WO2011069955A1 - Sulfonimidamide compounds for combating animal pests - Google Patents
Sulfonimidamide compounds for combating animal pests Download PDFInfo
- Publication number
- WO2011069955A1 WO2011069955A1 PCT/EP2010/068953 EP2010068953W WO2011069955A1 WO 2011069955 A1 WO2011069955 A1 WO 2011069955A1 EP 2010068953 W EP2010068953 W EP 2010068953W WO 2011069955 A1 WO2011069955 A1 WO 2011069955A1
- Authority
- WO
- WIPO (PCT)
- Prior art keywords
- formula
- compounds
- het
- sulfonimidamide
- methyl
- Prior art date
- Legal status (The legal status is an assumption and is not a legal conclusion. Google has not performed a legal analysis and makes no representation as to the accuracy of the status listed.)
- Ceased
Links
- 0 C*C(*)(C(C)(C)C(**)(C1)C1(C)C(*=*)(N*)S*)C(*)(*(C)C(*)(*)*(C)*)S(CC=C)=O Chemical compound C*C(*)(C(C)(C)C(**)(C1)C1(C)C(*=*)(N*)S*)C(*)(*(C)C(*)(*)*(C)*)S(CC=C)=O 0.000 description 1
- AOIPUKLIONAXJZ-UHFFFAOYSA-N CNCOCC1CC=CCC1 Chemical compound CNCOCC1CC=CCC1 AOIPUKLIONAXJZ-UHFFFAOYSA-N 0.000 description 1
- UPPMHIYLSCXPQF-UBHSHLNASA-N C[C@H]1C=CC=C[C@H]1CO[C@@H](NCCCSC(C)=O)O Chemical compound C[C@H]1C=CC=C[C@H]1CO[C@@H](NCCCSC(C)=O)O UPPMHIYLSCXPQF-UBHSHLNASA-N 0.000 description 1
Classifications
-
- C—CHEMISTRY; METALLURGY
- C07—ORGANIC CHEMISTRY
- C07D—HETEROCYCLIC COMPOUNDS
- C07D213/00—Heterocyclic compounds containing six-membered rings, not condensed with other rings, with one nitrogen atom as the only ring hetero atom and three or more double bonds between ring members or between ring members and non-ring members
- C07D213/02—Heterocyclic compounds containing six-membered rings, not condensed with other rings, with one nitrogen atom as the only ring hetero atom and three or more double bonds between ring members or between ring members and non-ring members having three double bonds between ring members or between ring members and non-ring members
- C07D213/04—Heterocyclic compounds containing six-membered rings, not condensed with other rings, with one nitrogen atom as the only ring hetero atom and three or more double bonds between ring members or between ring members and non-ring members having three double bonds between ring members or between ring members and non-ring members having no bond between the ring nitrogen atom and a non-ring member or having only hydrogen or carbon atoms directly attached to the ring nitrogen atom
- C07D213/60—Heterocyclic compounds containing six-membered rings, not condensed with other rings, with one nitrogen atom as the only ring hetero atom and three or more double bonds between ring members or between ring members and non-ring members having three double bonds between ring members or between ring members and non-ring members having no bond between the ring nitrogen atom and a non-ring member or having only hydrogen or carbon atoms directly attached to the ring nitrogen atom with hetero atoms or with carbon atoms having three bonds to hetero atoms with at the most one bond to halogen, e.g. ester or nitrile radicals, directly attached to ring carbon atoms
- C07D213/61—Halogen atoms or nitro radicals
-
- A—HUMAN NECESSITIES
- A01—AGRICULTURE; FORESTRY; ANIMAL HUSBANDRY; HUNTING; TRAPPING; FISHING
- A01N—PRESERVATION OF BODIES OF HUMANS OR ANIMALS OR PLANTS OR PARTS THEREOF; BIOCIDES, e.g. AS DISINFECTANTS, AS PESTICIDES OR AS HERBICIDES; PEST REPELLANTS OR ATTRACTANTS; PLANT GROWTH REGULATORS
- A01N47/00—Biocides, pest repellants or attractants, or plant growth regulators containing organic compounds containing a carbon atom not being member of a ring and having no bond to a carbon or hydrogen atom, e.g. derivatives of carbonic acid
- A01N47/40—Biocides, pest repellants or attractants, or plant growth regulators containing organic compounds containing a carbon atom not being member of a ring and having no bond to a carbon or hydrogen atom, e.g. derivatives of carbonic acid the carbon atom having a double or triple bond to nitrogen, e.g. cyanates, cyanamides
-
- A—HUMAN NECESSITIES
- A01—AGRICULTURE; FORESTRY; ANIMAL HUSBANDRY; HUNTING; TRAPPING; FISHING
- A01N—PRESERVATION OF BODIES OF HUMANS OR ANIMALS OR PLANTS OR PARTS THEREOF; BIOCIDES, e.g. AS DISINFECTANTS, AS PESTICIDES OR AS HERBICIDES; PEST REPELLANTS OR ATTRACTANTS; PLANT GROWTH REGULATORS
- A01N51/00—Biocides, pest repellants or attractants, or plant growth regulators containing organic compounds having the sequences of atoms O—N—S, X—O—S, N—N—S, O—N—N or O-halogen, regardless of the number of bonds each atom has and with no atom of these sequences forming part of a heterocyclic ring
-
- C—CHEMISTRY; METALLURGY
- C07—ORGANIC CHEMISTRY
- C07D—HETEROCYCLIC COMPOUNDS
- C07D417/00—Heterocyclic compounds containing two or more hetero rings, at least one ring having nitrogen and sulfur atoms as the only ring hetero atoms, not provided for by group C07D415/00
- C07D417/02—Heterocyclic compounds containing two or more hetero rings, at least one ring having nitrogen and sulfur atoms as the only ring hetero atoms, not provided for by group C07D415/00 containing two hetero rings
- C07D417/06—Heterocyclic compounds containing two or more hetero rings, at least one ring having nitrogen and sulfur atoms as the only ring hetero atoms, not provided for by group C07D415/00 containing two hetero rings linked by a carbon chain containing only aliphatic carbon atoms
Definitions
- the present invention relates to sulfonimidamide compounds, to the enantiomers, di- astereomers and salts thereof and to compositions comprising such compounds.
- the invention also relates to the use of the Sulfonimidamide compounds or of their compositions comprising them for combating animal pests. Furthermore the invention relates also to methods of applying such compounds.
- Animal pests destroy growing and harvested crops and attack wooden dwelling and commercial structures, causing large economic loss to the food supply and to property. While a large number of pesticidal agents are known, due to the ability of target pests to develop resistance to said agents, there is an ongoing need for new agents for combating animal pests. In particular, animal pests such as insects and acaridae are difficult to be effectively controlled.
- Q is N0 2 or CN
- R , R 2 are selected independently from one another and independently from the value of n from the group consisting of hydrogen, halogen, C1-C6- alkyl, C3-C6-cycloalkyl, C 2 -C6-alkenyl, C 2 -C6-alkynyl, Ci-C6-alkoxy, CN, N0 2 , C(0)R c , C(0)OR a , C(0)NR a R b , C(S)NR a R b and S(0) P R c , wherein the carbon atoms in the aforementioned groups may carry any combination of 1 , 2 or 3 radicals R d
- R 1 and R 2 form together with the carbon atom, which they are attached to, a 3- to 6-membered carbocyclic ring, wherein the carbon atoms of the ring may carry any combination of 1 or 2 radicals R d ; is selected from the group consisting of hydrogen, Ci-C6-alkyl, C3-C6- cycloalkyl, Ci-C 6 -alkoxy, C 2 -C 6 -alkenyl, C(0)R c , C(0)OR a , C(0)NR a R b , C(S)NR a R b , S(0) P R c and NR e R f ,
- carbon atoms in the aforementioned groups may carry any combination of 1 , 2 or 3 radicals R d ; is selected from the group consisting of hydrogen, Ci-C6-alkyl, C3-C6- cycloalkyl and C2-C6-alkenyl, wherein the carbon atoms in the aforementioned groups may carry any combination of 1 , 2 or 3 radicals R d ; or
- R 3 and R 4 form together with the nitrogen atom they are both bound to a saturated or partially unsaturated 3-, 4-, 5- or 6- membered heterocyclic ring, optionally containing an additional heteroatom selected from N, O, S, whereas the additional N atom may optionally carry R e ;
- R 1 and R 4 form together with the carbon and the nitrogen atom they are bond to a saturated or partially unsaturated 4-, 5- or 6- membered heterocyclic ring, optionally containing an additional heteroatom selected from N, O, S, whereas the additional N atom may optionally carry R e ;
- Het is an aromatic or non-aromatic heterocycle selected from
- Y is selected from the group consisting of halogen, C1-C6 alkyl, C3-C6 cycloalkyi, C2-C6 alkenyl, C2-C6 alkynyl, C1-C6 alkoxy, CN, NO2, S(0) P R c , C(0)R c , C(0)OR a , C(0)NR a R b and C(S)NR a R b , wherein the carbon atoms in the aforementioned groups may carry any combination of 1 , 2 or 3 radicals R d ;
- X is selected from the group consisiting of hydrogen, C1-C6 alkyl, C1-C6 haloalkyi, C3-C6 cycloalkyi, C2-C6 alkenyl, C2-C6 haloalkenyl, C2-C6 alkynyl, C 2 -C 6 haloalkynyl, C(0)R c , C(0)OR 5 , C(0)NR a R , C(S)NR a R b or S(0) p R c , wherein
- the carbon atoms in the aforementioned groups may carry any combination of 1 , 2 or 3 radicals R d ; and wherein in the substituent and variables p is 0, 1 or 2; R a , R b are selected independently from one another from hydrogen, C1-C4- alkyl, Ci-C4-haloalkyl, C3-C6-cycloalkyl, C3-C6-alkenyl, C3-C6- haloalkenyl or C3-C6-alkynyl;
- R c is selected from Ci-C4-alkyl, Ci-C4-haloalkyl, C3-C6-cycloalkyl, C2-C6- alkenyl, C2-C6-haloalkenyl or C2-C6-alkynyl;
- R d is selected from halogen, C3-C6-cycloalkyl, Ci-C6-alkoxy, C2-C6-alkenyloxy, C2-C6-alkynyloxy, Ci-C6-haloalkoxy, Ci-C6-alkylthio or phenyl;
- R e , R f are selected independently from one another from hydrogen, C1-C4- alkyl, Ci-C4-haloalkyl, C3-C6-cycloalkyl, C3-C6-alkenyl, C3-C6- haloalkenyl, C 3 -C 6 -alkynyl, C(0)R c , C(0)OR a , C(0)NR a R b or C(S)NR a R b ; or their agriculturally or veterinarily acceptable salts, enantiomers or di- astereomers.
- the compounds of formula I can contain one or more chiral centers, in which case they are present as enantiomer or diastereomer mixtures.
- Subject matter of this invention are not only compositions containing these mixtures but also those containing the pure enantiomers or diastereomers.
- the compounds (I) of the present invention can also represent different tautomeric structures. If e.g. R3 is hydrogen, the following two tautomeric structures are represented:
- the compounds of formula I of the present invention may also be present in different crystalline modifications which may differ in their biological activity. These are also subject of the present invention.
- Sulfoximinamide derivatives with herbicidal activity have been described in EP173498.
- Other general sulfoximine compounds such as arylsulfoximine compounds have been described as herbicide and pesticide in GB 1307271.
- Pyrazole, pyrrole und imidazole derivatives of sulfoximine compounds and their pesticidal activity can be found in WO 9639389.
- Isoxazoline derivatives of sulfoximine compounds and their herbicidal activity have been discussed in WO 2006037945.
- Insecticidal activities of alkyl-substituted sulfoximine compounds can be found in WO 2006060029.
- PCT/EP2009/057650 further sulfoximine derivatives have been described for their insecticidal activity.
- the sulfonimidamide compounds of the formula I, and their agriculturally or veterinary acceptable salts are highly active against animal pest, i.e. harmful arthropodes and nematodes, especially against difficult to control insects and acaridae.
- the present invention relates to sulfonimidamide compounds of the general formula I, to their agriculturally or veterinarily useful salts, their enantiomers or di- asteromers.
- the present invention relates to:
- compositions comprising an amount of at least one compound of the formula I or an enantiomer, diasteromer or salt thereof;
- a method of combating animal pests which comprises contacting the animal pests, their habit, breeding ground, food supply, plant, seed, soil, area, material or environment in which the animal pests are growing or may grow, or the materials, plants, seeds, soils, surfaces or spaces to be protected from animal attack or infestation with a pesticidally effective amount of at least one compound of the formula I or an enantiomer, diasteromer or salt thereof;
- a method for protecting crops from attack or infestation by animal pests which comprises contacting a crop with a pesticidally effective amount of at least one compound of the formula I or an enantiomer, diasteromer or salt thereof;
- seeds comprising a compound of the formula I or an enantiomer, diasteromer or salt thereof;
- Salts of the compounds of the formula I are preferably agriculturally and/or veterinary acceptable salts. They can be formed in a customary method, e.g. by reacting the compound with an acid of the anion in question if the compound of formula I has a basic functionality or by reacting an acidic compound of formula I with a suitable base.
- Suitable agriculturally or veterinary useful salts are especially the salts of those cations or the acid addition salts of those acids whose cations and anions, respectively, do not have any adverse effect on the action of the compounds according to the present invention.
- Suitable cations are in particular the ions of the alkali metals, preferably lithium, sodium and potassium, of the alkaline earth metals, preferably calcium, magnesium and barium, and of the transition metals, preferably manganese, copper, zinc and iron, and also ammonium (NH4 + ) and substituted ammonium in which one to four of the hydrogen atoms are replaced by Ci-C4-alkyl, Ci-C4-hydroxyalkyl, Ci-C4-alkoxy, C1-C4- alkoxy-Ci-C4-alkyl, hydroxy-Ci-C4-alkoxy-Ci-C4-alkyl, phenyl or benzyl.
- substituted ammonium ions comprise methylammonium, isopropylammonium, di- methylammonium, diisopropylammonium, trimethylammonium, tetramethylammonium, tetraethylammonium, tetrabutylammonium, 2-hydroxyethylammonium, 2-(2- hydroxyethoxy)ethyl-ammonium, bis(2-hydroxyethyl)ammonium, benzyltrimethylam- monium and benzyltriethylammonium, furthermore phosphonium ions, sulfonium ions, preferably tri(Ci-C4-alkyl)sulfonium, and sulfoxonium ions, preferably tri(CrC4- alkyl)sulfoxonium.
- Anions of useful acid addition salts are primarily chloride, bromide, fluoride, hydrogen sulfate, sulfate, dihydrogen phosphate, hydrogen phosphate, phosphate, nitrate, hydrogen carbonate, carbonate, hexafluorosilicate, hexafluorophosphate, benzoate, and the anions of Ci-C4-alkanoic acids, preferably formate, acetate, propionate and bu- tyrate. They can be formed by reacting the compounds of the formulae I with an acid of the corresponding anion, preferably of hydrochloric acid, hydrobromic acid, sulfuric acid, phosphoric acid or nitric acid.
- partially or fully halogenated will be taken to mean that 1 or more, e.g. 1 , 2, 3, 4 or 5 or all of the hydrogen atoms of a given radical have been replaced by a halogen atom, in particular by fluorine or chlorine.
- C n -C m -alkyl refers to a branched or unbranched saturated hydrocarbon group having n to m, e.g.
- 1 to 10 carbon atoms preferably 1 to 6 carbon atoms, for example methyl, ethyl, propyl, 1-methylethyl, butyl, 1 -methylpropyl, 2-methylpropyl, 1 ,1-dimethylethyl, pentyl, 1-methylbutyl, 2-methylbutyl, 3-methylbutyl, 2,2-dimethylpropyl, 1 -ethyl propyl, hexyl, 1 ,1-dimethylpropyl, 1 ,2-dimethylpropyl, 1- methylpentyl, 2-methylpentyl, 3-methylpentyl, 4-methylpentyl, 1 ,1 -dimethylbutyl, 1 ,2- dimethylbutyl, 1 , 3-d i methyl butyl, 2,2-dimethylbutyl, 2,3-dimethylbutyl, 3,3-dimethylbutyl, 1-ethylbutyl, 2-ethylbutyl,
- Ci-C4-alkyl means for example methyl, ethyl, propyl, 1-methylethyl, butyl, 1-methylpropyl, 2-methylpropyl or 1 ,1 -dimethylethyl.
- C n -C m -haloalkyl refers to a straight-chain or branched alkyl group having n to m carbon atoms, e.g.
- Ci-C4-haloalkyl such as chloromethyl, bromomethyl, dichloromethyl, trichloromethyl, fluoromethyl, difluorom ethyl, trifluoro- methyl, chlorofluoromethyl, dichlorofluoromethyl, chlorodifluoromethyl, 1 -chloroethyl, 1- bromoethyl, 1 -fluoroethyl, 2-fluoroethyl, 2,2-difluoroethyl, 2,2,2-trifluoroethyl, 2-chloro- 2-fluoroethyl, 2-chloro-2,2-difluoroethyl, 2,2-dichloro-2-fluoroethyl, 2,2,2-trichloroethyl, pentafluoromethyl, bromomethyl, dichloromethyl, trichloromethyl, fluoromethyl, difluorom ethyl, trifluoro- methyl, chloroflu
- Ci-Cio-haloalkyl in particular comprises C1-C2- fluoroalkyl, which is synonym with methyl or ethyl, wherein 1 , 2, 3, 4 or 5 hydrogen atoms are substituted by fluorine atoms, such as fluoromethyl, difluoromethyl, trifluoro- methyl, 1-fluoroethyl, 2-fluoroethyl, 2,2-difluoroethyl, 2,2,2-trifluoroethyl and penta- fluoromethyl.
- C n"Cm" alkoxy and “C n"Cm”3 Ikylthio” refer to straight-chain or branched alkyl groups having n to m carbon atoms, e.g. 1 to 10, in particular 1 to 6 or 1 to 4 carbon atoms (as mentioned above) bonded through oxygen or sulfur linkages, respectively, at any bond in the alkyl group.
- Ci-C4-alkoxy such as methoxy, ethoxy, propoxy, isopropoxy, butoxy, sec-butoxy, isobutoxy and tert-butoxy
- futher Ci-C4-alkylthio such as methylthio, ethylthio, propyl- thio, isopropylthio, and n-butylthio.
- C n -C m -haloalkoxy and "C n -C m -haloalkylthio” (or C n -C m - haloalkylsulfenyl, respectively) refer to straight-chain or branched alkyl groups having n to m carbon atoms, e.g.
- Ci-C2-haloalkoxy such as chloromethoxy, bromomethoxy, dichloromethoxy, trichloromethoxy, fluoromethoxy, difluoromethoxy, trifluoromethoxy, chlorofluoromethoxy, dichlorofluoromethoxy, chloro- difluoromethoxy, 1 -chloroethoxy, 1 -bromoethoxy, 1 -fluoroethoxy, 2-fluoroethoxy, 2,2- difluoroethoxy, 2,2,2-trifluoroethoxy, 2-chloro-2-fluoroethoxy, 2-chloro-2,2- difluoroethoxy, 2,2-dichloro-2-flu
- C2-C m -alkenyl intends a branched or unbranched unsaturated hydrocarbon group having 2 to m, e.g. 2 to 10 or 2 to 6 carbon atoms and a double bond in any position, such as ethenyl, 1 -propenyl, 2-propenyl, 1 -methyl-ethenyl, 1- butenyl, 2-butenyl, 3-butenyl, 1-methyl-1 -propenyl, 2-methyl-1-propenyl, 1 -methyl-2- propenyl, 2-methyl-2-propenyl, 1 -pentenyl, 2-pentenyl, 3-pentenyl, 4-pentenyl, 1 - methyl-1 -butenyl, 2-methyl-1 -butenyl, 3-methyl-1 -butenyl, 1 -methyl-2-butenyl, 2-methyl- 2-butenyl, 3-methyl-2-butenyl, 1-methyl-3-butenyl,
- C2-C m -alkynyl refers to a branched or unbranched unsatu- rated hydrocarbon group having 2 to m, e.g. 2 to 10 or 2 to 6 carbon atoms and containing at least one triple bond, such as ethynyl, propynyl, 1-butynyl, 2-butynyl, and the like.
- Ci-C4-alkoxy-Ci-C4-alkyl refers to alkyl having 1 to 4 carbon atoms, e.g. like specific examples mentioned above, wherein one hydrogen atom of the alkyl radical is replaced by an Ci-C4-alkoxy group.
- C3-C m -cycloalkyl refers to a monocyclic 3- to m-membered saturated cycloaliphatic radicals, e.g. cyclopropyl, cyclobutyl, cyclopentyl, cyclohexyl, cycloheptyl, cyclooctyl and cyclodecyl.
- aryl refers to an aromatic hydrocarbon radical such as naphthyl or in particular phenyl.
- 3- to 6-membered carbocyclic ring refers to cyclopropane, cyclobutane, cyclopentane and cyclohexane rings.
- saturated or partially unsaturated 4-, 5- or 6-membered heterocyclic ring is illustrated by the following examples:
- Preferred herein are isothiazolidine compounds.
- Y is selected from halogen, Ci-C4-haloalkyl or Ci-C4-alkyl,
- p 0, 1 or 2.
- sulfonimidamide compounds of formula (I) wherein R 3 and R 4 form together with the nitrogen atom they are bond to a saturated or partially unsaturated 3,- 4-, 5- or 6-membered heterocyclic ring.
- R 1 and R 4 form together with the nitrogen and carbon atoms they are bond to a saturated or partially unsaturated 4-, 5- or 6-membered heterocyclic ring.
- the sulfonimidamide compounds are of formula (
- Y is selected from halogen, Ci-C4-haloalkyl or Ci-C4-alkyl, and
- p 0, 1 or 2;
- n 1 ;
- R 1 is hydrogen
- R 2 is methyl or ethy
- R 3 , R 4 are independently from one another methyl or ethyl
- Y is selected from halogen or Ci-C4-haloalkyl
- p 1 ;
- n 1 ;
- R 2 is selected from hydrogen, methyl or ethyl
- R 3 is selected from hydrogen, methyl, or ethyl
- R 1 and R 4 form together with the nitrogen and carbon atoms they are bond to a saturated or partially unsaturated 5- or 6-membered heterocyclic ring. Examples of preferred compounds
- Examples of such especially preferred compounds are compounds I-A.1 to I-A.220 of the following formula (l-A), wherein for each compound I-A.1 to I-A.220, the combination of R 1 , R 2 , R 3 , R 4 and Het has the meaning given in the respective line of C.1 to C.220 of table C.I.
- Examples of such especially preferred compounds are also compounds I-B.1 to I-B.220 of following formula (l-B), wherein for each compound I-B.1 to I-B.220, the combination of R 1 , R 2 , R 3 , R 4 and Het has the meaning given in the respective line of C.1 to C.220 of table d.
- N-Cyanosulfilamidines of formula (la), wherein Q represents CN can be prepared from sulfenamides (II) by oxidation in the presence of cyanamide or a cyanamide salt.
- suitable oxidants for this transformation are iodosobenzene diacetate or hypochlorite reagents such as aqueous sodium hopochlorite or tert-butyl hypochlorite.
- Suitable solvents for this conversion are, for example, but not limited to, dichloro- metane or acetonitrile.
- Step A.2 Conversion of N-cyanosulfilamidines (la) to the corresponding sulfonimid- amides (lb) can be achieved by oxidation using mefa-chloroperbenzoic acid in the presence of a base such as potassium carbonate or potassium bicarbonate (step A.2).
- a base such as potassium carbonate or potassium bicarbonate
- Polar protic solvents such as mixtures of ethanol and water are the preferred solvents for this conversion.
- Step A.3 The cyano functionalty present in sulfonimidamides (lb) can be exchanged for a trifluoroacetate group by incubation with trifluoroacetic anhydride. Sulfonimidamides (III) can be obtained by subsequent hydrolysis of the trifluoroacetate moiety. Suitable conditions to affect this transformation include the use of a base such as po- tassium carbonate in polar protic solvents such as methanol or ethanol or mixtures thereof with water.
- N-Nitro-sulfonimidamides of formula (lc) can be obtained from sulfonimidamides (lb) by nitration of the imine nitrogen using, for example, nitric acid in the pres- ence of acetic anhydride and sulfuric acid as a catalyst under mildly elevated temperatures (see Synthesis, 1986, 5, 426-7).
- Step A.5 N-nitrosulfilamidines of formula (Id) can be obtained from the corresponding N-cyano-derivatives (la) by the three-step procedure described in steps A.3 and A.4, i.e. incubation with trifluoroacetic anhydride, followed by hydrolysis of the trifluoroacetate moiety and nitration of the imine nitrogen.
- the sulfenamide starting materials of formula (II) in Scheme A can be prepared using several different starting materials and routes as illustrated in Scheme B.
- Step B.1 Sulfenyl halides of formula (V), obtained by chlorination or bromination of thioacetates (IV.1 ) , mercaptans (IV.2) or disulfides (IV.3), represent the oldest known sulfenyl transfer reagents (see, for example: Chem. Rev. 1989, 89 (4), 689-712).
- Pre- ferred conditions for the synthesis of such precursors include the incubation of thioacetates (IV.1 ) with sulfuryl chloride in an inert solvent such as carbon tetrachloride (see, for example: S. Thea, G. Cevasco Tetrahedron Lett.
- Step B.2 Sulfenimides (VI), prepared via the intermediacy of sulfenyl halides (V) by incubation with phthalimide according to the conditions outlined for example in Tetrahedron 1997, 53 (42), 1441 1 -14416, exhibit higher stabilities than their sulfenyl halide counterparts and can also be used to obtain sulfenamides (II).
- Step B.3 Sulfenamides (II) can be synthesized by reaction of sulfenyl halides (V) or sulfenimides (VI) with amines (VII).
- V sulfenyl halides
- VI sulfenimides
- Preferred solvents for this type of transformations are aprotic solvents such as dichloromethane, toluene or DMF.
- Cyclic sulfenamides of formula (11.1 ), wherein R 1 and R 4 form a saturated 5- or 6- membered ring, meaning q is equal 1 or 2 can also be prepared as outlined in Scheme C.
- Step C.1 Thus, Mislow-Evans rearrangement of allyl sulfoxides (VII I), followed by intramolecular attack of the amine nitrogen atom onto the transiently generated allyl sulf- enate lead to ring closure to the corresponding cyclic sulfenamides (11.1 ) as described in Heterocycles 1985, 23 (8), 1897-1900.
- This transformation is preferably carried out in aprotic solvents such as cyclohexane or ethyl acetate.
- Allyl sulfoxide intermediates (VI I I) can be obtained by standard synthetic methods known to those skilled in the art.
- R d1 -R dS are selected independently from one another and independently from q from the group R d as previously defined
- R 2 is selected from the group R 2 as previously defined
- r represents independently from q an integer selected from 0, 1 , 2, 3 or 4.
- Cyclic sulfonimidamides of formula (le) wherein R 1b and R 4 form a saturated 5- or 6- membered ring, i.e. q is equal to 1 or 2 and r represents independently from q an integer selected from 0, 1 , 2, 3 or 4, can also be prepared as outlined in Scheme D, wherein R d1 -R d6 are selected independently from one another and independently from q from the group R d , s is Ci-C 4 -alkyl and R h is CrC 4 -alkyl, Ci-C 4 -haloalkyl, C 3 -C 5 - cycloalkyl, and C3-C6-cyclohaloalkyl, and wherein the carbon atoms of Rs and R h may carry any combination of 1 or 2 radicals selected from phenyl, Ci-C4-alkyl, Ci-C 4 - haloalkylor C2-C6-alkenyl.
- carbamoyl-protected disulfides (IX.1 ) or mercaptans (IX.2) can be converted to cyclic sulfenamides (X) by incubation with a reagent such as Br2, CI2, NBS, NCS or SO2CI2 in the presence of a base such as pyridine.
- a reagent such as Br2, CI2, NBS, NCS or SO2CI2
- a base such as pyridine.
- this transformation is carried out in an aprotic solvent such as dichloromethane or toluene.
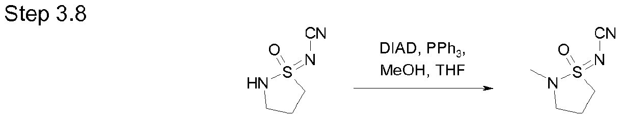
- Sulfilamidines (XI) can be obtained from sulfenamides (X) by reaction with cyanamide or sodium cyanamide in the presence of an oxidant such as iodosobenzene diacetate or tert-butyl hypochlorite. This transformation is preferably carried out in suitable sol- vents such as dichlorometane, methanol or acetonitrile.
- Conversion of sulfilamidines (XI) to the corresponding carbamoyl-protected sulfonimid- amides (XII) can be achieved by oxidation using for example aqueous sodium hypochlorite or tert-butyl hypochlorite as oxidizing agents. This transformation is preferably carried out in a biphasic mixture of H2O and a chlorinated solvent such as dichloro- methane and in the presence of a phase transfer catalyst such as tetrabutylammonium bromide.
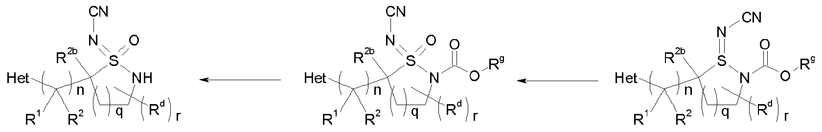
- carbamate-deprotection to yield cyclic sul- fonimidamides can be achieved by methods suitable for the corresponding pro- tecting group, as detailed for example in T. M. Greene, P. G. M. Wuts, Protecting Groups in Organic Chemistry, 3 rd ed., John Wiley & Sons, New York 1999.
- Sulfonimidamides of formula (le) are accessible from unprotected sulfonimidamides (XIII) by alkylation with a suitable R h -LG, for which LG denotes an appropriate leaving group (e.g. halide) in the presence of a base in a polar aprotic solvent.
- LG denotes an appropriate leaving group (e.g. halide) in the presence of a base in a polar aprotic solvent.
- sulfonimidamides of formula (le) may be accessed by alkylation of sulfo- nimidamides (XIV) with a suitable alkylating reagent (XV), wherein LG denotes an appropriate leaving group such as a halide.
- reaction mixtures are worked up in the customary manner, for example by mixing with water, separating the phases, and, if appropriate, purifying the crude products by chromatography, for example on alumina or silica gel.
- Some of the intermediates and end products may be obtained in the form of colorless or pale brown viscous oils, which are freed or purified from volatile components under reduced pressure and at moderately elevated temperature. If the intermediates and end products are obtained as solids, they may be purified by recrystallization or digestion. Pests
- the compounds of the formula I, and their salts are in particular suitable for efficiently controlling arthropodal pests such as arachnids, myriapedes and insects as well as nematodes.
- the compounds of the formula I are especially suitable for efficiently combating the following pests:
- Insects from the order of the lepidopterans ⁇ Lepidoptera) for example Agrotis ypsilon, Agrotis segetum, Alabama argillacea, Anticarsia gemmatalis, Argyresthia conjugella, Autographa gamma, Bupalus piniarius, Cacoecia murinana, Capua reticulana, Cheima- tobia brumata, Choristoneura fumiferana, Choristoneura occidentalis, Cirphis unipuncta, Cydia pomonella, Dendrolimus pini, Diaphania nitidalis, Diatraea grandi- osella, Earias insulana, Elasmopalpus lignosellus, Eupoecilia ambiguella, Evetria bou- liana, Feltia subterranea, Galleria mellonella, Grapholitha funebrana, Grapholitha mo
- Dichromothrips corbetti Dichromothrips ssp., Frankliniella fusca, Frankliniella occidentalis, Frankliniella tritici, Scirtothrips citri, Thrips oryzae, Thrips palmi and Thrips tabaci, termites (Isoptera), e.g.
- Calotermes flavicollis Leucotermes flavipes, Heterotermes aureus, Reticulitermes flavipes, Reticulitermes virginicus, Reticulitermes lucifugus, Re- ticulitermes santonensis, Reticulitermes grassei, Termes natalensis, and Coptotermes formosanus; cockroaches (Blattaria - Blattodea), e.g.
- Blattella germanica Blattella asahinae, Pe- riplaneta americana, Periplaneta japonica, Periplaneta brunnea, Periplaneta fuliggi- nosa, Periplaneta australasiae, and Blatta orientalis; bugs, aphids, leafhoppers, whiteflies, scale insects, cicadas (Hemiptera), e.g.
- Atta cephalotes Atta capiguara, Atta cephalotes, Atta laevigata, Atta robusta, Atta sexdens, Atta texana, Crematogaster spp., Hoplocampa minuta, Hoplocampa testudinea, Lasius niger, Monomorium pharaonis, Solenopsis geminata, Solenopsis invicta, Solenopsis richteri, Solenopsis xyloni, Pogonomyrmex barbatus, Pogonomyrmex californicus, Pheidole megacephala, Dasymutilla occidentalis, Bombus spp., Vespula squamosa, Paravespula vulgaris, Paravespula pennsylvanica, Paravespula germanica, Dolichovespula maculata, Vespa crabro, Polistes rubiginosa, Campo
- Argasidae Ixodidae and Sarcoptidae
- Amblyomma amencanum Amblyomma variegatum, Ambryomma maculatum, Argas persicus, Boophilus annulatus, Boophilus decoloratus, Boophilus microplus, Dermacentor silvarum, Dermacentor andersoni, Dermacentor variabilis, Hyalomma truncatum
- Ixodes ricinus Ixodes rubicundus
- Ixodes pacificus Ornithodorus moubata, Ornithodorus hermsi, Orni- thodorus turicata, Ornithonyssus bacoti, Otobius megnini, Dermanyssus gallinae, Pso- roptes ovis, Rhipicephalus sanguineus, R
- Tetranychidae spp. such as Tetranychus cinnabarinus, Tetranychus kan- zawai, Tetranychus pacificus, Tetranychus telarius and Tetranychus urticae, Panony- chus ulmi, Panonychus citri, and Oligonychus pratensis; Araneida, e.g.
- Earwigs (Dermaptera), e.g. forficula auricularia, lice (Phthiraptera), e.g. Pediculus humanus capitis, Pediculus humanus corporis, Pthi- rus pubis, Haematopinus eurystemus, Haematopinus suis, Linognathus vituli, Bovicoia bovis, Menopon gallinae, Menacanthus stramineus and Solenopotes capillatus.
- Collembola (springtails), e.g. Onychiurus ssp..
- Nematodes plant parasitic nematodes such as root knot nematodes, Meloidogyne hapla, Meloidogyne incognita, Meloidogyne javani- ca, and other Meloidogyne species; cyst-forming nematodes, Globodera rostochiensis and other Globodera species; Heterodera avenae, Heterodera glycines, Heterodera schachtii, Heterodera trifolii, and other Heterodera species; Seed gall nematodes, An- guina species; Stem and foliar nematodes, Aphelenchoides species; Sting nematodes, Belonolaimus longicaudatus and other Belonolaimus species; Pine nematodes, Bursa- phelenchus xylophilus and other Bursaphelenchus species; Ring nematodes
- the compounds of the formula I and their salts are also useful for controlling arachnids (Arachnoidea), such as acarians (Acarina), e.g. of the families Argasidae, Ixodidae and Sarcoptidae, such as Amblyomma americanum, Amblyomma variegatum, Argas persi- cus, Boophilus annulatus, Boophilus decoloratus, Boophilus microplus, Dermacentor silvarum, Hyalomma truncatum, Ixodes ricinus, Ixodes rubicundus, Ornithodorus mou- bata, Otobius megnini, Dermanyssus gallinae, Psoroptes ovis, Rhipicephalus appendi- culatus, Rhipicephalus evertsi, Sarcoptes scabiei, and Eriophyidae spp.
- arachnoidea such
- Tetranychidae spp. such as Tetranychus cinnabarinus, Tetranychus kanzawai, Tetranychus pacificus, Tetranychus telarius and Tetranychus urticae, Panonychus uimi, Panonychus citri, and oligonychus pratensis.
- insects preferably sucking or piercing insects such as insects from the genera Thysanoptera, Diptera and Hemiptera, in particular the following species: Thysanoptera : Frankliniella fusca, Frankliniella occidentalis, Frankliniella tritici, Scirto- thrips citri, Thrips oryzae, Thrips palmi and Thrips tabaci,
- Diptera e.g. Aedes aegypti, Aedes albopictus, Aedes vexans, Anastrepha ludens, Anopheles maculipennis, Anopheles crucians, Anopheles albimanus, Anopheles gam- biae, Anopheles freeborni, Anopheles leucosphyrus, Anopheles minimus, Anopheles quadrimaculatus, Calliphora vicina, Ceratitis capitata, Chrysomya bezziana, Chryso- mya hominivorax, Chrysomya macellaria, Chrysops discalis, Chrysops silacea, Chrysops atlanticus, Cochliomyia hominivorax, Contarinia sorghicola Cordylobia an- thropophaga, Culicoides furens, Culex pipiens, Culex nigripalpus, Culex
- Compounds of the formula I are particularly useful for controlling insects of the orders Hemiptera and Thysanoptera.
- the compounds I can be con- verted into the customary formulations, e.g. solutions, emulsions, suspensions, dusts, powders, pastes, granules and directly sprayable solutions.
- customary formulations e.g. solutions, emulsions, suspensions, dusts, powders, pastes, granules and directly sprayable solutions.
- the use form depends on the particular purpose and application method. Formulations and application methods are chosen to ensure in each case a fine and uniform distribution of the compound of the formula I according to the present invention.
- auxiliaries suitable for the formulation of agrochemicals such as solvents and/or carriers, if desired emulsifiers, surfactants and dispersants, preservatives, anti- foaming agents, anti-freezing agents, for seed treatment formulation also optionally colorants and/or binders and/or gelling agents.
- Solvents/carriers which are suitable, are e.g.: solvents such as water, aromatic solvents (for example Solvesso products, xy- lene and the like), paraffins (for example mineral fractions), alcohols (for example methanol, butanol, pentanol, benzyl alcohol), ketones (for example cyclohexa- none, gamma-butyrolactone), pyrrolidones (N-metyhl-pyrrolidone (NMP),N- octylpyrrolidone NOP), acetates (glycol diacetate), alkyl lactates, lactones such as g-butyrolactone, glycols, fatty acid dimethylamides, fatty acids and fatty acid esters, triglycerides, oils of vegetable or animal origin and modified oils such as alkylated plant oils.
- solvent mixtures may also be used,
- ground natural minerals and ground synthetic minerals such as silica gels, finely divided silicic acid, silicates, talc, kaolin, attaclay, limestone, lime, chalk, bole, loess, clay, dolomite, diatomaceous earth, calcium sulfate and magnesium sulfate, magnesium oxide, ground synthetic materials, fertilizers, such as, for example, ammonium sulfate, ammonium phosphate, ammonium nitrate, ureas and products of vegetable origin, such as cereal meal, tree bark meal, wood meal and nutshell meal, cellulose powders and other solid carriers.
