KR102486614B1 - Formulation of organic functional materials - Google Patents
Formulation of organic functional materials Download PDFInfo
- Publication number
- KR102486614B1 KR102486614B1 KR1020197020108A KR20197020108A KR102486614B1 KR 102486614 B1 KR102486614 B1 KR 102486614B1 KR 1020197020108 A KR1020197020108 A KR 1020197020108A KR 20197020108 A KR20197020108 A KR 20197020108A KR 102486614 B1 KR102486614 B1 KR 102486614B1
- Authority
- KR
- South Korea
- Prior art keywords
- group
- formulation
- organic
- solvent
- carbon atoms
- Prior art date
- Legal status (The legal status is an assumption and is not a legal conclusion. Google has not performed a legal analysis and makes no representation as to the accuracy of the status listed.)
- Active
Links
- 239000000203 mixture Substances 0.000 title claims abstract description 87
- 238000009472 formulation Methods 0.000 title claims abstract description 70
- 239000008204 material by function Substances 0.000 title description 19
- 239000000463 material Substances 0.000 claims abstract description 151
- 125000002619 bicyclic group Chemical group 0.000 claims abstract description 34
- 239000003960 organic solvent Substances 0.000 claims abstract description 31
- 239000002904 solvent Substances 0.000 claims description 54
- 125000003118 aryl group Chemical group 0.000 claims description 53
- 229920000642 polymer Polymers 0.000 claims description 53
- 125000004432 carbon atom Chemical group C* 0.000 claims description 48
- 238000002347 injection Methods 0.000 claims description 39
- 239000007924 injection Substances 0.000 claims description 39
- 239000011159 matrix material Substances 0.000 claims description 37
- 230000000903 blocking effect Effects 0.000 claims description 30
- 230000005525 hole transport Effects 0.000 claims description 30
- 238000000034 method Methods 0.000 claims description 27
- 239000002019 doping agent Substances 0.000 claims description 23
- 125000003545 alkoxy group Chemical group 0.000 claims description 22
- 125000001424 substituent group Chemical group 0.000 claims description 18
- 238000004519 manufacturing process Methods 0.000 claims description 16
- 125000001072 heteroaryl group Chemical group 0.000 claims description 13
- 125000000217 alkyl group Chemical group 0.000 claims description 12
- 229910052731 fluorine Inorganic materials 0.000 claims description 12
- 125000002950 monocyclic group Chemical group 0.000 claims description 11
- 125000006165 cyclic alkyl group Chemical group 0.000 claims description 10
- 238000001035 drying Methods 0.000 claims description 10
- 239000004065 semiconductor Substances 0.000 claims description 10
- 125000004435 hydrogen atom Chemical group [H]* 0.000 claims description 9
- 238000007639 printing Methods 0.000 claims description 9
- 238000009835 boiling Methods 0.000 claims description 7
- 238000000151 deposition Methods 0.000 claims description 7
- 229910004013 NO 2 Inorganic materials 0.000 claims description 5
- 125000004429 atom Chemical group 0.000 claims description 5
- 229910052801 chlorine Inorganic materials 0.000 claims description 4
- 239000002552 dosage form Substances 0.000 claims description 4
- 229910052739 hydrogen Inorganic materials 0.000 claims description 4
- 229910052794 bromium Inorganic materials 0.000 claims description 3
- 229910052805 deuterium Inorganic materials 0.000 claims description 2
- 229910052740 iodine Inorganic materials 0.000 claims description 2
- 150000001875 compounds Chemical class 0.000 description 104
- 239000010410 layer Substances 0.000 description 100
- -1 heteroaromatic hydrocarbons Chemical class 0.000 description 40
- MWPLVEDNUUSJAV-UHFFFAOYSA-N anthracene Chemical compound C1=CC=CC2=CC3=CC=CC=C3C=C21 MWPLVEDNUUSJAV-UHFFFAOYSA-N 0.000 description 23
- 229910052751 metal Inorganic materials 0.000 description 23
- 239000002184 metal Substances 0.000 description 23
- 238000004770 highest occupied molecular orbital Methods 0.000 description 18
- 150000004982 aromatic amines Chemical class 0.000 description 15
- 238000004768 lowest unoccupied molecular orbital Methods 0.000 description 15
- 239000000758 substrate Substances 0.000 description 15
- NIHNNTQXNPWCJQ-UHFFFAOYSA-N fluorene Chemical compound C1=CC=C2CC3=CC=CC=C3C2=C1 NIHNNTQXNPWCJQ-UHFFFAOYSA-N 0.000 description 13
- 238000005259 measurement Methods 0.000 description 13
- YTPLMLYBLZKORZ-UHFFFAOYSA-N Thiophene Chemical compound C=1C=CSC=1 YTPLMLYBLZKORZ-UHFFFAOYSA-N 0.000 description 12
- 229910052799 carbon Inorganic materials 0.000 description 12
- 239000002346 layers by function Substances 0.000 description 12
- KYQCOXFCLRTKLS-UHFFFAOYSA-N Pyrazine Chemical compound C1=CN=CC=N1 KYQCOXFCLRTKLS-UHFFFAOYSA-N 0.000 description 10
- MILUBEOXRNEUHS-UHFFFAOYSA-N iridium(3+) Chemical compound [Ir+3] MILUBEOXRNEUHS-UHFFFAOYSA-N 0.000 description 10
- BBEAQIROQSPTKN-UHFFFAOYSA-N pyrene Chemical compound C1=CC=C2C=CC3=CC=CC4=CC=C1C2=C43 BBEAQIROQSPTKN-UHFFFAOYSA-N 0.000 description 9
- 150000003254 radicals Chemical class 0.000 description 9
- UJOBWOGCFQCDNV-UHFFFAOYSA-N 9H-carbazole Chemical compound C1=CC=C2C3=CC=CC=C3NC2=C1 UJOBWOGCFQCDNV-UHFFFAOYSA-N 0.000 description 8
- JUJWROOIHBZHMG-UHFFFAOYSA-N Pyridine Chemical compound C1=CC=NC=C1 JUJWROOIHBZHMG-UHFFFAOYSA-N 0.000 description 8
- 125000000623 heterocyclic group Chemical group 0.000 description 8
- 238000007641 inkjet printing Methods 0.000 description 8
- 150000002576 ketones Chemical class 0.000 description 8
- 239000003446 ligand Substances 0.000 description 8
- 229930192474 thiophene Natural products 0.000 description 8
- POILWHVDKZOXJZ-ARJAWSKDSA-M (z)-4-oxopent-2-en-2-olate Chemical compound C\C([O-])=C\C(C)=O POILWHVDKZOXJZ-ARJAWSKDSA-M 0.000 description 7
- GVEPBJHOBDJJJI-UHFFFAOYSA-N fluoranthrene Natural products C1=CC(C2=CC=CC=C22)=C3C2=CC=CC3=C1 GVEPBJHOBDJJJI-UHFFFAOYSA-N 0.000 description 7
- 150000002739 metals Chemical class 0.000 description 7
- 229910052757 nitrogen Inorganic materials 0.000 description 7
- 239000011368 organic material Substances 0.000 description 7
- 230000008569 process Effects 0.000 description 7
- 125000005259 triarylamine group Chemical group 0.000 description 7
- DXBHBZVCASKNBY-UHFFFAOYSA-N 1,2-Benz(a)anthracene Chemical compound C1=CC=C2C3=CC4=CC=CC=C4C=C3C=CC2=C1 DXBHBZVCASKNBY-UHFFFAOYSA-N 0.000 description 6
- KAESVJOAVNADME-UHFFFAOYSA-N Pyrrole Chemical compound C=1C=CNC=1 KAESVJOAVNADME-UHFFFAOYSA-N 0.000 description 6
- 239000007983 Tris buffer Substances 0.000 description 6
- 150000001716 carbazoles Chemical class 0.000 description 6
- 229920000547 conjugated polymer Polymers 0.000 description 6
- 125000004093 cyano group Chemical group *C#N 0.000 description 6
- 125000004122 cyclic group Chemical group 0.000 description 6
- 150000002367 halogens Chemical group 0.000 description 6
- PJANXHGTPQOBST-UHFFFAOYSA-N stilbene Chemical class C=1C=CC=CC=1C=CC1=CC=CC=C1 PJANXHGTPQOBST-UHFFFAOYSA-N 0.000 description 6
- UWRZIZXBOLBCON-UHFFFAOYSA-N styrylamine group Chemical group C(=CC1=CC=CC=C1)N UWRZIZXBOLBCON-UHFFFAOYSA-N 0.000 description 6
- 230000007704 transition Effects 0.000 description 6
- UWRZIZXBOLBCON-VOTSOKGWSA-N (e)-2-phenylethenamine Chemical class N\C=C\C1=CC=CC=C1 UWRZIZXBOLBCON-VOTSOKGWSA-N 0.000 description 5
- PCNDJXKNXGMECE-UHFFFAOYSA-N Phenazine Natural products C1=CC=CC2=NC3=CC=CC=C3N=C21 PCNDJXKNXGMECE-UHFFFAOYSA-N 0.000 description 5
- XBDYBAVJXHJMNQ-UHFFFAOYSA-N Tetrahydroanthracene Natural products C1=CC=C2C=C(CCCC3)C3=CC2=C1 XBDYBAVJXHJMNQ-UHFFFAOYSA-N 0.000 description 5
- 150000001454 anthracenes Chemical class 0.000 description 5
- IOJUPLGTWVMSFF-UHFFFAOYSA-N benzothiazole Chemical compound C1=CC=C2SC=NC2=C1 IOJUPLGTWVMSFF-UHFFFAOYSA-N 0.000 description 5
- 230000015572 biosynthetic process Effects 0.000 description 5
- 230000008021 deposition Effects 0.000 description 5
- 229910052736 halogen Inorganic materials 0.000 description 5
- MPQXHAGKBWFSNV-UHFFFAOYSA-N oxidophosphanium Chemical class [PH3]=O MPQXHAGKBWFSNV-UHFFFAOYSA-N 0.000 description 5
- YNPNZTXNASCQKK-UHFFFAOYSA-N phenanthrene Chemical compound C1=CC=C2C3=CC=CC=C3C=CC2=C1 YNPNZTXNASCQKK-UHFFFAOYSA-N 0.000 description 5
- 229910052697 platinum Inorganic materials 0.000 description 5
- 125000005504 styryl group Chemical group 0.000 description 5
- IFLREYGFSNHWGE-UHFFFAOYSA-N tetracene Chemical compound C1=CC=CC2=CC3=CC4=CC=CC=C4C=C3C=C21 IFLREYGFSNHWGE-UHFFFAOYSA-N 0.000 description 5
- FCEHBMOGCRZNNI-UHFFFAOYSA-N thianaphthalene Natural products C1=CC=C2SC=CC2=C1 FCEHBMOGCRZNNI-UHFFFAOYSA-N 0.000 description 5
- RFFLAFLAYFXFSW-UHFFFAOYSA-N 1,2-dichlorobenzene Chemical compound ClC1=CC=CC=C1Cl RFFLAFLAYFXFSW-UHFFFAOYSA-N 0.000 description 4
- SMWDFEZZVXVKRB-UHFFFAOYSA-N Quinoline Chemical compound N1=CC=CC2=CC=CC=C21 SMWDFEZZVXVKRB-UHFFFAOYSA-N 0.000 description 4
- 239000000654 additive Substances 0.000 description 4
- RDOXTESZEPMUJZ-UHFFFAOYSA-N anisole Chemical compound COC1=CC=CC=C1 RDOXTESZEPMUJZ-UHFFFAOYSA-N 0.000 description 4
- 125000005577 anthracene group Chemical group 0.000 description 4
- XSIFPSYPOVKYCO-UHFFFAOYSA-N butyl benzoate Chemical compound CCCCOC(=O)C1=CC=CC=C1 XSIFPSYPOVKYCO-UHFFFAOYSA-N 0.000 description 4
- AIXAANGOTKPUOY-UHFFFAOYSA-N carbachol Chemical group [Cl-].C[N+](C)(C)CCOC(N)=O AIXAANGOTKPUOY-UHFFFAOYSA-N 0.000 description 4
- 239000003795 chemical substances by application Substances 0.000 description 4
- 239000000460 chlorine Substances 0.000 description 4
- WDECIBYCCFPHNR-UHFFFAOYSA-N chrysene Chemical compound C1=CC=CC2=CC=C3C4=CC=CC=C4C=CC3=C21 WDECIBYCCFPHNR-UHFFFAOYSA-N 0.000 description 4
- 238000000576 coating method Methods 0.000 description 4
- 229920001577 copolymer Polymers 0.000 description 4
- VPUGDVKSAQVFFS-UHFFFAOYSA-N coronene Chemical compound C1=C(C2=C34)C=CC3=CC=C(C=C3)C4=C4C3=CC=C(C=C3)C4=C2C3=C1 VPUGDVKSAQVFFS-UHFFFAOYSA-N 0.000 description 4
- 239000000412 dendrimer Substances 0.000 description 4
- 229920000736 dendritic polymer Polymers 0.000 description 4
- MTZQAGJQAFMTAQ-UHFFFAOYSA-N ethyl benzoate Chemical compound CCOC(=O)C1=CC=CC=C1 MTZQAGJQAFMTAQ-UHFFFAOYSA-N 0.000 description 4
- 230000005283 ground state Effects 0.000 description 4
- 125000005842 heteroatom Chemical group 0.000 description 4
- 229930195733 hydrocarbon Natural products 0.000 description 4
- 125000001183 hydrocarbyl group Chemical group 0.000 description 4
- 239000012044 organic layer Substances 0.000 description 4
- 229910052763 palladium Inorganic materials 0.000 description 4
- 125000002080 perylenyl group Chemical group C1(=CC=C2C=CC=C3C4=CC=CC5=CC=CC(C1=C23)=C45)* 0.000 description 4
- CSHWQDPOILHKBI-UHFFFAOYSA-N peryrene Natural products C1=CC(C2=CC=CC=3C2=C2C=CC=3)=C3C2=CC=CC3=C1 CSHWQDPOILHKBI-UHFFFAOYSA-N 0.000 description 4
- 229920003227 poly(N-vinyl carbazole) Polymers 0.000 description 4
- 238000002360 preparation method Methods 0.000 description 4
- UMJSCPRVCHMLSP-UHFFFAOYSA-N pyridine Natural products COC1=CC=CN=C1 UMJSCPRVCHMLSP-UHFFFAOYSA-N 0.000 description 4
- XSCHRSMBECNVNS-UHFFFAOYSA-N quinoxaline Chemical compound N1=CC=NC2=CC=CC=C21 XSCHRSMBECNVNS-UHFFFAOYSA-N 0.000 description 4
- YYMBJDOZVAITBP-UHFFFAOYSA-N rubrene Chemical compound C1=CC=CC=C1C(C1=C(C=2C=CC=CC=2)C2=CC=CC=C2C(C=2C=CC=CC=2)=C11)=C(C=CC=C2)C2=C1C1=CC=CC=C1 YYMBJDOZVAITBP-UHFFFAOYSA-N 0.000 description 4
- 235000021286 stilbenes Nutrition 0.000 description 4
- 150000003462 sulfoxides Chemical class 0.000 description 4
- IBBLKSWSCDAPIF-UHFFFAOYSA-N thiopyran Chemical compound S1C=CC=C=C1 IBBLKSWSCDAPIF-UHFFFAOYSA-N 0.000 description 4
- 229910052723 transition metal Inorganic materials 0.000 description 4
- 150000003918 triazines Chemical class 0.000 description 4
- PBKONEOXTCPAFI-UHFFFAOYSA-N 1,2,4-trichlorobenzene Chemical compound ClC1=CC=C(Cl)C(Cl)=C1 PBKONEOXTCPAFI-UHFFFAOYSA-N 0.000 description 3
- LTUJKAYZIMMJEP-UHFFFAOYSA-N 9-[4-(4-carbazol-9-yl-2-methylphenyl)-3-methylphenyl]carbazole Chemical compound C12=CC=CC=C2C2=CC=CC=C2N1C1=CC=C(C=2C(=CC(=CC=2)N2C3=CC=CC=C3C3=CC=CC=C32)C)C(C)=C1 LTUJKAYZIMMJEP-UHFFFAOYSA-N 0.000 description 3
- UHOVQNZJYSORNB-UHFFFAOYSA-N Benzene Chemical compound C1=CC=CC=C1 UHOVQNZJYSORNB-UHFFFAOYSA-N 0.000 description 3
- PAYRUJLWNCNPSJ-UHFFFAOYSA-N N-phenyl amine Natural products NC1=CC=CC=C1 PAYRUJLWNCNPSJ-UHFFFAOYSA-N 0.000 description 3
- CZPWVGJYEJSRLH-UHFFFAOYSA-N Pyrimidine Chemical compound C1=CN=CN=C1 CZPWVGJYEJSRLH-UHFFFAOYSA-N 0.000 description 3
- PJANXHGTPQOBST-VAWYXSNFSA-N Stilbene Natural products C=1C=CC=CC=1/C=C/C1=CC=CC=C1 PJANXHGTPQOBST-VAWYXSNFSA-N 0.000 description 3
- YXFVVABEGXRONW-UHFFFAOYSA-N Toluene Chemical compound CC1=CC=CC=C1 YXFVVABEGXRONW-UHFFFAOYSA-N 0.000 description 3
- 239000002585 base Substances 0.000 description 3
- HFACYLZERDEVSX-UHFFFAOYSA-N benzidine Chemical class C1=CC(N)=CC=C1C1=CC=C(N)C=C1 HFACYLZERDEVSX-UHFFFAOYSA-N 0.000 description 3
- 150000001556 benzimidazoles Chemical class 0.000 description 3
- ZYGHJZDHTFUPRJ-UHFFFAOYSA-N benzo-alpha-pyrone Natural products C1=CC=C2OC(=O)C=CC2=C1 ZYGHJZDHTFUPRJ-UHFFFAOYSA-N 0.000 description 3
- JFDZBHWFFUWGJE-UHFFFAOYSA-N benzonitrile Chemical compound N#CC1=CC=CC=C1 JFDZBHWFFUWGJE-UHFFFAOYSA-N 0.000 description 3
- 235000010290 biphenyl Nutrition 0.000 description 3
- 150000001642 boronic acid derivatives Chemical class 0.000 description 3
- 238000004364 calculation method Methods 0.000 description 3
- 239000011248 coating agent Substances 0.000 description 3
- 150000004696 coordination complex Chemical class 0.000 description 3
- 125000004986 diarylamino group Chemical group 0.000 description 3
- ZUOUZKKEUPVFJK-UHFFFAOYSA-N diphenyl Chemical compound C1=CC=CC=C1C1=CC=CC=C1 ZUOUZKKEUPVFJK-UHFFFAOYSA-N 0.000 description 3
- 150000002170 ethers Chemical class 0.000 description 3
- 150000002220 fluorenes Chemical class 0.000 description 3
- 239000011521 glass Substances 0.000 description 3
- RAXXELZNTBOGNW-UHFFFAOYSA-N imidazole Natural products C1=CNC=N1 RAXXELZNTBOGNW-UHFFFAOYSA-N 0.000 description 3
- 229910052741 iridium Inorganic materials 0.000 description 3
- 229910052747 lanthanoid Inorganic materials 0.000 description 3
- 150000002602 lanthanoids Chemical class 0.000 description 3
- 239000007788 liquid Substances 0.000 description 3
- 229910044991 metal oxide Inorganic materials 0.000 description 3
- 150000004706 metal oxides Chemical class 0.000 description 3
- 229910052762 osmium Inorganic materials 0.000 description 3
- WCPAKWJPBJAGKN-UHFFFAOYSA-N oxadiazole Chemical compound C1=CON=N1 WCPAKWJPBJAGKN-UHFFFAOYSA-N 0.000 description 3
- 150000002916 oxazoles Chemical class 0.000 description 3
- 150000005041 phenanthrolines Chemical class 0.000 description 3
- 125000001791 phenazinyl group Chemical class C1(=CC=CC2=NC3=CC=CC=C3N=C12)* 0.000 description 3
- 229920000767 polyaniline Polymers 0.000 description 3
- 125000003367 polycyclic group Chemical group 0.000 description 3
- 150000003222 pyridines Chemical class 0.000 description 3
- 238000003077 quantum chemistry computational method Methods 0.000 description 3
- 229910052707 ruthenium Inorganic materials 0.000 description 3
- 150000004756 silanes Chemical class 0.000 description 3
- 229910052709 silver Inorganic materials 0.000 description 3
- 150000003384 small molecules Chemical class 0.000 description 3
- 150000003457 sulfones Chemical class 0.000 description 3
- 150000003512 tertiary amines Chemical group 0.000 description 3
- 238000012546 transfer Methods 0.000 description 3
- 150000003624 transition metals Chemical class 0.000 description 3
- ODHXBMXNKOYIBV-UHFFFAOYSA-N triphenylamine Chemical compound C1=CC=CC=C1N(C=1C=CC=CC=1)C1=CC=CC=C1 ODHXBMXNKOYIBV-UHFFFAOYSA-N 0.000 description 3
- XLYOFNOQVPJJNP-UHFFFAOYSA-N water Substances O XLYOFNOQVPJJNP-UHFFFAOYSA-N 0.000 description 3
- YGLVWOUNCXBPJF-UHFFFAOYSA-N (2,3,4,5-tetraphenylcyclopenta-1,4-dien-1-yl)benzene Chemical compound C1=CC=CC=C1C1C(C=2C=CC=CC=2)=C(C=2C=CC=CC=2)C(C=2C=CC=CC=2)=C1C1=CC=CC=C1 YGLVWOUNCXBPJF-UHFFFAOYSA-N 0.000 description 2
- JCXLYAWYOTYWKM-UHFFFAOYSA-N (2,3,4-triphenylcyclopenta-1,3-dien-1-yl)benzene Chemical compound C1C(C=2C=CC=CC=2)=C(C=2C=CC=CC=2)C(C=2C=CC=CC=2)=C1C1=CC=CC=C1 JCXLYAWYOTYWKM-UHFFFAOYSA-N 0.000 description 2
- ICPSWZFVWAPUKF-UHFFFAOYSA-N 1,1'-spirobi[fluorene] Chemical class C1=CC=C2C=C3C4(C=5C(C6=CC=CC=C6C=5)=CC=C4)C=CC=C3C2=C1 ICPSWZFVWAPUKF-UHFFFAOYSA-N 0.000 description 2
- WLALVCDHIGUUDM-UHFFFAOYSA-N 1,1,2,2,3,3-hexamethylindene Chemical compound C1=CC=C2C(C)(C)C(C)(C)C(C)(C)C2=C1 WLALVCDHIGUUDM-UHFFFAOYSA-N 0.000 description 2
- 150000005045 1,10-phenanthrolines Chemical class 0.000 description 2
- BFIMMTCNYPIMRN-UHFFFAOYSA-N 1,2,3,5-tetramethylbenzene Chemical compound CC1=CC(C)=C(C)C(C)=C1 BFIMMTCNYPIMRN-UHFFFAOYSA-N 0.000 description 2
- FYGHSUNMUKGBRK-UHFFFAOYSA-N 1,2,3-trimethylbenzene Chemical compound CC1=CC=CC(C)=C1C FYGHSUNMUKGBRK-UHFFFAOYSA-N 0.000 description 2
- GWHJZXXIDMPWGX-UHFFFAOYSA-N 1,2,4-trimethylbenzene Chemical compound CC1=CC=C(C)C(C)=C1 GWHJZXXIDMPWGX-UHFFFAOYSA-N 0.000 description 2
- QNLZIZAQLLYXTC-UHFFFAOYSA-N 1,2-dimethylnaphthalene Chemical compound C1=CC=CC2=C(C)C(C)=CC=C21 QNLZIZAQLLYXTC-UHFFFAOYSA-N 0.000 description 2
- QHJMFSMPSZREIF-UHFFFAOYSA-N 1,3-dimethylnaphthalene Chemical compound C1=CC=CC2=CC(C)=CC(C)=C21 QHJMFSMPSZREIF-UHFFFAOYSA-N 0.000 description 2
- APQSQLNWAIULLK-UHFFFAOYSA-N 1,4-dimethylnaphthalene Chemical compound C1=CC=C2C(C)=CC=C(C)C2=C1 APQSQLNWAIULLK-UHFFFAOYSA-N 0.000 description 2
- UHXOHPVVEHBKKT-UHFFFAOYSA-N 1-(2,2-diphenylethenyl)-4-[4-(2,2-diphenylethenyl)phenyl]benzene Chemical compound C=1C=C(C=2C=CC(C=C(C=3C=CC=CC=3)C=3C=CC=CC=3)=CC=2)C=CC=1C=C(C=1C=CC=CC=1)C1=CC=CC=C1 UHXOHPVVEHBKKT-UHFFFAOYSA-N 0.000 description 2
- CHLICZRVGGXEOD-UHFFFAOYSA-N 1-Methoxy-4-methylbenzene Chemical compound COC1=CC=C(C)C=C1 CHLICZRVGGXEOD-UHFFFAOYSA-N 0.000 description 2
- IANQTJSKSUMEQM-UHFFFAOYSA-N 1-benzofuran Chemical compound C1=CC=C2OC=CC2=C1 IANQTJSKSUMEQM-UHFFFAOYSA-N 0.000 description 2
- NQMUGNMMFTYOHK-UHFFFAOYSA-N 1-methoxynaphthalene Chemical compound C1=CC=C2C(OC)=CC=CC2=C1 NQMUGNMMFTYOHK-UHFFFAOYSA-N 0.000 description 2
- UDONPJKEOAWFGI-UHFFFAOYSA-N 1-methyl-3-phenoxybenzene Chemical compound CC1=CC=CC(OC=2C=CC=CC=2)=C1 UDONPJKEOAWFGI-UHFFFAOYSA-N 0.000 description 2
- QPUYECUOLPXSFR-UHFFFAOYSA-N 1-methylnaphthalene Chemical compound C1=CC=C2C(C)=CC=CC2=C1 QPUYECUOLPXSFR-UHFFFAOYSA-N 0.000 description 2
- 125000001637 1-naphthyl group Chemical group [H]C1=C([H])C([H])=C2C(*)=C([H])C([H])=C([H])C2=C1[H] 0.000 description 2
- HYZJCKYKOHLVJF-UHFFFAOYSA-N 1H-benzimidazole Chemical compound C1=CC=C2NC=NC2=C1 HYZJCKYKOHLVJF-UHFFFAOYSA-N 0.000 description 2
- YBYIRNPNPLQARY-UHFFFAOYSA-N 1H-indene Chemical compound C1=CC=C2CC=CC2=C1 YBYIRNPNPLQARY-UHFFFAOYSA-N 0.000 description 2
- YGYNBBAUIYTWBF-UHFFFAOYSA-N 2,6-dimethylnaphthalene Chemical compound C1=C(C)C=CC2=CC(C)=CC=C21 YGYNBBAUIYTWBF-UHFFFAOYSA-N 0.000 description 2
- RJTJVVYSTUQWNI-UHFFFAOYSA-N 2-ethylnaphthalene Chemical compound C1=CC=CC2=CC(CC)=CC=C21 RJTJVVYSTUQWNI-UHFFFAOYSA-N 0.000 description 2
- BHNHHSOHWZKFOX-UHFFFAOYSA-N 2-methyl-1H-indole Chemical compound C1=CC=C2NC(C)=CC2=C1 BHNHHSOHWZKFOX-UHFFFAOYSA-N 0.000 description 2
- 125000001622 2-naphthyl group Chemical group [H]C1=C([H])C([H])=C2C([H])=C(*)C([H])=C([H])C2=C1[H] 0.000 description 2
- MGADZUXDNSDTHW-UHFFFAOYSA-N 2H-pyran Chemical compound C1OC=CC=C1 MGADZUXDNSDTHW-UHFFFAOYSA-N 0.000 description 2
- GOLORTLGFDVFDW-UHFFFAOYSA-N 3-(1h-benzimidazol-2-yl)-7-(diethylamino)chromen-2-one Chemical compound C1=CC=C2NC(C3=CC4=CC=C(C=C4OC3=O)N(CC)CC)=NC2=C1 GOLORTLGFDVFDW-UHFFFAOYSA-N 0.000 description 2
- AWXGSYPUMWKTBR-UHFFFAOYSA-N 4-carbazol-9-yl-n,n-bis(4-carbazol-9-ylphenyl)aniline Chemical compound C12=CC=CC=C2C2=CC=CC=C2N1C1=CC=C(N(C=2C=CC(=CC=2)N2C3=CC=CC=C3C3=CC=CC=C32)C=2C=CC(=CC=2)N2C3=CC=CC=C3C3=CC=CC=C32)C=C1 AWXGSYPUMWKTBR-UHFFFAOYSA-N 0.000 description 2
- ZOKIJILZFXPFTO-UHFFFAOYSA-N 4-methyl-n-[4-[1-[4-(4-methyl-n-(4-methylphenyl)anilino)phenyl]cyclohexyl]phenyl]-n-(4-methylphenyl)aniline Chemical compound C1=CC(C)=CC=C1N(C=1C=CC(=CC=1)C1(CCCCC1)C=1C=CC(=CC=1)N(C=1C=CC(C)=CC=1)C=1C=CC(C)=CC=1)C1=CC=C(C)C=C1 ZOKIJILZFXPFTO-UHFFFAOYSA-N 0.000 description 2
- SCZWJXTUYYSKGF-UHFFFAOYSA-N 5,12-dimethylquinolino[2,3-b]acridine-7,14-dione Chemical compound CN1C2=CC=CC=C2C(=O)C2=C1C=C1C(=O)C3=CC=CC=C3N(C)C1=C2 SCZWJXTUYYSKGF-UHFFFAOYSA-N 0.000 description 2
- WWJLCYHYLZZXBE-UHFFFAOYSA-N 5-chloro-1,3-dihydroindol-2-one Chemical compound ClC1=CC=C2NC(=O)CC2=C1 WWJLCYHYLZZXBE-UHFFFAOYSA-N 0.000 description 2
- LUYISICIYVKBTA-UHFFFAOYSA-N 6-methylquinoline Chemical compound N1=CC=CC2=CC(C)=CC=C21 LUYISICIYVKBTA-UHFFFAOYSA-N 0.000 description 2
- JRLTTZUODKEYDH-UHFFFAOYSA-N 8-methylquinoline Chemical compound C1=CN=C2C(C)=CC=CC2=C1 JRLTTZUODKEYDH-UHFFFAOYSA-N 0.000 description 2
- ZHBOFZNNPZNWGB-UHFFFAOYSA-N 9,10-bis(phenylethynyl)anthracene Chemical compound C1=CC=CC=C1C#CC(C1=CC=CC=C11)=C(C=CC=C2)C2=C1C#CC1=CC=CC=C1 ZHBOFZNNPZNWGB-UHFFFAOYSA-N 0.000 description 2
- BITWULPDIGXQDL-UHFFFAOYSA-N 9,10-bis[4-(2,2-diphenylethenyl)phenyl]anthracene Chemical compound C=1C=C(C=2C3=CC=CC=C3C(C=3C=CC(C=C(C=4C=CC=CC=4)C=4C=CC=CC=4)=CC=3)=C3C=CC=CC3=2)C=CC=1C=C(C=1C=CC=CC=1)C1=CC=CC=C1 BITWULPDIGXQDL-UHFFFAOYSA-N 0.000 description 2
- FCNCGHJSNVOIKE-UHFFFAOYSA-N 9,10-diphenylanthracene Chemical compound C1=CC=CC=C1C(C1=CC=CC=C11)=C(C=CC=C2)C2=C1C1=CC=CC=C1 FCNCGHJSNVOIKE-UHFFFAOYSA-N 0.000 description 2
- MZYDBGLUVPLRKR-UHFFFAOYSA-N 9-(3-carbazol-9-ylphenyl)carbazole Chemical compound C12=CC=CC=C2C2=CC=CC=C2N1C1=CC(N2C3=CC=CC=C3C3=CC=CC=C32)=CC=C1 MZYDBGLUVPLRKR-UHFFFAOYSA-N 0.000 description 2
- ZHQCITRPEYURRL-UHFFFAOYSA-N 9-ethynyl-1-[4-(9-ethynylanthracen-1-yl)phenyl]anthracene Chemical compound C1=CC=C2C(C#C)=C3C(C4=CC=C(C=C4)C=4C=CC=C5C=C6C=CC=CC6=C(C=45)C#C)=CC=CC3=CC2=C1 ZHQCITRPEYURRL-UHFFFAOYSA-N 0.000 description 2
- QTBSBXVTEAMEQO-UHFFFAOYSA-M Acetate Chemical compound CC([O-])=O QTBSBXVTEAMEQO-UHFFFAOYSA-M 0.000 description 2
- KWOLFJPFCHCOCG-UHFFFAOYSA-N Acetophenone Chemical compound CC(=O)C1=CC=CC=C1 KWOLFJPFCHCOCG-UHFFFAOYSA-N 0.000 description 2
- 102100030356 Arginase-2, mitochondrial Human genes 0.000 description 2
- HKMTVMBEALTRRR-UHFFFAOYSA-N Benzo[a]fluorene Chemical compound C1=CC=CC2=C3CC4=CC=CC=C4C3=CC=C21 HKMTVMBEALTRRR-UHFFFAOYSA-N 0.000 description 2
- KAKZBPTYRLMSJV-UHFFFAOYSA-N Butadiene Chemical class C=CC=C KAKZBPTYRLMSJV-UHFFFAOYSA-N 0.000 description 2
- IAZDPXIOMUYVGZ-UHFFFAOYSA-N Dimethylsulphoxide Chemical compound CS(C)=O IAZDPXIOMUYVGZ-UHFFFAOYSA-N 0.000 description 2
- YNQLUTRBYVCPMQ-UHFFFAOYSA-N Ethylbenzene Chemical compound CCC1=CC=CC=C1 YNQLUTRBYVCPMQ-UHFFFAOYSA-N 0.000 description 2
- LTEQMZWBSYACLV-UHFFFAOYSA-N Hexylbenzene Chemical compound CCCCCCC1=CC=CC=C1 LTEQMZWBSYACLV-UHFFFAOYSA-N 0.000 description 2
- 101000792835 Homo sapiens Arginase-2, mitochondrial Proteins 0.000 description 2
- KGEKLUUHTZCSIP-UHFFFAOYSA-N Isobornyl acetate Natural products C1CC2(C)C(OC(=O)C)CC1C2(C)C KGEKLUUHTZCSIP-UHFFFAOYSA-N 0.000 description 2
- KFZMGEQAYNKOFK-UHFFFAOYSA-N Isopropanol Chemical compound CC(C)O KFZMGEQAYNKOFK-UHFFFAOYSA-N 0.000 description 2
- CPLXHLVBOLITMK-UHFFFAOYSA-N Magnesium oxide Chemical compound [Mg]=O CPLXHLVBOLITMK-UHFFFAOYSA-N 0.000 description 2
- YNAVUWVOSKDBBP-UHFFFAOYSA-N Morpholine Chemical compound C1COCCN1 YNAVUWVOSKDBBP-UHFFFAOYSA-N 0.000 description 2
- UFWIBTONFRDIAS-UHFFFAOYSA-N Naphthalene Chemical compound C1=CC=CC2=CC=CC=C21 UFWIBTONFRDIAS-UHFFFAOYSA-N 0.000 description 2
- 239000006057 Non-nutritive feed additive Substances 0.000 description 2
- ZCQWOFVYLHDMMC-UHFFFAOYSA-N Oxazole Chemical compound C1=COC=N1 ZCQWOFVYLHDMMC-UHFFFAOYSA-N 0.000 description 2
- URLKBWYHVLBVBO-UHFFFAOYSA-N Para-Xylene Chemical group CC1=CC=C(C)C=C1 URLKBWYHVLBVBO-UHFFFAOYSA-N 0.000 description 2
- PWATWSYOIIXYMA-UHFFFAOYSA-N Pentylbenzene Chemical compound CCCCCC1=CC=CC=C1 PWATWSYOIIXYMA-UHFFFAOYSA-N 0.000 description 2
- 229920001609 Poly(3,4-ethylenedioxythiophene) Polymers 0.000 description 2
- NRCMAYZCPIVABH-UHFFFAOYSA-N Quinacridone Chemical compound N1C2=CC=CC=C2C(=O)C2=C1C=C1C(=O)C3=CC=CC=C3NC1=C2 NRCMAYZCPIVABH-UHFFFAOYSA-N 0.000 description 2
- 239000001940 [(1R,4S,6R)-1,7,7-trimethyl-6-bicyclo[2.2.1]heptanyl] acetate Substances 0.000 description 2
- DGEZNRSVGBDHLK-UHFFFAOYSA-N [1,10]phenanthroline Chemical compound C1=CN=C2C3=NC=CC=C3C=CC2=C1 DGEZNRSVGBDHLK-UHFFFAOYSA-N 0.000 description 2
- 229940022663 acetate Drugs 0.000 description 2
- 150000001340 alkali metals Chemical class 0.000 description 2
- 125000004453 alkoxycarbonyl group Chemical group 0.000 description 2
- 229910052782 aluminium Inorganic materials 0.000 description 2
- 150000001412 amines Chemical class 0.000 description 2
- 238000004458 analytical method Methods 0.000 description 2
- VVLCNWYWKSWJTG-UHFFFAOYSA-N anthracene-1,2-diamine Chemical compound C1=CC=CC2=CC3=C(N)C(N)=CC=C3C=C21 VVLCNWYWKSWJTG-UHFFFAOYSA-N 0.000 description 2
- 229940058303 antinematodal benzimidazole derivative Drugs 0.000 description 2
- CUFNKYGDVFVPHO-UHFFFAOYSA-N azulene Chemical compound C1=CC=CC2=CC=CC2=C1 CUFNKYGDVFVPHO-UHFFFAOYSA-N 0.000 description 2
- 229910052788 barium Inorganic materials 0.000 description 2
- QUKGYYKBILRGFE-UHFFFAOYSA-N benzyl acetate Chemical compound CC(=O)OCC1=CC=CC=C1 QUKGYYKBILRGFE-UHFFFAOYSA-N 0.000 description 2
- 125000000319 biphenyl-4-yl group Chemical group [H]C1=C([H])C([H])=C([H])C([H])=C1C1=C([H])C([H])=C([*])C([H])=C1[H] 0.000 description 2
- 125000005620 boronic acid group Chemical class 0.000 description 2
- 125000001246 bromo group Chemical group Br* 0.000 description 2
- QARVLSVVCXYDNA-UHFFFAOYSA-N bromobenzene Chemical compound BrC1=CC=CC=C1 QARVLSVVCXYDNA-UHFFFAOYSA-N 0.000 description 2
- 150000001851 cinnamic acid derivatives Chemical class 0.000 description 2
- 239000004020 conductor Substances 0.000 description 2
- 238000007796 conventional method Methods 0.000 description 2
- 235000001671 coumarin Nutrition 0.000 description 2
- RWGFKTVRMDUZSP-UHFFFAOYSA-N cumene Chemical compound CC(C)C1=CC=CC=C1 RWGFKTVRMDUZSP-UHFFFAOYSA-N 0.000 description 2
- ZSWFCLXCOIISFI-UHFFFAOYSA-N cyclopentadiene Chemical compound C1C=CC=C1 ZSWFCLXCOIISFI-UHFFFAOYSA-N 0.000 description 2
- CUIWZLHUNCCYBL-UHFFFAOYSA-N decacyclene Chemical compound C12=C([C]34)C=CC=C4C=CC=C3C2=C2C(=C34)C=C[CH]C4=CC=CC3=C2C2=C1C1=CC=CC3=CC=CC2=C31 CUIWZLHUNCCYBL-UHFFFAOYSA-N 0.000 description 2
- NNBZCPXTIHJBJL-UHFFFAOYSA-N decalin Chemical compound C1CCCC2CCCCC21 NNBZCPXTIHJBJL-UHFFFAOYSA-N 0.000 description 2
- 230000002950 deficient Effects 0.000 description 2
- USIUVYZYUHIAEV-UHFFFAOYSA-N diphenyl ether Chemical compound C=1C=CC=CC=1OC1=CC=CC=C1 USIUVYZYUHIAEV-UHFFFAOYSA-N 0.000 description 2
- DKHNGUNXLDCATP-UHFFFAOYSA-N dipyrazino[2,3-f:2',3'-h]quinoxaline-2,3,6,7,10,11-hexacarbonitrile Chemical compound C12=NC(C#N)=C(C#N)N=C2C2=NC(C#N)=C(C#N)N=C2C2=C1N=C(C#N)C(C#N)=N2 DKHNGUNXLDCATP-UHFFFAOYSA-N 0.000 description 2
- SQNZJJAZBFDUTD-UHFFFAOYSA-N durene Chemical compound CC1=CC(C)=C(C)C=C1C SQNZJJAZBFDUTD-UHFFFAOYSA-N 0.000 description 2
- 238000000295 emission spectrum Methods 0.000 description 2
- 150000002148 esters Chemical class 0.000 description 2
- 230000001747 exhibiting effect Effects 0.000 description 2
- 239000010408 film Substances 0.000 description 2
- 150000002240 furans Chemical class 0.000 description 2
- 238000005227 gel permeation chromatography Methods 0.000 description 2
- 230000009477 glass transition Effects 0.000 description 2
- WIAWDMBHXUZQGV-UHFFFAOYSA-N heptacyclo[13.10.1.12,6.011,26.017,25.018,23.010,27]heptacosa-1(25),2,4,6(27),7,9,11,13,15(26),17,19,21,23-tridecaene Chemical group C=12C3=CC=CC2=CC=CC=1C1=CC=CC2=C1C3=C1C=C3C=CC=CC3=C1C2 WIAWDMBHXUZQGV-UHFFFAOYSA-N 0.000 description 2
- 150000007857 hydrazones Chemical class 0.000 description 2
- 150000002430 hydrocarbons Chemical class 0.000 description 2
- 150000002460 imidazoles Chemical class 0.000 description 2
- 150000002466 imines Chemical class 0.000 description 2
- PQNFLJBBNBOBRQ-UHFFFAOYSA-N indane Chemical compound C1=CC=C2CCCC2=C1 PQNFLJBBNBOBRQ-UHFFFAOYSA-N 0.000 description 2
- PQXKHYXIUOZZFA-UHFFFAOYSA-M lithium fluoride Chemical compound [Li+].[F-] PQXKHYXIUOZZFA-UHFFFAOYSA-M 0.000 description 2
- UZKWTJUDCOPSNM-UHFFFAOYSA-N methoxybenzene Substances CCCCOC=C UZKWTJUDCOPSNM-UHFFFAOYSA-N 0.000 description 2
- QPJVMBTYPHYUOC-UHFFFAOYSA-N methyl benzoate Chemical compound COC(=O)C1=CC=CC=C1 QPJVMBTYPHYUOC-UHFFFAOYSA-N 0.000 description 2
- IBHBKWKFFTZAHE-UHFFFAOYSA-N n-[4-[4-(n-naphthalen-1-ylanilino)phenyl]phenyl]-n-phenylnaphthalen-1-amine Chemical compound C1=CC=CC=C1N(C=1C2=CC=CC=C2C=CC=1)C1=CC=C(C=2C=CC(=CC=2)N(C=2C=CC=CC=2)C=2C3=CC=CC=C3C=CC=2)C=C1 IBHBKWKFFTZAHE-UHFFFAOYSA-N 0.000 description 2
- 239000012299 nitrogen atmosphere Substances 0.000 description 2
- 238000007645 offset printing Methods 0.000 description 2
- 150000002894 organic compounds Chemical class 0.000 description 2
- 238000013086 organic photovoltaic Methods 0.000 description 2
- 125000002524 organometallic group Chemical group 0.000 description 2
- 125000001181 organosilyl group Chemical group [SiH3]* 0.000 description 2
- 150000004866 oxadiazoles Chemical class 0.000 description 2
- 229960003540 oxyquinoline Drugs 0.000 description 2
- HFPZCAJZSCWRBC-UHFFFAOYSA-N p-cymene Chemical compound CC(C)C1=CC=C(C)C=C1 HFPZCAJZSCWRBC-UHFFFAOYSA-N 0.000 description 2
- 239000012071 phase Substances 0.000 description 2
- DLRJIFUOBPOJNS-UHFFFAOYSA-N phenetole Chemical compound CCOC1=CC=CC=C1 DLRJIFUOBPOJNS-UHFFFAOYSA-N 0.000 description 2
- 150000004986 phenylenediamines Chemical class 0.000 description 2
- IEQIEDJGQAUEQZ-UHFFFAOYSA-N phthalocyanine Chemical class N1C(N=C2C3=CC=CC=C3C(N=C3C4=CC=CC=C4C(=N4)N3)=N2)=C(C=CC=C2)C2=C1N=C1C2=CC=CC=C2C4=N1 IEQIEDJGQAUEQZ-UHFFFAOYSA-N 0.000 description 2
- SIOXPEMLGUPBBT-UHFFFAOYSA-N picolinic acid Chemical compound OC(=O)C1=CC=CC=N1 SIOXPEMLGUPBBT-UHFFFAOYSA-N 0.000 description 2
- 229920000548 poly(silane) polymer Polymers 0.000 description 2
- UOHMMEJUHBCKEE-UHFFFAOYSA-N prehnitene Chemical compound CC1=CC=C(C)C(C)=C1C UOHMMEJUHBCKEE-UHFFFAOYSA-N 0.000 description 2
- ODLMAHJVESYWTB-UHFFFAOYSA-N propylbenzene Chemical compound CCCC1=CC=CC=C1 ODLMAHJVESYWTB-UHFFFAOYSA-N 0.000 description 2
- 125000005581 pyrene group Chemical group 0.000 description 2
- BUAWIRPPAOOHKD-UHFFFAOYSA-N pyrene-1,2-diamine Chemical compound C1=CC=C2C=CC3=C(N)C(N)=CC4=CC=C1C2=C43 BUAWIRPPAOOHKD-UHFFFAOYSA-N 0.000 description 2
