CN103842354A - 邻氨基苯甲酰胺化合物及其作为农药的用途 - Google Patents
邻氨基苯甲酰胺化合物及其作为农药的用途 Download PDFInfo
- Publication number
- CN103842354A CN103842354A CN201280047116.XA CN201280047116A CN103842354A CN 103842354 A CN103842354 A CN 103842354A CN 201280047116 A CN201280047116 A CN 201280047116A CN 103842354 A CN103842354 A CN 103842354A
- Authority
- CN
- China
- Prior art keywords
- alkyl
- groups
- substituted
- group
- partially
- Prior art date
- Legal status (The legal status is an assumption and is not a legal conclusion. Google has not performed a legal analysis and makes no representation as to the accuracy of the status listed.)
- Pending
Links
Classifications
-
- C—CHEMISTRY; METALLURGY
- C07—ORGANIC CHEMISTRY
- C07D—HETEROCYCLIC COMPOUNDS
- C07D401/00—Heterocyclic compounds containing two or more hetero rings, having nitrogen atoms as the only ring hetero atoms, at least one ring being a six-membered ring with only one nitrogen atom
- C07D401/02—Heterocyclic compounds containing two or more hetero rings, having nitrogen atoms as the only ring hetero atoms, at least one ring being a six-membered ring with only one nitrogen atom containing two hetero rings
- C07D401/04—Heterocyclic compounds containing two or more hetero rings, having nitrogen atoms as the only ring hetero atoms, at least one ring being a six-membered ring with only one nitrogen atom containing two hetero rings directly linked by a ring-member-to-ring-member bond
-
- A—HUMAN NECESSITIES
- A01—AGRICULTURE; FORESTRY; ANIMAL HUSBANDRY; HUNTING; TRAPPING; FISHING
- A01N—PRESERVATION OF BODIES OF HUMANS OR ANIMALS OR PLANTS OR PARTS THEREOF; BIOCIDES, e.g. AS DISINFECTANTS, AS PESTICIDES OR AS HERBICIDES; PEST REPELLANTS OR ATTRACTANTS; PLANT GROWTH REGULATORS
- A01N43/00—Biocides, pest repellants or attractants, or plant growth regulators containing heterocyclic compounds
- A01N43/48—Biocides, pest repellants or attractants, or plant growth regulators containing heterocyclic compounds having rings with two nitrogen atoms as the only ring hetero atoms
- A01N43/56—1,2-Diazoles; Hydrogenated 1,2-diazoles
-
- A—HUMAN NECESSITIES
- A01—AGRICULTURE; FORESTRY; ANIMAL HUSBANDRY; HUNTING; TRAPPING; FISHING
- A01N—PRESERVATION OF BODIES OF HUMANS OR ANIMALS OR PLANTS OR PARTS THEREOF; BIOCIDES, e.g. AS DISINFECTANTS, AS PESTICIDES OR AS HERBICIDES; PEST REPELLANTS OR ATTRACTANTS; PLANT GROWTH REGULATORS
- A01N43/00—Biocides, pest repellants or attractants, or plant growth regulators containing heterocyclic compounds
- A01N43/64—Biocides, pest repellants or attractants, or plant growth regulators containing heterocyclic compounds having rings with three nitrogen atoms as the only ring hetero atoms
- A01N43/647—Triazoles; Hydrogenated triazoles
- A01N43/653—1,2,4-Triazoles; Hydrogenated 1,2,4-triazoles
-
- A—HUMAN NECESSITIES
- A61—MEDICAL OR VETERINARY SCIENCE; HYGIENE
- A61P—SPECIFIC THERAPEUTIC ACTIVITY OF CHEMICAL COMPOUNDS OR MEDICINAL PREPARATIONS
- A61P33/00—Antiparasitic agents
-
- A—HUMAN NECESSITIES
- A61—MEDICAL OR VETERINARY SCIENCE; HYGIENE
- A61P—SPECIFIC THERAPEUTIC ACTIVITY OF CHEMICAL COMPOUNDS OR MEDICINAL PREPARATIONS
- A61P33/00—Antiparasitic agents
- A61P33/14—Ectoparasiticides, e.g. scabicides
-
- C—CHEMISTRY; METALLURGY
- C07—ORGANIC CHEMISTRY
- C07D—HETEROCYCLIC COMPOUNDS
- C07D401/00—Heterocyclic compounds containing two or more hetero rings, having nitrogen atoms as the only ring hetero atoms, at least one ring being a six-membered ring with only one nitrogen atom
- C07D401/14—Heterocyclic compounds containing two or more hetero rings, having nitrogen atoms as the only ring hetero atoms, at least one ring being a six-membered ring with only one nitrogen atom containing three or more hetero rings
Landscapes
- Organic Chemistry (AREA)
- Chemical & Material Sciences (AREA)
- Life Sciences & Earth Sciences (AREA)
- Health & Medical Sciences (AREA)
- General Health & Medical Sciences (AREA)
- Veterinary Medicine (AREA)
- Dentistry (AREA)
- Wood Science & Technology (AREA)
- Environmental Sciences (AREA)
- Zoology (AREA)
- Engineering & Computer Science (AREA)
- Plant Pathology (AREA)
- Pest Control & Pesticides (AREA)
- Agronomy & Crop Science (AREA)
- Public Health (AREA)
- Chemical Kinetics & Catalysis (AREA)
- Animal Behavior & Ethology (AREA)
- General Chemical & Material Sciences (AREA)
- Tropical Medicine & Parasitology (AREA)
- Nuclear Medicine, Radiotherapy & Molecular Imaging (AREA)
- Pharmacology & Pharmacy (AREA)
- Medicinal Chemistry (AREA)
- Agricultural Chemicals And Associated Chemicals (AREA)
- Pharmaceuticals Containing Other Organic And Inorganic Compounds (AREA)
- Plural Heterocyclic Compounds (AREA)
Abstract
本发明涉及邻氨基苯甲酰胺化合物及其立体异构体、盐、互变异构体和N-氧化物以及包含其的组合物。本发明还涉及邻氨基苯甲酰胺化合物或包含该化合物的组合物在防除无脊椎动物害虫中的用途。此外,本发明涉及施用该化合物的方法。
Description
发明描述
本发明涉及邻氨基苯甲酰胺化合物及其立体异构体、盐、互变异构体和N-氧化物以及包含其的组合物。本发明还涉及邻氨基苯甲酰胺化合物或包含该化合物的组合物在防除无脊椎动物害虫中的用途。此外,本发明涉及施用该化合物的方法。
无脊椎动物害虫,尤其是昆虫、节肢动物和线虫破坏生长和收获的作物且袭击木质居住和商业结构体,从而对食物供应和财产造成大的经济损失。尽管已知大量农药试剂,但由于目标害虫能够对所述农药试剂产生耐药性,仍然需要用于防除无脊椎动物害虫,如昆虫、蜘蛛和线虫的新试剂。因此,本发明的目的是提供具有良好农药活性且对大量不同的无脊椎动物害虫,尤其是难以防治的昆虫、蜘蛛和线虫显示出宽活性谱的化合物。
邻氨基苯甲酰胺化合物已经描述于大量专利申请(例如NL9202079、WO01/70671、WO02/070483、WO03/015518、WO03/015519、WO03/016284、WO03/016300、WO04/046129、WO2005/085234、WO2006/040113)。芳基吡唑邻氨基苯甲酸二酰胺及其作为杀虫剂的用途在日本神户的IUPAC pesticides conference2006中提出。然而,还没有描述本发明中的具有特征取代方式的化合物。
已经发现以上目的可以通过如下所定义的通式(I)的邻氨基苯甲酰胺化合物,包括其立体异构体,其盐,尤其是其可农用或可兽用盐,其互变异构体及其N-氧化物实现。
因此,本发明在第一方面涉及式(I)化合物或其立体异构体、盐、互变异构体或N-氧化物:
其中
B1为N或CH;
G为式G1的基团
其中
Q为O、N(R9a)或化学键;
Rg选自氢、卤素、氰基、叠氮基、硝基、-SCN、SF5、C1-C6烷基、C1-C6卤代烷基、C1-C6烷氧基-C1-C6烷基、C2-C6链烯基、C2-C6卤代链烯基、C2-C6炔基、C2-C6卤代炔基、C3-C8环烷基、C3-C8卤代环烷基、-Si(R14)2R13、-OR8、-OSO2R8、-SR8、-S(O)mR8、-S(O)nN(R9a)R9b、-N(R9a)R9b、-C(=O)N(R9a)R9b、-C(=S)N(R9a)R9b、-C(=O)OR8、-C(=O)R7,苯基,其可被1、2、3、4或5个基团R10取代,苄基,其可被1、2、3、4或5个基团R10取代,和含有1、2或3个选自N、O、S、NO、SO和SO2的杂原子或杂原子基团作为环成员的3、4、5、6或7员饱和、部分不饱和或最大不饱和杂环,其中该杂环可被一个或多个,优选1、2或3,更优选1或2,尤其是1个基团R10取代;
Rh选自氢、氰基、C1-C6烷基、C1-C6卤代烷基、C1-C6烷氧基、C1-C6卤代烷氧基、C1-C6烷硫基、C1-C6卤代烷硫基、C1-C6烷基亚磺酰基、C1-C6卤代烷基亚磺酰基、C1-C6烷基磺酰基、C1-C6卤代烷基磺酰基、C3-C8环烷基、C3-C8环烷基-C1-C4烷基、C3-C8卤代环烷基、C2-C6链烯基、C2-C6卤代链烯基、C2-C6炔基、C2-C6卤代炔基、-Si(R14)2R13、-SR8、 -S(O)mR8、-S(O)nN(R9a)R9b、-N(R9a)R9b、-N=CR15R16、-C(=O)R7、-C(=O)N(R9a)R9b、-C(=S)N(R9a)R9b、-C(=O)OR8,苯基,其可被1、2、3、4或5个基团R10取代,和含有1、2或3个选自N、O、S、NO、SO和SO2的杂原子或杂原子基团作为环成员的3、4、5、6或7员饱和、部分不饱和或最大不饱和杂环,其中该杂环可被一个或多个,优选1、2或3,更优选1或2,尤其是1个基团R10取代;
条件为如果Rh键于氧原子,则其不为C1-C6烷氧基或C1-C6卤代烷氧基;或G为含有1、2或3个选自N、O、S、NO、SO和SO2的杂原子或杂原子基团作为环成员的3、4、5、6或7员饱和、部分不饱和或最大不饱和杂环,其中该杂环可被一个或多个,优选1、2或3,更优选1或2,尤其是1个基团R10取代;
R1各自独立地选自卤素;氰基;叠氮基;硝基;-SCN;SF5;C1-C6烷基,其可部分或完全卤化和/或可被一个或多个,优选1、2或3,更优选1或2,尤其是1个基团R7取代;C3-C8环烷基,其可部分或完全卤化和/或可被一个或多个,优选1、2或3,更优选1或2,尤其是1个基团R7取代;C2-C6链烯基,其可部分或完全卤化和/或可被一个或多个,优选1、2或3,更优选1或2,尤其是1个基团R7取代;C2-C6炔基,其可部分或完全卤化和/或可被一个或多个,优选1、2或3,更优选1或2,尤其是1个基团R7取代;-Si(R14)2R13;-OR8;-OS(O)nR8;-SR8;-S(O)mR8;-S(O)nN(R9a)R9b;-N(R9a)R9b;-N(R9a)C(=O)R7;C(=O)R7;-C(=O)OR8;-C(=NR9a)R7;-C(=O)N(R9a)R9b;C(=S)N(R9a)R9b;苯基,其可被1、2、3、4或5个基团R10取代;和含有1、2或3个选自N、O、S、NO、SO和SO2的杂原子或杂原子基团作为环成员的3、4、5、6或7员饱和、部分不饱和或最大不饱和杂环,其中该杂环可被一个或多个,优选1、2或3,更优选1或2,尤其是1个基团R10取代;
R2选自氢;氰基;C1-C10烷基,其可部分或完全卤化和/或可被一个或多个,优选1、2或3,更优选1或2,尤其是1个基团R7取代;C3-C8环烷基,其可部分或完全卤化和/或可被一个或多个,优选1、2或3,更优选1或2,尤其是1个基团R7取代;C2-C10链烯基,其可部分或完全卤化和/或 可被一个或多个,优选1、2或3,更优选1或2,尤其是1个基团R7取代;C2-C10炔基,其可部分或完全卤化和/或可被一个或多个基团R7取代;-N(R9a)R9b;-Si(R14)2R13;-OR8;-SR8;-S(O)mR8;-S(O)nN(R9a)R9;-C(=O)R7;-C(=O)OR8;-C(=O)N(R9a)R9b;-C(=S)R7;-C(=S)OR8;-C(=S)N(R9a)R9b;-C(=NR9a)R7;苯基,其可被1、2、3、4或5个基团R10取代;和含有1、2或3个选自N、O、S、NO、SO和SO2的杂原子或杂原子基团作为环成员的3、4、5、6或7员饱和、部分不饱和或最大不饱和杂环,其中该杂环可被一个或多个,优选1、2或3,更优选1或2,尤其是1个基团R10取代;
R3选自氢、氰基、硝基,C1-C6烷基,其可部分或完全卤化和/或可被一个或多个,优选1、2或3,更优选1或2,尤其是1个基团R7取代,C3-C8环烷基,其可部分或完全卤化和/或可被一个或多个,优选1、2或3,更优选1或2,尤其是1个基团R7取代,C2-C6链烯基,其可部分或完全卤化和/或可被一个或多个,优选1、2或3,更优选1或2,尤其是1个基团R7取代,C2-C6炔基,其可部分或完全卤化和/或可被一个或多个,优选1、2或3,更优选1或2,尤其是1个基团R7取代,-Si(R14)2R13、-OR8、-OS(O)nR8、-SR8、-S(O)mR8、-S(O)nN(R9a)R9b、-N(R9a)R9b、N(R9a)C(=O)R7、-C(=O)R7、-C(=O)OR8、-C(=S)R7、-C(=S)OR8、-C(=NR9a)R7、-C(=O)N(R9a)R9b、-C(=S)N(R9a)R9b,苯基,其可被1、2、3、4或5个基团R10取代,和含有1、2或3个选自N、O、S、NO、SO和SO2的杂原子或杂原子基团作为环成员的3、4、5、6或7员饱和、部分不饱和或最大不饱和杂环,其中该杂环可被一个或多个,优选1、2或3,更优选1或2,尤其是1个基团R10取代;
R4各自独立地选自卤素、氰基、叠氮基、硝基、-SCN、SF5,C1-C6烷基,其可部分或完全卤化和/或可被一个或多个,优选1、2或3,更优选1或2,尤其是1个基团R7取代,C3-C8环烷基,其可部分或完全卤化和/或可被一个或多个,优选1、2或3,更优选1或2,尤其是1个基团R7取代,C2-C6链烯基,其可部分或完全卤化和/或可被一个或多个,优选1、2或3,更优选1或2,尤其是1个基团R7取代,C2-C6炔基,其可部分或完 全卤化和/或可被一个或多个,优选1、2或3,更优选1或2,尤其是1个基团R7取代,-Si(R14)2R13、-OR8、-OS(O)nR8、-SR8、-S(O)mR8、-S(O)nN(R9a)R9b、-N(R9a)R9b、N(R9a)C(=O)R7、-C(=O)R7、-C(=O)OR8、-C(=S)R7、-C(=S)OR8、-C(=NR9a)R7、-C(=O)N(R9a)R9b、-C(=S)N(R9a)R9b,苯基,其可被1、2、3、4或5个基团R10取代,和含有1、2或3个选自N、O、S、NO、SO和SO2的杂原子或杂原子基团作为环成员的3、4、5、6或7员饱和、部分不饱和或最大不饱和杂环,其中该杂环可被一个或多个,优选1、2或3,更优选1或2,尤其是1个基团R10取代;
R5和R6相互独立地选自氢、氰基,C1-C6烷基,其可部分或完全卤化和/或可被一个或多个,优选1、2或3,更优选1或2,尤其是1个基团R7a取代,C1-C6烷氧基、C1-C6卤代烷氧基、C1-C6烷硫基、C1-C6卤代烷硫基,其中后提到的4个基团中的烷基结构部分可被一个或多个,优选1、2或3,更优选1或2,尤其是1个基团R7a取代,C3-C8环烷基,其可部分或完全卤化和/或可被一个或多个,优选1、2或3,更优选1或2,尤其是1个基团R7a取代,C3-C8环烷基-C1-C4烷基,其中该环烷基结构部分可部分或完全卤化和/或可被一个或多个,优选1、2或3,更优选1或2,尤其是1个基团R7a取代,C2-C6链烯基,其可部分或完全卤化和/或可被一个或多个,优选1、2或3,更优选1或2,尤其是1个基团R7a取代,C2-C6炔基,其可部分或完全卤化和/或可被一个或多个,优选1、2或3,更优选1或2,尤其是1个基团R7a取代,-N(R9a)R9b;-N(R9a)C(=O)R7;-Si(R14)2R13;-OR8;-SR8;-S(O)mR8;-S(O)nN(R9a)R9b;-C(=O)R7;-C(=O)OR8;-C(=O)N(R9a)R9b;-C(=S)R7;-C(=S)OR8、-C(=S)N(R9a)R9b;-C(=NR9a)R7-S(O)mR8、-S(O)nN(R9a)R9b,苯基,其可被1、2、3、4或5个基团R10取代,苄基,其可被1、2、3、4或5个基团R10取代,和含有1、2或3个选自N、O、S、NO、SO和SO2的杂原子或杂原子基团作为环成员的3、4、5、6或7员饱和、部分不饱和或最大不饱和杂环,其中该杂环可被一个或多个,优选1、2或3,更优选1或2,尤其是1个基团R10取代;
或R5和R6一起形成基团=CR11R12;
或R5和R6与其所键合的氮原子一起可形成可额外含有1或2个选自N、O、S、NO、SO和SO2的其他杂原子或杂原子基团作为环成员的3、4、5、6或7员饱和、部分不饱和或最大不饱和杂环,其中该杂环可被一个或多个,优选1、2或3,更优选1或2,尤其是1个基团R10取代;
R7a各自独立地选自氰基、叠氮基、硝基、-SCN、SF5、-Si(R14)2R13、-OR8、-OSO2R8、-SR8、-S(O)mR8、-S(O)nN(R9a)R9b、-N(R9a)R9b、-C(=O)N(R9a)R9b、-C(=S)N(R9a)R9b、-C(=O)OR8、-C(=O)R19,和
在R7a键于环烷基的情况下,R7a可额外选自C1-C6烷基、C1-C6卤代烷基、C1-C6烷氧基-C1-C6烷基、C2-C6链烯基、C2-C6卤代链烯基、C2-C6炔基、C2-C6卤代炔基;
或两个孪位键合的基团R7a一起形成选自=CR11R12、=S(O)mR8、=S(O)mN(R9a)R9b、=NR9a、=NOR8和=NNR9aR9b的基团;
R7各自独立地选自氰基、叠氮基、硝基、-SCN、SF5、C3-C8环烷基、C3-C8卤代环烷基、-Si(R14)2R13、-OR8、-OSO2R8、-SR8、-S(O)mR8、-S(O)nN(R9a)R9b、-N(R9a)R9b、-C(=O)N(R9a)R9b、-C(=S)N(R9a)R9b、-C(=O)OR8、-C(=O)R19,苯基,其可被1、2、3、4或5个基团R10取代,和含有1、2或3个选自N、O、S、NO、SO和SO2的杂原子或杂原子基团作为环成员的3、4、5、6或7员饱和、部分不饱和或最大不饱和杂环,其中该杂环可被一个或多个,优选1、2或3,更优选1或2,尤其是1个基团R10取代;和
在R7键于环烷基或杂环的情况下,R7可额外选自C1-C6烷基、C1-C6卤代烷基、C1-C6烷氧基-C1-C6烷基、C2-C6链烯基、C2-C6卤代链烯基、C2-C6炔基、C2-C6卤代炔基,和苄基,其可被1、2、3、4或5个基团R10取代;和
在基团-C(=O)R7、-C(=S)R7、-C(=NR9a)R7和-N(R9a)C(=O)R7中,R7可额外选自氢、卤素、C1-C6烷基、C1-C6卤代烷基、C1-C6烷氧基-C1-C6烷基、C2-C6链烯基、C2-C6卤代链烯基、C2-C6炔基、C2-C6卤代炔基,和苄基,其可被1、2、3、4或5个基团R10取代;
或两个孪位键合的基团R7一起形成选自=CR11R12、=S(O)mR8、 =S(O)mN(R9a)R9b、=NR9a、=NOR8和=NNR9aR9b的基团;
或两个基团R7与其所键合的碳原子一起形成含有1、2或3个选自N、O、S、NO、SO和SO2的杂原子或杂原子基团作为环成员的3、4、5、6、7或8员饱和或部分不饱和碳环或杂环;
R8各自独立地选自氢、氰基、C1-C6烷基、C1-C6卤代烷基、C1-C6烷氧基、C1-C6卤代烷氧基、C1-C6烷硫基、C1-C6卤代烷硫基、C1-C6烷基亚磺酰基、C1-C6卤代烷基亚磺酰基、C1-C6烷基磺酰基、C1-C6卤代烷基磺酰基、C3-C8环烷基、C3-C8环烷基-C1-C4烷基、C3-C8卤代环烷基、C2-C6链烯基、C2-C6卤代链烯基、C2-C6炔基、C2-C6卤代炔基、-Si(R14)2R13、-SR20、-S(O)mR20、-S(O)nN(R9a)R9b、-N(R9a)R9b、-N=CR15R16、-C(=O)R19、-C(=O)N(R9a)R9b、-C(=S)N(R9a)R9b、-C(=O)OR20,苯基,其可被1、2、3、4或5个基团R10取代,和含有1、2或3个选自N、O、S、NO、SO和SO2的杂原子或杂原子基团作为环成员的3、4、5、6或7员饱和、部分不饱和或最大不饱和杂环,其中该杂环可被一个或多个,优选1、2或3,更优选1或2,尤其是1个基团R10取代;
条件为如果R8键于氧原子,则其不为C1-C6烷氧基或C1-C6卤代烷氧基;R9a、R9b相互独立地且每次出现独立地选自氢、氰基,C1-C6烷基,其可部分或完全卤化和/或可被一个或多个,优选1、2或3,更优选1或2,尤其是1个基团R19取代,C1-C6烷氧基、C1-C6卤代烷氧基、C1-C6烷硫基、C1-C6卤代烷硫基,其中后提到的4个基团中的烷基结构部分可被一个或多个,优选1、2或3,更优选1或2,尤其是1个基团R19取代,C3-C8环烷基,其可部分或完全卤化和/或可被一个或多个,优选1、2或3,更优选1或2,尤其是1个基团R19取代,C3-C8环烷基-C1-C4烷基,其中该环烷基结构部分可部分或完全卤化和/或可被一个或多个,优选1、2或3,更优选1或2,尤其是1个基团R19取代,C2-C6链烯基,其可部分或完全卤化和/或可被一个或多个,优选1、2或3,更优选1或2,尤其是1个基团R19取代,C2-C6炔基,其可部分或完全卤化和/或可被一个或多个,优选1、2或3,更优选1或2,尤其是1个基团R19取代,-N(R21)R22;-N(R21)C(=O)R19;-Si(R14)2R13;-OR20;-SR20;-S(O)mR20;-S(O)nN(R21)R22; -C(=O)R19;-C(=O)OR20;-C(=O)N(R21)R22;-C(=S)R17;-C(=S)OR20、-C(=S)N(R21)R22;-C(=NR21)R17-S(O)mR20、-S(O)nN(R21)R22,苯基,其可被1、2、3、4或5个基团R10取代,苄基,其可被1、2、3、4或5个基团R10取代,和含有1、2或3个选自N、O、S、NO、SO和SO2的杂原子或杂原子基团作为环成员的3、4、5、6或7员饱和、部分不饱和或最大不饱和杂环,其中该杂环可被一个或多个,优选1、2或3,更优选1或2,尤其是1个基团R10取代;
或R9a和R9b一起形成基团=CR11R12;
或R9a和R9b与其所键合的氮原子一起可形成可额外含有1或2个选自N、O、S、NO、SO和SO2的其他杂原子或杂原子基团作为环成员的3、4、5、6或7员饱和、部分不饱和或最大不饱和杂环,其中该杂环可被一个或多个,优选1、2或3,更优选1或2,尤其是1个基团R10取代;
R10各自独立地选自卤素、氰基、叠氮基、硝基、-SCN、SF5,C1-C10烷基,其可部分或完全卤化和/或可被一个或多个,优选1、2或3,更优选1或2,尤其是1个基团R19取代,C3-C8环烷基,其可部分或完全卤化和/或可被一个或多个,优选1、2或3,更优选1或2,尤其是1个基团R19取代,C2-C10链烯基,其可部分或完全卤化和/或可被一个或多个,优选1、2或3,更优选1或2,尤其是1个基团R19取代,C2-C10炔基,其可部分或完全卤化和/或可被一个或多个,优选1、2或3,更优选1或2,尤其是1个基团R19取代,-Si(R14)2R13、-OR20、-OS(O)nR20、-SR20、-S(O)mR20、-S(O)nN(R21)R22、-N(R21)R22、C(=O)R19、-C(=O)OR20、-C(=NR21)R17、-C(=O)N(R21)R22、-C(=S)N(R21)R22,苯基,其可被1、2、3、4或5个独立地选自卤素、氰基、硝基、C1-C6烷基、C1-C6卤代烷基、C1-C6烷氧基和C1-C6卤代烷氧基的基团取代;和含有1、2或3个选自N、O、S、NO、SO和SO2的杂原子或杂原子基团作为环成员的3、4、5、6或7员饱和、部分或最大不饱和杂环,其可被一个或多个,优选1、2或3,更优选1或2,尤其是1个独立地选自卤素、氰基、硝基、C1-C6烷基、C1-C6卤代烷基、C1-C6烷氧基和C1-C6卤代烷氧基的基团取代;
或键于相邻原子的两个基团R10一起形成选自-CH2CH2CH2CH2-、 -CH=CH-CH=CH-、-N=CH-CH=CH-、-CH=N-CH=CH-、-N=CH-N=CH-、-OCH2CH2CH2-、-OCH=CHCH2-、-CH2OCH2CH2-、-OCH2CH2O-、-OCH2OCH2-、-CH2CH2CH2-、-CH=CHCH2-、-CH2CH2O-、-CH=CHO-、-CH2OCH2-,-CH2C(=O)O-、-C(=O)OCH2-、-O(CH2)O-、-SCH2CH2CH2-、-SCH=CHCH2-、-CH2SCH2CH2-、-SCH2CH2S-、-SCH2SCH2-、-CH2CH2S-、-CH=CHS-、-CH2SCH2-、-CH2C(=S)S-、-C(=S)SCH2-、-S(CH2)S-、-CH2CH2NR21-、-CH2CH=N-、-CH=CH-NR21-、-OCH=N-和-SCH=N-的基团,由此与其所键合的原子一起形成5或6员环,其中以上基团的氢原子可被一个或多个,优选1、2或3,更优选1或2,尤其是1个选自卤素、甲基、卤代甲基、羟基、甲氧基和卤代甲氧基的取代基替换或以上基团的一个或多个,优选1或2个CH2基团可以被C=O基团替换;
其中在R10超过一个的情况下,R10可相同或不同;
R11、R12相互独立地且每次出现独立地选自氢、卤素、C1-C6烷基、C1-C6卤代烷基、C2-C6链烯基、C2-C6卤代链烯基、C2-C6炔基、C2-C6卤代炔基、C3-C8环烷基、C3-C8卤代环烷基、C1-C6烷氧基-C1-C6烷基、C1-C6卤代烷氧基-C1-C6烷基、C1-C6烷氧基、C1-C6卤代烷氧基、-C(=O)R19、-C(=O)OR20、-C(=NR21)R17、-C(=O)N(R21)R22、-C(=S)N(R21)R22,苯基,其可被1、2、3、4或5个基团R10取代;和含有1、2或3个选自N、O、S、NO、SO和SO2的杂原子或杂原子基团作为环成员的3、4、5、6或7员饱和、部分不饱和或最大不饱和杂环,其可被一个或多个,优选1、2或3,更优选1或2,尤其是1个基团R10取代;
R13、R14相互独立地且每次出现独立地选自C1-C4烷基、C3-C6环烷基、C1-C4烷氧基-C1-C4烷基、苯基和苄基;
R15、R16相互独立地且每次出现独立地选自C1-C6烷基、C1-C6卤代烷基、C2-C6链烯基、C2-C6卤代链烯基、C2-C6炔基、C2-C6卤代炔基、C3-C8环烷基、C3-C8卤代环烷基、C1-C6烷氧基-C1-C6烷基、C1-C6卤代烷氧基-C1-C6烷基,苯基,其可被1、2、3、4或5个基团R10取代;和含有1、2或3个选自N、O、S、NO、SO和SO2的杂原子或杂原子基团作为环成员的3、4、5、6或7员饱和、部分不饱和或最大不饱和杂环,其可被 一个或多个,优选1、2或3,更优选1或2,尤其是1个基团R10取代;
R17各自独立地选自C1-C6烷基、C1-C6卤代烷基、C2-C6链烯基、C2-C6卤代链烯基、C2-C6炔基、C2-C6卤代炔基、C3-C8环烷基、C3-C8卤代环烷基、C1-C6烷氧基-C1-C6烷基、C1-C6卤代烷氧基-C1-C6烷基、苯基和苄基;
R19各自独立地选自氰基、叠氮基、硝基、-SCN、SF5、C3-C8环烷基、C3-C8卤代环烷基、-Si(R14)2R13、-OR20、-OSO2R20、-SR20、-S(O)mR20、-S(O)nN(R21)R22、-N(R21)R22、-C(=O)N(R21)R22、-C(=S)N(R21)R22、-C(=O)OR20、-C(=O)R20,苯基,其可被1、2、3、4或5个独立地选自卤素、氰基、硝基、C1-C6烷基、C1-C6卤代烷基、C1-C6烷氧基和C1-C6卤代烷氧基的基团取代,和含有1、2或3个选自N、O、S、NO、SO和SO2的杂原子或杂原子基团作为环成员的3、4、5、6或7员饱和、部分不饱和或最大不饱和杂环,其中该杂环可被一个或多个,优选1、2或3,更优选1或2,尤其是1个独立地选自卤素、氰基、硝基、C1-C6烷基、C1-C6卤代烷基、C1-C6烷氧基和C1-C6卤代烷氧基的基团取代;和
在R19键于环烷基的情况下,R19可额外选自C1-C6烷基、C1-C6卤代烷基、C1-C6烷氧基-C1-C6烷基、C2-C6链烯基、C2-C6卤代链烯基、C2-C6炔基和C2-C6卤代炔基;和
在基团-C(=O)R19或-N(R21)C(=O)R19中,R19可额外选自氢、卤素、C1-C6烷基、C1-C6卤代烷基、C1-C6烷氧基-C1-C6烷基、C2-C6链烯基、C2-C6卤代链烯基、C2-C6炔基和C2-C6卤代炔基;
或两个孪位键合的基团R19一起形成选自=CR11R12、=S(O)mR20、=S(O)mN(R21)R22、=NR21、=NOR20和=NNR21的基团;
或两个基团R19与其所键合的碳原子一起形成含有1、2或3个选自N、O、S、NO、SO和SO2的杂原子或杂原子基团作为环成员的3、4、5、6、7或8员饱和或部分不饱和碳环或杂环;
R20各自独立地选自氢、氰基、C1-C6烷基、C1-C6卤代烷基、C1-C6烷氧基、C1-C6卤代烷氧基、C1-C6烷硫基、C1-C6卤代烷硫基、C1-C6烷基亚磺酰基、C1-C6卤代烷基亚磺酰基、C1-C6烷基磺酰基、C1-C6卤代烷基磺酰基、C3-C8环烷基、C3-C8环烷基-C1-C4烷基、C3-C8卤代环烷基、C2-C6链烯 基、C2-C6卤代链烯基、C2-C6炔基、C2-C6卤代炔基、-Si(R14)2R13、C1-C6烷基氨基磺酰基、氨基、C1-C6烷基氨基、二(C1-C6烷基)氨基、C1-C6烷基羰基、C1-C6卤代烷基羰基、氨基羰基、C1-C6烷基氨基羰基、二(C1-C6烷基)氨基羰基、C1-C6烷氧基羰基、C1-C6卤代烷氧基羰基,苯基,其可被1、2、3、4或5个独立地选自卤素、氰基、硝基、C1-C6烷基、C1-C6卤代烷基、C1-C6烷氧基和C1-C6卤代烷氧基的基团取代,苄基,其可被1、2、3、4或5个独立地选自卤素、氰基、硝基、C1-C6烷基、C1-C6卤代烷基、C1-C6烷氧基和C1-C6卤代烷氧基的基团取代,和含有1、2或3个选自N、O、S、NO、SO和SO2的杂原子或杂原子基团作为环成员的3、4、5、6或7员饱和、部分不饱和或最大不饱和杂环,其中该杂环可被一个或多个,优选1、2或3,更优选1或2,尤其是1个独立地选自卤素、氰基、硝基、C1-C6烷基、C1-C6卤代烷基、C1-C6烷氧基和C1-C6卤代烷氧基的基团取代;
条件为如果R20键于氧原子,则其不为C1-C6烷氧基或C1-C6卤代烷氧基;R21和R22相互独立地且每次出现独立地选自氢、C1-C6烷基、C1-C6卤代烷基、C1-C6烷氧基、C1-C6卤代烷氧基、C1-C6烷硫基、C1-C6卤代烷硫基、C3-C8环烷基、C3-C8卤代环烷基、C3-C8环烷基-C1-C4烷基、C2-C6链烯基、C2-C6卤代链烯基、C2-C6炔基、C2-C6卤代炔基,苯基,其可被1、2、3、4或5个独立地选自卤素、氰基、硝基、C1-C6烷基、C1-C6卤代烷基、C1-C6烷氧基和C1-C6卤代烷氧基的基团取代,苄基,其可被1、2、3、4或5个独立地选自卤素、氰基、硝基、C1-C6烷基、C1-C6卤代烷基、C1-C6烷氧基和C1-C6卤代烷氧基的基团取代,和含有1、2或3个选自N、O、S、NO、SO和SO2的杂原子或杂原子基团作为环成员的3、4、5、6或7员饱和、部分不饱和或最大不饱和杂环,其中该杂环可被一个或多个,优选1、2或3,更优选1或2,尤其是1个独立地选自卤素、氰基、硝基、C1-C6烷基、C1-C6卤代烷基、C1-C6烷氧基和C1-C6卤代烷氧基的基团取代;
或R21和R22与其所键合的氮原子一起可形成可额外含有1或2个选自N、O、S、NO、SO和SO2的其他杂原子或杂原子基团作为环成员的3、4、 5、6或7员饱和、部分不饱和或最大不饱和杂环,其中该杂环可被一个或多个,优选1、2或3,更优选1或2,尤其是1个选自卤素、C1-C6烷基、C1-C6卤代烷基、C1-C6烷氧基和C1-C6卤代烷氧基的基团取代;
m各自独立地为1或2;
n各自独立地为0、1或2;
p为0、1、2或3;
r为0、1、2、3或4;
X为O或S;和
Y为O或S。
此外,本发明涉及合成根据本发明的化合物的方法和合成式(I)化合物的中间体化合物。
本发明化合物,即式(I)化合物、其立体异构体、其盐、其互变异构体或其N-氧化物尤其可以用于防治无脊椎动物害虫,特别是防治节肢动物和线虫和尤其是昆虫。因此,本发明还涉及本发明化合物在防除或防治无脊椎动物害虫,特别是昆虫、蜘蛛或线虫组的无脊椎动物害虫中的用途。
术语“根据本发明的化合物”包括如本文所定义的化合物以及其立体异构体、盐、互变异构体或N-氧化物。术语“本发明化合物”应理解为与术语“根据本发明的化合物”等同,因此还包括其立体异构体、盐、互变异构体或N-氧化物。
术语“根据本发明的组合物”或“本发明组合物”包括包含至少一种如上所定义的根据本发明的化合物的组合物。
本发明还涉及一种组合物,其包含至少一种根据本发明的化合物,包括其立体异构体、盐、互变异构体或N-氧化物以及至少一种惰性液体和/或固体载体。本发明尤其涉及农用或兽用组合物,其包含至少一种根据本发明的化合物,包括其立体异构体、可农用或可兽用盐、互变异构体或N-氧化物以及至少一种液体和/或固体载体。
本发明还涉及一种防除或防治无脊椎动物害虫,尤其是昆虫、蜘蛛或线虫组的无脊椎动物害虫的方法,该方法包括使所述害虫或或其食物供应源、栖息地或繁殖地与农药有效量的至少一种根据本发明的化合物,包括 其立体异构体、盐、互变异构体或N-氧化物或根据本发明的组合物接触。
本发明还涉及一种保护生长中的植物以防无脊椎动物害虫,尤其是昆虫、蜘蛛或线虫组的无脊椎动物害虫侵袭或侵染的方法,该方法包括使植物或其中植物生长或可能生长的土壤或水体与农药有效量的至少一种根据本发明的化合物,包括其立体异构体、盐、互变异构体或N-氧化物或根据本发明的组合物接触。
本发明还涉及一种保护植物繁殖材料,优选种子以防土壤昆虫以及保护秧苗的根和嫩枝以防土壤和叶面昆虫的方法,该方法包括使种子在播种之前和/或在预萌发之后与至少一种根据本发明的化合物,包括其立体异构体、盐、互变异构体或N-氧化物或根据本发明的组合物接触。
本发明还涉及植物繁殖材料,优选种子,其包含根据本发明的化合物,包括其立体异构体、盐、互变异构体或N-氧化物,优选量为0.01g至10kg/100kg植物繁殖材料。
本发明还涉及根据本发明的化合物,包括其立体异构体、盐、互变异构体或N-氧化物或根据本发明的组合物在防除或防治昆虫、蜘蛛或线虫组的无脊椎动物害虫中的用途。
本发明还涉及根据本发明的化合物,包括其立体异构体、盐或N-氧化物或根据本发明的组合物在保护生长中的植物以防昆虫、蜘蛛或线虫组的无脊椎动物害虫侵袭或侵染中的用途。
本发明还涉及根据本发明的化合物,包括其立体异构体、可兽用盐、互变异构体或N-氧化物或根据本发明的组合物在动物中和动物上防除或防治无脊椎动物寄生虫中的用途以及根据本发明的化合物,包括其立体异构体、可兽用盐、互变异构体或N-氧化物或根据本发明的组合物在制备用于在动物中和动物上防除或防治无脊椎动物寄生虫的药物中的用途。
本发明还涉及一种处理被寄生虫侵染或感染的动物或防止动物被寄生虫侵染或感染或保护动物以防寄生虫侵染或感染的方法,包括对动物口服、局部或胃肠外给予或施用杀寄生虫有效量的根据本发明的化合物,包括其立体异构体、可兽用盐、互变异构体或N-氧化物或根据本发明的组合物。
本发明还涉及根据本发明的化合物,包括其立体异构体、可兽用盐或 N-氧化物或根据本发明的组合物在制造用于保护动物以防寄生虫侵染或感染或处理被寄生虫侵染或感染的动物的药物中的用途。
本发明还涉及一种制备用于处理被寄生虫侵染或感染的动物、防止动物被寄生虫侵染或感染或保护动物以防寄生虫侵染或感染的组合物的方法,该组合物包含根据本发明的化合物,包括其立体异构体、可兽用盐、互变异构体或N-氧化物。
本发明还涉及一种用作药物的根据本发明的化合物,包括其立体异构体、可兽用盐、互变异构体或N-氧化物。
本发明还涉及一种用于处理、防治、预防或保护动物以防寄生虫侵染或感染的根据本发明的化合物,包括其立体异构体、可兽用盐、互变异构体或N-氧化物。
取决于取代方式,式(I)化合物可以具有一个或多个手性中心,此时它们作为对映体或非对映体的混合物存在。本发明提供式(I)化合物的纯对映体或纯非对映体及其混合物二者以及式(I)化合物的纯对映体或纯非对映体或其混合物的本发明用途。合适式(I)化合物还包括所有可能的几何立体异构体(顺/反异构体)及其混合物。另一方面可为旋转对映异构现象的存在,这是因为酰胺结构部分的受阻旋转(对于轴手性和旋转对映异构现象的综述文章,例如参见J.Clayden,Tetrahedron2004,60,4335且对由苯-酰胺键的sp2-sp2轴产生的轴手性,参见Y.Ishichi等,Tetrahedron2004,60,4481)。顺/反异构体可以相对于链烯烃、碳-氮双键、氮-硫双键或酰胺基团存在。术语“立体异构体”包括光学异构体,例如对映体或非对映体,后者由于在分子中的超过一个手性中心而存在,以及几何异构体(顺/反异构体)。
