WO2002090320A2 - Malononitrile compounds and their use as pesticides - Google Patents
Malononitrile compounds and their use as pesticides Download PDFInfo
- Publication number
- WO2002090320A2 WO2002090320A2 PCT/JP2002/004449 JP0204449W WO02090320A2 WO 2002090320 A2 WO2002090320 A2 WO 2002090320A2 JP 0204449 W JP0204449 W JP 0204449W WO 02090320 A2 WO02090320 A2 WO 02090320A2
- Authority
- WO
- WIPO (PCT)
- Prior art keywords
- halo
- malononitrile
- production example
- compounds
- formula
- Prior art date
- Legal status (The legal status is an assumption and is not a legal conclusion. Google has not performed a legal analysis and makes no representation as to the accuracy of the status listed.)
- Ceased
Links
- 0 *c1ccc(CC(C#N)C#N)cc1 Chemical compound *c1ccc(CC(C#N)C#N)cc1 0.000 description 1
- GICVRZNMESRSHW-UHFFFAOYSA-N N#CC(Cc1cccc(Cl)c1)C#N Chemical compound N#CC(Cc1cccc(Cl)c1)C#N GICVRZNMESRSHW-UHFFFAOYSA-N 0.000 description 1
Classifications
-
- A—HUMAN NECESSITIES
- A01—AGRICULTURE; FORESTRY; ANIMAL HUSBANDRY; HUNTING; TRAPPING; FISHING
- A01N—PRESERVATION OF BODIES OF HUMANS OR ANIMALS OR PLANTS OR PARTS THEREOF; BIOCIDES, e.g. AS DISINFECTANTS, AS PESTICIDES OR AS HERBICIDES; PEST REPELLANTS OR ATTRACTANTS; PLANT GROWTH REGULATORS
- A01N37/00—Biocides, pest repellants or attractants, or plant growth regulators containing organic compounds containing a carbon atom having three bonds to hetero atoms with at the most two bonds to halogen, e.g. carboxylic acids
- A01N37/34—Nitriles
-
- A—HUMAN NECESSITIES
- A01—AGRICULTURE; FORESTRY; ANIMAL HUSBANDRY; HUNTING; TRAPPING; FISHING
- A01N—PRESERVATION OF BODIES OF HUMANS OR ANIMALS OR PLANTS OR PARTS THEREOF; BIOCIDES, e.g. AS DISINFECTANTS, AS PESTICIDES OR AS HERBICIDES; PEST REPELLANTS OR ATTRACTANTS; PLANT GROWTH REGULATORS
- A01N43/00—Biocides, pest repellants or attractants, or plant growth regulators containing heterocyclic compounds
- A01N43/02—Biocides, pest repellants or attractants, or plant growth regulators containing heterocyclic compounds having rings with one or more oxygen or sulfur atoms as the only ring hetero atoms
- A01N43/24—Biocides, pest repellants or attractants, or plant growth regulators containing heterocyclic compounds having rings with one or more oxygen or sulfur atoms as the only ring hetero atoms with two or more hetero atoms
- A01N43/26—Biocides, pest repellants or attractants, or plant growth regulators containing heterocyclic compounds having rings with one or more oxygen or sulfur atoms as the only ring hetero atoms with two or more hetero atoms five-membered rings
- A01N43/28—Biocides, pest repellants or attractants, or plant growth regulators containing heterocyclic compounds having rings with one or more oxygen or sulfur atoms as the only ring hetero atoms with two or more hetero atoms five-membered rings with two hetero atoms in positions 1,3
- A01N43/30—Biocides, pest repellants or attractants, or plant growth regulators containing heterocyclic compounds having rings with one or more oxygen or sulfur atoms as the only ring hetero atoms with two or more hetero atoms five-membered rings with two hetero atoms in positions 1,3 with two oxygen atoms in positions 1,3, condensed with a carbocyclic ring
-
- A—HUMAN NECESSITIES
- A01—AGRICULTURE; FORESTRY; ANIMAL HUSBANDRY; HUNTING; TRAPPING; FISHING
- A01N—PRESERVATION OF BODIES OF HUMANS OR ANIMALS OR PLANTS OR PARTS THEREOF; BIOCIDES, e.g. AS DISINFECTANTS, AS PESTICIDES OR AS HERBICIDES; PEST REPELLANTS OR ATTRACTANTS; PLANT GROWTH REGULATORS
- A01N37/00—Biocides, pest repellants or attractants, or plant growth regulators containing organic compounds containing a carbon atom having three bonds to hetero atoms with at the most two bonds to halogen, e.g. carboxylic acids
- A01N37/36—Biocides, pest repellants or attractants, or plant growth regulators containing organic compounds containing a carbon atom having three bonds to hetero atoms with at the most two bonds to halogen, e.g. carboxylic acids containing at least one carboxylic group or a thio analogue, or a derivative thereof, and a singly bound oxygen or sulfur atom attached to the same carbon skeleton, this oxygen or sulfur atom not being a member of a carboxylic group or of a thio analogue, or of a derivative thereof, e.g. hydroxy-carboxylic acids
-
- A—HUMAN NECESSITIES
- A01—AGRICULTURE; FORESTRY; ANIMAL HUSBANDRY; HUNTING; TRAPPING; FISHING
- A01N—PRESERVATION OF BODIES OF HUMANS OR ANIMALS OR PLANTS OR PARTS THEREOF; BIOCIDES, e.g. AS DISINFECTANTS, AS PESTICIDES OR AS HERBICIDES; PEST REPELLANTS OR ATTRACTANTS; PLANT GROWTH REGULATORS
- A01N37/00—Biocides, pest repellants or attractants, or plant growth regulators containing organic compounds containing a carbon atom having three bonds to hetero atoms with at the most two bonds to halogen, e.g. carboxylic acids
- A01N37/36—Biocides, pest repellants or attractants, or plant growth regulators containing organic compounds containing a carbon atom having three bonds to hetero atoms with at the most two bonds to halogen, e.g. carboxylic acids containing at least one carboxylic group or a thio analogue, or a derivative thereof, and a singly bound oxygen or sulfur atom attached to the same carbon skeleton, this oxygen or sulfur atom not being a member of a carboxylic group or of a thio analogue, or of a derivative thereof, e.g. hydroxy-carboxylic acids
- A01N37/38—Biocides, pest repellants or attractants, or plant growth regulators containing organic compounds containing a carbon atom having three bonds to hetero atoms with at the most two bonds to halogen, e.g. carboxylic acids containing at least one carboxylic group or a thio analogue, or a derivative thereof, and a singly bound oxygen or sulfur atom attached to the same carbon skeleton, this oxygen or sulfur atom not being a member of a carboxylic group or of a thio analogue, or of a derivative thereof, e.g. hydroxy-carboxylic acids having at least one oxygen or sulfur atom attached to an aromatic ring system
-
- A—HUMAN NECESSITIES
- A01—AGRICULTURE; FORESTRY; ANIMAL HUSBANDRY; HUNTING; TRAPPING; FISHING
- A01N—PRESERVATION OF BODIES OF HUMANS OR ANIMALS OR PLANTS OR PARTS THEREOF; BIOCIDES, e.g. AS DISINFECTANTS, AS PESTICIDES OR AS HERBICIDES; PEST REPELLANTS OR ATTRACTANTS; PLANT GROWTH REGULATORS
- A01N37/00—Biocides, pest repellants or attractants, or plant growth regulators containing organic compounds containing a carbon atom having three bonds to hetero atoms with at the most two bonds to halogen, e.g. carboxylic acids
- A01N37/42—Biocides, pest repellants or attractants, or plant growth regulators containing organic compounds containing a carbon atom having three bonds to hetero atoms with at the most two bonds to halogen, e.g. carboxylic acids containing within the same carbon skeleton a carboxylic group or a thio analogue, or a derivative thereof, and a carbon atom having only two bonds to hetero atoms with at the most one bond to halogen, e.g. keto-carboxylic acids
-
- A—HUMAN NECESSITIES
- A01—AGRICULTURE; FORESTRY; ANIMAL HUSBANDRY; HUNTING; TRAPPING; FISHING
- A01N—PRESERVATION OF BODIES OF HUMANS OR ANIMALS OR PLANTS OR PARTS THEREOF; BIOCIDES, e.g. AS DISINFECTANTS, AS PESTICIDES OR AS HERBICIDES; PEST REPELLANTS OR ATTRACTANTS; PLANT GROWTH REGULATORS
- A01N41/00—Biocides, pest repellants or attractants, or plant growth regulators containing organic compounds containing a sulfur atom bound to a hetero atom
- A01N41/02—Biocides, pest repellants or attractants, or plant growth regulators containing organic compounds containing a sulfur atom bound to a hetero atom containing a sulfur-to-oxygen double bond
- A01N41/10—Sulfones; Sulfoxides
-
- C—CHEMISTRY; METALLURGY
- C07—ORGANIC CHEMISTRY
- C07C—ACYCLIC OR CARBOCYCLIC COMPOUNDS
- C07C255/00—Carboxylic acid nitriles
- C07C255/01—Carboxylic acid nitriles having cyano groups bound to acyclic carbon atoms
- C07C255/32—Carboxylic acid nitriles having cyano groups bound to acyclic carbon atoms having cyano groups bound to acyclic carbon atoms of a carbon skeleton containing at least one six-membered aromatic ring
- C07C255/35—Carboxylic acid nitriles having cyano groups bound to acyclic carbon atoms having cyano groups bound to acyclic carbon atoms of a carbon skeleton containing at least one six-membered aromatic ring the carbon skeleton being further substituted by halogen atoms, or by nitro or nitroso groups
-
- C—CHEMISTRY; METALLURGY
- C07—ORGANIC CHEMISTRY
- C07C—ACYCLIC OR CARBOCYCLIC COMPOUNDS
- C07C255/00—Carboxylic acid nitriles
- C07C255/01—Carboxylic acid nitriles having cyano groups bound to acyclic carbon atoms
- C07C255/32—Carboxylic acid nitriles having cyano groups bound to acyclic carbon atoms having cyano groups bound to acyclic carbon atoms of a carbon skeleton containing at least one six-membered aromatic ring
- C07C255/37—Carboxylic acid nitriles having cyano groups bound to acyclic carbon atoms having cyano groups bound to acyclic carbon atoms of a carbon skeleton containing at least one six-membered aromatic ring the carbon skeleton being further substituted by etherified hydroxy groups
-
- C—CHEMISTRY; METALLURGY
- C07—ORGANIC CHEMISTRY
- C07C—ACYCLIC OR CARBOCYCLIC COMPOUNDS
- C07C255/00—Carboxylic acid nitriles
- C07C255/01—Carboxylic acid nitriles having cyano groups bound to acyclic carbon atoms
- C07C255/32—Carboxylic acid nitriles having cyano groups bound to acyclic carbon atoms having cyano groups bound to acyclic carbon atoms of a carbon skeleton containing at least one six-membered aromatic ring
- C07C255/40—Carboxylic acid nitriles having cyano groups bound to acyclic carbon atoms having cyano groups bound to acyclic carbon atoms of a carbon skeleton containing at least one six-membered aromatic ring the carbon skeleton being further substituted by doubly-bound oxygen atoms
-
- C—CHEMISTRY; METALLURGY
- C07—ORGANIC CHEMISTRY
- C07C—ACYCLIC OR CARBOCYCLIC COMPOUNDS
- C07C255/00—Carboxylic acid nitriles
- C07C255/49—Carboxylic acid nitriles having cyano groups bound to carbon atoms of six-membered aromatic rings of a carbon skeleton
- C07C255/50—Carboxylic acid nitriles having cyano groups bound to carbon atoms of six-membered aromatic rings of a carbon skeleton to carbon atoms of non-condensed six-membered aromatic rings
- C07C255/51—Carboxylic acid nitriles having cyano groups bound to carbon atoms of six-membered aromatic rings of a carbon skeleton to carbon atoms of non-condensed six-membered aromatic rings containing at least two cyano groups bound to the carbon skeleton
-
- C—CHEMISTRY; METALLURGY
- C07—ORGANIC CHEMISTRY
- C07C—ACYCLIC OR CARBOCYCLIC COMPOUNDS
- C07C323/00—Thiols, sulfides, hydropolysulfides or polysulfides substituted by halogen, oxygen or nitrogen atoms, or by sulfur atoms not being part of thio groups
- C07C323/50—Thiols, sulfides, hydropolysulfides or polysulfides substituted by halogen, oxygen or nitrogen atoms, or by sulfur atoms not being part of thio groups containing thio groups and carboxyl groups bound to the same carbon skeleton
- C07C323/62—Thiols, sulfides, hydropolysulfides or polysulfides substituted by halogen, oxygen or nitrogen atoms, or by sulfur atoms not being part of thio groups containing thio groups and carboxyl groups bound to the same carbon skeleton having the sulfur atom of at least one of the thio groups bound to a carbon atom of a six-membered aromatic ring of the carbon skeleton
-
- C—CHEMISTRY; METALLURGY
- C07—ORGANIC CHEMISTRY
- C07C—ACYCLIC OR CARBOCYCLIC COMPOUNDS
- C07C2601/00—Systems containing only non-condensed rings
- C07C2601/02—Systems containing only non-condensed rings with a three-membered ring
-
- C—CHEMISTRY; METALLURGY
- C07—ORGANIC CHEMISTRY
- C07C—ACYCLIC OR CARBOCYCLIC COMPOUNDS
- C07C2601/00—Systems containing only non-condensed rings
- C07C2601/04—Systems containing only non-condensed rings with a four-membered ring
Definitions
- the present invention relates to malononitrile compounds and their use as pesticide compositions.
