US20210024670A1 - Method to prepare ethylene copolymers - Google Patents
Method to prepare ethylene copolymers Download PDFInfo
- Publication number
- US20210024670A1 US20210024670A1 US17/067,287 US202017067287A US2021024670A1 US 20210024670 A1 US20210024670 A1 US 20210024670A1 US 202017067287 A US202017067287 A US 202017067287A US 2021024670 A1 US2021024670 A1 US 2021024670A1
- Authority
- US
- United States
- Prior art keywords
- catalyst
- group
- hydrocarbyl
- compound
- catalyst composition
- Prior art date
- Legal status (The legal status is an assumption and is not a legal conclusion. Google has not performed a legal analysis and makes no representation as to the accuracy of the status listed.)
- Abandoned
Links
- 238000000034 method Methods 0.000 title description 37
- 229920001038 ethylene copolymer Polymers 0.000 title 1
- 239000003054 catalyst Substances 0.000 claims abstract description 369
- 125000001183 hydrocarbyl group Chemical group 0.000 claims abstract description 73
- 125000005842 heteroatom Chemical group 0.000 claims abstract description 38
- 125000001424 substituent group Chemical group 0.000 claims abstract description 21
- 150000001875 compounds Chemical class 0.000 claims description 129
- 239000000203 mixture Substances 0.000 claims description 124
- 229920000642 polymer Polymers 0.000 claims description 85
- 239000012190 activator Substances 0.000 claims description 66
- IJGRMHOSHXDMSA-UHFFFAOYSA-N Atomic nitrogen Chemical compound N#N IJGRMHOSHXDMSA-UHFFFAOYSA-N 0.000 claims description 57
- 125000004429 atom Chemical group 0.000 claims description 40
- 229910052757 nitrogen Inorganic materials 0.000 claims description 34
- 125000002496 methyl group Chemical group [H]C([H])([H])* 0.000 claims description 29
- 229930195733 hydrocarbon Natural products 0.000 claims description 20
- 229910052760 oxygen Inorganic materials 0.000 claims description 18
- 125000004122 cyclic group Chemical group 0.000 claims description 17
- 239000003795 chemical substances by application Substances 0.000 claims description 16
- 125000000058 cyclopentadienyl group Chemical group C1(=CC=CC1)* 0.000 claims description 16
- 150000002430 hydrocarbons Chemical class 0.000 claims description 16
- 239000004215 Carbon black (E152) Substances 0.000 claims description 15
- 229910052710 silicon Inorganic materials 0.000 claims description 14
- 125000003118 aryl group Chemical group 0.000 claims description 13
- QVGXLLKOCUKJST-UHFFFAOYSA-N atomic oxygen Chemical compound [O] QVGXLLKOCUKJST-UHFFFAOYSA-N 0.000 claims description 13
- 229910052736 halogen Inorganic materials 0.000 claims description 13
- CPOFMOWDMVWCLF-UHFFFAOYSA-N methyl(oxo)alumane Chemical compound C[Al]=O CPOFMOWDMVWCLF-UHFFFAOYSA-N 0.000 claims description 13
- 239000001301 oxygen Substances 0.000 claims description 13
- 229910052732 germanium Inorganic materials 0.000 claims description 12
- 229910052782 aluminium Inorganic materials 0.000 claims description 11
- XUIMIQQOPSSXEZ-UHFFFAOYSA-N Silicon Chemical compound [Si] XUIMIQQOPSSXEZ-UHFFFAOYSA-N 0.000 claims description 10
- 239000010703 silicon Substances 0.000 claims description 10
- ZOXJGFHDIHLPTG-UHFFFAOYSA-N Boron Chemical compound [B] ZOXJGFHDIHLPTG-UHFFFAOYSA-N 0.000 claims description 9
- 229910052796 boron Inorganic materials 0.000 claims description 9
- 229910052799 carbon Inorganic materials 0.000 claims description 9
- GNPVGFCGXDBREM-UHFFFAOYSA-N germanium atom Chemical compound [Ge] GNPVGFCGXDBREM-UHFFFAOYSA-N 0.000 claims description 9
- 150000004678 hydrides Chemical class 0.000 claims description 8
- OKTJSMMVPCPJKN-UHFFFAOYSA-N Carbon Chemical compound [C] OKTJSMMVPCPJKN-UHFFFAOYSA-N 0.000 claims description 7
- ATJFFYVFTNAWJD-UHFFFAOYSA-N Tin Chemical compound [Sn] ATJFFYVFTNAWJD-UHFFFAOYSA-N 0.000 claims description 6
- 125000001495 ethyl group Chemical group [H]C([H])([H])C([H])([H])* 0.000 claims description 6
- 125000004051 hexyl group Chemical group [H]C([H])([H])C([H])([H])C([H])([H])C([H])([H])C([H])([H])C([H])([H])* 0.000 claims description 6
- 125000001436 propyl group Chemical group [H]C([*])([H])C([H])([H])C([H])([H])[H] 0.000 claims description 6
- XAGFODPZIPBFFR-UHFFFAOYSA-N aluminium Chemical compound [Al] XAGFODPZIPBFFR-UHFFFAOYSA-N 0.000 claims description 5
- 229910052718 tin Inorganic materials 0.000 claims description 5
- 125000002947 alkylene group Chemical group 0.000 claims description 4
- 229910052731 fluorine Inorganic materials 0.000 claims description 4
- 229910052752 metalloid Inorganic materials 0.000 claims description 4
- PXGOKWXKJXAPGV-UHFFFAOYSA-N Fluorine Chemical compound FF PXGOKWXKJXAPGV-UHFFFAOYSA-N 0.000 claims description 3
- 239000002253 acid Substances 0.000 claims description 3
- 239000011737 fluorine Substances 0.000 claims description 3
- 150000002738 metalloids Chemical class 0.000 claims description 3
- 125000000538 pentafluorophenyl group Chemical group FC1=C(F)C(F)=C(*)C(F)=C1F 0.000 claims description 3
- 125000001147 pentyl group Chemical group C(CCCC)* 0.000 claims description 3
- 150000001638 boron Chemical class 0.000 claims description 2
- 239000004927 clay Substances 0.000 claims description 2
- 125000000094 2-phenylethyl group Chemical group [H]C1=C([H])C([H])=C(C([H])=C1[H])C([H])([H])C([H])([H])* 0.000 claims 1
- SNRUBQQJIBEYMU-UHFFFAOYSA-N Dodecane Natural products CCCCCCCCCCCC SNRUBQQJIBEYMU-UHFFFAOYSA-N 0.000 claims 1
- 150000001450 anions Chemical class 0.000 claims 1
- 125000003438 dodecyl group Chemical group [H]C([H])([H])C([H])([H])C([H])([H])C([H])([H])C([H])([H])C([H])([H])C([H])([H])C([H])([H])C([H])([H])C([H])([H])C([H])([H])C([H])([H])* 0.000 claims 1
- 125000001072 heteroaryl group Chemical group 0.000 claims 1
- 229910052500 inorganic mineral Inorganic materials 0.000 claims 1
- 229910044991 metal oxide Inorganic materials 0.000 claims 1
- 150000004706 metal oxides Chemical class 0.000 claims 1
- 239000011707 mineral Substances 0.000 claims 1
- 229910003455 mixed metal oxide Inorganic materials 0.000 claims 1
- 125000001400 nonyl group Chemical group [H]C([*])([H])C([H])([H])C([H])([H])C([H])([H])C([H])([H])C([H])([H])C([H])([H])C([H])([H])C([H])([H])[H] 0.000 claims 1
- 125000002347 octyl group Chemical group [H]C([*])([H])C([H])([H])C([H])([H])C([H])([H])C([H])([H])C([H])([H])C([H])([H])C([H])([H])[H] 0.000 claims 1
- 150000001282 organosilanes Chemical class 0.000 claims 1
- -1 polyethylene Polymers 0.000 description 132
- 239000002002 slurry Substances 0.000 description 128
- 239000000243 solution Substances 0.000 description 116
- 238000006116 polymerization reaction Methods 0.000 description 64
- 239000007789 gas Substances 0.000 description 54
- RTZKZFJDLAIYFH-UHFFFAOYSA-N Diethyl ether Chemical compound CCOCC RTZKZFJDLAIYFH-UHFFFAOYSA-N 0.000 description 53
- YXFVVABEGXRONW-UHFFFAOYSA-N Toluene Chemical compound CC1=CC=CC=C1 YXFVVABEGXRONW-UHFFFAOYSA-N 0.000 description 51
- 239000001257 hydrogen Substances 0.000 description 49
- 229910052739 hydrogen Inorganic materials 0.000 description 49
- VYPSYNLAJGMNEJ-UHFFFAOYSA-N Silicium dioxide Chemical compound O=[Si]=O VYPSYNLAJGMNEJ-UHFFFAOYSA-N 0.000 description 47
- OFBQJSOFQDEBGM-UHFFFAOYSA-N Pentane Chemical compound CCCCC OFBQJSOFQDEBGM-UHFFFAOYSA-N 0.000 description 46
- VGGSQFUCUMXWEO-UHFFFAOYSA-N Ethene Chemical compound C=C VGGSQFUCUMXWEO-UHFFFAOYSA-N 0.000 description 43
- 239000005977 Ethylene Substances 0.000 description 43
- 238000006243 chemical reaction Methods 0.000 description 41
- UFHFLCQGNIYNRP-UHFFFAOYSA-N Hydrogen Chemical compound [H][H] UFHFLCQGNIYNRP-UHFFFAOYSA-N 0.000 description 38
- 238000009826 distribution Methods 0.000 description 37
- VLKZOEOYAKHREP-UHFFFAOYSA-N n-Hexane Chemical compound CCCCCC VLKZOEOYAKHREP-UHFFFAOYSA-N 0.000 description 36
- 239000000047 product Substances 0.000 description 35
- 239000007787 solid Substances 0.000 description 35
- 229910007928 ZrCl2 Inorganic materials 0.000 description 34
- 229910052751 metal Inorganic materials 0.000 description 29
- 238000003756 stirring Methods 0.000 description 29
- QWTDNUCVQCZILF-UHFFFAOYSA-N isopentane Chemical compound CCC(C)C QWTDNUCVQCZILF-UHFFFAOYSA-N 0.000 description 28
- 239000002184 metal Substances 0.000 description 28
- 239000004698 Polyethylene Substances 0.000 description 27
- 239000003446 ligand Substances 0.000 description 27
- 229920000573 polyethylene Polymers 0.000 description 26
- 239000002904 solvent Substances 0.000 description 25
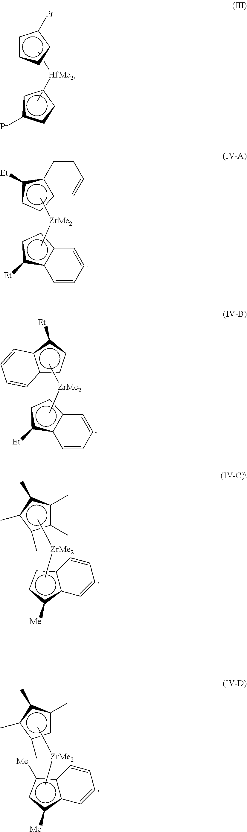
- 0 *C1=C(\[3*])c2c([5*])c([5*])c([4*])c2/C([3*])=C\1[3*].C[Zr](C)(C)C.C[Zr](C)(C)C.[3*]C1=C(\[3*])c2c([4*])c([5*])c([5*])c2/C([3*])=C\1[3*].[3*]C1=C(\[3*])c2c([4*])c([5*])c([5*])c2/C([3*])=C\1[3*].[3*]C1=C(\[3*])c2c([4*])c([5*])c([5*])c2/C([3*])=C\1[3*] Chemical compound *C1=C(\[3*])c2c([5*])c([5*])c([4*])c2/C([3*])=C\1[3*].C[Zr](C)(C)C.C[Zr](C)(C)C.[3*]C1=C(\[3*])c2c([4*])c([5*])c([5*])c2/C([3*])=C\1[3*].[3*]C1=C(\[3*])c2c([4*])c([5*])c([5*])c2/C([3*])=C\1[3*].[3*]C1=C(\[3*])c2c([4*])c([5*])c([5*])c2/C([3*])=C\1[3*] 0.000 description 23
- 239000012968 metallocene catalyst Substances 0.000 description 23
- AFABGHUZZDYHJO-UHFFFAOYSA-N dimethyl butane Natural products CCCC(C)C AFABGHUZZDYHJO-UHFFFAOYSA-N 0.000 description 22
- 238000005160 1H NMR spectroscopy Methods 0.000 description 21
- UHOVQNZJYSORNB-MZWXYZOWSA-N benzene-d6 Chemical compound [2H]C1=C([2H])C([2H])=C([2H])C([2H])=C1[2H] UHOVQNZJYSORNB-MZWXYZOWSA-N 0.000 description 20
- 230000015572 biosynthetic process Effects 0.000 description 20
- 150000003254 radicals Chemical class 0.000 description 20
- 239000007921 spray Substances 0.000 description 20
- LIKMAJRDDDTEIG-UHFFFAOYSA-N 1-hexene Chemical compound CCCCC=C LIKMAJRDDDTEIG-UHFFFAOYSA-N 0.000 description 19
- YMWUJEATGCHHMB-UHFFFAOYSA-N Dichloromethane Chemical compound ClCCl YMWUJEATGCHHMB-UHFFFAOYSA-N 0.000 description 19
- 239000007788 liquid Substances 0.000 description 19
- 239000000178 monomer Substances 0.000 description 19
- 239000000377 silicon dioxide Substances 0.000 description 18
- 125000000217 alkyl group Chemical group 0.000 description 17
- 125000004432 carbon atom Chemical group C* 0.000 description 17
- 239000012634 fragment Substances 0.000 description 16
- 229920005989 resin Polymers 0.000 description 16
- 239000011347 resin Substances 0.000 description 16
- XTHFKEDIFFGKHM-UHFFFAOYSA-N Dimethoxyethane Chemical compound COCCOC XTHFKEDIFFGKHM-UHFFFAOYSA-N 0.000 description 15
- 239000000463 material Substances 0.000 description 15
- 230000008569 process Effects 0.000 description 14
- 230000003068 static effect Effects 0.000 description 14
- 239000000654 additive Substances 0.000 description 13
- 230000036961 partial effect Effects 0.000 description 13
- YMWUJEATGCHHMB-DICFDUPASA-N dichloromethane-d2 Chemical compound [2H]C([2H])(Cl)Cl YMWUJEATGCHHMB-DICFDUPASA-N 0.000 description 12
- YBYIRNPNPLQARY-UHFFFAOYSA-N 1H-indene Natural products C1=CC=C2CC=CC2=C1 YBYIRNPNPLQARY-UHFFFAOYSA-N 0.000 description 11
- 230000000996 additive effect Effects 0.000 description 11
- 239000010408 film Substances 0.000 description 11
- 238000010348 incorporation Methods 0.000 description 11
- 238000004519 manufacturing process Methods 0.000 description 11
- 239000002245 particle Substances 0.000 description 11
- 238000003786 synthesis reaction Methods 0.000 description 11
- BTBUEUYNUDRHOZ-UHFFFAOYSA-N Borate Chemical compound [O-]B([O-])[O-] BTBUEUYNUDRHOZ-UHFFFAOYSA-N 0.000 description 10
- ZSWFCLXCOIISFI-UHFFFAOYSA-N endo-cyclopentadiene Natural products C1C=CC=C1 ZSWFCLXCOIISFI-UHFFFAOYSA-N 0.000 description 10
- 150000002431 hydrogen Chemical class 0.000 description 10
- 238000002156 mixing Methods 0.000 description 10
- 239000002685 polymerization catalyst Substances 0.000 description 10
- 229910052726 zirconium Inorganic materials 0.000 description 10
- 239000003085 diluting agent Substances 0.000 description 9
- 239000012041 precatalyst Substances 0.000 description 9
- 239000000126 substance Substances 0.000 description 9
- 229910052717 sulfur Inorganic materials 0.000 description 9
- MZRVEZGGRBJDDB-UHFFFAOYSA-N N-Butyllithium Chemical compound [Li]CCCC MZRVEZGGRBJDDB-UHFFFAOYSA-N 0.000 description 8
- 150000001335 aliphatic alkanes Chemical class 0.000 description 8
- PNEYBMLMFCGWSK-UHFFFAOYSA-N aluminium oxide Inorganic materials [O-2].[O-2].[O-2].[Al+3].[Al+3] PNEYBMLMFCGWSK-UHFFFAOYSA-N 0.000 description 8
- 239000002216 antistatic agent Substances 0.000 description 8
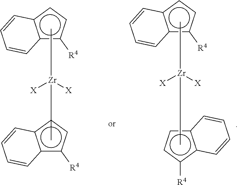
- 125000003454 indenyl group Chemical group C1(C=CC2=CC=CC=C12)* 0.000 description 8
- NFHFRUOZVGFOOS-UHFFFAOYSA-N palladium;triphenylphosphane Chemical compound [Pd].C1=CC=CC=C1P(C=1C=CC=CC=1)C1=CC=CC=C1.C1=CC=CC=C1P(C=1C=CC=CC=1)C1=CC=CC=C1.C1=CC=CC=C1P(C=1C=CC=CC=1)C1=CC=CC=C1.C1=CC=CC=C1P(C=1C=CC=CC=1)C1=CC=CC=C1 NFHFRUOZVGFOOS-UHFFFAOYSA-N 0.000 description 8
- 238000002360 preparation method Methods 0.000 description 8
- 239000000725 suspension Substances 0.000 description 8
- 239000003039 volatile agent Substances 0.000 description 8
- 229920002873 Polyethylenimine Polymers 0.000 description 7
- 150000002367 halogens Chemical class 0.000 description 7
- 238000002347 injection Methods 0.000 description 7
- 239000007924 injection Substances 0.000 description 7
- 230000000670 limiting effect Effects 0.000 description 7
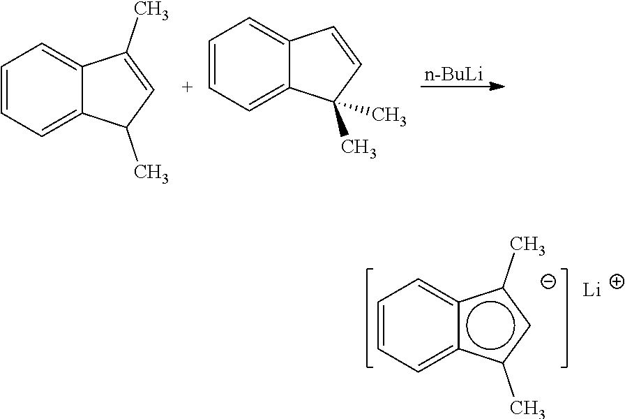
- DWWZPYPYUFXZTL-UHFFFAOYSA-N lithium;2h-inden-2-ide Chemical compound [Li+].C1=CC=C2[CH-]C=CC2=C1 DWWZPYPYUFXZTL-UHFFFAOYSA-N 0.000 description 7
- 239000002480 mineral oil Substances 0.000 description 7
- 235000010446 mineral oil Nutrition 0.000 description 7
- 239000003921 oil Substances 0.000 description 7
- 230000004044 response Effects 0.000 description 7
- 150000003839 salts Chemical class 0.000 description 7
- 241000282326 Felis catus Species 0.000 description 6
- IMNFDUFMRHMDMM-UHFFFAOYSA-N N-Heptane Chemical compound CCCCCCC IMNFDUFMRHMDMM-UHFFFAOYSA-N 0.000 description 6
- 229910007932 ZrCl4 Inorganic materials 0.000 description 6
- 150000001336 alkenes Chemical class 0.000 description 6
- 230000008859 change Effects 0.000 description 6
- 229920001577 copolymer Polymers 0.000 description 6
- 230000000694 effects Effects 0.000 description 6
- 238000002474 experimental method Methods 0.000 description 6
- 238000012685 gas phase polymerization Methods 0.000 description 6
- 239000000155 melt Substances 0.000 description 6
- 125000001997 phenyl group Chemical group [H]C1=C([H])C([H])=C(*)C([H])=C1[H] 0.000 description 6
- 239000000843 powder Substances 0.000 description 6
- DUNKXUFBGCUVQW-UHFFFAOYSA-J zirconium tetrachloride Chemical compound Cl[Zr](Cl)(Cl)Cl DUNKXUFBGCUVQW-UHFFFAOYSA-J 0.000 description 6
- GWEVSGVZZGPLCZ-UHFFFAOYSA-N Titan oxide Chemical compound O=[Ti]=O GWEVSGVZZGPLCZ-UHFFFAOYSA-N 0.000 description 5
- QCWXUUIWCKQGHC-UHFFFAOYSA-N Zirconium Chemical compound [Zr] QCWXUUIWCKQGHC-UHFFFAOYSA-N 0.000 description 5
- 150000001412 amines Chemical class 0.000 description 5
- 125000000484 butyl group Chemical group [H]C([*])([H])C([H])([H])C([H])([H])C([H])([H])[H] 0.000 description 5
- 150000007942 carboxylates Chemical class 0.000 description 5
- 230000001276 controlling effect Effects 0.000 description 5
- 238000001914 filtration Methods 0.000 description 5
- 229910052735 hafnium Inorganic materials 0.000 description 5
- XEEYBQQBJWHFJM-UHFFFAOYSA-N iron Substances [Fe] XEEYBQQBJWHFJM-UHFFFAOYSA-N 0.000 description 5
- IHLVCKWPAMTVTG-UHFFFAOYSA-N lithium;carbanide Chemical compound [Li+].[CH3-] IHLVCKWPAMTVTG-UHFFFAOYSA-N 0.000 description 5
- 229920000098 polyolefin Polymers 0.000 description 5
- 239000002244 precipitate Substances 0.000 description 5
- 239000006228 supernatant Substances 0.000 description 5
- 230000007306 turnover Effects 0.000 description 5
- 229910001868 water Inorganic materials 0.000 description 5
- 125000006539 C12 alkyl group Chemical group [H]C([H])([H])C([H])([H])C([H])([H])C([H])([H])C([H])([H])C([H])([H])C([H])([H])C([H])([H])C([H])([H])C([H])([H])C([H])([H])C([H])([H])* 0.000 description 4
- KRHYYFGTRYWZRS-UHFFFAOYSA-M Fluoride anion Chemical compound [F-] KRHYYFGTRYWZRS-UHFFFAOYSA-M 0.000 description 4
- JLTDJTHDQAWBAV-UHFFFAOYSA-N N,N-dimethylaniline Chemical compound CN(C)C1=CC=CC=C1 JLTDJTHDQAWBAV-UHFFFAOYSA-N 0.000 description 4
- OAICVXFJPJFONN-UHFFFAOYSA-N Phosphorus Chemical compound [P] OAICVXFJPJFONN-UHFFFAOYSA-N 0.000 description 4
- ATUOYWHBWRKTHZ-UHFFFAOYSA-N Propane Chemical compound CCC ATUOYWHBWRKTHZ-UHFFFAOYSA-N 0.000 description 4
- NINIDFKCEFEMDL-UHFFFAOYSA-N Sulfur Chemical compound [S] NINIDFKCEFEMDL-UHFFFAOYSA-N 0.000 description 4
- WYURNTSHIVDZCO-UHFFFAOYSA-N Tetrahydrofuran Chemical compound C1CCOC1 WYURNTSHIVDZCO-UHFFFAOYSA-N 0.000 description 4
- 125000005234 alkyl aluminium group Chemical group 0.000 description 4
- 125000002877 alkyl aryl group Chemical group 0.000 description 4
- 150000004645 aluminates Chemical class 0.000 description 4
- 229940083916 aluminum distearate Drugs 0.000 description 4
- RDIVANOKKPKCTO-UHFFFAOYSA-K aluminum;octadecanoate;hydroxide Chemical compound [OH-].[Al+3].CCCCCCCCCCCCCCCCCC([O-])=O.CCCCCCCCCCCCCCCCCC([O-])=O RDIVANOKKPKCTO-UHFFFAOYSA-K 0.000 description 4
- 239000003153 chemical reaction reagent Substances 0.000 description 4
- 239000000460 chlorine Substances 0.000 description 4
- IJOOHPMOJXWVHK-UHFFFAOYSA-N chlorotrimethylsilane Chemical compound C[Si](C)(C)Cl IJOOHPMOJXWVHK-UHFFFAOYSA-N 0.000 description 4
- 239000003426 co-catalyst Substances 0.000 description 4
- 125000000113 cyclohexyl group Chemical group [H]C1([H])C([H])([H])C([H])([H])C([H])(*)C([H])([H])C1([H])[H] 0.000 description 4
- 239000011521 glass Substances 0.000 description 4
- 150000004820 halides Chemical class 0.000 description 4
- BHEPBYXIRTUNPN-UHFFFAOYSA-N hydridophosphorus(.) (triplet) Chemical compound [PH] BHEPBYXIRTUNPN-UHFFFAOYSA-N 0.000 description 4
- 229910052809 inorganic oxide Inorganic materials 0.000 description 4
- NXPHGHWWQRMDIA-UHFFFAOYSA-M magnesium;carbanide;bromide Chemical compound [CH3-].[Mg+2].[Br-] NXPHGHWWQRMDIA-UHFFFAOYSA-M 0.000 description 4
- 229910052698 phosphorus Inorganic materials 0.000 description 4
- 239000011574 phosphorus Substances 0.000 description 4
- 230000002829 reductive effect Effects 0.000 description 4
- 239000011593 sulfur Substances 0.000 description 4
- 238000012360 testing method Methods 0.000 description 4
- 229910052719 titanium Inorganic materials 0.000 description 4
- 239000010936 titanium Substances 0.000 description 4
- MCULRUJILOGHCJ-UHFFFAOYSA-N triisobutylaluminium Chemical compound CC(C)C[Al](CC(C)C)CC(C)C MCULRUJILOGHCJ-UHFFFAOYSA-N 0.000 description 4
- OLFPYUPGPBITMH-UHFFFAOYSA-N tritylium Chemical compound C1=CC=CC=C1[C+](C=1C=CC=CC=1)C1=CC=CC=C1 OLFPYUPGPBITMH-UHFFFAOYSA-N 0.000 description 4
- 239000004711 α-olefin Substances 0.000 description 4
- IEKPDJDYFASRFB-UHFFFAOYSA-N 1-ethyl-1h-indene Chemical compound C1=CC=C2C(CC)C=CC2=C1 IEKPDJDYFASRFB-UHFFFAOYSA-N 0.000 description 3
- 241000349731 Afzelia bipindensis Species 0.000 description 3
- 238000012935 Averaging Methods 0.000 description 3
- NOWKCMXCCJGMRR-UHFFFAOYSA-N Aziridine Chemical compound C1CN1 NOWKCMXCCJGMRR-UHFFFAOYSA-N 0.000 description 3
- SVBLJDGZIHTZBY-UHFFFAOYSA-N C(CC)C1(C=CC=C1)[Hf]C1(C=CC=C1)CCC Chemical compound C(CC)C1(C=CC=C1)[Hf]C1(C=CC=C1)CCC SVBLJDGZIHTZBY-UHFFFAOYSA-N 0.000 description 3
- 125000000882 C2-C6 alkenyl group Chemical group 0.000 description 3
- VEXZGXHMUGYJMC-UHFFFAOYSA-M Chloride anion Chemical compound [Cl-] VEXZGXHMUGYJMC-UHFFFAOYSA-M 0.000 description 3
- KZBUYRJDOAKODT-UHFFFAOYSA-N Chlorine Chemical compound ClCl KZBUYRJDOAKODT-UHFFFAOYSA-N 0.000 description 3
- VYZAMTAEIAYCRO-UHFFFAOYSA-N Chromium Chemical compound [Cr] VYZAMTAEIAYCRO-UHFFFAOYSA-N 0.000 description 3
- MCMNRKCIXSYSNV-UHFFFAOYSA-N Zirconium dioxide Chemical compound O=[Zr]=O MCMNRKCIXSYSNV-UHFFFAOYSA-N 0.000 description 3
- CEGOLXSVJUTHNZ-UHFFFAOYSA-K aluminium tristearate Chemical compound [Al+3].CCCCCCCCCCCCCCCCCC([O-])=O.CCCCCCCCCCCCCCCCCC([O-])=O.CCCCCCCCCCCCCCCCCC([O-])=O CEGOLXSVJUTHNZ-UHFFFAOYSA-K 0.000 description 3
- 229940063655 aluminum stearate Drugs 0.000 description 3
- 125000004104 aryloxy group Chemical group 0.000 description 3
- 239000011324 bead Substances 0.000 description 3
- 230000008901 benefit Effects 0.000 description 3
- 229940063013 borate ion Drugs 0.000 description 3
- 229910052801 chlorine Inorganic materials 0.000 description 3
- 229910052804 chromium Inorganic materials 0.000 description 3
- 239000011651 chromium Substances 0.000 description 3
- 125000001511 cyclopentyl group Chemical group [H]C1([H])C([H])([H])C([H])([H])C([H])(*)C1([H])[H] 0.000 description 3
- 150000001993 dienes Chemical class 0.000 description 3
- 125000000118 dimethyl group Chemical group [H]C([H])([H])* 0.000 description 3
- 238000010828 elution Methods 0.000 description 3
- 239000000835 fiber Substances 0.000 description 3
- 125000003983 fluorenyl group Chemical group C1(=CC=CC=2C3=CC=CC=C3CC12)* 0.000 description 3
- 125000004216 fluoromethyl group Chemical group [H]C([H])(F)* 0.000 description 3
- 238000005194 fractionation Methods 0.000 description 3
- 229910021485 fumed silica Inorganic materials 0.000 description 3
- 125000000623 heterocyclic group Chemical group 0.000 description 3
- 229910052742 iron Inorganic materials 0.000 description 3
- DLEDOFVPSDKWEF-UHFFFAOYSA-N lithium butane Chemical class [Li+].CCC[CH2-] DLEDOFVPSDKWEF-UHFFFAOYSA-N 0.000 description 3
- PYLWMHQQBFSUBP-UHFFFAOYSA-N monofluorobenzene Chemical compound FC1=CC=CC=C1 PYLWMHQQBFSUBP-UHFFFAOYSA-N 0.000 description 3
- 230000007935 neutral effect Effects 0.000 description 3
- 239000002667 nucleating agent Substances 0.000 description 3
- TVMXDCGIABBOFY-UHFFFAOYSA-N octane Chemical compound CCCCCCCC TVMXDCGIABBOFY-UHFFFAOYSA-N 0.000 description 3
- 238000004806 packaging method and process Methods 0.000 description 3
- 238000000425 proton nuclear magnetic resonance spectrum Methods 0.000 description 3
- 239000011949 solid catalyst Substances 0.000 description 3
- 125000003944 tolyl group Chemical group 0.000 description 3
- 229910052723 transition metal Inorganic materials 0.000 description 3
- 150000003624 transition metals Chemical class 0.000 description 3
- JLTRXTDYQLMHGR-UHFFFAOYSA-N trimethylaluminium Chemical compound C[Al](C)C JLTRXTDYQLMHGR-UHFFFAOYSA-N 0.000 description 3
- WCFQIFDACWBNJT-UHFFFAOYSA-N $l^{1}-alumanyloxy(2-methylpropyl)aluminum Chemical compound CC(C)C[Al]O[Al] WCFQIFDACWBNJT-UHFFFAOYSA-N 0.000 description 2
- HVBHEPYJVAMWCY-UHFFFAOYSA-N 1,1-dimethylindene Chemical compound C1=CC=C2C(C)(C)C=CC2=C1 HVBHEPYJVAMWCY-UHFFFAOYSA-N 0.000 description 2
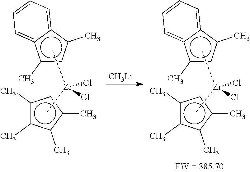
- OZYOFBYUNKIYFO-UHFFFAOYSA-K 1,2,3,4-tetramethylcyclopentane;trichlorozirconium Chemical compound Cl[Zr](Cl)Cl.C[C]1[CH][C](C)[C](C)[C]1C OZYOFBYUNKIYFO-UHFFFAOYSA-K 0.000 description 2
- DZTYCPNBSJZKSS-UHFFFAOYSA-N 1,3-dimethyl-1h-indene Chemical compound C1=CC=C2C(C)C=C(C)C2=C1 DZTYCPNBSJZKSS-UHFFFAOYSA-N 0.000 description 2
- XWJBRBSPAODJER-UHFFFAOYSA-N 1,7-octadiene Chemical compound C=CCCCCC=C XWJBRBSPAODJER-UHFFFAOYSA-N 0.000 description 2
- VXNZUUAINFGPBY-UHFFFAOYSA-N 1-Butene Chemical compound CCC=C VXNZUUAINFGPBY-UHFFFAOYSA-N 0.000 description 2
- ZGEGCLOFRBLKSE-UHFFFAOYSA-N 1-Heptene Chemical compound CCCCCC=C ZGEGCLOFRBLKSE-UHFFFAOYSA-N 0.000 description 2
- AFFLGGQVNFXPEV-UHFFFAOYSA-N 1-decene Chemical compound CCCCCCCCC=C AFFLGGQVNFXPEV-UHFFFAOYSA-N 0.000 description 2
- CRSBERNSMYQZNG-UHFFFAOYSA-N 1-dodecene Chemical compound CCCCCCCCCCC=C CRSBERNSMYQZNG-UHFFFAOYSA-N 0.000 description 2
- GQEZCXVZFLOKMC-UHFFFAOYSA-N 1-hexadecene Chemical compound CCCCCCCCCCCCCCC=C GQEZCXVZFLOKMC-UHFFFAOYSA-N 0.000 description 2
- KWKAKUADMBZCLK-UHFFFAOYSA-N 1-octene Chemical compound CCCCCCC=C KWKAKUADMBZCLK-UHFFFAOYSA-N 0.000 description 2
- MQQOMRLSOSUMIX-UHFFFAOYSA-N 2-[2-hydroxyethyl(nonyl)amino]ethanol Chemical compound CCCCCCCCCN(CCO)CCO MQQOMRLSOSUMIX-UHFFFAOYSA-N 0.000 description 2
- YVSMQHYREUQGRX-UHFFFAOYSA-N 2-ethyloxaluminane Chemical compound CC[Al]1CCCCO1 YVSMQHYREUQGRX-UHFFFAOYSA-N 0.000 description 2
- 125000004975 3-butenyl group Chemical group C(CC=C)* 0.000 description 2
- YRXLGZMIIFCVJM-UHFFFAOYSA-N 3-ethyl-1h-indene Chemical compound C1=CC=C2C(CC)=CCC2=C1 YRXLGZMIIFCVJM-UHFFFAOYSA-N 0.000 description 2
- WSSSPWUEQFSQQG-UHFFFAOYSA-N 4-methyl-1-pentene Chemical compound CC(C)CC=C WSSSPWUEQFSQQG-UHFFFAOYSA-N 0.000 description 2
- CSCPPACGZOOCGX-UHFFFAOYSA-N Acetone Chemical compound CC(C)=O CSCPPACGZOOCGX-UHFFFAOYSA-N 0.000 description 2
- XKRFYHLGVUSROY-UHFFFAOYSA-N Argon Chemical compound [Ar] XKRFYHLGVUSROY-UHFFFAOYSA-N 0.000 description 2
- WKBOTKDWSSQWDR-UHFFFAOYSA-N Bromine atom Chemical compound [Br] WKBOTKDWSSQWDR-UHFFFAOYSA-N 0.000 description 2
- 125000006519 CCH3 Chemical group 0.000 description 2
- ZAMOUSCENKQFHK-UHFFFAOYSA-N Chlorine atom Chemical compound [Cl] ZAMOUSCENKQFHK-UHFFFAOYSA-N 0.000 description 2
- ROSDSFDQCJNGOL-UHFFFAOYSA-N Dimethylamine Chemical compound CNC ROSDSFDQCJNGOL-UHFFFAOYSA-N 0.000 description 2
- YNQLUTRBYVCPMQ-UHFFFAOYSA-N Ethylbenzene Chemical compound CCC1=CC=CC=C1 YNQLUTRBYVCPMQ-UHFFFAOYSA-N 0.000 description 2
- CPLXHLVBOLITMK-UHFFFAOYSA-N Magnesium oxide Chemical compound [Mg]=O CPLXHLVBOLITMK-UHFFFAOYSA-N 0.000 description 2
- KDLHZDBZIXYQEI-UHFFFAOYSA-N Palladium Chemical compound [Pd] KDLHZDBZIXYQEI-UHFFFAOYSA-N 0.000 description 2
- RTAQQCXQSZGOHL-UHFFFAOYSA-N Titanium Chemical compound [Ti] RTAQQCXQSZGOHL-UHFFFAOYSA-N 0.000 description 2
- OKJPEAGHQZHRQV-UHFFFAOYSA-N Triiodomethane Natural products IC(I)I OKJPEAGHQZHRQV-UHFFFAOYSA-N 0.000 description 2
- 239000011954 Ziegler–Natta catalyst Substances 0.000 description 2
- XLOMVQKBTHCTTD-UHFFFAOYSA-N Zinc monoxide Chemical compound [Zn]=O XLOMVQKBTHCTTD-UHFFFAOYSA-N 0.000 description 2
- OGQYVZBJDDIIEF-UHFFFAOYSA-L [Cl-].[Cl-].CC1C(=CC2=CC=CC=C12)[Zr+2]C1(C(=C(C(=C1C)C)C)C)C Chemical compound [Cl-].[Cl-].CC1C(=CC2=CC=CC=C12)[Zr+2]C1(C(=C(C(=C1C)C)C)C)C OGQYVZBJDDIIEF-UHFFFAOYSA-L 0.000 description 2
- 150000004703 alkoxides Chemical class 0.000 description 2
- 125000003545 alkoxy group Chemical group 0.000 description 2
- 125000005248 alkyl aryloxy group Chemical group 0.000 description 2
- 125000005115 alkyl carbamoyl group Chemical group 0.000 description 2
- 125000005599 alkyl carboxylate group Chemical group 0.000 description 2
- AZDRQVAHHNSJOQ-UHFFFAOYSA-N alumane Chemical class [AlH3] AZDRQVAHHNSJOQ-UHFFFAOYSA-N 0.000 description 2
- VSCWAEJMTAWNJL-UHFFFAOYSA-K aluminium trichloride Chemical compound Cl[Al](Cl)Cl VSCWAEJMTAWNJL-UHFFFAOYSA-K 0.000 description 2
- 125000003710 aryl alkyl group Chemical group 0.000 description 2
- 150000005840 aryl radicals Chemical class 0.000 description 2
- 125000001797 benzyl group Chemical group [H]C1=C([H])C([H])=C(C([H])=C1[H])C([H])([H])* 0.000 description 2
- GDTBXPJZTBHREO-UHFFFAOYSA-N bromine Substances BrBr GDTBXPJZTBHREO-UHFFFAOYSA-N 0.000 description 2
- 229910052794 bromium Inorganic materials 0.000 description 2
- 239000000969 carrier Substances 0.000 description 2
- 239000012159 carrier gas Substances 0.000 description 2
- 125000001309 chloro group Chemical group Cl* 0.000 description 2
- 229910052593 corundum Inorganic materials 0.000 description 2
- 239000012043 crude product Substances 0.000 description 2
- 125000006165 cyclic alkyl group Chemical group 0.000 description 2
- DMBHHRLKUKUOEG-UHFFFAOYSA-N diphenylamine Chemical compound C=1C=CC=CC=1NC1=CC=CC=C1 DMBHHRLKUKUOEG-UHFFFAOYSA-N 0.000 description 2
- 238000004821 distillation Methods 0.000 description 2
- 230000006353 environmental stress Effects 0.000 description 2
- 239000000706 filtrate Substances 0.000 description 2
- 125000001207 fluorophenyl group Chemical group 0.000 description 2
- 235000013305 food Nutrition 0.000 description 2
- WHYHZFHCWGGCOP-UHFFFAOYSA-N germyl Chemical compound [GeH3] WHYHZFHCWGGCOP-UHFFFAOYSA-N 0.000 description 2
- 239000008187 granular material Substances 0.000 description 2
- VBJZVLUMGGDVMO-UHFFFAOYSA-N hafnium atom Chemical compound [Hf] VBJZVLUMGGDVMO-UHFFFAOYSA-N 0.000 description 2
- 230000020169 heat generation Effects 0.000 description 2
- 229920001519 homopolymer Polymers 0.000 description 2
- 125000004435 hydrogen atom Chemical group [H]* 0.000 description 2
- 230000007062 hydrolysis Effects 0.000 description 2
- 238000006460 hydrolysis reaction Methods 0.000 description 2
- PNDPGZBMCMUPRI-UHFFFAOYSA-N iodine Chemical compound II PNDPGZBMCMUPRI-UHFFFAOYSA-N 0.000 description 2
- HVTICUPFWKNHNG-UHFFFAOYSA-N iodoethane Chemical compound CCI HVTICUPFWKNHNG-UHFFFAOYSA-N 0.000 description 2
- INQOMBQAUSQDDS-UHFFFAOYSA-N iodomethane Chemical compound IC INQOMBQAUSQDDS-UHFFFAOYSA-N 0.000 description 2
- NNPPMTNAJDCUHE-UHFFFAOYSA-N isobutane Chemical compound CC(C)C NNPPMTNAJDCUHE-UHFFFAOYSA-N 0.000 description 2
- 125000001449 isopropyl group Chemical group [H]C([H])([H])C([H])(*)C([H])([H])[H] 0.000 description 2
- 229920000092 linear low density polyethylene Polymers 0.000 description 2
- 239000004707 linear low-density polyethylene Substances 0.000 description 2
- JOPFOAFPFYADOD-UHFFFAOYSA-N lithium;1,3-dimethylinden-1-ide Chemical compound [Li+].C1=CC=C2C(C)=C[C-](C)C2=C1 JOPFOAFPFYADOD-UHFFFAOYSA-N 0.000 description 2
- YRZLLPDQOQDBSM-UHFFFAOYSA-N lithium;3-methyl-1h-inden-1-ide Chemical compound [Li+].C1=CC=C2C(C)=C[CH-]C2=C1 YRZLLPDQOQDBSM-UHFFFAOYSA-N 0.000 description 2
- 239000002808 molecular sieve Substances 0.000 description 2
- 125000004433 nitrogen atom Chemical group N* 0.000 description 2
- JRZJOMJEPLMPRA-UHFFFAOYSA-N olefin Natural products CCCCCCCC=C JRZJOMJEPLMPRA-UHFFFAOYSA-N 0.000 description 2
- 230000003647 oxidation Effects 0.000 description 2
- 238000007254 oxidation reaction Methods 0.000 description 2
- WYURNTSHIVDZCO-SVYQBANQSA-N oxolane-d8 Chemical compound [2H]C1([2H])OC([2H])([2H])C([2H])([2H])C1([2H])[2H] WYURNTSHIVDZCO-SVYQBANQSA-N 0.000 description 2
- 125000004430 oxygen atom Chemical group O* 0.000 description 2
- YWAKXRMUMFPDSH-UHFFFAOYSA-N pentene Chemical compound CCCC=C YWAKXRMUMFPDSH-UHFFFAOYSA-N 0.000 description 2
- 230000000737 periodic effect Effects 0.000 description 2
- 125000004437 phosphorous atom Chemical group 0.000 description 2
- 230000000704 physical effect Effects 0.000 description 2
- 229910052696 pnictogen Inorganic materials 0.000 description 2
- 230000000379 polymerizing effect Effects 0.000 description 2
- 239000001294 propane Substances 0.000 description 2
- QQONPFPTGQHPMA-UHFFFAOYSA-N propylene Natural products CC=C QQONPFPTGQHPMA-UHFFFAOYSA-N 0.000 description 2
- 125000004805 propylene group Chemical group [H]C([H])([H])C([H])([*:1])C([H])([H])[*:2] 0.000 description 2
- 239000011541 reaction mixture Substances 0.000 description 2
- 230000009467 reduction Effects 0.000 description 2
- 230000001105 regulatory effect Effects 0.000 description 2
- 229920006395 saturated elastomer Polymers 0.000 description 2
- 238000007789 sealing Methods 0.000 description 2
- URGAHOPLAPQHLN-UHFFFAOYSA-N sodium aluminosilicate Chemical compound [Na+].[Al+3].[O-][Si]([O-])=O.[O-][Si]([O-])=O URGAHOPLAPQHLN-UHFFFAOYSA-N 0.000 description 2
- 241000894007 species Species 0.000 description 2
- 230000003595 spectral effect Effects 0.000 description 2
- 238000009987 spinning Methods 0.000 description 2
- 125000003107 substituted aryl group Chemical group 0.000 description 2
- 125000004434 sulfur atom Chemical group 0.000 description 2
- 239000000454 talc Substances 0.000 description 2
- 229910052623 talc Inorganic materials 0.000 description 2
- 125000002023 trifluoromethyl group Chemical group FC(F)(F)* 0.000 description 2
- VEUUNIUMKJTBJB-UHFFFAOYSA-N trimethyl-(2,3,4,5-tetramethylcyclopenta-2,4-dien-1-yl)silane Chemical compound CC1=C(C)C(C)=C(C)C1[Si](C)(C)C VEUUNIUMKJTBJB-UHFFFAOYSA-N 0.000 description 2
- 229910001845 yogo sapphire Inorganic materials 0.000 description 2
- 150000003755 zirconium compounds Chemical class 0.000 description 2
- 125000000008 (C1-C10) alkyl group Chemical group 0.000 description 1
- VNPQQEYMXYCAEZ-UHFFFAOYSA-N 1,2,3,4-tetramethylcyclopenta-1,3-diene Chemical compound CC1=C(C)C(C)=C(C)C1 VNPQQEYMXYCAEZ-UHFFFAOYSA-N 0.000 description 1
- UQFVDVOSWZZALX-UHFFFAOYSA-N 1-[(4-methyl-1,3-thiazol-5-yl)oxy]-3-[4-(2-pentoxyphenyl)piperazin-1-yl]propan-2-ol;hydrochloride Chemical compound Cl.CCCCCOC1=CC=CC=C1N1CCN(CC(O)COC2=C(N=CS2)C)CC1 UQFVDVOSWZZALX-UHFFFAOYSA-N 0.000 description 1
- YBCVSZCMASDRCS-UHFFFAOYSA-N 1-[ethoxy-[ethoxy-(2-methoxyphenoxy)-propoxymethyl]sulfanyl-propoxymethoxy]-2-methoxybenzene Chemical compound C=1C=CC=C(OC)C=1OC(OCC)(OCCC)SC(OCC)(OCCC)OC1=CC=CC=C1OC YBCVSZCMASDRCS-UHFFFAOYSA-N 0.000 description 1
- LRTOHSLOFCWHRF-UHFFFAOYSA-N 1-methyl-1h-indene Chemical compound C1=CC=C2C(C)C=CC2=C1 LRTOHSLOFCWHRF-UHFFFAOYSA-N 0.000 description 1
- UUFQTNFCRMXOAE-UHFFFAOYSA-N 1-methylmethylene Chemical compound C[CH] UUFQTNFCRMXOAE-UHFFFAOYSA-N 0.000 description 1
- 238000004009 13C{1H}-NMR spectroscopy Methods 0.000 description 1
- CORHDXNAYKUXRI-UHFFFAOYSA-N 1h-cyclopenta[12]annulene Chemical compound C1=CC=CC=CC=CC=CC2=C1CC=C2 CORHDXNAYKUXRI-UHFFFAOYSA-N 0.000 description 1
- WSNDAYQNZRJGMJ-UHFFFAOYSA-N 2,2,2-trifluoroethanone Chemical compound FC(F)(F)[C]=O WSNDAYQNZRJGMJ-UHFFFAOYSA-N 0.000 description 1
- STWBNOBMOCQPLR-UHFFFAOYSA-N 2-bromo-n-(2-hydroxy-5-nitrophenyl)acetamide Chemical compound OC1=CC=C([N+]([O-])=O)C=C1NC(=O)CBr STWBNOBMOCQPLR-UHFFFAOYSA-N 0.000 description 1
- 125000003903 2-propenyl group Chemical group [H]C([*])([H])C([H])=C([H])[H] 0.000 description 1
- COOKKJGOGWACMY-UHFFFAOYSA-N 3-methyl-1h-indene Chemical compound C1=CC=C2C(C)=CCC2=C1 COOKKJGOGWACMY-UHFFFAOYSA-N 0.000 description 1
- 125000006043 5-hexenyl group Chemical group 0.000 description 1
- LSNNMFCWUKXFEE-UHFFFAOYSA-M Bisulfite Chemical compound OS([O-])=O LSNNMFCWUKXFEE-UHFFFAOYSA-M 0.000 description 1
- CPELXLSAUQHCOX-UHFFFAOYSA-M Bromide Chemical compound [Br-] CPELXLSAUQHCOX-UHFFFAOYSA-M 0.000 description 1
- SGHQRYFEQBJXPD-UHFFFAOYSA-N CC1=C(C)C(C)=C(C)C1.CC1=C(C)C([Si](C)(C)C)C(C)=C1C.C[Si](C)(C)Cl.[Li]C1C(C)=C(C)C(C)=C1C.[Li]CCCC Chemical compound CC1=C(C)C(C)=C(C)C1.CC1=C(C)C([Si](C)(C)C)C(C)=C1C.C[Si](C)(C)Cl.[Li]C1C(C)=C(C)C(C)=C1C.[Li]CCCC SGHQRYFEQBJXPD-UHFFFAOYSA-N 0.000 description 1
- CURLTUGMZLYLDI-UHFFFAOYSA-N Carbon dioxide Chemical compound O=C=O CURLTUGMZLYLDI-UHFFFAOYSA-N 0.000 description 1
- YUWFEBAXEOLKSG-UHFFFAOYSA-N Cc1c(C)c(C)c(C)c(C)c1C Chemical compound Cc1c(C)c(C)c(C)c(C)c1C YUWFEBAXEOLKSG-UHFFFAOYSA-N 0.000 description 1
- 229920000089 Cyclic olefin copolymer Polymers 0.000 description 1
- XDTMQSROBMDMFD-UHFFFAOYSA-N Cyclohexane Chemical compound C1CCCCC1 XDTMQSROBMDMFD-UHFFFAOYSA-N 0.000 description 1
- OTMSDBZUPAUEDD-UHFFFAOYSA-N Ethane Chemical compound CC OTMSDBZUPAUEDD-UHFFFAOYSA-N 0.000 description 1
- 229920002449 FKM Polymers 0.000 description 1
- WZKSXHQDXQKIQJ-UHFFFAOYSA-N F[C](F)F Chemical compound F[C](F)F WZKSXHQDXQKIQJ-UHFFFAOYSA-N 0.000 description 1
- 239000007818 Grignard reagent Substances 0.000 description 1
- 239000002841 Lewis acid Substances 0.000 description 1
- 239000002879 Lewis base Substances 0.000 description 1
- WHXSMMKQMYFTQS-UHFFFAOYSA-N Lithium Chemical compound [Li] WHXSMMKQMYFTQS-UHFFFAOYSA-N 0.000 description 1
- AFCARXCZXQIEQB-UHFFFAOYSA-N N-[3-oxo-3-(2,4,6,7-tetrahydrotriazolo[4,5-c]pyridin-5-yl)propyl]-2-[[3-(trifluoromethoxy)phenyl]methylamino]pyrimidine-5-carboxamide Chemical compound O=C(CCNC(=O)C=1C=NC(=NC=1)NCC1=CC(=CC=C1)OC(F)(F)F)N1CC2=C(CC1)NN=N2 AFCARXCZXQIEQB-UHFFFAOYSA-N 0.000 description 1
- 229920002274 Nalgene Polymers 0.000 description 1
- CTQNGGLPUBDAKN-UHFFFAOYSA-N O-Xylene Chemical compound CC1=CC=CC=C1C CTQNGGLPUBDAKN-UHFFFAOYSA-N 0.000 description 1
- 238000004639 Schlenk technique Methods 0.000 description 1
- 229910007161 Si(CH3)3 Inorganic materials 0.000 description 1
- 239000007983 Tris buffer Substances 0.000 description 1
- 229910007930 ZrCl3 Inorganic materials 0.000 description 1
- XKPBZZXMPYUBBT-UHFFFAOYSA-L [Cl-].[Cl-].CC1C(=C(C2=CC=CC=C12)C)C1=C(C(=C(C1(C)[Zr+2])C)C)C Chemical compound [Cl-].[Cl-].CC1C(=C(C2=CC=CC=C12)C)C1=C(C(=C(C1(C)[Zr+2])C)C)C XKPBZZXMPYUBBT-UHFFFAOYSA-L 0.000 description 1
- QPFRKRSYLYAPPH-UHFFFAOYSA-N [H]N12CCN(C3=C(C)C(C)=C(C)C(C)=C3C)[Zr]1(CC1=CC=CC=C1)(CC1=CC=CC=C1)N(C1=C(C)C(C)=C(C)C(C)=C1C)CC2 Chemical compound [H]N12CCN(C3=C(C)C(C)=C(C)C(C)=C3C)[Zr]1(CC1=CC=CC=C1)(CC1=CC=CC=C1)N(C1=C(C)C(C)=C(C)C(C)=C1C)CC2 QPFRKRSYLYAPPH-UHFFFAOYSA-N 0.000 description 1
- 125000004054 acenaphthylenyl group Chemical group C1(=CC2=CC=CC3=CC=CC1=C23)* 0.000 description 1
- 125000005595 acetylacetonate group Chemical group 0.000 description 1
- 230000004913 activation Effects 0.000 description 1
- 125000002252 acyl group Chemical group 0.000 description 1
- 125000004442 acylamino group Chemical group 0.000 description 1
- 125000004423 acyloxy group Chemical group 0.000 description 1
- 230000002411 adverse Effects 0.000 description 1
- 125000001931 aliphatic group Chemical group 0.000 description 1
- 125000003342 alkenyl group Chemical group 0.000 description 1
- 125000004453 alkoxycarbonyl group Chemical group 0.000 description 1
- 150000001356 alkyl thiols Chemical group 0.000 description 1
