US20050182210A1 - De-foaming spray dried catalyst slurries - Google Patents
De-foaming spray dried catalyst slurries Download PDFInfo
- Publication number
- US20050182210A1 US20050182210A1 US10/780,522 US78052204A US2005182210A1 US 20050182210 A1 US20050182210 A1 US 20050182210A1 US 78052204 A US78052204 A US 78052204A US 2005182210 A1 US2005182210 A1 US 2005182210A1
- Authority
- US
- United States
- Prior art keywords
- slurry
- group
- catalyst
- percent
- catalyst system
- Prior art date
- Legal status (The legal status is an assumption and is not a legal conclusion. Google has not performed a legal analysis and makes no representation as to the accuracy of the status listed.)
- Abandoned
Links
- 239000003054 catalyst Substances 0.000 title claims abstract description 174
- 239000002002 slurry Substances 0.000 title claims abstract description 141
- 239000007921 spray Substances 0.000 title claims abstract description 36
- 238000005187 foaming Methods 0.000 title claims abstract description 22
- 238000000034 method Methods 0.000 claims abstract description 82
- 239000012190 activator Substances 0.000 claims abstract description 47
- 239000007788 liquid Substances 0.000 claims abstract description 35
- 238000006116 polymerization reaction Methods 0.000 claims abstract description 35
- 125000004432 carbon atom Chemical group C* 0.000 claims abstract description 34
- 150000001335 aliphatic alkanes Chemical class 0.000 claims abstract description 28
- 150000001336 alkenes Chemical class 0.000 claims abstract description 20
- JRZJOMJEPLMPRA-UHFFFAOYSA-N olefin Natural products CCCCCCCC=C JRZJOMJEPLMPRA-UHFFFAOYSA-N 0.000 claims abstract description 16
- 239000002480 mineral oil Substances 0.000 claims abstract description 14
- 235000010446 mineral oil Nutrition 0.000 claims abstract description 14
- -1 halogen ions Chemical class 0.000 claims description 246
- 125000004429 atom Chemical group 0.000 claims description 57
- 229910052726 zirconium Inorganic materials 0.000 claims description 38
- QCWXUUIWCKQGHC-UHFFFAOYSA-N Zirconium Chemical group [Zr] QCWXUUIWCKQGHC-UHFFFAOYSA-N 0.000 claims description 29
- 229910052736 halogen Inorganic materials 0.000 claims description 27
- 229910052751 metal Inorganic materials 0.000 claims description 25
- 239000002184 metal Substances 0.000 claims description 24
- 125000004104 aryloxy group Chemical group 0.000 claims description 18
- 125000004122 cyclic group Chemical group 0.000 claims description 17
- 125000000058 cyclopentadienyl group Chemical group C1(=CC=CC1)* 0.000 claims description 17
- ZSWFCLXCOIISFI-UHFFFAOYSA-N endo-cyclopentadiene Natural products C1C=CC=C1 ZSWFCLXCOIISFI-UHFFFAOYSA-N 0.000 claims description 17
- 150000004678 hydrides Chemical class 0.000 claims description 17
- 229930195733 hydrocarbon Natural products 0.000 claims description 15
- 239000000126 substance Substances 0.000 claims description 15
- 125000006539 C12 alkyl group Chemical group [H]C([H])([H])C([H])([H])C([H])([H])C([H])([H])C([H])([H])C([H])([H])C([H])([H])C([H])([H])C([H])([H])C([H])([H])C([H])([H])C([H])([H])* 0.000 claims description 12
- 150000002367 halogens Chemical class 0.000 claims description 11
- 125000005248 alkyl aryloxy group Chemical group 0.000 claims description 9
- 150000002430 hydrocarbons Chemical class 0.000 claims description 9
- YBYIRNPNPLQARY-UHFFFAOYSA-N 1H-indene Natural products C1=CC=C2CC=CC2=C1 YBYIRNPNPLQARY-UHFFFAOYSA-N 0.000 claims description 8
- 150000001412 amines Chemical group 0.000 claims description 8
- 125000003454 indenyl group Chemical group C1(C=CC2=CC=CC=C12)* 0.000 claims description 8
- 150000007942 carboxylates Chemical class 0.000 claims description 7
- 150000001993 dienes Chemical class 0.000 claims description 7
- 150000002170 ethers Chemical class 0.000 claims description 5
- 125000005647 linker group Chemical group 0.000 claims 3
- 239000006260 foam Substances 0.000 abstract description 5
- 229920000642 polymer Polymers 0.000 description 58
- 229910052719 titanium Inorganic materials 0.000 description 48
- 239000010936 titanium Substances 0.000 description 48
- RTAQQCXQSZGOHL-UHFFFAOYSA-N Titanium Chemical compound [Ti] RTAQQCXQSZGOHL-UHFFFAOYSA-N 0.000 description 43
- 239000000203 mixture Substances 0.000 description 41
- 230000008569 process Effects 0.000 description 34
- IJGRMHOSHXDMSA-UHFFFAOYSA-N Atomic nitrogen Chemical compound N#N IJGRMHOSHXDMSA-UHFFFAOYSA-N 0.000 description 33
- 229910052796 boron Inorganic materials 0.000 description 32
- 239000003446 ligand Substances 0.000 description 30
- ZOXJGFHDIHLPTG-UHFFFAOYSA-N Boron Chemical compound [B] ZOXJGFHDIHLPTG-UHFFFAOYSA-N 0.000 description 29
- 150000001875 compounds Chemical class 0.000 description 26
- VLKZOEOYAKHREP-UHFFFAOYSA-N n-Hexane Chemical compound CCCCCC VLKZOEOYAKHREP-UHFFFAOYSA-N 0.000 description 26
- 239000007789 gas Substances 0.000 description 23
- 125000000217 alkyl group Chemical group 0.000 description 22
- 125000005842 heteroatom Chemical group 0.000 description 22
- 239000007787 solid Substances 0.000 description 21
- 239000012968 metallocene catalyst Substances 0.000 description 20
- 125000003118 aryl group Chemical group 0.000 description 19
- 229910052757 nitrogen Inorganic materials 0.000 description 19
- 125000002947 alkylene group Chemical group 0.000 description 17
- 125000001997 phenyl group Chemical group [H]C1=C([H])C([H])=C(*)C([H])=C1[H] 0.000 description 17
- 239000002245 particle Substances 0.000 description 15
- 229920001155 polypropylene Polymers 0.000 description 15
- 125000001424 substituent group Chemical group 0.000 description 15
- 125000004076 pyridyl group Chemical group 0.000 description 13
- 238000009826 distribution Methods 0.000 description 12
- 125000004051 hexyl group Chemical group [H]C([H])([H])C([H])([H])C([H])([H])C([H])([H])C([H])([H])C([H])([H])* 0.000 description 12
- 239000004743 Polypropylene Substances 0.000 description 11
- VYPSYNLAJGMNEJ-UHFFFAOYSA-N Silicium dioxide Chemical compound O=[Si]=O VYPSYNLAJGMNEJ-UHFFFAOYSA-N 0.000 description 11
- 230000007935 neutral effect Effects 0.000 description 11
- 125000000561 purinyl group Chemical group N1=C(N=C2N=CNC2=C1)* 0.000 description 11
- 125000000168 pyrrolyl group Chemical group 0.000 description 11
- YCKRFDGAMUMZLT-UHFFFAOYSA-N Fluorine atom Chemical compound [F] YCKRFDGAMUMZLT-UHFFFAOYSA-N 0.000 description 10
- 125000003545 alkoxy group Chemical group 0.000 description 10
- 125000002877 alkyl aryl group Chemical group 0.000 description 10
- 125000001041 indolyl group Chemical group 0.000 description 10
- 125000002496 methyl group Chemical group [H]C([H])([H])* 0.000 description 10
- 239000000178 monomer Substances 0.000 description 10
- 229910052760 oxygen Inorganic materials 0.000 description 10
- 125000000714 pyrimidinyl group Chemical group 0.000 description 10
- 125000005493 quinolyl group Chemical group 0.000 description 10
- 238000001694 spray drying Methods 0.000 description 10
- QQONPFPTGQHPMA-UHFFFAOYSA-N Propene Chemical group CC=C QQONPFPTGQHPMA-UHFFFAOYSA-N 0.000 description 9
- 229910052782 aluminium Inorganic materials 0.000 description 9
- 125000000732 arylene group Chemical group 0.000 description 9
- 230000002902 bimodal effect Effects 0.000 description 9
- 229910052735 hafnium Inorganic materials 0.000 description 9
- 125000001183 hydrocarbyl group Chemical group 0.000 description 9
- 229910052710 silicon Inorganic materials 0.000 description 9
- OKTJSMMVPCPJKN-UHFFFAOYSA-N Carbon Chemical compound [C] OKTJSMMVPCPJKN-UHFFFAOYSA-N 0.000 description 8
- VGGSQFUCUMXWEO-UHFFFAOYSA-N Ethene Chemical compound C=C VGGSQFUCUMXWEO-UHFFFAOYSA-N 0.000 description 8
- 239000005977 Ethylene Substances 0.000 description 8
- IMNFDUFMRHMDMM-UHFFFAOYSA-N N-Heptane Chemical compound CCCCCCC IMNFDUFMRHMDMM-UHFFFAOYSA-N 0.000 description 8
- 125000001495 ethyl group Chemical group [H]C([H])([H])C([H])([H])* 0.000 description 8
- 239000000945 filler Substances 0.000 description 8
- 229910052731 fluorine Inorganic materials 0.000 description 8
- 150000002391 heterocyclic compounds Chemical class 0.000 description 8
- 125000000743 hydrocarbylene group Chemical group 0.000 description 8
- 239000001301 oxygen Substances 0.000 description 8
- 239000000243 solution Substances 0.000 description 8
- WKBOTKDWSSQWDR-UHFFFAOYSA-N Bromine atom Chemical compound [Br] WKBOTKDWSSQWDR-UHFFFAOYSA-N 0.000 description 7
- ZAMOUSCENKQFHK-UHFFFAOYSA-N Chlorine atom Chemical compound [Cl] ZAMOUSCENKQFHK-UHFFFAOYSA-N 0.000 description 7
- 150000003973 alkyl amines Chemical class 0.000 description 7
- 229910052799 carbon Inorganic materials 0.000 description 7
- 239000011737 fluorine Substances 0.000 description 7
- 229910052732 germanium Inorganic materials 0.000 description 7
- 239000000155 melt Substances 0.000 description 7
- 239000003921 oil Substances 0.000 description 7
- 125000004805 propylene group Chemical group [H]C([H])([H])C([H])([*:1])C([H])([H])[*:2] 0.000 description 7
- 150000003254 radicals Chemical class 0.000 description 7
- 229920006395 saturated elastomer Polymers 0.000 description 7
- 125000005234 alkyl aluminium group Chemical group 0.000 description 6
- XAGFODPZIPBFFR-UHFFFAOYSA-N aluminium Chemical compound [Al] XAGFODPZIPBFFR-UHFFFAOYSA-N 0.000 description 6
- QVGXLLKOCUKJST-UHFFFAOYSA-N atomic oxygen Chemical compound [O] QVGXLLKOCUKJST-UHFFFAOYSA-N 0.000 description 6
- 238000000889 atomisation Methods 0.000 description 6
- 238000006243 chemical reaction Methods 0.000 description 6
- 239000003085 diluting agent Substances 0.000 description 6
- 238000001035 drying Methods 0.000 description 6
- 239000000835 fiber Substances 0.000 description 6
- 229920001903 high density polyethylene Polymers 0.000 description 6
- 238000004806 packaging method and process Methods 0.000 description 6
- 229920000098 polyolefin Polymers 0.000 description 6
- 229910052717 sulfur Inorganic materials 0.000 description 6
- YZCKVEUIGOORGS-IGMARMGPSA-N Protium Chemical compound [1H] YZCKVEUIGOORGS-IGMARMGPSA-N 0.000 description 5
- XUIMIQQOPSSXEZ-UHFFFAOYSA-N Silicon Chemical group [Si] XUIMIQQOPSSXEZ-UHFFFAOYSA-N 0.000 description 5
- 0 [3*]*1[1*]C([5*])([7*])CC([4*])([6*])[2*]1.[3*]C1(C)C([4*])([6*])CC1([5*])[7*] Chemical compound [3*]*1[1*]C([5*])([7*])CC([4*])([6*])[2*]1.[3*]C1(C)C([4*])([6*])CC1([5*])[7*] 0.000 description 5
- 125000003342 alkenyl group Chemical group 0.000 description 5
- 125000004450 alkenylene group Chemical group 0.000 description 5
- 125000001797 benzyl group Chemical group [H]C1=C([H])C([H])=C(C([H])=C1[H])C([H])([H])* 0.000 description 5
- GDTBXPJZTBHREO-UHFFFAOYSA-N bromine Substances BrBr GDTBXPJZTBHREO-UHFFFAOYSA-N 0.000 description 5
- 229910052794 bromium Inorganic materials 0.000 description 5
- 125000000484 butyl group Chemical group [H]C([*])([H])C([H])([H])C([H])([H])C([H])([H])[H] 0.000 description 5
- 239000000460 chlorine Substances 0.000 description 5
- 229910052801 chlorine Inorganic materials 0.000 description 5
- 229920001577 copolymer Polymers 0.000 description 5
- 125000003983 fluorenyl group Chemical group C1(=CC=CC=2C3=CC=CC=C3CC12)* 0.000 description 5
- 239000010703 silicon Substances 0.000 description 5
- 125000000008 (C1-C10) alkyl group Chemical group 0.000 description 4
- AQZWEFBJYQSQEH-UHFFFAOYSA-N 2-methyloxaluminane Chemical compound C[Al]1CCCCO1 AQZWEFBJYQSQEH-UHFFFAOYSA-N 0.000 description 4
- 125000000882 C2-C6 alkenyl group Chemical group 0.000 description 4
- KRHYYFGTRYWZRS-UHFFFAOYSA-M Fluoride anion Chemical compound [F-] KRHYYFGTRYWZRS-UHFFFAOYSA-M 0.000 description 4
- 229920000034 Plastomer Polymers 0.000 description 4
- 125000005599 alkyl carboxylate group Chemical group 0.000 description 4
- 125000000113 cyclohexyl group Chemical group [H]C1([H])C([H])([H])C([H])([H])C([H])(*)C([H])([H])C1([H])[H] 0.000 description 4
- 230000000694 effects Effects 0.000 description 4
- 229920001971 elastomer Polymers 0.000 description 4
- 239000000806 elastomer Substances 0.000 description 4
- 238000001125 extrusion Methods 0.000 description 4
- 125000004216 fluoromethyl group Chemical group [H]C([H])(F)* 0.000 description 4
- 235000013305 food Nutrition 0.000 description 4
- 125000005843 halogen group Chemical group 0.000 description 4
- BHEPBYXIRTUNPN-UHFFFAOYSA-N hydridophosphorus(.) (triplet) Chemical compound [PH] BHEPBYXIRTUNPN-UHFFFAOYSA-N 0.000 description 4
- 125000001449 isopropyl group Chemical group [H]C([H])([H])C([H])(*)C([H])([H])[H] 0.000 description 4
- 229920000092 linear low density polyethylene Polymers 0.000 description 4
- 229920001684 low density polyethylene Polymers 0.000 description 4
- 125000001624 naphthyl group Chemical group 0.000 description 4
- 239000002685 polymerization catalyst Substances 0.000 description 4
- 125000001436 propyl group Chemical group [H]C([*])([H])C([H])([H])C([H])([H])[H] 0.000 description 4
- 239000000377 silicon dioxide Substances 0.000 description 4
- 239000000725 suspension Substances 0.000 description 4
- IMFACGCPASFAPR-UHFFFAOYSA-O tributylazanium Chemical compound CCCC[NH+](CCCC)CCCC IMFACGCPASFAPR-UHFFFAOYSA-O 0.000 description 4
- VEXZGXHMUGYJMC-UHFFFAOYSA-M Chloride anion Chemical compound [Cl-] VEXZGXHMUGYJMC-UHFFFAOYSA-M 0.000 description 3
- 239000004698 Polyethylene Substances 0.000 description 3
- NINIDFKCEFEMDL-UHFFFAOYSA-N Sulfur Chemical compound [S] NINIDFKCEFEMDL-UHFFFAOYSA-N 0.000 description 3
- 150000004982 aromatic amines Chemical class 0.000 description 3
- 150000004657 carbamic acid derivatives Chemical class 0.000 description 3
- 229910052804 chromium Inorganic materials 0.000 description 3
- 239000011651 chromium Substances 0.000 description 3
- 125000000753 cycloalkyl group Chemical group 0.000 description 3
- 125000001511 cyclopentyl group Chemical group [H]C1([H])C([H])([H])C([H])([H])C([H])(*)C1([H])[H] 0.000 description 3
- 229910001873 dinitrogen Inorganic materials 0.000 description 3
- 239000006185 dispersion Substances 0.000 description 3
- 125000003709 fluoroalkyl group Chemical group 0.000 description 3
- GNPVGFCGXDBREM-UHFFFAOYSA-N germanium atom Chemical compound [Ge] GNPVGFCGXDBREM-UHFFFAOYSA-N 0.000 description 3
- 125000000623 heterocyclic group Chemical group 0.000 description 3
- 239000001257 hydrogen Substances 0.000 description 3
- 229910052739 hydrogen Inorganic materials 0.000 description 3
- XEEYBQQBJWHFJM-UHFFFAOYSA-N iron Substances [Fe] XEEYBQQBJWHFJM-UHFFFAOYSA-N 0.000 description 3
- 239000000463 material Substances 0.000 description 3
- 239000011236 particulate material Substances 0.000 description 3
- 150000003003 phosphines Chemical class 0.000 description 3
- 238000011020 pilot scale process Methods 0.000 description 3
- 229950010765 pivalate Drugs 0.000 description 3
- IUGYQRQAERSCNH-UHFFFAOYSA-N pivalic acid Chemical compound CC(C)(C)C(O)=O IUGYQRQAERSCNH-UHFFFAOYSA-N 0.000 description 3
- 229920000573 polyethylene Polymers 0.000 description 3
- 230000009467 reduction Effects 0.000 description 3
- 125000000547 substituted alkyl group Chemical group 0.000 description 3
- 125000003107 substituted aryl group Chemical group 0.000 description 3
- 238000006467 substitution reaction Methods 0.000 description 3
- 239000011593 sulfur Substances 0.000 description 3
- 125000003944 tolyl group Chemical group 0.000 description 3
- IMFACGCPASFAPR-UHFFFAOYSA-N tributylamine Chemical compound CCCCN(CCCC)CCCC IMFACGCPASFAPR-UHFFFAOYSA-N 0.000 description 3
- VOITXYVAKOUIBA-UHFFFAOYSA-N triethylaluminium Chemical compound CC[Al](CC)CC VOITXYVAKOUIBA-UHFFFAOYSA-N 0.000 description 3
- ORYGRKHDLWYTKX-UHFFFAOYSA-N trihexylalumane Chemical compound CCCCCC[Al](CCCCCC)CCCCCC ORYGRKHDLWYTKX-UHFFFAOYSA-N 0.000 description 3
- MCULRUJILOGHCJ-UHFFFAOYSA-N triisobutylaluminium Chemical compound CC(C)C[Al](CC(C)C)CC(C)C MCULRUJILOGHCJ-UHFFFAOYSA-N 0.000 description 3
- JLTRXTDYQLMHGR-UHFFFAOYSA-N trimethylaluminium Chemical compound C[Al](C)C JLTRXTDYQLMHGR-UHFFFAOYSA-N 0.000 description 3
- 125000006832 (C1-C10) alkylene group Chemical group 0.000 description 2
- AFFLGGQVNFXPEV-UHFFFAOYSA-N 1-decene Chemical compound CCCCCCCCC=C AFFLGGQVNFXPEV-UHFFFAOYSA-N 0.000 description 2
- LIKMAJRDDDTEIG-UHFFFAOYSA-N 1-hexene Chemical compound CCCCC=C LIKMAJRDDDTEIG-UHFFFAOYSA-N 0.000 description 2
- KWKAKUADMBZCLK-UHFFFAOYSA-N 1-octene Chemical compound CCCCCCC=C KWKAKUADMBZCLK-UHFFFAOYSA-N 0.000 description 2
- 125000006276 2-bromophenyl group Chemical group [H]C1=C([H])C(Br)=C(*)C([H])=C1[H] 0.000 description 2
- 125000004182 2-chlorophenyl group Chemical group [H]C1=C([H])C(Cl)=C(*)C([H])=C1[H] 0.000 description 2
- 125000004198 2-fluorophenyl group Chemical group [H]C1=C([H])C(F)=C(*)C([H])=C1[H] 0.000 description 2
- WSSSPWUEQFSQQG-UHFFFAOYSA-N 4-methyl-1-pentene Chemical compound CC(C)CC=C WSSSPWUEQFSQQG-UHFFFAOYSA-N 0.000 description 2
- DQBIPBSPUYNBJO-UHFFFAOYSA-N 6-iminocyclohexa-2,4-dien-1-ol Chemical class OC1C=CC=CC1=N DQBIPBSPUYNBJO-UHFFFAOYSA-N 0.000 description 2
- RVEYJJWOHLDJPA-UHFFFAOYSA-N CC1=C(C)C(C)=C(C)C1(C)[Zr]C1(C)C(C)=C(C)C(C)=C1C Chemical compound CC1=C(C)C(C)=C(C)C1(C)[Zr]C1(C)C(C)=C(C)C(C)=C1C RVEYJJWOHLDJPA-UHFFFAOYSA-N 0.000 description 2
- FQJDUPMEJJGIKK-UHFFFAOYSA-N C[SiH](C)[Zr](C1C(=CC=C1)C)C1(C(=C(C(=C1)C)C)C)C Chemical compound C[SiH](C)[Zr](C1C(=CC=C1)C)C1(C(=C(C(=C1)C)C)C)C FQJDUPMEJJGIKK-UHFFFAOYSA-N 0.000 description 2
- VTYYLEPIZMXCLO-UHFFFAOYSA-L Calcium carbonate Chemical compound [Ca+2].[O-]C([O-])=O VTYYLEPIZMXCLO-UHFFFAOYSA-L 0.000 description 2
- 239000004215 Carbon black (E152) Substances 0.000 description 2
- ROSDSFDQCJNGOL-UHFFFAOYSA-N Dimethylamine Chemical compound CNC ROSDSFDQCJNGOL-UHFFFAOYSA-N 0.000 description 2
- MYMOFIZGZYHOMD-UHFFFAOYSA-N Dioxygen Chemical compound O=O MYMOFIZGZYHOMD-UHFFFAOYSA-N 0.000 description 2
- RRHGJUQNOFWUDK-UHFFFAOYSA-N Isoprene Chemical group CC(=C)C=C RRHGJUQNOFWUDK-UHFFFAOYSA-N 0.000 description 2
- 239000002841 Lewis acid Substances 0.000 description 2
- OAICVXFJPJFONN-UHFFFAOYSA-N Phosphorus Chemical compound [P] OAICVXFJPJFONN-UHFFFAOYSA-N 0.000 description 2
- ATUOYWHBWRKTHZ-UHFFFAOYSA-N Propane Chemical compound CCC ATUOYWHBWRKTHZ-UHFFFAOYSA-N 0.000 description 2
- JUJWROOIHBZHMG-UHFFFAOYSA-N Pyridine Chemical compound C1=CC=NC=C1 JUJWROOIHBZHMG-UHFFFAOYSA-N 0.000 description 2
- GWEVSGVZZGPLCZ-UHFFFAOYSA-N Titan oxide Chemical compound O=[Ti]=O GWEVSGVZZGPLCZ-UHFFFAOYSA-N 0.000 description 2
- XLOMVQKBTHCTTD-UHFFFAOYSA-N Zinc monoxide Chemical compound [Zn]=O XLOMVQKBTHCTTD-UHFFFAOYSA-N 0.000 description 2
- JFWBIRAGFWPMTI-UHFFFAOYSA-N [Zr].[CH]1C=CC=C1 Chemical compound [Zr].[CH]1C=CC=C1 JFWBIRAGFWPMTI-UHFFFAOYSA-N 0.000 description 2
- 230000003213 activating effect Effects 0.000 description 2
- 238000001994 activation Methods 0.000 description 2
- 125000005115 alkyl carbamoyl group Chemical group 0.000 description 2
- AZDRQVAHHNSJOQ-UHFFFAOYSA-N alumane Chemical compound [AlH3] AZDRQVAHHNSJOQ-UHFFFAOYSA-N 0.000 description 2
- 150000001408 amides Chemical class 0.000 description 2
- CUFNKYGDVFVPHO-UHFFFAOYSA-N azulene Chemical compound C1=CC=CC2=CC=CC2=C1 CUFNKYGDVFVPHO-UHFFFAOYSA-N 0.000 description 2
- 238000000071 blow moulding Methods 0.000 description 2
- 125000000609 carbazolyl group Chemical group C1(=CC=CC=2C3=CC=CC=C3NC12)* 0.000 description 2
- 150000001768 cations Chemical class 0.000 description 2
- 125000004803 chlorobenzyl group Chemical group 0.000 description 2
- 238000000576 coating method Methods 0.000 description 2
- 230000000052 comparative effect Effects 0.000 description 2
- 238000010276 construction Methods 0.000 description 2
- LPIQUOYDBNQMRZ-UHFFFAOYSA-N cyclopentene Chemical class C1CC=CC1 LPIQUOYDBNQMRZ-UHFFFAOYSA-N 0.000 description 2
- DMBHHRLKUKUOEG-UHFFFAOYSA-N diphenylamine Chemical compound C=1C=CC=CC=1NC1=CC=CC=C1 DMBHHRLKUKUOEG-UHFFFAOYSA-N 0.000 description 2
- 239000004744 fabric Substances 0.000 description 2
- 239000012530 fluid Substances 0.000 description 2
- 125000004991 fluoroalkenyl group Chemical group 0.000 description 2
- 125000001207 fluorophenyl group Chemical group 0.000 description 2
- 235000013611 frozen food Nutrition 0.000 description 2
- 229910021485 fumed silica Inorganic materials 0.000 description 2
- 238000012685 gas phase polymerization Methods 0.000 description 2
- 238000005227 gel permeation chromatography Methods 0.000 description 2
- 239000004746 geotextile Substances 0.000 description 2
- 238000010438 heat treatment Methods 0.000 description 2
- 239000004700 high-density polyethylene Substances 0.000 description 2
- 125000004435 hydrogen atom Chemical group [H]* 0.000 description 2
- 125000002887 hydroxy group Chemical group [H]O* 0.000 description 2
- 238000010348 incorporation Methods 0.000 description 2
- 238000002347 injection Methods 0.000 description 2
- 239000007924 injection Substances 0.000 description 2
- 238000001746 injection moulding Methods 0.000 description 2
- 229910052742 iron Inorganic materials 0.000 description 2
- NNPPMTNAJDCUHE-UHFFFAOYSA-N isobutane Chemical compound CC(C)C NNPPMTNAJDCUHE-UHFFFAOYSA-N 0.000 description 2
- 125000000959 isobutyl group Chemical group [H]C([H])([H])C([H])(C([H])([H])[H])C([H])([H])* 0.000 description 2
- QWTDNUCVQCZILF-UHFFFAOYSA-N isopentane Chemical compound CCC(C)C QWTDNUCVQCZILF-UHFFFAOYSA-N 0.000 description 2
- 238000003475 lamination Methods 0.000 description 2
- 150000007517 lewis acids Chemical class 0.000 description 2
- 239000004707 linear low-density polyethylene Substances 0.000 description 2
- 239000004702 low-density polyethylene Substances 0.000 description 2
- 229920001179 medium density polyethylene Polymers 0.000 description 2
- 238000002074 melt spinning Methods 0.000 description 2
- 239000012528 membrane Substances 0.000 description 2
- 238000000465 moulding Methods 0.000 description 2
- 229910052759 nickel Inorganic materials 0.000 description 2
- PXHVJJICTQNCMI-UHFFFAOYSA-N nickel Substances [Ni] PXHVJJICTQNCMI-UHFFFAOYSA-N 0.000 description 2
- QJGQUHMNIGDVPM-UHFFFAOYSA-N nitrogen group Chemical group [N] QJGQUHMNIGDVPM-UHFFFAOYSA-N 0.000 description 2
- 125000003261 o-tolyl group Chemical group [H]C1=C([H])C(*)=C(C([H])=C1[H])C([H])([H])[H] 0.000 description 2
- 125000000538 pentafluorophenyl group Chemical group FC1=C(F)C(F)=C(*)C(F)=C1F 0.000 description 2
- YWAKXRMUMFPDSH-UHFFFAOYSA-N pentene Chemical compound CCCC=C YWAKXRMUMFPDSH-UHFFFAOYSA-N 0.000 description 2
- 125000001147 pentyl group Chemical group C(CCCC)* 0.000 description 2
- 230000000737 periodic effect Effects 0.000 description 2
- 229910052698 phosphorus Inorganic materials 0.000 description 2
- 239000011574 phosphorus Substances 0.000 description 2
- IUGYQRQAERSCNH-UHFFFAOYSA-M pivalate Chemical compound CC(C)(C)C([O-])=O IUGYQRQAERSCNH-UHFFFAOYSA-M 0.000 description 2
- 230000000379 polymerizing effect Effects 0.000 description 2
- 229920005606 polypropylene copolymer Polymers 0.000 description 2
- 239000002243 precursor Substances 0.000 description 2
- 239000011347 resin Substances 0.000 description 2
- 229920005989 resin Polymers 0.000 description 2
- 238000005096 rolling process Methods 0.000 description 2
- 238000007789 sealing Methods 0.000 description 2
- 229920006300 shrink film Polymers 0.000 description 2
- 238000001542 size-exclusion chromatography Methods 0.000 description 2
- 235000011888 snacks Nutrition 0.000 description 2
- 239000002904 solvent Substances 0.000 description 2
- 238000009987 spinning Methods 0.000 description 2
- 229920006302 stretch film Polymers 0.000 description 2
- 125000003011 styrenyl group Chemical group [H]\C(*)=C(/[H])C1=C([H])C([H])=C([H])C([H])=C1[H] 0.000 description 2
- 125000004434 sulfur atom Chemical group 0.000 description 2
- 229920001897 terpolymer Polymers 0.000 description 2
- 238000012546 transfer Methods 0.000 description 2
- 125000002023 trifluoromethyl group Chemical group FC(F)(F)* 0.000 description 2
- GETQZCLCWQTVFV-UHFFFAOYSA-N trimethylamine Chemical compound CN(C)C GETQZCLCWQTVFV-UHFFFAOYSA-N 0.000 description 2
- LFXVBWRMVZPLFK-UHFFFAOYSA-N trioctylalumane Chemical compound CCCCCCCC[Al](CCCCCCCC)CCCCCCCC LFXVBWRMVZPLFK-UHFFFAOYSA-N 0.000 description 2
- RIOQSEWOXXDEQQ-UHFFFAOYSA-O triphenylphosphanium Chemical compound C1=CC=CC=C1[PH+](C=1C=CC=CC=1)C1=CC=CC=C1 RIOQSEWOXXDEQQ-UHFFFAOYSA-O 0.000 description 2
- YFTHZRPMJXBUME-UHFFFAOYSA-N tripropylamine Chemical compound CCCN(CCC)CCC YFTHZRPMJXBUME-UHFFFAOYSA-N 0.000 description 2
- VPGLGRNSAYHXPY-UHFFFAOYSA-L zirconium(2+);dichloride Chemical compound Cl[Zr]Cl VPGLGRNSAYHXPY-UHFFFAOYSA-L 0.000 description 2
- CHEANNSDVJOIBS-MHZLTWQESA-N (3s)-3-cyclopropyl-3-[3-[[3-(5,5-dimethylcyclopenten-1-yl)-4-(2-fluoro-5-methoxyphenyl)phenyl]methoxy]phenyl]propanoic acid Chemical compound COC1=CC=C(F)C(C=2C(=CC(COC=3C=C(C=CC=3)[C@@H](CC(O)=O)C3CC3)=CC=2)C=2C(CCC=2)(C)C)=C1 CHEANNSDVJOIBS-MHZLTWQESA-N 0.000 description 1
- OJOWICOBYCXEKR-KRXBUXKQSA-N (5e)-5-ethylidenebicyclo[2.2.1]hept-2-ene Chemical class C1C2C(=C/C)/CC1C=C2 OJOWICOBYCXEKR-KRXBUXKQSA-N 0.000 description 1
- YBCVSZCMASDRCS-UHFFFAOYSA-N 1-[ethoxy-[ethoxy-(2-methoxyphenoxy)-propoxymethyl]sulfanyl-propoxymethoxy]-2-methoxybenzene Chemical compound C=1C=CC=C(OC)C=1OC(OCC)(OCCC)SC(OCC)(OCCC)OC1=CC=CC=C1OC YBCVSZCMASDRCS-UHFFFAOYSA-N 0.000 description 1
- HECLRDQVFMWTQS-RGOKHQFPSA-N 1755-01-7 Chemical class C1[C@H]2[C@@H]3CC=C[C@@H]3[C@@H]1C=C2 HECLRDQVFMWTQS-RGOKHQFPSA-N 0.000 description 1
- KAESVJOAVNADME-UHFFFAOYSA-N 1H-pyrrole Natural products C=1C=CNC=1 KAESVJOAVNADME-UHFFFAOYSA-N 0.000 description 1
- CORHDXNAYKUXRI-UHFFFAOYSA-N 1h-cyclopenta[12]annulene Chemical compound C1=CC=CC=CC=CC=CC2=C1CC=C2 CORHDXNAYKUXRI-UHFFFAOYSA-N 0.000 description 1
- WSNDAYQNZRJGMJ-UHFFFAOYSA-N 2,2,2-trifluoroethanone Chemical compound FC(F)(F)[C]=O WSNDAYQNZRJGMJ-UHFFFAOYSA-N 0.000 description 1
- PAPNRQCYSFBWDI-UHFFFAOYSA-N 2,5-Dimethyl-1H-pyrrole Chemical class CC1=CC=C(C)N1 PAPNRQCYSFBWDI-UHFFFAOYSA-N 0.000 description 1
- KLLLJCACIRKBDT-UHFFFAOYSA-N 2-phenyl-1H-indole Chemical class N1C2=CC=CC=C2C=C1C1=CC=CC=C1 KLLLJCACIRKBDT-UHFFFAOYSA-N 0.000 description 1
- 125000003903 2-propenyl group Chemical group [H]C([*])([H])C([H])=C([H])[H] 0.000 description 1
- BMJOPWQYDZAFDZ-UHFFFAOYSA-N 3,4-difluoro-1h-pyrrole Chemical class FC1=CNC=C1F BMJOPWQYDZAFDZ-UHFFFAOYSA-N 0.000 description 1
- 125000004975 3-butenyl group Chemical group C(CC=C)* 0.000 description 1
- DTNBMVQXEVNTLO-UHFFFAOYSA-N 4,5,6,7-tetrafluoro-1h-indole Chemical compound FC1=C(F)C(F)=C2NC=CC2=C1F DTNBMVQXEVNTLO-UHFFFAOYSA-N 0.000 description 1
- 125000004800 4-bromophenyl group Chemical group [H]C1=C([H])C(*)=C([H])C([H])=C1Br 0.000 description 1
- 125000001255 4-fluorophenyl group Chemical group [H]C1=C([H])C(*)=C([H])C([H])=C1F 0.000 description 1
- 125000004861 4-isopropyl phenyl group Chemical group [H]C1=C([H])C(=C([H])C([H])=C1*)C([H])(C([H])([H])[H])C([H])([H])[H] 0.000 description 1
- 125000006043 5-hexenyl group Chemical group 0.000 description 1
- OOVQLEHBRDIXDZ-UHFFFAOYSA-N 7-ethenylbicyclo[4.2.0]octa-1,3,5-triene Chemical group C1=CC=C2C(C=C)CC2=C1 OOVQLEHBRDIXDZ-UHFFFAOYSA-N 0.000 description 1
- 229910052582 BN Inorganic materials 0.000 description 1
- PZNSFCLAULLKQX-UHFFFAOYSA-N Boron nitride Chemical compound N#B PZNSFCLAULLKQX-UHFFFAOYSA-N 0.000 description 1
- CPELXLSAUQHCOX-UHFFFAOYSA-M Bromide Chemical compound [Br-] CPELXLSAUQHCOX-UHFFFAOYSA-M 0.000 description 1
- KRMHZSCNBPXDSN-UHFFFAOYSA-N C(C(C)C)C1(C=CC=C1)[Zr]C1(C=CC=C1)CC(C)C Chemical compound C(C(C)C)C1(C=CC=C1)[Zr]C1(C=CC=C1)CC(C)C KRMHZSCNBPXDSN-UHFFFAOYSA-N 0.000 description 1
- NJNGPXRQMNQRLL-UHFFFAOYSA-N C(C)(C)=[Zr](C1C=CC=C1)C1C=CC=C1 Chemical compound C(C)(C)=[Zr](C1C=CC=C1)C1C=CC=C1 NJNGPXRQMNQRLL-UHFFFAOYSA-N 0.000 description 1
- VCRCERYZVRNAEN-UHFFFAOYSA-N C(C)(C)C1(C=CC=C1)[Zr]C1(C=CC=C1)C(C)C Chemical compound C(C)(C)C1(C=CC=C1)[Zr]C1(C=CC=C1)C(C)C VCRCERYZVRNAEN-UHFFFAOYSA-N 0.000 description 1
- IIJHUYBZCHWWOZ-UHFFFAOYSA-N C(C)C1(C=CC=C1)[Zr]C1(C=CC=C1)CC Chemical compound C(C)C1(C=CC=C1)[Zr]C1(C=CC=C1)CC IIJHUYBZCHWWOZ-UHFFFAOYSA-N 0.000 description 1
- XHCVOYVNRMNVBQ-UHFFFAOYSA-N C(CC)C1(C=CC=C1)[Hf]C1(C=C(C=C1)CCCC)CCC Chemical compound C(CC)C1(C=CC=C1)[Hf]C1(C=C(C=C1)CCCC)CCC XHCVOYVNRMNVBQ-UHFFFAOYSA-N 0.000 description 1
- SVBLJDGZIHTZBY-UHFFFAOYSA-N C(CC)C1(C=CC=C1)[Hf]C1(C=CC=C1)CCC Chemical compound C(CC)C1(C=CC=C1)[Hf]C1(C=CC=C1)CCC SVBLJDGZIHTZBY-UHFFFAOYSA-N 0.000 description 1
- RQVLPQDLABCJOE-UHFFFAOYSA-N C(CC)C1(C=CC=C1)[Hf]C1(C=CC=C1)CCCC Chemical compound C(CC)C1(C=CC=C1)[Hf]C1(C=CC=C1)CCCC RQVLPQDLABCJOE-UHFFFAOYSA-N 0.000 description 1
- SHVPYXKAEZZGDZ-UHFFFAOYSA-N C(CC)C1(C=CC=C1)[Zr]C1(C=CC=C1)CCC Chemical compound C(CC)C1(C=CC=C1)[Zr]C1(C=CC=C1)CCC SHVPYXKAEZZGDZ-UHFFFAOYSA-N 0.000 description 1
