TWI728019B - 芳香族醯胺衍生物之製造方法 - Google Patents
芳香族醯胺衍生物之製造方法 Download PDFInfo
- Publication number
- TWI728019B TWI728019B TW105141984A TW105141984A TWI728019B TW I728019 B TWI728019 B TW I728019B TW 105141984 A TW105141984 A TW 105141984A TW 105141984 A TW105141984 A TW 105141984A TW I728019 B TWI728019 B TW I728019B
- Authority
- TW
- Taiwan
- Prior art keywords
- group
- haloalkyl
- general formula
- alkylamino
- substituted
- Prior art date
Links
- 150000008430 aromatic amides Chemical class 0.000 title claims abstract description 49
- 238000000034 method Methods 0.000 title abstract description 19
- -1 imide compound Chemical class 0.000 claims abstract description 185
- 125000005843 halogen group Chemical group 0.000 claims abstract description 89
- 125000004765 (C1-C4) haloalkyl group Chemical group 0.000 claims abstract description 78
- 125000001997 phenyl group Chemical group [H]C1=C([H])C([H])=C(*)C([H])=C1[H] 0.000 claims abstract description 60
- 125000004435 hydrogen atom Chemical group [H]* 0.000 claims abstract description 54
- 150000001732 carboxylic acid derivatives Chemical class 0.000 claims abstract description 29
- 125000004178 (C1-C4) alkyl group Chemical group 0.000 claims abstract description 26
- 125000004076 pyridyl group Chemical group 0.000 claims abstract description 16
- 230000003301 hydrolyzing effect Effects 0.000 claims abstract description 6
- 150000001875 compounds Chemical class 0.000 claims description 76
- 125000004093 cyano group Chemical group *C#N 0.000 claims description 67
- 125000000449 nitro group Chemical group [O-][N+](*)=O 0.000 claims description 64
- 125000001424 substituent group Chemical group 0.000 claims description 48
- 125000004767 (C1-C4) haloalkoxy group Chemical group 0.000 claims description 41
- 125000000623 heterocyclic group Chemical group 0.000 claims description 33
- 238000004519 manufacturing process Methods 0.000 claims description 31
- 125000004769 (C1-C4) alkylsulfonyl group Chemical group 0.000 claims description 25
- 150000001448 anilines Chemical class 0.000 claims description 15
- 230000008929 regeneration Effects 0.000 claims description 13
- 238000011069 regeneration method Methods 0.000 claims description 13
- 150000002466 imines Chemical class 0.000 claims description 12
- 125000004768 (C1-C4) alkylsulfinyl group Chemical group 0.000 claims description 11
- 150000004982 aromatic amines Chemical class 0.000 claims description 11
- 125000004771 (C1-C4) haloalkylsulfinyl group Chemical group 0.000 claims description 10
- JUJWROOIHBZHMG-UHFFFAOYSA-N Pyridine Chemical group C1=CC=NC=C1 JUJWROOIHBZHMG-UHFFFAOYSA-N 0.000 claims description 9
- 125000000217 alkyl group Chemical group 0.000 claims description 6
- JZIBVTUXIVIFGC-UHFFFAOYSA-N 2H-pyrrole Chemical compound C1C=CC=N1 JZIBVTUXIVIFGC-UHFFFAOYSA-N 0.000 claims description 5
- 125000003943 azolyl group Chemical group 0.000 claims description 5
- 125000002720 diazolyl group Chemical group 0.000 claims description 5
- 125000002541 furyl group Chemical group 0.000 claims description 5
- 125000002883 imidazolyl group Chemical group 0.000 claims description 5
- 125000001786 isothiazolyl group Chemical group 0.000 claims description 5
- 125000003226 pyrazolyl group Chemical group 0.000 claims description 5
- 125000000714 pyrimidinyl group Chemical group 0.000 claims description 5
- 125000000168 pyrrolyl group Chemical group 0.000 claims description 5
- 125000003831 tetrazolyl group Chemical group 0.000 claims description 5
- 125000000335 thiazolyl group Chemical group 0.000 claims description 5
- 125000001544 thienyl group Chemical group 0.000 claims description 5
- 125000001425 triazolyl group Chemical group 0.000 claims description 5
- 125000006656 (C2-C4) alkenyl group Chemical group 0.000 claims description 4
- 125000006650 (C2-C4) alkynyl group Chemical group 0.000 claims description 4
- YZCKVEUIGOORGS-UHFFFAOYSA-N Hydrogen atom Chemical compound [H] YZCKVEUIGOORGS-UHFFFAOYSA-N 0.000 claims description 2
- 125000001188 haloalkyl group Chemical group 0.000 claims 1
- 125000002490 anilino group Chemical class [H]N(*)C1=C([H])C([H])=C([H])C([H])=C1[H] 0.000 abstract 1
- YXFVVABEGXRONW-UHFFFAOYSA-N Toluene Chemical compound CC1=CC=CC=C1 YXFVVABEGXRONW-UHFFFAOYSA-N 0.000 description 114
- 238000006243 chemical reaction Methods 0.000 description 61
- 239000002904 solvent Substances 0.000 description 35
- PAYRUJLWNCNPSJ-UHFFFAOYSA-N Aniline Chemical compound NC1=CC=CC=C1 PAYRUJLWNCNPSJ-UHFFFAOYSA-N 0.000 description 32
- 125000001797 benzyl group Chemical group [H]C1=C([H])C([H])=C(C([H])=C1[H])C([H])([H])* 0.000 description 32
- 125000002924 primary amino group Chemical group [H]N([H])* 0.000 description 30
- 125000004432 carbon atom Chemical group C* 0.000 description 29
- 239000002585 base Substances 0.000 description 28
- ZMANZCXQSJIPKH-UHFFFAOYSA-N Triethylamine Chemical compound CCN(CC)CC ZMANZCXQSJIPKH-UHFFFAOYSA-N 0.000 description 27
- 238000005160 1H NMR spectroscopy Methods 0.000 description 25
- CDBYLPFSWZWCQE-UHFFFAOYSA-L Sodium Carbonate Chemical compound [Na+].[Na+].[O-]C([O-])=O CDBYLPFSWZWCQE-UHFFFAOYSA-L 0.000 description 20
- 229940073608 benzyl chloride Drugs 0.000 description 20
- 239000012074 organic phase Substances 0.000 description 20
- 230000015572 biosynthetic process Effects 0.000 description 19
- 238000003786 synthesis reaction Methods 0.000 description 19
- KXDAEFPNCMNJSK-UHFFFAOYSA-N Benzamide Chemical compound NC(=O)C1=CC=CC=C1 KXDAEFPNCMNJSK-UHFFFAOYSA-N 0.000 description 18
- UHOVQNZJYSORNB-UHFFFAOYSA-N Benzene Chemical compound C1=CC=CC=C1 UHOVQNZJYSORNB-UHFFFAOYSA-N 0.000 description 18
- ZMXDDKWLCZADIW-UHFFFAOYSA-N N,N-Dimethylformamide Chemical compound CN(C)C=O ZMXDDKWLCZADIW-UHFFFAOYSA-N 0.000 description 18
- KCXMKQUNVWSEMD-UHFFFAOYSA-N benzyl chloride Chemical compound ClCC1=CC=CC=C1 KCXMKQUNVWSEMD-UHFFFAOYSA-N 0.000 description 18
- VHYFNPMBLIVWCW-UHFFFAOYSA-N 4-Dimethylaminopyridine Chemical compound CN(C)C1=CC=NC=C1 VHYFNPMBLIVWCW-UHFFFAOYSA-N 0.000 description 16
- 239000000243 solution Substances 0.000 description 16
- 239000000126 substance Substances 0.000 description 15
- 239000000203 mixture Substances 0.000 description 14
- HEMHJVSKTPXQMS-UHFFFAOYSA-M Sodium hydroxide Chemical compound [OH-].[Na+] HEMHJVSKTPXQMS-UHFFFAOYSA-M 0.000 description 12
- 239000007864 aqueous solution Substances 0.000 description 12
- 239000012295 chemical reaction liquid Substances 0.000 description 12
- XLYOFNOQVPJJNP-UHFFFAOYSA-N water Substances O XLYOFNOQVPJJNP-UHFFFAOYSA-N 0.000 description 12
- 239000007788 liquid Substances 0.000 description 11
- 239000007787 solid Substances 0.000 description 11
- 125000004176 4-fluorobenzyl group Chemical group [H]C1=C([H])C(=C([H])C([H])=C1F)C([H])([H])* 0.000 description 10
- VEXZGXHMUGYJMC-UHFFFAOYSA-N Hydrochloric acid Chemical compound Cl VEXZGXHMUGYJMC-UHFFFAOYSA-N 0.000 description 10
- WPYMKLBDIGXBTP-UHFFFAOYSA-N benzoic acid Chemical compound OC(=O)C1=CC=CC=C1 WPYMKLBDIGXBTP-UHFFFAOYSA-N 0.000 description 10
- BWHMMNNQKKPAPP-UHFFFAOYSA-L potassium carbonate Chemical compound [K+].[K+].[O-]C([O-])=O BWHMMNNQKKPAPP-UHFFFAOYSA-L 0.000 description 10
- 238000000926 separation method Methods 0.000 description 10
- 229910000029 sodium carbonate Inorganic materials 0.000 description 10
- 238000003756 stirring Methods 0.000 description 10
- YMWUJEATGCHHMB-UHFFFAOYSA-N Dichloromethane Chemical compound ClCCl YMWUJEATGCHHMB-UHFFFAOYSA-N 0.000 description 9
- XEKOWRVHYACXOJ-UHFFFAOYSA-N Ethyl acetate Chemical compound CCOC(C)=O XEKOWRVHYACXOJ-UHFFFAOYSA-N 0.000 description 9
- OKKJLVBELUTLKV-UHFFFAOYSA-N Methanol Chemical compound OC OKKJLVBELUTLKV-UHFFFAOYSA-N 0.000 description 9
- KWYUFKZDYYNOTN-UHFFFAOYSA-M Potassium hydroxide Chemical compound [OH-].[K+] KWYUFKZDYYNOTN-UHFFFAOYSA-M 0.000 description 9
- 230000007062 hydrolysis Effects 0.000 description 9
- 238000006460 hydrolysis reaction Methods 0.000 description 9
- QAOWNCQODCNURD-UHFFFAOYSA-N Sulfuric acid Chemical compound OS(O)(=O)=O QAOWNCQODCNURD-UHFFFAOYSA-N 0.000 description 8
- 239000002253 acid Substances 0.000 description 8
- 239000008346 aqueous phase Substances 0.000 description 8
- 230000035484 reaction time Effects 0.000 description 8
- 238000001308 synthesis method Methods 0.000 description 8
- 150000001408 amides Chemical class 0.000 description 7
- 125000001153 fluoro group Chemical group F* 0.000 description 7
- 125000002496 methyl group Chemical group [H]C([H])([H])* 0.000 description 7
- CYSGHNMQYZDMIA-UHFFFAOYSA-N 1,3-Dimethyl-2-imidazolidinon Chemical compound CN1CCN(C)C1=O CYSGHNMQYZDMIA-UHFFFAOYSA-N 0.000 description 6
- WEVYAHXRMPXWCK-UHFFFAOYSA-N Acetonitrile Chemical compound CC#N WEVYAHXRMPXWCK-UHFFFAOYSA-N 0.000 description 6
- OKTJSMMVPCPJKN-UHFFFAOYSA-N Carbon Chemical compound [C] OKTJSMMVPCPJKN-UHFFFAOYSA-N 0.000 description 6
- HEDRZPFGACZZDS-UHFFFAOYSA-N Chloroform Chemical compound ClC(Cl)Cl HEDRZPFGACZZDS-UHFFFAOYSA-N 0.000 description 6
- CTQNGGLPUBDAKN-UHFFFAOYSA-N O-Xylene Chemical compound CC1=CC=CC=C1C CTQNGGLPUBDAKN-UHFFFAOYSA-N 0.000 description 6
- WYURNTSHIVDZCO-UHFFFAOYSA-N Tetrahydrofuran Chemical compound C1CCOC1 WYURNTSHIVDZCO-UHFFFAOYSA-N 0.000 description 6
- 229910052799 carbon Inorganic materials 0.000 description 6
- 238000001914 filtration Methods 0.000 description 6
- 230000002140 halogenating effect Effects 0.000 description 6
