hat dabei AKIA die Bedeutung AKIA = anti-TWEAKR AKIA (partiell reduziert)- S§x AKIB = anti-TWEAKR AKIB (partiell reduziert)- S§x
wobei
§l die Verknüpfung mit der Succinimid-Gruppe oder mit ggf. daraus entstandenen isomeren hydrolysierten offenkettigen Bernsteinsäureamiden bzw. des Alkylenrestes bedeutet, und
S für das Schwefelatom eines Cystein-Restes des partiell reduzierten Antikörpers steht. B-5. Allgemeines Verfahren zur Kupplung an Lysin-Seitenketten
Diese Kupplungen sind beispielsweise in den Ausführungsbeispielen 194k und 294k beschrieben. Solche Verknüpfungen mit dem Antikörper können in ADCs mit KSP-Inhibitoren insbesondere in Verbindung mit einer in vivo spaltbaren 2-8 Ohgopeptidgruppe SGI, die über CO mit R4 verknüpft ist, zum Einsatz kommen.
In die Kupplungsreaktionen wurden folgende Antikörper eingesetzt: Anti-TWEAKR AKIA (TPP-2658) Anti-TWEAKR AKIB (TPP-2090)
Zu einer Lösung des entsprechenden Antikörpers in PBS-Puffer im Konzentrationsbereich zwischen 1 mg/mL und 20 mg/mL, bevorzugt etwa 10 mg/mL, wurden, je nach angestrebter Beladung, zwischen 2 und 8 Äquivalente der zu kuppelnden Vorläufer- Verbindung als Lösung in DMSO gegeben. Nach 30 min bis 6 h Rühren bei RT wurde nochmals die gleiche Menge an Vorläufer- Verbindung in DMSO hinzugefügt. Dabei sollte die Menge an DMSO 10% des Gesamtvolumens nicht überschreiten. Nach weiteren 30 min bis 6 h Rühren bei RT wurde der
Ansatz über in PBS equillibierte PD 10-Säulen (Sephadex® G-25, GE Healthcare) gegeben und mit PBS -Puffer eluiert. Üblicherweise wurden, wenn nicht anders angegeben, 5 mg des entsprechenden Antikörpers in PBS -Puffer zur Reduktion und der nachfolgenden Kupplung eingesetzt. Nach Aufreinigung über die PD10 Säule wurden so jeweils Lösungen des entsprechenden ADCs in 3.5 mL PBS-Puffer erhalten. Anschließend wurde eine Aufkonzentration mittels Ultrazentrifugation durchgeführt und die Probe ggf. mit PBS-Puffer zurückverdünnt. Falls notwendig wurde zur besseren Abtrennung niedermolekularer Bestandteile die Aufkonzentration mittels Ultrafiltration nach Rückverdünnung mit PBS Puffer wiederholt. Für biologische Testungen wurden je nach Bedarf in den finalen ADC Proben ggf. durch Rückverdünnung Konzentrationen im Bereich von 0.5-15 mg/mL eingestellt.
Für die ADC Lösungen wurde die in den Ausführungsbeispielen jeweils angegebene Proteinkonzentration bestimmt. Weiterhin wurde die Beladung des Antikörpers (Drug/mAb Ratio) nach den unter B-7. beschriebenen Methoden ermittelt.
In den dargestellten Strukturformeln hat dabei AK2A und AK2B die Bedeutung
AK2A = anti-TWEAKR AKiA- NH§2
AK2B = anti-TWEAKR AKIB- NH§2
wobei
§2 die Verknüpfung mit der Carbonylgruppe bedeutet, und
NH für die Seitenketten- Aminogruppe eines Lysin-Restes des Antikörpers steht.
B-6a. Allgemeines Verfahren zur Herstellung von geschlossenen Succinimid-Cystein-Addukten:
In einer beispielhaften Ausführung wurden 10 μιηοΐ der oben beschriebenen Maleinimid- Vorläuferverbindungen wurden in 3-5 mL DMF aufgenommen und mit 2.1 mg (20 μιηοΐ) L- Cystein versetzt. Das Reaktionsgemisch wurde zwischen 2h und 24 h bei RT gerührt, anschließend im Vakuum eingeengt und dann mittels präparativer HPLC gereinigt.
B-6aa. Allgemeines Verfahren zur Herstellung von isomeren geöffneten Bernsteinsäureamid- Cy stein- Addukten :
In einer beispielhaften Ausführung wurden 68 μιηοΐ der oben beschriebenen Maleinimid- Vorläuferverbindungen in 15 mL DMF aufgenommen und mit 36 mg (136 μιηοΐ) N-{ [2- (Trimethylsilyl)ethoxy]carbonyl}-L-cystein versetzt. Das Reaktionsgemisch wurde ~20h bei RT gerührt, anschließend im Vakuum eingeengt und dann mittels präparativer HPLC gereinigt. Nach Vereinigung der entsprechenden Fraktionen und Abdampfen der Lösemittel im Vakuum wurde der Rückstand in 15 mL THFAVasser 1 : 1 gelöst. Es wurden 131 μΕ einer 2M wässrigen Lithiumhydroxidlösung zugegeben und der Ansatz 1 h bei RT gerührt. Anschließend wurde der Ansatz mit einer IM Salzsäure neutral gestellt, das Lösemittel im Vakuum abgedampft und der Rückstand durch präparative HPLC gereinigt. Es wurden -50% d. Th. der regioisomeren geschützten Intermediate als farbloser Schaum erhalten.
Im letzten Schritt wurden 0.023 mmol von diesen regiosisomeren Hydrolyseprodukten in 3 mL 2,2,2-Trifluorethanol gelöst. Es wurden 12.5 mg (0.092 mmol) Zinkchlorid zugegeben und der Ansatz 4 h bei 50°C gerührt. Anschließend wurden 27 mg (0.092 mmol) Ethylendiamin-Ν,Ν,Ν',Ν'- tetraessigsäure zugesetzt und das Lösemittel im Vakuum verdampft. Der Rückstand wurde mittels präparativer HPLC gereinigt. Nach Einengen der entsprechenden Fraktionen und Lyophihsation des Rückstands aus AcetonitrilA asser wurden die hydrolysierten offenen Sulfanylbernsteinsäure- amide als Regioisomerengemisch erhalten.
Weitere Aufreinigung und Charakterisierung der erfindungsgemäßen Konjugate
Nach erfolgter Umsetzung wurde in einigen Fällen das Reaktionsgemisch beispielsweise durch Ultrafiltration aufkonzentriert und anschließend mittels Chromatographie, beispielsweise mittels einer Sephadex® G-25, entsalzt und gereinigt. Die Elution erfolgte beispielsweise mit Phosphatgepufferter Salzlösung (PBS). Anschließend wurde die Lösung sterilfiltriert und eingefroren. Alternativ kann das Konjugat lyophylisiert werden.
B-7. Bestimmung des Antikörpers, der Toxophorbeladung und des Anteils geöffneter Cystein- Addukte
Zur Protein-Identifizierung wurde neben der Molekulargewichtsbestimmung nach Deglykosilierung und/oder Denaturierung ein tryptischer Verdau durchgeführt, der nach Denaturierung, Reduktion und Derivatisierung die Identität des Proteins anhand der nachgewiesenen tryptischen Peptide bestätigt.
Von den erhaltenen Lösungen der in den Ausführungsbeispielen beschriebenen Konjugate in PBS Puffer wurde die Toxophorbeladung wie folgt bestimmt:
Die Bestimmung der Toxophor Beladung von Lysin-verknüpften ADCs erfolgte nach massenspektrometrischer Bestimmung der Molekulargewichte der einzelnen Konjugatspezies. Hierbei wurden vorab die Antikörperkonjugate mittels PNGaseF deglycosyliert, die Probe angesäuert und nach HPLC-Trennung/Entsalzung massenspektrometrisch mittels ESI-MicroTofQ (Bruker Daltonik) analysiert. Alle Spektren über das Signal im TIC (Total Ion Chromatogramm) wurden addiert und das Molekulargewicht der verschiedenen Konjugatspezies auf Basis von MaxEnt Deconvolution kalkuliert. Nach Signal Integration der verschiedenen Spezies wurde dann die DAR (= Drug/ Antibody Ratio) berechnet.
Die Bestimmung der Toxophorbeladung von Cystein-verknüpften Konjugaten wurde über Reversed-Phase-Chromatographie des reduzierten und denaturierten ADCs bestimmt. Zur ADC- Lösung (Img/mL, 50μΕ) wurde Guanidinium-Hydrochlorid (GuHCl) (28.6 mg) und eine Lösung von DL-Dithiothreitol (DTT) (500mM, 3 μΕ) gegeben. Die Mischung wurde für eine Stunde bei 55 °C inkubiert und über HPLC analysiert.
Die HPLC-Analyse wurde auf einem Agilent 1260 HPLC-System mit Detektion bei 220 nm durchgeführt. Es wurde eine Polymer Laboratories PLRP-S Polymerie Reversed Phase Säule (Katalognummer PL1912-3802) (2.1 xl50 mm, 8 μιη particle size, 1000 Ä) bei einer Flussrate von 1 mL/min mit folgendem Gradienten verwendet: 0 min, 25 %B; 3 min, 25 %B; 28 min, 50 %B. Laufmittel A bestand aus 0.05 % Trifluoressigsäure (TFA) in Wasser, Laufmittel B aus 0.05 % Trifluoressigsäure in Acetonitril.
Die detektierten Peaks wurden durch Retentionszeitvergleich mit der leichten Kette (L0) und der schweren Kette (HO) des nicht konjugierten Antikörpers zugeordnet. Peaks, die ausschließlich in der konjugierten Probe detektiert wurden, wurden der leichten Kette mit einem Toxophor (LI) und den schweren Ketten mit einem, zwei und drei Toxophoren (Hl, H2, H3) zugeordnet.
Die durchschnittliche Beladung des Antikörpers mit Toxophoren wurde aus den durch Integration bestimmten Peakflächen als die zweifache Summe der HC-Beladung und der LC-Beladung bestimmt, wobei sich die LC-Beladung aus der Summe der Toxophor-Anzahl gewichteten Integrationsergebnisse aller LC-Peaks geteilt durch die Summe der einfach gewichteten Integrationsergebnisse aller LC- Peaks berechnet, und wobei sich die HC-load aus der Summe der Toxophor-Anzahl gewichteten Integrationsergebnisse aller HC-Peaks geteilt durch die Summe der einfach gewichteten Integrationsergebnisse aller HC- Peaks berechnet In vereinzelten Fällen kann
es vorkommen, dass die Toxophorbeladung aufgrund von Ko-Elutionen einiger Peaks nicht exakt möglich ist.
In den Fällen, in denen keine ausreichende HPLC-Trennung von leichter und schwerer Kette möglich war, erfolgte die Bestimmung der Toxophorbeladung von Cy stein verknüpften Konjugaten mittels massenspektrometrischer Bestimmung der Molekulargewichte der einzelnen Konjugatspezies an leichter und schwerer Kette.
Zur ADC-Lösung (Img/mL, 50μΕ) wurde Guanidinium-Hydrochlorid (GuHCl) (28.6 mg) und eine Lösung von DL-Dithiothreitol (DTT) (500mM, 3 μΕ) gegeben. Die Mischung wurde für eine Stunde bei 55 °C inkubiert und massenspektrometrisch nach online Entsaltzung mittels ESI- MicroTofQ (Bruker Daltonik) analysiert.
Zur DAR-Bestimmung wurden alle Spektren über das Signal im TIC (Total Ion Chromatogramm) addiert und das Molekulargewicht der verschiedenen Konjugatspezies an leichter und schwerer Kette auf Basis von MaxEnt Deconvolution berechnet. Die durchschnittliche Beladung des Antikörpers mit Toxophoren wurde aus den durch Integration bestimmten Peakflächen als die zweifache Summe der HC-Beladung und der LC-Beladung bestimmt, wobei sich die LC-Beladung aus der Summe der Toxophor-Anzahl gewichteten Integrationsergebnisse aller LC-Peaks geteilt durch die Summe der einfach gewichteten Integrationsergebnisse aller LC- Peaks berechnet, und wobei sich die HC-Beladung aus der Summe der Toxophor-Anzahl gewichteten Integrationsergebnisse aller HC-Peaks geteilt durch die Summe der einfach gewichteten Integrationsergebnisse aller HC- Peaks berechnet.
Zur Bestimmung des Anteils des geöffneten Cystein-Addukts wurde das Molekulargewichtsflächenverhältnis vom geschlossenen und offenen Cystein-Addukt (Molekulargewichtsdelta 18Dalton) aller einfach konjugierten leichten und schweren Kettenvarianten bestimmt. Der Mittelwert über alle Varianten ergab den Anteil des geöffneten Cystein-Addukts .
B-8. Überprüfung der Antigen-Bindung des ADCs
Die Bindefähigkeit des Binders an das Zielmolekül wurde nach erfolgter Kopplung überprüft. Dazu sind dem Fachmann vielfältige Methoden bekannt, beispielsweise kann die Affinität des Konjugats mittels ELISA-Technologie oder Oberflächenplasmonresonanzanalyse (BIAcore™ Messungen) überprüft werden. Die Konjugatkonzentration kann der Fachmann mit gängigen Methoden messen,
beispielsweise für Antikörper-Konjugate mittels Proteinbestimmung, (siehe auch Doronina et al.; Nature Biotechnol. 2003; 21 :778-784 und Polson et al., Blood 2007; 1102:616-623).
Ausführungsbeispiele Metabolite
Beispiel Ml
S- [ 1 -(2- { [2-( { (2S)-2- Amino-4- [ { ( 1 R)- 1 - [ 1 -benzyl-4-(2,5-difluorphenyl)- 1 H-pyrrol-2-yl] -2,2- dimethylpropyl } (glycoloyl)amino]butanoyl } amino)ethyl] amino }-2-oxoefhyl)-2,5-dioxopyrrolidin- 3-yl]-L-c stein -trifluoressigsäure (1 : 1)
1.8 mg (2 μιηοΐ) von Intermediat F104 wurden in 1 ml DMF aufgenommen und mit 2.7 mg (22 μιηοΐ) L-Cystein versetzt. Das Reaktionsgemisch wurde 20 h bei RT gerührt, anschließend im Vakuum eingeengt und dann mittels präparativer HPLC gereinigt. Es verblieben 0.6 mg (26% d. Th.) der Titelverbindung als farbloser Schaum.
LC-MS (Methode 1): Rt = 0.80 min; MS (EIpos): m/z = 814 [M+H]+.
Beispiel M2
4- [(2- { [2-( { (2S)-2- Amino-4- [ { ( 1 R)- 1 - [ 1 -benzyl-4-(2,5-difluorphenyl)- 1 H-pyrrol-2-yl] -2,2- dimethylpropyl } (glycoloyl)amino]butanoyl } amino)ethyl] amino }-2-oxoethyl)amino]-3- { [(2R)-2- amino-2-carboxyethyl]sulfanyl}-4-oxobutansäure -trifluoressigsäure (1 : 1)
und
4- [(2- { [2-( { (2S)-2- Amino-4- [ { ( 1 R)- 1 - [ 1 -benzyl-4-(2,5-difluorphenyl)- 1 H-pyrrol-2-yl] -2,2- dimethylpropyl } (glycoloyl)amino]butanoyl } amino)ethyl] amino }-2-oxoethyl)amino]-2- { [(2R)-2- amino-2-carboxyethyl]sulfanyl}-4-oxobutansäure -trifluoressigsäure (1 : 1)
LC-MS (Methode 1): Rt = 0.80 min; MS (EIpos): m/z = 814 [M+H]
Zunächst wurde L-Cystein mit l-({ [2-(Trimethylsilyl)ethoxy]carbonyl}oxy)pyrrolidine-2,5-dion in DMF in Gegenwart von /V,/V-Diisopropylethylamin in N-{ [2-(Trimethylsilyl)ethoxy]carbonyl}-L- cystein überführt.
406 mg (1.53 mmol) N-{ [2-(Trimethylsilyl)ethoxy]carbonyl}-L-cystein wurden in 10 ml DMF gelöst und mit 157.5 mg (1.606 mmol) Maleinsäureanhydrid versetzt und der Ansatz 1 Stunde bei RT gerührt. 130 μΐ^ dieser Lösung wurden mit 7.5 mg (0.01 mmol) von Intermediat C66 versetzt und der Ansatz 5 min bei RT gerührt. Anschließend wurde im Vakuum eingeengt und der Rückstand durch präparative HPLC gereinigt. Das Lösemeittel wurde im Vakuum abgedampft und der Rückstand im Hochvakuum getrocknet. Es wurden 10 mg (89%) des geschützten Intermediats erhalten, wobei weder im HPLC noch im LC-MS die Regioisomere aufgetrennt werden konnten.
LC-MS (Methode 1): Rt = 1.38 min; MS (EIpos): m/z = 1120 [M+H]+.
Im letzten Schritt wurden die 10 mg von diesem Intermediat in 2 mL 2,2,2-Trifluorethanol gelöst. Es wurden 12 mg (0.088 mmol) Zinkchlorid zugegeben und der Ansatz 30 min bei 50°C gerührt. Anschließend wurden 26 mg (0.088 mmol) Ethylendiamin-N,N,N',N'-tetraessigsäure zugesetzt und das Lösemittel im Vakuum verdampft. Der Rückstand wurde mittels präparativer HPLC gereinigt. Nach Einengen der entsprechenden Fraktionen und Lyophilisation des Rückstands aus Acetonitril/Wasser wurden 8.3 mg (99% d. Th.) der Titelverbindung als Regioisomerengemisch imVerhältnis 87: 13 erhalten.
LC-MS (Methode 5): Rt = 2.3 min und 2.43 min; MS (ESIpos): m/z = 832 (M+H)+.
XH-NMR Hauptregioisomer: (500 MHz, DMSO-d6): δ = 8.7 (m, 1H), 8.5 (m, 2H), 8.1 (m, 1H), 7.6 (m, 1H), 7.5 (s, 1H) 7.4-7.15 (m, 6H), 6.9-7.0 (m, 1H), 6.85 (s, 1H), 5.61 (s, 1H), 4.9 und 5.2 (2d, 2H), 4.26 und 4.06 (2d, 2H), 3.5-3.8 (m, 5H), 3.0-3.4 (m, 5H), 2.75-3.0 (m, 3H), 2.58 und 2.57 (dd, 1H), 0.77 und 1,5 (2m, 2H), 0.81 (s, 9H).
Alternativ wurden die regioisomeren Titelverbindungen wie folgt hergestellt:
Zunächst wurde dazu L-Cystein mit l-({ [2-(Trimethylsilyl)ethoxy]carbonyl}oxy)pyrrolidine-2,5- dion in DMF in Gegenwart von /V,/V-Diisopropylefhylamin in N-{ [2- (Trimethylsilyl)ethoxy] carbonyl } -L-cystein überführt.
55 mg (0.068 mmol) von Intermediat F104 und 36 mg (0.136 mmol) N-{ [2-(Trimethylsilyl) ethoxy] carbonyl} -L-cystein 15 ml DMF gelöst und der Ansatz 20 h bei RT gerührt. Anschließend wurde eingeengt und der Rückstand durch präparative HPLC gereinigt. Nach Vereinigung der entsprechenden Fraktionen und Abdampfen der Lösemittel im Vakuum wurde der Rückstand in 15 mL THF/Wasser 1: 1 gelöst. Es wurden 131 μΕ einer 2M wässrigen Lithiumhydroxidlösung zugegeben und der Ansatz 1 h bei RT gerührt. Anschließend wurde der Ansatz mit einer IM Salzsäure neutral gestellt, das Lösemittel im Vakuum abgedampft und der Rückstand durch präparative HPLC gereinigt. Es wurden 37 mg (50% d. Th.) der regioisomeren geschützten Intermediate als farbloser Schaum erhalten.
LC-MS (Methode 5): Rt = 3.33 min und 3.36 min; MS (ESIpos): m/z = 976 (M+H)+.
Im letzten Schritt wurden 25 mg (0.023 mmol) von diesem Intermediat in 3 mL 2,2,2- Trifluorethanol gelöst. Es wurden 12.5 mg (0.092 mmol) Zinkchlorid zugegeben und der Ansatz 4 h bei 50°C gerührt. Anschließend wurden 27 mg (0.092 mmol) Ethylendiamin-Ν,Ν,Ν',Ν'- tetraessigsäure zugesetzt und das Lösemittel im Vakuum verdampft. Der Rückstand wurde mittels präparativer HPLC gereinigt. Nach Einengen der entsprechenden Fraktionen und Lyophihsation des Rückstands aus Acetonitril/Wasser wurden 18.5 mg (85% d. Th.) der Titelverbindung als Regioisomerengemisch im Verhältnis 21:79 erhalten.
LC-MS (Methode 5): Rt = 2.37 min und 3.44 min; MS (ESIpos): m/z = 832 (M+H)+.
Die gezielte Herstellung der einzelnen Regioisomere der Titelverbindungen erfolgte folgendermaßen :
Beispiel M2-1
4- [(2- { [2-( { (2S)-2- Amino-4- [ { ( 1 R)- 1 - [ 1 -benzyl-4-(2,5-difluorphenyl)- 1 H-pyrrol-2-yl] -2,2- dimethylpropyl } (glycoloyl)amino]butanoyl } amino)ethyl] amino }-2-oxoethyl)amino]-2- { [(2R)-2- amino-2-carboxyethyl]sulfanyl}-4-oxobutansäure -trifluoressigsäure (1 : 1)
Zunächst wurde dazu Methyl-L-Cysteinat mit l-({ [2-(Trimethylsilyl)ethoxy]carbonyl}oxy) pyrrolidine-2,5-dion in DMF in Gegenwart von A^ -Diisopropylethylamin in Methyl-N-{ [2- (trimethylsilyl)ethoxy]carbonyl } -L-cysteinat überführt.
53 mg (0.251 mmol) von kommerziell erhältlicher 3-Brom-4-methoxy-4-oxobutansäure und 70 mg (0.251 mmol) Methyl-N-{ [2-(trimethylsilyl)ethoxy]carbonyl} -L-cysteinat wurden in 5 ml DMF gelöst und unter pH Kontrolle mit wässriger Natriumhydrogencarbonatlösung versetzt. Nach 15 min Rühren bei RT wurde mit Essigsäure ein pH Wert von 4.3 eingestellt und der Ansatz eingeengt. Der Rückstand durch präparative HPLC gereinigt. Nach Vereinigung der entsprechenden Fraktionen und Abdampfen der Lösemittel im Vakuum wurde 72 mg (70% d. Th.) 4-Methoxy-3- { [(2R)-3-methoxy-3-oxo-2-( { [2-(trimethylsilyl)ethoxy]carbonyl } amino)propyl] sulfanyl }-4-oxobutansäure erhalten.
LC-MS (Methode 1): Rt = 0.93 min; MS (ESIpos): m/z = 410 (M+H)+.
Dieses Intermediat wurde in Gegenwart von HATU mit Intermediat C66 gekuppelt und anschließend zunächst mit Lithiumhydroxid in Methanol und anschließend mit Zinkchlorid wie oben beschrieben vollständig entschützt. Der Rückstand wurde mittels präparativer HPLC gereinigt. Nach Einengen der entsprechenden Fraktionen und Lyophilisation des Rückstands aus Acetonitril/Wasser wurden 2mg der Titel Verbindung erhalten.
LC-MS (Methode 1): Rt = 0.78 min; MS (ESIpos): m/z = 832 (M+H)+.
In analoger Weise kann das Isomer 1 hergestellt werden.
Beispiel M3
4-[(2-{ [(2R)-2-({(2S)-2-Amino-4-[{(lR)-l-[l-benzyl-4-(2,5-difluorphenyl)-lH-pyrrol-2-yl]-2,2- dimethylpropyl } (glycoloyl)amino]butanoyl } amino)-2-carboxyethyl] amino }-2-oxoethyl)amino]-3- { [(2R)-2-amino-2-carboxyethyl] sulfanyl }-4-oxobutansäure -trifluoressigsäure (1 : 1) und
4-[(2-{ [(2R)-2-({(2S)-2-Amino-4-[{(lR)-l-[l-benzyl-4-(2,5-difluorphenyl)-lH-pyrrol-2-yl]-2,2- dimethylpropyl } (glycoloyl)amino]butanoyl } amino)-2-carboxyethyl] amino }-2-oxoethyl)amino]-2- { [(2R)-2-amino-2-carboxyethyl] sulfanyl }-4-oxobutansäure -trifluoressigsäure (1 : 1)
Zunächst wurde L-Cystein mit l-({ [2-(Trimethylsilyl)ethoxy]carbonyl}oxy)pyrrolidine-2,5-dion in DMF in Gegenwart von /V-Diisopropylethylamin in N-{ [2-(Trimethylsilyl)ethoxy]carbonyl}-L- cystein überführt.
11 mg (0.013 mmol) von Intermediat F193 und 8 mg (0.016 mmol) N-{ [2-(Trimethylsilyl) ethoxy]carbonyl}-L-cy stein wurden 3 ml DMF gelöst und der Ansatz 20 h bei RT gerührt. Anschließend wurde eingeengt und der Rückstand durch präparative HPLC gereinigt.
Nach Vereinigung der entsprechenden Fraktionen und Abdampfen der Lösemittel im Vakuum wurde der Rückstand in 2 mL THFA asser 1 : 1 gelöst. Es wurden 19 μΐ^ einer 2M wässrigen Lithiumhydroxidlösung zugegeben und der Ansatz 1 h bei RT gerührt. Dann wurden nochmals 19 μΐ^ der 2M wässrigen Lithiumhydroxidlösung zugegeben und der Ansatz über Nacht bei RT gerührt. Anschließend wurde mit einer IM Salzsäure neutral gestellt, das Lösemittel im Vakuum abgedampft und der Rückstand durch präparative HPLC gereinigt. Es wurden 4.1 mg (38% d. Th.) der regioisomeren geschützten Intermediate als farbloser Schaum erhalten.
LC-MS (Methode 1): Rt = 1.03 min (breit); MS (ESIpos): m/z = 1020 (M+H)+.
Im letzten Schritt wurden 4.1 mg (0.004 mmol) von diesem Intermediat in 3 mL 2,2,2- Trifluorethanol gelöst. Es wurden 3 mg (0.022 mmol) Zinkchlorid zugegeben und der Ansatz 1 h bei 50°C gerührt. Anschließend wurden 6 mg (0.022 mmol) Ethylendiamin-Ν,Ν,Ν',Ν'- tetraessigsäure und 2 ml einer 0.1%-igen wässrigen Trifluoressigsäure zugesetzt und das Lösemittel im Vakuum verdampft. Der Rückstand wurde mittels präparativer HPLC gereinigt. Nach Einengen der entsprechenden Fraktionen und Lyophilisation des Rückstands aus Acetonitril/Wasser wurden 5 mg (quant.) der Titelverbindung als Regioisomerengemisch imVerhältnis 20:80 erhalten.
LC-MS (Methode 1): Rt = 0.78 min (breit); MS (ESIpos): m/z = 876 (M+H)+.
LC-MS (Methode 5): Rt = 2.36 min und 2.39 min; MS (ESIpos): m/z = 876 (M+H)+.
Beispiel M4
S-(l-{2 2-({(2S)-2-Amino-4-[{(lR)-l-[l-benzyl-4-(2,5-difluorphenyl)-lH-pyrrol-2-yl]-2,2- dimethylpropyl } (glycoloyl)amino]butanoyl } amino)ethoxy]ethyl } -2,5-dioxopyrrolidin-3-yl)-L- cystein -trifluoressigsäure (1 : 1)
3 mg (4 μιηοΐ) von Intermediat F248 wurden in 2 ml DMF aufgenommen und mit 0.9 mg (8 μιηοΐ) L-Cystein versetzt. Das Reaktionsgemisch wurde 18 h bei RT gerührt und dann im Vakuum eingeengt. Der Rückstand wurde mittels präparativer HPLC gereinigt. Die entsprechenden Fraktionen wurden eingeengt und nach Lyophilisation des Rückstands aus AcetonitrilA asser verblieben 1.1 mg (32% d. Th.) der Titelverbindung als weißer Feststoff.
LC-MS (Methode 1): Rt = 0.78 min; MS (EIpos): m/z = 801 [M+H]+.
Beispiel M5
(3R,7S)-7-Amino- 17- { [(2R)-2-amino-2-carboxyethyl]sulfanyl } -3- [1 -benzyl-4-(2,5-difluorphenyl)- lH-pyrrol-2-yl]-4-glycoloyl-2,2-dimethyl-8,16-dioxo-12-oxa-4,9,15-triazanonadecan-19-säure trifluoressigsäure (1: 1)
und
(3R,7S)-7-Amino-18-{ [(2R)-2-amino-2-carboxyethyl]sulfanyl}-3-[l-benzyl-4-(2,5-difluorphenyl)- lH-pyrrol-2-yl]-4-glycoloyl-2,2-dimethyl-8,16-dioxo-12-oxa-4,9,15-triazanonadecan-19-säure trifluoressi säure (1: 1)
8 mg (0.010 mmol) von der geschützten Zwischenstufe von Intermediat F248 und 5.1 mg (0.02 mmol) N-{ [2-(Trimethylsilyl) ethoxy]carbonyl}-L-cystein 3 ml DMF gelöst und der Ansatz 18 h bei RT gerührt und anschließend 2 h im Ultraschallbad behandelt. Anschließend wurde eingeengt und der Rückstand durch präparative HPLC gereinigt. Nach Vereinigung der entsprechenden Fraktionen und Abdampfen der Lösemittel im Vakuum wurde der Rückstand in 2 mL THF/Wasser 1 : 1 gelöst. Es wurden 15 μΕ einer 2M wässrigen Lithiumhydroxidlösung zugegeben und der Ansatz 15 min bei RT gerührt. Anschließend wurde der Ansatz mit einer IM Salzsäure auf einen pH-Wert von ~3 eingestellt, mit 20 ml Kochsalzlösung verdünnt und zweimal mit 20 ml Ethylacetat extrahiert. Die organische Phase wurde über Magnesiumsulfat getrocknet, eingeengt und der Rückstand aus Acetonitril/W asser lyophilisiert. Es wurden 8.4 mg (78% d. Th. über 2 Stufen) der regioisomeren geschützten Intermediate als farbloser Schaum erhalten.