- 125000000304 alkynyl group Chemical group 0.000 description 1
- 238000004458 analytical method Methods 0.000 description 1
- 125000000129 anionic group Chemical group 0.000 description 1
- 229910052786 argon Inorganic materials 0.000 description 1
- 150000001491 aromatic compounds Chemical class 0.000 description 1
- 239000003849 aromatic solvent Substances 0.000 description 1
- 125000003435 aroyl group Chemical group 0.000 description 1
- 125000005239 aroylamino group Chemical group 0.000 description 1
- 125000005161 aryl oxy carbonyl group Chemical group 0.000 description 1
- 239000012298 atmosphere Substances 0.000 description 1
- 239000002585 base Substances 0.000 description 1
- SIPUZPBQZHNSDW-UHFFFAOYSA-N bis(2-methylpropyl)aluminum Chemical compound CC(C)C[Al]CC(C)C SIPUZPBQZHNSDW-UHFFFAOYSA-N 0.000 description 1
- UORVGPXVDQYIDP-UHFFFAOYSA-N borane Chemical class B UORVGPXVDQYIDP-UHFFFAOYSA-N 0.000 description 1
- 229910000085 borane Inorganic materials 0.000 description 1
- 235000011089 carbon dioxide Nutrition 0.000 description 1
- 239000012876 carrier material Substances 0.000 description 1
- 230000003197 catalytic effect Effects 0.000 description 1
- 125000002091 cationic group Chemical group 0.000 description 1
- 238000012512 characterization method Methods 0.000 description 1
- 125000004803 chlorobenzyl group Chemical group 0.000 description 1
- 229910052570 clay Inorganic materials 0.000 description 1
- 238000000576 coating method Methods 0.000 description 1
- 229910017052 cobalt Inorganic materials 0.000 description 1
- 239000010941 cobalt Substances 0.000 description 1
- GUTLYIVDDKVIGB-UHFFFAOYSA-N cobalt atom Chemical compound [Co] GUTLYIVDDKVIGB-UHFFFAOYSA-N 0.000 description 1
- 238000010276 construction Methods 0.000 description 1
- 238000001816 cooling Methods 0.000 description 1
- 239000000498 cooling water Substances 0.000 description 1
- 238000002425 crystallisation Methods 0.000 description 1
- 230000008025 crystallization Effects 0.000 description 1
- 125000001485 cycloalkadienyl group Chemical group 0.000 description 1
- 150000001924 cycloalkanes Chemical class 0.000 description 1
- 125000000753 cycloalkyl group Chemical group 0.000 description 1
- 125000001995 cyclobutyl group Chemical group [H]C1([H])C([H])([H])C([H])(*)C1([H])[H] 0.000 description 1
- 230000018044 dehydration Effects 0.000 description 1
- 238000006297 dehydration reaction Methods 0.000 description 1
- 230000001419 dependent effect Effects 0.000 description 1
- 230000001627 detrimental effect Effects 0.000 description 1
- 125000005265 dialkylamine group Chemical group 0.000 description 1
- 125000005117 dialkylcarbamoyl group Chemical group 0.000 description 1
- IVTQDRJBWSBJQM-UHFFFAOYSA-L dichlorozirconium;indene Chemical compound C1=CC2=CC=CC=C2C1[Zr](Cl)(Cl)C1C2=CC=CC=C2C=C1 IVTQDRJBWSBJQM-UHFFFAOYSA-L 0.000 description 1
- LJSQFQKUNVCTIA-UHFFFAOYSA-N diethyl sulfide Chemical compound CCSCC LJSQFQKUNVCTIA-UHFFFAOYSA-N 0.000 description 1
- YNLAOSYQHBDIKW-UHFFFAOYSA-M diethylaluminium chloride Chemical compound CC[Al](Cl)CC YNLAOSYQHBDIKW-UHFFFAOYSA-M 0.000 description 1
- URSLCTBXQMKCFE-UHFFFAOYSA-N dihydrogenborate Chemical compound OB(O)[O-] URSLCTBXQMKCFE-UHFFFAOYSA-N 0.000 description 1
- QKIUAMUSENSFQQ-UHFFFAOYSA-N dimethylazanide Chemical compound C[N-]C QKIUAMUSENSFQQ-UHFFFAOYSA-N 0.000 description 1
- ZTJBELXDHFJJEU-UHFFFAOYSA-N dimethylboron Chemical compound C[B]C ZTJBELXDHFJJEU-UHFFFAOYSA-N 0.000 description 1
- YOTZYFSGUCFUKA-UHFFFAOYSA-N dimethylphosphine Chemical compound CPC YOTZYFSGUCFUKA-UHFFFAOYSA-N 0.000 description 1
- 230000003292 diminished effect Effects 0.000 description 1
- 239000006185 dispersion Substances 0.000 description 1
- 229940069096 dodecene Drugs 0.000 description 1
- 238000001035 drying Methods 0.000 description 1
- 239000000428 dust Substances 0.000 description 1
- 150000002170 ethers Chemical class 0.000 description 1
- GCPCLEKQVMKXJM-UHFFFAOYSA-N ethoxy(diethyl)alumane Chemical compound CCO[Al](CC)CC GCPCLEKQVMKXJM-UHFFFAOYSA-N 0.000 description 1
- 238000001125 extrusion Methods 0.000 description 1
- 239000004744 fabric Substances 0.000 description 1
- 239000012467 final product Substances 0.000 description 1
- 239000012530 fluid Substances 0.000 description 1
- 238000005243 fluidization Methods 0.000 description 1
- 125000001153 fluoro group Chemical group F* 0.000 description 1
- 125000004991 fluoroalkenyl group Chemical group 0.000 description 1
- 125000003709 fluoroalkyl group Chemical group 0.000 description 1
- KGPPDNUWZNWPSI-UHFFFAOYSA-N flurotyl Chemical group FC(F)(F)COCC(F)(F)F KGPPDNUWZNWPSI-UHFFFAOYSA-N 0.000 description 1
- 229950000929 flurotyl Drugs 0.000 description 1
- 235000013611 frozen food Nutrition 0.000 description 1
- 125000000524 functional group Chemical group 0.000 description 1
- 238000004817 gas chromatography Methods 0.000 description 1
- 239000000499 gel Substances 0.000 description 1
- 239000004746 geotextile Substances 0.000 description 1
- 150000004795 grignard reagents Chemical class 0.000 description 1
- 150000002363 hafnium compounds Chemical class 0.000 description 1
- 125000005843 halogen group Chemical group 0.000 description 1
- 238000010438 heat treatment Methods 0.000 description 1
- 125000003187 heptyl group Chemical group [H]C([*])([H])C([H])([H])C([H])([H])C([H])([H])C([H])([H])C([H])([H])C([H])([H])[H] 0.000 description 1
- 125000002887 hydroxy group Chemical group [H]O* 0.000 description 1
- 238000011065 in-situ storage Methods 0.000 description 1
- 239000004615 ingredient Substances 0.000 description 1
- 229910001504 inorganic chloride Inorganic materials 0.000 description 1
- 229910052741 iridium Inorganic materials 0.000 description 1
- 239000001282 iso-butane Substances 0.000 description 1
- 238000006317 isomerization reaction Methods 0.000 description 1
- 238000003475 lamination Methods 0.000 description 1
- 150000007517 lewis acids Chemical class 0.000 description 1
- 150000007527 lewis bases Chemical class 0.000 description 1
- 229910052744 lithium Inorganic materials 0.000 description 1
- 239000000395 magnesium oxide Substances 0.000 description 1
- 238000005259 measurement Methods 0.000 description 1
- 238000002074 melt spinning Methods 0.000 description 1
- 238000002844 melting Methods 0.000 description 1
- 230000008018 melting Effects 0.000 description 1
- 239000012528 membrane Substances 0.000 description 1
- IBIKHMZPHNKTHM-RDTXWAMCSA-N merck compound 25 Chemical compound C1C[C@@H](C(O)=O)[C@H](O)CN1C(C1=C(F)C=CC=C11)=NN1C(=O)C1=C(Cl)C=CC=C1C1CC1 IBIKHMZPHNKTHM-RDTXWAMCSA-N 0.000 description 1
- 150000002736 metal compounds Chemical class 0.000 description 1
- 150000002739 metals Chemical class 0.000 description 1
- MHERPFVRWOTBSF-UHFFFAOYSA-N methyl(phenyl)phosphane Chemical compound CPC1=CC=CC=C1 MHERPFVRWOTBSF-UHFFFAOYSA-N 0.000 description 1
- 230000004048 modification Effects 0.000 description 1
- 238000012986 modification Methods 0.000 description 1
- 238000012544 monitoring process Methods 0.000 description 1
- 239000012452 mother liquor Substances 0.000 description 1
- 125000004108 n-butyl group Chemical group [H]C([H])([H])C([H])([H])C([H])([H])C([H])([H])* 0.000 description 1
- 125000001624 naphthyl group Chemical group 0.000 description 1
- 229910052759 nickel Inorganic materials 0.000 description 1
- 229910052758 niobium Inorganic materials 0.000 description 1
- 239000012299 nitrogen atmosphere Substances 0.000 description 1
- QJGQUHMNIGDVPM-UHFFFAOYSA-N nitrogen group Chemical group [N] QJGQUHMNIGDVPM-UHFFFAOYSA-N 0.000 description 1
- 239000004745 nonwoven fabric Substances 0.000 description 1
- 230000003287 optical effect Effects 0.000 description 1
- 125000000962 organic group Chemical group 0.000 description 1
- 229910052762 osmium Inorganic materials 0.000 description 1
- 229910052763 palladium Inorganic materials 0.000 description 1
- 239000013618 particulate matter Substances 0.000 description 1
- 125000002097 pentamethylcyclopentadienyl group Chemical group 0.000 description 1
- 150000003003 phosphines Chemical class 0.000 description 1
- 229920003023 plastic Polymers 0.000 description 1
- 239000004033 plastic Substances 0.000 description 1
- 239000002574 poison Substances 0.000 description 1
- 231100000614 poison Toxicity 0.000 description 1
- 229920002492 poly(sulfone) Polymers 0.000 description 1
- 229920000768 polyamine Polymers 0.000 description 1
- 229920005672 polyolefin resin Polymers 0.000 description 1
- 125000002924 primary amino group Chemical group [H]N([H])* 0.000 description 1
- 239000000376 reactant Substances 0.000 description 1
- 230000003134 recirculating effect Effects 0.000 description 1
- 238000004064 recycling Methods 0.000 description 1
- 230000000717 retained effect Effects 0.000 description 1
- 229910052702 rhenium Inorganic materials 0.000 description 1
- 229910052703 rhodium Inorganic materials 0.000 description 1
- 230000000630 rising effect Effects 0.000 description 1
- 229910052707 ruthenium Inorganic materials 0.000 description 1
- 238000005070 sampling Methods 0.000 description 1
- 229910052706 scandium Inorganic materials 0.000 description 1
- 230000035945 sensitivity Effects 0.000 description 1
- 238000000926 separation method Methods 0.000 description 1
- 229920006300 shrink film Polymers 0.000 description 1
- FZHAPNGMFPVSLP-UHFFFAOYSA-N silanamine Chemical class [SiH3]N FZHAPNGMFPVSLP-UHFFFAOYSA-N 0.000 description 1
- 229910002027 silica gel Inorganic materials 0.000 description 1
- 239000000741 silica gel Substances 0.000 description 1
- 238000005245 sintering Methods 0.000 description 1
- 239000010802 sludge Substances 0.000 description 1
- 235000011888 snacks Nutrition 0.000 description 1
- 238000005507 spraying Methods 0.000 description 1
- 238000003860 storage Methods 0.000 description 1
- 229920006302 stretch film Polymers 0.000 description 1
- 125000000547 substituted alkyl group Chemical group 0.000 description 1
- 238000006467 substitution reaction Methods 0.000 description 1
- 229920001897 terpolymer Polymers 0.000 description 1
- 238000010998 test method Methods 0.000 description 1
- 125000004001 thioalkyl group Chemical group 0.000 description 1
- 238000012546 transfer Methods 0.000 description 1
- 150000003623 transition metal compounds Chemical class 0.000 description 1
- SQBBHCOIQXKPHL-UHFFFAOYSA-N tributylalumane Chemical compound CCCC[Al](CCCC)CCCC SQBBHCOIQXKPHL-UHFFFAOYSA-N 0.000 description 1
- VOITXYVAKOUIBA-UHFFFAOYSA-N triethylaluminium Chemical compound CC[Al](CC)CC VOITXYVAKOUIBA-UHFFFAOYSA-N 0.000 description 1
- ORYGRKHDLWYTKX-UHFFFAOYSA-N trihexylalumane Chemical compound CCCCCC[Al](CCCCCC)CCCCCC ORYGRKHDLWYTKX-UHFFFAOYSA-N 0.000 description 1
- 125000000026 trimethylsilyl group Chemical group [H]C([H])([H])[Si]([*])(C([H])([H])[H])C([H])([H])[H] 0.000 description 1
- LFXVBWRMVZPLFK-UHFFFAOYSA-N trioctylalumane Chemical compound CCCCCCCC[Al](CCCCCCCC)CCCCCCCC LFXVBWRMVZPLFK-UHFFFAOYSA-N 0.000 description 1
- CNWZYDSEVLFSMS-UHFFFAOYSA-N tripropylalumane Chemical compound CCC[Al](CCC)CCC CNWZYDSEVLFSMS-UHFFFAOYSA-N 0.000 description 1
- DXFSXRIPJIBMQW-UHFFFAOYSA-N tris(2,3,4,5,6,7,8-heptafluoronaphthalen-1-yl)alumane Chemical compound FC1=C(F)C(F)=C2C([Al](C=3C4=C(F)C(F)=C(F)C(F)=C4C(F)=C(F)C=3F)C=3C4=C(F)C(F)=C(C(=C4C(F)=C(F)C=3F)F)F)=C(F)C(F)=C(F)C2=C1F DXFSXRIPJIBMQW-UHFFFAOYSA-N 0.000 description 1
- SRSUADNYIFOSLP-UHFFFAOYSA-N tris(2,3,4,5,6,7,8-heptafluoronaphthalen-1-yl)borane Chemical compound FC1=C(F)C(F)=C2C(B(C=3C4=C(F)C(F)=C(F)C(F)=C4C(F)=C(F)C=3F)C=3C4=C(F)C(F)=C(C(=C4C(F)=C(F)C=3F)F)F)=C(F)C(F)=C(F)C2=C1F SRSUADNYIFOSLP-UHFFFAOYSA-N 0.000 description 1
- POHPFVPVRKJHCR-UHFFFAOYSA-N tris(2,3,4,5,6-pentafluorophenyl)alumane Chemical compound FC1=C(F)C(F)=C(F)C(F)=C1[Al](C=1C(=C(F)C(F)=C(F)C=1F)F)C1=C(F)C(F)=C(F)C(F)=C1F POHPFVPVRKJHCR-UHFFFAOYSA-N 0.000 description 1
- OBAJXDYVZBHCGT-UHFFFAOYSA-N tris(pentafluorophenyl)borane Chemical compound FC1=C(F)C(F)=C(F)C(F)=C1B(C=1C(=C(F)C(F)=C(F)C=1F)F)C1=C(F)C(F)=C(F)C(F)=C1F OBAJXDYVZBHCGT-UHFFFAOYSA-N 0.000 description 1
- 229910052720 vanadium Inorganic materials 0.000 description 1
- 238000013022 venting Methods 0.000 description 1
- XLYOFNOQVPJJNP-UHFFFAOYSA-N water Substances O XLYOFNOQVPJJNP-UHFFFAOYSA-N 0.000 description 1
- 239000002759 woven fabric Substances 0.000 description 1
- 239000008096 xylene Substances 0.000 description 1
- 239000011787 zinc oxide Substances 0.000 description 1
Images
Classifications
-
- C—CHEMISTRY; METALLURGY
- C08—ORGANIC MACROMOLECULAR COMPOUNDS; THEIR PREPARATION OR CHEMICAL WORKING-UP; COMPOSITIONS BASED THEREON
- C08F—MACROMOLECULAR COMPOUNDS OBTAINED BY REACTIONS ONLY INVOLVING CARBON-TO-CARBON UNSATURATED BONDS
- C08F210/00—Copolymers of unsaturated aliphatic hydrocarbons having only one carbon-to-carbon double bond
- C08F210/16—Copolymers of ethene with alpha-alkenes, e.g. EP rubbers
-
- C—CHEMISTRY; METALLURGY
- C08—ORGANIC MACROMOLECULAR COMPOUNDS; THEIR PREPARATION OR CHEMICAL WORKING-UP; COMPOSITIONS BASED THEREON
- C08F—MACROMOLECULAR COMPOUNDS OBTAINED BY REACTIONS ONLY INVOLVING CARBON-TO-CARBON UNSATURATED BONDS
- C08F4/00—Polymerisation catalysts
- C08F4/42—Metals; Metal hydrides; Metallo-organic compounds; Use thereof as catalyst precursors
- C08F4/44—Metals; Metal hydrides; Metallo-organic compounds; Use thereof as catalyst precursors selected from light metals, zinc, cadmium, mercury, copper, silver, gold, boron, gallium, indium, thallium, rare earths or actinides
- C08F4/60—Metals; Metal hydrides; Metallo-organic compounds; Use thereof as catalyst precursors selected from light metals, zinc, cadmium, mercury, copper, silver, gold, boron, gallium, indium, thallium, rare earths or actinides together with refractory metals, iron group metals, platinum group metals, manganese, rhenium technetium or compounds thereof
- C08F4/62—Refractory metals or compounds thereof
- C08F4/64—Titanium, zirconium, hafnium or compounds thereof
- C08F4/659—Component covered by group C08F4/64 containing a transition metal-carbon bond
- C08F4/6592—Component covered by group C08F4/64 containing a transition metal-carbon bond containing at least one cyclopentadienyl ring, condensed or not, e.g. an indenyl or a fluorenyl ring
- C08F4/65922—Component covered by group C08F4/64 containing a transition metal-carbon bond containing at least one cyclopentadienyl ring, condensed or not, e.g. an indenyl or a fluorenyl ring containing at least two cyclopentadienyl rings, fused or not
- C08F4/65925—Component covered by group C08F4/64 containing a transition metal-carbon bond containing at least one cyclopentadienyl ring, condensed or not, e.g. an indenyl or a fluorenyl ring containing at least two cyclopentadienyl rings, fused or not two cyclopentadienyl rings being mutually non-bridged
-
- B—PERFORMING OPERATIONS; TRANSPORTING
- B32—LAYERED PRODUCTS
- B32B—LAYERED PRODUCTS, i.e. PRODUCTS BUILT-UP OF STRATA OF FLAT OR NON-FLAT, e.g. CELLULAR OR HONEYCOMB, FORM
- B32B27/00—Layered products comprising a layer of synthetic resin
- B32B27/32—Layered products comprising a layer of synthetic resin comprising polyolefins
-
- C—CHEMISTRY; METALLURGY
- C07—ORGANIC CHEMISTRY
- C07F—ACYCLIC, CARBOCYCLIC OR HETEROCYCLIC COMPOUNDS CONTAINING ELEMENTS OTHER THAN CARBON, HYDROGEN, HALOGEN, OXYGEN, NITROGEN, SULFUR, SELENIUM OR TELLURIUM
- C07F17/00—Metallocenes
-
- C—CHEMISTRY; METALLURGY
- C08—ORGANIC MACROMOLECULAR COMPOUNDS; THEIR PREPARATION OR CHEMICAL WORKING-UP; COMPOSITIONS BASED THEREON
- C08F—MACROMOLECULAR COMPOUNDS OBTAINED BY REACTIONS ONLY INVOLVING CARBON-TO-CARBON UNSATURATED BONDS
- C08F2/00—Processes of polymerisation
-
- C—CHEMISTRY; METALLURGY
- C08—ORGANIC MACROMOLECULAR COMPOUNDS; THEIR PREPARATION OR CHEMICAL WORKING-UP; COMPOSITIONS BASED THEREON
- C08F—MACROMOLECULAR COMPOUNDS OBTAINED BY REACTIONS ONLY INVOLVING CARBON-TO-CARBON UNSATURATED BONDS
- C08F2/00—Processes of polymerisation
- C08F2/34—Polymerisation in gaseous state
-
- C—CHEMISTRY; METALLURGY
- C08—ORGANIC MACROMOLECULAR COMPOUNDS; THEIR PREPARATION OR CHEMICAL WORKING-UP; COMPOSITIONS BASED THEREON
- C08F—MACROMOLECULAR COMPOUNDS OBTAINED BY REACTIONS ONLY INVOLVING CARBON-TO-CARBON UNSATURATED BONDS
- C08F210/00—Copolymers of unsaturated aliphatic hydrocarbons having only one carbon-to-carbon double bond
- C08F210/02—Ethene
-
- C—CHEMISTRY; METALLURGY
- C08—ORGANIC MACROMOLECULAR COMPOUNDS; THEIR PREPARATION OR CHEMICAL WORKING-UP; COMPOSITIONS BASED THEREON
- C08F—MACROMOLECULAR COMPOUNDS OBTAINED BY REACTIONS ONLY INVOLVING CARBON-TO-CARBON UNSATURATED BONDS
- C08F210/00—Copolymers of unsaturated aliphatic hydrocarbons having only one carbon-to-carbon double bond
- C08F210/16—Copolymers of ethene with alpha-alkenes, e.g. EP rubbers
- C08F210/18—Copolymers of ethene with alpha-alkenes, e.g. EP rubbers with non-conjugated dienes, e.g. EPT rubbers
-
- C—CHEMISTRY; METALLURGY
- C08—ORGANIC MACROMOLECULAR COMPOUNDS; THEIR PREPARATION OR CHEMICAL WORKING-UP; COMPOSITIONS BASED THEREON
- C08F—MACROMOLECULAR COMPOUNDS OBTAINED BY REACTIONS ONLY INVOLVING CARBON-TO-CARBON UNSATURATED BONDS
- C08F4/00—Polymerisation catalysts
- C08F4/42—Metals; Metal hydrides; Metallo-organic compounds; Use thereof as catalyst precursors
- C08F4/44—Metals; Metal hydrides; Metallo-organic compounds; Use thereof as catalyst precursors selected from light metals, zinc, cadmium, mercury, copper, silver, gold, boron, gallium, indium, thallium, rare earths or actinides
- C08F4/60—Metals; Metal hydrides; Metallo-organic compounds; Use thereof as catalyst precursors selected from light metals, zinc, cadmium, mercury, copper, silver, gold, boron, gallium, indium, thallium, rare earths or actinides together with refractory metals, iron group metals, platinum group metals, manganese, rhenium technetium or compounds thereof
- C08F4/62—Refractory metals or compounds thereof
- C08F4/64—Titanium, zirconium, hafnium or compounds thereof
- C08F4/643—Component covered by group C08F4/64 with a metal or compound covered by group C08F4/44 other than an organo-aluminium compound
- C08F4/6432—Component of C08F4/64 containing at least two different metals
-
- C—CHEMISTRY; METALLURGY
- C08—ORGANIC MACROMOLECULAR COMPOUNDS; THEIR PREPARATION OR CHEMICAL WORKING-UP; COMPOSITIONS BASED THEREON
- C08F—MACROMOLECULAR COMPOUNDS OBTAINED BY REACTIONS ONLY INVOLVING CARBON-TO-CARBON UNSATURATED BONDS
- C08F4/00—Polymerisation catalysts
- C08F4/42—Metals; Metal hydrides; Metallo-organic compounds; Use thereof as catalyst precursors
- C08F4/44—Metals; Metal hydrides; Metallo-organic compounds; Use thereof as catalyst precursors selected from light metals, zinc, cadmium, mercury, copper, silver, gold, boron, gallium, indium, thallium, rare earths or actinides
- C08F4/60—Metals; Metal hydrides; Metallo-organic compounds; Use thereof as catalyst precursors selected from light metals, zinc, cadmium, mercury, copper, silver, gold, boron, gallium, indium, thallium, rare earths or actinides together with refractory metals, iron group metals, platinum group metals, manganese, rhenium technetium or compounds thereof
- C08F4/62—Refractory metals or compounds thereof
- C08F4/64—Titanium, zirconium, hafnium or compounds thereof
- C08F4/659—Component covered by group C08F4/64 containing a transition metal-carbon bond
- C08F4/65904—Component covered by group C08F4/64 containing a transition metal-carbon bond in combination with another component of C08F4/64
-
- C—CHEMISTRY; METALLURGY
- C08—ORGANIC MACROMOLECULAR COMPOUNDS; THEIR PREPARATION OR CHEMICAL WORKING-UP; COMPOSITIONS BASED THEREON
- C08F—MACROMOLECULAR COMPOUNDS OBTAINED BY REACTIONS ONLY INVOLVING CARBON-TO-CARBON UNSATURATED BONDS
- C08F4/00—Polymerisation catalysts
- C08F4/42—Metals; Metal hydrides; Metallo-organic compounds; Use thereof as catalyst precursors
- C08F4/44—Metals; Metal hydrides; Metallo-organic compounds; Use thereof as catalyst precursors selected from light metals, zinc, cadmium, mercury, copper, silver, gold, boron, gallium, indium, thallium, rare earths or actinides
- C08F4/60—Metals; Metal hydrides; Metallo-organic compounds; Use thereof as catalyst precursors selected from light metals, zinc, cadmium, mercury, copper, silver, gold, boron, gallium, indium, thallium, rare earths or actinides together with refractory metals, iron group metals, platinum group metals, manganese, rhenium technetium or compounds thereof
- C08F4/62—Refractory metals or compounds thereof
- C08F4/64—Titanium, zirconium, hafnium or compounds thereof
- C08F4/659—Component covered by group C08F4/64 containing a transition metal-carbon bond
- C08F4/65912—Component covered by group C08F4/64 containing a transition metal-carbon bond in combination with an organoaluminium compound
-
- C—CHEMISTRY; METALLURGY
- C08—ORGANIC MACROMOLECULAR COMPOUNDS; THEIR PREPARATION OR CHEMICAL WORKING-UP; COMPOSITIONS BASED THEREON
- C08F—MACROMOLECULAR COMPOUNDS OBTAINED BY REACTIONS ONLY INVOLVING CARBON-TO-CARBON UNSATURATED BONDS
- C08F4/00—Polymerisation catalysts
- C08F4/42—Metals; Metal hydrides; Metallo-organic compounds; Use thereof as catalyst precursors
- C08F4/44—Metals; Metal hydrides; Metallo-organic compounds; Use thereof as catalyst precursors selected from light metals, zinc, cadmium, mercury, copper, silver, gold, boron, gallium, indium, thallium, rare earths or actinides
- C08F4/60—Metals; Metal hydrides; Metallo-organic compounds; Use thereof as catalyst precursors selected from light metals, zinc, cadmium, mercury, copper, silver, gold, boron, gallium, indium, thallium, rare earths or actinides together with refractory metals, iron group metals, platinum group metals, manganese, rhenium technetium or compounds thereof
- C08F4/62—Refractory metals or compounds thereof
- C08F4/64—Titanium, zirconium, hafnium or compounds thereof
- C08F4/659—Component covered by group C08F4/64 containing a transition metal-carbon bond
- C08F4/65916—Component covered by group C08F4/64 containing a transition metal-carbon bond supported on a carrier, e.g. silica, MgCl2, polymer
-
- C—CHEMISTRY; METALLURGY
- C08—ORGANIC MACROMOLECULAR COMPOUNDS; THEIR PREPARATION OR CHEMICAL WORKING-UP; COMPOSITIONS BASED THEREON
- C08F—MACROMOLECULAR COMPOUNDS OBTAINED BY REACTIONS ONLY INVOLVING CARBON-TO-CARBON UNSATURATED BONDS
- C08F4/00—Polymerisation catalysts
- C08F4/42—Metals; Metal hydrides; Metallo-organic compounds; Use thereof as catalyst precursors
- C08F4/44—Metals; Metal hydrides; Metallo-organic compounds; Use thereof as catalyst precursors selected from light metals, zinc, cadmium, mercury, copper, silver, gold, boron, gallium, indium, thallium, rare earths or actinides
- C08F4/60—Metals; Metal hydrides; Metallo-organic compounds; Use thereof as catalyst precursors selected from light metals, zinc, cadmium, mercury, copper, silver, gold, boron, gallium, indium, thallium, rare earths or actinides together with refractory metals, iron group metals, platinum group metals, manganese, rhenium technetium or compounds thereof
- C08F4/62—Refractory metals or compounds thereof
- C08F4/64—Titanium, zirconium, hafnium or compounds thereof
- C08F4/659—Component covered by group C08F4/64 containing a transition metal-carbon bond
- C08F4/6592—Component covered by group C08F4/64 containing a transition metal-carbon bond containing at least one cyclopentadienyl ring, condensed or not, e.g. an indenyl or a fluorenyl ring
- C08F4/65922—Component covered by group C08F4/64 containing a transition metal-carbon bond containing at least one cyclopentadienyl ring, condensed or not, e.g. an indenyl or a fluorenyl ring containing at least two cyclopentadienyl rings, fused or not
- C08F4/65927—Component covered by group C08F4/64 containing a transition metal-carbon bond containing at least one cyclopentadienyl ring, condensed or not, e.g. an indenyl or a fluorenyl ring containing at least two cyclopentadienyl rings, fused or not two cyclopentadienyl rings being mutually bridged
-
- C—CHEMISTRY; METALLURGY
- C08—ORGANIC MACROMOLECULAR COMPOUNDS; THEIR PREPARATION OR CHEMICAL WORKING-UP; COMPOSITIONS BASED THEREON
- C08F—MACROMOLECULAR COMPOUNDS OBTAINED BY REACTIONS ONLY INVOLVING CARBON-TO-CARBON UNSATURATED BONDS
- C08F4/00—Polymerisation catalysts
- C08F4/42—Metals; Metal hydrides; Metallo-organic compounds; Use thereof as catalyst precursors
- C08F4/72—Metals; Metal hydrides; Metallo-organic compounds; Use thereof as catalyst precursors selected from metals not provided for in group C08F4/44
- C08F4/74—Metals; Metal hydrides; Metallo-organic compounds; Use thereof as catalyst precursors selected from metals not provided for in group C08F4/44 selected from refractory metals
- C08F4/76—Metals; Metal hydrides; Metallo-organic compounds; Use thereof as catalyst precursors selected from metals not provided for in group C08F4/44 selected from refractory metals selected from titanium, zirconium, hafnium, vanadium, niobium or tantalum
-
- C—CHEMISTRY; METALLURGY
- C08—ORGANIC MACROMOLECULAR COMPOUNDS; THEIR PREPARATION OR CHEMICAL WORKING-UP; COMPOSITIONS BASED THEREON
- C08J—WORKING-UP; GENERAL PROCESSES OF COMPOUNDING; AFTER-TREATMENT NOT COVERED BY SUBCLASSES C08B, C08C, C08F, C08G or C08H
- C08J5/00—Manufacture of articles or shaped materials containing macromolecular substances
- C08J5/18—Manufacture of films or sheets
-
- C—CHEMISTRY; METALLURGY
- C08—ORGANIC MACROMOLECULAR COMPOUNDS; THEIR PREPARATION OR CHEMICAL WORKING-UP; COMPOSITIONS BASED THEREON
- C08F—MACROMOLECULAR COMPOUNDS OBTAINED BY REACTIONS ONLY INVOLVING CARBON-TO-CARBON UNSATURATED BONDS
- C08F210/00—Copolymers of unsaturated aliphatic hydrocarbons having only one carbon-to-carbon double bond
- C08F210/04—Monomers containing three or four carbon atoms
- C08F210/08—Butenes
-
- C—CHEMISTRY; METALLURGY
- C08—ORGANIC MACROMOLECULAR COMPOUNDS; THEIR PREPARATION OR CHEMICAL WORKING-UP; COMPOSITIONS BASED THEREON
- C08F—MACROMOLECULAR COMPOUNDS OBTAINED BY REACTIONS ONLY INVOLVING CARBON-TO-CARBON UNSATURATED BONDS
- C08F210/00—Copolymers of unsaturated aliphatic hydrocarbons having only one carbon-to-carbon double bond
- C08F210/14—Monomers containing five or more carbon atoms
-
- C—CHEMISTRY; METALLURGY
- C08—ORGANIC MACROMOLECULAR COMPOUNDS; THEIR PREPARATION OR CHEMICAL WORKING-UP; COMPOSITIONS BASED THEREON
- C08F—MACROMOLECULAR COMPOUNDS OBTAINED BY REACTIONS ONLY INVOLVING CARBON-TO-CARBON UNSATURATED BONDS
- C08F2410/00—Features related to the catalyst preparation, the catalyst use or to the deactivation of the catalyst
- C08F2410/01—Additive used together with the catalyst, excluding compounds containing Al or B
-
- C—CHEMISTRY; METALLURGY
- C08—ORGANIC MACROMOLECULAR COMPOUNDS; THEIR PREPARATION OR CHEMICAL WORKING-UP; COMPOSITIONS BASED THEREON
- C08F—MACROMOLECULAR COMPOUNDS OBTAINED BY REACTIONS ONLY INVOLVING CARBON-TO-CARBON UNSATURATED BONDS
- C08F2410/00—Features related to the catalyst preparation, the catalyst use or to the deactivation of the catalyst
- C08F2410/02—Anti-static agent incorporated into the catalyst
-
- C—CHEMISTRY; METALLURGY
- C08—ORGANIC MACROMOLECULAR COMPOUNDS; THEIR PREPARATION OR CHEMICAL WORKING-UP; COMPOSITIONS BASED THEREON
- C08F—MACROMOLECULAR COMPOUNDS OBTAINED BY REACTIONS ONLY INVOLVING CARBON-TO-CARBON UNSATURATED BONDS
- C08F2420/00—Metallocene catalysts
-
- C—CHEMISTRY; METALLURGY
- C08—ORGANIC MACROMOLECULAR COMPOUNDS; THEIR PREPARATION OR CHEMICAL WORKING-UP; COMPOSITIONS BASED THEREON
- C08F—MACROMOLECULAR COMPOUNDS OBTAINED BY REACTIONS ONLY INVOLVING CARBON-TO-CARBON UNSATURATED BONDS
- C08F2420/00—Metallocene catalysts
- C08F2420/01—Cp or analog bridged to a non-Cp X neutral donor
-
- C—CHEMISTRY; METALLURGY
- C08—ORGANIC MACROMOLECULAR COMPOUNDS; THEIR PREPARATION OR CHEMICAL WORKING-UP; COMPOSITIONS BASED THEREON
- C08F—MACROMOLECULAR COMPOUNDS OBTAINED BY REACTIONS ONLY INVOLVING CARBON-TO-CARBON UNSATURATED BONDS
- C08F2420/00—Metallocene catalysts
- C08F2420/08—Heteroatom bridge, i.e. Cp or analog where the bridging atom linking the two Cps or analogs is a heteroatom different from Si
-
- C—CHEMISTRY; METALLURGY
- C08—ORGANIC MACROMOLECULAR COMPOUNDS; THEIR PREPARATION OR CHEMICAL WORKING-UP; COMPOSITIONS BASED THEREON
- C08F—MACROMOLECULAR COMPOUNDS OBTAINED BY REACTIONS ONLY INVOLVING CARBON-TO-CARBON UNSATURATED BONDS
- C08F2420/00—Metallocene catalysts
- C08F2420/12—Long bridge, i.e. Cp or analog where the bridging unit linking the two Cps or analogs is composed of at least two atoms which are not part of a cycle and which are not an ethylene bridge
-
- C—CHEMISTRY; METALLURGY
- C08—ORGANIC MACROMOLECULAR COMPOUNDS; THEIR PREPARATION OR CHEMICAL WORKING-UP; COMPOSITIONS BASED THEREON
- C08F—MACROMOLECULAR COMPOUNDS OBTAINED BY REACTIONS ONLY INVOLVING CARBON-TO-CARBON UNSATURATED BONDS
- C08F2500/00—Characteristics or properties of obtained polyolefins; Use thereof
- C08F2500/01—High molecular weight, e.g. >800,000 Da.
-
- C—CHEMISTRY; METALLURGY
- C08—ORGANIC MACROMOLECULAR COMPOUNDS; THEIR PREPARATION OR CHEMICAL WORKING-UP; COMPOSITIONS BASED THEREON
- C08F—MACROMOLECULAR COMPOUNDS OBTAINED BY REACTIONS ONLY INVOLVING CARBON-TO-CARBON UNSATURATED BONDS
- C08F2500/00—Characteristics or properties of obtained polyolefins; Use thereof
- C08F2500/02—Low molecular weight, e.g. <100,000 Da.
-
- C—CHEMISTRY; METALLURGY
- C08—ORGANIC MACROMOLECULAR COMPOUNDS; THEIR PREPARATION OR CHEMICAL WORKING-UP; COMPOSITIONS BASED THEREON
- C08F—MACROMOLECULAR COMPOUNDS OBTAINED BY REACTIONS ONLY INVOLVING CARBON-TO-CARBON UNSATURATED BONDS
- C08F2500/00—Characteristics or properties of obtained polyolefins; Use thereof
- C08F2500/03—Narrow molecular weight distribution, i.e. Mw/Mn < 3
-
- C—CHEMISTRY; METALLURGY
- C08—ORGANIC MACROMOLECULAR COMPOUNDS; THEIR PREPARATION OR CHEMICAL WORKING-UP; COMPOSITIONS BASED THEREON
- C08F—MACROMOLECULAR COMPOUNDS OBTAINED BY REACTIONS ONLY INVOLVING CARBON-TO-CARBON UNSATURATED BONDS
- C08F2500/00—Characteristics or properties of obtained polyolefins; Use thereof
- C08F2500/08—Low density, i.e. < 0.91 g/cm3
-
- C—CHEMISTRY; METALLURGY
- C08—ORGANIC MACROMOLECULAR COMPOUNDS; THEIR PREPARATION OR CHEMICAL WORKING-UP; COMPOSITIONS BASED THEREON
- C08F—MACROMOLECULAR COMPOUNDS OBTAINED BY REACTIONS ONLY INVOLVING CARBON-TO-CARBON UNSATURATED BONDS
- C08F2500/00—Characteristics or properties of obtained polyolefins; Use thereof
- C08F2500/09—Long chain branches
-
- C—CHEMISTRY; METALLURGY
- C08—ORGANIC MACROMOLECULAR COMPOUNDS; THEIR PREPARATION OR CHEMICAL WORKING-UP; COMPOSITIONS BASED THEREON
- C08F—MACROMOLECULAR COMPOUNDS OBTAINED BY REACTIONS ONLY INVOLVING CARBON-TO-CARBON UNSATURATED BONDS
- C08F2500/00—Characteristics or properties of obtained polyolefins; Use thereof
- C08F2500/10—Short chain branches
-
- C—CHEMISTRY; METALLURGY
- C08—ORGANIC MACROMOLECULAR COMPOUNDS; THEIR PREPARATION OR CHEMICAL WORKING-UP; COMPOSITIONS BASED THEREON
- C08F—MACROMOLECULAR COMPOUNDS OBTAINED BY REACTIONS ONLY INVOLVING CARBON-TO-CARBON UNSATURATED BONDS
- C08F2500/00—Characteristics or properties of obtained polyolefins; Use thereof
- C08F2500/11—Melt tension or melt strength
-
- C—CHEMISTRY; METALLURGY
- C08—ORGANIC MACROMOLECULAR COMPOUNDS; THEIR PREPARATION OR CHEMICAL WORKING-UP; COMPOSITIONS BASED THEREON
- C08F—MACROMOLECULAR COMPOUNDS OBTAINED BY REACTIONS ONLY INVOLVING CARBON-TO-CARBON UNSATURATED BONDS
- C08F2500/00—Characteristics or properties of obtained polyolefins; Use thereof
- C08F2500/12—Melt flow index or melt flow ratio
-
- C—CHEMISTRY; METALLURGY
- C08—ORGANIC MACROMOLECULAR COMPOUNDS; THEIR PREPARATION OR CHEMICAL WORKING-UP; COMPOSITIONS BASED THEREON
- C08F—MACROMOLECULAR COMPOUNDS OBTAINED BY REACTIONS ONLY INVOLVING CARBON-TO-CARBON UNSATURATED BONDS
- C08F2500/00—Characteristics or properties of obtained polyolefins; Use thereof
- C08F2500/13—Environmental stress cracking resistance
-
- C—CHEMISTRY; METALLURGY
- C08—ORGANIC MACROMOLECULAR COMPOUNDS; THEIR PREPARATION OR CHEMICAL WORKING-UP; COMPOSITIONS BASED THEREON
- C08F—MACROMOLECULAR COMPOUNDS OBTAINED BY REACTIONS ONLY INVOLVING CARBON-TO-CARBON UNSATURATED BONDS
- C08F2500/00—Characteristics or properties of obtained polyolefins; Use thereof
- C08F2500/18—Bulk density
-
- C—CHEMISTRY; METALLURGY
- C08—ORGANIC MACROMOLECULAR COMPOUNDS; THEIR PREPARATION OR CHEMICAL WORKING-UP; COMPOSITIONS BASED THEREON
- C08F—MACROMOLECULAR COMPOUNDS OBTAINED BY REACTIONS ONLY INVOLVING CARBON-TO-CARBON UNSATURATED BONDS
- C08F2800/00—Copolymer characterised by the proportions of the comonomers expressed
- C08F2800/20—Copolymer characterised by the proportions of the comonomers expressed as weight or mass percentages
-
- C—CHEMISTRY; METALLURGY
- C08—ORGANIC MACROMOLECULAR COMPOUNDS; THEIR PREPARATION OR CHEMICAL WORKING-UP; COMPOSITIONS BASED THEREON
- C08J—WORKING-UP; GENERAL PROCESSES OF COMPOUNDING; AFTER-TREATMENT NOT COVERED BY SUBCLASSES C08B, C08C, C08F, C08G or C08H
- C08J2323/00—Characterised by the use of homopolymers or copolymers of unsaturated aliphatic hydrocarbons having only one carbon-to-carbon double bond; Derivatives of such polymers
- C08J2323/02—Characterised by the use of homopolymers or copolymers of unsaturated aliphatic hydrocarbons having only one carbon-to-carbon double bond; Derivatives of such polymers not modified by chemical after treatment
- C08J2323/04—Homopolymers or copolymers of ethene
- C08J2323/08—Copolymers of ethene
-
- C—CHEMISTRY; METALLURGY
- C08—ORGANIC MACROMOLECULAR COMPOUNDS; THEIR PREPARATION OR CHEMICAL WORKING-UP; COMPOSITIONS BASED THEREON
- C08L—COMPOSITIONS OF MACROMOLECULAR COMPOUNDS
- C08L23/00—Compositions of homopolymers or copolymers of unsaturated aliphatic hydrocarbons having only one carbon-to-carbon double bond; Compositions of derivatives of such polymers
- C08L23/02—Compositions of homopolymers or copolymers of unsaturated aliphatic hydrocarbons having only one carbon-to-carbon double bond; Compositions of derivatives of such polymers not modified by chemical after-treatment
- C08L23/04—Homopolymers or copolymers of ethene
- C08L23/08—Copolymers of ethene
- C08L23/0807—Copolymers of ethene with unsaturated hydrocarbons only containing four or more carbon atoms
- C08L23/0815—Copolymers of ethene with unsaturated hydrocarbons only containing four or more carbon atoms with aliphatic 1-olefins containing one carbon-to-carbon double bond
-
- Y—GENERAL TAGGING OF NEW TECHNOLOGICAL DEVELOPMENTS; GENERAL TAGGING OF CROSS-SECTIONAL TECHNOLOGIES SPANNING OVER SEVERAL SECTIONS OF THE IPC; TECHNICAL SUBJECTS COVERED BY FORMER USPC CROSS-REFERENCE ART COLLECTIONS [XRACs] AND DIGESTS
- Y02—TECHNOLOGIES OR APPLICATIONS FOR MITIGATION OR ADAPTATION AGAINST CLIMATE CHANGE
- Y02P—CLIMATE CHANGE MITIGATION TECHNOLOGIES IN THE PRODUCTION OR PROCESSING OF GOODS
- Y02P20/00—Technologies relating to chemical industry
- Y02P20/50—Improvements relating to the production of bulk chemicals
- Y02P20/52—Improvements relating to the production of bulk chemicals using catalysts, e.g. selective catalysts
Definitions
- Ethylene alpha-olefin (polyethylene) copolymers are typically produced in a low pressure reactor, utilizing, for example, solution, slurry, or gas phase polymerization processes. Polymerization takes place in the presence of catalyst systems such as those employing, for example, a Ziegler-Natta catalyst, a chromium based catalyst, a metallocene catalyst, or combinations thereof.
- catalyst systems such as those employing, for example, a Ziegler-Natta catalyst, a chromium based catalyst, a metallocene catalyst, or combinations thereof.
- a number of catalyst compositions containing single site, e.g., metallocene, catalysts have been used to prepare polyethylene copolymers, producing relatively homogeneous copolymers at good polymerization rates.
- single site catalyst compositions such as metallocene catalysts
- Single site catalysts are catalytic compounds in which each catalyst molecule contains one or only a few polymerization sites.
- Single site catalysts often produce polyethylene copolymers that have a narrow molecular weight distribution. Although there are single site catalysts that can produce broader molecular weight distributions, these catalysts often show a narrowing of the molecular weight distribution as the reaction temperature is increased, for example, to increase production rates.
- a single site catalyst will often incorporate comonomer among the molecules of the polyethylene copolymer at a relatively uniform rate. The molecular weight distribution and the amount of comonomer incorporation can be used to determine a composition distribution.
- composition distribution of an ethylene alpha-olefin copolymer refers to the distribution of comonomer, which form short chain branches, among the molecules that comprise the polyethylene polymer.
- the resin is said to have a “broad” composition distribution.
- the amount of comonomer per 1000 carbons is similar among the polyethylene molecules of different chain lengths, the composition distribution is said to be “narrow”.
- composition distribution is known to influence the properties of copolymers, for example, stiffness, toughness, extractable content, environmental stress crack resistance, and heat sealing, among other properties.