- VZGDMQKNWNREIO-UHFFFAOYSA-N tetrachloromethane Chemical compound ClC(Cl)(Cl)Cl VZGDMQKNWNREIO-UHFFFAOYSA-N 0.000 description 6
- 239000008096 xylene Substances 0.000 description 6
- 239000005711 Benzoic acid Substances 0.000 description 5
- LFQSCWFLJHTTHZ-UHFFFAOYSA-N Ethanol Chemical compound CCO LFQSCWFLJHTTHZ-UHFFFAOYSA-N 0.000 description 5
- 239000003377 acid catalyst Substances 0.000 description 5
- 235000010233 benzoic acid Nutrition 0.000 description 5
- 239000003795 chemical substances by application Substances 0.000 description 5
- 238000005886 esterification reaction Methods 0.000 description 5
- 238000005658 halogenation reaction Methods 0.000 description 5
- 125000006503 p-nitrobenzyl group Chemical group [H]C1=C([H])C(=C([H])C([H])=C1[N+]([O-])=O)C([H])([H])* 0.000 description 5
- 229910000027 potassium carbonate Inorganic materials 0.000 description 5
- CSCPPACGZOOCGX-UHFFFAOYSA-N Acetone Chemical compound CC(C)=O CSCPPACGZOOCGX-UHFFFAOYSA-N 0.000 description 4
- MPONAPFARZGDTH-UHFFFAOYSA-N Cl.OS(O)=O Chemical compound Cl.OS(O)=O MPONAPFARZGDTH-UHFFFAOYSA-N 0.000 description 4
- XTHFKEDIFFGKHM-UHFFFAOYSA-N Dimethoxyethane Chemical compound COCCOC XTHFKEDIFFGKHM-UHFFFAOYSA-N 0.000 description 4
- CSNNHWWHGAXBCP-UHFFFAOYSA-L Magnesium sulfate Chemical compound [Mg+2].[O-][S+2]([O-])([O-])[O-] CSNNHWWHGAXBCP-UHFFFAOYSA-L 0.000 description 4
- SECXISVLQFMRJM-UHFFFAOYSA-N N-Methylpyrrolidone Chemical compound CN1CCCC1=O SECXISVLQFMRJM-UHFFFAOYSA-N 0.000 description 4
- FAPWRFPIFSIZLT-UHFFFAOYSA-M Sodium chloride Chemical compound [Na+].[Cl-] FAPWRFPIFSIZLT-UHFFFAOYSA-M 0.000 description 4
- WQDUMFSSJAZKTM-UHFFFAOYSA-N Sodium methoxide Chemical compound [Na+].[O-]C WQDUMFSSJAZKTM-UHFFFAOYSA-N 0.000 description 4
- 125000003545 alkoxy group Chemical group 0.000 description 4
- 125000004644 alkyl sulfinyl group Chemical group 0.000 description 4
- 238000004440 column chromatography Methods 0.000 description 4
- 125000004122 cyclic group Chemical group 0.000 description 4
- 229910052731 fluorine Inorganic materials 0.000 description 4
- CTSLXHKWHWQRSH-UHFFFAOYSA-N oxalyl chloride Chemical compound ClC(=O)C(Cl)=O CTSLXHKWHWQRSH-UHFFFAOYSA-N 0.000 description 4
- XHXFXVLFKHQFAL-UHFFFAOYSA-N phosphoryl trichloride Chemical compound ClP(Cl)(Cl)=O XHXFXVLFKHQFAL-UHFFFAOYSA-N 0.000 description 4
- JOXIMZWYDAKGHI-UHFFFAOYSA-N toluene-4-sulfonic acid Chemical compound CC1=CC=C(S(O)(=O)=O)C=C1 JOXIMZWYDAKGHI-UHFFFAOYSA-N 0.000 description 4
- 125000002023 trifluoromethyl group Chemical group FC(F)(F)* 0.000 description 4
- CNIIGCLFLJGOGP-UHFFFAOYSA-N 2-(1-naphthalenylmethyl)-4,5-dihydro-1H-imidazole Chemical compound C=1C=CC2=CC=CC=C2C=1CC1=NCCN1 CNIIGCLFLJGOGP-UHFFFAOYSA-N 0.000 description 3
- ZCYVEMRRCGMTRW-UHFFFAOYSA-N 7553-56-2 Chemical group [I] ZCYVEMRRCGMTRW-UHFFFAOYSA-N 0.000 description 3
- WKBOTKDWSSQWDR-UHFFFAOYSA-N Bromine atom Chemical group [Br] WKBOTKDWSSQWDR-UHFFFAOYSA-N 0.000 description 3
- WMFOQBRAJBCJND-UHFFFAOYSA-M Lithium hydroxide Chemical compound [Li+].[OH-] WMFOQBRAJBCJND-UHFFFAOYSA-M 0.000 description 3
- 125000004448 alkyl carbonyl group Chemical group 0.000 description 3
- 125000004390 alkyl sulfonyl group Chemical group 0.000 description 3
- 125000004414 alkyl thio group Chemical group 0.000 description 3
- 150000001412 amines Chemical class 0.000 description 3
- 150000004945 aromatic hydrocarbons Chemical class 0.000 description 3
- 238000009835 boiling Methods 0.000 description 3
- 150000001721 carbon Chemical group 0.000 description 3
- 229910052801 chlorine Inorganic materials 0.000 description 3
- 238000004821 distillation Methods 0.000 description 3
- 230000000694 effects Effects 0.000 description 3
- 125000001495 ethyl group Chemical group [H]C([H])([H])C([H])([H])* 0.000 description 3
- 125000002485 formyl group Chemical group [H]C(*)=O 0.000 description 3
- 150000008282 halocarbons Chemical class 0.000 description 3
- 238000004128 high performance liquid chromatography Methods 0.000 description 3
- 239000000543 intermediate Substances 0.000 description 3
- 229910052740 iodine Inorganic materials 0.000 description 3
- 238000002955 isolation Methods 0.000 description 3
- 230000003287 optical effect Effects 0.000 description 3
- 239000011734 sodium Substances 0.000 description 3
- YLQBMQCUIZJEEH-UHFFFAOYSA-N tetrahydrofuran Natural products C=1C=COC=1 YLQBMQCUIZJEEH-UHFFFAOYSA-N 0.000 description 3
- 125000006508 2,6-difluorobenzyl group Chemical group [H]C1=C([H])C(F)=C(C(F)=C1[H])C([H])([H])* 0.000 description 2
- QQZOPKMRPOGIEB-UHFFFAOYSA-N 2-Oxohexane Chemical compound CCCCC(C)=O QQZOPKMRPOGIEB-UHFFFAOYSA-N 0.000 description 2
- DKPFZGUDAPQIHT-UHFFFAOYSA-N Butyl acetate Natural products CCCCOC(C)=O DKPFZGUDAPQIHT-UHFFFAOYSA-N 0.000 description 2
- ZAMOUSCENKQFHK-UHFFFAOYSA-N Chlorine atom Chemical compound [Cl] ZAMOUSCENKQFHK-UHFFFAOYSA-N 0.000 description 2
- ZHNUHDYFZUAESO-UHFFFAOYSA-N Formamide Chemical compound NC=O ZHNUHDYFZUAESO-UHFFFAOYSA-N 0.000 description 2
- CPELXLSAUQHCOX-UHFFFAOYSA-N Hydrogen bromide Chemical compound Br CPELXLSAUQHCOX-UHFFFAOYSA-N 0.000 description 2
- NTIZESTWPVYFNL-UHFFFAOYSA-N Methyl isobutyl ketone Chemical compound CC(C)CC(C)=O NTIZESTWPVYFNL-UHFFFAOYSA-N 0.000 description 2
- UIHCLUNTQKBZGK-UHFFFAOYSA-N Methyl isobutyl ketone Natural products CCC(C)C(C)=O UIHCLUNTQKBZGK-UHFFFAOYSA-N 0.000 description 2
- FXHOOIRPVKKKFG-UHFFFAOYSA-N N,N-Dimethylacetamide Chemical compound CN(C)C(C)=O FXHOOIRPVKKKFG-UHFFFAOYSA-N 0.000 description 2
- UIIMBOGNXHQVGW-UHFFFAOYSA-M Sodium bicarbonate Chemical compound [Na+].OC([O-])=O UIIMBOGNXHQVGW-UHFFFAOYSA-M 0.000 description 2
- 150000001298 alcohols Chemical class 0.000 description 2
- 150000001335 aliphatic alkanes Chemical class 0.000 description 2
- 229910052783 alkali metal Inorganic materials 0.000 description 2
- 150000008044 alkali metal hydroxides Chemical class 0.000 description 2
- 125000003342 alkenyl group Chemical group 0.000 description 2
- 125000000304 alkynyl group Chemical group 0.000 description 2
- 125000003277 amino group Chemical group 0.000 description 2
- 239000000460 chlorine Substances 0.000 description 2
- 238000001816 cooling Methods 0.000 description 2
- 150000004292 cyclic ethers Chemical class 0.000 description 2
- 150000003997 cyclic ketones Chemical class 0.000 description 2
- 230000006837 decompression Effects 0.000 description 2
- 125000000118 dimethyl group Chemical group [H]C([H])([H])* 0.000 description 2
- 150000002148 esters Chemical class 0.000 description 2
- 125000004995 haloalkylthio group Chemical group 0.000 description 2
- 229910052736 halogen Inorganic materials 0.000 description 2
- 150000002367 halogens Chemical class 0.000 description 2
- 125000006342 heptafluoro i-propyl group Chemical group FC(F)(F)C(F)(*)C(F)(F)F 0.000 description 2
- 125000006341 heptafluoro n-propyl group Chemical group FC(F)(F)C(F)(F)C(F)(F)* 0.000 description 2
- FUZZWVXGSFPDMH-UHFFFAOYSA-N hexanoic acid Chemical compound CCCCCC(O)=O FUZZWVXGSFPDMH-UHFFFAOYSA-N 0.000 description 2
- IXCSERBJSXMMFS-UHFFFAOYSA-N hydrogen chloride Substances Cl.Cl IXCSERBJSXMMFS-UHFFFAOYSA-N 0.000 description 2
- 229910000041 hydrogen chloride Inorganic materials 0.000 description 2
- 239000002917 insecticide Substances 0.000 description 2
- 229910052943 magnesium sulfate Inorganic materials 0.000 description 2
- 235000019341 magnesium sulphate Nutrition 0.000 description 2
- 239000011259 mixed solution Substances 0.000 description 2
- 150000002825 nitriles Chemical class 0.000 description 2
- 125000006344 nonafluoro n-butyl group Chemical group FC(F)(F)C(F)(F)C(F)(F)C(F)(F)* 0.000 description 2
- 125000006340 pentafluoro ethyl group Chemical group FC(F)(F)C(F)(F)* 0.000 description 2
- 239000000047 product Substances 0.000 description 2
- 125000001436 propyl group Chemical group [H]C([*])([H])C([H])([H])C([H])([H])[H] 0.000 description 2
- UMJSCPRVCHMLSP-UHFFFAOYSA-N pyridine Natural products COC1=CC=CN=C1 UMJSCPRVCHMLSP-UHFFFAOYSA-N 0.000 description 2
- 239000002994 raw material Substances 0.000 description 2
- 238000001953 recrystallisation Methods 0.000 description 2
- 239000011780 sodium chloride Substances 0.000 description 2
- QDRKDTQENPPHOJ-UHFFFAOYSA-N sodium ethoxide Chemical compound [Na+].CC[O-] QDRKDTQENPPHOJ-UHFFFAOYSA-N 0.000 description 2
- FYSNRJHAOHDILO-UHFFFAOYSA-N thionyl chloride Chemical compound ClS(Cl)=O FYSNRJHAOHDILO-UHFFFAOYSA-N 0.000 description 2
- IMFACGCPASFAPR-UHFFFAOYSA-N tributylamine Chemical compound CCCCN(CCCC)CCCC IMFACGCPASFAPR-UHFFFAOYSA-N 0.000 description 2
- 125000001889 triflyl group Chemical group FC(F)(F)S(*)(=O)=O 0.000 description 2
- 125000006273 (C1-C3) alkyl group Chemical group 0.000 description 1
- 0 *C(c1ccc(*)c(N(*)C(*)=O)c1*)=O Chemical compound *C(c1ccc(*)c(N(*)C(*)=O)c1*)=O 0.000 description 1
- 125000006083 1-bromoethyl group Chemical group 0.000 description 1
- 125000001478 1-chloroethyl group Chemical group [H]C([H])([H])C([H])(Cl)* 0.000 description 1
- 125000004776 1-fluoroethyl group Chemical group [H]C([H])([H])C([H])(F)* 0.000 description 1
- UTQNKKSJPHTPBS-UHFFFAOYSA-N 2,2,2-trichloroethanone Chemical group ClC(Cl)(Cl)[C]=O UTQNKKSJPHTPBS-UHFFFAOYSA-N 0.000 description 1
- 125000000453 2,2,2-trichloroethyl group Chemical group [H]C([H])(*)C(Cl)(Cl)Cl 0.000 description 1