- fertilizers such as, for example, ammonium sulfate, ammonium phosphate, ammonium nitrate, ureas and products of vegetable origin, such as cereal meal, tree bark meal, wood meal and nutshell meal, cellulose powders and other solid carriers.
- Suitable emulsifiers are nonionic and anionic emulsifiers (for example polyoxyethylene fatty alcohol ethers, alkylsulfonates and arylsulfonates).
- examples of dispersants are lignin-sulfite waste liquors and methylcellulose.
- Suitable surfactants are alkali metal, alkaline earth metal and ammonium salts of lignosulfonic acid, naphthalenesulfonic acid, phenolsulfonic acid,
- dibutylnaphthalenesulfonic acid alkylarylsulfonates, alkyl sulfates, alkylsulfonates, fatty alcohol sulfates, fatty acids and sulfated fatty alcohol glycol ethers, furthermore condensates of sulfonated naphthalene and naphthalene derivatives with
- Suitable antifoaming agents are for example antifoaming agents based on silicon or magnesium stearate.
- Suitable preservatives are for example dichlorophen und benzyl alcohol hemiformal
- Suitable thickeners are compounds which confer a pseudoplastic flow behavior to the formulation, i.e. high viscosity at rest and low viscosity in the agitated stage. Mention may be made, in this context, for example, of commercial thickeners based on polysaccharides, such as Xanthan Gum ® (Kelzan ® from Kelco), Rhodopol ® 23 (Rhone Poulenc) or Veegum ® (from R.T. Vanderbilt), or organic phyllosilicates, such as Atta- clay ® (from Engelhardt).
- polysaccharides such as Xanthan Gum ® (Kelzan ® from Kelco), Rhodopol ® 23 (Rhone Poulenc) or Veegum ® (from R.T. Vanderbilt)
- organic phyllosilicates such as Atta- clay ® (from Engelhardt).
- Antifoam agents suitable for the dispersions according to the invention are, for example, silicone emulsions (such as, for example, Silikon ® SRE, Wacker or Rhodorsil ® from Rhodia), long-chain alcohols, fatty acids, organofluorine compounds and mixtures thereof.
- Biocides can be added to stabilize the compositions according to the invention against attack by microorganisms. Suitable biocides are, for example, based on isothiazolones such as the compounds marketed under the trade- marks Proxel ® from Avecia (or Arch) or Acticide ® RS from Thor Chemie and Kathon ® MK from Rohm & Haas.
- Suitable antifreeze agents are organic polyols, for example ethylene glycol, propylene glycol or glycerol. These are usually employed in amounts of not more than 10% by weight, based on the total weight of the active compound com- position. If appropriate, the active compound compositions according to the invention may comprise 1 to 5% by weight of buffer, based on the total amount of the formulation prepared, to regulate the pH, the amount and type of the buffer used depending on the chemical properties of the active compound or the active compounds.
- buffers are alkali metal salts of weak inorganic or organic acids, such as, for example, phosphoric acid, boronic acid, acetic acid, propionic acid, citric acid, fumaric acid, tartaric acid, oxalic acid and succinic acid.
- weak inorganic or organic acids such as, for example, phosphoric acid, boronic acid, acetic acid, propionic acid, citric acid, fumaric acid, tartaric acid, oxalic acid and succinic acid.
- Substances which are suitable for the preparation of directly sprayable solutions, emulsions, pastes or oil dispersions are mineral oil fractions of medium to high boiling point, such as kerosene or diesel oil, furthermore coal tar oils and oils of vegetable or animal origin, aliphatic, cyclic and aromatic hydrocarbons, for example toluene, xylene, paraffin, tetrahydronaphthalene, alkylated naphthalenes or their derivatives, methanol, etha- nol, propanol, butanol, cyclohexanol, cyclohexanone, isophorone, strongly polar solvents, for example dimethyl sulfoxide, N-methylpyrrolidone and water.
- mineral oil fractions of medium to high boiling point such as kerosene or diesel oil, furthermore coal tar oils and oils of vegetable or animal origin, aliphatic, cyclic and aromatic hydrocarbons, for example toluene, x
- Powders, materials for spreading and dusts can be prepared by mixing or concomitantly grinding the active substances with a solid carrier.
- Granules for example coated granules, impregnated granules and homogeneous granules, can be prepared by binding the active ingredients to solid carriers.
- solid carriers are mineral earths such as silica gels, silicates, talc, kaolin, attaclay, limestone, lime, chalk, bole, loess, clay, dolomite, diatomaceous earth, calcium sulfate, magnesium sulfate, magnesium oxide, ground synthetic materials, fertilizers, such as, for example, ammonium sulfate, ammonium phosphate, ammonium nitrate, ureas, and products of vegetable origin, such as cereal meal, tree bark meal, wood meal and nutshell meal, cellulose powders and other solid carriers.
- mineral earths such as silica gels, silicates, talc, kaolin, attaclay, limestone, lime, chalk, bole, loess, clay, dolomite, diatomaceous earth
- the formulations comprise from 0.01 to 95% by weight, preferably from 0.1 to 90% by weight, of the active ingredient.
- the active ingredients are employed in a purity of from 90% to 100%, preferably 95% to 100% (according to NMR spectrum).
- respective formulations can be diluted 2-10 fold leading to concentrations in the ready to use preparations of 0,01 to 60% by weight active compound by weight, preferably 0,1 to 40% by weight.
- the compound of formula I can be used as such, in the form of their formulations or the use forms prepared therefrom, for example in the form of directly sprayable solutions, powders, suspensions or dispersions, emulsions, oil dispersions, pastes, dustable products, materials for spreading, or granules, by means of spraying, atomizing, dusting, spreading or pouring.
- the use forms depend entirely on the intended purposes; they are intended to ensure in each case the finest possible distribution of the active compounds according to the invention.
- such products may be applied to the seed diluted or undiluted.
- the active compound 10 parts by weight of the active compound is dissolved in 90 parts by weight of water or a water-soluble solvent. As an alternative, wetters or other auxiliaries are added. The active compound dissolves upon dilution with water, whereby a formulation with 10 % (w/w) of active compound is obtained.
- DC Dispersible concentrates 20 parts by weight of the active compound is dissolved in 70 parts by weight of cyclo- hexanone with addition of 10 parts by weight of a dispersant, for example polyvinylpyrrolidone. Dilution with water gives a dispersion, whereby a formulation with 20% (w/w) of active compounds is obtained.
- a dispersant for example polyvinylpyrrolidone.
- Emulsions EW, EO, ES
- 25 parts by weight of the active compound is dissolved in 35 parts by weight of xylene with addition of calcium dodecylbenzenesulfonate and castor oil ethoxylate (in each case 5 parts by weight).
- This mixture is introduced into 30 parts by weight of water by means of an emulsifier machine (e.g. Ultraturrax) and made into a homogeneous emulsion. Dilution with water gives an emulsion, whereby a formulation with 25% (w/w) of active compound is obtained.
- an emulsifier machine e.g. Ultraturrax
- 75 parts by weight of the active compound are ground in a rotor-stator mill with addition of 25 parts by weight of dispersants, wetters and silica gel. Dilution with water gives a stable dispersion or solution of the active compound, whereby a formulation with 75% (w/w) of active compound is obtained.
- Dustable powders (DP, DS) 5 parts by weight of the active compound are ground finely and mixed intimately with 95 parts by weight of finely divided kaolin. This gives a dustable product having 5% (w/w) of active compound.
- 0.5 part by weight of the active compound is ground finely and associated with 95.5 parts by weight of carriers, whereby a formulation with 0.5% (w/w) of active compound is obtained.
- Current methods are extrusion, spray-drying or the fluidized bed. This gives granules to be applied undiluted for foliar use.
- Aqueous use forms can be prepared from emulsion concentrates, pastes or wettable powders (sprayable powders, oil dispersions) by adding water.
- the substances, as such or dissolved in an oil or solvent can be homogenized in water by means of a wetter, tackifier, dispersant or emulsifier.
- concentrates composed of active substance, wet- ter, tackifier, dispersant or emulsifier and, if appropriate, solvent or oil and such concentrates are suitable for dilution with water.
- the active ingredient concentrations in the ready-to-use products can be varied within relatively wide ranges. In general, they are from 0.0001 to 10%, preferably from 0.01 to 1 %.
- the active ingredients may also be used successfully in the ultra-low-volume process (ULV), it being possible to apply formulations comprising over 95% by weight of active ingredient, or even to apply the active ingredient without additives.
- UUV ultra-low-volume process
- compounds I may be applied with other active ingredients, for example with other pesticides, insecticides, herbicides, fertilizers such as ammonium nitrate, urea, potash, and superphosphate, phytotoxicants and plant growth regulators, safeners and nematicides.
- additional ingredients may be used sequentially or in combination with the above-described compositions, if appropriate also added only immediately prior to use (tank mix).
- the plant(s) may be sprayed with a composition of this invention either before or after being treated with other active ingredients.
- the following list M of pesticides together with which the compounds according to the invention can be used and with which potential synergistic effects might be produced, is intended to illustrate the possible combinations, but not to impose any limitation:
- Organo(thio)phosphate compounds acephate, azamethiphos, azinphos-ethyl, azinphos-methyl, chlorethoxyfos, chlorfenvinphos, chlormephos, chlorpyrifos, chlorpyri- fos-methyl, coumaphos, cyanophos, demeton-S-methyl, diazinon, dichlorvos/ DDVP, dicrotophos, dimethoate, dimethylvinphos, disulfoton, EPN, ethion, ethoprophos, fam- phur, fenamiphos, fenitrothion, fenthion, flupyrazophos, fosthiazate, heptenophos, isoxathion, malathion, mecarbam, methamidophos, methidathion, mevinphos, monocrotophos, naled, omethoate, oxydemeton
- Carbamate compounds aldicarb, alanycarb, bendiocarb, benfuracarb, butocar- boxim, butoxycarboxim, carbaryl, carbofuran, carbosulfan, ethiofencarb, fenobucarb, formetanate, furathiocarb, isoprocarb, methiocarb, methomyl, metolcarb, oxamyl, pirimicarb, propoxur, thiodicarb, thiofanox, trimethacarb, XMC, xylylcarb, triazamate;
- Pyrethroid compounds acrinathrin, allethrin, d-cis-trans allethrin, d-trans allethrin, bifenthrin, bioallethrin, bioallethrin S-cylclopentenyl, bioresmethrin, cycloprothrin, cyflu- thrin, beta-cyfluthrin, cyhalothrin, lambda-cyhalothrin, gamma-cyhalothrin, cyperme- thrin, alpha-cypermethrin, beta-cypermethrin, theta-cypermethrin, zeta-cypermethrin, cyphenothrin, deltamethrin, empenthrin, esfenvalerate, etofenprox, fenpropathrin, fen- valerate, fluc
- Chloride channel activators abamectin, emamectin benzoate, milbemectin, le- pimectin;
- METI I compounds fenazaquin, fenpyroximate, pyrimidifen, pyridaben, tebufen- pyrad, tolfenpyrad, flufenerim, rotenone;
- METI II and III compounds acequinocyl, fluacyprim, hydramethylnon;
- Uncouplers of oxidative phosphorylation chlorfenapyr, DNOC; M.1 1.
- Inhibitors of oxidative phosphorylation azocyclotin, cyhexatin, diafenthiuron, fen- butatin oxide, propargite, tetradifon;
- Moulting disruptors cyromazine, chromafenozide, halofenozide, methoxy- fenozide, tebufenozide;
- Lipid biosynthesis inhibitors spirodiclofen, spiromesifen, spirotetramat
- M.25. Microbial disruptors Bacillus thuringiensis subsp. Israelensi, Bacillus sphaericus, Bacillus thuringiensis subsp. Aizawai, Bacillus thuringiensis subsp. Kurstaki, Bacillus thuringiensis subsp. Tenebrionis;
- the isoxazoline compounds M 22.1 to M 22.8 have been described in e.g. WO2005/085216, WO 2007/079162, WO 2007/026965, WO 2009/126668 and WO2009/051956.
- the aminofuranone compounds M 26.1 to M 26.10 have been described eg. in WO 2007/1 15644.
- the pyripy- ropene derivative M 27.2 has been described in WO 2008/66153 and WO
- the pyridazin compound M 27.3 has been described in JP 2008/1 15155.
- Malononitrile compounds as those (M24.1) and (M24.2) have been described in WO 02/089579, WO 02/090320, WO 02/090321 , WO 04/006677, WO 05/068423, WO 05/068432 and WO 05/063694.
- Inhibitors of complex III at Qo site e.g. strobilurins
- strobilurins azoxystrobin, coumethoxystrobin, coumoxystrobin, dimoxystrobin, enestroburin, fluoxastrobin, kresoxim-methyl, metominostrobin, orysastrobin, picox- ystrobin, pyraclostrobin, pyrametostrobin, pyraoxystrobin, pyribencarb, triclopyri- carb/chlorodincarb, trifloxystrobin, 2-[2-(2,5-dimethyl-phenoxymethyl)-phenyl]-3- methoxy-acrylic acid methyl ester and 2 (2-(3-(2,6-dichlorophenyl)-1 -methyl- allylideneaminooxymethyl)-phenyl)-2-methoxyimino-N methyl-acetamide;
- oxazolidinediones and imidazolinones famoxadone, fenamidone;
- Inhibitors of complex II e.g. carboxamides
- carboxanilides benodanil, bixafen, boscalid, carboxin, fenfuram, fenhexamid, flu- opyram, flutolanil, furametpyr, isopyrazam, isotianil, mepronil, oxycarboxin, penflufen, penthiopyrad, sedaxane, tecloftalam, thifluzamide, tiadinil, 2-amino-4 methyl-thiazole-5- carboxanilide, N-(3',4',5' trifluorobiphenyl-2 yl)-3-difluoromethyl-1-methyl-1 H-pyrazole-4 carboxamide, N-(4'-trifluoromethylthiobiphenyl-2-yl)-3 difluoromethyl-1 -methyl-1 H pyra- zole-4-carboxamide and N-(2-(1 ,3,3-trimethyl-butyl)-phenyl)-1 ,
- Inhibitors of complex III at Qi site cyazofamid, amisulbrom;
- nitrophenyl derivates binapacryl, dinobuton, dinocap, fluazinam, nitrthal-isopropyl, organometal compounds: fentin salts, such as fentin-acetate, fentin chloride or fentin hydroxide;
- F.II-1 C14 demethylase inhibitors (DMI fungicides, e.g. triazoles, imidazoles) triazoles: azaconazole, bitertanol, bromuconazole, cyproconazole, difenoconazole, diniconazole, diniconazole-M, epoxiconazole, fenbuconazole, fluquinconazole, flusila- zole, flutriafol, hexaconazole, imibenconazole, ipconazole, metconazole, myclobutanil, paclobutrazole, penconazole, propiconazole, prothioconazole, simeconazole, tebu- conazole, tetraconazole, triadimefon, triadimenol, triticonazole, uniconazole;
- DMI fungicides e.g. triazoles,
- imidazoles imazalil, pefurazoate, oxpoconazole, prochloraz, triflumizole;
- pyrimidines, pyridines and piperazines fenarimol, nuarimol, pyrifenox, triforine;
- morpholines aldimorph, dodemorph, dodemorph-acetate, fenpropimorph, tridemorph;
- piperidines fenpropidin, piperalin;
- spiroketalamines spiroxamine
- RNA DNA synthesis phenylamides or acyl amino acid fungicides: benalaxyl, benalaxyl-M, kiralaxyl, metalaxyl, metalaxyl-M (mefenoxam), ofurace, oxadixyl;
- isoxazoles and iosothiazolones hymexazole, octhilinone;
- Nucleotide metabolism e.g. adenosin-deaminase
- Tubulin inhibitors benzimidazoles and thiophanates: benomyl, carbendazim, fuberidazole, thiabendazole, thiophanate-methyl;
- triazolopyrimidines 5-chloro-7 (4-methylpiperidin-1-yl)-6-(2,4,6-trifluorophenyl)- [1 ,2,4]triazolo[1 ,5 a]pyrimidine
- benzamides and phenyl acetamides diethofencarb, ethaboxam, pencycuron, fluopi- colide, zoxamide;
- Actin inhibitors benzophenones: metrafenone;
- anilino-pyrimidines cyprodinil, mepanipyrim, nitrapyrin, pyrimethanil;
- F.V-2 Protein synthesis inhibitors (anilino-pyrimidines)
- antibiotics blasticidin-S, kasugamycin, kasugamycin hydrochloride-hydrate, mildiomy- cin, streptomycin, oxytetracyclin, polyoxine, validamycin A; F.VI) Signal transduction inhibitors
- MAP / Histidine kinase inhibitors e.g. anilino-pyrimidines
- dicarboximides fluoroimid, iprodione, procymidone, vinclozolin;
- phenylpyrroles fenpiclonil, fludioxonil;
- F.VI-2 G protein inhibitors: quinolines: quinoxyfen;
- organophosphorus compounds edifenphos, iprobenfos, pyrazophos;
- dithiolanes isoprothiolane
- aromatic hydrocarbons dicloran, quintozene, tecnazene, tolclofos-methyl, biphenyl, chloroneb, etridiazole;
- cinnamic or mandelic acid amides dimethomorph, flumorph, mandiproamid, pyrimorph; valinamide carbamates: benthiavalicarb, iprovalicarb, pyribencarb, valifenalate and N- (1 -(1 -(4-cyano-phenyl)ethanesulfonyl)-but-2-yl) carbamic acid-(4-fluorophenyl) ester; F.VII-4) Compounds affecting cell membrane permeability and fatty acides
- Inorganic active substances Bordeaux mixture, copper acetate, copper hydroxide, copper oxychloride, basic copper sulfate, sulfur;
- F.VIII-2 Thio- and dithiocarbamates: ferbam, mancozeb, maneb, metam, methasul- phocarb, metiram, propineb, thiram, zineb, ziram;
- Organochlorine compounds e.g. phthalimides, sulfamides, chloronitriles: anilazine, chlorothalonil, captafol, captan, folpet, dichlofluanid, dichlorophen, flusulfamide, hexachlorobenzene, pentachlorphenole and its salts, phthalide, tolylfluanid, N- (4-chloro-2-nitro-phenyl)-N-ethyl-4-methyl-benzenesulfonamide;
- Guanidines guanidine, dodine, dodine free base, guazatine, guazatine- acetate, iminoctadine, iminoctadine-triacetate, iminoctadine-tris(albesilate);
- Inhibitors of glucan synthesis validamycin, polyoxin B;
- F.IX-2 Melanin synthesis inhibitors: pyroquilon, tricydazole, carpropamide, dicyclomet, fenoxanil; F.X) Plant defence inducers
- abscisic acid amidochlor, ancymidol, 6-benzylaminopurine, brassinolide, butralin, chlormequat (chlormequat chloride), choline chloride, cyclanilide, daminozide, dikegu- lac, dimethipin, 2,6-dimethylpuridine, ethephon, flumetralin, flurprimidol, fluthiacet, forchlorfenuron, gibberellic acid, inabenfide, indole-3-acetic acid , maleic hydrazide, mefluidide, mepiquat (mepiquat chloride), naphthaleneacetic acid, N 6 benzyladenine, paclobutrazol, prohexadione (prohexadione-calcium), prohydrojasmon, thidiazuron, triapenthenol, tributyl phosphorotrithioate, 2,3,5 tri io
- Bacillus substilis strain with NRRL No. B-21661 e.g. RHAPSODY®, SERENADE® MAX and SERENADE® ASO from AgraQuest, Inc., USA.
- Bacillus pumilus strain with NRRL No. B-30087 e.g. SONATA® and BALLAD® Plus from AgraQuest, Inc., USA
- Ulocladium oudemansii e.g. the product BOTRY- ZEN from BotriZen Ltd., New Zealand
- Chitosan e.g. ARMOUR-ZEN from BotriZen Ltd., New Zealand
- the animal pest i.e. the insects, arachnids and nematodes, the plant, soil or water in which the plant is growing can be contacted with the present compounds of formula I or composition(s) containing them by any application method known in the art.
- "contacting” includes both direct contact (applying the compounds/compositions directly on the animal pest or plant - typically to the foliage, stem or roots of the plant) and indirect contact (applying the compounds/compositions to the locus of the animal pest or plant).
- the compounds of formula I or the pesticidal compositions comprising them may be used to protect growing plants and crops from attack or infestation by animal pests, especially insects, acaridae or arachnids by contacting the plant/crop with a pesticidally effective amount of compounds of formula I.
- crop refers both to growing and harvested crops.
- the compounds of the present invention and the compositions comprising them are particularly important in the control of a multitude of insects on various cultivated plants, such as cereal, root crops, oil crops, vegetables, spices, ornamentals, for example seed of durum and other wheat, barley, oats, rye, maize (fodder maize and sugar maize / sweet and field corn), soybeans, oil crops, crucifers, cotton, sunflowers, bananas, rice, oilseed rape, turnip rape, sugarbeet, fodder beet, eggplants, potatoes, grass, lawn, turf, fodder grass, tomatoes, leeks, pumpkin/squash, cabbage, iceberg lettuce, pepper, cucumbers, melons, Brassica species, melons, beans, peas, garlic, onions, carrots, tuberous plants such as potatoes, sugar cane, tobacco, grapes, petunias, geranium/pelargoniums, pansies and impatiens.
- the compounds of the present invention are employed as such or in form of compositions by treating the insects or the plants, plant propagation materials, such as seeds, soil, surfaces, materials or rooms to be protected from insecticidal attack with a insecti- cidally effective amount of the active compounds.
- the application can be carried out both before and after the infection of the plants, plant propagation materials, such as seeds, soil, surfaces, materials or rooms by the insects.
- the present invention also includes a method of combating animal pests which comprises contacting the animal pests, their habit, breeding ground, food supply, cultivated plants, seed, soil, area, material or environment in which the animal pests are growing or may grow, or the materials, plants, seeds, soils, surfaces or spaces to be protected from animal attack or infestation with a pesticidally effective amount of a mixture of at least one active compound I.
- animal pests may be controlled by contacting the target pest, its food supply, habitat, breeding ground or its locus with a pesticidally effective amount of compounds of formula I.
- the application may be carried out before or after the infection of the locus, growing crops, or harvested crops by the pest.
- the compounds of the invention can also be applied preventively to places at which occurrence of the pests is expected.
- the compounds of formula I may be also used to protect growing plants from attack or infestation by pests by contacting the plant with a pesticidally effective amount of com- pounds of formula I.
- "contacting” includes both direct contact (applying the compounds/compositions directly on the pest and/or plant - typically to the foliage, stem or roots of the plant) and indirect contact (applying the compounds/compositions to the locus of the pest and/or plant).
- “Locus” means a habitat, breeding ground, plant, seed, soil, area, material or environment in which a pest or parasite is growing or may grow.
- plant propagation material is to be understood to denote all the generative parts of the plant such as seeds and vegetative plant material such as cuttings and tubers (e. g. potatoes), which can be used for the multiplication of the plant. This includes seeds, roots, fruits, tubers, bulbs, rhizomes, shoots, sprouts and other parts of plants. Seedlings and young plants, which are to be transplanted after germination or after emergence from soil, may also be included. These plant propagation materials may be treated prophylactically with a plant protection compound either at or before planting or transplanting.
- cultivadas plants is to be understood as including plants which have been modified by breeding, mutagenesis or genetic engineering.
- Genetically modified plants are plants, which genetic material has been so modified by the use of recombinant DNA techniques that under natural circumstances cannot readily be obtained by cross breeding, mutations or natural recombination.
- one or more genes have been integrated into the genetic material of a genetically modified plant in order to improve certain properties of the plant.
- Such genetic modifications also include but are not limited to targeted post-transtional modification of protein(s) (oligo- or polypeptides) poly for example by glycosylation or polymer additions such as prenylated, acetylated or farnesylated moieties or PEG moieties(e.g. as disclosed in Biotechnol Prog. 2001 Jul- Aug;17(4):720-8., Protein Eng Des Sel. 2004 Jan;17(1 ):57-66, Nat Protoc.
- cultiva plants is to be understood also including plants that have been rendered tolerant to applications of specific classes of herbicides, such as hy- droxy-phenylpyruvate dioxygenase (HPPD) inhibitors; acetolactate synthase (ALS) inhibitors, such as sulfonyl ureas (see e. g. US 6,222,100, WO 01/82685, WO
- EP-A-0242236, EP-A-242246) or oxynil herbicides see e. g. US 5,559,024) as a result of conventional methods of breeding or genetic engineering.
- mutagenesis for example Clearfield® summer rape (Canola) being tolerant to imidazolinones, e. g. imazamox.
- cultiva plants is to be understood also including plants that are by the use of recombinant DNA techniques capable to synthesize one or more insecticidal proteins, especially those known from the bacterial genus Bacillus, particularly from Bacillus thuringiensis, such as a-endotoxins, e. g. CrylA(b), CrylA(c), CrylF, CrylF(a2), CryllA(b), CrylllA, CrylllB(bl ) or Cry9c; vegetative insecticidal proteins (VIP), e. g. VIP1 , VIP2, VI P3 or VIP3A; insecticidal proteins of bacteria colonizing nematodes, for example Photorhabdus spp.
- VIP vegetative insecticidal proteins
- toxins produced by animals such as scorpion toxins, arachnid toxins, wasp toxins, or other insect-specific neurotoxins
- toxins produced by fungi such Streptomycetes toxins, plant lectins, such as pea or barley lectins; agglutinins
- proteinase inhibitors such as trypsin inhibitors, serine prote- ase inhibitors, patatin, cystatin or papain inhibitors
- ribosome-inactivating proteins (RIP) such as ricin, maize-RIP, abrin, luffin, saporin or bryodin
- steroid metabolism enzymes such as 3-hydroxysteroid oxidase, ecdysteroid-IDP-glycosyl-transferase, cholesterol oxidases, ecdysone inhibitors or HMG-CoA-reductase
- ion channel blockers such as blockers of sodium or calcium channels
- these insecticidal proteins or toxins are to be understood expressly also as pre-toxins, hybrid proteins, truncated or otherwise modified proteins.
- Hybrid proteins are characterized by a new combination of protein domains, (see, for example WO 02/015701 ).
- Further examples of such toxins or genetically-modified plants capable of synthesizing such toxins are dis-closed, for example, in EP-A 374 753, WO 93/007278, WO 95/34656, EP-A 427 529, EP-A 451 878, WO 03/018810 und WO 03/052073.
- the methods for producing such genetically modified plants are generally known to the person skilled in the art and are described, for example, in the publications mentioned above.
- insectsicidal proteins contained in the genetically modified plants impart to the plants producing these proteins protection from harmful pests from certain taxonomic groups of arthropods, particularly to beetles (Coleoptera), flies (Diptera), and butterflies and moths (Lepidoptera) and to plant parasitic nematodes (Nematoda).
- cultiva plants is to be understood also including plants that are by the use of recombinant DNA techniques capable to synthesize one or more proteins to increase the resistance or tolerance of those plants to bacterial, viral or fungal pathogens.
- proteins examples include the so-called " pathogenesis-related proteins" (PR proteins, see, for example EP-A 0 392 225), plant disease resistance genes (for example potato cultivars, which express resistance genes acting against Phytophthora infestans derived from the mexican wild potato Solanum bulbocastanum) or T4- lyso-zym (e. g. potato cultivars capable of synthesizing these proteins with increased resistance against bacteria such as Erwinia amylvora).
- PR proteins pathogenesis-related proteins
- plant disease resistance genes for example potato cultivars, which express resistance genes acting against Phytophthora infestans derived from the mexican wild potato Solanum bulbocastanum
- T4- lyso-zym e. g. potato cultivars capable of synthesizing these proteins with increased resistance against bacteria such as Erwinia amylvora.
- the methods for producing such genetically modified plants are generally known to the person skilled in the art and are described, for
- cultiva plants is to be understood also including plants that are by the use of recombinant DNA techniques capable to synthesize one or more proteins to increase the productivity (e. g. bio mass production, grain yield, starch content, oil con- tent or protein content), tolerance to drought, salinity or other growth-limiting envi- ron-mental factors or tolerance to pests and fungal, bacterial or viral pathogens of those plants.
- the term "cultivated plants” is to be understood also including plants that contain by the use of recombinant DNA techniques a modified amount of substances of content or new substances of content, specifically to improve human or animal nutrition, for ex-ample oil crops that produce health-promoting long-chain omega-3 fatty acids or unsaturated omega-9 fatty acids (e. g. Nexera® rape).
- cultiva plants is to be understood also including plants that contain by the use of recombinant DNA techniques a modified amount of substances of content or new substances of content, specifically to improve raw material production, for example potatoes that produce increased amounts of amylopectin (e. g. Amflora® potato).
- pesticidally effective amount means the amount of active ingredient needed to achieve an observable effect on growth, including the effects of necrosis, death, retardation, prevention, and removal, destruction, or otherwise diminishing the occurrence and activity of the target organism.
- the pesticidally effective amount can vary for the various compounds/compositions used in the invention.
- a pesticidally effective amount of the compositions will also vary according to the prevailing conditions such as desired pesticidal effect and duration, weather, target species, locus, mode of application, and the like.
- the quantity of active ingredient ranges from 0.0001 to 500 g per 100 m 2 , preferably from 0.001 to 20 g per 100 m 2 .
- Customary application rates in the protection of materials are, for example, from 0.01 g to 1000 g of active compound per m 2 treated material, desirably from 0.1 g to 50 g per m 2 .
- Insecticidal compositions for use in the impregnation of materials typically contain from 0.001 to 95 weight %, preferably from 0.1 to 45 weight %, and more preferably from 1 to 25 weight % of at least one repellent and/or insecticide.
- the rate of application of the active ingredients of this invention may be in the range of 0.1 g to 4000 g per hectare, desirably from 25 g to 600 g per hectare, more desirably from 50 g to 500 g per hectare.
- the compounds of formula I are effective through both contact (via soil, glass, wall, bed net, carpet, plant parts or animal parts), and ingestion (bait, or plant part).
- the compounds of the invention may also be applied against non-crop insect pests, such as ants, termites, wasps, flies, mosquitos, crickets, or cockroaches.
- non-crop insect pests such as ants, termites, wasps, flies, mosquitos, crickets, or cockroaches.
- compounds of formula I are preferably used in a bait composition.
- the bait can be a liquid, a solid or a semisolid preparation (e.g. a gel).
- Solid baits can be formed into various shapes and forms suitable to the respective application e.g. granules, blocks, sticks, disks.
- Liquid baits can be filled into various devices to ensure proper application, e.g. open containers, spray devices, droplet sources, or evaporation sources.
- Gels can be based on aqueous or oily matrices and can be formulated to particular necessities in terms of stickyness, moisture retention or aging characteristics.
- the bait employed in the composition is a product, which is sufficiently attractive to incite insects such as ants, termites, wasps, flies, mosquitos, crickets etc. or cockroaches to eat it.
- the attractiveness can be manipulated by using feeding stimulants or sex pheromones.
- Food stimulants are chosen, for example, but not exclusively, from animal and/or plant proteins (meat-, fish- or blood meal, insect parts, egg yolk), from fats and oils of animal and/or plant origin, or mono-, oligo- or polyorganosaccharides, especially from sucrose, lactose, fructose, dextrose, glucose, starch, pectin or even molasses or honey.
- Fresh or decaying parts of fruits, crops, plants, animals, insects or specific parts thereof can also serve as a feeding stimulant.
- Sex pheromones are known to be more insect specific. Specific pheromones are described in the literature and are known to those skilled in the art.
- the typical content of active ingredient is from 0.001 weight % to 15 weight %, desirably from 0.001 weight % to 5% weight % of active compound.
- Formulations of compounds of formula I as aerosols e.g in spray cans), oil sprays or pump sprays are highly suitable for the non-professional user for controlling pests such as flies, fleas, ticks, mosquitos or cockroaches.
- Aerosol recipes are preferably composed of the active compound, solvents such as lower alcohols (e.g. methanol, etha- nol, propanol, butanol), ketones (e.g. acetone, methyl ethyl ketone), paraffin hydrocar- bons (e.g.
- kerosenes having boiling ranges of approximately 50 to 250 °C, dimethyl- formamide, N-methylpyrrolidone, dimethyl sulfoxide, aromatic hydrocarbons such as toluene, xylene, water, furthermore auxiliaries such as emulsifiers such as sorbitol monooleate, oleyl ethoxylate having 3-7 mol of ethylene oxide, fatty alcohol ethoxylate, perfume oils such as ethereal oils, esters of medium fatty acids with lower alcohols, aromatic carbonyl compounds, if appropriate stabilizers such as sodium benzoate, amphoteric surfactants, lower epoxides, triethyl orthoformate and, if required, propellants such as propane, butane, nitrogen, compressed air, dimethyl ether, carbon dioxide, nitrous oxide, or mixtures of these gases.
- emulsifiers such as sorbitol monooleate, oleyl ethoxylate having 3-7 mol of
- the oil spray formulations differ from the aerosol recipes in that no propellants are used.
- the content of active ingredient is from 0.001 to 80 weights %, preferably from 0.01 to 50 weight % and most preferably from 0.01 to 15 weight %.
- the compounds of formula I and its respective compositions can also be used in mosquito and fumigating coils, smoke cartridges, vaporizer plates or long-term vaporizers and also in moth papers, moth pads or other heat-independent vaporizer systems.
- Methods to control infectious diseases transmitted by insects e.g. malaria, dengue and yellow fever, lymphatic filariasis, and leishmaniasis
- insects e.g. malaria, dengue and yellow fever, lymphatic filariasis, and leishmaniasis
- compounds of formula I and its respective compositions also comprise treating surfaces of huts and houses, air spraying and impregnation of curtains, tents, clothing items, bed nets, tsetse-fly trap or the like.
- Insecticidal compositions for application to fibers, fabric, knitgoods, nonwov- ens, netting material or foils and tarpaulins preferably comprise a mixture including the insecticide, optionally a repellent and at least one binder.
- Suitable repellents for example are ⁇ , ⁇ -Diethyl-meta-toluamide (DEET), ⁇ , ⁇ -diethylphenylacetamide (DEPA), 1 - (3-cyclohexan-1-yl-carbonyl)-2-methylpiperine, (2-hydroxymethylcyclohexyl) acetic acid lactone, 2-ethyl-1 ,3-hexandiol, indalone, Methylneodecanamide (MNDA), a pyrethroid not used for insect control such as ⁇ (+/-)-3-allyl-2-methyl-4-oxocyclopent-2-(+)-enyl-(+)- trans-chrysantemate (Esbiothrin), a repellent derived from or identical with plant extracts like limonene, eugenol, (+)-Eucamalol (1 ), (-)-l-epi-eucamalol or crude plant extracts from plants like
- Suitable binders are selected for example from polymers and copolymers of vinyl esters of aliphatic ac- ids (such as such as vinyl acetate and vinyl versatate), acrylic and methacrylic esters of alcohols, such as butyl acrylate, 2-ethylhexylacrylate, and methyl acrylate, mono- and di-ethylenically unsaturated hydrocarbons, such as styrene, and aliphatic diens, such as butadiene.
- the impregnation of curtains and bednets is done in general by dipping the textile material into emulsions or dispersions of the insecticide or spraying them onto the nets.
- the compounds of formula I and its compositions can be used for protecting wooden materials such as trees, board fences, sleepers, etc. and buildings such as houses, outhouses, factories, but also construction materials, furniture, leathers, fibers, vinyl articles, electric wires and cables etc. from ants and/or termites, and for controlling ants and termites from doing harm to crops or human being (e.g. when the pests invade into houses and public facilities).
- the compounds of formula I are applied not only to the surrounding soil surface or into the under-floor soil in order to protect wooden materials but it can also be applied to lumbered articles such as surfaces of the under-floor concrete, alcove posts, beams, plywoods, furniture, etc., wooden articles such as particle boards, half boards, etc.
- the ant controller of the present invention is applied to the crops or the surrounding soil, or is directly applied to the nest of ants or the like.
- the compounds of formula I are also suitable for the treatment of seeds in order to protect the seed from insect pest, in particular from soil-living insect pests and the resulting plant's roots and shoots against soil pests and foliar insects.
- the compounds of formula I are particularly useful for the protection of the seed from soil pests and the resulting plant's roots and shoots against soil pests and foliar insects.
- the protection of the resulting plant's roots and shoots is preferred. More preferred is the protection of resulting plant's shoots from piercing and sucking insects, wherein the protection from aphids is most preferred.
- the present invention therefore comprises a method for the protection of seeds from insects, in particular from soil insects and of the seedlings' roots and shoots from insects, in particular from soil and foliar insects, said method comprising contacting the seeds before sowing and/or after pregermination with a compound of the general formula I or a salt thereof.
- a method wherein the plant's roots and shoots are protected, more preferably a method, wherein the plants shoots are protected form piercing and sucking insects, most preferably aa method, wherein the plants shoots are protected from aphids.
- seed embraces seeds and plant propagules of all kinds including but not limited to true seeds, seed pieces, suckers, corms, bulbs, fruit, tubers, grains, cuttings, cut shoots and the like and means in a preferred embodiment true seeds.
- seed treatment comprises all suitable seed treatment techniques known in the art, such as seed dressing, seed coating, seed dusting, seed soaking and seed pelleting.
- the present invention also comprises seeds coated with or containing the active compound.
- coated with and/or containing generally signifies that the active ingredient is for the most part on the surface of the propagation product at the time of application, although a greater or lesser part of the ingredient may penetrate into the propagation product, depending on the method of application. When the said propagation product is (re)planted, it may absorb the active ingredient.
- Suitable seed is seed of cereals, root crops, oil crops, vegetables, spices, ornamentals, for example seed of durum and other wheat, barley, oats, rye, maize (fodder maize and sugar maize / sweet and field corn), soybeans, oil crops, crucifers, cotton, sunflowers, bananas, rice, oilseed rape, turnip rape, sugarbeet, fodder beet, eggplants, potatoes, grass, lawn, turf, fodder grass, tomatoes, leeks, pumpkin/squash, cabbage, iceberg lettuce, pepper, cucumbers, melons, Brassica species, melons, beans, peas, garlic, onions, carrots, tuberous plants such as potatoes, sugar cane, tobacco, grapes, petunias, geranium/pelargoniums, pansies and impatiens.
- the active compound may also be used for the treatment seeds from plants, which tolerate the action of herbicides or fungicides or insecticides owing to breeding, including genetic engineering methods.