- VXMDASHPMJSFJT-UHFFFAOYSA-N C(CCC)C1(C=CC=C1)[Zr]C1(C=CC=C1)CCCC Chemical compound C(CCC)C1(C=CC=C1)[Zr]C1(C=CC=C1)CCCC VXMDASHPMJSFJT-UHFFFAOYSA-N 0.000 description 1
- QLAKHLDSFWPUJU-UHFFFAOYSA-N C(CCCC)C1(C=CC=C1)[Hf]C1(C=CC=C1)CCCCC Chemical compound C(CCCC)C1(C=CC=C1)[Hf]C1(C=CC=C1)CCCCC QLAKHLDSFWPUJU-UHFFFAOYSA-N 0.000 description 1
- OHTFCJZLPZAOEL-UHFFFAOYSA-N C(CCCC)C1(C=CC=C1)[Zr]C1(C=CC=C1)CCCCC Chemical compound C(CCCC)C1(C=CC=C1)[Zr]C1(C=CC=C1)CCCCC OHTFCJZLPZAOEL-UHFFFAOYSA-N 0.000 description 1
- SEHNXJYYFATSKM-UHFFFAOYSA-N C1(=CC=CC=C1)C(C1=CC=CC=C1)=[Zr](C1C2=CC=CC=C2C=2C=CC=CC1=2)C1C=CC=C1 Chemical compound C1(=CC=CC=C1)C(C1=CC=CC=C1)=[Zr](C1C2=CC=CC=C2C=2C=CC=CC1=2)C1C=CC=C1 SEHNXJYYFATSKM-UHFFFAOYSA-N 0.000 description 1
- XUSXIRPYTWGUMA-UHFFFAOYSA-N C1(=CC=CC=C1)C(C1=CC=CC=C1)=[Zr](C1C=CC2=CC=CC=C12)C1C=CC=C1 Chemical compound C1(=CC=CC=C1)C(C1=CC=CC=C1)=[Zr](C1C=CC2=CC=CC=C12)C1C=CC=C1 XUSXIRPYTWGUMA-UHFFFAOYSA-N 0.000 description 1
- VJZOFTJUGPKSGT-UHFFFAOYSA-N C1(=CC=CC=C1)[SiH](C1=CC=CC=C1)[Zr](C1C=C(C=C1)CCC)C1(C(=C(C(=C1)C)C)C)C Chemical compound C1(=CC=CC=C1)[SiH](C1=CC=CC=C1)[Zr](C1C=C(C=C1)CCC)C1(C(=C(C(=C1)C)C)C)C VJZOFTJUGPKSGT-UHFFFAOYSA-N 0.000 description 1
- WJZMFTYEIIOPIC-UHFFFAOYSA-N C1(C=CC=C1)[Zr]C1C=CC2=CC=CC=C12 Chemical compound C1(C=CC=C1)[Zr]C1C=CC2=CC=CC=C12 WJZMFTYEIIOPIC-UHFFFAOYSA-N 0.000 description 1
- KVYVOZSYFGWUOJ-UHFFFAOYSA-N C12=CC=CC=C2C(CCC)C2=C1C=CC=C2[Hf]C1=C2C(CCC)C3=CC=CC=C3C2=CC=C1 Chemical compound C12=CC=CC=C2C(CCC)C2=C1C=CC=C2[Hf]C1=C2C(CCC)C3=CC=CC=C3C2=CC=C1 KVYVOZSYFGWUOJ-UHFFFAOYSA-N 0.000 description 1
- TTYJQSDXHJSQEA-UHFFFAOYSA-N C12=CC=CC=C2C(CCCC)C2=C1C=CC=C2[Hf]C1=C2C(CCCC)C3=CC=CC=C3C2=CC=C1 Chemical compound C12=CC=CC=C2C(CCCC)C2=C1C=CC=C2[Hf]C1=C2C(CCCC)C3=CC=CC=C3C2=CC=C1 TTYJQSDXHJSQEA-UHFFFAOYSA-N 0.000 description 1
- ABESHTPCAFNLIL-UHFFFAOYSA-N C12=CC=CC=C2C2=CC=CC=C2C1[Zr]([SiH](C)C)C1C2=CC=CC=C2C2=CC=CC=C21 Chemical compound C12=CC=CC=C2C2=CC=CC=C2C1[Zr]([SiH](C)C)C1C2=CC=CC=C2C2=CC=CC=C21 ABESHTPCAFNLIL-UHFFFAOYSA-N 0.000 description 1
- PFPCPMROWZEVNH-UHFFFAOYSA-N C1=CC(C(=CC=C2C)C)=C2C1[Zr]C1C(C(C)=CC=C2C)=C2C=C1 Chemical compound C1=CC(C(=CC=C2C)C)=C2C1[Zr]C1C(C(C)=CC=C2C)=C2C=C1 PFPCPMROWZEVNH-UHFFFAOYSA-N 0.000 description 1
- PJQXFWWAJLAYCD-UHFFFAOYSA-N C1=CC(C=C1)[Zr](C1c2ccccc2-c2ccccc12)[SiH](c1ccccc1)c1ccccc1 Chemical compound C1=CC(C=C1)[Zr](C1c2ccccc2-c2ccccc12)[SiH](c1ccccc1)c1ccccc1 PJQXFWWAJLAYCD-UHFFFAOYSA-N 0.000 description 1
- XUIAKXYIMMDVGY-UHFFFAOYSA-N C1=CC2=CC=CC=C2C1[Zr](C1C2=CC=CC=C2C=C1)[SiH](C=1C=CC=CC=1)C1=CC=CC=C1 Chemical compound C1=CC2=CC=CC=C2C1[Zr](C1C2=CC=CC=C2C=C1)[SiH](C=1C=CC=CC=1)C1=CC=CC=C1 XUIAKXYIMMDVGY-UHFFFAOYSA-N 0.000 description 1
- AIIMWBOOVDEVAR-UHFFFAOYSA-N C1=CC2=CC=CC=C2C1[Zr]([SiH](C)C)C1C2=CC=CC=C2C=C1 Chemical compound C1=CC2=CC=CC=C2C1[Zr]([SiH](C)C)C1C2=CC=CC=C2C=C1 AIIMWBOOVDEVAR-UHFFFAOYSA-N 0.000 description 1
- VHNNPTGLWYHNHE-UHFFFAOYSA-N C1=CC2=CC=CC=C2C1[Zr]C1C2=CC=CC=C2C=C1 Chemical compound C1=CC2=CC=CC=C2C1[Zr]C1C2=CC=CC=C2C=C1 VHNNPTGLWYHNHE-UHFFFAOYSA-N 0.000 description 1
- VLOOGSDCMKSQPK-UHFFFAOYSA-N C1=CC=C2C([Zr])C(C)=CC2=C1 Chemical compound C1=CC=C2C([Zr])C(C)=CC2=C1 VLOOGSDCMKSQPK-UHFFFAOYSA-N 0.000 description 1
- RCQBROWWBGPIHM-UHFFFAOYSA-N C1=CC=C2C([Zr])C(CCC)=CC2=C1 Chemical compound C1=CC=C2C([Zr])C(CCC)=CC2=C1 RCQBROWWBGPIHM-UHFFFAOYSA-N 0.000 description 1
- DFOXRVQVIPUPIJ-UHFFFAOYSA-N C1=CC=C2C([Zr])C(CCCC)=CC2=C1 Chemical compound C1=CC=C2C([Zr])C(CCCC)=CC2=C1 DFOXRVQVIPUPIJ-UHFFFAOYSA-N 0.000 description 1
- JAKYKQHNJUDFCT-UHFFFAOYSA-N C1=CC=C2C([Zr])C=CC2=C1 Chemical compound C1=CC=C2C([Zr])C=CC2=C1 JAKYKQHNJUDFCT-UHFFFAOYSA-N 0.000 description 1
- OLYFEVQPCGPWKL-UHFFFAOYSA-N C1=CC=CC1[Zr]([SiH](C)C)C1C=CC=C1 Chemical compound C1=CC=CC1[Zr]([SiH](C)C)C1C=CC=C1 OLYFEVQPCGPWKL-UHFFFAOYSA-N 0.000 description 1
- QFOICTIPVHCPDX-UHFFFAOYSA-N C1C=CC=C2C([Zr])CCC21 Chemical compound C1C=CC=C2C([Zr])CCC21 QFOICTIPVHCPDX-UHFFFAOYSA-N 0.000 description 1
- FPUMMLSEJRFVMI-UHFFFAOYSA-N C1CC2CC=CC=C2C1[Zr]([SiH](C)C)C1C2=CC=CCC2CC1 Chemical compound C1CC2CC=CC=C2C1[Zr]([SiH](C)C)C1C2=CC=CCC2CC1 FPUMMLSEJRFVMI-UHFFFAOYSA-N 0.000 description 1
- ZKVNQSMSDNDFEQ-UHFFFAOYSA-N C1CCCC2=C1C([Zr][SiH](C)C)C=C2 Chemical compound C1CCCC2=C1C([Zr][SiH](C)C)C=C2 ZKVNQSMSDNDFEQ-UHFFFAOYSA-N 0.000 description 1
- ADJIJYXHZGRXEE-UHFFFAOYSA-N C1CCCC2=C1C=CC2[Zr](C=1C=CC=CC=1)C1=CC=CC=C1 Chemical compound C1CCCC2=C1C=CC2[Zr](C=1C=CC=CC=1)C1=CC=CC=C1 ADJIJYXHZGRXEE-UHFFFAOYSA-N 0.000 description 1
- SYJFIDBZVVLNQY-UHFFFAOYSA-N CC(C)=[Zr](C1C=CC(C)=C1)C1c2ccccc2-c2ccccc12 Chemical compound CC(C)=[Zr](C1C=CC(C)=C1)C1c2ccccc2-c2ccccc12 SYJFIDBZVVLNQY-UHFFFAOYSA-N 0.000 description 1
- CZVRJNPXQKIDCS-UHFFFAOYSA-N CC(C)=[Zr](C1C=CC=C1)C1C2=CC=CC=C2C2=C1C=CC=C2 Chemical compound CC(C)=[Zr](C1C=CC=C1)C1C2=CC=CC=C2C2=C1C=CC=C2 CZVRJNPXQKIDCS-UHFFFAOYSA-N 0.000 description 1
- DIFXASDUHAWGGQ-UHFFFAOYSA-N CC(C)CC1([Zr]C2(CC(C)C)C=CC(C)=C2)C=CC(C)=C1 Chemical compound CC(C)CC1([Zr]C2(CC(C)C)C=CC(C)=C2)C=CC(C)=C1 DIFXASDUHAWGGQ-UHFFFAOYSA-N 0.000 description 1
- TZYQADPFBSMPOR-UHFFFAOYSA-N CC1(C=CC=C1)[Zr] Chemical compound CC1(C=CC=C1)[Zr] TZYQADPFBSMPOR-UHFFFAOYSA-N 0.000 description 1
- MBVIIPUAENVLDG-UHFFFAOYSA-N CC1(C=CC=C1)[Zr]C1(C=CC=C1)C Chemical compound CC1(C=CC=C1)[Zr]C1(C=CC=C1)C MBVIIPUAENVLDG-UHFFFAOYSA-N 0.000 description 1
- DPSOUODMTOWXTB-UHFFFAOYSA-N CC1=C(C)C(C)([Ti])C(C)=C1C Chemical compound CC1=C(C)C(C)([Ti])C(C)=C1C DPSOUODMTOWXTB-UHFFFAOYSA-N 0.000 description 1
- WVEXUUVXOWAJID-UHFFFAOYSA-N CC1=C(C)C(C)([Zr])C(C)=C1C Chemical compound CC1=C(C)C(C)([Zr])C(C)=C1C WVEXUUVXOWAJID-UHFFFAOYSA-N 0.000 description 1
- RTZXYIZTIJWCCU-UHFFFAOYSA-N CC1=CC(C)([Zr])C(C)=C1 Chemical compound CC1=CC(C)([Zr])C(C)=C1 RTZXYIZTIJWCCU-UHFFFAOYSA-N 0.000 description 1
- HYEXFYMWBDOQSX-UHFFFAOYSA-N CC1=CC2=CC=CC=C2C1[Zr](C1C2=CC=CC=C2C=C1C)[SiH](C=1C=CC=CC=1)C1=CC=CC=C1 Chemical compound CC1=CC2=CC=CC=C2C1[Zr](C1C2=CC=CC=C2C=C1C)[SiH](C=1C=CC=CC=1)C1=CC=CC=C1 HYEXFYMWBDOQSX-UHFFFAOYSA-N 0.000 description 1
- VCIHUYZBPKTJDL-UHFFFAOYSA-N CC1=CC2=CC=CC=C2C1[Zr]([GeH](C)C)C1C2=CC=CC=C2C=C1C Chemical compound CC1=CC2=CC=CC=C2C1[Zr]([GeH](C)C)C1C2=CC=CC=C2C=C1C VCIHUYZBPKTJDL-UHFFFAOYSA-N 0.000 description 1
- WWIITDUPFGNCIZ-UHFFFAOYSA-N CC1=CC2=CC=CC=C2C1[Zr]([SiH](C)C)C1C2=CC=CC=C2C=C1C Chemical compound CC1=CC2=CC=CC=C2C1[Zr]([SiH](C)C)C1C2=CC=CC=C2C=C1C WWIITDUPFGNCIZ-UHFFFAOYSA-N 0.000 description 1
- WZXCHZRPKZCHQE-UHFFFAOYSA-N CC1=CC2=CC=CC=C2C1[Zr]C1C2=CC=CC=C2C=C1C Chemical compound CC1=CC2=CC=CC=C2C1[Zr]C1C2=CC=CC=C2C=C1C WZXCHZRPKZCHQE-UHFFFAOYSA-N 0.000 description 1
- YFHMEOSFSFOBHX-UHFFFAOYSA-N CC1C(C(CC1)([Ti])C)(C)C Chemical compound CC1C(C(CC1)([Ti])C)(C)C YFHMEOSFSFOBHX-UHFFFAOYSA-N 0.000 description 1
- HOZGGOHINMFWKT-UHFFFAOYSA-N CC1C([Zr])=Cc2ccccc12 Chemical compound CC1C([Zr])=Cc2ccccc12 HOZGGOHINMFWKT-UHFFFAOYSA-N 0.000 description 1
- JZQXMWDHCZEOPB-UHFFFAOYSA-N CCC1([Zr]C2(CC)C=CC=C2C)C=CC=C1C Chemical compound CCC1([Zr]C2(CC)C=CC=C2C)C=CC=C1C JZQXMWDHCZEOPB-UHFFFAOYSA-N 0.000 description 1
- YSCUEKXITMZXFU-UHFFFAOYSA-N CCC1=CC(C)([Zr]C2(C)C=CC(CC)=C2)C=C1 Chemical compound CCC1=CC(C)([Zr]C2(C)C=CC(CC)=C2)C=C1 YSCUEKXITMZXFU-UHFFFAOYSA-N 0.000 description 1
- MIJWKCIKTGLDEF-UHFFFAOYSA-N CCCC1([Hf]C2(CCC)C=CC=C2C)C=CC=C1C Chemical compound CCCC1([Hf]C2(CCC)C=CC=C2C)C=CC=C1C MIJWKCIKTGLDEF-UHFFFAOYSA-N 0.000 description 1
- XBOVCIASHFPKEK-UHFFFAOYSA-N CCCC1=CC(C)([Zr]C2(C)C=CC(CCC)=C2)C=C1 Chemical compound CCCC1=CC(C)([Zr]C2(C)C=CC(CCC)=C2)C=C1 XBOVCIASHFPKEK-UHFFFAOYSA-N 0.000 description 1
- VQKFRGCZHXKQFG-UHFFFAOYSA-N CCCC1=CC2=CC=CC=C2C1[Hf]C1=C2C(CCC)C3=CC=CC=C3C2=CC=C1 Chemical compound CCCC1=CC2=CC=CC=C2C1[Hf]C1=C2C(CCC)C3=CC=CC=C3C2=CC=C1 VQKFRGCZHXKQFG-UHFFFAOYSA-N 0.000 description 1
- DJOFVNURTOARHS-UHFFFAOYSA-N CCCC1=CC2=CC=CC=C2C1[Hf]C1C2=CC=CC=C2C=C1CCC Chemical compound CCCC1=CC2=CC=CC=C2C1[Hf]C1C2=CC=CC=C2C=C1CCC DJOFVNURTOARHS-UHFFFAOYSA-N 0.000 description 1
- KXRSJALNBFKDSC-UHFFFAOYSA-N CCCC1=CC2=CC=CC=C2C1[Zr](C1C2=CC=CC=C2C=C1CCC)[SiH](C=1C=CC=CC=1)C1=CC=CC=C1 Chemical compound CCCC1=CC2=CC=CC=C2C1[Zr](C1C2=CC=CC=C2C=C1CCC)[SiH](C=1C=CC=CC=1)C1=CC=CC=C1 KXRSJALNBFKDSC-UHFFFAOYSA-N 0.000 description 1
- HMUYRZAUVCQWMT-UHFFFAOYSA-N CCCC1=CC2=CC=CC=C2C1[Zr]([SiH](C)C)C1C2=CC=CC=C2C=C1CCC Chemical compound CCCC1=CC2=CC=CC=C2C1[Zr]([SiH](C)C)C1C2=CC=CC=C2C=C1CCC HMUYRZAUVCQWMT-UHFFFAOYSA-N 0.000 description 1
- UYRKBEPDJPXDBY-UHFFFAOYSA-N CCCC1=CC=CC1[Hf](C1C=CC=C1CCC)[SiH](C)C Chemical compound CCCC1=CC=CC1[Hf](C1C=CC=C1CCC)[SiH](C)C UYRKBEPDJPXDBY-UHFFFAOYSA-N 0.000 description 1
- YXEKOFJLLZHCTR-UHFFFAOYSA-N CCCC1C([Zr])=Cc2ccccc12 Chemical compound CCCC1C([Zr])=Cc2ccccc12 YXEKOFJLLZHCTR-UHFFFAOYSA-N 0.000 description 1
- RKLCUOCYNFGCBT-UHFFFAOYSA-N CCCCC1([Hf]C2(CCCC)C=CC=C2)C=CC=C1 Chemical compound CCCCC1([Hf]C2(CCCC)C=CC=C2)C=CC=C1 RKLCUOCYNFGCBT-UHFFFAOYSA-N 0.000 description 1
- RDYRIARHZLCVDL-UHFFFAOYSA-N CCCCC1([Zr]C2(CCCC)C=CC(C)=C2)C=CC(C)=C1 Chemical compound CCCCC1([Zr]C2(CCCC)C=CC(C)=C2)C=CC(C)=C1 RDYRIARHZLCVDL-UHFFFAOYSA-N 0.000 description 1
- JXJRSFWDVFGRAP-UHFFFAOYSA-N CCCCC1=CC(CCC)([Zr]C2(CCC)C=CC(CCCC)=C2)C=C1 Chemical compound CCCCC1=CC(CCC)([Zr]C2(CCC)C=CC(CCCC)=C2)C=C1 JXJRSFWDVFGRAP-UHFFFAOYSA-N 0.000 description 1
- GQOSVGYTKXMFNX-UHFFFAOYSA-N CCCCC1=CC2=CC=CC=C2C1[Hf]C1C2=CC=CC=C2C=C1CCCC Chemical compound CCCCC1=CC2=CC=CC=C2C1[Hf]C1C2=CC=CC=C2C=C1CCCC GQOSVGYTKXMFNX-UHFFFAOYSA-N 0.000 description 1
- VRIAVZKACUIPBI-UHFFFAOYSA-N CCCCC1=CC2=CC=CC=C2C1[Zr](C1C2=CC=CC=C2C=C1CCCC)[SiH](C=1C=CC=CC=1)C1=CC=CC=C1 Chemical compound CCCCC1=CC2=CC=CC=C2C1[Zr](C1C2=CC=CC=C2C=C1CCCC)[SiH](C=1C=CC=CC=1)C1=CC=CC=C1 VRIAVZKACUIPBI-UHFFFAOYSA-N 0.000 description 1
- XVPUXXAYQJMQBQ-UHFFFAOYSA-N CCCCC1=CC2=CC=CC=C2C1[Zr]([SiH](C)C)C1C2=CC=CC=C2C=C1CCCC Chemical compound CCCCC1=CC2=CC=CC=C2C1[Zr]([SiH](C)C)C1C2=CC=CC=C2C=C1CCCC XVPUXXAYQJMQBQ-UHFFFAOYSA-N 0.000 description 1
- SSRFNPROTPIMLF-UHFFFAOYSA-N CCCCC1C([Zr])=Cc2ccccc12 Chemical compound CCCCC1C([Zr])=Cc2ccccc12 SSRFNPROTPIMLF-UHFFFAOYSA-N 0.000 description 1
- NVUOPZONYBQFOM-UHFFFAOYSA-N C[GeH](C)[Zr](C1C=C(C=C1)C(C)C)C1(C(=CC=C1)C)C Chemical compound C[GeH](C)[Zr](C1C=C(C=C1)C(C)C)C1(C(=CC=C1)C)C NVUOPZONYBQFOM-UHFFFAOYSA-N 0.000 description 1
- NLNGSBVZCDKHDH-UHFFFAOYSA-N C[SiH](C)[Hf](C1(C=CC=C1)CCCC)C1(C=CC=C1)CCCC Chemical compound C[SiH](C)[Hf](C1(C=CC=C1)CCCC)C1(C=CC=C1)CCCC NLNGSBVZCDKHDH-UHFFFAOYSA-N 0.000 description 1
- SFWALIRBLJWJDO-UHFFFAOYSA-N C[SiH](C)[Zr](C1(C)C=CC(C)=C1C)C1(C)C=C(C)C(C)=C1C Chemical compound C[SiH](C)[Zr](C1(C)C=CC(C)=C1C)C1(C)C=C(C)C(C)=C1C SFWALIRBLJWJDO-UHFFFAOYSA-N 0.000 description 1
- NULBQUYVQQQJRW-UHFFFAOYSA-N C[SiH](C)[Zr](C1(C)C=CC=C1C)C1(C)C=C(C)C(C)=C1C Chemical compound C[SiH](C)[Zr](C1(C)C=CC=C1C)C1(C)C=C(C)C(C)=C1C NULBQUYVQQQJRW-UHFFFAOYSA-N 0.000 description 1
- UTWFODRYOJYRIY-UHFFFAOYSA-N C[SiH](C)[Zr](C1=CC=CC=2C3=CC=CC=C3CC12)C1C(=CC2=CC=CC=C12)C Chemical compound C[SiH](C)[Zr](C1=CC=CC=2C3=CC=CC=C3CC12)C1C(=CC2=CC=CC=C12)C UTWFODRYOJYRIY-UHFFFAOYSA-N 0.000 description 1
- QVEAMQSNWYWIIQ-UHFFFAOYSA-N C[SiH](C)[Zr](C1C=CC2=CC=CC=C12)C1C=CC=C1 Chemical compound C[SiH](C)[Zr](C1C=CC2=CC=CC=C12)C1C=CC=C1 QVEAMQSNWYWIIQ-UHFFFAOYSA-N 0.000 description 1
- AUCFLBLJELGUAX-UHFFFAOYSA-N C[SiH](C)[Zr](C1C=CC=C1)C1(C(=C(C(=C1)C)C)C)C Chemical compound C[SiH](C)[Zr](C1C=CC=C1)C1(C(=C(C(=C1)C)C)C)C AUCFLBLJELGUAX-UHFFFAOYSA-N 0.000 description 1
- MBNRZWNSGRHNOI-UHFFFAOYSA-N C[SiH](C)[Zr](C1C=CC=C1)C1C2=CC=CC=C2C2=C1C=CC=C2 Chemical compound C[SiH](C)[Zr](C1C=CC=C1)C1C2=CC=CC=C2C2=C1C=CC=C2 MBNRZWNSGRHNOI-UHFFFAOYSA-N 0.000 description 1
- RHSVJDJSVQIJNS-UHFFFAOYSA-N C[SiH]C.CC1=CC(C)([Zr]C2C=CC(=C2)C(C)(C)C)C(C)=C1C Chemical compound C[SiH]C.CC1=CC(C)([Zr]C2C=CC(=C2)C(C)(C)C)C(C)=C1C RHSVJDJSVQIJNS-UHFFFAOYSA-N 0.000 description 1
- HEDBCIJCSMXCQD-UHFFFAOYSA-N C[Si](C)(C)C1(C=CC=C1)[Hf]C1(C=CC=C1)[Si](C)(C)C Chemical compound C[Si](C)(C)C1(C=CC=C1)[Hf]C1(C=CC=C1)[Si](C)(C)C HEDBCIJCSMXCQD-UHFFFAOYSA-N 0.000 description 1
- NXNNTBTYTUJMHX-UHFFFAOYSA-N C[Si](C)(C)C1(C=CC=C1)[Zr]C1(C=CC=C1)[Si](C)(C)C Chemical compound C[Si](C)(C)C1(C=CC=C1)[Zr]C1(C=CC=C1)[Si](C)(C)C NXNNTBTYTUJMHX-UHFFFAOYSA-N 0.000 description 1
- QFCAQLCVAAUQMA-UHFFFAOYSA-N C[Si](C)(C)C1=CC([Zr]C2(C=CC(=C2)[Si](C)(C)C)[Si](C)(C)C)(C=C1)[Si](C)(C)C Chemical compound C[Si](C)(C)C1=CC([Zr]C2(C=CC(=C2)[Si](C)(C)C)[Si](C)(C)C)(C=C1)[Si](C)(C)C QFCAQLCVAAUQMA-UHFFFAOYSA-N 0.000 description 1
- JEMOTBOESUJOAE-UHFFFAOYSA-N C[Si](CCC1(C=CC=C1)[Hf]C1(C=CC=C1)CC[Si](C)(C)C)(C)C Chemical compound C[Si](CCC1(C=CC=C1)[Hf]C1(C=CC=C1)CC[Si](C)(C)C)(C)C JEMOTBOESUJOAE-UHFFFAOYSA-N 0.000 description 1
- GYHNNYVSQQEPJS-UHFFFAOYSA-N Gallium Chemical compound [Ga] GYHNNYVSQQEPJS-UHFFFAOYSA-N 0.000 description 1
- UFHFLCQGNIYNRP-UHFFFAOYSA-N Hydrogen Chemical compound [H][H] UFHFLCQGNIYNRP-UHFFFAOYSA-N 0.000 description 1
- VQTUBCCKSQIDNK-UHFFFAOYSA-N Isobutene Chemical group CC(C)=C VQTUBCCKSQIDNK-UHFFFAOYSA-N 0.000 description 1
- WHXSMMKQMYFTQS-UHFFFAOYSA-N Lithium Chemical compound [Li] WHXSMMKQMYFTQS-UHFFFAOYSA-N 0.000 description 1
- 239000004793 Polystyrene Substances 0.000 description 1
- XBDQKXXYIPTUBI-UHFFFAOYSA-M Propionate Chemical compound CCC([O-])=O XBDQKXXYIPTUBI-UHFFFAOYSA-M 0.000 description 1
- PPBRXRYQALVLMV-UHFFFAOYSA-N Styrene Natural products C=CC1=CC=CC=C1 PPBRXRYQALVLMV-UHFFFAOYSA-N 0.000 description 1
- ATJFFYVFTNAWJD-UHFFFAOYSA-N Tin Chemical group [Sn] ATJFFYVFTNAWJD-UHFFFAOYSA-N 0.000 description 1
- 239000007983 Tris buffer Substances 0.000 description 1
- 125000004054 acenaphthylenyl group Chemical group C1(=CC2=CC=CC3=CC=CC1=C23)* 0.000 description 1
- KXKVLQRXCPHEJC-UHFFFAOYSA-N acetic acid trimethyl ester Natural products COC(C)=O KXKVLQRXCPHEJC-UHFFFAOYSA-N 0.000 description 1
- 230000004913 activation Effects 0.000 description 1
- 125000002252 acyl group Chemical group 0.000 description 1
- 125000004442 acylamino group Chemical group 0.000 description 1
- 125000004423 acyloxy group Chemical group 0.000 description 1
- 230000002411 adverse Effects 0.000 description 1
- 125000004453 alkoxycarbonyl group Chemical group 0.000 description 1
- 150000001356 alkyl thiols Chemical class 0.000 description 1
- 125000000304 alkynyl group Chemical group 0.000 description 1
- IYABWNGZIDDRAK-UHFFFAOYSA-N allene Chemical group C=C=C IYABWNGZIDDRAK-UHFFFAOYSA-N 0.000 description 1
- 150000003863 ammonium salts Chemical class 0.000 description 1
- 150000001450 anions Chemical class 0.000 description 1
- 125000003435 aroyl group Chemical group 0.000 description 1
- 125000005239 aroylamino group Chemical group 0.000 description 1
- 150000001502 aryl halides Chemical class 0.000 description 1
- 125000005161 aryl oxy carbonyl group Chemical group 0.000 description 1
- 150000005840 aryl radicals Chemical class 0.000 description 1
- WPYMKLBDIGXBTP-UHFFFAOYSA-N benzoic acid Chemical compound OC(=O)C1=CC=CC=C1 WPYMKLBDIGXBTP-UHFFFAOYSA-N 0.000 description 1
- 230000015572 biosynthetic process Effects 0.000 description 1
- 150000001638 boron Chemical class 0.000 description 1
- 150000001639 boron compounds Chemical class 0.000 description 1
- 229910052795 boron group element Inorganic materials 0.000 description 1
- 229910000019 calcium carbonate Inorganic materials 0.000 description 1
- 239000012018 catalyst precursor Substances 0.000 description 1
- 238000006555 catalytic reaction Methods 0.000 description 1
- 125000002091 cationic group Chemical group 0.000 description 1
- TYYBBNOTQFVVKN-UHFFFAOYSA-N chromium(2+);cyclopenta-1,3-diene Chemical compound [Cr+2].C=1C=C[CH-]C=1.C=1C=C[CH-]C=1 TYYBBNOTQFVVKN-UHFFFAOYSA-N 0.000 description 1
- 238000001816 cooling Methods 0.000 description 1
- 239000000112 cooling gas Substances 0.000 description 1
- 230000001351 cycling effect Effects 0.000 description 1
- 125000001485 cycloalkadienyl group Chemical group 0.000 description 1
- 125000001995 cyclobutyl group Chemical group [H]C1([H])C([H])([H])C([H])(*)C1([H])[H] 0.000 description 1
- 230000000991 decompressive effect Effects 0.000 description 1
- 230000007547 defect Effects 0.000 description 1
- 230000002950 deficient Effects 0.000 description 1
- 125000005265 dialkylamine group Chemical group 0.000 description 1
- 125000005131 dialkylammonium group Chemical group 0.000 description 1
- 125000005117 dialkylcarbamoyl group Chemical group 0.000 description 1
- XBPCUCUWBYBCDP-UHFFFAOYSA-O dicyclohexylazanium Chemical compound C1CCCCC1[NH2+]C1CCCCC1 XBPCUCUWBYBCDP-UHFFFAOYSA-O 0.000 description 1
- LJSQFQKUNVCTIA-UHFFFAOYSA-N diethyl sulfide Chemical compound CCSCC LJSQFQKUNVCTIA-UHFFFAOYSA-N 0.000 description 1
- GGSUCNLOZRCGPQ-UHFFFAOYSA-O diethyl(phenyl)azanium Chemical compound CC[NH+](CC)C1=CC=CC=C1 GGSUCNLOZRCGPQ-UHFFFAOYSA-O 0.000 description 1
- YNLAOSYQHBDIKW-UHFFFAOYSA-M diethylaluminium chloride Chemical compound CC[Al](Cl)CC YNLAOSYQHBDIKW-UHFFFAOYSA-M 0.000 description 1
- 125000006001 difluoroethyl group Chemical group 0.000 description 1
- UAOMVDZJSHZZME-UHFFFAOYSA-N diisopropylamine Chemical compound CC(C)NC(C)C UAOMVDZJSHZZME-UHFFFAOYSA-N 0.000 description 1
- AFABGHUZZDYHJO-UHFFFAOYSA-N dimethyl butane Natural products CCCC(C)C AFABGHUZZDYHJO-UHFFFAOYSA-N 0.000 description 1
- JLTDJTHDQAWBAV-UHFFFAOYSA-O dimethyl(phenyl)azanium Chemical compound C[NH+](C)C1=CC=CC=C1 JLTDJTHDQAWBAV-UHFFFAOYSA-O 0.000 description 1
- QKIUAMUSENSFQQ-UHFFFAOYSA-N dimethylazanide Chemical compound C[N-]C QKIUAMUSENSFQQ-UHFFFAOYSA-N 0.000 description 1
- ZTJBELXDHFJJEU-UHFFFAOYSA-N dimethylboron Chemical compound C[B]C ZTJBELXDHFJJEU-UHFFFAOYSA-N 0.000 description 1
- YOTZYFSGUCFUKA-UHFFFAOYSA-N dimethylphosphine Chemical compound CPC YOTZYFSGUCFUKA-UHFFFAOYSA-N 0.000 description 1
- 238000004821 distillation Methods 0.000 description 1
- 238000006056 electrooxidation reaction Methods 0.000 description 1
- 125000001301 ethoxy group Chemical group [H]C([H])([H])C([H])([H])O* 0.000 description 1
- 125000000816 ethylene group Chemical group [H]C([H])([*:1])C([H])([H])[*:2] 0.000 description 1
- 238000001704 evaporation Methods 0.000 description 1
- 230000008020 evaporation Effects 0.000 description 1
- 125000003784 fluoroethyl group Chemical group [H]C([H])(F)C([H])([H])* 0.000 description 1
- KGPPDNUWZNWPSI-UHFFFAOYSA-N flurotyl Chemical group FC(F)(F)COCC(F)(F)F KGPPDNUWZNWPSI-UHFFFAOYSA-N 0.000 description 1
- 229950000929 flurotyl Drugs 0.000 description 1
- 229910052733 gallium Inorganic materials 0.000 description 1
- 239000000499 gel Substances 0.000 description 1
- VGRFVJMYCCLWPQ-UHFFFAOYSA-N germanium Chemical compound [Ge].[Ge] VGRFVJMYCCLWPQ-UHFFFAOYSA-N 0.000 description 1
- 229910021480 group 4 element Inorganic materials 0.000 description 1
- 229910021476 group 6 element Inorganic materials 0.000 description 1
- 150000004820 halides Chemical class 0.000 description 1
- 125000003187 heptyl group Chemical group [H]C([*])([H])C([H])([H])C([H])([H])C([H])([H])C([H])([H])C([H])([H])C([H])([H])[H] 0.000 description 1
- 229920001519 homopolymer Polymers 0.000 description 1
- 150000004677 hydrates Chemical class 0.000 description 1
- 230000002209 hydrophobic effect Effects 0.000 description 1
- 150000002460 imidazoles Chemical class 0.000 description 1
- QLNAVQRIWDRPHA-UHFFFAOYSA-N iminophosphane Chemical compound P=N QLNAVQRIWDRPHA-UHFFFAOYSA-N 0.000 description 1
- 239000012535 impurity Substances 0.000 description 1
- 150000002472 indium compounds Chemical class 0.000 description 1
- 150000002475 indoles Chemical class 0.000 description 1
- 239000004615 ingredient Substances 0.000 description 1
- ICIWUVCWSCSTAQ-UHFFFAOYSA-N iodic acid Chemical class OI(=O)=O ICIWUVCWSCSTAQ-UHFFFAOYSA-N 0.000 description 1
- 229910052741 iridium Inorganic materials 0.000 description 1
- 239000001282 iso-butane Substances 0.000 description 1
- 229910052744 lithium Inorganic materials 0.000 description 1
- 238000005259 measurement Methods 0.000 description 1
- 229910052752 metalloid Inorganic materials 0.000 description 1
- 150000002739 metals Chemical class 0.000 description 1
- MHERPFVRWOTBSF-UHFFFAOYSA-N methyl(phenyl)phosphane Chemical compound CPC1=CC=CC=C1 MHERPFVRWOTBSF-UHFFFAOYSA-N 0.000 description 1
- 239000003595 mist Substances 0.000 description 1
- APRJFNLVTJWEPP-UHFFFAOYSA-M n,n-diethylcarbamate Chemical compound CCN(CC)C([O-])=O APRJFNLVTJWEPP-UHFFFAOYSA-M 0.000 description 1
- DWLVWMUCHSLGSU-UHFFFAOYSA-M n,n-dimethylcarbamate Chemical compound CN(C)C([O-])=O DWLVWMUCHSLGSU-UHFFFAOYSA-M 0.000 description 1
- TVMXDCGIABBOFY-UHFFFAOYSA-N n-Octanol Natural products CCCCCCCC TVMXDCGIABBOFY-UHFFFAOYSA-N 0.000 description 1
- 125000004108 n-butyl group Chemical group [H]C([H])([H])C([H])([H])C([H])([H])C([H])([H])* 0.000 description 1
- 125000004123 n-propyl group Chemical group [H]C([H])([H])C([H])([H])C([H])([H])* 0.000 description 1
- 229910052758 niobium Inorganic materials 0.000 description 1
- 125000004433 nitrogen atom Chemical group N* 0.000 description 1
- SJYNFBVQFBRSIB-UHFFFAOYSA-N norbornadiene Chemical group C1=CC2C=CC1C2 SJYNFBVQFBRSIB-UHFFFAOYSA-N 0.000 description 1
- JFNLZVQOOSMTJK-KNVOCYPGSA-N norbornene Chemical group C1[C@@H]2CC[C@H]1C=C2 JFNLZVQOOSMTJK-KNVOCYPGSA-N 0.000 description 1
- 238000006384 oligomerization reaction Methods 0.000 description 1
- 230000003287 optical effect Effects 0.000 description 1
- 229910052762 osmium Inorganic materials 0.000 description 1
- 230000003647 oxidation Effects 0.000 description 1
- 238000007254 oxidation reaction Methods 0.000 description 1
- 125000003854 p-chlorophenyl group Chemical group [H]C1=C([H])C(*)=C([H])C([H])=C1Cl 0.000 description 1
- LPNBBFKOUUSUDB-UHFFFAOYSA-M p-toluate Chemical compound CC1=CC=C(C([O-])=O)C=C1 LPNBBFKOUUSUDB-UHFFFAOYSA-M 0.000 description 1
- 125000001037 p-tolyl group Chemical group [H]C1=C([H])C(=C([H])C([H])=C1*)C([H])([H])[H] 0.000 description 1
- NFHFRUOZVGFOOS-UHFFFAOYSA-N palladium;triphenylphosphane Chemical compound [Pd].C1=CC=CC=C1P(C=1C=CC=CC=1)C1=CC=CC=C1.C1=CC=CC=C1P(C=1C=CC=CC=1)C1=CC=CC=C1.C1=CC=CC=C1P(C=1C=CC=CC=1)C1=CC=CC=C1.C1=CC=CC=C1P(C=1C=CC=CC=1)C1=CC=CC=C1 NFHFRUOZVGFOOS-UHFFFAOYSA-N 0.000 description 1
- GUVXZFRDPCKWEM-UHFFFAOYSA-N pentalene Chemical compound C1=CC2=CC=CC2=C1 GUVXZFRDPCKWEM-UHFFFAOYSA-N 0.000 description 1
- RGSFGYAAUTVSQA-UHFFFAOYSA-N pentamethylene Chemical class C1CCCC1 RGSFGYAAUTVSQA-UHFFFAOYSA-N 0.000 description 1
- VLTRZXGMWDSKGL-UHFFFAOYSA-N perchloric acid Chemical class OCl(=O)(=O)=O VLTRZXGMWDSKGL-UHFFFAOYSA-N 0.000 description 1
- KHIWWQKSHDUIBK-UHFFFAOYSA-N periodic acid Chemical class OI(=O)(=O)=O KHIWWQKSHDUIBK-UHFFFAOYSA-N 0.000 description 1
- 230000002572 peristaltic effect Effects 0.000 description 1
- 125000000951 phenoxy group Chemical group [H]C1=C([H])C([H])=C(O*)C([H])=C1[H] 0.000 description 1
- PAYRUJLWNCNPSJ-UHFFFAOYSA-O phenylazanium Chemical class [NH3+]C1=CC=CC=C1 PAYRUJLWNCNPSJ-UHFFFAOYSA-O 0.000 description 1
- 150000004714 phosphonium salts Chemical class 0.000 description 1
- 229910052696 pnictogen Inorganic materials 0.000 description 1
- 150000004291 polyenes Chemical class 0.000 description 1
- 229920005638 polyethylene monopolymer Polymers 0.000 description 1
- 229920005629 polypropylene homopolymer Polymers 0.000 description 1
- 229920001296 polysiloxane Polymers 0.000 description 1
- 229920002223 polystyrene Polymers 0.000 description 1
- 239000001294 propane Substances 0.000 description 1
- 150000003217 pyrazoles Chemical class 0.000 description 1
- UMJSCPRVCHMLSP-UHFFFAOYSA-N pyridine Natural products COC1=CC=CN=C1 UMJSCPRVCHMLSP-UHFFFAOYSA-N 0.000 description 1
- 150000003233 pyrroles Chemical class 0.000 description 1
- 150000003235 pyrrolidines Chemical class 0.000 description 1
- 150000003236 pyrrolines Chemical class 0.000 description 1
- 230000005855 radiation Effects 0.000 description 1
- 238000009877 rendering Methods 0.000 description 1
- 229910052702 rhenium Inorganic materials 0.000 description 1
- 229910052703 rhodium Inorganic materials 0.000 description 1
- 238000007363 ring formation reaction Methods 0.000 description 1
- 229910052707 ruthenium Inorganic materials 0.000 description 1
- 150000003839 salts Chemical class 0.000 description 1
- 229910052706 scandium Inorganic materials 0.000 description 1
- 238000000926 separation method Methods 0.000 description 1
- SCABQASLNUQUKD-UHFFFAOYSA-N silylium Chemical class [SiH3+] SCABQASLNUQUKD-UHFFFAOYSA-N 0.000 description 1
- 238000000935 solvent evaporation Methods 0.000 description 1
- 238000005507 spraying Methods 0.000 description 1
- 238000003860 storage Methods 0.000 description 1
- 238000005556 structure-activity relationship Methods 0.000 description 1
- 125000005415 substituted alkoxy group Chemical group 0.000 description 1
- 229940066769 systemic antihistamines substituted alkylamines Drugs 0.000 description 1
- 229910052714 tellurium Inorganic materials 0.000 description 1
- PORWMNRCUJJQNO-UHFFFAOYSA-N tellurium atom Chemical compound [Te] PORWMNRCUJJQNO-UHFFFAOYSA-N 0.000 description 1
- 125000000999 tert-butyl group Chemical group [H]C([H])([H])C(*)(C([H])([H])[H])C([H])([H])[H] 0.000 description 1
- 238000012360 testing method Methods 0.000 description 1
- 238000012956 testing procedure Methods 0.000 description 1
- 229910052718 tin Inorganic materials 0.000 description 1
- 239000004408 titanium dioxide Substances 0.000 description 1
- 229910052723 transition metal Inorganic materials 0.000 description 1
- 125000005627 triarylcarbonium group Chemical group 0.000 description 1
- ZMANZCXQSJIPKH-UHFFFAOYSA-O triethylammonium ion Chemical compound CC[NH+](CC)CC ZMANZCXQSJIPKH-UHFFFAOYSA-O 0.000 description 1
- 125000000026 trimethylsilyl group Chemical group [H]C([H])([H])[Si]([*])(C([H])([H])[H])C([H])([H])[H] 0.000 description 1
- JQPMDTQDAXRDGS-UHFFFAOYSA-N triphenylalumane Chemical compound C1=CC=CC=C1[Al](C=1C=CC=CC=1)C1=CC=CC=C1 JQPMDTQDAXRDGS-UHFFFAOYSA-N 0.000 description 1
- GIIXTFIYICRGMZ-UHFFFAOYSA-N tris(2,3-dimethylphenyl)phosphane Chemical compound CC1=CC=CC(P(C=2C(=C(C)C=CC=2)C)C=2C(=C(C)C=CC=2)C)=C1C GIIXTFIYICRGMZ-UHFFFAOYSA-N 0.000 description 1
- COIOYMYWGDAQPM-UHFFFAOYSA-N tris(2-methylphenyl)phosphane Chemical compound CC1=CC=CC=C1P(C=1C(=CC=CC=1)C)C1=CC=CC=C1C COIOYMYWGDAQPM-UHFFFAOYSA-N 0.000 description 1
- RKPWAHQNLQXPPH-UHFFFAOYSA-N tris(6-methylheptyl)alumane Chemical compound CC(C)CCCCC[Al](CCCCCC(C)C)CCCCCC(C)C RKPWAHQNLQXPPH-UHFFFAOYSA-N 0.000 description 1
- BPKXQSLAVGBZEM-UHFFFAOYSA-N tris[3,5-bis(trifluoromethyl)phenyl]borane Chemical compound FC(F)(F)C1=CC(C(F)(F)F)=CC(B(C=2C=C(C=C(C=2)C(F)(F)F)C(F)(F)F)C=2C=C(C=C(C=2)C(F)(F)F)C(F)(F)F)=C1 BPKXQSLAVGBZEM-UHFFFAOYSA-N 0.000 description 1
- 229910052720 vanadium Inorganic materials 0.000 description 1
- 125000000391 vinyl group Chemical group [H]C([*])=C([H])[H] 0.000 description 1
- 229920002554 vinyl polymer Polymers 0.000 description 1
- XLYOFNOQVPJJNP-UHFFFAOYSA-N water Substances O XLYOFNOQVPJJNP-UHFFFAOYSA-N 0.000 description 1
- 239000011787 zinc oxide Substances 0.000 description 1
- HEPBQSXQJMTVFI-UHFFFAOYSA-N zinc;butane Chemical compound [Zn+2].CCC[CH2-].CCC[CH2-] HEPBQSXQJMTVFI-UHFFFAOYSA-N 0.000 description 1
- 239000004711 α-olefin Substances 0.000 description 1
Images
Classifications
-
- B—PERFORMING OPERATIONS; TRANSPORTING
- B01—PHYSICAL OR CHEMICAL PROCESSES OR APPARATUS IN GENERAL
- B01J—CHEMICAL OR PHYSICAL PROCESSES, e.g. CATALYSIS OR COLLOID CHEMISTRY; THEIR RELEVANT APPARATUS
- B01J37/00—Processes, in general, for preparing catalysts; Processes, in general, for activation of catalysts
- B01J37/0009—Use of binding agents; Moulding; Pressing; Powdering; Granulating; Addition of materials ameliorating the mechanical properties of the product catalyst
- B01J37/0027—Powdering
- B01J37/0045—Drying a slurry, e.g. spray drying
-
- C—CHEMISTRY; METALLURGY
- C08—ORGANIC MACROMOLECULAR COMPOUNDS; THEIR PREPARATION OR CHEMICAL WORKING-UP; COMPOSITIONS BASED THEREON
- C08F—MACROMOLECULAR COMPOUNDS OBTAINED BY REACTIONS ONLY INVOLVING CARBON-TO-CARBON UNSATURATED BONDS
- C08F4/00—Polymerisation catalysts
- C08F4/42—Metals; Metal hydrides; Metallo-organic compounds; Use thereof as catalyst precursors
- C08F4/44—Metals; Metal hydrides; Metallo-organic compounds; Use thereof as catalyst precursors selected from light metals, zinc, cadmium, mercury, copper, silver, gold, boron, gallium, indium, thallium, rare earths or actinides