取决于取代方式,式(I)化合物可以以其互变异构体形式存在。因此,本发明还涉及式(I)的互变异构体以及所述互变异构体的立体异构体、盐、互变异构体和N-氧化物。例如,如果R4为邻位键合于B1的OH且B1为N,或如果R3为H,则化合物(I)可以以下面的互变异构体形式存在:
术语“N-氧化物”包括具有至少一个被氧化成N-氧化物结构部分的叔氮原子的任何本发明化合物。N-氧化物尤其可为其中B1为N的化合物(I)。该类化合物的N-氧化物可以通过用合适氧化试剂如过氧化羧酸或其它过氧化物氧化环氮原子而制备。
本发明化合物可以是无定形的或者可以以一种或多种不同的晶态存在(多晶形),这些不同的晶态可能具有不同的宏观性能如稳定性或显示不同生物学性能如活性。本发明包括无定形和结晶的式(I)化合物、其对映体或非对映体,不同晶态的相应式(I)化合物、其对映体或非对映体的混合物以及其无定形或结晶盐。
本发明化合物的盐优选为可农用盐和可兽用盐。它们可以常规方法形成,例如若本发明化合物具有碱性官能团,则通过使该化合物与酸反应或者若本发明化合物具有酸性官能团,则通过使该化合物与合适的碱反应。
合适的可农用盐尤其为其阳离子和阴离子分别对根据本发明的化合物的农药作用没有不利影响的那些阳离子的盐或那些酸的酸加成盐。合适的阳离子尤其是碱金属离子,优选锂、钠和钾离子;碱土金属离子,优选钙、镁和钡离子;过渡金属离子,优选锰、铜、锌和铁离子;还有铵(NH4 +)和其中1-4个氢原子被C1-C4烷基、C1-C4羟基烷基、C1-C4烷氧基、C1-C4 烷氧基-C1-C4烷基、羟基-C1-C4烷氧基-C1-C4烷基、苯基或苄基替代的取代铵。取代铵离子的实例包括甲基铵、异丙基铵、二甲基铵、二异丙基铵、三甲基铵、四甲基铵、四乙基铵、四丁基铵、2-羟基乙基铵、2-(2-羟基乙氧基)乙基铵、二(2-羟基乙基)铵、苄基三甲基铵和苄基三乙基铵,此外还有离子,锍离子,优选三(C1-C4烷基)锍,以及氧化锍离子,优选三(C1-C4烷基)氧化锍。
有用酸加成盐的阴离子主要是氯离子、溴离子、氟离子、硫酸氢根、硫酸根、磷酸二氢根、磷酸氢根、磷酸根、硝酸根、碳酸氢根、碳酸根、六氟硅酸根、六氟磷酸根、苯甲酸根和C1-C4链烷酸的阴离子,优选甲酸根、乙酸根、丙酸根和丁酸根。它们可以通过使本发明化合物与对应阴离子的酸,优选盐酸、氢溴酸、硫酸、磷酸或硝酸反应而形成。
本发明化合物的可兽用盐包括在兽用盐形成领域已知且被接受的那些阳离子的盐或酸加成盐。例如通过含碱性氮原子如氨基的本发明化合物形成的合适酸加成盐包括与无机酸的盐,如盐酸盐、硫酸盐、磷酸盐和硝酸盐,以及有机酸如乙酸、马来酸(例如马来酸单盐或二盐)、二马来酸、富马酸(例如富马酸单盐或二盐)、二富马酸、甲烷次磺酸、甲烷磺酸和琥珀酸的盐。
本文所用术语“无脊椎动物害虫”包括动物种群,如节肢动物害虫,包括昆虫和蜘蛛以及线虫,这些害虫可能侵袭植物,从而对受侵袭的植物产生显著损害,以及可能侵染动物,尤其是温血动物,如哺乳动物或鸟类或其他高等动物如爬行动物、两栖动物或鱼类,从而对受侵染的动物产生显著损害的体外寄生虫。
术语“植物繁殖材料”应理解为指植物的所有繁殖部分如种子,以及可以用于繁殖植物的无性植物材料如插条和块茎(例如土豆)。这包括种子、根、果实、块茎、球茎、地下茎、嫩枝、芽和其他植物部分。还可包括在萌发后或出苗后由土壤移植的秧苗和幼苗。这些植物繁殖材料可以在种植或移栽之时或之前用植物保护化合物预防性处理。
术语“植物”包括任何类型的植物,这包括“非栽培植物”和尤其是“栽培植物”。
术语“非栽培植物”是指任何野生类型的品种或相关品种或者栽培植物的相关属。
术语“栽培植物”应理解为包括已经通过育种、诱变或基因工程修饰的植物。基因修饰植物是其基因材料通过使用在自然条件下不易通过杂交、突变或自然重组得到的重组DNA技术修饰的植物。通常将一个或多个基因整合到基因修饰植物的基因材料中以改善植物的某些性能。这类基因修饰还包括但不限于蛋白质(寡肽或多肽)的靶向翻译后修饰,例如通过糖基化或聚合物加成如异戊二烯化、乙酰化或法呢基化结构部分或PEG结构部分(例如如Biotechnol Prog.2001年7月至8月;17(4):720-8,Protein Eng Des Sel.2004年1月;17(1):57-66,Nat Protoc.2007;2(5):1225-35,Curr Opin Chem Biol.2006年10月;10(5):487-91,2006年8月28日Epub,Biomaterials.2001年3月;22(5):405-17,Bioconjug Chem.2005年1-2月;16(1):113-21所公开)。
术语“栽培植物”应理解为还包括例如已经因常规育种或基因工程方法而耐受特殊类别的除草剂施用的植物,例如羟基苯基丙酮酸双加氧酶(HPPD)抑制剂;乙酰乳酸合成酶(ALS)抑制剂如磺酰脲类(例如见US6,222,100、WO01/82685、WO00/26390、WO97/41218、WO98/02526、WO98/02527、WO04/106529、WO05/20673、WO03/14357、WO03/13225、WO03/14356、WO04/16073)或咪唑啉酮类(例如见US6222100、WO01/82685、WO00/26390、WO97/41218、WO98/02526、WO98/02527、WO04/106529、WO05/20673、WO03/14357、WO03/13225、WO03/14356、WO04/16073);烯醇丙酮酰莽草酸3-磷酸合成酶(EPSPS)抑制剂如草甘膦(glyphosate)(例如见WO92/00377);谷氨酰胺合成酶(GS)抑制剂如草铵膦(glufosinate)(例如见EP-A-0242236、EP-A-242246)或oxynil除草剂(例如见US5,559,024)。几种栽培植物已经通过常规育种(诱变)方法而耐受除草剂,例如夏播油菜(Canola)耐受咪唑啉酮类如咪草啶酸(imazamox)。基因工程方法已经用于使栽培植物如大豆、棉花、玉米、甜菜和油菜耐受除草剂如草甘膦和草铵膦,它们中的一些可以以商品名 (耐受草甘膦)和(耐受草铵膦)市购。
术语“栽培植物”应理解为还包括通过使用重组DNA技术而能够合成一种或多种杀虫蛋白的植物,该蛋白尤其是由芽孢杆菌属(Bacillus)细菌已知的那些,特别是由苏云金芽孢杆菌(Bacillus thuringiensis)已知的那些,例如-内毒素如CryIA(b)、CryIA(c)、CryIF、CryIF(a2)、CryIIA(b)、CryIIIA、CryIIIB(b1)或Cry9c;无性杀虫蛋白(VIP)如VIP1、VIP2、VIP3或VIP3A;线虫定居细菌的杀虫蛋白如发光杆菌属(Photorhabdus)或致病杆菌属(Xenorhabdus);动物产生的毒素如蝎毒素、蜘蛛毒素、黄蜂毒素或其他昆虫特异性神经毒素;真菌产生的毒素如链霉菌属(Streptomycetes)毒素,植物凝集素如豌豆或大麦凝集素;凝集素;蛋白酶抑制剂如胰蛋白酶抑制剂、丝氨酸蛋白酶抑制剂、patatin、半胱氨酸蛋白酶抑制剂或木瓜蛋白酶抑制剂;核糖体失活蛋白(RIP)如蓖麻蛋白、玉米-RIP、相思豆毒蛋白、丝瓜籽蛋白、皂草素或异株腹泻毒蛋白(bryodin);类固醇代谢酶如3-羟基类固醇氧化酶、蜕皮甾类-IDP糖基转移酶、胆固醇氧化酶、蜕皮激素抑制剂或HMG-CoA还原酶;离子通道阻断剂如钠通道或钙通道阻断剂;保幼激素酯酶;利尿激素受体(helicokinin受体);合成酶,联苄合成酶,壳多糖酶或葡聚糖酶。就本发明而言,这些杀虫蛋白或毒素还具体理解为前毒素、杂合蛋白、截短的或其他方面改性的蛋白。杂合蛋白的特征在于蛋白域的新型组合(例如见WO02/015701)。该类毒素或能够合成该类毒素的基因修饰植物的其他实例公开于例如EP-A374753、WO93/007278、WO95/34656、EP-A427529、EP-A451878、WO03/018810和WO03/052073中。生产该类基因修饰植物的方法对本领域熟练技术人员通常是已知的且例如描述于上述出版物中。这些含于基因修饰植物中的杀虫蛋白赋予产生这些蛋白的植物以对某些分类学上为节肢动物昆虫的害虫,尤其是甲虫(鞘翅目(Coleoptera))、蝇(双翅目(Diptera))、蝴蝶和蛾(鳞翅目(Lepidoptera))以及植物寄生线虫(线虫纲(Nematoda))的耐受性。
术语“栽培植物”应理解为还包括通过使用重组DNA技术而能够合成一种或多种蛋白以增加其对细菌、病毒或真菌病原体的抗性或耐受性的植物。这类蛋白的实例是所谓的“与发病机理相关的蛋白”(PR蛋白,例如见EP-A0392225),植物病害抗性基因(例如表达针对来自野生墨西哥土 豆Solanum bulbocastanum的致病疫霉(Phytophthora infestans)的抗性基因的土豆栽培品种)或T4溶菌酶(例如能够合成对细菌如Erwinia amylvora具有增强抗性的这些蛋白的土豆栽培品种)。生产该类基因修饰植物的方法对本领域熟练技术人员通常是已知的且例如描述于上述出版物中。
术语“栽培植物”应理解为还包括通过使用重组DNA技术而能够合成一种或多种蛋白以提高产量(例如生物质产量、谷粒产量、淀粉含量、油含量或蛋白含量),对干旱、盐或其他限制生长的环境因素的耐受性或对害虫以及真菌、细菌或其病毒病原体的耐受性的植物。
术语“栽培植物”应理解为还包括通过使用重组DNA技术而含有改变量的物质含量或新物质含量以尤其改善原料生产的植物,例如产生增加量的支链淀粉的土豆(例如土豆)。
在各变量的上述定义中提到的有机结构部分象术语卤素一样为各基团成员的各次列举的集合性术语。前缀Cn-Cm在每种情况下表示该基团中可能的碳原子数。
术语卤素在每种情况下表示氟、溴、氯或碘,尤其是氟、氯或溴。
术语“部分或完全被卤代”应理解为指给定基团中的一个或多个,例如1、2、3、4或5个或所有氢原子被卤原子,尤其是氟或氯替换。部分或完全卤化基团在下文中还称为“卤代基团”。例如部分或完全卤化烷基还称为卤代烷基。
本文(和在包含烷基的其他基团如烷氧基、烷基羰基、烷硫基、烷基亚磺酰基、烷基磺酰基和烷氧基烷基的烷基结构部分中)所用术语“烷基”在每种情况下表示通常具有1-10个碳原子,常常具有1-6个碳原子,优选1-4个碳原子,尤其是1-3个碳原子的直链或支化烷基。C1-C4烷基的实例为甲基、乙基、正丙基、异丙基、正丁基、2-丁基(仲丁基)、异丁基和叔丁基。C1-C6烷基的实例除了对C1-C4烷基所提及的那些以外还有正戊基、1-甲基 丁基、2-甲基丁基、3-甲基丁基、2,2-二甲基丙基、1-乙基丙基、正己基、1,1-二甲基丙基、1,2-二甲基丙基、1-甲基戊基、2-甲基戊基、3-甲基戊基、4-甲基戊基、1,1-二甲基丁基、1,2-二甲基丁基、1,3-二甲基丁基、2,2-二甲基丁基、2,3-二甲基丁基、3,3-二甲基丁基、1-乙基丁基、2-乙基丁基、1,1,2-三甲基丙基、1,2,2-三甲基丙基、1-乙基-1-甲基丙基和1-乙基-2-甲基丙基。C1-C10烷基的实例除了对C1-C6烷基所提及的那些以外还有正庚基、1-甲基己基、2-甲基己基、3-甲基己基、4-甲基己基、5-甲基己基、1-乙基戊基、2-乙基戊基、3-乙基戊基、正辛基、1-甲基辛基、2-甲基庚基、1-乙基己基、2-乙基己基、1,2-二甲基己基、1-丙基戊基、2-丙基戊基、壬基、癸基、2-丙基庚基和3-丙基庚基。
本文所用术语“亚烷基”(或链烷二基)在每种情况下表示如上所定义的烷基,其中在碳骨架的任意位置的一个氢原子被一个另外的键合位置替代,由此形成二价结构部分。
本文(和在包含卤代烷基的其他基团如卤代烷氧基、卤代烷硫基、卤代烷基羰基、卤代烷基磺酰基和卤代烷基亚磺酰基的卤代烷基结构部分中)所用术语―卤代烷基‖在每种情况下表示通常具有1-10个碳原子("C1-C10卤代烷基"),常常具有1-6个碳原子("C1-C6卤代烷基"),更常常具有1-4个碳原子("C1-C4卤代烷基")的直链或支化烷基,其中该基团的氢原子部分或完全被卤原子替换。优选的卤代烷基结构部分选自C1-C4卤代烷基,更优选C1-C2卤代烷基,更优选卤代甲基,尤其是C1-C2氟代烷基。―卤代甲基‖为其中1、2或3个氢原子被卤原子替换的甲基。实例是溴甲基、氯甲基、二氯甲基、三氯甲基、氟甲基、二氟甲基、三氟甲基、氯氟甲基、二氯一氟甲基、一氯二氟甲基等。C1-C2氟代烷基的实例为氟甲基、二氟甲基、三氟甲基、1-氟乙基、2-氟乙基、2,2-二氟乙基、2,2,2-三氟乙基、五氟乙基等。C1-C2卤代烷基的实例除了对C1-C2氟代烷基所提及的那些以外还有氯甲基、二氯甲基、三氯甲基、溴甲基、氯氟甲基、二氯一氟甲基、一氯二氟甲基、1-氯乙基、2-氯乙基、2,2,-二氯乙基、2,2,2-三氯乙基、2-氯-2-氟乙基、2-氯-2,2-二氟乙基、2,2-二氯-2-氟乙基、1-溴乙基等。C1-C4卤代烷基的实例除了对C1-C2卤代烷基所提及的那些以外还有1-氟丙基、2-氟 丙基、3-氟丙基、3,3-二氟丙基、3,3,3-三氟丙基、七氟丙基、1,1,1-三氟丙-2-基、3-氯丙基、4-氯丁基等。
本文(和在包含环烷基的其他基团如环烷氧基和环烷基烷基的环烷基结构部分中)所用术语“环烷基”在每种情况下表示通常具有3-10个碳原子("C3-C10环烷基"),优选3-8个碳原子("C3-C8环烷基")或尤其是3-6个碳原子("C3-C6环烷基")的单环或双环环脂族基团。具有3-6个碳原子的单环基团的实例包括环丙基、环丁基、环戊基和环己基。具有3-8个碳原子的单环基团的实例包括环丙基、环丁基、环戊基、环己基、环庚基和环辛基。具有7或8个碳原子的双环基团的实例包括双环[2.1.1]己基、双环[2.2.1]庚基、双环[3.1.1]庚基、双环[2.2.1]庚基、双环[2.2.2]辛基和双环[3.2.1]辛基。
本文(和在包含卤代环烷基的其他基团如卤代环烷基甲基的卤代环烷基结构部分中)所用术语“卤代环烷基”在每种情况下表示通常具有3-10个碳原子,优选3-8个碳原子或尤其是3-6个碳原子的单环或双环环脂族基团,其中氢原子中的至少一个,例如1、2、3、4或5个被卤素,尤其是氟或氯替换。实例为1-和2-氟环丙基,1,2-、2,2-和2,3-二氟环丙基,1,2,2-三氟环丙基、2,2,3,3-四氟环丙基、1-和2-氯环丙基,1,2-、2,2-和2,3-二氯环丙基、1,2,2-三氯环丙基、2,2,3,3-四氯环丙基,1-、2-和3-氟环戊基,1,2-、2,2-、2,3-、3,3-、3,4-、2,5-二氟环戊基,1-、2-和3-氯环戊基,1,2-、2,2-、2,3-、3,3-、3,4-、2,5-二氯环戊基等。
本文所用术语“环烷基烷基”表示如上所定义的环烷基,其经由亚烷基键合于该分子的其余部分。术语“C3-C8环烷基-C1-C4烷基”指如上所定义的C3-C8环烷基,其如上所定义经由C1-C4烷基键合于该分子的其余部分。实例为环丙基甲基、环丙基乙基、环丙基丙基、环丁基甲基、环丁基乙基、环丁基丙基、环戊基甲基、环戊基乙基、环戊基丙基、环己基甲基、环己基乙基、环己基丙基等。
本文所用术语“链烯基”在每种情况下表示单不饱和直链或支化烃基,其通常具有2-10个碳原子(“C2-C10链烯基”),优选2-6个碳原子(“C2-C6链烯基”),尤其是2-4个碳原子(“C2-C4链烯基”)和在任意位置的双键, 例如C2-C4链烯基,例如乙烯基、1-丙烯基、2-丙烯基、1-甲基乙烯基、1-丁烯基、2-丁烯基、3-丁烯基、1-甲基-1-丙烯基、2-甲基-1-丙烯基、1-甲基-2-丙烯基或2-甲基-2-丙烯基;C2-C6链烯基,例如乙烯基、1-丙烯基、2-丙烯基、1-甲基乙烯基、1-丁烯基、2-丁烯基、3-丁烯基、1-甲基-1-丙烯基、2-甲基-1-丙烯基、1-甲基-2-丙烯基、2-甲基-2-丙烯基、1-戊烯基、2-戊烯基、3-戊烯基、4-戊烯基、1-甲基-1-丁烯基、2-甲基-1-丁烯基、3-甲基-1-丁烯基、1-甲基-2-丁烯基、2-甲基-2-丁烯基、3-甲基-2-丁烯基、1-甲基-3-丁烯基、2-甲基-3-丁烯基、3-甲基-3-丁烯基、1,1-二甲基-2-丙烯基、1,2-二甲基-1-丙烯基、1,2-二甲基-2-丙烯基、1-乙基-1-丙烯基、1-乙基-2-丙烯基、1-己烯基、2-己烯基、3-己烯基、4-己烯基、5-己烯基、1-甲基-1-戊烯基、2-甲基-1-戊烯基、3-甲基-1-戊烯基、4-甲基-1-戊烯基、1-甲基-2-戊烯基、2-甲基-2-戊烯基、3-甲基-2-戊烯基、4-甲基-2-戊烯基、1-甲基-3-戊烯基、2-甲基-3-戊烯基、3-甲基-3-戊烯基、4-甲基-3-戊烯基、1-甲基-4-戊烯基、2-甲基-4-戊烯基、3-甲基-4-戊烯基、4-甲基-4-戊烯基、1,1-二甲基-2-丁烯基、1,1-二甲基-3-丁烯基、1,2-二甲基-1-丁烯基、1,2-二甲基-2-丁烯基、1,2-二甲基-3-丁烯基、1,3-二甲基-1-丁烯基、1,3-二甲基-2-丁烯基、1,3-二甲基-3-丁烯基、2,2-二甲基-3-丁烯基、2,3-二甲基-1-丁烯基、2,3-二甲基-2-丁烯基、2,3-二甲基-3-丁烯基、3,3-二甲基-1-丁烯基、3,3-二甲基-2-丁烯基、1-乙基-1-丁烯基、1-乙基-2-丁烯基、1-乙基-3-丁烯基、2-乙基-1-丁烯基、2-乙基-2-丁烯基、2-乙基-3-丁烯基、1,1,2-三甲基-2-丙烯基、1-乙基-1-甲基-2-丙烯基、1-乙基-2-甲基-1-丙烯基、1-乙基-2-甲基-2-丙烯基等,或C2-C10链烯基,例如对C2-C6链烯基所提及的基团和额外的1-庚烯基、2-庚烯基、3-庚烯基、1-辛烯基、2-辛烯基、3-辛烯基、4-辛烯基、1-壬烯基、2-壬烯基、3-壬烯基、4-壬烯基、1-癸烯基、2-癸烯基、3-癸烯基、4-癸烯基、5-癸烯基及其位置异构体。
本文所用术语“卤代链烯基”,其也可表示为“可被卤素取代的链烯基”和卤代链烯氧基、卤代链烯基羰基等中的卤代链烯基结构部分指不饱和直链或支化烃基,其具有2-10(“C2-C10卤代链烯基”)或2-6(“C2-C6卤代链烯基”)或2-4(“C2-C4卤代链烯基”)个碳原子和在任意位置的双键, 其中这些基团中的部分或所有氢原子被如上所提及的卤原子,尤其是氟、氯和溴替换,例如氯乙烯基、氯烯丙基等。
本文所用术语“炔基”表示不饱和直链或支化烃基,其通常具有2-10(“C2-C10炔基”),常常2-6(“C2-C6炔基”),优选2-4(“C2-C4炔基”)个碳原子和在任意位置的一个或两个叁键,例如C2-C4炔基,例如乙炔基、1-丙炔基、2-丙炔基、1-丁炔基、2-丁炔基、3-丁炔基、1-甲基-2-丙炔基等,C2-C6炔基,例如乙炔基、1-丙炔基、2-丙炔基、1-丁炔基、2-丁炔基、3-丁炔基、1-甲基-2-丙炔基、1-戊炔基、2-戊炔基、3-戊炔基、4-戊炔基、1-甲基-2-丁炔基、1-甲基-3-丁炔基、2-甲基-3-丁炔基、3-甲基-1-丁炔基、1,1-二甲基-2-丙炔基、1-乙基-2-丙炔基、1-己炔基、2-己炔基、3-己炔基、4-己炔基、5-己炔基、1-甲基-2-戊炔基、1-甲基-3-戊炔基、1-甲基-4-戊炔基、2-甲基-3-戊炔基、2-甲基-4-戊炔基、3-甲基-1-戊炔基、3-甲基-4-戊炔基、4-甲基-1-戊炔基、4-甲基-2-戊炔基、1,1-二甲基-2-丁炔基、1,1-二甲基-3-丁炔基、1,2-二甲基-3-丁炔基、2,2-二甲基-3-丁炔基、3,3-二甲基-1-丁炔基、1-乙基-2-丁炔基、1-乙基-3-丁炔基、2-乙基-3-丁炔基、1-乙基-1-甲基-2-丙炔基等。
本文所用术语卤代炔基,其也可表示为“可被卤素取代的炔基”指不饱和直链或支化烃基,其通常具有3-10个碳原子(“C2-C10卤代炔基”),常常2-6个碳原子(“C2-C6卤代炔基”),优选2-4个碳原子(“C2-C4卤代炔基”)和在任意位置的一个或两个叁键(如上所定义),其中这些基团中的部分或所有氢原子被如上所提及的卤原子,尤其是氟、氯和溴替换。
本文所用术语“烷氧基”在每种情况下表示直链或支化烷基,其通常具有1-10个碳原子(“C1-C10烷氧基”),常常1-6个碳原子(“C1-C6烷氧基”),优选1-4个碳原子(“C1-C4烷氧基”),其经由氧原子键合于该分子的其余部分。C1-C2烷氧基为甲氧基或乙氧基。C1-C4烷氧基额外还有例如正丙氧基、1-甲基乙氧基(异丙氧基)、丁氧基、1-甲基丙氧基(仲丁氧基)、2-甲基丙氧基(异丁氧基)或1,1-二甲基乙氧基(叔丁氧基)。C1-C6烷氧基额外还有例如戊氧基、1-甲基丁氧基、2-甲基丁氧基、3-甲基丁氧基、1,1-二甲基丙氧基、1,2-二甲基丙氧基、2,2-二甲基丙氧基、1-乙基丙氧基、己氧 基、1-甲基戊氧基、2-甲基戊氧基、3-甲基戊氧基、4-甲基戊氧基、1,1-二甲基丁氧基、1,2-二甲基丁氧基、1,3-二甲基丁氧基、2,2-二甲基丁氧基、2,3-二甲基丁氧基、3,3-二甲基丁氧基、1-乙基丁氧基、2-乙基丁氧基、1,1,2-三甲基丙氧基、1,2,2-三甲基丙氧基、1-乙基-1-甲基丙氧基或1-乙基-2-甲基丙氧基。C1-C8烷氧基额外还有例如庚氧基、辛氧基、2-乙基己氧基及其位置异构体。C1-C10烷氧基额外还有例如壬氧基、癸氧基及其位置异构体。
本文所用术语“卤代烷氧基”在每种情况下表示如上所定义的直链或支化烷氧基,其具有1-10个碳原子(“C1-C10卤代烷氧基”),常常1-6个碳原子(“C1-C6卤代烷氧基”),优选1-4个碳原子(“C1-C4卤代烷氧基”),更优选1-3个碳原子(“C1-C3卤代烷氧基”),其中该基团的氢原子部分或完全被卤原子,尤其是氟原子替换。C1-C2卤代烷氧基为例如OCH2F、OCHF2、OCF3、OCH2Cl、OCHCl2、OCCl3、氯氟甲氧基、二氯一氟甲氧基、一氯二氟甲氧基、2-氟乙氧基、2-氯乙氧基、2-溴乙氧基、2-碘乙氧基、2,2-二氟乙氧基、2,2,2-三氟乙氧基、2-氯-2-氟乙氧基、2-氯-2,2-二氟乙氧基、2,2-二氯-2-氟乙氧基、2,2,2-三氯乙氧基或OC2F5。C1-C4卤代烷氧基额外还有例如2-氟丙氧基、3-氟丙氧基、2,2-二氟丙氧基、2,3-二氟丙氧基、2-氯丙氧基、3-氯丙氧基、2,3-二氯丙氧基、2-溴丙氧基、3-溴丙氧基、3,3,3-三氟丙氧基、3,3,3-三氯丙氧基、OCH2-C2F5、OCF2-C2F5、1-(CH2F)-2-氟乙氧基、1-(CH2Cl)-2-氯乙氧基、1-(CH2Br)-2-溴乙氧基、4-氟丁氧基、4-氯丁氧基、4-溴丁氧基或九氟丁氧基。C1-C6卤代烷氧基额外还有例如5-氟戊氧基、5-氯戊氧基、5-溴戊氧基、5-碘戊氧基、十一氟戊氧基、6-氟己氧基、6-氯己氧基、6-溴己氧基、6-碘己氧基或十二氟己氧基。
本文所用术语“烷氧基烷基”在每种情况下表示通常包含1-6个碳原子,优选1-4个碳原子的烷基,其中1个碳原子带有通常包含1-10个,常常1-6个,尤其是1-4个碳原子的如上所定义的烷氧基。―C1-C6烷氧基-C1-C6烷基‖为如上所定义的C1-C6烷基,其中1个氢原子被如上所定义的C1-C6烷氧基替换。实例为CH2OCH3、CH2-OC2H5、正丙氧基甲基、CH2-OCH(CH3)2、正丁氧基甲基、(1-甲基丙氧基)甲基、(2-甲基丙氧基)甲基、CH2-OC(CH3)3、2-(甲氧基)乙基、2-(乙氧基)乙基、2-(正丙氧基)乙 基、2-(1-甲基乙氧基)乙基、2-(正丁氧基)乙基、2-(1-甲基丙氧基)乙基、2-(2-甲基丙氧基)乙基、2-(1,1-二甲基乙氧基)乙基、2-(甲氧基)丙基、2-(乙氧基)丙基、2-(正丙氧基)丙基、2-(1-甲基乙氧基)丙基、2-(正丁氧基)丙基、2-(1-甲基丙氧基)丙基、2-(2-甲基丙氧基)丙基、2-(1,1-二甲基乙氧基)丙基、3-(甲氧基)丙基、3-(乙氧基)丙基、3-(正丙氧基)丙基、3-(1-甲基乙氧基)丙基、3-(正丁氧基)丙基、3-(1-甲基丙氧基)丙基、3-(2-甲基丙氧基)丙基、3-(1,1-二甲基乙氧基)丙基、2-(甲氧基)丁基、2-(乙氧基)丁基、2-(正丙氧基)丁基、2-(1-甲基乙氧基)丁基、2-(正丁氧基)丁基、2-(1-甲基丙氧基)丁基、2-(2-甲基丙氧基)丁基、2-(1,1-二甲基乙氧基)丁基、3-(甲氧基)丁基、3-(乙氧基)丁基、3-(正丙氧基)丁基、3-(1-甲基乙氧基)丁基、3-(正丁氧基)丁基、3-(1-甲基丙氧基)丁基、3-(2-甲基丙氧基)丁基、3-(1,1-二甲基乙氧基)丁基、4-(甲氧基)丁基、4-(乙氧基)丁基、4-(正丙氧基)丁基、4-(1-甲基乙氧基)丁基、4-(正丁氧基)丁基、4-(1-甲基丙氧基)丁基、4-(2-甲基丙氧基)丁基、4-(1,1-二甲基乙氧基)丁基等。
本文所用术语“卤代烷氧基烷基”在每种情况下表示通常包含1-6个碳原子,优选1-4个碳原子的如上所定义的烷基,其中1个碳原子带有通常包含1-10,常常1-6,尤其是1-4个碳原子的如上所定义的卤代烷氧基。实例为氟甲氧基甲基、二氟甲氧基甲基、三氟甲氧基甲基、1-氟乙氧基甲基、2-氟乙氧基甲基、1,1-二氟乙氧基甲基、1,2-二氟乙氧基甲基、2,2-二氟乙氧基甲基、1,1,2-三氟乙氧基甲基、1,2,2-三氟乙氧基甲基、2,2,2-三氟乙氧基甲基、五氟乙氧基甲基、1-氟乙氧基-1-乙基、2-氟乙氧基-1-乙基、1,1-二氟乙氧基-1-乙基、1,2-二氟乙氧基-1-乙基、2,2-二氟乙氧基-1-乙基、1,1,2-三氟乙氧基-1-乙基、1,2,2-三氟乙氧基-1-乙基、2,2,2-三氟乙氧基-1-乙基、五氟乙氧基-1-乙基、1-氟乙氧基-2-乙基、2-氟乙氧基-2-乙基、1,1-二氟乙氧基-2-乙基、1,2-二氟乙氧基-2-乙基、2,2-二氟乙氧基-2-乙基、1,1,2-三氟乙氧基-2-乙基、1,2,2-三氟乙氧基-2-乙基、2,2,2-三氟乙氧基-2-乙基、五氟乙氧基-2-乙基等。
本文所用术语“烷硫基”(还有烷基硫基或烷基-S-)在每种情况下表示如上所定义的直链或支化的饱和烷基,其通常包含1-10个碳原子(“C1-C10 烷硫基”),常常包含1-6个碳原子(“C1-C6烷硫基”),优选1-4个碳原子(“C1-C4烷硫基”),其经由硫原子在烷基中的任意位置连接。C1-C2烷硫基为甲硫基或乙硫基。C1-C4烷硫基额外还有例如正丙硫基、1-甲基乙硫基(异丙硫基)、丁硫基、1-甲基丙硫基(仲丁硫基)、2-甲基丙硫基(异丁硫基)或1,1-二甲基乙硫基(叔丁硫基)。C1-C6烷硫基额外还有例如戊硫基、1-甲基丁硫基、2-甲基丁硫基、3-甲基丁硫基、1,1-二甲基丙硫基、1,2-二甲基丙硫基、2,2-二甲基丙硫基、1-乙基丙硫基、己硫基、1-甲基戊硫基、2-甲基戊硫基、3-甲基戊硫基、4-甲基戊硫基、1,1-二甲基丁硫基、1,2-二甲基丁硫基、1,3-二甲基丁硫基、2,2-二甲基丁硫基、2,3-二甲基丁硫基、3,3-二甲基丁硫基、1-乙基丁硫基、2-乙基丁硫基、1,1,2-三甲基丙硫基、1,2,2-三甲基丙硫基、1-乙基-1-甲基丙硫基或1-乙基-2-甲基丙硫基。C1-C8烷硫基额外还有例如庚硫基、辛硫基、2-乙基己硫基及其位置异构体。C1-C10烷硫基额外还有例如壬硫基、癸硫基及其位置异构体。
本文所用术语“卤代烷硫基”指如上所定义的烷硫基,其中氢原子部分或完全被氟、氯、溴和/或碘替换。C1-C2卤代烷硫基为例如SCH2F、SCHF2、SCF3、SCH2Cl、SCHCl2、SCCl3、氯氟甲硫基、二氯一氟甲硫基、一氯二氟甲硫基、2-氟乙硫基、2-氯乙硫基、2-溴乙硫基、2-碘乙硫基、2,2-二氟乙硫基、2,2,2-三氟乙硫基、2-氯-2-氟乙硫基、2-氯-2,2-二氟乙硫基、2,2-二氯-2-氟乙硫基、2,2,2-三氯乙硫基或SC2F5。C1-C4卤代烷硫基额外还有例如2-氟丙硫基、3-氟丙硫基、2,2-二氟丙硫基、2,3-二氟丙硫基、2-氯丙硫基、3-氯丙硫基、2,3-二氯丙硫基、2-溴丙硫基、3-溴丙硫基、3,3,3-三氟丙硫基、3,3,3-三氯丙硫基、SCH2-C2F5、SCF2-C2F5、1-(CH2F)-2-氟乙硫基、1-(CH2Cl)-2-氯乙硫基、1-(CH2Br)-2-溴乙硫基、4-氟丁硫基、4-氯丁硫基、4-溴丁硫基或九氟丁硫基。C1-C6卤代烷硫基额外还有例如5-氟戊硫基、5-氯戊硫基、5-溴戊硫基、5-碘戊硫基、十一氟戊硫基、6-氟己硫基、6-氯己硫基、6-溴己硫基、6-碘己硫基或十二氟己硫基。
术语“烷基亚磺酰基”和“S(O)n-烷基”(其中n为1)相同且在本文中使用时表示经由亚磺酰基[S(O)]基团连接的如上所定义的烷基。例如术语“C1-C2烷基亚磺酰基”指经由亚磺酰基[S(O)]基团连接的如上所定义的 C1-C2烷基。术语“C1-C4烷基亚磺酰基”指经由亚磺酰基[S(O)]基团连接的如上所定义的C1-C4烷基。术语“C1-C6烷基亚磺酰基”指经由亚磺酰基[S(O)]基团连接的如上所定义的C1-C6烷基。C1-C2烷基亚磺酰基为甲基亚磺酰基或乙基亚磺酰基。C1-C4烷基亚磺酰基额外还有例如正丙基亚磺酰基、1-甲基乙基亚磺酰基(异丙基亚磺酰基)、丁基亚磺酰基、1-甲基丙基亚磺酰基(仲丁基亚磺酰基)、2-甲基丙基亚磺酰基(异丁基亚磺酰基)或1,1-二甲基乙基亚磺酰基(叔丁基亚磺酰基)。C1-C6烷基亚磺酰基额外还有例如戊基亚磺酰基、1-甲基丁基亚磺酰基、2-甲基丁基亚磺酰基、3-甲基丁基亚磺酰基、1,1-二甲基丙基亚磺酰基、1,2-二甲基丙基亚磺酰基、2,2-二甲基丙基亚磺酰基、1-乙基丙基亚磺酰基、己基亚磺酰基、1-甲基戊基亚磺酰基、2-甲基戊基亚磺酰基、3-甲基戊基亚磺酰基、4-甲基戊基亚磺酰基、1,1-二甲基丁基亚磺酰基、1,2-二甲基丁基亚磺酰基、1,3-二甲基丁基亚磺酰基、2,2-二甲基丁基亚磺酰基、2,3-二甲基丁基亚磺酰基、3,3-二甲基丁基亚磺酰基、1-乙基丁基亚磺酰基、2-乙基丁基亚磺酰基、1,1,2-三甲基丙基亚磺酰基、1,2,2-三甲基丙基亚磺酰基、1-乙基-1-甲基丙基亚磺酰基或1-乙基-2-甲基丙基亚磺酰基。
术语“卤代烷基亚磺酰基”和“S(O)n-卤代烷基”(其中n为1)相同且在本文中使用时表示经由亚磺酰基[S(O)]基团连接的如上所定义的卤代烷基。术语“S(O)n-C1-C4卤代烷基”(其中n为1),即“C1-C4卤代烷基亚磺酰基”为经由亚磺酰基[S(O)]基团连接的如上所定义的C1-C4卤代烷基。术语“C1-C6卤代烷基亚磺酰基”为经由亚磺酰基[S(O)]基团连接的如上所定义的C1-C6卤代烷基。C1-C2卤代烷基亚磺酰基例如为S(O)CH2F、S(O)CHF2、S(O)CF3、S(O)CH2Cl、S(O)CHCl2、S(O)CCl3、氯氟甲基亚磺酰基、二氯一氟甲基亚磺酰基、一氯二氟甲基亚磺酰基、2-氟乙基亚磺酰基、2-氯乙基亚磺酰基、2-溴乙基亚磺酰基、2-碘乙基亚磺酰基、2,2-二氟乙基亚磺酰基、2,2,2-三氟乙基亚磺酰基、2-氯-2-氟乙基亚磺酰基、2-氯-2,2-二氟乙基亚磺酰基、2,2-二氯-2-氟乙基亚磺酰基、2,2,2-三氯乙基亚磺酰基或S(O)C2F5。C1-C4卤代烷基亚磺酰基额外还有例如2-氟丙基亚磺酰基、3-氟丙基亚磺酰基、2,2-二氟丙基亚磺酰基、2,3-二氟丙基亚磺酰基、 2-氯丙基亚磺酰基、3-氯丙基亚磺酰基、2,3-二氯丙基亚磺酰基、2-溴丙基亚磺酰基、3-溴丙基亚磺酰基、3,3,3-三氟丙基亚磺酰基、3,3,3-三氯丙基亚磺酰基、S(O)CH2-C2F5、S(O)CF2-C2F5、1-(CH2F)-2-氟乙基亚磺酰基、1-(CH2Cl)-2-氯乙基亚磺酰基、1-(CH2Br)-2-溴乙基亚磺酰基、4-氟丁基亚磺酰基、4-氯丁基亚磺酰基、4-溴丁基亚磺酰基或九氟丁基亚磺酰基。C1-C6卤代烷基亚磺酰基额外还有例如5-氟戊基亚磺酰基、5-氯戊基亚磺酰基、5-溴戊基亚磺酰基、5-碘戊基亚磺酰基、十一氟戊基亚磺酰基、6-氟己基亚磺酰基、6-氯己基亚磺酰基、6-溴己基亚磺酰基、6-碘己基亚磺酰基或十二氟己基亚磺酰基。
术语“烷基磺酰基”和“S(O)n-烷基”(其中n为2)相同且在本文中使用时表示经由磺酰基[S(O)2]基团连接的如上所定义的烷基。术语“C1-C2烷基磺酰基”指经由磺酰基[S(O)2]基团连接的如上所定义的C1-C2烷基。术语“C1-C4烷基磺酰基”指经由磺酰基[S(O)2]基团连接的如上所定义的C1-C4烷基。术语“C1-C6烷基磺酰基”指经由磺酰基[S(O)2]基团连接的如上所定义的C1-C6烷基。C1-C2烷基磺酰基为甲基磺酰基或乙基磺酰基。C1-C4烷基磺酰基额外还有例如正丙基磺酰基、1-甲基乙基磺酰基(异丙基磺酰基)、丁基磺酰基、1-甲基丙基磺酰基(仲丁基磺酰基)、2-甲基丙基磺酰基(异丁基磺酰基)或1,1-二甲基乙基磺酰基(叔丁基磺酰基)。C1-C6烷基磺酰基额外还有例如戊基磺酰基、1-甲基丁基磺酰基、2-甲基丁基磺酰基、3-甲基丁基磺酰基、1,1-二甲基丙基磺酰基、1,2-二甲基丙基磺酰基、2,2-二甲基丙基磺酰基、1-乙基丙基磺酰基、己基磺酰基、1-甲基戊基磺酰基、2-甲基戊基磺酰基、3-甲基戊基磺酰基、4-甲基戊基磺酰基、1,1-二甲基丁基磺酰基、1,2-二甲基丁基磺酰基、1,3-二甲基丁基磺酰基、2,2-二甲基丁基磺酰基、2,3-二甲基丁基磺酰基、3,3-二甲基丁基磺酰基、1-乙基丁基磺酰基、2-乙基丁基磺酰基、1,1,2-三甲基丙基磺酰基、1,2,2-三甲基丙基磺酰基、1-乙基-1-甲基丙基磺酰基或1-乙基-2-甲基丙基磺酰基。
术语“卤代烷基磺酰基”和“S(O)n-卤代烷基”(其中n为2)相同且在本文中使用时表示经由磺酰基[S(O)2]基团连接的如上所定义的卤代烷基。术语“S(O)n-C1-C4卤代烷基”(其中n为2),即“C1-C4卤代烷基磺酰基” 为经由磺酰基[S(O)2]基团连接的如上所定义的C1-C4卤代烷基。术语“C1-C6卤代烷基磺酰基”为经由磺酰基[S(O)2]基团连接的如上所定义的C1-C6卤代烷基。C1-C2卤代烷基磺酰基例如为S(O)2CH2F、S(O)2CHF2、S(O)2CF3、S(O)2CH2Cl、S(O)2CHCl2、S(O)2CCl3、氯氟甲基磺酰基、二氯一氟甲基磺酰基、一氯二氟甲基磺酰基、2-氟乙基磺酰基、2-氯乙基磺酰基、2-溴乙基磺酰基、2-碘乙基磺酰基、2,2-二氟乙基磺酰基、2,2,2-三氟乙基磺酰基、2-氯-2-氟乙基磺酰基、2-氯-2,2-二氟乙基磺酰基、2,2-二氯-2-氟乙基磺酰基、2,2,2-三氯乙基磺酰基或S(O)2C2F5。C1-C4卤代烷基磺酰基额外还有例如2-氟丙基磺酰基、3-氟丙基磺酰基、2,2-二氟丙基磺酰基、2,3-二氟丙基磺酰基、2-氯丙基磺酰基、3-氯丙基磺酰基、2,3-二氯丙基磺酰基、2-溴丙基磺酰基、3-溴丙基磺酰基、3,3,3-三氟丙基磺酰基、3,3,3-三氯丙基磺酰基、S(O)2CH2-C2F5、S(O)2CF2-C2F5、1-(CH2F)-2-氟乙基磺酰基、1-(CH2Cl)-2-氯乙基磺酰基、1-(CH2Br)-2-溴乙基磺酰基、4-氟丁基磺酰基、4-氯丁基磺酰基、4-溴丁基磺酰基或九氟丁基磺酰基。C1-C6卤代烷基磺酰基额外还有例如5-氟戊基磺酰基、5-氯戊基磺酰基、5-溴戊基磺酰基、5-碘戊基磺酰基、十一氟戊基磺酰基、6-氟己基磺酰基、6-氯己基磺酰基、6-溴己基磺酰基、6-碘己基磺酰基或十二氟己基磺酰基。
本文所用术语“烷基氨基”在每种情况下表示基团–NHR,其中R为直链或支化烷基,其通常具有1-6个碳原子(―C1-C6烷基氨基‖),优选1-4个碳原子(―C1-C4烷基氨基‖)。C1-C6烷基氨基的实例为甲基氨基、乙基氨基、正丙基氨基、异丙基氨基、正丁基氨基、2-丁基氨基、异丁基氨基、叔丁基氨基等。
本文所用术语“二烷基氨基”在每种情况下表示基团-NRR’,其中R和R’相互独立地为直链或支化烷基,其各自通常具有1-6个碳原子(―二(C1-C6烷基)氨基‖),优选1-4个碳原子(―二(C1-C4烷基)氨基‖)。二(C1-C6烷基)氨基的实例二甲基氨基、二乙基氨基、二丙基氨基、二丁基氨基、甲基乙基氨基、甲基丙基氨基、甲基异丙基氨基、甲基丁基氨基、甲基异丁基氨基、乙基丙基氨基、乙基异丙基氨基、乙基丁基氨基、乙基异丁基氨基等。
本文所用术语“烷基氨基磺酰基”在每种情况下表示如上所定义的直链或支化烷基氨基,其经由磺酰基[S(O)2]基团键合于该分子的其余部分。烷基氨基磺酰基的实例为甲基氨基磺酰基、乙基氨基磺酰基、正丙基氨基磺酰基、异丙基氨基磺酰基、正丁基氨基磺酰基、2-丁基氨基磺酰基、异丁基氨基磺酰基、叔丁基氨基磺酰基等。
本文所用术语“二烷基氨基磺酰基”在每种情况下表示如上所定义的直链或支化烷基氨基,其经由磺酰基[S(O)2]基团键合于该分子的其余部分。二烷基氨基磺酰基的实例为二甲基氨基磺酰基、二乙基氨基磺酰基、二丙基氨基磺酰基、二丁基氨基磺酰基、甲基乙基氨基磺酰基、甲基丙基氨基磺酰基、甲基异丙基氨基磺酰基、甲基丁基氨基磺酰基、甲基异丁基氨基磺酰基、乙基丙基氨基磺酰基、乙基异丙基氨基磺酰基、乙基丁基氨基磺酰基、乙基异丁基氨基磺酰基等。
基团中的后缀“-羰基”在每种情况下表示基团经由羰基C=O基团键合于该分子的其余部分。例如烷基羰基、卤代烷基羰基、氨基羰基、烷基氨基羰基、二烷基氨基羰基、烷氧基羰基、卤代烷氧基羰基中就是如此。
本文所用术语“3-6员碳环”指环丙烷、环丁烷、环戊烷和环己烷环。
本文所用术语“芳基”指单环、双环或三环芳族烃基如苯基或萘基,尤其是苯基。
本文所用术语“杂芳基”指单环、双环或三环杂芳族烃基,优选单环杂芳族基团,例如吡啶基、嘧啶基等。
本文所用术语“3、4、5、6、7或8员饱和碳环”指单环且完全饱和的碳环。该环的实例包括环丙烷、环丁烷、环戊烷、环己烷、环庚烷、环辛烷等。
术语“3、4、5、6、7或8员部分不饱和碳环”和“5或6员部分不饱和碳环”指单环且具有一个或多个不饱和度的碳环。该环的实例包括环丙烯、环丁烯、环戊烯、环己烯、环庚烯、环辛烯等。
本文所用术语“含有1、2或3个选自N、O、S、NO、SO和SO2的杂原子或杂原子基团作为环成员的3、4、5、6或7员饱和、部分不饱和或最大不饱和杂环”[其中“最大不饱和”还包括“芳族”]表示单环基团, 该单环基团是饱和、部分不饱和或最大不饱和(包括芳族)的。不饱和环含有至少一个C-C和/或C-N和/或N-N双键。最大不饱和环含有环大小所允许的多的共轭C-C和/或C-N和/或N-N双键。最大不饱和5或6员杂环为芳族的。杂环可以经由碳环成员或经由氮环成员与分子的其余部分连接。杂环通常含有至少一个碳环原子。如果环含有超过一个O环原子,则这些不相邻。
3、4、5、6或7员饱和杂环的实例包括:环氧乙烷基、硫杂丙环基、氮丙啶基、氧杂环丁烷基、硫杂环丁烷基、氮杂环丁烷基、四氢呋喃-2-基、四氢呋喃-3-基、四氢噻吩-2-基、四氢噻吩-3-基、吡咯烷-1-基、吡咯烷-2-基、吡咯烷-3-基、吡唑烷-1-基、吡唑烷-3-基、吡唑烷-4-基、吡唑烷-5-基、咪唑烷-1-基、咪唑烷-2-基、咪唑烷-4-基、唑烷-2-基、唑烷-3-基、唑烷-4-基、唑烷-5-基、异唑烷-2-基、异唑烷-3-基、异唑烷-4-基、异唑烷-5-基、噻唑烷-2-基、噻唑烷-3-基、噻唑烷-4-基、噻唑烷-5-基、异噻唑烷-2-基、异噻唑烷-3-基、异噻唑烷-4-基、异噻唑烷-5-基、1,2,4-二唑烷-3-基、1,2,4-二唑烷-5-基、1,2,4-噻二唑烷-3-基、1,2,4-噻二唑烷-5-基、1,2,4-三唑烷-3-基、1,3,4-二唑烷-2-基、1,3,4-噻二唑烷-2-基、1,3,4-三唑烷-1-基、1,3,4-三唑烷-2-基、2-四氢吡喃基、4-四氢吡喃基、1,3-二烷-5-基、1,4-二烷-2-基、哌啶-1-基、哌啶-2-基、哌啶-3-基、哌啶-4-基、六氢哒嗪-3-基、六氢哒嗪-4-基、六氢嘧啶-2-基、六氢嘧啶-4-基、六氢嘧啶-5-基、哌嗪-1-基、哌嗪-2-基、1,3,5-六氢三嗪-1-基、1,3,5-六氢三嗪-2-基和1,2,4-六氢三嗪-3-基、吗啉-2-基、吗啉-3-基、吗啉-4-基、硫代吗啉-2-基、硫代吗啉-3-基、硫代吗啉-4-基、1-氧硫代吗啉-2-基、1-氧硫代吗啉-3-基、1-氧硫代吗啉-4-基、1,1-二氧硫代吗啉-2-基、1,1-二氧硫代吗啉-3-基、1,1-二氧硫代吗啉-4-基、六氢氮杂(azepan)-1-、-2-、-3-或-4-基、六氢氧杂(oxepan)-2-、-3-、-4-或-5-基、六氢-1,3-二氮杂基、六氢-1,4-二氮杂基、六氢-1,3-氧氮杂基(oxazepinyl)、六氢-1,4-氧氮杂基、六氢-1,3-二氧杂环庚三烯基(dioxepinyl)、六氢-1,4-二氧杂环庚三烯基等。
3、4、5、6或7员部分不饱和杂环的实例包括:2,3-二氢呋喃-2-基、2,3-二氢呋喃-3-基、2,4-二氢呋喃-2-基、2,4-二氢呋喃-3-基、2,3-二氢噻吩 -2-基、2,3-二氢噻吩-3-基、2,4-二氢噻吩-2-基、2,4-二氢噻吩-3-基、2-吡咯啉-2-基、2-吡咯啉-3-基、3-吡咯啉-2-基、3-吡咯啉-3-基、2-异唑啉-3-基、3-异唑啉-3-基、4-异唑啉-3-基、2-异唑啉-4-基、3-异唑啉-4-基、4-异唑啉-4-基、2-异唑啉-5-基、3-异唑啉-5-基、4-异唑啉-5-基、2-异噻唑啉-3-基、3-异噻唑啉-3-基、4-异噻唑啉-3-基、2-异噻唑啉-4-基、3-异噻唑啉-4-基、4-异噻唑啉-4-基、2-异噻唑啉-5-基、3-异噻唑啉-5-基、4-异噻唑啉-5-基、2,3-二氢吡唑-1-基、2,3-二氢吡唑-2-基、2,3-二氢吡唑-3-基、2,3-二氢吡唑-4-基、2,3-二氢吡唑-5-基、3,4-二氢吡唑-1-基、3,4-二氢吡唑-3-基、3,4-二氢吡唑-4-基、3,4-二氢吡唑-5-基、4,5-二氢吡唑-1-基、4,5-二氢吡唑-3-基、4,5-二氢吡唑-4-基、4,5-二氢吡唑-5-基、2,3-二氢唑-2-基、2,3-二氢唑-3-基、2,3-二氢唑-4-基、2,3-二氢唑-5-基、3,4-二氢唑-2-基、3,4-二氢唑-3-基、3,4-二氢唑-4-基、3,4-二氢唑-5-基、3,4-二氢唑-2-基、3,4-二氢唑-3-基、3,4-二氢唑-4-基,2-、3-、4-、5-或6-二-或四氢吡啶基,3-二-或四氢哒嗪基、4-二-或四氢哒嗪基、2-二-或四氢嘧啶基、4-二-或四氢嘧啶基、5-二-或四氢嘧啶基、二-或四氢吡嗪基、1,3,5-二-或四氢三嗪-2-基、1,2,4-二-或四氢三嗪-3-基,2,3,4,5-四氢[1H]氮杂-1-、-2-、-3-、-4-、-5-、-6-或-7-基,3,4,5,6-四氢[2H]氮杂-2-、-3-、-4-、-5-、-6-或-7-基,2,3,4,7-四氢[1H]氮杂-1-、-2-、-3-、-4-、-5-、-6-或-7-基,2,3,6,7-四氢[1H]氮杂-1-、-2-、-3-、-4-、-5-、-6-或-7-基,四氢氧杂环庚三烯基,如2,3,4,5-四氢[1H]氧杂环庚三烯-2-、-3-、-4-、-5-、-6-或-7-基,2,3,4,7-四氢[1H]氧杂环庚三烯-2-、-3-、-4-、-5-、-6-或-7-基,2,3,6,7-四氢[1H]氧杂环庚三烯-2-、-3-、-4-、-5-、-6-或-7-基,四氢-1,3-二氮杂基,四氢-1,4-二氮杂基,四氢-1,3-氧氮杂基,四氢-1,4-氧氮杂基,四氢-1,3-二氧杂环庚三烯基和四氢-1,4-二氧杂环庚三烯基。