- the active compound can be employed in treatment of seeds from plants, which are resistant to herbicides from the group consisting of the sulfonylureas, imida- zolinones, glufosinate-ammonium or glyphosate-isopropylammonium and analogous active substances (see for example, EP-A-0242236, EP-A-242246) (WO 92/00377)
- the active compound can be used also for the treatment of seeds from plants, which have modified characteristics in comparison with existing plants consist, which can be generated for example by traditional breeding methods and/or the generation of mutants, or by recombinant procedures). For example, a number of cases have been described of recombinant modifications of crop plants for the purpose of modifying the starch synthesized in the plants (e.g. WO 92/1 1376, WO 92/14827, WO 91/19806) or of transgenic crop plants having a modified fatty acid composition (WO 91/13972).
- the seed treatment application of the active compound is carried out by spraying or by dusting the seeds before sowing of the plants and before emergence of the plants.
- compositions which are especially useful for seed treatment are e.g.:
- a Soluble concentrates (SL, LS)
- Conventional seed treatment formulations include for example flowable concentrates FS, solutions LS, powders for dry treatment DS, water dispersible powders for slurry treatment WS, water-soluble powders SS and emulsion ES and EC and gel formulation GF. These formulations can be applied to the seed diluted or undiluted. Application to the seeds is carried out before sowing, either directly on the seeds or after having pre- germinated the latter
- a FS formulation is used for seed treatment.
- a FS formulation may comprise 1-800 g/l of active ingredient, 1-200 g/l Surfactant, 0 to 200 g/l antifreezing agent, 0 to 400 g/l of binder, 0 to 200 g/l of a pigment and up to 1 liter of a solvent, preferably water.
- Especially preferred FS formulations of compounds of formula I for seed treatment usually comprise from 0.1 to 80% by weight (1 to 800 g/l) of the active ingredient, from 0.1 to 20 % by weight (1 to 200 g/l) of at least one surfactant, e.g. 0.05 to 5 % by weight of a wetter and from 0.5 to 15 % by weight of a dispersing agent, up to 20 % by weight, e.g. from 5 to 20 % of an anti-freeze agent, from 0 to 15 % by weight, e.g. 1 to 15 % by weight of a pigment and/or a dye, from 0 to 40 % by weight, e.g.
- a binder (sticker /adhesion agent), optionally up to 5 % by weight, e.g. from 0.1 to 5 % by weight of a thickener, optionally from 0.1 to 2 % of an anti-foam agent, and optionally a preservative such as a biocide, antioxidant or the like, e.g. in an amount from 0.01 to 1 % by weight and a filler/vehicle up to 100 % by weight.
- a binder sticker /adhesion agent
- a preservative such as a biocide, antioxidant or the like
- Seed Treatment formulations may additionally also comprise binders and optionally colorants. Binders can be added to improve the adhesion of the active materials on the seeds after treatment. Suitable binders are homo- and copolymers from alkylene oxides like ethylene oxide or propylene oxide, polyvinylacetate, polyvinylalcohols, polyvinylpyrrolidones, and copolymers thereof, ethylene-vinyl acetate copolymers, acrylic homo- and copolymers, polyethyleneamines, polyethyleneamides and polyethyleneimines, poly- saccharides like celluloses, tylose and starch, polyolefin homo- and copolymers like olefin/maleic anhydride copolymers, polyurethanes, polyesters, polystyrene homo and copolymers
- colorants can be included in the formulation. Suitable colorants or dyes for seed treatment formulations are Rhodamin B, C.I. Pigment Red 1 12, C.I. Solvent Red 1 , pigment blue 15:4, pigment blue 15:3, pigment blue 15:2, pigment blue 15:1 , pigment blue 80, pigment yellow 1 , pigment yellow 13, pigment red 1 12, pigment red 48:2, pigment red 48:1 , pigment red 57:1 , pigment red 53:1 , pigment orange 43, pigment orange 34, pigment orange 5, pigment green 36, pigment green 7, pigment white 6, pigment brown 25, basic violet 10, basic violet 49, acid red 51 , acid red 52, acid red 14, acid blue 9, acid yellow 23, basic red 10, basic red 108.
- the application rates of the compounds I are generally from 0.1 g to 10 kg per 100 kg of seed, preferably from 1 g to 5 kg per 100 kg of seed, more preferably from 1 g to 1000 g per 100 kg of seed and in particular from 1 g to 200 g per 100 kg of seed.
- the invention therefore also relates to seed comprising a compound of the formula I, or an agriculturally useful salt of I, as defined herein.
- the amount of the compound I or the agriculturally useful salt thereof will in general vary from 0.1 g to 10 kg per 100 kg of seed, preferably from 1 g to 5 kg per 100 kg of seed, in particular from 1 g to 1000 g per 100 kg of seed. For specific crops such as lettuce the rate can be higher.
- An object of the present invention is therfore also to provide new methods to control parasites in and on animals. Another object of the invention is to provide safer pesticides for animals. Another object of the invention is further to provide pesticides for animals that may be used in lower doses than existing pesticides. And another object of the invention is to provide pesticides for animals, which provide a long residual control of the parasites.
- the invention also relates to compositions containing a parasiticidally effective amount of compounds of formula I or the enantiomers or veterinarily acceptable salts thereof and an acceptable carrier, for combating parasites in and on animals.
- the present invention also provides a method for treating, controlling, preventing and protecting animals against infestation and infection by parasites, which comprises orally, topically or parenterally administering or applying to the animals a parasiticidally effective amount of a compound of formula I or the enantiomers or veterinarily acceptable salts thereof or a composition comprising it.
- the present invention also provides a non-therapeutic method for treating, controlling, preventing and protecting animals against infestation and infection by parasites, which comprises applying to a locus a parasiticidally effective amount of a compound of formula I or the enantiomers or veterinarily acceptable salts thereof or a composition comprising it.
- the invention also provides a process for the preparation of a composition for treating, controlling, preventing or protecting animals against infestation or infection by parasites which comprises including a parasiticidally effective amount of a compound of formula I or the enantiomers or veterinarily acceptable salts thereof in a composition comprising it.
- the invention relates further to the use of compounds of formula I for treating, controlling, preventing or protecting animals against infestation or infection by parasites.
- the invention relates also to the use of a compound of formula I, or a composition comprising it, for the manufacture of a medicament for the therapeutic treatment of animals against infections or infestions by parasites.
- compounds of formula I are suitable for combating endo- and ectoparasites in and on animals.
- the compounds of formula I or the enantiomers or veterinarily acceptable salts thereof and compositions comprising them are suitable for systemic and/or non-systemic control of ecto- and/or endoparasites. They are active against all or some stages of development.
- Compounds of formula I or the enantiomers or veterinarily acceptable salts thereof and compositions comprising them are preferably used for controlling and preventing infestations and infections animals including warm-blooded animals (including humans) and fish. They are for example suitable for controlling and preventing infestations and infections in mammals such as cattle, sheep, swine, camels, deer, horses, pigs, poultry, rabbits, goats, dogs and cats, water buffalo, donkeys, fallow deer and reindeer, and also in fur-bearing animals such as mink, chinchilla and raccoon, birds such as hens, geese, turkeys and ducks and fish such as fresh- and salt-water fish such as trout, carp and eels.
- mammals such as cattle, sheep, swine, camels, deer, horses, pigs, poultry, rabbits, goats, dogs and cats, water buffalo, donkeys, fallow deer and reindeer
- fur-bearing animals such as min
- Compounds of formula I or the enantiomers or veterinarily acceptable salts thereof and compositions comprising them are preferably used for controlling and preventing infestations and infections in domestic animals, such as dogs or cats.
- Infestations in warm-blooded animals and fish include, but are not limited to, lice, biting lice, ticks, nasal bots, keds, biting flies, muscoid flies, flies, myiasitic fly larvae, chig- gers, gnats, mosquitoes and fleas.
- the compounds of formula I are especially useful for combating ectoparasites.
- the compounds of formula I are especially useful for combating endoparasites.
- the compounds of formula I are especially useful for combating parasites of the following orders and species, respectively: fleas (Siphonaptera), e.g. Ctenocephalides felis, Ctenocephalides canis, Xenopsylla cheopis, Pulex irritans, Tunga penetrans, and Nosopsyllus fasciatus; cockroaches (Blattaria - Blattodea), e.g.
- Blattella germanica Blattella asahinae, Pe- riplaneta americana, Periplaneta japonica, Periplaneta brunnea, Periplaneta fuliggi- nosa, Periplaneta australasiae, and Blatta orientalis; flies, mosquitoes (Diptera), e.g.
- Pediculus humanus capitis Pediculus humanus corporis, Pthi- rus pubis, Haematopinus eurystemus, Haematopinus suis, Linognathus vituli, Bovicola bovis, Menopon gallinae, Menacanthus stramineus and Solenopotes capillatus; ticks and parasitic mites (Parasitiformes): ticks (Ixodida), e.g.
- Anoplurida e.g. Haematopinus spp., Linognathus spp., Pediculus spp., Phtirus spp., and Solenopotes spp.;
- Mallophagida suborders Arnblycerina and Ischnocerina
- Trimenopon spp. Menopon spp., Trinoton spp., Bovicola spp., Werneckiella spp., Lepikentron spp., Trichodectes spp. and Felicola spp.
- Mallophagida suborders Arnblycerina and Ischnocerina
- Trichinosis Trichosyringida
- Trichinellidae Trichinella spp.
- Trichuridae Trichuris spp., Capillaria spp;
- Rhabditida e.g. Rhabditis spp, Strongyloides spp., Helicephalobus spp.;
- Strongylida e.g. Strongylus spp., Ancylostoma spp., Necator americanus, Bunosto- mum spp. (Hookworm), Trichostrongylus spp., Haemonchus contortus., Ostertagia spp.
- Cooperia spp. Nematodirus spp., Dictyocaulus spp., Cyathostoma spp., Oe- sophagostomum spp., Stephanurus dentatus, Ollulanus spp., Chabertia spp., Stepha- nurus dentatus , Syngamus trachea, Ancylostoma spp., Uncinaria spp., Globocephalus spp., Necator spp., Metastrongylus spp., Muellerius capillaris, Protostrongylus spp., Angiostrongylus spp., Parelaphostrongylus spp. Aleurostrongylus abstrusus and Dioc- tophyma renale;
- Intestinal roundworms (Ascaridida), e.g. Ascaris lumbricoides, Ascaris suum, Ascaridia galli, Parascaris equorum, Enterobius vermicularis (Threadworm), Toxocara cam ' s, Toxascaris leonine, Skrjabinema spp, and Oxyuris equi,
- Ascaridida e.g. Ascaris lumbricoides, Ascaris suum, Ascaridia galli, Parascaris equorum, Enterobius vermicularis (Threadworm), Toxocara cam ' s, Toxascaris leonine, Skrjabinema spp, and Oxyuris equi
- Ascaridida e.g. Ascaris lumbricoides, Ascaris suum, Ascaridia galli, Parascaris equorum, Enterobius vermicularis (Threadworm), Toxocara cam '
- Camallanida e.g. Dracunculus medinensis (guinea worm)
- Spirurida e.g. Thelazia spp. Wuchereria spp., Brugia spp., Onchocerca spp., Dirofilari spp.a, Dipetalonema spp., Setaria spp., Elaeophora spp., Spirocerca lupi and Habro- nema spp.,
- Thorny headed worms e.g. Acanthocephalus spp., Macracanthor- hynchus hirudinaceus and Oncicola spp, Planarians (Plathelminthes): Flukes (Trematoda), e.g. Faciola spp., Fascioloides magna, Paragonimus spp., Dicro- coelium spp., Fasciolopsis buski, Clonorchis sinensis, Schistosoma spp., Trichobilhar- zia spp., Alaria alata, Paragonimus spp.
- Faciola spp. Fascioloides magna
- Paragonimus spp. Dicro- coelium spp.
- Fasciolopsis buski Clonorchis sinensis
- Schistosoma spp. Trichobilhar- zia spp., Alaria alat
- Nanocyetes spp Cercomeromorpha, in particular Cestoda (Tapeworms), e.g. Diphyllobothrium spp., Tenia spp., Echinococcus spp., Dipylidium caninum, Muiticeps spp., Hymenolepis spp., Mesocestoides spp., Vampirolepis spp., Moniezia spp., Anopiocephaia spp., Sirometra spp., Anopiocephaia spp, and Hymenolepis spp.
- the present invention relates to the therapeutic and the non-therapeutic use of compounds of formula I for controlling and/or combating parasites in and/or on animals.
- the compounds of formula I may be used to protect the animals from attack or infestation by parasites by contacting them with a parasitically effective amount of compounds of formula I.
- "contacting” includes both direct contact (applying the compounds/compositions directly on the parasite, including the application directly on the animal or excluding the application directly on the animal, e.g. at it's locus for the latter) and indirect contact (applying the compounds/compositions to the locus of the parasite).
- the contact of the parasite through application to its locus is an example of a non-therapeutic use of compounds of formula I.
- “Locus” as defined above means the habitat, food supply, breeding ground, area, material or environment in which a parasite is growing or may grow outside of the animal.
- the compounds of the invention can also be applied preventively to places at which occurrence of the pests or parasites is expected.
- the compounds of formula I can be effective through both contact (via soil, glass, wall, bed net, carpet, blankets or animal parts) and ingestion (e.g. baits).
- the administration can be carried out prophylactically, therapeutically or non- therapeutically.
- Administration of the active compounds is carried out directly or in the form of suitable preparations, orally, topically/dermally or parenterally.
- parasiticidally effective amount means the amount of active ingredient needed to achieve an observable effect on growth, including the effects of necrosis, death, retardation, prevention, and removal, destruction, or otherwise diminishing the occurrence and activity of the target organism.
- the parasiticidally effective amount can vary for the various compounds/compositions used in the invention.
- a parasiticidally effective amount of the compositions will also vary according to the prevailing conditions such as desired parasiticidal effect and duration, target species, mode of application, and the like. Generally it is favorable to apply the compounds of formula I in total amounts of 0.5 mg/kg to 100 mg/kg per day, preferably 1 mg/kg to 50 mg/kg per day.
- the formula I compounds may be formulated as animal feeds, animal feed premixes, animal feed concentrates, pills, solutions, pastes, suspensions, drenches, gels, tablets, boluses and capsules.
- the formula I compounds may be administered to the animals in their drinking water.
- the dosage form chosen should provide the animal with 0.01 mg/kg to 100 mg/kg of animal body weight per day of the formula I compound, preferably with 0.5 mg/kg to 100 mg/kg of animal body weight per day.
- the formula I compounds may be administered to animals parenterally, for example, by intraruminal, intramuscular, intravenous or subcutaneous injection.
- the formula I compounds may be dispersed or dissolved in a physiologically acceptable carrier for subcutaneous injection.
- the formula I compounds may be formulated into an implant for subcutaneous administration.
- the formula I compound may be transdermally administered to animals.
- the dosage form chosen should provide the animal with 0.01 mg/kg to 100 mg/kg of animal body weight per day of the formula I compound.
- the formula I compounds may also be applied topically to the animals in the form of dips, dusts, powders, collars, medallions, sprays, shampoos, spot-on and pour-on formulations and in ointments or oil-in-water or water-in-oil emulsions.
- dips and sprays usually contain 0.5 ppm to 5,000 ppm and preferably 1 ppm to 3,000 ppm of the formula I compound.
- the formula I compounds may be formulated as ear tags for animals, particularly quadrupeds such as cattle and sheep.
- Suitable preparations are:
- Solutions such as oral solutions, concentrates for oral administration after dilution, solutions for use on the skin or in body cavities, pouring-on formulations, gels;
- compositions suitable for injection are prepared by dissolving the active ingredient in a suitable solvent and optionally adding further ingredients such as acids, bases, buffer salts, preservatives, and solubilizers. The solutions are filtered and filled sterile.
- suitable solvents are physiologically tolerable solvents such as water, alkanols such as ethanol, butanol, benzyl alcohol, glycerol, propylene glycol, polyethylene glycols, N- methyl-pyrrolidone, 2-pyrrolidone, and mixtures thereof.
- the active compounds can optionally be dissolved in physiologically tolerable vegeta- ble or synthetic oils which are suitable for injection.
- Suitable solubilizers are solvents which promote the dissolution of the active compound in the main solvent or prevent its precipitation.
- examples are polyvinylpyrrolidone, polyvinyl alcohol, polyoxyethylated castor oil, and polyoxyethylated sorbitan ester.
- Suitable preservatives are benzyl alcohol, trichlorobutanol, p-hydroxybenzoic acid esters, and n-butanol.
- Oral solutions are administered directly. Concentrates are administered orally after prior dilution to the use concentration. Oral solutions and concentrates are prepared according to the state of the art and as described above for injection solutions, sterile procedures not being necessary.
- Solutions for use on the skin are trickled on, spread on, rubbed in, sprinkled on or sprayed on.
- Solutions for use on the skin are prepared according to the state of the art and according to what is described above for injection solutions, sterile procedures not being necessary.
- solvents are polypropylene glycol, phenyl ethanol, phenoxy ethanol, ester such as ethyl or butyl acetate, benzyl benzoate, ethers such as alkyleneglycol alkylether, e.g. dipropylenglycol monomethylether, ketons such as acetone, me- thylethylketone, aromatic hydrocarbons, vegetable and synthetic oils, dimethylforma- mide, dimethylacetamide, transcutol, solketal, propylencarbonate, and mixtures thereof.
- alkyleneglycol alkylether e.g. dipropylenglycol monomethylether
- ketons such as acetone, me- thylethylketone
- aromatic hydrocarbons such as acetone, me- thylethylketone
- vegetable and synthetic oils dimethylforma- mide, dimethylacetamide, transcutol, solketal, propylencarbonate,
- thickeners are inorganic thickeners such as bentonites, colloidal silicic acid, aluminium monostearate, organic thickeners such as cellulose derivatives, polyvinyl alcohols and their copolymers, acrylates and methacrylates.
- Gels are applied to or spread on the skin or introduced into body cavities. Gels are prepared by treating solutions which have been prepared as described in the case of the injection solutions with sufficient thickener that a clear material having an ointmentlike consistency results.
- the thickeners employed are the thickeners given above.
- Pour-on formulations are poured or sprayed onto limited areas of the skin, the active compound penetrating the skin and acting systemically.
- pour-on formulations are prepared by dissolving, suspending or emulsifying the active compound in suitable skin-compatible solvents or solvent mixtures. If appropriate, other auxiliaries such as colorants, bioabsorption-promoting substances, antioxidants, light stabilizers, adhesives are added.
- Suitable solvents which are: water, alkanols, glycols, polyethylene glycols, polypropyl- ene glycols, glycerol, aromatic alcohols such as benzyl alcohol, phenylethanol, phenoxyethanol, esters such as ethyl acetate, butyl acetate, benzyl benzoate, ethers such as alkylene glycol alkyl ethers such as dipropylene glycol monomethyl ether, di- ethylene glycol mono-butyl ether, ketones such as acetone, methyl ethyl ketone, cyclic carbonates such as propylene carbonate, ethylene carbonate, aromatic and/or aliphatic hydrocarbons, vegetable or synthetic oils, DMF, dimethylacetamide, n-alkylpyrrolidones such as methylpyrrolidone, n-butylpyrrolidone or n-octylpyrrolidone, N- methylpyrroli
- Suitable absorption-promoting substances are, for example, DMSO, spreading oils such as isopropyl myristate, dipropylene glycol pelargonate, silicone oils and copoly- mers thereof with polyethers, fatty acid esters, triglycerides, fatty alcohols.
- Suitable antioxidants are sulfites or metabisulfites such as potassium metabisulfite, ascorbic acid, butylhydroxytoluene, butylhydroxyanisole, tocopherol.
- Suitable light stabilizers are, for example, novantisolic acid.
- Suitable adhesives are, for example, cellulose derivatives, starch derivatives, polyacry- lates, natural polymers such as alginates, gelatin. Emulsions can be administered orally, dermally or as injections.
- Emulsions are either of the water-in-oil type or of the oil-in-water type. They are prepared by dissolving the active compound either in the hydrophobic or in the hydrophilic phase and homogenizing this with the solvent of the other phase with the aid of suitable emulsifiers and, if appropriate, other auxiliaries such as colorants, absorption-promoting substances, preservatives, antioxidants, light stabilizers, viscos- ity-enhancing substances.
- Suitable hydrophobic phases (oils) are:
- liquid paraffins silicone oils, natural vegetable oils such as sesame oil, almond oil, castor oil, synthetic triglycerides such as caprylic/capric biglyceride, triglyceride mixture with vegetable fatty acids of the chain length C8-C12 or other specially selected natural fatty acids, partial glyceride mixtures of saturated or unsaturated fatty acids possibly also containing hydroxyl groups, mono- and diglycerides of the C8-C10 fatty acids, fatty acid esters such as ethyl stearate, di-n-butyryl adipate, hexyl laurate, dipropylene glycol perlargonate, esters of a branched fatty acid of medium chain length with satu- rated fatty alcohols of chain length C16-C18, isopropyl myristate, isopropyl palmitate, caprylic/capric acid esters of saturated fatty alcohols of chain length C12-C18, isopropyl stea
- Suitable hydrophilic phases are: water, alcohols such as propylene glycol, glycerol, sorbitol and mixtures thereof.
- Suitable emulsifiers are:
- non-ionic surfactants e.g. polyethoxylated castor oil, polyethoxylated sorbitan monoo- leate, sorbitan monostearate, glycerol monostearate, polyoxyethyl stearate, alkylphenol polyglycol ether;
- ampholytic surfactants such as di-sodium N-lauryl-p-iminodipropionate or lecithin; anionic surfactants, such as sodium lauryl sulfate, fatty alcohol ether sulfates, mono/dialkyl polyglycol ether orthophosphoric acid ester monoethanolamine salt;
- cation-active surfactants such as cetyltrimethylammonium chloride.
- Suitable further auxiliaries are: substances which enhance the viscosity and stabilize the emulsion, such as carboxymethylcellulose, methylcellulose and other cellulose and starch derivatives, polyacrylates, alginates, gelatin, gum arabic, polyvinylpyrrolidone, polyvinyl alcohol, copolymers of methyl vinyl ether and maleic anhydride, polyethylene glycols, waxes, colloidal silicic acid or mixtures of the substances mentioned.
- Suspensions can be administered orally or topically/dermally. They are prepared by suspending the active compound in a suspending agent, if appropriate with addition of other auxiliaries such as wetting agents, colorants, bioabsorption-promoting substances, preservatives, antioxidants, light stabilizers.
- auxiliaries such as wetting agents, colorants, bioabsorption-promoting substances, preservatives, antioxidants, light stabilizers.
- Liquid suspending agents are all homogeneous solvents and solvent mixtures. Suitable wetting agents (dispersants) are the emulsifiers given above. Other auxiliaries which may be mentioned are those given above.
- Semi-solid preparations can be administered orally or topically/dermally. They differ from the suspensions and emulsions described above only by their higher viscosity.
- the active compound is mixed with suitable excipients, if appropriate with addition of auxiliaries, and brought into the desired form.
- Suitable excipients are all physiologically tolerable solid inert substances. Those used are inorganic and organic substances. Inorganic substances are, for example, sodium chloride, carbonates such as calcium carbonate, hydrogencarbonates, aluminium oxides, titanium oxide, silicic acids, argillaceous earths, precipitated or colloidal silica, or phosphates. Organic substances are, for example, sugar, cellulose, foodstuffs and feeds such as milk powder, animal meal, grain meals and shreds, starches.
- Suitable auxiliaries are preservatives, antioxidants, and/or colorants which have been mentioned above.
- auxiliaries are lubricants and glidants such as magnesium stearate, stearic acid, talc, bentonites, disintegration-promoting substances such as starch or crosslinked polyvinylpyrrolidone, binders such as starch, gelatin or linear polyvinylpyrrolidone, and dry binders such as microcrystalline cellulose.
- lubricants and glidants such as magnesium stearate, stearic acid, talc, bentonites, disintegration-promoting substances such as starch or crosslinked polyvinylpyrrolidone, binders such as starch, gelatin or linear polyvinylpyrrolidone, and dry binders such as microcrystalline cellulose.
- compositions which can be used in the invention can comprise generally from about 0.001 to 95% of the compound of formula I.
- Ready-to-use preparations contain the compounds acting against parasites, preferably ectoparasites, in concentrations of 10 ppm to 80 per cent by weight, preferably from 0.1 to 65 per cent by weight, more preferably from 1 to 50 per cent by weight, most preferably from 5 to 40 per cent by weight.
- Preparations which are diluted before use contain the compounds acting against ecto- parasites in concentrations of 0.5 to 90 per cent by weight, preferably of 1 to 50 per cent by weight. Furthermore, the preparations comprise the compounds of formula I against endopara- sites in concentrations of 10 ppm to 2 per cent by weight, preferably of 0.05 to 0.9 per cent by weight, very particularly preferably of 0.005 to 0.25 per cent by weight.
- the compositions comprising the compounds of formula I them can be applied orally, parenterally or topically, respectively dermally.
- the topical application is conducted in the form of compound-containing shaped articles such as collars, medallions, ear tags, bands for fixing at body parts, and adhesive strips and foils.
- thermoplastic and flexible plastics as well as elastomers and thermoplastic elastomers are used.
- Suitable plastics and elastomers are polyvinyl resins, polyurethane, polyacrylate, epoxy resins, cellulose, cellulose derivatives, polyamides and polyester which are sufficiently compatible with the compounds of formula I.
- a detailed list of plastics and elastomers as well as preparation procedures for the shaped articles is given e.g. in WO 03/086075.
- the active compounds can also be used as a mixture with synergists or with other active compounds which act against pathogenic endo- and ectoparasites.
- the active compounds of formula I can be applied for example with synthetic coccidiosis compounds, polyetherantibiotics as Amprolium, Robenidin, Toltrazuril, Monensin, Salino- mycin, Maduramicin, Lasalocid, Narasin or Semduramicin or with other pesticides which are described in the list M (M.1 to M.27) above.
- synthetic coccidiosis compounds polyetherantibiotics as Amprolium, Robenidin, Toltrazuril, Monensin, Salino- mycin, Maduramicin, Lasalocid, Narasin or Semduramicin or with other pesticides which are described in the list M (M.1 to M.27) above.
- the Compound examples can be characterized e.g. by coupled High Performance Liquid Chromatography / mass spectrometry (HPLC/MS), by 1 H-NMR and/or by their melting points.
- HPLC/MS High Performance Liquid Chromatography / mass spectrometry
- Step 1.1
- Methanesulfonyl chloride (15.88 g, 138.6 mmol) was added dropwise to a solution of 1- (6-chloro-pyridin-3-yl)-ethanol (18.2 g, 1 15.5 mmol; Bioscience, Biotechnology and Biochemistry 2003, 67 (5), 980-988) and triethyl amine (17.53 g, 173.2 mmol) in CH2CI2 (400 mL) at -40 °C.
- the solution was allowed to warm to 0 °C within 1.5 h, then H 2 0 was added and the aqueous phase was extracted twice with CH2CI2.
- the combined organic phases were dried over Na2SC"4 and evaporated in vacuo.
- the resulting suspension was filtered to yield a first crop (7.4 g) of the desired sul- filiminamide (4.5).
- the filtrate was concentrated to a volume of ca. 700 mL, and the resulting suspension was filtered.
- the residue was washed with H2O and crystallized from MeOH to yield a second crop (7.4 g) of sulfilamidine (3.5) (combined yield: 14.8 g, 46%).
- Step 3.6 An aqueous solution of NaOCI (ca. 10 %, 410 g) was added dropwise to a suspension of sulfilamidine (3.5) (18.2 g, 69.1 mmol) and Bu 4 NBr (0.9 g, 2.7 mmol) in EtOAc (450 mL). The biphasic solution was stirred at ambient temperature for 1 h, then the phases were separated and the aqueous phase was extracted with EtOAc. The combined or- ganic phases were washed with H2O, dried over Na2S04 and evaporated under reduced pressure to yield 15.4 g (72%) of sulfonimidamide (3.6).
- test solutions were prepared as follow: The active compound was dissolved at the desired concentration in a mixture of 1 :1 (vohvol) distilled water : acteon. The test solutions were prepared at the day of use (and, if not otherwised specified, in general at concentrations wt vol).
- test unit For evaluating control of green peach aphid (Myzus persicae) through systemic means the test unit consisted of 96-well-microtiter plates containing liquid artificial diet under an artificial membrane.
- the compounds were formulated using a solution containing 75% v/v water and 25% v/v DMSO. Different concentrations of formulated compounds were pipetted into the aphid diet, using a custom built pipetter, at two replications.
- Thrips potency of each compound was evaluated by using a floral-immersion technique.
- Plastic petri dishes were used as test arenas. All petals of individual, intact orchid flowers were dipped into treatment solution and allowed to dry. Treated flowers were placed into individual petri dishes along with 10 - 15 adult thrips. The petri dishes were then covered with lids. All test arenas were held under continuous light and a temperature of about 28oC for duration of the assay. After 4 days, the numbers of live thrips were counted on each flower, and along inner walls of each petri dish. The level of thrips mortality was extrapolated from pre-treatment thrips numbers. In this test, compound 5 at 500 ppm showed over 75 % mortality in comparison with untreated controls.
- Rice green leafhopper (Nephotettix virescens) Rice seedlings were cleaned and washed 24 hours before spraying. The active compounds were formulated in 50:50 acetone:water (vol:vol), and 0.1 % vol/vol surfactant (EL 620) was added. Potted rice seedlings were sprayed with 5 ml test solution, air dried, placed in cages and inoculated with 10 adults. Treated rice plants were kept at about 28-29°C and relative humidity of about 50-60%. Percent mortality was recorded after 72 hours.
Landscapes
- Chemical & Material Sciences (AREA)
- Organic Chemistry (AREA)
- Life Sciences & Earth Sciences (AREA)
- Agronomy & Crop Science (AREA)
- Pest Control & Pesticides (AREA)
- Plant Pathology (AREA)
- Health & Medical Sciences (AREA)
- Engineering & Computer Science (AREA)
- Dentistry (AREA)
- General Health & Medical Sciences (AREA)
- Wood Science & Technology (AREA)
- Zoology (AREA)
- Environmental Sciences (AREA)
- Agricultural Chemicals And Associated Chemicals (AREA)
Abstract
The invention relates to sulfonimidamide compounds of formula (I), to the enantiomers, diastereomers and salts thereof and to compositions comprising such compounds. The invention also relates to the use of the sulfonimidamide compounds, of their salts or of compositions comprising them for combating animal pests. Furthermore the invention relates also to methods of applying such sulfonimidamide compounds. The sulfonimidamide compounds of the present invention are defined by the following formula (I): (I) wherein m, Q, Het, R1, R2, R3, R4 and n are defined as in the description.
Description
Sulfonimidamide compounds for combating animal pests
The present invention relates to sulfonimidamide compounds, to the enantiomers, di- astereomers and salts thereof and to compositions comprising such compounds. The invention also relates to the use of the Sulfonimidamide compounds or of their compositions comprising them for combating animal pests. Furthermore the invention relates also to methods of applying such compounds.
Animal pests destroy growing and harvested crops and attack wooden dwelling and commercial structures, causing large economic loss to the food supply and to property. While a large number of pesticidal agents are known, due to the ability of target pests to develop resistance to said agents, there is an ongoing need for new agents for combating animal pests. In particular, animal pests such as insects and acaridae are difficult to be effectively controlled.
It is therefore an object of the present invention to provide compounds having a good pesticidal activity, especially against difficult to control insects and acaridae.
It has been found that these objects are solved by Sulfonimidamide derivatives of the general formula I:
(I) wherein n is 0, 1 or 2; m is 0 or 1 ;
Q is N02 or CN;
R , R2 are selected independently from one another and independently from the value of n from the group consisting of hydrogen, halogen, C1-C6- alkyl, C3-C6-cycloalkyl, C2-C6-alkenyl, C2-C6-alkynyl, Ci-C6-alkoxy, CN, N02, C(0)Rc, C(0)ORa, C(0)NRaRb, C(S)NRaRb and S(0)PRc, wherein the carbon atoms in the aforementioned groups may carry any combination of 1 , 2 or 3 radicals Rd
or wherein
R1 and R2 form together with the carbon atom, which they are attached to, a 3- to 6-membered carbocyclic ring, wherein the carbon atoms of the ring may carry any combination of 1 or 2 radicals Rd; is selected from the group consisting of hydrogen, Ci-C6-alkyl, C3-C6- cycloalkyl, Ci-C6-alkoxy, C2-C6-alkenyl, C(0)Rc, C(0)ORa, C(0)NRaRb, C(S)NRaRb, S(0)PRc and NReRf,
wherein the carbon atoms in the aforementioned groups may carry any combination of 1 , 2 or 3 radicals Rd; is selected from the group consisting of hydrogen, Ci-C6-alkyl, C3-C6- cycloalkyl and C2-C6-alkenyl, wherein the carbon atoms in the aforementioned groups may carry any combination of 1 , 2 or 3 radicals Rd; or
R3 and R4 form together with the nitrogen atom they are both bound to a saturated or partially unsaturated 3-, 4-, 5- or 6- membered heterocyclic ring, optionally containing an additional heteroatom selected from N, O, S, whereas the additional N atom may optionally carry Re;
or
R1 and R4 form together with the carbon and the nitrogen atom they are bond to a saturated or partially unsaturated 4-, 5- or 6- membered heterocyclic ring, optionally containing an additional heteroatom selected from N, O, S, whereas the additional N atom may optionally carry Re;
Het is an aromatic or non-aromatic heterocycle selected from
het-21 Het-22 Het-23 Het-24
wherein # denotes the bond in formula (I),
and wherein
Y is selected from the group consisting of halogen, C1-C6 alkyl, C3-C6 cycloalkyi, C2-C6 alkenyl, C2-C6 alkynyl, C1-C6 alkoxy, CN, NO2, S(0)PRc, C(0)Rc, C(0)ORa, C(0)NRaRb and C(S)NRaRb, wherein the carbon atoms in the aforementioned groups may carry any combination of 1 , 2 or 3 radicals Rd;
X is selected from the group consisiting of hydrogen, C1-C6 alkyl, C1-C6 haloalkyi, C3-C6 cycloalkyi, C2-C6 alkenyl, C2-C6 haloalkenyl, C2-C6 alkynyl, C2-C6 haloalkynyl, C(0)Rc, C(0)OR5, C(0)NRaR , C(S)NRaRb or S(0)pRc, wherein
the carbon atoms in the aforementioned groups may carry any combination of 1 , 2 or 3 radicals Rd; and wherein in the substituent and variables p is 0, 1 or 2;
Ra, Rb are selected independently from one another from hydrogen, C1-C4- alkyl, Ci-C4-haloalkyl, C3-C6-cycloalkyl, C3-C6-alkenyl, C3-C6- haloalkenyl or C3-C6-alkynyl;
Rc is selected from Ci-C4-alkyl, Ci-C4-haloalkyl, C3-C6-cycloalkyl, C2-C6- alkenyl, C2-C6-haloalkenyl or C2-C6-alkynyl;
Rd is selected from halogen, C3-C6-cycloalkyl, Ci-C6-alkoxy, C2-C6-alkenyloxy, C2-C6-alkynyloxy, Ci-C6-haloalkoxy, Ci-C6-alkylthio or phenyl;
Re, Rf are selected independently from one another from hydrogen, C1-C4- alkyl, Ci-C4-haloalkyl, C3-C6-cycloalkyl, C3-C6-alkenyl, C3-C6- haloalkenyl, C3-C6-alkynyl, C(0)Rc, C(0)ORa, C(0)NRaRb or C(S)NRaRb; or their agriculturally or veterinarily acceptable salts, enantiomers or di- astereomers.
Depending on the substitution pattern, the compounds of formula I can contain one or more chiral centers, in which case they are present as enantiomer or diastereomer mixtures. Subject matter of this invention are not only compositions containing these mixtures but also those containing the pure enantiomers or diastereomers.
The compounds (I) of the present invention can also represent different tautomeric structures. If e.g. R3 is hydrogen, the following two tautomeric structures are represented:
(i-t1A) (i-tiB) If R3 is hydrogen and R4 is NReRf, and one of Re or Rf is hydrogen, the following tautomeric structures are further possible:
The compounds of formula I of the present invention may also be present in different crystalline modifications which may differ in their biological activity. These are also subject of the present invention.
Sulfoximinamide derivatives with herbicidal activity have been described in EP173498. Other general sulfoximine compounds such as arylsulfoximine compounds have been described as herbicide and pesticide in GB 1307271. Pyrazole, pyrrole und imidazole derivatives of sulfoximine compounds and their pesticidal activity can be found in WO 9639389. Isoxazoline derivatives of sulfoximine compounds and their herbicidal activity have been discussed in WO 2006037945. Insecticidal activities of alkyl-substituted sulfoximine compounds can be found in WO 2006060029. In unpublished international application PCT/EP2009/057650 further sulfoximine derivatives have been described for their insecticidal activity.
The sulfonimidamide compounds of the formula I, and their agriculturally or veterinary acceptable salts are highly active against animal pest, i.e. harmful arthropodes and nematodes, especially against difficult to control insects and acaridae.
Accordingly, the present invention relates to sulfonimidamide compounds of the general formula I, to their agriculturally or veterinarily useful salts, their enantiomers or di- asteromers.
Moreover, the present invention relates to:
agricultural and veterinary compositions comprising an amount of at least one compound of the formula I or an enantiomer, diasteromer or salt thereof;
the use of a compound of formula I or an enantiomer, diasteromer or salt thereof for combating animal pests;
a method of combating animal pests which comprises contacting the animal pests, their habit, breeding ground, food supply, plant, seed, soil, area, material or environment in which the animal pests are growing or may grow, or the materials, plants, seeds, soils, surfaces or spaces to be protected from animal attack or infestation with a pesticidally effective amount of at least one compound of the formula I or an enantiomer, diasteromer or salt thereof;
a method for protecting crops from attack or infestation by animal pests, which comprises contacting a crop with a pesticidally effective amount of at least one compound of the formula I or an enantiomer, diasteromer or salt thereof;
- a method for the protection of seeds from soil insects and of the seedlings' roots and shoots from soil and foliar insects comprising contacting the seeds before sowing and/or after pregermination with at least one compound of the formula I, or the enantiomers, diastereomers or salts thereof;
seeds comprising a compound of the formula I or an enantiomer, diasteromer or salt thereof;
the use of compounds of formula I or the enantiomers, diastereomers or veterinary acceptable salts thereof for combating parasites in and on animals, a method for treating, controlling, preventing or protecting animals against infestation or infection by parasites which comprises orally, topically or parenterally administering or applying to the animals a parasiticidally effective amount of an compound of formula I or the enantiomers, diastereomers and/or veterinary acceptable salt thereof;
a process for the preparation of a composition for treating, controlling, preventing or protecting animals against infestation or infection by parasites which com- prises a parasiticidally effective amount of an compound of formula I or the enantiomers, diastereomers and/or veterinary acceptable salt thereof;
Salts of the compounds of the formula I are preferably agriculturally and/or veterinary acceptable salts. They can be formed in a customary method, e.g. by reacting the compound with an acid of the anion in question if the compound of formula I has a basic functionality or by reacting an acidic compound of formula I with a suitable base.