LC-MS (Methode 1): Rt = 1.44 min und 3.43 min; MS (ESIpos): m/z = 1107 (M+H)+.
Im letzten Schritt wurden 8 mg (0.007 mmol) von diesem Intermediat in 5 mL 2,2,2- Trifluorethanol gelöst. Es wurden 9.8 mg (0.072 mmol) Zinkchlorid zugegeben und der Ansatz 1.5 h bei 50°C gerührt. Anschließend wurde Ethylendiamin-N,N,N',N'-tetraessigsäure zugesetzt und das Lösemittel im Vakuum verdampft. Der Rückstand wurde mittels präparativer HPLC gereinigt. Nach Einengen der entsprechenden Fraktionen und Lyophilisation des Rückstands aus Acetonitril/Wasser wurden 4 mg (59% d. Th.) der Titel Verbindung als Regioisomerengemisch imVerhältnis 31:67 erhalten.
LC-MS (Methode 1): Rt = 0.79 min und 0.81 min; MS (ESIpos): m/z = 819 (M+H)+. Beispiel M6
2- { [(2R)-2-Amino-2-carboxyethyl]sulfanyl}-4-({(14R)-13-(3-aminopropyl)-14-[l-benzyl-4-(2,5- difluorphenyl)- lH-pyrrol-2-yl]- 15, 15-dimethyl-2,7, 12-trioxo- 10-thia-3,6, 13-triazahexadec- 1 - yl}amino)-4-oxobutansäure -trifluoressigsäure (1:2) und
3- { [(2R)-2-Amino-2-carboxyethyl]sulfanyl}-4-({(14R)-13-(3-aminopropyl)-14-[l-benzyl-4-(2,5- difluorphenyl)- lH-pyrrol-2-yl]- 15, 15-dimethyl-2,7, 12-trioxo- 10-thia-3,6, 13-triazahexadec- 1 - yl}amino)-4-oxobutansäure -trifluoressigsäure (1:2)
18 mg (0.021 mmol) von Intermediat F213 und 11.2 mg (0.04 mmol) N-{ [2-(Trimethylsilyl) ethoxy]carbonyl}-L-cy stein 2 ml DMF gelöst und der Ansatz 18 h bei RT gerührt. Die Reaktionsmischung wurde im Vakuum verdampft. Der Rückstand (21.2 mg) wurde in 3 mL THF/Wasser 1: 1 gelöst. Es wurden 0.04 mL einer 2M wässrigen Lithiumhydroxidlösung zugegeben und der Ansatz 3 Stunden bei RT gerührt. Es wurden 0.02 mL einer 2M wässrigen Lithiumhydroxidlösung zugegeben und der Ansatz 1 Stunde bei RT gerührt. Anschließend wurde der Ansatz mit 7.2 mg (0.12 mmol) Essigsäure auf einen pH-Wert von ~7 eingestellt. Die Reaktionsmischung wurde direkt mittels präp. RP-HPLC gereinigt (Säule: Reprosil 125x30; 10μ, Fluss: 50 mL/min, MeCN/Wasser; 0.1 % TFA). Die Lösemittel wurden im Vakuum verdampft und der Rückstand im Hochvakuum getrocknet. Es wurden 13 mg (57% über 2 Stufen) der regioisomeren geschützten Intermediate erhalten.
LC-MS (Methode 1): Rt = 1.03 min; MS (ESIpos): m/z = 1020 (M+H)+.
Im letzten Schritt wurden 13 mg (0.01 mmol) von diesem Intermediat in 2 mL 2,2,2- Trifluorethanol gelöst. Es wurden 6.2 mg (0.05 mmol) Zinkchlorid zugegeben und der Ansatz 7 h bei 50°C gerührt. Anschließend wurde 13.3 mg (0.05 mmol) Ethylendiamin-Ν,Ν,Ν',Ν'- tetraessigsäure zugesetzt und das Lösemitte wurde mittels präparativer HPLC gereinigt. Nach Einengen der entsprechenden Fraktionen und Lyophilisation des Rückstands aus Acetonitril/Wasser wurden 10.3 mg (81.4%) der Titelverbindung als Regioisomerengemisch erhalten.
LC-MS (Methode 1): Rt = 1.03 min; MS (ESIpos): m/z = 875 (M+H)
Beispiel M7
S-(2- { [2-( { (2S)-2- Amino-4- [ { ( 1R)- 1 - [ 1 -benzyl-4-(2,5-difluorphenyl)- 1 H-pyrrol-2-yl] -2,2- dimethylpropyl } (glycoloyl)amino]butanoyl } amino)ethyl] amino }-2-oxoethyl)-L-cystein trifluoressigsäure 1: 1)
6 mg (8 μιηοΐ) von Intermediat Fl 19 wurden in 3 mL DMF aufgenommen und mit 1.8 mg (15 μιηοΐ) L-Cystein versetzt. Das Reaktionsgemisch wurde 6 h bei RT gerührt und dann 3 Tage bei RT stehen gelassen. Anschließend wurde der Ansatz im Vakuum eingeengt und das Produkt mittels präparativer HPLC gereinigt.
LC-MS (Methode 1): Rt = 0.81 min; MS (ESIpos): m/z = 717 (M+H)+. Beispiel M8
(3R)-6-{(l lS,15R)-l l-Amino-15-[l-benzyl-4-(2,5-difluorphenyl)-lH-pyrrol-2-yl]-14-glycoloyl- 16,16-dimethyl-2,5,10-trioxo-3,6,9,14-tetraazaheptadec-l-yl}-5-oxothiomorpholin-3-carbonsäure - trifluoressigsäure (1: 1)
4 mg (0.004 mmol) der Verbindung aus Beispiel 135 wurden in 4 mL THF/Wasser gelöst und mit 48 μΐ
^ einer 2molaren wässrigen Lithiumhydroxidlösung versetzt. Der Ansatz wurde 1 h bei RT gerührt und anschließend eingeengt und mittels präparativer HPLC gereinigt. Nach Vereinigung, Einengen und Lyophilisation aus Acetonitril/Wasser der entsprechenden Fraktionen wurden 2.4 mg (60% d. Th.) der Titelverbindung erhalten.
LC-MS (Methode 1): Rt = 0.86 min; MS (EIpos): m/z = 814 [M+H]+.
Beispiel M9
N-(3- Aminopropyl)-N- { ( 1 R) - 1 - [ 1 -benzyl-4-(2,5-difluorphenyl)- 1 H-pyrrol-2-yl] -2,2- dimethylpropyl } -2-hydroxyacetamid
150.0 mg (0.42 mmol) (lR)-l-[l-Benzyl-4-(2,5-difluorphenyl)-lH-pyrrol-2-yl]-2,2- dimethylpropan-l-amin (Intermediat C52) wurden in 2.0 mL Dichlormethan vorgelegt und mit 29.2 mg (0.49 mmol) HOAc und 125.6 mg (0.59 mmol) Natriumtriacetoxyborhydrid versetzt und 5 min bei RT gerührt. Es wurden 98.9 mg (0.49 mmol) 3-(l,3-Dioxo-l,3-dihydro-2H-isoindol-2- yl)propanal zugegeben. Die Reaktionsmischung wurde über Nacht bei RT gerührt. Die Reaktionsmischung wurde mit Ethylacetat verdünnt und die organische Phase zweimal mit ges. Natriumcarbonat-Lösung und einmal mit ges. NaCl-Lösung gewaschen. Nach der Trocknung über Magnesiumsulfat wurde das Lösemittel im Vakuum verdampft und der Rückstand mittels Kieselgel (Laufmittel: Dichlormethan/Methanol 100: 1) gereinigt. Die Lösemittel wurden im Vakuum verdampft und der Rückstand im Hochvakuum getrocknet. Man erhielt 188.6 mg (74 %) der Verbindung 2- [3-( { ( 1R)- 1 - [ 1 -Benzyl-4-(2,5-difluorphenyl)- 1 H-pyrrol-2-yl] -2,2-dimethylpropyl } amino)propyl] - lH-isoindol- 1 ,3(2H)-dion.
LC-MS (Methode 1): Rt = 1.00 min; MS (ESIpos): m/z = 541 [M+H]+.
171.2 mg (0.32 mmol) 2-[3-({(lR)-l-[l-Benzyl-4-(2,5-difluorphenyl)-lH-pyrrol-2-yl]-2,2- dimethylpropyl}amino)propyl]-lH-isoindol-l,3(2H)-dion wurden in 5.0 mL Dichlormethan vorgelegt und mit 73.6 mg (0.73 mmol) Triethylamin versetzt. Bei 0 °C wurden 94.9 mg (0.70 mmol) Acetoxyessigsäurechlorid zugegeben und die Reaktionsmischung wurde über Nacht bei RT gerührt. Die Reaktionsmischung wurde mit Ethylacetat verdünnt und die organische Phase zweimal mit ges. Natriumhydrogencarbonat-Lösung und einmal mit ges. NaCl-Lösung gewaschen. Nach der Trocknung über Magnesiumsulfat wurde das Lösemittel im Vakuum verdampft und der Rückstand wurde mittels Biotage Isolera gereinigt (Kieselgel, Säule 10 g SNAP, Fluss 12 mL/min, Ethylacetat/Cyclohexan 1 :3) gereinigt. Die Lösemittel wurden im Vakuum verdampft und der Rückstand im Hochvakuum getrocknet. Man erhielt 159.0 mg (77 %) der Verbindung 2-({(lR)-l- [l-Benzyl-4-(2,5-difluorphenyl)-lH-pyrrol-2-yl]-2,2-dimethylpropyl} [3-(l,3-dioxo-l,3-dihydro- 2H-isoindol-2-yl)propyl]amino)-2-oxoethylacetat.
LC-MS (Methode 1): Rt = 1.35 min; MS (ESIpos): m/z = 642 [M+H]+.
147.2 mg (0.23 mmol) 2-({(lR)-l-[l-Benzyl-4-(2,5-difluorphenyl)-lH-pyrrol-2-yl]-2,2- dimethylpropyl } [3-( 1 ,3-dioxo- 1 ,3-dihydro-2H-isoindol-2-yl)propyl] amino)-2-oxoethylacetat wurden in 4.0 mL Ethanol vorgelegt und mit 356.2 mg (4.59 mmol) Methanamin (40 % in Wasser) versetzt. Die Reaktionsmischung wurde über Nacht bei 50 °C gerührt. Das Lösemittel wurde im Vakuum verdampft und der Rückstand dreimal mit Toluol kodestilliert. Der Rückstand wurde mittels Kieselgel (Laufmittel: Dichlormethan/Methanol 10: 1) gereinigt. Die Lösemittel wurden im Vakuum verdampft und der Rückstand im Hochvakuum getrocknet. Man erhielt 67.4 mg (63 %) der Titel Verbindung.
LC-MS (Methode 1): Rt = 0.91 min; MS (ESIpos): m/z = 470 [M+H]+.
Beispiel MIO
(2R,28R)-28- Amino-2- [( { 2- [(3-aminopropyl) { ( 1 R)- 1 - [ 1 -benzyl-4-(2,5-difluorphenyl)- 1 H-pyrrol- 2-yl]-2,2-dimethylpropyl}amino]-2-oxoethyl}sulfanyl)methyl]-25-(carboxymethyl)-4,20,24-trioxo- 7,10,13,16-tetraoxa-26-thia-3,19,23-triazanonacosan-l,29-disäure -trifluoressigsäure (1:2) und (lR,28R,34R)-l-Amino-33-(3-aminopropyl)-34-[l-benzyl-4-(2,5-difluorphenyl)-lH-pyrrol-2-yl]- 35,35-dimethyl-6,10,26,32-tetraoxo-14,17,20,23-tetraoxa-3,30-dithia-7,l 1,27,33- tetraazahexatriacontan- 1 ,4,28-tricarbonsäure -trifluoressigsäure (1:2)
20 mg (0.018 mmol) R-{2-[(3-Aminopropyl){(lR)-l-[l-benzyl-4-(2,5-difluorphenyl)-lH-pyrrol-2- yl] -2,2-dimethylpropyl } amino] -2-oxoethyl }-N-[ 19-(2,5-dioxo-2,5-dihydro- lH-pyrrol- 1-yl)- 17- oxo-4,7, 10, 13-tetraoxa-16-azanonadecan-l-oyl]-L-cystein-trifluoressigsäure (1: 1) (Intermediat F209) und 9.78 mg (0.036 mmol) N-{ [2-(Trimethylsilyl) ethoxy]carbonyl}-L-cystein wurden in 2 ml DMF gelöst und der Ansatz 18 h bei RT gerührt. Die Reaktionsmischung wurde im Vakuum verdampft. Der Rückstand (47.7 mg) wurde in 3 mL THFAVasser 1 : 1 gelöst. Es wurden 0.08 mL einer 2M wässrigen Lithiumhydroxidlösung zugegeben und der Ansatz 1 Stunde bei RT gerührt. Anschließend wurde der Ansatz mit 9.26 mg (0.15 mmol) Essigsäure auf einen pH- Wert von ~7 eingestellt. Die Reaktionsmischung wurde direkt mittels präp. RP-HPLC gereinigt (Säule: Reprosil 125x30; 10μ, Fluss: 50 mL/min, MeCN/Wasser; 0.1 % TFA). Die Lösemittel wurden im Vakuum verdampft und der Rückstand im Hochvakuum getrocknet. Es wurden 15.3 mg (29% über 2 Stufen) der regioisomeren geschützten Intermediate erhalten.
LC-MS (Methode 6): Rt = 12.26 min und 12.30min; MS (ESIpos): m/z = 1254 (M+H)+.
Im letzten Schritt wurden 15.3 mg (0.01 mmol) von diesem Intermediat in 2 mL 2,2,2- Trifluorethanol gelöst. Es wurden 6.1 mg (0.05 mmol) Zinkchlorid zugegeben und der Ansatz 2 h bei 50°C gerührt. Anschließend wurde 13.1 mg (0.05 mmol) Ethylendiamin-Ν,Ν,Ν',Ν'- tetraessigsäure zugesetzt und das Lösemitte wurde mittels präparativer HPLC gereinigt. Nach Einengen der entsprechenden Fraktionen und Lyophilisation des Rückstands aus
AcetonitrilA asser wurden 11.9 mg (79.5%) der Titelverbindung als Regioisomereng erhalten.
LC-MS (Methode 1): Rt = 0.85 min; MS (ESIpos): m/z = 1110 (M+H)+. Beispiel Mll
S- { 2- [(3- Aminopropyl) { ( 1R) - 1 - [ 1 -benzyl-4-(2,5-difluorphenyl)- 1 H-pyrrol-2-yl] -2,2- dimethylpropyl } amino] -2-oxoeth l } -L-cystein -trifluoressigsäure (1:2)
15.0 mg (0.018 mmol) S-(l l-{(lR)-l-[l-Benzyl-4-(2,5-difluorphenyl)-lH-pyrrol-2-yl]-2,2- dimethylpropyl } -2,2-dimethyl-6, 12-dioxo-5-oxa-7, 1 l-diaza-2-silatridecan- 13-yl)-L-cystein trifluoressigsäure (1 : 1) (Intermediat C71) wurden in 1.0 mL Trifluorethanol gelöst und mit 7.4 mg (0.054 mmol) Zinkdichlorid versetzt. Die Reaktionsmischung rührte über Nacht bei 50 °C. Die Reaktionsmischung wurde mit 15.8 mg (0.054 mmol) Ethylendiamin-N,N,N',N'-tetraessigsäure versetzt, 10 min gerührt und dann mit Wasser (0.1% TFA) versetzt. Die Reinigung erfolgte direkt mittles präp. RP-HPLC (Säule: Reprosil 125x30; 10μ, Fluss: 50 mL/min, MeCN/Wasser, 0.1% TFA). Die Lösemittel wurden im Vakuum verdampft und der Rückstand im Hochvakuum getrocknet. Man erhielt 11.1 mg (77 %) der Titel Verbindung.
LC-MS (Methode 1): Rt = 0.83 min; MS (ESIpos): m/z = 573 (M+H)+.
Beispiel M12
4- { [( lR)-2-( { 2- [(3- Aminopropyl) { ( 1R)- 1 - [ 1 -benzyl-4-(2,5-difluorphenyl)- 1 H-pyrrol-2-yl] -2,2- dimethylpropyl } amino] -2-oxoethyl } sulfanyl)- 1 -carboxyethyl] amino } -4-oxobutansäure trifluoressigsäure (1: 1
12.2 mg (0.014 mmol) S-(l l-{(lR)-l-[l-Benzyl-4-(2,5-difluorphenyl)-lH-pyrrol-2-yl]-2,2- dimethylpropyl}-2,2-dimethyl-6,12-dioxo-5-oxa-7,l l-diaza-2-silatridecan-13-yl)-N-(4-tert-butoxy-
4-oxobutanoyl)-L-cystein (Intermediat C77) wurden in 2.0 mL Trifluorethanol gelöst und mit 11.4 mg (0.084 mmol) Zinkdichlorid versetzt. Die Reaktionsmischung rührte 3 h bei 50 °C. Die Reaktionsmischung wurde mit 24.5 mg (0.084 mmol) Ethylendiamin-N,N,N',N'-tetraessigsäure versetzt, 10 min gerührt und dann mit Wasser (0.1% TFA) versetzt. Die Reinigung erfolgte direkt mittles präp. RP-HPLC (Säule: Reprosil 125x30; 10μ, Fluss: 50 mL/min, MeCN/Wasser, 0.1% TFA). Die Lösemittel wurden im Vakuum verdampft und der Rückstand im Hochvakuum getrocknet. Man erhielt 4.6 mg (42 %) der Titel Verbindung.
LC-MS (Methode 1): Rt = 0.88 min; MS (ESIpos): m/z = 673 (M+H)+.
Beispiel M13
4- [(2- { [2-( { (2S)-2- Amino-4- [ { ( 1 R)- 1 - [ 1 -benzyl-4-(2,5-difluorphenyl)- 1 H-pyrrol-2-yl] -2,2- dimethylpropyl } (glycoloyl)amino]butanoyl } amino)ethyl] amino }-2-oxoethyl)amino]-2- { [(2R)-2- amino-2-carboxyethyl] sulfanyl} -4-oxobutansäure -trifluoressigsäure (1 : 1)
Regioisomer 1, Epimer 1 (2R) oder (2S)
LC-MS (Methode 5): Rt = 2.44 min; MS (ESIpos): m/z = 832 [M+H]
Zunächst wurde Methyl-L-cysteinathydrochlorid (1: 1) mit l-({ [2-(Trimethylsilyl)ethoxy] carbonyl}oxy)pyrrolidine-2,5-dion in DMF in Gegenwart von /V,/V-Diisopropylethylamin in Methyl-N- { [2-(trimethylsilyl)ethoxy] carbonyl } -L-cy steinat überführt.
408 mg (1.93 mmol) von kommerziell erhältlicher 3-Brom-4-methoxy-4-oxobutansäure und 180 mg (0.644 mmol) Methyl-N- { [2-(trimethylsilyl)ethoxy]carbonyl}-L-cysteinat wurden in 8 ml DMF gelöst und mit 147 mg (0.97 mmol) l,8-Diazabicyclo(5.4.0)undec-7-en versetzt. Nach 18 h Rühren bei RT wurden nochmals 136 mg (0.64 mmol) 3-Brom-4-methoxy-4-oxobutansäure sowie 147 mg (0.97 mmol) l,8-Diazabicyclo(5.4.0)undec-7-en hinzugefügt und der Ansatz weitere 12 h bei RT gerührt und anschließend im Vakuum eingeengt. Der Rückstand wurde durch präparative HPLC gereinigt. Nach Vereinigung der entsprechenden Fraktionen und Abdampfen der Lösemittel im Vakuum wurden 151 mg (57% d. Th.) 4-Methoxy-3-{ [(2R)-3-methoxy-3-oxo-2-({ [2- (trimethylsilyl)ethoxy] carbonyl } amino)propyl] sulfanyl } -4-oxobutansäure erhalten.
LC-MS (Methode 12): Rt = 1.74 min; MS (ESIneg): m/z = 408 (M-H)\
Von diesem Intermediat wurden 145 mg mittels überkritischer Fluidchromatographie über chirale Säulen in die Einzeldiastereomere aufgetrennt (SFC; Säule: DAICEL, AD-H 5u 250x20 mm; Fluss: 80 mL/min; Methode: AD-25%ETOH-80ml; Druck: 100 bar; Wellenlänge: 210 nM) und dabei wurden von Epimer 1 63 mg (43%) und von Epimer 2 58 mg (40%) erhalten.
Epimer 1 wurde wie folgt charakterisiert:
LC-MS (Methode 5): Rt = 2.94 min; MS (ESIneg): m/z = 408 (M-H)".
^-NMR: (400 MHz, DMSO-d6): δ = 7.57 (d, 1H), 4.24 (m, 1H), 4.05 (t, 2H), 3.67 (t, 1H), 3.65 (s, 3H), 3.62 (s, 3H), 3.05 (dd, 1H), 2.70-2.88 (m, 2H), 2.59 (dd, 1H), 0.93 (t, 2H), 0.02 (s, 9H).
Epimer 2 wurde wie folgt charakterisiert:
LC-MS (Methode 5): Rt = 2.95 min; MS (ESIneg): m/z = 408 (M-H)\
Ή-NMR: (400 MHz, DMSO-d6): δ = 7.58 (d, 1H), 4.16-4.23 (m, 1H), 4.05 (t, 2H), 3.67 (dd, 1H), 3.65 (s, 3H), 3.64 (s, 3H), 3.04 (dd, 1H), 2.88 (dd, 1H), 2.77 (dd, 1H), 2.61 (dd, 1H), 0.92 (t, 2H), 0.02 (s, 9H).
32.5 mg (0.079 mmol) von Epimer 1 wurden in Gegenwart von 30 mg (0.079 mmol) HATU und 13.4 mg (0.132 mmol) 4-Methylmorpholin mit 50 mg (0.066 mmol) von Intermediat C66 gekuppelt, wobei nach HPLC Reinigung 43 mg (57% d. Th.) vom voll geschützten Intermediat Methyl-4- { [(8S)-8 - { 2- [ { ( 1 R) - 1 - [ 1 -benzyl-4-(2,5-difluorphenyl)- 1 H-pyrrol-2-yl] -2,2-dimethyl propyl}(glycoloyl)amino]ethyl}-2,2-dimethyl-6,9,14-trioxo-5-oxa-7,10,13-triaza-2-silapentadecan- 15-yl]amino}-2-{ [(2R)-3-methoxy-3-oxo-2-({ [2-(trimethylsilyl)ethoxy]carbonyl}amino)propyl] sulfanyl}-4-oxobutanoat erhalten wurden.
Anschließend wurden 40 mg (0.035 mmol) dieses Intermediats mit 0.9 mL einer 2 molaren Lithiumhydroxidlösung in 11 ml Methanol 20 min lang bei RT gerührt, wobei beide Methylestergruppen abgespalten wurden. Nach HPLC -Reinigung wurden 12 mg (31% d. Th.) des Dicarbonsäurederivats erhalten.
LC-MS (Methode 5): Rt = 4.74 min; MS (ESIpos): m/z = 1120 [M+H]+.
10 mg (0.009 mmol) dieses Intermediats wurden schließlich mit Zinkchlorid in Trifluorethanol wie oben beschrieben vollständig entschützt. Der Rückstand wurde mittels präparativer HPLC gereinigt. Nach Einengen der entsprechenden Fraktionen und Lyophilisation des Rückstands aus Acetonitril/Wasser wurden 2.6 mg (30% d. Th.) der Titelverbindung erhalten.
LC-MS (Methode 5): Rt = 2.44 min; MS (ESIpos): m/z = 832 [M+H]+.
Beispiel M14
4- [(2- { [2-( { (2S)-2- Amino-4- [ { ( 1 R)- 1 - [ 1 -benzyl-4-(2,5-difluorphenyl)- 1 H-pyrrol-2-yl] -2,2- dimethylpropyl } (glycoloyl)amino]butanoyl } amino)ethyl] amino }-2-oxoethyl)amino]-2- { [(2R)-2- amino-2-carboxyethyl]sulfanyl}-4-oxobutansäure -trifluoressigsäure (1 : 1)
gioisomer 1, Epimer 2 (2R oder 2S)
LC-MS (Methode 5): Rt = 2.44 min; MS (EIpos): m/z = 832 [M+H]
Das in Beispiel Ml 3 beschriebene Intermediat Epimer 2 wurde in Analogie zu der Beschreibung in Beispiel M13 umgesetzt:
32.5 mg (0.079 mmol) von Epimer 2 wurden in Gegenwart von 30 mg (0.079 mmol) HATU und 13.4 mg (0.132 mmol) 4-Methylmorpholin mit 50 mg (0.066 mmol) von Intermediat C66 gekuppelt, wobei nach HPLC Reinigung 43 mg (57% d. Th.) vom voll geschützten Intermediat Methyl-4-{ [(8S)-8-{2-[{(lR)-l-[l-benzyl-4-(2,5-difluorphenyl)-lH-pyrrol-2-yl]-2,2-dimethyl propyl}(glycoloyl)amino]ethyl}-2,2-dimethyl-6,9,14-trioxo-5-oxa-7,10,13-triaza-2-silapentadecan- 15-yl]amino}-2-{ [(2R)-3-methoxy-3-oxo-2-({ [2-(trimethylsilyl)ethoxy]carbonyl}amino)propyl] sulfanyl}-4-oxobutanoat erhalten wurden.
Anschließend wurden 40 mg (0.035 mmol) dieses Intermediats mit 0.9 mL einer 2 molaren Lithiumhydroxidlösung in 11 ml Methanol 20 min lang bei RT gerührt, wobei beide Methylestergruppen abgespalten wurden. Nach HPLC -Reinigung wurden 11 mg (28% d. Th.) des Dicarbonsäurederivats erhalten.
LC-MS (Methode 5): Rt = 4.74 min; MS (ESIpos): m/z = 1120 [M+H]+.
10 mg (0.009 mmol) von diesem Intermediat wurden schließlich mit Zinkchlorid in Trifluorethanol wie oben beschrieben vollständig entschützt. Der Rückstand wurde mittels präparativer HPLC gereinigt. Nach Einengen der entsprechenden Fraktionen und Lyophilisation des Rückstands aus Acetonitril/Wasser wurden 4.4 mg (52% d. Th.) der Titelverbindung erhalten.
LC-MS (Methode 5): Rt = 2.44 min; MS (ESIpos): m/z = 832 [M+H]+.
Beispiel M15
4- [(2- { [2-( { (2S)-2- Amino-4- [ { ( 1 R)- 1 - [ 1 -benzyl-4-(2,5-difluorphenyl)- 1 H-pyrrol-2-yl] -2,2- dimethylpropyl } (glycoloyl)amino]butarioyl } amino)ethyl] amino }-2-oxoethyl)amino]-3- { [(2R)-2- amino-2-carboxyethyl]sulfanyl}-4-oxobutansäure -trifluoressigsäure (1 : 1)
Regioisomer 2, Epimer 1 (3R oder 3S)
LC-MS (Methode 5): Rt = 2.45 min; MS (EIpos): m/z = 832 [M+H]+.
742.8 mg (3.3 mmol) von kommerziell erhältlicher 2-Brom-4-ethoxy-4-oxobutansäure und 802 mg (2.87 mmol) Methyl-N-{ [2-(trimethylsilyl)ethoxy]carbonyl}-L-cysteinat wurden in 32 ml DMF gelöst und mit 655.4 mg (4.31 mmol) l,8-Diazabicyclo(5.4.0)undec-7-en versetzt. Nach 20 h Rühren bei RT wurde der Ansatz im Vakuum eingeengt und der Rückstand durch präparative HPLC gereinigt. Nach Vereinigung der entsprechenden Fraktionen und Abdampfen der Lösemittel im Vakuum wurden 521 mg (43% d. Th.) 4-Ethoxy-2-{ [(2R)-3-methoxy-3-oxo-2-({ [2- (trimethylsilyl)ethoxy]carbonyl } amino)propyl] sulf anyl } -4-oxobutansäure erhalten.
LC-MS (Methode 5): Rt = 3.13 min; MS (ESIpos): m/z = 424 (M+H)+.
Von diesem Intermediat wurden 510 mg mittels überkritischer Fluidchromatographie über chirale Säulen in die Einzeldiastereomere aufgetrennt (SFC; Säule: DAICEL, AD-H 5u 250x20 mm; Fluss: 80 mL/min; Methode: AD-10%ETOH-80ml; Druck: 100 bar; Wellenlänge: 210 nM) und dabei wurden von Epimer 1 100 mg (20%) und von Epimer 2 141 mg (28%) erhalten.
Epimer 1 wurde wie folgt charakterisiert:
LC-MS (Methode 1): Rt = 0.99 min; MS (ESIneg): m/z = 422 (M-H)\
^-NMR: (400 MHz, DMSO-d6): δ = 7.60 (d, 1H), 4.18-4.26 (m, 1H), 4.01-4.08 (m, 4H), 3.63 (s, 3H), 3.59 (dd, 1H), 3.04 (dd, 1H), 2.92 (dd, 1H), 2.80 (dd, 1H), 2.63 (dd, 1H), 1.17 (t, 3H), 0.92 (t, 2H), 0.02 (s, 9H).
Epimer 2 wurde wie folgt charakterisiert:
LC-MS (Methode 5): Rt = 2.95 min; MS (ESIneg): m/z = 408 (M-H)\
^-NMR: (400 MHz, DMSO-d6): δ = 7.56 (d, 1H), 4.21-4.29 (m, 1H), 4.01-4.1 (m, 4H), 3.64 (s, 3H), 3.58 (dd, 1H), 3.08 (dd, 1H), 2.85 (dd, 1H), 2.78 (dd, 1H), 2.60 (dd, 1H), 1.17 (t, 3H), 0.93 (t, 2H), 0.02 (s, 9H).