- PBMFSQRYOILNGV-UHFFFAOYSA-N pyridazine Chemical compound C1=CC=NN=C1 PBMFSQRYOILNGV-UHFFFAOYSA-N 0.000 description 2
- HNJBEVLQSNELDL-UHFFFAOYSA-N pyrrolidin-2-one Chemical compound O=C1CCCN1 HNJBEVLQSNELDL-UHFFFAOYSA-N 0.000 description 2
- FYNROBRQIVCIQF-UHFFFAOYSA-N pyrrolo[3,2-b]pyrrole-5,6-dione Chemical compound C1=CN=C2C(=O)C(=O)N=C21 FYNROBRQIVCIQF-UHFFFAOYSA-N 0.000 description 2
- MCJGNVYPOGVAJF-UHFFFAOYSA-N quinolin-8-ol Chemical compound C1=CN=C2C(O)=CC=CC2=C1 MCJGNVYPOGVAJF-UHFFFAOYSA-N 0.000 description 2
- 150000003248 quinolines Chemical class 0.000 description 2
- 229910052703 rhodium Inorganic materials 0.000 description 2
- 238000007650 screen-printing Methods 0.000 description 2
- MABNMNVCOAICNO-UHFFFAOYSA-N selenophene Chemical compound C=1C=C[se]C=1 MABNMNVCOAICNO-UHFFFAOYSA-N 0.000 description 2
- 150000003967 siloles Chemical class 0.000 description 2
- 125000003808 silyl group Chemical group [H][Si]([H])([H])[*] 0.000 description 2
- PUZPDOWCWNUUKD-UHFFFAOYSA-M sodium fluoride Chemical compound [F-].[Na+] PUZPDOWCWNUUKD-UHFFFAOYSA-M 0.000 description 2
- 238000004528 spin coating Methods 0.000 description 2
- 125000003003 spiro group Chemical group 0.000 description 2
- 239000000126 substance Substances 0.000 description 2
- YTZKOQUCBOVLHL-UHFFFAOYSA-N tert-butylbenzene Chemical compound CC(C)(C)C1=CC=CC=C1 YTZKOQUCBOVLHL-UHFFFAOYSA-N 0.000 description 2
- 150000004867 thiadiazoles Chemical class 0.000 description 2
- 150000003557 thiazoles Chemical class 0.000 description 2
- 150000003577 thiophenes Chemical class 0.000 description 2
- 150000003852 triazoles Chemical class 0.000 description 2
- 125000002023 trifluoromethyl group Chemical group FC(F)(F)* 0.000 description 2
- SLGBZMMZGDRARJ-UHFFFAOYSA-N triphenylene Chemical compound C1=CC=C2C3=CC=CC=C3C3=CC=CC=C3C2=C1 SLGBZMMZGDRARJ-UHFFFAOYSA-N 0.000 description 2
- 238000001771 vacuum deposition Methods 0.000 description 2
- 125000000391 vinyl group Chemical group [H]C([*])=C([H])[H] 0.000 description 2
- DMDOIBWPFWJPQJ-ONEGZZNKSA-N (e)-2,3-bis(sulfanyl)but-2-enedinitrile Chemical compound N#CC(/S)=C(\S)C#N DMDOIBWPFWJPQJ-ONEGZZNKSA-N 0.000 description 1
- NGQSLSMAEVWNPU-YTEMWHBBSA-N 1,2-bis[(e)-2-phenylethenyl]benzene Chemical compound C=1C=CC=CC=1/C=C/C1=CC=CC=C1\C=C\C1=CC=CC=C1 NGQSLSMAEVWNPU-YTEMWHBBSA-N 0.000 description 1
- KEIFWROAQVVDBN-UHFFFAOYSA-N 1,2-dihydronaphthalene Chemical compound C1=CC=C2C=CCCC2=C1 KEIFWROAQVVDBN-UHFFFAOYSA-N 0.000 description 1
- WMXFNCKPYCAIQW-UHFFFAOYSA-N 1,2-dimethoxy-3-methylbenzene Chemical compound COC1=CC=CC(C)=C1OC WMXFNCKPYCAIQW-UHFFFAOYSA-N 0.000 description 1
- 150000005072 1,3,4-oxadiazoles Chemical class 0.000 description 1
- 150000000182 1,3,5-triazines Chemical class 0.000 description 1
- UNEATYXSUBPPKP-UHFFFAOYSA-N 1,3-Diisopropylbenzene Chemical compound CC(C)C1=CC=CC(C(C)C)=C1 UNEATYXSUBPPKP-UHFFFAOYSA-N 0.000 description 1
- FTNJQNQLEGKTGD-UHFFFAOYSA-N 1,3-benzodioxole Chemical compound C1=CC=C2OCOC2=C1 FTNJQNQLEGKTGD-UHFFFAOYSA-N 0.000 description 1
- BCMCBBGGLRIHSE-UHFFFAOYSA-N 1,3-benzoxazole Chemical compound C1=CC=C2OC=NC2=C1 BCMCBBGGLRIHSE-UHFFFAOYSA-N 0.000 description 1
- 150000000183 1,3-benzoxazoles Chemical class 0.000 description 1
- KLCLIOISYBHYDZ-UHFFFAOYSA-N 1,4,4-triphenylbuta-1,3-dienylbenzene Chemical compound C=1C=CC=CC=1C(C=1C=CC=CC=1)=CC=C(C=1C=CC=CC=1)C1=CC=CC=C1 KLCLIOISYBHYDZ-UHFFFAOYSA-N 0.000 description 1
- 239000005967 1,4-Dimethylnaphthalene Substances 0.000 description 1
- SPPWGCYEYAMHDT-UHFFFAOYSA-N 1,4-di(propan-2-yl)benzene Chemical compound CC(C)C1=CC=C(C(C)C)C=C1 SPPWGCYEYAMHDT-UHFFFAOYSA-N 0.000 description 1
- 125000004958 1,4-naphthylene group Chemical group 0.000 description 1
- 125000001140 1,4-phenylene group Chemical group [H]C1=C([H])C([*:2])=C([H])C([H])=C1[*:1] 0.000 description 1
- BMADLDGHUBLVMQ-UHFFFAOYSA-N 1,5-dimethyltetralin Chemical compound C1=CC=C2C(C)CCCC2=C1C BMADLDGHUBLVMQ-UHFFFAOYSA-N 0.000 description 1
- ZMLPKJYZRQZLDA-UHFFFAOYSA-N 1-(2-phenylethenyl)-4-[4-(2-phenylethenyl)phenyl]benzene Chemical group C=1C=CC=CC=1C=CC(C=C1)=CC=C1C(C=C1)=CC=C1C=CC1=CC=CC=C1 ZMLPKJYZRQZLDA-UHFFFAOYSA-N 0.000 description 1
- XMWGTKZEDLCVIG-UHFFFAOYSA-N 1-(chloromethyl)naphthalene Chemical compound C1=CC=C2C(CCl)=CC=CC2=C1 XMWGTKZEDLCVIG-UHFFFAOYSA-N 0.000 description 1
- OSIGJGFTADMDOB-UHFFFAOYSA-N 1-Methoxy-3-methylbenzene Chemical compound COC1=CC=CC(C)=C1 OSIGJGFTADMDOB-UHFFFAOYSA-N 0.000 description 1
- VERMWGQSKPXSPZ-BUHFOSPRSA-N 1-[(e)-2-phenylethenyl]anthracene Chemical class C=1C=CC2=CC3=CC=CC=C3C=C2C=1\C=C\C1=CC=CC=C1 VERMWGQSKPXSPZ-BUHFOSPRSA-N 0.000 description 1
- YZVWKHVRBDQPMQ-UHFFFAOYSA-N 1-aminopyrene Chemical compound C1=C2C(N)=CC=C(C=C3)C2=C2C3=CC=CC2=C1 YZVWKHVRBDQPMQ-UHFFFAOYSA-N 0.000 description 1
- DLKQHBOKULLWDQ-UHFFFAOYSA-N 1-bromonaphthalene Chemical compound C1=CC=C2C(Br)=CC=CC2=C1 DLKQHBOKULLWDQ-UHFFFAOYSA-N 0.000 description 1
- UVHXEHGUEKARKZ-UHFFFAOYSA-N 1-ethenylanthracene Chemical compound C1=CC=C2C=C3C(C=C)=CC=CC3=CC2=C1 UVHXEHGUEKARKZ-UHFFFAOYSA-N 0.000 description 1
- ZMXIYERNXPIYFR-UHFFFAOYSA-N 1-ethylnaphthalene Chemical compound C1=CC=C2C(CC)=CC=CC2=C1 ZMXIYERNXPIYFR-UHFFFAOYSA-N 0.000 description 1
- BLMBNEVGYRXFNA-UHFFFAOYSA-N 1-methoxy-2,3-dimethylbenzene Chemical compound COC1=CC=CC(C)=C1C BLMBNEVGYRXFNA-UHFFFAOYSA-N 0.000 description 1
- NNZRVXTXKISCGS-UHFFFAOYSA-N 1-methoxy-2-propan-2-ylbenzene Chemical compound COC1=CC=CC=C1C(C)C NNZRVXTXKISCGS-UHFFFAOYSA-N 0.000 description 1
- JCHJBEZBHANKGA-UHFFFAOYSA-N 1-methoxy-3,5-dimethylbenzene Chemical compound COC1=CC(C)=CC(C)=C1 JCHJBEZBHANKGA-UHFFFAOYSA-N 0.000 description 1
- BLRHMMGNCXNXJL-UHFFFAOYSA-N 1-methylindole Chemical compound C1=CC=C2N(C)C=CC2=C1 BLRHMMGNCXNXJL-UHFFFAOYSA-N 0.000 description 1
- KMQPLEYEXDZOJF-UHFFFAOYSA-N 1-naphthalen-2-ylanthracene Chemical compound C1=CC=C2C=C3C(C4=CC5=CC=CC=C5C=C4)=CC=CC3=CC2=C1 KMQPLEYEXDZOJF-UHFFFAOYSA-N 0.000 description 1
- XNCMQRWVMWLODV-UHFFFAOYSA-N 1-phenylbenzimidazole Chemical compound C1=NC2=CC=CC=C2N1C1=CC=CC=C1 XNCMQRWVMWLODV-UHFFFAOYSA-N 0.000 description 1
- GUPMCMZMDAGSPF-UHFFFAOYSA-N 1-phenylbuta-1,3-dienylbenzene Chemical compound C=1C=CC=CC=1[C](C=C[CH2])C1=CC=CC=C1 GUPMCMZMDAGSPF-UHFFFAOYSA-N 0.000 description 1
- LPCWDYWZIWDTCV-UHFFFAOYSA-N 1-phenylisoquinoline Chemical class C1=CC=CC=C1C1=NC=CC2=CC=CC=C12 LPCWDYWZIWDTCV-UHFFFAOYSA-N 0.000 description 1
- FZSPYHREEHYLCB-UHFFFAOYSA-N 1-tert-butyl-3,5-dimethylbenzene Chemical group CC1=CC(C)=CC(C(C)(C)C)=C1 FZSPYHREEHYLCB-UHFFFAOYSA-N 0.000 description 1
- HBEDSQVIWPRPAY-UHFFFAOYSA-N 2,3-dihydrobenzofuran Chemical compound C1=CC=C2OCCC2=C1 HBEDSQVIWPRPAY-UHFFFAOYSA-N 0.000 description 1
- UJCFZCTTZWHRNL-UHFFFAOYSA-N 2,4-Dimethylanisole Chemical compound COC1=CC=C(C)C=C1C UJCFZCTTZWHRNL-UHFFFAOYSA-N 0.000 description 1
- BFTIPCRZWILUIY-UHFFFAOYSA-N 2,5,8,11-tetratert-butylperylene Chemical group CC(C)(C)C1=CC(C2=CC(C(C)(C)C)=CC=3C2=C2C=C(C=3)C(C)(C)C)=C3C2=CC(C(C)(C)C)=CC3=C1 BFTIPCRZWILUIY-UHFFFAOYSA-N 0.000 description 1
- SSABEFIRGJISFH-UHFFFAOYSA-N 2-(2,4-difluorophenyl)pyridine Chemical compound FC1=CC(F)=CC=C1C1=CC=CC=N1 SSABEFIRGJISFH-UHFFFAOYSA-N 0.000 description 1
- BIEFDNUEROKZRA-UHFFFAOYSA-N 2-(2-phenylethenyl)aniline Chemical class NC1=CC=CC=C1C=CC1=CC=CC=C1 BIEFDNUEROKZRA-UHFFFAOYSA-N 0.000 description 1
- CZBAIXSNXBGZRP-UHFFFAOYSA-N 2-(4-methylphenyl)-9,10-dinaphthalen-2-ylanthracene Chemical compound C1=CC(C)=CC=C1C1=CC=C(C(C=2C=C3C=CC=CC3=CC=2)=C2C(C=CC=C2)=C2C=3C=C4C=CC=CC4=CC=3)C2=C1 CZBAIXSNXBGZRP-UHFFFAOYSA-N 0.000 description 1
- RUHJZSZTSCSTCC-UHFFFAOYSA-N 2-(bromomethyl)naphthalene Chemical compound C1=CC=CC2=CC(CBr)=CC=C21 RUHJZSZTSCSTCC-UHFFFAOYSA-N 0.000 description 1
- GUMOJENFFHZAFP-UHFFFAOYSA-N 2-Ethoxynaphthalene Chemical compound C1=CC=CC2=CC(OCC)=CC=C21 GUMOJENFFHZAFP-UHFFFAOYSA-N 0.000 description 1
- GEQBRULPNIVQPP-UHFFFAOYSA-N 2-[3,5-bis(1-phenylbenzimidazol-2-yl)phenyl]-1-phenylbenzimidazole Chemical compound C1=CC=CC=C1N1C2=CC=CC=C2N=C1C1=CC(C=2N(C3=CC=CC=C3N=2)C=2C=CC=CC=2)=CC(C=2N(C3=CC=CC=C3N=2)C=2C=CC=CC=2)=C1 GEQBRULPNIVQPP-UHFFFAOYSA-N 0.000 description 1
- ZCYQEUPDCRIDHU-UHFFFAOYSA-N 2-bromo-3-(bromomethyl)naphthalene Chemical compound C1=CC=C2C=C(Br)C(CBr)=CC2=C1 ZCYQEUPDCRIDHU-UHFFFAOYSA-N 0.000 description 1
- APSMUYYLXZULMS-UHFFFAOYSA-N 2-bromonaphthalene Chemical compound C1=CC=CC2=CC(Br)=CC=C21 APSMUYYLXZULMS-UHFFFAOYSA-N 0.000 description 1
- GFNZJAUVJCGWLW-UHFFFAOYSA-N 2-methoxy-1,3-dimethylbenzene Chemical compound COC1=C(C)C=CC=C1C GFNZJAUVJCGWLW-UHFFFAOYSA-N 0.000 description 1
- SJZAUIVYZWPNAS-UHFFFAOYSA-N 2-methoxy-1,4-dimethylbenzene Chemical compound COC1=CC(C)=CC=C1C SJZAUIVYZWPNAS-UHFFFAOYSA-N 0.000 description 1
- DTFKRVXLBCAIOZ-UHFFFAOYSA-N 2-methylanisole Chemical compound COC1=CC=CC=C1C DTFKRVXLBCAIOZ-UHFFFAOYSA-N 0.000 description 1
- VLRSADZEDXVUPG-UHFFFAOYSA-N 2-naphthalen-1-ylpyridine Chemical class N1=CC=CC=C1C1=CC=CC2=CC=CC=C12 VLRSADZEDXVUPG-UHFFFAOYSA-N 0.000 description 1
- VQGHOUODWALEFC-UHFFFAOYSA-N 2-phenylpyridine Chemical compound C1=CC=CC=C1C1=CC=CC=N1 VQGHOUODWALEFC-UHFFFAOYSA-N 0.000 description 1
- 150000005360 2-phenylpyridines Chemical class 0.000 description 1
- FSEXLNMNADBYJU-UHFFFAOYSA-N 2-phenylquinoline Chemical class C1=CC=CC=C1C1=CC=C(C=CC=C2)C2=N1 FSEXLNMNADBYJU-UHFFFAOYSA-N 0.000 description 1
- KYGSXEYUWRFVNY-UHFFFAOYSA-N 2-pyran-2-ylidenepropanedinitrile Chemical compound N#CC(C#N)=C1OC=CC=C1 KYGSXEYUWRFVNY-UHFFFAOYSA-N 0.000 description 1
- QLPKTAFPRRIFQX-UHFFFAOYSA-N 2-thiophen-2-ylpyridine Chemical class C1=CSC(C=2N=CC=CC=2)=C1 QLPKTAFPRRIFQX-UHFFFAOYSA-N 0.000 description 1
- ONJRTQUWKRDCTA-UHFFFAOYSA-N 2h-thiochromene Chemical compound C1=CC=C2C=CCSC2=C1 ONJRTQUWKRDCTA-UHFFFAOYSA-N 0.000 description 1
- DMEVMYSQZPJFOK-UHFFFAOYSA-N 3,4,5,6,9,10-hexazatetracyclo[12.4.0.02,7.08,13]octadeca-1(18),2(7),3,5,8(13),9,11,14,16-nonaene Chemical group N1=NN=C2C3=CC=CC=C3C3=CC=NN=C3C2=N1 DMEVMYSQZPJFOK-UHFFFAOYSA-N 0.000 description 1
- YFCSASDLEBELEU-UHFFFAOYSA-N 3,4,5,6,9,10-hexazatetracyclo[12.4.0.02,7.08,13]octadeca-1(18),2(7),3,5,8(13),9,11,14,16-nonaene-11,12,15,16,17,18-hexacarbonitrile Chemical group N#CC1=C(C#N)C(C#N)=C2C3=C(C#N)C(C#N)=NN=C3C3=NN=NN=C3C2=C1C#N YFCSASDLEBELEU-UHFFFAOYSA-N 0.000 description 1
- ZGIKWINFUGEQEO-UHFFFAOYSA-N 3-bromoquinoline Chemical compound C1=CC=CC2=CC(Br)=CN=C21 ZGIKWINFUGEQEO-UHFFFAOYSA-N 0.000 description 1
- RBJOTRVJJWIIER-UHFFFAOYSA-N 3-phenylisoquinoline Chemical class C1=CC=CC=C1C1=CC2=CC=CC=C2C=N1 RBJOTRVJJWIIER-UHFFFAOYSA-N 0.000 description 1
- GZEFZLXJPGMRSP-UHFFFAOYSA-N 37,38,39,40-tetrazanonacyclo[28.6.1.13,10.112,19.121,28.04,9.013,18.022,27.031,36]tetraconta-1(37),2,4,6,8,10,12(39),13,15,17,19,21,23,25,27,29,31,33,35-nonadecaene Chemical compound c1ccc2c3cc4[nH]c(cc5nc(cc6[nH]c(cc(n3)c2c1)c1ccccc61)c1ccccc51)c1ccccc41 GZEFZLXJPGMRSP-UHFFFAOYSA-N 0.000 description 1
- XDFUNRTWHPWCKO-UHFFFAOYSA-N 4,5,9,10-tetrahydropyrene Chemical class C1CC2=CC=CC3=C2C2=C1C=CC=C2CC3 XDFUNRTWHPWCKO-UHFFFAOYSA-N 0.000 description 1
- WPCIUCNVWJNRCD-UHFFFAOYSA-N 4,5-dihydropyrene Chemical class C1=CC=C2CCC3=CC=CC4=CC=C1C2=C34 WPCIUCNVWJNRCD-UHFFFAOYSA-N 0.000 description 1
- HEXRQMYQTLDFJJ-UHFFFAOYSA-N 4-(1,1'-spirobi[fluorene]-2'-yl)triazine Chemical class C12=CC=CC=C2C=C2C1=CC=CC21C2=CC3=CC=CC=C3C2=CC=C1C1=CC=NN=N1 HEXRQMYQTLDFJJ-UHFFFAOYSA-N 0.000 description 1
- DDTHMESPCBONDT-UHFFFAOYSA-N 4-(4-oxocyclohexa-2,5-dien-1-ylidene)cyclohexa-2,5-dien-1-one Chemical compound C1=CC(=O)C=CC1=C1C=CC(=O)C=C1 DDTHMESPCBONDT-UHFFFAOYSA-N 0.000 description 1
- LVUBSVWMOWKPDJ-UHFFFAOYSA-N 4-methoxy-1,2-dimethylbenzene Chemical compound COC1=CC=C(C)C(C)=C1 LVUBSVWMOWKPDJ-UHFFFAOYSA-N 0.000 description 1
- 229940077398 4-methyl anisole Drugs 0.000 description 1
- LQYYDWJDEVKDGB-XPWSMXQVSA-N 4-methyl-n-[4-[(e)-2-[4-[(e)-2-[4-(4-methyl-n-(4-methylphenyl)anilino)phenyl]ethenyl]phenyl]ethenyl]phenyl]-n-(4-methylphenyl)aniline Chemical compound C1=CC(C)=CC=C1N(C=1C=CC(\C=C\C=2C=CC(\C=C\C=3C=CC(=CC=3)N(C=3C=CC(C)=CC=3)C=3C=CC(C)=CC=3)=CC=2)=CC=1)C1=CC=C(C)C=C1 LQYYDWJDEVKDGB-XPWSMXQVSA-N 0.000 description 1
- HPMDJLFQPKZBGR-UHFFFAOYSA-N 4-methyl-n-[4-[1-[4-(4-methyl-n-(4-methylphenyl)anilino)phenyl]-3-phenylpropyl]phenyl]-n-(4-methylphenyl)aniline Chemical compound C1=CC(C)=CC=C1N(C=1C=CC(=CC=1)C(CCC=1C=CC=CC=1)C=1C=CC(=CC=1)N(C=1C=CC(C)=CC=1)C=1C=CC(C)=CC=1)C1=CC=C(C)C=C1 HPMDJLFQPKZBGR-UHFFFAOYSA-N 0.000 description 1
- MVIXNQZIMMIGEL-UHFFFAOYSA-N 4-methyl-n-[4-[4-(4-methyl-n-(4-methylphenyl)anilino)phenyl]phenyl]-n-(4-methylphenyl)aniline Chemical group C1=CC(C)=CC=C1N(C=1C=CC(=CC=1)C=1C=CC(=CC=1)N(C=1C=CC(C)=CC=1)C=1C=CC(C)=CC=1)C1=CC=C(C)C=C1 MVIXNQZIMMIGEL-UHFFFAOYSA-N 0.000 description 1
- DIVZFUBWFAOMCW-UHFFFAOYSA-N 4-n-(3-methylphenyl)-1-n,1-n-bis[4-(n-(3-methylphenyl)anilino)phenyl]-4-n-phenylbenzene-1,4-diamine Chemical compound CC1=CC=CC(N(C=2C=CC=CC=2)C=2C=CC(=CC=2)N(C=2C=CC(=CC=2)N(C=2C=CC=CC=2)C=2C=C(C)C=CC=2)C=2C=CC(=CC=2)N(C=2C=CC=CC=2)C=2C=C(C)C=CC=2)=C1 DIVZFUBWFAOMCW-UHFFFAOYSA-N 0.000 description 1
- UUSGRTCQLNWCHP-UHFFFAOYSA-N 4-tert-butyl-2-(3-phenylphenyl)pyridine Chemical compound CC(C)(C)C1=CC=NC(C=2C=C(C=CC=2)C=2C=CC=CC=2)=C1 UUSGRTCQLNWCHP-UHFFFAOYSA-N 0.000 description 1
- WPPWEFVZGFJESZ-UHFFFAOYSA-N 5-methoxy-2,3-dihydro-1h-indene Chemical compound COC1=CC=C2CCCC2=C1 WPPWEFVZGFJESZ-UHFFFAOYSA-N 0.000 description 1
- DWAQDRSOVMLGRQ-UHFFFAOYSA-N 5-methoxyindole Chemical compound COC1=CC=C2NC=CC2=C1 DWAQDRSOVMLGRQ-UHFFFAOYSA-N 0.000 description 1
- MZCJSUCRGWIKHH-UHFFFAOYSA-N 6,7-dihydrobenzo[d][1]benzoxepine Chemical class O1CCC2=CC=CC=C2C2=CC=CC=C21 MZCJSUCRGWIKHH-UHFFFAOYSA-N 0.000 description 1
- GHBSPIPJMLAMEP-UHFFFAOYSA-N 6-pentyloxan-2-one Chemical compound CCCCCC1CCCC(=O)O1 GHBSPIPJMLAMEP-UHFFFAOYSA-N 0.000 description 1
- 239000005725 8-Hydroxyquinoline Substances 0.000 description 1
- 150000004325 8-hydroxyquinolines Chemical class 0.000 description 1
- FJNCXZZQNBKEJT-UHFFFAOYSA-N 8beta-hydroxymarrubiin Natural products O1C(=O)C2(C)CCCC3(C)C2C1CC(C)(O)C3(O)CCC=1C=COC=1 FJNCXZZQNBKEJT-UHFFFAOYSA-N 0.000 description 1
- XXPBFNVKTVJZKF-UHFFFAOYSA-N 9,10-dihydrophenanthrene Chemical class C1=CC=C2CCC3=CC=CC=C3C2=C1 XXPBFNVKTVJZKF-UHFFFAOYSA-N 0.000 description 1
- SNFCXVRWFNAHQX-UHFFFAOYSA-N 9,9'-spirobi[fluorene] Chemical class C12=CC=CC=C2C2=CC=CC=C2C21C1=CC=CC=C1C1=CC=CC=C21 SNFCXVRWFNAHQX-UHFFFAOYSA-N 0.000 description 1
- CVXXPNSMZIRFAA-UHFFFAOYSA-N 9-(3-carbazol-9-yl-5-phenylphenyl)carbazole Chemical group C1=CC=CC=C1C1=CC(N2C3=CC=CC=C3C3=CC=CC=C32)=CC(N2C3=CC=CC=C3C3=CC=CC=C32)=C1 CVXXPNSMZIRFAA-UHFFFAOYSA-N 0.000 description 1
- ZYASLTYCYTYKFC-UHFFFAOYSA-N 9-methylidenefluorene Chemical compound C1=CC=C2C(=C)C3=CC=CC=C3C2=C1 ZYASLTYCYTYKFC-UHFFFAOYSA-N 0.000 description 1
- GJCOSYZMQJWQCA-UHFFFAOYSA-N 9H-xanthene Chemical compound C1=CC=C2CC3=CC=CC=C3OC2=C1 GJCOSYZMQJWQCA-UHFFFAOYSA-N 0.000 description 1
- VESMRDNBVZOIEN-UHFFFAOYSA-N 9h-carbazole-1,2-diamine Chemical compound C1=CC=C2C3=CC=C(N)C(N)=C3NC2=C1 VESMRDNBVZOIEN-UHFFFAOYSA-N 0.000 description 1
- GDALETGZDYOOGB-UHFFFAOYSA-N Acridone Natural products C1=C(O)C=C2N(C)C3=CC=CC=C3C(=O)C2=C1O GDALETGZDYOOGB-UHFFFAOYSA-N 0.000 description 1
- 229910016036 BaF 2 Inorganic materials 0.000 description 1
- ROFVEXUMMXZLPA-UHFFFAOYSA-N Bipyridyl Chemical group N1=CC=CC=C1C1=CC=CC=N1 ROFVEXUMMXZLPA-UHFFFAOYSA-N 0.000 description 1
- ZAMOUSCENKQFHK-UHFFFAOYSA-N Chlorine atom Chemical compound [Cl] ZAMOUSCENKQFHK-UHFFFAOYSA-N 0.000 description 1
- KRHYYFGTRYWZRS-UHFFFAOYSA-N Fluorane Chemical compound F KRHYYFGTRYWZRS-UHFFFAOYSA-N 0.000 description 1
- 101000837344 Homo sapiens T-cell leukemia translocation-altered gene protein Proteins 0.000 description 1
- UFHFLCQGNIYNRP-UHFFFAOYSA-N Hydrogen Chemical compound [H][H] UFHFLCQGNIYNRP-UHFFFAOYSA-N 0.000 description 1
- 229910018068 Li 2 O Inorganic materials 0.000 description 1
- YHBTXTFFTYXOFV-UHFFFAOYSA-N Liquid thiophthene Chemical compound C1=CSC2=C1C=CS2 YHBTXTFFTYXOFV-UHFFFAOYSA-N 0.000 description 1
- KWYHDKDOAIKMQN-UHFFFAOYSA-N N,N,N',N'-tetramethylethylenediamine Chemical compound CN(C)CCN(C)C KWYHDKDOAIKMQN-UHFFFAOYSA-N 0.000 description 1
- FXHOOIRPVKKKFG-UHFFFAOYSA-N N,N-Dimethylacetamide Chemical compound CN(C)C(C)=O FXHOOIRPVKKKFG-UHFFFAOYSA-N 0.000 description 1
- CTQNGGLPUBDAKN-UHFFFAOYSA-N O-Xylene Chemical compound CC1=CC=CC=C1C CTQNGGLPUBDAKN-UHFFFAOYSA-N 0.000 description 1
- OAICVXFJPJFONN-UHFFFAOYSA-N Phosphorus Chemical compound [P] OAICVXFJPJFONN-UHFFFAOYSA-N 0.000 description 1
- 239000004793 Polystyrene Substances 0.000 description 1
- 229910052772 Samarium Inorganic materials 0.000 description 1
- BQCADISMDOOEFD-UHFFFAOYSA-N Silver Chemical compound [Ag] BQCADISMDOOEFD-UHFFFAOYSA-N 0.000 description 1
- 102100028692 T-cell leukemia translocation-altered gene protein Human genes 0.000 description 1
- LBGCRGLFTKVXDZ-UHFFFAOYSA-M ac1mc2aw Chemical compound [Al+3].[Cl-].C12=CC=CC=C2C(N=C2[N-]C(C3=CC=CC=C32)=N2)=NC1=NC([C]1C=CC=CC1=1)=NC=1N=C1[C]3C=CC=CC3=C2[N-]1 LBGCRGLFTKVXDZ-UHFFFAOYSA-M 0.000 description 1
- IPBVNPXQWQGGJP-UHFFFAOYSA-N acetic acid phenyl ester Natural products CC(=O)OC1=CC=CC=C1 IPBVNPXQWQGGJP-UHFFFAOYSA-N 0.000 description 1
- CUJRVFIICFDLGR-UHFFFAOYSA-N acetylacetonate Chemical compound CC(=O)[CH-]C(C)=O CUJRVFIICFDLGR-UHFFFAOYSA-N 0.000 description 1
- 150000001251 acridines Chemical class 0.000 description 1
- FZEYVTFCMJSGMP-UHFFFAOYSA-N acridone Chemical compound C1=CC=C2C(=O)C3=CC=CC=C3NC2=C1 FZEYVTFCMJSGMP-UHFFFAOYSA-N 0.000 description 1
- 229910052768 actinide Inorganic materials 0.000 description 1
- 150000001255 actinides Chemical class 0.000 description 1
- 239000013543 active substance Substances 0.000 description 1
- 239000002318 adhesion promoter Substances 0.000 description 1
- 230000002411 adverse Effects 0.000 description 1
- 150000001298 alcohols Chemical class 0.000 description 1
- 150000001299 aldehydes Chemical class 0.000 description 1
- 229910052783 alkali metal Inorganic materials 0.000 description 1
- 229910001515 alkali metal fluoride Inorganic materials 0.000 description 1
- 229910052784 alkaline earth metal Inorganic materials 0.000 description 1
- 229910001618 alkaline earth metal fluoride Inorganic materials 0.000 description 1
- 150000001342 alkaline earth metals Chemical class 0.000 description 1
- 150000001336 alkenes Chemical group 0.000 description 1
- 125000004450 alkenylene group Chemical group 0.000 description 1
- 125000005194 alkoxycarbonyloxy group Chemical group 0.000 description 1
- 125000004448 alkyl carbonyl group Chemical group 0.000 description 1
- 125000005196 alkyl carbonyloxy group Chemical group 0.000 description 1
- 125000002947 alkylene group Chemical group 0.000 description 1
- XAGFODPZIPBFFR-UHFFFAOYSA-N aluminium Chemical compound [Al] XAGFODPZIPBFFR-UHFFFAOYSA-N 0.000 description 1
- REDXJYDRNCIFBQ-UHFFFAOYSA-N aluminium(3+) Chemical compound [Al+3] REDXJYDRNCIFBQ-UHFFFAOYSA-N 0.000 description 1
- TVIVIEFSHFOWTE-UHFFFAOYSA-N aluminum;quinolin-8-ol Chemical compound [Al+3].C1=CN=C2C(O)=CC=CC2=C1.C1=CN=C2C(O)=CC=CC2=C1.C1=CN=C2C(O)=CC=CC2=C1 TVIVIEFSHFOWTE-UHFFFAOYSA-N 0.000 description 1
- 150000001408 amides Chemical class 0.000 description 1
- 125000002490 anilino group Chemical group [H]N(*)C1=C([H])C([H])=C([H])C([H])=C1[H] 0.000 description 1
- 239000010405 anode material Substances 0.000 description 1
- YUENFNPLGJCNRB-UHFFFAOYSA-N anthracen-1-amine Chemical compound C1=CC=C2C=C3C(N)=CC=CC3=CC2=C1 YUENFNPLGJCNRB-UHFFFAOYSA-N 0.000 description 1
- HAQFCILFQVZOJC-UHFFFAOYSA-N anthracene-9,10-dione;methane Chemical compound C.C.C1=CC=C2C(=O)C3=CC=CC=C3C(=O)C2=C1 HAQFCILFQVZOJC-UHFFFAOYSA-N 0.000 description 1
- RJGDLRCDCYRQOQ-UHFFFAOYSA-N anthrone Chemical compound C1=CC=C2C(=O)C3=CC=CC=C3CC2=C1 RJGDLRCDCYRQOQ-UHFFFAOYSA-N 0.000 description 1
- 239000002518 antifoaming agent Substances 0.000 description 1
- 229940111121 antirheumatic drug quinolines Drugs 0.000 description 1
- 229940027991 antiseptic and disinfectant quinoline derivative Drugs 0.000 description 1
- 150000001491 aromatic compounds Chemical class 0.000 description 1
- 150000001492 aromatic hydrocarbon derivatives Chemical class 0.000 description 1
- 150000004945 aromatic hydrocarbons Chemical class 0.000 description 1
- 125000003710 aryl alkyl group Chemical group 0.000 description 1
- 125000005110 aryl thio group Chemical group 0.000 description 1
- 125000000732 arylene group Chemical group 0.000 description 1
- 125000004104 aryloxy group Chemical group 0.000 description 1
- 150000001545 azulenes Chemical class 0.000 description 1
- WZJYKHNJTSNBHV-UHFFFAOYSA-N benzo[h]quinoline Chemical class C1=CN=C2C3=CC=CC=C3C=CC2=C1 WZJYKHNJTSNBHV-UHFFFAOYSA-N 0.000 description 1
- BNBQRQQYDMDJAH-UHFFFAOYSA-N benzodioxan Chemical compound C1=CC=C2OCCOC2=C1 BNBQRQQYDMDJAH-UHFFFAOYSA-N 0.000 description 1
- UDEWPOVQBGFNGE-UHFFFAOYSA-N benzoic acid n-propyl ester Natural products CCCOC(=O)C1=CC=CC=C1 UDEWPOVQBGFNGE-UHFFFAOYSA-N 0.000 description 1
- 229940007550 benzyl acetate Drugs 0.000 description 1
- 239000004305 biphenyl Substances 0.000 description 1
- 125000006268 biphenyl-3-yl group Chemical group [H]C1=C([H])C([H])=C(C([H])=C1[H])C1=C([H])C(*)=C([H])C([H])=C1[H] 0.000 description 1
- JRXXLCKWQFKACW-UHFFFAOYSA-N biphenylacetylene Chemical compound C1=CC=CC=C1C#CC1=CC=CC=C1 JRXXLCKWQFKACW-UHFFFAOYSA-N 0.000 description 1
- LZDHIQDKAYUDND-UHFFFAOYSA-N biphenylene-1,2-diamine Chemical group C1=CC=C2C3=C(N)C(N)=CC=C3C2=C1 LZDHIQDKAYUDND-UHFFFAOYSA-N 0.000 description 1
- 150000004074 biphenyls Chemical class 0.000 description 1
- 229920001400 block copolymer Polymers 0.000 description 1
- UORVGPXVDQYIDP-BJUDXGSMSA-N borane Chemical class [10BH3] UORVGPXVDQYIDP-BJUDXGSMSA-N 0.000 description 1
- 229910052796 boron Inorganic materials 0.000 description 1
- GDTBXPJZTBHREO-UHFFFAOYSA-N bromine Substances BrBr GDTBXPJZTBHREO-UHFFFAOYSA-N 0.000 description 1
- YFNONBGXNFCTMM-UHFFFAOYSA-N butoxybenzene Chemical compound CCCCOC1=CC=CC=C1 YFNONBGXNFCTMM-UHFFFAOYSA-N 0.000 description 1
- 229910052791 calcium Inorganic materials 0.000 description 1
- 125000000609 carbazolyl group Chemical group C1(=CC=CC=2C3=CC=CC=C3NC12)* 0.000 description 1
- 125000003178 carboxy group Chemical group [H]OC(*)=O 0.000 description 1
- 239000012159 carrier gas Substances 0.000 description 1
- 230000015556 catabolic process Effects 0.000 description 1
- 239000002800 charge carrier Substances 0.000 description 1
- 239000003638 chemical reducing agent Substances 0.000 description 1
- 150000008280 chlorinated hydrocarbons Chemical class 0.000 description 1
- MVPPADPHJFYWMZ-UHFFFAOYSA-N chlorobenzene Chemical compound ClC1=CC=CC=C1 MVPPADPHJFYWMZ-UHFFFAOYSA-N 0.000 description 1
- OQENBJBTQPIZKA-UHFFFAOYSA-N chrysen-1-amine Chemical compound C1=CC2=C3C=CC=CC3=CC=C2C2=C1C(N)=CC=C2 OQENBJBTQPIZKA-UHFFFAOYSA-N 0.000 description 1
- 239000003086 colorant Substances 0.000 description 1
- 238000007334 copolymerization reaction Methods 0.000 description 1
- XCJYREBRNVKWGJ-UHFFFAOYSA-N copper(II) phthalocyanine Chemical compound [Cu+2].C12=CC=CC=C2C(N=C2[N-]C(C3=CC=CC=C32)=N2)=NC1=NC([C]1C=CC=CC1=1)=NC=1N=C1[C]3C=CC=CC3=C2[N-]1 XCJYREBRNVKWGJ-UHFFFAOYSA-N 0.000 description 1
- 229960000956 coumarin Drugs 0.000 description 1
- 150000004775 coumarins Chemical class 0.000 description 1
- 230000008878 coupling Effects 0.000 description 1
- 238000010168 coupling process Methods 0.000 description 1
- 238000005859 coupling reaction Methods 0.000 description 1
- 229920006037 cross link polymer Polymers 0.000 description 1
- 238000004132 cross linking Methods 0.000 description 1
- 238000002484 cyclic voltammetry Methods 0.000 description 1
- 125000000753 cycloalkyl group Chemical group 0.000 description 1
- HHNHBFLGXIUXCM-GFCCVEGCSA-N cyclohexylbenzene Chemical compound [CH]1CCCC[C@@H]1C1=CC=CC=C1 HHNHBFLGXIUXCM-GFCCVEGCSA-N 0.000 description 1
- 238000007872 degassing Methods 0.000 description 1
- 238000006731 degradation reaction Methods 0.000 description 1
- 239000008367 deionised water Substances 0.000 description 1
- 229910021641 deionized water Inorganic materials 0.000 description 1
- 238000011161 development Methods 0.000 description 1
- 230000018109 developmental process Effects 0.000 description 1
- 150000004985 diamines Chemical class 0.000 description 1
- 150000007858 diazaphosphole derivatives Chemical class 0.000 description 1
- XNKVIGSNRYAOQZ-UHFFFAOYSA-N dibenzofluorene Chemical group C12=CC=CC=C2C2=CC=CC=C2C2=C1CC1=CC=CC=C12 XNKVIGSNRYAOQZ-UHFFFAOYSA-N 0.000 description 1
- IYYZUPMFVPLQIF-ALWQSETLSA-N dibenzothiophene Chemical class C1=CC=CC=2[34S]C3=C(C=21)C=CC=C3 IYYZUPMFVPLQIF-ALWQSETLSA-N 0.000 description 1
- 239000003085 diluting agent Substances 0.000 description 1
- 238000003618 dip coating Methods 0.000 description 1
- 239000002270 dispersing agent Substances 0.000 description 1
- 238000004090 dissolution Methods 0.000 description 1
- HKNRNTYTYUWGLN-UHFFFAOYSA-N dithieno[3,2-a:2',3'-d]thiophene Chemical compound C1=CSC2=C1SC1=C2C=CS1 HKNRNTYTYUWGLN-UHFFFAOYSA-N 0.000 description 1
- 238000000203 droplet dispensing Methods 0.000 description 1
- 239000000975 dye Substances 0.000 description 1
- 230000000694 effects Effects 0.000 description 1
- 238000005401 electroluminescence Methods 0.000 description 1
- 238000005516 engineering process Methods 0.000 description 1
- 238000001704 evaporation Methods 0.000 description 1
- 230000008020 evaporation Effects 0.000 description 1
- 230000005284 excitation Effects 0.000 description 1
- 230000005669 field effect Effects 0.000 description 1
- 239000000945 filler Substances 0.000 description 1
- 238000007647 flexography Methods 0.000 description 1
- YLQWCDOCJODRMT-UHFFFAOYSA-N fluoren-9-one Chemical compound C1=CC=C2C(=O)C3=CC=CC=C3C2=C1 YLQWCDOCJODRMT-UHFFFAOYSA-N 0.000 description 1
- 150000008376 fluorenones Chemical class 0.000 description 1
- 125000003983 fluorenyl group Chemical group C1(=CC=CC=2C3=CC=CC=C3CC12)* 0.000 description 1
- GNBHRKFJIUUOQI-UHFFFAOYSA-N fluorescein Chemical compound O1C(=O)C2=CC=CC=C2C21C1=CC=C(O)C=C1OC1=CC(O)=CC=C21 GNBHRKFJIUUOQI-UHFFFAOYSA-N 0.000 description 1
- 239000007850 fluorescent dye Substances 0.000 description 1
- 125000001153 fluoro group Chemical group F* 0.000 description 1
- 125000000524 functional group Chemical group 0.000 description 1
- 239000007789 gas Substances 0.000 description 1
- 239000003365 glass fiber Substances 0.000 description 1
- 229910052737 gold Inorganic materials 0.000 description 1
- 230000005484 gravity Effects 0.000 description 1
- 238000007646 gravure printing Methods 0.000 description 1
- 150000008282 halocarbons Chemical class 0.000 description 1
- RBTKNAXYKSUFRK-UHFFFAOYSA-N heliogen blue Chemical compound [Cu].[N-]1C2=C(C=CC=C3)C3=C1N=C([N-]1)C3=CC=CC=C3C1=NC([N-]1)=C(C=CC=C3)C3=C1N=C([N-]1)C3=CC=CC=C3C1=N2 RBTKNAXYKSUFRK-UHFFFAOYSA-N 0.000 description 1
- 229940083761 high-ceiling diuretics pyrazolone derivative Drugs 0.000 description 1
- 239000001257 hydrogen Substances 0.000 description 1
- 229910000040 hydrogen fluoride Inorganic materials 0.000 description 1
- 125000002887 hydroxy group Chemical group [H]O* 0.000 description 1
- 230000006872 improvement Effects 0.000 description 1
- 150000002468 indanes Chemical class 0.000 description 1
- WUNJCKOTXFSWBK-UHFFFAOYSA-N indeno[2,1-a]carbazole Chemical class C1=CC=C2C=C3C4=NC5=CC=CC=C5C4=CC=C3C2=C1 WUNJCKOTXFSWBK-UHFFFAOYSA-N 0.000 description 1
- PJULCNAVAGQLAT-UHFFFAOYSA-N indeno[2,1-a]fluorene Chemical group C1=CC=C2C=C3C4=CC5=CC=CC=C5C4=CC=C3C2=C1 PJULCNAVAGQLAT-UHFFFAOYSA-N 0.000 description 1
- SWGQKRKXZZPKJA-UHFFFAOYSA-N indeno[2,1-a]fluorene-1,2-diamine Chemical class C1=CC=C2C=C3C4=CC5=C(N)C(N)=CC=C5C4=CC=C3C2=C1 SWGQKRKXZZPKJA-UHFFFAOYSA-N 0.000 description 1
- 229910052738 indium Inorganic materials 0.000 description 1
- AMGQUBHHOARCQH-UHFFFAOYSA-N indium;oxotin Chemical compound [In].[Sn]=O AMGQUBHHOARCQH-UHFFFAOYSA-N 0.000 description 1
- 150000002475 indoles Chemical class 0.000 description 1
- VVVPGLRKXQSQSZ-UHFFFAOYSA-N indolo[3,2-c]carbazole Chemical class C1=CC=CC2=NC3=C4C5=CC=CC=C5N=C4C=CC3=C21 VVVPGLRKXQSQSZ-UHFFFAOYSA-N 0.000 description 1
- 239000003112 inhibitor Substances 0.000 description 1
- 229910010272 inorganic material Inorganic materials 0.000 description 1
- 239000011147 inorganic material Substances 0.000 description 1
- 239000011229 interlayer Substances 0.000 description 1
- 229940079865 intestinal antiinfectives imidazole derivative Drugs 0.000 description 1
- PNDPGZBMCMUPRI-UHFFFAOYSA-N iodine Chemical group II PNDPGZBMCMUPRI-UHFFFAOYSA-N 0.000 description 1
- HEBMCVBCEDMUOF-UHFFFAOYSA-N isochromane Chemical compound C1=CC=C2COCCC2=C1 HEBMCVBCEDMUOF-UHFFFAOYSA-N 0.000 description 1
- 125000001449 isopropyl group Chemical group [H]C([H])([H])C([H])(*)C([H])([H])[H] 0.000 description 1
- QDLAGTHXVHQKRE-UHFFFAOYSA-N lichenxanthone Natural products COC1=CC(O)=C2C(=O)C3=C(C)C=C(OC)C=C3OC2=C1 QDLAGTHXVHQKRE-UHFFFAOYSA-N 0.000 description 1
- COLNWNFTWHPORY-UHFFFAOYSA-M lithium;8-hydroxyquinoline-2-carboxylate Chemical group [Li+].C1=C(C([O-])=O)N=C2C(O)=CC=CC2=C1 COLNWNFTWHPORY-UHFFFAOYSA-M 0.000 description 1
- 239000000314 lubricant Substances 0.000 description 1
- 125000000040 m-tolyl group Chemical group [H]C1=C([H])C(*)=C([H])C(=C1[H])C([H])([H])[H] 0.000 description 1
- 229920002521 macromolecule Polymers 0.000 description 1
- 229910052749 magnesium Inorganic materials 0.000 description 1
- 238000000691 measurement method Methods 0.000 description 1
- AUHZEENZYGFFBQ-UHFFFAOYSA-N mesitylene Substances CC1=CC(C)=CC(C)=C1 AUHZEENZYGFFBQ-UHFFFAOYSA-N 0.000 description 1
- 125000001827 mesitylenyl group Chemical group [H]C1=C(C(*)=C(C([H])=C1C([H])([H])[H])C([H])([H])[H])C([H])([H])[H] 0.000 description 1
- ABCGFHPGHXSVKI-UHFFFAOYSA-O meso-tetrakis(n-methyl-4-pyridyl)porphine(4+) Chemical compound C1=C[N+](C)=CC=C1C(C1=CC=C(N1)C(C=1C=C[N+](C)=CC=1)=C1C=CC(=N1)C(C=1C=C[N+](C)=CC=1)=C1C=CC(N1)=C1C=2C=C[N+](C)=CC=2)=C2N=C1C=C2 ABCGFHPGHXSVKI-UHFFFAOYSA-O 0.000 description 1
- 229910001092 metal group alloy Inorganic materials 0.000 description 1
- VNWKTOKETHGBQD-UHFFFAOYSA-N methane Chemical class C VNWKTOKETHGBQD-UHFFFAOYSA-N 0.000 description 1
- 229940095102 methyl benzoate Drugs 0.000 description 1
- 125000002496 methyl group Chemical group [H]C([H])([H])* 0.000 description 1