Suitable agriculturally or veterinary useful salts are especially the salts of those cations or the acid addition salts of those acids whose cations and anions, respectively, do not have any adverse effect on the action of the compounds according to the present invention. Suitable cations are in particular the ions of the alkali metals, preferably lithium, sodium and potassium, of the alkaline earth metals, preferably calcium, magnesium and barium, and of the transition metals, preferably manganese, copper, zinc and iron, and also ammonium (NH4+) and substituted ammonium in which one to four of the hydrogen atoms are replaced by Ci-C4-alkyl, Ci-C4-hydroxyalkyl, Ci-C4-alkoxy, C1-C4- alkoxy-Ci-C4-alkyl, hydroxy-Ci-C4-alkoxy-Ci-C4-alkyl, phenyl or benzyl. Examples of substituted ammonium ions comprise methylammonium, isopropylammonium, di- methylammonium, diisopropylammonium, trimethylammonium, tetramethylammonium,
tetraethylammonium, tetrabutylammonium, 2-hydroxyethylammonium, 2-(2- hydroxyethoxy)ethyl-ammonium, bis(2-hydroxyethyl)ammonium, benzyltrimethylam- monium and benzyltriethylammonium, furthermore phosphonium ions, sulfonium ions, preferably tri(Ci-C4-alkyl)sulfonium, and sulfoxonium ions, preferably tri(CrC4- alkyl)sulfoxonium.
Anions of useful acid addition salts are primarily chloride, bromide, fluoride, hydrogen sulfate, sulfate, dihydrogen phosphate, hydrogen phosphate, phosphate, nitrate, hydrogen carbonate, carbonate, hexafluorosilicate, hexafluorophosphate, benzoate, and the anions of Ci-C4-alkanoic acids, preferably formate, acetate, propionate and bu- tyrate. They can be formed by reacting the compounds of the formulae I with an acid of the corresponding anion, preferably of hydrochloric acid, hydrobromic acid, sulfuric acid, phosphoric acid or nitric acid. The organic moieties mentioned in the above definitions of the variables are - like the term halogen - collective terms for individual listings of the individual group members. The prefix Cn-Cm indicates in each case the possible number of carbon atoms in the group. "Halogen" will be taken to mean fluoro, chloro, bromo and iodo.
The term "partially or fully halogenated" will be taken to mean that 1 or more, e.g. 1 , 2, 3, 4 or 5 or all of the hydrogen atoms of a given radical have been replaced by a halogen atom, in particular by fluorine or chlorine.
The term "Cn-Cm-alkyl" as used herein (and also in Cn-Cm-alkylamino, di-Cn-Cm- alkylamino, Cn-Cm-alkylaminocarbonyl, di-(Cn-Cm-alkylamino)carbonyl, Cn-Cm-alkylthio, Cn-Cm-alkylsulfinyl and Cn-Cm-alkylsulfonyl) refers to a branched or unbranched saturated hydrocarbon group having n to m, e.g. 1 to 10 carbon atoms, preferably 1 to 6 carbon atoms, for example methyl, ethyl, propyl, 1-methylethyl, butyl, 1 -methylpropyl, 2-methylpropyl, 1 ,1-dimethylethyl, pentyl, 1-methylbutyl, 2-methylbutyl, 3-methylbutyl, 2,2-dimethylpropyl, 1 -ethyl propyl, hexyl, 1 ,1-dimethylpropyl, 1 ,2-dimethylpropyl, 1- methylpentyl, 2-methylpentyl, 3-methylpentyl, 4-methylpentyl, 1 ,1 -dimethylbutyl, 1 ,2- dimethylbutyl, 1 , 3-d i methyl butyl, 2,2-dimethylbutyl, 2,3-dimethylbutyl, 3,3-dimethylbutyl, 1-ethylbutyl, 2-ethylbutyl, 1 ,1 ,2-trimethylpropyl, 1 ,2,2-trimethylpropyl, 1-ethyl-1 - methylpropyl, 1-ethyl-2-methylpropyl, heptyl, octyl, 2-ethylhexyl, nonyl and decyl and their isomers. Ci-C4-alkyl means for example methyl, ethyl, propyl, 1-methylethyl, butyl, 1-methylpropyl, 2-methylpropyl or 1 ,1 -dimethylethyl. The term "Cn-Cm-haloalkyl" as used herein (and also in Cn-Cm-haloalkylsulfinyl and Cn- Cm-haloalkylsulfonyl) refers to a straight-chain or branched alkyl group having n to m carbon atoms, e.g. 1 to 10 in particular 1 to 6 carbon atoms (as mentioned above), where some or all of the hydrogen atoms in these groups may be replaced by halogen
atoms as mentioned above, for example Ci-C4-haloalkyl, such as chloromethyl, bromomethyl, dichloromethyl, trichloromethyl, fluoromethyl, difluorom ethyl, trifluoro- methyl, chlorofluoromethyl, dichlorofluoromethyl, chlorodifluoromethyl, 1 -chloroethyl, 1- bromoethyl, 1 -fluoroethyl, 2-fluoroethyl, 2,2-difluoroethyl, 2,2,2-trifluoroethyl, 2-chloro- 2-fluoroethyl, 2-chloro-2,2-difluoroethyl, 2,2-dichloro-2-fluoroethyl, 2,2,2-trichloroethyl, pentafluoroethyl and the like. The term Ci-Cio-haloalkyl in particular comprises C1-C2- fluoroalkyl, which is synonym with methyl or ethyl, wherein 1 , 2, 3, 4 or 5 hydrogen atoms are substituted by fluorine atoms, such as fluoromethyl, difluoromethyl, trifluoro- methyl, 1-fluoroethyl, 2-fluoroethyl, 2,2-difluoroethyl, 2,2,2-trifluoroethyl and penta- fluoromethyl.
Similarly, "C n"Cm" alkoxy" and "C n"Cm"3 Ikylthio" (or C n"Cm"3 Ikylsulfenyl, respectively) refer to straight-chain or branched alkyl groups having n to m carbon atoms, e.g. 1 to 10, in particular 1 to 6 or 1 to 4 carbon atoms (as mentioned above) bonded through oxygen or sulfur linkages, respectively, at any bond in the alkyl group. Examples include Ci-C4-alkoxy such as methoxy, ethoxy, propoxy, isopropoxy, butoxy, sec-butoxy, isobutoxy and tert-butoxy, futher Ci-C4-alkylthio such as methylthio, ethylthio, propyl- thio, isopropylthio, and n-butylthio. Accordingly, the terms "Cn-Cm-haloalkoxy" and "Cn-Cm-haloalkylthio" (or Cn-Cm- haloalkylsulfenyl, respectively) refer to straight-chain or branched alkyl groups having n to m carbon atoms, e.g. 1 to 10, in particular 1 to 6 or 1 to 4 carbon atoms (as mentioned above) bonded through oxygen or sulfur linkages, respectively, at any bond in the alkyl group, where some or all of the hydrogen atoms in these groups may be re- placed by halogen atoms as mentioned above, for example Ci-C2-haloalkoxy, such as chloromethoxy, bromomethoxy, dichloromethoxy, trichloromethoxy, fluoromethoxy, difluoromethoxy, trifluoromethoxy, chlorofluoromethoxy, dichlorofluoromethoxy, chloro- difluoromethoxy, 1 -chloroethoxy, 1 -bromoethoxy, 1 -fluoroethoxy, 2-fluoroethoxy, 2,2- difluoroethoxy, 2,2,2-trifluoroethoxy, 2-chloro-2-fluoroethoxy, 2-chloro-2,2- difluoroethoxy, 2,2-dichloro-2-fluoroethoxy, 2,2,2-trichloroethoxy and pentafluoroeth- oxy, further Ci-C2-haloalkylthio, such as chloromethylthio, bromomethylthio, dichloro- methylthio, trichloromethylthio, fluoromethylthio, difluoromethylthio, trifluoromethylthio, chlorofluoromethylthio, dichlorofluoromethylthio, chlorodifluoromethylthio, 1 - chloroethylthio, 1-bromoethylthio, 1 -fluoroethylthio, 2-fluoroethylthio, 2,2- difluoroethylthio, 2,2,2-trifluoroethylthio, 2-chloro-2-fluoroethylthio, 2-chloro-2,2- difluoroethylthio, 2,2-dichloro-2-fluoroethylthio, 2,2,2-trichloroethylthio and pentafluoro- ethylthio and the like. Similarly the terms Ci-C2-fluoroalkoxy and Ci-C2-fluoroalkylthio refer to Ci-C2-fluoroalkyl which is bound to the remainder of the molecule via an oxygen atom or a sulfur atom, respectively.
The term "C2-Cm-alkenyl" as used herein intends a branched or unbranched unsaturated hydrocarbon group having 2 to m, e.g. 2 to 10 or 2 to 6 carbon atoms and a double bond in any position, such as ethenyl, 1 -propenyl, 2-propenyl, 1 -methyl-ethenyl, 1-
butenyl, 2-butenyl, 3-butenyl, 1-methyl-1 -propenyl, 2-methyl-1-propenyl, 1 -methyl-2- propenyl, 2-methyl-2-propenyl, 1 -pentenyl, 2-pentenyl, 3-pentenyl, 4-pentenyl, 1 - methyl-1 -butenyl, 2-methyl-1 -butenyl, 3-methyl-1 -butenyl, 1 -methyl-2-butenyl, 2-methyl- 2-butenyl, 3-methyl-2-butenyl, 1-methyl-3-butenyl, 2-methyl-3-butenyl, 3-methyl-3- butenyl, 1 ,1 -dimethyl-2-propenyl, 1 ,2-dimethyl-1-propenyl, 1 ,2-dimethyl-2-propenyl, 1 - ethyl-1 -propenyl, 1 -ethyl-2-propenyl, 1 -hexenyl, 2-hexenyl, 3-hexenyl, 4-hexenyl, 5- hexenyl, 1-methyl-1 -pentenyl, 2-methyl-1-pentenyl, 3-methyl-1-pentenyl, 4-methyl-1 - pentenyl, 1-methyl-2-pentenyl, 2-methyl-2-pentenyl, 3-methyl-2-pentenyl, 4-methyl-2- pentenyl, 1-methyl-3-pentenyl, 2-methyl-3-pentenyl, 3-methyl-3-pentenyl, 4-methyl-3- pentenyl, 1-methyl-4-pentenyl, 2-methyl-4-pentenyl, 3-methyl-4-pentenyl, 4-methyl-4- pentenyl, 1 ,1 -dimethyl-2-butenyl, 1 ,1 -dimethyl-3-butenyl, 1 ,2-dimethyl-1 -butenyl, 1 ,2- dimethyl-2-butenyl, 1 ,2-dimethyl-3-butenyl, 1 ,3-dimethyl-1 -butenyl, 1 ,3-dimethyl-2- butenyl, 1 ,3-dimethyl-3-butenyl, 2,2-dimethyl-3-butenyl, 2, 3-dimethyl-1 -butenyl, 2,3- dimethyl-2-butenyl, 2,3-dimethyl-3-butenyl, 3,3-dimethyl-1 -butenyl, 3,3-dimethyl-2- butenyl, 1 -ethyl-1 -butenyl, 1-ethyl-2-butenyl, 1 -ethyl-3-butenyl, 2-ethyl-1 -butenyl, 2- ethyl-2-butenyl, 2-ethyl-3-butenyl, 1 ,1 ,2-trimethyl-2-propenyl, 1-ethyl-1 -methyl-2- propenyl, 1-ethyl-2-methyl-1-propenyl and 1-ethyl-2-methyl-2-propenyl.
The term "C2-Cm-alkynyl" as used herein refers to a branched or unbranched unsatu- rated hydrocarbon group having 2 to m, e.g. 2 to 10 or 2 to 6 carbon atoms and containing at least one triple bond, such as ethynyl, propynyl, 1-butynyl, 2-butynyl, and the like.
The term "Ci-C4-alkoxy-Ci-C4-alkyl" as used herein refers to alkyl having 1 to 4 carbon atoms, e.g. like specific examples mentioned above, wherein one hydrogen atom of the alkyl radical is replaced by an Ci-C4-alkoxy group.
The term "C3-Cm-cycloalkyl" as used herein refers to a monocyclic 3- to m-membered saturated cycloaliphatic radicals, e.g. cyclopropyl, cyclobutyl, cyclopentyl, cyclohexyl, cycloheptyl, cyclooctyl and cyclodecyl.
The term "aryl" as used herein refers to an aromatic hydrocarbon radical such as naphthyl or in particular phenyl. The term "3- to 6-membered carbocyclic ring" as used herein refers to cyclopropane, cyclobutane, cyclopentane and cyclohexane rings.
The term "saturated or partially unsaturated 4-, 5- or 6-membered heterocyclic ring" is illustrated by the following examples:
2]Thiazinane [1 ,5,2]Dithiazinane
[1 ,3,4]Oxathiazinane
5,6-Dihydro-2H-[1 ,2,3]thiadiazine 3,4-Dihydro-2H-[1 ,2]thiazine
2H-[1,2]Thiazine
[1,2,3]Thiadiazinane
[1,2,6]Thiadiazinane
2,5-Dihydro-isothiazole 2,3-Dihydro-isothiazole
Isothiazolidine
2,5-Dihydro-[1,2,4]thiadiazole 2,3-Dihydro-[1,2,4]thiadiazole [1,2,5]Thiadiazolidine
Preferred herein are isothiazolidine compounds.
Preferences
The preferred compounds of the present invention are outlined in the following paragraphs.
Preferred are sulfonimidamide compounds of formula (I), wherein m is 0. Preferred are sulfonimidamide compounds of formula (I), wherein m is 1.
or
Het-1 Het-11a Het-24
and wherein
Y is selected from halogen, Ci-C4-haloalkyl or Ci-C4-alkyl,
and
p is 0, 1 or 2. Preferred are sulfonimidamide compounds of formula (I), wherein Q is CN.
Preferred are sulfonimidamide compounds of formula (I), wherein n is 1.
Preferred are sulfonimidamide compounds of formula (I), wherein R1 and R2 are inde- pendently from one another and independently from n selected from hydrogen, C1-C4- alkyl or Ci-C4-haloalkyl.
More preferred are sulfonimidamide compounds of formula (I), wherein R1 and R2 are independently from one another and independently from n selected from hydrogen, methyl, ethyl or trifluoromethyl.
Especially preferred are sulfonimidamide compounds of formula (I), wherein R1 is hydrogen and R2 is methyl or ethyl.
Preferred are sulfonimidamide compounds of formula (I), wherein R3 and R4 are independently from one another selected from hydrogen, Ci-C6-alkyl, C3-C6-cycloalkyl, Ci- C6-haloalkyl or C4-C6-cycloalkylalkyl.
More preferred are sulfonimidamide compounds of formula (I), wherein R3 and R4 are independently from one another selected from hydrogen, methyl, ethyl, propyl, isopro- pyl, cyclopropyl, tert-butyl or cyclopropylmethyl.
Especially preferred are sulfonimidamide compounds of formula (I), wherein R3 and R4 are independently from one another methyl or ethyl.
Especially also preferred are sulfonimidamide compounds of formula (I), wherein R3 and R4 form together with the nitrogen atom they are bond to a saturated or partially unsaturated 3,- 4-, 5- or 6-membered heterocyclic ring.
Another preferred embodiment of the present invention are sulfonimidamide compounds of formula (I), wherein R1 and R4 form together with the nitrogen and carbon atoms they are bond to a saturated or partially unsaturated 4-, 5- or 6-membered heterocyclic ring.
In a preferred embodiment of the present invention, the sulfonimidamide compounds are of formula (
Y is selected from halogen, Ci-C4-haloalkyl or Ci-C4-alkyl, and
p is 0, 1 or 2;
Q is CN;
n is 1 ;
R1 is hydrogen
R2 is methyl or ethy;
R3, R4 are independently from one another methyl or ethyl;
or their agriculturallly or veterinarily acceptable salts, enantiomers or diastereomers.
In a preferred embodiment of the present invention, the sulfonimidamide compounds of formula (I), wherein
Y is selected from halogen or Ci-C4-haloalkyl;
p is 1 ;
Q is CN;
n is 1 ;
R2 is selected from hydrogen, methyl or ethyl;
R3 is selected from hydrogen, methyl, or ethyl;
R1 and R4 form together with the nitrogen and carbon atoms they are bond to a saturated or partially unsaturated 5- or 6-membered heterocyclic ring. Examples of preferred compounds
Examples of such especially preferred compounds are compounds I-A.1 to I-A.220 of the following formula (l-A), wherein for each compound I-A.1 to I-A.220, the combination of R1, R2, R3 , R4 and Het has the meaning given in the respective line of C.1 to C.220 of table C.I.
(l-A)
Examples of such especially preferred compounds are also compounds I-B.1 to I-B.220 of following formula (l-B), wherein for each compound I-B.1 to I-B.220, the combination of R1, R2, R3 , R4 and Het has the meaning given in the respective line of C.1 to C.220 of table d.
C.96. H C2H5 CH2-CH2-CH2
C.97. H C2H5 CH2-CH2-CH2
C.98. H C2H5 CH2-CH2-CH2
C.99. H C2H5 CH2-CH2-CH2
C.100. CH3 C2H5 CH2-CH2-CH2
C.101. CH3 C2H5 CH2-CH2-CH2
C.102. CH3 C2H5 CH2-CH2-CH2
C.103. CH3 C2H5 CH2-CH2-CH2
C.105. CHa C2H5 CH2-CH2-CH2
C.206. H CHa CH2-CH2-CH2
C.207. H CHa CH2-CH2-CH2
C.208. H CHa CH2-CH2-CH2
C.209. H CHa CH2-CH2-CH2
C.210. CHa CHa CH2-CH2-CH2
C.21 1. CH3 CHa CH2-CH2-CH2
C.212. CHa CHa CH2-CH2-CH2
C.213. CHa CHa CH2-CH2-CH2
C.215. CHa CHa CH2-CH2-CH2
w eren n ta e . t e n et enotes t e on n t e moecue Preparation methods Compound of formula (I) according to the present invention can be prepared e.g. according to preparation methods and preparation schemes as described below.
Methods for the preparation of sulfonimidamide compounds of formula (I): In the following schemes and methods, if not otherwise specified, the definition of the substituents, variables and indices in the formulae used correspond to the definitions given for formula (I) above.
Scheme A:
Step A.1 : N-Cyanosulfilamidines of formula (la), wherein Q represents CN can be prepared from sulfenamides (II) by oxidation in the presence of cyanamide or a cyanamide salt. Examples of suitable oxidants for this transformation are iodosobenzene diacetate or hypochlorite reagents such as aqueous sodium hopochlorite or tert-butyl hypochlorite. Suitable solvents for this conversion are, for example, but not limited to, dichloro- metane or acetonitrile. Step A.2: Conversion of N-cyanosulfilamidines (la) to the corresponding sulfonimid- amides (lb) can be achieved by oxidation using mefa-chloroperbenzoic acid in the presence of a base such as potassium carbonate or potassium bicarbonate (step A.2). Polar protic solvents such as mixtures of ethanol and water are the preferred solvents for this conversion.
Step A.3: The cyano functionalty present in sulfonimidamides (lb) can be exchanged for a trifluoroacetate group by incubation with trifluoroacetic anhydride. Sulfonimidamides (III) can be obtained by subsequent hydrolysis of the trifluoroacetate moiety. Suitable conditions to affect this transformation include the use of a base such as po- tassium carbonate in polar protic solvents such as methanol or ethanol or mixtures thereof with water.
Step A.4: N-Nitro-sulfonimidamides of formula (lc) can be obtained from sulfonimidamides (lb) by nitration of the imine nitrogen using, for example, nitric acid in the pres- ence of acetic anhydride and sulfuric acid as a catalyst under mildly elevated temperatures (see Synthesis, 1986, 5, 426-7).
Step A.5: Similarly, N-nitrosulfilamidines of formula (Id) can be obtained from the corresponding N-cyano-derivatives (la) by the three-step procedure described in steps A.3 and A.4, i.e. incubation with trifluoroacetic anhydride, followed by hydrolysis of the trifluoroacetate moiety and nitration of the imine nitrogen.
The sulfenamide starting materials of formula (II) in Scheme A can be prepared using several different starting materials and routes as illustrated in Scheme B.
(VI)
Step B.1 : Sulfenyl halides of formula (V), obtained by chlorination or bromination of thioacetates (IV.1 ) , mercaptans (IV.2) or disulfides (IV.3), represent the oldest known sulfenyl transfer reagents (see, for example: Chem. Rev. 1989, 89 (4), 689-712). Pre- ferred conditions for the synthesis of such precursors include the incubation of thioacetates (IV.1 ) with sulfuryl chloride in an inert solvent such as carbon tetrachloride (see, for example: S. Thea, G. Cevasco Tetrahedron Lett. 1988, 29, 2865-2866) or the treatment of mercaptans (IV.2) or disulfides (IV.3) with chlorine gas, bromine, sulfuryl chloride, N-chlorosuccinimide or N-bromosuccinimide in an aprotic solvent such as di- chloromethane or toluene.
Step B.2: Sulfenimides (VI), prepared via the intermediacy of sulfenyl halides (V) by incubation with phthalimide according to the conditions outlined for example in Tetrahedron 1997, 53 (42), 1441 1 -14416, exhibit higher stabilities than their sulfenyl halide counterparts and can also be used to obtain sulfenamides (II).
Step B.3: Sulfenamides (II) can be synthesized by reaction of sulfenyl halides (V) or sulfenimides (VI) with amines (VII). When sulfenyl halides are used, the presence of an amine base such as triethyl amine or the use of an excess of the amine reagent is beneficial to scavenge the liberated hydrochloric acid. Preferred solvents for this type of transformations are aprotic solvents such as dichloromethane, toluene or DMF.
Cyclic sulfenamides of formula (11.1 ), wherein R1 and R4 form a saturated 5- or 6- membered ring, meaning q is equal 1 or 2, can also be prepared as outlined in Scheme C.
(VIII) (11.1 )
Step C.1 : Thus, Mislow-Evans rearrangement of allyl sulfoxides (VII I), followed by intramolecular attack of the amine nitrogen atom onto the transiently generated allyl sulf- enate lead to ring closure to the corresponding cyclic sulfenamides (11.1 ) as described in Heterocycles 1985, 23 (8), 1897-1900. This transformation is preferably carried out in aprotic solvents such as cyclohexane or ethyl acetate. Allyl sulfoxide intermediates (VI I I) can be obtained by standard synthetic methods known to those skilled in the art. In scheme C, Rd1-RdS are selected independently from one another and independently from q from the group Rd as previously defined, R2 is selected from the group R2 as previously defined and r represents independently from q an integer selected from 0, 1 , 2, 3 or 4.
Cyclic sulfonimidamides of formula (le) , wherein R1b and R4 form a saturated 5- or 6- membered ring, i.e. q is equal to 1 or 2 and r represents independently from q an integer selected from 0, 1 , 2, 3 or 4, can also be prepared as outlined in Scheme D, wherein Rd1-Rd6 are selected independently from one another and independently from q from the group Rd, s is Ci-C4-alkyl and Rh is CrC4-alkyl, Ci-C4-haloalkyl, C3-C5- cycloalkyl, and C3-C6-cyclohaloalkyl, and wherein the carbon atoms of Rs and Rh may carry any combination of 1 or 2 radicals selected from phenyl, Ci-C4-alkyl, Ci-C4- haloalkylor C2-C6-alkenyl.
Scheme D:
Thus, carbamoyl-protected disulfides (IX.1 ) or mercaptans (IX.2) can be converted to cyclic sulfenamides (X) by incubation with a reagent such as Br2, CI2, NBS, NCS or SO2CI2 in the presence of a base such as pyridine. Preferably, this transformation is carried out in an aprotic solvent such as dichloromethane or toluene.
Sulfilamidines (XI) can be obtained from sulfenamides (X) by reaction with cyanamide or sodium cyanamide in the presence of an oxidant such as iodosobenzene diacetate or tert-butyl hypochlorite. This transformation is preferably carried out in suitable sol- vents such as dichlorometane, methanol or acetonitrile.
Conversion of sulfilamidines (XI) to the corresponding carbamoyl-protected sulfonimid- amides (XII) can be achieved by oxidation using for example aqueous sodium hypochlorite or tert-butyl hypochlorite as oxidizing agents. This transformation is preferably carried out in a biphasic mixture of H2O and a chlorinated solvent such as dichloro- methane and in the presence of a phase transfer catalyst such as tetrabutylammonium bromide.
Depending on the nature of the residue h, carbamate-deprotection to yield cyclic sul- fonimidamides (XI II) can be achieved by methods suitable for the corresponding pro-
tecting group, as detailed for example in T. M. Greene, P. G. M. Wuts, Protecting Groups in Organic Chemistry, 3rd ed., John Wiley & Sons, New York 1999.
Sulfonimidamides of formula (le) are accessible from unprotected sulfonimidamides (XIII) by alkylation with a suitable Rh-LG, for which LG denotes an appropriate leaving group (e.g. halide) in the presence of a base in a polar aprotic solvent. Preferably this transformation is carried out under Mitsunobu-conditions with the appropriate alcohol derivative (LG = OH), as detailed in O. Mitsunobu, Y. Yamada, Bull. Chem. Soc. Japan 1967, 40, 2380-2382.
Alternatively, sulfonimidamides of formula (le) may be accessed by alkylation of sulfo- nimidamides (XIV) with a suitable alkylating reagent (XV), wherein LG denotes an appropriate leaving group such as a halide.
If individual compounds cannot be prepared via the above-described routes, they can be prepared by derivatization of other compounds I or by customary modifications of the synthesis routes described.
The reaction mixtures are worked up in the customary manner, for example by mixing with water, separating the phases, and, if appropriate, purifying the crude products by chromatography, for example on alumina or silica gel. Some of the intermediates and end products may be obtained in the form of colorless or pale brown viscous oils, which are freed or purified from volatile components under reduced pressure and at moderately elevated temperature. If the intermediates and end products are obtained as solids, they may be purified by recrystallization or digestion. Pests
The compounds of the formula I, and their salts are in particular suitable for efficiently controlling arthropodal pests such as arachnids, myriapedes and insects as well as nematodes.
The compounds of the formula I are especially suitable for efficiently combating the following pests:
Insects from the order of the lepidopterans {Lepidoptera) , for example Agrotis ypsilon, Agrotis segetum, Alabama argillacea, Anticarsia gemmatalis, Argyresthia conjugella, Autographa gamma, Bupalus piniarius, Cacoecia murinana, Capua reticulana, Cheima- tobia brumata, Choristoneura fumiferana, Choristoneura occidentalis, Cirphis unipuncta, Cydia pomonella, Dendrolimus pini, Diaphania nitidalis, Diatraea grandi- osella, Earias insulana, Elasmopalpus lignosellus, Eupoecilia ambiguella, Evetria bou- liana, Feltia subterranea, Galleria mellonella, Grapholitha funebrana, Grapholitha mo- lesta, Heliothis armigera, Heliothis virescens, Heliothis zea, Hellula undalis, Hibernia defoliaria, Hyphantria cunea, Hyponomeuta malinellus, Keiferia lycopersicella, Lamb- dina fiscellaria, Laphygma exigua, Leucoptera coffeella, Leucoptera scitella, Lithocol-
letis blancardella, Lobesia botrana, Loxostege sticticalis, Lymantria dispar, Lymantria monacha, Lyonetia clerkella, Malacosoma neustria, Mamestra brassicae, Orgyia pseu- dotsugata, Ostrinia nubilalis, Panolis flammea, Pectinophora gossypiella, Peridroma saucia, Phalera bucephala, Phthorimaea operculella, Phyllocnistis citrella, Pieris bras- sicae, Plathypena scabra, Plutella xylostella, Pseudoplusia includens, Rhyacionia frus- trana, Scrobipalpula absoluta, Sitotroga cerealella, Sparganothis pilleriana, Spodoptera frugiperda, Spodoptera littoralis, Spodoptera litura, Thaumatopoea pityocampa, Tortrix viridana, Trichoplusia ni and Zeiraphera canadensis; beetles (Coleoptera), for example Agrilus sinuatus, Agriotes lineatus, Agriotes obscu- rus, Amphimallus solstitialis, Anisandrus dispar, Anthonomus grandis, Anthonomus pomorum, Aphthona euphoridae, Athous haemorrhoidalis, Atomaria linearis, Blasto- phagus piniperda, Blitophaga undata, Bruchus rufimanus, Bruchus pisorum, Bruchus lentis, Byctiscus betulae, Cassida nebulosa, Cerotoma trifurcata, Cetonia aurata, Ceuthorrhynchus assimilis, Ceuthorrhynchus napi, Chaetocnema tibialis, Conoderus vespertinus, Crioceris asparagi, Ctenicera ssp., Diabrotica longicornis, Diabrotica semipunctata, Diabrotica 12-punctata Diabrotica speciosa, Diabrotica virgifera, Epila- chna varivestis, Epitrix hirtipennis, Eutinobothrus brasiliensis, Hylobius abietis, Hypera brunneipennis, Hypera postica, Ips typographus, Lema bilineata, Lema melanopus, Leptinotarsa decemlineata, Limonius californicus, Lissorhoptrus oryzophilus, Melanotus communis, Meligethes aeneus, Melolontha hippocastani, Melolontha melolontha, Oulema oryzae, Otiorrhynchus sulcatus, Otiorrhynchus ovatus, Phaedon cochleariae, Phyllobius pyri, Phyllotreta chrysocephala, Phyllophaga sp., Phyllopertha horticola, Phyllotreta nemorum, Phyllotreta striolata, Popillia japonica, Sitona lineatus and Sito- philus granaria; flies, mosquitoes (Diptera), e.g. Aedes aegypti, Aedes albopictus, Aedes vexans, An- astrepha ludens, Anopheles maculipennis, Anopheles crucians, Anopheles albimanus, Anopheles gambiae, Anopheles freeborni, Anopheles leucosphyrus, Anopheles mini- mus, Anopheles quadrimaculatus, Calliphora vicina, Ceratitis capitata, Chrysomya bezziana, Chrysomya hominivorax, Chrysomya macellaria, Chrysops discalis, Chrysops silacea, Chrysops atlanticus, Cochliomyia hominivorax, Contarinia sorghicola Cordylobia anthropophaga, Culicoides furens, Culex pipiens, Culex nigripalpus, Culex quinquefasciatus, Culex tarsalis, Culiseta inornata, Culiseta melanura, Dacus cucurbi- tae, Dacus oleae, Dasineura brassicae, Delia antique, Delia coarctata, Delia platura, Delia radicum, Dermatobia hominis, Fannia canicularis, Ceomyza Tripunctata, Gaster- ophilus intestinal is, Glossina morsitans, Glossina palpalis, Glossina fuscipes, Glossina tachinoides, Haematobia irritans, Haplodiplosis equestris, Hippelates spp., Hylemyia platura, Hypoderma lineata, Leptoconops torrens, Liriomyza sativae, Liriomyza trifolii, Lucilia caprina, Lucilia cuprina, Lucilia sericata, Lycoria pectoralis, Mansonia titillanus, Mayetiola destructor, Musca autumnalis, Musca domestica, Muscina stabulans, Oestrus ovis, Opomyza florum, Oscinella frit, Pegomya hysocyami, Phorbia antiqua, Phor- bia brassicae, Phorbia coarctata, Phlebotomus argentipes, Psorophora columbiae,
Psila rosae, Psorophora discolor, Prosimulium mixtum, Rhagoletis cerasi, Rhagoletis pomonella, Sarcophaga haemorrhoidalis, Sarcophaga spp., Simulium vittatum, Sto- moxys calcitrans, Tabanus bovinus, Tabanus atratus, Tabanus Iineola, and Tabanus sim His, Tipula oleracea, and Tipula paludosa; thrips {Thysanoptera), e.g. Dichromothrips corbetti, Dichromothrips ssp., Frankliniella fusca, Frankliniella occidentalis, Frankliniella tritici, Scirtothrips citri, Thrips oryzae, Thrips palmi and Thrips tabaci, termites (Isoptera), e.g. Calotermes flavicollis, Leucotermes flavipes, Heterotermes aureus, Reticulitermes flavipes, Reticulitermes virginicus, Reticulitermes lucifugus, Re- ticulitermes santonensis, Reticulitermes grassei, Termes natalensis, and Coptotermes formosanus; cockroaches (Blattaria - Blattodea), e.g. Blattella germanica, Blattella asahinae, Pe- riplaneta americana, Periplaneta japonica, Periplaneta brunnea, Periplaneta fuliggi- nosa, Periplaneta australasiae, and Blatta orientalis; bugs, aphids, leafhoppers, whiteflies, scale insects, cicadas (Hemiptera), e.g. Acros- ternum hilare, Blissus leucopterus, Cyrtopeltis notatus, Dysdercus cingulatus, Dysder- cus intermedins, Eurygaster integriceps, Euschistus impictiventris, Leptoglossus phyl- lopus, Lygus lineolaris, Lygus pratensis, Nezara viridula, Piesma quadrata, Solubea insularis , Thyanta perditor, Acyrthosiphon onobrychis, Adelges lands, Aphidula nastur- tii, Aphis fabae, Aphis forbesi, Aphis pomi, Aphis gossypii, Aphis grossulariae, Aphis schneideri, Aphis spiraecola, Aphis sambuci, Acyrthosiphon pisum, Aulacorthum so- lani, Bemisia argentifolii, Brachycaudus cardui, Brachycaudus helichrysi, Brachycaudus persicae, Brachycaudus prunicola, Brevicoryne brassicae, Capitophorus horni, Cerosi- pha gossypii, Chaetosiphon fragaefolii, Cryptomyzus ribis, Dreyfusia nordmannianae, Dreyfusia piceae, Dysaphis radicola, Dysaulacorthum pseudosolani, Dysaphis plan- taginea, Dysaphis pyri, Empoasca fabae, Hyalopterus pruni, Hyperomyzus lactucae, Macrosiphum avenae, Macrosiphum euphorbiae, Macrosiphon rosae, Megoura viciae, Melanaphis pyrarius, Metopolophium dirhodum, Myzus persicae, Myzus ascalonicus, Myzus cerasi, Myzus varians, Nasonovia ribis-nigri, NHaparvata lugens, Pemphigus bursarius, Perkinsiella saccharicida, Phorodon humuli, Psylla mali, Psylla piri, Rho- palomyzus ascalonicus, Rhopalosiphum maidis, Rhopalosiphum padi, Rhopalosiphum insertum, Sappaphis mala, Sappaphis mali, Schizaphis graminum, Schizoneura lanuginosa, Sitobion avenae, Trialeurodes vaporariorum, Toxoptera aurantiiand, Viteus vitifolii, Cimex lectularius, Cimex hemipterus, Reduvius senilis, Triatoma spp., and Arilus critatus; ants, bees, wasps, sawflies (Hymenoptera), e.g. Athalia rosae, Atta cephalotes, Atta capiguara, Atta cephalotes, Atta laevigata, Atta robusta, Atta sexdens, Atta texana, Crematogaster spp., Hoplocampa minuta, Hoplocampa testudinea, Lasius niger,
Monomorium pharaonis, Solenopsis geminata, Solenopsis invicta, Solenopsis richteri, Solenopsis xyloni, Pogonomyrmex barbatus, Pogonomyrmex californicus, Pheidole megacephala, Dasymutilla occidentalis, Bombus spp., Vespula squamosa, Paravespula vulgaris, Paravespula pennsylvanica, Paravespula germanica, Dolichovespula maculata, Vespa crabro, Polistes rubiginosa, Camponotus floridanus, and Linepithema humile; crickets, grasshoppers, locusts (Orthoptera), e.g. Acheta domestica, Gryllotalpa gryllo- talpa, Locusta migratoria, Melanoplus bivittatus, Melanoplus femurrubrum, Melanoplus mexicanus, Melanoplus sanguinipes, Melanoplus spretus, Nomadacris septemfasciata, Schistocerca americana, Schistocerca gregaria, Dociostaurus maroccanus, Tachycines asynamorus, Oedaleus senegalensis, Zonozerus variegatus, Hieroglyphus daganensis, Kraussaria angulifera, Calliptamus italicus, Chortoicetes terminifera, and Locustana pardalina; arachnoidea, such as arachnids {Acarina), e.g. of the families Argasidae, Ixodidae and Sarcoptidae, such as Amblyomma amencanum, Amblyomma variegatum, Ambryomma maculatum, Argas persicus, Boophilus annulatus, Boophilus decoloratus, Boophilus microplus, Dermacentor silvarum, Dermacentor andersoni, Dermacentor variabilis, Hyalomma truncatum, Ixodes ricinus, Ixodes rubicundus, Ixodes scapularis, Ixodes holocyclus, Ixodes pacificus, Ornithodorus moubata, Ornithodorus hermsi, Orni- thodorus turicata, Ornithonyssus bacoti, Otobius megnini, Dermanyssus gallinae, Pso- roptes ovis, Rhipicephalus sanguineus, Rhipicephalus appendiculatus, Rhipicephalus evertsi, Sarcoptes scabiei, and Eriophyidae spp. such as Aculus schlechtendali, Phyl- locoptrata oleivora and Eriophyes sheldoni; Tarsonemidae spp. such as Phytonemus pallidus and Polyphagotarsonemus latus; Tenuipalpidae spp. such as Brevipalpus phoenicis; Tetranychidae spp. such as Tetranychus cinnabarinus, Tetranychus kan- zawai, Tetranychus pacificus, Tetranychus telarius and Tetranychus urticae, Panony- chus ulmi, Panonychus citri, and Oligonychus pratensis; Araneida, e.g. Latrodectus mactans, and Loxosceles reciusa; fleas {Siphonaptera), e.g. Ctenocephalides felis, Ctenocephalides canis, Xenopsylla cheopis, Pulex irritans, Tunga penetrans, and Nosopsyllus fasciatus, silverfish, firebrat (Thysanura), e.g. Lepisma saccharina and Thermobia domestica, centipedes (Chilopoda), e.g. Scutigera coleoptrata, millipedes {Diplopoda), e.g. Narceus spp.,
Earwigs (Dermaptera), e.g. forficula auricularia,
lice (Phthiraptera), e.g. Pediculus humanus capitis, Pediculus humanus corporis, Pthi- rus pubis, Haematopinus eurystemus, Haematopinus suis, Linognathus vituli, Bovicoia bovis, Menopon gallinae, Menacanthus stramineus and Solenopotes capillatus. Collembola (springtails), e.g. Onychiurus ssp..