33.6 mg (0.079 mmol) von Epimer 1 wurden in Gegenwart von 30 mg (0.079 mmol) HATU und 13.4 mg (0.132 mmol) 4-Methylmorpholin mit 50 mg (0.066 mmol) von Intermediat C66 gekuppelt, wobei nach HPLC Reinigung 51 mg (63% d. Th.) vom voll geschützten Intermediat Ethyl-4-{ [(8S)-8-{2-[{ (lR)-l-[l-benzyl-4-(2,5-difluorphenyl)-lH-pyrrol-2-yl]-2,2-dimethyl propyl}(glycoloyl)amino]ethyl}-2,2-dimethyl-6,9,14-trioxo-5-oxa-7,10,13-triaza-2-silapentadecan- 15-yl]amino }-3-{ [(2R)-3-methoxy-3-oxo-2-({ [2-(trimethylsilyl)ethoxy] carbonyl}amino)propyl] sulfanyl }-4-oxobutanoat erhalten wurden.
Anschließend wurden 49 mg (0.042 mmol) dieses Intermediats mit 0.5 mL einer 2 molaren Lithiumhydroxidlösung in 12 ml THF/W asser 1 : 1 30 min lang bei RT gerührt, wobei beide Methylestergruppen abgespalten wurden. Nach Ansäuern und HPLC-Reinigung wurden 11 mg (24% d. Th.) des Dicarbonsäurederivats erhalten.
LC-MS (Methode 5): Rt = 4.68 min; MS (ESIpos): m/z = 1120 [M+H]+.
11 mg (0.01 mmol) dieses Intermediats wurden schließlich mit Zinkchlorid in Trifluorethanol wie oben beschrieben vollständig entschützt. Der Rückstand wurde mittels präparativer HPLC gereinigt. Nach Einengen der entsprechenden Fraktionen und Lyophilisation des Rückstands aus Acetonitril/Wasser wurden 3.7 mg (39% d. Th.) der Titelverbindung erhalten.
LC-MS (Methode 5): Rt = 2.45 min; MS (ESIpos): m/z = 832 [M+H]+.
Beispiel M16
4- [(2- { [2-( { (2S)-2- Amino-4- [ { ( 1 R)- 1 - [ 1 -benzyl-4-(2,5-difluorphenyl)- 1 H-pyrrol-2-yl] -2,2- dimethylpropyl } (glycoloyl)amino]butarioyl } amino)ethyl] amino }-2-oxoethyl)amino]-3- { [(2R)-2- amino-2-carboxyethyl]sulfanyl}-4-oxobutansäure -trifluoressigsäure (1 : 1)
Regioisomer 2, Epimer 2 (3R oder 3S)
LC-MS (Methode 5): Rt = 2.44 min; MS (EIpos): m/z = 832 [M+H]+.
Das in Beispiel M15 beschriebene Intermediat Epimer 2 wurde in Analogie zu der Beschreibung in Beispiel M15 umgesetzt:
33.6 mg (0.079 mmol) von Epimer 2 wurden in Gegenwart von 30 mg (0.079 mmol) HATU und 13.4 mg (0.132 mmol) 4-Methylmorpholin mit 50 mg (0.066 mmol) von Intermediat C66 gekuppelt, wobei nach HPLC Reinigung 51 mg (63% d. Th.) vom voll geschützten Intermediat Ethyl-4-{ [(8S)-8-{2-[{(lR)-l-[l-benzyl-4-(2,5-difluorphenyl)-lH-pyrrol-2-yl]-2,2-dimethyl propyl}(glycoloyl)amino]ethyl}-2,2-dimethyl-6,9,14-trioxo-5-oxa-7,10,13-triaza-2-silapentadecan- 15-yl]amino}-3-{ [(2R)-3-methoxy-3-oxo-2-({ [2-(trimethylsilyl)ethoxy] carbonyl}amino)propyl] sulfanyl}-4-oxobutanoat erhalten wurden.
Anschließend wurden 49 mg (0.042 mmol) dieses Intermediats mit 0.5 mL einer 2 molaren Lithiumhydroxidlösung in 12 ml THF/W asser 1 : 1 30 min lang bei RT gerührt, wobei beide Methylestergruppen abgespalten wurden. Nach Ansäuern und HPLC-Reinigung wurden 13.4 mg (28% d. Th.) des Dicarbonsäurederivats erhalten.
LC-MS (Methode 5): Rt = 4.66 min; MS (ESIpos): m/z = 1120 [M+H]+.
13.4 mg (0.012 mmol) dieses Intermediats wurden schließlich mit Zinkchlorid in Trifluorethanol wie oben beschrieben vollständig entschützt. Der Rückstand wurde mittels präparativer HPLC gereinigt. Nach Einengen der entsprechenden Fraktionen und Lyophilisation des Rückstands aus AcetonitrilA asser wurden 7.5 mg (66% d. Th.) der Titelverbindung erhalten.
LC-MS (Methode 5): Rt = 2.44 min; MS (ESIpos): m/z = 832 [M+H]+.
Beispiel M17
(2S)-2- Amino-4- [ { ( 1 R) - 1 - [ 1 -benzyl-4-(2,5-difluorphenyl)- 1 H-pyrrol-2-yl] -2,2-dimethylpropyl } (glycoloyl)amino]butansäureh drochlorid (1: 1)
150 mg (0.2 mmol) von Intermediat C53 wurden in 15 mL DMF gelöst und mit 2.29 g (20.39 mmol) DABCO versetzt. Der Ansatz wurde 30 min im Ultraschallbad behandelt. Durch Zugabe von 1.17 ml Essigsäure wurde der Ansatz dann auf pH 3-4 gebracht und im Vakuum eingeengt. Der Rückstand wurde durch präparative HPLC gereinigt und die entsprechenden Fraktionen wurden bei RT im Vakuum eingeengt. Der Rückstand wurde in Acetonitril/Wasser 1: 1 aufgenommen, mit 5 mL einer 4N Salzsäure versetzt und anschließend lyophilisiert. So wurden 81 mg (68% d. Th.) der Titelverbindung erhalten.
LC-MS (Methode 5): Rt = 2.69 min; MS (EIpos): m/z = 514 [M+H]+.
Beispiel M18
N-[2-({(2S)-2-Amino-4-[{(lR)-l-[l-benzyl-4-(2,5-difluorphenyl)-lH-pyrrol-2-yl]-2,2- dimethylpropyl } (glycoloyl)amino]butanoyl } amino)ethyl] -L-glutamin -trifluoressigsäure (1 : 1)
Zunächst wurde nach klassischen Methoden der Peptidchemie Trifluoressigsäure -benzyl-N-(2- aminoethyl)-N2-[(benzyloxy)carbonyl]-L-glutaminat (1: 1) hergestellt. Diese Intermediat wurde dann in Gegenwart von HATU mit Intermediat C58 gekuppelt. Anschließend wurde zunächst durch hydrogenolytische Spaltung die Benzyloxycarbonyl-Schutzgruppe sowie der Benzylester entfernt und anschließend mit Zinkchlorid die 2-(Trimethylsilyl)ethoxycarbonyl-Schutzgrupe. LC-MS (Methode 6): Rt = 1.91 min; MS (EIpos): m/z = 685 [M+H]+.
Beispiel M19
N6-(N- { (2S)-2- Amino-4- [ { ( 1R)- 1 - [ 1 -benzyl-4-(2,5-difluorphenyl)- 1 H-pyrrol-2-yl] -2,2- dimethylpropyl}(gl re (1 : 1)
Zunächst wurde nach in der Peptidchemie bekannten klassischen Schutzgruppenoperationen Trifluoressigsäure — 2-(trimethylsilyl)ethyl-N2-[(benzyloxy)carbonyl]-L-lysinat (1 : 1) hergestellt. Dieses Intermediat wurde dann in Gegenwart von HATU mit Intermediat C61 gekuppelt. Anschließend wurde zunächst mit Zinkchlorid die 2-(Trimethylsilyl)ethoxycarbonyl-Schutzgrupe sowie der 2-(Trimethylsilyl)ethylester gespalten. Schließlich wurde die Titelverbindung durch hydrogenolytische Spaltung der Benzyloxycarbonyl-Schutzgruppe und Reinigung durch präparative HPLC erhalten.
HPLC (Methode 11): Rt = 1.65 min;
Beispiel M20
(lR,4R,27R 3R)-l-Amino-32-(3-aminopropyl)-33-[l-benzyl-4-(2,5-difluorphenyl)-lH-pyrrol-2- yl] -34,34-dimethyl-6,9,25,31 -tetraoxo- 13, 16, 19,22-tetraoxa-3,29-difhia-7, 10,26,32- tetraaza entatriacontan-l,4,27-tricarbonsäure -trifluoressigsäure (1 :2)
Zunächst wurde Methyl-L-cysteinathydrochlorid (1: 1) mit l-({ [2-(Trimethylsilyl)ethoxy] carbonyl}oxy)pyrrolidine-2,5-dion in DMF in Gegenwart von /V,/V-Diisopropylefhylamin in Methyl-N- { [2-(trimethylsilyl)ethoxy] carbonyl } -L-cy steinat überführt.
408 mg (1.93 mmol) von kommerziell erhältlicher 3-Brom-4-methoxy-4-oxobutansäure und 180 mg (0.644 mmol) Methyl-N- { [2-(trimethylsilyl)ethoxy]carbonyl}-L-cysteinat wurden in 8 ml DMF gelöst und mit 147 mg (0.97 mmol) l,8-Diazabicyclo(5.4.0)undec-7-en versetzt. Nach 18 h Rühren bei RT wurden nochmals 136 mg (0.64 mmol) 3-Brom-4-methoxy-4-oxobutansäure sowie 147 mg (0.97 mmol) l,8-Diazabicyclo(5.4.0)undec-7-en hinzugefügt und der Ansatz weitere 12 h bei RT gerührt und anschließend im Vakuum eingeengt. Der Rückstand wurde durch präparative HPLC gereinigt. Nach Vereinigung der entsprechenden Fraktionen und Abdampfen der Lösemittel im Vakuum wurden 151 mg (57% d. Th.) 4-Methoxy-3-{ [(2R)-3-methoxy-3-oxo-2-({ [2- (trimethylsilyl)ethoxy] carbonyl } amino)propyl] sulfanyl } -4-oxobutansäure erhalten.
LC-MS (Methode 12): Rt = 1.74 min; MS (ESIneg): m/z = 408 (M-H)\
3.66 mg (8.93 μιηοΐ) von 4-Methoxy-3-{ [(2R)-3-methoxy-3-oxo-2-({ [2- (trimethylsilyl)ethoxy]carbonyl}amino)propyl] sulfanyl}-4-oxobutansäure wurden in Gegenwart von 3.66 mg (8.93 μιηοΐ) HATU und 1.6 μΐ (15 μιηοΐ) 4-Methylmorpholin mit 13.0 mg (7.44 μιηοΐ) von S-(l l-{(lR)-l-[l-Benzyl-4-(2,5-difluorphenyl)-lH-pyrrol-2-yl]-2,2-dimethylpropyl}- 2,2-dimethyl-6,12-dioxo-5-oxa-7,l l-diaza-2-silatridecan-13-yl)-N-[15-(glycylamino)-4,7,10,13- tetraoxapentadecan-l-oyl]-L-cy stein -trifluoressigsäure (1: 1) (Intermediat C80) gekuppelt, wobei nach HPLC Reinigung 3.9 mg (37% d. Th.) vom voll geschützten Intermediat S-(11-{(1R)-1-[1- Benzyl-4-(2,5-difluorphenyl)- 1 H-pyrrol-2-yl] -2,2-dimethylpropyl } -2,2-dimethyl-6, 12-dioxo-5- oxa-7,l l-diaza-2-silatridecan-13-yl)-N-[15-({N-[(8R,HR)-8,l l-bis(methoxycarbonyl)-2,2- dimethyl-6,13-dioxo-5-oxa-10-thia-7-aza-2-silatridecan-13-yl]glycyl}amino)-4,7,10,13- tetraoxapentadecan-l-oyl]-L-cy stein erhalten wurden.
Anschließend wurden 3.90 mg (2.76 μιηοΐ) dieses Intermediats mit 35 μΐ einer 2 molaren Lithiumhydroxidlösung in 1.0 ml THFA asser 3: 1 15 min lang bei RT gerührt, wobei beide Methylestergruppen abgespalten wurden. Nach HPLC-Reinigung wurden 3.60 mg (94% d. Th.) des Dicarbonsäurederivats erhalten.
LC-MS (Methode 5): Rt = 4.83 min; MS (ESIpos): m/z = 1385 [M+H]+.
3.6 mg (2.6 μιηοΐ) dieses Intermediats wurden schließlich mit Zinkchlorid in Trifluorethanol wie oben beschrieben vollständig entschützt. Der Rückstand wurde mittels präparativer HPLC gereinigt. Nach Einengen der entsprechenden Fraktionen und Lyophilisation des Rückstands aus AcetonitrilAVasser wurden 1.92 mg (55% d. Th.) der Titelverbindung erhalten.
LC-MS (Methode 5): Rt = 2.72 min; MS (ESIneg): m/z = 1094 [M-H]\
Beispiel M21
(2R,24S,27R)-27-Amino-2-[({2-[(3-aminopropyl){(lR)-l-[l-benzyl-4-(2,5-difluorphenyl)-lH- pyrrol-2-yl] -2,2-dimethylpropyl } amino] -2-oxoethyl } sulfanyl)methyl] -24-(carboxymethyl)-4,20,23- trioxo-7,10,13,16-tetraoxa-25-thia-3,19,22-triazaoctacosan-l,28-disäure -trifluoressigsäure (1 :2)
742.8 mg (3.3 mmol) von kommerziell erhältlicher 2-Brom-4-ethoxy-4-oxobutansäure und 802 mg (2.87 mmol) Methyl-N-{ [2-(trimethylsilyl)ethoxy]carbonyl}-L-cysteinat wurden in 32 ml DMF gelöst und mit 655.4 mg (4.31 mmol) l,8-Diazabicyclo(5.4.0)undec-7-en versetzt. Nach 20 h Rühren bei RT wurde der Ansatz im Vakuum eingeengt und der Rückstand durch präparative HPLC gereinigt. Nach Vereinigung der entsprechenden Fraktionen und Abdampfen der Lösemittel im Vakuum wurden 521 mg (43% d. Th.) 4-Ethoxy-2-{ [(2R)-3-methoxy-3-oxo-2-({ [2- (trimethylsilyl)ethoxy]carbonyl } amino)propyl] sulf anyl } -4-oxobutansäure erhalten.
LC-MS (Methode 5): Rt = 3.13 min; MS (ESIpos): m/z = 424 (M+H)+.
4.36 mg (10.3 μιηοΐ) von 4-Ethoxy-2-{ [(2R)-3-methoxy-3-oxo-2-({ [2- (trimethylsilyl)ethoxy]carbonyl}amino)propyl]sulfanyl}-4-oxobutansäure wurden in Gegenwart von 3.92 mg (10.3 μιηοΐ) HATU und 1.9 μΐ (17 μιηοΐ) 4-Methylmorpholin mit 15.0 mg (8.59 μιηοΐ) von S-(l l-{(lR)-l-[l-Benzyl-4-(2,5-difluorphenyl)-lH-pyrrol-2-yl]-2,2-dimethylpropyl}- 2,2-dimethyl-6, 12-dioxo-5-oxa-7, 11 -diaza-2-silatridecan- 13-yl)-N- [ 15-(glycylamino)-4,7, 10,13- tetraoxapentadecan-l-oyl]-L-cy stein -trifluoressigsäure (1: 1) (Intermediat C80) gekuppelt, wobei nach HPLC Reinigung 3.6 mg (26% d. Th.) vom voll geschützten Intermediat S-(11-{(1R)-1-[1- Benzyl-4-(2,5-difluorphenyl)- 1 H-pyrrol-2-yl] -2,2-dimethylpropyl } -2,2-dimethyl-6, 12-dioxo-5- oxa-7,l l-diaza-2-silatridecan-13-yl)-N-[15-({N-[(8R,HS)-l l-(2-ethoxy-2-oxoethyl)-8- (methoxycarbonyl)-2,2-dimethyl-6,12-dioxo-5-oxa-10-thia-7-aza-2-siladodecan-12- yl] glycyl } amino)-4,7, 10, 13-tetraoxapentadecan- 1 -oyl] -L-cystein erhalten wurden.
Anschließend wurden 6.20 mg (2.82 μιηοΐ) dieses Intermediats mit 35 μΐ einer 2 molaren Lithiumhydroxidlösung in 1.0 ml THF/W asser 1 : 1 15 min lang bei RT gerührt, wobei beide
Estergruppen abgespalten wurden. Nach Ansäuern und HPLC-Reinigung wurden 3.60 mg (92% d. Th.) des Dicarbonsäurederivats erhalten.
LC-MS (Methode 5): Rt = 4.71 min; MS (ESIpos): m/z = 1385 [M+H]+.
3.60 mg (1.69 μιηοΐ) dieses Intermediats wurden schließlich mit Zinkchlorid in Trifluorethanol wie oben beschrieben vollständig entschützt. Der Rückstand wurde mittels präparativer HPLC gereinigt. Nach Einengen der entsprechenden Fraktionen und Lyophilisation des Rückstands aus Acetonitril/Wasser wurden 0.88 mg (39% d. Th.) der Titelverbindung erhalten.
LC-MS (Methode 5): Rt = 2.72 min; MS (ESIneg): m/z = 1094 [M-H]\
Beispiel M22
(2R,27R)-27- Amino-2- [( { 2- [(3-aminopropyl) { ( 1 R) - 1 - [ 1 -benzyl-4-(2,5-difluorphenyl)- 1 H-pyrrol- 2-yl]-2,2-dimethylpropyl}amino]-2-oxoethyl}sulfanyl)methyl]-24-(carboxymethyl)-4,20,23-trioxo- 7,10,13,16-tetraoxa-25-thia-3,19,22-triazaoctacosan-l,28-disäure-trifluoressigsäure (1 :2) und (lR,27R,33R)-l-Amino-32-(3-aminopropyl)-33-[l-benzyl-4-(2,5-difluorphenyl)-lH-pyrrol-2-yl]- 34,34-dimethyl-6,9,25,31-tetraoxo-13,16,19,22-tetraoxa-3,29-dithia-7,10,26,32- tetraazapentatriacontan-l,4,27-tricarbonsäure-trifluoressigsäure (1 :2)
16.5 mg (0.015 mmol) S-{2-[(3-Aminopropyl){(lR)-l-[l-benzyl-4-(2,5-difluorphenyl)-lH-pyrrol- 2-yl] -2,2-dimethylpropyl } amino] -2-oxoethyl } -N- [ 1 -(2,5-dioxo-2,5-dihydro- 1 H-pyrrol- 1 -yl)-2, 18- dioxo-6,9,12,15-tetraoxa-3-azaoctadecan-18-yl]-L-cystein -trifluoressigsäure (1 : 1) (Intermediat
F257) und 8.18 mg (0.031 mmol) N-{ [2-(Trimethylsilyl) ethoxy]carbonyl}-L-cystein wurden in 2 ml DMF gelöst und der Ansatz 18 h bei RT gerührt. Die Reaktionsmischung wurde im Vakuum verdampft. Der Rückstand (28.9 mg) wurde in 3 mL THFAVasser 1 : 1 gelöst. Es wurden 0.046 mL einer 2M wässrigen Lithiumhydroxidlösung zugegeben und der Ansatz 3 Stunde bei RT gerührt. Anschließend wurde der Ansatz mit 5.2 μΐ (0.092 mmol) Essigsäure auf einen pH-Wert von ~7 eingestellt. Die Reaktionsmischung wurde direkt mittels präp. RP-HPLC gereinigt (Säule: Reprosil 125x30; 10μ, Fluss: 50 mL/min, MeCN/Wasser; 0.1 % TFA). Die Lösemittel wurden im Vakuum verdampft und der Rückstand im Hochvakuum getrocknet. Es wurden 12.1 mg (58% über 2 Stufen) der regioisomeren geschützten Intermediate erhalten.
LC-MS (Methode 12): Rt = 1.82 min; MS (ESIpos): m/z = 1240 (M+H)+.
Im letzten Schritt wurden 12,1 mg (0.009 mmol) von diesem Intermediat in 2 mL 2,2,2- Trifluorethanol gelöst. Es wurden 7.3 mg (0.054 mmol) Zinkchlorid zugegeben und der Ansatz 2 h bei 50°C gerührt. Anschließend wurde 15.7 mg (0.054 mmol) Ethylendiamin-Ν,Ν,Ν',Ν'- tetraessigsäure zugesetzt und das Lösemitte wurde mittels präparativer HPLC gereinigt. Nach Einengen der entsprechenden Fraktionen und Lyophilisation des Rückstands aus AcetonitrilAVasser wurden 6.4 mg (59%) der Titelverbindung als Regioisomerengemisch erhalten.
LC-MS (Methode 1): Rt = 0.86 min; MS (ESIpos): m/z = 1096 (M+H)
Ausführungsbeispiele ADCs
Die in den Strukturformen der Ausführungsbeispiele dargestellten ADCs, die über Maleinimid- Reste an Cysteinseitenketten der Antikörper gekuppelt wurden, liegen in Abhängigkeit vom Linker und von dem Kupplungsprotokoll zum überwiegenden Teil in den jeweils dargestellten ringgeöffneten bzw. ring-geschlossenen Formen vor. Zu einem kleinen Anteil kann jedoch die jeweils andere Form in der Präparation enthalten sein.
Die Kupplungsreaktionen wurden unter Argon durchgeführt.
Beispiel 104K
100 mg Anti-TWEAKR AKiA in 7000 μΐ, ml PBS (c=14.3 mg/mL) wurden unter Argon mit einer Lösung aus 0.573 mg TCEP in 700μ1 PBS-Puffer versetzt. Der Ansatz wurde 30min bei RT gerührt und anschließend wurden 4.3 mg (0.0053 mmol) von Intermediat F104 gelöst in 700μ1 DMSO zugegeben. Nach weiteren 90 min Rühren bei RT wurde der Ansatz über mit PBS-Puffer pH 7.2 equillibrierte PD 10-Säulen (Sephadex® G-25, GE Healthcare) gegeben und mit PBS-Puffer pH 7.2 eluiert. Das Eluat anschließend durch Ultrazentrifugation aufkonzentriert, rückverdünnt mit PBS-Puffer (pH 7.2) und erneut aufkonzentriert. Der erhaltene ADC Batch wurde folgendermaßen charakterisiert:
Protein Konzentration: 11.73 mg/mL Drug/mAb Ratio: 4.3
Das ADC kann auch teilweise in Form der hydrolysierten offenkettigen Bernsteinsäureamide mit dem Antikörper verknüpft vorliegen.
Beispiel 119B
Eingesetzt wurden hier zur Kupplung mit Intermediat Fl 19 5 mg anti-TWEAKR AKIB in PBS (c=12.87 mg/mL; pH 7.2). Die Kupplung mit dem Antikörper wurde nach der TCEP-Reduktion unter Rühren über Nacht durchgeführt bevor die weitere Aufarbeitung mittels Sephadex-Reinigung begann. Der Ansatz wurde nach der Sephadex-Reinigung durch Ultrazentrifugation aufkonzentriert und rückverdünnt mit PBS bei PH 7.2.
Protein Konzentration: 0.91 mg/mL
Drug/mAb Ratio: 4.1
Beispiel 119K
Eingesetzt wurden hier zur Kupplung mit Intermediat Fl 19 5 mg anti-TWEAKR AKIA in PBS (c=10 mg/mL; pH 7.2). Die Kupplung mit dem Antikörper wurde nach der TCEP-Reduktion unter Rühren über Nacht durchgeführt bevor die weitere Aufarbeitung mittels Sephadex-Reinigung begann. Der Ansatz wurde nach der Sephadex-Reinigung durch Ultrazentrifugation aufkonzentriert und rückverdünnt mit PBS bei PH 7.2.
Protein Konzentration: 1.12 mg/mL
Drug/mAb Ratio: 4.5
Beispiel 127B
Eingesetzt wurden hier zur Kupplung mit Intermediat F127 5 mg anti-TWEAKR AKIB in PBS (c=12.9 mg/mL, pH 7.2) und der Ansatz wurde nach der Sephadex-Reinigung durch Ultrazentrifugation aufkonzentriert und rückverdünnt mit PBS (pH 7.2). Das ADC kann auch teilweise in Form der hydrolysierten offenkettigen Bernsteinsäureamide mit dem Antikörper verknüpft vorliegen.
Protein Konzentration: 1.62 mg/mL
Drug/mAb Ratio: 3.3
Beispiel 153B
Eingesetzt wurden hier zur Kupplung mit Intermediat F153 5 mg anti-TWEAKR AKIB in PBS (c=18.6 mg/mL, pH 7.2) und der Ansatz wurde nach der Sephadex-Reinigung durch Ultrazentrifugation aufkonzentriert und rückverdünnt mit PBS (pH 7.2). Das ADC kann auch teilweise in Form der hydrolysierten offenkettigen Bernsteinsäureamide mit dem Antikörper verknüpft vorliegen.
Protein Konzentration : 1.71 mg/mL
Drug/mAb Ratio: 2.8
Beispiel 173K
Eingesetzt wurden hier zur Kupplung mit Intermediat F173 5 mg Anti-TWEAKR AKI
A in PBS (c=10 mg/mL) und der Ansatz wurde nach der Sephadex-Reinigung durch Ultrazentrifugation aufkonzentriert und rückverdünnt mit PBS.
Protein Konzentration: 1.81 mg/mL
Drug/mAb Ratio: 3.3
Beispiel 178K
Eingesetzt wurden hier zur Kupplung mit Intermediat Fl 78 5 mg Anti-TWEAKR AKIA in PBS (c=10 mg/mL). Die Reduktionszeit des Antikörpers betrug 30 min und nach Zusatz von F178 wurde der Ansatz 20 h bei RT gerührt und anschließend über Sephadex gereinigt. Schließlich wurde mittels Ultrazentrifugation aufkonzentriert und rückverdünnt mit PBS.
Protein Konzentration: 1.5 mg/mL
Drug/mAb Ratio: 4.2
5 mg Anti-TWEAKR AKIA in 500 μΐ^ PBS (c=10 mg/mL) wurden unter Argon mit einer Lösung aus 0.029 mg TCEP in 50μ1 PBS-Puffer versetzt. Der Ansatz wurde 30min bei RT gerührt und anschließend wurden 0.25 mg (0.27 μιηοΐ) von Intermediat Fl 80 gelöst in 50μ1 DMSO zugegeben. Nach weiteren 90 min Rühren bei RT wurde der Ansatz mit 1900 μΐ PBS-Puffer, der zuvor auf pH 8 eingestellt wurde, verdünnt und über eine mit PBS-Puffer pH8 equillibrierte PD 10-Säule (Sephadex® G-25, GE Healthcare) gegeben und mit PBS-Puffer pH8 eluiert. Das Eluat wurde über Nacht bei RT unter Argon gerührt und anschließend durch Ultrazentrifugation aufkonzentriert und rückverdünnt mit PBS-Puffer (pH 7.2). Der erhaltene ADC Batch wurde folgendermaßen charakterisiert:
Protein Konzentration: 1.54 mg/mL
Drug/mAb Ratio: 3.5
Bei dieser ADC-Präparation wurde ein Anteil der ring-geöffneten Bernsteinsäureamid-Form von 91.1 % ermittelt.
70 mg Anti-TWEAKR AKiA in 4827 μΐ^ ml PBS (c=14.5 mg/mL) wurden unter Argon mit einer Lösung aus 0.401 mg TCEP in 173 μΐ PBS-Puffer versetzt. Der Ansatz wurde 30min bei RT gerührt und anschließend wurden 3.176 mg (0.00373 mmol) von Intermediat F193 gelöst in 500μ1 DMSO zugegeben. Nach weiteren 90 min Rühren bei RT wurde der Ansatz mit 2 ml PBS Puffer, der zuvor auf pH 8 eingestellt wurde, verdünnt und über mit PBS-Puffer pH 8 equillibrierte PD 10- Säulen (Sephadex® G-25, GE Healthcare) gegeben und mit PBS-Puffer pH 8 eluiert. Das Eluat wurde mit 2 ml PBS Puffer (pH 8) verdünnt und über Nacht unter Argon gerührt. Dann erfolgte eine Umpufferung auf pH 7.2 mittels PDIO-Säulen. Anschließend wurde durch Ultrazentrifugation aufkonzentriert, rückverdünnt mit PBS-Puffer (pH 7.2) und erneut aufkonzentriert. Der erhaltene ADC Batch wurde folgendermaßen charakterisiert:
Protein Konzentration: 14.76 mg/mL
Drug/mAb Ratio: 4.0
Bei dieser ADC-Präparation wurde ein Anteil der Ring-geöffneten Bernsteinsäureamid-Form von 91.5% ermittelt.
Eingesetzt wurden hier zur Kupplung mit Intermediat F194 5 mg Anti-TWEAKR AKIA in PBS (c = 10 mg/mL). Zunächst wurden 5Eq von Intermediat F194 gelöst in 50μΕ DMSO zugesetzt und nach lh Rühren bei RT wurde nochmals die gleiche Menge hinzugefügt und der Ansatz eine weitere Stunde bei RT gerührt. Anschließend wurde der Ansatz über eine Sephadex-Säule gereinigt und dann durch Ultrazentrifugation aufkonzentriert und rückverdünnt mit PBS.