3、4、5、6或7员最大不饱和(包括芳族)杂环为例如5或6员最大不饱和(包括芳族)杂环。实例是:2-呋喃基、3-呋喃基、2-噻吩基、3-噻吩基、1-吡咯基、2-吡咯基、3-吡咯基、1-吡唑基、3-吡唑基、4-吡唑基、5-吡唑基、2-唑基、4-唑基、5-唑基、2-噻唑基、4-噻唑基、5-噻唑基、1-咪唑基、2-咪唑基、4-咪唑基、1,3,4-三唑-1-基、1,3,4-三唑-2-基、2-吡啶基、 3-吡啶基、4-吡啶基、1-氧代吡啶-2-基、1-氧代吡啶-3-基、1-氧代吡啶-4-基、3-哒嗪基、4-哒嗪基、2-嘧啶基、4-嘧啶基、5-嘧啶基和2-吡嗪基。
本文所用术语“含有1、2或3个选自N、O、S、NO、SO和SO2的杂原子或杂原子基团作为环成员的3、4、5、6、7或8员饱和或部分不饱和碳环或杂环”一方面表示如上所定义的最大不饱和环体系以外的“3、4、5、6、7或8员饱和碳环”,且另一方面表示“含有1、2或3个选自N、O、S、NO、SO和SO2的杂原子或杂原子基团作为环成员的饱和或部分不饱和3、4、5、6、7或8员杂环”。饱和或部分不饱和3、4、5、6或7员杂环如上所定义。
当R5和R6与其所键合的氮原子一起或R9a和R9b与其所键合的氮原子一起或R21和R22与其所键合的氮原子一起形成可额外含有1或2个选自N、O、S、NO、SO和SO2的其他杂原子或杂原子基团作为环成员的3、4、5、6或7员饱和、部分不饱和或最大不饱和杂环时,其为N-键合的杂环,其除了氮还原子可额外含有1、2、3或4个选自N、O、S、NO、SO和SO2的其他杂原子或杂原子基团作为环成员。实例为氮丙啶-1-基、氮杂环丁烷-1-基、吡咯烷-1-基、吡唑烷-1-基、咪唑啉-1-基、唑烷-3-基、异唑烷-3-基、噻唑烷-1-基、异噻唑烷-1-基、三唑烷-1-基、哌啶-1-基、哌嗪-1-基、吗啉-4-基、硫代吗啉-1-基、1,1-二氧硫代吗啉-4-基、吡咯啉-1-基、吡咯啉-1-基、咪唑啉-1-基、二氢吡啶-1-基、四氢吡啶-1-基、吡咯-1-基、吡唑-1-基、咪唑-1-基等。
下面就式(I)的化合物的各变量(取代基)的优选实施方案所作描述单独有效,并且优选相互组合有效,以及与其立体异构体、盐、互变异构体或N-氧化物的组合有效。
此外,下面就各变量的优选实施方案所作描述单独有效,并且优选就式(I)的化合物相互组合有效,以及就本发明用途和方法以及根据本发明的组合物组合有效。
通常,r个基团R4替换碳环原子上的氢原子。例如,如果B1定义为CH且如果该位置被基团R4取代,则B1当然为C-R4。如果存在超过一个基团R4,则这些可相同或不同。
通常,p个基团R1替换碳环原子上的氢原子。如果存在超过一个基团R1,则这些可相同或不同。
优选的根据本发明的化合物为式(I)化合物或其立体异构体、盐、互变异构体或N-氧化物,其中该盐为可农用或可兽用盐。另一优选的根据本发明的化合物为式(I)化合物或其立体异构体或盐,尤其是可农用或可兽用盐。最优选的根据本发明的化合物为式(I)化合物或其盐,尤其是其可农用或可兽用盐。
优选为如下式(I)化合物,其中X为O。
优选为如下式(I)化合物,其中Y为O。
优选为如下式(I)化合物,其中X和Y为O。
优选为如下式(I)化合物,其中p为1、2或3,特别是1。
优选为如下式(I)化合物,其中r为0、1或2,特别是1。
优选为如下式(I)化合物,其中p为1、2或3,特别是1;和r为0、1或2,特别是1。
在一个具体实施方案中,B1为N。
在一个实施方案中,G为基团G1。
在一个优选实施方案中,基团G1中的Rg选自氢、C1-C6烷基、C1-C6卤代烷基、C1-C6烷氧基-C1-C6烷基、C2-C6链烯基、C2-C6卤代链烯基、C2-C6炔基、C2-C6卤代炔基、C3-C8环烷基、C3-C8卤代环烷基,苯基,其可被1、2、3、4或5个基团R10取代,苄基,其可被1、2、3、4或5个基团R10取代,和含有1、2或3个选自N、O、S、NO、SO和SO2的杂原子或杂原子基团作为环成员的3、4、5、6或7员饱和、部分不饱和或最大不饱和杂环,其中该杂环可被一个或多个,优选1、2或3,更优选1或2,尤其是1个基团R10取代。尤其是Rg选自氢、C1-C6烷基和C1-C6卤代烷基,特别是氢。
在另一优选实施方案中,基团G1中的Rg为-N(R9a)R9b。此时,R9a和R9b优选相互独立地选自氢、C1-C6烷基和C1-C6卤代烷基。
基团G1中的Rh优选选自氢、C1-C6烷基、C1-C6卤代烷基、C1-C6烷氧基、C1-C6卤代烷氧基、C3-C8环烷基、C3-C8环烷基-C1-C4烷基、C3-C8 卤代环烷基、-C(=O)R7、-C(=O)N(R9a)R9b、-C(=O)OR8,苯基,其可被1、2、3、4或5个基团R10取代,和含有1、2或3个选自N、O、S、NO、SO和SO2的杂原子或杂原子基团作为环成员的3、4、5、6或7员饱和、部分不饱和或最大不饱和杂环,其中该杂环可被一个或多个,优选1、2或3,更优选1或2,尤其是1个基团R10取代;条件为如果Rh键于氧原子,则其不为C1-C6烷氧基或C1-C6卤代烷氧基。
尤其是Rh选自氢、C1-C6烷基、C1-C6卤代烷基和-C(=O)N(R9a)R9b,特别是选自C1-C6烷基和-C(=O)N(R9a)R9b。此时,R9a和R9b优选相互独立地选自氢、C1-C6烷基和C1-C6卤代烷基,特别是氢。
Q为优选O或N(R9a)。此时,R9a优选选自氢、C1-C6烷基和C1-C6卤代烷基,更优选氢和C1-C6烷基,尤其是选自氢和甲基,特别是氢。
在一个替换实施方案中,G为含有1、2或3个独立地选自N、O、S、NO、SO和SO2的杂原子或杂原子基团作为环成员的3、4、5、6或7员饱和、部分不饱和或最大不饱和杂环,其中该杂环可被一个或多个,优选1、2或3,更优选1或2,尤其是1个基团R10取代。该杂环G优选为含有1、2或3个独立地选自N、O和S的杂原子作为环成员的5或6员芳族杂环,其中该芳族杂环可被一个或多个,优选1、2或3,更优选1或2,尤其是1个基团R10取代。更优选该杂环G为含有1个氮环原子和额外1或2个选自N、O和S的其他杂原子作为环成员的5或6员芳族杂环,其中该芳族杂环可被一个或多个,优选1、2或3,更优选1或2,尤其是1个基团R10取代。特别是该杂环G为含有1个氮环原子和额外1或2个选自N、O和S,优选选自N的其他杂原子作为环成员的5员芳族杂环,其中该芳族杂环可被一个或多个,优选1、2或3,更优选1或2,尤其是1个基团R10取代。非常特别是5员芳族杂环为N-键合的。
优选为如下式(I)化合物,其中R1各自独立地选自卤素;氰基;C1-C6烷基,其可部分或完全卤化和/或可被一个或多个,优选1、2或3,更优选1或2,尤其是1个基团R7取代;C3-C8环烷基,其可部分或完全卤化和/或可被一个或多个,优选1、2或3,更优选1或2,尤其是1个基团R7取代;C2-C6链烯基,其可部分或完全卤化和/或可被一个或多个,优选 1、2或3,更优选1或2,尤其是1个基团R7取代;C2-C6炔基,其可部分或完全卤化和/或可被一个或多个,优选1、2或3,更优选1或2,尤其是1个基团R7取代;-OR8;-OS(O)nR8;-SR8;-S(O)mR8;-S(O)nN(R9a)R9b;-N(R9a)R9b;-N(R9a)C(=O)R7;C(=O)R7;-C(=O)OR8;苯基,其可被1、2或3个的基团R10取代;和含有1、2或3个选自N、O、S、NO、SO和SO2的杂原子或杂原子基团作为环成员的5或6员饱和、部分不饱和或芳族杂环,其中该杂环可被一个或多个,优选1、2或3,更优选1或2,尤其是1个基团R10取代。
尤其是R1各自独立地选自卤素、氰基和C1-C6烷基,其可部分或完全卤化和/或可被一个或多个,优选1、2或3,更优选1或2,尤其是1个基团R7取代。更特别是R1各自独立地选自卤素、氰基、C1-C6烷基和C1-C4卤代烷基。特别是R1各自独立地选自卤素、氰基、C1-C4烷基和CF3,更特别是选自卤素和C1-C4烷基,非常特别是Cl或甲基。
优选为如下式(I)化合物,其中R2为氢或C1-C6烷基,其可部分或完全卤化和/或可被一个或多个,优选1、2或3,更优选1或2,尤其是1个基团R7取代。更优选R2为氢或C1-C4烷基。特别是R2为氢。
优选为如下式(I)化合物,其中R3选自氢;氰基;C1-C6烷基,其可部分或完全卤化和/或可被一个或多个,优选1、2或3,更优选1或2,尤其是1个基团R7取代;C3-C8环烷基,其可部分或完全卤化和/或可被一个或多个,优选1、2或3,更优选1或2,尤其是1个基团R7取代;C2-C6链烯基,其可部分或完全卤化和/或可被一个或多个,优选1、2或3,更优选1或2,尤其是1个基团R7取代;C2-C6炔基,其可部分或完全卤化和/或可被一个或多个,优选1、2或3,更优选1或2,尤其是1个基团R7取代;C(=O)R7;-C(=O)OR8;苯基,其可被1、2或3个基团R10取代;和含有1、2或3个选自N、O、S、NO、SO和SO2的杂原子或杂原子基团作为环成员的5或6员饱和、部分不饱和或芳族杂环,其中该杂环可被一个或多个,优选1、2或3,更优选1或2,尤其是1个基团R10取代。更优选R3选自氢、氰基,和C1-C6烷基,其可部分或完全卤化和/或可被一个或多个,优选1、2或3,更优选1或2,尤其是1个基团R7取代。尤 其是R3选自氢,和C1-C6烷基,其可部分或完全卤化和/或可被一个或多个,优选1、2或3,更优选1或2,尤其是1个基团R7取代。更特别是R3选自C1-C6烷基和C1-C4卤代烷基。特别是R3选自C1-C6烷基和C1-C4卤代烷基,更特别是C1-C4烷基和氟化C1-C4烷基,非常特别是选自C1-C4烷基和氟化C1-C2烷基。
优选为如下式(I)化合物,其中R4各自独立地选自卤素;氰基;C1-C6烷基,其可部分或完全卤化和/或可被一个或多个,优选1、2或3,更优选1或2,尤其是1个基团R7取代;C3-C8环烷基,其可部分或完全卤化和/或可被一个或多个,优选1、2或3,更优选1或2,尤其是1个基团R7取代;C2-C6链烯基,其可部分或完全卤化和/或可被一个或多个,优选1、2或3,更优选1或2,尤其是1个基团R7取代;C2-C6炔基,其可部分或完全卤化和/或可被一个或多个,优选1、2或3,更优选1或2,尤其是1个基团R7取代;-OR8;-OS(O)nR8;-SR8;-S(O)mR8;-S(O)nN(R9a)R9b;-N(R9a)R9b;-N(R9a)C(=O)R7;C(=O)R7;-C(=O)OR8;苯基,其可被1、2或3个基团R10取代;和含有1、2或3个选自N、O、S、NO、SO和SO2的杂原子或杂原子基团作为环成员的5或6员饱和、部分不饱和或芳族杂环,其中该杂环可被一个或多个,优选1、2或3,更优选1或2,尤其是1个基团R10取代。尤其是R4各自独立地选自卤素、氰基,和C1-C6烷基,其可部分或完全卤化和/或可被一个或多个,优选1、2或3,更优选1或2,尤其是1个基团R7取代。更特别是R4各自独立地选自卤素和C1-C4卤代烷基。特别是R4各自独立地选自卤素,非常特别是Cl。
优选如果G为杂环,尤其是吡啶基,则R5或R6均不为C3-C8环烷基-C1-C4烷基,其中该环烷基结构部分可部分或完全卤化和/或可被一个或多个基团R7a取代。
优选为如下式(I)化合物,其中R5和R6独立地选自氢,C1-C6烷基,其可部分或完全卤化和/或可被一个或多个,优选1、2或3,更优选1或2,尤其是1个基团R7a取代,C2-C6链烯基,其可部分或完全卤化和/或可被一个或多个,优选1、2或3,更优选1或2,尤其是1个基团R7a取代,C2-C6炔基,其可部分或完全卤化和/或可被一个或多个,优选1、2或3, 更优选1或2,尤其是1个基团R7a取代,C3-C6环烷基,其可部分或完全卤化和/或可被一个或多个,优选1、2或3,更优选1或2,尤其是1个基团R7a取代,C3-C6环烷基-C1-C4烷基,其中该环烷基结构部分可部分或完全卤化和/或可被一个或多个,优选1、2或3,更优选1或2,尤其是1个基团R7a取代,苯基,其可被1、2、3、4或5个基团R10取代,含有1、2或3个选自N、O、S、NO、SO和SO2的杂原子或杂原子基团作为环成员的3、4、5、6或7员饱和、部分不饱和或最大不饱和杂环,其中该杂环可被一个或多个,优选1、2或3,更优选1或2,尤其是1个基团R10取代,-C(=O)R7、-C(=O)OR8和-C(=O)N(R9a)R9b;
或R5和R6与其连接的氮原子一起形成饱和、部分不饱和或芳族5或6员环,其任选含有1或2个选自N、O、S、NO、SO和SO2的其他杂原子或杂原子基团作为环成员且其可被1、2或3个基团R10取代。
更优选R5和R6相互独立地选自氢,C1-C6烷基,其可部分或完全卤化和/或可被一个或多个基团R7a取代,C3-C8环烷基-C1-C4烷基,其中该环烷基结构部分可部分或完全卤化和/或可被一个或多个基团R7a取代,-C(=O)R7、-C(=O)OR8和-C(=O)N(R9a)R9b,
或R5和R6与其所键合的氮原子一起形成可额外含有1或2个选自N、O、S、NO、SO和SO2的其他杂原子或杂原子基团作为环成员的5或6员饱和、部分不饱和或芳族杂环,其中该杂环可被一个或多个基团R10取代。
甚至更优选R5和R6独立地选自氢,C1-C6烷基,其可部分或完全卤化和/或可被一个或多个,优选1、2或3,更优选1或2,尤其是1个基团R7a取代,和C3-C8环烷基-C1-C4烷基,其中该环烷基结构部分可部分或完全卤化和/或可被一个或多个基团R7a取代;
或R5和R6与其连接的氮原子一起形成饱和、部分不饱和或芳族5或6员环,其任选含有1或2个选自N、O、S、NO、SO和SO2的其他杂原子或杂原子基团作为环成员且其可被1、2或3个基团R10取代;
优选条件为如果G为杂环,尤其是吡啶基,则R5和R6不为C3-C8环烷基-C1-C4烷基,其中该环烷基结构部分可部分或完全卤化和/或可被一个或多个基团R7a取代。
尤其是R5和R6独立地选自氢、C1-C6烷基、C1-C6卤代烷基和C3-C6环烷基-C1-C4烷基(优选条件为如果G为杂环,尤其是吡啶基,则R5和R6不为C3-C6环烷基-C1-C4烷基);
或R5和R6与其连接的氮原子一起形成饱和、部分不饱和或芳族5或6员环,其任选含有1或2个选自N、O、S、NO、SO和SO2的其他杂原子或杂原子基团作为环成员且其可被1、2或3个基团R10取代。
更特别是R5和R6独立地选自氢、C1-C4烷基和C3-C6环烷基-C1-C4烷基(优选条件为如果G为杂环,尤其是吡啶基,则R5和R6不为C3-C6环烷基-C1-C4烷基),特别是氢和C1-C4烷基.
特别是R5和R6中至少一个不为氢。
在R7为烷基、链烯基或炔基上的取代基的情况下,其优选选自氰基、叠氮基、硝基、-SCN、SF5、C3-C8环烷基、C3-C8卤代环烷基、-Si(R14)2R13、-OR8、-OSO2R8、-SR8、-S(O)mR8、-S(O)nN(R9a)R9b、-N(R9a)R9b、-C(=O)N(R9a)R9b、-C(=S)N(R9a)R9b、-C(=O)OR8、-C(=O)R19,苯基,其可被1、2、3、4或5个基团R10取代,和含有1、2或3个选自N、O、S、NO、SO和SO2的杂原子或杂原子基团作为环成员的3、4、5、6或7员饱和、部分不饱和或最大不饱和杂环,其中该杂环可被一个或多个基团R10取代;或两个孪位键合的基团R7一起形成选自=CR11R12、=S(O)mR8、=S(O)mN(R9a)R9b、=NR9a、=NOR8和=NNR9aR9b的基团;或两个基团R7与其所键合的碳原子一起形成含有1、2或3个选自N、O、S、NO、SO和SO2的杂原子或杂原子基团作为环成员的3、4、5、6、7或8员饱和或部分不饱和碳环或杂环,其中R8、R9a、R9b、R10、R11、R12、R13、R14和R19具有以上所给含义之一或尤其是具有以下所给优选含义之一。
在R7为烷基、链烯基或炔基上的取代基的情况下,其更优选选自氰基、C3-C8环烷基、C3-C8卤代环烷基、-OR8、-SR8、-C(=O)N(R9a)R9b、-C(=S)N(R9a)R9b、-C(=O)OR8、-C(=O)R19、-C(=NR9a)R19,苯基,其可被1、2、3、4或5个基团R10取代,和含有1、2或3个选自N、O、S、NO、SO和SO2的杂原子或杂原子基团作为环成员的3、4、5、6或7员饱和、部分不饱和或芳族杂环,其中该杂环可被一个或多个基团R10取代;其中 R8、R9a、R9b和R10具有以上所给含义之一或尤其是具有以下所给优选含义之一。
在R7为烷基、链烯基或炔基上的取代基的情况下,其甚至更优选选自氰基、C3-C6环烷基、C3-C6卤代环烷基、C1-C4烷氧基、C1-C4卤代烷氧基、C1-C4烷硫基、C1-C4卤代烷硫基、-C(=O)N(R9a)R9b、-C(=S)N(R9a)R9b、-C(=O)OR8、-C(=O)R19,苯基,其可被1、2、3、4或5个基团R10取代,和含有1、2或3个选自N、O、S、NO、SO和SO2的杂原子或杂原子基团作为环成员的3、4、5、6或7员饱和、部分不饱和或芳族杂环,其中该杂环可被一个或多个基团R10取代;其中R9a、R9b和R10具有以上所给含义之一或尤其是具有以下所给优选含义之一。
在R7为烷基、链烯基或炔基上的取代基的情况下,其尤其选自氰基、C3-C6环烷基、C3-C6卤代环烷基、-C(=O)N(R9a)R9b、-C(=S)N(R9a)R9b、-C(=O)OR8、-C(=O)R19,苯基,其可被1、2、3、4或5个基团R10取代,和含有1、2或3个选自N、O、S、NO、SO和SO2的杂原子或杂原子基团作为环成员的3、4、5、6或7员饱和、部分不饱和或芳族杂环,其中该杂环可被一个或多个基团R10取代;其中R9a、R9b和R10具有以上所给含义之一或尤其是具有以下所给优选含义之一。
在R7为环烷基上的取代基的情况下,其优选选自氰基、叠氮基、硝基、-SCN、SF5、C1-C6烷基、C1-C6卤代烷基、C1-C6烷氧基-C1-C6烷基、C3-C8环烷基、C3-C8卤代环烷基、C2-C6链烯基、C2-C6卤代链烯基、C2-C6炔基、C2-C6卤代炔基、-Si(R14)2R13、-OR8、-OSO2R8、-SR8、-S(O)mR8、-S(O)nN(R9a)R9b、-N(R9a)R9b、-C(=O)N(R9a)R9b、-C(=S)N(R9a)R9b、-C(=O)OR8,苯基,其可被1、2、3、4或5个基团R10取代,和含有1、2或3个选自N、O、S、NO、SO和SO2的杂原子或杂原子基团作为环成员的3、4、5、6或7员饱和、部分不饱和或芳族杂环,其中该杂环可被一个或多个基团R10取代;
或两个孪位键合的基团R7一起形成选自=CR11R12、=S(O)mR8、=S(O)mN(R9a)R9b、=NR9a、=NOR8和=NNR9aR9b的基团;
或两个基团R7与其所键合的碳原子一起形成含有1、2或3个选自N、O、 S、NO、SO和SO2的杂原子或杂原子基团作为环成员的3、4、5、6、7或8员饱和或部分不饱和碳环或杂环,
其中R8、R9a、R9b、R10、R11、R12、R13和R14具有以上所给含义之一或尤其是具有以下所给优选含义之一。
在R7为环烷基上的取代基的情况下,其更优选选自卤素、氰基、C1-C6烷基、C1-C6卤代烷基、C1-C6烷氧基-C1-C6烷基、-OR8、-OSO2R8、-SR8、-S(O)mR8、-S(O)nN(R9a)R9b、-N(R9a)R9b、-C(=O)N(R9a)R9b、-C(=S)N(R9a)R9b、-C(=O)OR8,苯基,其可被1、2、3、4或5个基团R10取代,和含有1、2或3个选自N、O、S、NO、SO和SO2的杂原子或杂原子基团作为环成员的3、4、5、6或7员饱和、部分不饱和或芳族杂环,其中该杂环可被一个或多个基团R10取代;其中R8、R9a、R9b和R10具有以上所给含义之一或尤其是具有以下所给优选含义之一。
在R7为环烷基上的取代基的情况下,其甚至更优选选自卤素、C1-C4烷基、C1-C3卤代烷基、C1-C4烷氧基和C1-C3卤代烷氧基。尤其是作为环烷基上的取代基的R7选自卤素、C1-C4烷基和C1-C3卤代烷基。
在R7为C(=O)、C(=S)或C(=NR9a)的取代基的情况下,其优选选自氢、C1-C6烷基、C1-C6卤代烷基、C1-C6烷氧基-C1-C6烷基、C3-C8环烷基、C3-C8卤代环烷基、C2-C6链烯基、C2-C6卤代链烯基、C2-C6炔基、C2-C6卤代炔基、-OR8、-SR8、-N(R9a)R9b,苯基,其可被1、2、3、4或5个基团R10取代,和含有1、2或3个选自N、O、S、NO、SO和SO2的杂原子或杂原子基团作为环成员的3、4、5、6或7员饱和、部分不饱和或芳族杂环,其中该杂环可被一个或多个基团R10取代;其中R8、R9a、R9b和R10具有以上所给含义之一或尤其是具有以下所给优选含义之一。
在R7为C(=O)、C(=S)或C(=NR9a)的取代基的情况下,其更优选选自C1-C6烷基、C1-C6卤代烷基、C3-C8环烷基、C3-C8卤代环烷基、C1-C6烷氧基、C1-C6卤代烷氧基,苯基,其可被1、2、3、4或5个基团R10取代,和含有1、2或3个选自N、O、S、NO、SO和SO2的杂原子或杂原子基团作为环成员的3、4、5、6或7员饱和、部分不饱和或芳族杂环,其中该杂环可被一个或多个基团R10取代;其中R10具有以上所给含义之一或尤 其是具有以下所给优选含义之一。
在R7为C(=O)、C(=S)或C(=NR9a)的取代基的情况下,其更优选选自C1-C6烷基、C1-C6卤代烷基、C3-C8环烷基、C3-C8卤代环烷基、C1-C6烷氧基、C1-C6卤代烷氧基,苯基,其可被1、2、3、4或5个基团R10取代,和含有1、2或3个选自N、O、S、NO、SO和SO2的杂原子或杂原子基团作为环成员的3、4、5、6或7员饱和、部分不饱和或芳族杂环,其中该杂环可被一个或多个基团R10取代;其中R10具有以上所给含义之一或尤其是具有以下所给优选含义之一。
在R7为C(=O)、C(=S)或C(=NR9a)的取代基的情况下,其甚至更优选选自C1-C4烷基、C1-C3卤代烷基、C3-C6环烷基、C3-C6卤代环烷基、C1-C4烷氧基、C1-C3卤代烷氧基,苯基,其可被1、2、3、4或5个基团R10取代,和含有1、2或3个选自N、O和S的杂原子作为环成员的5或6员芳族杂环,其中该芳族杂环可被一个或多个基团R10取代;其中R10具有以上所给含义之一或尤其是具有以下所给优选含义之一。
优选R8各自独立地选自氢、C1-C6烷基、C1-C6卤代烷基、C3-C8环烷基、C3-C8卤代环烷基、C3-C8环烷基-C1-C4烷基,苯基,其可被1、2、3、4或5个基团R10取代;和含有1、2或3个选自N、O、S、NO、SO和SO2的杂原子或杂原子基团作为环成员的3、4、5、6或7员饱和、部分不饱和或芳族杂环,其中该杂环可被一个或多个、例如1、2、3或4,优选1或2,更优选1个基团R10取代,其中R10具有以上所给含义之一或尤其是具有以下所给优选含义之一。
更优选R8各自独立地选自氢、C1-C6烷基、C1-C6卤代烷基,苯基,其可被1、2、3、4或5个基团R10取代;和含有1、2或3个选自N、O和S的杂原子作为环成员的5或6员芳族杂环,其中该芳族杂环可被一个或多个基团R10取代;其中R10具有以上所给含义之一或尤其是具有以下所给优选含义之一。
R9a和R9b相互独立地且每次出现独立地优选选自氢、氰基,C1-C6烷基,其可部分或完全卤化和/或可被一个或多个基团R19取代,C2-C6链烯基,其可部分或完全卤化和/或可被一个或多个基团R19取代,C2-C6炔基, 其可部分或完全卤化和/或可被一个或多个基团R19取代,C3-C8环烷基、C3-C8卤代环烷基、C3-C8环烷基-C1-C6烷基、S(O)mR20、S(O)nNR21R22,苯基,其可被1、2、3、4或5个基团R10取代,苄基,其中该苯基结构部分可被1、2、3、4或5个基团R10取代,和含有1、2或3个选自N、O、S、NO、SO和SO2的杂原子或杂原子基团作为环成员的5或6员杂环,其中该杂环可被一个或多个基团R10取代;其中R10、R19、R20、R21和R22具有以上所给含义之一或尤其是具有以下所给优选含义之一;或
R9a和R9b一起形成基团=CR11R12,其中R11和R12具有以上所给含义之一或尤其是具有以下所给优选含义之一;或
R9a和R9b与其所键合的氮原子一起形成可额外含有1或2个选自N、O、S、NO、SO和SO2的其他杂原子或杂原子基团作为环成员的3、4、5、6或7员饱和、部分不饱和或芳族,优选饱和杂环,其中该杂环可被一个或多个基团R10取代,其中R10具有以上所给含义之一或尤其是具有以下所给优选含义之一。
在R9a和R9b的以上优选实施方案中,R11优选为氢或甲基且R12优选为C1-C6烷氧基、C1-C6卤代烷氧基、-C(=O)R19、-C(=O)OR20或-C(=O)N(R21)R22,其中R19、R20、R21和R22具有以上所给含义之一或尤其是具有以下所给优选含义之一。
在R9a和R9b的以上优选实施方案中,如果R9a和R9b不一起形成基团=CR11R12或与其所键合的N原子一起形成杂环,则其优选选自氢、氰基、C1-C4烷基、C1-C4卤代烷基、环丙基、C1-C4烷基羰基、C1-C4卤代烷基羰基、C1-C4烷氧基羰基和C1-C4卤代烷氧基羰基,更优选氢或C1-C4烷基。
如果R9a和R9b与其所键合的氮原子一起形成可额外含有1或2个选自N、O、S、NO、SO和SO2的其他杂原子或杂原子基团作为环成员的3、4、5、6或7员饱和、部分不饱和或芳族杂环,则其优选为可额外含有1个选自N、O、S、NO、SO和SO2的其他杂原子或杂原子基团作为环成员3、5或6员饱和杂环。
特别是R9a和R9b相互独立地且每次出现独立地选自氢、C1-C6烷基、C1-C6卤代烷基、C2-C6炔基、C3-C8环烷基-C1-C6烷基,苄基,其中苯基 结构部分可被1、2、3、4或5个基团R10取代,和含有1、2或3个选自N、O、S、NO、SO和SO2的杂原子或杂原子基团作为环成员的5或6员杂环,其中该杂环可被一个或多个基团R10取代。更特别是R9b为氢或C1-C4烷基且R9a具有以上所述含义之一。
优选R10各自独立地选自卤素、氰基,C1-C10烷基,其可部分或完全卤化和/或可被一个或多个基团R19取代,C3-C8环烷基,其可部分或完全卤化和/或可被一个或多个基团R19取代,-OR20、-OS(O)nR20、-SR20、-S(O)mR20、-S(O)nN(R21)R22、-N(R21)R22、C(=O)R19、-C(=O)OR20、-C(=O)N(R21)R22,苯基,其可被1、2、3、4或5个独立地选自卤素、氰基、硝基、C1-C6烷基、C1-C6卤代烷基、C1-C6烷氧基和C1-C6卤代烷氧基的基团取代;和含有1、2或3个选自N、O、S、NO、SO和SO2的杂原子或杂原子基团作为环成员的3、4、5、6或7员饱和、部分不饱和或最大不饱和杂环,其可被一个或多个独立地选自卤素、氰基、硝基、C1-C6烷基、C1-C6卤代烷基、C1-C6烷氧基和C1-C6卤代烷氧基的基团取代;
或键于相邻原子的两个基团R10一起形成选自-CH2CH2CH2CH2-、-CH=CH-CH=CH-、-N=CH-CH=CH-、-CH=N-CH=CH-、-N=CH-N=CH-、-OCH2CH2CH2-、-OCH=CHCH2-、-CH2OCH2CH2-、-OCH2CH2O-、-OCH2OCH2-,-CH2CH2CH2-、-CH=CHCH2-、-CH2CH2O-、-CH=CHO-、-CH2OCH2-、-CH2C(=O)O-、-C(=O)OCH2-和-O(CH2)O-的基团,由此与其所键合的原子一起形成5或6员环,其中以上基团的氢原子可被一个或多个选自卤素、甲基、卤代甲基、羟基、甲氧基和卤代甲氧基的取代基替换或以上基团的一个或多个CH2基团可以被C=O基团替换,
其中R19、R20、R21和R22具有以上所述一般性或尤其是优选的含义之一。
更优选R10各自独立地选自卤素、氰基,C1-C10烷基,其可部分或完全卤化和/或可被一个或多个基团R19取代,-OR20、-N(R21)R22、C(=O)R19、-C(=O)OR20、-C(=O)N(R21)R22,苯基,其可被1、2、3、4或5个独立地选自卤素、氰基、硝基、C1-C6烷基、C1-C6卤代烷基、C1-C6烷氧基和C1-C6卤代烷氧基的基团取代;和含有1、2或3个选自N、O、S、NO、SO和SO2的杂原子或杂原子基团作为环成员的3、4、5、6或7员饱和或不饱和 杂环,其可被一个或多个独立地选自卤素、氰基、硝基、C1-C6烷基、C1-C6卤代烷基、C1-C6烷氧基和C1-C6卤代烷氧基的基团取代;
其中R19、R20、R21和R22具有以上所述一般性或尤其是优选的含义之一。
甚至更优选R10各自独立地选自卤素、C1-C4烷基、C1-C4卤代烷基、C1-C4烷氧基和C1-C4卤代烷氧基。尤其是R10各自独立地选自卤素、C1-C4烷基和C1-C4卤代烷基。
优选R11和R12相互独立地且每次出现独立地选自氢、卤素、C1-C6烷基和C1-C6卤代烷基。更优选R11和R12相互独立地且每次出现独立地选自氢、卤素和C1-C6烷基,尤其是氢和卤素。特别是其为氢。
优选R13和R14相互独立地且每次出现独立地选自C1-C4烷基,尤其是甲基。
优选R15和R16相互独立地且每次出现独立地选自C1-C6烷基、C1-C6卤代烷基,和苯基,其可被1、2、3、4或5个基团R10取代;其中R10具有以上所述一般性或尤其是优选的含义之一。
优选R17各自独立地选自C1-C6烷基、C1-C6卤代烷基、C3-C8环烷基、C3-C8卤代环烷基、苯基和苄基。更优选R17各自独立地选自C1-C6烷基、C1-C6卤代烷基和苯基,尤其是C1-C4烷基或C1-C3卤代烷基。
在R19为烷基、链烯基或炔基上的取代基的情况下,其优选选自氰基、C3-C6环烷基、C3-C6卤代环烷基、-OR20、-C(=O)N(R21)R22、-C(=S)N(R21)R22、-C(=O)OR20、-C(=O)R20,苯基,其可被1、2、3、4或5个选自卤素、氰基、硝基、C1-C6烷基、C1-C6卤代烷基、C1-C6烷氧基和C1-C6卤代烷氧基的基团取代,和含有1、2或3个选自N、O、S、NO、SO和SO2的杂原子或杂原子基团作为环成员的5或6员杂环,其中后提到的3个基团的环可被一个或多个选自卤素、氰基、硝基、C1-C6烷基、C1-C6卤代烷基、C1-C6烷氧基和C1-C6卤代烷氧基的基团取代;
其中
R20选自氢、C1-C4烷基、C1-C4卤代烷基、苯基、苄基,和含有1、2或3个选自N、O、S、NO、SO和SO2的杂原子或杂原子基团作为环成员的5或6员杂环,其中后提到的3个基团的环可被一个或多个基团R10取代; 和
R21和R22相互独立地且每次出现独立地选自氢、C1-C4烷基、C1-C4卤代烷基、苯基、苄基,和含有1、2或3个选自N、O、S、NO、SO和SO2的杂原子或杂原子基团作为环成员的5或6员杂环,其中后提到的3个基团的环可被一个或多个基团R10取代。
在R19为环烷基上的取代基的情况下,其优选选自氰基、C1-C4烷基、C1-C4卤代烷基、C3-C6环烷基、C3-C6卤代环烷基、-C(=O)N(R21)R22、-C(=S)N(R21)R22、-C(=O)OR20、-C(=O)R20,苯基,其可被1、2、3、4或5个选自卤素、氰基、硝基、C1-C6烷基、C1-C6卤代烷基、C1-C6烷氧基和C1-C6卤代烷氧基的基团取代,和含有1、2或3个的选自N、O、S、NO、SO和SO2杂原子或杂原子基团作为环成员的5或6员杂环,其中后提到的3个基团的环可被一个或多个选自卤素、氰基、硝基、C1-C6烷基、C1-C6卤代烷基、C1-C6烷氧基和C1-C6卤代烷氧基的基团取代;
其中
R20选自氢、C1-C4烷基、C1-C4卤代烷基、苯基、苄基,和含有1、2或3个选自N、O、S、NO、SO和SO2的杂原子或杂原子基团作为环成员的5或6员杂环,其中后提到的3个基团的环可被一个或多个基团R10取代;和
R21和R22相互独立地且每次出现独立地选自氢、C1-C4烷基、C1-C4卤代烷基、苯基、苄基,和含有1、2或3个选自N、O、S、NO、SO和SO2的杂原子或杂原子基团作为环成员的5或6员杂环,其中后提到的3个基团的环可被一个或多个基团R10取代。
在R19为C(=O)基团上的取代基的情况下,其优选选自氢、C1-C4烷基、C1-C4卤代烷基、C3-C6环烷基、C3-C6卤代环烷基、C3-C6环烷基-C1-C4烷基,苯基,其可被1、2、3、4或5个选自卤素、氰基、硝基、C1-C6烷基、C1-C6卤代烷基、C1-C6烷氧基和C1-C6卤代烷氧基的基团取代,苄基,其可被1、2、3、4或5个选自卤素、氰基、硝基、C1-C6烷基、C1-C6卤代烷基、C1-C6烷氧基和C1-C6卤代烷氧基的基团取代,和含有1、2或3个选自N、O、S、NO、SO和SO2的杂原子或杂原子基团作为环成员的5 或6员杂环,其中后提到的3个基团的环可被一个或多个选自卤素、氰基、硝基、C1-C6烷基、C1-C6卤代烷基、C1-C6烷氧基和C1-C6卤代烷氧基的基团取代。
R20优选选自氢、C1-C4烷基、C1-C4卤代烷基、C2-C4链烯基、C2-C4卤代链烯基、C2-C4炔基、C2-C4卤代炔基、C3-C6环烷基、C3-C6卤代环烷基、C3-C6环烷基-C1-C4烷基,苯基,其可被1、2、3、4或5个选自卤素、氰基、硝基、C1-C6烷基、C1-C6卤代烷基、C1-C6烷氧基和C1-C6卤代烷氧基的基团取代,苄基,其可被1、2、3、4或5个选自卤素、氰基、硝基、C1-C6烷基、C1-C6卤代烷基、C1-C6烷氧基和C1-C6卤代烷氧基的基团取代,和含有1、2或3个选自N、O、S、NO、SO和SO2的杂原子或杂原子基团作为环成员的5或6员杂环,其中后提到的3个基团的环可被一个或多个选自卤素、氰基、硝基、C1-C6烷基、C1-C6卤代烷基、C1-C6烷氧基和C1-C6卤代烷氧基的基团取代。
R21和R22相互独立地且每次出现独立地优选选自氢、C1-C6烷基、C1-C6卤代烷基、C3-C8环烷基、C3-C8卤代环烷基、C3-C8环烷基-C1-C4烷基、C2-C6链烯基、C2-C6卤代链烯基、C2-C6炔基、C2-C6卤代炔基,苯基,其可被1、2、3、4或5个选自卤素、氰基、硝基、C1-C6烷基、C1-C6卤代烷基、C1-C6烷氧基和C1-C6卤代烷氧基的基团取代,苄基,其可被1、2、3、4或5个选自卤素、氰基、硝基、C1-C6烷基、C1-C6卤代烷基、C1-C6烷氧基和C1-C6卤代烷氧基的基团取代,和含有1、2或3个选自N、O、S、NO、SO和SO2的杂原子或杂原子基团作为环成员的5或6员杂环,其中后提到的3个基团的环可被一个或多个选自卤素、氰基、硝基、C1-C6烷基、C1-C6卤代烷基、C1-C6烷氧基和C1-C6卤代烷氧基的基团取代;
或R21和R22与其所键合的氮原子一起可形成可额外含有1或2个选自N、O、S、NO、SO和SO2的其他杂原子或杂原子基团作为环成员的5或6员饱和、部分不饱和或芳族杂环,其中该杂环可被一个或多个选自卤素、C1-C6烷基、C1-C6卤代烷基、C1-C6烷氧基和C1-C6卤代烷氧基的基团取代。
在一个优选的实施方案中,式(I)化合物具有通式(I-a):
其中
R1a选自氢和如对R1所定义的基团;和
B1、G、R2、R3、R4、R5、R6和r具有以上所给的一般性含义之一,或尤其是优选含义之一。
尤其是式(I)化合物具有通式(I-aa):
其中
R1a选自氢和如对R1所定义的基团;
R4a选自氢和如对R4所定义的基团;和
B1、G、R2、R3、R5和R6具有以上所给的一般性含义之一,或尤其是优选含义之一。
优选的化合物的实例为如下式Ia.1至Ia.8的化合物,其中变量具有以上所给的一般性含义之一或优选含义之一。优选的化合物的实例为汇编在下表1-192中的单独化合物。此外,以下对表中单独变量所提到的含义本身为所述取代基的特别优选实施方案,与其中提到它们的组合无关。
表1其中G为基团G.1且R3、R5和R6的组合对化合物而言在每种情况下对应于表A中的一行的式Ia.1化合物
表2其中G为基团G.2且R3、R5和R6的组合对化合物而言在每种情况下对应于表A中的一行的式Ia.1化合物
表3其中G为基团G.3且R3、R5和R6的组合对化合物而言在每种情况下对应于表A中的一行的式Ia.1化合物
表4其中G为基团G.4且R3、R5和R6的组合对化合物而言在每种情况下对应于表A中的一行的式Ia.1化合物
表5其中G为基团G.5且R3、R5和R6的组合对化合物而言在每种情况下对应于表A中的一行的式Ia.1化合物
表6其中G为基团G.6且R3、R5和R6的组合对化合物而言在每种情况下对应于表A中的一行的式Ia.1化合物
表7其中G为基团G.7且R3、R5和R6的组合对化合物而言在每种情况下对应于表A中的一行的式Ia.1化合物
表8其中G为基团G.8且R3、R5和R6的组合对化合物而言在每种情况下对应于表A中的一行的式Ia.1化合物
表9其中G为基团G.9且R3、R5和R6的组合对化合物而言在每种情况下对应于表A中的一行的式Ia.1化合物
表10其中G为基团G.10且R3、R5和R6的组合对化合物而言在每种情况下对应于表A中的一行的式Ia.1化合物
表11其中G为基团G.11且R3、R5和R6的组合对化合物而言在每种情况下对应于表A中的一行的式Ia.1化合物
表12其中G为基团G.12且R3、R5和R6的组合对化合物而言在每种情况下对应于表A中的一行的式Ia.1化合物
表13其中G为基团G.13且R3、R5和R6的组合对化合物而言在每种情况下对应于表A中的一行的式Ia.1化合物
表14其中G为基团G.14且R3、R5和R6的组合对化合物而言在每种情况下对应于表A中的一行的式Ia.1化合物
表15其中G为基团G.15且R3、R5和R6的组合对化合物而言在每种情况下对应于表A中的一行的式Ia.1化合物
表16其中G为基团G.16且R3、R5和R6的组合对化合物而言在每种情况下对应于表A中的一行的式Ia.1化合物
表17其中G为基团G.17且R3、R5和R6的组合对化合物而言在每种情况下对应于表A中的一行的式Ia.1化合物
表18其中G为基团G.18且R3、R5和R6的组合对化合物而言在每种情况下对应于表A中的一行的式Ia.1化合物
表19其中G为基团G.19且R3、R5和R6的组合对化合物而言在每种情况下对应于表A中的一行的式Ia.1化合物
表20其中G为基团G.20且R3、R5和R6的组合对化合物而言在每种情况下对应于表A中的一行的式Ia.1化合物
表21其中G为基团G.21且R3、R5和R6的组合对化合物而言在每种情况下对应于表A中的一行的式Ia.1化合物
表22其中G为基团G.22且R3、R5和R6的组合对化合物而言在每种情况下对应于表A中的一行的式Ia.1化合物
表23其中G为基团G.23且R3、R5和R6的组合对化合物而言在每种情况 下对应于表A中的一行的式Ia.1化合物
表24其中G为基团G.24且R3、R5和R6的组合对化合物而言在每种情况下对应于表A中的一行的式Ia.1化合物
表25其中G为基团G.25且R3、R5和R6的组合对化合物而言在每种情况下对应于表A中的一行的式Ia.1化合物
表26其中G为基团G.26且R3、R5和R6的组合对化合物而言在每种情况下对应于表A中的一行的式Ia.1化合物
表27-52
其中G如表1-26中任一个所定义且R3、R5和R6的组合对化合物而言在每种情况下对应于表A中的一行的式Ia.2化合物
表53-78
其中G如表1-26中任一个所定义且R3、R5和R6的组合对化合物而言在每种情况下对应于表A中的一行的式Ia.3化合物
表79-104
其中G如表1-26中任一个所定义且R3、R5和R6的组合对化合物而言在每种情况下对应于表A中的一行的式Ia.4化合物
表105-130
其中G如表1-26中任一个所定义且R3、R5和R6的组合对化合物而言在每种情况下对应于表A中的一行的式Ia.5化合物
表131-156
其中G如表1-26中任一个所定义且R3、R5和R6的组合对化合物而言在每种情况下对应于表A中的一行的式Ia.6化合物
表157-182
其中G如表1-26中任一个所定义且R3、R5和R6的组合对化合物而言在每种情况下对应于表A中的一行的式Ia.7化合物
表183-208
其中G如表1-26中任一个所定义且R3、R5和R6的组合对化合物而言在每种情况下对应于表A中的一行的式Ia.8化合物
表A
| No. | R3 | R5 | R6 |
| A-1 | H | H | H |
| A-2 | H | H | CH3 |
| A-3 | H | CH3 | CH3 |
| A-4 | H | H | C2H5 |
| A-5 | H | CH3 | C2H5 |
| A-6 | H | C2H5 | C2H5 |
| A-7 | H | C2H5 | C2H5 |
| A-8 | H | C2H5 | C2H5 |
| A-9 | H | H | CH2CH2CH3 |
| A-10 | H | CH3 | CH2CH2CH3 |
| A-11 | H | C2H5 | CH2CH2CH3 |
| A-12 | H | CH2CH2CH3 | CH2CH2CH3 |
| A-13 | H | H | CH(CH3)2 |
| A-14 | H | CH3 | CH(CH3)2 |
| No. | R3 | R5 | R6 |
| A-15 | H | C2H5 | CH(CH3)2 |
| A-16 | H | CH2CH2CH3 | CH(CH3)2 |
