WO2021213917A1 - Emulsions comprising organic functional materials - Google Patents
Emulsions comprising organic functional materials Download PDFInfo
- Publication number
- WO2021213917A1 WO2021213917A1 PCT/EP2021/059913 EP2021059913W WO2021213917A1 WO 2021213917 A1 WO2021213917 A1 WO 2021213917A1 EP 2021059913 W EP2021059913 W EP 2021059913W WO 2021213917 A1 WO2021213917 A1 WO 2021213917A1
- Authority
- WO
- WIPO (PCT)
- Prior art keywords
- organic
- formulation
- materials
- solvent
- formulation according
- Prior art date
- Legal status (The legal status is an assumption and is not a legal conclusion. Google has not performed a legal analysis and makes no representation as to the accuracy of the status listed.)
- Ceased
Links
Classifications
-
- H—ELECTRICITY
- H10—SEMICONDUCTOR DEVICES; ELECTRIC SOLID-STATE DEVICES NOT OTHERWISE PROVIDED FOR
- H10K—ORGANIC ELECTRIC SOLID-STATE DEVICES
- H10K71/00—Manufacture or treatment specially adapted for the organic devices covered by this subclass
- H10K71/10—Deposition of organic active material
- H10K71/12—Deposition of organic active material using liquid deposition, e.g. spin coating
- H10K71/13—Deposition of organic active material using liquid deposition, e.g. spin coating using printing techniques, e.g. ink-jet printing or screen printing
- H10K71/135—Deposition of organic active material using liquid deposition, e.g. spin coating using printing techniques, e.g. ink-jet printing or screen printing using ink-jet printing
-
- H—ELECTRICITY
- H10—SEMICONDUCTOR DEVICES; ELECTRIC SOLID-STATE DEVICES NOT OTHERWISE PROVIDED FOR
- H10K—ORGANIC ELECTRIC SOLID-STATE DEVICES
- H10K71/00—Manufacture or treatment specially adapted for the organic devices covered by this subclass
- H10K71/10—Deposition of organic active material
- H10K71/12—Deposition of organic active material using liquid deposition, e.g. spin coating
- H10K71/15—Deposition of organic active material using liquid deposition, e.g. spin coating characterised by the solvent used
-
- H—ELECTRICITY
- H10—SEMICONDUCTOR DEVICES; ELECTRIC SOLID-STATE DEVICES NOT OTHERWISE PROVIDED FOR
- H10K—ORGANIC ELECTRIC SOLID-STATE DEVICES
- H10K71/00—Manufacture or treatment specially adapted for the organic devices covered by this subclass
-
- H—ELECTRICITY
- H10—SEMICONDUCTOR DEVICES; ELECTRIC SOLID-STATE DEVICES NOT OTHERWISE PROVIDED FOR
- H10K—ORGANIC ELECTRIC SOLID-STATE DEVICES
- H10K85/00—Organic materials used in the body or electrodes of devices covered by this subclass
- H10K85/60—Organic compounds having low molecular weight
-
- H—ELECTRICITY
- H10—SEMICONDUCTOR DEVICES; ELECTRIC SOLID-STATE DEVICES NOT OTHERWISE PROVIDED FOR
- H10K—ORGANIC ELECTRIC SOLID-STATE DEVICES
- H10K85/00—Organic materials used in the body or electrodes of devices covered by this subclass
- H10K85/60—Organic compounds having low molecular weight
- H10K85/649—Aromatic compounds comprising a hetero atom
- H10K85/653—Aromatic compounds comprising a hetero atom comprising only oxygen as heteroatom
-
- Y—GENERAL TAGGING OF NEW TECHNOLOGICAL DEVELOPMENTS; GENERAL TAGGING OF CROSS-SECTIONAL TECHNOLOGIES SPANNING OVER SEVERAL SECTIONS OF THE IPC; TECHNICAL SUBJECTS COVERED BY FORMER USPC CROSS-REFERENCE ART COLLECTIONS [XRACs] AND DIGESTS
- Y02—TECHNOLOGIES OR APPLICATIONS FOR MITIGATION OR ADAPTATION AGAINST CLIMATE CHANGE
- Y02E—REDUCTION OF GREENHOUSE GAS [GHG] EMISSIONS, RELATED TO ENERGY GENERATION, TRANSMISSION OR DISTRIBUTION
- Y02E10/00—Energy generation through renewable energy sources
- Y02E10/50—Photovoltaic [PV] energy
- Y02E10/549—Organic PV cells
Definitions
- Emulsions comprising organic functional materials
- Emulsions comprising organic functional materials
- the present invention relates, inter alia, to emulsions comprising organic functional materials, to methods for their preparation, and the use of said formulations for the preparation of electronic and opto-electronic devices.
- Organic electronics such as organic light-emitting diodes (OLEDs), organic field-effect transistors (OFETs), organic photovoltaic cells (OPVs), organic light-emitting electro-chemical cells (OLECs), photo detectors, and all polymer integrated electronic circuits, have drawn much attention in the past two decades, because they are versatile in material design, light weight, and suitable for large area application.
- These organic electronic devices usually comprise a multilayer structure. Hereby it is crucial to deposit the active organic materials on the nano- to mesoscopic scale on a substrate. In addition, the formation of organic multilayer structures has to occur without affecting the underlying layers in an uncontrolled way.
- patterned light emitting layers is an important but difficult step in the production of electroluminescent devices.
- the formation of separate red, green and blue patterned emitter layers is typically required in the production of electroluminescent full color display devices.
- Vacuum evaporation e.g., using a shadow mask
- vacuum evaporation techniques have a couple of drawbacks which may significantly inhibit the commercial development of multilayer structures comprising organic materials such as OLEDs. These techniques are rather complex in terms of equipment needed. In particular for large format displays, other methods for manufacturing patterned layers are needed. Methods based on depositing materials from solution are especially desirable for their expected compatibility with large scale device fabrication.
- the possible technologies are, for example, ink-jet printing, dip coating, spin coating, letter-press printing, screen printing, doctor blade coating, and slot-die coating etc.
- Ink-jet printing is particularly preferred as it allows high resolution displays to be prepared.
- all of these technologies suffer from their applicability to a broad spectrum of organic semicon ductors and it is, therefore, highly desirable to find other ways to build a multilayer structure.
- the first one is to use a cross-linkable compound, as disclosed in EP 0637899 A1 ; here one first immobilises the first layer by cross linking induced either thermally or by exposure to (UV) light, before the next layer is coated or printed on that.
- the disadvantage of this approach is one has to introduce the cross- linkable compound in the layer, or even design the cross-linkable functional group in organic functional compounds; and moreover the residual cross- linkable group could also be harmful to the device performance.
- the second approach is to use so-called orthogonal solvents, e.g, the first layer is insoluble in the solvent of the solution, from which the second layer will be coated. To do so, one has to either have a pair of compounds, which are soluble in orthogonal solvents, or to find a suitable formulation, which fulfils the condition of orthogonal solvents.
- Miniemulsions are understood to be stable emulsions of droplets with a distinct size between 1 and 5000 nm, made by shearing a system containing a solvent A, a solution (in a solvent B) of a compound insoluble in solvent A, and a small amount of a surfactant, whereby solvent A is immiscible with solvent B.
- Polymer particles can be obtained from such droplets after evaporation of solvent A.
- the formulation of conjugated polymers in dispersions as disclosed in WO 2003/050147 A1 , can be used to build multilayer structures in, e.g. OLEDs and OPVs. The deposition of polymers is known in the prior art.
- the present invention relates to a method to formulate organic functional materials, preferably small molecule organic functional materials, in emulsions, preferably mini- or micro-emulsions with droplet sizes in the range from 50 to 500 nm, and dispersions for facilitating the formation of a multilayer structure.
- emulsions and dispersions comprising organic functional materials can be formed.
- These emulsions and dispersions can be employed in order to prepare devices with layer and multilayer structures by using simple deposition techniques from solution.
- the formulations according to the present invention are particularly important and useful for the preparation of opto-electronic devices such as OLEDs, solar cells, and photovoltaic cells.
- emulsion and dispersion are up to the composition of one or more of the discontinuous phases.
- An emulsion comprises, in addition to organic functional materials as outlined below in the present application, at least one solvent. If the solvent is removed a dispersion is obtained.
- the discontinuous phase of the formulation can exist in the form of a nanodroplet and nanoparticle in the case of an emulsion and dispersion, respectively.
- the present invention relates to a formulation, comprising at least one discontinuous phase and at least one continuous phase, wherein the at least one discontinuous phase contains at least one first solvent, wherein the at least one continuous phase contains at least one second organic solvent, wherein the formulation contains at least one surfactant, and wherein the at least one discontinuous phase comprises at least one organic functional material, preferably at least one small molecule organic functional material.
- the formulation according to the present invention comprises one continuous phase. More preferably, the formulation according to the present invention comprises one continuous phase and one discontinuous phase.
- the discontinuous phase comprises 1 to 5, more preferably 1 to 4, and most preferably 1 to 3 organic functional materials, preferably small molecule organic functional materials.
- the formulation comprises 1 to 6, more preferably 2 to 5, and most preferably 2 to 4 organic functional materials, preferably small molecule organic functional materials.
- the formulation according to the present invention comprises 2 to 5 surfactants, more preferably it comprises 2 or 4 surfactants and most preferably it comprises 2 surfactants.
- Surfactants are used to stabilise the emulsion.
- Surfactants suitable for the present invention include anionic surfactants, nonionic surfactants, cationic surfactants, zwitterionic surfactants, amphoteric surfactants, or combinations thereof.
- nonionic surfactants preferably 2 to 5 nonionic surfactants, more preferably 2 to 4 nonionic surfactants and most preferably 2 nonionic surfactants.
- anionic surfactants suitable for use herein include alkyl and alkyl ether sulfates, sulfated monoglycerides, sulfonated olefins, alkyl aryl sulfonates, primary or secondary alkane sulfonates, alkyl sulfosuccinates, acyl taurates, acyl isethionates, alkyl glycerylether sulfonate, sulfonated methyl esters, sulfonated fatty acids, alkyl phosphates, acyl glutamates, acyl sarcosinates, alkyl sulfoacetates, acylated peptides, alkyl ether carboxylates, acyl lactylates, anionic fluorosurfactants, sodium lauroyl glutamate, and combinations thereof.
- Anionic surfactants suitable for use according to the present invention include alkyl and alkyl ether sulfates. These materials have the respective formulae ROSO 3 M and R0(C 2 H 4 0) X S0 3 M, wherein R is alkyl or alkenyl of from 8 to 24 carbon atoms, x is 1 to 10, and M is a water-soluble cation such as ammonium, sodium, potassium and triethanolamine.
- the alkyl ether sulfates are typically made as condensation products of ethylene oxide and monohydric alcohol's having from 8 to 24 carbon atoms.
- R has from 10 to 18 carbon atoms in both the alkyl and alkyl ether sulfates.
- the alcohols can be derived from fats, e.g., coconut oil or tallow, or can be synthetic. Lauryl alcohol and straight chain alcohol's derived from coconut oil are preferred herein. Such alcohol's are reacted with 1 to 10, preferably from 3 to 5, and particularly prefereably 3, molar proportions of ethylene oxide and the resulting mixture of molecular species having, for example, an average of 3 moles of ethylene oxide per mole of alcohol, is sulfated and neutralized.
- alkyl ether sulfates which may be used according to the present invention are sodium and ammonium salts of coconut alkyl triethylene glycol ether sulfate; tallow alkyl triethylene glycol ether sulfate, and tallow alkyl hexaoxyethylene sulfate.
- Highly preferred alkyl ether sulfates are those comprising a mixture of individual compounds, said mixture having an average alkyl chain length of from 10 to 16 carbon atoms and an average degree of ethoxylation of from 1 to 4 moles of ethylene oxide.
- Preferred anionic surfactants for use according to the present invention include ammonium lauryl sulfate, ammonium laureth sulfate, triethylamine lauryl sulfate, triethylamine laureth sulfate, triethanolamine lauryl sulfate, triethanolamine laureth sulfate, monoethanolamine lauryl sulfate, mono- ethanolamine laureth sulfate, diethanolamine lauryl sulfate, diethanolamine laureth sulfate, lauric monoglyceride sodium sulfate, sodium lauryl sulfate, sodium laureth sulfate, potassium lauryl sulfate, potassium laureth sulfate, sodium lauryl sarcosinate, sodium lauroyl sarcosinate, lauryl sarcosine, cocoyl sarcosine, ammonium cocoyl sulfate, am
- Particularly preferred anionic surfactants are selected from alkyl sulfates, alkylbenzyl sulfates, alkyl sulfonates, alkylbenzyl sulfonates, alkyl phosphates, alkyl phosphonates, and alkyl carboxylates, particularly preferably sodium deodecyl sulphate (SDS).
- SDS sodium deodecyl sulphate
- Amphoteric surfactants suitable for use according to the present invention include those that are broadly described as derivatives of aliphatic secondary and tertiary amines in which the aliphatic radical can be straight or branched chain and wherein one of the aliphatic substituents contains from 8 to 18 carbon atoms and one contains an anionic water solubilizing group, e.g., carboxy, sulfonate, sulfate, phosphate, or phosphonate.
- an anionic water solubilizing group e.g., carboxy, sulfonate, sulfate, phosphate, or phosphonate.
- Examples of compounds falling within this definition are sodium 3-dodecyl- aminopropionate, sodium 3-dodecylaminopropane sulfonate, sodium lauryl sarcosinate, N-alkyltaurines such as the one prepared by reacting dodecylamine with sodium isethionate according to the teaching of US 2658072, N-higher alkyl aspartic acids such as those produced according to the teaching of US 2438091 and the products described in US 2528378. Cationic surfactants can also be used according to the present invention.
- Preferred cationic surfactants are selected from cetyl trimethylammonium bromide (CTAB) and other alkyltrimethylammonium salts, cetylpyridinium chloride (CPC), polyethoxylated tallow amine (POEA), benzalkonium chloride (BAC), and benzethonium chloride (BZT).
- CPC cetylpyridinium chloride
- POEA polyethoxylated tallow amine
- BAC benzalkonium chloride
- BZT benzethonium chloride
- Suitable nonionic surfactants for use according to the present invention include those described in McCutcheion's Detergents and Emulsifiers, North American edition (1986), Allured Publishing Corp., and McCutcheion's Functional Materials, North American edition (1992). These nonionic surfactants suitable for use herein include alkyl glucosides, alkyl polyglucosides, polyhydroxy fatty acid amides, alkoxylated fatty acid esters, sucrose esters, amine oxides, and combinations thereof.
- Suitable nonionic surfactants for use according to the present invention include condensation products of alkylene oxide groups (hydrophilic in nature) with an organic hydrophobic compound, which may be aliphatic or alkyl aromatic in nature.
- Preferred classes of nonionic surfactants include:
- polyethylene oxide condensates of alkyl phenols e.g., the condensation products of alkyl phenols having an alkyl group containing from 6 to 20 carbon atoms in either a straight chain or branched chain configuration, with ethylene oxide, the ethylene oxide being present in amounts equal to from 10 to 60 moles of ethylene oxide per mole of alkyl phenol; 2) nonionic surfactants derived from the condensation of ethylene oxide with the product resulting from the reaction of propylene oxide and ethylene diamine products; 3) condensation products of aliphatic alcohol's having from 8 to 18 carbon atoms, in either straight chain or branched chain configuration, with ethylene oxide, e.g., a coconut alcohol ethylene oxide condensate having from 10 to 30 moles of ethylene oxide per mole of coconut alcohol, the coconut alcohol fraction having from 10 to 14 carbon atoms;
- alkyl phenols e.g., the condensation products of alkyl phenols having an alkyl group containing from 6 to 20 carbon
- long chain dialkyl sulfoxides containing one short chain alkyl or hydroxy alkyl radical of from 1 to 3 carbon atoms (usually methyl) and one long hydrophobic chain which include alkyl, alkenyl, hydroxy alkyl or keto alkyl radicals containing from 8 to 20 carbon atoms, from 0 to 10 ethylene oxide moieties and from 0 to 1 glyceryl moiety;
- alkyl polysaccharide (APS) surfactants such as the alkyl polyglyco sides, as described in US 4565647, which have a hydrophobic group with 6 to 30 carbon atoms and polysaccharide (e.g. polyglycoside) as the hydrophilic group, and optionally have a polyalkylene-oxide group joining the hydrophobic and hydrophilic moieties, wherein the alkyl group (i.e. the hydrophobic moiety) can be saturated or unsaturated, branched or unbranched, and unsubstituted or substituted (e.g. with hydroxy or cyclic rings); and
- PEG polyethylene glycol
- PEG polyethylene glycol
- glyceryl fatty esters such as those of the formula R(0)OCH 2CH(OH)CH 2 (OCH 2 CH 2 )nOH wherein n is from 5 to 200, preferably from 20 to 100, and R is an aliphatic hydrocarbyl having from 8 to 20 carbon atoms.
- Zwitterionic surfactants suitable for use according to the present invention include those that are broadly described as derivatives of aliphatic quaternary ammonium, phosphonium and sulfonium compounds, in which the aliphatic radicals can be straight or branched chain, and wherein one of the aliphatic substituents contains from 8 to 18 carbon atoms and one contains an anionic group, e.g., carboxy, sulfonate, sulfate, phosphate or phosphonate.
- zwitterionic surfactants suitable for use herein include betaines, including high alkyl betaines such as coco dimethyl carboxymethyl betaine, cocoamidopropyl betaine, cocobetaine, lauryl amidopropyl betaine, oleyl betaine, lauryl dimethyl carboxymethyl betaine, lauryl dimethyl alpha- carboxyethyl betaine, cetyl dimethyl carboxymethyl betaine, lauryl bis-(2- hydroxyethyl)carboxymethyl betaine, stearyl bis-(2-hydroxypropyl) carboxy- methyl betaine, oleyl dimethyl gamma-carboxypropyl betaine, and lauryl bis-(2-hydroxypropyl)alpha-carboxyethyl betaine.
- betaines including high alkyl betaines such as coco dimethyl carboxymethyl betaine, cocoamidopropyl betaine, cocobetaine, lauryl amidopropyl betaine, oleyl betaine, lau
- the sulfobetaines may be represented by coco dimethyl sulfopropyl betaine, stearyl dimethyl sulfopropyl betaine, lauryl dimethyl sulfoethyl betaine, lauryl bis-(2-hydroxy- ethyl)sulfopropyl betaine and the like; amidobetaines and amidosulfo- betaines, wherein the RCONH(CH2)3 radical is attached to the nitrogen atom of the betaine are also useful in this invention.
- the discontinous phase of the formulations exists preferably in the form of nanodroplets.
- the size of the nanodroplets in the formulation is adjustable by the type and the amount of the at least one surfactant.
- the amount of the at least one surfactant is preferably in the range from 0.1 to 20 wt%, more preferably in the range from 0.2 to 10 wt%, and most preferably in the range from 0.5 to 5 wt%, based on the overall weight of the formulation.
- a surfactant usually consists of a hydrophilic head and lipophilic tail.
- the ratio between the mass of the hydrophilic head and the entire molecule is called HLB (hydrophilic lipophilic balance). It is easily calculate by the following formula: where m is the total mass and mn respectively m/. is the mass of the hydrophilic respectively lipophilic part.
- One surfactant has one certain HLB, which characterizes this material. Values below 10 are more lipophilic as they have a bigger lipophilic tail than hydrophilic head. Vice versa do more hydrophilic surfactants have an HLB higher than 10.
- the formulation comprises 2 to 5 surfactants, more preferably 2 to 4 surfactants and most preferably 2 surfactants, often called surfactant and co surfactant, to adjust the total surfactant HLB over a broad range as intended for a certain solvent system.
- the total surfactant HLB of the at least one surfactant in the formulation is in the range from 10 to 19, more preferably in the range from 11 to 18 and most preferably in the range from 12 to 17.
- the formulation according to the present invention is an emulsion, wherein both the at least one continuous phase and the at least one discontinuous phase comprise at least one solvent.
- the formulation is a dispersion, wherein at least one nanodroplet represents a solid nanoparticle which is dispersed in the continuous phase.
- the dispersion can be obtained, e.g. by removing the at least one solvent from the discontinuous phase as outlined elsewhere within the present application.
- the continuous phase comprises at least one first solvent with a high polarity. More preferably, the at least one first solvent is selected from water, alcohol, glycols, preferably diethyleneglycol, ethers and/or glycol ethers. Most preferably, the at least one first solvent is selected from alcohol, glycols, ethers or glycol ethers and water. Particularly preferably the at least one first solvent is selected from water and dithyleneglycol.
- the discontinuous phase comprises at least one second solvent, wherein the at least one second solvent is an organic solvent with a lower polarity as compared to the at least one first solvent.
- the formulation according to the invention is preferably an oil-in-water emulsion (normal or direct emulsion).
- Suitable alcohols are alcohols which are 1) in liquid form at working temperature, and 2) if used together with water as solvent, are miscible with water, preferably having a solubility in water of more than 2 g/l.
- the said working temperature means the temperature, at which the formulation is prepared, preferably at room temperature. More details on alcohols can be found in textbooks of organic chemistry or suitable handbooks.
- the concentration of the continuous phase in the formulation is in the range from 10 to 99 wt%, more preferably from 20 to 95 wt%, most preferably from 40 to 95 wt%, and particularly preferably from 50 to 95 wt%, based on the total weight of the formulation.
- the at least one organic solvent can be a mixture of at least two organic solvents, which may comprise 2, 3, 4 or more organic solvents, preferably 2 or 3 and most preferably 2 organic solvents.
- Suitable organic solvents are preferably organic solvents which include inter alia, ketones, ethers, esters, amides such as di-Ci-2-alkylformamides, sulfur compounds, nitro compounds, hydrocarbons, halogenated hydro carbons (e.g. chlorinated hydrocarbons), aromatic or heteroaromatic hydrocarbons (e.g. naphthalene derivatives) and halogenated aromatic or heteroaromatic hydrocarbons.
- the organic solvent can be chosen from one of the following groups: substituted and non-substituted aromatic or linear ethers such as 3-phenoxytoluene or anisole; substituted or non-substituted arene derivatives such as cyclohexylbenzene; substituted or non-substituted indanes such as hexamethylindane; substituted and non-substituted aromatic or linear ketones such as dicyclohexylmethanone; substituted and non-substituted heterocycles such as pyrrolidinones, pyridines, pyrazines; other fluorinated or chlorinated aromatic hydrocarbons, substituted or non- substituted naphthalenes such as alkyl substituted naphthalenes, such as 1 -ethyl naphthalene.
- substituted and non-substituted aromatic or linear ethers such as 3-phenoxytoluene or anisole
- Particularly preferred organic solvents are, for example, 1 -ethyl- naphthalene, 2-ethylnaphthalene, 2-propylnaphthalene, 2-(1-methylethyl)- naphthalene, 1-(1-methylethyl)-naphthalene, 2-butylnaphthalene, 1,6- dimethylnaphthalene, 2,2'-dimethylbiphenyl, 3,3 ' -dimethylbiphenyl, 1- acetylnaphthalene,1 ,2,3,4-tetramethylbenzene, 1 ,2,3,5-tetramethyl- benzene, 1 ,2,4,5-tetramethylbenzene, 1,2,4-trichlorobenzene, 1,2- dihydronaphthalene, 1 ,2-dimethylnaphthalene, 1 ,3-benzodioxole, 1,3- diisopropylbenzene, 1 ,
- either said continuous phase and/or said discontinuous phase comprise(s) further additive to reduce the surface tension, or to improve the film formation.