Protein Konzentration: 0.33 mg/mL
Drug/mAb Ratio: 3.3
Beispiel 207K
Eingesetzt wurden hier zur Kupplung mit Intermediat F207 5 mg Anti-TWEAKR AKIA in PBS (c=10 mg/mL) und der Ansatz wurde nach der Sephadex-Reinigung durch Ultrazentrifugation aufkonzentriert und rückverdünnt mit PBS. Das ADC kann auch teilweise in Form der hydrolysierten offenkettigen Bernsteinsäureamide mit dem Antikörper verknüpft vorliegen.
Protein Konzentration: 1.77 mg/mL
Drug/mAb Ratio: 2.3
Beispiel 208K
150 mg Anti-TWEAKR AK
iA in 10.5 mL ml PBS (c=14.28 mg/mL) wurden unter Argon mit einer Lösung aus 0.86 mg TCEP in 2 ml PBS-Puffer versetzt. Der Ansatz wurde 30min bei RT gerührt und anschließend wurden 6.63 mg (0.008 mmol) von Intermediat F104 gelöst in 1250 μΐ DMSO zugegeben. Nach weiteren 90 min Rühren bei RT wurde der Ansatz mit 1250 μΐ PBS-Puffer, der zuvor auf pH 8 eingestellt wurde, verdünnt.
Diese Lösung wurde dann über mit PBS-Puffer pH8 equillibrierte PD 10-Säulen (Sephadex® G-25, GE Healthcare) gegeben und mit PBS-Puffer pH8 eluiert. Das Eluat wurde mit PBS-Puffer pH8 auf ein Gesamtvolumen von 22.5 ml verdünnt. Diese Lösung wurde über Nacht bei RT unter Argon gerührt und anschließend wieder mittel PD-10 Säulen auf pH 7.2 umgepuffert. Anschließend wurde durch Ultrazentrifugation aufkonzentriert, rückverdünnt mit PBS-Puffer (pH 7.2) und erneut aufkonzentriert. Der erhaltene ADC Batch wurde folgendermaßen charakterisiert:
Protein Konzentration: 14.06 mg/mL
Drug/mAb Ratio: 3.4
Bei dieser ADC-Präparation wurde ein Anteil der ring-geöffneten Bernsteinsäureamid-Form von 98.3% ermittelt.
Beispiel 216K
Eingesetzt wurden hier zur Kupplung mit Intermediat F216 5.0 mg Anti-TWEAKR AKIA in PBS (c = 15.21 mg/mL) und der Ansatz wurde nach der Sephadex-Reinigung durch Ultrazentrifugation aufkonzentriert und rückverdünnt. Das ADC kann auch teilweise in Form der hydrolysierten offenkettigen Bernsteinsäureamide mit dem Antikörper verknüpft vorliegen.
Protein Konzentration: 1.39 mg/mL
Drug/mAb Ratio: 1.9
Beispiel 239B
5 mg anti-TWEAKR AKIB in 269 μΐ^ ml PBS (c=18.6 mg/mL) wurden unter Argon mit einer Lösung aus 0.029 mg TCEP in 50μ1 PBS-Puffer versetzt. Der Ansatz wurde mit 2081 μΐ PBS- Puffer, der zuvor auf pH 8 eingestellt wurde, verdünnt und 1 h bei RT gerührt. Anschließend wurden 0.19 mg (0.00027 mmol) von Intermediat F239 gelöst in ΙΟΟμΙ DMSO zugegeben. Nach weiteren 90 min Rühren bei RT wurde der Ansatz über mit PBS-Puffer pH8 equillibrierte PD 10- Säulen (Sephadex® G-25, GE Healthcare) gegeben und mit PBS-Puffer pH8 eluiert. Das Eluat über Nacht bei RT unter Argon gerührt und anschließend durch Ultrazentrifugation aufkonzentriert und rückverdünnt mit PBS-Puffer (pH 7.2). Ein Teil des ADCs kann unter diesen Bedingungen auch in der ring-geschlossenen Form vorliegen. Der erhaltene ADC Batch wurde folgendermaßen charakterisiert:
Protein Konzentration: 1.28 mg/mL Drug/mAb Ratio: 2.6 Beispiel 239k
5 mg Anti-TWEAKR AKIA in 345 μΕ ml PBS (c=14.5 mg/mL) wurden unter Argon mit einer Lösung aus 0.029 mg TCEP in 50μ1 PBS-Puffer versetzt. Der Ansatz wurde mit 2005 μΐ PBS- Puffer verdünnt und 1 h bei RT gerührt. Anschließend wurden 0,192 mg (0.23 μιηοΐ) von Intermediat F239 gelöst in ΙΟΟμΙ DMSO zugegeben. Nach weiteren 90 min Rühren bei RT wurde der Ansatz über mit PBS-Puffer pH 8 equillibrierte PD 10-Säulen (Sephadex® G-25, GE Healthcare) gegeben und mit PBS-Puffer pH 8 eluiert. Das Eluat wurde über Nacht bei RT gerührt.
Das Eluat anschließend durch Ultrazentrifugation aufkonzentriert und rückverdünnt mit PBS- Puffer (pH 7.2). Der erhaltene ADC Batchatch wurde folgendermaßen charakterisiert:
Protein Konzentration: 0.68 mg/mL
Drug/mAb Ratio: 3.1
Beispiel 240K
50 mg Anti-TWEAKR AKiA in 4579 μΕ ml PBS (c= 10.92 mg/mL) wurden unter Argon mit einer Lösung aus 0.29 mg TCEP in 500μ1 PBS-Puffer versetzt. Der Ansatz wurde mit 7421 μΐ PBS- Puffer, der zuvor auf pH 8 eingestellt wurde, verdünnt und 1 h bei RT gerührt. Anschließend wurden 1.4 mg (0.0027 mmol) von Intermediat F240 gelöst in 500μ1 DMSO zugegeben. Nach weiteren 90 min Rühren bei RT wurde der Ansatz über mit PBS-Puffer pH8 equillibrierte PD 10- Säulen (Sephadex® G-25, GE Healthcare) gegeben und mit PBS-Puffer pH8 eluiert. Das Eluat über Nacht bei RT unter Argon gerührt und anschließend durch Ultrazentrifugation aufkonzentriert und rückverdünnt mit PBS-Puffer (pH 7.2). Ein Teil des ADCs kann unter diesen Bedingungen auch in der ring-geschlossenen Form vorliegen. Der erhaltene ADC BBatch wurde folgendermaßen charakterisiert:
Protein Konzentration: 10.6 mg/mL
Drug/mAb Ratio: 3.7
Bei dieser ADC-Präparation wurde ein Anteil der ring-geöffneten Bernsteinsäureamid-Form von 100% ermittelt.
Beispiel 241K
5 mg Anti-TWEAKR AKIA in 500 μΐ^ ml PBS (c=10 mg/mL) wurden unter Argon mit einer Lösung aus 0.029 mg TCEP in 50μ1 PBS-Puffer versetzt. Der Ansatz wurde 30min bei RT gerührt und anschließend wurden 0.226 mg (0.27 μιηοΐ) von Intermediat F241 gelöst in 50 μΐ DMSO zugegeben. Nach 20h Rühren bei RT wurde der Ansatz mit 1.9 ml PBS Puffer verdünnt und über PD 10-Säulen (Sephadex® G-25, GE Healthcare) mit PBS-Puffer eluiert. Anschließend wurde durch Ultrazentrifugation aufkonzentriert und rückverdünnt mit PBS-Puffer (pH 7.2). Der erhaltene ADC Batch wurde folgendermaßen charakterisiert:
Protein Konzentration: 2.01 mg/mL
Drug/mAb Ratio: 3.1
Beispiel 242B
5 mg anti-TWEAKR AKIB in 500 μΐ^ PBS (c=10 mg/mL) wurden unter Argon mit einer Lösung aus 0,029 mg TCEP in 50μ1 PBS-Puffer versetzt. Der Ansatz wurde 30min bei RT gerührt und anschließend wurden 0.22 mg (0.00027 mmol) von Intermediat F242 gelöst in 50μ1 DMSO zugegeben. Nach weiteren 90 min Rühren bei RT wurde der Ansatz mit 1900 μΐ PBS-Puffer, der zuvor auf pH 8 eingestellt wurde, verdünnt.
Diese Lösung wurde dann über mit PBS-Puffer pH8 equillibrierte PD 10-Säulen (Sephadex® G-25, GE Healthcare) gegeben und mit PBS-Puffer pH8 eluiert. Das Eluat wurde über Nacht bei RT unter Argon gerührt und anschließend durch Ultrazentrifugation aufkonzentriert und rückverdünnt mit PBS-Puffer (pH 7.2). Ein Teil des ADCs kann unter diesen Bedingungen auch in der ringgeschlossenen Form vorliegen. Der erhaltene ADC Batch wurde folgendermaßen charakterisiert:
Protein Konzentration: 1.54 mg/mL Drug/mAb Ratio: 3.1
Beispiel 243B
5 mg anti-TWEAKR AKIB in 500 μΐ^ PBS (c=10 mg/mL) wurden unter Argon mit einer Lösung aus 0,029 mg TCEP in 50μ1 PBS-Puffer versetzt. Der Ansatz wurde 30min bei RT gerührt und anschließend wurden 0.23 mg (0.00027 mmol) von Intermediat F243 gelöst in 50μ1 DMSO zugegeben. Nach weiteren 90 min Rühren bei RT wurde der Ansatz mit 1900 μΐ PBS-Puffer, der zuvor auf pH 8 eingestellt wurde, verdünnt.
Diese Lösung wurde dann über mit PBS-Puffer pH8 equillibrierte PD 10-Säulen (Sephadex® G-25, GE Healthcare) gegeben und mit PBS-Puffer pH8 eluiert. Das Eluat wurde über Nacht bei RT unter Argon gerührt und anschließend durch Ultrazentrifugation aufkonzentriert und rückverdünnt mit PBS-Puffer (pH 7.2). Ein Teil des ADCs kann unter diesen Bedingungen auch in der ringgeschlossenen Form vorliegen. Der erhaltene ADC Batch wurde folgendermaßen charakterisiert:
Protein Konzentration: 1.63 mg/mL
Drug/mAb Ratio: 3.1
Beispiel 245K
5 mg Anti-TWEAKR AKIA in 500 μΐ^ ml PBS (c= 10 mg/mL) wurden unter Argon mit einer Lösung aus 0,029 mg TCEP in 50μ1 PBS-Puffer versetzt. Der Ansatz wurde 30min bei RT gerührt und anschließend wurden 0.238 mg (0.00027 mmol) von Intermediat F245 gelöst in 50μ1 DMSO zugegeben. Nach weiteren 90 min Rühren bei RT wurde der Ansatz mit 1900 μΐ PBS-Puffer, der zuvor auf pH 8 eingestellt wurde, verdünnt.
Diese Lösung wurde dann über mit PBS-Puffer pH8 equillibrierte PD 10-Säulen (Sephadex® G-25, GE Healthcare) gegeben und mit PBS-Puffer pH8 eluiert. Das Eluat wurde über Nacht bei RT unter Argon gerührt und anschließend durch Ultrazentrifugation aufkonzentriert und rückverdünnt mit PBS-Puffer (pH 7.2). Ein Teil des ADCs kann unter diesen Bedingungen auch in der ringgeschlossenen Form vorliegen. Der erhaltene ADC Batch wurde folgendermaßen charakterisiert:
Protein Konzentration: 1.54 mg/mL Drug/mAb Ratio: 2.9
Beispiel 247K
5 mg Anti-TWEAKR AKIA in 500 μΐ^ ml PBS (c=10 mg/mL) wurden unter Argon mit einer Lösung aus 0.029 mg TCEP in 50 μΐ PBS-Puffer versetzt. Der Ansatz wurde 30 min bei RT gerührt und anschließend wurden 0.264 mg (0.27 μιηοΐ) von Intermediat F247 gelöst in 50 μΐ DMSO zugegeben. Nach 20h Rühren bei RT wurde der Ansatz mit 1.9 ml PBS Puffer verdünnt und über eine PD 10-Säule (Sephadex® G-25, GE Healthcare) mit PBS-Puffer eluiert. Anschließend wurde durch Ultrazentrifugation aufkonzentriert und rückverdünnt mit PBS-Puffer (pH 7.2). Der erhaltene ADC Batch wurde folgendermaßen charakterisiert:
Protein Konzentration: 0.9 mg/mL
Drug/mAb Ratio: 2.6
Beispiel 248K
Eingesetzt wurden hier zur Kupplung mit Intermediat F248 in Analogie zu Beispiel 104K 5 mg Anti-TWEAKR AKiA in 450 μΕ PBS (c= 11.1 mg/mL) und der Ansatz wurde nach der Sephadex- Reinigung durch Ultrazentrifugation aufkonzentriert und rückverdünnt mit PBS. Ein Teil des so hergestellten ADCs kann in Form der hydrolysierten offenkettigen Bernsteinsäureamide mit dem Antikörper verknüpft vorliegen.
Protein Konzentration: 1.68 mg/mL
Drug/mAb Ratio: 4.8
Beispiel 254K
5 mg Anti-TWEAKR AKIA in 500 μΐ^ ml PBS (c=10 mg/mL) wurden unter Argon mit einer Lösung aus 0.029 mg TCEP in 50 μΐ PBS-Puffer versetzt. Der Ansatz wurde 30 min bei RT gerührt und anschließend wurden 0.264 mg (0.27 μιηοΐ) von Intermediat F254 gelöst in 50 μΐ DMSO zugegeben. Nach 20h Rühren bei RT wurde der Ansatz mit 1.9 ml PBS Puffer verdünnt und über PD 10-Säulen (Sephadex® G-25, GE Healthcare) mit PBS-Puffer eluiert. Anschließend wurde durch Ultrazentrifugation aufkonzentriert und rückverdünnt mit PBS-Puffer (pH 7.2). Der erhaltene ADC Batch wurde folgendermaßen charakterisiert:
Protein Konzentration: 2.27 mg/mL
Drug/mAb Ratio: 2.4
Beispiel 255K
5 mg Anti-TWEAKR AKI
A in 345 μΐ
^ ml PBS (c=14.5 mg/mL) wurden unter Argon mit einer Lösung aus 0.029 mg TCEP in 50μ1 PBS-Puffer versetzt. Der Ansatz wurde mit 2005 μΐ PBS- Puffer verdünnt und 1 h bei RT gerührt. Anschließend wurden 0,287 mg (0.23 μιηοΐ) von Intermediat F255 gelöst in ΙΟΟμΙ DMSO zugegeben. Nach weiteren 90 min Rühren bei RT wurde der Ansatz über mit PBS-Puffer pH 7.2 equillibrierte PD 10-Säulen (Sephadex
® G-25, GE Healthcare) gegeben und mit PBS-Puffer pH 7.2 eluiert. Das Eluat anschließend durch Ultrazentrifugation aufkonzentriert und rückverdünnt mit PBS-Puffer (pH 7.2). Der erhaltene ADC Batch wurde folgendermaßen charakterisiert:
Protein Konzentration: 1.72 mg/mL
Drug/mAb Ratio: 2.7
Das ADC kann auch teilweise in Form der hydrolysierten offenkettigen Bernsteinsäureamide mit dem Antikörper verknüpft vorliegen.
Beispiel 256K
5 mg Anti-TWEAKR AKIA in 500 μΕ ml PBS (c= 10 mg/mL) wurden unter Argon mit einer Lösung aus 0,029 mg TCEP in 50μ1 PBS-Puffer versetzt. Der Ansatz wurde 30min bei RT gerührt und anschließend wurden 0.25 mg (0.00027 mmol) von Intermediat F256 gelöst in 50μ1 DMSO zugegeben. Nach weiteren 90 min Rühren bei RT wurde der Ansatz mit 1900 μΐ PBS-Puffer, der zuvor auf pH 8 eingestellt wurde, verdünnt.
Diese Lösung wurde dann über mit PBS-Puffer pH8 equillibrierte PD 10-Säulen (Sephadex® G-25, GE Healthcare) gegeben und mit PBS-Puffer pH8 eluiert. Das Eluat wurde über Nacht bei RT unter Argon gerührt und anschließend durch Ultrazentrifugation aufkonzentriert und rückverdünnt mit
PBS-Puffer (pH 7.2). Ein Teil des ADCs kann unter diesen Bedingungen auch in der ringgeschlossenen Form vorliegen. Der erhaltene ADC Batch wurde folgendermaßen charakterisiert:
Protein Konzentration: 1.33 mg/mL
Drug/mAb Ratio: 2.9
Beispiel 257K
5 mg Anti-TWEAKR AKIA in 345 μΕ ml PBS (c=14.5 mg/mL) wurden unter Argon mit einer Lösung aus 0.029 mg TCEP in 50μ1 PBS-Puffer versetzt. Der Ansatz wurde mit 2005 μΐ PBS- Puffer, der zuvor auf pH 8 eingestellt wurde, verdünnt und 1 h bei RT gerührt. Anschließend wurden 0.25 mg (0.00023 mmol) von Intermediat F257 gelöst in ΙΟΟμΙ DMSO zugegeben. Nach weiteren 90 min Rühren bei RT wurde der Ansatz über mit PBS-Puffer pH8 equillibrierte PD 10- Säulen (Sephadex® G-25, GE Healthcare) gegeben und mit PBS-Puffer pH8 eluiert. Das Eluat über Nacht bei RT unter Argon gerührt und anschließend durch Ultrazentrifugation aufkonzentriert und rückverdünnt mit PBS-Puffer (pH 7.2). Ein Teil des ADCs kann unter diesen Bedingungen auch in der ring-geschlossenen Form vorliegen. Der erhaltene ADC Batch wurde folgendermaßen charakterisiert:
Protein Konzentration: 1.35 mg/mL Drug/mAb Ratio: 3
Beispiel 258K
Eingesetzt wurden hier zur Kupplung mit Intermediat F258 5 mg Anti-TWEAKR AKIA in 500 μΕ PBS (c=10 mg/mL). Die Reduktionszeit des Antikörpers betrug 30 min und nach Zusatz von F258 wurde der Ansatz 20 h bei RT gerührt und anschließend über Sephadex gereinigt. Schließlich wurde mittels Ultrazentrifugation aufkonzentriert und rückverdünnt mit PBS.
Protein Konzentration: 1.35 mg/mL
Drug/mAb Ratio: 2.4
Beispiel 259K
Eingesetzt wurden hier zur Kupplung mit Intermediat F259 5 mg Anti-TWEAKR AKI
A in 500 μΐ
^ PBS (c=10 mg/mL). Die Reduktionszeit des Antikörpers betrug 30 min und nach Zusatz von F259 wurde der Ansatz 20 h bei RT gerührt und anschließend über Sephadex gereinigt. Schließlich wurde mittels Ultrazentrifugation aufkonzentriert und rückverdünnt mit PBS.
Protein Konzentration: 1.64 mg/mL
Drug/mAb Ratio: 5.0
Beispiel 260K
5 mg Anti-TWEAKR AKIA in 500 μΕ ml PBS (c= 10 mg/mL) wurden unter Argon mit einer Lösung aus 0,029 mg TCEP in 50μ1 PBS-Puffer versetzt. Der Ansatz wurde 30min bei RT gerührt und anschließend wurden 0.302 mg (0.00027 mmol) von Intermediat F260 gelöst in 50μ1 DMSO zugegeben. Nach weiteren 90 min Rühren bei RT wurde der Ansatz mit 1900 μΐ PBS-Puffer, der zuvor auf pH 8 eingestellt wurde, verdünnt.
Diese Lösung wurde dann über mit PBS-Puffer pH8 equillibrierte PD 10-Säulen (Sephadex® G-25, GE Healthcare) gegeben und mit PBS-Puffer pH8 eluiert. Das Eluat wurde über Nacht bei RT unter Argon gerührt und anschließend durch Ultrazentrifugation aufkonzentriert und rückverdünnt mit PBS-Puffer (pH 7.2). Ein Teil des ADCs kann unter diesen Bedingungen auch in der ringgeschlossenen Form vorliegen. Der erhaltene ADC Batch wurde folgendermaßen charakterisiert:
Protein Konzentration: 1.58 mg/mL
Drug/mAb Ratio: 3.4
Beispiel 261K
Eingesetzt wurden hier zur Kupplung mit Intermediat F261 5 mg Anti-TWEAKR AKIA in 500 μΕ PBS (c=10 mg/mL). Die Reduktionszeit des Antikörpers betrug 30 min und nach Zusatz von F261 wurde der Ansatz 4 h bei RT gerührt und anschließend über Sephadex gereinigt. Schließlich wurde mittels Ultrazentrifugation aufkonzentriert und rückverdünnt mit PBS.
Protein Konzentration: 1.65 mg/mL
Drug/mAb Ratio: 3.3
Beispiel 262K
5 mg Anti-TWEAKR AKI
A in 345 μΐ
^ ml PBS (c=14.5 mg/mL) wurden unter Argon mit einer Lösung aus 0.029 mg TCEP in 50μ1 PBS-Puffer versetzt. Der Ansatz wurde mit 2005 μΐ PBS- Puffer verdünnt und 1 h bei RT gerührt. Anschließend wurden 0,233 mg (0.23 μιηοΐ) von Intermediat F262 gelöst in ΙΟΟμΙ DMSO zugegeben. Nach weiteren 90 min Rühren bei RT wurde der Ansatz über mit PBS-Puffer pH 7.2 equillibrierte PD 10-Säulen (Sephadex
® G-25, GE Healthcare) gegeben und mit PBS-Puffer pH 7.2 eluiert. Das Eluat anschließend durch Ultrazentrifugation aufkonzentriert und rückverdünnt mit PBS-Puffer (pH 7.2). Der erhaltene ADC Batch wurde folgendermaßen charakterisiert:
Protein Konzentration: 0,92 mg/mL
Drug/mAb Ratio: 1,6
Das ADC kann auch teilweise in Form der hydrolysierten offenkettigen Bernsteinsäureamide mit dem Antikörper verknüpft vorliegen.