- the composition distribution of a polyolefin may be readily measured by methods known in the art, for example, Temperature Raising Elution Fractionation (TREF) or Crystallization Analysis Fractionation (CRYSTAF).
- Resins having a broad orthogonal composition distribution in which the comonomer is incorporated predominantly in the high molecular weight chains can lead to improved physical properties, for example toughness properties and environmental stress crack resistance (ESCR). Because of the improved physical properties of resins with orthogonal composition distributions needed for commercially desirable products, there exists a need for controlled techniques for forming polyethylene copolymers having a broad orthogonal composition distribution.
- BOCD broad orthogonal composition distribution
- ESCR environmental stress crack resistance
- An exemplary embodiment described herein provides a method of polymerizing olefins to produce a polyolefin polymer with a multimodal composition distribution, including contacting ethylene and a comonomer with a catalyst system.
- the catalyst system includes a first catalyst compound and a second catalyst compound that are co-supported to form a commonly supported catalyst system.
- the first catalyst compound includes a compound with the following formula:
- each R 1 is independently H, a hydrocarbyl group, a substituted hydrocarbyl group, or a heteroatom group
- each R 2 is independently H, a hydrocarbyl group, a substituted hydrocarbyl group, or a heteroatom group
- at least one R 1 and at least one R 2 is a hydrocarbyl or substituted hydrocarbyl group; adjacent groups R 1 and R 2 groups may be coupled to form a ring;
- each X is independently a leaving group selected from a labile hydrocarbyl, substituted hydrocarbyl, or heteroatom group, or a divalent radical that links to an R 1 or R 2 group.
- the second catalyst compound includes at least one of the following formulas:
- each R 3 is independently H, a hydrocarbyl group, a substituted hydrocarbyl group, or a heteroatom group
- R 4 is a hydrocarbyl group, a substituted hydrocarbyl group, or a heteoatom group
- each R 5 is independently H, a hydrocarbyl group, a substituted hydrocarbyl group, or a heteroatom group
- R 3 , R 4 , and R 5 may be the same or different
- R 3 , R 4 , or R 5 groups may be joined with R 3 , R 4 , or R 5 groups on an opposing cyclopentadienyl structure to form one or more bridges if the number of atoms connecting the two cyclopentadienyl rings is ⁇ 3
- each X is independently a leaving group selected from a labile hydrocarbyl, substituted hydrocarbyl, or heteroatom group.
- Another embodiment provides a catalyst composition including a first catalyst compound and a second catalyst compound that are co-supported forming a commonly supported catalyst system.
- the first catalyst compound includes a compound with the following formula:
- each R 1 is independently H, a hydrocarbyl group, a substituted hydrocarbyl group, or a heteroatom group
- each R 2 is independently a H, hydrocarbyl group, a substituted hydrocarbyl group, or a heteroatom group
- at least one R 1 and at least one R 2 is a hydrocarbyl or substituted hydrocarbyl group; adjacent groups R 1 and R 2 groups may be coupled to form a ring;
- each X is independently a leaving group selected from a labile hydrocarbyl, substituted hydrocarbyl, or heteroatom group, or a divalent radical that links to an R 1 or R 2 group.
- the second catalyst compound includes at least one of the following formulas:
- each R 3 is independently H, a hydrocarbyl group, a substituted hydrocarbyl group, or a heteroatom group
- R 4 is a hydrocarbyl group, a substituted hydrocarbyl group, or a heteoatom group
- each R 5 is independently H, a hydrocarbyl group, a substituted hydrocarbyl group, or a heteroatom group
- R 3 , R 4 , and R 5 may be the same or different
- R 3 , R 4 , or R 5 groups may be joined with R 3 , R 4 , or R 5 groups on an opposing cyclopentadienyl structure to form one or more bridges if the number of atoms connecting the two cyclopentadienyl rings is ⁇ 3
- each X is independently a leaving group selected from a labile hydrocarbyl, substituted hydrocarbyl, or heteroatom group.
- X may be a divalent radical that links to a R 3 , R 4 , or
- FIG. 1 is a schematic of a gas-phase reactor system, showing the addition of at least two catalysts, at least one of which is added as a trim catalyst.
- FIG. 2 is a plot of a series of polymers that were prepared to test the relative abilities of a series of metallocene catalysts to prepare a resin having about a 1 melt index (MI) and a density (D) of about 0.92.
- MI melt index
- D density
- FIG. 3 is a plot of the series of polymers of FIG. 2 , showing the melt index ratio (MIR) of the series of polymers made by different metallocene (MCN) catalysts.
- MIR melt index ratio
- FIG. 4 is a flow chart of a method for making a co-supported polymerization catalyst.
- a pre-catalyst is a catalyst compound prior to exposure to activator.
- LLDPE linear low-density polyethylene film
- an ethylene hexene copolymer with a molecular weight of between about 90 Kg/mol and 110 Kg/mol, or about 100 Kg/mol and an average density of between about 0.9 and 0.925, or about 0.918.
- the typical MWD for linear metallocene resins is 2.5-3.5.
- Blend studies indicate that it would be desirable to broaden this distribution by employing two catalysts that each provides different average molecular weights.
- the ratio of the Mw for the low molecular weight component and the high molecular weight component would be between 1:1 and 1:10, or about 1:2 and 1:5.
- the density of a polyethylene copolymer provides an indication of the incorporation of comonomer into a polymer, with lower densities indicating higher incorporation.
- the difference in the densities of the low molecular weight (LMW) component and the high molecular weight (HMW) component would preferably be greater than about 0.02, or greater than about 0.04 with the HMW component having a lower density than the LMW component.
- LMW low molecular weight
- HMW high molecular weight
- the difference in density requires around around around a 1.5:1 or preferably about 2:1, or more preferably about 3:1 or more preferably a 4:1 or even a greater than 4:1 difference in comonomer incorporation ability.
- LCB long chain branching
- MWD and SCBD can be adjusted by changing the relative amount of the two pre-catalysts on the support. This may be adjusted during the formation of the pre-catalysts, for example, by supporting two catalysts on a single support.
- the relative amounts of the pre-catalysts can be adjusted by adding one of the components to a catalyst mixture en-route to the reactor in a process termed “trim.” Feedback of polymer property data can be used to control the amount of catalyst addition.
- MNs Metallocenes
- a variety of resins with different MWD, SCBD, and LCBD may be prepared from a limited number of catalysts.
- the pre-catalysts should trim well onto activator supports. Two parameters that benefit this are solubility in alkane solvents and rapid supportation on the catalyst slurry en-route to the reactor. This favors the use of MCNs to achieve controlled MWD, SCBD, and LCBD. Techniques for selecting catalysts that can be used to generate targeted molecular weight compositions, including BOCD polymer systems, are disclosed herein.
- the first section discusses catalyst compounds that can be used in embodiments.
- the second section discusses generating catalyst slurrys that may be used for implementing the techniques described.
- the third section discusses catalyst supports that may be used.
- the fourth section discusses catalyst activators that may be used.
- the fifth section discusses the catalyst component solutions that may be used to add additional catalysts in trim systems.
- Gas phase polymerizations may use static control or continuity agents, which are discussed in the sixth section.
- a gas-phase polymerization reactor with a trim feed system is discussed in the seventh section.
- the use of the catalyst composition to control product properties is discussed in an eighth section and an exemplary polymerization process is discussed in a ninth section. Examples of the implementation of the procedures discussed is incorporated into a tenth section.
- Metallocene catalyst compounds can include “half sandwich” and/or “full sandwich” compounds having one or more Cp ligands (cyclopentadienyl and ligands isolobal to cyclopentadienyl) bound to at least one Group 3 to Group 12 metal atom, and one or more leaving group(s) bound to the at least one metal atom.
- the Cp ligands are one or more rings or ring system(s), at least a portion of which includes ⁇ -bonded systems, such as cycloalkadienyl ligands and heterocyclic analogues.
- the ring(s) or ring system(s) typically include atoms selected from the group consisting of Groups 13 to 16 atoms, and, in a particular exemplary embodiment, the atoms that make up the Cp ligands are selected from the group consisting of carbon, nitrogen, oxygen, silicon, sulfur, phosphorous, germanium, boron, aluminum, and combinations thereof, where carbon makes up at least 50% of the ring members.
- the Cp ligand(s) are selected from the group consisting of substituted and unsubstituted cyclopentadienyl ligands and ligands isolobal to cyclopentadienyl, non-limiting examples of which include cyclopentadienyl, indenyl, fluorenyl and other structures.
- Such ligands include cyclopentadienyl, cyclopentaphenanthreneyl, indenyl, benzindenyl, fluorenyl, octahydrofluorenyl, cyclooctatetraenyl, cyclopentacyclododecene, phenanthrindenyl, 3,4-benzofluorenyl, 9-phenylfluorenyl, 8-H-cyclopent[a]acenaphthylenyl, 7-H-dibenzofluorenyl, indeno[1,2-9]anthrene, thiophenoindenyl, thiophenofluorenyl, hydrogenated versions thereof (e.g., 4,5,6,7-tetrahydroindenyl, or “H 4 Ind”), substituted versions thereof (as discussed and described in more detail below), and heterocyclic versions thereof.
- H 4 Ind hydrogenated versions thereof
- the metal atom “M” of the metallocene catalyst compound can be selected from the group consisting of Groups 3 through 12 atoms and lanthanide Group atoms in one exemplary embodiment; and selected from the group consisting of Groups 3 through 10 atoms in a more particular exemplary embodiment, and selected from the group consisting of Sc, Ti, Zr, Hf, V, Nb, Ta, Mn, Re, Fe, Ru, Os, Co, Rh, Ir, and Ni in yet a more particular exemplary embodiment; and selected from the group consisting of Groups 4, 5, and 6 atoms in yet a more particular exemplary embodiment, and Ti, Zr, Hf atoms in yet a more particular exemplary embodiment, and Hf in yet a more particular exemplary embodiment.
- the oxidation state of the metal atom “M” can range from 0 to +7 in one exemplary embodiment; and in a more particular exemplary embodiment, can be +1, +2, +3, +4, or +5; and in yet a more particular exemplary embodiment can be +2, +3 or +4.
- the groups bound to the metal atom “M” are such that the compounds described below in the formulas and structures are electrically neutral, unless otherwise indicated.
- the Cp ligand forms at least one chemical bond with the metal atom M to form the “metallocene catalyst compound.”
- the Cp ligands are distinct from the leaving groups bound to the catalyst compound in that they are not highly susceptible to substitution/abstraction reactions.
- the one or more metallocene catalyst compounds can be represented by the formula (I):
- the ligands represented by Cp A and Cp B in formula (I) can be the same or different cyclopentadienyl ligands or ligands isolobal to cyclopentadienyl, either or both of which can contain heteroatoms and either or both of which can be substituted by a group R.
- Cp A and Cp B are independently selected from the group consisting of cyclopentadienyl, indenyl, tetrahydroindenyl, fluorenyl, and substituted derivatives of each.
- each Cp A and Cp B of formula (I) can be unsubstituted or substituted with any one or combination of substituent groups R.
- substituent groups R as used in structure (I) as well as ring substituents in structures Va-d, discussed and described below, include groups selected from the group consisting of hydrogen radicals, alkyls, alkenyls, alkynyls, cycloalkyls, aryls, acyls, aroyls, alkoxys, aryloxys, alkylthiols, dialkylamines, alkylamidos, alkoxycarbonyls, aryloxycarbonyls, carbomoyls, alkyl- and dialkyl-carbamoyls, acyloxys, acylaminos, aroylaminos, and combinations thereof.
- alkyl substituents R associated with formulas (I) through (Va-d) include methyl, ethyl, propyl, butyl, pentyl, hexyl, cyclopentyl, cyclohexyl, benzyl, phenyl, methylphenyl, and tert-butylphenyl groups and the like, including all their isomers, for example, tertiary-butyl, isopropyl, and the like.
- hydrocarbyl substituents, or groups are made up of between 1 and 100 or more carbon atoms, the remainder being hydrogen.
- Non-limiting examples of hydrocarbyl substituents include linear or branched or cyclic: alkyl radicals; alkenyl radicals; alkynyl radicals; cycloalkyl radicals; aryl radicals; alkylene radicals, or a combination thereof.
- Non-limiting examples include methyl, ethyl, propyl, butyl, pentyl, hexyl, cyclopentyl, cyclohexyl; olefinically unsaturated substituents including vinyl-terminated ligands (for example but-3-enyl, prop-2-enyl, hex-5-enyl and the like), benzyl or phenyl groups and the like, including all their isomers, for example tertiary butyl, isopropyl, and the like.
- substituted hydrocarbyl substituents, or groups are made up of between 1 and 100 or more carbon atoms, the remainder being hydrogen, fluorine, chlorine, bromine, iodine, oxygen, sulfur, nitrogen, phosphorous, boron, silicon, germanium or tin atoms or other atom systems tolerant of olefin polymerization systems.
- Substituted hydrocarbyl substituents are carbon based radicals.
- Non-limiting examples of substituted hydrocarbyl substituents trifluoromethyl radical, trimethylsilanemethyl (Me3SiCH 2-) radicals.
- heteroatom substituents are fluorine, chlorine, bromine, iodine, oxygen, sulfur, nitrogen, phosphorous, boron, silicon, germanium or tin based radicals. They may be the heteroatom atom by itself. Further, heteroatom substituents include organometalloid radicals.
- heteroatom substituents include chloro radicals, fluoro radicals, methoxy radicals, diphenyl amino radicals, thioalkyls, thioalkenyls, trimethylsilyl radicals, dimethyl aluminum radicals, alkoxydihydrocarbylsilyl radicals, siloxydiydrocabylsilyl radicals, tris(perflourophenyl)boron and the like.
- radicals include substituted alkyls and aryls such as, for example, fluoromethyl, fluroethyl, difluroethyl, iodopropyl, bromohexyl, chlorobenzyl, hydrocarbyl substituted organometalloid radicals including trimethylsilyl, trimethylgermyl, methyldiethylsilyl, and the like, and halocarbyl-substituted organometalloid radicals, including tris(trifluoromethyl)silyl, methylbis(difluoromethyl)silyl, bromomethyldimethylgermyl and the like; and disubstituted boron radicals including dimethylboron, for example; and disubstituted Group 15 radicals including dimethylamine, dimethylphosphine, diphenylamine, methylphenylphosphine, as well as Group 16 radicals including methoxy, ethoxy, propoxy, phenoxy, methyl
- substituent groups R include, but are not limited to, olefins such as olefinically unsaturated substituents including vinyl-terminated ligands such as, for example, 3-butenyl, 2-propenyl, 5-hexenyl, and the like.
- olefins such as olefinically unsaturated substituents including vinyl-terminated ligands such as, for example, 3-butenyl, 2-propenyl, 5-hexenyl, and the like.
- at least two R groups are joined to form a ring structure having from 3 to 30 atoms selected from the group consisting of carbon, nitrogen, oxygen, phosphorous, silicon, germanium, aluminum, boron, and combinations thereof.
- a substituent group R such as 1-butanyl can form a bonding association to the element M.
- Each X in the formula (I) above and for the formula/structures (II) through (Va-d) below is independently selected from the group consisting of: any leaving group, in one exemplary embodiment; halogen ions, hydrides, C 1 to C 12 alkyls, C 2 to C 12 alkenyls, C 6 to C 12 aryls, C 7 to C 20 alkylaryls, C 1 to C 12 alkoxys, C 6 to C 16 aryloxys, C 7 to C 8 alkylaryloxys, C 1 to C 12 fluoroalkyls, C 6 to C 12 fluoroaryls, and C 1 to C 12 heteroatom-containing hydrocarbons and substituted derivatives thereof, in a more particular exemplary embodiment; hydride, halogen ions, C 1 to C 6 alkyls, C 2 to C 6 alkenyls, C 7 to Cis alkylaryls, C 1 to C 6 alkoxys, C 6 to C 14 aryloxys, C 7 to
- X groups include amines, phosphines, ethers, carboxylates, dienes, hydrocarbon radicals having from 1 to 20 carbon atoms, fluorinated hydrocarbon radicals (e.g., —C 6 F 5 (pentafluorophenyl)), fluorinated alkylcarboxylates (e.g., CF 3 C(O)O ⁇ ), hydrides, halogen ions and combinations thereof.
- fluorinated hydrocarbon radicals e.g., —C 6 F 5 (pentafluorophenyl)
- fluorinated alkylcarboxylates e.g., CF 3 C(O)O ⁇
- hydrides halogen ions and combinations thereof.
- X ligands include alkyl groups such as cyclobutyl, cyclohexyl, methyl, heptyl, tolyl, trifluoromethyl, tetramethylene, pentamethylene, methylidene, methyoxy, ethyoxy, propoxy, phenoxy, bis(N-methylanilide), dimethylamide, dimethylphosphide radicals and the like.
- two or more X's form a part of a fused ring or ring system.
- X can be a leaving group selected from the group consisting of chloride ions, bromide ions, C 1 to C 10 alkyls, and C 2 to C 12 alkenyls, carboxylates, acetylacetonates, and alkoxides.
- the metallocene catalyst compound includes those of formula (I) where Cp A and Cp B are bridged to each other by at least one bridging group, (A), such that the structure is represented by formula (II):
- bridged metallocenes These bridged compounds represented by formula (II) are known as “bridged metallocenes.”
- the elements Cp A , Cp B , M, X and n in structure (II) are as defined above for formula (I); where each Cp ligand is chemically bonded to M, and (A) is chemically bonded to each Cp.
- the bridging group (A) can include divalent hydrocarbon groups containing at least one Group 13 to 16 atom, such as, but not limited to, at least one of a carbon, oxygen, nitrogen, silicon, aluminum, boron, germanium, tin atom, and combinations thereof, where the heteroatom can also be C 1 to C 12 alkyl or aryl substituted to satisfy neutral valency.
- the bridging group (A) can also include substituent groups R as defined above (for formula (I)) including halogen radicals and iron.
- the bridging group (A) can be represented by C 1 to C 6 alkylenes, substituted C 1 to C 6 alkylenes, oxygen, sulfur, R′ 2 C ⁇ , R′ 2 Si ⁇ , ⁇ Si(R′) 2 Si(R′ 2 ) ⁇ , R′ 2 Ge ⁇ , and R′P ⁇ , where “ ⁇ ” represents two chemical bonds, R′ is independently selected from the group consisting of hydride, hydrocarbyl, substituted hydrocarbyl, halocarbyl, substituted halocarbyl, hydrocarbyl-substituted organometalloid, halocarbyl-substituted organometalloid, disubstituted boron, disubstituted Group 15 atoms, substituted Group 16 atoms, and halogen radical; and where two or more R′
- the bridged metallocene catalyst compound of formula (II) includes two or more bridging groups (A).
- (A) can be a divalent bridging group bound to both Cp A and Cp B selected from the group consisting of divalent C 1 to C 20 hydrocarbyls and C 1 to C 20 heteroatom containing hydrocarbonyls, where the heteroatom containing hydrocarbonyls include from one to three heteroatoms.
- the bridging group (A) can include methylene, ethylene, ethylidene, propylidene, isopropylidene, diphenylmethylene, 1,2-dimethylethylene, 1,2-diphenylethylene, 1,1,2,2-tetramethylethylene, dimethylsilyl, diethylsilyl, methyl-ethylsilyl, trifluoromethylbutylsilyl, bis(trifluoromethyl)silyl, di(n-butyl)silyl, di(n-propyl)silyl, di(i-propyl)silyl, di(n-hexyl)silyl, dicyclohexylsilyl, diphenylsilyl, cyclohexylphenylsilyl, t-butylcyclohexylsilyl, di(t-butylphenyl)silyl, di(p-tolyl)silyl, and the corresponding moieties where the
- the bridging group (A) can also include —Si(hydrocarbyl)2-(hydrocarbyl)2Si—Si(substitutedhydrocarbyl)2-(substitutedhydrocarbyl)2Si— groups and the like such as —SiMe2-O—SiMe2- and —SiPh2-O—SiPh2-.
- the bridging group (A) can also be cyclic, having, for example, 4 to 10 ring members; in a more particular exemplary embodiment, bridging group (A) can have 5 to 7 ring members.
- the ring members can be selected from the elements mentioned above, and, in a particular embodiment, can be selected from one or more of B, C, Si, Ge, N, and O.
- Non-limiting examples of ring structures which can be present as, or as part of, the bridging moiety are cyclobutylidene, cyclopentylidene, cyclohexylidene, cycloheptylidene, cyclooctylidene and the corresponding rings where one or two carbon atoms are replaced by at least one of Si, Ge, N and O. In one or more embodiments, one or two carbon atoms can be replaced by at least one of Si and Ge.
- the bonding arrangement between the ring and the Cp groups can be cis-, trans-, or a combination thereof.
- the cyclic bridging groups (A) can be saturated or unsaturated and/or can carry one or more substituents and/or can be fused to one or more other ring structures. If present, the one or more substituents can be, in at least one specific embodiment, selected from the group consisting of hydrocarbyl (e.g., alkyl, such as methyl) and halogen (e.g., F, Cl).
- hydrocarbyl e.g., alkyl, such as methyl
- halogen e.g., F, Cl
- the one or more Cp groups to which the above cyclic bridging moieties can optionally be fused can be saturated or unsaturated, and are selected from the group consisting of those having 4 to 10, more particularly 5, 6, or 7 ring members (selected from the group consisting of C, N, O, and S in a particular exemplary embodiment) such as, for example, cyclopentyl, cyclohexyl and phenyl.
- these ring structures can themselves be fused such as, for example, in the case of a naphthyl group.
- these (optionally fused) ring structures can carry one or more substituents.
- substituents are hydrocarbyl (particularly alkyl) groups and halogen atoms.
- the ligands Cp A and Cp B of formula (I) and (II) can be different from each other.
- the ligands Cp A and Cp B of formula (I) and (II) can be the same.
- the metallocene catalyst compound can include bridged mono-ligand metallocene compounds (e.g., mono cyclopentadienyl catalyst components).
- metallocene catalyst components discussed and described above include their structural or optical or enantiomeric isomers (racemic mixture), and, in one exemplary embodiment, can be a pure enantiomer.
- a single, bridged, asymmetrically substituted metallocene catalyst compound having a racemic and/or meso isomer does not, itself, constitute at least two different bridged, metallocene catalyst components.
- the amount of the transition metal component of the one or more metallocene catalyst compounds in the catalyst system can range from a low of about 0.0.01 wt. %, about 0.2 wt %, about 3 wt. %, about 0.5 wt. %, or about 0.7 wt. % to a high of about 1 wt. %, about 2 wt. %, about 2.5 wt. %, about 3 wt. %, about 3.5 wt. %, or about 4 wt. %, based on the total weight of the catalyst system.
- the “metallocene catalyst compound” can include any combination of any “embodiment” discussed and described herein.
- the metallocene catalyst compound can include, but is not limited to, bis(n-propylcyclopentadienyl) hafnium (CH 3 ) 2 , bis(n-propylcyclopentadienyl) hafnium F 2 , bis(n-propylcyclopentadienyl) hafnium Cl 2 , or bis(n-butyl, methyl cyclopentadienyl) zirconium Cl 2 , or any combination thereof.
- sCGC supported constrained geometry catalysts
- sCGC supported constrained geometry catalysts
- the sCGC catalyst may include a borate ion.
- the borate anion is represented by the formula [BQ 4-z′ (G q (T—H) r ) z′ ] d- , wherein: B is boron in a valence state of 3; Q is selected from the group consisting of hydride, dihydrocarbylamido, halide, hydrocarbyloxide, hydrocarbyl, and substituted-hydrocarbyl radicals; z′ is an integer in a range from 1 to 4; G is a polyvalent hydrocarbon radical having r+1 valencies bonded to M′ and r groups (T—H); q is an integer, 0 or 1; the group (T—H) is a radical wherein T includes O, S, NR, or PR, the O, S, N or P atom of which is bonded to hydrogen atom H, wherein R is a hydrocarbyl radical, a trihydrocarbylsilyl radical, a trihydrocarbyl germyl radical or hydrogen; r is an integer
- the borate ion may be representative by the formula [BQ 4-z′ (G q (T-M o R C x-1 X a y ) r ) z′ ] d- , wherein: B is boron in a valence state of 3; Q is selected from the group consisting of hydride, dihydrocarbylamido, halide, hydrocarbyloxide, hydrocarbyl, and substituted-hydrocarbyl radicals; z′ is an integer in a range from 1 to 4; G is a polyvalent hydrocarbon radical having r+1 valencies bonded to B and r groups (T-M o R C x-1 X a y ); q is an integer, 0 or 1; the group (T-M o R C x-1 X a y ) is a radical wherein T includes O, S, NR, or PR, the O, S, N or P atom of which is bonded to M o , wherein
- the catalyst system can include other single site catalysts such as Group 15-containing catalysts.
- the catalyst system can include one or more second catalysts in addition to the single site catalyst compound such as chromium-based catalysts, Ziegler-Natta catalysts, one or more additional single-site catalysts such as metallocenes or Group 15-containing catalysts, bimetallic catalysts, and mixed catalysts.
- the catalyst system can also include AlCl3, cobalt, iron, palladium, or any combination thereof.
- MCN compounds examples include the hafnium compound shown as formula (III), the zirconium compounds shown as formulas (IV-A-C), and bridged zirconium compounds, shown as formulas (V-A-B).
- each of these substituents may independently be a methyl group (Me), a chloro group (Cl), a fluoro group (F), or any number of other groups, including organic groups, or heteroatom groups. Further, these substituents will change during the reaction, as a pre-catalyst is converted to the active catalyst for the reaction. Further, any number of other substituents may be used on the ring structures, including any of the substituents described above with respect to formulas (I) and (II).
- the catalyst system can include one or more Group 15 metal-containing catalyst compounds.
- the Group 15 metal-containing compound generally includes a Group 3 to 14 metal atom, a Group 3 to 7, or a Group 4 to 6 metal atom.
- the Group 15 metal-containing compound includes a Group 4 metal atom bound to at least one leaving group and also bound to at least two Group 15 atoms, at least one of which is also bound to a Group 15 or 16 atom through another group.
- At least one of the Group 15 atoms is also bound to a Group 15 or 16 atom through another group which may be a C 1 to C 20 hydrocarbon group, a heteroatom containing group, silicon, germanium, tin, lead, or phosphorus, wherein the Group 15 or 16 atom may also be bound to nothing or a hydrogen, a Group 14 atom containing group, a halogen, or a heteroatom containing group, and wherein each of the two Group 15 atoms are also bound to a cyclic group and can optionally be bound to hydrogen, a halogen, a heteroatom or a hydrocarbyl group, or a heteroatom containing group.
- the Group 15-containing metal compounds can be described more particularly with formulas (VI) or (VII):
- M is a Group 3 to 12 transition metal or a Group 13 or 14 main group metal, a Group 4, 5, or 6 metal.
- M is a Group 4 metal, such as zirconium, titanium or hafnium.
- Each X is independently a leaving group, such as an anionic leaving group.
- the leaving group may include a hydrogen, a hydrocarbyl group, a heteroatom, a halogen, or an alkyl; y is 0 or 1 (when y is 0 group L′ is absent).
- the term ‘n’ is the oxidation state of M. In various embodiments, n is +3, +4, or +5. In many embodiments, n is +4.
- m represents the formal charge of the YZL or the YZL′ ligand, and is 0, ⁇ 1, ⁇ 2 or ⁇ 3 in various embodiments. In many embodiments, m is ⁇ 2.
- L is a Group 15 or 16 element, such as nitrogen; L′ is a Group 15 or 16 element or Group 14 containing group, such as carbon, silicon or germanium.
- Y is a Group 15 element, such as nitrogen or phosphorus. In many embodiments, Y is nitrogen.
- Z is a Group 15 element, such as nitrogen or phosphorus. In many embodiments, Z is nitrogen.
- R 1 and R 2 are, independently, a C 1 to C 20 hydrocarbon group, a heteroatom containing group having up to twenty carbon atoms, silicon, germanium, tin, lead, or phosphorus.
- R 1 and R 2 are a C 2 to C 20 alkyl, aryl, or aralkyl group, such as a linear, branched, or cyclic C 2 to C 20 alkyl group, or a C 2 to C 6 hydrocarbon group.
- R 1 and R 2 may also be interconnected to each other.
- R 3 may be absent or may be a hydrocarbon group, a hydrogen, a halogen, a heteroatom containing group.
- R 3 is absent or a hydrogen, or a linear, cyclic or branched alkyl group having 1 to 20 carbon atoms.
- R 4 and R 5 are independently an alkyl group, an aryl group, substituted aryl group, a cyclic alkyl group, a substituted cyclic alkyl group, a cyclic aralkyl group, a substituted cyclic aralkyl group or multiple ring system, often having up to 20 carbon atoms.
- R 4 and R 5 have between 3 and 10 carbon atoms, or are a C 1 to C 20 hydrocarbon group, a C 1 to C 20 aryl group or a C 1 to C 20 aralkyl group, or a heteroatom containing group.
- R 4 and R 5 may be interconnected to each other.
- R 6 and R 7 are independently absent, hydrogen, an alkyl group, halogen, heteroatom, or a hydrocarbyl group, such as a linear, cyclic, or branched alkyl group having 1 to 20 carbon atoms.
- R 6 and R 7 are absent.
- R* may be absent, or may be a hydrogen, a Group 14 atom containing group, a halogen, or a heteroatom containing group.
- R 1 and R 2 may also be interconnected” it is meant that R 1 and R 2 may be directly bound to each other or may be bound to each other through other groups.
- R 4 and R 5 may also be interconnected” it is meant that R 4 and R 5 may be directly bound to each other or may be bound to each other through other groups.
- An alkyl group may be linear, branched alkyl radicals, alkenyl radicals, alkynyl radicals, cycloalkyl radicals, aryl radicals, acyl radicals, aroyl radicals, alkoxy radicals, aryloxy radicals, alkylthio radicals, dialkylamino radicals, alkoxycarbonyl radicals, aryloxycarbonyl radicals, carbomoyl radicals, alkyl- or dialkyl-carbamoyl radicals, acyloxy radicals, acylamino radicals, aroylamino radicals, straight, branched or cyclic, alkylene radicals, or combination thereof.
- An aralkyl group is defined to be a substituted aryl group.
- R 4 and R 5 are independently a group represented by the following formula (VIII).
- R 8 to R 12 are each independently hydrogen, a C 1 to C 40 alkyl group, a halide, a heteroatom, a heteroatom containing group containing up to 40 carbon atoms.
- R 8 to R 12 are a C 1 to C 20 linear or branched alkyl group, such as a methyl, ethyl, propyl, or butyl group. Any two of the R groups may form a cyclic group and/or a heterocyclic group.
- the cyclic groups may be aromatic.
- R 9 , R 10 and R 12 are independently a methyl, ethyl, propyl, or butyl group (including all isomers).
- R 9 , R 10 and R 12 are methyl groups, and R 8 and R 11 are hydrogen.
- R 4 and R 5 are both a group represented by the following formula (IX).
- M is a Group 4 metal, such as zirconium, titanium, or hafnium. In many embodiments, M is zirconium.
- Each of L, Y, and Z may be a nitrogen.
- Each of R 1 and R 2 may be —CH 2 —CH 2 —.
- R 3 may be hydrogen, and R 6 and R 7 may be absent.
- the Group 15 metal-containing catalyst compound can be represented by the following formula (X).
- Ph represents phenyl
- the catalyst system may include a catalyst or catalyst component in a slurry, which may have an initial catalyst compound, and an added solution catalyst component that is added to the slurry.
- the initial catalyst component slurry may have no catalysts. In this case, two or more solution catalysts may be added to the slurry to cause each to be supported.
- the catalyst component slurry can include an activator and a support, or a supported activator.
- the slurry can include a catalyst compound in addition to the activator and the support.
- the catalyst compound in the slurry may be supported.
- the slurry may include one or more activators and supports, and one more catalyst compounds.
- the slurry may include two or more activators (such as alumoxane and a modified alumoxane) and a catalyst compound, or the slurry may include a supported activator and more than one catalyst compounds.
- the slurry includes a support, an activator, and two catalyst compounds.
- the slurry includes a support, an activator and two different catalyst compounds, which may be added to the slurry separately or in combination.
- the slurry, containing silica and alumoxane may be contacted with a catalyst compound, allowed to react, and thereafter the slurry is contacted with another catalyst compound, for example, in a trim system.
- the molar ratio of metal in the activator to metal in the pre-catalyst compound in the slurry may be 1000:1 to 0.5:1, 300:1 to 1:1, or 150:1 to 1:1.
- the slurry can include a support material which may be any inert particulate carrier material known in the art, including, but not limited to, silica, fumed silica, alumina, clay, talc or other support materials such as disclosed above.
- the slurry contains silica and an activator, such as methyl aluminoxane (“MAO”), modified methyl aluminoxane (“MMAO”), as discussed further below.
- MAO methyl aluminoxane
- MMAO modified methyl aluminoxane
- One or more diluents or carriers can be used to facilitate the combination of any two or more components of the catalyst system in the slurry or in the trim catalyst solution.
- the single site catalyst compound and the activator can be combined together in the presence of toluene or another non-reactive hydrocarbon or hydrocarbon mixture to provide the catalyst mixture.
- other suitable diluents can include, but are not limited to, ethylbenzene, xylene, pentane, hexane, heptane, octane, other hydrocarbons, or any combination thereof.
- the support either dry or mixed with toluene can then be added to the catalyst mixture or the catalyst/activator mixture can be added to the support.
- the terms “support” and “carrier” are used interchangeably and refer to any support material, including a porous support material, such as talc, inorganic oxides, and inorganic chlorides.
- the one or more single site catalyst compounds of the slurry can be supported on the same or separate supports together with the activator, or the activator can be used in an unsupported form, or can be deposited on a support different from the single site catalyst compounds, or any combination thereof. This may be accomplished by any technique commonly used in the art.
- the single site catalyst compound can contain a polymer bound ligand.
- the single site catalyst compounds of the slurry can be spray dried.
- the support used with the single site catalyst compound can be functionalized.
- the support can be or include one or more inorganic oxides, for example, of Group 2, 3, 4, 5, 13, or 14 elements.
- the inorganic oxide can include, but is not limited to silica, alumina, titania, zirconia, boria, zinc oxide, magnesia, or any combination thereof.
- Illustrative combinations of inorganic oxides can include, but are not limited to, alumina-silica, silica-titania, alumina-silica-titania, alumina-zirconia, alumina-titania, and the like.
- the support can be or include alumina, silica, or a combination thereof. In one embodiment described herein, the support is silica.
- Suitable commercially available silica supports can include, but are not limited to, ES757, ES70, and ES70W available from PQ Corporation.
- Suitable commercially available silica-alumina supports can include, but are not limited to, SIRAL ⁇ 1, SIRAL® 5, SIRAL® 10, SIRAL® 20, SIRAL® 28M, SIRAL® 30, and SIRAL® 40, available from SASOL®.
- catalyst supports comprising silica gels with activators, such as methylaluminoxanes (MAOs), are used in the trim systems described, since these supports may function better for co-supporting solution carried catalysts.
- Suitable supports may also be selected from the Cab-o-sil®materials available from Cabot Corporation and silica materials available from the Grace division of W.R. Grace & Company.
- Catalyst supports may also include polymers that are covalently bonded to a ligand on the catalyst.
- polymers that are covalently bonded to a ligand on the catalyst.
- two or more catalyst molecules may be bonded to a single polyolefin chain.
- the term “activator” may refer to any compound or combination of compounds, supported, or unsupported, which can activate a single site catalyst compound or component, such as by creating a cationic species of the catalyst component. For example, this can include the abstraction of at least one leaving group (the “X” group in the single site catalyst compounds described herein) from the metal center of the single site catalyst compound/component.
- the activator may also be referred to as a “co-catalyst”.
- the activator can include a Lewis acid or a non-coordinating ionic activator or ionizing activator, or any other compound including Lewis bases, aluminum alkyls, and/or conventional-type co-catalysts.
- illustrative activators can include, but are not limited to, aluminoxane or modified aluminoxane, and/or ionizing compounds, neutral or ionic, such as Dimethylanilinium tetrakis(pentafluorophenyl)borate, Triphenylcarbenium tetrakis(pentafluorophenyl)borate, Dimethylanilinium tetrakis(3,5-(CF 3 ) 2 phenyl)borate, Triphenylcarbenium tetrakis(3,5-(CF 3 ) 2 phenyl)borate, Diphenylcarbenium tetrakis(3,5-(CF 3 ) 2 phenyl)borate, Diphen
- activators may or may not bind directly to the support surface or may be modified to allow them to be bound to a support surface while still maintaining their compatability with the polymerization system.
- tethering agents may be derived from groups that are reactive with surface hydroxyl species.
- reactive functional groups that can be used to create tethers include aluminum halides, aluminum hydrides, aluminum alkyls, aluminum aryls, sluminum alkoxides, electrophilic silicon reagents, alkoxy silanes, amino silanes, boranes.
- Aluminoxanes can be described as oligomeric aluminum compounds having —Al(R)—O-subunits, where R is an alkyl group.
- aluminoxanes include, but are not limited to, methylaluminoxane (“MAO”), modified methylaluminoxane (“MMAO”), ethylaluminoxane, isobutylaluminoxane, or a combination thereof.
- Aluminoxanes can be produced by the hydrolysis of the respective trialkylaluminum compound.
- MMAO can be produced by the hydrolysis of trimethylaluminum and a higher trialkylaluminum, such as triisobutylaluminum.
- MMAOs are generally more soluble in aliphatic solvents and more stable during storage. There are a variety of methods for preparing aluminoxane and modified aluminoxanes.
- a visually clear MAO can be used.
- a cloudy or gelled aluminoxane can be filtered to produce a clear aluminoxane or clear aluminoxane can be decanted from a cloudy aluminoxane solution.
- a cloudy and/or gelled aluminoxane can be used.
- Another aluminoxane can include a modified methyl aluminoxane (“MMAO”) type 3A (commercially available from Akzo Chemicals, Inc. under the trade name Modified Methylaluminoxane type 3A, discussed and described in U.S. Pat. No. 5,041,584).
- MMAO modified methyl aluminoxane
- a suitable source of MAO can be a solution having from about 1 wt. % to about a 50 wt. % MAO, for example.
- Commercially available MAO solutions can include the 10 wt. % and 30 wt. % MAO solutions available from Albemarle Corporation, of Baton Rouge, La.
- one or more organo-aluminum compounds such as one or more alkylaluminum compounds can be used in conjunction with the aluminoxanes.
- alkylaluminum species that may be used are diethylaluminum ethoxide, diethylaluminum chloride, and/or diisobutylaluminum hydride.
- trialkylaluminum compounds include, but are not limited to, trimethylaluminum, triethylaluminum (“TEAL”), triisobutylaluminum (“TiBAl”), tri-n-hexylaluminum, tri-n-octylaluminum, tripropylaluminum, tributylaluminum, and the like.
- the catalyst component solution may include only a catalyst compound or may include an activator in addition to the catalyst compound.
- the catalyst solution used in the trim process can be prepared by dissolving the catalyst compound and optional activators in a liquid solvent.
- the liquid solvent may be an alkane, such as a C 5 to C 30 alkane, or a C 5 to C 10 alkane. Cyclic alkanes such as cyclohexane and aromatic compounds such as toluene may also be used.
- mineral oil may be used as a solvent.
- the solution employed should be liquid under the conditions of polymerization and relatively inert.
- the liquid utilized in the catalyst compound solution is different from the diluent used in the catalyst component slurry.
- the liquid utilized in the catalyst compound solution is the same as the diluent used in the catalyst component solution.
- the ratio of metal in the activator to metal in the pre-catalyst compound in the solution may be 1000:1 to 0.5:1, 300:1 to 1:1, or 150:1 to 1:1. In certain cases, it may be advantageous to have an excess of catalyst compound such that the ratio is ⁇ 1:1, for example, 1:1 to 0.5:1 or 1:1 to 0.1:1 or 1:1 to 0.01.
- the activator and catalyst compound is present in the solution at up to about 90 wt. %, at up to about 50 wt. %, at up to about 20 wt. %, preferably at up to about 10 wt. %, at up to about 5 wt. %, at less than 1 wt. %, or between 100 ppm and 1 wt. %, based upon the weight of the solvent and the activator or catalyst compound.
- the catalyst component solution can comprise any one of the soluble catalyst compounds described in the catalyst section herein. As the catalyst is dissolved in the solution, a higher solubility is desirable. Accordingly, the catalyst compound in the catalyst component solution may often include a metallocene, which may have higher solubility than other catalysts.
- any of the above described catalyst component containing solutions may be combined with any of the catalyst component containing slurry/slurries described above.
- more than one catalyst component solution may be utilized.
- a static control agent is a chemical composition which, when introduced into a fluidized bed reactor, may influence or drive the static charge (negatively, positively, or to zero) in the fluidized bed.
- the specific static control agent used may depend upon the nature of the static charge, and the choice of static control agent may vary dependent upon the polymer being produced and the single site catalyst compounds being used.
- Control agents such as aluminum stearate may be employed.
- the static control agent used may be selected for its ability to receive the static charge in the fluidized bed without adversely affecting productivity.
- Other suitable static control agents may also include aluminum distearate, ethoxlated amines, and anti-static compositions such as those provided by Innospec Inc. under the trade name OCTASTAT.
- OCTASTAT 2000 is a mixture of a polysulfone copolymer, a polymeric polyamine, and oil-soluble sulfonic acid.
- control agents any of the aforementioned control agents, as well as those described in, for example, WO 01/44322, listed under the heading Carboxylate Metal Salt and including those chemicals and compositions listed as antistatic agents may be employed either alone or in combination as a control agent.
- the carboxylate metal salt may be combined with an amine containing control agent (e.g., a carboxylate metal salt with any family member belonging to the KEMAMINE® (available from Crompton Corporation) or ATMER® (available from ICI Americas Inc.) family of products).
- an amine containing control agent e.g., a carboxylate metal salt with any family member belonging to the KEMAMINE® (available from Crompton Corporation) or ATMER® (available from ICI Americas Inc.) family of products).
- the polyethyleneimines may be linear, branched, or hyperbranched (e.g., forming dendritic or arborescent polymer structures). They can be a homopolymer or copolymer of ethyleneimine or mixtures thereof (referred to as polyethyleneimine(s) hereafter). Although linear polymers represented by the chemical formula —[CH 2 —CH 2 —NH]— may be used as the polyethyleneimine, materials having primary, secondary, and tertiary branches can also be used. Commercial polyethyleneimine can be a compound having branches of the ethyleneimine polymer. Suitable polyethyleneimines are commercially available from BASF Corporation under the trade name Lupasol.
- Another useful continuity additive can include a mixture of aluminum distearate and an ethoxylated amine-type compound, e.g., IRGASTAT AS-990, available from Huntsman (formerly Ciba Specialty Chemicals).
- the mixture of aluminum distearate and ethoxylated amine type compound can be slurried in mineral oil e.g., Hydrobrite 380.
- the mixture of aluminum distearate and an ethoxylated amine type compound can be slurried in mineral oil to have total slurry concentration of ranging from about 5 wt. % to about 50 wt. % or about 10 wt. % to about 40 wt. %, or about 15 wt. % to about 30 wt. %.
- the continuity additive(s) or static control agent(s) may be added to the reactor in an amount ranging from 0.05 to 200 ppm, based on the weight of all feeds to the reactor, excluding recycle. In some embodiments, the continuity additive may be added in an amount ranging from 2 to 100 ppm, or in an amount ranging from 4 to 50 ppm.
- FIG. 1 is a schematic of a gas-phase reactor system 100 , showing the addition of at least two catalysts, at least one of which is added as a trim catalyst.
- the catalyst component slurry preferably a mineral oil slurry including at least one support and at least one activator, at least one supported activator, and optional catalyst compounds may be placed in a vessel or catalyst pot (cat pot) 102 .
- the cat pot 102 is an agitated holding tank designed to keep the solids concentration homogenous.
- a catalyst component solution, prepared by mixing a solvent and at least one catalyst compound and/or activator, is placed in another vessel, which can be termed a trim pot 104 .
- the catalyst component slurry can then be combined in-line with the catalyst component solution to form a final catalyst composition.
- a nucleating agent 106 such as silica, alumina, fumed silica or any other particulate matter may be added to the slurry and/or the solution in-line or in the vessels 102 or 104 .
- additional activators or catalyst compounds may be added in-line.
- a second catalyst slurry that includes a different catalyst may be introduced from a second cat pot. The two catalyst slurries may be used as the catalyst system with or without the addition of a solution catalyst from the trim pot.
- the catalyst component slurry and solution can be mixed in-line.
- the solution and slurry may be mixed by utilizing a static mixer 108 or an agitating vessel (not shown).
- the mixing of the catalyst component slurry and the catalyst component solution should be long enough to allow the catalyst compound in the catalyst component solution to disperse in the catalyst component slurry such that the catalyst component, originally in the solution, migrates to the supported activator originally present in the slurry.
- the combination forms a uniform dispersion of catalyst compounds on the supported activator forming the catalyst composition.
- the length of time that the slurry and the solution are contacted is typically up to about 120 minutes, such as about 0.01 to about 60 minutes, about 5 to about 40 minutes, or about 10 to about 30 minutes.
- the combination yield a new polymerization catalyst in less than 1 h, less than 30 min, or less than 15 min. Shorter times are more effective, as the new catalyst is ready before being introduces into the reactor, providing the potential for faster flow rates.
- an aluminum alkyl, an ethoxylated aluminum alkyl, an aluminoxane, an anti-static agent or a borate activator such as a C 1 to C 15 alkyl aluminum (for example tri-isobutyl aluminum, trimethyl aluminum or the like), a C 1 to C 15 ethoxylated alkyl aluminum or methyl aluminoxane, ethyl aluminoxane, isobutylaluminoxane, modified aluminoxane or the like are added to the mixture of the slurry and the solution in line.
- the alkyls, antistatic agents, borate activators and/or aluminoxanes may be added from an alkyl vessel 110 directly to the combination of the solution and the slurry, or may be added via an additional alkane (such as isopentane, hexane, heptane, and or octane) carrier stream, for example, from a hydrocarbon vessel 112 .
- the additional alkyls, antistatic agents, borate activators and/or aluminoxanes may be present at up to about 500 ppm, at about 1 to about 300 ppm, at 10 to about 300 ppm, or at about 10 to about 100 ppm.
- Carrier streams that may be used include isopentane and or hexane, among others.
- the carrier may be added to the mixture of the slurry and the solution, typically at a rate of about 0.5 to about 60 lbs/hr (27 kg/hr) or greater, depending on reactor size.
- a carrier gas 114 such as nitrogen, argon, ethane, propane and the like, may be added in-line to the mixture of the slurry and the solution.
- the carrier gas may be added at the rate of about 1 to about 100 lb/hr (0.4 to 45 kg/hr), or about 1 to about 50 lb/hr (5 to 23 kg/hr), or about 1 to about 25 lb/hr (0.4 to 11 kg/hr).
- a liquid carrier stream is introduced into the combination of the solution and slurry that is moving in a downward direction.
- the mixture of the solution, the slurry and the liquid carrier stream may pass through a mixer or length of tube for mixing before being contacted with a gaseous carrier stream.
- a comonomer 116 such as hexene, another alpha-olefin or diolefin, may be added in-line to the mixture of the slurry and the solution.
- the slurry/solution mixture is then passed through an injection tube 118 to a reactor 120 .
- a nucleating agent 122 such as fumed silica, can be added directly into the reactor 120 .
- the injection tube may aerosolize the slurry/solution mixture. Any number of suitable tubing sizes and configurations may be used to aerosolize and/or inject the slurry/solution mixture.
- a gas stream 124 such as cycle gas, or re-cycle gas 126 , monomer, nitrogen, or other materials is introduced into a support tube 128 that surrounds the injection tube 118 .
- oxygen or fluorobenzene can be added to the reactor 120 directly or to the gas stream 124 to control the polymerization rate.
- a metallocene catalyst which is sensitive to oxygen or fluorobenzene
- oxygen can be used to modify the metallocene polymerization rate relative to the polymerization rate of the other catalyst.
- An example of such a catalyst combination is bis(n-propyl cyclopentadienyl)zirconium dichloride and [(2,4,6-Me 3 C 6 H 2 )NCH 2 CH 2 ] 2 NHZrBn 2 , where Me is methyl, or bis(indenyl)zirconium dichloride and [(2,4,6-Me 3 C 6 H 2 )NCH 2 CH 2 ] 2 NHHfBn 2 , where Me is methyl.
- the contact temperature of the slurry and the solution is in the range of from 0° C. to about 80° C., from about 0° C. to about 60° C., from about 10° C., to about 50° C. and from about 20° C. to about 40° C.
- a slurry can be combined with two or more solutions having the same or different catalyst compounds and or activators.
- the solution may be combined with two or more slurries each having the same or different supports, and the same or different catalyst compounds and or activators.
- two or more slurries combined with two or more solutions, preferably in-line where the slurries each comprise the same or different supports and may comprise the same or different catalyst compounds and or activators and the solutions comprise the same or different catalyst compounds and or activators.
- the slurry may contain a supported activator and two different catalyst compounds, and two solutions, each containing one of the catalysts in the slurry, are each independently combined, in-line, with the slurry.
- the properties of the product polymer may be controlled by adjusting the timing, temperature, concentrations, and sequence of the mixing of the solution, the slurry and any optional added materials (nucleating agents, catalyst compounds, activators, etc) described above.
- the MWD, composition distribution, melt index, relative amount of polymer produced by each catalyst, and other properties of the polymer produced may also be changed by manipulating process parameters. Any number of process parameters may be adjusted, including manipulating hydrogen concentration in the polymerization system, changing the amount of the first catalyst in the polymerization system, changing the amount of the second catalyst in the polymerization system. Other process parameters that can be adjusted include changing the relative ratio of the catalyst in the polymerization process (and optionally adjusting their individual feed rates to maintain a steady or constant resin production rate).
