JP2009001541A - 新規ピラゾール化合物を中間体として用いるアントラニルアミド系化合物の製造方法 - Google Patents
新規ピラゾール化合物を中間体として用いるアントラニルアミド系化合物の製造方法 Download PDFInfo
- Publication number
- JP2009001541A JP2009001541A JP2007320102A JP2007320102A JP2009001541A JP 2009001541 A JP2009001541 A JP 2009001541A JP 2007320102 A JP2007320102 A JP 2007320102A JP 2007320102 A JP2007320102 A JP 2007320102A JP 2009001541 A JP2009001541 A JP 2009001541A
- Authority
- JP
- Japan
- Prior art keywords
- formula
- halogen
- alkyl
- compound
- optionally substituted
- Prior art date
- Legal status (The legal status is an assumption and is not a legal conclusion. Google has not performed a legal analysis and makes no representation as to the accuracy of the status listed.)
- Pending
Links
- -1 anthranilamide compound Chemical class 0.000 title claims abstract description 113
- PXBFMLJZNCDSMP-UHFFFAOYSA-N ortho-aminobenzoylamine Natural products NC(=O)C1=CC=CC=C1N PXBFMLJZNCDSMP-UHFFFAOYSA-N 0.000 title claims abstract description 15
- 238000004519 manufacturing process Methods 0.000 title abstract description 30
- 229910052736 halogen Inorganic materials 0.000 claims abstract description 73
- 150000002367 halogens Chemical class 0.000 claims abstract description 72
- 125000000217 alkyl group Chemical group 0.000 claims abstract description 51
- 229910052802 copper Inorganic materials 0.000 claims abstract description 37
- 239000010949 copper Substances 0.000 claims abstract description 37
- 125000001188 haloalkyl group Chemical group 0.000 claims abstract description 27
- 125000003342 alkenyl group Chemical group 0.000 claims abstract description 22
- 125000000304 alkynyl group Chemical group 0.000 claims abstract description 22
- 150000003839 salts Chemical class 0.000 claims abstract description 21
- 125000003545 alkoxy group Chemical group 0.000 claims abstract description 20
- 150000001350 alkyl halides Chemical class 0.000 claims abstract description 20
- 125000004093 cyano group Chemical group *C#N 0.000 claims abstract description 20
- 125000004438 haloalkoxy group Chemical group 0.000 claims abstract description 20
- RYGMFSIKBFXOCR-UHFFFAOYSA-N Copper Chemical compound [Cu] RYGMFSIKBFXOCR-UHFFFAOYSA-N 0.000 claims abstract description 18
- 229910052751 metal Inorganic materials 0.000 claims abstract description 18
- 239000002184 metal Substances 0.000 claims abstract description 18
- 125000000449 nitro group Chemical group [O-][N+](*)=O 0.000 claims abstract description 11
- 125000004453 alkoxycarbonyl group Chemical group 0.000 claims abstract description 9
- 125000004448 alkyl carbonyl group Chemical group 0.000 claims abstract description 9
- 125000000262 haloalkenyl group Chemical group 0.000 claims abstract description 9
- 125000004993 haloalkoxycarbonyl group Chemical group 0.000 claims abstract description 9
- 125000004692 haloalkylcarbonyl group Chemical group 0.000 claims abstract description 9
- 125000000232 haloalkynyl group Chemical group 0.000 claims abstract description 9
- 150000001875 compounds Chemical class 0.000 claims description 159
- 125000001424 substituent group Chemical group 0.000 claims description 19
- 238000000034 method Methods 0.000 claims description 14
- 229910052727 yttrium Inorganic materials 0.000 claims description 14
- 238000005658 halogenation reaction Methods 0.000 claims description 12
- 125000001997 phenyl group Chemical group [H]C1=C([H])C([H])=C(*)C([H])=C1[H] 0.000 claims description 12
- 239000007800 oxidant agent Substances 0.000 claims description 11
- 230000026030 halogenation Effects 0.000 claims description 9
- MKRTXPORKIRPDG-UHFFFAOYSA-N diphenylphosphoryl azide Chemical group C=1C=CC=CC=1P(=O)(N=[N+]=[N-])C1=CC=CC=C1 MKRTXPORKIRPDG-UHFFFAOYSA-N 0.000 claims description 8
- 125000006645 (C3-C4) cycloalkyl group Chemical group 0.000 claims description 7
- 125000001797 benzyl group Chemical group [H]C1=C([H])C([H])=C(C([H])=C1[H])C([H])([H])* 0.000 claims description 6
- 125000006239 protecting group Chemical group 0.000 claims description 5
- 125000002941 2-furyl group Chemical group O1C([*])=C([H])C([H])=C1[H] 0.000 claims description 4
- KOPFEFZSAMLEHK-UHFFFAOYSA-N 1h-pyrazole-5-carboxylic acid Chemical class OC(=O)C=1C=CNN=1 KOPFEFZSAMLEHK-UHFFFAOYSA-N 0.000 claims description 3
- 239000007858 starting material Substances 0.000 claims description 3
- 125000004435 hydrogen atom Chemical group [H]* 0.000 claims description 2
- 125000006502 nitrobenzyl group Chemical group 0.000 claims 2
- 125000003277 amino group Chemical group 0.000 abstract description 3
- 239000002994 raw material Substances 0.000 abstract description 3
- JVVRJMXHNUAPHW-UHFFFAOYSA-N 1h-pyrazol-5-amine Chemical class NC=1C=CNN=1 JVVRJMXHNUAPHW-UHFFFAOYSA-N 0.000 abstract 1
- 125000002485 formyl group Chemical group [H]C(*)=O 0.000 abstract 1
- 125000005843 halogen group Chemical group 0.000 abstract 1
- 238000006243 chemical reaction Methods 0.000 description 168
- XEKOWRVHYACXOJ-UHFFFAOYSA-N Ethyl acetate Chemical compound CCOC(C)=O XEKOWRVHYACXOJ-UHFFFAOYSA-N 0.000 description 93
- WEVYAHXRMPXWCK-UHFFFAOYSA-N Acetonitrile Chemical compound CC#N WEVYAHXRMPXWCK-UHFFFAOYSA-N 0.000 description 78
- 239000002904 solvent Substances 0.000 description 75
- VLKZOEOYAKHREP-UHFFFAOYSA-N methyl pentane Natural products CCCCCC VLKZOEOYAKHREP-UHFFFAOYSA-N 0.000 description 43
- ZMXDDKWLCZADIW-UHFFFAOYSA-N N,N-Dimethylformamide Chemical compound CN(C)C=O ZMXDDKWLCZADIW-UHFFFAOYSA-N 0.000 description 42
- 239000000243 solution Substances 0.000 description 39
- QTBSBXVTEAMEQO-UHFFFAOYSA-N Acetic acid Chemical compound CC(O)=O QTBSBXVTEAMEQO-UHFFFAOYSA-N 0.000 description 36
- YMWUJEATGCHHMB-UHFFFAOYSA-N Dichloromethane Chemical compound ClCCl YMWUJEATGCHHMB-UHFFFAOYSA-N 0.000 description 36
- RTZKZFJDLAIYFH-UHFFFAOYSA-N Diethyl ether Chemical compound CCOCC RTZKZFJDLAIYFH-UHFFFAOYSA-N 0.000 description 36
- 125000002915 carbonyl group Chemical group [*:2]C([*:1])=O 0.000 description 34
- 125000002924 primary amino group Chemical group [H]N([H])* 0.000 description 34
- 125000004186 cyclopropylmethyl group Chemical group [H]C([H])(*)C1([H])C([H])([H])C1([H])[H] 0.000 description 33
- LFQSCWFLJHTTHZ-UHFFFAOYSA-N Ethanol Chemical compound CCO LFQSCWFLJHTTHZ-UHFFFAOYSA-N 0.000 description 32
- 239000002585 base Substances 0.000 description 32
- ZMANZCXQSJIPKH-UHFFFAOYSA-N Triethylamine Chemical class CCN(CC)CC ZMANZCXQSJIPKH-UHFFFAOYSA-N 0.000 description 31
- UHOVQNZJYSORNB-UHFFFAOYSA-N Benzene Chemical compound C1=CC=CC=C1 UHOVQNZJYSORNB-UHFFFAOYSA-N 0.000 description 30
- 230000035484 reaction time Effects 0.000 description 30
- 238000003786 synthesis reaction Methods 0.000 description 30
- 230000015572 biosynthetic process Effects 0.000 description 29
- XLYOFNOQVPJJNP-UHFFFAOYSA-N water Substances O XLYOFNOQVPJJNP-UHFFFAOYSA-N 0.000 description 29
- YXFVVABEGXRONW-UHFFFAOYSA-N Toluene Chemical compound CC1=CC=CC=C1 YXFVVABEGXRONW-UHFFFAOYSA-N 0.000 description 27
- VEXZGXHMUGYJMC-UHFFFAOYSA-N Hydrochloric acid Chemical compound Cl VEXZGXHMUGYJMC-UHFFFAOYSA-N 0.000 description 25
- 239000000047 product Substances 0.000 description 24
- WYURNTSHIVDZCO-UHFFFAOYSA-N Tetrahydrofuran Chemical compound C1CCOC1 WYURNTSHIVDZCO-UHFFFAOYSA-N 0.000 description 22
- 238000005160 1H NMR spectroscopy Methods 0.000 description 21
- OKKJLVBELUTLKV-UHFFFAOYSA-N Methanol Chemical compound OC OKKJLVBELUTLKV-UHFFFAOYSA-N 0.000 description 21
- HEMHJVSKTPXQMS-UHFFFAOYSA-M Sodium hydroxide Chemical compound [OH-].[Na+] HEMHJVSKTPXQMS-UHFFFAOYSA-M 0.000 description 21
- 238000002844 melting Methods 0.000 description 21
- 230000008018 melting Effects 0.000 description 21
- VZGDMQKNWNREIO-UHFFFAOYSA-N tetrachloromethane Chemical compound ClC(Cl)(Cl)Cl VZGDMQKNWNREIO-UHFFFAOYSA-N 0.000 description 19
- HEDRZPFGACZZDS-UHFFFAOYSA-N Chloroform Chemical compound ClC(Cl)Cl HEDRZPFGACZZDS-UHFFFAOYSA-N 0.000 description 18
- IAZDPXIOMUYVGZ-UHFFFAOYSA-N Dimethylsulphoxide Chemical compound CS(C)=O IAZDPXIOMUYVGZ-UHFFFAOYSA-N 0.000 description 18
- JGFZNNIVVJXRND-UHFFFAOYSA-N N,N-Diisopropylethylamine (DIPEA) Chemical compound CCN(C(C)C)C(C)C JGFZNNIVVJXRND-UHFFFAOYSA-N 0.000 description 18
- VHYFNPMBLIVWCW-UHFFFAOYSA-N 4-Dimethylaminopyridine Chemical compound CN(C)C1=CC=NC=C1 VHYFNPMBLIVWCW-UHFFFAOYSA-N 0.000 description 16
- GETQZCLCWQTVFV-UHFFFAOYSA-N trimethylamine Chemical compound CN(C)C GETQZCLCWQTVFV-UHFFFAOYSA-N 0.000 description 16
- OISVCGZHLKNMSJ-UHFFFAOYSA-N 2,6-dimethylpyridine Chemical compound CC1=CC=CC(C)=N1 OISVCGZHLKNMSJ-UHFFFAOYSA-N 0.000 description 15
- CSCPPACGZOOCGX-UHFFFAOYSA-N Acetone Chemical compound CC(C)=O CSCPPACGZOOCGX-UHFFFAOYSA-N 0.000 description 15
- SJRJJKPEHAURKC-UHFFFAOYSA-N N-Methylmorpholine Chemical compound CN1CCOCC1 SJRJJKPEHAURKC-UHFFFAOYSA-N 0.000 description 15
- MVPPADPHJFYWMZ-UHFFFAOYSA-N chlorobenzene Substances ClC1=CC=CC=C1 MVPPADPHJFYWMZ-UHFFFAOYSA-N 0.000 description 15
- CSNNHWWHGAXBCP-UHFFFAOYSA-L Magnesium sulfate Chemical compound [Mg+2].[O-][S+2]([O-])([O-])[O-] CSNNHWWHGAXBCP-UHFFFAOYSA-L 0.000 description 14
- JUJWROOIHBZHMG-UHFFFAOYSA-N Pyridine Chemical compound C1=CC=NC=C1 JUJWROOIHBZHMG-UHFFFAOYSA-N 0.000 description 14
- DTQVDTLACAAQTR-UHFFFAOYSA-N Trifluoroacetic acid Chemical compound OC(=O)C(F)(F)F DTQVDTLACAAQTR-UHFFFAOYSA-N 0.000 description 14
- 239000012044 organic layer Substances 0.000 description 14
- HPALAKNZSZLMCH-UHFFFAOYSA-M sodium;chloride;hydrate Chemical class O.[Na+].[Cl-] HPALAKNZSZLMCH-UHFFFAOYSA-M 0.000 description 14
- RYHBNJHYFVUHQT-UHFFFAOYSA-N 1,4-Dioxane Chemical compound C1COCCO1 RYHBNJHYFVUHQT-UHFFFAOYSA-N 0.000 description 13
- KWYUFKZDYYNOTN-UHFFFAOYSA-M Potassium hydroxide Chemical compound [OH-].[K+] KWYUFKZDYYNOTN-UHFFFAOYSA-M 0.000 description 12
- 235000011054 acetic acid Nutrition 0.000 description 12
- 239000003480 eluent Substances 0.000 description 11
- 239000003880 polar aprotic solvent Substances 0.000 description 11
- 238000010898 silica gel chromatography Methods 0.000 description 11
- 238000003756 stirring Methods 0.000 description 11
- YLQBMQCUIZJEEH-UHFFFAOYSA-N tetrahydrofuran Natural products C=1C=COC=1 YLQBMQCUIZJEEH-UHFFFAOYSA-N 0.000 description 11
- FERIUCNNQQJTOY-UHFFFAOYSA-N Butyric acid Chemical compound CCCC(O)=O FERIUCNNQQJTOY-UHFFFAOYSA-N 0.000 description 10
- KFZMGEQAYNKOFK-UHFFFAOYSA-N Isopropanol Chemical compound CC(C)O KFZMGEQAYNKOFK-UHFFFAOYSA-N 0.000 description 10
- XBDQKXXYIPTUBI-UHFFFAOYSA-N dimethylselenoniopropionate Natural products CCC(O)=O XBDQKXXYIPTUBI-UHFFFAOYSA-N 0.000 description 10
- FDPIMTJIUBPUKL-UHFFFAOYSA-N pentan-3-one Chemical compound CCC(=O)CC FDPIMTJIUBPUKL-UHFFFAOYSA-N 0.000 description 10
- 0 *C(C=C(C(O1)=Nc(cccc2)c2C1=O)Nc(nccc1)c1Cl)=N Chemical compound *C(C=C(C(O1)=Nc(cccc2)c2C1=O)Nc(nccc1)c1Cl)=N 0.000 description 9
- 239000012359 Methanesulfonyl chloride Substances 0.000 description 9
- CTQNGGLPUBDAKN-UHFFFAOYSA-N O-Xylene Chemical compound CC1=CC=CC=C1C CTQNGGLPUBDAKN-UHFFFAOYSA-N 0.000 description 9
- UIIMBOGNXHQVGW-UHFFFAOYSA-M Sodium bicarbonate Chemical compound [Na+].OC([O-])=O UIIMBOGNXHQVGW-UHFFFAOYSA-M 0.000 description 9
- 239000007864 aqueous solution Substances 0.000 description 9
- 150000004945 aromatic hydrocarbons Chemical class 0.000 description 9
- 150000002170 ethers Chemical class 0.000 description 9
- QARBMVPHQWIHKH-UHFFFAOYSA-N methanesulfonyl chloride Chemical compound CS(Cl)(=O)=O QARBMVPHQWIHKH-UHFFFAOYSA-N 0.000 description 9
- 239000008096 xylene Substances 0.000 description 9
- ITQTTZVARXURQS-UHFFFAOYSA-N 3-methylpyridine Chemical compound CC1=CC=CN=C1 ITQTTZVARXURQS-UHFFFAOYSA-N 0.000 description 8
- OTBXRTUYQIIFBV-UHFFFAOYSA-N CC(C)(C)OC(=O)NC1=NN(C(=C1)C(=O)O)C2=C(C=CC=N2)Cl Chemical compound CC(C)(C)OC(=O)NC1=NN(C(=C1)C(=O)O)C2=C(C=CC=N2)Cl OTBXRTUYQIIFBV-UHFFFAOYSA-N 0.000 description 8
- XTHFKEDIFFGKHM-UHFFFAOYSA-N Dimethoxyethane Chemical compound COCCOC XTHFKEDIFFGKHM-UHFFFAOYSA-N 0.000 description 8
- IMNFDUFMRHMDMM-UHFFFAOYSA-N N-Heptane Chemical compound CCCCCCC IMNFDUFMRHMDMM-UHFFFAOYSA-N 0.000 description 8
- OFBQJSOFQDEBGM-UHFFFAOYSA-N Pentane Chemical compound CCCCC OFBQJSOFQDEBGM-UHFFFAOYSA-N 0.000 description 8
- XBDQKXXYIPTUBI-UHFFFAOYSA-M Propionate Chemical compound CCC([O-])=O XBDQKXXYIPTUBI-UHFFFAOYSA-M 0.000 description 8
- CDBYLPFSWZWCQE-UHFFFAOYSA-L Sodium Carbonate Chemical compound [Na+].[Na+].[O-]C([O-])=O CDBYLPFSWZWCQE-UHFFFAOYSA-L 0.000 description 8
- QAOWNCQODCNURD-UHFFFAOYSA-N Sulfuric acid Chemical compound OS(O)(=O)=O QAOWNCQODCNURD-UHFFFAOYSA-N 0.000 description 8
- 239000003795 chemical substances by application Substances 0.000 description 8
- 230000002140 halogenating effect Effects 0.000 description 8
- BWHMMNNQKKPAPP-UHFFFAOYSA-L potassium carbonate Chemical compound [K+].[K+].[O-]C([O-])=O BWHMMNNQKKPAPP-UHFFFAOYSA-L 0.000 description 8
- JKHJPGOIBUNAOY-UHFFFAOYSA-N 2-(3-chloropyridin-2-yl)-5-(phenylmethoxycarbonylamino)pyrazole-3-carboxylic acid Chemical compound N=1N(C=2C(=CC=CN=2)Cl)C(C(=O)O)=CC=1NC(=O)OCC1=CC=CC=C1 JKHJPGOIBUNAOY-UHFFFAOYSA-N 0.000 description 7
- BSKHPKMHTQYZBB-UHFFFAOYSA-N 2-methylpyridine Chemical compound CC1=CC=CC=N1 BSKHPKMHTQYZBB-UHFFFAOYSA-N 0.000 description 7
- SECXISVLQFMRJM-UHFFFAOYSA-N N-Methylpyrrolidone Chemical compound CN1CCCC1=O SECXISVLQFMRJM-UHFFFAOYSA-N 0.000 description 7
- DKGAVHZHDRPRBM-UHFFFAOYSA-N Tert-Butanol Chemical compound CC(C)(C)O DKGAVHZHDRPRBM-UHFFFAOYSA-N 0.000 description 7
- 150000001298 alcohols Chemical class 0.000 description 7
- UMJSCPRVCHMLSP-UHFFFAOYSA-N pyridine Natural products COC1=CC=CN=C1 UMJSCPRVCHMLSP-UHFFFAOYSA-N 0.000 description 7
- BNYCHCAYYYRJSH-UHFFFAOYSA-N 1h-pyrazole-5-carboxamide Chemical compound NC(=O)C1=CC=NN1 BNYCHCAYYYRJSH-UHFFFAOYSA-N 0.000 description 6
- ZWEHNKRNPOVVGH-UHFFFAOYSA-N 2-Butanone Chemical compound CCC(C)=O ZWEHNKRNPOVVGH-UHFFFAOYSA-N 0.000 description 6
- WVDDGKGOMKODPV-UHFFFAOYSA-N Benzyl alcohol Chemical compound OCC1=CC=CC=C1 WVDDGKGOMKODPV-UHFFFAOYSA-N 0.000 description 6
- CPELXLSAUQHCOX-UHFFFAOYSA-N Hydrogen bromide Chemical compound Br CPELXLSAUQHCOX-UHFFFAOYSA-N 0.000 description 6
- AFVFQIVMOAPDHO-UHFFFAOYSA-N Methanesulfonic acid Chemical compound CS(O)(=O)=O AFVFQIVMOAPDHO-UHFFFAOYSA-N 0.000 description 6
- NTIZESTWPVYFNL-UHFFFAOYSA-N Methyl isobutyl ketone Chemical compound CC(C)CC(C)=O NTIZESTWPVYFNL-UHFFFAOYSA-N 0.000 description 6
- UIHCLUNTQKBZGK-UHFFFAOYSA-N Methyl isobutyl ketone Natural products CCC(C)C(C)=O UIHCLUNTQKBZGK-UHFFFAOYSA-N 0.000 description 6
- FXHOOIRPVKKKFG-UHFFFAOYSA-N N,N-Dimethylacetamide Chemical compound CN(C)C(C)=O FXHOOIRPVKKKFG-UHFFFAOYSA-N 0.000 description 6
- DIKBFYAXUHHXCS-UHFFFAOYSA-N bromoform Chemical compound BrC(Br)Br DIKBFYAXUHHXCS-UHFFFAOYSA-N 0.000 description 6
- QTMDXZNDVAMKGV-UHFFFAOYSA-L copper(ii) bromide Chemical compound [Cu+2].[Br-].[Br-] QTMDXZNDVAMKGV-UHFFFAOYSA-L 0.000 description 6
- 239000005457 ice water Substances 0.000 description 6
- 150000002576 ketones Chemical class 0.000 description 6
- CTSLXHKWHWQRSH-UHFFFAOYSA-N oxalyl chloride Chemical compound ClC(=O)C(Cl)=O CTSLXHKWHWQRSH-UHFFFAOYSA-N 0.000 description 6
- BDERNNFJNOPAEC-UHFFFAOYSA-N propan-1-ol Chemical compound CCCO BDERNNFJNOPAEC-UHFFFAOYSA-N 0.000 description 6
- FVSKHRXBFJPNKK-UHFFFAOYSA-N propionitrile Chemical compound CCC#N FVSKHRXBFJPNKK-UHFFFAOYSA-N 0.000 description 6
- LPXPTNMVRIOKMN-UHFFFAOYSA-M sodium nitrite Chemical compound [Na+].[O-]N=O LPXPTNMVRIOKMN-UHFFFAOYSA-M 0.000 description 6
- GQHTUMJGOHRCHB-UHFFFAOYSA-N 2,3,4,6,7,8,9,10-octahydropyrimido[1,2-a]azepine Chemical compound C1CCCCN2CCCN=C21 GQHTUMJGOHRCHB-UHFFFAOYSA-N 0.000 description 5
- NGNBDVOYPDDBFK-UHFFFAOYSA-N 2-[2,4-di(pentan-2-yl)phenoxy]acetyl chloride Chemical compound CCCC(C)C1=CC=C(OCC(Cl)=O)C(C(C)CCC)=C1 NGNBDVOYPDDBFK-UHFFFAOYSA-N 0.000 description 5
- VHUUQVKOLVNVRT-UHFFFAOYSA-N Ammonium hydroxide Chemical compound [NH4+].[OH-] VHUUQVKOLVNVRT-UHFFFAOYSA-N 0.000 description 5
- 229910021589 Copper(I) bromide Inorganic materials 0.000 description 5
- 229910021591 Copper(I) chloride Inorganic materials 0.000 description 5
- CBENFWSGALASAD-UHFFFAOYSA-N Ozone Chemical compound [O-][O+]=O CBENFWSGALASAD-UHFFFAOYSA-N 0.000 description 5
- KXKVLQRXCPHEJC-UHFFFAOYSA-N acetic acid trimethyl ester Natural products COC(C)=O KXKVLQRXCPHEJC-UHFFFAOYSA-N 0.000 description 5
- 239000012190 activator Substances 0.000 description 5