- pesticide compositions Against pests such as insect pests, acarine pests, and nematode pests, various pesticide compositions have been used so far for their control.
- the conditions of pesticide compositions required have drastically been changed, including the care of their effects on the environment and the acquisition of drug resistance by pests to be controlled. Under such circumstances, there have been great demands for the development of new pesticide compositions.
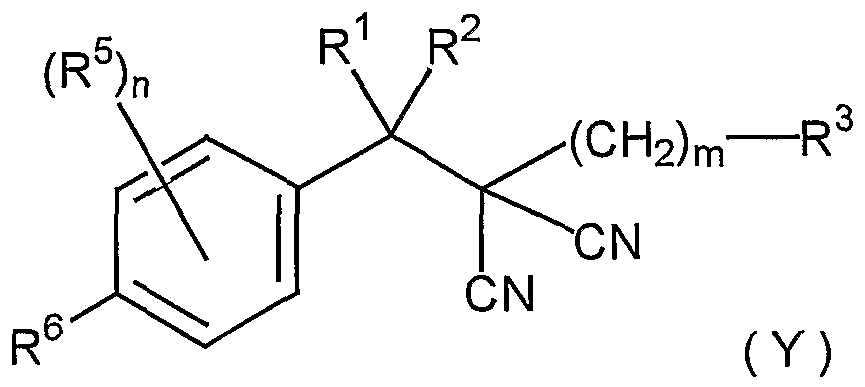
- the present inventors have extensively studied to find compounds having excellent pest controlling activity. As a result, they have found that the malononitrile compounds of formula (Y) as depicted below have excellent controlling activity against pests such as insect pests, acarine pests, and nematode pests, thereby reaching the present invention.
- R 1 and R 2 are the same or different and independently (halo)- alkyl, C C ⁇ (halo)alkyloxy, C 2 -C 5 (halo)alkenyl, C 2 -C 5 (halo)alkynyl, hydrogen, or cyano;
- R 3 is Ci-Cg haloalkyl, C 2 -C 4 haloalkenyl, or C 2 -C 4 haloalkynyl; m is an integer of 1 to 3;
- R 5 is halogen, cyano, nitro, C ⁇ (halo)alkyl, C 2 -C 4 (halo)alkenyl, C 2 - C 4 (halo)alkynyl, C r C 4 (halo)alkyloxy, (halo)- alkylsulfinyl, C r C 4 (halo)alkylsulfonyl, C ⁇ C ⁇ (halo)alkylcarbonyl, C ⁇ C ⁇ (halo)alkyloxycarbonyl, 0 ⁇ 0 4 (halo)alkylcarbonyloxy, benzyloxy, phenyloxy, or phenylthio, in which the phenyloxy and phenylthio groups may optionally be substituted with halogen or alkyl; n is an integer of 0 to 4;
- R 6 is hydrogen, halogen, cyano, nitro, C C 4 (halo) alkyl, C 2 -C 4 (halo)- alkenyl, C 2 -C 4 (halo)alkynyl, (halo)alkylsulfinyl, C ⁇ C ⁇ (halo)alkylsulfonyl, C ⁇ -C 4 (halo)alkylcarbonyl, Cx-C ⁇ (halo)alkyloxycarhonyl, C ⁇ -C 4 (halo)alkylcarbonyloxy, benzyloxy, phenyloxy, or phenylthio, in which the phenyloxy and phenylthio groups may optionally be substituted with halogen or C ! -C 3 alkyl; with the proviso that when n is 2 or more, then R 5 's are the same or different from each other.
- the present invention also provides use of the present compounds as a pesticide; pesticide compositions comprising the present compounds as active ingredients; and a pest controUing method comprising applying the present compounds to pests or habitats of pests.
- each group has the following meaning:
- the (halo) alkyl group refers to alkyl optionally substituted with halogen for one or more than one hydrogen atoms.
- the (halo)alkyloxy group refers to alkyloxy optionally substituted with halogen for one or more than one hydrogen atoms.
- the (halo)alkenyl group refers to alkenyl optionally substituted with halogen for one or more than one hydrogen atoms.
- the (halo) alkynyl group refers to alkynyl optionally substituted with halogen for one or more than one hydrogen atoms.
- the (halo)alkylthio group refers to alkylthio optionally substituted with halogen for one or more than one hydrogen atoms.
- the (halo)alkylsulfrinyl group refers to alkylsulfinyl optionally substituted with halogen for one or more than one hydrogen atoms.
- the (halo)alkylsulfonyl group refers to alkylsulfonyl optionally substituted with halogen for one or more than one hydrogen atoms.
- the (halo)alkylcarbonyl group refers to alkylearbonyl optionally substituted with halogen for one or more than one hydrogen atoms.
- the (halo)alkyloxycarbonyl group refers to alkyloxycarbonyl optionally substituted with halogen for one or more than one hydrogen atoms.
- the (halo)alkylcarbonyloxy group refers to alkylcarbonyloxy option- ally substituted with halogen for one or more than one hydrogen atoms.
- haloalkyl group refers to alkyl substituted with halogen for at least one or more hydrogen atoms.
- the haloalkenyl group refers to alkenyl substituted with halogen for at least one or more hydrogen atoms.
- the haloalkynyl group refers to alkynyl substituted with halogen for at least one or more hydrogen atoms.
- C1-C10 refers to number of carbon atoms constituting the alkyl, alkenyl, or alkynyl group in each substituent.
- C -C 4 (halo)alkylcarbonyl means alkylcarbonyl optionally substituted with halogen for one or more hydrogen atoms wherein the alkyl part is constituted by C ⁇ carbon atoms.
- each group includes specific ones as listed below:
- the Cj-Cg (halo)alkyl group represented by R 1 or R 2 may include methyl, ethyl, propyl, 1-methylethyl, 1,1-dimethylethyl, 2,2-dimethylpropyl, chloromethyl, fluoromethyl, difluoromethyl, trifluoromethyl, 2,2,2-trifluoroethyl, and 1,1,2,2-tetrafluoroethyl.
- the Ci-Cg (halo)alkyloxy group represented by R 1 or R 2 may include methoxy, ethoxy, 1-methylethoxy, trifluoromethoxy, difluoromethoxy, 2,2,2- trifluoroethoxy, and 1,1,2,2-tetrafLuoroethoxy.
- the C 2 -C 5 (halo)alkenyl group represented by R 1 or R 2 may include vinyl, 1-propenyl, 2-propenyl, 2,2-difl.uorovinyl, and 1,2,2-trifluorovinyl.
- the C 2 -C 5 (halo)alkynyl group represented by R 1 or R 2 may include ethynyl, 1-propynyl, 2-propynyl and 3,3,3-trifLuoro-l-propynyl.
- the Ci-Cg haloalkyl group represented by R 3 may include fluoromethyl, chloromethyl, difluoromethyl, dichloromethyl, trifluoromethyl, tri- chloromethyl, 1,1-difluoroethyl, pentafLuoroethyl, 1,1-difluoropropyl, hepta- fluoropropyl, 2,2,2-trifluoroethyl, 3,3,3-trifl.uoropropyl, and 1,1,2,2-tetrafluoroethyl.
- the C 2 -C 4 haloalkenyl group represented by R 3 may include 1-chloro- vinyl, 2-chlorovinyl, 1-fl.uorovinyl, 2-fLuorovinyl, 2,2-dichlorovinyl, 2,2-di- bromovinyl, 2,2-difl.uorovinyl, 1,2,2-trifluorovinyl, l-(trirfluoromethyl)vinyl, 3,3,3-trifluoro-l-propenyl, 2,3,3,3-tetrafluoro-l-propenyl, 1,2,3,3,3-penta- fluoro- 1-propenyl, 3,3-difluoro-2-propenyl, 2,3,3-trifluoro-2-propenyl, and 3,4,4-trifluoro-3-butenyl.
- the C 2 -C 4 haloalkynyl group represented by R 3 may include 3-chloro- 2-propynyl and 3,3,3-trifl.uoro-l-propynyl.
- the halogen atom represented by R 5 or R 6 may include fluorine, chlorine, bromine, and iodine.
- the C ⁇ -C 4 (halo)alkyl group represented by R ⁇ or R 6 may include methyl, ethyl, propyl, 1-methylethyl, 1,1-dimethylethyl, trifluoromethyl, entafluoroethyl, 3,3,3-trifluoroethyl, and 1,1,2,2-tetrafLuoroethoxy.
- the C 2 -C 4 (halo)alkenyl group represented by R B or R 6 may include vinyl, 1-propenyl, 2-propenyl and 2,2-difluorovinyl.
- the C 2 -C 4 (halo)alkynyl group represented by R 5 or R 6 may include ethynyl, 1-propynyl, 2-propynyl and 3,3,3-trifl.uoro-l-propynyl.
- the Ci-0 4 (halo)alkyloxy group represented by R 5 or R 6 may include methoxy, ethoxy, trifluoromethoxy, bromodifluoromethoxy, difluoromethoxy, chloro difluoromethoxy, pentafluoroethoxy, 2,2,2-trifluoroethoxy, and 1,1,2,2- tetrafluoroethoxy.
- the Ci-0 4 (halo)alkylthio group represented by R 5 or R 6 may include methylthio, trifluoromethylthio, 2,2,2-trifluoroethylthio, and 1,1,2,2-tetra- fluor oethylthio .
- the C r C 4 (halo)alkylsulfrnyl group represented by R 5 or R 6 may include methylsulf ⁇ nyl and trifluoromethylsulfhiyl.
- the Ci-0 4 (halo)alkylsulfonyl group represented by R E or R 6 may include methylsulfonyl and trifluoromethylsulfonyl.
- the (halo)alkylcarbonyl group represented by R 5 or R 6 may include acetyl and trifluoroacetyl.
- the C ⁇ -C 4 (halo)alkyloxycarbonyl group represented by R 5 or R 6 may include methoxycarbonyl and 2,2,2-trifl.uoroethoxycarbonyl.
- the C r C 4 (halo)alkylcarbonyloxy group represented by R 5 or R 6 may include acetyloxy, propionyloxy, and trifluoroacetyloxy.
- the phenyloxy group optionally substituted with halogen or Cx-Cg alkyl, which is represented by R B or R 6 , may include phenoxy, p-methyl- phenoxy, m-methylphenoxy, andp-chlorophenoxy.
- the phenylthio group optionally substituted with halogen or alkyl which is represented by R 5 or R 6 , may include phenylthio, p-methyl- phenylthio, m-methylphenylthio, and p-chlorophenylthio.