- 125000004206 2,2,2-trifluoroethyl group Chemical group [H]C([H])(*)C(F)(F)F 0.000 description 1
- OTTXCOAOKOEENK-UHFFFAOYSA-N 2,2-difluoroethenone Chemical group FC(F)=C=O OTTXCOAOKOEENK-UHFFFAOYSA-N 0.000 description 1
- 125000004778 2,2-difluoroethyl group Chemical group [H]C([H])(*)C([H])(F)F 0.000 description 1
- NEMQXHXGJHYUQQ-UHFFFAOYSA-N 2,6-dibromo-4-(1,1,1,2,3,3,4,4,4-nonafluorobutan-2-yl)aniline Chemical compound NC1=C(Br)C=C(C(F)(C(F)(F)F)C(F)(F)C(F)(F)F)C=C1Br NEMQXHXGJHYUQQ-UHFFFAOYSA-N 0.000 description 1
- 125000005999 2-bromoethyl group Chemical group 0.000 description 1
- 125000004974 2-butenyl group Chemical group C(C=CC)* 0.000 description 1
- 125000001340 2-chloroethyl group Chemical group [H]C([H])(Cl)C([H])([H])* 0.000 description 1
- KGGHWIKBOIQEAJ-UHFFFAOYSA-N 2-fluorobenzamide Chemical compound NC(=O)C1=CC=CC=C1F KGGHWIKBOIQEAJ-UHFFFAOYSA-N 0.000 description 1
- 125000004777 2-fluoroethyl group Chemical group [H]C([H])(F)C([H])([H])* 0.000 description 1
- 125000003903 2-propenyl group Chemical group [H]C([*])([H])C([H])=C([H])[H] 0.000 description 1
- 125000001494 2-propynyl group Chemical group [H]C#CC([H])([H])* 0.000 description 1
- QDFXRVAOBHEBGJ-UHFFFAOYSA-N 3-(cyclononen-1-yl)-4,5,6,7,8,9-hexahydro-1h-diazonine Chemical compound C1CCCCCCC=C1C1=NNCCCCCC1 QDFXRVAOBHEBGJ-UHFFFAOYSA-N 0.000 description 1
- 125000004975 3-butenyl group Chemical group C(CC=C)* 0.000 description 1
- NUKYPUAOHBNCPY-UHFFFAOYSA-N 4-aminopyridine Chemical compound NC1=CC=NC=C1 NUKYPUAOHBNCPY-UHFFFAOYSA-N 0.000 description 1
- BVKZGUZCCUSVTD-UHFFFAOYSA-L Carbonate Chemical compound [O-]C([O-])=O BVKZGUZCCUSVTD-UHFFFAOYSA-L 0.000 description 1
- XFXPMWWXUTWYJX-UHFFFAOYSA-N Cyanide Chemical compound N#[C-] XFXPMWWXUTWYJX-UHFFFAOYSA-N 0.000 description 1
- PHSPJQZRQAJPPF-UHFFFAOYSA-N N-alpha-Methylhistamine Chemical compound CNCCC1=CN=CN1 PHSPJQZRQAJPPF-UHFFFAOYSA-N 0.000 description 1
- GRYLNZFGIOXLOG-UHFFFAOYSA-N Nitric acid Chemical compound O[N+]([O-])=O GRYLNZFGIOXLOG-UHFFFAOYSA-N 0.000 description 1
- 229910019142 PO4 Inorganic materials 0.000 description 1
- YGYAWVDWMABLBF-UHFFFAOYSA-N Phosgene Chemical compound ClC(Cl)=O YGYAWVDWMABLBF-UHFFFAOYSA-N 0.000 description 1
- KEAYESYHFKHZAL-UHFFFAOYSA-N Sodium Chemical compound [Na] KEAYESYHFKHZAL-UHFFFAOYSA-N 0.000 description 1
- UIIMBOGNXHQVGW-DEQYMQKBSA-M Sodium bicarbonate-14C Chemical compound [Na+].O[14C]([O-])=O UIIMBOGNXHQVGW-DEQYMQKBSA-M 0.000 description 1
- 241000607479 Yersinia pestis Species 0.000 description 1
- 125000002777 acetyl group Chemical group [H]C([H])([H])C(*)=O 0.000 description 1
- 125000003668 acetyloxy group Chemical group [H]C([H])([H])C(=O)O[*] 0.000 description 1
- 150000007513 acids Chemical class 0.000 description 1
- 125000002252 acyl group Chemical group 0.000 description 1
- 239000003513 alkali Substances 0.000 description 1
- 229910000102 alkali metal hydride Inorganic materials 0.000 description 1
- 125000003282 alkyl amino group Chemical group 0.000 description 1
- 125000005196 alkyl carbonyloxy group Chemical group 0.000 description 1
- 238000004458 analytical method Methods 0.000 description 1
- 125000004429 atom Chemical group 0.000 description 1
- PASDCCFISLVPSO-UHFFFAOYSA-N benzoyl chloride Chemical compound ClC(=O)C1=CC=CC=C1 PASDCCFISLVPSO-UHFFFAOYSA-N 0.000 description 1
- 125000005998 bromoethyl group Chemical group 0.000 description 1
- 239000006227 byproduct Substances 0.000 description 1
- 239000011203 carbon fibre reinforced carbon Substances 0.000 description 1
- 150000004649 carbonic acid derivatives Chemical class 0.000 description 1
- 125000002915 carbonyl group Chemical group [*:2]C([*:1])=O 0.000 description 1
- 239000007810 chemical reaction solvent Substances 0.000 description 1
- 125000001309 chloro group Chemical group Cl* 0.000 description 1
- 125000002668 chloroacetyl group Chemical group ClCC(=O)* 0.000 description 1
- 239000013078 crystal Substances 0.000 description 1
- 125000006255 cyclopropyl carbonyl group Chemical group [H]C1([H])C([H])([H])C1([H])C(*)=O 0.000 description 1
- 125000001559 cyclopropyl group Chemical group [H]C1([H])C([H])([H])C1([H])* 0.000 description 1
- 238000000354 decomposition reaction Methods 0.000 description 1
- 125000004772 dichloromethyl group Chemical group [H]C(Cl)(Cl)* 0.000 description 1
- 125000001664 diethylamino group Chemical group [H]C([H])([H])C([H])([H])N(*)C([H])([H])C([H])([H])[H] 0.000 description 1
- 125000001028 difluoromethyl group Chemical group [H]C(F)(F)* 0.000 description 1
- 125000002147 dimethylamino group Chemical group [H]C([H])([H])N(*)C([H])([H])[H] 0.000 description 1
- ZPWVASYFFYYZEW-UHFFFAOYSA-L dipotassium hydrogen phosphate Chemical compound [K+].[K+].OP([O-])([O-])=O ZPWVASYFFYYZEW-UHFFFAOYSA-L 0.000 description 1
- 230000032050 esterification Effects 0.000 description 1
- 125000003754 ethoxycarbonyl group Chemical group C(=O)(OCC)* 0.000 description 1
- 125000006125 ethylsulfonyl group Chemical group 0.000 description 1
- 230000003631 expected effect Effects 0.000 description 1
- 229960004979 fampridine Drugs 0.000 description 1
- 125000004438 haloalkoxy group Chemical group 0.000 description 1
- 230000026030 halogenation Effects 0.000 description 1
- 229910000042 hydrogen bromide Inorganic materials 0.000 description 1
- XMBWDFGMSWQBCA-UHFFFAOYSA-N hydrogen iodide Chemical compound I XMBWDFGMSWQBCA-UHFFFAOYSA-N 0.000 description 1
- 229910000043 hydrogen iodide Inorganic materials 0.000 description 1
- 230000000749 insecticidal effect Effects 0.000 description 1
- 125000000959 isobutyl group Chemical group [H]C([H])([H])C([H])(C([H])([H])[H])C([H])([H])* 0.000 description 1
- 125000001449 isopropyl group Chemical group [H]C([H])([H])C([H])(*)C([H])([H])[H] 0.000 description 1
- 125000005928 isopropyloxycarbonyl group Chemical group [H]C([H])([H])C([H])(OC(*)=O)C([H])([H])[H] 0.000 description 1
- 239000000463 material Substances 0.000 description 1
- 125000001160 methoxycarbonyl group Chemical group [H]C([H])([H])OC(*)=O 0.000 description 1
- 125000006216 methylsulfinyl group Chemical group [H]C([H])([H])S(*)=O 0.000 description 1
- 125000004170 methylsulfonyl group Chemical group [H]C([H])([H])S(*)(=O)=O 0.000 description 1
- PYLWMHQQBFSUBP-UHFFFAOYSA-N monofluorobenzene Chemical compound FC1=CC=CC=C1 PYLWMHQQBFSUBP-UHFFFAOYSA-N 0.000 description 1
- 125000004108 n-butyl group Chemical group [H]C([H])([H])C([H])([H])C([H])([H])C([H])([H])* 0.000 description 1
- 125000006095 n-butyl sulfinyl group Chemical group 0.000 description 1
- 125000006126 n-butyl sulfonyl group Chemical group 0.000 description 1
- 125000004123 n-propyl group Chemical group [H]C([H])([H])C([H])([H])C([H])([H])* 0.000 description 1
- 125000006093 n-propyl sulfinyl group Chemical group 0.000 description 1
- 125000006124 n-propyl sulfonyl group Chemical group 0.000 description 1
- 229910017604 nitric acid Inorganic materials 0.000 description 1
- 150000007530 organic bases Chemical class 0.000 description 1
- 235000021317 phosphate Nutrition 0.000 description 1
- 150000003013 phosphoric acid derivatives Chemical class 0.000 description 1
- UHZYTMXLRWXGPK-UHFFFAOYSA-N phosphorus pentachloride Chemical compound ClP(Cl)(Cl)(Cl)Cl UHZYTMXLRWXGPK-UHFFFAOYSA-N 0.000 description 1
- FAIAAWCVCHQXDN-UHFFFAOYSA-N phosphorus trichloride Chemical compound ClP(Cl)Cl FAIAAWCVCHQXDN-UHFFFAOYSA-N 0.000 description 1
- 239000001294 propane Substances 0.000 description 1
- 125000001501 propionyl group Chemical group O=C([*])C([H])([H])C([H])([H])[H] 0.000 description 1
- 230000001012 protector Effects 0.000 description 1
- 238000000746 purification Methods 0.000 description 1
- 238000004064 recycling Methods 0.000 description 1
- 150000003839 salts Chemical class 0.000 description 1
- 125000002914 sec-butyl group Chemical group [H]C([H])([H])C([H])([H])C([H])(*)C([H])([H])[H] 0.000 description 1
- 238000010898 silica gel chromatography Methods 0.000 description 1
- WXMKPNITSTVMEF-UHFFFAOYSA-M sodium benzoate Chemical compound [Na+].[O-]C(=O)C1=CC=CC=C1 WXMKPNITSTVMEF-UHFFFAOYSA-M 0.000 description 1
- 229910000030 sodium bicarbonate Inorganic materials 0.000 description 1
- 235000017557 sodium bicarbonate Nutrition 0.000 description 1
- 239000012312 sodium hydride Substances 0.000 description 1
- 229910000104 sodium hydride Inorganic materials 0.000 description 1
- 239000001488 sodium phosphate Substances 0.000 description 1
- HPALAKNZSZLMCH-UHFFFAOYSA-M sodium;chloride;hydrate Chemical class O.[Na+].[Cl-] HPALAKNZSZLMCH-UHFFFAOYSA-M 0.000 description 1
- 238000006467 substitution reaction Methods 0.000 description 1
- 230000002194 synthesizing effect Effects 0.000 description 1
- 125000000999 tert-butyl group Chemical group [H]C([H])([H])C(*)(C([H])([H])[H])C([H])([H])[H] 0.000 description 1
- CZDYPVPMEAXLPK-UHFFFAOYSA-N tetramethylsilane Chemical compound C[Si](C)(C)C CZDYPVPMEAXLPK-UHFFFAOYSA-N 0.000 description 1
- 125000003866 trichloromethyl group Chemical group ClC(Cl)(Cl)* 0.000 description 1
- IMNIMPAHZVJRPE-UHFFFAOYSA-N triethylenediamine Chemical compound C1CN2CCN1CC2 IMNIMPAHZVJRPE-UHFFFAOYSA-N 0.000 description 1
- 125000005034 trifluormethylthio group Chemical group FC(S*)(F)F 0.000 description 1
- 125000004044 trifluoroacetyl group Chemical group FC(C(=O)*)(F)F 0.000 description 1
- UCPYLLCMEDAXFR-UHFFFAOYSA-N triphosgene Chemical compound ClC(Cl)(Cl)OC(=O)OC(Cl)(Cl)Cl UCPYLLCMEDAXFR-UHFFFAOYSA-N 0.000 description 1