- the suitable additive can be preferably referred to, e.g. WO 2003/019693 A2.
- the formulation according to the present invention can additionally comprise one or more further components like for example surface-active compounds, lubricating agents, wetting agents, dispersing agents, hydrophobing agents, adhesive agents, flow improvers, defoaming agents, deaerators, diluents which may be reactive or non-reactive, auxiliaries, colourants, dyes or pigments, sensitizers, stabilizers, or inhibitors.
- the at least one organic solvent preferably has a boiling point in the range from 200 to 350°C, more preferably in the range from 225 to 325°C and most preferably in the range from 250 to 300°C.
- organic functional material refers to organic conductors, organic semiconductors, organic dyes, organic fluorescent compounds, organic phosphorescent compounds, organic photoabsorbing compounds, organic photosensing compounds, organic photo sensitizer and other organic photocactive compounds.
- organic functional material also includes organo-metallic complexes of transition metals, rare earths, lanthanides and actinides.
- the organic functional material may be selected from the group consisting of small molecules, polymers, oligomers, dendrimers, blends or mixtures thereof. Preferred as organic functional materials are small molecules.
- small molecule as used herein is defined as molecule not being a polymer, oligomer, dendrimer, or a blend. In particular, repeating structures are absent in small molecules.
- the molecular weight of small molecules is typically in the range of polymers with a low number of repeating units, oligomers or less.
- the molecular weight of the small molecule is preferably ⁇ 3000 g/mol, more preferably ⁇ 2000 g/mol, and most preferably ⁇ 1500 g/mol.
- small molecule organic functional material as used herein is defined as organic functional material fulfilling the criteria for a small molecule.
- the polymers of the present invention preferably have 10 to 10000, more preferably 20 to 5000 and most preferably 50 to 2000 repeating units. Oligomers according to the present invention have preferably 2 to 9 repeating units.
- the branching index of the polymers and oligomers is between 0 (linear polymer without branching) and 1 (completely branched dendrimer).
- dendrimer as used herein is defined according to M. Fischer et al. in Angew. Chem., Int. Ed. 1999, 38, 885).
- the molecular weight (M w ) of the polymers of the present invention is preferably in the range from 10.000 to 2.000.000 g/mol, more preferably in the range from 100.000 to 1.500.000 g/mol, and most preferably in the range from 200.000 to 1.000.000 g/mol.
- the determination of M w can be performed according to standard techniques known to the person skilled in the art by employing gel permeation chromatography (GPC) with polystyrene as internal standard, for instance.
- GPC gel permeation chromatography
- a blend is a mixture comprising at least one polymeric, dendrimeric or oligomeric component.
- nanodroplets of the present invention are therefore not considered as nanoscopic batch reactors and the small molecule organic functional material is an end product.
- the small molecule organic functional material is insoluble in the continuous phase.
- a material or compound is insoluble in a solvent if its solubility at 25°C is less than 0.4 g/100 ml, preferably less than 0.1 g/100 ml, more preferably less than 0.001 g/100 ml.
- the formulation if the formulation is an emulsion, is characterized in that the discontinuous phase forms nanodroplets having an average diameter in the range from 1 to 5000 nm, preferably in the range from 10 to 1000 nm, and more preferably in the range from 20 to 500 nm.
- a miniemulsion is characterized in that the average diameter of the nanodroplets is in the range between 50 and 500 nm.
- the term emulsion as used herein refers, depending on the average size of the droplets, to both, emulsions and miniemulsions.
- the formulation if it is a dispersion, is characterized in that the discontinuous phase forms nanoparticles having an average diameter in the range from 1 to 5000 nm, preferably in the range from 10 to 2000 nm, more preferably in the range from 10 to 500 nm, and in particular preferably in the range from 10 to 300 nm, and most preferably in the range from 10 to 100 nm.
- the size and size distribution of nanodroplets and nanoparticles in emulsions and dispersions, respectively, can be measured employing standard techniques known to one skilled in the art. Dynamic light scattering can be used to measure both parameters (Chu, B. Laser Light scattering: Basic Principles and Practice, 2nd Edition. Academic Press (1992)).
- the formulations of the present invention may also comprise, in addition to the at least one organic functional material in the discontinuous phase, at least one further organic functional material in the continuous phase. Therefore, a formulation, characterized in that the continuous phase comprises at least one further organic functional material is also subject of the present invention.
- the formulation comprises 3, more preferably 2, and most preferably 1 organic functional materials in the continuous phase.
- the content of the at least one organic functional material in the formulation is preferably in the range from 0.001 to 20 weight-%, more preferably in the range from 0.01 to 10 weight-% and most preferably in the range from 0.1 to 5 weight-%, based on the total weight of the formulation.
- the formulation of the present invention has a viscosity preferably in the range from 0.8 to 50 mPas, more preferably in the range from 1 to 40 mPas, and most preferably in the range from 2 to 15 mPas.
- the viscosity of the formulations and solvents according to the present invention is measured with a 1° cone-plate rotational rheometer of the type Discovery AR3 (Thermo Scientific). The equipment allows a precise control of the temperature and sheer rate. The measurement of the viscosity is carried out at a temperature of 25.0°C (+/- 0.2°C) and a sheer rate of 500 s 1 . Each sample is measured three times and the obtained measured values are averaged.
- the formulation of the present invention has a surface tension preferably in the range from 10 to 70 mN/m, more preferably in the range from 15 to 60 mN/m and most preferably in the range from 20 to 50 mN/m.
- the surface tension can be measured using a FTA (First Ten Angstrom) 1000 contact angle goniometer at 20°C. Details of the method are available from First Ten Angstrom as published by Roger P. Woodward, Ph.D. “Surface Tension Measurements Using the Drop Shape Method”.
- the pendant drop method can be used to determine the surface tension. This measurement technique dispenses a drop from a needle in a bulk liquid or gaseous phase. The shape of the drop results from the relationship between the surface-tension, gravity and density differences.
- the surface tension is calculated from the shadow image of a pendant drop using http://www.kruss.de/services/ education-theory/glossary/drop-shape-analysis.
- a commonly used and commercially available high precision drop shape analysis tool namely FTA1000 from First Ten Angstrom, was used to perform all surface tension measurements.
- the surface tension is determined by the software FTA1000. All measurements were performed at room temperature which is in the range between 20°C and 25°C.
- the standard operating procedure includes the determination of the surface tension of each formulation using a fresh disposable drop dispensing system (syringe and needle). Each drop is measured over the duration of one minute with sixty measurements which are later on averaged. For each formulation three drops are measured. The final value is averaged over said measurements.
- the tool is regularly cross-checked against various liquids having well known surface tensions.
- the said organic functional materials are selected from hole injection materials (HIM), hole transport materials (FITM), hole blocking materials (FIBM), electron injection materials (EIM), electron transport materials (ETM), electron blocking materials (EBM), exciton blocking materials (ExBM), host materials, emitter materials, metal complexes, and dyes.
- the said small molecule organic functional materials are selected from hole injection materials (HIM), hole transport materials (FITM), hole blocking materials (FIBM), electron injection materials (EIM), electron transport materials (ETM), electron blocking materials (EBM), exciton blocking materials (ExBM), host materials, emitter materials, and metal complexes.
- HIM hole injection materials
- FITM hole transport materials
- FIBM hole blocking materials
- EIM electron injection materials
- ETM electron transport materials
- EBM electron blocking materials
- ExBM exciton blocking materials
- host materials e.g., emitter materials, and metal complexes.
- the said functional materials are selected from hole injection materials (HIM), hole transport materials (FITM), hole blocking materials (FIBM), electron injection materials (EIM), electron transport materials (ETM), electron blocking materials (EBM), exciton blocking materials (ExBM), host materials, emitters, metal complexes, and dyes.
- the said functional materials are selected from hole injection materials (HIM), hole transport materials (FITM), hole blocking materials (FIBM), electron injection materials (EIM), electron transport materials (ETM), electron blocking materials (EBM), exciton blocking materials (ExBM), host materials, emitters, and metal complexes.
- the emitter materials are preferably selected from the class of organic electroluminescent emitter materials as outlined elsewhere within the present application.
- the dyes are preferably selected from compounds employed in conjunction with organic solar cells or organic photovoltaic cells, or dye-sensitized solar cells as described below.
- the organic functional materials according to the present application are often characterized by their molecular frontier orbitals, i.e. the highest occupied molecular orbital (HOMO) (sometimes also referred to as valence band) and the lowest unoccupied molecular orbital (LUMO) (sometimes also referred to as conduction band).
- HOMO highest occupied molecular orbital
- LUMO lowest unoccupied molecular orbital
- the applicant established a consistent combination method to determine the energy levels of organic semiconductors.
- the HOMO/LUMO levels of a set of semiconductors are measured by CV with a reliable evaluation method and also calculated by the DFT of Gaussian 03Wwith the same correction functional, for example B3PW91 and the same basis set, for example 6-31 G(d).
- the calculated values are then calibrated according to the measured values. Such calibration factor is used for further calculation.
- the agreement between calculated and measured values is very good. Therefore, the comparison of the energy levels of this application is set on a sound base.
- the energy gaps or band gaps are obtained by the difference between HOMO and LUMO energy levels.
- the formulations according to the present invention may comprise one or more organic functional materials selected from hole injection materials (HIM).
- HIM refers to a material or unit capable of facilitating holes (i.e. positive charges) injected from an anode into an organic layer or an anode.
- a HIM has a HOMO level comparable to or higher than the work function of the anode, i.e. - 5.3 eV or higher.
- the formulations according to the present invention may comprise one or more organic functional materials selected from hole transport materials
- HTM refers to a material or unit capable of transporting holes (i.e. positive charges) injected from a hole injecting material or an anode.
- a HTM has usually a high HOMO, typically higher than -5.4 eV. In many cases, HIM can functions also as HTM, depending on the adjacent layer.
- the formulations according to the present invention may comprise one or more organic functional materials selected from hole blocking materials (HBM).
- HBM refers to a material which, if deposited adjacent to an emissive layer or a hole transporting layer in a multilayer structure, prevents the holes flowing through. Usually it has a lower HOMO as compared to the HOMO level of the HTM in the adjacent layer. Hole blocking layers are frequently inserted between the light-emitting layer and the electron-transport layer in OLEDs.
- the formulations according to the present invention may comprise one or more organic functional materials selected from electron injection materials (EIM).
- EIM electron injection materials
- An EIM refers to a material capable of facilitating electrons (i.e. negative charges) injected from cathode into an organic layer. The EIM usually has a LUMO level comparable to or lower than the working function of the cathode. Typically, the EIM has a LUMO lower than -2.6 eV.
- the formulations according to the present invention may comprise one or more organic functional materials selected from electron transport materials (ETM).
- ETM refers to a material capable of transporting electrons (i.e. negative charges) injected from an EIM or a cathode.
- the ETM has usually a low LUMO, typically lower than -2.7 eV.
- an EIM can serve as ETM as well, depending on the adjacent layer.
- the formulations according to the present invention may comprise one or more organic functional materials selected from electron blocking materials (EBM).
- EBM refers to a material which, if deposited adjacent to an emissive or electron transporting layer in a multilayer structure, prevents the electron flowing through. Usually it has a higher LUMO as compared to the LUMO of the ETM in the adjacent layer.
- the formulations according to the present invention may comprise one or more organic functional materials materials selected from exciton blocking materials (ExBM).
- An ExBM refers to a material which, if deposited adjacent to an emissive layer in a multilayer structure, prevents the excitons diffuse through. ExBM should have either a higher triplet level or singlet level as compared to the emissive layer or other adjacent layer.
- the formulations according to the present invention may comprise one or more organic functional materials selected from emitters.
- emitter refers to a material which, upon receiving excitonic energy by any kind of energy transfers from other materials, or by forming an exciton either electrically or optically, undergoes radiative decay to emit light.
- fluorescent emitter relates to materials or compounds which undergo a radiative transition from an excited singlet state to its ground.
- phosphorescent emitter as used herein, relates to luminescent materials or compounds which comprise transition metals. This typically includes materials emitting light caused by spin forbidden transition(s), e.g., transitions from excited triplet states.
- dopant as employed herein is also used for the term emitter or emitter material.
- the formulations according to the present invention may comprise one or more organic functional materials selected from host materials.
- Host materials are usually used in combination with emitter and have, in general, larger energy gaps between the HOMO and the LUMO as compared to emitter materials.
- host materials behave either as electron or hole transport material.
- Host materials can also have both electron and hole transport properties.
- a maximal overlap between the absorption spectrum of the emitter with the photoluminescence spectrum of the host material is highly desirably. This ensures the energy transfer from the host material to the emitter.
- Host material is also called matrix or matrix material, preferably if a host is meant which is used in combination with a phosphorescent emitter in an OLEDs. And for copolymer, comprising emitter unit, the polymer backbone has the same meaning as host.
- the formulations according to the present invention may comprise one or more organic functional materials selected from metal complexes.
- the transition from excited states with high spin multiplicity, e.g. from excited triplet states, to ground state is forbidden.
- an heavy atom for example iridium, osmium, platinum and europium
- results in a strong spin-orbit coupling i.e. the excited singlet and triplet are mixed so that triplet gains some singlet character; and if singlet-triplet mixing yields a radiative decay rate faster than the non-radiative event, then the luminance can be efficient.
- This kind of emission can be achieved using metal complex, as firstly reported by Baldo et al.; Nature 395, 151-154 (1998).
- Further metal complexes can also function as efficient and broad-band light absorbing materials or dyes, as for example Ru complex reported by B. O'Regan & M. Graetzel, Nature 353, 737 (1991).
- the formulations according to the present invention may comprise one or more organic functional materials selected from dyes.
- a dye can generally be described as an inorganic or organic substance that absorbs light and, therefore, appears colored.
- the definition of dyes as light absorbing materials which harvest light in order to transmit the light energy to further materials either as light or in any other kind of converted energy.
- suitable HIMs are phenylenediamine derivatives (US 3615404), arylamine derivatives (US 3567450), amino-substituted chalcone derivatives (US 3526501), styrylanthracene derivatives (JP Showa 54 (1979) 110837), hydrazone derivatives (US 3717462), acylhydrazones, stilbene derivatives (JP Showa 61 (1986) 210363), silazane derivatives (US 4950950), polysilane compounds (JP Heisei 2 (1990) 204996), PVK and other electrically conductive macromolecules, aniline-based copolymers (JP Heisei 2 (1990) 282263), electrically conductive, macromolecular thiophene oligomers (JP
- aromatic tertiary amines and styrylamines (US 4127412), triphenylamines of the benzidine type, triphenylamines of the styrylamine type, and triphenylamines of the diamine type.
- Arylamine dendrimers can also be used (JP Heisei 8 (1996) 193191), phthalocyanine derivatives, naphthalocyanine derivatives, or butadiene derivatives, are also suitable.
- the HIM is selected from monomeric organic compounds comprising amine, triarylamine, thiophene, carbazole, phthalocyanine, porphyrine and their derivatives.
- FITM is preferably selected from amines, triarylamines, thiophenes, carbazoles, phthalocyanines, porphyrines, isomers and derivatives thereof.
- FITM is particularly preferably selected from amines, triarylamines, thiophenes, carbazoles, phthalocyanines, and porphyrines.
- Suitable materials for hole-transporting layers are phenylenediamine derivatives (US 3615404), arylamine derivatives (US 3567450), amino- substituted chalcone derivatives (US 3526501), styrylanthracene derivatives (JP A 56-46234), polycyclic aromatic compounds (EP 1009041), polyarylalkane derivatives (US 3615402), fluorenone derivatives
- JP A 54-110837 hydrazone derivatives (US 3717462), stilbene derivatives (JP A 61-210363), silazane derivatives (US 4950950), polysilanes (JP A 2-204996), aniline copolymers (JP A 2-282263), thiophene oligomers, polythiophenes, PVK, polypyrroles, polyanilines and further copolymers, porphyrin compounds (JP A 63-2956965), aromatic dimethylidene-type compounds, carbazole compounds, such as, for example, CDBP, CBP, mCP, aromatic tertiary amine and styrylamine compounds (US 4127412), and monomeric triarylamines (US 3180730). Even more triarylamino groups may also be present in the molecule.
- aromatic tertiary amines containing at least two tertiary amine units such as, for example, 4,4’-bis[N-(1-naphthyl)-N-phenylamino]biphenyl (NPD) (US 5061569) or MTDATA (JP A 4-308688), N,N,N’,N’-tetra(4-biphenyl)diaminobiphenylene (TBDB), 1 ,1-bis(4-di-p-tolylaminophenyl)cyclohexane (TAPC), 1 ,1-bis(4-di- p-tolylaminophenyl)-3-phenylpropane (TAPPP), 1 ,4-bis[2-[4-[N,N-di(p- tolyl)amino]phenyl]vinyl]benzene (BDTAPVB), N,N,N,
- any HBM known to one skilled in the art can be employed in formulations according to the present invention.
- suitable hole-blocking materials are metal complexes (US 2003/0068528), such as, for example, bis(2-methyl-8-quinolinolato)(4- phenylphenolato)-aluminium(lll) (BAIQ). Fac-tris(1 -phenylpyrazolato- N,C2)iridium(lll) (lr(ppz)3) is likewise used for this purpose (US 2003/0175553 A1). Phenanthroline derivatives, such as, for example, BCP, or phthalimides, such as, for example, TMPP, are likewise employed.
- hole-blocking materials are described in WO 00/70655 A2, WO 01/41512 and WO 01/93642 A1.
- EIMs which comprises at least one organic compound selected from metal complexes of 8- hydroxyquinoline, heterocyclic organic compounds, fluorenones, fluorenylidene methane, perylenetetracarboxylic acid, anthraquinone dimethanes, diphenoquinones, anthrones, anthraquinonediethylene- diamines, isomers and derivates thereof can be used according to the invention.
- Metal complexes of 8 hydroxyquinoline such as, for example, Alq3 and
- Gaq3 can be used as EIM for electron-injection layers.
- a reducing doping with alkali metals or alkaline-earth metals, such as, for example, Li, Cs, Ca or Mg, at the interface to the cathode is advantageous. Preference is given to combinations which include Cs, for example Cs and Na, Cs and K, Cs and Rb or Cs, Na and K.
- Heterocyclic organic compounds such as, for example, 1,10- phenanthroline derivatives, benzimidazoles, thiopyran dioxides, oxazoles, triazoles, imidazoles or oxadiazoles, are likewise suitable.
- suitable five-membered rings containing nitrogen are oxazoles, thiazoles, oxadiazoles, thiadiazoles, triazoles, and compounds which are disclosed in US 2008/0102311 A1.
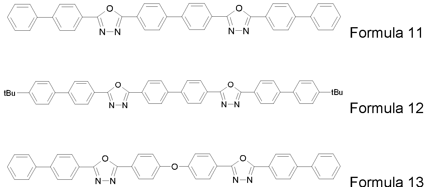
- Preferred EIMs are selected from compounds of the Formulae 11 to 13, which may be substituted or unsubstituted.
- Organic compounds such as fluorenones, fluorenylidene methane, perylenetetracarboxylic acid, anthraquinone dimethanes, diphenoquinones, anthrones and anthraquinonediethylenediamines, can also be employed, for example In principle any ETM known to one skilled in the art can be employed in formulations according to the present invention.
- suitable ETM is selected from the group consisting of imidazoles, pyridines, pyrimidines, pyridazines, pyrazines, oxadiazoles, chinolines, chinoxalines, anthracenes, benzanthracenes, pyrenes, pery- lenes, benzimidazoles, triazines, ketones, phosphinoxides, phenazines, phenanthrolines, triarylboranes, isomers and derivatives thereof.
- Suitable ETMs for electron-transporting layers are metal chelates of 8 hydroxyquinoline (for example Liq, Alq3, Gaq3, Mgq2, Znq2, Inq3, Zrq4),
- Balq, 4 azaphenanthrene-5-ol/Be complexes (US 5529853 A; e.g. Formula 16), butadiene derivatives (US 4356429), heterocyclic optical brighteners (US 4539507), benzazoles, such as, for example, 1 ,3,5-tris(2-N-phenyl- benzimidazolyl)benzene (TPBI) (US 5766779, Formula 17), 1 ,3,5-triazines, pyrenes, anthracenes, tetracenes, fluorenes, spirobifluorenes, dendrimers, tetracenes, for example rubrene derivatives, 1 ,10-phenanthroline derivatives (JP 2003/115387, JP 2004/311184, JP 2001/267080,
- EP 1478032, EP 1469533 pyridine derivatives (JP 2004/200162 Kodak), phenanthrolines, for example BCP and Bphen, also a number of phenanthrolines bonded via biphenyl or other aromatic groups (US 2007/0252517 A1) or phenanthrolines bonded to anthracene (US 2007/0122656 A1, e.g. Formulae 18 and 19), 1,3,4-oxadiazoles, for example Formula 20, triazoles, for example Formula 21, triarylboranes, for example also with Si (e.g. Formula 48), benzimidazole derivatives and other N heterocyclic compounds (cf.
- anthracene-benzimidazole derivatives such as, for example, the compounds of Formulae 22 to 24, and as disclosed in, e.g., US 6878469 B2, US 2006/147747 A, and EP 1551206 A1.
- any EBM known to one skilled in the art can be employed in formulations according to the present invention.
- transition-metal complexes such as, for example, lr(ppz)3 (US 2003/0175553) can be employed as materials for an electron blocking layer.
- the EBM is further selected from amines, triarylamines and their derivatives.
- ExBMs suitable for formulations according to the present invention depends on the energy gap of the adjacent layer. Suitable ExBMs are supposed to have a bigger energy gap, either singlet or triplet than the functional material in the adjacent layer which is preferably an emissive layer.
- substituted triarylamines such as, for example, MTDATA or 4,4’,4”-tris(N,N-diphenylamino)triphenylamine (TDATA) can be used as ExBM for electron-blocking layers. Substituted triarylamines are described, for example, in US 2007/0134514 A1.
- N-substituted carbazole compounds such as, for example, TCTA, or heterocycles, such as, for example, BCP, are also suitable.
- Metal complexes such as, for example, lr(ppz)3 or Alq3, can likewise be used for this purpose.
- any host material known to one skilled in the art can be employed in formulations according to the present invention.
- host materials can be separated into two categories, hosts for fluorescent emitter and hosts for phosphorescent emitter, whereby the latter is often referred to as matrix or matrix material.
- Formulations according to the present invention may also comprise more than one host material, preferably it comprises 3 host materials, more preferably it comprises 2 host materials, and most preferably it comprises one host material. If a formulation according to the present invention comprises at least two host materials, the host materials are also referred to as co-host or co-host materials.
- Preferred host materials suitable for fluorescent emitter are selected from anthracenes, benzanthracenes, indenofluorenes, fluorenes, spirobi- fluorenes, phenanthrenes, dehydrophenanthrenes, thiophenes, triazines, imidazole and derivatives thereof.
- Particularly preferred host materials for fluorescent emitter are selected from the classes of the oligoarylenes (for example 2,2‘,7,7‘-tetraphenyl- spirobifluorene in accordance with EP 676461 or dinaphthylanthracene), in particular the oligoarylenes containing condensed aromatic groups, such as, for example, phenanthrene, tetracene, coronene, chrysene, fluorene, spirofluorene, perylene, phthaloperylene, naphthaloperylene, decacyclene, rubrene, the oligoarylenevinylenes (for example 4,4’-bis(2,2- diphenylethenyl)-1 ,1 ’-biphenyl (DPVBi) or 4,4-bis-2,2-diphenylvinyl-1 ,1- spirobiphenyl (spiro-DPVBi) in accordance with EP 676461
- Particularly preferred host materials are selected from the classes of the oligoarylenes, containing naphthalene, anthracene, benzanthracene and/or pyrene, or atropisomers of these compounds, the ketones, the phosphine oxides and the sulfoxides.
