US20180072718A1 - Pyrazolopyridine compounds and uses thereof - Google Patents
Pyrazolopyridine compounds and uses thereof Download PDFInfo
- Publication number
- US20180072718A1 US20180072718A1 US15/698,753 US201715698753A US2018072718A1 US 20180072718 A1 US20180072718 A1 US 20180072718A1 US 201715698753 A US201715698753 A US 201715698753A US 2018072718 A1 US2018072718 A1 US 2018072718A1
- Authority
- US
- United States
- Prior art keywords
- independently selected
- alkyl
- alkynyl
- alkenyl
- optionally substituted
- Prior art date
- Legal status (The legal status is an assumption and is not a legal conclusion. Google has not performed a legal analysis and makes no representation as to the accuracy of the status listed.)
- Abandoned
Links
- 0 [1*]C1=NNC2=C1N=C(C)C([2*])=C2 Chemical compound [1*]C1=NNC2=C1N=C(C)C([2*])=C2 0.000 description 12
- ROJVPFAEFIRUQU-UHFFFAOYSA-N CCOC(=O)C1=C(F)C(C2=NC3=C(C=C2)NN=C3C2=CC=C(N3CCN(C)CC3)C=C2)=CC=C1 Chemical compound CCOC(=O)C1=C(F)C(C2=NC3=C(C=C2)NN=C3C2=CC=C(N3CCN(C)CC3)C=C2)=CC=C1 ROJVPFAEFIRUQU-UHFFFAOYSA-N 0.000 description 3
- MZWIHOMXXZCILL-UHFFFAOYSA-N CC(C)(C)OC(=O)N1CCC2=C(Br)C(F)=CC=C2C1 Chemical compound CC(C)(C)OC(=O)N1CCC2=C(Br)C(F)=CC=C2C1 MZWIHOMXXZCILL-UHFFFAOYSA-N 0.000 description 2
- YEKSQSXZXGRBBW-UHFFFAOYSA-N CC1=C(B2OC(C)(C)C(C)(C)O2)C(F)=CC(CN(C)C(=O)OC(C)(C)C)=C1 Chemical compound CC1=C(B2OC(C)(C)C(C)(C)O2)C(F)=CC(CN(C)C(=O)OC(C)(C)C)=C1 YEKSQSXZXGRBBW-UHFFFAOYSA-N 0.000 description 2
- XBVTXCRPTWWAIS-UHFFFAOYSA-N CN1CCN(C2=CC=C(C3=NN(COCC[Si](C)(C)C)C4=CC=C(Cl)N=C43)C=C2)CC1 Chemical compound CN1CCN(C2=CC=C(C3=NN(COCC[Si](C)(C)C)C4=CC=C(Cl)N=C43)C=C2)CC1 XBVTXCRPTWWAIS-UHFFFAOYSA-N 0.000 description 2
- SMRRPBRQDFAAIN-UHFFFAOYSA-N CN1CCN(C2=CC=C(C3=NNC4=C3N=C(C3=C(CO)C=CC=C3F)C=C4)C=C2)CC1 Chemical compound CN1CCN(C2=CC=C(C3=NNC4=C3N=C(C3=C(CO)C=CC=C3F)C=C4)C=C2)CC1 SMRRPBRQDFAAIN-UHFFFAOYSA-N 0.000 description 2
- VAZFIEFTLPYQSU-UHFFFAOYSA-N CN1CCN(C2=CC=C(C3=NNC4=C3N=C(C3=CC(N(C)C)=CC=C3)C=C4)C=C2)CC1 Chemical compound CN1CCN(C2=CC=C(C3=NNC4=C3N=C(C3=CC(N(C)C)=CC=C3)C=C4)C=C2)CC1 VAZFIEFTLPYQSU-UHFFFAOYSA-N 0.000 description 2
- LUCMIFKWEZLJKS-UHFFFAOYSA-N CN1CCN(C2=CC=C(C3=NNC4=C3N=C(C3=CC=CC(F)=C3F)C=C4)C=C2)CC1 Chemical compound CN1CCN(C2=CC=C(C3=NNC4=C3N=C(C3=CC=CC(F)=C3F)C=C4)C=C2)CC1 LUCMIFKWEZLJKS-UHFFFAOYSA-N 0.000 description 2
- HMGLRIWXXUJNEP-UHFFFAOYSA-N CNC(=O)C1=CC=CC(C2=NC3=C(C=C2)NN=C3C2=CC=C(N3CCN(C)CC3)C=C2)=C1 Chemical compound CNC(=O)C1=CC=CC(C2=NC3=C(C=C2)NN=C3C2=CC=C(N3CCN(C)CC3)C=C2)=C1 HMGLRIWXXUJNEP-UHFFFAOYSA-N 0.000 description 2
- RDMATUBDPKXTFR-UHFFFAOYSA-N CNC(=O)C1=CC=CC(C2=NC3=C(C=C2)NN=C3C2=CC=C(N3CCN(C)CC3)C=C2)=C1F Chemical compound CNC(=O)C1=CC=CC(C2=NC3=C(C=C2)NN=C3C2=CC=C(N3CCN(C)CC3)C=C2)=C1F RDMATUBDPKXTFR-UHFFFAOYSA-N 0.000 description 2
- ACVIYBIKOMMTHV-UHFFFAOYSA-N BrC1=CC2=C(C=NN2C(C2=CC=CC=C2)(C2=CC=CC=C2)C2=CC=CC=C2)N=C1 Chemical compound BrC1=CC2=C(C=NN2C(C2=CC=CC=C2)(C2=CC=CC=C2)C2=CC=CC=C2)N=C1 ACVIYBIKOMMTHV-UHFFFAOYSA-N 0.000 description 1
- RZVFCSFDPSUEQA-UHFFFAOYSA-N C1=CC=C(C2=NC3=C(C=C2)NN=C3C2=CC=CC=C2)C=C1.CC.CC Chemical compound C1=CC=C(C2=NC3=C(C=C2)NN=C3C2=CC=CC=C2)C=C1.CC.CC RZVFCSFDPSUEQA-UHFFFAOYSA-N 0.000 description 1
- NSZZMZSOMINIJS-UHFFFAOYSA-N C=CC1=CC(C)=C(Br)C(F)=C1 Chemical compound C=CC1=CC(C)=C(Br)C(F)=C1 NSZZMZSOMINIJS-UHFFFAOYSA-N 0.000 description 1
- ZQQUWSMKBAWCAN-UHFFFAOYSA-N CC(=O)N1CCC(N2C=C(C3=NNC4=C3N=C(C3=C(F)C=CC=C3)C=C4)C=N2)CC1 Chemical compound CC(=O)N1CCC(N2C=C(C3=NNC4=C3N=C(C3=C(F)C=CC=C3)C=C4)C=N2)CC1 ZQQUWSMKBAWCAN-UHFFFAOYSA-N 0.000 description 1
- IQHJCPRNVOPBTB-UHFFFAOYSA-N CC(=O)NC1=C(C2=NC3=C(C=C2)NN=C3C2=CC=C(N3CCN(C)CC3)C=C2)C=CC=C1 Chemical compound CC(=O)NC1=C(C2=NC3=C(C=C2)NN=C3C2=CC=C(N3CCN(C)CC3)C=C2)C=CC=C1 IQHJCPRNVOPBTB-UHFFFAOYSA-N 0.000 description 1
- DXUXMPBMAODNBC-UHFFFAOYSA-N CC(C)(C)OC(=O)N1CCC2=C(B3OC(C)(C)C(C)(C)O3)C(F)=CC=C2C1 Chemical compound CC(C)(C)OC(=O)N1CCC2=C(B3OC(C)(C)C(C)(C)O3)C(F)=CC=C2C1 DXUXMPBMAODNBC-UHFFFAOYSA-N 0.000 description 1
- CRPZYYPLVRBLBV-UHFFFAOYSA-N CC(C)(C)OC(=O)N1CCC2=C(C3=C(C#N)C=C4C(=N3)C(I)=NN4C(=O)OC(C)(C)C)C(F)=CC=C2C1 Chemical compound CC(C)(C)OC(=O)N1CCC2=C(C3=C(C#N)C=C4C(=N3)C(I)=NN4C(=O)OC(C)(C)C)C(F)=CC=C2C1 CRPZYYPLVRBLBV-UHFFFAOYSA-N 0.000 description 1
- VCMVATGEVLSYSW-UHFFFAOYSA-N CC(C)(C)OC(=O)N1CCC2=C(C3=NC4=C(C=C3C#N)N(C(C3=CC=CC=C3)(C3=CC=CC=C3)C3=CC=CC=C3)N=C4)C(F)=CC=C2C1 Chemical compound CC(C)(C)OC(=O)N1CCC2=C(C3=NC4=C(C=C3C#N)N(C(C3=CC=CC=C3)(C3=CC=CC=C3)C3=CC=CC=C3)N=C4)C(F)=CC=C2C1 VCMVATGEVLSYSW-UHFFFAOYSA-N 0.000 description 1
- GSOGNDXXIDTBFO-UHFFFAOYSA-N CC(C)(C)OC(=O)N1CCC2=C(C3=NC4=C(C=C3C#N)NN=C4)C(F)=CC=C2C1 Chemical compound CC(C)(C)OC(=O)N1CCC2=C(C3=NC4=C(C=C3C#N)NN=C4)C(F)=CC=C2C1 GSOGNDXXIDTBFO-UHFFFAOYSA-N 0.000 description 1
- HYJODVDGJDHEMJ-UHFFFAOYSA-N CC.CC.CC1=NC2=C(C=C1)NN=C2C1=CC=CC=C1.CC1=NC2=C(C=C1)NN=C2C1=CCN=C1 Chemical compound CC.CC.CC1=NC2=C(C=C1)NN=C2C1=CC=CC=C1.CC1=NC2=C(C=C1)NN=C2C1=CCN=C1 HYJODVDGJDHEMJ-UHFFFAOYSA-N 0.000 description 1
- GAQPNAKFKHIGDK-UHFFFAOYSA-N CC.CC1=NC2=C(C=C1)NN=C2C1=CC=CC=C1 Chemical compound CC.CC1=NC2=C(C=C1)NN=C2C1=CC=CC=C1 GAQPNAKFKHIGDK-UHFFFAOYSA-N 0.000 description 1
- MKJPMTDRQCEARB-UHFFFAOYSA-N CC.CC1=NC2=C(C=C1)NN=C2C1=CCN=C1 Chemical compound CC.CC1=NC2=C(C=C1)NN=C2C1=CCN=C1 MKJPMTDRQCEARB-UHFFFAOYSA-N 0.000 description 1
- VMTAFKAYZAMZSD-UHFFFAOYSA-N CC1=C(Br)C(F)=CC(CN(C)C(=O)OC(C)(C)C)=C1 Chemical compound CC1=C(Br)C(F)=CC(CN(C)C(=O)OC(C)(C)C)=C1 VMTAFKAYZAMZSD-UHFFFAOYSA-N 0.000 description 1
- SZIQBXWYIWHBKJ-UHFFFAOYSA-N CC1=C(Br)C(F)=CC(I)=C1 Chemical compound CC1=C(Br)C(F)=CC(I)=C1 SZIQBXWYIWHBKJ-UHFFFAOYSA-N 0.000 description 1
- WTNCRDVVJCQOOF-UHFFFAOYSA-N CC1=C(Br)C(F)=CC(N)=C1 Chemical compound CC1=C(Br)C(F)=CC(N)=C1 WTNCRDVVJCQOOF-UHFFFAOYSA-N 0.000 description 1
- KIROYSWWSFYVMS-UHFFFAOYSA-N CC1=C(C2=C(C#N)C=C3C(=N2)C(I)=NN3C(=O)OC(C)(C)C)C(F)=CC(CN(C)C(=O)OC(C)(C)C)=C1 Chemical compound CC1=C(C2=C(C#N)C=C3C(=N2)C(I)=NN3C(=O)OC(C)(C)C)C(F)=CC(CN(C)C(=O)OC(C)(C)C)=C1 KIROYSWWSFYVMS-UHFFFAOYSA-N 0.000 description 1
- LKDHXPRYNBGRBR-UHFFFAOYSA-N CC1=C(C2=C(C#N)C=C3C(=N2)C(I)=NN3C(=O)OC(C)(C)C)C(F)=CC=C1 Chemical compound CC1=C(C2=C(C#N)C=C3C(=N2)C(I)=NN3C(=O)OC(C)(C)C)C(F)=CC=C1 LKDHXPRYNBGRBR-UHFFFAOYSA-N 0.000 description 1
- UVMATIQKNMMYFQ-UHFFFAOYSA-N CC1=C(C2=NC3=C(C=C2)NN=C3C2=CC=C(N3CCN(C)CC3)C=C2)C(F)=CC=C1 Chemical compound CC1=C(C2=NC3=C(C=C2)NN=C3C2=CC=C(N3CCN(C)CC3)C=C2)C(F)=CC=C1 UVMATIQKNMMYFQ-UHFFFAOYSA-N 0.000 description 1
- KRWTWHHTQQIZTK-UHFFFAOYSA-N CC1=C(C2=NC3=C(C=C2)NN=C3C2=CC=C(N3CCN(C)CC3)C=C2)C=CC=C1 Chemical compound CC1=C(C2=NC3=C(C=C2)NN=C3C2=CC=C(N3CCN(C)CC3)C=C2)C=CC=C1 KRWTWHHTQQIZTK-UHFFFAOYSA-N 0.000 description 1
- RZGAULZHZNNJBP-UHFFFAOYSA-N CC1=C(C2=NC3=C(C=C2)NN=C3C2=CC=C(N3CCN(C)CC3)C=C2)C=CC=C1N Chemical compound CC1=C(C2=NC3=C(C=C2)NN=C3C2=CC=C(N3CCN(C)CC3)C=C2)C=CC=C1N RZGAULZHZNNJBP-UHFFFAOYSA-N 0.000 description 1
- XRZNYVRPCXWDRS-UHFFFAOYSA-N CC1=C(C2=NC3=C(C=C2C#N)N(C(C2=CC=CC=C2)(C2=CC=CC=C2)C2=CC=CC=C2)N=C3)C(F)=CC(CN(C)C(=O)OC(C)(C)C)=C1 Chemical compound CC1=C(C2=NC3=C(C=C2C#N)N(C(C2=CC=CC=C2)(C2=CC=CC=C2)C2=CC=CC=C2)N=C3)C(F)=CC(CN(C)C(=O)OC(C)(C)C)=C1 XRZNYVRPCXWDRS-UHFFFAOYSA-N 0.000 description 1
- FJHCZDLWKLWHRJ-UHFFFAOYSA-N CC1=C(C2=NC3=C(C=C2C#N)N(C(C2=CC=CC=C2)(C2=CC=CC=C2)C2=CC=CC=C2)N=C3)C(F)=CC=C1 Chemical compound CC1=C(C2=NC3=C(C=C2C#N)N(C(C2=CC=CC=C2)(C2=CC=CC=C2)C2=CC=CC=C2)N=C3)C(F)=CC=C1 FJHCZDLWKLWHRJ-UHFFFAOYSA-N 0.000 description 1
- XRONYXPQENYSKV-UHFFFAOYSA-N CC1=C(C2=NC3=C(C=C2C#N)NN=C3)C(F)=CC(CN(C)C(=O)OC(C)(C)C)=C1 Chemical compound CC1=C(C2=NC3=C(C=C2C#N)NN=C3)C(F)=CC(CN(C)C(=O)OC(C)(C)C)=C1 XRONYXPQENYSKV-UHFFFAOYSA-N 0.000 description 1
- YOKGYWYFESKFKE-UHFFFAOYSA-N CC1=C(C2=NC3=C(C=C2C#N)NN=C3)C(F)=CC=C1 Chemical compound CC1=C(C2=NC3=C(C=C2C#N)NN=C3)C(F)=CC=C1 YOKGYWYFESKFKE-UHFFFAOYSA-N 0.000 description 1
- FOMVSHPFNXFYHA-UHFFFAOYSA-N CC1=C(C2=NC3=C(C=C2C#N)NN=C3C2=CN(C)N=C2)C(F)=CC=C1 Chemical compound CC1=C(C2=NC3=C(C=C2C#N)NN=C3C2=CN(C)N=C2)C(F)=CC=C1 FOMVSHPFNXFYHA-UHFFFAOYSA-N 0.000 description 1
- YHTGRNKHLBBZFX-UHFFFAOYSA-N CC1=C(C2=NC3=C(C=C2C#N)NN=C3C2=CN=C(N3CCN(C)CC3)C=C2)C(F)=CC=C1 Chemical compound CC1=C(C2=NC3=C(C=C2C#N)NN=C3C2=CN=C(N3CCN(C)CC3)C=C2)C(F)=CC=C1 YHTGRNKHLBBZFX-UHFFFAOYSA-N 0.000 description 1
- AGTWIMLTHZBOQO-UHFFFAOYSA-N CC1=C(C2=NC3=C(C=C2C#N)NN=C3C2=CN=C(N3CCOCC3)N=C2)C(F)=CC=C1 Chemical compound CC1=C(C2=NC3=C(C=C2C#N)NN=C3C2=CN=C(N3CCOCC3)N=C2)C(F)=CC=C1 AGTWIMLTHZBOQO-UHFFFAOYSA-N 0.000 description 1
- UZHUSXZFGDWJBC-UHFFFAOYSA-N CC1=NNC=C1C1=NC2=C(C=C1)NN=C2C1=CC=C(N2CCN(C)CC2)C=C1 Chemical compound CC1=NNC=C1C1=NC2=C(C=C1)NN=C2C1=CC=C(N2CCN(C)CC2)C=C1 UZHUSXZFGDWJBC-UHFFFAOYSA-N 0.000 description 1
- LRAJXKOYRDZHFK-UHFFFAOYSA-N CCC1=CN2C=CC=C(C3=NC4=C(C=C3)NN=C4C3=CC=C(N4CCN(C)CC4)C=C3)C2=N1 Chemical compound CCC1=CN2C=CC=C(C3=NC4=C(C=C3)NN=C4C3=CC=C(N4CCN(C)CC4)C=C3)C2=N1 LRAJXKOYRDZHFK-UHFFFAOYSA-N 0.000 description 1
- UCMQSHBOPNZGFW-UHFFFAOYSA-N CCCC1=CC(C)=C(C2=NC3=C(C=C2C#N)NN=C3C2=CC=C(N3CCN(C)CC3)C=C2)C(F)=C1 Chemical compound CCCC1=CC(C)=C(C2=NC3=C(C=C2C#N)NN=C3C2=CC=C(N3CCN(C)CC3)C=C2)C(F)=C1 UCMQSHBOPNZGFW-UHFFFAOYSA-N 0.000 description 1
- WIAHEYHBHKQDNV-UHFFFAOYSA-N CCCC1=CC(C)=C(C2=NC3=C(C=C2C#N)NN=C3C2=CC=C(N3CCN(CC)CC3)C=C2)C(F)=C1 Chemical compound CCCC1=CC(C)=C(C2=NC3=C(C=C2C#N)NN=C3C2=CC=C(N3CCN(CC)CC3)C=C2)C(F)=C1 WIAHEYHBHKQDNV-UHFFFAOYSA-N 0.000 description 1
- LQDFFTNMILSOQK-UHFFFAOYSA-N CCCC1=CC(C)=C(C2=NC3=C(C=C2C#N)NN=C3C2=CN(C)N=C2)C(F)=C1 Chemical compound CCCC1=CC(C)=C(C2=NC3=C(C=C2C#N)NN=C3C2=CN(C)N=C2)C(F)=C1 LQDFFTNMILSOQK-UHFFFAOYSA-N 0.000 description 1
- CFOYEVMGUNHDGK-UHFFFAOYSA-N CCCC1=CC(C)=C(C2=NC3=C(C=C2C#N)NN=C3C2=CN=C(C(=O)NC)C=C2)C(F)=C1 Chemical compound CCCC1=CC(C)=C(C2=NC3=C(C=C2C#N)NN=C3C2=CN=C(C(=O)NC)C=C2)C(F)=C1 CFOYEVMGUNHDGK-UHFFFAOYSA-N 0.000 description 1