- RYFMWSXOAZQYPI-UHFFFAOYSA-K trisodium phosphate Chemical compound [Na+].[Na+].[Na+].[O-]P([O-])([O-])=O RYFMWSXOAZQYPI-UHFFFAOYSA-K 0.000 description 1
- 229910000406 trisodium phosphate Inorganic materials 0.000 description 1
- 235000019801 trisodium phosphate Nutrition 0.000 description 1
- 125000000391 vinyl group Chemical group [H]C([*])=C([H])[H] 0.000 description 1
- 229920002554 vinyl polymer Polymers 0.000 description 1
- 238000005406 washing Methods 0.000 description 1
Classifications
-
- C—CHEMISTRY; METALLURGY
- C07—ORGANIC CHEMISTRY
- C07C—ACYCLIC OR CARBOCYCLIC COMPOUNDS
- C07C231/00—Preparation of carboxylic acid amides
- C07C231/14—Preparation of carboxylic acid amides by formation of carboxamide groups together with reactions not involving the carboxamide groups
-
- C—CHEMISTRY; METALLURGY
- C07—ORGANIC CHEMISTRY
- C07C—ACYCLIC OR CARBOCYCLIC COMPOUNDS
- C07C231/00—Preparation of carboxylic acid amides
- C07C231/12—Preparation of carboxylic acid amides by reactions not involving the formation of carboxamide groups
-
- C—CHEMISTRY; METALLURGY
- C07—ORGANIC CHEMISTRY
- C07C—ACYCLIC OR CARBOCYCLIC COMPOUNDS
- C07C237/00—Carboxylic acid amides, the carbon skeleton of the acid part being further substituted by amino groups
- C07C237/28—Carboxylic acid amides, the carbon skeleton of the acid part being further substituted by amino groups having the carbon atom of at least one of the carboxamide groups bound to a carbon atom of a non-condensed six-membered aromatic ring of the carbon skeleton
- C07C237/40—Carboxylic acid amides, the carbon skeleton of the acid part being further substituted by amino groups having the carbon atom of at least one of the carboxamide groups bound to a carbon atom of a non-condensed six-membered aromatic ring of the carbon skeleton having the nitrogen atom of the carboxamide group bound to a carbon atom of a six-membered aromatic ring
-
- C—CHEMISTRY; METALLURGY
- C07—ORGANIC CHEMISTRY
- C07C—ACYCLIC OR CARBOCYCLIC COMPOUNDS
- C07C253/00—Preparation of carboxylic acid nitriles
- C07C253/30—Preparation of carboxylic acid nitriles by reactions not involving the formation of cyano groups
-
- C—CHEMISTRY; METALLURGY
- C07—ORGANIC CHEMISTRY
- C07D—HETEROCYCLIC COMPOUNDS
- C07D213/00—Heterocyclic compounds containing six-membered rings, not condensed with other rings, with one nitrogen atom as the only ring hetero atom and three or more double bonds between ring members or between ring members and non-ring members
- C07D213/02—Heterocyclic compounds containing six-membered rings, not condensed with other rings, with one nitrogen atom as the only ring hetero atom and three or more double bonds between ring members or between ring members and non-ring members having three double bonds between ring members or between ring members and non-ring members
- C07D213/04—Heterocyclic compounds containing six-membered rings, not condensed with other rings, with one nitrogen atom as the only ring hetero atom and three or more double bonds between ring members or between ring members and non-ring members having three double bonds between ring members or between ring members and non-ring members having no bond between the ring nitrogen atom and a non-ring member or having only hydrogen or carbon atoms directly attached to the ring nitrogen atom
- C07D213/60—Heterocyclic compounds containing six-membered rings, not condensed with other rings, with one nitrogen atom as the only ring hetero atom and three or more double bonds between ring members or between ring members and non-ring members having three double bonds between ring members or between ring members and non-ring members having no bond between the ring nitrogen atom and a non-ring member or having only hydrogen or carbon atoms directly attached to the ring nitrogen atom with hetero atoms or with carbon atoms having three bonds to hetero atoms with at the most one bond to halogen, e.g. ester or nitrile radicals, directly attached to ring carbon atoms
- C07D213/78—Carbon atoms having three bonds to hetero atoms, with at the most one bond to halogen, e.g. ester or nitrile radicals
- C07D213/81—Amides; Imides
-
- C—CHEMISTRY; METALLURGY
- C07—ORGANIC CHEMISTRY
- C07D—HETEROCYCLIC COMPOUNDS
- C07D213/00—Heterocyclic compounds containing six-membered rings, not condensed with other rings, with one nitrogen atom as the only ring hetero atom and three or more double bonds between ring members or between ring members and non-ring members
- C07D213/02—Heterocyclic compounds containing six-membered rings, not condensed with other rings, with one nitrogen atom as the only ring hetero atom and three or more double bonds between ring members or between ring members and non-ring members having three double bonds between ring members or between ring members and non-ring members
- C07D213/04—Heterocyclic compounds containing six-membered rings, not condensed with other rings, with one nitrogen atom as the only ring hetero atom and three or more double bonds between ring members or between ring members and non-ring members having three double bonds between ring members or between ring members and non-ring members having no bond between the ring nitrogen atom and a non-ring member or having only hydrogen or carbon atoms directly attached to the ring nitrogen atom
- C07D213/60—Heterocyclic compounds containing six-membered rings, not condensed with other rings, with one nitrogen atom as the only ring hetero atom and three or more double bonds between ring members or between ring members and non-ring members having three double bonds between ring members or between ring members and non-ring members having no bond between the ring nitrogen atom and a non-ring member or having only hydrogen or carbon atoms directly attached to the ring nitrogen atom with hetero atoms or with carbon atoms having three bonds to hetero atoms with at the most one bond to halogen, e.g. ester or nitrile radicals, directly attached to ring carbon atoms
- C07D213/78—Carbon atoms having three bonds to hetero atoms, with at the most one bond to halogen, e.g. ester or nitrile radicals
- C07D213/81—Amides; Imides
- C07D213/82—Amides; Imides in position 3
-
- Y—GENERAL TAGGING OF NEW TECHNOLOGICAL DEVELOPMENTS; GENERAL TAGGING OF CROSS-SECTIONAL TECHNOLOGIES SPANNING OVER SEVERAL SECTIONS OF THE IPC; TECHNICAL SUBJECTS COVERED BY FORMER USPC CROSS-REFERENCE ART COLLECTIONS [XRACs] AND DIGESTS
- Y02—TECHNOLOGIES OR APPLICATIONS FOR MITIGATION OR ADAPTATION AGAINST CLIMATE CHANGE
- Y02P—CLIMATE CHANGE MITIGATION TECHNOLOGIES IN THE PRODUCTION OR PROCESSING OF GOODS
- Y02P20/00—Technologies relating to chemical industry
- Y02P20/50—Improvements relating to the production of bulk chemicals
- Y02P20/55—Design of synthesis routes, e.g. reducing the use of auxiliary or protecting groups
Landscapes
- Chemical & Material Sciences (AREA)
- Organic Chemistry (AREA)
- Chemical Kinetics & Catalysis (AREA)
- Organic Low-Molecular-Weight Compounds And Preparation Thereof (AREA)
- Pyridine Compounds (AREA)
- Low-Molecular Organic Synthesis Reactions Using Catalysts (AREA)
Abstract
本發明係關於一種芳香族醯胺衍生物之製造方法,係製造通式(I)表示之芳香族醯胺衍生物之方法,包括以下步驟:步驟a,使通式(II)表示之苯胺衍生物與通式(III)表示之羧酸衍生物,於鹼存在下進行反應,以獲得通式(IV)表示之醯亞胺體化合物;及,步驟b,藉由將通式(IV)表示之醯亞胺體化合物進行水解,以獲得通式(I)表示之芳香族醯胺衍生物; 式中,R1
表示C1
-C4
鹵烷基等,R2
及R3
各自獨立地表示氫原子、
鹵素原子等,R4
表示氫原子、
C1
-C4
烷基等,X1
及X2
各自獨立地表示鹵素原子、C1
-C4
鹵烷基等,Q表示C1
-C4
烷基、苯基、吡啶基等。
Description
本發明係關於芳香族醯胺衍生物之製造方法。
國際公開第2005/73165號、國際公開第2006/137376號、及國際公開第2010/18714號就具有有害生物防除作用之醯胺衍生物而言揭示各種化合物,並記載為了製造該醯胺衍生物,具有經全氟烷基化之苯基之醯胺衍生物係有用。 又,國際公開第2010/18857號及國際公開第2014/161850號揭示製造該醯胺衍生物之方法。
(發明欲解決之課題) 國際公開第2010/18857號中,合成該醯胺衍生物,但產率為45%,工業化要求更高產率。國際公開第2014/161850號中,藉由經由保護體而以高產率合成該醯胺衍生物,但因為步驟數增加,希望環境方面有更短的步驟。 本發明有鑑於上述,課題在於提供能以短步驟且高產率製造芳香族醯胺衍生物之方法。 (解決課題之方式)
本案發明人等為了解決上述課題而努力研究,結果發現選擇性地合成醯亞胺體化合物後進行分解,能夠以短步驟且高產率獲得芳香族醯胺衍生物,乃完成本發明。該芳香族醯胺衍生物係有高殺蟲活性之殺蟲劑。 亦即,本發明包括以下之態樣。
<1> 一種芳香族醯胺衍生物之製造方法,係製造下列通式(I)表示之芳香族醯胺衍生物之方法,包括以下之步驟a及步驟b;
式中,R1
表示鹵素原子、C1
-C4
鹵烷基、或經取代之C1
-C4
鹵烷基(R1
中,「經取代」係指經選自於由C1
-C4
烷基、C1
-C4
鹵烷基、C1
-C4
烷氧基、C1
-C4
鹵烷氧基、C1
-C4
烷硫基、C1
-C4
鹵烷硫基、C1
-C4
烷胺基、二C1
-C4
烷胺基、氰基、及硝基構成之群組中之相同或不同之1~8個取代基取代。)。 X1
及X2
各自獨立地表示氫原子、
鹵素原子、C1
-C4
烷基、C1
-C4
鹵烷基、C2
-C4
烯基、C2
-C4
鹵烯基、C2
-C4
炔基、C2
-C4
鹵炔基、C1
-C4
烷氧基、C1
-C4
鹵烷氧基、C1
-C4
烷硫基、C1
-C4
鹵烷硫基、C1
-C4
烷基亞磺醯基、C1
-C4
鹵烷基亞磺醯基、C1
-C4
烷基磺醯基、C1
-C4
鹵烷基磺醯基、C1
-C4
烷胺基、二C1
-C4
烷胺基、氰基、硝基、C1
-C4
烷基羰基、或C1
-C4
鹵烷基羰基。 R2
及R3
各自獨立地表示氫原子、鹵素原子、C1
-C4
烷基、C1
-C4
鹵烷基、C1
-C4
烷氧基、C1
-C4
鹵烷氧基、C1
-C4
烷硫基、C1
-C4
鹵烷硫基、C1
-C4
烷基亞磺醯基、C1
-C4
鹵烷基亞磺醯基、C1
-C4
烷基磺醯基、C1
-C4
鹵烷基磺醯基、C1
-C4
烷胺基、二C1
-C4
烷胺基、氰基、或硝基。 R4
表示氫原子、C1
-C4
烷基、經取代之C1
-C4
烷基、C1
-C4
鹵烷基、經取代之C1
-C4
鹵烷基、C1
-C4
烷基羰基、經取代之C1
-C4
烷基羰基、C1
-C4
鹵烷基羰基、經取代之C1
-C4
鹵烷基羰基、C1
-C4
烷氧基羰基、經取代之C1
-C4
烷氧基羰基、C1
-C4
鹵烷氧基羰基、經取代之C1
-C4
鹵烷氧基羰基、C1
-C4
烷基磺醯基、經取代之C1
-C4
烷基磺醯基、C1
-C4
鹵烷基磺醯基、或經取代之C1
-C4
鹵烷基磺醯基(R4
中,「經取代」表示經選自於由C1
-C4
烷基、C1
-C4
鹵烷基、C1
-C4
烷氧基、C1
-C4
鹵烷氧基、C1
-C4
烷硫基、C1
-C4
鹵烷硫基、C1
-C4
烷基磺醯基、C1
-C4
鹵烷基磺醯基、C1
-C4
烷胺基、二C1
-C4
烷胺基、C1
-C4
烷基羰基、C1
-C4
烷氧基羰基、二C1
-C4
烷胺基羰基、氰基、及硝基構成之群組中之相同或不同之1~9個取代基取代。)。 Q表示C1
-C4
烷基、經取代之C1
-C4
烷基、C1
-C4
鹵烷基、經取代之C1
-C4
鹵烷基、C1
-C4
烷胺基羰基、C1
-C4
鹵烷胺基羰基、二C1
-C4
烷胺基羰基、二C1
-C4
鹵烷胺基羰基、苯基、經取代之苯基、雜環基、或經取代之雜環基(Q為「經取代之C1
-C4
烷基」或「經取代之C1
-C4
鹵烷基」時,「經取代」表示經選自於由鹵素原子、C1
-C4
烷基、C1
-C4
鹵烷基、C1
-C4
烷氧基、C1
-C4
鹵烷氧基、C1
-C4
烷硫基、C1
-C4
鹵烷硫基、C1
-C4
烷胺基、二C1
-C4
烷胺基、氰基、及硝基構成之群組中之相同或不同之1~9個取代基取代。又,Q為「經取代之苯基」時,「經取代」係指經選自於由鹵素原子、C1
-C4
烷基、C1
-C4