- OLXYLDUSSBULGU-UHFFFAOYSA-N methyl pyridine-4-carboxylate Chemical compound COC(=O)C1=CC=NC=C1 OLXYLDUSSBULGU-UHFFFAOYSA-N 0.000 description 1
- 229910003455 mixed metal oxide Inorganic materials 0.000 description 1
- 238000004776 molecular orbital Methods 0.000 description 1
- 239000000178 monomer Substances 0.000 description 1
- RYZPDEZIQWOVPJ-UHFFFAOYSA-N n-naphthalen-1-yl-n-[4-[4-[naphthalen-1-yl(naphthalen-2-yl)amino]phenyl]phenyl]naphthalen-2-amine Chemical group C1=CC=C2C(N(C=3C=CC(=CC=3)C=3C=CC(=CC=3)N(C=3C=C4C=CC=CC4=CC=3)C=3C4=CC=CC=C4C=CC=3)C3=CC4=CC=CC=C4C=C3)=CC=CC2=C1 RYZPDEZIQWOVPJ-UHFFFAOYSA-N 0.000 description 1
- 125000006608 n-octyloxy group Chemical group 0.000 description 1
- 239000008208 nanofoam Substances 0.000 description 1
- 239000002105 nanoparticle Substances 0.000 description 1
- LKKPNUDVOYAOBB-UHFFFAOYSA-N naphthalocyanine Chemical class N1C(N=C2C3=CC4=CC=CC=C4C=C3C(N=C3C4=CC5=CC=CC=C5C=C4C(=N4)N3)=N2)=C(C=C2C(C=CC=C2)=C2)C2=C1N=C1C2=CC3=CC=CC=C3C=C2C4=N1 LKKPNUDVOYAOBB-UHFFFAOYSA-N 0.000 description 1
- 150000002828 nitro derivatives Chemical class 0.000 description 1
- 125000000449 nitro group Chemical group [O-][N+](*)=O 0.000 description 1
- IJGRMHOSHXDMSA-UHFFFAOYSA-N nitrogen Substances N#N IJGRMHOSHXDMSA-UHFFFAOYSA-N 0.000 description 1
- 125000004433 nitrogen atom Chemical group N* 0.000 description 1
- QJGQUHMNIGDVPM-UHFFFAOYSA-N nitrogen group Chemical group [N] QJGQUHMNIGDVPM-UHFFFAOYSA-N 0.000 description 1
- HCIIFBHDBOCSAF-UHFFFAOYSA-N octaethylporphyrin Chemical class N1C(C=C2C(=C(CC)C(C=C3C(=C(CC)C(=C4)N3)CC)=N2)CC)=C(CC)C(CC)=C1C=C1C(CC)=C(CC)C4=N1 HCIIFBHDBOCSAF-UHFFFAOYSA-N 0.000 description 1
- 238000006384 oligomerization reaction Methods 0.000 description 1
- 230000003287 optical effect Effects 0.000 description 1
- 238000005457 optimization Methods 0.000 description 1
- 230000005693 optoelectronics Effects 0.000 description 1
- 150000002902 organometallic compounds Chemical class 0.000 description 1
- NFBOHOGPQUYFRF-UHFFFAOYSA-N oxanthrene Chemical compound C1=CC=C2OC3=CC=CC=C3OC2=C1 NFBOHOGPQUYFRF-UHFFFAOYSA-N 0.000 description 1
- 150000007978 oxazole derivatives Chemical class 0.000 description 1
- 150000002921 oxetanes Chemical group 0.000 description 1
- 229910052760 oxygen Inorganic materials 0.000 description 1
- YRZZLAGRKZIJJI-UHFFFAOYSA-N oxyvanadium phthalocyanine Chemical compound [V+2]=O.C12=CC=CC=C2C(N=C2[N-]C(C3=CC=CC=C32)=N2)=NC1=NC([C]1C=CC=CC1=1)=NC=1N=C1[C]3C=CC=CC3=C2[N-]1 YRZZLAGRKZIJJI-UHFFFAOYSA-N 0.000 description 1
- 125000004115 pentoxy group Chemical group [*]OC([H])([H])C([H])([H])C([H])([H])C(C([H])([H])[H])([H])[H] 0.000 description 1
- FVDOBFPYBSDRKH-UHFFFAOYSA-N perylene-3,4,9,10-tetracarboxylic acid Chemical compound C=12C3=CC=C(C(O)=O)C2=C(C(O)=O)C=CC=1C1=CC=C(C(O)=O)C2=C1C3=CC=C2C(=O)O FVDOBFPYBSDRKH-UHFFFAOYSA-N 0.000 description 1
- 150000002979 perylenes Chemical class 0.000 description 1
- 150000002990 phenothiazines Chemical class 0.000 description 1
- GJSGGHOYGKMUPT-UHFFFAOYSA-N phenoxathiine Chemical compound C1=CC=C2OC3=CC=CC=C3SC2=C1 GJSGGHOYGKMUPT-UHFFFAOYSA-N 0.000 description 1
- 150000002991 phenoxazines Chemical class 0.000 description 1
- WLJVXDMOQOGPHL-UHFFFAOYSA-M phenylacetate Chemical compound [O-]C(=O)CC1=CC=CC=C1 WLJVXDMOQOGPHL-UHFFFAOYSA-M 0.000 description 1
- 229940049953 phenylacetate Drugs 0.000 description 1
- 125000000843 phenylene group Chemical group C1(=C(C=CC=C1)*)* 0.000 description 1
- 150000003003 phosphines Chemical class 0.000 description 1
- 108091008695 photoreceptors Proteins 0.000 description 1
- 230000002165 photosensitisation Effects 0.000 description 1
- 125000005543 phthalimide group Chemical class 0.000 description 1
- SIOXPEMLGUPBBT-UHFFFAOYSA-M picolinate Chemical compound [O-]C(=O)C1=CC=CC=N1 SIOXPEMLGUPBBT-UHFFFAOYSA-M 0.000 description 1
- 229940081066 picolinic acid Drugs 0.000 description 1
- 239000000049 pigment Substances 0.000 description 1
- 238000006116 polymerization reaction Methods 0.000 description 1
- 229920005862 polyol Polymers 0.000 description 1
- 150000003077 polyols Chemical class 0.000 description 1
- 229920000128 polypyrrole Polymers 0.000 description 1
- 229920002223 polystyrene Polymers 0.000 description 1
- 229920000123 polythiophene Polymers 0.000 description 1
- 150000004032 porphyrins Chemical class 0.000 description 1
- KRIOVPPHQSLHCZ-UHFFFAOYSA-N propiophenone Chemical compound CCC(=O)C1=CC=CC=C1 KRIOVPPHQSLHCZ-UHFFFAOYSA-N 0.000 description 1
- 150000003216 pyrazines Chemical class 0.000 description 1
- JEXVQSWXXUJEMA-UHFFFAOYSA-N pyrazol-3-one Chemical class O=C1C=CN=N1 JEXVQSWXXUJEMA-UHFFFAOYSA-N 0.000 description 1
- 150000003219 pyrazolines Chemical class 0.000 description 1
- WVIICGIFSIBFOG-UHFFFAOYSA-N pyrylium Chemical compound C1=CC=[O+]C=C1 WVIICGIFSIBFOG-UHFFFAOYSA-N 0.000 description 1
- 239000002096 quantum dot Substances 0.000 description 1
- 230000009257 reactivity Effects 0.000 description 1
- 229910052702 rhenium Inorganic materials 0.000 description 1
- PYWVYCXTNDRMGF-UHFFFAOYSA-N rhodamine B Chemical compound [Cl-].C=12C=CC(=[N+](CC)CC)C=C2OC2=CC(N(CC)CC)=CC=C2C=1C1=CC=CC=C1C(O)=O PYWVYCXTNDRMGF-UHFFFAOYSA-N 0.000 description 1
- 238000007761 roller coating Methods 0.000 description 1
- 150000003839 salts Chemical class 0.000 description 1
- 238000013341 scale-up Methods 0.000 description 1
- ZJMWRROPUADPEA-UHFFFAOYSA-N sec-butylbenzene Chemical compound CCC(C)C1=CC=CC=C1 ZJMWRROPUADPEA-UHFFFAOYSA-N 0.000 description 1
- 238000005245 sintering Methods 0.000 description 1
- 239000000243 solution Substances 0.000 description 1
- 125000006850 spacer group Chemical group 0.000 description 1
- 238000001228 spectrum Methods 0.000 description 1
- 238000005507 spraying Methods 0.000 description 1
- 239000003381 stabilizer Substances 0.000 description 1
- 238000010561 standard procedure Methods 0.000 description 1
- 150000001629 stilbenes Chemical class 0.000 description 1
- 238000000859 sublimation Methods 0.000 description 1
- 230000008022 sublimation Effects 0.000 description 1
- 238000005092 sublimation method Methods 0.000 description 1
- 125000003107 substituted aryl group Chemical group 0.000 description 1
- 229910052717 sulfur Inorganic materials 0.000 description 1
- 150000003464 sulfur compounds Chemical class 0.000 description 1
- 239000004094 surface-active agent Substances 0.000 description 1
- 238000010408 sweeping Methods 0.000 description 1
- 229940042055 systemic antimycotics triazole derivative Drugs 0.000 description 1
- 125000000999 tert-butyl group Chemical group [H]C([H])([H])C(*)(C([H])([H])[H])C([H])([H])[H] 0.000 description 1
- 150000003513 tertiary aromatic amines Chemical class 0.000 description 1
- 238000002207 thermal evaporation Methods 0.000 description 1
- 238000001931 thermography Methods 0.000 description 1
- VJYJJHQEVLEOFL-UHFFFAOYSA-N thieno[3,2-b]thiophene Chemical compound S1C=CC2=C1C=CS2 VJYJJHQEVLEOFL-UHFFFAOYSA-N 0.000 description 1
- 125000001544 thienyl group Chemical group 0.000 description 1
- 239000010409 thin film Substances 0.000 description 1
- NZFNXWQNBYZDAQ-UHFFFAOYSA-N thioridazine hydrochloride Chemical compound Cl.C12=CC(SC)=CC=C2SC2=CC=CC=C2N1CCC1CCCCN1C NZFNXWQNBYZDAQ-UHFFFAOYSA-N 0.000 description 1
- 238000010023 transfer printing Methods 0.000 description 1
- 125000006617 triphenylamine group Chemical class 0.000 description 1
- 238000002061 vacuum sublimation Methods 0.000 description 1
- 238000001947 vapour-phase growth Methods 0.000 description 1
- ABDKAPXRBAPSQN-UHFFFAOYSA-N veratrole Chemical compound COC1=CC=CC=C1OC ABDKAPXRBAPSQN-UHFFFAOYSA-N 0.000 description 1
- PXXNTAGJWPJAGM-UHFFFAOYSA-N vertaline Natural products C1C2C=3C=C(OC)C(OC)=CC=3OC(C=C3)=CC=C3CCC(=O)OC1CC1N2CCCC1 PXXNTAGJWPJAGM-UHFFFAOYSA-N 0.000 description 1
- ORGHESHFQPYLAO-UHFFFAOYSA-N vinyl radical Chemical group C=[CH] ORGHESHFQPYLAO-UHFFFAOYSA-N 0.000 description 1
- 239000008096 xylene Substances 0.000 description 1
- YVTHLONGBIQYBO-UHFFFAOYSA-N zinc indium(3+) oxygen(2-) Chemical compound [O--].[Zn++].[In+3] YVTHLONGBIQYBO-UHFFFAOYSA-N 0.000 description 1
Images
Classifications
-
- C—CHEMISTRY; METALLURGY
- C09—DYES; PAINTS; POLISHES; NATURAL RESINS; ADHESIVES; COMPOSITIONS NOT OTHERWISE PROVIDED FOR; APPLICATIONS OF MATERIALS NOT OTHERWISE PROVIDED FOR
- C09D—COATING COMPOSITIONS, e.g. PAINTS, VARNISHES OR LACQUERS; FILLING PASTES; CHEMICAL PAINT OR INK REMOVERS; INKS; CORRECTING FLUIDS; WOODSTAINS; PASTES OR SOLIDS FOR COLOURING OR PRINTING; USE OF MATERIALS THEREFOR
- C09D11/00—Inks
- C09D11/30—Inkjet printing inks
- C09D11/36—Inkjet printing inks based on non-aqueous solvents
-
- C—CHEMISTRY; METALLURGY
- C09—DYES; PAINTS; POLISHES; NATURAL RESINS; ADHESIVES; COMPOSITIONS NOT OTHERWISE PROVIDED FOR; APPLICATIONS OF MATERIALS NOT OTHERWISE PROVIDED FOR
- C09D—COATING COMPOSITIONS, e.g. PAINTS, VARNISHES OR LACQUERS; FILLING PASTES; CHEMICAL PAINT OR INK REMOVERS; INKS; CORRECTING FLUIDS; WOODSTAINS; PASTES OR SOLIDS FOR COLOURING OR PRINTING; USE OF MATERIALS THEREFOR
- C09D11/00—Inks
- C09D11/52—Electrically conductive inks
-
- C—CHEMISTRY; METALLURGY
- C09—DYES; PAINTS; POLISHES; NATURAL RESINS; ADHESIVES; COMPOSITIONS NOT OTHERWISE PROVIDED FOR; APPLICATIONS OF MATERIALS NOT OTHERWISE PROVIDED FOR
- C09K—MATERIALS FOR MISCELLANEOUS APPLICATIONS, NOT PROVIDED FOR ELSEWHERE
- C09K11/00—Luminescent, e.g. electroluminescent, chemiluminescent materials
- C09K11/06—Luminescent, e.g. electroluminescent, chemiluminescent materials containing organic luminescent materials
-
- H01L51/0004—
-
- H01L51/5012—
-
- H—ELECTRICITY
- H10—SEMICONDUCTOR DEVICES; ELECTRIC SOLID-STATE DEVICES NOT OTHERWISE PROVIDED FOR
- H10K—ORGANIC ELECTRIC SOLID-STATE DEVICES
- H10K50/00—Organic light-emitting devices
- H10K50/10—OLEDs or polymer light-emitting diodes [PLED]
- H10K50/11—OLEDs or polymer light-emitting diodes [PLED] characterised by the electroluminescent [EL] layers
-
- H—ELECTRICITY
- H10—SEMICONDUCTOR DEVICES; ELECTRIC SOLID-STATE DEVICES NOT OTHERWISE PROVIDED FOR
- H10K—ORGANIC ELECTRIC SOLID-STATE DEVICES
- H10K71/00—Manufacture or treatment specially adapted for the organic devices covered by this subclass
- H10K71/10—Deposition of organic active material
- H10K71/12—Deposition of organic active material using liquid deposition, e.g. spin coating
- H10K71/13—Deposition of organic active material using liquid deposition, e.g. spin coating using printing techniques, e.g. ink-jet printing or screen printing
-
- Y—GENERAL TAGGING OF NEW TECHNOLOGICAL DEVELOPMENTS; GENERAL TAGGING OF CROSS-SECTIONAL TECHNOLOGIES SPANNING OVER SEVERAL SECTIONS OF THE IPC; TECHNICAL SUBJECTS COVERED BY FORMER USPC CROSS-REFERENCE ART COLLECTIONS [XRACs] AND DIGESTS
- Y02—TECHNOLOGIES OR APPLICATIONS FOR MITIGATION OR ADAPTATION AGAINST CLIMATE CHANGE
- Y02E—REDUCTION OF GREENHOUSE GAS [GHG] EMISSIONS, RELATED TO ENERGY GENERATION, TRANSMISSION OR DISTRIBUTION
- Y02E10/00—Energy generation through renewable energy sources
- Y02E10/50—Photovoltaic [PV] energy
- Y02E10/549—Organic PV cells
Landscapes
- Chemical & Material Sciences (AREA)
- Engineering & Computer Science (AREA)
- Materials Engineering (AREA)
- Organic Chemistry (AREA)
- Life Sciences & Earth Sciences (AREA)
- Wood Science & Technology (AREA)
- Physics & Mathematics (AREA)
- Optics & Photonics (AREA)
- Manufacturing & Machinery (AREA)
- Electroluminescent Light Sources (AREA)
Abstract
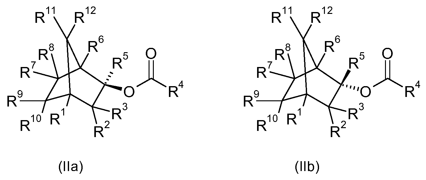
본 발명은 적어도 하나의 유기 기능성 재료 및 적어도 제 1 유기 용매를 함유하는 제형으로서, 상기 제 1 유기 용매는 적어도 하나의 [2.2.1]바이시클릭-기를 함유하는, 상기 제형에 관한 것이고, 이러한 제형을 사용하여 제조된 전자 디바이스에 관한 것이다.The present invention relates to a formulation containing at least one organic functional material and at least a first organic solvent, wherein the first organic solvent contains at least one [2.2.1]bicyclic-group, It relates to electronic devices manufactured using the formulation.
Description
본 발명은 적어도 하나의 유기 기능성 재료 및 적어도 제 1 유기 용매를 함유하는 제형으로서, 상기 제 1 유기 용매는 적어도 하나의 [2.2.1]바이시클릭-기를 함유하는, 상기 제형에 관한 것이고, 이러한 제형을 사용하여 제조된 전계발광 디바이스에 관한 것이다.The present invention relates to a formulation containing at least one organic functional material and at least a first organic solvent, wherein the first organic solvent contains at least one [2.2.1]bicyclic-group, It relates to an electroluminescent device made using the formulation.
유기 발광 디바이스 (OLED) 는 오랫동안 진공 성막 공정 (vacuum deposition process) 에 의해 제작되어 왔다. 잉크젯 프린팅과 같은 다른 기술이, 비용 절약 및 스케일업 (scale-up) 가능성과 같은 이의 이점으로 인해 최근 철저히 조사되어 왔다. 다층 프린팅에서의 주요 난관 중 하나는, 기판 상에의 잉크의 균질한 성막을 수득하기 위하여 관련 매개변수를 식별하는 것이다. 이러한 매개변수, 예컨대 표면 장력, 점도 또는 끓는점을 촉발시키기 위하여, 일부 첨가제가 제형에 첨가될 수 있다.Organic light emitting devices (OLEDs) have been fabricated by a vacuum deposition process for a long time. Other technologies, such as inkjet printing, have recently been thoroughly investigated due to their advantages such as cost savings and scale-up potential. One of the major challenges in multilayer printing is identifying the relevant parameters in order to obtain a homogeneous deposition of ink on a substrate. In order to trigger these parameters, such as surface tension, viscosity or boiling point, some additives may be added to the formulation.
많은 용매가 잉크젯 프린팅용 유기 전자 디바이스에 제안되어 왔다. 하지만, 성막 및 건조 공정 동안 역할을 하는 중요한 매개변수의 수는, 용매의 선택을 매우 어렵게 만든다. 따라서, 잉크젯 프린팅에 의한 성막에 사용되는 유기 반도체를 함유하는 제형은, 여전히 개선이 필요하다. 본 발명의 하나의 목적은, 양호한 층 특성 및 효율 성능을 갖는 유기 반도체 층을 형성하기 위해 제어된 성막을 가능하게 하는 유기 반도체의 제형을 제공하는 것이다. 본 발명의 추가의 목적은, 예를 들어, 잉크젯 프린팅 방법에 사용될 때, 기판 상에의 잉크 액적의 균일한 도포를 가능하게 함으로써, 양호한 층 특성 및 효율 성능을 제공하는 유기 반도체의 제형을 제공하는 것이다.Many solvents have been proposed for organic electronic devices for inkjet printing. However, the number of important parameters that play a role during the film formation and drying process makes the choice of solvent very difficult. Accordingly, formulations containing organic semiconductors used for film formation by inkjet printing still need improvement. One object of the present invention is to provide formulations of organic semiconductors that enable controlled deposition to form organic semiconductor layers with good layer properties and efficiency performance. A further object of the present invention is to provide formulations of organic semiconductors that provide good layer properties and efficiency performance by enabling uniform application of ink droplets onto a substrate, for example when used in inkjet printing methods. will be.
본 발명의 위의 목적들은 적어도 하나의 유기 기능성 재료 및 적어도 제 1 유기 용매를 함유하는 제형으로서, 상기 제 1 유기 용매는 적어도 하나의 [2.2.1]바이시클릭-기, 바람직하게는 하나의 [2.2.1]바이시클릭-기를 함유하는, 상기 제형을 제공함으로써 해결된다.The above objects of the present invention are a formulation containing at least one organic functional material and at least a first organic solvent, wherein the first organic solvent contains at least one [2.2.1]bicyclic-group, preferably one [2.2.1] It is solved by providing the formulation, which contains a bicyclic-group.
본 발명자들은 놀랍게도, 제 1 용매로서 적어도 하나의 [2.2.1]바이시클릭-기를 함유하는 유기 용매의 사용이 표면 장력의 완전한 제어를 가능하게 하고 양호한 층 특성 및 성능을 갖는 기능성 재료들의 균일하고 잘 정의된 유기 층들을 형성하기 위한 효과적인 잉크 성막을 유도한다는 것을 알아냈다.Surprisingly, the inventors found that the use of an organic solvent containing at least one [2.2.1]bicyclic-group as the first solvent enables complete control of the surface tension and produces a uniform and uniform layer of functional materials with good layer properties and performance. It has been found that this leads to effective ink deposition for forming well-defined organic layers.
도 1 은, 기판, ITO 애노드, 정공 주입층 (HIL), 정공 수송층 (HTL), 녹색 방출 층 (G-EML), 정공 차단층 (HBL), 전자 수송층 (ETL) 및 Al 캐소드를 함유하는 디바이스의 전형적인 층 구조를 나타낸다.
도 2 및 도 3 는 작업예 1 및 2 에 따라 제조된 OLED 의 디바이스 성능을 나타낸다.1 shows a device containing a substrate, an ITO anode, a hole injection layer (HIL), a hole transport layer (HTL), a green emission layer (G-EML), a hole blocking layer (HBL), an electron transport layer (ETL) and an Al cathode. shows a typical layered structure of
2 and 3 show the device performance of OLEDs prepared according to Working Examples 1 and 2.
실시형태들의 상세한 설명DETAILED DESCRIPTION OF EMBODIMENTS
본 발명은 적어도 하나의 유기 기능성 재료 및 적어도 제 1 유기 용매를 함유하는 제형으로서, 상기 제 1 유기 용매는 적어도 하나의 [2.2.1]바이시클릭-기, 바람직하게는 하나의 [2.2.1]바이시클릭-기를 함유하는, 상기 제형에 관한 것이다.The present invention is a formulation containing at least one organic functional material and at least a first organic solvent, said first organic solvent comprising at least one [2.2.1]bicyclic-group, preferably one [2.2.1 ] to the above formulation, containing a bicyclic-group.
바람직한 실시형태preferred embodiment
제 1 바람직한 실시 형태에서, 하나의[2.2.1]바이시클릭-기를 함유하는 제 1 유기 용매는 일반식 (I) 에 따른 [2.2.1]바이시클릭-기 함유 용매이다.In a first preferred embodiment, the first organic solvent containing one [2.2.1]bicyclic-group is a [2.2.1]bicyclic-group-containing solvent according to general formula (I).
식중에서during the ceremony
R1 내지 R12 는 각각의 경우 동일 또는 상이하고, H, D, F, Cl, Br, I, NO2, CN, 1 내지 20 개의 탄소 원자를 갖는 직쇄 알킬 또는 알콕시 기 또는 3 내지 20 개의 탄소 원자를 갖는 분지형 또는 환형 알킬 또는 알콕시 기 (여기서 하나 이상의 인접 또는 비인접 CH2 기는 융합되어 3 내지 10 개의 C 원자를 갖는 환형 구조를 형성하고, 하나 이상의 비인접 CH2 기들은 -O-, -S-, -NR13-, -CONR13-, -CO-O-, -O-CO-, -C=O-, =CO, -CH=CH- 또는 -C≡C- 에 의해 대체될 수도 있고, 하나 이상의 수소 원자는 F 에 의해 대체될 수도 있음), 또는 4 내지 14 개의 탄소 원자를 갖고 하나 이상의 비방향족 R13 라디칼에 의해 치환될 수도 있는 아릴 또는 헤테로아릴 기이고, 동일한 고리 상의 또는 2개의 상이한 고리 상의 복수의 치환기 R13 은 함께 차례로 단환 또는 다환 지방족, 방향족 또는 헤테로방향족 고리 시스템을 형성할 수도 있고 이것은 복수의 치환기 R13 에 의해 치환될 수도 있다; R 1 to R 12 are identical or different at each occurrence and are H, D, F, Cl, Br, I, NO 2 , CN, a straight-chain alkyl or alkoxy group having 1 to 20 carbon atoms or 3 to 20 carbon atoms A branched or cyclic alkyl or alkoxy group having atoms wherein one or more adjacent or non-adjacent CH 2 groups are fused to form a cyclic structure having 3 to 10 C atoms, and one or more non-adjacent CH 2 groups are -O-, -S-, -NR 13 -, -CONR 13 -, -CO-O-, -O-CO-, -C=O-, =CO, -CH=CH- or -C≡C- or one or more hydrogen atoms may be replaced by F), or an aryl or heteroaryl group having 4 to 14 carbon atoms and may be substituted by one or more non-aromatic R 13 radicals, on the same ring or A plurality of substituents R 13 on two different rings may together in turn form a mono- or polycyclic aliphatic, aromatic or heteroaromatic ring system, which may be substituted by a plurality of substituents R 13 ;
R13 는 각각의 경우 동일하거나 상이하고, 1 내지 20 개의 탄소 원자를 갖는 직쇄 알킬 또는 알콕시기, 또는 3 내지 20 개의 탄소 원자를 갖는 분지형 또는 환형 알킬 또는 알콕시기 (여기서 하나 이상의 비인접 CH2 기는 -O-, -S-, -CO-O-, -C=O-, -CH=CH- 또는 -C≡C- 로 대체될 수도 있고, 하나 이상의 수소 원자는 F 로 대체될 수도 있음), 또는 4 내지 14 개의 탄소 원자를 갖고 하나 이상의 비방향족 R13 라디칼로 치환될 수도 있는 아릴 또는 헤테로아릴기이다.R 13 , identical or different at each occurrence, is a straight-chain alkyl or alkoxy group having 1 to 20 carbon atoms, or a branched or cyclic alkyl or alkoxy group having 3 to 20 carbon atoms, wherein one or more non-adjacent CH 2 group may be replaced by -O-, -S-, -CO-O-, -C=O-, -CH=CH- or -C≡C-, and one or more hydrogen atoms may be replaced by F) , or an aryl or heteroaryl group having 4 to 14 carbon atoms and which may be substituted with one or more non-aromatic R 13 radicals.
제 1 보다 바람직한 실시 형태에서, 하나의[2.2.1]바이시클릭-기를 함유하는 제 1 유기 용매는 일반식 (II) 에 따른 [2.2.1]바이시클릭-기 함유 용매이다.In a first more preferred embodiment, the first organic solvent containing one [2.2.1]bicyclic-group is a [2.2.1]bicyclic-group-containing solvent according to general formula (II).
식 중, R1 내지 R12 는 일반식 (I) 에 대해 위에 기재된 바와 같은 의미를 갖는다.In the formula, R 1 to R 12 have the meanings as described above for general formula (I).
제 1 가장 바람직한 실시 형태에서, 하나의[2.2.1]바이시클릭-기를 함유하는 제 1 유기 용매는 일반식 (II) 에 따른 [2.2.1]바이시클릭-기 함유 용매이고, 여기서In a first most preferred embodiment, the first organic solvent containing one [2.2.1]bicyclic-group is a [2.2.1]bicyclic-group-containing solvent according to general formula (II), wherein
R1 및 R7 내지 R10 은 H 이고,R 1 and R 7 to R 10 are H;
R2, R3, R5, R6, R11 및 R12 는, 각각의 경우 동일하거나 상이하며, H 또는 1 내지 20 개의 탄소 원자를 갖는 직쇄 알킬 또는 알콕시 기, 또는 3 내지 20 개의 탄소 원자를 갖는 분지형 또는 환형 알킬 또는 알콕시 기이고,R 2 , R 3 , R 5 , R 6 , R 11 and R 12 , identical or different at each occurrence, are H or a straight chain alkyl or alkoxy group having 1 to 20 carbon atoms, or 3 to 20 carbon atoms A branched or cyclic alkyl or alkoxy group having
R4 는 1 내지 20 개의 탄소 원자를 갖는 직쇄 알킬 또는 알콕시 기 또는 3 내지 20 개의 탄소 원자를 갖는 분지형 또는 환형 알킬 또는 알콕시 기 (여기서 하나 이상의 인접 또는 비인접 CH2 기는 융합되어 3 내지 10 개의 C 원자를 갖는 환형 구조를 형성하고, 하나 이상의 비인접 CH2 기들은 -O-, -S-, -NR13-, -CONR13-, -CO-O-, -O-CO-, -C=O-, =CO, -CH=CH- 또는 -C≡C- 에 의해 대체될 수도 있고, 하나 이상의 수소 원자는 F 에 의해 대체될 수도 있음), 또는 4 내지 14 개의 탄소 원자를 갖고 하나 이상의 비방향족 R13 라디칼에 의해 치환될 수도 있고 1 내지 10 개의 탄소 원자를 갖는 알킬렌 기를 통해 또는 2 내지 10 개의 탄소 원자를 갖는 알케닐렌 기를 통해 연결될 수도 있는 아릴 또는 헤테로아릴 기이고, 동일한 고리 상의 또는 2개의 상이한 고리 상의 복수의 치환기 R13 은 함께 차례로 단환 또는 다환 지방족, 방향족 또는 헤테로방향족 고리 시스템을 형성할 수도 있고 이것은 복수의 치환기 R13 에 의해 치환될 수도 있다;R 4 is a straight-chain alkyl or alkoxy group having 1 to 20 carbon atoms or a branched or cyclic alkyl or alkoxy group having 3 to 20 carbon atoms, wherein one or more adjacent or non-adjacent CH 2 groups are fused to form 3 to 10 carbon atoms. form a cyclic structure with C atoms and one or more nonadjacent CH 2 groups are -O-, -S-, -NR 13 -, -CONR 13 -, -CO-O-, -O-CO-, -C =O-, =CO, -CH=CH- or -C≡C-, and one or more hydrogen atoms may be replaced by F), or have from 4 to 14 carbon atoms and have one or more an aryl or heteroaryl group which may be substituted by a non-aromatic R 13 radical and linked through an alkylene group having 1 to 10 carbon atoms or through an alkenylene group having 2 to 10 carbon atoms, on the same ring or A plurality of substituents R 13 on two different rings may together in turn form a mono- or polycyclic aliphatic, aromatic or heteroaromatic ring system, which may be substituted by a plurality of substituents R 13 ;
제 2 보다 바람직한 실시 형태에서, 하나의[2.2.1]바이시클릭-기를 함유하는 제 1 유기 용매는 일반식 (IIIa) 또는 (IIIb) 에 따른 [2.2.1]바이시클릭-기 함유 용매이다.In a second more preferred embodiment, the first organic solvent containing one [2.2.1]bicyclic-group is a [2.2.1]bicyclic-group-containing solvent according to formula (IIIa) or (IIIb) to be.
식 중, R1 내지 R12 는 일반식 (I) 에 대해 위에 기재된 바와 같은 의미를 갖는다.In the formula, R 1 to R 12 have the meanings as described above for general formula (I).
제 2 가장 바람직한 실시 형태에서, 하나의[2.2.1]바이시클릭-기를 함유하는 제 1 유기 용매는 일반식 (IIIa) 또는 (IIIb) 에 따른 [2.2.1]바이시클릭-기 함유 용매이고, 여기서In a second most preferred embodiment, the first organic solvent containing one [2.2.1]bicyclic-group is a [2.2.1]bicyclic-group containing solvent according to formula (IIIa) or (IIIb) and here
R3, R4, R5 또는 R9 또는 R4 및 R7 는 1 내지 20 개의 탄소 원자를 갖는 직쇄 알킬 또는 알콕시 기 또는 3 내지 20 개의 탄소 원자를 갖는 분지형 또는 환형 알킬 또는 알콕시 기 (여기서 하나 이상의 인접 또는 비인접 CH2 기는 융합되어 3 내지 10 개의 C 원자를 갖는 환형 구조를 형성하고, 하나 이상의 비인접 CH2 기들은 -O-, -S-, -NR13-, -CONR13-, -CO-O-, -O-CO-, -C=O-, =CO, -CH=CH- 또는 -C≡C- 에 의해 대체될 수도 있고, 하나 이상의 수소 원자는 F 에 의해 대체될 수도 있음), 또는 4 내지 14 개의 탄소 원자를 갖고 하나 이상의 비방향족 R13 라디칼에 의해 치환될 수도 있는 아릴 또는 헤테로아릴 기이고, 동일한 고리 상의 또는 2개의 상이한 고리 상의 복수의 치환기 R13 은 함께 차례로 단환 또는 다환 지방족, 방향족 또는 헤테로방향족 고리 시스템을 형성할 수도 있고 이것은 복수의 치환기 R13 에 의해 치환될 수도 있다; R 3 , R 4 , R 5 or R 9 or R 4 and R 7 are straight-chain alkyl or alkoxy groups having 1 to 20 carbon atoms or branched or cyclic alkyl or alkoxy groups having 3 to 20 carbon atoms, wherein One or more adjacent or non-adjacent CH 2 groups are fused to form a cyclic structure having 3 to 10 C atoms, and one or more non-adjacent CH 2 groups are -O-, -S-, -NR 13 -, -CONR 13 - , -CO-O-, -O-CO-, -C=O-, =CO, -CH=CH- or -C≡C-, wherein one or more hydrogen atoms are replaced by F. or an aryl or heteroaryl group having 4 to 14 carbon atoms and optionally substituted by one or more non-aromatic R 13 radicals, wherein a plurality of substituents R 13 on the same ring or on two different rings together in turn may form a monocyclic or polycyclic aliphatic, aromatic or heteroaromatic ring system, which may be substituted by a plurality of substituents R 13 ;
R1 내지 R12 중 나머지는 H 이고,The rest of R 1 to R 12 are H,
R13 는 일반식 (I) 에 대해 위에 기재된 바와 같은 의미를 갖는다. R 13 has the meaning as described above for general formula (I).
제 3 가장 바람직한 실시 형태에서, 하나의[2.2.1]바이시클릭-기를 함유하는 제 1 유기 용매는 일반식 (II) 에 따른 [2.2.1]바이시클릭-기 함유 용매이고, 여기서In a third most preferred embodiment, the first organic solvent containing one [2.2.1]bicyclic-group is a [2.2.1]bicyclic-group-containing solvent according to general formula (II), wherein
R5 는 1 내지 20 개의 탄소 원자를 갖는 직쇄 알킬 또는 알콕시 기 또는 3 내지 20 개의 탄소 원자를 갖는 분지형 또는 환형 알킬 또는 알콕시 기 (여기서 하나 이상의 인접 또는 비인접 CH2 기는 융합되어 3 내지 10 개의 C 원자를 갖는 환형 구조를 형성하고, 하나 이상의 비인접 CH2 기들은 -O-, -S-, -NR13-, -CONR13-, -CO-O-, -O-CO-, -C=O-, =CO, -CH=CH- 또는 -C≡C- 에 의해 대체될 수도 있고, 하나 이상의 수소 원자는 F 에 의해 대체될 수도 있음), 또는 4 내지 14 개의 탄소 원자를 갖고 하나 이상의 비방향족 R13 라디칼에 의해 치환될 수도 있는 아릴 또는 헤테로아릴 기이고, 동일한 고리 상의 또는 2개의 상이한 고리 상의 복수의 치환기 R13 은 함께 차례로 단환 또는 다환 지방족, 방향족 또는 헤테로방향족 고리 시스템을 형성할 수도 있고 이것은 복수의 치환기 R13 에 의해 치환될 수도 있다; R 5 is a straight-chain alkyl or alkoxy group having 1 to 20 carbon atoms or a branched or cyclic alkyl or alkoxy group having 3 to 20 carbon atoms, wherein one or more adjacent or non-adjacent CH 2 groups are fused to form 3 to 10 carbon atoms. form a cyclic structure with C atoms and one or more nonadjacent CH 2 groups are -O-, -S-, -NR 13 -, -CONR 13 -, -CO-O-, -O-CO-, -C =O-, =CO, -CH=CH- or -C≡C-, and one or more hydrogen atoms may be replaced by F), or have from 4 to 14 carbon atoms and have one or more an aryl or heteroaryl group which may be substituted by a non-aromatic R 13 radical, and a plurality of substituents R 13 on the same ring or on two different rings together in turn may form a mono- or polycyclic aliphatic, aromatic or heteroaromatic ring system; and may be substituted by a plurality of substituents R 13 ;
R5 를 제외한, R1 내지 R12 는 H 이고,Except for R 5 , R 1 to R 12 are H;
R13 는 일반식 (I) 에 대해 위에 기재된 바와 같은 의미를 갖는다.R 13 has the meaning as described above for general formula (I).
[2.2.1]바이시클릭 기 함유 용매는 적어도 2 개의 이성질체의 형태로 존재할 수 있다는 것에 유의해야 한다. 이들 이성질체는 위에 언급된 식 (I), (II), (IIIa) 및 (IIIb) 에 의해 포함된다.[2.2.1] It should be noted that solvents containing bicyclic groups may exist in the form of at least two isomers. These isomers are encompassed by the formulas (I), (II), (IIIa) and (IIIb) mentioned above.
예를 들어, R1 내지 R12 는 일반식 (I) 과 관련하여 전술한 바와 같은 의미를 갖는 일반식 (II) 에 따른 [2.2.1]바이시클릭 기 함유 용매는 하기 식 (IIa) 및 (IIb) 에 따른 하기 2개의 이성질체를 포함한다:For example, solvents containing a [2.2.1]bicyclic group according to formula (II) in which R 1 to R 12 have the meanings as described above with respect to formula (I) have formulas (IIa) and It contains the following two isomers according to (IIb):
또한, R1 내지 R12 가 일반식 (I) 과 관련하여 전술한 바와 같은 의미를 갖는 일반식 (IIIa) 또는 (IIIb) 에 따른 [2.2.1]바이시클릭 기 함유 용매는 각각, 식 (IIIa1) 및 (IIIa2) 그리고 (IIIb1) 및 (IIIb2) 에 따른 하기 2개의 이성질체를 포함한다:Further, solvents containing a [2.2.1]bicyclic group according to general formulas (IIIa) or (IIIb) in which R 1 to R 12 have the meanings as described above with respect to general formula (I), respectively, have the formula ( IIIa1) and (IIIa2) and the following two isomers according to (IIIb1) and (IIIb2):
바람직한 [2.2.1]바이시클릭 기 함유 용매들 및 그들의 끓는점 (BP) 의 예는 아래 표 1 에 나타나 있다.Examples of preferred [2.2.1]bicyclic group-containing solvents and their boiling points (BP) are shown in Table 1 below.
표 1: 바람직한 [2.2.1]바이시클릭 기 함유 용매 및 그들의 끓는점 (BP).Table 1: Preferred [2.2.1] bicyclic group containing solvents and their boiling points (BP).
바람직하게는, 제 1 용매는 표면 장력이 ≥ 20 mN/m 이다. 더욱 바람직하게는, 제 1 용매의 표면 장력은 25 내지 40 mN/m 범위이고, 가장 바람직하게는 28 내지 37.5 mN/m 범위이다.Preferably, the first solvent has a surface tension > 20 mN/m. More preferably, the surface tension of the first solvent is in the range of 25 to 40 mN/m, most preferably in the range of 28 to 37.5 mN/m.
제 1 용매의 함량은, 제형 중 용매의 총량을 기준으로, 바람직하게는 50 내지 100 부피% 범위, 더욱 바람직하게는 75 내지 99 부피% 범위 그리고 가장 바람직하게는 90 내지 99 부피% 범위이다.The content of the first solvent is preferably in the range of 50 to 100% by volume, more preferably in the range of 75 to 99% by volume and most preferably in the range of 90 to 99% by volume, based on the total amount of solvent in the formulation.
결과적으로, 제 2 용매의 함량은, 제형 중 용매의 총량을 기준으로, 바람직하게는 0 내지 50 부피% 범위, 더욱 바람직하게는 1 내지 25 부피% 범위 그리고 가장 바람직하게는 1 내지 10 부피% 범위이다.Consequently, the content of the second solvent is preferably in the range of 0 to 50% by volume, more preferably in the range of 1 to 25% by volume and most preferably in the range of 1 to 10% by volume, based on the total amount of solvent in the formulation. to be.
바람직하게는, 제 1 용매의 끓는점은 100 내지 400℃ 범위, 더욱 바람직하게는 150 내지 350℃ 범위이다.Preferably, the boiling point of the first solvent is in the range of 100 to 400°C, more preferably in the range of 150 to 350°C.
본 발명에 따른 제형은, 하나의 바람직한 실시형태에서, 적어도 제 1 용매와는 상이한 제 2 용매를 포함한다. 제 2 용매는 제 1 용매와 함께 이용된다.Formulations according to the invention, in one preferred embodiment, comprise at least a second solvent different from the first solvent. A second solvent is used together with the first solvent.
일 실시형태에서, 제 2 용매는 [2.2.1]바이시클릭-기 함유 용매일 수 있으며, 이는 제 1 용매와는 상이하다. 그럼에도 불구하고, 바람직하게는, 제 2 용매는 [2.2.1]바이시클릭 기를 함유하지 않는다.In one embodiment, the second solvent may be a [2.2.1]bicyclic-group containing solvent, which is different from the first solvent. Nevertheless, preferably, the second solvent does not contain [2.2.1] bicyclic groups.
적합한 제 2 용매는, 바람직하게는 특히, 알코올, 알데히드, 케톤, 에테르, 에스테르, 아미드, 예컨대 디-C1-2-알킬포름아미드, 황 화합물, 니트로 화합물, 탄화수소, 할로겐화 탄화수소 (예를 들어 염소화 탄화수소), 방향족 또는 헤테로방향족 탄화수소, 및 할로겐화 방향족 또는 헤테로방향족 탄화수소를 포함하는 유기 용매이다.Suitable second solvents are preferably, in particular, alcohols, aldehydes, ketones, ethers, esters, amides such as di-C 1-2 -alkylformamides, sulfur compounds, nitro compounds, hydrocarbons, halogenated hydrocarbons (eg chlorinated hydrocarbons), aromatic or heteroaromatic hydrocarbons, and halogenated aromatic or heteroaromatic hydrocarbons.
바람직하게는, 제 2 용매는 하기 군 중 하나로부터 선택될 수 있다: 치환 및 비치환된 방향족 또는 선형 에스테르, 예컨대 에틸 벤조에이트, 부틸 벤조에이트; 치환 및 비치환된 방향족 또는 선형 에테르, 예컨대 3-페녹시톨루엔 또는 아니솔; 치환 또는 비치환된 아렌 유도체, 예컨대 자일렌; 인단 유도체, 예컨대 헥사메틸인단; 치환 및 비치환된 방향족 또는 선형 케톤; 치환 및 비치환된 복소환, 예컨대 피롤리디논, 피리딘, 피라진; 기타 플루오르화 또는 염소화 방향족 탄화수소.Preferably, the second solvent may be selected from one of the following groups: substituted and unsubstituted aromatic or linear esters such as ethyl benzoate, butyl benzoate; substituted and unsubstituted aromatic or linear ethers such as 3-phenoxytoluene or anisole; substituted or unsubstituted arene derivatives such as xylene; indane derivatives such as hexamethylindane; substituted and unsubstituted aromatic or linear ketones; substituted and unsubstituted heterocycles such as pyrrolidinone, pyridine, pyrazine; Other fluorinated or chlorinated aromatic hydrocarbons.