- C08F4/60—Metals; Metal hydrides; Metallo-organic compounds; Use thereof as catalyst precursors selected from light metals, zinc, cadmium, mercury, copper, silver, gold, boron, gallium, indium, thallium, rare earths or actinides together with refractory metals, iron group metals, platinum group metals, manganese, rhenium technetium or compounds thereof
- C08F4/62—Refractory metals or compounds thereof
- C08F4/64—Titanium, zirconium, hafnium or compounds thereof
- C08F4/659—Component covered by group C08F4/64 containing a transition metal-carbon bond
- C08F4/6592—Component covered by group C08F4/64 containing a transition metal-carbon bond containing at least one cyclopentadienyl ring, condensed or not, e.g. an indenyl or a fluorenyl ring
-
- C—CHEMISTRY; METALLURGY
- C08—ORGANIC MACROMOLECULAR COMPOUNDS; THEIR PREPARATION OR CHEMICAL WORKING-UP; COMPOSITIONS BASED THEREON
- C08F—MACROMOLECULAR COMPOUNDS OBTAINED BY REACTIONS ONLY INVOLVING CARBON-TO-CARBON UNSATURATED BONDS
- C08F10/00—Homopolymers and copolymers of unsaturated aliphatic hydrocarbons having only one carbon-to-carbon double bond
-
- C—CHEMISTRY; METALLURGY
- C08—ORGANIC MACROMOLECULAR COMPOUNDS; THEIR PREPARATION OR CHEMICAL WORKING-UP; COMPOSITIONS BASED THEREON
- C08F—MACROMOLECULAR COMPOUNDS OBTAINED BY REACTIONS ONLY INVOLVING CARBON-TO-CARBON UNSATURATED BONDS
- C08F110/00—Homopolymers of unsaturated aliphatic hydrocarbons having only one carbon-to-carbon double bond
-
- C—CHEMISTRY; METALLURGY
- C08—ORGANIC MACROMOLECULAR COMPOUNDS; THEIR PREPARATION OR CHEMICAL WORKING-UP; COMPOSITIONS BASED THEREON
- C08F—MACROMOLECULAR COMPOUNDS OBTAINED BY REACTIONS ONLY INVOLVING CARBON-TO-CARBON UNSATURATED BONDS
- C08F4/00—Polymerisation catalysts
-
- C—CHEMISTRY; METALLURGY
- C08—ORGANIC MACROMOLECULAR COMPOUNDS; THEIR PREPARATION OR CHEMICAL WORKING-UP; COMPOSITIONS BASED THEREON
- C08F—MACROMOLECULAR COMPOUNDS OBTAINED BY REACTIONS ONLY INVOLVING CARBON-TO-CARBON UNSATURATED BONDS
- C08F110/00—Homopolymers of unsaturated aliphatic hydrocarbons having only one carbon-to-carbon double bond
- C08F110/02—Ethene
-
- C—CHEMISTRY; METALLURGY
- C08—ORGANIC MACROMOLECULAR COMPOUNDS; THEIR PREPARATION OR CHEMICAL WORKING-UP; COMPOSITIONS BASED THEREON
- C08F—MACROMOLECULAR COMPOUNDS OBTAINED BY REACTIONS ONLY INVOLVING CARBON-TO-CARBON UNSATURATED BONDS
- C08F210/00—Copolymers of unsaturated aliphatic hydrocarbons having only one carbon-to-carbon double bond
- C08F210/16—Copolymers of ethene with alpha-alkenes, e.g. EP rubbers
-
- C—CHEMISTRY; METALLURGY
- C08—ORGANIC MACROMOLECULAR COMPOUNDS; THEIR PREPARATION OR CHEMICAL WORKING-UP; COMPOSITIONS BASED THEREON
- C08F—MACROMOLECULAR COMPOUNDS OBTAINED BY REACTIONS ONLY INVOLVING CARBON-TO-CARBON UNSATURATED BONDS
- C08F4/00—Polymerisation catalysts
- C08F4/42—Metals; Metal hydrides; Metallo-organic compounds; Use thereof as catalyst precursors
- C08F4/44—Metals; Metal hydrides; Metallo-organic compounds; Use thereof as catalyst precursors selected from light metals, zinc, cadmium, mercury, copper, silver, gold, boron, gallium, indium, thallium, rare earths or actinides
- C08F4/60—Metals; Metal hydrides; Metallo-organic compounds; Use thereof as catalyst precursors selected from light metals, zinc, cadmium, mercury, copper, silver, gold, boron, gallium, indium, thallium, rare earths or actinides together with refractory metals, iron group metals, platinum group metals, manganese, rhenium technetium or compounds thereof
- C08F4/62—Refractory metals or compounds thereof
- C08F4/64—Titanium, zirconium, hafnium or compounds thereof
- C08F4/659—Component covered by group C08F4/64 containing a transition metal-carbon bond
- C08F4/65912—Component covered by group C08F4/64 containing a transition metal-carbon bond in combination with an organoaluminium compound
-
- C—CHEMISTRY; METALLURGY
- C08—ORGANIC MACROMOLECULAR COMPOUNDS; THEIR PREPARATION OR CHEMICAL WORKING-UP; COMPOSITIONS BASED THEREON
- C08F—MACROMOLECULAR COMPOUNDS OBTAINED BY REACTIONS ONLY INVOLVING CARBON-TO-CARBON UNSATURATED BONDS
- C08F4/00—Polymerisation catalysts
- C08F4/42—Metals; Metal hydrides; Metallo-organic compounds; Use thereof as catalyst precursors
- C08F4/44—Metals; Metal hydrides; Metallo-organic compounds; Use thereof as catalyst precursors selected from light metals, zinc, cadmium, mercury, copper, silver, gold, boron, gallium, indium, thallium, rare earths or actinides
- C08F4/60—Metals; Metal hydrides; Metallo-organic compounds; Use thereof as catalyst precursors selected from light metals, zinc, cadmium, mercury, copper, silver, gold, boron, gallium, indium, thallium, rare earths or actinides together with refractory metals, iron group metals, platinum group metals, manganese, rhenium technetium or compounds thereof
- C08F4/62—Refractory metals or compounds thereof
- C08F4/64—Titanium, zirconium, hafnium or compounds thereof
- C08F4/659—Component covered by group C08F4/64 containing a transition metal-carbon bond
- C08F4/65916—Component covered by group C08F4/64 containing a transition metal-carbon bond supported on a carrier, e.g. silica, MgCl2, polymer
-
- C—CHEMISTRY; METALLURGY
- C08—ORGANIC MACROMOLECULAR COMPOUNDS; THEIR PREPARATION OR CHEMICAL WORKING-UP; COMPOSITIONS BASED THEREON
- C08F—MACROMOLECULAR COMPOUNDS OBTAINED BY REACTIONS ONLY INVOLVING CARBON-TO-CARBON UNSATURATED BONDS
- C08F4/00—Polymerisation catalysts
- C08F4/42—Metals; Metal hydrides; Metallo-organic compounds; Use thereof as catalyst precursors
- C08F4/44—Metals; Metal hydrides; Metallo-organic compounds; Use thereof as catalyst precursors selected from light metals, zinc, cadmium, mercury, copper, silver, gold, boron, gallium, indium, thallium, rare earths or actinides
- C08F4/60—Metals; Metal hydrides; Metallo-organic compounds; Use thereof as catalyst precursors selected from light metals, zinc, cadmium, mercury, copper, silver, gold, boron, gallium, indium, thallium, rare earths or actinides together with refractory metals, iron group metals, platinum group metals, manganese, rhenium technetium or compounds thereof
- C08F4/62—Refractory metals or compounds thereof
- C08F4/64—Titanium, zirconium, hafnium or compounds thereof
- C08F4/659—Component covered by group C08F4/64 containing a transition metal-carbon bond
- C08F4/6592—Component covered by group C08F4/64 containing a transition metal-carbon bond containing at least one cyclopentadienyl ring, condensed or not, e.g. an indenyl or a fluorenyl ring
- C08F4/65922—Component covered by group C08F4/64 containing a transition metal-carbon bond containing at least one cyclopentadienyl ring, condensed or not, e.g. an indenyl or a fluorenyl ring containing at least two cyclopentadienyl rings, fused or not
- C08F4/65925—Component covered by group C08F4/64 containing a transition metal-carbon bond containing at least one cyclopentadienyl ring, condensed or not, e.g. an indenyl or a fluorenyl ring containing at least two cyclopentadienyl rings, fused or not two cyclopentadienyl rings being mutually non-bridged
Definitions
- Embodiments of the present invention generally relate to a spray dried catalyst slurry. More particularly, embodiments of the present invention relate to a spray died catalyst slurry for gas phase olefin polymerization.
- a number of methodologies used for delivering catalysts to reactors require the catalyst to be supported on an inert carrier such as silica. Impregnating a catalyst on a support has often been found to cause a significant decrease in catalyst activity. In addition, large particles (>25 micrometers) of the support material have frequently been found in the finished polymer product. These particles may adversely affect polymer properties. This has been observed in film applications where unexploded silica particles appear as defects or gels.
- Spray-drying techniques have been employed as an alternative to supported particles. Once a catalyst has been spray dried, the spray dried catalyst is added to a diluent to form a catalyst slurry and pumped to a polymerization reactor. A high solids concentration within the catalyst slurry is desirable to reduce the amount of slurry. A reduction in the amount of slurry reduces transportation expenses. A reduction in the amount of slurry also reduces the amount of diluent that must be ultimately isolated and either discarded or recycled. This separation process is timely and can greatly increase capital cost.
- a high solids concentration typically increases the slurry viscosity.
- a high solids concentration also increases the amount of foaming which is typically generated by cooling gas during formation of the spray dried catalysts.
- a high slurry viscosity and foaming often cause handling problems, storage problems as well as reactor injection problems.
- a method for preparing a spray dried catalyst and a low viscosity, low foam spray dried catalyst system for olefin polymerization includes preparing a catalyst system comprising one or more components selected from the group consisting of metallocenes, non-metallocenes, and activators, adding mineral oil to the catalyst system to form a slurry, and adding one or more liquid alkanes having three or more carbon atoms to the slurry in an amount sufficient to reduce foaming and viscosity of the slurry.
- the catalyst system includes one or more catalysts selected from the group consisting of metallocenes, non-metallocenes, and a combination thereof, wherein the catalyst system is spray dried.
- the catalyst system further includes mineral oil to form a slurry comprising the catalyst system, and one or more liquid alkanes having three or more carbon atoms in an amount sufficient to reduce foaming and viscosity of the slurry.
- a method for olefin polymerization comprises preparing a catalyst system useful for olefin polymerization, adding mineral oil to the catalyst system to form a slurry, adding one or more liquid alkanes having three or more carbon atoms to the slurry in an amount sufficient to reduce foaming and viscosity of the slurry, and transferring the slurry to a gas phase reactor.
- FIG. 1 is a schematic representation of an exemplary spray dry apparatus suitable for forming spray dried catalyst according to embodiments described herein.
- the spray dried catalyst slurry includes mineral oil, at least one catalyst system, and one or more liquid alkanes having from three to twelve carbon atoms. It has been surprisingly found that the one or more liquid alkanes reduces the viscosity of the slurry by at least 30 percent, and also reduces foaming. Foaming is typically a result of evolved gas formed by a reaction of volatile components and impurities within the catalyst slurry, whereby this evolved gas forms a foam due to the surface tension of the oil slurry.
- the concentration of the components in the slurry is controlled to reduce the viscosity of the slurry and to reduce foaming.
- the spray dried catalyst slurry contains up to 20 percent by weight of the one or more liquid alkanes.
- the slurry contains up to 15 percent by weight of the one or more liquid alkanes.
- the slurry contains up to 10 percent by weight of the one or more liquid alkanes.
- the slurry contains between about 2 percent by weight and 15 percent by weight of the one or more liquid alkanes. More preferably, the slurry contains between about 2 percent by weight and 10 percent by weight of the one or more liquid alkanes.
- the concentration of the components in the slurry is also controlled to maximize the amount of the catalyst system within the slurry.
- the slurry may contain up to 50 percent by weight of the catalyst system.
- the slurry contains at least 10 percent by weight of the catalyst system.
- the slurry contains at least 15 percent by weight of the catalyst system.
- the slurry contains at least 20 percent by weight of the catalyst system.
- the slurry contains from 5 percent by weight to about 35 percent by weight of the catalyst system. More preferably, the slurry contains from 10 percent by weight to about 30 percent by weight of the catalyst system or from 15 percent by weight to about 25 percent by weight of the catalyst system.
- the one or more liquid alkanes are preferably liquid under polymerization conditions and relatively inert.
- Exemplary liquid alkanes include, but are not limited to, isopentane, hexane and heptane.
- the liquid alkane is hexane.
- the spray dried catalyst slurry preferably has a viscosity of from 300 to 1,500 centipoise (cP), such as from 300 to 400 centipoise (cP) at 25° C.
- the spray dried catalyst slurry has a viscosity of from 300 to 1,000 cP at 25° C.
- the spray dried catalyst slurry has a viscosity of from 300 to 500 cP at 25° C.
- the spray dried catalyst slurry has a viscosity of from 300 to 400 cP at 25° C.
- the spray dried catalyst slurry may be utilized in conjunction with any suitable polymerization catalyst.
- exemplary polymerization catalysts include, but are not limited to, metallocenes, Group 15 containing compounds, phenoxide transition metal compositions, Group 5 or 6 metal imido complexes, bridged bis(arylamido) Group 4 compounds, derivatives thereof, and combinations thereof.
- catalyst system may include any number of catalysts in any combination as described herein, as well as any activator in any combination as described herein.
- Catalyst is used interchangeably with the term “catalyst component”, and includes any compound or component, or combination of compounds or components, that is capable of increasing the rate of a chemical reaction, such as the polymerization or oligomerization of one or more olefins.
- Catalyst component includes any compound or component, or combination of compounds or components, that is capable of increasing the rate of a chemical reaction, such as the polymerization or oligomerization of one or more olefins.
- the “new” numbering scheme for the Periodic Table Groups are used as in the CRC Handbook of Chemistry and Physics (David R. Lide ed., CRC Press 81st ed. 2000).
- the catalyst system is a mixed catalyst system of at least one metallocene catalyst component and at least one non-metallocene component.
- the mixed catalyst system may be described as a bimetallic catalyst composition or a multi-catalyst composition.
- the terms “bimetallic catalyst composition” and “bimetallic catalyst” include any composition, mixture, or system that includes two or more different catalyst components, each having a different metal group.
- the terms “multi-catalyst composition” and “multi-catalyst” include any composition, mixture, or system that includes two or more different catalyst components regardless of the metals. Therefore, terms “bimetallic catalyst composition,” “bimetallic catalyst,” “multi-catalyst composition,” and “multi-catalyst” will be collectively referred to herein as a “mixed catalyst system” unless specifically noted otherwise.
- Exemplary non-metallocene component include, but are not limited to, a Group 15-containing catalyst.
- Group 15-containing catalysts include Group 3 to Group 12 metal complexes, wherein the metal is 2 to 4 coordinate and the coordinating moiety or moieties include at least two Group 15 atoms, and up to four Group 15 atoms.
- the Group 15-containing catalyst is a complex of a Group 4 metal and from one to four ligands such that the Group 4 metal is at least 2 coordinate and the coordinating moiety or moieties include at least two nitrogens.
- the Group 15-containing catalyst may include, but is not limited to, Group 4 imino-phenol complexes, Group 4 bis(amide) complexes, and Group 4 pyridylamide complexes that are active towards olefin polymerization to any extent.
- the Group 15-containing catalyst may be described by the following formula (I): ⁇ a ⁇ b ⁇ g MX n (I)
- Each X is independently selected from halogen ions, hydrides, C 1 to C 12 alkyls, C 2 to C 12 alkenyls, C 6 to C 12 aryls, C 7 to C 20 alkylaryls, C 1 to C 12 alkoxys, C 6 to C 16 aryloxys, C 7 to C 18 alkylaryloxys, C 1 to C 12 fluoroalkyls, C 6 to C 12 fluoroaryls, C 1 to C 12 heteroatom-containing hydrocarbons, halogenated C 6 to C 16 aryloxys, and substituted derivatives thereof.
- M is selected from Group 3 to Group 12 atoms in one embodiment; and selected from Group 3 to Group 10 atoms in a more particular embodiment; and selected from Group 3 to Group 6 atoms in yet a more particular embodiment; and selected from Ni, Cr, Ti, Zr and Hf in yet a more particular embodiment; and selected from Zr and Hf in yet a more particular embodiment.
- Each ⁇ and ⁇ are groups that each comprise at least one Group 14 to Group 16 atom; and ⁇ (when present) and ⁇ are groups bonded to M through between 2 and 6 Group 14 to Group 16 atoms, at least two atoms being Group 15-containing atoms.
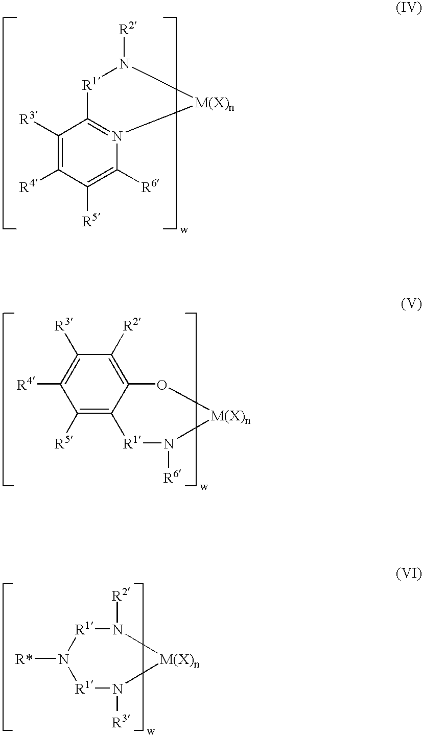
- ⁇ and ⁇ are groups selected from Group 14 and Group 15-containing: alkyls, aryls, alkylaryls, and heterocyclic hydrocarbons, and chemically bonded combinations thereof in one embodiment; and selected from Group 14 and Group 15-containing: C 1 to C 10 alkyls, C 6 to C 12 aryls, C 6 to C 18 alkylaryls, and C 4 to C 12 heterocyclic hydrocarbons, and chemically bonded combinations thereof in a more particular embodiment; and selected from C 1 to C 10 alkylamines, C 1 to C 10 alkoxys, C 6 to C 20 alkylarylamines, C 6 to C 18 alkylaryloxys, and C 4 to C 12 nitrogen containing heterocyclic hydrocarbons, and C 4 to C 12 alkyl substituted nitrogen containing heterocyclic hydrocarbons and chemically bonded combinations thereof in yet a more particular embodiment; and selected from anilinyls, pyridyls, quinolyls, pyrrolyls,
- Each ⁇ is a linking (or “bridging”) moiety that, when present, forms a chemical bond to each of ⁇ and ⁇ , or two ⁇ 's, thus forming a “ ⁇ ” or “ ⁇ ” ligand bound to M;
- ⁇ may also comprise a Group 14 to Group 16 atom which may be bonded to M through the Group 14 to Group 16 atom in one embodiment; and more particularly, ⁇ is a divalent bridging group selected from alkylenes, arylenes, alkenylenes, heterocyclic arylenes, alkylarylenes, heteroatom containing alkylenes, heteroatom containing alkenylenes and heterocyclic hydrocarbonylenes in one embodiment; and selected from C 1 to C 10 alkylenes, C 2 to C 10 alkenylenes, C 6 to C 12 arylenes, C 1 to C 10 divalent ethers, C 6 to C 12 O- or N-containing arylenes, C 2 to C 10 alkyleneamines, C 6 to C 12 ary
- a is an integer from 0 to 2; a is either 0 or 1 in a more particular embodiment; and a is 1 in yet a more particular embodiment; b is an integer from 0 to 2; g is an integer from 1 to 2; wherein in one embodiment, a is 1, b is 0 and g is 2; and
- n is an integer from 0 to 4 in one embodiment; and an integer from 1 to 3 in a more particular embodiment; and an integer from 2 to 3 in yet a more particular embodiment.
- chemically bonded combinations thereof means that adjacent groups, ( ⁇ and ⁇ groups) may form a chemical bond between them.
- the ⁇ and ⁇ groups are chemically bonded through one or more ⁇ groups there between.
- alkyleneamines and “aryleneamines” describe alkylamines and arylamines (respectively) that are deficient by two hydrogens, thus forming chemical bonds with two adjacent ⁇ groups, or adjacent ⁇ and ⁇ groups.
- an example of an alkyleneamine is —CH 2 CH 2 N(CH 3 )CH 2 CH 2 —
- an example of a heterocyclic hydrocarbylene or aryleneamine is —C 5 H 3 N—(divalent pyridine).
- An “alkylene-arylamine” is a group such as, for example, —CH 2 CH 2 (C 5 H 3 N)CH 2 CH 2 —.
- the Group 15-containing catalyst may be represented by the structures (II) and (III):
- E and Z are Group 15 elements independently selected from nitrogen and phosphorus in one embodiment; and nitrogen in a more particular embodiment;
- L is selected from Group 15 atoms, Group 16 atoms, Group 15-containing hydrocarbylenes and a Group 16 containing hydrocarbylenes in one embodiment; wherein R 3 is absent when L is a Group 16 atom; in yet a more particular embodiment, when R 3 is absent, L is selected from heterocyclic hydrocarbylenes; and in yet a more particular embodiment, L is selected from nitrogen, phosphorous, anilinyls, pyridyls, quinolyls, pyrrolyls, pyrimidyls, purinyls, imidazyls, indolyls; C 1 to C 6 alkyl substituted groups selected from anilinyls, pyridyls, quinolyls, pyrrolyls, pyrimidyls, purinyls, imidazyls, and indolyls; C 1 to C 6 alkylamine substituted groups selected from anilinyls, pyrid
- L′ is selected from Group 15 atoms, Group 16 atoms, and Group 14 atoms in one embodiment; and selected from Group 15 and Group 16 atoms in a more particular embodiment; and is selected from groups as defined by L above in yet a more particular embodiment, wherein “EZL” and “EZL′” may be referred to as a “ligand”, the EZL and EZL′ ligands comprising the R* and R 1 -R 7 groups;
- L and L′ may or may not form a bond with M
- y is an integer ranging from 0 to 2 (when y is 0, group L′, *R and R 3 are absent);
- M is selected from Group 3 to Group 5 atoms, Group 4 atoms in a more particular embodiment, and selected from Zr and Hf in yet a more particular embodiment;
- n is an integer ranging from 1 to 4 in one embodiment; n is an integer ranging from 2 to 3 in a more particular embodiment;
- R 1 and R 2 are independently: divalent bridging groups selected from alkylenes, arylenes, heteroatom containing alkylenes, heteroatom containing arylenes, substituted alkylenes, substituted arylenes and substituted heteroatom containing alkylenes, wherein the heteroatom is selected from silicon, oxygen, nitrogen, germanium, phosphorous, boron and sulfur in one embodiment; selected from C 1 to C 20 alkylenes, C 6 to C 12 arylenes, heteroatom-containing C 1 to C 20 alkylenes and heteroatom-containing C 6 to C 12 arylenes in a more particular embodiment; and in yet a more particular embodiment selected from —CH 2 —, —C(CH 3 ) 2 —, —C(C 6 H 5 ) 2 —, —CH 2 CH 2 —, —CH 2 CH 2 CH 2 —, —Si(CH 3 ) 2 —, —Si(C 6 H 5 ) 2 —, —C 6 H 10 —
- R 3 is absent in one embodiment; a group selected from hydrocarbyl groups, hydrogen radical, halogen radicals, and heteroatom-containing groups in a more particular embodiment; and selected from linear alkyls, cyclic alkyls, and branched alkyls having 1 to 20 carbon atoms in yet a more particular embodiment;
- *R is absent in one embodiment; a group selected from hydrogen radical, Group 14 atom containing groups, halogen radicals, and a heteroatom-containing groups in yet a more particular embodiment;
- R 4 and R 5 are independently: groups selected from alkyls, aryls, substituted aryls, cyclic alkyls, substituted cyclic alkyls, cyclic arylalkyls, substituted cyclic arylalkyls and multiple ring systems in one embodiment, each group having up to 20 carbon atoms, and between 3 and 10 carbon atoms in a more particular embodiment; selected from C 1 to C 20 alkyls, C 1 to C 20 aryls, C 1 to C 20 arylalkyls, and heteroatom-containing groups (for example PR 3 , where R is an alkyl group) in yet a more particular embodiment; and
- R 6 and R 7 are independently: absent in one embodiment; groups selected from hydrogen radicals, halogen radicals, heteroatom-containing groups and hydrocarbyls in a more particular embodiment; selected from linear, cyclic and branched alkyls having from 1 to 20 carbon atoms in yet a more particular embodiment;
- R 1 and R 2 may be associated with one another, and/or R 4 and R 5 may be associated with one another as through a chemical bond.
- Group 15-containing catalyst can be described as the embodiments shown in structures (IV), (V) and (VI) (where “N” is nitrogen):
- the structure (IV) represents pyridyl-amide structures
- structure (V) represents imino-phenol structures
- structure (VI) represents bis(amide) structures
- w is an integer from 1 to 3, and 1 or 2 in a more particular embodiment, and 1 in yet a more particular embodiment;
- M is a Group 3 to Group 13 element, a Group 3 to Group 6 element in a more particular embodiment, and a Group 4 element in yet a more particular embodiment;
- n is an integer ranging from 0 to 4, and from 1 to 3 in a more particular embodiment, and from 2 to 3 in yet a more particular embodiment, and 2 in yet a more particular embodiment.
- Each X is independently selected from halogen ions, hydrides, C 1 to C 12 alkyls, C 2 to C 12 alkenyls, C 6 to C 12 aryls, C 7 to C 20 alkylaryls, C 1 to C 12 alkoxys, C 6 to C 16 aryloxys, C 7 to C 18 alkylaryloxys, C 1 to C 12 fluoroalkyls, C 6 to C 12 fluoroaryls, C 1 to C 12 heteroatom-containing hydrocarbons, halogenated C 6 to C 16 aryloxys, and substituted derivatives thereof.
- R 1′ is selected from hydrocarbylenes and heteroatom-containing hydrocarbylenes in one embodiment, and selected from —SiR 2 —, alkylenes, arylenes, alkenylenes and substituted alkylenes, substituted alkenylenes and substituted arylenes in another embodiment; and selected from —SiR 2 —, C 1 to C 6 alkylenes, C 6 to C 12 arylenes, C 1 to C 6 substituted alkylenes and C 6 to C 12 substituted arylenes in another embodiment.
- R is selected from C 1 to C 6 alkyls and C 6 to C 12 aryls; and R 2′ , R 3′ , R 4′ , R 5′ , R 6′ and R* are independently selected from hydride, C 1 to C 10 alkyls, C 6 to C 12 aryls, C 6 to C 18 alkylaryls, C 4 to C 12 heterocyclic hydrocarbyls, substituted C 1 to C 10 alkyls, substituted C 6 to C 12 aryls, substituted C 6 to C 18 alkylaryls, and substituted C 4 to C 12 heterocyclic hydrocarbyls and chemically bonded combinations thereof in one embodiment.
- R* is absent in a particular embodiment; and in another embodiment, R*—N represents a nitrogen containing group or ring such as a pyridyl group or a substituted pyridyl group that is bridged by the R 1′ groups. In yet another embodiment, R*—N is absent, and the R 1′ groups form a chemical bond to one another.
- R 1′ is selected from methylene, ethylene, 1-propylene, 2-propylene, ⁇ Si(CH 3 ) 2 , ⁇ Si(phenyl) 2 , —CH ⁇ , —C(CH 3 ) ⁇ , —C(phenyl) 2 —, —C(phenyl) ⁇ (wherein “ ⁇ ” represents two chemical bonds), and the like.
- R 2′ and R 4′ are selected from 2-methylphenyl, 2-n-propylphenyl, 2-iso-propylphenyl, 2-iso-butylphenyl, 2-tert-butylphenyl, 2-fluorophenyl, 2-chlorophenyl, 2-bromophenyl, 2-methyl-4-chlorophenyl, 2-n-propyl-4-chlorophenyl, 2-iso-propyl-4-chlorophenyl, 2-iso-butyl-4-chlorophenyl, 2-tert-butyl-4-chlorophenyl, 2-methyl-4-fluorophenyl, 2-n-propyl-4-fluorophenyl, 2-iso-propyl-4-fluorophenyl, 2-iso-propyl-4-fluorophenyl, 2-iso-butyl-4-fluorophenyl, 2-tert-butyl-4-fluorophenyl, 2-methyl-4-bromoph
- R 2′ and R 3′ are selected from 2-methylphenyl, 2-n-propylphenyl, 2-iso-propylphenyl, 2-iso-butylphenyl, 2-tert-butylphenyl, 2-fluorophenyl, 2-chlorophenyl, 2-bromophenyl, 4-methylphenyl, 4-n-propylphenyl, 4-iso-propylphenyl, 4-iso-butylphenyl, 4-tert-butylphenyl, 4-fluorophenyl, 4-chlorophenyl, 4-bromophenyl, 6-methylphenyl, 6-n-propylphenyl, 6-iso-propylphenyl, 6-iso-butylphenyl, 6-tert-butylphenyl, 6-fluorophenyl, 6-chlorophenyl, 6-bromophenyl, 2,6-dimethylphenyl, 2,6-dimethylphenyl, 2,6-di
- X is independently selected from fluoride, chloride, bromide, methyl, ethyl, phenyl, benzyl, phenyloxy, benzloxy, 2-phenyl-2-propoxy, 1-phenyl-2-propoxy, 1-phenyl-2-butoxy, 2-phenyl-2-butoxy and the like.
- chemically bonded combinations means that adjacent groups may form a chemical bond between them, thus forming a ring system, either saturated, partially unsaturated, or aromatic.
- Non-limiting examples of the Group 15-containing catalyst are represented by the structures (VIIa)-(VIIf) (where “N” is nitrogen):
- M is selected from Group 4 atoms in one embodiment; and M is selected from Zr and Hf in a more particular embodiment;
- n is an integer ranging from 0 to 4, and from 2 to 3 in a more particular embodiment
- R 1 through R 11 in structures (VIIa) through (VIIf) are selected from hydride, fluorine radical, chlorine radical, bromine radical, methyl, ethyl, n-propyl, isopropyl, n-butyl, isobutyl, tert-butyl and phenyl.
- Each X is independently selected from halogen ions, hydrides, C 1 to C 12 alkyls, C 2 to C 12 alkenyls, C 6 to C 12 aryls, C 7 to C 20 alkylaryls, C 1 to C 12 alkoxys, C 6 to C 16 aryloxys, C 7 to C 18 alkylaryloxys, C 1 to C 12 fluoroalk yls, C 6 to C 12 fluoroaryls, C 1 to C 12 heteroatom-containing hydrocarbons, halogenated C 6 to C 16 aryloxys, and substituted derivatives thereof.
- at least one X is a halogentated aryloxy group or a derivative thereof. More preferably, at least one X is a pentafluorophenoxy group.
- Exemplary metallocene catalyst components include, but are not limited to, “half sandwich” and “full sandwich” compounds having one or more Cp ligands (cyclopentadienyl and ligands isolobal to cyclopentadienyl) bound to at least one Group 3 to Group 12 metal atom, and one or more leaving group(s) bound to the at least one metal atom.