- R 1 and R 2 are the same or different and independently Ci-Cg (halo)alkyl, C r C 3 (halo)alkyl- oxy, C 2 -C 4 (halo)alkenyl, C 2 -C 4 (halo)alkynyl, hydrogen, or cyano;
- R 5 and R 6 are the same or different and independently halogen, cyano, nitro, Cj-Cg haloalkyl, haloalkyloxy, Ci-Cg (halo)alky
- R 1 is hydrogen
- R 2 is C 1 -C 5 (halo)alkyl, C 2 -C 5 (halo)alkenyl, or hydrogen
- R 3 is C ⁇ -C 3 fluoroalkyl or C 2 -C 4 fluoroalkenyl
- R 5 is halogen
- n is an integer of 0 to 2
- R 6 is halogen, cyano, nitro, (halo)alkyl, C ⁇ -C 4 (halo)alkyloxy, or C ⁇ -C 4 (halo) alkylthio;
- the preferred compounds among the present compounds are the compounds wherein R 6 is halogen, cyano, nitro, C ⁇ C ⁇ haloalkyl, C ⁇ C ⁇ halo- alkyloxy or C x -C 4 haloalkylthio; the compounds wherein n is 1 to 3 and at least one of R ⁇ is halogen, cyano, nitro, C 1 -C 4 haloalkyl, haloalkyloxy or C ⁇ -C 4 (halo)alkylthio; or the compounds wherein R 3 is 1,2,2-trifluorovinyl, trifluoromethyl, pentafluoroethyl, 3,3,3-trifluoro-l-propenyl, heptafluoro- propyl, 1,1-difluoroethyl or l-(trifluoromethyl)vinyl.
- More preferred com- pounds are the compounds wherein R 6 is halogen, cyano, nitro, fluoroalkyl, Ci-C 4 fluoro alkyloxy or C Qj fluoro alkylthio; the compounds wherein n is 1 to 3 and at least one of R 5 is halogen, cyano, nitro, C -C 4 fluoroalkyl, C x - C 4 fluoroalkyloxy or fluoroalkylthio; or the compounds wherein m is 2 and R 3 is trifluoromethyl.
- the present compounds can be produced by, for example, the following (Production Process 1) or (Production Process 2). (Production Process 1)
- R 1 , R 2 , R 3 , R 5 , R 6 , m, and n are as defined above, and Z is halogen, methanesulfonyl, trifluoromethanesulfonyl, or toluenesulfonyl.
- the reaction is usually carried out in a solvent.
- the solvent which can be used in the reaction may include acid amides such as dimethylform- amide; ethers such as diethyl ether and tetrahydrofuran; organic sulfur compounds such as dimethylsulfoxide and sulfolane; halogenated hydrocarbons such as 1,2-dichloroethane and chlorobenzene; aromatic hydrocarbons such as toluene and xylene; water; and mixtures thereof.
- the base which can be used in the reaction may include inorganic bases such as sodium hydride, sodium hydroxide, potassium hydroxide, and potassium carbonate; alkah metal alkoxides such as sodium methoxide, sodium ethoxide, and potassium tert-butoxide; alkah metal amides such as hthium diisopropylamide; and organic bases such as 4-dimethylaminopyri- dine, l,4-diazabicyclo[2.2.2]octane, and l,8-diazabicylco[5.4.0]-7-undecene.
- the amount of base used in the reaction is usually in a ratio of 1 to 10 moles relative to 1 mole of compound (a).
- the reaction temperature is usually in the range of -20°C to 100°C.
- the reaction time is usually in the range of 1 to 24 hours.
- the amount of compound (b) used in the reaction is usually in a ratio of 1 to 10 moles relative to 1 mole of compound (a).
- the reaction mixture is poured into water, followed by ordinary post-treatment procedures including extraction with an organic solvent and concentration, thereby isolating the desired present compounds, which may be purified by a technique such as chromatography or recrystal- lization.
- the reaction is usually carried out in a solvent.
- the solvent which can be used in the reaction may include acid amides such as dimethylform- amide; ethers such as diethyl ether and tetrahydrofuran; organic sulfur compounds such as dimethylsulfoxide and sulfolane; halogenated hydrocarbons such as 1,2-dichloroethane and chlorobenzene; aromatic hydro- carbons such as toluene and xylene; water; and mixtures thereof.
- the base which can be used in the reaction may include inorganic bases such as sodium hydride, sodium hydroxide, potassium hydroxide, and potassium carbonate; alkah metal alkoxides such as sodium methoxide, sodium ethoxide, and potassium tert-butoxide; alkah metal amides such as Hthium diisopropylamide; and organic bases such as 4-dimethylaminopyri- dine, l,4-diazabicyclo[2.2.2]octane, and l,8-diazabicylco[5.4.0]-7-undecene.
- the amount of base used in the reaction is usually in a ratio of 1 to 10 moles relative to 1 mole of compound (a).
- the reaction temperature is usually in the range of -20°C to 100°C.
- the reaction time is usually in the range of 1 to 24 hours.
- the amount of compound (b) used in the reaction is usually in a ratio of 1 to 10 moles relative to 1 mole of compound (a).
- reaction mixture is poured into water, followed by ordinary post-treatment procedures including extraction with an organic solvent and concentration, thereby isolating the desired present compounds, which may be purified by a technique such as chromatography or recrystal- lization.
- the compound (a) can be produced through a route, for example, as shown in the following scheme.
- R 1 , R 2 , R 5 , R 6 , and n are as defined above.
- the compound (f) can be produced by reacting compound (e) with malononitrile.
- the reaction is usually carried out in a solvent and in the presence of a base.
- the solvent which can be used in the reaction may include acid amides such as N,N- ⁇ hmethylformamide; ethers such as diethyl ether and tetrahydrofuran; halogenated hydrocarbons such as chloroform, 1,2-dichlo- roethane, and chlorobenzene; aromatic hydrocarbons such as toluene and xylene; alcohols such as methanol, ethanol, and isopropanol; and mixtures thereof.
- the base which can be used in the reaction may include tetrabutyl- ammonium hydroxide.
- the amount of base used in the reaction is usually in a ratio of 0.01 to 0.5 mole relative to 1 mole of compound (e).
- the amount of malononitrile used in the reaction is usually in a ratio of 1 to 10 moles relative to 1 mole of compound (e).
- the reaction temperature is usually in the range of -20°C to 200°C.
- the reaction time is usually in the range of 1 to 24 hours.
- the reaction may be carried out, while removing, if necessary, water which is generated by the reaction, from the reaction system.
- reaction mixture is poured into water, followed by ordinary post-treatment procedures including extraction with an organic solvent and concentration, thereby isolating the desired present compounds, which may be purified by a technique such as chromatography or recrystal- hzation.
- the compound (a) can be produced by reacting compound (f) with an or anometallic compound.
- the reaction is usually carried out in a solvent and, if necessary, in the presence of a copper salt.
- the solvent which can be used in the reaction may include ethers such as diethyl ether and tetrahydrofuran; aromatic hydrocarbons such as toluene and xylene; and mixtures thereof.
- the organometallic compound which can be used in the reaction may include organic magnesium compounds such as methyl magnesium iodide, ethyl magnesium bromide, isopropyl magnesium bromide, vinyl magnesium bromide, ethynyl magnesium bromide, and dimethyl magnesium; organic hthium compounds such as methyl Hthium; organic zinc compounds such as diethyl zinc; and organic copper compounds such as trifluoromethyl copper.
- the amount of organometallic compound used in the reaction is usuaHy in a ratio of 1 to 10 moles relative to 1 mole of compound (f).
- the copper salt which can be used in the reaction may include copper
- the reaction temperature is usually in the range of -20°C to 100°C.
- the reaction time is usually in the range of 1 to 24 hours.
- reaction mixture is poured into water, followed by ordinary post-treatment procedures including extraction with an organic solvent and concentration, thereby isolating the desired present compounds, which may be purified by a technique such as chromatography or recrystal-
- the compound (a) can be produced by subjecting compound (f) to reduction.
- the reduction is usually carried out in a solvent.
- the solvent which can be used in the reaction may include ethers such as diethyl ether and tetrahydrofuran; aromatic hydrocarbons such as toluene and xylene; alcohols such as methanol, ethanol, and propanol; water; and mixtures thereof.
- ethers such as diethyl ether and tetrahydrofuran
- aromatic hydrocarbons such as toluene and xylene
- alcohols such as methanol, ethanol, and propanol
- water and mixtures thereof.
- the reducing agent which can be used in the reaction may include sodium borohydride.
- the amount of reducing agent used in the reaction is usually in a ratio of 0.25 to 2 moles relative to 1 mole of compound (f).
- the reaction time is usually in the range of a moment to 24 hours.
- the reaction temperature is usually in the range of 0°C to 50°C.
- reaction mixture is poured into water, followed by ordinary post-treatment procedures including extraction with an organic solvent and concentration, thereby isolating the desired present compounds, which may be purified by a technique such as chromatography or recrystal- Hzation.
- the compound (a) can be produced by reacting compound (f) with a cyanide.
- the solvent which can be used in the reaction may include ethers such as diethyl ether and tetrahydrofuran; aromatic hydrocarbons such as toluene and xylene; and mixtures thereof.
- the cyanide which can be used in the reaction may include tetra- butylammonium cyanide.
- the amount of cyanide used in the reaction is usually in a ratio of 1 to 10 moles relative to 1 mole of compound (f).
- the reaction temperature is usually in the range of — 20°C to 100°C.
- the reaction time is usually in the range of 1 to 24 hours.
- reaction mixture is poured into water, followed by ordinary post-treatment procedures including extraction with an organic solvent and concentration, thereby isolating the desired present compounds, which may be purified by a technique such as chromatography or recrystal-
- the pests against which the present compounds exhibit controlling activity may include insect pests, acarine pests, and nematode pests, specific examples which are as follows:
- Delphacidae such as Laodelphax striatellus, Nilaparvata lugens, and Sogatella furcifera; Deltocephahdae such as Nephotettix cincticeps and Nephotettix virescens;
- Aphididae such as Aphis gossypii and Myzus persicae
- Pentatomidae such as Nezara antennata, Riptortus clavetus Eysarcoris lewisi, Eysarcoris parvus, Plautia stali and Halyomorpha misia;
- Aleyrodidae such as Trialeurodes vaporariorum and Bemisia argen- tifolii;
- Coccidae such as Aonidiella aurantii, Comstockaspis perniciosa, Un- aspis citri, Ceroplastes rubens, and Icerya purchasi;
- PyraHdae such as Chilo suppressalis, Cnaphalocrocis medinalis, Notarcha derogata, and Plodia interpunctella;
- Noctuidae such as Spodoptera litura, Pseudaletia separata, Thorico- plusia spp., Hehothis spp., and Hehcoverpa spp.;
- Pieridae such as Pieris rapae
- Tortricidae such as Adoxophyes spp., Grapholita molesta, and Cydia pomonella;
- Carposinidae such as Carposina niponensis
- Lymantriidae such as Lyamantria spp. and Euproctis spp.
- Yponomentidae such as Plutella xylostella
- Gelechndae such as Pectinophora gossypiella
- Arctiidae such as Hyphantria cunea
- Tineidae such as Tinea translucens and Tineola bisselliella
- CaHcidae such as Culex pipiens pallens, Culex tritaeniorhynchus, and Culex quinquefasciatus
- Aedes spp. such as Aedes aegypti and Aedes albopictus
- Anopheles spp. such as Anopheles sinensis
- Chironomidae Muscidae such as Musca domestica and Muscina stabulans
- Anthomyiidae such as Delia platura and Delia antique
- Diabrotica spp. such as Diabrotica virgifera and Diabrotica undecim- punctata howardi;
- Scarab aeidae such as Anomala cuprea and Anomala rufocuprea
- CurcuHonidae such as Sitophilus zeamais, Lissorhoptrus oryzophilus, and Callosobruchuys Kunststoffensis
- Ttenebrionidae such as Tknebrio molitor and Tribolium castaneum
- Chrysomehdae such as Oulema oryzae, Aulacophora femoralis, Phyl- lotreta striolata, and Leptinotarsa decemlineata
- Epilachna spp. such as Epilachna vigintioctopunctata
- Dictyoptera Blattella germanica, Periplaneta fuliginosa, Periplaneta americana, Periplaneta brunnea, and Blatta orientalis
- Thysanoptera
- Thrips palmi Thrips tabaci, Frankliniella occidentalis, Frankliniella intonsa;
- Siphonaptera Ctenocephalides felis, Ctenocephalides cam ' s, Pulex irritans, Xeno- psylla cheopis,
- Pediculus humanus corporis Phthirus pubis, Haematopinus eurys- ternus, and Dalmalinia ovis; Isoptera:
- Tetranychidae such as Tetranychus urticae, Tetranychus kanzawai, Panonychus citri, Panonychus ulmi, and Ohgonychus spp.; Eriophyidae such as Aculops pelekassi and Aculus Lupendali;
- Tarsonemidae such as Polyphagotarsonemus latus
- Ixodidae such as Haemaphysalis longicornis, Haemaphysalis flava, Dermacentor taiwanicus, Ixodes ovatus, Ixodes persulcatus, and Boophilus microplus
- Acaridae such as Tyrophagus putrescentiae
- Epidermoptidae such as Derma tophagoides farinae and Dermato- phagoides ptrenyssnus
- Cheyletidae such as Cheyletus eruditus, Cheyletus malaccensis, and Cheyletus moorei;
- Pratylenchus coffeae Pratylenchus fallax
- Heterodera glycines Heterodera glycines
- Glo- bodera rostochiensis Meloidogyne hapla
- Meloidogyne incognita Meloidogyne incognita.