- the concentrations of reactants in the reactor 120 can be adjusted by changing the amount of liquid or gas that is withdrawn or purged from the process, changing the amount and/or composition of a recovered liquid and/or recovered gas returned to the polymerization process, wherein the recovered liquid or recovered gas can be recovered from polymer discharged from the polymerization process.
- Further concentration parameters that can be adjusted include changing the polymerization temperature, changing the ethylene partial pressure in the polymerization process, changing the ethylene to comonomer ratio in the polymerization process, changing the activator to transition metal ratio in the activation sequence.
- Time dependant parameters may be adjusted, such as changing the relative feed rates of the slurry or solution, changing the mixing time, the temperature and or degree of mixing of the slurry and the solution in-line, adding different types of activator compounds to the polymerization process, and adding oxygen or fluorobenzene or other catalyst poison to the polymerization process. Any combinations of these adjustments may be used to control the properties of the final polymer product.
- the composition distribution of the polymer product is measured at regular intervals and one of the above process parameters, such as temperature, catalyst compound feed rate, the ratio of the two or more catalysts to each other, the ratio of comonomer to monomer, the monomer partial pressure, and or hydrogen concentration, is altered to bring the composition to the desired level, if necessary.
- the composition distribution may be performed by temperature rising elution fractionation (TREF), or similar techniques TREF measures composition as a function of elution temperature.
- a polymer product property is measured in-line and in response the ratio of the catalysts being combined is altered.
- the molar ratio of the catalyst compound in the catalyst component slurry to the catalyst compound in the catalyst component solution, after the slurry and solution have been mixed to form the final catalyst composition is 500:1 to 1:500, or 100:1 to 1:100, or 50:1 to 1:50, or 10:1 to 1:10, or 5:1 to 1:5.
- the molar ratio of a Group 15 catalyst compound in the slurry to a ligand metallocene catalyst compound in the solution, after the slurry and solution have been mixed to form the catalyst composition is 500:1, 100:1, 50:1, 10:1, 5:1, 1:5, 1:10, 1:100, or 1:500.
- the product property measured can include the polymer product's flow index, melt index, density, MWD, comonomer content, composition distribution, and combinations thereof.
- the ratio of the catalyst compounds is altered, the introduction rate of the catalyst composition to the reactor, or other process parameters, is altered to maintain a desired production rate.
- the processes described herein immobilize the solution catalyst compound in and on a support, preferably a supported activator.
- the in-line immobilization techniques described herein preferably result in a supported catalyst system that when introduced to the reactor provides for suitable polymer properties, with appropriate particle morphology, bulk density, or higher catalyst activities and without the need for additional equipment in order to introduce catalyst compound solution into a reactor, particularly a gas phase or slurry phase reactor.
- the catalyst system can be used to polymerize one or more olefins to provide one or more polymer products therefrom.
- Any suitable polymerization process can be used, including, but not limited to, high pressure, solution, slurry, and/or gas phase polymerization processes.
- modifications to a catalyst addition system that are similar to those discussed with respect to FIG. 1 can be used.
- a trim system may be used to feed catalyst to a loop slurry reactor for polyethylene copolymer production.
- polyethylene and “polyethylene copolymer” refer to a polymer having at least 50 wt. % ethylene-derived units.
- the polyethylene can have at least 70 wt. % ethylene-derived units, at least 80 wt. % ethylene-derived units, at least 90 wt. % ethylene-derived units, at least 95 wt. % ethylene-derived units, or 100 wt. % ethylene-derived units.
- the polyethylene can, thus, be a homopolymer or a copolymer, including a terpolymer, having one or more other monomeric units.
- a polyethylene can include, for example, at least one or more other olefins or comonomers.
- Suitable comonomers can contain 3 to 16 carbon atoms, from 3 to 12 carbon atoms, from 4 to 10 carbon atoms, and from 4 to 8 carbon atoms.
- Examples of comonomers include, but are not limited to, propylene, 1-butene, 1-pentene, 1-hexene, 1-heptene, 1-octene, 4-methylpent-1-ene, 1-decene, 1-dodecene, 1-hexadecene, and the like.
- small amounts of diene monomers, such as 1,7-octadiene may be added to the polymerization to adjust polymer properties.
- the fluidized bed reactor 120 can include a reaction zone 130 and a velocity reduction zone 132 .
- the reaction zone 130 can include a bed 134 that includes growing polymer particles, formed polymer particles and a minor amount of catalyst particles fluidized by the continuous flow of the gaseous monomer and diluent to remove heat of polymerization through the reaction zone.
- some of the re-circulated gases 124 can be cooled and compressed to form liquids that increase the heat removal capacity of the circulating gas stream when readmitted to the reaction zone.
- a suitable rate of gas flow can be readily determined by experimentation.
- Make-up of gaseous monomer to the circulating gas stream can be at a rate equal to the rate at which particulate polymer product and monomer associated therewith is withdrawn from the reactor and the composition of the gas passing through the reactor can be adjusted to maintain an essentially steady state gaseous composition within the reaction zone.
- the gas leaving the reaction zone 130 can be passed to the velocity reduction zone 132 where entrained particles are removed, for example, by slowing and falling back to the reaction zone 130 . If desired, finer entrained particles and dust can be removed in a separation system 136 , such as a cyclone and/or fines filter.
- the gas 124 can be passed through a heat exchanger 138 where at least a portion of the heat of polymerization can be removed. The gas can then be compressed in a compressor 140 and returned to the reaction zone 130 .
- the reactor temperature of the fluid bed process can be greater than about 30° C., about 40° C., about 50° C., about 90° C., about 100° C., about 110° C., about 120° C., about 150° C., or higher.
- the reactor temperature is operated at the highest feasible temperature taking into account the sintering temperature of the polymer product within the reactor.
- Preferred reactor temperatures are between 70 and 95° C. More preferred reactor temperatures are between 75 and 90° C.
- the upper temperature limit in one embodiment is the melting temperature of the polyethylene copolymer produced in the reactor.
- higher temperatures may result in narrower MWDs, which can be improved by the addition of the MCN, or other, co-catalysts, as described herein.
- Hydrogen gas can be used in olefin polymerization to control the final properties of the polyolefin.
- increasing concentrations (partial pressures) of hydrogen can increase the flow index (FI) of the polyethylene copolymer generated.
- the flow index can thus be influenced by the hydrogen concentration.
- the amount of hydrogen in the polymerization can be expressed as a mole ratio relative to the total polymerizable monomer, for example, ethylene, or a blend of ethylene and hexene or propylene.
- the amount of hydrogen used in the polymerization process can be an amount necessary to achieve the desired flow index of the final polyolefin resin.
- the mole ratio of hydrogen to total monomer (H 2 :monomer) can be greater than about 0.0001, greater than about 0.0005, or greater than about 0.001.
- the mole ratio of hydrogen to total monomer (H 2 :monomer) can be less than about 10, less than about 5, less than about 3, and less than about 0.10.
- a desirable range for the mole ratio of hydrogen to monomer can include any combination of any upper mole ratio limit with any lower mole ratio limit described herein.
- the amount of hydrogen in the reactor at any time can range to up to about 5,000 ppm, up to about 4,000 ppm in another embodiment, up to about 3,000 ppm, or between about 50 ppm and 5,000 ppm, or between about 50 ppm and 2,000 ppm in another embodiment.
- the amount of hydrogen in the reactor can range from a low of about 1 ppm, about 50 ppm, or about 100 ppm to a high of about 400 ppm, about 800 ppm, about 1,000 ppm, about 1,500 ppm, or about 2,000 ppm.
- the ratio of hydrogen to total monomer (H 2 :monomer) can be about 0.00001:1 to about 2:1, about 0.005:1 to about 1.5:1, or about 0.0001:1 to about 1:1.
- the one or more reactor pressures in a gas phase process can vary from 690 kPa (100 psig) to 3,448 kPa (500 psig), in the range from 1,379 kPa (200 psig) to 2,759 kPa (400 psig), or in the range from 1,724 kPa (250 psig) to 2,414 kPa (350 psig).
- the gas phase reactor can be capable of producing from about 10 kg of polymer per hour (25 lbs/hr) to about 90,900 kg/hr (200,000 lbs/hr), or greater, and greater than about 455 kg/hr (1,000 lbs/hr), greater than about 4,540 kg/hr (10,000 lbs/hr), greater than about 11,300 kg/hr (25,000 lbs/hr), greater than about 15,900 kg/hr (35,000 lbs/hr), and greater than about 22,700 kg/hr (50,000 lbs/hr), and from about 29,000 kg/hr (65,000 lbs/hr) to about 45,500 kg/hr (100,000 lbs/hr).
- a slurry polymerization process can also be used in embodiments.
- a slurry polymerization process generally uses pressures in the range of from about 101 kPa (1 atmosphere) to about 5,070 kPa (50 atmospheres) or greater, and temperatures in the range of from about 0° C. to about 120° C., and more particularly from about 30° C. to about 100° C.
- a suspension of solid, particulate polymer can be formed in a liquid polymerization diluent medium to which ethylene, comonomers, and hydrogen along with catalyst can be added.
- the suspension including diluent can be intermittently or continuously removed from the reactor where the volatile components are separated from the polymer and recycled, optionally after a distillation, to the reactor.
- the liquid diluent employed in the polymerization medium can be an alkane having from 3 to 7 carbon atoms, such as, for example, a branched alkane.
- the medium employed should be liquid under the conditions of polymerization and relatively inert. When a propane medium is used the process should be operated above the reaction diluent critical temperature and pressure. In one embodiment, a hexane, isopentane, or isobutane medium can be employed.
- the slurry can be circulated in a continuous loop system.
- the product polyethylene can have a melt index ratio (MIR or I 21 /I 2 ) ranging from about 5 to about 300, or from about 10 to less than about 150, or, in many embodiments, from about 15 to about 50.
- Flow index (FI, HLMI, or I 21 can be measured in accordance with ASTM D1238 (190° C., 21.6 kg).
- the melt index (MI, I 2 ) can be measured in accordance with ASTM D1238 (at 190° C., 2.16 kg weight).
- Density can be determined in accordance with ASTM D-792. Density is expressed as grams per cubic centimeter (g/cm 3 ) unless otherwise noted.
- the polyethylene can have a density ranging from a low of about 0.89 g/cm 3 , about 0.90 g/cm 3 , or about 0.91 g/cm 3 to a high of about 0.95 g/cm 3 , about 0.96 g/cm 3 , or about 0.97 g/cm 3 .
- the polyethylene can have a bulk density, measured in accordance with ASTM D1895 method B, of from about 0.25 g/cm 3 to about 0.5 g/cm 3 .
- the bulk density of the polyethylene can range from a low of about 0.30 g/cm 3 , about 0.32 g/cm 3 , or about 0.33 g/cm 3 to a high of about 0.40 g/cm 3 , about 0.44 g/cm 3 , or about 0.48 g/cm 3 .
- the polyethylene can be suitable for such articles as films, fibers, nonwoven and/or woven fabrics, extruded articles, and/or molded articles.
- films include blown or cast films formed by coextrusion or by lamination useful as shrink film, cling film, stretch film, sealing films, oriented films, snack packaging, heavy duty bags, grocery sacks, baked and frozen food packaging, medical packaging, industrial liners, membranes, etc. in food-contact and non-food contact applications, agricultural films and sheets.
- fibers include melt spinning, solution spinning and melt blown fiber operations for use in woven or non-woven form to make filters, diaper fabrics, hygiene products, medical garments, geotextiles, etc.
- extruded articles examples include tubing, medical tubing, wire and cable coatings, pipe, geomembranes, and pond liners.
- molded articles include single and multi-layered constructions in the form of bottles, tanks, large hollow articles, rigid food containers and toys, etc.
- SCB short chain branching
- LCB long chain branching
- shorter chains lowers the melt temperature of the polymer, and may enhance the processability.
- SCB on shorter chains may force these chains out of crystallites and into amorphous regions, lowering the toughness of the resulting polymer product.
- Hydrogen may be added to the polymer reactions to control molecular weight.
- the hydrogen acts as chain termination agent, essentially replacing a monomer or comonomer molecule in the reaction. This stops the formation of a current polymer chain, and allows a new polymer chain to begin.
- the catalysts A-J shown in Table 1 were prepared as discussed below. All the catalysts prepared were screened in a fluidized bed reactor equipped with devices for temperature control, catalyst feeding or injection equipment, gas chromatograph (GC) analyzer for monitoring and controlling monomer and comonomer gas feeds and equipment for polymer sampling and collecting.
- the reactor consisted of a 6 inch (15.24 cm) diameter bed section increasing to 10 inches (25.4 cm) at the reactor top. Gas comes in through a perforated distributor plate allowing fluidization of the bed contents and polymer sample is discharged at the reactor top.
- the comonomer in the example polymerizations herein is 1-hexene.
- the polymerization parameters are outlined in the table 1 below and plotted in FIGS. 2 and 3 .
- the reacting bed of growing polymer particles was maintained in a fluidized state by continually flowing the makeup feed and recycle gas through the reaction zone at a superficial gas velocity 1-2 ft/sec (0.3 to 0.6 m/sec).
- the reactor was operated at a temperature of 175 F (79 C) and total pressure of 300 psig (2274 kPa gauge) including 35 mol % ethylene.
- FIG. 2 is a plot 200 of a series of polymers that were prepared to test the relative abilities of a series of metallocene catalysts to prepare a resin having about a 1 melt index (MI) and a density (D) of about 0.92.
- the polymerizations were performed in the continuous gas phase reactor (LGPR) described above.
- the left axis 202 represents the gas-phase ratios of hydrogen to ethylene monomer (H 2 /C 2 ) used to achieve the target properties, in units of parts-per-million (mol) of H 2 per mol % C 2 (ppm/mol %).
- the right axis 204 represents the comonomer to ethylene ratio (C 6 /C 2 ) used to achieve the target properties, in units of mol per mol.
- Comparing C 6 /C 2 levels used to achieve the property targets indicate the relative abilities of the catalysts to incorporate comonomer. For example, comparing the C 6 /C 2 level 206 for (1-EtInd) 2 ZrCl 2 (B) to the C 6 /C 2 level 208 for (PrCp) 2 HfF 2 (I) gives a ratio of about 36/9 or about four. This indicates that for a given C 6 /C 2 gas ratio, a polymer prepared with (PrCp) 2 HfF 2 will have approximately four times the short chain branching (SCB) of a polymer prepared using (1-EtInd) 2 ZrCl 2 .
- SCB short chain branching
- This data is useful for controlling composition distributions of polymers made as in-situ blends using catalyst mixtures, for example, as co-supported catalysts on a single support.
- the data is also useful for determining which catalysts should be combined to have a composition distribution containing both comonomer rich (low density) and comonomer poor (high density) components.
- FIG. 3 is a plot 300 of the series of polymers of FIG. 2 , showing the melt index ratio (MIR) of the series of polymers made by different metallocene (MCN) catalysts.
- MIR melt index ratio
- MFR melt flow ratio
- I 21 /I 2 interchangeably refer to the ratio of the flow index (“FI” or “I 21 ”) to the melt index (“MI” or “I 2 ”).
- the MI (I 2 ) can be measured in accordance with ASTM D1238 (at 190° C., 2.16 kg weight).
- the FI (I 21 ) can be measured in accordance with ASTM D1238 (at 190° C., 21.6 kg weight).
- ASTM D1238 at 190° C., 2.16 kg weight
- FI I 21
- Like numbered items are as described with respect to FIG. 2 .
- the left axis 302 represents the MIR.
- the MIR (which may also be termed melt flow ratio or MFR) is the ratio of the I21 and I2 melt indices and may indicate the presence of long chain branching. For linear resins, without LCB, the ratio is around 25 or less. Higher MIR values may indicate the presence of LCB which can be detrimental to film properties, as noted above.
- the highest MIR ratio 304 was for (CH 2 ) 3 Si(CpMe 4 )CpZrCl 2 (J), indicating that polymer produced by this catalyst has the most LCB. In contrast, blending resins for with the two different catalysts forms a final product that will have a higher MIR.
- catalysts were selected to determine the dependence of the molecular weight (Mw) on the H 2 ratio.
- These catalysts included three catalysts that generate lower Mw polyethylene, (CpMe 5 )(1-MeInd)ZrCl 2 (A) 306 , (1-EtInd) 2 ZrCl 2 (B) 308 , and (Me 4 Cp)(1,3-Me 2 Ind)Zr Cl 2 (E) 310 .
- the catalysts also included a catalyst that generates a middle Mw polyethylene, (PrCp) 2 HfF 2 (I) 312 .
- Table 2 contains data on the dependence of Mw on H 2 /C 2 level.
- the equations from Table 3 can be used to predict the amounts of (1-EtInd) 2 ZrCl 2 needed in a combination with the catalyst (PrCp) 2 HfF 2 to make an overall resin with Mw of 100 Kg/mol at four different H 2 levels. These values may be used to set initial control points, for example, if (PrCp) 2 HfF 2 is used as a supported catalyst component, and (1-EtInd) 2 ZrCl 2 is a solution catalyst component, to be added as a trim catalyst. In this embodiment, the amount of the (1-EtInd) 2 ZrCl 2 catalyst that is added may be controlled to achieve Mw and other performance targets. Results for various combinations are shown in Table 4.
- HfP is capable of polymerizing ethylene and mixtures of ethylene and comonomers in the presence of an activator and a support, a cocatalyst, or both.
- the activator and support may be the same or different. Multiple activators, supports and or cocatalysts may be used simultaneously. Cocatalysts may be added to modify any of the ingredients.
- the descriptor catalyst, HfP, activator, supports and or cocatalysts refers to the actual compounds and also solutions of these compounds in hydrocarbon solvents.
- the catalysts should be soluble in alkane solvents such as hexane, paraffinic solvents, and mineral oil.
- alkane solvents such as hexane, paraffinic solvents, and mineral oil.
- the solubility may be greater than 0.0001 wt. %, greater than 0.01 wt. %, greater than 1 wt. %, or greater than 2%.
- Toluene may also be used as a solvent as the catalyst may be more soluble in an aromatic solvent
- a combination of HfP, an activator (MAO), and a support (silica) was reacted with trim catalysts in hydrocarbon solvents to yield a polymerization catalyst with a different polymerization behavior than expected from the combination of the individual components. More specifically, the molecular weight distribution for a polymer generated by the co-supported co-catalysts is broader than can be achieved by mixtures of polymers formed from the individual component catalysts. This change in polymerization behavior is exemplified by changes in the MWD, the CD, or MWD and CD of polymers formed by the mixture of HfP and the selected cocatalysts. Thus, combining catalysts, HfP, activator and optionally a support, additional cocatalysts, or both, in hydrocarbon solvents in an in-line mixer immediately prior to a polymerization reactor yields a new polymerization catalyst.
- any sequence of the combination of catalysts, HfP, activator and optionally a support, additional cocatalysts, or both, in hydrocarbon solvents may be used.
- the catalysts may be added to a mixture that includes HfP, activator and optionally a support, additional cocatalysts, or both.
- catalysts and cocatalysts may be added to a mixture of ⁇ HfP, activator and optionally a support ⁇ .
- catalysts and HfP may be added to a mixture that includes ⁇ activator and optionally a support and cocatalysts ⁇ .
- catalysts HfP, the activator and optionally a support, additional cocatalysts or both, in hydrocarbon solvents then obtain a dry catalyst from the mixture.
- This dry mixture may be fed directly, or as a slurry, into a polymerization reactor.
- the change in the MWD and CD upon using the catalysts and HfP can be controlled by changing the ratio of the catalysts to HfP.
- the MWD and CD is that of HfP.
- the MWD and CD is that generated by the catalysts themselves.
- Changing the ratio of catalysts changes the MWD and CD from that of the parents. The ratio can be changed to target specific MWD and CD targets.
- Catalysts can be chosen to control the change in MWD or CD of the polymer formed. Employing catalysts that yield lower or higher molecular weight polymers than HfP will broaden the molecular weight distribution.
- the response of the Mw of polymers made from the single components versus H2/C2 can be used as a guide for the selection. For example, a catalyst having less response to hydrogen than HfP will yield a higher Mw than a polymer produced by HfP by itself, as shown in FIG. 2 . Further, a catalyst having a higher response to hydrogen than HfP will, in a combination with HfP, yield a lower Mw than HfP by itself.
- catalysts may be selected to change the composition distribution. For example, employing catalysts that incorporate less or more comonomer than HfP will broaden the composition distribution.
- a rough guide to this effect is the relative gas C6/C2 ratios required to prepare an approximately 0.92 D resin from different catalysts. Those catalysts that give larger differences in C6/C2 gas ratios from HfP will broaden the CD more.
- Molecular weight distributions can also be changed by employing a catalyst that yields a different MWD but similar average molecular weight to that from HfP.
- the combination of catalysts with HfP can yield a MWD that is larger than expected from the theoretical combination of the individual catalysts.
- Desirable materials based on an HfP base catalyst are made when the Mw and comonomer incorporation abilities of the catalysts are both higher than HfP.
- desirable materials are also formed when the Mw and comonomer incorporation abilities of the catalysts are both lower than HfP.
- desirable materials are made when the Mw and of the catalysts are similar to and the comonomer incorporation abilities lower than HfP.
- FIG. 4 is a flow chart of a method 400 for making a co-supported polymerization catalyst.
- the method 400 begins at block 402 with the generation of a plot of hydrogen/ethylene ratio versus the reciprocal of molecular weight of a polymer generated by each one of a number of catalysts. As discussed herein, the slope of each plot indicates the response of the corresponding catalyst to a hydrogen level.
- a value is determined for the comonomer/ethylene ratio for each of the catalysts that can be used to achieve a single target density, such as 0.92.
- the value of the ratio used to achieve the target density indicates the ability of the catalyst to incorporate comonomer.
- a first catalyst is selected for the co-supported polymerization catalyst.
- the first catalyst can be a commonly used commercial catalyst, or may be selected to have a low or a high ability to incorporate comonomer and a high or low response to hydrogen.
- a second catalyst is selected for the co-supported polymerization catalyst.
- the second catalyst can be selected to have a slope of the plot for the hydrogen/ethylene ratio versus the reciprocal of molecular weight that is at least about 1.5 times as large as the slope of the plot for the first catalyst. Further, the second catalyst can be selected to have a value for the comonomer/ethylene ratio that is less than about 0.5 as large as comonomer/ethylene ratio of the first catalyst.
- the first catalyst and the second catalyst can be co-supported on a single support to create the co-supported polymerization catalyst, for example, using the trim techniques described herein, among others.
- the solid was isolated by filtration, washed with cold pentane (2 ⁇ 50 mL) and dried under vacuum to give 29.2 g solid with a rac/meso ration of 0.94:1.
- the isolated solid was extracted with warm hexane (ca. 150 mL) filtered away from a small amount of pink solid. The volume was reduced to about 125 mL and the solution was treated with trimethylsilylchloride (2.0 mL). The solution was filtered, concentrated to about 100 mL, heated to re-dissolve the precipitated product and allowed to cool slowly. After sitting overnight, the flask was cooled to ⁇ 20 C which caused some pink solid to precipitate. The flask was warmed to 55° C.
- iodomethane (2.0 ml, 32.1 mmol) was dissolved in 80 ml dry diethyl ether in a 250 ml round bottom flask with magnetic spinbar. Flask was placed in a isohexane cold bath ( ⁇ 25° C.) in a wide mouth dewar. In a separate 100 ml Erlenmeyer flask, a room temperature solution of 1-methylindenyl lithium (3.50 g, 25.7 mmol) was prepared in 50 ml dry diethyl ether, affording a yellow solution. Slow, dropwise addition of indenyl lithium solution to the cold, stirred solution of iodomethane was performed over 15 min.
- Ineos ES757 silica (3969 g) was charged into a dehydrator (6 ft length, 6.25 in diameter) equipped with a 3-zone heater then fluidized with dry N2 gas at a flow rate of 0.12 ft 3 /s. Afterwards, the temperature was raised to 200° C. in a 2 h period. After holding at 200° C. for 2 h, the temperature was raised to 610° C. in a 6 h period. After holding at 610° C. for 4 h, the temperature was allowed to cool to ambient temperature over a 12 h period. The silica was transferred under N2 to an APC can then stored under N2 pressure (20 psig).
- a 2 L autoclave Under a N 2 atmosphere, a 2 L autoclave was charged with dry salt (200 g) and SMAO (3 g). At a pressure of 2 psig N 2 , dry, degassed 1-hexene (see Table 6) was added to the reactor with a syringe. The reactor was sealed, heated to 80° C. while stirring the bed, then charged with N2 to a pressure of 20 psig. Then, solid catalyst was injected into the reactor with ethylene at a pressure of 220 psig; ethylene flow was allowed over the course of the run. The temperature was raised to 85° C. Hexene was fed into the reactor as a ratio to ethylene flow (0.08 g/g).
- Hydrogen was fed into the reactor as a ratio to ethylene flow per the description in the table.
- the hydrogen and ethylene ratios were measured by on-line GC analysis. Polymerizations were halted after 1 h by venting the reactor, cooling to room temperature then exposing to air. The salt was removed by stirring the crude product in water. The polymer was obtained by filtration then drying in a vacuum oven.
- the two 75/25 batches were combined in a 4 L Nalgene bottle and manually mixed by spinning and shaking the bottle.
- the two 50/50 batches were also mixed in the same manner.
- the feed stock slurry was prepared by first adding 10 wt % MAO (24.7 lbs), toluene (35.8 lbs) and Cabosil TS-610 (3.4 lbs) to a 10 gallon feed tank. The mixture was stirred overnight at room temperature. HfP (III) (28.75 g, 0.06798 mol) was added then the resulting slurry was mixed for another hour at ⁇ 38-40° C. before spraying. The catalyst was spray dried at a slurry feed rate of 93 lb/h, 90% atomizer speed, and outlet temperature of 80° C. in a procedure similar to reported in U.S. Pat. No. 7,276,566 B2. Yield was 2289 g (85%). Analytical data are reported in Table 9.
- the polymerization was conducted in a continuous gas phase fluidized bed reactor having a straight section of 24 inch (61 cm) diameter with a length of approximately 11.75 feet (3.6 m) and an expanded section of 10.2 feet (3.1 m) length and 4.2 feet (1.3 m) diameter at the largest width.
- the fluidized bed is made up of polymer granules.
- the gaseous feed streams of ethylene and hydrogen together with liquid 1-hexene were mixed together in a mixing tee arrangement and introduced below the reactor bed into the recycle gas line.
- the individual flow rates of ethylene, hydrogen and 1-hexene were controlled to maintain fixed composition targets.
- the ethylene concentration was controlled to maintain a constant ethylene partial pressure.
- They hydrogen was controlled to maintain a constant hydrogen to ethylene mole ratio.
- the concentrations of all gasses were measured by an on-line gas chromatograph to ensure relatively constant composition in the recycle gas stream.
- the solid catalyst was injected directly into the fluidized bed using purified nitrogen as a carrier. Its rate of injection was adjusted to maintain a constant production rate of the polymer.
- the reacting bed of growing polymer particles was maintained in a fluidized state by continually flowing the makeup feed and recycle gas through the reaction zone at a superficial gas velocity 1-3 ft/sec (0.3 to 0.9 m/sec).
- the reactor was operated at a total pressure of 300 psig (2068 kPa gauge). To maintain a constant reactor temperature, the temperature of the recycle gas was continuously adjusted up or down to accommodate any changes in the rate of heat generation due to the polymerization.
- a solution of anti-static agents in hexane (1:1 Aluminum stearate: N-nonyldiethanolamine at 20 wt %) was fed into the reactor using a mixture of iso-pentane and nitrogen at such a rate as too maintain ca. 30 ppm anti-static agents in the fluidized bed.
- the fluidized bed was maintained at a constant height by withdrawing a portion of the bed at a rate equal to the rate of formation of particulate product.
- the product was removed semi-continuously via a series of valves into a fixed volume chamber, which was simultaneously vented back to the reactor to allow highly efficient removal of the product, while at the same time recycling a large portion of the unreacted gases back to the reactor, This product was purged to remove entrained hydrocarbons and treated with a small stream of humidified nitrogen to deactivate any trace quantities of residual catalyst and cocatalyst.
- a gas phase fluidized bed reactor of 0.35 meters internal diameter and 2.3 meters in bed height was utilized for polymerizations, with the results shown in Table 11.
- the fluidized bed was made up of polymer granules and the gaseous feed streams of ethylene and hydrogen together with liquid 1-hexene comonomer were introduced below the reactor bed into the recycle gas line.
- the individual flow rates of ethylene, hydrogen and 1-hexene were controlled to maintain fixed composition targets.
- the ethylene concentration was controlled to maintain a constant ethylene partial pressure.
- the hydrogen was controlled to maintain constant hydrogen to ethylene mole ratio.
- the concentrations of all the gases were measured by an on-line gas chromatograph to ensure relatively constant composition in the recycle gas stream.
- the reacting bed of growing polymer particles was maintained in a fluidized state by the continuous flow of the make-up feed and recycle gas through the reaction zone. A superficial gas velocity of 0.6-0.9 meters/sec was used to achieve this.
- the fluidized bed was maintained at a constant height by withdrawing a portion of the bed at a rate equal to the rate of formation of particulate product.
- the polymer production rate was in the range of 15-25 kg/hour.
- the product was removed semi-continuously via a series of valves into a fixed volume chamber. This product was purged to remove entrained hydrocarbons and treated with a small stream of humidified nitrogen to deactivate any trace quantities of residual catalyst.
- the solid catalyst was dispersed in degassed and dried mineral oil as a nominal 18 wt % slurry and contacted with the trim catalyst solution for a few seconds to minutes before being injected directly into the fluidized bed using purified nitrogen and isopentane as carriers in a manner that produces an effervescence of nitrogen in the liquid and spray to aid in dispersing the catalyst.
- the trim catalyst was provided initially as a solution, and substantially diluted with isopentane to a concentration of about 0.015 wt % before being mixed in-line with the slurry catalyst component in a continuous manner prior to injection to the reactor.
- the relative feeds of the slurry catalyst and the trim catalyst were controlled to achieve an aim target feed ratio of their active polymerization metals, and the feeds adjusted accordingly for overall polymer production rate and the relative amounts of polymer produced by each catalyst based somewhat on polymer flow index MFR and density, while also manipulating reaction temperature and the gas compositions in the reactor.
- the reacting bed of growing polymer particles was maintained in a fluidized state by continually flowing the makeup feed and recycle gas through the reaction zone at a superficial gas velocity in about the range of 2.0 to 2.2 ft/sec (0.61 to 0.67 m/sec).
- the reactor was operated at a total pressure of about 350 psig (2413 kPa gauge).
- the temperature of the recycle gas was continuously adjusted up or down by passing the recirculating gas through the tubes of a shell-and-tube heat exchanger with cooling water on the shell-side to accommodate any changes in the rate of heat generation due to the polymerization.
- a slurry mixture of anti-static agents in degassed and dried mineral oil (1:1 Aluminum stearate: N-nonyldiethanolamine at 20 wt % concentration) was fed into the reactor using a mixture of iso-pentane and nitrogen at such a rate as to achieve a concentration of between 38 and 123 ppmw anti-static agents in the fluidized bed.
- Isopentane and/or nitrogen was optionally employed to assist in conveying and dispersing the slurry mixture of anti-static into the reactor fluidized bed via a 1 ⁇ 8 inch to 3/16 inch OD injection tube thief extending a few inches into the bed from the reactor side wall.
- the fluidized bed was maintained at a constant height by withdrawing a portion of the bed at a rate equal to the rate of formation of particulate product.
- the product was removed semi-continuously via a series of valves into a fixed volume discharge chamber. This product was purged to remove entrained hydrocarbons and treated with a small stream of humidified nitrogen immediately on discharge to a receiving fiberpak drum to deactivate any trace quantities of residual catalyst and cocatalyst.
Landscapes
- Chemical & Material Sciences (AREA)
- Organic Chemistry (AREA)
- Health & Medical Sciences (AREA)
- Chemical Kinetics & Catalysis (AREA)
- Medicinal Chemistry (AREA)
- Polymers & Plastics (AREA)
- Engineering & Computer Science (AREA)
- Materials Engineering (AREA)
- Crystallography & Structural Chemistry (AREA)
- Manufacturing & Machinery (AREA)
- Transition And Organic Metals Composition Catalysts For Addition Polymerization (AREA)
- Addition Polymer Or Copolymer, Post-Treatments, Or Chemical Modifications (AREA)
- Polymerisation Methods In General (AREA)
- Catalysts (AREA)
- Organic Low-Molecular-Weight Compounds And Preparation Thereof (AREA)
- Compositions Of Macromolecular Compounds (AREA)
- Processes Of Treating Macromolecular Substances (AREA)
- Polymerization Catalysts (AREA)
Abstract
Description
- This application claims the benefit of U.S. Provisional Patent Applications having the following serial numbers: Ser. No. 61/938,466, by Ching-Tai Lue et al., filed Feb. 11, 2014 (2014U002.PRV); Ser. No. 61/938,472, by Ching-Tai Lue et al., filed Feb. 11, 2014 (2014U003.PRV); Ser. No. 61/981,291, by Francis C. Rix et al., filed Apr. 18, 2014 (2014U010.PRV); Ser. No. 61/985,151, by Francis C. Rix et al., filed Apr. 28, 2014 (2014U012.PRV); Ser. No. 62/032,383, by Sun-Chueh Kao et al., filed Aug. 1, 2014 (2014U018.PRV); Ser. No. 62/087,905, by Francis C. Rix et al., filed Dec. 5, 2014 (2014U035.PRV); Ser. No. 62/088,196, by Daniel P. Zilker, Jr. et al., filed Dec. 5, 2014 (2014U036.PRV), Ser. No. 62/087,911, by Ching-Tai Lue et al., filed Dec. 5, 2014 (2014U037.PRV), and Ser. No. 62/087,914, by Francis C. Rix et al., filed Dec. 5, 2014 (2014U038.PRV), the disclosures of which are incorporated by reference in their entireties.
- Ethylene alpha-olefin (polyethylene) copolymers are typically produced in a low pressure reactor, utilizing, for example, solution, slurry, or gas phase polymerization processes. Polymerization takes place in the presence of catalyst systems such as those employing, for example, a Ziegler-Natta catalyst, a chromium based catalyst, a metallocene catalyst, or combinations thereof.
- A number of catalyst compositions containing single site, e.g., metallocene, catalysts have been used to prepare polyethylene copolymers, producing relatively homogeneous copolymers at good polymerization rates. In contrast to traditional Ziegler-Natta catalyst compositions, single site catalyst compositions, such as metallocene catalysts, are catalytic compounds in which each catalyst molecule contains one or only a few polymerization sites. Single site catalysts often produce polyethylene copolymers that have a narrow molecular weight distribution. Although there are single site catalysts that can produce broader molecular weight distributions, these catalysts often show a narrowing of the molecular weight distribution as the reaction temperature is increased, for example, to increase production rates. Further, a single site catalyst will often incorporate comonomer among the molecules of the polyethylene copolymer at a relatively uniform rate. The molecular weight distribution and the amount of comonomer incorporation can be used to determine a composition distribution.
- The composition distribution of an ethylene alpha-olefin copolymer refers to the distribution of comonomer, which form short chain branches, among the molecules that comprise the polyethylene polymer. When the amount of short chain branches varies among the polyethylene molecules, the resin is said to have a “broad” composition distribution. When the amount of comonomer per 1000 carbons is similar among the polyethylene molecules of different chain lengths, the composition distribution is said to be “narrow”.
- The composition distribution is known to influence the properties of copolymers, for example, stiffness, toughness, extractable content, environmental stress crack resistance, and heat sealing, among other properties. The composition distribution of a polyolefin may be readily measured by methods known in the art, for example, Temperature Raising Elution Fractionation (TREF) or Crystallization Analysis Fractionation (CRYSTAF).
- It is generally known in the art that a polyolefin's composition distribution is largely dictated by the type of catalyst used and is typically invariable for a given catalyst system. Ziegler-Natta catalysts and chromium based catalysts produce resins with broad composition distributions (BCD), whereas metallocene catalysts normally produce resins with narrow composition distributions (NCD).
- Resins having a broad orthogonal composition distribution (BOCD) in which the comonomer is incorporated predominantly in the high molecular weight chains can lead to improved physical properties, for example toughness properties and environmental stress crack resistance (ESCR). Because of the improved physical properties of resins with orthogonal composition distributions needed for commercially desirable products, there exists a need for controlled techniques for forming polyethylene copolymers having a broad orthogonal composition distribution.
- An exemplary embodiment described herein provides a method of polymerizing olefins to produce a polyolefin polymer with a multimodal composition distribution, including contacting ethylene and a comonomer with a catalyst system. The catalyst system includes a first catalyst compound and a second catalyst compound that are co-supported to form a commonly supported catalyst system. The first catalyst compound includes a compound with the following formula:
-
(C5HaR1 b)(C5HcR2 d)HfX2. - In this formula, each R1 is independently H, a hydrocarbyl group, a substituted hydrocarbyl group, or a heteroatom group; each R2 is independently H, a hydrocarbyl group, a substituted hydrocarbyl group, or a heteroatom group; a and c are ≥3; a+b=c+d=5; at least one R1 and at least one R2 is a hydrocarbyl or substituted hydrocarbyl group; adjacent groups R1 and R2 groups may be coupled to form a ring; and each X is independently a leaving group selected from a labile hydrocarbyl, substituted hydrocarbyl, or heteroatom group, or a divalent radical that links to an R1 or R2 group. The second catalyst compound includes at least one of the following formulas:
- In these formulas, each R3 is independently H, a hydrocarbyl group, a substituted hydrocarbyl group, or a heteroatom group; R4 is a hydrocarbyl group, a substituted hydrocarbyl group, or a heteoatom group; each R5 is independently H, a hydrocarbyl group, a substituted hydrocarbyl group, or a heteroatom group; wherein R3, R4, and R5 may be the same or different; wherein R3, R4, or R5 groups may be joined with R3, R4, or R5 groups on an opposing cyclopentadienyl structure to form one or more bridges if the number of atoms connecting the two cyclopentadienyl rings is ≥3; and each X is independently a leaving group selected from a labile hydrocarbyl, substituted hydrocarbyl, or heteroatom group.
- Another embodiment provides a catalyst composition including a first catalyst compound and a second catalyst compound that are co-supported forming a commonly supported catalyst system. The first catalyst compound includes a compound with the following formula:
-
(C5HaR1 b)(C5HcR2 d)HfX2. - In this formula, each R1 is independently H, a hydrocarbyl group, a substituted hydrocarbyl group, or a heteroatom group; each R2 is independently a H, hydrocarbyl group, a substituted hydrocarbyl group, or a heteroatom group; a and c are ≥3; a+b=c+d=5; at least one R1 and at least one R2 is a hydrocarbyl or substituted hydrocarbyl group; adjacent groups R1 and R2 groups may be coupled to form a ring; and each X is independently a leaving group selected from a labile hydrocarbyl, substituted hydrocarbyl, or heteroatom group, or a divalent radical that links to an R1 or R2 group. The second catalyst compound includes at least one of the following formulas:
- In these formulas, each R3 is independently H, a hydrocarbyl group, a substituted hydrocarbyl group, or a heteroatom group; R4 is a hydrocarbyl group, a substituted hydrocarbyl group, or a heteoatom group; each R5 is independently H, a hydrocarbyl group, a substituted hydrocarbyl group, or a heteroatom group; wherein R3, R4, and R5 may be the same or different; wherein R3, R4, or R5 groups may be joined with R3, R4, or R5 groups on an opposing cyclopentadienyl structure to form one or more bridges if the number of atoms connecting the two cyclopentadienyl rings is ≥3; and each X is independently a leaving group selected from a labile hydrocarbyl, substituted hydrocarbyl, or heteroatom group. X may be a divalent radical that links to a R3, R4, or R5 substituent.
-
FIG. 1 is a schematic of a gas-phase reactor system, showing the addition of at least two catalysts, at least one of which is added as a trim catalyst. -
FIG. 2 is a plot of a series of polymers that were prepared to test the relative abilities of a series of metallocene catalysts to prepare a resin having about a 1 melt index (MI) and a density (D) of about 0.92. -
FIG. 3 is a plot of the series of polymers ofFIG. 2 , showing the melt index ratio (MIR) of the series of polymers made by different metallocene (MCN) catalysts. -
FIG. 4 is a flow chart of a method for making a co-supported polymerization catalyst. - It has been discovered that when a support is impregnated with multiple catalysts, new polymeric materials with an improved balance of stiffness, toughness and processibility can be achieved, e.g., by controlling the amounts and types of catalysts present on the support. As described in embodiments herein, an appropriate selection of the catalysts and ratios may be used to adjust the molecular weight distribution (MWD), short chain branch distribution (SCBD), and long-chain branch distribution (LCBD) of the polymer, for example, to provide a polymer with a broad orthogonal composition distribution (BOCD). The MWD, SCBD, and LCBDs would be controlled by combining catalysts with the appropriate weight average molecular weight (Mw), comonomer incorporation, and long chain branching (LCB) formation under the conditions of the polymerization.
- Employing multiple pre-catalysts that are co-supported on a single support mixed with an activator, such as a silica methylaluminoxane (SMAO), can provide a cost advantage by making the product in one reactor instead of multiple reactors. Further, using a single support also ensures intimate mixing of the polymers and offers improved operability relative to preparing a mixture of polymers of different Mw and density independently from multiple catalysts in a single reactor. As used herein, a pre-catalyst is a catalyst compound prior to exposure to activator.
- As an example, for linear low-density polyethylene film (LLDPE) film applications, it would be desirable to prepare an ethylene hexene copolymer with a molecular weight of between about 90 Kg/mol and 110 Kg/mol, or about 100 Kg/mol and an average density of between about 0.9 and 0.925, or about 0.918. The typical MWD for linear metallocene resins is 2.5-3.5. Blend studies indicate that it would be desirable to broaden this distribution by employing two catalysts that each provides different average molecular weights. The ratio of the Mw for the low molecular weight component and the high molecular weight component would be between 1:1 and 1:10, or about 1:2 and 1:5.
- The density of a polyethylene copolymer provides an indication of the incorporation of comonomer into a polymer, with lower densities indicating higher incorporation. The difference in the densities of the low molecular weight (LMW) component and the high molecular weight (HMW) component would preferably be greater than about 0.02, or greater than about 0.04 with the HMW component having a lower density than the LMW component. For two resins with Mw of 25 Kg/mol and 125 Kg/mol, the difference in density requires around around a 1.5:1 or preferably about 2:1, or more preferably about 3:1 or more preferably a 4:1 or even a greater than 4:1 difference in comonomer incorporation ability. It is also desirable to minimize the level of long chain branching (LCB) in the polymer as that provides strong orientation in film fabrication which imbalances MD/TD tear and reduces toughness.
- These factors can be adjusted by controlling the MWD and SCBD, which, in turn, can be adjusted by changing the relative amount of the two pre-catalysts on the support. This may be adjusted during the formation of the pre-catalysts, for example, by supporting two catalysts on a single support. In some embodiments, the relative amounts of the pre-catalysts can be adjusted by adding one of the components to a catalyst mixture en-route to the reactor in a process termed “trim.” Feedback of polymer property data can be used to control the amount of catalyst addition. Metallocenes (MCNs) are known to trim well with other catalysts.
- Further, a variety of resins with different MWD, SCBD, and LCBD may be prepared from a limited number of catalysts. To perform this function, the pre-catalysts should trim well onto activator supports. Two parameters that benefit this are solubility in alkane solvents and rapid supportation on the catalyst slurry en-route to the reactor. This favors the use of MCNs to achieve controlled MWD, SCBD, and LCBD. Techniques for selecting catalysts that can be used to generate targeted molecular weight compositions, including BOCD polymer systems, are disclosed herein.
- Various catalyst systems and components may be used to generate the polymers and molecular weight compositions disclosed. These are discussed in the sections to follow. The first section discusses catalyst compounds that can be used in embodiments. The second section discusses generating catalyst slurrys that may be used for implementing the techniques described. The third section discusses catalyst supports that may be used. The fourth section discusses catalyst activators that may be used. The fifth section discusses the catalyst component solutions that may be used to add additional catalysts in trim systems. Gas phase polymerizations may use static control or continuity agents, which are discussed in the sixth section. A gas-phase polymerization reactor with a trim feed system is discussed in the seventh section. The use of the catalyst composition to control product properties is discussed in an eighth section and an exemplary polymerization process is discussed in a ninth section. Examples of the implementation of the procedures discussed is incorporated into a tenth section.
- Catalyst Compounds
- Metallocene Catalyst Compounds
- Metallocene catalyst compounds can include “half sandwich” and/or “full sandwich” compounds having one or more Cp ligands (cyclopentadienyl and ligands isolobal to cyclopentadienyl) bound to at least one Group 3 to Group 12 metal atom, and one or more leaving group(s) bound to the at least one metal atom. As used herein, all reference to the Periodic Table of the Elements and groups thereof is to the NEW NOTATION published in HAWLEY'S CONDENSED CHEMICAL DICTIONARY, Thirteenth Edition, John Wiley & Sons, Inc., (1997) (reproduced there with permission from IUPAC), unless reference is made to the Previous IUPAC form noted with Roman numerals (also appearing in the same), or unless otherwise noted.
- The Cp ligands are one or more rings or ring system(s), at least a portion of which includes π-bonded systems, such as cycloalkadienyl ligands and heterocyclic analogues. The ring(s) or ring system(s) typically include atoms selected from the group consisting of Groups 13 to 16 atoms, and, in a particular exemplary embodiment, the atoms that make up the Cp ligands are selected from the group consisting of carbon, nitrogen, oxygen, silicon, sulfur, phosphorous, germanium, boron, aluminum, and combinations thereof, where carbon makes up at least 50% of the ring members. In a more particular exemplary embodiment, the Cp ligand(s) are selected from the group consisting of substituted and unsubstituted cyclopentadienyl ligands and ligands isolobal to cyclopentadienyl, non-limiting examples of which include cyclopentadienyl, indenyl, fluorenyl and other structures. Further non-limiting examples of such ligands include cyclopentadienyl, cyclopentaphenanthreneyl, indenyl, benzindenyl, fluorenyl, octahydrofluorenyl, cyclooctatetraenyl, cyclopentacyclododecene, phenanthrindenyl, 3,4-benzofluorenyl, 9-phenylfluorenyl, 8-H-cyclopent[a]acenaphthylenyl, 7-H-dibenzofluorenyl, indeno[1,2-9]anthrene, thiophenoindenyl, thiophenofluorenyl, hydrogenated versions thereof (e.g., 4,5,6,7-tetrahydroindenyl, or “H4 Ind”), substituted versions thereof (as discussed and described in more detail below), and heterocyclic versions thereof.
- The metal atom “M” of the metallocene catalyst compound can be selected from the group consisting of Groups 3 through 12 atoms and lanthanide Group atoms in one exemplary embodiment; and selected from the group consisting of Groups 3 through 10 atoms in a more particular exemplary embodiment, and selected from the group consisting of Sc, Ti, Zr, Hf, V, Nb, Ta, Mn, Re, Fe, Ru, Os, Co, Rh, Ir, and Ni in yet a more particular exemplary embodiment; and selected from the group consisting of Groups 4, 5, and 6 atoms in yet a more particular exemplary embodiment, and Ti, Zr, Hf atoms in yet a more particular exemplary embodiment, and Hf in yet a more particular exemplary embodiment. The oxidation state of the metal atom “M” can range from 0 to +7 in one exemplary embodiment; and in a more particular exemplary embodiment, can be +1, +2, +3, +4, or +5; and in yet a more particular exemplary embodiment can be +2, +3 or +4. The groups bound to the metal atom “M” are such that the compounds described below in the formulas and structures are electrically neutral, unless otherwise indicated. The Cp ligand forms at least one chemical bond with the metal atom M to form the “metallocene catalyst compound.” The Cp ligands are distinct from the leaving groups bound to the catalyst compound in that they are not highly susceptible to substitution/abstraction reactions.
- The one or more metallocene catalyst compounds can be represented by the formula (I):
-
CpACpBMXn (I) - in which M is as described above; each X is chemically bonded to M; each Cp group is chemically bonded to M; and n is 0 or an integer from 1 to 4, and either 1 or 2 in a particular exemplary embodiment.
- The ligands represented by CpA and CpB in formula (I) can be the same or different cyclopentadienyl ligands or ligands isolobal to cyclopentadienyl, either or both of which can contain heteroatoms and either or both of which can be substituted by a group R. In at least one specific embodiment, CpA and CpB are independently selected from the group consisting of cyclopentadienyl, indenyl, tetrahydroindenyl, fluorenyl, and substituted derivatives of each.
- Independently, each CpA and CpB of formula (I) can be unsubstituted or substituted with any one or combination of substituent groups R. Non-limiting examples of substituent groups R as used in structure (I) as well as ring substituents in structures Va-d, discussed and described below, include groups selected from the group consisting of hydrogen radicals, alkyls, alkenyls, alkynyls, cycloalkyls, aryls, acyls, aroyls, alkoxys, aryloxys, alkylthiols, dialkylamines, alkylamidos, alkoxycarbonyls, aryloxycarbonyls, carbomoyls, alkyl- and dialkyl-carbamoyls, acyloxys, acylaminos, aroylaminos, and combinations thereof. More particular non-limiting examples of alkyl substituents R associated with formulas (I) through (Va-d) include methyl, ethyl, propyl, butyl, pentyl, hexyl, cyclopentyl, cyclohexyl, benzyl, phenyl, methylphenyl, and tert-butylphenyl groups and the like, including all their isomers, for example, tertiary-butyl, isopropyl, and the like.
- As used herein, and in the claims, hydrocarbyl substituents, or groups, are made up of between 1 and 100 or more carbon atoms, the remainder being hydrogen. Non-limiting examples of hydrocarbyl substituents include linear or branched or cyclic: alkyl radicals; alkenyl radicals; alkynyl radicals; cycloalkyl radicals; aryl radicals; alkylene radicals, or a combination thereof. Non-limiting examples include methyl, ethyl, propyl, butyl, pentyl, hexyl, cyclopentyl, cyclohexyl; olefinically unsaturated substituents including vinyl-terminated ligands (for example but-3-enyl, prop-2-enyl, hex-5-enyl and the like), benzyl or phenyl groups and the like, including all their isomers, for example tertiary butyl, isopropyl, and the like.