- 235000011114 ammonium hydroxide Nutrition 0.000 description 5
- 150000001735 carboxylic acids Chemical class 0.000 description 5
- 239000003153 chemical reaction reagent Substances 0.000 description 5
- OXBLHERUFWYNTN-UHFFFAOYSA-M copper(I) chloride Chemical compound [Cu]Cl OXBLHERUFWYNTN-UHFFFAOYSA-M 0.000 description 5
- NKNDPYCGAZPOFS-UHFFFAOYSA-M copper(i) bromide Chemical compound Br[Cu] NKNDPYCGAZPOFS-UHFFFAOYSA-M 0.000 description 5
- 229940045803 cuprous chloride Drugs 0.000 description 5
- 150000001989 diazonium salts Chemical class 0.000 description 5
- 238000001704 evaporation Methods 0.000 description 5
- 238000000605 extraction Methods 0.000 description 5
- 239000010410 layer Substances 0.000 description 5
- 239000000203 mixture Substances 0.000 description 5
- 235000019260 propionic acid Nutrition 0.000 description 5
- IUVKMZGDUIUOCP-BTNSXGMBSA-N quinbolone Chemical compound O([C@H]1CC[C@H]2[C@H]3[C@@H]([C@]4(C=CC(=O)C=C4CC3)C)CC[C@@]21C)C1=CCCC1 IUVKMZGDUIUOCP-BTNSXGMBSA-N 0.000 description 5
- 229920006395 saturated elastomer Polymers 0.000 description 5
- IOGXOCVLYRDXLW-UHFFFAOYSA-N tert-butyl nitrite Chemical compound CC(C)(C)ON=O IOGXOCVLYRDXLW-UHFFFAOYSA-N 0.000 description 5
- RKBCYCFRFCNLTO-UHFFFAOYSA-N triisopropylamine Chemical compound CC(C)N(C(C)C)C(C)C RKBCYCFRFCNLTO-UHFFFAOYSA-N 0.000 description 5
- UOCLXMDMGBRAIB-UHFFFAOYSA-N 1,1,1-trichloroethane Chemical compound CC(Cl)(Cl)Cl UOCLXMDMGBRAIB-UHFFFAOYSA-N 0.000 description 4
- SCYULBFZEHDVBN-UHFFFAOYSA-N 1,1-Dichloroethane Chemical compound CC(Cl)Cl SCYULBFZEHDVBN-UHFFFAOYSA-N 0.000 description 4
- WSLDOOZREJYCGB-UHFFFAOYSA-N 1,2-Dichloroethane Chemical group ClCCCl WSLDOOZREJYCGB-UHFFFAOYSA-N 0.000 description 4
- OCJBOOLMMGQPQU-UHFFFAOYSA-N 1,4-dichlorobenzene Chemical compound ClC1=CC=C(Cl)C=C1 OCJBOOLMMGQPQU-UHFFFAOYSA-N 0.000 description 4
- XDTMQSROBMDMFD-UHFFFAOYSA-N Cyclohexane Chemical compound C1CCCCC1 XDTMQSROBMDMFD-UHFFFAOYSA-N 0.000 description 4
- JLTDJTHDQAWBAV-UHFFFAOYSA-N N,N-dimethylaniline Chemical compound CN(C)C1=CC=CC=C1 JLTDJTHDQAWBAV-UHFFFAOYSA-N 0.000 description 4
- WQDUMFSSJAZKTM-UHFFFAOYSA-N Sodium methoxide Chemical compound [Na+].[O-]C WQDUMFSSJAZKTM-UHFFFAOYSA-N 0.000 description 4
- 150000008044 alkali metal hydroxides Chemical class 0.000 description 4
- AXCZMVOFGPJBDE-UHFFFAOYSA-L calcium dihydroxide Chemical compound [OH-].[OH-].[Ca+2] AXCZMVOFGPJBDE-UHFFFAOYSA-L 0.000 description 4
- 239000000920 calcium hydroxide Substances 0.000 description 4
- 229910001861 calcium hydroxide Inorganic materials 0.000 description 4
- 239000012954 diazonium Substances 0.000 description 4
- 229940117389 dichlorobenzene Drugs 0.000 description 4
- 238000001914 filtration Methods 0.000 description 4
- 150000008282 halocarbons Chemical class 0.000 description 4
- IXCSERBJSXMMFS-UHFFFAOYSA-N hydrogen chloride Substances Cl.Cl IXCSERBJSXMMFS-UHFFFAOYSA-N 0.000 description 4
- 229910000041 hydrogen chloride Inorganic materials 0.000 description 4
- 239000000463 material Substances 0.000 description 4
- BDAGIHXWWSANSR-UHFFFAOYSA-N methanoic acid Natural products OC=O BDAGIHXWWSANSR-UHFFFAOYSA-N 0.000 description 4
- 150000007522 mineralic acids Chemical class 0.000 description 4
- 239000011259 mixed solution Substances 0.000 description 4
- TVMXDCGIABBOFY-UHFFFAOYSA-N octane Chemical compound CCCCCCCC TVMXDCGIABBOFY-UHFFFAOYSA-N 0.000 description 4
- 229910000027 potassium carbonate Inorganic materials 0.000 description 4
- LEHBURLTIWGHEM-UHFFFAOYSA-N pyridinium chlorochromate Chemical compound [O-][Cr](Cl)(=O)=O.C1=CC=[NH+]C=C1 LEHBURLTIWGHEM-UHFFFAOYSA-N 0.000 description 4
- 238000010992 reflux Methods 0.000 description 4
- 229910000030 sodium bicarbonate Inorganic materials 0.000 description 4
- 235000017557 sodium bicarbonate Nutrition 0.000 description 4
- 229910000029 sodium carbonate Inorganic materials 0.000 description 4
- HXJUTPCZVOIRIF-UHFFFAOYSA-N sulfolane Chemical compound O=S1(=O)CCCC1 HXJUTPCZVOIRIF-UHFFFAOYSA-N 0.000 description 4
- YBBRCQOCSYXUOC-UHFFFAOYSA-N sulfuryl dichloride Chemical class ClS(Cl)(=O)=O YBBRCQOCSYXUOC-UHFFFAOYSA-N 0.000 description 4
- FYSNRJHAOHDILO-UHFFFAOYSA-N thionyl chloride Chemical compound ClS(Cl)=O FYSNRJHAOHDILO-UHFFFAOYSA-N 0.000 description 4
- IMNIMPAHZVJRPE-UHFFFAOYSA-N triethylenediamine Chemical compound C1CN2CCN1CC2 IMNIMPAHZVJRPE-UHFFFAOYSA-N 0.000 description 4
- MCTWTZJPVLRJOU-UHFFFAOYSA-N 1-methyl-1H-imidazole Chemical compound CN1C=CN=C1 MCTWTZJPVLRJOU-UHFFFAOYSA-N 0.000 description 3
- PWXLBVZWVKCFHR-UHFFFAOYSA-N 2-amino-3-bromo-5-chlorobenzoic acid Chemical compound NC1=C(Br)C=C(Cl)C=C1C(O)=O PWXLBVZWVKCFHR-UHFFFAOYSA-N 0.000 description 3
- XWKFPIODWVPXLX-UHFFFAOYSA-N 2-methyl-5-methylpyridine Natural products CC1=CC=C(C)N=C1 XWKFPIODWVPXLX-UHFFFAOYSA-N 0.000 description 3
- BMYNFMYTOJXKLE-UHFFFAOYSA-N 3-azaniumyl-2-hydroxypropanoate Chemical compound NCC(O)C(O)=O BMYNFMYTOJXKLE-UHFFFAOYSA-N 0.000 description 3
- XVMSFILGAMDHEY-UHFFFAOYSA-N 6-(4-aminophenyl)sulfonylpyridin-3-amine Chemical compound C1=CC(N)=CC=C1S(=O)(=O)C1=CC=C(N)C=N1 XVMSFILGAMDHEY-UHFFFAOYSA-N 0.000 description 3
- 239000007848 Bronsted acid Substances 0.000 description 3
- 229910021590 Copper(II) bromide Inorganic materials 0.000 description 3
- QMMFVYPAHWMCMS-UHFFFAOYSA-N Dimethyl sulfide Chemical compound CSC QMMFVYPAHWMCMS-UHFFFAOYSA-N 0.000 description 3
- UFHFLCQGNIYNRP-UHFFFAOYSA-N Hydrogen Chemical compound [H][H] UFHFLCQGNIYNRP-UHFFFAOYSA-N 0.000 description 3
- OAICVXFJPJFONN-UHFFFAOYSA-N Phosphorus Chemical compound [P] OAICVXFJPJFONN-UHFFFAOYSA-N 0.000 description 3
- VYPSYNLAJGMNEJ-UHFFFAOYSA-N Silicium dioxide Chemical compound O=[Si]=O VYPSYNLAJGMNEJ-UHFFFAOYSA-N 0.000 description 3
- WETWJCDKMRHUPV-UHFFFAOYSA-N acetyl chloride Chemical compound CC(Cl)=O WETWJCDKMRHUPV-UHFFFAOYSA-N 0.000 description 3
- 239000012346 acetyl chloride Substances 0.000 description 3
- 239000002253 acid Substances 0.000 description 3
- 150000001338 aliphatic hydrocarbons Chemical class 0.000 description 3
- 229910052783 alkali metal Inorganic materials 0.000 description 3
- 229950005228 bromoform Drugs 0.000 description 3
- AOGYCOYQMAVAFD-UHFFFAOYSA-M carbonochloridate Chemical compound [O-]C(Cl)=O AOGYCOYQMAVAFD-UHFFFAOYSA-M 0.000 description 3
- 150000001733 carboxylic acid esters Chemical class 0.000 description 3
- 239000013078 crystal Substances 0.000 description 3
- 238000010511 deprotection reaction Methods 0.000 description 3
- 150000008049 diazo compounds Chemical class 0.000 description 3
- 125000000664 diazo group Chemical group [N-]=[N+]=[*] 0.000 description 3
- RIFGWPKJUGCATF-UHFFFAOYSA-N ethyl chloroformate Chemical compound CCOC(Cl)=O RIFGWPKJUGCATF-UHFFFAOYSA-N 0.000 description 3
- WBJINCZRORDGAQ-UHFFFAOYSA-N formic acid ethyl ester Natural products CCOC=O WBJINCZRORDGAQ-UHFFFAOYSA-N 0.000 description 3
- 229930195733 hydrocarbon Natural products 0.000 description 3
- 229910000042 hydrogen bromide Inorganic materials 0.000 description 3
- 229940098779 methanesulfonic acid Drugs 0.000 description 3
- 125000002496 methyl group Chemical group [H]C([H])([H])* 0.000 description 3
- 229910052757 nitrogen Inorganic materials 0.000 description 3
- PIBWKRNGBLPSSY-UHFFFAOYSA-L palladium(II) chloride Chemical compound Cl[Pd]Cl PIBWKRNGBLPSSY-UHFFFAOYSA-L 0.000 description 3
- 229910052698 phosphorus Inorganic materials 0.000 description 3
- 239000011574 phosphorus Substances 0.000 description 3
- 239000012286 potassium permanganate Substances 0.000 description 3
- 125000003226 pyrazolyl group Chemical group 0.000 description 3
- 235000010288 sodium nitrite Nutrition 0.000 description 3
- 150000003512 tertiary amines Chemical class 0.000 description 3
- 238000011282 treatment Methods 0.000 description 3
- ITMCEJHCFYSIIV-UHFFFAOYSA-N triflic acid Chemical compound OS(=O)(=O)C(F)(F)F ITMCEJHCFYSIIV-UHFFFAOYSA-N 0.000 description 3
- XAYCTBDPZIKHCW-UHFFFAOYSA-N (3-chloropyridin-2-yl)hydrazine Chemical compound NNC1=NC=CC=C1Cl XAYCTBDPZIKHCW-UHFFFAOYSA-N 0.000 description 2
- CXBDYQVECUFKRK-UHFFFAOYSA-N 1-methoxybutane Chemical compound CCCCOC CXBDYQVECUFKRK-UHFFFAOYSA-N 0.000 description 2
- OSWFIVFLDKOXQC-UHFFFAOYSA-N 4-(3-methoxyphenyl)aniline Chemical compound COC1=CC=CC(C=2C=CC(N)=CC=2)=C1 OSWFIVFLDKOXQC-UHFFFAOYSA-N 0.000 description 2
- RGUKYNXWOWSRET-UHFFFAOYSA-N 4-pyrrolidin-1-ylpyridine Chemical compound C1CCCN1C1=CC=NC=C1 RGUKYNXWOWSRET-UHFFFAOYSA-N 0.000 description 2
- YYROPELSRYBVMQ-UHFFFAOYSA-N 4-toluenesulfonyl chloride Chemical compound CC1=CC=C(S(Cl)(=O)=O)C=C1 YYROPELSRYBVMQ-UHFFFAOYSA-N 0.000 description 2
- DLFVBJFMPXGRIB-UHFFFAOYSA-N Acetamide Chemical compound CC(N)=O DLFVBJFMPXGRIB-UHFFFAOYSA-N 0.000 description 2
- IJGRMHOSHXDMSA-UHFFFAOYSA-N Atomic nitrogen Chemical compound N#N IJGRMHOSHXDMSA-UHFFFAOYSA-N 0.000 description 2
- WKBOTKDWSSQWDR-UHFFFAOYSA-N Bromine atom Chemical compound [Br] WKBOTKDWSSQWDR-UHFFFAOYSA-N 0.000 description 2
- BVKZGUZCCUSVTD-UHFFFAOYSA-L Carbonate Chemical compound [O-]C([O-])=O BVKZGUZCCUSVTD-UHFFFAOYSA-L 0.000 description 2
- ZAMOUSCENKQFHK-UHFFFAOYSA-N Chlorine atom Chemical compound [Cl] ZAMOUSCENKQFHK-UHFFFAOYSA-N 0.000 description 2
- KEAYESYHFKHZAL-UHFFFAOYSA-N Sodium Chemical compound [Na] KEAYESYHFKHZAL-UHFFFAOYSA-N 0.000 description 2
- 150000008065 acid anhydrides Chemical class 0.000 description 2
- 229910000288 alkali metal carbonate Inorganic materials 0.000 description 2
- 150000008041 alkali metal carbonates Chemical class 0.000 description 2
- 229910000102 alkali metal hydride Inorganic materials 0.000 description 2
- 150000008046 alkali metal hydrides Chemical class 0.000 description 2
- 150000001340 alkali metals Chemical class 0.000 description 2
- 229910001860 alkaline earth metal hydroxide Inorganic materials 0.000 description 2
- 239000012670 alkaline solution Substances 0.000 description 2
- HSFWRNGVRCDJHI-UHFFFAOYSA-N alpha-acetylene Natural products C#C HSFWRNGVRCDJHI-UHFFFAOYSA-N 0.000 description 2
- RQPZNWPYLFFXCP-UHFFFAOYSA-L barium dihydroxide Chemical compound [OH-].[OH-].[Ba+2] RQPZNWPYLFFXCP-UHFFFAOYSA-L 0.000 description 2
- 229910001863 barium hydroxide Inorganic materials 0.000 description 2
- CSKNSYBAZOQPLR-UHFFFAOYSA-N benzenesulfonyl chloride Chemical compound ClS(=O)(=O)C1=CC=CC=C1 CSKNSYBAZOQPLR-UHFFFAOYSA-N 0.000 description 2
- 235000019445 benzyl alcohol Nutrition 0.000 description 2
- GDTBXPJZTBHREO-UHFFFAOYSA-N bromine Substances BrBr GDTBXPJZTBHREO-UHFFFAOYSA-N 0.000 description 2
- 229910052794 bromium Inorganic materials 0.000 description 2
- 125000000484 butyl group Chemical group [H]C([*])([H])C([H])([H])C([H])([H])C([H])([H])[H] 0.000 description 2
- 150000003857 carboxamides Chemical class 0.000 description 2
- 150000001732 carboxylic acid derivatives Chemical class 0.000 description 2
- 239000000460 chlorine Substances 0.000 description 2
- 229910052801 chlorine Inorganic materials 0.000 description 2
- AGSFIZDITVHDFK-UHFFFAOYSA-N chloroform;methanol Chemical compound OC.OC.ClC(Cl)Cl AGSFIZDITVHDFK-UHFFFAOYSA-N 0.000 description 2
- KRVSOGSZCMJSLX-UHFFFAOYSA-L chromic acid Chemical class O[Cr](O)(=O)=O KRVSOGSZCMJSLX-UHFFFAOYSA-L 0.000 description 2
- ORTQZVOHEJQUHG-UHFFFAOYSA-L copper(II) chloride Chemical compound Cl[Cu]Cl ORTQZVOHEJQUHG-UHFFFAOYSA-L 0.000 description 2
- 238000006193 diazotization reaction Methods 0.000 description 2
- GGSUCNLOZRCGPQ-UHFFFAOYSA-N diethylaniline Chemical compound CCN(CC)C1=CC=CC=C1 GGSUCNLOZRCGPQ-UHFFFAOYSA-N 0.000 description 2
- 150000002148 esters Chemical class 0.000 description 2
- ZYTPZSVMXSYIFE-UHFFFAOYSA-N ethyl 2,4-dioxo-6-phenylhex-5-enoate Chemical compound CCOC(=O)C(=O)CC(=O)C=CC1=CC=CC=C1 ZYTPZSVMXSYIFE-UHFFFAOYSA-N 0.000 description 2
- 125000001495 ethyl group Chemical group [H]C([H])([H])C([H])([H])* 0.000 description 2
- 125000002534 ethynyl group Chemical group [H]C#C* 0.000 description 2
- 239000000706 filtrate Substances 0.000 description 2
- 235000019253 formic acid Nutrition 0.000 description 2
- GNOIPBMMFNIUFM-UHFFFAOYSA-N hexamethylphosphoric triamide Chemical compound CN(C)P(=O)(N(C)C)N(C)C GNOIPBMMFNIUFM-UHFFFAOYSA-N 0.000 description 2
- 150000002430 hydrocarbons Chemical class 0.000 description 2
- RCBVKBFIWMOMHF-UHFFFAOYSA-L hydroxy-(hydroxy(dioxo)chromio)oxy-dioxochromium;pyridine Chemical compound C1=CC=NC=C1.C1=CC=NC=C1.O[Cr](=O)(=O)O[Cr](O)(=O)=O RCBVKBFIWMOMHF-UHFFFAOYSA-L 0.000 description 2
- APNSGVMLAYLYCT-UHFFFAOYSA-N isobutyl nitrite Chemical compound CC(C)CON=O APNSGVMLAYLYCT-UHFFFAOYSA-N 0.000 description 2
- UKVIEHSSVKSQBA-UHFFFAOYSA-N methane;palladium Chemical compound C.[Pd] UKVIEHSSVKSQBA-UHFFFAOYSA-N 0.000 description 2
- XMJHPCRAQCTCFT-UHFFFAOYSA-N methyl chloroformate Chemical compound COC(Cl)=O XMJHPCRAQCTCFT-UHFFFAOYSA-N 0.000 description 2
- 239000012046 mixed solvent Substances 0.000 description 2
- YKYONYBAUNKHLG-UHFFFAOYSA-N n-Propyl acetate Natural products CCCOC(C)=O YKYONYBAUNKHLG-UHFFFAOYSA-N 0.000 description 2
- PPHQUIPUBYPZLD-UHFFFAOYSA-N n-ethyl-n-methylaniline Chemical compound CCN(C)C1=CC=CC=C1 PPHQUIPUBYPZLD-UHFFFAOYSA-N 0.000 description 2
- 229910052762 osmium Inorganic materials 0.000 description 2
- SYQBFIAQOQZEGI-UHFFFAOYSA-N osmium atom Chemical compound [Os] SYQBFIAQOQZEGI-UHFFFAOYSA-N 0.000 description 2
- IVKNUIVDQMARCO-UHFFFAOYSA-N oxazin-4-one Chemical compound O=C1C=CON=C1 IVKNUIVDQMARCO-UHFFFAOYSA-N 0.000 description 2
- 239000001301 oxygen Substances 0.000 description 2
- 229910052760 oxygen Inorganic materials 0.000 description 2
- NTTOTNSKUYCDAV-UHFFFAOYSA-N potassium hydride Chemical compound [KH] NTTOTNSKUYCDAV-UHFFFAOYSA-N 0.000 description 2
- 229910000105 potassium hydride Inorganic materials 0.000 description 2
- IVRIRQXJSNCSPQ-UHFFFAOYSA-N propan-2-yl carbonochloridate Chemical compound CC(C)OC(Cl)=O IVRIRQXJSNCSPQ-UHFFFAOYSA-N 0.000 description 2
- KPBSJEBFALFJTO-UHFFFAOYSA-N propane-1-sulfonyl chloride Chemical compound CCCS(Cl)(=O)=O KPBSJEBFALFJTO-UHFFFAOYSA-N 0.000 description 2
- 229940090181 propyl acetate Drugs 0.000 description 2
- 239000011541 reaction mixture Substances 0.000 description 2
- 229910001927 ruthenium tetroxide Inorganic materials 0.000 description 2
- NDVLTYZPCACLMA-UHFFFAOYSA-N silver oxide Chemical compound [O-2].[Ag+].[Ag+] NDVLTYZPCACLMA-UHFFFAOYSA-N 0.000 description 2
- UKLNMMHNWFDKNT-UHFFFAOYSA-M sodium chlorite Chemical compound [Na+].[O-]Cl=O UKLNMMHNWFDKNT-UHFFFAOYSA-M 0.000 description 2
- 229960002218 sodium chlorite Drugs 0.000 description 2
- QDRKDTQENPPHOJ-UHFFFAOYSA-N sodium ethoxide Chemical compound [Na+].CC[O-] QDRKDTQENPPHOJ-UHFFFAOYSA-N 0.000 description 2
- 239000012312 sodium hydride Substances 0.000 description 2
- 229910000104 sodium hydride Inorganic materials 0.000 description 2
- JQWHASGSAFIOCM-UHFFFAOYSA-M sodium periodate Chemical compound [Na+].[O-]I(=O)(=O)=O JQWHASGSAFIOCM-UHFFFAOYSA-M 0.000 description 2
- NUMQCACRALPSHD-UHFFFAOYSA-N tert-butyl ethyl ether Chemical compound CCOC(C)(C)C NUMQCACRALPSHD-UHFFFAOYSA-N 0.000 description 2
- HJUGFYREWKUQJT-UHFFFAOYSA-N tetrabromomethane Chemical compound BrC(Br)(Br)Br HJUGFYREWKUQJT-UHFFFAOYSA-N 0.000 description 2
- 231100000331 toxic Toxicity 0.000 description 2
- 230000002588 toxic effect Effects 0.000 description 2
- AQRLNPVMDITEJU-UHFFFAOYSA-N triethylsilane Chemical compound CC[SiH](CC)CC AQRLNPVMDITEJU-UHFFFAOYSA-N 0.000 description 2
- CSRZQMIRAZTJOY-UHFFFAOYSA-N trimethylsilyl iodide Chemical compound C[Si](C)(C)I CSRZQMIRAZTJOY-UHFFFAOYSA-N 0.000 description 2
- NQPDZGIKBAWPEJ-UHFFFAOYSA-N valeric acid Chemical compound CCCCC(O)=O NQPDZGIKBAWPEJ-UHFFFAOYSA-N 0.000 description 2
- 125000000391 vinyl group Chemical group [H]C([*])=C([H])[H] 0.000 description 2
- 229920002554 vinyl polymer Polymers 0.000 description 2
- OSNIIMCBVLBNGS-UHFFFAOYSA-N 1-(1,3-benzodioxol-5-yl)-2-(dimethylamino)propan-1-one Chemical compound CN(C)C(C)C(=O)C1=CC=C2OCOC2=C1 OSNIIMCBVLBNGS-UHFFFAOYSA-N 0.000 description 1
- LMDZBCPBFSXMTL-UHFFFAOYSA-N 1-Ethyl-3-(3-dimethylaminopropyl)carbodiimide Substances CCN=C=NCCCN(C)C LMDZBCPBFSXMTL-UHFFFAOYSA-N 0.000 description 1
- OOSZCNKVJAVHJI-UHFFFAOYSA-N 1-[(4-fluorophenyl)methyl]piperazine Chemical compound C1=CC(F)=CC=C1CN1CCNCC1 OOSZCNKVJAVHJI-UHFFFAOYSA-N 0.000 description 1
- 125000004973 1-butenyl group Chemical group C(=CCC)* 0.000 description 1
- 125000006039 1-hexenyl group Chemical group 0.000 description 1