- AHCNTLJVFXMLFP-UHFFFAOYSA-N CCCC1=CC(C)=C(C2=NC3=C(C=C2C#N)NN=C3C2=CN=C(C(C)(C)O)C=C2)C(F)=C1 Chemical compound CCCC1=CC(C)=C(C2=NC3=C(C=C2C#N)NN=C3C2=CN=C(C(C)(C)O)C=C2)C(F)=C1 AHCNTLJVFXMLFP-UHFFFAOYSA-N 0.000 description 1
- PWXLOEJXNSMMFN-UHFFFAOYSA-N CCCC1=CC(C)=C(C2=NC3=C(C=C2C#N)NN=C3C2=CN=C(N3CCN(C)CC3)N=C2)C(F)=C1 Chemical compound CCCC1=CC(C)=C(C2=NC3=C(C=C2C#N)NN=C3C2=CN=C(N3CCN(C)CC3)N=C2)C(F)=C1 PWXLOEJXNSMMFN-UHFFFAOYSA-N 0.000 description 1
- LLVWGBFIWCBFTN-UHFFFAOYSA-N CCCC1=CC(C)=C(C2=NC3=C(C=C2C#N)NN=C3C2=CN=C(N3CCOCC3)N=C2)C(F)=C1 Chemical compound CCCC1=CC(C)=C(C2=NC3=C(C=C2C#N)NN=C3C2=CN=C(N3CCOCC3)N=C2)C(F)=C1 LLVWGBFIWCBFTN-UHFFFAOYSA-N 0.000 description 1
- SXCCWVMAOUVPJD-UHFFFAOYSA-N CCCC1=CC(C)=C(C2=NC3=C(C=C2C#N)NN=C3C2=CN=CC=C2)C(F)=C1 Chemical compound CCCC1=CC(C)=C(C2=NC3=C(C=C2C#N)NN=C3C2=CN=CC=C2)C(F)=C1 SXCCWVMAOUVPJD-UHFFFAOYSA-N 0.000 description 1
- WUALNQRRUCJWNY-UHFFFAOYSA-N CCCC1=CC(F)=C(C2=CC=C3NN=C(C4=CC=C(N5CCN(C)CC5)C=C4)C3=N2)C(F)=C1 Chemical compound CCCC1=CC(F)=C(C2=CC=C3NN=C(C4=CC=C(N5CCN(C)CC5)C=C4)C3=N2)C(F)=C1 WUALNQRRUCJWNY-UHFFFAOYSA-N 0.000 description 1
- WFADPVNDKKUALY-UHFFFAOYSA-N CCN1CCN(C2=CC=C(C3=NNC4=C3N=C(C3=C(C)C=CC=C3F)C(C#N)=C4)C=C2)CC1 Chemical compound CCN1CCN(C2=CC=C(C3=NNC4=C3N=C(C3=C(C)C=CC=C3F)C(C#N)=C4)C=C2)CC1 WFADPVNDKKUALY-UHFFFAOYSA-N 0.000 description 1
- WBGHKQWJYLOUQO-UHFFFAOYSA-N CCN1CCN(C2=CC=C(C3=NNC4=C3N=C(C3=C5CCNCC5=CC=C3F)C(C#N)=C4)C=C2)CC1 Chemical compound CCN1CCN(C2=CC=C(C3=NNC4=C3N=C(C3=C5CCNCC5=CC=C3F)C(C#N)=C4)C=C2)CC1 WBGHKQWJYLOUQO-UHFFFAOYSA-N 0.000 description 1
- NJBOJGPDVTXHEC-UHFFFAOYSA-O CN(CC1)CCN1c(cc1)ccc1-c(c1n2)n[n](COCC[SH+](C)(C)C)c1ccc2Cl Chemical compound CN(CC1)CCN1c(cc1)ccc1-c(c1n2)n[n](COCC[SH+](C)(C)C)c1ccc2Cl NJBOJGPDVTXHEC-UHFFFAOYSA-O 0.000 description 1
- JXYHSERCNMRHOB-UHFFFAOYSA-N CN(CC1=CC(F)=CC(F)=C1)C(=O)OC(C)(C)C Chemical compound CN(CC1=CC(F)=CC(F)=C1)C(=O)OC(C)(C)C JXYHSERCNMRHOB-UHFFFAOYSA-N 0.000 description 1
- FIZHGGVNTPIXBS-UHFFFAOYSA-N CN1C=C(C2=NNC3=C2N=C(C2=C(F)C=CC=C2)C=C3)C=N1 Chemical compound CN1C=C(C2=NNC3=C2N=C(C2=C(F)C=CC=C2)C=C3)C=N1 FIZHGGVNTPIXBS-UHFFFAOYSA-N 0.000 description 1
- IYEOCYYPBPGIKD-UHFFFAOYSA-N CN1C=C(C2=NNC3=C2N=C(C2=C4CCNCC4=CC=C2F)C(C#N)=C3)C=N1 Chemical compound CN1C=C(C2=NNC3=C2N=C(C2=C4CCNCC4=CC=C2F)C(C#N)=C3)C=N1 IYEOCYYPBPGIKD-UHFFFAOYSA-N 0.000 description 1
- USLVIBKDILNICY-UHFFFAOYSA-N CN1CCC(NC(=O)C2=CC=C(C3=NNC4=C3N=C(C3=C(F)C=CC=C3)C=C4)C=C2)CC1 Chemical compound CN1CCC(NC(=O)C2=CC=C(C3=NNC4=C3N=C(C3=C(F)C=CC=C3)C=C4)C=C2)CC1 USLVIBKDILNICY-UHFFFAOYSA-N 0.000 description 1
- VDIAMSLSZRECJA-UHFFFAOYSA-N CN1CCN(C(=O)C2=CC=C(C3=NNC4=C3N=C(C3=C(F)C=CC=C3)C=C4)C=C2)CC1 Chemical compound CN1CCN(C(=O)C2=CC=C(C3=NNC4=C3N=C(C3=C(F)C=CC=C3)C=C4)C=C2)CC1 VDIAMSLSZRECJA-UHFFFAOYSA-N 0.000 description 1
- ULHAZRVUYVBAJI-UHFFFAOYSA-N CN1CCN(C2=CC=C(C3=NNC4=C3N=C(C3=C(C#N)C=CC=C3)C=C4)C=C2)CC1 Chemical compound CN1CCN(C2=CC=C(C3=NNC4=C3N=C(C3=C(C#N)C=CC=C3)C=C4)C=C2)CC1 ULHAZRVUYVBAJI-UHFFFAOYSA-N 0.000 description 1
- SQWLJDGTLYMXOQ-UHFFFAOYSA-N CN1CCN(C2=CC=C(C3=NNC4=C3N=C(C3=C(C(F)(F)F)C=CC=C3)C=C4)C=C2)CC1 Chemical compound CN1CCN(C2=CC=C(C3=NNC4=C3N=C(C3=C(C(F)(F)F)C=CC=C3)C=C4)C=C2)CC1 SQWLJDGTLYMXOQ-UHFFFAOYSA-N 0.000 description 1
- WOQXFCSJPFPNHM-UHFFFAOYSA-N CN1CCN(C2=CC=C(C3=NNC4=C3N=C(C3=C(C5=CC=CC=C5)C=CC=C3)C=C4)C=C2)CC1 Chemical compound CN1CCN(C2=CC=C(C3=NNC4=C3N=C(C3=C(C5=CC=CC=C5)C=CC=C3)C=C4)C=C2)CC1 WOQXFCSJPFPNHM-UHFFFAOYSA-N 0.000 description 1
- IGJOTQAANYCAJP-UHFFFAOYSA-N CN1CCN(C2=CC=C(C3=NNC4=C3N=C(C3=C(F)C(C(=O)NCC5=CC=CC=C5)=CC=C3)C=C4)C=C2)CC1 Chemical compound CN1CCN(C2=CC=C(C3=NNC4=C3N=C(C3=C(F)C(C(=O)NCC5=CC=CC=C5)=CC=C3)C=C4)C=C2)CC1 IGJOTQAANYCAJP-UHFFFAOYSA-N 0.000 description 1
- ITZHXMQAXDZDMV-UHFFFAOYSA-N CN1CCN(C2=CC=C(C3=NNC4=C3N=C(C3=C(F)C(C(=O)NCC5=CC=NC=C5)=CC=C3)C=C4)C=C2)CC1 Chemical compound CN1CCN(C2=CC=C(C3=NNC4=C3N=C(C3=C(F)C(C(=O)NCC5=CC=NC=C5)=CC=C3)C=C4)C=C2)CC1 ITZHXMQAXDZDMV-UHFFFAOYSA-N 0.000 description 1
- DRSOZLPLKLMRGX-UHFFFAOYSA-N CN1CCN(C2=CC=C(C3=NNC4=C3N=C(C3=C(F)C(C(=O)O)=CC=C3)C=C4)C=C2)CC1 Chemical compound CN1CCN(C2=CC=C(C3=NNC4=C3N=C(C3=C(F)C(C(=O)O)=CC=C3)C=C4)C=C2)CC1 DRSOZLPLKLMRGX-UHFFFAOYSA-N 0.000 description 1
- RVJNWLLXKGJIPY-UHFFFAOYSA-N CN1CCN(C2=CC=C(C3=NNC4=C3N=C(C3=C(F)C(C(N)=O)=CC=C3)C=C4)C=C2)CC1 Chemical compound CN1CCN(C2=CC=C(C3=NNC4=C3N=C(C3=C(F)C(C(N)=O)=CC=C3)C=C4)C=C2)CC1 RVJNWLLXKGJIPY-UHFFFAOYSA-N 0.000 description 1
- VKYBSZGWNDVHIO-UHFFFAOYSA-N CN1CCN(C2=CC=C(C3=NNC4=C3N=C(C3=C(F)C=CC=C3)C=C4)C=C2)CC1 Chemical compound CN1CCN(C2=CC=C(C3=NNC4=C3N=C(C3=C(F)C=CC=C3)C=C4)C=C2)CC1 VKYBSZGWNDVHIO-UHFFFAOYSA-N 0.000 description 1
- ZIFOSRWNRPDXCN-UHFFFAOYSA-N CN1CCN(C2=CC=C(C3=NNC4=C3N=C(C3=C5C=CC=CC5=CN=C3)C=C4)C=C2)CC1 Chemical compound CN1CCN(C2=CC=C(C3=NNC4=C3N=C(C3=C5C=CC=CC5=CN=C3)C=C4)C=C2)CC1 ZIFOSRWNRPDXCN-UHFFFAOYSA-N 0.000 description 1
- OJMCKJKWOFWZJZ-UHFFFAOYSA-N CN1CCN(C2=CC=C(C3=NNC4=C3N=C(C3=C5C=CC=CN5N=C3)C=C4)C=C2)CC1 Chemical compound CN1CCN(C2=CC=C(C3=NNC4=C3N=C(C3=C5C=CC=CN5N=C3)C=C4)C=C2)CC1 OJMCKJKWOFWZJZ-UHFFFAOYSA-N 0.000 description 1
- YRLYGEVDRCAPSE-UHFFFAOYSA-N CN1CCN(C2=CC=C(C3=NNC4=C3N=C(C3=C5C=CC=NC5=CC=C3)C=C4)C=C2)CC1 Chemical compound CN1CCN(C2=CC=C(C3=NNC4=C3N=C(C3=C5C=CC=NC5=CC=C3)C=C4)C=C2)CC1 YRLYGEVDRCAPSE-UHFFFAOYSA-N 0.000 description 1
- YSHIJFIDERMTPW-UHFFFAOYSA-N CN1CCN(C2=CC=C(C3=NNC4=C3N=C(C3=C5C=CN(C)C5=CC=C3)C=C4)C=C2)CC1 Chemical compound CN1CCN(C2=CC=C(C3=NNC4=C3N=C(C3=C5C=CN(C)C5=CC=C3)C=C4)C=C2)CC1 YSHIJFIDERMTPW-UHFFFAOYSA-N 0.000 description 1
- ZPTLFSDKTSNIKU-UHFFFAOYSA-N CN1CCN(C2=CC=C(C3=NNC4=C3N=C(C3=C5C=NCC5=CC=C3)C=C4)C=C2)CC1 Chemical compound CN1CCN(C2=CC=C(C3=NNC4=C3N=C(C3=C5C=NCC5=CC=C3)C=C4)C=C2)CC1 ZPTLFSDKTSNIKU-UHFFFAOYSA-N 0.000 description 1
- GJBMJZKPALALFF-UHFFFAOYSA-N CN1CCN(C2=CC=C(C3=NNC4=C3N=C(C3=C5CC(=O)CC5=CC=C3)C=C4)C=C2)CC1 Chemical compound CN1CCN(C2=CC=C(C3=NNC4=C3N=C(C3=C5CC(=O)CC5=CC=C3)C=C4)C=C2)CC1 GJBMJZKPALALFF-UHFFFAOYSA-N 0.000 description 1
- KULAZBDKEJCACA-UHFFFAOYSA-N CN1CCN(C2=CC=C(C3=NNC4=C3N=C(C3=C5CCC(=O)C5=CC=C3)C=C4)C=C2)CC1 Chemical compound CN1CCN(C2=CC=C(C3=NNC4=C3N=C(C3=C5CCC(=O)C5=CC=C3)C=C4)C=C2)CC1 KULAZBDKEJCACA-UHFFFAOYSA-N 0.000 description 1
- AYXQDOXKSLZBLV-UHFFFAOYSA-N CN1CCN(C2=CC=C(C3=NNC4=C3N=C(C3=C5CCC(N)C5=CC=C3)C=C4)C=C2)CC1 Chemical compound CN1CCN(C2=CC=C(C3=NNC4=C3N=C(C3=C5CCC(N)C5=CC=C3)C=C4)C=C2)CC1 AYXQDOXKSLZBLV-UHFFFAOYSA-N 0.000 description 1
- QMVFOXQFSOPYPQ-UHFFFAOYSA-N CN1CCN(C2=CC=C(C3=NNC4=C3N=C(C3=C5CCC(NCC6=CC=CC=C6)C5=CC=C3)C=C4)C=C2)CC1 Chemical compound CN1CCN(C2=CC=C(C3=NNC4=C3N=C(C3=C5CCC(NCC6=CC=CC=C6)C5=CC=C3)C=C4)C=C2)CC1 QMVFOXQFSOPYPQ-UHFFFAOYSA-N 0.000 description 1
- JPMHKSXPCMGFEB-UHFFFAOYSA-N CN1CCN(C2=CC=C(C3=NNC4=C3N=C(C3=C5CCC(NCCO)C5=CC=C3)C=C4)C=C2)CC1 Chemical compound CN1CCN(C2=CC=C(C3=NNC4=C3N=C(C3=C5CCC(NCCO)C5=CC=C3)C=C4)C=C2)CC1 JPMHKSXPCMGFEB-UHFFFAOYSA-N 0.000 description 1
- QENKDVUPVMOWJS-UHFFFAOYSA-N CN1CCN(C2=CC=C(C3=NNC4=C3N=C(C3=C5CCNCC5=CC=C3)C=C4)C=C2)CC1 Chemical compound CN1CCN(C2=CC=C(C3=NNC4=C3N=C(C3=C5CCNCC5=CC=C3)C=C4)C=C2)CC1 QENKDVUPVMOWJS-UHFFFAOYSA-N 0.000 description 1
- PYTJAZMRNXGSAI-UHFFFAOYSA-N CN1CCN(C2=CC=C(C3=NNC4=C3N=C(C3=C5N=C(C(C)(C)C)OC5=CN=C3)C=C4)C=C2)CC1 Chemical compound CN1CCN(C2=CC=C(C3=NNC4=C3N=C(C3=C5N=C(C(C)(C)C)OC5=CN=C3)C=C4)C=C2)CC1 PYTJAZMRNXGSAI-UHFFFAOYSA-N 0.000 description 1
- XJJGLBIQVWVFRL-UHFFFAOYSA-N CN1CCN(C2=CC=C(C3=NNC4=C3N=C(C3=C5OCCC5=CC=C3)C=C4)C=C2)CC1 Chemical compound CN1CCN(C2=CC=C(C3=NNC4=C3N=C(C3=C5OCCC5=CC=C3)C=C4)C=C2)CC1 XJJGLBIQVWVFRL-UHFFFAOYSA-N 0.000 description 1
- KDPYMXXFELROPU-UHFFFAOYSA-N CN1CCN(C2=CC=C(C3=NNC4=C3N=C(C3=C5OCCOC5=CC=C3)C=C4)C=C2)CC1 Chemical compound CN1CCN(C2=CC=C(C3=NNC4=C3N=C(C3=C5OCCOC5=CC=C3)C=C4)C=C2)CC1 KDPYMXXFELROPU-UHFFFAOYSA-N 0.000 description 1
- GLEROJPODUJGPZ-UHFFFAOYSA-N CN1CCN(C2=CC=C(C3=NNC4=C3N=C(C3=CC(C5=NC=CO5)=CN=C3)C=C4)C=C2)CC1 Chemical compound CN1CCN(C2=CC=C(C3=NNC4=C3N=C(C3=CC(C5=NC=CO5)=CN=C3)C=C4)C=C2)CC1 GLEROJPODUJGPZ-UHFFFAOYSA-N 0.000 description 1
- JLIKHSXLVYZJJB-UHFFFAOYSA-N CN1CCN(C2=CC=C(C3=NNC4=C3N=C(C3=CC5=C(C=NN5C)N=C3)C=C4)C=C2)CC1 Chemical compound CN1CCN(C2=CC=C(C3=NNC4=C3N=C(C3=CC5=C(C=NN5C)N=C3)C=C4)C=C2)CC1 JLIKHSXLVYZJJB-UHFFFAOYSA-N 0.000 description 1
- BIOKHZXJPUHPDR-UHFFFAOYSA-N CN1CCN(C2=CC=C(C3=NNC4=C3N=C(C3=CC5=C(N=C3)N(C)C=N5)C=C4)C=C2)CC1 Chemical compound CN1CCN(C2=CC=C(C3=NNC4=C3N=C(C3=CC5=C(N=C3)N(C)C=N5)C=C4)C=C2)CC1 BIOKHZXJPUHPDR-UHFFFAOYSA-N 0.000 description 1
- DPESFZZZWHSHHC-UHFFFAOYSA-N CN1CCN(C2=CC=C(C3=NNC4=C3N=C(C3=CC5=C(N=C3)NC(=O)C5)C=C4)C=C2)CC1 Chemical compound CN1CCN(C2=CC=C(C3=NNC4=C3N=C(C3=CC5=C(N=C3)NC(=O)C5)C=C4)C=C2)CC1 DPESFZZZWHSHHC-UHFFFAOYSA-N 0.000 description 1
- HIILBHGUWDMRHN-UHFFFAOYSA-N CN1CCN(C2=CC=C(C3=NNC4=C3N=C(C3=CC5=C(N=CC=N5)N=C3)C=C4)C=C2)CC1 Chemical compound CN1CCN(C2=CC=C(C3=NNC4=C3N=C(C3=CC5=C(N=CC=N5)N=C3)C=C4)C=C2)CC1 HIILBHGUWDMRHN-UHFFFAOYSA-N 0.000 description 1
- VICFFKIWDVRDEF-UHFFFAOYSA-N CN1CCN(C2=CC=C(C3=NNC4=C3N=C(C3=CC=CC(NS(C)(=O)=O)=C3F)C=C4)C=C2)CC1 Chemical compound CN1CCN(C2=CC=C(C3=NNC4=C3N=C(C3=CC=CC(NS(C)(=O)=O)=C3F)C=C4)C=C2)CC1 VICFFKIWDVRDEF-UHFFFAOYSA-N 0.000 description 1
- CSXLTSLPPNADKF-UHFFFAOYSA-N CN1CCN(C2=CC=C(C3=NNC4=C3N=C(C3=CC=CC=C3O)C=C4)C=C2)CC1 Chemical compound CN1CCN(C2=CC=C(C3=NNC4=C3N=C(C3=CC=CC=C3O)C=C4)C=C2)CC1 CSXLTSLPPNADKF-UHFFFAOYSA-N 0.000 description 1
- MNTRSPKUCYKXJZ-UHFFFAOYSA-N CN1CCN(C2=CC=C(C3=NNC4=C3N=C(C3=CC=CN5C=CN=C35)C=C4)C=C2)CC1 Chemical compound CN1CCN(C2=CC=C(C3=NNC4=C3N=C(C3=CC=CN5C=CN=C35)C=C4)C=C2)CC1 MNTRSPKUCYKXJZ-UHFFFAOYSA-N 0.000 description 1