- the present compounds When used as the active ingredients of pesticide compositions, they may be used as such without addition of any other ingredients. However, they are usuaUy used in admixture with soHd carriers, Hquid carriers and/or gaseous carriers, and if necessary, by addition of adjuvants such as surfactants, followed by formulation into various forms such emulsifiable concentrates, oil formulations, flowables, dusts, wettable powders, granules, paste formulations, microcapsule formulations, foams, aerosol formulations, carbon dioxide gas formulations, tablets, or resin formulations. These formulations may be used by processing into poison baits, shampoo, mosquito coils, electric mosquito mats, smokes, fumigants, or sheets.
- adjuvants such as surfactants
- the present compounds are usually contained each in an amount of 0.1% to 95% by weight.
- the soHd carrier which can be used in the formulation may include the following materials in fine powder or granular form: clays (e.g., kaolin clay, diatomaceous earth, bentonite, Fubasami clay, acid clay); talc, ceramic, and other inorganic minerals (e.g., sericite, quartz, sulfur, activated carbon, calcium carbonate, hydrated silica); and chemical fertilizers (e.g., ammonium sulfate, ammonium phosphate, ammonium nitrate, ammonium chloride, urea).
- the liquid carrier may include aromatic or aHphatic hydrocarbons
- halogenated hydrocarbons e.g., chlorobenzene, dichloromethane, dichloroethane, trichloroethane
- alcohols e.g., methanol, ethanol, isopropyl alcohol, butanol, hexanol, ethylene glycol
- ethers e.g., diethyl ether, ethylene glycol dimethyl ether, diethylene glycol monomethyl ether, diethylene glycol monoethyl ether, propylene glycol monomethyl ether, tetrahydrofuran, dioxane
- esters e.g., ethyl acetate, butyl acetate
- ketones e.g., acetone, methyl ethy
- the gaseous carrier may include butane gas, Freon gas, liquefied petroleum gas (LPG), dimethyl ether, and carbon dioxide.
- LPG liquefied petroleum gas
- the surfactant may include alkyl sulfate salts; alkylsulfonic acid salts; alkylarylsulfonic acid salts; alkyl aryl ethers and their polyoxy ethylene derivatives; polyethylene glycol ethers; polyol esters; and sugar alcohol deri- vatives.
- the other adjuvants may include binders, dispersants, and stabilizers, specific examples of which are casein, gelatin, polysaccharides (e.g., starch, gum arabic, cellulose derivatives, alginic acid), Hgnin derivatives, bentonite, sugars, synthetic water-soluble polymers (e.g., polyvinyl alcohol, polyvinylpyrrohdone, polyacryHc acid), PAP (isopropyl acid phosphate), BHT (2,6-di-t-butyl-4-methylphenol), BHA (mixtures of 2-t-butyl-4-methoxyphe- nol and 3-t-butyl-4-methoxyphenol), vegetable oils, mineral oils, fatty acids, and fatty acid esters.
- binders e.g., starch, gum arabic, cellulose derivatives, alginic acid
- Hgnin derivatives bentonite
- sugars e.g., synthetic water-soluble polymers
- the base material for resin formulations may include vinyl chloride polymers and polyurethanes. These base materials may contain, if necessary, plasticizers such as phthahc acid esters (e.g., dimethyl phthalate, di- octyl phthalate), adipic acid esters, and stearic acid.
- the resin formulations can be obtained by kneading the present compounds into the base materials with an ordinary kneader and subsequent forming such as injection molding, extrusion, or pressing. They can be processed, if necessary, though further forming and cutting into resin formulations in various shapes such as plates, films, tapes, nets, or strings.
- the base material for poison baits may include grain powders, vegetable oils, sugars, and crystalline cellulose. If necessary, additional agents may be added, including antioxidants such as dibutylhydroxytoluene and nordihydroguaiaretic acid; preservatives such as dehydroacetic acid; agents for preventing children and pets from erroneously eating, such as hot pepper powder; and pest-attractive flavors such as cheese flavor, onion flavor, and peanut oil.
- the pesticide compositions of the present invention may be used by, for example, direct appHcation to pests and/or apphcation to the habitats of pests (e.g., plant bodies, animal bodies, soil).
- pests e.g., plant bodies, animal bodies, soil.
- compositions of the present invention are used for the control of pests in agriculture and forestry, their apphcation amounts are usuaUy 1 to 10,000 g/ha, preferably 10 to 500 g/ha.
- Formulations such as emulsifiable concentrates, wettable powders, flowables, and microcapsule formulations are usuaUy used after chlution with water to have an active ingredient concentration of 1 to 1000 ppm, while formulations such as dusts and granules are usuaUy used as such. These formulations may be directly appHed to plants to be protected from pests.
- compositions of the present invention in the form of sheet formulations can be appHed by the methods in which the sheet formulations are wound around plants, disposed in the vi- cinity of plants, or laid on the soil surface at the plant bottoms.
- the pesticide compositions of the present invention are used for the prevention of epidemics, their appHcation amounts as active ingredient amounts are usuaUy 0.001 to 10 mg/m 3 for spatial appHcation or 0.001 to 100 mg/m 2 for planar appHcation.
- Formulations such as emulsifiable concen- trates, wettable powders, and flowables are usuaUy appHed after dUution with water to have an active ingredient concentration of 0.01 to 10,000 ppm, while formulations such as oU formulations, aerosols, smokes, or poison baits are usuaUy appHed as such.
- pesticide compositions of the present invention are used for the control of external parasites on domestic animals such as cattle, sheep, goat, and fowl or smaU animals such as dogs, cats, rats, and mice, they can be used by the veterinarUy weU-known methods.
- administration is achieved by, for example, tablets, feed incorporation, suppositories, or injections (e.g., intramuscular, subcutaneous, intravenous, intraperitoneal) for systemic control, or by, for example, spraying, pour-on treatment, or spot-on treatment with an oU formulation or an aqueous solution, washing animals with a shampoo formulation, or attachment of a coUar or ear tag prepared from a resin formulation to animals for non-systemic control.
- the amounts of the present compounds when administered to animal bodies are usuaUy in the range of 0.1 to 1000 mg per 1 kg weight of each animal.
- the pesticide compositions of the present invention can also be used in admixture or combination with other insecticides, nematocides, acaricides, bactericides, fungicides, herbicides, plant growth regulators, s nergists, fer- tiHzers, sofl conditioners, animal feeds, and the Hke.
- insecticides and acaricides include organophos- phorus compounds such as fenitrothion [0,0-dimethyl 0-(3-methyl-4-nitro- phenyl) phosphorothioate], fenthion [0,0-dimethyl 0-(3-methyl ⁇ 4-(methyl- thio)phenyl) phosphorothioate], diazinon [0,0-diethyl 0-2-isopropyl-6- methylpyrimidin-4-yl phosphorothioate], chlorpyrifos [0,0-diethyl 0-3,5,6- trichloro-2-pyridyl phosphorothioate], DDVP [2,2-dichlorovinyl dimethyl phosphate], cyanophos [O-4-cyanophenyl 0,0-dimethyl phosphorothioate], dimethoate [0,0-dimethyl S-(N-methylcarbamoylmethyl) dithiophosphate
- synergists examples include bis-(2, 3,3,3- tetrachloropropyl) ether (S-421), N-(2-ethylhexyl)bicyclo[2.2.1]hept-5-ene- 2,3-dicarboximide (MGK-264) and ⁇ -[2-(2-butoxyethoxy)ethoxy]-4,5-methyl- enedioxy-2-propyltoluene (piperonyl butoxide).
- the present invention wiU further be Ulustrated by the following production examples, formulation examples, and test examples; however, the present invention is not limited only to these examples.
- the present compound numbers are those shown in Table 1 below. The foUowing will describe some production examples for the present compounds.
- Example 1 there was obtained 0.10 g of 2-(4-r ⁇ trobenzyl)-2-(2-fluoroethyl)- malononitrile (the present compound (47)).
- Example 1 there was obtained 0.17 g of 2-(4-cyanobenzyl)-2-(3,3-dichloro- propenyl)malononitrile (the present compound (56)). Yield: 29%;
- Example 1 there was obtained 0.22 g of 2-(4-fluorobenzyl)-2-(2- uoroethyl)- malononitrile (the present compound (59)).
- the foUowing will describe some production examples for intermediate compounds as reference production examples.
- each of the present compounds (1) to (87) is added 5 parts of synthetic hydrated silicon oxide fine powder, 5 parts of sodium dodecylbenzenesulfonate, 30 parts of bentonite, and 57 parts of clay, foUowed by weU stirring and mixing, and an appropriate amount of water is added to this mixture, foUowed by further stirring, granulation with a granulator, and air drying, to give a granule for each compound.
- NEO-CHIOZOL Cho Kasei K.K.
- LPG are fiHed in the aerosol can, foUowed by shaking and attachment of an actuator, to give an ofl-based aerosol.
- the foUowing test example wiU demonstrate that the present compounds are useful as the active ingredients of pesticide compositions.
- the present compounds are designated by their compound numbers shown in Table 1.
- Test Example 1 Pesticidal Test against Nilaparvata lugens
- Each formulation of the compound 2, 5, 7, 8, 9, 10, 11, 12, 13, 15, 16, 19, 21, 22, 23, 24, 25, 26, 27, 30, 31, 32, 33, 34, 35, 36, 37, 38, 39, 40, 41, 43, 44, 46, 49, 50, 53, 55, 57, 58, 59, 61, 64, 66, 68, 72, 73, 74, 76, 78 and 89 obtained according to Formulation Example 5 was diluted with water so that the active ingredient concentration came to 500 ppm to prepare a test Hquid for each compound.
- each formulation of the compound 17 and 76 obtained according to Formulation Example 5 was diluted with water so that the active ingredient concentration came to 200 ppm to prepare a test Hquid for each compound.
- the number of parasitic pests on the 6th day after the treatment was not greater than 3.
- Each formulation of the compound 5, 8, 9, 10, 11, 12, 13, 15, 16, 18, 19, 21, 22, 23, 27, 31, 33, 34, 36, 37, 39, 40, 41, 44, 49, 50, 57, 68, 72, 73, 74, 77 and 89 obtained according to Formulation Example 5 was diluted with water so that the active ingredient concentration came to 45.5 ppm to prepare a test Hquid for each compound.
- each formulation of the compound 17, 26 and 76 obtained according to Formulation Example 5 was diluted with water so that the active ingredient concentration came to 18.2 ppm to prepare a test Hquid for each compound.
- the number of parasitic pests on the 6th day after the treatment was not greater than 3.
- the seeds of cucumber were planted in a polyethylene cup of 90 ml volume fiUed with Molding Aisai 1 (available from Katakura Chikkarin Co., Ltd,) and grown untU their first foHage leaves developed. About 30 Aphis gossypii (cotton aphid) were made parasitic on the cucumber plants, which was then left for 24 hours. The test Hquid was sprayed at the rate of 20 ml/cup onto the cucumber plants. After the test Hquid sprayed onto the plants were dried, the polyethylene cup with the cucumber plants was placed in a large polyethylene cup, which was then kept covered and left in a greenhouse at 25°C. On the 6th day after the appHcation, the number of Aphis gossypii was examined.
- the number of survived pests on the 6th day after the treatment was not greater than 3.
- Test Example 5 Pesticidal Test against Leptinotarsa decemlineata
- Each formulation of the compound 5, 8, 10, 15, 21, 50, 74, 76 and 78 obtained according to Formulation Example 1 was diluted with water so that the active ingredient concentration came to 1.6 ppm to prepare a test Hquid for each compound.