They are also suitable for controlling Nematodes : plant parasitic nematodes such as root knot nematodes, Meloidogyne hapla, Meloidogyne incognita, Meloidogyne javani- ca, and other Meloidogyne species; cyst-forming nematodes, Globodera rostochiensis and other Globodera species; Heterodera avenae, Heterodera glycines, Heterodera schachtii, Heterodera trifolii, and other Heterodera species; Seed gall nematodes, An- guina species; Stem and foliar nematodes, Aphelenchoides species; Sting nematodes, Belonolaimus longicaudatus and other Belonolaimus species; Pine nematodes, Bursa- phelenchus xylophilus and other Bursaphelenchus species; Ring nematodes, Cricone- ma species, Criconemella species, Criconemoides species, Mesocriconema species; Stem and bulb nematodes, Ditylenchus destructor, Ditylenchus dipsaci and other Dity- lenchus species; Awl nematodes, Dolichodorus species; Spiral nematodes, Heliocoty- lenchus multicinctus and other Helicotylenchus species; Sheath and sheathoid nematodes, Hemicycliophora species and Hemicriconemoides species; Hirshmanniella spe- cies; Lance nematodes, Hoploaimus species; false rootknot nematodes, Nacobbus species; Needle nematodes, Longidorus elongatus and other Longidorus species; Lesion nematodes, Pratylenchus neglectus, Pratylenchus penetrans, Pratylenchus curvi- tatus, Pratylenchus goodeyi and other Pratylenchus species; Burrowing nematodes, Radopholus similis and other Radopholus species; Reniform nematodes, Rotylenchus robustus and other Rotylenchus species; Scutellonema species; Stubby root nematodes, Trichodorus primitivus and other Trichodorus species, Paratrichodorus species; Stunt nematodes, Tylenchorhynchus claytoni, Tylenchorhynchus dubius and other Ty- lenchorhynchus species; Citrus nematodes, Tylenchulus species; Dagger nematodes, Xiphinema species; and other plant parasitic nematode species.
The compounds of the formula I and their salts are also useful for controlling arachnids (Arachnoidea), such as acarians (Acarina), e.g. of the families Argasidae, Ixodidae and Sarcoptidae, such as Amblyomma americanum, Amblyomma variegatum, Argas persi- cus, Boophilus annulatus, Boophilus decoloratus, Boophilus microplus, Dermacentor silvarum, Hyalomma truncatum, Ixodes ricinus, Ixodes rubicundus, Ornithodorus mou- bata, Otobius megnini, Dermanyssus gallinae, Psoroptes ovis, Rhipicephalus appendi- culatus, Rhipicephalus evertsi, Sarcoptes scabiei, and Eriophyidae spp. such as Aculus schlechtendali, Phyllocoptrata oleivora and Eriophyes sheldoni; Tarsonemidae spp. such as Phytonemus pallidus and Polyphagotarsonemus latus; Tenuipalpidae spp. such as Brevipalpus phoenicis; Tetranychidae spp. such as Tetranychus cinnabarinus, Tetranychus kanzawai, Tetranychus pacificus, Tetranychus telarius and Tetranychus urticae, Panonychus uimi, Panonychus citri, and oligonychus pratensis.
Compounds of the formula I are particularly useful for controlling insects, preferably sucking or piercing insects such as insects from the genera Thysanoptera, Diptera and Hemiptera, in particular the following species: Thysanoptera : Frankliniella fusca, Frankliniella occidentalis, Frankliniella tritici, Scirto- thrips citri, Thrips oryzae, Thrips palmi and Thrips tabaci,
Diptera, e.g. Aedes aegypti, Aedes albopictus, Aedes vexans, Anastrepha ludens, Anopheles maculipennis, Anopheles crucians, Anopheles albimanus, Anopheles gam- biae, Anopheles freeborni, Anopheles leucosphyrus, Anopheles minimus, Anopheles quadrimaculatus, Calliphora vicina, Ceratitis capitata, Chrysomya bezziana, Chryso- mya hominivorax, Chrysomya macellaria, Chrysops discalis, Chrysops silacea, Chrysops atlanticus, Cochliomyia hominivorax, Contarinia sorghicola Cordylobia an- thropophaga, Culicoides furens, Culex pipiens, Culex nigripalpus, Culex quinquefascia- tus, Culex tarsalis, Culiseta inornata, Culiseta melanura, Dacus cucurbitae, Dacus oleae, Dasineura brassicae, Delia antique, Delia coarctata, Delia platura, Delia radi- cum, Dermatobia hominis, Fannia canicularis, Geomyza Tripunctata, Gasterophilus intestinalis, Glossina morsitans, Glossina palpalis, Glossina fuscipes, Glossina tachin- oides, Haematobia irritans, Haplodiplosis equestris, Hippelates spp., Hylemyia platura, Hypoderma lineata, Leptoconops torrens, Liriomyza sativae, Liriomyza trifolii, Lucilia caprina, Lucilia cuprina, Lucilia sericata, Lycoria pectoralis, Mansonia titillanus, Maye- tiola destructor, Musca autumnalis, Musca domestica, Muscina stabulans, Oestrus ovis, Opomyza florum, Oscinella frit, Pegomya hysocyami, Phorbia antiqua, Phorbia brassicae, Phorbia coarctata, Phlebotomus argentipes, Psorophora columbiae, Psila rosae, Psorophora discolor, Prosimulium mixtum, Rhagoletis cerasi, Rhagoletis pomo- nella, Sarcophaga haemorrhoidalis, Sarcophaga spp., Simulium vittatum, Stomoxys calcitrans, Tabanus bovinus, Tabanus atratus, Tabanus lineola, and Tabanus similis, Tipula oleracea, and Tipula paludosa; Hemiptera, in particular aphids: Acyrthosiphon onobrychis, Adelges lands, Aphidula nasturtii, Aphis fabae, Aphis forbesi, Aphis pomi, Aphis gossypii, Aphis grossulariae, Aphis schneideri, Aphis spiraecola, Aphis sambuci, Acyrthosiphon pisum, Aulacorthum solani, Brachycaudus cardui, Brachycaudus helichrysi, Brachycaudus persicae, Brachycaudus prunicola, Brevicoryne brassicae, Capitophorus horni, Cerosipha gos- sypii, Chaetosiphon fragaefolii, Cryptomyzus ribis, Dreyfusia nordmannianae, Dreyfusia piceae, Dysaphis radicola, Dysaulacorthum pseudosolani, Dysaphis plantaginea, Dysaphis pyri, Empoasca fabae, Hyalopterus pruni, Hyperomyzus lactucae, Macrosi- phum avenae, Macrosiphum euphorbiae, Macrosiphon rosae, Megoura viciae, Melanaphis pyrarius, Metopolophium dirhodum, Myzodes persicae, Myzus ascaionicus, Myzus cerasi, Myzus varians, Nasonovia ribis-nigri, Nilaparvata lugens, Pemphigus bursarius, Perkinsiella saccharicida, Phorodon humuli, Psylla mail, Psylla piri, Rho- palomyzus ascaionicus, Rhopalosiphum maidis, Rhopalosiphum padi, Rhopalosiphum insertum, Sappaphis mala, Sappaphis mali, Schizaphis graminum, Schizoneura lanu-
ginosa, Sitobion avenae, Trialeurodes vaporariorum, Toxoptera aurantiiand, and Viteus vitifolii;
Compounds of the formula I are particularly useful for controlling insects of the orders Hemiptera and Thysanoptera.
Formulations
For use in a method according to the present invention, the compounds I can be con- verted into the customary formulations, e.g. solutions, emulsions, suspensions, dusts, powders, pastes, granules and directly sprayable solutions. The use form depends on the particular purpose and application method. Formulations and application methods are chosen to ensure in each case a fine and uniform distribution of the compound of the formula I according to the present invention.
The formulations are prepared in a known manner (see e.g. for review US 3,060,084, EP-A 707 445 (for liquid concentrates), Browning, "Agglomeration", Chemical Engineering, Dec. 4, 1967, 147-48, Perry's Chemical Engineer's Handbook, 4th Ed., McGraw-Hill, New York, 1963, pages 8-57 and et seq. WO 91/13546, US 4,172,714, US 4,144,050, US 3,920,442, US 5,180,587, US 5,232,701 , US 5,208,030,
GB 2,095,558, US 3,299,566, Klingman, Weed Control as a Science, John Wiley and Sons, Inc., New York, 1961 , Hance et al., Weed Control Handbook, 8th Ed., Blackwell Scientific Publications, Oxford, 1989 and Mollet, H., Grubemann, A., Formulation technology, Wiley VCH Verlag GmbH, Weinheim (Germany), 2001 , 2. D. A. Knowles, Chemistry and Technology of Agrochemical Formulations, Kl uwer Academic Publishers, Dordrecht, 1998 (ISBN 0-7514-0443-8), for example by extending the active compound with auxiliaries suitable for the formulation of agrochemicals, such as solvents and/or carriers, if desired emulsifiers, surfactants and dispersants, preservatives, anti- foaming agents, anti-freezing agents, for seed treatment formulation also optionally colorants and/or binders and/or gelling agents.
Solvents/carriers, which are suitable, are e.g.: solvents such as water, aromatic solvents (for example Solvesso products, xy- lene and the like), paraffins (for example mineral fractions), alcohols (for example methanol, butanol, pentanol, benzyl alcohol), ketones (for example cyclohexa- none, gamma-butyrolactone), pyrrolidones (N-metyhl-pyrrolidone (NMP),N- octylpyrrolidone NOP), acetates (glycol diacetate), alkyl lactates, lactones such as g-butyrolactone, glycols, fatty acid dimethylamides, fatty acids and fatty acid esters, triglycerides, oils of vegetable or animal origin and modified oils such as alkylated plant oils. In principle, solvent mixtures may also be used,
carriers such as ground natural minerals and ground synthetic minerals, such as silica gels, finely divided silicic acid, silicates, talc, kaolin, attaclay, limestone,
lime, chalk, bole, loess, clay, dolomite, diatomaceous earth, calcium sulfate and magnesium sulfate, magnesium oxide, ground synthetic materials, fertilizers, such as, for example, ammonium sulfate, ammonium phosphate, ammonium nitrate, ureas and products of vegetable origin, such as cereal meal, tree bark meal, wood meal and nutshell meal, cellulose powders and other solid carriers.
Suitable emulsifiers are nonionic and anionic emulsifiers (for example polyoxyethylene fatty alcohol ethers, alkylsulfonates and arylsulfonates). Examples of dispersants are lignin-sulfite waste liquors and methylcellulose.
Suitable surfactants are alkali metal, alkaline earth metal and ammonium salts of lignosulfonic acid, naphthalenesulfonic acid, phenolsulfonic acid,
dibutylnaphthalenesulfonic acid, alkylarylsulfonates, alkyl sulfates, alkylsulfonates, fatty alcohol sulfates, fatty acids and sulfated fatty alcohol glycol ethers, furthermore condensates of sulfonated naphthalene and naphthalene derivatives with
formaldehyde, condensates of naphthalene or of naphthalenesulfonic acid with phenol and formaldehyde, polyoxyethylene octylphenyl ether, ethoxylated isooctylphenol, octylphenol, nonylphenol, alkylphenyl polyglycol ethers, tributylphenyl polyglycol ether, tristearylphenyl polyglycol ether, alkylaryl polyether alcohols, alcohol and fatty alcohol/ethylene oxide condensates, ethoxylated castor oil, polyoxyethylene alkyl ethers, ethoxylated polyoxypropylene, lauryl alcohol polyglycol ether acetal, sorbitol esters, Also anti-freezing agents such as glycerin, ethylene glycol, propylene glycol and bactericides such as can be added to the formulation.
Suitable antifoaming agents are for example antifoaming agents based on silicon or magnesium stearate.
Suitable preservatives are for example dichlorophen und benzyl alcohol hemiformal
Suitable thickeners are compounds which confer a pseudoplastic flow behavior to the formulation, i.e. high viscosity at rest and low viscosity in the agitated stage. Mention may be made, in this context, for example, of commercial thickeners based on polysaccharides, such as Xanthan Gum® (Kelzan® from Kelco), Rhodopol®23 (Rhone Poulenc) or Veegum® (from R.T. Vanderbilt), or organic phyllosilicates, such as Atta- clay® (from Engelhardt). Antifoam agents suitable for the dispersions according to the invention are, for example, silicone emulsions (such as, for example, Silikon® SRE, Wacker or Rhodorsil® from Rhodia), long-chain alcohols, fatty acids, organofluorine compounds and mixtures thereof. Biocides can be added to stabilize the compositions according to the invention against attack by microorganisms. Suitable biocides are, for example, based on isothiazolones such as the compounds marketed under the trade-
marks Proxel® from Avecia (or Arch) or Acticide® RS from Thor Chemie and Kathon® MK from Rohm & Haas. Suitable antifreeze agents are organic polyols, for example ethylene glycol, propylene glycol or glycerol. These are usually employed in amounts of not more than 10% by weight, based on the total weight of the active compound com- position. If appropriate, the active compound compositions according to the invention may comprise 1 to 5% by weight of buffer, based on the total amount of the formulation prepared, to regulate the pH, the amount and type of the buffer used depending on the chemical properties of the active compound or the active compounds. Examples of buffers are alkali metal salts of weak inorganic or organic acids, such as, for example, phosphoric acid, boronic acid, acetic acid, propionic acid, citric acid, fumaric acid, tartaric acid, oxalic acid and succinic acid.
Substances which are suitable for the preparation of directly sprayable solutions, emulsions, pastes or oil dispersions are mineral oil fractions of medium to high boiling point, such as kerosene or diesel oil, furthermore coal tar oils and oils of vegetable or animal origin, aliphatic, cyclic and aromatic hydrocarbons, for example toluene, xylene, paraffin, tetrahydronaphthalene, alkylated naphthalenes or their derivatives, methanol, etha- nol, propanol, butanol, cyclohexanol, cyclohexanone, isophorone, strongly polar solvents, for example dimethyl sulfoxide, N-methylpyrrolidone and water.
Powders, materials for spreading and dusts can be prepared by mixing or concomitantly grinding the active substances with a solid carrier.
Granules, for example coated granules, impregnated granules and homogeneous granules, can be prepared by binding the active ingredients to solid carriers. Examples of solid carriers are mineral earths such as silica gels, silicates, talc, kaolin, attaclay, limestone, lime, chalk, bole, loess, clay, dolomite, diatomaceous earth, calcium sulfate, magnesium sulfate, magnesium oxide, ground synthetic materials, fertilizers, such as, for example, ammonium sulfate, ammonium phosphate, ammonium nitrate, ureas, and products of vegetable origin, such as cereal meal, tree bark meal, wood meal and nutshell meal, cellulose powders and other solid carriers.
In general, the formulations comprise from 0.01 to 95% by weight, preferably from 0.1 to 90% by weight, of the active ingredient. The active ingredients are employed in a purity of from 90% to 100%, preferably 95% to 100% (according to NMR spectrum).
For seed treatment purposes, respective formulations can be diluted 2-10 fold leading to concentrations in the ready to use preparations of 0,01 to 60% by weight active compound by weight, preferably 0,1 to 40% by weight.
The compound of formula I can be used as such, in the form of their formulations or the use forms prepared therefrom, for example in the form of directly sprayable solutions, powders, suspensions or dispersions, emulsions, oil dispersions, pastes, dustable
products, materials for spreading, or granules, by means of spraying, atomizing, dusting, spreading or pouring. The use forms depend entirely on the intended purposes; they are intended to ensure in each case the finest possible distribution of the active compounds according to the invention.
The following are examples of formulations:
1. Products for dilution with water. For seed treatment purposes, such products may be applied to the seed diluted or undiluted.
A) Water-soluble concentrates (SL, LS)
10 parts by weight of the active compound is dissolved in 90 parts by weight of water or a water-soluble solvent. As an alternative, wetters or other auxiliaries are added. The active compound dissolves upon dilution with water, whereby a formulation with 10 % (w/w) of active compound is obtained.
B) Dispersible concentrates (DC) 20 parts by weight of the active compound is dissolved in 70 parts by weight of cyclo- hexanone with addition of 10 parts by weight of a dispersant, for example polyvinylpyrrolidone. Dilution with water gives a dispersion, whereby a formulation with 20% (w/w) of active compounds is obtained. C) Emulsifiable concentrates (EC)
15 parts by weight of the active compounds is dissolved in 7 parts by weight of xylene with addition of calcium dodecylbenzenesulfonate and castor oil ethoxylate (in each case 5 parts by weight). Dilution with water gives an emulsion, whereby a formulation with 15% (w/w) of active compounds is obtained.
D) Emulsions (EW, EO, ES)
25 parts by weight of the active compound is dissolved in 35 parts by weight of xylene with addition of calcium dodecylbenzenesulfonate and castor oil ethoxylate (in each case 5 parts by weight). This mixture is introduced into 30 parts by weight of water by means of an emulsifier machine (e.g. Ultraturrax) and made into a homogeneous emulsion. Dilution with water gives an emulsion, whereby a formulation with 25% (w/w) of active compound is obtained.
E) Suspensions (SC, OD, FS)
In an agitated ball mill, 20 parts by weight of the active compound is comminuted with addition of 10 parts by weight of dispersants, wetters and 70 parts by weight of water or of an organic solvent to give a fine active compound suspension. Dilution with water gives a stable suspension of the active compound, whereby a formulation with 20% (w/w) of active compound is obtained.
F) Water-dispersible granules and water-soluble granules (WG, SG)
50 parts by weight of the active compound is ground finely with addition of 50 parts by weight of dispersants and wetters and made as water-dispersible or water-soluble granules by means of technical appliances (for example extrusion, spray tower, fluid- ized bed). Dilution with water gives a stable dispersion or solution of the active compound, whereby a formulation with 50% (w/w) of active compound is obtained. G) Water-dispersible powders and water-soluble powders (WP, SP, SS, WS)
75 parts by weight of the active compound are ground in a rotor-stator mill with addition of 25 parts by weight of dispersants, wetters and silica gel. Dilution with water gives a stable dispersion or solution of the active compound, whereby a formulation with 75% (w/w) of active compound is obtained.
H) Gel-Formulation (GF)
In an agitated ball mill, 20 parts by weight of the active compound is comminuted with addition of 10 parts by weight of dispersants, 1 part by weight of a gelling agent wetters and 70 parts by weight of water or of an organic solvent to give a fine active compound suspension. Dilution with water gives a stable suspension of the active compound, whereby a formulation with 20% (w/w) of active compound is obtained. 2. Products to be applied undiluted for foliar applications. For seed treatment purposes, such products may be applied to the seed diluted or undiluted.
I) Dustable powders (DP, DS) 5 parts by weight of the active compound are ground finely and mixed intimately with 95 parts by weight of finely divided kaolin. This gives a dustable product having 5% (w/w) of active compound.
J) Granules (GR, FG, GG, MG)
0.5 part by weight of the active compound is ground finely and associated with 95.5 parts by weight of carriers, whereby a formulation with 0.5% (w/w) of active compound
is obtained. Current methods are extrusion, spray-drying or the fluidized bed. This gives granules to be applied undiluted for foliar use.
K) ULV solutions (UL)
10 parts by weight of the active compound is dissolved in 90 parts by weight of an organic solvent, for example xylene. This gives a product having 10% (w/w) of active compound, which is applied undiluted for foliar use. Aqueous use forms can be prepared from emulsion concentrates, pastes or wettable powders (sprayable powders, oil dispersions) by adding water. To prepare emulsions, pastes or oil dispersions, the substances, as such or dissolved in an oil or solvent, can be homogenized in water by means of a wetter, tackifier, dispersant or emulsifier. Alternatively, it is possible to prepare concentrates composed of active substance, wet- ter, tackifier, dispersant or emulsifier and, if appropriate, solvent or oil, and such concentrates are suitable for dilution with water.
The active ingredient concentrations in the ready-to-use products can be varied within relatively wide ranges. In general, they are from 0.0001 to 10%, preferably from 0.01 to 1 %.
The active ingredients may also be used successfully in the ultra-low-volume process (ULV), it being possible to apply formulations comprising over 95% by weight of active ingredient, or even to apply the active ingredient without additives.
In the method of this invention compounds I may be applied with other active ingredients, for example with other pesticides, insecticides, herbicides, fertilizers such as ammonium nitrate, urea, potash, and superphosphate, phytotoxicants and plant growth regulators, safeners and nematicides. These additional ingredients may be used sequentially or in combination with the above-described compositions, if appropriate also added only immediately prior to use (tank mix). For example, the plant(s) may be sprayed with a composition of this invention either before or after being treated with other active ingredients. The following list M of pesticides together with which the compounds according to the invention can be used and with which potential synergistic effects might be produced, is intended to illustrate the possible combinations, but not to impose any limitation:
M.1. Organo(thio)phosphate compounds: acephate, azamethiphos, azinphos-ethyl, azinphos-methyl, chlorethoxyfos, chlorfenvinphos, chlormephos, chlorpyrifos, chlorpyri- fos-methyl, coumaphos, cyanophos, demeton-S-methyl, diazinon, dichlorvos/ DDVP, dicrotophos, dimethoate, dimethylvinphos, disulfoton, EPN, ethion, ethoprophos, fam- phur, fenamiphos, fenitrothion, fenthion, flupyrazophos, fosthiazate, heptenophos,
isoxathion, malathion, mecarbam, methamidophos, methidathion, mevinphos, monocrotophos, naled, omethoate, oxydemeton-methyl, parathion, parathion-methyl, phenthoate, phorate, phosalone, phosmet, phosphamidon, phoxim, pirimiphos-methyl, profenofos, propetamphos, prothiofos, pyraclofos, pyridaphenthion, quinalphos, sulfo- tep, tebupirimfos, temephos, terbufos, tetrachlorvinphos, thiometon, triazophos, tri- chlorfon, vamidothion;
M.2. Carbamate compounds: aldicarb, alanycarb, bendiocarb, benfuracarb, butocar- boxim, butoxycarboxim, carbaryl, carbofuran, carbosulfan, ethiofencarb, fenobucarb, formetanate, furathiocarb, isoprocarb, methiocarb, methomyl, metolcarb, oxamyl, pirimicarb, propoxur, thiodicarb, thiofanox, trimethacarb, XMC, xylylcarb, triazamate;
M.3. Pyrethroid compounds: acrinathrin, allethrin, d-cis-trans allethrin, d-trans allethrin, bifenthrin, bioallethrin, bioallethrin S-cylclopentenyl, bioresmethrin, cycloprothrin, cyflu- thrin, beta-cyfluthrin, cyhalothrin, lambda-cyhalothrin, gamma-cyhalothrin, cyperme- thrin, alpha-cypermethrin, beta-cypermethrin, theta-cypermethrin, zeta-cypermethrin, cyphenothrin, deltamethrin, empenthrin, esfenvalerate, etofenprox, fenpropathrin, fen- valerate, flucythrinate, flumethrin, tau-fluvalinate, halfenprox, imiprothrin, metofluthrin, permethrin, phenothrin, prallethrin, profluthrin, pyrethrin (pyrethrum), resmethrin, si- lafluofen, tefluthrin, tetramethrin, tralomethrin, transfluthrin;
M.4. Juvenile hormone mimics: hydroprene, kinoprene, methoprene, fenoxycarb, pyriproxyfen; M.5. Nicotinic receptor agonists/antagonists compounds: acetamiprid, bensultap, car- tap hydrochloride, clothianidin, dinotefuran, imidacloprid, thiamethoxam, nitenpyram, nicotine, spinosad (allosteric agonist), spinetoram (allosteric agonist), thiacloprid, thio- cyclam, thiosultap-sodium and AKD1022. M.6. GABA gated chloride channel antagonist compounds: chlordane, endosulfan, gamma-HCH (lindane); ethiprole, fipronil, pyrafluprole, pyriprole
M.7. Chloride channel activators: abamectin, emamectin benzoate, milbemectin, le- pimectin;
M.8. METI I compounds: fenazaquin, fenpyroximate, pyrimidifen, pyridaben, tebufen- pyrad, tolfenpyrad, flufenerim, rotenone;
M.9. METI II and III compounds: acequinocyl, fluacyprim, hydramethylnon;
M.10. Uncouplers of oxidative phosphorylation: chlorfenapyr, DNOC;
M.1 1. Inhibitors of oxidative phosphorylation: azocyclotin, cyhexatin, diafenthiuron, fen- butatin oxide, propargite, tetradifon;
M.12. Moulting disruptors: cyromazine, chromafenozide, halofenozide, methoxy- fenozide, tebufenozide;
M.13. Synergists: piperonyl butoxide, tribufos;
M.14. Sodium channel blocker compounds: indoxacarb, metaflumizone;
M.15. Fumigants: methyl bromide, chloropicrin sulfuryl fluoride;
M.16. Selective feeding blockers: crylotie, pymetrozine, flonicamid; M.17. Mite growth inhibitors: clofentezine, hexythiazox, etoxazole;
M.18. Chitin synthesis inhibitors: buprofezin, bistrifluron, chlorfluazuron, diflubenzuron, flucycloxuron, flufenoxuron, hexaflumuron, lufenuron, novaluron, noviflumuron, te- flubenzuron, triflumuron;
M.19. Lipid biosynthesis inhibitors: spirodiclofen, spiromesifen, spirotetramat;
M.20. Octapaminergic agonsits: amitraz; M.21. Ryanodine receptor modulators: flubendiamide and the phtalamid compound (R)-, (S)- 3- Chlor-N1-{2-methyl-4-[1 , 2,2,2 - tetrafluor-1-(trifluormethyl)ethyl]phenyl}- N2-(1 -methyl-2-methylsulfonylethyl)phthalamid (M21.1 )
M.22. Isoxazoline compounds: 4-[5-(3,5-Dichloro-phenyl)-5-trifluoromethyl-4,5-dihydro- isoxazol-3-yl]-2-methyl-N-pyridin-2-ylmethyl-benzamide (M22.1 ),
4-[5-(3,5-Dichloro-phenyl)-5-trifluoromethyl-4,5-dihydro-isoxazol-3-yl]-2-methyl-N- (2,2,2-trifluoro-ethyl)-benzamide (M22.2), 4-[5-(3,5-Dichloro-phenyl)-5-trifluoromethyl- 4,5-dihydro-isoxazol-3-yl]-2-methyl-N-[(2,2,2-trifluoro-ethylcarbamoyl)-methyl]- benzamide (M22.3), 4-[5-(3,5-Dichloro-phenyl)-5-trifluoromethyl-4,5-dihydro-isoxazol-3- yl]-naphthalene-1 -carboxylic acid [(2,2,2-trifluoro-ethylcarbamoyl)-methyl]-amide (M22.4)4-[5-(3,5-Dichlorophenyl)-5-trifluoromethyl-4,5-dihydro-isoxazol-3-yl]-N- [(methoxyimino)methyl]-2-methylbenzamide (M22.5), 4-[5-(3-Chloro-5-trifluoromethyl- phenyl)-5-trifluoromethyl-4,5-dihydro-isoxazol-3-yl]-2-methyl-N-[(2,2,2-trifluoro- ethylcarbamoyl)-methyl]-benzamide (M22.6), 4-[5-(3-Chloro-5-trifluoromethyl-phenyl)- 5-trifluoromethyl-4,5-dihydro-isoxazol-3-yl]-naphthalene-1-carboxylic acid [(2,2,2- trifluoro-ethylcarbamoyl)-methyl]-amide (M22.7) and 5-[5-(3,5-Dichloro-4-fluoro- phenyl)-5-trifluoromethyl-4,5-dihydro-isoxazol-3-yl]-2-[1 ,2,4]triazol-1-yl-benzonitrile (M22.8);
M.23. Anthranilamide compounds: chloranthraniliprole, cyantraniliprole,
5-Bromo-2-(3-chloro-pyridin-2-yl)-2H-pyrazole-3-carboxylic acid [4-cyano-2-(1 - cyclopropyl-ethylcarbamoyl)-6-methyl-phenyl]-amide (M23.1 ),
5-Bromo-2-(3-chloro-pyridin-2-yl)-2H-pyrazole-3-carboxylic acid [2-chloro-4-cyano-6-(1 - cyclopropyl-ethylcarbamoyl)-phenyl]-amide (M23.2),
5-Bromo-2-(3-chloro-pyridin-2-yl)-2H-pyrazole-3-carboxylic acid [2-bromo-4-cyano-6- (1 -cyclopropyl-ethylcarbamoyl)-phenyl]-amide(M23.3),
5-Bromo-2-(3-chloro-pyridin-2-yl)-2H-pyrazole-3-carboxylic acid [2-bromo-4-chloro-6- (1 -cyclopropyl-ethylcarbamoyl)-phenyl]-amide(M23.4),
5-Bromo-2-(3-chloro-pyridin-2-yl)-2H-pyrazole-3-carboxylic acid [2,4-dichloro-6-(1- cyclopropyl-ethylcarbamoyl)-phenyl]-amide (M23.5),
5-Bromo-2-(3-chloro-pyridin-2-yl)-2H-pyrazole-3-carboxylic acid [4-chloro-2-(1 - cyclopropyl-ethylcarbamoyl)-6-methyl-phenyl]-amide (M23.6),
N'-(2-{[5-Bromo-2-(3-chloro-pyridin-2-yl)-2H-pyrazole-3-carbonyl]-amino}-5-chloro-3- methyl-benzoyl)-hydrazinecarboxylic acid methyl ester (M23J),
N'-(2-{[5-Bromo-2-(3-chloro-pyridin-2-yl)-2H-pyrazole-3-carbonyl]-amino}-5-chloro-3- methyl-benzoyl)-N'-methyl-hydrazinecarboxylic acid methyl ester (M23.8),
N'-(2-{[5-Bromo-2-(3-chloro-pyridin-2-yl)-2H-pyrazole-3-carbonyl]-amino}-5-chloro-3- methyl-benzoyl)-N,N'-dimethyl-hydrazinecarboxylic acid methyl ester (M23.9),
N'-(3,5-Dibromo-2-{[5-bromo-2-(3-chloro-pyridin-2-yl)-2H-pyrazole-3-carbonyl]-amino}- benzoyl)-hydrazinecarboxylic acid methyl ester (M23.10),
N'-(3,5-Dibromo-2-{[5-bromo-2-(3-chloro-pyridin-2-yl)-2H-pyrazole-3-carbonyl]-amino}- benzoyl)-N'-methyl-hydrazinecarboxylic acid methyl ester (M23.1 1 ) and
N'-(3,5-Dibromo-2-{[5-bromo-2-(3-chloro-pyridin-2-yl)-2H-pyrazole-3-carbonyl]-amino}- benzoyl)-N,N'-dimethyl-hydrazinecarboxylic acid methyl ester (M23.12);
M.24. Malononitrile compounds: 2-(2,2,3, 3,4,4, 5,5-octafluoropentyl)-2-(3,3,3-trifluoro- propyl)malononitrile (CF2H-CF2-CF2-CF2-CH2-C(CN)2-CH2-CH2-CF3) (M24.1 ) and 2- (2,2,3,3,4,4,5,5-octafluoropentyl)-2-(3,3,4,4,4-pentafluorobutyl)-malonodinitrile (CF2H- CF2-CF2-CF2-CH2-C(CN)2-CH2-CH2-CF2-CF3) (M24.2);
M.25. Microbial disruptors: Bacillus thuringiensis subsp. Israelensi, Bacillus sphaericus, Bacillus thuringiensis subsp. Aizawai, Bacillus thuringiensis subsp. Kurstaki, Bacillus thuringiensis subsp. Tenebrionis;
M.26. Aminofuranone compounds:
4-{[(6-Bromopyrid-3-yl)methyl](2-fluoroethyl)amino}furan-2(5H)-on (M26.1 ),
4-{[(6-Fluoropyrid-3-yl)methyl](2,2-difluoroethyl)amino}furan-2(5H)-on (M26.2), 4-{[(2-Chloro1 ,3-thiazolo-5-yl)methyl](2-fluoroethyl)amino}furan-2(5H)-on (M26.3), 4-{[(6-Chloropyrid-3-yl)methyl](2-fluoroethyl)amino}furan-2(5H)-on (M26.4),
4-{[(6-Chloropyrid-3-yl)methyl](2,2-difluoroethyl)amino}furan-2(5H)-on (M26.5), 4-{[(6-Chloro-5-fluoropyrid-3-yl)methyl](methyl)amino}furan-2(5H)-on (M26.6),
4-{[(5,6-Dichloropyrid-3-yl)methyl](2-fluoroethyl)amino}furan-2(5H)-on (M26.7), 4-{[(6-Chloro-5-fluoropyrid-3-yl)methyl](cyclopropyl)amino}furan-2(5H)-on (M26.8), 4-{[(6-Chloropyrid-3-yl)methyl](cyclopropyl)amino}furan-2(5H)-on (M26.9) and
4-{[(6-Chloropyrid-3-yl)methyl](methyl)amino}furan-2(5H)-on (M26.10);
M.27. Various compounds: aluminium phosphide, amidoflumet, benclothiaz, benzoxi- mate, bifenazate, borax, bromopropylate, cyanide, cyenopyrafen, cyflumetofen, chi- nomethionate, dicofol, fluoroacetate, phosphine, pyridalyl, pyrifluquinazon, sulfur, organic sulfur compounds, tartar emetic, sulfoxaflor, N-R'-2,2-dihalo-1 -R"cyclo- propanecarboxamide-2-(2,6-dichloro-a ,a ,a -trifluoro-p-tolyl)hydrazone or N-R'-2,2- di(R"')propionamide-2-(2,6-dichloro-a ,a ,a -trifluoro-p-tolyl)-hydrazone, wherein R' is methyl or ethyl, halo is chloro or bromo, R" is hydrogen or methyl and R'" is methyl or ethyl, 4-But-2-ynyloxy-6-(3,5-dimethyl-piperidin-1 -yl)-2-fluoro-pyrimidine (M27.1), Cyclopropaneacetic acid, 1 ,1 '-[(3S,4R,4aR,6S,6aS,12R,12aS,12bS)-4-[[(2- cyclopropylacetyl)oxy]methyl]-1 ,3,4,4a,5,6,6a,12,12a,12b-decahydro-12-hydroxy- 4,6a,12b-trimethyl-1 1 -oxo-9-(3-pyridinyl)-2H,11 H-naphtho[2,1-b]pyrano[3,4-e]pyran- 3,6-diyl] ester(M27.2) and
8-(2-Cyclopropylmethoxy-4-trifluoromethyl-phenoxy)-3-(6-trifluoromethyl-pyridazin-3- yl)-3-aza-bicyclo[3.2.1]octane(M27.3).
The commercially available compounds of the group M may be found in The Pesticide Manual, 13th Edition, British Crop Protection Council (2003) among other publications.
Paraoxon and their preparation have been described in Farm Chemicals Handbook, Volume 88, Meister Publishing Company, 2001 . Flupyrazofos has been described in Pesticide Science 54, 1988, p.237-243 and in US 4822779. AKD 1022 and its preparation have been described in US 6300348. The anthranilamides M23.1 to M23.6 have been described in WO 2008/72743 and WO 200872783, those M23.7 to M23.12 in WO2007/043677. The phthalamide M 21.1 is known from WO 2007/101540. -The al- kynylether compound M27.1 is described e.g. in JP 2006131529. Organic sulfur compounds have been described in WO 2007060839. The isoxazoline compounds M 22.1 to M 22.8 have been described in e.g. WO2005/085216, WO 2007/079162, WO 2007/026965, WO 2009/126668 and WO2009/051956. The aminofuranone compounds M 26.1 to M 26.10 have been described eg. in WO 2007/1 15644. The pyripy- ropene derivative M 27.2 has been described in WO 2008/66153 and WO
2008/108491. The pyridazin compound M 27.3 has been described in JP 2008/1 15155. Malononitrile compounds as those (M24.1) and (M24.2) have been described in WO 02/089579, WO 02/090320, WO 02/090321 , WO 04/006677, WO 05/068423, WO 05/068432 and WO 05/063694.