특히 바람직한 제 2 유기 용매는 예를 들어 1,2,3,4-테트라메틸벤젠, 1,2,3,5-테트라메틸벤젠, 1,2,3-트리메틸벤젠, 1,2,4,5-테트라메틸벤젠, 1,2,4-트리클로로벤젠, 1,2,4-트리메틸벤젠, 1,2-디히드로나프탈렌, 1,2-디메틸나프탈렌, 1,3-벤조디옥솔란, 1,3-디이소프로필벤젠, 1,3-디메틸나프탈렌, 1,4-벤조디옥산, 1,4-디이소프로필벤젠, 1,4-디메틸나프탈렌, 1,5-디메틸테트랄린, 1-벤조티오펜, 티아나프탈렌, 1-브로모나프탈렌, 1-클로로메틸나프탈렌, 1-에틸나프탈렌, 1-메톡시나프탈렌, 1-메틸나프탈렌, 1-메틸인돌, 2,3-벤조푸란, 2,3-디하이드로벤조푸란, 2,3-디메틸아니솔, 2,4-디메틸아니솔, 2,5-디메틸아니솔, 2,6-디메틸아니솔, 2,6-디메틸나프탈렌, 2-브로모-3-브로모메틸나프탈렌, 2-브로모메틸나프탈렌, 2-브로모나프탈렌, 2-에톡시나프탈렌, 2-에틸나프탈렌, 2-이소프로필아니솔, 2-메틸아니솔, 2-메틸인돌, 3,4-디메틸아니솔, 3,5-디메틸아니솔, 3-브로모퀴놀린, 3-메틸아니솔, 4-메틸아니솔, 5-데카놀라이드, 5-메톡시인단, 5-메톡시인돌, 5-tert-부틸-m-자일렌, 6-메틸퀴놀린, 8-메틸퀴놀린, 아세토페논, 아니솔, 벤조니트릴, 벤조티아졸, 벤질 아세테이트, 브로모벤젠, 부틸 벤조에이트, 부틸 페닐 에테르, 시클로헥실벤젠, 데카히드로나프톨, 디메톡시톨루엔, 3-페녹시톨루엔, 디페닐 에테르, 프로피오페논, 에틸벤젠, 에틸 벤조에이트, 헥실벤젠, 인단, 헥사메틸인단, 인덴, 이소크로만, 큐멘, m-시멘, 메시틸렌, 메틸 벤조에이트, o-, m-, p-자일렌, 프로필 벤조에이트, 프로필벤젠, o-디클로로벤젠, 펜틸벤젠, 페네톨, 에톡시벤젠, 페닐 아세테이트, p-시멘, 프로피오페논, sec-부틸벤젠, t-부틸벤젠, 티오펜, 톨루엔, 베라트롤, 모노클로로벤젠, o-디클로로벤젠, 피리딘, 피라진, 피리미딘, 피롤리디논, 모르폴린, 디메틸아세트-아미드, 디메틸 술폭시드, 데칼린 및/또는 이들 화합물의 혼합물이다.Particularly preferred second organic solvents are for example 1,2,3,4-tetramethylbenzene, 1,2,3,5-tetramethylbenzene, 1,2,3-trimethylbenzene, 1,2,4,5 -Tetramethylbenzene, 1,2,4-trichlorobenzene, 1,2,4-trimethylbenzene, 1,2-dihydronaphthalene, 1,2-dimethylnaphthalene, 1,3-benzodioxolane, 1,3 -Diisopropylbenzene, 1,3-dimethylnaphthalene, 1,4-benzodioxane, 1,4-diisopropylbenzene, 1,4-dimethylnaphthalene, 1,5-dimethyltetraline, 1-benzothiocyanate Opene, thianaphthalene, 1-bromonaphthalene, 1-chloromethylnaphthalene, 1-ethylnaphthalene, 1-methoxynaphthalene, 1-methylnaphthalene, 1-methylindole, 2,3-benzofuran, 2,3-di Hydrobenzofuran, 2,3-dimethylanisole, 2,4-dimethylanisole, 2,5-dimethylanisole, 2,6-dimethylanisole, 2,6-dimethylnaphthalene, 2-bromo-3- Bromomethylnaphthalene, 2-bromomethylnaphthalene, 2-bromonaphthalene, 2-ethoxynaphthalene, 2-ethylnaphthalene, 2-isopropylanisole, 2-methylanisole, 2-methylindole, 3,4 -Dimethylanisole, 3,5-dimethylanisole, 3-bromoquinoline, 3-methylanisole, 4-methylanisole, 5-decanolide, 5-methoxyindane, 5-methoxyindole, 5 -tert-butyl-m-xylene, 6-methylquinoline, 8-methylquinoline, acetophenone, anisole, benzonitrile, benzothiazole, benzyl acetate, bromobenzene, butyl benzoate, butyl phenyl ether, cyclohexyl Benzene, decahydronaphthol, dimethoxytoluene, 3-phenoxytoluene, diphenyl ether, propiophenone, ethylbenzene, ethyl benzoate, hexylbenzene, indane, hexamethylindane, indene, isochroman, cumene, m- Cemente, mesitylene, methyl benzoate, o-, m-, p-xylene, propyl benzoate, propylbenzene, o-dichlorobenzene, pentylbenzene, phenetole, ethoxybenzene, phenyl acetate, p-cymene, propyi Ophenone, sec-butylbenzene, t-butylbenzene, thiophene, toluene, veratrol, monochlorobenzene, o-dichlorobenzene, pyridine, pyrazine, pyrimidine, pyrrolidinone, morpholine, dimethylacetamide, dimethyl Sulfoxide, decalin and/or these It is a mixture of compounds.
이러한 용매는, 개별적으로 또는 제 2 용매를 형성하는 2 종, 3 종 또는 그 이상의 용매의 혼합물로서 이용될 수 있다.These solvents may be used individually or as a mixture of two, three or more solvents forming the second solvent.
바람직하게는, 제 2 용매의 끓는점은 100 내지 400℃ 범위, 더욱 바람직하게는 150 내지 350℃ 범위이다.Preferably, the boiling point of the second solvent is in the range of 100 to 400°C, more preferably in the range of 150 to 350°C.
적어도 하나의 유기 기능성 재료는, 제 1 및 제 2 용매 중에서, 바람직하게는 1 내지 250 g/ℓ 범위 및 더욱 바람직하게는 1 내지 50 g/ℓ 범위의 용해도를 갖는다.The at least one functional organic material has a solubility in the first and second solvents preferably in the range of 1 to 250 g/L and more preferably in the range of 1 to 50 g/L.
제형 중 적어도 하나의 유기 기능성 재료의 함량은 제형의 총 중량을 기준으로 0.001 내지 20 중량% 범위, 바람직하게는 0.01 내지 10 중량% 범위, 더 바람직하게는 0.1 내지 5 중량% 범위, 그리고 가장 바람직하게는 0.3 내지 5 중량% 범위이다.The content of at least one organic functional material in the formulation is in the range of 0.001 to 20% by weight, preferably in the range of 0.01 to 10% by weight, more preferably in the range of 0.1 to 5% by weight, and most preferably in the range of 0.1 to 5% by weight, based on the total weight of the formulation. is in the range of 0.3 to 5% by weight.
본 발명에 따른 제형은 바람직하게는 10 내지 50 mN/m 범위 및 더 바람직하게는 25 내지 40 mN/m 범위의 표면 장력을 갖는다.Formulations according to the invention preferably have a surface tension in the range of 10 to 50 mN/m and more preferably in the range of 25 to 40 mN/m.
뿐만 아니라, 본 발명에 따른 제형은 바람직하게는 1 내지 50 mPa.s 범위, 더 바람직하게는 2 내지 40 mPa.s 범위, 그리고 가장 바람직하게는 2 내지 20 mPa.s 범위의 점도를 갖는다.In addition, the formulation according to the present invention is preferably 1 to 50 mPa . s range, more preferably from 2 to 40 mPa . s range, and most preferably from 2 to 20 mPa . s range of viscosity.
바람직하게는, 유기 용매 블렌드는 15 내지 80 mN/m 범위, 더욱 바람직하게는 20 내지 60 mN/m 범위 및 가장 바람직하게는 25 내지 40 mN/m 범위의 표면 장력을 포함한다. 표면 장력은 20℃ 에서 FTA (First Ten Angstrom) 1000 접촉각 고니오미터를 사용하여 측정할 수 있다. 방법의 세부 사항은 Roger P. Woodward, Ph.D. "Surface Tension Measurements Using the Drop Shape Method" 로 출판된 바와 같이 같이 First Ten Angstrom 사에서 입수 가능하다. 바람직하게는, 수적법을 사용하여 표면 장력을 측정할 수 있다. 이러한 측정 기법은 벌크 액체 또는 기체 상에서 니들로부터 액적 (drop) 을 디스펜싱한다. 액적의 형상은 표면 장력, 중력 및 밀도 차이 사이의 관계로부터 얻어진다. 수적법을 사용하는 경우, 표면 장력은 펜던트 액적의 그림자 이미지로부터 http://www.kruss.de/services/education-theory/glossary/drop-shape-analysis 을 사용하여 산출된다. 통상적으로 사용되고 상업적으로 이용 가능한 고 정밀 액적 형상 분석 툴, 즉 First Ten ngstrom 사의 FTA100 을 사용하여, 모든 표면 장력 측정이 수행되었다. 표면 장력은 소프트웨어 FTA1000 에 의해 결정된다. 모든 측정은 20℃ 내지 22℃ 범위의 실온에서 수행되었다. 표준 작업 절차는, 새로운 일회용 액적 디스펜싱 시스템 (시린지 및 니들) 을 사용한 각각의 제형의 표면 장력의 결정을 포함한다. 각각의 액적은 1 분의 지속기간에 걸친 60 회 측정으로 측정되고, 이는 이후 평균내어진다. 각각의 제형에 대하여, 3 개의 액적을 측정하였다. 최종 값은 상기 측정값에 대하여 평균낸 것이다. 상기 도구는 널리 공지된 표면 장력을 갖는 다양한 액체에 대하여 규칙적으로 교차-점검하였다.Preferably, the organic solvent blend comprises a surface tension in the range of 15 to 80 mN/m, more preferably in the range of 20 to 60 mN/m and most preferably in the range of 25 to 40 mN/m. Surface tension can be measured using a FTA (First Ten Angstrom) 1000 contact angle goniometer at 20 °C. Details of the method can be found in Roger P. Woodward, Ph.D. Available from First Ten Angstrom, as published in "Surface Tension Measurements Using the Drop Shape Method". Preferably, the surface tension can be measured using the drop method. This measurement technique dispenses drops from a needle in the bulk liquid or gas phase. The shape of the droplet is obtained from the relationship between surface tension, gravity and density difference. When using the drop method, surface tension is calculated from shadow images of pendant droplets using http://www.kruss.de/services/education-theory/glossary/drop-shape-analysis. A commonly used and commercially available high-precision droplet shape analysis tool, namely First Ten All surface tension measurements were performed using an FTA100 from ngstrom. Surface tension is determined by software FTA1000. All measurements were performed at room temperature in the range of 20 °C to 22 °C. Standard operating procedure involves the determination of the surface tension of each dosage form using a new disposable droplet dispensing system (syringe and needle). Each droplet is measured for 60 measurements over a duration of 1 minute, which are then averaged. For each formulation, 3 droplets were measured. Final values are averaged over these measurements. The tool was regularly cross-checked against a variety of liquids with well-known surface tensions.
본 발명에 따른 제형 및 용매의 점도는 40 mm 평행 플레이트 지오메트리를 사용하여 10 내지 1000 s-1 범위의 전단율 범위에 걸쳐 TA 기구 ARG2 레오미터 (rheometer) 를 사용해 측정되었다. 측정은 200 내지 800 s-1 에서의 평균으로서 취해졌으며, 이때 온도 및 전단율은 정확하게 제어되었다. 각각의 용매를 3 회 측정하였다. 언급된 점도 값은 상기 측정값에 대하여 평균내어졌다.The viscosity of formulations according to the present invention and solvents were measured using a TA Instruments ARG2 rheometer over a range of shear rates ranging from 10 to 1000 s −1 using a 40 mm parallel plate geometry. Measurements were taken as an average from 200 to 800 s −1 , at which time temperature and shear rate were accurately controlled. Each solvent was measured 3 times. The stated viscosity values have been averaged over these measurements.
본 발명에 따른 제형은 전자 디바이스의 기능성 층의 제조에 이용될 수 있는 적어도 하나의 유기 기능성 재료를 포함한다. 기능성 재료는 일반적으로 전자 디바이스의 애노드와 캐소드 사이에 도입되는 유기 재료이다.The formulation according to the invention comprises at least one organic functional material which can be used for the production of functional layers of electronic devices. Functional materials are organic materials that are generally introduced between the anode and cathode of an electronic device.
용어 유기 기능성 재료는, 특히 유기 전도체, 유기 반도체, 유기 형광 화합물, 유기 인광 화합물, 유기 광흡수성 화합물, 유기 감광성 화합물 (organic light-sensitive compound), 유기 광감작제 (organic photosensitisation agent) 및 기타 유기 광활성 화합물을 나타낸다. 따라서 용어 유기 기능성 재료는 전이 금속, 희토류, 란타나이드 및 악티나이드의 유기금속성 착물을 포함한다.The term organic functional material includes, in particular, organic conductors, organic semiconductors, organic fluorescent compounds, organic phosphorescent compounds, organic light-absorbing compounds, organic light-sensitive compounds, organic photosensitisation agents and other organic photoactive compounds. represents a compound. The term organic functional material thus includes organometallic complexes of transition metals, rare earths, lanthanides and actinides.
유기 기능성 재료는 형광 방출체 (emitter), 인광 방출체, 호스트 재료, 매트릭스 재료, 여기자 차단 재료, 전자 수송 재료, 전자 주입 재료, 정공 전도체 재료, 정공 주입 재료, n-도펀트, p-도펀트, 와이드 밴드 갭 (wide-band-gap) 재료, 전자 차단 재료 및 정공 차단 재료로 이루어지는 군으로부터 선택된다.Organic functional materials include fluorescence emitters, phosphorescent emitters, host materials, matrix materials, exciton blocking materials, electron transport materials, electron injection materials, hole conductor materials, hole injection materials, n-dopants, p-dopants, wide It is selected from the group consisting of wide-band-gap materials, electron blocking materials and hole blocking materials.
유기 기능성 재료의 바람직한 실시형태는 WO 2011/076314 A1 에 상세하게 개시되어 있으며, 이 문헌의 내용은 본원에 참조로서 원용된다.A preferred embodiment of the organic functional material is disclosed in detail in WO 2011/076314 A1, the contents of which are hereby incorporated by reference.
바람직한 실시형태에서, 유기 기능성 재료는 정공 주입, 정공 수송, 방출, 전자 수송 및 전자 주입 재료로 이루어지는 군으로부터 선택되는 유기 반도체이다.In a preferred embodiment, the organic functional material is an organic semiconductor selected from the group consisting of hole injecting, hole transporting, emitting, electron transporting and electron injecting materials.
더욱 바람직하게는, 유기 기능성 재료는 정공 주입 및 정공 수송 재료로 이루어지는 군으로부터 선택되는 유기 반도체이다.More preferably, the organic functional material is an organic semiconductor selected from the group consisting of hole injecting and hole transporting materials.
유기 기능성 재료는 저분자량을 갖는 화합물, 중합체, 올리고머 또는 덴드리머일 수 있으며, 여기서 유기 기능성 재료는 또한 혼합물의 형태일 수 있다. 따라서, 본 발명에 따른 제형은 저분자량을 갖는 2 개의 상이한 화합물, 저분자량을 갖는 하나의 화합물 및 하나의 중합체 또는 2 개의 중합체 (블렌드) 를 포함할 수도 있다.The organic functional material may be a compound having a low molecular weight, a polymer, an oligomer or a dendrimer, wherein the organic functional material may also be in the form of a mixture. Thus, a formulation according to the present invention may comprise two different compounds with low molecular weight, one compound with low molecular weight and one polymer or two polymers (blends).
유기 기능성 재료는 자주 프론티어 궤도의 특성을 통해 설명되며, 이는 하기에 보다 상세하게 설명된다. 분자 궤도, 특히 또한 최고준위 점유 분자 궤도 (HOMO) 및 최저준위 비점유 분자 궤도 (LUMO), 이들의 에너지 준위 및 재료의 최저 삼중항 상태 T1 의 또는 최저 여기된 단일항 상태 S1 의 에너지는 양자-화학 계산을 통해 결정된다. 금속이 없는 유기 물질들을 계산하기 위하여, 먼저, "바닥 상태/준 경험식/디폴트 스핀/AM1/전하 0/스핀 단일항" 방법을 이용하여 지오메트리 최적화 (geometry optimisation) 가 수행된다. 이어서, 에너지 계산이 최적화된 지오메트리를 기반으로 수행된다. 여기서 "6-31G(d)" 베이스 세트 (전하 0, 스핀 단일항) 를 이용한 "TD-SCF/DFT/디폴트 스핀/B3PW91" 방법이 사용된다. 금속 함유 화합물들의 경우, 지오메트리는 "바닥 상태/Hartree-Fock/디폴트 스핀/LanL2MB/전하 0/스핀 단일항" 방법을 통해 최적화된다. 금속 원자의 경우 "LanL2DZ" 베이스 세트가 사용되고, 리간드를 위해 "6-31G(d)" 베이스 세트가 사용된다는 차이를 제외하고는, 에너지 계산은 유기 물질에 대하여 위에 기재된 방법과 유사하게 수행된다. 에너지 계산은 하트리 (hartree) 단위에서 HOMO 에너지 레벨 HEh 또는 LUMO 에너지 레벨 LEh 를 제공한다. 순환 전압전류 측정 (cyclic voltammetry measurement) 을 기준으로 교정된, 전자 볼트 단위의 HOMO 및 LUMO 에너지 준위는, 그로부터 아래와 같이 결정된다:Organic functional materials are often described through the properties of frontier orbits, which are described in more detail below. The molecular orbitals, in particular also the highest occupied molecular orbital (HOMO) and the lowest unoccupied molecular orbital (LUMO), their energy levels and the energy of the lowest triplet state T 1 or lowest excited singlet state S 1 of the material are It is determined through quantum-chemical calculations. In order to calculate the metal-free organic materials, first geometry optimization is performed using the "ground state/quasi-empirical/default spin/AM1/
본 출원의 목적을 위하여, 이들 값은 재료 각각의 HOMO 및 LUMO 에너지 준위로서 간주되어야 한다.For the purposes of this application, these values should be considered as the material's respective HOMO and LUMO energy levels.
최저 삼중항 상태 T1 은, 기재된 양자-화학적 계산에서 기인한 최저 에너지를 갖는 삼중항 상태의 에너지로서 정의된다.The lowest triplet state T 1 is defined as the energy of the triplet state with the lowest energy resulting from the described quantum-chemical calculations.
최저 여기된 단일항 상태 S1 은, 기재된 양자-화학적 계산에서 기인한 최저 에너지를 갖는 여기된 단일항 상태의 에너지로서 정의된다.The lowest excited singlet state S 1 is defined as the energy of the excited singlet state with the lowest energy resulting from the described quantum-chemical calculations.
여기에 설명된 방법은 사용된 소프트웨어 패키지와는 무관하며 항상 동일한 결과를 제공한다. 이러한 목적의 경우, 흔히 이용되는 프로그램의 예는, "Gaussian09W" (Gaussian Inc.) 및 Q-Chem 4.1 (Q-Chem, Inc.) 이다.The method described here is independent of the software package used and always gives the same results. Examples of commonly used programs for this purpose are “Gaussian09W” (Gaussian Inc.) and Q-Chem 4.1 (Q-Chem, Inc.).
정공 주입 특성을 갖는 화합물, 또한 본원에서 소위 정공 주입 재료는, 애노드로부터 유기층으로의 정공, 즉 양전하 (positive charge) 의 운반을 단순화시키거나 용이하게 한다. 일반적으로, 정공 주입 재료는 애노드 준위 영역 또는 그 위에 있는 HOMO 준위를 가지며, 즉 일반적으로 적어도 -5.3 eV 이다.Compounds with hole injecting properties, also called hole injecting materials herein, simplify or facilitate the transport of holes, ie positive charges, from the anode to the organic layer. Generally, the hole injecting material has a HOMO level at or above the anode level region, i.e., typically at least -5.3 eV.
정공 수송 특성을 갖는 화합물, 또한 본원에서 소위 정공 수송 재료는, 일반적으로 애노드 또는 인접한 층, 예를 들어 정공 주입층으로부터 주입되는 정공, 즉 양전하를 수송할 수 있다. 정공 수송 재료는 일반적으로 바람직하게는 적어도 -5.4 eV 의 높은 HOMO 준위를 갖는다. 전자 디바이스의 구조에 따라, 정공 주입 재료로서 정공 수송 재료가 또한 이용될 수도 있다.Compounds having hole transport properties, also called hole transport materials herein, are generally capable of transporting holes, ie positive charges, injected from an anode or an adjacent layer, for example a hole injection layer. The hole transport material generally has a high HOMO level, preferably at least -5.4 eV. Depending on the structure of the electronic device, a hole transport material may also be used as the hole injection material.
정공 주입 및/또는 정공 수송 특성을 갖는 바람직한 화합물에는, 예를 들어 트리아릴아민, 벤지딘, 테트라아릴-파라-페닐렌디아민, 트리아릴포스핀, 페노티아진, 페녹사진, 디히드로페나진, 티안트렌, 디벤조-파라-디옥신, 페녹사티인, 카르바졸, 아줄렌, 티오펜, 피롤 및 푸란 유도체, 및 또한 높은 HOMO (HOMO = 최고준위 점유 분자 궤도) 를 갖는 추가의 O-, S- 또는 N-함유 복소환이 포함된다.Preferred compounds having hole injection and/or hole transport properties include, for example, triarylamines, benzidines, tetraaryl-para-phenylenediamines, triarylphosphines, phenothiazines, phenoxazines, dihydrophenazines, thians threne, dibenzo-para-dioxin, phenoxathiine, carbazole, azulene, thiophene, pyrrole and furan derivatives, and also further O-, S with high HOMO (HOMO=highest occupied molecular orbital) - or an N-containing heterocycle.
정공 주입 및/또는 정공 수송 특성을 갖는 화합물로서, 페닐렌디아민 유도체 (US 3615404), 아릴아민 유도체 (US 3567450), 아미노-치환된 칼콘 유도체 (US 3526501), 스티릴안트라센 유도체 (JP-A-56-46234), 다환 방향족 화합물 (EP 1009041), 폴리아릴알칸 유도체 (US 3615402), 플루오레논 유도체 (JP-A-54-110837), 히드라존 유도체 (US 3717462), 아실히드라존, 스틸벤 유도체 (JP-A-61-210363), 실라잔 유도체 (US 4950950), 폴리실란 (JP-A-2-204996), 아닐린 공중합체 (JP-A-2-282263), 티오펜 올리고머 (JP Heisei 1 (1989) 211399), 폴리티오펜, 폴리(N-비닐카르바졸) (PVK), 폴리피롤, 폴리아닐린 및 기타 전기 전도성 거대분자, 포르피린 화합물 (JP-A-63-2956965, US 4720432), 방향족 디메틸리덴 유형 화합물, 카르바졸 화합물, 이를테면 예를 들어 CDBP, CBP, mCP, 방향족 3차 아민 및 스티릴아민 화합물 (US 4127412), 이를테면 예를 들어 벤지딘 유형의 트리페닐아민, 스티릴아민 유형의 트리페닐아민 및 디아민 유형의 트리페닐아민이 특히 언급될 수도 있다. 또한, 아릴아민 덴드리머 (JP Heisei 8 (1996) 193191), 단량체성 트리아릴아민 (US 3180730), 하나 이상의 비닐 라디칼 및/또는 활성 수소를 함유하는 적어도 하나의 기능성 기를 함유하는 트리아릴아민 (US 3567450 및 US 3658520), 또는 테트라아릴디아민 (2 개의 3차 아민 단위가 아릴기를 통해 연결됨) 이 사용될 수 있다. 또한, 보다 많은 트리아릴아미노기가 분자 중에 존재할 수도 있다. 프탈로시아닌 유도체, 나프탈로시아닌 유도체, 부타디엔 유도체 및 퀴놀린 유도체, 이를테면 예를 들어 디피라지노[2,3-f:2',3'-h]퀴녹살린헥사카르보니트릴이 또한 적합하다.As compounds having hole injection and/or hole transport properties, phenylenediamine derivatives (US 3615404), arylamine derivatives (US 3567450), amino-substituted chalcone derivatives (US 3526501), styrylanthracene derivatives (JP-A- 56-46234), polycyclic aromatic compounds (EP 1009041), polyarylalkane derivatives (US 3615402), fluorenone derivatives (JP-A-54-110837), hydrazone derivatives (US 3717462), acylhydrazones, stilbene derivatives (JP-A-61-210363), silazane derivative (US 4950950), polysilane (JP-A-2-204996), aniline copolymer (JP-A-2-282263), thiophene oligomer (JP Heisei 1 (1989) 211399), polythiophene, poly(N-vinylcarbazole) (PVK), polypyrrole, polyaniline and other electrically conductive macromolecules, porphyrin compounds (JP-A-63-2956965, US 4720432), aromatic dimethylidene type compounds, carbazole compounds, such as for example CDBP, CBP, mCP, aromatic tertiary amines and styrylamine compounds (US 4127412), such as for example triphenylamine of the benzidine type, triphenylamine of the styrylamine type and triphenylamines of the diamine type may be specifically mentioned. In addition, arylamine dendrimers (JP Heisei 8 (1996) 193191), monomeric triarylamines (US 3180730), triarylamines containing at least one functional group containing at least one vinyl radical and/or active hydrogen (US 3567450 and US 3658520), or tetraaryldiamines (two tertiary amine units linked through an aryl group) may be used. Also, more triarylamino groups may be present in the molecule. Also suitable are phthalocyanine derivatives, naphthalocyanine derivatives, butadiene derivatives and quinoline derivatives, such as for example dipyrazino[2,3-f:2',3'-h]quinoxalinehexacarbonitrile.
적어도 2 개의 3차 아민 단위를 함유하는 방향족 3차 아민 (US 2008/0102311 A1, US 4720432 및 US 5061569), 이를테면 예를 들어 NPD (α-NPD = 4,4'-비스[N-(1-나프틸)-N-페닐아미노]바이페닐) (US 5061569), TPD 232 (= N,N'-비스-(N,N'-디페닐-4-아미노페닐)-N,N-디페닐-4,4'-디아미노-1,1'-바이페닐) 또는 MTDATA (MTDATA 또는 m-MTDATA = 4,4',4"-트리스[(3-메틸페닐)페닐아미노]트리페닐아민) (JP-A-4-308688), TBDB (= N,N,N',N'-테트라(4-바이페닐)디아미노바이페닐렌), TAPC (= 1,1-비스(4-디-p-톨릴아미노페닐)시클로헥산), TAPPP (= 1,1-비스(4-디-p-톨릴아미노페닐)-3-페닐프로판), BDTAPVB (= 1,4-비스[2-[4-[N,N-디(p-톨릴)아미노]페닐]비닐]벤젠), TTB (= N,N,N',N'-테트라-p-톨릴-4,4'-디아미노바이페닐), TPD (= 4,4'-비스[N-3-메틸페닐]-N-페닐아미노)바이페닐), N,N,N',N'-테트라페닐-4,4'''-디아미노-1,1',4',1'',4'',1'''-쿼터페닐, 마찬가지로 카르바졸 단위를 함유하는 3차 아민, 이를테면 예를 들어 TCTA (= 4-(9H-카르바졸-9-일)-N,N-비스[4-(9H-카르바졸-9-일)페닐]벤젠아민) 가 바람직하다. US 2007/0092755 A1 에 따른 헥사아자트리페닐렌 화합물 및 프탈로시아닌 유도체 (예를 들어 H2Pc, CuPc (= 구리 프탈로시아닌), CoPc, NiPc, ZnPc, PdPc, FePc, MnPc, ClAlPc, ClGaPc, ClInPc, ClSnPc, Cl2SiPc, (HO)AlPc, (HO)GaPc, VOPc, TiOPc, MoOPc, GaPc-O-GaPc) 가 마찬가지로 바람직하다.Aromatic tertiary amines containing at least two tertiary amine units (US 2008/0102311 A1, US 4720432 and US 5061569), such as for example NPD (α-NPD = 4,4′-bis[N-(1- naphthyl)-N-phenylamino]biphenyl) (US 5061569), TPD 232 (= N,N'-bis-(N,N'-diphenyl-4-aminophenyl)-N,N-diphenyl- 4,4'-diamino-1,1'-biphenyl) or MTDATA (MTDATA or m-MTDATA = 4,4',4"-tris[(3-methylphenyl)phenylamino]triphenylamine) (JP- A-4-308688), TBDB (= N, N, N', N'-tetra (4-biphenyl) diaminobiphenylene), TAPC (= 1,1-bis (4-di-p-tolyl aminophenyl)cyclohexane), TAPPP (= 1,1-bis(4-di-p-tolylaminophenyl)-3-phenylpropane), BDTAPVB (= 1,4-bis[2-[4-[N, N-di(p-tolyl)amino]phenyl]vinyl]benzene), TTB (= N,N,N',N'-tetra-p-tolyl-4,4'-diaminobiphenyl), TPD (= 4,4'-bis[N-3-methylphenyl]-N-phenylamino)biphenyl), N,N,N',N'-tetraphenyl-4,4'''-diamino-1,1',4',1'',4'',1'''-quaterphenyl, likewise containing carbazole units, tertiary amines such as for example TCTA (= 4-(9H-carbazol-9-yl) -N,N-bis[4-(9H-carbazol-9-yl)phenyl]benzenamine) is preferred Hexaazatriphenylene compounds according to US 2007/0092755 A1 and phthalocyanine derivatives (eg H 2 Pc, CuPc (= copper phthalocyanine), CoPc, NiPc, ZnPc, PdPc, FePc, MnPc, ClAlPc, ClGaPc, ClInPc, ClSnPc, Cl 2 SiPc, (HO)AlPc, (HO)GaPc, VOPc, TiOPc, MoOPc, GaPc -O-GaPc) is likewise preferred.
식 (TA-1) 내지 (TA-12) 의 하기 트리아릴아민 화합물이 특히 바람직하며, 이들은 EP 1162193 B1, EP 650 955 B1, Synth.Metals 1997, 91(1-3), 209, DE 19646119 A1, WO 2006/122630 A1, EP 1 860 097 A1, EP 1834945 A1, JP 08053397 A, US 6251531 B1, US 2005/0221124, JP 08292586 A, US 7399537 B2, US 2006/0061265 A1, EP 1 661 888 및 WO 2009/041635 에 개시되어 있다. 식 (TA-1) 내지 (TA-12) 의 상기 화합물은 또한 치환될 수도 있다:Particular preference is given to the following triarylamine compounds of the formulas (TA-1) to (TA-12), which are described in EP 1162193 B1, EP 650 955 B1, Synth.Metals 1997 , 91(1-3), 209, DE 19646119 A1 , WO 2006/122630 A1,
정공 주입 재료로서 이용될 수 있는 추가의 화합물은 EP 0891121 A1 및 EP 1029909 A1 에, 주입층은 일반적으로 US 2004/0174116 A1 에 개시되어 있다.Further compounds which can be used as hole injection materials are disclosed in EP 0891121 A1 and EP 1029909 A1, injection layers generally in US 2004/0174116 A1.
일반적으로 정공 주입 및/또는 정공 수송 재료로서 이용되는 이러한 아릴아민 및 복소환은, 중합체에서 바람직하게는 (진공 레벨에 대해) -5.8 eV 초과, 특히 바람직하게는 -5.5 eV 초과의 HOMO 를 야기한다.These arylamines and heterocycles, which are generally used as hole injection and/or hole transport materials, in the polymer preferably give rise to a HOMO of greater than -5.8 eV (vs. vacuum level), particularly preferably greater than -5.5 eV. .
전자 주입 및/또는 전자 수송 특성을 갖는 화합물은, 예를 들어 피리딘, 피리미딘, 피리다진, 피라진, 옥사디아졸, 퀴놀린, 퀴녹살린, 안트라센, 벤즈안트라센, 피렌, 페릴렌, 벤즈이미다졸, 트리아진, 케톤, 포스핀 옥사이드 및 페나진 유도체 뿐 아니라, 트리아릴보란 및 낮은 LUMO (LUMO = 최저준위 비점유 분자 궤도) 를 갖는 추가의 O-, S- 또는 N-함유 복소환이다.Compounds having electron injecting and/or electron transporting properties include, for example, pyridine, pyrimidine, pyridazine, pyrazine, oxadiazole, quinoline, quinoxaline, anthracene, benzanthracene, pyrene, perylene, benzimidazole, tri Azines, ketones, phosphine oxides and phenazine derivatives, as well as triarylboranes and further O-, S- or N-containing heterocycles with low LUMO (LUMO = lowest unoccupied molecular orbital).
전자 수송 및 전자 주입층에 특히 적합한 화합물은, 8-히드록시퀴놀린의 금속 킬레이트 (예를 들어 LiQ, AlQ3, GaQ3, MgQ2, ZnQ2, InQ3, ZrQ4), BAlQ, Ga 옥시노이드 착물, 4-아자페난트렌-5-올-Be 착물 (US 5529853 A, 식 ET-1 참조), 부타디엔 유도체 (US 4356429), 복소환 광학 증백제 (optical brightener) (US 4539507), 벤즈이미다졸 유도체 (US 2007/0273272 A1), 예를 들어 TPBI (US 5766779, 식 ET-2 참조), 1,3,5-트리아진, 예를 들어 스피로바이플루오레닐트리아진 유도체 (예를 들어 DE 102008064200 에 따름), 피렌, 안트라센, 테트라센, 플루오렌, 스피로플루오렌, 덴드리머, 테트라센 (예를 들어 루브렌 유도체), 1,10-페난트롤린 유도체 (JP 2003-115387, JP 2004-311184, JP-2001-267080, WO 02/043449), 실라시클로펜타디엔 유도체 (EP 1480280, EP 1478032, EP 1469533), 보란 유도체, 이를테면 예를 들어 Si 함유 트리아릴보란 유도체 (US 2007/0087219 A1, 식 ET-3 참조), 피리딘 유도체 (JP 2004-200162), 페난트롤린, 특히 1,10-페난트롤린 유도체, 이를테면 예를 들어 BCP 및 Bphen, 또한 바이페닐 또는 기타 방향족기를 통해 연결된 수 개의 페난트롤린 (US-2007-0252517 A1) 또는 안트라센에 연결된 페난트롤린 (US 2007-0122656 A1, 식 ET-4 및 ET-5 참조) 이다.Compounds particularly suitable for electron transport and electron injection layers are metal chelates of 8-hydroxyquinoline (eg LiQ, AlQ 3 , GaQ 3 , MgQ 2 , ZnQ 2 , InQ 3 , ZrQ 4 ), BAlQ, Ga oxinoids complex, 4-azaphenanthrene-5-ol-Be complex (see US 5529853 A, formula ET-1), butadiene derivative (US 4356429), heterocyclic optical brightener (US 4539507), benzimidazole derivatives (US 2007/0273272 A1), for example TPBI (see US 5766779, formula ET-2), 1,3,5-triazines, for example spirobifluorenyltriazine derivatives (eg DE 102008064200 ), pyrene, anthracene, tetracene, fluorene, spirofluorene, dendrimers, tetracene (e.g. rubrene derivatives), 1,10-phenanthroline derivatives (JP 2003-115387, JP 2004-311184, JP-2001-267080, WO 02/043449), silacyclopentadiene derivatives (EP 1480280, EP 1478032, EP 1469533), borane derivatives, such as for example Si-containing triarylborane derivatives (US 2007/0087219 A1, formula ET -3), pyridine derivatives (JP 2004-200162), phenanthrolines, especially 1,10-phenanthroline derivatives, such as for example BCP and Bphen, as well as several phenanthrolines linked via biphenyls or other aromatic groups. (US-2007-0252517 A1) or phenanthroline linked to anthracene (see US 2007-0122656 A1, formulas ET-4 and ET-5).
복소환 유기 화합물, 이를테면 예를 들어 티오피란 디옥사이드, 옥사졸, 트리아졸, 이미다졸 또는 옥사디아졸이 마찬가지로 적합하다. N 함유 5-원 고리의 사용 예는, 이를테면 예를 들어, 옥사졸, 바람직하게는 1,3,4-옥사디아졸, 예를 들어 식 ET-6, ET-7, ET-8 및 ET-9 의 화합물 (특히 US 2007/0273272 A1 에 개시됨); 티아졸, 옥사디아졸, 티아디아졸, 트리아졸 (특히 US 2008/0102311 A1 및 Y.A. Levin, M.S. Skorobogatova, Khimiya Geterotsiklicheskikh Soedinenii 1967 (2), 339-341 참조), 바람직하게는 식 ET-10 의 화합물, 실라시클로펜타디엔 유도체이다. 바람직한 화합물은 하기 식 (ET-6) 내지 (ET-10) 이다:Heterocyclic organic compounds, such as for example thiopyran dioxide, oxazoles, triazoles, imidazoles or oxadiazoles, are likewise suitable. Examples of uses of N-containing 5-membered rings include, for example, oxazoles, preferably 1,3,4-oxadiazoles, such as formulas ET-6, ET-7, ET-8 and ET- the compound of 9 (particularly disclosed in US 2007/0273272 A1); Thiazoles, oxadiazoles, thiadiazoles, triazoles (see in particular US 2008/0102311 A1 and Y.A. Levin, M.S. Skorobogatova, Khimiya Geterotsiklicheskikh Soedinenii 1967 (2), 339-341), preferably compounds of formula ET-10 , is a silacyclopentadiene derivative. Preferred compounds are of the formulas (ET-6) to (ET-10):
또한, 유기 화합물, 예컨대 플루오레논, 플루오레닐리덴메탄, 페릴렌테트라카르본산, 안트라퀴논디메탄, 디페노퀴논, 안트론 및 안트라퀴논디에틸렌디아민의 유도체가 이용될 수 있다.Derivatives of organic compounds such as fluorenone, fluorenylidenemethane, perylenetetracarboxylic acid, anthraquinone dimethane, diphenoquinone, anthrone and anthraquinonediethylenediamine may also be used.
(1- 또는 2-나프틸, 및 4- 또는 3-바이페닐로) 2,9,10-치환된 안트라센 또는 2 개의 안트라센 단위를 함유하는 분자 (US 2008/0193796 A1, 식 ET-11 참조) 가 바람직하다. 9,10-치환된 안트라센 단위가 벤즈이미다졸 유도체에 연결된 것 (US 2006/147747 A 및 EP 1551206 A1, 식 ET-12 및 ET-13 참조) 이 또한 매우 유리하다.(with 1- or 2-naphthyl, and 4- or 3-biphenyl) 2,9,10-substituted anthracene or a molecule containing 2 anthracene units (see US 2008/0193796 A1, formula ET-11) is preferable Linked 9,10-substituted anthracene units to benzimidazole derivatives (see US 2006/147747 A and EP 1551206 A1, formulas ET-12 and ET-13) are also very advantageous.
전자 주입 및/또는 전자 수송 특성을 생성할 수 있는 화합물은, 바람직하게는 (진공 레벨에 대해) -2.5 eV 미만, 특히 바람직하게는 -2.7 eV 미만의 LUMO 를 야기한다.Compounds capable of producing electron injection and/or electron transport properties preferably give rise to a LUMO of less than -2.5 eV (relative to vacuum level), particularly preferably less than -2.7 eV.
본 발명의 제형은 방출체를 포함할 수도 있다. 용어 방출체는, 임의의 유형의 에너지 전달에 의해 일어날 수 있는 여기 후, 광의 방출과 함께 바닥 상태로의 방사성 천이를 가능하게 하는 재료를 나타낸다. 일반적으로, 2 가지 부류의 방출체, 즉 형광 및 인광 방출체가 알려져 있다. 용어 형광 방출체는, 여기된 단일항 상태에서 바닥 상태로의 방사성 천이가 일어나는 재료 또는 화합물을 나타낸다. 용어 인광 방출체는, 바람직하게는 전이 금속을 함유하는 발광 재료 또는 화합물을 나타낸다.The dosage form of the present invention may also contain an emitter. The term emitter denotes a material that allows for a radiative transition to the ground state with emission of light following excitation, which can occur by any type of energy transfer. Generally, two classes of emitters are known: fluorescent and phosphorescent emitters. The term fluorescent emitter refers to a material or compound in which a radiative transition from an excited singlet state to a ground state occurs. The term phosphorescent emitter denotes a light emitting material or compound that preferably contains a transition metal.
방출체는, 도펀트가 시스템에서 위에 기재된 특성을 야기하는 경우, 흔히 도펀트로 불린다. 매트릭스 재료 및 도펀트를 포함하는 시스템에서 도펀트는 혼합물에서의 비율이 더 작은 성분을 의미하는 것으로 받아들여진다. 상응하여, 매트릭스 재료 및 도펀트를 포함하는 시스템에서 매트릭스 재료는, 혼합물 중 그 비율이 보다 큰 성분을 의미하는 것으로 받아들여진다. 따라서, 용어 인광 방출체는 또한, 예를 들어 인광 도펀트를 의미하는 것으로 받아들여질 수 있다.An emitter is often referred to as a dopant when the dopant causes the properties described above in the system. In a system comprising a matrix material and a dopant, dopant is taken to mean the component with a smaller proportion in the mixture. Correspondingly, matrix material in a system comprising a matrix material and a dopant is taken to mean the component in which the proportion in the mixture is greater. Thus, the term phosphorescent emitter can also be taken to mean, for example, a phosphorescent dopant.
발광할 수 있는 화합물은, 특히 형광 방출체 및 인광 방출체를 포함한다. 이에는, 특히 스틸벤, 스틸벤아민, 스티릴아민, 쿠마린, 루브렌, 로다민, 티아졸, 티아디아졸, 시아닌, 티오펜, 파라페닐렌, 페릴렌, 프탈로시아닌, 포르피린, 케톤, 퀴놀린, 이민, 안트라센 및/또는 피렌 구조를 함유하는 화합물이 포함된다. 심지어 실온에서 삼중항 상태로부터 높은 효율로 발광할 수 있는, 즉 흔히 에너지 효율의 증가를 야기하는, 전계형광 (electrofluorescence) 대신 전계인광 (electrophosphorescence) 을 나타내는 화합물이 특히 바람직하다. 먼저, 36보다 큰 원자 번호 (atomic number) 를 갖는 중원자 (heavy atom) 들을 함유하는 화합물들이 이러한 목적에 적합하다. 상기 언급된 조건을 충족시키는 d- 또는 f-전이 금속을 함유하는 화합물이 바람직하다. 여기서, 8 내지 10 족의 원소 (Ru, Os, Rh, Ir, Pd, Pt) 를 함유하는 대응하는 화합물이 특히 바람직하다. 여기서 적합한 기능성 화합물은, 예를 들어 WO 02/068435 A1, WO 02/081488 A1, EP 1239526 A2 및 WO 2004/026886 A2 에 기재된 바와 같은 각종 착물이다.Compounds capable of emitting light include, among others, fluorescent emitters and phosphorescent emitters. These include, inter alia, stilbenes, stilbenamines, styrylamines, coumarins, rubrenes, rhodamines, thiazoles, thiadiazoles, cyanines, thiophenes, paraphenylenes, perylenes, phthalocyanines, porphyrins, ketones, quinolines, Compounds containing imine, anthracene and/or pyrene structures are included. Particularly preferred are compounds capable of emitting light with high efficiency from the triplet state even at room temperature, that is, exhibiting electrophosphorescence instead of electrofluorescence, which often results in an increase in energy efficiency. First, compounds containing heavy atoms with an atomic number greater than 36 are suitable for this purpose. Compounds containing d- or f-transition metals that satisfy the above-mentioned conditions are preferred. Here, corresponding compounds containing elements of groups 8 to 10 (Ru, Os, Rh, Ir, Pd, Pt) are particularly preferred. Functional compounds suitable here are various complexes as described, for example, in WO 02/068435 A1, WO 02/081488 A1, EP 1239526 A2 and WO 2004/026886 A2.
형광 방출체의 역할을 할 수 있는 바람직한 화합물은, 하기 예로서 기재된다. 바람직한 형광 방출체는, 모노스티릴아민, 디스티릴아민, 트리스티릴아민, 테트라스티릴아민, 스티릴포스핀, 스티릴 에테르 및 아릴아민의 부류로부터 선택된다.Preferred compounds capable of serving as fluorescent emitters are described as examples below. Preferred fluorescent emitters are selected from the classes of monostyrylamines, distyrylamines, tristyrylamines, tetrastyrylamines, styrylphosphines, styryl ethers and arylamines.
모노스티릴아민은, 하나의 치환 또는 비치환된 스티릴기, 및 적어도 하나의, 바람직하게는 방향족 아민을 함유하는 화합물을 의미하는 것으로 받아들여진다. 디스티릴아민은, 2 개의 치환 또는 비치환된 스티릴기, 및 적어도 하나의, 바람직하게는 방향족 아민을 함유하는 화합물을 의미하는 것으로 받아들여진다. 트리스티릴아민은, 3 개의 치환 또는 비치환된 스티릴기, 및 적어도 하나의, 바람직하게는 방향족 아민을 함유하는 화합물을 의미하는 것으로 받아들여진다. 테트라스티릴아민은, 4 개의 치환 또는 비치환된 스티릴기, 및 적어도 하나의, 바람직하게는 방향족 아민을 함유하는 화합물을 의미하는 것으로 받아들여진다. 스티릴기는 특히 바람직하게는 스틸벤이며, 이는 또한 추가로 치환될 수 있다. 대응하는 포스핀 및 에테르는 아민과 유사하게 정의된다. 본 발명의 의미에서 아릴아민 또는 방향족 아민은, 질소에 직접 결합된 3 개의 치환 또는 비치환된 방향족 또는 헤테로방향족 고리 시스템을 함유하는 화합물을 의미하는 것으로 받아들여진다. 상기 방향족 또는 헤테로방향족 고리 시스템 중 적어도 하나는, 바람직하게는 적어도 14 개의 방향족 고리 원자를 갖는, 바람직하게는 축합된 고리 시스템이다. 이의 바람직한 예는 방향족 안트라센아민, 방향족 안트라센디아민, 방향족 피렌아민, 방향족 피렌디아민, 방향족 크리센아민 또는 방향족 크리센디아민이다. 방향족 안트라센아민은 1 개의 디아릴아미노기가 바람직하게는 9-위치에서 안트라센 기에 직접적으로 결합된 화합물을 의미하는 것으로 받아들여진다. 방향족 안트라센디아민은 2 개의 디아릴아미노 기가 안트라센 기에, 바람직하게는 2,6- 또는 9,10-위치에서 직접 결합되는 화합물을 의미하는 것으로 이해된다. 방향족 피렌아민, 피렌디아민, 크리센아민 및 크리센디아민은 이와 유사하게 정의되며, 여기서 디아릴아미노기는 바람직하게는 1-위치 또는 1,6-위치에서 피렌에 결합된다.Monostyrylamine is taken to mean a compound containing one substituted or unsubstituted styryl group and at least one, preferably aromatic amine. Distyrylamine is taken to mean a compound containing two substituted or unsubstituted styryl groups and at least one, preferably aromatic amine. Tristyrylamine is taken to mean a compound containing three substituted or unsubstituted styryl groups and at least one, preferably aromatic amine. Tetrastyrylamine is taken to mean a compound containing four substituted or unsubstituted styryl groups and at least one, preferably aromatic amine. The styryl group is particularly preferably a stilbene, which may also be further substituted. The corresponding phosphines and ethers are defined analogously to amines. An arylamine or aromatic amine in the meaning of the present invention is taken to mean a compound containing three substituted or unsubstituted aromatic or heteroaromatic ring systems directly bonded to the nitrogen. At least one of the above aromatic or heteroaromatic ring systems is preferably a condensed ring system, preferably having at least 14 aromatic ring atoms. Preferred examples thereof are aromatic anthraceneamine, aromatic anthracenediamine, aromatic pyreneamine, aromatic pyrendiamine, aromatic chrysenamine or aromatic chrysendiamine. Aromatic anthraceneamines are taken to mean compounds in which one diarylamino group is bonded directly to the anthracene group, preferably in the 9-position. Aromatic anthracenediamine is understood to mean a compound in which two diarylamino groups are bonded directly to the anthracene group, preferably in the 2,6- or 9,10-position. Aromatic pyreneamines, pyrendiamines, chryseneamines and chryssendiamines are similarly defined, wherein the diarylamino group is bonded to the pyrene, preferably at the 1- or 1,6-position.