- 125000006017 1-propenyl group Chemical group 0.000 description 1
- KOPFEFZSAMLEHK-UHFFFAOYSA-M 1h-pyrazole-5-carboxylate Chemical compound [O-]C(=O)C=1C=CNN=1 KOPFEFZSAMLEHK-UHFFFAOYSA-M 0.000 description 1
- KOPXCQUAFDWYOE-UHFFFAOYSA-N 2-amino-5-chloro-3-methylbenzoic acid Chemical compound CC1=CC(Cl)=CC(C(O)=O)=C1N KOPXCQUAFDWYOE-UHFFFAOYSA-N 0.000 description 1
- IFXKXCLVKQVVDI-UHFFFAOYSA-N 2-amino-5-chlorobenzoic acid Chemical compound NC1=CC=C(Cl)C=C1C(O)=O IFXKXCLVKQVVDI-UHFFFAOYSA-N 0.000 description 1
- 125000000069 2-butynyl group Chemical group [H]C([H])([H])C#CC([H])([H])* 0.000 description 1
- 125000003903 2-propenyl group Chemical group [H]C([*])([H])C([H])=C([H])[H] 0.000 description 1
- FPQQSJJWHUJYPU-UHFFFAOYSA-N 3-(dimethylamino)propyliminomethylidene-ethylazanium;chloride Chemical compound Cl.CCN=C=NCCCN(C)C FPQQSJJWHUJYPU-UHFFFAOYSA-N 0.000 description 1
- PWRBCZZQRRPXAB-UHFFFAOYSA-N 3-chloropyridine Chemical compound ClC1=CC=CN=C1 PWRBCZZQRRPXAB-UHFFFAOYSA-N 0.000 description 1
- DQHQTWRAARLYCW-UHFFFAOYSA-N 4-(furan-2-yl)-2,4-dioxobutanoic acid Chemical compound OC(=O)C(=O)CC(=O)C1=CC=CO1 DQHQTWRAARLYCW-UHFFFAOYSA-N 0.000 description 1
- XWNSFEAWWGGSKJ-UHFFFAOYSA-N 4-acetyl-4-methylheptanedinitrile Chemical compound N#CCCC(C)(C(=O)C)CCC#N XWNSFEAWWGGSKJ-UHFFFAOYSA-N 0.000 description 1
- ZCYVEMRRCGMTRW-UHFFFAOYSA-N 7553-56-2 Chemical group [I] ZCYVEMRRCGMTRW-UHFFFAOYSA-N 0.000 description 1
- QOSSAOTZNIDXMA-UHFFFAOYSA-N Dicylcohexylcarbodiimide Chemical compound C1CCCCC1N=C=NC1CCCCC1 QOSSAOTZNIDXMA-UHFFFAOYSA-N 0.000 description 1
- ROSDSFDQCJNGOL-UHFFFAOYSA-N Dimethylamine Chemical class CNC ROSDSFDQCJNGOL-UHFFFAOYSA-N 0.000 description 1
- KRHYYFGTRYWZRS-UHFFFAOYSA-N Fluorane Chemical compound F KRHYYFGTRYWZRS-UHFFFAOYSA-N 0.000 description 1
- PXGOKWXKJXAPGV-UHFFFAOYSA-N Fluorine Chemical compound FF PXGOKWXKJXAPGV-UHFFFAOYSA-N 0.000 description 1
- 238000009619 Gattermann reaction Methods 0.000 description 1
- BVBKHUPAFMVKBH-QCGCWTKGSA-N N=C(/C=C(/c1ccc[o]1)\Nc(nccc1)c1Cl)C(O)=O Chemical compound N=C(/C=C(/c1ccc[o]1)\Nc(nccc1)c1Cl)C(O)=O BVBKHUPAFMVKBH-QCGCWTKGSA-N 0.000 description 1
- VHGNCFULSWZLNE-UHFFFAOYSA-N NC1=C(C(=O)N)C=C(C=C1Br)Cl Chemical compound NC1=C(C(=O)N)C=C(C=C1Br)Cl VHGNCFULSWZLNE-UHFFFAOYSA-N 0.000 description 1
- 239000004153 Potassium bromate Substances 0.000 description 1
- WTKZEGDFNFYCGP-UHFFFAOYSA-N Pyrazole Chemical compound C=1C=NNC=1 WTKZEGDFNFYCGP-UHFFFAOYSA-N 0.000 description 1
- 238000000297 Sandmeyer reaction Methods 0.000 description 1
- UIIMBOGNXHQVGW-DEQYMQKBSA-M Sodium bicarbonate-14C Chemical compound [Na+].O[14C]([O-])=O UIIMBOGNXHQVGW-DEQYMQKBSA-M 0.000 description 1
- 239000005708 Sodium hypochlorite Substances 0.000 description 1
- 241000607479 Yersinia pestis Species 0.000 description 1
- 150000001242 acetic acid derivatives Chemical class 0.000 description 1
- 150000007513 acids Chemical class 0.000 description 1
- 239000003905 agrochemical Substances 0.000 description 1
- 229910052784 alkaline earth metal Inorganic materials 0.000 description 1
- 150000004703 alkoxides Chemical class 0.000 description 1
- 150000001412 amines Chemical class 0.000 description 1
- QGZKDVFQNNGYKY-UHFFFAOYSA-N ammonia Natural products N QGZKDVFQNNGYKY-UHFFFAOYSA-N 0.000 description 1
- 150000003863 ammonium salts Chemical class 0.000 description 1
- QVGXLLKOCUKJST-UHFFFAOYSA-N atomic oxygen Chemical compound [O] QVGXLLKOCUKJST-UHFFFAOYSA-N 0.000 description 1
- HIRRIHPWSUHEGI-UHFFFAOYSA-N benzyl n-[1-(3-chloropyridin-2-yl)-5-(furan-2-yl)pyrazol-3-yl]carbamate Chemical compound ClC1=CC=CN=C1N1C(C=2OC=CC=2)=CC(NC(=O)OCC=2C=CC=CC=2)=N1 HIRRIHPWSUHEGI-UHFFFAOYSA-N 0.000 description 1
- XNNQFQFUQLJSQT-UHFFFAOYSA-N bromo(trichloro)methane Chemical compound ClC(Cl)(Cl)Br XNNQFQFUQLJSQT-UHFFFAOYSA-N 0.000 description 1
- 239000001273 butane Substances 0.000 description 1
- 159000000007 calcium salts Chemical class 0.000 description 1
- 150000001805 chlorine compounds Chemical class 0.000 description 1
- AOGYCOYQMAVAFD-UHFFFAOYSA-N chlorocarbonic acid Chemical class OC(Cl)=O AOGYCOYQMAVAFD-UHFFFAOYSA-N 0.000 description 1
- IJOOHPMOJXWVHK-UHFFFAOYSA-N chlorotrimethylsilane Chemical compound C[Si](C)(C)Cl IJOOHPMOJXWVHK-UHFFFAOYSA-N 0.000 description 1
- 238000003776 cleavage reaction Methods 0.000 description 1
- 238000001816 cooling Methods 0.000 description 1
- 229960003280 cupric chloride Drugs 0.000 description 1
- 125000001559 cyclopropyl group Chemical group [H]C1([H])C([H])([H])C1([H])* 0.000 description 1
- IGSKHXTUVXSOMB-UHFFFAOYSA-N cyclopropylmethanamine Chemical compound NCC1CC1 IGSKHXTUVXSOMB-UHFFFAOYSA-N 0.000 description 1
- 238000001212 derivatisation Methods 0.000 description 1
- 230000000694 effects Effects 0.000 description 1
- VIOCWOOZQZAFOR-UHFFFAOYSA-N ethyl 4-(furan-2-yl)-2,4-dioxobutanoate Chemical compound CCOC(=O)C(=O)CC(=O)C1=CC=CO1 VIOCWOOZQZAFOR-UHFFFAOYSA-N 0.000 description 1
- OJAGAAVUZKMVGX-UHFFFAOYSA-N ethyl acetate;pyridine Chemical compound CCOC(C)=O.C1=CC=NC=C1 OJAGAAVUZKMVGX-UHFFFAOYSA-N 0.000 description 1
- 239000011737 fluorine Substances 0.000 description 1
- 229910052731 fluorine Inorganic materials 0.000 description 1
- 150000004820 halides Chemical class 0.000 description 1
- 125000004051 hexyl group Chemical group [H]C([H])([H])C([H])([H])C([H])([H])C([H])([H])C([H])([H])C([H])([H])* 0.000 description 1
- 238000004128 high performance liquid chromatography Methods 0.000 description 1
- 238000003898 horticulture Methods 0.000 description 1
- 239000001257 hydrogen Substances 0.000 description 1
- 229910052739 hydrogen Inorganic materials 0.000 description 1
- 229910000040 hydrogen fluoride Inorganic materials 0.000 description 1
- MHAJPDPJQMAIIY-UHFFFAOYSA-N hydrogen peroxide Substances OO MHAJPDPJQMAIIY-UHFFFAOYSA-N 0.000 description 1
- ARYKTOJCZLAFIS-UHFFFAOYSA-N hydrogen peroxide;ozone Chemical compound OO.[O-][O+]=O ARYKTOJCZLAFIS-UHFFFAOYSA-N 0.000 description 1
- 230000007062 hydrolysis Effects 0.000 description 1
- 238000006460 hydrolysis reaction Methods 0.000 description 1
- 230000003301 hydrolyzing effect Effects 0.000 description 1
- PNDPGZBMCMUPRI-UHFFFAOYSA-N iodine Chemical compound II PNDPGZBMCMUPRI-UHFFFAOYSA-N 0.000 description 1
- 125000000555 isopropenyl group Chemical group [H]\C([H])=C(\*)C([H])([H])[H] 0.000 description 1
- 125000001449 isopropyl group Chemical group [H]C([H])([H])C([H])(*)C([H])([H])[H] 0.000 description 1
- 159000000003 magnesium salts Chemical class 0.000 description 1
- AFVFQIVMOAPDHO-UHFFFAOYSA-M methanesulfonate group Chemical class CS(=O)(=O)[O-] AFVFQIVMOAPDHO-UHFFFAOYSA-M 0.000 description 1
- 150000002823 nitrates Chemical class 0.000 description 1
- 230000003287 optical effect Effects 0.000 description 1
- YJVFFLUZDVXJQI-UHFFFAOYSA-L palladium(ii) acetate Chemical compound [Pd+2].CC([O-])=O.CC([O-])=O YJVFFLUZDVXJQI-UHFFFAOYSA-L 0.000 description 1
- 125000001147 pentyl group Chemical group C(CCCC)* 0.000 description 1
- VLTRZXGMWDSKGL-UHFFFAOYSA-M perchlorate Inorganic materials [O-]Cl(=O)(=O)=O VLTRZXGMWDSKGL-UHFFFAOYSA-M 0.000 description 1
- VLTRZXGMWDSKGL-UHFFFAOYSA-N perchloric acid Chemical compound OCl(=O)(=O)=O VLTRZXGMWDSKGL-UHFFFAOYSA-N 0.000 description 1
- FQDSVYXGWSLNKM-UHFFFAOYSA-N phenyl 2-(3-chloropyridin-2-yl)-5-(phenylmethoxycarbonylamino)pyrazole-3-carboxylate Chemical compound ClC1=CC=CN=C1N1C(C(=O)OC=2C=CC=CC=2)=CC(NC(=O)OCC=2C=CC=CC=2)=N1 FQDSVYXGWSLNKM-UHFFFAOYSA-N 0.000 description 1
- UXCDUFKZSUBXGM-UHFFFAOYSA-N phosphoric tribromide Chemical compound BrP(Br)(Br)=O UXCDUFKZSUBXGM-UHFFFAOYSA-N 0.000 description 1
- UHZYTMXLRWXGPK-UHFFFAOYSA-N phosphorus pentachloride Chemical compound ClP(Cl)(Cl)(Cl)Cl UHZYTMXLRWXGPK-UHFFFAOYSA-N 0.000 description 1
- FAIAAWCVCHQXDN-UHFFFAOYSA-N phosphorus trichloride Chemical compound ClP(Cl)Cl FAIAAWCVCHQXDN-UHFFFAOYSA-N 0.000 description 1
- XAEFZNCEHLXOMS-UHFFFAOYSA-M potassium benzoate Chemical compound [K+].[O-]C(=O)C1=CC=CC=C1 XAEFZNCEHLXOMS-UHFFFAOYSA-M 0.000 description 1
- 229940094037 potassium bromate Drugs 0.000 description 1
- 235000019396 potassium bromate Nutrition 0.000 description 1
- LPNYRYFBWFDTMA-UHFFFAOYSA-N potassium tert-butoxide Chemical compound [K+].CC(C)(C)[O-] LPNYRYFBWFDTMA-UHFFFAOYSA-N 0.000 description 1
- 239000002244 precipitate Substances 0.000 description 1
- RZWZRACFZGVKFM-UHFFFAOYSA-N propanoyl chloride Chemical compound CCC(Cl)=O RZWZRACFZGVKFM-UHFFFAOYSA-N 0.000 description 1
- 125000001436 propyl group Chemical group [H]C([*])([H])C([H])([H])C([H])([H])[H] 0.000 description 1
- 239000003586 protic polar solvent Substances 0.000 description 1
- 238000000746 purification Methods 0.000 description 1
- NWELCUKYUCBVKK-UHFFFAOYSA-N pyridin-2-ylhydrazine Chemical compound NNC1=CC=CC=N1 NWELCUKYUCBVKK-UHFFFAOYSA-N 0.000 description 1
- 150000003254 radicals Chemical class 0.000 description 1
- YBCAZPLXEGKKFM-UHFFFAOYSA-K ruthenium(iii) chloride Chemical compound [Cl-].[Cl-].[Cl-].[Ru+3] YBCAZPLXEGKKFM-UHFFFAOYSA-K 0.000 description 1
- 229910001923 silver oxide Inorganic materials 0.000 description 1
- 229940074545 sodium dihydrogen phosphate dihydrate Drugs 0.000 description 1
- SUKJFIGYRHOWBL-UHFFFAOYSA-N sodium hypochlorite Chemical compound [Na+].Cl[O-] SUKJFIGYRHOWBL-UHFFFAOYSA-N 0.000 description 1
- 159000000000 sodium salts Chemical class 0.000 description 1
- NYCVSSWORUBFET-UHFFFAOYSA-M sodium;bromite Chemical compound [Na+].[O-]Br=O NYCVSSWORUBFET-UHFFFAOYSA-M 0.000 description 1
- 239000007787 solid Substances 0.000 description 1
- 239000000126 substance Substances 0.000 description 1
- 238000006467 substitution reaction Methods 0.000 description 1
- PNQBEPDZQUOCNY-UHFFFAOYSA-N trifluoroacetyl chloride Chemical compound FC(F)(F)C(Cl)=O PNQBEPDZQUOCNY-UHFFFAOYSA-N 0.000 description 1
- GRGCWBWNLSTIEN-UHFFFAOYSA-N trifluoromethanesulfonyl chloride Chemical compound FC(F)(F)S(Cl)(=O)=O GRGCWBWNLSTIEN-UHFFFAOYSA-N 0.000 description 1
- 125000002023 trifluoromethyl group Chemical group FC(F)(F)* 0.000 description 1
- 238000007039 two-step reaction Methods 0.000 description 1
- 238000010792 warming Methods 0.000 description 1
- 238000005406 washing Methods 0.000 description 1
Classifications
-
- C—CHEMISTRY; METALLURGY
- C07—ORGANIC CHEMISTRY
- C07D—HETEROCYCLIC COMPOUNDS
- C07D413/00—Heterocyclic compounds containing two or more hetero rings, at least one ring having nitrogen and oxygen atoms as the only ring hetero atoms
- C07D413/14—Heterocyclic compounds containing two or more hetero rings, at least one ring having nitrogen and oxygen atoms as the only ring hetero atoms containing three or more hetero rings
-
- C—CHEMISTRY; METALLURGY
- C07—ORGANIC CHEMISTRY
- C07D—HETEROCYCLIC COMPOUNDS
- C07D401/00—Heterocyclic compounds containing two or more hetero rings, having nitrogen atoms as the only ring hetero atoms, at least one ring being a six-membered ring with only one nitrogen atom
- C07D401/02—Heterocyclic compounds containing two or more hetero rings, having nitrogen atoms as the only ring hetero atoms, at least one ring being a six-membered ring with only one nitrogen atom containing two hetero rings
- C07D401/04—Heterocyclic compounds containing two or more hetero rings, having nitrogen atoms as the only ring hetero atoms, at least one ring being a six-membered ring with only one nitrogen atom containing two hetero rings directly linked by a ring-member-to-ring-member bond
-
- C—CHEMISTRY; METALLURGY
- C07—ORGANIC CHEMISTRY
- C07D—HETEROCYCLIC COMPOUNDS
- C07D413/00—Heterocyclic compounds containing two or more hetero rings, at least one ring having nitrogen and oxygen atoms as the only ring hetero atoms
- C07D413/02—Heterocyclic compounds containing two or more hetero rings, at least one ring having nitrogen and oxygen atoms as the only ring hetero atoms containing two hetero rings
- C07D413/04—Heterocyclic compounds containing two or more hetero rings, at least one ring having nitrogen and oxygen atoms as the only ring hetero atoms containing two hetero rings directly linked by a ring-member-to-ring-member bond
Landscapes
- Chemical & Material Sciences (AREA)
- Organic Chemistry (AREA)
- Plural Heterocyclic Compounds (AREA)
Abstract
【課題】特定のアントラニルアミド系化合物又はその塩の製造方法を提供する。
【解決手段】 式(I):
(式中、Xはハロゲンであり;R1はハロゲン、アルキル、ハロアルキル、アルケニル、ハロアルケニル、アルキニル、ハロアルキニル、アルコキシ、ハロアルコキシ、アルキルカルボニル、ハロアルキルカルボニル、アルコキシカルボニル、ハロアルコキシカルボニル、ニトロ、ホルミル又はシアノであり;AはYで置換されたアルキルであり;mは0〜4である)で表されるアントラニルアミド化合物又はその塩の製造方法であって、原料である3−アミノピラゾール誘導体のアミノ基をジアゾ化した後、ハロゲン化銅、金属銅又はハロゲン化アルキルとを反応させることを特徴とする前記アントラニルアミド系化合物又はその塩の製造方法を提供する。
【選択図】なし
【解決手段】 式(I):
(式中、Xはハロゲンであり;R1はハロゲン、アルキル、ハロアルキル、アルケニル、ハロアルケニル、アルキニル、ハロアルキニル、アルコキシ、ハロアルコキシ、アルキルカルボニル、ハロアルキルカルボニル、アルコキシカルボニル、ハロアルコキシカルボニル、ニトロ、ホルミル又はシアノであり;AはYで置換されたアルキルであり;mは0〜4である)で表されるアントラニルアミド化合物又はその塩の製造方法であって、原料である3−アミノピラゾール誘導体のアミノ基をジアゾ化した後、ハロゲン化銅、金属銅又はハロゲン化アルキルとを反応させることを特徴とする前記アントラニルアミド系化合物又はその塩の製造方法を提供する。
【選択図】なし
Description
本発明は、アントラニルアミド系化合物の製造方法に関する。
アントラニルアミド系化合物に関しては、農園芸分野の有害生物防除剤として優れた効果を示すことが、例えば特許文献1に開示されている。一方、特許文献2や3には一定のアントラニルアミド系化合物の製造方法が記載されている。
アントラニルアミド系化合物の製造方法については、種々の方法が提案されている。しかしながら、ピラゾール3位がハロゲンで置換されたアントラニルアミド系化合物を製造する場合、そのハロゲン化にはオキシ臭化リン等毒性の強いリン系ハロゲン化剤を使用する必要があり、リン系ハロゲン化剤を使用しない該アントラニルアミド系化合物の製造方法が希求されていた。
本発明者らは、前述の課題を解決すべく鋭意検討した結果、ピラゾール3位にアミノ基を有する化合物を用いれば、ハロゲン化反応においてリン系ハロゲン化剤のような有毒な試薬を使うことなく、目的の化合物の製造が可能であることを見出し、本発明を完成した。即ち、本発明は、式(I):
(式中、R1はハロゲン、アルキル、ハロアルキル、アルケニル、ハロアルケニル、アルキニル、ハロアルキニル、アルコキシ、ハロアルコキシ、アルキルカルボニル、ハロアルキルカルボニル、アルコキシカルボニル、ハロアルコキシカルボニル、ニトロ、ホルミル又はシアノであり、AはYで置換されてもよいアルキルであり、Yはハロゲン、アルキル及びハロアルキルからなる群より選択される少なくとも1つの置換基で置換されてもよいC3−4シクロアルキルであり、Xはハロゲンであり、mは0〜4である)で表されるアントラニルアミド化合物又はその塩の製造方法であって、式(II):
(式中、R1、A及びmは前述の通りである)で表される化合物をジアゾ化した後、ハロゲン化銅、金属銅又はハロゲン化アルキルの存在下でハロゲン化させる方法に関する。
また、本発明は、式(II):
また、本発明は、式(II):
また、本発明は、式(VI):
(式中、R1、R2及びmは前述の通りである)で表される化合物又はその塩に関する。
更に、本発明は、式(IV):
更に、本発明は、式(IV):
(式中、R3は水素原子;アルキル;アルケニル;アルキニル;又はハロゲン、アルキル、ハロアルキル、アルコキシ、ハロアルコキシ、シアノ及びニトロから選択される1〜5個の置換基で置換されてもよいフェニルであり、R2は前述の通りである)で表されるピラゾールカルボン酸誘導体又はその塩;及びその製造方法に関する。
R1、R2、R3、R5、A又はY中のアルキル又はアルキル部分は直鎖又は分岐状のいずれでもよい。その具体例としては、メチル、エチル、プロピル、イソプロピル、ブチル、ターシャリーブチル、ペンチル、ヘキシルのようなC1−6のものなどが挙げられる。
R1、R2又はR3中のアルケニル又はアルケニル部分は直鎖又は分岐状のいずれでもよい。その具体例としては、ビニル、1−プロペニル、アリル、イソプロペニル、1−ブテニル、1,3−ブタジエニル、1−ヘキセニルのようなC2−6のものなどが挙げられる。
R1、R2又はR3中のアルキニル又はアルキニル部分は直鎖又は分岐状のいずれでもよい。その具体例としては、エチニル、2−ブチニル、2−ペンチニル、3−ヘキシニルのようなC2−6のものなどが挙げられる。
R1、R2、R3、X又はY中のハロゲン又は置換基としてのハロゲンとしては、フッ素、塩素、臭素、ヨウ素の各原子が挙げられる。置換基としてのハロゲンの数は1又は2以上であってもよく、2以上の場合、各ハロゲンは同一でも相異なっても良い。又、ハロゲンの置換位置はいずれの位置でもよい。
R1、R2又はR3中のアルケニル又はアルケニル部分は直鎖又は分岐状のいずれでもよい。その具体例としては、ビニル、1−プロペニル、アリル、イソプロペニル、1−ブテニル、1,3−ブタジエニル、1−ヘキセニルのようなC2−6のものなどが挙げられる。
R1、R2又はR3中のアルキニル又はアルキニル部分は直鎖又は分岐状のいずれでもよい。その具体例としては、エチニル、2−ブチニル、2−ペンチニル、3−ヘキシニルのようなC2−6のものなどが挙げられる。
R1、R2、R3、X又はY中のハロゲン又は置換基としてのハロゲンとしては、フッ素、塩素、臭素、ヨウ素の各原子が挙げられる。置換基としてのハロゲンの数は1又は2以上であってもよく、2以上の場合、各ハロゲンは同一でも相異なっても良い。又、ハロゲンの置換位置はいずれの位置でもよい。
前記式(I)のアントラニルアミド系化合物又はその塩は、式(II)の化合物をジアゾ化した後、ハロゲン化銅、金属銅又はハロゲン化アルキルの存在下でハロゲン化させることにより製造することができる。上記ハロゲン化銅を用いる反応はSandmeyer反応として、金属銅を用いる反応はGattermann反応として、それぞれ呼ばれる反応に相当する。
出発原料となる式(II)の化合物としては、N−[4−クロロ−6−[[α−メチル−(シクロプロピルメチル)アミノ]カルボニル]−フェニル]−3−アミノ−1−(3−クロロピリジン−2−イル)−1H−ピラゾール−5−カルボキサミド、N−[2−ブロモ−4−クロロ−6−[[α−メチル−(シクロプロピルメチル)アミノ]カルボニル]−フェニル]−3−アミノ−1−(3−クロロピリジン−2−イル)−1H−ピラゾール−5−カルボキサミド、N−[4−クロロ−2−メチル−6−[[α−メチル−(シクロプロピルメチル)アミノ]カルボニル]−フェニル]−3−アミノ−1−(3−クロロピリジン−2−イル)−1H−ピラゾール−5−カルボキサミド、N−[2−ブロモ−4−クロロ−6−[[(シクロプロピルメチル)アミノ]カルボニル]−フェニル]−3−アミノ−1−(3−クロロピリジン−2−イル)−1H−ピラゾール−5−カルボキサミドなどを使用することができる。
出発原料となる式(II)の化合物としては、N−[4−クロロ−6−[[α−メチル−(シクロプロピルメチル)アミノ]カルボニル]−フェニル]−3−アミノ−1−(3−クロロピリジン−2−イル)−1H−ピラゾール−5−カルボキサミド、N−[2−ブロモ−4−クロロ−6−[[α−メチル−(シクロプロピルメチル)アミノ]カルボニル]−フェニル]−3−アミノ−1−(3−クロロピリジン−2−イル)−1H−ピラゾール−5−カルボキサミド、N−[4−クロロ−2−メチル−6−[[α−メチル−(シクロプロピルメチル)アミノ]カルボニル]−フェニル]−3−アミノ−1−(3−クロロピリジン−2−イル)−1H−ピラゾール−5−カルボキサミド、N−[2−ブロモ−4−クロロ−6−[[(シクロプロピルメチル)アミノ]カルボニル]−フェニル]−3−アミノ−1−(3−クロロピリジン−2−イル)−1H−ピラゾール−5−カルボキサミドなどを使用することができる。
式(II)の化合物のジアゾ化は、式(II)の化合物を亜硝酸ナトリウム又は亜硝酸アルキルエステルと反応させることにより行なうことができる。この反応によって、式(II)の化合物のピラゾール環上3位のアミノ基がジアゾ基となったジアゾ化合物を生成し、ジアゾニウム化合物は、単離され或いは単離されることなく、ハロゲン化反応に使用される。
ハロゲン化は、式(II)の化合物をジアゾ化した後、ハロゲン化銅、金属銅又はハロゲン化アルキルの存在下で行なう。ハロゲン化銅としては、一価若しくは二価のものを使用することができ、ハロゲン化アルキルとしては、ブロモホルム、四塩化炭素などを使用することができる。ハロゲン化反応は、一般には前記ジアゾ化合物のジアゾ基をハロゲン化銅又は金属銅で脱離させた後、ハロゲン化物イオンが付加するか、或いはジアゾ化合物からジアゾ基が脱離することにより生成するラジカルが、ハロゲン化アルキルと反応することにより進行する。
反応に金属銅を使用する場合は、ハロゲン化のためのハロゲンを供給する必要がある。ハロゲン化銅を使用する場合には、反応に必要なハロゲンは、ハロゲン化銅から供給される。