- Very particularly preferred host materials are selected from the classes of the oligoarylenes, containing anthracene, benzanthracene and/or pyrene, or atropisomers of these compounds.
- an oligoarylene is intended to be taken to mean a compound in which at least three aryl or arylene groups are bonded to one another.
- the group Ar 5 it is particularly preferred in the host materials of the Formula 25 for the group Ar 5 to stand for anthracene, which may be substituted by one or more radicals R 1 , and for the groups Ar 4 and Ar 6 to be bonded in the 9 and 10-positions.
- at least one of the groups Ar 4 and/or Ar 6 is a condensed aryl group selected from 1- or 2-naphthyl, 2-, 3- or 9-phenanthrenyl or 2-, 3-, 4-, 5-, 6- or 7-benzanthracenyl, each of which may be substituted by one or more radicals R 1 .
- Anthracene-based compounds are described in US 2007/0092753 A1 and US 2007/0252517 A1, for example 2-(4-methylphenyl)-9,10-di-(2-naphthyl)anthracene, 9-(2- naphthyl)-10-(1 ,1’-biphenyl)anthracene and 9, 10-bis[4-(2,2- diphenylethenyl)phenyl]anthracene, 9, 10-diphenylanthracene, 9, 10- bis(phenylethynyl)anthracene and 1 ,4-bis(9’-ethynylanthracenyl)benzene.
- Further preferred host materials are derivatives of arylamine, styrylamine, fluorescein, perynone, phthaloperynone, naphthaloperynone, diphenylbutadiene, tetraphenylbutadiene, cyclopentadienes, tetraphenylcyclopentadiene, pentaphenylcyclopentadiene, coumarine, oxadiazole, bisbenzoxazoline, oxazone, pyridine, pyrazine, imine, benzothiazole, benzoxazole, benzimidazole (US 2007/0092753 A1), for example 2,2’,2”-(1 ,3,5-phenylene)tris[1 -phenyl-1 H-benzimidazole], aldazines, stilbene, styrylarylene derivatives, for example 9, 10-bis[4-(2,2- diphenylethenyl)phenyl]anthrac
- Preferred compounds with oligoarylene as hosts for fluorescent emitter are compounds as disclosed in, e.g., US 2003/0027016 A1 , US 7326371 B2, US 2006/043858 A, US 7326371 B2, US 2003/0027016 A1 ,
- oligoarylene-based compounds are compounds of the Formulae 26 to 32.
- Further host materials for fluorescent emitter can be selected from spirobifluorene and derivates thereof, for example Spiro-DPVBi as disclosed in EP 0676461 and indenofluorene as disclosed in US 6562485.
- the preferred host materials for phosphorescent emitter, i.e. matrix materials are selected from ketones, carbazoles, triarylamines, indenofluorenes, fluorenes, spirobifluorenes, phenathrenes, dehydrophenanthrenes, thiophenes, triazines, imidazoles and their derivatives. Some preferred derivatives are described below in more detail.
- a phosphorescent emitter e.g. as electroluminescent component in organic light emitting diodes (OLEDs)
- the host material must fulfil rather characteristics as compared to host materials used for fluorescent emitter.
- the host materials used for phosphorescent emitter are required to have a triplet level which is higher in energy as compared to the triplet level of the emitter.
- the host material can either transport electrons or holes or both of them.
- the emitter is supposed to have large spin-orbital coupling constants in order to facilitate singlet-triplet mixing sufficiently. This can be enabled by using metal complexes.
- Preferred matrix materials are N,N-biscarbazolylbiphenyl (CBP), carbazole derivatives (for example in accordance with WO 2005/039246, US 2005/0069729, JP 2004/288381 , EP 1205527 or DE 102007002714), azacarbazoles (for example in accordance with EP 1617710, EP 1617711, EP 1731584, JP 2005/347160), ketones (for example in accordance with WO 2004/093207), phosphine oxides, sulfoxides and sulfones (for example in accordance with WO 2005/003253), oligophenylenes, aromatic amines (for example in accordance with US 2005/0069729), bipolar matrix materials (for example in accordance with WO 2007/137725), silanes (for example in accordance with WO 2005/111172), 9,9-diarylfluorene derivatives (e.g.
- CBP N,N-biscarbazoly
- azaboroles or boronic esters for example in accordance with WO 2006/117052
- triazole derivatives for example in accordance with WO 2006/117052
- oxazoles and oxazole derivatives imidazole derivatives, polyarylalkane derivatives, pyrazoline derivatives, pyrazolone derivatives, distyrylpyrazine derivatives, thiopyran dioxide derivatives, phenylene- diamine derivatives, tertiary aromatic amines, styrylamines, indoles, anthrone derivatives, fluorenone derivatives, fluorenylidenemethane derivatives, hydrazone derivatives, silazane derivatives, aromatic dimethyl- idene compounds, porphyrin compounds, carbodiimide derivatives, diphenylquinone derivatives, phthalocyanine derivatives, metal complexes of 8 hydroxyquinoline derivatives, such as, for example, Alq3, the 8 hydroxyquinoline complexes
- Further particularly preferred matrix materials are selected from compounds comprising indolocarbazoles and their derivatives (e.g. Formulae 33 to 39), as disclosed for examples in DE 102009023155.2, EP 0906947B1 , EP 0908787B1, EP 906948B1 , WO 2008/056746A1 , WO 2007/063754A1 , WO 2008/146839A1 , and WO 2008/149691 A1.
- Preferred Si tetraaryl compounds are, for example, (US 2004/0209115, US 2004/0209116, US 2007/0087219 A1 , US 2007/0087219 A1 ) the compounds of the Formulae 45 to 50.
- a particularly preferred matrix for phosphorescent dopants is the compound of Formula 51 (EP 652273 B1 )
- matrix materials for phosphorescent dopants are selected from compounds of the general Formula 52 (EP 1923448 B1 ).
- [M(L) 2 ] n Formula 52 wherein M, L, and n are defined as in the reference.
- M is Zn
- L is quinolinate q
- n is 2, 3 or 4.
- Very particularly preferred are [Znq 2 ]2, [Znq 2 ]3, and [Znq 2 ] 4 .
- co-hosts selected from metal oxinoid complexes whereby lithium quinolate (Liq) or Alq 3 are particularly preferred.
- the emitter compound is required to have a smaller band gap as compared to the host compound. In general, smaller band gaps can be achieved by extending the tt-electron system of conjugated molecular systems. Emitter compounds tend, therefore, to have more extended conjugated tt-electron systems than host molecules.
- Many examples have been published, e.g. styrylamine derivatives as disclosed in JP 2913116B and WO 2001/021729 A1, and indenofluorene derivatives as disclosed in WO 2008/006449 and WO 2007/140847.
- Blue fluorescent emitters are preferably polyaromatic compounds, such as, for example, 9, 10-di(2-naphthylanthracene) and other anthracene derivatives, derivatives of tetracene, xanthene, perylene, such as, for example, 2,5,8, 11 -tetra-t-butylperylene, phenylene, for example 4, 4’-(bis(9- ethyl-3-carbazovinylene)-1 ,1 ’-biphenyl, fluorene, arylpyrenes (US 2006/0222886), arylenevinylenes (US 5121029, US 5130603), derivatives of rubrene, coumarine, rhodamine, quinacridone, such as, for example, N,N’-dimethylquinacridone (DMQA), dicyanomethylenepyrane, such as, for example, 4 (dicyanoethylene)-6-(4-dimethyla
- Preferred fluorescent dopants according to the present invention are selected from the class of the monostyrylamines, the distyrylamines, the tristyrylamines, the tetrastyrylamines, the styrylphosphines, the styryl ethers and the arylamines.
- a monostyrylamine is taken to mean a compound which contains one substituted or unsubstituted styryl group and at least one, preferably aromatic, amine.
- a distyrylamine is taken to mean a compound which contains two substituted or unsubstituted styryl groups and at least one, preferably aromatic, amine.
- a tristyrylamine is taken to mean a compound which contains three substituted or unsubstituted styryl groups and at least one, preferably aromatic, amine.
- a tetrastyrylamine is taken to mean a compound which contains four substituted or unsubstituted styryl groups and at least one, preferably aromatic, amine.
- the styryl groups are particularly preferably stilbenes, which may also be further substituted.
- the corresponding phosphines and ethers are defined analogously to the amines.
- an arylamine or an aromatic amine is taken to mean a compound which contains three substituted or unsubstituted aromatic or heteroaromatic ring systems bonded directly to the nitrogen. At least one of these aromatic or heteroaromatic ring systems is preferably a condensed ring system, preferably having at least 14 aromatic ring atoms.
- aromatic anthracene-amines are taken to mean a compound in which one diarylamino group is bonded directly to an anthracene group, preferably in the 9 position.
- aromatic anthracene-diamine is taken to mean a compound in which two diarylamino groups are bonded directly to an anthracene group, preferably in the 9,10-position.
- Aromatic pyrene- amines, pyrene-diamines, chrysene-amines and chrysene-diamines are defined analogously thereto, where the diarylamino groups on the pyrene are preferably bonded in the 1 position or in the 1 ,6-position.
- fluorescent dopants are selected from indenofluorene- amines and indenofluorene-diamines, for example in accordance with WO 2006/122630, benzoindenofluorene-amines and benzoindeno- fluorene-diamines, for example in accordance with WO 2008/006449, and dibenzoindenofluorene-amines and dibenzoindenofluorene-diamines, for example in accordance with WO 2007/140847.
- dopants from the class of the styrylamines are substituted or unsubstituted tristilbene-amines or the dopants described in WO 2006/000388, WO 2006/058737, WO 2006/000389, WO 2007/065549 and WO 2007/115610.
- Distyrylbenzene and distyrylbiphenyl derivatives are described in US 5121029. Further styrylamines are found in US 2007/0122656 A1.
- Particularly preferred styrylamine dopants and triarylamine dopants are compounds of the Formulae 53 to 58 and as disclosed in US 7250532 B2, DE 102005058557 A1, CN 1583691 A, JP 08053397 A, US 6251531 B1, and US 2006/210830 A.
- fluorescent dopants are selected from the group of triarylamines as disclosed in EP 1957606 A1 and US 2008/0113101 A1.
- fluorescent dopants are selected from derivatives of naphthalene, anthracene, tetracene, fluorene, periflanthene, indenoperylene, phenanthrene, perylene (US 2007/0252517 A1), pyrene, chrysene, decacyclene, coronene, tetraphenylcyclopentadiene, pentaphenylcyclopentadiene, fluorene, spirofluorene, rubrene, coumarine (US 4769292, US 6020078, US 2007/0252517 A1), pyran, oxazone, benz- oxazole, benzothiazole, benzimidazole, pyrazine, cinnamic acid esters, diketopyrrolopyrrole, acridone and quinacridone (US 2007/0252517 A1).
- 9,10- substituted anthracenes such as, for example, 9,10-diphenylanthracene and 9, 10-bis(phenylethynyl)anthracene 1 ,4-Bis(9’-ethynylanthracenyl)- benzene is also a preferred dopant.
- 9,10- substituted anthracenes such as, for example, 9,10-diphenylanthracene and 9, 10-bis(phenylethynyl)anthracene 1 ,4-Bis(9’-ethynylanthracenyl)- benzene is also a preferred dopant.
- phosphorescent emitters are revealed by the applications
- the phosphorescent emitter may be a metal complex, preferably with the formula M(L) Z , wherein M is a metal atom, L is in each occurrence independently of one another an organic ligand that is bonded to or coordinated with M via one, two or more positions, and z is an integer > 1 , preferably 1 , 2, 3, 4, 5 or 6, and wherein, optionally, these groups are linked to a polymer via one or more, preferably one, two or three positions, preferably via the ligands L.
- M is in particular a metal atom selected from transition metals, preferably selected from transition metals of group VIII, or lanthanoides, or actinides, particularly preferably selected from Rh, Os, Ir, Pt, Pd, Au, Sm, Eu, Gd, Tb, Dy, Re, Cu, Zn, W, Mo, Pd, Ag, or Ru, and very particularly preferably selected from Os, Ir, Ru, Rh, Re, Pd, or Pt. M may also be Zn.
- transition metals preferably selected from transition metals of group VIII, or lanthanoides, or actinides, particularly preferably selected from Rh, Os, Ir, Pt, Pd, Au, Sm, Eu, Gd, Tb, Dy, Re, Cu, Zn, W, Mo, Pd, Ag, or Ru, and very particularly preferably selected from Os, Ir, Ru, Rh, Re, Pd, or Pt.
- M may also be Zn.
- Preferred ligands are 2 phenylpyridine derivatives, 7,8-benzoquinoline derivatives, 2 (2-thienyl)pyridine derivatives, 2 (l-naphthyl)pyridine derivatives or 2 phenylquinoline derivatives. All these compounds may be substituted, for example by fluoro- or trifluoromethyl substituents for blue.
- Auxiliary ligands are preferably acetylacetonate or picric acid.
- Pt porphyrin complexes having an enlarged ring system (US 2009/0061681 A1) and Ir complexes are suitable, for example 2, 3, 7, 8, 12,13,17,18-octaethyl-21 H, 23H-porphyrin- Pt(ll), tetraphenyl-Pt(ll)-tetrabenzoporphyrin (US 2009/0061681 A1), cis- bis(2-phenylpyridinato-N,C2’)Pt(ll), cis-bis(2-(2’-thienyl)pyridinato- N,C3’)Pt(ll), cis-bis(2-(2’-thienyl)quinolinato-N,C5’
- a particularly preferred phosphorescent dopant is a compound of the Formula 61 and further compounds as disclosed, e.g., in WO 2007/095118 A1
- a suitable metal complex according to the present invention can be selected from transition metals, rare earth elements, lanthanides and actinides is also subject of this invention.
- the metal is selected from Ir, Ru, Os, Eu, Au, Pt, Cu, Zn, Mo, W, Rh, Pd, or Ag.
- dyes according to the present invention can be selected from perylenes, ruthenium dyes, phthalocyanines, azo dyes, perylene-diimides, porphyrines, squaraines, isomers and derivatives thereof.
- the dye is selected from perylenes, ruthenium dyes, phthalocyanines, azo dyes, perylene-diimides, porphyrines, and squaraines.
- Further dyes are selected from acridines, anthraquinones, arylmethanes, diarylmethanes, triarylmethanes, azo-based dyes, cyanines, diazonium- based dyes, nitro-based dyes, nitroso-based dyes, quinone-imines, azin- based dyes, eurhodines, safranines, indulines, indamins, indophenoles, oxazines, oxazones, thiazines, thiazoles, xanthenes, fluorenes, pyronines, fluorones, and rhodamines.
- charge generation materials can also have the same function as a dye. They are, for example, used for electrophotographic devices. Thus charge generation materials as summarized by Paul M.Borsenberger; and David S. Weiss in Organic Photoreceptors for Xerography; Marcel Dekker, Inc., 1998, Chapter 6, and by K. Y. Law, Chem. Rev. Vol. 93, 449-486 (1993) are herein also considered as suitable dyes.
- Formulations according to the present invention may also comprise organic functional material which is selected from polymers, oligomers, dendrimers, and blends.
- the functional polymer is characterized in that different functions may be incorporated into one large molecule or a blend of large molecules.
- the functions are, inter alia, the ones of a hole injection material, hole transport material, electron blocking material, emissive material, hole blocking material, electron injection material, electron transport material, and dye.
- the functions which are incorporated into a polymer can be categorized into different groups.
- the polymer can be tuned to have the desired function(s).
- the difference between polymers, oligomers and dendrimers is due to the size, size distribution, and branching of the molecular entities as defined above.
- Different structures are, inter alia, those as disclosed and extensively listed in WO 2002/077060 A1 and in DE 10337346 A1.
- the structural units may originate, for example, from the following groups:
- Group 1 units which increase the hole-injection and/or transport properties of the polymers; it corresponds to the HIMs or HTMs as described above.
- Group 2 units which increase the electron-injection and/or transport properties of the polymers; it corresponds to the EIMs or ETMs as described above.
- Group 3 units which have combinations of individual units from group 1 and group 2.
- Group 4 units which modify the emission characteristics to such an extent that electrophosphorescence may be obtained instead of electrofluorescence; typically, it corresponds to the phosphorescent emitter, or more preferably emissive metal complexes as described above.
- Group 5 units which improve the transition from the so called singlet state to higher spin states, e.g. to a triplet state.
- Group 6 units which influence the morphology and/or emission colour of the resultant polymers.
- Group 7 units which are typically used as backbone and which may have electron transport function, hole transport function or both.
- Group 8 units which have strong absorption in at least one wavelength from UV to infrared. It corresponds to the dye materials as described above.
- the said organic functional material is a hole transport or injection polymer comprising units of group 1 , which are preferably selected from units comprising the low molecular weight HTMs or HIMs as described above.
- Further preferred units of group 1 are, for example, triarylamine, benzidine, tetraaryl-para-phenylenediamine, carbazole, azulene, thiophene, pyrrole and furan derivatives and further 0, S or N containing heterocycles with a high HOMO.
- These arylamines and heterocycles preferably result in an HOMO in the polymer of greater than 5.8 eV (against vacuum level), particularly preferably greater than 5.5 eV.
- a preferred polymeric HTM or HIM is a polymer comprising at least one repeating unit of the following Formula 62.
- Ar 1 which may be the same or different, denote, independently if in different repeat units, a single bond or an optionally substituted mononuclear or polynuclear aryl group,
- Ar 2 which may be the same or different, denote, independently if in different repeat units, an optionally substituted mononuclear or polynuclear aryl group,
- Ar 3 which may be the same or different, denote, independently if in different repeat units, an optionally substituted mononuclear or polynuclear aryl group, and m is 1 , 2 or 3.
- Particularly preferred units of Formula 62 are selected from Formulae 63 to 65:
- R which may be the same or different in each occurrence, is selected from
- H substituted or unsubstituted aromatic or heteroaromatic group, alkyl, cycloalkyl, alkoxy, aralkyl, aryloxy, arylthio, alkoxycarbonyl, silyl, carboxy group, a halogen atom, cyano group, nitro group or hydroxy group, r is 0, 1 , 2, 3 or 4, and s is O, 1 , 2, 3, 4 or 5.
- a further preferred polymeric FITM or HIM is a polymer comprising at least one repeating unit of the following Formula 66. - (T 1 ) c - (Ar 4 ) d - (T 2 ) e - (Ar 5 ) f - Form ula 66 wherein
- T 1 and T 2 are independently of each other selected from thiophene, selenophene, thieno[2,3b]thiophene, thieno[3,2b]thiophene, dithienothiophene, pyrrole, aniline, all of which are optionally substituted with R 5 ,
- Ar 4 and Ar 5 are independently of each other mononuclear or polynuclear aryl or heteroaryl, which is optionally substituted and optionally fused to the 2,3-positions of one or both of the adjacent thiophene or selenophene groups, c and e are independently of each other 0, 1 , 2, 3 or 4, with 1 ⁇ c + e ⁇ 6, d and f are independently of each other 0, 1 , 2, 3 or 4.
- polymeric HTMs are as disclosed in WO 2007/131582 A1 and WO 2008/009343 A1.
- the said organic functional material is an electron transport or injection polymer comprising units of group 2, which are preferably selected from groups comprising the low molecular weight ETMs or EIMs as described above.
- Further preferred units of group 2, which have electron-injection or electron-transport properties are, for example, pyridine, pyrimidine, pyridazine, pyrazine, oxadiazole, quinoline, quinoxaline and phenazine derivatives, but also triarylboranes and further 0, S or N containing heterocycles having a low LUMO.
- These units in the polymer preferably result in an LUMO of less than 2.7 eV (against vacuum level), particularly preferably less than 2.8 eV.
- the said organic functional material is a polymer comprising units of group 3, in which structures which increase the hole mobility and the electron mobility (i.e. units of group 1 and 2) are bonded directly to one another. Some of these units may serve as emitters and shift the emission colour into the green, yellow or red. Their use is thus suitable, for example, for the production of other emission colours or a broad-band emission from originally blue-emitting polymers.
- the said organic functional material is a polymer comprising units of group 4, which is preferably selected from the groups comprising phosphorescent emitter, particularly emissive metal complexes as described above. Particular preference is given here to corresponding structural units which contain elements from groups 8 to 10 (Ru, Os, Rh, Ir, Pd, Pt).
- the said organic functional material is a polymeric triple matrix comprising units of group 5, which can improve the transition from the singlet state to the triplet state and which, employed in support of the structural elements of group 4, improve the phosphorescence properties of these structural elements.
- Suitable for this purpose are, in particular, carbazole and bridged carbazole dimer units, as described in DE 10304819 A1 and DE 10328627 A1.
- ketones, phosphine oxides, sulfoxides, sulfones, silane derivatives and similar compounds as described in DE 10349033 A1.
- Further preferred structure units can be selected from groups comprising the low molecular weight phosphorescent matrices as described above.
- the said organic functional material is a polymer comprising units of group 6, which influence the morphology and/or emission colour of the polymers, are, besides those mentioned above, those which have at least one further aromatic or another conjugated structure which do not fall under the above-mentioned groups, i.e. which have only little effect on the charge-carrier mobilities, which are not organometallic complexes or which have no influence on the singlet-triplet transition.
- Structural elements of this type may influence the morphology and/or emission colour of the resultant polymers. Depending on the unit, they can therefore also be employed as emitters.
- the said organic functional material is a polymer comprising units of group 7 which contain aromatic structures having 6 to 40 C atoms which are typically used as polymer backbone.
- groups 7 which contain aromatic structures having 6 to 40 C atoms which are typically used as polymer backbone.
- WO 2006/052457 A2 and WO 2006/118345A1 9,9‘-spirobifluorene derivatives as disclosed for example in WO 2003/020790 A1 , 9,10- phenanthrene derivatives as disclosed, for example, in WO 2005/104264 A1 , 9,10-dihydrophenanthrene derivatives as disclosed for example in WO 2005/014689 A2, 5,7-dihydrodibenzooxepine derivatives and cis- and trans-indenofluorene derivatives as disclosed for example in WO 2004041901 A1, WO 2004113412 A2 and, binaphthylene derivatives as disclosed for example in WO 2006/063852 A1 , and further units as disclosed for example in WO 2005/056633 A1 , EP 1344788 A1 and WO 2007/043495 A1 , WO 2005/033174 A1 , WO 2003/099901 A1 and DE 102006003710.
- group 7 is selected from fluorene derivatives, as disclosed for example in US 5,962,631 , WO 2006/052457 A2 and WO 2006/118345 A1 , spiro-bifluorene derivatives as disclosed for example in WO 2003/020790 A1 , benzofluorene, dibenzofluorene, benzothiophene, dibenzofluorene and their derivatives as disclosed for example in WO 2005/056633 A1 , EP 1344788 A1 and WO 2007/043495 A1.
- Very preferred structural elements of group 7 are those of Formula 67:
- X is halogen
- R° and R 00 are independently of each other H or an optionally substituted carbyl or hydrocarbyl group optionally comprising one or more hetero atoms, each g is independently 0 or 1 and each corresponding h in the same subunit is the other of 0 or 1 , m is an integer > 1 ,
- Ar 1 and Ar 2 are independently of each other mono- or polynuclear aryl or heteroraryl that is optionally substituted and optionally fused to the 7,8- positions or 8,9-positions of the indenofluorene group, and a and b are independently of each other 0 or 1.