The following list of fungicidal active substances which, in combination with the compounds of the present invention, can be used in pesticidal mixtures is intended to illustrate the possible combinations, but does not limit them:
F.I) Respiration Inhibitors
F.1- ) Inhibitors of complex III at Qo site (e.g. strobilurins)
strobilurins: azoxystrobin, coumethoxystrobin, coumoxystrobin, dimoxystrobin, enestroburin, fluoxastrobin, kresoxim-methyl, metominostrobin, orysastrobin, picox- ystrobin, pyraclostrobin, pyrametostrobin, pyraoxystrobin, pyribencarb, triclopyri- carb/chlorodincarb, trifloxystrobin, 2-[2-(2,5-dimethyl-phenoxymethyl)-phenyl]-3- methoxy-acrylic acid methyl ester and 2 (2-(3-(2,6-dichlorophenyl)-1 -methyl- allylideneaminooxymethyl)-phenyl)-2-methoxyimino-N methyl-acetamide;
oxazolidinediones and imidazolinones: famoxadone, fenamidone;
F.I-2) Inhibitors of complex II (e.g. carboxamides):
carboxanilides: benodanil, bixafen, boscalid, carboxin, fenfuram, fenhexamid, flu- opyram, flutolanil, furametpyr, isopyrazam, isotianil, mepronil, oxycarboxin, penflufen, penthiopyrad, sedaxane, tecloftalam, thifluzamide, tiadinil, 2-amino-4 methyl-thiazole-5- carboxanilide, N-(3',4',5' trifluorobiphenyl-2 yl)-3-difluoromethyl-1-methyl-1 H-pyrazole-4 carboxamide, N-(4'-trifluoromethylthiobiphenyl-2-yl)-3 difluoromethyl-1 -methyl-1 H pyra- zole-4-carboxamide and N-(2-(1 ,3,3-trimethyl-butyl)-phenyl)-1 ,3-dimethyl-5 fluoro-1 H- pyrazole-4 carboxamide;
F.I-3) Inhibitors of complex III at Qi site: cyazofamid, amisulbrom;
F.I-4) Other respiration inhibitors (complex I, uncouplers)
diflumetorim; tecnazen; ferimzone; ametoctradin; silthiofam;
nitrophenyl derivates: binapacryl, dinobuton, dinocap, fluazinam, nitrthal-isopropyl, organometal compounds: fentin salts, such as fentin-acetate, fentin chloride or fentin hydroxide;
F.I I) Sterol biosynthesis inhibitors (SBI fungicides)
F.II-1 ) C14 demethylase inhibitors (DMI fungicides, e.g. triazoles, imidazoles) triazoles: azaconazole, bitertanol, bromuconazole, cyproconazole, difenoconazole, diniconazole, diniconazole-M, epoxiconazole, fenbuconazole, fluquinconazole, flusila- zole, flutriafol, hexaconazole, imibenconazole, ipconazole, metconazole, myclobutanil, paclobutrazole, penconazole, propiconazole, prothioconazole, simeconazole, tebu- conazole, tetraconazole, triadimefon, triadimenol, triticonazole, uniconazole;
imidazoles: imazalil, pefurazoate, oxpoconazole, prochloraz, triflumizole;
pyrimidines, pyridines and piperazines: fenarimol, nuarimol, pyrifenox, triforine;
F.II-2) Delta14-reductase inhitors (Amines, e.g. morpholines, piperidines)
morpholines: aldimorph, dodemorph, dodemorph-acetate, fenpropimorph, tridemorph; piperidines: fenpropidin, piperalin;
spiroketalamines: spiroxamine;
F.II-3) Inhibitors of 3-keto reductase: hydroxyanilides: fenhexamid;
F.lll) Nucleic acid synthesis inhibitors
F.III-1 ) RNA, DNA synthesis
phenylamides or acyl amino acid fungicides: benalaxyl, benalaxyl-M, kiralaxyl, metalaxyl, metalaxyl-M (mefenoxam), ofurace, oxadixyl;
isoxazoles and iosothiazolones: hymexazole, octhilinone;
F.III-2) DNA topisomerase inhibitors: oxolinic acid;
.111-3) Nucleotide metabolism (e.g. adenosin-deaminase)
hydroxy (2-amino)-pyrimidines: bupirimate;
F.IV) Inhibitors of cell division and or cytoskeleton
F.IV-1 ) Tubulin inhibitors: benzimidazoles and thiophanates: benomyl, carbendazim, fuberidazole, thiabendazole, thiophanate-methyl;
triazolopyrimidines: 5-chloro-7 (4-methylpiperidin-1-yl)-6-(2,4,6-trifluorophenyl)- [1 ,2,4]triazolo[1 ,5 a]pyrimidine
F.IV-2) Other cell division inhibitors
benzamides and phenyl acetamides: diethofencarb, ethaboxam, pencycuron, fluopi- colide, zoxamide;
F.IV-3) Actin inhibitors: benzophenones: metrafenone;
F.V) Inhibitors of amino acid and protein synthesis
F.V-1 ) Mmethionine synthesis inhibitors (anilino-pyrimidines)
anilino-pyrimidines: cyprodinil, mepanipyrim, nitrapyrin, pyrimethanil;
F.V-2) Protein synthesis inhibitors (anilino-pyrimidines)
antibiotics: blasticidin-S, kasugamycin, kasugamycin hydrochloride-hydrate, mildiomy- cin, streptomycin, oxytetracyclin, polyoxine, validamycin A; F.VI) Signal transduction inhibitors
F.VI-1 ) MAP / Histidine kinase inhibitors (e.g. anilino-pyrimidines)
dicarboximides: fluoroimid, iprodione, procymidone, vinclozolin;
phenylpyrroles: fenpiclonil, fludioxonil;
F.VI-2) G protein inhibitors: quinolines: quinoxyfen;
F.VII) Lipid and membrane synthesis inhibitors
F.VI 1-1 ) Phospholipid biosynthesis inhibitors
organophosphorus compounds: edifenphos, iprobenfos, pyrazophos;
dithiolanes: isoprothiolane;
F.VII-2) Lipid peroxidation
aromatic hydrocarbons: dicloran, quintozene, tecnazene, tolclofos-methyl, biphenyl, chloroneb, etridiazole;
F.VII-3) Carboxyl acid amides (CAA fungicides)
cinnamic or mandelic acid amides: dimethomorph, flumorph, mandiproamid, pyrimorph; valinamide carbamates: benthiavalicarb, iprovalicarb, pyribencarb, valifenalate and N- (1 -(1 -(4-cyano-phenyl)ethanesulfonyl)-but-2-yl) carbamic acid-(4-fluorophenyl) ester; F.VII-4) Compounds affecting cell membrane permeability and fatty acides
carbamates: propamocarb, propamocarb-hydrochlorid
F.VIII) Inhibitors with Multi Site Action
F.VIII-1 ) Inorganic active substances: Bordeaux mixture, copper acetate, copper hydroxide, copper oxychloride, basic copper sulfate, sulfur;
F.VIII-2) Thio- and dithiocarbamates: ferbam, mancozeb, maneb, metam, methasul- phocarb, metiram, propineb, thiram, zineb, ziram;
F.VIII-3) Organochlorine compounds (e.g. phthalimides, sulfamides, chloronitriles): anilazine, chlorothalonil, captafol, captan, folpet, dichlofluanid, dichlorophen, flusulfamide, hexachlorobenzene, pentachlorphenole and its salts, phthalide, tolylfluanid, N- (4-chloro-2-nitro-phenyl)-N-ethyl-4-methyl-benzenesulfonamide;
F.VIII-4) Guanidines: guanidine, dodine, dodine free base, guazatine, guazatine- acetate, iminoctadine, iminoctadine-triacetate, iminoctadine-tris(albesilate);
F.VIII-5) Ahtraquinones: dithianon; F.IX) Cell wall synthesis inhibitors
F.IX-1 ) Inhibitors of glucan synthesis: validamycin, polyoxin B;
F.IX-2) Melanin synthesis inhibitors: pyroquilon, tricydazole, carpropamide, dicyclomet, fenoxanil; F.X) Plant defence inducers
F.X-1 ) Salicylic acid pathway: acibenzolar-S-methyl;
F.X-2) Others: probenazole, isotianil, tiadinil, prohexadione-calcium;
phosphonates: fosetyl, fosetyl-aluminum, phosphorous acid and its salts; F.XI) Unknown mode of action:
bronopol, chinomethionat, cyflufenamid, cymoxanil, dazomet, debacarb, diclomezine, difenzoquat, difenzoquat-methylsulfate, diphenylamin, flumetover, flusulfamide, flutianil, methasulfocarb, oxin-copper, proquinazid, tebufloquin, tecloftalam, triazoxide, 2- butoxy-6-iodo-3-propylchromen-4-one, N-(cyclopropylmethoxyimino-(6-difluoro- methoxy-2,3-difluoro-phenyl)-methyl)-2-phenyl acetamide, N'-(4-(4-chloro-3- trifluoromethyl-phenoxy)-2,5-dimethyl-phenyl)-N-ethyl-N methyl formamidine, N' (4-(4- fluoro-3-trifluoromethyl-phenoxy)-2,5-dimethyl-phenyl)-N-ethyl-N-methyl formamidine, N'-(2-methyl-5-trifluoromethyl-4-(3-trimethylsilanyl-propoxy)-phenyl)-N-ethyl-N-methyl formamidine, N'-(5-difluoromethyl-2 methyl-4-(3-trimethylsilanyl-propoxy)-phenyl)-N- ethyl-N-methyl formamidine, 2-{1-[2-(5-methyl-3-trifluoromethyl-pyrazole-1-yl)-acetyl]- piperidin-4-yl}-thiazole-4-carboxylic acid methyl-(1 ,2,3,4-tetrahydro-naphthalen-1 -yl)- amide, 2-{1-[2-(5-methyl-3-trifluoromethyl-pyrazole-1-yl)-acetyl]-piperidin-4-yl}-thiazole- 4-carboxylic acid methyl-(R)-1 ,2,3,4-tetrahydro-naphthalen-1-yl-amide, methoxy-acetic acid 6-tert-butyl-8-fluoro-2,3-dimethyl-quinolin-4-yl ester and N-Methyl-2-{1 -[(5-methyl- 3-trifluoromethyl-1 H-pyrazol-1-yl)-acetyl]-piperidin-4-yl}-N-[(1 )-1 ,2,3,4- tetrahydronaphthalen-1 -yl]-4-thiazolecarboxamide, 3-[5-(4-chloro-phenyl)-2,3-dimethyl- isoxazolidin-3 yl]-pyridine, 3-[5-(4-methyl-phenyl)-2,3-dimethyl-isoxazolidin-3-yl]- pyridine (pyrisoxazole), 5-amino-2-isopropyl-3-oxo-4-ortho-tolyl-2,3-dihydro-pyrazole-1
carbothioic acid S-allyl ester, N-(6-methoxy-pyridin-3-yl) cyclopropanecarboxylic acid amide, 5-chloro-1 (4,6-dimethoxy-pyrimidin-2-yl)-2-methyl-1 H-benzoimidazole, 2-(4- chloro-phenyl)-N-[4-(3,4-dimethoxy-phenyl)-isoxazol-5-yl]-2-prop-2-ynyloxy-acetamide; F.XI) Growth regulators:
abscisic acid, amidochlor, ancymidol, 6-benzylaminopurine, brassinolide, butralin, chlormequat (chlormequat chloride), choline chloride, cyclanilide, daminozide, dikegu- lac, dimethipin, 2,6-dimethylpuridine, ethephon, flumetralin, flurprimidol, fluthiacet, forchlorfenuron, gibberellic acid, inabenfide, indole-3-acetic acid , maleic hydrazide, mefluidide, mepiquat (mepiquat chloride), naphthaleneacetic acid, N 6 benzyladenine, paclobutrazol, prohexadione (prohexadione-calcium), prohydrojasmon, thidiazuron, triapenthenol, tributyl phosphorotrithioate, 2,3,5 tri iodobenzoic acid , trinexapac-ethyl and uniconazole; F. XII) Biological control agents
antifungal biocontrol agents: Bacillus substilis strain with NRRL No. B-21661 (e.g. RHAPSODY®, SERENADE® MAX and SERENADE® ASO from AgraQuest, Inc., USA.), Bacillus pumilus strain with NRRL No. B-30087 (e.g. SONATA® and BALLAD® Plus from AgraQuest, Inc., USA), Ulocladium oudemansii (e.g. the product BOTRY- ZEN from BotriZen Ltd., New Zealand), Chitosan (e.g. ARMOUR-ZEN from BotriZen Ltd., New Zealand).
Applications The animal pest, i.e. the insects, arachnids and nematodes, the plant, soil or water in which the plant is growing can be contacted with the present compounds of formula I or composition(s) containing them by any application method known in the art. As such, "contacting" includes both direct contact (applying the compounds/compositions directly on the animal pest or plant - typically to the foliage, stem or roots of the plant) and indirect contact (applying the compounds/compositions to the locus of the animal pest or plant).
The compounds of formula I or the pesticidal compositions comprising them may be used to protect growing plants and crops from attack or infestation by animal pests, especially insects, acaridae or arachnids by contacting the plant/crop with a pesticidally effective amount of compounds of formula I. The term "crop" refers both to growing and harvested crops.
The compounds of the present invention and the compositions comprising them are particularly important in the control of a multitude of insects on various cultivated plants, such as cereal, root crops, oil crops, vegetables, spices, ornamentals, for example seed of durum and other wheat, barley, oats, rye, maize (fodder maize and sugar maize / sweet and field corn), soybeans, oil crops, crucifers, cotton, sunflowers, bananas, rice, oilseed rape, turnip rape, sugarbeet, fodder beet, eggplants, potatoes,
grass, lawn, turf, fodder grass, tomatoes, leeks, pumpkin/squash, cabbage, iceberg lettuce, pepper, cucumbers, melons, Brassica species, melons, beans, peas, garlic, onions, carrots, tuberous plants such as potatoes, sugar cane, tobacco, grapes, petunias, geranium/pelargoniums, pansies and impatiens.
The compounds of the present invention are employed as such or in form of compositions by treating the insects or the plants, plant propagation materials, such as seeds, soil, surfaces, materials or rooms to be protected from insecticidal attack with a insecti- cidally effective amount of the active compounds. The application can be carried out both before and after the infection of the plants, plant propagation materials, such as seeds, soil, surfaces, materials or rooms by the insects.
The present invention also includes a method of combating animal pests which comprises contacting the animal pests, their habit, breeding ground, food supply, cultivated plants, seed, soil, area, material or environment in which the animal pests are growing or may grow, or the materials, plants, seeds, soils, surfaces or spaces to be protected from animal attack or infestation with a pesticidally effective amount of a mixture of at least one active compound I. Moreover, animal pests may be controlled by contacting the target pest, its food supply, habitat, breeding ground or its locus with a pesticidally effective amount of compounds of formula I. As such, the application may be carried out before or after the infection of the locus, growing crops, or harvested crops by the pest. The compounds of the invention can also be applied preventively to places at which occurrence of the pests is expected.
The compounds of formula I may be also used to protect growing plants from attack or infestation by pests by contacting the plant with a pesticidally effective amount of com- pounds of formula I. As such, "contacting" includes both direct contact (applying the compounds/compositions directly on the pest and/or plant - typically to the foliage, stem or roots of the plant) and indirect contact (applying the compounds/compositions to the locus of the pest and/or plant). "Locus" means a habitat, breeding ground, plant, seed, soil, area, material or environment in which a pest or parasite is growing or may grow.
The term "plant propagation material" is to be understood to denote all the generative parts of the plant such as seeds and vegetative plant material such as cuttings and tubers (e. g. potatoes), which can be used for the multiplication of the plant. This includes seeds, roots, fruits, tubers, bulbs, rhizomes, shoots, sprouts and other parts of plants. Seedlings and young plants, which are to be transplanted after germination or after emergence from soil, may also be included. These plant propagation materials
may be treated prophylactically with a plant protection compound either at or before planting or transplanting.
The term "cultivated plants" is to be understood as including plants which have been modified by breeding, mutagenesis or genetic engineering. Genetically modified plants are plants, which genetic material has been so modified by the use of recombinant DNA techniques that under natural circumstances cannot readily be obtained by cross breeding, mutations or natural recombination. Typically, one or more genes have been integrated into the genetic material of a genetically modified plant in order to improve certain properties of the plant. Such genetic modifications also include but are not limited to targeted post-transtional modification of protein(s) (oligo- or polypeptides) poly for example by glycosylation or polymer additions such as prenylated, acetylated or farnesylated moieties or PEG moieties(e.g. as disclosed in Biotechnol Prog. 2001 Jul- Aug;17(4):720-8., Protein Eng Des Sel. 2004 Jan;17(1 ):57-66, Nat Protoc.
2007;2(5):1225-35., Curr Opin Chem Biol. 2006 Oct;10(5):487-91. Epub 2006 Aug 28., Biomaterials. 2001 Mar;22(5):405-17, Bioconjug Chem. 2005 Jan-Feb;16(1):1 13-21 ).
The term "cultivated plants" is to be understood also including plants that have been rendered tolerant to applications of specific classes of herbicides, such as hy- droxy-phenylpyruvate dioxygenase (HPPD) inhibitors; acetolactate synthase (ALS) inhibitors, such as sulfonyl ureas (see e. g. US 6,222,100, WO 01/82685, WO
00/26390, WO 97/41218, WO 98/02526, WO 98/02527, WO 04/106529, WO 05/20673, WO 03/14357, WO 03/13225, WO 03/14356, WO 04/16073) or imidazolinones (see e. g. US 6,222,100, WO 01/82685, WO 00/26390, WO 97/41218, WO 98/02526, WO 98/02527, WO 04/106529, WO 05/20673, WO 03/14357, WO 03/13225, WO 03/14356, WO 04/16073); enolpyruvylshikimate-3-phosphate synthase (EPSPS) inhibitors, such as glyphosate (see e. g. WO 92/00377); glutamine synthetase (GS) inhibitors, such as glufosinate (see e. g. EP-A-0242236, EP-A-242246) or oxynil herbicides (see e. g. US 5,559,024) as a result of conventional methods of breeding or genetic engineering. Several cultivated plants have been rendered tolerant to herbicides by conventional methods of breeding (mutagenesis), for example Clearfield® summer rape (Canola) being tolerant to imidazolinones, e. g. imazamox. Genetic engineering methods have been used to render cultivated plants, such as soybean, cotton, corn, beets and rape, tolerant to herbicides, such as glyphosate and glufosinate, some of which are commer- cially available under the trade names RoundupReady® (glyphosate) and LibertyLink® (glufosinate).
The term "cultivated plants" is to be understood also including plants that are by the use of recombinant DNA techniques capable to synthesize one or more insecticidal proteins, especially those known from the bacterial genus Bacillus, particularly from Bacillus thuringiensis, such as a-endotoxins, e. g. CrylA(b), CrylA(c), CrylF, CrylF(a2), CryllA(b), CrylllA, CrylllB(bl ) or Cry9c; vegetative insecticidal proteins (VIP), e. g. VIP1 , VIP2, VI P3 or VIP3A; insecticidal proteins of bacteria colonizing nematodes, for
example Photorhabdus spp. or Xenorhabdus spp.; toxins produced by animals, such as scorpion toxins, arachnid toxins, wasp toxins, or other insect-specific neurotoxins; toxins produced by fungi, such Streptomycetes toxins, plant lectins, such as pea or barley lectins; agglutinins; proteinase inhibitors, such as trypsin inhibitors, serine prote- ase inhibitors, patatin, cystatin or papain inhibitors; ribosome-inactivating proteins (RIP), such as ricin, maize-RIP, abrin, luffin, saporin or bryodin; steroid metabolism enzymes, such as 3-hydroxysteroid oxidase, ecdysteroid-IDP-glycosyl-transferase, cholesterol oxidases, ecdysone inhibitors or HMG-CoA-reductase; ion channel blockers, such as blockers of sodium or calcium channels; juvenile hormone esterase; diu- retic hormone receptors (helicokinin receptors); stilben synthase, bibenzyl synthase, chitinases or glucanases. In the context of the present invention these insecticidal proteins or toxins are to be understood expressly also as pre-toxins, hybrid proteins, truncated or otherwise modified proteins. Hybrid proteins are characterized by a new combination of protein domains, (see, for example WO 02/015701 ). Further examples of such toxins or genetically-modified plants capable of synthesizing such toxins are dis-closed, for example, in EP-A 374 753, WO 93/007278, WO 95/34656, EP-A 427 529, EP-A 451 878, WO 03/018810 und WO 03/052073. The methods for producing such genetically modified plants are generally known to the person skilled in the art and are described, for example, in the publications mentioned above. These insecticidal proteins contained in the genetically modified plants impart to the plants producing these proteins protection from harmful pests from certain taxonomic groups of arthropods, particularly to beetles (Coleoptera), flies (Diptera), and butterflies and moths (Lepidoptera) and to plant parasitic nematodes (Nematoda). The term "cultivated plants" is to be understood also including plants that are by the use of recombinant DNA techniques capable to synthesize one or more proteins to increase the resistance or tolerance of those plants to bacterial, viral or fungal pathogens. Examples of such proteins are the so-called " pathogenesis-related proteins" (PR proteins, see, for example EP-A 0 392 225), plant disease resistance genes (for example potato cultivars, which express resistance genes acting against Phytophthora infestans derived from the mexican wild potato Solanum bulbocastanum) or T4- lyso-zym (e. g. potato cultivars capable of synthesizing these proteins with increased resistance against bacteria such as Erwinia amylvora). The methods for producing such genetically modified plants are generally known to the person skilled in the art and are described, for example, in the publications mentioned above.
The term "cultivated plants" is to be understood also including plants that are by the use of recombinant DNA techniques capable to synthesize one or more proteins to increase the productivity (e. g. bio mass production, grain yield, starch content, oil con- tent or protein content), tolerance to drought, salinity or other growth-limiting envi- ron-mental factors or tolerance to pests and fungal, bacterial or viral pathogens of those plants.
The term "cultivated plants" is to be understood also including plants that contain by the use of recombinant DNA techniques a modified amount of substances of content or new substances of content, specifically to improve human or animal nutrition, for ex-ample oil crops that produce health-promoting long-chain omega-3 fatty acids or unsaturated omega-9 fatty acids (e. g. Nexera® rape).
The term "cultivated plants" is to be understood also including plants that contain by the use of recombinant DNA techniques a modified amount of substances of content or new substances of content, specifically to improve raw material production, for example potatoes that produce increased amounts of amylopectin (e. g. Amflora® potato).
In general, "pesticidally effective amount" means the amount of active ingredient needed to achieve an observable effect on growth, including the effects of necrosis, death, retardation, prevention, and removal, destruction, or otherwise diminishing the occurrence and activity of the target organism. The pesticidally effective amount can vary for the various compounds/compositions used in the invention. A pesticidally effective amount of the compositions will also vary according to the prevailing conditions such as desired pesticidal effect and duration, weather, target species, locus, mode of application, and the like.
In the case of soil treatment or of application to the pests dwelling place or nest, the quantity of active ingredient ranges from 0.0001 to 500 g per 100 m2, preferably from 0.001 to 20 g per 100 m2. Customary application rates in the protection of materials are, for example, from 0.01 g to 1000 g of active compound per m2 treated material, desirably from 0.1 g to 50 g per m2.
Insecticidal compositions for use in the impregnation of materials typically contain from 0.001 to 95 weight %, preferably from 0.1 to 45 weight %, and more preferably from 1 to 25 weight % of at least one repellent and/or insecticide.
For use in treating crop plants, the rate of application of the active ingredients of this invention may be in the range of 0.1 g to 4000 g per hectare, desirably from 25 g to 600 g per hectare, more desirably from 50 g to 500 g per hectare.
The compounds of formula I are effective through both contact (via soil, glass, wall, bed net, carpet, plant parts or animal parts), and ingestion (bait, or plant part). The compounds of the invention may also be applied against non-crop insect pests, such as ants, termites, wasps, flies, mosquitos, crickets, or cockroaches. For use against said non-crop pests, compounds of formula I are preferably used in a bait composition.
The bait can be a liquid, a solid or a semisolid preparation (e.g. a gel). Solid baits can be formed into various shapes and forms suitable to the respective application e.g. granules, blocks, sticks, disks. Liquid baits can be filled into various devices to ensure proper application, e.g. open containers, spray devices, droplet sources, or evaporation sources. Gels can be based on aqueous or oily matrices and can be formulated to particular necessities in terms of stickyness, moisture retention or aging characteristics.
The bait employed in the composition is a product, which is sufficiently attractive to incite insects such as ants, termites, wasps, flies, mosquitos, crickets etc. or cockroaches to eat it. The attractiveness can be manipulated by using feeding stimulants or sex pheromones. Food stimulants are chosen, for example, but not exclusively, from animal and/or plant proteins (meat-, fish- or blood meal, insect parts, egg yolk), from fats and oils of animal and/or plant origin, or mono-, oligo- or polyorganosaccharides, especially from sucrose, lactose, fructose, dextrose, glucose, starch, pectin or even molasses or honey. Fresh or decaying parts of fruits, crops, plants, animals, insects or specific parts thereof can also serve as a feeding stimulant. Sex pheromones are known to be more insect specific. Specific pheromones are described in the literature and are known to those skilled in the art.
For use in bait compositions, the typical content of active ingredient is from 0.001 weight % to 15 weight %, desirably from 0.001 weight % to 5% weight % of active compound. Formulations of compounds of formula I as aerosols (e.g in spray cans), oil sprays or pump sprays are highly suitable for the non-professional user for controlling pests such as flies, fleas, ticks, mosquitos or cockroaches. Aerosol recipes are preferably composed of the active compound, solvents such as lower alcohols (e.g. methanol, etha- nol, propanol, butanol), ketones (e.g. acetone, methyl ethyl ketone), paraffin hydrocar- bons (e.g. kerosenes) having boiling ranges of approximately 50 to 250 °C, dimethyl- formamide, N-methylpyrrolidone, dimethyl sulfoxide, aromatic hydrocarbons such as toluene, xylene, water, furthermore auxiliaries such as emulsifiers such as sorbitol monooleate, oleyl ethoxylate having 3-7 mol of ethylene oxide, fatty alcohol ethoxylate, perfume oils such as ethereal oils, esters of medium fatty acids with lower alcohols, aromatic carbonyl compounds, if appropriate stabilizers such as sodium benzoate, amphoteric surfactants, lower epoxides, triethyl orthoformate and, if required, propellants such as propane, butane, nitrogen, compressed air, dimethyl ether, carbon dioxide, nitrous oxide, or mixtures of these gases. The oil spray formulations differ from the aerosol recipes in that no propellants are used.
For use in spray compositions, the content of active ingredient is from 0.001 to 80 weights %, preferably from 0.01 to 50 weight % and most preferably from 0.01 to 15 weight %. The compounds of formula I and its respective compositions can also be used in mosquito and fumigating coils, smoke cartridges, vaporizer plates or long-term vaporizers and also in moth papers, moth pads or other heat-independent vaporizer systems.
Methods to control infectious diseases transmitted by insects (e.g. malaria, dengue and yellow fever, lymphatic filariasis, and leishmaniasis) with compounds of formula I and its respective compositions also comprise treating surfaces of huts and houses, air spraying and impregnation of curtains, tents, clothing items, bed nets, tsetse-fly trap or the like. Insecticidal compositions for application to fibers, fabric, knitgoods, nonwov- ens, netting material or foils and tarpaulins preferably comprise a mixture including the insecticide, optionally a repellent and at least one binder. Suitable repellents for example are Ν, Ν-Diethyl-meta-toluamide (DEET), Ν,Ν-diethylphenylacetamide (DEPA), 1 - (3-cyclohexan-1-yl-carbonyl)-2-methylpiperine, (2-hydroxymethylcyclohexyl) acetic acid lactone, 2-ethyl-1 ,3-hexandiol, indalone, Methylneodecanamide (MNDA), a pyrethroid not used for insect control such as {(+/-)-3-allyl-2-methyl-4-oxocyclopent-2-(+)-enyl-(+)- trans-chrysantemate (Esbiothrin), a repellent derived from or identical with plant extracts like limonene, eugenol, (+)-Eucamalol (1 ), (-)-l-epi-eucamalol or crude plant extracts from plants like Eucalyptus maculata, Vitex rotundifolia, Cymbopogan martinii, Cymbopogan citratus (lemon grass), Cymopogan nartdus (citronella). Suitable binders are selected for example from polymers and copolymers of vinyl esters of aliphatic ac- ids (such as such as vinyl acetate and vinyl versatate), acrylic and methacrylic esters of alcohols, such as butyl acrylate, 2-ethylhexylacrylate, and methyl acrylate, mono- and di-ethylenically unsaturated hydrocarbons, such as styrene, and aliphatic diens, such as butadiene. The impregnation of curtains and bednets is done in general by dipping the textile material into emulsions or dispersions of the insecticide or spraying them onto the nets.
The compounds of formula I and its compositions can be used for protecting wooden materials such as trees, board fences, sleepers, etc. and buildings such as houses, outhouses, factories, but also construction materials, furniture, leathers, fibers, vinyl articles, electric wires and cables etc. from ants and/or termites, and for controlling ants and termites from doing harm to crops or human being (e.g. when the pests invade into houses and public facilities). The compounds of formula I are applied not only to the surrounding soil surface or into the under-floor soil in order to protect wooden materials but it can also be applied to lumbered articles such as surfaces of the under-floor concrete, alcove posts, beams, plywoods, furniture, etc., wooden articles such as particle boards, half boards, etc. and vinyl articles such as coated electric wires, vinyl sheets, heat insulating material such as styrene foams, etc. In case of application against ants
doing harm to crops or human beings, the ant controller of the present invention is applied to the crops or the surrounding soil, or is directly applied to the nest of ants or the like. Seed treatment
The compounds of formula I are also suitable for the treatment of seeds in order to protect the seed from insect pest, in particular from soil-living insect pests and the resulting plant's roots and shoots against soil pests and foliar insects.
The compounds of formula I are particularly useful for the protection of the seed from soil pests and the resulting plant's roots and shoots against soil pests and foliar insects. The protection of the resulting plant's roots and shoots is preferred. More preferred is the protection of resulting plant's shoots from piercing and sucking insects, wherein the protection from aphids is most preferred.
The present invention therefore comprises a method for the protection of seeds from insects, in particular from soil insects and of the seedlings' roots and shoots from insects, in particular from soil and foliar insects, said method comprising contacting the seeds before sowing and/or after pregermination with a compound of the general formula I or a salt thereof. Particularly preferred is a method, wherein the plant's roots and shoots are protected, more preferably a method, wherein the plants shoots are protected form piercing and sucking insects, most preferably aa method, wherein the plants shoots are protected from aphids.
The term seed embraces seeds and plant propagules of all kinds including but not limited to true seeds, seed pieces, suckers, corms, bulbs, fruit, tubers, grains, cuttings, cut shoots and the like and means in a preferred embodiment true seeds. The term seed treatment comprises all suitable seed treatment techniques known in the art, such as seed dressing, seed coating, seed dusting, seed soaking and seed pelleting.
The present invention also comprises seeds coated with or containing the active compound.
The term "coated with and/or containing" generally signifies that the active ingredient is for the most part on the surface of the propagation product at the time of application, although a greater or lesser part of the ingredient may penetrate into the propagation product, depending on the method of application. When the said propagation product is (re)planted, it may absorb the active ingredient.
Suitable seed is seed of cereals, root crops, oil crops, vegetables, spices, ornamentals, for example seed of durum and other wheat, barley, oats, rye, maize (fodder maize and
sugar maize / sweet and field corn), soybeans, oil crops, crucifers, cotton, sunflowers, bananas, rice, oilseed rape, turnip rape, sugarbeet, fodder beet, eggplants, potatoes, grass, lawn, turf, fodder grass, tomatoes, leeks, pumpkin/squash, cabbage, iceberg lettuce, pepper, cucumbers, melons, Brassica species, melons, beans, peas, garlic, onions, carrots, tuberous plants such as potatoes, sugar cane, tobacco, grapes, petunias, geranium/pelargoniums, pansies and impatiens.
In addition, the active compound may also be used for the treatment seeds from plants, which tolerate the action of herbicides or fungicides or insecticides owing to breeding, including genetic engineering methods.
For example, the active compound can be employed in treatment of seeds from plants, which are resistant to herbicides from the group consisting of the sulfonylureas, imida- zolinones, glufosinate-ammonium or glyphosate-isopropylammonium and analogous active substances (see for example, EP-A-0242236, EP-A-242246) (WO 92/00377)
(EP-A-0257993, U.S. Pat. No. 5,013,659) or in transgenic crop plants, for example cotton, with the capability of producing Bacillus thuringiensis toxins (Bt toxins) which make the plants resistant to certain pests (EP-A-0142924, EP-A-0193259), Furthermore, the active compound can be used also for the treatment of seeds from plants, which have modified characteristics in comparison with existing plants consist, which can be generated for example by traditional breeding methods and/or the generation of mutants, or by recombinant procedures). For example, a number of cases have been described of recombinant modifications of crop plants for the purpose of modifying the starch synthesized in the plants (e.g. WO 92/1 1376, WO 92/14827, WO 91/19806) or of transgenic crop plants having a modified fatty acid composition (WO 91/13972).
The seed treatment application of the active compound is carried out by spraying or by dusting the seeds before sowing of the plants and before emergence of the plants.
Compositions which are especially useful for seed treatment are e.g.:
A Soluble concentrates (SL, LS)
D Emulsions (EW, EO, ES)
E Suspensions (SC, OD, FS)
F Water-dispersible granules and water-soluble granules (WG, SG)
G Water-dispersible powders and water-soluble powders (WP, SP, WS)
H Gel-Formulations (GF)
I Dustable powders (DP, DS)
Conventional seed treatment formulations include for example flowable concentrates FS, solutions LS, powders for dry treatment DS, water dispersible powders for slurry
treatment WS, water-soluble powders SS and emulsion ES and EC and gel formulation GF. These formulations can be applied to the seed diluted or undiluted. Application to the seeds is carried out before sowing, either directly on the seeds or after having pre- germinated the latter
In a preferred embodiment a FS formulation is used for seed treatment. Typcially, a FS formulation may comprise 1-800 g/l of active ingredient, 1-200 g/l Surfactant, 0 to 200 g/l antifreezing agent, 0 to 400 g/l of binder, 0 to 200 g/l of a pigment and up to 1 liter of a solvent, preferably water.
Especially preferred FS formulations of compounds of formula I for seed treatment usually comprise from 0.1 to 80% by weight (1 to 800 g/l) of the active ingredient, from 0.1 to 20 % by weight (1 to 200 g/l) of at least one surfactant, e.g. 0.05 to 5 % by weight of a wetter and from 0.5 to 15 % by weight of a dispersing agent, up to 20 % by weight, e.g. from 5 to 20 % of an anti-freeze agent, from 0 to 15 % by weight, e.g. 1 to 15 % by weight of a pigment and/or a dye, from 0 to 40 % by weight, e.g. 1 to 40 % by weight of a binder (sticker /adhesion agent), optionally up to 5 % by weight, e.g. from 0.1 to 5 % by weight of a thickener, optionally from 0.1 to 2 % of an anti-foam agent, and optionally a preservative such as a biocide, antioxidant or the like, e.g. in an amount from 0.01 to 1 % by weight and a filler/vehicle up to 100 % by weight.
Seed Treatment formulations may additionally also comprise binders and optionally colorants. Binders can be added to improve the adhesion of the active materials on the seeds after treatment. Suitable binders are homo- and copolymers from alkylene oxides like ethylene oxide or propylene oxide, polyvinylacetate, polyvinylalcohols, polyvinylpyrrolidones, and copolymers thereof, ethylene-vinyl acetate copolymers, acrylic homo- and copolymers, polyethyleneamines, polyethyleneamides and polyethyleneimines, poly- saccharides like celluloses, tylose and starch, polyolefin homo- and copolymers like olefin/maleic anhydride copolymers, polyurethanes, polyesters, polystyrene homo and copolymers
Optionally, also colorants can be included in the formulation. Suitable colorants or dyes for seed treatment formulations are Rhodamin B, C.I. Pigment Red 1 12, C.I. Solvent Red 1 , pigment blue 15:4, pigment blue 15:3, pigment blue 15:2, pigment blue 15:1 , pigment blue 80, pigment yellow 1 , pigment yellow 13, pigment red 1 12, pigment red 48:2, pigment red 48:1 , pigment red 57:1 , pigment red 53:1 , pigment orange 43, pigment orange 34, pigment orange 5, pigment green 36, pigment green 7, pigment white 6, pigment brown 25, basic violet 10, basic violet 49, acid red 51 , acid red 52, acid red 14, acid blue 9, acid yellow 23, basic red 10, basic red 108.
Examples of a gelling agent is carrageen (Satiagel®)
In the treatment of seed, the application rates of the compounds I are generally from 0.1 g to 10 kg per 100 kg of seed, preferably from 1 g to 5 kg per 100 kg of seed, more preferably from 1 g to 1000 g per 100 kg of seed and in particular from 1 g to 200 g per 100 kg of seed.
The invention therefore also relates to seed comprising a compound of the formula I, or an agriculturally useful salt of I, as defined herein. The amount of the compound I or the agriculturally useful salt thereof will in general vary from 0.1 g to 10 kg per 100 kg of seed, preferably from 1 g to 5 kg per 100 kg of seed, in particular from 1 g to 1000 g per 100 kg of seed. For specific crops such as lettuce the rate can be higher.
Animal health The compounds of formula I, or the enantiomers, diastereomers or veterinarily acceptable salts thereof are in particular also suitable for being used for combating parasites in and on animals.
An object of the present invention is therfore also to provide new methods to control parasites in and on animals. Another object of the invention is to provide safer pesticides for animals. Another object of the invention is further to provide pesticides for animals that may be used in lower doses than existing pesticides. And another object of the invention is to provide pesticides for animals, which provide a long residual control of the parasites.
The invention also relates to compositions containing a parasiticidally effective amount of compounds of formula I or the enantiomers or veterinarily acceptable salts thereof and an acceptable carrier, for combating parasites in and on animals. The present invention also provides a method for treating, controlling, preventing and protecting animals against infestation and infection by parasites, which comprises orally, topically or parenterally administering or applying to the animals a parasiticidally effective amount of a compound of formula I or the enantiomers or veterinarily acceptable salts thereof or a composition comprising it.
The present invention also provides a non-therapeutic method for treating, controlling, preventing and protecting animals against infestation and infection by parasites, which comprises applying to a locus a parasiticidally effective amount of a compound of formula I or the enantiomers or veterinarily acceptable salts thereof or a composition comprising it.
The invention also provides a process for the preparation of a composition for treating, controlling, preventing or protecting animals against infestation or infection by parasites
which comprises including a parasiticidally effective amount of a compound of formula I or the enantiomers or veterinarily acceptable salts thereof in a composition comprising it. The invention relates further to the use of compounds of formula I for treating, controlling, preventing or protecting animals against infestation or infection by parasites. The invention relates also to the use of a compound of formula I, or a composition comprising it, for the manufacture of a medicament for the therapeutic treatment of animals against infections or infestions by parasites.
Activity of compounds against agricultural pests does not suggest their suitability for control of endo- and ectoparasites in and on animals which requires, for example, low, non-emetic dosages in the case of oral application, metabolic compatibility with the animal, low toxicity, and a safe handling.
Surprisingly it has now been found that compounds of formula I are suitable for combating endo- and ectoparasites in and on animals. The compounds of formula I or the enantiomers or veterinarily acceptable salts thereof and compositions comprising them are suitable for systemic and/or non-systemic control of ecto- and/or endoparasites. They are active against all or some stages of development.
Compounds of formula I or the enantiomers or veterinarily acceptable salts thereof and compositions comprising them are preferably used for controlling and preventing infestations and infections animals including warm-blooded animals (including humans) and fish. They are for example suitable for controlling and preventing infestations and infections in mammals such as cattle, sheep, swine, camels, deer, horses, pigs, poultry, rabbits, goats, dogs and cats, water buffalo, donkeys, fallow deer and reindeer, and also in fur-bearing animals such as mink, chinchilla and raccoon, birds such as hens, geese, turkeys and ducks and fish such as fresh- and salt-water fish such as trout, carp and eels.
Compounds of formula I or the enantiomers or veterinarily acceptable salts thereof and compositions comprising them are preferably used for controlling and preventing infestations and infections in domestic animals, such as dogs or cats.
Infestations in warm-blooded animals and fish include, but are not limited to, lice, biting lice, ticks, nasal bots, keds, biting flies, muscoid flies, flies, myiasitic fly larvae, chig- gers, gnats, mosquitoes and fleas. The compounds of formula I are especially useful for combating ectoparasites.
The compounds of formula I are especially useful for combating endoparasites.