| A-17 | H | H | L.1 |
| A-18 | H | CH3 | L.1 |
| A-19 | H | C2H5 | L.1 |
| A-20 | H | CH(CH2)3 | L.1 |
| A-21 | H | L.1 | L.1 |
| A-22 | CH3 | H | H |
| A-23 | CH3 | H | CH3 |
| A-24 | CH3 | CH3 | CH3 |
| A-25 | CH3 | H | C2H5 |
| A-26 | CH3 | CH3 | C2H5 |
| A-27 | CH3 | C2H5 | C2H5 |
| A-28 | CH3 | C2H5 | C2H5 |
| A-29 | CH3 | C2H5 | C2H5 |
| A-30 | CH3 | H | CH2CH2CH3 |
| A-31 | CH3 | CH3 | CH2CH2CH3 |
| A-32 | CH3 | C2H5 | CH2CH2CH3 |
| A-33 | CH3 | CH2CH2CH3 | CH2CH2CH3 |
| A-34 | CH3 | H | CH(CH3)2 |
| A-35 | CH3 | CH3 | CH(CH3)2 |
| A-36 | CH3 | C2H5 | CH(CH3)2 |
| A-37 | CH3 | CH2CH2CH3 | CH(CH3)2 |
| A-38 | CH3 | H | L.1 |
| A-39 | CH3 | CH3 | L.1 |
| A-40 | CH3 | C2H5 | L.1 |
| A-41 | CH3 | CH(CH2)3 | L.1 |
| A-42 | CH3 | L.1 | L.1 |
| A-43 | CH2CH3 | H | H |
| A-44 | CH2CH3 | H | CH3 |
| A-45 | CH2CH3 | CH3 | CH3 |
| A-46 | CH2CH3 | H | C2H5 |
| A-47 | CH2CH3 | CH3 | C2H5 |
| A-48 | CH2CH3 | C2H5 | C2H5 |
| A-49 | CH2CH3 | C2H5 | C2H5 |
| A-50 | CH2CH3 | C2H5 | C2H5 |
| A-51 | CH2CH3 | H | CH2CH2CH3 |
| A-52 | CH2CH3 | CH3 | CH2CH2CH3 |
| A-53 | CH2CH3 | C2H5 | CH2CH2CH3 |
| A-54 | CH2CH3 | CH2CH2CH3 | CH2CH2CH3 |
| A-55 | CH2CH3 | H | CH(CH3)2 |
| A-56 | CH2CH3 | CH3 | CH(CH3)2 |
| A-57 | CH2CH3 | C2H5 | CH(CH3)2 |
| No. | R3 | R5 | R6 |
| A-58 | CH2CH3 | CH2CH2CH3 | CH(CH3)2 |
| A-59 | CH2CH3 | H | L.1 |
| A-60 | CH2CH3 | CH3 | L.1 |
| A-61 | CH2CH3 | C2H5 | L.1 |
| A-62 | CH2CH3 | CH(CH2)3 | L.1 |
| A-63 | CH2CH3 | L.1 | L.1 |
| A-64 | CH(CH3)2 | H | H |
| A-65 | CH(CH3)2 | H | CH3 |
| A-66 | CH(CH3)2 | CH3 | CH3 |
| A-67 | CH(CH3)2 | H | C2H5 |
| A-68 | CH(CH3)2 | CH3 | C2H5 |
| A-69 | CH(CH3)2 | C2H5 | C2H5 |
| A-70 | CH(CH3)2 | C2H5 | C2H5 |
| A-71 | CH(CH3)2 | C2H5 | C2H5 |
| A-72 | CH(CH3)2 | H | CH2CH2CH3 |
| A-73 | CH(CH3)2 | CH3 | CH2CH2CH3 |
| A-74 | CH(CH3)2 | C2H5 | CH2CH2CH3 |
| A-75 | CH(CH3)2 | CH2CH2CH3 | CH2CH2CH3 |
| A-76 | CH(CH3)2 | H | CH(CH3)2 |
| A-77 | CH(CH3)2 | CH3 | CH(CH3)2 |
| A-78 | CH(CH3)2 | C2H5 | CH(CH3)2 |
| A-79 | CH(CH3)2 | CH2CH2CH3 | CH(CH3)2 |
| A-80 | CH(CH3)2 | H | L.1 |
| A-81 | CH(CH3)2 | CH3 | L.1 |
| A-82 | CH(CH3)2 | C2H5 | L.1 |
| A-83 | CH(CH3)2 | CH(CH2)3 | L.1 |
| A-84 | CH(CH3)2 | L.1 | L.1 |
| A-85 | CH2CF3 | H | H |
| A-86 | CH2CF3 | H | CH3 |
| A-87 | CH2CF3 | CH3 | CH3 |
| A-88 | CH2CF3 | H | C2H5 |
| A-89 | CH2CF3 | CH3 | C2H5 |
| A-90 | CH2CF3 | C2H5 | C2H5 |
| A-91 | CH2CF3 | C2H5 | C2H5 |
| A-92 | CH2CF3 | C2H5 | C2H5 |
| A-93 | CH2CF3 | H | CH2CH2CH3 |
| A-94 | CH2CF3 | CH3 | CH2CH2CH3 |
| A-95 | CH2CF3 | C2H5 | CH2CH2CH3 |
| A-96 | CH2CF3 | CH2CH2CH3 | CH2CH2CH3 |
| A-97 | CH2CF3 | H | CH(CH3)2 |
| A-98 | CH2CF3 | CH3 | CH(CH3)2 |
| A-99 | CH2CF3 | C2H5 | CH(CH3)2 |
| A-100 | CH2CF3 | CH2CH2CH3 | CH(CH3)2 |
| No. | R3 | R5 | R6 |
| A-101 | CH2CF3 | H | L.1 |
| A-102 | CH2CF3 | CH3 | L.1 |
| A-103 | CH2CF3 | C2H5 | L.1 |
| A-104 | CH2CF3 | CH(CH2)3 | L.1 |
| A-105 | CH2CF3 | L.1 | L.1 |
式(I)化合物可以通过有机化学的标准方法制备,例如通过下面在方案1-5和工作实施例的合成描述中所述的方法制备。如果没有其他说明,则方案1-5中的取代基、变量和指数如上对式(I)所定义。
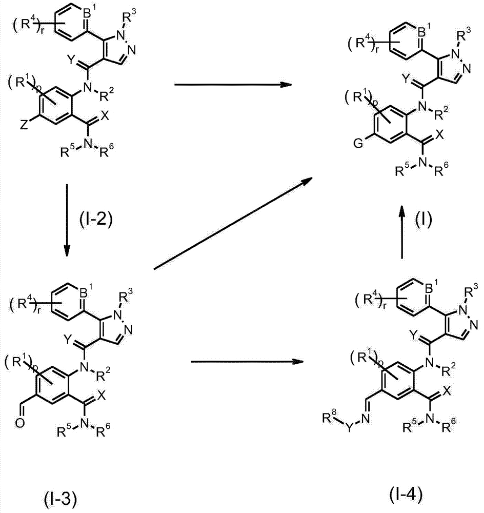
式(I)化合物可如下面的方案1中所示制备。
方案1:
使式(II)化合物与胺NHR5R6反应。合适地,该反应在极性或非极性非质子性溶剂如N,N-二甲基甲酰胺、四氢呋喃、二烷、乙腈、二甲亚砜、吡啶、二氯甲烷、苯、甲苯、二甲苯类或氯苯或该类溶剂的混合物中在0-100℃,优选20-90℃的温度范围内进行。为了将其中R2为H的式(I-1)化合物转化为其中R2不为H的化合物(I),可以使式(I-1)化合物与其中R2不为H和Z为离去基团如溴、氯或碘原子或甲苯磺酸根、甲磺酸根或三氟甲磺酸根的式R2-Z的化合物反应而得到式(I)化合物。合适地,该反应在碱如氢化钠或氢化钾存在下,合适地,在极性非质子性溶剂如N,N-二甲基甲酰胺、四氢呋喃、二烷、乙腈、二甲亚砜或吡啶或这些溶剂的混合物中在0-100℃的温度范围内进行。式I化合物的其他制备方法还可以由类似反应改变,例如如WO01/70671所述。
式(II)的苯并嗪(硫)酮或苯并噻嗪(硫)酮可以经由已知方法得到,例如经由邻氨基苯甲酸或靛红酸酐与酰氯的偶联。关于苯并嗪酮的合成和化学,参见Jacobsen等,Bioorganic and Medicinal Chemistry,2000,8,2095-2103及其中引用的参考文献。还参见Coppola,J.Heterocyclic Chemistry,1999,36,563-588。式(II)的苯并嗪(硫)酮还可以根据WO04/046129或WO04/011447中所述的程序以及根据其中所引用的参考文献及其合适变化制备。
替换地,式(I)化合物还可以如下面的方案2中所示通过式(III)化合物与胺NHR5R6的反应制备。
方案2:
替换地,式(I)化合物还可以如方案3所示制备。式(IV)化合物与羧酸衍生物(V)的反应得到化合物(I)。Z为离去基团,例如卤素,尤其是Cl,酐基或活性酯基。在Z为卤素的情况下,反应尤其适合在碱存在下进行。合适的碱例如为碳酸盐,例如碳酸锂、碳酸钠或碳酸钾,胺,例如三甲基胺或三乙基胺以及碱性N-杂环,例如吡啶、2,6-二甲基吡啶或2,4,6-三甲基吡啶。合适的溶剂尤其是非质子性溶剂如戊烷、己烷、庚烷、辛烷、环己烷、二氯甲烷、氯仿、1,2-二氯乙烷、苯、氯苯、甲苯、二甲苯类、二氯苯、三甲基苯、吡啶、2,6-二甲基吡啶、2,4,6-三甲基吡啶、乙醚、四氢呋喃、2-甲基四氢呋喃、甲基叔丁基醚、1,4-二烷、N,N-二甲基甲酰胺、N-甲基吡咯烷酮或其混合物。
方案3:
式(IV)化合物可以如下面的方案4中所示通过使苯并嗪酮(VI)与胺NHR5R6反应而得到。合适地,该反应在碱存在下进行。合适的碱包括氢氧化物,例如氢氧化锂、氢氧化钠或氢氧化钾,碳酸盐,例如碳酸锂、碳酸钠或碳酸钾,碳酸氢盐,例如碳酸氢锂、碳酸氢钠或碳酸氢钾,磷酸盐,例如磷酸锂、磷酸钠或磷酸钾,磷酸氢盐,磷酸氢锂、磷酸氢钠或磷酸氢钾,醇盐,例如甲醇钠或甲醇钾、乙醇钠或乙醇钾或叔丁醇钠或叔丁醇钾,羧酸盐,例如甲酸锂、甲酸钠或甲酸钾,乙酸锂、乙酸钠或乙酸钾或丙酸锂、丙酸钠或丙酸钾,氨和胺,例如二甲基胺、三甲基胺、二乙基胺或三乙基胺。合适的溶剂可为质子性或非质子性的。非质子性溶剂的实例为脂族烃,例如链烷烃,例如戊烷、己烷或庚烷,环脂族烃,例如环烷烃,例如环戊烷或环己烷,卤代烷烃,例如二氯甲烷、氯仿或1,2-二氯乙烷,芳族烃,例如苯、甲苯、二甲苯类或氯苯,开链醚,例如乙醚、甲基叔丁基醚或甲基异丁基醚,环状醚,例如四氢呋喃、1,4-二烷或2-甲基四氢呋喃,砜,例如二甲亚砜,或酯,例如乙酸乙酯或丙酸乙酯。此外,吡啶、2,6-二甲基吡啶、2,4,6-三甲基吡啶、N,N-二甲基甲酰胺、N-甲基吡咯烷酮或以上或以下提及的溶剂的混合物是合适的。极性质子性溶剂的实例为C1-C4醇如甲醇、乙醇、丙醇和异丙醇,二醇,例如乙二醇和二甘醇及其混合物。
方案4
G表示杂环的式(I)化合物还可类似于已知方法,例如经由Suzuki类型偶联,例如如WO2010/059773所述,如下面的方案5所示通过杂环与式(I-2)化合物的偶联反应而制备,其中Z为溴、氯、氟或碘原子或相似离去基团如甲苯磺酸根、甲磺酸根或三氟甲磺酸根。替换地,位于G位的杂环的引入还可通过亲核取代反应进行,例如如WO2007/075459所述。
G表示式(G1)的式(I)化合物可类似于WO2010/072781及其引用的参考文献所述的方法由式(I-3)的醛制备。其中Rg为N(R9a)R9b的G表示式(G1)的式(I)化合物式可类似于WO2010/072602及其引用的参考文献所述的方法通过胺化由式(I-4)化合物制备。式(I-4)化合物可类似于WO2010/072781所述的方法由式(I-3)化合物制备。式(I-3)的醛可通过式(I-2)化合物的羰基化反应制备,例如如WO2010/072781或WO2006/103148所述。
方案5
在合成方法[尤其是(I-1)、(II)、(III)、(IV)、(V)、(VI)、(VI)]中的式(I)化合物,包括其立体异构体、盐、互变异构体和N-氧化物及其前体通常可 以通过上述方法制备。如果单独化合物不能经由上述途径制备,则它们可以通过衍生其他化合物(I)或相应前体或通过所述合成途径的常规变化而制备。例如在单独情况下,某些式(I)化合物可有利地由其他式(I)化合物通过衍生,例如通过酯水解、酰胺化、酯化、醚裂解、烯化、还原、氧化等或通过所述合成途径的常规变化而制备。
反应混合物以常规方式后处理,例如通过与水混合、分离各相并且合适的话通过层析,例如在二氧化铝或硅胶上层析而纯化粗产物。一些中间体和终产物可以以无色或浅褐色粘稠油形式得到,将它们在减压和温和升高的温度下除去挥发性组分或由挥发性组分纯化。若中间体和终产物以固体得到,则它们可以通过重结晶或研制纯化。
由于其优异的活性,本发明化合物可以用于防治无脊椎动物害虫。
因此,本发明还提供了一种防治无脊椎动物害虫的方法,该方法包括用农药有效量的如上所定义的本发明化合物或组合物处理害虫、其食物供应源、其栖息地或其繁殖地或其中害虫生长或可能生长的栽培植物、植物繁殖材料(如种子)、土壤、区域、材料或环境或者要防止害虫侵袭或侵染的材料、栽培植物、植物繁殖材料(如种子)、土壤、表面或空间。
优选本发明方法用于保护植物繁殖材料(如种子)和由其生长的植物以防无脊椎动物害虫侵袭或侵染且包括用农药有效量的如上所定义的本发明化合物或用农药有效量的如上文和下文所定义的农业组合物处理植物繁殖材料(如种子)。本发明方法不限于保护已经根据本发明处理的“底物”(植物、植物繁殖材料、土壤材料等),而且还具有预防效果,因此例如可以相应地保护由已处理的植物繁殖材料(如种子)生长的植物,但植物本身并未被处理。
就本发明而言,“无脊椎动物害虫”优选选自节肢动物害虫和线虫,更优选选自有害昆虫、蜘蛛和线虫,甚至更优选选自昆虫、螨虫和线虫。就本发明而言,“无脊椎动物害虫”最优选为昆虫。
本发明进一步提供了一种防除无脊椎动物害虫的农业组合物,其包含具有农药作用量的至少一种根据本发明的化合物和至少一种惰性液体和/或固体可农用载体以及需要的话至少一种表面活性剂。
该组合物可以包含本发明的单一活性化合物或几种本发明活性化合物的混合物。根据本发明的组合物可以包含单独的异构体或异构体混合物或盐以及单独的互变异构体或互变异构体混合物。
本发明化合物,包括其盐、立体异构体和互变异构体尤其适合有效防治节肢动物害虫如蜘蛛、多足虫(myriapede)和昆虫以及线虫。它们尤其适合有效防除或防治下列害虫:
鳞翅目昆虫(鳞翅目),例如小地老虎(Agrotis ypsilon)、黄地老虎(Agrotis segetum)、木棉虫(Alabama argillacea)、黎豆夜蛾(Anticarsia gemmatalis)、Argyresthia conjugella、叉纹夜蛾(Autographa gamma)、树尺蠖(Bupalus piniarius)、Cacoecia murinana、Capua reticulana、Cheimatobia brumata、云杉色卷蛾(Choristoneura fumiferana)、Choristoneura occidentalis、二化螟(Cirphis unipuncta)、苹果小卷蛾(Cydia pomonella)、松毛虫(Dendrolimus pini)、Diaphania nitidalis、西南玉米杆草螟(Diatraea grandiosella)、埃及钻夜蛾(Earias insulana)、南美玉米苗斑螟(Elasmopalpus lignosellus)、女贞细卷蛾(Eupoecilia ambiguella)、Evetria bouliana、Feltia subterranea、蜡螟(Galleria mellonella)、李小食心虫(Grapholitha funebrana)、梨小食心虫(Grapholitha molesta)、棉铃虫(Heliothis armigera)、烟芽夜蛾(Heliothis virescens)、玉米穗虫(Heliothis zea)、菜螟(Hellula undalis)、Hibernia defoliaria、美国白蛾(Hyphantria cunea)、苹果巢蛾(Hyponomeuta malinellus)、番茄虫蛾(Keiferia lycopersicella)、Lambdina fiscellaria、甜菜夜蛾(Laphygma exigua)、咖啡潜叶蛾(Leucoptera coffeella)、旋纹潜蛾(Leucoptera scitella)、Lithocolletis blancardella、葡萄浆果小卷蛾(Lobesia botrana)、甜菜网螟(Loxostege sticticalis)、舞毒蛾(Lymantria dispar)、模毒蛾(Lymantria monacha)、桃潜蛾(Lyonetia clerkella)、黄褐天幕毛虫(Malacosoma neustria)、甘蓝夜蛾(Mamestra brassicae)、黄杉毒蛾(Orgyia pseudotsugata)、玉米螟(Ostrinia nubilalis)、小眼夜蛾(Panolis flammea)、棉花红铃虫(Pectinophora gossypiella)、疆夜蛾(Peridroma saucia)、圆掌舟蛾(Phalera bucephala)、马铃薯麦蛾(Phthorimaea operculella)、柑桔潜 叶蛾(Phyllocnistis citrella)、欧洲粉蝶(Pieris brassicae)、菜粉蝶(Pieris rapae)、苜蓿绿夜蛾(Plathypena scabra)、菜蛾(Plutella xylostella)、大豆夜蛾(Pseudoplusia includens)、Rhyacionia frustrana、Scrobipalpula absoluta、麦蛾(Sitotroga cerealella)、葡萄卷叶蛾(Sparganothis pilleriana)、草地夜蛾(Spodoptera frugiperda)、海灰翅夜蛾(Spodoptera littoralis)、斜纹夜蛾(Spodoptera litura)、Thaumatopoea pityocampa、绿色橡木飞蛾(Tortrix viridana)、粉纹夜蛾(Trichoplusia ni)和Zeiraphera canadensis;
甲虫(鞘翅目),例如梨窄吉丁(Agrilus sinuatus)、直条叩头虫(Agriotes lineatus)、暗色叩头虫(Agriotes obscurus)、Amphimallus solstitialis、Anisandrus dispar、墨西哥棉铃象(Anthonomus grandis)、苹花象(Anthonomus pomorum)、Aphthona euphoridae、Athous haemorrhoidalis、甜菜隐食甲(Atomaria linearis)、纵坑切梢小蠹(Blastophagus piniperda)、Blitophaga undata、蚕豆象(Bruchus rufimanus)、豌豆象(Bruchus pisorum)、欧洲兵豆象(Bruchus lentis)、苹卷象(Byctiscus betulae)、甜菜大龟甲(Cassida nebulosa)、Cerotoma trifurcata、金花金龟(Cetonia aurata)、白菜籽龟象(Ceuthorrhynchus assimilis)、芫菁龟象(Ceuthorrhynchus napi)、甜菜胫跳甲(Chaetocnema tibialis)、Conoderus vespertinus、石刁柏负泥虫(Crioceris asparagi)、Ctenicera属、长角叶甲(Diabrotica longicornis)、Diabrotica semipunctata、Diabrotica12-punctata、南美叶甲(Diabrotica speciosa)、玉米根叶甲(Diabrotica virgifera)、墨西哥豆瓢虫(Epilachna varivestis)、烟草跳甲(Epitrix hirtipennis)、棉灰蒙象变种(Eutinobothrus brasiliensis)、欧洲松树皮象(Hylobius abietis)、埃及苜蓿叶象(Hypera brunneipennis)、紫苜蓿叶象(Hypera postica)、云杉八齿小蠹(Ips typographus)、烟草负泥虫(Lema bilineata)、黑角负泥虫(Lema melanopus)、马铃薯叶甲(Leptinotarsa decemlineata)、Limonius californicus、稻水象甲(Lissorhoptrus oryzophilus)、Melanotus communis、油菜露尾甲(Meligethes aeneus)、大栗鳃金龟(Melolontha hippocastani)、五月鳃金龟 (Melolontha melolontha)、水稻负泥虫(Oulema oryzae)、葡萄黑耳喙象(Ortiorrhynchus sulcatus)、草莓根象甲(Otiorrhynchus ovatus)、辣根猿叶甲(Phaedon cochleariae)、梨树叶象(Phyllobius pyri)、Phyllotreta chrysocephala、食叶鳃金龟属(Phyllophaga spp.)、庭园发丽金龟(Phyllopertha horticola)、大豆淡足跳甲(Phyllotreta nemorum)、黄曲条菜跳甲(Phyllotreta striolata)、日本金龟子(Popillia japonica)、豌豆叶象(Sitona lineatus)和谷象(Sitophilus granaria);
蝇、蚊(双翅目(Diptera)),例如埃及伊蚊(Aedes aegypti)、白纹伊蚊(Aedes albopictus)、剌扰伊蚊(Aedes vexans)、墨西哥果蝇(Anastrepha ludens)、五斑按蚊(Anopheles maculipennis)、Anopheles crucians、白足按蚊(Anopheles albimanus)、疟蚊(Anopheles gambiae)、Anopheles freeborni、海南岛白踝按蚊(Anopheles leucosphyrus)、云南微小按蚊(Anopheles minimus)、四斑按蚊(Anopheles quadrimaculatus)、红头丽蝇(Calliphora vicina)、地中海实蝇(Ceratitis capitata)、蛆症金蝇(Chrysomya bezziana)、Chrysomya hominivorax、Chrysomya macellaria、鹿蝇(Chrysops discalis)、Chrysops silacea、Chrysops atlanticus、螺旋蝇(Cochliomyia hominivorax)、高粱瘿蚊(Contarinia sorghicola)、嗜人瘤蝇蛆(Cordylobia anthropophaga)、狂怒库蠓(Culicoides furens)、尖音库蚊(Culex pipiens)、斑蚊(Culex nigripalpus)、致倦库蚊(Culex quinquefasciatus)、媒斑蚊(Culex tarsalis)、Culiseta inornata、Culiseta melanura、瓜蝇(Dacus cucurbitae)、油橄榄实蝇(Dacus oleae)、油菜叶瘿蚊(Dasineura brassicae)、Delia antique、麦地种蝇(Delia coarctata)、灰地种蝇(Delia platura)、甘蓝地种蝇(Delia radicum)、人肤皮蝇(Dermatobia hominis)、小毛厕蝇(Fannia canicularis)、Geomyza Tripunctata、马蝇(Gasterophilus intestinalis)、刺舌蝇(Glossina morsitans)、须舌蝇(Glossina palpalis)、Glossina fuscipes、胶舌蝇(Glossina tachinoides)、Haematobia irritans、Haplodiplosis equestris、潜蝇属(Hippelates spp.)、花生田灰地种蝇(Hylemyia platura)、纹皮蝇(Hypoderma lineata)、Leptoconops torrens、蔬菜斑潜蝇(Liriomyza sativae)、美国潜叶蝇(Liriomyza trifolii)、Lucilia caprina、铜绿蝇(Lucilia cuprina)、丝光绿蝇(Lucilia sericata)、Lycoria pectoralis、Mansonia titillanus、麦瘿蚊(Mayetiola destructor)、秋家蝇(Musca autumnalis)、家蝇(Musca domestica)、厩腐蝇(Muscina stabulans)、羊狂蝇(Oestrus ovis)、Opomyza florum、欧洲麦秆蝇(Oscinella frit)、天仙子泉蝇(Pegomya hysocyami)、葱蝇(Phorbia antiqua)、萝卜蝇(Phorbia brassicae)、麦地种蝇(Phorbia coarctata)、银足白蛉(Phlebotomus argentipes)、Psorophora columbiae、胡萝卜茎蝇(Psila rosae)、Psorophora discolor、Prosimulium mixtum、樱桃实蝇(Rhagoletis cerasi)、苹果实蝇(Rhagoletis pomonella)、赤尾麻蝇(Sarcophaga haemorrhoidalis)、肉蝇属(Sarcophaga spp.)、Simulium vittatum、厩螫蝇(Stomoxys calcitrans)、牛虻(Tabanus bovinus)、Tabanus atratus、红色原虻(Tabanus lineola)和Tabanus similis、Tipula oleracea和欧洲大蚊(Tipula paludosa);
蓟马(缨翅目(Thysanoptera)),例如兰花蓟马(Dichromothrips corbetti)、Dichromothrips属、烟褐蓟马(Frankliniella fusca)、苜蓿花蓟马(Frankliniella occidentalis)、东方花蓟马(Frankliniella tritici)、桔梗蓟马(Scirtothrips citri)、稻蓟马(Thrips oryzae)、棕榈蓟马(Thrips palmi)和烟蓟马(Thrips tabaci);
白蚁(等翅目(Isoptera)),例如Calotermes flavicollis、Leucotermes flavipes、金黄异白蚁(Heterotermes aureus)、黄肢散白蚁(Reticulitermes flavipes)、美小黑散白蚁(Reticulitermes virginicus)、欧洲散白蚁(Reticulitermes lucifugus)、Reticulitermes santonensis、Reticulitermes grassei、Termes natalensis和台湾乳白蚁(Coptotermes formosanus);
蟑螂(蜚蠊目(Blattaria-Blattodea)),例如德国小蠊(Blattella germanica)、Blattella asahinae、美洲蟑螂(Periplaneta americana)、日本大蠊(Periplaneta japonica)、棕色蜚蠊(Periplaneta brunnea)、Periplaneta fuligginosa、澳洲蜚蠊(Periplaneta australasiae)和东方蜚蠊(Blatta orientalis),
臭虫、蚜虫、叶蝉、白粉虱、介壳虫、蝉(半翅目(Hemiptera)),例如拟绿蝽(Acrosternum hilare)、玉米长蝽(Blissus leucopterus)、黑斑烟盲蝽 (Cyrtopeltis notatus)、棉红蝽(Dysdercus cingulatus)、Dysdercus intermedius、麦扁盾蝽(Eurygaster integriceps)、烟草蝽(Euschistus impictiventris)、棉红铃喙缘蝽(Leptoglossus phyllopus)、豆荚草盲蝽(Lygus hesperus)、美洲牧草盲蝽(Lygus lineolaris)、牧草盲蝽(Lygus pratensis)、稻绿蝽(Nezara viridula)、甜菜拟网蝽(Piesma quadrata)、Solubea insularis、Thyanta perditor、Acyrthosiphon onobrychis、落叶松球蚜(Adelges laricis)、Aphidula nasturtii、甜菜蚜(Aphis fabae)、草莓根蚜(Aphis forbesi)、苹果蚜(Aphis pomi)、棉蚜(Aphis gossypii)、北美茶簏子蚜(Aphis grossulariae)、希奈德蚜(Aphis schneideri)、卷叶蚜(Aphis spiraecola)、接骨木蚜(Aphis sambuci)、豌豆蚜(Acyrthosiphon pisum)、茄无网蚜(Aulacorthum solani)、银叶粉虱(Bemisia argentifolii)、飞廉短尾蚜(Brachycaudus cardui)、李短尾蚜(Brachycaudus helichrysi)、桃短尾蚜(Brachycaudus persicae)、Brachycaudus prunicola、甘蓝蚜(Brevicoryne brassicae)、Capitophorus horni、Cerosipha gossypii、草莓中瘤钉毛蚜(Chaetosiphon fragaefolii)、茶镳隐瘤蚜(Cryptomyzus ribis)、高加索冷杉椎球蚜(Dreyfusia nordmannianae)、云杉椎球蚜(Dreyfusia piceae)、居根西圆尾蚜(Dysaphis radicola)、Dysaulacorthum pseudosolani、车前圆尾蚜(Dysaphis plantaginea)、梨西圆尾蚜(Dysaphis pyri)、蚕豆微叶蝉(Empoasca fabae)、桃大尾蚜(Hyalopterus pruni)、Hyperomyzus lactucae、麦长管蚜(Macrosiphum avenae)、大戟长管蚜(Macrosiphum euphorbiae)、蔷薇管蚜(Macrosiphon rosae)、巢莱修尾蚜(Megoura viciae)、Melanaphis pyrarius、麦无网蚜(Metopolophium dirhodum)、Myzodes persicae、冬葱瘤额蚜(Myzus ascalonicus)、Myzus cerasi、李瘤蚜(Myzus varians)、黑茶镳子衲长管蚜(Nasonovia ribis-nigri)、二点黑尾叶蝉(Nephotettix virescens)、稻飞虱(Nilaparvata lugens)、囊柄瘿绵蚜(Pemphigus bursarius)、蔗飞虱(Perkinsiella saccharicida)、忽布疣蚜(Phorodon humuli)、苹木虱(Psylla mali)、梨木虱(Psylla piri)、冬葱瘤蛾蚜(Rhopalomyzus ascalonicus)、玉米蚜(Rhopalosiphum maidis)、禾谷溢管蚜(Rhopalosiphum padi)、苹草缢管蚜(Rhopalosiphum insertum)、 Sappaphis mala、Sappaphis mali、麦二叉蚜(Schizaphis graminum)、Schizoneura lanuginosa、麦长管蚜(Sitobion avenae)、白粉虱(Trialeurodes vaporariorum)、桔二叉蚜(Toxoptera aurantiiand)、葡萄根瘤蚜(Viteus vitifolii)、温带臭虫(Cimex lectularius)、热带臭虫(Cimex hemipterus)、Reduvius senilis、Triatoma属和Arilus critatus;
蚂蚁、蜜蜂、黄蜂、锯蝇(膜翅目(Hymenoptera)),例如新疆菜叶蜂(Athalia rosae)、切叶蚁(Atta cephalotes)、Atta capiguara、Atta cephalotes、Atta laevigata、Atta robusta、Atta sexdens、Atta texana、举腹蚁属(Crematogaster spp.)、Hoplocampa minuta、Hoplocampa testudinea、Lasius niger、小黄家蚁(Monomorium pharaonis)、热带火蚁(Solenopsis geminata)、红火蚁(Solenopsis invicta)、黑火蚁(Solenopsis richteri)、南方火蚁(Solenopsis xyloni)、红蚂蚁(Pogonomyrmex barbatus)、Pogonomyrmex californicus、Pheidole megacephala、天鹅绒蚂蚁(Dasymutilla occidentalis)、熊蜂属(Bombus spp.)、大黄蜂(Vespula squamosa)、Paravespula vulgaris、Paravespula pennsylvanica、Paravespula germanica、姬胡蜂(Dolichovespula maculata)、黄边胡蜂(Vespa crabro)、胡蜂(Polistes rubiginosa)、Campodontus floridanus和阿根廷蚁(Linepithema humile);
蟋蟀、蚱蜢、蝗虫(直翅目(Orthoptera)),例如居屋艾蟋(Acheta domestica)、蝼蛄(Gryllotalpa gryllotalpa)、飞蝗(Locusta migratoria)、双纹黑蝗(Melanoplus bivittatus)、红足黑蝗(Melanoplus femurrubrum)、墨西哥黑蝗(Melanoplus mexicanus)、迁飞黑蝗(Melanoplus sanguinipes)、石栖黑蝗(Melanoplus spretus)、条纹红蝗(Nomadacris septemfasciata)、美洲沙漠蝗(Schistocerca americana)、沙漠蝗(Schistocerca gregaria)、摩洛哥戟纹蝗(Dociostaurus maroccanus)、庭疾灶螽(Tachycines asynamorus)、Oedaleus senegalensis、臭腹腺蝗(Zonozerus variegatus)、Hieroglyphus daganensis、Kraussaria angulifera、意大利蝗(Calliptamus italicus)、澳大利亚灾蝗(Chortoicetes terminifera)和褐飞蝗(Locustana pardalina);
蜘蛛纲(Arachnoidea),如蜘蛛(蜱螨目(Acarina)),例如软蜱科(Argasidae)、 硬蜱科(Ixodidae)和疥螨科(Sarcoptidae),如长星形壁虱(Amblyomma americanum)、热带花蜱(Amblyomma variegatum)、Ambryomma maculatum、波斯锐缘蜱(Argas persicus)、牛壁虱(Boophilus annulatus)、Boophilus decoloratus、微小牛蜱(Boophilus microplus)、Dermacentor silvarum、安氏革螨(Dermacentor andersoni)、美洲大革螨(Dermacentor variabilis)、Hyalomma truncatum、蓖子硬蜱(Ixodes ricinus)、Ixodes rubicundus、黑脚硬蜱(Ixodes scapularis)、全环硬蜱(Ixodes holocyclus)、太平洋硬蜱(Ixodes pacificus)、Ornithodorus moubata、Ornithodorus hermsi、Ornithodorus turicata、柏氏禽刺螨(Ornithonyssus bacoti)、Otobius megnini、鸡皮刺螨(Dermanyssus gallinae)、绵羊疥病(Psoroptes ovis)、棕色犬壁虱(Rhipicephalus sanguineus)、Rhipicephalus appendiculatus、Rhipicephalus evertsi、人疥螨(Sarcoptes scabiei),以及瘿螨属(Eriophyidae spp.),如苹果刺锈螨(Aculus schlechtendali)、Phyllocoptrata oleivora和Eriophyes sheldoni;细螨属(Tarsonemidae spp.),如Phytonemus pallidus和侧多食跗线螨(Polyphagotarsonemus latus);细须螨属(Tenuipalpidae spp.),如紫红短须螨(Brevipalpus phoenicis);叶螨属(Tetranychidae spp.),如朱砂叶螨(Tetranychus cinnabarinus)、神泽叶螨(Tetranychus kanzawai)、太平洋叶螨(Tetranychus pacificus)、棉叶螨(Tetranychus telarius)和二点叶螨(Tetranychus urticae),苹果叶螨(Panonychus ulmi)、柑椐叶螨(Panonychus citri)和oligonychus pratensis;蜘蛛目(Araneida),例如毒蜘蛛(Latrodectus mactans)和褐隐毒蛛(Loxosceles reclusa);
蚤(蚤目(Siphonaptera)),例如猫蚤(Ctenocephalides felis)、狗蚤(Ctenocephalides canis)、印鼠客蚤(Xenopsylla cheopis)、致痒蚤(Pulex irritans)、穿皮潜蚤(Tunga penetrans)和具带病蚤(Nosopsyllus fasciatus),衣鱼、家衣鱼(缨尾目(Thysanura)),例如西洋衣鱼(Lepisma saccharina)和斑衣鱼(Thermobia domestica),
百足虫(唇足纲(Chilopoda)),例如Scutigera coleoptrata,
千足虫(倍足纲(Diplopoda)),例如Narceus属,
蠼蛸(革翅目(Dermaptera)),例如欧洲球螋(forficula auricularia),
虱(毛虱目(Phthiraptera)),例如人头虱(Pediculus humanus capitis)、人体虱(Pediculus humanus corporis)、阴虱(Pthirus pubis)、牛血虱(Haematopinus eurysternus)、猪血虱(Haematopinus suis)、牛颚虱(Linognathus vituli)、Bovicola bovis、鸡虱(Menopon gallinae)、Menacanthus stramineus和Solenopotes capillatus。
弹尾目(Collembola(跳虫)),例如北极棘跳虫属(Onychiurus spp.)。
本发明化合物,包括其盐、立体异构体和互变异构体还适合防治线虫:植物寄生线虫如根结线虫,北方根结线虫(Meloidogyne hapla)、南方根结线虫(Meloidogyne incognita)、爪哇根结线虫(Meloidogyne javanica)和其他根结线虫(Meloidogyne)属;形成胞囊的线虫,马铃薯金线虫(Globodera rostochiensis)和其他球胞囊(Globodera)属;禾谷胞囊线虫(Heterodera avenae)、大豆胞囊线虫(Heterodera glycines)、甜菜胞囊线虫(Heterodera schachtii)、三叶草胞囊线虫(Heterodera trifolii)和其他胞囊线虫(Heterodera)属;种子肿瘿线虫,粒线虫(Anguina)属;茎叶线虫,滑刃线虫(Aphelenchoides)属;刺线虫,杂草刺线虫(Belonolaimus longicaudatus)和其他针刺线虫(Belonolaimus)属;松线虫,松材线虫(Bursaphelenchus xylophilus)和其他伞滑刃线虫(Bursaphelenchus)属;环线虫,环纹线虫(Criconema)属、小环线虫(Criconemella)属、轮线虫(Criconemoides)属、中环线虫(Mesocriconema)属;球茎线虫,腐烂茎线虫(Ditylenchus destructor)、甘薯茎线虫(Ditylenchus dipsaci)和其他茎线虫(Ditylenchus)属;锥线虫,锥线虫(Dolichodorus)属;螺旋形线虫,Heliocotylenchus multicinctus和其他Helicotylenchus属;鞘线虫和鞘形线虫,鞘线虫(Hemicycliophora)属和半轮线虫(Hemicriconemoides)属;潜根线虫(Hirshmanniella)属;冠线虫,枪线虫(Hoplolaimus)属;伪根结线虫,珍珠线虫(Nacobbus)属;针线虫,横带长针线虫(Longidorus elongatus)和其他长针线虫(Longidorus)属;根腐线虫,Pratylencus neglectus、穿刺根腐线虫(Pratylenchus penetrans)、Pratylenchus curvitatus、全体短体线虫(Pratylenchus goodeyi)和其他根腐线虫(Pratylenchus)属;穿孔线虫,香蕉 穿孔线虫(Radopholus similis)和其他穿孔线虫(Radopholus)属;肾形线虫,Rotylenchus robustus和其他盘旋线虫(Rotylenchus)属;Scutellonema属;残根线虫,原始毛刺线虫(Trichodorus primitivus)和其他毛刺线虫(Trichodorus)属;拟毛刺(Paratrichodorus)属;阻长线虫,马齿苋矮化线虫(Tylenchorhynchus claytoni)、顺逆矮化线虫(Tylenchorhynchus dubius)和其他矮化线虫(Tylenchorhynchus)属;柑桔线虫,半穿刺线虫(Tylenchulus)属;剑线虫,剑线虫(Xiphinema)属;以及其他植物寄生线虫属。