- DWSSYZHQVSIBKL-UHFFFAOYSA-N CN1CCN(C2=CC=C(C3=NNC4=C3N=C(C3=CC=CN=C3)C=C4)C=C2)CC1 Chemical compound CN1CCN(C2=CC=C(C3=NNC4=C3N=C(C3=CC=CN=C3)C=C4)C=C2)CC1 DWSSYZHQVSIBKL-UHFFFAOYSA-N 0.000 description 1
- VWLMRNORMORUNL-UHFFFAOYSA-N CN1CCN(C2=CC=C(C3=NNC4=C3N=C(C3=CC=CN=C3N)C=C4)C=C2)CC1 Chemical compound CN1CCN(C2=CC=C(C3=NNC4=C3N=C(C3=CC=CN=C3N)C=C4)C=C2)CC1 VWLMRNORMORUNL-UHFFFAOYSA-N 0.000 description 1
- YAMSQWGUWHVDKB-UHFFFAOYSA-N CN1CCN(C2=CC=C(C3=NNC4=C3N=C(C3=CC=NC=C3)C=C4)C=C2)CC1 Chemical compound CN1CCN(C2=CC=C(C3=NNC4=C3N=C(C3=CC=NC=C3)C=C4)C=C2)CC1 YAMSQWGUWHVDKB-UHFFFAOYSA-N 0.000 description 1
- XRDNKCFVQLQLRT-UHFFFAOYSA-N CN1CCN(C2=CC=C(C3=NNC4=C3N=C(C3=CN(C)C(=O)C=C3)C=C4)C=C2)CC1 Chemical compound CN1CCN(C2=CC=C(C3=NNC4=C3N=C(C3=CN(C)C(=O)C=C3)C=C4)C=C2)CC1 XRDNKCFVQLQLRT-UHFFFAOYSA-N 0.000 description 1
- GULJRNPQZIMGOF-UHFFFAOYSA-N CN1CCN(C2=CC=C(C3=NNC4=C3N=C(C3=CN=CN=C3)C=C4)C=C2)CC1 Chemical compound CN1CCN(C2=CC=C(C3=NNC4=C3N=C(C3=CN=CN=C3)C=C4)C=C2)CC1 GULJRNPQZIMGOF-UHFFFAOYSA-N 0.000 description 1
- URZKMIPKMGBSCI-UHFFFAOYSA-N CN1CCN(C2=CC=C(C3=NNC4=C3N=C(Cl)C=C4)C=C2)CC1 Chemical compound CN1CCN(C2=CC=C(C3=NNC4=C3N=C(Cl)C=C4)C=C2)CC1 URZKMIPKMGBSCI-UHFFFAOYSA-N 0.000 description 1
- XRAKYRSFDRHQLD-UHFFFAOYSA-N CN1CCN(C2=CC=C(C3=NNC4=CC=C(C5=CC=CC=C5)N=C43)C=C2)CC1 Chemical compound CN1CCN(C2=CC=C(C3=NNC4=CC=C(C5=CC=CC=C5)N=C43)C=C2)CC1 XRAKYRSFDRHQLD-UHFFFAOYSA-N 0.000 description 1
- JREXNUMRWAHNCL-UHFFFAOYSA-N CN1CCN(C2=NC=C(C3=NNC4=C3N=C(C3=C5CCNCC5=CC=C3F)C(C#N)=C4)C=C2)CC1 Chemical compound CN1CCN(C2=NC=C(C3=NNC4=C3N=C(C3=C5CCNCC5=CC=C3F)C(C#N)=C4)C=C2)CC1 JREXNUMRWAHNCL-UHFFFAOYSA-N 0.000 description 1
- NCCGZTJZERNCLE-UHFFFAOYSA-N CNC(=O)C1=CC=C(C2=NNC3=C2N=C(C2=C(F)C=CC=C2)C=C3)C=C1 Chemical compound CNC(=O)C1=CC=C(C2=NNC3=C2N=C(C2=C(F)C=CC=C2)C=C3)C=C1 NCCGZTJZERNCLE-UHFFFAOYSA-N 0.000 description 1
- DAIJQMOGMPHAGV-UHFFFAOYSA-N CNC(=O)C1=NC=C(C2=NNC3=C2N=C(C2=C(C)C=CC=C2F)C(C#N)=C3)C=C1 Chemical compound CNC(=O)C1=NC=C(C2=NNC3=C2N=C(C2=C(C)C=CC=C2F)C(C#N)=C3)C=C1 DAIJQMOGMPHAGV-UHFFFAOYSA-N 0.000 description 1
- IQZKOVVHWKGDLS-UHFFFAOYSA-N CNC1CCC2=C(C3=NC4=C(C=C3)NN=C4C3=CC=C(N4CCN(C)CC4)C=C3)C=CC=C21 Chemical compound CNC1CCC2=C(C3=NC4=C(C=C3)NN=C4C3=CC=C(N4CCN(C)CC4)C=C3)C=CC=C21 IQZKOVVHWKGDLS-UHFFFAOYSA-N 0.000 description 1
- ZQYDCSMBGZWFMB-UHFFFAOYSA-N CNCC1=CC(C)=C(Br)C(F)=C1 Chemical compound CNCC1=CC(C)=C(Br)C(F)=C1 ZQYDCSMBGZWFMB-UHFFFAOYSA-N 0.000 description 1
- SZUURMVMKWYVNP-UHFFFAOYSA-N COC(=O)C1=C(C2=NC3=C(C=C2)NN=C3C2=CC=C(N3CCN(C)CC3)C=C2)C=CC=C1 Chemical compound COC(=O)C1=C(C2=NC3=C(C=C2)NN=C3C2=CC=C(N3CCN(C)CC3)C=C2)C=CC=C1 SZUURMVMKWYVNP-UHFFFAOYSA-N 0.000 description 1
- NYQWUQUBNGYIOS-UHFFFAOYSA-N COC1=C(C2=NC3=C(C=C2)NN=C3C2=CC=C(N3CCN(C)CC3)C=C2)C(F)=C(F)C=C1 Chemical compound COC1=C(C2=NC3=C(C=C2)NN=C3C2=CC=C(N3CCN(C)CC3)C=C2)C(F)=C(F)C=C1 NYQWUQUBNGYIOS-UHFFFAOYSA-N 0.000 description 1
- KOZKIKAJPAIEHC-UHFFFAOYSA-N COC1=C(C2=NC3=C(C=C2)NN=C3C2=CC=C(N3CCN(C)CC3)C=C2)C(F)=CC=C1 Chemical compound COC1=C(C2=NC3=C(C=C2)NN=C3C2=CC=C(N3CCN(C)CC3)C=C2)C(F)=CC=C1 KOZKIKAJPAIEHC-UHFFFAOYSA-N 0.000 description 1
- GSIJXNAVMPHGDC-UHFFFAOYSA-N COC1=C(C2=NC3=C(C=C2)NN=C3C2=CC=C(N3CCN(C)CC3)C=C2)C=CC=C1 Chemical compound COC1=C(C2=NC3=C(C=C2)NN=C3C2=CC=C(N3CCN(C)CC3)C=C2)C=CC=C1 GSIJXNAVMPHGDC-UHFFFAOYSA-N 0.000 description 1
- RQVRGIMKPRYWNL-UHFFFAOYSA-N CS(=O)(=O)N1CCC(N2C=C(C3=NNC4=C3N=C(C3=C(F)C=CC=C3)C=C4)C=N2)CC1 Chemical compound CS(=O)(=O)N1CCC(N2C=C(C3=NNC4=C3N=C(C3=C(F)C=CC=C3)C=C4)C=N2)CC1 RQVRGIMKPRYWNL-UHFFFAOYSA-N 0.000 description 1
- SGGWKWNCYHLSTC-UHFFFAOYSA-N C[Si](C)(C)CCOCN1N=C(I)C2=NC(Cl)=CC=C21 Chemical compound C[Si](C)(C)CCOCN1N=C(I)C2=NC(Cl)=CC=C21 SGGWKWNCYHLSTC-UHFFFAOYSA-N 0.000 description 1
- CYNVHKUWAGCANB-UHFFFAOYSA-N Cc1cc(CNC)cc(F)c1-c(c(C#N)c1)nc2c1[nH]nc2-c1cnc(N2CCN(C)CC2)nc1 Chemical compound Cc1cc(CNC)cc(F)c1-c(c(C#N)c1)nc2c1[nH]nc2-c1cnc(N2CCN(C)CC2)nc1 CYNVHKUWAGCANB-UHFFFAOYSA-N 0.000 description 1
- GJYMAUPNXHZFIU-UHFFFAOYSA-N ClC1=NC2=C(C=C1)NN=C2I Chemical compound ClC1=NC2=C(C=C1)NN=C2I GJYMAUPNXHZFIU-UHFFFAOYSA-N 0.000 description 1
- IQEDPLDVVSDTBV-UHFFFAOYSA-N FC1=C(C2=NC3=C(C=C2)NN=C3)C=CC=C1 Chemical compound FC1=C(C2=NC3=C(C=C2)NN=C3)C=CC=C1 IQEDPLDVVSDTBV-UHFFFAOYSA-N 0.000 description 1
- ZYACYPTZHSNUFS-UHFFFAOYSA-N FC1=C(C2=NC3=C(C=C2)NN=C3C2=CC=CC=C2)C=CC=C1 Chemical compound FC1=C(C2=NC3=C(C=C2)NN=C3C2=CC=CC=C2)C=CC=C1 ZYACYPTZHSNUFS-UHFFFAOYSA-N 0.000 description 1
- BXMUDCXMWQBERG-UHFFFAOYSA-N FC1=C(C2=NC3=C(C=C2)NN=C3C2=CC=NC=C2)C=CC=C1 Chemical compound FC1=C(C2=NC3=C(C=C2)NN=C3C2=CC=NC=C2)C=CC=C1 BXMUDCXMWQBERG-UHFFFAOYSA-N 0.000 description 1
- MTGTUJYHNOXPMU-UHFFFAOYSA-N FC1=C(C2=NC3=C(C=C2)NN=C3C2=CN(C3CCNCC3)N=C2)C=CC=C1 Chemical compound FC1=C(C2=NC3=C(C=C2)NN=C3C2=CN(C3CCNCC3)N=C2)C=CC=C1 MTGTUJYHNOXPMU-UHFFFAOYSA-N 0.000 description 1
- YBVMOYDQUSFUIL-UHFFFAOYSA-N FC1=C(C2=NC3=C(C=C2)NN=C3I)C=CC=C1 Chemical compound FC1=C(C2=NC3=C(C=C2)NN=C3I)C=CC=C1 YBVMOYDQUSFUIL-UHFFFAOYSA-N 0.000 description 1
- WQFMOLAJRHPDHH-UHFFFAOYSA-N FC1=CC=C2CNCCC2=C1Br Chemical compound FC1=CC=C2CNCCC2=C1Br WQFMOLAJRHPDHH-UHFFFAOYSA-N 0.000 description 1
- ZBFVITZJRHFIQB-UHFFFAOYSA-N N#CC1=CC2=C(C=NN2C(C2=CC=CC=C2)(C2=CC=CC=C2)C2=CC=CC=C2)N=C1Cl Chemical compound N#CC1=CC2=C(C=NN2C(C2=CC=CC=C2)(C2=CC=CC=C2)C2=CC=CC=C2)N=C1Cl ZBFVITZJRHFIQB-UHFFFAOYSA-N 0.000 description 1
- OOHQDYGWLGKMMK-UHFFFAOYSA-N N#CC1=CC2=C(C=NN2C(C2=CC=CC=C2)(C2=CC=CC=C2)C2=CC=CC=C2)[N+]([O-])=C1 Chemical compound N#CC1=CC2=C(C=NN2C(C2=CC=CC=C2)(C2=CC=CC=C2)C2=CC=CC=C2)[N+]([O-])=C1 OOHQDYGWLGKMMK-UHFFFAOYSA-N 0.000 description 1
- DPALZUCRCZDMKK-UHFFFAOYSA-N O=C(NC1=CC=CC=C1)C1=CC=C(C2=NNC3=C2N=C(C2=C(F)C=CC=C2)C=C3)C=C1 Chemical compound O=C(NC1=CC=CC=C1)C1=CC=C(C2=NNC3=C2N=C(C2=C(F)C=CC=C2)C=C3)C=C1 DPALZUCRCZDMKK-UHFFFAOYSA-N 0.000 description 1
- PTSPXMVLZLUKNN-UHFFFAOYSA-N O=C(O)C1=CC=C(C2=NNC3=C2N=C(C2=C(F)C=CC=C2)C=C3)C=C1 Chemical compound O=C(O)C1=CC=C(C2=NNC3=C2N=C(C2=C(F)C=CC=C2)C=C3)C=C1 PTSPXMVLZLUKNN-UHFFFAOYSA-N 0.000 description 1
- FEAYEVPCIUPSNN-UHFFFAOYSA-N [H]C(=O)C1=CC(C)=C(Br)C(F)=C1 Chemical compound [H]C(=O)C1=CC(C)=C(Br)C(F)=C1 FEAYEVPCIUPSNN-UHFFFAOYSA-N 0.000 description 1
- SXKFIHOXOPKSLJ-UHFFFAOYSA-N [O-][N+]1=CC(Br)=CC2=C1C=NN2C(C1=CC=CC=C1)(C1=CC=CC=C1)C1=CC=CC=C1 Chemical compound [O-][N+]1=CC(Br)=CC2=C1C=NN2C(C1=CC=CC=C1)(C1=CC=CC=C1)C1=CC=CC=C1 SXKFIHOXOPKSLJ-UHFFFAOYSA-N 0.000 description 1
Classifications
-
- C—CHEMISTRY; METALLURGY
- C07—ORGANIC CHEMISTRY
- C07D—HETEROCYCLIC COMPOUNDS
- C07D471/00—Heterocyclic compounds containing nitrogen atoms as the only ring hetero atoms in the condensed system, at least one ring being a six-membered ring with one nitrogen atom, not provided for by groups C07D451/00 - C07D463/00
- C07D471/02—Heterocyclic compounds containing nitrogen atoms as the only ring hetero atoms in the condensed system, at least one ring being a six-membered ring with one nitrogen atom, not provided for by groups C07D451/00 - C07D463/00 in which the condensed system contains two hetero rings
- C07D471/04—Ortho-condensed systems
-
- A—HUMAN NECESSITIES
- A61—MEDICAL OR VETERINARY SCIENCE; HYGIENE
- A61P—SPECIFIC THERAPEUTIC ACTIVITY OF CHEMICAL COMPOUNDS OR MEDICINAL PREPARATIONS
- A61P35/00—Antineoplastic agents
-
- C—CHEMISTRY; METALLURGY
- C07—ORGANIC CHEMISTRY
- C07D—HETEROCYCLIC COMPOUNDS
- C07D519/00—Heterocyclic compounds containing more than one system of two or more relevant hetero rings condensed among themselves or condensed with a common carbocyclic ring system not provided for in groups C07D453/00 or C07D455/00
Definitions
- the disclosure provides compounds as well as their compositions and methods of use.
- the compounds modulate hematopoietic progenitor kinase 1 (HPK1) activity and are useful in the treatment of various diseases including cancer.
- HPK1 hematopoietic progenitor kinase 1
- Hematopoietic progenitor kinase 1 originally cloned from hematopoietic progenitor cells is a member of MAP kinase kinase kinases (MAP4Ks) family, which includes MAP4K1/HPK1, MAP4K2/GCK, MAP4K3/GLK, MAP4K4/HGK, MAP4K5/KHS, and MAP4K6/MINK (Hu, M. C., et al., Genes Dev, 1996. 10(18): p. 2251-64).
- MAP4Ks MAP kinase kinase kinases
- HPK1 is of particular interest because it is predominantly expressed in hematopoietic cells such as T cells, B cells, macrophages, dendritic cells, neutrophils, and mast cells (Hu, M. C., et al., Genes Dev, 1996. 10(18): p. 2251-64; Kiefer, F., et al., EMBO J, 1996. 15(24): p. 7013-25).
- HPK1 kinase activity has been shown to be induced upon activation of T cell receptors (TCR) (Liou, J., et al., Immunity, 2000. 12(4): p.
- TCR T cell receptors
- B cell receptors BCR
- TGF- ⁇ R transforming growth factor receptor
- EP2 and EP4 G S -coupled PGE 2 receptors
- HPK1 is important in regulating the functions of various immune cells and it has been implicated in autoimmune diseases and anti-tumor immunity (Shui, J. W., et al., Nat Immunol, 2007. 8(1): p. 84-91; Wang, X., et al., J Biol Chem, 2012. 287(14): p. 11037-48). HPK1 knockout mice were more susceptible to the induction of experimental autoimmune encephalomyelitis (EAE) (Shui, J. W., et al., Nat Immunol, 2007. 8(1): p. 84-91).
- EAE experimental autoimmune encephalomyelitis
- HPK1 was downregulated in peripheral blood mononuclear cells of psoriatic arthritis patients or T cells of systemic lupus erythematosus (SLE) patients (Batliwalla, F. M., et al., Mol Med, 2005. 11(1-12): p. 21-9). Those observations suggested that attenuation of HPK1 activity may contribute to autoimmunity in patients. Furthermore, HPK1 may also control anti-tumor immunity via T cell-dependent mechanisms. In the PGE2-producing Lewis lung carcinoma tumor model, the tumors developed more slowly in HPK1 knockout mice as compared to wild-type mice (see US 2007/0087988).