- As used herein, and in the claims, substituted hydrocarbyl substituents, or groups, are made up of between 1 and 100 or more carbon atoms, the remainder being hydrogen, fluorine, chlorine, bromine, iodine, oxygen, sulfur, nitrogen, phosphorous, boron, silicon, germanium or tin atoms or other atom systems tolerant of olefin polymerization systems. Substituted hydrocarbyl substituents are carbon based radicals. Non-limiting examples of substituted hydrocarbyl substituents trifluoromethyl radical, trimethylsilanemethyl (Me3SiCH 2-) radicals.
- As used herein, and in the claims, heteroatom substituents, or groups, are fluorine, chlorine, bromine, iodine, oxygen, sulfur, nitrogen, phosphorous, boron, silicon, germanium or tin based radicals. They may be the heteroatom atom by itself. Further, heteroatom substituents include organometalloid radicals. Non-limiting examples of heteroatom substituents include chloro radicals, fluoro radicals, methoxy radicals, diphenyl amino radicals, thioalkyls, thioalkenyls, trimethylsilyl radicals, dimethyl aluminum radicals, alkoxydihydrocarbylsilyl radicals, siloxydiydrocabylsilyl radicals, tris(perflourophenyl)boron and the like.
- Other possible radicals include substituted alkyls and aryls such as, for example, fluoromethyl, fluroethyl, difluroethyl, iodopropyl, bromohexyl, chlorobenzyl, hydrocarbyl substituted organometalloid radicals including trimethylsilyl, trimethylgermyl, methyldiethylsilyl, and the like, and halocarbyl-substituted organometalloid radicals, including tris(trifluoromethyl)silyl, methylbis(difluoromethyl)silyl, bromomethyldimethylgermyl and the like; and disubstituted boron radicals including dimethylboron, for example; and disubstituted Group 15 radicals including dimethylamine, dimethylphosphine, diphenylamine, methylphenylphosphine, as well as Group 16 radicals including methoxy, ethoxy, propoxy, phenoxy, methylsulfide and ethylsulfide. Other substituent groups R include, but are not limited to, olefins such as olefinically unsaturated substituents including vinyl-terminated ligands such as, for example, 3-butenyl, 2-propenyl, 5-hexenyl, and the like. In one exemplary embodiment, at least two R groups (two adjacent R groups in a particular exemplary embodiment) are joined to form a ring structure having from 3 to 30 atoms selected from the group consisting of carbon, nitrogen, oxygen, phosphorous, silicon, germanium, aluminum, boron, and combinations thereof. Also, a substituent group R such as 1-butanyl can form a bonding association to the element M.
- Each X in the formula (I) above and for the formula/structures (II) through (Va-d) below is independently selected from the group consisting of: any leaving group, in one exemplary embodiment; halogen ions, hydrides, C1 to C12 alkyls, C2 to C12 alkenyls, C6 to C12 aryls, C7 to C20 alkylaryls, C1 to C12 alkoxys, C6 to C16 aryloxys, C7 to C8 alkylaryloxys, C1 to C12 fluoroalkyls, C6 to C12 fluoroaryls, and C1 to C12 heteroatom-containing hydrocarbons and substituted derivatives thereof, in a more particular exemplary embodiment; hydride, halogen ions, C1 to C6 alkyls, C2 to C6 alkenyls, C7 to Cis alkylaryls, C1 to C6 alkoxys, C6 to C14 aryloxys, C7 to C16 alkylaryloxys, C1 to C6 alkylcarboxyla yield a new polymerization catalyst tes, C1 to C6 fluorinated alkylcarboxylates, C6 to C12 arylcarboxylates, C7 to C18 alkylarylcarboxylates, C1 to C6 fluoroalkyls, C2 to C6 fluoroalkenyls, and C7 to C18 fluoroalkylaryls in yet a more particular exemplary embodiment; hydride, chloride, fluoride, methyl, phenyl, phenoxy, benzoxy, tosyl, fluoromethyls and fluorophenyls, in yet a more particular exemplary embodiment; C1 to C12 alkyls, C2 to C12 alkenyls, C6 to C12 aryls, C7 to C20 alkylaryls, substituted C1 to C12 alkyls, substituted C6 to C12 aryls, substituted C7 to C20 alkylaryls and C1 to C12 heteroatom-containing alkyls, C1 to C12 heteroatom-containing aryls, and C1 to C12 heteroatom-containing alkylaryls, in yet a more particular exemplary embodiment; chloride, fluoride, C1 to C6 alkyls, C2 to C6 alkenyls, C7 to Cis alkylaryls, halogenated C1 to C6 alkyls, halogenated C2 to C6 alkenyls, and halogenated C7 to Cis alkylaryls, in yet a more particular exemplary embodiment; fluoride, methyl, ethyl, propyl, phenyl, methylphenyl, dimethylphenyl, trimethylphenyl, fluoromethyls (mono-, di- and trifluoromethyls) and fluorophenyls (mono-, di-, tri-, tetra- and pentafluorophenyls), in yet a more particular exemplary embodiment; and fluoride, in yet a more particular exemplary embodiment.
- Other non-limiting examples of X groups include amines, phosphines, ethers, carboxylates, dienes, hydrocarbon radicals having from 1 to 20 carbon atoms, fluorinated hydrocarbon radicals (e.g., —C6F5 (pentafluorophenyl)), fluorinated alkylcarboxylates (e.g., CF3C(O)O−), hydrides, halogen ions and combinations thereof. Other examples of X ligands include alkyl groups such as cyclobutyl, cyclohexyl, methyl, heptyl, tolyl, trifluoromethyl, tetramethylene, pentamethylene, methylidene, methyoxy, ethyoxy, propoxy, phenoxy, bis(N-methylanilide), dimethylamide, dimethylphosphide radicals and the like. In one exemplary embodiment, two or more X's form a part of a fused ring or ring system. In at least one specific embodiment, X can be a leaving group selected from the group consisting of chloride ions, bromide ions, C1 to C10 alkyls, and C2 to C12 alkenyls, carboxylates, acetylacetonates, and alkoxides.
- The metallocene catalyst compound includes those of formula (I) where CpA and CpB are bridged to each other by at least one bridging group, (A), such that the structure is represented by formula (II):
-
CpA(A)CpBMXn (II) - These bridged compounds represented by formula (II) are known as “bridged metallocenes.” The elements CpA, CpB, M, X and n in structure (II) are as defined above for formula (I); where each Cp ligand is chemically bonded to M, and (A) is chemically bonded to each Cp. The bridging group (A) can include divalent hydrocarbon groups containing at least one Group 13 to 16 atom, such as, but not limited to, at least one of a carbon, oxygen, nitrogen, silicon, aluminum, boron, germanium, tin atom, and combinations thereof, where the heteroatom can also be C1 to C12 alkyl or aryl substituted to satisfy neutral valency. In at least one specific embodiment, the bridging group (A) can also include substituent groups R as defined above (for formula (I)) including halogen radicals and iron. In at least one specific embodiment, the bridging group (A) can be represented by C1 to C6 alkylenes, substituted C1 to C6 alkylenes, oxygen, sulfur, R′2C═, R′2Si═, ═Si(R′)2Si(R′2)═, R′2Ge═, and R′P═, where “═” represents two chemical bonds, R′ is independently selected from the group consisting of hydride, hydrocarbyl, substituted hydrocarbyl, halocarbyl, substituted halocarbyl, hydrocarbyl-substituted organometalloid, halocarbyl-substituted organometalloid, disubstituted boron, disubstituted Group 15 atoms, substituted Group 16 atoms, and halogen radical; and where two or more R′ can be joined to form a ring or ring system. In at least one specific embodiment, the bridged metallocene catalyst compound of formula (II) includes two or more bridging groups (A). In one or more embodiments, (A) can be a divalent bridging group bound to both CpA and CpB selected from the group consisting of divalent C1 to C20 hydrocarbyls and C1 to C20 heteroatom containing hydrocarbonyls, where the heteroatom containing hydrocarbonyls include from one to three heteroatoms.
- The bridging group (A) can include methylene, ethylene, ethylidene, propylidene, isopropylidene, diphenylmethylene, 1,2-dimethylethylene, 1,2-diphenylethylene, 1,1,2,2-tetramethylethylene, dimethylsilyl, diethylsilyl, methyl-ethylsilyl, trifluoromethylbutylsilyl, bis(trifluoromethyl)silyl, di(n-butyl)silyl, di(n-propyl)silyl, di(i-propyl)silyl, di(n-hexyl)silyl, dicyclohexylsilyl, diphenylsilyl, cyclohexylphenylsilyl, t-butylcyclohexylsilyl, di(t-butylphenyl)silyl, di(p-tolyl)silyl, and the corresponding moieties where the Si atom is replaced by a Ge or a C atom; as well as dimethylsilyl, diethylsilyl, dimethylgermyl and diethylgermyl. The bridging group (A) can also include —Si(hydrocarbyl)2-(hydrocarbyl)2Si—Si(substitutedhydrocarbyl)2-(substitutedhydrocarbyl)2Si— groups and the like such as —SiMe2-O—SiMe2- and —SiPh2-O—SiPh2-.
- The bridging group (A) can also be cyclic, having, for example, 4 to 10 ring members; in a more particular exemplary embodiment, bridging group (A) can have 5 to 7 ring members. The ring members can be selected from the elements mentioned above, and, in a particular embodiment, can be selected from one or more of B, C, Si, Ge, N, and O. Non-limiting examples of ring structures which can be present as, or as part of, the bridging moiety are cyclobutylidene, cyclopentylidene, cyclohexylidene, cycloheptylidene, cyclooctylidene and the corresponding rings where one or two carbon atoms are replaced by at least one of Si, Ge, N and O. In one or more embodiments, one or two carbon atoms can be replaced by at least one of Si and Ge. The bonding arrangement between the ring and the Cp groups can be cis-, trans-, or a combination thereof.
- The cyclic bridging groups (A) can be saturated or unsaturated and/or can carry one or more substituents and/or can be fused to one or more other ring structures. If present, the one or more substituents can be, in at least one specific embodiment, selected from the group consisting of hydrocarbyl (e.g., alkyl, such as methyl) and halogen (e.g., F, Cl). The one or more Cp groups to which the above cyclic bridging moieties can optionally be fused can be saturated or unsaturated, and are selected from the group consisting of those having 4 to 10, more particularly 5, 6, or 7 ring members (selected from the group consisting of C, N, O, and S in a particular exemplary embodiment) such as, for example, cyclopentyl, cyclohexyl and phenyl. Moreover, these ring structures can themselves be fused such as, for example, in the case of a naphthyl group. Moreover, these (optionally fused) ring structures can carry one or more substituents. Illustrative, non-limiting examples of these substituents are hydrocarbyl (particularly alkyl) groups and halogen atoms. The ligands CpA and CpB of formula (I) and (II) can be different from each other. The ligands CpA and CpB of formula (I) and (II) can be the same. The metallocene catalyst compound can include bridged mono-ligand metallocene compounds (e.g., mono cyclopentadienyl catalyst components).
- It is contemplated that the metallocene catalyst components discussed and described above include their structural or optical or enantiomeric isomers (racemic mixture), and, in one exemplary embodiment, can be a pure enantiomer. As used herein, a single, bridged, asymmetrically substituted metallocene catalyst compound having a racemic and/or meso isomer does not, itself, constitute at least two different bridged, metallocene catalyst components.
- As noted above, the amount of the transition metal component of the one or more metallocene catalyst compounds in the catalyst system can range from a low of about 0.0.01 wt. %, about 0.2 wt %, about 3 wt. %, about 0.5 wt. %, or about 0.7 wt. % to a high of about 1 wt. %, about 2 wt. %, about 2.5 wt. %, about 3 wt. %, about 3.5 wt. %, or about 4 wt. %, based on the total weight of the catalyst system.
- The “metallocene catalyst compound” can include any combination of any “embodiment” discussed and described herein. For example, the metallocene catalyst compound can include, but is not limited to, bis(n-propylcyclopentadienyl) hafnium (CH3)2, bis(n-propylcyclopentadienyl) hafnium F2, bis(n-propylcyclopentadienyl) hafnium Cl2, or bis(n-butyl, methyl cyclopentadienyl) zirconium Cl2, or any combination thereof.
- Other metallocene catalyst compounds that may be used are supported constrained geometry catalysts (sCGC) that include (a) an ionic complex, (b) a transition metal compound, (c) an organometal compound, and (d) a support material. Such sCGC catalysts are described in PCT Publication WO2011/017092. In some embodiments, the sCGC catalyst may include a borate ion. The borate anion is represented by the formula [BQ4-z′(Gq(T—H)r)z′]d-, wherein: B is boron in a valence state of 3; Q is selected from the group consisting of hydride, dihydrocarbylamido, halide, hydrocarbyloxide, hydrocarbyl, and substituted-hydrocarbyl radicals; z′ is an integer in a range from 1 to 4; G is a polyvalent hydrocarbon radical having r+1 valencies bonded to M′ and r groups (T—H); q is an integer, 0 or 1; the group (T—H) is a radical wherein T includes O, S, NR, or PR, the O, S, N or P atom of which is bonded to hydrogen atom H, wherein R is a hydrocarbyl radical, a trihydrocarbylsilyl radical, a trihydrocarbyl germyl radical or hydrogen; r is an integer from 1 to 3; and d is 1. Alternatively the borate ion may be representative by the formula [BQ4-z′(Gq(T-MoRC x-1Xa y)r)z′]d-, wherein: B is boron in a valence state of 3; Q is selected from the group consisting of hydride, dihydrocarbylamido, halide, hydrocarbyloxide, hydrocarbyl, and substituted-hydrocarbyl radicals; z′ is an integer in a range from 1 to 4; G is a polyvalent hydrocarbon radical having r+1 valencies bonded to B and r groups (T-MoRC x-1Xa y); q is an integer, 0 or 1; the group (T-MoRC x-1Xa y) is a radical wherein T includes O, S, NR, or PR, the O, S, N or P atom of which is bonded to Mo, wherein R is a hydrocarbyl radical, a trihydrocarbylsilyl radical, a trihydrocarbyl germyl radical or hydrogen; Mo is a metal or metalloid selected from Groups 1-14 of the Periodic Table of the Elements, RC independently each occurrence is hydrogen or a group having from 1 to 80 nonhydrogen atoms which is hydrocarbyl, hydrocarbylsilyl, or hydrocarbylsilylhydrocarbyl; Xa is a noninterfering group having from 1 to 100 nonhydrogen atoms which is halo-substituted hydrocarbyl, hydrocarbylamino-substituted hydrocarbyl, hydrocarbyloxy-substituted hydrocarbyl, hydrocarbylamino, di(hydrocarbyl)amino, hydrocarbyloxy or halide; x is a nonzero integer which may range from 1 to an integer equal to the valence of Mo; y is zero or a nonzero integer which may range from 1 to an integer equal to 1 less than the valence of Mo; and x+y equals the valence of Mo; r is an integer from 1 to 3; and d is 1. In some embodiments, the borate ion may be of the above described formulas where z′ is 1 or 2, q is 1, and r is 1.
- The catalyst system can include other single site catalysts such as Group 15-containing catalysts. The catalyst system can include one or more second catalysts in addition to the single site catalyst compound such as chromium-based catalysts, Ziegler-Natta catalysts, one or more additional single-site catalysts such as metallocenes or Group 15-containing catalysts, bimetallic catalysts, and mixed catalysts. The catalyst system can also include AlCl3, cobalt, iron, palladium, or any combination thereof.
- Examples of structures of MCN compounds that may be used in embodiments include the hafnium compound shown as formula (III), the zirconium compounds shown as formulas (IV-A-C), and bridged zirconium compounds, shown as formulas (V-A-B).
- Although these compounds are shown with methyl- and chloro-groups attached to the central metal, it can be understood that these groups may be different without changing the catalyst involved. For example, each of these substituents may independently be a methyl group (Me), a chloro group (Cl), a fluoro group (F), or any number of other groups, including organic groups, or heteroatom groups. Further, these substituents will change during the reaction, as a pre-catalyst is converted to the active catalyst for the reaction. Further, any number of other substituents may be used on the ring structures, including any of the substituents described above with respect to formulas (I) and (II).
- Group 15 Atom and Metal-Containing Catalyst Compounds
- The catalyst system can include one or more Group 15 metal-containing catalyst compounds. The Group 15 metal-containing compound generally includes a Group 3 to 14 metal atom, a Group 3 to 7, or a Group 4 to 6 metal atom. In many embodiments, the Group 15 metal-containing compound includes a Group 4 metal atom bound to at least one leaving group and also bound to at least two Group 15 atoms, at least one of which is also bound to a Group 15 or 16 atom through another group.
- In one or more embodiments, at least one of the Group 15 atoms is also bound to a Group 15 or 16 atom through another group which may be a C1 to C20 hydrocarbon group, a heteroatom containing group, silicon, germanium, tin, lead, or phosphorus, wherein the Group 15 or 16 atom may also be bound to nothing or a hydrogen, a Group 14 atom containing group, a halogen, or a heteroatom containing group, and wherein each of the two Group 15 atoms are also bound to a cyclic group and can optionally be bound to hydrogen, a halogen, a heteroatom or a hydrocarbyl group, or a heteroatom containing group.
- The Group 15-containing metal compounds can be described more particularly with formulas (VI) or (VII):
- in which M is a Group 3 to 12 transition metal or a Group 13 or 14 main group metal, a Group 4, 5, or 6 metal. In many embodiments, M is a Group 4 metal, such as zirconium, titanium or hafnium. Each X is independently a leaving group, such as an anionic leaving group. The leaving group may include a hydrogen, a hydrocarbyl group, a heteroatom, a halogen, or an alkyl; y is 0 or 1 (when y is 0 group L′ is absent). The term ‘n’ is the oxidation state of M. In various embodiments, n is +3, +4, or +5. In many embodiments, n is +4. The term ‘m’ represents the formal charge of the YZL or the YZL′ ligand, and is 0, −1, −2 or −3 in various embodiments. In many embodiments, m is −2. L is a Group 15 or 16 element, such as nitrogen; L′ is a Group 15 or 16 element or Group 14 containing group, such as carbon, silicon or germanium. Y is a Group 15 element, such as nitrogen or phosphorus. In many embodiments, Y is nitrogen. Z is a Group 15 element, such as nitrogen or phosphorus. In many embodiments, Z is nitrogen. R1 and R2 are, independently, a C1 to C20 hydrocarbon group, a heteroatom containing group having up to twenty carbon atoms, silicon, germanium, tin, lead, or phosphorus. In many embodiments, R1 and R2 are a C2 to C20 alkyl, aryl, or aralkyl group, such as a linear, branched, or cyclic C2 to C20 alkyl group, or a C2 to C6 hydrocarbon group. R1 and R2 may also be interconnected to each other. R3 may be absent or may be a hydrocarbon group, a hydrogen, a halogen, a heteroatom containing group. In many embodiments, R3 is absent or a hydrogen, or a linear, cyclic or branched alkyl group having 1 to 20 carbon atoms. R4 and R5 are independently an alkyl group, an aryl group, substituted aryl group, a cyclic alkyl group, a substituted cyclic alkyl group, a cyclic aralkyl group, a substituted cyclic aralkyl group or multiple ring system, often having up to 20 carbon atoms. In many embodiments, R4 and R5 have between 3 and 10 carbon atoms, or are a C1 to C20 hydrocarbon group, a C1 to C20 aryl group or a C1 to C20 aralkyl group, or a heteroatom containing group. R4 and R5 may be interconnected to each other. R6 and R7 are independently absent, hydrogen, an alkyl group, halogen, heteroatom, or a hydrocarbyl group, such as a linear, cyclic, or branched alkyl group having 1 to 20 carbon atoms. In many embodiments, R6 and R7 are absent. R* may be absent, or may be a hydrogen, a Group 14 atom containing group, a halogen, or a heteroatom containing group.
- By “formal charge of the YZL or YZL′ ligand,” it is meant the charge of the entire ligand absent the metal and the leaving groups X. By “R1 and R2 may also be interconnected” it is meant that R1 and R2 may be directly bound to each other or may be bound to each other through other groups. By “R4 and R5 may also be interconnected” it is meant that R4 and R5 may be directly bound to each other or may be bound to each other through other groups. An alkyl group may be linear, branched alkyl radicals, alkenyl radicals, alkynyl radicals, cycloalkyl radicals, aryl radicals, acyl radicals, aroyl radicals, alkoxy radicals, aryloxy radicals, alkylthio radicals, dialkylamino radicals, alkoxycarbonyl radicals, aryloxycarbonyl radicals, carbomoyl radicals, alkyl- or dialkyl-carbamoyl radicals, acyloxy radicals, acylamino radicals, aroylamino radicals, straight, branched or cyclic, alkylene radicals, or combination thereof. An aralkyl group is defined to be a substituted aryl group.
- In one or more embodiments, R4 and R5 are independently a group represented by the following formula (VIII).
- When R4 and R5 are as formula VII, R8 to R12 are each independently hydrogen, a C1 to C40 alkyl group, a halide, a heteroatom, a heteroatom containing group containing up to 40 carbon atoms. In many embodiments, R8 to R12 are a C1 to C20 linear or branched alkyl group, such as a methyl, ethyl, propyl, or butyl group. Any two of the R groups may form a cyclic group and/or a heterocyclic group. The cyclic groups may be aromatic. In one embodiment R9, R10 and R12 are independently a methyl, ethyl, propyl, or butyl group (including all isomers). In another embodiment, R9, R10 and R12 are methyl groups, and R8 and R11 are hydrogen.
- In one or more embodiments, R4 and R5 are both a group represented by the following formula (IX).
- When R4 and R5 follow formula IX, M is a Group 4 metal, such as zirconium, titanium, or hafnium. In many embodiments, M is zirconium. Each of L, Y, and Z may be a nitrogen. Each of R1 and R2 may be —CH2—CH2—. R3 may be hydrogen, and R6 and R7 may be absent.
- The Group 15 metal-containing catalyst compound can be represented by the following formula (X).
- In formula X, Ph represents phenyl.
- Catalyst Slurry
- The catalyst system may include a catalyst or catalyst component in a slurry, which may have an initial catalyst compound, and an added solution catalyst component that is added to the slurry. The initial catalyst component slurry may have no catalysts. In this case, two or more solution catalysts may be added to the slurry to cause each to be supported.
- Any number of combinations of catalyst components may be used in embodiments. For example, the catalyst component slurry can include an activator and a support, or a supported activator. Further, the slurry can include a catalyst compound in addition to the activator and the support. As noted, the catalyst compound in the slurry may be supported.
- The slurry may include one or more activators and supports, and one more catalyst compounds. For example, the slurry may include two or more activators (such as alumoxane and a modified alumoxane) and a catalyst compound, or the slurry may include a supported activator and more than one catalyst compounds. In one embodiment, the slurry includes a support, an activator, and two catalyst compounds. In another embodiment the slurry includes a support, an activator and two different catalyst compounds, which may be added to the slurry separately or in combination. The slurry, containing silica and alumoxane, may be contacted with a catalyst compound, allowed to react, and thereafter the slurry is contacted with another catalyst compound, for example, in a trim system.
- The molar ratio of metal in the activator to metal in the pre-catalyst compound in the slurry may be 1000:1 to 0.5:1, 300:1 to 1:1, or 150:1 to 1:1. The slurry can include a support material which may be any inert particulate carrier material known in the art, including, but not limited to, silica, fumed silica, alumina, clay, talc or other support materials such as disclosed above. In one embodiment, the slurry contains silica and an activator, such as methyl aluminoxane (“MAO”), modified methyl aluminoxane (“MMAO”), as discussed further below.
- One or more diluents or carriers can be used to facilitate the combination of any two or more components of the catalyst system in the slurry or in the trim catalyst solution. For example, the single site catalyst compound and the activator can be combined together in the presence of toluene or another non-reactive hydrocarbon or hydrocarbon mixture to provide the catalyst mixture. In addition to toluene, other suitable diluents can include, but are not limited to, ethylbenzene, xylene, pentane, hexane, heptane, octane, other hydrocarbons, or any combination thereof. The support, either dry or mixed with toluene can then be added to the catalyst mixture or the catalyst/activator mixture can be added to the support.
- Catalyst Supports
- As used herein, the terms “support” and “carrier” are used interchangeably and refer to any support material, including a porous support material, such as talc, inorganic oxides, and inorganic chlorides. The one or more single site catalyst compounds of the slurry can be supported on the same or separate supports together with the activator, or the activator can be used in an unsupported form, or can be deposited on a support different from the single site catalyst compounds, or any combination thereof. This may be accomplished by any technique commonly used in the art. There are various other methods in the art for supporting a single site catalyst compound. For example, the single site catalyst compound can contain a polymer bound ligand. The single site catalyst compounds of the slurry can be spray dried. The support used with the single site catalyst compound can be functionalized.
- The support can be or include one or more inorganic oxides, for example, of
Group 2, 3, 4, 5, 13, or 14 elements. The inorganic oxide can include, but is not limited to silica, alumina, titania, zirconia, boria, zinc oxide, magnesia, or any combination thereof. Illustrative combinations of inorganic oxides can include, but are not limited to, alumina-silica, silica-titania, alumina-silica-titania, alumina-zirconia, alumina-titania, and the like. The support can be or include alumina, silica, or a combination thereof. In one embodiment described herein, the support is silica. - Suitable commercially available silica supports can include, but are not limited to, ES757, ES70, and ES70W available from PQ Corporation. Suitable commercially available silica-alumina supports can include, but are not limited to, SIRAL© 1, SIRAL® 5,
SIRAL® 10,SIRAL® 20, SIRAL® 28M, SIRAL® 30, andSIRAL® 40, available from SASOL®. Generally, catalyst supports comprising silica gels with activators, such as methylaluminoxanes (MAOs), are used in the trim systems described, since these supports may function better for co-supporting solution carried catalysts. Suitable supports may also be selected from the Cab-o-sil®materials available from Cabot Corporation and silica materials available from the Grace division of W.R. Grace & Company. - Catalyst supports may also include polymers that are covalently bonded to a ligand on the catalyst. For example, two or more catalyst molecules may be bonded to a single polyolefin chain.
- Catalyst Activators
- As used herein, the term “activator” may refer to any compound or combination of compounds, supported, or unsupported, which can activate a single site catalyst compound or component, such as by creating a cationic species of the catalyst component. For example, this can include the abstraction of at least one leaving group (the “X” group in the single site catalyst compounds described herein) from the metal center of the single site catalyst compound/component. The activator may also be referred to as a “co-catalyst”.
- For example, the activator can include a Lewis acid or a non-coordinating ionic activator or ionizing activator, or any other compound including Lewis bases, aluminum alkyls, and/or conventional-type co-catalysts. In addition to methylaluminoxane (“MAO”) and modified methylaluminoxane (“MMAO”) mentioned above, illustrative activators can include, but are not limited to, aluminoxane or modified aluminoxane, and/or ionizing compounds, neutral or ionic, such as Dimethylanilinium tetrakis(pentafluorophenyl)borate, Triphenylcarbenium tetrakis(pentafluorophenyl)borate, Dimethylanilinium tetrakis(3,5-(CF3)2phenyl)borate, Triphenylcarbenium tetrakis(3,5-(CF3)2phenyl)borate, Dimethylanilinium tetrakis(perfluoronapthyl)borate, Triphenylcarbenium tetrakis(perfluoronapthyl)borate, Dimethylanilinium tetrakis(pentafluorophenyl)aluminate, Triphenylcarbenium tetrakis(pentafluorophenyl)aluminate, Dimethylanilinium tetrakis(perfluoronapthyl)aluminate, Triphenylcarbenium tetrakis(perfluoronapthyl)aluminate, a tris(perfluorophenyl)boron, a tris(perfluoronaphthyl)boron, tris(perfluorophenyl)aluminum, a tris(perfluoronaphthyl)aluminum or any combinations thereof.
- It is recognized that these activators may or may not bind directly to the support surface or may be modified to allow them to be bound to a support surface while still maintaining their compatability with the polymerization system. Such tethering agents may be derived from groups that are reactive with surface hydroxyl species. Non-limiting examples of reactive functional groups that can be used to create tethers include aluminum halides, aluminum hydrides, aluminum alkyls, aluminum aryls, sluminum alkoxides, electrophilic silicon reagents, alkoxy silanes, amino silanes, boranes.
- Aluminoxanes can be described as oligomeric aluminum compounds having —Al(R)—O-subunits, where R is an alkyl group. Examples of aluminoxanes include, but are not limited to, methylaluminoxane (“MAO”), modified methylaluminoxane (“MMAO”), ethylaluminoxane, isobutylaluminoxane, or a combination thereof. Aluminoxanes can be produced by the hydrolysis of the respective trialkylaluminum compound. MMAO can be produced by the hydrolysis of trimethylaluminum and a higher trialkylaluminum, such as triisobutylaluminum. MMAOs are generally more soluble in aliphatic solvents and more stable during storage. There are a variety of methods for preparing aluminoxane and modified aluminoxanes.
- In one or more embodiments, a visually clear MAO can be used. For example, a cloudy or gelled aluminoxane can be filtered to produce a clear aluminoxane or clear aluminoxane can be decanted from a cloudy aluminoxane solution. In another embodiment, a cloudy and/or gelled aluminoxane can be used. Another aluminoxane can include a modified methyl aluminoxane (“MMAO”) type 3A (commercially available from Akzo Chemicals, Inc. under the trade name Modified Methylaluminoxane type 3A, discussed and described in U.S. Pat. No. 5,041,584). A suitable source of MAO can be a solution having from about 1 wt. % to about a 50 wt. % MAO, for example. Commercially available MAO solutions can include the 10 wt. % and 30 wt. % MAO solutions available from Albemarle Corporation, of Baton Rouge, La.
- As noted above, one or more organo-aluminum compounds such as one or more alkylaluminum compounds can be used in conjunction with the aluminoxanes. For example, alkylaluminum species that may be used are diethylaluminum ethoxide, diethylaluminum chloride, and/or diisobutylaluminum hydride. Examples of trialkylaluminum compounds include, but are not limited to, trimethylaluminum, triethylaluminum (“TEAL”), triisobutylaluminum (“TiBAl”), tri-n-hexylaluminum, tri-n-octylaluminum, tripropylaluminum, tributylaluminum, and the like.
- Catalyst Component Solutions
- The catalyst component solution may include only a catalyst compound or may include an activator in addition to the catalyst compound. The catalyst solution used in the trim process can be prepared by dissolving the catalyst compound and optional activators in a liquid solvent. The liquid solvent may be an alkane, such as a C5 to C30 alkane, or a C5 to C10 alkane. Cyclic alkanes such as cyclohexane and aromatic compounds such as toluene may also be used. In addition, mineral oil may be used as a solvent. The solution employed should be liquid under the conditions of polymerization and relatively inert. In one embodiment, the liquid utilized in the catalyst compound solution is different from the diluent used in the catalyst component slurry. In another embodiment, the liquid utilized in the catalyst compound solution is the same as the diluent used in the catalyst component solution.
- If the catalyst solution includes both activator and catalyst compound, the ratio of metal in the activator to metal in the pre-catalyst compound in the solution may be 1000:1 to 0.5:1, 300:1 to 1:1, or 150:1 to 1:1. In certain cases, it may be advantageous to have an excess of catalyst compound such that the ratio is <1:1, for example, 1:1 to 0.5:1 or 1:1 to 0.1:1 or 1:1 to 0.01. In various embodiments, the activator and catalyst compound is present in the solution at up to about 90 wt. %, at up to about 50 wt. %, at up to about 20 wt. %, preferably at up to about 10 wt. %, at up to about 5 wt. %, at less than 1 wt. %, or between 100 ppm and 1 wt. %, based upon the weight of the solvent and the activator or catalyst compound.
- The catalyst component solution can comprise any one of the soluble catalyst compounds described in the catalyst section herein. As the catalyst is dissolved in the solution, a higher solubility is desirable. Accordingly, the catalyst compound in the catalyst component solution may often include a metallocene, which may have higher solubility than other catalysts.
- In the polymerization process described below, any of the above described catalyst component containing solutions may be combined with any of the catalyst component containing slurry/slurries described above. In addition, more than one catalyst component solution may be utilized.
- Continuity Additive/Static Control Agents
- In gas-phase polyethylene production processes, as disclosed herein, it may be desirable to additionally use one or more static control agents to aid in regulating static levels in the reactor. As used herein, a static control agent is a chemical composition which, when introduced into a fluidized bed reactor, may influence or drive the static charge (negatively, positively, or to zero) in the fluidized bed. The specific static control agent used may depend upon the nature of the static charge, and the choice of static control agent may vary dependent upon the polymer being produced and the single site catalyst compounds being used.
- Control agents such as aluminum stearate may be employed. The static control agent used may be selected for its ability to receive the static charge in the fluidized bed without adversely affecting productivity. Other suitable static control agents may also include aluminum distearate, ethoxlated amines, and anti-static compositions such as those provided by Innospec Inc. under the trade name OCTASTAT. For example, OCTASTAT 2000 is a mixture of a polysulfone copolymer, a polymeric polyamine, and oil-soluble sulfonic acid.
- Any of the aforementioned control agents, as well as those described in, for example, WO 01/44322, listed under the heading Carboxylate Metal Salt and including those chemicals and compositions listed as antistatic agents may be employed either alone or in combination as a control agent. For example, the carboxylate metal salt may be combined with an amine containing control agent (e.g., a carboxylate metal salt with any family member belonging to the KEMAMINE® (available from Crompton Corporation) or ATMER® (available from ICI Americas Inc.) family of products).
- Other useful continuity additives include ethyleneimine additives useful in embodiments disclosed herein may include polyethyleneimines having the following general formula:
-
—(CH2—CH2—NH)n— - in which n may be from about 10 to about 10,000. The polyethyleneimines may be linear, branched, or hyperbranched (e.g., forming dendritic or arborescent polymer structures). They can be a homopolymer or copolymer of ethyleneimine or mixtures thereof (referred to as polyethyleneimine(s) hereafter). Although linear polymers represented by the chemical formula —[CH2—CH2—NH]— may be used as the polyethyleneimine, materials having primary, secondary, and tertiary branches can also be used. Commercial polyethyleneimine can be a compound having branches of the ethyleneimine polymer. Suitable polyethyleneimines are commercially available from BASF Corporation under the trade name Lupasol. These compounds can be prepared as a wide range of molecular weights and product activities. Examples of commercial polyethyleneimines sold by BASF suitable for use in the present invention include, but are not limited to, Lupasol FG and Lupasol WF. Another useful continuity additive can include a mixture of aluminum distearate and an ethoxylated amine-type compound, e.g., IRGASTAT AS-990, available from Huntsman (formerly Ciba Specialty Chemicals). The mixture of aluminum distearate and ethoxylated amine type compound can be slurried in mineral oil e.g., Hydrobrite 380. For example, the mixture of aluminum distearate and an ethoxylated amine type compound can be slurried in mineral oil to have total slurry concentration of ranging from about 5 wt. % to about 50 wt. % or about 10 wt. % to about 40 wt. %, or about 15 wt. % to about 30 wt. %.
- The continuity additive(s) or static control agent(s) may be added to the reactor in an amount ranging from 0.05 to 200 ppm, based on the weight of all feeds to the reactor, excluding recycle. In some embodiments, the continuity additive may be added in an amount ranging from 2 to 100 ppm, or in an amount ranging from 4 to 50 ppm.
- Gas Phase Polymerization Reactor
-
FIG. 1 is a schematic of a gas-phase reactor system 100, showing the addition of at least two catalysts, at least one of which is added as a trim catalyst. The catalyst component slurry, preferably a mineral oil slurry including at least one support and at least one activator, at least one supported activator, and optional catalyst compounds may be placed in a vessel or catalyst pot (cat pot) 102. In one embodiment, thecat pot 102 is an agitated holding tank designed to keep the solids concentration homogenous. A catalyst component solution, prepared by mixing a solvent and at least one catalyst compound and/or activator, is placed in another vessel, which can be termed atrim pot 104. The catalyst component slurry can then be combined in-line with the catalyst component solution to form a final catalyst composition. A nucleatingagent 106, such as silica, alumina, fumed silica or any other particulate matter may be added to the slurry and/or the solution in-line or in the 102 or 104. Similarly, additional activators or catalyst compounds may be added in-line. For example, a second catalyst slurry that includes a different catalyst may be introduced from a second cat pot. The two catalyst slurries may be used as the catalyst system with or without the addition of a solution catalyst from the trim pot.vessels - The catalyst component slurry and solution can be mixed in-line. For example, the solution and slurry may be mixed by utilizing a
static mixer 108 or an agitating vessel (not shown). The mixing of the catalyst component slurry and the catalyst component solution should be long enough to allow the catalyst compound in the catalyst component solution to disperse in the catalyst component slurry such that the catalyst component, originally in the solution, migrates to the supported activator originally present in the slurry. The combination forms a uniform dispersion of catalyst compounds on the supported activator forming the catalyst composition. The length of time that the slurry and the solution are contacted is typically up to about 120 minutes, such as about 0.01 to about 60 minutes, about 5 to about 40 minutes, or about 10 to about 30 minutes. - When combining the catalysts, the activator and the optional support or additional cocatalysts, in the hydrocarbon solvents immediately prior to a polymerization reactor it is desirable that the combination yield a new polymerization catalyst in less than 1 h, less than 30 min, or less than 15 min. Shorter times are more effective, as the new catalyst is ready before being introduces into the reactor, providing the potential for faster flow rates.
- In another embodiment, an aluminum alkyl, an ethoxylated aluminum alkyl, an aluminoxane, an anti-static agent or a borate activator, such as a C1 to C15 alkyl aluminum (for example tri-isobutyl aluminum, trimethyl aluminum or the like), a C1 to C15 ethoxylated alkyl aluminum or methyl aluminoxane, ethyl aluminoxane, isobutylaluminoxane, modified aluminoxane or the like are added to the mixture of the slurry and the solution in line. The alkyls, antistatic agents, borate activators and/or aluminoxanes may be added from an
alkyl vessel 110 directly to the combination of the solution and the slurry, or may be added via an additional alkane (such as isopentane, hexane, heptane, and or octane) carrier stream, for example, from ahydrocarbon vessel 112. The additional alkyls, antistatic agents, borate activators and/or aluminoxanes may be present at up to about 500 ppm, at about 1 to about 300 ppm, at 10 to about 300 ppm, or at about 10 to about 100 ppm. Carrier streams that may be used include isopentane and or hexane, among others. The carrier may be added to the mixture of the slurry and the solution, typically at a rate of about 0.5 to about 60 lbs/hr (27 kg/hr) or greater, depending on reactor size. Likewise acarrier gas 114, such as nitrogen, argon, ethane, propane and the like, may be added in-line to the mixture of the slurry and the solution. Typically the carrier gas may be added at the rate of about 1 to about 100 lb/hr (0.4 to 45 kg/hr), or about 1 to about 50 lb/hr (5 to 23 kg/hr), or about 1 to about 25 lb/hr (0.4 to 11 kg/hr). - In another embodiment, a liquid carrier stream is introduced into the combination of the solution and slurry that is moving in a downward direction. The mixture of the solution, the slurry and the liquid carrier stream may pass through a mixer or length of tube for mixing before being contacted with a gaseous carrier stream.
- Similarly, a
comonomer 116, such as hexene, another alpha-olefin or diolefin, may be added in-line to the mixture of the slurry and the solution. The slurry/solution mixture is then passed through aninjection tube 118 to areactor 120. To assist in proper formation of particles in thereactor 120, a nucleatingagent 122, such as fumed silica, can be added directly into thereactor 120. In some embodiments, the injection tube may aerosolize the slurry/solution mixture. Any number of suitable tubing sizes and configurations may be used to aerosolize and/or inject the slurry/solution mixture. In one embodiment, agas stream 124, such as cycle gas, orre-cycle gas 126, monomer, nitrogen, or other materials is introduced into asupport tube 128 that surrounds theinjection tube 118. - When a metallocene catalyst or other similar catalyst is used in the gas phase reactor, oxygen or fluorobenzene can be added to the
reactor 120 directly or to thegas stream 124 to control the polymerization rate. Thus, when a metallocene catalyst (which is sensitive to oxygen or fluorobenzene) is used in combination with another catalyst (that is not sensitive to oxygen) in a gas phase reactor, oxygen can be used to modify the metallocene polymerization rate relative to the polymerization rate of the other catalyst. An example of such a catalyst combination is bis(n-propyl cyclopentadienyl)zirconium dichloride and [(2,4,6-Me3C6H2)NCH2 CH2]2NHZrBn2, where Me is methyl, or bis(indenyl)zirconium dichloride and [(2,4,6-Me3C6H2)NCH2CH2]2NHHfBn2, where Me is methyl. For example, if the oxygen concentration in the nitrogen feed is altered from 0.1 ppm to 0.5 ppm, significantly less polymer from the bisindenyl ZrCl2 will be produced and the relative amount of polymer produced from the [(2,4,6-Me3C6H2)NCH2CH2]2NHHfBn2 is increased. In one embodiment, the contact temperature of the slurry and the solution is in the range of from 0° C. to about 80° C., from about 0° C. to about 60° C., from about 10° C., to about 50° C. and from about 20° C. to about 40° C. - The example above is not limiting, as additional solutions and slurries may be included. For example, a slurry can be combined with two or more solutions having the same or different catalyst compounds and or activators. Likewise, the solution may be combined with two or more slurries each having the same or different supports, and the same or different catalyst compounds and or activators. Similarly, two or more slurries combined with two or more solutions, preferably in-line, where the slurries each comprise the same or different supports and may comprise the same or different catalyst compounds and or activators and the solutions comprise the same or different catalyst compounds and or activators. For example, the slurry may contain a supported activator and two different catalyst compounds, and two solutions, each containing one of the catalysts in the slurry, are each independently combined, in-line, with the slurry.
- Use of Catalyst Composition to Control Product Properties
- The properties of the product polymer may be controlled by adjusting the timing, temperature, concentrations, and sequence of the mixing of the solution, the slurry and any optional added materials (nucleating agents, catalyst compounds, activators, etc) described above. The MWD, composition distribution, melt index, relative amount of polymer produced by each catalyst, and other properties of the polymer produced may also be changed by manipulating process parameters. Any number of process parameters may be adjusted, including manipulating hydrogen concentration in the polymerization system, changing the amount of the first catalyst in the polymerization system, changing the amount of the second catalyst in the polymerization system. Other process parameters that can be adjusted include changing the relative ratio of the catalyst in the polymerization process (and optionally adjusting their individual feed rates to maintain a steady or constant resin production rate). The concentrations of reactants in the
reactor 120 can be adjusted by changing the amount of liquid or gas that is withdrawn or purged from the process, changing the amount and/or composition of a recovered liquid and/or recovered gas returned to the polymerization process, wherein the recovered liquid or recovered gas can be recovered from polymer discharged from the polymerization process. Further concentration parameters that can be adjusted include changing the polymerization temperature, changing the ethylene partial pressure in the polymerization process, changing the ethylene to comonomer ratio in the polymerization process, changing the activator to transition metal ratio in the activation sequence. Time dependant parameters may be adjusted, such as changing the relative feed rates of the slurry or solution, changing the mixing time, the temperature and or degree of mixing of the slurry and the solution in-line, adding different types of activator compounds to the polymerization process, and adding oxygen or fluorobenzene or other catalyst poison to the polymerization process. Any combinations of these adjustments may be used to control the properties of the final polymer product. - In one embodiment, the composition distribution of the polymer product is measured at regular intervals and one of the above process parameters, such as temperature, catalyst compound feed rate, the ratio of the two or more catalysts to each other, the ratio of comonomer to monomer, the monomer partial pressure, and or hydrogen concentration, is altered to bring the composition to the desired level, if necessary. The composition distribution may be performed by temperature rising elution fractionation (TREF), or similar techniques TREF measures composition as a function of elution temperature.
- In one embodiment, a polymer product property is measured in-line and in response the ratio of the catalysts being combined is altered. In one embodiment, the molar ratio of the catalyst compound in the catalyst component slurry to the catalyst compound in the catalyst component solution, after the slurry and solution have been mixed to form the final catalyst composition, is 500:1 to 1:500, or 100:1 to 1:100, or 50:1 to 1:50, or 10:1 to 1:10, or 5:1 to 1:5. In another embodiment, the molar ratio of a Group 15 catalyst compound in the slurry to a ligand metallocene catalyst compound in the solution, after the slurry and solution have been mixed to form the catalyst composition, is 500:1, 100:1, 50:1, 10:1, 5:1, 1:5, 1:10, 1:100, or 1:500. The product property measured can include the polymer product's flow index, melt index, density, MWD, comonomer content, composition distribution, and combinations thereof. In another embodiment, when the ratio of the catalyst compounds is altered, the introduction rate of the catalyst composition to the reactor, or other process parameters, is altered to maintain a desired production rate.
- While not wishing to be bound by or limited to any theory, it is believed that the processes described herein immobilize the solution catalyst compound in and on a support, preferably a supported activator. The in-line immobilization techniques described herein preferably result in a supported catalyst system that when introduced to the reactor provides for suitable polymer properties, with appropriate particle morphology, bulk density, or higher catalyst activities and without the need for additional equipment in order to introduce catalyst compound solution into a reactor, particularly a gas phase or slurry phase reactor.
- Polymerization Process
- The catalyst system can be used to polymerize one or more olefins to provide one or more polymer products therefrom. Any suitable polymerization process can be used, including, but not limited to, high pressure, solution, slurry, and/or gas phase polymerization processes. In embodiments that use other techniques besides gas phase polymerization, modifications to a catalyst addition system that are similar to those discussed with respect to
FIG. 1 can be used. For example, a trim system may be used to feed catalyst to a loop slurry reactor for polyethylene copolymer production. - The terms “polyethylene” and “polyethylene copolymer” refer to a polymer having at least 50 wt. % ethylene-derived units. In various embodiments, the polyethylene can have at least 70 wt. % ethylene-derived units, at least 80 wt. % ethylene-derived units, at least 90 wt. % ethylene-derived units, at least 95 wt. % ethylene-derived units, or 100 wt. % ethylene-derived units. The polyethylene can, thus, be a homopolymer or a copolymer, including a terpolymer, having one or more other monomeric units. As described herein, a polyethylene can include, for example, at least one or more other olefins or comonomers. Suitable comonomers can contain 3 to 16 carbon atoms, from 3 to 12 carbon atoms, from 4 to 10 carbon atoms, and from 4 to 8 carbon atoms. Examples of comonomers include, but are not limited to, propylene, 1-butene, 1-pentene, 1-hexene, 1-heptene, 1-octene, 4-methylpent-1-ene, 1-decene, 1-dodecene, 1-hexadecene, and the like. Additionally, small amounts of diene monomers, such as 1,7-octadiene may be added to the polymerization to adjust polymer properties.
- Referring again to
FIG. 1 , thefluidized bed reactor 120 can include areaction zone 130 and avelocity reduction zone 132. Thereaction zone 130 can include abed 134 that includes growing polymer particles, formed polymer particles and a minor amount of catalyst particles fluidized by the continuous flow of the gaseous monomer and diluent to remove heat of polymerization through the reaction zone. Optionally, some of there-circulated gases 124 can be cooled and compressed to form liquids that increase the heat removal capacity of the circulating gas stream when readmitted to the reaction zone. A suitable rate of gas flow can be readily determined by experimentation. Make-up of gaseous monomer to the circulating gas stream can be at a rate equal to the rate at which particulate polymer product and monomer associated therewith is withdrawn from the reactor and the composition of the gas passing through the reactor can be adjusted to maintain an essentially steady state gaseous composition within the reaction zone. The gas leaving thereaction zone 130 can be passed to thevelocity reduction zone 132 where entrained particles are removed, for example, by slowing and falling back to thereaction zone 130. If desired, finer entrained particles and dust can be removed in aseparation system 136, such as a cyclone and/or fines filter. Thegas 124 can be passed through aheat exchanger 138 where at least a portion of the heat of polymerization can be removed. The gas can then be compressed in acompressor 140 and returned to thereaction zone 130. - The reactor temperature of the fluid bed process can be greater than about 30° C., about 40° C., about 50° C., about 90° C., about 100° C., about 110° C., about 120° C., about 150° C., or higher. In general, the reactor temperature is operated at the highest feasible temperature taking into account the sintering temperature of the polymer product within the reactor. Preferred reactor temperatures are between 70 and 95° C. More preferred reactor temperatures are between 75 and 90° C. Thus, the upper temperature limit in one embodiment is the melting temperature of the polyethylene copolymer produced in the reactor. However, higher temperatures may result in narrower MWDs, which can be improved by the addition of the MCN, or other, co-catalysts, as described herein.
- Hydrogen gas can be used in olefin polymerization to control the final properties of the polyolefin. Using certain catalyst systems, increasing concentrations (partial pressures) of hydrogen can increase the flow index (FI) of the polyethylene copolymer generated. The flow index can thus be influenced by the hydrogen concentration. The amount of hydrogen in the polymerization can be expressed as a mole ratio relative to the total polymerizable monomer, for example, ethylene, or a blend of ethylene and hexene or propylene.