本发明化合物,包括其盐、立体异构体和互变异构体特别可用于防治昆虫,优选嚼吸式和咀嚼式和刺吸式和吮吸式昆虫如鳞翅目、鞘翅目和半翅目,尤其是鳞翅目、鞘翅目和蝽象(true Bugs)属的昆虫。
此外,本发明化合物,包括其盐、立体异构体和互变异构体可用于防治缨翅目、双翅目(尤其是蝇、蚊)、膜翅目(尤其是蚂蚁)和等翅目(尤其是白蚁)的昆虫。
本发明化合物,包括其盐、立体异构体和互变异构体特别可用于防治鳞翅目和鞘翅目的昆虫。
本发明化合物可转化成常规配制剂,例如溶液、乳液、悬浮液、粉剂、粉末、糊、颗粒和可直接喷雾溶液。使用形式取决于具体目的和施用方法。在每种情况下应选择配制剂和施用方法以确保本发明化合物细且均匀分布。
配制剂以已知方式制备(对于综述例如参见US3,060,084,EP-A707445(对于液体浓缩物),Browning,―Agglomeration‖,Chemical Engineering,1967年12月4日,147-48,Perry's Chemical Engineer's Handbook,第4版,McGraw-Hill,New York,1963,第8-57页及随后各页,WO91/13546,US4,172,714,US4,144,050,US3,920,442,US5,180,587,US5,232,701,US5,208,030,GB2,095,558,US3,299,566,Klingman,Weed Control as a Science,John Wiley and Sons,Inc.,New York,1961,Hance等,Weed Control Handbook,第8版,Blackwell Scientific Publications,Oxford,1989和Mollet,H.,Grubemann,A., Formulation technology,Wiley VCH Verlag GmbH,Weinheim(德国),2001,2.D.A.Knowles,Chemistry and Technology of Agrochemical Formulations,Kluwer Academic Publishers,Dordrecht,1998(ISBN0-7514-0443-8),例如通过将活性化合物与适合配制农用化学品的助剂如溶剂和/或载体,需要的话乳化剂、表面活性剂和分散剂、防腐剂、消泡剂、防冻剂、用于种子处理配制剂还有任选的着色剂和/或粘合剂和/或胶凝剂混合而制备。
合适的溶剂/载体例如为:
-溶剂如水,芳族溶剂(例如Solvesso产品、二甲苯等),石蜡(例如矿物油馏分),醇类(例如甲醇、丁醇、戊醇、苄醇),酮类(例如环己酮、γ-丁内酯),吡咯烷酮类[N-甲基吡咯烷酮(NMP),N-辛基吡咯烷酮(NOP)],乙酸酯类(乙二醇二乙酸酯),乳酸烷基酯,内酯如g-丁内酯,二元醇,脂肪酸二甲基酰胺,脂肪酸及脂肪酸酯,甘油三酯,植物或动物来源的油以及改性油如烷基化植物油。原则上还可以使用溶剂混合物。
-载体如磨碎的天然矿物和磨碎的合成矿物,如硅胶、细碎硅酸、硅酸盐、滑石、高岭土、活性粘土(attaclay)、石灰石、石灰、白垩、红玄武土、黄土、粘土、白云石、硅藻土、硫酸钙、硫酸镁、氧化镁;磨碎的合成材料;肥料如硫酸铵、磷酸铵、硝酸铵、脲类;植物来源的产品如谷粉、树皮粉、木粉和坚果壳粉,纤维素粉和其它固体载体。
合适的乳化剂为非离子和阴离子乳化剂(例如聚氧乙烯脂肪醇醚、烷基磺酸酯和芳基磺酸酯)。
分散剂的实例为木素亚硫酸盐废液和甲基纤维素。
合适的表面活性剂是表面活性物质,如阴离子、阳离子、非离子和两性表面活性剂,嵌段聚合物,聚电解质,以及它们的混合物。该类表面活性剂可以用作乳化剂、分散剂、加溶剂、润湿剂、渗透促进剂、保护性胶体或辅助剂。表面活性剂的实例列于McCutcheon’s,第1卷:Emulsifiers&Detergents,McCutcheon’s Directories,Glen Rock,USA,2008(International Ed.或North American Ed.)中。
合适的阴离子表面活性剂是磺酸、硫酸、磷酸、羧酸的碱金属、碱土 金属或铵盐以及它们的混合物。磺酸盐的实例是烷基芳基磺酸盐、二苯基磺酸盐、α-烯烃磺酸盐、木素磺酸盐、脂肪酸和油的磺酸盐、乙氧基化烷基酚的磺酸盐、烷氧基化芳基酚的磺酸盐、缩合萘的磺酸盐、十二烷基-和十三烷基苯的磺酸盐、萘和烷基萘的磺酸盐、磺基琥珀酸盐或磺基琥珀酰胺酸盐。硫酸盐的实例是脂肪酸和油的硫酸盐、乙氧基化烷基酚的硫酸盐、醇的硫酸盐、乙氧基化醇的硫酸盐或脂肪酸酯的硫酸盐。磷酸盐的实例是磷酸盐酯。羧酸盐的实例是烷基羧酸盐以及羧化醇或烷基酚乙氧基化物。
合适的非离子表面活性剂是烷氧基化物,N-取代的脂肪酸酰胺,胺氧化物,酯类,糖基表面活性剂,聚合物表面活性剂及其混合物。烷氧基化物的实例是诸如已经被1-50当量烷氧基化的醇、烷基酚、胺、酰胺、芳基酚、脂肪酸或脂肪酸酯的化合物。可以将氧化乙烯和/或氧化丙烯,优选氧化乙烯用于烷氧基化。N-取代的脂肪酸酰胺的实例是脂肪酸葡糖酰胺或脂肪酸链烷醇酰胺。酯类的实例是脂肪酸酯,甘油酯或甘油单酯。糖基表面活性剂的实例是脱水山梨醇、乙氧基化脱水山梨醇、蔗糖和葡萄糖酯或烷基聚葡糖苷。聚合物表面活性剂的实例是乙烯基吡咯烷酮、乙烯醇或乙酸乙烯酯的均聚物或共聚物。
合适的阳离子表面活性剂是季型表面活性剂,例如具有1或2个疏水性基团的季铵化合物,或长链伯胺的盐。合适的两性表面活性剂是烷基甜菜碱和咪唑啉类。合适的嵌段聚合物是包含聚氧乙烯和聚氧丙烯的嵌段的A-B或A-B-A类型嵌段聚合物,或包含链烷醇、聚氧乙烯和聚氧丙烯的A-B-C类型嵌段聚合物。合适的聚电解质是聚酸或聚碱。聚酸的实例是聚丙烯酸的碱金属盐或聚酸梳状聚合物。聚碱的实例是聚乙烯基胺或聚乙烯胺。
合适的辅助剂是本身具有可忽略的农药活性或者本身甚至没有农药活性且改善化合物I对目标物的生物学性能的化合物。实例是表面活性剂,矿物油或植物油以及其他助剂。其他实例由Knowles,Adjuvants and additives,Agrow Reports DS256,T&F Informa UK,2006,第5章列出。
还可以将防冻剂如甘油、乙二醇、丙二醇和杀菌剂如拌棉醇(bronopol) 和异噻唑啉酮衍生物如烷基异噻唑啉酮和苯并异噻唑啉酮加入配制剂中。
合适的消泡剂例如为基于硅或硬脂酸镁的消泡剂。
合适的防腐剂例如为二氯芬和苄醇半缩甲醛。
合适的增稠剂是赋予配制剂以假塑性流动行为,即静止状态下的高粘度和搅动状态下的低粘度的化合物。就此而言例如可以提到基于多糖的市售增稠剂,如Xanthan(Kelco的)、23(Rhone Poulenc)或(R.T.Vanderbilt),或有机页硅酸盐(phyllosilicate),如(Engelhardt)。适合本发明分散体的消泡剂例如为聚硅氧烷乳液(例如SRE,Wacker或Rhodia的),长链醇,脂肪酸,有机氟化合物及其混合物。可以加入生物杀伤剂以稳定根据本发明的组合物免受微生物侵袭。合适的生物杀伤剂例如基于异噻唑啉酮类如以商标由Avecia(或Arch)或以商标RS由Thor Chemie和以商标MK由Rohm&Haas销售的化合物。合适的防冻剂是有机多元醇,例如乙二醇、丙二醇或甘油。这些通常基于活性化合物组合物的总重量以不超过10重量%的量使用。合适的话,本发明的活性化合物组合物可以基于所制备的配制剂总量包含1-5重量%缓冲剂,以调节pH,所用缓冲剂的量和类型取决于活性化合物的化学性能。缓冲剂的实例是弱无机或有机酸如磷酸、硼酸、乙酸、丙酸、柠檬酸、富马酸、酒石酸、草酸和琥珀酸的碱金属盐。
适于制备可直接喷雾溶液、乳液、糊或油分散体的物质是中沸点到高沸点的矿物油馏分,如煤油或柴油,此外还有煤焦油和植物或动物来源的油,脂族、环状和芳族烃,例如甲苯、二甲苯、石蜡、四氢化萘、烷基化萘或其衍生物、甲醇、乙醇、丙醇、丁醇、环己醇、环己酮、异佛尔酮,强极性溶剂,例如二甲亚砜、N-甲基吡咯烷酮和水。
粉末、撒播用材料和粉剂可以通过将活性物质与固体载体混合或同时研磨而制备。
颗粒如涂覆颗粒、浸渍颗粒和均质颗粒可以通过将活性成分与固体载体粘附而制备。固体载体的实例是矿土如硅胶、硅酸盐、滑石、高岭土、活性粘土、石灰石、石灰、白垩、红玄武土、黄土、粘土、白云石、硅藻 土、硫酸钙、硫酸镁、氧化镁;磨碎的合成材料;肥料如硫酸铵、磷酸铵、硝酸铵、脲;植物来源的产品如谷粉、树皮粉、木粉和坚果壳粉,纤维素粉和其它固体载体。
配制剂,即根据本发明的组合物通常包含0.01-95重量%,优选0.1-90重量%活性成分。活性成分以90-100重量%,优选95-100重量%的纯度(根据NMR光谱)使用。
对于种子处理目的,相应配制剂可以稀释2-10倍,从而在即用制剂中得到0.01-60重量%,优选0.1-40重量%的活性化合物浓度。
本发明化合物可以直接、以其配制剂形式或由其制备的使用形式(如可直接喷雾溶液、粉末、悬浮液或分散体、乳液、油分散体、糊、可撒粉产品、撒播用材料或颗粒形式),借助喷雾、雾化、撒粉、撒播或浇灌来使用。使用形式完全取决于意欲的目的;在任何情况下意欲确保本发明活性化合物的最佳可能分布。
下列为配制剂实例:
1.用水稀释的产品。对于种子处理目的,该类产品可以稀释或不加稀释地施用于种子。
A)水溶性浓缩物(SL、LS)
将10重量份活性化合物溶于90重量份水或水溶性溶剂中。作为替换,加入润湿剂或其它助剂。活性化合物经水稀释溶解,从而得到具有10%(重量)活性化合物的配制剂。
B)分散性浓缩物(DC)
将20重量份活性化合物溶于70重量份环己酮中并加入10重量份分散剂如聚乙烯基吡咯烷酮。用水稀释得到分散体,从而得到具有20%(重量)活性化合物的配制剂。
C)可乳化浓缩物(EC)
将15重量份活性化合物溶于7重量份二甲苯中并加入十二烷基苯磺酸钙和蓖麻油乙氧基化物(在每种情况下为5重量份)。用水稀释得到乳液,从而得到具有15%(重量)活性化合物的配制剂。
D)乳液(EW、EO、ES)
将25重量份活性化合物溶于35重量份二甲苯中并加入十二烷基苯磺酸钙和蓖麻油乙氧基化物(在每种情况下为5重量份)。借助乳化机(例如Ultraturrax)将该混合物引入30重量份水中并制成均相乳液。用水稀释得到乳液,从而得到具有25%(重量)活性化合物的配制剂。
E)悬浮液(SC、OD、FS)
在搅拌的球磨机中,将20重量份活性化合物粉碎并加入10重量份分散剂、润湿剂和70重量份水或有机溶剂,得到细活性化合物悬浮液。用水稀释得到稳定的活性化合物悬浮液,从而得到具有20%(重量)活性化合物的配制剂。
F)水分散性颗粒和水溶性颗粒(WG、SG)
将50重量份活性化合物细研磨并加入50重量份分散剂和润湿剂,借助工业装置(如挤出机、喷雾塔、流化床)将其制成水分散性或水溶性颗粒。用水稀释得到稳定的活性化合物分散体或溶液,从而得到具有50%(重量)活性化合物的配制剂。
G)水分散性粉末和水溶性粉末(WP、SP、SS、WS)
将75重量份活性化合物在转子-定子磨机中研磨并加入25重量份分散剂、润湿剂和硅胶。用水稀释得到稳定的活性化合物分散体或溶液,从而得到具有75%(重量)活性化合物的配制剂。
H)凝胶配制剂(GF)
在搅拌的球磨机中将20重量份活性化合物研磨,并加入10重量份分散剂、1重量份胶凝剂、润湿剂和70重量份水或有机溶剂,得到细活性化合物悬浮液。用水稀释得到活性化合物的稳定悬浮液,从而得到具有20%(重量)活性化合物的配制剂。
2.叶面施用的不经稀释而施用的产品。对于种子处理目的,该类产品可以稀释或不加稀释地施用于种子。
I)可撒粉粉末(DP、DS)
将5重量份活性化合物细研磨并与95重量份细高岭土充分混合。这得到具有5%(重量)活性化合物的可撒粉产品。
J)颗粒(GR、FG、GG、MG)
将0.5重量份活性化合物细研磨并结合95.5重量份载体,从而得到具有0.5%(重量)活性化合物的配制剂。现行方法是挤出、喷雾干燥或流化床方法。这得到叶面使用的不经稀释而施用的颗粒。
K)ULV溶液(UL)
将10重量份活性化合物溶于90重量份有机溶剂如二甲苯中。这得到具有10%(重量)活性化合物的产品,其不经稀释而施用于叶面。
含水使用形式可以通过添加水由乳液浓缩物、糊或可湿性粉末(可喷雾粉末或油分散体)制备。为制备乳液、糊或油分散体,可借助湿润剂、增粘剂、分散剂或乳化剂将直接或溶于油或溶剂中的该物质在水中均化。替换地,可以制备由活性物质、湿润剂、增粘剂、分散剂或乳化剂以及合适的话溶剂或油构成的浓缩物且该类浓缩物适于用水稀释。
即用产品中的活性成分浓度可以在相对宽的范围内变化。它们通常为0.0001-10%,优选0.001-1%。
活性成分也可成功用于超低容量法(ULV),其中可以施用包含超过95重量%活性物质的配制剂,或甚至施用不含添加剂的活性成分。
在本发明方法和用途中,根据本发明的化合物可以与其他活性成分一起施用,例如与其他农药、杀虫剂、除草剂,肥料如硝酸铵、脲、钾碱和过磷酸钙,植物毒素以及植物生长调节剂、安全剂和杀线虫剂。这些额外成分可以与上述组合物依次或结合使用,合适的话也仅在紧临使用前加入(桶混物)。例如可以在用活性成分处理之前或之后用本发明组合物喷雾植物。
根据本发明的化合物可以与其一起使用并且可能产生潜在的协同增效作用的下列农药M用来说明可能的组合,但不施加任何限制:
M.1.有机(硫代)磷酸酯化合物:高灭磷(acephate)、唑啶磷(azamethiphos)、乙基谷硫磷(azinphos-ethyl)、谷硫磷(azinphos-methyl)、氯氧磷(chlorethoxyfos)、毒虫畏(chlorfenvinphos)、氯甲硫磷(chlormephos)、毒死蜱(chlorpyrifos)、甲基毒死蜱(chlorpyrifos-methyl)、蝇毒磷(coumaphos)、杀螟腈(cyanophos)、甲基内吸磷(demeton-S-methyl)、二嗪农(diazinon)、敌敌畏(dichlorvos/DDVP)、百治磷(dicrotophos)、乐果 (dimethoate)、甲基毒虫畏(dimethylvinphos)、乙拌磷(disulfoton)、EPN、乙硫磷(ethion)、丙线磷(ethoprophos)、伐灭磷(famphur)、苯线磷(fenamiphos)、杀螟松(fenitrothion)、倍硫磷(fenthion)、吡氟硫磷(flupyrazophos)、噻唑硫磷(fosthiazate)、庚烯磷(heptenophos)、异唑磷(isoxathion)、马拉硫磷(malathion)、灭蚜磷(mecarbam)、甲胺磷(methamidophos)、杀扑磷(methidathion)、速灭磷(mevinphos)、久效磷(monocrotophos)、二溴磷(naled)、氧乐果(omethoate)、砜吸磷(oxydemeton-methyl)、一六零五(parathion)、甲基对硫磷(parathion-methyl)、稻丰散(phenthoate)、甲拌磷(phorate)、伏杀磷(phosalone)、亚胺硫磷(phosmet)、磷胺(phosphamidon)、辛硫磷(phoxim)、虫螨磷(pirimiphos-methyl)、丙溴磷(profenofos)、巴胺磷(propetamphos)、丙硫磷(prothiofos)、吡唑硫磷(pyraclofos)、哒嗪硫磷(pyridaphenthion)、喹硫磷(quinalphos)、治螟磷(sulfotep)、丁基嘧啶磷(tebupirimfos)、双硫磷(temephos)、特丁磷(terbufos)、杀虫威(tetrachlorvinphos)、甲基乙拌磷(thiometon)、三唑磷(triazophos)、敌百虫(trichlorfon)、蚜灭磷(vamidothion);
M.2.氨基甲酸酯化合物:涕灭威(aldicarb)、棉铃威(alanycarb)、虫威(bendiocarb)、丙硫克百威(benfuracarb)、丁酮威(butocarboxim)、丁酮氧威(butoxycarboxim)、甲萘威(carbaryl)、虫螨威(carbofuran)、丁硫克百威(carbosulfan)、苯虫威(ethiofencarb)、仲丁威(fenobucarb)、抗螨脒(formetanate)、呋线威(furathiocarb)、异丙威(isoprocarb)、灭虫威(methiocarb)、灭多虫(methomyl)、速灭威(metolcarb)、甲氨叉威(oxamyl)、抗蚜威(pirimicarb)、残杀威(propoxur)、硫双威(thiodicarb)、久效威(thiofanox)、混杀威(trimethacarb)、XMC、灭杀威(xylylcarb)、唑蚜威(triazamate);
M.3.合成除虫菊酯化合物:氟丙菊酯(acrinathrin)、丙烯除虫菊(allethrin)、右旋丙烯菊酯(d-cis-trans allethrin)、右旋反式丙烯菊酯(d-trans allethrin)、氟氯菊酯(bifenthrin)、生物烯丙菊酯(bioallethrin)、2-环戊烯基生物烯丙菊酯(bioallethrin S-cyclopentenyl)、生物苄呋菊酯 (bioresmethrin)、乙氰菊酯(cycloprothrin)、氟氯氰菊酯(cyfluthrin)、高效氟氯氰菊酯(beta-cyfluthrin)、(RS)氯氟氰菊酯(cyhalothrin)、氯氟氰菊酯(lambda-cyhalothrin)、精高效氯氟氰菊酯(gamma-cyhalothrin)、氯氰菊酯(cypermethrin)、甲体氯氰菊酯(alpha-cypermethrin)、乙体氯氰菊酯(beta-cypermethrin)、高效反式氯氰菊酯(theta-cypermethrin)、己体氯氰菊酯(zeta-cypermethrin)、苯醚氰菊酯(cyphenothrin)、溴氰菊酯(deltamethrin)、烯炔菊酯(empenthrin)、高氰戊菊酯(esfenvalerate)、醚菊酯(etofenprox)、甲氰菊酯(fenpropathrin)、杀灭菊酯(fenvalerate)、氟氰戊菊酯(flucythrinate)、氟氯苯菊酯(flumethrin)、氟胺氰菊酯(tau-fluvalinate)、溴氟醚菊酯(halfenprox)、咪炔菊酯(imiprothrin)、甲氧苄氟菊酯(metofluthrin)、氯菊酯(permethrin)、苯醚菊酯(phenothrin)、炔酮菊酯(prallethrin)、丙氟菊酯(profluthrin)、除虫菊酯(pyrethrin(除虫菊(pyrethrum)))、灭虫菊(resmethrin)、灭虫硅醚(silafluofen)、七氟菊酯(tefluthrin)、胺菊酯(tetramethrin)、四溴菊酯(tralomethrin)、四氟菊酯(transfluthrin);
M.4.保幼激素模拟物:蒙512(hydroprene)、烯虫炔酯(kinoprene)、蒙五一五(methoprene)、双氧威(fenoxycarb)、蚊蝇醚(pyriproxyfen);
M.5.烟酸受体激动剂/拮抗剂化合物:吡虫清(acetamiprid)、杀虫磺(bensultap)、杀螟丹(cartap hydrochloride)、噻虫胺(clothianidin)、呋虫胺(dinotefuran)、吡虫啉(imidacloprid)、噻虫嗪(thiamethoxam)、硝胺烯啶(nitenpyram)、烟碱(nicotine)、艾克敌105(spinosad)(别构激动剂)、乙基多杀菌素(spinetoram)(别构激动剂)、噻虫啉(thiacloprid)、杀虫环(thiocyclam)、杀虫双(thiosultap-sodium)和AKD1022;
M.6.GABA门控氯离子通道拮抗剂化合物:氯丹(chlordane)、硫丹(endosulfan)、林丹(gamma-HCH(lindane))、乙虫腈(ethiprole)、锐劲特(fipronil)、pyrafluprole、pyriprole;
M.7.氯离子通道活化剂:齐墩螨素(abamectin)、甲氨基阿维菌素苯甲酸盐(emamectin benzoate)、米尔螨素(milbemectin)、lepimectin;
M.8.METI I化合物:喹螨醚(fenazaquin)、唑螨酯(fenpyroximate)、嘧螨 醚(pyrimidifen)、哒螨酮(pyridaben)、吡螨胺(tebufenpyrad)、唑虫酰胺(tolfenpyrad)、嘧虫胺(flufenerim)、鱼藤酮(rotenone);
M.9.METI II和III化合物:灭螨醌(acequinocyl)、fluacyprim、灭蚁腙(hydramethylnon);
M.10.氧化磷酸化去偶剂:氟唑虫清(chlorfenapyr)、二硝酚(DNOC);
M.11.氧化磷酸化抑制剂:三唑锡(azocyclotin)、三环锡(cyhexatin)、杀螨硫隆(diafenthiuron)、杀螨锡(fenbutatin oxide)、克螨特(propargite)、三氯杀螨砜(tetradifon);
M.12.蜕皮干扰剂:灭蝇胺(cyromazine)、环虫酰肼(chromafenozide)、特丁苯酰肼(halofenozide)、甲氧苯酰肼(methoxyfenozide)、双苯酰肼(tebufenozide);
M.13.增效剂:增效醚(piperonyl butoxide)、脱叶膦(tribufos);
M.14.钠通道阻断剂化合物:二唑虫(indoxacarb)、氰氟虫胺(metaflumizone);
M.15.熏蒸剂:溴甲烷(methyl bromide)、氯化苦(chloropicrin)、磺酰氟(sulfuryl fluoride);
M.16.选择性进食阻断剂:crylotie、拒嗪酮(pymetrozine)、氟啶虫酰胺(flonicamid);
M.18.几丁质合成抑制剂:噻嗪酮(buprofezin)、双三氟虫脲(bistrifluron)、定虫隆(chlorfluazuron)、氟脲杀(diflubenzuron)、氟螨脲(flucycloxuron)、氟虫脲(flufenoxuron)、氟铃脲(hexaflumuron)、氟丙氧脲(lufenuron)、双苯氟脲(novaluron)、多氟虫酰脲(noviflumuron)、伏虫隆(teflubenzuron)、杀虫隆(triflumuron);
M.19.类脂生物合成抑制剂:螺螨酯(spirodiclofen)、螺甲螨酯(spiromesifen)、螺虫乙酯(spirotetramat);
M.20.章鱼胺能激动剂(Octapaminergic agonsits):双甲脒(amitraz);
M.21.鱼尼汀(Ryanodine)受体调节剂:氟虫酰胺(flubendiamide)和邻苯二 酰胺化合物(R)-、(S)-3-氯-N1-{2-甲基-4-[1,2,2,2-四氟-1-(三氟甲基)乙基]苯基}-N2-(1-甲基-2-甲基磺酰基乙基)邻苯二甲酰胺(M21.1);
M.22.异唑啉化合物:4-[5-(3,5-二氯苯基)-5-三氟甲基-4,5-二氢异唑-3-基]-2-甲基-N-吡啶-2-基甲基苯甲酰胺(M22.1)、4-[5-(3,5-二氯苯基)-5-三氟甲基-4,5-二氢异唑-3-基]-2-甲基-N-(2,2,2-三氟乙基)苯甲酰胺(M22.2)、4-[5-(3,5-二氯苯基)-5-三氟甲基-4,5-二氢异唑-3-基]-2-甲基-N-[(2,2,2-三氟乙基氨基甲酰基)甲基]苯甲酰胺(M22.3)、4-[5-(3,5-二氯苯基)-5-三氟甲基-4,5-二氢异唑-3-基]萘-1-甲酸[(2,2,2-三氟乙基氨基甲酰基)甲基]酰胺(M22.4)、4-[5-(3,5-二氯苯基)-5-三氟甲基-4,5-二氢异唑-3-基]-N-[(甲氧亚氨基)甲基]-2-甲基苯甲酰胺(M22.5)、4-[5-(3-氯-5-三氟甲基苯基)-5-三氟甲基-4,5-二氢异唑-3-基]-2-甲基-N-[(2,2,2-三氟乙基氨基甲酰基)甲基]苯甲酰胺(M22.6)、4-[5-(3-氯-5-三氟甲基苯基)-5-三氟甲基-4,5-二氢异唑-3-基]萘-1-甲酸[(2,2,2-三氟乙基氨基甲酰基)甲基]酰胺(M22.7)和5-[5-(3,5-二氯-4-氟苯基)-5-三氟甲基-4,5-二氢异唑-3-基]-2-[1,2,4]三唑-1-基苄腈(M22.8);
M.23.邻氨基苯甲酰胺化合物:氯虫酰胺(chloranthraniliprole)、氰虫酰胺(cyantraniliprole)、5-溴-2-(3-氯吡啶-2-基)-2H-吡唑-3-甲酸[4-氰基-2-(1-环丙基乙基氨基甲酰基)-6-甲基苯基]酰胺(M23.1)、5-溴-2-(3-氯吡啶-2-基)-2H-吡唑-3-甲酸[2-氯-4-氰基-6-(1-环丙基乙基氨基甲酰基)苯基]酰胺(M23.2)、5-溴-2-(3-氯吡啶-2-基)-2H-吡唑-3-甲酸[2-溴-4-氰基-6-(1-环丙基乙基氨基甲酰基)苯基]酰胺(M23.3)、5-溴-2-(3-氯吡啶-2-基)-2H-吡唑-3-甲酸[2-溴-4-氯-6-(1-环丙基乙基氨基甲酰基)苯基]酰胺(M23.4)、5-溴-2-(3-氯吡啶-2-基)-2H-吡唑-3-甲酸[2,4-二氯-6-(1-环丙基乙基氨基甲酰基)苯基]酰胺(M23.5)、5-溴-2-(3-氯吡啶-2-基)-2H-吡唑-3-甲酸[4-氯-2-(1-环丙基乙基氨基甲酰基)-6-甲基苯基]酰胺(M23.6)、N'-(2-{[5-溴-2-(3-氯吡啶-2-基)-2H-吡唑-3-羰基]氨基}-5-氯-3-甲基苯甲酰基)肼甲酸甲酯(M23.7)、N'-(2-{[5-溴-2-(3-氯吡啶-2-基)-2H-吡唑-3-羰基]氨基}-5-氯-3-甲基苯甲酰基)-N'-甲基肼甲酸甲酯(M23.8)、N'-(2-{[5-溴-2-(3-氯吡啶-2-基)-2H-吡唑-3-羰基]氨基}-5-氯-3-甲基苯甲酰基)-N,N'-二甲基肼甲酸甲酯(M23.9)、 N'-(3,5-二溴-2-{[5-溴-2-(3-氯吡啶-2-基)-2H-吡唑-3-羰基]氨基}苯甲酰基)肼甲酸甲酯(M23.10)、N'-(3,5-二溴-2-{[5-溴-2-(3-氯吡啶-2-基)-2H-吡唑-3-羰基]氨基}苯甲酰基)-N'-甲基肼甲酸甲酯(M23.11)和N'-(3,5-二溴-2-{[5-溴-2-(3-氯吡啶-2-基)-2H-吡唑-3-羰基]氨基}苯甲酰基)-N,N'-二甲基肼甲酸甲酯(M23.12);
M.24.丙二腈化合物:2-(2,2,3,3,4,4,5,5-八氟戊基)-2-(3,3,3-三氟丙基)丙二腈(CF2HCF2CF2CF2CH2C(CN)2CH2CH2CF3)(M24.1)和2-(2,2,3,3,4,4,5,5-八氟戊基)-2-(3,3,4,4,4-五氟丁基)丙二腈(CF2HCF2CF2-CF2CH2C(CN)2CH2CH2CF2CF3)(M24.2);
M.25.微生物干扰剂:苏云金芽孢杆菌以色列亚种(Bacillus thuringiensis subsp.Israelensis)、球形芽孢杆菌(Bacillus sphaericus)、苏云金芽胞杆菌鲇泽亚种(Bacillus thuringiensis subsp.Aizawai)、Bacillus thuringiensis subsp.Kurstaki、苏云金芽胞杆菌拟步行甲亚种菌株(Bacillus thuringiensis subsp.Tenebrionis);
M.26.氨基呋喃酮化合物:4-{[(6-溴吡啶-3-基)甲基](2-氟乙基)氨基}呋喃-2(5H)-酮(M26.1)、4-{[(6-氟吡啶-3-基)甲基](2,2-二氟乙基)氨基}呋喃-2(5H)-酮(M26.2)、4-{[(2-氯-1,3-噻唑-5-基)甲基](2-氟乙基)氨基}呋喃-2(5H)-酮(M26.3)、4-{[(6-氯吡啶-3-基)甲基](2-氟乙基)氨基}呋喃-2(5H)-酮(M26.4)、4-{[(6-氯吡啶-3-基)甲基](2,2-二氟乙基)氨基}呋喃-2(5H)-酮(M26.5)、4-{[(6-氯-5-氟吡啶-3-基)甲基](甲基)氨基}呋喃-2(5H)-酮(M26.6)、4-{[(5,6-二氯吡啶-3-基)甲基](2-氟乙基)氨基}呋喃-2(5H)-酮(M26.7)、4-{[(6-氯-5-氟吡啶-3-基)甲基](环丙基)氨基}呋喃-2(5H)-酮(M26.8)、4-{[(6-氯吡啶-3-基)甲基](环丙基)氨基}呋喃-2(5H)-酮(M26.9)和4-{[(6-氯吡啶-3-基)甲基](甲基)氨基}呋喃-2(5H)-酮(M26.10);
M.27.其他各种化合物:磷化铝(aluminium phosphide)、磺胺螨酯(amidoflumet)、benclothiaz、苯螨特(benzoximate)、联苯肼酯(bifenazate)、硼砂、溴螨酯(bromopropylate)、氰化物、cyenopyrafen、丁氟螨酯(cyflumetofen)、喹菌酮(chinomethionate)、三氯杀螨醇(dicofol)、氟乙酸酯、膦、啶虫丙醚(pyridalyl)、pyrifluquinazon、硫、有机硫化合物、酒 石酸氧锑钾(tartar emetic)、sulfoxaflor,N-R'-2,2-二halo-1-R''-环丙烷甲酰胺-2-(2,6-二氯-α,α,α-三氟对甲苯基)腙或N-R'-2,2-二(R''')丙酰胺-2-(2,6-二氯-α,α,α-三氟对甲苯基)腙,其中R'为甲基或乙基,halo为氯或溴,R''为氢或甲基且R'''为甲基或乙基,4-丁-2-炔基氧基-6-(3,5-二甲基哌啶-1-基)-2-氟嘧啶(M27.1)、环丙烷乙酸1,1'-[(3S,4R,4aR,6S,6aS,12R,12aS,12bS)-4-[[(2-环丙基乙酰基)氧基]甲基]-1,3,4,4a,5,6,6a,12,12a,12b-十氢-12-羟基-4,6a,12b-三甲基-11-氧代-9-(3-吡啶基)-2H,11H-萘并[2,1-b]吡喃并[3,4-e]吡喃-3,6-二基]酯(M27.2)和8-(2-环丙基甲氧基-4-三氟甲基苯氧基)-3-(6-三氟甲基哒嗪-3-基)-3-氮杂双环[3.2.1]辛烷(M27.3)。
M组的市售化合物尤其可以在The Pesticide Manual,第13版,British Crop Protection Council(2003)中找到。
对氧磷(Paraoxon)及其制备描述于Farm Chemicals Handbook,第88卷,Meister Publishing Company,2001中。吡氟硫磷(Flupyrazofos)描述于Pesticide Science54,1988,第237-243页和US4822779中。AKD1022及其制备描述于US6300348中。M21.1由WO2007/101540已知。异唑啉M22.1-M22.8描述于例如WO2005/085216、WO2007/079162、WO2007/026965、WO2009/126668和WO2009/051956中。邻氨基苯甲酰胺M23.1-M23.6描述于WO2008/72743和WO200872783中,那些M23.7-M23.12描述于WO2007/043677中。丙二腈M24.1和M24.2描述于WO02/089579、WO02/090320、WO02/090321、WO04/006677、WO05/068423、WO05/068432和WO05/063694中。氨基呋喃酮M26.1-M26.10描述于例如WO2007/115644中。炔基醚M27.1描述于例如JP2006131529中。有机硫化合物描述于WO2007060839中。Pyripyropene衍生物M27.2描述于WO2008/66153和WO2008/108491中。哒嗪M27.3描述于JP2008/115155。
根据本发明的化合物可以与其一起使用的活性物质的下列列举F意欲说明可能的组合但不限制它们:
F.I)呼吸抑制剂
F.I-1)Qo位点的配合物III抑制剂(例如嗜球果伞素类)
嗜球果伞素类:腈嘧菌酯(azoxystrobin)、coumethoxystrobin、coumoxystrobin、醚菌胺(dimoxystrobin)、烯肟菌酯(enestroburin)、氟嘧菌酯(fluoxastrobin)、亚胺菌(kresoxim-methyl)、叉氨苯酰胺(metominostrobin)、肟醚菌胺(orysastrobin)、啶氧菌酯(picoxystrobin)、唑菌胺酯(pyraclostrobin)、pyrametostrobin、唑菌酯(pyraoxystrobin)、pyribencarb、triclopyricarb/chlorodincarb、肟菌酯(trifloxystrobin)、2-[2-(2,5-二甲基苯氧基甲基)苯基]-3-甲氧基丙烯酸甲基酯和2-(2-(3-(2,6-二氯苯基)-1-甲基亚烯丙基氨基氧甲基)苯基)-2-甲氧亚氨基-N-甲基乙酰胺;
F.I-2)配合物II抑制剂(例如羧酰胺类):
羧酰苯胺类:麦锈灵(benodanil)、bixafen、啶酰菌胺(boscalid)、萎锈灵(carboxin)、呋菌胺(fenfuram)、环酰菌胺(fenhexamid)、氟吡菌酰胺(fluopyram)、氟酰胺(flutolanil)、呋吡唑灵(furametpyr)、isopyrazam、异噻菌胺(isotianil)、丙氧灭绣胺(mepronil)、氧化萎锈灵(oxycarboxin)、penflufen、吡噻菌胺(penthiopyrad)、sedaxane、叶枯酞(tecloftalam)、溴氟唑菌(thifluzamide)、噻酰菌胺(tiadinil)、2-氨基-4-甲基噻唑-5-甲酰苯胺、N-(3',4',5'-三氟联苯-2-基)-3-二氟甲基-1-甲基-1H-吡唑-4-甲酰胺、N-(4'-三氟甲硫基联苯-2-基)-3-二氟甲基-1-甲基-1H-吡唑-4-甲酰胺和N-(2-(1,3,3-三甲基丁基)苯基)-1,3-二甲基-5-氟-1H-吡唑-4-甲酰胺;
F.I-3)Qi位点的配合物III抑制剂:氰霜唑(cyazofamid)、amisulbrom;
F.I-4)其他呼吸抑制剂(配合物I,去偶剂)
二氟林(diflumetorim);四氯硝基苯(tecnazen);嘧菌腙(ferimzone);ametoctradin;硅噻菌胺(silthiofam);硝基苯基衍生物:乐杀螨(binapacryl)、敌螨通(dinobuton)、敌螨普(dinocap)、氟啶胺(fluazinam)、异丙消(nitrthal-isopropyl);
有机金属化合物:三苯锡基盐,例如薯瘟锡(fentin-acetate)、三苯锡氯(fentin chloride)或毒菌锡(fentin hydroxide);
F.II)甾醇生物合成抑制剂(SBI杀真菌剂)
F.II-1)C14脱甲基酶抑制剂(DMI杀真菌剂,例如三唑类、咪唑类)
三唑类:戊环唑(azaconazole)、双苯三唑醇(bitertanol)、糠菌唑(溴uconazole)、环唑醇(cyproconazole)、醚唑(difenoconazole)、烯唑醇(diniconazole)、精烯唑醇(diniconazole-M)、氧唑菌(epoxiconazole)、腈苯唑(fenbuconazole)、喹唑菌酮(fluquinconazole)、氟硅唑(flusilazole)、粉唑醇(flutriafol)、己唑醇(hexaconazole)、酰胺唑(imibenconazole)、环戊唑醇(ipconazole)、环戊唑菌(metconazole)、腈菌唑(myclobutanil)、多效唑(paclobutrazole)、戊菌唑(penconazole)、丙环唑(propiconazole)、丙硫菌唑(prothioconazole)、硅氟唑(simeconazole)、戊唑醇(tebuconazole)、氟醚唑(tetraconazole)、三唑酮(triadimefon)、唑菌醇(triadimenol)、戊叉唑菌(triticonazole)、烯效唑(uniconazole);
咪唑类:抑霉唑(imazalil)、稻瘟酯(pefurazoate)、oxpoconazole、丙氯灵(prochloraz)、氟菌唑(triflumizole);
嘧啶类、吡啶类和哌嗪类:异嘧菌醇(fenarimol)、氟苯嘧啶醇(nuarimol)、啶斑肟(pyrifenox)、嗪氨灵(triforine);
F.II-2)δ14-还原酶抑制剂(胺类,例如吗啉类、哌啶类)
吗啉类:4-十二烷基-2,6-二甲基吗啉(aldimorph)、吗菌灵(dodemorph)、吗菌灵乙酸酯(dodemorph-acetate)、丁苯吗啉(fenpropimorph)、克啉菌(tridemorph);
哌啶类:苯锈啶(fenpropidin)、粉病灵(piperalin);
F.II-3)3-酮基还原酶抑制剂:羟基酰替苯胺类:环酰菌胺(fenhexamid);
F.III)核酸合成抑制剂
F.III-1)RNA,DNA合成
苯基酰胺类或酰基氨基酸类杀真菌剂:苯霜灵(benalaxyl)、精苯霜灵(benalaxyl-M)、kiralaxyl、甲霜灵(metalaxyl)、精甲霜灵(metalaxyl-M)(mefenoxam)、甲呋酰胺(ofurace)、霜灵(oxadixyl);
F.III-3)核苷酸代谢(例如腺苷脱氨酶)
羟基(2-氨基)嘧啶类:磺嘧菌灵(bupirimate);
F.IV)细胞分裂和/或细胞骨架抑制剂
F.IV-1)微管蛋白抑制剂:苯并咪唑类和托布津类(thiophanate):苯菌灵(benomyl)、多菌灵(carbendazim)、麦穗宁(fuberidazole)、涕必灵(thiabendazole)、甲基托布津(thiophanate-methyl);三唑并嘧啶类:5-氯-7-(4-甲基哌啶-1-基)-6-(2,4,6-三氟苯基)-[1,2,4]三唑并[1,5-a]嘧啶;
F.IV-2)其他细胞分裂抑制剂
苯甲酰胺类和苯基乙酰胺类:乙霉威(diethofencarb)、噻唑菌胺(ethaboxam)、戊菌隆(pencycuron)、氟吡菌胺(fluopicolide)、苯酰菌胺(zoxamide);
F.IV-3)肌动蛋白抑制剂:二苯甲酮类:苯菌酮(metrafenone);
F.V)氨基酸和蛋白质合成抑制剂
F.V-1)蛋氨酸合成抑制剂(苯胺基嘧啶类)
苯胺基嘧啶类:环丙嘧啶(cyprodinil)、嘧菌胺(mepanipyrim)、氯定(nitrapyrin)、二甲嘧菌胺(pyrimethanil);
F.V-2)蛋白质合成抑制剂(苯胺基嘧啶类)
抗生素类:灭瘟素(blasticidin-S)、春雷素(kasugamycin)、水合春雷素(kasugamycin hydrochloride-hydrate)、米多霉素(mildiomycin)、链霉素(streptomycin)、土霉素(oxytetracyclin)、多氧霉素(polyoxine)、井冈霉素(validamycin A);
F.VI)信号转导抑制剂
F.VI-1)MAP/组氨酸蛋白激酶抑制剂(例如苯胺基嘧啶类)
二羧酰亚胺类:氟菌安(fluoroimid)、异丙定(iprodione)、杀菌利(procymidone)、烯菌酮(vinclozolin);
F.VI-2)G蛋白抑制剂:喹啉类:喹氧灵(quinoxyfen);
F.VII)类脂和膜合成抑制剂
F.VII-1)磷脂生物合成抑制剂
有机磷化合物:克瘟散(edifenphos)、异稻瘟净(iprobenfos)、定菌磷(pyrazophos);
二硫戊环类:稻瘟灵(isoprothiolane);
F.VII-2)类脂过氧化
芳族烃类:氯硝胺(dicloran)、五氯硝基苯(quintozene)、四氯硝基苯(tecnazene)、甲基立枯磷(tolclofos-methyl)、联苯、地茂散(chloroneb)、氯唑灵(etridiazole);
F.VII-3)羧酰胺(CAA杀真菌剂)
肉桂酰胺或扁桃酸酰胺:烯酰吗啉(dimethomorph)、氟吗啉(flumorph)、双炔酰菌胺(mandiproamid)、丁吡吗啉(pyrimorph);
缬氨酸酰胺氨基甲酸酯类:苯噻菌胺(benthiavalicarb)、异丙菌胺(iprovalicarb)、pyribencarb、valifenalate和N-(1-(1-(4-氰基苯基)乙磺酰基)丁-2-基)氨基甲酸4-氟苯基酯;
F.VII-4)影响细胞膜渗透性的化合物和脂肪酸
氨基甲酸酯类:百维灵(propamocarb)、霜霉威盐酸盐(propamocarb-hydrochlorid);
F.VIII)具有多位点作用的抑制剂
F.VIII-1)无机活性物质:波尔多液(Bordeaux混合物)、醋酸铜、氢氧化铜、王铜(copper oxychloride)、碱式硫酸铜、硫;