- the groups R 1 and R 2 form a spiro group with the fluorene group to which they are attached, it is preferably spirobifluorene.
- the groups of Formula 67 are preferably selected from Formulae 68 to 72:
- R 1 is as defined in Formula 67, r is 0, 1 , 2, 3 or 4, and R has one of the meanings of R 1 , and
- Particularly preferred groups of Formula 67 are selected from Formulae 73 to 76: wherein
- L is H, halogen or optionally fluorinated, linear or branched alkyl or alkoxy with 1 to 12 C atoms, and is preferably H, F, methyl, i-propyl, t-butyl, n- pentoxy, or trifluoromethyl, and
- L' is optionally fluorinated, linear or branched alkyl or alkoxy with 1 to 12 C atoms, and is preferably n-octyl or n-octyloxy.
- the said organic functional material is a polymer comprising units of group 8, which can be selected from the groups comprising the dye materials as described above.
- the conjugated polymers suitable for organic solar cells as summarized for example by F.C. Krebs, in Solar Energy Materials and Solar Cells, Vol. 91, 953 (2007), can also be used as the said further organic functional material in the present invention.
- polymers suitable for use in the present invention which simultaneously comprise one or more units selected from groups 1 to 8. It may likewise be preferred for more than one structural unit from a group to be present simultaneously.
- polymers suitable for use in the present invention which, besides structural units of an emitter, also comprise at least one structural unit of the above-mentioned groups. At least two structural units are particularly preferably from different classes of those mentioned above.
- the proportion of the different classes of groups, if present in the polymer, is preferably in each case at least 5 mol%, particularly preferably in each case at least 10 mol%.
- one of these structural units is selected from the group of hole-conducting units and the other group is an emitting unit, where these two functions (hole conduction and emission) may also be taken on by the same unit.
- a smaller proportion of the emitting units in particular green- and red-emitting units, may also be preferred, for example for the synthesis of white-emitting copolymers.
- white-emitting copolymers The way in which white-emitting copolymers can be synthesised is described in detail in DE 10343606 A1.
- At least 2 non-aromatic C atoms it is preferred for on average at least 2 non-aromatic C atoms to be present in the substituents per repeating unit. Preference is given here to at least 4 and particularly preferably at least 8 C atoms. In addition, individual C atoms of these may be replaced by O or S. However, it is entirely possible for this to mean that a certain proportion of repeating units does not carry any further non-aromatic substituents.
- the polymer used as organic functional material in the present invention may be a statistical or random copolymer, an alternating or regioregular copolymer, a block copolymers or a combination thereof.
- the said polymer is a side-chain non- conjugated polymer, which is especially important for phosphorescent OLEDs based on polymer.
- a phosphorescent polymer is obtained by means of radical copolymerization of vinyl compounds, and comprises at least one phosphorescent emitter and at least one charge transport unit on side chain, as disclosed in US 7250226 B2. Further examples for such phosphorescent polymers are disclosed for example in JP 2007/211243 A2, JP 2007/197574 A2, US 7250226 B2, and JP 2007/059939 A.
- the said polymer is a main-chain non- conjugated polymer, where the backbone units are connected by spacer on main-chain.
- main-chain non- conjugated polymers give also a high triplet level.
- An example for triplet OLEDs based on main-chain non-conjugated polymers is disclosed in DE 102009023154.
- the said polymer can also be a non-conjugated polymer for fluorescent OLEDs.
- Preferred singlet non-conjugated polymers are, for example, side-chain polymers with antracenenes, benzanthracenes and their derivatives in the side-chain, as disclosed in JP 2005/108556,
- the said polymers can also act as ETM or HTM, preferably the polymer is a non-conjugated polymer.
- Devices according to the present invention may also comprise additional layer which were not deposited by using a formulation, i.e. a emulsion or dispersion, according to the present invention.
- the additional layer may be deposited by a technique from solution or by vapour deposition.
- the material which is deposited can be any material used in the field of electronic and opto-electronic multilayer structures.
- the material may be any material described herein.
- the materials may be selected from organic and inorganic functional materials as outlined below.
- Inorganic compounds such as p type Si and p type SiC
- inorganic oxides e.g., vanadium oxide (VO x ), molybdenum oxide (MoO x ) or nickel oxide (NiO x ) can also be used as HIM.
- VO x vanadium oxide
- MoO x molybdenum oxide
- NiO x nickel oxide
- Electron injection layers are often constructed from an insulator and semiconductor.
- Preferred alcali metal chalcogenides for EILs are LhO, LiO, Na2S, Na2Se, NaO, K2O, and CS2O.
- Preferred alkaline-earth metal chalcogenides for EILs are CaO, BaO, SrO, BeO, BaS, and CaSe.
- Preferred halides of alkali metals for EILs are LiF, NaF, KF, CsF, LiCI, KCI, and NaCI.
- Preferred halides of alkaline-earth metals for EILs are CaF2, BaF2, SrF2, MgF2, and BeF2.
- alkali metal complexes alkaline-earth metal complexes, rare-earth metals (Sc, Y, Ce, Th, Yb), rare-earth metal complexes, rare-earth metal compounds (preferably YbF3, SCF3, TbFs) or the like.
- EILs The structure of EILs is described, for example, in US 5608287, US 5776622, US 5776623, US 6137223, US 6140763, US 6914269.
- An electron-transport layer may consist of an intrinsic material or comprise a dopant.
- Alq3 EP 278757 B1
- Liq EP 0569827 A2
- 4,7-diphenyl-1 ,10-phenanthroline (Bphen):Li 1:1 (US 2003/02309890) and rubrene/LiF are examples of doped layers.
- an organic electroluminescent device may comprise at least one anode, at least one cathode and one or more substrates.
- Preferred materials for the anode are metal oxides selected from, but not limited to, indium tin oxide (ITO), indium zinc oxide (IZO), tin oxide (SnO), ZnO, InO, aluminium-zinc-oxide (AIZnO), and other metal oxides such as Al- and In-zinc oxide doped with zinc oxide, magnesium-indium-oxide, and nickel-tungsten-oxide.
- Metal nitrides such as galliumnitrides and metal selenides such as zinc-selenide and metal-sulfides such as zinc-sulfide can also be used.
- Further materials that can be used for anodes are electrically conducting polymers, e.g. polythiophenes and polypyrroles.
- the anode can be transparent, opaque, or reflective.
- the anode can also adopt an intermediate state, e.g. both being partially reflective and partially transparent.
- the anode is not or only partially transparent further conducting materials can be used.
- Preferred materials for non transparent or partially transparent anodes are selected from, but not limited to, Au, Ir, Mo, Pd, Pt, Cu, Ag, Sn, C, Al, V, Fe, Co, Ni, W, and mixtures thereof.
- the conducting materials can also be mixed with further conducting materials as described above, e.g. In-Cu.
- the anode is preferably transparent and a particularly preferred material for the anode is ITO. In the case of a bottom-emitting device glass or plastic is preferably coated with ITO. In the case of a top-emitting device the anode comprises preferably a reflecting material. Further materials can be used for anodes, which are known to the person skilled in the art. A flexible and transparent combination of substrate and anode is described in US 5844363 B2 and US 6602540 B2, for instance.
- the cathode can be transparent, opaque, or reflective.
- the cathode is selected from a metal or an alloy with a low work function.
- metals, alloys, or conducting compounds or materials with a work function of less than 4.0 eV are used.
- Particularly preferred cathodes are selected from, but not limited to, Ba, Ca, Sr, Yb, Ga, Cd, Si, Ta, Sb, Zn, Mg, Al, In,
- Li, Na, Cs, Ag, mixtures of two or more elements such as alloys comprising Mg/AI or Al/Li or Al/Sc/Li or Mg/Ag or metal oxides such as ITO or IZO.
- Further preferred materials for cathodes, used to form a thin dielectric layer are selected from a metal which is mixed with LiF, LhO, BaF2, MgO, or NaF.
- a typical combination is LiF/AI.
- the substrate may be rigid or flexible. It may be transparent, translucent, opaque or reflective.
- the materials used can be glass, plastic, ceramic or metal foils, where plastic and metal foils are preferably used for flexible substrates.
- semiconductor materials such as, for example, silicone wafers or printed circuit board (PCB) materials, can also be employed in order to simplify the generation of conductor tracks.
- PCB printed circuit board
- the glass used can be, for example, soda-lime glass, Ba- or Sr-containing glass, lead glass, aluminium silicate glass, borosilicate glass, Ba borosilicate glass or quartz.
- Plastic plates can consist, for example, of polycarbonate resin, acrylic resin, vinyl chloride resin, polyethylene terephthalate resin, polyimide resin, polyester resin, epoxy resin, phenolic resin, silicone resin, fluorine resin, polyether sulfide resin or polysulfone resin.
- polyethylene For transparent films, use is made, for example, of polyethylene, ethylene- vinyl acetate copolymers, ethylene-vinyl alcohol copolymers, poly propylene, polystyrene, polymethyl methacrylate, PVC, polyvinyl alcohol, polyvinylbutyral, nylon, polyether ether ketone, polysulfone, polyether sulfone, tetrafluoroethylene-perfluoroalkyl vinyl ether copolymers, polyvinyl fluoride, tetrafluoroethylene-ethylene copolymers, tetrafluoroethylene- hexafluoropropylene copolymers, polychlorotrifluoroethylene, polyvinylidene fluoride, polyester, polycarbonate, polyurethanes, polyimide or polyether imide.
- the substrate is provided with a hydrophobic layer.
- the substrates are preferably transparent.
- the formulation is characterized in that the discontinuous phase comprises at least one emitter material and at least one host material, more preferably it comprises two emitter materials and one host material and most preferably it comprises one emitter and one host. Both host materials and emitter materials are selected from the corresponding materials as described in the present application. If at least two emitter materials are present in the discontinuous phase it is preferable that the absorption spectrum of one emitter overlaps with the photoluminescence (PL) spectrum of another emitter in order to take advantage the Forster energy transfer.
- PL spectra of the emitter can be measured according to standard techniques well known to a person skilled in the art.
- the formulation according to the invention is characterized in that the at least one emitter material is selected from fluorescent and phosphorescent emitter materials and the host material is selected from anthracenes, benzanthracenes, indenofluorenes, fluorenes, spirobifluorenes, phenanthrenes, diehydrophenanthrenes, thiophenes, triazines, imidazole, ketones, carbazoles, triarylamines, and derivatives thereof.
- the at least one emitter material is selected from fluorescent and phosphorescent emitter materials and the host material is selected from anthracenes, benzanthracenes, indenofluorenes, fluorenes, spirobifluorenes, phenanthrenes, diehydrophenanthrenes, thiophenes, triazines, imidazole, ketones, carbazoles, triarylamines, and derivatives thereof.
- Another subject of the present invention is, therefore, a formulation, characterized in that it comprises in the discontinuous phase at least one fluorescent emitter and at least one host material.
- the formulation comprises 3 fluorescent emitter materials and one host material, more preferably it comprises 2 fluorescent emitter and one host material, and most preferably it comprises one fluorescent emitter and one host material.
- the formulation of the present invention may also comprise one or more additional fluorescent hosts, so called co-hosts.
- co-hosts any of the fluorescent emitter and fluorescent host known to one skilled in the art can be employed in formulations of the present invention.
- the fluorescent emitter and host materials are selected from the fluorescent emitter and fluorescent host materials as described in the present application.
- the fluorescent host material is selected from anthracenes, benzanthracenes, indenofluorenes, fluorenes, spirobifluorenes, phenanthrenes, dihydrophenanthrenes, thiophenes, triazines, imidazole and derivatives thereof.
- phosphorescent emitter and phosphorescent host materials Another subject of the present invention is, therefore, an formulation, characterized in that it comprises in the discontinuous phase at least one phosphorescent emitter and at least one host material.
- the formulation comprises 3 phosphorescent emitter materials and one host material, more preferably it comprises 2 phosphorescent emitter materials and one host material, and most preferably it comprises one phosphorescent emitter material and one host material.
- the formulation according to the present invention may also comprise one or more additional hosts, so called co-hosts.
- any of the phosphorescent emitter and hosts known to one skilled in the art can be employed in formulations of the present invention.
- the phosphorescent emitter and host materials are selected from the phosphorescent emitter and phosphorescent host materials for phosphorescent emission, e.g. from electronically excited triplet or quintet states, as described in the present application.
- the host for phosphorescent emission is selected from ketones, carbazoles, triaryamines, indenofluorenes, fluorenes, spirobifluorenes, phenanthrenes, dehydrophenanthrenes, thiophenes, triazines, imidazoles and derivatives thereof.
- the said phosphorescent emitter is selected from metal complexes comprising metal selected from the group consisting of transition metals, rare earth, lanthanide and actinide, and preferably selected from the group consisting of Ir, Ru, Os, Eu, Au, Pt, Cu, Zn, Mo, W, Rh, Pd and Ag; and the said host is preferably selected from compounds comprising ketone, carbazole, triaryamine, indenofluorenes, fluorenes, spirobifluorenes, phenanthrenes, dihydrophenanthrenes, phosphine, phosphinoxide, thiophenes, triazines, imidazole and derivatives thereof.
- the said formulation comprises at least two phosphorescent emitters and one host material.
- the absorption spectrum of the one phosphorescent emitter overlaps with the photoluminescence of the other phosphorescent emitter, therefore Forster energy transfer may be preferably occur between the two phosphorescent emitters.
- the one phosphorescent emitter emits blue- green light and the second one green or red light.
- the present invention further relates to a formulation, characterized in that the discontinuous phase comprises at least one electron transport material.
- the formulation according to the present invention comprises 3 ETMs, more preferably 2 ETMs, and most preferably one ETM.
- ETMs any of the ETMs known to one skilled in the art can be employed in the formulations of the present invention.
- the ETMs are selected from the ETMs as described in the present application.
- Preferred ETM are selected from imidazoles, pyridines, pyrimidines, pyridazines, pyrazines, oxadiazoles, chinolines, chinoxalines, anthracenes, benzanthracenes, pyrenes, perylenes, benzimidazoles, triazines, ketones, phosphine, phosphinoxides, phenazines, phenanthrolines, triarylboranes and derivatives thereof.
- the present invention further relates to a formulation, characterized in that the discontinuous phase comprises at least one electron injection material.
- the formulation according to the invention comprises 3 EIMs, more preferably 2 EIMs, and most preferably one EIM.
- the EIMs are selected from the EIMs as described in the present application.
- Preferred EIM are selected from imidazoles, pyridines, pyrimidines, pyridazines, pyrazines, oxadiazoles, chinolines, chinoxalines, anthracenes, benzanthracenes, pyrenes, perylenes, benzimidazoles, triazines, ketones, phosphine, phosphinoxides, phenazines, phenanthrolines, triarylboranes and derivatives thereof.
- the present invention further relates to a formulation, characterized in that the discontinuous phase comprises at least one hole transport material.
- the formulation according to the present invention comprises 3 HTMs, more preferably 2 HTMs, and most preferably one HTM.
- HTMs any of the HTMs known to one skilled in the art can be employed in the formulations of the present invention.
- the HTMs are selected from the HTMs as described in the present application.
- HTMs are selected from amines, triarylamines, thiophenes, carbazoles, phthalocyanines, porphyrines and derivatives thereof.
- the present invention further relates to a formulation, characterized in that the discontinuous phase comprises at least one hole injection material.
- the formulation according to the present invention comprises 3 HIMs, more preferably 2 HIMs, and most preferably one HIM.
- the HIMs are selected from the HIMs as described in the present application.
- Preferred HTMs are selected from amines, triarylamines, thiophenes, carbazoles, phthalocyanines, porphyrines and derivatives thereof.
- the present invention further relates to a formulation, characterized in that the discontinuous phase comprises at least one metal complex.
- the formulation according to the present invention comprises 3 metal complexes, more preferably 2 metal complexes, and most preferably one metal complex.
- the metal complexes are selected from the metal complexes as described in the present application.
- Preferred metal complexes are selected from transition metals, rare earth, lanthanide and actinide. Particularly preferred metal complexes comprise metals selected from Ir, Ru, Os, Eu, Au, Pt, Cu, Zn, Mo, W, Rh, Pd, and Ag.
- the present invention further relates to a formulation, characterized in that the discontinuous phase comprises at least one dye.
- the formulation according to the present invention comprises 3 dyes, more preferably 2 dyes, and most preferably one dye.
- any of the dyes known to one skilled in the art can be employed in formulations of the present invention.
- the dyes are selected from the dyes as described in the present application.
- Preferred dyes are selected from perylenes, ruthenium dyes, phthalocyanines, azo compounds, perylene diimides, porphyrines, squaraine compounds, and derivatives thereof.
- the said formulation comprises at least one dye and optionally an organic functional material, wherein at least one of them is a small molecule organic functional material.
- the said dye can be selected from the materials as described above.
- the said organic functional material is preferably selected from an ETM or HTM or host material as described above.
- a further preferred organic functional material is an electron acceptor, preferably selected from fullerenes, for example C60, carbon nanotubes, graphene and derivatives thereof.
- the said dye and said further organic functional material form a type II energy offset structure, with an energy offset larger than 0.4 eV, preferably larger than 0.5 eV and particularly preferably larger than 0.6 eV.
- fullerenes suitable for the present invention are selected from the group consisting of carbon allotropes, molecules composed entirely of carbon, in the form of a hollow sphere, ellipsoid, tube, or plane.
- Spherical fullerenes are also called buckyballs, and cylindrical ones are called carbon nanotubes or buckytubes.
- Graphene is an example of a planar fullerene sheet.
- the present invention further relates to a formulation comprising at least one continuous phase and at least one discontinuous phase, characterized in that the formulation comprises at least one quantum dot.
- the formulation comprises one continuous and one discontinuous phase and at least one quantum dot, preferably 1 to 100, more preferably 1 to 50 and most preferably 1 to 10 quantum dots.
- the formulation comprises one continuous and one discontinuous phase and 1 to 5, preferably 1 to 4, more preferably 1 to 3 and most preferably 1 to 2 quantum dots.
- the formulation comprises one continuous and one discontinuous phase and one quantum dot.
- the quantum dot(s) can be located in both the discontinuous and/or continuous phase.
- the quantum dot(s) is(are) located in the discontinuous phase of the formulation.
- Another embodiment of the present invention relates to formulations comprising organic functional materials in the discontinuous phase as described above and, in addition to that, at least one quantum dot.
- the quantum dot(s) can again be located both either in the discontinuous phase and/or in the continuous phase, preferably the quantum dot(s) is(are) located in the discontinuous phase.
- the formulation according to the present invention comprises a small molecule organic fluorescent emitter in the discontinuous phase and at least one, preferably 1 to 3, more preferably 1 to 2, and most preferably 1 quantum dot(s).
- the quantum dot(s) is preferably located within the discontinuous phase.
- the formulation according to the present invention comprises small molecule organic phosphorescent emitter in the discontinuous phase and at least one, preferably 1 to 3, more preferably 1 to 2, and most preferably 1 quantum dot(s).
- the quantum dot(s) is preferably located within the discontinuous phase.
- Quantum dots represent another class of emissive material. They are also called mono-dispersive nanocrystal as described below.
- the advantages of quantum dots are: 1) theoretical internal quantum efficiency as high as 100%, compared to 25% of the singlet organic emitter; 2) soluble in common organic solvents; 3) emission wavelength can be easily tuned by the core size; 4) narrow emission spectrum; 5) intrinsic stability in inorganic materials.
- the first mono-dispersive nanocrystals including a semiconducting material also referred to herein as quantum dots or QDs
- QDs quantum dots
- CdE S, Se, Te
- TOPO trioctyl phosphine oxide
- the mostly-reported caps of quantum dots are based on trioctylphosphine oxide (TOPO) or trioctylphosphine (TOP), which are supposed to have electron transporting properties.
- TOPO trioctylphosphine oxide
- TOP trioctylphosphine
- Quantum dots can easily be produced and have a narrow emission spectrum in contrast to organic fluorescent or phosphorescent compounds. They can be tailored in terms of size which determines the quantum dot’s emission maximum. High photoluminescent efficiency can also be obtained with quantum dots. Furthermore their emission intensity can be tailored by their concentration employed. Moreover, quantum dots are soluble in many solvents or can easily be made soluble in common organic solvents, allowing versatile processing methods, particularly printing methods such as screen printing, off-set printing, and inkjet printing.
- a quantum dot is a semiconductor whose excitons are confined in all three spatial dimensions. As a result, they have properties that are between those of bulk semiconductors and those of discrete molecules.
- quantum dot structures for example by chemical methods or by ion implantation, or in nanodevices made by state- of-the-art lithographic techniques.
- the quatuim dots of the present application refer to colloidal semiconductor nanocrystals, also known as colloidal quantum dots, or nanodots or nanocrystals, which are produced by chemical methods.
- QDs refers to nanocrystals that are substantially mono-disperive in size.
- a QD has at least one region or characteristic dimension with a dimension of less than about 500 nm, and down to on the order of less than about 1 nm.
- mono-dispersive means the size distribution is within +-10% of the stated value, for example a mono- dispersive nanocrystals of 100 nm in diameter encompasses a range of sizes from 90 nm or larger to 110 nm or smaller.
- the concentration range of quantum dot(s) in the formulation can be chosen from: preferably between 0.01 and 20 wt%, more preferably between 0.05 and 10 wt%, and most preferably between 0.1 and 5 wt%, referring to the total weight of the formulation.
- TOPO trioctyl phosphine oxide
- synthesis occurs as an initial nucleation event that takes place over seconds, followed by crystal growth at elevated temperature for several minutes.
- Parameters such as the temperature, types of surfactants present, precursor materials, and ratios of surfactants to monomers can be modified so as to change the nature and progress of the reaction.
- the temperature controls the structural phase of the nucleation event, rate of decomposition of precursors, and rate of growth.
- the organic surfactant molecules mediate both solubility and control of the nanocrystal shape.
- Suitable semiconducting materials which can be incoporated into QDs, are selected from elements of Group II- VI, such as CdSe, CdS, CdTe, ZnSe, ZnO, ZnS, ZnTe, HgS, HgSe, HgTe and alloys thereof such as CdZnSe; Group lll-V, such as InAs, InP, GaAs, GaP, InN, GaN, InSb, GaSb, AIP, AIAs, AlSb and alloys such as InAsP, CdSeTe, ZnCdSe, InGaAs; Group IV-VI, such as PbSe, PbTe and PbS and alloys thereof; Group III- VI, such as InSe, InTe, InS, GaSe and alloy
- suitable semiconductor materials include those disclosed in U.S. patent application Ser. No. 10/796,832 and include any type of semiconductor, including group ll-VI, group lll-V, group IV-VI and group IV semiconductors.
- Suitable semiconductor materials include, but are not limited to, Si, Ge, Sn, Se, Te, B, C (including diamond), P, BN, BP, BAs, AIN, AIP, AIAs, AIS, AlSb, BaS, BaSe, BaTe, CaS, CaSe, CaTe, GaN,
- further suitable semiconductor materials include combinations of the aforementioned semiconductors and/or combinations with core/shell, core multi-shell layered structures.
- Yet another embodiment of the present invention is a method for the preparation of a formulation according to the present invention comprising the following steps: a) preparing a first solution comprising at least one first solvent and at least one surfactant; b) preparing a second organic solution comprising at least one organic solvent and at least one organic functional material; c) mixing the first solution obtained in step (a) and the second solution obtained in step (b) in a specific ratio; and d) forming a formulation from the mixture of step (c) by a physical method.
- the formulation obtained via this method is an emulsion according to the present invention.
- the device used for the physical method of step d) is an ultrasonication device.