- a leaf of eggplant was immersed in the test Hquid, which had been prepared as described above, for 1 minute. After the test Hquid treated the leaf of eggplant was dried with a paper towel, the leaf of eggplant was placed in a polyethylene cup of 3 cm in diameter.
- One second-instar larvae of Leptinotarsa decemlineata (Colorado potato beetle) were set free in the polyethylene cup, which was then kept covered and left in a greenhouse at 25°C. This test was done ten times for one compound. On the 5th day after the release of Leptinotarsa decemlineata, the number of dead pests and moribund pests was examined.
- Test Example 8 Pesticidal Test against Cullex pipiens pallens
- test Hquid had been prepared as described above, was added dropwise in an amount of 0.7 ml.
- concentration of active ingredient was 3.5 ppm.
- Test example 9 Pesticidal Test against Ctenocephalides felis
- Each of the compound 8, 15, 19, 21 and 34 was dissolved in acetone to give a 0.2ml solution of 0.114% w/w, which was uniformly treated on a filter paper having 3.8cm in diameter, and air-dried.
- the amount of active ingredient was 200 mg/m 2 .
- the filter paper was fUled in a Hd of a 200ml glass bottle. Twenty adult Ctenocephalides felis (cat flea) were released in the glass bottle, which was foUowed by covering with the Hd. The glass bottle was upset for making the fleas contact with the filter paper. After 24 hours, the mortahty was examined.
- the present invention makes it possible to effectively control pests such as insect pests, acarine pests, and nematode pests.
Landscapes
- Life Sciences & Earth Sciences (AREA)
- Organic Chemistry (AREA)
- Chemical & Material Sciences (AREA)
- Dentistry (AREA)
- Health & Medical Sciences (AREA)
- Engineering & Computer Science (AREA)
- Plant Pathology (AREA)
- General Health & Medical Sciences (AREA)
- Wood Science & Technology (AREA)
- Zoology (AREA)
- Environmental Sciences (AREA)
- Pest Control & Pesticides (AREA)
- Agronomy & Crop Science (AREA)
- Agricultural Chemicals And Associated Chemicals (AREA)
- Organic Low-Molecular-Weight Compounds And Preparation Thereof (AREA)
Abstract
Description
Claims
Priority Applications (12)
| Application Number | Priority Date | Filing Date | Title |
|---|---|---|---|
| IL15849902A IL158499A0 (en) | 2001-05-09 | 2002-05-08 | Malononitrile compounds and their use as pesticides |
| CA002446006A CA2446006A1 (en) | 2001-05-09 | 2002-05-08 | Malononitrile compounds and their use as pesticides |
| DE60230131T DE60230131D1 (en) | 2001-05-09 | 2002-05-08 | MALONITRILE COMPOUNDS AND THEIR USE AS PESTICIDES |
| AU2002255313A AU2002255313B2 (en) | 2001-05-09 | 2002-05-08 | Malononitrile compounds and their use as pesticides |
| BRPI0209532-7A BR0209532B1 (en) | 2001-05-09 | 2002-05-08 | Malononitrile compound, its use, pesticide composition and process for controlling plague. |
| KR1020037014540A KR100858268B1 (en) | 2001-05-09 | 2002-05-08 | Malononitrile compounds and their use as pesticides |
| HU0400033A HUP0400033A3 (en) | 2001-05-09 | 2002-05-08 | Malononitrile compounds and their use as pesticides |
| US10/477,117 US7011838B2 (en) | 2001-05-09 | 2002-05-08 | Malononitrile compounds and their use as pesticides |
| EP02724712A EP1385817B1 (en) | 2001-05-09 | 2002-05-08 | Malononitrile compounds and their use as pesticides |
| IL158499A IL158499A (en) | 2001-05-09 | 2003-10-20 | Malononitrile compounds and their use in the manufacture of pesticide compositions |
| US11/107,853 US7402691B2 (en) | 2001-05-09 | 2005-04-18 | Malononitrile compounds and their use as pesticides |
| IL189480A IL189480A0 (en) | 2001-05-09 | 2008-02-12 | Malononitrile compounds and their use as pesticides |
Applications Claiming Priority (2)
| Application Number | Priority Date | Filing Date | Title |
|---|---|---|---|
| JP2001138331 | 2001-05-09 | ||
| JP2001-138331 | 2001-05-09 |
Related Child Applications (2)
| Application Number | Title | Priority Date | Filing Date |
|---|---|---|---|
| US10477117 A-371-Of-International | 2002-05-08 | ||
| US11/107,853 Division US7402691B2 (en) | 2001-05-09 | 2005-04-18 | Malononitrile compounds and their use as pesticides |
Publications (2)
| Publication Number | Publication Date |
|---|---|
| WO2002090320A2 true WO2002090320A2 (en) | 2002-11-14 |
| WO2002090320A3 WO2002090320A3 (en) | 2003-02-20 |
Family
ID=18985287
Family Applications (3)
| Application Number | Title | Priority Date | Filing Date |
|---|---|---|---|
| PCT/JP2002/004451 Ceased WO2002090321A1 (en) | 2001-05-09 | 2002-05-08 | Malononitrile compounds and their use as pesticides |
| PCT/JP2002/004449 Ceased WO2002090320A2 (en) | 2001-05-09 | 2002-05-08 | Malononitrile compounds and their use as pesticides |
| PCT/JP2002/004450 Ceased WO2002089579A1 (en) | 2001-05-09 | 2002-05-08 | Pesticide composition comprising malononitrile compounds |
Family Applications Before (1)
| Application Number | Title | Priority Date | Filing Date |
|---|---|---|---|
| PCT/JP2002/004451 Ceased WO2002090321A1 (en) | 2001-05-09 | 2002-05-08 | Malononitrile compounds and their use as pesticides |
Family Applications After (1)
| Application Number | Title | Priority Date | Filing Date |
|---|---|---|---|
| PCT/JP2002/004450 Ceased WO2002089579A1 (en) | 2001-05-09 | 2002-05-08 | Pesticide composition comprising malononitrile compounds |
Country Status (18)
| Country | Link |
|---|---|
| US (4) | US20040143007A1 (en) |
| EP (3) | EP1385377A1 (en) |
| JP (3) | JP2003026510A (en) |
| KR (3) | KR20030092137A (en) |
| CN (4) | CN1523958A (en) |
| AR (3) | AR033717A1 (en) |
| AU (1) | AU2002255313B2 (en) |
| BR (3) | BR0209461A (en) |
| CA (1) | CA2446006A1 (en) |
| DE (1) | DE60230131D1 (en) |
| ES (1) | ES2316557T3 (en) |
| HU (1) | HUP0400033A3 (en) |
| IL (3) | IL158499A0 (en) |
| MY (1) | MY134029A (en) |
| RU (3) | RU2003135637A (en) |
| SA (2) | SA02230096B1 (en) |
| TW (1) | TWI223979B (en) |
| WO (3) | WO2002090321A1 (en) |
Cited By (80)
| Publication number | Priority date | Publication date | Assignee | Title |
|---|---|---|---|---|
| WO2005063694A1 (en) * | 2003-12-26 | 2005-07-14 | Sumitomo Chemical Company, Limited | Nitrile compound and its use in pest control |
| WO2007006670A1 (en) | 2005-07-07 | 2007-01-18 | Basf Aktiengesellschaft | N-thio-anthranilamid compounds and their use as pesticides |
| WO2007147888A1 (en) | 2006-06-22 | 2007-12-27 | Basf Se | Malononitrile compounds |
| WO2008055882A1 (en) | 2006-11-10 | 2008-05-15 | Basf Se | Crystalline modification of fipronil |
| WO2008055883A1 (en) | 2006-11-10 | 2008-05-15 | Basf Se | Crystalline modification of fipronil |
| WO2008055881A1 (en) | 2006-11-10 | 2008-05-15 | Basf Se | Crystalline modification of fipronil |
| WO2008055884A1 (en) | 2006-11-10 | 2008-05-15 | Basf Se | Crystalline modification of fipronil |
| CN100390140C (en) * | 2003-12-26 | 2008-05-28 | 住友化学株式会社 | Nitrile compounds and their use in pest control |
| WO2008090048A2 (en) | 2007-01-26 | 2008-07-31 | Basf Se | 3-amino-1,2-benzisothiazole compounds for combating animal pest ii |
| WO2009004032A1 (en) | 2007-07-03 | 2009-01-08 | Basf Se | 1-(azolin-2-yl)amino-1,2-diphenylethane compounds for combating animal pests |
| US7541374B2 (en) | 2004-01-16 | 2009-06-02 | Sumitomo Chemical Company, Limited | Malononitrile compounds and use thereof |
| WO2009130281A1 (en) | 2008-04-24 | 2009-10-29 | Basf Se | Alcohol alkoxylates, agents comprising the same and use of the alcohol alkoxylates as adjuvants in the agrochemical field |
| EP2133140A2 (en) | 2005-03-01 | 2009-12-16 | Basf Se | Fast-release microcapsule products |
| WO2010015709A2 (en) | 2008-08-08 | 2010-02-11 | Basf Se | Fibrous surface structure containing active ingredients with controlled release of active ingredients, use thereof and method for the production thereof |
| WO2010086303A2 (en) | 2009-01-27 | 2010-08-05 | Basf Se | Method for dressing seeds |
| WO2010089244A1 (en) | 2009-02-03 | 2010-08-12 | Basf Se | Method for dressing seeds |
| WO2010100189A1 (en) | 2009-03-04 | 2010-09-10 | Basf Se | 3-arylquinazolin-4-one compounds for combating invertebrate pests |
| WO2010112545A1 (en) | 2009-04-01 | 2010-10-07 | Basf Se | Isoxazoline compounds for combating invertebrate pests |
| US7846956B2 (en) | 2004-01-16 | 2010-12-07 | Sumitomo Chemical Company, Limited | Malononitrile compound as pesticides |
| WO2011003796A1 (en) | 2009-07-06 | 2011-01-13 | Basf Se | Pyridazine compounds for controlling invertebrate pests |
| WO2011009804A2 (en) | 2009-07-24 | 2011-01-27 | Basf Se | Pyridine derivatives compounds for controlling invertebrate pests |
| WO2011014660A1 (en) | 2009-07-30 | 2011-02-03 | Merial Limited | Insecticidal 4-amino-thieno[2,3-d]-pyrimidine compounds and methods of their use |
| WO2011025789A2 (en) | 2009-08-28 | 2011-03-03 | Basf Corporation | Foamable pesticide compositions and methods of application |
| WO2011036074A1 (en) | 2009-09-24 | 2011-03-31 | Basf Se | Aminoquinazoline compounds for combating invertebrate pests |
| WO2011057942A1 (en) | 2009-11-12 | 2011-05-19 | Basf Se | Insecticidal methods using pyridine compounds |
| WO2011061110A1 (en) | 2009-11-17 | 2011-05-26 | Basf Se | Fluorinated oxa or thia heteroarylalkylsulfide derivatives for combating invertebrate pests |
| WO2011064188A1 (en) | 2009-11-27 | 2011-06-03 | Basf Se | Insecticidal methods using nitrogen-containing heteroaromatic compounds |
| WO2011069143A1 (en) | 2009-12-04 | 2011-06-09 | Merial Limited | Pesticidal bis-organosulfur compounds |
| WO2011069955A1 (en) | 2009-12-07 | 2011-06-16 | Basf Se | Sulfonimidamide compounds for combating animal pests |
| WO2011073444A2 (en) | 2009-12-18 | 2011-06-23 | Basf Se | Azoline compounds for combating invertebrate pests |
| WO2011092287A1 (en) | 2010-02-01 | 2011-08-04 | Basf Se | Substituted ketonic isoxazoline compounds and derivatives for combating animal pests |
| WO2011117806A2 (en) | 2010-03-23 | 2011-09-29 | Basf Se | Pyridazine compounds for controlling invertebrate pests |
| WO2011117286A1 (en) | 2010-03-23 | 2011-09-29 | Basf Se | Pyridazine compounds for controlling invertebrate pests |