ハロゲン化は、式(II)の化合物をジアゾ化した後、ハロゲン化銅、金属銅又はハロゲン化アルキルの存在下で行なう。ハロゲン化銅としては、一価若しくは二価のものを使用することができ、ハロゲン化アルキルとしては、ブロモホルム、四塩化炭素などを使用することができる。ハロゲン化反応は、一般には前記ジアゾ化合物のジアゾ基をハロゲン化銅又は金属銅で脱離させた後、ハロゲン化物イオンが付加するか、或いはジアゾ化合物からジアゾ基が脱離することにより生成するラジカルが、ハロゲン化アルキルと反応することにより進行する。
反応に金属銅を使用する場合は、ハロゲン化のためのハロゲンを供給する必要がある。ハロゲン化銅を使用する場合には、反応に必要なハロゲンは、ハロゲン化銅から供給される。
この反応で製造される式(I)のアントラニルアミド系化合物としては、N−[4−クロロ−6−[[α−メチル−(シクロプロピルメチル)アミノ]カルボニル]−フェニル]−3−ブロモ−1−(3−クロロピリジン−2−イル)−1H−ピラゾール−5−カルボキサミド、N−[2−ブロモ−4−クロロ−6−[[α−メチル−(シクロプロピルメチル)アミノ]カルボニル]−フェニル]−3−ブロモ−1−(3−クロロピリジン−2−イル)−1H−ピラゾール−5−カルボキサミド、N−[4−クロロ−2−メチル−6−[[α−メチル−(シクロプロピルメチル)アミノ]カルボニル]−フェニル]−3−ブロモ−1−(3−クロロピリジン−2−イル)−1H−ピラゾール−5−カルボキサミド、N−[2−ブロモ−4−クロロ−6−[[(シクロプロピルメチル)アミノ]カルボニル]−フェニル]−3−ブロモ−1−(3−クロロピリジン−2−イル)−1H−ピラゾール−5−カルボキサミド、N−[2−ブロモ−4−クロロ−6−[[(シクロプロピルメチル)アミノ]カルボニル]−フェニル]−3−クロロ−1−(3−クロロピリジン−2−イル)−1H−ピラゾール−5−カルボキサミドなどが挙げられる。
前記式(III)の化合物としては、N−[4−クロロ−6−[[α−メチル−(シクロプロピルメチル)アミノ]カルボニル]−フェニル]−3−t−ブチルオキシカルボニルアミノ−1−(3−クロロピリジン−2−イル)−1H−ピラゾール−5−カルボキサミド、N−[2−ブロモ−4−クロロ−6−[[α−メチル−(シクロプロピルメチル)アミノ]カルボニル]−フェニル]−3−t−ブチルオキシカルボニルアミノ−1−(3−クロロピリジン−2−イル)−1H−ピラゾール−5−カルボキサミド、N−[4−クロロ−2−メチル−6−[[α−メチル−(シクロプロピルメチル)アミノ]カルボニル]−フェニル]−3−t−ブチルオキシカルボニルアミノ−1−(3−クロロピリジン−2−イル)−1H−ピラゾール−5−カルボキサミド、N−[2−ブロモ−4−クロロ−6−[[(シクロプロピルメチル)アミノ]カルボニル]−フェニル]−3−t−ブチルオキシカルボニルアミノ−1−(3−クロロピリジン−2−イル)−1H−ピラゾール−5−カルボキサミド、N−[4−クロロ−6−[[α−メチル−(シクロプロピルメチル)アミノ]カルボニル]−フェニル]−3−ベンジルオキシカルボニルアミノ−1−(3−クロロピリジン−2−イル)−1H−ピラゾール−5−カルボキサミド、N−[2−ブロモ−4−クロロ−6−[[α−メチル−(シクロプロピルメチル)アミノ]カルボニル]−フェニル]−3−ベンジルオキシカルボニルアミノ−1−(3−クロロピリジン−2−イル)−1H−ピラゾール−5−カルボキサミド、N−[4−クロロ−2−メチル−6−[[α−メチル−(シクロプロピルメチル)アミノ]カルボニル]−フェニル]−3−ベンジルオキシカルボニルアミノ−1−(3−クロロピリジン−2−イル)−1H−ピラゾール−5−カルボキサミド、N−[2−ブロモ−4−クロロ−6−[[(シクロプロピルメチル)アミノ]カルボニル]−フェニル]−3−ベンジルオキシカルボニルアミノ−1−(3−クロロピリジン−2−イル)−1H−ピラゾール−5−カルボキサミドなどが挙げられる。
前記式(IV)の化合物としては、3−ベンジルオキシカルボニルアミノ−1−(3−クロロピリジン−2−イル)−1H−5−ピラゾールカルボン酸、メチル 3−ベンジルオキシカルボニルアミノ−1−(3−クロロピリジン−2−イル)−1H−5−ピラゾールカルボキシレート、エチル 3−ベンジルオキシカルボニルアミノ−1−(3−クロロピリジン−2−イル)−1H−5−ピラゾールカルボキシレート、ビニル 3−ベンジルオキシカルボニルアミノ−1−(3−クロロピリジン−2−イル)−1H−5−ピラゾールカルボキシレート、エチニル 3−ベンジルオキシカルボニルアミノ−1−(3−クロロピリジン−2−イル)−1H−5−ピラゾールカルボキシレート、フェニル 3−ベンジルオキシカルボニルアミノ−1−(3−クロロピリジン−2−イル)−1H−5−ピラゾールカルボキシレート、3−p−メトキシベンジルオキシカルボニルアミノ−1−(3−クロロピリジン−2−イル)−1H−5−ピラゾールカルボン酸、メチル 3−p−メトキシベンジルオキシカルボニルアミノ−1−(3−クロロピリジン−2−イル)−1H−5−ピラゾールカルボキシレート、フェニル 3−p−メトキシベンジルオキシカルボニルアミノ−1−(3−クロロピリジン−2−イル)−1H−5−ピラゾールカルボキシレート、3−t−ブチルオキシカルボニルアミノ−1−(3−クロロピリジン−2−イル)−1H−5−ピラゾールカルボン酸、メチル 3−t−ブチルオキシカルボニルアミノ−1−(3−クロロピリジン−2−イル)−1H−5−ピラゾールカルボキシレート、フェニル 3−t−ブチルオキシカルボニルアミノ−1−(3−クロロピリジン−2−イル)−1H−5−ピラゾールカルボキシレート、3−アリルオキシカルボニルアミノ−1−(3−クロロピリジン−2−イル)−1H−5−ピラゾールカルボン酸、メチル 3−アリルオキシカルボニルアミノ−1−(3−クロロピリジン−2−イル)−1H−5−ピラゾールカルボキシレート、フェニル 3−アリルオキシカルボニルアミノ−1−(3−クロロピリジン−2−イル)−1H−5−ピラゾールカルボキシレートなどが挙げられる。
前記式(VI)の化合物としては、2−[3−t−ブチルオキシカルボニルアミノ−1−(3−クロロピリジン−2−イル)−1H−ピラゾール−5−イル]−6−クロロ−4H−3,1−ベンゾオキサジン−4−オン、2−[3−t−ブチルオキシカルボニルアミノ−1−(3−クロロピリジン−2−イル)−1H−ピラゾール−5−イル]−8−ブロモ−6−クロロ−4H−3,1−ベンゾオキサジン−4−オン、2−[3−t−ブチルオキシカルボニルアミノ−1−(3−クロロピリジン−2−イル)−1H−ピラゾール−5−イル]−6−クロロ−8−メチル−4H−3,1−ベンゾオキサジン−4−オン、2−[3−ベンジルオキシカルボニルアミノ−1−(3−クロロピリジン−2−イル)−1H−ピラゾール−5−イル]−6−クロロ−4H−3,1−ベンゾオキサジン−4−オン、2−[3−ベンジルオキシカルボニルアミノ−1−(3−クロロピリジン−2−イル)−1H−ピラゾール−5−イル]−8−ブロモ−6−クロロ−4H−3,1−ベンゾオキサジン−4−オン、2−[3−ベンジルオキシカルボニルアミノ−1−(3−クロロピリジン−2−イル)−1H−ピラゾール−5−イル]−6−クロロ−8−メチル−4H−3,1−ベンゾオキサジン−4−オンなどが挙げられる。
前記化合物の塩としては、農薬上許容されるものであればあらゆるものが含まれる。例えば、ナトリウム塩、カリウム塩のようなアルカリ金属塩;マグネシウム塩、カルシウム塩のようなアルカリ土類金属塩;ジメチルアンモニウム塩、トリエチルアンモニウム塩のようなアンモニウム塩;塩酸塩、過塩素酸塩、硫酸塩、硝酸塩のような無機塩;酢酸塩、メタンスルホン酸塩のような有機酸塩などが挙げられる。
本発明の方法によれば、リン系ハロゲン化剤を用いずにピラゾール3位にハロゲンを持つアントラニルアミド系化合物又はその塩を効率的に製造することができる。
以下に、本発明に係わるアントラニルアミド系化合物又はその塩の製造方法について詳述する。
式(I)のアントラニルアミド系化合物又はその塩は、以下の反応〔A〕〜〔E〕と、通常の塩の製造方法に従って製造することができる。
式(I)のアントラニルアミド系化合物又はその塩は、以下の反応〔A〕〜〔E〕と、通常の塩の製造方法に従って製造することができる。
式中、R1、A、X及びmは前述の通りである。
反応〔A〕は、式(II)の化合物をジアゾ化した後、ハロゲン化銅、金属銅又はハロゲン化アルキルの存在下でハロゲン化させることにより行なうことができる。反応〔A〕は、例えば下記の4つの態様で行なうことができる。
一つ目の態様として、反応〔A〕は、式(II)の化合物を塩酸、臭化水素酸、硫酸のような無機酸の水溶液に溶解し、亜硝酸ナトリウム水溶液を加えてジアゾニウム塩を形成させた後、ハロゲン化銅(I)塩と反応させることにより行なうことができる。
上記反応で使用することのできるハロゲン化銅(I)としては、塩化第一銅(CuCl)又は臭化第一銅(CuBr)が挙げられる。ハロゲン化銅(I)は、式(II)の化合物に対して等モル以上、望ましくは1.2〜1.5倍モルである。
反応は、通常−20〜120℃、望ましくは0〜100℃で行うことができ、その反応時間は、通常0.5〜12時間程度である。
2つ目の態様として、反応〔A〕は、式(II)の化合物と、溶媒の存在下で亜硝酸アルキルエステルと、ハロゲン化銅(I)又はハロゲン化銅(II)とを反応させることによっても行なうことができる。
上記反応で使用することのできる亜硝酸アルキルエステルとしては、亜硝酸t−ブチル、亜硝酸i−ペンチル、亜硝酸i−ブチルなどが挙げられ、ハロゲン化銅(I)としては、塩化第一銅(CuCl)又は臭化第一銅(CuBr);ハロゲン化銅(II)としては、塩化第二銅(CuCl2)又は臭化第二銅(CuBr2)が挙げられる。反応に使用することができる亜硝酸アルキルエステルは、式(II)の化合物に対して等モル以上、望ましくは1.2〜2.8倍モルであり、ハロゲン化銅(I)あるいはハロゲン化銅(II)は、式(II)の化合物に対して等モル以上、望ましくは1.2〜1.5倍モルである。
本反応に使用することのできる溶媒としては、反応に不活性な溶媒であればいずれのものでもよく、例えば、ジエチルエーテル、テトラヒドロフラン、ジオキサン、ジメトキシエタンのようなエーテル類;アセトニトリル、ジメチルホルムアミド、ジメチルアセトアミド、N−メチルピロリドン、ジメチルスルホキシドのような極性非プロトン性溶媒などから1種又は2種以上を適宜選択することができる。又、この反応は、通常−20〜100℃、望ましくは0〜60℃で行うことができ、その反応時間は、通常0.5〜24時間程度である。
反応〔A〕は、式(II)の化合物をジアゾ化した後、ハロゲン化銅、金属銅又はハロゲン化アルキルの存在下でハロゲン化させることにより行なうことができる。反応〔A〕は、例えば下記の4つの態様で行なうことができる。
一つ目の態様として、反応〔A〕は、式(II)の化合物を塩酸、臭化水素酸、硫酸のような無機酸の水溶液に溶解し、亜硝酸ナトリウム水溶液を加えてジアゾニウム塩を形成させた後、ハロゲン化銅(I)塩と反応させることにより行なうことができる。
上記反応で使用することのできるハロゲン化銅(I)としては、塩化第一銅(CuCl)又は臭化第一銅(CuBr)が挙げられる。ハロゲン化銅(I)は、式(II)の化合物に対して等モル以上、望ましくは1.2〜1.5倍モルである。
反応は、通常−20〜120℃、望ましくは0〜100℃で行うことができ、その反応時間は、通常0.5〜12時間程度である。
2つ目の態様として、反応〔A〕は、式(II)の化合物と、溶媒の存在下で亜硝酸アルキルエステルと、ハロゲン化銅(I)又はハロゲン化銅(II)とを反応させることによっても行なうことができる。
上記反応で使用することのできる亜硝酸アルキルエステルとしては、亜硝酸t−ブチル、亜硝酸i−ペンチル、亜硝酸i−ブチルなどが挙げられ、ハロゲン化銅(I)としては、塩化第一銅(CuCl)又は臭化第一銅(CuBr);ハロゲン化銅(II)としては、塩化第二銅(CuCl2)又は臭化第二銅(CuBr2)が挙げられる。反応に使用することができる亜硝酸アルキルエステルは、式(II)の化合物に対して等モル以上、望ましくは1.2〜2.8倍モルであり、ハロゲン化銅(I)あるいはハロゲン化銅(II)は、式(II)の化合物に対して等モル以上、望ましくは1.2〜1.5倍モルである。
本反応に使用することのできる溶媒としては、反応に不活性な溶媒であればいずれのものでもよく、例えば、ジエチルエーテル、テトラヒドロフラン、ジオキサン、ジメトキシエタンのようなエーテル類;アセトニトリル、ジメチルホルムアミド、ジメチルアセトアミド、N−メチルピロリドン、ジメチルスルホキシドのような極性非プロトン性溶媒などから1種又は2種以上を適宜選択することができる。又、この反応は、通常−20〜100℃、望ましくは0〜60℃で行うことができ、その反応時間は、通常0.5〜24時間程度である。
3つ目の態様として、反応〔A〕は、式(II)の化合物を塩酸、臭化水素酸のようなハロゲンを含む無機酸の水溶液に溶解し、亜硝酸ナトリウム水溶液を加えてジアゾニウム塩を形成させた後、金属銅を反応させることにより行なうことができる。
反応は、通常−20〜120℃、望ましくは0〜100℃で行うことができ、その反応時間は、通常0.5〜12時間程度である。
上記金属銅を用いる反応は、ハロゲンを含む無機酸に代えて硫酸のようなハロゲンを含まない無機酸も用いることができるが、その場合はジアゾニウム塩を形成させた後、塩酸や臭化水素酸のような含ハロゲン化合物を加えて反応させることにより行なうことができる。
4つ目の態様として、反応〔A〕は、式(II)の化合物を亜硝酸アルキルエステルと反応させてジアゾニウム塩を形成させた後、ハロゲン化アルキルと反応させることにより行なうことができる。
上記反応で使用することのできる亜硝酸アルキルエステルとしては、亜硝酸t−ブチル、亜硝酸i−ペンチル、亜硝酸i−ブチルなどが挙げられ、ハロゲン化アルキルとしては、ブロモホルム、ブロモトリクロロメタン、四塩化炭素、クロロホルム、四臭化炭素が挙げられる。反応に使用することができる亜硝酸アルキルエステルは、式(II)の化合物に対して等モル以上、望ましくは1.2〜3.0倍モルである。ハロゲン化アルキルは、溶媒を兼ねることができ、式(II)の化合物に対して等モル以上、望ましくは10〜100倍モルである。ハロゲン化アルキルが溶媒を兼ねることから、本反応では特に溶媒は必要としない。又、この反応は、通常0〜100℃、望ましくは20〜80℃で行うことができ、その反応時間は、通常0.25〜6時間程度である。
反応は、通常−20〜120℃、望ましくは0〜100℃で行うことができ、その反応時間は、通常0.5〜12時間程度である。
上記金属銅を用いる反応は、ハロゲンを含む無機酸に代えて硫酸のようなハロゲンを含まない無機酸も用いることができるが、その場合はジアゾニウム塩を形成させた後、塩酸や臭化水素酸のような含ハロゲン化合物を加えて反応させることにより行なうことができる。
4つ目の態様として、反応〔A〕は、式(II)の化合物を亜硝酸アルキルエステルと反応させてジアゾニウム塩を形成させた後、ハロゲン化アルキルと反応させることにより行なうことができる。
上記反応で使用することのできる亜硝酸アルキルエステルとしては、亜硝酸t−ブチル、亜硝酸i−ペンチル、亜硝酸i−ブチルなどが挙げられ、ハロゲン化アルキルとしては、ブロモホルム、ブロモトリクロロメタン、四塩化炭素、クロロホルム、四臭化炭素が挙げられる。反応に使用することができる亜硝酸アルキルエステルは、式(II)の化合物に対して等モル以上、望ましくは1.2〜3.0倍モルである。ハロゲン化アルキルは、溶媒を兼ねることができ、式(II)の化合物に対して等モル以上、望ましくは10〜100倍モルである。ハロゲン化アルキルが溶媒を兼ねることから、本反応では特に溶媒は必要としない。又、この反応は、通常0〜100℃、望ましくは20〜80℃で行うことができ、その反応時間は、通常0.25〜6時間程度である。
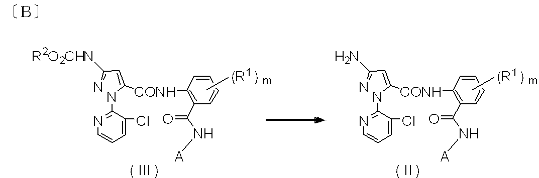
式(II)の化合物は、以下の反応〔B〕に従って製造することができる。
式中、R1、R2、A及びmは前述の通りである。
反応〔B〕は、式(III)の化合物を脱保護処理してR2O2C−で表される保護基を脱離させることにより行なうことができる。
脱保護処理は、公知資料に準じて実施することができる。公知資料としては、P. G. M. Wuts, T. W. Greene,Greene's Protective Groups in Organic Synthesis, 4th ed. Wiley-Interscience (2007) 等が挙げられる。
脱保護処理の例として、フッ化水素、塩化水素、臭化水素、トリフルオロ酢酸、メタンスルホン酸、トリフルオロメタンスルホン酸、硫酸のようなBroensted酸との反応;塩化アセチル、塩化トリメチルシリルのような塩化物との反応;ヨウ化トリメチルシリルとの反応;パラジウム−炭素、塩化パラジウム等の存在下で水素ガスと反応させる方法;塩化パラジウム、酢酸パラジウム等の存在下でトリエチルシランと反応させる方法等が挙げられる。
上記の反応において、反応条件を一律に規定することは困難であるが、塩化水素、トリフルオロ酢酸等のBroensted酸による解裂反応の場合は、通常−20〜80℃、望ましくは0〜50℃で行うことができ、その反応時間は、通常0.5〜24時間程度である。
又、パラジウム−炭素、塩化パラジウム等の存在下で水素ガスと反応させる場合は、通常−10〜100℃、望ましくは0〜80℃で行うことができ、その反応時間は、通常0.25〜24時間程度である。
反応〔B〕は、式(III)の化合物を脱保護処理してR2O2C−で表される保護基を脱離させることにより行なうことができる。
脱保護処理は、公知資料に準じて実施することができる。公知資料としては、P. G. M. Wuts, T. W. Greene,Greene's Protective Groups in Organic Synthesis, 4th ed. Wiley-Interscience (2007) 等が挙げられる。
脱保護処理の例として、フッ化水素、塩化水素、臭化水素、トリフルオロ酢酸、メタンスルホン酸、トリフルオロメタンスルホン酸、硫酸のようなBroensted酸との反応;塩化アセチル、塩化トリメチルシリルのような塩化物との反応;ヨウ化トリメチルシリルとの反応;パラジウム−炭素、塩化パラジウム等の存在下で水素ガスと反応させる方法;塩化パラジウム、酢酸パラジウム等の存在下でトリエチルシランと反応させる方法等が挙げられる。
上記の反応において、反応条件を一律に規定することは困難であるが、塩化水素、トリフルオロ酢酸等のBroensted酸による解裂反応の場合は、通常−20〜80℃、望ましくは0〜50℃で行うことができ、その反応時間は、通常0.5〜24時間程度である。
又、パラジウム−炭素、塩化パラジウム等の存在下で水素ガスと反応させる場合は、通常−10〜100℃、望ましくは0〜80℃で行うことができ、その反応時間は、通常0.25〜24時間程度である。
反応〔B〕の脱保護は、反応〔C〕に記載する式(IX)の化合物を経由した二段階の反応に従っても行なうことができる。
式中、R4はメチル又はトリフルオロメチルであり、R1、R2、A及びmは前述の通りである。
反応〔C〕の第一段階は、式(III)の化合物と、等モル以上の式(VIII)で表される酢酸又はトリフルオロ酢酸を反応させることにより行なうことができる。
本反応を促進させるために、塩化水素、臭化水素、メタンスルホン酸、トリフルオロメタンスルホン酸のようなBroensted酸の共存下で反応させることができる。
本反応は、通常0〜150℃、望ましくは60〜120℃で行なうことができ、その反応時間は、通常0.5〜24時間程度である。
反応〔C〕の第二段階は、式(IX)の化合物をアルカリ水溶液中で処理することにより行なうことができる。
アルカリ水溶液としては、水酸化ナトリウム、水酸化カリウムのようなアルカリ金属の水酸化物;水酸化カルシウム、水酸化バリウムのようなアルカリ土類金属の水酸化物;炭酸ナトリウム、炭酸カリウムのようなアルカリ金属の炭酸塩;アンモニア水などを使用することができるが、なかでもアンモニア水が好ましい。
本反応は、通常0〜110℃、望ましくは10〜100℃で行なうことができ、その反応時間は、通常0.5〜24時間程度である。
反応〔C〕の第一段階は、式(III)の化合物と、等モル以上の式(VIII)で表される酢酸又はトリフルオロ酢酸を反応させることにより行なうことができる。
本反応を促進させるために、塩化水素、臭化水素、メタンスルホン酸、トリフルオロメタンスルホン酸のようなBroensted酸の共存下で反応させることができる。
本反応は、通常0〜150℃、望ましくは60〜120℃で行なうことができ、その反応時間は、通常0.5〜24時間程度である。
反応〔C〕の第二段階は、式(IX)の化合物をアルカリ水溶液中で処理することにより行なうことができる。
アルカリ水溶液としては、水酸化ナトリウム、水酸化カリウムのようなアルカリ金属の水酸化物;水酸化カルシウム、水酸化バリウムのようなアルカリ土類金属の水酸化物;炭酸ナトリウム、炭酸カリウムのようなアルカリ金属の炭酸塩;アンモニア水などを使用することができるが、なかでもアンモニア水が好ましい。
本反応は、通常0〜110℃、望ましくは10〜100℃で行なうことができ、その反応時間は、通常0.5〜24時間程度である。
式(III)の化合物は、以下の反応〔D〕に従って製造することができる。
式中、R1、R2、A及びmは前述の通りである。
反応〔D〕は、通常、溶媒の存在下で式(VI)の化合物と、等モル以上、望ましくは1.5〜5.0倍モルの式(VII)の化合物とを処理することにより行うことができる。
式(VII)のアミンとしては、α−メチル−シクロプロピルメチルアミン、α−メチル−シクロブチルメチルアミン、シクロプロピルメチルアミンなどを使用することができる。
溶媒としては、反応に不活性な溶媒であればいずれの物でもよく、例えば、ジエチルエーテル、テトラヒドロフラン、ジオキサン、ジメトキシエタンのようなエーテル類;塩化メチレン、クロロホルム、四塩化炭素、クロロベンゼンのようなハロゲン化炭化水素類;ベンゼン、トルエン、キシレンのような芳香族炭化水素類;アセトニトリル、ジメチルホルムアミド、ジメチルアセトアミド、N−メチルピロリドン、ジメチルスルホキシドのような極性非プロトン性溶媒などから1種又は2種以上を適宜選択することができる。
反応〔D〕は、通常0〜120℃、望ましくは20〜80℃で行うことができ、その反応時間は、通常0.5〜24時間程度である。
反応〔D〕は、通常、溶媒の存在下で式(VI)の化合物と、等モル以上、望ましくは1.5〜5.0倍モルの式(VII)の化合物とを処理することにより行うことができる。
式(VII)のアミンとしては、α−メチル−シクロプロピルメチルアミン、α−メチル−シクロブチルメチルアミン、シクロプロピルメチルアミンなどを使用することができる。
溶媒としては、反応に不活性な溶媒であればいずれの物でもよく、例えば、ジエチルエーテル、テトラヒドロフラン、ジオキサン、ジメトキシエタンのようなエーテル類;塩化メチレン、クロロホルム、四塩化炭素、クロロベンゼンのようなハロゲン化炭化水素類;ベンゼン、トルエン、キシレンのような芳香族炭化水素類;アセトニトリル、ジメチルホルムアミド、ジメチルアセトアミド、N−メチルピロリドン、ジメチルスルホキシドのような極性非プロトン性溶媒などから1種又は2種以上を適宜選択することができる。
反応〔D〕は、通常0〜120℃、望ましくは20〜80℃で行うことができ、その反応時間は、通常0.5〜24時間程度である。
式(VI)の化合物は、下記の反応〔E〕に従って製造することができる。
式中、R1、R2及びmは前述の通りである。
この反応で使用することのできる式(IV-1)の化合物としては、3−t−ブチルオキシカルボニルアミノ−1−(3−クロロピリジン−2−イル)−1H−5−ピラゾールカルボン酸、3−アリルオキシカルボニルアミノ−1−(3−クロロピリジン−2−イル)−1H−5−ピラゾールカルボン酸、3−ベンジルオキシカルボニルアミノ−1−(3−クロロピリジン−2−イル)−1H−5−ピラゾールカルボン酸、1−(3−クロロピリジン−2−イル)−3−(p−メトキシベンジルオキシカルボニルアミノ)−1H−5−ピラゾールカルボン酸などが挙げられる。
式(V)の化合物としては、2−アミノ−5−クロロ安息香酸、2−アミノ−3−ブロモ−5−クロロ安息香酸、2−アミノ−5−クロロ−3−メチル安息香酸などを使用することができる。
この反応で使用することのできる式(IV-1)の化合物としては、3−t−ブチルオキシカルボニルアミノ−1−(3−クロロピリジン−2−イル)−1H−5−ピラゾールカルボン酸、3−アリルオキシカルボニルアミノ−1−(3−クロロピリジン−2−イル)−1H−5−ピラゾールカルボン酸、3−ベンジルオキシカルボニルアミノ−1−(3−クロロピリジン−2−イル)−1H−5−ピラゾールカルボン酸、1−(3−クロロピリジン−2−イル)−3−(p−メトキシベンジルオキシカルボニルアミノ)−1H−5−ピラゾールカルボン酸などが挙げられる。
式(V)の化合物としては、2−アミノ−5−クロロ安息香酸、2−アミノ−3−ブロモ−5−クロロ安息香酸、2−アミノ−5−クロロ−3−メチル安息香酸などを使用することができる。
反応〔E〕は、通常、式(IV−1)の化合物を塩基および溶媒の存在下で酸クロリドと反応させて活性誘導体に変換させた後、塩基の存在下で式(V)の化合物と反応させることにより行なうことができる。また、式(V)の化合物との反応は、必要により、更に活性化剤を加えることができる。
反応〔E〕は溶媒の存在下で行なうことができ、同一の溶媒中で一連の反応を行なうことができる。溶媒としては、反応に不活性な溶媒であればいずれのものでもよく、例えばクロロベンゼン、ジクロロベンゼン、ジクロロメタン、クロロホルム、四塩化炭素、ジクロロエタン、トリクロロエタン、ジクロロエチレンのようなハロゲン化炭化水素類;ペンタン、ヘキサン、ヘプタン、オクタン、シクロヘキサンのような脂肪族炭化水素類;ジエチルエーテル、t−ブチルエチルエーテル、テトラヒドロフラン、ジオキサン、ジメトキシエタンのようなエーテル類;酢酸メチル、酢酸エチル、酢酸プロピルのようなエステル類;アセトン、2−ブタノン、4−メチル−2−ペンタノンのようなケトン類;アセトニトリル、プロピオニトリル、N,N−ジメチルホルムアミドのような極性非プロトン性溶媒などから1種又は2種以上を適宜選択することができる。
酸クロリドとしては、クロロ炭酸エステル類やスルホニルクロリドあるいはカルボン酸クロリド等を使用することができる。クロロ炭酸エステルとしては、クロロ炭酸メチル、クロロ炭酸エチル、クロロ炭酸イソプロピル;スルホニルクロリドとしては、メタンスルホニルクロリド、プロパンスルホニルクロリド、ベンゼンスルホニルクロリド;カルボン酸クロリドとしては、塩化アセチル、塩化プロピオニルなどが挙げられ、なかでもメタンスルホニルクロリドが好ましい。この試薬は、式(IV−1)の化合物に対して1.0から1.5倍モル、望ましくは1.1から1.3倍モルである。
塩基としてはピリジン、2−ピコリン、3−ピコリン、2,6−ルチジン、トリメチルアミン、トリエチルアミン、ジイソプロピルエチルアミン、4−ジメチルアミノピリジン、3−メチルイミダゾールなどが挙げられる。塩基は式(IV−1)の化合物に対して1.0から2.0倍モル、望ましくは1.2から1.7倍モルである。
反応は、通常−30〜+60℃、望ましくは−10〜40℃で行うことができ、反応時間は、通常10分〜1時間程度である。
塩基としてはピリジン、2−ピコリン、3−ピコリン、2,6−ルチジン、トリメチルアミン、トリエチルアミン、ジイソプロピルエチルアミン、4−ジメチルアミノピリジン、3−メチルイミダゾールなどが挙げられる。塩基は式(IV−1)の化合物に対して1.0から2.0倍モル、望ましくは1.2から1.7倍モルである。
反応は、通常−30〜+60℃、望ましくは−10〜40℃で行うことができ、反応時間は、通常10分〜1時間程度である。
式(IV−1)の化合物を活性誘導体に変換させた後、反応させる式(V)の化合物は、前記式(IV−1)の化合物に対して0.9から1.2倍モル、望ましくは約1.05倍モルである。
塩基は、上記活性誘導体化の際に使用したものを用いることができるが、別のものも使用することができる。反応に使用することができる塩基としては、ピリジン、2−ピコリン、3−ピコリン、2,6−ルチジン、トリメチルアミン、トリエチルアミン、ジイソプロピルエチルアミン、4−ジメチルアミノピリジン、3−メチルイミダゾールなどが挙げられる。それら塩基の使用量は、前記式(IV−1)の化合物に対して2から4倍モル、望ましくは2.9から3.5倍モルである。式(IV−1)の化合物及び塩基は溶媒との混合溶液にして加えることもできる。
反応は、通常−30〜+60℃、望ましくは−10〜40℃で行うことができ、反応時間は、通常10分〜1時間程度である。
塩基は、上記活性誘導体化の際に使用したものを用いることができるが、別のものも使用することができる。反応に使用することができる塩基としては、ピリジン、2−ピコリン、3−ピコリン、2,6−ルチジン、トリメチルアミン、トリエチルアミン、ジイソプロピルエチルアミン、4−ジメチルアミノピリジン、3−メチルイミダゾールなどが挙げられる。それら塩基の使用量は、前記式(IV−1)の化合物に対して2から4倍モル、望ましくは2.9から3.5倍モルである。式(IV−1)の化合物及び塩基は溶媒との混合溶液にして加えることもできる。
反応は、通常−30〜+60℃、望ましくは−10〜40℃で行うことができ、反応時間は、通常10分〜1時間程度である。
活性化剤としては、クロロ炭酸エステルやスルホニルクロリド等を使用することができる。クロロ炭酸エステルとしては、クロロ炭酸メチル、クロロ炭酸エチル、クロロ炭酸イソプロピル;スルホニルクロリドとしては、メタンスルホニルクロリド、プロパンスルホニルクロリド、ベンゼンスルホニルクロリドなどが挙げられる。活性化剤は、前記式(IV−1)の化合物の1.0から1.5倍モル、さらに望ましくは1.1から1.3倍モルである。活性化剤は前述の酸クロリドと同一のものを使用することができる。また、活性化剤は、溶媒との混合物にして加えることもできる。
反応は、通常−30〜+60℃、望ましくは−10〜40℃で行うことができ、反応時間は、通常1〜24時間程度である。
反応は、通常−30〜+60℃、望ましくは−10〜40℃で行うことができ、反応時間は、通常1〜24時間程度である。
式(III)の化合物は、以下の反応〔F〕に従っても製造することができる。
式中、R1、R2、A及びmは前述の通りである。
反応〔F〕は、通常、式(IV−1)の化合物を酸塩化物、酸無水物等の活性誘導体に変換させた後、塩基及び溶媒の存在の下で式(X)の化合物と処理することにより行なうことができる。
酸塩化物に変換するためには、塩化チオニル又はオキザリルクロリド等を用いることができ、酸無水物に変換するためには、塩化アセチル、塩化トリフルオロアセチル等を用いることができる。その他の活性誘導体に変換させる試薬として、クロロ炭酸エチル、塩化メタンスルホニル、塩化トリフルオロメタンスルホニル、塩化p−トルエンスルホニル等を使用することができる。
活性誘導体に変換させる反応は、通常、式(IV−1)の化合物と、等モル以上の上記試薬とを処理することにより行なうことができる。また、本反応は、必要により、塩基を加えることができる。
塩基としては、ピリジン、2−ピコリン、3−ピコリン、2,6−ルチジン、トリメチルアミン、トリエチルアミン、ジイソプロピルエチルアミン、4−ジメチルアミノピリジン、3−メチルイミダゾールなどが挙げられる。塩基は式(IV−1)の化合物に対して1.0から2.0倍モル、望ましくは1.2から1.7倍モルである。
本反応では溶媒を使用してもよく、溶媒としては、反応に不活性な溶媒であればいずれのものでもよく、例えば、ジエチルエーテル、テトラヒドロフラン、ジオキサン、ジメトキシエタンのようなエーテル類;塩化メチレン、クロロホルム、四塩化炭素、クロロベンゼンのようなハロゲン化炭化水素類;ベンゼン、トルエン、キシレンのような芳香族炭化水素類;アセトニトリル、ジメチルホルムアミド、ジメチルアセトアミド、N−メチルピロリドン、ジメチルスルホキシドのような極性非プロトン性溶媒などから1種又は2種以上を適宜選択することができる。
反応は、通常−20〜80℃、望ましくは0〜60℃で行うことができ、その反応時間は、通常0.5〜2時間程度である。
反応〔F〕は、通常、式(IV−1)の化合物を酸塩化物、酸無水物等の活性誘導体に変換させた後、塩基及び溶媒の存在の下で式(X)の化合物と処理することにより行なうことができる。
酸塩化物に変換するためには、塩化チオニル又はオキザリルクロリド等を用いることができ、酸無水物に変換するためには、塩化アセチル、塩化トリフルオロアセチル等を用いることができる。その他の活性誘導体に変換させる試薬として、クロロ炭酸エチル、塩化メタンスルホニル、塩化トリフルオロメタンスルホニル、塩化p−トルエンスルホニル等を使用することができる。
活性誘導体に変換させる反応は、通常、式(IV−1)の化合物と、等モル以上の上記試薬とを処理することにより行なうことができる。また、本反応は、必要により、塩基を加えることができる。
塩基としては、ピリジン、2−ピコリン、3−ピコリン、2,6−ルチジン、トリメチルアミン、トリエチルアミン、ジイソプロピルエチルアミン、4−ジメチルアミノピリジン、3−メチルイミダゾールなどが挙げられる。塩基は式(IV−1)の化合物に対して1.0から2.0倍モル、望ましくは1.2から1.7倍モルである。
本反応では溶媒を使用してもよく、溶媒としては、反応に不活性な溶媒であればいずれのものでもよく、例えば、ジエチルエーテル、テトラヒドロフラン、ジオキサン、ジメトキシエタンのようなエーテル類;塩化メチレン、クロロホルム、四塩化炭素、クロロベンゼンのようなハロゲン化炭化水素類;ベンゼン、トルエン、キシレンのような芳香族炭化水素類;アセトニトリル、ジメチルホルムアミド、ジメチルアセトアミド、N−メチルピロリドン、ジメチルスルホキシドのような極性非プロトン性溶媒などから1種又は2種以上を適宜選択することができる。
反応は、通常−20〜80℃、望ましくは0〜60℃で行うことができ、その反応時間は、通常0.5〜2時間程度である。
次に、得られた活性誘導体を含む反応溶液に、通常、塩基及び溶媒の存在下で式(X)の化合物を処理することにより、式(III)の化合物を製造することができる。
塩基としては、水素化ナトリウム、水素化カリウムのようなアルカリ金属水素化物;炭酸ナトリウム、炭酸カリウムのようなアルカリ金属炭酸塩;ナトリウムメトキシド、ナトリウムエトキシド、カリウム第3級ブトキシドのようなアルカリ金属アルコキシド;トリメチルアミン、トリエチルアミン、トリイソプロピルアミン、ジイソプロピルエチルアミン、ピリジン、4−ジメチルアミノピリジン、2,6−ジメチルピリジン、4−ピロリジノピリジン、N−メチルモルホリン、N,N−ジメチルアニリン、N,N−ジエチルアニリン、N−エチル−N−メチルアニリン、1,8−ジアザビシクロ〔5.4.0〕−7−ウンデセン、1,4−ジアザビシクロ〔2.2.2〕オクタンのような第三級アミン類などから1種又は2種以上を適宜選択することができる。塩基は、式(X)の化合物に対して0.8〜3倍モル、望ましくは1〜1.5倍モル使用することができる。
溶媒としては、反応に不活性な溶媒であればいずれのものでもよく、例えば、ジエチルエーテル、ブチルメチルエーテル、テトラヒドロフラン、ジオキサン、ジメトキシエタンのようなエーテル類;クロロベンゼン、ジクロロベンゼン、ジクロロメタン、クロロホルム、四塩化炭素、ジクロロエタン、トリクロロエタン、ジクロロエチレンのようなハロゲン化炭化水素類;ベンゼン、トルエン、キシレンのような芳香族炭化水素類;ペンタン、ヘキサン、ヘプタン、オクタン、シクロヘキサンのような脂肪族炭化水素類;アセトニトリル、プロピオニトリル、N,N−ジメチルホルムアミド、ジメチルスルホキシド、ヘキサメチルホスホリックトリアミド、スルホラン、ジメチルアセトアミド、N−メチルピロリドンのような極性非プロトン性溶媒などから1種又は2種以上を適宜選択することができる。
反応は、通常−20〜120℃、望ましくは0〜40℃で行うことができ、その反応時間は、通常0.25〜24時間程度である。
塩基としては、水素化ナトリウム、水素化カリウムのようなアルカリ金属水素化物;炭酸ナトリウム、炭酸カリウムのようなアルカリ金属炭酸塩;ナトリウムメトキシド、ナトリウムエトキシド、カリウム第3級ブトキシドのようなアルカリ金属アルコキシド;トリメチルアミン、トリエチルアミン、トリイソプロピルアミン、ジイソプロピルエチルアミン、ピリジン、4−ジメチルアミノピリジン、2,6−ジメチルピリジン、4−ピロリジノピリジン、N−メチルモルホリン、N,N−ジメチルアニリン、N,N−ジエチルアニリン、N−エチル−N−メチルアニリン、1,8−ジアザビシクロ〔5.4.0〕−7−ウンデセン、1,4−ジアザビシクロ〔2.2.2〕オクタンのような第三級アミン類などから1種又は2種以上を適宜選択することができる。塩基は、式(X)の化合物に対して0.8〜3倍モル、望ましくは1〜1.5倍モル使用することができる。