- these compounds will be referred to as “metallocenes” or “metallocene catalyst components”.
- the Cp ligands are one or more rings or ring system(s), at least a portion of which includes ⁇ -bonded systems, such as cycloalkadienyl ligands and heterocyclic analogues.
- the ring(s) or ring system(s) typically comprise atoms selected from the group consisting of Groups 13 to 16 atoms, and more particularly, the atoms that make up the Cp ligands are selected from the group consisting of carbon, nitrogen, oxygen, silicon, sulfur, phosphorous, germanium, boron and aluminum and combinations thereof, wherein carbon makes up at least 50% of the ring members.
- the Cp ligand(s) are selected from the group consisting of substituted and unsubstituted cyclopentadienyl ligands and ligands isolobal to cyclopentadienyl, non-limiting examples of which include cyclopentadienyl, indenyl, fluorenyl and other structures.
- Such ligands include cyclopentadienyl, cyclopentaphenanthreneyl, indenyl, benzindenyl, fluorenyl, octahydrofluorenyl, cyclooctatetraenyl, cyclopentacyclododecene, phenanthrindenyl, 3,4-benzofluorenyl, 9-phenylfluorenyl, 8-H-cyclopent[a]acenaphthylenyl, 7H-dibenzofluorenyl, indeno[1,2-9]anthrene, thiophenoindenyl, thiophenofluorenyl, hydrogenated versions thereof (e.g., 4,5,6,7-tetrahydroindenyl, or “H 4 Ind”), substituted versions thereof (as described in more detail below), and heterocyclic versions thereof.
- H 4 Ind hydrogenated versions thereof
- the metal atom “M” of the metallocene catalyst compound may be selected from the group consisting of Groups 3 through 12 atoms and lanthanide Group atoms in one embodiment; and selected from the group consisting of Groups 3 through 10 atoms in a more particular embodiment, and selected from the group consisting of Sc, Ti, Zr, Hf, V, Nb, Ta, Mn, Re, Fe, Ru, Os, Co, Rh, Ir, and Ni in yet a more particular embodiment; and selected from the group consisting of Groups 4, 5 and 6 atoms in yet a more particular embodiment, and a Ti, Zr, Hf atoms in yet a more particular embodiment, and Zr in yet a more particular embodiment.
- the oxidation state of the metal atom “M” may range from 0 to +7 in one embodiment; and in a more particular embodiment, is +1, +2, +3, +4 or +5; and in yet a more particular embodiment is +2, +3 or +4.
- the groups bound the metal atom “M” are such that the compounds described below in the formulas and structures are neutral, unless otherwise indicated.
- the Cp ligand(s) form at least one chemical bond with the metal atom M to form the “metallocene catalyst compound”.
- the Cp ligands are distinct from the leaving groups bound to the catalyst compound in that they are not highly susceptible to substitution/abstraction reactions.
- the one or more metallocene catalyst components are represented by the formula (II): Cp A Cp B MX n (VIII)
- M is as described above; each X is chemically bonded to M; each Cp group is chemically bonded to M; and n is 0 or an integer from 1 to 4, and either 1 or 2 in a particular embodiment.
- the ligands represented by Cp A and Cp B in formula (VIII) may be the same or different cyclopentadienyl ligands or ligands isolobal to cyclopentadienyl, either or both of which may contain heteroatoms and either or both of which may be substituted by a group R.
- Cp A and Cp B are independently selected from the group consisting of cyclopentadienyl, indenyl, tetrahydroindenyl, fluorenyl, and substituted derivatives of each.
- each Cp A and Cp B of formula (VIII) may be unsubstituted or substituted with any one or combination of substituent groups R.
- substituent groups R as used in structure (II) include hydrogen radicals, alkyls, alkenyls, alkynyls, cycloalkyls, aryls, acyls, aroyls, alkoxys, aryloxys, alkylthiols, dialkylamines, alkylamidos, alkoxycarbonyls, aryloxycarbonyls, carbomoyls, alkyl- and dialkyl-carbamoyls, acyloxys, acylaminos, aroylaminos, and combinations thereof.
- alkyl substituents R associated with formula (II) includes methyl, ethyl, propyl, butyl, pentyl, hexyl, cyclopentyl, cyclohexyl, benzyl, phenyl, methylphenyl, and tert-butylphenyl groups and the like, including all their isomers, for example tertiary-butyl, isopropyl, and the like.
- radicals include substituted alkyls and aryls such as, for example, fluoromethyl, fluroethyl, difluroethyl, iodopropyl, bromohexyl, chlorobenzyl and hydrocarbyl substituted organometalloid radicals including trimethylsilyl, trimethylgermyl, methyldiethylsilyl and the like; and halocarbyl-substituted organometalloid radicals including tris(trifluoromethyl)silyl, methylbis(difluoromethyl)silyl, bromomethyldimethylgermyl and the like; and disubstituted boron radicals including dimethylboron for example; and disubstituted Group 15 radicals including dimethylamine, dimethylphosphine, diphenylamine, methylphenylphosphine, Group 16 radicals including methoxy, ethoxy, propoxy, phenoxy, methylsulfide and
- substituents R include olefins such as but not limited to olefinically unsaturated substituents including vinyl-terminated ligands, for example 3-butenyl, 2-propenyl, 5-hexenyl and the like.
- at least two R groups, two adjacent R groups in one embodiment, are joined to form a ring structure having from 3 to 30 atoms selected from the group consisting of carbon, nitrogen, oxygen, phosphorous, silicon, germanium, aluminum, boron and combinations thereof.
- a substituent group R group such as 1-butanyl may form a bonding association to the element M.
- Each X in formula (VIII) is independently selected from the following: halogen ions, hydrides, C 1 to C 12 alkyls, C 2 to C 12 alkenyls, C 6 to C 12 aryls, C 7 to C 20 alkylaryls, C 1 to C 12 alkoxys, C 6 to C 16 aryloxys, C 7 to C 18 alkylaryloxys, C 1 to C 12 fluoroalkyls, C 6 to C 12 fluoroaryls, and C 1 to C 12 heteroatom-containing hydrocarbons and substituted derivatives thereof in a more particular embodiment; hydride, halogen ions, C 1 to C 6 alkyls, C 2 to C 6 alkenyls, C 7 to C 18 alkylaryls, C 1 to C 6 alkoxys, C 6 to C 14 aryloxys, C 7 to C 16 alkylaryloxys, C 1 to C 6 alkylcarboxylates, C 1 to C 6 fluorinated alkylcar
- X groups in formula (VIII) include amines, phosphines, ethers, carboxylates, dienes, hydrocarbon radicals having from 1 to 20 carbon atoms, fluorinated hydrocarbon radicals (e.g., —C 6 F 5 (pentafluorophenyl)), fluorinated alkylcarboxylates (e.g, CF 3 C(O)O — ), hydrides and halogen ions and combinations thereof.
- X ligands include alkyl groups such as cyclobutyl, cyclohexyl, methyl, heptyl, tolyl, trifluoromethyl, tetramethylene, pentamethylene, methylidene, methyoxy, ethyoxy, propoxy, phenoxy, bis(N-methylanilide), dimethylamide, dimethylphosphide radicals and the like.
- two or more X's form a part of a fused ring or ring system.
- the metallocene catalyst component includes those of formula (VIII) where Cp A and Cp B are bridged to each other by at least one bridging group, (A), such that the structure is represented by formula (IX): Cp A (A)Cp B MX n (IX)
- bridged metallocenes These bridged compounds represented by formula (IX) are known as “bridged metallocenes”.
- Cp A , Cp B , M, X and n are as defined above for formula (VIII); and wherein each Cp ligand is chemically bonded to M, and (A) is chemically bonded to each Cp.
- Non-limiting examples of bridging group (A) include divalent hydrocarbon groups containing at least one Group 13 to 16 atom, such as but not limited to at least one of a carbon, oxygen, nitrogen, silicon, aluminum, boron, germanium and tin atom and combinations thereof; wherein the heteroatom may also be C 1 to C 12 alkyl or aryl substituted to satisfy neutral valency.
- the bridging group (A) may also contain substituent groups R as defined above for formula (VIII) including halogen radicals and iron. More particular non-limiting examples of bridging group (A) are represented by C 1 to C 6 alkylenes, substituted C 1 to C 6 alkylenes, oxygen, sulfur, R′ 2 C ⁇ , R′ 2 Si ⁇ , —Si(R′) 2 Si(R′ 2 )—, R′ 2 Ge ⁇ , R′P ⁇ (wherein “ ⁇ ” represents two chemical bonds), where R′ is independently selected from the group consisting of hydride, hydrocarbyl, substituted hydrocarbyl, halocarbyl, substituted halocarbyl, hydrocarbyl-substituted organometalloid, halocarbyl-substituted organometalloid, disubstituted boron, disubstituted Group 15 atoms, substituted Group 16 atoms, and halogen radical; and wherein two or more R′ may be joined to form a
- bridging group (A) include methylene, ethylene, ethylidene, propylidene, isopropylidene, diphenylmethylene, 1,2-dimethylethylene, 1,2-diphenylethylene, 1,1,2,2-tetramethylethylene, dimethylsilyl, diethylsilyl, methyl-ethylsilyl, trifluoromethylbutylsilyl, bis(trifluoromethyl)silyl, di(n-butyl)silyl, di(n-propyl)silyl, di(i-propyl)silyl, di(n-hexyl)silyl, dicyclohexylsilyl, diphenylsilyl, cyclohexylphenylsilyl, t-butylcyclohexylsilyl, di(t-butylphenyl)silyl, di(p-tolyl)silyl and the corresponding moieties
- bridging group (A) may also be cyclic, comprising, for example 4 to 10, 5 to 7 ring members in a more particular embodiment.
- the ring members may be selected from the elements mentioned above, from one or more of B, C, Si, Ge, N and O in a particular embodiment.
- Non-limiting examples of ring structures which may be present as or part of the bridging moiety are cyclobutylidene, cyclopentylidene, cyclohexylidene, cycloheptylidene, cyclooctylidene and the corresponding rings where one or two carbon atoms are replaced by at least one of Si, Ge, N and O, in particular, Si and Ge.
- the bonding arrangement between the ring and the Cp groups may be either cis-, trans-, or a combination.
- the cyclic bridging groups (A) may be saturated or unsaturated and/or carry one or more substituents and/or be fused to one or more other ring structures. If present, the one or more substituents are selected from the group consisting of hydrocarbyl (e.g., alkyl such as methyl) and halogen (e.g., F, Cl) in one embodiment.
- hydrocarbyl e.g., alkyl such as methyl
- halogen e.g., F, Cl
- the one or more Cp groups which the above cyclic bridging moieties may optionally be fused to may be saturated or unsaturated and are selected from the group consisting of those having 4 to 10, more particularly 5, 6 or 7 ring members (selected from the group consisting of C, N, O and S in a particular embodiment) such as, for example, cyclopentyl, cyclohexyl and phenyl.
- these ring structures may themselves be fused such as, for example, in the case of a naphthyl group.
- these (optionally fused) ring structures may carry one or more substituents.
- these substituents are hydrocarbyl (particularly alkyl) groups and halogen atoms.
- the ligands Cp A and Cp B of formula (VIII) and (IX) are different from each other in one embodiment, and the same in another embodiment.
- the metallocene catalyst components include mono-ligand metallocene compounds (e.g., mono cyclopentadienyl catalyst components) such as described in WO 93/08221 for example.
- the at least one metallocene catalyst component is a bridged “half-sandwich” metallocene represented by the formula (X): Cp A (A)QMX n (X)
- Cp A is defined above and is bound to M; (A) is a bridging group bonded to Q and Cp A ; and wherein an atom from the Q group is bonded to M; and n is 0 or an integer from 1 to 3; 1 or 2 in a particular embodiment.
- Cp A , (A) and Q may form a fused ring system.
- the X groups and n of formula (X) are as defined above in formula (VIII) and (IX).
- Cp A is selected from the group consisting of cyclopentadienyl, indenyl, tetrahydroindenyl, fluorenyl, substituted versions thereof, and combinations thereof.
- Q is a heteroatom-containing ligand in which the bonding atom (the atom that is bonded with the metal M) is selected from the group consisting of Group 15 atoms and Group 16 atoms in one embodiment, and selected from the group consisting of nitrogen, phosphorus, oxygen or sulfur atom in a more particular embodiment, and nitrogen and oxygen in yet a more particular embodiment.
- Non-limiting examples of Q groups include alkylamines, arylamines, mercapto compounds, ethoxy compounds, carboxylates (e.g., pivalate), carbamates, azenyl, azulene, pentalene, phosphoyl, phosphinimine, pyrrolyl, pyrozolyl, carbazolyl, borabenzene other compounds comprising Group 15 and Group 16 atoms capable of bonding with M.
- carboxylates e.g., pivalate
- carbamates azenyl, azulene, pentalene, phosphoyl, phosphinimine, pyrrolyl, pyrozolyl, carbazolyl, borabenzene other compounds comprising Group 15 and Group 16 atoms capable of bonding with M.
- the at least one metallocene catalyst component is an unbridged “half sandwich” metallocene represented by the formula (XI): Cp A MQ q X n (XI)
- Cp A is defined as for the Cp groups in (VIII) and is a ligand that is bonded to M; each Q is independently bonded to M; Q is also bound to Cp A in one embodiment; X is a leaving group as described above in (VIII); n ranges from 0 to 3, and is 1 or 2 in one embodiment; q ranges from 0 to 3, and is 1 or 2 in one embodiment.
- Cp A is selected from the group consisting of cyclopentadienyl, indenyl, tetrahydroindenyl, fluorenyl, substituted version thereof, and combinations thereof.
- Q is selected from the group consisting of ROO — , RO—, R(O)—, —NR—, —CR 2 —, —S—, —NR 2 , —CR 3 , —SR, —SiR 3 , —PR 2 , —H, and substituted and unsubstituted aryl groups, wherein R is selected from the group consisting of C 1 to C 6 alkyls, C 6 to C 12 aryls, C 1 to C 6 alkylamines, C 6 to C 12 alkylarylamines, C 1 to C 6 alkoxys, C 6 to C 12 aryloxys, and the like.
- Non-limiting examples of Q include C 1 to C 12 carbamates, C 1 to C 12 carboxylates (e.g., pivalate), C 2 to C 20 allyls, and C 2 to C 20 heteroallyl moieties.
- Q 2 GZ forms a polydentate ligand unit (e.g., pivalate), wherein at least one of the Q groups form a bond with M, and is defined such that each Q is independently selected from the group consisting of —O—, —NR—, —CR 2 — and —S—; G is either carbon or silicon; and Z is selected from the group consisting of R, —OR, —NR 2 , —CR 3 , —SR, —SiR 3 , —PR 2 , and hydride, providing that when Q is —NR—, then Z is selected from the group consisting of —OR, —NR 2 , —SR, —SiR 3 , —PR 2 ; and provided that neutral valency for Q is satisfied by Z; and wherein each R is independently selected from the group consisting of C 1 to C 10 heteroatom containing groups, C 1 to C 10 alkyls, C 6 to C 12 aryls, C 6 to C 12 alkylaryls,
- n 1 or 2 in a particular embodiment
- T is a bridging group selected from the group consisting of C 1 to C 10 alkylenes, C 6 to C 12 arylenes and C 1 to C 10 heteroatom containing groups, and C 6 to C 12 heterocyclic groups; wherein each T group bridges adjacent “Cp A M(Q 2 GZ)X n ” groups, and is chemically bonded to the Cp A groups.
- n is an integer from 1 to 7; m is an integer from 2 to 6 in a more particular embodiment.
- the at least one metallocene catalyst component can be described more particularly in structures (XIIIa), (XIIIb), (XIIIc), (XIIId), (XIIIe), and (XIIIf):
- M is selected from the group consisting of Group 3 to Group 12 atoms, and selected from the group consisting of Group 3 to Group 10 atoms in a more particular embodiment, and selected from the group consisting of Group 3 to Group 6 atoms in yet a more particular embodiment, and selected from the group consisting of Group 4 atoms in yet a more particular embodiment, and selected from the group consisting of Zr and Hf in yet a more particular embodiment; and is Zr in yet a more particular embodiment;
- Q in (XIIIa) to (XIIIf) is selected from the group consisting of alkylenes, aryls, arylenes, alkoxys, aryloxys, amines, arylamines (e.g., pyridyl) alkylamines, phosphines, alkylphosphines, substituted alkyls, substituted aryls, substituted alkoxys, substituted aryloxys, substituted amines, substituted alkylamines, substituted phosphines, substituted alkylphosphines, carbamates, heteroallyls, carboxylates (non-limiting examples of suitable carbamates and carboxylates include trimethylacetate, trimethylacetate, methylacetate, p-toluate, benzoate, diethylcarbamate, and dimethylcarbamate), fluorinated alkyls, fluorinated aryls, and fluorinated alkylcarboxy
- each R* is independently: selected from the group consisting of hydrocarbylenes and heteroatom-containing hydrocarbylenes in one embodiment; and selected from the group consisting of alkylenes, substituted alkylenes and heteroatom-containing hydrocarbylenes in another embodiment; and selected from the group consisting of C 1 to C 12 alkylenes, C 1 to C 12 substituted alkylenes, and C 1 to C 12 heteroatom-containing hydrocarbylenes in a more particular embodiment; and selected from the group consisting of C 1 to C 4 alkylenes in yet a more particular embodiment; and wherein both R* groups are identical in another embodiment in structures (XIIIf);
- A is as described above for (A) in structure (IX), and more particularly, selected from the group consisting of a chemical bond, —O—, —S—, —SO 2 —, —NR—, ⁇ SiR 2 , ⁇ GeR 2 , ⁇ SnR 2 , —R 2 SiSiR 2 —, RP ⁇ , C 1 to C 12 alkylenes, substituted C 1 to C 12 alkylenes, divalent C 4 to C 12 cyclic hydrocarbons and substituted and unsubstituted aryl groups in one embodiment; and selected from the group consisting of C 5 to C 8 cyclic hydrocarbons, —CH 2 CH 2 —, ⁇ CR 2 and ⁇ SiR 2 in a more particular embodiment; wherein and R is selected from the group consisting of alkyls, cycloalkyls, aryls, alkoxys, fluoroalkyls and heteroatom-containing hydrocarbons in one embodiment; and R is selected from the group
- each R* is defined as for R 1 -R 13 ;
- n is an integer from 0 to 4, and from 1 to 3 in another embodiment, and 1 or 2 in yet another embodiment;
- R 1 through R 13 are independently: selected from the group consisting of hydrogen radical, halogen radicals, C 1 to C 12 alkyls, C 2 to C 12 alkenyls, C 6 to C 12 aryls, C 7 to C 20 alkylaryls, C 1 to C 12 alkoxys, C 1 to C 12 fluoroalkyls, C 6 to C 12 fluoroaryls, and C 1 to C 12 heteroatom-containing hydrocarbons and substituted derivatives thereof in one embodiment; selected from the group consisting of hydrogen radical, fluorine radical, chlorine radical, bromine radical, C 1 to C 6 alkyls, C 2 to C 6 alkenyls, C 7 to C 18 alkylaryls, C 1 to C 6 fluoroalkyls, C 2 to C 6 fluoroalkenyls, C 7 to C 18 fluoroalkylaryls in a more particular embodiment; and hydrogen radical, fluorine radical, chlorine radical, methyl, ethyl, propyl, isopropy
- the structure of the metallocene catalyst component represented by (XIIIa) may take on many forms such as disclosed in, for example, U.S. Pat. Nos. 5,026,798, 5,703,187, and 5,747,406, including a dimmer or oligomeric structure, such as disclosed in, for example, U.S. Pat. Nos. 5,026,798 and 6,069,213.
- R 1 and R 2 form a conjugated 6-membered carbon ring system that may or may not be substituted.
- Non-limiting examples of metallocene catalyst components consistent with the description herein include:
- metallocene catalysts components described above include their structural or optical or enantiomeric isomers (racemic mixture), and may be a pure enantiomer in one embodiment.
- a single, bridged, asymmetrically substituted metallocene catalyst component having a racemic and/or meso isomer does not, itself, constitute at least two different bridged, metallocene catalyst components.
- the “metallocene catalyst component” may comprise any combination of any “embodiment” described herein.
- the catalyst system may also include one or more activators.
- activator is defined to be any compound or combination of compounds, supported or unsupported, which can activate a single-site catalyst compound (e.g., metallocenes, non-metallocenes, etc.), such as by creating a cationic species from the catalyst component.
- either or both of the catalyst components may be contacted with a catalyst activator, herein simply referred to as an “activator.”
- a catalyst activator herein simply referred to as an “activator.”
- this involves the abstraction of at least one leaving group (X group in the formulas/structures above) from the metal center of the catalyst component.
- the catalyst components of the present invention are thus activated towards olefin polymerization using such activators.
- Embodiments of such activators include Lewis acids such as cyclic or oligomeric poly(hydrocarbylaluminum oxides) and so called non-coordinating activators (“NCA”) (alternately, “ionizing activators” or “stoichiometric activators”), or any other compound that can convert a neutral metallocene catalyst component to a metallocene cation that is active with respect to olefin polymerization.
- NCA non-coordinating activators
- Lewis acids such as alumoxane (e.g., “MAO”), modified alumoxane (e.g., “TIBAO”), and alkylaluminum compounds as activators, and/or ionizing activators (neutral or ionic) such as tri (n-butyl)ammonium tetrakis(pentafluorophenyl)boron and/or a trisperfluorophenyl boron metalloid precursors to activate desirable metallocenes described herein.
- MAO and other aluminum-based activators are well known in the art.
- Ionizing activators are well known in the art and are described by, for example, Eugene You-Xian Chen & Tobin J. Marks, Cocatalysts for Metal - Catalyzed Olefin Polymerization: Activators, Activation Processes, and Structure - Activity Relationships 100(4) C HEMICAL R EVIEWS 1391-1434 (2000).
- the activators may be associated with or bound to a support, either in association with the catalyst component (e.g., metallocene) or separate from the catalyst component, such as described by Gregory G. Hlatky, Heterogeneous Single - Site Catalysts for Olefin Polymerization 100(4) C HEMICAL R EVIEWS 1347-1374 (2000).
- the aluminum alkyl (“alkylaluminum”) activator may be described by the formula AlR ⁇ 3 , wherein R ⁇ is selected from the group consisting of C 1 to C 20 alkyls, C 1 to C 20 alkoxys, halogen (chlorine, fluorine, bromine) C 6 to C 20 aryls, C 7 to C 25 alkylaryls, and C 7 to C 25 arylalkyls.
- Non-limiting examples of aluminum alkyl compounds which may be utilized as activators for the catalyst precursor compounds for use in the methods of the present invention include trimethylaluminum, triethylaluminum, triisobutylaluminum, tri-n-hexylaluminum, tri-n-octylaluminum and the like.
- neutral ionizing activators include Group 13 tri-substituted compounds, in particular, tri-substituted boron, tellurium, aluminum, gallium and indium compounds, and mixtures thereof.
- the three substituent groups are each independently selected from alkyls, alkenyls, halogen, substituted alkyls, aryls, arylhalides, alkoxy and halides. In one embodiment, the three groups are independently selected from halogen, mono or multicyclic (including halosubstituted) aryls, alkyls, and alkenyl compounds and mixtures thereof.
- the three groups are selected from alkenyl groups having 1 to 20 carbon atoms, alkyl groups having 1 to 20 carbon atoms, alkoxy groups having 1 to 20 carbon atoms and aryl groups having 3 to 20 carbon atoms (including substituted aryls), and combinations thereof. In yet another embodiment, the three groups are selected from alkyls having 1 to 4 carbon groups, phenyl, naphthyl and mixtures thereof.
- the three groups are selected from highly halogenated alkyls having 1 to 4 carbon groups, highly halogenated phenyls, and highly halogenated naphthyls and mixtures thereof
- highly halogenated it is meant that at least 50% of the hydrogens are replaced by a halogen group selected from fluorine, chlorine and bromine.
- the neutral stoichiometric activator is a tri-substituted Group 13 compound comprising highly fluorided aryl groups, the groups being highly fluorided phenyl and highly fluorided naphthyl groups.
- the neutral tri-substituted Group 13 compounds are boron compounds such as a trisperfluorophenyl boron, trisperfluoronaphthyl boron, tris(3,5-di(trifluoromethyl)phenyl)boron, tris(di-t-butylmethylsilyl)perfluorophenylboron, and other highly fluorinated trisarylboron compounds and combinations thereof, and their aluminum equivalents.
- boron compounds such as a trisperfluorophenyl boron, trisperfluoronaphthyl boron, tris(3,5-di(trifluoromethyl)phenyl)boron, tris(di-t-butylmethylsilyl)perfluorophenylboron, and other highly fluorinated trisarylboron compounds and combinations thereof, and their aluminum equivalents.
- Other suitable neutral ionizing activators are described in U.S. Pat. No. 6,399
- ionic ionizing activators include trialkyl-substituted ammonium salts such as triethylammonium tetra(phenyl)boron, tripropylammonium tetra(phenyl)boron, tri(n-butyl)ammonium tetra(phenyl)boron, trimethylammonium tetra(p-tolyl)boron, trimethylammonium tetra(o-tolyl)boron, tributylammonium tetra(pentafluorophenyl)boron, tripropylammonium tetra(o,p-dimethylphenyl)boron, tributylammonium tetra(m,m-dimethylphenyl)boron, tributylammonium tetra(p-tri-fluoromethylphenyl)boron, tributylammonium tetra(p-tri-fluoromethyl
- an alkylaluminum can be used in conjunction with a heterocyclic compound.
- the heterocyclic compound includes at least one nitrogen, oxygen, and/or sulfur atom, and includes at least one nitrogen atom in a particular embodiment.
- the heterocyclic compound includes 4 or more ring members in one embodiment, and 5 or more ring members in another embodiment.
- the heterocyclic compound for use as an activator with an alkylaluminum may be unsubstituted or substituted with one or a combination of substituent groups.
- suitable substituents include halogen, alkyl, alkenyl or alkynyl radicals, cycloalkyl radicals, aryl radicals, aryl substituted alkyl radicals, acyl radicals, aroyl radicals, alkoxy radicals, aryloxy radicals, alkylthio radicals, dialkylamino radicals, alkoxycarbonyl radicals, aryloxycarbonyl radicals, carbomoyl radicals, alkyl- or dialkyl-carbamoyl radicals, acyloxy radicals, acylamino radicals, aroylamino radicals, straight, branched or cyclic, alkylene radicals, or any combination thereof.
- the substituents groups may also be substituted with halogens, particularly fluorine or bromine,
- Non-limiting examples of hydrocarbon substituents include methyl, ethyl, propyl, butyl, pentyl, hexyl, cyclopentyl, cyclohexyl, benzyl or phenyl groups and the like, including all their isomers, for example tertiary butyl, isopropyl, and the like.
- Other examples of substituents include fluoromethyl, fluoroethyl, difluoroethyl, iodopropyl, bromohexyl or chlorobenzyl.
- the heterocyclic compound is unsubstituted.
- one or more positions on the heterocyclic compound are substituted with a halogen atom or a halogen atom containing group, for example a halogenated aryl group.
- the halogen is selected from chlorine, bromine and fluorine, and selected from fluorine and bromine in another embodiment, and the halogen is fluorine in yet another embodiment.
- Non-limiting examples of heterocyclic compounds utilized in the activator of the invention include substituted and unsubstituted pyrroles, imidazoles, pyrazoles, pyrrolines, pyrrolidines, purines, carbazoles, and indoles, phenyl indoles, 2,5-dimethyl pyrroles, 3-pentafluorophenyl pyrrole, 4,5,6,7-tetrafluoroindole or 3,4-difluoropyrroles.
- the heterocyclic compound described above is combined with an alkylaluminum or an alumoxane to yield an activator compound which, upon reaction with a catalyst component, for example a metallocene, produces an active polymerization catalyst.
- a catalyst component for example a metallocene
- suitable alkylaluminums include trimethylaluminum, triethylaluminum, triisobutylaluminum, tri-n-hexylaluminum, tri-n-octylaluminum, tri-iso-octylaluminum, triphenylaluminum, and combinations thereof.
- activators include those described in WO 98/07515 such as tris (2,2′,2′′-nonafluorobiphenyl) fluoroaluminate. Combinations of activators are also contemplated by the invention, for example, alumoxanes and ionizing activators in combinations. Other activators include aluminum/boron complexes, perchlorates, periodates and iodates including their hydrates; lithium (2,2′-bisphenyl-ditrimethylsilicate).4THF; silylium salts in combination with a non-coordinating compatible anion.
- methods of activation such as using radiation, electro-chemical oxidation, and the like are also contemplated as activating methods for the purposes of rendering the neutral bulky ligand metallocene-type catalyst compound or precursor to a bulky ligand metallocene-type cation capable of polymerizing olefins.
- Other activators or methods for activating a bulky ligand metallocene-type catalyst compound are described in for example, U.S. Pat. Nos. 5,849,852, 5,859,653 and 5,869,723 and WO 98/32775.
- the activator and catalyst component(s) are combined in mole ratios of activator to catalyst component from 1000:1 to 0.1:1, and from 300:1 to 1:1 in another embodiment, and from 150:1 to 1:1 in yet another embodiment, and from 50:1 to 1:1 in yet another embodiment, and from 10:1 to 0.5:1 in yet another embodiment, and from 3:1 to 0.3:1 in yet another embodiment, wherein a desirable range may include any combination of any upper mole ratio limit with any lower mole ratio limit described herein.
- the mole ratio of activator to catalyst component ranges from 2:1 to 100,000:1 in one embodiment, and from 10:1 to 10,000:1 in another embodiment, and from 50:1 to 2,000:1 in yet another embodiment.
- the activator is a neutral or ionic ionizing activator such as a boron alkyl and the ionic salt of a boron alkyl
- the mole ratio of activator to catalyst component ranges from 0.5:1 to 10:1 in one embodiment, and from 1:1 to 5:1 in yet another embodiment.
- a suitable spray-drying method comprises atomizing a solution, suspension or dispersion of the catalyst and/or the activator, optionally together with a filler, and optionally with heating of the solution, suspension or dispersion.
- Atomization is preferably done by passing the slurry through the atomizer together with an inert drying gas, i.e., a gas which is nonreactive under the conditions employed during atomization, such as nitrogen for example.
- An atomizing nozzle or a centrifugal high speed disc can be employed to effect atomization, whereby there is created a spray or dispersion of droplets of the mixture.
- the volumetric flow of drying gas if used, preferably considerably exceeds the volumetric flow of the slurry to effect atomization of the slurry and/or evaporation of the liquid medium.
- the drying gas is heated to a temperature as high as about 160° C. to facilitate atomization of the slurry; however, if the volumetric flow of drying gas is maintained at a very high level, it is possible to employ lower temperatures.
- Atomization pressures of from about 1 psig to 200 psig are suitable.
- FIG. 1 is a schematic representation of an exemplary spray-drying apparatus.
- each mixture is drawn through silicone tubing from a reservoir attached at point C by a peristaltic pump D.
- nozzle F As the mixture passes through nozzle F, it is mixed with atomizing nitrogen gas, which enters the system at point E.
- the mist of catalyst composition thus formed in the drying chamber G is then dried in the presence of bath nitrogen gas, which enters the drying chamber at point A.
- the bath nitrogen bath is heated by heater B before entering. Particles of unacceptably large diameter catalyst composition are not entrained in the nitrogen flow and drop into oversize collection pot H.
- the remainder of the catalyst composition continues through chamber outlet I into the cyclone separator J, where the particulate catalyst composition is disengaged from the gas stream and dropped into a removable product collection pot K, from which the fully activated catalyst composition is recovered.
- the nitrogen gas is drawn through the aspirator L and removed from the system at point M.
- Another type of suitable spray-drying method includes forming a liquid mixture of a nonvolatile materials fraction, a solvent fraction and at least one compressed fluid; and spraying the liquid mixture at a temperature and pressure that gives a substantially decompressive spray by passing the mixture through an orifice into an environment suitable for forming solid particulates by solvent evaporation.
- a method is disclosed in U.S. Pat. No. 5,716,558.
- the size of the orifices of the atomizer employed during spray-drying it is possible to obtain particles having desired average particle size, e.g., from about 5 micrometers to about 200 micrometers.
- the particles recovered from the spray-drying can optionally be decarboxylated by heating the particles, e.g., as disclosed in U.S. Pat. No. 5,652,314.
- Such materials can be organic or inorganic.
- Suitable fillers include fumed silica, non-fumed silica, boron nitride, titanium dioxide, zinc oxide, polystyrene, and calcium carbonate. Fumed hydrophobic silica is preferred because it imparts high viscosity to the slurry and good strength to the spray-dried particles.
- GasilTM or CabosilTM may be used.
- the particulate material employed as filler should have an average particle size no greater than 50 micrometers, preferably no greater than 10 micrometers.
- the particulate material employed as filler should be dry, i.e., free of absorbed water.
- Sufficient filler is preferably employed to produce a slurry suitable for spray-drying, i.e., a slurry containing such filler in an amount of from 0 percent by weight to about 15 percent by weight, preferably from about 2.5 percent by weight to about 10 percent by weight.
- a slurry suitable for spray-drying i.e., a slurry containing such filler in an amount of from 0 percent by weight to about 15 percent by weight, preferably from about 2.5 percent by weight to about 10 percent by weight.
- a slurry When spray-dried, such slurry produces discrete catalyst particles in which filler is present in an amount of from 0 percent by weight to about 50 percent by weight, preferably from about 10 percent by weight to about 30 percent by weight.
- the spray-dried catalyst particles produced in this manner typically have an average particle size of from about 5 micrometers to about 200 micrometers, preferably from about 10 micrometers to about 30 micrometers.
- the spray dried catalyst is suitable for use in any prepolymerization and/or polymerization process over a wide range of temperatures and pressures.
- the temperatures may be in the range of from ⁇ 60° C. to about 280° C., preferably from 50° C. to about 200° C.
- the polymerization temperature is above 0° C., above 50° C., above 80° C., above 100° C., above 150° C., or above 200° C.
- the pressures employed may be in the range from 1 atmosphere to about 500 atmospheres or higher.
- Polymerization processes include solution, gas phase, slurry phase, and a high pressure process, or a combination thereof. Particularly preferred is a gas phase or slurry phase polymerization of one or more olefin(s) at least one of which is ethylene or propylene.
- the process is a solution, high pressure, slurry or gas phase polymerization process of one or more olefin monomers having from 2 to 30 carbon atoms, preferably 2 to 12 carbon atoms, and more preferably 2 to 8 carbon atoms.
- the invention is particularly well suited to the polymerization of two or more olefin monomers of ethylene, propylene, 1-butene, 1-pentene, 4-methyl-1-pentene, 1-hexene, 1-octene and 1-decene.
- monomers useful include ethylenically unsaturated monomers, diolefins having 4 to 18 carbon atoms, conjugated or nonconjugated dienes, polyenes, vinyl monomers and cyclic olefins.
- Non-limiting monomers useful in the invention may include norbornene, norbornadiene, isobutylene, isoprene, vinylbenzocyclobutane, styrenes, alkyl substituted styrene, ethylidene norbornene, dicyclopentadiene and cyclopentene.
- a copolymer of ethylene is produced, where with ethylene, a comonomer having at least one alpha-olefin having from 4 to 15 carbon atoms, preferably from 4 to 12 carbon atoms, and most preferably from 4 to 8 carbon atoms, is polymerized in a gas phase process.
- ethylene or propylene is polymerized with at least two different comonomers, optionally one of which may be a diene, to form a terpolymer.
- the invention is directed to a polymerization process, particularly a gas phase or slurry phase process, for polymerizing propylene alone or with one or more other monomers including ethylene, and/or other olefins having from 4 to 12 carbon atoms.
- a continuous cycle is employed where in one part of the cycle of a reactor system, a cycling gas stream, otherwise known as a recycle stream or fluidizing medium, is heated in the reactor by the heat of polymerization. This heat is removed from the recycle composition in another part of the cycle by a cooling system external to the reactor.
- a gas fluidized bed process for producing polymers a gaseous stream containing one or more monomers is continuously cycled through a fluidized bed in the presence of a catalyst under reactive conditions. The gaseous stream is withdrawn from the fluidized bed and recycled back into the reactor. Simultaneously, polymer product is withdrawn from the reactor and fresh monomer is added to replace the polymerized monomer.
- the reactor pressure in a gas phase process may vary from about 100 psig (690 kPa) to about 500 psig (3448 kPa), preferably in the range of from about 200 psig (1379 kPa) to about 400 psig (2759 kPa), more preferably in the range of from about 250 psig (1724 kPa) to about 350 psig (2414 kPa).
- the reactor temperature in a gas phase process may vary from about 30° C. to about 120° C., preferably from about 60° C. to about 115° C., more preferably in the range of from about 70° C. to 110° C., and most preferably in the range of from about 70° C. to about 95° C. In another embodiment, the reactor temperature in a gas phase process is above 60° C.
- Gas phase processes include series or multistage polymerization processes. Gas phase processes may also include those described in U.S. Pat. Nos. 5,627,242, 5,665,818 and 5,677,375, and European publications EP-A-0 794 200 EP-B1-0 649 992, EP-A-0 802 202 and EP-B-634 421.
- the process may produce greater than 500 lbs of polymer per hour (227 Kg/hr) to about 200,000 lbs/hr (90,900 Kg/hr) or higher of polymer, preferably greater than 1000 lbs/hr (455 Kg/hr), more preferably greater than 10,000 lbs/hr (4540 Kg/hr), even more preferably greater than 25,000 lbs/hr (11,300 Kg/hr), still more preferably greater than 35,000 lbs/hr (15,900 Kg/hr), still even more preferably greater than 50,000 lbs/hr (22,700 Kg/hr) and most preferably greater than 65,000 lbs/hr (29,000 Kg/hr) to greater than 100,000 lbs/hr (45,500 Kg/hr).
- a slurry polymerization process generally uses pressures in the range of from about 1 to about 50 atmospheres and even greater and temperatures in the range of 0° C. to about 120° C. In another embodiment, the slurry process temperature is above 100° C.
- a suspension of solid, particulate polymer is formed in a liquid polymerization diluent medium to which ethylene and comonomers and often hydrogen along with catalyst are added.
- the suspension including diluent is intermittently or continuously removed from the reactor where the volatile components are separated from the polymer and recycled, optionally after a distillation, to the reactor.
- the liquid diluent employed in the polymerization medium is typically an alkane having from 3 to 7 carbon atoms, preferably a branched alkane.
- the medium employed should be liquid under the conditions of polymerization and relatively inert. When a propane medium is used the process must be operated above the reaction diluent critical temperature and pressure. Preferably, a hexane or an isobutane medium is employed.
- the polymerization technique is referred to as a particle form polymerization, or a slurry process where the temperature is kept below the temperature at which the polymer goes into solution.
- a particle form polymerization or a slurry process where the temperature is kept below the temperature at which the polymer goes into solution.
- Other slurry processes include those employing a loop reactor and those utilizing a plurality of stirred reactors in series, parallel, or combinations thereof.
- Non-limiting examples of slurry processes include continuous loop or stirred tank processes.
- other examples of slurry processes are described in U.S. Pat. No. 4,613,484.
- this process may produce greater than 2000 lbs of polymer per hour (907 Kg/hr), more preferably greater than 5000 lbs/hr (2268 Kg/hr), and most preferably greater than 10,000 lbs/hr (4540 Kg/hr).