- The amount of hydrogen used in the polymerization process can be an amount necessary to achieve the desired flow index of the final polyolefin resin. For example, the mole ratio of hydrogen to total monomer (H2:monomer) can be greater than about 0.0001, greater than about 0.0005, or greater than about 0.001. Further, the mole ratio of hydrogen to total monomer (H2:monomer) can be less than about 10, less than about 5, less than about 3, and less than about 0.10. A desirable range for the mole ratio of hydrogen to monomer can include any combination of any upper mole ratio limit with any lower mole ratio limit described herein. Expressed another way, the amount of hydrogen in the reactor at any time can range to up to about 5,000 ppm, up to about 4,000 ppm in another embodiment, up to about 3,000 ppm, or between about 50 ppm and 5,000 ppm, or between about 50 ppm and 2,000 ppm in another embodiment. The amount of hydrogen in the reactor can range from a low of about 1 ppm, about 50 ppm, or about 100 ppm to a high of about 400 ppm, about 800 ppm, about 1,000 ppm, about 1,500 ppm, or about 2,000 ppm. Further, the ratio of hydrogen to total monomer (H2:monomer) can be about 0.00001:1 to about 2:1, about 0.005:1 to about 1.5:1, or about 0.0001:1 to about 1:1. The one or more reactor pressures in a gas phase process (either single stage or two or more stages) can vary from 690 kPa (100 psig) to 3,448 kPa (500 psig), in the range from 1,379 kPa (200 psig) to 2,759 kPa (400 psig), or in the range from 1,724 kPa (250 psig) to 2,414 kPa (350 psig).
- The gas phase reactor can be capable of producing from about 10 kg of polymer per hour (25 lbs/hr) to about 90,900 kg/hr (200,000 lbs/hr), or greater, and greater than about 455 kg/hr (1,000 lbs/hr), greater than about 4,540 kg/hr (10,000 lbs/hr), greater than about 11,300 kg/hr (25,000 lbs/hr), greater than about 15,900 kg/hr (35,000 lbs/hr), and greater than about 22,700 kg/hr (50,000 lbs/hr), and from about 29,000 kg/hr (65,000 lbs/hr) to about 45,500 kg/hr (100,000 lbs/hr).
- As noted, a slurry polymerization process can also be used in embodiments. A slurry polymerization process generally uses pressures in the range of from about 101 kPa (1 atmosphere) to about 5,070 kPa (50 atmospheres) or greater, and temperatures in the range of from about 0° C. to about 120° C., and more particularly from about 30° C. to about 100° C. In a slurry polymerization, a suspension of solid, particulate polymer can be formed in a liquid polymerization diluent medium to which ethylene, comonomers, and hydrogen along with catalyst can be added. The suspension including diluent can be intermittently or continuously removed from the reactor where the volatile components are separated from the polymer and recycled, optionally after a distillation, to the reactor. The liquid diluent employed in the polymerization medium can be an alkane having from 3 to 7 carbon atoms, such as, for example, a branched alkane. The medium employed should be liquid under the conditions of polymerization and relatively inert. When a propane medium is used the process should be operated above the reaction diluent critical temperature and pressure. In one embodiment, a hexane, isopentane, or isobutane medium can be employed. The slurry can be circulated in a continuous loop system.
- The product polyethylene can have a melt index ratio (MIR or I21/I2) ranging from about 5 to about 300, or from about 10 to less than about 150, or, in many embodiments, from about 15 to about 50. Flow index (FI, HLMI, or I21 can be measured in accordance with ASTM D1238 (190° C., 21.6 kg). The melt index (MI, I2) can be measured in accordance with ASTM D1238 (at 190° C., 2.16 kg weight).
- Density can be determined in accordance with ASTM D-792. Density is expressed as grams per cubic centimeter (g/cm3) unless otherwise noted. The polyethylene can have a density ranging from a low of about 0.89 g/cm3, about 0.90 g/cm3, or about 0.91 g/cm3 to a high of about 0.95 g/cm3, about 0.96 g/cm3, or about 0.97 g/cm3. The polyethylene can have a bulk density, measured in accordance with ASTM D1895 method B, of from about 0.25 g/cm3 to about 0.5 g/cm3. For example, the bulk density of the polyethylene can range from a low of about 0.30 g/cm3, about 0.32 g/cm3, or about 0.33 g/cm3 to a high of about 0.40 g/cm3, about 0.44 g/cm3, or about 0.48 g/cm3.
- The polyethylene can be suitable for such articles as films, fibers, nonwoven and/or woven fabrics, extruded articles, and/or molded articles. Examples of films include blown or cast films formed by coextrusion or by lamination useful as shrink film, cling film, stretch film, sealing films, oriented films, snack packaging, heavy duty bags, grocery sacks, baked and frozen food packaging, medical packaging, industrial liners, membranes, etc. in food-contact and non-food contact applications, agricultural films and sheets. Examples of fibers include melt spinning, solution spinning and melt blown fiber operations for use in woven or non-woven form to make filters, diaper fabrics, hygiene products, medical garments, geotextiles, etc. Examples of extruded articles include tubing, medical tubing, wire and cable coatings, pipe, geomembranes, and pond liners. Examples of molded articles include single and multi-layered constructions in the form of bottles, tanks, large hollow articles, rigid food containers and toys, etc.
- To provide a better understanding of the foregoing discussion, the following non-limiting examples are provided. All parts, proportions, and percentages are by weight unless otherwise indicated.
- As described herein, comonomer, such as a C4-C8 alpha-olefin is added to a reaction, along with ethylene monomer, to create short chain branching (SCB) in polyethylene copolymers. Without intending to be being limited by theory, the SCB may cause a long PE chain to break free from a crystallite and be partly incorporated into other crystallites. Accordingly, polymers that have SCB on longer chains may exhibit higher toughness.
- In contrast, long chain branching (LCB) are points at which two polymer chains may divide off from single polymer chains. LCB may enhance toughness, but cause the polymer to more vulnerable to orientation, causing lower tear strength in the direction of extrusion.
- The inclusion of shorter chains lowers the melt temperature of the polymer, and may enhance the processability. However, SCB on shorter chains may force these chains out of crystallites and into amorphous regions, lowering the toughness of the resulting polymer product.
- Hydrogen may be added to the polymer reactions to control molecular weight. The hydrogen acts as chain termination agent, essentially replacing a monomer or comonomer molecule in the reaction. This stops the formation of a current polymer chain, and allows a new polymer chain to begin.
- Catalyst System Comonomer Incorporation versus MWD Control, Results from six inch gas phase reactor
- The catalysts A-J shown in Table 1 were prepared as discussed below. All the catalysts prepared were screened in a fluidized bed reactor equipped with devices for temperature control, catalyst feeding or injection equipment, gas chromatograph (GC) analyzer for monitoring and controlling monomer and comonomer gas feeds and equipment for polymer sampling and collecting. The reactor consisted of a 6 inch (15.24 cm) diameter bed section increasing to 10 inches (25.4 cm) at the reactor top. Gas comes in through a perforated distributor plate allowing fluidization of the bed contents and polymer sample is discharged at the reactor top. The comonomer in the example polymerizations herein is 1-hexene. The polymerization parameters are outlined in the table 1 below and plotted in
FIGS. 2 and 3 . - The reacting bed of growing polymer particles was maintained in a fluidized state by continually flowing the makeup feed and recycle gas through the reaction zone at a superficial gas velocity 1-2 ft/sec (0.3 to 0.6 m/sec). The reactor was operated at a temperature of 175 F (79 C) and total pressure of 300 psig (2274 kPa gauge) including 35 mol % ethylene.
-
TABLE 1 Polymerization Experiments in 6 Inch Diameter Gas-Phase Reactor C6/C2 Feed ratio [H2]/C2 C6/C2 Density MI = I2 MIR Metallocene (g/g) (ppm/mol %) (mol/mol) (g/mL) (g/10 min) (I21/I2) A (CpMe5)(1-MeInd)ZrCl2 0.096 0.4 0.038 0.928 1.84 18.5 B (1-EtInd)2ZrCl2 0.115 0.7 0.036 0.923 2.58 17.2 C (Me4Cp)1-MeIndZrCl2 0.104 0.7 0.036 0.922 1.05 20.5 D (1-MeInd)2ZrCl2 0.132 1.2 0.044 0.92 1.62 18.3 E (Me4Cp)(1,3-Me2Ind)ZrCl2 0.151 1.7 0.07 0.921 1.19 20.1 F (1-Bu, 3-MeCp)ZrCl2 0.086 3.3 0.019 0.917 1.1 17.4 G (Me4PrCp)MeCpZrCl2 0.094 3.4 0.031 0.918 1.1 18.5 H (Me4Cp)PrCpZrCl2 0.083 3.0 0.022 0.919 0.95 18.6 I (PrCp)2HfF2 0.078 4.8 0.009 0.917 0.79 21.8 J (CH2)3Si(CpMe4)CpZrCl2 0.083 23.4 0.011 0.92 0.66 90.3 -
FIG. 2 is aplot 200 of a series of polymers that were prepared to test the relative abilities of a series of metallocene catalysts to prepare a resin having about a 1 melt index (MI) and a density (D) of about 0.92. The polymerizations were performed in the continuous gas phase reactor (LGPR) described above. Theleft axis 202 represents the gas-phase ratios of hydrogen to ethylene monomer (H2/C2) used to achieve the target properties, in units of parts-per-million (mol) of H2 per mol % C2 (ppm/mol %). Theright axis 204 represents the comonomer to ethylene ratio (C6/C2) used to achieve the target properties, in units of mol per mol. - Comparing C6/C2 levels used to achieve the property targets indicate the relative abilities of the catalysts to incorporate comonomer. For example, comparing the C6/C2 level 206 for (1-EtInd)2ZrCl2 (B) to the C6/C2 level 208 for (PrCp)2HfF2 (I) gives a ratio of about 36/9 or about four. This indicates that for a given C6/C2 gas ratio, a polymer prepared with (PrCp)2HfF2 will have approximately four times the short chain branching (SCB) of a polymer prepared using (1-EtInd)2ZrCl2. This data is useful for controlling composition distributions of polymers made as in-situ blends using catalyst mixtures, for example, as co-supported catalysts on a single support. The data is also useful for determining which catalysts should be combined to have a composition distribution containing both comonomer rich (low density) and comonomer poor (high density) components.
- The effects of the steady state gas ratios for H2/C2 (ppm/mol) 202 are shown by the bars. The levels of these bars roughly indicate the relative molecular weight capabilities of the catalysts. For example, (CH2)3Si(CpMe4)CpZrCl2 (J) requires a H2/C2 ratio 210 of about 23.4 ppm/mol to achieve a target melt index of about one, and (CpMe5)(1-MeInd)ZrCl2 (A) requires a H2/C2 ratio 212 of about 0.4 ppm/mol to achieve the same target melt index. These results indicate that (CH2)3Si(CpMe4)CpZrCl2 (J) yields a higher Mw polymer than (CpMe5)(1-MeInd)ZrCl2 (A) at the same H2/C2 ratio. In this example, the data is approximate since the change in Mw is not measured as a function of H2/C2.
-
FIG. 3 is aplot 300 of the series of polymers ofFIG. 2 , showing the melt index ratio (MIR) of the series of polymers made by different metallocene (MCN) catalysts. As used herein, the terms melt index ratio (MIR), melt flow ratio (MFR), and “I21/I2,” interchangeably refer to the ratio of the flow index (“FI” or “I21”) to the melt index (“MI” or “I2”). The MI (I2) can be measured in accordance with ASTM D1238 (at 190° C., 2.16 kg weight). The FI (I21) can be measured in accordance with ASTM D1238 (at 190° C., 21.6 kg weight). Like numbered items are as described with respect toFIG. 2 . In thisplot 300, theleft axis 302 represents the MIR. The MIR (which may also be termed melt flow ratio or MFR) is the ratio of the I21 and I2 melt indices and may indicate the presence of long chain branching. For linear resins, without LCB, the ratio is around 25 or less. Higher MIR values may indicate the presence of LCB which can be detrimental to film properties, as noted above. Thehighest MIR ratio 304 was for (CH2)3Si(CpMe4)CpZrCl2 (J), indicating that polymer produced by this catalyst has the most LCB. In contrast, blending resins for with the two different catalysts forms a final product that will have a higher MIR. - Using the results shown in
FIGS. 2 and 3 , five catalysts were selected to determine the dependence of the molecular weight (Mw) on the H2 ratio. These catalysts included three catalysts that generate lower Mw polyethylene, (CpMe5)(1-MeInd)ZrCl2 (A) 306, (1-EtInd)2ZrCl2 (B) 308, and (Me4Cp)(1,3-Me2Ind)Zr Cl2 (E) 310. The catalysts also included a catalyst that generates a middle Mw polyethylene, (PrCp)2HfF2 (I) 312. Table 2 contains data on the dependence of Mw on H2/C2 level. -
TABLE 2 Mw vs. H2/C2 level for selected MCNs H2/C2 Run (ppm/ No Catalyst mol) Mw Mw/Mn 1/Mw 1 (CpMe5)1-MeIndZrCl2 0.2 186,862 3.27 5.3515E−06 2 (CpMe5)1-MeIndZrCl2 4.3 60,228 4.65 1.6604E−05 3 (CpMe5)1-MeIndZrCl2 6.3 48,140 5.58 2.0773E−05 4 (1-EtInd)2ZrCl2 0.5 125,656 3.18 7.9582E−06 5 (1-EtInd)2ZrCl2 4.2 47,275 4.34 2.1153E−05 6 (Me4Cp) (1,3-Me2Ind)ZrCl2 0.3 167,546 4.31 5.9685E−06 7 (Me4Cp) (1,3-Me2Ind)ZrCl2 4.3 72,602 3.85 1.3774E−05 8 (PrCp)2HfF2 2.0 193,086 2.82 5.1790E−06 9 (PrCp)2HfF2 4.8 132,536 2.81 7.5451E−06 10 (PrCp)2HfF2 10.2 63,030 2.98 1.5865E−05 - These results were used to generate a series of plots that can be used to determine the sensitivity of the Mw to H2/C2 ratios. Table 3 indicates the slope and intercepts of the reciprocal plots. The lower Mw catalysts had larger slopes, indicating a greater influence of H2/C2 ratios on Mw. The second catalyst, (1-EtInd)2ZrMe2, had the greatest dependence of Mw on H2/C2 ratio. The slopes may be used to select catalysts having widely divergent responses to hydrogen.
- The data presented in
FIGS. 2 and 3 and Tables 2 and 3 indicate that a combination of (1-EtInd)2ZrCl2 (B) and (PrCp)2HfF2 (I) will give a polymer with a broad MWD and SCBD without LCB. As shown in theplot 300 inFIG. 3 , the resins made with these two catalysts have MIR near 20 and, thus, are essentially free of LCB. The information in Tables 2 and 2 indicate that (1-EtInd)2ZrCl2 has approximately one third the Mw of (PrCp)2HfF2 at around 4.2 ppm/mol H2/C2. The information in theplot 200 shown inFIG. 2 , indicates that (1-EtInd)2ZrCl2 has approximately one fourth the SCB of (PrCp)2HfF2 under comparable conditions. -
TABLE 3 Slope and intercept for plots of H2/C2 vs. 1/Mw for selected MCNs Catalyst slope intercept 1 (CpMe5)1-MeIndZrCl2 2.576E−06 4.932E−06 2 (1-EtInd)2ZrCl2 3.533E−06 6.245E−06 3 (Me4Cp) (1,3-Me2Ind)ZrCl2 1.945E−06 5.436E−06 4 (PrCp)2HfF2 1.342E−06 1.929E−06 - The equations from Table 3 can be used to predict the amounts of (1-EtInd)2ZrCl2 needed in a combination with the catalyst (PrCp)2HfF2 to make an overall resin with Mw of 100 Kg/mol at four different H2 levels. These values may be used to set initial control points, for example, if (PrCp)2HfF2 is used as a supported catalyst component, and (1-EtInd)2ZrCl2 is a solution catalyst component, to be added as a trim catalyst. In this embodiment, the amount of the (1-EtInd)2ZrCl2 catalyst that is added may be controlled to achieve Mw and other performance targets. Results for various combinations are shown in Table 4.
-
TABLE 4 Mw of (1-EtInd)2ZrCl2 (lmw) and (PrCp)2HfF2 (hmw) as a function of H2/C2 and fraction of low Mw polymer (F lmw) necessary to make an overall Mw 100 Kg/molH2/C2 lmw hmw/lmw hmw F lmw 4 49072 2.8 137020 0.42 4.5 45157 2.8 125480 0.32 5 41821 2.8 115733 0.21 5.5 38944 2.8 107391 0.11 - Pilot Plant Runs using Trim Feed
- The use of a catalyst trim feed to control the molecular weight and molecular weight distribution was tested in a pilot plant, with the results detailed in Table 5. In Table 5, the catalyst type corresponds to the numbered catalyst structures shown in the detailed description. Five of the catalyst runs (A-E were control runs performed without the use of a trim catalyst.
-
TABLE 5 Results from 13.25 Inch pilot plant reactor using trim addition. Catalyst Al/Hf H2/C2 C6/C2 High Form - Catalyst Trim Conc Conc Melt Load Melt Run Catalyst Dry/ Catalyst Mole Catalyst Ratio Ratio Index Index MIR Density Cat No Type Slurry Support Ratio Type (ppm/m %) (m/m) (dg/min) (dg/min) (HLMI/MI) (g/cc) Prod. A III Dry 98.6 None 6.03 0.016352 1.21 41.8 34 0.9180 13,239 B III Dry 98.6 None 5.81 0.014848 1.45 32.8 23 0.9168 13,071 C III Slurry Spray Dried 234 None 4.65 0.01527 0.73 18.2 25.0 0.9201 7,801 1 III Slurry Spray Dried 234 None 3.87 0.01539 0.49 11.7 23.9 0.9194 7,373 2 III Slurry Spray Dried 234 IV-A, IV-B 3.79 0.01835 1.68 83.2 49.4 0.9340 9,956 3 III Slurry Spray Dried 234 IV-A, IV-B 3.78 0.01729 1.01 37.0 36.6 0.9281 8,300 4 III Slurry Spray Dried 234 IV-C 3.81 0.01742 1.23 35.9 29.1 0.9274 8,233 5 III Slurry Spray Dried 234 IV-C 3.80 0.01823 1.72 57.0 33.1 0.9315 8,767 6 III Slurry Spray Dried 234 IV-D 3.83 0.01614 0.914 21.3 23.3 0.9221 8,267 7 III Slurry Spray Dried 234 IV-D 3.79 0.01709 1.090 27.8 25.5 0.9238 7,680 8 III Slurry Spray Dried 234 V-A 3.80 0.01595 0.602 14.6 24.3 0.9201 8,178 9 III Slurry Spray Dried 234 V-A 3.79 0.01724 0.702 19.0 27.1 0.9234 7,233 D III Slurry Spray Dried 234 None 24.98 0.00364 640 6866 10.7 0.9546 6,222 E III Slurry Spray Dried 234 None 20.04 0.00388 399 6443 16.1 0.9543 7,726 10 III Slurry Spray Dried 234 V-B 20.01 0.00409 86.3 2924 33.9 0.9501 3,988 11 III Slurry Spray Dried 234 V-B 20.12 0.01386 28.2 1325 47.0 0.9406 3,903 12 III Slurry Spray Dried 234 IV-A, IV-B 3.60 0.01692 0.401 13.4 33.5 0.9232 11,076 13 III Slurry Spray Dried 234 IV-A, IV-B 3.81 0.01953 0.287 10.8 37.8 0.9206 11,200 - Controlling molecular weight distribution and composition distribution using co-supported catalysts in combination with (CpPr)2HfF2.
- Tests were run using a primary catalyst that included (CpPr)2HfMe2 (HfP, structure III). HfP is capable of polymerizing ethylene and mixtures of ethylene and comonomers in the presence of an activator and a support, a cocatalyst, or both. The activator and support may be the same or different. Multiple activators, supports and or cocatalysts may be used simultaneously. Cocatalysts may be added to modify any of the ingredients. The descriptor catalyst, HfP, activator, supports and or cocatalysts refers to the actual compounds and also solutions of these compounds in hydrocarbon solvents.
- For use as cocatalysts, especially in trim systems, the catalysts should be soluble in alkane solvents such as hexane, paraffinic solvents, and mineral oil. The solubility may be greater than 0.0001 wt. %, greater than 0.01 wt. %, greater than 1 wt. %, or greater than 2%. Toluene may also be used as a solvent as the catalyst may be more soluble in an aromatic solvent
- As described herein, a combination of HfP, an activator (MAO), and a support (silica) was reacted with trim catalysts in hydrocarbon solvents to yield a polymerization catalyst with a different polymerization behavior than expected from the combination of the individual components. More specifically, the molecular weight distribution for a polymer generated by the co-supported co-catalysts is broader than can be achieved by mixtures of polymers formed from the individual component catalysts. This change in polymerization behavior is exemplified by changes in the MWD, the CD, or MWD and CD of polymers formed by the mixture of HfP and the selected cocatalysts. Thus, combining catalysts, HfP, activator and optionally a support, additional cocatalysts, or both, in hydrocarbon solvents in an in-line mixer immediately prior to a polymerization reactor yields a new polymerization catalyst.
- Any sequence of the combination of catalysts, HfP, activator and optionally a support, additional cocatalysts, or both, in hydrocarbon solvents may be used. For example, the catalysts may be added to a mixture that includes HfP, activator and optionally a support, additional cocatalysts, or both. Further, catalysts and cocatalysts may be added to a mixture of {HfP, activator and optionally a support}. In addition, catalysts and HfP may be added to a mixture that includes {activator and optionally a support and cocatalysts}.
- It is desirable to combine the catalysts, HfP, the activator and optionally a support, additional cocatalysts or both, in hydrocarbon solvents then obtain a dry catalyst from the mixture. This dry mixture may be fed directly, or as a slurry, into a polymerization reactor.
- The change in the MWD and CD upon using the catalysts and HfP can be controlled by changing the ratio of the catalysts to HfP. When no catalysts are employed, the MWD and CD is that of HfP. When single catalysts are employed, the MWD and CD is that generated by the catalysts themselves. Changing the ratio of catalysts changes the MWD and CD from that of the parents. The ratio can be changed to target specific MWD and CD targets.
- Catalysts can be chosen to control the change in MWD or CD of the polymer formed. Employing catalysts that yield lower or higher molecular weight polymers than HfP will broaden the molecular weight distribution. The response of the Mw of polymers made from the single components versus H2/C2 can be used as a guide for the selection. For example, a catalyst having less response to hydrogen than HfP will yield a higher Mw than a polymer produced by HfP by itself, as shown in
FIG. 2 . Further, a catalyst having a higher response to hydrogen than HfP will, in a combination with HfP, yield a lower Mw than HfP by itself. - In addition to selecting catalysts to broaden the MWD, catalysts may be selected to change the composition distribution. For example, employing catalysts that incorporate less or more comonomer than HfP will broaden the composition distribution. A rough guide to this effect, as discussed further below, is the relative gas C6/C2 ratios required to prepare an approximately 0.92 D resin from different catalysts. Those catalysts that give larger differences in C6/C2 gas ratios from HfP will broaden the CD more. Molecular weight distributions can also be changed by employing a catalyst that yields a different MWD but similar average molecular weight to that from HfP.
- The combination of catalysts with HfP can yield a MWD that is larger than expected from the theoretical combination of the individual catalysts. Desirable materials based on an HfP base catalyst are made when the Mw and comonomer incorporation abilities of the catalysts are both higher than HfP. Similarly, desirable materials are also formed when the Mw and comonomer incorporation abilities of the catalysts are both lower than HfP. Further, desirable materials are made when the Mw and of the catalysts are similar to and the comonomer incorporation abilities lower than HfP.
- Making a Co-Supported Polymerization Catalyst
-
FIG. 4 is a flow chart of amethod 400 for making a co-supported polymerization catalyst. Themethod 400 begins atblock 402 with the generation of a plot of hydrogen/ethylene ratio versus the reciprocal of molecular weight of a polymer generated by each one of a number of catalysts. As discussed herein, the slope of each plot indicates the response of the corresponding catalyst to a hydrogen level. - At
block 404, a value is determined for the comonomer/ethylene ratio for each of the catalysts that can be used to achieve a single target density, such as 0.92. The value of the ratio used to achieve the target density indicates the ability of the catalyst to incorporate comonomer. Atblock 406, a first catalyst is selected for the co-supported polymerization catalyst. For example, the first catalyst can be a commonly used commercial catalyst, or may be selected to have a low or a high ability to incorporate comonomer and a high or low response to hydrogen. - At
block 408, a second catalyst is selected for the co-supported polymerization catalyst. The second catalyst can be selected to have a slope of the plot for the hydrogen/ethylene ratio versus the reciprocal of molecular weight that is at least about 1.5 times as large as the slope of the plot for the first catalyst. Further, the second catalyst can be selected to have a value for the comonomer/ethylene ratio that is less than about 0.5 as large as comonomer/ethylene ratio of the first catalyst. Atblock 410, the first catalyst and the second catalyst can be co-supported on a single support to create the co-supported polymerization catalyst, for example, using the trim techniques described herein, among others. - General Procedures for Forming Catalyst Components
- Catalysts
- All manipulations were performed in an N2 purged glovebox or using standard Schlenk techniques. All anhydrous solvents were purchased from Sigma-Aldrich and were degassed and dried over calcined Al2O3 beads or molecular sieves prior to use. Toluene for the catalyst preparations was pre-dried with Al2O3 beads then dried over SMAO 757 before use. Deuterated solvents were purchased from Cambridge Isotope Laboratories and were degassed and dried over alumina beads or molecular sieves prior to use. Reagents used were purchased from Sigma-Aldrich, with the exception of ZrCl4 99+% which was purchased from Strem Chemicals, and bis(n-propyl-cyclopentadienyl)hafnium dimethyl (HfPMe2) was purchased from Boulder Scientific Lot #BSC3220-8-0002. 1H NMR measurements were recorded on a 250 Mz Bruker and a 500 Mz Bruker spectrometers.
- Indenyllithium. Freshly distilled indene (50.43 g, 434.1 mmol) was dissolved in 1 L of pentane. Et2O (25 mL) then 1.6M n-butyllithium in hexanes (268.5 mL, 429.6 mmol) were added to the clear stirring solution over a span of 5 min. A white solid precipitated and the supernatant took on a light yellow color. After stirring overnight the suspension was filtered then dried in vacuo to yield a white solid (46.51 g, 381.0 mmol, 88.7%). 1H NMR (THF-ds): δ 5.91 (d, 2H), 6.44 (m, 2H), 6.51 (t, 1H), 7.31 (m, 2H).
- 1-Ethylindene. 46.51 g (380.95 mmol) of indenyllithium was dissolved in 250 mL of Et20, and a separate solution was made of 95.94 g (615.12 mmol) of ethyliodide in 400 mL of Et20. The ethyliodide solution was cooled to −30° C. in and the indenyllithium solution was cooled to 0-10° C. using a dry ice/acetone bath. The indenyllithium was added to the clear stirring solution of ethylidode via cannula transfer. The solution became a light yellow to yellow color upon addition of the indenyllithium solution. The reaction was allowed to stir overnight and slowly warm to room temperature. After stirring overnight the flask was brought into the box and the Et2O was reduced in vacuo. Once LiI began to precipitate, 300 mL of pentane was added and the white suspension was filtered resulting in a light orange solution. The pentane was evaporated where more LiI precipitated and a light orange oily liquid was obtained. The crude product was distilled under diminished pressure using a rotary vacuum pump to a slight yellow clear liquid. 1H NMR showed ˜90% 1-Ethylindene and 10% 3-Ethylindene. Possible isomerization could have occurred due to a small amount of acid present during the distillation as none was present in the crude 1H NMR spectrum. 44.27 g (306.96 mmol) of product was isolated for an 80.6% yield. 1H NMR (CD2Cl2): δ 0.96 (3H, t), 1.59 (1H, q), 1.99 (1H, q), 3.41 (1H, m), 6.58 (1H, d), 6.59 (1H, d), 7.24 (2H, m), 7.41 (2H, dd).
- 1-Ethyl indenyllithium. 44.27 g (306.98 mmol) of 1-Ethylindene containing 10% 3-Ethylindene was dissolved in 500 mL of pentane and ca. 3 mL of Et2O. To the clear stirring solution was added 188.28 mL (301.25 mmol) of 1.6M n-butyllithium in hexanes over 10 minutes. Immediately a flaky white precipitate formed and caused the stirring stop. The mixture was manually stirred to ensure proper incorporation of reagents and the suspension was allowed to sit overnight. The suspension was filtered and the white solid dried in vacuo. 43.27 g (288.18 mmol) of product was obtained for a 95.7% yield. 1H NMR (THF-d8): δ 1.26 (3H, triplet), 2.86 (2H, quartet), 5.72 (doublet, 1H), 6.38 (dd 1H), 6.43 (2H, m), 7.26 (1H, t), 7.30 (1H, m).
- 7.00 g (46.65 mmol) of 1-Ethyl-indenyllithium was dissolved in 74 mL of 1, 2-dimethoxyethane (DME) and a separate solution was made with 5.43 g (23.30 mmol) of ZrCl4 in 75 mL of DME. To the clear ZrCl4 solution was added the bright yellow solution of 1-ethyl-indenyllithium via pipette over a fifteen minute period. Upon initial addition the solution took on a yellow color, and after 5 minutes into the addition a precipitate formed and an orange-yellow color ensued. Ten minutes into the addition the supernatant turned orange with a yellow precipitate, and once all the 1-ethyl-indenylltihium solution was added the mixture turned back to yellow. The reaction was allowed to stir overnight. A crude 1H NMR spectrum of the slurry showed a rac/meso ratio of ˜1.1:1; however this can be misleading since the rac isomer is more soluble in DME than the meso isomer. Regardless of the isomer ratio, 15.61 mL (46.83 mmol) of 3.0M CH3MgBr in Et2O was added in 1 mL portions over ten minutes. After the tenth addition the yellow mixture turned an orangish color. Upon the final addition of the Grignard reagent, the mixture had turned brown and the reaction was allowed to stir overnight. A 1H NMR spectrum of the crude mixture revealed a 1.1:1 meso/rac ratio. The DME was evaporated and the brown solid was extracted with 3×20 mL of toluene plus an additional 10 mL. The light brown solid obtained after solvent removal was washed with 10 mL of pentane and dried in vacuo. 8.26 g (20.26 mmol) of the off-white solid was obtained for an 87% yield.
- Dichloride spectral data: 1H NMR (CD2Cl2): δ 1.16 (6.34H, t, rac), 1.24 (6H, t, meso), 2.73-2.97 (8H, overlapping q), 5.69 (1.82H, dd, meso), 5.94 (1.92H, dd, rac), 6.06 (1.99H, d, rac), 6.35 (1.84H, d, meso), 7.22-7.65 (16H, m).
- Dimethyl Spectral Data: 1H NMR (C6D6): δ −1.40 (3.33H, s, meso), −0.895 (6H, s, rac), −0.323 (3.34H, s, meso), 1.07 (13H, overlapping t), 2.47 (4H, overlapping q), 2.72 (4H, q), 5.45-5.52 (8H, m), 6.91 (8H, m), 7.06-7.13 (4H, m), 7.30 (4H, m).
- To a solution of ZrCl4 (20.8 g; 89.3 mmol) in 1, 2-dimethoxyethane (DME) (ca. 100 mL) was added a solution of 1-ethyl-indenyllithium (26.8 g; 178 mmol) dissolved in 1, 2-dimethoxyethane (DME) (ca. 200 mL) in portions of about 5 mL over 15 minutes. Additional DME was added as necessary to keep the reaction from becoming too thick to stir. The total volume at the end of the addition was about 425 mL. Immediately prior to the addition of the 1-Ethyl-indenyllithium solution and about halfway through the addition, pentane (ca. 10 mL) was added to the reaction mixture and removed under vacuum in order to lower the temperature. After stirring about 4 h at room temperature an aliquot of the slurry was removed and dried down. The 1H NMR of the solid thus obtained was taken in CD2Cl2 and showed a rac/meso ratio of 0.7:1.
- Approximately 100 mL of the solvent was evaporated from the reaction and methyllithium solution (1.6 M in ether; 111 mL; 178 mmol) was added in portions (ca. 20 mL) over about an hour. After stirring overnight the rac/meso ratio was 0.7:1.0. Additional MeLi solution (1.6 M in ether; 7.0 mL; 11.2 mmol) was added and the reaction stirred at room temperature for 3 days. The rac/meso ratio was 0.9:1 as determined by 1H NMR. The solvent was removed under vacuum and the residue was extracted with warm hexanes (ca. 300 mL; 60° C.), filtered and concentrated to about 100 mL total volume then cooled to −20° C. overnight. The solid was isolated by filtration, washed with cold pentane (2×50 mL) and dried under vacuum to give 29.2 g solid with a rac/meso ration of 0.94:1. The isolated solid was extracted with warm hexane (ca. 150 mL) filtered away from a small amount of pink solid. The volume was reduced to about 125 mL and the solution was treated with trimethylsilylchloride (2.0 mL). The solution was filtered, concentrated to about 100 mL, heated to re-dissolve the precipitated product and allowed to cool slowly. After sitting overnight, the flask was cooled to −20 C which caused some pink solid to precipitate. The flask was warmed to 55° C. and additional hexanes (ca. 75 mL) was added along with trimethylsilylchloride (5.0 mL). This was kept at 55° C. for two hours, the reaction was filtered to give a yellow solution. The solution was filtered, concentrated to about 100 mL, heated to re-dissolve the precipitated product and allowed to cool slowly. The precipitated solid was isolated by filtration, washed with cold pentane (2×30 mL), dried under vacuum at 55° C. The yield was 21.1 g with a rac/meso ration of 1.19/1.
- 1-Ethylindenyllithium (1.0 g; 6.7 mmol) was dissolved in dimethoxyethane (DME) (7.7 mL) amd cooled to −20° C. Solid ZrCl4 (0.781 g; 3.35 mmol) was added in portions over 5 minutes and the reaction was continued overnight. After the volatiles were removed, the yellow solids thus obtained were extracted with CH2Cl2 until no yellow color remained. The CH2Cl2 was removed under vacuum leaving a yellow solid. Yield=1.14 g with a meso/rac ratio of 19:1.
- meso-(1-EtInd)2ZrCl2 (1:19 rac/meso; 307 mg; 0.68 mmol) was slurried in Et2O (ca. 10 mL) and MeMgBr (3.0 M in Et2O; 0.47 mL; 1.41 mmol) was added. The reaction was dried down and extracted with warm hexanes (ca. 18 mL at 60° C.), filtered and dried down to a light yellow solid (240 mg). The 1H NMR in C6D6 showed the rac/meso ratio of 1:19 was retained.
- (1-EtInd)2ZrCl2 (1:1 rac/meso; 12.2 g; 27.2 mmol) was slurried in Et2O (ca. 80 mL) and MeMgBr (2.6 M in Et2O; 23.2 mL; 60.3 mmol) was added. The reaction was stirred overnight, the reaction was dried down and extracted with warm hexanes (ca. 300 mL), filtered and about 1 mL of the solution was dried down and the 1H NMR in C6D6 showed a very clean 1:1 meso/rac ratio of (1-EtInd)2ZrMe2.
- meso-(1-EtInd)2ZrCl2 (1:5 rac/meso; 244 mg; 0.54 mmol) was slurried in Et2O (ca. 5 mL) and MeLi (1.6 M in Et2O; 0.69 mL; 1.10 mmol) was added. The reaction was stirred overnight, filtered and an aliquot of the filtered reaction mixture was dried down. The 1H NMR in C6D6 showed a 1:1.24 rac/meso ratio.
-
- In the drybox, weighed 1-Methyl-1H-indene oil (1.85 g, 14.2 mmol) into a 250 ml roundbottom flask and dissolved in 25 ml dry diethyl ether. Added n-Butyllithium (1.6 M in hexanes, 12.0 ml, 19.2 mmol) dropwise from a 20 ml needle/syringe to form a yellow solution. Stirred at room temperature for 60 minutes.
- To the yellow-orange solution of (1-Methyl)indenyllithium was added Cp*ZrCl3 (4.51 g, 13.5 mmol, used as received from Aldrich-475181) quickly in one portion as a yellow crystalline solid. Stirred the yellow-orange slurry overnight at room temperature.
- Mixture allowed to settle for 30 min. Dark brown solution was decanted from pale yellow solids, rinsed solids on glass frit with 100 ml dry ether. Extracted solids on frit with 100 ml dichloromethane, affording a yellow suspension. Filtered through Celite plug on frit and evaporated volatiles to yield a yellow solid. Recrystallized from ether/pentane to afford 2.70 g (47%). Additional material obtained from mother liquor: 1.19 g (20%)
- 1H NMR (C6D6, 500 MHz, 35° C.): δ 1.70 (15H, s, Cp*), 2.30 (3H, s, indenyl CH3), 5.56 (2H, ABq, indenyl CH, CH), 7.05 (1H, dd, indenyl CH), 7.10 (1H, dd, indenyl CH), 7.24 (1H, dt, indenyl CH), 7.56 (1H, dq, indenyl CH).
- (1-Methylindenyl)(pentamethylcyclopentadienyl)zirconiumdichloride (4.92 g, 11.5 mmol) was slurried in 50 mL diethyl ether and cooled to −50° C. To this, a solution of MeLi (14.8 mL of a 1.71M solution in diethyl ether, 25.4 mmol) was added slowly by syringe. The mixture was left to stir and slowly warm to room temperature to give a pink slurry. After 16 h, the solvent was removed under vacuum and the residue extracted with toluene. The insolubles were removed by filtering through a frit lined with Celite and the solvent was removed to give an orange oily solid. The solid was washed with pentane and dried under vacuum (3.89 g, 88% yield). 1H NMR δ (C6D6): 7.53 (d, 1H, 8-IndH), 7.13-6.99 (m, 3H, 5,6,7-IndH), 5.21 (d, 1H, 2-IndH), 5.11 (d, 1H, 3-IndH), 2.20 (s, 3H, 1-MeInd), 1.69 (s, 15H, CpMe5), −0.51 (s, 3H, ZrMe), −1.45 (s, 3H, ZrMe).
-
- To a 2 liter Erlenmeyer flask, dissolved yellow oil of tetramethylcyclopentadiene (50 g, 409 mmol—obtained from Boulder Scientific) in 1 liter of anhydrous THF. Stirred at room temperature as n-butyllithium (175 ml, 437 mmol) added through a 60 ml plastic syringe with a 20 gauge needle regulating dropwise flow. Formation of a pale yellow precipitate was observed. Reaction is a yellow slurry upon complete addition of lithium reagent. Stirred 1 hr at room temperature, then with vigorous stirring chlorotrimethylsilane (60 ml, 470 mmol) was added and reaction allowed to stir overnight at room temperature. After stirring at room temperature for 15 hr, mixture is a yellow solution. Removed THF solvent with under a stream of N2 to afford an oily residue, which was then extracted with 1 liter of dry pentane and filtered through a celite pad on coarse frit. Removed volatiles under vacuum to afford product as a yellow oil: 62.9 g, 79%. 1H NMR (C6D6, 250 MHz): δ −0.04 (s, Si(CH3)3), δ 1.81, (s, CH3), δ 1.90 (s, CH3), δ 2.67 (s, CH)
-
- In a drybox, charged solid ZrCl4 (30.0 g, 129 mmol) to a 450 ml Chemglass pressure vessel with magnetic spinbar, suspended in 100 ml dry toluene. Dispensed 2,3,4,5-tetramethyl-1-trimethylsilyl-cyclopenta-2,4-diene as a yellow oil (27.5 g, 142 mmol) and rinsed down with additional 100 ml dry toluene. Sealed pressure vessel with threaded cap with Viton o-ring, and heated on a fitted aluminum heating mantle to 110° C. for 90 min. Solution darkens with time, and insolubles were present during reaction. Vessel was allowed to stir overnight and cool to room temperature. Vessel was opened and solvent volume reduced under stream of N2, affording a thick red sludge. Extracted with 2×50 ml dry pentane then with 100 ml dry ether. Red solution removed and recovered product as pale red solid: 35.4 g, 85%. 1H NMR (C6D6, 250 MHz): δ 1.89 (br s, CH3), δ 2.05 (br s, CH3), δ 5.78 (br s, CH)
-
- 1-Methyl-indenyllithium: Freshly distilled 3-Methylindene (33.75 g 259.24 mmol) was dissolved in pentane (1 L). Et2O (10 ml), then 1.6M n-butyllithium in hexanes (107 mL, 171.2 mmol) and 2.5M n-butyllithium in hexanes (34.2 mL, 85.5 mmol) were added to the clear stirring solution. Immediately a flaky white solid precipitated. After stirring overnight, the suspension was filtered and the white solid dried in vacuo (33.88 g, 248.90 mmol, 97%). 1H NMR (THF-d8): δ 2.41 (s, 3H), 5.68 (d, 1H), 6.31 (d, 1H), 6.41 (m, 2H), 7.22 (m, 2H).
- In a drybox, iodomethane (2.0 ml, 32.1 mmol) was dissolved in 80 ml dry diethyl ether in a 250 ml round bottom flask with magnetic spinbar. Flask was placed in a isohexane cold bath (−25° C.) in a wide mouth dewar. In a separate 100 ml Erlenmeyer flask, a room temperature solution of 1-methylindenyl lithium (3.50 g, 25.7 mmol) was prepared in 50 ml dry diethyl ether, affording a yellow solution. Slow, dropwise addition of indenyl lithium solution to the cold, stirred solution of iodomethane was performed over 15 min. Continued stirring at low temperature for 30 min, then removed the cold bath and allowed the reaction to warm to room temperature overnight. Solution is turbid white after stirring 15 hr at room temperature. Reduced solution volume under nitrogen flow, then volatiles evaporated under high vacuum. Extracted solids with 2×80 ml isohexane and filtered through pad of celite on coarse frit. Filtrates evaporated under high vacuum to afford brown oil. Dissolved in 5 ml dichloromethane and loaded via pipet onto silica gel column (Biotage SNAP 100 g), eluting with dichloromethane:isohexane (gradient, 2-20%). Fractions combined and evaporated to afford a clear oil. Collected 2.54 g, 68%.
- 1H NMR (C6D6, 500 MHz): δ 1.11 (d, J=7.5 Hz, —CHCH3), δ 1.96 (s, CH═CCH3), δ 3.22 (m, CHCH3), δ 5.91 (m, CH═CCH3), δ 7.15-7.27 (aromatic CH). Mixture contains minor isomer 3,3-dimethylindene in 1:10 ratio with desired product. δ 1.17 (s, CH3), δ 6.14 (d, J=5.5 Hz, CHH), δ 6.51 (d, J=5.5 Hz, CHH).
-
- Dissolved 2.54 g (17.6 mmol) of clear oil, 10:1 mixture of 1,3-dimethylindene and 3,3-dimethylindene, in 35 ml dry pentane. Stirred at room temperature as 6.2 ml of a 2.5 M hexane solution of n-butyllithium (15.5 mmol) was added slowly, dropwise. White precipitate formed immediately. Stirred at room temperature for 45 min, then filtered supernatant via cannula. Suspended the residue in 30 ml dry pentane and cooled in drybox freezer (−27° C.) for 60 min. Filtered supernatant and dried in vacuo to white powder, 2.34 g (88%) and used as-is for subsequent reaction step without characterization.
-
- Weighed 3.50 g (10.98 mmol) tan powder of (tetramethylcyclopentadienyl)zirconium trichloride into a 100 ml flat bottom glass bottle with magnetic spinbar. Suspended in 80 ml dry diethyl ether. Stirred as 1,3-dimethylindenyl lithium (1.65 g, 10.99 mmol) added as powder over several minutes. Rinsed down with additional 20 ml ether. Capped bottle and stirred overnight at room temperature. Mixture a yellow slurry after stirring 15 hr at room temperature. Evaporated volatiles under high vacuum, then extracted residue with 2×80 ml dichloromethane. Filtered through celite pad on coarse frit. Concentrated in vacuo and filtered again through fresh celite on coarse frit. Dried in vacuo to free flowing yellow powder, 3.6 g (77%). 1H NMR (CD2Cl2, 500 MHz): δ 1.89 (s, CH3 of CpMe4), δ 1.90 (s, CH3 of CpMe4), δ 2.40 (s, CH3 of C9 fragment), δ 5.67 (s, CH of CpMe4), δ 6.33 (s, CH of C9 fragment), δ 7.24 (AA′BB′, aromatic CH of C9 fragment), δ 7.52 (AA′BB′, aromatic CH of C9 fragment). Contains ca. 15% diethyl ether.
-
- In the drybox, suspended bright yellow powder of (1,3-Me2Ind)(CpMe4)ZrCl2 (3.6 g, 8.4 mmol) in 75 ml dry diethyl ether in a 100 ml amber glass flat-bottom bottle with magnetic spinbar. Cooled bottle to −10 C in isohexane bath, stirred as solution of methyllithium (1.6 M in ether) deliverd via syringe in portions (4×3 ml, 19.2 mmol). Capped bottle with septum and stirred overnight, allowing cold bath to slowly warm to room temperature. Evaporated slurry to dryness under high vacuum. Extracted with 3×50 ml dichloromethane and filtered through celite on coarse frit. Concentrated under stream of nitrogen, then added pentane. Stirred 15 min then evaporated volatiles. Washed solids with cold pentane, dried in vacuo. Collected as tan powder, 1.67 g; second crop recovered from filtrate, 0.52 g. Combined yields 2.19 g, 67%. 1H NMR (CD2Cl2, 500 MHz): δ−1.22 (s, ZrCH3), 1.78 (s, CH3 of CpMe4 fragment), 1.87 (s, CH3 of CpMe4 fragment), 2.25 (s, CH3 of C9 fragment), 4.92 (s, CH of CpMe4 fragment), 5.60 (s, CH of C9 fragment), 7.14 (AA′BB′, aromatic CH of C9 fragment), 7.44 (AA′BB′, aromatic CH of C9 fragment). 13C{1H} NMR (CD2Cl2, 125 MHz): δ 11.64 (CH3 of CpMe4 fragment), 12.91 (CH3 of of C9 fragment), 13.25 (CH3 of CpMe4 fragment), 37.23 (ZrCH3), 106.34 (CH of CpMe4 fragment), 115.55 (CH of C9 fragment); quaternary 13C resonances 107.36, 117.51, 122.69, 125.06.
- To a slurry of meso-O—(SiMe2Indenyl)2ZrCl2 (purchased from Süd-Chemie Catalytica; 40.0 g; 83.2 mmol) in about 300 mL of ether was added 54.0 mL of MeMgBr (3.0 M/ether; 162 mmol) at room temperature. After stirring the slurry for 1.5 hours, the volatiles were removed; heptane (about 300 mL) was added to the resultant solid and heated to 80° C. for 30 minutes. The slurry was filtered and the supernatant was cooled to −30° C. resulting in the formation of a crystalline solid that was isolated by filtration, washed with pentane and dried under vacuum. The yield was 26.0 g. 1HNMR δ (C6D6): 7.57 (m, 2H), 7.42 (m, 2H), 7.02 (m, 2H), 6.94 (m, 2H), 6.31 (d, 2H), 5.82 (d, 2H), 0.44 (s, 6H), 0.34 (s, 6H), 0.00 (s, 3H), −2.07 (s, 3H).
- Catalyst Preparations
- Dehydration of Silica at 610° C.
- Ineos ES757 silica (3969 g) was charged into a dehydrator (6 ft length, 6.25 in diameter) equipped with a 3-zone heater then fluidized with dry N2 gas at a flow rate of 0.12 ft3/s. Afterwards, the temperature was raised to 200° C. in a 2 h period. After holding at 200° C. for 2 h, the temperature was raised to 610° C. in a 6 h period. After holding at 610° C. for 4 h, the temperature was allowed to cool to ambient temperature over a 12 h period. The silica was transferred under N2 to an APC can then stored under N2 pressure (20 psig).
- Preparation of Methyl Aluminoxane Supported on Silica (SMAO)
- In a typical procedure, Ineos ES757 silica (741 g), dehydrated at 610° C., was added to a stirred (overhead mechanical conical stirrer) mixture of toluene (2 L) and 30 wt % solution of methyl aluminoxane in toluene (874 g, 4.52 mol). The silica was chased with toluene (200 mL) then the mixture was heated to 90° C. for 3 h. Afterwards, volatiles were removed by application of vacuum and mild heat (40° C.) overnight then the solid was allowed to cool to room temperature.
- Typical Small Scale Catalyst Preparation for Laboratory Salt Bed Reactor
- In a N2 purged drybox, 3.00 grams of SMAO (4.5 mmol MAO/g SMAO) were transferred to a 125 ml Cel-Stir mixer. Pentane (50 mL) was added to create a slurry. The slurry was stirred at ambient temperature. The metallocene (0.11 mmol) was dissolved in a minimal amount of toluene (˜2 mL). This solution was then added to the stirring slurry. The mixture was allowed to stir for one hour. After the allotted time, the mixture was filtered onto a glass frit and washed with fresh pentane (2×10 mL) then dried for at least one hour.
- Description of Laboratory Salt Bed Reactor
- Under a N2 atmosphere, a 2 L autoclave was charged with dry salt (200 g) and SMAO (3 g). At a pressure of 2 psig N2, dry, degassed 1-hexene (see Table 6) was added to the reactor with a syringe. The reactor was sealed, heated to 80° C. while stirring the bed, then charged with N2 to a pressure of 20 psig. Then, solid catalyst was injected into the reactor with ethylene at a pressure of 220 psig; ethylene flow was allowed over the course of the run. The temperature was raised to 85° C. Hexene was fed into the reactor as a ratio to ethylene flow (0.08 g/g). Hydrogen was fed into the reactor as a ratio to ethylene flow per the description in the table. The hydrogen and ethylene ratios were measured by on-line GC analysis. Polymerizations were halted after 1 h by venting the reactor, cooling to room temperature then exposing to air. The salt was removed by stirring the crude product in water. The polymer was obtained by filtration then drying in a vacuum oven.