F.VIII-2)硫代-和二硫代氨基甲酸酯类:福美铁(ferbam)、代森锰锌(mancozeb)、代森锰(maneb)、威百亩(metam)、磺菌威(methasulphocarb)、代森联(metiram)、甲基代森锌(propineb)、福美双(thiram)、代森锌(zineb)、福美锌(ziram);
F.VIII-3)有机氯化合物(例如邻苯二甲酰亚胺类、硫酰胺类、氯代腈类):敌菌灵(anilazine)、百菌清(chlorothalonil)、敌菌丹(captafol)、克菌丹(captan)、灭菌丹(folpet)、抑菌灵(dichlofluanid)、双氯酚(dichlorophen)、磺菌胺(flusulfamide)、六氯苯(hexachlorobenzene)、五氯酚 (pentachlorphenol)及其盐、四氯苯酞(phthalide)、对甲抑菌灵(tolylfluanid)、N-(4-氯-2-硝基苯基)-N-乙基-4-甲基苯磺酰胺;
F.VIII-4)胍类:胍、多果定(dodine)、多果定游离碱、双胍盐(guazatine)、双胍辛胺(guazatine-acetate)、双胍辛醋酸盐(iminoctadine)、双胍辛胺三乙酸盐(iminoctadine-triacetate)、双八胍盐(iminoctadine-tris(albesilate));F.VIII-5)蒽醌类:二噻农(dithianon);
F.IX)细胞壁合成抑制剂
F.IX-1)葡聚糖合成抑制剂:井冈霉素(validamycin)、多氧霉素(polyoxinB);
F.IX-2)黑素合成抑制剂:咯喹酮(pyroquilon)、三环唑(tricyclazole)、氯环丙酰胺(carpropamide)、双氯氰菌胺(dicyclomet)、氰菌胺(fenoxanil);F.X)植物防御诱发剂
F.X-1)水杨酸途径:噻二唑素(acibenzolar-S-methyl);
F.X-2)其他:噻菌灵(probenazole)、异噻菌胺(isotianil)、噻酰菌胺(tiadinil)、调环酸钙(prohexadione-calcium);
膦酸酯类:藻菌磷(fosetyl)、乙磷铝(fosetyl-aluminum)、亚磷酸及其盐;F.XI)未知作用模式:
拌棉醇(bronopol)、灭螨蜢(chinomethionat)、环氟菌胺(cyflufenamid)、清菌脲(cymoxanil)、棉隆(dazomet)、咪菌威(debacarb)、哒菌清(diclomezine)、野燕枯(difenzoquat)、野燕枯甲基硫酸酯(difenzoquat-methylsulfate)、二苯胺、氟联苯菌(flumetover)、磺菌胺(flusulfamide)、flutianil、磺菌威(methasulfocarb)、喹啉铜(oxin-copper)、丙氧喹啉(proquinazid)、tebufloquin、叶枯酞(tecloftalam)、唑菌嗪(triazoxide)、2-丁氧基-6-碘-3-丙基苯并吡喃-4-酮、N-(环丙基甲氧亚氨基-(6-二氟甲氧基-2,3-二氟苯基)甲基)-2-苯基乙酰胺、N'-(4-(4-氯-3-三氟甲基苯氧基)-2,5-二甲基苯基)-N-乙基-N-甲基甲脒、N'-(4-(4-氟-3-三氟甲基苯氧基)-2,5-二甲基苯基)-N-乙基-N-甲基甲脒、N'-(2-甲基-5-三氟甲基-4-(3-三甲基硅烷基丙氧基)苯基)-N-乙基-N-甲基甲脒、N'-(5-二氟甲基-2-甲基-4-(3-三甲基硅烷基丙氧基)苯基)-N-乙基-N-甲基甲脒、2-{1-[2-(5-甲 基-3-三氟甲基吡唑-1-基)乙酰基]哌啶-4-基}噻唑-4-甲酸甲基-(1,2,3,4-四氢萘-1-基)酰胺、2-{1-[2-(5-甲基-3-三氟甲基吡唑-1-基)乙酰基]哌啶-4-基}噻唑-4-甲酸甲基-(R)-1,2,3,4-四氢萘-1-基酰胺、甲氧基乙酸6-叔丁基-8-氟-2,3-二甲基喹啉-4-基酯、N-甲基-2-{1-[(5-甲基-3-三氟甲基-1H-吡唑-1-基)乙酰基]哌啶-4-基}-N-[(1R)-1,2,3,4-四氢萘-1-基]-4-噻唑甲酰胺、3-[5-(4-氯苯基)-2,3-二甲基异唑烷-3-基]吡啶、pyrisoxazole、5-氨基-2-异丙基-3-氧代-4-邻甲苯基-2,3-二氢吡唑-1-硫代甲酸S-烯丙基酯、N-(6-甲氧基吡啶-3-基)环丙烷甲酸酰胺、5-氯-1-(4,6-二甲氧基嘧啶-2-基)-2-甲基-1H-苯并咪唑、2-(4-氯苯基)-N-[4-(3,4-二甲氧基苯基)异唑-5-基]-2-丙-2-炔氧基乙酰胺;
F.XI)生长调节剂:
脱落酸(abscisic acid)、先甲草胺(amidochlor)、嘧啶醇(ancymidol)、苄胺基嘌呤(6-benzylaminopurine)、油菜素内酯(brassinolide)、地乐胺(butralin)、矮壮素阳离子(chlormequat)(矮壮素(chlormequat chloride))、氯化胆碱(choline chloride)、环丙酸酰胺(cyclanilide)、丁酰肼(daminozide)、敌草克(dikegulac)、噻节因(dimethipin)、2,6-二甲基吡啶(2,6-dimethylpuridine)、乙烯利(ethephon)、抑芽敏(flumetralin)、呋嘧醇(flurprimidol)、达草氟(fluthiacet)、调吡脲(forchlorfenuron)、九二O(gibberellic acid)、抗倒胺(inabenfide)、吲哚-3-乙酸、抑芽丹(maleic hydrazide)、氟草磺(mefluidide)、助壮素阳离子(mepiquat)(助壮素(mepiquat chloride))、萘乙酸、N-6-苄基腺嘌呤、多效唑、调环酸(prohexadione)(调环酸钙)、茉莉酸丙酯(prohydrojasmon)、赛二唑素(thidiazuron)、抑芽唑(triapenthenol)、脱叶磷(tributyl phosphorotrithioate)、2,3,5-三碘苯甲酸、抗倒酯(trinexapac-ethyl)和烯效唑;
F.XII)生物控制剂
抗真菌生物控制剂:具有NRRL No.B-21661的枯草芽孢杆菌(Bacillus substilis)菌株(例如来自AgraQuest,Inc.,USA.的 MAX和ASO),具有NRRL No.B-30087的 短小芽孢杆菌(Bacillus pumilus)菌株(例如来自AgraQuest,Inc.,USA的 和Plus),奥德曼细基格孢(Ulocladium oudemansii)(例如来自新西兰BotriZen Ltd.的产品BOTRY-ZEN),脱乙酰壳多糖(例如来自新西兰BotriZen Ltd.的ARMOUR-ZEN)。
本发明还涉及一种含有一种或多种,优选一种单独的本发明化合物I和一种或多种,优选一种、两种或三种,尤其是一种选自以上列举M和/或F的农药的组合物。
根据本发明的组合物可为至少一种本发明化合物I和至少一种选自以上列举M和/或F的农药的物理混合物。因此,本发明还提供一种包含一种或多种,优选一种本发明化合物I和一种或多种,优选一种、两种或三种,尤其是一种选自以上列举M和/或F的农药的混合物。然而,该组合物还可以为至少一种本发明化合物I与至少一种选自以上列举M和/或F的农药的任意组合,其中不要求各化合物一起存在于相同配制剂中。
其中至少一种本发明化合物I和至少一种选自以上列举M和/或F的农药不一起存在于相同配制剂中的根据本发明的组合物的实例为成套包装(combipack)。在成套包装中,将成套包装的一种或两种组分分开包装,即不预配制在一起。因此,成套包装包括一个或多个分开的容器如罐、瓶、桶、袋、囊或箱,其中各容器含有农化组合物的单独组分。一个实例为双组分成套包装。因此,本发明还涉及双组分成套包装,包括第一组分,其又包含至少一种化合物A、液体或固体载体和如果合适,至少一种表面活性剂和/或至少一种常规助剂,和第二组分,其又包含至少一种化合物B、液体或固体载体和如果合适,至少一种表面活性剂和/或至少一种常规助剂。更详细地,例如对于合适的液体和固体载体、表面活性剂和常规助剂描述在下文中。
可以通过本领域已知的任何施用方法使无脊椎动物害虫(还称为“动物害虫”),即昆虫、蜘蛛和线虫,植物、其中植物生长或可能生长的土壤或水体与本发明化合物或包含它们的组合物接触。这里的“接触”包括直接接触(将化合物/组合物直接施用于无脊椎动物害虫或植物上,通常施用于植物的叶面、茎或根)和间接接触(将化合物/组合物施用于无脊椎动物害虫 或植物的场所)二者。
本发明化合物或包含它们的农药组合物可以通过使植物/作物与农药有效量的本发明化合物接触而用于保护生长的植物和作物以防动物害虫,尤其是昆虫、螨科或蜘蛛侵袭或侵染。术语“作物”指生长和收获的作物二者。
本发明化合物和包含它们的组合物对于在各种栽培植物如禾谷类、根系作物、油料作物、蔬菜、香料、观赏植物,例如硬粒小麦和其他小麦、大麦、燕麦、黑麦、玉米(饲料玉米和甜玉蜀黍/甜玉米以及大田玉米)、大豆、油料作物、十字花科植物、棉花、向日葵、香蕉、稻、油籽油菜、芜菁油菜、糖用甜菜、饲料甜菜、茄子、土豆、禾草、草坪、草皮、牧草、西红柿、韭葱、南瓜/笋瓜、卷心菜、刺茎莴苣、胡椒、黄瓜、甜瓜、芸苔属(Brassica)、甜瓜、菜豆、豌豆、大蒜、洋葱、胡萝卜、块茎植物如土豆、甘蔗、烟草、葡萄、矮牵牛、天竺葵/香叶天竺葵、三色堇和凤仙花的种子中防治大量昆虫特别重要。
本发明化合物通过用杀虫有效量的活性化合物处理昆虫或待防止昆虫侵袭的植物、植物繁殖材料如种子、土壤、表面、材料或空间而直接或以组合物形式使用。施用可以在植物、植物繁殖材料如种子、土壤、表面、材料或空间被昆虫侵染之前和之后进行。
此外,无脊椎动物害虫可以通过使目标害虫、其食物供应源、栖息地、繁殖地或其场所与农药有效量的本发明化合物接触而防治。这里的施用可以在场所、生长作物或收获作物被害虫侵染之前或之后进行。
本发明化合物还可以预防性地施用于预期出现害虫的地方。
本发明化合物还可以通过使植物与农药有效量的本发明化合物接触而用于保护生长的植物以防害虫侵袭或侵染。这里的“接触”包括直接接触(将化合物/组合物直接施用于害虫和/或植物上,通常施用于植物的叶面、茎或根)和间接接触(将化合物/组合物施用于害虫和/或植物的场所)二者。
“场所”是指栖息地、繁殖地、植物、种子、土壤、区域、材料或其中害虫或寄生虫生长或可能生长的环境。
通常而言,“农药有效量”是指对生长获得可观察到的效果所需的活 性成分的量,所述效果包括坏死、死亡、阻滞、预防和去除效果,破坏效果或减少目标生物体的出现和活动的效果。对于在本发明中使用的各种化合物/组合物,农药有效量可以变化。组合物的农药有效量也会根据主要条件如所需农药效果及持续时间、气候、目标物种、场所、施用方式等而变化。
在土壤处理或施用于害虫居住地或巢穴的情况下,活性成分量为0.0001-500g/100m2,优选0.001-20g/100m2。
在材料保护中的常规施用率例如为0.01-1000g活性化合物/m2被处理材料,理想的是0.1-50g/m2。
用于材料浸渍中的杀虫组合物通常含有0.001-95重量%,优选0.1-45重量%,更优选1-25重量%至少一种驱避剂和/或杀虫剂。
为了用于处理农作物,本发明活性成分的施用率可以为0.1-4000g/ha,理想的是5-500g/ha,更理想的是5-200g/ha。
本发明化合物通过接触(经由土壤、玻璃、墙壁、床网、地毯、植物部分或动物部分)和摄取(诱饵或植物部分)二者而有效。
本发明化合物还可以用于对抗非作物昆虫害虫,如蚂蚁、白蚁、黄蜂、蝇、蚊、蟋蟀或蟑螂。为了用于对抗所述非作物害虫,本发明化合物优选用于诱饵组合物中。
诱饵可以是液体、固体或半固体制剂(例如凝胶)。固体诱饵可以制成各种适合相应用途的形状和形式,如颗粒、块、棒、片。液体诱饵可以填充到各种装置中以确保适当施用,例如敞开容器、喷雾装置、液滴供应源或蒸发源。凝胶可以基于含水基质或油性基质且可以按照粘性、水分保留或老化特性根据特定要求配制。
用于组合物中的诱饵是具有足够的吸引力以刺激诸如蚂蚁、白蚁、黄蜂、蝇、蚊、蟋蟀等的昆虫或蟑螂食用它的产品。吸引力可以通过使用进食刺激剂或性信息素控制。食物刺激剂例如并不穷举地选自动物和/或植物蛋白质(肉-、鱼-或血液膳食,昆虫部分、蛋黄)、动物和/或植物来源的脂肪和油或单-、低聚-或聚有机糖类,尤其是蔗糖、乳糖、果糖、右旋糖、葡萄糖、淀粉、果胶或甚至糖蜜或蜂蜜。水果、作物、植物、动物、昆虫 的新鲜或腐败部分或其特定部分也可以用作进食刺激剂。已知性信息素更具昆虫特异性。特殊信息素描述于文献中并且对本领域熟练技术人员是已知的。
为了用于诱饵组合物中,活性成分的典型含量为0.001-15重量%,理想的是0.001-5重量%活性成分。
本发明化合物的配制剂如气雾剂(例如在喷雾罐中)、油喷雾剂或泵喷雾剂高度适于非专业使用者来防治害虫如蝇、跳蚤、蜱、蚊或蟑螂。气雾剂配方优选包含:活性化合物;溶剂如低级醇(例如甲醇、乙醇、丙醇、丁醇),酮类(例如丙酮、甲基乙基酮),沸程为约50-250℃的链烷烃(例如煤油),二甲基甲酰胺,N-甲基吡咯烷酮,二甲亚砜,芳族烃类如甲苯、二甲苯,水;此外还有助剂,例如乳化剂如山梨糖醇单油酸酯、具有3-7mol氧化乙烯的油基乙氧基化物、脂肪醇乙氧基化物,芳香油如精油,中等脂肪酸与低级醇的酯,芳族羰基化合物;合适的话还有稳定剂如苯甲酸钠,两性表面活性剂,低级环氧化物,原甲酸三乙酯和需要的话推进剂如丙烷、丁烷、氮气、压缩空气、二甲醚、二氧化碳、氧化亚氮或这些气体的混合物。
油喷雾配制剂与气雾剂配方的不同在于没有使用推进剂。对于在喷雾组合物中的使用,活性成分含量为0.001-80重量%,优选0.01-50重量%,最优选0.01-15重量%。
本发明化合物及其相应的组合物还可以用于蚊香片和熏蒸片,发烟盒、蒸发器板或长效蒸发器以及扑蛾纸、扑蛾垫或其他与热无关的蒸发器体系中。
用本发明化合物及其相应组合物控制由昆虫传递的传染性疾病(例如疟疾、登革热和黄热病,淋巴丝虫病以及利什曼病)的方法也包括处理棚屋和房子的表面、空气喷雾和浸渍窗帘、帐篷、衣物、床品、采采蝇网等。施用于纤维、织物、编织物、无纺织物、网状材料或箔以及篷布上的杀虫组合物优选包含包括杀虫剂、任选的驱除剂和至少一种粘合剂的混合物。合适的驱除剂例如为N,N-二乙基-间甲苯甲酰胺(DEET),N,N-二乙基苯基乙酰胺(DEPA),1-(3-环己烷-1-基羰基)-2-甲基哌啶,(2-羟基甲基环己基) 乙酸内酯,2-乙基-1,3-己二醇,避虫酮,甲基新癸酰胺(MNDA),不用于昆虫防治的拟除虫菊酯如{(+/-)-3-烯丙基-2-甲基-4-氧代环戊-2-(+)-烯基-(+)-反式-菊酸酯(Esbiothrin),衍生于植物提取物或与植物提取物相同的驱除剂如1,8-萜二烯、丁子香酚、(+)-Eucamalol(1)、(-)-1-表-eucamalol,或来自诸如花皮桉(Eucalyptus maculata)、蔓荆(Vitex rotundifolia)、Cymbopogan martinii、香茅(Cymbopogan citratus)(柠檬草)、亚香茅(Cymopogan nartdus(香茅))的植物的粗植物提取物。合适的粘合剂例如选自如下单体的聚合物和共聚物:脂族酸的乙烯基酯(如乙酸乙烯酯和支链烷烃羧酸乙烯基酯),醇的丙烯酸和甲基丙烯酸酯,如丙烯酸丁酯、丙烯酸2-乙基己基酯和丙烯酸甲酯,单烯属和二烯属不饱和烃,如苯乙烯,以及脂族二烯烃,如丁二烯。
窗帘和床品的浸渍通常通过将纺织材料浸入杀虫剂的乳液或分散体中或将它们喷雾于床品上而进行。
本发明化合物及其组合物可以用于保护木质材料如树木、护栏、枕木等,以及建筑物如房子、附属建筑、工厂,还有建筑材料、家具、皮革、纤维、乙烯基制品、电线和电缆等以防蚂蚁和/或白蚁,并防止蚂蚁和白蚁损害作物或人类(例如当害虫侵入房子和公共设施时)。本发明化合物不仅施用于周围的土壤表面或地板下的土壤中以保护木质材料,而且还可以施用于堆积制品如地板下混凝土、亭柱、梁、胶合板、家具等的表面,木质制品如碎料板、半包板(half board)等以及乙烯基制品如包覆的电线、乙烯基片材,绝热材料如苯乙烯泡沫等。在防止蚂蚁损害作物或人类的施用中,将本发明的蚂蚁防治剂施用于作物或周围土壤,或直接施用于蚂蚁的巢穴等。
本发明化合物还适合处理植物繁殖材料,尤其是种子以保护其免受昆虫害虫,尤其是土壤昆虫害虫侵袭并保护所得植物的根和嫩枝以防土壤害虫和叶面昆虫。
本发明化合物尤其可以用于保护种子以防土壤害虫并保护所得植物的根和嫩枝以防土壤害虫和叶面昆虫。优选保护所得植物的根和嫩枝。更优选保护所得植物的嫩枝以防刺吸式和吮吸式昆虫,其中最优选保护以防蚜 虫。
本发明因此包括一种保护种子以防昆虫,尤其是土壤昆虫并保护秧苗的根和嫩枝以防昆虫,尤其是土壤和叶面昆虫的方法,所述方法包括使种子在播种之前和/或预萌发之后与本发明化合物,包括其盐接触。特别优选其中保护植物的根和嫩枝的方法,更优选其中保护植物的嫩枝以防刺吸式和吮吸式昆虫的方法,最优选其中保护植物的嫩枝以防蚜虫的方法。
术语种子包括所有种类的种子和植物繁殖体,包括但不限于真正的种子、种子切片(seed piece)、吸枝、球茎、鳞茎、果实、块茎、谷粒、插条、伐条(cut shoot)等,并且在优选实施方案中指真正的种子。
术语种子处理包括所有本领域已知的合适种子处理技术,如拌种、种子涂敷、种子撒粉、种子浸泡和种子造粒。
本发明还包括涂有或含有活性化合物的种子。
术语“涂有和/或含有”通常是指活性成分在施用时绝大部分处于繁殖产品的表面上,但更大或更小部分的成分可能渗入繁殖产品中,这取决于施用方法。当(再)种植所述繁殖产品时,它可能吸收活性成分。
合适的种子为禾谷类、根系作物、油料作物、蔬菜、香料、观赏植物的种子,例如硬粒小麦和其他小麦、大麦、燕麦、黑麦、玉米(饲料玉米和甜玉蜀黍/甜玉米以及大田玉米)、大豆、油料作物、十字花科植物、棉花、向日葵、香蕉、稻、油籽油菜、芜菁油菜、糖用甜菜、饲料甜菜、茄子、土豆、禾草、草坪、草皮、牧草、西红柿、韭葱、南瓜/笋瓜、卷心菜、刺茎莴苣、胡椒、黄瓜、甜瓜、芸苔属(Brassica)、甜瓜、菜豆、豌豆、大蒜、洋葱、胡萝卜、块茎植物如土豆、甘蔗、烟草、葡萄、矮牵牛、天竺葵/香叶天竺葵、三色堇和凤仙花。
此外,活性化合物还可以用于处理由于包括基因工程方法在内的育种而耐受除草剂或杀真菌剂或杀虫剂作用的植物的种子。
例如,活性化合物可以用于处理耐受选自磺酰脲类、咪唑啉酮类、草铵膦或草甘膦异丙胺盐和类似活性物质的除草剂的植物(例如参见EP-A242236,EP-A242246)(WO92/00377)(EP-A257993,U.S.5,013,659)或转基因农作物如棉花的种子,后者能够产生苏云金芽孢杆菌毒素(Bt毒素)以 使植物耐受某些害虫(EP-A142924,EP-A193259)。
此外,活性化合物还可以用于处理与现有植物相比具有修饰特性的植物的种子,它们例如可能通过传统育种方法和/或突变体产生或通过重组程序而产生。例如,已经描述了许多为修饰植物中合成的淀粉而重组修饰农作物的情形(例如WO92/11376,WO92/14827,WO91/19806),或具有修饰的脂肪酸组成的转基因植物(WO91/13972)。
活性化合物的种子处理施用通过在播种植物之前和植物出苗之前对种子喷雾或撒粉而进行。
尤其可用于种子处理的组合物例如为:
A可溶性浓缩物(SL、LS)
D乳液(EW、EO、ES)
E悬浮液(SC、OD、FS)
F水分散性颗粒和水溶性颗粒(WG、SG)
G水分散性粉末和水溶性粉末(WP、SP、WS)
H凝胶配制剂(GF)
I可撒粉粉末(DP、DS)
常规种子处理配制剂例如包括可流动浓缩物FS、溶液LS、干处理用粉末DS、淤浆处理用水分散性粉末WS、水溶性粉末SS、乳液ES和EC以及凝胶配制剂GF。这些配制剂可以经稀释或不经稀释而施用于种子上。对种子的施用在播种之前进行,直接施用于种子上或在种子已经预萌发之后施用。
在优选实施方案中,将FS配制剂用于种子处理。FS配制剂通常可包含1-800g/l活性成分,1-200g/l表面活性剂,0-200g/l防冻剂,0-400g/l粘合剂,0-200g/l颜料和加至1升的溶剂,优选水。
用于种子处理的本发明化合物的尤其优选FS配制剂通常包含0.1-80重量%(1-800g/l)活性成分,0.1-20重量%(1-200g/l)至少一种表面活性剂,例如0.05-5重量%润湿剂和0.5-15重量%分散剂,至多20重量%,例如5-20%防冻剂,0-15重量%,例如1-15重量%颜料和/或染料,0-40重量%,例如1-40重量%粘合剂(粘结剂/粘附剂),任选至多5重量%,例如0.1-5 重量%增稠剂,任选0.1-2%消泡剂和任选防腐剂如生物杀伤剂、抗氧化剂等,例如其量为0.01-1重量%,以及加至100重量%的填料/载体。
种子处理配制剂可额外还包含粘合剂和任选包含着色剂。
可以加入粘合剂以改进处理之后活性物质在种子上的粘附。合适的粘合剂是氧化烯如氧化乙烯或氧化丙烯的均聚物和共聚物,聚乙酸乙烯酯,聚乙烯醇,聚乙烯基吡咯烷酮及其共聚物,乙烯/乙酸乙烯酯共聚物,丙烯酸系均聚物和共聚物,聚乙烯胺,聚乙烯酰胺和聚乙烯亚胺,多糖如纤维素、纤基乙酸钠和淀粉,聚烯烃均聚物和共聚物如烯烃/马来酸酐共聚物,聚氨酯,聚酯,聚苯乙烯均聚物和共聚物。
任选还可以在配制剂中包括着色剂。对种子处理配制剂合适的着色剂或染料是若丹明B、C.I.颜料红112、C.I.溶剂红1、颜料蓝15:4、颜料蓝15:3、颜料蓝15:2、颜料蓝15:1、颜料蓝80、颜料黄1、颜料黄13、颜料红112、颜料红48:2、颜料红48:1、颜料红57:1、颜料红53:1、颜料橙43、颜料橙34、颜料橙5、颜料绿36、颜料绿7、颜料白6、颜料棕25、碱性紫10、碱性紫49、酸性红51、酸性红52、酸性红14、酸性蓝9、酸性黄23、碱性红10、碱性红108。
在种子处理中,本发明化合物的施用率通常为0.01g-10kg/100kg种子,优选0.05g-5kg/100kg种子,更优选0.1-1000g/100kg种子,尤其是0.1-200g/100kg种子。
因此,本发明还涉及包含如本文所定义的本发明化合物,包括其可农用盐的种子。本发明化合物,包括其可农用盐的量通常为0.01g-10kg/100kg种子,优选0.05g-5kg/100kg种子,尤其是0.1-1000g/100kg种子。对于特殊作物如莴苣,施用率可能更高。
可用于种子处理的方法包括本领域已知的所有合适的种子处理,特别是拌种技术,如种子包衣(如种子造粒)、种子撒粉和种子吸收(如种子浸泡)。此处,“种子处理”是指使种子和本发明化合物相互接触的所有方法,“拌种”是指向种子提供一定量的本发明化合物的种子处理方法,即该方法产生包含本发明化合物的种子。原则上,处理可施用于从种子收获至种子播 种的任何时间的种子。种子例如可使用“种植箱”方法紧邻种植种子之前或种植种子的过程中处理。然而,处理也可在种植种子之前数周或数月,例如至多12个月,例如以拌种处理的形式进行处理,而没有观察到效力的显著降低。
有利的是将处理施用于未播种的种子。如本文所用的术语“未播种种子”意味着包括从种子收获到将种子播种到土地以使植物萌发和生长的任何时间中的种子。
具体而言,在处理中,程序如下进行,其中将种子在合适的装置中,例如在用于固体或固体/液体混合配对的混合装置中与所需量的种子处理配制剂(直接或在用水预先稀释之后)混合,直至组合物均匀分布在种子上。合适的话,随后进行干燥步骤。
本发明化合物,包括其立体异构体、可兽用盐或N-氧化物还特别适用于在动物中和动物上防除寄生虫。
因此,本发明的一个目的是还要提供在动物中和动物上防治寄生虫的新方法。本发明的另一目的是要提供更安全的动物用农药。本发明的另一目的是要进一步提供可以与现有农药相比以更低剂量使用的动物用农药。并且本发明的另一目的是要提供对寄生虫具有长残留防治的动物用农药。
本发明还涉及包含杀寄生虫有效量的本发明化合物,包括其立体异构体、可兽用盐或N-氧化物和可接受载体的用于在动物中和动物上防除寄生虫的组合物。
本发明还提供了一种处理、防治、预防和保护动物以防寄生虫侵袭和侵染的方法,包括对动物口服、局部或肠胃外给予或施用杀寄生虫有效量的本发明化合物,包括其立体异构体、可兽用盐或N-氧化物或包含它的组合物。
本发明还提供了一种制备用于处理、防治、预防或保护动物以防寄生虫侵袭或侵染的组合物的方法,该组合物包含杀寄生虫有效量的本发明化合物,包括其立体异构体、可兽用盐或N-氧化物或包含它的组合物。
化合物对抗农业害虫的活性并不意味着它们适合在动物中和动物上防治体内和体外寄生虫,后者要求例如在口服施用情况下的非催吐低剂量, 与动物的代谢相容性,低毒性和安全处理。
惊人的是,现已发现式(I)化合物及其立体异构体、可兽用盐、互变异构体和N-氧化物适合在动物中和动物上防除体内和体外寄生虫。
本发明化合物,尤其是式(I)化合物及其立体异构体、可兽用盐、互变异构体和N-氧化物以及包含它们的组合物优选用于在包括温血动物(包括人)在内的动物和鱼中防治和预防侵袭和侵染。它们例如适于在哺乳动物如牛、绵羊、猪、骆驼、鹿、马、小猪、家禽、兔、山羊、狗和猫,水牛、驴、黇鹿和驯鹿,以及还有产皮动物如貂、丝鼠和浣熊,禽类如母鸡、鹅、火鸡和鸭以及鱼类如淡水鱼和咸水鱼如鲑鱼、鲤鱼和鳗鱼中防治和预防侵袭和侵染。
本发明化合物,包括其立体异构体、可兽用盐或N-氧化物以及包含它们的组合物优选用于在家养动物如狗或猫中防治和预防侵袭和侵染。
在温血动物和鱼类中的侵袭包括但不限于虱、咬虱、蜱、羊鼻蝇蛆、羊蜱蝇、螯蝇、家蝇、蝇、myiasitic蝇幼虫、恙螨、蚋、蚊和蚤。
本发明化合物,包括其立体异构体、可兽用盐或N-氧化物以及包含它们的组合物适于内吸和/或非内吸防治体外和/或体内寄生虫。它们对所有或部分发育阶段有效。
本发明化合物尤其可以用于分别防除下列目和属的寄生虫:
蚤(蚤目),例如猫蚤(Ctenocephalides felis)、狗蚤(Ctenocephalides canis)、印鼠客蚤(Xenopsylla cheopis)、致痒蚤(Pulex irritans)、穿皮潜蚤(Tunga penetrans)和具带病蚤(Nosopsyllus fasciatus),
蟑螂(蜚蠊目(Blattaria—Blattodea)),例如德国小蠊(Blattella germanica)、Blattella asahinae、美洲蟑螂(Periplaneta americana)、日本大蠊(Periplaneta japonica)、棕色蜚蠊(Periplaneta brunnea)、Periplaneta fuligginosa、澳洲蜚蠊(Periplaneta australasiae)和东方蜚蠊(Blatta orientalis),
苍蝇、蚊(双翅目),例如埃及伊蚊(Aedes aegypti)、白纹伊蚊(Aedes albopictus)、剌扰伊蚊(Aedes vexans)、墨西哥果蝇(Anastrepha ludens)、五斑按蚊(Anopheles maculipennis)、Anopheles crucians、白足按蚊 (Anopheles albimanus)、疟蚊(Anopheles gambiae)、Anopheles freeborni、海南岛白踝按蚊(Anopheles leucosphyrus)、云南微小按蚊(Anopheles minimus)、四斑按蚊(Anopheles quadrimaculatus)、红头丽蝇(Calliphora vicina)、蛆症金蝇(Chrysomya bezziana)、Chrysomya hominivorax、Chrysomya macellaria、鹿蝇(Chrysops discalis)、Chrysops silacea、Chrysops atlanticus、螺旋蝇(Cochliomyia hominivorax)、嗜人瘤蝇蛆(Cordylobia anthropophaga)、狂怒库蠓(Culicoides furens)、尖音库蚊(Culex pipiens)、斑蚊(Culex nigripalpus)、致倦库蚊(Culex quinquefasciatus)、媒斑蚊(Culex tarsalis)、Culiseta inornata、Culiseta melanura、人肤皮蝇(Dermatobia hominis)、小毛厕蝇(Fannia canicularis)、马蝇(Gasterophilus intestinalis)、刺舌蝇(Glossina morsitans)、须舌蝇(Glossina palpalis)、Glossina fuscipes、胶舌蝇(Glossina tachinoides)、Haematobia irritans、Haplodiplosis equestris、潜蝇属(Hippelates spp.)、纹皮蝇(Hypoderma lineata)、Leptoconops torrens、Lucilia caprina、铜绿蝇(Lucilia cuprina)、丝光绿蝇(Lucilia sericata)、Lycoria pectoralis、沼蚊属(Mansonia)、家蝇(Musca domestica)、厩腐蝇(Muscina stabulans)、羊狂蝇(Oestrus ovis)、银足白蛉(Phlebotomus argentipes)、Psorophora columbiae、Psorophora discolor、Prosimulium mixtum、赤尾肉蝇(Sarcophaga haemorrhoidalis)、肉蝇属(Sarcophaga sp.)、Simulium vittatum、厩螫蝇(Stomoxys calcitrans)、牛虻(Tabanus bovinus)、Tabanus atratus、红色原虻(Tabanus lineola)和Tabanus similis;虱(毛虱目),例如人头虱(Pediculus humanus capitis)、人体虱(Pediculus humanus corporis)、阴虱(Pthirus pubis)、牛血虱(Haematopinus eurysternus)、猪血虱(Haematopinus suis)、牛颚虱(Linognathus vituli)、Bovicola bovis、鸡虱(Menopon gallinae)、Menacanthus stramineus和Solenopotes capillatus,
壁虱和寄生螨(寄螨目(Parasitiformes)):壁虱(蜱亚目(Ixodida)),例如黑脚硬蜱(Ixodes scapularis)、全环硬蜱(Ixodes holocyclus)、太平洋硬蜱(Ixodes pacificus)、棕色犬壁虱(Rhiphicephalus sanguineus)、安氏革螨 (Dermacentor andersoni)、美洲大革螨(Dermacentor variabilis)、长星形壁虱(Amblyomma americanum)、Ambryomma maculatum、Ornithodorus hermsi、Ornithodorus turicata以及寄生螨(甲螨亚目(Mesostigmata)),例如柏氏禽刺螨(Ornithonyssus bacoti)和鸡皮刺螨(Dermanyssus gallinae);辐螨亚目(Actinedida)(前气门亚目(Prostigmata))和粉螨亚目(Acaridida)(无气门目(Astigmata)),例如Acarapis属、Cheyletiella属、Ornithocheyletia属、鼠螨属(Myobia)、Psorergates属、蠕形螨属(Demodex spp.)、恙螨属(Trombicula spp.)、Listrophorus属、粉螨属(Acarus spp.)、食酪螨属(Tyrophagus spp.)、嗜木螨属(Caloglyphus spp.)、Hypodectes属、Pterolichus属、痒螨属(Psoroptes spp.)、疥螨属(Chorioptes spp.)、耳痒螨属(Otodectes spp.)、Sarcoptes属、背肛螨属(Notoedres spp.)、膝螨属(Knemidocoptes spp.)、Cytodites属和Laminosioptes属;
臭虫(Heteropterida):温带臭虫(Cimex lectularius)、热带臭虫(Cimex hemipterus)、Reduvius senilis、锥蝽属(Triatoma spp.)、锥蝽属(Rhodnius spp.)、Panstrongylus属和Arilus critatus,
虱目(Anoplurida),例如Haematopinus属、Linognathus属、Pediculus属、Phtirus属和Solenopotes属;
食毛目(Mallophagida)(Arnblycerina和Ischnocerina亚目),例如Trimenopon属、Menopon属、Trinoton属、Bovicola属、Werneckiella 属、Lepikentron属、Trichodectes属和Felicola属;
蛔虫(线虫纲(Nematoda)):
金针虫和Trichinosis(毛管目(Trichosyringida)),例如毛形科(Trichinellidae)(毛形属(Trichinella spp.))、毛首科(Trichuridae)Trichuris 属、毛细线虫属(Capillaria spp.);
杆形目(Rhabditida),例如小杆线虫属(Rhabditis spp.)、Strongyloides属、Helicephalobus属;
圆线虫目(Strongylida),例如Strongylus属、Ancylostoma属、美洲钩虫(Necator americanus)、Bunostomum属(钩虫)、毛圆线虫属 (Trichostrongylus spp.)、捻转血矛线虫(Haemonchus contortus)、Ostertagia属、Cooperia属、细颈线虫属(Nematodirus spp.)、Dictyocaulus属、Cyathostoma属、结节线虫属(Oesophagostomum spp.)、猪肾虫(Stephanurus dentatus)、Ollulanus属、夏伯特线虫属(Chabertiaspp.)、猪肾虫、气管比翼线虫(Syngamus trachea)、Ancylostoma属、钩虫属(Uncinaria spp.)、球首线虫属(Globocephalus spp.)、Necator属、后圆线虫属(Metastrongylus spp.)、毛样缪勒线虫(Muellerius capillaris)、Protostrongylus属、管圆线虫属(Angiostrongylus spp.)、Parelaphostrongylus属、Aleurostrongylus abstrusus和肾膨结线虫(Dioctophyma renale);
肠线虫(蛔目(Ascaridida)),例如似蚓蛔线虫(Ascaris lumbricoides)、猪蛔虫(Ascaris suum)、鸡蛔虫(Ascaridia galli)、马副蛔虫(Parascaris equorum)、蛲虫(Enterobius vermicularis)(蛲虫)、犬弓首蛔虫(Toxocara canis)、犬蛔虫(Toxascaris leonine)、Skrjabinema属和马尖尾线虫(Oxyuris equi);
Camallanida,例如Dracunculus medinensis(麦地那龙线虫);
旋尾目(Spirurida),例如Thelazia属、丝虫属(Wuchereria spp.)、Brugia 属、Onchocerca属、Dirofilari属、Dipetalonema属、Setaria属、Elaeophora属、狼尾旋线虫(Spirocerca lupi)和丽线虫属(Habronema spp.);
棘头虫(棘头动物门(Acanthocephala)),例如Acanthocephalus属、猪巨吻棘头虫(Macracanthorhynchus hirudinaceus)和棘头虫属(Oncicola);
扁虫类(Planarians)(扁形动物门(Plathelminthes)):
肝吸虫(Flukes)(吸虫纲(Trematoda)),例如肝片形吸虫属(Faciola spp.)、Fascioloides magna、并殖吸虫属(Paragonimus spp.)、双腔吸虫属(Dicrocoelium spp.)、布氏姜片吸虫(Fasciolopsis buski)、华枝睾吸虫(Clonorchis sinensis)、血吸虫属(Schistosoma spp.)、毛毕吸虫属(Trichobilharzia spp.)、有翼翼形吸虫(Alaria alata)、并殖吸虫属和Nanocyetes属;
Cercomeromorpha,尤其是Cestoda(绦虫),例如裂头绦虫属(Diphyllobothrium spp.)、Tenia属、棘球绦虫属(Echinococcus spp.)、犬复孔绦虫(Dipylidium caninum)、Multiceps属、膜壳绦虫属(Hymenolepis spp.)、中殖孔绦虫属(Mesocestoides spp.)、Vampirolepis属、Moniezia属、Anoplocephala属、Sirometra属、Anoplocephala属和Hymenolepis属。
本发明涉及本发明化合物以及包含它们的组合物在动物中和/或动物上防治和/或防除寄生虫中的治疗和非治疗用途。本发明化合物以及包含它们的组合物可以用于通过使动物与杀寄生虫有效量的本发明化合物以及包含它们的组合物接触而保护动物免受寄生虫侵袭或侵染。
本发明化合物以及包含它们的组合物通过接触(经由土壤、玻璃、墙壁、床网、地毯、毡或动物部分)和摄取(例如诱饵)而有效。这里的“接触”包括直接接触(将农药混合物/含有本发明化合物的组合物直接施用于寄生虫上,这可以包括在其场所-P间接接触,并且还任选将农药混合物/组合物直接施用于要保护的动物上)和间接接触(将化合物/组合物施用于寄生虫的场所)。通过施用于其场所而接触寄生虫为本发明化合物的非治疗用途实例。上面所用的“场所-P”是指动物外部的栖息地、食物供应源、繁殖地、区域、材料或寄生虫生长或可能生长的环境。
通常而言,“杀寄生虫有效量”是指对生长获得可观察到的效果所需的活性成分的量,所述效果包括坏死、死亡、阻滞、预防和去除效果,破坏效果或减少目标生物体的出现和活动的效果。对于本发明的各种化合物/组合物,杀寄生虫有效量可以变化。组合物的杀寄生虫有效量也会根据主要条件如所需杀寄生虫效果及持续时间、目标物种、施用方式等而变化。
本发明化合物也可以预防性地施用于预期出现害虫或寄生虫的地方。
给药可以预防和治疗方式进行。
活性化合物的给药直接或以合适的制剂形式口服、局部/经皮或肠胃外进行。
实施例
本发明现在由下列实施例进一步详细说明,但不对其施加任何限制。制备实施例
化合物可以例如通过联用高效液相色谱/质谱(HPLC/MS)、1H-NMR和/或其熔点表征。
方法A:UPLC分析柱:来自德国Merck KgaA的RP-18柱Chromolith Speed ROD。洗脱液:乙腈+0.1%三氟乙酸(TFA)/水+0.1%三氟乙酸(TFA),比例为5:95-95:5,5分钟,40℃。
方法B:UPLC分析柱:Phenomenex Kinetex1.7μm XB-C18100A;50x2.1mm。移动相:A:水+0.1%三氟乙酸(TFA);B:乙腈+0.1%TFA;梯度:5-100%B,1.50分钟;100%B,0.20分钟;流速:0.8-1.0mL/min,1.50分钟,60℃。
MS-方法:ESI正型。
1H-NMR或13C-NMR:信号由相对于四甲基硅烷或者对于13C-NMR相对于CDCl3的化学位移(ppm,δ)、其多重性及其积分(所给氢原子的相对数)表征。下列缩写用于表征信号的多重性:m=多重峰,q=四重峰,t=三重峰,d=双峰和s=单峰。
所用缩写:h为小时,min为分钟,室温为20-25℃,THF为四氢呋喃,n-BuLi为正丁基锂,MTBE为叔丁基甲基醚。
C化合物实施例
C.1化合物实施例1
化合物实施例1-1至1-8对应于式C.1化合物:
其中各化合物实施例的R5为氢且R1、R6和G如下表C.1中所定义。
表C.1
S.合成实施例
S.1合成5-(3-氯-2-吡啶基)-N-[4-[(E)-甲氧基亚氨基甲基]-2-甲基-6-(甲基氨基甲酰基)苯基]-1-(2,2,2-三氟乙基)吡唑-4-甲酰胺(表C.1的化合物1-1)步骤1:合成3-氯吡啶-2-羰基氯化物
向3-氯吡啶甲酸(20.006g,126.98mmol)在甲苯(200mL)中的溶液中加入亚硫酰氯(23.2mL,37.8g,317mmol,2.5equiv.)和催化量的DMF(10滴)并将该混合物在回流下加热1h。在气体放出停止之后,将该混合物冷却并将所有挥发分真空除去从而以粗产物得到标题化合物(24.38g,quant.),其不经进一步纯化而用于下一步。
步骤2:合成3-(3-氯-2-吡啶基)-3-氧代丙酸乙酯
在10-15℃下,向单乙基丙二酸钾(43.225g,254.0mmol,1.83equiv.)在乙腈(170mL)中的溶液中加入三乙基胺(35.3mL,25.7g,254mmol,1.83equiv.)和MgCl2(29.016g,304.75mmol,2.20equiv.)。在室温下3h之后,将该悬浮液冷却至0℃并加入在乙腈(50mL)中的3-氯吡啶-2-羰基氯化物(即步骤1的产物,24.38g,138.5mmol)。将该温度过夜升至室温并真空浓缩。将残余物溶于CH2Cl2中并通过加入盐酸水溶液(10%)酸化至pH3。将有机层用盐酸水溶液洗涤,随后用饱和碳酸钠水溶液洗涤,在Na2SO4上干燥并蒸发。该残余物含有作为粗产物的标题化合物(总产率:22.19g,70%),其以该品质用于下一步骤。
由1H-NMR(400MHz,CDCl3)表征:δ=1.23(t,3H),4.16(q,2H),7.42(m,1H),7.83(m,1H),8.53(m,1H).