The compounds of formula I are especially useful for combating parasites of the following orders and species, respectively: fleas (Siphonaptera), e.g. Ctenocephalides felis, Ctenocephalides canis, Xenopsylla cheopis, Pulex irritans, Tunga penetrans, and Nosopsyllus fasciatus; cockroaches (Blattaria - Blattodea), e.g. Blattella germanica, Blattella asahinae, Pe- riplaneta americana, Periplaneta japonica, Periplaneta brunnea, Periplaneta fuliggi- nosa, Periplaneta australasiae, and Blatta orientalis; flies, mosquitoes (Diptera), e.g. Aedes aegypti, Aedes albopictus, Aedes vexans, An- astrepha ludens, Anopheles maculipennis, Anopheles crucians, Anopheles albimanus, Anopheles gambiae, Anopheles freeborni, Anopheles leucosphyrus, Anopheles minimus, Anopheles quadrimaculatus, Calliphora vicina, Chrysomya bezziana, Chrysomya hominivorax, Chrysomya macellaria, Chrysops discalis, Chrysops silacea, Chrysops atlanticus, Cochliomyia hominivorax, Cordylobia anthropophaga, Culicoides furens, Culex pipiens, Culex nigripalpus, Culex quinquefasciatus, Culex tarsalis, Culiseta inor- nata, Culiseta melanura, Dermatobia hominis, Fannia canicularis, Gasterophilus intes- tinalis, Glossina morsitans, Clossina palpalis, Clossina fuscipes, Glossina tachinoides, Haematobia irritans, Haplodiplosis equestris, Hippelates spp., Hypoderma lineata, Lep- toconops torrens, Lucilia caprina, Lucilia cuprina, Lucilia sericata, Lycoria pectoralis, Mansonia spp., Musca domestica, Muscina stabulans, Oestrus ovis, Phlebotomus ar- gentipes, Psorophora columbiae, Psorophora discolor, Prosimulium mixtum, Sar- cophaga haemorrhoidalis, Sarcophaga sp., Simulium vittatum, Stomoxys calcitrans, Tabanus bovinus, Tabanus atratus, Tabanus lineola and Tabanus similis; lice (Phthiraptera), e.g. Pediculus humanus capitis, Pediculus humanus corporis, Pthi- rus pubis, Haematopinus eurystemus, Haematopinus suis, Linognathus vituli, Bovicola bovis, Menopon gallinae, Menacanthus stramineus and Solenopotes capillatus; ticks and parasitic mites (Parasitiformes): ticks (Ixodida), e.g. Ixodes scapularis, Ixodes holocyclus, Ixodes pacificus, Rhiphicephalus sanguineus, Dermacentor andersoni, Dermacentor variabilis, Amblyomma americanum, Ambryomma maculatum, Orni- thodorus hermsi, Ornithodorus turicata and parasitic mites (Mesostigmata), e.g. Orni- thonyssus bacoti and Dermanyssus gallinae;
Actinedida (Prostigmata) und Acaridida (Astigmata) e.g. Acarapis spp., Cheyletiella spp., Ornithocheyletia spp., Myobia spp., Psorergates spp., Demodex spp., Trombicula spp., Listrophorus spp., Acarus spp., Tyrophagus spp., Caloglyphus spp., Hypodectes spp., Pterolichus spp., Psoroptes spp., Chorioptes spp., Otodectes spp., Sarcoptes spp., Notoedres spp.,Knemidocoptes spp., Cytodites spp, and Laminosioptes spp;
Bugs (Heteropterida): Cimex lectularius, Cimex hemipterus, Reduvius senilis, Triatoma spp., Rhodnius ssp., Panstrongylus ssp. and Arilus critatus:,
Anoplurida, e.g. Haematopinus spp., Linognathus spp., Pediculus spp., Phtirus spp., and Solenopotes spp.;
Mallophagida (suborders Arnblycerina and Ischnocerina), e.g. Trimenopon spp., Menopon spp., Trinoton spp., Bovicola spp., Werneckiella spp., Lepikentron spp., Trichodectes spp. and Felicola spp.;
Roundworms Nematoda:
Wipeworms and Trichinosis (Trichosyringida), e.g. Trichinellidae (Trichinella spp.), (Trichuridae) Trichuris spp., Capillaria spp;
Rhabditida, e.g. Rhabditis spp, Strongyloides spp., Helicephalobus spp.;
Strongylida, e.g. Strongylus spp., Ancylostoma spp., Necator americanus, Bunosto- mum spp. (Hookworm), Trichostrongylus spp., Haemonchus contortus., Ostertagia spp. , Cooperia spp., Nematodirus spp., Dictyocaulus spp., Cyathostoma spp., Oe- sophagostomum spp., Stephanurus dentatus, Ollulanus spp., Chabertia spp., Stepha- nurus dentatus , Syngamus trachea, Ancylostoma spp., Uncinaria spp., Globocephalus spp., Necator spp., Metastrongylus spp., Muellerius capillaris, Protostrongylus spp., Angiostrongylus spp., Parelaphostrongylus spp. Aleurostrongylus abstrusus and Dioc- tophyma renale;
Intestinal roundworms (Ascaridida), e.g. Ascaris lumbricoides, Ascaris suum, Ascaridia galli, Parascaris equorum, Enterobius vermicularis (Threadworm), Toxocara cam's, Toxascaris leonine, Skrjabinema spp, and Oxyuris equi,
Camallanida, e.g. Dracunculus medinensis (guinea worm)
Spirurida, e.g. Thelazia spp. Wuchereria spp., Brugia spp., Onchocerca spp., Dirofilari spp.a, Dipetalonema spp., Setaria spp., Elaeophora spp., Spirocerca lupi and Habro- nema spp.,
Thorny headed worms (Acanthocephala), e.g. Acanthocephalus spp., Macracanthor- hynchus hirudinaceus and Oncicola spp, Planarians (Plathelminthes):
Flukes (Trematoda), e.g. Faciola spp., Fascioloides magna, Paragonimus spp., Dicro- coelium spp., Fasciolopsis buski, Clonorchis sinensis, Schistosoma spp., Trichobilhar- zia spp., Alaria alata, Paragonimus spp. and Nanocyetes spp, Cercomeromorpha, in particular Cestoda (Tapeworms), e.g. Diphyllobothrium spp., Tenia spp., Echinococcus spp., Dipylidium caninum, Muiticeps spp., Hymenolepis spp., Mesocestoides spp., Vampirolepis spp., Moniezia spp., Anopiocephaia spp., Sirometra spp., Anopiocephaia spp, and Hymenolepis spp. The present invention relates to the therapeutic and the non-therapeutic use of compounds of formula I for controlling and/or combating parasites in and/or on animals.
The compounds of formula I may be used to protect the animals from attack or infestation by parasites by contacting them with a parasitically effective amount of compounds of formula I. As such, "contacting" includes both direct contact (applying the compounds/compositions directly on the parasite, including the application directly on the animal or excluding the application directly on the animal, e.g. at it's locus for the latter) and indirect contact (applying the compounds/compositions to the locus of the parasite). The contact of the parasite through application to its locus is an example of a non-therapeutic use of compounds of formula I.
"Locus" as defined above means the habitat, food supply, breeding ground, area, material or environment in which a parasite is growing or may grow outside of the animal. The compounds of the invention can also be applied preventively to places at which occurrence of the pests or parasites is expected.
The compounds of formula I can be effective through both contact (via soil, glass, wall, bed net, carpet, blankets or animal parts) and ingestion (e.g. baits). The administration can be carried out prophylactically, therapeutically or non- therapeutically.
Administration of the active compounds is carried out directly or in the form of suitable preparations, orally, topically/dermally or parenterally.
In general, "parasiticidally effective amount" means the amount of active ingredient needed to achieve an observable effect on growth, including the effects of necrosis, death, retardation, prevention, and removal, destruction, or otherwise diminishing the occurrence and activity of the target organism. The parasiticidally effective amount can vary for the various compounds/compositions used in the invention. A parasiticidally effective amount of the compositions will also vary according to the prevailing conditions such as desired parasiticidal effect and duration, target species, mode of application, and the like.
Generally it is favorable to apply the compounds of formula I in total amounts of 0.5 mg/kg to 100 mg/kg per day, preferably 1 mg/kg to 50 mg/kg per day. For oral administration to warm-blooded animals, the formula I compounds may be formulated as animal feeds, animal feed premixes, animal feed concentrates, pills, solutions, pastes, suspensions, drenches, gels, tablets, boluses and capsules. In addition, the formula I compounds may be administered to the animals in their drinking water. For oral administration, the dosage form chosen should provide the animal with 0.01 mg/kg to 100 mg/kg of animal body weight per day of the formula I compound, preferably with 0.5 mg/kg to 100 mg/kg of animal body weight per day.
Alternatively, the formula I compounds may be administered to animals parenterally, for example, by intraruminal, intramuscular, intravenous or subcutaneous injection. The formula I compounds may be dispersed or dissolved in a physiologically acceptable carrier for subcutaneous injection. Alternatively, the formula I compounds may be formulated into an implant for subcutaneous administration. In addition the formula I compound may be transdermally administered to animals. For parenteral administration, the dosage form chosen should provide the animal with 0.01 mg/kg to 100 mg/kg of animal body weight per day of the formula I compound.
The formula I compounds may also be applied topically to the animals in the form of dips, dusts, powders, collars, medallions, sprays, shampoos, spot-on and pour-on formulations and in ointments or oil-in-water or water-in-oil emulsions. For topical applica- tion, dips and sprays usually contain 0.5 ppm to 5,000 ppm and preferably 1 ppm to 3,000 ppm of the formula I compound. In addition, the formula I compounds may be formulated as ear tags for animals, particularly quadrupeds such as cattle and sheep.
Suitable preparations are:
- Solutions such as oral solutions, concentrates for oral administration after dilution, solutions for use on the skin or in body cavities, pouring-on formulations, gels;
- Emulsions and suspensions for oral or dermal administration; semi-solid preparations;
- Formulations in which the active compound is processed in an ointment base or in an oil-in-water or water-in-oil emulsion base;
- Solid preparations such as powders, premixes or concentrates, granules, pellets, tablets, boluses, capsules; aerosols and inhalants, and active compound-containing shaped articles.
Compositions suitable for injection are prepared by dissolving the active ingredient in a suitable solvent and optionally adding further ingredients such as acids, bases, buffer salts, preservatives, and solubilizers. The solutions are filtered and filled sterile. Suitable solvents are physiologically tolerable solvents such as water, alkanols such as ethanol, butanol, benzyl alcohol, glycerol, propylene glycol, polyethylene glycols, N- methyl-pyrrolidone, 2-pyrrolidone, and mixtures thereof.
The active compounds can optionally be dissolved in physiologically tolerable vegeta- ble or synthetic oils which are suitable for injection.
Suitable solubilizers are solvents which promote the dissolution of the active compound in the main solvent or prevent its precipitation. Examples are polyvinylpyrrolidone, polyvinyl alcohol, polyoxyethylated castor oil, and polyoxyethylated sorbitan ester.
Suitable preservatives are benzyl alcohol, trichlorobutanol, p-hydroxybenzoic acid esters, and n-butanol.
Oral solutions are administered directly. Concentrates are administered orally after prior dilution to the use concentration. Oral solutions and concentrates are prepared according to the state of the art and as described above for injection solutions, sterile procedures not being necessary.
Solutions for use on the skin are trickled on, spread on, rubbed in, sprinkled on or sprayed on.
Solutions for use on the skin are prepared according to the state of the art and according to what is described above for injection solutions, sterile procedures not being necessary.
Further suitable solvents are polypropylene glycol, phenyl ethanol, phenoxy ethanol, ester such as ethyl or butyl acetate, benzyl benzoate, ethers such as alkyleneglycol alkylether, e.g. dipropylenglycol monomethylether, ketons such as acetone, me- thylethylketone, aromatic hydrocarbons, vegetable and synthetic oils, dimethylforma- mide, dimethylacetamide, transcutol, solketal, propylencarbonate, and mixtures thereof.
It may be advantageous to add thickeners during preparation. Suitable thickeners are inorganic thickeners such as bentonites, colloidal silicic acid, aluminium monostearate, organic thickeners such as cellulose derivatives, polyvinyl alcohols and their copolymers, acrylates and methacrylates.
Gels are applied to or spread on the skin or introduced into body cavities. Gels are prepared by treating solutions which have been prepared as described in the case of the injection solutions with sufficient thickener that a clear material having an ointmentlike consistency results. The thickeners employed are the thickeners given above.
Pour-on formulations are poured or sprayed onto limited areas of the skin, the active compound penetrating the skin and acting systemically.
Pour-on formulations are prepared by dissolving, suspending or emulsifying the active compound in suitable skin-compatible solvents or solvent mixtures. If appropriate, other auxiliaries such as colorants, bioabsorption-promoting substances, antioxidants, light stabilizers, adhesives are added.
Suitable solvents which are: water, alkanols, glycols, polyethylene glycols, polypropyl- ene glycols, glycerol, aromatic alcohols such as benzyl alcohol, phenylethanol, phenoxyethanol, esters such as ethyl acetate, butyl acetate, benzyl benzoate, ethers such as alkylene glycol alkyl ethers such as dipropylene glycol monomethyl ether, di- ethylene glycol mono-butyl ether, ketones such as acetone, methyl ethyl ketone, cyclic carbonates such as propylene carbonate, ethylene carbonate, aromatic and/or aliphatic hydrocarbons, vegetable or synthetic oils, DMF, dimethylacetamide, n-alkylpyrrolidones such as methylpyrrolidone, n-butylpyrrolidone or n-octylpyrrolidone, N- methylpyrrolidone, 2-pyrrolidone, 2,2-dimethyl-4-oxy-methylene-1 ,3-diox- olane and glycerol formal. Suitable colorants are all colorants permitted for use on animals and which can be dissolved or suspended.
Suitable absorption-promoting substances are, for example, DMSO, spreading oils such as isopropyl myristate, dipropylene glycol pelargonate, silicone oils and copoly- mers thereof with polyethers, fatty acid esters, triglycerides, fatty alcohols.
Suitable antioxidants are sulfites or metabisulfites such as potassium metabisulfite, ascorbic acid, butylhydroxytoluene, butylhydroxyanisole, tocopherol. Suitable light stabilizers are, for example, novantisolic acid.
Suitable adhesives are, for example, cellulose derivatives, starch derivatives, polyacry- lates, natural polymers such as alginates, gelatin. Emulsions can be administered orally, dermally or as injections.
Emulsions are either of the water-in-oil type or of the oil-in-water type.
They are prepared by dissolving the active compound either in the hydrophobic or in the hydrophilic phase and homogenizing this with the solvent of the other phase with the aid of suitable emulsifiers and, if appropriate, other auxiliaries such as colorants, absorption-promoting substances, preservatives, antioxidants, light stabilizers, viscos- ity-enhancing substances.
Suitable hydrophobic phases (oils) are:
liquid paraffins, silicone oils, natural vegetable oils such as sesame oil, almond oil, castor oil, synthetic triglycerides such as caprylic/capric biglyceride, triglyceride mixture with vegetable fatty acids of the chain length C8-C12 or other specially selected natural fatty acids, partial glyceride mixtures of saturated or unsaturated fatty acids possibly also containing hydroxyl groups, mono- and diglycerides of the C8-C10 fatty acids, fatty acid esters such as ethyl stearate, di-n-butyryl adipate, hexyl laurate, dipropylene glycol perlargonate, esters of a branched fatty acid of medium chain length with satu- rated fatty alcohols of chain length C16-C18, isopropyl myristate, isopropyl palmitate, caprylic/capric acid esters of saturated fatty alcohols of chain length C12-C18, isopropyl stearate, oleyl oleate, decyl oleate, ethyl oleate, ethyl lactate, waxy fatty acid esters such as synthetic duck coccygeal gland fat, dibutyl phthalate, diisopropyl adipate, and ester mixtures related to the latter, fatty alcohols such as isotridecyl alcohol, 2- octyldodecanol, cetylstearyl alcohol, oleyl alcohol, and fatty acids such as oleic acid and mixtures thereof.
Suitable hydrophilic phases are: water, alcohols such as propylene glycol, glycerol, sorbitol and mixtures thereof.
Suitable emulsifiers are:
non-ionic surfactants, e.g. polyethoxylated castor oil, polyethoxylated sorbitan monoo- leate, sorbitan monostearate, glycerol monostearate, polyoxyethyl stearate, alkylphenol polyglycol ether;
ampholytic surfactants such as di-sodium N-lauryl-p-iminodipropionate or lecithin; anionic surfactants, such as sodium lauryl sulfate, fatty alcohol ether sulfates, mono/dialkyl polyglycol ether orthophosphoric acid ester monoethanolamine salt;
cation-active surfactants, such as cetyltrimethylammonium chloride. Suitable further auxiliaries are: substances which enhance the viscosity and stabilize the emulsion, such as carboxymethylcellulose, methylcellulose and other cellulose and starch derivatives, polyacrylates, alginates, gelatin, gum arabic, polyvinylpyrrolidone, polyvinyl alcohol, copolymers of methyl vinyl ether and maleic anhydride, polyethylene glycols, waxes, colloidal silicic acid or mixtures of the substances mentioned.
Suspensions can be administered orally or topically/dermally. They are prepared by suspending the active compound in a suspending agent, if appropriate with addition of
other auxiliaries such as wetting agents, colorants, bioabsorption-promoting substances, preservatives, antioxidants, light stabilizers.
Liquid suspending agents are all homogeneous solvents and solvent mixtures. Suitable wetting agents (dispersants) are the emulsifiers given above. Other auxiliaries which may be mentioned are those given above.
Semi-solid preparations can be administered orally or topically/dermally. They differ from the suspensions and emulsions described above only by their higher viscosity.
For the production of solid preparations, the active compound is mixed with suitable excipients, if appropriate with addition of auxiliaries, and brought into the desired form.
Suitable excipients are all physiologically tolerable solid inert substances. Those used are inorganic and organic substances. Inorganic substances are, for example, sodium chloride, carbonates such as calcium carbonate, hydrogencarbonates, aluminium oxides, titanium oxide, silicic acids, argillaceous earths, precipitated or colloidal silica, or phosphates. Organic substances are, for example, sugar, cellulose, foodstuffs and feeds such as milk powder, animal meal, grain meals and shreds, starches.
Suitable auxiliaries are preservatives, antioxidants, and/or colorants which have been mentioned above.
Other suitable auxiliaries are lubricants and glidants such as magnesium stearate, stearic acid, talc, bentonites, disintegration-promoting substances such as starch or crosslinked polyvinylpyrrolidone, binders such as starch, gelatin or linear polyvinylpyrrolidone, and dry binders such as microcrystalline cellulose.
The compositions which can be used in the invention can comprise generally from about 0.001 to 95% of the compound of formula I.
Ready-to-use preparations contain the compounds acting against parasites, preferably ectoparasites, in concentrations of 10 ppm to 80 per cent by weight, preferably from 0.1 to 65 per cent by weight, more preferably from 1 to 50 per cent by weight, most preferably from 5 to 40 per cent by weight.
Preparations which are diluted before use contain the compounds acting against ecto- parasites in concentrations of 0.5 to 90 per cent by weight, preferably of 1 to 50 per cent by weight.
Furthermore, the preparations comprise the compounds of formula I against endopara- sites in concentrations of 10 ppm to 2 per cent by weight, preferably of 0.05 to 0.9 per cent by weight, very particularly preferably of 0.005 to 0.25 per cent by weight. The compositions comprising the compounds of formula I them can be applied orally, parenterally or topically, respectively dermally. For example, optionally the topical application is conducted in the form of compound-containing shaped articles such as collars, medallions, ear tags, bands for fixing at body parts, and adhesive strips and foils. Generally it is favorable to apply solid formulations which release compounds of formula I in total amounts of 10 mg/kg to 300 mg/kg, preferably 20 mg/kg to 200 mg/kg, most preferably 25 mg/kg to 160 mg/kg body weight of the treated animal in the course of three weeks. For the preparation of the shaped articles, thermoplastic and flexible plastics as well as elastomers and thermoplastic elastomers are used. Suitable plastics and elastomers are polyvinyl resins, polyurethane, polyacrylate, epoxy resins, cellulose, cellulose derivatives, polyamides and polyester which are sufficiently compatible with the compounds of formula I. A detailed list of plastics and elastomers as well as preparation procedures for the shaped articles is given e.g. in WO 03/086075.
The active compounds can also be used as a mixture with synergists or with other active compounds which act against pathogenic endo- and ectoparasites.
When applied in a mixture with synergists or with other active compounds the active compounds of formula I can be applied for example with synthetic coccidiosis compounds, polyetherantibiotics as Amprolium, Robenidin, Toltrazuril, Monensin, Salino- mycin, Maduramicin, Lasalocid, Narasin or Semduramicin or with other pesticides which are described in the list M (M.1 to M.27) above. Examples
The present invention is now illustrated in further details by the following examples. C. Compound examples of formula I
Table E.1 Examples of compounds according to formula l-E:
formula (l-E)
No. Het R1 R2 R3 R4 m Comment
1 H H CH3 CH3 0 racemate
2 H H (X' CH3 0 racemate
1 :1 mixture of
3 CH3 H CH3 H 0 racemic di- astereomers mixture of
4 CH3 H -CH2CH2- 0 racemic di- astereomers
2:1 mixture of
5 CH3 H CH2CH3 CH3 0 racemic di- astereomers
6 H H CH3 CH3 1 racemate single racemic
7 CH3 H CH3 H 1
diastereomer
5:1 mixture of
8 CH3 H CH3 CH3 1 racemic di- astereomers
4:1 mixture of
9 CH3 H CH2CH3 CH3 1 racemic di- astereomers
Table E.2 Examples of compounds according to formula l-F:
No. Het R1a R2a R2b R3 m Comment
2:1 mixture of
10 H H H CH3 1
racemic diaste-
reomers
The Compound examples can be characterized e.g. by coupled High Performance Liquid Chromatography / mass spectrometry (HPLC/MS), by 1H-NMR and/or by their melting points.
Analytical HPLC column: RP-18 column Chromolith Speed ROD from Merck KgaA, Germany). Elution: acetonitrile + 0.1 % trifluoroacetic acid (TFA) / water + 0.1 % trifluoroacetic acid (TFA) in a ratio of from 5:95 to 95:5 in 5 minutes at 40 °C. 1H-NMR. The signals are characterized by chemical shift (ppm) vs. tetramethylsilane, by their multiplicity and by their integral (relative number of hydrogen atoms given). The following abbreviations are used to characterize the multiplicity of the signals: m = multiples, q = quartett, t = triplett, d = doublet and s = singulett. Table E: Physico-chemical data of the compound examples given above in tables
E.1 and E.2
Compound melting point mp [°C] or
No. retention time tr [min], m/z (HPLC/MS) or
1H-NMR (CDC ) [δ ppm]
tr = 1.92 min
10
m/z = 285 (M+H)
S. Synthesis examples for compounds of formula I
S.1 Synthesis Example of
(1.1 )
Methanesulfonyl chloride (15.88 g, 138.6 mmol) was added dropwise to a solution of 1- (6-chloro-pyridin-3-yl)-ethanol (18.2 g, 1 15.5 mmol; Bioscience, Biotechnology and Biochemistry 2003, 67 (5), 980-988) and triethyl amine (17.53 g, 173.2 mmol) in CH2CI2 (400 mL) at -40 °C. The solution was allowed to warm to 0 °C within 1.5 h, then H20 was added and the aqueous phase was extracted twice with CH2CI2. The combined organic phases were dried over Na2SC"4 and evaporated in vacuo.
The residue was redissolved in DMF (300 mL) and AcSK (20.69 g, 177.6 mmol) was added. The solution was stirred at ambient temperature for 20 h. H2O was added and the resulting mixture was extracted twice with MTBE. The combined organic phases were washed with H2O (4 x), dried over MgSC and evaporated under reduced pressure to yield 23.5 g (92%) of thioacetic acid S-[1 -(6-chloro-pyridin-3-yl)-ethyl] ester (1 .1 ) as a brown oil. The product was used without further purification.
(5)
Sulfuryl chloride (2.76 g, 20.44 mmol) was added dropwise to a solution of thioacetic acid S-[1 -(6-chloro-pyridin-3-yl)-ethyl] ester (4.2 g, 19.47 mmol) in CCI4 (25 mL) at 0 °C. The solution was stirred at 0 °C for 30 min, then evaporated at this temperature in vacuo to yield 3.39 of the crude product as a dark oil. Without further purification, 2.42 g of the crude product were redissolved in a mixture of benzene (30 mL) and DMF (2.5 mL) and added dropwise to a solution of MeEtNH (2.06 g, 34.89 mmol) in benzene (30 mL) and DMF (2.5 mL) at 0 °C. The solution was allowed to warm to ambient temperature and stirred for 1.5 h. After evaporation of the solvent in vacuo, the residue was redissolved in MTBE and washed three times with aqueous buffer (pH 7). The organic phase was dried over Na2S04 and evaporated under reduced pressure.
The residue (1 .94 g) was redissolved in CH2CI2 (20 mL) and cooled to 0 °C. Cyana- mide (1.06 g, 25.22 mmol) and diacetoxyiodosobenzene (3.04 g, 9.25 mmol) were added, and the resulting orange suspention was allowed to warm to ambient temperature and stirred for 2 h. The solution was diluted with H2O and CH2CI2, and the aqueous phase was extracted twice with CH2CI2. The pooled organic phases were washed twice with saturated aqueous NaCI-solution, dried over Na2S04 and evaporated in vacuo. The resiude was purified by RP-chromatography (gradient of MeOH in H2O) to yield 400 mg (18%) of the desired sulfilamidine (5) as a 2:1 mixture of diastereomers.
LC-MS: mass calcd. for C11 H15CIN4S [M+H]+ 271 , found 271 ; tR = 2.1 1 min.
S.2 Synthesis Example of
Compound no. 9 of table E.1 A solution of K2CO3 (1.29 g, 9.35 mmol) in H20 (15 mL) was added to a solution of compound No. 5 (337 mg, 1.24 mmol) in EtOH (15 mL) at ambient temperature. A solution of mCPBA (1.61 g, 9.34 mmol) in EtOH was added dropwise within 30 min and the solution was stirred for additional 20 min. Solid K2CO3 (1.29 g, 9.35 mmol) was added, followed by dropwise addition of a solution of mCPBA (1.61 g, 9.34 mmol) in EtOH within 30 min. After stirring for 20 min, the resulting suspension was diluted with CH2CI2 and washed with 10% aqueous Na2C03-solution. The aqueous phase was extracted twice with CH2CI2 and the combined organic phases were dried over Na2S04 and evaporated in vacuo. The resiude was purified by RP-chromatography (gradient of CH3CN in H20) to yield 190 mg (52%) of the desired sulfonimidamide (9) as a 4:1 mix- ture of diastereomers.
LC-MS: mass calcd. for CnHi5CIN4NaOS [M+Na]+ 309, found 309; tR = 2.43 min.
A solution of benzyl N-allylcarbamate (138.9 g, 0.69 mol), thioacetic acid (157.4 g, 2.07 mol) and AIBN (catalytic amount) in toluene (700 ml_) was refluxed for 3 h. The solution was diluted with EtOAc and neutralized by slow addition of 10% aqueous Na2C03- solution. The organic phase was washed with saturated aqueous NaCI-solution, dried over MgSC-4 and evaporated under reduced pressure to yield 181 .6 g (98%) of thioace- tate (3.1 ).
LC-MS: mass calcd. for Ci3Hi8N03S [M+H]+ 268, found 268; tR = 2.80 min.
Concentrated HCI (65 ml.) was added to a solution of thioacetate (3.1 ) (181 .5 g, 0.68 mol) in MeOH (1 L) and the solution was refluxed for 16 h. The solvent was removed under reduced pressure and the residue was redissolved in methyl ieri-butyl ether. The solution was neutralized by slow addition of 10% aqueous NaHCC"3-solution. The organic phase was dried over MgSC and evaporated under reduced pressure to yield 124.2 g (81 %) of thiol (3.2).
A solution of H2O2 (30% in H2O, 62.4 g, 0.55 mol) was added dropwise to a solution of thiol (3.2) (124 g, 0.55 mol) and Nal (0.83 g, 5.5 mmol) in EtOAc (1 L) at 0 °C. The so- lution was allowed to warm to ambient temperature and stirred for 1 h. Saturated aqueous Na2S203-solution (300 ml.) was added and the aqueous phase was extracted twice with EtOAc. The combined organic phases were washed with saturated aqueous NaCI-
solution, dried over MgSC and evaporated under reduced pressure. The residue recrystallized from EtOAc to yield 92.4 g (75%) of disulfide (3.3).
LC-MS: mass calcd. for C22H29N2O4S2 [M+H]+ 449, found 449; tR = 3.54 min.
A solution of Br∑ (9.35 g, 58.5 mmol) in CH2CI2 (100 mL) was added dropwise to a solution of disulfide (3.3) (25 g, 55.7 mmol) and pyridine (67 g, 0.85 mol) in CH2CI2 (700 mL) at -78 °C within 4 h. The solution was allowed to warm to 0 °C and stirred at this temperature for 1 h. Saturated aqueous Na2S203-solution (300 mL) was added and the aqueous phase was extracted with C H2CI2. The combined organic phases were washed twice with H2O, then with saturated aqueous NaCI-solution, dried over Na2S04 and evaporated under reduced pressure to yield 25.6 g (97%) of sulfenamide (3.4) as a light brown oil.
LC-MS: mass calcd. for C11 H14NO2S [M+H]+ 224, found 224; tR = 2.80 min.
A solution of 'BuOCI (15 g, 138.1 mmol) in MeOH (240 mL) was added dropwise to a suspension of sodium cyanamide (8.84 g, 138.1 mmol) in MeOH (480 mL) at -50 °C. A solution of sulfenamide (3.4) (25.7 g, 115.1 mmol) in MeOH (240 mL) was added dropwise to this solution at -50 °C within 25 min. The solution was stirred at this tem- perature for 1 h, then H2O (600 mL) was added and stirring was continued at 10 °C for 1 h. The resulting suspension was filtered to yield a first crop (7.4 g) of the desired sul- filiminamide (4.5). The filtrate was concentrated to a volume of ca. 700 mL, and the resulting suspension was filtered. The residue was washed with H2O and crystallized from MeOH to yield a second crop (7.4 g) of sulfilamidine (3.5) (combined yield: 14.8 g, 46%).
LC-MS: mass calcd. for C12H14N3O2S [M+H]+ 264, found 264; tR = 2.1 1 min.
Step 3.6
An aqueous solution of NaOCI (ca. 10 %, 410 g) was added dropwise to a suspension of sulfilamidine (3.5) (18.2 g, 69.1 mmol) and Bu4NBr (0.9 g, 2.7 mmol) in EtOAc (450 mL). The biphasic solution was stirred at ambient temperature for 1 h, then the phases were separated and the aqueous phase was extracted with EtOAc. The combined or- ganic phases were washed with H2O, dried over Na2S04 and evaporated under reduced pressure to yield 15.4 g (72%) of sulfonimidamide (3.6).
LC-MS: mass calcd. for C12H14N3O3S [M+H]+ 280, found 280; tR = 2.29 min.
A solution of EtaN (3.08 g, 30.4 mmol) in CH2CI2 (60 mL) was added dropwise to a solution of Et3Si (10.6 g, 91.3 mmol) and Pd(OAc)2 (0.7 g, 3 mmol) in CH2CI2 (120 mL). A solution of sulfonimidamide (3.6) (8.5 g, 30.4 mmol) in CH2CI2 (60 mL) was added dropwise to the resulting dark solution. This solution was stirred at ambient temperature for 1 h, followed by concentration under reduced pressure. The residue was purified by flash column chromatography (Si02; CH2CI2/MeOH 20:1 ) to give 2.6 g (59%) of sulfonimidamide (3.7).
LC-MS: mass calcd. for C4H8N3OS [M+H]+ 146, found 146; tR = 0.97 min.
(3.7) (3.8)
A solution of DIAD (1.7 g, 7.88 mmol) in THF (30 mL) was added dropwise to a sus- pension of polymer-bound PPh3 (3.2 mmol/g, 7.88 mmol) in THF (80 mL) at 0 °C, and the suspension was kept at this temperature for 15 min. A solution of methanol (130 mg, 3.94 mmol) in THF (30 mL) was added dropwise, followed after 5 minutes by a solution of sulfonimidamide (3.7) (570 mg, 3.94 mmol) in THF (30 mL). The suspension was allowed to warm to ambient temperature and kept at this temperature for 16 h. The polymeric resin was removed by filtration and the filtrate was concentrated under reduced pressure. The residue was purified by flash column chromatography (S1O2, EtOAc/MeOH 20:1 2:1 ) to yield 410 mg (66%) of the desired sulfonimidamide (3.8). LC-MS: mass calcd. for C5H9N3OS [M+H]+ 160, found 160; tR = 0.88 min. Step 3.9
A solution of sulfoni mid amide (3.8) (108 mg, 0.68 mmol) in dry THF (2 ml_) was added dropwise to a solution of LDA (0.81 mmol, 2 M) in THF/heptane at -78 °C and the solu- tion was stirred at this temperature for 30 min. A solution of 2-chloro-5-chloromethyl- pyridine (132 mg, 0.81 mmol) in dry THF (2 ml_) was added dropwise at -78 °C and stirring was continued at -78 °C for 1 h, then the solution was allowed to warm to ambient temperature and stirred for additional 20 min. Saturated aqueous NH4CI-solution was added and the mixture was extracted twice with CH2CI2. The combined organic phases were washed with saturated aqueous NaCI-solution, dried over Na2S04 and evaporated in vacuo. The residue was purified by preparative RP-HPLC to yield 60 mg (32%) of sulfonimidamide (10).
LC-MS: mass calcd. for C11 H13CIN4OS [M+H]+ 285, found 285; tR = 1.92 min. B. Biological examples of activity of compounds of formula I against pests
General testing conditions: If not otherwise specified, the test solutions were prepared as follow: The active compound was dissolved at the desired concentration in a mixture of 1 :1 (vohvol) distilled water : acteon. The test solutions were prepared at the day of use (and, if not otherwised specified, in general at concentrations wt vol).
B.1 Green Peach Aphid (Myzus persicae)
For evaluating control of green peach aphid (Myzus persicae) through systemic means the test unit consisted of 96-well-microtiter plates containing liquid artificial diet under an artificial membrane.
The compounds were formulated using a solution containing 75% v/v water and 25% v/v DMSO. Different concentrations of formulated compounds were pipetted into the aphid diet, using a custom built pipetter, at two replications.
After application, 5 - 8 adult aphids were placed on the artificial membrane inside the microtiter plate wells. The aphids were then allowed to suck on the treated aphid diet and incubated at about 23 + 1 °C and about 50 + 5 % relative humidity for 3 days. Aphid mortality and fecundity was then visually assessed. In this test, compounds 1 , 2, 5, 6 and 10 at 2500 ppm showed over 75 % mortality in comparison with untreated controls.
B.2 Orchid thrips (Dichromothrips corbetti)
Dichromothrips corbetti adults used for bioassay were obtained from a colony maintained continuously under laboratory conditions. For testing purposes, the test compound was diluted to a concentration of 300 ppm (wt compound: vol diluent) in a 1 : 1 mixture of acetone:water (vol:vol), plus 0.01 % vol/vol Kinetic® surfactant.
Thrips potency of each compound was evaluated by using a floral-immersion technique. Plastic petri dishes were used as test arenas. All petals of individual, intact orchid flowers were dipped into treatment solution and allowed to dry. Treated flowers were placed into individual petri dishes along with 10 - 15 adult thrips. The petri dishes were then covered with lids. All test arenas were held under continuous light and a temperature of about 28oC for duration of the assay. After 4 days, the numbers of live thrips were counted on each flower, and along inner walls of each petri dish. The level of thrips mortality was extrapolated from pre-treatment thrips numbers. In this test, compound 5 at 500 ppm showed over 75 % mortality in comparison with untreated controls.
B.3 Rice green leafhopper (Nephotettix virescens) Rice seedlings were cleaned and washed 24 hours before spraying. The active compounds were formulated in 50:50 acetone:water (vol:vol), and 0.1 % vol/vol surfactant (EL 620) was added. Potted rice seedlings were sprayed with 5 ml test solution, air dried, placed in cages and inoculated with 10 adults. Treated rice plants were kept at about 28-29°C and relative humidity of about 50-60%. Percent mortality was recorded after 72 hours.
In this test, compound 5 at 300 ppm showed over 75 % mortality in comparison with untreated controls.
Claims
We claim:
1. Sulfonimidamide compounds of formula (I)
(I) wherein n is 0, 1 or 2; m is 0 or 1 ;
Q is N02 or CN; R1, R2 are selected independently from one another and independently from the value of n from the group consisting of hydrogen, halogen, C1-C6- alkyl, C3-C6-cycloalkyl, C2-C6-alkenyl, C2-C6-alkynyl, Ci-C6-alkoxy, CN , N02, C(0)Rc, C(0)ORa, C(0)NRaRb, C(S)NRaR and S(0)PRc, wherein the carbon atoms in the aforementioned groups may carry any combination of 1 , 2 or 3 radicals Rd
or wherein
R1 and R2 form together with the carbon atom, which they are attached to, a 3- to 6-membered carbocyclic ring, wherein the carbon atoms of the ring may carry any com- bination of 1 or 2 radicals Rd;
R3 is selected from the group consisting of hydrogen, Ci-C6-alkyl, C3-C6- cycloalkyl, Ci-Ce-alkoxy, C2-C6-alkenyl, C(0)Rc, C(0)ORa, C(0)NRaRb, C(S)NRaRb, S(0)PRc and NReRf,
wherein the carbon atoms in the aforementioned groups may carry any combination of 1 , 2 or 3 radicals Rd;
R4 is selected from the group consisting of hydrogen, Ci-Cs-alkyl, C3-C6- cycloalkyl and C2-C6-alkenyl, wherein the carbon atoms in the afore- mentioned groups may carry any combination of 1 , 2 or 3 radicals Rd; or
R3 and R4 form together with the nitrogen atom they are both bound to a saturated or partially unsaturated 3-, 4-, 5- or 6- membered heterocyclic ring, optionally containing an ad-
ditional heteroatom selected from N, O, S, whereas the additional N atom may optionally carry Re;
or
R1 and R4 form together with the carbon and the nitrogen atom they are bond to a saturated or partially unsaturated 4-, 5- or 6- membered heterocyclic ring, optionally containing an additional heteroatom selected from N, O, S, whereas the additional N atom may optionally carry Re;
H3t-21 Het-22 l-fet-23 Het-24
wherein # denotes the bond in formula (I),
and wherein
Y is selected from the group consisting of halogen, C1-C6 alkyl, C3-C6 cycloalkyi, C2-C6 alkenyl, C2-C6 alkynyl, C1-C6 alkoxy, CN, NO2,
S(0)PRc, C(0)Rc, C(0)ORa, C(0)NRaRb and C(S)NRaRb, wherein the carbon atoms in the aforementioned groups may carry any combination of 1 , 2 or 3 radicals Rd;
X is selected from the group consisiting of hydrogen, C1-C6 alkyl, C1-C6 haloalkyl, C3-C6 cycloalkyl, C2-C6 alkenyl, C2-C6 haloalkenyl, C2-C6 al- kynyl, C2-C6 haloalkynyl, C(0)Rc, C(0)OR5, C(0)NRaRb, C(S)NRaRb or S(0)pRc, wherein
the carbon atoms in the aforementioned groups may carry any combination of 1 , 2 or 3 radicals Rd; and wherein in the substituent and variables p is 0, 1 or 2;
Ra, Rb are selected independently from one another from hydrogen, C1-C4- alkyl, Ci-C4-haloalkyl, C3-C6-cycloalkyl, C3-C6-alkenyl, C3-C6- haloalkenyl or C3-C6-alkynyl;
Rc is selected from Ci-C4-alkyl, Ci-C4-haloalkyl, C3-C6-cycloalkyl, C2-C6- alkenyl, C2-C6-haloalkenyl or C2-C6-alkynyl;
Rd is selected from halogen, C3-C6-cycloalkyl, Ci-C6-alkoxy, C2-C6-alkenyloxy, C2-C6-alkynyloxy, Ci-C6-haloalkoxy, Ci-C6-alkylthio or phenyl;
Re, Rf are selected independently from one another from hydrogen, C1-C4- alkyl, Ci-C4-haloalkyl, C3-C6-cycloalkyl, C3-C6-alkenyl, C3-C6- haloalkenyl, C3-C6-alkynyl, C(0)Rc, C(0)ORa, C(0)NRaRb or C(S)NRaRb; or their agriculturallly or veterinarily acceptable salts, enantiomers or di- astereomers.