| WO2011117804A1 (en) | 2010-03-23 | 2011-09-29 | Basf Se | Pyridazine compounds for controlling invertebrate pests |
| WO2011147952A1 (en) | 2010-05-28 | 2011-12-01 | Basf Se | Pesticidal mixtures |
| WO2011148886A1 (en) | 2010-05-24 | 2011-12-01 | Meiji Seikaファルマ株式会社 | Noxious organism control agent |
| EP2392662A2 (en) | 2007-04-23 | 2011-12-07 | Basf Se | Plant produtivity enhancement by combining chemical agents with transgenic modifications |
| US8097562B2 (en) | 2006-11-30 | 2012-01-17 | Basf Se | Agrochemical formulations comprising N-vinylamid co-polymers |
| WO2012007426A1 (en) | 2010-07-13 | 2012-01-19 | Basf Se | Azoline substituted isoxazoline benzamide compounds for combating animal pests |
| WO2012010534A1 (en) | 2010-07-22 | 2012-01-26 | Basf Se | Novel hetaryl (thio)carboxamide compounds for controlling invertebrate pests |
| WO2012034960A1 (en) | 2010-09-13 | 2012-03-22 | Basf Se | Pyridine compounds for controlling invertebrate pests ii |
| WO2012034961A1 (en) | 2010-09-13 | 2012-03-22 | Basf Se | Pyridine compounds for controlling invertebrate pests i |
| WO2012034959A2 (en) | 2010-09-13 | 2012-03-22 | Basf Se | Pyridine compounds for controlling invertebrate pests iii |
| WO2012042007A1 (en) | 2010-10-01 | 2012-04-05 | Basf Se | Imine substituted 2, 4 - diaryl - pyrroline derivatives as pesticides |
| WO2012042006A1 (en) | 2010-10-01 | 2012-04-05 | Basf Se | Imine compounds |
| WO2012076704A2 (en) | 2010-12-10 | 2012-06-14 | Basf Se | Pyrazole compounds for controlling invertebrate pests |
| WO2012085081A1 (en) | 2010-12-22 | 2012-06-28 | Basf Se | Sulfoximinamide compounds for combating invertebrate pests ii |
| WO2012084670A1 (en) | 2010-12-20 | 2012-06-28 | Basf Se | Pesticidal active mixtures comprising pyrazole compounds |
| EP2500340A1 (en) | 2008-01-25 | 2012-09-19 | Syngenta Participations AG. | 2-Cyanophenyl Sulfonamide Derivatives Useful as Pesticides |
| WO2012136724A1 (en) | 2011-04-06 | 2012-10-11 | Basf Se | Substituted pyrimidinium compounds for combating animal pests |
| EP2514316A1 (en) | 2006-09-14 | 2012-10-24 | Basf Se | Pesticide composition |
| WO2012143317A1 (en) | 2011-04-21 | 2012-10-26 | Basf Se | Novel pesticidal pyrazole compounds |
| WO2013024170A1 (en) | 2011-08-18 | 2013-02-21 | Basf Se | Carbamoylmethoxy- and carbamoylmethylthio- and carbamoylmethylamino benzamides for combating invertebrate pests |
| WO2013024006A1 (en) | 2011-08-12 | 2013-02-21 | Basf Se | Anthranilamide compounds and their use as pesticides |
| WO2013024005A1 (en) | 2011-08-12 | 2013-02-21 | Basf Se | Anthranilamide compounds and their use as pesticides |
| WO2013024009A1 (en) | 2011-08-12 | 2013-02-21 | Basf Se | N-thio-anthranilamide compounds and their use as pesticides |
| WO2013024171A1 (en) | 2011-08-18 | 2013-02-21 | Basf Se | Carbamoylmethoxy- and carbamoylmethylthio- and carbamoylmethylamino benzamides for combating invertebrate pests |
| WO2013024004A1 (en) | 2011-08-12 | 2013-02-21 | Basf Se | N-thio-anthranilamide compounds and their use as pesticides |
| WO2013024003A1 (en) | 2011-08-12 | 2013-02-21 | Basf Se | N-thio-anthranilamide compounds and their use as pesticides |
| WO2013024010A1 (en) | 2011-08-12 | 2013-02-21 | Basf Se | N-thio-anthranilamide compounds and their use as pesticides |
| WO2013024169A1 (en) | 2011-08-18 | 2013-02-21 | Basf Se | Carbamoylmethoxy- and carbamoylmethylthio- and carbamoylmethylamino benzamides for combating invertebrate pests |
| WO2013030319A2 (en) | 2011-09-02 | 2013-03-07 | Basf Se | Use of pesticidal active 3-arylquinazolin-4-one derivatives in soil application methods |
| WO2013189801A1 (en) | 2012-06-20 | 2013-12-27 | Basf Se | Pyrazole compound and pesticidal mixtures comprising a pyrazole compound |
| EP2684562A1 (en) | 2008-08-08 | 2014-01-15 | Basf Se | Fibre layer with an active substance on the basis of bio-polymers, applications of same and method for their manufacture |
| EP2684879A1 (en) | 2012-07-09 | 2014-01-15 | Basf Se | Substituted mesoionic compounds for combating animal pests |
| WO2014045228A1 (en) | 2012-09-21 | 2014-03-27 | Basf Se | Pyrethroid insecticide for protecting plants and seed |
| WO2014047334A1 (en) | 2012-09-21 | 2014-03-27 | Basf Se | Methods for preventing pest infestations |
| WO2014090700A1 (en) | 2012-12-14 | 2014-06-19 | Basf Se | Malononitrile compounds for controlling animal pests |
| US8916592B2 (en) | 2005-12-22 | 2014-12-23 | Merial Limited | Malononitrile compounds |
| US8940662B2 (en) | 2009-04-28 | 2015-01-27 | Basf Corporation | Methods for controlling pests |
| US9006142B2 (en) | 2006-11-30 | 2015-04-14 | Basf Se | Agrochemical formulations comprising 1-vinyl-2-pyrrolidinone co-polymers |
| WO2015118479A1 (en) | 2014-02-05 | 2015-08-13 | Basf Corporation | Seed coating formulations and their use for yield increase |
| US9149034B2 (en) | 2006-11-30 | 2015-10-06 | Basf Se | Agrochemical formulations comprising co-polymers based on diisocyanates |
| WO2015161224A1 (en) | 2014-04-17 | 2015-10-22 | Merial, Inc. | Use of malononitrile compounds for protecting animals from parasites |
| US9480250B2 (en) | 2006-12-01 | 2016-11-01 | Basf Se | Production of solid solutions of pesticides by short-term superheating and rapid drying |
| US9533968B2 (en) | 2012-05-24 | 2017-01-03 | Basf Se | N-thio-anthranilamide compounds and their use as pesticides |
| US9545098B2 (en) | 2013-04-10 | 2017-01-17 | Henkel Consumer Goods Inc. | Insecticidal feeding beads, systems comprising the beads, and methods of making the beads |
| EP3150068A1 (en) | 2007-08-16 | 2017-04-05 | Basf Se | Seed treatment compositions and methods |
| WO2017147352A1 (en) | 2016-02-24 | 2017-08-31 | Merial, Inc. | Antiparasitic isoxazoline compounds, long-acting injectable formulations comprising them, methods and uses thereof |
| WO2025242701A1 (en) | 2024-05-22 | 2025-11-27 | Basf Se | Seed treatment compositions |
Families Citing this family (21)
| Publication number | Priority date | Publication date | Assignee | Title |
|---|---|---|---|---|
| JP2003026510A (en) * | 2001-05-09 | 2003-01-29 | Sumitomo Chem Co Ltd | Malononitrile compounds and their pest control applications |
| DE60309874T2 (en) * | 2002-07-17 | 2007-03-15 | Sumitomo Chemical Co., Ltd. | MALONSAUERENITRILE COMPOUNDS AND THEIR USE AS PESTICIDES |
| JP4513284B2 (en) * | 2002-07-17 | 2010-07-28 | 住友化学株式会社 | Malononitrile compounds and uses thereof |
| JP4556663B2 (en) * | 2003-12-26 | 2010-10-06 | 住友化学株式会社 | Nitrile compounds and their pest control applications |
| EP1555259B8 (en) * | 2004-01-16 | 2008-05-28 | Sumitomo Chemical Company, Limited | Malononitrile compounds as pesticides |
| JP4747582B2 (en) * | 2004-01-16 | 2011-08-17 | 住友化学株式会社 | Malononitrile compound having nitrogen-containing 5-membered ring and its use for pest control |
| JP4830301B2 (en) * | 2004-01-16 | 2011-12-07 | 住友化学株式会社 | Malononitrile compound having nitrogen-containing 5-membered ring and use thereof |
| JP4670355B2 (en) * | 2004-01-16 | 2011-04-13 | 住友化学株式会社 | Malononitrile compound having nitrogen-containing 6-membered ring and use thereof |
| EP1912958A1 (en) * | 2005-08-05 | 2008-04-23 | Basf Se | Substituted malononitrile compounds for combating animal pests |
| CN101272849A (en) * | 2005-09-23 | 2008-09-24 | 巴斯夫欧洲公司 | Novel agrochemical formulations |
| JP5407224B2 (en) * | 2007-09-05 | 2014-02-05 | 住友化学株式会社 | Pest control composition and pest control method |
| JP5423011B2 (en) * | 2008-03-19 | 2014-02-19 | 住友化学株式会社 | Nitrile compounds and their use for controlling harmful arthropods |
| CN102246797B (en) * | 2011-05-17 | 2013-04-10 | 德强生物股份有限公司 | Insecticidal synergistic composition containing imidacloprid |
| CN104869826B (en) * | 2012-10-24 | 2017-08-29 | 巴斯夫欧洲公司 | Malononitrile compound for preventing and treating animal pest |
| US10385012B2 (en) | 2013-12-20 | 2019-08-20 | Basf Se | Thioamides and amides for controlling animal pests |
| WO2015158603A1 (en) * | 2014-04-16 | 2015-10-22 | Basf Se | Malononitrile oxime compounds |
| WO2015178262A1 (en) * | 2014-05-22 | 2015-11-26 | 住友化学株式会社 | Pyrazole compound |
| CN109694333A (en) * | 2017-10-23 | 2019-04-30 | 西华大学 | The non-solvent preparation of disubstituted malononitrile derivative |
| CN113785834B (en) * | 2019-10-18 | 2022-08-30 | 沈阳中化农药化工研发有限公司 | Insecticidal acarid, pathogenic microorganism composition and application |
| CN115536549B (en) * | 2022-10-11 | 2023-10-17 | 枣庄市润安制药新材料有限公司 | Preparation method of 5-hexenenitrile |
| CN115872900B (en) * | 2022-12-05 | 2025-03-18 | 深圳湾实验室坪山生物医药研发转化中心 | Method for generating and capturing alkyl free radicals, and products and applications of the products |
Family Cites Families (15)
| Publication number | Priority date | Publication date | Assignee | Title |
|---|---|---|---|---|
| US3250798A (en) * | 1961-06-13 | 1966-05-10 | Dow Chemical Co | 2,3,4,5,6-pentachloro-benzylidene malononitrile |
| CH484603A (en) * | 1966-03-21 | 1970-01-31 | Ciba Geigy | Pesticides containing certain malodinitriles |
| BR6795288D0 (en) * | 1966-12-06 | 1973-02-27 | Sumitomo Chemical Co | NEW BENZYLIDENOMALONITRILLES AND PROCESS FOR YOUR PRODUCT |
| US3551573A (en) * | 1967-11-08 | 1970-12-29 | Monsanto Co | Insecticidal composition and method containing anilinomethylene malonitriles |
| US3694483A (en) * | 1970-09-08 | 1972-09-26 | Gulf Research Development Co | Carbamyloxybenzylidenemalononitrile |
| US4000314A (en) * | 1975-01-16 | 1976-12-28 | Ciba-Geigy Corporation | Pesticidal N-(2,2-dicyanovinyl)-N-benzyl-anilines |
| US5041556A (en) | 1990-12-11 | 1991-08-20 | American Cyanamid Company | Process for the preparation of insecticidal, acaricidal and molluscicidal 2-halopyrrole-3-carbonitrile compounds |
| US5344955A (en) * | 1993-02-19 | 1994-09-06 | Ciba-Geigy Corporation | Preparation of 1-amino-cyan-amido-2,2-dicyanoethylene, sodium salt |
| JPH06256278A (en) | 1993-03-03 | 1994-09-13 | Nissan Chem Ind Ltd | Optically active alpha-carbamoylalkanoic acid derivative and its production |