Beispiel 263K
5 mg Anti-TWEAKR AKIA in 345 μΕ ml PBS (c=14.5 mg/mL) wurden unter Argon mit einer Lösung aus 0.029 mg TCEP in 50μ1 PBS-Puffer versetzt. Der Ansatz wurde mit 2005 μΐ PBS- Puffer, der zuvor auf pH 8 eingestellt wurde, verdünnt und 1 h bei RT gerührt. Anschließend wurden 0.209 mg (0.00023 mmol) von Intermediat F263 gelöst in ΙΟΟμΙ DMSO zugegeben. Nach weiteren 90 min Rühren bei RT wurde der Ansatz über mit PBS-Puffer pH8 equillibrierte PD 10- Säulen (Sephadex® G-25, GE Healthcare) gegeben und mit PBS-Puffer pH8 eluiert. Das Eluat über Nacht bei RT unter Argon gerührt und anschließend durch Ultrazentrifugation aufkonzentriert und rückverdünnt mit PBS-Puffer (pH 7.2). Ein Teil des ADCs kann unter diesen Bedingungen auch in
der ring-geschlossenen Form vorlieg erhaltene ADC Batch wurde folgendermaßen charakterisiert:
Protein Konzentration : 1.38 mg/mL
Drug/mAb Ratio: 2.4
Beispiel 264K
5 mg Anti-TWEAKR AKIA in 345 μΐ^ ml PBS (c=14.5 mg/mL) wurden unter Argon mit einer Lösung aus 0.029 mg TCEP in 50μ1 PBS-Puffer versetzt. Der Ansatz wurde mit 2005 μΐ PBS- Puffer verdünnt und 1 h bei RT gerührt. Anschließend wurden 0,222 mg (0.23 μιηοΐ) von Intermediat F264 gelöst in ΙΟΟμΙ DMSO zugegeben. Nach weiteren 90 min Rühren bei RT wurde der Ansatz über mit PBS-Puffer pH 7.2 equillibrierte PD 10-Säulen (Sephadex® G-25, GE Healthcare) gegeben und mit PBS-Puffer pH 7.2 eluiert. Das Eluat anschließend durch Ultrazentrifugation aufkonzentriert und rückverdünnt mit PBS-Puffer (pH 7.2). Der erhaltene ADC Batch wurde folgendermaßen charakterisiert:
Protein Konzentration: 1.11 mg/mL
Drug/mAb Ratio: 2.6
Beispiel 265K
5 mg Anti-TWEAKR AKIA in 345 μΐ^ ml PBS (c=14.5 mg/mL) wurden unter Argon mit einer Lösung aus 0.029 mg TCEP in 50μ1 PBS-Puffer versetzt. Der Ansatz wurde mit 2005 μΐ PBS- Puffer verdünnt und 1 h bei RT gerührt. Anschließend wurden 0,232 mg (0.23 μιηοΐ) von Intermediat F265 gelöst in ΙΟΟμΙ DMSO zugegeben. Nach weiteren 90 min Rühren bei RT wurde der Ansatz über mit PBS-Puffer pH 7.2 equillibrierte PD 10-Säulen (Sephadex® G-25, GE Healthcare) gegeben und mit PBS-Puffer pH 7.2 eluiert. Das Eluat anschließend durch Ultrazentrifugation aufkonzentriert und rückverdünnt mit PBS-Puffer (pH 7.2). Der erhaltene ADC Batch wurde folgendermaßen charakterisiert:
Protein Konzentration: 1.42 mg/mL
Drug/mAb Ratio: 2.1
5 mg Anti-TWEAKR AKIA in 345 μΐ^ ml PBS (c=14.5 mg/mL) wurden unter Argon mit einer Lösung aus 0.029 mg TCEP in 50μ1 PBS-Puffer versetzt. Der Ansatz wurde mit 2005 μΐ PBS- Puffer, der zuvor auf pH 8 eingestellt wurde, verdünnt und 1 h bei RT gerührt. Anschließend wurden 0.219 mg (0.00023 mmol) von Intermediat F266 gelöst in ΙΟΟμΙ DMSO zugegeben. Nach weiteren 90 min Rühren bei RT wurde der Ansatz über mit PBS-Puffer pH8 equillibrierte PD 10- Säulen (Sephadex® G-25, GE Healthcare) gegeben und mit PBS-Puffer pH8 eluiert. Das Eluat über Nacht bei RT unter Argon gerührt und anschließend durch Ultrazentrifugation aufkonzentriert und rückverdünnt mit PBS-Puffer (pH 7.2). Ein Teil des ADCs kann unter diesen Bedingungen auch in der Ring-geschlossenen Form vorliegen. Der erhaltene ADC Batch wurde folgendermaßen charakterisiert:
Protein Konzentration: 0,93 mg/mL
Drug/mAb Ratio: 2.8
Beispiel 267K
5 mg Anti-TWEAKR AKIA in 345 μΐ^ ml PBS (c=14.5 mg/mL) wurden unter Argon mit einer Lösung aus 0.029 mg TCEP in 50μ1 PBS-Puffer versetzt. Der Ansatz wurde mit 2005 μΐ PBS- Puffer, der zuvor auf pH 8 eingestellt wurde, verdünnt und 1 h bei RT gerührt. Anschließend wurden 0.267 mg (0.00023 mmol) von Intermediat F267 gelöst in ΙΟΟμΙ DMSO zugegeben. Nach weiteren 90 min Rühren bei RT wurde der Ansatz über mit PBS-Puffer pH8 equillibrierte PD 10- Säulen (Sephadex® G-25, GE Healthcare) gegeben und mit PBS-Puffer pH8 eluiert. Das Eluat über Nacht bei RT unter Argon gerührt und anschließend durch Ultrazentrifugation aufkonzentriert und rückverdünnt mit PBS-Puffer (pH 7.2). Ein Teil des ADCs kann unter diesen Bedingungen auch in der Ring-geschlossenen Form vorliegen. Der erhaltene ADC Batch wurde folgendermaßen charakterisiert:
Protein Konzentration: 1.41 mg/mL Drug/mAb Ratio: 3.6
5 mg Anti-TWEAKR AK1A in 345 μΕ ml PBS (c=14.5 mg/mL) wurden unter Argon mit einer Lösung aus 0.029 mg TCEP in 50μ1 PBS-Puffer versetzt. Der Ansatz wurde mit 2005 μΐ PBS- Puffer verdünnt und 1 h bei RT gerührt. Anschließend wurden 0,253 mg (0.23 μιηοΐ) von Intermediat F268 gelöst in ΙΟΟμΙ DMSO zugegeben. Nach weiteren 90 min Rühren bei RT wurde der Ansatz über mit PBS-Puffer pH 7.2 equillibrierte PD 10-Säulen (Sephadex® G-25, GE Healthcare) gegeben und mit PBS-Puffer pH 7.2 eluiert. Das Eluat anschließend durch Ultrazentrifugation aufkonzentriert und rückverdünnt mit PBS-Puffer (pH 7.2). Der erhaltene ADC Batch wurde folgendermaßen charakterisiert:
Protein Konzentration: 1.50 mg/mL
Drug/mAb Ratio: 2.4
Beispiel 269K
5 mg Anti-TWEAKR AKIA in 345 μΐ^ ml PBS (c=14.5 mg/mL) wurden unter Argon mit einer Lösung aus 0.029 mg TCEP in 50μ1 PBS-Puffer versetzt. Der Ansatz wurde mit 2005 μΐ PBS- Puffer, der zuvor auf pH 8 eingestellt wurde, verdünnt und 1 h bei RT gerührt. Anschließend wurden 0.225 mg (0.00023 mmol) von Intermediat F269 gelöst in ΙΟΟμΙ DMSO zugegeben. Nach weiteren 90 min Rühren bei RT wurde der Ansatz über mit PBS-Puffer pH8 equillibrierte PD 10- Säulen (Sephadex® G-25, GE Healthcare) gegeben und mit PBS-Puffer pH8 eluiert. Das Eluat über Nacht bei RT unter Argon gerührt und anschließend durch Ultrazentrifugation aufkonzentriert und rückverdünnt mit PBS-Puffer (pH 7.2). Ein Teil des ADCs kann unter diesen Bedingungen auch in der Ring-geschlossenen Form vorliegen. Der erhaltene ADC Batch wurde folgendermaßen charakterisiert:
Protein Konzentration: 1.57 mg/mL
Drug/mAb Ratio: 3.3
Beispiel 270K
5 mg Anti-TWEAKR AKIA in 345 μΐ^ ml PBS (c=14.5 mg/mL) wurden unter Argon mit einer Lösung aus 0.029 mg TCEP in 50μ1 PBS-Puffer versetzt. Der Ansatz wurde mit 2005 μΐ PBS- Puffer, der zuvor auf pH 8 eingestellt wurde, verdünnt und 1 h bei RT gerührt. Anschließend wurden 0.188 mg (0.00023 mmol) von Intermediat F270 gelöst in ΙΟΟμΙ DMSO zugegeben. Nach weiteren 90 min Rühren bei RT wurde der Ansatz über mit PBS-Puffer pH8 equillibrierte PD 10- Säulen (Sephadex® G-25, GE Healthcare) gegeben und mit PBS-Puffer pH8 eluiert. Das Eluat über Nacht bei RT unter Argon gerührt und anschließend durch Ultrazentrifugation aufkonzentriert und rückverdünnt mit PBS-Puffer (pH 7.2). Ein Teil des ADCs kann unter diesen Bedingungen auch in der Ring-geschlossenen Form vorliegen. Der erhaltene ADC Batch wurde folgendermaßen charakterisiert:
Protein Konzentration: 1.49 mg/mL Drug/mAb Ratio: 2,6
Beispiel 271K
5 mg Anti-TWEAKR AKiA in 239 μΐ. ml PBS (c= 20,9 mg/mL) wurden unter Argon mit einer Lösung aus 0.029 mg TCEP in 50μ1 PBS-Puffer versetzt. Der Ansatz wurde mit 2111 μΐ PBS- Puffer, der zuvor auf pH 8 eingestellt wurde, verdünnt und 1 h bei RT gerührt. Anschließend wurden 0.267 mg (0.00023 mmol) von Intermediat F271 gelöst in ΙΟΟμΙ DMSO zugegeben. Nach weiteren 90 min Rühren bei RT wurde der Ansatz über mit PBS-Puffer pH8 equillibrierte PD 10- Säulen (Sephadex® G-25, GE Healthcare) gegeben und mit PBS-Puffer pH8 eluiert. Das Eluat über Nacht bei RT unter Argon gerührt und anschließend durch Ultrazentrifugation aufkonzentriert und rückverdünnt mit PBS-Puffer (pH 7.2). Ein Teil des ADCs kann unter diesen Bedingungen auch in der Ring-geschlossenen Form vorliegen. Der erhaltene ADC Batch wurde folgendermaßen charakterisiert:
Protein Konzentration: 1.62 mg/mL
Drug/mAb Ratio: 3.6
Beispiel 272K
5 mg Anti-TWEAKR AKiA in 239 μΐ. ml PBS (c= 20,9 mg/mL) wurden unter Argon mit einer Lösung aus 0.029 mg TCEP in 50μ1 PBS-Puffer versetzt. Der Ansatz wurde mit 2111 μΐ PBS- Puffer, der zuvor auf pH 8 eingestellt wurde, verdünnt und 1 h bei RT gerührt. Anschließend wurden 0.229 mg (0.00023 mmol) von Intermediat F272 gelöst in ΙΟΟμΙ DMSO zugegeben. Nach weiteren 90 min Rühren bei RT wurde der Ansatz über mit PBS-Puffer pH8 equillibrierte PD 10- Säulen (Sephadex® G-25, GE Healthcare) gegeben und mit PBS-Puffer pH8 eluiert. Das Eluat über Nacht bei RT unter Argon gerührt und anschließend durch Ultrazentrifugation aufkonzentriert und rückverdünnt mit PBS-Puffer (pH 7.2). Ein Teil des ADCs kann unter diesen Bedingungen auch in der Ring-geschlossenen Form vorliegen. Der erhaltene ADC Batch wurde folgendermaßen charakterisiert:
Protein Konzentration: 1.49 mg/mL
Drug/mAb Ratio: 3.3
Beispiel 273K
5 mg Anti-TWEAKR AKiA in 239 μΐ. ml PBS (c= 20,9 mg/mL) wurden unter Argon mit einer Lösung aus 0.029 mg TCEP in 50μ1 PBS-Puffer versetzt. Der Ansatz wurde mit 2111 μΐ PBS- Puffer, der zuvor auf pH 8 eingestellt wurde, verdünnt und 1 h bei RT gerührt. Anschließend wurden 0.240 mg (0.00023 mmol) von Intermediat F273 gelöst in ΙΟΟμΙ DMSO zugegeben. Nach weiteren 90 min Rühren bei RT wurde der Ansatz über mit PBS-Puffer pH8 equillibrierte PD 10- Säulen (Sephadex® G-25, GE Healthcare) gegeben und mit PBS-Puffer pH8 eluiert. Das Eluat über Nacht bei RT unter Argon gerührt und anschließend durch Ultrazentrifugation aufkonzentriert und rückverdünnt mit PBS-Puffer (pH 7.2). Ein Teil des ADCs kann unter diesen Bedingungen auch in der Ring-geschlossenen Form vorliegen. Der erhaltene ADC Batch wurde folgendermaßen charakterisiert:
Protein Konzentration: 1.19 mg/mL
Drug/mAb Ratio: 3.4
Beispiel 274K
5 mg Anti-TWEAKR AKIA in 345 μΐ^ ml PBS (c=14.5 mg/mL) wurden unter Argon mit einer Lösung aus 0.029 mg TCEP in 50μ1 PBS-Puffer versetzt. Der Ansatz wurde mit 2005 μΐ PBS- Puffer, der zuvor auf pH 8 eingestellt wurde, verdünnt und 1 h bei RT gerührt. Anschließend wurden 0.232 mg (0.00023 mmol) von Intermediat F274 gelöst in ΙΟΟμΙ DMSO zugegeben. Nach weiteren 90 min Rühren bei RT wurde der Ansatz über mit PBS-Puffer pH8 equillibrierte PD 10- Säulen (Sephadex® G-25, GE Healthcare) gegeben und mit PBS-Puffer pH8 eluiert. Das Eluat über Nacht bei RT unter Argon gerührt und anschließend durch Ultrazentrifugation aufkonzentriert und rückverdünnt mit PBS-Puffer (pH 7.2). Ein Teil des ADCs kann unter diesen Bedingungen auch in der Ring-geschlossenen Form vorliegen. Der erhaltene ADC Batch wurde folgendermaßen charakterisiert:
Protein Konzentration: 1.27 mg/mL Drug/mAb Ratio: 3.4
Beispiel 275K
5 mg Anti-TWEAKR AKiA in 239 μΐ. ml PBS (c= 20,9 mg/mL) wurden unter Argon mit einer Lösung aus 0.029 mg TCEP in 50μ1 PBS-Puffer versetzt. Der Ansatz wurde mit 2111 μΐ PBS- Puffer, der zuvor auf pH 8 eingestellt wurde, verdünnt und 1 h bei RT gerührt. Anschließend wurden 0.229 mg (0.00023 mmol) von Intermediat F275 gelöst in ΙΟΟμΙ DMSO zugegeben. Nach weiteren 90 min Rühren bei RT wurde der Ansatz über mit PBS-Puffer pH8 equillibrierte PD 10- Säulen (Sephadex® G-25, GE Healthcare) gegeben und mit PBS-Puffer pH8 eluiert. Das Eluat über Nacht bei RT unter Argon gerührt und anschließend durch Ultrazentrifugation aufkonzentriert und rückverdünnt mit PBS-Puffer (pH 7.2). Ein Teil des ADCs kann unter diesen Bedingungen auch in der Ring-geschlossenen Form vorliegen. Der erhaltene ADC Batch wurde folgendermaßen charakterisiert:
Protein Konzentration: 1.23 mg/mL Drug/mAb Ratio: 3
Beispiel 276K
5 mg Anti-TWEAKR AKiA in 239 μΐ. ml PBS (c= 20,9 mg/mL) wurden unter Argon mit einer Lösung aus 0.029 mg TCEP in 50μ1 PBS-Puffer versetzt. Der Ansatz wurde mit 2111 μΐ PBS- Puffer, der zuvor auf pH 8 eingestellt wurde, verdünnt und 1 h bei RT gerührt. Anschließend wurden 0.229 mg (0.00023 mmol) von Intermediat F276 gelöst in ΙΟΟμΙ DMSO zugegeben. Nach weiteren 90 min Rühren bei RT wurde der Ansatz über mit PBS-Puffer pH8 equillibrierte PD 10- Säulen (Sephadex® G-25, GE Healthcare) gegeben und mit PBS-Puffer pH8 eluiert. Das Eluat über Nacht bei RT unter Argon gerührt und anschließend durch Ultrazentrifugation aufkonzentriert und rückverdünnt mit PBS-Puffer (pH 7.2). Ein Teil des ADCs kann unter diesen Bedingungen auch in der Ring-geschlossenen Form vorliegen. Der erhaltene ADC Batch wurde folgendermaßen charakterisiert:
Protein Konzentration: 1.45 mg/mL Drug/mAb Ratio: 3.4
Beispiel 277K
5 mg Anti-TWEAKR AKiA in 269 μΐ. ml PBS (c= 20,9 mg/mL) wurden unter Argon mit einer Lösung aus 0.029 mg TCEP in 50μ1 PBS-Puffer versetzt. Der Ansatz wurde mit 2081 μΐ PBS- Puffer verdünnt und 1 h bei RT gerührt. Anschließend wurden 0.205 mg (0.00023 mmol) von Intermediat F277 gelöst in ΙΟΟμΙ DMSO zugegeben. Nach weiteren 20 h Rühren bei RT wurde der Ansatz über mit PBS-Puffer equillibrierte PD 10-Säulen (Sephadex® G-25, GE Healthcare) gegeben und mit PBS-Puffer eluiert. Anschließend wurde durch Ultrazentrifugation aufkonzentriert und rückverdünnt mit PBS-Puffer. Der erhaltene ADC Batch wurde folgendermaßen charakterisiert:
Protein Konzentration: 1.88 mg/mL
Drug/mAb Ratio: 3.3
5 mg Anti-TWEAKR AK
iA in 239 μΐ. ml PBS (c= 20,9 mg/mL) wurden unter Argon mit einer Lösung aus 0.029 mg TCEP in 50μ1 PBS-Puffer versetzt. Der Ansatz wurde mit 2111 μΐ PBS- Puffer, der zuvor auf pH 8 eingestellt wurde, verdünnt und 1 h bei RT gerührt. Anschließend wurden 0.209 mg (0.00023 mmol) von Intermediat F278 gelöst in ΙΟΟμΙ DMSO zugegeben. Nach weiteren 90 min Rühren bei RT wurde der Ansatz über mit PBS-Puffer pH8 equillibrierte PD 10- Säulen (Sephadex
® G-25, GE Healthcare) gegeben und mit PBS-Puffer pH8 eluiert. Das Eluat über Nacht bei RT unter Argon gerührt und anschließend durch Ultrazentrifugation aufkonzentriert und rückverdünnt mit PBS-Puffer (pH 7.2). Ein Teil des ADCs kann unter diesen Bedingungen auch in der Ring-geschlossenen Form vorliegen. Der erhaltene ADC Batch wurde folgendermaßen charakterisiert:
Protein Konzentration: 1.44 mg/mL Drug/mAb Ratio: 2.6
Beispiel 279K
5 mg Anti-TWEAKR AKIA in 239 μΕ ml PBS (c= 20,9 mg/mL) wurden unter Argon mit einer Lösung aus 0.029 mg TCEP in 50μ1 PBS-Puffer versetzt. Der Ansatz wurde mit 2111 μΐ PBS- Puffer, der zuvor auf pH 8 eingestellt wurde, verdünnt und 1 h bei RT gerührt. Anschließend wurden 0.242 mg (0.00023 mmol) von Intermediat F279 gelöst in ΙΟΟμΙ DMSO zugegeben. Nach weiteren 90 min Rühren bei RT wurde der Ansatz über mit PBS-Puffer pH8 equillibrierte PD 10- Säulen (Sephadex® G-25, GE Healthcare) gegeben und mit PBS-Puffer pH8 eluiert. Das Eluat über
Nacht bei RT unter Argon gerührt und anschließend durch Ultrazentrifugation aufkonzentriert und rückverdünnt mit PBS-Puffer (pH 7.2). Ein Teil des ADCs kann unter diesen Bedingungen auch in der Ring-geschlossenen Form vorliegen. Der erhaltene ADC Batch wurde folgendermaßen charakterisiert:
Protein Konzentration: 2.19 mg/mL Drug/mAb Ratio: 2.8
Beispiel 280K
5 mg Anti-TWEAKR AK1A in 450 μΕ ml PBS (c=l 1.1 mg/mL) wurden unter Argon mit einer Lösung aus 0.029 mg TCEP in 50μ1 PBS-Puffer versetzt und 30 min bei RT gerührt. Anschließend wurden 0,23 mg (0.27 μιηοΐ) von Intermediat F280 gelöst in 50μ1 DMSO zugegeben. Nach weiteren 90 min Rühren bei RT wurde der Ansatz mit PBS-Puffer pH 8 auf 2.5 ml aufgefüllt und über eine mit PBS Puffer pH8 equillibrierte PD 10-Säule (Sephadex® G-25, GE Healthcare) gegeben, mit PBS-Puffer pH 8 eluiert und anschließend über Nacht bei RT gerührt. Das Eluat wurde anschließend durch Ultrazentrifugation aufkonzentriert und rückverdünnt mit PBS-Puffer (pH 7.2). Der erhaltene ADC Batch wurde folgendermaßen charakterisiert:
Protein Konzentration : 1.8 mg/ mL
Drug/mAb Ratio: 3.0
Bei dieser ADC-Präparation wurde ein Anteil der ring-geöffneten Bernsteinsäureamid-Form von 95.8% ermittelt.
Beispiel 281K
Eingesetzt wurden hier zur Kupplung mit Intermediat F281 5 mg Anti-TWEAKR AKIA in 500 μΕ PBS bei pH 7.2 (c=10 mg/mL). Die Reduktionszeit des Antikörpers in Gegenwart von 0.029 mg TCEP betrug 30 min. Dann wurde der Ansatz nach Zusatz von 0.22 mg (0.23 μιηοΐ) F281 in 50 μΕ DMSO 20 h bei RT gerührt und anschließend über Sephadex gereinigt. Schließlich wurde mittels Ultrazentrifugation aufkonzentriert und rückverdünnt mit PBS.
Protein Konzentration: 1.77 mg/mL
Drug/mAb Ratio: 2.6
Beispiel 282K
Eingesetzt wurden hier zur Kupplung mit Intermediat F282 5 mg Anti-TWEAKR AKIA in 500 μΕ PBS bei pH 7.2 (c=10 mg/mL). Die Reduktionszeit des Antikörpers in Gegenwart von 0.029 mg TCEP betrug 30 min. Dann wurde der Ansatz nach Zusatz von 0.22 mg (0.23 μιηοΐ) F282 in 50 μΕ DMSO 20 h bei RT gerührt und anschließend über Sephadex gereinigt. Schließlich wurde mittels Ultrazentrifugation aufkonzentriert und rückverdünnt mit PBS.
Protein Konzentration: 1.78 mg/mL
Drug/mAb Ratio: 3.8
Beispiel 283K
Eingesetzt wurden hier zur Kupplung mit Intermediat F283 5 mg Anti-TWEAKR AKIA in 550 μΕ PBS bei pH 7.2 (c=9.1 mg/mL). Die Reduktionszeit des Antikörpers in Gegenwart von 0.029 mg TCEP betrug 30 min. Dann wurde der Ansatz nach Zusatz von 0.22 mg (0.23 μιηοΐ) F283 in 50 μΕ DMSO 20 h bei RT gerührt und anschließend über Sephadex gereinigt. Schließlich wurde mittels Ultrazentrifugation aufkonzentriert und rückverdünnt mit PBS.
Protein Konzentration: 1.83 mg/mL
Drug/mAb Ratio: 2.4
Beispiel 284K
5 mg Anti-TWEAKR AK1A in 550 μΐ
^ ml PBS (c=9.1 mg/mL) wurden unter Argon mit einer Lösung aus 0.029 mg TCEP in 50μ1 PBS-Puffer versetzt und 30 min bei RT gerührt. Anschließend wurden 0,26 mg (0.23 μιηοΐ) von Intermediat F284 gelöst in 50μ1 DMSO zugegeben. Nach weiteren 90 min Rühren bei RT wurde der Ansatz mit PBS-Puffer pH 8 auf 2.5 ml aufgefüllt und über eine mit PBS Puffer pH8 equillibrierte PD 10-Säule (Sephadex
® G-25, GE Healthcare) gegeben, mit PBS-Puffer pH 8 eluiert und anschließend über Nacht bei RT gerührt. Das Eluat wurde anschließend durch Ultrazentrifugation aufkonzentriert und rückverdünnt mit PBS-Puffer (pH 7.2). Der erhaltene ADC Batch wurde folgendermaßen charakterisiert:
Protein Konzentration : 1.13 mg/mL
Drug/mAb Ratio: 3.3
Beispiel 285K
Eingesetzt wurden hier zur Kupplung mit Intermediat F285 5 mg Anti-TWEAKR AKIA in 550 μΕ PBS bei pH 7.2 (c=9.1 mg/mL). Die Reduktionszeit des Antikörpers in Gegenwart von 0.029 mg TCEP betrug 30 min. Dann wurde der Ansatz nach Zusatz von 0.25 mg (0.23 μιηοΐ) F285 in 50 μΕ DMSO 20 h bei RT gerührt und anschließend über Sephadex gereinigt. Schließlich wurde mittels Ultrazentrifugation aufkonzentriert und rückverdünnt mit PBS.
Protein Konzentration: 1.73 mg/mL
Drug/mAb Ratio: 2.6
Beispiel 286K
5 mg Anti-TWEAKR AKIA in 550 μΐ^ ml PBS (c=9.1 mg/mL) wurden unter Argon mit einer Lösung aus 0.029 mg TCEP in 50μ1 PBS-Puffer versetzt und 30 min bei RT gerührt. Anschließend wurden 0,26 mg (0.23 μιηοΐ) von Intermediat F286 gelöst in 50μ1 DMSO zugegeben. Nach weiteren 90 min Rühren bei RT wurde der Ansatz mit PBS-Puffer pH 8 auf 2.5 ml aufgefüllt und über eine mit PBS Puffer pH8 equillibrierte PD 10-Säule (Sephadex® G-25, GE Healthcare) gegeben, mit PBS-Puffer pH 8 eluiert und anschließend über Nacht bei RT gerührt. Das Eluat wurde anschließend durch Ultrazentrifugation aufkonzentriert und rückverdünnt mit PBS-Puffer (pH 7.2). Der erhaltene ADC Batch wurde folgendermaßen charakterisiert:
Protein Konzentration: 1.79 mg/mL
Drug/mAb Ratio: 3.3
Beispiel 288K
5 mg Anti-TWEAKR AKIA in 550 μΐ^ ml PBS (c=9.1 mg/mL) wurden unter Argon mit einer Lösung aus 0.029 mg TCEP in 50μ1 PBS-Puffer versetzt und 30 min bei RT gerührt. Anschließend wurden 0,22 mg (0.23 μιηοΐ) von Intermediat F288 gelöst in 50μ1 DMSO zugegeben. Nach weiteren 90 min Rühren bei RT wurde der Ansatz mit PBS-Puffer pH 8 auf 2.5 ml aufgefüllt und über eine mit PBS Puffer pH8 equillibrierte PD 10-Säule (Sephadex® G-25, GE Healthcare) gegeben, mit PBS-Puffer pH 8 eluiert und anschließend über Nacht bei RT gerührt. Das Eluat wurde anschließend durch Ultrazentrifugation aufkonzentriert und rückverdünnt mit PBS-Puffer (pH 7.2). Der erhaltene ADC Batch wurde folgendermaßen charakterisiert:
Protein Konzentration: 1.66 mg/mL
Drug/mAb Ratio: 3.2
Beispiel 289K
5 mg Anti-TWEAKR AK1A in 450 μΐ^ ml PBS (c=l 1.1 mg/mL) wurden unter Argon mit einer Lösung aus 0.029 mg TCEP in 50μ1 PBS-Puffer versetzt und 30 min bei RT gerührt. Anschließend wurden 0,21 mg (0.23 μιηοΐ) von Intermediat F289 gelöst in 50μ1 DMSO zugegeben. Nach weiteren 90 min Rühren bei RT wurde der Ansatz mit PBS-Puffer pH 8 auf 2.5 ml aufgefüllt und über eine mit PBS Puffer pH8 equillibrierte PD 10-Säule (Sephadex® G-25, GE Healthcare) gegeben, mit PBS-Puffer pH 8 eluiert und anschließend über Nacht bei RT gerührt. Das Eluat wurde anschließend durch Ultrazentrifugation aufkonzentriert und rückverdünnt mit PBS-Puffer (pH 7.2). Der erhaltene ADC Batch wurde folgendermaßen charakterisiert:
Protein Konzentration : 1.78 mg/mL
Drug/mAb Ratio: 3.7
Beispiel 290K
Eingesetzt wurden hier zur Kupplung mit Intermediat F290 5 mg Anti-TWEAKR AKIA in 450 μΕ PBS bei pH 7.2 (c=l 1.1 mg/mL). Die Reduktionszeit des Antikörpers in Gegenwart von 0.029 mg TCEP betrug 30 min. Dann wurde der Ansatz nach Zusatz von 0.21 mg (0.23 μιηοΐ) F290 in 50 μΕ DMSO 20 h bei RT gerührt und anschließend über Sephadex gereinigt. Schließlich wurde mittels Ultrazentrifugation aufkonzentriert und rückverdünnt mit PBS.
Protein Konzentration: 1.71 mg/mL
Drug/mAb Ratio: 4.8
Beispiel 291k
5 mg Anti-TWEAKR AK1A in 450 μΐ^ ml PBS (c=l 1.1 mg/mL) wurden unter Argon mit einer Lösung aus 0.029 mg TCEP in 50μ1 PBS-Puffer versetzt und 30 min bei RT gerührt. Anschließend wurden 0,18 mg (0.23 μιηοΐ) von Intermediat F291 gelöst in 50μ1 DMSO zugegeben. Nach weiteren 90 min Rühren bei RT wurde der Ansatz mit PBS-Puffer pH 8 auf 2.5 ml aufgefüllt und über eine mit PBS Puffer pH8 equillibrierte PD 10-Säule (Sephadex® G-25, GE Healthcare) gegeben, mit PBS-Puffer pH 8 eluiert und anschließend über Nacht bei RT gerührt. Das Eluat wurde anschließend durch Ultrazentrifugation aufkonzentriert und rückverdünnt mit PBS-Puffer (pH 7.2). Der erhaltene ADC Batch wurde folgendermaßen charakterisiert:
Protein Konzentration: 1.35 mg/mL
Drug/mAb Ratio: 2.8
Beispiel 293K
5 mg Anti-TWEAKR AK1A in 550 μΐ^ ml PBS (c=9.1 mg/mL) wurden unter Argon mit einer Lösung aus 0.029 mg TCEP in 50μ1 PBS-Puffer versetzt und 30 min bei RT gerührt. Anschließend wurden 0,23 mg (0.27 μιηοΐ) von Intermediat F293 gelöst in 50μ1 DMSO zugegeben. Nach weiteren 90 min Rühren bei RT wurde der Ansatz mit PBS-Puffer pH 8 auf 2.5 ml aufgefüllt und über eine mit PBS Puffer pH8 equillibrierte PD 10-Säule (Sephadex® G-25, GE Healthcare) gegeben, mit PBS-Puffer pH 8 eluiert und anschließend über Nacht bei RT gerührt. Das Eluat wurde anschließend durch Ultrazentrifugation aufkonzentriert und rückverdünnt mit PBS-Puffer (pH 7.2). Der erhaltene ADC Batch wurde folgendermaßen charakterisiert:
Protein Konzentration: 1.83 mg/mL
Drug/mAb Ratio: 3.4
Eingesetzt wurden hier zur Kupplung mit Intermediat F294 5 mg Anti-TWEAKR AKIA in PBS (c = 10 mg/mL). Zunächst wurden 5Eq von Intermediat F294 gelöst in 50μΕ DMSO zugesetzt und nach lh Rühren bei RT wurde nochmals die gleiche Menge hinzugefügt und der Ansatz eine weitere Stunde bei RT gerührt. Anschließend wurde der Ansatz mit PBS Puffer (pH7.2) auf 2.5 mL verdünnt, über eine Sephadex-Säule gereinigt und dann durch Ultrazentrifugation aufkonzentriert und rückverdünnt mit PBS.
Protein Konzentration: 2.15 mg/mL
Drug/mAb Ratio: 6.9
Beispiel 295k
5 mg Anti-TWEAKR AKI
A in 550 μΐ
^ ml PBS (c=9.1 mg/mL) wurden unter Argon mit einer Lösung aus 0.029 mg TCEP in 50μ1 PBS-Puffer versetzt und 30 min bei RT gerührt. Anschließend wurden 0,19 mg (0.23 μιηοΐ) von Intermediat F295 gelöst in 50μ1 DMSO zugegeben. Nach weiteren 90 min Rühren bei RT wurde der Ansatz mit PBS-Puffer pH 8 auf 2.5 ml aufgefüllt und über eine mit PBS Puffer pH8 equillibrierte PD 10-Säule (Sephadex
® G-25, GE Healthcare) gegeben, mit PBS-Puffer pH 8 eluiert und anschließend über Nacht bei RT gerührt. Das Eluat wurde anschließend durch Ultrazentrifugation aufkonzentriert und rückverdünnt mit PBS-Puffer (pH 7.2). Der erhaltene ADC Batch wurde folgendermaßen charakterisiert:
Protein Konzentration: 1.56 mg/mL
Drug/mAb Ratio: 3.5
Beispiel 296k
5 mg Anti-TWEAKR AKIA in 500 μΕ ml PBS (c=10 mg/mL) wurden unter Argon mit einer Lösung aus 0.029 mg TCEP in 50μ1 PBS-Puffer versetzt und 30 min bei RT gerührt. Anschließend wurden 0,21 mg (0.23 μιηοΐ) von Intermediat F296 gelöst in 50μ1 DMSO zugegeben. Nach weiteren 90 min Rühren bei RT wurde der Ansatz mit PBS-Puffer pH 8 auf 2.5 ml aufgefüllt und über eine mit PBS Puffer pH8 equillibrierte PD 10-Säule (Sephadex® G-25, GE Healthcare) gegeben, mit PBS-Puffer pH 8 eluiert und anschließend über Nacht bei RT gerührt. Das Eluat wurde anschließend durch Ultrazentrifugation aufkonzentriert und rückverdünnt mit PBS-Puffer (pH 7.2). Der erhaltene ADC Batch wurde folgendermaßen charakterisiert:
Protein Konzentration: 1.72 mg/mL
Drug/mAb Ratio: 4.6
Beispiel 297k (Isomer 1)
Eingesetzt wurden hier zur Kupplung mit Intermediat F297 5 mg Anti-TWEAKR AKIA in 500 μΕ PBS bei pH 7.2 (c= 20.9 mg/mL). Die Reduktionszeit des Antikörpers in Gegenwart von 0.029 mg TCEP betrug 30 min. Dann wurde der Ansatz nach Zusatz von 0.23 mg (0.26 μιηοΐ) F297 in 50 μΕ DMSO, 2 h bei RT gerührt und anschließend über Sephadex gereinigt. Schließlich wurde mittels Ultrazentrifugation aufkonzentriert und rückverdünnt mit PBS.
Protein Konzentration: 1.56 mg/mL
Drug/mAb Ratio: 2.6
Beispiel 298k, (Isomer 2)
Eingesetzt wurden hier zur Kupplung mit Intermediat F298 5 mg Anti-TWEAKR AKIA in 500 μΕ PBS bei pH 7.2 (c=20.9 mg/mL). Die Reduktionszeit des Antikörpers in Gegenwart von 0.029 mg TCEP betrug 30 min. Dann wurde der Ansatz nach Zusatz von 0.21 mg (0.23 μιηοΐ) F298 in 50 μΕ DMSO, 2 h bei RT gerührt und anschließend über Sephadex gereinigt. Schließlich wurde mittels Ultrazentrifugation aufkonzentriert und rückverdünnt mit PBS.
Protein Konzentration: 1.54 mg/mL Drug/mAb Ratio: 2.9
Beispiel 299k
Eingesetzt wurden hier zur Kupplung mit Intermediat F299 5 mg Anti-TWEAKR AKI
A in 500 μΕ PBS bei pH 7.2 (c=20.9 mg/mL). Die Reduktionszeit des Antikörpers in Gegenwart von 0.029 mg TCEP betrug 30 min. Dann wurde der Ansatz nach Zusatz von 0.22 mg (0.24 μιηοΐ) F299 in 50 μΕ DMSO, 2 h bei RT gerührt und anschließend über Sephadex gereinigt. Schließlich wurde mittels Ultrazentrifugation aufkonzentriert und rückverdünnt mit PBS.