溶媒としては、反応に不活性な溶媒であればいずれのものでもよく、例えば、ジエチルエーテル、ブチルメチルエーテル、テトラヒドロフラン、ジオキサン、ジメトキシエタンのようなエーテル類;クロロベンゼン、ジクロロベンゼン、ジクロロメタン、クロロホルム、四塩化炭素、ジクロロエタン、トリクロロエタン、ジクロロエチレンのようなハロゲン化炭化水素類;ベンゼン、トルエン、キシレンのような芳香族炭化水素類;ペンタン、ヘキサン、ヘプタン、オクタン、シクロヘキサンのような脂肪族炭化水素類;アセトニトリル、プロピオニトリル、N,N−ジメチルホルムアミド、ジメチルスルホキシド、ヘキサメチルホスホリックトリアミド、スルホラン、ジメチルアセトアミド、N−メチルピロリドンのような極性非プロトン性溶媒などから1種又は2種以上を適宜選択することができる。
反応は、通常−20〜120℃、望ましくは0〜40℃で行うことができ、その反応時間は、通常0.25〜24時間程度である。
また、反応〔F〕は、通常、塩基及び溶媒の存在の下で式(IV−1)の化合物と、式(X)の化合物及び縮合剤とを処理することにより行なうことができる。
本反応で使用することができる縮合剤としては、ジシクロヘキシルカルボジイミドや1−エチル−3−(3−ジメチルアミノプロピル)カルボジイミド塩酸塩、ジフェニルホスホリルアジドなどが挙げられ、式(IV−1)の化合物に対して等モル以上使用することが望ましい。
塩基としては、トリメチルアミン、トリエチルアミン、トリイソプロピルアミン、ジイソプロピルエチルアミン、ピリジン、3−ピコリン、4―ジメチルアミノピリジン、N−メチルモルホリン、1,8−ジアザビシクロ[5,4,0]−7−ウンデセン、1,4−ジアザビシクロ[2,2,2]オクタンのような三級アミン類などから1種または2種以上を適宜選択することができる。塩基は、式(X)の化合物に対して2〜10倍モル、望ましくは2.2〜7倍モル使用することができる。式(IV−1)の化合物は、式(X)の化合物に対して、0.5〜2.0倍モル、望ましくは1.1〜1.5倍モル使用することができる。
溶媒としては、反応に不活性な溶媒であればいずれのものでもよく、例えば、ジエチルエーテル、テトラヒドロフラン、ジオキサン、ジメトキシエタンのようなエーテル類;塩化メチレン、クロロホルム、四塩化炭素、クロロベンゼンのようなハロゲン化炭化水素類;ベンゼン、トルエン、キシレンのような芳香族炭化水素類;アセトニトリル、ジメチルホルムアミド、ジメチルアセトアミド、N−メチルピロリドン、ジメチルスルホキシドのような極性非プロトン性溶媒などから1種又は2種以上を適宜選択することができる。
反応〔F〕は、通常−20〜80℃、望ましくは0〜60℃で行うことができ、その反応時間は、通常0.5〜24時間程度である。
本反応で使用することができる縮合剤としては、ジシクロヘキシルカルボジイミドや1−エチル−3−(3−ジメチルアミノプロピル)カルボジイミド塩酸塩、ジフェニルホスホリルアジドなどが挙げられ、式(IV−1)の化合物に対して等モル以上使用することが望ましい。
塩基としては、トリメチルアミン、トリエチルアミン、トリイソプロピルアミン、ジイソプロピルエチルアミン、ピリジン、3−ピコリン、4―ジメチルアミノピリジン、N−メチルモルホリン、1,8−ジアザビシクロ[5,4,0]−7−ウンデセン、1,4−ジアザビシクロ[2,2,2]オクタンのような三級アミン類などから1種または2種以上を適宜選択することができる。塩基は、式(X)の化合物に対して2〜10倍モル、望ましくは2.2〜7倍モル使用することができる。式(IV−1)の化合物は、式(X)の化合物に対して、0.5〜2.0倍モル、望ましくは1.1〜1.5倍モル使用することができる。
溶媒としては、反応に不活性な溶媒であればいずれのものでもよく、例えば、ジエチルエーテル、テトラヒドロフラン、ジオキサン、ジメトキシエタンのようなエーテル類;塩化メチレン、クロロホルム、四塩化炭素、クロロベンゼンのようなハロゲン化炭化水素類;ベンゼン、トルエン、キシレンのような芳香族炭化水素類;アセトニトリル、ジメチルホルムアミド、ジメチルアセトアミド、N−メチルピロリドン、ジメチルスルホキシドのような極性非プロトン性溶媒などから1種又は2種以上を適宜選択することができる。
反応〔F〕は、通常−20〜80℃、望ましくは0〜60℃で行うことができ、その反応時間は、通常0.5〜24時間程度である。
また、前記式(II)の化合物は、下記製造方法に従っても製造することができる。
式中、R1、R2、R4、A及びmは前述の通りである。
〔G〕の式(XI)の化合物を得る第一工程は、式(VI)の化合物と、等モル以上の式(VIII)で表される酢酸又はトリフルオロ酢酸を処理することにより行なうことができる。
本反応を促進させるために、塩化水素、臭化水素、メタンスルホン酸、トリフルオロメタンスルホン酸のようなBroensted酸の共存下で反応させることができる。
本反応は、通常0〜150℃、望ましくは60〜120℃で行なうことができ、その反応時間は、通常0.5〜24時間程度である。
〔G〕の式(XI)の化合物を得る第一工程は、式(VI)の化合物と、等モル以上の式(VIII)で表される酢酸又はトリフルオロ酢酸を処理することにより行なうことができる。
本反応を促進させるために、塩化水素、臭化水素、メタンスルホン酸、トリフルオロメタンスルホン酸のようなBroensted酸の共存下で反応させることができる。
本反応は、通常0〜150℃、望ましくは60〜120℃で行なうことができ、その反応時間は、通常0.5〜24時間程度である。
〔G〕の式(IX)の化合物を得る第二工程は、式(XI)の化合物と、等モル以上、望ましくは1.5〜5.0倍モルの式(VII)の化合物とを通常、溶媒の存在下で処理することにより行なうことができる。
溶媒としては、反応に不活性な溶媒であればいずれのものでもよく、例えば、ジエチルエーテル、テトラヒドロフラン、ジオキサン、ジメトキシエタンのようなエーテル類;塩化メチレン、クロロホルム、四塩化炭素、クロロベンゼンのようなハロゲン化炭化水素類;ベンゼン、トルエン、キシレンのような芳香族炭化水素類;アセトニトリル、ジメチルホルムアミド、ジメチルアセトアミド、N−メチルピロリドン、ジメチルスルホキシドのような極性非プロトン性溶媒などから1種又は2種以上を適宜選択することができる。
本反応は、通常0〜120℃、望ましくは20〜80℃で行うことができ、その反応時間は、通常0.5〜24時間程度である。
溶媒としては、反応に不活性な溶媒であればいずれのものでもよく、例えば、ジエチルエーテル、テトラヒドロフラン、ジオキサン、ジメトキシエタンのようなエーテル類;塩化メチレン、クロロホルム、四塩化炭素、クロロベンゼンのようなハロゲン化炭化水素類;ベンゼン、トルエン、キシレンのような芳香族炭化水素類;アセトニトリル、ジメチルホルムアミド、ジメチルアセトアミド、N−メチルピロリドン、ジメチルスルホキシドのような極性非プロトン性溶媒などから1種又は2種以上を適宜選択することができる。
本反応は、通常0〜120℃、望ましくは20〜80℃で行うことができ、その反応時間は、通常0.5〜24時間程度である。
〔G〕の式(II)の化合物を得る第三工程は、式(IX)の化合物をアルカリ水溶液と処理することにより行なうことができる。
アルカリ水溶液としては、水酸化ナトリウム、水酸化カリウムのようなアルカリ金属の水酸化物;水酸化カルシウム、水酸化バリウムのようなアルカリ土類金属の水酸化物;炭酸ナトリウム、炭酸カリウムのようなアルカリ金属の炭酸塩;アンモニア水などを使用することができるが、なかでもアンモニア水が好ましい。
本反応は、通常0〜110℃、望ましくは10〜100℃で行なうことができ、その反応時間は、通常0.5〜24時間程度である。
アルカリ水溶液としては、水酸化ナトリウム、水酸化カリウムのようなアルカリ金属の水酸化物;水酸化カルシウム、水酸化バリウムのようなアルカリ土類金属の水酸化物;炭酸ナトリウム、炭酸カリウムのようなアルカリ金属の炭酸塩;アンモニア水などを使用することができるが、なかでもアンモニア水が好ましい。
本反応は、通常0〜110℃、望ましくは10〜100℃で行なうことができ、その反応時間は、通常0.5〜24時間程度である。
前述の製法〔E〕及び〔F〕で使用される前記式(IV−1)の化合物は、製法〔H〕に従って製造することができる。
製法〔H〕
製法〔H〕
式中、R5はアルキルであり、R6は2−フリル又はα−スチリルであり、R2は前述の通りである。
前述の製法〔H〕は、製法〔I〕又は〔J〕の態様により行なうことができる。
前述の製法〔H〕は、製法〔I〕又は〔J〕の態様により行なうことができる。
製法〔I〕
式(XII-1)の化合物と、式(XIII)の化合物とを反応させ、式(XIV-1)の化合物を製造する工程(I−1)。
式(XII-1)の化合物と、式(XIII)の化合物とを反応させ、式(XIV-1)の化合物を製造する工程(I−1)。
式中、R5は前述の通りである。
反応〔I-1〕は、通常、溶媒の存在下で行なうことができる。
溶媒としては、反応に不活性な溶媒であればいずれのものでもよく、例えば、ギ酸、酢酸、プロピオン酸、酪酸のようなカルボン酸類;メタノール、エタノール、プロパノール、イソプロパノールのようなアルコール類を使用することができるが、なかでも酢酸が好ましい。
反応〔I-1〕は、通常60〜150℃、望ましくは70〜120℃で行うことができ、その反応時間は、通常0.5〜12時間程度である。
式(XIV-1)の化合物を加水分解して式(XV-1)の化合物を製造する工程(I−2)。
反応〔I-1〕は、通常、溶媒の存在下で行なうことができる。
溶媒としては、反応に不活性な溶媒であればいずれのものでもよく、例えば、ギ酸、酢酸、プロピオン酸、酪酸のようなカルボン酸類;メタノール、エタノール、プロパノール、イソプロパノールのようなアルコール類を使用することができるが、なかでも酢酸が好ましい。
反応〔I-1〕は、通常60〜150℃、望ましくは70〜120℃で行うことができ、その反応時間は、通常0.5〜12時間程度である。
式(XIV-1)の化合物を加水分解して式(XV-1)の化合物を製造する工程(I−2)。
式中、R5は前述の通りである。
反応〔I−2〕は、通常、塩基および溶媒の存在下で行なうことができる。
塩基としては、水酸化ナトリウム、水酸化カリウム、水酸化カルシウムのようなアルカリ金属水酸化物を使用することができる。
溶媒としては、反応に不活性な溶媒であればいずれのものでもよく、例えば、メタノール、エタノール、プロパノール、イソプロパノールのようなアルコール類を単独あるいは水と混合して使用することができる。
反応〔I−2〕は、通常10〜120℃、望ましくは30〜80℃で行なうことができ、その反応時間は、通常0.5〜12時間程度である。
式(XV-1)の化合物と、式(XVI)のアルコール及びジフェニルホスホリルアジドとを反応させ、式(XVII-1)の化合物を製造する工程(I−3)。
反応〔I−2〕は、通常、塩基および溶媒の存在下で行なうことができる。
塩基としては、水酸化ナトリウム、水酸化カリウム、水酸化カルシウムのようなアルカリ金属水酸化物を使用することができる。
溶媒としては、反応に不活性な溶媒であればいずれのものでもよく、例えば、メタノール、エタノール、プロパノール、イソプロパノールのようなアルコール類を単独あるいは水と混合して使用することができる。
反応〔I−2〕は、通常10〜120℃、望ましくは30〜80℃で行なうことができ、その反応時間は、通常0.5〜12時間程度である。
式(XV-1)の化合物と、式(XVI)のアルコール及びジフェニルホスホリルアジドとを反応させ、式(XVII-1)の化合物を製造する工程(I−3)。
式中、R2は前述の通りである。
反応〔I−3〕は、通常、塩基及び溶媒の存在下で行なうことができる。
塩基としては、トリメチルアミン、トリエチルアミン、トリイソプロピルアミン、ジイソプロピルエチルアミン、4―ジメチルアミノピリジン、N−メチルモルホリン、1,8−ジアザビシクロ[5,4,0]−7−ウンデセン、1,4−ジアザビシクロ[2,2,2]オクタンのような三級アミン類などから1種または2種以上を適宜選択することができる。塩基は、式(XVI)の化合物に対して1〜3倍モル、望ましくは1〜1.5倍モル使用することができる。
溶媒として、式(XVI)のアルコールを式(XV-1)の化合物に対して大過剰に使用することも可能であるし、反応に不活性な溶媒、例えば、テトラヒドロフラン、ジオキサン、エチレングリコールジエチルエーテルのようなエーテル類;ベンゼン、トルエン、キシレンのような芳香族炭化水素類;アセトニトリル、プロピオニトリル、N,N−ジメチルホルムアミド、ジメチルスルホキシド、スルホランのような極性非プロトン性溶媒;2−ブタノン、3−ペンタノン、4−メチル−2−ペンタノンのようなケトン類などから1種又は2種以上を適宜選択することができる。
反応〔I−3〕は、通常50〜150℃、望ましくは80〜120℃で行なうことができ、その反応時間は、通常1〜24時間程度である。
式(XVII-1)の化合物と酸化剤とを反応させ、式(IV−1)の化合物を製造する工程(I−4)。
反応〔I−3〕は、通常、塩基及び溶媒の存在下で行なうことができる。
塩基としては、トリメチルアミン、トリエチルアミン、トリイソプロピルアミン、ジイソプロピルエチルアミン、4―ジメチルアミノピリジン、N−メチルモルホリン、1,8−ジアザビシクロ[5,4,0]−7−ウンデセン、1,4−ジアザビシクロ[2,2,2]オクタンのような三級アミン類などから1種または2種以上を適宜選択することができる。塩基は、式(XVI)の化合物に対して1〜3倍モル、望ましくは1〜1.5倍モル使用することができる。
溶媒として、式(XVI)のアルコールを式(XV-1)の化合物に対して大過剰に使用することも可能であるし、反応に不活性な溶媒、例えば、テトラヒドロフラン、ジオキサン、エチレングリコールジエチルエーテルのようなエーテル類;ベンゼン、トルエン、キシレンのような芳香族炭化水素類;アセトニトリル、プロピオニトリル、N,N−ジメチルホルムアミド、ジメチルスルホキシド、スルホランのような極性非プロトン性溶媒;2−ブタノン、3−ペンタノン、4−メチル−2−ペンタノンのようなケトン類などから1種又は2種以上を適宜選択することができる。
反応〔I−3〕は、通常50〜150℃、望ましくは80〜120℃で行なうことができ、その反応時間は、通常1〜24時間程度である。
式(XVII-1)の化合物と酸化剤とを反応させ、式(IV−1)の化合物を製造する工程(I−4)。
式中、R2は前述の通りである。
反応〔I−4〕は、通常、溶媒の存在下で行なうことができる。
酸化剤としては、過マンガン酸カリウムのような過マンガン酸塩;クロロクロム酸ピリジニウム、二クロム酸ピリジニウムのようなクロム酸錯体;四酸化ルテニウム;過酸化水素;オゾンなどから適宜選択することができる。
溶媒としては、反応に不活性な溶媒であればいずれのものでもよく、例えば、アセトン、2−ブタノン、3−ペンタノン、4−メチル−2−ペンタノンのようなケトン類;アセトニトリル、ジメチルホルムアミドのような極性非プロトン性溶媒;酢酸、プロピオン酸、酪酸のようなカルボン酸類;ギ酸エチル、酢酸メチル、酢酸エチルのようなカルボン酸エステル類;ピリジン;塩化メチレン;ベンゼン;2−メチル−2−プロパノ−ル;水などから1種又は2種以上を適宜選択することができる。
反応〔I−4〕は、使用する酸化剤により反応最適温度が異なる。オゾンを使用した場合は、通常−100〜−20℃、望ましくは−80〜−50℃で行なうことができ、その反応時間は、通常1〜8時間程度である。その他の酸化剤を使用した場合は、通常0〜120℃、望ましくは20〜80℃で行なうことができ、その反応時間は、通常1〜48時間程度である。
反応〔I−4〕は、通常、溶媒の存在下で行なうことができる。
酸化剤としては、過マンガン酸カリウムのような過マンガン酸塩;クロロクロム酸ピリジニウム、二クロム酸ピリジニウムのようなクロム酸錯体;四酸化ルテニウム;過酸化水素;オゾンなどから適宜選択することができる。
溶媒としては、反応に不活性な溶媒であればいずれのものでもよく、例えば、アセトン、2−ブタノン、3−ペンタノン、4−メチル−2−ペンタノンのようなケトン類;アセトニトリル、ジメチルホルムアミドのような極性非プロトン性溶媒;酢酸、プロピオン酸、酪酸のようなカルボン酸類;ギ酸エチル、酢酸メチル、酢酸エチルのようなカルボン酸エステル類;ピリジン;塩化メチレン;ベンゼン;2−メチル−2−プロパノ−ル;水などから1種又は2種以上を適宜選択することができる。
反応〔I−4〕は、使用する酸化剤により反応最適温度が異なる。オゾンを使用した場合は、通常−100〜−20℃、望ましくは−80〜−50℃で行なうことができ、その反応時間は、通常1〜8時間程度である。その他の酸化剤を使用した場合は、通常0〜120℃、望ましくは20〜80℃で行なうことができ、その反応時間は、通常1〜48時間程度である。
前記反応〔I−1〕で使用される式(XII-1)の化合物は、公知化合物であり、Gazzetta Chimica Italiana 88, 879(1958)等公知資料に準じて製造することができる。
製法〔J〕
式(XII-2)の化合物と、式(XIII)の化合物とを反応させ、式(XIV-2)の化合物を製造する工程(J−1)。
式(XII-2)の化合物と、式(XIII)の化合物とを反応させ、式(XIV-2)の化合物を製造する工程(J−1)。
式中、R5は前述の通りである。
反応〔J−1〕は、通常、溶媒の存在下で行なうことができる。
溶媒としては、反応に不活性な溶媒であればいずれのものでもよく、例えば、ギ酸、酢酸、プロピオン酸、酪酸のようなカルボン酸類;メタノール、エタノール、プロパノール、イソプロパノールのようなアルコール類を使用することができるが、なかでも酢酸が好ましい。
反応〔J−1〕は、通常60〜150℃、望ましくは70〜120℃で行うことができ、その反応時間は、通常0.5〜12時間程度である
式(XIV-2)の化合物を加水分解して式(XV-2)の化合物を製造する工程(J−2)。
反応〔J−1〕は、通常、溶媒の存在下で行なうことができる。
溶媒としては、反応に不活性な溶媒であればいずれのものでもよく、例えば、ギ酸、酢酸、プロピオン酸、酪酸のようなカルボン酸類;メタノール、エタノール、プロパノール、イソプロパノールのようなアルコール類を使用することができるが、なかでも酢酸が好ましい。
反応〔J−1〕は、通常60〜150℃、望ましくは70〜120℃で行うことができ、その反応時間は、通常0.5〜12時間程度である
式(XIV-2)の化合物を加水分解して式(XV-2)の化合物を製造する工程(J−2)。
式中、R5は前述の通りである。
反応〔J−2〕は、通常、塩基および溶媒の存在下で行なうことができる。
塩基としては、水酸化ナトリウム、水酸化カリウム、水酸化カルシウムのようなアルカリ金属水酸化物を使用することができる。
溶媒としては、反応に不活性な溶媒であればいずれのものでもよく、例えば、メタノール、エタノール、プロパノール、イソプロパノールのようなアルコール類を単独あるいは水と混合して使用することができる。
反応〔J−2〕は、通常10〜120℃、望ましくは30〜80℃で行なうことができ、その反応時間は、通常0.5〜12時間程度である。
式(XV-2)の化合物と、式(XVI)のアルコールおよびジフェニルホスホリルアジドとを反応させ、式(XVII-2)の化合物を製造する工程(J−3)。
反応〔J−2〕は、通常、塩基および溶媒の存在下で行なうことができる。
塩基としては、水酸化ナトリウム、水酸化カリウム、水酸化カルシウムのようなアルカリ金属水酸化物を使用することができる。
溶媒としては、反応に不活性な溶媒であればいずれのものでもよく、例えば、メタノール、エタノール、プロパノール、イソプロパノールのようなアルコール類を単独あるいは水と混合して使用することができる。
反応〔J−2〕は、通常10〜120℃、望ましくは30〜80℃で行なうことができ、その反応時間は、通常0.5〜12時間程度である。
式(XV-2)の化合物と、式(XVI)のアルコールおよびジフェニルホスホリルアジドとを反応させ、式(XVII-2)の化合物を製造する工程(J−3)。
式中、R2は前述の通りである。
反応〔J−3〕は、通常、塩基及び溶媒の存在下で行なうことができる。
塩基としては、トリメチルアミン、トリエチルアミン、トリイソプロピルアミン、ジイソプロピルエチルアミン、4―ジメチルアミノピリジン、N−メチルモルホリン、1,8−ジアザビシクロ[5,4,0]−7−ウンデセン、1,4−ジアザビシクロ[2,2,2]オクタンのような三級アミン類などから1種または2種以上を適宜選択することができる。塩基は、式(XVI)の化合物に対して1〜3倍モル、望ましくは1〜1.5倍モル使用することができる。
溶媒として、式(XVI)のアルコールを式(XV-2)の化合物に対して大過剰に使用することも可能であるし、反応に不活性な溶媒、例えば、テトラヒドロフラン、ジオキサン、エチレングリコールジエチルエーテルのようなエーテル類;ベンゼン、トルエン、キシレンのような芳香族炭化水素類;アセトニトリル、プロピオニトリル、N,N−ジメチルホルムアミド、ジメチルスルホキシド、スルホランのような極性非プロトン性溶媒;2−ブタノン、3−ペンタノン、4−メチル−2−ペンタノンのようなケトン類などから1種又は2種以上を適宜選択することができる。
反応〔J−3〕は、通常50〜150℃、望ましくは80〜120℃で行なうことができ、その反応時間は、通常1〜24時間程度である。
反応〔J−3〕は、通常、塩基及び溶媒の存在下で行なうことができる。
塩基としては、トリメチルアミン、トリエチルアミン、トリイソプロピルアミン、ジイソプロピルエチルアミン、4―ジメチルアミノピリジン、N−メチルモルホリン、1,8−ジアザビシクロ[5,4,0]−7−ウンデセン、1,4−ジアザビシクロ[2,2,2]オクタンのような三級アミン類などから1種または2種以上を適宜選択することができる。塩基は、式(XVI)の化合物に対して1〜3倍モル、望ましくは1〜1.5倍モル使用することができる。
溶媒として、式(XVI)のアルコールを式(XV-2)の化合物に対して大過剰に使用することも可能であるし、反応に不活性な溶媒、例えば、テトラヒドロフラン、ジオキサン、エチレングリコールジエチルエーテルのようなエーテル類;ベンゼン、トルエン、キシレンのような芳香族炭化水素類;アセトニトリル、プロピオニトリル、N,N−ジメチルホルムアミド、ジメチルスルホキシド、スルホランのような極性非プロトン性溶媒;2−ブタノン、3−ペンタノン、4−メチル−2−ペンタノンのようなケトン類などから1種又は2種以上を適宜選択することができる。
反応〔J−3〕は、通常50〜150℃、望ましくは80〜120℃で行なうことができ、その反応時間は、通常1〜24時間程度である。
式(XVII-2)の化合物と酸化剤とを反応させ、式(IV-1)の化合物を製造することも可能であるが、生成物の精製の便宜上から、一旦式(XVIII)の化合物を介して製造することもできる。
式(XVII-2)の化合物と酸化剤とを反応させ、式(XVIII)の化合物を製造する工程(J−4)。
式(XVII-2)の化合物と酸化剤とを反応させ、式(XVIII)の化合物を製造する工程(J−4)。
式中、R2は前述の通りである。
反応〔J−4〕は、通常、溶媒の存在下で行なうことができる。
酸化剤としては、四酸化オスミウム−過酸化水素、四酸化オスミウム−過ヨウ素酸、四酸化ルテニウム、オゾンなどが使用できるが、オゾンが好適である。
溶媒としては、反応に不活性な溶媒であればいずれのものでもよく、例えば、アセトン、2−ブタノン、3−ペンタノン、4−メチル−2−ペンタノンのようなケトン類;アセトニトリル、ジメチルホルムアミドのような極性非プロトン性溶媒;酢酸、プロピオン酸、酪酸のようなカルボン酸類;ギ酸エチル、酢酸メチル、酢酸エチルのようなカルボン酸エステル類;塩化メチレン、クロロホルムのようなハロゲン化アルキル類;メタノール、エタノール、イソプロパノールのようなアルコール類などから1種又は2種以上を適宜選択することができる。
反応〔J−4〕は、通常−100〜0℃、望ましくは−80〜−50℃で行なうことができ、その反応時間は、通常1〜12時間程度である。
式(XVIII)の化合物と酸化剤とを反応させ、式(IV-1)の化合物を製造する工程(J−5)。
反応〔J−4〕は、通常、溶媒の存在下で行なうことができる。
酸化剤としては、四酸化オスミウム−過酸化水素、四酸化オスミウム−過ヨウ素酸、四酸化ルテニウム、オゾンなどが使用できるが、オゾンが好適である。
溶媒としては、反応に不活性な溶媒であればいずれのものでもよく、例えば、アセトン、2−ブタノン、3−ペンタノン、4−メチル−2−ペンタノンのようなケトン類;アセトニトリル、ジメチルホルムアミドのような極性非プロトン性溶媒;酢酸、プロピオン酸、酪酸のようなカルボン酸類;ギ酸エチル、酢酸メチル、酢酸エチルのようなカルボン酸エステル類;塩化メチレン、クロロホルムのようなハロゲン化アルキル類;メタノール、エタノール、イソプロパノールのようなアルコール類などから1種又は2種以上を適宜選択することができる。
反応〔J−4〕は、通常−100〜0℃、望ましくは−80〜−50℃で行なうことができ、その反応時間は、通常1〜12時間程度である。
式(XVIII)の化合物と酸化剤とを反応させ、式(IV-1)の化合物を製造する工程(J−5)。
反応〔J−5〕は、通常、溶媒の存在下で行なうことができる。
酸化剤としては、過マンガン酸カリウムのような過マンガン酸塩;クロロクロム酸ピリジニウム、二クロム酸ピリジニウムのようなクロム酸錯体;酸化銀;オゾン;酸素;塩素、臭素、ヨウ素、臭素酸カリウム、亜塩素酸ナトリウム、亜臭素酸ナトリウム、次亜塩素酸ナトリウム等のハロゲン類などから適宜選択することができる。
溶媒としては、反応に不活性な溶媒であればいずれのものでもよく、例えば、アセトン、2−ブタノン、3−ペンタノン、4−メチル−2−ペンタノンのようなケトン類;アセトニトリル、ジメチルホルムアミドのような極性非プロトン性溶媒;酢酸、プロピオン酸、酪酸のようなカルボン酸類;ギ酸エチル、酢酸メチル、酢酸エチルのようなカルボン酸エステル類;塩化メチレン、クロロホルムのようなハロゲン化アルキル類;メタノール、エタノール、2−メチル−2−プロパノールのようなアルコール類;水などから1種又は2種以上を適宜選択することができる。
反応〔J−5〕は、通常0〜120℃、望ましくは20〜80℃で行なうことができ、その反応時間は、通常1〜48時間程度である。
前記反応〔J−1〕で使用される式(XII-2)の化合物は公知化合物であり、J.Chem.Soc., 3665 (1956)等の公知資料に準じて製造することができる。
また、前記式(IV)のカルボン酸誘導体又はその塩のうち、R3が水素以外である式(IV-2)の化合物は、式(IV-1)の化合物を式(XIX)の酸ハロゲン化物に変換後、式(XX)のアルコールと反応させることにより製造することができる。
式中、R3aはアルキル;アルケニル;アルキニル;ハロゲン、アルキル、ハロアルキル、アルコキシ、ハロアルコキシ、シアノ及びニトロから選択される1〜5個の置換基で置換されてもよいフェニルであり、Xはハロゲンであり、R2は前述の通りである。
式(IV-1)の化合物から式(XIX)の酸ハロゲン化物を得る反応は、式(IV-1)の化合物と等モル以上のハロゲン化剤などとを処理することにより行なうことができる。
ハロゲン化剤としては、例えば塩化チオニル、塩化オキサリル、シュウ酸ジクロリド、三塩化リン、五塩化リンなどが挙げられる。
式(IV-1)の化合物から式(XIX)の酸ハロゲン化物を得る反応は、式(IV-1)の化合物と等モル以上のハロゲン化剤などとを処理することにより行なうことができる。
ハロゲン化剤としては、例えば塩化チオニル、塩化オキサリル、シュウ酸ジクロリド、三塩化リン、五塩化リンなどが挙げられる。
この反応では溶媒を用いてもよく、溶媒としては、反応に不活性な溶媒であればいずれのものでもよく、例えばジエチルエーテル、t−ブチルエチルエーテル、テトラヒドロフラン、ジオキサン、ジメトキシエタンのようなエーテル類;クロロベンゼン、ジクロロベンゼン、ジクロロメタン、クロロホルム、四塩化炭素、ジクロロエタン、トリクロロエタン、ジクロロエチレンのようなハロゲン化炭化水素類;ベンゼン、トルエン、キシレンのような芳香族炭化水素類;ペンタン、ヘキサン、ヘプタン、オクタン、シクロヘキサンのような脂肪族炭化水素類;酢酸メチル、酢酸エチル、酢酸プロピルのようなエステル類;アセトニトリル、プロピオニトリル、N,N−ジメチルホルムアミドのような極性非プロトン性溶媒などから1種又は2種以上を適宜選択することができる。
反応は、通常−20〜140℃、望ましくは−10〜120℃で行うことができ、その反応時間は、通常0.1〜10時間程度である。
反応は、通常−20〜140℃、望ましくは−10〜120℃で行うことができ、その反応時間は、通常0.1〜10時間程度である。
式(XIX)の化合物から式(IV-2)の化合物を得る反応は、通常、塩基及び溶媒の存在下で行うことができる。
塩基としては、水素化ナトリウム、水素化カリウムのようなアルカリ金属水素化物;炭酸ナトリウム、炭酸カリウムのようなアルカリ金属炭酸塩、ナトリウムメトキシド、ナトリウムエトキシド、カリウム第3級ブトキシドのようなアルカリ金属アルコキシド;トリメチルアミン、トリエチルアミン、トリイソプロピルアミン、ジイソプロピルエチルアミン、ピリジン、4−ジメチルアミノピリジン、2,6−ジメチルピリジン、4−ピロリジノピリジン、N−メチルモルホリン、N,N−ジメチルアニリン、N,N−ジエチルアニリン、N−エチル−N−メチルアニリン、1,8−ジアザビシクロ〔5.4.0〕−7−ウンデセン、1,4−ジアザビシクロ〔2.2.2〕オクタンのような第三級アミン類などから1種又は2種以上を適宜選択することができる。塩基は、式(XIX)の化合物に対して0.8〜3倍モル、望ましくは1〜1.5倍モル使用することができる。
塩基としては、水素化ナトリウム、水素化カリウムのようなアルカリ金属水素化物;炭酸ナトリウム、炭酸カリウムのようなアルカリ金属炭酸塩、ナトリウムメトキシド、ナトリウムエトキシド、カリウム第3級ブトキシドのようなアルカリ金属アルコキシド;トリメチルアミン、トリエチルアミン、トリイソプロピルアミン、ジイソプロピルエチルアミン、ピリジン、4−ジメチルアミノピリジン、2,6−ジメチルピリジン、4−ピロリジノピリジン、N−メチルモルホリン、N,N−ジメチルアニリン、N,N−ジエチルアニリン、N−エチル−N−メチルアニリン、1,8−ジアザビシクロ〔5.4.0〕−7−ウンデセン、1,4−ジアザビシクロ〔2.2.2〕オクタンのような第三級アミン類などから1種又は2種以上を適宜選択することができる。塩基は、式(XIX)の化合物に対して0.8〜3倍モル、望ましくは1〜1.5倍モル使用することができる。
溶媒としては、反応に不活性な溶媒であればいずれのものでもよく、例えば、ジエチルエーテル、ブチルメチルエーテル、テトラヒドロフラン、ジオキサン、ジメトキシエタンのようなエーテル類;クロロベンゼン、ジクロロベンゼン、ジクロロメタン、クロロホルム、四塩化炭素、ジクロロエタン、トリクロロエタン、ジクロロエチレンのようなハロゲン化炭化水素類;ベンゼン、トルエン、キシレンのような芳香族炭化水素類;ペンタン、ヘキサン、ヘプタン、オクタン、シクロヘキサンのような脂肪族炭化水素類;アセトニトリル、プロピオニトリル、N,N−ジメチルホルムアミド、ジメチルスルホキシド、ヘキサメチルホスホリックトリアミド、スルホラン、ジメチルアセトアミド、N−メチルピロリドンのような極性非プロトン性溶媒;水などから1種又は2種以上を適宜選択することができる。メタノール、エタノール、プロピルアルコールのようなアルコール類は化合物(XX)の一例でもあり反応試剤を溶媒として利用することもできる。
反応は、通常−20〜120℃、望ましくは0〜40℃で行うことができ、その反応時間は、通常0.25〜24時間程度である。
反応は、通常−20〜120℃、望ましくは0〜40℃で行うことができ、その反応時間は、通常0.25〜24時間程度である。
前述の反応〔A〕〜〔K〕で得られる化合物には、光学異性体、幾何異性体のような異性体が存在する場合があるが、本発明には各異性体及び異性体混合物の双方が含まれる。 尚、本発明には、当該技術分野における技術常識の範囲内において、前記したもの以外の各種異性体も含まれる。また、異性体の種類によっては、前記反応式に記載した構造と異なる化学構造となる場合があるが、当業者であればそれらが異性体の関係にあることが十分認識できる為、本発明の範囲内であることは明らかである。
また、本発明には以下の方法が含まれる。
(1)前記反応〔B〕により、式(II)の化合物を製造する方法。
(2)前記反応〔B〕により、式(II)の化合物を製造し、式(II)の化合物をジアゾ化した後、ハロゲン化銅、金属銅又はハロゲン化アルキルの存在下でハロゲン化させて式(I)の化合物を製造する方法。
(3)前記反応〔C〕により、式(II)の化合物を製造する方法。
(4)前記反応〔D〕により、式(III)の化合物を製造する方法。
(5)前記反応〔D〕及び〔B〕により、式(II)の化合物を製造する方法。
(6)前記反応〔D〕及び〔B〕により、式(II)の化合物を製造し、式(II)の化合物をジアゾ化した後、ハロゲン化銅、金属銅又はハロゲン化アルキルの存在下でハロゲン化させて式(I)の化合物を製造する方法。
(7)前記反応〔E〕により、式(VI)の化合物を製造する方法。
(8)前記反応〔E〕、〔D〕及び〔B〕により、式(II)の化合物を製造し、式(II)の化合物をジアゾ化した後、ハロゲン化銅、金属銅又はハロゲン化アルキルの存在下でハロゲン化させて式(I)の化合物を製造する方法。
(9)前記反応〔H〕により、式(IV−1)の化合物を製造する方法。
(10)前記反応〔H〕、〔E〕、〔D〕及び〔B〕により、式(II)の化合物を製造し、式(II)の化合物をジアゾ化した後、ハロゲン化銅、金属銅又はハロゲン化アルキルの存在下でハロゲン化させて式(I)の化合物を製造する方法。
(11)前記反応〔I−1〕、〔I−2〕、〔I−3〕及び〔I−4〕により、式(IV−1)の化合物を製造する方法。
(12)前記反応〔J−1〕、〔J−2〕、〔J−3〕、〔J−4〕及び〔J−5〕により、式(IV−1)の化合物を製造する方法。
(1)前記反応〔B〕により、式(II)の化合物を製造する方法。
(2)前記反応〔B〕により、式(II)の化合物を製造し、式(II)の化合物をジアゾ化した後、ハロゲン化銅、金属銅又はハロゲン化アルキルの存在下でハロゲン化させて式(I)の化合物を製造する方法。
(3)前記反応〔C〕により、式(II)の化合物を製造する方法。
(4)前記反応〔D〕により、式(III)の化合物を製造する方法。
(5)前記反応〔D〕及び〔B〕により、式(II)の化合物を製造する方法。
(6)前記反応〔D〕及び〔B〕により、式(II)の化合物を製造し、式(II)の化合物をジアゾ化した後、ハロゲン化銅、金属銅又はハロゲン化アルキルの存在下でハロゲン化させて式(I)の化合物を製造する方法。
(7)前記反応〔E〕により、式(VI)の化合物を製造する方法。
(8)前記反応〔E〕、〔D〕及び〔B〕により、式(II)の化合物を製造し、式(II)の化合物をジアゾ化した後、ハロゲン化銅、金属銅又はハロゲン化アルキルの存在下でハロゲン化させて式(I)の化合物を製造する方法。
(9)前記反応〔H〕により、式(IV−1)の化合物を製造する方法。
(10)前記反応〔H〕、〔E〕、〔D〕及び〔B〕により、式(II)の化合物を製造し、式(II)の化合物をジアゾ化した後、ハロゲン化銅、金属銅又はハロゲン化アルキルの存在下でハロゲン化させて式(I)の化合物を製造する方法。
(11)前記反応〔I−1〕、〔I−2〕、〔I−3〕及び〔I−4〕により、式(IV−1)の化合物を製造する方法。
(12)前記反応〔J−1〕、〔J−2〕、〔J−3〕、〔J−4〕及び〔J−5〕により、式(IV−1)の化合物を製造する方法。
本発明をより詳しく述べるために、以下に実施例を記載するが、本発明はこれらに限定されるものではない。
実施例1 3−t−ブチルオキシカルボニルアミノ−1−(3−クロロピリジン−2−イル)−1H−5−ピラゾールカルボン酸の合成
(1)エチル 1−(3−クロロピリジン−2−イル)−5−フリル−1H−ピラゾール−3−カルボキシレートの合成
エチル 2−フロイルピルベート11.19gの酢酸(150ml)溶液に、3−クロロ−2−ヒドラジニルピリジン7.64gを室温で加えた後、更に室温で1時間攪拌した。次に、反応溶液を100℃に加熱し、3時間反応させた。反応終了後、酢酸を減圧下で留去し、酢酸エチルと水を加えて抽出した。有機層を炭酸水素ナトリウム飽和水溶液、水、飽和食塩水の順に洗浄した後、無水硫酸マグネシウムで乾燥した。溶媒を減圧下で留去し、目的物14.5g(融点:116.7℃)を得た。
1H-NMR(300MHz、CDCl3)δ:8.55 (dd, 1H), 7.92 (dd, 1H), 7.47(m, 1H), 7.32 (s, 1H), 7.17 (s, 1H), 6.32 (m, 1H), 6.00 (d, 1H), 4.45 (q, 2H), 1.43 (t, 3H).