| JPH1029966A (en) | 1996-07-17 | 1998-02-03 | Mitsubishi Chem Corp | Malononitrile derivative and herbicide containing the same as active ingredient |
| TW513285B (en) | 1997-02-14 | 2002-12-11 | Ishihara Sangyo Kaisha | Acrylonitrile compounds, process and intermediates for their production, method for controlling pests comprising using them and pesticides, fungicides and marine antifouling agents containing them |
| JP2000247942A (en) | 1999-02-23 | 2000-09-12 | Mitsubishi Chemicals Corp | Styryl compounds |
| JP4049233B2 (en) | 1999-03-25 | 2008-02-20 | 富士フイルム株式会社 | Process for producing active methylene substituted arene derivatives |
| JP2001064640A (en) | 1999-08-30 | 2001-03-13 | Toyo Ink Mfg Co Ltd | Organic electroluminescent device material and organic electroluminescent device using the same |
| JP2003026510A (en) * | 2001-05-09 | 2003-01-29 | Sumitomo Chem Co Ltd | Malononitrile compounds and their pest control applications |
-
2002
- 2002-04-23 JP JP2002120387A patent/JP2003026510A/en active Pending
- 2002-04-23 JP JP2002120386A patent/JP4269574B2/en not_active Expired - Fee Related
- 2002-04-23 TW TW091108311A patent/TWI223979B/en not_active IP Right Cessation
- 2002-04-24 JP JP2002122052A patent/JP2003026511A/en active Pending
- 2002-04-29 MY MYPI20021565A patent/MY134029A/en unknown
- 2002-05-08 HU HU0400033A patent/HUP0400033A3/en unknown
- 2002-05-08 WO PCT/JP2002/004451 patent/WO2002090321A1/en not_active Ceased
- 2002-05-08 SA SA02230096A patent/SA02230096B1/en unknown
- 2002-05-08 US US10/477,120 patent/US20040143007A1/en not_active Abandoned
- 2002-05-08 CN CNA028136284A patent/CN1523958A/en active Pending
- 2002-05-08 AU AU2002255313A patent/AU2002255313B2/en not_active Ceased
- 2002-05-08 WO PCT/JP2002/004449 patent/WO2002090320A2/en not_active Ceased
- 2002-05-08 CN CN200710096610A patent/CN100584823C/en not_active Expired - Fee Related
- 2002-05-08 RU RU2003135637/04A patent/RU2003135637A/en not_active Application Discontinuation
- 2002-05-08 ES ES02724712T patent/ES2316557T3/en not_active Expired - Lifetime
- 2002-05-08 AR ARP020101669A patent/AR033717A1/en not_active Application Discontinuation
- 2002-05-08 AR ARP020101670A patent/AR034427A1/en active IP Right Grant
- 2002-05-08 IL IL15849902A patent/IL158499A0/en unknown
- 2002-05-08 BR BR0209461-4A patent/BR0209461A/en not_active Application Discontinuation
- 2002-05-08 KR KR10-2003-7014508A patent/KR20030092137A/en not_active Withdrawn
- 2002-05-08 CN CNB028136276A patent/CN100376549C/en not_active Expired - Fee Related
- 2002-05-08 DE DE60230131T patent/DE60230131D1/en not_active Expired - Lifetime
- 2002-05-08 EP EP02769210A patent/EP1385377A1/en not_active Withdrawn
- 2002-05-08 EP EP02769211A patent/EP1392647A1/en not_active Withdrawn
- 2002-05-08 BR BRPI0209532-7A patent/BR0209532B1/en not_active IP Right Cessation
- 2002-05-08 SA SA7280099A patent/SA07280099B1/en unknown
- 2002-05-08 RU RU2003135639/04A patent/RU2274638C2/en not_active IP Right Cessation
- 2002-05-08 KR KR10-2003-7014510A patent/KR20030092138A/en not_active Withdrawn
- 2002-05-08 CA CA002446006A patent/CA2446006A1/en not_active Abandoned
- 2002-05-08 US US10/476,979 patent/US20040142821A1/en not_active Abandoned
- 2002-05-08 KR KR1020037014540A patent/KR100858268B1/en not_active Expired - Fee Related
- 2002-05-08 AR ARP020101671A patent/AR033718A1/en not_active Application Discontinuation
- 2002-05-08 EP EP02724712A patent/EP1385817B1/en not_active Expired - Lifetime
- 2002-05-08 RU RU2003135640/04A patent/RU2003135640A/en not_active Application Discontinuation
- 2002-05-08 BR BR0209481-9A patent/BR0209481A/en not_active Application Discontinuation
- 2002-05-08 US US10/477,117 patent/US7011838B2/en not_active Expired - Fee Related
- 2002-05-08 CN CNA028134923A patent/CN1524071A/en active Pending
- 2002-05-08 WO PCT/JP2002/004450 patent/WO2002089579A1/en not_active Ceased
-
2003
- 2003-10-20 IL IL158499A patent/IL158499A/en not_active IP Right Cessation
-
2005
- 2005-04-18 US US11/107,853 patent/US7402691B2/en not_active Expired - Fee Related
-
2008
- 2008-02-12 IL IL189480A patent/IL189480A0/en not_active IP Right Cessation
Cited By (96)
| Publication number | Priority date | Publication date | Assignee | Title |
|---|---|---|---|---|
| CN100390140C (en) * | 2003-12-26 | 2008-05-28 | 住友化学株式会社 | Nitrile compounds and their use in pest control |
| WO2005063694A1 (en) * | 2003-12-26 | 2005-07-14 | Sumitomo Chemical Company, Limited | Nitrile compound and its use in pest control |
| US7662402B2 (en) | 2003-12-26 | 2010-02-16 | Sumitomo Chemical Company, Limited | Nitrile compound and its use in pest control |
| US7541374B2 (en) | 2004-01-16 | 2009-06-02 | Sumitomo Chemical Company, Limited | Malononitrile compounds and use thereof |
| US7846956B2 (en) | 2004-01-16 | 2010-12-07 | Sumitomo Chemical Company, Limited | Malononitrile compound as pesticides |
| EP2133140A2 (en) | 2005-03-01 | 2009-12-16 | Basf Se | Fast-release microcapsule products |
| US8143292B2 (en) | 2005-07-07 | 2012-03-27 | Basf Se | N-Thio-anthranilamid compounds and their use as pesticides |
| US8772289B2 (en) | 2005-07-07 | 2014-07-08 | Basf Se | N-Thio-anthranilamid compounds and their use as pesticides |
| US9365543B2 (en) | 2005-07-07 | 2016-06-14 | Basf Se | N-Thio-anthranilamid compounds and their use as pesticides |
| US9056853B2 (en) | 2005-07-07 | 2015-06-16 | Basf Se | N-Thio-anthranilamid compounds and their use as pesticides |
| US8338419B2 (en) | 2005-07-07 | 2012-12-25 | Basf Se | N-thio-anthranilamid compounds and their use as pesticides |
| WO2007006670A1 (en) | 2005-07-07 | 2007-01-18 | Basf Aktiengesellschaft | N-thio-anthranilamid compounds and their use as pesticides |
| US8916592B2 (en) | 2005-12-22 | 2014-12-23 | Merial Limited | Malononitrile compounds |
| US8901170B2 (en) | 2006-06-22 | 2014-12-02 | Basf Se | Malononitrile compounds |
| WO2007147888A1 (en) | 2006-06-22 | 2007-12-27 | Basf Se | Malononitrile compounds |
| EP2514316A1 (en) | 2006-09-14 | 2012-10-24 | Basf Se | Pesticide composition |
| WO2008055884A1 (en) | 2006-11-10 | 2008-05-15 | Basf Se | Crystalline modification of fipronil |
| WO2008055881A1 (en) | 2006-11-10 | 2008-05-15 | Basf Se | Crystalline modification of fipronil |
| WO2008055883A1 (en) | 2006-11-10 | 2008-05-15 | Basf Se | Crystalline modification of fipronil |
| WO2008055882A1 (en) | 2006-11-10 | 2008-05-15 | Basf Se | Crystalline modification of fipronil |
| US8097562B2 (en) | 2006-11-30 | 2012-01-17 | Basf Se | Agrochemical formulations comprising N-vinylamid co-polymers |
| US9149034B2 (en) | 2006-11-30 | 2015-10-06 | Basf Se | Agrochemical formulations comprising co-polymers based on diisocyanates |
| US9006142B2 (en) | 2006-11-30 | 2015-04-14 | Basf Se | Agrochemical formulations comprising 1-vinyl-2-pyrrolidinone co-polymers |
| US9480250B2 (en) | 2006-12-01 | 2016-11-01 | Basf Se | Production of solid solutions of pesticides by short-term superheating and rapid drying |
| WO2008090048A2 (en) | 2007-01-26 | 2008-07-31 | Basf Se | 3-amino-1,2-benzisothiazole compounds for combating animal pest ii |
| EP2392662A2 (en) | 2007-04-23 | 2011-12-07 | Basf Se | Plant produtivity enhancement by combining chemical agents with transgenic modifications |
| WO2009004032A1 (en) | 2007-07-03 | 2009-01-08 | Basf Se | 1-(azolin-2-yl)amino-1,2-diphenylethane compounds for combating animal pests |
| EP3150068A1 (en) | 2007-08-16 | 2017-04-05 | Basf Se | Seed treatment compositions and methods |
| EP2500340A1 (en) | 2008-01-25 | 2012-09-19 | Syngenta Participations AG. | 2-Cyanophenyl Sulfonamide Derivatives Useful as Pesticides |
| WO2009130281A1 (en) | 2008-04-24 | 2009-10-29 | Basf Se | Alcohol alkoxylates, agents comprising the same and use of the alcohol alkoxylates as adjuvants in the agrochemical field |
| EP2684562A1 (en) | 2008-08-08 | 2014-01-15 | Basf Se | Fibre layer with an active substance on the basis of bio-polymers, applications of same and method for their manufacture |
| WO2010015709A2 (en) | 2008-08-08 | 2010-02-11 | Basf Se | Fibrous surface structure containing active ingredients with controlled release of active ingredients, use thereof and method for the production thereof |
| EP2837286A1 (en) | 2009-01-27 | 2015-02-18 | Basf Se | Method for dressing seeds |
| WO2010086303A2 (en) | 2009-01-27 | 2010-08-05 | Basf Se | Method for dressing seeds |
| WO2010089244A1 (en) | 2009-02-03 | 2010-08-12 | Basf Se | Method for dressing seeds |
| WO2010100189A1 (en) | 2009-03-04 | 2010-09-10 | Basf Se | 3-arylquinazolin-4-one compounds for combating invertebrate pests |
| WO2010112545A1 (en) | 2009-04-01 | 2010-10-07 | Basf Se | Isoxazoline compounds for combating invertebrate pests |
| US8940662B2 (en) | 2009-04-28 | 2015-01-27 | Basf Corporation | Methods for controlling pests |
| US8980294B2 (en) | 2009-04-28 | 2015-03-17 | Basf Corporation | Methods for controlling pests |
| WO2011003796A1 (en) | 2009-07-06 | 2011-01-13 | Basf Se | Pyridazine compounds for controlling invertebrate pests |
| WO2011009804A2 (en) | 2009-07-24 | 2011-01-27 | Basf Se | Pyridine derivatives compounds for controlling invertebrate pests |
| WO2011014660A1 (en) | 2009-07-30 | 2011-02-03 | Merial Limited | Insecticidal 4-amino-thieno[2,3-d]-pyrimidine compounds and methods of their use |
| WO2011025789A2 (en) | 2009-08-28 | 2011-03-03 | Basf Corporation | Foamable pesticide compositions and methods of application |
| US9339030B2 (en) | 2009-08-28 | 2016-05-17 | Basf Corporation | Foamable pesticide compositions and methods of application |
| WO2011036074A1 (en) | 2009-09-24 | 2011-03-31 | Basf Se | Aminoquinazoline compounds for combating invertebrate pests |
| WO2011057942A1 (en) | 2009-11-12 | 2011-05-19 | Basf Se | Insecticidal methods using pyridine compounds |
| WO2011061110A1 (en) | 2009-11-17 | 2011-05-26 | Basf Se | Fluorinated oxa or thia heteroarylalkylsulfide derivatives for combating invertebrate pests |
| WO2011064188A1 (en) | 2009-11-27 | 2011-06-03 | Basf Se | Insecticidal methods using nitrogen-containing heteroaromatic compounds |
| WO2011069143A1 (en) | 2009-12-04 | 2011-06-09 | Merial Limited | Pesticidal bis-organosulfur compounds |