鹵烷基、C1
-C4
烷氧基、C1
-C4
鹵烷氧基、C1
-C4
烷硫基、C1
-C4
鹵烷硫基、C1
-C4
烷胺基、二C1
-C4
烷胺基、氰基、及硝基構成之群組中之相同或不同之1~5個取代基取代。又,Q為「經取代之雜環基」時,「經取代」係指經選自於由鹵素原子、C1
-C4
烷基、C1
-C4
鹵烷基、C1
-C4
烷氧基、C1
-C4
鹵烷氧基、C1
-C4
烷硫基、C1
-C4
鹵烷硫基、C1
-C4
烷胺基、二C1
-C4
烷胺基、氰基、及硝基構成之群組中之相同或不同之1~4個取代基取代。又,前述雜環基為吡啶基、N-氧化吡啶基、嘧啶基、嗒基、吡基、呋喃基、噻吩基、唑基、異唑基、二唑基、噻唑基、異噻唑基、咪唑基、三唑基、吡咯基、吡唑基、或四唑基。)]。
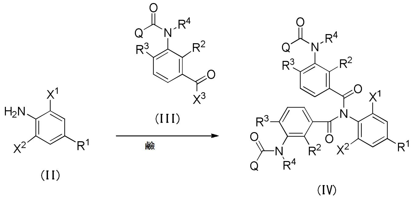
步驟a)藉由使下列通式(II)表示之苯胺衍生物與下列通式(IV)表示之羧酸衍生物於鹼存在下反應,以獲得下列通式(IV)表示之醯亞胺體化合物;
(式中,R1
、X1
、及X2
同通式(I)中之R1
、X1
、及X2
。)
通式(III)
(式中,X3
表示鹵素原子或C1
-C4
烷氧基,R2
、R3
、R4
、及Q同通式(I)中之R2
、R3
、R4
、及Q)
通式(IV)
(式中,R1
、X1
、X2
、R2
、R3
、R4
、及Q同通式(I)中之R1
、X1
、X2
、R2
、R3
、R4
、及Q。有2個之R2
、R3
、R4
、及Q可各自相同也可不同。)。
步驟b)藉由將通式(IV)表示之醯亞胺體化合物予以水解,以獲得通式(I)表示之芳香族醯胺衍生物。
<2> 如<1>之芳香族醯胺衍生物之製造方法,其中, 通式(I)、(II)及(IV)中之X1
及X2
各自獨立地表示氫原子、鹵素原子、C1
-C4
烷基、C1
-C4
鹵烷基、C1
-C4
烷氧基、C1
-C4
鹵烷氧基、C1
-C4
烷硫基、C1
-C4
鹵烷硫基、C1
-C4
烷基磺醯基、或C1
-C4
鹵烷基磺醯基, 通式(I)、(III)及(IV)中之R2
及R3
各自獨立地表示氫原子、鹵素原子、C1
-C4
烷氧基、C1
-C4
鹵烷氧基、C1
-C4
烷硫基、C1
-C4
鹵烷硫基、C1
-C4
烷基磺醯基、C1
-C4
鹵烷基磺醯基、C1
-C4
烷胺基、二C1
-C4
烷胺基、氰基、或硝基, 通式(I)、(III)及(IV)中之R4
表示氫原子、C1
-C4
烷基、經取代之C1
-C4
烷基、C1
-C4
鹵烷基、經取代之C1
-C4
鹵烷基、C1
-C4
烷基羰基、C1
-C4
鹵烷基羰基、C1
-C4
烷氧基羰基、C1
-C4
鹵烷氧基羰基、C1
-C4
烷基磺醯基、或C1
-C4
鹵烷基磺醯基(R4
中,「經取代」係指經選自於由C1
-C4
烷基、C1
-C4
鹵烷基、C1
-C4
烷氧基、C1
-C4
鹵烷氧基、C1
-C4
烷硫基、C1
-C4
鹵烷硫基、C1
-C4
烷基磺醯基、C1
-C4
鹵烷基磺醯基、C1
-C4
烷胺基、二C1
-C4
烷胺基、C1
-C4
烷基羰基、C1
-C4
烷氧基羰基、二C1
-C4
烷胺基羰基、氰基、及硝基構成之群組中之相同或不同之1~9個取代基取代。)。
<3> 如<1>或<2>之芳香族醯胺衍生物之製造方法,其中,通式(I)、(III)及(IV)中之R2
表示氫原子、鹵素原子、C1
-C4
烷氧基、C1
-C4
鹵烷氧基、C1
-C4
烷硫基、C1
-C4
鹵烷硫基、C1
-C4
烷基磺醯基、C1
-C4
鹵烷基磺醯基、C1
-C4
烷胺基、二C1
-C4
烷胺基、氰基、或硝基, 通式(I)、(III)及(IV)中之R3
表示氫原子、鹵素原子、C1
-C4
烷氧基、氰基、或硝基, 通式(I)、(III)及(IV)中之Q表示C1
-C4
烷胺基羰基、C1
-C4
鹵烷胺基羰基、二C1
-C4
烷胺基羰基、二C1
-C4
鹵烷胺基羰基、苯基、經取代之苯基、雜環基、或經取代之雜環基(Q為「經取代之苯基」時,「經取代」係指經選自於由鹵素原子、C1
-C4
烷基、C1
-C4
鹵烷基、C1
-C4
烷氧基、C1
-C4
鹵烷氧基、C1
-C4
烷硫基、C1
-C4
鹵烷硫基、C1
-C4
烷胺基、二C1
-C4
烷胺基、氰基、及硝基構成之群組中之相同或不同之1~5個取代基取代。又,Q為「經取代之雜環基」時,「經取代」係指經選自於由鹵素原子、C1
-C4
烷基、C1
-C4
鹵烷基、C1
-C4
烷氧基、C1
-C4
鹵烷氧基、C1
-C4
烷硫基、C1
-C4
鹵烷硫基、C1
-C4
烷胺基、二C1
-C4
烷胺基、氰基、及硝基構成之群組中之相同或不同之1~4個取代基取代。)。
<4> 如<1>~<3>中任一項之芳香族醯胺衍生物之製造方法,其中,通式(I)、(III)及(IV)中之R2
表示氫原子、鹵素原子、C1
-C4
烷氧基、C1
-C4
烷胺基、二C1
-C4
烷胺基、氰基、或硝基, 通式(I)、(III)及(IV)中之R4
表示氫原子、C1
-C4
烷基、或C1
-C4
鹵烷基。
<5> 如<1>~<4>中任一項之芳香族醯胺衍生物之製造方法,其中,通式(I)、(III)及(IV)中之R2
表示氫原子、鹵素原子、或C1
-C4
烷氧基, 通式(I)、(III)及(IV)中之R3
表示氫原子、鹵素原子、或氰基, 通式(I)、(III)及(IV)中之Q表示二C1
-C4
烷胺基羰基、苯基、經取代之苯基、雜環基、或經取代之雜環基(Q為「經取代之苯基」時,「經取代」係指經選自於由鹵素原子、氰基、硝基、及C1
-C4
鹵烷基構成之群組中之相同或不同之1~5個取代基取代。又,Q為「經取代之雜環基」時,「經取代」係指經選自於由鹵素原子、氰基、硝基、及C1
-C4
鹵烷基構成之群組中之相同或不同之1~4個取代基取代。)。
<6> 如<1>~<5>中任一項之芳香族醯胺衍生物之製造方法,其中, 通式(I)、(III)及(IV)中之R2
表示氫原子或鹵素原子, 通式(I)、(III)及(IV)中之R4
表示氫原子或C1
-C4
烷基, 通式(I)、(III)及(IV)中之Q表示苯基、經取代之苯基、吡啶基、或經取代之吡啶基(Q為「經取代之苯基」時,「經取代」係指經選自於由鹵素原子、氰基、及硝基構成之群組中之相同或不同之1~5個取代基取代。又,Q為「經取代之吡啶基」時,「經取代」係指經選自於由鹵素原子、氰基、硝基、及C1
-C4
鹵烷基構成之群組中之相同或不同之1~4個取代基取代。)。
<7> 如<1>~<6>中任一項之芳香族醯胺衍生物之製造方法,更包括以下之步驟c、步驟d、及步驟e;
步驟c)在步驟b中獲得和通式(I)表示之芳香族醯胺衍生物一起獲得之通式(V)表示之羧酸化合物後,將前述羧酸化合物予以鹵化或酯化,而獲得通式(IIIa)表示之羧酸衍生物再生化合物;
[式中,R2
表示氫原子、鹵素原子、C1
-C4
烷氧基、C1
-C4
烷胺基、二C1
-C4
烷胺基、氰基、或硝基, R3
表示氫原子或鹵素原子, R4
表示氫原子、C1
-C4
烷基、或C1
-C4
鹵烷基, Q表示二C1
-C4
烷胺基羰基、苯基、經取代之苯基、雜環基、或經取代之雜環基(Q為「經取代之苯基」時,「經取代」係指經選自於由鹵素原子、氰基、硝基、及C1
-C4
鹵烷基構成之群組中之相同或不同之1~5個取代基取代。又,Q為「經取代之雜環基」時,「經取代」係指經選自於由鹵素原子、氰基、硝基、及C1
-C4
鹵烷基構成之群組中之相同或不同之1~4個取代基取代。又,前述雜環基為吡啶基、N-氧化吡啶基、嘧啶基、嗒基、吡基、呋喃基、噻吩基、唑基、異唑基、二唑基、噻唑基、異噻唑基、咪唑基、三唑基、吡咯基、吡唑基、或四唑基。)]
(式中,R2
、R3
、R4
、X3
、及Q同通式(III)中之R2
、R3
、R4
、X3
、及Q。)。
步驟d)使步驟c獲得之羧酸衍生物再生化合物與通式(II)表示之苯胺衍生物於鹼存在下反應,以獲得通式(IV)表示之醯亞胺體化合物;
步驟e)將步驟d獲得之通式(IV)表示之醯亞胺體化合物予以水解,以獲得通式(I)表示之芳香族醯胺衍生物。
<8> 如<7>之芳香族醯胺衍生物之製造方法,其中, 通式(V)中之R2
表示氫原子或鹵素原子, R4
表示氫原子或C1
-C4
烷基, Q表示二C1
-C4
烷胺基羰基、苯基、經取代之苯基、吡啶基、或經取代之吡啶基(Q為「經取代之苯基」時,「經取代」係指經選自於由鹵素原子、氰基、及硝基構成之群組中之相同或不同之1~5個取代基取代。又,Q為「經取代之吡啶基」時,「經取代」係指經選自於由鹵素原子及C1
-C4
鹵烷基構成之群組中之相同或不同之1~4個取代基取代。)。 (發明之效果)
依照本發明,可提供能以短步驟且高產率製造芳香族醯胺衍生物之方法。
本說明書中,用語「步驟」不只是獨立的步驟,即使是和其他步驟無法明確地區別的情形,只要可以達成此步驟所期待的作用,則包括在本用語中。 本說明書中,使用「~」表達的數値範圍,代表包括將「~」之前後記載之數値分別作為最小値及最大値的範圍。
本說明書之通式使用之用語,其定義分別有如以下説明的含意。 「鹵素原子」係指氟原子、氯原子、溴原子或碘原子。 「n-」代表正(normal),「i-」代表異,「s-」代表第二,「t-」代表第三。
「Ca
-Cb
(a、b表示1以上之整數)」之表示記載,例如:「C1
-C3
」代表碳原子數為1~3個,「C2
-C6
」代表碳原子數為2~6個,「C1
-C4
」代表碳原子數為1~4個。 又,以下之限定碳數之取代基之説明中,「Ca
-Cb
XX基(XX基表示取代基名,a、b表示1以上之整數)」之表示記載,例如:「C1
-C3
XX基」係指碳原子數為1~3個之XX基,同時具有各自之碳原子數之取代基,包括例如:碳原子數1之XX基、碳原子數2之XX基、碳原子數3之XX基之範圍作為下位概念,且也包括碳原子數之上限與下限在容許之範圍任意組合而規定之取代基之範圍,例如「C1
-C3
XX基」中之「C1
-C2
XX基」、「C2
-C3
XX基」作為下位概念。 「C1
-C3
烷基」表示例如:甲基、乙基、n-丙基、i-丙基等直鏈狀或分支鏈狀之碳原子數1~3個烷基,「C1
-C4
烷基」除了「C1
-C3
烷基」,尚例如代表n-丁基、s-丁基、i-丁基、t-丁基等直鏈狀或分支鏈狀之碳原子數為1~4個之烷基。
「C1
-C4
鹵烷基」代表例如:一氟甲基、二氟甲基、三氟甲基、一氯甲基、二氯甲基、三氯甲基、一溴甲基、二溴甲基、三溴甲基、1-氟乙基、2-氟乙基、2,2-二氟乙基、2,2,2-三氟乙基、1-氯乙基、2-氯乙基、2,2-二氯乙基、2,2,2-三氯乙基、1-溴乙基、2-溴乙基、2,2-二溴乙基、2,2,2-三溴乙基、2-碘乙基、五氟乙基、3-氟-n-丙基、3-氯-n-丙基、3-溴-n-丙基、1,3-二氟-2-丙基、1,3-二氯-2-丙基、1,1,1-三氟-2-丙基、1-氯-3-氟-2-丙基、1,1,1,3,3,3-六氟-2-丙基、1,1,1,3,3,3-六氟-2-氯-2-丙基、2,2,3,3,3-五氟-n-丙基、七氟-i-丙基、七氟-n-丙基、4-氟-n-丁基、九氟-n-丁基、九氟-2-丁基、九氟-i-丁基等經可相同或不同之1個以上之鹵素原子取代之直鏈狀或分支鏈狀之碳原子數為1~4個之烷基。
「C2
-C4
烯基」代表例如:乙烯基、烯丙基、2-丁烯基、3-丁烯基等在碳鏈中有雙鍵之碳原子數2~4個之烯基。 「C2
-C4
鹵烯基」代表例如:3,3-二氟-2-丙烯基、3,3-二氯-2-丙烯基、3,3-二溴-2-丙烯基、2,3-二溴-2-丙烯基、4,4-二氟-3-丁烯基、3,4,4-三溴-3-丁烯基等經可相同或不同之1個以上之鹵素原子取代之在碳鏈中有雙鍵之直鏈狀或分支鏈狀之碳原子數為2~4個之烯基。
「C2
-C4
炔基」代表例如:炔丙基、1-丁炔-3-基、1-丁炔-3-甲基-3-基等在碳鏈中具參鍵之直鏈狀或分支鏈狀之碳原子數為2~4個之炔基。 「C2
-C4
鹵炔基」代表例如:3,3-二氟丙炔-1-基、3,3,3-三氟丙炔-1-基、4,4,4-三氟-3,3-二氟-丁炔-1-基等經可相同或不同之1個以上之鹵素原子取代之在碳鏈中有參鍵之直鏈狀或分支鏈狀之碳原子數為2~4個之炔基。
「C1
-C4
烷氧基」代表例如:甲氧基、乙氧基、n-丙氧基、異丙氧基、n-丁氧基、i-丁氧基等直鏈狀或分支鏈狀之碳原子數為1~4個之烷氧基。 「C1
-C4
鹵烷氧基」代表例如:三氟甲氧基、1,1,1,3,3,3-六氟-2-丙氧基、2,2,2-三氟乙氧基、2-氯乙氧基,3-氟-n-丙氧基、1,1,1,3,3,4,4,4-八氟-2-丁氧基等經可相同或不同之1個以上之鹵素原子取代之直鏈狀或分支鏈狀之碳原子數為1~4個之鹵烷氧基。
「C1
-C4
烷硫基」代表例如:甲硫基、乙硫基、n-丙硫基、i-丙硫基、環丙硫基、n-丁硫基、i-丁硫基、s-丁硫基、t-丁硫基、環丙基甲硫基等直鏈狀、分支鏈狀、或環狀之碳原子數為1~4個之烷硫基。 「C1
-C4
鹵烷硫基」代表例如:三氟甲硫基、五氟乙硫基、2,2,2-三氟乙硫基、七氟-n-丙硫基、七氟-i-丙硫基、九氟-n-丁硫基、九氟-i-丁硫基、九氟-s-丁硫基、4,4,4-三氟-n-丁硫基等經可相同或不同之1個以上之鹵素原子取代之直鏈狀或分支鏈狀之碳原子數為1~4個之烷硫基。
「C1
-C4
烷基亞磺醯基」代表例如:甲基亞磺醯基、乙基亞磺醯基、n-丙基亞磺醯基、i-丙基亞磺醯基、環丙基亞磺醯基、n-丁基亞磺醯基、i-丁基亞磺醯基等直鏈狀、分支鏈狀、或環狀之碳原子數為1~4個之烷基亞磺醯基。 「C1
-C4
鹵烷基亞磺醯基」代表例如:三氟甲基亞磺醯基、五氟乙基亞磺醯基、2,2,2-三氟乙基亞磺醯基、七氟-n-丙基亞磺醯基、七氟-i-丙基亞磺醯基、九氟-n-丁基亞磺醯基、九氟-i-丁基亞磺醯基、九氟-s-丁基亞磺醯基、4,4,4-三氟-n-丁基亞磺醯基等經可相同或不同之1個以上之鹵素原子取代之直鏈狀或分支鏈狀之碳原子數為1~4個之烷基亞磺醯基。
「C1
-C4
烷基磺醯基」代表例如:甲基磺醯基、乙基磺醯基、n-丙基磺醯基、i-丙基磺醯基、環丙基磺醯基、n-丁基磺醯基、i-丁基磺醯基等直鏈狀、分支鏈狀、或環狀之碳原子數為1~4個之烷基磺醯基。 「C1
-C4
鹵烷基磺醯基」代表例如:三氟甲基磺醯基、五氟乙基磺醯基、2,2,2-三氟乙基磺醯基、七氟-n-丙基磺醯基、七氟-i-丙基磺醯基、九氟-n-丁基磺醯基、九氟-s-丁基磺醯基等經相同或不同之1個以上之鹵素原子取代之直鏈狀或分支鏈狀之碳原子數為1~4個之烷基磺醯基。
「C1
-C4
烷胺基」代表例如:甲胺基、乙胺基、n-丙胺基、i-丙胺基、n-丁胺基、環丙胺基等直鏈狀、分支鏈狀、或環狀之碳原子數為1~4個之烷胺基。 「二C1
-C4
烷胺基」代表例如:二甲胺基、二乙胺基、N-乙基-N-甲胺基等經可相同或不同之直鏈狀或分支鏈狀之2個碳原子數為1~4個之烷基取代之胺基。
「C1
-C4
烷基羰基」代表例如:甲醯基、乙醯基、丙醯基、異丙基羰基、環丙基羰基等直鏈狀、分支鏈狀、或環狀之碳原子數為1~4個之烷基羰基。 「C1
-C4
鹵烷基羰基」代表例如:氟乙醯基、二氟乙醯基、三氟乙醯基、氯乙醯基、二氯乙醯基、三氯乙醯基、溴乙醯基、碘乙醯基、3,3,3-三氟丙醯基、2,2,3,3,3-五氟丙醯基等經可相同或不同之1個以上之鹵素原子取代之直鏈狀或分支鏈狀之碳原子數為1~4個之烷基羰基。
「C1
-C4
烷基羰氧基」代表例如:乙醯氧基、丙醯氧基等直鏈狀或分支鏈狀之碳原子數為1~4個之烷基羰氧基。 「C1
-C4
烷氧基羰基」代表例如:甲氧基羰基、乙氧基羰基、異丙氧基羰基等直鏈狀或分支鏈狀之碳原子數為1~4個之烷氧基羰基。
「C1
-C4
全氟烷基」代表例如:三氟甲基、五氟乙基、七氟-n-丙基、七氟-i-丙基、九氟-n-丁基、九氟-2-丁基、九氟-i-丁基等經氟原子全部取代之直鏈狀或分支鏈狀之碳原子數為1~4個之烷基。
「C1
-C4
全氟烷硫基」代表例如:三氟甲硫基、五氟乙硫基、七氟-n-丙硫基、七氟-i-丙硫基、九氟-n-丁硫基、九氟-2-丁硫基、九氟-i-丁硫基等經氟原子全部取代之直鏈狀或分支鏈狀之碳原子數為1~4個之烷硫基。
「C1
-C4
全氟烷基亞磺醯基」代表例如:三氟甲基亞磺醯基、五氟乙基亞磺醯基、七氟-n-丙基亞磺醯基、七氟-i-丙基亞磺醯基、九氟-n-丁基亞磺醯基、九氟-2-丁基亞磺醯基、九氟-i-丁基亞磺醯基等經氟原子全部取代之直鏈狀或分支鏈狀之碳原子數為1~4個之烷基亞磺醯基。
「C1
-C4
全氟烷基磺醯基」代表例如:三氟甲基磺醯基、五氟乙基磺醯基、七氟-n-丙基磺醯基、七氟-i-丙基磺醯基、九氟-n-丁基磺醯基、九氟-2-丁基磺醯基、九氟-i-丁基磺醯基等經氟原子全部取代之直鏈狀或分支鏈狀之碳原子數為1~4個之烷基磺醯基。
本發明中,通式(I)、通式(II)、通式(III)、通式(IIIa)、通式(IV)、通式(V)等表示之化合物有時在其結構式中會含有1個或多數個不對稱碳原子或不對稱中心,也有時會存在2種以上之光學異構物。本發明中皆包括各光學異構物及以任意比例含有該等光學異構物之混合物。 又,本發明中,通式(I)、通式(II)、通式(III)、通式(IIIa)、通式(IV)、通式(V)等表示之化合物有時在其結構式中會存在來自碳-碳雙鍵之2種以上之幾何異構物。本發明皆包括各幾何異構物及以任意比例含有該等幾何異構物之混合物。
本發明之下列通式(I)表示之芳香族醯胺衍生物之製造方法(以下簡單稱為「本發明之製造方法」),包括以下步驟:步驟a,使通式(II)表示之苯胺衍生物與通式(III)表示之羧酸衍生物於鹼存在下進行反應以獲得通式(IV)表示之醯亞胺體化合物;及步驟b,將通式(IV)表示之醯亞胺體化合物予以水解,以獲得通式(I)表示之芳香族醯胺衍生物。 又,本發明之製造方法視需要也可更包括以下步驟: 步驟c,把步驟b中將通式(IV)表示之醯亞胺體化合物予以水解時和通式(I)表示之芳香族醯胺衍生物一起獲得之通式(V)表示之羧酸化合物予以單離、精製等而獲得後,將該羧酸化合物進行鹵化或酯化,以獲得通式(IIIa)表示之羧酸衍生物再生化合物; 步驟d,使步驟c獲得之通式(IIIa)表示之羧酸衍生物再生化合物與通式(II)表示之苯胺衍生物於鹼存在下進行反應,以獲得通式(IV)表示之醯亞胺體化合物;及 步驟e,將步驟d獲得之通式(IV)表示之醯亞胺體化合物予以水解,以獲得通式(I)表示之芳香族醯胺衍生物。
本發明中,通式(IV)表示之醯亞胺體化合物是在製造作為殺蟲劑為有用之通式(I)表示之化合物方面特別有用的製造中間體。 通式(IV)中,R1
表示鹵素原子;C1
-C4
鹵烷基;或經選自於由C1
-C4
烷基、C1
-C4
鹵烷基、C1
-C4
烷氧基、C1
-C4
鹵烷氧基、C1
-C4
烷硫基、C1
-C4
鹵烷硫基、C1
-C4
烷胺基、二C1
-C4
烷胺基、氰基、及硝基構成之群組中之相同或不同之1~8個取代基取代之C1
-C4
鹵烷基,較佳為C1
-C4
鹵烷基。
通式(IV)中,X1
及X2
各自獨立地表示氫原子、
鹵素原子、C1
-C4
烷基、C1
-C4
鹵烷基、C2
-C4
烯基、C2
-C4
鹵烯基、C2
-C4
炔基、C2
-C4
鹵炔基、C1
-C4
烷氧基、C1
-C4
鹵烷氧基、C1
-C4
烷硫基、C1
-C4
鹵烷硫基、C1
-C4
烷基亞磺醯基、C1
-C4
鹵烷基亞磺醯基、C1
-C4
烷基磺醯基、C1
-C4
鹵烷基磺醯基、C1
-C4
烷胺基、二C1
-C4
烷胺基、氰基、硝基、C1
-C4
烷基羰基、或C1
-C4
鹵烷基羰基,較佳為氫原子、鹵素原子、C1
-C4
烷基、C1
-C4
鹵烷基、C1
-C4
烷氧基、C1
-C4
鹵烷氧基、C1
-C4
烷硫基、C1
-C4
鹵烷硫基、C1
-C4
烷基磺醯基、或C1
-C4
鹵烷基磺醯基,更佳為鹵素原子、C1
-C4
烷基、C1
-C4
鹵烷基、或C1
-C4
鹵烷基磺醯基。
通式(IV)中,R2
及R3
各自獨立地表示氫原子、鹵素原子、C1
-C4
烷基、C1
-C4
鹵烷基、C1
-C4
烷氧基、C1
-C4
鹵烷氧基、C1
-C4
烷硫基、C1
-C4
鹵烷硫基、C1
-C4
烷基亞磺醯基、C1
-C4
鹵烷基亞磺醯基、C1
-C4
烷基磺醯基、C1
-C4
鹵烷基磺醯基、C1
-C4
烷胺基、二C1
-C4
烷胺基、氰基、或硝基,較佳為氫原子、鹵素原子、C1
-C4
烷氧基、C1
-C4
鹵烷氧基、C1
-C4
烷硫基、C1
-C4
鹵烷硫基、C1
-C4
烷基磺醯基、C1
-C4
鹵烷基磺醯基、C1
-C4
烷胺基、二C1
-C4
烷胺基、氰基、或硝基。 R2
更佳為表示氫原子、鹵素原子、C1
-C4
烷氧基、C1
-C4
鹵烷氧基、C1
-C4
烷硫基、C1
-C4
鹵烷硫基、C1
-C4
烷基磺醯基、C1
-C4
鹵烷基磺醯基、C1
-C4
烷胺基、二C1
-C4
烷胺基、氰基、或硝基,又更佳為表示氫原子、鹵素原子、C1
-C4
烷氧基、C1
-C4
烷胺基、二C1
-C4
烷胺基、氰基、或硝基,尤佳為表示氫原子、鹵素原子、或C1
-C4
烷氧基,R3
更佳為表示氫原子、鹵素原子、C1
-C4
烷氧基、氰基、或硝基,又更佳為表示氫原子、鹵素原子、硝基、或氰基,尤佳為氫原子、鹵素原子、或氰基。 有2個的R2
及R3
可各自相同也可不同。
通式(IV)中,R4
表示氫原子;C1
-C4
烷基;C1
-C4
鹵烷基;C1
-C4
烷基羰基;C1
-C4
鹵烷基羰基;C1
-C4
烷氧基羰基;C1
-C4
鹵烷氧基羰基;C1
-C4
烷基磺醯基;C1
-C4
鹵烷基磺醯基;或經選自於由C1
-C4
烷基、C1
-C4
鹵烷基、C1
-C4
烷氧基、C1
-C4
鹵烷氧基、C1
-C4
烷硫基、C1
-C4
鹵烷硫基、C1
-C4
烷基磺醯基、C1
-C4
鹵烷基磺醯基、C1
-C4
烷胺基、二C1
-C4
烷胺基、C1
-C4
烷基羰基、C1
-C4
烷氧基羰基、二C1
-C4
烷胺基羰基、氰基、及硝基構成之群組中之相同或不同之1~9個取代基取代之C1
-C4
烷基、C1
-C4