- HPK1 may be an excellent drug target for enhancing antitumor immunity. Accordingly, there is a need for new compounds that modulate HPK1 activity.
- the present disclosure further provides a pharmaceutical composition
- a pharmaceutical composition comprising a compound of the disclosure, or a pharmaceutically acceptable salt thereof, and at least one pharmaceutically acceptable carrier or excipient.
- the present disclosure further provides methods of inhibiting HPK1 activity, which comprises administering to an individual a compound of the disclosure, or a pharmaceutically acceptable salt thereof.
- the present disclosure further provides methods of treating a disease or disorder in a patient comprising administering to the patient a therapeutically effective amount of a compound of the disclosure, or a pharmaceutically acceptable salt thereof.
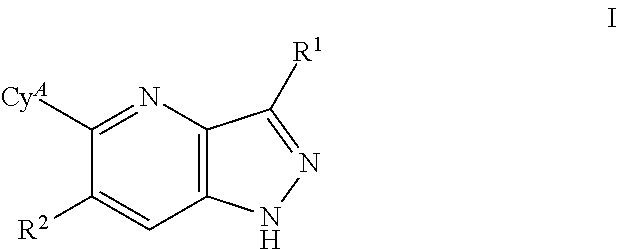
- R 1 is selected from Cy 1 , C 1-6 alkyl, C 2-6 alkenyl, C 2-6 alkynyl, C 1-6 haloalkyl, halo, CN, NO 2 , OR a , SR a , C(O)R b , C(O)NR c R d , C(O)OR a , OC(O)R b , OC(O)NR c R d , NR c R d , NR c C(O)R b , NR c C(O)OR a , NR c C(O)NR c R d , C( ⁇ NR e )R b , C( ⁇ NOR a )R b , C( ⁇ NR e )NR c R d , NR c C( ⁇ NR e )NR c R d , NR c S(O)R b , NR c S(O)R
- Cy 1 is selected from C 3-10 cycloalkyl, 4-10 membered heterocycloalkyl, C 6-10 aryl and 5-10 membered heteroaryl; wherein each 4-10 membered heterocycloalkyl and 5-10 membered heteroaryl has at least one ring-forming carbon atom and 1, 2, 3, or 4 ring-forming heteroatoms independently selected from N, O, and S; wherein the N and S are optionally oxidized; wherein a ring-forming carbon atom of 5-10 membered heteroaryl and 4-10 membered heterocycloalkyl is optionally substituted by oxo to form a carbonyl group; and wherein the C 3-10 cycloalkyl, 4-10 membered heterocycloalkyl, C 6-10 aryl and 5-10 membered heteroaryl are each optionally substituted with 1, 2, 3 or 4 substituents independently selected from R 10 ;
- Cy A is selected from C 6-10 aryl and 5-10 membered heteroaryl; wherein the 5-10 membered heteroaryl has at least one ring-forming carbon atom and 1, 2, 3, or 4 ring-forming heteroatoms independently selected from N, O, and S; wherein the N and S are optionally oxidized; wherein a ring-forming carbon atom of the 5-10 membered heteroaryl is optionally substituted by oxo to form a carbonyl group; and wherein the C 6-10 aryl and 5-10 membered heteroaryl are each optionally substituted with 1, 2, 3 or 4 substituents independently selected from R 20 ;
- R 2 is selected from H, C 1-6 alkyl, C 2-6 alkenyl, C 2-6 alkynyl, C 1-6 haloalkyl, C 3-10 cycloalkyl, 4-10 membered heterocycloalkyl, C 6-10 aryl, 5-10 membered heteroaryl, C 3-10 cycloalkyl-C 1-3 alkylene, 4-10 membered heterocycloalkyl-C 1-3 alkylene, C 6-10 aryl-C 1-3 alkylene, 5-10 membered heteroaryl-C 1-3 alkylene, halo, CN, OR a7 , SR a7 , C(O)R b7 , C(O)NR c7 R d7 , C(O)OR a7 , NR c7 R d7 , NR c7 C(O)R b7 , NR c7 C(O)OR a7 , NR c7 S(O)R b7
- each R 10 is independently selected from C 1-6 alkyl, C 2-6 alkenyl, C 2-6 alkynyl, C 1-6 haloalkyl, C 3-10 cycloalkyl, 4-10 membered heterocycloalkyl, C 6-10 aryl, 5-10 membered heteroaryl, C 3-10 cycloalkyl-C 1-3 alkylene, 4-10 membered heterocycloalkyl-C 1-3 alkylene, C 6-10 aryl-C 1-3 alkylene, 5-10 membered heteroaryl-C 1-3 alkylene, halo, CN, NO 2 , OR a1 , SR a1 , C(O)R b1 , C(O)NR c1 R d1 , C(O)OR a1 , OC(O)R b1 , OC(O)NR c1 R d1 , NR c1 R d1 , NR c1 (O)R b1 ,
- each spiro 3-7-membered heterocycloalkyl ring has at least one ring-forming carbon atom and 1, 2 or 3 ring-forming heteroatoms independently selected from N, O, and S; wherein a ring-forming carbon atom of each spiro 3-7-membered heterocycloalkyl ring is optionally substituted by oxo to form a carbonyl group; and wherein the spiro 3-7-membered heterocycloalkyl ring and spiro C 3-6 cycloalkyl ring are each optionally substituted with 1, 2, 3 or 4 substituents independently selected from R 11 ;
- each R 11 is independently selected from C 1-6 alkyl, C 2-6 alkenyl, C 2-6 alkynyl, C 1-6 haloalkyl, C 3-10 cycloalkyl, 4-10 membered heterocycloalkyl, C 6-10 aryl, 5-10 membered heteroaryl, C 3-10 cycloalkyl-C 1-3 alkylene, 4-10 membered heterocycloalkyl-C 1-3 alkylene, C 6-10 aryl-C 1-3 alkylene, 5-10 membered heteroaryl-C 1-3 alkylene, halo, CN, OR a3 , SR a3 , C(O)R b3 , C(O)NR c3 R d3 , C(O)OR a3 , NR c3 R d3 , NR c3 C(O)R b3 , NR c3 C(O)OR a3 , NR c3 S(O)R b3
- each R 12 is independently selected from C 1-6 alkyl, C 2-6 alkenyl, C 2-6 alkynyl, C 1-6 haloalkyl, C 3-6 cycloalkyl, C 6-10 aryl, 5-10 membered heteroaryl, 4-7 membered heterocycloalkyl, halo, CN, OR a5 , SR a5 , C(O)R b5 , C(O)NR c5 R d5 , C(O)OR a5 , NR c5 R d5 , NR c5 C(O)R b5 , NR c5 C(O)OR a5 , NR c5 S(O)R b5 , NR c5 S(O) 2 R b5 , NR c5 S(O) 2 NR c5 R d5 , S(O)R b5 , S(O)NR c5 R d5 , S(O)
- each R 20 is independently selected from C 1-6 alkyl, C 2-6 alkenyl, C 2-6 alkynyl, C 1-6 haloalkyl, C 3-10 cycloalkyl, 4-10 membered heterocycloalkyl, C 6-10 aryl, 5-10 membered heteroaryl, C 3-10 cycloalkyl-C 1-3 alkylene, 4-10 membered heterocycloalkyl-C 1-3 alkylene, C 6-10 aryl-C 1-3 alkylene, 5-10 membered heteroaryl-C 1-3 alkylene, halo, CN, NO 2 , OR a2 , SR a2 , C(O)R b2 , C(O)NR c2 R d2 , C(O)OR a2 , OC(O)R b2 , OC(O)NR c2 R d2 , NR c2 R d2 , NR c2 C(O)R b2
- each fused 4-, 5-, 6- or 7-membered heterocycloalkyl ring has at least one ring-forming carbon atom and 1, 2, 3, or 4 ring-forming heteroatoms independently selected from N, O, and S; wherein a ring-forming carbon atom of each fused 4-, 5-, 6- or 7-membered heterocycloalkyl ring is optionally substituted by oxo to form a carbonyl group; and wherein the fused 4-, 5-, 6- or 7-membered heterocycloalkyl ring and fused C 3-6 cycloalkyl ring are each optionally substituted with 1, 2, 3 or 4 substituents independently selected from R 21 ;
- each R 21 is independently selected from C 1-6 alkyl, C 2-6 alkenyl, C 2-6 alkynyl, C 1-6 haloalkyl, C 3-10 cycloalkyl, 4-10 membered heterocycloalkyl, C 6-10 aryl, 5-10 membered heteroaryl, C 3-10 cycloalkyl-C 1-3 alkylene, 4-10 membered heterocycloalkyl-C 1-3 alkylene, C 6-10 aryl-C 1-3 alkylene, 5-10 membered heteroaryl-C 1-3 alkylene, halo, CN, OR a4 , SR a4 , C(O)R b4 C(O)NR c4 R d4 , C(O)OR a4 , NR c4 R d4 , NR c4 C(O)R b4 , NR c4 C(O)OR a4 , NR c4 S(O)R b4 ,
- each spiro 3-7-membered heterocycloalkyl ring has at least one ring-forming carbon atom and 1, 2 or 3 ring-forming heteroatoms independently selected from N, O, and S; wherein a ring-forming carbon atom of each spiro 3-7-membered heterocycloalkyl ring is optionally substituted by oxo to form a carbonyl group; and wherein the spiro 3-7 membered heterocycloalkyl ring and spiro C 3-6 cycloalkyl ring are each optionally substituted with 1, 2, 3 or 4 substituents independently selected from R 22 ;
- each R 22 is independently selected from C 1-6 alkyl, C 2-6 alkenyl, C 2-6 alkynyl, C 1-6 haloalkyl, C 3-6 cycloalkyl, phenyl, 5-6 membered heteroaryl, 4-7 membered heterocycloalkyl, halo, CN, OR a6 , SR a6 , C(O)R b6 , C(O)NR c6 R d6 , C(O)OR a6 , NR c6 R d6 , NR c6 C(O)R b6 , NR c6 C(O)OR a6 , NR c6 S(O)R b6 , NR c6 S(O) 2 R b6 , NR c6 S(O) 2 NR c6 R d6 , S(O)R b6 , S(O)NR c6 R d6 , S(O)R
- each R 30 is independently selected from C 1-6 alkyl, C 2-6 alkenyl, C 2-6 alkynyl, C 1-6 haloalkyl, C 3-6 cycloalkyl, phenyl, 5-6 membered heteroaryl, 4-7 membered heterocycloalkyl, halo, CN, OR a8 , SR a8 , C(O)R b8 , C(O)NR c8 R d8 , C(O)OR a8 , NR c8 R d8 , NR c8 C(O)R b8 , NR c8 C(O)OR a8 , NR c8 S(O)R b8 , NR c8 S(O) 2 R b8 , NR c8 S(O) 2 NR c8 R d8 , S(O)R b8 , S(O)NR c8 R d8 , S(O)R
- each R a and R c is independently selected from H, C 1-6 alkyl, C 2-6 alkenyl, C 2-6 alkynyl, C 1-6 haloalkyl, C 3-10 cycloalkyl, 4-10 membered heterocycloalkyl, C 6-10 aryl and 5-10 membered heteroaryl; wherein said C 1-6 alkyl, C 2-6 alkenyl, C 2-6 alkynyl, C 3-10 cycloalkyl, 4-10 membered heterocycloalkyl, C 6-10 aryl and 5-10 membered heteroaryl, are each optionally substituted with 1, 2, 3, or 4 substituents independently selected from R 10 ;
- each R d is independently selected from C 1-6 alkyl, C 2-6 alkenyl, C 2-6 alkynyl, C 1-6 haloalkyl, C 3-10 cycloalkyl, 4-10 membered heterocycloalkyl, C 6-10 aryl and 5-10 membered heteroaryl; wherein said C 1-6 alkyl, C 2-6 alkenyl, C 2-6 alkynyl, C 3-10 cycloalkyl, 4-10 membered heterocycloalkyl, C 6-10 aryl and 5-10 membered heteroaryl, are each optionally substituted with 1, 2, 3, or 4 substituents independently selected from R 10 ;
- R c and R d attached to the same N atom, together with the N atom to which they are attached, form a 4-, 5-, 6- or 7-membered heterocycloalkyl group optionally substituted with 1, 2, 3, or 4 substituents independently selected from R 10 ;
- each R b is independently selected from C 1-6 alkyl, C 2-6 alkenyl, C 2-6 alkynyl, C 1-6 haloalkyl, C 3-10 cycloalkyl, 4-10 membered heterocycloalkyl, C 6-10 aryl and 5-10 membered heteroaryl; wherein said C 1-6 alkyl, C 2-6 alkenyl, C 2-6 alkynyl, C 3-10 cycloalkyl, 4-10 membered heterocycloalkyl, C 6-10 aryl and 5-10 membered heteroaryl, are each optionally substituted with 1, 2, 3, or 4 substituents independently selected from R 10 ;
- each R e is independently selected from H, CN, C 1-6 alkyl, C 1-6 haloalkyl, C 1-6 alkylthio, C 1-6 alkylsulfonyl, C 1-6 alkylcarbonyl, C 1-6 alkylaminosulfonyl, carbamyl, C 1-6 alkylcarbamyl, di(C 1-6 alkyl)carbamyl, aminosulfonyl, C 1-6 alkylaminosulfonyl and di(C 1-6 alkyl)aminosulfonyl;