- the slurry reactor may produce greater than 15,000 lbs of polymer per hour (6804 Kg/hr), preferably greater than 25,000 lbs/hr (11,340 Kg/hr) to about 100,000 lbs/hr (45,500 Kg/hr).
- the slurry or gas phase process is operated in the presence of the catalyst system described herein and in the absence of or essentially free of any scavengers, such as triethylaluminum, trimethylaluminum, tri-isobutylaluminum and tri-n-hexylaluminum and diethyl aluminum chloride, dibutyl zinc and the like.
- any scavengers such as triethylaluminum, trimethylaluminum, tri-isobutylaluminum and tri-n-hexylaluminum and diethyl aluminum chloride, dibutyl zinc and the like.
- the method provides for injecting the catalyst system described herein into a reactor, particularly a gas phase reactor.
- the catalyst system is used in the unsupported form, preferably in a liquid form such as described in U.S. Pat. Nos. 5,317,036 and 5,693,727 and European publication EP-A-0 593 083.
- the polymerization catalyst in liquid form can be fed with an activator, and/or a support, and/or a supported activator together or separately to a reactor.
- the injection methods described in PCT publication WO 97/46599 may be utilized.
- the mole ratio of the metal of the activator component to the metal of the catalyst compound is in the range of between 0.3:1 to 10,000:1, preferably 100:1 to 5000:1, and most preferably 500:1 to 2000:1.
- the polymers produced can be used in a wide variety of products and end-use applications.
- the polymers produced include polyethylene homopolymers and polyethylene co-polymers, including linear low density polyethylene, elastomers, plastomers, high density polyethylenes, medium density polyethylenes, low density polyethylenes, as well as polypropylene homopolymers and polypropylene co polymers.
- the polymers typically ethylene based polymers, have a density in the range of from 0.86 g/cc to 0.97 g/cc, preferably in the range of from 0.88 g/cc to 0.965 g/cc, more preferably in the range of from 0.900 g/cc to 0.96 g/cc, even more preferably in the range of from 0.905 g/cc to 0.95 g/cc, yet even more preferably in the range from 0.910 g/cc to 0.940 g/cc, and most preferably greater than 0.915 g/cc, preferably greater than 0.920 g/cc, and most preferably greater than 0.925 g/cc. Density is measured in accordance with ASTM-D-1238.
- the polymers produced typically have a molecular weight distribution, a weight average molecular weight to number average molecular weight (M w /M n ) of greater than 1.5 to about 15, particularly greater than 2 to about 10, more preferably greater than about 2.2 to less than about 8, and most preferably from 2.5 to 8.
- the polymers may have a narrow molecular weight distribution and a broad composition distribution or vice-versa, and may be those polymers described in U.S. Pat. No. 5,798,427.
- the polymers typically have a narrow composition distribution as measured by Composition Distribution Breadth Index (CDBI). Further details of determining the CDBI of a copolymer are known to those skilled in the art. See, for example, PCT Patent Application WO 93/03093, published Feb. 18, 1993.
- the polymers in one embodiment have CDBI's generally in the range of greater than 50% to 100%, preferably 99%, preferably in the range of 55% to 85%, and more preferably 60% to 80%, even more preferably greater than 60%, still even more preferably greater than 65%.
- polymers produced using a catalyst system described herein have a CDBI less than 50%, more preferably less than 40%, and most preferably less than 30%.
- the polymers in one embodiment have a melt index (MI) or (I 2 ) as measured by ASTM-D-1238-E (190/2.16) in the range from no measurable flow to 1000 dg/min, more preferably from about 0.01 dg/min to about 100 dg/min, even more preferably from about 0.1 dg/min to about 50 dg/min, and most preferably from about 0.1 dg/min to about 10 dg/min.
- MI melt index
- I 2 as measured by ASTM-D-1238-E
- the polymers have a melt index ratio (I 21 /I 2 ) (I 21 is measured by ASTM-D-1238-F) (190/21.6) of from 10 to less than 25, more preferably from about 15 to less than 25.
- the polymers in a preferred embodiment, have a melt index ratio (I 21 /I 2 ) of from greater than 25, more preferably greater than 30, even more preferably greater that 40, still even more preferably greater than 50 and most preferably greater than 65.
- the melt index ratio (I 21 /I 2 ) may be of from 5 to 300, 10 to 200, 20 to 180, 30 to 160, 40 to 120, 50 to 100, 60 to 90, and a combination of any upper limit with any lower limit.
- propylene based polymers are produced. These polymers include atactic polypropylene, isotactic polypropylene, hemi-isotactic and syndiotactic polypropylene. Other propylene polymers include propylene block or impact copolymers. Propylene polymers of these types are well known in the art see for example U.S. Pat. Nos. 4,794,096, 3,248,455, 4,376,851, 5,036,034 and 5,459,117.
- the polymers may be blended and/or coextruded with any other polymer.
- Non-limiting examples of other polymers include linear low density polyethylenes, elastomers, plastomers, high pressure low density polyethylene, high density polyethylenes, polypropylenes and the like.
- the polymers produced and blends thereof are useful in such forming operations as film, sheet, and fiber extrusion and co-extrusion as well as blow molding, injection molding and rotary molding.
- Films include blown or cast films formed by coextrusion or by lamination useful as shrink film, cling film, stretch film, sealing films, oriented films, snack packaging, heavy duty bags, grocery sacks, baked and frozen food packaging, medical packaging, industrial liners, membranes, etc. in food-contact and non-food contact applications.
- Fibers include melt spinning, solution spinning and melt blown fiber operations for use in woven or non-woven form to make filters, diaper fabrics, medical garments, geotextiles, etc.
- Extruded articles include medical tubing, wire and cable coatings, pipe, geomembranes, and pond liners. Molded articles include single and multi-layered constructions in the form of bottles, tanks, large hollow articles, rigid food containers and toys, etc.
- the polymers produced by the processes described herein, utilizing the mixed catalysts described herein, are preferably bimodal.
- the term “bimodal,” when used to describe a polymer or polymer composition, e.g., polyolefins such as polypropylene or polyethylene, or other homopolymers, copolymers or terpolymers, means “bimodal molecular weight distribution,” which term is understood as having the broadest definition persons in the pertinent art have given that term as reflected in printed publications and issued patents.
- a single composition that includes polyolefins with at least one identifiable high molecular weight distribution and polyolefins with at least one identifiable low molecular weight distribution is considered to be a “bimodal” polyolefin, as that term is used herein.
- the high molecular weight polyolefin and the low molecular weight polyolefin are essentially the same type of polymer, e.g., polypropylene or polyethylene.
- the bimodal polymer products prepared using the mixed catalysts described herein can be used in a wide variety of products and end-use applications.
- the polymers produced by the process of the invention include linear low density polyethylene, elastomers, plastomers, high density polyethylenes, low density polyethylenes, medium density polyethylenes, polypropylene and polypropylene copolymers.
- Polymers that can be made using the described processes can have a variety of compositions, characteristics and properties. At least one of the advantages of the catalysts is that the process utilized can be tailored to form a polymer composition with a desired set of properties. For example, it is contemplated that the polymers having the same properties as the bimodal polymer compositions in U.S. Pat. No. 5,525,678 can be formed. Also, the bimetallic catalysts described herein can be used in polymerization processes to form polymers having the same properties as the polymers in the following patents, U.S. Pat. Nos.
- the polymers typically ethylene based polymers, should have a density in the range of from 0.86 g/cc to 0.97 g/cc, preferably in the range of from 0.88 g/cc to 0.965 g/cc, more preferably in the range of from 0.900 g/cc to 0.96 g/cc, even more preferably in the range of from 0.905 g/cc to 0.955 g/cc, yet even more preferably in the range from 0.910 g/cc to 0.955 g/cc, and most preferably greater than 0.915 g/cc, preferably greater than 0.920 g/cc, and most preferably greater than 0.925 g/cc.
- the polymers can have a molecular weight distribution, a weight average molecular weight to number average molecular weight (M w /M n ) of greater than 5 to about 80, particularly greater than 10 to about 60, more preferably greater than about 15 to less than about 55, and most preferably from 20 to 50.
- M w /M n weight average molecular weight to number average molecular weight
- the polymers made by the described processes can in certain embodiments have a melt index (MI) or (I 2 ) as measured by ASTM-D-1238-E in the range from 0.01 dg/min to 1000 dg/min, more preferably from about 0.01 dg/min to about 100 dg/min, even more preferably from about 0.02 dg/min to about 50 dg/min, and most preferably from about 0.03 dg/min to about 0.1 dg/min.
- MI melt index
- I 2 melt index
- Polymers made by the described processes can in certain embodiments have a melt index ratio (I 21 /I 2 ) (I 21 is measured by ASTM-D-1238-F) of from 40 to less than 500, more preferably from about 60 to less than 200.
- polymers made by the described processes can in certain embodiments have a melt index ratio (I 21 /I 2 ) (I 21 is measured by ASTM-D-1238-F) of from preferably greater than 40, more preferably greater than 50, even more preferably greater that 60, still even more preferably greater than 65 and most preferably greater than 70.
- the polymer of the invention may have a narrow molecular weight distribution and a broad composition distribution or vice-versa, and may be those polymers described in U.S. Pat. No. 5,798,427.
- propylene based polymers can be produced using the processes described herein. These polymers include atactic polypropylene, isotactic polypropylene, hemi-isotactic and syndiotactic polypropylene. Other propylene polymers include propylene block or impact copolymers. Propylene polymers of these types are well known in the art see for example U.S. Pat. Nos. 4,794,096, 3,248,455, 4,376,851, 5,036,034 and 5,459,117.
- the polymers of the invention may be blended and/or coextruded with any other polymer.
- Non-limiting examples of other polymers include linear low density polyethylenes produced via conventional Ziegler-Natta and/or bulky ligand metallocene-type catalysis, elastomers, plastomers, high pressure low density polyethylene, high density polyethylenes, polypropylenes and the like.
- Polymers produced by the process of the invention and blends thereof are useful in such forming operations as film, sheet, pipe and fiber extrusion and co-extrusion as well as blow molding, injection molding and rotary molding.
- Films include blown or cast films formed by coextrusion or by lamination useful as shrink film, cling film, stretch film, sealing films, oriented films, snack packaging, heavy duty bags, grocery sacks, baked and frozen food packaging, medical packaging, industrial liners, membranes, etc. in food-contact and non-food contact applications.
- Fibers include melt spinning, solution spinning and melt blown fiber operations for use in woven or non-woven form to make filters, diaper fabrics, medical garments, geotextiles, etc.
- Extruded articles include medical tubing, wire and cable coatings, geomembranes, and pond liners. Molded articles include single and multi-layered constructions in the form of bottles, tanks, large hollow articles, rigid food containers and toys, etc.
- HN3Zr ⁇ Bis(phenylmethyl)[N′-(2,4,6-trimethylphenyl)-N-[2-[2,4,6-trimethyl phenyl)amino-kN]ethyl]-1,2-ethanediaminato(2-)kN,kN′]zirconium ⁇ and “X” ⁇ (n-propylcyclopentadienyl) (tetramethylcyclopentadienyl) zirconium dichloride ⁇ were mixed at a 4.5 to 1 molar ratio and then activated with methyl alumoxane.
- This catalyst system was then supported on silica Cabosil TS 610 in a pilot scale spray dryer.
- the Cabosil TS 610 was sold by Cabot Corporation.
- the composition of the resulting spray dried catalyst was 2 wt % HN3Zr/X, 32% methyl alumoxane, 66% cabosil TS610.
- This catalyst was mixed with mineral oil (Hydrobrite® 550 manufactured by Crompton Company) to produce three slurries having 8%, 12% and 18% solids concentration in oil. Foaming was noticed for each slurry and the intensity of foaming was found to increase with the solids concentration of the slurry. The viscosity of each slurry was measured at 25° C. using a Brookfield viscometer as a function of shear rate, and is reported in Table 1 below.
- Example 1 The catalyst of Example 1 was mixed with Hydrobrite® 550 oil along with 10% heptane to produce a slurry having 25% solids concentration. Even though the solids concentration was higher than the slurries of Example 1, foaming was found to be significantly less. The viscosity of this slurry was also measured using a Brookfield viscometer as a function of shear rate and reported in Table 1. TABLE 1 Effect of solids concentration on viscosity at 25° C. EX 1: EX. 1: EX.
- Example 2 As seen in Table 1, the viscosity of this slurry at 25% solids with heptane (Example 2) was less than the lower concentration slurries without any heptane present. This observation was surprising and unexpected considering the Example 2 slurry contained as much as three times the amount of solids than the slurries of Example 1.
- a spray dried catalyst containing “HN5Zr” ⁇ Bis(phenylmethyl)[N′-(2,3,4,5,6-pentamethylphenyl)-N-[2-[2,3,4,5,6-pentamethylphenyl)amino-kN]ethyl]-1,2-ethane diaminato(2-)kN,kN′]zirconium ⁇ and “X” ⁇ (n-propylcyclopentadienyl) (tetramethylcyclopentadienyl) zirconiumdichloride ⁇ were mixed at a 4.2 to 1 molar ratio, and activated using methyl alumoxane.
- This catalyst was then supported on silica Cabosil TS 610 in a pilot scale spray dryer. This catalyst was then mixed with Hydrobrite® 550 mineral oil, to produce a slurry having 18% solids concentration in oil. Significant foaming was noticed.
- Example 3 The catalyst of Example 3 was mixed with Hydrobrite® mineral oil to produce a slurry having a higher solids concentration (25 wt %) along with 10% n-hexane. Again, foaming was significantly less. A side by side comparison showed a surprising reduction in the foam content of the 25% slurry with 10% hexane of Example 4 compared to the 18% slurry of Example 3.
- a spray dried catalyst containing 2% by weight of HN5Zr/X mixed at 5:1 molar ratio, 32% by weight of methyl alumoxane and 66% by weight of Cabosil TS 610 was prepared in a pilot scale spray dryer.
- the particle size distribution of the catalyst as measured by Mastersizer Instrument made by Malvern Instruments Ltd, Malvern, U.K. is given below:
- a large scale slurry was prepared using this catalyst and n-hexane and another type of mineral oil (Kaydol® also manufactured by Crompton Company) to test the foaming and ease of handling.
- the slurry was made in a 125 gallon vessel fitted with a helical ribbon agitator. About 483 lbs. of degassed mineral oil was charged into the 125 gallon vessel, and 71 lbs. of n-hexane was added and mixed for 1 hour at 40° C. Then 156.4 lbs. of the spray dried catalyst was added over a period of two hours. The slurry in the 125 gallon vessel was mixed at 40° C. for about 4 hours and discharged into a horizontal metal cylinder of 120 gallon size. The composition of the slurry was 22% catalyst, 10% hexane, and 68% oil.
- the above slurry was stored in the 125 gallon horizontal cylinder for about 6 months at ambient temperature. After rolling the cylinder for 24 hours, the slurry was transferred to a catalyst feeder in a fluidized bed reactor. No problem in transfer was encountered. The slurry was fed to the fluidized bed reactor for about 15 hours and 80,000 lbs of bimodal HDPE was produced.
- the properties of the resin were as follows:
Landscapes
- Chemical & Material Sciences (AREA)
- Chemical Kinetics & Catalysis (AREA)
- Organic Chemistry (AREA)
- Health & Medical Sciences (AREA)
- Medicinal Chemistry (AREA)
- Polymers & Plastics (AREA)
- Engineering & Computer Science (AREA)
- Materials Engineering (AREA)
- Crystallography & Structural Chemistry (AREA)
- Transition And Organic Metals Composition Catalysts For Addition Polymerization (AREA)
Abstract
A method for preparing a spray dried catalyst and a low viscosity, low foam spray dried catalyst system for olefin polymerization are provided. In one aspect, the method includes preparing a catalyst system comprising one or more components selected from the group consisting of metallocenes, non-metallocenes, and activators, adding mineral oil to the catalyst system to form a slurry, and adding one or more liquid alkanes having three or more carbon atoms to the slurry in an amount sufficient to reduce foaming and viscosity of the slurry. In one aspect, the catalyst system includes one or more catalysts selected from the group consisting of metallocenes, non-metallocenes, and a combination thereof, wherein the catalyst system is spray dried. The system further includes mineral oil to form a slurry comprising the catalyst system, and one or more liquid alkanes having three or more carbon atoms in an amount sufficient to reduce foaming and viscosity of the slurry.
Description
- 1. Field of the Invention
- Embodiments of the present invention generally relate to a spray dried catalyst slurry. More particularly, embodiments of the present invention relate to a spray died catalyst slurry for gas phase olefin polymerization.
- 2. Description of the Related Art
- A number of methodologies used for delivering catalysts to reactors require the catalyst to be supported on an inert carrier such as silica. Impregnating a catalyst on a support has often been found to cause a significant decrease in catalyst activity. In addition, large particles (>25 micrometers) of the support material have frequently been found in the finished polymer product. These particles may adversely affect polymer properties. This has been observed in film applications where unexploded silica particles appear as defects or gels.
- Spray-drying techniques have been employed as an alternative to supported particles. Once a catalyst has been spray dried, the spray dried catalyst is added to a diluent to form a catalyst slurry and pumped to a polymerization reactor. A high solids concentration within the catalyst slurry is desirable to reduce the amount of slurry. A reduction in the amount of slurry reduces transportation expenses. A reduction in the amount of slurry also reduces the amount of diluent that must be ultimately isolated and either discarded or recycled. This separation process is timely and can greatly increase capital cost.
- However, a high solids concentration typically increases the slurry viscosity. A high solids concentration also increases the amount of foaming which is typically generated by cooling gas during formation of the spray dried catalysts. A high slurry viscosity and foaming often cause handling problems, storage problems as well as reactor injection problems.
- There is a need, therefore, for a spray dried catalyst slurry that has an increased solids content, a low viscosity, and a limited amount of foam.
- A method for preparing a spray dried catalyst and a low viscosity, low foam spray dried catalyst system for olefin polymerization are provided. In one aspect, the method includes preparing a catalyst system comprising one or more components selected from the group consisting of metallocenes, non-metallocenes, and activators, adding mineral oil to the catalyst system to form a slurry, and adding one or more liquid alkanes having three or more carbon atoms to the slurry in an amount sufficient to reduce foaming and viscosity of the slurry. In one aspect, the catalyst system includes one or more catalysts selected from the group consisting of metallocenes, non-metallocenes, and a combination thereof, wherein the catalyst system is spray dried. The catalyst system further includes mineral oil to form a slurry comprising the catalyst system, and one or more liquid alkanes having three or more carbon atoms in an amount sufficient to reduce foaming and viscosity of the slurry.
- Further, a method for olefin polymerization is provided. In one aspect, the method comprises preparing a catalyst system useful for olefin polymerization, adding mineral oil to the catalyst system to form a slurry, adding one or more liquid alkanes having three or more carbon atoms to the slurry in an amount sufficient to reduce foaming and viscosity of the slurry, and transferring the slurry to a gas phase reactor.
- So that the manner in which the above recited features of the present invention can be understood in detail, a more particular description of the invention, briefly summarized above, may be had by reference to embodiments, some of which are illustrated in the appended drawings. It is to be noted, however, that the appended drawings illustrate only typical embodiments of this invention and are therefore not to be considered limiting of its scope, for the invention may admit to other equally effective embodiments.
-
FIG. 1 is a schematic representation of an exemplary spray dry apparatus suitable for forming spray dried catalyst according to embodiments described herein. - A spray dried catalyst slurry and a method for delivering the slurry to a polymerization reactor are provided. In one aspect, the spray dried catalyst slurry includes mineral oil, at least one catalyst system, and one or more liquid alkanes having from three to twelve carbon atoms. It has been surprisingly found that the one or more liquid alkanes reduces the viscosity of the slurry by at least 30 percent, and also reduces foaming. Foaming is typically a result of evolved gas formed by a reaction of volatile components and impurities within the catalyst slurry, whereby this evolved gas forms a foam due to the surface tension of the oil slurry.
- The concentration of the components in the slurry is controlled to reduce the viscosity of the slurry and to reduce foaming. In one aspect, the spray dried catalyst slurry contains up to 20 percent by weight of the one or more liquid alkanes. In another aspect, the slurry contains up to 15 percent by weight of the one or more liquid alkanes. In yet another aspect, the slurry contains up to 10 percent by weight of the one or more liquid alkanes. Preferably, the slurry contains between about 2 percent by weight and 15 percent by weight of the one or more liquid alkanes. More preferably, the slurry contains between about 2 percent by weight and 10 percent by weight of the one or more liquid alkanes.
- The concentration of the components in the slurry is also controlled to maximize the amount of the catalyst system within the slurry. Due to the presence of the liquid alkane, the slurry may contain up to 50 percent by weight of the catalyst system. In one aspect, the slurry contains at least 10 percent by weight of the catalyst system. In another aspect, the slurry contains at least 15 percent by weight of the catalyst system. In yet another aspect, the slurry contains at least 20 percent by weight of the catalyst system. Preferably, the slurry contains from 5 percent by weight to about 35 percent by weight of the catalyst system. More preferably, the slurry contains from 10 percent by weight to about 30 percent by weight of the catalyst system or from 15 percent by weight to about 25 percent by weight of the catalyst system.
- The one or more liquid alkanes are preferably liquid under polymerization conditions and relatively inert. Exemplary liquid alkanes include, but are not limited to, isopentane, hexane and heptane. Preferably, the liquid alkane is hexane.
- The spray dried catalyst slurry preferably has a viscosity of from 300 to 1,500 centipoise (cP), such as from 300 to 400 centipoise (cP) at 25° C. In one aspect, the spray dried catalyst slurry has a viscosity of from 300 to 1,000 cP at 25° C. In another aspect, the spray dried catalyst slurry has a viscosity of from 300 to 500 cP at 25° C. In yet another aspect, the spray dried catalyst slurry has a viscosity of from 300 to 400 cP at 25° C.
- The spray dried catalyst slurry may be utilized in conjunction with any suitable polymerization catalyst. Exemplary polymerization catalysts include, but are not limited to, metallocenes, Group 15 containing compounds, phenoxide transition metal compositions, Group 5 or 6 metal imido complexes, bridged bis(arylamido) Group 4 compounds, derivatives thereof, and combinations thereof.
- The term “catalyst system” may include any number of catalysts in any combination as described herein, as well as any activator in any combination as described herein. The term “catalyst” is used interchangeably with the term “catalyst component”, and includes any compound or component, or combination of compounds or components, that is capable of increasing the rate of a chemical reaction, such as the polymerization or oligomerization of one or more olefins. As used herein, in reference to Periodic Table “Groups” of Elements, the “new” numbering scheme for the Periodic Table Groups are used as in the CRC Handbook of Chemistry and Physics (David R. Lide ed., CRC Press 81st ed. 2000).
- In one aspect, the catalyst system is a mixed catalyst system of at least one metallocene catalyst component and at least one non-metallocene component. The mixed catalyst system may be described as a bimetallic catalyst composition or a multi-catalyst composition. As used herein, the terms “bimetallic catalyst composition” and “bimetallic catalyst” include any composition, mixture, or system that includes two or more different catalyst components, each having a different metal group. The terms “multi-catalyst composition” and “multi-catalyst” include any composition, mixture, or system that includes two or more different catalyst components regardless of the metals. Therefore, terms “bimetallic catalyst composition,” “bimetallic catalyst,” “multi-catalyst composition,” and “multi-catalyst” will be collectively referred to herein as a “mixed catalyst system” unless specifically noted otherwise.
- Non-metallocene Component
- Exemplary non-metallocene component include, but are not limited to, a Group 15-containing catalyst. “Group 15-containing catalysts“, as referred to herein, include Group 3 to Group 12 metal complexes, wherein the metal is 2 to 4 coordinate and the coordinating moiety or moieties include at least two Group 15 atoms, and up to four Group 15 atoms. In one embodiment, the Group 15-containing catalyst is a complex of a Group 4 metal and from one to four ligands such that the Group 4 metal is at least 2 coordinate and the coordinating moiety or moieties include at least two nitrogens.
- In one embodiment, the Group 15-containing catalyst may include, but is not limited to, Group 4 imino-phenol complexes, Group 4 bis(amide) complexes, and Group 4 pyridylamide complexes that are active towards olefin polymerization to any extent. In another embodiment, the Group 15-containing catalyst may be described by the following formula (I):
αaβbγgMXn (I) - Each X is independently selected from halogen ions, hydrides, C1 to C12 alkyls, C2 to C12 alkenyls, C6 to C12 aryls, C7 to C20 alkylaryls, C1 to C12 alkoxys, C6 to C16 aryloxys, C7 to C18 alkylaryloxys, C1 to C12 fluoroalkyls, C6 to C12 fluoroaryls, C1 to C12 heteroatom-containing hydrocarbons, halogenated C6 to C16 aryloxys, and substituted derivatives thereof.
- M is selected from Group 3 to Group 12 atoms in one embodiment; and selected from Group 3 to Group 10 atoms in a more particular embodiment; and selected from Group 3 to Group 6 atoms in yet a more particular embodiment; and selected from Ni, Cr, Ti, Zr and Hf in yet a more particular embodiment; and selected from Zr and Hf in yet a more particular embodiment.
- Each β and γ are groups that each comprise at least one Group 14 to Group 16 atom; and β (when present) and γ are groups bonded to M through between 2 and 6 Group 14 to Group 16 atoms, at least two atoms being Group 15-containing atoms.
- More particularly, β and γ are groups selected from Group 14 and Group 15-containing: alkyls, aryls, alkylaryls, and heterocyclic hydrocarbons, and chemically bonded combinations thereof in one embodiment; and selected from Group 14 and Group 15-containing: C1 to C10 alkyls, C6 to C12 aryls, C6 to C18 alkylaryls, and C4 to C12 heterocyclic hydrocarbons, and chemically bonded combinations thereof in a more particular embodiment; and selected from C1 to C10 alkylamines, C1 to C10 alkoxys, C6 to C20 alkylarylamines, C6 to C18 alkylaryloxys, and C4 to C12 nitrogen containing heterocyclic hydrocarbons, and C4 to C12 alkyl substituted nitrogen containing heterocyclic hydrocarbons and chemically bonded combinations thereof in yet a more particular embodiment; and selected from anilinyls, pyridyls, quinolyls, pyrrolyls, pyrimidyls, purinyls, imidazyls, indolyls, C1 to C6 alkyl substituted groups selected from anilinyls, pyridyls, quinolyls, pyrrolyls, pyrimidyls, purinyls, imidazyls, indolyls; C1 to C6 alkylamine substituted groups selected from anilinyls, pyridyls, quinolyls, pyrrolyls, pyrimidyls, purinyls, imidazyls, indolyls, amine substituted anilinyls, pyridyls, quinolyls, pyrrolyls, pyrimidyls, purinyls, imidazyls, and indolyls; hydroxy substituted groups selected from anilinyls, pyridyls, quinolyls, pyrrolyls, pyrimidyls, purinyls, imidazyls, and indolyls; methyl-substituted phenylamines, and chemically bonded combinations thereof in yet a more particular embodiment;
- Each α is a linking (or “bridging”) moiety that, when present, forms a chemical bond to each of β and γ, or two γ's, thus forming a “γαγ” or “γαβ” ligand bound to M; α may also comprise a Group 14 to Group 16 atom which may be bonded to M through the Group 14 to Group 16 atom in one embodiment; and more particularly, α is a divalent bridging group selected from alkylenes, arylenes, alkenylenes, heterocyclic arylenes, alkylarylenes, heteroatom containing alkylenes, heteroatom containing alkenylenes and heterocyclic hydrocarbonylenes in one embodiment; and selected from C1 to C10 alkylenes, C2 to C10 alkenylenes, C6 to C12 arylenes, C1 to C10 divalent ethers, C6 to C12 O- or N-containing arylenes, C2 to C10 alkyleneamines, C6 to C12 aryleneamines, and substituted derivatives thereof in yet a more particular embodiment;
- a is an integer from 0 to 2; a is either 0 or 1 in a more particular embodiment; and a is 1 in yet a more particular embodiment; b is an integer from 0 to 2; g is an integer from 1 to 2; wherein in one embodiment, a is 1, b is 0 and g is 2; and
- n is an integer from 0 to 4 in one embodiment; and an integer from 1 to 3 in a more particular embodiment; and an integer from 2 to 3 in yet a more particular embodiment.
- As used herein, “chemically bonded combinations thereof” means that adjacent groups, (β and γ groups) may form a chemical bond between them. In one embodiment, the β and γ groups are chemically bonded through one or more α groups there between.
- As used herein, the terms “alkyleneamines” and “aryleneamines” describe alkylamines and arylamines (respectively) that are deficient by two hydrogens, thus forming chemical bonds with two adjacent γ groups, or adjacent β and γ groups. Thus, an example of an alkyleneamine is —CH2CH2N(CH3)CH2CH2—, and an example of a heterocyclic hydrocarbylene or aryleneamine is —C5H3N—(divalent pyridine). An “alkylene-arylamine” is a group such as, for example, —CH2CH2(C5H3N)CH2CH2—.
-
- wherein E and Z are Group 15 elements independently selected from nitrogen and phosphorus in one embodiment; and nitrogen in a more particular embodiment;
- L is selected from Group 15 atoms, Group 16 atoms, Group 15-containing hydrocarbylenes and a Group 16 containing hydrocarbylenes in one embodiment; wherein R3 is absent when L is a Group 16 atom; in yet a more particular embodiment, when R3 is absent, L is selected from heterocyclic hydrocarbylenes; and in yet a more particular embodiment, L is selected from nitrogen, phosphorous, anilinyls, pyridyls, quinolyls, pyrrolyls, pyrimidyls, purinyls, imidazyls, indolyls; C1 to C6 alkyl substituted groups selected from anilinyls, pyridyls, quinolyls, pyrrolyls, pyrimidyls, purinyls, imidazyls, and indolyls; C1 to C6 alkylamine substituted groups selected from anilinyls, pyridyls, quinolyls, pyrrolyls, pyrimidyls, purinyls, imidazyls, indolyls; amine substituted anilinyls, pyridyls, quinolyls, pyrrolyls, pyrimidyls, purinyls, imidazyls, and indolyls; hydroxy substituted groups selected from anilinyls, pyridyls, quinolyls, pyrrolyls, pyrimidyls, purinyls, imidazyls, and indolyls; methyl-substituted phenylamines, substituted derivatives thereof, and chemically bonded combinations thereof;
- L′ is selected from Group 15 atoms, Group 16 atoms, and Group 14 atoms in one embodiment; and selected from Group 15 and Group 16 atoms in a more particular embodiment; and is selected from groups as defined by L above in yet a more particular embodiment, wherein “EZL” and “EZL′” may be referred to as a “ligand”, the EZL and EZL′ ligands comprising the R* and R1-R7 groups;
- L and L′ may or may not form a bond with M;
- y is an integer ranging from 0 to 2 (when y is 0, group L′, *R and R3 are absent);
- M is selected from Group 3 to Group 5 atoms, Group 4 atoms in a more particular embodiment, and selected from Zr and Hf in yet a more particular embodiment;
- n is an integer ranging from 1 to 4 in one embodiment; n is an integer ranging from 2 to 3 in a more particular embodiment;
- R1 and R2 are independently: divalent bridging groups selected from alkylenes, arylenes, heteroatom containing alkylenes, heteroatom containing arylenes, substituted alkylenes, substituted arylenes and substituted heteroatom containing alkylenes, wherein the heteroatom is selected from silicon, oxygen, nitrogen, germanium, phosphorous, boron and sulfur in one embodiment; selected from C1 to C20 alkylenes, C6 to C12 arylenes, heteroatom-containing C1 to C20 alkylenes and heteroatom-containing C6 to C12 arylenes in a more particular embodiment; and in yet a more particular embodiment selected from —CH2—, —C(CH3)2—, —C(C6H5)2—, —CH2CH2—, —CH2CH2CH2—, —Si(CH3)2—, —Si(C6H5)2—, —C6H10—, —C6H4—, and substituted derivatives thereof, the substitutions including C1 to C4 alkyls, phenyl, and halogen radicals;
- R3 is absent in one embodiment; a group selected from hydrocarbyl groups, hydrogen radical, halogen radicals, and heteroatom-containing groups in a more particular embodiment; and selected from linear alkyls, cyclic alkyls, and branched alkyls having 1 to 20 carbon atoms in yet a more particular embodiment;
- *R is absent in one embodiment; a group selected from hydrogen radical, Group 14 atom containing groups, halogen radicals, and a heteroatom-containing groups in yet a more particular embodiment;
- R4 and R5 are independently: groups selected from alkyls, aryls, substituted aryls, cyclic alkyls, substituted cyclic alkyls, cyclic arylalkyls, substituted cyclic arylalkyls and multiple ring systems in one embodiment, each group having up to 20 carbon atoms, and between 3 and 10 carbon atoms in a more particular embodiment; selected from C1 to C20 alkyls, C1 to C20 aryls, C1 to C20 arylalkyls, and heteroatom-containing groups (for example PR3, where R is an alkyl group) in yet a more particular embodiment; and
- R6 and R7are independently: absent in one embodiment; groups selected from hydrogen radicals, halogen radicals, heteroatom-containing groups and hydrocarbyls in a more particular embodiment; selected from linear, cyclic and branched alkyls having from 1 to 20 carbon atoms in yet a more particular embodiment;
- R1 and R2 may be associated with one another, and/or R4 and R5 may be associated with one another as through a chemical bond.
-
- The structure (IV) represents pyridyl-amide structures, structure (V) represents imino-phenol structures, and structure (VI) represents bis(amide) structures;
- w is an integer from 1 to 3, and 1 or 2 in a more particular embodiment, and 1 in yet a more particular embodiment;
- M is a Group 3 to Group 13 element, a Group 3 to Group 6 element in a more particular embodiment, and a Group 4 element in yet a more particular embodiment; and
- n is an integer ranging from 0 to 4, and from 1 to 3 in a more particular embodiment, and from 2 to 3 in yet a more particular embodiment, and 2 in yet a more particular embodiment.
- Each X is independently selected from halogen ions, hydrides, C1 to C12 alkyls, C2 to C12 alkenyls, C6 to C12 aryls, C7 to C20 alkylaryls, C1 to C12 alkoxys, C6 to C16 aryloxys, C7 to C18 alkylaryloxys, C1 to C12 fluoroalkyls, C6 to C12 fluoroaryls, C1 to C12 heteroatom-containing hydrocarbons, halogenated C6 to C16 aryloxys, and substituted derivatives thereof.
- In structures (IV), (V), and (VI), R1′ is selected from hydrocarbylenes and heteroatom-containing hydrocarbylenes in one embodiment, and selected from —SiR2—, alkylenes, arylenes, alkenylenes and substituted alkylenes, substituted alkenylenes and substituted arylenes in another embodiment; and selected from —SiR2—, C1 to C6 alkylenes, C6 to C12 arylenes, C1 to C6 substituted alkylenes and C6 to C12 substituted arylenes in another embodiment.
- R is selected from C1 to C6 alkyls and C6 to C12 aryls; and R2′, R3′, R4′, R5′, R6′ and R* are independently selected from hydride, C1 to C10 alkyls, C6 to C12 aryls, C6 to C18 alkylaryls, C4 to C12 heterocyclic hydrocarbyls, substituted C1 to C10 alkyls, substituted C6 to C12 aryls, substituted C6 to C18 alkylaryls, and substituted C4 to C12 heterocyclic hydrocarbyls and chemically bonded combinations thereof in one embodiment.
- R* is absent in a particular embodiment; and in another embodiment, R*—N represents a nitrogen containing group or ring such as a pyridyl group or a substituted pyridyl group that is bridged by the R1′ groups. In yet another embodiment, R*—N is absent, and the R1′ groups form a chemical bond to one another.
- In one embodiment of structures (IV), (V), and (VI), R1′ is selected from methylene, ethylene, 1-propylene, 2-propylene, ═Si(CH3)2, ═Si(phenyl)2, —CH═, —C(CH3)═, —C(phenyl)2—, —C(phenyl)═(wherein “═” represents two chemical bonds), and the like.
- In a particular embodiment of structure (V), R2′ and R4′ are selected from 2-methylphenyl, 2-n-propylphenyl, 2-iso-propylphenyl, 2-iso-butylphenyl, 2-tert-butylphenyl, 2-fluorophenyl, 2-chlorophenyl, 2-bromophenyl, 2-methyl-4-chlorophenyl, 2-n-propyl-4-chlorophenyl, 2-iso-propyl-4-chlorophenyl, 2-iso-butyl-4-chlorophenyl, 2-tert-butyl-4-chlorophenyl, 2-methyl-4-fluorophenyl, 2-n-propyl-4-fluorophenyl, 2-iso-propyl-4-fluorophenyl, 2-iso-butyl-4-fluorophenyl, 2-tert-butyl-4-fluorophenyl, 2-methyl-4-bromophenyl, 2-n-propyl-4-bromophenyl, 2-iso-propyl-4-bromophenyl, 2-iso-butyl-4-bromophenyl, 2-tert-butyl-4-bromophenyl, and the like.
- In yet another particular embodiment of structures (IV) and (VI), R2′ and R3′ are selected from 2-methylphenyl, 2-n-propylphenyl, 2-iso-propylphenyl, 2-iso-butylphenyl, 2-tert-butylphenyl, 2-fluorophenyl, 2-chlorophenyl, 2-bromophenyl, 4-methylphenyl, 4-n-propylphenyl, 4-iso-propylphenyl, 4-iso-butylphenyl, 4-tert-butylphenyl, 4-fluorophenyl, 4-chlorophenyl, 4-bromophenyl, 6-methylphenyl, 6-n-propylphenyl, 6-iso-propylphenyl, 6-iso-butylphenyl, 6-tert-butylphenyl, 6-fluorophenyl, 6-chlorophenyl, 6-bromophenyl, 2,6-dimethylphenyl, 2,6-di-n-propylphenyl, 2,6-di-iso-propylphenyl, 2,6-di-isobutylphenyl, 2,6-di-tert-butylphenyl, 2,6-difluorophenyl, 2,6-dichlorophenyl, 2,6-dibromophenyl, 2,4,6-trimethylphenyl, 2,4,6-tri-n-propylphenyl, 2,4,6-tri-iso-propylphenyl, 2,4,6-tri-iso-butylphenyl, 2,4,6-tri-tert-butylphenyl, 2,4,6-trifluorophenyl, 2,4,6-trichlorophenyl, 2,4,6-tribromophenyl, 2,3,4,5,6-pentafluorophenyl, 2,3,4,5,6-pentachlorophenyl, 2,3,4,5,6-pentabromophenyl, and the like.
- In another embodiment of structures (IV), (V), and (VI), X is independently selected from fluoride, chloride, bromide, methyl, ethyl, phenyl, benzyl, phenyloxy, benzloxy, 2-phenyl-2-propoxy, 1-phenyl-2-propoxy, 1-phenyl-2-butoxy, 2-phenyl-2-butoxy and the like.
- As used herein, “chemically bonded combinations” means that adjacent groups may form a chemical bond between them, thus forming a ring system, either saturated, partially unsaturated, or aromatic.
-
- In structures (VIIa) through (VIIf) M is selected from Group 4 atoms in one embodiment; and M is selected from Zr and Hf in a more particular embodiment;
- n is an integer ranging from 0 to 4, and from 2 to 3 in a more particular embodiment; and
- R1 through R11 in structures (VIIa) through (VIIf) are selected from hydride, fluorine radical, chlorine radical, bromine radical, methyl, ethyl, n-propyl, isopropyl, n-butyl, isobutyl, tert-butyl and phenyl.