鹵烷基、C1
-C4
烷基羰基、C1
-C4
鹵烷基羰基、C1
-C4
烷氧基羰基、C1
-C4
鹵烷氧基羰基、C1
-C4
烷基磺醯基、或C1
-C4
鹵烷基磺醯基。 有2個的R4
可各自相同也可不同。 R4
也可以和Q鍵結而形成C1
-C6
之雜環。 R4
較佳為表示氫原子、C1
-C4
烷基、C1
-C4
鹵烷基、C1
-C4
烷基羰基、C1
-C4
烷氧基羰基、或C1
-C4
烷基磺醯基,更佳為表示氫原子、C1
-C4
烷基、或C1
-C4
鹵烷基,又更佳為氫原子或C1
-C4
烷基。
通式(IV)中,Q表示C1
-C4
烷基;C1
-C4
鹵烷基;C1
-C4
烷胺基羰基;C1
-C4
鹵烷胺基羰基;二C1
-C4
烷胺基羰基;二C1
-C4
鹵烷胺基羰基;苯基;雜環基;經選自於由鹵素原子、C1
-C4
烷基、C1
-C4
鹵烷基、C1
-C4
烷氧基、C1
-C4
鹵烷氧基、C1
-C4
烷硫基、C1
-C4
鹵烷硫基、C1
-C4
烷胺基、二C1
-C4
烷胺基、氰基、及硝基構成之群組中之相同或不同之1~9個取代基取代之C1
-C4
烷基或C1
-C4
鹵烷基;經選自於由鹵素原子、C1
-C4
烷基、C1
-C4
鹵烷基、C1
-C4
烷氧基、C1
-C4
鹵烷氧基、C1
-C4
烷硫基、C1
-C4
鹵烷硫基、C1
-C4
烷胺基、二C1
-C4
烷胺基、氰基、及硝基構成之群組中之相同或不同之1~5個取代基取代之苯基;或經選自於由鹵素原子、C1
-C4
烷基、C1
-C4
鹵烷基、C1
-C4
烷氧基、C1
-C4
鹵烷氧基、C1
-C4
烷硫基、C1
-C4
鹵烷硫基、C1
-C4
烷胺基、二C1
-C4
烷胺基、氰基、及硝基構成之群組中之相同或不同之1~4個取代基取代之雜環基,該雜環基為吡啶基、N-氧化吡啶基、嘧啶基、嗒基、吡基、呋喃基、噻吩基、唑基、異唑基、二唑基、噻唑基、異噻唑基、咪唑基、三唑基、吡咯基、吡唑基、或四唑基。 有2個的Q可各自相同也可不同。 Q較佳為C1
-C4
烷胺基羰基;C1
-C4
鹵烷胺基羰基;二C1
-C4
烷胺基羰基;二C1
-C4
鹵烷胺基羰基;苯基;雜環基;經選自於由鹵素原子、C1
-C4
烷基、C1
-C4
鹵烷基、C1
-C4
烷氧基、C1
-C4
鹵烷氧基、C1
-C4
烷硫基、C1
-C4
鹵烷硫基、C1
-C4
烷胺基、二C1
-C4
烷胺基、氰基、及硝基構成之群組中之相同或不同之1~5個取代基取代之苯基;或經選自於由鹵素原子、C1
-C4
烷基、C1
-C4
鹵烷基、C1
-C4
烷氧基、C1
-C4
鹵烷氧基、C1
-C4
烷硫基、C1
-C4
鹵烷硫基、C1
-C4
烷胺基、二C1
-C4
烷胺基、氰基、及硝基構成之群組中之相同或不同之1~4個取代基取代之雜環基,更佳為苯基;雜環基;經選自於由鹵素原子、C1
-C4
烷基、C1
-C4
鹵烷基、C1
-C4
烷氧基、C1
-C4
鹵烷氧基、C1
-C4
烷硫基、C1
-C4
鹵烷硫基、C1
-C4
烷胺基、二C1
-C4
烷胺基、氰基、及硝基構成之群組中之相同或不同之1~5個取代基取代之苯基;或經選自於由鹵素原子、C1
-C4
烷基、C1
-C4
鹵烷基、C1
-C4
烷氧基、C1
-C4
鹵烷氧基、C1
-C4
烷硫基、C1
-C4
鹵烷硫基、C1
-C4
烷胺基、二C1
-C4
烷胺基、氰基、及硝基構成之群組中之相同或不同之1~4個取代基取代之雜環基,又更佳為二C1
-C4
烷胺基羰基;苯基;雜環基;經選自於由鹵素原子、氰基、硝基、及C1
-C4
鹵烷基構成之群組中之相同或不同之1~5個取代基取代之苯基;或經選自於由鹵素原子、氰基、硝基、及C1
-C4
鹵烷基構成之群組中之相同或不同之1~4個取代基取代之雜環基,尤佳為苯基;吡啶基;經選自於由鹵素原子、氰基、及硝基構成之群組中之相同或不同之1~5個取代基取代之苯基;或經選自於由鹵素原子、氰基、硝基、及C1
-C4
鹵烷基構成之群組中之相同或不同之1~4個取代基取代之吡啶基。
通式(I)中之R1
、X1
、X2
、R2
、R3
、R4
、及Q同通式(IV)中之R1
、X1
、X2
、R2
、R3
、R4
、及Q,理想態樣亦同。
通式(II)中之R1
、X1
、及X2
同通式(IV)中之R1
、X1
、及X2
,理想態樣亦同。
通式(III)中之X3
表示鹵素原子或C1
-C4
烷氧基,R2
、R3
、R4
、及Q同通式(IV)中之R2
、R3
、R4
、及Q,理想態樣亦同。
通式(V)中之R2
、R3
、R4
、及Q同通式(IV)中之R2
、R3
、R4
、及Q,理想態樣亦同。 通式表示之化學結構中,上述各自、全部取代基的限定範圍能以任意的程度互相組合,因該組合而產生之通式表示之化學結構之限定範圍皆以其態樣分別或全部組合分別明白記載的方式揭示在本說明書。
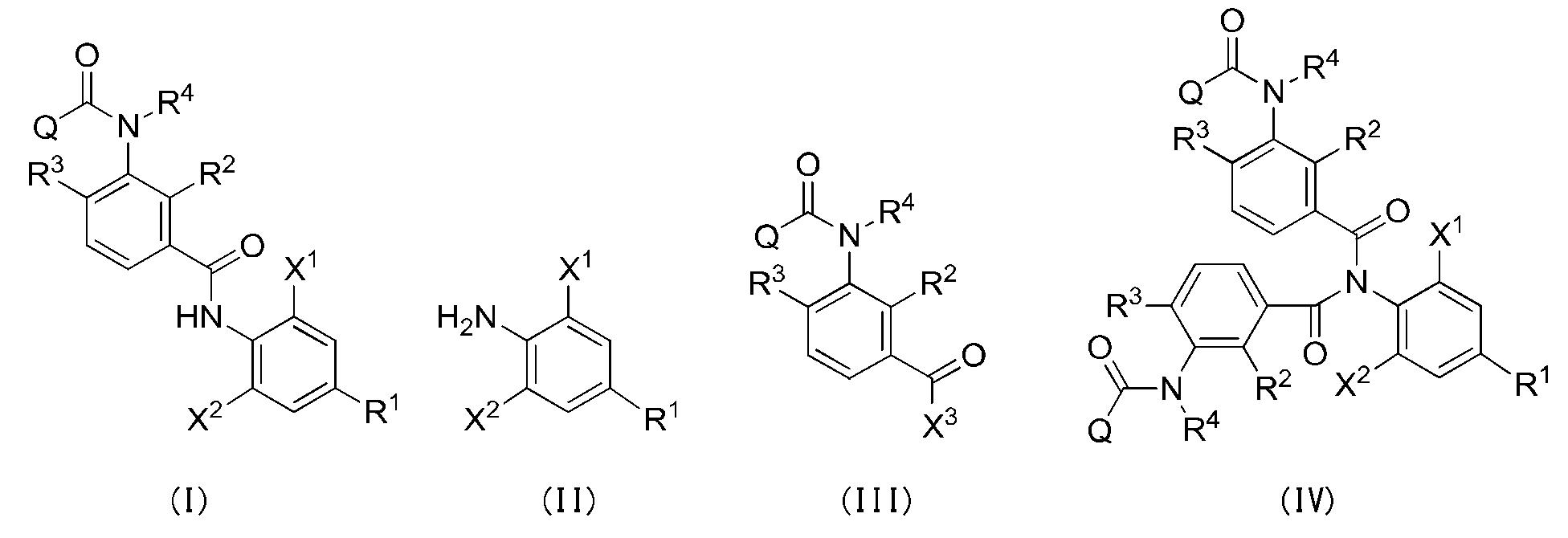
以下針對本發明之製造方法説明。 首先針對步驟a説明。 步驟a,如下列反應式所示,係藉由使通式(II)表示之苯胺衍生物與通式(III)表示之羧酸衍生物於鹼存在下反應,以獲得通式(IV)表示之醯亞胺體化合物之步驟。
上述反應使用之鹼可列舉三乙胺、三-n-丁胺、吡啶、4-二甲胺基吡啶、1,4-二氮雜雙環[2.2.2]辛烷、二氮雜雙環十一烯、二氮雜雙環壬烯等有機鹼類;氫氧化鈉、氫氧化鉀等氫氧化鹼金屬類;碳酸氫鈉、碳酸鉀等碳酸鹽類;磷酸氫二鉀、磷酸三鈉等磷酸鹽類;氫化鈉等氫化鹼金屬鹽類;甲醇鈉、乙醇鈉等鹼金屬醇鹽類等。該等鹼可單獨使用或混用2種以上。 該等之中,上述反應使用之鹼尤適合使用三乙胺、三-n-丁胺、4-二甲胺基吡啶等有機鹽類。
鹼之使用量,例如相對於通式(II)表示之苯胺衍生物之使用量為0.01倍莫耳當量~10倍莫耳當量之範圍,較佳為2倍莫耳當量~4倍莫耳當量之範圍。鹼在上述範圍內適當選擇使用即可。
上述反應可於無溶劑進行,也可於鈍性溶劑存在下進行。 鈍性溶劑只要是不顯著妨礙本反應進行者即可,並無特殊限制。鈍性溶劑可以列舉苯、甲苯、二甲苯等芳香族烴類;二氯甲烷、氯仿、四氯化碳等鹵化烴類;二乙醚、二烷、四氫呋喃、1,2-二甲氧基乙烷等鏈狀或環狀醚類;乙酸乙酯、乙酸丁酯等酯類;甲醇、乙醇等醇類;丙酮、甲基異丁酮、環己酮等酮類;N,N-二甲基甲醯胺、N,N-二甲基乙醯胺、1,3-二甲基-2-咪唑啶酮、N-甲基-2-吡咯烷酮等醯胺類;乙腈等腈類;二甲基亞碸等。該等溶劑單獨使用或混用2種以上。 該等之中,鈍性溶劑特別宜使用選自於由苯、甲苯、及二甲苯構成之群組中之至少1種。
鈍性溶劑之使用量,例如相對於通式(II)表示之苯胺衍生物之使用量為2質量倍~20質量倍之範圍,較佳為2質量倍~10質量倍之範圍。鈍性溶劑可在上述範圍內適當選用。
上述反應中,反應溫度為例如:-20℃~200℃之範圍,較佳為50℃~120℃之範圍,使用鈍性溶劑時,設為其沸點以下即可。反應時間在例如:數分鐘至96小時之範圍內,較佳為在數分鐘至24小時之範圍內適當選擇。
上述反應中,通式(III)表示之羧酸衍生物之使用量相對於通式(II)表示之苯胺衍生物之使用量,並無特殊限制。例如考量經濟性之觀點,通式(III)表示之羧酸衍生物之使用量相對於通式(II)表示之苯胺衍生物之使用量為2倍莫耳當量~5倍莫耳當量,較佳為2倍莫耳當量~3倍莫耳當量。
步驟a中,為目的物之通式(IV)表示之醯亞胺體化合物可於反應結束後,從反應系依常法單離,視需要也可進行再結晶、管柱層析、蒸餾等操作並精製。 步驟a使用之鹼、鈍性溶劑之種類及其使用量、反應溫度、反應時間等上述説明之反應條件,可互相任意組合,其各自、全部組合以其態樣之各別或全部組合分別明白記載的方式揭示在本說明書。
通式(II)表示之苯胺衍生物,可依歐洲專利申請案公開第2319830號說明書記載之方法合成。又,通式(III)表示之羧酸衍生物可依WO2010/018857A1記載之方法合成。
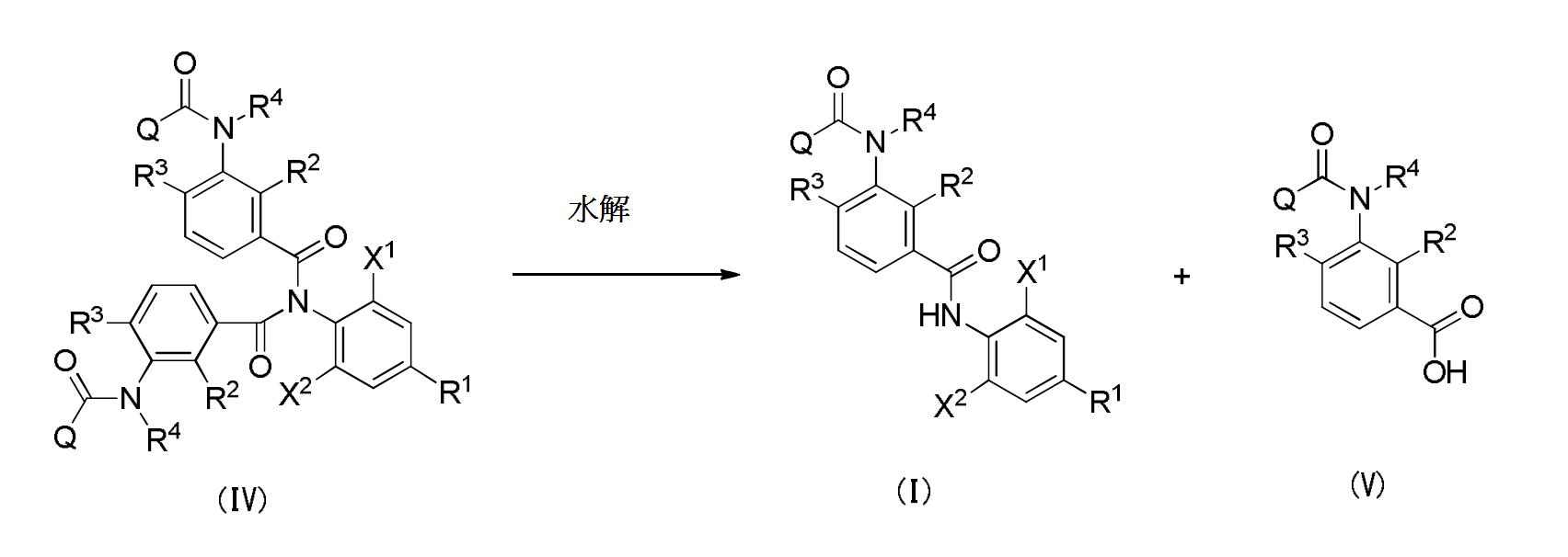
然後針對步驟b説明。 步驟b,係如下列反應式所示,藉由將通式(IV)表示之醯亞胺體化合物予以水解以獲得通式(I)表示之芳香族醯胺衍生物之步驟。步驟b可同時獲得通式(I)表示之芳香族醯胺衍生物與通式(V)表示之羧酸化合物。
上述反應中,水解係指於水存在下以酸或鹼將通式(IV)表示之醯亞胺體化合物分解為通式(I)表示之芳香族醯胺衍生物及通式(V)表示之羧酸化合物。 水解使用之酸可列舉氯化氫、溴化氫、碘化氫、硫酸、硝酸等,較佳為氯化氫、硫酸。 水解使用之鹼可列舉氫氧化鋰、氫氧化鈉、氫氧化鉀等氫氧化鹼金屬類;碳酸氫鈉、碳酸鈉、碳酸鉀等碳酸鹽基類;甲醇鈉、乙醇鈉等鹼金屬醇鹽類;三乙胺、4-二甲胺基吡啶、吡啶等有機鹼類等。該等之中,鹼特別宜使用選自於由氫氧化鈉、氫氧化鉀、碳酸鈉、碳酸鉀、及4-二甲胺基吡啶構成之群組中之至少1種。
酸或鹼之使用量例如相對於通式(IV)表示之醯亞胺體化合物之使用量為0.5倍莫耳當量~20倍莫耳當量之範圍,較佳為0.5倍莫耳當量~10倍莫耳當量之範圍。酸或鹼可於上述範圍內適當選用。
上述反應可於無溶劑進行,也可於鈍性溶劑存在下進行。 鈍性溶劑只要不顯著妨礙本反應進行即可,並無特殊限制。鈍性溶劑可列舉苯、甲苯、二甲苯等芳香族烴類;二氯甲烷、氯仿、四氯化碳等鹵化烴類;二乙醚、二烷、四氫呋喃、1,2-二甲氧基乙烷等鏈狀或環狀醚類;乙酸乙酯、乙酸丁酯等酯類;甲醇、乙醇等醇類;丙酮、甲基異丁酮、環己酮等酮類;N,N-二甲基甲醯胺、N,N-二甲基乙醯胺、1,3-二甲基-2-咪唑啶酮、N-甲基-2-吡咯烷酮等醯胺類;乙腈等腈類;二甲基亞碸等。該等溶劑可單獨使用或混用2種以上。 該等之中,鈍性溶劑特別宜使用選自於由四氫呋喃、甲醇、1,3-二甲基-2-咪唑啶酮、甲苯、及二甲苯構成之群組中之至少1種。
鈍性溶劑之使用量,例如相對於通式(IV)表示之醯亞胺體化合物之使用量為1質量倍~15質量倍之範圍,較佳為1質量倍~10質量倍之範圍。鈍性溶劑可以在上述範圍內適當選用。
上述反應中,反應溫度例如:-20℃~200℃之範圍,較佳為50℃~120℃之範圍,使用鈍性溶劑時,設為其沸點以下即可。反應時間例如:數分鐘至96小時之範圍內,較佳為在數分鐘至24小時之範圍內適當選擇。
步驟b中,為目的物之通式(I)表示之芳香族醯胺衍生物可於反應結束後從反應系依常法單離,視需要也可實施再結晶、管柱層析、蒸餾等操作並精製。 步驟b使用之酸、鹼、鈍性溶劑之種類及其使用量、反應溫度、反應時間等上述説明之反應條件,可以互相任意組合,其各自、全部組合以其態樣之各別或全部組合分別明白記載的方式揭示在本說明書。
步驟b中,和通式(I)表示之芳香族醯胺衍生物一起獲得之通式(V)表示之羧酸化合物,於水解使用酸的情形,係於反應結束後利用過濾單離,於水解使用鹼的情形,可將水相酸析並利用過濾單離。已單離之羧酸化合物也可視情形進行再結晶、管柱層析等操作並精製。
然後針對步驟c説明。 步驟c,如下列反應式所示,係於將通式(IV)表示之醯亞胺體化合物進行水解時,使和通式(I)表示之芳香族醯胺衍生物一起獲得之通式(V)表示之羧酸化合物予以鹵化或酯化,以獲得通式(IIIa)表示之羧酸衍生物再生化合物之步驟。
上述反應中,鹵化係使用鹵化劑而從通式(V)表示之羧酸化合物獲得通式(IIIa)表示之羧酸衍生物再生化合物之反應,酯化係於醇存在下使用酸觸媒,而從通式(V)表示之羧酸化合物獲得通式(IIIa)表示之羧酸衍生物再生化合物之反應。
上述鹵化反應中使用的鹵化劑可以列舉:光氣、三光氣、亞硫醯氯、草醯氯、三氯化磷、五氯化磷、氧氯化磷、三溴化磷等,較佳為亞硫醯氯、草醯氯、氧氯化磷。 鹵化劑之使用量,例如相對於通式(V)表示之羧酸化合物之使用量為0.2倍莫耳當量~10倍莫耳當量之範圍,較佳為0.5倍莫耳當量~2倍莫耳當量之範圍。鹵化劑可以在上述範圍內適當選用。
上述酯化反應中使用的酸觸媒可列舉硫酸、鹽酸、對甲苯磺酸等,較佳為硫酸、對甲苯磺酸。 酸觸媒之使用量,例如相對於通式(V)表示之羧酸化合物之使用量為0.01倍莫耳當量~10倍莫耳當量之範圍,較佳為0.2倍莫耳當量~2倍莫耳當量之範圍。酸觸媒可以在上述範圍內適當選用。
上述鹵化反應及酯化反應可於無溶劑進行,也可於鈍性溶劑存在下進行。 鈍性溶劑只要是不顯著妨礙本反應進行者即可,無特殊限制。鈍性溶劑可以列舉苯、甲苯、二甲苯等芳香族烴類;二氯甲烷、氯仿、四氯化碳等鹵化烴類;N,N-二甲基甲醯胺、1,3-二甲基-2-咪唑啶酮等。該等溶劑可單獨使用或混用2種以上。 該等之中,鈍性溶劑特別宜使用選自於甲苯及二甲苯中之至少1種。
鈍性溶劑之使用量,例如對於通式(V)表示之羧酸化合物之使用量為1質量倍~15質量倍之範圍,較佳為1質量倍~10質量倍之範圍。鈍性溶劑可以在上述範圍內適當選用。
上述鹵化反應及酯化反應中,反應溫度例如為-20℃~200℃之範圍,較佳為20℃~120℃之範圍,使用鈍性溶劑時,可設為其沸點以下。反應時間可在例如:數分鐘至96小時之範圍內,較佳為在30分鐘至24小時之範圍內適當選擇。 步驟c使用之鹵化劑、酸觸媒、鈍性溶劑之種類及其使用量、鹵化反應與酯化反應之反應溫度、反應時間等上述説明之反應條件,可以互相任意地組合,其各自、全部組合以其態樣之各別或全部組合分別明白記載的方式揭示在本說明書。
步驟c中,係目的物之通式(IIIa)表示之羧酸衍生物再生化合物可於反應結束後精製或精製而使用在步驟d。
然後針對步驟d説明。 步驟d,係使步驟c獲得之通式(IIIa)表示之羧酸衍生物再生化合物與通式(II)表示之苯胺衍生物於鹼存在下反應,以獲得通式(IV)表示之醯亞胺體化合物之步驟。 步驟d,係將通式(IIIa)表示之羧酸衍生物再生化合物替換成通式(III)表示之羧酸衍生物、或將通式(IIIa)表示之羧酸衍生物再生化合物和通式(III)表示之羧酸衍生物一起使用,並和步驟a同樣,於鹼存在下使其和通式(II)表示之苯胺衍生物反應,而獲得通式(IV)表示之醯亞胺體化合物。
步驟d中,反應條件(鹼之種類及使用量、反應、鈍性溶劑之種類及使用量、反應溫度、反應時間等)同步驟a之反應條件。步驟a之反應條件與步驟d之反應條件也可相異。
步驟d中,通式(IIIa)表示之羧酸衍生物再生化合物和通式(III)表示之羧酸衍生物一起使用時,通式(IIIa)表示之羧酸衍生物再生化合物之使用量相對於通式(III)表示之羧酸衍生物及通式(IIIa)表示之羧酸衍生物再生化合物之合計使用量可為1質量%~100質量%,但1質量%~90質量%較佳。
然後針對步驟e説明。 步驟e係藉由將步驟d獲得之通式(IV)表示之醯亞胺體化合物予以水解,而和步驟b同樣獲得通式(I)表示之芳香族醯胺衍生物之步驟。
步驟e中,反應條件(水解使用之酸或鹼之種類及使用量、反應、鈍性溶劑之種類及使用量、反應溫度、反應時間等),同步驟b之反應條件。步驟b之反應條件與步驟e之反應條件也可相異。
步驟e獲得之通式(I)表示之芳香族醯胺衍生物,和步驟b的情形同樣,可於反應結束後從反應系依常法單離,視需要也可進行再結晶、管柱層析、蒸餾等操作並精製。
步驟e中,藉由通式(IV)表示之醯亞胺體化合物之水解,同時獲得通式(I)表示之芳香族醯胺衍生物及通式(V)表示之羧酸化合物。 通式(V)表示之羧酸化合物,和步驟b之情形同樣,於水解使用酸時,反應結束後利用過濾單離,於水解使用鹼時,則將水相酸析並以過濾單離即可。經單離之羧酸化合物可視情形進行再結晶、管柱層析等操作並精製。
步驟e獲得之通式(V)表示之羧酸化合物可作為步驟c之反應原料。亦即,步驟c至步驟e之反應,可藉由將通式(V)表示之羧酸化合物作為原料,將獲得之通式(IIIa)表示之羧酸衍生物再生化合物作為步驟d中之和通式(II)表示之苯胺衍生物反應之原料,以重複進行。
重複次數無特殊限制,例如可考量在再利用反應之系內蓄積之副產物之種類、量、各反應步驟之反應產率、獲得之通式(I)表示之芳香族醯胺衍生物之品質等,在1次至1000次之間,較佳為1次至500次之間適當決定。 步驟a至步驟e之各步驟可以在上述説明之反應條件之範圍內互相任意組合,其各自、全部組合以其態樣之各別或全部組合分別明白記載的方式揭示在本說明書。
本發明之有效中間體、通式(IV)表示之醯亞胺體化合物之代表化合物列舉如下,但本發明不限於該等化合物。 又,以下所示之例示化合物中,「Me」代表甲基、「Et」代表乙基、「Pr」代表丙基、「H」代表氫原子、「F」代表氟原子、「Cl」代表氯原子、「Br」代表溴原子、「I」代表碘原子、「CF3
」代表三氟甲基。
本發明之通式(I)表示之芳香族醯胺衍生物之代表化合物如以下所例示,但本發明不限定於該等化合物。 又,以下所示之例示化合物中,「Me」代表甲基、「Et」代表乙基、「Pr」代表丙基、「H」代表氫原子、「F」代表氟原子、「Cl」代表氯原子、「Br」代表溴原子、「I」代表碘原子、「CF3
」代表三氟甲基。
依本發明之芳香族醯胺衍生物之製造方法獲得之通式(IV)表示之醯亞胺體化合物,是在對於有害生物防除作用顯示卓效之醯胺衍生物之製造方法中極有用之製造中間體。 [實施例]
以下針對本發明在實施例更具體説明,但本發明不限於此等。 實施例中,1
H-NMR之化學偏移值,係從四甲基矽烷在低磁場以ppm表達,「s」係指單線(singlet),「d」代表雙線,「t」代表參線,「m」代表多線,且「brs」代表寬廣的單線。 又,若未特別指明,「份」及「%」係質量基準。
[參考例1] N-[2-氟-3-[苯甲醯基(甲基)胺基]苯甲醯基]-3-[苯甲醯基(甲基)胺基]-N-[2-溴-4-(七氟異丙烷-2-基)-6-(三氟甲基)苯基]-2-氟苯甲醯胺(化合物編號:1-123)之合成 將2-溴-4-(七氟異丙烷-2-基)-6-(三氟甲基)苯胺1.00g、三乙胺0.89g、N、N-二甲基-4-胺基吡啶0.03g、及2-氟-3-(N-甲基苯甲醯胺)苯甲醯氯1.57g添加到1,3-二甲基-2-咪唑啶酮4.00g,於室溫攪拌1小時。將獲得之反應液以乙酸乙酯萃取,以飽和食鹽水洗淨後,使有機相以硫酸鎂乾燥。將硫酸鎂分濾後,將溶液濃縮,並以矽膠層析精製,獲得目的之醯亞胺體化合物(化合物編號:1-123)2.20g(單離產率:97%)之白色固體。 獲得之醯亞胺體化合物之1
H-NMR之化學偏移值如以下所示。
1
H-NMR(DMSO-d6
、70℃)δppm:8.44(s,1H),7.99(s,1H),7.60-7.57(m,2H),7.51(brs,2H),7.30-7.18(m,12H),3.12(s,6H) MS(M+H)+
=918,920
[參考例2] N-[2-氟-3-[苯甲醯基(甲基)胺基]苯甲醯基]-3-[苯甲醯基(甲基)胺基]-N-[2-溴-4-(七氟異丙烷-2-基)-6-(三氟甲基)苯基]-2-氟苯甲醯胺(化合物編號:1-123)之合成 將反應溶劑從4.00g之1,3-二甲基-2-咪唑啶酮變更為3.00g之甲苯,將反應條件從於室溫攪拌1小時變更為於90℃攪拌4小時,除此以外和參考例1同樣操作,獲得目的之醯亞胺體化合物(化合物編號:1-123)2.16g(單離產率:95%)之白色固體。
[參考例3] N-[2-氟-3-[苯甲醯基(甲基)胺基]苯甲醯基]-3-[苯甲醯基(甲基)胺基]-N-[4-(七氟異丙烷-2-基)-2-碘-6-(三氟甲基)苯基]-2-氟苯甲醯胺(化合物編號:1-124)之合成 將4-(七氟異丙烷-2-基)-2-碘-6-(三氟甲基)苯胺3.79g、三乙胺2.80g、N、N-二甲基-4-胺基吡啶0.06g、及2-氟-3-(N-甲基苯甲醯胺)苯甲醯氯5.3g添加到甲苯7.6g,於90℃攪拌2小時。將獲得之反應液冷卻到室溫後,加水並過濾析出之結晶,按順序以甲苯及水洗淨,以獲得目的之醯亞胺體化合物(化合物編號:1-124)5.87g(單離產率:73%)之淡黃色固體。 獲得之醯亞胺體化合物之1
H-NMR之化學偏移值如以下所示。
1
H-NMR(DMSO-d6
,70℃)δppm:8.53(s,1H),7.97(s,1H),7.54-7.51(m,4H),7.30-7.13(m,12H),3.14(s,6H) MS(M+H)+
=966
[參考例4] N-[2-氟-3-[4-氟苯甲醯基(甲基)胺基]苯甲醯基]-3-[4-氟苯甲醯基(甲基)胺基]-N-[2-溴-4-(七氟異丙烷-2-基)-6-(三氟甲基)苯基]-2-氟苯甲醯胺(化合物編號:1-127)之合成 將2-溴-4-(七氟異丙烷-2-基)-6-(三氟甲基)苯胺變更為4-(七氟異丙烷-2-基)-2-溴-6-(三氟甲基)苯胺,將2-氟-3-(N-甲基苯甲醯胺)苯甲醯氯變更為2-氟-3-[4-氟苯甲醯基(甲基)胺基]苯甲醯氯,除此以外和參考例1以同樣之合成法合成目的之醯亞胺體化合物(化合物編號:1-127)。 獲得之醯亞胺體化合物之1
H-NMR之化學偏移值如以下所示。
1
H-NMR(DMSO-d6
,70℃)δppm:8.44(s,1H),7.97(s,1H),7.64-7.62(m,2H),7.50(brs,2H),7.28-7.24(m,6H),7.00-6.96(m,4H),3.15(s,6H) MS(M+H)+
=954,956
[參考例5] N-[2-氟-3-[4-氟苯甲醯基(甲基)胺基]苯甲醯基]-3-[4-氟苯甲醯基(甲基)胺基]-N-[4-(七氟異丙烷-2-基)-2-碘-6-(三氟甲基)苯基]-2-氟苯甲醯胺(化合物編號:1-128)之合成 將2-溴-4-(七氟異丙烷-2-基)-6-(三氟甲基)苯胺變更為4-(七氟異丙烷-2-基)-2-碘-6-(三氟甲基)苯胺,將2-氟-3-(N-甲基苯甲醯胺)苯甲醯氯變更為2-氟-3-[4-氟苯甲醯基(甲基)胺基]苯甲醯氯,除此以外和參考例1以同樣之合成法合成目的之醯亞胺體化合物(化合物編號:1-128)。 獲得之醯亞胺體化合物之1
H-NMR之化學偏移值如以下所示。
1
H-NMR(DMSO-d6
,70℃)δppm:8.53(s,1H),7.95(s,1H),7.59-7.57(m,2H),7.48(brs,2H),7.28-7.22(m,6H),7.01-6.97(m,4H),3.16(s,6H) MS(M+H)+