추가로 바람직한 형광체 방출체는 특히 WO 2006/122630 에 기술된 인데노플루오렌아민 또는 인데노플루오렌디아민; 특히 WO 2008/006449 에 기술된 벤조인데노플루오렌아민 또는 벤조인데노플루오렌디아민; 및 특히 WO 2007/140847 에 기술된 디벤조인데노플루오렌아민 또는 디벤조인데노플루오렌디아민으로부터 선택된다.Further preferred phosphor emitters are indenofluorenamines or indenofluorenediamines described in particular in WO 2006/122630; the benzoindenofluorenamines or benzoindenofluorenediamines described in particular in WO 2008/006449; and in particular the dibenzoindenofluorenamines or dibenzoindenofluorenediamines described in WO 2007/140847.
형광 방출체로서 이용될 수 있는 스티릴아민 부류의 화합물의 예는, 치환 또는 비치환된 트리스틸벤아민, 또는 WO 2006/000388, WO 2006/058737, WO 2006/000389, WO 2007/065549 및 WO 2007/115610 에 기재된 도펀트이다. 디스티릴벤젠 및 디스티릴바이페닐 유도체는 US 5121029 에 기재되어 있다. 추가의 스티릴아민은 US 2007/0122656 A1 에서 찾아볼 수 있다.Examples of compounds of the class of styrylamines that can be used as fluorescent emitters are substituted or unsubstituted tristilbenamines, or WO 2006/000388, WO 2006/058737, WO 2006/000389, WO 2007/065549 and WO It is a dopant described in 2007/115610. Distyrylbenzene and distyrylbiphenyl derivatives are described in US 5121029. Additional styrylamines can be found in US 2007/0122656 A1.
특히 바람직한 스티릴아민 화합물은, US 7250532 B2 에 기재된 식 EM-1 의 화합물 및 DE 10 2005 058557 A1 에 기재된 식 EM-2 의 화합물이다:Particularly preferred styrylamine compounds are compounds of formula EM-1 described in US 7250532 B2 and compounds of formula EM-2 described in
특히 바람직한 트리아릴아민 화합물은, CN 1583691 A, JP 08/053397 A 및 US 6251531 B1, EP 1957606 A1, US 2008/0113101 A1, US 2006/210830 A, WO 2008/006449 및 DE 102008035413 에 개시된 식 EM-3 내지 EM-15 의 화합물, 및 이들의 유도체이다:Particularly preferred triarylamine compounds are of the formula EM- 3 to EM-15, and their derivatives:
형광 방출체로서 이용될 수 있는 보다 바람직한 화합물은, 나프탈렌, 안트라센, 테트라센, 벤즈안트라센, 벤조페난트렌 (DE 10 2009 005746), 플루오렌, 플루오란텐, 페리플란텐, 인데노페릴렌, 페난트렌, 페릴렌 (US 2007/0252517 A1), 피렌, 크리센, 데카시클렌, 코로넨, 테트라페닐시클로펜타디엔, 펜타페닐시클로펜타디엔, 플루오렌, 스피로플루오렌, 루브렌, 쿠마린 (US 4769292, US 6020078, US 2007/0252517 A1), 피란, 옥사졸, 벤즈옥사졸, 벤조티아졸, 벤즈이미다졸, 피라진, 신남산 에스테르, 디케토피롤로피롤, 아크리돈 및 퀴나크리돈 (US 2007/0252517 A1) 의 유도체로부터 선택된다.More preferred compounds that can be used as fluorescent emitters are naphthalene, anthracene, tetracene, benzanthracene, benzophenanthrene (
안트라센 화합물 중에서, 9,10-치환된 안트라센, 이를테면 예를 들어 9,10-디페닐안트라센 및 9,10-비스(페닐에티닐)안트라센이 특히 바람직하다. 1,4-비스(9'-에티닐안트라세닐)벤젠이 또한 바람직한 도펀트이다.Among the anthracene compounds, 9,10-substituted anthracenes such as for example 9,10-diphenylanthracene and 9,10-bis(phenylethynyl)anthracene are particularly preferred. 1,4-bis(9'-ethynylanthracenyl)benzene is also a preferred dopant.
루브렌, 쿠마린, 로다민, 퀴나크리돈, 이를테면 예를 들어 DMQA (= N,N'-디메틸퀴나크리돈), 디시아노메틸렌피란, 이를테면 예를 들어 DCM (= 4-(디시아노에틸렌)-6-(4-디메틸아미노스티릴-2-메틸)-4H-피란), 티오피란, 폴리메틴, 피릴륨 및 티아피릴륨 염, 페리플란텐 및 인데노페릴렌의 유도체가 마찬가지로 바람직하다.rubrene, coumarin, rhodamine, quinacridone, such as for example DMQA (= N, N'-dimethylquinacridone), dicyanomethylenepyran, such as for example DCM (= 4-(dicyanoethylene)- Derivatives of 6-(4-dimethylaminostyryl-2-methyl)-4H-pyran), thiopyran, polymethine, pyrylium and thiapyrylium salts, periplanthene and indenoperylene are likewise preferred.
청색 형광 방출체는, 바람직하게는 폴리방향족 화합물, 이를테면 예를 들어 9,10-디(2-나프틸안트라센) 및 기타 안트라센 유도체, 테트라센, 잔텐, 페릴렌, 이를테면 예를 들어 2,5,8,11-테트라-t-부틸페릴렌, 페닐렌, 예를 들어 4,4'-비스(9-에틸-3-카르바조비닐렌)-1,1'-바이페닐, 플루오렌, 플루오란텐, 아릴피렌 (US 2006/0222886 A1), 아릴렌비닐렌 (US 5121029, US 5130603), 비스(아지닐)이민-보론 화합물 (US 2007/0092753 A1), 비스(아지닐)메텐 화합물 및 카르보스티릴 화합물의 유도체이다.The blue fluorescent emitter is preferably a polyaromatic compound, such as for example 9,10-di(2-naphthylanthracene) and other anthracene derivatives, tetracene, xanthene, perylene, such as for example 2,5, 8,11 -tetra- t-butylperylene, phenylene, such as 4,4'-bis(9-ethyl-3-carbazobinylene)-1,1'-biphenyl, fluorene, fluorane ten, arylpyrene (US 2006/0222886 A1), arylenevinylene (US 5121029, US 5130603), bis(azinyl)imine-boron compounds (US 2007/0092753 A1), bis(azinyl)methane compounds and carboxylic It is a derivative of the bostyryl compound.
보다 바람직한 청색 형광 방출체는, C.H. Chen 등의 : "Recent developments in organic electroluminescent materials", Macromol. Symp. 125, (1997) 1-48 및 "Recent progress of molecular organic electroluminescent materials and devices", Mat. Sci. 및 Eng. R, 39 (2002), 143-222 에 기재되어 있다.A more preferred blue fluorescent emitter is C.H. Chen et al.: "Recent developments in organic electroluminescent materials", Macromol. Symp. 125, (1997) 1-48 and "Recent progress of molecular organic electroluminescent materials and devices", Mat. Sci. and Eng. R, 39 (2002), 143-222.
보다 바람직한 청색 형광 방출체는 DE 102008035413 에 개시된 탄화수소이다.More preferred blue fluorescent emitters are the hydrocarbons disclosed in DE 102008035413.
형광 방출체의 역할을 할 수 있는 바람직한 화합물은, 예로서 아래에 기재된다.Preferred compounds capable of serving as fluorescent emitters are described below as examples.
인광 방출체의 예는, WO 00/70655, WO 01/41512, WO 02/02714, WO 02/15645, EP 1191613, EP 1191612, EP 1191614 및 WO 2005/033244 에 의해 드러나 있다. 일반적으로, 인광 OLED 를 위해 선행 기술에 따라 사용되고 유기 전계발광 분야의 당업자에게 알려진 모든 인광 착물이 적합하며, 당업자는 진보성 없이 추가의 인광 착물을 사용할 수 있을 것이다.Examples of phosphorescent emitters are revealed by WO 00/70655, WO 01/41512, WO 02/02714, WO 02/15645, EP 1191613, EP 1191612, EP 1191614 and WO 2005/033244. In general, all phosphorescent complexes used according to the prior art for phosphorescent OLEDs and known to the person skilled in the art of organic electroluminescence are suitable, and the person skilled in the art will be able to use further phosphorescent complexes without inventiveness.
인광 금속 착물은 바람직하게는 Ir, Ru, Pd, Pt, Os 또는 Re, 더욱 바람직하게는 Ir 을 함유한다.The phosphorescent metal complex preferably contains Ir, Ru, Pd, Pt, Os or Re, more preferably Ir.
바람직한 리간드는, 2-페닐피리딘 유도체, 7,8-벤조퀴놀린 유도체, 2-(2-티에닐)피리딘 유도체, 2-(1-나프틸)피리딘 유도체, 1-페닐이소퀴놀린 유도체, 3-페닐이소퀴놀린 유도체 또는 2-페닐퀴놀린 유도체이다. 모든 이러한 화합물은, 예를 들어 청색을 위해 플루오로, 시아노 및/또는 트리플루오로메틸 치환기로 치환될 수 있다. 보조 리간드는 바람직하게는 아세틸아세토네이트 또는 피콜린산이다.Preferred ligands are 2-phenylpyridine derivatives, 7,8-benzoquinoline derivatives, 2-(2-thienyl)pyridine derivatives, 2-(1-naphthyl)pyridine derivatives, 1-phenylisoquinoline derivatives, 3-phenyl isoquinoline derivatives or 2-phenylquinoline derivatives. All these compounds may be substituted with fluoro, cyano and/or trifluoromethyl substituents, for example for blue color. The auxiliary ligand is preferably acetylacetonate or picolinic acid.
특히, 식 EM-16 의 4좌 리간드를 갖는 Pt 또는 Pd 의 착물이 적합하다. In particular, complexes of Pt or Pd having a quaternary ligand of the formula EM-16 are suitable.
식 EM-16 의 화합물은, US 2007/0087219 A1 에 보다 상세하게 기재되어 있으며, 상기 식에서의 치환기 및 지수의 설명을 위해, 이 명세서는 개시 목적으로 참조된다. 또한, 확대된 고리 시스템을 갖는 Pt-포르피린 착물 (US 2009/0061681 A1) 및 Ir 착물, 예를 들어 2,3,7,8,12,13,17,18-옥타에틸-21H, 23H-포르피린-Pt(II), 테트라페닐-Pt(II) 테트라벤조포르피린 (US 2009/0061681 A1), 시스-비스(2-페닐피리디네이토-N,C2')Pt(II), 시스-비스(2-(2'-티에닐)피리디네이토-N,C3')Pt(II), 시스-비스(2-(2'-티에닐)퀴놀리네이토-N,C5')Pt(II), (2-(4,6-디플루오로페닐)-피리디네이토-N,C2')Pt(II) (아세틸아세토네이트), 또는 트리스(2-페닐피리디네이토-N,C2')Ir(III) (= Ir(ppy)3, 녹색), 비스(2-페닐피리디네이토-N,C2)Ir(III) (아세틸아세토네이트) (= Ir(ppy)2 아세틸아세토네이트, 녹색, US 2001/0053462 A1, Baldo, Thompson 등의 Nature 403, (2000), 750-753), 비스(1-페닐이소퀴놀리네이토-N,C2')(2-페닐피리디네이토-N,C2')이리듐(III), 비스(2-페닐피리디네이토-N,C2')(1-페닐이소퀴놀리네이토-N,C2')이리듐(III), 비스(2-(2'-벤조티에닐)피리디네이토-N,C3')이리듐(III) (아세틸아세토네이트), 비스(2-(4',6'-디플루오로페닐)피리디네이토-N,C2')이리듐(III) (피콜리네이트) (FIrpic, 청색), 비스(2-(4',6'-디플루오로페닐)피리디네이토-N,C2')Ir(III) (테트라키스(1-피라졸릴)보레이트), 트리스(2-(바이페닐-3-일)-4-tert-부틸피리딘)이리듐(III), (ppz)2Ir(5phdpym) (US 2009/0061681 A1), (45ooppz)2-Ir(5phdpym) (US 2009/0061681 A1), 2-페닐피리딘-Ir 착물의 유도체, 이를테면, 예를 들어, PQIr (= 이리듐(III) 비스(2-페닐퀴놀릴-N,C2')아세틸아세토네이트), 트리스(2-페닐이소퀴놀리네이토-N,C)Ir(III) (적색), 비스(2-(2'-벤조[4,5-a]티에닐)피리디네이토-N,C3)Ir (아세틸아세토네이트) ([Btp2Ir(acac)], 적색, Adachi 등의 Appl. Phys. Lett. 78 (2001), 1622-1624).Compounds of the formula EM-16 are described in more detail in US 2007/0087219 A1, to which substituents and exponents in the formula are described, this specification is incorporated for disclosure purposes. Also, Pt-porphyrin complexes with an enlarged ring system (US 2009/0061681 A1) and Ir complexes such as 2,3,7,8,12,13,17,18-octaethyl-21H, 23H-porphyrins -Pt(II), tetraphenyl-Pt(II) tetrabenzoporphyrin (US 2009/0061681 A1), cis-bis(2-phenylpyridinato-N,C 2 ')Pt(II), cis-bis (2-(2′-thienyl)pyridinato-N,C 3 ′)Pt(II), cis-bis(2-(2′-thienyl)quinolinato-N,C 5 ′) Pt(II), (2-(4,6-difluorophenyl)-pyridinato-N,C 2 ')Pt(II) (acetylacetonate), or tris(2-phenylpyridinato -N,C 2 ')Ir(III) (= Ir(ppy) 3 , green), bis(2-phenylpyridinato-N,C 2 )Ir(III) (acetylacetonate) (= Ir( ppy) 2 acetylacetonate, green, US 2001/0053462 A1, Baldo, Thompson et al., Nature 403, (2000), 750-753), bis(1-phenylisoquinolinato-N,C 2' )( 2-phenylpyridinato-N,C 2' )iridium(III), bis(2-phenylpyridinato-N,C 2' )(1-phenylisoquinolinato-N,C 2' ) Iridium(III), bis(2-(2'-benzothienyl)pyridinato-N,C 3' )iridium(III) (acetylacetonate), bis(2-(4',6'- Difluorophenyl)pyridinato-N,C 2' )iridium(III) (picolinate) (FIrpic, blue), bis(2-(4',6'-difluorophenyl)pyridine Sat-N,C 2′ )Ir(III) (tetrakis(1-pyrazolyl)borate), tris(2-(biphenyl-3-yl)-4-tert-butylpyridine)iridium(III), ( ppz) 2 Ir (5phdpym) (US 2009/0061681 A1), (45ooppz) 2 -Ir (5phdpym) (US 2009/0061681 A1), derivatives of 2-phenylpyridine-Ir complexes, such as, for example, PQIr ( = iridium(III) bis(2-phenylquinolyl-N,C 2' )acetylacetonate), tris(2-phenylisoquinolinato-N,C)Ir(III) (red), bis(2-(2'-benzo[4,5-a]thienyl)pyridi Nato-N,C 3 )Ir (acetylacetonate) ([Btp 2 Ir(acac)], red, Adachi et al. Appl. Phys. Lett . 78 (2001), 1622-1624).
3가 란타나이드, 이를테면 예를 들어 Tb3+ 및 Eu3+ 의 착물 (J. Kido 등의 Appl. Phys. Lett. 65 (1994), 2124, Kido 등의 Chem. Lett. 657, 1990, US 2007/0252517 A1), 또는 Pt(II), Ir(I), Rh(I) 와 말레오니트릴 디티올레이트의 인광 착물 (Johnson 등의, JACS 105, 1983, 1795), Re(I) 트리카르보닐-디이민 착물 (특히 [Wrighton, JACS 96, 1974, 998), 시아노 리간드, 및 바이피리딜 또는 페난트롤린 리간드를 갖는 Os(II) 착물 (Ma et al., Synth. Metals 94, 1998, 245) 이 마찬가지로 적합하다.Trivalent lanthanides such as, for example, complexes of Tb 3+ and Eu 3+ (J. Kido et al. Appl. Phys. Lett. 65 (1994), 2124; Kido et al. Chem. Lett. 657, 1990, US 2007 /0252517 A1), or phosphorescent complexes of Pt(II), Ir(I), Rh(I) with maleonitrile dithiolate (Johnson et al., JACS 105, 1983, 1795), Re(I) tricarbonyl -diimine complexes (especially [Wrighton, JACS 96, 1974, 998), cyano ligands, and Os(II) complexes with bipyridyl or phenanthroline ligands (Ma et al., Synth. Metals 94, 1998, 245) is equally suitable.
3좌 리간드를 갖는 추가의 인광 방출체는 US 6824895 및 US 10/729238 에 기재되어 있다. 적색 방출 인광 착물은 US 6835469 및 US 6830828 에서 찾아진다.Additional phosphorescent emitters with tridentate ligands are described in US 6824895 and
인광 도펀트로서 사용되는 특히 바람직한 화합물은, 특히 식 EM-17 의 화합물 (특히 US 2001/0053462 A1 및 Inorg. Chem. 2001, 40(7), 1704-1711, JACS 2001, 123(18), 4304-4312 에 기재됨) 및 이의 유도체이다.Particularly preferred compounds used as phosphorescent dopants are in particular compounds of the formula EM-17 (in particular US 2001/0053462 A1 and Inorg. Chem. 2001, 40(7), 1704-1711, JACS 2001, 123(18), 4304- 4312) and derivatives thereof.
유도체는 US 7378162 B2, US 6835469 B2 및 JP 2003/253145 A 에 기재되어 있다.Derivatives are described in US 7378162 B2, US 6835469 B2 and JP 2003/253145 A.
나아가, 식 EM-18 내지 EM-21 의 화합물 (US 7238437 B2, US 2009/008607 A1 및 EP 1348711 에 기재됨) 및 이의 유도체가, 방출체로서 이용될 수 있다.Furthermore, compounds of the formulas EM-18 to EM-21 (described in US 7238437 B2, US 2009/008607 A1 and EP 1348711) and their derivatives can be used as emitters.
양자점이 마찬가지로 방출체로서 이용될 수 있으며, 이러한 재료는 WO 2011/076314 A1 에 상세하게 개시되어 있다.Quantum dots can likewise be used as emitters, such materials being disclosed in detail in WO 2011/076314 A1.
특히 방출성 화합물과 함께, 호스트 재료로서 이용되는 화합물은, 각종 부류의 물질로부터의 재료를 포함한다.Compounds used as host materials, particularly with emissive compounds, include materials from various classes of materials.
호스트 재료는 일반적으로 이용되는 방출체 재료보다 HOMO 와 LUMO 사이의 밴드 갭이 더 크다. 또한, 바람직한 호스트 재료는 정공- 또는 전자- 수송 재료의 특성을 나타낸다. 나아가, 호스트 재료는 전자- 및 정공- 수송 특성 양자 모두를 가질 수 있다.The host material has a larger band gap between HOMO and LUMO than commonly used emitter materials. In addition, preferred host materials exhibit the properties of hole- or electron-transport materials. Further, the host material may have both electron- and hole-transport properties.
호스트 재료는 일부 경우에, 특히 호스트 재료가 OLED 에서 인광 방출체와 조합으로 이용되는 경우, 또한 소위 매트릭스 재료로 불린다.The host material is also called matrix material in some cases, especially when the host material is used in combination with a phosphorescent emitter in an OLED.
특히 형광 도펀트와 함께 이용되는, 바람직한 호스트 재료 또는 공-호스트 (co-host) 재료는, 올리고아릴렌의 부류 (예를 들어 EP 676461 에 따른 2,2',7,7'-테트라페닐스피로바이플루오렌 또는 디나프틸안트라센), 특히 축합 방향족기를 함유하는 올리고아릴렌, 이를테면 예를 들어 안트라센, 벤즈안트라센, 벤조페난트렌 (DE 10 2009 005746, WO 2009/069566), 페난트렌, 테트라센, 코로넨, 크리센, 플루오렌, 스피로플루오렌, 페릴렌, 프탈로페릴렌, 나프탈로페릴렌, 데카시클렌, 루브렌, 올리고아릴렌비닐렌 (예를 들어 EP 676461 에 따른 DPVBi = 4,4'-비스(2,2-디페닐에테닐)-1,1'-바이페닐 또는 스피로-DPVBi), 폴리포달 (polypodal) 금속 착물 (예를 들어 WO 04/081017 에 따름), 특히 8-히드록시퀴놀린의 금속 착물, 예를 들어 AlQ3 (= 알루미늄(III) 트리스(8-히드록시퀴놀린)) 또는 비스(2-메틸-8-퀴놀리놀라토)-4-(페닐페놀리놀라토)알루미늄, 또한 이미다졸 킬레이트 (US 2007/0092753 A1) 및 퀴놀린-금속 착물, 아미노퀴놀린-금속 착물, 벤조퀴놀린-금속 착물, 정공 전도성 화합물 (예를 들어 WO 2004/058911 에 따름), 전자 전도성 화합물, 특히 케톤, 포스핀 옥사이드, 술폭시드 등 (예를 들어 WO 2005/084081 및 WO 2005/084082 에 따름), 아트로프 이성질체 (atropisomer) (예를 들어 WO 2006/048268 에 따름), 보론산 유도체 (예를 들어 WO 2006/117052 에 따름) 또는 벤즈안트라센 (예를 들어 WO 2008/145239 에 따름) 로부터 선택된다.Preferred host materials or co-host materials, especially used with fluorescent dopants, are from the class of oligoarylenes (e.g. 2,2',7,7'-tetraphenylspirobi according to EP 676461). fluorene or dinaphthylanthracene), especially oligoarylenes containing condensed aromatic groups, such as for example anthracene, benzanthracene, benzophenanthrene (DE 10 2009 005746, WO 2009/069566), phenanthrene, tetracene, coro nene, chrysene, fluorene, spirofluorene, perylene, phthaloperylene, naphthaloperylene, decacyclene, rubrene, oligoarylenevinylene (eg DPVBi according to EP 676461 = 4,4 '-bis(2,2-diphenylethenyl)-1,1'-biphenyl or spiro-DPVBi), polypodal metal complexes (eg according to WO 04/081017), in particular 8-hydroxy Metal complexes of oxyquinoline, eg AlQ 3 (= aluminum(III) tris(8-hydroxyquinoline)) or bis(2-methyl-8-quinolinolato)-4-(phenylphenollinolato) aluminum, also imidazole chelates (US 2007/0092753 A1) and quinoline-metal complexes, aminoquinoline-metal complexes, benzoquinoline-metal complexes, hole conducting compounds (e.g. according to WO 2004/058911), electron conducting compounds, In particular ketones, phosphine oxides, sulfoxides and the like (eg according to WO 2005/084081 and WO 2005/084082), atropisomers (eg according to WO 2006/048268), boronic acid derivatives (eg according to WO 2006/048268) eg according to WO 2006/117052) or benzanthracenes (eg according to WO 2008/145239).
호스트 재료 또는 공-호스트 재료의 역할을 할 수 있는 특히 바람직한 화합물은, 안트라센, 벤즈안트라센 및/또는 피렌, 또는 이러한 화합물의 아트로프이성질체를 포함하는, 올리고아릴렌 부류로부터 선택된다. 본 발명의 의미에서 올리고아릴렌은, 적어도 3 개의 아릴 또는 아릴렌기가 서로 결합된 화합물을 의미하는 것으로 받아들여진다.Particularly preferred compounds that can serve as host materials or co-host materials are selected from the class of oligoarylenes, which include anthracene, benzanthracene and/or pyrene, or atropisomers of these compounds. Oligoarylene in the meaning of the present invention is taken to mean a compound in which at least three aryl or arylene groups are bonded to one another.
바람직한 호스트 재료는, 특히 식 (H-1) 의 화합물로부터 선택된다:Preferred host materials are especially selected from compounds of formula (H-1):
식 중, Ar4, Ar5, Ar6 은 각각의 경우, 동일하거나 상이하게, 5 내지 30 개의 방향족 고리 원자를 갖는, 선택적으로 치환될 수도 있는 아릴 또는 헤테로아릴기이고, p 는 1 내지 5 범위의 정수를 나타내고; Ar4, Ar5 및 Ar6 에서 π 전자의 합은, p = 1 인 경우 적어도 30 이고, p = 2 인 경우 적어도 36 이고, p = 3 인 경우 적어도 42 이다.In the formula, Ar 4 , Ar 5 , Ar 6 are, in each case, identically or differently, an optionally substituted aryl or heteroaryl group having 5 to 30 aromatic ring atoms, and p is in the range of 1 to 5; Represents an integer of; The sum of π electrons in Ar 4 , Ar 5 and Ar 6 is at least 30 when p = 1, at least 36 when p = 2, and at least 42 when p = 3.
식 (H-1) 의 화합물에서, 기 Ar5 는 특히 바람직하게는 안트라센을 나타내고, 기 Ar4 및 Ar4 은 9- 및 10-위치에서 결합되고, 여기서 이러한 기들은 선택적으로 치환될 수도 있다. 매우 특히 바람직하게는, 기 Ar4 및/또는 Ar6 중 적어도 하나는 1- 또는 2-나프틸, 2-, 3- 또는 9-페난트레닐, 또는 2-, 3-, 4-, 5-, 6- 또는 7-벤즈안트라세닐로부터 선택되는 축합 아릴기이다. 안트라센계 화합물은 US 2007/0092753 A1 및 US 2007/0252517 A1 에 기재되어 있으며, 예를 들어 2-(4-메틸페닐)-9,10-디-(2-나프틸)안트라센, 9-(2-나프틸)-10-(1,1'-바이페닐)안트라센 및 9,10-비스[4-(2,2-디페닐에테닐)페닐]안트라센, 9,10-디페닐안트라센, 9,10-비스(페닐에티닐)안트라센 및 1,4-비스(9'-에티닐안트라세닐)벤젠이다. 2 개의 안트라센 단위를 함유하는 화합물 (US 2008/0193796 A1), 예를 들어 10,10'-비스[1,1',4',1'']테르페닐-2-일-9,9'-비스안트라세닐이 바람직하다.In the compound of formula (H-1), the group Ar 5 particularly preferably represents anthracene, and the groups Ar 4 and Ar 4 are bonded at the 9- and 10-positions, wherein these groups may optionally be substituted. With very particular preference, at least one of the groups Ar 4 and/or Ar 6 is 1- or 2-naphthyl, 2-, 3- or 9-phenanthrenyl, or 2-, 3-, 4-, 5- , a condensed aryl group selected from 6- or 7-benzanthracenyl. Anthracene-based compounds are described in US 2007/0092753 A1 and US 2007/0252517 A1, for example 2-(4-methylphenyl)-9,10-di-(2-naphthyl)anthracene, 9-(2- naphthyl)-10-(1,1'-biphenyl)anthracene and 9,10-bis[4-(2,2-diphenylethenyl)phenyl]anthracene, 9,10-diphenylanthracene, 9,10 -bis(phenylethynyl)anthracene and 1,4-bis(9'-ethynylanthracenyl)benzene. Compounds containing 2 anthracene units (US 2008/0193796 A1), for example 10,10'-bis[1,1',4',1'']terphenyl-2-yl-9,9'- Bisanthracenyl is preferred.
보다 바람직한 화합물은, 아릴아민, 스티릴아민, 플루오레세인, 디페닐부타디엔, 테트라페닐부타디엔, 시클로펜타디엔, 테트라페닐시클로펜타디엔, 펜타페닐시클로펜타디엔, 쿠마린, 옥사디아졸, 비스벤즈옥사졸린, 옥사졸, 피리딘, 피라진, 이민, 벤조티아졸, 벤즈옥사졸, 벤즈이미다졸의 유도체 (US 2007/0092753 A1), 예를 들어 2,2',2"-(1,3,5-페닐렌)트리스[1-페닐-1H-벤즈이미다졸], 알다진, 스틸벤, 스티릴아릴렌 유도체, 예를 들어 9,10-비스[4-(2,2-디페닐에테닐)페닐]안트라센, 및 디스티릴아릴렌 유도체 (US 5121029), 디페닐에틸렌, 비닐안트라센, 디아미노카르바졸, 피란, 티오피란, 디케토피롤로피롤, 폴리메틴, 신남산 에스테르 및 형광 염료이다.More preferred compounds are arylamine, styrylamine, fluorescein, diphenylbutadiene, tetraphenylbutadiene, cyclopentadiene, tetraphenylcyclopentadiene, pentaphenylcyclopentadiene, coumarin, oxadiazole, and bisbenzoxazoline. , oxazoles, pyridines, pyrazines, imines, benzothiazoles, benzoxazoles, derivatives of benzimidazoles (US 2007/0092753 A1), e.g. 2,2',2"-(1,3,5-phenyl len)tris[1-phenyl-1H-benzimidazole], aldazine, stilbene, styrylarylene derivatives such as 9,10-bis[4-(2,2-diphenylethenyl)phenyl] anthracene, and distyrylarylene derivatives (US 5121029), diphenylethylene, vinylanthracene, diaminocarbazole, pyran, thiopyran, diketopyrrolopyrrole, polymethine, cinnamic acid esters and fluorescent dyes.
아릴아민 및 스티릴아민의 유도체, 예를 들어 TNB (= 4,4'-비스[N-(1-나프틸)-N-(2-나프틸)아미노]바이페닐)이 특히 바람직하다. 금속-옥시노이드 착물, 예컨대 LiQ 또는 AlQ3 가 공-호스트로서 사용될 수 있다.Arylamines and derivatives of styrylamine, for example TNB (= 4,4'-bis[N-(1-naphthyl)-N-(2-naphthyl)amino]biphenyl) are particularly preferred. Metal-oxinoid complexes such as LiQ or AlQ 3 can be used as co-hosts.
매트릭스로서 올리고아릴렌을 갖는 바람직한 화합물은, US 2003/0027016 A1, US 7326371 B2, US 2006/043858 A, WO 2007/114358, WO 2008/145239, JP 3148176 B2, EP 1009044, US 2004/018383, WO 2005/061656 A1, EP 0681019B1, WO 2004/013073A1, US 5077142, WO 2007/065678 및 DE 102009005746 에 기재되어 있으며, 여기서 특히 바람직한 화합물은 식 H-2 내지 H-8 로 기재된다.Preferred compounds with oligoarylene as matrix are disclosed in US 2003/0027016 A1, US 7326371 B2, US 2006/043858 A, WO 2007/114358, WO 2008/145239, JP 3148176 B2, EP 1009044, US 2004/018383, WO 2005/061656 A1, EP 0681019B1, WO 2004/013073A1, US 5077142, WO 2007/065678 and DE 102009005746, where particularly preferred compounds are described by the formulas H-2 to H-8.
나아가, 호스트 또는 매트릭스로서 이용될 수 있는 화합물에는, 인광 방출체와 함께 이용되는 재료가 포함된다.Furthermore, compounds that can be used as a host or matrix include materials used with phosphorescent emitters.
중합체에서 구조 요소로서 또한 이용될 수 있는 이러한 화합물에는, CBP (N,N-비스카르바졸릴바이페닐), 카르바졸 유도체 (예를 들어 WO 2005/039246, US 2005/0069729, JP 2004/288381, EP 1205527 또는 WO 2008/086851 에 따름), 아자카르바졸 (예를 들어 EP 1617710, EP 1617711, EP 1731584 or JP 2005/347160 에 따름), 케톤 (예를 들어 WO 2004/093207 또는 DE 102008033943 에 따름), 포스핀 옥사이드, 술폭시드 및 술폰 (예를 들어 WO 2005/003253 에 따름), 올리고페닐렌, 방향족 아민 (예를 들어 US 2005/0069729 에 따름), 양극성 매트릭스 재료 (예를 들어 WO 2007/137725 에 따름), 실란 (예를 들어 WO 2005/111172 에 따름), 9,9-디아릴플루오렌 유도체 (예를 들어 DE 102008017591 에 따름), 아자보롤 또는 보론산 에스테르 (예를 들어 WO 2006/117052 에 따름), 트리아진 유도체 (예를 들어 DE 102008036982 에 따름), 인돌로카르바졸 유도체 (예를 들어 WO 2007/063754 또는 WO 2008/056746 에 따름), 인데노카르바졸 유도체 (예를 들어 DE 102009023155 및 DE 102009031021 에 따름), 디아자포스폴 유도체 (예를 들어 DE 102009022858 에 따름), 트리아졸 유도체, 옥사졸 및 옥사졸 유도체, 이미다졸 유도체, 폴리아릴알칸 유도체, 피라졸린 유도체, 피라졸론 유도체, 디스티릴피라진 유도체, 티오피란 디옥사이드 유도체, 페닐렌디아민 유도체, 3차 방향족 아민, 스티릴아민, 아미노-치환된 칼콘 유도체, 인돌, 히드라존 유도체, 스틸벤 유도체, 실라잔 유도체, 방향족 디메틸리덴 화합물, 카르보디이미드 유도체, 8-히드록시퀴놀린 유도체의 금속 착물, 이를테면 예를 들어 AlQ3 (이는 또한 트리아릴아미노페놀 리간드를 함유할 수 있음) (US 2007/0134514 A1), 금속 착물/폴리실란 화합물, 및 티오펜, 벤조티오펜 및 디벤조티오펜 유도체가 포함된다.Such compounds which can also be used as structural elements in polymers include CBP (N,N-biscarbazolylbiphenyl), carbazole derivatives (e.g. WO 2005/039246, US 2005/0069729, JP 2004/288381, according to EP 1205527 or WO 2008/086851), azacarbazoles (eg according to EP 1617710, EP 1617711, EP 1731584 or JP 2005/347160), ketones (eg according to WO 2004/093207 or DE 102008033943) , phosphine oxides, sulfoxides and sulfones (eg according to WO 2005/003253), oligophenylenes, aromatic amines (eg according to US 2005/0069729), bipolar matrix materials (eg according to WO 2007/137725 ), silanes (eg according to WO 2005/111172), 9,9-diarylfluorene derivatives (eg according to DE 102008017591), azabolol or boronic acid esters (eg WO 2006/117052 according to), triazine derivatives (eg according to DE 102008036982), indolocarbazole derivatives (eg according to WO 2007/063754 or WO 2008/056746), indenocarbazole derivatives (eg according to DE 102009023155 and according to DE 102009031021), diazaphosphole derivatives (eg according to DE 102009022858), triazole derivatives, oxazole and oxazole derivatives, imidazole derivatives, polyarylalkane derivatives, pyrazoline derivatives, pyrazolone derivatives, disti Rilpyrazine derivatives, thiopyran dioxide derivatives, phenylenediamine derivatives, tertiary aromatic amines, styrylamines, amino-substituted chalcone derivatives, indoles, hydrazone derivatives, stilbene derivatives, silazane derivatives, aromatic dimethylidene compounds, carboxylic Bodiimide derivatives, metal complexes of 8-hydroxyquinoline derivatives, such as for example AlQ 3 (which is also triarylaminophenol may contain polyol ligands) (US 2007/0134514 A1), metal complex/polysilane compounds, and thiophene, benzothiophene and dibenzothiophene derivatives.
바람직한 카르바졸 유도체의 예는, mCP (= 1,3-N,N-디카르바졸릴벤젠 (= 9,9'-(1,3-페닐렌)비스-9H-카르바졸)) (식 H-9), CDBP (= 9,9'-(2,2'-디메틸[1,1'-바이페닐]-4,4'-디일)비스-9H-카르바졸), 1,3-비스(N,N'-디카르바졸릴)벤젠 (= 1,3-비스(카르바졸-9-일)벤젠), PVK (폴리비닐카르바졸), 3,5-디(9H-카르바졸-9-일)바이페닐 및 CMTTP (식 H-10) 이다. 특히 바람직한 화합물은 US 2007/0128467 A1 및 US 2005/0249976 A1 에 개시되어 있다 (식 H-11 및 H-13).An example of a preferred carbazole derivative is mCP (= 1,3-N,N-dicarbazolylbenzene (= 9,9'-(1,3-phenylene)bis-9H-carbazole)) (formula H- 9), CDBP (= 9,9'-(2,2'-dimethyl[1,1'-biphenyl]-4,4'-diyl)bis-9H-carbazole), 1,3-bis(N ,N'-dicarbazolyl)benzene (= 1,3-bis(carbazol-9-yl)benzene), PVK (polyvinylcarbazole), 3,5-di(9H-carbazol-9-yl) biphenyl and CMTTP (Formula H-10). Particularly preferred compounds are disclosed in US 2007/0128467 A1 and US 2005/0249976 A1 (Formulas H-11 and H-13).
바람직한 테트라아릴-Si 화합물은 예를 들어, US 2004/0209115, US 2004/0209116, US 2007/0087219 A1 및 H. Gilman, E.A. Zuech, Chemistry & Industry (London, United Kingdom), 1960, 120 에 개시되어 있다.Preferred tetraaryl-Si compounds are disclosed in, for example, US 2004/0209115, US 2004/0209116, US 2007/0087219 A1 and H. Gilman, E.A. Zuech, Chemistry & Industry (London, United Kingdom), 1960, 120.
특히 바람직한 테트라아릴-Si 화합물은 식 H-14 내지 H-21 로 기재된다.Particularly preferred tetraaryl-Si compounds are represented by formulas H-14 to H-21.
인광 도펀트용 매트릭스의 제조를 위한 군 4 의 특히 바람직한 화합물은, 특히 DE 102009022858, DE 102009023155, EP 652273 B1, WO 2007/063754 및 WO 2008/056746 에 개시되어 있으며, 여기서 특히 바람직한 화합물은 화학식 H-22 내지 H-25 로 기재된다.Particularly preferred compounds of group 4 for the preparation of matrices for phosphorescent dopants are disclosed in particular in DE 102009022858, DE 102009023155, EP 652273 B1, WO 2007/063754 and WO 2008/056746, wherein particularly preferred compounds are of formula H-22 to H-25.
본 발명에 따라 이용될 수 있고 호스트 재료의 역할을 할 수 있는 기능성 화합물에 대하여, 적어도 하나의 질소 원자를 함유하는 물질이 특히 바람직하다. 이에는, 바람직하게는 방향족 아민, 트리아진 유도체 및 카르바졸 유도체가 포함된다. 따라서, 카르바졸 유도체는 특히 놀랍게도 높은 효율을 나타낸다. 트리아진 유도체는 전자 디바이스의 예상치 못하게 긴 수명을 낳는다.For functional compounds that can be used according to the present invention and can serve as host materials, materials containing at least one nitrogen atom are particularly preferred. These preferably include aromatic amines, triazine derivatives and carbazole derivatives. Carbazole derivatives thus exhibit particularly surprisingly high efficiencies. Triazine derivatives result in unexpectedly long lifetimes of electronic devices.
또한, 복수의 상이한 매트릭스 재료를 혼합물로서, 특히 적어도 하나의 전자 전도성 매트릭스 재료 및 적어도 하나의 정공 전도성 매트릭스 재료를 이용하는 것이 바람직할 수도 있다. 예를 들어 WO 2010/108579 에 기재된 바와 같이, 전하 수송 매트릭스 재료, 및 존재하는 경우, 전하 수송에 유의한 정도로 관여하지 않는 전기적 비활성 매트릭스 재료의 혼합물을 사용하는 것이 마찬가지로 바람직하다.It may also be desirable to use a plurality of different matrix materials as a mixture, in particular at least one electron conducting matrix material and at least one hole conducting matrix material. It is likewise preferred to use a mixture of a charge transport matrix material and, if present, an electrically inactive matrix material which does not participate in the charge transport to a significant degree, as described for example in WO 2010/108579.
나아가, 단일항 상태로부터 삼중항 상태로의 천이를 개선시키고, 방출체 특성을 갖는 기능성 화합물의 지지체에 이용되어 이러한 화합물의 인광 특성을 개선시키는 화합물이 이용될 수 있다. 이러한 목적을 위하여, 특히 카르바졸 및 브릿지된 카르바졸 이량체 단위 (예를 들어 WO 2004/070772 A2 및 WO 2004/113468 A1 에 기재됨) 가 적합하다. 이러한 목적을 위하여, 케톤, 포스핀 옥사이드, 술폭시드, 술폰, 실란 유도체 및 유사한 화합물 (예를 들어 WO 2005/040302 A1 에 기재됨) 이 또한 적합하다.Further, a compound that improves the transition from the singlet state to the triplet state and is used for the support of a functional compound having emitter properties to improve the phosphorescent properties of such a compound can be used. For this purpose, in particular carbazole and bridged carbazole dimer units (described for example in WO 2004/070772 A2 and WO 2004/113468 A1) are suitable. For this purpose, ketones, phosphine oxides, sulfoxides, sulfones, silane derivatives and similar compounds (described for example in WO 2005/040302 A1) are also suitable.
본원에서 n-도펀트는 환원제, 즉 전자 공여체를 의미하는 것으로 받아들여진다. n-도펀트의 바람직한 예는, W(hpp)4 및 다른 전자-풍부 금속 착물 (WO 2005/086251 A2 에 따름), P=N 화합물 (예를 들어 WO 2012/175535 A1, WO 2012/175219 A1), 나프틸렌카르보디이미드 (예를 들어 WO 2012/168358 A1), 플루오렌 (예를 들어 WO 2012/031735 A1), 자유 라디칼 및 디라디칼 (예를 들어 EP 1837926 A1, WO 2007/107306 A1), 피리딘 (예를 들어 EP 2452946 A1, EP 2463927 A1), N-복소환 화합물 (예를 들어 WO 2009/000237 A1) 및 아크리딘 뿐 아니라, 페나진 (예를 들어 US 2007/145355 A1) 이다.Herein n-dopants are taken to mean reducing agents, ie electron donors. Preferred examples of n-dopants are W(hpp) 4 and other electron-rich metal complexes (according to WO 2005/086251 A2), P=N compounds (eg WO 2012/175535 A1, WO 2012/175219 A1) , naphthylenecarbodiimides (eg WO 2012/168358 A1), fluorenes (eg WO 2012/031735 A1), free radicals and diradicals (eg EP 1837926 A1, WO 2007/107306 A1), pyridines (eg EP 2452946 A1, EP 2463927 A1), N-heterocyclic compounds (eg WO 2009/000237 A1) and acridines as well as phenazines (eg US 2007/145355 A1).
나아가, 제형들은 기능성 재료로서 와이드 밴드 갭 재료를 포함할 수도 있다. 와이드 밴드 갭 재료는 US 7,294,849 의 개시의 의미에서의 재료를 의미하는 것으로 받아들여진다. 이들 시스템들은 전계발광 (electroluminescent) 디바이스들에서 특히 유리한 성능 데이터를 나타낸다.Furthermore, formulations may include wide band gap materials as functional materials. Wide band gap materials are taken to mean materials in the meaning of the disclosure of US Pat. No. 7,294,849. These systems exhibit particularly advantageous performance data in electroluminescent devices.
와이드 밴드 갭 재료로서 이용되는 화합물은 2.5 eV 이상, 바람직하게는 3.0 eV 이상, 특히 바람직하게는 3.5 eV 이상의 밴드 갭을 가질 수 있다. 밴드 갭은, 특히 최고준위 점유 분자 궤도 (HOMO) 및 최저준위 비점유 분자 궤도 (LUMO) 의 에너지 준위를 이용하여 계산될 수 있다.The compound used as the wide band gap material may have a band gap of 2.5 eV or more, preferably 3.0 eV or more, and particularly preferably 3.5 eV or more. The band gap can be calculated using, in particular, the energy levels of the highest occupied molecular orbital (HOMO) and the lowest unoccupied molecular orbital (LUMO).
나아가, 제형은 기능성 재료로서 정공 차단 재료 (HBM) 를 포함할 수 있다. 정공 차단 재료는, 특히 이러한 재료가 방출층 또는 정공 전도층에 인접한 층의 형태로 배치되는 경우, 다층 시스템에서 정공 (양전하) 의 전달을 방지 또는 최소화하는 재료를 나타낸다. 일반적으로, 정공 차단 재료는 인접한 층에서의 정공 수송 재료보다 낮은 HOMO 준위를 갖는다. 정공 차단층은 흔히 OLED 에서 방출층과 전자 수송층 사이에 배치된다.Furthermore, the formulation may contain a hole blocking material (HBM) as a functional material. A hole blocking material refers to a material that prevents or minimizes the transfer of holes (positive charge) in a multilayer system, especially when such material is disposed in the form of a layer adjacent to an emissive layer or a hole conducting layer. In general, the hole blocking material has a lower HOMO level than the hole transporting material in the adjacent layer. A hole blocking layer is often placed between the emissive layer and electron transport layer in OLEDs.
기본적으로 임의의 공지된 정공 차단 재료가 이용될 수 있다. 본 출원의 다른 곳에 기재된 기타 정공 차단 재료 이외에, 유리한 정공 차단 재료는 금속 착물 (US 2003/0068528), 이를테면 예를 들어 비스(2-메틸-8-퀴놀리놀라토)(4-페닐페놀라토)알루미늄(III) (BAlQ) 이다. 이러한 목적을 위하여, Fac-트리스(1-페닐피라졸라토-N,C2)-이리듐(III) (Ir(ppz)3) (US 2003/0175553 A1) 이 또한 이용된다. 페난트롤린 유도체, 예를 들어 BCP, 또는 프탈이미드, 이를테면 예를 들어 TMPP 가 마찬가지로 이용될 수 있다.Basically any known hole blocking material can be used. In addition to the other hole blocking materials described elsewhere in this application, advantageous hole blocking materials include metal complexes (US 2003/0068528), such as for example bis(2-methyl-8-quinolinolato) (4-phenylphenolato) aluminum(III) (BAlQ). For this purpose, Fac-tris(1-phenylpyrazolato-N,C2)-iridium(III) (Ir(ppz) 3 ) (US 2003/0175553 A1) is also used. Phenanthroline derivatives, such as BCP, or phthalimides, such as, for example, TMPP, can likewise be used.
나아가, 유리한 정공 차단 재료는 WO 00/70655 A2, WO 01/41512 및 WO 01/93642 A1 에 기재되어 있다.Furthermore, advantageous hole-blocking materials are described in WO 00/70655 A2, WO 01/41512 and WO 01/93642 A1.
나아가, 제형은 기능성 재료로서 전자 차단 재료 (EBM) 를 포함할 수 있다. 전자 차단 재료는, 특히 이러한 재료가 발광층 또는 전자 전도층에 인접한 층의 형태로 배치되는 경우, 다층 시스템에서 전자의 전달을 방지 또는 최소화하는 재료를 나타낸다. 일반적으로, 전자 차단 재료는 인접한 층에서의 전자 수송 재료보다 높은 LUMO 준위를 갖는다.Furthermore, the formulation may contain an electron blocking material (EBM) as a functional material. An electron blocking material refers to a material that prevents or minimizes the transfer of electrons in a multilayer system, especially when such material is disposed in the form of a layer adjacent to a light emitting layer or an electron conducting layer. Generally, the electron blocking material has a higher LUMO level than the electron transporting material in the adjacent layer.