步骤3:合成2-(3-氯吡啶-2-羰基)-3-二甲基氨基丙-2-烯酸乙酯
将3-(3-氯-2-吡啶基)-3-氧代丙酸乙酯(即步骤2的产物,3.00g,13.2mmol)和N,N-二甲基甲酰胺二甲缩醛(2.17mL,1.94g,15.8mmol,1.20equiv.)的混合物在回流下加热2h。将该混合物用乙酸乙酯(300mL)稀释并用水洗涤。将有机层分离,在Na2SO4上干燥并蒸发而得到标题化合物(2.59g,70%),其不经进一步纯化而用于下一步。
由HPLC-MS(方法A)表征:2.085min,M=283.05
由1H-NMR(400MHz,CDCl3)表征:δ=0.81(t,3H),3.07(s,3H),3.35(s,3H),3.88(q,2H),7.24(m,1H),7.72(m,1H),7.95(s,1H),8.43(m,1H).
步骤4:合成5-(3-氯-2-吡啶基)-1-(2,2,2-三氟乙基)吡唑-4-甲酸乙酯
向2-(3-氯吡啶-2-羰基)-3-二甲基氨基丙-2-烯酸乙酯(即步骤3的产物,8.00g,23.3mmol)在乙醇(34mL)中的溶液加入2,2,2-三氟乙基肼三水合物(1.31g,7.78mmol,1.10equiv.)并将该混合物回流2h。将该混合物真空浓缩并溶于CH2Cl2/水。分离各层,并将水层用CH2Cl2洗涤。将合并的有机层在Na2SO4上干燥并蒸发。残余物含有标题化合物(1.95g,83%),其不经进一步纯化而用于下一转化。
由HPLC-MS(方法A)表征:3.156min,M=288.00
由1H-NMR(360MHz,CDCl3)表征:δ=1.17(t,3H),4.18(m,2H),4.69(m,1H),4.84(m,1H),7.41(dd,1H),7.89(dd,1H),8.10(s,1H),8.65(m,1H).
步骤5:合成5-(3-氯-2-吡啶基)-1-(2,2,2-三氟乙基)吡唑-4-甲酸
向5-(3-氯-2-吡啶基)-1-(2,2,2-三氟乙基)吡唑-4-甲酸乙酯(即步骤4的产物,1.95g,5.84mmol)在THF(30mL)中的溶液中加入LiOH(0.560g,24.0mmol,4.0equiv.)在水(6.0mL,0.33mol,57equiv.)中的溶液并将该混合物回流过夜。在冰冷却之后,加入盐酸水溶液(10%)并将该混合物用CH2Cl2萃取3次。将合并的有机层在Na2SO4上干燥并蒸发。残余物含有标题化合物(1.50g,84%),其不经进一步纯化而用于下一转化。
由HPLC-MS(方法A)表征:2.358min,M=305.00
由1H-NMR(360MHz,CDCl3)表征:δ=4.69(m,1H),4.84(m,1H),7.42(dd,1H),7.89(dd,1H),8.11(s,1H),8.64(m,1H).
步骤6:合成2-氨基-5-碘-3-甲基苯甲酸
将2-氨基-3-甲基苯甲酸(23.3g,151mmol)和N-碘代琥珀酰亚胺(35.0g,224mmol,1.01equiv.)在DMF(190mL)中的混合物在75℃(浴温)下加热3h。在冷却至室温之后,将该混合物倾于冰/水/NH4Cl溶液并将所得沉淀通过过滤收集。在用水洗涤残余物并干燥之后,以褐色固体得到标题化合物(41.10g,96%)。
由HPLC-MS(方法A)表征:2.918min,M=277.95
步骤7:合成2-氨基-5-甲酰基-3-甲基苯甲酸
向2-氨基-5-碘-3-甲基苯甲酸(即步骤6的产物,11.10g,40.05mmol)在DMF(400mL)中的溶液中,加入三乙基硅烷(12.9mL,9.40g,116mmol,2.9equiv.)、碳酸钠(4.80g,105mmol,1.13mmol和二(二苯基膦基)二茂铁二氯化钯(II)(1.48g,2.02mmol,0.05equiv.)。将该混合物加热至80℃并将该气氛在剧烈搅拌下与一氧化碳交换。在5h之后,反应完成并将该混合物减压浓缩。将残余物分离至水和MTBE中。将水层用10%HCl溶液酸化,然后将有机层分离并真空浓缩。将残余物用乙酸乙酯研制而得到标题化合物(5.30g,74%)。
由HPLC-MS(方法A)表征:1.866min,M=180.05
步骤8:2-氨基-5-[(E)-甲氧基亚氨基甲基]-3-甲基苯甲酸
将2-氨基-5-甲酰基-3-甲基苯甲酸(即步骤7的产物,2.00g,11.2mmol)、甲基羟胺盐酸盐(1.10g,13.2mmol,1.18equiv.)、乙酸(8.5mL)和乙醇(60mL)的混合物加热至70℃(浴温)并保持2h。在冷却之后,将该混合物真空浓缩。将残余物溶于乙醇中并加热至回流。在冷却之后,将形成的沉淀通过过滤收集而得到标题化合物(1.40g,60%)。
由HPLC-MS(方法A)表征:2.414min,M=208.00
在0℃下向甲磺酰氯(0.27mL,3.5mmol)在乙腈(5mL)中的溶液中,加入5-(3-氯-2-吡啶基)-1-(2,2,2-三氟乙基)吡唑-4-甲酸(即步骤5的产物,1.00g,3.27mmol,1.00equiv.)在乙腈(15mL)中的溶液。在该温度下30min之后,加入2-氨基-5-[(E)-甲氧基亚氨基甲基]-3-甲基苯甲酸(即步骤8的产 物,0.680g,3.27mmol,1.00equiv.)并将其搅拌5min。在0℃下,加入在乙腈(5mL)中的三乙基胺(0.91mL)并将其在该温度下静置45min。加入其他甲磺酰氯(0.27mL,3.5mmol)并在0℃下1h之后,使该混合物温热至室温并搅拌过夜。加入K2CO3水溶液(5%,20mL)并将该混合物分离至水和二氯甲烷中。在过滤之后,将滤液浓缩并通过在硅胶上的快速层析纯化而得到标题化合物(490mg,31%)。
由HPLC-MS(方法A)表征:3.981min,M=478.05
步骤10:合成5-(3-氯-2-吡啶基)-N-[4-[(E)-甲氧基亚氨基甲基]-2-甲基-6-(甲基氨基甲酰基)苯基]-1-(2,2,2-三氟乙基)吡唑-4-甲酰胺
在室温下向2-[5-(3-氯-2-吡啶基)-1-(2,2,2-三氟乙基)吡唑-4-基]-6-[(E)-甲氧基亚氨基甲基]-8-甲基-3,1-苯并嗪-4-酮(即步骤9的产物,120mg,0.25mmol)在THF(8mL)中的溶液中加入甲基胺(0.8mL,2M THF溶液,1.6mmol,6.4equiv.)的溶液。在4h之后,将该混合物真空浓缩并将该残余物用乙醚研制而得到标题化合物(115mg,90%)。
由HPLC-MS(方法A)表征:2.849min,M=509.00
由1H-NMR(500MHz,DMSO-d6)表征:δ=2.20(s,3H),2.66(s,3H),3.91(s,3H),4.95-5.32(m,2H),7.54(m,3H),8.07(m,1H),8.20(s,1H),8.24(m,1H),8.35(s,1H),8.68(m,1H),9.89(s,1H)ppm.
S.2合成5-(3-氯-2-吡啶基)-N-[2-甲基-6-(甲基氨基甲酰基)-4-(1,2,4-三唑-1-基)苯基]-1-(2,2,2-三氟乙基)吡唑-4-甲酰胺(表C.1的化合物1-2)
步骤1:合成2-氨基-3-甲基-5-(1,2,4-三唑-1-基)苯甲酸
将2-氨基-5-碘-3-甲基苯甲酸(即实施例S.1步骤6的产物,2.77g,10.0mmol)、1,2,4-三唑(0.970g,14.0mmol,1.40equiv.)、碘化铜(I)(380mg,1.99mmol,0.2equiv.)、Cs2CO3(6.5g,19.95mmol,2.00equiv.)和DMF(20mL)的混合物在120℃(浴温)下加热过夜。在过滤后,将滤液真空浓缩并将残余物分离至水和CH2Cl2中。将水层用10%盐酸酸化。将沉淀通过过滤收集并溶于甲醇。不溶性颗粒通过过滤除去并在浓缩母液之后,得到标题化合物(1.50g,69%)。
由HPLC-MS(方法A)表征:1.679min,M=219.00
步骤2:合成8-甲基-6-(1,2,4-三唑-1-基)-1H-3,1-苯并嗪-2,4-二酮
在室温下向2-氨基-3-甲基-5-(1,2,4-三唑-1-基)苯甲酸(即步骤1的产物,1.50g,6.87mmol)在1,4-二烷(17mL)中的溶液中加入光气(4.21mL,20%甲苯溶液,8.00mmol,1.16equiv.)。在6h之后,将该混合物冷却并将沉淀通过过滤收集而得到标题化合物(1.68g,100%)。
由HPLC-MS(方法A)表征:1.687min,M=245.05
步骤3:合成2-氨基-N,3-二甲基-5-(1,2,4-三唑-1-基)苯甲酰胺
将8-甲基-6-(1,2,4-三唑-1-基)-1H-3,1-苯并嗪-2,4-二酮(即步骤2的产物,1.20g,4.91mmol)、甲基胺(5.0mL,2M THF溶液,10mmol,2.0equiv.)和THF(25mL)的混合物在回流下加热3h。在冷却之后,将沉淀通过过滤收集而得到标题化合物(170mg,15%)。
由HPLC-MS(方法A)表征:1.520min,M=232.05
步骤4:合成5-(3-氯-2-吡啶基)-1-(2,2,2-三氟乙基)吡唑-4-羰基氯化物
向5-(3-氯-2-吡啶基)-1-(2,2,2-三氟乙基)吡唑-4-甲酸(即实施例S.1步骤5的产物,10.00g,32.72mmol)在甲苯(80mL)中的溶液中依次加入DMF(0.3mL)和亚硫酰氯(16.7mL,27.2g,229mmol,7.0equiv.)并将该混合物在回流下加热2.5h。在冷却之后,将该混合物真空浓缩而得到标题化合物(10.60g,100%)。
由1H-NMR(400MHz,CDCl3)表征:δ=4.70(m,1H),4.90(m,1H),7.44(m,1H),7.91(d,1H),8.22(s,1H),8.66(d,1H)ppm.
步骤5:合成5-(3-氯-2-吡啶基)-N-[2-甲基-6-(甲基氨基甲酰基)-4-(1,2,4-三唑-1-基)苯基]-1-(2,2,2-三氟乙基)吡唑-4-甲酰胺
向2-氨基-N,3-二甲基-5-(1,2,4-三唑-1-基)苯甲酰胺(即步骤3的产物,170mg,740mmol)在吡啶(2mL)中的溶液中加入N,N-二甲基氨基吡啶(10mg,80mmol,0.11equiv.)和5-(3-氯-2-吡啶基)-1-(2,2,2-三氟乙基)吡唑-4-羰基氯化物(即步骤4的产物,225mg,690mmol,0.94equiv.)在吡啶(2mL)中的溶液。将该混合物在85℃(浴温)下加热3h。在冷却之后,将该混合物真空浓缩并将残余物通过在硅胶上快速层析纯化而得到标题化合物(190mg,49%)。
由HPLC-MS(方法A)表征:2.479min,M=519.05
B.生物学实施例
本发明式I化合物的活性可以在下面所述生物学测试中证实和评价。
若无其他描述,则测试溶液按如下制备:
将活性化合物以所需浓度溶于1:1(体积比)蒸馏水:丙酮混合物中。测试溶液在使用当天制备且通常以ppm(wt/vol)浓度。
B.1豇豆蚜(aphis craccivora)
在施用前24小时通过手动转移由侵染的植株切取的叶片组织使盆栽豇豆植株被约50-100只各阶段的蚜虫盘踞。在记录害虫种群之后喷雾植株。在约28℃下将被处理植株保持于光照车(light cart)中。72小时后评价死亡百分比。
在该测试中,化合物1-1、1-2、1-3、1-5、1-6和1-7在500ppm下与未处理对照相比分别显示出超过75%的死亡率。
B.2地中海实蝇(Ceratitis capitata)
为了评价对地中海实蝇的防治,测试单元由含有昆虫膳食和50-80只地中海实蝇虫卵的微滴定板构成。
使用含有75%(体积比)水和25%(体积比)DMSO的溶液配制化合物。使用定制微雾化器将不同浓度的配制化合物以5μl喷雾于昆虫膳食上,重复两次。
在施用之后,将微滴定板在约28±1℃和约80±5%相对湿度下温育5天。然后肉眼评价卵和幼虫死亡率。
在该测试中,化合物1-1、1-2、1-4、1-5、1-6、1-7和1-8在2500ppm下与未处理对照相比分别显示出超过75%的死亡率。
B.3兰花蓟马(dichromothrips corbetti)
各化合物的蓟马效力通过使用花浸技术评价。将塑料陪替氏皿用作测试设备。将各完整兰花的所有花瓣浸入处理溶液中并干燥。将处理过的花与约20只蓟马成虫一起放入各陪替氏皿中。然后将陪替氏皿用盖子覆盖。在评价期间将所有测试设备保持在连续光照和约28℃的温度下。3天后对各花和各陪替氏皿的内壁计数活的蓟马数。处理之后72小时记录死亡百分比。
在该测试中,化合物1-1、1-2、1-5和1-6在500ppm下与未处理对照相比分别显示出超过75%的死亡率。
B.4南方灰翅夜蛾(Spodoptera eridania)
在环己酮中将活性化合物配制成在管中供应的10,000ppm溶液。将各管插入装备有雾化喷嘴的自动静电喷雾器中并将其作为储备溶液使用,在50%丙酮:50%水(体积比)中由该储备溶液产生更低稀释度。非离子表面活性剂()以0.01%(体积比)的量包括在该溶液中。
将利马豆(栽培品种Sieva)植株以每盆2株栽种并在第一真叶阶段选取用于处理。通过装备有雾化喷嘴的自动静电植株喷雾器将测试溶液喷雾于叶面。在喷雾器通风橱中干燥各植株,然后从喷雾器中取出。将各盆置于具有拉链封闭的穿孔塑料袋中。将约10-11只南方灰翅夜蛾幼虫放入该袋中并将该袋拉链封闭。将测试植株在生长室中于约25℃和约20-40%的相对湿度下保持4天,避免直接暴露于荧光(24小时光照期)以防止在袋内截热。处理后4天评价与未处理对照植物相比的死亡率和进食减退。
在该测试中,化合物1-1、1-2、1-4、1-5、1-7和1-8在小于300ppm下与未处理对照相比分别显示出超过75%的死亡率。
B.5巢菜修尾蚜(Megoura viciae)
为了通过接触或内吸方式评价对巢菜修尾蚜的防治,测试单元由含有宽菜豆叶片的24孔微滴定板构成。
使用含有75%(体积比)水和25%(体积比)DMSO的溶液配制各化合物。使用定制微雾化器将不同浓度的配制化合物以2.5μl喷雾于叶片上,重复两次。
施用后,将叶片风干并将5-8只蚜虫成虫置于微滴定板孔内的叶片上。然后使蚜虫在被处理叶片上吮吸并在约23±1℃和约50±5%相对湿度下温育5天。然后肉眼评价蚜虫死亡率和繁殖力。
在该测试中,化合物1-1、1-2、1-4、1-5、1-6和1-8在2500ppm下与未处理对照相比分别显示出超过75%的死亡率。
B.6烟芽夜蛾(Heliothis virescens)I
为了评价对烟芽夜蛾的防治,测试单元由含有昆虫膳食和15-25只烟芽夜蛾卵的96孔微滴定板构成。
使用含有75%(体积比)水和25%(体积比)DMSO的溶液配制各化合物。使用定制微雾化器将不同浓度的配制化合物以10μl喷雾于昆虫膳食上,重复两次。
施用后,将微滴定板在约28±1℃和约80±5%相对湿度下温育5天。然后肉眼评价卵和幼虫的死亡率。
在该测试中,化合物1-1、1-2、1-4、1-5、1-6、1-7和1-8在2500ppm下与未处理对照相比分别显示出超过75%的死亡率。
B.7墨西哥棉铃象(Anthonomus grandis)
为了评价对墨西哥棉铃象的防治,测试单元由含有昆虫膳食和20-30只墨西哥棉铃象卵的24孔微滴定板构成。
使用含有75%(体积比)水和25%(体积比)DMSO的溶液配制化合物。使用定制微雾化器将不同浓度的配制化合物以20μl喷雾于昆虫膳食上,重复两次。
在施用之后,将微滴定板在约23±1℃和约50±5%相对湿度下温育5天。然后肉眼评价卵和幼虫死亡率。
在该测试中,化合物1-1、1-2、1-4、1-5、1-6和1-7在2500ppm下与未处理对照相比分别显示出超过75%的死亡率。
B.8绿桃蚜(Myzus persicae)
在环己酮中将活性化合物配制成在管中供应的10,000ppm溶液。将这些管插入装备有雾化喷嘴的自动静电喷雾器中并作为储备溶液使用,在50%丙酮:50%水(体积比)中由该储备溶液产生更低稀释度。非离子表面活 性剂以0.01%(体积比)的量包括在该溶液中。
在处理之前通过将来自主群体的重度侵染的叶子置于被处理植株的顶部而将第一真叶阶段的柿子椒植株侵染。使蚜虫经过整夜转移而实现30-50只蚜虫/植株的侵染并移走宿主叶子。然后通过装备有雾化喷嘴的自动静电植株喷雾器喷雾侵染的植株。在喷雾器通风橱中干燥各植株,取出,然后在生长室中在荧光光照下于约25℃和约20-40%的相对湿度保持24小时光照期。5天后相对于未处理对照植物上的死亡率测定被处理植株上的蚜虫死亡率。
在该测试中,化合物1-1、1-2、1-3、1-4、1-5、1-6、1-7和1-8在2500ppm下与未处理对照相比分别显示出超过75%的死亡率。
Claims (37)
1.一种通式(I)化合物或其立体异构体、盐、互变异构体或N-氧化物:
其中
B1为N或CH;
G为式G1的基团
其中
Q为O、N(R9a)或化学键;
Rg选自氢、卤素、氰基、叠氮基、硝基、-SCN、SF5、C1-C6烷基、C1-C6卤代烷基、C1-C6烷氧基-C1-C6烷基、C2-C6链烯基、C2-C6卤代链烯基、C2-C6炔基、C2-C6卤代炔基、C3-C8环烷基、C3-C8卤代环烷基、-Si(R14)2R13、-OR8、-OSO2R8、-SR8、-S(O)mR8、-S(O)nN(R9a)R9b、-N(R9a)R9b、-C(=O)N(R9a)R9b、-C(=S)N(R9a)R9b、-C(=O)OR8、-C(=O)R7,苯基,其可被1、2、3、4或5个基团R10取代,苄基,其可被1、2、3、4或5个基团R10取代,和含有1、2或3个选自N、O、S、NO、SO和SO2的杂原子或杂原子基团作为环成员的3、4、5、6或7员饱和、部分不饱和或最大不饱和杂环,其中该杂环可被一个或多个基团R10取代;
Rh选自氢、氰基、C1-C6烷基、C1-C6卤代烷基、C1-C6烷氧基、C1-C6卤代烷氧基、C1-C6烷硫基、C1-C6卤代烷硫基、C1-C6烷基亚磺酰基、C1-C6卤代烷基亚磺酰基、C1-C6烷基磺酰基、C1-C6卤代烷基磺酰基、C3-C8 环烷基、C3-C8环烷基-C1-C4烷基、C3-C8卤代环烷基、C2-C6链烯基、C2-C6卤代链烯基、C2-C6炔基、C2-C6卤代炔基、-Si(R14)2R13、-SR8、-S(O)mR8、-S(O)nN(R9a)R9b、-N(R9a)R9b、-N=CR15R16、-C(=O)R7、-C(=O)N(R9a)R9b、-C(=S)N(R9a)R9b、-C(=O)OR8,苯基,其可被1、2、3、4或5个基团R10取代,和含有1、2或3个选自N、O、S、NO、SO和SO2的杂原子或杂原子基团作为环成员的3、4、5、6或7员饱和、部分不饱和或最大不饱和杂环,其中该杂环可被一个或多个基团R10取代;条件为如果Rh键于氧原子,则其不为C1-C6烷氧基或C1-C6卤代烷氧基;或G为含有1、2或3个选自N、O、S、NO、SO和SO2的杂原子或杂原子基团作为环成员的3、4、5、6或7员饱和、部分不饱和或最大不饱和杂环,其中该杂环可被一个或多个基团R10取代;
R1各自独立地选自卤素;氰基;叠氮基;硝基;-SCN;SF5;C1-C6烷基,其可部分或完全卤化和/或可被一个或多个基团R7取代;C3-C8环烷基,其可部分或完全卤化和/或可被一个或多个基团R7取代;C2-C6链烯基,其可部分或完全卤化和/或可被一个或多个基团R7取代;C2-C6炔基,其可部分或完全卤化和/或可被一个或多个基团R7取代;-Si(R14)2R13;-OR8;-OS(O)nR8;-SR8;-S(O)mR8;-S(O)nN(R9a)R9b;-N(R9a)R9b;-N(R9a)C(=O)R7;C(=O)R7;-C(=O)OR8;-C(=NR9a)R7;-C(=O)N(R9a)R9b;C(=S)N(R9a)R9b;苯基,其可被1、2、3、4或5个基团R10取代;和含有1、2或3个选自N、O、S、NO、SO和SO2的杂原子或杂原子基团作为环成员的3、4、5、6或7员饱和、部分不饱和或最大不饱和杂环,其中该杂环可被一个或多个基团R10取代;
R2选自氢;氰基;C1-C10烷基,其可部分或完全卤化和/或可被一个或多个基团R7取代;C3-C8环烷基,其可部分或完全卤化和/或可被一个或多个基团R7取代;C2-C10链烯基,其可部分或完全卤化和/或可被一个或多个基团R7取代;C2-C10炔基,其可部分或完全卤化和/或可被一个或多个基团R7取代;-N(R9a)R9b;-Si(R14)2R13;-OR8;-SR8;-S(O)mR8;-S(O)nN(R9a)R9;-C(=O)R7;-C(=O)OR8;-C(=O)N(R9a)R9b;-C(=S)R7;-C(=S)OR8;-C(=S)N(R9a)R9b;-C(=NR9a)R7;苯基,其可被1、2、3、4或5个基团 R10取代;和含有1、2或3个选自N、O、S、NO、SO和SO2的杂原子或杂原子基团作为环成员的3、4、5、6或7员饱和、部分不饱和或最大不饱和杂环,其中该杂环可被一个或多个基团R10取代;
R3选自氢、氰基、硝基,C1-C6烷基,其可部分或完全卤化和/或可被一个或多个基团R7取代,C3-C8环烷基,其可部分或完全卤化和/或可被一个或多个基团R7取代,C2-C6链烯基,其可部分或完全卤化和/或可被一个或多个基团R7取代,C2-C6炔基,其可部分或完全卤化和/或可被一个或多个基团R7取代,-Si(R14)2R13、-OR8、-OS(O)nR8、-SR8、-S(O)mR8、-S(O)nN(R9a)R9b、-N(R9a)R9b、N(R9a)C(=O)R7、-C(=O)R7、-C(=O)OR8、-C(=S)R7、-C(=S)OR8、-C(=NR9a)R7、-C(=O)N(R9a)R9b、-C(=S)N(R9a)R9b,苯基,其可被1、2、3、4或5个基团R10取代,和含有1、2或3个选自N、O、S、NO、SO和SO2的杂原子或杂原子基团作为环成员的3、4、5、6或7员饱和、部分不饱和或最大不饱和杂环,其中该杂环可被一个或多个基团R10取代;
R4各自独立地选自卤素、氰基、叠氮基、硝基、-SCN、SF5,C1-C6烷基,其可部分或完全卤化和/或可被一个或多个基团R7取代,C3-C8环烷基,其可部分或完全卤化和/或可被一个或多个基团R7取代,C2-C6链烯基,其可部分或完全卤化和/或可被一个或多个基团R7取代,C2-C6炔基,其可部分或完全卤化和/或可被一个或多个基团R7取代,-Si(R14)2R13、-OR8、-OS(O)nR8、-SR8、-S(O)mR8、-S(O)nN(R9a)R9b、-N(R9a)R9b、N(R9a)C(=O)R7、-C(=O)R7、-C(=O)OR8、-C(=S)R7、-C(=S)OR8、-C(=NR9a)R7、-C(=O)N(R9a)R9b、-C(=S)N(R9a)R9b,苯基,其可被1、2、3、4或5个基团R10取代,和含有1、2或3个选自N、O、S、NO、SO和SO2的杂原子或杂原子基团作为环成员的3、4、5、6或7员饱和、部分不饱和或最大不饱和杂环,其中该杂环可被一个或多个基团R10取代;
R5和R6相互独立地选自氢、氰基,C1-C6烷基,其可部分或完全卤化和/或可被一个或多个基团R7a取代,C1-C6烷氧基、C1-C6卤代烷氧基、C1-C6烷硫基、C1-C6卤代烷硫基,其中后提到的4个基团中的烷基结构部分可被一个或多个基团R7a取代,C3-C8环烷基,其可部分或完全卤化和/或可 被一个或多个基团R7a取代,C3-C8环烷基-C1-C4烷基,其中该环烷基结构部分可部分或完全卤化和/或可被一个或多个基团R7a取代,C2-C6链烯基,其可部分或完全卤化和/或可被一个或多个基团R7a取代,C2-C6炔基,其可部分或完全卤化和/或可被一个或多个基团R7a取代,-N(R9a)R9b;-N(R9a)C(=O)R7;-Si(R14)2R13;-OR8;-SR8;-S(O)mR8;-S(O)nN(R9a)R9b;-C(=O)R7;-C(=O)OR8;-C(=O)N(R9a)R9b;-C(=S)R7;-C(=S)OR8、-C(=S)N(R9a)R9b;-C(=NR9a)R7-S(O)mR8、-S(O)nN(R9a)R9b,苯基,其可被1、2、3、4或5个基团R10取代,苄基,其可被1、2、3、4或5个基团R10取代,和含有1、2或3个选自N、O、S、NO、SO和SO2的杂原子或杂原子基团作为环成员的3、4、5、6或7员饱和、部分不饱和或最大不饱和杂环,其中该杂环可被一个或多个基团R10取代;
或R5和R6一起形成基团=CR11R12;
或R5和R6与其所键合的氮原子一起可形成可额外含有1或2个选自N、O、S、NO、SO和SO2的其他杂原子或杂原子基团作为环成员的3、4、5、6或7员饱和、部分不饱和或最大不饱和杂环,其中该杂环可被一个或多个基团R10取代;
R7a各自独立地选自氰基、叠氮基、硝基、-SCN、SF5、-Si(R14)2R13、-OR8、-OSO2R8、-SR8、-S(O)mR8、-S(O)nN(R9a)R9b、-N(R9a)R9b、-C(=O)N(R9a)R9b、-C(=S)N(R9a)R9b、-C(=O)OR8、-C(=O)R19,和
在R7a键于环烷基的情况下,R7a可额外选自C1-C6烷基、C1-C6卤代烷基、C1-C6烷氧基-C1-C6烷基、C2-C6链烯基、C2-C6卤代链烯基、C2-C6炔基、C2-C6卤代炔基;
或两个孪位键合的基团R7a一起形成选自=CR11R12、=S(O)mR8、=S(O)mN(R9a)R9b、=NR9a、=NOR8和=NNR9aR9b的基团;
R7各自独立地选自氰基、叠氮基、硝基、-SCN、SF5、C3-C8环烷基、C3-C8卤代环烷基、-Si(R14)2R13、-OR8、-OSO2R8、-SR8、-S(O)mR8、-S(O)nN(R9a)R9b、-N(R9a)R9b、-C(=O)N(R9a)R9b、-C(=S)N(R9a)R9b、-C(=O)OR8、-C(=O)R19,苯基,其可被1、2、3、4或5个基团R10取代,和含有1、2或3个选自N、O、S、NO、SO和SO2的杂原子或杂原子基 团作为环成员的3、4、5、6或7员饱和、部分不饱和或最大不饱和杂环,其中该杂环可被一个或多个基团R10取代;和
在R7键于环烷基或杂环的情况下,R7可额外选自C1-C6烷基、C1-C6卤代烷基、C1-C6烷氧基-C1-C6烷基、C2-C6链烯基、C2-C6卤代链烯基、C2-C6炔基、C2-C6卤代炔基,和苄基,其可被1、2、3、4或5个基团R10取代;和
在基团-C(=O)R7、-C(=S)R7、-C(=NR9a)R7和-N(R9a)C(=O)R7中,R7可额外选自氢、卤素、C1-C6烷基、C1-C6卤代烷基、C1-C6烷氧基-C1-C6烷基、C2-C6链烯基、C2-C6卤代链烯基、C2-C6炔基、C2-C6卤代炔基,和苄基,其可被1、2、3、4或5个基团R10取代;
或两个孪位键合的基团R7一起形成选自=CR11R12、=S(O)mR8、=S(O)mN(R9a)R9b、=NR9a、=NOR8和=NNR9aR9b的基团;
或两个基团R7与其所键合的碳原子一起形成含有1、2或3个选自N、O、S、NO、SO和SO2的杂原子或杂原子基团作为环成员的3、4、5、6、7或8员饱和或部分不饱和碳环或杂环;
R8各自独立地选自氢、氰基、C1-C6烷基、C1-C6卤代烷基、C1-C6烷氧基、C1-C6卤代烷氧基、C1-C6烷硫基、C1-C6卤代烷硫基、C1-C6烷基亚磺酰基、C1-C6卤代烷基亚磺酰基、C1-C6烷基磺酰基、C1-C6卤代烷基磺酰基、C3-C8环烷基、C3-C8环烷基-C1-C4烷基、C3-C8卤代环烷基、C2-C6链烯基、C2-C6卤代链烯基、C2-C6炔基、C2-C6卤代炔基、-Si(R14)2R13、-SR20、-S(O)mR20、-S(O)nN(R9a)R9b、-N(R9a)R9b、-N=CR15R16、-C(=O)R19、-C(=O)N(R9a)R9b、-C(=S)N(R9a)R9b、-C(=O)OR20,苯基,其可被1、2、3、4或5个基团R10取代,和含有1、2或3个选自N、O、S、NO、SO和SO2的杂原子或杂原子基团作为环成员的3、4、5、6或7员饱和、部分不饱和或最大不饱和杂环,其中该杂环可被一个或多个基团R10取代;条件为如果R8键于氧原子,则其不为C1-C6烷氧基或C1-C6卤代烷氧基;
R9a、R9b相互独立地且每次出现独立地选自氢、氰基,C1-C6烷基,其可部分或完全卤化和/或可被一个或多个基团R19取代,C1-C6烷氧基、C1-C6卤代烷氧基、C1-C6烷硫基、C1-C6卤代烷硫基,其中后提到的4个基团 中的烷基结构部分可被一个或多个基团R19取代,C3-C8环烷基,其可部分或完全卤化和/或可被一个或多个基团R19取代,C3-C8环烷基-C1-C4烷基,其中该环烷基结构部分可部分或完全卤化和/或可被一个或多个基团R19取代,C2-C6链烯基,其可部分或完全卤化和/或可被一个或多个基团R19取代,C2-C6炔基,其可部分或完全卤化和/或可被一个或多个基团R19取代,-N(R21)R22;-N(R21)C(=O)R19;-Si(R14)2R13;-OR20;-SR20;-S(O)mR20;-S(O)nN(R21)R22;-C(=O)R19;-C(=O)OR20;-C(=O)N(R21)R22;-C(=S)R17;-C(=S)OR20、-C(=S)N(R21)R22;-C(=NR21)R17-S(O)mR20、-S(O)nN(R21)R22,苯基,其可被1、2、3、4或5个基团R10取代,苄基,其可被1、2、3、4或5个基团R10取代,和含有1、2或3个选自N、O、S、NO、SO和SO2的杂原子或杂原子基团作为环成员的3、4、5、6或7员饱和、部分不饱和或最大不饱和杂环,其中该杂环可被一个或多个基团R10取代;
或R9a和R9b一起形成基团=CR11R12;
或R9a和R9b与其所键合的氮原子一起可形成可额外含有1或2个选自N、O、S、NO、SO和SO2的其他杂原子或杂原子基团作为环成员的3、4、5、6或7员饱和、部分不饱和或最大不饱和杂环,其中该杂环可被一个或多个基团R10取代;
R10各自独立地选自卤素、氰基、叠氮基、硝基、-SCN、SF5,C1-C10烷基,其可部分或完全卤化和/或可被一个或多个基团R19取代,C3-C8环烷基,其可部分或完全卤化和/或可被一个或多个基团R19取代,C2-C10链烯基,其可部分或完全卤化和/或可被一个或多个基团R19取代,C2-C10炔基,其可部分或完全卤化和/或可被一个或多个基团R19取代,-Si(R14)2R13、-OR20、-OS(O)nR20、-SR20、-S(O)mR20、-S(O)nN(R21)R22、-N(R21)R22、C(=O)R19、-C(=O)OR20、-C(=NR21)R17、-C(=O)N(R21)R22、-C(=S)N(R21)R22,苯基,其可被1、2、3、4或5个独立地选自卤素、氰基、硝基、C1-C6烷基、C1-C6卤代烷基、C1-C6烷氧基和C1-C6卤代烷氧基的基团取代;和含有1、2或3个选自N、O、S、NO、SO和SO2的杂原子或杂原子基团作为环成员的3、4、5、6或7员饱和、部分或最大不饱和杂环,其可被一个或多个独立地选自卤素、氰基、硝基、C1-C6烷基、 C1-C6卤代烷基、C1-C6烷氧基和C1-C6卤代烷氧基的基团取代;
或键于相邻原子的两个基团R10一起形成选自-CH2CH2CH2CH2-、-CH=CH-CH=CH-、-N=CH-CH=CH-、-CH=N-CH=CH-、-N=CH-N=CH-、-OCH2CH2CH2-、-OCH=CHCH2-、-CH2OCH2CH2-、-OCH2CH2O-、-OCH2OCH2-、-CH2CH2CH2-、-CH=CHCH2-、-CH2CH2O-、-CH=CHO-、-CH2OCH2-,-CH2C(=O)O-、-C(=O)OCH2-、-O(CH2)O-、-SCH2CH2CH2-、-SCH=CHCH2-、-CH2SCH2CH2-、-SCH2CH2S-、-SCH2SCH2-、-CH2CH2S-、-CH=CHS-、-CH2SCH2-、-CH2C(=S)S-、-C(=S)SCH2-、-S(CH2)S-、-CH2CH2NR21-、-CH2CH=N-、-CH=CH-NR21-、-OCH=N-和-SCH=N-的基团,由此与其所键合的原子一起形成5或6员环,其中以上基团的氢原子可被一个或多个选自卤素、甲基、卤代甲基、羟基、甲氧基和卤代甲氧基的取代基替换或以上基团的一个或多个CH2基团可以被C=O基团替换;
R11、R12相互独立地且每次出现独立地选自氢、卤素、C1-C6烷基、C1-C6卤代烷基、C2-C6链烯基、C2-C6卤代链烯基、C2-C6炔基、C2-C6卤代炔基、C3-C8环烷基、C3-C8卤代环烷基、C1-C6烷氧基-C1-C6烷基、C1-C6卤代烷氧基-C1-C6烷基、C1-C6烷氧基、C1-C6卤代烷氧基、-C(=O)R19、-C(=O)OR20、-C(=NR21)R17、-C(=O)N(R21)R22、-C(=S)N(R21)R22,苯基,其可被1、2、3、4或5个基团R10取代;和含有1、2或3个选自N、O、S、NO、SO和SO2的杂原子或杂原子基团作为环成员的3、4、5、6或7员饱和、部分不饱和或最大不饱和杂环,其可被一个或多个基团R10取代;
R13、R14相互独立地且每次出现独立地选自C1-C4烷基、C3-C6环烷基、C1-C4烷氧基-C1-C4烷基、苯基和苄基;
R15、R16相互独立地且每次出现独立地选自C1-C6烷基、C1-C6卤代烷基、C2-C6链烯基、C2-C6卤代链烯基、C2-C6炔基、C2-C6卤代炔基、C3-C8环烷基、C3-C8卤代环烷基、C1-C6烷氧基-C1-C6烷基、C1-C6卤代烷氧基-C1-C6烷基,苯基,其可被1、2、3、4或5个基团R10取代;和含有1、2或3个选自N、O、S、NO、SO和SO2的杂原子或杂原子基团作为环成员的3、4、5、6或7员饱和、部分不饱和或最大不饱和杂环,其可被 一个或多个基团R10取代;
R17各自独立地选自氢、卤素、C1-C6烷基、C1-C6卤代烷基、C2-C6链烯基、C2-C6卤代链烯基、C2-C6炔基、C2-C6卤代炔基、C3-C8环烷基、C3-C8卤代环烷基、C1-C6烷氧基-C1-C6烷基、C1-C6卤代烷氧基-C1-C6烷基、苯基和苄基;
R19各自独立地选自氰基、叠氮基、硝基、-SCN、SF5、C3-C8环烷基、C3-C8卤代环烷基、-Si(R14)2R13、-OR20、-OSO2R20、-SR20、-S(O)mR20、-S(O)nN(R21)R22、-N(R21)R22、-C(=O)N(R21)R22、-C(=S)N(R21)R22、-C(=O)OR20、-C(=O)R20,苯基,其可被1、2、3、4或5个独立地选自卤素、氰基、硝基、C1-C6烷基、C1-C6卤代烷基、C1-C6烷氧基和C1-C6卤代烷氧基的基团取代,和含有1、2或3个选自N、O、S、NO、SO和SO2的杂原子或杂原子基团作为环成员的3、4、5、6或7员饱和、部分不饱和或最大不饱和杂环,其中该杂环可被一个或多个独立地选自卤素、氰基、硝基、C1-C6烷基、C1-C6卤代烷基、C1-C6烷氧基和C1-C6卤代烷氧基的基团取代;和
在R19键于环烷基的情况下,R19可额外选自C1-C6烷基、C1-C6卤代烷基、C1-C6烷氧基-C1-C6烷基、C2-C6链烯基、C2-C6卤代链烯基、C2-C6炔基和C2-C6卤代炔基;和
在基团-C(=O)R19或-N(R21)C(=O)R19中,R19可额外选自氢、卤素、C1-C6烷基、C1-C6卤代烷基、C1-C6烷氧基-C1-C6烷基、C2-C6链烯基、C2-C6卤代链烯基、C2-C6炔基和C2-C6卤代炔基;
或两个孪位键合的基团R19一起形成选自=CR11R12、=S(O)mR20、=S(O)mN(R21)R22、=NR21、=NOR20和=NNR21的基团;
或两个基团R19与其所键合的碳原子一起形成含有1、2或3个选自N、O、S、NO、SO和SO2的杂原子或杂原子基团作为环成员的3、4、5、6、7或8员饱和或部分不饱和碳环或杂环;
R20各自独立地选自氢、氰基、C1-C6烷基、C1-C6卤代烷基、C1-C6烷氧基、C1-C6卤代烷氧基、C1-C6烷硫基、C1-C6卤代烷硫基、C1-C6烷基亚磺酰基、C1-C6卤代烷基亚磺酰基、C1-C6烷基磺酰基、C1-C6卤代烷基磺酰基、 C3-C8环烷基、C3-C8环烷基-C1-C4烷基、C3-C8卤代环烷基、C2-C6链烯基、C2-C6卤代链烯基、C2-C6炔基、C2-C6卤代炔基、-Si(R14)2R13、C1-C6烷基氨基磺酰基、氨基、C1-C6烷基氨基、二(C1-C6烷基)氨基、C1-C6烷基羰基、C1-C6卤代烷基羰基、氨基羰基、C1-C6烷基氨基羰基、二(C1-C6烷基)氨基羰基、C1-C6烷氧基羰基、C1-C6卤代烷氧基羰基,苯基,其可被1、2、3、4或5个独立地选自卤素、氰基、硝基、C1-C6烷基、C1-C6卤代烷基、C1-C6烷氧基和C1-C6卤代烷氧基的基团取代,苄基,其可被1、2、3、4或5个独立地选自卤素、氰基、硝基、C1-C6烷基、C1-C6卤代烷基、C1-C6烷氧基和C1-C6卤代烷氧基的基团取代,和含有1、2或3个选自N、O、S、NO、SO和SO2的杂原子或杂原子基团作为环成员的3、4、5、6或7员饱和、部分不饱和或最大不饱和杂环,其中该杂环可被一个或多个独立地选自卤素、氰基、硝基、C1-C6烷基、C1-C6卤代烷基、C1-C6烷氧基和C1-C6卤代烷氧基的基团取代;
条件为如果R20键于氧原子,则其不为C1-C6烷氧基或C1-C6卤代烷氧基;
R21和R22相互独立地且每次出现独立地选自氢、C1-C6烷基、C1-C6卤代烷基、C1-C6烷氧基、C1-C6卤代烷氧基、C1-C6烷硫基、C1-C6卤代烷硫基、C3-C8环烷基、C3-C8卤代环烷基、C3-C8环烷基-C1-C4烷基、C2-C6链烯基、C2-C6卤代链烯基、C2-C6炔基、C2-C6卤代炔基,苯基,其可被1、2、3、4或5个独立地选自卤素、氰基、硝基、C1-C6烷基、C1-C6卤代烷基、C1-C6烷氧基和C1-C6卤代烷氧基的基团取代,苄基,其可被1、2、3、4或5个独立地选自卤素、氰基、硝基、C1-C6烷基、C1-C6卤代烷基、C1-C6烷氧基和C1-C6卤代烷氧基的基团取代,和含有1、2或3个选自N、O、S、NO、SO和SO2的杂原子或杂原子基团作为环成员的3、4、5、6或7员饱和、部分不饱和或最大不饱和杂环,其中该杂环可被一个或多个独立地选自卤素、氰基、硝基、C1-C6烷基、C1-C6卤代烷基、C1-C6烷氧基和C1-C6卤代烷氧基的基团取代;
或R21和R22与其所键合的氮原子一起可形成可额外含有1或2个选自N、O、S、NO、SO和SO2的其他杂原子或杂原子基团作为环成员的3、4、5、6或7员饱和、部分不饱和或最大不饱和杂环,其中该杂环可被一个 或多个选自卤素、C1-C6烷基、C1-C6卤代烷基、C1-C6烷氧基和C1-C6卤代烷氧基的基团取代;
m各自独立地为1或2;
n各自独立地为0、1或2;
p为0、1、2或3;
r为0、1、2、3或4;
X为O或S;和
Y为O或S。
2.根据权利要求1的化合物,其中Rg选自氢、C1-C6烷基、C1-C6卤代烷基、C1-C6烷氧基-C1-C6烷基、C2-C6链烯基、C2-C6卤代链烯基、C2-C6炔基、C2-C6卤代炔基、C3-C8环烷基、C3-C8卤代环烷基,苯基,其可被1、2、3、4或5个基团R10取代,苄基,其可被1、2、3、4或5个基团R10取代,和含有1、2或3个选自N、O、S、NO、SO和SO2的杂原子或杂原子基团作为环成员的3、4、5、6或7员饱和、部分不饱和或最大不饱和杂环,其中该杂环可被一个或多个基团R10取代。
3.根据权利要求2的化合物,其中Rg选自氢、C1-C6烷基和C1-C6卤代烷基,优选氢。
4.根据权利要求1的化合物,其中Rg为-N(R9a)R9b。
5.根据权利要求4的化合物,其中R9a和R9b相互独立地选自氢、C1-C6烷基和C1-C6卤代烷基。
6.根据前述权利要求中任一项的化合物,其中Rh选自氢、C1-C6烷基、C1-C6卤代烷基、C1-C6烷氧基、C1-C6卤代烷氧基、C3-C8环烷基、C3-C8环烷基-C1-C4烷基、C3-C8卤代环烷基、-C(=O)R7、-C(=O)N(R9a)R9b、-C(=O)OR8,苯基,其可被1、2、3、4或5个基团R10取代,和含有1、2或3个选自N、O、S、NO、SO和SO2的杂原子或杂原子基团作为环成员的3、4、5、6或7员饱和、部分不饱和或最大不饱和杂环,其中该杂环可被一个或多个基团R10取代;
条件为如果Rh键于氧原子,则其不为C1-C6烷氧基或C1-C6卤代烷氧基。
7.根据权利要求6的化合物,其中Rh选自氢、C1-C6烷基、C1-C6卤 代烷基和-C(=O)N(R9a)R9b。
8.根据前述权利要求中任一项的化合物,其中G为含有1、2或3个选自N、O和S的杂原子作为环成员的5或6员芳族杂环,其中该芳族杂环可被一个或多个基团R10取代。
9.根据前述权利要求中任一项的化合物,其中Q为O或N(R9a)。
10.根据前述权利要求中任一项的化合物,其中X和Y为O。
11.根据前述权利要求中任一项的化合物,其中p为1、2或3,优选1。
12.根据前述权利要求中任一项的化合物,其中r为0、1或2,优选1。
13.根据前述权利要求中任一项的化合物,其中B1为N。
14.根据前述权利要求中任一项的化合物,其中R1各自独立地选自卤素、氰基,和C1-C6烷基,其可部分或完全卤化和/或可被一个或多个基团R7取代。
15.根据权利要求14的化合物,其中R1各自独立地选自卤素和C1-C4烷基。
16.根据前述权利要求中任一项的化合物,其中R2为氢,或C1-C6烷基,其可部分或完全卤化和/或可被一个或多个基团R7取代,优选为氢。
17.根据前述权利要求中任一项的化合物,其中R3选自氢、氰基,和C1-C6烷基,其可部分或完全卤化和/或可被一个或多个基团R7取代。
18.根据权利要求16的化合物,其中R3选自C1-C6烷基和C1-C4卤代烷基,优选C1-C4卤代烷基。
19.根据前述权利要求中任一项的化合物,其中R4各自独立地选自卤素、氰基,和C1-C6烷基,其可部分或完全卤化和/或可被一个或多个基团R7取代,优选为卤素。
20.根据前述权利要求中任一项的化合物,其中R5和R6相互独立地选自氢,C1-C6烷基,其可部分或完全卤化和/或可被一个或多个基团R7a取代,C3-C8环烷基-C1-C4烷基,其中该环烷基结构部分可部分或完全卤化和/或可被一个或多个基团R7a取代,-C(=O)R7、-C(=O)OR8和 -C(=O)N(R9a)R9b,或与其所键合的氮原子一起形成可额外含有1或2个选自N、O、S、NO、SO和SO2的其他杂原子或杂原子基团作为环成员的5或6员饱和、部分不饱和或芳族杂环,其中该杂环可被一个或多个基团R10取代。
21.根据权利要求20的方法,其中R5和R6相互独立地选自氢、C1-C6烷基、C1-C6卤代烷基和C3-C6环烷基-C1-C4烷基,优选氢和C1-C6烷基。
23.根据权利要求22的化合物,其中该化合物具有通式(I-aa)
其中
R1a选自氢和如对R1所定义的基团;
R4a选自氢和如对R4所定义的基团;和
B1、G、R2、R3、R5和R6如前述权利要求中任一项所定义。
24.根据权利23的化合物,其具有式I-aa,其中B1为N,R2为H,R3为CH2CF3,R4a为Cl,R5为H且G、R1a和R6具有如下含义:
-G为CH=N-O-CH3,R1a为CH3和R6为CH3;或
-G为1H-1,2,4-三唑-1-基,R1a为CH3和R6为CH3;或
-G为CH=N-NH-C(=O)-NH2,R1a为CH3和R6为CH3;或
-G为CH=N-O-CH2CH3,R1a为CH3和R6为CH3;或
-G为CH=N-O-CH(CH3)2,R1a为CH3和R6为CH3;或
-G为CH=N-O-CH(CH3)2,R1a为CH3和R6为CH(CH3)2;或
-G为CH=N-O-CH2CH3,R1a为Cl和R6为CH(CH3)2;或
-G为CH=N-O-CH2CH3,R1a为Cl和R6为CH3。
25.一种制备式(I)化合物的方法,包括如下步骤:
使式(II)化合物或式(III)化合物
其中B1、G、R1、R2、R3、R4、X、Y、p和r如前述权利要求中任一项所定义;
与胺NHR5R6反应,其中R5和R6如前述权利要求中任一项所定义;
其中在化合物(II)的反应的情况下,得到其中R2为氢的式(I)化合物,和
如果需要,使其中R2为氢的化合物(I)与化合物R2-Z反应,其中R2不为氢且Z为离去基团。
27.一种农用或兽用组合物,包含至少一种如权利要求1-24中任一项所定义的化合物或其立体异构体、可农用或可兽用盐、互变异构体或N-氧化物和至少一种液体和/或固体载体。
28.一种防除或防治昆虫、蜘蛛或线虫组的无脊椎动物害虫的方法,该方法包括使所述害虫或其食物供应源、栖息地或繁殖地与农药有效量的至少一种如权利要求1-24中任一项所定义的化合物或其立体异构体、盐、互变异构体或N-氧化物或如权利要求27中所定义的组合物接触。