=1002
[參考例6] N-[2-氟-3-[2,6-二氟苯甲醯基(甲基)胺基]苯甲醯基]-3-[2,6-二氟苯甲醯基(甲基)胺基]-N-[2-溴-4-(七氟異丙烷-2-基)-6-(三氟甲基)苯基]-2-氟苯甲醯胺(化合物編號:1-135)之合成 將2-溴-4-(七氟異丙烷-2-基)-6-(三氟甲基)苯胺變更為4-(七氟異丙烷-2-基)-2-溴-6-(三氟甲基)苯胺,將2-氟-3-(N-甲基苯甲醯胺)苯甲醯氯變更為2-氟-3-[2,6-二氟苯甲醯基(甲基)胺基]苯甲醯氯,除此以外和參考例1以同樣之合成法合成目的之醯亞胺體化合物(化合物編號:1-135)。 獲得之醯亞胺體化合物之1
H-NMR之化學偏移值如以下所示。
1
H-NMR(DMSO-d6
,70℃)δppm:8.46(s,1H),8.01(s,1H),7.33-7.30(m,4H),7.25-7.11(m,5H),6.86(brs,3H),3.17(s,6H) MS(M+H)+
=990,992
[參考例7] N-[2-氟-3-[4-硝基苯甲醯基(甲基)胺基]苯甲醯基]-3-[4-硝基苯甲醯基(甲基)胺基]-N-[2-溴-4-(七氟異丙烷-2-基)-6-(三氟甲基)苯基]-2-氟苯甲醯胺(化合物編號:1-577)之合成 將2-溴-4-(七氟異丙烷-2-基)-6-(三氟甲基)苯胺變更為4-(七氟異丙烷-2-基)-2-溴-6-(三氟甲基)苯胺,將2-氟-3-(N-甲基苯甲醯胺)苯甲醯氯變更為2-氟-3-[4-硝基苯甲醯基(甲基)胺基]苯甲醯氯,除此以外和參考例1以同樣之合成法合成目的之醯亞胺體化合物(化合物編號:1-577)。 獲得之醯亞胺體化合物之1
H-NMR之化學偏移值如以下所示。
1
H-NMR(DMSO-d6
,70℃)δppm:8.41(s,1H),8.03-8.01(m,4H),7.92(s,1H),7.72-7.70(m,6H),7.30-7.24(m,2H),3.20(s,6H) MS(M+Na)+
=1030,1032
[參考例8] N-[2-氟-3-[4-硝基苯甲醯基(甲基)胺基]苯甲醯基]-3-[4-硝基苯甲醯基(甲基)胺基]-N-[4-(七氟異丙烷-2-基)-2-碘-6-(三氟甲基)苯基]-2-氟苯甲醯胺(化合物編號:1-578)之合成 將2-溴-4-(七氟異丙烷-2-基)-6-(三氟甲基)苯胺變更為4-(七氟異丙烷-2-基)-2-碘-6-(三氟甲基)苯胺,將2-氟-3-(N-甲基苯甲醯胺)苯甲醯氯變更為2-氟-3-[4-硝基苯甲醯基(甲基)胺基]苯甲醯氯,除此以外和參考例1以同樣之合成法合成目的之醯亞胺體化合物(化合物編號:1-578)。 獲得之醯亞胺體化合物之1
H-NMR之化學偏移值如以下所示。
1
H-NMR(DMSO-d6
,70℃)δppm:8.49(s,1H),8.03-8.02(m,4H),7.92(s,1H),7.70-7.67(m,2H),7.49-7.48(m,4H),7.25-7.24(m,2H),3.21(s,6H) MS(M+Na)+
=1078
[參考例9] N-[2-氟-3-[苯甲醯基(甲基)胺基]苯甲醯基]-3-[苯甲醯基(甲基)胺基]-N-[2,4-雙(七氟異丙烷-2-基)-6-(三氟甲基)苯基]-2-氟苯甲醯胺(化合物編號:1-246)之合成 將2-溴-4-(七氟異丙烷-2-基)-6-(三氟甲基)苯胺變更為2,4-雙(七氟異丙烷-2-基)-6-(三氟甲基)苯胺,將2-氟-3-(N-甲基苯甲醯胺)苯甲醯氯變更為2-氟-3-[苯甲醯基(甲基)胺基]苯甲醯氯,除此以外和參考例1以同樣之合成法合成目的之醯亞胺體化合物(化合物編號:1-246)。 獲得之醯亞胺體化合物之1
H-NMR之化學偏移值如以下所示。
1
H-NMR(DMSO-d6
,70℃)δppm:8.48(s,1H),8.07(s,1H),7.57-7.54(m,2H),7.34(brs,2H),7.28-7.18(m,14H),3.07(s,6H) MS(M+H)+
=1008
[參考例10] N-[2-氟-3-[苯甲醯基(甲基)胺基]苯甲醯基]-3-[苯甲醯基(甲基)胺基]-N-[4-溴-2-(七氟異丙烷-2-基)-6-(三氟甲基)苯基]-2-氟苯甲醯胺(化合物編號:1-240)之合成 將2-溴-4-(七氟異丙烷-2-基)-6-(三氟甲基)苯胺變更為2-(七氟異丙烷-2-基)-4-溴-6-(三氟甲基)苯胺,將2-氟-3-(N-甲基苯甲醯胺)苯甲醯氯變更為2-氟-3-[苯甲醯基(甲基)胺基]苯甲醯氯,除此以外和參考例1以同樣之合成法合成目的之醯亞胺體化合物(化合物編號:1-240)。 獲得之醯亞胺體化合物之1
H-NMR之化學偏移值如以下所示。
1
H-NMR(DMSO-d6
,70℃)δppm:8.52(s,1H),8.09(s,1H),7.51-7.48(m,2H),7.28-7.26(m,2H),7.21-7.19(m,12H),3.08(s,6H) MS(M+H)+
=918,920
[參考例11] N-[2-氟-3-[苯甲醯基(甲基)胺基]苯甲醯基]-3-[苯甲醯基(甲基)胺基]-N-[2,6-二溴-4-(九氟-s-丁基)苯基]-2-氟苯甲醯胺(化合物編號:1-168)之合成 將2-溴-4-(七氟異丙烷-2-基)-6-(三氟甲基)苯胺變更為4-(九氟-s-丁基)-2,6-二溴苯胺,將2-氟-3-(N-甲基苯甲醯胺)苯甲醯氯變更為2-氟-3-[苯甲醯基(甲基)胺基]苯甲醯氯,除此以外和參考例1以同樣之合成法合成目的之醯亞胺體化合物(化合物編號:1-168)。 獲得之醯亞胺體化合物之1
H-NMR之化學偏移值如以下所示。
1
H-NMR(DMSO-d6
,70℃)δppm:7.95(s,2H),7.61-7.58(m,2H),7.50(brs,2H),7.29-7.26(m,2H),7.22-7.16(m,10H),3.21(s,6H) MS(M+Na)+
=1000,1002
[實施例1] 2-氟-3-(N-甲基苯甲醯胺)-N-(2-溴-4-(七氟異丙烷-2-基)-6-(三氟甲基)苯基)苯甲醯胺(化合物編號:2-123)之合成 將在參考例1獲得之N-[2-氟-3-[苯甲醯基(甲基)胺基]苯甲醯基]-3-[苯甲醯基(甲基)胺基]-N-[2-溴-4-(七氟異丙烷-2-基)-6-(三氟甲基)苯基]-2-氟苯甲醯胺(化合物編號:1-123)5.0g、及N,N-二甲基-4-胺基吡啶0.07g添加到甲苯28.3g,於80℃攪拌10分鐘。於獲得之反應液添加碳酸鈉6%水溶液10g,於80℃攪拌5小時。獲得之反應液以HPLC進行分析,確認獲得了目的之芳香族醯胺衍生物(化合物編號:2-123),產率98.8%。
[實施例2] 2-氟-3-(N-甲基苯甲醯胺)-N-(2-溴-4-(七氟異丙烷-2-基)-6-(三氟甲基)苯基)苯甲醯胺(化合物編號:2-123)之合成 將實施例1中之「於獲得之反應液添加碳酸鈉6%水溶液10g,並於80℃攪拌5小時」之操作變更為「於獲得之反應液添加氫氧化鈉2%水溶液10g,並於80℃攪拌5小時」之操作,除此以外和實施例1進行同樣的操作。 對於獲得之反應液以HPLC分析,結果確認獲得了目的之芳香族醯胺衍生物(化合物編號:2-123),產率99.7%。
[實施例3] 2-氟-3-(4-氟-N-甲基苯甲醯胺)-N-(2-碘-4-(七氟異丙基)-6-(三氟甲基)苯基)苯甲醯胺(化合物編號:2-128)之合成 將在參考例5獲得之N-[2-氟-3-[4-氟苯甲醯基(甲基)胺基]苯甲醯基]-3-[4-氟苯甲醯基(甲基)胺基]-N-[4-(七氟異丙烷-2-基)-2-碘-6-(三氟甲基)苯基]-2-氟苯甲醯胺(化合物編號:1-128)45g、N,N-二甲基-4-胺基吡啶0.28g、及碳酸鉀10%水溶液74g添加到甲苯90.0g,於80℃攪拌8小時。將獲得之反應液冷卻到50℃後分液。於獲得之有機相添加1%鹽酸16.3g及氯化鈉3.2g,於50℃進行分液。針對獲得之有機相,於減壓下將溶劑的一部分餾去(甲苯37g),之後於冰浴條件下進行晶析。將獲得之固體以甲苯11g洗淨,於50℃減壓乾燥,以獲得目的之芳香族醯胺衍生物(化合物編號:2-128),單離產率94%。
[參考例12] 2-氟-3-(4-氟-N-甲基苯甲醯胺)-N-(2-碘-4-(七氟異丙基)-6-(三氟甲基)苯基)苯甲醯胺(化合物編號:2-128)之合成 將2-氟-3-(4-氟-N-甲基苯甲醯胺)苯甲酸35.0g及二甲基甲醯胺0.44g添加到甲苯105g,升溫到80℃,然後費時30分鐘滴加亞硫醯氯17.32g後攪拌1小時。將獲得之反應液冷卻到50℃後,於減壓下將一部分溶劑餾去,製備得2-氟-3-(4-氟-N-甲基苯甲醯胺)苯甲醯氯之甲苯溶液53.98g。 將2-碘-4-(七氟異丙烷-2-基)-6-(三氟甲基)苯胺23.7g、及N,N-二甲基-4-胺基吡啶0.32g添加到甲苯47.4g後,於20℃更添加上述製備之2-氟-3-(4-氟-N-甲基苯甲醯胺)苯甲醯氯之甲苯溶液,並攪拌。將獲得之反應液升溫到80℃,然後費時30分鐘滴加三乙胺16.0g後,於95℃攪拌3小時。將獲得之反應液冷卻到40℃,然後加水79.86g後,於30℃攪拌30分鐘。將獲得之反應液冷卻到0℃後,攪拌1小時。將析出之固體過濾,按順序以甲苯20.0g及水39.9g洗淨,於50℃減壓乾燥,以獲得N-[2-氟-3-[4-氟苯甲醯基(甲基)胺基]苯甲醯基]-3-[4-氟苯甲醯基(甲基)胺基]-N-[4-(七氟異丙烷-2-基)-2-碘-6-(三氟甲基)苯基]-2-氟苯甲醯胺(化合物編號:1-128)48.4g。
[實施例4] 將在上述參考例12獲得之N-[2-氟-3-[4-氟苯甲醯基(甲基)胺基]苯甲醯基]-3-[4-氟苯甲醯基(甲基)胺基]-N-[4-(七氟異丙烷-2-基)-2-碘-6-(三氟甲基)苯基]-2-氟苯甲醯胺(化合物編號:1-128)45g、N,N-二甲基-4-胺基吡啶0.28g、及碳酸鉀10%水溶液74g添加到甲苯90.0g,於80℃攪拌8小時。將獲得之反應液冷卻到50℃後進行分液。於獲得之有機相中添加1%鹽酸16.3g及氯化鈉3.2g,於50℃進行分液。針對獲得之有機相,於減壓下將一部分溶劑餾去(甲苯37g)後,於冰浴條件下進行晶析。將獲得之固體以甲苯11g洗淨,於50℃減壓乾燥,以獲得目的之芳香族醯胺衍生物(化合物編號:2-128)30.2g,總產率86%。
[實施例5] 2-氟-3-(N-甲基苯甲醯胺)-N-(2-溴-4-(七氟異丙基)-6-(三氟甲基)苯基)苯甲醯胺(化合物編號:2-123)之合成 將2-溴-4-(七氟異丙烷-2-基)-6-(三氟甲基)苯胺40.0g、N,N-二甲基-4-胺基吡啶1.17g、及三乙胺29.0g添加到甲苯40.0g後,升溫到95℃。於獲得之反應液中費時30分鐘滴加2-氟-3-(N-甲基苯甲醯胺)苯甲醯氯之33.5%甲苯溶液後,於95℃攪拌4小時。於獲得之反應液中添加10%碳酸鈉水溶液100g後,於85℃攪拌3小時。針對獲得之反應液於85℃實施趁熱分液後,於獲得之有機相添加10%碳酸鈉水溶液40g,於80℃攪拌1小時。針對獲得之反應液再度於80℃實施趁熱分液後,於獲得之有機相加水40g,於80℃分液。獲得之有機相冷卻到室溫後,於冰浴下攪拌4小時。將析出之固體過濾後,於60℃減壓乾燥,以獲得目的之芳香族醯胺衍生物(化合物編號:2-123)58.12g,HPLC產率93%。
[實施例6] N-(2,4-雙(七氟異丙基)-6-(三氟甲基)苯基)-2-氟-3-(N-甲基苯甲醯胺)苯甲醯胺(化合物編號:2-246)之合成 使用在參考例9獲得之N-[2-氟-3-[苯甲醯基(甲基)胺基]苯甲醯基]-3-[苯甲醯基(甲基)胺基]-N-[2,4-雙(七氟異丙基)-6-(三氟甲基)苯基]-2-氟苯甲醯胺(化合物編號:1-246),使用實施例2記載的方法,獲得目的之芳香族醯胺衍生物(化合物編號:2-246)。 獲得之芳香族醯胺衍生物之1
H-NMR之化學偏移值如以下所示。
1
H-NMR(DMSO-d6
,70℃)δ:10.45(1H,s),8.33(1H,s),7.99(1H,s),7.60(1H,t,J
=7.6Hz),7.48-7.47(1H,m),7.31-7.23(6H,m),3.34(3H,s)
[實施例7] N-(4-溴-2-(七氟異丙基)-6-(三氟甲基)苯基)-2-氟-3-(N-甲基苯甲醯胺)苯甲醯胺(化合物編號:2-240)之合成 使用在參考例10獲得之N-[2-氟-3-[苯甲醯基(甲基)胺基]苯甲醯基]-3-[苯甲醯基(甲基)胺基]-N-[4-溴-2-(七氟異丙烷-2-基)-6-(三氟甲基)苯基]-2-氟苯甲醯胺(化合物編號:1-240),使用實施例2記載的方法,獲得目的之芳香族醯胺衍生物(化合物編號:2-240)。 獲得之芳香族醯胺衍生物之1
H-NMR之化學偏移值如以下所示。
1
H-NMR(DMSO-d6
,70℃)δ:10.12(1H,s),8.36(1H,d,J
=2.1Hz),8.00(1H,s),7.55(1H,t,J
=7.6Hz),7.44(1H,t,J
=6.4Hz),7.32-7.23(3H,m),3.34(3H,s)
[實施例8] 2-氟-3-(N-甲基苯甲醯胺)-N-(2-溴-4-(七氟異丙基)-6-(三氟甲基)苯基)苯甲醯胺(化合物編號:2-123)之合成 將2-氟-3-(N-甲基苯甲醯胺)苯甲酸529.5g及二甲基甲醯胺27.5g添加到甲苯772g,升溫到40℃。其次,於減壓條件下費時2小時添加亞硫醯氯237.0g及甲苯237.0g之混合溶液後,再添加甲苯50g,並攪拌4小時。解壓後冷卻到25℃,製備得2-氟-3-(N-甲基苯甲醯胺)苯甲醯氯之甲苯溶液1678.5g。 將2-溴-4-(七氟異丙烷-2-基)-6-(三氟甲基)苯胺327.0g、及N,N-二甲基-4-胺基吡啶9.5g、三乙胺233.5g添加到甲苯163.5g後,於95℃添加上述製備之2-氟-3-(N-甲基苯甲醯胺)苯甲醯氯之甲苯溶液1641.5g後,再添加甲苯163.5g,攪拌5小時,實施醯亞胺化。之後將反應溶液冷卻到85℃,添加10%碳酸鈉水溶液817.5g,攪拌4小時並實施水解。之後於85℃實施趁熱分液,獲得有機相A及水相A。於獲得之有機相A更添加10%碳酸鈉水溶液328.0g,此外於80℃攪拌1小時後實施分液,獲得有機相B及水相B。於獲得之有機相B中加水330g,於80℃攪拌30分鐘後實施分液,獲得有機相C。 將獲得之有機相C之反應液費時12小時冷卻到0℃,將析出之固體過濾後,以甲苯327.5g洗淨,並於50℃減壓乾燥,獲得2-氟-3-(N-甲基苯甲醯胺)-N-(2-溴-4-(七氟異丙基)-6-(三氟甲基)苯基)苯甲醯胺(化合物編號:2-123)389.0g,純度99.3wt%、產率75.9%。 將上述獲得之水相A及水相B之混合液 (2-氟-3-(N-甲基苯甲醯胺)苯甲酸 鈉鹽水溶液16.8%)1707.5g費時1小時於70℃添加到10%鹽酸766.5g後,攪拌1小時。之後冷卻到30℃,攪拌1小時。將析出之固體(2-氟-3-(N-甲基苯甲醯胺)苯甲酸)過濾,將獲得之固體以水860g洗淨,於60℃減壓乾燥,以獲得回收2-氟-3-(N-甲基苯甲醯胺)苯甲酸293.5g,純度95.6wt%、產率98.0%。 將上述獲得之回收2-氟-3-(N-甲基苯甲醯胺)苯甲酸200g及二甲基甲醯胺10.2g添加到甲苯300g,升溫到40℃。其次於減壓條件下添加亞硫醯氯101.9g及甲苯100g之混合溶液,之後攪拌3小時。解壓後冷卻到20℃,製備回收2-氟-3-(N-甲基苯甲醯胺)苯甲醯氯之甲苯溶液608.2g。 將2-溴-4-(七氟異丙烷-2-基)-6-(三氟甲基)苯胺40.0g、N,N-二甲基-4-胺基吡啶1.15g、及三乙胺28.6g添加到甲苯20.0g後,於85℃添加上述製備之回收2-氟-3-(N-甲基苯甲醯胺)苯甲醯氯之甲苯溶液196.1g,之後再添加甲苯20.0g,攪拌4小時並實施醯亞胺化。 其次添加10%碳酸鈉水溶液99.8g後,攪拌3小時並實施水解。之後於80℃實施趁熱分液,獲得有機相A’及水相A’。於獲得之有機相A’再添加10%碳酸鈉水溶液39.9g,攪拌1小時,實施水解。之後實施分液,獲得有機相B’及水相B’。於獲得之有機相B’中加水40g,於80℃攪拌30分鐘後,實施分液,獲得有機相C’。將獲得之有機相C’費時12小時冷卻到0℃,過濾析出之固體,以甲苯40.0g洗淨,於60℃減壓乾燥,獲得2-氟-3-(N-甲基苯甲醯胺)-N-(2-溴-4-(七氟異丙基)-6-(三氟甲基)苯基)苯甲醯胺(化合物編號:2-123)55.8g,純度99.0wt%、產率89.7%。
如上述所示,依照本發明之芳香族醯胺衍生物之製造方法,能以高產率獲得目的之芳香族醯胺衍生物。
2015年12月18日提申之日本專利申請案2015-247774之全體揭示內容在此援用作為參考。 本說明書記載之全部文獻、專利申請案、及技術規格,以各個文獻、專利申請案、及技術規格利用參照而納入係與具體且個別記載的情形為同程度地納入到本說明書中作為參考。 本說明書記載之態樣的各別、全部組合係以其態樣的各別或全部組合係各自明白記載的形式揭示在本說明書。
Claims (9)
- 一種芳香族醯胺衍生物之製造方法,係製造下列通式(I)表示之芳香族醯胺衍生物之方法,包括以下之步驟a及步驟b;
式中,R1表示鹵素原子;C1-C4鹵烷基;或經選自於由C1-C4烷基、C1-C4鹵烷基、C1-C4烷氧基、C1-C4鹵烷氧基、C1-C4烷硫基、C1-C4鹵烷硫基、C1-C4烷胺基、二C1-C4烷胺基、氰基、及硝基構成之群組中之相同或不同之1~8個取代基取代之C1-C4鹵烷基;X1及X2各自獨立地表示氫原子、鹵素原子、C1-C4烷基、C1-C4鹵烷基、C2-C4烯基、C2-C4鹵烯基、C2-C4炔基、C2-C4鹵炔基、C1-C4烷氧基、C1-C4鹵烷氧基、C1-C4烷硫基、C1-C4鹵烷硫基、C1-C4烷基亞磺醯基、C1-C4鹵烷基亞磺醯基、C1-C4烷基磺醯基、C1-C4鹵烷基磺醯基、C1-C4烷胺基、二C1-C4烷胺基、氰基、硝基、C1-C4烷基羰基、或C1-C4鹵烷基羰基;R2及R3各自獨立地表示氫原子、鹵素原子、C1-C4烷基、C1-C4鹵烷基、C1-C4烷氧基、C1-C4鹵烷氧基、C1-C4烷硫基、C1-C4鹵烷硫基、C1-C4烷基亞磺醯基、C1-C4鹵烷基亞磺醯基、C1-C4烷基磺醯基、C1-C4鹵烷基磺醯基、C1-C4烷胺基、二C1-C4烷胺基、氰基、或硝基;R4表示氫原子; C1-C4烷基;C1-C4鹵烷基;C1-C4烷基羰基;C1-C4鹵烷基羰基;C1-C4烷氧基羰基;C1-C4鹵烷氧基羰基;C1-C4烷基磺醯基;C1-C4鹵烷基磺醯基;或經選自於由C1-C4烷基、C1-C4鹵烷基、C1-C4烷氧基、C1-C4鹵烷氧基、C1-C4烷硫基、C1-C4鹵烷硫基、C1-C4烷基磺醯基、C1-C4鹵烷基磺醯基、C1-C4烷胺基、二C1-C4烷胺基、C1-C4烷基羰基、C1-C4烷氧基羰基、二C1-C4烷胺基羰基、氰基、及硝基構成之群組中之相同或不同之1~9個取代基取代之C1-C4烷基、C1-C4鹵烷基、C1-C4烷基羰基、C1-C4鹵烷基羰基、C1-C4烷氧基羰基、C1-C4鹵烷氧基羰基、C1-C4烷基磺醯基、或C1-C4鹵烷基磺醯基;Q表示C1-C4烷基;C1-C4鹵烷基;C1-C4烷胺基羰基;C1-C4鹵烷胺基羰基;二C1-C4烷胺基羰基;二C1-C4鹵烷胺基羰基;苯基;雜環基;經選自於由鹵素原子、C1-C4烷基、C1-C4鹵烷基、C1-C4烷氧基、C1-C4鹵烷氧基、C1-C4烷硫基、C1-C4鹵烷硫基、C1-C4烷胺基、二C1-C4烷胺基、氰基、及 硝基構成之群組中之相同或不同之1~9個取代基取代之C1-C4烷基或C1-C4鹵烷基;經選自於由鹵素原子、C1-C4烷基、C1-C4鹵烷基、C1-C4烷氧基、C1-C4鹵烷氧基、C1-C4烷硫基、C1-C4鹵烷硫基、C1-C4烷胺基、二C1-C4烷胺基、氰基、及硝基構成之群組中之相同或不同之1~5個取代基取代之苯基;或經選自於由鹵素原子、C1-C4烷基、C1-C4鹵烷基、C1-C4烷氧基、C1-C4鹵烷氧基、C1-C4烷硫基、C1-C4鹵烷硫基、C1-C4烷胺基、二C1-C4烷胺基、氰基、及硝基構成之群組中之相同或不同之1~4個取代基取代之雜環基,該雜環基係吡啶基、N-氧化吡啶基、嘧啶基、嗒基、吡基、呋喃基、噻吩基、唑基、異唑基、二唑基、噻唑基、異噻唑基、咪唑基、三唑基、吡咯基、吡唑基、或四唑基;步驟a)使下列通式(II)表示之苯胺衍生物與下列通式(III)表示之羧酸衍生物於鹼存在下反應,以獲得下列通式(IV)表示之醯亞胺體代合物; 式中,R1、X1、及X2同通式(I)中之R1、X1、及X2; 式中,X3表示鹵素原子或C1-C4烷氧基,R2、R3、R4、及Q同通式(I)中之R2、R3、R4、及Q; 式中,R1、X1、X2、R2、R3、R4、及Q同通式(I)中之R1、X1、X2、R2、R3、R4、及Q;有2個的R2、R3、R4、及Q,可各自相同也可不同;步驟b)藉由將通式(IV)表示之醯亞胺體化合物予以水解,以獲得通式(I)表示之芳香族醯胺衍生物。 - 如申請專利範圍第1項之芳香族醯胺衍生物之製造方法,其中,通式(I)、(II)及(IV)中之X1及X2各自獨立地表示氫原子、鹵素原子、C1-C4烷基、C1-C4鹵烷基、C1-C4烷氧基、C1-C4鹵烷氧基、C1-C4烷硫基、C1-C4鹵烷硫基、C1-C4烷基磺醯基、或C1-C4鹵烷基磺醯基, 通式(I)、(III)及(IV)中之R2及R3各自獨立地表示氫原子、鹵素原子、C1-C4烷氧基、C1-C4鹵烷氧基、C1-C4烷硫基、C1-C4鹵烷硫基、C1-C4烷基磺醯基、C1-C4鹵烷基磺醯基、C1-C4烷胺基、二C1-C4烷胺基、氰基、或硝基,通式(I)、(III)及(IV)中之R4表示氫原子;C1-C4烷基;C1-C4鹵烷基;C1-C4烷基羰基;C1-C4鹵烷基羰基;C1-C4烷氧基羰基;C1-C4鹵烷氧基羰基;C1-C4烷基磺醯基;C1-C4鹵烷基磺醯基;或經選自於由C1-C4烷基、C1-C4鹵烷基、C1-C4烷氧基、C1-C4鹵烷氧基、C1-C4烷硫基、C1-C4鹵烷硫基、C1-C4烷基磺醯基、C1-C4鹵烷基磺醯基、C1-C4烷胺基、二C1-C4烷胺基、C1-C4烷基羰基、C1-C4烷氧基羰基、二C1-C4烷胺基羰基、氰基、及硝基構成之群組中之相同或不同之1~9個取代基取代之C1-C4烷基或C1-C4鹵烷基。