- each R a1 , R c1 and R d1 is independently selected from H, C 1-6 alkyl, C 2-6 alkenyl, C 2-6 alkynyl, C 1-6 haloalkyl, C 3-10 cycloalkyl, 4-10 membered heterocycloalkyl, C 6-10 aryl and 5-10 membered heteroaryl; wherein said C 1-6 alkyl, C 2-6 alkenyl, C 2-6 alkynyl, C 3-10 cycloalkyl, 4-10 membered heterocycloalkyl, C 6-10 aryl and 5-10 membered heteroaryl, are each optionally substituted with 1, 2, 3, or 4 substituents independently selected from R 11 ;
- R c1 and R d1 attached to the same N atom, together with the N atom to which they are attached, form a 4-, 5-, 6- or 7-membered heterocycloalkyl group optionally substituted with 1, 2, 3, or 4 substituents independently selected from R 11 ;
- each R b1 is independently selected from C 1-6 alkyl, C 2-6 alkenyl, C 2-6 alkynyl, C 1-6 haloalkyl, C 3-10 cycloalkyl, 4-10 membered heterocycloalkyl, C 6-10 aryl and 5-10 membered heteroaryl; wherein said C 1-6 alkyl, C 2-6 alkenyl, C 2-6 alkynyl, C 3-10 cycloalkyl, 4-10 membered heterocycloalkyl, C 6-10 aryl and 5-10 membered heteroaryl, are each optionally substituted with 1, 2, 3, or 4 substituents independently selected from R 11 ;
- each R e1 is independently selected from H, CN, C 1-6 alkyl, C 1-6 haloalkyl, C 1-6 alkylthio, C 1-6 alkylsulfonyl, C 1-6 alkylcarbonyl, C 1-6 alkylaminosulfonyl, carbamyl, C 1-6 alkylcarbamyl, di(C 1-6 alkyl)carbamyl, aminosulfonyl, C 1-6 alkylaminosulfonyl and di(C 1-6 alkyl)aminosulfonyl;
- each R a2 , R c2 and R d2 is independently selected from H, C 1-6 alkyl, C 2-6 alkenyl, C 2-6 alkynyl, C 1-6 haloalkyl, C 3-10 cycloalkyl, 4-10 membered heterocycloalkyl, C 6-10 aryl and 5-10 membered heteroaryl; wherein said C 1-6 alkyl, C 2-6 alkenyl, C 2-6 alkynyl, C 3-10 cycloalkyl, 4-10 membered heterocycloalkyl, C 6-10 aryl and 5-10 membered heteroaryl are each optionally substituted with 1, 2, 3, or 4 substituents independently selected from R 21 ;
- R c2 and R d2 attached to the same N atom, together with the N atom to which they are attached, form a 4-, 5-, 6- or 7-membered heterocycloalkyl group optionally substituted with 1, 2 or 3 substituents independently selected from R 21 ;
- each R b2 is independently selected from C 1-6 alkyl, C 2-6 alkenyl, C 2-6 alkynyl, C 1-6 haloalkyl, C 3-10 cycloalkyl, 4-10 membered heterocycloalkyl, C 6-10 aryl and 5-10 membered heteroaryl; wherein said C 1-6 alkyl, C 2-6 alkenyl, C 2-6 alkynyl, C 3-10 cycloalkyl, 4-10 membered heterocycloalkyl, C 6-10 aryl and 5-10 membered heteroaryl are each optionally substituted with 1, 2, 3, or 4 substituents independently selected from R 21 ;
- each R e2 is independently selected from H, CN, C 1-6 alkyl, C 1-6 haloalkyl, C 1-6 alkylthio, C 1-6 alkylsulfonyl, C 1-6 alkylcarbonyl, C 1-6 alkylaminosulfonyl, carbamyl, C 1-6 alkylcarbamyl, di(C 1-6 alkyl)carbamyl, aminosulfonyl, C 1-6 alkylaminosulfonyl and di(C 1-6 alkyl)aminosulfonyl;
- each R a3 , R c3 and R d3 is independently selected from H, C 1-6 alkyl, C 2-6 alkenyl, C 2-6 alkynyl, C 1-6 haloalkyl, C 3-6 cycloalkyl, phenyl, 5-6 membered heteroaryl and 4-7 membered heterocycloalkyl; wherein said C 1-6 alkyl C 2-6 alkenyl, C 2-6 alkynyl, C 3-6 cycloalkyl, phenyl, 5-6 membered heteroaryl and 4-7 membered heterocycloalkyl are each optionally substituted with 1, 2, 3, or 4 substituents independently selected from R 12 ;
- R c3 and R d3 attached to the same N atom, together with the N atom to which they are attached, form a 4-, 5-, 6- or 7-membered heterocycloalkyl group optionally substituted with 1, 2 or 3 substituents independently selected from R 12 ;
- each R b3 is independently selected from C 1-6 alkyl, C 2-6 alkenyl, C 2-6 alkynyl, C 1-6 haloalkyl, C 3-6 cycloalkyl, phenyl, 5-6 membered heteroaryl and 4-7 membered heterocycloalkyl; wherein said C 1-6 alkyl C 2-6 alkenyl, C 2-6 alkynyl, C 3-6 cycloalkyl, phenyl, 5-6 membered heteroaryl and 4-7 membered heterocycloalkyl, are each optionally substituted with 1, 2, 3, or 4 substituents independently selected from R 12 ;
- each R a4 , R c4 and R d4 is independently selected from H, C 1-6 alkyl, C 2-6 alkenyl, C 2-6 alkynyl, C 1-6 haloalkyl, C 3-6 cycloalkyl, phenyl, 5-6 membered heteroaryl and 4-7 membered heterocycloalkyl; wherein said C 1-6 alkyl C 2-6 alkenyl, C 2-6 alkynyl, C 3-6 cycloalkyl, phenyl, 5-6 membered heteroaryl and 4-7 membered heterocycloalkyl are each optionally substituted with 1, 2, 3, or 4 substituents independently selected from R 22 ;
- R c4 and R d4 attached to the same N atom, together with the N atom to which they are attached, form a 4-, 5-, 6- or 7-membered heterocycloalkyl group optionally substituted with 1, 2 or 3 substituents independently selected from R 22 ;
- each R b4 is independently selected from C 1-6 alkyl, C 2-6 alkenyl, C 2-6 alkynyl, C 1-6 haloalkyl, C 3-6 cycloalkyl, phenyl, 5-6 membered heteroaryl and 4-7 membered heterocycloalkyl; wherein said C 1-6 alkyl C 2-6 alkenyl, C 2-6 alkynyl, C 3-6 cycloalkyl, phenyl, 5-6 membered heteroaryl and 4-7 membered heterocycloalkyl are each optionally substituted with 1, 2, 3, or 4 substituents independently selected from R 22 ;
- each R a5 , R c5 and R d5 is independently selected from H, C 1-6 alkyl, C 2-6 alkenyl, C 2-6 alkynyl and C 1-6 haloalkyl; wherein said C 1-6 alkyl, C 2-6 alkenyl and C 2-6 alkynyl are each optionally substituted with 1, 2, 3, or 4 substituents independently selected from R g ;
- each R b5 is independently selected from C 1-6 alkyl, C 2-6 alkenyl, C 2-6 alkynyl and C 1-6 haloalkyl; wherein said C 1-6 alkyl C 2-6 alkenyl and C 2-6 alkynyl are each optionally substituted with 1, 2, 3, or 4 substituents independently selected from R g ;
- each R a6 , R c6 and R d6 is independently selected from H, C 1-6 alkyl, C 2-6 alkenyl, C 2-6 alkynyl and C 1-6 haloalkyl; wherein said C 1-6 alkyl, C 2-6 alkenyl and C 2-6 alkynyl are each optionally substituted with 1, 2, 3, or 4 substituents independently selected from R g ;
- each R b6 is independently selected from C 1-6 alkyl, C 2-6 alkenyl, C 2-6 alkynyl, and C 1-6 haloalkyl; wherein said C 1-6 alkyl, C 2-6 alkenyl and C 2-6 alkynyl are each optionally substituted with 1, 2, 3, or 4 substituents independently selected from R g ;
- each R a7 , R c7 , and R d7 is independently selected from H, C 1-6 alkyl, C 2-6 alkenyl, C 2-6 alkynyl, C 1-6 haloalkyl, C 3-10 cycloalkyl, 4-10 membered heterocycloalkyl, C 6-10 aryl and 5-10 membered heteroaryl; wherein said C 1-6 alkyl, C 2-6 alkenyl, C 2-6 alkynyl, C 3-10 cycloalkyl, 4-10 membered heterocycloalkyl, C 6-10 aryl and 5-10 membered heteroaryl, are each optionally substituted with 1, 2, 3, or 4 substituents independently selected from R 30 ;
- R c7 and R d7 attached to the same N atom, together with the N atom to which they are attached, form a 4-, 5-, 6- or 7-membered heterocycloalkyl group optionally substituted with 1, 2 or 3 substituents independently selected from R 30 ;
- each R b7 is independently selected from C 1-6 alkyl, C 2-6 alkenyl, C 2-6 alkynyl, C 1-6 haloalkyl, C 3-10 cycloalkyl, 4-10 membered heterocycloalkyl, C 6-10 aryl and 5-10 membered heteroaryl; wherein said C 1-6 alkyl, C 2-6 alkenyl, C 2-6 alkynyl, C 3-10 cycloalkyl, 4-10 membered heterocycloalkyl, C 6-10 aryl and 5-10 membered heteroaryl, are each optionally substituted with 1, 2, 3, or 4 substituents independently selected from R 30 ;
- each R a8 , R c8 and R d8 is independently selected from H, C 1-6 alkyl, C 2-6 alkenyl, C 2-6 alkynyl, C 1-6 haloalkyl, C 3-6 cycloalkyl, phenyl, 5-6 membered heteroaryl and 4-7 membered heterocycloalkyl; wherein said C 1-6 alkyl C 2-6 alkenyl, C 2-6 alkynyl, C 3-6 cycloalkyl, phenyl, 5-6 membered heteroaryl and 4-7 membered heterocycloalkyl are each optionally substituted with 1, 2, 3, or 4 substituents independently selected from R g ;
- R c8 and R d8 attached to the same N atom, together with the N atom to which they are attached, form a 4-, 5-, 6- or 7-membered heterocycloalkyl group optionally substituted with 1, 2 or 3 substituents independently selected from R g ;
- each R b8 is independently selected from C 1-6 alkyl, C 2-6 alkenyl, C 2-6 alkynyl, C 1-6 haloalkyl, C 3-6 cycloalkyl, phenyl, 5-6 membered heteroaryl and 4-7 membered heterocycloalkyl; wherein said C 1-6 alkyl C 2-6 alkenyl, C 2-6 alkynyl, C 3-6 cycloalkyl, phenyl, 5-6 membered heteroaryl and 4-7 membered heterocycloalkyl are each optionally substituted with 1, 2, 3, or 4 substituents independently selected from R g ; and
- each R g is independently selected from OH, NO 2 , CN, halo, C 1-6 alkyl, C 2-6 alkenyl, C 2-6 alkynyl, C 1-6 haloalkyl, C 3-6 cycloalkyl, C 3-6 cycloalkyl-C 1-2 alkylene, C 1-6 alkoxy, C 1-6 haloalkoxy, C 1-3 alkoxy-C 1-3 alkyl, C 1-3 alkoxy-C 1-3 alkoxy, HO—C 1-3 alkoxy, HO—C 1-3 alkyl, cyano-C 1-3 alkyl, H 2 N—C 1-3 alkyl, amino, C 1-6 alkylamino, di(C 1-6 alkyl)amino, thio, C 1-6 alkylthio, C 1-6 alkylsulfinyl, C 1-6 alkylsulfonyl, carbamyl, C 1-6 alkylcarbamyl, di(C 1-6
- R 1 is other than CH 3 ;
- R 1 is other than 2-morpholinopyridin-4-yl
- R 1 is selected from Cy 1 , C 2-6 alkenyl, C 2-6 alkynyl, C 1-6 haloalkyl, halo, CN, NO 2 , OR a , SR a , C(O)R b , C(O)NR c R d , C(O)OR a , OC(O)R b , OC(O)NR c R d , NR c R d , NR c C(O)R b , and NR c C(O)OR a ; wherein said C 2-6 alkenyl and C 2-6 alkynyl are each optionally substituted with 1, 2, 3, or 4 substituents independently selected from R 10 .
- R 1 is selected from Cy 1 , C 2-6 alkenyl, C 2-6 alkynyl, C 1-6 haloalkyl, halo, and CN; wherein said C 2-6 alkenyl and C 2-6 alkynyl are each optionally substituted with 1, 2, 3, or 4 substituents independently selected from R 10 .
- R 1 is selected from Cy 1 , C 2-6 alkenyl, and C 2-6 alkynyl; wherein said C 2-6 alkenyl and C 2-6 alkynyl are each optionally substituted with 1, 2, 3, or 4 substituents independently selected from R 10 .
- R 1 is Cy 1 .
- R 1 is selected from Cy 1 , C(O)NR c R d and NR c C(O)R b .