-
TABLE 6 Feed conditions for laboratory salt-bed reactor experiments Feed Feed Initial Ratio Ratio Amount of SMAO- Charge Initial Charge C6/C2 H2/C2 cat used Metallocene C6 (mL) H2 (sccm) (g/g) (mg/g) (mg) IV-A/ B 2 0 0.08 0 18.3 IV-A/ B 2 17 0.08 0 41.5 IV-A/ B 2 100 0.08 3 43.5 IV- C 2 0 0.08 0 18.3 IV-C 3 10.5 0.08 0 40.3 IV-C 4.9 10.5 0.08 0 38.9 IV-C 3 45 0.08 3 43.5 IV-C 3 400 0.08 3 43.5 IV- D 2 51 0.08 0 30.4 IV- D 2 51 0.08 0 30.7 III 2 261 0.08 1 50.8 III 2 300 0.08 1 30.4 III 2 0 0.08 0 41.7 III 2 100 0.08 3 40.1 -
TABLE 7 Polymerization results for laboratory salt-bed reactor experiments SCB Average Content SMAO- Productivity H2/C2 Me/1000C Metallocene (g/g) (ppm/mol) Mn/1000 Mw/1000 Mz/1000 Mw/Mn (Corr) IV-A/B 1530 0.5 39 131 278 3.4 6.1 IV-A/B 1525 0.5 40 126 264 3.2 6.0 IV-A/B 993 4.2 11 47 116 4.3 5.3 IV-C 1350 0.2 57 204 471 3.5 3.4 IV-C 1953 0.2 57 187 371 3.3 4.9 IV-C 1900 0.5 34 145 312 4.2 6.2 IV-C 777 4.3 13 60 134 4.6 3.8 IV-C 805 6.3 9 48 118 5.6 3.4 IV-D 1751 0.3 39 168 427 4.3 6.1 IV-D 641 4.3 19 73 142 3.8 3.8 III 3510 2.0 69 193 432 2.8 12.5 III 4846 4.2 43 114 220 2.7 9.5 III 4825 4.8 47 133 269 2.8 12.1 III 4677 10.2 21 63 128 3.0 10.3 - Large Scale Catalyst Preparations for 24-Inch Diameter Gas-Phase Pilot Plant Testing
- A 5 L 3-neck Morton flask was charged with pentane (4 L) then stirred (140 rpm) with a mechanical stirrer while charged with SMAO (375 g). A solution containing (1-EtInd)2ZrMe2 (IV-AB), HfPMe2 (III), and toluene was added with an addition funnel over the course of an hour. The slurry took on a green color and was allowed to stir for an additional hour. The mixture was then filtered and dried in vacuo for a total of 8 hours. Results are shown in Table 8.
-
TABLE 8 Blend Combinations (1EtInd)2ZrMe2 (IV-A/B) (CpPr)2HfMe2 (III) (1EtInd)2ZrMe2 mass (g) mmol mass (g) mmol mole fraction 2.89 7.09 8.86 20.95 0.25 2.87 7.04 8.94 21.14 0.25 5.75 14.10 5.97 14.12 0.50 5.75 14.10 5.97 14.12 0.50 - 75% HfPMe2/25% (1-EtInd)2ZrMe2 Catalyst Preparation Batch 2 A similar procedure as described above was employed for the second batch of 75/25 catalyst. A mixture of SMAO was used comprising of 204.15 g from UT-331-142, 176.17 g from UT-331-101, 209.49 g from UT-331-124, and 160.19 g form UT-331-143. For the second batch, 4 L of pentane was added first to the Morton flask followed by the SMAO so clumping would not occur. Two separate solutions were made with 2.87 g (7.09 mmol) of (1-EtInd)2ZrMe2 and 8.94 g (20.95 mmol) of HfPMe2 in 20 mL of toluene.
- 50% HfPMe2/50% (1-EtInd)2ZrMe2 Catalyst Preparation Batch 1 & 2
- The same procedure used to prepare the second batch of 75/25 catalyst was used for both sets of 50/50 catalyst. Batch 1 used SMAO from UT-331-143, 5.75 g (14.10 mmol) of (1-EtInd)2ZrMe2, and 5.97 g (14.11 mmol) of HfPMe2.
Batch 2 used SMAO from UT-331-144, 5.75 g (14.09 mmol) of (1-EtInd)2ZrMe2, and 5.97 g (14.11 mmol) of HfPMe2. - Mixing of the Catalysts
- The two 75/25 batches were combined in a 4 L Nalgene bottle and manually mixed by spinning and shaking the bottle. The two 50/50 batches were also mixed in the same manner.
- Spray-Dried Catalyst Preparations
- Spray Dried HfP Low (SD-(III)). The feed stock slurry was prepared by first adding 10 wt % MAO (24.7 lbs), toluene (35.8 lbs) and Cabosil TS-610 (3.4 lbs) to a 10 gallon feed tank. The mixture was stirred overnight at room temperature. HfP (III) (28.75 g, 0.06798 mol) was added then the resulting slurry was mixed for another hour at ˜38-40° C. before spraying. The catalyst was spray dried at a slurry feed rate of 93 lb/h, 90% atomizer speed, and outlet temperature of 80° C. in a procedure similar to reported in U.S. Pat. No. 7,276,566 B2. Yield was 2289 g (85%). Analytical data are reported in Table 9.
-
TABLE 9 Analytical data for supported HfP (III) Al mmol/g Hf micro Al/Hf Catalyst wt % Al wt % Hf actual mol/g actual SD-(III) 16.0 0.73 5.9 41 145 - Description of 24-Inch Diameter Gas-Phase ReactorReactor
- The polymerization was conducted in a continuous gas phase fluidized bed reactor having a straight section of 24 inch (61 cm) diameter with a length of approximately 11.75 feet (3.6 m) and an expanded section of 10.2 feet (3.1 m) length and 4.2 feet (1.3 m) diameter at the largest width. The fluidized bed is made up of polymer granules, The gaseous feed streams of ethylene and hydrogen together with liquid 1-hexene were mixed together in a mixing tee arrangement and introduced below the reactor bed into the recycle gas line. The individual flow rates of ethylene, hydrogen and 1-hexene were controlled to maintain fixed composition targets. The ethylene concentration was controlled to maintain a constant ethylene partial pressure. They hydrogen was controlled to maintain a constant hydrogen to ethylene mole ratio. The concentrations of all gasses were measured by an on-line gas chromatograph to ensure relatively constant composition in the recycle gas stream.
- The solid catalyst was injected directly into the fluidized bed using purified nitrogen as a carrier. Its rate of injection was adjusted to maintain a constant production rate of the polymer. The reacting bed of growing polymer particles was maintained in a fluidized state by continually flowing the makeup feed and recycle gas through the reaction zone at a superficial gas velocity 1-3 ft/sec (0.3 to 0.9 m/sec). The reactor was operated at a total pressure of 300 psig (2068 kPa gauge). To maintain a constant reactor temperature, the temperature of the recycle gas was continuously adjusted up or down to accommodate any changes in the rate of heat generation due to the polymerization.
- A solution of anti-static agents in hexane (1:1 Aluminum stearate: N-nonyldiethanolamine at 20 wt %) was fed into the reactor using a mixture of iso-pentane and nitrogen at such a rate as too maintain ca. 30 ppm anti-static agents in the fluidized bed.
- The fluidized bed was maintained at a constant height by withdrawing a portion of the bed at a rate equal to the rate of formation of particulate product. The product was removed semi-continuously via a series of valves into a fixed volume chamber, which was simultaneously vented back to the reactor to allow highly efficient removal of the product, while at the same time recycling a large portion of the unreacted gases back to the reactor, This product was purged to remove entrained hydrocarbons and treated with a small stream of humidified nitrogen to deactivate any trace quantities of residual catalyst and cocatalyst.
- Run Summary
- Examples of run conditions for the polymerizations are shown in Table 10.
-
TABLE 10 Run conditions for polymerizations in 24-Inch Diameter Gas-Phase Reactor Polymerization 3:1 3:1 3:1 Example (III): (III): (III): MCNs (III) (IV-A/B) (IV-A/B) (IV-A/B) Cat Density gm/cc 0.34 0.40 0.40 0.40 Total Polymer 4853 11386 4452 3058 Produced Bed Turnovers 6.98 16.42 6.41 4.40 (whole part) Residence Time 4.21 4.26 4.48 4.55 C2 Concentration 69.9 70.1 70.0 70.0 (mole %) C2 Partial 220 220 220 220 Pressure (psia) H2 Concentration 293 315 296 232 (ppm) H2/C2 Analyzer Ratio 4.19 4.50 4.23 3.31 (ppm/mole %) Hexene conc (mole %) 1.20 1.90 1.47 1.56 C6/C2 Analyzer Ratio 0.0172 0.0271 0.0210 0.0223 C2 Feed (lb/hr) 187 199 189 182 H2/C2 Flow Ratio 0.059 0.166 0.149 0.116 (Mlb/lb) C6/C2 Flow Ratio 0.0988 0.1335 0.0991 0.1040 IC5 (mole %) 2.5 2.2 2.4 2.3 N2 Conc (mole %) 26.39 25.77 26.08 26.03 Reactor Vent 16.67 17.57 7.08 18.15 Rate (lb/hr) Reactor Pressure (psia) 314.5 314.5 314.2 314.6 Bed Temperature 78.8 78.8 78.7 78.7 (deg C.) Exchanger dp (psi) 0.409 0.380 0.400 0.416 Plate dp (″H2O) 91.97 92.24 90.62 91.48 Gas Velocity (ft/sec) 2.25 2.25 2.25 2.25 Bed Weight (lbs) 695.4 693.4 694.1 695.7 Bed Level (ft) 14.2 13.4 13.1 13.0 Fluidized Bed 17.80 18.95 19.08 19.07 Density (lb/ft3) Exp sect diff press 6.35 4.96 4.59 4.63 (inch H20) Cat Feed Rate 21.00 15.00 16.00 16.00 (seconds) Cat feed rate (g/hr) 9.07 12.43 11.55 11.55 Cat Feeder 1.10 0.93 0.92 0.92 Efficiency (%) N2 Sweep 1.3 1.3 1.3 1.3 with Continuity Additive lb/hr IC5 Flush 4.1 4.0 4.1 4.0 with Continuity Additive lb/h N2 flow to annulus 3.0 3.2 3.2 3.2 with cat lb/hr N2 flow with Cat lb/hr 3.0 3.0 3.0 3.0 Production Rate 165.0 162.8 155.0 152.8 (lb/hr) Drops Cat Activity 8264 5944 6092 6005 matl balance (gm/gm) Drops Melt Index (I2) 0.93 1.06 1.23 0.72 HLMI (I21) 27.23 61.67 67.01 38.17 MFR (I21/I2) 29.28 58.18 54.48 53.09 Density (gm/cc) 0.9196 0.9210 0.9263 0.9253 Run conditions for polymerizations in 24-Inch Diameter Gas-Phase Reactor Polymerization Example 1:1 1:1 1:1 Catalyst Example (III): (III): (III): MCNs (IV-A/B) (IV-A/B) (IV-A/B) Cat Density gm/cc 0.38 0.38 0.38 Total Polymer 4338 3624 2359 Produced Bed Turnovers 6.26 5.22 3.43 (whole part) Residence Time 5.19 4.86 5.58 C2 Concentration 69.8 70.0 69.0 (mole %) C2 Partial 220 220 200 Pressure (psia) H2 Concentration 294 321 192 (ppm) H2/C2 Analyzer Ratio 4.21 4.59 2.78 (ppm/mole %) Hexene conc (mole %) 1.74 2.14 2.41 C6/C2 Analyzer Ratio 0.0249 0.0305 0.0350 C2 Feed (lb/hr) 172 174 89 H2/C2 Flow Ratio 0.185 0.197 0.106 (Mlb/lb) C6/C2 Flow Ratio 0.0988 0.1330 0.1347 IC5 (mole %) 2.4 2.2 2.3 N2 Conc (mole %) 26.00 25.60 26.30 Reactor Vent 11.90 19.82 45.33 Rate (lb/hr) Reactor Pressure (psia) 314.4 314.6 289.9 Bed Temperature 78.9 78.8 78.2 (deg C.) Exchanger dp (psi) 0.373 0.385 0.433 Plate dp (″H2O) 92.07 92.45 96.76 Gas Velocity (ft/sec) 2.25 2.25 2.24 Bed Weight (lbs) 693.5 694.6 688.4 Bed Level (ft) 13.3 13.7 12.6 Fluidized Bed 18.96 18.51 19.88 Density (lb/ft3) Exp sect diff press 4.98 5.91 4.08 (inch H20) Cat Feed Rate 17.00 17.00 16.00 (seconds) Cat feed rate (g/hr) 10.63 10.63 11.30 Cat Feeder 0.94 0.94 0.94 Efficiency (%) N2 Sweep 1.3 1.3 1.3 with Continuity Additive lb/hr IC5 Flush 4.0 4.0 3.6 with Continuity Additive lb/hr N2 flow to annulus 3.2 3.2 3.2 with cat lb/hr N2 flow with Cat lb/hr 3.0 3.0 3.0 Production Rate 133.5 143.0 123.3 (lb/hr) Drops Cat Activity 5700 6106 4955 matl balance (gm/gm) Drops Melt Index (I2) 4.86 6.17 2.20 HLMI (I21) 239.08 319.27 99.04 MFR (I21/I2) 49.19 51.75 45.02 Density (gm/cc) 0.9319 0.9257 0.9254 - Description of 13.25 Inch Diameter Gas-Phase Reactor
- A gas phase fluidized bed reactor of 0.35 meters internal diameter and 2.3 meters in bed height was utilized for polymerizations, with the results shown in Table 11. The fluidized bed was made up of polymer granules and the gaseous feed streams of ethylene and hydrogen together with liquid 1-hexene comonomer were introduced below the reactor bed into the recycle gas line. The individual flow rates of ethylene, hydrogen and 1-hexene were controlled to maintain fixed composition targets. The ethylene concentration was controlled to maintain a constant ethylene partial pressure. The hydrogen was controlled to maintain constant hydrogen to ethylene mole ratio. The concentrations of all the gases were measured by an on-line gas chromatograph to ensure relatively constant composition in the recycle gas stream. The reacting bed of growing polymer particles was maintained in a fluidized state by the continuous flow of the make-up feed and recycle gas through the reaction zone. A superficial gas velocity of 0.6-0.9 meters/sec was used to achieve this. The fluidized bed was maintained at a constant height by withdrawing a portion of the bed at a rate equal to the rate of formation of particulate product. The polymer production rate was in the range of 15-25 kg/hour. The product was removed semi-continuously via a series of valves into a fixed volume chamber. This product was purged to remove entrained hydrocarbons and treated with a small stream of humidified nitrogen to deactivate any trace quantities of residual catalyst.
- The solid catalyst was dispersed in degassed and dried mineral oil as a nominal 18 wt % slurry and contacted with the trim catalyst solution for a few seconds to minutes before being injected directly into the fluidized bed using purified nitrogen and isopentane as carriers in a manner that produces an effervescence of nitrogen in the liquid and spray to aid in dispersing the catalyst. The trim catalyst was provided initially as a solution, and substantially diluted with isopentane to a concentration of about 0.015 wt % before being mixed in-line with the slurry catalyst component in a continuous manner prior to injection to the reactor. The relative feeds of the slurry catalyst and the trim catalyst were controlled to achieve an aim target feed ratio of their active polymerization metals, and the feeds adjusted accordingly for overall polymer production rate and the relative amounts of polymer produced by each catalyst based somewhat on polymer flow index MFR and density, while also manipulating reaction temperature and the gas compositions in the reactor. The reacting bed of growing polymer particles was maintained in a fluidized state by continually flowing the makeup feed and recycle gas through the reaction zone at a superficial gas velocity in about the range of 2.0 to 2.2 ft/sec (0.61 to 0.67 m/sec). The reactor was operated at a total pressure of about 350 psig (2413 kPa gauge). To maintain a constant fluidized bed temperature in the reactor, the temperature of the recycle gas was continuously adjusted up or down by passing the recirculating gas through the tubes of a shell-and-tube heat exchanger with cooling water on the shell-side to accommodate any changes in the rate of heat generation due to the polymerization.
- A slurry mixture of anti-static agents in degassed and dried mineral oil (1:1 Aluminum stearate: N-nonyldiethanolamine at 20 wt % concentration) was fed into the reactor using a mixture of iso-pentane and nitrogen at such a rate as to achieve a concentration of between 38 and 123 ppmw anti-static agents in the fluidized bed. (row 128) Isopentane and/or nitrogen was optionally employed to assist in conveying and dispersing the slurry mixture of anti-static into the reactor fluidized bed via a ⅛ inch to 3/16 inch OD injection tube thief extending a few inches into the bed from the reactor side wall.
- The fluidized bed was maintained at a constant height by withdrawing a portion of the bed at a rate equal to the rate of formation of particulate product. The product was removed semi-continuously via a series of valves into a fixed volume discharge chamber. This product was purged to remove entrained hydrocarbons and treated with a small stream of humidified nitrogen immediately on discharge to a receiving fiberpak drum to deactivate any trace quantities of residual catalyst and cocatalyst.
- All numerical values are “about” or “approximately” the indicated value, and take into account experimental error and variations that would be expected by a person having ordinary skill in the art. Further, various terms have been defined above. To the extent a term used in a claim is not defined above, it should be given the broadest definition persons in the pertinent art have given that term as reflected in at least one printed publication or issued patent. All patents, test procedures, and other documents cited in this application are fully incorporated by reference to the extent such disclosure is not inconsistent with this application and for all jurisdictions in which such incorporation is permitted.
-
TABLE 11 Polymerization Experiments in 13.25 Inch Diameter Gas-Phase Reactor Polymerization Example 1 2 3A 3B Trim Metallocene None None IV-A/B IV-A/B Base Catalyst SD-(III) SD-(III) SD-(III) SD-(III) Part Bed Turnovers Averaging Data 1.81 1.80 1.74 2.22 Part BTO's 17.22 5.40 6.95 5.18 Prod Rate (lbs/hr) 26.5 26.3 24.9 20.8 Residence Time (hrs) 3.31 3.33 3.45 4.06 C2 Partial Pressure (psia) 220.2 220.5 220.3 220.0 C2 Partial Pressure (Bar) 14.99 15.01 14.99 14.98 H2/C2 Conc Ratio (ppm/m %) 4.61 3.84 3.74 3.74 C6/C2 Conc Ratio (m/m) 0.01527 0.01539 0.01835 0.01729 Ethylene (mole %) 61.03 61.05 61.34 61.26 Isopentane (mole %) 12.06 12.16 12.35 12.35 Nitrogen (mole %) 26.75 26.56 26.47 26.58 Isopentane Feed (lb/hr) 12.01 12.01 12.01 12.01 RX Pressure (psig) 349.07 349.06 349.19 349.18 Rxn Temperature (° C.) 85.00 84.99 85.00 85.00 Bed Weight (lbs) 87.6 87.8 85.9 84.2 Bed Level (ft) 6.43 6.23 7.41 8.19 Continuity Additive Conc (ppmw prod) 54.4 73.4 75.3 90.3 Trim Solution Flow (g/hr) 120.0 79.7 Trim Catalyst Flow (g/hr) 0.0180 0.0119 Slurry Cat Flowrate 9.50 10.00 7.00 7.00 Slurry Cat Inner Tube IC5 Flow (lb/hr) 3.01 3.00 3.00 3.00 Slurry Cat Inner Tube N2 Flow (lb/hr) 5.00 5.00 5.00 5.00 Slurry Cat Outer Tube IC5 Flow (lb/hr) 12.01 12.01 12.01 12.01 Slurry Cat Outer Tube N2 Flow (lb/hr) 5.02 5.01 5.02 5.00 Plenum Flow (lb/hr) 62.01 62.56 58.42 56.40 Melt Index (dg/min) 0.73 0.49 1.68 1.01 MI-5 (dg/min) 2.12 1.38 5.75 3.10 High Load Melt Index (dg/min) 18.2 11.7 83.2 37.0 MFR (HLMI/MI) 25.0 23.9 49.4 36.6 MFR I21/I5 8.6 8.4 14.5 11.9 Density (g/cc) 0.9201 0.9194 0.9340 0.9281 Bulk Density (lb/ft{circumflex over ( )}3) 24.00 24.50 32.40 31.43 Poured Bulk Density (g/cc) 0.3846 0.3926 0.5192 0.5037 Cat Prod (matl Bal) 7,801 7,373 9,956 8,300 Polymerization Experiments in 13.25 Inch Diameter Gas-Phase Reactor Polymerization Example 4B 4A 5B 5A Trim Metallocene IV-C IV-C IV-D IV-D Base Catalyst SD-(III) SD-(III) SD-(III) SD-(III) Part Bed Turnovers Averaging Data 2.13 3.00 2.12 2.63 Part BTO's 5.68 6.00 5.65 5.26 Prod Rate (lbs/hr) 20.6 21.9 20.7 19.2 Residence Time (hrs) 4.22 4.00 4.25 4.56 C2 Partial Pressure (psia) 220.0 220.0 220.0 220.2 C2 Partial Pressure (Bar) 14.98 14.97 14.98 14.99 H2/C2 Conc Ratio (ppm/m %) 3.78 3.78 3.80 3.74 C6/C2 Conc Ratio (m/m) 0.01742 0.01823 0.01614 0.01709 Ethylene (mole %) 60.95 60.79 60.97 61.29 Isopentane (mole %) 12.30 12.31 12.26 12.42 Nitrogen (mole %) 26.46 26.31 26.58 26.49 Isopentane Feed (lb/hr) 12.01 12.01 12.01 12.01 RX Pressure (psig) 349.19 349.15 349.16 349.16 Rxn Temperature (° C.) 85.00 85.00 85.00 85.00 Bed Weight (lbs) 86.9 87.6 87.8 87.6 Bed Level (ft) 7.55 6.96 6.56 6.74 Continuity Additive Conc (ppmw prod) 91.0 85.5 90.7 97.6 Trim Solution Flow (g/hr) 80.0 120.0 80.0 119.8 Trim Catalyst Flow (g/hr) 0.0120 0.0180 0.0120 0.0180 Slurry Cat Flowrate 7.00 7.00 7.00 7.00 Slurry Cat Inner Tube IC5 Flow (lb/hr) 3.00 3.00 3.00 3.00 Slurry Cat Inner Tube N2 Flow (lb/hr) 5.00 5.00 5.00 5.00 Slurry Cat Outer Tube IC5 Flow (lb/hr) 12.01 12.01 12.01 12.01 Slurry Cat Outer Tube N2 Flow (lb/hr) 5.04 5.02 5.02 5.03 Plenum Flow (lb/hr) 55.29 56.68 58.46 58.70 Melt Index (dg/min) 1.23 1.72 0.914 1.090 MI-5 (dg/min) 3.59 5.22 2.528 3.101 High Load Melt Index (dg/min) 35.9 57.0 21.3 27.8 MFR (HLMI/MI) 29.1 33.1 23.3 25.5 MFR I21/I5 10.0 10.9 8.4 9.0 Density (g/cc) 0.9274 0.9315 0.9221 0.9238 Bulk Density (lb/ft{circumflex over ( )}3) 30.03 30.93 30.33 31.42 Poured Bulk Density (g/cc) 0.4813 0.4956 0.4861 0.5036 Cat Prod (matl Bal) 8,233 8,767 8,267 7,680 Polymerization Experiments in 13.25 Inch Diameter Gas-Phase Reactor Polymerization Example 6B 6A 3C-1 3C-2 Trim Metallocene V-A V-A IV-A/B IV-A/B Base Catalyst SD-(III) SD-(III) SD-(III) SD-(III) Part Bed Turnovers Averaging Data 1.40 1.88 1.02 1.38 Part BTO's 4.19 5.02 3.07 3.46 Prod Rate (lbs/hr) 20.4 18.1 29.7 20.0 Residence Time (hrs) 4.30 4.78 2.93 4.34 C2 Partial Pressure (psia) 219.7 220.0 221.2 220.0 C2 Partial Pressure (Bar) 14.96 14.98 15.06 14.98 H2/C2 Conc Ratio (ppm/m %) 3.76 3.75 3.55 3.77 C6/C2 Conc Ratio (m/m) 0.01595 0.01724 0.01692 0.01953 Ethylene (mole %) 61.02 61.03 61.47 60.84 Isopentane (mole %) 12.29 12.43 12.21 12.09 Nitrogen (mole %) 26.72 26.35 26.32 26.47 Isopentane Feed (lb/hr) 12.02 12.01 12.02 12.02 RX Pressure (psig) 349.15 349.12 349.18 349.17 Rxn Temperature (° C.) 85.00 85.00 84.99 85.00 Bed Weight (lbs) 87.9 86.5 87.1 86.8 Bed Level (ft) 6.71 7.01 6.81 7.15 Continuity Additive Conc (ppmw prod) 91.7 103.6 63.2 93.7 Trim Solution Flow (g/h) 100.0 150.0 80.0 80.0 Trim Catalyst Flow (g/hr) 0.0150 0.0225 0.0120 0.0120 Slurry Cat Flowrate 7.00 7.00 7.50 5.00 Slurry Cat Inner Tube IC5 Flow (lb/hr) 3.00 3.00 3.01 3.00 Slurry Cat Inner Tube N2 Flow (lb/hr) 5.00 5.00 5.00 5.00 Slurry Cat Outer Tube IC5 Flow (lb/hr) 12.02 12.01 12.02 12.02 Slurry Cat Outer Tube N2 Flow (lb/hr) 5.02 5.03 4.99 5.03 Plenum Flow (lb/hr) 59.81 59.74 66.36 65.32 Melt Index (dg/min) 0.602 0.702 0.401 0.287 MI-5 (dg/min) 1.640 1.994 1.183 0.851 High Load Melt Index (dg/min) 14.6 19.0 13.4 10.8 MFR (HLMI/MI) 24.3 27.1 33.5 37.8 MFR I21/I5 8.9 9.5 11.4 12.7 Density (g/cc) 0.9201 0.9234 0.9232 0.9206 Bulk Density (lb/ft{circumflex over ( )}3) 30.25 30.77 30.80 32.40 Poured Bulk Density (g/cc) 0.4848 0.4930 0.4936 0.5192 Cat Prod (matl Bal) 8,178 7,233 11,076 11,200 - While the foregoing is directed to embodiments of the present invention, other and further embodiments of the invention can be devised without departing from the basic scope thereof, and the scope thereof is determined by the claims that follow.
Claims (21)
(C5HaR1 b)(A)(C5HcR2 d)HfX2
Priority Applications (2)
| Application Number | Priority Date | Filing Date | Title |
|---|---|---|---|
| US17/067,287 US20210024670A1 (en) | 2014-02-11 | 2020-10-09 | Method to prepare ethylene copolymers |
| US18/102,858 US20230174694A1 (en) | 2014-02-11 | 2023-01-30 | Method to prepare ethylene copolymers |
Applications Claiming Priority (13)
| Application Number | Priority Date | Filing Date | Title |
|---|---|---|---|
| US201461938472P | 2014-02-11 | 2014-02-11 | |
| US201461938466P | 2014-02-11 | 2014-02-11 | |
| US201461981291P | 2014-04-18 | 2014-04-18 | |
| US201461985151P | 2014-04-28 | 2014-04-28 | |
| US201462032383P | 2014-08-01 | 2014-08-01 | |
| US201462088196P | 2014-12-05 | 2014-12-05 | |
| US201462087911P | 2014-12-05 | 2014-12-05 | |
| US201462087914P | 2014-12-05 | 2014-12-05 | |
| US201462087905P | 2014-12-05 | 2014-12-05 | |
| PCT/US2015/015123 WO2015123166A1 (en) | 2014-02-11 | 2015-02-10 | Method to prepare ethylene copolymers |
| US201615118014A | 2016-08-10 | 2016-08-10 | |
| US16/432,602 US20190322780A1 (en) | 2014-02-11 | 2019-06-05 | Method to prepare ethylene copolymers |
| US17/067,287 US20210024670A1 (en) | 2014-02-11 | 2020-10-09 | Method to prepare ethylene copolymers |
Related Parent Applications (1)
| Application Number | Title | Priority Date | Filing Date |
|---|---|---|---|
| US16/432,602 Continuation US20190322780A1 (en) | 2014-02-11 | 2019-06-05 | Method to prepare ethylene copolymers |
Related Child Applications (1)
| Application Number | Title | Priority Date | Filing Date |
|---|---|---|---|
| US18/102,858 Continuation US20230174694A1 (en) | 2014-02-11 | 2023-01-30 | Method to prepare ethylene copolymers |
Publications (1)
| Publication Number | Publication Date |
|---|---|
| US20210024670A1 true US20210024670A1 (en) | 2021-01-28 |
Family
ID=52573736
Family Applications (23)
| Application Number | Title | Priority Date | Filing Date |
|---|---|---|---|
| US15/118,014 Abandoned US20160362510A1 (en) | 2014-02-11 | 2015-02-10 | Method to prepare ethylene copolymers |
| US15/117,363 Abandoned US20160347890A1 (en) | 2014-02-11 | 2015-02-10 | Producing polyolefin products |
| US15/116,696 Active US9809667B2 (en) | 2014-02-11 | 2015-02-10 | Producing polyolefin products |
| US15/118,307 Active US9932426B2 (en) | 2014-02-11 | 2015-02-10 | Producing polyolefin products |
| US15/117,816 Active US9879106B2 (en) | 2014-02-11 | 2015-02-10 | Producing polyolefin products |
| US15/116,309 Active US10308742B2 (en) | 2014-02-11 | 2015-02-10 | Producing polyolefin products with improved stiffness, toughness, and processability |
| US15/117,343 Active US10253121B2 (en) | 2014-02-11 | 2015-02-10 | Method of producing polyethylene and polyethylene thereof |
| US15/116,250 Active US9850332B2 (en) | 2014-02-11 | 2015-02-10 | Producing polyolefin products with improved stiffness, toughness, and processability |
| US15/117,789 Active US9902790B2 (en) | 2014-02-11 | 2015-02-10 | Producing polyolefin products |
| US15/805,469 Active US10189923B2 (en) | 2014-02-11 | 2017-11-07 | Producing polyolefin products |
| US15/833,575 Active US10239977B2 (en) | 2014-02-11 | 2017-12-06 | Producing polyolefin products |
| US15/905,133 Active US10392456B2 (en) | 2014-02-11 | 2018-02-26 | Producing polyolefin products |
| US15/905,066 Active US10421829B2 (en) | 2014-02-11 | 2018-02-26 | Producing polyolefin products |
| US16/269,780 Active US10604606B2 (en) | 2014-02-11 | 2019-02-07 | Producing polyolefin products |
| US16/278,212 Active 2035-05-22 US11034783B2 (en) | 2014-02-11 | 2019-02-18 | Method of producing polyethylene and polyethylene thereof |
| US16/432,602 Abandoned US20190322780A1 (en) | 2014-02-11 | 2019-06-05 | Method to prepare ethylene copolymers |
| US16/541,767 Active 2035-08-01 US11142598B2 (en) | 2014-02-11 | 2019-08-15 | Producing polyolefin products |
| US17/067,287 Abandoned US20210024670A1 (en) | 2014-02-11 | 2020-10-09 | Method to prepare ethylene copolymers |
| US17/330,942 Active 2035-07-09 US11708438B2 (en) | 2014-02-11 | 2021-05-26 | Method of producing polyethylene and polyethylene thereof |
| US17/475,851 Active US11661466B2 (en) | 2014-02-11 | 2021-09-15 | Producing polyolefin products |
| US18/102,858 Abandoned US20230174694A1 (en) | 2014-02-11 | 2023-01-30 | Method to prepare ethylene copolymers |
| US18/134,800 Pending US20230250204A1 (en) | 2014-02-11 | 2023-04-14 | Producing polyolefin products |
| US18/140,165 Abandoned US20240076427A1 (en) | 2014-02-11 | 2023-04-27 | Producing polyolefin products |
Family Applications Before (17)
| Application Number | Title | Priority Date | Filing Date |
|---|---|---|---|
| US15/118,014 Abandoned US20160362510A1 (en) | 2014-02-11 | 2015-02-10 | Method to prepare ethylene copolymers |
| US15/117,363 Abandoned US20160347890A1 (en) | 2014-02-11 | 2015-02-10 | Producing polyolefin products |
| US15/116,696 Active US9809667B2 (en) | 2014-02-11 | 2015-02-10 | Producing polyolefin products |
| US15/118,307 Active US9932426B2 (en) | 2014-02-11 | 2015-02-10 | Producing polyolefin products |
| US15/117,816 Active US9879106B2 (en) | 2014-02-11 | 2015-02-10 | Producing polyolefin products |
| US15/116,309 Active US10308742B2 (en) | 2014-02-11 | 2015-02-10 | Producing polyolefin products with improved stiffness, toughness, and processability |
| US15/117,343 Active US10253121B2 (en) | 2014-02-11 | 2015-02-10 | Method of producing polyethylene and polyethylene thereof |
| US15/116,250 Active US9850332B2 (en) | 2014-02-11 | 2015-02-10 | Producing polyolefin products with improved stiffness, toughness, and processability |
| US15/117,789 Active US9902790B2 (en) | 2014-02-11 | 2015-02-10 | Producing polyolefin products |
| US15/805,469 Active US10189923B2 (en) | 2014-02-11 | 2017-11-07 | Producing polyolefin products |
| US15/833,575 Active US10239977B2 (en) | 2014-02-11 | 2017-12-06 | Producing polyolefin products |
| US15/905,133 Active US10392456B2 (en) | 2014-02-11 | 2018-02-26 | Producing polyolefin products |
| US15/905,066 Active US10421829B2 (en) | 2014-02-11 | 2018-02-26 | Producing polyolefin products |
| US16/269,780 Active US10604606B2 (en) | 2014-02-11 | 2019-02-07 | Producing polyolefin products |
| US16/278,212 Active 2035-05-22 US11034783B2 (en) | 2014-02-11 | 2019-02-18 | Method of producing polyethylene and polyethylene thereof |
| US16/432,602 Abandoned US20190322780A1 (en) | 2014-02-11 | 2019-06-05 | Method to prepare ethylene copolymers |
| US16/541,767 Active 2035-08-01 US11142598B2 (en) | 2014-02-11 | 2019-08-15 | Producing polyolefin products |
Family Applications After (5)
| Application Number | Title | Priority Date | Filing Date |
|---|---|---|---|
| US17/330,942 Active 2035-07-09 US11708438B2 (en) | 2014-02-11 | 2021-05-26 | Method of producing polyethylene and polyethylene thereof |
| US17/475,851 Active US11661466B2 (en) | 2014-02-11 | 2021-09-15 | Producing polyolefin products |
| US18/102,858 Abandoned US20230174694A1 (en) | 2014-02-11 | 2023-01-30 | Method to prepare ethylene copolymers |
| US18/134,800 Pending US20230250204A1 (en) | 2014-02-11 | 2023-04-14 | Producing polyolefin products |
| US18/140,165 Abandoned US20240076427A1 (en) | 2014-02-11 | 2023-04-27 | Producing polyolefin products |
Country Status (16)
| Country | Link |
|---|---|
| US (23) | US20160362510A1 (en) |
| EP (21) | EP3778671A1 (en) |
| JP (19) | JP6532881B2 (en) |
| KR (18) | KR102378586B1 (en) |
| CN (14) | CN105992775B (en) |
| AU (14) | AU2015217388B2 (en) |
| BR (9) | BR112016019310B1 (en) |
| CA (8) | CA2938841C (en) |
| ES (9) | ES2836145T3 (en) |
| MX (21) | MX392343B (en) |
| MY (7) | MY189858A (en) |
| PH (9) | PH12016501563B1 (en) |
| RU (12) | RU2693828C2 (en) |
| SA (10) | SA519401457B1 (en) |
| SG (20) | SG10201701980PA (en) |
| WO (9) | WO2015123172A1 (en) |
Families Citing this family (119)
| Publication number | Priority date | Publication date | Assignee | Title |
|---|---|---|---|---|
| US20160362510A1 (en) * | 2014-02-11 | 2016-12-15 | Univation Technologies, Llc | Method to prepare ethylene copolymers |
| CN113321757B (en) * | 2014-06-16 | 2023-05-05 | 尤尼威蒂恩技术有限责任公司 | Method for modifying melt flow ratio and/or swelling of polyethylene resin |
| ES2928549T3 (en) * | 2015-04-23 | 2022-11-21 | Univation Tech Llc | Polyethylene copolymers having a particular comonomer distribution |
| FR3043687B1 (en) * | 2015-11-13 | 2020-07-03 | Universite Blaise Pascal Clermont Ii | SOL-GEL PROCESS FOR THE SYNTHESIS OF A LUMINESCENT MATERIAL OF GENERAL FORMULATION AXBYFZ: MN |
| KR101711788B1 (en) * | 2016-03-09 | 2017-03-14 | 한화케미칼 주식회사 | Hybride catalyst compositon, preparation method thereof, and manufactured polyolefin using the same |
| WO2017173074A1 (en) * | 2016-03-31 | 2017-10-05 | Dow Global Technologies Llc | An olefin polymerization catalyst |
| CN109071844A (en) * | 2016-04-22 | 2018-12-21 | 埃克森美孚化学专利公司 | Polyethylene sheets |
| US10302621B2 (en) | 2016-06-15 | 2019-05-28 | Exxonmobil Chemical Patents Inc. | Methods for characterizing branching distribution in polymers |
| PT3293210T (en) * | 2016-09-12 | 2019-06-12 | Scg Chemicals Co Ltd | Multimodal polyethylene film |
| WO2018063782A1 (en) * | 2016-09-29 | 2018-04-05 | Dow Global Technologies Llc | Multilayer stretch films having a high cling force and methods thereof |
| US10882932B2 (en) | 2016-10-05 | 2021-01-05 | Exxonmobil Chemical Patents Inc. | Sterically hindered metallocenes, synthesis and use |
| SG11201901900SA (en) * | 2016-10-05 | 2019-04-29 | Exxonmobil Chemical Patents Inc | Sterically hindered metallocenes, synthesis and use |
| EP3535301A1 (en) * | 2016-11-03 | 2019-09-11 | ExxonMobil Chemical Patents Inc. | Multi-component catalyst composition supply system and process for producing polymers |
| ES2919777T5 (en) * | 2016-11-08 | 2025-09-25 | Univation Tech Llc | Bimodal polyethylene |
| KR102212822B1 (en) * | 2016-12-05 | 2021-02-08 | 엑손모빌 케미칼 패턴츠 인코포레이티드 | Broad Orthogonal Distribution Metallocene Polyethylene for Film |
| WO2018106388A1 (en) | 2016-12-05 | 2018-06-14 | Exxonmobil Chemical Patents Inc. | Broad orthogonal distribution metallocene polyethylenes for films |
| WO2018111631A1 (en) | 2016-12-15 | 2018-06-21 | Univation Technologies, Llc | Rating polymerization processes |
| MX2019006564A (en) * | 2016-12-19 | 2019-08-22 | Dow Global Technologies Llc | CONDUCTIVE COVER AND PROCESS FOR ITS PRODUCTION. |
| CN110191902B (en) * | 2017-02-13 | 2022-08-09 | 尤尼威蒂恩技术有限责任公司 | Bimodal polyethylene resin |
| US10723819B2 (en) | 2017-02-20 | 2020-07-28 | Exxonmobil Chemical Patents, Inc. | Supported catalyst systems and processes for use thereof |
| KR102271789B1 (en) * | 2017-02-20 | 2021-06-30 | 엑손모빌 케미칼 패턴츠 인코포레이티드 | Supported catalyst systems and methods of use thereof |
| JP6868714B2 (en) * | 2017-05-10 | 2021-05-12 | ユニベーション・テクノロジーズ・エルエルシー | Catalyst system and process for its use |
| ES2892028T3 (en) * | 2017-05-17 | 2022-02-01 | Univation Tech Llc | A hafnium complex; a supported hafnium complex; methods for forming a polymer using said complexes |
| ES2942273T3 (en) * | 2017-06-02 | 2023-05-31 | Univation Tech Llc | Method of determining a relative decrease in the catalytic efficiency of a catalyst in a catalyst solution |
| WO2018226787A1 (en) * | 2017-06-08 | 2018-12-13 | Univation Technologies, Llc | Method of maintaining a melt flow index of a polyethylene polymer product |
| CN111094366B (en) * | 2017-08-04 | 2022-06-24 | 埃克森美孚化学专利公司 | Polyethylene compositions and films made therefrom |
| US10844150B2 (en) | 2017-08-04 | 2020-11-24 | Exxonmobil Chemical Patents Inc. | Mixed catalysts with 2,6-bis(imino)pyridyl iron complexes and bridged hafnocenes |
| EP3697822B1 (en) | 2017-08-04 | 2025-07-30 | ExxonMobil Chemical Patents Inc. | Mixed catalysts with unbridged hafnocenes with -ch2-sime3 moieties |
| CN111183160B (en) | 2017-10-06 | 2022-06-10 | 埃克森美孚化学专利公司 | Polyethylene extrudates and process for making same |
| CN111587256B (en) * | 2017-10-23 | 2023-05-19 | 埃克森美孚化学专利公司 | Catalyst system and polymerization process using the same |
| CN111886261A (en) * | 2017-10-27 | 2020-11-03 | 尤尼威蒂恩技术有限责任公司 | Polyethylene copolymer resin and film |
| CN111587257B (en) * | 2017-10-31 | 2023-02-10 | 埃克森美孚化学专利公司 | Mixed catalyst system with four metallocenes on a single support |
| US10703838B2 (en) | 2017-10-31 | 2020-07-07 | Exxonmobil Chemical Patents Inc. | Mixed catalyst systems with four metallocenes on a single support |
| WO2019094131A1 (en) | 2017-11-13 | 2019-05-16 | Exxonmobil Chemical Patents Inc. | Polyethylene compositions and articles made therefrom |
| WO2019094132A1 (en) | 2017-11-13 | 2019-05-16 | Exxonmobil Chemical Patents Inc. | Polyethylene compositions and articles made therefrom |
| US11130827B2 (en) | 2017-11-14 | 2021-09-28 | Exxonmobil Chemical Patents Inc. | Polyethylene compositions and articles made therefrom |
| EP3710501A2 (en) | 2017-11-15 | 2020-09-23 | ExxonMobil Chemical Patents Inc. | Polymerization processes |
| US11111325B2 (en) | 2017-11-15 | 2021-09-07 | Exxonmobil Chemical Patents Inc. | Polymerization processes |
| US11015002B2 (en) | 2017-11-15 | 2021-05-25 | Exxonmobil Chemical Patents Inc. | Polymerization processes |
| WO2019108315A1 (en) * | 2017-11-28 | 2019-06-06 | Exxonmobil Chemical Patents Inc. | Catalyst systems and polymerization processes for using the same |
| US10926250B2 (en) | 2017-12-01 | 2021-02-23 | Exxonmobil Chemical Patents Inc. | Catalyst systems and polymerization processes for using the same |
| KR102405495B1 (en) | 2017-12-01 | 2022-06-08 | 엑손모빌 케미칼 패턴츠 인코포레이티드 | Catalyst system and polymerization method for using same |
| CN108129729A (en) * | 2017-12-20 | 2018-06-08 | 宁波市鄞州智伴信息科技有限公司 | A kind of preparation process of the novel plastic type magnetron based on permanent-magnet material |
| KR102459861B1 (en) | 2017-12-21 | 2022-10-27 | 주식회사 엘지화학 | Ethylene/1-butene copolymer having excellent processibility |
| KR102323807B1 (en) * | 2018-01-12 | 2021-11-09 | 주식회사 엘지화학 | Method of removing a bromine compound in a catalytic composition |
| US10851187B2 (en) | 2018-01-31 | 2020-12-01 | Exxonmobil Chemical Patents Inc. | Bridged metallocene catalysts with a pendant group 13 element, catalyst systems containing same, processes for making a polymer product using same, and products made from same |
| US10865258B2 (en) * | 2018-01-31 | 2020-12-15 | Exxonmobil Chemical Patents Inc. | Mixed catalyst systems containing bridged metallocenes with a pendant group 13 element, processes for making a polymer product using same, and products made from same |
| CA3090994A1 (en) * | 2018-02-12 | 2019-08-15 | Exxonmobil Chemical Patents Inc. | Catalyst systems and processes for poly alpha-olefin having high vinylidene content |
| WO2019213227A1 (en) * | 2018-05-02 | 2019-11-07 | Exxonmobil Chemical Patents Inc. | Methods for scale-up from a pilot plant to a larger production facility |
| US11459408B2 (en) * | 2018-05-02 | 2022-10-04 | Exxonmobil Chemical Patents Inc. | Methods for scale-up from a pilot plant to a larger production facility |
| WO2019246069A1 (en) | 2018-06-19 | 2019-12-26 | Exxonmobil Chemical Patents Inc. | Polyethylene compositions and films prepared therefrom |
| WO2020046406A1 (en) * | 2018-08-30 | 2020-03-05 | Exxonmobil Chemical Patents Inc. | Polymerization processes and polymers made therefrom |
| US10927205B2 (en) | 2018-08-30 | 2021-02-23 | Exxonmobil Chemical Patents Inc. | Polymerization processes and polymers made therefrom |
| US10899860B2 (en) | 2018-08-30 | 2021-01-26 | Exxonmobil Chemical Patents Inc. | Polymerization processes and polymers made therefrom |
| KR102258230B1 (en) * | 2018-10-19 | 2021-05-28 | 한화솔루션 주식회사 | Polyolefin |
| US12091476B2 (en) | 2018-11-01 | 2024-09-17 | Exxonmobil Chemical Patents Inc. | On-line adjustment of catalysts by trim and olefin polymerization |
| EP3873948B1 (en) * | 2018-11-01 | 2025-08-06 | ExxonMobil Chemical Patents Inc. | On-line adjustment of mixed catalyst ratio and olefin polymerization |
| US12043679B2 (en) | 2018-11-01 | 2024-07-23 | Exxonmobil Chemical Patents Inc. | On-line adjustment of mixed catalyst ratio by trim and olefin polymerization with the same |
| US20220056168A1 (en) * | 2018-11-01 | 2022-02-24 | Exxonmobil Chemical Patents Inc. | Slurry Trim Feeder Modifications |
| WO2020092584A2 (en) * | 2018-11-01 | 2020-05-07 | Exxonmobil Chemical Patents Inc. | In-line trimming of dry catalyst feed |
| CN112996821B (en) * | 2018-11-01 | 2023-04-28 | 埃克森美孚化学专利公司 | Mixed catalyst system with condensing agent-adjustable properties |
| JP7524170B2 (en) | 2018-11-06 | 2024-07-29 | ダウ グローバル テクノロジーズ エルエルシー | Alkane-soluble nonmetallocene precatalysts |
| US12012475B2 (en) | 2018-11-06 | 2024-06-18 | Dow Global Technologies Llc | Method of olefin polymerization using alkane-soluble non-metallocene precatalyst |
| SG11202103831TA (en) | 2018-11-06 | 2021-05-28 | Dow Global Technologies Llc | Alkane-soluble non-metallocene precatalysts |
| WO2020102057A1 (en) | 2018-11-16 | 2020-05-22 | Exxonmobil Chemical Patents Inc. | Polyolefin compositions suitable for films |
| KR102734118B1 (en) * | 2018-12-06 | 2024-11-22 | 주식회사 엘지화학 | Process for preparing indene derivative, process for preparing metallocene catalyst, process for olefin polymer using the same |
| KR102116476B1 (en) | 2019-01-18 | 2020-05-28 | 대림산업 주식회사 | Catalyst composition for polymerizing polyolefin, method for producing polyolefin, and polyolefin resin |
| KR102512380B1 (en) | 2019-02-20 | 2023-03-22 | 주식회사 엘지화학 | Catalyst composition and method for preparing polyolefin using the same |
| KR102372974B1 (en) * | 2019-04-05 | 2022-03-10 | 한화솔루션 주식회사 | Mixed Catalytic Composition, Catalyst Comprising the Same, and Processes for Preparing the Same |
| JP7555352B2 (en) * | 2019-04-30 | 2024-09-24 | ダウ グローバル テクノロジーズ エルエルシー | Metal-ligand complexes |
| KR20220003032A (en) | 2019-04-30 | 2022-01-07 | 다우 글로벌 테크놀로지스 엘엘씨 | Method for preparing metal-ligand complexes |
| US20220235492A1 (en) * | 2019-05-14 | 2022-07-28 | Toyobo Co., Ltd. | Polyethylene fiber |
| US11014997B2 (en) | 2019-05-16 | 2021-05-25 | Chevron Phillips Chemical Company Lp | Dual catalyst system for producing high density polyethylenes with long chain branching |
| KR102203007B1 (en) | 2019-06-05 | 2021-01-14 | 대림산업 주식회사 | Method for manufacturing multimodal polyolefins using multistage continuous polymerization process |
| US11377541B2 (en) | 2019-07-26 | 2022-07-05 | Chevron Phillips Chemical Company Lp | Blow molding polymers with improved cycle time, processability, and surface quality |
| WO2021040760A1 (en) | 2019-08-28 | 2021-03-04 | Exxonmobil Chemical Patents Inc. | Polyolefin compositions for films |
| WO2021066488A1 (en) * | 2019-09-30 | 2021-04-08 | 주식회사 엘지화학 | Polypropylene-based composite material |
| JP7412845B2 (en) * | 2019-09-30 | 2024-01-15 | エルジー・ケム・リミテッド | Olefin polymer |
| KR102595112B1 (en) | 2019-09-30 | 2023-10-30 | 주식회사 엘지화학 | Olefin based polymer |
| KR102547232B1 (en) * | 2019-10-24 | 2023-06-26 | 한화솔루션 주식회사 | Process for Preparing a Catalyst for Polymerizing an Olefin |
| KR102605269B1 (en) * | 2019-12-09 | 2023-11-23 | 한화솔루션 주식회사 | Process for Preparing a Polyolefin by Gas-phase Polymerization |
| EP4077423A1 (en) | 2019-12-17 | 2022-10-26 | ExxonMobil Chemical Patents Inc. | Broad orthogonal distribution polyethylenes for films |
| EP4126997A1 (en) | 2020-04-01 | 2023-02-08 | Dow Global Technologies LLC | Bimodal linear low density polyethylene copolymer |
| US20230174757A1 (en) | 2020-05-01 | 2023-06-08 | Exxonmobil Chemical Patents Inc. | Linear Low Density Polyethylene for Film Applications |
| US12534582B2 (en) | 2020-05-01 | 2026-01-27 | Exxonmobil Chemical Patents Inc. | Linear low density polyethylene for film applications |
| KR102668044B1 (en) * | 2020-05-28 | 2024-05-23 | 한화솔루션 주식회사 | Mixed Catalytic Composition, Catalyst Comprising the Same, and Processes for Preparing the Same |