- a preferred ratio of the first solution to the second solution is in the range from 1:2 to 10:1 in weight, more preferably in the range from 1:1 to 5:1.
- the first solvent is selected from water, alcohol, glycols, ethers, and/or glycol ethers. More preferably the first solvent is a mixture of alcohol, glycol, ether or glycol ether with water. Most preferably the first solvent is a mixture of glycol with water.
- the suitable surfactant can be selected from the surfactants as described above.
- the amount of surfactant(s) is preferably in the range from 0.1 to 20 wt%, more preferably from 0.2 to 10 wt%, and most preferably from 0.5 to 5 wt%, based on the overall weight of the formulation.
- the suitable second organic solvent can be selected from the organic solvents as described above.
- the weight concentration of the organic functional materials in the second solution is from 0.001 to 20 wt%, more preferably from 0,01 to 10 wt%, and most preferably from 0,1 to 5 wt%.
- step d) is conducted by ultrasonic treatment or a high pressure homogenisator or a jet disperser, preferably by ultrasonic treatment.
- a formulation according to the present invention can be used for the preparation of a layer and multilayer structure in order to establish a stack of organic functional materials, e.g. for the preparation of electronic or opto-electronic devices such as OLEDs.
- OLEDs organic light-emitting diode
- the present invention also relates to a dispersion, characterized in that the dispersion comprises nanoparticles dispersed in a continuous phase formed by removing the solvent of the discontinuous phase of the emulsion according to the present invention.
- the nanodroplets of the emulsion according to the present invention are, thus, converted into solid nanoparticles which are dispersed in the continuous phase(s) of the formulation.
- the term dispersion is used herein for a system comprising at least one liquid media (e.g. an aqueous or alcohol-based phase) and an organic phase suspended as solid particle, preferably as nanoparticles.
- the present invention also relates to a dispersion comprising nanoparticles dispersed in a continuous phase, characterized in that the nanoparticles comprise at least one organic functional material.
- the nanoparticles comprise 1 to 3, more preferably 1 to 2, and most preferably 1 organic functional material, wherein the at least one organic functional materials is preferably a small molecule organic functional material.
- the dispersion according to the present invention comprises a continuous phase and at least one organic functional material dispersed in said continuous phase. Said at least one organic functional material is selected from the group of materials as described above.
- the dispersion according to the present invention can be prepared from emulsions according to the present invention. Therefore, another subject of the present invention is a method for the preparation of a dispersion by removing the solvent of the discontinuous phase of the emulsion.
- the solvent is removed by evaporation.
- evaporation of the solvent is facilitated or at least supported by heating.
- the emulsion according to the present invention may comprise one or more surfactants, which may, at least in part, be removed, preferably by diafiltration, after the solvent(s) of the discontinuous phase is removed.
- a surfactant is present it can be removed preferably up to 50%, more preferably up to 75%, and most preferably up to 100% of its original content.
- the present invention further relates to a method for preparing a layer structure using orthogonal solvents by making use of the formulation, i.e. the emulsion and/or the dispersion, according to the present invention.
- the formulations according to the present invention can be used in various ways to prepare a layer structure.
- the layer structure is a multilayer structure. The preferred ways are described as below:
- the first method comprises the following steps:
- the first layer can either be deposited by thermal evaporation or (preferably) be coated from solution, for example by spin- coating, ink-jet printing, screen printing, slot printing, nozzle printing, etc.
- step (b) it is essentially that the first organic layer is insoluble or has only a limited solubility in the solvent of the continuous phase of the said emulsion or dispersion, so that the first layer is still closed after coating the emulsion or the dispersion.
- the maximal solubility of the first layer is less than 0.4 wt% at the working temperature in the solvent of the continuous phase of said emulsion or dispersion.
- the first layer is insoluble in the solvent of the continuous phase of said emulsion or dispersion.
- both layers are coated from solution by a coating technique, which can be selected from spin-coating, or printing techniques such as ink-jet printing, screen printing, slot printing, nozzle printing, etc.
- a coating technique which can be selected from spin-coating, or printing techniques such as ink-jet printing, screen printing, slot printing, nozzle printing, etc.
- the first organic layer has only a limited solubility in the solvent of the second solution, so that the first layer is still closed after coating the emulsion or the dispersion.
- the maximal solubility of the first layer is less than 0.4 wt% at the working temperature in the solvent of the continuous phase of said emulsion or dispersion.
- the first layer is insoluble in the solvent of the second solution.
- the third method comprises the following steps:
- both layers are coated from solution by a technique selected from spin-coating, or printing techniques such as ink-jet printing, screen printing, slot printing, nozzle printing, etc.
- step (b) it is essentially that the first organic layer has only a limited solubility in the solvent of the continuous phase of the said emulsion or dispersion, so that the first layer is still closed after coating the emulsion or the dispersion.
- the maximal solubility of the first layer is less than 0.4 wt% at the working temperature in the solvent of the continuous phase of said emulsion or dispersion.
- the first layer is insoluble in the solvent of the continuous phase of said emulsion or dispersion.
- the methods as described above for preparing a multilayer structure use a dispersion as coating media.
- the method for the preparation of a multi layer structure as described above is characterized in that at least one additive is added to the dispersion.
- Preferably 3, more preferably 2, and most preferably 1 additive is added to the dispersion.
- the preferred function of the additive is the modification of physical properties in order to facilitate the preparation of multi layer structures.
- Particularly preferably the additive modifies the surface tension of the dispersion in order to enable film formation.
- a typical problem in context with the preparation of a multilayer structure using orthogonal solvents is the wetting of the solution or dispersion on the underneath layer.
- solution or dispersion for example its surface tension
- additional additives for example wetting agents, dispersing agents, hydrophobing agents, adhesive agents etc.
- Further suitable additive can be referred to for example WO 2003/019693 A2.
- the important parameters for deposition techniques from solution or dispersion are for example viscosity, surface tension, concentration, molecular weight of the solution, and particle size of the dispersion, boiling point of solvent, etc.. Indeed, different deposition techniques demand different parameters.
- spin-coating and inkjet printing they have some parameters in common; for example, they demand a viscosity most preferably in the range from 2 to15 mPas, a surface tension of ⁇ 40 mN/m, particles with a size of ⁇ 1 pm, and a boiling point of the solvent from 200 to 350°C, though the optimal condition may be different from each other depending on the method and the substrate used.
- the present invention relates to a coating method using the emulsion and/or dispersion as described above and below. It is desirable to generate small structures or patterns in modern microelectronics to reduce cost (more devices/unit area), and power consumption. Patterning of the layer of the invention may be carried out, for example, by photolithography, electron beam lithography, nano-imprint lithography (as reported for example in Science (96), 272, 85-87), or "Dip- Pen” Nanolithography (as reported in Science (99), 283, 661-663).
- the organic functional materials or an emulsion or dispersion according to the present invention may be deposited by any suitable method.
- Liquid coating of devices such as OLEDs is more desirable than vacuum deposition techniques.
- Solution deposition methods are especially preferred.
- Preferred deposition techniques include, without limitation, dip coating, spin coating, inkjet printing, letter-press printing, screen printing, doctor blade coating, roller printing, reverse-roller printing, offset lithography printing, flexographic printing, web printing, spray coating, brush coating or pad printing, slot-die coating.
- Ink-jet printing is particularly preferred as it allows high resolution displays to be prepared.
- Selected emulsions and /or dispersions according to the present invention may be applied to prefabricated device substrates by inkjet printing or microdispensing.
- industrial piezoelectric print heads such as but not limited to those supplied by Aprion, Hitachi-Koki, InkJet Technology, On Target Technology, Picojet, Spectra, Trident, Xaar may be used to apply the organic functional material layer to a substrate.
- semi industrial heads such as those manufactured by Brother, Epson, Konica, Seiko Instruments Toshiba TEC or single nozzle microdispensers such as those provided by Microdrop and Microfab may be used.
- the emulsion and /or dispersion according to the present invention should be first prepared in a suitable solvent in the continuous phase.
- Solvents must fulfil the requirements stated above and must not have any detrimental effect on the chosen print head.
- water-based or other polar solvent- based emulsion the use of such emulsions or dispersions are known in conjunction with desktop inkjet printers.
- the emulsions and dispersions according to the present invention can be tailored with regard to their physical and chemical properties and may therefore be used in any kind of electronic device.
- the use of the emulsions and dispersions according the present invention or the dispersion according to the present invention obtained by a method according to the present invention for the preparation of electronic and opto-electronic devices is also subject of the present invention.
- the layer of a device prepared according to the teaching of the present invention have, due to the particle-related structure of the nanoparticles in dispersions or nanodroplets in emulsions a particular structure. This particular nano-structure, in turn, tremendously determines the structure of the corresponding layer and their beneficial opto-electronic characteristics of the layer itself and of the device as a whole.
- the present invention relates also to layer and multilayer structures obtainable by the use of a formulation according to the present invention. Moreover, the method for the preparation of a multilayer structure according to the present invention may be used to produce electronic and opto-electronic devices, which is an embodiment of the present invention.
- the emulsions and dispersions according to the present invention may be used in opto-electronic devices, in which the absorption or emission of electromagnetic radiation preferably in the ultraviolet, visible or infrared part of the spectrum, plays a crucial role, such as light emitting devices, light sensors or light harvesting devices (e.g. photovoltaic cells).
- opto-electronic devices in which the absorption or emission of electromagnetic radiation preferably in the ultraviolet, visible or infrared part of the spectrum, plays a crucial role, such as light emitting devices, light sensors or light harvesting devices (e.g. photovoltaic cells).
- OLEDs organic light emitting diodes
- PLEDs polymer light emitting diodes
- fiber OLEDs organic light emitting electrochemical cells
- OFETs organic field effect transistors
- TFTs thin film transistors
- O-SCs organic solar cells
- DSCs dye-sensitised solar cells
- O-laser organic laser diodes
- O-IC organic integrated circuits
- RFID radio frequency identification
- the invention further relates to an electronic or opto-electronic device obtained by a method according to the present invention.
- the device is selected from organic light emitting diodes (OLEDs), polymer light emitting diodes (PLEDs), fiber OLEDs, organic light emitting electrochemical cells (OLECs), organic field effect transistors (OFETs), thin film transistors (TFTs), organic solar cells (O-SCs), dye-sensitised solar cells (DSSCs), organic laser diodes (O-laser), organic integrated circuits (O-IC), radio frequency identification (RFID) tags, photodetectors, sensors, logic circuits, memory elements, capacitors, charge injection layers, Schottky diodes, planarising layers, antistatic films, conducting substrates or patterns, photoconductors, electrophotographic elements, organic light emitting transistors (OLETs), organic spintronic devices, and organic plasmon emitting devices (OPEDs).
- OLEDs organic light emitting diodes
- PLEDs polymer light emit
- a typical sequence of layers as found in an OLED and O-SC is, for example:
- HIL hole injection layer
- HTL hole transport layer
- EBL electron blocking layer
- ETL electron transport layer
- HBL hole blocking layer
- EIL electron injection layer
- the sequence of the given layer structure is exemplary. Other sequences are possible.
- different opto-electronic devices will be obtained.
- the active layer generates excitons upon electrical excitation through applying voltage between anode and cathode, and further emits light through radiative decay of the excitons. In general, this is called light emitting device.
- the active layer generates excitons through absorbing light, and further produces free charge carrier through exciton dissociation. In general, this is called photovoltaic or solar cell.
- interlayer as used herein is defined as layer between the hole injection layer (or buffer layer) and the emissive layer in polymer light emitting diodes (PLEDs), being an electron blocking layer, as disclosed for example in WO 2004/084260 A2.
- PLEDs polymer light emitting diodes
- the typical device structure of PLEDs with interlayer is shown in Figure 2.
- the interlayer is usually, at least in part, washed away upon coating the EML layer, which leads to a very thin layer. This process is not well-controlled in the prior art. It is highly desired to use ETL or HMB in PLEDs, as shown in Figure 3, in order to get better confinement of holes and excitons in the EML to achieve high efficiency and lifetime.
- the electronic device of the invention is soluble system based OLEDs, particularly PLEDs as disclosed for example in WO 2004/084260 A2, which comprises the multilayer structure as follows: anode/HIL/EML/Cathode, wherein the double-layer HIL/EML is made by using at leat one dispersion and one method for multilayer structure as described above.
- the HIL is usually a transparent conductive polymer thin film comprising HIM.
- Preferred HIM are those mentioned above.
- the emissive materials may further comprise a blend or mixture of two or more different emitters, for example two emitters of different type and/or emitters that emit light of different colors.
- a device of the present invention may provide white light.
- Organic Plasmon emitting device is preferably referred to the device as reported by Koller et al. , in Nature Photonics (2008), 2, 684-687.
- the OPED is very similar as OLED as described above, except that at least one of anode and cathode should be capable to couple surface Plasmon from the emissive layer. It is preferred here that an OPED is prepared by using an emulsion or dispersion and the methods described herein.
- One preferred organic spintronic device is a spin-valve device, as reported, e.g., by Z.H. Xiong et al., in Nature 2004, Vol. 427, 821, comprising two ferromagnetic electrodes and an organic layer between the two ferromagnetic electrodes.
- the ferromagnetic electrode is composed of Co, Ni, Fe, or alloys thereof, or ReMnOs or Cr0 2 , wherein Re is rare earth element. It is preferred that at least one of the organic layers is coated from an emulsion or dispersion according the present invention.
- OLEDs Organic light emitting electrochemical cells
- OLECs comprise two electrodes, and a mixture or blends of electrolyte and fluorescent species in between, as firstly reported by Pei & Heeger in Science (1995), 269, 1086-1088. It is preferred here that an OLEC is prepared by using an emulsion or dispersion and the methods described above and below.
- Dye-sensitized solar cells comprise, in the sequence, an electrode/dye-sensitized T1O2 porous thin film/electrolyte/counter electrode, as firstly reported by O’Regan & Gratzel in Nature (1991), 353, 737-740.
- the liquid electrolyte can be replaced by a solid hole transport layer, as reported in Nature (1998), 395, 583-585.
- the layer of a device prepared according to the teaching of the present invention have, due to the particle-related structure of the nanoparticles in dispersions or nanodroplets in emulsions a particular structure. This particular nano-structure, in turn, tremendously determines the structure of the corresponding layer and the beneficial opto-electronic characteristics of the layer itself and of the device as a whole.
- the present invention relates also to layer and multilayer structures obtainable by the use of a formulation according to the present invention.
- the present invention also relates to devices comprising said layer. Preferably the devices are opto electronic devices as outlined elsewhere in the present invention.
- the present invention also relates to devices obtainable by the use of a formulation according to the present invention.
- the formulations (dispersions, emulsions) of the present invention, devices comprising them and devices obtainable by using the said formulations can be used for any kind of light sources, which includes, but is not limited to, lightening and display applications.
- Light sources play also a crucial role in many therapeutic, cosmetic, prophylactic, and diagnostic applications. In some applications the function of light sources is solely directed to illuminate a display or the subject to be treated. In other cases the beneficial effect of light is exploited when human or animal subjects are treated.
- formulations, i.e. both emulsions and dispersions, according to the present invention can be used for the treatment, prophylaxis, and or diagnosis of therapeutic diseases and/or cosmetic conditions.
- light therapy or light treatment This includes any kind of phototherapy, photodynamic therapy, and any combination of light therapy and therapies not using light such as drug therapies, commonly referred herein as to light therapy or light treatment.
- Many light treatments are directed to outer surfaces of the subject to be treated such as skin, wounds, mucosa, eye, hair, nail, nail beds, and gingival, and tongue, but light treatment can also be applied inside the subject in order to treat, e.g., the lungs, blood vessels, heart, breast, and other organs of the subject.
- diseases and/or conditions include, e.g., skin diseases, and skin- related conditions including skin-ageing, and cellulite, enlarged pores, oily skin, folliculitis, precancerous solar keratosis, skin lesion, aging, wrinkled and sun-damaged skin, crow’s feet, skin ulcers (diabetic, pressure, venous stasis), acne rosacea lesions, cellulite; photomodulation of sebaceous oil glands and the surrounding tissues; reducing wrinkles, acne scars and acne bacteria, inflammation, pain, wounds, psychological and neurological related diseases and conditions, edema, Pagets disease, primary and metastatic tumors, connective tissue disease, manipulation of collagen, fibroblast, and fibroblast derived cell levels in mammalian tissue, illuminating retina, neoplastic, neovascular and hypertrophic diseases, inflammation and allergic reactions, perspiration, sweating and hyperhydrosis from eccrine (sweat) or a
- formulations, devices comprising them, and devices obtainable by the use of formulations according to the present invention comprise preferably at least one organic electroluminescent compound which emits light in the range between 200 and 1000 nm, preferably between 300 and 1000 nm, more preferably between 300 and 950 nm, and most preferably between 400 and 900 nm.
- Fig. 1 shows the chemical structure of Span 20 and Tween 20
- Fig. 2 shows the SFT curve of Span 20 dissolved in DEG
- Fig. 3 shows the SFT curve of Tween 20 dissolved in DEG
- Fig. 4 shows the SFT curve of Tween 20 dissolved in Water
- Fig. 5 shows the SFT curve of Span 20 and Tween 20 (6:94) dissolved in DEG
- Fig. 6 shows the SFT curve of Span 20 and Tween 20 dissolved in Water
- Fig. 7 shows the SFT curve of Span 20 and Tween 20 dissolved in DEG and Water (50:50)
- Fig. 8 shows the stability times varying HLB using 1% surfactants in 3-PT and DEG (40:60)
- Fig. 9 shows the stability times depending on surfactant amount of Span 20 and Tween 20 at HLB 16.2
- Fig. 10 shows the chemical structures of Brij 700 and Triton-X100
- Fig. 11 shows the stability times depending on surfactant amount of Brij 700 and Triton-X100 at HLB 16.2
- Fig. 12 shows the stability of rough HLB screening of Span 20 and Tween 20 in 3-PT and water
- Fig. 13 shows the stability graph of Span 20 and Tween 20 in 3-PT and water
- Fig. 14 shows the comparison of stability times varying HLB using the 3- PT, water or 3-PT, DEG, water system Working Examples
- the weighing and other procedures of emulsion preparation are processed in the same way every time, for example keeping a constant weighing order.
- the surfactants are weighed first, followed by the solvents.
- a small amount of a red emitter Nile Red is dissolved in the organic solvent 3-Phenoxytoluene (3-PT) before weighing. This is necessary, because both solvents are colorless and transparent and can ' t be distinguished otherwise.
- the emulsion After weighing, the emulsion is mixed with the UltraTurrax for 1 minute, followed by different investigations and results.
- the UltraTurrax is the best way to create emulsions as sheer forces create very small emulsion droplets. In general, 4 ml are used for each sample, if not mentioned different.
- At least two surfactants are needed to adjust HLB and two orthogonal solvents, which are found in the miscibility test below.
- 3-PT is known to have good solubilizing properties for the EML materials, a low viscosity and high boiling point of 270°C and is not miscible with Diethyleneglycol (DEG) and 2,3-Butanediol, it is a good solvent to start with.
- DEG Diethyleneglycol
- 2,3-Butanediol Diethyleneglycol
- the solvent duo to start with is chosen to 3-PT and DEG.
- 3-PT is the intended discontinuous phase containing the emitter, while DEG should be the continuous phase, orthogonal to HTL material.
- the inner phase has a higher boiling point than the outer phase.
- the continuous solvent should evaporate first so the droplets can form a continuous layer and build a uniform emitting layer after the inner solvent evaporates.
- the ratio between 3-PT and DEG is set to 40:60, as more DEG than 3-PT ensures the DEG as continuous and 3-PT A as discontinuous phase.
- the CMC lies around 0.5% surfactant amount, as shown in Figure 2.
- the surface tension is about 28 mN/m.
- Tween 20 forms micelles earlier in water, as shown in Figure 4, than in DEG, as shown in Figure 3, more precisely 0.1% in water and 0.6% in DEG.
- Micelles are formed at higher concentration with Tween 20 compared to Span 20 in Solvent B.
- the higher solubility of Tween 20 in water could arise from the high HLB, standing for a big polar head and a small nonpolar tail, which creates micelles quicker in a polar solvent.
- the CMC in water is again very low at 0.1% total surfactant concentration, as shown in Figure 6, while in DEG the CMC is at 0.5% surfactant concentration, as shown in Figure 5.
- Span 20 is responsible for early micelle formation in DEG, whereas Tween 20 forms micelles earlier in water.
- the surfactant amount is chosen to 1%, while HLB is varying from 14.5 to 18.8.
- the HLB scale is confined by the surfactant HLB for Brij 700 (HLB 18.8) and Triton-X100 (HLB 13.5).
- HLB 18.8 the surfactant for Brij 700
- Triton-X100 HLB 13.5
- all emulsions are not stable as they are demixing after 1 minute.
- the sample with HLB 16.2 is most stable again, as it has the thinnest red layer on top.
- b) Surfactant concentration Varying the surfactant amount from 0.1% to 20% at HLB 16.2 shows, as depicted in Figure 11 , that using more surfactants is proportional to stability time. For this surfactant system, the emulsions are not stable and would need to improve substantially to consider printing emulsions with Brij 700 and Triton-X100. For the next experiments, these surfactants were no longer used.