- R 1 is selected from phenyl, pyridinyl, pyrazolyl, thiazolyl, C(O)NR c R d and NR c C(O)R b ; wherein the phenyl, pyridinyl, pyrazolyl, and thiazolyl are each optionally substituted with 1, 2 or 3 substituents independently selected from R 10 .
- Cy 1 is selected from C 6-10 aryl and 5-10 membered heteroaryl; wherein the 5-10 membered heteroaryl has at least one ring-forming carbon atom and 1, 2, 3, or 4 ring-forming heteroatoms independently selected from N, O, and S; wherein the N and S are optionally oxidized; wherein a ring-forming carbon atom of 5-10 membered heteroaryl is optionally substituted by oxo to form a carbonyl group; and wherein the C 6-10 aryl and 5-10 membered heteroaryl are each optionally substituted with 1, 2, 3 or 4 substituents independently selected from R 10 .
- Cy 1 is selected from phenyl and 5-6 membered heteroaryl; wherein the 5-6 membered heteroaryl has at least one ring-forming carbon atom and 1, 2 or 3 ring-forming heteroatoms independently selected from N, O, and S; wherein a ring-forming carbon atom of 5-6 membered heteroaryl is optionally substituted by oxo to form a carbonyl group; and wherein the phenyl and 5-6 membered heteroaryl are each optionally substituted with 1, 2 or 3 substituents independently selected from R 10 .
- Cy 1 is phenyl, pyridinyl, pyrazolyl, or pyrimidinyl; wherein the phenyl, pyridinyl, pyrazolyl, or pyrimidinyl are each optionally substituted with 1, 2, 3 or 4 substituents independently selected from R 10 .
- Cy 1 is phenyl, pyridin-4-yl, 1H-pyrazol-4-yl, pyridin-3-yl, or pyrimidin-5-yl; wherein the phenyl, pyridin-4-yl, 1H-pyrazol-4-yl, pyridin-3-yl, or pyrimidin-5-yl are each optionally substituted with 1, 2, 3 or 4 substituents independently selected from R 10 .
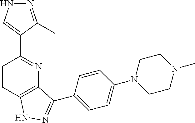
- Cy 1 is pyrazolyl (e.g., 1H-pyrazol-4-yl) optionally substituted with 1 or 2 C 1-6 alkyl (e.g., methyl). In some embodiments, Cy 1 is 1-methyl-1H-pyrazol-4-yl.
- Cy 1 is phenyl, pyridin-4-yl, or 1H-pyrazol-4-yl; wherein the phenyl, pyridin-4-yl, and 1H-pyrazol-4-yl are each optionally substituted with 1, 2, 3 or 4 substituents independently selected from R 10 .
- each R 10 is independently selected from C 1-6 alkyl, C 2-6 alkenyl, C 2-6 alkynyl, C 1-6 haloalkyl, C 3-10 cycloalkyl, 4-10 membered heterocycloalkyl, C 6-10 aryl, 5-10 membered heteroaryl, halo, CN, NO 2 , OR a1 , SR a1 , C(O)R b1 , C(O)NR c1 R d1 , C(O)OR a1 , OC(O)R b1 , OC(O)NR c1 R d1 , NR c1 R d1 , NR c1 C(O)R b1 , NR c1 C(O)OR a1 , NR c1 S(O)R b1 , NR c1 S(O) 2 R b1 , NR c1 S(O) 2 NR c1
- each R 10 is independently selected from C 1-6 alkyl, C 2-6 alkenyl, C 2-6 alkynyl, C 1-6 haloalkyl, C 3-10 cycloalkyl, 4-10 membered heterocycloalkyl, C 6-10 aryl, 5-10 membered heteroaryl, halo, CN, OR a1 , SR a1 , C(O)R b1 , C(O)NR c1 R d1 , C(O)OR a1 , NR c1 R d1 , and NR c1 C(O)R b1 ; wherein said C 1-6 alkyl, C 2-6 alkenyl, C 2-6 alkynyl, C 3-10 cycloalkyl, 4-10 membered heterocycloalkyl, C 6-10 aryl, and 5-10 membered heteroaryl are each optionally substituted with 1, 2, 3, or 4 substituents independently selected from R 11 .
- each R 10 is independently selected from C 1-6 alkyl, 4-10 membered heterocycloalkyl, C(O)R b1 , and C(O)NR c1 R d1 ; wherein said C 1-6 alkyl and 4-10 membered heterocycloalkyl are each optionally substituted with 1, 2, 3, or 4 substituents independently selected from R 11 .
- each R 10 is independently selected from C 1-6 alkyl, piperazinyl, piperidinyl, morpholinyl, C(O)R b1 , and C(O)NR c1 R d1 ; wherein said C 1-6 alkyl, piperazinyl, and piperidinyl are each optionally substituted with 1, 2, 3, or 4 substituents independently selected from R 11 .
- R 10 is morpholinyl optionally substituted with 1, 2, 3, or 4 substituents independently selected from R 11 .
- R 1 is 2-morpholinopyrimidin-5-yl.
- each R 10 is independently selected from C 1-6 alkyl, piperazinyl, piperidinyl, C(O)R b1 , and C(O)NR c1 R d1 ; wherein said C 1-6 alkyl, piperazinyl, and piperidinyl are each optionally substituted with 1, 2, 3, or 4 substituents independently selected from R 11 .
- each R 11 is independently selected from C 1-6 alkyl, C 2-6 alkenyl, C 2-6 alkynyl, C 1-6 haloalkyl, C 3-10 cycloalkyl, 4-10 membered heterocycloalkyl, C 6-10 aryl, 5-10 membered heteroaryl, halo, CN, OR a3 , SR a3 , C(O)R b3 , C(O)NR c3 R d3 , C(O)OR a3 , S(O)R b3 , S(O)NR c3 R d3 , S(O) 2 R b3 , and S(O) 2 NR c3 R d3 ; wherein said C 1-6 alkyl, C 2-6 alkenyl, C 2-6 alkynyl, C 3-10 cycloalkyl, 4-10 membered heterocycloalkyl, C 6-10 aryl, and 5-10 membered heteroaryl
- each R 11 is independently selected from C 1-6 alkyl, C 2-6 alkenyl, C 2-6 alkynyl, C 1-6 haloalkyl, halo, OR a3 , C(O)R b3 , and S(O) 2 R b3 ; wherein said C 1-6 alkyl, C 2-6 alkenyl, and C 2-6 alkynyl are each optionally substituted with 1, 2, 3, or 4 substituents independently selected from R 12 .
- each R 11 is independently selected from C 1-6 alkyl, C 2-6 alkenyl, C 2-6 alkynyl, C 1-6 haloalkyl, halo, C(O)R b3 , and S(O) 2 R b3 ; wherein said C 1-6 alkyl, C 2 -6 alkenyl, and C 2-6 alkynyl are each optionally substituted with 1, 2, 3, or 4 substituents independently selected from R 12 .
- each R 11 is independently selected from C 1-6 alkyl, OR a3 C(O)R b3 , and S(O) 2 R b3 .
- each R 11 is independently selected from C 1-6 alkyl, C(O)R b3 , and S(O) 2 R b3 .
- each R 10 is independently selected from 4-methylpiperazin-1-yl, N-methylaminocarbonyl, methyl, N-(1-methylpiperidin-4-yl)aminocarbonyl, (4-methylpiperazin-1-yl)carbonyl, N-phenylaminocarbonyl, piperidin-4-yl, 1-(methylsulfonyl)piperidin-4-yl, 1-acetyl-piperidin-4-yl, morpholinyl, 4-ethylpiperazin-1-yl, or 2-hydroxypropan-2-yl.
- each R 10 is independently selected from 4-methylpiperazin-1-yl, N-methylaminocarbonyl, methyl, N-(1-methylpiperidin-4-yl)aminocarbonyl, (4-methylpiperazin-1-yl)carbonyl, N-phenylaminocarbonyl, piperidin-4-yl, 1-(methylsulfonyl)piperidin-4-yl, and 1-acetyl-piperidin-4-yl.
- Cy A is C 6-10 aryl optionally substituted with 1, 2, 3 or 4 substituents independently selected from R 20 .
- Cy A is 5-10 membered heteroaryl; wherein the 5-10 membered heteroaryl has at least one ring-forming carbon atom and 1, 2, 3, or 4 ring-forming heteroatoms independently selected from N, O, and S; wherein the N and S are optionally oxidized; wherein a ring-forming carbon atom of the 5-10 membered heteroaryl is optionally substituted by oxo to form a carbonyl group; and wherein the 5-10 membered heteroaryl is optionally substituted with 1, 2, 3 or 4 substituents independently selected from R 20 .
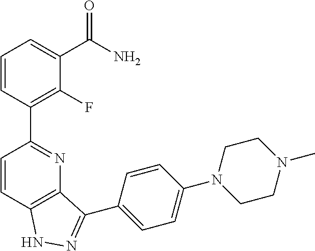
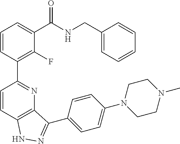
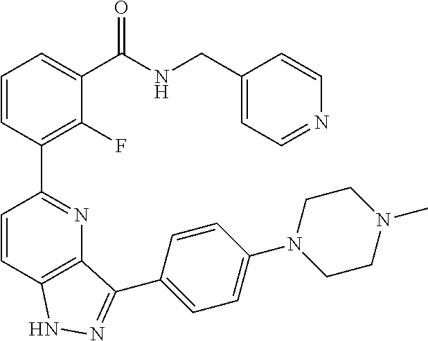
- Cy A is phenyl, 1H-indazol-4-yl, pyridin-3-yl, pyridin-4-yl, pyrimidin-5-yl, 1H-pyrazolo[4,3-b]pyridin-6-yl, pyridin-2(1H)-on-5-yl, 3H-imidazo[4,5-b]pyridin-6-yl, pyrido[3,2-b]pyrazin-7-yl, oxazolo[5,4-c]pyridin-7-yl, 1H-pyrazol-4-yl, pyrazolo[1,5-a]pyridin-3-yl, quinolin-5-yl, isoquinolin-4-yl, 1H-indol-4-yl, and imidazo[1,2-a]pyridin-8-yl, each of which is optionally substituted with 1, 2, 3 or 4 substituents independently selected from R 20 .
- Cy A is phenyl optionally substituted with 1, 2, 3 or 4 substituents independently selected from R 20 ; wherein optionally two adjacent R 20 substituents on the Cy A ring, taken together with the atoms to which they are attached, form a fused 5- or 6-membered heterocycloalkyl ring, or a fused C 4-6 cycloalkyl ring; wherein the fused 5- or 6-membered heterocycloalkyl ring each has at least one ring-forming carbon atom and 1, 2 or 3 ring-forming heteroatoms independently selected from N, O, and S; wherein a ring-forming carbon atom of each fused 5- or 6-membered heterocycloalkyl ring is optionally substituted by oxo to form a carbonyl group; and wherein the fused 5- or 6-membered heterocycloalkyl ring and fused C 4-6 cycloalkyl ring are each optionally substituted with 1, 2 or 3 substituents independently selected from R 21 ;
- Cy A is phenyl optionally substituted with 1, 2, 3 or 4 substituents independently selected from R 20 . In some embodiments, Cy A is phenyl substituted with 1, 2, or 3 substituents independently selected from C 1-6 alkyl or halo, wherein said C 1-6 alkyl is each optionally substituted NR c4 R d4 . In some embodiments, Cy A is phenyl substituted with methyl, fluoro, or methylaminomethyl.
- each R 20 is independently selected from C 1-6 alkyl, C 2-6 alkenyl, C 2-6 alkynyl, C 1-6 haloalkyl, C 3-10 cycloalkyl, 4-10 membered heterocycloalkyl, C 6-10 aryl, 5-10 membered heteroaryl, halo, CN, NO 2 , OR a2 , SR a2 , C(O)R b2 , C(O)NR c2 R d2 , C(O)OR a2 , OC(O)R b2 , OC(O)NR c2 R d2 , NR c2 R d2 , NR c2 C(O)R b2 , NR c2 C(O)OR a2 , NR c2 S(O)R b2 , NR c2 S(O) 2 R b2 , S(O)R b2 , S(O)NR b2
- each fused 4-, 5-, 6- or 7-membered heterocycloalkyl ring has at least one ring-forming carbon atom and 1, 2, 3, or 4 ring-forming heteroatoms independently selected from N, O, and S; wherein a ring-forming carbon atom of each fused 4-, 5-, 6- or 7-membered heterocycloalkyl ring is optionally substituted by oxo to form a carbonyl group; and wherein the fused 4-, 5-, 6- or 7-membered heterocycloalkyl ring and fused C 3-6 cycloalkyl ring are each optionally substituted with 1, 2, 3 or 4 substituents independently selected from R 21 .
- each R 20 is independently selected from C 1-6 alkyl, C 2-6 alkenyl, C 2-6 alkynyl, C 1-6 haloalkyl, C 6-10 aryl, 5-10 membered heteroaryl, halo, CN, OR a2 , SR a2 , C(O)R b2 , C(O)NR c2 R d2 , C(O)OR a2 , NR c2 R d2 , NR c2 C(O)R b2 , NR c2 C(O)OR a2 , NR c2 S(O)R b2 , NR c2 S(O) 2 R b2 , S(O)R b2 , S(O)NR c2 R d2 , S(O) 2 R b2 , and S(O) 2 NR c2 R d2 ; wherein said C 1-6 alkyl, C 2-6 alkenyl, C
- each fused 4-, 5-, 6- or 7-membered heterocycloalkyl ring has at least one ring-forming carbon atom and 1, 2, 3, or 4 ring-forming heteroatoms independently selected from N, O, and S; wherein a ring-forming carbon atom of each fused 4-, 5-, 6- or 7-membered heterocycloalkyl ring is optionally substituted by oxo to form a carbonyl group; and wherein the fused 4-, 5-, 6- or 7-membered heterocycloalkyl ring and fused C 3-6 cycloalkyl ring are each optionally substituted with 1, 2, 3 or 4 substituents independently selected from R 21 .
- each R 20 is independently selected from C 1-6 alkyl, C 1-6 haloalkyl, C 6-10 aryl, 5-10 membered heteroaryl, halo, CN, OR a2 , C(O)NR c2 R d2 , C(O)OR a2 , NR c2 R d2 , NR c2 C(O)R b2 , and NR c2 S(O) 2 R b2 ; wherein said C 1-6 alkyl, C 6-10 aryl, and 5-10 membered heteroaryl are each optionally substituted with 1, 2, 3, or 4 substituents independently selected from R 21 ;
- each fused 4-, 5-, 6- or 7-membered heterocycloalkyl ring has at least one ring-forming carbon atom and 1, 2, 3, or 4 ring-forming heteroatoms independently selected from N, O, and S; wherein a ring-forming carbon atom of each fused 4-, 5-, 6- or 7-membered heterocycloalkyl ring is optionally substituted by oxo to form a carbonyl group; and wherein the fused 4-, 5-, 6- or 7-membered heterocycloalkyl ring and fused C 3-6 cycloalkyl ring are each optionally substituted with 1, 2, 3 or 4 substituents independently selected from R 21 .
- each R 20 is independently selected from methoxy, methyl, fluoro, trifluoromethyl, amino, methoxy, hydroxymethyl, ethoxycarbonyl, methanesulfonamino, hydroxyl, N-methylaminocarbonyl, dimethylamino, cyano, methoxycarbonyl, acetylamino, phenyl, 2-oxazolyl, tert-butyl, aminocarbonyl, N-benzylaminocarbonyl, N-(pyridin-4-ylmethyl)aminocarbonyl, ethyl, methylaminomethyl;
- each fused 5- or 6-membered heterocycloalkyl ring has at least one ring-forming carbon atom and 1 or 2 ring-forming heteroatoms independently selected from N and O; wherein a ring-forming carbon atom of each fused 5- or 6-membered heterocycloalkyl ring is optionally substituted by oxo to form a carbonyl group; and wherein the fused 5- or 6-membered heterocycloalkyl ring and fused C 5 cycloalkyl ring are each optionally substituted with 1 or 2 substituents independently selected from amino, methylamino, 2-hydroxyethylamino, and N-benzylamino.
- each R 20 is independently selected from methoxy, methyl, fluoro, trifluoromethyl, amino, methoxy, hydroxymethyl, ethoxycarbonyl, methanesulfonamino, hydroxyl, N-methylaminocarbonyl, dimethylamino, cyano, methoxycarbonyl, acetylamino, phenyl, 2-oxazolyl, tert-butyl, aminocarbonyl, N-benzylaminocarbonyl, N-(pyridin-4-ylmethyl)aminocarbonyl, and ethyl;
- each fused 5- or 6-membered heterocycloalkyl ring has at least one ring-forming carbon atom and 1 or 2 ring-forming heteroatoms independently selected from N and O; wherein a ring-forming carbon atom of each fused 5- or 6-membered heterocycloalkyl ring is optionally substituted by oxo to form a carbonyl group; and wherein the fused 5- or 6-membered heterocycloalkyl ring and fused C 5 cycloalkyl ring are each optionally substituted with 1 or 2 substituents independently selected from amino, methylamino, 2-hydroxyethylamino, and N-benzylamino.