Sulfonimidamide compounds of formula (I) according to claim 1 , wherein m is 0.
Sulfonimidamide compounds of formula (I) according to claim 1 , wherein m is 1.
4. Sulfonimidamide compounds of formula (I) according to claims 1 , 2 or 3, wherein
or
Het-1 Het-11a Het-24
and wherein
Y is selected from halogen, Ci-C4-haloalkyl or Ci-C4-alkyl, and
p is 0, 1 or 2.
5. Sulfonimidamide compounds of formula (I) according to any of the preceeding claims, wherein
Q is CN .
6. Sulfonimidamide compounds of formula (I) according to any of the preceeding claims, wherein
n is 1. 7. Sulfonimidamide compounds of formula (I) according to any of the preceeding claims, wherein
R1, R2 are independently from one another and independently from n selected from hydrogen, Ci-C4-alkyl or Ci-C4-haloalkyl. 8. Sulfonimidamide compounds of formula (I) according to any of the preceeding claims, wherein
R1, R2 are independently from one another and independently from n selected from hydrogen, methyl, ethyl or trifluoromethyl. 9. Sulfonimidamide compounds of formula (I) according to any of the preceeding claims, wherein
is hydrogen; and
is methyl or ethyl. 10. Sulfonimidamide compounds of formula (I) according to any of the preceeding claims, wherein
R3, R4 are independently from one another selected from hydrogen, C1-C6- alkyl, Ca-Ce-cycloalkyl, d-Ce-haloalkyl or C4-C6-cycloalkylalkyl. 1 1. Sulfonimidamide compounds of formula (I) according to any of the preceeding claims, wherein
R3, R4 are independently from one another selected from hydrogen, methyl, ethyl, propyl, isopropyl, cyclopropyl, tert-butyl or cyclopropylmethyl.
12. Sulfonimidamide compounds of formula (I) according to any of the preceeding claims, wherein
R3, R4 are independently from one another methyl or ethyl.
13. Sulfonimidamide compounds of formula (I) according to any of the preceeding claims, wherein
R3 and R4 form together with the nitrogen atom they are bond to a saturated or partially unsaturated 3,- 4-, 5- or 6-membered heterocyclic ring.
14. Sulfonimidamide compounds of formula (I) according to any of the preceeding claims, wherein
R1 and R4 form together with the nitrogen and carbon atoms they are bond to a saturated or partially unsaturated 4-, 5- or 6-membered heterocyclic ring.
15. Sulfonimidamide compounds of formula (I) according to claims 1 , 2 or 3, wherein
Y is selected from halogen, Ci-C4-haloalkyl or 0-C4-alkyl, and p is 0, 1 or 2;
Q is CN;
n is 1 ;
R1 is hydrogen;
R2 is methyl or ethy;
and
R3, R4 are independently from one another methyl or ethyl; or their agriculturally or veterinarily acceptable salts, enantiomers or di- astereomers.
16. Sulfonimid nds of formula (I) as claimed in claim 1 , 2 or 3, wherein
Y is selected from halogen or Ci-C4-haloalkyl;
p is 1 ;
Q is CN;
n is 1 ;
R2 is selected from hydrogen, methyl or ethyl;
R3 is selected from hydrogen, methyl, or ethyl;
and
R1 and R4 form together with the nitrogen and carbon atoms they are bond to a saturated or partially unsaturated 5- or 6-membered heterocyclic ring.
17. A composition comprising at least one sulfonimidamide compound of the formula I according to any one of claims 1 to 16, or the enantiomer, diastereomer or salt thereof and at least one inert liquid and/or solid carrier. 18. An agricultural composition comprising such a pesticidal effective amount of at least one sulfonimidamide compound of the formula I according to any one of claims 1 to 16 or the enantiomer, diastereomer or agriculturally useful salt thereof, and at least one inert liquid and/or solid agriculturally acceptable carrier and, if desired, at least one surfactant.
19. A method for combating or controlling insects, arachnids or nematodes comprising contacting an insect, arachnid or nematode or their food supply, habitat or breeding grounds with a pesticidally effective amount of at least one sulfonimidamide compound of the formula I as defined in any one of claims 1 to 16, or the enantiomers, diastereomers or salts thereof or a composition comprising at least such one compound of formula I.
20. A method for protecting growing plants from attack or infestation by insects, arachnids or nematodes comprising contacting a plant, or soil or water in which the plant is growing, with a pesticidally effective amount of at least one sulfonimidamide compound of the formula I as defined in any one of claims 1 to 16, or the enantiomers, diastereomers or salts thereof or a composition comprising at least such one compound of formula I. 21. A method as defined in claims 19 or 20, wherein the animal pest is from the order Hemiptera or Thysanoptera.
22. A method for the protection of seeds from soil insects and of the seedlings' roots and shoots from soil and foliar insects comprising contacting the seeds before sowing and/or after pregermination with at least one sulfonimidamide compound of the formula I as defined in any one of claims 1 to 16, or the enantiomers, diastereomers or salts thereof or a composition comprising at least such compound. 23. The method as defined in claim 22, wherein the sulfonimidamide compound of the formula I is applied in an amount of from 100 mg to 10 kg per 100 kg of seeds.
24. A method as defined in claim 22 or 23, wherein of the resulting plant's roots and shoots are protected. 25. Seed comprising an sulfonimidamide compound of the formula I as defined in any of claims 1 to 16, or the enatiomers, diastereomers or salts thereof, in an amount of from 0.1 g to 10 kg per 100 kg of seed.
26. The use of compounds of formula I as defined in any one of claim 1 to 16, or the enantiomers, diastereomers or veterinary acceptable salts thereof, for combating parasites in and on animals.
27. A method for treating, controlling, preventing or protecting animals against infestation or infection by parasites which comprises orally, topically or parenterally administering or applying to the animals a parasiticidally effective amount of an sulfonimidamide compound of formula I as defined in any one of claims 1 to 16, or the enantiomers, diastereomers and/or veterinary acceptable salt thereof.
28. The use of an sulfonimidamide compound of formula I as defined in any one of claim 1 to 16, or the enantiomers, diastereomers and/or veterinary acceptable salt thereof for the preparation of a composition for treating, controlling, preventing or protecting animals against infestation or infection by parasites.
Applications Claiming Priority (2)
| Application Number | Priority Date | Filing Date | Title |
|---|---|---|---|
| US26710709P | 2009-12-07 | 2009-12-07 | |
| US61/267,107 | 2009-12-07 |
Publications (1)
| Publication Number | Publication Date |
|---|---|
| WO2011069955A1 true WO2011069955A1 (en) | 2011-06-16 |
Family
ID=43533412
Family Applications (1)
| Application Number | Title | Priority Date | Filing Date |
|---|---|---|---|
| PCT/EP2010/068953 Ceased WO2011069955A1 (en) | 2009-12-07 | 2010-12-06 | Sulfonimidamide compounds for combating animal pests |
Country Status (1)
| Country | Link |
|---|---|
| WO (1) | WO2011069955A1 (en) |
Cited By (1)
| Publication number | Priority date | Publication date | Assignee | Title |
|---|---|---|---|---|
| KR20200106429A (en) * | 2019-03-04 | 2020-09-14 | 한국화학연구원 | Substituted ring-type Isothiazole compounds, non-aqueous solution electrolyte agent comprising thereof and lithium secondary battery comprising the same |
Citations (71)
| Publication number | Priority date | Publication date | Assignee | Title |
|---|---|---|---|---|
| US3060084A (en) | 1961-06-09 | 1962-10-23 | Du Pont | Improved homogeneous, readily dispersed, pesticidal concentrate |
| US3299566A (en) | 1964-06-01 | 1967-01-24 | Olin Mathieson | Water soluble film containing agricultural chemicals |
| GB1307271A (en) | 1970-06-25 | 1973-02-14 | Shell Int Research | Sulphoximine derivatives and their use in herbicidal compositions |
| US3920442A (en) | 1972-09-18 | 1975-11-18 | Du Pont | Water-dispersible pesticide aggregates |
| US4144050A (en) | 1969-02-05 | 1979-03-13 | Hoechst Aktiengesellschaft | Micro granules for pesticides and process for their manufacture |
| US4172714A (en) | 1976-12-20 | 1979-10-30 | E. I. Du Pont De Nemours And Company | Dry compactible, swellable herbicidal compositions and pellets produced therefrom |
| GB2095558A (en) | 1981-03-30 | 1982-10-06 | Avon Packers Ltd | Formulation of agricultural chemicals |
| EP0142924A2 (en) | 1983-09-26 | 1985-05-29 | Mycogen Plant Science, Inc. | Insect resistant plants |
| EP0173498A1 (en) | 1984-08-08 | 1986-03-05 | E.I. Du Pont De Nemours And Company | Herbicidal sulphonimidamide compounds |
| EP0193259A1 (en) | 1985-01-18 | 1986-09-03 | Plant Genetic Systems N.V. | Modifying plants by genetic engineering to combat or control insects |
| EP0242236A1 (en) | 1986-03-11 | 1987-10-21 | Plant Genetic Systems N.V. | Plant cells resistant to glutamine synthetase inhibitors, made by genetic engineering |
| EP0257993A2 (en) | 1986-08-26 | 1988-03-02 | E.I. Du Pont De Nemours And Company | Nucleic acid fragment encoding herbicide resistant plant acetolactate synthase |
| US4822779A (en) | 1988-03-26 | 1989-04-18 | Korea Research Institute Of Chemical Technology | Phosphoric and thiophosphonic acid derivatives of 5-hydroxypyrazoles, compositions and use |
| EP0374753A2 (en) | 1988-12-19 | 1990-06-27 | American Cyanamid Company | Insecticidal toxines, genes coding therefor, antibodies binding them, transgenic plant cells and plants expressing these toxines |
| EP0392225A2 (en) | 1989-03-24 | 1990-10-17 | Ciba-Geigy Ag | Disease-resistant transgenic plants |
| US5013659A (en) | 1987-07-27 | 1991-05-07 | E. I. Du Pont De Nemours And Company | Nucleic acid fragment encoding herbicide resistant plant acetolactate synthase |
| EP0427529A1 (en) | 1989-11-07 | 1991-05-15 | Pioneer Hi-Bred International, Inc. | Larvicidal lectins and plant insect resistance based thereon |
| WO1991013972A1 (en) | 1990-03-16 | 1991-09-19 | Calgene, Inc. | Plant desaturases - compositions and uses |
| WO1991013546A1 (en) | 1990-03-12 | 1991-09-19 | E.I. Du Pont De Nemours And Company | Water-dispersible or water-soluble pesticide granules from heat-activated binders |
| WO1991019806A1 (en) | 1990-06-18 | 1991-12-26 | Monsanto Company | Increased starch content in plants |
| WO1992000377A1 (en) | 1990-06-25 | 1992-01-09 | Monsanto Company | Glyphosate tolerant plants |
| WO1992011376A1 (en) | 1990-12-21 | 1992-07-09 | Amylogene Hb | Genetically engineered modification of potato to form amylopectin-type starch |
| WO1992014827A1 (en) | 1991-02-13 | 1992-09-03 | Institut Für Genbiologische Forschung Berlin Gmbh | Plasmids containing dna-sequences that cause changes in the carbohydrate concentration and the carbohydrate composition in plants, as well as plant cells and plants containing these plasmids |
| US5180587A (en) | 1988-06-28 | 1993-01-19 | E. I. Du Pont De Nemours And Company | Tablet formulations of pesticides |
| WO1993007278A1 (en) | 1991-10-04 | 1993-04-15 | Ciba-Geigy Ag | Synthetic dna sequence having enhanced insecticidal activity in maize |
| US5208030A (en) | 1989-08-30 | 1993-05-04 | Imperial Chemical Industries Plc | Active ingredient dosage device |
| US5232701A (en) | 1990-10-11 | 1993-08-03 | Sumitomo Chemical Company, Limited | Boron carbonate and solid acid pesticidal composition |
| WO1995034656A1 (en) | 1994-06-10 | 1995-12-21 | Ciba-Geigy Ag | Novel bacillus thuringiensis genes coding toxins active against lepidopteran pests |
| EP0707445A1 (en) | 1993-07-03 | 1996-04-24 | Basf Ag | READY-TO-USE, STABLE, MULTI-PHASE AQUEOUS FORMULATION FOR PHYTOSANITARY PRODUCTS AND METHOD OF PREPARATION |
| US5559024A (en) | 1988-03-23 | 1996-09-24 | Rhone-Poulenc Agrochimie | Chimeric nitrilase-encoding gene for herbicidal resistance |
| WO1996039389A1 (en) | 1995-06-05 | 1996-12-12 | Rhone-Poulenc Agrochimie | Pesticidal sulfur compounds |
| WO1997041218A1 (en) | 1996-04-29 | 1997-11-06 | Board Of Supervisors Of Louisiana State University And Agricultural And Mechanical College | Herbicide resistant rice |
| WO1998002526A1 (en) | 1996-07-17 | 1998-01-22 | Michigan State University | Imidazolinone herbicide resistant sugar beet plants |
| WO1998002527A1 (en) | 1996-07-17 | 1998-01-22 | Michigan State University | Imidazolinone herbicide resistant sugar beet plants |
| WO2000026390A2 (en) | 1998-10-29 | 2000-05-11 | American Cyanamid Company | Genes and vectors for conferring herbicide resistance in plants |
| US6222100B1 (en) | 1984-03-06 | 2001-04-24 | Mgi Pharma, Inc. | Herbicide resistance in plants |
| US6300348B1 (en) | 1996-04-03 | 2001-10-09 | Bayer Aktiengesellschaft | Pesticide for parasitic insects and acarids on humans |
| WO2001082685A1 (en) | 2000-04-28 | 2001-11-08 | Basf Aktiengesellschaft | Use of the maize x112 mutant ahas 2 gene and imidazolinone herbicides for selection of transgenic monocots, maize, rice and wheat plants resistant to the imidazolinone herbicides |
| WO2002015701A2 (en) | 2000-08-25 | 2002-02-28 | Syngenta Participations Ag | Bacillus thuringiensis crystal protein hybrids |
| WO2002090320A2 (en) | 2001-05-09 | 2002-11-14 | Sumitomo Chemical Company, Limited | Malononitrile compounds and their use as pesticides |
| WO2003014357A1 (en) | 2001-08-09 | 2003-02-20 | University Of Saskatchewan | Wheat plants having increased resistance to imidazolinone herbicides |
| WO2003014356A1 (en) | 2001-08-09 | 2003-02-20 | University Of Saskatchewan | Wheat plants having increased resistance to imidazolinone herbicides |
| WO2003013225A2 (en) | 2001-08-09 | 2003-02-20 | Northwest Plant Breeding Company | Wheat plants having increased resistance to imidazolinone herbicides |
| WO2003018810A2 (en) | 2001-08-31 | 2003-03-06 | Syngenta Participations Ag | Modified cry3a toxins and nucleic acid sequences coding therefor |
| WO2003052073A2 (en) | 2001-12-17 | 2003-06-26 | Syngenta Participations Ag | Novel corn event |
| WO2003086075A1 (en) | 2002-04-16 | 2003-10-23 | Bayer Healthcare Ag | Parasite control in animals |
| WO2004006677A1 (en) | 2002-07-17 | 2004-01-22 | Sumitomo Chemical Company, Limited | Malononitrile compounds and their use as pesticides |
| WO2004016073A2 (en) | 2002-07-10 | 2004-02-26 | The Department Of Agriculture, Western Australia | Wheat plants having increased resistance to imidazolinone herbicides |
| WO2004106529A2 (en) | 2003-05-28 | 2004-12-09 | Basf Aktiengesellschaft | Wheat plants having increased tolerance to imidazolinone herbicides |
| WO2005020673A1 (en) | 2003-08-29 | 2005-03-10 | Instituto Nacional De Technologia Agropecuaria | Rice plants having increased tolerance to imidazolinone herbicides |
| WO2005063694A1 (en) | 2003-12-26 | 2005-07-14 | Sumitomo Chemical Company, Limited | Nitrile compound and its use in pest control |
| WO2005068423A1 (en) | 2004-01-16 | 2005-07-28 | Sumitomo Chemical Company, Limited | Malononitrile compound and use thereof |
| WO2005068432A1 (en) | 2004-01-16 | 2005-07-28 | Sumitomo Chemical Company, Limited | Malononitrile compound as pesticides |
| WO2005085216A1 (en) | 2004-03-05 | 2005-09-15 | Nissan Chemical Industries, Ltd. | Isoxazoline-substituted benzamide compound and noxious organism control agent |
| WO2006037945A1 (en) | 2004-10-05 | 2006-04-13 | Syngenta Limited | Isoxazoline derivatives and their use as herbicides |
| JP2006131529A (en) | 2004-11-05 | 2006-05-25 | Sumitomo Chemical Co Ltd | Pest control composition |
| WO2006060029A2 (en) | 2004-04-08 | 2006-06-08 | Dow Agrosciences Llc | Insecticidal n-substituted sulfoximines |
| WO2007026965A1 (en) | 2005-09-02 | 2007-03-08 | Nissan Chemical Industries, Ltd. | Isoxazoline-substituted benzamide compound and harmful organism-controlling agent |
| WO2007043677A1 (en) | 2005-10-14 | 2007-04-19 | Sumitomo Chemical Company, Limited | Hydrazide compound and pesticidal use of the same |
| WO2007060839A1 (en) | 2005-11-22 | 2007-05-31 | Sumitomo Chemical Company, Limited | Organic sulfur compounds and use thereof as arthropodicides |
| WO2007079162A1 (en) | 2005-12-30 | 2007-07-12 | E. I. Du Pont De Nemours And Company | Isoxazolines for controlling invertebrate pests |
| WO2007101540A1 (en) | 2006-03-06 | 2007-09-13 | Bayer Cropscience Ag | Combinations of active ingredients with insecticidal properties |
| WO2007115644A1 (en) | 2006-03-31 | 2007-10-18 | Bayer Cropscience Ag | Substituted enaminocarbonyl compounds |
| JP2008115155A (en) | 2007-04-06 | 2008-05-22 | Nippon Soda Co Ltd | Pest-controlling agent composition and pest-controlling method |
| WO2008066153A1 (en) | 2006-11-30 | 2008-06-05 | Meiji Seika Kaisha, Ltd. | Pest control agent |
| WO2008072783A1 (en) | 2006-12-14 | 2008-06-19 | Ishihara Sangyo Kaisha, Ltd. | Pesticidal compositions |
| WO2008072743A1 (en) | 2006-12-15 | 2008-06-19 | Ishihara Sangyo Kaisha, Ltd. | Method for producing anthranilamide compound by using novel pyrazole compound as intermediate |
| WO2008108491A1 (en) | 2007-03-08 | 2008-09-12 | Meiji Seika Kaisha, Ltd. | Pest control composition |
| WO2008125410A2 (en) * | 2007-04-12 | 2008-10-23 | Basf Se | Pesticidal mixtures comprising cyanosulfoximine compounds |
| WO2009051956A2 (en) | 2007-10-16 | 2009-04-23 | E. I. Du Pont De Nemours And Company | Pyrazole-substituted isoxazoline insecticides |
| WO2009126668A2 (en) | 2008-04-09 | 2009-10-15 | E. I. Du Pont De Nemours And Company | Method for preparing 3-trifluoromethyl chalcones |
-
2010
- 2010-12-06 WO PCT/EP2010/068953 patent/WO2011069955A1/en not_active Ceased
Patent Citations (75)
| Publication number | Priority date | Publication date | Assignee | Title |
|---|---|---|---|---|
| US3060084A (en) | 1961-06-09 | 1962-10-23 | Du Pont | Improved homogeneous, readily dispersed, pesticidal concentrate |
| US3299566A (en) | 1964-06-01 | 1967-01-24 | Olin Mathieson | Water soluble film containing agricultural chemicals |
| US4144050A (en) | 1969-02-05 | 1979-03-13 | Hoechst Aktiengesellschaft | Micro granules for pesticides and process for their manufacture |
| GB1307271A (en) | 1970-06-25 | 1973-02-14 | Shell Int Research | Sulphoximine derivatives and their use in herbicidal compositions |
| US3920442A (en) | 1972-09-18 | 1975-11-18 | Du Pont | Water-dispersible pesticide aggregates |
| US4172714A (en) | 1976-12-20 | 1979-10-30 | E. I. Du Pont De Nemours And Company | Dry compactible, swellable herbicidal compositions and pellets produced therefrom |
| GB2095558A (en) | 1981-03-30 | 1982-10-06 | Avon Packers Ltd | Formulation of agricultural chemicals |
| EP0142924A2 (en) | 1983-09-26 | 1985-05-29 | Mycogen Plant Science, Inc. | Insect resistant plants |
| US6222100B1 (en) | 1984-03-06 | 2001-04-24 | Mgi Pharma, Inc. | Herbicide resistance in plants |
| EP0173498A1 (en) | 1984-08-08 | 1986-03-05 | E.I. Du Pont De Nemours And Company | Herbicidal sulphonimidamide compounds |
| EP0193259A1 (en) | 1985-01-18 | 1986-09-03 | Plant Genetic Systems N.V. | Modifying plants by genetic engineering to combat or control insects |
| EP0451878A1 (en) | 1985-01-18 | 1991-10-16 | Plant Genetic Systems, N.V. | Modifying plants by genetic engineering to combat or control insects |
| EP0242236A1 (en) | 1986-03-11 | 1987-10-21 | Plant Genetic Systems N.V. | Plant cells resistant to glutamine synthetase inhibitors, made by genetic engineering |
| EP0242246A1 (en) | 1986-03-11 | 1987-10-21 | Plant Genetic Systems N.V. | Plant cells resistant to glutamine synthetase inhibitors, made by genetic engineering |
| EP0257993A2 (en) | 1986-08-26 | 1988-03-02 | E.I. Du Pont De Nemours And Company | Nucleic acid fragment encoding herbicide resistant plant acetolactate synthase |
| US5013659A (en) | 1987-07-27 | 1991-05-07 | E. I. Du Pont De Nemours And Company | Nucleic acid fragment encoding herbicide resistant plant acetolactate synthase |
| US5559024A (en) | 1988-03-23 | 1996-09-24 | Rhone-Poulenc Agrochimie | Chimeric nitrilase-encoding gene for herbicidal resistance |
| US4822779A (en) | 1988-03-26 | 1989-04-18 | Korea Research Institute Of Chemical Technology | Phosphoric and thiophosphonic acid derivatives of 5-hydroxypyrazoles, compositions and use |
| US5180587A (en) | 1988-06-28 | 1993-01-19 | E. I. Du Pont De Nemours And Company | Tablet formulations of pesticides |
| EP0374753A2 (en) | 1988-12-19 | 1990-06-27 | American Cyanamid Company | Insecticidal toxines, genes coding therefor, antibodies binding them, transgenic plant cells and plants expressing these toxines |
| EP0392225A2 (en) | 1989-03-24 | 1990-10-17 | Ciba-Geigy Ag | Disease-resistant transgenic plants |
| US5208030A (en) | 1989-08-30 | 1993-05-04 | Imperial Chemical Industries Plc | Active ingredient dosage device |
| EP0427529A1 (en) | 1989-11-07 | 1991-05-15 | Pioneer Hi-Bred International, Inc. | Larvicidal lectins and plant insect resistance based thereon |
| WO1991013546A1 (en) | 1990-03-12 | 1991-09-19 | E.I. Du Pont De Nemours And Company | Water-dispersible or water-soluble pesticide granules from heat-activated binders |
| WO1991013972A1 (en) | 1990-03-16 | 1991-09-19 | Calgene, Inc. | Plant desaturases - compositions and uses |
| WO1991019806A1 (en) | 1990-06-18 | 1991-12-26 | Monsanto Company | Increased starch content in plants |
| WO1992000377A1 (en) | 1990-06-25 | 1992-01-09 | Monsanto Company | Glyphosate tolerant plants |
| US5232701A (en) | 1990-10-11 | 1993-08-03 | Sumitomo Chemical Company, Limited | Boron carbonate and solid acid pesticidal composition |
| WO1992011376A1 (en) | 1990-12-21 | 1992-07-09 | Amylogene Hb | Genetically engineered modification of potato to form amylopectin-type starch |
| WO1992014827A1 (en) | 1991-02-13 | 1992-09-03 | Institut Für Genbiologische Forschung Berlin Gmbh | Plasmids containing dna-sequences that cause changes in the carbohydrate concentration and the carbohydrate composition in plants, as well as plant cells and plants containing these plasmids |
| WO1993007278A1 (en) | 1991-10-04 | 1993-04-15 | Ciba-Geigy Ag | Synthetic dna sequence having enhanced insecticidal activity in maize |
| EP0707445A1 (en) | 1993-07-03 | 1996-04-24 | Basf Ag | READY-TO-USE, STABLE, MULTI-PHASE AQUEOUS FORMULATION FOR PHYTOSANITARY PRODUCTS AND METHOD OF PREPARATION |
| WO1995034656A1 (en) | 1994-06-10 | 1995-12-21 | Ciba-Geigy Ag | Novel bacillus thuringiensis genes coding toxins active against lepidopteran pests |
| WO1996039389A1 (en) | 1995-06-05 | 1996-12-12 | Rhone-Poulenc Agrochimie | Pesticidal sulfur compounds |
| US6300348B1 (en) | 1996-04-03 | 2001-10-09 | Bayer Aktiengesellschaft | Pesticide for parasitic insects and acarids on humans |
| WO1997041218A1 (en) | 1996-04-29 | 1997-11-06 | Board Of Supervisors Of Louisiana State University And Agricultural And Mechanical College | Herbicide resistant rice |
| WO1998002527A1 (en) | 1996-07-17 | 1998-01-22 | Michigan State University | Imidazolinone herbicide resistant sugar beet plants |
| WO1998002526A1 (en) | 1996-07-17 | 1998-01-22 | Michigan State University | Imidazolinone herbicide resistant sugar beet plants |
| WO2000026390A2 (en) | 1998-10-29 | 2000-05-11 | American Cyanamid Company | Genes and vectors for conferring herbicide resistance in plants |
| WO2001082685A1 (en) | 2000-04-28 | 2001-11-08 | Basf Aktiengesellschaft | Use of the maize x112 mutant ahas 2 gene and imidazolinone herbicides for selection of transgenic monocots, maize, rice and wheat plants resistant to the imidazolinone herbicides |
| WO2002015701A2 (en) | 2000-08-25 | 2002-02-28 | Syngenta Participations Ag | Bacillus thuringiensis crystal protein hybrids |
| WO2002090320A2 (en) | 2001-05-09 | 2002-11-14 | Sumitomo Chemical Company, Limited | Malononitrile compounds and their use as pesticides |
| WO2002090321A1 (en) | 2001-05-09 | 2002-11-14 | Sumitomo Chemical Company, Limited | Malononitrile compounds and their use as pesticides |
| WO2002089579A1 (en) | 2001-05-09 | 2002-11-14 | Sumitomo Chemical Company, Limited | Pesticide composition comprising malononitrile compounds |
| WO2003014356A1 (en) | 2001-08-09 | 2003-02-20 | University Of Saskatchewan | Wheat plants having increased resistance to imidazolinone herbicides |
| WO2003014357A1 (en) | 2001-08-09 | 2003-02-20 | University Of Saskatchewan | Wheat plants having increased resistance to imidazolinone herbicides |
| WO2003013225A2 (en) | 2001-08-09 | 2003-02-20 | Northwest Plant Breeding Company | Wheat plants having increased resistance to imidazolinone herbicides |
| WO2003018810A2 (en) | 2001-08-31 | 2003-03-06 | Syngenta Participations Ag | Modified cry3a toxins and nucleic acid sequences coding therefor |
| WO2003052073A2 (en) | 2001-12-17 | 2003-06-26 | Syngenta Participations Ag | Novel corn event |
| WO2003086075A1 (en) | 2002-04-16 | 2003-10-23 | Bayer Healthcare Ag | Parasite control in animals |
| WO2004016073A2 (en) | 2002-07-10 | 2004-02-26 | The Department Of Agriculture, Western Australia | Wheat plants having increased resistance to imidazolinone herbicides |
| WO2004006677A1 (en) | 2002-07-17 | 2004-01-22 | Sumitomo Chemical Company, Limited | Malononitrile compounds and their use as pesticides |
| WO2004106529A2 (en) | 2003-05-28 | 2004-12-09 | Basf Aktiengesellschaft | Wheat plants having increased tolerance to imidazolinone herbicides |
| WO2005020673A1 (en) | 2003-08-29 | 2005-03-10 | Instituto Nacional De Technologia Agropecuaria | Rice plants having increased tolerance to imidazolinone herbicides |
| WO2005063694A1 (en) | 2003-12-26 | 2005-07-14 | Sumitomo Chemical Company, Limited | Nitrile compound and its use in pest control |
| WO2005068423A1 (en) | 2004-01-16 | 2005-07-28 | Sumitomo Chemical Company, Limited | Malononitrile compound and use thereof |
| WO2005068432A1 (en) | 2004-01-16 | 2005-07-28 | Sumitomo Chemical Company, Limited | Malononitrile compound as pesticides |
| WO2005085216A1 (en) | 2004-03-05 | 2005-09-15 | Nissan Chemical Industries, Ltd. | Isoxazoline-substituted benzamide compound and noxious organism control agent |
| WO2006060029A2 (en) | 2004-04-08 | 2006-06-08 | Dow Agrosciences Llc | Insecticidal n-substituted sulfoximines |
| WO2006037945A1 (en) | 2004-10-05 | 2006-04-13 | Syngenta Limited | Isoxazoline derivatives and their use as herbicides |
| JP2006131529A (en) | 2004-11-05 | 2006-05-25 | Sumitomo Chemical Co Ltd | Pest control composition |
| WO2007026965A1 (en) | 2005-09-02 | 2007-03-08 | Nissan Chemical Industries, Ltd. | Isoxazoline-substituted benzamide compound and harmful organism-controlling agent |
| WO2007043677A1 (en) | 2005-10-14 | 2007-04-19 | Sumitomo Chemical Company, Limited | Hydrazide compound and pesticidal use of the same |
| WO2007060839A1 (en) | 2005-11-22 | 2007-05-31 | Sumitomo Chemical Company, Limited | Organic sulfur compounds and use thereof as arthropodicides |
| WO2007079162A1 (en) | 2005-12-30 | 2007-07-12 | E. I. Du Pont De Nemours And Company | Isoxazolines for controlling invertebrate pests |
| WO2007101540A1 (en) | 2006-03-06 | 2007-09-13 | Bayer Cropscience Ag | Combinations of active ingredients with insecticidal properties |
| WO2007115644A1 (en) | 2006-03-31 | 2007-10-18 | Bayer Cropscience Ag | Substituted enaminocarbonyl compounds |
| WO2008066153A1 (en) | 2006-11-30 | 2008-06-05 | Meiji Seika Kaisha, Ltd. | Pest control agent |
| WO2008072783A1 (en) | 2006-12-14 | 2008-06-19 | Ishihara Sangyo Kaisha, Ltd. | Pesticidal compositions |
| WO2008072743A1 (en) | 2006-12-15 | 2008-06-19 | Ishihara Sangyo Kaisha, Ltd. | Method for producing anthranilamide compound by using novel pyrazole compound as intermediate |
| WO2008108491A1 (en) | 2007-03-08 | 2008-09-12 | Meiji Seika Kaisha, Ltd. | Pest control composition |
| JP2008115155A (en) | 2007-04-06 | 2008-05-22 | Nippon Soda Co Ltd | Pest-controlling agent composition and pest-controlling method |
| WO2008125410A2 (en) * | 2007-04-12 | 2008-10-23 | Basf Se | Pesticidal mixtures comprising cyanosulfoximine compounds |
| WO2009051956A2 (en) | 2007-10-16 | 2009-04-23 | E. I. Du Pont De Nemours And Company | Pyrazole-substituted isoxazoline insecticides |
| WO2009126668A2 (en) | 2008-04-09 | 2009-10-15 | E. I. Du Pont De Nemours And Company | Method for preparing 3-trifluoromethyl chalcones |
Non-Patent Citations (23)
| Title |
|---|
| "Farm Chemicals Handbook", vol. 88, 2001, MEISTER PUBLISHING COMPANY |
| "Perry's Chemical Engineer's Handbook", 1963, MCGRAW-HILL, pages: 8 - 57 |
| "The Pesticide Manual", 2003, BRITISH CROP PROTECTION COUNCIL |
| BIOCONJUG CHEM., vol. 16, no. 1, January 2005 (2005-01-01), pages 113 - 21 |
| BIOMATERIALS, vol. 22, no. 5, March 2001 (2001-03-01), pages 405 - 17 |
| BIOSCIENCE, BIOTECHNOLOGY AND BIOCHEMISTRY, vol. 67, no. 5, 2003, pages 980 - 988 |
| BIOTECHNOL PROG., vol. 17, no. 4, July 2001 (2001-07-01), pages 720 - 8 |
| BROWNING: "Agglomeration", CHEMICAL ENGINEERING, 4 December 1967 (1967-12-04), pages 147 - 48 |
| CHEM. REV., vol. 89, no. 4, 1989, pages 689 - 712 |
| CURR OPIN CHEM BIOL., vol. 10, no. 5, October 2006 (2006-10-01), pages 487 - 91 |
| D. A. KNOWLES: "Chemistry and Technology of Agrochemical Formulations", 1998, KLUWER ACADEMIC PUBLISHERS |
| HANCE ET AL.: "Weed Control Handbook", 1989, BLACKWELL SCIENTIFIC PUBLICATIONS |
| HETEROCYCLES, vol. 23, no. 8, 1985, pages 1897 - 1900 |
| KLINGMAN: "Weed Control as a Science", 1961, JOHN WILEY AND SONS, INC. |
| MOLLET, H.; GRUBEMANN, A.: "Formulation technology", 2001, WILEY VCH VERLAG GMBH, pages: 2 |
| NAT PROTOC., vol. 2, no. 5, 2007, pages 1225 - 35 |
| O. MITSUNOBU; Y. YAMADA, BULL. CHEM. SOC. JAPAN, vol. 40, 1967, pages 2380 - 2382 |
| PESTICIDE SCIENCE, vol. 54, 1988, pages 237 - 243 |
| PROTEIN ENG DES SEL., vol. 17, no. 1, January 2004 (2004-01-01), pages 57 - 66 |
| S. THEA; G. CEVASCO, TETRAHEDRON LETT., vol. 29, 1988, pages 2865 - 2866 |
| SYNTHESIS, vol. 5, 1986, pages 426 - 7 |
| T. M. GREENE; P. G. M. WUTS: "Protecting Groups in Organic Chemistry", 1999, JOHN WILEY & SONS |
| TETRAHEDRON, vol. 53, no. 42, 1997, pages 14411 - 14416 |
Cited By (2)
| Publication number | Priority date | Publication date | Assignee | Title |
|---|---|---|---|---|
| KR20200106429A (en) * | 2019-03-04 | 2020-09-14 | 한국화학연구원 | Substituted ring-type Isothiazole compounds, non-aqueous solution electrolyte agent comprising thereof and lithium secondary battery comprising the same |
| KR102167164B1 (en) * | 2019-03-04 | 2020-10-16 | 한국화학연구원 | Substituted ring-type Isothiazole compounds, non-aqueous solution electrolyte agent comprising thereof and lithium secondary battery comprising the same |
Similar Documents
| Publication | Publication Date | Title |
|---|---|---|
| US8999889B2 (en) | Substituted ketonic isoxazoline compounds and derivatives for combating animal pests | |
| US9204651B2 (en) | N-substituted hetero-bicyclic compounds and derivatives for combating animal pests | |
| EP2550265B1 (en) | Pyridazine compounds for controlling invertebrate pests | |
| US9179680B2 (en) | Substituted pyrimidinium compounds for combating animal pests | |
| EP2307370B1 (en) | Sulfoximinamide compounds for combating animal pests | |
| US20140296064A1 (en) | Pesticidal methods using substituted 3-pyridyl thiazole compounds and derivatives for combating animal pests i | |
| WO2012007426A1 (en) | Azoline substituted isoxazoline benzamide compounds for combating animal pests | |
| WO2011057942A1 (en) | Insecticidal methods using pyridine compounds | |
| EP2684879A1 (en) | Substituted mesoionic compounds for combating animal pests | |
| WO2014033244A2 (en) | Substituted mesoionic imine compounds for combating animal pests | |
| WO2011064188A1 (en) | Insecticidal methods using nitrogen-containing heteroaromatic compounds | |
| WO2012150550A1 (en) | Novel pesticidal amino pyranone compounds | |
| US8173675B2 (en) | Substituted amino-thiourea compounds for combating animal pests | |
| WO2011069955A1 (en) | Sulfonimidamide compounds for combating animal pests | |
| US20110118116A1 (en) | Azolin-2-ylamino Compounds for Combating Animal Pests | |
| US20150335021A1 (en) | Cycloclavine and Derivatives Thereof for Controlling Invertebrate Pests |
Legal Events
| Date | Code | Title | Description |
|---|---|---|---|
| 121 | Ep: the epo has been informed by wipo that ep was designated in this application |
Ref document number: 10795978 Country of ref document: EP Kind code of ref document: A1 |
|
| NENP | Non-entry into the national phase |
Ref country code: DE |
|
| 122 | Ep: pct application non-entry in european phase |
Ref document number: 10795978 Country of ref document: EP Kind code of ref document: A1 |










































