Landscapes
- Engineering & Computer Science (AREA)
- Manufacturing & Machinery (AREA)
- Physics & Mathematics (AREA)
- Spectroscopy & Molecular Physics (AREA)
- Chemical & Material Sciences (AREA)
- Materials Engineering (AREA)
- Organic Low-Molecular-Weight Compounds And Preparation Thereof (AREA)
- Electroluminescent Light Sources (AREA)
Abstract
Description
Claims
Priority Applications (3)
| Application Number | Priority Date | Filing Date | Title |
|---|---|---|---|
| CN202180037037.XA CN115700058A (en) | 2020-04-21 | 2021-04-16 | Emulsions containing organic functional materials |
| EP21723139.8A EP4139971A1 (en) | 2020-04-21 | 2021-04-16 | Emulsions comprising organic functional materials |
| KR1020227040359A KR20230002860A (en) | 2020-04-21 | 2021-04-16 | Emulsion containing organic functional materials |
Applications Claiming Priority (2)
| Application Number | Priority Date | Filing Date | Title |
|---|---|---|---|
| EP20170555.5 | 2020-04-21 | ||
| EP20170555 | 2020-04-21 |
Publications (1)
| Publication Number | Publication Date |
|---|---|
| WO2021213917A1 true WO2021213917A1 (en) | 2021-10-28 |
Family
ID=70390841
Family Applications (1)
| Application Number | Title | Priority Date | Filing Date |
|---|---|---|---|
| PCT/EP2021/059913 Ceased WO2021213917A1 (en) | 2020-04-21 | 2021-04-16 | Emulsions comprising organic functional materials |
Country Status (4)
| Country | Link |
|---|---|
| EP (1) | EP4139971A1 (en) |
| KR (1) | KR20230002860A (en) |
| CN (1) | CN115700058A (en) |
| WO (1) | WO2021213917A1 (en) |
Citations (197)
| Publication number | Priority date | Publication date | Assignee | Title |
|---|---|---|---|---|
| US2438091A (en) | 1943-09-06 | 1948-03-16 | American Cyanamid Co | Aspartic acid esters and their preparation |
| US2528378A (en) | 1947-09-20 | 1950-10-31 | John J Mccabe Jr | Metal salts of substituted quaternary hydroxy cycloimidinic acid metal alcoholates and process for preparation of same |
| US2658072A (en) | 1951-05-17 | 1953-11-03 | Monsanto Chemicals | Process of preparing amine sulfonates and products obtained thereof |
| US3180730A (en) | 1959-04-09 | 1965-04-27 | Azoplate Corp | Material for electrophotographic purposes |
| US3526501A (en) | 1967-02-03 | 1970-09-01 | Eastman Kodak Co | 4-diarylamino-substituted chalcone containing photoconductive compositions for use in electrophotography |
| US3567450A (en) | 1968-02-20 | 1971-03-02 | Eastman Kodak Co | Photoconductive elements containing substituted triarylamine photoconductors |
| US3615404A (en) | 1968-04-25 | 1971-10-26 | Scott Paper Co | 1 3-phenylenediamine containing photoconductive materials |
| US3615402A (en) | 1969-10-01 | 1971-10-26 | Eastman Kodak Co | Tetra-substituted methanes as organic photoconductors |
| US3717462A (en) | 1969-07-28 | 1973-02-20 | Canon Kk | Heat treatment of an electrophotographic photosensitive member |
| US4127412A (en) | 1975-12-09 | 1978-11-28 | Eastman Kodak Company | Photoconductive compositions and elements |
| JPS54110837A (en) | 1978-02-17 | 1979-08-30 | Ricoh Co Ltd | Electrophotographic photoreceptor |
| JPS5646234A (en) | 1979-09-21 | 1981-04-27 | Ricoh Co Ltd | Electrophotographic receptor |
| US4356429A (en) | 1980-07-17 | 1982-10-26 | Eastman Kodak Company | Organic electroluminescent cell |
| US4539507A (en) | 1983-03-25 | 1985-09-03 | Eastman Kodak Company | Organic electroluminescent devices having improved power conversion efficiencies |
| US4565647A (en) | 1982-04-26 | 1986-01-21 | The Procter & Gamble Company | Foaming surfactant compositions |
| JPS61210363A (en) | 1985-03-15 | 1986-09-18 | Canon Inc | electrophotographic photoreceptor |
| US4720432A (en) | 1987-02-11 | 1988-01-19 | Eastman Kodak Company | Electroluminescent device with organic luminescent medium |
| US4769292A (en) | 1987-03-02 | 1988-09-06 | Eastman Kodak Company | Electroluminescent device with modified thin film luminescent zone |
| US4885221A (en) | 1986-12-06 | 1989-12-05 | Kabushiki Kaisha Toshiba | Electrophotography apparatus and electrophtographic process for developing positive image from positive or negative film |
| JPH02204996A (en) | 1989-02-01 | 1990-08-14 | Nec Corp | Organic film type el element |
| US4950950A (en) | 1989-05-18 | 1990-08-21 | Eastman Kodak Company | Electroluminescent device with silazane-containing luminescent zone |
| JPH02282263A (en) | 1988-12-09 | 1990-11-19 | Nippon Oil Co Ltd | Hole transferring material |
| US5061569A (en) | 1990-07-26 | 1991-10-29 | Eastman Kodak Company | Electroluminescent device with organic electroluminescent medium |
| US5077142A (en) | 1989-04-20 | 1991-12-31 | Ricoh Company, Ltd. | Electroluminescent devices |
| US5121029A (en) | 1987-12-11 | 1992-06-09 | Idemitsu Kosan Co., Ltd. | Electroluminescence device having an organic electroluminescent element |
| US5130603A (en) | 1989-03-20 | 1992-07-14 | Idemitsu Kosan Co., Ltd. | Organic electroluminescence device |
| JPH04308688A (en) | 1991-04-08 | 1992-10-30 | Pioneer Electron Corp | Organic electroluminescence element |
| EP0569827A2 (en) | 1992-05-11 | 1993-11-18 | Idemitsu Kosan Company Limited | Organic electroluminescence device |
| EP0637899A1 (en) | 1993-08-02 | 1995-02-08 | BASF Aktiengesellschaft | Electroluminescent arrangement |
| EP0676461A2 (en) | 1994-04-07 | 1995-10-11 | Hoechst Aktiengesellschaft | Spiro compounds and their application as electroluminescence materials |
| JPH0853397A (en) | 1994-08-12 | 1996-02-27 | Toyo Ink Mfg Co Ltd | Diarylamine derivative, production method and use thereof |
| US5529853A (en) | 1993-03-17 | 1996-06-25 | Sanyo Electric Co., Ltd. | Organic electroluminescent element |
| JPH08292586A (en) | 1995-04-21 | 1996-11-05 | Hodogaya Chem Co Ltd | Electrophotographic photoreceptor |
| US5608287A (en) | 1995-02-23 | 1997-03-04 | Eastman Kodak Company | Conductive electron injector for light-emitting diodes |
| EP0278757B1 (en) | 1987-02-11 | 1997-11-12 | EASTMAN KODAK COMPANY (a New Jersey corporation) | Electroluminescent device with improved cathode |
| US5703436A (en) | 1994-12-13 | 1997-12-30 | The Trustees Of Princeton University | Transparent contacts for organic devices |
| US5707745A (en) | 1994-12-13 | 1998-01-13 | The Trustees Of Princeton University | Multicolor organic light emitting devices |
| EP0652273B1 (en) | 1993-11-09 | 1998-02-11 | Shinko Electric Industries Co. Ltd. | Organic material for electroluminescent device and electroluminescent device |
| DE19646119A1 (en) | 1996-11-08 | 1998-05-14 | Hoechst Ag | Electroluminescent device |
| US5766779A (en) | 1996-08-20 | 1998-06-16 | Eastman Kodak Company | Electron transporting materials for organic electroluminescent devices |
| US5776623A (en) | 1996-07-29 | 1998-07-07 | Eastman Kodak Company | Transparent electron-injecting electrode for use in an electroluminescent device |
| US5776622A (en) | 1996-07-29 | 1998-07-07 | Eastman Kodak Company | Bilayer eletron-injeting electrode for use in an electroluminescent device |
| EP0650955B1 (en) | 1993-11-01 | 1998-08-19 | Hodogaya Chemical Co., Ltd. | Amine compound and electro-luminescence device comprising same |
| US5844363A (en) | 1997-01-23 | 1998-12-01 | The Trustees Of Princeton Univ. | Vacuum deposited, non-polymeric flexible organic light emitting devices |
| EP0891121A1 (en) | 1996-12-28 | 1999-01-13 | TDK Corporation | Organic electroluminescent elements |
| JP2913116B2 (en) | 1990-11-20 | 1999-06-28 | 株式会社リコー | EL device |
| EP0681019B1 (en) | 1994-04-26 | 1999-09-01 | TDK Corporation | Phenylanthracene derivative and organic EL element |
| US5962631A (en) | 1995-07-28 | 1999-10-05 | The Dow Chemical Company | 2, 7-aryl-9-substituted fluorenes and 9-substituted fluorene oligomers and polymers |
| US6020078A (en) | 1998-12-18 | 2000-02-01 | Eastman Kodak Company | Green organic electroluminescent devices |
| EP1009044A2 (en) | 1998-12-09 | 2000-06-14 | Eastman Kodak Company | Electroluminescent device with anthracene derivatives hole transport layer |
| EP1009041A2 (en) | 1998-12-09 | 2000-06-14 | Eastman Kodak Company | Electroluminescent device with improved hole transport layer |
| EP1029909A1 (en) | 1998-09-09 | 2000-08-23 | Idemitsu Kosan Co., Ltd. | Organic electroluminescence device and phenylenediamine derivative |
| US6127004A (en) | 1999-01-29 | 2000-10-03 | Eastman Kodak Company | Forming an amorphous fluorocarbon layer in electroluminescent devices |
| US6137223A (en) | 1998-07-28 | 2000-10-24 | Eastman Kodak Company | Electron-injecting layer formed from a dopant layer for organic light-emitting structure |
| US6140763A (en) | 1998-07-28 | 2000-10-31 | Eastman Kodak Company | Interfacial electron-injecting layer formed from a doped cathode for organic light-emitting structure |
| WO2000070655A2 (en) | 1999-05-13 | 2000-11-23 | The Trustees Of Princeton University | Very high efficiency organic light emitting devices based on electrophosphorescence |
| JP3148176B2 (en) | 1998-04-15 | 2001-03-19 | 日本電気株式会社 | Organic electroluminescence device |
| US6208077B1 (en) | 1998-11-05 | 2001-03-27 | Eastman Kodak Company | Organic electroluminescent device with a non-conductive fluorocarbon polymer layer |
| US6208075B1 (en) | 1998-11-05 | 2001-03-27 | Eastman Kodak Company | Conductive fluorocarbon polymer and method of making same |
| WO2001021729A1 (en) | 1999-09-21 | 2001-03-29 | Idemitsu Kosan Co., Ltd. | Organic electroluminescence and organic luminous medium |
| WO2001041512A1 (en) | 1999-12-01 | 2001-06-07 | The Trustees Of Princeton University | Complexes of form l2mx as phosphorescent dopants for organic leds |
| US6251531B1 (en) | 1995-02-25 | 2001-06-26 | Toyo Ink Manufacturing Co., Ltd. | Light-emitting material for organic electroluminescence device, and organic electroluminescence device for which the light-emitting material is adapted |
| JP2001267080A (en) | 2000-01-14 | 2001-09-28 | Toray Ind Inc | Light emission element |
| WO2001093642A1 (en) | 2000-05-30 | 2001-12-06 | The Trustees Of Princeton University | Phosphorescent organic light emitting devices |
| US20010053462A1 (en) | 2000-05-02 | 2001-12-20 | Masayuki Mishima | Light-emitting device |
| WO2002002714A2 (en) | 2000-06-30 | 2002-01-10 | E.I. Du Pont De Nemours And Company | Electroluminescent iridium compounds with fluorinated phenylpyridines, phenylpyrimidines, and phenylquinolines and devices made with such compounds |
| WO2002015645A1 (en) | 2000-08-11 | 2002-02-21 | The Trustees Of Princeton University | Organometallic compounds and emission-shifting organic electrophosphorescence |
| EP1191613A2 (en) | 2000-09-26 | 2002-03-27 | Canon Kabushiki Kaisha | Luminescence device, display apparatus and metal coordination compound |
| EP1191614A2 (en) | 2000-09-26 | 2002-03-27 | Canon Kabushiki Kaisha | Luminescence device and metal coordination compound therefor |
| EP1191612A2 (en) | 2000-09-26 | 2002-03-27 | Canon Kabushiki Kaisha | Luminescence device, display apparatus and metal coordination compound |
| EP1205527A1 (en) | 2000-03-27 | 2002-05-15 | Idemitsu Kosan Co., Ltd. | Organic electroluminescence device |
| WO2002043449A1 (en) | 2000-11-24 | 2002-05-30 | Toray Industries, Inc. | Luminescent element material and luminescent element comprising the same |
| WO2002077060A1 (en) | 2001-03-24 | 2002-10-03 | Covion Organic Semiconductors Gmbh | Conjugated polymers containing spirobifluorene units and fluorene units, and the use thereof |
| US20030027016A1 (en) | 2000-04-21 | 2003-02-06 | Tdk Corporation | Organic EL device |
| EP0906948B1 (en) | 1997-10-02 | 2003-02-12 | Xerox Corporation | Electroluminescent devices |
| WO2003019693A2 (en) | 2001-07-21 | 2003-03-06 | Covion Organic Semiconductors Gmbh | Solutions of organic semiconductors |
| WO2003020790A2 (en) | 2001-09-04 | 2003-03-13 | Covion Organic Semiconductors Gmbh | Conjugated polymers containing spirobifluorene units and the use thereof |
| US20030068528A1 (en) | 2001-08-29 | 2003-04-10 | Thompson Mark E. | Organic light emitting devices having carrier blocking layers comprising metal complexes |
| US6548956B2 (en) | 1994-12-13 | 2003-04-15 | The Trustees Of Princeton University | Transparent contacts for organic devices |
| JP2003115387A (en) | 2001-10-04 | 2003-04-18 | Junji Kido | Organic light emitting element and its manufacturing method |
| US6562485B2 (en) | 2001-01-26 | 2003-05-13 | Xerox Corporation | Electroluminescent (EL) devices |
| EP1162193B1 (en) | 1993-09-29 | 2003-05-14 | Idemitsu Kosan Company Limited | Acrylenediamine derivatives and organic electroluminescence device containing the same |
| EP0906947B1 (en) | 1997-10-02 | 2003-05-21 | Xerox Corporation | Indolocarbazole electroluminescent devices |
| US6576134B1 (en) | 1998-10-20 | 2003-06-10 | Erik Agner | Method for displacement chromatography |
| WO2003050147A1 (en) | 2001-12-13 | 2003-06-19 | MAX-PLANCK-Gesellschaft zur Förderung der Wissenschaften e.V. | Nanostructured layers on the basis of nanoparticles of organic semiconductors |
| US6602540B2 (en) | 1996-08-12 | 2003-08-05 | The Trustees Of Princeton University | Fabrication of non-polymeric flexible organic light emitting devices |
| JP2003253145A (en) | 2002-02-28 | 2003-09-10 | Jsr Corp | Luminescent composition |
| EP1344788A1 (en) | 2002-03-15 | 2003-09-17 | Sumitomo Chemical Company, Limited | Conjugated polymer comprising dibenzothiophene- or dibenzofuran-units and their use in polymer LEDs |
| US20030175553A1 (en) | 2001-12-28 | 2003-09-18 | Thompson Mark E. | White light emitting oleds from combined monomer and aggregate emission |
| JP2003338375A (en) | 2002-03-14 | 2003-11-28 | Tdk Corp | Organic el element |
| WO2003099901A1 (en) | 2002-05-28 | 2003-12-04 | Sumitomo Chemical Company, Limited | Polymer and polymeric luminescent element comprising the same |
| US20040018383A1 (en) | 2002-07-26 | 2004-01-29 | Xerox Corporation | Display device with anthracene and triazine derivatives |
| WO2004013073A1 (en) | 2002-08-02 | 2004-02-12 | Idemitsu Kosan Co., Ltd. | Anthracene derivatives and organic electroluminescent devices made by using the same |
| EP0908787B1 (en) | 1997-10-02 | 2004-04-14 | Xerox Corporation | Indolocarbazole Photoconductors |
| WO2004041901A1 (en) | 2002-11-08 | 2004-05-21 | Covion Organic Semiconductors Gmbh | Aryl-substituted polyindenofluorenes for use in organic electroluminiscent devices |
| WO2004058911A2 (en) | 2002-12-23 | 2004-07-15 | Covion Organic Semiconductors Gmbh | Organic electroluminescent element |
| JP2004200162A (en) | 2002-12-05 | 2004-07-15 | Toray Ind Inc | Light emitting element |
| DE10304819A1 (en) | 2003-02-06 | 2004-08-19 | Covion Organic Semiconductors Gmbh | Carbazole-containing conjugated polymers and blends, their preparation and use |
| US20040174116A1 (en) | 2001-08-20 | 2004-09-09 | Lu Min-Hao Michael | Transparent electrodes |
| WO2004081017A1 (en) | 2003-03-11 | 2004-09-23 | Covion Organic Semiconductors Gmbh | Metal complexes |
| WO2004084260A2 (en) | 2003-03-20 | 2004-09-30 | Cambridge Display Technology Limited | Electroluminescent device |
| JP2004288381A (en) | 2003-03-19 | 2004-10-14 | Konica Minolta Holdings Inc | Organic electroluminescent element |
| EP1469533A2 (en) | 2003-04-14 | 2004-10-20 | Kabushiki Kaisha Toyota Jidoshokki | Organic electroluminescent element that supresses generation of ultraviolet light and lighting system that has organic electroluminescent element |
| US20040209116A1 (en) | 2003-04-21 | 2004-10-21 | Xiaofan Ren | Organic light emitting devices with wide gap host materials |
| US20040209115A1 (en) | 2003-04-21 | 2004-10-21 | Thompson Mark E. | Organic light emitting devices with wide gap host materials |
| WO2004093207A2 (en) | 2003-04-15 | 2004-10-28 | Covion Organic Semiconductors Gmbh | Mixtures of matrix materials and organic semiconductors capable of emission, use of the same and electronic components containing said mixtures |
| JP2004311184A (en) | 2003-04-04 | 2004-11-04 | Junji Kido | Electron transportation material formed of multinucleate phenanthroline derivative, charge control material, and organic luminescent element using them |
| EP1478032A2 (en) | 2003-05-16 | 2004-11-17 | Kabushiki Kaisha Toyota Jidoshokki | Light emitting diode method for forming the same |
| EP1480280A2 (en) | 2003-05-23 | 2004-11-24 | Kabushiki Kaisha Toyota Jidoshokki | Organic electroluminescent device and method for manufacturing the same |
| US6824895B1 (en) | 2003-12-05 | 2004-11-30 | Eastman Kodak Company | Electroluminescent device containing organometallic compound with tridentate ligand |
| US6830828B2 (en) | 1998-09-14 | 2004-12-14 | The Trustees Of Princeton University | Organometallic complexes as phosphorescent emitters in organic LEDs |
| US6835469B2 (en) | 2001-10-17 | 2004-12-28 | The University Of Southern California | Phosphorescent compounds and devices comprising the same |
| WO2004113412A2 (en) | 2003-06-23 | 2004-12-29 | Covion Organic Semiconductors Gmbh | Polymer |
| WO2005003253A2 (en) | 2003-07-07 | 2005-01-13 | Covion Organic Semiconductors Gmbh | Mixtures of organic emissive semiconductors and matrix materials, their use and electronic components comprising said materials |
| DE10328627A1 (en) | 2003-06-26 | 2005-02-17 | Covion Organic Semiconductors Gmbh | New materials for electroluminescence |
| WO2005014689A2 (en) | 2003-08-12 | 2005-02-17 | Covion Organic Semiconductors Gmbh | Conjugated polymers containing dihydrophenanthrene units and use thereof |
| CN1583691A (en) | 2004-06-04 | 2005-02-23 | 友达光电股份有限公司 | Anthracene compound and organic electroluminescent device comprising the anthracene compound |
| US20050069729A1 (en) | 2003-09-30 | 2005-03-31 | Konica Minolta Holdings, Inc. | Organic electroluminescent element, illuminator, display and compound |
| US6878469B2 (en) | 2002-01-18 | 2005-04-12 | Lg Chem, Ltd. | Material for transporting electrons and organic electroluminescent display using the same |
| WO2005033244A1 (en) | 2003-09-29 | 2005-04-14 | Covion Organic Semiconductors Gmbh | Metal complexes |
| WO2005033174A1 (en) | 2003-10-01 | 2005-04-14 | Sumitomo Chemical Company, Limited | Polymer light-emitting material and polymer light-emitting device |
| DE10343606A1 (en) | 2003-09-20 | 2005-04-14 | Covion Organic Semiconductors Gmbh | White-emitting copolymers, their preparation and use |
| JP2005108556A (en) | 2003-09-29 | 2005-04-21 | Tdk Corp | Organic el element and organic el display |
| DE10349033A1 (en) | 2003-10-22 | 2005-05-25 | Covion Organic Semiconductors Gmbh | Organic semiconductor, for use in organic LEDs and solar cells and laser diodes, contains a polymer and structural units which emit light from the triplet state and a triplet emitter |
| WO2005056633A1 (en) | 2003-12-12 | 2005-06-23 | Sumitomo Chemical Company, Limited | Polymer compound and polymer light-emitting device using same |
| US6914269B2 (en) | 2003-06-13 | 2005-07-05 | Semiconductor Energy Laboratory Co., Ltd. | Electron injection composition for light emitting element, light emitting element, and light emitting device |
| EP1551206A1 (en) | 2002-10-09 | 2005-07-06 | Idemitsu Kosan Co., Ltd. | Organic electroluminescent device |
| WO2005061656A1 (en) | 2003-12-19 | 2005-07-07 | Idemitsu Kosan Co., Ltd. | Light-emitting material for organic electroluminescent device, organic electroluminescent device using same, and material for organic electroluminescent device |
| WO2005084081A1 (en) | 2004-02-20 | 2005-09-09 | Merck Patent Gmbh | Organic electronic devices |
| JP2005285661A (en) | 2004-03-30 | 2005-10-13 | Tdk Corp | Organic el element and organic el display |
| WO2005104264A1 (en) | 2004-04-26 | 2005-11-03 | Merck Patent Gmbh | Electroluminescent polymers and use therof |
| WO2005111172A2 (en) | 2004-05-11 | 2005-11-24 | Merck Patent Gmbh | Novel material mixtures for use in electroluminescence |
| JP2005347160A (en) | 2004-06-04 | 2005-12-15 | Konica Minolta Holdings Inc | Organic electroluminescence element, lighting device and display device |
| WO2006000389A1 (en) | 2004-06-26 | 2006-01-05 | Merck Patent Gmbh | Compounds for organic electronic devices |
| WO2006000388A1 (en) | 2004-06-26 | 2006-01-05 | Merck Patent Gmbh | Organic electroluminescent device |
| EP1617711A1 (en) | 2003-04-23 | 2006-01-18 | Konica Minolta Holdings, Inc. | Organic electroluminescent device and display |
| US20060043858A1 (en) | 2002-08-23 | 2006-03-02 | Idemitsu Kosan Co., Ltd. | Organic electroluminescence device and anthracene derivative |
| US20060061265A1 (en) | 2002-11-06 | 2006-03-23 | Hisayuki Kawamura | Aromatic amine derivative and organic electroluminescent element employing the same |
| US7029766B2 (en) | 2003-12-05 | 2006-04-18 | Eastman Kodak Company | Organic element for electroluminescent devices |
| WO2006048268A1 (en) | 2004-11-06 | 2006-05-11 | Merck Patent Gmbh | Organic electroluminescent device |
| WO2006052457A2 (en) | 2004-11-03 | 2006-05-18 | Sumation Co.Ltd. | New class of bridged biphenylene polymers |