기본적으로 임의의 공지된 전자 차단 재료가 이용될 수 있다. 본 출원의 다른 곳에 기재된 기타 전자 차단 재료 이외에, 유리한 전자 차단 재료는 전이-금속 착물, 이를테면 예를 들어 Ir(ppz)3 (US 2003/0175553) 이다.Basically any known electron blocking material can be used. In addition to the other electron blocking materials described elsewhere in this application, advantageous electron blocking materials are transition-metal complexes, such as for example Ir(ppz) 3 (US 2003/0175553).
전자 차단 재료는 바람직하게는 아민, 트리아릴아민 및 이들의 유도체로부터 선택될 수 있다.The electron blocking material may preferably be selected from amines, triarylamines and their derivatives.
나아가, 제형에서 유기 기능성 재료로서 이용될 수 있는 기능성 화합물은 바람직하게는, 이들이 저분자량 화합물인 경우, 분자량이 ≤ 3,000 g/mol, 더욱 바람직하게는 ≤ 2,000 g/mol 그리고 가장 바람직하게는 ≤ 1,000 g/mol 이다.Furthermore, the functional compounds that can be used as organic functional materials in the formulation preferably, when they are low molecular weight compounds, have a molecular weight of ≤ 3,000 g/mol, more preferably ≤ 2,000 g/mol and most preferably ≤ 1,000 is g/mol.
또한, 높은 유리 전이 온도로 구별되는 기능성 화합물이 특히 중요하다. 이와 관련하여, 제형에서 유기 기능성 재료로서 이용될 수 있는 특히 바람직한 기능성 화합물은, DIN 51005 에 따라 결정되는, 유리 전이 온도가 ≥ 70℃, 바람직하게는 ≥ 100℃, 더욱 바람직하게는 ≥ 125℃ 및 가장 바람직하게는 ≥ 150℃ 인 것들이다.Also of particular interest are functional compounds distinguished by a high glass transition temperature. In this regard, particularly preferred functional compounds which can be used as organic functional materials in formulations have a glass transition temperature, determined according to DIN 51005, of ≥ 70 °C, preferably ≥ 100 °C, more preferably ≥ 125 °C and Most preferred are those with a temperature of ≥ 150°C.
제형은 또한 유기 기능성 재료로서 중합체를 포함할 수도 있다. 흔히 비교적 저분자량을 갖는, 유기 기능성 재료로서의 위에 기재된 화합물은, 또한 중합체와 혼합될 수 있다. 마찬가지로, 이들 화합물을 공유결합에 의해 중합체에 포함시킬 수 있다. 이는, 특히, 반응성 이탈기, 예컨대 브롬, 요오드, 염소, 보론산 또는 보론산 에스테르에 의해, 또는 반응성 중합 가능한 기, 예컨대 올레핀 또는 옥세탄으로 치환된 화합물을 이용하여 가능하다. 이들은 대응하는 올리고머, 덴드리머 또는 중합체의 제조를 위한 단량체로서 이용될 수 있다. 여기서 올리고머화 또는 중합은 바람직하게는 할로겐 관능기 또는 보론산 관능기를 통해, 또는 중합 가능한 기를 통해 일어난다. 또한 이러한 유형의 기를 통해 중합체를 가교시킬 수 있다. 본 발명에 따른 화합물 및 중합체는 가교 또는 비(非)가교된 층으로서 이용될 수 있다.The formulation may also contain polymers as organic functional materials. The compounds described above as organic functional materials, often having a relatively low molecular weight, can also be mixed with polymers. Likewise, these compounds can be incorporated into polymers by means of covalent bonds. This is possible, in particular, with compounds substituted by reactive leaving groups such as bromine, iodine, chlorine, boronic acids or boronic acid esters, or by reactive polymerizable groups such as olefins or oxetanes. They can be used as monomers for the preparation of corresponding oligomers, dendrimers or polymers. Oligomerization or polymerization here preferably takes place via halogen functions or boronic acid functions or via polymerisable groups. It is also possible to crosslink polymers through groups of this type. The compounds and polymers according to the invention can be used as cross-linked or non-cross-linked layers.
유기 기능성 재료로서 이용될 수 있는 중합체는 흔히 위에 기재된 화합물의 맥락에서 설명된 단위 또는 구조 요소, 특히 WO 02/077060 A1, WO 2005/014689 A2 및 WO 2011/076314 A1 에 개시 및 광범위하게 열거된 것들을 함유한다. 이러한 문헌은 본원에 참조로서 원용된다. 기능성 재료는, 예를 들어 하기 부류로부터 유래될 수 있다:Polymers usable as organic functional materials are often the units or structural elements described in the context of the compounds described above, especially those disclosed and extensively listed in WO 02/077060 A1, WO 2005/014689 A2 and WO 2011/076314 A1. contain These documents are incorporated herein by reference. Functional materials can be derived, for example, from the following classes:
군 1: 정공 주입 및/또는 정공 수송 특성을 생성할 수 있는 구조 요소;Group 1: structural elements capable of producing hole injection and/or hole transport properties;
군 2: 전자 주입 및/또는 전자 수송 특성을 생성할 수 있는 구조 요소;Group 2: structural elements capable of producing electron injection and/or electron transport properties;
군 3: 군 1 및 2 에 관련되어 기재된 특성을 조합한 구조 요소;Group 3: Structural elements combining the properties described in relation to
군 4: 발광 특성을 갖는 구조 요소, 특히 인광기;Group 4: Structural elements with luminescent properties, in particular phosphorescent groups;
군 5: 소위 단일항 상태로부터 삼중항 상태로의 천이를 개선시키는 구조 요소;Group 5: Structural elements that improve the transition from the so-called singlet state to the triplet state;
군 6: 생성된 중합체의 모르폴로지 (morphology) 또는 또한 방출 색상에 영향을 미치는 구조 요소;Group 6: Structural elements that influence the morphology of the resulting polymer or also the emission color;
군 7: 전형적으로 백본으로서 사용되는 구조 요소.Group 7: Structural elements typically used as backbones.
여기서 구조 요소는 또한 다양한 기능을 가질 수도 있기 때문에, 명확한 지정이 유리할 필요는 없다. 예를 들어, 군 1 의 구조 요소는 마찬가지로 백본의 역할을 할 수도 있다.Since the structural elements here may also have various functions, a clear designation need not be advantageous. For example, the structural elements of
군 1 의 구조 요소를 함유하는, 유기 기능성 재료로서 이용되는 정공 수송 또는 정공 주입 특성을 갖는 중합체는, 바람직하게는 상기 기재된 정공 수송 또는 정공 주입 재료에 대응하는 단위를 함유할 수도 있다.A polymer having hole transport or hole injection properties used as an organic functional material, containing structural elements of
군 1 의 보다 바람직한 구조 요소는, 예를 들어 트리아릴아민, 벤지딘, 테트라아릴-파라-페닐렌디아민, 카르바졸, 아줄렌, 티오펜, 피롤 및 푸란 유도체, 및 높은 HOMO 를 갖는 추가의 O-, S- 또는 N-함유 복소환이다. 이러한 아릴아민 및 복소환은 바람직하게는 HOMO 가 (진공 레벨에 대해) -5.8 eV 초과, 특히 바람직하게는 -5.5 eV 초과이다.More preferred structural elements of
특히, 하기 식 HTP-1 의 반복 단위 중 적어도 하나를 함유하는, 정공 수송 또는 정공 주입 특성을 갖는 중합체가 바람직하다:In particular, polymers with hole transport or hole injection properties, containing at least one of the repeating units of the formula HTP-1, are preferred:
식 중, 기호는 하기의 의미를 가짐:In the formula, the symbols have the following meanings:
Ar1 은, 각각의 경우 상이한 반복 단위에 대하여 동일하거나 상이하게, 단일 결합, 또는 선택적으로 치환될 수도 있는 단환 또는 다환 아릴기이고;Ar 1 is, identically or differently for different repeating units in each case, a single bond or a mono- or polycyclic aryl group which may optionally be substituted;
Ar2 는, 각각의 경우 상이한 반복 단위에 대하여 동일하거나 상이하게, 선택적으로 치환될 수도 있는 단환 또는 다환 아릴기이고;Ar 2 is, in each case identically or differently for different repeating units, a mono- or polycyclic aryl group which may optionally be substituted;
Ar3 는, 각각의 경우 상이한 반복 단위에 대하여 동일하거나 상이하게, 선택적으로 치환될 수도 있는 단환 또는 다환 아릴기이고;Ar 3 is, in each case identically or differently for different repeating units, a mono- or polycyclic aryl group which may optionally be substituted;
m 은 1, 2 또는 3 이다.m is 1, 2 or 3;
식 HTP-1A 내지 HTP-1C 의 단위로 이루어지는 군으로부터 선택되는 식 HTP-1 의 반복 단위가 특히 바람직하다:Particularly preferred are repeating units of formula HTP-1 selected from the group consisting of units of formulas HTP-1A to HTP-1C:
식 중, 기호는 하기의 의미를 갖는다:In the formula, the symbols have the following meanings:
Ra 는 각각의 경우, 동일하거나 상이하게, H, 치환 또는 비치환된 방향족 또는 헤테로방향족기, 알킬, 시클로알킬, 알콕시, 아르알킬, 아릴옥시, 아릴티오, 알콕시카르보닐, 실릴 또는 카르복실기, 할로겐 원자, 시아노기, 니트로기 또는 히드록실기이고;R a is, at each occurrence, identically or differently, H, a substituted or unsubstituted aromatic or heteroaromatic group, an alkyl, cycloalkyl, alkoxy, aralkyl, aryloxy, arylthio, alkoxycarbonyl, silyl or carboxyl group, halogen an atom, cyano group, nitro group or hydroxyl group;
r 은 0, 1, 2, 3 또는 4 이고r is 0, 1, 2, 3 or 4;
s 는 0, 1, 2, 3, 4 또는 5 이다.s is 0, 1, 2, 3, 4 or 5.
특히, 하기 식 HTP-2 의 반복 단위 중 적어도 하나를 함유하는, 정공 수송 또는 정공 주입 특성을 갖는 중합체가 바람직하다:In particular, polymers with hole transport or hole injection properties, containing at least one of the repeating units of the formula HTP-2, are preferred:
식 중, 기호는 하기의 의미를 갖는다:In the formula, the symbols have the following meanings:
T1 및 T2 는 티오펜, 셀레노펜, 티에노[2,3-b]티오펜, 티에노[3,2-b]티오펜, 디티에노티오펜, 피롤 및 아닐린 (이들 기는 하나 이상의 라디칼 Rb 로 치환될 수도 있음) 으로부터 독립적으로 선택되고;T 1 and T 2 are thiophene, selenophene, thieno[2,3-b]thiophene, thieno[3,2-b]thiophene, dithienothiophene, pyrrole and aniline (these groups are one or more radicals optionally substituted with R b );
Rb 는 각각의 경우에 독립적으로 할로겐, -CN, -NC, -NCO, -NCS, -OCN, -SCN, -C(=O)NR0R00, -C(=O)X, -C(=O)R0, -NH2, -NR0R00, -SH, -SR0, -SO3H, -SO2R0, -OH, -NO2, -CF3, -SF5, 선택적으로 치환될 수도 있고 선택적으로 하나 이상의 헤테로 원자를 함유할 수도 있는, 1 내지 40 개의 탄소 원자를 갖는 선택적으로 치환된 실릴, 카르빌 또는 히드로카르빌 기로부터 선택된다; R b is independently at each occurrence halogen, -CN, -NC, -NCO, -NCS, -OCN, -SCN, -C(=O)NR 0 R 00 , -C(=O)X, -C (=O)R 0 , -NH 2 , -NR 0 R 00 , -SH, -SR 0 , -SO 3 H, -SO 2 R 0 , -OH, -NO 2 , -CF 3 , -SF 5 , optionally substituted silyl, carbyl or hydrocarbyl groups having 1 to 40 carbon atoms, which may be optionally substituted and may optionally contain one or more heteroatoms;
R0 및 R00 는 각각 독립적으로 H, 또는 1 내지 40 개의 탄소 원자를 갖는 선택적으로 치환된 카르빌 또는 히드로카르빌기 (이는 선택적으로 치환될 수도 있고 선택적으로 하나 이상의 헤테로원자를 함유할 수 있음) 이고;R 0 and R 00 are each independently H or an optionally substituted carbyl or hydrocarbyl group having 1 to 40 carbon atoms, which may be optionally substituted and may optionally contain one or more heteroatoms ego;
Ar7 및 Ar8 은, 서로 독립적으로, 단환 또는 다환 아릴 또는 헤테로아릴기 (이는 선택적으로 치환될 수도 있고, 선택적으로 인접한 티오펜 또는 셀레노펜기 중 하나 또는 둘 모두의 2,3-위치에 결합될 수도 있음) 를 나타내고;Ar 7 and Ar 8 are, independently of each other, a monocyclic or polycyclic aryl or heteroaryl group (which may be optionally substituted, optionally bonded to one or both of adjacent thiophene or selenophene groups at the 2,3-position may be);
c 및 e 는, 서로 독립적으로, 0, 1, 2, 3 또는 4 이고, 여기서 1 < c + e ≤ 6 이고;c and e are, independently of each other, 0, 1, 2, 3 or 4, where 1 < c + e ≤ 6;
d 및 f 는, 서로 독립적으로, 0, 1, 2, 3 또는 4 이다.d and f are each independently 0, 1, 2, 3 or 4.
정공 수송 또는 정공 주입 특성을 갖는 중합체의 바람직한 예는 특히, WO 2007/131582 A1 및 WO 2008/009343 A1 에 기재되어 있다.Preferred examples of polymers having hole transport or hole injection properties are described in particular in WO 2007/131582 A1 and WO 2008/009343 A1.
군 2 의 구조 요소를 함유하는, 유기 기능성 재료로서 이용되는 전자 주입 및/또는 전자 수송 특성을 갖는 중합체는, 바람직하게는 위에 기재된 전자 주입 및/또는 전자 수송 재료에 대응하는 단위를 함유할 수도 있다.A polymer having electron injection and/or electron transport properties used as an organic functional material, containing structural elements of group 2, may preferably contain units corresponding to the electron injection and/or electron transport materials described above. .
전자 주입 및/또는 전자 수송 특성을 갖는, 군 2 의 보다 바람직한 구조 요소는, 예를 들어 피리딘, 피리미딘, 피리다진, 피라진, 옥사디아졸, 퀴놀린, 퀴녹살린 및 페나진기 뿐 아니라, 트리아릴보란기 또는 낮은 LUMO 준위를 갖는 추가의 O-, S- 또는 N-함유 복소환으로부터 유도된다. 군 2 의 이러한 구조 요소는 바람직하게는 (진공 레벨에 대해) -2.7 eV 미만, 특히 바람직하게는 -2.8 eV 미만의 LUMO 를 갖는다.More preferred structural elements of group 2, which have electron injecting and/or electron transporting properties, are, for example, pyridine, pyrimidine, pyridazine, pyrazine, oxadiazole, quinoline, quinoxaline and phenazine groups, as well as triarylboranes. groups or further O-, S- or N-containing heterocycles with low LUMO levels. These structural elements of group 2 preferably have a LUMO of less than -2.7 eV (relative to the vacuum level), particularly preferably less than -2.8 eV.
유기 기능성 재료는 바람직하게는 정공 및 전자 이동도를 개선시키는 구조 요소 (즉 군 1 및 2 의 구조 요소) 가 서로 직접 연결된, 군 3 의 구조 요소를 함유하는 중합체일 수 있다. 이러한 구조 요소 중 일부는, 본원에서 방출체의 역할을 할 수 있으며, 여기서 방출 색상이, 예를 들어 녹색, 적색 또는 황색으로 시프트될 수도 있다. 따라서, 이의 사용은, 예를 들어 본래 청색을 발광하는 중합체에 의한 다른 방출 색상 또는 브로드 밴드 방출의 생성에 유리하다.The organic functional material may preferably be a polymer containing structural elements of
군 4 의 구조 요소를 함유하는, 유기 기능성 재료로서 이용되는 발광 특성을 갖는 중합체는, 바람직하게는 위에 기재된 방출체 재료에 대응하는 단위를 함유할 수도 있다. 인광기를 함유하는 중합체, 특히 8 내지 10 족의 원소 (Ru, Os, Rh, Ir, Pd, Pt) 를 함유하는 대응하는 단위를 함유하는 위에 기재된 방출성 금속 착물이 바람직하다.A polymer having light emitting properties used as an organic functional material containing structural elements of Group 4 may preferably contain units corresponding to the emitter materials described above. Polymers containing phosphorescent groups, in particular emissive metal complexes described above containing corresponding units containing elements of groups 8 to 10 (Ru, Os, Rh, Ir, Pd, Pt) are preferred.
소위 단일항 상태로부터 삼중항 상태로의 천이를 개선시키는 군 5 의 단위를 함유하는, 유기 기능성 재료로서 이용되는 중합체는, 바람직하게는 인광 화합물, 바람직하게는 위에 기재된 군 4 의 구조 요소를 함유하는 중합체의 지지체에 이용될 수 있다. 여기에 중합체성 삼중항 매트릭스가 사용될 수 있다.Polymers used as organic functional materials, containing units of
이러한 목적을 위하여, 특히 카르바졸 및 연결된 카르바졸 이량체 단위 (예를 들어 DE 10304819 A1 및 DE 10328627 A1 에 기재됨) 가 적합하다. 이러한 목적을 위하여, 케톤, 포스핀 옥사이드, 술폭시드, 술폰 및 실란 유도체, 및 예를 들어 DE 10349033 A1 에 기재된 유사한 화합물이 또한 적합하다. 나아가, 바람직한 구조 단위는 인광 화합물과 함께 이용되는 매트릭스 재료와 관련하여 위에 기재된 화합물에서 유도될 수 있다.For this purpose, in particular carbazole and linked carbazole dimer units (as described in DE 10304819 A1 and DE 10328627 A1 for example) are suitable. Also suitable for this purpose are ketones, phosphine oxides, sulfoxides, sulfones and silane derivatives, and similar compounds described in DE 10349033 A1, for example. Furthermore, preferred structural units can be derived from the compounds described above in relation to the matrix material used with the phosphorescent compound.
추가의 유기 기능성 재료는 바람직하게는 중합체의 모르폴로지 및/또는 방출 색상에 영향을 미치는 군 6 의 단위를 함유하는 중합체이다. 이들은, 위에 언급된 중합체 이외에, 위에 언급된 기들 중에서 고려되지 않은 적어도 하나의 추가의 방향족 또는 또 다른 공액된 구조를 갖는 것들이다. 따라서, 이들 기는 전하-캐리어 이동도, 비(非)유기금속 착물 또는 단일항-삼중항 천이에 영향을 미치지 않거나 거의 영향을 미치지 않는다.The further organic functional material is preferably a polymer containing units of
이러한 유형의 구조 단위는 생성된 중합체의 모르폴로지 및/또는 방출 색상에 영향을 미칠 수 있다. 따라서, 구조 단위에 따라, 이들 중합체는 또한 방출체로서 사용될 수 있다.Structural units of this type can influence the morphology and/or emission color of the resulting polymer. Accordingly, depending on the structural units, these polymers can also be used as emitters.
따라서, 형광 OLED 의 경우, 6 내지 40 개의 탄소 원자를 갖는 방향족 구조 요소 또는 또한 톨란, 스틸벤 또는 비스스티릴아릴렌 유도체 단위가 바람직하며, 이들의 각각은 하나 이상의 라디칼로 치환될 수도 있다. 여기서, 1,4-페닐렌, 1,4-나프틸렌, 1,4- 또는 9,10-안트릴렌, 1,6-, 2,7- 또는 4,9-피레닐렌, 3,9- 또는 3,10-페릴레닐렌, 4,4'-바이페닐렌, 4,4"-테르페닐릴렌, 4,4'-바이-1,1'-나프틸릴렌, 4,4'-톨라닐렌, 4,4'-스틸베닐렌 또는 4,4"-비스스티릴아릴렌 유도체에서 유도된 기를 사용하는 것이 특히 바람직하다.Thus, for fluorescent OLEDs, aromatic structural elements having 6 to 40 carbon atoms or also tolane, stilbene or bisstyrylarylene derivative units are preferred, each of which may be substituted with one or more radicals. Wherein, 1,4-phenylene, 1,4-naphthylene, 1,4- or 9,10-anthrylene, 1,6-, 2,7- or 4,9-pyrenylene, 3,9-
유기 기능성 재료로서 이용되는 중합체는, 바람직하게는 흔히 백본으로서 사용되는 6 내지 40 개의 C 원자를 갖는 방향족 구조를 함유하는, 군 7 의 단위를 함유한다.Polymers used as organic functional materials preferably contain units of Group 7, which contain aromatic structures with 6 to 40 C atoms often used as backbones.
이에는, 특히 4,5-디히드로피렌 유도체, 4,5,9,10-테트라히드로피렌 유도체, 플루오렌 유도체 (예를 들어 US 5962631, WO 2006/052457 A2 및 WO 2006/118345A1 에 기재됨), 9,9-스피로바이플루오렌 유도체 (예를 들어 WO 2003/020790 A1 에 개시됨), 9,10-페난트렌 유도체 (예를 들어 WO 2005/104264 A1 에 개시됨), 9,10-디히드로페난트렌 유도체 (예를 들어 WO 2005/014689 A2 에 개시됨), 5,7-디히드로디벤족세핀 유도체, 및 시스- 및 트랜스-인데노플루오렌 유도체 (예를 들어 WO 2004/041901 A1 및 WO 2004/113412 A2 에 기재됨), 및 바이나프틸렌 유도체 (예를 들어 WO 2006/063852 A1 에 기재됨), 및 추가의 단위 (예를 들어 WO 2005/056633 A1, EP 1344788 A1, WO 2007/043495 A1, WO 2005/033174 A1, WO 2003/099901 A1 및 DE 102006003710 에 개시됨) 가 포함된다.These include in particular 4,5-dihydropyrene derivatives, 4,5,9,10-tetrahydropyrene derivatives, fluorene derivatives (as described for example in US 5962631, WO 2006/052457 A2 and WO 2006/118345A1). , 9,9-spirobifluorene derivatives (eg disclosed in WO 2003/020790 A1), 9,10-phenanthrene derivatives (eg disclosed in WO 2005/104264 A1), 9,10-di hydrophenanthrene derivatives (eg disclosed in WO 2005/014689 A2), 5,7-dihydrodibenzoxepin derivatives, and cis- and trans-indenofluorene derivatives (eg WO 2004/041901 A1 and described in WO 2004/113412 A2), and binapthylene derivatives (eg described in WO 2006/063852 A1), and further units (eg WO 2005/056633 A1, EP 1344788 A1, WO 2007/ 043495 A1, WO 2005/033174 A1, WO 2003/099901 A1 and DE 102006003710).
플루오렌 유도체 (예를 들어 US 5,962,631, WO 2006/052457 A2 및 WO 2006/118345 A1 에 개시됨), 스피로바이플루오렌 유도체 (예를 들어 WO 2003/020790 A1 에 개시됨), 벤조플루오렌, 디벤조플루오렌, 벤조티오펜 및 디벤조플루오렌기, 및 이들의 유도체 (예를 들어 WO 2005/056633 A1, EP 1344788 A1 및 WO 2007/043495 A1 에 개시됨) 로부터 선택되는 군 7 의 구조 단위가 특히 바람직하다.fluorene derivatives (eg disclosed in US 5,962,631, WO 2006/052457 A2 and WO 2006/118345 A1), spirobifluorene derivatives (eg disclosed in WO 2003/020790 A1), benzofluorene, di Structural units of group 7 selected from benzofluorene, benzothiophene and dibenzofluorene groups, and derivatives thereof (for example disclosed in WO 2005/056633 A1, EP 1344788 A1 and WO 2007/043495 A1) particularly preferred.
특히 바람직한 군 7 의 구조 요소는 일반식 PB-1 로 표현된다:A particularly preferred group 7 structural element is represented by the general formula PB-1:
식 중, 기호 및 지수는 하기 의미를 갖는다:In the formula, the symbols and exponents have the following meanings:
A, B 및 B' 는 각각, 또한 상이한 반복 단위에 대하여, 동일하거나 상이하게, 바람직하게는 -CRcRd-, -NRc-, PRc-, -O-, -S-, -SO-, -SO2-, -CO-, -CS-, -CSe-, -P(=O)Rc-, -P(=S)Rc- 및 -SiRcRd- 로부터 선택되는 2가 기이고; A, B and B' are each, also for different repeating units, identically or differently, preferably -CR c R d -, -NR c -, PR c -, -O-, -S-, -SO -, -SO 2 -, -CO-, -CS-, -CSe-, -P(=O)R c -, -P(=S)R c - and -SiR c R d - is group;
Rc 및 Rd 는 각각 독립적으로 H, 할로겐, -CN, -NC, -NCO, -NCS, -OCN, -SCN, -C(=O)NR0R00, -C(=O)X, C(=O)R0, -NH2, -NR0R00, -SH, -SR0, -SO3H, -SO2R0, -OH, -NO2, -CF3, -SF5, 선택적으로 치환될 수도 있고 1개 이상의 헤테로원자를 선택적으로 함유할 수도 있는, 1 내지 40 개의 탄소 원자를 갖는 선택적으로 치환된 실릴, 카르빌 또는 히드로카르빌 기로부터 선택되고, 여기서 기 Rc 및 Rd 는 이들이 결합되는 플루오렌 라디칼을 갖는 스피로 기를 선택적으로 형성할 수도 있고;R c and R d are each independently H, halogen, -CN, -NC, -NCO, -NCS, -OCN, -SCN, -C(=O)NR 0 R 00 , -C(=O)X, C(=O)R 0 , -NH 2 , -NR 0 R 00 , -SH, -SR 0 , -SO 3 H, -SO 2 R 0 , -OH, -NO 2 , -CF 3 , -SF 5 , optionally substituted silyl, carbyl or hydrocarbyl groups having 1 to 40 carbon atoms, which may be optionally substituted and may optionally contain one or more heteroatoms, wherein the groups R c and R d may optionally form a spiro group having a fluorene radical to which they are bonded;
X 는 할로겐이고; X is halogen;
R0 및 R00 는 각각, 독립적으로 H, 또는 1 내지 40 개의 탄소 원자를 갖는 선택적으로 치환된 카르빌 또는 히드로카르빌기 (이는 선택적으로 치환될 수도 있고 선택적으로 하나 이상의 헤테로원자를 함유할 수도 있음) 이고;R 0 and R 00 are each, independently, H or an optionally substituted carbyl or hydrocarbyl group having 1 to 40 carbon atoms, which may be optionally substituted and may optionally contain one or more heteroatoms ) ego;
g 는 각각의 경우, 독립적으로, 0 또는 1 이고, h 는 각각의 경우, 독립적으로, 0 또는 1 이고, 여기서 하위단위에서 g 및 h 의 합은 바람직하게는 1 이고;g is at each occurrence, independently, 0 or 1, and h is at each occurrence, independently, 0 or 1, wherein the sum of g and h in the subunit is preferably 1;
m 은 정수 ≥ 1 이고;m is an integer ≥ 1;
Ar1 및 Ar2 는, 서로 독립적으로, 단환 또는 다환 아릴 또는 헤테로아릴기 (이는 임의로 치환될 수도 있고, 인데노플루오렌기의 7,8-위치 또는 8,9-위치에 선택적으로 결합될 수도 있음) 를 나타내고;Ar 1 and Ar 2 are, independently of each other, a monocyclic or polycyclic aryl or heteroaryl group (which may be optionally substituted, and may be optionally bonded to the 7,8-position or 8,9-position of the indenofluorene group present);
a 및 b 는, 서로 독립적으로, 0 또는 1 이다.a and b are each independently 0 or 1.
기 Rc 및 Rd 가 이들 기가 결합되는 플루오렌기와 함께 스피로기를 형성하는 경우, 이러한 기는 바람직하게는 스피로바이플루오렌을 나타낸다.When the groups R c and R d form a spiro group together with the fluorene group to which these groups are bonded, these groups preferably represent spirobifluorene.
식 PB-1A 내지 PB-1E 의 단위로 이루어지는 군으로부터 선택되는 식 PB-1 의 반복 단위가 특히 바람직하다:Particularly preferred are repeating units of formula PB-1 selected from the group consisting of units of formulas PB-1A to PB-1E:
식 중, Rc 는 식 PB-1 에 대하여 위에 기재된 의미를 갖고, r 은 0, 1, 2, 3 또는 4 이고, Re 는 라디칼 Rc 와 동일한 의미를 갖는다.In the formula, R c has the meaning described above for formula PB-1, r is 0, 1, 2, 3 or 4, and R e has the same meaning as the radical R c .
Re 는 바람직하게는 -F, -Cl, -Br, -I, -CN, -NO2, -NCO, -NCS, -OCN, -SCN, -C(=O)NR0R00, -C(=O)X, -C(=O)R0, -NR0R00, 4 내지 40 개, 바람직하게는 6 내지 20 개의 C 원자를 갖는 선택적으로 치환된 실릴, 아릴 또는 헤테로아릴기, 또는1 내지 20 개, 바람직하게는 1 내지 12 개의 C 원자를 갖는 직쇄, 분지형 또는 환형 알킬, 알콕시, 알킬카르보닐, 알콕시카르보닐, 알킬카르보닐옥시 또는 알콕시카르보닐옥시기이고, 여기서 하나 이상의 수소 원자는 F 또는 Cl 로 선택적으로 치환될 수도 있고, 기 R0, R00 및 X 는 식 PB-1 에 대하여 위에 기재된 의미를 갖는다. R e is preferably -F, -Cl, -Br, -I, -CN, -NO 2 , -NCO, -NCS, -OCN, -SCN, -C(=O)NR 0 R 00 , -C (=O)X, -C(=O)R 0 , -NR 0 R 00 , an optionally substituted silyl, aryl or heteroaryl group having 4 to 40, preferably 6 to 20 C atoms, or a straight-chain, branched or cyclic alkyl, alkoxy, alkylcarbonyl, alkoxycarbonyl, alkylcarbonyloxy or alkoxycarbonyloxy group having from 1 to 20, preferably from 1 to 12 C atoms, wherein at least one hydrogen Atoms may be optionally substituted with F or Cl, and the groups R 0 , R 00 and X have the meanings described above for formula PB-1.
식 PB-1F 내지 PB-1I 의 단위로 이루어지는 군으로부터 선택되는 식 PB-1 의 반복 단위가 특히 바람직하다:Particularly preferred are repeating units of formula PB-1 selected from the group consisting of units of formulas PB-1F to PB-1I:
식 중, 기호는 하기의 의미를 갖는다:In the formula, the symbols have the following meanings:
L 은 H, 할로겐, 또는 1 내지 12 개의 C 원자를 갖는 선택적으로 플루오르화된, 선형 또는 분지형 알킬 또는 알콕시기이고, 바람직하게는 H, F, 메틸, i-프로필, t-부틸, n-펜톡시 또는 트리플루오로메틸을 나타내고; 그리고L is H, halogen, or an optionally fluorinated, linear or branched alkyl or alkoxy group having 1 to 12 C atoms, preferably H, F, methyl, i-propyl, t-butyl, n- represents pentoxy or trifluoromethyl; And
L' 는 1 내지 12 개의 C 원자를 갖는 선택적으로 플루오르화된, 선형 또는 분지형 알킬 또는 알콕시기이고, 바람직하게는 n-옥틸 또는 n-옥틸옥시를 나타낸다.L' is an optionally fluorinated, linear or branched alkyl or alkoxy group having 1 to 12 C atoms, and preferably represents n-octyl or n-octyloxy.
본 발명을 수행하기 위하여, 위에 기재된 군 1 내지 7 의 구조 요소 중에서 하나를 넘게 함유하는 중합체가 바람직하다. 나아가, 중합체가 바람직하게는, 위에 기재된 하나의 군으로부터의 구조 요소 중 하나를 넘게 함유하는, 즉 하나의 군으로부터 선택되는 구조 요소의 혼합물을 포함하는 것이 제공될 수도 있다.For carrying out the present invention, polymers containing more than one of the structural elements of
특히, 발광 특성을 갖는 적어도 하나의 구조 요소 (군 4), 바람직하게는 적어도 하나의 인광기 이외에, 부가적으로 위에 기재된 군 1 내지 3, 5 또는 6 의, 바람직하게는 군 1 내지 3 으로부터 선택되는 추가의 구조 요소를 적어도 하나 함유하는 중합체가 특히 바람직하다.In particular, in addition to at least one structural element having luminescent properties (group 4), preferably at least one phosphorescent group, additionally selected from
중합체 중에 존재하는 경우, 각종 부류의 군의 비율은, 당업자에 공지된 넓은 범위에 있을 수 있다. 각각의 경우 위에 기재된 군 1 내지 7 의 구조 요소로부터 선택되는, 중합체 중에 존재하는 하나의 부류의 비율이, 바람직하게는 각각의 경우 ≥ 5 mol%, 특히 바람직하게는 각각의 경우 ≥ 10 mol% 인 경우, 놀라운 이점이 달성될 수 있다.When present in the polymer, the proportions of the various classes of groups may be in wide ranges known to those skilled in the art. wherein the proportion of one class present in the polymer, selected in each case from the structural elements of
백색 방출 공중합체의 제조는 특히 DE 10343606 A1 에 상세하게 기재되어 있다.The preparation of white emitting copolymers is described in detail in particular in DE 10343606 A1.
용해도를 개선시키기 위하여, 중합체는 대응하는 기를 함유할 수도 있다. 바람직하게는, 반복 단위 당 평균 적어도 2 개의 비(非)방향족 탄소 원자, 특히 바람직하게는 적어도 4 개 및 특히 바람직하게는 적어도 8 개의 비방향족 탄소 원자가 존재하도록 중합체가 치환기를 함유하는 것이 제공될 수도 있다 (여기서 평균은 수 평균에 관한 것임). 여기서, 개별적인 탄소 원자는, 예를 들어 O 또는 S 로 대체될 수 있다. 그러나, 특정 비율, 선택적으로 모든 반복 단위가 비-방향족 탄소 원자를 함유하는 치환기를 함유할 수 없다. 여기서, 장쇄 치환기는 유기 기능성 재료를 사용하여 수득될 수 있는 층에 부정적인 영향을 미칠 수 있기 때문에, 단쇄 치환기가 바람직하다. 치환기는 선형 사슬에 바람직하게는 최대 12 개의 탄소 원자, 바람직하게는 최대 8 개의 탄소 원자 및 특히 바람직하게는 최대 6 개의 탄소 원자를 함유한다.To improve solubility, the polymers may also contain corresponding groups. Preferably, it may be provided that the polymer contains substituents such that there are on average at least 2 non-aromatic carbon atoms per repeat unit, particularly preferably at least 4 and particularly preferably at least 8 non-aromatic carbon atoms. (average here is about number average). Here, individual carbon atoms can be replaced by, for example, O or S. However, a certain proportion, optionally all, of the repeating units may not contain substituents containing non-aromatic carbon atoms. Here, short-chain substituents are preferred, since long-chain substituents may adversely affect the layer obtainable using the organic functional material. Substituents preferably contain at most 12 carbon atoms, preferably at most 8 carbon atoms and particularly preferably at most 6 carbon atoms in the linear chain.
유기 기능성 재료로서 본 발명에 따라 이용되는 중합체는, 랜덤, 교대 또는 위치규칙적 (regioregular) 공중합체, 블록 공중합체 또는 이러한 공중합체 형태의 조합일 수 있다.The polymers used according to the present invention as organic functional materials may be random, alternating or regioregular copolymers, block copolymers or combinations of these copolymer types.
추가의 실시형태에서, 유기 기능성 재료로서 이용되는 중합체는 측쇄를 갖는 비(非)공액 중합체일 수 있으며, 여기서 이러한 실시형태는 중합체를 기반으로 하는 인광 OLED 에서 특히 중요하다. 일반적으로, 인광 중합체는 비닐 화합물의 자유-라디칼 공중합에 의해 수득될 수 있으며, 이러한 비닐 화합물은 인광 방출체를 갖는 적어도 하나의 단위 및/또는 적어도 하나의 전하 수송 단위를 함유하는데, 이것은 특히 US 7250226 B2 에 개시되어 있다. 추가의 인광 중합체는, 특히 JP 2007/211243 A2, JP 2007/197574 A2, US 7250226 B2 및 JP 2007/059939 A 에 기재되어 있다.In a further embodiment, the polymer used as the organic functional material may be a non-conjugated polymer having side chains, where this embodiment is of particular importance in phosphorescent OLEDs based on polymers. In general, phosphorescent polymers can be obtained by free-radical copolymerization of vinyl compounds, which vinyl compounds contain at least one unit having a phosphorescent emitter and/or at least one charge transport unit, which is described in particular in US 7250226 It is disclosed in B2. Further phosphorescent polymers are described in particular in JP 2007/211243 A2, JP 2007/197574 A2, US 7250226 B2 and JP 2007/059939 A.
보다 바람직한 실시형태에서, 비공액 중합체는 스페이서 단위에 의해 서로 연결되는 백본 단위를 함유한다. 백본 단위 기반의 비공액 중합체를 기반으로 하는 상기 삼중항 방출체의 예는, 예를 들어 DE 102009023154 에 개시되어 있다.In a more preferred embodiment, the non-conjugated polymer contains backbone units interconnected by spacer units. Examples of such triplet emitters based on non-conjugated polymers based on backbone units are disclosed, for example, in DE 102009023154.
보다 바람직한 실시형태에서, 비공액 중합체는 형광 방출체로서 설계될 수 있다. 측쇄를 갖는 비공액 중합체를 기반으로 하는 바람직한 형광 방출체는, 측쇄에 안트라센 또는 벤즈안트라센기, 또는 이러한 기의 유도체를 함유하며, 이러한 중합체는, 예를 들어 JP 2005/108556, JP 2005/285661 및 JP 2003/338375 에 개시되어 있다.In a more preferred embodiment, the non-conjugated polymer can be designed as a fluorescent emitter. Preferred fluorescent emitters based on non-conjugated polymers having side chains contain anthracene or benzanthracene groups or derivatives of these groups in the side chains, and such polymers are described in, for example, JP 2005/108556, JP 2005/285661 and It is disclosed in JP 2003/338375.
이러한 중합체는 흔히 전자- 또는 정공-수송 재료로서 이용될 수 있으며, 여기서 이러한 중합체는 바람직하게는 비공액 중합체로서 설계된다.These polymers can often be used as electron- or hole-transport materials, where they are preferably designed as non-conjugated polymers.
나아가, 제형에서 유기 기능성 재료로서 이용되는 기능성 화합물은 바람직하게는, 중합체성 화합물의 경우 분자량 Mw 이 ≥ 10,000 g/mol, 특히 바람직하게는 ≥ 20,000 g/mol 및 특히 바람직하게는 ≥ 50,000 g/mol 이다.Furthermore, the functional compound used as the organic functional material in the formulation preferably has a molecular weight M w of ≥ 10,000 g/mol, particularly preferably ≥ 20,000 g/mol and particularly preferably ≥ 50,000 g/mol in the case of a polymeric compound. mol is
여기서, 중합체의 분자량 Mw 은, 바람직하게는 10,000 내지 2,000,000 g/mol 범위, 특히 바람직하게는 20,000 내지 1,000,000 g/mol 범위 및 매우 특히 바람직하게는 50,000 내지 300,000 g/mol 범위이다. 분자량 Mw 은 내부 폴리스티렌 표준에 대하여 GPC (= 겔 투과 크로마토그래피) 를 이용하여 결정된다.Here, the molecular weight M w of the polymer is preferably in the range from 10,000 to 2,000,000 g/mol, particularly preferably in the range from 20,000 to 1,000,000 g/mol and very particularly preferably in the range from 50,000 to 300,000 g/mol. The molecular weight M w is determined using GPC (= gel permeation chromatography) against an internal polystyrene standard.
기능성 화합물의 설명을 위하여 위에 인용된 문헌은 개시의 목적으로 본 출원에 참조로서 원용된다.The documents cited above for descriptions of functional compounds are incorporated herein by reference for purposes of disclosure.
본 발명에 따른 제형은 전자 디바이스의 각각의 기능성 층의 제조에 필수적인 모든 유기 기능성 재료를 포함할 수도 있다. 예를 들어 정공 수송, 정공 주입, 전자 수송 또는 전자 주입 층이 정확하게 하나의 기능성 화합물로부터 구축되는 경우, 제형은 유기 기능성 재료로서 정확하게 이러한 화합물을 포함한다. 방출층이, 예를 들어 매트릭스 또는 호스트 재료와 조합으로 방출체를 포함하는 경우, 제형은, 유기 기능성 재료로서, 정확하게, 본 출원의 다른 부분에서 보다 상세하게 기재된 바와 같은, 매트릭스 또는 호스트 재료와 방출체의 혼합물을 포함한다.A formulation according to the present invention may contain all organic functional materials necessary for the manufacture of each functional layer of an electronic device. If, for example, the hole transport, hole injection, electron transport or electron injection layer is constructed from exactly one functional compound, the formulation includes exactly this compound as the organic functional material. When the release layer comprises the release agent in combination with, for example, a matrix or host material, the formulation is, as an organic functional material, precisely the matrix or host material and the release agent, as described in more detail elsewhere in this application. Contains a mixture of sieve.
상기 구성 이외에, 본 발명에 따른 제형은 추가의 첨가제 및 가공 보조제를 포함할 수도 있다. 이에는, 특히, 표면-활성 물질 (계면활성제), 윤활제 및 그리스, 점도를 개질시키는 첨가제, 전도도를 증가시키는 첨가제, 분산제, 소수성화제, 접착 촉진제, 유동 개선제, 소포제, 탈기제, 반응성 또는 비(非)반응성일 수도 있는 희석제, 충전제, 보조제, 가공 보조제, 염료, 안료, 안정화제, 증감제, 나노입자 및 억제제가 포함된다.In addition to the above configurations, formulations according to the present invention may also contain further additives and processing aids. These include, inter alia, surface-active substances (surfactants), lubricants and greases, viscosity-modifying additives, conductivity-increasing additives, dispersants, hydrophobizers, adhesion promoters, flow improvers, antifoaming agents, degassing agents, reactivity or ratio ( Diluents, fillers, auxiliaries, processing aids, dyes, pigments, stabilizers, sensitizers, nanoparticles and inhibitors, which may be non-reactive.
본 발명은 나아가 본 발명에 따른 제형의 제조 방법으로서, 적어도 하나의 [2.2.1]바이시클릭 기를 함유하는 적어도 제 1 유기 용매, 및 전자 디바이스의 기능성 층의 제조에 이용될 수 있는 적어도 하나의 유기 기능성 재료가 혼합되는, 제조 방법에 관한 것이다.The present invention further relates to a method for preparing a formulation according to the present invention, comprising at least a first organic solvent containing at least one [2.2.1] bicyclic group and at least one organic solvent usable for the production of a functional layer of an electronic device. It relates to a manufacturing method in which organic functional materials are mixed.
본 발명에 따른 제형은 바람직한 전자적 또는 광전자적 성분, 예컨대 OLED 의 제조에 요구되는 바와 같이, 유기 기능성 재료가 층에 존재하는, 층 또는 다층 구조의 제조에 이용될 수 있다.Formulations according to the invention can be used for the production of layers or multi-layer structures, in which organic functional materials are present in layers, as required for the production of desirable electronic or optoelectronic components, such as OLEDs.
본 발명의 제형은 바람직하게는 기판 상에의 또는 기판에 적용되는 층들 중 하나 상에의 기능성 층의 형성에 이용될 수 있다. 기판은 뱅크 (bank) 구조를 갖거나 갖지 않을 수 있다.The formulation of the present invention can preferably be used for the formation of a functional layer on a substrate or on one of the layers applied to a substrate. The substrate may or may not have a bank structure.
본 발명은 마찬가지로 본 발명에 따른 제형이 기판에 도포되고 건조되는, 전자 디바이스의 제조 방법에 관한 것이다.The invention likewise relates to a method for manufacturing an electronic device, wherein the formulation according to the invention is applied to a substrate and dried.
기능성 층은, 예를 들어 플러드 (flood) 코팅, 딥 코팅, 스프레이 코팅, 스핀 코팅, 스크린 프린팅, 릴리프 (relief) 프린팅, 그라비어 (gravure) 프린팅, 회전식 프린팅, 롤러 코팅, 플렉소그래피 프린팅, 오프셋 프린팅 또는 노즐 프린팅, 바람직하게는 잉크젯 프린팅에 의해, 기판 상에 또는 기판에 적용되는 층들 중 하나에 상에 제조될 수 있다.The functional layer may be, for example, flood coating, dip coating, spray coating, spin coating, screen printing, relief printing, gravure printing, rotational printing, roller coating, flexography printing, offset printing or by nozzle printing, preferably inkjet printing, on the substrate or on one of the layers applied to the substrate.
본 발명에 따른 제형을 기판에 또는 이미 적용된 기능성 층에 도포한 후, 위에 기재된 연속상으로부터 용매를 제거하기 위하여 건조 단계가 수행될 수 있다. 건조는, 버블 형성을 방지하고, 균일한 코팅을 수득하기 위하여, 바람직하게는 비교적 저온에서 및 비교적 장기간에 걸쳐 수행될 수 있다. 건조는 바람직하게는 80 내지 300℃, 더욱 바람직하게는 150 내지 250℃ 및 가장 바람직하게는 160 내지 200℃ 범위의 온도에서 수행될 수 있다. 여기서의 건조는 바람직하게는 10-6 mbar 내지 2 bar 의 범위, 보다 바람직하게는 10-2 mbar 내지 1 bar 의 범위, 그리고 가장 바람직하게는 10-1 mbar 내지 100 mbar 의 범위의 압력에서 실시될 수 있다. 건조 공정 동안, 기판의 온도는 -15℃ 로부터 250℃ 까지 달라질 수 있다. 건조의 지속시간은 달성하고자 하는 건조 정도에 따라 달라지며, 여기서 소량의 물은 선택적으로, 비교적 고온에서, 그리고 바람직하게는 수행되는 소결 (sintering) 과 조합하여 제거될 수 있다.After application of the formulation according to the invention to a substrate or to an already applied functional layer, a drying step may be performed to remove the solvent from the continuous phase described above. Drying can be carried out preferably at a relatively low temperature and over a relatively long period of time to prevent bubble formation and obtain a uniform coating. Drying may preferably be carried out at a temperature ranging from 80 to 300 °C, more preferably from 150 to 250 °C and most preferably from 160 to 200 °C. Drying here is preferably carried out at a pressure in the range of 10 -6 mbar to 2 bar, more preferably in the range of 10 -2 mbar to 1 bar, and most preferably in the range of 10 -1 mbar to 100 mbar. can During the drying process, the temperature of the substrate can vary from -15°C to 250°C. The duration of drying depends on the degree of drying to be achieved, wherein small amounts of water can be removed optionally, at a relatively high temperature, and in combination with sintering, which is preferably carried out.