| WO2011069955A1 (en) | 2009-12-07 | 2011-06-16 | Basf Se | Sulfonimidamide compounds for combating animal pests |
| WO2011073444A2 (en) | 2009-12-18 | 2011-06-23 | Basf Se | Azoline compounds for combating invertebrate pests |
| WO2011092287A1 (en) | 2010-02-01 | 2011-08-04 | Basf Se | Substituted ketonic isoxazoline compounds and derivatives for combating animal pests |
| WO2011117213A1 (en) | 2010-03-23 | 2011-09-29 | Basf Se | Pyridazine compounds for controlling invertebrate pests |
| WO2011117806A2 (en) | 2010-03-23 | 2011-09-29 | Basf Se | Pyridazine compounds for controlling invertebrate pests |
| WO2011117804A1 (en) | 2010-03-23 | 2011-09-29 | Basf Se | Pyridazine compounds for controlling invertebrate pests |
| WO2011117286A1 (en) | 2010-03-23 | 2011-09-29 | Basf Se | Pyridazine compounds for controlling invertebrate pests |
| WO2011117198A2 (en) | 2010-03-23 | 2011-09-29 | Basf Se | Pyridazine compounds for controlling invertebrate pests |
| WO2011148886A1 (en) | 2010-05-24 | 2011-12-01 | Meiji Seikaファルマ株式会社 | Noxious organism control agent |
| WO2011147952A1 (en) | 2010-05-28 | 2011-12-01 | Basf Se | Pesticidal mixtures |
| WO2012007426A1 (en) | 2010-07-13 | 2012-01-19 | Basf Se | Azoline substituted isoxazoline benzamide compounds for combating animal pests |
| WO2012010534A1 (en) | 2010-07-22 | 2012-01-26 | Basf Se | Novel hetaryl (thio)carboxamide compounds for controlling invertebrate pests |
| WO2012034959A2 (en) | 2010-09-13 | 2012-03-22 | Basf Se | Pyridine compounds for controlling invertebrate pests iii |
| WO2012034961A1 (en) | 2010-09-13 | 2012-03-22 | Basf Se | Pyridine compounds for controlling invertebrate pests i |
| WO2012034960A1 (en) | 2010-09-13 | 2012-03-22 | Basf Se | Pyridine compounds for controlling invertebrate pests ii |
| WO2012042006A1 (en) | 2010-10-01 | 2012-04-05 | Basf Se | Imine compounds |
| WO2012042007A1 (en) | 2010-10-01 | 2012-04-05 | Basf Se | Imine substituted 2, 4 - diaryl - pyrroline derivatives as pesticides |
| WO2012076704A2 (en) | 2010-12-10 | 2012-06-14 | Basf Se | Pyrazole compounds for controlling invertebrate pests |
| WO2012084670A1 (en) | 2010-12-20 | 2012-06-28 | Basf Se | Pesticidal active mixtures comprising pyrazole compounds |
| WO2012085081A1 (en) | 2010-12-22 | 2012-06-28 | Basf Se | Sulfoximinamide compounds for combating invertebrate pests ii |
| WO2012136724A1 (en) | 2011-04-06 | 2012-10-11 | Basf Se | Substituted pyrimidinium compounds for combating animal pests |
| WO2012143317A1 (en) | 2011-04-21 | 2012-10-26 | Basf Se | Novel pesticidal pyrazole compounds |
| WO2013024005A1 (en) | 2011-08-12 | 2013-02-21 | Basf Se | Anthranilamide compounds and their use as pesticides |
| WO2013024010A1 (en) | 2011-08-12 | 2013-02-21 | Basf Se | N-thio-anthranilamide compounds and their use as pesticides |
| WO2013024003A1 (en) | 2011-08-12 | 2013-02-21 | Basf Se | N-thio-anthranilamide compounds and their use as pesticides |
| WO2013024004A1 (en) | 2011-08-12 | 2013-02-21 | Basf Se | N-thio-anthranilamide compounds and their use as pesticides |
| WO2013024006A1 (en) | 2011-08-12 | 2013-02-21 | Basf Se | Anthranilamide compounds and their use as pesticides |
| WO2013024009A1 (en) | 2011-08-12 | 2013-02-21 | Basf Se | N-thio-anthranilamide compounds and their use as pesticides |
| WO2013024170A1 (en) | 2011-08-18 | 2013-02-21 | Basf Se | Carbamoylmethoxy- and carbamoylmethylthio- and carbamoylmethylamino benzamides for combating invertebrate pests |
| WO2013024169A1 (en) | 2011-08-18 | 2013-02-21 | Basf Se | Carbamoylmethoxy- and carbamoylmethylthio- and carbamoylmethylamino benzamides for combating invertebrate pests |
| WO2013024171A1 (en) | 2011-08-18 | 2013-02-21 | Basf Se | Carbamoylmethoxy- and carbamoylmethylthio- and carbamoylmethylamino benzamides for combating invertebrate pests |
| WO2013030319A2 (en) | 2011-09-02 | 2013-03-07 | Basf Se | Use of pesticidal active 3-arylquinazolin-4-one derivatives in soil application methods |
| US9533968B2 (en) | 2012-05-24 | 2017-01-03 | Basf Se | N-thio-anthranilamide compounds and their use as pesticides |
| WO2013189801A1 (en) | 2012-06-20 | 2013-12-27 | Basf Se | Pyrazole compound and pesticidal mixtures comprising a pyrazole compound |
| EP3646731A1 (en) | 2012-06-20 | 2020-05-06 | Basf Se | Pesticidal mixtures comprising a pyrazole compound |
| EP3300602A1 (en) | 2012-06-20 | 2018-04-04 | Basf Se | Pesticidal mixtures comprising a pyrazole compound |
| EP2684879A1 (en) | 2012-07-09 | 2014-01-15 | Basf Se | Substituted mesoionic compounds for combating animal pests |
| WO2014047334A1 (en) | 2012-09-21 | 2014-03-27 | Basf Se | Methods for preventing pest infestations |
| WO2014045228A1 (en) | 2012-09-21 | 2014-03-27 | Basf Se | Pyrethroid insecticide for protecting plants and seed |
| US10117430B2 (en) | 2012-12-14 | 2018-11-06 | Basf Se | Malononitrile compounds for controlling animal pests |
| WO2014090700A1 (en) | 2012-12-14 | 2014-06-19 | Basf Se | Malononitrile compounds for controlling animal pests |
| US9545098B2 (en) | 2013-04-10 | 2017-01-17 | Henkel Consumer Goods Inc. | Insecticidal feeding beads, systems comprising the beads, and methods of making the beads |
| WO2015118479A1 (en) | 2014-02-05 | 2015-08-13 | Basf Corporation | Seed coating formulations and their use for yield increase |
| WO2015161224A1 (en) | 2014-04-17 | 2015-10-22 | Merial, Inc. | Use of malononitrile compounds for protecting animals from parasites |
| WO2017147352A1 (en) | 2016-02-24 | 2017-08-31 | Merial, Inc. | Antiparasitic isoxazoline compounds, long-acting injectable formulations comprising them, methods and uses thereof |
| EP3763211A1 (en) | 2016-02-24 | 2021-01-13 | Boehringer Ingelheim Animal Health USA Inc. | Antiparasitic isoxazoline compounds, long-acting injectable formulations comprising them, methods and uses thereof |
| WO2025242701A1 (en) | 2024-05-22 | 2025-11-27 | Basf Se | Seed treatment compositions |
Also Published As
Similar Documents
| Publication | Publication Date | Title |
|---|---|---|
| EP1385817B1 (en) | Malononitrile compounds and their use as pesticides | |
| AU2002255313A1 (en) | Malononitrile compounds and their use as pesticides | |
| US7026340B2 (en) | Malononitrile compounds and their use as pesticides | |
| KR101014581B1 (en) | Malononitrile Compounds and Their Uses as Insecticides | |
| JP4457588B2 (en) | Uses of malononitrile compounds | |
| KR20080069268A (en) | Organic sulfur compounds and their use as arthropod pesticides | |
| JP4433788B2 (en) | Benzyl sulfide derivatives and their use for controlling harmful arthropods | |
| JP2007186494A (en) | Sulfur-containing fluoroalkane compounds and uses thereof | |
| JP5082377B2 (en) | Fluorine-containing organic sulfur compounds and their use for controlling harmful arthropods | |
| JP4784206B2 (en) | Sulfonylic compounds and their use for controlling harmful arthropods | |
| AU2002307747A1 (en) | Malononitrile compounds and their use as pesticides | |
| AU2002307746A1 (en) | Pesticide composition comprising malononitrile compounds | |
| JP2007161617A (en) | Harmful arthropod control agent and method for controlling harmful arthropods | |
| KR100967333B1 (en) | Malononitrile compounds and their use as pesticides |
Legal Events
| Date | Code | Title | Description |
|---|---|---|---|
| AK | Designated states |
Kind code of ref document: A2 Designated state(s): AE AG AL AM AT AU AZ BA BB BG BR BY BZ CA CH CN CO CR CU CZ DE DK DM DZ EC EE ES FI GB GD GE GH GM HR HU ID IL IN IS KE KG KR KZ LC LK LR LS LT LU LV MA MD MG MK MN MW MX MZ NO NZ OM PH PL PT RO RU SD SE SG SI SK SL TJ TM TN TR TT TZ UA UG US UZ VN YU ZA ZM ZW |
|
| AL | Designated countries for regional patents |
Kind code of ref document: A2 Designated state(s): GH GM KE LS MW MZ SD SL SZ TZ UG ZM ZW AM AZ BY KG KZ MD RU TJ TM AT BE CH CY DE DK ES FI FR GB GR IE IT LU MC NL PT SE TR BF BJ CF CG CI CM GA GN GQ GW ML MR NE SN TD TG |
|
| 121 | Ep: the epo has been informed by wipo that ep was designated in this application | ||
| AK | Designated states |
Kind code of ref document: A3 Designated state(s): AE AG AL AM AT AU AZ BA BB BG BR BY BZ CA CH CN CO CR CU CZ DE DK DM DZ EC EE ES FI GB GD GE GH GM HR HU ID IL IN IS KE KG KR KZ LC LK LR LS LT LU LV MA MD MG MK MN MW MX MZ NO NZ OM PH PL PT RO RU SD SE SG SI SK SL TJ TM TN TR TT TZ UA UG US UZ VN YU ZA ZM ZW |
|
| AL | Designated countries for regional patents |
Kind code of ref document: A3 Designated state(s): GH GM KE LS MW MZ SD SL SZ TZ UG ZM ZW AM AZ BY KG KZ MD RU TJ TM AT BE CH CY DE DK ES FI FR GB GR IE IT LU MC NL PT SE TR BF BJ CF CG CI CM GA GN GQ GW ML MR NE SN TD TG |
|
| DFPE | Request for preliminary examination filed prior to expiration of 19th month from priority date (pct application filed before 20040101) | ||
| WWE | Wipo information: entry into national phase |
Ref document number: 2002255313 Country of ref document: AU |
|
| WWE | Wipo information: entry into national phase |
Ref document number: 158499 Country of ref document: IL |
|
| WWE | Wipo information: entry into national phase |
Ref document number: 2002724712 Country of ref document: EP |
|
| WWE | Wipo information: entry into national phase |
Ref document number: 2446006 Country of ref document: CA |
|
| WWE | Wipo information: entry into national phase |
Ref document number: 1743/CHENP/2003 Country of ref document: IN |
|
| WWE | Wipo information: entry into national phase |
Ref document number: 10477117 Country of ref document: US Ref document number: 1020037014540 Country of ref document: KR |
|
| WWE | Wipo information: entry into national phase |
Ref document number: 20028136276 Country of ref document: CN |
|
| WWP | Wipo information: published in national office |
Ref document number: 2002724712 Country of ref document: EP |
|
| REG | Reference to national code |
Ref country code: DE Ref legal event code: 8642 |
|
| WWE | Wipo information: entry into national phase |
Ref document number: 189480 Country of ref document: IL |














