| WO2006058737A1 (en) | 2004-12-01 | 2006-06-08 | Merck Patent Gmbh | Compounds for organic electronic devices |
| WO2006063852A1 (en) | 2004-12-18 | 2006-06-22 | Merck Patent Gmbh | Electroluminescent polymers and use thereof |
| US20060147747A1 (en) | 2003-03-13 | 2006-07-06 | Hiroshi Yamamoto | Nitrogen-containing heterocycle derivative and organic electroluminescent element using the same |
| US20060210830A1 (en) | 2005-03-15 | 2006-09-21 | Idemitsu Kosan Co., Ltd. | Aromatic amine derivative and organic electroluminescence device using the same |
| US20060222886A1 (en) | 2005-04-04 | 2006-10-05 | Raymond Kwong | Arylpyrene compounds |
| WO2006118345A1 (en) | 2005-04-28 | 2006-11-09 | Sumitomo Chemical Company, Limited | High-molecular compounds and high-molecular luminescent devices made by using the same |
| WO2006117052A1 (en) | 2005-05-03 | 2006-11-09 | Merck Patent Gmbh | Organic electroluminescent device and boric acid and borinic acid derivatives used therein |
| WO2006122630A1 (en) | 2005-05-20 | 2006-11-23 | Merck Patent Gmbh | Compounds for organic electronic devices |
| EP1731584A1 (en) | 2004-03-31 | 2006-12-13 | Konica Minolta Holdings, Inc. | Organic electroluminescent device material, organic electroluminescent device, display and illuminating device |
| JP2007059939A (en) | 2001-08-31 | 2007-03-08 | Nippon Hoso Kyokai <Nhk> | Organic light emitting device and display device |
| WO2007043495A1 (en) | 2005-10-07 | 2007-04-19 | Sumitomo Chemical Company, Limited | Copolymer and polymer light emitting devices made by using the same |
| US20070087219A1 (en) | 2005-10-19 | 2007-04-19 | Eastman Kodak Company | Electroluminescent device |
| US20070092753A1 (en) | 2005-10-26 | 2007-04-26 | Eastman Kodak Company | Organic element for low voltage electroluminescent devices |
| US20070092755A1 (en) | 2005-10-26 | 2007-04-26 | Eastman Kodak Company | Organic element for low voltage electroluminescent devices |
| US20070122656A1 (en) | 2005-11-30 | 2007-05-31 | Eastman Kodak Company | Electroluminescent device containing an anthracene derivative |
| WO2007063754A1 (en) | 2005-12-01 | 2007-06-07 | Nippon Steel Chemical Co., Ltd. | Compound for organic electroluminescent element and organic electroluminescent element |
| WO2007065549A1 (en) | 2005-12-08 | 2007-06-14 | Merck Patent Gmbh | Organic electroluminescent devices |
| US20070134514A1 (en) | 2005-12-14 | 2007-06-14 | Eastman Kodak Company | Electroluminescent host material |
| WO2007065678A1 (en) | 2005-12-08 | 2007-06-14 | Merck Patent Gmbh | Novel materials for organic electroluminiescent devices |
| US7250532B2 (en) | 2001-03-16 | 2007-07-31 | Idemitsu Kosan Co., Ltd. | Method for producing aromatic amino compound |
| US7250226B2 (en) | 2001-08-31 | 2007-07-31 | Nippon Hoso Kyokai | Phosphorescent compound, a phosphorescent composition and an organic light-emitting device |
| DE102006003710A1 (en) | 2006-01-26 | 2007-08-02 | Merck Patent Gmbh | New polymer containing an unit exhibiting electron injection and -conducting characteristics, useful for the preparation of a solution and formulation, and in an organic electronic devices, preferably organic optoelectronic device |
| JP2007197574A (en) | 2006-01-26 | 2007-08-09 | Showa Denko Kk | Polymer light-emitting material, organic electroluminescence element, and display device |
| WO2007095118A2 (en) | 2006-02-10 | 2007-08-23 | Universal Display Corporation | METAL COMPLEXES OF CYCLOMETALLATED IMIDAZO[1,2-f]PHENANTHRIDINE AND DIIMIDAZO[1,2-A:1',2'-C]QUINAZOLINE LIGANDS AND ISOELECTRONIC AND BENZANNULATED ANALOGS THEREOF |
| JP2007211243A (en) | 2007-02-07 | 2007-08-23 | Showa Denko Kk | Polymer of polymerizable compound |
| US20070205412A1 (en) | 2006-03-06 | 2007-09-06 | Jae-Soon Bae | Novel anthracene derivative and organic electronic device using the same |
| EP1834945A1 (en) | 2005-01-05 | 2007-09-19 | Idemitsu Kosan Co., Ltd. | Aromatic amine derivative and organic electroluminescent device using same |
| WO2007114358A1 (en) | 2006-04-03 | 2007-10-11 | Idemitsu Kosan Co., Ltd. | Benzanthracene derivative and organic electroluminescent device using the same |
| WO2007115610A1 (en) | 2006-04-01 | 2007-10-18 | Merck Patent Gmbh | Materials for organic electroluminescent devices |
| US20070252517A1 (en) | 2006-04-27 | 2007-11-01 | Eastman Kodak Company | Electroluminescent device including an anthracene derivative |
| WO2007131582A1 (en) | 2006-05-12 | 2007-11-22 | Merck Patent Gmbh | Indenofluorene polymer based organic semiconductor materials |
| EP1860097A1 (en) | 2005-03-18 | 2007-11-28 | Idemitsu Kosan Co., Ltd. | Aromatic amine derivative and organic electroluminescence device utilizing the same |
| WO2007137725A1 (en) | 2006-05-31 | 2007-12-06 | Merck Patent Gmbh | New materials for organic electroluminescent devices |
| WO2007140847A1 (en) | 2006-06-02 | 2007-12-13 | Merck Patent Gmbh | Materials for organic electroluminescent devices |
| WO2008006449A1 (en) | 2006-07-11 | 2008-01-17 | Merck Patent Gmbh | Novel materials for organic electroluminescent devices |
| WO2008009343A1 (en) | 2006-07-21 | 2008-01-24 | Merck Patent Gmbh | Copolymers of indenofluorene and thiophene |
| US7326371B2 (en) | 2004-03-25 | 2008-02-05 | Eastman Kodak Company | Electroluminescent device with anthracene derivative host |
| US20080102311A1 (en) | 2006-08-04 | 2008-05-01 | Idemitsu Kosan Co., Ltd. | Material for organic electroluminescent element and organic electroluminescent element employing the same |
| WO2008056746A1 (en) | 2006-11-09 | 2008-05-15 | Nippon Steel Chemical Co., Ltd. | Compound for organic electroluminescent device and organic electroluminescent device |
| US20080113101A1 (en) | 2006-11-09 | 2008-05-15 | Idemitsu Kosan Co., Ltd. | Organic-electroluminescence-material-containing solution, method for forming thin film of organic electroluminescence material, thin film of organic electroluminescence material and organic electroluminescence device |
| US7378162B2 (en) | 2005-03-08 | 2008-05-27 | Lg Electronics Inc. | Organic electroluminescence devices using red phosphorescence compounds |
| DE102007002714A1 (en) | 2007-01-18 | 2008-07-31 | Merck Patent Gmbh | New materials for organic electroluminescent devices |
| US20080193796A1 (en) | 2006-11-20 | 2008-08-14 | Idemitsu Kosan Co., Ltd. | Organic electroluminescent device |
| EP1661888B1 (en) | 2004-11-29 | 2008-11-12 | Samsung SDI Co., Ltd. | Phenylcarbazole-based compound and organic electroluminescent device employing the same |
| DE102007024850A1 (en) | 2007-05-29 | 2008-12-04 | Merck Patent Gmbh | New materials for organic electroluminescent devices |
| WO2008146839A1 (en) | 2007-05-29 | 2008-12-04 | Nippon Steel Chemical Co., Ltd. | Compound for organic electroluminescent device and organic electroluminescent device |
| WO2008149691A1 (en) | 2007-05-30 | 2008-12-11 | Nippon Steel Chemical Co., Ltd. | Compound for organic electroluminescent device and organic electroluminescent device |
| EP1923448B1 (en) | 2006-11-09 | 2008-12-31 | Samsung SDI Co., Ltd. | Organic light emitting diode including organic layer comprising organic metal complex |
| US20090061681A1 (en) | 2007-09-05 | 2009-03-05 | Mcmunigal Tom | Electrical receptacle assembly |
| WO2009041635A1 (en) | 2007-09-28 | 2009-04-02 | Idemitsu Kosan Co., Ltd. | Organic el device |
| DE102008017591A1 (en) | 2008-04-07 | 2009-10-08 | Merck Patent Gmbh | New materials for organic electroluminescent devices |
| WO2009134822A2 (en) * | 2008-05-01 | 2009-11-05 | The Government Of The United States Of America, As Represented By The Secretary Of The Navy | Fluorescent organic nanoparticles |
| DE102009023154A1 (en) | 2009-05-29 | 2011-06-16 | Merck Patent Gmbh | A composition comprising at least one emitter compound and at least one polymer having conjugation-interrupting units |
| EP2517278A1 (en) * | 2009-12-22 | 2012-10-31 | Merck Patent GmbH | Electroluminescent formulations |
| EP2517537A1 (en) * | 2009-12-22 | 2012-10-31 | Merck Patent GmbH | Electroluminescent functional surfactants |
| US20150255724A1 (en) * | 2012-09-27 | 2015-09-10 | Merck Patent Gmbh | Materials for organic electroluminescent devices |
-
2021
- 2021-04-16 EP EP21723139.8A patent/EP4139971A1/en active Pending
- 2021-04-16 KR KR1020227040359A patent/KR20230002860A/en not_active Withdrawn
- 2021-04-16 WO PCT/EP2021/059913 patent/WO2021213917A1/en not_active Ceased
- 2021-04-16 CN CN202180037037.XA patent/CN115700058A/en active Pending
Patent Citations (207)
| Publication number | Priority date | Publication date | Assignee | Title |
|---|---|---|---|---|
| US2438091A (en) | 1943-09-06 | 1948-03-16 | American Cyanamid Co | Aspartic acid esters and their preparation |
| US2528378A (en) | 1947-09-20 | 1950-10-31 | John J Mccabe Jr | Metal salts of substituted quaternary hydroxy cycloimidinic acid metal alcoholates and process for preparation of same |
| US2658072A (en) | 1951-05-17 | 1953-11-03 | Monsanto Chemicals | Process of preparing amine sulfonates and products obtained thereof |
| US3180730A (en) | 1959-04-09 | 1965-04-27 | Azoplate Corp | Material for electrophotographic purposes |
| US3526501A (en) | 1967-02-03 | 1970-09-01 | Eastman Kodak Co | 4-diarylamino-substituted chalcone containing photoconductive compositions for use in electrophotography |
| US3567450A (en) | 1968-02-20 | 1971-03-02 | Eastman Kodak Co | Photoconductive elements containing substituted triarylamine photoconductors |
| US3615404A (en) | 1968-04-25 | 1971-10-26 | Scott Paper Co | 1 3-phenylenediamine containing photoconductive materials |
| US3717462A (en) | 1969-07-28 | 1973-02-20 | Canon Kk | Heat treatment of an electrophotographic photosensitive member |
| US3615402A (en) | 1969-10-01 | 1971-10-26 | Eastman Kodak Co | Tetra-substituted methanes as organic photoconductors |
| US4127412A (en) | 1975-12-09 | 1978-11-28 | Eastman Kodak Company | Photoconductive compositions and elements |
| JPS54110837A (en) | 1978-02-17 | 1979-08-30 | Ricoh Co Ltd | Electrophotographic photoreceptor |
| JPS5646234A (en) | 1979-09-21 | 1981-04-27 | Ricoh Co Ltd | Electrophotographic receptor |
| US4356429A (en) | 1980-07-17 | 1982-10-26 | Eastman Kodak Company | Organic electroluminescent cell |
| US4565647A (en) | 1982-04-26 | 1986-01-21 | The Procter & Gamble Company | Foaming surfactant compositions |
| US4565647B1 (en) | 1982-04-26 | 1994-04-05 | Procter & Gamble | Foaming surfactant compositions |
| US4539507A (en) | 1983-03-25 | 1985-09-03 | Eastman Kodak Company | Organic electroluminescent devices having improved power conversion efficiencies |
| JPS61210363A (en) | 1985-03-15 | 1986-09-18 | Canon Inc | electrophotographic photoreceptor |
| US4885221A (en) | 1986-12-06 | 1989-12-05 | Kabushiki Kaisha Toshiba | Electrophotography apparatus and electrophtographic process for developing positive image from positive or negative film |
| US4720432A (en) | 1987-02-11 | 1988-01-19 | Eastman Kodak Company | Electroluminescent device with organic luminescent medium |
| EP0278757B1 (en) | 1987-02-11 | 1997-11-12 | EASTMAN KODAK COMPANY (a New Jersey corporation) | Electroluminescent device with improved cathode |
| US4769292A (en) | 1987-03-02 | 1988-09-06 | Eastman Kodak Company | Electroluminescent device with modified thin film luminescent zone |
| US5121029A (en) | 1987-12-11 | 1992-06-09 | Idemitsu Kosan Co., Ltd. | Electroluminescence device having an organic electroluminescent element |
| JPH02282263A (en) | 1988-12-09 | 1990-11-19 | Nippon Oil Co Ltd | Hole transferring material |
| JPH02204996A (en) | 1989-02-01 | 1990-08-14 | Nec Corp | Organic film type el element |
| US5130603A (en) | 1989-03-20 | 1992-07-14 | Idemitsu Kosan Co., Ltd. | Organic electroluminescence device |
| US5077142A (en) | 1989-04-20 | 1991-12-31 | Ricoh Company, Ltd. | Electroluminescent devices |
| US4950950A (en) | 1989-05-18 | 1990-08-21 | Eastman Kodak Company | Electroluminescent device with silazane-containing luminescent zone |
| US5061569A (en) | 1990-07-26 | 1991-10-29 | Eastman Kodak Company | Electroluminescent device with organic electroluminescent medium |
| JP2913116B2 (en) | 1990-11-20 | 1999-06-28 | 株式会社リコー | EL device |
| JPH04308688A (en) | 1991-04-08 | 1992-10-30 | Pioneer Electron Corp | Organic electroluminescence element |
| EP0569827A2 (en) | 1992-05-11 | 1993-11-18 | Idemitsu Kosan Company Limited | Organic electroluminescence device |
| US5529853A (en) | 1993-03-17 | 1996-06-25 | Sanyo Electric Co., Ltd. | Organic electroluminescent element |
| EP0637899A1 (en) | 1993-08-02 | 1995-02-08 | BASF Aktiengesellschaft | Electroluminescent arrangement |
| EP1162193B1 (en) | 1993-09-29 | 2003-05-14 | Idemitsu Kosan Company Limited | Acrylenediamine derivatives and organic electroluminescence device containing the same |
| EP0650955B1 (en) | 1993-11-01 | 1998-08-19 | Hodogaya Chemical Co., Ltd. | Amine compound and electro-luminescence device comprising same |
| EP0652273B1 (en) | 1993-11-09 | 1998-02-11 | Shinko Electric Industries Co. Ltd. | Organic material for electroluminescent device and electroluminescent device |
| EP0676461A2 (en) | 1994-04-07 | 1995-10-11 | Hoechst Aktiengesellschaft | Spiro compounds and their application as electroluminescence materials |
| EP0681019B1 (en) | 1994-04-26 | 1999-09-01 | TDK Corporation | Phenylanthracene derivative and organic EL element |
| JPH0853397A (en) | 1994-08-12 | 1996-02-27 | Toyo Ink Mfg Co Ltd | Diarylamine derivative, production method and use thereof |
| US5707745A (en) | 1994-12-13 | 1998-01-13 | The Trustees Of Princeton University | Multicolor organic light emitting devices |
| US5703436A (en) | 1994-12-13 | 1997-12-30 | The Trustees Of Princeton University | Transparent contacts for organic devices |
| US6548956B2 (en) | 1994-12-13 | 2003-04-15 | The Trustees Of Princeton University | Transparent contacts for organic devices |
| US5608287A (en) | 1995-02-23 | 1997-03-04 | Eastman Kodak Company | Conductive electron injector for light-emitting diodes |
| US6251531B1 (en) | 1995-02-25 | 2001-06-26 | Toyo Ink Manufacturing Co., Ltd. | Light-emitting material for organic electroluminescence device, and organic electroluminescence device for which the light-emitting material is adapted |
| JPH08292586A (en) | 1995-04-21 | 1996-11-05 | Hodogaya Chem Co Ltd | Electrophotographic photoreceptor |
| US5962631A (en) | 1995-07-28 | 1999-10-05 | The Dow Chemical Company | 2, 7-aryl-9-substituted fluorenes and 9-substituted fluorene oligomers and polymers |
| US5776623A (en) | 1996-07-29 | 1998-07-07 | Eastman Kodak Company | Transparent electron-injecting electrode for use in an electroluminescent device |
| US5776622A (en) | 1996-07-29 | 1998-07-07 | Eastman Kodak Company | Bilayer eletron-injeting electrode for use in an electroluminescent device |
| US6602540B2 (en) | 1996-08-12 | 2003-08-05 | The Trustees Of Princeton University | Fabrication of non-polymeric flexible organic light emitting devices |
| US5766779A (en) | 1996-08-20 | 1998-06-16 | Eastman Kodak Company | Electron transporting materials for organic electroluminescent devices |
| DE19646119A1 (en) | 1996-11-08 | 1998-05-14 | Hoechst Ag | Electroluminescent device |
| EP0891121A1 (en) | 1996-12-28 | 1999-01-13 | TDK Corporation | Organic electroluminescent elements |
| US5844363A (en) | 1997-01-23 | 1998-12-01 | The Trustees Of Princeton Univ. | Vacuum deposited, non-polymeric flexible organic light emitting devices |
| EP0906947B1 (en) | 1997-10-02 | 2003-05-21 | Xerox Corporation | Indolocarbazole electroluminescent devices |
| EP0908787B1 (en) | 1997-10-02 | 2004-04-14 | Xerox Corporation | Indolocarbazole Photoconductors |
| EP0906948B1 (en) | 1997-10-02 | 2003-02-12 | Xerox Corporation | Electroluminescent devices |
| JP3148176B2 (en) | 1998-04-15 | 2001-03-19 | 日本電気株式会社 | Organic electroluminescence device |
| US6140763A (en) | 1998-07-28 | 2000-10-31 | Eastman Kodak Company | Interfacial electron-injecting layer formed from a doped cathode for organic light-emitting structure |
| US6137223A (en) | 1998-07-28 | 2000-10-24 | Eastman Kodak Company | Electron-injecting layer formed from a dopant layer for organic light-emitting structure |
| EP1029909A1 (en) | 1998-09-09 | 2000-08-23 | Idemitsu Kosan Co., Ltd. | Organic electroluminescence device and phenylenediamine derivative |
| US7399537B2 (en) | 1998-09-09 | 2008-07-15 | Idemitsu Kosan Co., Ltd. | Organic electroluminescence device and phenylenediamine derivative |
| US6830828B2 (en) | 1998-09-14 | 2004-12-14 | The Trustees Of Princeton University | Organometallic complexes as phosphorescent emitters in organic LEDs |
| US6576134B1 (en) | 1998-10-20 | 2003-06-10 | Erik Agner | Method for displacement chromatography |
| US6208075B1 (en) | 1998-11-05 | 2001-03-27 | Eastman Kodak Company | Conductive fluorocarbon polymer and method of making same |
| US6208077B1 (en) | 1998-11-05 | 2001-03-27 | Eastman Kodak Company | Organic electroluminescent device with a non-conductive fluorocarbon polymer layer |
| EP1009044A2 (en) | 1998-12-09 | 2000-06-14 | Eastman Kodak Company | Electroluminescent device with anthracene derivatives hole transport layer |
| EP1009041A2 (en) | 1998-12-09 | 2000-06-14 | Eastman Kodak Company | Electroluminescent device with improved hole transport layer |
| US6020078A (en) | 1998-12-18 | 2000-02-01 | Eastman Kodak Company | Green organic electroluminescent devices |
| US6127004A (en) | 1999-01-29 | 2000-10-03 | Eastman Kodak Company | Forming an amorphous fluorocarbon layer in electroluminescent devices |
| WO2000070655A2 (en) | 1999-05-13 | 2000-11-23 | The Trustees Of Princeton University | Very high efficiency organic light emitting devices based on electrophosphorescence |
| WO2001021729A1 (en) | 1999-09-21 | 2001-03-29 | Idemitsu Kosan Co., Ltd. | Organic electroluminescence and organic luminous medium |
| WO2001041512A1 (en) | 1999-12-01 | 2001-06-07 | The Trustees Of Princeton University | Complexes of form l2mx as phosphorescent dopants for organic leds |
| JP2001267080A (en) | 2000-01-14 | 2001-09-28 | Toray Ind Inc | Light emission element |
| EP1205527A1 (en) | 2000-03-27 | 2002-05-15 | Idemitsu Kosan Co., Ltd. | Organic electroluminescence device |
| US20030027016A1 (en) | 2000-04-21 | 2003-02-06 | Tdk Corporation | Organic EL device |
| US20010053462A1 (en) | 2000-05-02 | 2001-12-20 | Masayuki Mishima | Light-emitting device |
| WO2001093642A1 (en) | 2000-05-30 | 2001-12-06 | The Trustees Of Princeton University | Phosphorescent organic light emitting devices |
| WO2002002714A2 (en) | 2000-06-30 | 2002-01-10 | E.I. Du Pont De Nemours And Company | Electroluminescent iridium compounds with fluorinated phenylpyridines, phenylpyrimidines, and phenylquinolines and devices made with such compounds |
| WO2002015645A1 (en) | 2000-08-11 | 2002-02-21 | The Trustees Of Princeton University | Organometallic compounds and emission-shifting organic electrophosphorescence |
| EP1191612A2 (en) | 2000-09-26 | 2002-03-27 | Canon Kabushiki Kaisha | Luminescence device, display apparatus and metal coordination compound |
| EP1191613A2 (en) | 2000-09-26 | 2002-03-27 | Canon Kabushiki Kaisha | Luminescence device, display apparatus and metal coordination compound |
| EP1191614A2 (en) | 2000-09-26 | 2002-03-27 | Canon Kabushiki Kaisha | Luminescence device and metal coordination compound therefor |
| WO2002043449A1 (en) | 2000-11-24 | 2002-05-30 | Toray Industries, Inc. | Luminescent element material and luminescent element comprising the same |
| US6562485B2 (en) | 2001-01-26 | 2003-05-13 | Xerox Corporation | Electroluminescent (EL) devices |
| US7250532B2 (en) | 2001-03-16 | 2007-07-31 | Idemitsu Kosan Co., Ltd. | Method for producing aromatic amino compound |
| WO2002077060A1 (en) | 2001-03-24 | 2002-10-03 | Covion Organic Semiconductors Gmbh | Conjugated polymers containing spirobifluorene units and fluorene units, and the use thereof |
| WO2003019693A2 (en) | 2001-07-21 | 2003-03-06 | Covion Organic Semiconductors Gmbh | Solutions of organic semiconductors |
| US20040174116A1 (en) | 2001-08-20 | 2004-09-09 | Lu Min-Hao Michael | Transparent electrodes |
| US20030068528A1 (en) | 2001-08-29 | 2003-04-10 | Thompson Mark E. | Organic light emitting devices having carrier blocking layers comprising metal complexes |
| JP2007059939A (en) | 2001-08-31 | 2007-03-08 | Nippon Hoso Kyokai <Nhk> | Organic light emitting device and display device |
| US7250226B2 (en) | 2001-08-31 | 2007-07-31 | Nippon Hoso Kyokai | Phosphorescent compound, a phosphorescent composition and an organic light-emitting device |
| WO2003020790A2 (en) | 2001-09-04 | 2003-03-13 | Covion Organic Semiconductors Gmbh | Conjugated polymers containing spirobifluorene units and the use thereof |
| JP2003115387A (en) | 2001-10-04 | 2003-04-18 | Junji Kido | Organic light emitting element and its manufacturing method |
| US6835469B2 (en) | 2001-10-17 | 2004-12-28 | The University Of Southern California | Phosphorescent compounds and devices comprising the same |