나아가, 공정이, 상이하거나 동일한 기능성 층의 형성과 함께, 수 회 반복되는 것이 제공될 수도 있다. 여기서, 예를 들어 EP 0 637 899 A1 에 개시된 바와 같이, 형성된 기능성 층의 가교가 일어나, 이의 용해를 방지할 수 있다.Furthermore, it may be provided that the process is repeated several times, with formation of different or identical functional layers. Here, cross-linking of the formed functional layer can take place, preventing its dissolution, as disclosed for example in
본 발명은 또한 전자 디바이스의 제조 방법에 의해 수득 가능한 전자 디바이스에 관한 것이다.The invention also relates to an electronic device obtainable by a method for manufacturing an electronic device.
본 발명은 나아가 위에 언급된 전자 디바이스의 제조 방법에 의해 수득 가능한, 적어도 하나의 유기 기능성 재료를 포함하는 적어도 하나의 기능성 층을 갖는, 전자 디바이스에 관한 것이다.The present invention further relates to an electronic device having at least one functional layer comprising at least one organic functional material obtainable by the above-mentioned manufacturing method of the electronic device.
전자 디바이스는 애노드, 캐소드 및 그 사이에 적어도 하나의 기능성 층을 포함하는 디바이스로서, 여기서 이 기능성 층이 적어도 하나의 유기 또는 유기금속 화합물을 포함하는 디바이스를 의미하는 것으로 받아들여진다.An electronic device is taken to mean a device comprising an anode, a cathode and at least one functional layer therebetween, wherein this functional layer comprises at least one organic or organometallic compound.
유기 전자 디바이스는, 바람직하게는 유기 전계발광 디바이스 (OLED), 중합체성 전계발광 디바이스 (PLED), 유기 집적 회로 (O-IC), 유기 전계-효과 트랜지스터 (O-FET), 유기 박막 트랜지스터 (O-TFT), 유기 발광 트랜지스터 (O-LET), 유기 태양 전지 (O-SC), 유기 광전지 (OPV) 셀, 유기 광 검출기, 유기 광수용체, 유기 전계-켄치 디바이스 (O-FQD), 유기 전기 센서, 발광 전기화학 전지 (LEC) 또는 유기 레이저 다이오드 (O-레이저), 더욱 바람직하게는 유기 전계발광 디바이스 (OLED) 또는 중합체성 전계발광 디바이스 (PLED) 이다.The organic electronic device is preferably an organic electroluminescent device (OLED), a polymeric electroluminescent device (PLED), an organic integrated circuit (O-IC), an organic field-effect transistor (O-FET), an organic thin film transistor (O -TFT), Organic Light Emitting Transistor (O-LET), Organic Solar Cell (O-SC), Organic Photovoltaic (OPV) Cell, Organic Photo Detector, Organic Photoreceptor, Organic Field-Quenched Device (O-FQD), Organic Electric The sensor, a light emitting electrochemical cell (LEC) or an organic laser diode (O-Laser), more preferably an organic electroluminescent device (OLED) or a polymeric electroluminescent device (PLED).
활성 성분은 일반적으로 애노드와 캐소드 사이에 도입되는 유기 또는 무기 재료 (여기서, 이러한 활성 성분은 전자 디바이스의 특성, 예를 들어 이의 성능 및/또는 이의 수명에 영향을 미치고, 이를 유지하거나 및/또는 개선시킴), 예를 들어 전하 주입, 전하 수송 또는 전하 차단 재료, 특히 방출 재료 및 매트릭스 재료이다. 따라서, 전자 디바이스의 기능성 층의 제조에 이용될 수 있는 유기 기능성 재료는 바람직하게는 전자 디바이스의 활성 성분을 포함한다.The active component is generally an organic or inorganic material introduced between the anode and the cathode, wherein the active component affects, maintains and/or improves the properties of the electronic device, e.g. its performance and/or its lifetime. ), for example charge injection, charge transport or charge blocking materials, in particular emissive materials and matrix materials. Therefore, organic functional materials that can be used for the production of functional layers of electronic devices preferably contain active components of electronic devices.
유기 전계발광 디바이스는 본 발명의 바람직한 실시형태이다. 유기 전계발광 디바이스는 캐소드, 애노드 및 적어도 하나의 방출 층을 포함한다.An organic electroluminescent device is a preferred embodiment of the present invention. An organic electroluminescent device includes a cathode, an anode and at least one emissive layer.
또한, 매트릭스와 함께 2개 이상의 삼중항 방출체들의 혼합물을 사용하는 것이 바람직하다. 보다 단파의 발광 스펙트럼을 갖는 삼중항 방출체는 여기서 보다 장파의 방출 스펙트럼을 갖는 삼중항 방출체를 위한 공-매트릭스 (co-matrix) 로서의 역할을 한다.It is also preferred to use a mixture of two or more triplet emitters together with the matrix. Triplet emitters with shorter-wave emission spectra serve here as a co-matrix for triplet emitters with longer-wave emission spectra.
이러한 경우에서 방출층 내 매트릭스 재료의 비율은, 형광 방출층에 있어서는 바람직하게는 50 내지 99.9 부피%, 더욱 바람직하게는 80 내지 99.5 부피% 및 가장 바람직하게는 92 내지 99.5 부피% 이고, 인광 방출층에 있어서는 85 내지 97 부피% 이다.In this case, the ratio of the matrix material in the emission layer is preferably 50 to 99.9% by volume, more preferably 80 to 99.5% by volume and most preferably 92 to 99.5% by volume for the phosphorescent emission layer, and In the case of 85 to 97% by volume.
따라서, 도펀트의 비율은, 형광 방출층에 있어서는 바람직하게는 0.1 내지 50 부피%, 더욱 바람직하게는 0.5 내지 20 부피% 및 가장 바람직하게는 0.5 내지 8 부피% 이고, 인광 방출층에 있어서는 3 내지 15 부피% 이다.Therefore, the proportion of the dopant is preferably 0.1 to 50% by volume, more preferably 0.5 to 20% by volume and most preferably 0.5 to 8% by volume for the fluorescence emission layer, and 3 to 15% by volume for the phosphorescence emission layer. is the volume %.
유기 전계발광 디바이스의 방출 층은 또한 복수의 매트릭스 재료 (혼합-매트릭스 시스템) 및/또는 복수의 도펀트를 포함하는 시스템을 포함할 수도 있다. 이러한 경우에도 역시, 도펀트는 일반적으로 시스템에서 그 비율이 보다 작은 재료이고, 매트릭스 재료는 시스템에서 그 비율이 보다 큰 재료이다. 하지만, 개개의 경우에서, 시스템에서의 개개의 매트릭스 재료의 비율은 개개의 도펀트의 비율보다 더 작을 수도 있다.The emissive layer of the organic electroluminescent device may also comprise a system comprising a plurality of matrix materials (mixed-matrix system) and/or a plurality of dopants. In this case too, the dopant is generally the smaller proportion material in the system and the matrix material is the larger proportion material in the system. In individual cases, however, the proportion of individual matrix materials in the system may be smaller than the proportion of individual dopants.
혼합-매트릭스 시스템은 바람직하게는 2 또는 3 종의 상이한 매트릭스 재료, 더욱 바람직하게는 2 종의 상이한 매트릭스 재료를 포함한다. 여기서, 2 개의 재료 중 하나는 바람직하게는 정공 수송 특성을 갖는 재료이고, 다른 재료는 전자 수송 특성을 갖는 재료이다. 하지만, 혼합-매트릭스 성분의 원하는 전자 수송 및 정공 수송 특성은, 또한 주로 또는 전적으로 단일 혼합-매트릭스 성분에서 조합될 수도 있으며, 여기서 추가의 혼합-매트릭스 성분(들)이 다른 기능을 이행한다. 2 종의 상이한 매트릭스 재료는 1:50 내지 1:1, 바람직하게는 1:20 내지 1:1, 더욱 바람직하게는 1:10 내지 1:1 그리고 가장 바람직하게는 1:4 내지 1:1 의 비로 존재할 수도 있다. 혼합 매트릭스 시스템들은 바람직하게는 인광 유기 전계발광 디바이스들에서 채용된다. 혼합-매트릭스 시스템에 대한 추가의 상세들은, 예를 들어 WO 2010/108579 에서 찾아볼 수 있다.The mixed-matrix system preferably includes 2 or 3 different matrix materials, more preferably 2 different matrix materials. Here, one of the two materials is preferably a material having hole transport properties, and the other material is a material having electron transport properties. However, the desired electron transport and hole transport properties of the mixed-matrix components may also be primarily or entirely combined in a single mixed-matrix component, where additional mixed-matrix component(s) fulfill different functions. The two different matrix materials are mixed in a ratio of 1:50 to 1:1, preferably 1:20 to 1:1, more preferably 1:10 to 1:1 and most preferably 1:4 to 1:1. may exist as rain. Mixed matrix systems are preferably employed in phosphorescent organic electroluminescent devices. Further details on mixed-matrix systems can be found, for example, in WO 2010/108579.
이러한 층들 이외에, 유기 전계발광 디바이스는 또한 추가의 층, 예를 들어 각각의 경우 하나 이상의 정공 주입층, 정공 수송층, 정공 차단층, 전자 수송층, 전자 주입층, 여기자 차단층, 전자 차단층, 전하 생성층 (IDMC 2003, Taiwan; Session 21 OLED (5), T. Matsumoto, T. Nakada, J. Endo, K. Mori, N. Kawamura, A. Yokoi, J. Kido, Multiphoton Organic EL Device Having Charge Generation Layer) 및/또는 유기 또는 무기 p/n 접합을 포함할 수도 있다. 여기서, 하나 이상의 정공 수송층이, 예를 들어 금속 산화물, 예컨대 MoO3 또는 WO3, 또는 (퍼)플루오르화 전자 결핍 방향족 화합물로 p-도핑되거나 및/또는, 하나 이상의 전자 수송층이 n-도핑될 수 있다. 또한, 예를 들어 전계발광 디바이스에서 여기자 차단 기능을 갖거나 및/또는 전하 균형을 조절하는 중간층이, 2 개의 방출 층 사이에 도입될 수 있다. 하지만, 이들 층들의 각각은 반드시 존재할 필요가 있는 것은 아니라는 것이 지적되야 한다. 이러한 층들은 마찬가지로 상기 정의된 바와 같은, 본 발명에 따른 제형의 사용 시 존재할 수도 있다.In addition to these layers, the organic electroluminescent device may also have further layers, for example in each case one or more hole injection layers, hole transport layers, hole blocking layers, electron transport layers, electron injection layers, exciton blocking layers, electron blocking layers, charge generation Layer (IDMC 2003, Taiwan; Session 21 OLED (5), T. Matsumoto, T. Nakada, J. Endo, K. Mori, N. Kawamura, A. Yokoi, J. Kido, Multiphoton Organic EL Device Having Charge Generation Layer ) and/or organic or inorganic p/n junctions. Here, one or more hole transport layers may be p-doped, for example with a metal oxide, such as MoO 3 or WO 3 , or (per)fluorinated electron deficient aromatic compounds, and/or one or more electron transport layers may be n-doped. there is. In addition, an intermediate layer having an exciton blocking function and/or adjusting the charge balance, for example in an electroluminescent device, may be introduced between the two emissive layers. However, it should be pointed out that each of these layers need not necessarily be present. These layers may likewise be present when using the formulations according to the invention, as defined above.
본 발명의 추가 실시형태에서, 디바이스는 복수의 층을 포함한다. 여기서, 본 발명에 따른 제형은 바람직하게는 정공 수송, 정공 주입, 전자 수송, 전자 주입 및/또는 방출 층의 제조에 이용될 수 있다.In a further embodiment of the invention, the device comprises a plurality of layers. Here, the formulation according to the invention can preferably be used for the preparation of hole transport, hole injection, electron transport, electron injection and/or emissive layers.
따라서, 본 발명은 또한 적어도 3 개의 층, 그러나 바람직한 실시형태에서는 정공 주입, 정공 수송, 방출, 전자 수송, 전자 주입, 전하 차단 및/또는 전하 생성 층으로부터의 모든 상기 층을 포함하는 전자 디바이스로서, 여기서 적어도 하나의 층이 본 발명에 따라 이용되는 제형에 의해 수득된 것인, 전자 디바이스에 관한 것이다. 층, 예를 들어 정공 수송 및/또는 정공 주입 층의 두께는, 바람직하게는 1 내지 500 nm 범위, 더욱 바람직하게는 2 내지 200 nm 범위일 수 있다.Accordingly, the present invention also relates to an electronic device comprising at least three layers, but in a preferred embodiment all such layers from a hole injection, hole transport, emission, electron transport, electron injection, charge blocking and/or charge generation layer, An electronic device wherein at least one layer is obtained by the formulation used according to the invention. The thickness of the layer, for example the hole transport and/or hole injection layer, may preferably range from 1 to 500 nm, more preferably from 2 to 200 nm.
게다가, 디바이스는 본 발명에 따른 제형의 사용에 의해 적용되지 않는 추가의 저분자량 화합물 또는 중합체로 구축되는 층을 포함할 수도 있다. 이는 또한 고진공에서의 저분자량 화합물의 증발에 의해 제조될 수 있다.In addition, the device may comprise layers built up of additional low molecular weight compounds or polymers not covered by the use of the formulations according to the invention. It can also be prepared by evaporation of low molecular weight compounds in high vacuum.
또한, 순수한 물질로서가 아니라, 임의의 원하는 유형의 추가의 중합체성, 올리고머성, 수지상 또는 저분자량 물질과 함께 혼합물 (블렌드) 로서 이용되는 화합물을 사용하는 것이 바람직할 수도 있다. 이것들은, 예를 들면, 전기적 특성을 향상시킬 수도 있거나 또는 그들 자신이 방출할 수도 있다.It may also be desirable to use the compounds employed not as pure substances, but as mixtures (blends) together with further polymeric, oligomeric, resinous or low molecular weight substances of any desired type. These may, for example, enhance electrical properties or may emit themselves.
본 발명의 바람직한 실시형태에서, 본 발명에 따른 제형은 방출 층에서 호스트 재료 또는 매트릭스 재료로서 이용되는 유기 기능성 재료를 포함한다. 여기서 제형은 호스트 재료 또는 매트릭스 재료 이외에, 위에 기재된 방출체를 포함할 수도 있다. 여기서 유기 전계발광 디바이스는 하나 이상의 방출 층을 포함할 수도 있다. 복수의 방출 층이 존재하는 경우, 이들은 바람직하게는 전체적으로 백색 방출이 수득되도록, 380 nm 내지 750 nm 에서 복수의 방출 최대치를 가지며, 즉 형광 또는 인광을 일으킬 수 있는 각종 방출성 화합물이 방출 층에 사용된다. 3-층 시스템이 매우 특히 바람직하고, 상기 3 개의 층은 청색, 녹색 및 오렌지색 또는 적색 방출을 나타낸다 (기본 구조에 대해서는, 예를 들어, WO 2005/011013 참조). 백색 방출성 디바이스는, 예를 들어 LCD 디스플레이의 백라이팅으로서 또는 일반 조명 응용에 적합하다.In a preferred embodiment of the present invention, the formulation according to the present invention comprises an organic functional material used as a host material or matrix material in the release layer. The dosage form herein may contain the above-described emitter in addition to the host material or matrix material. An organic electroluminescent device here may comprise one or more emissive layers. If a plurality of emission layers are present, they preferably have a plurality of emission maxima at 380 nm to 750 nm, i.e., various emissive compounds capable of causing fluorescence or phosphorescence are used in the emission layer, so that overall white emission is obtained. do. A three-layer system is very particularly preferred, the three layers exhibiting blue, green and orange or red emission (for the basic structure see, for example, WO 2005/011013). White emitting devices are suitable, for example, as backlighting of LCD displays or for general lighting applications.
또한, 복수의 OLED 들은 하나가 다른 하나 위에 오게 배열되는 것이 가능하며, 이는 달성될 광 수율에 관하여 효율의 추가 증가를 가능하게 한다.It is also possible for a plurality of OLEDs to be arranged one above the other, which allows a further increase in efficiency in terms of light yield to be achieved.
광의 커플링 아웃 (coupling-out) 을 향상시키기 위하여, OLED 들에서 광 출구 측 상의 최종 유기 층은, 예를 들면, 나노폼 (nanofoam) 의 형태일 수 있고, 이는 전반사의 비율의 감소를 초래한다.In order to improve the coupling-out of light, the final organic layer on the light exit side in OLEDs can be, for example, in the form of nanofoam, which results in a decrease in the ratio of total internal reflection. .
나아가, 하나 이상의 층이 승화 공정에 의해 적용되며, 이때 재료가 진공 승화 장치에서, 10-5 mbar 미만, 바람직하게는 10-6 mbar 미만, 더욱 바람직하게는 10-7 mbar 미만의 압력에서 증착에 의해 적용되는 유기 전계발광 디바이스가 바람직하다.Furthermore, one or more layers are applied by a sublimation process, wherein the material is subjected to deposition in a vacuum sublimation apparatus at a pressure of less than 10 −5 mbar, preferably less than 10 −6 mbar, more preferably less than 10 −7 mbar. Organic electroluminescent devices applied by
나아가, 본 발명에 따른 전자 디바이스의 하나 이상의 층이 OVPD (유기 증기 상 증착) 공정에 의해 또는 캐리어-가스 승화의 도움으로 적용되며, 이때 재료가 10-5 mbar 내지 1 bar 의 압력에서 적용되는 것이 제공될 수도 있다.Furthermore, one or more layers of the electronic device according to the invention are applied by means of an OVPD (Organic Vapor Phase Deposition) process or with the aid of carrier-gas sublimation, wherein the material is applied at a pressure between 10 −5 mbar and 1 bar. may be provided.
나아가, 본 발명에 따른 전자 디바이스의 하나 이상의 층이 용액으로부터, 이를테면 예를 들어 스핀 코팅에 의해, 또는 임의의 원하는 프린팅 공정, 이를테면 예를 들어 스크린 프린팅, 플렉소그래피 프린팅 또는 오프셋 프린팅, 그러나 특히 바람직하게는 LITI (광 유도 열 이미지화 (light-induced thermal imaging), 열 전사 프린팅) 또는 잉크젯 프린팅에 의해 제조되는 것이 제공될 수도 있다.Furthermore, one or more layers of the electronic device according to the invention may be prepared from solution, such as for example by spin coating, or by any desired printing process, such as for example screen printing, flexographic printing or offset printing, but particularly preferred. Preferably, it may be provided that it is manufactured by LITI (light-induced thermal imaging, thermal transfer printing) or inkjet printing.
이러한 층은 또한 식 (I), (II), (IIIa) 또는 (IIIb) 의 화합물이 이용되지 않는 공정에 의해 적용될 수도 있다. 여기서 바람직하게는, 적용하고자 하는 층의 기능성 재료를 용해시키지만, 기능성 재료가 적용되는 층은 용해시키지 않는, 직교 (orthogonal) 용매가 사용될 수 있다.Such a layer may also be applied by a process in which compounds of formulas (I), (II), (IIIa) or (IIIb) are not used. Preferably, an orthogonal solvent can be used here which dissolves the functional material of the layer to be applied, but does not dissolve the layer to which the functional material is applied.
디바이스는 보통 캐소드 및 애노드 (전극들) 을 포함한다. 전극 (캐소드, 애노드) 은, 본 발명의 목적을 위하여, 매우 효율적인 전자 또는 정공 주입을 보장하기 위해 이의 밴드 에너지가 인접한 유기 층의 밴드 에너지에 가능한 근접하게 대응하도록 선택된다.A device usually contains a cathode and an anode (electrodes). The electrode (cathode, anode) is, for the purposes of the present invention, chosen such that its band energy corresponds as closely as possible to that of the adjacent organic layer in order to ensure highly efficient electron or hole injection.
캐소드는 바람직하게는, 금속 착물, 낮은 일함수를 갖는 금속, 금속 합금 또는 다층 구조 (예를 들어 알칼리 토금속, 알칼리 금속, 주족 금속 또는 란타노이드 (예를 들어 Ca, Ba, Mg, Al, In, Mg, Yb, Sm 등) 와 같은 각종 금속을 포함함) 를 포함한다. 다층 구조의 경우, 상기 금속 이외에, 비교적 높은 일함수를 갖는 추가의 금속, 이를테면 예를 들어 Ag 및 Ag 나노와이어 (Ag NW) 가 또한 사용될 수 있고, 이러한 경우, 금속의 조합, 이를테면 예를 들어 Ca/Ag 또는 Ba/Ag 가 일반적으로 사용된다. 또한, 금속 캐소드와 유기 반도체 사이에 높은 유전 상수를 갖는 재료의 박형 중간층을 도입하는 것이 바람직할 수도 있다. 알칼리 금속 또는 알칼리 토금속 플루오라이드 뿐 아니라, 대응하는 산화물 (예를 들어 LiF, Li2O, BaF2, MgO, NaF 등) 이, 이러한 목적에 적합하다. 이러한 층의 층 두께는 바람직하게는 0.1 내지 10 nm, 더욱 바람직하게는 0.2 내지 8 nm, 그리고 가장 바람직하게는 0.5 내지 5 nm 이다.The cathode is preferably a metal complex, a metal having a low work function, a metal alloy or a multilayer structure (eg alkaline earth metal, alkali metal, main group metal or lanthanoid (eg Ca, Ba, Mg, Al, In, including various metals such as Mg, Yb, Sm, etc.). In the case of a multilayer structure, besides the above metals, further metals having a relatively high work function may also be used, such as for example Ag and Ag nanowires (Ag NWs), in which case a combination of metals such as for example Ca /Ag or Ba/Ag are commonly used. It may also be desirable to introduce a thin interlayer of a material with a high dielectric constant between the metal cathode and the organic semiconductor. Alkali metal or alkaline earth metal fluorides, as well as the corresponding oxides (eg LiF, Li 2 O, BaF 2 , MgO, NaF, etc.) are suitable for this purpose. The layer thickness of this layer is preferably 0.1 to 10 nm, more preferably 0.2 to 8 nm, and most preferably 0.5 to 5 nm.
애노드는 바람직하게는 높은 일함수를 갖는 재료들을 포함한다. 애노드는 바람직하게는 진공에 대해 4.5 eV보다 더 큰 포텐셜을 갖는다. 한편, 이러한 목적으로, 예를 들면 Ag, Pt 또는 Au 와 같은 높은 리독스 포텐셜 (redox potential) 을 갖는 금속들이 적합하다. 다른 한편, 금속/금속 산화물 전극들 (예를 들면, Al/Ni/NiOx, Al/PtOx) 가 또한 바람직할 수도 있다. 일부 응용에 있어서, 전극 중 적어도 하나는 유기 재료의 조사 (O-SC) 또는 광의 커플링 아웃 (OLED/PLED, O-레이저) 을 가능하게 하기 위하여 투명해야 한다. 바람직한 구조는 투명 애노드를 사용한다. 바람직한 애노드 재료들은 여기에서 전도성, 혼합 금속 산화물이다. ITO (indium tin oxide) 또는 IZO (indium zinc oxide) 가 특히 바람직하다. 더 나아가, 전도성 도핑된 유기 재료, 특히 전도성 도핑된 중합체, 이를테면 예를 들어 폴리(에틸렌디옥시티오펜) (PEDOT) 및 폴리아닐린 (PANI), 또는 이러한 중합체의 유도체가 바람직하다. 또한, p-도핑된 정공 수송 재료가 정공 주입층으로서 애노드에 적용되는 경우가 바람직하며, 여기서 적합한 p-도펀트는 금속 산화물, 예를 들어 MoO3 또는 WO3, 또는 (퍼)플루오르화 전자 결핍 방향족 화합물이다. 다른 적합한 p-도펀트는 Novaled 로부터의 화합물 NPD9 또는 HAT-CN (헥사시아노헥사아자트리페닐렌) 이다. 이러한 유형의 층은 낮은 HOMO, 즉 큰 값의 HOMO 를 갖는 재료에서어 정공 주입을 간단하게 한다.The anode preferably includes materials having a high work function. The anode preferably has a potential greater than 4.5 eV relative to vacuum. On the other hand, for this purpose, metals having a high redox potential, such as Ag, Pt or Au, for example, are suitable. On the other hand, metal/metal oxide electrodes (eg Al/Ni/NiO x , Al/PtO x ) may also be desirable. For some applications, at least one of the electrodes must be transparent to allow irradiation of organic materials (O-SC) or coupling out of light (OLED/PLED, O-laser). A preferred structure uses a transparent anode. Preferred anode materials here are conductive, mixed metal oxides. ITO (indium tin oxide) or IZO (indium zinc oxide) is particularly preferred. Furthermore, preference is given to conductively doped organic materials, in particular conductively doped polymers, such as for example poly(ethylenedioxythiophene) (PEDOT) and polyaniline (PANI), or derivatives of these polymers. It is also preferred if a p-doped hole transport material is applied to the anode as a hole injection layer, where suitable p-dopants are metal oxides, for example MoO 3 or WO 3 , or (per)fluorinated electron deficient aromatics it is a compound Other suitable p-dopants are the compound NPD9 or HAT-CN (hexacyanohexaazatriphenylene) from Novaled. This type of layer simplifies hole injection in materials with low HOMO, ie large values of HOMO.
일반적으로, 선행 기술에 따라 층에 사용되는 모든 재료가 추가의 층에 사용될 수 있고, 당업자는 진보성 없이 전자 디바이스에서 각각의 이러한 재료를 본 발명에 따른 재료와 조합할 수 있을 것이다.In general, any material used for a layer according to the prior art may be used for a further layer, and a person skilled in the art will be able to combine each such material with a material according to the invention in an electronic device without inventiveness.
그러한 디바이스의 수명은 물 및/또는 공기의 존재 하에서 극적으로 단축되기 때문에, 디바이스는 응용에 따라, 그 자체가 공지된 방식으로 대응하여 구조화되고, 접촉부가 제공되고, 최종적으로 실링된다.Since the lifetime of such devices is shortened dramatically in the presence of water and/or air, the device is correspondingly structured, provided with contacts and finally sealed, in a manner known per se, depending on the application.
본 발명에 따른 제형 및 이로부터 수득 가능한 전자 디바이스, 특히 유기 전계발광 디바이스는, 선행 기술에 비해 하기 놀라운 이점 중 하나 이상에 의해 구별된다:The formulations according to the invention and the electronic devices obtainable therefrom, in particular organic electroluminescent devices, are distinguished by one or more of the following surprising advantages over the prior art:
1. 본 발명에 따른 제형을 사용하여 수득 가능한 전자 디바이스는, 종래의 방법을 사용하여 수득되는 전자 디바이스와 비교하여, 매우 높은 안정성 및 매우 긴 수명을 나타낸다.1. The electronic devices obtainable using the formulations according to the present invention exhibit very high stability and very long lifetime compared to electronic devices obtained using conventional methods.
2. 본 발명에 따른 제형은 종래의 방법을 사용하여 가공될 수 있기 때문에, 이에 의한 비용 이점이 또한 달성될 수 있다.2. Since the formulations according to the present invention can be processed using conventional methods, cost advantages can also be achieved thereby.
3. 본 발명에 따른 제형에 이용되는 유기 기능성 재료는 임의의 특별한 제한을 받지 않아, 본 발명의 방법이 포괄적으로 이용될 수 있도록 한다.3. The organic functional material used in the formulation according to the present invention is not subject to any particular limitation, so that the method of the present invention can be used comprehensively.
4. 본 발명의 제형을 사용하여 수득 가능한 코팅들은, 특히 코팅의 균일성에 있어서, 탁월한 품질을 나타낸다.4. Coatings obtainable using the formulations of the present invention exhibit excellent quality, especially in uniformity of the coating.
위에 언급된 이러한 이점은 다른 전자적 특성의 저하를 수반하지 않는다.These advantages mentioned above are not accompanied by degradation of other electronic properties.
본 발명에 설명된 실시형태들의 변형들은 본 발명의 범위내에 속한다는 것이 지적되야 한다. 본 발명에 개시된 각각의 특징은, 이것이 명백하게 배재되지 않는 한, 동일한, 동등한 또는 유사한 목적으로 이용될 수 있는 대안적인 특징으로 대체될 수 있다. 따라서, 본 발명에 개시된 각 특징은, 달리 언급되지 않으면, 일반 계열 (generic series) 의 예로서, 또는 동등 또는 유사 특징으로서 간주되야 한다.It should be pointed out that variations of the embodiments described herein fall within the scope of the present invention. Each feature disclosed herein may be replaced by an alternative feature serving the same, equivalent or similar purpose, unless expressly excluded. Accordingly, each feature disclosed herein is to be regarded as an example of a generic series, or as an equivalent or similar feature, unless stated otherwise.
본 발명의 모든 특징들은, 특정 특징들 및/또는 단계들이 상호 배타적이지 않으면, 임의의 방식으로 서로 조합될 수 있다. 이는 특히 본 발명의 바람직한 특징들에 적용된다. 동일하게, 비본질적인 조합들의 특징들은 (조합이 아닌) 따로 사용될 수 있다.All features of the present invention may be combined with each other in any way, provided that certain features and/or steps are not mutually exclusive. This applies in particular to preferred features of the present invention. Equally, features in non-essential combinations may be used separately (not in combination).
또한, 본 발명의 다수의 특징, 및 특히 바람직한 실시형태들의 특징은, 그 자체가 진보성이 있으며, 단지 본 발명의 실시형태들의 일부로서 간주되어서는 안된다는 점이 지적되어야 한다. 이러한 특징에 대하여, 현재 청구된 각각의 발명에 대한 대안으로서 또는 이에 부가적으로 독립적인 보호가 추구될 수 있다.It should also be pointed out that many features of the present invention, and features of particularly preferred embodiments, are inventive in themselves and should not be regarded as merely part of the embodiments of the present invention. For these features, independent protection may be sought as an alternative to, or in addition to, each invention currently claimed.
본 발명에 개시된 기술적 작용에 관한 교시가 추출될 수 있고 다른 예들과 조합될 수 있다.The teachings regarding the technical operation disclosed in this invention can be extracted and combined with other examples.
본 발명은 작업예들을 참조하여 아래에서 보다 자세히 설명되지만, 그에 의해 한정되는 것은 아니다.The invention is described in more detail below with reference to working examples, but is not limited thereto.
당업자는 진보성 능력을 발휘하지 않고, 상세한 설명을 사용하여, 본 발명에 따른 추가의 전자 디바이스를 제조할 수 있을 것이며, 따라서 청구된 범위에 전반에 걸쳐 본 발명을 실시할 수 있을 것이다.Those skilled in the art will be able, using the detailed description, to manufacture additional electronic devices in accordance with the present invention, without exercising their inventive ability, and thus to practice the invention throughout the claimed scope.
작업예working example
아래에 제시되는 모든 작업예는 도 1 에 제시된 디바이스 구조를 사용하여 이루어졌다. 모든 예들의 정공 주입층 (HIL) 및 정공 수송층 (HTL) 은 원하는 두께를 달성하기 위하여 잉크젯 프린팅 공정에 의해 제조되었다. 방출층에 대하여, 예 1 및 2 에서 사용된 개개의 용매는 하기 표 2 에 열거되어 있다:All working examples presented below were made using the device structure presented in FIG. 1 . The hole injection layer (HIL) and hole transport layer (HTL) of all examples were prepared by an inkjet printing process to achieve the desired thickness. For the release layer, the individual solvents used in Examples 1 and 2 are listed in Table 2 below:
제형 및 용매의 점도를, 40 mm 평행 플레이트 지오메트리를 사용하여 10 내지 1000 s-1 범위의 전단율 범위에 걸쳐, TA 기구 ARG2 레오미터를 사용하여 측정하였다. 측정은 200 내지 800 s-1 에서의 평균으로서 취해졌으며, 이때 온도 및 전단율은 정확하게 제어되었다. 각각의 용매를 3회 측정하였다. 언급된 점도 값은 상기 측정치들에 대하여 평균내어졌다.Viscosity of formulations and solvents were measured using a TA Instruments ARG2 rheometer over a range of shear rates ranging from 10 to 1000 s −1 using a 40 mm parallel plate geometry. Measurements were taken as an average from 200 to 800 s −1 , at which time temperature and shear rate were accurately controlled. Each solvent was measured in triplicate. Viscosity values stated are averaged over these measurements.
바람직하게는, 유기 용매 블렌드는 15 내지 80 mN/m 범위, 더욱 바람직하게는 20 내지 60 mN/m 범위 및 가장 바람직하게는 25 내지 40 mN/m 범위의 표면 장력을 포함할 수 있다. 표면 장력은 20℃ 에서 FTA (First Ten Angstrom) 1000 접촉각 고니오미터를 사용하여 측정할 수 있다. 방법의 세부 사항은 Roger P. Woodward, Ph.D. "Surface Tension Measurements Using the Drop Shape Method" 로 출판된 바와 같이 같이 First Ten Angstrom 사에서 입수 가능하다. 바람직하게는, 수적법을 사용하여 표면 장력을 결정할 수 있다. 모든 측정은 20℃ 내지 22℃ 범위의 실온에서 수행된다. 각각의 제형에 대하여, 3 개의 액적을 측정하였다. 최종 값은 상기 측정치들에 대하여 평균낸 것이다. 상기 도구는 널리 알려진 표면 장력을 갖는 다양한 액체에 대하여 정기적으로 교차-점검되었다.Preferably, the organic solvent blend may comprise a surface tension in the range of 15 to 80 mN/m, more preferably in the range of 20 to 60 mN/m and most preferably in the range of 25 to 40 mN/m. Surface tension can be measured using a FTA (First Ten Angstrom) 1000 contact angle goniometer at 20 °C. Details of the method can be found in Roger P. Woodward, Ph.D. Available from First Ten Angstrom, as published in "Surface Tension Measurements Using the Drop Shape Method". Preferably, the surface tension can be determined using the drop method. All measurements are performed at room temperature in the range of 20 °C to 22 °C. For each formulation, 3 droplets were measured. Final values are averaged over these measurements. The tool was regularly cross-checked for a variety of liquids with well-known surface tensions.
동일한 두께를 달성하기 위해 HIL 및 HTL 이 잉크젯 프린팅된 동일한 아키텍처를 사용하여, 예 1 및 2 를 제작하였다. EML 에 사용된 용매(들)은 상이하며, 세부 사항은 표 3 에 열거되어 있다.Examples 1 and 2 were fabricated using the same architecture where the HIL and HTL were inkjet printed to achieve the same thickness. The solvent(s) used in the EML are different and details are listed in Table 3.
제작 공정의 설명Description of the production process
사전-구조화된 ITO 및 뱅크 재료로 커버된 유리 기판을 이소프로판올에서 초음파 처리한 후, 이어서 탈이온수로 세정한 후, 에어 건 (air-gun) 을 사용하여 건조시키고, 후속하여 230℃ 의 핫플레이트 상에서 2 시간 동안 어닐링하였다.Glass substrates covered with pre-structured ITO and bank material were sonicated in isopropanol, then rinsed with deionized water, dried using an air-gun, and subsequently on a hotplate at 230°C. Annealed for 2 hours.
PEDOT-PSS (Clevios Al4083, Heraeus) 를 사용한 정공 주입 층 (HIL) 을 기판 상에 잉크젯 프린팅하고, 진공에서 건조시켰다. 이어서, HIL 을 공기 중에서 185°C 에서 30 분 동안 어닐링하였다.A hole injection layer (HIL) using PEDOT-PSS (Clevios Al4083, Heraeus) was inkjet printed on the substrate and dried in vacuum. The HIL was then annealed at 185°C for 30 minutes in air.
HIL 의 상단에, 정공 수송 층 (HTL) 을 잉크젯 프린팅하고, 진공에서 건조시키고, 질소 분위기에서 210°C 로 30 분 동안 어닐링하였다. 정공 수송층용 재료로서, 중합체 HTM-1 을 사용하였다. 중합체 HTM-1 의 구조는 하기와 같다:On top of the HIL, a hole transport layer (HTL) was inkjet printed, dried in vacuum, and annealed at 210°C for 30 minutes in a nitrogen atmosphere. As a material for the hole transport layer, the polymer HTM-1 was used. The structure of polymer HTM-1 is as follows:
녹색 방출 층 (G-EML) 을 또한 잉크젯 프린팅하고, 진공 건조시키고, 질소 분위기에서 160°C 로 10 분 동안 어닐링하였다. 녹색 방출 층용 잉크는 모든 작업예에서, 2 개의 호스트 재료 (즉, HM-1 및 HM-2) 뿐 아니라 하나의 삼중항 방출체 (EM-1) 를 함유하였다. 재료를 하기 비로 사용하였다: HM-1 : HM-2 : EM-1 = 40 : 40 : 20. 표 3 에서 볼 수 있는 바와 같이, 실시예들 간에는 오로지 용매(들)만이 상이하다. 이러한 재료의 구조는 하기와 같다:The green emitting layer (G-EML) was also inkjet printed, vacuum dried and annealed at 160°C for 10 minutes in a nitrogen atmosphere. The ink for the green emitting layer contained one triplet emitter (EM-1) as well as two host materials (ie, HM-1 and HM-2) in all working examples. The materials were used in the following ratio: HM-1 : HM-2 : EM-1 = 40 : 40 : 20. As can be seen in Table 3, only the solvent(s) differed between the examples. The structure of this material is as follows:
모든 잉크젯 프린팅 공정을 황색 광 하에서 및 주변 조건 하에서 수행하였다.All inkjet printing processes were performed under yellow light and under ambient conditions.
이어서, 디바이스를 진공 성막 챔버로 옮기고, 여기서 정공 차단층 (HBL), 전자 수송층 (ETL) 및 캐소드 (Al) 의 성막을 열 증발을 사용하여 수행하였다. 이어서, 디바이스를 글로브박스에서 특성화하였다.Then, the device was transferred to a vacuum deposition chamber, where deposition of a hole blocking layer (HBL), an electron transporting layer (ETL) and a cathode (Al) was performed using thermal evaporation. The devices were then characterized in a glovebox.
정공 차단층을 위한 정공 차단 재료로서 ETM-1 을 사용하였다. 재료는 하기 구조를 갖는다:ETM-1 was used as a hole blocking material for the hole blocking layer. The material has the following structure:
전자 수송층 (ETL) 에서, ETM-1 및 LiQ 의 50:50 혼합물을 사용하였다. LiQ 는 리튬 8-히드록시퀴놀리네이트이다.In the electron transport layer (ETL), a 50:50 mixture of ETM-1 and LiQ was used. LiQ is lithium 8-hydroxyquinolinate.
전류 밀도-휘도-전압 성능에 있어서의 OLED 성능을 측정하기 위하여, 디바이스를 Keithley 2400 소스 측정 유닛 (source measure unit) 에 의해 제공된 -5V 내지 25 V 의 스위핑 전압 (sweeping voltage) 에 의해 구동시켰다. OLED 디바이스에 대한 전압 뿐 아니라 OLED 디바이스를 통하는 전류를 Keithley 2400 SMU 에 의해 기록하였다. 디바이스의 밝기를 교정된 광다이오드로 측정하였다. 광 전류를 Keithley 6485/E 피코암미터 (picoammeter) 로 측정하였다. 스펙트럼의 경우, 밝기 센서를 Ocean Optics USB2000+ 분광계에 연결된 유리 섬유로 대체하였다.To measure the OLED performance in terms of current density-luminance-voltage performance, the device was driven by a sweeping voltage of -5V to 25V provided by a Keithley 2400 source measure unit. The voltage across the OLED device as well as the current through the OLED device were recorded by a Keithley 2400 SMU. The brightness of the device was measured with a calibrated photodiode. Photocurrent was measured with a Keithley 6485/E picoammeter. For the spectrum, the brightness sensor was replaced with a glass fiber connected to an Ocean Optics USB2000+ spectrometer.
결과 및 논의Results and Discussion
예 1Example 1
방출 층용 용매로서 이소보르닐 아세테이트를 사용하여 프린팅된 층으로, 잉크젯 프린팅된 OLED 디바이스를 제조하였다. 픽셀화된 OLED 디바이스의 구조는 유리 / ITO / HIL (40 nm) / HTM (20 nm) / EML (60 nm) / HBL (10 nm) / ETL (40 nm) / Al 이고, 이로써 뱅크는 기판 상에 사전 제작되어 픽셀화된 디바이스를 형성하였다. 이 경우, 녹색 방출성 재료를 14 mg/㎖ 농도로 이소보르닐 아세테이트에 용해시킨다.An inkjet printed OLED device was prepared with the printed layer using isobornyl acetate as the solvent for the emissive layer. The structure of the pixelated OLED device is glass / ITO / HIL (40 nm) / HTM (20 nm) / EML (60 nm) / HBL (10 nm) / ETL (40 nm) / Al, whereby the bank is formed on the substrate was pre-fabricated to form a pixelated device. In this case, the green release material is dissolved in isobornyl acetate at a concentration of 14 mg/ml.
도 2 는 예 2 에 관한 전류 밀도-루미넌스-전압 (I-L-V) 및 루미넌스 효율을 나타낸다. 1000 cd/m2 에서의 루미넌스 효율은 46.31 cd/A 이다. 이러한 OLED 디바이스의 효율은 매우 양호하고, 1000 cd/m2 에서의 전압은 8.02 V 이다.2 shows the current density-luminance-voltage (ILV) and luminance efficiency for Example 2. The luminance efficiency at 1000 cd/m 2 is 46.31 cd/A. The efficiency of this OLED device is very good, and the voltage at 1000 cd/m 2 is 8.02 V.
예 2Example 2
방출 층용 용매로서 펜칠 아세테이트를 사용하여 프린팅된 층으로, 잉크젯 프린팅된 OLED 디바이스를 제조하였다. 픽셀화된 OLED 디바이스의 구조는 유리 / ITO / HIL (40 nm) / HTM (20 nm) / EML (60 nm) / HBL (10 nm) / ETL (40 nm) / Al 이고, 이로써 뱅크는 기판 상에 사전 제작되어 픽셀화된 디바이스를 형성하였다. 이 경우, 녹색 방출성 재료를 14 mg/㎖ 농도로 펜칠 아세테이트에 용해시킨다.An inkjet printed OLED device was prepared with the layer printed using pencil acetate as the solvent for the release layer. The structure of the pixelated OLED device is glass / ITO / HIL (40 nm) / HTM (20 nm) / EML (60 nm) / HBL (10 nm) / ETL (40 nm) / Al, whereby the bank is formed on the substrate was pre-fabricated to form a pixelated device. In this case, the green release material is dissolved in pencil acetate at a concentration of 14 mg/ml.
도 3 은 예 2 에 관한 전류 밀도-루미넌스-전압 (I-L-V) 및 루미넌스 효율을 나타낸다. 1000 cd/m2 에서의 루미넌스 효율은 53.26 cd/A 이다. 이러한 OLED 디바이스의 효율은 매우 양호하고, 1000 cd/m2 에서의 전압은 8.15 V 이다.3 shows the current density-luminance-voltage (ILV) and luminance efficiency for Example 2. The luminance efficiency at 1000 cd/m 2 is 53.26 cd/A. The efficiency of this OLED device is very good, and the voltage at 1000 cd/m 2 is 8.15 V.
모든 예들의 측정 값을 하기 표 4에 요약하였다.The measured values of all examples are summarized in Table 4 below.
Claims (22)
상기 제 1 유기 용매는 하나의 [2.2.1]바이시클릭-기를 함유하고,
하나의 [2.2.1]바이시클릭-기를 함유하는 상기 제 1 유기 용매는 하기 일반식 (I) 에 따른 [2.2.1]바이시클릭-기 함유 용매이고
식중에서
R1 내지 R12 는 각각의 경우 동일 또는 상이하고, H, D, F, Cl, Br, I, NO2, CN, 1 내지 20 개의 탄소 원자를 갖는 직쇄 알킬 또는 알콕시 기 또는 3 내지 20 개의 탄소 원자를 갖는 분지형 또는 환형 알킬 또는 알콕시 기 (여기서 하나 이상의 비인접 CH2 기들은 -NR13-, -CONR13-, -CO-O-, -O-CO-, -C=O-, =CO, -CH=CH- 또는 -C≡C- 에 의해 대체될 수 있고, 하나 이상의 수소 원자는 F 에 의해 대체될 수 있음), 또는 4 내지 14 개의 탄소 원자를 갖고 하나 이상의 비방향족 R13 라디칼에 의해 치환될 수 있는 아릴 또는 헤테로아릴 기이고, 동일한 고리 상의 또는 2개의 상이한 고리 상의 복수의 치환기 R13 은 함께 차례로 단환 또는 다환 지방족, 방향족 또는 헤테로방향족 고리 시스템을 형성할 수 있고 이것은 복수의 치환기 R13 에 의해 치환될 수 있다;
R13 는 각각의 경우 동일 또는 상이하고, 1 내지 20 개의 탄소 원자를 갖는 직쇄 알킬 또는 알콕시기, 또는 3 내지 20 개의 탄소 원자를 갖는 분지형 또는 환형 알킬 또는 알콕시기 (여기서 하나 이상의 비인접 CH2 기는 -CO-O-, -C=O-, -CH=CH- 또는 -C≡C- 로 대체될 수 있고, 하나 이상의 수소 원자는 F 로 대체될 수 있음), 또는 4 내지 14 개의 탄소 원자를 갖고 하나 이상의 비방향족 R13 라디칼로 치환될 수 있는 아릴 또는 헤테로아릴기이며;
상기 적어도 하나의 유기 기능성 재료는 형광 방출체, 인광 방출체, 호스트 재료, 매트릭스 재료, 여기자 차단 재료, 전자 수송 재료, 전자 주입 재료, 정공 수송 재료, 정공 주입 재료, n-도펀트, p-도펀트, 와이드 밴드 갭 (wide-band-gap) 재료, 전자 차단 재료 및 정공 차단 재료로 이루어지는 군으로부터 선택되는 것을 특징으로 하는 제형.A formulation containing at least one organic functional material and at least a first organic solvent,
the first organic solvent contains one [2.2.1]bicyclic-group;
Said first organic solvent containing one [2.2.1]bicyclic-group is a [2.2.1]bicyclic-group containing solvent according to the general formula (I)
during the ceremony
R 1 to R 12 are identical or different at each occurrence and are H, D, F, Cl, Br, I, NO 2 , CN, a straight-chain alkyl or alkoxy group having 1 to 20 carbon atoms or 3 to 20 carbon atoms A branched or cyclic alkyl or alkoxy group having atoms wherein one or more non-adjacent CH 2 groups are -NR 13 -, -CONR 13 -, -CO-O-, -O-CO-, -C=O-, = CO, -CH=CH- or -C≡C-, and one or more hydrogen atoms may be replaced by F), or one or more non-aromatic R 13 radicals having 4 to 14 carbon atoms is an aryl or heteroaryl group which may be substituted by, and a plurality of substituents R 13 on the same ring or on two different rings may together in turn form a mono- or polycyclic aliphatic, aromatic or heteroaromatic ring system, which is a plurality of substituents may be substituted by R 13 ;
R 13 , identical or different at each occurrence, is a straight-chain alkyl or alkoxy group having 1 to 20 carbon atoms, or a branched or cyclic alkyl or alkoxy group having 3 to 20 carbon atoms, wherein one or more non-adjacent CH 2 group may be replaced by -CO-O-, -C=O-, -CH=CH- or -C≡C-, and one or more hydrogen atoms may be replaced by F), or 4 to 14 carbon atoms is an aryl or heteroaryl group which may be substituted with one or more non-aromatic R 13 radicals;
The at least one organic functional material is a fluorescent emitter, a phosphorescent emitter, a host material, a matrix material, an exciton blocking material, an electron transport material, an electron injection material, a hole transport material, a hole injection material, an n-dopant, a p-dopant, A formulation characterized in that it is selected from the group consisting of wide-band-gap materials, electron blocking materials and hole blocking materials.