Protein Konzentration: 1.38 mg/mL
Drug/mAb Ratio: 3.1
Beispiel 300K
5 mg Anti-TWEAKR AKIA in 500 μΕ ml PBS (c=20.9 mg/mL) wurden unter Argon mit einer Lösung aus 0.029 mg TCEP in 50μ1 PBS-Puffer versetzt und 30 min bei RT gerührt. Anschließend wurden 0,22 mg (0.23 μιηοΐ) von Intermediat F300 gelöst in 50μ1 DMSO zugegeben. Nach weiteren 90 min Rühren bei RT wurde der Ansatz mit PBS-Puffer pH 8 auf 2.5 ml aufgefüllt und über eine mit PBS Puffer pH8 equillibrierte PD 10-Säule (Sephadex® G-25, GE Healthcare) gegeben, mit PBS-Puffer pH 8 eluiert und anschließend über Nacht bei RT gerührt. Das Eluat wurde anschließend durch Ultrazentrifugation aufkonzentriert und rückverdünnt mit PBS-Puffer (pH 7.2). Der erhaltene ADC Batch wurde folgendermaßen charakterisiert:
Protein Konzentration: 1.50 mg/mL
Drug/mAb Ratio: 3.4
Beispiel 302k
5 mg Anti-TWEAKR AK1A in 500 μΐ. ml PBS (c=20.9 mg/mL) wurden unter Argon mit einer Lösung aus 0.029 mg TCEP in 50μ1 PBS-Puffer versetzt und 30 min bei RT gerührt. Anschließend wurden 0,20 mg (0.23 μιηοΐ) von Intermediat F302 gelöst in 50μ1 DMSO zugegeben. Nach weiteren 90 min Rühren bei RT wurde der Ansatz mit PBS-Puffer pH 8 auf 2.5 ml aufgefüllt und über eine mit PBS Puffer pH8 equillibrierte PD 10-Säule (Sephadex® G-25, GE Healthcare) gegeben, mit PBS-Puffer pH 8 eluiert und anschließend über Nacht bei RT gerührt. Das Eluat wurde anschließend durch Ultrazentrifugation aufkonzentriert und rückverdünnt mit PBS-Puffer (pH 7.2). Der erhaltene ADC Batch wurde folgendermaßen charakterisiert:
Protein Konzentration: 1.64 mg/mL
Drug/mAb Ratio: 4
Eingesetzt wurden hier zur Kupplung mit Intermediat F304 5 mg Anti-TWEAKR AKIA in 500 μΕ PBS bei pH 7.2 (c=20.9 mg/mL). Die Reduktionszeit des Antikörpers in Gegenwart von 0.029 mg TCEP betrug 30 min. Dann wurde der Ansatz nach Zusatz von 0.21 mg (0.23 μιηοΐ) F304 in 50 μΕ DMSO 2 h bei RT gerührt und anschließend über Sephadex gereinigt. Schließlich wurde mittels Ultrazentrifugation aufkonzentriert und rückverdünnt mit PBS.
Protein Konzentration: 0.95 mg/mL
Drug/mAb Ratio: 2.8
Beispiel 305k (Isomere 2)
Eingesetzt wurden hier zur Kupplung mit Intermediat F305 5 mg Anti-TWEAKR AKIA in 500 μΕ PBS bei pH 7.2 (c=20.9 mg/mL). Die Reduktionszeit des Antikörpers in Gegenwart von 0.029 mg TCEP betrug 30 min. Dann wurde der Ansatz nach Zusatz von 0.21 mg (0.23 μιηοΐ) F306 in 50 μΕ DMSO 2 h bei RT gerührt und anschließend über Sephadex gereinigt. Schließlich wurde mittels Ultrazentrifugation aufkonzentriert und rückverdünnt mit PBS.
Protein Konzentration: 1.12 mg/mL
Drug/mAb Ratio: 2.80
Beispiel 306K
5 mg Anti-TWEAKR AKI
A in 500 μΐ
^ ml PBS (c= 10 mg/mL) wurden unter Argon mit einer Lösung aus 0,029 mg TCEP in 50μ1 PBS-Puffer versetzt. Der Ansatz wurde 30min bei RT gerührt und anschließend wurden 0.28 mg (0.00023 mmol) von Intermediat F306 gelöst in 50μ1 DMSO zugegeben. Nach weiteren 90 min Rühren bei RT wurde der Ansatz mit 1900 μΐ PBS-Puffer, der zuvor auf pH 8 eingestellt wurde, verdünnt.
Diese Lösung wurde dann über mit PBS-Puffer pH8 equillibrierte PD 10-Säulen (Sephadex® G-25, GE Healthcare) gegeben und mit PBS-Puffer pH8 eluiert. Das Eluat wurde über Nacht bei RT unter Argon gerührt und anschließend durch Ultrazentrifugation aufkonzentriert und rückverdünnt mit PBS-Puffer (pH 7.2). Ein Teil des ADCs kann unter diesen Bedingungen auch in der ringgeschlossenen Form vorliegen. Der erhaltene ADC Batch wurde folgendermaßen charakterisiert:
Protein Konzentration: 1.61 mg/mL Drug/mAb Ratio: 2.3 Beispiel 307K
5 mg Anti-TWEAKR AKIA in 239 μΕ ml PBS (c=20.9 mg/mL) wurden unter Argon mit einer Lösung aus 0.029 mg TCEP in 50μ1 PBS-Puffer versetzt. Der Ansatz wurde mit 2111 μΐ PBS- Puffer verdünnt und 1 h bei RT gerührt. Anschließend wurden 0,299 mg (0.23 μιηοΐ) von
Intermediat F307 gelöst in ΙΟΟμΙ DMSO zugegeben. Nach weiteren 90 min Rühren bei RT wurde der Ansatz über mit PBS-Puffer pH 7.2 equillibrierte PD 10-Säulen (Sephadex® G-25, GE Healthcare) gegeben und mit PBS-Puffer pH 7.2 eluiert. Das Eluat anschließend durch Ultrazentrifugation aufkonzentriert und rückverdünnt mit PBS-Puffer (pH 7.2). Der erhaltene ADC Batch wurde folgendermaßen charakterisiert:
Protein Konzentration: 2.08 mg/mL
Drug/mAb Ratio: 2.2
Beispiel 308K
5 mg Anti-TWEAKR AKiA in 239 μΕ ml PBS (c=20.9 mg/mL) wurden unter Argon mit einer Lösung aus 0.029 mg TCEP in 50μ1 PBS-Puffer versetzt. Der Ansatz wurde mit 2111 μΐ PBS- Puffer verdünnt und 1 h bei RT gerührt. Anschließend wurden 0,299 mg (0.23 μιηοΐ) von Intermediat F308 gelöst in ΙΟΟμΙ DMSO zugegeben. Nach weiteren 90 min Rühren bei RT wurde der Ansatz über mit PBS-Puffer pH 7.2 equillibrierte PD 10-Säulen (Sephadex® G-25, GE Healthcare) gegeben und mit PBS-Puffer pH 7.2 eluiert. Das Eluat anschließend durch Ultrazentrifugation aufkonzentriert und rückverdünnt mit PBS-Puffer (pH 7.2). Der erhaltene ADC Batch wurde folgendermaßen charakterisiert:
Protein Konzentration: 1.98 mg/mL Drug/mAb Ratio: 2.6
Beispiel 309K
5 mg Anti-TWEAKR AKiA in 239 μΐ. ml PBS (c= 20,9 mg/mL) wurden unter Argon mit einer Lösung aus 0.029 mg TCEP in 50μ1 PBS-Puffer versetzt. Der Ansatz wurde mit 2111 μΐ PBS- Puffer, der zuvor auf pH 8 eingestellt wurde, verdünnt und 1 h bei RT gerührt. Anschließend wurden 0.247 mg (0.00023 mmol) von Intermediat F309 gelöst in ΙΟΟμΙ DMSO zugegeben. Nach weiteren 90 min Rühren bei RT wurde der Ansatz über mit PBS-Puffer pH8 equillibrierte PD 10- Säulen (Sephadex® G-25, GE Healthcare) gegeben und mit PBS-Puffer pH8 eluiert. Das Eluat über Nacht bei RT unter Argon gerührt und anschließend durch Ultrazentrifugation aufkonzentriert und rückverdünnt mit PBS-Puffer (pH 7.2). Ein Teil des ADCs kann unter diesen Bedingungen auch in der Ring-geschlossenen Form vorliegen. Der erhaltene ADC Batch wurde folgendermaßen charakterisiert:
Protein Konzentration: 1.63 mg/mL
Drug/mAb Ratio: 3.9
Beispiel 310K
5 mg Anti-TWEAKR AKiA in 239 μΐ. ml PBS (c= 20,9 mg/mL) wurden unter Argon mit einer Lösung aus 0.029 mg TCEP in 50μ1 PBS-Puffer versetzt. Der Ansatz wurde mit 2111 μΐ PBS- Puffer, der zuvor auf pH 8 eingestellt wurde, verdünnt und 1 h bei RT gerührt. Anschließend wurden 0.299 mg (0.00023 mmol) von Intermediat F310 gelöst in ΙΟΟμΙ DMSO zugegeben. Nach weiteren 90 min Rühren bei RT wurde der Ansatz über mit PBS-Puffer pH8 equillibrierte PD 10- Säulen (Sephadex® G-25, GE Healthcare) gegeben und mit PBS-Puffer pH8 eluiert. Das Eluat über Nacht bei RT unter Argon gerührt und anschließend durch Ultrazentrifugation aufkonzentriert und rückverdünnt mit PBS-Puffer (pH 7.2). Ein Teil des ADCs kann unter diesen Bedingungen auch in der Ring-geschlossenen Form vorliegen. Der erhaltene ADC Batch wurde folgendermaßen charakterisiert:
Protein Konzentration: 1.35 mg/mL
Drug/mAb Ratio: 2.7
5 mg Anti-TWEAKR AKiA in 239 μΐ. ml PBS (c= 20,9 mg/mL) wurden unter Argon mit einer Lösung aus 0.029 mg TCEP in 50μ1 PBS-Puffer versetzt. Der Ansatz wurde mit 2111 μΐ PBS- Puffer, der zuvor auf pH 8 eingestellt wurde, verdünnt und 1 h bei RT gerührt. Anschließend wurden 0.337 mg (0.00023 mmol) von Intermediat F311 gelöst in ΙΟΟμΙ DMSO zugegeben. Nach weiteren 90 min Rühren bei RT wurde der Ansatz über mit PBS-Puffer pH8 equillibrierte PD 10- Säulen (Sephadex® G-25, GE Healthcare) gegeben und mit PBS-Puffer pH8 eluiert. Das Eluat über Nacht bei RT unter Argon gerührt und anschließend durch Ultrazentrifugation aufkonzentriert und rückverdünnt mit PBS-Puffer (pH 7.2). Ein Teil des ADCs kann unter diesen Bedingungen auch in der Ring-geschlossenen Form vorliegen. Der erhaltene ADC Batch wurde folgendermaßen charakterisiert:
Protein Konzentration: 1.26 mg/mL
Drug/mAb Ratio: 3.i Beispiel 312K
5 mg Anti-TWEAKR AKIA in 500 μΐ^ ml PBS (c= 10 mg/mL) wurden unter Argon mit einer Lösung aus 0,029 mg TCEP in 50μ1 PBS-Puffer versetzt. Der Ansatz wurde 30min bei RT gerührt und anschließend wurden 0.26 mg (0.00023 mmol) von Intermediat F312 gelöst in 50μ1 DMSO zugegeben. Nach weiteren 90 min Rühren bei RT wurde der Ansatz mit 1900 μΐ PBS-Puffer, der zuvor auf pH 8 eingestellt wurde, verdünnt.
Diese Lösung wurde dann über mit PBS-Puffer pH8 equillibrierte PD 10-Säulen (Sephadex® G-25, GE Healthcare) gegeben und mit PBS-Puffer pH8 eluiert. Das Eluat wurde über Nacht bei RT unter Argon gerührt und anschließend durch Ultrazentrifugation aufkonzentriert und rückverdünnt mit PBS-Puffer (pH 7.2). Ein Teil des ADCs kann unter diesen Bedingungen auch in der ringgeschlossenen Form vorliegen. Der erhaltene ADC Batch wurde folgendermaßen charakterisiert:
Protein Konzentration: 1.65 mg/mL
Drug/mAb Ratio: 2.0
Beispiel 313K
5 mg Anti-TWEAKR AKiA in 500 μΐ. ml PBS (c= 20.9 mg/mL) wurden unter Argon mit einer Lösung aus 0,029 mg TCEP in 50μ1 PBS-Puffer versetzt. Der Ansatz wurde 30 min bei RT gerührt und anschließend wurden 0.260mg (0.00023 mmol) von Intermediat F313 gelöst in 50μ1 DMSO zugegeben. Nach weiteren 90 min Rühren bei RT wurde der Ansatz mit 1900 μΐ PBS-Puffer, der zuvor auf pH 8 eingestellt wurde, verdünnt.
Diese Lösung wurde dann über mit PBS-Puffer pH8 equillibrierte PD 10-Säulen (Sephadex® G-25, GE Healthcare) gegeben und mit PBS-Puffer pH8 eluiert. Das Eluat wurde über Nacht bei RT unter Argon gerührt und anschließend durch Ultrazentrifugation aufkonzentriert und rückverdünnt mit PBS-Puffer (pH 7.2). Ein Teil des ADCs kann unter diesen Bedingungen auch in der ringgeschlossenen Form vorliegen. Der erhaltene ADC Batch wurde folgendermaßen charakterisiert: Protein Konzentration: 1.27 mg/mL
Drug/mAb Ratio: 1.6
Beispiel 314K
5 mg Anti-TWEAKR AKIA in 500 μΐ. ml PBS (c= 20.9 mg/mL) wurden unter Argon mit einer Lösung aus 0,029 mg TCEP in 50μ1 PBS-Puffer versetzt. Der Ansatz wurde 30 min bei RT gerührt und anschließend wurden 0.227g (0.00023 mmol) von Intermediat F314 gelöst in 50μ1 DMSO zugegeben. Nach weiteren 90 min Rühren bei RT wurde der Ansatz mit 1900 μΐ PBS-Puffer, der zuvor auf pH 8 eingestellt wurde, verdünnt.
Diese Lösung wurde dann über mit PBS-Puffer pH8 equillibrierte PD 10-Säulen (Sephadex® G-25, GE Healthcare) gegeben und mit PBS-Puffer pH8 eluiert. Das Eluat wurde über Nacht bei RT unter Argon gerührt und anschließend durch Ultrazentrifugation aufkonzentriert und rückverdünnt mit PBS-Puffer (pH 7.2). Ein Teil des ADCs kann unter diesen Bedingungen auch in der ringgeschlossenen Form vorliegen. Der erhaltene ADC Batch wurde folgendermaßen charakterisiert:
Protein Konzentration: 1.19 mg/mL Drug/mAb Ratio: 2.4 Beispiel 315k
5 mg Anti-TWEAKR AKIA in 500 μΐ. ml PBS (c= 20.9 mg/mL) wurden unter Argon mit einer Lösung aus 0,029 mg TCEP in 50μ1 PBS-Puffer versetzt. Der Ansatz wurde 30 min bei RT gerührt und anschließend wurden 0.236g (0.00023 mmol) von Intermediat F315 gelöst in 50μ1 DMSO zugegeben. Nach weiteren 90 min Rühren bei RT wurde der Ansatz mit 1900 μΐ PBS-Puffer, der zuvor auf pH 8 eingestellt wurde, verdünnt.
Diese Lösung wurde dann über mit PBS-Puffer pH8 equillibrierte PD 10-Säulen (Sephadex® G-25, GE Healthcare) gegeben und mit PBS-Puffer pH8 eluiert. Das Eluat wurde über Nacht bei RT unter Argon gerührt und anschließend durch Ultrazentrifugation aufkonzentriert und rückverdünnt mit PBS-Puffer (pH 7.2). Ein Teil des ADCs kann unter diesen Bedingungen auch in der ringgeschlossenen Form vorliegen. Der erhaltene ADC Batch wurde folgendermaßen charakterisiert:
Protein Konzentration: 1.43 mg/mL
Drug/mAb Ratio: 2.3
Beispiel 316k
Eingesetzt wurden hier zur Kupplung mit Intermediat F316 5 mg Anti-TWEAKR AKIA in PBS (c=20.9 mg/mL) und der Ansatz wurde nach der Sephadex-Reinigung durch Ultrazentrifugation aufkonzentriert und rückverdünnt mit PBS. Das ADC kann auch teilweise in Form der hydrolysierten offenkettigen Bernsteinsäureamide mit dem Antikörper verknüpft vorliegen.
Protein Konzentration: 1.68mg/mL
Drug/mAb Ratio: 2.5
C: Bewertung der biologischen Wirksamkeit
Die biologische Wirkung der erfindungsgemäßen Verbindungen kann durch die nachstehend beschriebenen Assays gezeigt werden: a. C-la Bestimmung der cytotoxischen Wirkung der gegen TWEAKR gerichteten ADCs
Die Analyse der cytototoxischen Wirkung der anti-TWEAKR-ADCs erfolgt auf verschiedenen Zelllinien:
NCI-H292: humane mukoepidermoide Lungenkarzinomzellen, ATCC-CRL-1848, Standardmedium: RPMI 1640 (Biochrom; #FG1215, stab. Glutamin) + 10% FCS (Biochrom; #S0415), TWEAKR-positiv, EGFR-positiv.
BxPC3: humane Bauchspeicheldrüsenkrebszellen, ATCC-CRL-1687, Standardmedium: RPMI 1640 (Biochrom; #FG1215, stab. Glutamin) + 10% FCS (Biochrom; #S0415), TWEAKR-positiv.
Kultivierung der Zellen erfolgt nach Standard-Methode, wie bei der American Tissue Culture Collection (ATCC) für die jeweiligen Zelllinien angegeben.
MTT-Assay
Die Kultivierung der Zellen erfolgte nach Standardmethode, mit den unter C-l angegebenen Wachstumsmedien. Zur Durchführung wurden die Zellen mit einer Lösung von Accutase in PBS (Fa. Biochrom AG #L2143) abgelöst, pelletiert, in Kulturmedium resuspendiert, gezählt und in eine 96-Loch Kulturplatte mit weißem Boden (Fa. Costar #3610) ausgesät (NCI H292: 2500 Zellen/well, KPL-4: 1200 Zellen/well, LoVo: 1000 Zellen/well in ΙΟΟμΙ Gesamtvolumen). Anschließend wurden die Zellen im Brutschrank bei 37°C und 5% Kohlendioxid inkubiert. Nach 48h wurde ein Medium Wechsel durchgeführt. Dann wurden die Metaboliten in 10μΕ Kulturmedium in Konzentrationen von 10"5M bis 10"13M zu den Zellen (Triplikate) pipettiert, bevor der Ansatz im Brutschrank bei 37°C und 5% Kohlendioxid inkubierte. Nach 96h erfolgte die Detektion der Zellproliferation mit Hilfe des MTT-Assays (ATCC, Manassas, Virginia, USA, Katalog-Nr. 30-1010K). Hierzu wurde das MTT Reagens für 4h mit den Zellen inkubiert, bevor durch Zugabe des Detergenzes die Lyse der Zellen über Nacht erfolgte. Die Detektion des gebildeten Farbstoffs erfolgte bei 570nm (Infinite M1000 pro, Fa. Tecan). Aus den gemessenen
Daten wurde der IC50- Wert der Wachstumshemmung unter Verwendung der DRC (Dose Response Curve) berechnet. Die Proliferation ohne Testsubstanz, aber ansonsten identisch behandelten Zellen, wird als 100% Wert definiert
CTG-Assay
Die Kultivierung der Zellen erfolgte nach StandardMethode, mit den unter C-l angegebenen Wachstumsmedien. Zur Durchführung wurden die Zellen mit einer Lösung von Trypsin (0.05%) und EDTA (0.02%) in PBS (Biochrom AG #L2143) abgelöst, pelletiert, in Kulturmedium resuspendiert, gezählt und in eine 96-Loch Kulturplatte mit weissem Boden (Costar #3610) ausgesät (in 75μ1/Ιχ>Λ, folgende Zellzahlen je Loch: NCI-H292: 2500 Zellen/ Loch, BxPC3 2500 Zellen / Loch) und im Brutschrank bei 37 °C und 5% Kohlendioxid inkubiert. Nach 24h wurden die Antikörper- Wirkstoffkonjugate in 25μ1 Kulturmedium (vierfach konzentriert) auf die Zellen gegeben, so dass finale Konzentrationen der Antikörper- Wirkstoffkonjugate von 3 x 10"7 M bis 3 x 10"11 M auf den Zellen erreicht wurden (Triplikate). Anschließend wurden die Zellen im Brutschrank bei 37°C und 5% Kohlendioxid inkubiert. In einer parallelen Platte wurde die Zellvitalität zu Beginn der Wirkstoffbehandlung (Tag 0) mit dem Cell Titer Glow (CTG) Luminescent Cell Viability Assay (Promega #G7573 und #G7571) bestimmt. Dazu wurden pro Zellansatz ΙΟΟμΙ des Substrats hinzugefügt, die Platten anschließend mit Alufolie abgedeckt, für 2 Minuten mit dem Plattenschüttler bei 180 rpm geschüttelt, für 8 Minuten auf der Laborbank stehen gelassen und dann mit einem Luminometer (Victor X2, Perkin Elmer) gemessen. Das Substrat detektiert den ATP-Gehalt in den lebenden Zellen, wobei ein Lumineszenz-Signal erzeugt wird, dessen Höhe direkt proportional zur Vitalität der Zellen ist. Nach 72h Inkubation mit den Antikörper- Wirkstoffkonjugaten wurde nun auch in diesen Zellen die Vitalität mit dem Cell Titer Glow Luminescent Cell Viability Assay wie oben beschrieben bestimmt. Aus den gemessenen Daten wurde die IC50 der Wachstumshemmung im Vergleich zum Tag 0 unter Verwendung des DRC (Dose Response Curve) Analysis Spreadsheets anhand einer 4-Parameter Anpassung berechnet. Das DRC Analysis Spreadsheet ist ein von Bayer Pharma AG und Bayer Business Services auf der Plattform IDBS E-WorkBook Suite entwickeltes Biobook Spreadsheet (IDBS: ID Business Solutions Ltd., Guildford, UK).
In den folgenden Tabellen 1 sind die ICso-Werte repräsentativer Ausführungsbeispiele mit dem anti-TWEAKR-Antikörper aus dem CTG Assay aufgeführt:
Tabelle 1
BxPC3 NCI-H292 BxPC3 NCI-H292
Beispiel ICso [M] ICso [M] Beispiel ICso [M] ICso [M]
CTG CTG CTG CTG
104k 1.24E-09 3.44E-10
119b 8.90E-09 9.14E-10
119k 9.71E-10 4.1E-10
127b 3.31E-08 1.94E-09
153b 1.44E-09 1.17E-08
173k 7.01E-09 1.71E-08
178k 4.25E-09 8.71E-10
180k 6.68E-09 4.27E-09
193k 4.38E-09 1.67E-09
194k 2.47E-09 3.86E-09
207k 1.59E-09 3.20E-10
208k 9.14E-10 4.54E-10
216k 8.96E-10 7.11E-10
239b 1.40E-08 3.93E-09
239k 2.06E-09 1.54E-09
240k 1.10E-09 3.05E-10
241k 4.95E-09 3.48E-09
242b 8.54E-09 1.21E-09
243b 9.99E-09 1.18E-09
245k 7.94E-09 1.10E-09
247k 9.87E-10 6.67E-10
248k 1.50E-08 1.71E-09
254k 7.10E-09 9.50E-10
255k 1.81E-09 9.47E-10
256k 1.87E-08 2.77E-09
257k 2.86E-10 1.68E-10
258k 6.77E-09 2.41E-09
BxPC3 NCI-H292 BxPC3 NCI-H292
Beispiel ICso [M] ICso [M] Beispiel ICso [M] ICso [M]
CTG CTG CTG CTG
259k 4.04E-10 3.43E-10
260k 1.24E-09 1.15E-09
261k 1.31E-08 2.51E-09
262k 2.87E-09 9.19E-10
263k 9.56E-10 3.83E-10
264k 7.15E-09 1.83E-09
265k 3.05E-09 4.24E-09
266k 7.64E-10 3.72E-10
267k 1.77E-10 1.13E-10
268k 3.63E-09 3.99E-09
269k 2.05E-09 9.18E.10
270k 9.14E-09 4.25E-09
271k 3.64E-10 2.57E-10
272k 1.14E-09 6.18E-10
273k 8.68E-10 4.65E-10
274k 2.81E-08 7.68E-10
275k 4.22E-09 8.29E.10
276k 8.18E-10 2.57E-10
277k 1.80E-09 3.19E-10
278k 8.18E-09 5.95E-10
279k 1.02E-09 6.66E-08
280k 3.58E-09 3.44E-09
281k 6.57E-10 5.12E-10
282k 1.12E-09 3.01E-10
283k 1.24E-08 2.34E-09
284k 1.28E-09 4.90E-10
285k 7.93E-10 6.25E-10
286k 3.63E-08 >6.00E-07
288k 2.74E-08 1.83E-09
289k 1.57E-08 2.84E-07
290k 5.42E-09 >6.00E-07
291k 2.15E-09 2.03E-07
BxPC3 NCI-H292 BxPC3 NCI-H292
Beispiel ICso [M] ICso [M] Beispiel ICso [M] ICso [M]
CTG CTG CTG CTG
293k 2.17E-08 8.51E-09
294k 8.35E-09 2.79E-07
295k 4.01E-07 >6.00E-07
296k 3.69E-10 2.81E-10
297k 1.26E-09 2.31E-09
298k 9.48E-09 >6.00E-07
299k 4.46E-09 >6.00E-07
300k 2.25E-09 4.59E-10
302k 2.47E-09 6.35E-10
304k >6.00E-07 >6.00E-07
305k >6.00E-07 >6.00E-07
306k 5.49E-09 1.78E-09
307k 1.46E-09 7.58E-10
308k 6.01E-09 1.40E-09
309k 2.70E-09 5.68E-10
310k 2.48E-10 1.67E-10
311k 4.03E-10 2.98E-10
312k 2.84E-09 4.81E-09
313k 5.07E-09 1.13E-09
314k 5.01E-09 1.36E-09
315k 9.51E-10 3.89E-10
316k 2.65E-09 7.38E-10
Die angegebenen Wirkdaten beziehen sich auf die im vorliegenden experimentellen Teil beschriebenen Ausführungsbeispiele mit den angegebenen Drug/mAB-Ratios. Die Werte können bei anderen Drug/mAB-Ratios gegebenenfalls abweichen. Bei den IC50- Werten handelt es sich um Mittelwerte aus mehreren unabhängigen Exprimenten oder um Einfachwerte. Die Wirkung der TWEAKR- Antikörper-Wirkstoffkonjugate war selektiv versus der jeweiligen Isotypkontrolle, die den jeweils entsprechenden Linker und Toxophor enthielt.
C-lb Bestimmung der Inhibition des Kinesinspindelproteins KSP/ Eg5 durch ausgewählte
Beispiele
Die Motordomäne des humanen Kinesinspindelproteins KSP /Eg5 (Fa. tebu-bio/ Cytoskeleton Inc, No. 027EG01-XL) wurde in einer Konzentration von ΙΟηΜ mit 50 μg/ml Taxol (Fa. Sigma No. T7191-5MG) stabilisierten Microtubuli (bovine oder porcine, Fa. tebu-bio/ Cytoskeleton Inc) für 5 min bei RT in 15mM PIPES, pH 6,8 (5mM MgCk und lOmM DTT, Fa. Sigma) inkubiert. Die frisch hergestellte Mischung wurde in eine 384 MTP (Fa. Corning) aliquotiert. Es folgte die Zugabe der zu untersuchenden Inhibitoren in Konzentration von 1.0 xlO-6M bis l.Ox 10-13M und ATP (finale Konzentration 500μΜ; Fa. Sigma). Die Inkubation erfolgte über 2h bei RT. Die ATPase-Aktivität wurde durch den Nachweis des entstehenden anorganischen Phosphats mit Malachit-Grün detektiert (Fa. Biomol). Nach der Zugabe des Reagenz erfolgt eine 50 min Inkubation bei RT, bevor die Detektion der Absorption bei einer Wellenlänge von 620nM erfolgt. Als Positivkontrolle werden Monastrol (Fa. Sigma, M8515-lmg) und Ispinesib (Fa. AdooQ Bioscience A10486) verwendet. Die Einzeldaten der Dosis- Wirkungskurve stellen achtfach Bestimmungen dar. Bei den IC50-Werten handelt es sich um Mittelwerte aus zwei unabhängigen Experimenten. Als 100% Kontrolle diente die nicht mit Inhibitoren behandelte Probe.
In der folgenden Tabelle 2 sind die ICso-Werte repräsentativer Ausführungsbeispiele aus dem beschriebenen Assay und die korrespondierenden zytotoxischen Daten (MTT-Assay) zusammengefasst:
Tabelle 2
NCI-H292
Beispiele KSP-Assay
ICso [M]
ICso [M]
MTT Assay
Ml 2.01E-09 5.00E-07
M2 6.00E-09 2.04E-07
M2-1 9,09E-10 2.65E-07
M3 1.52E-09 9.38E-09
M4 2.71E-10 4.43E-08
M5 4.57E-10 7.94E-08
M6 1.78E-09 4.63E-08
M7 6.21E-10 2.22E-08
M8 1.64E-08 4.87E-07
M9 1.07E-09 9.24E-10
MIO 4.70E-10 3.03E-07
Ml l 1.11E-09 4.32E-11
M12 4.46E-10 3.30E-08
M13 1.50E-09 1.52E-07
M14 1.65E-09 1.74E-07
M15 7.71E-10 1.33E-07
M16 1.18E-09 1.43E-07
M17 4.17E-09 7.35E-09
M18 5.17E-09 3.55E-08
M19 2.58E-09 1.21E-07
M21 2.31E-09
M22 8.27E-10 2.89E-08
Die angegebenen Wirkdaten beziehen sich auf die im vorliegenden experimentellen Teil beschriebenen Ausführungsbeispiele.