| BR112022023905A2 (en) * | 2020-05-29 | 2022-12-27 | Dow Global Technologies Llc | PROCESS FOR PRODUCING AN ETHYLENE-BASED COPOLYMER |
| BR112022024087A2 (en) * | 2020-05-29 | 2022-12-20 | Dow Global Technologies Llc | PROCESS FOR PRODUCING POLYETHYLENE, AND METHOD FOR PREPARING THE CATALYST SYSTEM |
| CN114466873B (en) * | 2020-07-03 | 2024-02-06 | 株式会社Lg化学 | Olefin polymers |
| CN116209683B (en) * | 2020-08-10 | 2025-05-13 | 埃克森美孚化学专利公司 | Method for delivering non-aromatic solutions to a polymerization reactor |
| JP7783708B2 (en) * | 2020-08-25 | 2025-12-10 | 三井化学株式会社 | Process for producing olefin polymer |
| BR112023003324A2 (en) | 2020-09-22 | 2023-04-04 | Dow Global Technologies Llc | BMODAL COPOLYMER, FILM AND METHOD FOR MAKING A BLOWN FILM |
| WO2022071744A1 (en) | 2020-09-29 | 2022-04-07 | 주식회사 엘지화학 | Ethylene/1-hexene copolymer having excellent constructability and processability |
| US11578156B2 (en) | 2020-10-20 | 2023-02-14 | Chevron Phillips Chemical Company Lp | Dual metallocene polyethylene with improved processability for lightweight blow molded products |
| KR102608612B1 (en) * | 2020-11-23 | 2023-12-04 | 한화솔루션 주식회사 | Polyolefin and Process for Preparing the Same |
| KR102611798B1 (en) * | 2020-11-23 | 2023-12-12 | 한화솔루션 주식회사 | Polyolefin, Film Prepared Therefrom, and Processes for Preparing the Same |
| KR102608616B1 (en) * | 2020-11-23 | 2023-12-04 | 한화솔루션 주식회사 | Polyolefin, Film Prepared Therefrom, and Processes for Preparing the Same |
| WO2022120321A1 (en) | 2020-12-02 | 2022-06-09 | Exxonmobil Chemical Patents Inc. | Medium density polyethylene compositions with broad orthogonal composition distribution |
| CN116568714B (en) * | 2020-12-08 | 2025-09-12 | 韩华思路信株式会社 | Olefin polymer and method for producing the same |
| KR102652269B1 (en) * | 2020-12-08 | 2024-03-29 | 한화솔루션 주식회사 | Polyolefin and Processes for Preparing the Same |
| EP4261237A4 (en) * | 2020-12-08 | 2024-11-13 | Hanwha Solutions Corporation | OLEFIN-BASED POLYMER, FILM MADE THEREFROM AND METHOD FOR MANUFACTURING THE SAME |
| KR102611686B1 (en) * | 2020-12-17 | 2023-12-08 | 한화솔루션 주식회사 | Polyolefin and Process for Preparing the Same |
| EP4291566B1 (en) * | 2021-02-09 | 2025-09-24 | Dow Global Technologies LLC | Hafnium metallocenes having nonidentical ligands |
| US20240026046A1 (en) * | 2021-03-23 | 2024-01-25 | Lg Chem, Ltd. | Olefin-Based Polymer |
| JP7681098B2 (en) * | 2021-03-31 | 2025-05-21 | 三井化学株式会社 | ETHYLENE-α-OLEFIN COPOLYMER, THERMOPLASTIC RESIN COMPOSITION, AND FILM |
| CN113089152B (en) * | 2021-04-06 | 2022-11-22 | 军事科学院系统工程研究院军需工程技术研究所 | High-quality and high-efficiency production method of in-situ polymerization flame-retardant chinlon 66 fully drawn yarn |
| CN115490733B (en) * | 2021-06-17 | 2025-03-07 | 广东阿格蕾雅光电材料有限公司 | Heterocyclic-modified platinum complexes containing ONCN tetradentate ligands |
| KR102778099B1 (en) * | 2021-09-07 | 2025-03-10 | 한화솔루션 주식회사 | Process for Preparing a Polyolefin and Polyolefin Prepared Using the Same |
| EP4423152A1 (en) | 2021-10-26 | 2024-09-04 | ExxonMobil Chemical Patents Inc. | Highly oriented linear low density polyethylene films with outstanding processability and mechanical properties |
| EP4431535A4 (en) * | 2021-12-07 | 2025-05-07 | Hanwha Solutions Corporation | CATALYST FOR OLEFIN POLYMERIZATION COMPRISING A HYBRID CATALYST COMPOSITION AND OLEFIN POLYMER PREPARED USING THE LATTER |
| AR128453A1 (en) | 2022-02-11 | 2024-05-08 | Dow Global Technologies Llc | BIMODAL MEDIUM DENSITY POLYETHYLENE COMPOSITIONS SUITABLE FOR USE AS MICRO-IRRIGATION DRIP TAPES |
| CN119403844A (en) | 2022-05-04 | 2025-02-07 | 埃克森美孚化学专利公司 | Substituted pyridine-2,6-bis(phenylene phenolate) complexes with enhanced solubility useful as olefin polymerization catalyst components |
| EP4519330A1 (en) | 2022-05-04 | 2025-03-12 | ExxonMobil Chemical Patents Inc. | Modified pyridine-2,6-bis(phenylenephenolate) complexes with enhanced solubility that are useful as catalyst components for olefin polymerization |
| KR20250004065A (en) | 2022-05-04 | 2025-01-07 | 엑손모빌 케미칼 패턴츠 인코포레이티드 | Substituted pyridine-2,6-bis(phenylenephenolate) complexes having improved solubility useful as catalyst components for olefin polymerization |
| US20250277066A1 (en) | 2022-05-04 | 2025-09-04 | Exxonmobil Chemical Patents Inc. | Substituted Pyridine-2,6-Bis(Phenylenephenolate) Complexes with Enhanced Solubility that are Useful as Catalyst Components for Olefin Polymerization |
| JP2025527222A (en) * | 2022-08-05 | 2025-08-20 | ダウ グローバル テクノロジーズ エルエルシー | Symmetrical zirconium metallocenes with isobutylcyclopentadienyl ligands. |
| WO2024044423A1 (en) | 2022-08-22 | 2024-02-29 | Exxonmobil Chemical Patents, Inc. | Polyethylene compositions and films made therefrom |
| KR20240116114A (en) * | 2023-01-20 | 2024-07-29 | 한화솔루션 주식회사 | Olefin polymer and manufacturing method thereof |
| CN118788247B (en) * | 2024-09-11 | 2024-11-29 | 北京拓川科研设备股份有限公司 | Polyethylene preparation system |
Citations (1)
| Publication number | Priority date | Publication date | Assignee | Title |
|---|---|---|---|---|
| US20100292424A1 (en) * | 2005-07-19 | 2010-11-18 | Wu Margaret M | Lubricants from Mixed Alpha-Olefin Feeds |
Family Cites Families (132)
| Publication number | Priority date | Publication date | Assignee | Title |
|---|---|---|---|---|
| US3067518A (en) | 1958-04-02 | 1962-12-11 | Martin A Herman | Master type squaring fixture |
| US4003712A (en) | 1970-07-29 | 1977-01-18 | Union Carbide Corporation | Fluidized bed reactor |
| US3709853A (en) | 1971-04-29 | 1973-01-09 | Union Carbide Corp | Polymerization of ethylene using supported bis-(cyclopentadienyl)chromium(ii)catalysts |
| US4011382A (en) | 1975-03-10 | 1977-03-08 | Union Carbide Corporation | Preparation of low and medium density ethylene polymer in fluid bed reactor |
| US4302566A (en) | 1978-03-31 | 1981-11-24 | Union Carbide Corporation | Preparation of ethylene copolymers in fluid bed reactor |
| US4543399A (en) | 1982-03-24 | 1985-09-24 | Union Carbide Corporation | Fluidized bed reaction systems |
| FR2618786B1 (en) | 1987-07-31 | 1989-12-01 | Bp Chimie Sa | PROCESS FOR THE POLYMERIZATION OF GASEOUS OLEFINS IN A FLUIDIZED BED REACTOR |
| DE68928100T2 (en) * | 1988-09-30 | 1997-11-06 | Exxon Chemical Patents Inc | LINEAR ETHYLENE-COPOLYMER MIXTURES OF COPOLYMERS WITH TIGHT MOLECULAR WEIGHT AND COMPOSITION DISTRIBUTIONS |
| US5041584A (en) | 1988-12-02 | 1991-08-20 | Texas Alkyls, Inc. | Modified methylaluminoxane |
| TW300901B (en) * | 1991-08-26 | 1997-03-21 | Hoechst Ag | |
| DE69211569T2 (en) * | 1991-12-30 | 1997-01-23 | Dow Chemical Co | ETHYLENE INTERPOLYMER POLYMERIZATION |
| US5352749A (en) | 1992-03-19 | 1994-10-04 | Exxon Chemical Patents, Inc. | Process for polymerizing monomers in fluidized beds |
| ATE177436T1 (en) * | 1992-08-15 | 1999-03-15 | Targor Gmbh | METHOD FOR PRODUCING POLYOLEFINS |
| NL9201970A (en) * | 1992-11-11 | 1994-06-01 | Dsm Nv | Indenyl compounds and catalyst components for the polymerization of olefins. |
| JP3365661B2 (en) * | 1992-11-19 | 2003-01-14 | 三井化学株式会社 | Ethylene copolymer composition |
| GB9224876D0 (en) * | 1992-11-27 | 1993-01-13 | Exxon Chemical Patents Inc | Improved processing polyolefin blends |
| ZA943399B (en) | 1993-05-20 | 1995-11-17 | Bp Chem Int Ltd | Polymerisation process |
| ES2141833T3 (en) * | 1993-08-06 | 2000-04-01 | Exxon Chemical Patents Inc | POLYMERIZATION CATALYSTS, THEIR PRODUCTION AND USE. |
| WO1995009172A1 (en) * | 1993-09-30 | 1995-04-06 | Idemitsu Kosan Co., Ltd. | Transition metal compound, olefin polymerization catalyst, and process for producing olefin polymer by using said catalyst |
| AT401520B (en) * | 1994-03-22 | 1996-09-25 | Danubia Petrochem Polymere | METALLOCENES AND THEIR USE FOR OLEFIN POLYMERISATION |
| CA2181258A1 (en) * | 1994-03-25 | 1995-10-05 | Subrahmanyam Cheruvu | Linear low density polyethylene |
| US5525678A (en) | 1994-09-22 | 1996-06-11 | Mobil Oil Corporation | Process for controlling the MWD of a broad/bimodal resin produced in a single reactor |
| JP3071145B2 (en) * | 1995-05-16 | 2000-07-31 | ユニベーション・テクノロジーズ・エルエルシー | Production of polyethylene using stereoisomeric metallocene |
| CN1067689C (en) * | 1995-10-20 | 2001-06-27 | 中国科学院化学研究所 | Metallocene catalyst for polymerizing high molecular weight polyethylene and preparation thereof |
| US5780659A (en) * | 1996-03-29 | 1998-07-14 | Phillips Petroleum Company | Substituted indenyl unbridged metallocenes |
| US6255426B1 (en) | 1997-04-01 | 2001-07-03 | Exxon Chemical Patents, Inc. | Easy processing linear low density polyethylene |
| US6160064A (en) * | 1997-06-14 | 2000-12-12 | The Board Of Trustees Of The Leland Stanford Junior University | Ethylene enhancement of processes for synthesis of high melting theromoplastic elastomeric α-olefin polymers (PRE/EPE effects) |
| GB9712663D0 (en) * | 1997-06-16 | 1997-08-20 | Borealis As | Process |
| FI973050L (en) | 1997-07-18 | 1999-01-19 | Borealis As | Method for preparing olefin polymers having a desired molecular weight distribution |
| DE59807082D1 (en) | 1997-07-28 | 2003-03-06 | Basell Polyolefine Gmbh | METHOD FOR PRODUCING METALLOCENES |
| US6242545B1 (en) * | 1997-12-08 | 2001-06-05 | Univation Technologies | Polymerization catalyst systems comprising substituted hafinocenes |
| US20060293470A1 (en) * | 2005-06-28 | 2006-12-28 | Cao Phuong A | Polymerization process using spray-dried catalyst |
| EP0953582A1 (en) | 1998-04-27 | 1999-11-03 | Fina Research S.A. | Polyolefin production |
| US6207606B1 (en) | 1998-05-15 | 2001-03-27 | Univation Technologies, Llc | Mixed catalysts and their use in a polymerization process |
| CA2331413C (en) | 1998-05-18 | 2007-04-17 | Phillips Petroleum Company | Catalyst composition for polymerizing monomers |
| FI990003L (en) * | 1999-01-04 | 2000-07-05 | Borealis Polymers Oy | Polymer composition, method for its preparation and films made therefrom |
| WO2000050466A1 (en) * | 1999-02-22 | 2000-08-31 | Borealis Technology Oy | Olefin polymerisation process |
| US6271325B1 (en) | 1999-05-17 | 2001-08-07 | Univation Technologies, Llc | Method of polymerization |
| GB9917851D0 (en) | 1999-07-29 | 1999-09-29 | Borealis As | Process |
| BR0015235A (en) * | 1999-10-22 | 2002-12-31 | Univation Tech Llc | Catalyst compositions, polymerization methods, and polymers thereof |
| AU763705B2 (en) | 1999-10-22 | 2003-07-31 | Univation Technologies Llc | Start up methods for multiple catalyst systems |
| US6372868B1 (en) * | 1999-12-07 | 2002-04-16 | Univation Technologies, Llc | Start up methods for multiple catalyst systems |
| US6380328B1 (en) | 1999-12-10 | 2002-04-30 | Univation Technologies, Llc | Catalyst systems and their use in a polymerization process |
| MY126752A (en) * | 1999-10-22 | 2006-10-31 | Univation Tech Llc | Mixed catalyst compounds, catalyst systems and their use in a polymerization process |
| US6482903B1 (en) | 1999-12-15 | 2002-11-19 | Univation Technologies, Llc | Method for preparing a supported catalyst system and its use in a polymerization process |
| US7041617B2 (en) | 2004-01-09 | 2006-05-09 | Chevron Phillips Chemical Company, L.P. | Catalyst compositions and polyolefins for extrusion coating applications |
| JP2001320296A (en) | 2000-05-12 | 2001-11-16 | Temuko Japan:Kk | Transceiver |
| US6605675B2 (en) | 2000-12-04 | 2003-08-12 | Univation Technologies, Llc | Polymerization process |
| US6897273B2 (en) * | 2000-12-04 | 2005-05-24 | Univation Technologies, Llc | Catalyst composition, method of polymerization and polymer therefrom |
| US6608149B2 (en) | 2000-12-04 | 2003-08-19 | Univation Technologies, Llc | Polymerization process |
| WO2002046246A2 (en) * | 2000-12-04 | 2002-06-13 | Univaton Technologies, Llc | Polimerization process |
| US20030008988A1 (en) * | 2001-01-29 | 2003-01-09 | Sasol Technology (Proprietary) Limited | Polymerization |
| EP1416001A4 (en) * | 2001-06-29 | 2005-03-09 | Japan Polypropylene Corp | CATALYST FOR POLYMERIZATION OF OLEFINS AND CORRESPONDING METHOD |
| JP3660623B2 (en) * | 2001-07-05 | 2005-06-15 | 株式会社東芝 | Antenna device |
| US6936675B2 (en) * | 2001-07-19 | 2005-08-30 | Univation Technologies, Llc | High tear films from hafnocene catalyzed polyethylenes |
| JP4221363B2 (en) * | 2001-07-19 | 2009-02-12 | ユニベーション・テクノロジーズ・エルエルシー | Polyethylene film with improved physical properties |
| JP4020862B2 (en) * | 2001-07-19 | 2007-12-12 | ユニベーション・テクノロジーズ・エルエルシー | Mixed metallocene catalyst system containing comonomer minor incorporation catalyst and comonomer major incorporation catalyst |
| AU2002354949B2 (en) * | 2001-07-19 | 2005-06-23 | Univation Technologies, Llc | Low comonomer incorporating metallocene catalyst compounds |
| JP2003105029A (en) | 2001-07-25 | 2003-04-09 | Japan Polychem Corp | Olefin polymer and its production process |
| US6642400B2 (en) * | 2001-09-26 | 2003-11-04 | Univation Technologies, Llc | Linked metallocene complexes, catalyst systems, and olefin polymerization processes using same |
| JP2003096125A (en) * | 2001-09-27 | 2003-04-03 | Sumitomo Chem Co Ltd | Catalyst component for addition polymerization, catalyst for addition polymerization, method for producing addition polymer, and use of metallocene transition metal compound |
| JP2003096124A (en) * | 2001-09-27 | 2003-04-03 | Sumitomo Chem Co Ltd | Catalyst component for addition polymerization, catalyst for addition polymerization, method for producing addition polymer, and use of metallocene transition metal compound |
| SG96700A1 (en) * | 2001-09-27 | 2003-06-16 | Sumitomo Chemical Co | Catalyst component for addition polymerization, process for producing catalyst for addition polymerization and process for producing addition polymer |
| BR0214138A (en) * | 2001-11-15 | 2004-10-19 | Exxonmobil Chem Patents Inc | Polymerization monitoring and control using guide indicators |
| US6884748B2 (en) | 2002-09-04 | 2005-04-26 | Univation Technologies, Llc | Process for producing fluorinated catalysts |
| ATE411329T1 (en) * | 2002-10-25 | 2008-10-15 | Basell Polyolefine Gmbh | RAZEMOSELECTIVE PRODUCTION OF ISOLAtable ANSA-METALLOCENE-BIPHENOXIDE COMPLEXES |
| US6869903B2 (en) * | 2002-11-07 | 2005-03-22 | Univation Technologies, Llc | Synthesis of polymerization catalyst components |
| BRPI0415341B1 (en) * | 2003-10-15 | 2014-02-04 | Method for producing a polymer composition | |
| US7119153B2 (en) | 2004-01-21 | 2006-10-10 | Jensen Michael D | Dual metallocene catalyst for producing film resins with good machine direction (MD) elmendorf tear strength |
| US20050182210A1 (en) | 2004-02-17 | 2005-08-18 | Natarajan Muruganandam | De-foaming spray dried catalyst slurries |
| ES2386357T3 (en) * | 2004-04-07 | 2012-08-17 | Union Carbide Chemicals & Plastics Technology Llc | Procedure to control the polymerization of olefins |
| US7285608B2 (en) | 2004-04-21 | 2007-10-23 | Novolen Technology Holdings C.V. | Metallocene ligands, metallocene compounds and metallocene catalysts, their synthesis and their use for the polymerization of olefins |
| CN101010705B (en) * | 2004-07-08 | 2011-03-23 | 埃克森美孚化学专利公司 | Polymer production at supercritical conditions |
| US7193017B2 (en) * | 2004-08-13 | 2007-03-20 | Univation Technologies, Llc | High strength biomodal polyethylene compositions |
| US7432328B2 (en) * | 2005-06-14 | 2008-10-07 | Univation Technologies, Llc | Enhanced ESCR bimodal HDPE for blow molding applications |
| GB0420396D0 (en) * | 2004-09-14 | 2004-10-13 | Bp Chem Int Ltd | Polyolefins |
| US7064096B1 (en) | 2004-12-07 | 2006-06-20 | Nova Chemicals (International) Sa | Dual catalyst on a single support |
| WO2007011459A1 (en) * | 2005-07-19 | 2007-01-25 | Exxonmobil Chemical Patents Inc. | Polyalpha-olefin compositions and processes to produce the same |
| US7312283B2 (en) * | 2005-08-22 | 2007-12-25 | Chevron Phillips Chemical Company Lp | Polymerization catalysts and process for producing bimodal polymers in a single reactor |
| US7625982B2 (en) * | 2005-08-22 | 2009-12-01 | Chevron Phillips Chemical Company Lp | Multimodal polyethylene compositions and pipe made from same |
| US7619047B2 (en) * | 2006-02-22 | 2009-11-17 | Chevron Phillips Chemical Company, Lp | Dual metallocene catalysts for polymerization of bimodal polymers |
| US8247065B2 (en) * | 2006-05-31 | 2012-08-21 | Exxonmobil Chemical Patents Inc. | Linear polymers, polymer blends, and articles made therefrom |
| ES2484043T3 (en) | 2006-06-27 | 2014-08-08 | Univation Technologies, Llc | Enhanced polymerization processes using metallocene catalysts, their polymer products and end uses |
| WO2008002379A2 (en) | 2006-06-27 | 2008-01-03 | Univation Technologies, Llc | Polymers made with metallocene catalysts, for use in rotomolding and injection molding products |
| US7875690B2 (en) * | 2006-06-27 | 2011-01-25 | Univation Technologies, Llc | Ethylene-alpha olefin copolymers and polymerization processes for making the same |
| US7569784B2 (en) * | 2006-10-13 | 2009-08-04 | Eaton Corporation | Electrical switching apparatus, and housing and integral pole shaft bearing assembly therefor |
| AU2007319883B2 (en) * | 2006-11-14 | 2012-12-13 | Univation Technologies, Llc. | Catalyst systems and polymerization processes |
| US7662894B2 (en) * | 2006-12-19 | 2010-02-16 | Saudi Bosic Industries Corporation | Polymer supported metallocene catalyst composition for polymerizing olefins |
| TWI404730B (en) * | 2007-02-05 | 2013-08-11 | Univation Tech Llc | Methods of controlling polymer properties |
| WO2008105546A1 (en) * | 2007-02-26 | 2008-09-04 | Sumitomo Chemical Company, Limited | Production process of olefin polymer |
| WO2008136621A1 (en) * | 2007-05-02 | 2008-11-13 | Lg Chem, Ltd. | Polyolefin and preparation method thereof |
| TW200932762A (en) * | 2007-10-22 | 2009-08-01 | Univation Tech Llc | Polyethylene compositions having improved properties |
| TW200936619A (en) * | 2007-11-15 | 2009-09-01 | Univation Tech Llc | Polymerization catalysts, methods of making, methods of using, and polyolefin products made therefrom |
| BRPI0819633B1 (en) * | 2007-11-20 | 2018-12-18 | Univation Tech Llc | method for producing a polyolefin composition |
| JP5311805B2 (en) | 2007-11-21 | 2013-10-09 | 日本ポリエチレン株式会社 | Olefin polymerization catalyst and olefin polymerization method using the same |
| RU2479593C2 (en) * | 2007-12-18 | 2013-04-20 | Юнивейшн Текнолоджиз, Ллк | Method of controlling bimodal catalyst activity during polymerisation |
| US8436114B2 (en) * | 2010-10-21 | 2013-05-07 | Exxonmobil Chemical Patents Inc. | Polyethylene and process for production thereof |
| CN101965371B (en) | 2007-12-31 | 2015-09-23 | 陶氏环球技术有限责任公司 | For being polymerized the method for the polymkeric substance based on alkene |
| US7884163B2 (en) | 2008-03-20 | 2011-02-08 | Chevron Phillips Chemical Company Lp | Silica-coated alumina activator-supports for metallocene catalyst compositions |
| US20090240010A1 (en) | 2008-03-20 | 2009-09-24 | Mcdaniel Max P | Alumina-silica activator-supports for metallocene catalyst compositions |
| JP5467102B2 (en) * | 2008-04-28 | 2014-04-09 | ユニベーション・テクノロジーズ・エルエルシー | Method for producing catalyst system |
| US8372930B2 (en) | 2008-06-20 | 2013-02-12 | Exxonmobil Chemical Patents Inc. | High vinyl terminated propylene based oligomers |
| ES2420117T3 (en) * | 2008-06-20 | 2013-08-22 | Exxonmobil Chemical Patents Inc. | Oligomers based on superior vinyl finished propylene |
| US8580902B2 (en) * | 2008-08-01 | 2013-11-12 | Exxonmobil Chemical Patents Inc. | Catalyst system, process for olefin polymerization, and polymer compositions produced therefrom |
| RU2509782C2 (en) * | 2008-09-25 | 2014-03-20 | Базелль Полиолефине Гмбх | Impact-resistant linear low density polyethylene and films made therefrom |
| US8664140B2 (en) | 2008-12-17 | 2014-03-04 | Basell Polyolefine Gmbh | Catalyst system for olefin polymerization, its production and use |
| US8618033B2 (en) * | 2010-01-22 | 2013-12-31 | Exxonmobil Chemical Patents Inc. | Ethylene copolymers, methods for their production, and use |
| CN102414228B (en) * | 2009-05-14 | 2014-05-07 | 尤尼威蒂恩技术有限责任公司 | Mixed metal catalyst system with tailored hydrogen response |
| RU2510404C2 (en) | 2009-06-16 | 2014-03-27 | Шеврон Филлипс Кемикал Компани Лп | Oligomerisation of alpha-olefins using metallocene-tsk catalyst systems and use of obtained poly-alpha-olefins to produce lubricating mixtures |
| EP2459603B1 (en) | 2009-07-28 | 2014-07-02 | Univation Technologies, LLC | Polymerization process using a supported constrained geometry catalyst |
| EP2513166B1 (en) | 2009-12-18 | 2017-04-05 | Basell Polyolefine GmbH | Process for the preparation of supported catalysts |
| WO2011103402A1 (en) * | 2010-02-22 | 2011-08-25 | Univation Technologies, Llc | Catalyst systems and methods for using same to produce polyolefin products |
| US8999875B2 (en) | 2010-05-28 | 2015-04-07 | Basell Polyolefine Gmbh | Process for preparing a supported catalyst system for olefin polymerization, the catalyst system and its use |
| US8288487B2 (en) * | 2010-07-06 | 2012-10-16 | Chevron Phillips Chemical Company Lp | Catalysts for producing broad molecular weight distribution polyolefins in the absence of added hydrogen |
| US8932975B2 (en) | 2010-09-07 | 2015-01-13 | Chevron Phillips Chemical Company Lp | Catalyst systems and methods of making and using same |
| CA2734167C (en) * | 2011-03-15 | 2018-03-27 | Nova Chemicals Corporation | Polyethylene film |
| JP2013053308A (en) * | 2011-08-11 | 2013-03-21 | Sumitomo Chemical Co Ltd | Olefin polymer producing method, ethylene polymer and mold product |
| WO2013028283A1 (en) * | 2011-08-19 | 2013-02-28 | Univation Technologies, Llc | Catalyst systems and methods for using same to produce polyolefin products |
| CN102382217B (en) * | 2011-08-30 | 2013-05-08 | 浙江大学 | Method for preparing double-peak or broad-peak polyethylene with adjustable molecular weight |
| CN103946246B (en) * | 2011-09-23 | 2018-01-23 | 埃克森美孚化学专利公司 | Modified polyethylene compositions |
| CN103930452B (en) * | 2011-11-08 | 2016-08-31 | 尤尼威蒂恩技术有限责任公司 | Process for the production of polyolefins using a catalyst system |
| US9115233B2 (en) * | 2012-06-21 | 2015-08-25 | Nova Chemicals (International) S.A. | Ethylene copolymer compositions, film and polymerization processes |
| CA2780508A1 (en) * | 2012-06-21 | 2013-12-21 | Nova Chemicals Corporation | Polyethylene composition, film and polymerization process |
| CA2798855C (en) * | 2012-06-21 | 2021-01-26 | Nova Chemicals Corporation | Ethylene copolymers having reverse comonomer incorporation |
| CN104781319B (en) | 2012-11-07 | 2018-04-10 | 切弗朗菲利浦化学公司 | Low density polyolefin resin and film made therefrom |
| WO2014089671A1 (en) | 2012-12-14 | 2014-06-19 | Nova Chemicals (International) S.A. | Ethylene copolymer compositions, film and polymerization processes |
| EP2935367B2 (en) * | 2012-12-21 | 2024-09-04 | ExxonMobil Chemical Patents Inc. | Branched polyethylene with improved processing and high tear films made therefrom |
| RU2654061C2 (en) * | 2013-02-07 | 2018-05-16 | ЮНИВЕЙШН ТЕКНОЛОДЖИЗ, ЭлЭлСи | Production of polyolefin |
| ES2873521T3 (en) * | 2013-03-15 | 2021-11-03 | Univation Tech Llc | Multiple catalyst system comprising metallocenes and nitrogen-based tridentate ligand complexes for olefin polymerization |
| US9156970B2 (en) * | 2013-09-05 | 2015-10-13 | Chevron Phillips Chemical Company Lp | Higher density polyolefins with improved stress crack resistance |
| US9181370B2 (en) * | 2013-11-06 | 2015-11-10 | Chevron Phillips Chemical Company Lp | Low density polyolefin resins with low molecular weight and high molecular weight components, and films made therefrom |
| US20160362510A1 (en) * | 2014-02-11 | 2016-12-15 | Univation Technologies, Llc | Method to prepare ethylene copolymers |
-
2015
- 2015-02-10 US US15/118,014 patent/US20160362510A1/en not_active Abandoned
- 2015-02-10 CN CN201580008214.6A patent/CN105992775B/en active Active
- 2015-02-10 BR BR112016019310-5A patent/BR112016019310B1/en active IP Right Grant
- 2015-02-10 JP JP2016550621A patent/JP6532881B2/en active Active
- 2015-02-10 SG SG10201701980PA patent/SG10201701980PA/en unknown
- 2015-02-10 MY MYPI2016001464A patent/MY189858A/en unknown
- 2015-02-10 WO PCT/US2015/015132 patent/WO2015123172A1/en not_active Ceased
- 2015-02-10 JP JP2016550169A patent/JP6861031B2/en active Active
- 2015-02-10 PH PH1/2016/501563A patent/PH12016501563B1/en unknown
- 2015-02-10 KR KR1020167023998A patent/KR102378586B1/en active Active
- 2015-02-10 ES ES15705878T patent/ES2836145T3/en active Active
- 2015-02-10 RU RU2016136093A patent/RU2693828C2/en active
- 2015-02-10 EP EP20195785.9A patent/EP3778671A1/en active Pending
- 2015-02-10 MX MX2016010381A patent/MX392343B/en unknown
- 2015-02-10 EP EP20152885.8A patent/EP3663323B1/en active Active
- 2015-02-10 KR KR1020217013368A patent/KR102354757B1/en active Active
- 2015-02-10 EP EP15705883.5A patent/EP3105265B1/en active Active
- 2015-02-10 KR KR1020167024165A patent/KR102394133B1/en active Active
- 2015-02-10 JP JP2016550622A patent/JP7212445B2/en active Active
- 2015-02-10 EP EP20197558.8A patent/EP3819314A3/en active Pending
- 2015-02-10 RU RU2019113107A patent/RU2725653C1/en active
- 2015-02-10 US US15/117,363 patent/US20160347890A1/en not_active Abandoned
- 2015-02-10 RU RU2016134763A patent/RU2697832C1/en active
- 2015-02-10 EP EP15705877.7A patent/EP3105261B9/en active Active
- 2015-02-10 CA CA2938841A patent/CA2938841C/en active Active
- 2015-02-10 KR KR1020217033318A patent/KR102403962B1/en active Active
- 2015-02-10 WO PCT/US2015/015119 patent/WO2015123164A1/en not_active Ceased
- 2015-02-10 EP EP23203971.9A patent/EP4317200A3/en active Pending
- 2015-02-10 CN CN202210249339.XA patent/CN114805656B/en active Active
- 2015-02-10 SG SG10201710935UA patent/SG10201710935UA/en unknown
- 2015-02-10 PH PH1/2016/501562A patent/PH12016501562B1/en unknown
- 2015-02-10 KR KR1020167024614A patent/KR102329464B1/en active Active
- 2015-02-10 BR BR112016019329-6A patent/BR112016019329B1/en active IP Right Grant
- 2015-02-10 CN CN201580008192.3A patent/CN105980424B/en active Active
- 2015-02-10 WO PCT/US2015/015123 patent/WO2015123166A1/en not_active Ceased
- 2015-02-10 SG SG11201606564YA patent/SG11201606564YA/en unknown
- 2015-02-10 RU RU2016135513A patent/RU2670986C2/en active
- 2015-02-10 KR KR1020217035787A patent/KR102440033B1/en active Active
- 2015-02-10 CN CN201580008114.3A patent/CN106062016B/en active Active
- 2015-02-10 EP EP23155448.6A patent/EP4198064A1/en not_active Withdrawn
- 2015-02-10 MX MX2016010378A patent/MX390664B/en unknown
- 2015-02-10 MX MX2016010310A patent/MX392750B/en unknown
- 2015-02-10 KR KR1020167024305A patent/KR102329477B1/en active Active
- 2015-02-10 ES ES15705881T patent/ES2858098T3/en active Active
- 2015-02-10 AU AU2015217388A patent/AU2015217388B2/en active Active
- 2015-02-10 JP JP2016550179A patent/JP6613240B2/en active Active
- 2015-02-10 WO PCT/US2015/015130 patent/WO2015123171A2/en not_active Ceased
- 2015-02-10 SG SG10201800009QA patent/SG10201800009QA/en unknown
- 2015-02-10 BR BR112016018423-8A patent/BR112016018423B1/en active IP Right Grant
- 2015-02-10 CN CN201580008253.6A patent/CN106029710B/en active Active
- 2015-02-10 SG SG10201800006YA patent/SG10201800006YA/en unknown
- 2015-02-10 CA CA2938843A patent/CA2938843C/en active Active
- 2015-02-10 RU RU2016136092A patent/RU2670755C9/en active
- 2015-02-10 KR KR1020167024000A patent/KR102293490B1/en active Active
- 2015-02-10 EP EP20195547.3A patent/EP3816196A3/en active Pending
- 2015-02-10 AU AU2015217390A patent/AU2015217390B2/en active Active
- 2015-02-10 JP JP2016550226A patent/JP6527165B2/en active Active
- 2015-02-10 BR BR112016019314-8A patent/BR112016019314B1/en active IP Right Grant
- 2015-02-10 KR KR1020167023819A patent/KR102321784B1/en active Active
- 2015-02-10 ES ES15705879T patent/ES2944883T3/en active Active
- 2015-02-10 SG SG11201606532QA patent/SG11201606532QA/en unknown
- 2015-02-10 SG SG10201709280WA patent/SG10201709280WA/en unknown
- 2015-02-10 CN CN201580008302.6A patent/CN106029712B/en active Active
- 2015-02-10 BR BR112016019334-2A patent/BR112016019334B1/en active IP Right Grant
- 2015-02-10 KR KR1020167024167A patent/KR102324441B1/en active Active
- 2015-02-10 MX MX2016010384A patent/MX392018B/en unknown
- 2015-02-10 RU RU2016136183A patent/RU2016136183A/en not_active Application Discontinuation
- 2015-02-10 BR BR112016019327-0A patent/BR112016019327B1/en active IP Right Grant
- 2015-02-10 SG SG11201606539RA patent/SG11201606539RA/en unknown
- 2015-02-10 EP EP20152898.1A patent/EP3660058A1/en active Pending
- 2015-02-10 KR KR1020167023999A patent/KR102323279B1/en active Active
- 2015-02-10 MX MX2016010307A patent/MX390659B/en unknown
- 2015-02-10 US US15/116,696 patent/US9809667B2/en active Active
- 2015-02-10 US US15/118,307 patent/US9932426B2/en active Active
- 2015-02-10 CN CN201811354190.1A patent/CN109535299B/en active Active
- 2015-02-10 EP EP20152907.0A patent/EP3677605A1/en active Pending
- 2015-02-10 KR KR1020217036090A patent/KR102454826B1/en active Active
- 2015-02-10 MX MX2016010309A patent/MX390015B/en unknown
- 2015-02-10 CN CN201910457197.4A patent/CN110330581B/en active Active
- 2015-02-10 WO PCT/US2015/015143 patent/WO2015123179A1/en not_active Ceased
- 2015-02-10 CN CN201580007889.9A patent/CN105980423B/en active Active
- 2015-02-10 EP EP15705881.9A patent/EP3105259B1/en active Active
- 2015-02-10 JP JP2016550620A patent/JP6538703B2/en active Active
- 2015-02-10 JP JP2016550632A patent/JP6836903B2/en active Active
- 2015-02-10 CN CN201580008297.9A patent/CN106029711B/en active Active
- 2015-02-10 MX MX2016010312A patent/MX390666B/en unknown
- 2015-02-10 ES ES15705882T patent/ES2987200T3/en active Active
- 2015-02-10 AU AU2015217402A patent/AU2015217402B2/en active Active
- 2015-02-10 MY MYPI2016001458A patent/MY181775A/en unknown
- 2015-02-10 RU RU2016135742A patent/RU2689991C1/en active
- 2015-02-10 PH PH1/2016/501557A patent/PH12016501557B1/en unknown
- 2015-02-10 RU RU2016135542A patent/RU2691994C2/en active
- 2015-02-10 SG SG10201800008XA patent/SG10201800008XA/en unknown
- 2015-02-10 RU RU2016135544A patent/RU2727930C1/en active
- 2015-02-10 CA CA3155959A patent/CA3155959C/en active Active
- 2015-02-10 AU AU2015217387A patent/AU2015217387B2/en active Active
- 2015-02-10 SG SG11201606575TA patent/SG11201606575TA/en unknown
- 2015-02-10 WO PCT/US2015/015125 patent/WO2015123168A1/en not_active Ceased
- 2015-02-10 ES ES15705880T patent/ES2959613T3/en active Active
- 2015-02-10 AU AU2015217394A patent/AU2015217394B2/en active Active
- 2015-02-10 SG SG10201710927RA patent/SG10201710927RA/en unknown
- 2015-02-10 JP JP2016550624A patent/JP6709160B2/en active Active
- 2015-02-10 WO PCT/US2015/015120 patent/WO2015123165A2/en not_active Ceased
- 2015-02-10 US US15/117,816 patent/US9879106B2/en active Active
- 2015-02-10 CA CA2938740A patent/CA2938740C/en active Active
- 2015-02-10 KR KR1020217042114A patent/KR102496899B1/en active Active
- 2015-02-10 KR KR1020217042115A patent/KR102454827B1/en active Active
- 2015-02-10 EP EP21187028.2A patent/EP3943514A1/en active Pending
- 2015-02-10 CN CN201580008195.7A patent/CN106034402B/en active Active
- 2015-02-10 AU AU2015217393A patent/AU2015217393B2/en active Active
- 2015-02-10 SG SG10201800007UA patent/SG10201800007UA/en unknown
- 2015-02-10 MY MYPI2016001470A patent/MY186379A/en unknown
- 2015-02-10 EP EP22150196.8A patent/EP3998292A1/en active Pending
- 2015-02-10 AU AU2015217391A patent/AU2015217391B9/en active Active
- 2015-02-10 JP JP2016550232A patent/JP6526030B2/en active Active
- 2015-02-10 US US15/116,309 patent/US10308742B2/en active Active
- 2015-02-10 US US15/117,343 patent/US10253121B2/en active Active
- 2015-02-10 MX MX2016010394A patent/MX388507B/en unknown
- 2015-02-10 EP EP22150190.1A patent/EP3998293A1/en active Pending
- 2015-02-10 CA CA2938846A patent/CA2938846C/en active Active
- 2015-02-10 WO PCT/US2015/015128 patent/WO2015123169A1/en not_active Ceased
- 2015-02-10 RU RU2020123447A patent/RU2767902C1/en active
- 2015-02-10 BR BR112016019324-5A patent/BR112016019324B1/en active IP Right Grant
- 2015-02-10 MY MYPI2016001484A patent/MY193760A/en unknown
- 2015-02-10 MY MYPI2016001465A patent/MY196468A/en unknown
- 2015-02-10 SG SG11201606592VA patent/SG11201606592VA/en unknown
- 2015-02-10 KR KR1020217026307A patent/KR102362120B1/en active Active
- 2015-02-10 US US15/116,250 patent/US9850332B2/en active Active
- 2015-02-10 CN CN201910457198.9A patent/CN110330582B/en active Active
- 2015-02-10 RU RU2016135748A patent/RU2674254C1/en active
- 2015-02-10 AU AU2015217400A patent/AU2015217400B2/en active Active
- 2015-02-10 SG SG11201606534UA patent/SG11201606534UA/en unknown
- 2015-02-10 SG SG11201606537VA patent/SG11201606537VA/en unknown
- 2015-02-10 KR KR1020167024162A patent/KR102344094B1/en active Active
- 2015-02-10 EP EP15708625.7A patent/EP3105262B1/en active Active
- 2015-02-10 BR BR112016018402-5A patent/BR112016018402B1/en active IP Right Grant
- 2015-02-10 AU AU2015217386A patent/AU2015217386B2/en active Active
- 2015-02-10 MY MYPI2016001471A patent/MY192954A/en unknown
- 2015-02-10 CN CN201910851602.0A patent/CN110540612B/en active Active
- 2015-02-10 KR KR1020227009380A patent/KR102514764B1/en active Active
- 2015-02-10 KR KR1020217039232A patent/KR102362123B1/en active Active
- 2015-02-10 ES ES15705877T patent/ES2931331T3/en active Active
- 2015-02-10 CA CA2938836A patent/CA2938836C/en active Active
- 2015-02-10 BR BR112016018400-9A patent/BR112016018400B1/en active IP Right Grant
- 2015-02-10 SG SG10201709279RA patent/SG10201709279RA/en unknown
- 2015-02-10 ES ES15708625T patent/ES2918979T3/en active Active
- 2015-02-10 MY MYPI2016001469A patent/MY189929A/en unknown
- 2015-02-10 ES ES15705884T patent/ES2786323T3/en active Active
- 2015-02-10 SG SG11201606535YA patent/SG11201606535YA/en unknown
- 2015-02-10 ES ES20152885T patent/ES2987617T3/en active Active
- 2015-02-10 EP EP15705884.3A patent/EP3105266B1/en active Active
- 2015-02-10 EP EP15705879.3A patent/EP3105263B1/en active Active
- 2015-02-10 SG SG10201800002WA patent/SG10201800002WA/en unknown
- 2015-02-10 EP EP15705882.7A patent/EP3105258B1/en active Active
- 2015-02-10 PH PH1/2016/501556A patent/PH12016501556B1/en unknown
- 2015-02-10 RU RU2018141057A patent/RU2734065C9/en active
- 2015-02-10 CN CN201580008294.5A patent/CN105992776B/en active Active
- 2015-02-10 MX MX2016010387A patent/MX394215B/en unknown
- 2015-02-10 SG SG10201706683TA patent/SG10201706683TA/en unknown
- 2015-02-10 WO PCT/US2015/015141 patent/WO2015123177A1/en not_active Ceased
- 2015-02-10 EP EP15705878.5A patent/EP3105257B1/en active Active
- 2015-02-10 EP EP20209922.2A patent/EP3805278A1/en active Pending
- 2015-02-10 EP EP15705880.1A patent/EP3105264B1/en active Active
- 2015-02-10 CA CA2938839A patent/CA2938839C/en active Active
- 2015-02-10 CA CA3206038A patent/CA3206038A1/en active Pending
- 2015-02-10 US US15/117,789 patent/US9902790B2/en active Active
- 2015-02-10 SG SG11201606571QA patent/SG11201606571QA/en unknown
-
2016
- 2016-08-05 PH PH12016501559A patent/PH12016501559B1/en unknown
- 2016-08-05 PH PH12016501561A patent/PH12016501561A1/en unknown
- 2016-08-05 PH PH12016501560A patent/PH12016501560A1/en unknown
- 2016-08-05 PH PH12016501558A patent/PH12016501558A1/en unknown
- 2016-08-05 PH PH12016501555A patent/PH12016501555A1/en unknown
- 2016-08-09 MX MX2022006494A patent/MX2022006494A/en unknown
- 2016-08-09 MX MX2022003089A patent/MX2022003089A/en unknown
- 2016-08-09 MX MX2022002888A patent/MX2022002888A/en unknown
- 2016-08-09 MX MX2022002889A patent/MX2022002889A/en unknown
- 2016-08-10 MX MX2022008903A patent/MX2022008903A/en unknown
- 2016-08-10 SA SA519401457A patent/SA519401457B1/en unknown
- 2016-08-10 SA SA516371656A patent/SA516371656B1/en unknown
- 2016-08-10 MX MX2022002890A patent/MX2022002890A/en unknown
- 2016-08-10 MX MX2022005279A patent/MX2022005279A/en unknown
- 2016-08-10 MX MX2022005282A patent/MX2022005282A/en unknown
- 2016-08-10 SA SA516371653A patent/SA516371653B1/en unknown
- 2016-08-10 SA SA516371657A patent/SA516371657B1/en unknown
- 2016-08-10 SA SA516371655A patent/SA516371655B1/en unknown
- 2016-08-10 SA SA516371652A patent/SA516371652B1/en unknown
- 2016-08-10 SA SA516371654A patent/SA516371654B1/en unknown
- 2016-08-10 MX MX2022005712A patent/MX2022005712A/en unknown
- 2016-08-10 MX MX2022005711A patent/MX2022005711A/en unknown
- 2016-08-10 SA SA516371658A patent/SA516371658B1/en unknown
- 2016-08-10 MX MX2022005710A patent/MX2022005710A/en unknown
- 2016-08-10 MX MX2022005281A patent/MX2022005281A/en unknown
- 2016-08-11 SA SA516371661A patent/SA516371661B1/en unknown
- 2016-08-11 SA SA516371659A patent/SA516371659B1/en unknown
-
2017
- 2017-11-07 US US15/805,469 patent/US10189923B2/en active Active
- 2017-12-06 US US15/833,575 patent/US10239977B2/en active Active
-
2018
- 2018-02-26 US US15/905,133 patent/US10392456B2/en active Active
- 2018-02-26 US US15/905,066 patent/US10421829B2/en active Active
- 2018-12-18 AU AU2018282274A patent/AU2018282274B2/en active Active
- 2018-12-18 AU AU2018282375A patent/AU2018282375B2/en active Active
-
2019
- 2019-02-07 US US16/269,780 patent/US10604606B2/en active Active
- 2019-02-11 AU AU2019200925A patent/AU2019200925B2/en active Active
- 2019-02-18 US US16/278,212 patent/US11034783B2/en active Active
- 2019-05-09 JP JP2019088929A patent/JP6833902B2/en active Active
- 2019-05-10 JP JP2019089559A patent/JP7229846B2/en active Active
- 2019-06-05 US US16/432,602 patent/US20190322780A1/en not_active Abandoned
- 2019-08-15 US US16/541,767 patent/US11142598B2/en active Active
- 2019-11-06 JP JP2019201412A patent/JP6970161B2/en active Active
-
2020
- 2020-01-23 JP JP2020008821A patent/JP7208176B2/en active Active
- 2020-05-22 JP JP2020089718A patent/JP6970240B2/en active Active
- 2020-06-24 AU AU2020204208A patent/AU2020204208A1/en not_active Abandoned
- 2020-10-09 US US17/067,287 patent/US20210024670A1/en not_active Abandoned
- 2020-11-09 JP JP2020186391A patent/JP2021036050A/en active Pending
- 2020-11-19 AU AU2020273299A patent/AU2020273299B2/en not_active Expired - Fee Related
-
2021
- 2021-02-08 JP JP2021018472A patent/JP7108065B2/en active Active
- 2021-02-08 JP JP2021018473A patent/JP2021073361A/en active Pending
- 2021-02-08 JP JP2021018474A patent/JP7222006B2/en active Active
- 2021-03-29 JP JP2021054550A patent/JP7277501B2/en active Active
- 2021-05-26 US US17/330,942 patent/US11708438B2/en active Active
- 2021-09-15 US US17/475,851 patent/US11661466B2/en active Active
-
2023
- 2023-01-30 US US18/102,858 patent/US20230174694A1/en not_active Abandoned
- 2023-04-14 US US18/134,800 patent/US20230250204A1/en active Pending
- 2023-04-27 US US18/140,165 patent/US20240076427A1/en not_active Abandoned
Patent Citations (1)
| Publication number | Priority date | Publication date | Assignee | Title |
|---|---|---|---|---|
| US20100292424A1 (en) * | 2005-07-19 | 2010-11-18 | Wu Margaret M | Lubricants from Mixed Alpha-Olefin Feeds |
Also Published As
Similar Documents
| Publication | Publication Date | Title |
|---|---|---|
| US11661466B2 (en) | Producing polyolefin products |
Legal Events
| Date | Code | Title | Description |
|---|---|---|---|
| STPP | Information on status: patent application and granting procedure in general |
Free format text: APPLICATION DISPATCHED FROM PREEXAM, NOT YET DOCKETED |
|
| STPP | Information on status: patent application and granting procedure in general |
Free format text: DOCKETED NEW CASE - READY FOR EXAMINATION |
|
| STPP | Information on status: patent application and granting procedure in general |
Free format text: NON FINAL ACTION MAILED |
|
| STPP | Information on status: patent application and granting procedure in general |
Free format text: RESPONSE TO NON-FINAL OFFICE ACTION ENTERED AND FORWARDED TO EXAMINER |
|
| STPP | Information on status: patent application and granting procedure in general |
Free format text: NON FINAL ACTION MAILED |
|
| STPP | Information on status: patent application and granting procedure in general |
Free format text: RESPONSE TO NON-FINAL OFFICE ACTION ENTERED AND FORWARDED TO EXAMINER |
|
| STPP | Information on status: patent application and granting procedure in general |
Free format text: FINAL REJECTION MAILED |
|
| STPP | Information on status: patent application and granting procedure in general |
Free format text: ADVISORY ACTION MAILED |
|
| STPP | Information on status: patent application and granting procedure in general |
Free format text: DOCKETED NEW CASE - READY FOR EXAMINATION |
|
| STPP | Information on status: patent application and granting procedure in general |
Free format text: NON FINAL ACTION MAILED |
|
| STCB | Information on status: application discontinuation |
Free format text: ABANDONED -- FAILURE TO RESPOND TO AN OFFICE ACTION |






