- R 2 is selected from H, C 1-6 alkyl, C 2-6 alkenyl, C 2-6 alkynyl, C 1 -6 haloalkyl, halo, CN, OR a7 , SR a7 , C(O)R b7 , C(O)NR c7 R d7 , C(O)OR a7 , NR c7 R d7 , NR c7 C(O)R b7 , S(O)R b7 , S(O)NR c7 R d7 , S(O) 2 R b7 , and S(O) 2 NR c7 R d7 ; wherein said C 1-6 alkyl, C 2-6 alkenyl, and C 2-6 alkynyl are each optionally substituted with 1, 2, 3, or 4 substituents independently selected from R 30 .
- R 2 is selected from H, C 1-6 alkyl, C 2-6 alkenyl, C 2-6 alkynyl, C 1-6 haloalkyl, halo, and CN; wherein said C 1-6 alkyl, C 2-6 alkenyl, and C 2-6 alkynyl are each optionally substituted with 1, 2, 3, or 4 substituents independently selected from R 30 .
- R 2 is H, C 1-6 alkyl, or CN.
- R 2 is H or C 1-6 alkyl.
- R 2 is H. In some embodiments, R 2 is CN.
- n 1, 2, 3, or 4.
- n 1, 2, 3, or 4 and y is 1, 2, 3, or 4.
- n 1
- n is 2.
- n 3.
- m is 1.
- n is 2.
- y is 1.
- y is 2.
- y is 3.
- Cy A is phenyl substituted with 1, 2, or 3 substitutents selected from C 1-6 alkyl and halo, wherein said C 1-6 alkyl is optionally substituted with NR c4 R d4 ;
- R 2 is H or CN
- Cy 1 is 5-6 membered heteroaryl optionally substituted with C 1-6 alkyl or halo; and each of R c4 and R d4 is H or C 1-6 alkyl.
- R 1 is selected from Cy 1 , C 2-6 alkenyl, C 2-6 alkynyl, C 1-6 haloalkyl, halo, CN, NO 2 , OR a , SR a , C(O)R b , C(O)NR c R d , C(O)OR a , OC(O)R b , OC(O)NR c R d , NR c R d , NR c C(O)R b , NR c C(O)OR a , NR c C(O)NR c R d , C( ⁇ NR e )R b , C( ⁇ NOR a )R b , C( ⁇ NR e )NR c R d , NR c C( ⁇ NR e )NR c R d , NR c S(O)R b , NR c S(O) 2 R b , NR
- Cy 1 is selected from C 3-10 cycloalkyl, 4-10 membered heterocycloalkyl, C 6-10 aryl and 5-10 membered heteroaryl; wherein each 4-10 membered heterocycloalkyl and 5-10 membered heteroaryl has at least one ring-forming carbon atom and 1, 2, 3, or 4 ring-forming heteroatoms independently selected from N, O, and S; wherein the N and S are optionally oxidized; wherein a ring-forming carbon atom of 5-10 membered heteroaryl and 4-10 membered heterocycloalkyl is optionally substituted by oxo to form a carbonyl group; and wherein the C 3-10 cycloalkyl, 4-10 membered heterocycloalkyl, C 6-10 aryl and 5-10 membered heteroaryl are each optionally substituted with 1, 2, 3 or 4 substituents independently selected from R 10 ;
- Cy A is selected from C 6-10 aryl and 5-10 membered heteroaryl; wherein the 5-membered heteroaryl has at least one ring-forming carbon atom and 1 or 2 ring-forming heteroatoms independently selected from N, O, and S and the 6-10 membered heteroaryl has at least one ring-forming carbon atom and 1, 2, 3, or 4 ring-forming heteroatoms independently selected from N, O, and S; wherein the N and S are optionally oxidized; wherein a ring-forming carbon atom of the 5-10 membered heteroaryl is optionally substituted by oxo to form a carbonyl group; and wherein the C 6-10 aryl and 5-10 membered heteroaryl are each optionally substituted with 1, 2, 3 or 4 substituents independently selected from R 20 ;
- R 2 is selected from H, C 1-6 alkyl, C 2-6 alkenyl, C 2-6 alkynyl, C 1-6 haloalkyl, C 3-10 cycloalkyl, 4-10 membered heterocycloalkyl, C 6-10 aryl, 5-10 membered heteroaryl, C 3-10 cycloalkyl-C 1-3 alkylene, 4-10 membered heterocycloalkyl-C 1-3 alkylene, C 6-10 aryl-C 1-3 alkylene, 5-10 membered heteroaryl-C 1-3 alkylene, halo, CN, OR a7 , SR a7 , C(O)R b7 , C(O)NR c7 R d7 , C(O)OR a7 , NR c7 R d7 , NR c7 C(O)R b7 , NR c7 C(O)OR a7 , NR c7 S(O)R b7
- each R 10 is independently selected from C 1-6 alkyl, C 2-6 alkenyl, C 2-6 alkynyl, C 1-6 haloalkyl, C 3-10 cycloalkyl, piperazinyl, piperidinyl, C 6-10 aryl, 5-10 membered heteroaryl, C 3-10 cycloalkyl-C 1-3 alkylene, 4-10 membered heterocycloalkyl-C 1-3 alkylene, C 6-10 aryl-C 1-3 alkylene, 5-10 membered heteroaryl-C 1-3 alkylene, halo, CN, NO 2 , OR a1 , SR a1 , C(O)R b1 C(O)NR c1 R d1 , C(O)OR a1 , OC(O)R b1 , OC(O)NR c1 R d1 , NR c1 R d1 , NR c1 C(O)R b1 ,
- each spiro 3-7-membered heterocycloalkyl ring has at least one ring-forming carbon atom and 1, 2 or 3 ring-forming heteroatoms independently selected from N, O, and S; wherein a ring-forming carbon atom of each spiro 3-7-membered heterocycloalkyl ring is optionally substituted by oxo to form a carbonyl group; and wherein the spiro 3-7-membered heterocycloalkyl ring and spiro C 3-6 cycloalkyl ring are each optionally substituted with 1, 2, 3 or 4 substituents independently selected from R 11 ;
- each R 11 is independently selected from C 1-6 alkyl, C 2-6 alkenyl, C 2-6 alkynyl, C 1-6 haloalkyl, C 3-10 cycloalkyl, 4-10 membered heterocycloalkyl, C 6-10 aryl, 5-10 membered heteroaryl, C 3-10 cycloalkyl-C 1-3 alkylene, 4-10 membered heterocycloalkyl-C 1-3 alkylene, C 6-10 aryl-C 1-3 alkylene, 5-10 membered heteroaryl-C 1-3 alkylene, halo, CN, OR a3 , SR a3 , C(O)R b3 C(O)NR c3 R d3 , C(O)OR a3 , NR c3 R d3 , NR c3 C(O)R b3 , NR c3 C(O)OR a3 , NR c3 S(O)R b3 NR
- each R 12 is independently selected from C 1-6 alkyl, C 2-6 alkenyl, C 2-6 alkynyl, C 1-6 haloalkyl, C 3-6 cycloalkyl, C 6-10 aryl, 5-10 membered heteroaryl, 4-7 membered heterocycloalkyl, halo, CN, OR a5 , SR a5 , C(O)R b5 , C(O)NR c5 R d5 , C(O)OR a8 , NR c5 R d5 NR c5 C(O)R b5 , NR c5 C(O)OR a5 , NR c5 S(O)R b5 , NR c5 S(O) 2 R b5 , NR c5 S(O) 2 NR c5 R d5 , S(O)R b5 S(O)NR c5 R d5 , S(O)R b5
- each R 20 is independently selected from C 1-6 alkyl, C 2-6 alkenyl, C 2-6 alkynyl, C 1-6 haloalkyl, C 3-10 cycloalkyl, 4-10 membered heterocycloalkyl, C 6-10 aryl, 5-10 membered heteroaryl, C 3-10 cycloalkyl-C 1-3 alkylene, 4-10 membered heterocycloalkyl-C 1-3 alkylene, C 6-10 aryl-C 1-3 alkylene, 5-10 membered heteroaryl-C 1-3 alkylene, halo, CN, NO 2 , OR a2 , SR a2 , C(O)R b2 , C(O)NR c2 R d2 , C(O)OR a2 , OC(O)R b2 , OC(O)NR c2 R d2 , NR c2 R d2 , NR c2 C(O)R b2
- each fused 4-, 5-, 6- or 7-membered heterocycloalkyl ring has at least one ring-forming carbon atom and 1, 2, 3, or 4 ring-forming heteroatoms independently selected from N, O, and S; wherein a ring-forming carbon atom of each fused 4-, 5-, 6- or 7-membered heterocycloalkyl ring is optionally substituted by oxo to form a carbonyl group; and wherein the fused 4-, 5-, 6- or 7-membered heterocycloalkyl ring and fused C 3-6 cycloalkyl ring are each optionally substituted with 1, 2, 3 or 4 substituents independently selected from R 21 ;
- each R 21 is independently selected from C 1-6 alkyl, C 2-6 alkenyl, C 2-6 alkynyl, C 1-6 haloalkyl, C 3-10 cycloalkyl, 4-10 membered heterocycloalkyl, C 6-10 aryl, 5-10 membered heteroaryl, C 3-10 cycloalkyl-C 1-3 alkylene, 4-10 membered heterocycloalkyl-C 1-3 alkylene, C 6-10 aryl-C 1-3 alkylene, 5-10 membered heteroaryl-C 1-3 alkylene, halo, CN, OR a4 , SR a4 , C(O)R b4 , C(O)NR c4 R d4 , C(O)OR a4 , NR c4 R d4 , NR c4 C(O)R b4 , NR c4 C(O)OR a4 , NR c4 S(O)R b4
- each spiro 3-7-membered heterocycloalkyl ring has at least one ring-forming carbon atom and 1, 2 or 3 ring-forming heteroatoms independently selected from N, O, and S; wherein a ring-forming carbon atom of each spiro 3-7-membered heterocycloalkyl ring is optionally substituted by oxo to form a carbonyl group; and wherein the spiro 3-7 membered heterocycloalkyl ring and spiro C 3-6 cycloalkyl ring are each optionally substituted with 1, 2, 3 or 4 substituents independently selected from R 22 ;
- each R 22 is independently selected from C 1-6 alkyl, C 2-6 alkenyl, C 2-6 alkynyl, C 1-6 haloalkyl, C 3-6 cycloalkyl, phenyl, 5-6 membered heteroaryl, 4-7 membered heterocycloalkyl, halo, CN, OR a6 , SR a6 , C(O)R b6 , C(O)NR c6 R d6 , C(O)OR a6 , NR c6 R d6 , NR c6 C(O)R b6 , NR c6 C(O)OR a6 , NR c6 S(O)R b6 , NR c6 S(O) 2 R b6 , NR c6 S(O) 2 NR c6 R d6 , S(O)R b6 , S(O)NR c6 R d6 S(O) 2 R b
- each R 30 is independently selected from C 1-6 alkyl, C 2-6 alkenyl, C 2-6 alkynyl, C 1-6 haloalkyl, C 3-6 cycloalkyl, phenyl, 5-6 membered heteroaryl, 4-7 membered heterocycloalkyl, halo, CN, OR a8 , SR a8 , C(O)R b8 , C(O)NR c8 R d8 , C(O)OR a8 , NR c8 R d8 , NR c8 C(O)R b8 , NR c8 C(O)OR a8 , NR c8 S(O)R b8 , NR c8 S(O) 2 R b8 , NR c8 S(O) 2 NR c8 R d8 , S(O)R b8 , S(O)NR c8 R d8 , S(O)R
- each R a and R c is independently selected from H, C 1-6 alkyl, C 2-6 alkenyl, C 2-6 alkynyl, C 1-6 haloalkyl, C 3-10 cycloalkyl, 4-10 membered heterocycloalkyl, C 6-10 aryl and 5-10 membered heteroaryl; wherein said C 1-6 alkyl, C 2-6 alkenyl, C 2-6 alkynyl, C 3-10 cycloalkyl, 4-10 membered heterocycloalkyl, C 6-10 aryl and 5-10 membered heteroaryl, are each optionally substituted with 1, 2, 3, or 4 substituents independently selected from R 10 ;
- each R d is independently selected from C 1-6 alkyl, C 2-6 alkenyl, C 2-6 alkynyl, C 1-6 haloalkyl, C 3-10 cycloalkyl, 4-10 membered heterocycloalkyl, C 6-10 aryl and 5-10 membered heteroaryl; wherein said C 1-6 alkyl, C 2-6 alkenyl, C 2-6 alkynyl, C 3-10 cycloalkyl, 4-10 membered heterocycloalkyl, C 6-10 aryl and 5-10 membered heteroaryl, are each optionally substituted with 1, 2, 3, or 4 substituents independently selected from R 10 ;
- R c and R d attached to the same N atom, together with the N atom to which they are attached, form a 4-, 5-, 6- or 7-membered heterocycloalkyl group optionally substituted with 1, 2, 3, or 4 substituents independently selected from R 10 ;
- each R b is independently selected from C 1-6 alkyl, C 2-6 alkenyl, C 2-6 alkynyl, C 1-6 haloalkyl, C 3-10 cycloalkyl, 4-10 membered heterocycloalkyl, C 6-10 aryl and 5-10 membered heteroaryl; wherein said C 1-6 alkyl, C 2-6 alkenyl, C 2-6 alkynyl, C 3-10 cycloalkyl, 4-10 membered heterocycloalkyl, C 6-10 aryl and 5-10 membered heteroaryl, are each optionally substituted with 1, 2, 3, or 4 substituents independently selected from R 10 ;
- each R e is independently selected from H, CN, C 1-6 alkyl, C 1-6 haloalkyl, C 1-6 alkylthio, C 1-6 alkylsulfonyl, C 1-6 alkylcarbonyl, C 1-6 alkylaminosulfonyl, carbamyl, C 1-6 alkylcarbamyl, di(C 1-6 alkyl)carbamyl, aminosulfonyl, C 1-6 alkylaminosulfonyl and di(C 1-6 alkyl)aminosulfonyl;
- each R a1 , R c1 and R d1 is independently selected from H, C 1-6 alkyl, C 2-6 alkenyl, C 2-6 alkynyl, C 1-6 haloalkyl, C 3-10 cycloalkyl, 4-10 membered heterocycloalkyl, C 6-10 aryl and 5-10 membered heteroaryl; wherein said C 1-6 alkyl, C 2-6 alkenyl, C 2-6 alkynyl, C 3-10 cycloalkyl, 4-10 membered heterocycloalkyl, C 6-10 aryl and 5-10 membered heteroaryl, are each optionally substituted with 1, 2, 3, or 4 substituents independently selected from R 11 ;
- R c1 and R d1 attached to the same N atom, together with the N atom to which they are attached, form a 4-, 5-, 6- or 7-membered heterocycloalkyl group optionally substituted with 1, 2, 3, or 4 substituents independently selected from R 11 ;
- each R b1 is independently selected from C 1-6 alkyl, C 2-6 alkenyl, C 2-6 alkynyl, C 1-6 haloalkyl, C 3-10 cycloalkyl, 4-10 membered heterocycloalkyl, C 6-10 aryl and 5-10 membered heteroaryl; wherein said C 1-6 alkyl, C 2-6 alkenyl, C 2-6 alkynyl, C 3-10 cycloalkyl, 4-10 membered heterocycloalkyl, C 6-10 aryl and 5-10 membered heteroaryl, are each optionally substituted with 1, 2, 3, or 4 substituents independently selected from R 11 ;
- each R e1 is independently selected from H, CN, C 1-6 alkyl, C 1-6 haloalkyl, C 1-6 alkylthio, C 1-6 alkylsulfonyl, C 1-6 alkylcarbonyl, C 1-6 alkylaminosulfonyl, carbamyl, C 1-6 alkylcarbamyl, di(C 1-6 alkyl)carbamyl, aminosulfonyl, C 1-6 alkylaminosulfonyl and di(C 1-6 alkyl)aminosulfonyl;
- each R a2 , R c2 and R d2 is independently selected from H, C 1-6 alkyl, C 2-6 alkenyl, C 2-6 alkynyl, C 1-6 haloalkyl, C 3-10 cycloalkyl, 4-10 membered heterocycloalkyl, C 6-10 aryl and 5-10 membered heteroaryl; wherein said C 1-6 alkyl, C 2-6 alkenyl, C 2-6 alkynyl, C 3-10 cycloalkyl, 4-10 membered heterocycloalkyl, C 6-10 aryl and 5-10 membered heteroaryl are each optionally substituted with 1, 2, 3, or 4 substituents independently selected from R 21 ;
- R c2 and R d2 attached to the same N atom, together with the N atom to which they are attached, form a 4-, 5-, 6- or 7-membered heterocycloalkyl group optionally substituted with 1, 2 or 3 substituents independently selected from R 21 ;