| WO2003050147A1 (en) | 2001-12-13 | 2003-06-19 | MAX-PLANCK-Gesellschaft zur Förderung der Wissenschaften e.V. | Nanostructured layers on the basis of nanoparticles of organic semiconductors |
| US20030175553A1 (en) | 2001-12-28 | 2003-09-18 | Thompson Mark E. | White light emitting oleds from combined monomer and aggregate emission |
| US6878469B2 (en) | 2002-01-18 | 2005-04-12 | Lg Chem, Ltd. | Material for transporting electrons and organic electroluminescent display using the same |
| JP2003253145A (en) | 2002-02-28 | 2003-09-10 | Jsr Corp | Luminescent composition |
| JP2003338375A (en) | 2002-03-14 | 2003-11-28 | Tdk Corp | Organic el element |
| EP1344788A1 (en) | 2002-03-15 | 2003-09-17 | Sumitomo Chemical Company, Limited | Conjugated polymer comprising dibenzothiophene- or dibenzofuran-units and their use in polymer LEDs |
| WO2003099901A1 (en) | 2002-05-28 | 2003-12-04 | Sumitomo Chemical Company, Limited | Polymer and polymeric luminescent element comprising the same |
| US20040018383A1 (en) | 2002-07-26 | 2004-01-29 | Xerox Corporation | Display device with anthracene and triazine derivatives |
| WO2004013073A1 (en) | 2002-08-02 | 2004-02-12 | Idemitsu Kosan Co., Ltd. | Anthracene derivatives and organic electroluminescent devices made by using the same |
| US20060043858A1 (en) | 2002-08-23 | 2006-03-02 | Idemitsu Kosan Co., Ltd. | Organic electroluminescence device and anthracene derivative |
| EP1551206A1 (en) | 2002-10-09 | 2005-07-06 | Idemitsu Kosan Co., Ltd. | Organic electroluminescent device |
| US20060061265A1 (en) | 2002-11-06 | 2006-03-23 | Hisayuki Kawamura | Aromatic amine derivative and organic electroluminescent element employing the same |
| WO2004041901A1 (en) | 2002-11-08 | 2004-05-21 | Covion Organic Semiconductors Gmbh | Aryl-substituted polyindenofluorenes for use in organic electroluminiscent devices |
| JP2004200162A (en) | 2002-12-05 | 2004-07-15 | Toray Ind Inc | Light emitting element |
| WO2004058911A2 (en) | 2002-12-23 | 2004-07-15 | Covion Organic Semiconductors Gmbh | Organic electroluminescent element |
| DE10304819A1 (en) | 2003-02-06 | 2004-08-19 | Covion Organic Semiconductors Gmbh | Carbazole-containing conjugated polymers and blends, their preparation and use |
| WO2004081017A1 (en) | 2003-03-11 | 2004-09-23 | Covion Organic Semiconductors Gmbh | Metal complexes |
| US20060147747A1 (en) | 2003-03-13 | 2006-07-06 | Hiroshi Yamamoto | Nitrogen-containing heterocycle derivative and organic electroluminescent element using the same |
| JP2004288381A (en) | 2003-03-19 | 2004-10-14 | Konica Minolta Holdings Inc | Organic electroluminescent element |
| WO2004084260A2 (en) | 2003-03-20 | 2004-09-30 | Cambridge Display Technology Limited | Electroluminescent device |
| JP2004311184A (en) | 2003-04-04 | 2004-11-04 | Junji Kido | Electron transportation material formed of multinucleate phenanthroline derivative, charge control material, and organic luminescent element using them |
| EP1469533A2 (en) | 2003-04-14 | 2004-10-20 | Kabushiki Kaisha Toyota Jidoshokki | Organic electroluminescent element that supresses generation of ultraviolet light and lighting system that has organic electroluminescent element |
| WO2004093207A2 (en) | 2003-04-15 | 2004-10-28 | Covion Organic Semiconductors Gmbh | Mixtures of matrix materials and organic semiconductors capable of emission, use of the same and electronic components containing said mixtures |
| US20040209115A1 (en) | 2003-04-21 | 2004-10-21 | Thompson Mark E. | Organic light emitting devices with wide gap host materials |
| US20040209116A1 (en) | 2003-04-21 | 2004-10-21 | Xiaofan Ren | Organic light emitting devices with wide gap host materials |
| EP1617710A1 (en) | 2003-04-23 | 2006-01-18 | Konica Minolta Holdings, Inc. | Material for organic electroluminescent device, organic electroluminescent device, illuminating device and display |
| EP1617711A1 (en) | 2003-04-23 | 2006-01-18 | Konica Minolta Holdings, Inc. | Organic electroluminescent device and display |
| EP1478032A2 (en) | 2003-05-16 | 2004-11-17 | Kabushiki Kaisha Toyota Jidoshokki | Light emitting diode method for forming the same |
| EP1480280A2 (en) | 2003-05-23 | 2004-11-24 | Kabushiki Kaisha Toyota Jidoshokki | Organic electroluminescent device and method for manufacturing the same |
| US6914269B2 (en) | 2003-06-13 | 2005-07-05 | Semiconductor Energy Laboratory Co., Ltd. | Electron injection composition for light emitting element, light emitting element, and light emitting device |
| WO2004113412A2 (en) | 2003-06-23 | 2004-12-29 | Covion Organic Semiconductors Gmbh | Polymer |
| DE10328627A1 (en) | 2003-06-26 | 2005-02-17 | Covion Organic Semiconductors Gmbh | New materials for electroluminescence |
| WO2005003253A2 (en) | 2003-07-07 | 2005-01-13 | Covion Organic Semiconductors Gmbh | Mixtures of organic emissive semiconductors and matrix materials, their use and electronic components comprising said materials |
| DE10337346A1 (en) | 2003-08-12 | 2005-03-31 | Covion Organic Semiconductors Gmbh | Conjugated polymers containing dihydrophenanthrene units and their use |
| WO2005014689A2 (en) | 2003-08-12 | 2005-02-17 | Covion Organic Semiconductors Gmbh | Conjugated polymers containing dihydrophenanthrene units and use thereof |
| DE10343606A1 (en) | 2003-09-20 | 2005-04-14 | Covion Organic Semiconductors Gmbh | White-emitting copolymers, their preparation and use |
| JP2005108556A (en) | 2003-09-29 | 2005-04-21 | Tdk Corp | Organic el element and organic el display |
| WO2005033244A1 (en) | 2003-09-29 | 2005-04-14 | Covion Organic Semiconductors Gmbh | Metal complexes |
| WO2005039246A1 (en) | 2003-09-30 | 2005-04-28 | Konica Minolta Holdings, Inc. | Organic electroluminescent device, illuminating device, and display |
| US20050069729A1 (en) | 2003-09-30 | 2005-03-31 | Konica Minolta Holdings, Inc. | Organic electroluminescent element, illuminator, display and compound |
| WO2005033174A1 (en) | 2003-10-01 | 2005-04-14 | Sumitomo Chemical Company, Limited | Polymer light-emitting material and polymer light-emitting device |
| DE10349033A1 (en) | 2003-10-22 | 2005-05-25 | Covion Organic Semiconductors Gmbh | Organic semiconductor, for use in organic LEDs and solar cells and laser diodes, contains a polymer and structural units which emit light from the triplet state and a triplet emitter |
| US6824895B1 (en) | 2003-12-05 | 2004-11-30 | Eastman Kodak Company | Electroluminescent device containing organometallic compound with tridentate ligand |
| US7029766B2 (en) | 2003-12-05 | 2006-04-18 | Eastman Kodak Company | Organic element for electroluminescent devices |
| WO2005056633A1 (en) | 2003-12-12 | 2005-06-23 | Sumitomo Chemical Company, Limited | Polymer compound and polymer light-emitting device using same |
| WO2005061656A1 (en) | 2003-12-19 | 2005-07-07 | Idemitsu Kosan Co., Ltd. | Light-emitting material for organic electroluminescent device, organic electroluminescent device using same, and material for organic electroluminescent device |
| WO2005084082A1 (en) | 2004-02-20 | 2005-09-09 | Merck Patent Gmbh | Organic electronic devices |
| WO2005084081A1 (en) | 2004-02-20 | 2005-09-09 | Merck Patent Gmbh | Organic electronic devices |
| US7326371B2 (en) | 2004-03-25 | 2008-02-05 | Eastman Kodak Company | Electroluminescent device with anthracene derivative host |
| JP2005285661A (en) | 2004-03-30 | 2005-10-13 | Tdk Corp | Organic el element and organic el display |
| EP1731584A1 (en) | 2004-03-31 | 2006-12-13 | Konica Minolta Holdings, Inc. | Organic electroluminescent device material, organic electroluminescent device, display and illuminating device |
| WO2005104264A1 (en) | 2004-04-26 | 2005-11-03 | Merck Patent Gmbh | Electroluminescent polymers and use therof |
| WO2005111172A2 (en) | 2004-05-11 | 2005-11-24 | Merck Patent Gmbh | Novel material mixtures for use in electroluminescence |
| CN1583691A (en) | 2004-06-04 | 2005-02-23 | 友达光电股份有限公司 | Anthracene compound and organic electroluminescent device comprising the anthracene compound |
| JP2005347160A (en) | 2004-06-04 | 2005-12-15 | Konica Minolta Holdings Inc | Organic electroluminescence element, lighting device and display device |
| WO2006000388A1 (en) | 2004-06-26 | 2006-01-05 | Merck Patent Gmbh | Organic electroluminescent device |
| WO2006000389A1 (en) | 2004-06-26 | 2006-01-05 | Merck Patent Gmbh | Compounds for organic electronic devices |
| WO2006052457A2 (en) | 2004-11-03 | 2006-05-18 | Sumation Co.Ltd. | New class of bridged biphenylene polymers |
| WO2006048268A1 (en) | 2004-11-06 | 2006-05-11 | Merck Patent Gmbh | Organic electroluminescent device |
| EP1661888B1 (en) | 2004-11-29 | 2008-11-12 | Samsung SDI Co., Ltd. | Phenylcarbazole-based compound and organic electroluminescent device employing the same |
| WO2006058737A1 (en) | 2004-12-01 | 2006-06-08 | Merck Patent Gmbh | Compounds for organic electronic devices |
| WO2006063852A1 (en) | 2004-12-18 | 2006-06-22 | Merck Patent Gmbh | Electroluminescent polymers and use thereof |
| EP1834945A1 (en) | 2005-01-05 | 2007-09-19 | Idemitsu Kosan Co., Ltd. | Aromatic amine derivative and organic electroluminescent device using same |
| US7378162B2 (en) | 2005-03-08 | 2008-05-27 | Lg Electronics Inc. | Organic electroluminescence devices using red phosphorescence compounds |
| US20060210830A1 (en) | 2005-03-15 | 2006-09-21 | Idemitsu Kosan Co., Ltd. | Aromatic amine derivative and organic electroluminescence device using the same |
| EP1860097A1 (en) | 2005-03-18 | 2007-11-28 | Idemitsu Kosan Co., Ltd. | Aromatic amine derivative and organic electroluminescence device utilizing the same |
| US20060222886A1 (en) | 2005-04-04 | 2006-10-05 | Raymond Kwong | Arylpyrene compounds |
| WO2006118345A1 (en) | 2005-04-28 | 2006-11-09 | Sumitomo Chemical Company, Limited | High-molecular compounds and high-molecular luminescent devices made by using the same |
| WO2006117052A1 (en) | 2005-05-03 | 2006-11-09 | Merck Patent Gmbh | Organic electroluminescent device and boric acid and borinic acid derivatives used therein |
| WO2006122630A1 (en) | 2005-05-20 | 2006-11-23 | Merck Patent Gmbh | Compounds for organic electronic devices |
| WO2007043495A1 (en) | 2005-10-07 | 2007-04-19 | Sumitomo Chemical Company, Limited | Copolymer and polymer light emitting devices made by using the same |
| US20070087219A1 (en) | 2005-10-19 | 2007-04-19 | Eastman Kodak Company | Electroluminescent device |
| US20070092755A1 (en) | 2005-10-26 | 2007-04-26 | Eastman Kodak Company | Organic element for low voltage electroluminescent devices |
| US20070092753A1 (en) | 2005-10-26 | 2007-04-26 | Eastman Kodak Company | Organic element for low voltage electroluminescent devices |
| US20070122656A1 (en) | 2005-11-30 | 2007-05-31 | Eastman Kodak Company | Electroluminescent device containing an anthracene derivative |
| WO2007063754A1 (en) | 2005-12-01 | 2007-06-07 | Nippon Steel Chemical Co., Ltd. | Compound for organic electroluminescent element and organic electroluminescent element |
| WO2007065678A1 (en) | 2005-12-08 | 2007-06-14 | Merck Patent Gmbh | Novel materials for organic electroluminiescent devices |
| WO2007065549A1 (en) | 2005-12-08 | 2007-06-14 | Merck Patent Gmbh | Organic electroluminescent devices |
| DE102005058557A1 (en) | 2005-12-08 | 2007-06-14 | Merck Patent Gmbh | Organic electroluminescent device |
| EP1957606A1 (en) | 2005-12-08 | 2008-08-20 | Merck Patent GmbH | Novel materials for organic electroluminiescent devices |
| US20070134514A1 (en) | 2005-12-14 | 2007-06-14 | Eastman Kodak Company | Electroluminescent host material |
| DE102006003710A1 (en) | 2006-01-26 | 2007-08-02 | Merck Patent Gmbh | New polymer containing an unit exhibiting electron injection and -conducting characteristics, useful for the preparation of a solution and formulation, and in an organic electronic devices, preferably organic optoelectronic device |
| JP2007197574A (en) | 2006-01-26 | 2007-08-09 | Showa Denko Kk | Polymer light-emitting material, organic electroluminescence element, and display device |
| WO2007095118A2 (en) | 2006-02-10 | 2007-08-23 | Universal Display Corporation | METAL COMPLEXES OF CYCLOMETALLATED IMIDAZO[1,2-f]PHENANTHRIDINE AND DIIMIDAZO[1,2-A:1',2'-C]QUINAZOLINE LIGANDS AND ISOELECTRONIC AND BENZANNULATED ANALOGS THEREOF |
| US20070205412A1 (en) | 2006-03-06 | 2007-09-06 | Jae-Soon Bae | Novel anthracene derivative and organic electronic device using the same |
| WO2007115610A1 (en) | 2006-04-01 | 2007-10-18 | Merck Patent Gmbh | Materials for organic electroluminescent devices |
| WO2007114358A1 (en) | 2006-04-03 | 2007-10-11 | Idemitsu Kosan Co., Ltd. | Benzanthracene derivative and organic electroluminescent device using the same |
| US20070273272A1 (en) | 2006-04-03 | 2007-11-29 | Idemitsu Kosan Co., Ltd. | Benzanthracene derivative and electroluminescence device using the same |
| US20070252517A1 (en) | 2006-04-27 | 2007-11-01 | Eastman Kodak Company | Electroluminescent device including an anthracene derivative |
| WO2007131582A1 (en) | 2006-05-12 | 2007-11-22 | Merck Patent Gmbh | Indenofluorene polymer based organic semiconductor materials |
| WO2007137725A1 (en) | 2006-05-31 | 2007-12-06 | Merck Patent Gmbh | New materials for organic electroluminescent devices |
| WO2007140847A1 (en) | 2006-06-02 | 2007-12-13 | Merck Patent Gmbh | Materials for organic electroluminescent devices |
| WO2008006449A1 (en) | 2006-07-11 | 2008-01-17 | Merck Patent Gmbh | Novel materials for organic electroluminescent devices |
| WO2008009343A1 (en) | 2006-07-21 | 2008-01-24 | Merck Patent Gmbh | Copolymers of indenofluorene and thiophene |
| US20080102311A1 (en) | 2006-08-04 | 2008-05-01 | Idemitsu Kosan Co., Ltd. | Material for organic electroluminescent element and organic electroluminescent element employing the same |
| US20080113101A1 (en) | 2006-11-09 | 2008-05-15 | Idemitsu Kosan Co., Ltd. | Organic-electroluminescence-material-containing solution, method for forming thin film of organic electroluminescence material, thin film of organic electroluminescence material and organic electroluminescence device |
| EP1923448B1 (en) | 2006-11-09 | 2008-12-31 | Samsung SDI Co., Ltd. | Organic light emitting diode including organic layer comprising organic metal complex |
| WO2008056746A1 (en) | 2006-11-09 | 2008-05-15 | Nippon Steel Chemical Co., Ltd. | Compound for organic electroluminescent device and organic electroluminescent device |
| US20080193796A1 (en) | 2006-11-20 | 2008-08-14 | Idemitsu Kosan Co., Ltd. | Organic electroluminescent device |
| DE102007002714A1 (en) | 2007-01-18 | 2008-07-31 | Merck Patent Gmbh | New materials for organic electroluminescent devices |
| JP2007211243A (en) | 2007-02-07 | 2007-08-23 | Showa Denko Kk | Polymer of polymerizable compound |
| DE102007024850A1 (en) | 2007-05-29 | 2008-12-04 | Merck Patent Gmbh | New materials for organic electroluminescent devices |
| WO2008145239A2 (en) | 2007-05-29 | 2008-12-04 | Merck Patent Gmbh | Benzanthracene derivatives for organic electroluminescent devices |
| WO2008146839A1 (en) | 2007-05-29 | 2008-12-04 | Nippon Steel Chemical Co., Ltd. | Compound for organic electroluminescent device and organic electroluminescent device |
| WO2008149691A1 (en) | 2007-05-30 | 2008-12-11 | Nippon Steel Chemical Co., Ltd. | Compound for organic electroluminescent device and organic electroluminescent device |
| US20090061681A1 (en) | 2007-09-05 | 2009-03-05 | Mcmunigal Tom | Electrical receptacle assembly |
| WO2009041635A1 (en) | 2007-09-28 | 2009-04-02 | Idemitsu Kosan Co., Ltd. | Organic el device |
| DE102008017591A1 (en) | 2008-04-07 | 2009-10-08 | Merck Patent Gmbh | New materials for organic electroluminescent devices |
| WO2009134822A2 (en) * | 2008-05-01 | 2009-11-05 | The Government Of The United States Of America, As Represented By The Secretary Of The Navy | Fluorescent organic nanoparticles |
| DE102009023154A1 (en) | 2009-05-29 | 2011-06-16 | Merck Patent Gmbh | A composition comprising at least one emitter compound and at least one polymer having conjugation-interrupting units |
| EP2517278A1 (en) * | 2009-12-22 | 2012-10-31 | Merck Patent GmbH | Electroluminescent formulations |
| EP2517537A1 (en) * | 2009-12-22 | 2012-10-31 | Merck Patent GmbH | Electroluminescent functional surfactants |
| US20150255724A1 (en) * | 2012-09-27 | 2015-09-10 | Merck Patent Gmbh | Materials for organic electroluminescent devices |
Non-Patent Citations (33)
| Title |
|---|
| "Recent progress of molecular organic electroluminescent materials and devices", MAT. SCI. AND ENG. R, vol. 39, 2002, pages 143 - 222 |
| ADACHI ET AL., APPL. PHYS. LETT., vol. 78, 2001, pages 1622 - 1624 |
| ALIVISATOS, A. P.: "Semiconductor clusters, nanocrystals, and quantum dots", SCIENCE, vol. 271, 1996, pages 933, XP001016330, DOI: 10.1126/science.271.5251.933 |
| B. O'REGANM. GRAETZEL, NATURE, vol. 353, 1991, pages 737 - 740 |
| BALDO ET AL., NATURE, vol. 395, 1998, pages 583 - 585 |
| BALDO, THOMPSON ET AL., NATURE, vol. 403, 2000, pages 750 - 753 |
| BESSHO ET AL., CHEM. COMMUN., vol. 3717, 2008 |
| C. B. MURRAYD. J. NORRISM. G. BAWENDI: "Synthesis and characterization of nearly monodisperse CdE (E=sulfur, selenium, tellurium) semiconductor nanocrystallites", J. AM. CHEM. SOC., vol. 115, 1993, pages 8706, XP055022108, DOI: 10.1021/ja00072a025 |
| C.H. CHEN ET AL.: "Recent developments in organic electroluminescent materials", MACROMOL. SYMP., vol. 125, 1997, pages 1 - 48, XP000891579 |
| F.C. KREBS, SOLAR ENERGY MATERIALS AND SOLAR CELLS, vol. 91, 2007, pages 953 |
| J. KIDO ET AL., APPL. PHYS. LETT., vol. 65, 1994, pages 2124 |
| JOHNSON ET AL., JACS, vol. 105, 1983, pages 1795 |
| JP HEISEI, vol. 1, 1989, pages 211399 |
| JP HEISEI, vol. 2, 1990, pages 282263 |
| JP HEISEI, vol. 4, 1992, pages 308688 |
| JP HEISEI, vol. 8, 1996, pages 193191 |
| JP SHOWA, vol. 54, 1979, pages 110837 |
| JP SHOWA, vol. 61, 1986, pages 210363 |
| JP SHOWA, vol. 63, 1988, pages 2956965 |
| K. Y. LAW, CHEM. REV., vol. 93, 1993, pages 449 - 486 |
| KIDO ET AL., CHEM. LETT., vol. 657, 1990 |
| KOLLER ET AL., NATURE PHOTONICS, vol. 2, 2008, pages 684 - 687 |
| M. FISCHER ET AL., ANGEW. CHEM., vol. 38, 1999, pages 885 |
| MA ET AL., SYNTH. METALS, vol. 94, 1998, pages 245 |
| MURRAYNORRISBAWENDI: "Synthesis and characterization of nearly monodisperse CdE (E = sulfur, selen, tellurium) semiconductor nanocrystallites", J. AM. CHEM. SOC., vol. 115, no. 19, 1993, pages 8706 - 8715, XP055022108, DOI: 10.1021/ja00072a025 |
| PAUL M.BORSENBERGERDAVID S.WEISS: "Organic Photoreceptors for Xerography", 1998, MARCEL DEKKER, INC. |
| PEIHEEGER, SCIENCE, vol. 269, no. 99, 1995, pages 1086 - 1088 |
| ROGER P. WOODWARD, PH.D.: "Surface Tension Measurements Using the Drop Shape Method", FIRST TEN ANGSTROM |
| SYNTH. METALS, vol. 91, no. 1-3, 1997, pages 209 |
| WRIGHTON, JACS, vol. 96, 1974, pages 998 |
| X. PENGM. SCHLAMPA. KADAVANICHA. P. ALIVISATOS: "Epitaxial growth of highly luminescent CdSe/CdS Core/Shell nanocrystals with photostability and electronic accessibility", J. AM. CHEM. SOC., vol. 30, 1997, pages 7019 - 7029 |
| YU BAI, NATURE MATERIALS, vol. 7, 2008, pages 626 |
| Z.H. XIONG ET AL., NATURE, vol. 427, 2004, pages 821 |
Also Published As
| Publication number | Publication date |
|---|---|
| EP4139971A1 (en) | 2023-03-01 |
| KR20230002860A (en) | 2023-01-05 |
| CN115700058A (en) | 2023-02-03 |
Similar Documents
| Publication | Publication Date | Title |
|---|---|---|
| EP2517278B1 (en) | Electroluminescent formulations | |
| EP2517275B1 (en) | Formulations comprising phase-separated functional materials | |
| EP3309236B1 (en) | Electroluminescent device comprising quantum dots and use of a formulation comprising quantum dots | |
| JP6382259B2 (en) | Quantum dots and hosts | |
| EP2462203B1 (en) | Electronic devices comprising multi cyclic hydrocarbons | |
| EP2517537B1 (en) | Electroluminescent functional surfactants | |
| JP6223961B2 (en) | Organic ionic functional material, composition and electronic device | |
| KR102451842B1 (en) | Formulation of organic functional materials | |
| WO2021213917A1 (en) | Emulsions comprising organic functional materials | |
| WO2023012084A1 (en) | A printing method by combining inks | |
| WO2023237458A1 (en) | Method of printing a functional layer of an electronic device by combining inks |
Legal Events
| Date | Code | Title | Description |
|---|---|---|---|
| 121 | Ep: the epo has been informed by wipo that ep was designated in this application |
Ref document number: 21723139 Country of ref document: EP Kind code of ref document: A1 |
|
| ENP | Entry into the national phase |
Ref document number: 20227040359 Country of ref document: KR Kind code of ref document: A |
|
| NENP | Non-entry into the national phase |
Ref country code: DE |
|
| ENP | Entry into the national phase |
Ref document number: 2021723139 Country of ref document: EP Effective date: 20221121 |
|
| WWW | Wipo information: withdrawn in national office |
Ref document number: 1020227040359 Country of ref document: KR |
