C-2 Internalisierungsassay
Internalisierung ist der Schüsselprozess, um eine spezifische und effiziente Bereitstellung der zytotoxischen Payload in Antigen- exprimierenden Krebszellen durch Antikörper-Drug-Konjugate (ADC) zu ermöglichen. Dieser Prozess wird über Fluoreszenzmarkierung von spezifischen TWEAKR-Antikörpern und einen Isotyp-Kontrollantikörper verfolgt. Hierzu wurde zunächst die Konjugation des Fluoreszenzfarbstoffes an Lysine des Antikörpers durchgeführt. Die Konjugation erfolgte mit zweifach molarem Überschuss von CypHer 5E mono NHS ester (Batch 357392, GE Healthcare) bei pH 8, 3. Nach erfolgter Kupplung wurde die Reaktionsmischung gelchromatographisch aufgereinigt (Zeba Spin Desalting Columns, 40K, Fa. Thermo Scientific, No. 87768; Elutionspuffer: DULBECCO'S PBS, Fa. Sima-Aldrich, No. D8537), um überschüssigen Farbstoff zu eliminieren und den pH-Wert zu adjustieren. Die Ankonzentrierung der Proteinlösung erfolgte mittels VIVASPIN 500 Säulen (Fa Sartorius stedim biotec). Die Bestimmung der dye load des Antikörpers erfolgte mittels spektrophotometrischer Analyse (Fa. NanoDrop) und anschließender Berechnung (D: P = Adye eprotein: (A28o-0,16Adye)edye).
Die dye load des hier untersuchten TWEAKR-Antikörpers sowie der Isotyp-Kontrolle lagen in vergleichbarer Größenordnung. In Zellbindungs-Assays wurde getestet, dass die Konjugation zu keiner Affinitätsänderung des Antikörpers führte.
Die markierten Antikörper wurden im Internalisierungs-Assays eingesetzt.
Vor dem Behandlungsstart wurden Zellen (2xl04/well) in ΙΟΟμΕ Medium in einer 96-MTP ausgesät (fat, black, clear bottom No 4308776, Fa. Applied Biosystems). Nach 18h Inkubation bei 37°C/5%C02 wurde das Medium gewechselt und markierte TWEAKR- Antikörper in variierender Konzentration hinzugefügt (10, 5, 2.5, 1, O. ^g/mL). Das gleiche Behandlungsschema erfolgte mit der markierten Isotyp-Kontrolle (negative control). Die gewählten Inkubationszeiten waren 0h, 0,25h, 0,5h, lh, 1,5h 2h, 3h, 6h and 24h. Die Fluoreszenz-Messung wurde mit Hilfe des InCellAnalyzer 1000 (Fa. GE Healthcare) durchgeführt. Es erfolgte eine kinetische Evaluierung über die Messung der Parameter granule counts/cell und totale granule intensity/cell.
TWEAKR-Antikörper wurden nach Bindung an den TWEAKR auf ihre Internalisierungsfähigkeit hin untersucht. Hierzu wurden humane Tumorzellen mit verschiedenen Expressionsleveln des TWEAKR gewählt (NCI-H292, 786-0, A498). Es konnte Target-vermittelte spezifische Internalisierung mit den TWEAKR-Antikörpern in den verschiedenen Zelllinien beobachtet werden, wohingegen die Isotyp-Kontrolle keine Internalisierung zeigte.
C-3 In vitro Tests zur Bestimmung der Zell-Permeabilität
Die Zell-Permeabilität einer Substanz kann mittels in vz'iro -Testung in einem Flux-Assay unter Verwendung von Caco-2-Zellen untersucht werden [M.D. Troutman und D.R. Thakker, Pharm. Res. 20 (8), 1210-1224 (2003)]. Hierzu wurden die Zellen auf 24-Loch-Filterplatten für 15-16 Tage kultiviert. Zur Bestimmung der Permeation wurde die jeweilige Testsubstanz in einem HEPES- Puffer entweder apikal (A) oder basal (B) auf die Zellen gegeben und für 2 h inkubiert. Nach 0 h und nach 2 h wurden Proben aus den Cis- und Transkompartimenten entnommen. Die Proben wurden mittels HPLC (Agilent 1200, Böblingen, Deutschland) unter Verwendung von reverse phase- Säulen aufgetrennt. Das HPLC-System war über ein Turbo Ion Spray-Interface an ein Triple Qua- dropol-Massenspektrometer API 4000 (AB SCIEX Deutschland GmbH, Darmstadt, Deutschland) gekoppelt. Die Permeabilität wurde anhand eines Papp-Wertes bewertet, welcher mittels der von Schwab et al. publizierten Formel berechnet wurde [D. Schwab et al., J. Med. Chem. 46, 1716- 1725 (2003)] . Eine Substanz wurde als aktiv transportiert klassifiziert, wenn das Verhältnis von Papp (B-A) zu Ρ3ρρ (A-B) (efflux ratio) >2 oder <0.5 war.
Von entscheidender Bedeutung für Toxophore, die intrazellulär freigesetzt werden, sind die Permeabilität von B nach A [Papp (B-A)] und das Verhältnis von Papp (B-A) zu Papp (A-B) (efflux ratio): Je niedriger diese Permeabilität ist, desto langsamer sind die aktiven und passiven
Transportvorgänge der Substanz durch die Monoschicht von Caco-2-Zellen. Gibt das efflux ratio zudem keine Hinweise auf aktiven Transport, kann die Substanz nach intrazellulärer Freisetzung länger in der Zelle verweilen. Damit steigt auch die Zeit, die für eine Interaktion mit dem biochemischen Target (hier: Kinesin-Spindelprotein, KSP / Eg5) zur Verfügung steht.
In der folgenden Tabelle 3 sind Permeabilitätsdaten repräsentativer Ausführungsbeispiele aus diesem Assay aufgeführt:
Tabelle 3a
C-4 In vitro Tests zur Bestimmung der Substrateigenschaften für P-Glycoprotein (P-gp)
Viele Tumorzellen exprimieren Transporterproteine für Wirkstoffe, was häufig mit einer Resistenzentwicklung gegenüber Cytostatika einhergeht. Substanzen, die keine Substrate von solchen Trans-
porterproteinen wie beispielsweise P-Glycoprotein (P-gp) oder BCRP sind, könnten somit ein verbessertes Wirkprofil aufzeigen.
Die Substrateigenschaften einer Substanz für P-gp (ABCB1) wurden mittels eines Flux-Assays unter Verwendung von LLC-PKl-Zellen, die P-gp überexprimieren (L-MDRl -Zellen), bestimmt [A.H. Schinkel et al., J. Clin. luvest. 96, 1698-1705 (1995)] . Hierzu wurden die LLC-PK1- oder L-MDRl -Zellen auf 96-Loch-Filterplatten für 3-4 Tage kultiviert. Zur Bestimmung der Permeation wurde die jeweilige Testsubstanz allein oder in Gegenwart eines Inhibitors (wie z.B. Ivermectin oder Verapamil) in einem HEPES-Puffer entweder apikal (A) oder basal (B) auf die Zellen gegeben und für 2 h inkubiert. Nach 0 h und nach 2 h wurden Proben aus den Cis- und Transkompar- timenten entnommen. Die Proben wurden mittels HPLC unter Verwendung von reverse phase- Säulen aufgetrennt. Das HPLC-System war über ein Turbo Ion Spray-Interface an ein Triple Qua- dropol-Massenspektrometer API 3000 (Applied Biosystems Applera, Darmstadt, Deutschland) gekoppelt. Die Permeabilität wurde anhand eines Papp-Wertes bewertet, welcher mittels der von Schwab et al. publizierten Formel berechnet wurde [D. Schwab et al., J. Med. Chem. 46, 1716- 1725 (2003)]. Eine Substanz wurde als P-gp-Substrat klassifiziert, wenn das Efflux- Verhältnis Papp (B-A) zu Papp (A-B) >2 war.
Als weitere Kriterien zur Bewertung der P-gp-Substrateigenschaften können die Efflux- Verhältnisse in L-MDRl- und LLC-PKl-Zellen oder das Efflux- Verhältnis in An- oder Abwesenheit eines Inhibitors miteinander verglichen werden. Wenn sich diese Werte um mehr als einen Faktor 2 unterscheiden, so handelt es sich bei der betreffenden Substanz um ein P-gp-Substrat.
C-5 Pharmakokinetik
C5a: Identifizierung der ADC-Metabolite nach Internalisierung in vitro Methodenbeschreibung :
Internalisierungsuntersuchungen mit Immunkonjugaten werden durchgeführt, um intrazellulär entstandene Metaboliten zu analysieren. Hierzu werden humane Lungentumorzellen NCI H292 (3xl05/well) in 6-well Platten ausgesät und über Nacht inkubiert (37 °C, 5% CO2). Es erfolgt eine Behandlung mit 10 μg/mL (66 nM) des zu untersuchenden ADCs. Die Internalisierung wurde bei 37 °C und 5% CO2 durchgeführt. Zu verschiedenen Zeitpunkten (0, 4, 24, 48, 72h) werden Zellproben zur weiteren Analyse genommen. Zunächst werden die Überstände (ca. 5 mL) geerntet und nach erfolgter Zentrifugation (2 min, RT, 1000 rpm Heraeus Variofuge 3.0R) bei -80 °C gelagert. Die Zellen werden mit PBS gewaschen, mit Accutase abgelöst und die Zellzahl bestimmt.
Nach erneutem Waschen wird eine definierte Zellzahl (2xl05) mit 100 mL Lysis Puffer (Mammalian Cell Lysis Kit (Sigma MCL1) versetzt und unter ständigem Schütteln (Thermomixer, 15min, 4°C, 650 rpm) in Protein LoBind tubes (eppendorf Cat.No. 0030 108.116) inkubiert. Nach der Inkubation wird das Lysat zentrifugiert (10min, 4°C, 12000g, eppendorf 5415R) und der Überstand geerntet. Der gewonnene Überstand wird bei -80 °C gelagert. Alle Proben werden anschließend wie folgt analysiert.
Die Messung der Verbindungen im Kulturüberstand bzw. Zellysat erfolgt nach Fällung der Proteine mit Methanol oder Acetonitril durch eine Hochdruck-Flüssigkeits-Chromatographie (HPLC) gekoppelt an ein Triple-Quadrupol-Massenspektrometer (MS).
Zur Aufarbeitung von 50 μL Kulturüberstand/Zelllysat werden diese mit 150 μL Fällungsreagenz (in der Regel Acetonitril) versetzt und für 10 Sekunden geschüttelt. Das Fällungsreagenz enthält einen internen Standard (ISTD) in geeigneter Konzentration (in der Regel im Bereich 20-100 ng/mL). Nach dem 3minütigen Zentrifugieren bei 16000 g wird der Überstand in ein Autosampler- Vial überführt, mit 500 μL eines auf das Laufmittel abgestimmten Puffers aufgefüllt und erneut geschüttelt.
Die Messung beider Matrixproben erfolgt schließlich an dem mit einer HPLC gekoppelten Triple- Quadrupol-Massenspektrometer API6500 der Firma AB SCIEX Deutschland GmbH.
Zur Kalibrierung werden Plasmaproben mit Konzentrationen von 0.5 - 2000 μg/L versetzt. Die Nachweisgrenze (LOQ) liegt bei ca. 2 μg/L. Der lineare Bereich erstreckt sich von 2 bis 1000
Zur Kalibrierung der Tumorproben wird der Überstand unbehandelter Tumore mit Konzentrationen von 0.5 - 200 μg/L versetzt. Die Nachweisgrenze liegt bei 4 μg/L. Der lineare Bereich erstreckt sich von 4 bis 200 μg/L.
Qualitätskontrollen zur Gültigkeitsprüfung enthalten 5 und 50 μg/L.
NCI-H292-Zellen wurden mit je 10μg/mL der ADCs aus den Beispielen 119 b inkubiert. Nach 72h wurden die Zellen mit PBS gewaschen, lysiert und tiefgefroren (-80 °C). Nach der oben beschriebenen Methode wurden die Zelllysate und Zellkultur-Überstände aufgearbeitet und nach Extraktion folgende Metabolite identifiziert und quantifiziert:
Inkubiertes ADC Isolierter Metabolit Metabolit
Beispiel Metabolit Konzentration im Konzentration im
Zelllysat [pg/L] Überstand [ng/L]
119b M7 10 <0.2
C5b: Identifizierung der ADC-Metabolite in vivo
Nach i.v. Applikation von 3-30 mg kg verschiedener ADCs können die Plasma- und Tumorkonzentrationen des ADCs sowie potentiell auftretender Metaboliten gemessen und die pharmakokinetischen Parameter wie Clearance (CL), Fläche unter der Kurve (AUC) und Halbwertszeit (tiß) berechnet werden.
Analytik zur Quantifizierung der potentiell auftretenden Metabolite
Die Messung der Verbindungen in Plasma und Tumor erfolgt nach Fällung der Proteine mit Methanol oder Acetonitril durch eine Hochdruck-Flüssigkeits-Chromatographie (HPLC) gekoppelt an ein Triple-Quadrupol-Massenspektrometer (MS).
Zur Aufarbeitung von 50 μL Plasma werden diese mit 250 μL Fällungsreagenz (in der Regel Acetonitril) versetzt und für 10 Sekunden geschüttelt. Das Fällungsreagenz enthält einen internen Standard (ISTD) in geeigneter Konzentration (in der Regel im Bereich 20-100 ng/mL). Nach dem 3minütigen Zentrifugieren bei 16000 g wird der Überstand in ein Autosampier- Vial überführt, mit 500 μL eines auf das Laufmittel abgestimmten Puffers aufgefüllt und erneut geschüttelt.
Bei der Aufarbeitung eines Tumors wird dieser mit der 3fachen Menge an Extraktionspuffer versetzt. Der Extraktionspuffer enthält 50 mL Tissue Protein Extraction Reagent (Pierce, Rockford, IL), zwei Pellets Complete-Protease-Inhibitor-Cocktail (Roche Diagnostics GmbH, Mannheim, Deutschland) und Phenylmethylsulfonylfluorid (Sigma, St. Louis, MO) in einer finaler Konzentration von 1 mM. Im Tissuelyser II (Qiagen) wird die Probe zweimal 20 Minuten bei maximaler Schlagzahl homogenisiert. 50 μΕ des Homogenats wird in ein Autosampier- Vial überführt und mit 150 μΕ Methanol inklusive ISTD aufgefüllt. Nach 3minütigem Zentrifugieren bei 16000 g werden 10 μΕ des Überstands mit 180 μΐ eines auf das Laufmittel abgestimmten Puffers aufgefüllt und erneut geschüttelt. Danach ist die Tumorprobe messfertig.
Die Messung beider Matrixproben erfolgt schließlich an dem mit einer HPLC gekoppelten Triple- Quadrupol-Massenspektrometer API6500 der Firma AB SCIEX Deutschland GmbH.
Zur Kalibrierung werden Plasmaproben mit Konzentrationen von 0.5 - 2000 μg/L versetzt. Die Nachweisgrenze (LOQ) liegt bei ca. 2 μg/L. Der lineare Bereich erstreckt sich von 2 bis 1000
Zur Kalibrierung der Tumorproben wird der Überstand unbehandelter Tumore mit Konzentrationen von 0.5 - 200 μg/L versetzt. Die Nachweisgrenze liegt bei 5 μg/L. Der lineare Bereich erstreckt sich von 5 bis 200 μg/L.
Qualitätskontrollen zur Gültigkeitsprüfung enthalten 5 und 50 μg/L, in Plasma zusätzlich 500 μg/L.
Nach Applikation von 10 mg kg von den ADCs aus dem Beispiel 119b in die Kontrollgruppen aus den Xenograftmodellen mit NCI-H292 wurden nach 24h die Mäuse euthanasiert , Blut entnommen und die Tumore isoliert. Nach der oben beschriebenen Methode wurden die Plasma- und Tumorproben aufgearbeitet und nach Extraktion folgende Metabolite identifiziert und quantifiziert:
Analytik zur Quantifizierung der verwendeten Antikörper
Der Antikörperteil der ADCs wurde mittels Liganden-Bindungs-Assay (ELISA) als Gesamt-IgG- Konzentration in Plasmaproben und Tumorlysaten bestimmt. Dabei wurde das Sandwich-ELISA- Format verwendet. Dieser ELISA war qualifiziert und validiert für die Bestimmung in Plasma- und Tumorproben. Die ELISA-Platten wurden mit anti-human-IgG-Fc-Antikörpern der Ziege beschichtet. Nach Inkubation mit der Probe wurden die Platten gewaschen und mit einem Detektor - Konjugat aus anti-human-IgG(H+L)-Antikörper des Affen und Meerrettichperoxidase (HRP) inkubiert. Nach einem weiteren Waschschritt wurde das HRP-Substrat OPD hinzugegeben und die Farbentwicklung über die Absorption bei 490 nm verfolgt. Standardproben mit bekannter IgG- Konzentration wurden mittels 4-Parameter-Gleichung gefittet. Innerhalb der unteren (LLOQ) und oberen (ULOQ) Quantifizierungsgrenzen wurden die unbekannten Konzentrationen über Interpolation ermittelt.
C-6 Wirksamkeitstest in vivo
Die Wirksamkeit der erfindungsgemäßen Konjugate wurde in vivo mittels Xenograft-Modellen getestet. Der Fachmann kennt Methoden im Stand der Technik, anhand derer die Wirksamkeit der erfindungsgemäßen Verbindungen getestet werden kann (siehe z.B. WO 2005/081711; Polson et al., Cancer Res. 2009 Mar 15;69(6):2358-64). Beispielsweise wurde hierzu Nagern (z.B. Mäusen) eine Tumorzelllinie, welche das Zielmolekül des Binders exprimiert, implantiert. Anschließend wurde den Implantat-Tieren entweder ein erfindungsgemäßes Konjugat, ein Isotyp-Antikörper- Kontrollkonjugate oder ein Kontrollantikörper oder isotonische Salzlösung appliziert. Die Applikation erfolgte einmalig oder öfter. Nach einer Inkubationszeit von mehreren Tagen wurde die Tumorgröße im Vergleich von Konjugat-behandelten Tieren und der Kontrollgruppe bestimmt. Die Konjugat-behandelten Tiere zeigten eine geringere Tumorgröße.
C-6a. Wachstumshemmung / Regression von experimentellen Tumoren in der Maus
Humane Tumorzellen, die das Antigen für das Antikörper- Wirkstoffkonjugat exprimieren, werden subkutan in die Flanke von immunsupprimierten Mäusen inokuliert, beispielsweise NMRi Nudeoder SCID-Mäuse. 1-10 Millionen Zellen werden aus der Zellkultur abgelöst, zentrifugiert und mit Medium oder Medium / Matrigel resuspendiert. Die Zellsuspension wird unter die Haut der Maus gespritzt.
Innerhalb von einigen Tagen wächst ein Tumor heran. Die Behandlung beginnt nach Etablierung des Tumors, ungefähr bei einer Tumorgröße von 40 mm2. Um die Wirkung auf größere Tumoren zu untersuchen, kann die Behandlung auch erst bei einer Tumorgröße von 50-100 mm2 begonnen werden.
Die Behandlung mit ADCs erfolgt über die intravenöse (i.v.) Route in die Schwanzvene der Maus. Das ADC wird mit einem Volumen von 5 mL / kg appliziert.
Das Behandlungsschema richtet sich nach der Pharmakokinetik des Antikörpers. Als Standard wird drei Mal in Folge jeden vierten Tag behandelt. Bei langsam wachsenden Tumoren bietet sich eine wöchentliche Behandlung an. Für eine zeitnahe Beurteilung kann sich auch ein Schema mit einer Einmalbehandlung eignen. Die Behandlung kann aber auch weiter fortgesetzt werden oder es kann sich zu einem späteren Zeitpunkt ein zweiter Zyklus mit drei Behandlungstagen anschließen.
Standardmäßig werden 8 Tiere pro Behandlungsgruppe eingesetzt. Neben den Gruppen, die die Wirksubstanzen bekommen, wird eine Gruppe als Kontrollgruppe nur mit dem Puffer nach dem gleichen Schema behandelt.
Im Verlauf des Experiments wird die Tumorfläche regelmäßig mit einer Schieblehre in zwei Dimensionen (Länge / Breite) gemessen. Die Tumorfläche wird mittels Länge x Breite bestimmt. Das Verhältnis der mittleren Tumorfläche der Behandlungsgruppe zur Kontrollgruppe wird als T/C area angegeben.
Werden alle Gruppen des Experimentes nach Behandlungsende gleichzeitig beendet, können die Tumore entnommen und gewogen werden. Das Verhältnis der mittleren Tumorgewichte der Behandlungsgruppe zur Kontrollgruppe wird als T/C weight angegeben.
C-6b. Wirksamkeit der aglycosylierten anti-TWEAKR Antikörper-Wirkstoffkonjugate in verschiedenen Tumormodellen
Die Tumorzellen werden subkutan in die Flanke von weiblichen NMRI-nude Mäusen (Janvier) inokuliert. Bei einer Tumorgröße von -40 mm2 wird intravenös mit dem Antikörper- Wirkstoffkonju gat behandelt. Im Anschluss an die Behandlung wird das Tumorwachstum ggf. weiterverfolgt.
Die Behandlung mit den anti-TWEAKR Antikörper- Wirkstof fkonju gaten führt zu einer deutlichen und lang anhaltenden Wachstumshemmung der Tumore im Vergleich zur Kontrollgruppe und dem unkonjugierten anti-TWEAKR Antikörper. Die Tabelle 4 gibt die T/C Werte an, ermittelt über die Tumorgewichte und Tumorfläche am jeweiligen Tag des Versuchsendes gerechnet nach Behandlungsstart.
Tabelle 4:
Beispiel Tumor Modell Dosis Dosisschem T/C area
a
104k A498 (humanes Nierenzell- 10 mg/kg Q7dx3
0.38 (Tag 47, final) karzinom)
208k LoVo (humanes kolorektales 10 mg/kg Q7dx3
0,38 (Tag 33, final) Karzinom)
208k KU-19-19 (humanes 5 mg/kg Q7dx2
0,43 (Tag 18, final) Blasenkarzinom)
257k NCI-H292 (humanes 10 mg/kg Q3/4dx3
nichtkleinzelliges Lungen0,28 (Tag 21) karzinom)
208k NCI-H292 (humanes 10 mg/kg Q3/4dx3
0,24 (Tag 21) nichtkleinzelliges Lungen-
Beispiel Tumor Modell Dosis Dosisschem T/C area
a
karzinom)
259k NCI-H292 (humanes 10 mg kg Q3/4dx3
nichtkleinzelliges Lungen0,25 (Tag 21) karzinom)
208k KU-19-19 (humanes 10 mg kg Q4dx3
0,17 (Tag 21) Blasenkarzinom)
257k KU-19-19 (humanes 10 mg kg Q4dx3
0,16 (Tag 21) Blasenkarzinom)
259k KU-19-19 (humanes 10 mg kg Q4dx3
0,19 (Tag 21) Blasenkarzinom)
Ausführungsbeispiele für anti-TWEAKR-Antikörper
Alle Beispiele wurden unter Verwendung von Standardverfahren ausgeführt, die dem Fachmann bekannt sind, sofern sie nicht hier im Detail beschrieben werden. Routine- Molekularbiologie- Verfahren der folgenden Beispiele können wie in Standardlaborbüchern beschrieben ausgeführt werden, wie Sambrook et al., Molecular Cloning: ein Laboratory Manual, 2 Auflage; Cold Spring Harbor Laboratory Press, Cold Spring Harbor, N.Y., 1989.
AK-BEISPIEL 1: Antikörper-Herstellung mittels einer Antikörperbibliothek
Eine vollständig humane Phagendisplaybibliothek (Hoet RM et al, Nat Biotechnol 2005;23(3):344-8) wurde verwendet, um TWEAKR-spezifische, humane monoklonale Antikörper der vorliegenden Erfindung durch Protein Panning zu isolieren (Hoogenboom H.R., Nat Biotechnol 2005;23(3): 1105-16), wobei dimere Fc-fusionierte extrazelluläre Domänen von humanem und murinem TWEAKR als Target immobilisiert wurden.
Tabelle AK-1: Liste rekombinanter Antigene, die für die Antikörper-Selektion verwendet wurden
Nomenklatur Beschreibung SEQ ID NO
TPP-599 HUMAN-TNFRSF12Aaa28-80-hIgGl-Fc 138
TPP-601 MURIN-TNFRSF12Aaa28-80-hIgGl -Fe 137
Die Antigene wurden unter Verwendung eines ca. 2-fachen molaren Überschusses von Biotin-LC-NHS (Pierce; Kat.-Nr. 21347) gemäß den Angaben des Herstellers biotinyhert und unter Verwendung von Zeba Entsalzungssäulen (Pierce; Kat.-Nr. 89889) entsalzt. Gewaschene Magnet- Beads (DynaBeads) wurden über Nacht mit 200 nM biotinyliertem humanen Antigen bei 4°C inkubiert und für lh bei 4°C mit Blockierungspuffer (PBS mit 3% BSA, 0.05% Tween-20) blockiert. Die blockierte Fab-Phagenbibliothek wurde zu den blockierten TWEAKR-Beads (DynaBeads Streptavidin-M280 - Invitrogen 112-06D) hinzugegeben und für 30 min bei Raumtemperatur inkubiert. Nach stringentem Waschen (3 x in Blockierungspuffer und 9 x in PBS (150 mM NaCl; 8 mM Na2HP04; 1.5 mM KH2P04; eingestellt auf pH = 7.4-7.6) mit 0.05%
Tween-20) wurden Fab-Phagen, die spezifisch an biotinylierte TWEAKR-Beads binden (DynaBeads Streptavidin- M280 - Invitrogen 112-06D) in PBS resuspendiert und zur Amplifikation direkt für die Infektion von Escherichia co/z-Stamm TG1 verwendet. In der zweiten Selektionsrunde wurden zwei murine TWEAKR (200nM) verwendet, um für kreuzreaktive Binder zu selektieren, und in der dritten Selektionsrunde wurde die Konzentration von humanem TWEAKR vermindert (ΙΟΟηΜ), um den Selektionsdruck für hochaffine Binder zu erhöhen.
11 verschiedene Fab-Phagen wurden identifiziert und die entsprechenden Antikörper wurden in einen Säuger-IgG Expressionsvektor umkloniert, der die fehlenden CH2-CH3 Domänen bereit stellt, die im löslichen Fab nicht vorhanden sind. Die daraus hervorgehenden IgGs wurden transient in Säugerzellen exprimiert, wie beschrieben in Tom et al., Kapitel 12 in Methods Express: Expression Systems herausgegeben von Micheal R. Dyson und Yves Durocher, Scion Publishing Ltd, 2007. Kurz gesagt wurde ein CMV-Promoter-basiertes Expressionsplasmid in HEK293-6E Zellen transfiziert und in Fernbach-Flaschen oder Wave-Bags inkubiert. Die Expression fand statt bei 37°C für 5 bis 6 Tage in F17-Medium (Invitrogen). 1 % Ultra- Low IgG FCS (Invitrogen) und 0.5 mM Valproinsäure (Sigma) wurden 24 h nach der Transfektion ergänzend hinzugegeben. Die Antikörper wurden mittels Protein-A-Chromatographie gereinigt und mittels ihrer Bindungsaffinität für löslichen monomeren TWEAKR per ELISA- und BIAcore-Analyse weiter charakterisiert, wie in AK-Beispiel 2 beschrieben.
Tabelle AK-2: Liste von rekombinantem Antigen, das für die Affinitätsmessung verwendet wurde
Um die Zellbindungscharakteristika von anti-TWEAKR Antikörper zu bestimmen, wurde die Bindung an eine Reihe von Zelllinien (HT29, HS68, HS578) mittels Durchflusszytometrie
untersucht. Die Zellen wurden in Verdünnungen der Antikörper ^g/ml) in FACS-Puffer suspendiert, und für lh auf Eis inkubiert. Anschließend wurde ein Zweit-Antikörper (PE Ziegen- anti-humanes IgG, Dianova #109-115-098) hinzugegeben. Nach der Inkubation für lh auf Eis wurden die Zellen mittels Durchflusszytometrie unter Verwendung eines FACS-Array (BD Biosciences) analysiert.
NF-kappaB -Reportergenassays wurden durchgeführt, um die agonistische Aktivität aller 11 identifizierter Antikörper (humanes IgGl) zu beurteilen. HEK293 Zellen wurden transient mit einem NF-kappaB-Reporterkonstrukt (BioCat, Kat.-Nr. LR-0051-PA) unter Verwendung von 293fectin gemäß Herstellerangabe transfiziert. Weiße Poly-Lysin-beschichtete 384-Loch-Platten (BD) wurden mit transfizierten Zellen in F17-Medien (serum-free; Invitrogen) bei 37C, 5% CO2 angesät. Am nächsten Tag wurden die Zellen mit gereinigten Antikörpern bei verschiedenen Konzentrationen für 6h stimuliert, und anschließend wurde ein Luciferase-Assay nach Standardverfahren durchgeführt.
Die Internali sierung wurde mittels Fluoreszenzmarkierung von anti-TWEAKR Antikörpern (CypHer 5E mono NHS ester; GE Healthcare) verfolgt. Vor der Behandlung wurden HT29-Zellen (2 x 104/Loch) in 100 μΐ Medium in 96-MTP-Platten (dick, schwarz, durchsichtiger Boden, Nr. 4308776, Angewandten Biosystems) angesät. Nach 18h Inkubation bei 37°C / 5% CO2 wurde das Medium gewechselt, und markierte anti-TWEAKR Antikörper wurden in verschiedenen Konzentrationen (10, 5, 2.5, 1, 0.1 μg/ml) hinzugegeben. Die gewählte Inkubationszeit betrug 0, 0,25, 0,5, 1, 1,5, 2, 3, 6 und 24h. Die Fluoreszenzmessung wurde mit einem InCell-Analyzer 1000 (GE Healthcare) durchgeführt.
Der Antikörper mit der stärksten in vitro-Wirksamkeit (TPP-883) wurde für weitere Wirksamkeits- und Affinitätsreifung ausgewählt.