(2)1−(3−クロロピリジン−2−イル)−5−フリル−1H−ピラゾール−3−カルボン酸の合成
前工程(1)で得たエチル 1−(3−クロロピリジン−2−イル)−5−フリル−1H−ピラゾール−3−カルボキシレート14.5gをメタノール90mlと水45mlの混合溶媒に溶解した後、水酸化ナトリウム2.2gを加え、還流下に3時間反応させた。反応終了後、溶媒を留去し、残渣に水を加えた後、エチルエーテルで洗浄した。水層を濃塩酸でpH3にした後、酢酸エチルで抽出した。有機層を水及び飽和食塩水で洗浄後、無水硫酸マグネシウムで乾燥した。溶媒を減圧下で留去し、目的物11.9g(融点:179.3℃)を得た。
1H-NMR(300MHz、DMSO-d6)δ:8.61 (d, 1H), 8.30 (d, 1H), 7.75 (m, 1H), 7.61(s, 1H), 7.16 (s, 1H), 6.49 (m, 1H), 6.24 (m, 1H).
実施例1 3−t−ブチルオキシカルボニルアミノ−1−(3−クロロピリジン−2−イル)−1H−5−ピラゾールカルボン酸の合成
(1)エチル 1−(3−クロロピリジン−2−イル)−5−フリル−1H−ピラゾール−3−カルボキシレートの合成
エチル 2−フロイルピルベート11.19gの酢酸(150ml)溶液に、3−クロロ−2−ヒドラジニルピリジン7.64gを室温で加えた後、更に室温で1時間攪拌した。次に、反応溶液を100℃に加熱し、3時間反応させた。反応終了後、酢酸を減圧下で留去し、酢酸エチルと水を加えて抽出した。有機層を炭酸水素ナトリウム飽和水溶液、水、飽和食塩水の順に洗浄した後、無水硫酸マグネシウムで乾燥した。溶媒を減圧下で留去し、目的物14.5g(融点:116.7℃)を得た。
1H-NMR(300MHz、CDCl3)δ:8.55 (dd, 1H), 7.92 (dd, 1H), 7.47(m, 1H), 7.32 (s, 1H), 7.17 (s, 1H), 6.32 (m, 1H), 6.00 (d, 1H), 4.45 (q, 2H), 1.43 (t, 3H).
(2)1−(3−クロロピリジン−2−イル)−5−フリル−1H−ピラゾール−3−カルボン酸の合成
前工程(1)で得たエチル 1−(3−クロロピリジン−2−イル)−5−フリル−1H−ピラゾール−3−カルボキシレート14.5gをメタノール90mlと水45mlの混合溶媒に溶解した後、水酸化ナトリウム2.2gを加え、還流下に3時間反応させた。反応終了後、溶媒を留去し、残渣に水を加えた後、エチルエーテルで洗浄した。水層を濃塩酸でpH3にした後、酢酸エチルで抽出した。有機層を水及び飽和食塩水で洗浄後、無水硫酸マグネシウムで乾燥した。溶媒を減圧下で留去し、目的物11.9g(融点:179.3℃)を得た。
1H-NMR(300MHz、DMSO-d6)δ:8.61 (d, 1H), 8.30 (d, 1H), 7.75 (m, 1H), 7.61(s, 1H), 7.16 (s, 1H), 6.49 (m, 1H), 6.24 (m, 1H).
(3)3−t−ブチルオキシカルボニルアミノ−1−(3−クロロピリジン−2−イル)−5−フリル−1H−ピラゾールの合成
前工程(2)を繰り返すことにより得た1−(3−クロロピリジン−2−イル)−5−フリル−1H−ピラゾール−3−カルボン酸8.0g、ジフェニルホスホリルアジド7.6gをt−ブタノール70mlに加えた後、ジイソプロピルエチルアミン4gを室温で滴下し、さらに30分間室温で攪拌後、反応液を還流下に6時間加熱攪拌した。反応終了後、t−ブタノールを減圧下で留去し、酢酸エチルと水を加えて抽出した。有機層を10%塩酸、水、1N水酸化ナトリウム水溶液、飽和食塩水の順に洗浄後、無水硫酸マグネシウムで乾燥した。溶媒を減圧下で留去し、残渣をシリカゲルカラムクロマトグラフィー(溶離液:ヘキサン/酢酸エチル=1/1)で精製して目的物4.8g(融点:52.6℃)を得た。
1H-NMR(300MHz、DMSO−d6)δ:9.94 (s, 1H), 8.56 (d, 1H), 8.23 (d, 1H),7.69 (m, 1H), 6.82 (s, 1H), 6.44 (m, 1H), 6.09 (d, 1H) ,1.47 (s, 9H).
(4)3−t−ブチルオキシカルボニルアミノ−1−(3−クロロピリジン−2−イル)−1H−5−ピラゾールカルボン酸の合成
前工程(3)で得た3−t−ブチルオキシカルボニルアミノ−1−(3−クロロピリジン−2−イル)−5−フリル−1H−ピラゾール2.0gのアセトン60ml溶液に、過マンガン酸カリウム6.13gを室温で徐々に加えた後、室温で1日反応させた。次に、エタノール30mlを加えて室温で一晩攪拌し、反応溶液をセライトで濾過後、セライト層をエタノールで洗浄し、濾液を合わせて減圧下で濃縮した。残渣にジエチルエーテルと飽和炭酸水素ナトリウム水溶液を加えて抽出し、水層を氷冷下10%塩酸でpH3にした後、酢酸エチルで抽出した。有機層を水及び飽和食塩水で洗浄し、無水硫酸マグネシウムで乾燥後、溶媒を減圧下で留去して、目的物0.81g(融点:124.8℃)を得た。
1H-NMR(300MHz、DMSO−d6)δ:10.05 (s, 1H), 8.51 (d, 1H), 8.20 (dd, 1H), 7.61 (m, 1H), 1.46 (s, 9H).
前工程(2)を繰り返すことにより得た1−(3−クロロピリジン−2−イル)−5−フリル−1H−ピラゾール−3−カルボン酸8.0g、ジフェニルホスホリルアジド7.6gをt−ブタノール70mlに加えた後、ジイソプロピルエチルアミン4gを室温で滴下し、さらに30分間室温で攪拌後、反応液を還流下に6時間加熱攪拌した。反応終了後、t−ブタノールを減圧下で留去し、酢酸エチルと水を加えて抽出した。有機層を10%塩酸、水、1N水酸化ナトリウム水溶液、飽和食塩水の順に洗浄後、無水硫酸マグネシウムで乾燥した。溶媒を減圧下で留去し、残渣をシリカゲルカラムクロマトグラフィー(溶離液:ヘキサン/酢酸エチル=1/1)で精製して目的物4.8g(融点:52.6℃)を得た。
1H-NMR(300MHz、DMSO−d6)δ:9.94 (s, 1H), 8.56 (d, 1H), 8.23 (d, 1H),7.69 (m, 1H), 6.82 (s, 1H), 6.44 (m, 1H), 6.09 (d, 1H) ,1.47 (s, 9H).
(4)3−t−ブチルオキシカルボニルアミノ−1−(3−クロロピリジン−2−イル)−1H−5−ピラゾールカルボン酸の合成
前工程(3)で得た3−t−ブチルオキシカルボニルアミノ−1−(3−クロロピリジン−2−イル)−5−フリル−1H−ピラゾール2.0gのアセトン60ml溶液に、過マンガン酸カリウム6.13gを室温で徐々に加えた後、室温で1日反応させた。次に、エタノール30mlを加えて室温で一晩攪拌し、反応溶液をセライトで濾過後、セライト層をエタノールで洗浄し、濾液を合わせて減圧下で濃縮した。残渣にジエチルエーテルと飽和炭酸水素ナトリウム水溶液を加えて抽出し、水層を氷冷下10%塩酸でpH3にした後、酢酸エチルで抽出した。有機層を水及び飽和食塩水で洗浄し、無水硫酸マグネシウムで乾燥後、溶媒を減圧下で留去して、目的物0.81g(融点:124.8℃)を得た。
1H-NMR(300MHz、DMSO−d6)δ:10.05 (s, 1H), 8.51 (d, 1H), 8.20 (dd, 1H), 7.61 (m, 1H), 1.46 (s, 9H).
実施例2 N−[2−ブロモ−4−クロロ−6−[[α−メチル−(シクロプロピルメチル)アミノ]カルボニル]−フェニル]−3−ブロモ−1−(3−クロロ−2−ピリジン−2−イル)−1H−ピラゾール−5−カルボキサミドの合成(1)
(1)2−[3−t−ブチルオキシカルボニルアミノ−1−(3−クロロピリジン−2−イル)−1H−ピラゾール−5−イル]−6−クロロ−8−ブロモ−4H−3,1−ベンゾオキサジン−4−オンの合成
実施例1を繰り返すことにより得た3−t−ブチルオキシカルボニルアミノ−1−(3−クロロピリジン−2−イル)−1H−5−ピラゾールカルボン酸1.0g及びピリジン0.4mlのアセトニトリル(10ml)溶液に、塩化メタンスルホニル0.3mlを、反応温度を0℃に保ちながら徐々に滴下した後、同温度で15分間撹拌した。そこへ、2−アミノ−3−ブロモ−5−クロロ安息香酸0.74gとピリジン0.84mlのアセトニトリル(5ml)溶液を、反応温度を0℃に保ちながら徐々に滴下した後、同温度で15分間撹拌した。最後に再び、塩化メタンスルホニル0.3mlを0℃で徐々に滴下した後、同温度で1時間、更に室温で一晩撹拌した。反応終了後、反応溶液を氷水に注入し、析出した結晶を濾取・水洗後、乾燥することにより目的物1.4g(融点:222.7℃)を得た。
1H-NMR(300MHz、DMSO−d6)δ:10.25 (s, 1H), 8.55 (d, 1H), 8.25 (d, 1H),8.22 (s, 1H), 8.04 (s, 1H), 7.65 (dd, 1H), 7.27 (s, 1H) ,1.49 (s, 9H).
(2)N−[2−ブロモ−4−クロロ−6−[[α−メチル−(シクロプロピルメチル)アミノ]カルボニル]−フェニル]−3−t−ブチルオキシカルボニルアミノ−1−(3−クロロ−2−ピリジン−2−イル)−1H−ピラゾール−5−カルボキサミドの合成
前工程(1)で得られた2−[3−t−ブチルオキシカルボニルアミノ−1−(3−クロロピリジン−2−イル)−1H−ピラゾール−5−イル]−6−クロロ−8−ブロモ−4H−3,1−ベンゾオキサジン−4−オン0.5g及びα−メチル−シクロプロピルメチルアミン(65%)0.6gのアセトニトリル(10ml)溶液を、室温で1時間撹拌した後、反応液を減圧下で濃縮した。残渣をシリカゲルカラムクロマトグラフィー(溶離液:ヘキサン/酢酸エチル=1/1)で精製して、目的物0.34g(融点:137.4℃)を得た。
1H-NMR(300MHz、DMSO−d6)δ:10.23 (s, 1H), 9.96 (s,1H), 8.32 (d, 1H), 7.97 (d, 2H), 7.81 (s, 1H), 7.41 (m, 2H), 7.31 (s, 1H), 3.16 (q, 1H), 1.38 (s, 9H), 0.93 (d, 3H), 0.71(m, 1H), 0.24 (m, 1H), 0.15 (m,1H), 0.03 (m, 2H).
(1)2−[3−t−ブチルオキシカルボニルアミノ−1−(3−クロロピリジン−2−イル)−1H−ピラゾール−5−イル]−6−クロロ−8−ブロモ−4H−3,1−ベンゾオキサジン−4−オンの合成
実施例1を繰り返すことにより得た3−t−ブチルオキシカルボニルアミノ−1−(3−クロロピリジン−2−イル)−1H−5−ピラゾールカルボン酸1.0g及びピリジン0.4mlのアセトニトリル(10ml)溶液に、塩化メタンスルホニル0.3mlを、反応温度を0℃に保ちながら徐々に滴下した後、同温度で15分間撹拌した。そこへ、2−アミノ−3−ブロモ−5−クロロ安息香酸0.74gとピリジン0.84mlのアセトニトリル(5ml)溶液を、反応温度を0℃に保ちながら徐々に滴下した後、同温度で15分間撹拌した。最後に再び、塩化メタンスルホニル0.3mlを0℃で徐々に滴下した後、同温度で1時間、更に室温で一晩撹拌した。反応終了後、反応溶液を氷水に注入し、析出した結晶を濾取・水洗後、乾燥することにより目的物1.4g(融点:222.7℃)を得た。
1H-NMR(300MHz、DMSO−d6)δ:10.25 (s, 1H), 8.55 (d, 1H), 8.25 (d, 1H),8.22 (s, 1H), 8.04 (s, 1H), 7.65 (dd, 1H), 7.27 (s, 1H) ,1.49 (s, 9H).
(2)N−[2−ブロモ−4−クロロ−6−[[α−メチル−(シクロプロピルメチル)アミノ]カルボニル]−フェニル]−3−t−ブチルオキシカルボニルアミノ−1−(3−クロロ−2−ピリジン−2−イル)−1H−ピラゾール−5−カルボキサミドの合成
前工程(1)で得られた2−[3−t−ブチルオキシカルボニルアミノ−1−(3−クロロピリジン−2−イル)−1H−ピラゾール−5−イル]−6−クロロ−8−ブロモ−4H−3,1−ベンゾオキサジン−4−オン0.5g及びα−メチル−シクロプロピルメチルアミン(65%)0.6gのアセトニトリル(10ml)溶液を、室温で1時間撹拌した後、反応液を減圧下で濃縮した。残渣をシリカゲルカラムクロマトグラフィー(溶離液:ヘキサン/酢酸エチル=1/1)で精製して、目的物0.34g(融点:137.4℃)を得た。
1H-NMR(300MHz、DMSO−d6)δ:10.23 (s, 1H), 9.96 (s,1H), 8.32 (d, 1H), 7.97 (d, 2H), 7.81 (s, 1H), 7.41 (m, 2H), 7.31 (s, 1H), 3.16 (q, 1H), 1.38 (s, 9H), 0.93 (d, 3H), 0.71(m, 1H), 0.24 (m, 1H), 0.15 (m,1H), 0.03 (m, 2H).
(3)N−[2−ブロモ−4−クロロ−6−[[α−メチル−(シクロプロピルメチル)アミノ]カルボニル]−フェニル]−3−アミノ−1−(3−クロロピリジン−2−イル)−1H−ピラゾール−5−カルボキサミドの合成
前工程(2)を繰り返すことにより得たN−[2−ブロモ−4−クロロ−6−[[α−メチル−(シクロプロピルメチル)アミノ]カルボニル]−フェニル]−3−t−ブチルオキシカルボニルアミノ−1−(3−クロロピリジン−2−イル)−1H−ピラゾール−5−カルボキサミド0.5gの塩化メチレン溶液10mlにトリフルオル酢酸0.2mlを加えて、室温で終夜攪拌した。反応が完結していなかったため、さらにトリフルオル酢酸2mlを加えて室温で1時間攪拌を続けて、反応を完結させた。反応液を氷水に注入後、酢酸エチルで抽出し、有機層を飽和炭酸水素ナトリウム、水、飽和食塩水の順で洗浄後、無水硫酸マグネシウムで乾燥した。溶媒を減圧下で留去後、目的物0.35g(融点:139.8℃)を得た。
1H-NMR(300MHz、DMSO−d6)δ: 9.95 (s, 1H), 8.27 (d, 1H), 7.98 (m, 2H), 7.90 (d, 1H), 7.82 (s, 1H), 7.33 (md, 2H), 6.40 (s, 1H), 3.16 (q, 1H), 0.95(d, 3H), 0.68 (m, 1H), 0.27 (m, 1H), 0.16 (m, 2H), 0.06 (m,2H).
前工程(2)を繰り返すことにより得たN−[2−ブロモ−4−クロロ−6−[[α−メチル−(シクロプロピルメチル)アミノ]カルボニル]−フェニル]−3−t−ブチルオキシカルボニルアミノ−1−(3−クロロピリジン−2−イル)−1H−ピラゾール−5−カルボキサミド0.5gの塩化メチレン溶液10mlにトリフルオル酢酸0.2mlを加えて、室温で終夜攪拌した。反応が完結していなかったため、さらにトリフルオル酢酸2mlを加えて室温で1時間攪拌を続けて、反応を完結させた。反応液を氷水に注入後、酢酸エチルで抽出し、有機層を飽和炭酸水素ナトリウム、水、飽和食塩水の順で洗浄後、無水硫酸マグネシウムで乾燥した。溶媒を減圧下で留去後、目的物0.35g(融点:139.8℃)を得た。
1H-NMR(300MHz、DMSO−d6)δ: 9.95 (s, 1H), 8.27 (d, 1H), 7.98 (m, 2H), 7.90 (d, 1H), 7.82 (s, 1H), 7.33 (md, 2H), 6.40 (s, 1H), 3.16 (q, 1H), 0.95(d, 3H), 0.68 (m, 1H), 0.27 (m, 1H), 0.16 (m, 2H), 0.06 (m,2H).
(4)N−[2−ブロモ−4−クロロ−6−[[α−メチル−(シクロプロピルメチル)アミノ]カルボニル]−フェニル]−3−ブロモ−1−(3−クロロピリジン−2−イル)−1H−ピラゾール−5−カルボキサミドの合成
臭化銅(II)0.12gと90%亜硝酸t−ブチル0.091gの10mlアセトニトリル溶液に、前工程(3)で得たN−[2−ブロモ−4−クロロ−6−[[α−メチル−(シクロプロピルメチル)アミノ]カルボニル]−フェニル]−3−アミノ−1−(3−クロロピリジン−2−イル)−1H−ピラゾール−5−カルボキサミド0.29gの10mlアセトニトリル溶液を0℃で徐々に滴下した後、同温度で2時間、室温で1時間攪拌した。反応液を氷水に注入後、酢酸エチルで抽出し、有機層を水及び飽和食塩水で洗浄後、無水硫酸マグネシウムで乾燥した。溶媒を減圧下で留去後、残渣をシリカゲルカラムクロマトグラフィー(溶離液:ヘキサン/酢酸エチル=1/1)で精製して目的物0.11g(融点:260.6℃)を得た。
1H-NMR(300MHz、DMSO−d6)δ:10.34 (s, 1H), 8.37(d, 1H), 8.18 (d, 1H), 8.05 (d, 1H), 7.84 (s, 1H), 7.50 (dd, 1H), 7.44 (s, 1H), 7.35 (s, 1H), 3.17 (q, 1H), 0.95 (d, 3H), 0.72 (m, 1H), 0.25 (m, 1H), 0.17 (m,1H), 0.05 (m, 2H).
臭化銅(II)0.12gと90%亜硝酸t−ブチル0.091gの10mlアセトニトリル溶液に、前工程(3)で得たN−[2−ブロモ−4−クロロ−6−[[α−メチル−(シクロプロピルメチル)アミノ]カルボニル]−フェニル]−3−アミノ−1−(3−クロロピリジン−2−イル)−1H−ピラゾール−5−カルボキサミド0.29gの10mlアセトニトリル溶液を0℃で徐々に滴下した後、同温度で2時間、室温で1時間攪拌した。反応液を氷水に注入後、酢酸エチルで抽出し、有機層を水及び飽和食塩水で洗浄後、無水硫酸マグネシウムで乾燥した。溶媒を減圧下で留去後、残渣をシリカゲルカラムクロマトグラフィー(溶離液:ヘキサン/酢酸エチル=1/1)で精製して目的物0.11g(融点:260.6℃)を得た。
1H-NMR(300MHz、DMSO−d6)δ:10.34 (s, 1H), 8.37(d, 1H), 8.18 (d, 1H), 8.05 (d, 1H), 7.84 (s, 1H), 7.50 (dd, 1H), 7.44 (s, 1H), 7.35 (s, 1H), 3.17 (q, 1H), 0.95 (d, 3H), 0.72 (m, 1H), 0.25 (m, 1H), 0.17 (m,1H), 0.05 (m, 2H).
実施例3 N−[2−ブロモ−4−クロロ−6−[[α−メチル−(シクロプロピルメチル)アミノ]カルボニル]−フェニル]−3−ブロモ−1−(3−クロロピリジン−2−イル)−1H−ピラゾール−5−カルボキサミドの合成(2)
(1)N−[2−ブロモ−4−クロロ−6−[[α−メチル−(シクロプロピルメチル)アミノ]カルボニル]−フェニル]−3−t−ブチルオキシカルボニルアミノ−1−(3−クロロ−2−ピリジン−2−イル)−1H−ピラゾール−5−カルボキサミドの合成
実施例1を繰り返すことにより得た3−t−ブチルオキシカルボニルアミノ−1−(3−クロロピリジン−2−イル)−1H−5−ピラゾールカルボン酸1.68gと、N−[α−メチル−(シクロプロピルメチル)]2−アミノ−3−ブロモ−5−クロロベンズアミド1.58gのアセトニトリル30ml溶液に、室温で3−ピコリン2.8gを加えた後、反応溶液を−5℃に冷却した。次に、塩化メタンスルホニル2.8gを、溶液温度を−5〜0℃の間に保ちながら滴下した後、2時間その温度範囲に保った。反応終了後、反応液に酢酸エチルおよび氷水を加えて抽出を行い、有機層を水および飽和食塩水で洗浄後、無水硫酸マグネシウムを加えて乾燥した。溶媒を減圧下で留去後、残渣をシリカゲルカラムクロマトグラフィー(溶離液:ヘキサン/酢酸エチル=1/1)で精製して目的物2.2g(融点:144.6℃)を得た。
1H-NMR(300MHz、DMSO−d6)δ:10.22 (s, 1H), 9.95 (s, 1H), 8.30 (d, 1H), 7.96 (m, 2H), 7.80 (s, 1H), 7.40 (m, 2H), 7.30 (d, 1H), 3.16 (q, 1H), 1.37(s, 9H), 0.65 (m, 1H), 0.20 (m, 1H), 0.02 (m, 2H).