- Each X is independently selected from halogen ions, hydrides, C1 to C12 alkyls, C2 to C12 alkenyls, C6 to C12 aryls, C7 to C20 alkylaryls, C1 to C12 alkoxys, C6 to C 16 aryloxys, C7 to C18 alkylaryloxys, C1 to C12 fluoroalk yls, C6 to C12 fluoroaryls, C1 to C12 heteroatom-containing hydrocarbons, halogenated C6 to C16 aryloxys, and substituted derivatives thereof. Preferably, at least one X is a halogentated aryloxy group or a derivative thereof. More preferably, at least one X is a pentafluorophenoxy group.
- Metallocene Catalyst Component
- Exemplary metallocene catalyst components include, but are not limited to, “half sandwich” and “full sandwich” compounds having one or more Cp ligands (cyclopentadienyl and ligands isolobal to cyclopentadienyl) bound to at least one Group 3 to Group 12 metal atom, and one or more leaving group(s) bound to the at least one metal atom. Hereinafter, these compounds will be referred to as “metallocenes” or “metallocene catalyst components”.
- The Cp ligands are one or more rings or ring system(s), at least a portion of which includes π-bonded systems, such as cycloalkadienyl ligands and heterocyclic analogues. The ring(s) or ring system(s) typically comprise atoms selected from the group consisting of Groups 13 to 16 atoms, and more particularly, the atoms that make up the Cp ligands are selected from the group consisting of carbon, nitrogen, oxygen, silicon, sulfur, phosphorous, germanium, boron and aluminum and combinations thereof, wherein carbon makes up at least 50% of the ring members. Even more particularly, the Cp ligand(s) are selected from the group consisting of substituted and unsubstituted cyclopentadienyl ligands and ligands isolobal to cyclopentadienyl, non-limiting examples of which include cyclopentadienyl, indenyl, fluorenyl and other structures. Further non-limiting examples of such ligands include cyclopentadienyl, cyclopentaphenanthreneyl, indenyl, benzindenyl, fluorenyl, octahydrofluorenyl, cyclooctatetraenyl, cyclopentacyclododecene, phenanthrindenyl, 3,4-benzofluorenyl, 9-phenylfluorenyl, 8-H-cyclopent[a]acenaphthylenyl, 7H-dibenzofluorenyl, indeno[1,2-9]anthrene, thiophenoindenyl, thiophenofluorenyl, hydrogenated versions thereof (e.g., 4,5,6,7-tetrahydroindenyl, or “H4Ind”), substituted versions thereof (as described in more detail below), and heterocyclic versions thereof.
- The metal atom “M” of the metallocene catalyst compound, as described throughout the specification and claims, may be selected from the group consisting of Groups 3 through 12 atoms and lanthanide Group atoms in one embodiment; and selected from the group consisting of Groups 3 through 10 atoms in a more particular embodiment, and selected from the group consisting of Sc, Ti, Zr, Hf, V, Nb, Ta, Mn, Re, Fe, Ru, Os, Co, Rh, Ir, and Ni in yet a more particular embodiment; and selected from the group consisting of Groups 4, 5 and 6 atoms in yet a more particular embodiment, and a Ti, Zr, Hf atoms in yet a more particular embodiment, and Zr in yet a more particular embodiment. The oxidation state of the metal atom “M” may range from 0 to +7 in one embodiment; and in a more particular embodiment, is +1, +2, +3, +4 or +5; and in yet a more particular embodiment is +2, +3 or +4. The groups bound the metal atom “M” are such that the compounds described below in the formulas and structures are neutral, unless otherwise indicated. The Cp ligand(s) form at least one chemical bond with the metal atom M to form the “metallocene catalyst compound”. The Cp ligands are distinct from the leaving groups bound to the catalyst compound in that they are not highly susceptible to substitution/abstraction reactions.
- In one aspect, the one or more metallocene catalyst components are represented by the formula (II):
CpACpBMXn (VIII) - wherein M is as described above; each X is chemically bonded to M; each Cp group is chemically bonded to M; and n is 0 or an integer from 1 to 4, and either 1 or 2 in a particular embodiment.
- The ligands represented by CpA and CpB in formula (VIII) may be the same or different cyclopentadienyl ligands or ligands isolobal to cyclopentadienyl, either or both of which may contain heteroatoms and either or both of which may be substituted by a group R. In one embodiment, CpA and CpB are independently selected from the group consisting of cyclopentadienyl, indenyl, tetrahydroindenyl, fluorenyl, and substituted derivatives of each.
- Independently, each CpA and CpB of formula (VIII) may be unsubstituted or substituted with any one or combination of substituent groups R. Non-limiting examples of substituent groups R as used in structure (II) include hydrogen radicals, alkyls, alkenyls, alkynyls, cycloalkyls, aryls, acyls, aroyls, alkoxys, aryloxys, alkylthiols, dialkylamines, alkylamidos, alkoxycarbonyls, aryloxycarbonyls, carbomoyls, alkyl- and dialkyl-carbamoyls, acyloxys, acylaminos, aroylaminos, and combinations thereof.
- More particular non-limiting examples of alkyl substituents R associated with formula (II) includes methyl, ethyl, propyl, butyl, pentyl, hexyl, cyclopentyl, cyclohexyl, benzyl, phenyl, methylphenyl, and tert-butylphenyl groups and the like, including all their isomers, for example tertiary-butyl, isopropyl, and the like. Other possible radicals include substituted alkyls and aryls such as, for example, fluoromethyl, fluroethyl, difluroethyl, iodopropyl, bromohexyl, chlorobenzyl and hydrocarbyl substituted organometalloid radicals including trimethylsilyl, trimethylgermyl, methyldiethylsilyl and the like; and halocarbyl-substituted organometalloid radicals including tris(trifluoromethyl)silyl, methylbis(difluoromethyl)silyl, bromomethyldimethylgermyl and the like; and disubstituted boron radicals including dimethylboron for example; and disubstituted Group 15 radicals including dimethylamine, dimethylphosphine, diphenylamine, methylphenylphosphine, Group 16 radicals including methoxy, ethoxy, propoxy, phenoxy, methylsulfide and ethylsulfide. Other substituents R include olefins such as but not limited to olefinically unsaturated substituents including vinyl-terminated ligands, for example 3-butenyl, 2-propenyl, 5-hexenyl and the like. In one embodiment, at least two R groups, two adjacent R groups in one embodiment, are joined to form a ring structure having from 3 to 30 atoms selected from the group consisting of carbon, nitrogen, oxygen, phosphorous, silicon, germanium, aluminum, boron and combinations thereof. Also, a substituent group R group such as 1-butanyl may form a bonding association to the element M.
- Each X in formula (VIII) is independently selected from the following: halogen ions, hydrides, C1 to C12 alkyls, C2 to C12 alkenyls, C6 to C12 aryls, C7 to C20 alkylaryls, C1 to C12 alkoxys, C6 to C16 aryloxys, C7 to C18 alkylaryloxys, C1 to C12 fluoroalkyls, C6 to C12 fluoroaryls, and C1 to C12 heteroatom-containing hydrocarbons and substituted derivatives thereof in a more particular embodiment; hydride, halogen ions, C1 to C6 alkyls, C2 to C6 alkenyls, C7 to C18 alkylaryls, C1 to C6 alkoxys, C6 to C14 aryloxys, C7 to C16 alkylaryloxys, C1 to C6 alkylcarboxylates, C1 to C6 fluorinated alkylcarboxylates, C6 to C12 arylcarboxylates, C7 to C18 alkylarylcarboxylates, C1 to C6 fluoroalkyls, C2 to C6 fluoroalkenyls, and C7 to C18 fluoroalkylaryls in yet a more particular embodiment; hydride, chloride, fluoride, methyl, phenyl, phenoxy, benzoxy, tosyl, fluoromethyls and fluorophenyls in yet a more particular embodiment; C1 to C12 alkyls, C2 to C12 alkenyls, C6 to C12 aryls, C7 to C20 alkylaryls, substituted C1 to C12 alkyls, substituted C6 to C12 aryls, substituted C7 to C20 alkylaryls and C1 to C12 heteroatom-containing alkyls, C1 to C12 heteroatom-containing aryls and C1 to C12 heteroatom-containing alkylaryls in yet a more particular embodiment; chloride, fluoride, C1 to C6 alkyls, C2 to C6 alkenyls, C7 to C18 alkylaryls, halogenated C1 to C6 alkyls, halogenated C2 to C6 alkenyls, and halogenated C7 to C18 alkylaryls in yet a more particular embodiment; fluoride, methyl, ethyl, propyl, phenyl, methylphenyl, dimethylphenyl, trimethylphenyl, fluoromethyls (mono-, di- and trifluoromethyls) and fluorophenyls (mono-, di-, tri-, tetra- and pentafluorophenyls) in yet a more particular embodiment.
- Other non-limiting examples of X groups in formula (VIII) include amines, phosphines, ethers, carboxylates, dienes, hydrocarbon radicals having from 1 to 20 carbon atoms, fluorinated hydrocarbon radicals (e.g., —C6F5 (pentafluorophenyl)), fluorinated alkylcarboxylates (e.g, CF3C(O)O—), hydrides and halogen ions and combinations thereof. Other examples of X ligands include alkyl groups such as cyclobutyl, cyclohexyl, methyl, heptyl, tolyl, trifluoromethyl, tetramethylene, pentamethylene, methylidene, methyoxy, ethyoxy, propoxy, phenoxy, bis(N-methylanilide), dimethylamide, dimethylphosphide radicals and the like. In one embodiment, two or more X's form a part of a fused ring or ring system.
- In another aspect, the metallocene catalyst component includes those of formula (VIII) where CpA and CpB are bridged to each other by at least one bridging group, (A), such that the structure is represented by formula (IX):
CpA(A)CpBMXn (IX) - These bridged compounds represented by formula (IX) are known as “bridged metallocenes”. CpA, CpB, M, X and n are as defined above for formula (VIII); and wherein each Cp ligand is chemically bonded to M, and (A) is chemically bonded to each Cp. Non-limiting examples of bridging group (A) include divalent hydrocarbon groups containing at least one Group 13 to 16 atom, such as but not limited to at least one of a carbon, oxygen, nitrogen, silicon, aluminum, boron, germanium and tin atom and combinations thereof; wherein the heteroatom may also be C1 to C12 alkyl or aryl substituted to satisfy neutral valency. The bridging group (A) may also contain substituent groups R as defined above for formula (VIII) including halogen radicals and iron. More particular non-limiting examples of bridging group (A) are represented by C1 to C6 alkylenes, substituted C1 to C6 alkylenes, oxygen, sulfur, R′2C═, R′2Si═, —Si(R′)2Si(R′2)—, R′2Ge═, R′P═(wherein “═” represents two chemical bonds), where R′ is independently selected from the group consisting of hydride, hydrocarbyl, substituted hydrocarbyl, halocarbyl, substituted halocarbyl, hydrocarbyl-substituted organometalloid, halocarbyl-substituted organometalloid, disubstituted boron, disubstituted Group 15 atoms, substituted Group 16 atoms, and halogen radical; and wherein two or more R′ may be joined to form a ring or ring system. In one embodiment, the bridged metallocene catalyst component of formula (IX) has two or more bridging groups (A).
- Other non-limiting examples of bridging group (A) include methylene, ethylene, ethylidene, propylidene, isopropylidene, diphenylmethylene, 1,2-dimethylethylene, 1,2-diphenylethylene, 1,1,2,2-tetramethylethylene, dimethylsilyl, diethylsilyl, methyl-ethylsilyl, trifluoromethylbutylsilyl, bis(trifluoromethyl)silyl, di(n-butyl)silyl, di(n-propyl)silyl, di(i-propyl)silyl, di(n-hexyl)silyl, dicyclohexylsilyl, diphenylsilyl, cyclohexylphenylsilyl, t-butylcyclohexylsilyl, di(t-butylphenyl)silyl, di(p-tolyl)silyl and the corresponding moieties wherein the Si atom is replaced by a Ge or a C atom; dimethylsilyl, diethylsilyl, dimethylgermyl and diethylgermyl.
- In another embodiment, bridging group (A) may also be cyclic, comprising, for example 4 to 10, 5 to 7 ring members in a more particular embodiment. The ring members may be selected from the elements mentioned above, from one or more of B, C, Si, Ge, N and O in a particular embodiment. Non-limiting examples of ring structures which may be present as or part of the bridging moiety are cyclobutylidene, cyclopentylidene, cyclohexylidene, cycloheptylidene, cyclooctylidene and the corresponding rings where one or two carbon atoms are replaced by at least one of Si, Ge, N and O, in particular, Si and Ge. The bonding arrangement between the ring and the Cp groups may be either cis-, trans-, or a combination.
- The cyclic bridging groups (A) may be saturated or unsaturated and/or carry one or more substituents and/or be fused to one or more other ring structures. If present, the one or more substituents are selected from the group consisting of hydrocarbyl (e.g., alkyl such as methyl) and halogen (e.g., F, Cl) in one embodiment. The one or more Cp groups which the above cyclic bridging moieties may optionally be fused to may be saturated or unsaturated and are selected from the group consisting of those having 4 to 10, more particularly 5, 6 or 7 ring members (selected from the group consisting of C, N, O and S in a particular embodiment) such as, for example, cyclopentyl, cyclohexyl and phenyl. Moreover, these ring structures may themselves be fused such as, for example, in the case of a naphthyl group. Moreover, these (optionally fused) ring structures may carry one or more substituents. Illustrative, non-limiting examples of these substituents are hydrocarbyl (particularly alkyl) groups and halogen atoms.
- The ligands CpA and CpB of formula (VIII) and (IX) are different from each other in one embodiment, and the same in another embodiment.
- In yet another aspect, the metallocene catalyst components include mono-ligand metallocene compounds (e.g., mono cyclopentadienyl catalyst components) such as described in WO 93/08221 for example. In this embodiment, the at least one metallocene catalyst component is a bridged “half-sandwich” metallocene represented by the formula (X):
CpA(A)QMXn (X) - wherein CpA is defined above and is bound to M; (A) is a bridging group bonded to Q and CpA; and wherein an atom from the Q group is bonded to M; and n is 0 or an integer from 1 to 3; 1 or 2 in a particular embodiment. In formula (X), CpA, (A) and Q may form a fused ring system. The X groups and n of formula (X) are as defined above in formula (VIII) and (IX). In one embodiment, CpA is selected from the group consisting of cyclopentadienyl, indenyl, tetrahydroindenyl, fluorenyl, substituted versions thereof, and combinations thereof.
- In formula (X), Q is a heteroatom-containing ligand in which the bonding atom (the atom that is bonded with the metal M) is selected from the group consisting of Group 15 atoms and Group 16 atoms in one embodiment, and selected from the group consisting of nitrogen, phosphorus, oxygen or sulfur atom in a more particular embodiment, and nitrogen and oxygen in yet a more particular embodiment. Non-limiting examples of Q groups include alkylamines, arylamines, mercapto compounds, ethoxy compounds, carboxylates (e.g., pivalate), carbamates, azenyl, azulene, pentalene, phosphoyl, phosphinimine, pyrrolyl, pyrozolyl, carbazolyl, borabenzene other compounds comprising Group 15 and Group 16 atoms capable of bonding with M.
- In yet another aspect, the at least one metallocene catalyst component is an unbridged “half sandwich” metallocene represented by the formula (XI):
CpAMQqXn (XI) - wherein CpA is defined as for the Cp groups in (VIII) and is a ligand that is bonded to M; each Q is independently bonded to M; Q is also bound to CpA in one embodiment; X is a leaving group as described above in (VIII); n ranges from 0 to 3, and is 1 or 2 in one embodiment; q ranges from 0 to 3, and is 1 or 2 in one embodiment. In one embodiment, CpA is selected from the group consisting of cyclopentadienyl, indenyl, tetrahydroindenyl, fluorenyl, substituted version thereof, and combinations thereof.
- In formula (XI), Q is selected from the group consisting of ROO—, RO—, R(O)—, —NR—, —CR2—, —S—, —NR2, —CR3, —SR, —SiR3, —PR2, —H, and substituted and unsubstituted aryl groups, wherein R is selected from the group consisting of C1 to C6 alkyls, C6 to C12 aryls, C1 to C6 alkylamines, C6 to C12 alkylarylamines, C1 to C6 alkoxys, C6 to C12 aryloxys, and the like. Non-limiting examples of Q include C1 to C12 carbamates, C1 to C12 carboxylates (e.g., pivalate), C2 to C20 allyls, and C2 to C20 heteroallyl moieties.
- Described another way, the “half sandwich” metallocenes above can be described for example, U.S. Pat. No. 6,069,213:
CpAM(Q2GZ)Xn or T(CpAM(Q2GZ)Xn)m (XII) - wherein M, CpA, X and n are as defined above;
- Q2GZ forms a polydentate ligand unit (e.g., pivalate), wherein at least one of the Q groups form a bond with M, and is defined such that each Q is independently selected from the group consisting of —O—, —NR—, —CR2— and —S—; G is either carbon or silicon; and Z is selected from the group consisting of R, —OR, —NR2, —CR3, —SR, —SiR3, —PR2, and hydride, providing that when Q is —NR—, then Z is selected from the group consisting of —OR, —NR2, —SR, —SiR3, —PR2; and provided that neutral valency for Q is satisfied by Z; and wherein each R is independently selected from the group consisting of C1 to C10 heteroatom containing groups, C1 to C10 alkyls, C6 to C12 aryls, C6 to C12 alkylaryls, C1 to C10 alkoxys, and C6 to C12 aryloxys;
- n is 1 or 2 in a particular embodiment; and
- T is a bridging group selected from the group consisting of C1 to C10 alkylenes, C6 to C12 arylenes and C1 to C10 heteroatom containing groups, and C6 to C12 heterocyclic groups; wherein each T group bridges adjacent “CpAM(Q2GZ)Xn” groups, and is chemically bonded to the CpA groups.
- m is an integer from 1 to 7; m is an integer from 2 to 6 in a more particular embodiment.
-
- wherein in structures (XIIIa) to (XIIIf), M is selected from the group consisting of Group 3 to Group 12 atoms, and selected from the group consisting of Group 3 to Group 10 atoms in a more particular embodiment, and selected from the group consisting of Group 3 to Group 6 atoms in yet a more particular embodiment, and selected from the group consisting of Group 4 atoms in yet a more particular embodiment, and selected from the group consisting of Zr and Hf in yet a more particular embodiment; and is Zr in yet a more particular embodiment;
- wherein Q in (XIIIa) to (XIIIf) is selected from the group consisting of alkylenes, aryls, arylenes, alkoxys, aryloxys, amines, arylamines (e.g., pyridyl) alkylamines, phosphines, alkylphosphines, substituted alkyls, substituted aryls, substituted alkoxys, substituted aryloxys, substituted amines, substituted alkylamines, substituted phosphines, substituted alkylphosphines, carbamates, heteroallyls, carboxylates (non-limiting examples of suitable carbamates and carboxylates include trimethylacetate, trimethylacetate, methylacetate, p-toluate, benzoate, diethylcarbamate, and dimethylcarbamate), fluorinated alkyls, fluorinated aryls, and fluorinated alkylcarboxylates; wherein the saturated groups defining Q comprise from 1 to 20 carbon atoms in one embodiment; and wherein the aromatic groups comprise from 5 to 20 carbon atoms in one embodiment;
- wherein each R* is independently: selected from the group consisting of hydrocarbylenes and heteroatom-containing hydrocarbylenes in one embodiment; and selected from the group consisting of alkylenes, substituted alkylenes and heteroatom-containing hydrocarbylenes in another embodiment; and selected from the group consisting of C1 to C12 alkylenes, C1 to C12 substituted alkylenes, and C1 to C12 heteroatom-containing hydrocarbylenes in a more particular embodiment; and selected from the group consisting of C1 to C4 alkylenes in yet a more particular embodiment; and wherein both R* groups are identical in another embodiment in structures (XIIIf);
- A is as described above for (A) in structure (IX), and more particularly, selected from the group consisting of a chemical bond, —O—, —S—, —SO2—, —NR—, ═SiR2, ═GeR2, ═SnR2, —R2SiSiR2—, RP═, C1 to C12 alkylenes, substituted C1 to C12 alkylenes, divalent C4 to C12 cyclic hydrocarbons and substituted and unsubstituted aryl groups in one embodiment; and selected from the group consisting of C5 to C8 cyclic hydrocarbons, —CH2CH2—, ═CR2 and ═SiR2 in a more particular embodiment; wherein and R is selected from the group consisting of alkyls, cycloalkyls, aryls, alkoxys, fluoroalkyls and heteroatom-containing hydrocarbons in one embodiment; and R is selected from the group consisting of C1 to C6 alkyls, substituted phenyls, phenyl, and C1 to C6 alkoxys in a more particular embodiment; and R is selected from the group consisting of methoxy, methyl, phenoxy, and phenyl in yet a more particular embodiment;
- wherein A may be absent in yet another embodiment, in which case each R* is defined as for R1-R13;
- each X is as described above in (VIII);
- n is an integer from 0 to 4, and from 1 to 3 in another embodiment, and 1 or 2 in yet another embodiment; and
- R1 through R13 are independently: selected from the group consisting of hydrogen radical, halogen radicals, C1 to C12 alkyls, C2 to C12 alkenyls, C6 to C12 aryls, C7 to C20 alkylaryls, C1 to C12 alkoxys, C1 to C12 fluoroalkyls, C6 to C12 fluoroaryls, and C1 to C12 heteroatom-containing hydrocarbons and substituted derivatives thereof in one embodiment; selected from the group consisting of hydrogen radical, fluorine radical, chlorine radical, bromine radical, C1 to C6 alkyls, C2 to C6 alkenyls, C7 to C18 alkylaryls, C1 to C6 fluoroalkyls, C2 to C6 fluoroalkenyls, C7 to C18 fluoroalkylaryls in a more particular embodiment; and hydrogen radical, fluorine radical, chlorine radical, methyl, ethyl, propyl, isopropyl, butyl, isobutyl, tertiary butyl, hexyl, phenyl, 2,6-di-methylpheyl, and 4-tertiarybutylpheyl groups in yet a more particular embodiment; wherein adjacent R groups may form a ring, either saturated, partially saturated, or completely saturated.
- The structure of the metallocene catalyst component represented by (XIIIa) may take on many forms such as disclosed in, for example, U.S. Pat. Nos. 5,026,798, 5,703,187, and 5,747,406, including a dimmer or oligomeric structure, such as disclosed in, for example, U.S. Pat. Nos. 5,026,798 and 6,069,213.
- In a particular embodiment of the metallocene represented in (XIIId), R1 and R2 form a conjugated 6-membered carbon ring system that may or may not be substituted.
- Non-limiting examples of metallocene catalyst components consistent with the description herein include:
- cyclopentadienylzirconium Xn,
- indenylzirconium Xn,
- (1-methylindenyl)zirconium Xn,
- (2-methylindenyl)zirconium Xn,
- (1-propylindenyl)zirconium Xn,
- (2-propylindenyl)zirconium Xn,
- (1-butylindenyl)zirconium Xn,
- (2-butylindenyl)zirconium Xn,
- (methylcyclopentadienyl)zirconium Xn,
- tetrahydroindenylzirconium Xn,
- (pentamethylcyclopentadienyl)zirconium Xn,
- cyclopentadienylzirconium Xn,
- pentamethylcyclopentadienyltitanium Xn,
- tetramethylcyclopentyltitanium Xn,
- 1,2,4-trimethylcyclopentadienylzirconium Xn,
- dimethylsilyl(1,2,3,4-tetramethylcyclopentadienyl)(cyclopentadienyl)zirconium Xn,
- dimethylsilyl(1,2,3,4-tetramethylcyclopentadienyl)(1,2,3-trimethyl-cyclopentadienyl)zirconium Xn,
- dimethylsilyl(1,2,3,4-tetramethylcyclopentadienyl)(1,2-dimethyl-cyclopentadienyl)zirconium Xn,
- dimethylsilyl(1,2,3,4-tetramethyl-cyclopentadienyl)(2-methylcyclopentadienyl)zirconium Xn,
- dimethylsilyl(cyclopentadienyl)(indenyl)zirconium Xn,
- dimethylsilyl(2-methylindenyl)(fluorenyl)zirconium Xn,
- diphenylsilyl(1,2,3,4-tetramethyl-cyclopentadienyl)(3-propylcyclopentadienyl)zirconium Xn,
- dimethylsilyl(1,2,3,4-tetramethylcyclopentadienyl)(3-t-butylcyclopentadienyl)zirconium Xn,
- dimethylgermyl(1,2-dimethylcyclopentadienyl)(3-isopropylcyclopentadienyl)zirconium Xn,
- dimethylsilyl(1,2,3,4-tetramethyl-cyclopentadienyl)(3-methylcyclopentadienyl) zirconium Xn,
- diphenylmethylidene(cyclopentadienyl)(9-fluorenyl)zirconium Xn,
- diphenylmethylidene(cyclopentadienyl)(indenyl)zirconium Xn,
- iso-propylidenebis(cyclopentadienyl)zirconium Xn,
- iso-propylidene(cyclopentadienyl)(9-fluorenyl)zirconium Xn,
- iso-propylidene(3-methylcyclopentadienyl)(9-fluorenyl)zirconium Xn,
- ethylenebis(9-fluorenyl)zirconium Xn,
- meso-ethylenebis(1-indenyl)zirconium Xn,
- ethylenebis(1-indenyl)zirconium Xn,
- ethylenebis(2-methyl-1-indenyl)zirconium Xn,
- ethylenebis(2-methyl-4,5,6,7-tetrahydro-1-indenyl)zirconium Xn,
- ethylenebis(2-propyl-4,5,6,7-tetrahydro-1-indenyl)zirconium Xn,
- ethylenebis(2-isopropyl-4,5,6,7-tetrahydro-1-indenyl)zirconium Xn,
- ethylenebis(2-butyl-4,5,6,7-tetrahydro-1-indenyl)zirconium Xn,
- ethylenebis(2-isobutyl-4,5,6,7-tetrahydro-1-indenyl)zirconium Xn,
- dimethylsilyl(4,5,6,7-tetrahydro-1-indenyl)zirconium Xn,
- diphenyl(4,5,6,7-tetrahydro-1-indenyl)zirconium Xn,
- ethylenebis(4,5,6,7-tetrahydro-1-indenyl)zirconium Xn,
- dimethylsilylbis(cyclopentadienyl)zirconium Xn,
- dimethylsilylbis(9-fluorenyl)zirconium Xn,
- dimethylsilylbis(1-indenyl)zirconium Xn,
- dimethylsilylbis(2-methylindenyl)zirconium Xn,
- dimethylsilylbis(2-propylindenyl)zirconium Xn,
- dimethylsilylbis(2-butylindenyl)zirconium Xn,
- diphenylsilylbis(2-methylindenyl)zirconium Xn,
- diphenylsilylbis(2-propylindenyl)zirconium Xn,
- diphenylsilylbis(2-butylindenyl)zirconium Xn,
- dimethylgermylbis(2-methylindenyl)zirconium Xn
- dimethylsilylbis(tetrahydroindenyl)zirconium Xn,
- dimethylsilylbis(tetrarmethylcyclopentadienyl)zirconium Xn,
- dimethylsilyl(cyclopentadienyl)(9-fluorenyl)zirconium Xn,
- diphenylsilyl(cyclopentadienyl)(9-fluorenyl)zirconium Xn,
- diphenylsilylbis(indenyl)zirconium Xn,
- cyclotrimethylenesilyl(tetramethylcyclopentadienyl)(cyclopentadienyl)zirconium Xn,
- cyclotetramethylenesilyl(tetramethylcyclopentadienyl)(cyclopentadienyl) zirconium Xn,
- cyclotrimethylenesilyl(tetramethylcyclopentadienyl)(2-methylindenyl)zirconium Xn,
- cyclotrimethylenesilyl(tetramethylcyclopentadienyl)(3-methylcyclopentadienyl)zirconium Xn,
- cyclotrimethylenesilylbis(2-methylindenyl)zirconium Xn,
- cyclotrimethylenesilyl(tetramethylcyclopentadienyl)(2,3,5-trimethylcyclopentadienyl)zirconium Xn,
- cyclotrimethylenesilylbis(tetramethylcyclopentadienyl)zirconium Xn,
- dimethylsilyl(tetramethylcyclopentadieneyl)(N-tert-butylamido)titanium Xn,
- bis(cyclopentadienyl)chromium Xn,
- bis(cyclopentadienyl)zirconium Xn,
- bis(n-butylcyclopentadienyl)zirconium Xn,
- bis(n-dodecyclcyclopentadienyl)zirconium Xn,
- bis(ethylcyclopentadienyl)zirconium Xn,
- bis(iso-butylcyclopentadienyl)zirconium Xn,
- bis(iso-propylcyclopentadienyl)zirconium Xn,
- bis(methylcyclopentadienyl)zirconium Xn,
- bis(n-oxtylcyclopentadienyl)zirconium Xn,
- bis(n-pentylcyclopentadienyl)zirconium Xn,
- bis(n-propylcyclopentadienyl)zirconium Xn,
- bis(trimethylsilylcyclopentadienyl)zirconium Xn,
- bis(1,3-bis(trimethylsilyl)cyclopentadienyl)zirconium Xn,
- bis(1-ethyl-2-methylcyclopentadienyl)zirconium Xn,
- bis(1-ethyl-3-methylcyclopentadienyl)zirconium Xn,
- bis(pentamethylcyclopentadienyl)zirconium Xn,
- bis(pentamethylcyclopentadienyl)zirconium Xn,
- bis(1-propyl-3-methylcyclopentadienyl)zirconium Xn,
- bis(1-n-butyl-3-methylcyclopentadienyl)zirconium Xn,
- bis(1-isobutyl-3-methylcyclopentadienyl)zirconium Xn,
- bis(1-propyl-3-butylcyclopentadienyl)zirconium Xn,
- bis(1,3-n-butylcyclopentadienyl)zirconium Xn,
- bis(4,7-dimethylindenyl)zirconium Xn,
- bis(indenyl)zirconium Xn,
- bis(2-methylindenyl)zirconium Xn,
- cyclopentadienylindenylzirconium Xn,
- bis(n-propylcyclopentadienyl)hafnium Xn,
- bis(n-butylcyclopentadienyl)hafnium Xn,
- bis(n-pentylcyclopentadienyl)hafnium Xn,
- (n-propyl cyclopentadienyl)(n-butyl cyclopentadienyl)hafnium Xn,
- bis[(2-trimethylsilylethyl)cyclopentadienyl]hafnium Xn,
- bis(trimethylsilyl cyclopentadienyl)hafnium Xn,
- bis(2-n-propylindenyl)hafnium Xn,
- bis(2-n-butylindenyl)hafnium Xn,
- dimethylsilylbis(n-propylcyclopentadienyl)hafnium Xn,
- dimethylsilylbis(n-butylcyclopentadienyl)hafnium Xn,
- bis(9-n-propylfluorenyl)hafnium Xn,
- bis(9-n-butylfluorenyl)hafnium Xn,
- (9-n-propylfluorenyl)(2-n-propylindenyl)hafnium Xn,
- bis(1-n-propyl-2-methylcyclopentadienyl)hafnium Xn,
- (n-propylcyclopentadienyl)(1-n-propyl-3-n-butylcyclopentadienyl)hafnium Xn,
- dimethylsilyl(tetramethylcyclopentadienyl)(cyclopropylamido)titanium Xn,
- dimethylsilyl(tetramethyleyclopentadienyl)(cyclobutylamido)titanium Xn,
- dimethylsilyl(tetramethyleyclopentadienyl)(cyclopentylamido)titanium Xn,
- dimethylsilyl(tetrarnethylcyclopentadienyl)(cyclohexylamido)titanium Xn,
- dimethylsilyl(tetramethylcyclopentadienyl)(cycloheptylamido)titanium Xn,
- dimethylsilyl(tetramethylcyclopentadienyl)(cyclooctylamido)titanium Xn,
- dimethylsilyl(tetramethylcyclopentadienyl)(cyclononylamido)titanium Xn,
- dimethylsilyl(tetramethylcyclopentadienyl)(cyclodecylamido)titanium Xn,
- dimethylsily(tetramethylcyclopentadienyl)(cycloundecylamido)titanium Xn,
- dimethylsilyl(tetramethylcyclopentadienyl)(cyclododecylamido)titanium Xn,
- dimethylsilyl(tetramethylcyclopentadienyl)(sec-butylamido)titanium Xn,
- dimethylsilyl(tetramethylcyclopentadienyl)(n-octylamido)titanium Xn,
- dimethylsilyl(tetramethylcyclopentadienyl)(n-decylamido)titanium Xn,
- dimethylsilyl(tetramethylcyclopentadienyl)(n-octadecylamido)titanium Xn,
- methylphenylsilyl(tetramethylcyclopentadienyl)(cyclopropylamido)titanium Xn,
- methylphenylsilyl(tetramethylcyclopentadienyl)(cyclobutylamido)titanium Xn,
- methylphenylsilyl(tetramethylcyclopentadienyl)(cyclopentylamido)titanium Xn,
- methylphenylsilyl(tetramethylcyclopentadienyl)(cyclohexylamido)titanium Xn,
- methylphenylsilyl(tetramethylcyclopentadienyl)(cycloheptylamido)titanium Xn,
- methylphenylsilyl(tetramethylcyclopentadienyl)(cyclooctylamido)titanium Xn,
- methylphenylsilyl(tetramethylcyclopentadienyl)(cyclononylamido)titanium Xn,
- methylphenylsilyl(tetramethylcyclopentadienyl)(cyclodecylamido)titanium, Xn,
- methylphenylsilyl(tetramethylcyclopentadienyl)(cycloundecylamido)titanium Xn,
- methylphenylsilyl(tetramethylcyclopentadienyl)(cyclododecylamido)titanium Xn,
- methylphenylsilyl(tetramethylcyclopentadienyl)(sec-butylamido)titanium Xn,
- methylphenylsilyl(tetramethylcyclopentadienyl)(n-octylamido)titanium Xn,
- methylphenylsilyl(tetramethylcyclopentadienyl)(n-decylamido)titanium Xn,
- methylphenylsilyl(tetramethylcyclopentadienyl)(n-octadecylamido)titanium Xn,
- diphenylsilyl(tetramethylcyclopentadienyl)(cyclopropylamido)titanium Xn,
- diphenylsilyl(tetramethylcyclopentadienyl)(cyclobutylamido)titanium Xn,
- diphenylsilyl(tetramethylcyclopentadienyl)(cyclopentylamido)titanium Xn,
- diphenylsilyl(tetramethylcyclopentadienyl)(cyclohexylamido)titanium Xn,
- diphenylsilyl(tetramethylcyclopentadienyl)(cycloheptylamido)titanium Xn,
- diphenylsilyl(tetramethylcyclopentadienyl)(cyclooctylamido)titanium Xn,
- diphenylsilyl(tetramethylcyclopentadienyl)(cyclononylamido)titanium Xn,
- diphenylsilyl(tetramethylcyclopentadienyl)(cyclodecylamido)titanium Xn,
- diphenylsilyl(tetramethylcyclopentadienyl)(cycloundecylamido)titanium Xn,
- diphenylsilyl(tetramethylcyclopentadienyl)(cyclododecylamido)titanium Xn,
- diphenylsilyl(tetramethylcyclopentadienyl)(sec-butylamido)titanium Xn,
- diphenylsilyl(tetramethyleyclopentadienyl)(n-octylamido)titanium Xn,
- diphenylsilyl(tetramethyleyclopentadienyl)(n-decylamido)titanium Xn,
- diphenylsilyl(tetramethylcyclopentadienyl)(n-octadecylamido)titanium Xn,
- and derivatives thereof.
- By “derivatives thereof”, it is meant any substitution or ring formation as described above; and in particular, replacement of the metal “M” (Cr, Zr, Ti or Hf) with an atom selected from the group consisting of Cr, Zr, Hf and Ti; and replacement of the “X” group with any of C1 to C5 alkyls, C6 aryls, C6 to C10 alkylaryls, fluorine or chlorine; n is 1, 2 or 3.
- It is contemplated that the metallocene catalysts components described above include their structural or optical or enantiomeric isomers (racemic mixture), and may be a pure enantiomer in one embodiment.
- As used herein, a single, bridged, asymmetrically substituted metallocene catalyst component having a racemic and/or meso isomer does not, itself, constitute at least two different bridged, metallocene catalyst components.
- The “metallocene catalyst component” may comprise any combination of any “embodiment” described herein.
- Activators
- The catalyst system may also include one or more activators. As used herein, the term “activator” is defined to be any compound or combination of compounds, supported or unsupported, which can activate a single-site catalyst compound (e.g., metallocenes, non-metallocenes, etc.), such as by creating a cationic species from the catalyst component.
- In certain embodiments, either or both of the catalyst components may be contacted with a catalyst activator, herein simply referred to as an “activator.” Typically, this involves the abstraction of at least one leaving group (X group in the formulas/structures above) from the metal center of the catalyst component. The catalyst components of the present invention are thus activated towards olefin polymerization using such activators. Embodiments of such activators include Lewis acids such as cyclic or oligomeric poly(hydrocarbylaluminum oxides) and so called non-coordinating activators (“NCA”) (alternately, “ionizing activators” or “stoichiometric activators”), or any other compound that can convert a neutral metallocene catalyst component to a metallocene cation that is active with respect to olefin polymerization.
- More particularly, it is within the scope of this invention to use Lewis acids such as alumoxane (e.g., “MAO”), modified alumoxane (e.g., “TIBAO”), and alkylaluminum compounds as activators, and/or ionizing activators (neutral or ionic) such as tri (n-butyl)ammonium tetrakis(pentafluorophenyl)boron and/or a trisperfluorophenyl boron metalloid precursors to activate desirable metallocenes described herein. MAO and other aluminum-based activators are well known in the art. Ionizing activators are well known in the art and are described by, for example, Eugene You-Xian Chen & Tobin J. Marks, Cocatalysts for Metal-Catalyzed Olefin Polymerization: Activators, Activation Processes, and Structure-Activity Relationships 100(4) C
HEMICAL R EVIEWS 1391-1434 (2000). The activators may be associated with or bound to a support, either in association with the catalyst component (e.g., metallocene) or separate from the catalyst component, such as described by Gregory G. Hlatky, Heterogeneous Single-Site Catalysts for Olefin Polymerization 100(4) CHEMICAL REVIEWS 1347-1374 (2000). - The aluminum alkyl (“alkylaluminum”) activator may be described by the formula AlR§ 3, wherein R§ is selected from the group consisting of C1 to C20 alkyls, C1 to C20 alkoxys, halogen (chlorine, fluorine, bromine) C6 to C20 aryls, C7 to C25 alkylaryls, and C7 to C25 arylalkyls. Non-limiting examples of aluminum alkyl compounds which may be utilized as activators for the catalyst precursor compounds for use in the methods of the present invention include trimethylaluminum, triethylaluminum, triisobutylaluminum, tri-n-hexylaluminum, tri-n-octylaluminum and the like.