TPP-883
SEQ ID NO.71
AQDIQMTQSPATLSASVGDRVTITCRASQSISSYLNWYQQKPGKAPKLLIYAASSLQSGV PSRFSGSGSGTDFTLTISSLQPEDFATYYCQQSYSSPGITFGPGTKVEIKRTVAAPSVFI FPPSDEQLKSGTASVVCLLNNFYPREAKVQWKVDNALQSGNSQESVTEQDSKDSTYSLSS TLTLSKADYEKHKLYACEVTHQGLSSPVTKSFNRGEC
SEQ ID N0.72
EVQLLESGGGLVQPGGSLRLSCAASGFTFSPYPMMWVRQAPGKGLEWVSYI SPSGGKTHY
ADSVKGRFTISRDNSKNTLYLQMNSLRAEDTAVYYCARGGDGYFDYFDYWGQGTLVTVSS
ASTKGP SVFPLAP S SKSTSGGTAALGCLVKDYFPEPVTVSWNSGALTSGVHTFPAVLQS S
GLYSLS SVVTVP S S SLGTQTYI CNVNHKP SNTKVDKRVEPKSCDKTHTCPP CPAPELLGG P SVFLFPPKPKDTLMI SRTPEVTCVVVDVSHEDPEVKFNWYVDGVEVHNAKTKPREEQYN STYRVVSVLTVLHQDWLNGKEYKCKVSNKALPAP IEKT I SKAKGQPREPQVYTLPP SREE MTKNQVSLTCLVKGFYPSD IAVEWESNGQPENNYKTTPPVLDSDGSFFLYSKLTVDKSRW QQGNVFSCSVMHEALHNHYTQKSLSLSPG
Aminosäurenequenzen der leichten (SEQ ID N0.71) und schweren (SEQ ID NO.72) Ketten von TPP-883; CDRs sowohl der schweren als auch der leichten Kette sind unterstrichen.
Die Reifung wurde in einer ersten Mutationssammelrunde vorgenommen, gefolgt von der Rekombination derjenigen Aminosäure-Veränderungen, die Affinität und Wirksamkeit am meisten erhöhten. Für das Sammeln von Mutationen NNK (N = AGCT, K = G oder T) wurde an den nachfolgenden einzelnen Aminosäurepositionen mittels ortsgerichteter Mutagenese unter Verwendung synthetischer Oligonucleotide einschließlich NNK-Codon-Diversifizierung (kontinuierliche Aminosäure Nomenklatur, vergleiche Figur 25) randomisiert: S35, S36, Y37 und N39 in CDR-Ll; A51, S53, S54, Q56 und S57 in CDR-L2; S92, Y93, S94, S95, G97 und 198 in CDR-L3; P31, Y32, P33, M34 und M35 in CDR-Hl; Y50, S52, P53, S54, G56, K57 und H59 in CDR-H2; G99, G100, D101, G102, Y103, F104, D105 und Y106 in CDR-H3. Die DNA aller einzelner NNK Sättigungs-Mutagenesebibliotheken wurde in einen Säuger-IgG Expressionsvektor für Wirksamkeitsreifung, bzw. in einen Phagemid- Vektor für die Affinitätsreifung umkloniert. Die Affinitätsreifung wurde mittels Phage Panning durchgeführt. Gewaschene Magnet-Beads (DynaBeads) wurden über Nacht mit 10 nM, 1 nM, 100 pM und 10 pM biotinyliertem humanen Antigen bei 4°C inkubiert und für lh bei 4°C mit Blockierungspuffer (PBS mit 3% BSA, 0.05% Tween-20) blockiert. Die blockierte Fab-Phagenbibliothek wurde mit 10000-fachem, 1000-fachem und 100-fachem Überschuss, verglichen mit der theoretischen Bibliothekskomplexität zu den blockierten TWEAKR-DynaBeads hinzugegeben und für 30min bei Raumtemperatur inkubiert. Also wurden insgesamt 12 Strategien verfolgt (4 Antigen-Konzentrationen x 3 Fab-Phage-Titer). Nach stringentem Waschen (3 x in Blockierungspuffer und 9 x in PBS mit 0.05% Tween-20) wurden Fab-Phagen, die spezifisch an biotinylierte TWEAKR-DynaBeads (DynaBeads Streptavidin- M280 - Invitrogen 112-06D) binden, in PBS resuspendiert und direkt zum Zwecke der Amplifikation für die Infektion von Escherichia co/z-Stamm TG1 verwendet. In Selektionsrunde zwei wurde die Konzentration von humanem TWEAKR-Fc vermindert (1 nM, 100 pM, 10 pM und 1 pM), und der gleiche Fab-Phagen-Titer wurde für alle 12 Strategien verwendet (4.4 x 1011). Für
die löslichen Fab-Expression wurde der Phagemid- Vektor mit Mlul verdaut, um die Gen-III- Membrananker— Sequenz zu entfernen, die für die für den Fab-Display auf dem Phagen erforderlich ist, und wieder ligiert. 96 Varianten von jeder der 12 Selektions-Pools wurden als lösliche Fabs exprimiert und in einem ELISA-Format untersucht. Dafür wurden 2,5 nM biotinyliertes TWEAKR-Fc Antigen-beschichtet, und die Bindung von löslichen Fabs wurde mittels Anti-c-Myc Antikörpern (Abcam ab62928) nachgewiesen. 7 Einzelsubstitutions-Varianten (fortlaufende Aminosäure Nomenklatur, vergleiche Figur 25) mit verbesserter Bindung an TWEAKR-Fc (Seq ID No 138) wurden nachgewiesen: S36G von CDR-Ll, A51Q und S57K von CDR-L2, S94T und G97F von CDR-L3, M35I von CDR-Hl und G102T von CDR-H3. Für die Wirksamkeitsreifung wurden HEK293 Zellen mit einem NF-kappaB -Reporter (BioCat, Kat.-Nr. LR-0051-PA) transfiziert. Weiße Poly-Lysin-beschichtete 384-Loch-Platten (BD) wurden mit transfiziert Zellen in F17-Medien (serum-free; In vi trogen) angesät, und einzelne Varianten der NNK-diversifizierten Positions-Antikörper (humanes IgGl)bibliotheken wurden transient in Säugerzellen exprimiert. Am nächsten Tag wurden NF-kappaB -Reporterzellen mit den exprimierten Einzel-NNK-AntikörperVarianten für 6h stimuliert, und anschließend wurde ein Luciferase-Assay nach Standardverfahren durchgeführt. Es wurde 1 Einzelsubstitutionsvariante mit verbesserter agonistischer Aktivität nachgewiesen: G102T von CDR-H3. Diese Variante wurde ebenfalls durch Affinitätsreifung erhalten und zeigte auch dort die größte Affinitätsverstärkung. Nach Mutationssammlung mittels Affinitäts- und Wirksamkeits-Screening wurden alle 7 günstigen Einzelsubstitutionen (Bibliotheks-Komplexität: 128Varianten) in eine Rekombinationsbibliothek rekombiniert. Dafür wurden Oligonukleotide synthetisiert, um ausgewählte Mutationen oder die entsprechenden Wildtyp-Aminosäure bei jeder ausgewählten Position einzuführen. Die Bibliothek wurde unter Verwendung von aufeinanderfolgenden Runden von „overlap extension PCR" hergestellt. Das finale PCR Product wurde in einen bakteriellen löslichen Fab-Expressionsvektor ligiert, und 528 Varianten wurden zufällig ausgewählt (~ 4-facher Überschuss der Probennahme) für eine Gleichgewichts-ELISA-Screen mit löslichen Fabs, wie vorher beschrieben. Letztlich wurden 7 Varianten ausgewählt, basierend auf vergrößerter Affinität verglichen mit der besten Einzelsubstitutionsvariante, G102T. Die entsprechende DNA derselben wurde in einen Säuger-IgG Expressionsvektor umkloniert und im vorhergenannten NF-kappaB-Reporter-Zellassay auf funktionelle Aktivität untersucht. Letzlich wurden die erhaltenen Sequenzen verglichen mit humanen Keimbahn-Sequenzen, und Abweichungen ohne bedeutsamen Einfluss auf die Affinität und Wirksamkeit wurden angepasst. Antikörper mit den nachfolgenden Sequenzen wurden mittels Antikörper Bibliothek-Screening und mittels Affinitäts- und/oder Wirksamkeitsreifung erhalten:
TPP-2090
SEQ ID NO.l :
DIQMTQSPSSLSASVGDRVTITCRASQSISGYLNWYQQKPGKAPKLLIYQASSLQSGVPS RFSGSGSGTDFTLTISSLQPEDFATYYCQQSYTSPFITFGQGTKVEIKRTVAAPSVFIFP PSDEQLKSGTASVVCLLNNFYPREAKVQWKVDNALQSGNSQESVTEQDSKDSTYSLSSTL TLSKADYEKHKVYACEVTHQGLSSPVTKSFNRGEC
SEQ ID N0.2:
EVQLLESGGGLVQPGGSLRLSCAASGFTFSPYPMIWVRQAPGKGLEWVSYI SPSGGSTHY ADSVKGRFTISRDNSKNTLYLQMNSLRAEDTAVYYCARGGDTYFDYFDYWGQGTLVTVSS
ASTKGPSVFPLAPSSKSTSGGTAALGCLVKDYFPEPVTVSWNSGALTSGVHTFPAVLQSS
GLYSLSSVVTVPSSSLGTQTYICNVNHKPSNTKVDKKVEPKSCDKTHTCPPCPAPELLGG
PSVFLFPPKPKDTLMISRTPEVTCVVVDVSHEDPEVKFNWYVDGVEVHNAKTKPREEQYN
STYRVVSVLTVLHQDWLNGKEYKCKVSNKALPAPIEKTISKAKGQPREPQVYTLPPSRDE
LTKNQVSLTCLVKGFYPSDIAVEWESNGQPENNYKTTPPVLDSDGSFFLYSKLTVDKSRW
QQGNVFSCSVMHEALHNHYTQKSLSLSPG
Aminosäurenequenzen der leichten (SEQ ID NO.l) und schweren (SEQ ID N0.2) Ketten von TPP-2090; CDRs sowohl der schweren als auch der leichten Kette sind unterstrichen.
TPP-2149
SEQ ID NO.11
DIQMTQSPATLSASVGDRVTITCRASQSISGYLNWYQQKPGKAPKLLIYQASSLQSGVPS RFSGSGSGTDFTLTISSLQPEDFATYYCQQSYTSPFITFGPGTKVEIKRTVAAPSVFIFP PSDEQLKSGTASVVCLLNNFYPREAKVQWKVDNALQSGNSQESVTEQDSKDSTYSLSSTL TLSKADYEKHKLYACEVTHQGLSSPVTKSFNRGEC
SEQ ID NO.12
EVQLLESGGGLVQPGGSLRLSCAASGFTFSPYPMIWVRQAPGKGLEWVSYI SPSGGKTHY ADSVKGRFTISRDNSKNTLYLQMNSLRAEDTAVYYCARGGDTYFDYFDYWGQGTLVTVSS ASTKGPSVFPLAPSSKSTSGGTAALGCLVKDYFPEPVTVSWNSGALTSGVHTFPAVLQSS
GLYSLSSVVTVPSSSLGTQTYICNVNHKPSNTKVDKKVEPKSCDKTHTCPPCPAPELLGG PSVFLFPPKPKDTLMISRTPEVTCVVVDVSHEDPEVKFNWYVDGVEVHNAKTKPREEQYN STYRVVSVLTVLHQDWLNGKEYKCKVSNKALPAPIEKTISKAKGQPREPQVYTLPPSRDE LTKNQVSLTCLVKGFYPSDIAVEWESNGQPENNYKTTPPVLDSDGSFFLYSKLTVDKSRW QQGNVFSCSVMHEALHNHYTQKSLSLSPG
Aminosäurenequenzen der leichten (SEQ ID NO.11) und schweren (SEQ ID NO.12) Ketten von TPP-2149; CDRs sowohl der schweren als auch der leichten Kette sind unterstrichen.
TPP-2093
SEQ ID N0.21
DIQMTQSPSSLSASVGDRVTITCRASQSISSYLNWYQQKPGKAPKLLIYQASSLQSGVPS RFSGSGSGTDFTLTISSLQPEDFATYYCQQSYTSPFITFGQGTKVEIKRTVAAPSVFIFP PSDEQLKSGTASVVCLLNNFYPREAKVQWKVDNALQSGNSQESVTEQDSKDSTYSLSSTL TLSKADYEKHKVYACEVTHQGLSSPVTKSFNRGEC
SEQ ID N0.22
EVQLLESGGGLVQPGGSLRLSCAASGFTFSPYPMMWVRQAPGKGLEWVSYI SPSGGSTHY ADSVKGRFTISRDNSKNTLYLQMNSLRAEDTAVYYCARGGDTYFDYFDYWGQGTLVTVSS ASTKGPSVFPLAPSSKSTSGGTAALGCLVKDYFPEPVTVSWNSGALTSGVHTFPAVLQSS GLYSLSSVVTVPSSSLGTQTYICNVNHKPSNTKVDKKVEPKSCDKTHTCPPCPAPELLGG PSVFLFPPKPKDTLMISRTPEVTCVVVDVSHEDPEVKFNWYVDGVEVHNAKTKPREEQYN STYRVVSVLTVLHQDWLNGKEYKCKVSNKALPAPIEKTISKAKGQPREPQVYTLPPSRDE LTKNQVSLTCLVKGFYPSDIAVEWESNGQPENNYKTTPPVLDSDGSFFLYSKLTVDKSRW QQGNVFSCSVMHEALHNHYTQKSLSLSPG
Aminosäurenequenzen der leichten (SEQ ID N0.21) und schweren (SEQ ID NO.22) Ketten von TPP-2093; CDRs sowohl der schweren als auch der leichten Kette sind unterstrichen.
TPP-2148
SEQ ID N0.31
DIQMTQSPATLSASVGDRVTITCRASQSISSYLNWYQQKPGKAPKLLIYQASSLQSGVPS RFSGSGSGTDFTLTISSLQPEDFATYYCQQSYTSPFITFGPGTKVEIKRTVAAPSVFIFP PSDEQLKSGTASVVCLLNNFYPREAKVQWKVDNALQSGNSQESVTEQDSKDSTYSLSSTL TLSKADYEKHKLYACEVTHQGLSSPVTKSFNRGEC
SEQ ID N0.32
EVQLLESGGGLVQPGGSLRLSCAASGFTFSPYPMMWVRQAPGKGLEWVSYI SPSGGKTHY ADSVKGRFTISRDNSKNTLYLQMNSLRAEDTAVYYCARGGDTYFDYFDYWGQGTLVTVSS ASTKGPSVFPLAPSSKSTSGGTAALGCLVKDYFPEPVTVSWNSGALTSGVHTFPAVLQSS GLYSLSSVVTVPSSSLGTQTYICNVNHKPSNTKVDKKVEPKSCDKTHTCPPCPAPELLGG PSVFLFPPKPKDTLMISRTPEVTCVVVDVSHEDPEVKFNWYVDGVEVHNAKTKPREEQYN STYRVVSVLTVLHQDWLNGKEYKCKVSNKALPAPIEKTISKAKGQPREPQVYTLPPSRDE LTKNQVSLTCLVKGFYPSDIAVEWESNGQPENNYKTTPPVLDSDGSFFLYSKLTVDKSRW QQGNVFSCSVMHEALHNHYTQKSLSLSPG
Aminosäurenequenzen der leichten (SEQ ID NO.31) und schweren (SEQ ID NO.32) Ketten von TPP-2148; CDRs sowohl der schweren als auch der leichten Kette sind unterstrichen.
TPP-2084
SEQ ID N0.41
DIQMTQSPSSLSASVGDRVTITCRASQSISSYLNWYQQKPGKAPKLLIYAASSLQSGVPS RFSGSGSGTDFTLTISSLQPEDFATYYCQQSYSTPGITFGQGTKVEIKRTVAAPSVFIFP PSDEQLKSGTASVVCLLNNFYPREAKVQWKVDNALQSGNSQESVTEQDSKDSTYSLSSTL
TLSKADYEKHKVYACEVTHQGLSSPVTKSFNRGEC SEQ ID N0.42
EVQLLESGGGLVQPGGSLRLSCAASGFTFSPYPMMWVRQAPGKGLEWVSYI SPSGGSTHY ADSVKGRFTISRDNSKNTLYLQMNSLRAEDTAVYYCARGGDTYFDYFDYWGQGTLVTVSS ASTKGPSVFPLAPSSKSTSGGTAALGCLVKDYFPEPVTVSWNSGALTSGVHTFPAVLQSS GLYSLSSVVTVPSSSLGTQTYICNVNHKPSNTKVDKKVEPKSCDKTHTCPPCPAPELLGG PSVFLFPPKPKDTLMISRTPEVTCVVVDVSHEDPEVKFNWYVDGVEVHNAKTKPREEQYN STYRVVSVLTVLHQDWLNGKEYKCKVSNKALPAPIEKTISKAKGQPREPQVYTLPPSRDE LTKNQVSLTCLVKGFYPSDIAVEWESNGQPENNYKTTPPVLDSDGSFFLYSKLTVDKSRW QQGNVFSCSVMHEALHNHYTQKSLSLSPG
Aminosäurenequenzen der leichten (SEQ ID N0.41) und schweren (SEQ ID NO.42) Ketten von TPP-2084; CDRs sowohl der schweren als auch der leichten Kette sind unterstrichen.
TPP-2077
SEQ ID N0.51
DIQMTQSPATLSASVGDRVTITCRASQSISSYLNWYQQKPGKAPKLLIYAASSLQSGVPS RFSGSGSGTDFTLTISSLQPEDFATYYCQQSYSSPGITFGPGTKVEIKRTVAAPSVFIFP PSDEQLKSGTASVVCLLNNFYPREAKVQWKVDNALQSGNSQESVTEQDSKDSTYSLSSTL TLSKADYEKHKLYACEVTHQGLSSPVTKSFNRGEC
SEQ ID N0.52
EVQLLESGGGLVQPGGSLRLSCAASGFTFSPYPMMWVRQAPGKGLEWVSYI SPSGGKTHY ADSVKGRFTISRDNSKNTLYLQMNSLRAEDTAVYYCARGGDTYFDYFDYWGQGTLVTVSS ASTKGPSVFPLAPSSKSTSGGTAALGCLVKDYFPEPVTVSWNSGALTSGVHTFPAVLQSS GLYSLSSVVTVPSSSLGTQTYICNVNHKPSNTKVDKKVEPKSCDKTHTCPPCPAPELLGG
PSVFLFPPKPKDTLMISRTPEVTCVVVDVSHEDPEVKFNWYVDGVEVHNAKTKPREEQYN STYRVVSVLTVLHQDWLNGKEYKCKVSNKALPAPIEKTISKAKGQPREPQVYTLPPSRDE LTKNQVSLTCLVKGFYPSDIAVEWESNGQPENNYKTTPPVLDSDGSFFLYSKLTVDKSRW QQGNVFSCSVMHEALHNHYTQKSLSLSPG
Aminosäurenequenzen der leichten (SEQ ID N0.51) und schweren (SEQ ID NO.52) Ketten von TPP-2077; CDRs sowohl der schweren als auch der leichten Kette sind unterstrichen.
TPP-1538
SEQ ID N0.61
AQDIQMTQSPATLSASVGDRVTITCRASQSISSYLNWYQQKPGKAPKLLIYAASSLQSGV PSRFSGSGSGTDFTLTISSLQPEDFATYYCQQSYSSPGITFGPGTKVEIKRTVAAPSVFI FPPSDEQLKSGTASVVCLLNNFYPREAKVQWKVDNALQSGNSQESVTEQDSKDSTYSLSS TLTLSKADYEKHKLYACEVTHQGLSSPVTKSFNRGEC
SEQ ID N0.62
EVQLLESGGGLVQPGGSLRLSCAASGFTFSPYPMMWVRQAPGKGLEWVSYI SPSGGKTHY ADSVKGRFTISRDNSKNTLYLQMNSLRAEDTAVYYCARGGDTYFDYFDYWGQGTLVTVSS ASTKGPSVFPLAPSSKSTSGGTAALGCLVKDYFPEPVTVSWNSGALTSGVHTFPAVLQSS GLYSLSSVVTVPSSSLGTQTYICNVNHKPSNTKVDKKVEPKSCDKTHTCPPCPAPELLGG PSVFLFPPKPKDTLMISRTPEVTCVVVDVSHEDPEVKFNWYVDGVEVHNAKTKPREEQYN STYRVVSVLTVLHQDWLNGKEYKCKVSNKALPAPIEKTISKAKGQPREPQVYTLPPSRDE LTKNQVSLTCLVKGFYPSDIAVEWESNGQPENNYKTTPPVLDSDGSFFLYSKLTVDKSRW QQGNVFSCSVMHEALHNHYTQKSLSLSPG
Aminosäurenequenzen der leichten (SEQ ID N0.61) und schweren (SEQ ID NO.62) Ketten von TPP-1538; CDRs sowohl der schweren als auch der leichten Kette sind unterstrichen.
TPP-1854
SEQ ID NO.81
AQDIQMTQSPATLSASVGDRVTITCRASQSISGYLNWYQQKPGKAPKLLIYNASSLQSGV PSRFSGSGSGTDFTLTISSLQPEDFATYYCQQSYTSPFITFGPGTKVEIKRTVAAPSVFI FPPSDEQLKSGTASVVCLLNNFYPREAKVQWKVDNALQSGNSQESVTEQDSKDSTYSLSS TLTLSKADYEKHKLYACEVTHQGLSSPVTKSFNRGEC
SEQ ID NO.82
EVQLLESGGGLVQPGGSLRLSCAASGFTFSPYPMIWVRQAPGKGLEWVSYI SPSGGKTHY ADSVKGRFTISRDNSKNTLYLQMNSLRAEDTAVYYCARGGDTYFDYFDYWGQGTLVTVSS ASTKGPSVFPLAPSSKSTSGGTAALGCLVKDYFPEPVTVSWNSGALTSGVHTFPAVLQSS GLYSLSSVVTVPSSSLGTQTYICNVNHKPSNTKVDKKVEPKSCDKTHTCPPCPAPELLGG PSVFLFPPKPKDTLMISRTPEVTCVVVDVSHEDPEVKFNWYVDGVEVHNAKTKPREEQYN STYRVVSVLTVLHQDWLNGKEYKCKVSNKALPAPIEKTISKAKGQPREPQVYTLPPSRDE LTKNQVSLTCLVKGFYPSDIAVEWESNGQPENNYKTTPPVLDSDGSFFLYSKLTVDKSRW QQGNVFSCSVMHEALHNHYTQKSLSLSPG
Aminosäurenequenzen der leichten (SEQ ID NO.81) und schweren (SEQ ID NO.82) Ketten von TPP-1854; CDRs sowohl der schweren als auch der leichten Kette sind unterstrichen.
TPP-1853
SEQ ID N0.91
AQDIQMTQSPATLSASVGDRVTITCRASQSISSYLNWYQQKPGKAPKLLIYNASSLQSGV PSRFSGSGSGTDFTLTISSLQPEDFATYYCQQSYTSPGITFGPGTKVEIKRTVAAPSVFI FPPSDEQLKSGTASVVCLLNNFYPREAKVQWKVDNALQSGNSQESVTEQDSKDSTYSLSS TLTLSKADYEKHKLYACEVTHQGLSSPVTKSFNRGEC
SEQ ID N0.92
EVQLLESGGGLVQPGGSLRLSCAASGFTFSPYPMMWVRQAPGKGLEWVSYI SPSGGKTHY ADSVKGRFTISRDNSKNTLYLQMNSLRAEDTAVYYCARGGDTYFDYFDYWGQGTLVTVSS ASTKGPSVFPLAPSSKSTSGGTAALGCLVKDYFPEPVTVSWNSGALTSGVHTFPAVLQSS GLYSLSSVVTVPSSSLGTQTYICNVNHKPSNTKVDKKVEPKSCDKTHTCPPCPAPELLGG PSVFLFPPKPKDTLMISRTPEVTCVVVDVSHEDPEVKFNWYVDGVEVHNAKTKPREEQYN STYRVVSVLTVLHQDWLNGKEYKCKVSNKALPAPIEKTISKAKGQPREPQVYTLPPSRDE LTKNQVSLTCLVKGFYPSDIAVEWESNGQPENNYKTTPPVLDSDGSFFLYSKLTVDKSRW QQGNVFSCSVMHEALHNHYTQKSLSLSPG
Aminosäurenequenzen der leichten (SEQ ID N0.91) und schweren (SEQ ID NO.92) Ketten von TPP-1853; CDRs sowohl der schweren als auch der leichten Kette sind unterstrichen.
TPP-1857
SEQ ID NO.101
AQDIQMTQSPATLSASVGDRVTITCRASQSISGYLNWYQQKPGKAPKLLIYNASSLQSGV PSRFSGSGSGTDFTLTISSLQPEDFATYYCQQSYTSPGITFGPGTKVEIKRTVAAPSVFI FPPSDEQLKSGTASVVCLLNNFYPREAKVQWKVDNALQSGNSQESVTEQDSKDSTYSLSS TLTLSKADYEKHKLYACEVTHQGLSSPVTKSFNRGEC
SEQ ID NO.102
EVQLLESGGGLVQPGGSLRLSCAASGFTFSPYPMMWVRQAPGKGLEWVSYI SPSGGKTHY ADSVKGRFTISRDNSKNTLYLQMNSLRAEDTAVYYCARGGDTYFDYFDYWGQGTLVTVSS ASTKGPSVFPLAPSSKSTSGGTAALGCLVKDYFPEPVTVSWNSGALTSGVHTFPAVLQSS GLYSLSSVVTVPSSSLGTQTYICNVNHKPSNTKVDKKVEPKSCDKTHTCPPCPAPELLGG PSVFLFPPKPKDTLMISRTPEVTCVVVDVSHEDPEVKFNWYVDGVEVHNAKTKPREEQYN
STYRVVSVLTVLHQDWLNGKEYKCKVSNKALPAPIEKTISKAKGQPREPQVYTLPPSRDE LTKNQVSLTCLVKGFYPSDIAVEWESNGQPENNYKTTPPVLDSDGSFFLYSKLTVDKSRW QQGNVFSCSVMHEALHNHYTQKSLSLSPG
Aminosäurenequenzen der leichten (SEQ ID NO.101) und schweren (SEQ ID NO.102) Ketten von TPP-1857; CDRs sowohl der schweren als auch der leichten Kette sind unterstrichen.
TPP-1858
SEQ ID NO.l l l
AQDIQMTQSPATLSASVGDRVTITCRASQSISSYLNWYQQKPGKAPKLLIYNASSLQSGV PSRFSGSGSGTDFTLTISSLQPEDFATYYCQQSYTSPFITFGPGTKVEIKRTVAAPSVFI FPPSDEQLKSGTASVVCLLNNFYPREAKVQWKVDNALQSGNSQESVTEQDSKDSTYSLSS TLTLSKADYEKHKLYACEVTHQGLSSPVTKSFNRGEC
SEQ ID NO.112
EVQLLESGGGLVQPGGSLRLSCAASGFTFSPYPMMWVRQAPGKGLEWVSYI SPSGGKTHY ADSVKGRFTISRDNSKNTLYLQMNSLRAEDTAVYYCARGGDTYFDYFDYWGQGTLVTVSS ASTKGPSVFPLAPSSKSTSGGTAALGCLVKDYFPEPVTVSWNSGALTSGVHTFPAVLQSS GLYSLSSVVTVPSSSLGTQTYICNVNHKPSNTKVDKKVEPKSCDKTHTCPPCPAPELLGG PSVFLFPPKPKDTLMISRTPEVTCVVVDVSHEDPEVKFNWYVDGVEVHNAKTKPREEQYN STYRVVSVLTVLHQDWLNGKEYKCKVSNKALPAPIEKTISKAKGQPREPQVYTLPPSRDE LTKNQVSLTCLVKGFYPSDIAVEWESNGQPENNYKTTPPVLDSDGSFFLYSKLTVDKSRW QQGNVFSCSVMHEALHNHYTQKSLSLSPG
Aminosäurenequenzen der leichten (SEQ ID NO.111) und schweren (SEQ ID NO.112) Ketten von TPP-1858; CDRs sowohl der schweren als auch der leichten Kette sind unterstrichen.
Der Antikörper TPP-2658 weist dieselbe Sequenz wie Antikörper TPP-2090 auf, mit der Ausnahme, dass SEQ ID N0:2 durch die folgende SEQ ID NO:213 ersetzt wurde:
TPP-2658
SEQ ID NO.l:
DIQMTQSPSSLSASVGDRVTITCRASQSISGYLNWYQQKPGKAPKLLIYQASSLQSGVPS RFSGSGSGTDFTLTISSLQPEDFATYYCQQSYTSPFITFGQGTKVEIKRTVAAPSVFIFP PSDEQLKSGTASVVCLLNNFYPREAKVQWKVDNALQSGNSQESVTEQDSKDSTYSLSSTL TLSKADYEKHKVYACEVTHQGLSSPVTKSFNRGEC
SEQ ID NO.213:
EVQLLESGGGLVQPGGSLRLSCAASGFTFSPYPMIWVRQAPGKGLEWVSYI SPSGGSTHY ADSVKGRFTISRDNSKNTLYLQMNSLRAEDTAVYYCARGGDTYFDYFDYWGQGTLVTVSS
ASTKGPSVFPLAPSSKSTSGGTAALGCLVKDYFPEPVTVSWNSGALTSGVHTFPAVLQSS
GLYSLSSVVTVPSSSLGTQTYICNVNHKPSNTKVDKKVEPKSCDKTHTCPPCPAPELLGG
PSVFLFPPKPKDTLMISRTPEVTCVVVDVSHEDPEVKFNWYVDGVEVHNAKTKPREEQYA
STYRVVSVLTVLHQDWLNGKEYKCKVSNKALPAPIEKTISKAKGQPREPQVYTLPPSRDE
LTKNQVSLTCLVKGFYPSDIAVEWESNGQPENNYKTTPPVLDSDGSFFLYSKLTVDKSRW
QQGNVFSCSVMHEALHNHYTQKSLSLSPG
Aminosäurenequenzen der leichten (SEQ ID NO. 1) und schweren (SEQ ID NO. 213) Ketten von TPP-2658; CDRs sowohl der schweren als auch der leichten Kette sind unterstrichen.