29.一种保护生长中的植物以防昆虫、蜘蛛或线虫组的无脊椎动物害虫侵袭或侵染的方法,该方法包括使植物或其中植物生长或可能生长的土壤或水体与农药有效量的至少一种如权利要求1-24中任一项所定义的化合物或其立体异构体、盐、互变异构体或N-氧化物或如权利要求27中所定义的组合物接触。
30.一种保护种子以防土壤昆虫以及保护秧苗的根和嫩枝以防土壤和叶面昆虫的方法,该方法包括使种子在播种之前和/或在预萌发之后与至少一种如权利要求1-24中任一项所定义的化合物或其立体异构体、盐、互变异构体或N-氧化物或如权利要求27中所定义的组合物接触。
31.种子,包含如权利要求1-24中任一项所定义的化合物或其立体异构体、盐、互变异构体或N-氧化物,其量为0.1g至10kg/100kg植物繁殖材料。
32.如权利要求1-24中任一项所定义的化合物或其立体异构体、盐、互变异构体或N-氧化物或如权利要求27中所定义的组合物在防除或防治 昆虫、蜘蛛或线虫组的无脊椎动物害虫中的用途。
33.如权利要求1-24中任一项所定义的化合物或其立体异构体、盐、互变异构体或N-氧化物或如权利要求27中所定义的组合物在保护生长中的植物以防昆虫、蜘蛛或线虫组的无脊椎动物害虫侵袭或侵染中的用途。
34.如权利要求1-24中任一项所定义的化合物或其立体异构体、可兽用盐、互变异构体或N-氧化物或如权利要求27中所定义的组合物在动物中和动物上防除或防治无脊椎动物寄生虫中的用途。
35.一种处理被寄生虫侵染或感染的动物或防止动物被寄生虫侵染或感染或保护动物以防寄生虫侵染或感染的方法,该方法包括对动物口服、局部或胃肠外给予或施用杀寄生虫有效量的如权利要求1-24中任一项所定义的化合物或其立体异构体、可兽用盐、互变异构体或N-氧化物或如权利要求27中所定义的组合物。
36.一种用作药物的如权利要求1-24中任一项所定义的化合物或其立体异构体、可兽用盐、互变异构体或N-氧化物。
37.一种用于处理、防治、预防或保护动物以防寄生虫侵染或感染的如权利要求1-24中任一项所定义的化合物或其立体异构体、可兽用盐、互变异构体或N-氧化物。
Applications Claiming Priority (3)
| Application Number | Priority Date | Filing Date | Title |
|---|---|---|---|
| US201161522740P | 2011-08-12 | 2011-08-12 | |
| US61/522,740 | 2011-08-12 | ||
| PCT/EP2012/065647 WO2013024006A1 (en) | 2011-08-12 | 2012-08-10 | Anthranilamide compounds and their use as pesticides |
Publications (1)
| Publication Number | Publication Date |
|---|---|
| CN103842354A true CN103842354A (zh) | 2014-06-04 |
Family
ID=46799198
Family Applications (1)
| Application Number | Title | Priority Date | Filing Date |
|---|---|---|---|
| CN201280047116.XA Pending CN103842354A (zh) | 2011-08-12 | 2012-08-10 | 邻氨基苯甲酰胺化合物及其作为农药的用途 |
Country Status (17)
| Country | Link |
|---|---|
| US (1) | US20140171316A1 (zh) |
| EP (1) | EP2742038A1 (zh) |
| JP (1) | JP2014522874A (zh) |
| KR (1) | KR20140051403A (zh) |
| CN (1) | CN103842354A (zh) |
| AR (1) | AR088786A1 (zh) |
| AU (1) | AU2012297001A1 (zh) |
| BR (1) | BR112014002970A2 (zh) |
| CA (1) | CA2843084A1 (zh) |
| CL (1) | CL2014000238A1 (zh) |
| CO (1) | CO6880073A2 (zh) |
| CR (1) | CR20140041A (zh) |
| EA (1) | EA201400215A1 (zh) |
| IL (1) | IL230713A0 (zh) |
| MX (1) | MX2014001510A (zh) |
| WO (1) | WO2013024006A1 (zh) |
| ZA (1) | ZA201401719B (zh) |
Cited By (1)
| Publication number | Priority date | Publication date | Assignee | Title |
|---|---|---|---|---|
| CN110891941A (zh) * | 2017-07-18 | 2020-03-17 | 拜耳作物科学股份公司 | 取代的5-(杂)芳基吡唑酰胺及其盐及其作为除草活性物质的用途 |
Families Citing this family (7)
| Publication number | Priority date | Publication date | Assignee | Title |
|---|---|---|---|---|
| ATE520681T1 (de) | 2005-07-07 | 2011-09-15 | Basf Se | N-thioanthranilamidverbindungen und ihre verwendung als pestizide |
| IN2014CN00979A (zh) | 2011-08-12 | 2015-04-10 | Basf Se | |
| JP6242872B2 (ja) | 2012-05-24 | 2017-12-06 | ビーエーエスエフ ソシエタス・ヨーロピアBasf Se | N−チオ−アントラニルアミド化合物、及び殺有害生物剤としてのそれらの使用 |
| US9609868B2 (en) | 2013-03-06 | 2017-04-04 | Bayer Cropscience Ag | Alkoximino-substituted anthranilic acid diamides as pesticides |
| WO2015028501A1 (en) * | 2013-08-27 | 2015-03-05 | Basf Se | Anthranilamide compounds and their use as pesticides |
| JP6705148B2 (ja) * | 2015-10-15 | 2020-06-03 | コニカミノルタ株式会社 | π共役系化合物、有機エレクトロルミネッセンス素子材料、発光材料、発光性薄膜、有機エレクトロルミネッセンス素子、表示装置及び照明装置 |
| CN116730977A (zh) * | 2022-03-04 | 2023-09-12 | 华东理工大学 | 新型芳基杂环类化合物及其制备方法和用途 |
Citations (1)
| Publication number | Priority date | Publication date | Assignee | Title |
|---|---|---|---|---|
| CN101597278A (zh) * | 2008-06-04 | 2009-12-09 | 中国中化集团公司 | 酰胺类化合物及其制备与应用 |
Family Cites Families (81)
| Publication number | Priority date | Publication date | Assignee | Title |
|---|---|---|---|---|
| US3060084A (en) | 1961-06-09 | 1962-10-23 | Du Pont | Improved homogeneous, readily dispersed, pesticidal concentrate |
| US3299566A (en) | 1964-06-01 | 1967-01-24 | Olin Mathieson | Water soluble film containing agricultural chemicals |
| US4144050A (en) | 1969-02-05 | 1979-03-13 | Hoechst Aktiengesellschaft | Micro granules for pesticides and process for their manufacture |
| US3920442A (en) | 1972-09-18 | 1975-11-18 | Du Pont | Water-dispersible pesticide aggregates |
| US4172714A (en) | 1976-12-20 | 1979-10-30 | E. I. Du Pont De Nemours And Company | Dry compactible, swellable herbicidal compositions and pellets produced therefrom |
| GB2095558B (en) | 1981-03-30 | 1984-10-24 | Avon Packers Ltd | Formulation of agricultural chemicals |
| BR8404834A (pt) | 1983-09-26 | 1985-08-13 | Agrigenetics Res Ass | Metodo para modificar geneticamente uma celula vegetal |
| US5304732A (en) | 1984-03-06 | 1994-04-19 | Mgi Pharma, Inc. | Herbicide resistance in plants |
| BR8600161A (pt) | 1985-01-18 | 1986-09-23 | Plant Genetic Systems Nv | Gene quimerico,vetores de plasmidio hibrido,intermediario,processo para controlar insetos em agricultura ou horticultura,composicao inseticida,processo para transformar celulas de plantas para expressar uma toxina de polipeptideo produzida por bacillus thuringiensis,planta,semente de planta,cultura de celulas e plasmidio |
| ATE57390T1 (de) | 1986-03-11 | 1990-10-15 | Plant Genetic Systems Nv | Durch gentechnologie erhaltene und gegen glutaminsynthetase-inhibitoren resistente pflanzenzellen. |
| IL83348A (en) | 1986-08-26 | 1995-12-08 | Du Pont | Nucleic acid fragment encoding herbicide resistant plant acetolactate synthase |
| US5013659A (en) | 1987-07-27 | 1991-05-07 | E. I. Du Pont De Nemours And Company | Nucleic acid fragment encoding herbicide resistant plant acetolactate synthase |
| FR2629098B1 (fr) | 1988-03-23 | 1990-08-10 | Rhone Poulenc Agrochimie | Gene chimerique de resistance herbicide |
| KR900003088B1 (ko) | 1988-03-26 | 1990-05-07 | 재단법인 한국화학연구소 | 5-하이드록시피라졸 유도체 |
| US5180587A (en) | 1988-06-28 | 1993-01-19 | E. I. Du Pont De Nemours And Company | Tablet formulations of pesticides |
| EP0374753A3 (de) | 1988-12-19 | 1991-05-29 | American Cyanamid Company | Insektizide Toxine, Gene, die diese Toxine kodieren, Antikörper, die sie binden, sowie transgene Pflanzenzellen und transgene Pflanzen, die diese Toxine exprimieren |
| ES2199931T3 (es) | 1989-03-24 | 2004-03-01 | Syngenta Participations Ag | Plantas transgenicas resistentes a enfermedades. |
| ZW13690A1 (en) | 1989-08-30 | 1990-11-21 | Aeci Ltd | Active ingredient dosage device |
| ES2074547T3 (es) | 1989-11-07 | 1995-09-16 | Pioneer Hi Bred Int | Lectinas larvicidas, y resistencia inducida de las plantas a los insectos. |
| AU651335B2 (en) | 1990-03-12 | 1994-07-21 | E.I. Du Pont De Nemours And Company | Water-dispersible or water-soluble pesticide granules from heat-activated binders |
| EP0472722B1 (en) | 1990-03-16 | 2003-05-21 | Calgene LLC | Dnas encoding plant desaturases and their uses |
| ATE212670T1 (de) | 1990-06-18 | 2002-02-15 | Monsanto Technology Llc | Erhöhter stärkegehalt in pflanzen |
| WO1992000377A1 (en) | 1990-06-25 | 1992-01-09 | Monsanto Company | Glyphosate tolerant plants |
| EP0480679B1 (en) | 1990-10-11 | 1996-09-18 | Sumitomo Chemical Company Limited | Pesticidal composition |
| SE467358B (sv) | 1990-12-21 | 1992-07-06 | Amylogene Hb | Genteknisk foeraendring av potatis foer bildning av staerkelse av amylopektintyp |
| DE4104782B4 (de) | 1991-02-13 | 2006-05-11 | Bayer Cropscience Gmbh | Neue Plasmide, enthaltend DNA-Sequenzen, die Veränderungen der Karbohydratkonzentration und Karbohydratzusammensetzung in Pflanzen hervorrufen, sowie Pflanzen und Pflanzenzellen enthaltend dieses Plasmide |
| UA48104C2 (uk) | 1991-10-04 | 2002-08-15 | Новартіс Аг | Фрагмент днк, який містить послідовність,що кодує інсектицидний протеїн, оптимізовану для кукурудзи,фрагмент днк, який забезпечує направлену бажану для серцевини стебла експресію зв'язаного з нею структурного гена в рослині, фрагмент днк, який забезпечує специфічну для пилку експресію зв`язаного з нею структурного гена в рослині, рекомбінантна молекула днк, спосіб одержання оптимізованої для кукурудзи кодуючої послідовності інсектицидного протеїну, спосіб захисту рослин кукурудзи щонайменше від однієї комахи-шкідника |
| NL9202078A (nl) | 1992-11-30 | 1994-06-16 | Rijkslandbouwhogeschool | Nieuwe N-acyl-antranilzuurverbindingen en toepassing van N-acyl-antranilzuurverbindingen bij de bestrijding van insecten. |
| DE4322211A1 (de) | 1993-07-03 | 1995-01-12 | Basf Ag | Wäßrige, mehrphasige, stabile Fertigformulierung für Pflanzenschutz-Wirkstoffe und Verfahren zu ihrer Herstellung |
| US5530195A (en) | 1994-06-10 | 1996-06-25 | Ciba-Geigy Corporation | Bacillus thuringiensis gene encoding a toxin active against insects |
| DE19613334A1 (de) | 1996-04-03 | 1997-10-09 | Bayer Ag | Mittel zur Bekämpfung parasitierender Insekten und Milben an Menschen |
| US5773704A (en) | 1996-04-29 | 1998-06-30 | Board Of Supervisors Of Louisiana State University And Agricultural And Mechanical College | Herbicide resistant rice |
| AU3596697A (en) | 1996-07-17 | 1998-02-09 | Michigan State University | Imidazolinone herbicide resistant sugar beet plants |
| US5773702A (en) | 1996-07-17 | 1998-06-30 | Board Of Trustees Operating Michigan State University | Imidazolinone herbicide resistant sugar beet plants |
| US6348643B1 (en) | 1998-10-29 | 2002-02-19 | American Cyanamid Company | DNA sequences encoding the arabidopsis acetohydroxy-acid synthase small subunit and methods of use |
| MY138097A (en) | 2000-03-22 | 2009-04-30 | Du Pont | Insecticidal anthranilamides |
| MX233208B (es) | 2000-04-28 | 2005-12-20 | Basf Ag | Uso del gen mutante ahas 2 del maiz xi12 y herbicidas de imidazolinona para la seleccion de plantas de maiz, arroz y trigo, monocotiledoneas transgenicas, resistentes a los herbicidas de imidazolinona. |
| CN100353846C (zh) | 2000-08-25 | 2007-12-12 | 辛根塔参与股份公司 | 新的来自苏云金芽孢杆菌杀虫晶体蛋白的杀虫毒素 |
| BR0207996A (pt) | 2001-03-05 | 2004-03-02 | Du Pont | Composto, método de controle de pragas invertebradas e composição para controle das mesmas |
| JP2003026510A (ja) | 2001-05-09 | 2003-01-29 | Sumitomo Chem Co Ltd | マロノニトリル化合物およびその有害生物防除用途 |
| US7897845B2 (en) | 2001-08-09 | 2011-03-01 | University Of Saskatchewan | Wheat plants having increased resistance to imidazolinone herbicides |
| RU2337532C2 (ru) | 2001-08-09 | 2008-11-10 | Юниверсити Оф Саскачеван | Растения пшеницы с повышенной устойчивостью к имидазолиноновым гербицидам |
| ES2417012T3 (es) | 2001-08-09 | 2013-08-05 | Northwest Plant Breeding Co. | Plantas de trigo que exhiben resistencia aumentada a los herbicidas de imidazolinona |
| AR036872A1 (es) | 2001-08-13 | 2004-10-13 | Du Pont | Compuesto de antranilamida, composicion que lo comprende y metodo para controlar una plaga de invertebrados |
| TWI325302B (en) | 2001-08-13 | 2010-06-01 | Du Pont | Benzoxazinone compounds |
| CN1865258A (zh) | 2001-08-15 | 2006-11-22 | 纳幕尔杜邦公司 | 用于控制无脊椎害虫的邻位取代的芳基酰胺化合物 |
| DE60230421D1 (de) | 2001-08-16 | 2009-01-29 | Du Pont | Substituierte anthranilamide und ihre verwendung als pesticide |
| US7230167B2 (en) | 2001-08-31 | 2007-06-12 | Syngenta Participations Ag | Modified Cry3A toxins and nucleic acid sequences coding therefor |
| WO2003052073A2 (en) | 2001-12-17 | 2003-06-26 | Syngenta Participations Ag | Novel corn event |
| EP1551218B1 (en) | 2002-07-10 | 2017-05-17 | The Department of Agriculture, Western Australia | Wheat plants having increased resistance to imidazolinone herbicides |
| DE60309874T2 (de) | 2002-07-17 | 2007-03-15 | Sumitomo Chemical Co., Ltd. | Malonsäuerenitril-verbindungen und ihre verwendung als pestizide |
| TWI326283B (en) | 2002-07-31 | 2010-06-21 | Du Pont | Method for preparing fused oxazinones |
| AU2003295491B2 (en) | 2002-11-15 | 2009-10-08 | E.I. Du Pont De Nemours And Company | Novel anthranilamide insecticides |
| MXPA05012733A (es) | 2003-05-28 | 2006-05-17 | Basf Ag | Plantas de trigo que tienen tolerancia incrementada a los herbicidas de imidazolinona. |
| ES2743420T3 (es) | 2003-08-29 | 2020-02-19 | Instituto Nac De Tecnologia Agropecuaria | Plantas de arroz que tienen tolerancia incrementada frente a herbicidas de imidazolinona |
| EP1697311B1 (en) | 2003-12-26 | 2011-10-26 | Sumitomo Chemical Company, Limited | Nitrile compound and its use in pest control |
| ZA200604414B (en) | 2004-01-16 | 2007-11-28 | Sumitomo Chemical Co | Malononitrile compound as pesticides |
| ES2367647T3 (es) | 2004-01-16 | 2011-11-07 | Sumitomo Chemical Company Limited | Compuesto de malononitrilo y uso del mismo. |
| AR048669A1 (es) | 2004-03-03 | 2006-05-17 | Syngenta Ltd | Derivados biciclicos de bisamida |
| CN102558082B (zh) | 2004-03-05 | 2015-09-30 | 日产化学工业株式会社 | 异噁唑啉取代苯甲酰胺化合物的制备中间体 |
| GB0422556D0 (en) | 2004-10-11 | 2004-11-10 | Syngenta Participations Ag | Novel insecticides |
| JP2006131529A (ja) | 2004-11-05 | 2006-05-25 | Sumitomo Chemical Co Ltd | 有害生物防除組成物 |
| DE102005014822A1 (de) | 2005-03-30 | 2006-10-05 | Degussa Ag | Verfahren zur Herstellung aromatischer Aldehyde |
| JP5039703B2 (ja) * | 2005-08-24 | 2012-10-03 | イー・アイ・デュポン・ドウ・ヌムール・アンド・カンパニー | 無脊椎有害生物防除用アントラニルアミド |
| AU2006285613B2 (en) | 2005-09-02 | 2011-11-17 | Nissan Chemical Corporation | Isoxazoline-substituted benzamide compound and harmful organism-controlling agent |
| DK1937664T3 (da) | 2005-10-14 | 2011-07-18 | Sumitomo Chemical Co | Hydrazidforbindelse og pesticid anvendelse af den samme |
| CN101312944B (zh) | 2005-11-22 | 2013-03-06 | 住友化学株式会社 | 有机硫化合物及其作为节肢动物杀灭剂的应用 |
| TW200803740A (en) | 2005-12-16 | 2008-01-16 | Du Pont | 5-aryl isoxazolines for controlling invertebrate pests |
| TWI412322B (zh) | 2005-12-30 | 2013-10-21 | Du Pont | 控制無脊椎害蟲之異唑啉 |
| DE102006015197A1 (de) | 2006-03-06 | 2007-09-13 | Bayer Cropscience Ag | Wirkstoffkombination mit insektiziden Eigenschaften |
| DE102006015467A1 (de) | 2006-03-31 | 2007-10-04 | Bayer Cropscience Ag | Substituierte Enaminocarbonylverbindungen |
| ES2379928T3 (es) | 2006-11-30 | 2012-05-07 | Meiji Seika Kaisha Ltd. | Agente de control de plagas |
| JP5449669B2 (ja) | 2006-12-14 | 2014-03-19 | 石原産業株式会社 | 有害生物防除組成物 |
| JP2009001541A (ja) | 2006-12-15 | 2009-01-08 | Ishihara Sangyo Kaisha Ltd | 新規ピラゾール化合物を中間体として用いるアントラニルアミド系化合物の製造方法 |
| JP5313869B2 (ja) | 2007-03-08 | 2013-10-09 | Meiji Seikaファルマ株式会社 | 有害生物防除用組成物 |
| JP2008115155A (ja) | 2007-04-06 | 2008-05-22 | Nippon Soda Co Ltd | 有害生物防除剤組成物及び有害生物防除方法 |
| WO2009051956A2 (en) | 2007-10-16 | 2009-04-23 | E. I. Du Pont De Nemours And Company | Pyrazole-substituted isoxazoline insecticides |
| TWI583664B (zh) | 2008-04-09 | 2017-05-21 | 杜邦股份有限公司 | 羰基化合物及其製備方法 |
| CA2743562C (en) | 2008-11-20 | 2014-03-18 | Merck Sharp & Dohme Corp. | Aryl methyl benzoquinazolinone m1 receptor positive allosteric modulators |
| WO2010072781A2 (en) | 2008-12-23 | 2010-07-01 | Basf Se | Imine compounds for combating invertebrate pests |
| BRPI0918305A2 (pt) | 2008-12-23 | 2015-08-11 | Basf Se | Compostos de amidina substituídos da fórmula (i), composto de amidina substituído da fórmula (i-5), composto de amidina substituído de 4-hidróximinometil da fórmula geral (ii-a), composto de amidina substituído de 4-hidróximinometil da fórmula geral (ii-b), composição agrícola, composição veterinária, uso de um composto, método para controlar pragas de invertebrados, método para proteger culturas ou plantas de ataque ou infestação por pragas de invertebrados, método para proteger material de propagação da planta e/ou as plantas, material de propagação da planta, método para tratar ou proteger um animal de infestação ou infecção por pragas de invertebrados e uso de um composto da fórmula i |
-
2012
- 2012-08-10 CN CN201280047116.XA patent/CN103842354A/zh active Pending
- 2012-08-10 EP EP12755805.4A patent/EP2742038A1/en not_active Withdrawn
- 2012-08-10 AR ARP120102944A patent/AR088786A1/es not_active Application Discontinuation
- 2012-08-10 JP JP2014524391A patent/JP2014522874A/ja active Pending
- 2012-08-10 US US14/236,349 patent/US20140171316A1/en not_active Abandoned
- 2012-08-10 BR BR112014002970A patent/BR112014002970A2/pt not_active IP Right Cessation
- 2012-08-10 KR KR1020147006264A patent/KR20140051403A/ko not_active Withdrawn
- 2012-08-10 MX MX2014001510A patent/MX2014001510A/es unknown
- 2012-08-10 CA CA2843084A patent/CA2843084A1/en not_active Abandoned
- 2012-08-10 EA EA201400215A patent/EA201400215A1/ru unknown
- 2012-08-10 WO PCT/EP2012/065647 patent/WO2013024006A1/en not_active Ceased
- 2012-08-10 AU AU2012297001A patent/AU2012297001A1/en not_active Abandoned
-
2014
- 2014-01-27 CR CR20140041A patent/CR20140041A/es unknown
- 2014-01-29 IL IL230713A patent/IL230713A0/en unknown
- 2014-01-30 CL CL2014000238A patent/CL2014000238A1/es unknown
- 2014-02-11 CO CO14028777A patent/CO6880073A2/es not_active Application Discontinuation
- 2014-03-10 ZA ZA2014/01719A patent/ZA201401719B/en unknown
Patent Citations (1)
| Publication number | Priority date | Publication date | Assignee | Title |
|---|---|---|---|---|
| CN101597278A (zh) * | 2008-06-04 | 2009-12-09 | 中国中化集团公司 | 酰胺类化合物及其制备与应用 |
Cited By (1)
| Publication number | Priority date | Publication date | Assignee | Title |
|---|---|---|---|---|
| CN110891941A (zh) * | 2017-07-18 | 2020-03-17 | 拜耳作物科学股份公司 | 取代的5-(杂)芳基吡唑酰胺及其盐及其作为除草活性物质的用途 |
Also Published As
| Publication number | Publication date |
|---|---|
| WO2013024006A1 (en) | 2013-02-21 |
| BR112014002970A2 (pt) | 2017-02-21 |
| JP2014522874A (ja) | 2014-09-08 |
| AR088786A1 (es) | 2014-07-10 |
| US20140171316A1 (en) | 2014-06-19 |
| CO6880073A2 (es) | 2014-02-28 |
| CR20140041A (es) | 2014-03-05 |
| KR20140051403A (ko) | 2014-04-30 |
| CA2843084A1 (en) | 2013-02-21 |
| ZA201401719B (en) | 2015-07-29 |
| CL2014000238A1 (es) | 2014-09-05 |
| MX2014001510A (es) | 2014-05-12 |
| EA201400215A1 (ru) | 2014-07-30 |
| IL230713A0 (en) | 2014-03-31 |
| AU2012297001A1 (en) | 2014-03-06 |
| EP2742038A1 (en) | 2014-06-18 |
Similar Documents
| Publication | Publication Date | Title |
|---|---|---|
| CN103857666B (zh) | N-硫代邻氨基苯甲酰胺化合物及其作为农药的用途 | |
| CN103827103A (zh) | N-硫代邻氨基苯甲酰胺化合物及其作为农药的用途 | |
| AU2012244846B2 (en) | Novel pesticidal pyrazole compounds | |
| ES2423932T3 (es) | Compuestos de pirazol para controlar plagas de invertebrados | |
| CN103842336B (zh) | 苯胺类型化合物 | |
| CN103619844B (zh) | 用于防除动物害虫的n-取代的杂双环化合物和衍生物 | |
| CN102834391A (zh) | 防治无脊椎动物害虫的哒嗪化合物 | |
| CN104271567A (zh) | 含取代吡唑的化合物及其作为农药的用途 | |
| CN103687484A (zh) | 使用取代3-吡啶基噻唑化合物和衍生物防治动物害虫的灭害方法i | |
| CN104202981A (zh) | 防治动物害虫的n-取代的吡啶亚基化合物和衍生物 | |
| CN102325759A (zh) | 用于防治动物害虫的取代脒化合物 | |
| CN102469785A (zh) | 防治无脊椎动物害虫的吡啶衍生物 | |
| CN102223798A (zh) | 用于防治无脊椎动物害虫的吡唑化合物 | |
| CN102762543A (zh) | 用于防除动物害虫的取代的酮型异*唑啉化合物和衍生物 | |
| CN104211688A (zh) | 防治无脊椎动物害虫的吡唑化合物 | |
| CN103228627A (zh) | 作为杀虫剂的亚胺取代的2,4-二芳基吡咯啉衍生物 | |
| CN103582639A (zh) | 用于防治动物害虫的取代嘧啶鎓化合物 | |
| CN103827092A (zh) | N-硫代邻氨基苯甲酰胺化合物及其作为农药的用途 | |
| CN103889955A (zh) | N-硫代邻氨基苯甲酰胺化合物及其作为农药的用途 | |
| CN103842354A (zh) | 邻氨基苯甲酰胺化合物及其作为农药的用途 | |
| CN104023724A (zh) | N-硫代邻氨基苯甲酰胺化合物及其作为农药的用途 | |
| CN103842342A (zh) | 邻氨基苯甲酰胺化合物及其作为农药的用途 | |
| CN103889960A (zh) | 用于防治无脊椎动物害虫的氨基甲酰基甲氧基-和氨基甲酰基甲硫基-及氨基甲酰基甲基氨基苯甲酰胺 | |
| CN104487439B (zh) | N‑硫代邻氨基苯甲酰胺化合物及其作为杀害虫剂的用途 | |
| CN103237789A (zh) | 亚胺化合物 |
Legal Events
| Date | Code | Title | Description |
|---|---|---|---|
| C06 | Publication | ||
| PB01 | Publication | ||
| C10 | Entry into substantive examination | ||
| SE01 | Entry into force of request for substantive examination | ||
| C02 | Deemed withdrawal of patent application after publication (patent law 2001) | ||
| WD01 | Invention patent application deemed withdrawn after publication |
Application publication date: 20140604 |













































































