- Examples of neutral ionizing activators include Group 13 tri-substituted compounds, in particular, tri-substituted boron, tellurium, aluminum, gallium and indium compounds, and mixtures thereof. The three substituent groups are each independently selected from alkyls, alkenyls, halogen, substituted alkyls, aryls, arylhalides, alkoxy and halides. In one embodiment, the three groups are independently selected from halogen, mono or multicyclic (including halosubstituted) aryls, alkyls, and alkenyl compounds and mixtures thereof. In another embodiment, the three groups are selected from alkenyl groups having 1 to 20 carbon atoms, alkyl groups having 1 to 20 carbon atoms, alkoxy groups having 1 to 20 carbon atoms and aryl groups having 3 to 20 carbon atoms (including substituted aryls), and combinations thereof. In yet another embodiment, the three groups are selected from alkyls having 1 to 4 carbon groups, phenyl, naphthyl and mixtures thereof. In yet another embodiment, the three groups are selected from highly halogenated alkyls having 1 to 4 carbon groups, highly halogenated phenyls, and highly halogenated naphthyls and mixtures thereof By “highly halogenated”, it is meant that at least 50% of the hydrogens are replaced by a halogen group selected from fluorine, chlorine and bromine. In yet another embodiment, the neutral stoichiometric activator is a tri-substituted Group 13 compound comprising highly fluorided aryl groups, the groups being highly fluorided phenyl and highly fluorided naphthyl groups.
- In another embodiment, the neutral tri-substituted Group 13 compounds are boron compounds such as a trisperfluorophenyl boron, trisperfluoronaphthyl boron, tris(3,5-di(trifluoromethyl)phenyl)boron, tris(di-t-butylmethylsilyl)perfluorophenylboron, and other highly fluorinated trisarylboron compounds and combinations thereof, and their aluminum equivalents. Other suitable neutral ionizing activators are described in U.S. Pat. No. 6,399,532 B1, U.S. Pat. No. 6,268,445 B1, and in 19 O
RGANOMETALLICS 3332-3337 (2000), and in 17O RGANOMETALLICS 3996-4003 (1998). - Illustrative, not limiting examples of ionic ionizing activators include trialkyl-substituted ammonium salts such as triethylammonium tetra(phenyl)boron, tripropylammonium tetra(phenyl)boron, tri(n-butyl)ammonium tetra(phenyl)boron, trimethylammonium tetra(p-tolyl)boron, trimethylammonium tetra(o-tolyl)boron, tributylammonium tetra(pentafluorophenyl)boron, tripropylammonium tetra(o,p-dimethylphenyl)boron, tributylammonium tetra(m,m-dimethylphenyl)boron, tributylammonium tetra(p-tri-fluoromethylphenyl)boron, tributylammonium tetra(pentafluorophenyl)boron, tri(n-butyl)ammonium tetra(o-tolyl)boron and the like; N,N-dialkyl anilinium salts such as N,N-dimethylanilinium tetra(phenyl)boron, N,N-diethylanilinium tetra(phenyl)boron, N,N-2,4,6-pentamethylanilinium tetra(phenyl)boron and the like; dialkyl ammonium salts such as di-(isopropyl)ammonium tetra(pentafluorophenyl)boron, dicyclohexylammonium tetra(phenyl)boron and the like; triaryl carbonium salts (trityl salts) such as triphenylcarbonium tetra(phenyl)boron and triphenylcarbonium tetra(pentafluorophenyl)boron; and triaryl phosphonium salts such as triphenylphosphonium tetra(phenyl)boron, triphenylphosphonium tetra(pentafluorophenyl)boron, tri(methylphenyl)phosphonium tetra(phenyl)boron, tri(dimethylphenyl)phosphonium tetra(phenyl)boron and the like, and their aluminum equivalents.
- In yet another embodiment of the activator of the invention, an alkylaluminum can be used in conjunction with a heterocyclic compound. The heterocyclic compound includes at least one nitrogen, oxygen, and/or sulfur atom, and includes at least one nitrogen atom in a particular embodiment. The heterocyclic compound includes 4 or more ring members in one embodiment, and 5 or more ring members in another embodiment.
- The heterocyclic compound for use as an activator with an alkylaluminum may be unsubstituted or substituted with one or a combination of substituent groups. Examples of suitable substituents include halogen, alkyl, alkenyl or alkynyl radicals, cycloalkyl radicals, aryl radicals, aryl substituted alkyl radicals, acyl radicals, aroyl radicals, alkoxy radicals, aryloxy radicals, alkylthio radicals, dialkylamino radicals, alkoxycarbonyl radicals, aryloxycarbonyl radicals, carbomoyl radicals, alkyl- or dialkyl-carbamoyl radicals, acyloxy radicals, acylamino radicals, aroylamino radicals, straight, branched or cyclic, alkylene radicals, or any combination thereof. The substituents groups may also be substituted with halogens, particularly fluorine or bromine, heteroatoms or the like.
- Non-limiting examples of hydrocarbon substituents include methyl, ethyl, propyl, butyl, pentyl, hexyl, cyclopentyl, cyclohexyl, benzyl or phenyl groups and the like, including all their isomers, for example tertiary butyl, isopropyl, and the like. Other examples of substituents include fluoromethyl, fluoroethyl, difluoroethyl, iodopropyl, bromohexyl or chlorobenzyl.
- In one embodiment, the heterocyclic compound is unsubstituted. In another embodiment one or more positions on the heterocyclic compound are substituted with a halogen atom or a halogen atom containing group, for example a halogenated aryl group. In one embodiment the halogen is selected from chlorine, bromine and fluorine, and selected from fluorine and bromine in another embodiment, and the halogen is fluorine in yet another embodiment.
- Non-limiting examples of heterocyclic compounds utilized in the activator of the invention include substituted and unsubstituted pyrroles, imidazoles, pyrazoles, pyrrolines, pyrrolidines, purines, carbazoles, and indoles, phenyl indoles, 2,5-dimethyl pyrroles, 3-pentafluorophenyl pyrrole, 4,5,6,7-tetrafluoroindole or 3,4-difluoropyrroles.
- In one embodiment, the heterocyclic compound described above is combined with an alkylaluminum or an alumoxane to yield an activator compound which, upon reaction with a catalyst component, for example a metallocene, produces an active polymerization catalyst. Non-limiting examples of suitable alkylaluminums include trimethylaluminum, triethylaluminum, triisobutylaluminum, tri-n-hexylaluminum, tri-n-octylaluminum, tri-iso-octylaluminum, triphenylaluminum, and combinations thereof.
- Other activators include those described in WO 98/07515 such as tris (2,2′,2″-nonafluorobiphenyl) fluoroaluminate. Combinations of activators are also contemplated by the invention, for example, alumoxanes and ionizing activators in combinations. Other activators include aluminum/boron complexes, perchlorates, periodates and iodates including their hydrates; lithium (2,2′-bisphenyl-ditrimethylsilicate).4THF; silylium salts in combination with a non-coordinating compatible anion. Also, methods of activation such as using radiation, electro-chemical oxidation, and the like are also contemplated as activating methods for the purposes of rendering the neutral bulky ligand metallocene-type catalyst compound or precursor to a bulky ligand metallocene-type cation capable of polymerizing olefins. Other activators or methods for activating a bulky ligand metallocene-type catalyst compound are described in for example, U.S. Pat. Nos. 5,849,852, 5,859,653 and 5,869,723 and WO 98/32775.
- In general, the activator and catalyst component(s) are combined in mole ratios of activator to catalyst component from 1000:1 to 0.1:1, and from 300:1 to 1:1 in another embodiment, and from 150:1 to 1:1 in yet another embodiment, and from 50:1 to 1:1 in yet another embodiment, and from 10:1 to 0.5:1 in yet another embodiment, and from 3:1 to 0.3:1 in yet another embodiment, wherein a desirable range may include any combination of any upper mole ratio limit with any lower mole ratio limit described herein. When the activator is a cyclic or oligomeric poly(hydrocarbylaluminum oxide) (e.g., “MAO”), the mole ratio of activator to catalyst component ranges from 2:1 to 100,000:1 in one embodiment, and from 10:1 to 10,000:1 in another embodiment, and from 50:1 to 2,000:1 in yet another embodiment. When the activator is a neutral or ionic ionizing activator such as a boron alkyl and the ionic salt of a boron alkyl, the mole ratio of activator to catalyst component ranges from 0.5:1 to 10:1 in one embodiment, and from 1:1 to 5:1 in yet another embodiment.
- Spray Drying Process
- Any spray-drying method known in the art may be used. For example, a suitable spray-drying method comprises atomizing a solution, suspension or dispersion of the catalyst and/or the activator, optionally together with a filler, and optionally with heating of the solution, suspension or dispersion. Atomization is preferably done by passing the slurry through the atomizer together with an inert drying gas, i.e., a gas which is nonreactive under the conditions employed during atomization, such as nitrogen for example. An atomizing nozzle or a centrifugal high speed disc can be employed to effect atomization, whereby there is created a spray or dispersion of droplets of the mixture. The volumetric flow of drying gas, if used, preferably considerably exceeds the volumetric flow of the slurry to effect atomization of the slurry and/or evaporation of the liquid medium. Ordinarily the drying gas is heated to a temperature as high as about 160° C. to facilitate atomization of the slurry; however, if the volumetric flow of drying gas is maintained at a very high level, it is possible to employ lower temperatures. Atomization pressures of from about 1 psig to 200 psig are suitable. Some examples of suitable spray-drying methods include those disclosed in U.S. Pat. Nos. 5,290,745, 5,652,314, 4,376,062, 4,728,705, 5,604,172, 5,306,350 and 4,638,029.
-
FIG. 1 is a schematic representation of an exemplary spray-drying apparatus. Referring toFIG. 1 , each mixture is drawn through silicone tubing from a reservoir attached at point C by a peristaltic pump D. As the mixture passes through nozzle F, it is mixed with atomizing nitrogen gas, which enters the system at point E. The mist of catalyst composition thus formed in the drying chamber G is then dried in the presence of bath nitrogen gas, which enters the drying chamber at point A. The bath nitrogen bath is heated by heater B before entering. Particles of unacceptably large diameter catalyst composition are not entrained in the nitrogen flow and drop into oversize collection pot H. The remainder of the catalyst composition continues through chamber outlet I into the cyclone separator J, where the particulate catalyst composition is disengaged from the gas stream and dropped into a removable product collection pot K, from which the fully activated catalyst composition is recovered. The nitrogen gas is drawn through the aspirator L and removed from the system at point M. - Another type of suitable spray-drying method includes forming a liquid mixture of a nonvolatile materials fraction, a solvent fraction and at least one compressed fluid; and spraying the liquid mixture at a temperature and pressure that gives a substantially decompressive spray by passing the mixture through an orifice into an environment suitable for forming solid particulates by solvent evaporation. Such a method is disclosed in U.S. Pat. No. 5,716,558.
- By adjusting the size of the orifices of the atomizer employed during spray-drying, it is possible to obtain particles having desired average particle size, e.g., from about 5 micrometers to about 200 micrometers. The particles recovered from the spray-drying can optionally be decarboxylated by heating the particles, e.g., as disclosed in U.S. Pat. No. 5,652,314.
- Any solid particulate material which is inert to the other components of the catalyst system, and during subsequent polymerization, can be employed as the filler. Such materials can be organic or inorganic. Suitable fillers include fumed silica, non-fumed silica, boron nitride, titanium dioxide, zinc oxide, polystyrene, and calcium carbonate. Fumed hydrophobic silica is preferred because it imparts high viscosity to the slurry and good strength to the spray-dried particles. For example, Gasil™ or Cabosil™ may be used. The particulate material employed as filler should have an average particle size no greater than 50 micrometers, preferably no greater than 10 micrometers. The particulate material employed as filler should be dry, i.e., free of absorbed water.
- Sufficient filler is preferably employed to produce a slurry suitable for spray-drying, i.e., a slurry containing such filler in an amount of from 0 percent by weight to about 15 percent by weight, preferably from about 2.5 percent by weight to about 10 percent by weight. When spray-dried, such slurry produces discrete catalyst particles in which filler is present in an amount of from 0 percent by weight to about 50 percent by weight, preferably from about 10 percent by weight to about 30 percent by weight. The spray-dried catalyst particles produced in this manner typically have an average particle size of from about 5 micrometers to about 200 micrometers, preferably from about 10 micrometers to about 30 micrometers.
- Polymerization Process
- The spray dried catalyst is suitable for use in any prepolymerization and/or polymerization process over a wide range of temperatures and pressures. The temperatures may be in the range of from −60° C. to about 280° C., preferably from 50° C. to about 200° C. In one embodiment, the polymerization temperature is above 0° C., above 50° C., above 80° C., above 100° C., above 150° C., or above 200° C. In one embodiment, the pressures employed may be in the range from 1 atmosphere to about 500 atmospheres or higher.
- Polymerization processes include solution, gas phase, slurry phase, and a high pressure process, or a combination thereof. Particularly preferred is a gas phase or slurry phase polymerization of one or more olefin(s) at least one of which is ethylene or propylene.
- In one embodiment, the process is a solution, high pressure, slurry or gas phase polymerization process of one or more olefin monomers having from 2 to 30 carbon atoms, preferably 2 to 12 carbon atoms, and more preferably 2 to 8 carbon atoms. The invention is particularly well suited to the polymerization of two or more olefin monomers of ethylene, propylene, 1-butene, 1-pentene, 4-methyl-1-pentene, 1-hexene, 1-octene and 1-decene.
- Other monomers useful include ethylenically unsaturated monomers, diolefins having 4 to 18 carbon atoms, conjugated or nonconjugated dienes, polyenes, vinyl monomers and cyclic olefins. Non-limiting monomers useful in the invention may include norbornene, norbornadiene, isobutylene, isoprene, vinylbenzocyclobutane, styrenes, alkyl substituted styrene, ethylidene norbornene, dicyclopentadiene and cyclopentene.
- In another embodiment, a copolymer of ethylene is produced, where with ethylene, a comonomer having at least one alpha-olefin having from 4 to 15 carbon atoms, preferably from 4 to 12 carbon atoms, and most preferably from 4 to 8 carbon atoms, is polymerized in a gas phase process.
- In another embodiment, ethylene or propylene is polymerized with at least two different comonomers, optionally one of which may be a diene, to form a terpolymer.
- In one embodiment, the invention is directed to a polymerization process, particularly a gas phase or slurry phase process, for polymerizing propylene alone or with one or more other monomers including ethylene, and/or other olefins having from 4 to 12 carbon atoms.
- Typically in a gas phase polymerization process, a continuous cycle is employed where in one part of the cycle of a reactor system, a cycling gas stream, otherwise known as a recycle stream or fluidizing medium, is heated in the reactor by the heat of polymerization. This heat is removed from the recycle composition in another part of the cycle by a cooling system external to the reactor. Generally, in a gas fluidized bed process for producing polymers, a gaseous stream containing one or more monomers is continuously cycled through a fluidized bed in the presence of a catalyst under reactive conditions. The gaseous stream is withdrawn from the fluidized bed and recycled back into the reactor. Simultaneously, polymer product is withdrawn from the reactor and fresh monomer is added to replace the polymerized monomer.
- The reactor pressure in a gas phase process may vary from about 100 psig (690 kPa) to about 500 psig (3448 kPa), preferably in the range of from about 200 psig (1379 kPa) to about 400 psig (2759 kPa), more preferably in the range of from about 250 psig (1724 kPa) to about 350 psig (2414 kPa).
- The reactor temperature in a gas phase process may vary from about 30° C. to about 120° C., preferably from about 60° C. to about 115° C., more preferably in the range of from about 70° C. to 110° C., and most preferably in the range of from about 70° C. to about 95° C. In another embodiment, the reactor temperature in a gas phase process is above 60° C.
- Other gas phase processes include series or multistage polymerization processes. Gas phase processes may also include those described in U.S. Pat. Nos. 5,627,242, 5,665,818 and 5,677,375, and European publications EP-A-0 794 200 EP-B1-0 649 992, EP-A-0 802 202 and EP-B-634 421.
- In another embodiment, the process may produce greater than 500 lbs of polymer per hour (227 Kg/hr) to about 200,000 lbs/hr (90,900 Kg/hr) or higher of polymer, preferably greater than 1000 lbs/hr (455 Kg/hr), more preferably greater than 10,000 lbs/hr (4540 Kg/hr), even more preferably greater than 25,000 lbs/hr (11,300 Kg/hr), still more preferably greater than 35,000 lbs/hr (15,900 Kg/hr), still even more preferably greater than 50,000 lbs/hr (22,700 Kg/hr) and most preferably greater than 65,000 lbs/hr (29,000 Kg/hr) to greater than 100,000 lbs/hr (45,500 Kg/hr).
- A slurry polymerization process generally uses pressures in the range of from about 1 to about 50 atmospheres and even greater and temperatures in the range of 0° C. to about 120° C. In another embodiment, the slurry process temperature is above 100° C. In a slurry polymerization, a suspension of solid, particulate polymer is formed in a liquid polymerization diluent medium to which ethylene and comonomers and often hydrogen along with catalyst are added. The suspension including diluent is intermittently or continuously removed from the reactor where the volatile components are separated from the polymer and recycled, optionally after a distillation, to the reactor. The liquid diluent employed in the polymerization medium is typically an alkane having from 3 to 7 carbon atoms, preferably a branched alkane. The medium employed should be liquid under the conditions of polymerization and relatively inert. When a propane medium is used the process must be operated above the reaction diluent critical temperature and pressure. Preferably, a hexane or an isobutane medium is employed.
- In another embodiment, the polymerization technique is referred to as a particle form polymerization, or a slurry process where the temperature is kept below the temperature at which the polymer goes into solution. Such technique is well known in the art, and described in for instance U.S. Pat. No. 3,248,179. Other slurry processes include those employing a loop reactor and those utilizing a plurality of stirred reactors in series, parallel, or combinations thereof. Non-limiting examples of slurry processes include continuous loop or stirred tank processes. Also, other examples of slurry processes are described in U.S. Pat. No. 4,613,484.
- In another embodiment, this process may produce greater than 2000 lbs of polymer per hour (907 Kg/hr), more preferably greater than 5000 lbs/hr (2268 Kg/hr), and most preferably greater than 10,000 lbs/hr (4540 Kg/hr). In another embodiment the slurry reactor may produce greater than 15,000 lbs of polymer per hour (6804 Kg/hr), preferably greater than 25,000 lbs/hr (11,340 Kg/hr) to about 100,000 lbs/hr (45,500 Kg/hr).
- Examples of solution processes are described in U.S. Pat. Nos. 4,271,060, 5,001,205, 5,236,998 and 5,589,555 and PCT WO 99/32525.
- In one embodiment, the slurry or gas phase process is operated in the presence of the catalyst system described herein and in the absence of or essentially free of any scavengers, such as triethylaluminum, trimethylaluminum, tri-isobutylaluminum and tri-n-hexylaluminum and diethyl aluminum chloride, dibutyl zinc and the like. This process is described in PCT publication WO 96/08520 and U.S. Pat. Nos. 5,712,352 and 5,763,543.
- In another embodiment, the method provides for injecting the catalyst system described herein into a reactor, particularly a gas phase reactor. In one embodiment the catalyst system is used in the unsupported form, preferably in a liquid form such as described in U.S. Pat. Nos. 5,317,036 and 5,693,727 and European publication EP-A-0 593 083. The polymerization catalyst in liquid form can be fed with an activator, and/or a support, and/or a supported activator together or separately to a reactor. The injection methods described in PCT publication WO 97/46599 may be utilized.
- Where an unsupported catalyst system is used the mole ratio of the metal of the activator component to the metal of the catalyst compound is in the range of between 0.3:1 to 10,000:1, preferably 100:1 to 5000:1, and most preferably 500:1 to 2000:1.
- Polymer Products
- The polymers produced can be used in a wide variety of products and end-use applications. The polymers produced include polyethylene homopolymers and polyethylene co-polymers, including linear low density polyethylene, elastomers, plastomers, high density polyethylenes, medium density polyethylenes, low density polyethylenes, as well as polypropylene homopolymers and polypropylene co polymers.
- The polymers, typically ethylene based polymers, have a density in the range of from 0.86 g/cc to 0.97 g/cc, preferably in the range of from 0.88 g/cc to 0.965 g/cc, more preferably in the range of from 0.900 g/cc to 0.96 g/cc, even more preferably in the range of from 0.905 g/cc to 0.95 g/cc, yet even more preferably in the range from 0.910 g/cc to 0.940 g/cc, and most preferably greater than 0.915 g/cc, preferably greater than 0.920 g/cc, and most preferably greater than 0.925 g/cc. Density is measured in accordance with ASTM-D-1238.
- The polymers produced typically have a molecular weight distribution, a weight average molecular weight to number average molecular weight (Mw/Mn) of greater than 1.5 to about 15, particularly greater than 2 to about 10, more preferably greater than about 2.2 to less than about 8, and most preferably from 2.5 to 8. The polymers may have a narrow molecular weight distribution and a broad composition distribution or vice-versa, and may be those polymers described in U.S. Pat. No. 5,798,427.
- Also, the polymers typically have a narrow composition distribution as measured by Composition Distribution Breadth Index (CDBI). Further details of determining the CDBI of a copolymer are known to those skilled in the art. See, for example, PCT Patent Application WO 93/03093, published Feb. 18, 1993. The polymers in one embodiment have CDBI's generally in the range of greater than 50% to 100%, preferably 99%, preferably in the range of 55% to 85%, and more preferably 60% to 80%, even more preferably greater than 60%, still even more preferably greater than 65%. In another embodiment, polymers produced using a catalyst system described herein have a CDBI less than 50%, more preferably less than 40%, and most preferably less than 30%.
- The polymers in one embodiment have a melt index (MI) or (I2) as measured by ASTM-D-1238-E (190/2.16) in the range from no measurable flow to 1000 dg/min, more preferably from about 0.01 dg/min to about 100 dg/min, even more preferably from about 0.1 dg/min to about 50 dg/min, and most preferably from about 0.1 dg/min to about 10 dg/min.
- In one embodiment, the polymers have a melt index ratio (I21/I2) (I21 is measured by ASTM-D-1238-F) (190/21.6) of from 10 to less than 25, more preferably from about 15 to less than 25. The polymers, in a preferred embodiment, have a melt index ratio (I21/I2) of from greater than 25, more preferably greater than 30, even more preferably greater that 40, still even more preferably greater than 50 and most preferably greater than 65. For example, the melt index ratio (I21/I2) may be of from 5 to 300, 10 to 200, 20 to 180, 30 to 160, 40 to 120, 50 to 100, 60 to 90, and a combination of any upper limit with any lower limit.
- In yet another embodiment, propylene based polymers are produced. These polymers include atactic polypropylene, isotactic polypropylene, hemi-isotactic and syndiotactic polypropylene. Other propylene polymers include propylene block or impact copolymers. Propylene polymers of these types are well known in the art see for example U.S. Pat. Nos. 4,794,096, 3,248,455, 4,376,851, 5,036,034 and 5,459,117.
- The polymers may be blended and/or coextruded with any other polymer. Non-limiting examples of other polymers include linear low density polyethylenes, elastomers, plastomers, high pressure low density polyethylene, high density polyethylenes, polypropylenes and the like.
- The polymers produced and blends thereof are useful in such forming operations as film, sheet, and fiber extrusion and co-extrusion as well as blow molding, injection molding and rotary molding. Films include blown or cast films formed by coextrusion or by lamination useful as shrink film, cling film, stretch film, sealing films, oriented films, snack packaging, heavy duty bags, grocery sacks, baked and frozen food packaging, medical packaging, industrial liners, membranes, etc. in food-contact and non-food contact applications. Fibers include melt spinning, solution spinning and melt blown fiber operations for use in woven or non-woven form to make filters, diaper fabrics, medical garments, geotextiles, etc. Extruded articles include medical tubing, wire and cable coatings, pipe, geomembranes, and pond liners. Molded articles include single and multi-layered constructions in the form of bottles, tanks, large hollow articles, rigid food containers and toys, etc.
- Bimodal Polymer Product
- The polymers produced by the processes described herein, utilizing the mixed catalysts described herein, are preferably bimodal. The term “bimodal,” when used to describe a polymer or polymer composition, e.g., polyolefins such as polypropylene or polyethylene, or other homopolymers, copolymers or terpolymers, means “bimodal molecular weight distribution,” which term is understood as having the broadest definition persons in the pertinent art have given that term as reflected in printed publications and issued patents. For example, a single composition that includes polyolefins with at least one identifiable high molecular weight distribution and polyolefins with at least one identifiable low molecular weight distribution is considered to be a “bimodal” polyolefin, as that term is used herein. Preferably, other than having different molecular weights, the high molecular weight polyolefin and the low molecular weight polyolefin are essentially the same type of polymer, e.g., polypropylene or polyethylene.
- The bimodal polymer products prepared using the mixed catalysts described herein can be used in a wide variety of products and end-use applications. The polymers produced by the process of the invention include linear low density polyethylene, elastomers, plastomers, high density polyethylenes, low density polyethylenes, medium density polyethylenes, polypropylene and polypropylene copolymers.
- Polymers that can be made using the described processes can have a variety of compositions, characteristics and properties. At least one of the advantages of the catalysts is that the process utilized can be tailored to form a polymer composition with a desired set of properties. For example, it is contemplated that the polymers having the same properties as the bimodal polymer compositions in U.S. Pat. No. 5,525,678 can be formed. Also, the bimetallic catalysts described herein can be used in polymerization processes to form polymers having the same properties as the polymers in the following patents, U.S. Pat. Nos. 6,420,580; 6,388,115; 6,380,328; 6,359,072; 6,346,586; 6,340,730; 6,339,134; 6,300,436; 6,274,684; 6,271,323; 6,248,845; 6,245,868; 6,245,705; 6,242,545; 6,211,105; 6,207,606; 6,180,735; and 6,147,173.
- The polymers, typically ethylene based polymers, should have a density in the range of from 0.86 g/cc to 0.97 g/cc, preferably in the range of from 0.88 g/cc to 0.965 g/cc, more preferably in the range of from 0.900 g/cc to 0.96 g/cc, even more preferably in the range of from 0.905 g/cc to 0.955 g/cc, yet even more preferably in the range from 0.910 g/cc to 0.955 g/cc, and most preferably greater than 0.915 g/cc, preferably greater than 0.920 g/cc, and most preferably greater than 0.925 g/cc.
- The polymers can have a molecular weight distribution, a weight average molecular weight to number average molecular weight (Mw/Mn) of greater than 5 to about 80, particularly greater than 10 to about 60, more preferably greater than about 15 to less than about 55, and most preferably from 20 to 50.
- The polymers made by the described processes can in certain embodiments have a melt index (MI) or (I2) as measured by ASTM-D-1238-E in the range from 0.01 dg/min to 1000 dg/min, more preferably from about 0.01 dg/min to about 100 dg/min, even more preferably from about 0.02 dg/min to about 50 dg/min, and most preferably from about 0.03 dg/min to about 0.1 dg/min.
- Polymers made by the described processes can in certain embodiments have a melt index ratio (I21/I2) (I21 is measured by ASTM-D-1238-F) of from 40 to less than 500, more preferably from about 60 to less than 200.
- Expressed differently, polymers made by the described processes can in certain embodiments have a melt index ratio (I21/I2) (I21 is measured by ASTM-D-1238-F) of from preferably greater than 40, more preferably greater than 50, even more preferably greater that 60, still even more preferably greater than 65 and most preferably greater than 70. In one or more other embodiments, the polymer of the invention may have a narrow molecular weight distribution and a broad composition distribution or vice-versa, and may be those polymers described in U.S. Pat. No. 5,798,427.
- In certain embodiments, propylene based polymers can be produced using the processes described herein. These polymers include atactic polypropylene, isotactic polypropylene, hemi-isotactic and syndiotactic polypropylene. Other propylene polymers include propylene block or impact copolymers. Propylene polymers of these types are well known in the art see for example U.S. Pat. Nos. 4,794,096, 3,248,455, 4,376,851, 5,036,034 and 5,459,117.
- The polymers of the invention may be blended and/or coextruded with any other polymer. Non-limiting examples of other polymers include linear low density polyethylenes produced via conventional Ziegler-Natta and/or bulky ligand metallocene-type catalysis, elastomers, plastomers, high pressure low density polyethylene, high density polyethylenes, polypropylenes and the like.
- Polymers produced by the process of the invention and blends thereof are useful in such forming operations as film, sheet, pipe and fiber extrusion and co-extrusion as well as blow molding, injection molding and rotary molding. Films include blown or cast films formed by coextrusion or by lamination useful as shrink film, cling film, stretch film, sealing films, oriented films, snack packaging, heavy duty bags, grocery sacks, baked and frozen food packaging, medical packaging, industrial liners, membranes, etc. in food-contact and non-food contact applications. Fibers include melt spinning, solution spinning and melt blown fiber operations for use in woven or non-woven form to make filters, diaper fabrics, medical garments, geotextiles, etc. Extruded articles include medical tubing, wire and cable coatings, geomembranes, and pond liners. Molded articles include single and multi-layered constructions in the form of bottles, tanks, large hollow articles, rigid food containers and toys, etc.
- In order to provide a better understanding of the foregoing discussion, the following non-limiting examples are offered. Although the examples may be directed to specific embodiments, they are not to be viewed as limiting the invention in any specific respect. All parts, proportions, and percentages are by weight unless otherwise indicated. All examples were carried out in dry, oxygen-free environments and solvents. All molecular weights are weight average molecular weight unless otherwise noted. Molecular weights including weight average molecular weight (Mw), number average molecular weight (Mn), and z-average molecular weight (Mz) were measured by Gel Permeation Chromatography (GPC), also known as size exclusion chromatography (SEC).
- “HN3Zr” {Bis(phenylmethyl)[N′-(2,4,6-trimethylphenyl)-N-[2-[2,4,6-trimethyl phenyl)amino-kN]ethyl]-1,2-ethanediaminato(2-)kN,kN′]zirconium} and “X” {(n-propylcyclopentadienyl) (tetramethylcyclopentadienyl) zirconium dichloride} were mixed at a 4.5 to 1 molar ratio and then activated with methyl alumoxane. This catalyst system was then supported on silica Cabosil TS 610 in a pilot scale spray dryer. The Cabosil TS 610 was sold by Cabot Corporation. The composition of the resulting spray dried catalyst was 2 wt % HN3Zr/X, 32% methyl alumoxane, 66% cabosil TS610.
- This catalyst was mixed with mineral oil (Hydrobrite® 550 manufactured by Crompton Company) to produce three slurries having 8%, 12% and 18% solids concentration in oil. Foaming was noticed for each slurry and the intensity of foaming was found to increase with the solids concentration of the slurry. The viscosity of each slurry was measured at 25° C. using a Brookfield viscometer as a function of shear rate, and is reported in Table 1 below.
- The catalyst of Example 1 was mixed with Hydrobrite® 550 oil along with 10% heptane to produce a slurry having 25% solids concentration. Even though the solids concentration was higher than the slurries of Example 1, foaming was found to be significantly less. The viscosity of this slurry was also measured using a Brookfield viscometer as a function of shear rate and reported in Table 1.
TABLE 1 Effect of solids concentration on viscosity at 25° C. EX 1: EX. 1: EX. 1: EX. 2: Viscosity Viscosity Viscosity Viscosity Shear of 8% of 12% of 18% of 25% rate solids solids, solids solids (1/sec) (cP) (cP) (cP) (cP) 1.7 504 858 1014 402 3.4 453 762 990 411 5.1 442 724 980 406 6.8 435 700 973 402 8.5 439 684 967 394 10.2 440 674 966 387 11.9 441 668 962 379 13.6 439 658 958 375 - As seen in Table 1, the viscosity of this slurry at 25% solids with heptane (Example 2) was less than the lower concentration slurries without any heptane present. This observation was surprising and unexpected considering the Example 2 slurry contained as much as three times the amount of solids than the slurries of Example 1.
- A spray dried catalyst containing “HN5Zr” {Bis(phenylmethyl)[N′-(2,3,4,5,6-pentamethylphenyl)-N-[2-[2,3,4,5,6-pentamethylphenyl)amino-kN]ethyl]-1,2-ethane diaminato(2-)kN,kN′]zirconium} and “X” {(n-propylcyclopentadienyl) (tetramethylcyclopentadienyl) zirconiumdichloride} were mixed at a 4.2 to 1 molar ratio, and activated using methyl alumoxane. This catalyst was then supported on silica Cabosil TS 610 in a pilot scale spray dryer. This catalyst was then mixed with Hydrobrite® 550 mineral oil, to produce a slurry having 18% solids concentration in oil. Significant foaming was noticed.
- The catalyst of Example 3 was mixed with Hydrobrite® mineral oil to produce a slurry having a higher solids concentration (25 wt %) along with 10% n-hexane. Again, foaming was significantly less. A side by side comparison showed a surprising reduction in the foam content of the 25% slurry with 10% hexane of Example 4 compared to the 18% slurry of Example 3.
- A spray dried catalyst containing 2% by weight of HN5Zr/X mixed at 5:1 molar ratio, 32% by weight of methyl alumoxane and 66% by weight of Cabosil TS 610 was prepared in a pilot scale spray dryer. The particle size distribution of the catalyst as measured by Mastersizer Instrument made by Malvern Instruments Ltd, Malvern, U.K. is given below:
-
- D90:42 micron;
- D50:24 micron; and
- D10:13 micron.
- A large scale slurry was prepared using this catalyst and n-hexane and another type of mineral oil (Kaydol® also manufactured by Crompton Company) to test the foaming and ease of handling. The slurry was made in a 125 gallon vessel fitted with a helical ribbon agitator. About 483 lbs. of degassed mineral oil was charged into the 125 gallon vessel, and 71 lbs. of n-hexane was added and mixed for 1 hour at 40° C. Then 156.4 lbs. of the spray dried catalyst was added over a period of two hours. The slurry in the 125 gallon vessel was mixed at 40° C. for about 4 hours and discharged into a horizontal metal cylinder of 120 gallon size. The composition of the slurry was 22% catalyst, 10% hexane, and 68% oil.
- There was no foaming observed. The solids were mixed well and discharged into the horizontal cylinder easily. The viscosity of the slurry was measured using a Brookfield viscometer and the viscosity was much lower than the 18% slurry of Example 1. The results are shown in Table 2 below.
TABLE 2 Viscosity of 22% slurry, 10% hexane and 68% oil (Kaydol ®) Shear Rate (1/sec) Viscosity (cP) 1.40 600 2.80 564 4.20 524 5.60 492 7.00 466 8.40 446 9.80 428 11.20 415 - The above slurry was stored in the 125 gallon horizontal cylinder for about 6 months at ambient temperature. After rolling the cylinder for 24 hours, the slurry was transferred to a catalyst feeder in a fluidized bed reactor. No problem in transfer was encountered. The slurry was fed to the fluidized bed reactor for about 15 hours and 80,000 lbs of bimodal HDPE was produced. The properties of the resin were as follows:
-
- Flow index: 8.5 dg/min;
- Melt Flow Ratio: 218; and
- Density: 0.9489.
- Another slurry using a different catalyst ratio (HN5Zr/X mixed at 5.5 to 1 ratio) was prepared similar to the Example 5. No foaming or handling problem was encountered with this slurry (22% catalyst, 10% n-hexane and 68% Kaydol® oil). The slurry was stored in the 125 gallon horizontal cylinder for about 9 months at ambient temperature. After rolling the cylinder for 24 hours, the slurry was transferred to a catalyst feeder in a fluidized bed reactor. No problem in transfer was encountered. The slurry was fed to the fluid bed reactor for about 15 hours and 80,000 lbs of bimodal HDPE was produced. The properties of the resin were as follows:
-
- Flow index: 6.5 dg/min;
- Melt Flow Ratio: 115; and
- Density: 0.9481.
- Unless otherwise indicated, all numbers expressing quantities of ingredients, properties, reaction conditions, and so forth, used in the specification and claims are to be understood as approximations based on the desired properties sought to be obtained by the present invention, and the error of measurement, etc., and should at least be construed in light of the number of reported significant digits and by applying ordinary rounding techniques. Notwithstanding that the numerical ranges and values setting forth the broad scope of the invention are approximations, the numerical values set forth are reported as precisely as possible.
- All priority documents are herein fully incorporated by reference for all jurisdictions in which such incorporation is permitted. Further, all documents cited herein, including testing procedures, are herein fully incorporated by reference for all jurisdictions in which such incorporation is permitted.
- While the foregoing is directed to embodiments of the present invention, other and further embodiments of the invention may be devised without departing from the basic scope thereof, and the scope thereof is determined by the claims that follow.
Claims (39)
1. A method for preparing a spray dried catalyst, comprising:
preparing a catalyst system comprising one or more components selected from the group consisting of metallocenes, non-metallocenes, and activators;
adding mineral oil to the catalyst system to form a slurry; and
adding one or more liquid alkanes having three or more carbon atoms to the slurry in an amount sufficient to reduce foaming and viscosity of the slurry.
2. The method of claim 1 , wherein the viscosity of the slurry is reduced by at least 30 percent due to the addition of the one or more liquid alkanes.
3. The method of claim 1 , wherein the catalyst system is a mixed catalyst system comprising at least one metallocene component and at least one non-metallocene component.
4. The method of claim 1 , wherein the slurry comprises up to 20 percent by weight of the one or more liquid alkanes.
5. The method of claim 1 , wherein the slurry comprises between about 2 percent by weight and 15 percent by weight of the one or more liquid alkanes.
6. The method of claim 1 , wherein the slurry comprises up to 50 percent by weight of the catalyst system.
7. The method of claim 1 , wherein the slurry comprises at least 10 percent by weight of the catalyst system.
8. The method of claim 1 , wherein the slurry comprises from 5 percent by weight to about 35 percent by weight of the catalyst system.
9. The method of claim 1 , wherein the slurry comprises from 10 percent by weight to about 30 percent by weight of the catalyst system.
10. The method of claim 1 , wherein the metallocene component is represented by the formula:
CpACpBMXn
wherein:
M is a metal atom;
CpA and CpB are each independently an unsubstituted or substituted cyclic ring group;
X is a leaving group; and
n is zero or an integer from 1 to 4.
11. The method of claim 10 , wherein CpA and CpB are each independently selected from the group consisting of cyclopentadienyl, indenyl, combinations thereof, and derivatives thereof.
12. The method of claim 10 , wherein M is zirconium.
13. The method of claim 10 , wherein X is selected from the group consisting of amines, phosphones, ethers, carboxylates, dienes, hydrocarbyl radicals having from 1 to 20 carbon atoms, hydrides, halogens, combinations thereof, and derivatives thereof, and wherein n is 2.
14. The method of claim 1 , wherein the non-metallocene component is represented by the formula:
αaβbγgMXn
wherein M is a metal;
X is independently selected from the group consisting of halogen ions, hydrides, C1 to C12 alkyls, C2 to C12 alkenyls, C6 to C12 aryls, C7 to C20 alkylaryls, C1 to C12 alkoxys, C6 to C16 aryloxys, C7 to C18 alkylaryloxys, C1 to C12 fluoroalkyls, C6 to C12 fluoroaryls, C1 to C12 heteroatom-containing hydrocarbons, halogenated C6 to C16 aryloxys, and substituted derivatives thereof;
β and γ are groups that each comprise at least one Group 14 to Group 16 atom;
α is a linking moiety that forms a chemical bond to each of β and γ; and
a, b, g, and n are each integers from 1 to 4.