(2)N−[2−ブロモ−4−クロロ−6−[[α−メチル−(シクロプロピルメチル)アミノ]カルボニル]−フェニル]−3−ブロモ−1−(3−クロロピリジン−2−イル)−1H−ピラゾール−5−カルボキサミドの合成
前工程(1)のN−[2−ブロモ−4−クロロ−6−[[α−メチル−(シクロプロピルメチル)アミノ]カルボニル]−フェニル]−3−t−ブチルオキシカルボニルアミノ−1−(3−クロロピリジン−2−イル)−1H−ピラゾール−5−カルボキサミドを用いて実施例2の(3)及び(4)の方法に従い目的物であるN−[2−ブロモ−4−クロロ−6−[[α−メチル−(シクロプロピルメチル)アミノ]カルボニル]−フェニル]−3−ブロモ−1−(3−クロロピリジン−2−イル)−1H−ピラゾール−5−カルボキサミドを合成した。
(1)N−[2−ブロモ−4−クロロ−6−[[α−メチル−(シクロプロピルメチル)アミノ]カルボニル]−フェニル]−3−t−ブチルオキシカルボニルアミノ−1−(3−クロロ−2−ピリジン−2−イル)−1H−ピラゾール−5−カルボキサミドの合成
実施例1を繰り返すことにより得た3−t−ブチルオキシカルボニルアミノ−1−(3−クロロピリジン−2−イル)−1H−5−ピラゾールカルボン酸1.68gと、N−[α−メチル−(シクロプロピルメチル)]2−アミノ−3−ブロモ−5−クロロベンズアミド1.58gのアセトニトリル30ml溶液に、室温で3−ピコリン2.8gを加えた後、反応溶液を−5℃に冷却した。次に、塩化メタンスルホニル2.8gを、溶液温度を−5〜0℃の間に保ちながら滴下した後、2時間その温度範囲に保った。反応終了後、反応液に酢酸エチルおよび氷水を加えて抽出を行い、有機層を水および飽和食塩水で洗浄後、無水硫酸マグネシウムを加えて乾燥した。溶媒を減圧下で留去後、残渣をシリカゲルカラムクロマトグラフィー(溶離液:ヘキサン/酢酸エチル=1/1)で精製して目的物2.2g(融点:144.6℃)を得た。
1H-NMR(300MHz、DMSO−d6)δ:10.22 (s, 1H), 9.95 (s, 1H), 8.30 (d, 1H), 7.96 (m, 2H), 7.80 (s, 1H), 7.40 (m, 2H), 7.30 (d, 1H), 3.16 (q, 1H), 1.37(s, 9H), 0.65 (m, 1H), 0.20 (m, 1H), 0.02 (m, 2H).
(2)N−[2−ブロモ−4−クロロ−6−[[α−メチル−(シクロプロピルメチル)アミノ]カルボニル]−フェニル]−3−ブロモ−1−(3−クロロピリジン−2−イル)−1H−ピラゾール−5−カルボキサミドの合成
前工程(1)のN−[2−ブロモ−4−クロロ−6−[[α−メチル−(シクロプロピルメチル)アミノ]カルボニル]−フェニル]−3−t−ブチルオキシカルボニルアミノ−1−(3−クロロピリジン−2−イル)−1H−ピラゾール−5−カルボキサミドを用いて実施例2の(3)及び(4)の方法に従い目的物であるN−[2−ブロモ−4−クロロ−6−[[α−メチル−(シクロプロピルメチル)アミノ]カルボニル]−フェニル]−3−ブロモ−1−(3−クロロピリジン−2−イル)−1H−ピラゾール−5−カルボキサミドを合成した。
実施例4−A 3−ベンジルオキシカルボニルアミノ−1−(3−クロロピリジン−2−イル)−1H−5−ピラゾールカルボン酸の合成 (2−フロイルピルベートを原料とする製法)
(1)3−ベンジルオキシカルボニルアミノ−1−(3−クロロピリジン−2−イル)−5−フリル−1H−ピラゾールの合成
実施例1の工程(2)で得た1−(3−クロロピリジン−2−イル)−5−フリル−1H−ピラゾール−3−カルボン酸11.9g、ベンジルアルコール4.89g、ジフェニルホスホリルアジド12.4g及びトリエチルアミン5.0gをジオキサン100mlに加えた後、90℃で3時間反応させた。反応終了後、溶媒を減圧下で留去し、酢酸エチルと水を加えて抽出した。有機層を5%塩酸、飽和炭酸水素ナトリウム水溶液、水、飽和食塩水の順に洗浄後、無水硫酸マグネシウムで乾燥した。溶媒を減圧下で留去し、残渣をシリカゲルカラムクロマトグラフィー(溶離液:ヘキサン/酢酸エチル=1/1)で精製して目的物11.0g(融点:133.4℃)を得た。
1H-NMR(300MHz、CDCl3)δ:8.51 (d, 1H), 7.89 (d, 1H), 7.41(m, 5H), 7.28 (s, 1H), 6.28 (m, 1H), 6.07 (d, 1H), 5.24 (s, 2H).
(2)3−ベンジルオキシカルボニルアミノ−1−(3−クロロピリジン−2−イル)−1H−5−ピラゾールカルボン酸の合成
前工程(1)で得た3−ベンジルオキシカルボニルアミノ−1−(3−クロロピリジン−2−イル)−5−フリル−1H−ピラゾール8.9gをアセトニトリル70ml及び四塩化炭素70mlの混合溶媒に溶解した後、ルテニウムクロリド0.70g及び過ヨウ素酸ナトリウム21.5gの水溶液(150ml)を加え、室温で12時間攪拌した。反応終了後、反応溶液をセライトで濾過し、濾液を減圧下で濃縮後、残渣に酢酸エチルと1N塩酸を加えて抽出した。有機層を水洗後、炭酸水素ナトリウム飽和水溶液で洗浄し、水層を濃塩酸でpH3にした後、酢酸エチルで抽出した。有機層を水及び飽和食塩水で洗浄後、無水硫酸マグネシウムで乾燥した。溶媒を減圧下で留去し、目的物4.4g(融点:79.1℃)を得た。
1H-NMR(300MHz、DMSO−d6)δ:10.50 (s, 1H), 8.51(dd, 1H),8.18(dd, 1H), 7.61 (dd, 1H), 7.42-7.32 (m, 5H),7.03 (s, 1H) ,5.17 (s, 2H).
(1)3−ベンジルオキシカルボニルアミノ−1−(3−クロロピリジン−2−イル)−5−フリル−1H−ピラゾールの合成
実施例1の工程(2)で得た1−(3−クロロピリジン−2−イル)−5−フリル−1H−ピラゾール−3−カルボン酸11.9g、ベンジルアルコール4.89g、ジフェニルホスホリルアジド12.4g及びトリエチルアミン5.0gをジオキサン100mlに加えた後、90℃で3時間反応させた。反応終了後、溶媒を減圧下で留去し、酢酸エチルと水を加えて抽出した。有機層を5%塩酸、飽和炭酸水素ナトリウム水溶液、水、飽和食塩水の順に洗浄後、無水硫酸マグネシウムで乾燥した。溶媒を減圧下で留去し、残渣をシリカゲルカラムクロマトグラフィー(溶離液:ヘキサン/酢酸エチル=1/1)で精製して目的物11.0g(融点:133.4℃)を得た。
1H-NMR(300MHz、CDCl3)δ:8.51 (d, 1H), 7.89 (d, 1H), 7.41(m, 5H), 7.28 (s, 1H), 6.28 (m, 1H), 6.07 (d, 1H), 5.24 (s, 2H).
(2)3−ベンジルオキシカルボニルアミノ−1−(3−クロロピリジン−2−イル)−1H−5−ピラゾールカルボン酸の合成
前工程(1)で得た3−ベンジルオキシカルボニルアミノ−1−(3−クロロピリジン−2−イル)−5−フリル−1H−ピラゾール8.9gをアセトニトリル70ml及び四塩化炭素70mlの混合溶媒に溶解した後、ルテニウムクロリド0.70g及び過ヨウ素酸ナトリウム21.5gの水溶液(150ml)を加え、室温で12時間攪拌した。反応終了後、反応溶液をセライトで濾過し、濾液を減圧下で濃縮後、残渣に酢酸エチルと1N塩酸を加えて抽出した。有機層を水洗後、炭酸水素ナトリウム飽和水溶液で洗浄し、水層を濃塩酸でpH3にした後、酢酸エチルで抽出した。有機層を水及び飽和食塩水で洗浄後、無水硫酸マグネシウムで乾燥した。溶媒を減圧下で留去し、目的物4.4g(融点:79.1℃)を得た。
1H-NMR(300MHz、DMSO−d6)δ:10.50 (s, 1H), 8.51(dd, 1H),8.18(dd, 1H), 7.61 (dd, 1H), 7.42-7.32 (m, 5H),7.03 (s, 1H) ,5.17 (s, 2H).
実験例4−B 3−ベンジルオキシカルボニルアミノ−1−(3−クロロピリジン−2−イル)−1H−5−ピラゾールカルボン酸の合成 (2,4−ジオキソ−4−スチリルブタン酸エチルエステルを原料とした製法)
(1)1−(3−クロロピリジン−2−イル)−3−エトキシカルボニル−5−スチリル−1H−ピラゾールの合成
2,4−ジオキソ−4−スチリルブタン酸エチルエステル28gと、3−クロロ−2−ヒドラジニルピリジン16.3gとを酢酸250mlに溶解し、室温で1時間攪拌した後、100℃に加温して、さらに3時間反応させた。反応終了後、溶媒を減圧下に留去し、残渣に酢酸エチルと水を加えて抽出した。有機層を飽和炭酸水素ナトリウム水溶液、水、飽和食塩水の順で洗浄後、無水硫酸マグネシウムで乾燥した。溶媒を減圧下で留去し、目的物26g(融点:143.1℃)を得た。
1H-NMR(300MHz、CDCl3)δ:8.59 (dd, 1H),7.94 (dd, 1H), 7.47(dd, 1H), 7.39-7.20 (m, 6H), 7.12 (d, 1H), 6.63 (d, 1H), 4.44 (q, 2H), 1.42 (t, 3H).
(2)1−(3−クロロピリジン−2−イル)−5−スチリル−1H−ピラゾール−3−カルボン酸の合成
前工程(1)で得た1−(3−クロロピリジン−2−イル)−3−エトキシカルボニル−5−スチリル−1H−ピラゾール26gをメタノール250mlに溶解した後、水酸化ナトリウム3.5gの40ml水溶液を室温で滴下した。滴下終了後、還流下で3時間反応させ、反応終了後、溶媒を減圧下に留去した後、残渣に水とエーテルを加えて抽出した。水層を濃塩酸でpH3にして析出させた結晶を濾取し、酢酸エチルに溶解した後、飽和食塩水で洗浄し、無水硫酸マグネシウムで乾燥した。溶媒を減圧下に留去して、目的物20.0g(融点:237.0℃)を得た。
1H-NMR(300MHz、DMSO−d6)δ:13.0 (s, 1H),8.65 (dd, 1H),8.33 (dd, 1H), 7.78(dd, 1H), 7.51-7.24 (m, 7H), 6.71 (d, 1H).
(1)1−(3−クロロピリジン−2−イル)−3−エトキシカルボニル−5−スチリル−1H−ピラゾールの合成
2,4−ジオキソ−4−スチリルブタン酸エチルエステル28gと、3−クロロ−2−ヒドラジニルピリジン16.3gとを酢酸250mlに溶解し、室温で1時間攪拌した後、100℃に加温して、さらに3時間反応させた。反応終了後、溶媒を減圧下に留去し、残渣に酢酸エチルと水を加えて抽出した。有機層を飽和炭酸水素ナトリウム水溶液、水、飽和食塩水の順で洗浄後、無水硫酸マグネシウムで乾燥した。溶媒を減圧下で留去し、目的物26g(融点:143.1℃)を得た。
1H-NMR(300MHz、CDCl3)δ:8.59 (dd, 1H),7.94 (dd, 1H), 7.47(dd, 1H), 7.39-7.20 (m, 6H), 7.12 (d, 1H), 6.63 (d, 1H), 4.44 (q, 2H), 1.42 (t, 3H).
(2)1−(3−クロロピリジン−2−イル)−5−スチリル−1H−ピラゾール−3−カルボン酸の合成
前工程(1)で得た1−(3−クロロピリジン−2−イル)−3−エトキシカルボニル−5−スチリル−1H−ピラゾール26gをメタノール250mlに溶解した後、水酸化ナトリウム3.5gの40ml水溶液を室温で滴下した。滴下終了後、還流下で3時間反応させ、反応終了後、溶媒を減圧下に留去した後、残渣に水とエーテルを加えて抽出した。水層を濃塩酸でpH3にして析出させた結晶を濾取し、酢酸エチルに溶解した後、飽和食塩水で洗浄し、無水硫酸マグネシウムで乾燥した。溶媒を減圧下に留去して、目的物20.0g(融点:237.0℃)を得た。
1H-NMR(300MHz、DMSO−d6)δ:13.0 (s, 1H),8.65 (dd, 1H),8.33 (dd, 1H), 7.78(dd, 1H), 7.51-7.24 (m, 7H), 6.71 (d, 1H).
(3)3−ベンジルオキシカルボニルアミノ−1−(3−クロロピリジン−2−イル)−5−スチリル−1H−ピラゾールの合成
前工程(2)で得た1−(3−クロロピリジン−2−イル)−5−スチリル−1H−ピラゾール−3−カルボン酸20.0g、ベンジルアルコール7.3g、ジフェニルホスホリルアジド18.6g及びトリエチルアミン7.5gをジオキサン200mlに加えた後、90℃で5時間反応させた。反応終了後、溶媒を減圧下で留去し、酢酸エチルと水を加えて抽出した。有機層を水および飽和食塩水で洗浄後、無水硫酸マグネシウムで乾燥した。溶媒を減圧下で留去し、残渣をシリカゲルカラムクロマトグラフィー(溶離液:ヘキサン/酢酸エチル=1/1)で精製して目的物11.0g(融点:106.8℃)を得た。
1H-NMR (300MHz DMSO−d6)δ:10.36 (s, 1H), 8.60 (d, 1H),8.25 (d, 1H), 7.65 (dd, 1H), 7.47-7.18 (m, 11H), 6.98 (s, 1H),6.70 (d, 2H), 5.18 (s, 2H).
(4) 3−ベンジルオキシカルボニルアミノ−1−(3−クロロピリジン−2−イル)−5−ホルミル−1H−ピラゾールの合成
前工程(3)で得た3−ベンジルオキシカルボニルアミノ−1−(3−クロロピリジン−2−イル)−5−スチリル−1H−ピラゾール10gの酢酸エチル(250ml)溶液に、オゾン‐酸素気流を−65℃で4時間吹き込んだ。反応溶液に乾燥窒素を吹き込んで、過剰のオゾンを追い出した後、ジメチルスルフィド5mlを加え、徐々に室温に戻しながら、8時間攪拌した。溶媒を減圧下で留去後、残渣をシリカゲルカラムクロマトグラフィー(溶離液:ヘキサン/酢酸エチル=1/1)で精製して無定形固体の目的物5.2g(融点:41.2℃)を得た。
1H-NMR(300MHz、DMSO−d6)δ:10.67 (s, 1H), 9.79 (s, 1H), 8.53 (dd, 1H),8.23 (dd, 1H), 7.65 (s, 1H), 7.65 (s, 1H),7.39 (m, 6H) ,5.19 (s, 2H).
前工程(2)で得た1−(3−クロロピリジン−2−イル)−5−スチリル−1H−ピラゾール−3−カルボン酸20.0g、ベンジルアルコール7.3g、ジフェニルホスホリルアジド18.6g及びトリエチルアミン7.5gをジオキサン200mlに加えた後、90℃で5時間反応させた。反応終了後、溶媒を減圧下で留去し、酢酸エチルと水を加えて抽出した。有機層を水および飽和食塩水で洗浄後、無水硫酸マグネシウムで乾燥した。溶媒を減圧下で留去し、残渣をシリカゲルカラムクロマトグラフィー(溶離液:ヘキサン/酢酸エチル=1/1)で精製して目的物11.0g(融点:106.8℃)を得た。
1H-NMR (300MHz DMSO−d6)δ:10.36 (s, 1H), 8.60 (d, 1H),8.25 (d, 1H), 7.65 (dd, 1H), 7.47-7.18 (m, 11H), 6.98 (s, 1H),6.70 (d, 2H), 5.18 (s, 2H).
(4) 3−ベンジルオキシカルボニルアミノ−1−(3−クロロピリジン−2−イル)−5−ホルミル−1H−ピラゾールの合成
前工程(3)で得た3−ベンジルオキシカルボニルアミノ−1−(3−クロロピリジン−2−イル)−5−スチリル−1H−ピラゾール10gの酢酸エチル(250ml)溶液に、オゾン‐酸素気流を−65℃で4時間吹き込んだ。反応溶液に乾燥窒素を吹き込んで、過剰のオゾンを追い出した後、ジメチルスルフィド5mlを加え、徐々に室温に戻しながら、8時間攪拌した。溶媒を減圧下で留去後、残渣をシリカゲルカラムクロマトグラフィー(溶離液:ヘキサン/酢酸エチル=1/1)で精製して無定形固体の目的物5.2g(融点:41.2℃)を得た。
1H-NMR(300MHz、DMSO−d6)δ:10.67 (s, 1H), 9.79 (s, 1H), 8.53 (dd, 1H),8.23 (dd, 1H), 7.65 (s, 1H), 7.65 (s, 1H),7.39 (m, 6H) ,5.19 (s, 2H).
(5)3−ベンジルオキシカルボニルアミノ−1−(3−クロロピリジン−2−イル)−1H−5−ピラゾールカルボン酸の合成
前工程(4)で得た3−ベンジルオキシカルボニルアミノ−1−(3−クロロピリジン−2−イル)−5−ホルミル−1H−ピラゾール5.2g、t−ブタノール100ml及び2−メチル−2−ブタン100mlの混合溶液に、亜塩素酸ナトリウム(80%)14.5g及びリン酸二水素ナトリウム二水和物18.2gの100ml水溶液を、室温で徐々に滴下した後、48時間攪拌した。反応終了後、酢酸エチルと水を加えて抽出し、有機層を飽和食塩水で洗浄後、無水硫酸マグネシウムで乾燥した。溶媒を減圧下で留去して目的物4.8g(融点79.1℃)を得た。
1H-NMR (300MHz DMSO−d6)δ:10.50 (s, 1H), 8.51(dd, 1H),8.18(dd, 1H), 7.61 (dd, 1H), 7.42-7.32 (m, 5H),7.03 (s, 1H) ,5.17 (s, 2H).
前工程(4)で得た3−ベンジルオキシカルボニルアミノ−1−(3−クロロピリジン−2−イル)−5−ホルミル−1H−ピラゾール5.2g、t−ブタノール100ml及び2−メチル−2−ブタン100mlの混合溶液に、亜塩素酸ナトリウム(80%)14.5g及びリン酸二水素ナトリウム二水和物18.2gの100ml水溶液を、室温で徐々に滴下した後、48時間攪拌した。反応終了後、酢酸エチルと水を加えて抽出し、有機層を飽和食塩水で洗浄後、無水硫酸マグネシウムで乾燥した。溶媒を減圧下で留去して目的物4.8g(融点79.1℃)を得た。
1H-NMR (300MHz DMSO−d6)δ:10.50 (s, 1H), 8.51(dd, 1H),8.18(dd, 1H), 7.61 (dd, 1H), 7.42-7.32 (m, 5H),7.03 (s, 1H) ,5.17 (s, 2H).
実施例5 N−[2−ブロモ−4−クロロ−6−[[α−メチル−(シクロプロピルメチル)アミノ]カルボニル]−フェニル]−3−ブロモ−1−(3−クロロピリジン−2−イル)−1H−ピラゾール−5−カルボキサミドの合成(3)
(1)2−[3−ベンジルオキシカルボニルアミノ−1−(3−クロロピリジン−2−イル)−1H−ピラゾール−5−イル]−8−ブロモ−6−クロロ−4H−3,1−ベンゾオキサジン−4−オンの合成
実施例4−Aを繰り返すことにより得た3−ベンジルオキシカルボニルアミノ−1−(3−クロロピリジン−2−イル)−1H−5−ピラゾールカルボン酸4.8g及びピリジン1.8mlのアセトニトリル(50ml)溶液に、塩化メタンスルホニル1.3mlを、反応温度を0℃に保ちながら徐々に滴下した後、同温度で15分間撹拌した。そこへ、2−アミノ−3−ブロモ−5−クロロ安息香酸3.2gとピリジン3.6mlのアセトニトリル(30ml)溶液を、反応温度を0℃に保ちながら徐々に滴下した後、同温度で15分間撹拌した。最後に再び、塩化メタンスルホニル1.3mlを0℃で徐々に滴下した後、同温度で1時間、更に室温で一晩撹拌した。反応終了後、反応溶液を氷水に注入し、析出した結晶を濾取・水洗後、乾燥することにより目的物6.4g(融点:246.7℃)を得た。
1H-NMR(300MHz、DMSO−d6)δ:10.71 (s, 1H), 8.55 (d, 1H), 8.26 (d, 1H),8.19 (s, 1H), 8.11 (s, 1H), 7.67 (dd, 1H),7.45−7.29 (m, 6H) ,5.21 (s, 2H).
(2)2−[1−(3−クロロピリジン−2−イル)−3−トリフルオロアセチルアミノ−1H−ピラゾール−5−イル]−6−クロロ−8−ブロモ−4H−3,1−ベンゾオキサジン−4−オンの合成
前工程(1)で得られた2−[3−ベンジルオキシカルボニルアミノ−1−(3−クロロピリジン−2−イル)−1H−ピラゾール−5−イル]−8−ブロモ−6−クロロ−4H−3,1−ベンゾオキサジン−4−オン5.0gとトリフルオロ酢酸50mlの混合溶液を還流下で一晩撹拌した後、反応液を減圧下で濃縮した。残渣をシリカゲルカラムクロマトグラフィー(溶離液:ヘキサン/酢酸エチル=1/1)で精製して、目的物2.0g(融点:209.4℃)を得た。
1H-NMR(300MHz、DMSO−d6)δ:12.67 (s, 1H), 8.57 (d, 1H), 8.31 (d, 1H),8.20 (s, 1H), 8.13 (s, 1H), 7.73−7.69 (m, 1H),7.48 (s, 1H).
(1)2−[3−ベンジルオキシカルボニルアミノ−1−(3−クロロピリジン−2−イル)−1H−ピラゾール−5−イル]−8−ブロモ−6−クロロ−4H−3,1−ベンゾオキサジン−4−オンの合成
実施例4−Aを繰り返すことにより得た3−ベンジルオキシカルボニルアミノ−1−(3−クロロピリジン−2−イル)−1H−5−ピラゾールカルボン酸4.8g及びピリジン1.8mlのアセトニトリル(50ml)溶液に、塩化メタンスルホニル1.3mlを、反応温度を0℃に保ちながら徐々に滴下した後、同温度で15分間撹拌した。そこへ、2−アミノ−3−ブロモ−5−クロロ安息香酸3.2gとピリジン3.6mlのアセトニトリル(30ml)溶液を、反応温度を0℃に保ちながら徐々に滴下した後、同温度で15分間撹拌した。最後に再び、塩化メタンスルホニル1.3mlを0℃で徐々に滴下した後、同温度で1時間、更に室温で一晩撹拌した。反応終了後、反応溶液を氷水に注入し、析出した結晶を濾取・水洗後、乾燥することにより目的物6.4g(融点:246.7℃)を得た。
1H-NMR(300MHz、DMSO−d6)δ:10.71 (s, 1H), 8.55 (d, 1H), 8.26 (d, 1H),8.19 (s, 1H), 8.11 (s, 1H), 7.67 (dd, 1H),7.45−7.29 (m, 6H) ,5.21 (s, 2H).
(2)2−[1−(3−クロロピリジン−2−イル)−3−トリフルオロアセチルアミノ−1H−ピラゾール−5−イル]−6−クロロ−8−ブロモ−4H−3,1−ベンゾオキサジン−4−オンの合成
前工程(1)で得られた2−[3−ベンジルオキシカルボニルアミノ−1−(3−クロロピリジン−2−イル)−1H−ピラゾール−5−イル]−8−ブロモ−6−クロロ−4H−3,1−ベンゾオキサジン−4−オン5.0gとトリフルオロ酢酸50mlの混合溶液を還流下で一晩撹拌した後、反応液を減圧下で濃縮した。残渣をシリカゲルカラムクロマトグラフィー(溶離液:ヘキサン/酢酸エチル=1/1)で精製して、目的物2.0g(融点:209.4℃)を得た。
1H-NMR(300MHz、DMSO−d6)δ:12.67 (s, 1H), 8.57 (d, 1H), 8.31 (d, 1H),8.20 (s, 1H), 8.13 (s, 1H), 7.73−7.69 (m, 1H),7.48 (s, 1H).
(3)N−[2−ブロモ−4−クロロ−6−[[α−メチル−(シクロプロピルメチル)アミノ]カルボニル]−フェニル]−1−(3−クロロピリジン−2−イル)−3−トリフルオロアセチルアミノ−1H−ピラゾール−5−カルボキサミドの合成
前工程(2)で得られた2−[1−(3−クロロピリジン−2−イル)−3−トリフルオロアセチルアミノ−1H−ピラゾール−5−イル]−8−ブロモ−6−クロロ−4H−3,1−ベンゾオキサジン−4−オン2.0g及びα−メチル−シクロプロピルメチルアミン2.0gのアセトニトリル(50ml)溶液を、室温で3時間撹拌した後、反応液を減圧下で濃縮した。残渣をシリカゲルカラムクロマトグラフィー(溶離液:ヘキサン/酢酸エチル=1/1)で精製して、目的物1.3g(融点:152.0℃)を得た。
1H-NMR(300MHz、DMSO−d6)δ:12.44 (s, 1H), 10.43(s,1H), 8.37 (d, 1H), 8.10 (d, 1H), 8.05 (d, 1H), 7.82 (s, 1H), 7.65 (s, 1H), 7.50−7.46 (m, 1H), 7.42 (s, 1H), 3.16(q, 1H), 0.95(d, 3H), 0.71(m, 1H), 0.25 (m, 1H), 0.15 (m,1H), 0.03 (m, 2H).
(4)N−[2−ブロモ−4−クロロ−6−[[α−メチル−(シクロプロピルメチル)アミノ]カルボニル]−フェニル]−3−アミノ−1−(3−クロロピリジン−2−イル)−1H−ピラゾール−5−カルボキサミドの合成
前工程(3)で得られたN−[2−ブロモ−4−クロロ−6−[[α−メチル−(シクロプロピルメチル)アミノ]カルボニル]−フェニル]−1−(3−クロロピリジン−2−イル)−3−トリフルオロアセチルアミノ−1H−ピラゾール−5−カルボキサミド1.2gと28%アンモニア水50mlの混合溶液を、室温で一晩撹拌させた後、反応液を減圧下で濃縮し、残渣をシリカゲルカラムクロマトグラフィー(溶離液:酢酸エチル)で精製して、目的物0.42g(融点:139.8℃)を得た。
1H-NMR (300MHz DMSO−d6)δ:9.94 (s, 1H), 8.24(d, 1H), 8.04 (d, 1H), 7.87 (d, 1H), 7.77 (s, 1H), 7.38 (s, 1H), 7.33−7.27 (m, 2H), 6.35 (s, 2H), 3.16(q, 1H), 0.86(d, 3H), 0.69 (m, 1H), 0.23 (m, 1H), 0.17 (m,1H), 0.02 (m, 2H).
(5)N−[2−ブロモ−4−クロロ−6−[[α−メチル−(シクロプロピルメチル)アミノ]カルボニル]−フェニル]−3−ブロモ−1−(3−クロロピリジン−2−イル)−1H−ピラゾール−5−カルボキサミドの合成
臭化銅(II)0.17gと90%亜硝酸t−ブチル0.12gの10mlアセトニトリル溶液に、前工程(4)で得られたN−[2−ブロモ−4−クロロ−6−[[α−メチル−(シクロプロピルメチル)アミノ]カルボニル]−フェニル]−3−アミノ−1−(3−クロロピリジン−2−イル)−1H−ピラゾール−5−カルボキサミド0.41gの10mlアセトニトリル溶液を0℃で徐々に滴下した後、徐々に室温まで昇温させながら一晩攪拌した。反応液を氷水に注入後、酢酸エチルで抽出し、有機層を水及び飽和食塩水で洗浄後、無水硫酸マグネシウムで乾燥した。溶媒を減圧下で留去後、残渣をシリカゲルカラムクロマトグラフィー(溶離液:ヘキサン/酢酸エチル=2/1〜1/1)で精製して目的物0.1g(融点:193.5℃)を得た。
1H-NMR(300MHz、DMSO−d6)δ:10.34 (s, 1H), 8.37(d, 1H), 8.18 (d, 1H), 8.05 (d, 1H), 7.84 (s, 1H), 7.50 (dd, 1H), 7.44 (s, 1H), 7.35 (s, 1H), 3.17 (q, 1H), 0.95 (d, 3H), 0.72 (m, 1H), 0.25 (m, 1H), 0.17 (m,1H), 0.05 (m, 2H).
前工程(2)で得られた2−[1−(3−クロロピリジン−2−イル)−3−トリフルオロアセチルアミノ−1H−ピラゾール−5−イル]−8−ブロモ−6−クロロ−4H−3,1−ベンゾオキサジン−4−オン2.0g及びα−メチル−シクロプロピルメチルアミン2.0gのアセトニトリル(50ml)溶液を、室温で3時間撹拌した後、反応液を減圧下で濃縮した。残渣をシリカゲルカラムクロマトグラフィー(溶離液:ヘキサン/酢酸エチル=1/1)で精製して、目的物1.3g(融点:152.0℃)を得た。
1H-NMR(300MHz、DMSO−d6)δ:12.44 (s, 1H), 10.43(s,1H), 8.37 (d, 1H), 8.10 (d, 1H), 8.05 (d, 1H), 7.82 (s, 1H), 7.65 (s, 1H), 7.50−7.46 (m, 1H), 7.42 (s, 1H), 3.16(q, 1H), 0.95(d, 3H), 0.71(m, 1H), 0.25 (m, 1H), 0.15 (m,1H), 0.03 (m, 2H).