하나의 [2.2.1]바이시클릭-기를 함유하는 상기 제 1 유기 용매는 하기 일반식 (II) 에 따른 [2.2.1]바이시클릭-기 함유 용매이고
식 중, R1 내지 R12 는 상기 일반식 (I) 에 대해 기재된 바와 같은 의미를 갖는 것을 특징으로 하는 제형.According to claim 1,
Said first organic solvent containing one [2.2.1]bicyclic-group is a [2.2.1]bicyclic-group containing solvent according to the general formula (II)
wherein R 1 to R 12 have the meanings as described for general formula (I) above.
하나의 [2.2.1]바이시클릭-기를 함유하는 상기 제 1 유기 용매는 일반식 (II) 에 따른 [2.2.1]바이시클릭-기 함유 용매이고
식중에서
R5 는 1 내지 20 개의 탄소 원자를 갖는 직쇄 알킬 또는 알콕시 기 또는 3 내지 20 개의 탄소 원자를 갖는 분지형 또는 환형 알킬 또는 알콕시 기 (여기서 하나 이상의 비인접 CH2 기들은 -NR13-, -CONR13-, -CO-O-, -O-CO-, -C=O-, =CO, -CH=CH- 또는 -C≡C- 에 의해 대체될 수 있고, 하나 이상의 수소 원자는 F 에 의해 대체될 수 있음), 또는 4 내지 14 개의 탄소 원자를 갖고 하나 이상의 비방향족 R13 라디칼에 의해 치환될 수 있는 아릴 또는 헤테로아릴 기이고, 동일한 고리 상의 또는 2개의 상이한 고리 상의 복수의 치환기 R13 은 함께 차례로 단환 또는 다환 지방족, 방향족 또는 헤테로방향족 고리 시스템을 형성할 수 있고 이것은 복수의 치환기 R13 에 의해 치환될 수 있다;
R5 를 제외한, R1 내지 R12 는 H 이고,
R13 는 상기 일반식 (I) 에 대해 기재된 바와 같은 의미를 갖는 것을 특징으로 하는 제형.According to claim 2,
Said first organic solvent containing one [2.2.1]bicyclic-group is a [2.2.1]bicyclic-group containing solvent according to general formula (II)
during the ceremony
R 5 is a straight-chain alkyl or alkoxy group having 1 to 20 carbon atoms or a branched or cyclic alkyl or alkoxy group having 3 to 20 carbon atoms, wherein one or more non-adjacent CH 2 groups are -NR 13 -, -CONR 13 -, -CO-O-, -O-CO-, -C=O-, =CO, -CH=CH- or -C≡C-, and one or more hydrogen atoms are replaced by F may be substituted), or an aryl or heteroaryl group having 4 to 14 carbon atoms and which may be substituted by one or more non-aromatic R 13 radicals, wherein a plurality of substituents R 13 on the same ring or on two different rings are together in turn form a monocyclic or polycyclic aliphatic, aromatic or heteroaromatic ring system, which may be substituted by a plurality of substituents R 13 ;
Except for R 5 , R 1 to R 12 are H;
Characterized in that R 13 has the meaning as described for general formula (I) above.
상기 제 1 유기 용매는 표면 장력이 ≥ 25 mN/m 인 것을 특징으로 하는 제형.According to claim 1,
The formulation of claim 1, wherein the first organic solvent has a surface tension of ≥ 25 mN/m.
상기 제 1 유기 용매의 함량은 상기 제형 내의 용매의 총량을 기준으로 50 내지 100 부피% 의 범위인 것을 특징으로 하는 제형.According to claim 1,
The formulation, characterized in that the content of the first organic solvent is in the range of 50 to 100% by volume based on the total amount of the solvent in the formulation.
상기 제 1 유기 용매는 100 내지 400 ℃ 범위의 끓는점을 갖는 것을 특징으로 하는 제형.According to claim 1,
The formulation, characterized in that the first organic solvent has a boiling point in the range of 100 to 400 ℃.
상기 제형은 상기 제 1 유기 용매와는 상이한 적어도 하나의 제 2 용매를 포함하는 것을 특징으로 하는 제형.According to claim 1,
Wherein the formulation comprises at least one second solvent different from the first organic solvent.
상기 제 2 용매는 100 내지 400 ℃ 범위의 끓는점을 갖는 것을 특징으로 하는 제형.According to claim 7,
The formulation, characterized in that the second solvent has a boiling point in the range of 100 to 400 ℃.
상기 적어도 하나의 유기 기능성 재료는 1 내지 250 g/ℓ 범위의 상기 제 1 유기 용매 그리고 상기 제 2 용매에서의 용해도를 갖는 것을 특징으로 하는 제형.According to claim 7,
wherein said at least one organic functional material has a solubility in said first organic solvent and said second solvent in the range of 1 to 250 g/l.
상기 제형은 1 내지 70 mN/m 범위의 표면 장력을 갖는 것을 특징으로 하는 제형.According to claim 1,
The formulation, characterized in that the formulation has a surface tension in the range of 1 to 70 mN / m.
상기 제형은 1 내지 50 mPa.s 범위의 점도를 갖는 것을 특징으로 하는 제형.According to claim 1,
The formulation is 1 to 50 mPa . A formulation characterized in that it has a viscosity in the s range.
상기 제형 내의 적어도 하나의 유기 기능성 재료의 함량이 상기 제형의 총 중량을 기준으로 0.001 내지 20 중량% 의 범위인 것을 특징으로 하는 제형.According to claim 1,
A formulation, characterized in that the content of at least one organic functional material in the formulation ranges from 0.001 to 20% by weight based on the total weight of the formulation.
상기 적어도 하나의 유기 기능성 재료가 정공 주입, 정공 수송, 방출, 전자 수송 및 전자 주입 재료로 이루어지는 군으로부터 선택되는 유기 반도체인 것을 특징으로 하는 제형.According to claim 1,
The formulation of claim 1, wherein the at least one organic functional material is an organic semiconductor selected from the group consisting of hole injecting, hole transporting, emitting, electron transporting and electron injecting materials.
적어도 하나의 상기 유기 반도체는 정공 주입 및 정공 수송 재료로 이루어진 군으로부터 선택되는 것을 특징으로 하는 제형.According to claim 13,
wherein at least one organic semiconductor is selected from the group consisting of hole injecting and hole transporting materials.
상기 정공 주입 및 정공 수송 재료가 중합체성 화합물이거나 또는 중합체성 화합물과 비중합체성 화합물의 블렌드인 것을 특징으로 하는 제형.15. The method of claim 14,
Wherein the hole injection and hole transport material is a polymeric compound or a blend of a polymeric compound and a non-polymeric compound.
상기 적어도 하나의 유기 기능성 재료 및 상기 적어도 제 1 유기 용매는 혼합되는 것을 특징으로 하는 제형의 제조 방법.A method for producing the dosage form according to any one of claims 1 to 15,
The method of claim 1, wherein the at least one organic functional material and the at least first organic solvent are mixed.
제 1 항 내지 제 15 항 중 어느 한 항에 기재된 제형을 표면 상에 성막시키거나, 또는 프린팅하고, 이어서 건조시키는 것에서 상기 전계발광 디바이스의 적어도 하나의 층이 제조되는 것을 특징으로 하는 전계발광 디바이스의 제조 방법.As a method for manufacturing an electroluminescent device,
16. An electroluminescent device, characterized in that at least one layer of said electroluminescent device is produced by depositing, or printing, a formulation according to any one of claims 1 to 15 on a surface, followed by drying. manufacturing method.
Applications Claiming Priority (3)
| Application Number | Priority Date | Filing Date | Title |
|---|---|---|---|
| EP16203718 | 2016-12-13 | ||
| EP16203718.8 | 2016-12-13 | ||
| PCT/EP2017/082113 WO2018108760A1 (en) | 2016-12-13 | 2017-12-11 | Formulation of an organic functional material |
Publications (2)
| Publication Number | Publication Date |
|---|---|
| KR20190097123A KR20190097123A (en) | 2019-08-20 |
| KR102486614B1 true KR102486614B1 (en) | 2023-01-09 |
Family
ID=57821736
Family Applications (1)
| Application Number | Title | Priority Date | Filing Date |
|---|---|---|---|
| KR1020197020108A Active KR102486614B1 (en) | 2016-12-13 | 2017-12-11 | Formulation of organic functional materials |
Country Status (4)
| Country | Link |
|---|---|
| JP (1) | JP7091337B2 (en) |
| KR (1) | KR102486614B1 (en) |
| CN (1) | CN110168047B (en) |
| WO (1) | WO2018108760A1 (en) |
Families Citing this family (1)
| Publication number | Priority date | Publication date | Assignee | Title |
|---|---|---|---|---|
| JP7679292B2 (en) * | 2019-02-26 | 2025-05-19 | 株式会社半導体エネルギー研究所 | Display panel, information processing device |
Citations (3)
| Publication number | Priority date | Publication date | Assignee | Title |
|---|---|---|---|---|
| JP2008192669A (en) * | 2007-02-01 | 2008-08-21 | Seiko Epson Corp | Composition for organic semiconductor and method for producing transistor |
| JP2010143984A (en) * | 2008-12-17 | 2010-07-01 | Mimaki Engineering Co Ltd | Nonaqueous inkjet ink |
| JP2011109015A (en) * | 2009-11-20 | 2011-06-02 | Panasonic Corp | Coating liquid composition for organic el element |
Family Cites Families (202)
| Publication number | Priority date | Publication date | Assignee | Title |
|---|---|---|---|---|
| GB191500120A (en) | 1915-01-04 | 1915-07-22 | Archibald Buie | Improvements in Turbine Water Power Developing Apparatus. |
| NL250330A (en) | 1959-04-09 | |||
| US3526501A (en) | 1967-02-03 | 1970-09-01 | Eastman Kodak Co | 4-diarylamino-substituted chalcone containing photoconductive compositions for use in electrophotography |
| US3658520A (en) | 1968-02-20 | 1972-04-25 | Eastman Kodak Co | Photoconductive elements containing as photoconductors triarylamines substituted by active hydrogen-containing groups |
| US3567450A (en) | 1968-02-20 | 1971-03-02 | Eastman Kodak Co | Photoconductive elements containing substituted triarylamine photoconductors |
| US3615404A (en) | 1968-04-25 | 1971-10-26 | Scott Paper Co | 1 3-phenylenediamine containing photoconductive materials |
| US3717462A (en) | 1969-07-28 | 1973-02-20 | Canon Kk | Heat treatment of an electrophotographic photosensitive member |
| BE756943A (en) | 1969-10-01 | 1971-03-16 | Eastman Kodak Co | NEW PHOTOCONDUCTIVE COMPOSITIONS AND PRODUCTS CONTAINING THEM, USED IN PARTICULAR IN ELECTROPHOTOGRAPHY |
| US4127412A (en) | 1975-12-09 | 1978-11-28 | Eastman Kodak Company | Photoconductive compositions and elements |
| JPS54110837A (en) | 1978-02-17 | 1979-08-30 | Ricoh Co Ltd | Electrophotographic photoreceptor |
| JPS5646234A (en) | 1979-09-21 | 1981-04-27 | Ricoh Co Ltd | Electrophotographic receptor |
| US4356429A (en) | 1980-07-17 | 1982-10-26 | Eastman Kodak Company | Organic electroluminescent cell |
| US4539507A (en) | 1983-03-25 | 1985-09-03 | Eastman Kodak Company | Organic electroluminescent devices having improved power conversion efficiencies |
| JPS61210363A (en) | 1985-03-15 | 1986-09-18 | Canon Inc | electrophotographic photoreceptor |
| US4720432A (en) | 1987-02-11 | 1988-01-19 | Eastman Kodak Company | Electroluminescent device with organic luminescent medium |
| US4769292A (en) | 1987-03-02 | 1988-09-06 | Eastman Kodak Company | Electroluminescent device with modified thin film luminescent zone |
| US5121029A (en) | 1987-12-11 | 1992-06-09 | Idemitsu Kosan Co., Ltd. | Electroluminescence device having an organic electroluminescent element |
| JPH01211399A (en) | 1988-02-19 | 1989-08-24 | Toshiba Corp | Dynamic shift register with scanning function |
| JPH02282263A (en) | 1988-12-09 | 1990-11-19 | Nippon Oil Co Ltd | Hole transferring material |
| JP2727620B2 (en) | 1989-02-01 | 1998-03-11 | 日本電気株式会社 | Organic thin film EL device |
| US5130603A (en) | 1989-03-20 | 1992-07-14 | Idemitsu Kosan Co., Ltd. | Organic electroluminescence device |
| US5077142A (en) | 1989-04-20 | 1991-12-31 | Ricoh Company, Ltd. | Electroluminescent devices |
| US4950950A (en) | 1989-05-18 | 1990-08-21 | Eastman Kodak Company | Electroluminescent device with silazane-containing luminescent zone |
| US5061569A (en) | 1990-07-26 | 1991-10-29 | Eastman Kodak Company | Electroluminescent device with organic electroluminescent medium |
| JP3016896B2 (en) | 1991-04-08 | 2000-03-06 | パイオニア株式会社 | Organic electroluminescence device |
| US5529853A (en) | 1993-03-17 | 1996-06-25 | Sanyo Electric Co., Ltd. | Organic electroluminescent element |
| DE4325885A1 (en) | 1993-08-02 | 1995-02-09 | Basf Ag | Electroluminescent arrangement |
| DE69432054T2 (en) | 1993-09-29 | 2003-10-09 | Idemitsu Kosan Co | ORGANIC ELECTROLUMINESCENT ELEMENTS AND ARYLENE DIAMINE DERIVATIVES |
| DE69412567T2 (en) | 1993-11-01 | 1999-02-04 | Hodogaya Chemical Co., Ltd., Tokio/Tokyo | Amine compound and electroluminescent device containing it |
| JPH07133483A (en) | 1993-11-09 | 1995-05-23 | Shinko Electric Ind Co Ltd | Organic light emitting material for EL device and EL device |
| EP0676461B1 (en) | 1994-04-07 | 2002-08-14 | Covion Organic Semiconductors GmbH | Spiro compounds and their application as electroluminescence materials |
| DE69511755T2 (en) | 1994-04-26 | 2000-01-13 | Tdk Corp | Phenylanthracene derivative and organic EL element |
| JP2686418B2 (en) | 1994-08-12 | 1997-12-08 | 東洋インキ製造株式会社 | Diarylamine derivative, production method and use thereof |
| JP3306735B2 (en) | 1995-01-19 | 2002-07-24 | 出光興産株式会社 | Organic electroluminescent device and organic thin film |
| JPH08292586A (en) | 1995-04-21 | 1996-11-05 | Hodogaya Chem Co Ltd | Electrophotographic photoreceptor |
| US5708130A (en) | 1995-07-28 | 1998-01-13 | The Dow Chemical Company | 2,7-aryl-9-substituted fluorenes and 9-substituted fluorene oligomers and polymers |
| EP1146034A1 (en) | 1995-09-25 | 2001-10-17 | Toyo Ink Manufacturing Co., Ltd. | Light-emitting material for organic electroluminescence device, and organic electroluminescence device for which the light-emitting material is adapted |
| US5766779A (en) | 1996-08-20 | 1998-06-16 | Eastman Kodak Company | Electron transporting materials for organic electroluminescent devices |
| DE19646119A1 (en) | 1996-11-08 | 1998-05-14 | Hoechst Ag | Electroluminescent device |
| US6344283B1 (en) | 1996-12-28 | 2002-02-05 | Tdk Corporation | Organic electroluminescent elements |
| JP3148176B2 (en) | 1998-04-15 | 2001-03-19 | 日本電気株式会社 | Organic electroluminescence device |
| US6541129B1 (en) | 1998-09-09 | 2003-04-01 | Idemitsu Kosan Co., Ltd. | Organic electroluminescence device and phenylenediamine derivative |
| US6830828B2 (en) | 1998-09-14 | 2004-12-14 | The Trustees Of Princeton University | Organometallic complexes as phosphorescent emitters in organic LEDs |
| US6361886B2 (en) | 1998-12-09 | 2002-03-26 | Eastman Kodak Company | Electroluminescent device with improved hole transport layer |
| US6465115B2 (en) | 1998-12-09 | 2002-10-15 | Eastman Kodak Company | Electroluminescent device with anthracene derivatives hole transport layer |
| US6020078A (en) | 1998-12-18 | 2000-02-01 | Eastman Kodak Company | Green organic electroluminescent devices |
| WO2000070655A2 (en) | 1999-05-13 | 2000-11-23 | The Trustees Of Princeton University | Very high efficiency organic light emitting devices based on electrophosphorescence |
| KR100946314B1 (en) | 1999-12-01 | 2010-03-09 | 더 트러스티즈 오브 프린스턴 유니버시티 | Organic light emitting device comprising a phosphorescent organo metallic compound |
| US6821645B2 (en) | 1999-12-27 | 2004-11-23 | Fuji Photo Film Co., Ltd. | Light-emitting material comprising orthometalated iridium complex, light-emitting device, high efficiency red light-emitting device, and novel iridium complex |
| JP4876311B2 (en) | 2000-01-14 | 2012-02-15 | 東レ株式会社 | Light emitting element |
| US6660410B2 (en) | 2000-03-27 | 2003-12-09 | Idemitsu Kosan Co., Ltd. | Organic electroluminescence element |
| JP4024009B2 (en) | 2000-04-21 | 2007-12-19 | Tdk株式会社 | Organic EL device |
| JP4048521B2 (en) | 2000-05-02 | 2008-02-20 | 富士フイルム株式会社 | Light emitting element |
| US6645645B1 (en) | 2000-05-30 | 2003-11-11 | The Trustees Of Princeton University | Phosphorescent organic light emitting devices |
| US20020121638A1 (en) | 2000-06-30 | 2002-09-05 | Vladimir Grushin | Electroluminescent iridium compounds with fluorinated phenylpyridines, phenylpyrimidines, and phenylquinolines and devices made with such compounds |
| CN101924190B (en) | 2000-08-11 | 2012-07-04 | 普林斯顿大学理事会 | Organometallic compounds and emission-shifting organic electrophosphorescence |
| JP4154138B2 (en) | 2000-09-26 | 2008-09-24 | キヤノン株式会社 | Light emitting element, display device and metal coordination compound |
| JP4154140B2 (en) | 2000-09-26 | 2008-09-24 | キヤノン株式会社 | Metal coordination compounds |
| JP4154139B2 (en) | 2000-09-26 | 2008-09-24 | キヤノン株式会社 | Light emitting element |
| CN100481571C (en) | 2000-11-24 | 2009-04-22 | 东丽株式会社 | Luminescent element material and luminescent element comprising the same |
| CN1285601C (en) | 2000-11-30 | 2006-11-22 | 佳能株式会社 | Light emitting devices and displays |
| DE10109027A1 (en) | 2001-02-24 | 2002-09-05 | Covion Organic Semiconductors | Rhodium and iridium complexes |
| JP4438042B2 (en) | 2001-03-08 | 2010-03-24 | キヤノン株式会社 | Metal coordination compound, electroluminescent element and display device |
| CN100379049C (en) | 2001-03-14 | 2008-04-02 | 普林斯顿大学理事会 | Materials and Devices for Blue Phosphorescent-Based Organic Light-Emitting Diodes |
| CN1271041C (en) | 2001-03-16 | 2006-08-23 | 出光兴产株式会社 | Process for producing aromatic amino compound |
| KR100888910B1 (en) | 2001-03-24 | 2009-03-16 | 메르크 파텐트 게엠베하 | Conjugated polymers containing spirobifluorene units and fluorene units and uses thereof |
| DE10116962A1 (en) | 2001-04-05 | 2002-10-10 | Covion Organic Semiconductors | Rhodium and iridium complexes |
| US7071615B2 (en) | 2001-08-20 | 2006-07-04 | Universal Display Corporation | Transparent electrodes |
| EP1421827B1 (en) | 2001-08-29 | 2012-02-22 | The Trustees Of Princeton University | Organic light emitting devices having carrier blocking layers comprising metal complexes |
| US7250226B2 (en) | 2001-08-31 | 2007-07-31 | Nippon Hoso Kyokai | Phosphorescent compound, a phosphorescent composition and an organic light-emitting device |
| JP4629643B2 (en) | 2001-08-31 | 2011-02-09 | 日本放送協会 | Organic light emitting device and display device |
| DE10143353A1 (en) | 2001-09-04 | 2003-03-20 | Covion Organic Semiconductors | Conjugated polymers containing spirobifluorene units and their use |
| JP2003115387A (en) | 2001-10-04 | 2003-04-18 | Junji Kido | Organic light emitting element and its manufacturing method |
| US6835469B2 (en) | 2001-10-17 | 2004-12-28 | The University Of Southern California | Phosphorescent compounds and devices comprising the same |
| US6863997B2 (en) | 2001-12-28 | 2005-03-08 | The Trustees Of Princeton University | White light emitting OLEDs from combined monomer and aggregate emission |
| JP2003253145A (en) | 2002-02-28 | 2003-09-10 | Jsr Corp | Luminescent composition |
| JP4256182B2 (en) | 2002-03-14 | 2009-04-22 | Tdk株式会社 | Organic EL device |
| SG128438A1 (en) | 2002-03-15 | 2007-01-30 | Sumitomo Chemical Co | Polymer compound and polymer light emitting deviceusing the same |
| EP1489155A4 (en) | 2002-03-22 | 2006-02-01 | Idemitsu Kosan Co | MATERIAL FOR ORGANIC ELECTROLUMINESCENT DEVICES AND ORGANIC ELECTROLUMINESCENT DEVICES PRODUCED WITH THIS MATERIAL |
| AU2003241788A1 (en) | 2002-05-28 | 2003-12-12 | Sumitomo Chemical Company, Limited | Polymer and polymeric luminescent element comprising the same |
| US7169482B2 (en) | 2002-07-26 | 2007-01-30 | Lg.Philips Lcd Co., Ltd. | Display device with anthracene and triazine derivatives |
| JP4025137B2 (en) | 2002-08-02 | 2007-12-19 | 出光興産株式会社 | Anthracene derivative and organic electroluminescence device using the same |
| KR100924462B1 (en) | 2002-08-23 | 2009-11-03 | 이데미쓰 고산 가부시키가이샤 | Organic Electroluminescent Devices and Anthracene Derivatives |
| DE10238903A1 (en) | 2002-08-24 | 2004-03-04 | Covion Organic Semiconductors Gmbh | New heteroaromatic rhodium and iridium complexes, useful in electroluminescent and/or phosphorescent devices as the emission layer and for use in solar cells, photovoltaic devices and organic photodetectors |
| JPWO2004034751A1 (en) | 2002-10-09 | 2006-02-09 | 出光興産株式会社 | Organic electroluminescence device |
| JP4142404B2 (en) | 2002-11-06 | 2008-09-03 | 出光興産株式会社 | Aromatic amine derivative and organic electroluminescence device using the same |
| GB0226010D0 (en) | 2002-11-08 | 2002-12-18 | Cambridge Display Tech Ltd | Polymers for use in organic electroluminescent devices |
| JP2004200162A (en) | 2002-12-05 | 2004-07-15 | Toray Ind Inc | Light emitting element |
| JP2006511939A (en) | 2002-12-23 | 2006-04-06 | コビオン・オーガニック・セミコンダクターズ・ゲーエムベーハー | Organic electroluminescence device |
| DE10304819A1 (en) | 2003-02-06 | 2004-08-19 | Covion Organic Semiconductors Gmbh | Carbazole-containing conjugated polymers and blends, their preparation and use |
| DE10310887A1 (en) | 2003-03-11 | 2004-09-30 | Covion Organic Semiconductors Gmbh | Matallkomplexe |
| US7851071B2 (en) | 2003-03-13 | 2010-12-14 | Idemitsu Kosan Co., Ltd. | Nitrogen-containing heterocycle derivative and organic electroluminescent element using the same |
| JP4411851B2 (en) | 2003-03-19 | 2010-02-10 | コニカミノルタホールディングス株式会社 | Organic electroluminescence device |
| JP2004311184A (en) | 2003-04-04 | 2004-11-04 | Junji Kido | Electron transportation material formed of multinucleate phenanthroline derivative, charge control material, and organic luminescent element using them |
| KR20040089567A (en) | 2003-04-14 | 2004-10-21 | 가부시키가이샤 도요다 지도숏키 | Organic electroluminescent element that suppresses generation of ultraviolet light and lighting system that has organic electroluminescent element |
| JP5318347B2 (en) | 2003-04-15 | 2013-10-16 | メルク パテント ゲーエムベーハー | Mixture of matrix material and organic semiconductor capable of emitting light, use thereof, and electronic component comprising said mixture |
| US20040209115A1 (en) | 2003-04-21 | 2004-10-21 | Thompson Mark E. | Organic light emitting devices with wide gap host materials |
| US20040209116A1 (en) | 2003-04-21 | 2004-10-21 | Xiaofan Ren | Organic light emitting devices with wide gap host materials |
| EP2236579B1 (en) | 2003-04-23 | 2014-04-09 | Konica Minolta Holdings, Inc. | Organic electroluminescent element and display |
| EP1478032A2 (en) | 2003-05-16 | 2004-11-17 | Kabushiki Kaisha Toyota Jidoshokki | Light emitting diode method for forming the same |
| JP2004349138A (en) | 2003-05-23 | 2004-12-09 | Toyota Industries Corp | Organic electroluminescent element and its manufacturing method |
| EP1491568A1 (en) | 2003-06-23 | 2004-12-29 | Covion Organic Semiconductors GmbH | Semiconductive Polymers |
| DE10328627A1 (en) | 2003-06-26 | 2005-02-17 | Covion Organic Semiconductors Gmbh | New materials for electroluminescence |
| KR101105619B1 (en) | 2003-07-07 | 2012-01-18 | 메르크 파텐트 게엠베하 | Mixtures of organic emissive semiconductors and matrix materials, their use and electronic components comprising said materials |
| DE10333232A1 (en) | 2003-07-21 | 2007-10-11 | Merck Patent Gmbh | Organic electroluminescent element |
| DE10337346A1 (en) | 2003-08-12 | 2005-03-31 | Covion Organic Semiconductors Gmbh | Conjugated polymers containing dihydrophenanthrene units and their use |
| DE10343606A1 (en) | 2003-09-20 | 2005-04-14 | Covion Organic Semiconductors Gmbh | White-emitting copolymers, their preparation and use |
| JP2005108556A (en) | 2003-09-29 | 2005-04-21 | Tdk Corp | Organic el element and organic el display |
| DE10345572A1 (en) | 2003-09-29 | 2005-05-19 | Covion Organic Semiconductors Gmbh | metal complexes |
| US7795801B2 (en) | 2003-09-30 | 2010-09-14 | Konica Minolta Holdings, Inc. | Organic electroluminescent element, illuminator, display and compound |
| DE112004001856T5 (en) | 2003-10-01 | 2006-07-27 | Sumitomo Chemical Co., Ltd. | Light emitting polymer material and light emitting polymeric device |
| US7659540B2 (en) | 2003-10-22 | 2010-02-09 | Merck Patent Gmbh | Materials for electroluminescence and the utilization thereof |
| DE10349033A1 (en) | 2003-10-22 | 2005-05-25 | Covion Organic Semiconductors Gmbh | Organic semiconductor, for use in organic LEDs and solar cells and laser diodes, contains a polymer and structural units which emit light from the triplet state and a triplet emitter |
| US6824895B1 (en) | 2003-12-05 | 2004-11-30 | Eastman Kodak Company | Electroluminescent device containing organometallic compound with tridentate ligand |
| TW200530373A (en) | 2003-12-12 | 2005-09-16 | Sumitomo Chemical Co | Polymer and light-emitting element using said polymer |
| WO2005061656A1 (en) | 2003-12-19 | 2005-07-07 | Idemitsu Kosan Co., Ltd. | Light-emitting material for organic electroluminescent device, organic electroluminescent device using same, and material for organic electroluminescent device |
| JP4256770B2 (en) | 2003-12-26 | 2009-04-22 | 東芝テック株式会社 | Ink jet ink and ink jet recording method |
| CN1918260B (en) | 2003-12-26 | 2010-06-09 | 出光兴产株式会社 | Material for organic electroluminescent element and organic electroluminescent element using the same |
| DE102004008304A1 (en) | 2004-02-20 | 2005-09-08 | Covion Organic Semiconductors Gmbh | Organic electronic devices |
| DE102004010954A1 (en) | 2004-03-03 | 2005-10-06 | Novaled Gmbh | Use of a metal complex as an n-dopant for an organic semiconductive matrix material, organic semiconductor material and electronic component |
| US7326371B2 (en) | 2004-03-25 | 2008-02-05 | Eastman Kodak Company | Electroluminescent device with anthracene derivative host |
| JP4466160B2 (en) | 2004-03-30 | 2010-05-26 | Tdk株式会社 | Organic EL element and organic EL display |
| US7790890B2 (en) | 2004-03-31 | 2010-09-07 | Konica Minolta Holdings, Inc. | Organic electroluminescence element material, organic electroluminescence element, display device and illumination device |
| KR100787425B1 (en) | 2004-11-29 | 2007-12-26 | 삼성에스디아이 주식회사 | Phenylcarbazole compound and organic electroluminescent device using same |
| KR100573137B1 (en) | 2004-04-02 | 2006-04-24 | 삼성에스디아이 주식회사 | Fluorene compound and organic electroluminescent device using same |
| DE102004020298A1 (en) | 2004-04-26 | 2005-11-10 | Covion Organic Semiconductors Gmbh | Electroluminescent polymers and their use |
| DE102004023277A1 (en) | 2004-05-11 | 2005-12-01 | Covion Organic Semiconductors Gmbh | New material mixtures for electroluminescence |
| JP4862248B2 (en) | 2004-06-04 | 2012-01-25 | コニカミノルタホールディングス株式会社 | Organic electroluminescence element, lighting device and display device |
| CN100368363C (en) | 2004-06-04 | 2008-02-13 | 友达光电股份有限公司 | Anthracene compound and organic electroluminescent device comprising the same |
| TW200613515A (en) | 2004-06-26 | 2006-05-01 | Merck Patent Gmbh | Compounds for organic electronic devices |
| DE102004031000A1 (en) | 2004-06-26 | 2006-01-12 | Covion Organic Semiconductors Gmbh | Organic electroluminescent devices |
| US20060094859A1 (en) | 2004-11-03 | 2006-05-04 | Marrocco Matthew L Iii | Class of bridged biphenylene polymers |
| EP1655359A1 (en) | 2004-11-06 | 2006-05-10 | Covion Organic Semiconductors GmbH | Organic electroluminescent device |
| TW200639140A (en) | 2004-12-01 | 2006-11-16 | Merck Patent Gmbh | Compounds for organic electronic devices |
| TW200639193A (en) | 2004-12-18 | 2006-11-16 | Merck Patent Gmbh | Electroluminescent polymers and their use |
| EP2371810A1 (en) | 2005-01-05 | 2011-10-05 | Idemitsu Kosan Co., Ltd. | Aromatic amine derivative and organic electroluminescent device using same |
| KR100803125B1 (en) | 2005-03-08 | 2008-02-14 | 엘지전자 주식회사 | Red phosphorescent compound and organic light emitting device using the same |
| JP4263700B2 (en) | 2005-03-15 | 2009-05-13 | 出光興産株式会社 | Aromatic amine derivative and organic electroluminescence device using the same |
| WO2006100896A1 (en) | 2005-03-18 | 2006-09-28 | Idemitsu Kosan Co., Ltd. | Aromatic amine derivative and organic electroluminescence device utilizing the same |
| US20060222886A1 (en) | 2005-04-04 | 2006-10-05 | Raymond Kwong | Arylpyrene compounds |
| CN101184789B (en) | 2005-04-28 | 2012-05-30 | 住友化学株式会社 | High-molecular compound and high-molecular luminescent device using the same |
| CN101171320B (en) | 2005-05-03 | 2013-04-10 | 默克专利有限公司 | Organic electroluminescent device |
| DE102005023437A1 (en) | 2005-05-20 | 2006-11-30 | Merck Patent Gmbh | Connections for organic electronic devices |
| GB2445519B (en) | 2005-10-07 | 2010-11-24 | Sumitomo Chemical Co | Copolymer and polymer light emitting device using the same |
| US7588839B2 (en) | 2005-10-19 | 2009-09-15 | Eastman Kodak Company | Electroluminescent device |
| US20070092753A1 (en) | 2005-10-26 | 2007-04-26 | Eastman Kodak Company | Organic element for low voltage electroluminescent devices |
| US20070092755A1 (en) | 2005-10-26 | 2007-04-26 | Eastman Kodak Company | Organic element for low voltage electroluminescent devices |
| US7553558B2 (en) | 2005-11-30 | 2009-06-30 | Eastman Kodak Company | Electroluminescent device containing an anthracene derivative |
| EP1956022B1 (en) | 2005-12-01 | 2012-07-25 | Nippon Steel Chemical Co., Ltd. | Compound for organic electroluminescent element and organic electroluminescent element |
| DE102005058557A1 (en) | 2005-12-08 | 2007-06-14 | Merck Patent Gmbh | Organic electroluminescent device |
| DE102005058543A1 (en) | 2005-12-08 | 2007-06-14 | Merck Patent Gmbh | Organic electroluminescent devices |
| US7709105B2 (en) | 2005-12-14 | 2010-05-04 | Global Oled Technology Llc | Electroluminescent host material |
| US7919010B2 (en) | 2005-12-22 | 2011-04-05 | Novaled Ag | Doped organic semiconductor material |
| JP4879591B2 (en) | 2006-01-26 | 2012-02-22 | 昭和電工株式会社 | Polymer light-emitting material, organic electroluminescence element, and display device |
| DE102006003710A1 (en) | 2006-01-26 | 2007-08-02 | Merck Patent Gmbh | New polymer containing an unit exhibiting electron injection and -conducting characteristics, useful for the preparation of a solution and formulation, and in an organic electronic devices, preferably organic optoelectronic device |
| ATE394800T1 (en) | 2006-03-21 | 2008-05-15 | Novaled Ag | HETEROCYCLIC RADICAL OR DIRADICAL, THEIR DIMERS, OLIGOMERS, POLYMERS, DISPIR COMPOUNDS AND POLYCYCLES, THEIR USE, ORGANIC SEMICONDUCTIVE MATERIAL AND ELECTRONIC COMPONENT |
| EP1837927A1 (en) | 2006-03-22 | 2007-09-26 | Novaled AG | Use of heterocyclic radicals for doping of organic semiconductors |
| DE102006015183A1 (en) | 2006-04-01 | 2007-10-04 | Merck Patent Gmbh | Materials for organic electroluminescent devices |
| JP4995475B2 (en) | 2006-04-03 | 2012-08-08 | 出光興産株式会社 | Benzanthracene derivative and organic electroluminescence device using the same |
| US20070252517A1 (en) | 2006-04-27 | 2007-11-01 | Eastman Kodak Company | Electroluminescent device including an anthracene derivative |
| CN101443928A (en) | 2006-05-12 | 2009-05-27 | 默克专利有限公司 | Indenofluorene polymer based organic semiconductor materials |
| DE102006025777A1 (en) | 2006-05-31 | 2007-12-06 | Merck Patent Gmbh | New materials for organic electroluminescent devices |
| DE102006025846A1 (en) | 2006-06-02 | 2007-12-06 | Merck Patent Gmbh | New materials for organic electroluminescent devices |
| DE102006031990A1 (en) | 2006-07-11 | 2008-01-17 | Merck Patent Gmbh | New materials for organic electroluminescent devices |
| ATE538157T1 (en) | 2006-07-21 | 2012-01-15 | Merck Patent Gmbh | INDENOFLUORENE AND THIOPHENE COPOLYMERS |
| JPWO2008016018A1 (en) | 2006-08-04 | 2009-12-24 | 出光興産株式会社 | Material for organic electroluminescence device and organic electroluminescence device using the same |
| US8062769B2 (en) | 2006-11-09 | 2011-11-22 | Nippon Steel Chemical Co., Ltd. | Indolocarbazole compound for use in organic electroluminescent device and organic electroluminescent device |
| JP2008124156A (en) | 2006-11-09 | 2008-05-29 | Idemitsu Kosan Co Ltd | Organic EL material-containing solution, organic EL material thin film formation method, organic EL material thin film, organic EL element |
| WO2008062773A1 (en) | 2006-11-20 | 2008-05-29 | Idemitsu Kosan Co., Ltd. | Organic electroluminescent device |
| DE102007002714A1 (en) | 2007-01-18 | 2008-07-31 | Merck Patent Gmbh | New materials for organic electroluminescent devices |
| JP4902381B2 (en) | 2007-02-07 | 2012-03-21 | 昭和電工株式会社 | Polymer of polymerizable compound |
| JP2008294401A (en) | 2007-04-25 | 2008-12-04 | Mitsubishi Chemicals Corp | Composition for organic electroluminescent device, organic electroluminescent device, and method for producing organic electroluminescent device |
| DE102007024850A1 (en) | 2007-05-29 | 2008-12-04 | Merck Patent Gmbh | New materials for organic electroluminescent devices |
| EP2009014B1 (en) | 2007-06-22 | 2018-10-24 | Novaled GmbH | Application of a precursor of an n-dopant for doping an organic semi-conducting material, precursor and electronic or optoelectronic component |
| WO2009008201A1 (en) | 2007-07-07 | 2009-01-15 | Idemitsu Kosan Co., Ltd. | Naphthalene derivative, material for organic el element, and organic el element using the material |
| US7645142B2 (en) | 2007-09-05 | 2010-01-12 | Vivant Medical, Inc. | Electrical receptacle assembly |
| JPWO2009041635A1 (en) | 2007-09-28 | 2011-01-27 | 出光興産株式会社 | Organic EL device |
| US8507106B2 (en) | 2007-11-29 | 2013-08-13 | Idemitsu Kosan Co., Ltd. | Benzophenanthrene derivative and organic electroluminescent device employing the same |
| DE102008017591A1 (en) | 2008-04-07 | 2009-10-08 | Merck Patent Gmbh | New materials for organic electroluminescent devices |
| DE102008033943A1 (en) | 2008-07-18 | 2010-01-21 | Merck Patent Gmbh | New materials for organic electroluminescent devices |
| DE102008035413A1 (en) | 2008-07-29 | 2010-02-04 | Merck Patent Gmbh | Connections for organic electronic devices |
| DE102008036982A1 (en) | 2008-08-08 | 2010-02-11 | Merck Patent Gmbh | Organic electroluminescent device |
| DE102009022858A1 (en) | 2009-05-27 | 2011-12-15 | Merck Patent Gmbh | Organic electroluminescent devices |
| DE102008064200A1 (en) | 2008-12-22 | 2010-07-01 | Merck Patent Gmbh | Organic electroluminescent device |
| DE102009005746A1 (en) | 2009-01-23 | 2010-07-29 | Merck Patent Gmbh | Materials for organic electroluminescent devices |
| DE102009014513A1 (en) | 2009-03-23 | 2010-09-30 | Merck Patent Gmbh | Organic electroluminescent device |
| DE102009023154A1 (en) | 2009-05-29 | 2011-06-16 | Merck Patent Gmbh | A composition comprising at least one emitter compound and at least one polymer having conjugation-interrupting units |
| DE102009023155A1 (en) | 2009-05-29 | 2010-12-02 | Merck Patent Gmbh | Materials for organic electroluminescent devices |
| DE102009031021A1 (en) | 2009-06-30 | 2011-01-05 | Merck Patent Gmbh | Materials for organic electroluminescent devices |
| EP2517278B1 (en) | 2009-12-22 | 2019-07-17 | Merck Patent GmbH | Electroluminescent formulations |
| JP5685849B2 (en) * | 2010-07-29 | 2015-03-18 | セイコーエプソン株式会社 | Ultraviolet curable inkjet ink composition and inkjet recording method |
| US20140144509A1 (en) | 2010-09-10 | 2014-05-29 | Novaled Ag | Compounds for Organic Photovoltaic Devices |
| EP2452946B1 (en) | 2010-11-16 | 2014-05-07 | Novaled AG | Pyridylphosphinoxides for organic electronic device and organic electronic device |
| EP2463927B1 (en) | 2010-12-08 | 2013-08-21 | Novaled AG | Material for organic electronic device and organic electronic device |
| US9142781B2 (en) | 2011-06-09 | 2015-09-22 | Novaled Ag | Compound for organic electronic device |
| WO2012175535A1 (en) | 2011-06-22 | 2012-12-27 | Novaled Ag | Organic electronic component |
| JP6461599B2 (en) | 2011-06-22 | 2019-01-30 | ノヴァレッド ゲーエムベーハー | Electronic equipment |
| KR101886432B1 (en) * | 2011-12-23 | 2018-09-07 | 엘지디스플레이 주식회사 | Organic light emitting diode display device and method of fabricating the same |
| JP2013179028A (en) | 2012-02-02 | 2013-09-09 | Mitsubishi Chemicals Corp | Coating liquid, organic electronics device manufacturing method, organic electronics device, determination method, coating liquid manufacturing method, and coating apparatus |
| CN104303238B (en) * | 2012-04-26 | 2016-11-09 | 国立大学法人大阪大学 | Transparent conductive ink and method for forming transparent conductive pattern |
| JP2016058576A (en) * | 2014-09-10 | 2016-04-21 | Dic株式会社 | Ink composition for organic light-emitting element and organic light-emitting element using the same |
| KR20180095028A (en) * | 2015-12-16 | 2018-08-24 | 메르크 파텐트 게엠베하 | A formulation containing a mixture of two or more different solvents |
-
2017
- 2017-12-11 CN CN201780075348.9A patent/CN110168047B/en active Active
- 2017-12-11 JP JP2019531689A patent/JP7091337B2/en active Active
- 2017-12-11 WO PCT/EP2017/082113 patent/WO2018108760A1/en not_active Ceased
- 2017-12-11 KR KR1020197020108A patent/KR102486614B1/en active Active
Patent Citations (3)
| Publication number | Priority date | Publication date | Assignee | Title |
|---|---|---|---|---|
| JP2008192669A (en) * | 2007-02-01 | 2008-08-21 | Seiko Epson Corp | Composition for organic semiconductor and method for producing transistor |
| JP2010143984A (en) * | 2008-12-17 | 2010-07-01 | Mimaki Engineering Co Ltd | Nonaqueous inkjet ink |
| JP2011109015A (en) * | 2009-11-20 | 2011-06-02 | Panasonic Corp | Coating liquid composition for organic el element |
Also Published As
| Publication number | Publication date |
|---|---|
| CN110168047B (en) | 2023-08-08 |
| JP2020501330A (en) | 2020-01-16 |
| CN110168047A (en) | 2019-08-23 |
| WO2018108760A1 (en) | 2018-06-21 |
| KR20190097123A (en) | 2019-08-20 |
| JP7091337B2 (en) | 2022-06-27 |
Similar Documents
| Publication | Publication Date | Title |
|---|---|---|
| KR102721891B1 (en) | Esters containing aromatic groups as solvents for organic electronic formulations | |
| KR102436600B1 (en) | Formulation of organic functional materials | |
| KR102654992B1 (en) | Esters containing non-aromatic cycles as solvents for oled formulations | |
| KR102776731B1 (en) | Formulation of organic functional materials | |
| KR102427363B1 (en) | Formulation of organic functional materials | |
| KR102346774B1 (en) | Formulation of organic functional materials | |
| KR102451842B1 (en) | Formulation of organic functional materials | |
| KR102570137B1 (en) | Formulation of an organic functional material comprising a siloxane solvent | |
| EP3341981B1 (en) | Formulation of an organic functional material comprising an epoxy group containing solvent | |
| KR102374183B1 (en) | Formulation of organic functional materials | |
| KR102721890B1 (en) | Formulations comprising a ketone containing a non-aromatic cycle | |
| KR102710151B1 (en) | Formulation of organic functional materials | |
| KR102486614B1 (en) | Formulation of organic functional materials | |
| KR102632027B1 (en) | Formulation of organic functional materials | |
| KR102698061B1 (en) | Formulation of organic functional materials | |
| KR20190019138A (en) | Formulation of organic functional material | |
| KR20200003068A (en) | Formulations of Organic Functional Materials |
Legal Events
| Date | Code | Title | Description |
|---|---|---|---|
| PA0105 | International application |
Patent event date: 20190710 Patent event code: PA01051R01D Comment text: International Patent Application |
|
| PG1501 | Laying open of application | ||
| A201 | Request for examination | ||
| PA0201 | Request for examination |
Patent event code: PA02012R01D Patent event date: 20201207 Comment text: Request for Examination of Application |
|
| E902 | Notification of reason for refusal | ||
| PE0902 | Notice of grounds for rejection |
Comment text: Notification of reason for refusal Patent event date: 20220527 Patent event code: PE09021S01D |
|
| E701 | Decision to grant or registration of patent right | ||
| PE0701 | Decision of registration |
Patent event code: PE07011S01D Comment text: Decision to Grant Registration Patent event date: 20221117 |
|
| GRNT | Written decision to grant | ||
| PR0701 | Registration of establishment |
Comment text: Registration of Establishment Patent event date: 20230105 Patent event code: PR07011E01D |
|
| PR1002 | Payment of registration fee |
Payment date: 20230105 End annual number: 3 Start annual number: 1 |
|
| PG1601 | Publication of registration |
















