- 如申請專利範圍第2項之芳香族醯胺衍生物之製造方法,其中,通式(I)、(III)及(IV)中之R2表示氫原子、鹵素原子、C1-C4烷氧基、C1-C4鹵烷氧基、C1-C4烷硫基、C1-C4鹵烷硫基、C1-C4烷基磺醯基、C1-C4鹵烷基磺醯基、C1-C4烷胺基、二C1-C4烷胺基、氰基、或硝基, 通式(I)、(III)及(IV)中之R3表示氫原子、鹵素原子、C1-C4烷氧基、氰基、或硝基,通式(I)、(III)及(IV)中之Q表示C1-C4烷胺基羰基;C1-C4鹵烷胺基羰基;二C1-C4烷胺基羰基;二C1-C4鹵烷胺基羰基;苯基;雜環基;經選自於由鹵素原子、C1-C4烷基、C1-C4鹵烷基、C1-C4烷氧基、C1-C4鹵烷氧基、C1-C4烷硫基、C1-C4鹵烷硫基、C1-C4烷胺基、二C1-C4烷胺基、氰基、及硝基構成之群組中之相同或不同之1~5個取代基取代之苯基;或經選自於由鹵素原子、C1-C4烷基、C1-C4鹵烷基、C1-C4烷氧基、C1-C4鹵烷氧基、C1-C4烷硫基、C1-C4鹵烷硫基、C1-C4烷胺基、二C1-C4烷胺基、氰基、及硝基構成之群組中之相同或不同之1~4個取代基取代之雜環基。
- 如申請專利範圍第3項之芳香族醯胺衍生物之製造方法,其中,通式(I)、(III)及(IV)中之R2表示氫原子、鹵素原子、C1-C4烷氧基、C1-C4烷胺基、二C1-C4烷胺基、氰基、或硝基,通式(I)、(III)及(IV)中之R4表示氫原子、C1-C4烷基、或C1-C4鹵烷基。
- 如申請專利範圍第4項之芳香族醯胺衍生物之製造方法,其中,通式(I)、(III)及(IV)中之R2表示氫原子、鹵素原子、或C1-C4烷氧基,通式(I)、(III)及(IV)中之R3表示氫原子、鹵素原子、或氰基, 通式(I)、(III)及(IV)中之Q表示二C1-C4烷胺基羰基;苯基;雜環基;經選自於由鹵素原子、氰基、硝基、及C1-C4鹵烷基構成之群組中之相同或不同之1~5個取代基取代之苯基;或經選自於由鹵素原子、氰基、硝基、及C1-C4鹵烷基構成之群組中之相同或不同之1~4個取代基取代之雜環基。
- 如申請專利範圍第5項之芳香族醯胺衍生物之製造方法,其中,通式(I)、(III)及(IV)中之R2表示氫原子或鹵素原子,通式(I)、(III)及(IV)中之R4表示氫原子或C1-C4烷基,通式(I)、(III)及(IV)中之Q表示苯基;吡啶基;經選自於由鹵素原子、氰基、及硝基構成之群組中之相同或不同之1~5個取代基取代之苯基;或經選自於由鹵素原子、氰基、硝基、及C1-C4鹵烷基構成之群組中之相同或不同之1~4個取代基取代之吡啶基。
- 如申請專利範圍第1至6項中任一項之芳香族醯胺衍生物之製造方法,更包括以下之步驟c、步驟d、及步驟e;步驟c) 步驟b中獲得和通式(I)表示之芳香族醯胺衍生物一起獲得之通式(V)表示之羧酸化合物後,將該羧酸化合物予以鹵化或酯化以獲得通式(IIIa)表示之羧酸衍生物再生化合物;
式中,R2、R3、R4、及Q同通式(III)中之R2、R3、R4、及Q; 式中,R2、R3、R4、及Q同通式(V)中之R2、R3、R4、及Q,X3同通式(III)中之X3;步驟d)藉由使步驟c獲得之羧酸衍生物再生化合物與通式(II)表示之苯胺衍生物於鹼存在下進行反應,以獲得通式(IV)表示之醯亞胺體化合物;步驟e)藉由將步驟d獲得之通式(IV)表示之醯亞胺體化合物予以水解,以獲得通式(I)表示之芳香族醯胺衍生物。 - 如請求項7之芳香族醯胺衍生物之製造方法,其中,在通式(III)、通式(V)、及通式(IIIa)中,R2表示氫原子、鹵素原子、C1-C4烷氧基、C1-C4烷胺基、二C1-C4烷胺基、氰基、或硝基,R3表示氫原子或鹵素原子,R4表示氫原子、C1-C4烷基、或C1-C4鹵烷基,Q表示二C1-C4烷胺基羰基;苯基;雜環基;經選自於由鹵素原子、氰基、硝基、及C1-C4鹵烷基構成之群組中之相同或不同之1~5個取代基取代之苯基;或經選自於由鹵素原子、氰基、硝基、及C1-C4鹵烷基構成之群組中之相同或不同之1~4個取代基取代之雜環基,該雜環基為吡啶基、N-氧化吡啶基、嘧啶基、嗒基、吡基、呋喃基、噻吩基、唑基、異唑基、二唑基、噻唑基、異噻唑基、咪唑基、三唑基、吡咯基、吡唑基、或四唑基。
- 如申請專利範圍第7項之芳香族醯胺衍生物之製造方法,其中,在通式(III)、通式(V)、及通式(IIIa)中,R2表示氫原子或鹵素原子,R4表示氫原子或C1-C4烷基,Q表示二C1-C4烷胺基羰基; 苯基;吡啶基;經選自於由鹵素原子、氰基、及硝基構成之群組中之相同或不同之1~5個取代基取代之苯基;或經選自於由鹵素原子及C1-C4鹵烷基構成之群組中之相同或不同之1~4個取代基取代之吡啶基。
Applications Claiming Priority (2)
| Application Number | Priority Date | Filing Date | Title |
|---|---|---|---|
| JP2015-247774 | 2015-12-18 | ||
| JP2015247774 | 2015-12-18 |
Publications (2)
| Publication Number | Publication Date |
|---|---|
| TW201725192A TW201725192A (zh) | 2017-07-16 |
| TWI728019B true TWI728019B (zh) | 2021-05-21 |
Family
ID=59056803
Family Applications (1)
| Application Number | Title | Priority Date | Filing Date |
|---|---|---|---|
| TW105141984A TWI728019B (zh) | 2015-12-18 | 2016-12-19 | 芳香族醯胺衍生物之製造方法 |
Country Status (11)
| Country | Link |
|---|---|
| US (1) | US10647660B2 (zh) |
| EP (1) | EP3392236B1 (zh) |
| JP (1) | JP6535758B2 (zh) |
| CN (1) | CN108368030B (zh) |
| AU (1) | AU2016372153B2 (zh) |
| BR (1) | BR112018011518B1 (zh) |
| CA (1) | CA3007468C (zh) |
| ES (1) | ES2881621T3 (zh) |
| MX (1) | MX2018007106A (zh) |
| TW (1) | TWI728019B (zh) |
| WO (1) | WO2017104838A1 (zh) |
Families Citing this family (12)
| Publication number | Priority date | Publication date | Assignee | Title |
|---|---|---|---|---|
| NZ763636A (en) | 2017-09-20 | 2025-12-19 | Mitsui Chemicals Crop & Life Solutions Inc | Prolonged ectoparasite-controlling agent for animal |
| WO2019158408A1 (en) | 2018-02-13 | 2019-08-22 | Basf Agrochemical Products B.V. | Crystalline forms of broflanilide |
| EP3792248B1 (en) * | 2018-05-11 | 2024-07-10 | Metisa Biotechnology Co.,Ltd | Benzamide compound and application thereof |
| CN108586279A (zh) | 2018-06-26 | 2018-09-28 | 上海泰禾国际贸易有限公司 | 一种间二酰胺类化合物及其制备方法和应用 |
| WO2020200290A1 (zh) * | 2019-04-02 | 2020-10-08 | 沈阳化工大学 | 一种间二酰胺类化合物及其应用 |
| CN114555559B (zh) * | 2019-08-26 | 2023-04-18 | 广西思钺生物科技有限责任公司 | 一种间苯二甲酰胺类化合物及其应用 |
| KR102267724B1 (ko) | 2019-12-23 | 2021-06-23 | 한국화학연구원 | 펜타플루오로설파닐 기를 포함하는 화합물 및 이를 함유하는 살충제 조성물 |
| CN115925576B (zh) * | 2021-12-22 | 2023-08-08 | 浙江宇龙药业有限公司 | 一种含七氟异丙基的双酰胺类化合物及其制备方法和应用 |
| CN114805102A (zh) * | 2022-05-27 | 2022-07-29 | 上海陶术生物科技有限公司 | 双酰胺衍生物中间体及双酰胺衍生物的制备方法 |
| CN118754821B (zh) * | 2023-11-10 | 2025-06-24 | 深圳大学 | 一种间二酰胺类化合物及其作为农药可接受的盐、制备方法、组合物和应用 |
| WO2025190387A1 (zh) * | 2024-03-15 | 2025-09-18 | 江苏中旗科技股份有限公司 | 一种间二酰胺类化合物、其制备方法、组合物和应用 |
| CN118724864B (zh) * | 2024-06-21 | 2025-01-28 | 山东诚创蓝海医药科技有限公司 | 一种酰胺衍生物及应用 |
Citations (3)
| Publication number | Priority date | Publication date | Assignee | Title |
|---|---|---|---|---|
| WO2014161850A1 (en) * | 2013-04-02 | 2014-10-09 | Syngenta Participations Ag | Process for the preparation of amides from hindered anilines containing a perhaloalkyl group |
| GB2520098A (en) * | 2013-07-03 | 2015-05-13 | Syngenta Participations Ag | Insecticidal compounds |
| EP2905274A1 (en) * | 2012-10-04 | 2015-08-12 | Mitsui Chemicals Agro, Inc. | Imide compound, method for manufacturing same, and use as insecticide |
Family Cites Families (7)
| Publication number | Priority date | Publication date | Assignee | Title |
|---|---|---|---|---|
| BR122015015718B1 (pt) * | 2004-01-28 | 2016-05-10 | Mitsui Chemicals Inc | derivados de amida |
| EP1911751A4 (en) * | 2005-06-21 | 2010-10-20 | Mitsui Chemicals Agro Inc | AMID DERIVATIVE AND PESTICIDE CONTAINING SUCH A COMPOUND |
| GB0612713D0 (en) * | 2006-06-27 | 2006-08-09 | Syngenta Participations Ag | Insecticidal compounds |
| BRPI0918022B1 (pt) * | 2008-08-13 | 2017-12-26 | Mitsui Cheminicals Agro, Inc | Method for the production of amida derivatives |
| US8686044B2 (en) | 2008-08-13 | 2014-04-01 | Mitsui Chemicals Agro, Inc. | Amide derivative, pest control agent containing the amide derivative, and use of the amide derivative |
| SI3081552T1 (sl) | 2008-08-13 | 2021-07-30 | Mitsui Chemicals Agro, Inc. | Sredstvo za zatiranje insektov, ki vsebuje amidni derivat, in uporaba sredstva za zatiranje insektov |
| WO2010127928A1 (en) * | 2009-05-06 | 2010-11-11 | Syngenta Participations Ag | Insecticidal compounds |
-
2016
- 2016-12-16 EP EP16875812.6A patent/EP3392236B1/en active Active
- 2016-12-16 CA CA3007468A patent/CA3007468C/en active Active
- 2016-12-16 WO PCT/JP2016/087663 patent/WO2017104838A1/ja not_active Ceased
- 2016-12-16 US US16/060,771 patent/US10647660B2/en active Active
- 2016-12-16 JP JP2017556483A patent/JP6535758B2/ja active Active
- 2016-12-16 BR BR112018011518-5A patent/BR112018011518B1/pt active IP Right Grant
- 2016-12-16 MX MX2018007106A patent/MX2018007106A/es unknown
- 2016-12-16 AU AU2016372153A patent/AU2016372153B2/en active Active
- 2016-12-16 CN CN201680071067.1A patent/CN108368030B/zh active Active
- 2016-12-16 ES ES16875812T patent/ES2881621T3/es active Active
- 2016-12-19 TW TW105141984A patent/TWI728019B/zh active
Patent Citations (3)
| Publication number | Priority date | Publication date | Assignee | Title |
|---|---|---|---|---|
| EP2905274A1 (en) * | 2012-10-04 | 2015-08-12 | Mitsui Chemicals Agro, Inc. | Imide compound, method for manufacturing same, and use as insecticide |
| WO2014161850A1 (en) * | 2013-04-02 | 2014-10-09 | Syngenta Participations Ag | Process for the preparation of amides from hindered anilines containing a perhaloalkyl group |
| GB2520098A (en) * | 2013-07-03 | 2015-05-13 | Syngenta Participations Ag | Insecticidal compounds |
Also Published As
| Publication number | Publication date |
|---|---|
| CN108368030A (zh) | 2018-08-03 |
| BR112018011518A2 (pt) | 2018-11-21 |
| EP3392236A4 (en) | 2019-07-31 |
| US10647660B2 (en) | 2020-05-12 |
| AU2016372153A1 (en) | 2018-07-05 |
| MX2018007106A (es) | 2018-09-07 |
| EP3392236A1 (en) | 2018-10-24 |
| JPWO2017104838A1 (ja) | 2018-07-12 |
| BR112018011518B1 (pt) | 2021-03-30 |
| CN108368030B (zh) | 2020-09-18 |
| TW201725192A (zh) | 2017-07-16 |
| WO2017104838A1 (ja) | 2017-06-22 |
| CA3007468A1 (en) | 2017-06-22 |
| CA3007468C (en) | 2020-04-14 |
| AU2016372153B2 (en) | 2019-02-28 |
| EP3392236B1 (en) | 2021-06-23 |
| US20180362447A1 (en) | 2018-12-20 |
| ES2881621T3 (es) | 2021-11-30 |
| JP6535758B2 (ja) | 2019-06-26 |
Similar Documents
| Publication | Publication Date | Title |
|---|---|---|
| TWI728019B (zh) | 芳香族醯胺衍生物之製造方法 | |
| JP5559745B2 (ja) | 2−ピリジルエチルカルボキサミド誘導体の調製方法 | |
| JP5149003B2 (ja) | アミド誘導体ならびに該化合物を含有する殺虫剤 | |
| JP5444077B2 (ja) | アミド誘導体 | |
| WO2006137395A1 (ja) | アミド誘導体、該化合物を含有する殺虫剤およびその使用方法 | |
| JP6161596B2 (ja) | アルキル化芳香族アミド誘導体の製造方法 | |
| BRPI0918021B1 (pt) | Derivados de amida, agente de controle de peste contendo os derivados de amida, e método de controle de pragas | |
| JP2025026926A (ja) | 特定の殺線虫性スルホンアミドを調製するためのプロセス及び中間体 | |
| CN114276291A (zh) | 制备丙二腈肟醚类化合物的方法及中间体化合物 | |
| JP2017137283A (ja) | 5−アルキニルピリジン化合物及びその製造方法 | |
| JP2009023991A (ja) | アントラニルアミド系化合物の製造方法 | |
| CN101198593B (zh) | 制备甲酰胺的方法 | |
| JP2013028547A (ja) | ブロモアニリン誘導体の製造方法 | |
| CN102007114B (zh) | 邻氨基苯甲酰胺系化合物的制造方法 | |
| JP2015508067A (ja) | N−ヒドロキシ−1−(1−アルキル−1h−テトラゾール−5−イル)−1−フェニルメタンイミン誘導体を調製する方法 | |
| BR122016013074B1 (pt) | Amide derivative and insecticide containing the same | |
| MX2007016241A (es) | Derivado de amida, insecticida que contiene dicho compuesto y uso de los mismos. | |
| JP2006316007A (ja) | スルホン酸ハライド化合物およびその製造方法 | |
| JPWO2002076962A1 (ja) | 3−オキソ−2−(2−チアゾリル)プロパンニトリルの製造方法および中間体 |
























































