(4)N−[2−ブロモ−4−クロロ−6−[[α−メチル−(シクロプロピルメチル)アミノ]カルボニル]−フェニル]−3−アミノ−1−(3−クロロピリジン−2−イル)−1H−ピラゾール−5−カルボキサミドの合成
前工程(3)で得られたN−[2−ブロモ−4−クロロ−6−[[α−メチル−(シクロプロピルメチル)アミノ]カルボニル]−フェニル]−1−(3−クロロピリジン−2−イル)−3−トリフルオロアセチルアミノ−1H−ピラゾール−5−カルボキサミド1.2gと28%アンモニア水50mlの混合溶液を、室温で一晩撹拌させた後、反応液を減圧下で濃縮し、残渣をシリカゲルカラムクロマトグラフィー(溶離液:酢酸エチル)で精製して、目的物0.42g(融点:139.8℃)を得た。
1H-NMR (300MHz DMSO−d6)δ:9.94 (s, 1H), 8.24(d, 1H), 8.04 (d, 1H), 7.87 (d, 1H), 7.77 (s, 1H), 7.38 (s, 1H), 7.33−7.27 (m, 2H), 6.35 (s, 2H), 3.16(q, 1H), 0.86(d, 3H), 0.69 (m, 1H), 0.23 (m, 1H), 0.17 (m,1H), 0.02 (m, 2H).
(5)N−[2−ブロモ−4−クロロ−6−[[α−メチル−(シクロプロピルメチル)アミノ]カルボニル]−フェニル]−3−ブロモ−1−(3−クロロピリジン−2−イル)−1H−ピラゾール−5−カルボキサミドの合成
臭化銅(II)0.17gと90%亜硝酸t−ブチル0.12gの10mlアセトニトリル溶液に、前工程(4)で得られたN−[2−ブロモ−4−クロロ−6−[[α−メチル−(シクロプロピルメチル)アミノ]カルボニル]−フェニル]−3−アミノ−1−(3−クロロピリジン−2−イル)−1H−ピラゾール−5−カルボキサミド0.41gの10mlアセトニトリル溶液を0℃で徐々に滴下した後、徐々に室温まで昇温させながら一晩攪拌した。反応液を氷水に注入後、酢酸エチルで抽出し、有機層を水及び飽和食塩水で洗浄後、無水硫酸マグネシウムで乾燥した。溶媒を減圧下で留去後、残渣をシリカゲルカラムクロマトグラフィー(溶離液:ヘキサン/酢酸エチル=2/1〜1/1)で精製して目的物0.1g(融点:193.5℃)を得た。
1H-NMR(300MHz、DMSO−d6)δ:10.34 (s, 1H), 8.37(d, 1H), 8.18 (d, 1H), 8.05 (d, 1H), 7.84 (s, 1H), 7.50 (dd, 1H), 7.44 (s, 1H), 7.35 (s, 1H), 3.17 (q, 1H), 0.95 (d, 3H), 0.72 (m, 1H), 0.25 (m, 1H), 0.17 (m,1H), 0.05 (m, 2H).
実施例6 N−[2−ブロモ−4−クロロ−6−[[α−メチル−(シクロプロピルメチル)アミノ]カルボニル]−フェニル]−3−ブロモ−1−(3−クロロピリジン−2−イル)−1H−ピラゾール−5−カルボキサミドの合成(4)
前記実施例5の工程(4)を繰り返すことにより得たN−[2−ブロモ−4−クロロ−6−[[α−メチル−(シクロプロピルメチル)アミノ]カルボニル]−フェニル]−3−アミノ−1−(3−クロロピリジン−2−イル)−1H−ピラゾール−5−カルボキサミド 1gの7mlブロモホルム溶液に、80℃で90%亜硝酸t−ブチル0.43gを徐々に滴下した後、2時間攪拌した。反応溶液を室温に冷却後、過剰のn−ヘキサンを加えて析出物を濾取することにより、目的物0.91g(HPLC純度86%)を得た。
前記実施例5の工程(4)を繰り返すことにより得たN−[2−ブロモ−4−クロロ−6−[[α−メチル−(シクロプロピルメチル)アミノ]カルボニル]−フェニル]−3−アミノ−1−(3−クロロピリジン−2−イル)−1H−ピラゾール−5−カルボキサミド 1gの7mlブロモホルム溶液に、80℃で90%亜硝酸t−ブチル0.43gを徐々に滴下した後、2時間攪拌した。反応溶液を室温に冷却後、過剰のn−ヘキサンを加えて析出物を濾取することにより、目的物0.91g(HPLC純度86%)を得た。
Claims (11)
- 式(I):
(式中、R1はハロゲン、アルキル、ハロアルキル、アルケニル、ハロアルケニル、アルキニル、ハロアルキニル、アルコキシ、ハロアルコキシ、アルキルカルボニル、ハロアルキルカルボニル、アルコキシカルボニル、ハロアルコキシカルボニル、ニトロ、ホルミル又はシアノであり、AはYで置換されてもよいアルキルであり、Yはハロゲン、アルキル及びハロアルキルからなる群より選択される少なくとも1つの置換基で置換されてもよいC3−4シクロアルキルであり、Xはハロゲンであり、mは0〜4である)で表されるアントラニルアミド化合物又はその塩の製造方法であって、式(II):
(式中、R1、A及びmは前述の通りである)で表される化合物をジアゾ化した後、ハロゲン化銅、金属銅又はハロゲン化アルキルの存在下でハロゲン化させることを特徴とする方法。 - 式(III):
(式中、R1はハロゲン、アルキル、ハロアルキル、アルケニル、ハロアルケニル、アルキニル、ハロアルキニル、アルコキシ、ハロアルコキシ、アルキルカルボニル、ハロアルキルカルボニル、アルコキシカルボニル、ハロアルコキシカルボニル、ニトロ、ホルミル又はシアノであり、R2はハロゲンで置換されてもよいアルキル;ハロゲンで置換されてもよいアルケニル;ハロゲンで置換されてもよいアルキニル;又はフェニル部分がハロゲン、アルキル、ハロアルキル、アルコキシ、ハロアルコキシ、シアノ及びニトロからなる群より選択される1〜5個の置換基で置換されてもよいベンジルであり、AはYで置換されてもよいアルキルであり、Yはハロゲン、アルキル及びハロアルキルからなる群より選択される少なくとも1つの置換基で置換されてもよいC3−4シクロアルキルであり、mは0〜4である)で表される化合物を脱保護処理してR2O2C−で表される保護基を脱離させ、式(II):
(式中、R1、A及びmは前述の通りである)で表される化合物を製造し、式(II)の化合物をジアゾ化した後、ハロゲン化銅、金属銅又はハロゲン化アルキルの存在下でハロゲン化させる請求項1に記載の方法。 - 式(IV-1):
(式中、R2はハロゲンで置換されてもよいアルキル;ハロゲンで置換されてもよいアルケニル;ハロゲンで置換されてもよいアルキニル;又はフェニル部分がハロゲン、アルキル、ハロアルキル、アルコキシ、ハロアルコキシ、シアノ及びニトロからなる群より選択される1〜5個の置換基で置換されてもよいベンジルである)で表される化合物と式(V):
(式中、R1はハロゲン、アルキル、ハロアルキル、アルケニル、ハロアルケニル、アルキニル、ハロアルキニル、アルコキシ、ハロアルコキシ、アルキルカルボニル、ハロアルキルカルボニル、アルコキシカルボニル、ハロアルコキシカルボニル、ニトロ、ホルミル又はシアノであり、mは0〜4である)で表される化合物を反応させ、式(VI):
(式中、R1、R2及びmは前述の通りである)で表される化合物を製造し;
式(VI)の化合物と式(VII):
(式中、AはYで置換されてもよいアルキルであり、Yはハロゲン、アルキル及びハロアルキルからなる群より選択される少なくとも1つの置換基で置換されてもよいC3−4シクロアルキルである)で表される化合物を反応させ、式(III):
(式中、R1、R2、A及びmは前述の通りである)で表される化合物を製造し;
式(III)の化合物を脱保護処理してR2O2C−で表される保護基を脱離させ、式(II):
(式中、R1、A及びmは前述の通りである)で表される化合物を製造し、式(II)の化合物をジアゾ化した後、ハロゲン化銅、金属銅又はハロゲン化アルキルの存在下でハロゲン化させる請求項1に記載の方法。 - 式(XII):
(式中、R5はアルキルであり、R6は2−フリル又はα−スチリルである)で表される化合物と、式(XIII):
で表される化合物とを反応させ、式(XIV):
(式中、R5及びR6は前述の通りである)で表される化合物を製造し、式(XIV)の化合物を加水分解して式(XV):
(式中、R6は前述の通りである)で表される化合物を製造し、式(XV)の化合物と、式(XVI):
(式中、R2はハロゲンで置換されてもよいアルキル;ハロゲンで置換されてもよいアルケニル;ハロゲンで置換されてもよいアルキニル;又はフェニル部分がハロゲン、アルキル、ハロアルキル、アルコキシ、ハロアルコキシ、シアノ及びニトロからなる群より選択される1〜5個の置換基で置換されてもよいベンジルである)で表されるアルコール及びジフェニルホスホリルアジドとを反応させ、式(XVII):
(式中、R2及びR6は前述の通りである)で表される化合物を製造し、式(VII)の化合物と酸化剤とを反応させ、式(IV-1):
(式中、R2は前述の通りである)で表される化合物を製造し、式(IV-1)の化合物と式(V):
(式中、R1はハロゲン、アルキル、ハロアルキル、アルケニル、ハロアルケニル、アルキニル、ハロアルキニル、アルコキシ、ハロアルコキシ、アルキルカルボニル、ハロアルキルカルボニル、アルコキシカルボニル、ハロアルコキシカルボニル、ニトロ、ホルミル又はシアノであり、mは0〜4である)で表される化合物を反応させ、式(VI):
(式中、R1、R2及びmは前述の通りである)で表される化合物を製造し;
式(VI)の化合物と式(VII):
(式中、AはYで置換されてもよいアルキルであり、Yはハロゲン、アルキル及びハロアルキルからなる群より選択される少なくとも1つの置換基で置換されてもよいC3−4シクロアルキルである)で表される化合物を反応させ、式(III):
(式中、R1、R2、A及びmは前述の通りである)で表される化合物を製造し;
式(III)の化合物を脱保護処理してR2O2C−で表される保護基を脱離させ、式(II):
(式中、R1、A及びmは前述の通りである)で表される化合物を製造し;式(II)の化合物をジアゾ化した後、ハロゲン化銅、金属銅又はハロゲン化アルキルの存在下でハロゲン化させる請求項1に記載の方法。 - 式(III):
(式中、R1はハロゲン、アルキル、ハロアルキル、アルケニル、ハロアルケニル、アルキニル、ハロアルキニル、アルコキシ、ハロアルコキシ、アルキルカルボニル、ハロアルキルカルボニル、アルコキシカルボニル、ハロアルコキシカルボニル、ニトロ、ホルミル又はシアノであり、R2はハロゲンで置換されてもよいアルキル;ハロゲンで置換されてもよいアルケニル;ハロゲンで置換されてもよいアルキニル;又はフェニル部分がハロゲン、アルキル、ハロアルキル、アルコキシ、ハロアルコキシ、シアノ及びニトロからなる群より選択される1〜5個の置換基で置換されてもよいベンジルであり、AはYで置換されてもよいアルキルであり、Yはハロゲン、アルキル及びハロアルキルからなる群より選択される少なくとも1つの置換基で置換されてもよいC3−4シクロアルキルであり、mは0〜4である)で表される化合物又はその塩。 - 式(VI):
(式中、R1はハロゲン、アルキル、ハロアルキル、アルケニル、ハロアルケニル、アルキニル、ハロアルキニル、アルコキシ、ハロアルコキシ、アルキルカルボニル、ハロアルキルカルボニル、アルコキシカルボニル、ハロアルコキシカルボニル、ニトロ、ホルミル又はシアノであり、R2はハロゲンで置換されてもよいアルキル;ハロゲンで置換されてもよいアルケニル;ハロゲンで置換されてもよいアルキニル;又はフェニル部分がハロゲン、アルキル、ハロアルキル、アルコキシ、ハロアルコキシ、シアノ及びニトロからなる群より選択される1〜5個の置換基で置換されてもよいベンジルであり、mは0〜4である)で表される化合物又はその塩。 - 式(IV-1):
(式中、R2はハロゲンで置換されてもよいアルキル;ハロゲンで置換されてもよいアルケニル;ハロゲンで置換されてもよいアルキニル又はフェニル部分がハロゲン、アルキル、ハロアルキル、アルコキシ、ハロアルコキシ、シアノ及びニトロから選択される1〜5個の置換基で置換されてもよいベンジルである)で表されるピラゾールカルボン酸誘導体又はその塩の製造方法であって、
工程(1) 式(XII):
(式中、R5はアルキルであり、R6は2−フリル又はα−スチリルである)で表される化合物と、式(XIII):
で表される化合物とを反応させ、式(XIV):
(式中、R5及びR6は前述の通りである)で表される化合物を製造する工程;
工程(2) 工程(1)で得られた式(XIV)の化合物を加水分解して式(XV):
(式中、R6は前述の通りである)で表される化合物又はその塩を製造する工程;
工程(3) 工程(2)で得られた式(XV)の化合物と、式(XVI):
(式中、R2は前述の通りである)で表されるアルコール及びジフェニルホスホリルアジドとを反応させ、式(XVII):
(式中、R2又はR6は前述の通りである)で表される化合物を製造する工程;及び
工程(4) 工程(3)で得られた式(XVII)の化合物と酸化剤とを反応させ、前記式(IV-1)で表されるピラゾールカルボン酸誘導体又はその塩を製造する工程を含む方法。 - R6が2−フリルである式(XII)の化合物を、工程(1)における出発化合物として使用する請求項9に記載の方法。
- R6がα−スチリルである式(XII)の化合物を、工程(1)における出発化合物として使用する請求項9に記載の方法。
Priority Applications (1)
| Application Number | Priority Date | Filing Date | Title |
|---|---|---|---|
| JP2007320102A JP2009001541A (ja) | 2006-12-15 | 2007-12-11 | 新規ピラゾール化合物を中間体として用いるアントラニルアミド系化合物の製造方法 |
Applications Claiming Priority (4)
| Application Number | Priority Date | Filing Date | Title |
|---|---|---|---|
| JP2006339100 | 2006-12-15 | ||
| JP2007128991 | 2007-05-15 | ||
| JP2007137551 | 2007-05-24 | ||
| JP2007320102A JP2009001541A (ja) | 2006-12-15 | 2007-12-11 | 新規ピラゾール化合物を中間体として用いるアントラニルアミド系化合物の製造方法 |
Publications (1)
| Publication Number | Publication Date |
|---|---|
| JP2009001541A true JP2009001541A (ja) | 2009-01-08 |
Family
ID=39511756
Family Applications (1)
| Application Number | Title | Priority Date | Filing Date |
|---|---|---|---|
| JP2007320102A Pending JP2009001541A (ja) | 2006-12-15 | 2007-12-11 | 新規ピラゾール化合物を中間体として用いるアントラニルアミド系化合物の製造方法 |
Country Status (2)
| Country | Link |
|---|---|
| JP (1) | JP2009001541A (ja) |
| WO (1) | WO2008072743A1 (ja) |
Families Citing this family (56)
| Publication number | Priority date | Publication date | Assignee | Title |
|---|---|---|---|---|
| JP2009023991A (ja) * | 2007-06-20 | 2009-02-05 | Ishihara Sangyo Kaisha Ltd | アントラニルアミド系化合物の製造方法 |
| CN104381250B (zh) | 2009-01-27 | 2017-04-12 | 巴斯夫欧洲公司 | 拌种方法 |
| WO2010089244A1 (en) | 2009-02-03 | 2010-08-12 | Basf Se | Method for dressing seeds |
| JP2012519662A (ja) | 2009-03-04 | 2012-08-30 | ビーエーエスエフ ソシエタス・ヨーロピア | 無脊椎有害生物を駆除するための3−アリールキナゾリン−4−オン化合物 |
| JP2012522750A (ja) | 2009-04-01 | 2012-09-27 | ビーエーエスエフ ソシエタス・ヨーロピア | 無脊椎動物害虫を駆除するためのイソキサゾリン化合物 |
| CN104082289A (zh) | 2009-04-28 | 2014-10-08 | 巴斯夫公司 | 可发泡农药组合物 |
| ES2472918T3 (es) | 2009-07-06 | 2014-07-03 | Basf Se | Compuestos de piridazina para controlar plagas de invertebrados |
| CN102469785A (zh) | 2009-07-24 | 2012-05-23 | 巴斯夫欧洲公司 | 防治无脊椎动物害虫的吡啶衍生物 |
| MX2012001170A (es) | 2009-07-30 | 2012-07-20 | Merial Ltd | Compuestos de 4-amino-tieno [2,3-d]pirimidina insecticidas y metodos para su uso. |
| BR112012004222A2 (pt) | 2009-08-28 | 2019-09-24 | Basf Corp | composições pesticidas espumantes e metodos de aplicação |
| JP2013505909A (ja) | 2009-09-24 | 2013-02-21 | ビーエーエスエフ ソシエタス・ヨーロピア | 無脊椎動物害虫を駆除するためのアミノキナゾリン化合物 |
| WO2011057942A1 (en) | 2009-11-12 | 2011-05-19 | Basf Se | Insecticidal methods using pyridine compounds |
| WO2011061110A1 (en) | 2009-11-17 | 2011-05-26 | Basf Se | Fluorinated oxa or thia heteroarylalkylsulfide derivatives for combating invertebrate pests |
| WO2011064188A1 (en) | 2009-11-27 | 2011-06-03 | Basf Se | Insecticidal methods using nitrogen-containing heteroaromatic compounds |
| EP2507209B1 (en) | 2009-12-04 | 2015-07-08 | Merial, Inc. | Pesticidal bis-organosulfur compounds |
| WO2011069955A1 (en) | 2009-12-07 | 2011-06-16 | Basf Se | Sulfonimidamide compounds for combating animal pests |
| WO2011073444A2 (en) | 2009-12-18 | 2011-06-23 | Basf Se | Azoline compounds for combating invertebrate pests |
| EP2531493B1 (en) | 2010-02-01 | 2015-07-22 | Basf Se | Substituted ketonic isoxazoline compounds and derivatives for combating animal pests |
| WO2011117198A2 (en) | 2010-03-23 | 2011-09-29 | Basf Se | Pyridazine compounds for controlling invertebrate pests |
| WO2011117806A2 (en) | 2010-03-23 | 2011-09-29 | Basf Se | Pyridazine compounds for controlling invertebrate pests |
| WO2011117286A1 (en) | 2010-03-23 | 2011-09-29 | Basf Se | Pyridazine compounds for controlling invertebrate pests |
| US20130131091A1 (en) | 2010-05-24 | 2013-05-23 | Kimihiko Goto | Harmful organism control agent |
| AU2011257163B2 (en) | 2010-05-28 | 2014-07-24 | Basf Se | Pesticidal mixtures |
| WO2012007426A1 (en) | 2010-07-13 | 2012-01-19 | Basf Se | Azoline substituted isoxazoline benzamide compounds for combating animal pests |
| EP2595981B1 (en) | 2010-07-22 | 2014-12-10 | Basf Se | Novel hetaryl (thio)carboxamide compounds for controlling invertebrate pests |
| BR112013005484B1 (pt) | 2010-09-13 | 2018-05-15 | Basf Se | Método para controlar pragas invertebradas, método para proteger material de propagação de planta e composição agrícola |
| WO2012034961A1 (en) | 2010-09-13 | 2012-03-22 | Basf Se | Pyridine compounds for controlling invertebrate pests i |
| WO2012034959A2 (en) | 2010-09-13 | 2012-03-22 | Basf Se | Pyridine compounds for controlling invertebrate pests iii |
| KR20130143047A (ko) | 2010-10-01 | 2013-12-30 | 바스프 에스이 | 살충제로서의 이민 치환된 2,4-디아릴-피롤린 유도체 |
| BR112013007056A2 (pt) | 2010-10-01 | 2019-09-24 | Basf Se | compostos de imina |
| BR112013013623A2 (pt) | 2010-12-10 | 2016-07-12 | Basf Se | métodos para controlar pragas invertebradas e para proteger material de propagagação de planta e/ou as plantas, material de propagação de planta, uso de um composto da fórmula i e composto de pirazol da fórmula i |
| WO2012084670A1 (en) | 2010-12-20 | 2012-06-28 | Basf Se | Pesticidal active mixtures comprising pyrazole compounds |
| WO2012085081A1 (en) | 2010-12-22 | 2012-06-28 | Basf Se | Sulfoximinamide compounds for combating invertebrate pests ii |
| US9179680B2 (en) | 2011-04-06 | 2015-11-10 | Basf Se | Substituted pyrimidinium compounds for combating animal pests |
| AU2012244846B2 (en) | 2011-04-21 | 2016-07-07 | Basf Se | Novel pesticidal pyrazole compounds |
| CN103842342A (zh) | 2011-08-12 | 2014-06-04 | 巴斯夫欧洲公司 | 邻氨基苯甲酰胺化合物及其作为农药的用途 |
| EP2742027A1 (en) | 2011-08-12 | 2014-06-18 | Basf Se | N-thio-anthranilamide compounds and their use as pesticides |
| IN2014CN01025A (ja) | 2011-08-12 | 2015-04-10 | Basf Se | |
| IN2014CN00979A (ja) | 2011-08-12 | 2015-04-10 | Basf Se | |
| CN103842354A (zh) | 2011-08-12 | 2014-06-04 | 巴斯夫欧洲公司 | 邻氨基苯甲酰胺化合物及其作为农药的用途 |
| AR087515A1 (es) | 2011-08-12 | 2014-03-26 | Basf Se | Compuestos de n-tio-antranilamida y sus usos como plaguicidas |
| WO2013024169A1 (en) | 2011-08-18 | 2013-02-21 | Basf Se | Carbamoylmethoxy- and carbamoylmethylthio- and carbamoylmethylamino benzamides for combating invertebrate pests |
| US20140243197A1 (en) | 2011-08-18 | 2014-08-28 | Basf Se | Carbamoylmethoxy- and carbamoylmethylthio- and carbamoylmethylamino benzamides for combating invertebrate pests |
| WO2013024170A1 (en) | 2011-08-18 | 2013-02-21 | Basf Se | Carbamoylmethoxy- and carbamoylmethylthio- and carbamoylmethylamino benzamides for combating invertebrate pests |
| CN104023535A (zh) | 2011-09-02 | 2014-09-03 | 巴斯夫欧洲公司 | 农药活性的3-芳基喹唑啉-4-酮衍生物在土壤施用方法中的用途 |
| US9487523B2 (en) | 2012-03-14 | 2016-11-08 | Merck Sharp & Dohme Corp. | Process for making CGRP receptor antagonists |
| ES2800288T3 (es) | 2012-06-20 | 2020-12-29 | Basf Se | Mezclas plaguicidas que comprenden un compuesto de pirazol |
| EP2684879A1 (en) | 2012-07-09 | 2014-01-15 | Basf Se | Substituted mesoionic compounds for combating animal pests |
| US20150230470A1 (en) | 2012-09-21 | 2015-08-20 | Basf Se | Pyrethroid Insecticide For Protecting Plants And Seed |
| AR100304A1 (es) | 2014-02-05 | 2016-09-28 | Basf Corp | Formulación de recubrimiento de semillas |
| WO2016091674A1 (en) | 2014-12-12 | 2016-06-16 | Basf Se | Use of cyclaniliprole on cultivated plants |
| UY37137A (es) | 2016-02-24 | 2017-09-29 | Merial Inc | Compuestos antiparasitarios de isoxazolina, formulaciones inyectables de acción prolongada que los comprenden, métodos y usos de los mismos |
| CA3085695A1 (en) | 2017-12-20 | 2019-06-27 | Pi Industries Ltd. | Pyrazolopyridine-diamides, their use as insecticide and processes for preparing the same. |
| WO2019123194A1 (en) | 2017-12-20 | 2019-06-27 | Pi Industries Ltd. | Anthranilamides, their use as insecticide and processes for preparing the same. |
| CN111936485A (zh) | 2018-01-30 | 2020-11-13 | Pi工业有限公司 | 新型邻氨基苯甲酰胺,其作为杀虫剂的用途及其制备方法 |
| WO2021193432A1 (ja) | 2020-03-25 | 2021-09-30 | 石原産業株式会社 | シクラニリプロールの製造中間体の製造方法 |
Family Cites Families (10)
| Publication number | Priority date | Publication date | Assignee | Title |
|---|---|---|---|---|
| JPH0660176B2 (ja) * | 1984-03-22 | 1994-08-10 | 日産化学工業株式会社 | ピラゾールスルホニルウレア誘導体、製法および選択性除草剤 |
| JPS60243083A (ja) * | 1984-05-18 | 1985-12-03 | Nissan Chem Ind Ltd | ピラゾ−ルスルホニルウレア誘導体、その製法および該誘導体を含有する除草剤 |
| CA2454298A1 (en) * | 2001-08-13 | 2003-02-27 | Gary David Annis | Substituted 1h-dihydropyrazoles, their preparation and use |
| AR036872A1 (es) * | 2001-08-13 | 2004-10-13 | Du Pont | Compuesto de antranilamida, composicion que lo comprende y metodo para controlar una plaga de invertebrados |
| TWI327566B (en) * | 2001-08-13 | 2010-07-21 | Du Pont | Novel substituted ihydro 3-halo-1h-pyrazole-5-carboxylates,their preparation and use |
| TWI325302B (en) * | 2001-08-13 | 2010-06-01 | Du Pont | Benzoxazinone compounds |
| DE60230421D1 (de) * | 2001-08-16 | 2009-01-29 | Du Pont | Substituierte anthranilamide und ihre verwendung als pesticide |
| TWI343376B (en) * | 2002-07-31 | 2011-06-11 | Du Pont | Method for preparing 3-halo-4, 5-dihydro-1h-pyrazoles |
| US20050032869A1 (en) * | 2003-07-08 | 2005-02-10 | Pharmacia Italia S.P.A. | Pyrazolyl-indole derivatives active as kinase inhibitors, process for their preparation and pharmaceutical compositions comprising them |
| SI1717237T1 (sl) * | 2004-02-18 | 2011-03-31 | Ishihara Sangyo Kaisha | Antranilamidi, postopek za njihovo proizvodnjo in sredstva za zatiranje škodljivcev, ki jih vsebujejo |
-
2007
- 2007-12-11 JP JP2007320102A patent/JP2009001541A/ja active Pending
- 2007-12-14 WO PCT/JP2007/074166 patent/WO2008072743A1/ja not_active Ceased
Also Published As
| Publication number | Publication date |
|---|---|
| WO2008072743A1 (ja) | 2008-06-19 |
Similar Documents
| Publication | Publication Date | Title |
|---|---|---|
| JP2009001541A (ja) | 新規ピラゾール化合物を中間体として用いるアントラニルアミド系化合物の製造方法 | |
| JP5507045B2 (ja) | アントラニルアミド系化合物の製造方法 | |
| TWI728019B (zh) | 芳香族醯胺衍生物之製造方法 | |
| PL218431B1 (pl) | Pochodne pirazolu i sposób ich wytwarzania | |
| WO2017138068A1 (ja) | 1,2-ベンゼンジメタノール化合物の製造方法 | |
| JP5872467B2 (ja) | アリール置換ピラゾールの調製方法 | |
| JP6771475B2 (ja) | 3−クロロ−2−ビニルフェニルスルホネート類の製造方法 | |
| JP2008510745A (ja) | ビフェニルアミン類の製造方法 | |
| JP2009023991A (ja) | アントラニルアミド系化合物の製造方法 | |
| CN101558056B (zh) | 邻氨基苯甲酰胺系化合物的制造方法 | |
| JP4131337B2 (ja) | 3―(イソオキサゾール―5―イル)置換安息香酸誘導体およびその製造法 | |
| CN101160288B (zh) | 烟酸衍生物或其盐的制造方法 | |
| JP2024543219A (ja) | イソオキサゾリン-5,5-ビニルカルボン酸誘導体の製造方法 | |
| JPH08259539A (ja) | クロロメチルピリジン類の製造方法 | |
| JP4675234B2 (ja) | 光学活性なキノロンカルボン酸誘導体の製造中間体およびその製造法 | |
| JP5148836B2 (ja) | ニコチン酸誘導体又はその塩の製造方法 | |
| CN102007114B (zh) | 邻氨基苯甲酰胺系化合物的制造方法 | |
| CA3188715A1 (en) | Process for preparation of substituted pyrazoles | |
| TW202222773A (zh) | 製備鄰胺苯甲酸/鄰胺苯甲醯胺化合物及其中間產物之方法 | |
| CN117285508A (zh) | 吡啶基吡唑酰胺类化合物及其中间体的制备方法 | |
| WO2006003974A1 (ja) | 環状ジアミン誘導体の製造法 | |
| JP2000229955A (ja) | 5−アミノイソオキサゾリルイソオキサゾールおよびその製造法 | |
| WO1998056777A1 (en) | Isoxazol-5-yl-substituted benzenes and process for producing the same | |
| JP2011153116A (ja) | アニリン誘導体およびその製造方法 | |
| JPH1045711A (ja) | ジチオカルボンイミド誘導体の製造法 |