15. The method of claim 14 , wherein M is zirconium.
16. A spray dried catalyst slurry for olefin polymerization, comprising:
a catalyst system comprising one or more catalysts selected from the group consisting of metallocenes, non-metallocenes, and a combination thereof, wherein the catalyst system is spray dried;
mineral oil to form a slurry comprising the catalyst system; and
one or more liquid alkanes having three or more carbon atoms in an amount sufficient to reduce foaming and viscosity of the slurry.
17. The catalyst slurry of claim 16 , wherein the catalyst system further comprises one or more activators.
18. The catalyst slurry of claim 16 , wherein the slurry comprises up to 20 percent by weight of the one or more liquid alkanes.
19. The catalyst slurry of claim 16 , wherein the slurry comprises between about 2 percent by weight and 15 percent by weight of the one or more liquid alkanes.
20. The catalyst slurry of claim 16 , wherein the slurry comprises up to 50 percent by weight of the catalyst system.
21. The catalyst slurry of claim 16 , wherein the slurry comprises at least 10 percent by weight of the catalyst system.
22. The catalyst slurry of claim 16 , wherein the slurry comprises from 5 percent by weight to about 35 percent by weight of the catalyst system.
23. The catalyst slurry of claim 16 , wherein the slurry comprises from 10 percent by weight to about 30 percent by weight of the catalyst system.
24. The catalyst slurry of claim 16 , wherein the metallocene component is represented by the formula:
CpACpBMXn
wherein:
M is a metal atom;
CpA and CpB are each independently an unsubstituted or substituted cyclic ring group;
X is a leaving group; and
n is zero or an integer from 1 to 4.
25. The catalyst slurry of claim 24 , wherein CpA and CpB are each independently selected from the group consisting of cyclopentadienyl, indenyl, combinations thereof, and derivatives thereof.
26. The catalyst slurry of claim 24 , wherein M is zirconium.
27. The catalyst slurry of claim 24 , wherein X is selected from the group consisting of amines, phosphones, ethers, carboxylates, dienes, hydrocarbyl radicals having from 1 to 20 carbon atoms, hydrides, halogens, combinations thereof, and derivatives thereof, and wherein n is 2.
28. The catalyst slurry of claim 16 , wherein the non-metallocene component is represented by the formula:
αaβbγgMXn
wherein M is a metal;
X is independently selected from the group consisting of halogen ions, hydrides, C1 to C12 alkyls, C2 to C12 alkenyls, C6 to C12 aryls, C7 to C20 alkylaryls, C1 to C12 alkoxys, C6 to C16 aryloxys, C7 to C18 alkylaryloxys, C1 to C12 fluoroalkyls, C6 to C12 fluoroaryls, C1 to C12 heteroatom-containing hydrocarbons, halogenated C6 to C16 aryloxys, and substituted derivatives thereof;
β and γ are groups that each comprise at least one Group 14 to Group 16 atom;
α is a linking moiety that forms a chemical bond to each of β and γ; and
a, b, g, and n are each integers from 1 to 4.
29. The catalyst slurry of claim 28 , wherein M is zirconium.
30. A method for olefin polymerization, comprising:
preparing a catalyst system useful for olefin polymerization;
adding mineral oil to the catalyst system to form a slurry;
adding one or more liquid alkanes having three or more carbon atoms to the slurry in an amount sufficient to reduce foaming and viscosity of the slurry; and
transferring the slurry to a gas phase reactor.
31. The method of claim 30 , wherein the viscosity of the slurry is reduced by at least 30 percent due to the addition of the one or more liquid alkanes.
32. The method of claim 30 , wherein the catalyst system is a mixed catalyst system comprising at least one metallocene component and at least one non-metallocene component.
33. The method of claim 30 , wherein the slurry comprises up to 20 percent by weight of the one or more liquid alkanes.
34. The method of claim 30 , wherein the slurry comprises up to 50 percent by weight of the catalyst system.
35. The method of claim 30 , wherein the metallocene component is represented by the formula:
CpACpBMXn
wherein:
M is a metal atom;
CpA and CpB are each independently an unsubstituted or substituted cyclic ring group;
X is a leaving group; and
n is zero or an integer from 1 to 4.
36. The method of claim 35 , wherein CpA and CpB are each independently selected from the group consisting of cyclopentadienyl, indenyl, combinations thereof, and derivatives thereof, and wherein M is zirconium.
37. The method of claim 35 , wherein X is selected from the group consisting of amines, phosphones, ethers, carboxylates, dienes, hydrocarbyl radicals having from 1 to 20 carbon atoms, hydrides, halogens, combinations thereof, and derivatives thereof, and wherein n is 2.
38. The method of claim 30 , wherein the non-metallocene component is represented by the formula:
αaβbγgMXn
wherein M is a metal;
X is independently selected from the group consisting of halogen ions, hydrides, C1 to C12 alkyls, C2 to C12 alkenyls, C6 to C12 aryls, C7 to C20 alkylaryls, C1 to to C12 alkoxys, C6 to C16 aryloxys, C7 to C18 alkylaryloxys, C1 to C12 fluoroalkyls, C6 to C12 fluoroaryls, C1 to C12 heteroatom-containing hydrocarbons, halogenated C6 to C16 aryloxys, and substituted derivatives thereof;
β and γ are groups that each comprise at least one Group 14 to Group 16 atom;
α is a linking moiety that forms a chemical bond to each of β and γ; and
a, b, g, and n are each integers from 1 to 4.
39. The method of claim 38 , wherein M is zirconium.
Priority Applications (12)
| Application Number | Priority Date | Filing Date | Title |
|---|---|---|---|
| US10/780,522 US20050182210A1 (en) | 2004-02-17 | 2004-02-17 | De-foaming spray dried catalyst slurries |
| EP05711665.9A EP1716183B1 (en) | 2004-02-17 | 2005-01-20 | De-foaming spray dried catalyst slurries |
| PCT/US2005/001708 WO2005082947A1 (en) | 2004-02-17 | 2005-01-20 | De-foaming spray dried catalyst slurries |
| BRPI0507760-5A BRPI0507760B1 (en) | 2004-02-17 | 2005-01-20 | METHOD FOR POLYMERIZATION OF OLEFINS |
| JP2006554096A JP4563407B2 (en) | 2004-02-17 | 2005-01-20 | Defoaming of spray-dried catalyst slurry |
| CA2553782A CA2553782C (en) | 2004-02-17 | 2005-01-20 | De-foaming spray dried catalyst slurries |
| RU2006133267/04A RU2361887C2 (en) | 2004-02-17 | 2005-01-20 | Catalyst suspension for polymerisation of olefins, method of making catalyst suspension and method of polymerising olefins |
| KR1020067016410A KR101129935B1 (en) | 2004-02-17 | 2005-01-20 | De-foaming spray dried catalyst slurries |
| CNA2005800051303A CN101023104A (en) | 2004-02-17 | 2005-01-20 | Non-foaming spray-dried catalyst slurry |
| US11/336,346 US7276566B2 (en) | 2004-02-17 | 2006-01-20 | De-foaming spray dried catalyst slurries |
| US11/784,898 US7566677B2 (en) | 2004-02-17 | 2007-04-10 | De-foaming spray dried catalyst slurries |
| US12/491,766 US7973112B2 (en) | 2004-02-17 | 2009-06-25 | De-foaming spray dried catalyst slurries |
Applications Claiming Priority (1)
| Application Number | Priority Date | Filing Date | Title |
|---|---|---|---|
| US10/780,522 US20050182210A1 (en) | 2004-02-17 | 2004-02-17 | De-foaming spray dried catalyst slurries |
Related Child Applications (1)
| Application Number | Title | Priority Date | Filing Date |
|---|---|---|---|
| US11/336,346 Continuation-In-Part US7276566B2 (en) | 2004-02-17 | 2006-01-20 | De-foaming spray dried catalyst slurries |
Publications (1)
| Publication Number | Publication Date |
|---|---|
| US20050182210A1 true US20050182210A1 (en) | 2005-08-18 |
Family
ID=34838618
Family Applications (3)
| Application Number | Title | Priority Date | Filing Date |
|---|---|---|---|
| US10/780,522 Abandoned US20050182210A1 (en) | 2004-02-17 | 2004-02-17 | De-foaming spray dried catalyst slurries |
| US11/336,346 Expired - Lifetime US7276566B2 (en) | 2004-02-17 | 2006-01-20 | De-foaming spray dried catalyst slurries |
| US11/784,898 Expired - Lifetime US7566677B2 (en) | 2004-02-17 | 2007-04-10 | De-foaming spray dried catalyst slurries |
Family Applications After (2)
| Application Number | Title | Priority Date | Filing Date |
|---|---|---|---|
| US11/336,346 Expired - Lifetime US7276566B2 (en) | 2004-02-17 | 2006-01-20 | De-foaming spray dried catalyst slurries |
| US11/784,898 Expired - Lifetime US7566677B2 (en) | 2004-02-17 | 2007-04-10 | De-foaming spray dried catalyst slurries |
Country Status (9)
| Country | Link |
|---|---|
| US (3) | US20050182210A1 (en) |
| EP (1) | EP1716183B1 (en) |
| JP (1) | JP4563407B2 (en) |
| KR (1) | KR101129935B1 (en) |
| CN (1) | CN101023104A (en) |
| BR (1) | BRPI0507760B1 (en) |
| CA (1) | CA2553782C (en) |
| RU (1) | RU2361887C2 (en) |
| WO (1) | WO2005082947A1 (en) |
Cited By (10)
| Publication number | Priority date | Publication date | Assignee | Title |
|---|---|---|---|---|
| US20050148743A1 (en) * | 2004-01-07 | 2005-07-07 | Casty Gary L. | Supported activator |
| US20070055028A1 (en) * | 2004-01-07 | 2007-03-08 | Casty Gary L | Preparation of polymerization catalyst activators utilizing indole-modified silica supports |
| US20100063227A1 (en) * | 2006-11-14 | 2010-03-11 | Univation Technologies, Llc | Catalyst systems and polymerization processes |
| US8022005B2 (en) | 2007-11-08 | 2011-09-20 | Exxonmobil Chemical Patents Inc. | Halogen substituted heterocyclic heteroatom containing ligands-alumoxane activation of metallocenes |
| US9045569B2 (en) | 2011-01-14 | 2015-06-02 | W. R. Grace & Co.-Conn. | Process of making modified metallocene catalyst, catalyst produced and use thereof |
| US10351647B2 (en) | 2015-05-29 | 2019-07-16 | Exxonmobil Chemical Patents Inc. | Polymerization process using bridged metallocene compounds supported on organoaluminum treated layered silicate supports |
| WO2020096735A1 (en) | 2018-11-06 | 2020-05-14 | Dow Global Technologies Llc | Method of olefin polymerization using alkane-soluble non-metallocene precatalyst |
| WO2020096732A1 (en) | 2018-11-06 | 2020-05-14 | Dow Global Technologies Llc | Alkane-soluble non-metallocene precatalysts |
| WO2020096734A1 (en) | 2018-11-06 | 2020-05-14 | Dow Global Technologies Llc | Alkane-soluble non-metallocene precatalysts |
| CN116529301A (en) * | 2020-11-24 | 2023-08-01 | 株式会社Lg化学 | Organic-inorganic hybrid polyolefin composite material and preparation method thereof |
Families Citing this family (33)
| Publication number | Priority date | Publication date | Assignee | Title |
|---|---|---|---|---|
| US20050182210A1 (en) * | 2004-02-17 | 2005-08-18 | Natarajan Muruganandam | De-foaming spray dried catalyst slurries |
| US7973112B2 (en) * | 2004-02-17 | 2011-07-05 | Univation Technologies, Llc | De-foaming spray dried catalyst slurries |
| US20070049711A1 (en) * | 2005-09-01 | 2007-03-01 | Chi-I Kuo | Catalyst compositions comprising support materials having an improved particle-size distribution |
| CN101554595B (en) | 2009-05-18 | 2011-02-02 | 中国石油化工股份有限公司 | Catalyst support used for olefinic polymerization as well as preparation method and application thereof |
| EP2707398B1 (en) * | 2011-05-13 | 2017-08-09 | Univation Technologies, LLC | Spray-dried catalyst compositions and polymerization processes employing the same |
| CA2749835C (en) * | 2011-08-23 | 2018-08-21 | Nova Chemicals Corporation | Feeding highly active phosphinimine catalysts to a gas phase reactor |
| KR102022132B1 (en) | 2011-11-08 | 2019-09-17 | 유니베이션 테크놀로지즈, 엘엘씨 | Methods of preparing a catalyst system |
| CA2897456C (en) * | 2013-01-14 | 2021-08-31 | Univation Technologies, Llc | Methods for preparing catalyst systems with increased productivity |
| US20160362510A1 (en) | 2014-02-11 | 2016-12-15 | Univation Technologies, Llc | Method to prepare ethylene copolymers |
| CN110813197B (en) * | 2014-05-12 | 2022-02-18 | 尤尼威蒂恩技术有限责任公司 | Systems and methods using insert assemblies with stacked airflow gaps |
| US10414887B2 (en) | 2015-10-02 | 2019-09-17 | Exxonmobil Chemical Patents Inc. | Supported catalyst systems and methods of using same |
| CN107011485B (en) * | 2016-01-27 | 2019-07-30 | 中国石化扬子石油化工有限公司 | A kind of three activated centre composite catalyst and the method for preparing cyclic olefine copolymer using it |
| US10414699B2 (en) | 2016-05-27 | 2019-09-17 | Chevron Phillips Chemical Company Lp | Process improvements in selective ethylene oligomerizations |
| US10329212B2 (en) | 2016-05-27 | 2019-06-25 | Chevron Phillips Chemical Company Lp | Reduced polymer formation for selective ethylene oligomerizations |
| US10414698B2 (en) | 2016-05-27 | 2019-09-17 | Chevron Phillips Chemical Company Lp | Reduced polymer formation for selective ethylene oligomerizations |
| WO2018075243A1 (en) | 2016-10-19 | 2018-04-26 | Exxonmobil Chemical Patents Inc. | Supported catalyst systems and methods of using same |
| KR102454616B1 (en) * | 2016-11-08 | 2022-10-18 | 유니베이션 테크놀로지즈, 엘엘씨 | polyethylene composition |
| WO2018118259A1 (en) | 2016-12-22 | 2018-06-28 | Exxonmobil Chemical Patents Inc. | Spray-dried olefin polymerization catalyst compositions and polymerization processes for using the same |
| US10232339B2 (en) | 2017-06-06 | 2019-03-19 | Chevron Phillips Chemical Company Lp | Fouling protection for an oligomerization reactor inlet |
| US10183960B1 (en) | 2017-09-22 | 2019-01-22 | Chevron Phillips Chemical Company Lp | Perfluorohydrocarbyl-N2-phosphinyl amidine compounds, chromium salt complexes, catalyst systems, and their use to oligomerize ethylene |
| US10294171B2 (en) | 2017-09-22 | 2019-05-21 | Chevron Phillips Chemical Company Lp | Carbonyl-containing perfluorohydrocarbyl-N2-phosphinyl amidine compounds, chromium salt complexes and their use to oligomerize ethylene |
| US10493442B2 (en) | 2017-09-22 | 2019-12-03 | Chevron Phillips Chemical Company Lp | Fluorinated N2-phosphinyl amidine compounds, chromium salt complexes, catalyst systems, and their use to oligomerize ethylene |
| US10464862B2 (en) | 2017-09-28 | 2019-11-05 | Chevron Phillips Chemical Company Lp | Oligomerization reactions using aluminoxanes |
| JP6711340B2 (en) * | 2017-10-27 | 2020-06-17 | 日本ポリエチレン株式会社 | Method for producing ethylene-based polymer |
| US11124586B1 (en) * | 2020-11-09 | 2021-09-21 | Chevron Phillips Chemical Company Lp | Particle size control of metallocene catalyst systems in loop slurry polymerization reactors |
| WO2022114710A1 (en) * | 2020-11-24 | 2022-06-02 | 주식회사 엘지화학 | Organic-inorganic hybrid polyolefin composite and preparation method thereof |
| EP4259670A2 (en) | 2020-12-08 | 2023-10-18 | Chevron Phillips Chemical Company Lp | Particle size control of supported chromium catalysts in loop slurry polymerization reactors |
| WO2022187814A2 (en) * | 2021-03-05 | 2022-09-09 | Exxonmobil Chemical Patents Inc. | Processes for making and using slurry catalyst mixtures |
| CN117980344A (en) | 2021-09-13 | 2024-05-03 | 切弗朗菲利浦化学公司 | Modification of catalyst system components for olefin polymerization by hydrocyclone |
| US11505513B1 (en) | 2021-11-08 | 2022-11-22 | Chevron Phillips Chemical Company, Lp | Chromium bicyclic phosphinyl amidine complexes for tetramerization of ethylene |
| US11583843B1 (en) | 2021-11-08 | 2023-02-21 | Chevron Phillips Chemical Company, Lp | Chromium phosphinyl isoindole amidine complexes for tetramerization of ethylene |
| US11492305B1 (en) | 2021-11-08 | 2022-11-08 | Chevron Phillips Chemical Company, Lp | Chromium phosphinyl hydroisoindole amidine complexes for tetramerization of ethylene |
| JP2025510021A (en) | 2022-03-22 | 2025-04-14 | ノバ ケミカルズ(インターナショナル)ソシエテ アノニム | Organometallic complexes, olefin polymerization catalyst systems and polymerization processes |
Citations (10)
| Publication number | Priority date | Publication date | Assignee | Title |
|---|---|---|---|---|
| US3779712A (en) * | 1971-11-26 | 1973-12-18 | Union Carbide Corp | Particulate solids injector apparatus |
| US5028669A (en) * | 1988-07-22 | 1991-07-02 | Bp Chemicals Limited | Installation and process for the gas-phase polymerization of olefins in a fluidized-bed reactor with the introduction of an organometallic compound |
| US5672669A (en) * | 1993-12-23 | 1997-09-30 | Union Carbide Chemicals & Plastics Technology Corporation | Spray dried, filled metallocene catalyst composition for use in polyolefin manufacture |
| US6281306B1 (en) * | 1999-12-16 | 2001-08-28 | Univation Technologies, Llc | Method of polymerization |
| US6458738B1 (en) * | 2000-09-22 | 2002-10-01 | Union Carbide Chemicals & Plastics Technology Corporation | Spray-drying compositions and methods of spray-drying |
| US20020161141A1 (en) * | 2000-12-04 | 2002-10-31 | Simon Mawson | Polymerization process |
| US6538081B2 (en) * | 2000-12-18 | 2003-03-25 | Univation Tech Llc | Polymerization process |
| US6608149B2 (en) * | 2000-12-04 | 2003-08-19 | Univation Technologies, Llc | Polymerization process |
| US6617405B1 (en) * | 1999-07-14 | 2003-09-09 | Union Carbide Chemicals & Plastics Technology Corporation | Process for the preparation of polyethylene |
| US6627713B2 (en) * | 1994-08-02 | 2003-09-30 | Union Carbide Chemicals & Plastics Technology Corporation | Gas phase polymerization process |
Family Cites Families (69)
| Publication number | Priority date | Publication date | Assignee | Title |
|---|---|---|---|---|
| US4376851A (en) | 1953-01-27 | 1983-03-15 | Phillips Petroleum Company | Solid polymers of olefins and production of such polymers |
| US3248179A (en) | 1962-02-26 | 1966-04-26 | Phillips Petroleum Co | Method and apparatus for the production of solid polymers of olefins |
| US3248455A (en) | 1963-08-14 | 1966-04-26 | Us Rubber Co | Method of recovering resinous polymer from latex |
| US4271060A (en) | 1979-09-17 | 1981-06-02 | Phillips Petroleum Company | Solution polymerization process |
| US4376062A (en) | 1979-11-28 | 1983-03-08 | Union Carbide Corporation | Spheroidal polymerization catalyst, process for preparing, and use for ethylene polymerization |
| US4638029A (en) | 1983-02-22 | 1987-01-20 | Union Carbide Corporation | Ceramic composition and process for use thereof |
| US5567665A (en) | 1994-03-31 | 1996-10-22 | Union Carbide Chemicals & Plastics Technology Corporation | Shape-shifted magnesium alkoxide component for polymerizing olefins |
| US5604172A (en) | 1984-03-31 | 1997-02-18 | Union Carbide Chemicals & Plastics Technology Corporation | Shape-shifted magnesium alkoxide component for polymerizing olefins |
| US4613484A (en) | 1984-11-30 | 1986-09-23 | Phillips Petroleum Company | Loop reactor settling leg system for separation of solid polymers and liquid diluent |
| US4728705A (en) | 1986-02-28 | 1988-03-01 | Shell Oil Company | Olefin polymerization catalyst composition |
| US4794096A (en) | 1987-04-03 | 1988-12-27 | Fina Technology, Inc. | Hafnium metallocene catalyst for the polymerization of olefins |
| US5001205A (en) | 1988-06-16 | 1991-03-19 | Exxon Chemical Patents Inc. | Process for production of a high molecular weight ethylene α-olefin elastomer with a metallocene alumoxane catalyst |
| NZ235032A (en) | 1989-08-31 | 1993-04-28 | Dow Chemical Co | Constrained geometry complexes of titanium, zirconium or hafnium comprising a substituted cyclopentadiene ligand; use as olefin polymerisation catalyst component |
| US5026798A (en) | 1989-09-13 | 1991-06-25 | Exxon Chemical Patents Inc. | Process for producing crystalline poly-α-olefins with a monocyclopentadienyl transition metal catalyst system |
| US5036034A (en) | 1989-10-10 | 1991-07-30 | Fina Technology, Inc. | Catalyst for producing hemiisotactic polypropylene |
| US5306350A (en) | 1990-12-21 | 1994-04-26 | Union Carbide Chemicals & Plastics Technology Corporation | Methods for cleaning apparatus using compressed fluids |
| US5236998A (en) | 1991-03-07 | 1993-08-17 | Occidental Chemical Corporation | Process for the manufacture of linear polyethylene containing α-alkene commonomers |
| CA2113627A1 (en) | 1991-07-18 | 1993-02-18 | Prasadarao Meka | Heat sealed article |
| US5589555A (en) | 1991-10-03 | 1996-12-31 | Novacor Chemicals (International) S.A. | Control of a solution process for polymerization of ethylene |
| US5278272A (en) | 1991-10-15 | 1994-01-11 | The Dow Chemical Company | Elastic substantialy linear olefin polymers |
| US5290745A (en) | 1992-08-10 | 1994-03-01 | Union Carbide Chemicals & Plastics Technology Corporation | Process for producing ethylene polymers having reduced hexane extractable content |
| US5317036A (en) | 1992-10-16 | 1994-05-31 | Union Carbide Chemicals & Plastics Technology Corporation | Gas phase polymerization reactions utilizing soluble unsupported catalysts |
| BE1007148A3 (en) | 1993-05-17 | 1995-04-11 | Solvay | Support for catalyst, method for producing gel precursor media for catalyst, method for preparing a catalyst support, catalyst for olefin polymerization and method for olefin polymerization using the catalyst . |
| ZA943399B (en) | 1993-05-20 | 1995-11-17 | Bp Chem Int Ltd | Polymerisation process |
| US5804678A (en) | 1993-07-13 | 1998-09-08 | Mitsui Petrochemical Industries, Ltd. | Process for gas phase polymerization of olefin |
| US5459117A (en) | 1993-08-27 | 1995-10-17 | Ewen; John A. | Doubly-conformationally locked, stereorigid catalysts for the preparation of tactiospecific polymers |
| EP0649992B1 (en) | 1993-10-23 | 1997-07-30 | WABCO GmbH | Disc brake actuator |
| US6245705B1 (en) | 1993-11-18 | 2001-06-12 | Univation Technologies | Cocatalysts for metallocene-based olefin polymerization catalyst systems |
| JPH07144455A (en) | 1993-11-25 | 1995-06-06 | Canon Inc | Inkjet recording device |
| US5648310A (en) * | 1993-12-23 | 1997-07-15 | Union Carbide Chemicals & Plastics Technology Corporation | Spray dried, filled metallocene catalyst composition for use in polyolefin manufacture |
| DE4344689A1 (en) * | 1993-12-27 | 1995-06-29 | Hoechst Ag | Metallocene compound |
| US5763543A (en) | 1994-09-14 | 1998-06-09 | Exxon Chemical Patents Inc. | Olefin polymerization process with little or no scavenger present |
| US5525678A (en) | 1994-09-22 | 1996-06-11 | Mobil Oil Corporation | Process for controlling the MWD of a broad/bimodal resin produced in a single reactor |
| US5716558A (en) | 1994-11-14 | 1998-02-10 | Union Carbide Chemicals & Plastics Technology Corporation | Method for producing coating powders catalysts and drier water-borne coatings by spraying compositions with compressed fluids |
| UA47394C2 (en) | 1995-05-16 | 2002-07-15 | Юнівейшн Текнолоджіз, Ллс | Ethylene polymer with improved processability and an article containing the ethylene polymer |
| EP0775707B1 (en) | 1995-06-08 | 2001-11-28 | Showa Denko Kabushiki Kaisha | Ionic compounds and catalyst for olefin polymerisation using the compounds |
| US5677375A (en) | 1995-07-21 | 1997-10-14 | Union Carbide Chemicals & Plastics Technology Corporation | Process for producing an in situ polyethylene blend |
| US5665818A (en) | 1996-03-05 | 1997-09-09 | Union Carbide Chemicals & Plastics Technology Corporation | High activity staged reactor process |
| US5627242A (en) | 1996-03-28 | 1997-05-06 | Union Carbide Chemicals & Plastics Technology Corporation | Process for controlling gas phase fluidized bed polymerization reactor |
| US5693727A (en) | 1996-06-06 | 1997-12-02 | Union Carbide Chemicals & Plastics Technology Corporation | Method for feeding a liquid catalyst to a fluidized bed polymerization reactor |
| US5854166A (en) | 1996-08-19 | 1998-12-29 | Northwestern University | Synthesis and use of (perfluoroaryl) fluoro-aluminate anion |
| US5747406A (en) | 1997-01-10 | 1998-05-05 | Union Carbide Chemicals & Plastics Technology Corporation | Catalyst composition for the production of olefin polymers |
| FI970349A7 (en) | 1997-01-28 | 1998-07-29 | Borealis As | New activator systems for metallocene compounds |
| GB9714181D0 (en) | 1997-07-05 | 1997-09-10 | Bp Chem Int Ltd | Polymerisation catalyst |
| CA2210131C (en) * | 1997-07-09 | 2005-08-02 | Douglas W. Stephan | Supported phosphinimine-cp catalysts |
| WO1999006413A1 (en) | 1997-08-01 | 1999-02-11 | The Dow Chemical Company | Catalyst activator |
| US6242545B1 (en) | 1997-12-08 | 2001-06-05 | Univation Technologies | Polymerization catalyst systems comprising substituted hafinocenes |
| US6069213A (en) | 1997-12-16 | 2000-05-30 | Union Carbide Chemicals & Plastics Technology Corporation | Mixed catalyst system |
| WO1999032525A1 (en) | 1997-12-23 | 1999-07-01 | The Dow Chemical Company | Finishing design to increase the polymer content in an olefin solution polymerization process |
| US6207606B1 (en) | 1998-05-15 | 2001-03-27 | Univation Technologies, Llc | Mixed catalysts and their use in a polymerization process |
| US6245868B1 (en) | 1998-05-29 | 2001-06-12 | Univation Technologies | Catalyst delivery method, a catalyst feeder and their use in a polymerization process |
| US7354880B2 (en) | 1998-07-10 | 2008-04-08 | Univation Technologies, Llc | Catalyst composition and methods for its preparation and use in a polymerization process |
| US6147173A (en) | 1998-11-13 | 2000-11-14 | Univation Technologies, Llc | Nitrogen-containing group 13 anionic complexes for olefin polymerization |
| US6180735B1 (en) | 1998-12-17 | 2001-01-30 | Univation Technologies | Catalyst composition and methods for its preparation and use in a polymerization process |
| US6339134B1 (en) | 1999-05-06 | 2002-01-15 | Univation Technologies, Llc | Polymerization process for producing easier processing polymers |
| US6346586B1 (en) | 1999-10-22 | 2002-02-12 | Univation Technologies, Llc | Method for preparing a supported catalyst system and its use in a polymerization process |
| US6271323B1 (en) | 1999-10-28 | 2001-08-07 | Univation Technologies, Llc | Mixed catalyst compounds, catalyst systems and their use in a polymerization process |
| US6380328B1 (en) | 1999-12-10 | 2002-04-30 | Univation Technologies, Llc | Catalyst systems and their use in a polymerization process |
| US6274684B1 (en) | 1999-10-22 | 2001-08-14 | Univation Technologies, Llc | Catalyst composition, method of polymerization, and polymer therefrom |
| US6420580B1 (en) | 1999-11-05 | 2002-07-16 | Univation Technologies, Llc | Catalyst compositions and method of polymerization therewith |
| US6340730B1 (en) | 1999-12-06 | 2002-01-22 | Univation Technologies, Llc | Multiple catalyst system |
| US6359072B1 (en) | 2000-02-16 | 2002-03-19 | Univation Technologies, Llc | Polyethylene films having improved optical properties |
| AU7684901A (en) | 2000-08-02 | 2002-02-13 | Univation Tech Llc | Method for producing highly productive supported ionic catalyst for gas phase polymerization |
| EP1366089A2 (en) | 2000-11-17 | 2003-12-03 | Univation Technologies LLC | A method for preparing a catalyst composition and its use in a polymerization process |
| US20020137861A1 (en) * | 2000-12-04 | 2002-09-26 | Woo Min Song | Polymerization process |
| US6777367B2 (en) * | 2001-02-13 | 2004-08-17 | Fina Technology, Inc. | Method for the preparation of metallocene catalysts |
| US6916892B2 (en) * | 2001-12-03 | 2005-07-12 | Fina Technology, Inc. | Method for transitioning between Ziegler-Natta and metallocene catalysts in a bulk loop reactor for the production of polypropylene |
| EP1509552A1 (en) * | 2002-06-03 | 2005-03-02 | Univation Technologies LLC | Solid, particulated, spray dried, heterogenous catalyst composition |
| US20050182210A1 (en) | 2004-02-17 | 2005-08-18 | Natarajan Muruganandam | De-foaming spray dried catalyst slurries |
-
2004
- 2004-02-17 US US10/780,522 patent/US20050182210A1/en not_active Abandoned
-
2005
- 2005-01-20 BR BRPI0507760-5A patent/BRPI0507760B1/en not_active IP Right Cessation
- 2005-01-20 KR KR1020067016410A patent/KR101129935B1/en not_active Expired - Lifetime
- 2005-01-20 RU RU2006133267/04A patent/RU2361887C2/en active
- 2005-01-20 EP EP05711665.9A patent/EP1716183B1/en not_active Expired - Lifetime
- 2005-01-20 CN CNA2005800051303A patent/CN101023104A/en active Pending
- 2005-01-20 CA CA2553782A patent/CA2553782C/en not_active Expired - Lifetime
- 2005-01-20 WO PCT/US2005/001708 patent/WO2005082947A1/en not_active Ceased
- 2005-01-20 JP JP2006554096A patent/JP4563407B2/en not_active Expired - Fee Related
-
2006
- 2006-01-20 US US11/336,346 patent/US7276566B2/en not_active Expired - Lifetime
-
2007
- 2007-04-10 US US11/784,898 patent/US7566677B2/en not_active Expired - Lifetime
Patent Citations (11)
| Publication number | Priority date | Publication date | Assignee | Title |
|---|---|---|---|---|
| US3779712A (en) * | 1971-11-26 | 1973-12-18 | Union Carbide Corp | Particulate solids injector apparatus |
| US5028669A (en) * | 1988-07-22 | 1991-07-02 | Bp Chemicals Limited | Installation and process for the gas-phase polymerization of olefins in a fluidized-bed reactor with the introduction of an organometallic compound |
| US5672669A (en) * | 1993-12-23 | 1997-09-30 | Union Carbide Chemicals & Plastics Technology Corporation | Spray dried, filled metallocene catalyst composition for use in polyolefin manufacture |
| US6627713B2 (en) * | 1994-08-02 | 2003-09-30 | Union Carbide Chemicals & Plastics Technology Corporation | Gas phase polymerization process |
| US6617405B1 (en) * | 1999-07-14 | 2003-09-09 | Union Carbide Chemicals & Plastics Technology Corporation | Process for the preparation of polyethylene |
| US6281306B1 (en) * | 1999-12-16 | 2001-08-28 | Univation Technologies, Llc | Method of polymerization |
| US6458738B1 (en) * | 2000-09-22 | 2002-10-01 | Union Carbide Chemicals & Plastics Technology Corporation | Spray-drying compositions and methods of spray-drying |
| US20020161141A1 (en) * | 2000-12-04 | 2002-10-31 | Simon Mawson | Polymerization process |
| US6608149B2 (en) * | 2000-12-04 | 2003-08-19 | Univation Technologies, Llc | Polymerization process |
| US6689847B2 (en) * | 2000-12-04 | 2004-02-10 | Univation Technologies, Llc | Polymerization process |
| US6538081B2 (en) * | 2000-12-18 | 2003-03-25 | Univation Tech Llc | Polymerization process |
Cited By (19)
| Publication number | Priority date | Publication date | Assignee | Title |
|---|---|---|---|---|
| US7741417B2 (en) | 2004-01-07 | 2010-06-22 | Exxonmobil Chemical Patents Inc. | Preparation of polymerization catalyst activators utilizing indole-modified silica supports |
| US20070055028A1 (en) * | 2004-01-07 | 2007-03-08 | Casty Gary L | Preparation of polymerization catalyst activators utilizing indole-modified silica supports |
| US7220695B2 (en) | 2004-01-07 | 2007-05-22 | Exxonmobil Chemical Patents Inc. | Supported activator |
| US20050148743A1 (en) * | 2004-01-07 | 2005-07-07 | Casty Gary L. | Supported activator |
| US8563458B2 (en) | 2006-11-14 | 2013-10-22 | Univation Technologies, Llc | Catalyst systems and polymerization processes |
| US8088871B2 (en) * | 2006-11-14 | 2012-01-03 | Univation Technologies, Llc | Catalyst systems and polymerization processes |
| AU2007319883B2 (en) * | 2006-11-14 | 2012-12-13 | Univation Technologies, Llc. | Catalyst systems and polymerization processes |
| US20100063227A1 (en) * | 2006-11-14 | 2010-03-11 | Univation Technologies, Llc | Catalyst systems and polymerization processes |
| KR101540820B1 (en) * | 2006-11-14 | 2015-07-30 | 유니베이션 테크놀로지즈, 엘엘씨 | Catalyst system and polymerization method |
| US8022005B2 (en) | 2007-11-08 | 2011-09-20 | Exxonmobil Chemical Patents Inc. | Halogen substituted heterocyclic heteroatom containing ligands-alumoxane activation of metallocenes |
| US9045569B2 (en) | 2011-01-14 | 2015-06-02 | W. R. Grace & Co.-Conn. | Process of making modified metallocene catalyst, catalyst produced and use thereof |
| US10351647B2 (en) | 2015-05-29 | 2019-07-16 | Exxonmobil Chemical Patents Inc. | Polymerization process using bridged metallocene compounds supported on organoaluminum treated layered silicate supports |
| WO2020096735A1 (en) | 2018-11-06 | 2020-05-14 | Dow Global Technologies Llc | Method of olefin polymerization using alkane-soluble non-metallocene precatalyst |
| WO2020096732A1 (en) | 2018-11-06 | 2020-05-14 | Dow Global Technologies Llc | Alkane-soluble non-metallocene precatalysts |
| WO2020096734A1 (en) | 2018-11-06 | 2020-05-14 | Dow Global Technologies Llc | Alkane-soluble non-metallocene precatalysts |
| US11859031B2 (en) | 2018-11-06 | 2024-01-02 | Dow Global Technologies Llc | Alkane-soluble non-metallocene precatalysts |
| US11891464B2 (en) | 2018-11-06 | 2024-02-06 | Dow Global Technologies Llc | Alkane-soluble non-metallocene precatalysts |
| US12012475B2 (en) | 2018-11-06 | 2024-06-18 | Dow Global Technologies Llc | Method of olefin polymerization using alkane-soluble non-metallocene precatalyst |
| CN116529301A (en) * | 2020-11-24 | 2023-08-01 | 株式会社Lg化学 | Organic-inorganic hybrid polyolefin composite material and preparation method thereof |
Also Published As
| Publication number | Publication date |
|---|---|
| EP1716183B1 (en) | 2016-04-13 |
| JP2007522334A (en) | 2007-08-09 |
| RU2361887C2 (en) | 2009-07-20 |
| JP4563407B2 (en) | 2010-10-13 |
| CN101023104A (en) | 2007-08-22 |
| US7276566B2 (en) | 2007-10-02 |
| KR101129935B1 (en) | 2012-06-13 |
| EP1716183A4 (en) | 2009-11-11 |
| BRPI0507760A (en) | 2007-07-10 |
| US20060172883A1 (en) | 2006-08-03 |
| KR20060111703A (en) | 2006-10-27 |
| BRPI0507760B1 (en) | 2021-10-13 |
| US7566677B2 (en) | 2009-07-28 |
| WO2005082947A1 (en) | 2005-09-09 |
| BRPI0507760A8 (en) | 2018-05-22 |
| RU2006133267A (en) | 2008-03-27 |
| US20070191215A1 (en) | 2007-08-16 |
| CA2553782C (en) | 2013-06-25 |
| CA2553782A1 (en) | 2005-09-09 |
| EP1716183A1 (en) | 2006-11-02 |
Similar Documents
| Publication | Publication Date | Title |
|---|---|---|
| US7566677B2 (en) | De-foaming spray dried catalyst slurries | |
| US6753390B2 (en) | Gas phase polymerization process | |
| US6875828B2 (en) | Bimodal polyolefin production process and films therefrom | |
| US7973112B2 (en) | De-foaming spray dried catalyst slurries | |
| US6958306B2 (en) | Activated catalyst systems from substituted dialuminoxane complexes | |
| EP1517931B1 (en) | Halogen substituted catalyst system for olefin polymerization | |
| US6806328B2 (en) | Polymerization catalyst activator complexes and their use in a polymerization process | |
| US6890876B2 (en) | Processes for producing fluorided catalysts from nitrogenous metallocenes | |
| US7582711B2 (en) | Ziegler-type catalysts having increased productivity | |
| US6989341B2 (en) | Halogen substituted catalyst system for olefin polymerization | |
| EP2112175A1 (en) | Activator for metallocenes comprising one or more halogen substituted heterocyclic heteroatom containing ligand coordinated to an alumoxane | |
| EP2217627A1 (en) | Halogen substituted heterocyclic heteroatom containing ligands-alumoxane activation of metallocenes |
Legal Events
| Date | Code | Title | Description |
|---|---|---|---|
| AS | Assignment |
Owner name: UNIVATION TECHNOLOGIES, LLC, TEXAS Free format text: ASSIGNMENT OF ASSIGNORS INTEREST;ASSIGNORS:MURUGANANDAM, NATARJAN;TERRY, KERSTEN A.;AWE, MICHAEL D.;AND OTHERS;REEL/FRAME:014473/0396;SIGNING DATES FROM 20040308 TO 20040318 |
|
| STCB | Information on status: application discontinuation |
Free format text: ABANDONED -- FAILURE TO RESPOND TO AN OFFICE ACTION |