- each R b2 is independently selected from C 1-6 alkyl, C 2-6 alkenyl, C 2-6 alkynyl, C 1-6 haloalkyl, C 3-10 cycloalkyl, 4-10 membered heterocycloalkyl, C 6-10 aryl and 5-10 membered heteroaryl; wherein said C 1-6 alkyl, C 2-6 alkenyl, C 2-6 alkynyl, C 3-10 cycloalkyl, 4-10 membered heterocycloalkyl, C 6-10 aryl and 5-10 membered heteroaryl are each optionally substituted with 1, 2, 3, or 4 substituents independently selected from R 21 ;
- each R e2 is independently selected from H, CN, C 1-6 alkyl, C 1-6 haloalkyl, C 1-6 alkylthio, C 1-6 alkylsulfonyl, C 1-6 alkylcarbonyl, C 1-6 alkylaminosulfonyl, carbamyl, C 1-6 alkylcarbamyl, di(C 1-6 alkyl)carbamyl, aminosulfonyl, C 1-6 alkylaminosulfonyl and di(C 1-6 alkyl)aminosulfonyl;
- each R a3 , R c3 and R d3 is independently selected from H, C 1-6 alkyl, C 2-6 alkenyl, C 2-6 alkynyl, C 1-6 haloalkyl, C 3-6 cycloalkyl, phenyl, 5-6 membered heteroaryl and 4-7 membered heterocycloalkyl; wherein said C 1-6 alkyl C 2-6 alkenyl, C 2-6 alkynyl, C 3-6 cycloalkyl, phenyl, 5-6 membered heteroaryl and 4-7 membered heterocycloalkyl are each optionally substituted with 1, 2, 3, or 4 substituents independently selected from R 12 ;
- R c3 and R d3 attached to the same N atom, together with the N atom to which they are attached, form a 4-, 5-, 6- or 7-membered heterocycloalkyl group optionally substituted with 1, 2 or 3 substituents independently selected from R 12 ;
- each R b3 is independently selected from C 1-6 alkyl, C 2-6 alkenyl, C 2-6 alkynyl, C 1-6 haloalkyl, C 3-6 cycloalkyl, phenyl, 5-6 membered heteroaryl and 4-7 membered heterocycloalkyl; wherein said C 1-6 alkyl C 2-6 alkenyl, C 2-6 alkynyl, C 3-6 cycloalkyl, phenyl, 5-6 membered heteroaryl and 4-7 membered heterocycloalkyl, are each optionally substituted with 1, 2, 3, or 4 substituents independently selected from R 12 ;
- each R a4 , R c4 and R d4 is independently selected from H, C 1-6 alkyl, C 2-6 alkenyl, C 2-6 alkynyl, C 1-6 haloalkyl, C 3-6 cycloalkyl, phenyl, 5-6 membered heteroaryl and 4-7 membered heterocycloalkyl; wherein said C 1-6 alkyl C 2-6 alkenyl, C 2-6 alkynyl, C 3-6 cycloalkyl, phenyl, 5-6 membered heteroaryl and 4-7 membered heterocycloalkyl are each optionally substituted with 1, 2, 3, or 4 substituents independently selected from R 22 ;
- R c4 and R d4 attached to the same N atom, together with the N atom to which they are attached, form a 4-, 5-, 6- or 7-membered heterocycloalkyl group optionally substituted with 1, 2 or 3 substituents independently selected from R 22 ;
- each R b4 is independently selected from C 1-6 alkyl, C 2-6 alkenyl, C 2-6 alkynyl, C 1-6 haloalkyl, C 3-6 cycloalkyl, phenyl, 5-6 membered heteroaryl and 4-7 membered heterocycloalkyl; wherein said C 1-6 alkyl C 2-6 alkenyl, C 2-6 alkynyl, C 3-6 cycloalkyl, phenyl, 5-6 membered heteroaryl and 4-7 membered heterocycloalkyl are each optionally substituted with 1, 2, 3, or 4 substituents independently selected from R 22 ;
- each R a5 , R c5 and R d5 is independently selected from H, C 1-6 alkyl, C 2-6 alkenyl, C 2-6 alkynyl and C 1-6 haloalkyl; wherein said C 1-6 alkyl, C 2-6 alkenyl and C 2-6 alkynyl are each optionally substituted with 1, 2, 3, or 4 substituents independently selected from R g ;
- each R b5 is independently selected from C 1-6 alkyl, C 2-6 alkenyl, C 2-6 alkynyl and C 1-6 haloalkyl; wherein said C 1-6 alkyl C 2-6 alkenyl and C 2-6 alkynyl are each optionally substituted with 1, 2, 3, or 4 substituents independently selected from R g ;
- each R a6 , R c6 and R d6 is independently selected from H, C 1-6 alkyl, C 2-6 alkenyl, C 2-6 alkynyl and C 1-6 haloalkyl; wherein said C 1-6 alkyl, C 2-6 alkenyl and C 2-6 alkynyl are each optionally substituted with 1, 2, 3, or 4 substituents independently selected from R g ;
- each R b6 is independently selected from C 1-6 alkyl, C 2-6 alkenyl, C 2-6 alkynyl, and C 1-6 haloalkyl; wherein said C 1-6 alkyl, C 2-6 alkenyl and C 2-6 alkynyl are each optionally substituted with 1, 2, 3, or 4 substituents independently selected from R g ;
- each R a7 , R c7 , and R d7 is independently selected from H, C 1-6 alkyl, C 2-6 alkenyl, C 2-6 alkynyl, C 1-6 haloalkyl, C 3-10 cycloalkyl, 4-10 membered heterocycloalkyl, C 6-10 aryl and 5-10 membered heteroaryl; wherein said C 1-6 alkyl, C 2-6 alkenyl, C 2-6 alkynyl, C 3-10 cycloalkyl, 4-10 membered heterocycloalkyl, C 6-10 aryl and 5-10 membered heteroaryl, are each optionally substituted with 1, 2, 3, or 4 substituents independently selected from R 30 ;
- R c7 and R d7 attached to the same N atom, together with the N atom to which they are attached, form a 4-, 5-, 6- or 7-membered heterocycloalkyl group optionally substituted with 1, 2 or 3 substituents independently selected from R 30 ;
- each R b7 is independently selected from C 1-6 alkyl, C 2-6 alkenyl, C 2-6 alkynyl, C 1-6 haloalkyl, C 3-10 cycloalkyl, 4-10 membered heterocycloalkyl, C 6-10 aryl and 5-10 membered heteroaryl; wherein said C 1-6 alkyl, C 2-6 alkenyl, C 2-6 alkynyl, C 3-10 cycloalkyl, 4-10 membered heterocycloalkyl, C 6-10 aryl and 5-10 membered heteroaryl, are each optionally substituted with 1, 2, 3, or 4 substituents independently selected from R 30 ;
- each R a8 , R c8 and R d8 is independently selected from H, C 1-6 alkyl, C 2-6 alkenyl, C 2-6 alkynyl, C 1-6 haloalkyl, C 3-6 cycloalkyl, phenyl, 5-6 membered heteroaryl and 4-7 membered heterocycloalkyl; wherein said C 1-6 alkyl C 2-6 alkenyl, C 2-6 alkynyl, C 3-6 cycloalkyl, phenyl, 5-6 membered heteroaryl and 4-7 membered heterocycloalkyl are each optionally substituted with 1, 2, 3, or 4 substituents independently selected from R g ;
- R c8 and R d8 attached to the same N atom, together with the N atom to which they are attached, form a 4-, 5-, 6- or 7-membered heterocycloalkyl group optionally substituted with 1, 2 or 3 substituents independently selected from R g ;
- each R b8 is independently selected from C 1-6 alkyl, C 2-6 alkenyl, C 2-6 alkynyl, C 1-6 haloalkyl, C 3-6 cycloalkyl, phenyl, 5-6 membered heteroaryl and 4-7 membered heterocycloalkyl; wherein said C 1-6 alkyl C 2-6 alkenyl, C 2-6 alkynyl, C 3-6 cycloalkyl, phenyl, 5-6 membered heteroaryl and 4-7 membered heterocycloalkyl are each optionally substituted with 1, 2, 3, or 4 substituents independently selected from R g ; and
- each R g is independently selected from OH, NO 2 , CN, halo, C 1-6 alkyl, C 2-6 alkenyl, C 2-6 alkynyl, C 1-6 haloalkyl, C 3-6 cycloalkyl, C 3-6 cycloalkyl-C 1-2 alkylene, C 1-6 alkoxy, C 1-6 haloalkoxy, C 1-3 alkoxy-C 1-3 alkyl, C 1-3 alkoxy-C 1-3 alkoxy, HO—C 1-3 alkoxy, HO—C 1-3 alkyl, cyano-C 1-3 alkyl, H 2 N—C 1-3 alkyl, amino, C 1-6 alkylamino, di(C 1-6 alkyl)amino, thio, C 1-6 alkylthio, C 1-6 alkylsulfinyl, C 1-6 alkylsulfonyl, carbamyl, C 1-6 alkylcarbamyl, di(C 1-6
- R 1 is selected from Cy 1 , C 2-6 alkenyl, C 2-6 alkynyl, C 1-6 haloalkyl, halo, CN, NO 2 , OR a , SR a , C(O)R b , C(O)NR c R d , C(O)OR a , OC(O)R b , OC(O)NR c R d , NR c R d , NR c C(O)R b , NR c C(O)OR a , NR c S(O)R b , NR c S(O) 2 R b , NR c S(O) 2 NR c R d , S(O)R b , S(O)NR c R d , S(O) 2 R b , and S(O) 2 NR c R d ; wherein said C 2-6 alkenyl and C 2-6 alkyn
- Cy 1 is selected from C 6-10 aryl and 5-10 membered heteroaryl; wherein the 5-10 membered heteroaryl has at least one ring-forming carbon atom and 1, 2, 3, or 4 ring-forming heteroatoms independently selected from N, O, and S; wherein the N and S are optionally oxidized; wherein a ring-forming carbon atom of 5-10 membered heteroaryl is optionally substituted by oxo to form a carbonyl group; and wherein the C 6-10 aryl and 5-10 membered heteroaryl are each optionally substituted with 1, 2, 3 or 4 substituents independently selected from R 10 ;
- Cy A is selected from C 6-10 aryl and 5-10 membered heteroaryl; wherein the 5-membered heteroaryl has at least one ring-forming carbon atom and 1 or 2 ring-forming heteroatoms independently selected from N, O, and S and the 6-10 membered heteroaryl has at least one ring-forming carbon atom and 1, 2, 3, or 4 ring-forming heteroatoms independently selected from N, O, and S; wherein the N and S are optionally oxidized; wherein a ring-forming carbon atom of the 5-10 membered heteroaryl is optionally substituted by oxo to form a carbonyl group; and wherein the C 6-10 aryl and 5-10 membered heteroaryl are each optionally substituted with 1, 2, 3 or 4 substituents independently selected from R 20 ;
- R 2 is selected from H, C 1-6 alkyl, C 2-6 alkenyl, C 2-6 alkynyl, C 1-6 haloalkyl, halo, CN, OR a7 , SR a7 , C(O)R b7 , C(O)NR c7 R d7 , C(O)OR a7 , NR c7 R d7 , NR c7 C(O)R b7 , and NR c7 C(O)OR a7 ; wherein said C 1-6 alkyl, C 2-6 alkenyl, and C 2-6 alkynyl are each optionally substituted with 1, 2, 3, or 4 substituents independently selected from R 30 ;
- each R 10 is independently selected from C 1-6 alkyl, C 2-6 alkenyl, C 2-6 alkynyl, C 1-6 haloalkyl, C 3-10 cycloalkyl, piperazinyl, piperidinyl, C 6-10 aryl, 5-10 membered heteroaryl, halo, CN, NO 2 , OR a1 , SR a1 , C(O)R b1 , C(O)NR c1 R d1 , C(O)OR a1 , NR c1 R d1 , NR c1 C(O)R b1 , NR c1 C(O)OR a1 , S(O)R b1 , S(O)NR c1 R d1 , S(O) 2 R b1 , and S(O) 2 NR c1 R d1 ; wherein said C 1-6 alkyl, C 2-6 alkenyl, C 2-6 alkyn
- each R 11 is independently selected from C 1-6 alkyl, C 2-6 alkenyl, C 2-6 alkynyl, C 1-6 haloalkyl, halo, CN, OR a3 , SR a3 , C(O)R b3 , C(O)NR c3 R d3 , C(O)OR a3 , NR c3 R d3 , NR c3 C(O)R b3 NR c3 C(O)OR a3 , S(O)R b3 , S(O)NR c3 R d3 , S(O) 2 R b3 , and S(O) 2 NR c3 R d3 ; wherein said C 1-6 alkyl, C 2-6 alkenyl, and C 2-6 alkynyl are each optionally substituted with 1, 2, 3, or 4 substituents independently selected from R 12 ;
- each R 12 is independently selected from C 1-6 alkyl, C 2-6 alkenyl, C 2-6 alkynyl, C 1-6 haloalkyl, CN, OR a5 , SR a5 , C(O)R b5 , C(O)NR c5 R d5 , C(O)OR a5 , NR c5 R d5 , NR c5 C(O)R b5 NR c5 C(O)OR a5 , S(O)R b5 , S(O)NR c5 R d5 , S(O) 2 R b5 , and S(O) 2 NR c5 R d5 ; wherein said C 1-6 alkyl, C 2-6 alkenyl, and C 2-6 alkynyl are each optionally substituted with 1, 2, 3, or 4 substituents independently selected from R g ;
- each R 20 is independently selected from C 1-6 alkyl, C 2-6 alkenyl, C 2-6 alkynyl, C 1-6 haloalkyl, C 3-10 cycloalkyl, 4-10 membered heterocycloalkyl, C 6-10 aryl, 5-10 membered heteroaryl, halo, CN, NO 2 , OR a2 , SR a2 , C(O)R b2 , C(O)NR c2 R d2 , C(O)OR a2 , OC(O)R b2 , OC(O)NR c2 R d2 , NR c2 R d2 , NR c2 C(O)R b2 , NR c2 C(O)OR a2 , NR c2 S(O)R b2 , NR c2 S(O) 2 R b2 NR c2 S(O) 2 NR c2 R d2 ,
- each fused 5- or 6-membered heterocycloalkyl ring has at least one ring-forming carbon atom and 1, 2, 3, or 4 ring-forming heteroatoms independently selected from N, O, and S; wherein a ring-forming carbon atom of each fused 5- or 6-membered heterocycloalkyl ring is optionally substituted by oxo to form a carbonyl group; and wherein the fused 5- or 6-membered heterocycloalkyl ring and fused C 3-6 cycloalkyl ring are each optionally substituted with 1, 2, 3 or 4 substituents independently selected from R 21 ;
- each R 21 is independently selected from C 1-6 alkyl, C 2-6 alkenyl, C 2-6 alkynyl, C 1-6 haloalkyl, C 3-10 cycloalkyl, 4-10 membered heterocycloalkyl, C 6-10 aryl, 5-10 membered heteroaryl, halo, CN, OR a4 , SR a4 , C(O)R b4 , C(O)NR c4 R d4 , C(O)OR a4 , NR c4 R d4 , NR c4 C(O)R b4 NR c4 C(O)OR a4 , S(O)R b4 , S(O)NR c4 R d4 , S(O) 2 R b4 , and S(O) 2 NR c4 R d4 ; wherein said C 1-6 alkyl, C 2-6 alkenyl, C 2-6 alkynyl, C 3-10
- each R 22 is independently selected from C 1-6 alkyl, C 2-6 alkenyl, C 2-6 alkynyl, C 1-6 haloalkyl, CN, OR a6 , SR a6 , C(O)R b6 , C(O)NR c6 R d6 , C(O)OR a6 , NR c6 R d6 , NR c6 C(O)R b6 , NR c6 C(O)OR a6 , S(O)R b6 , S(O)NR c6 R d6 , S(O) 2 R b6 , and S(O) 2 NR c6 R d6 ; wherein said C 1-6 alkyl, C 2-6 alkenyl, and C 2-6 alkynyl are each optionally substituted with 1, 2, 3, or 4 substituents independently selected from R g ;
- each R 30 is independently selected from C 1-6 alkyl, C 2-6 alkenyl, C 2-6 alkynyl, C 1-6 haloalkyl, phenyl, halo, CN, OR a8 , SR a8 , C(O)R b8 , C(O)NR c8 R d8 , C(O)OR a8 , NR c8 R d8 , NR c8 C(O)R b8 , NR c8 C(O)OR a8 , S(O)R b8 , S(O)NR c8 R d8 , S(O) 2 R b8 , and S(O) 2 NR c8 R d8 ; wherein said C 1-6 alkyl, C 2-6 alkenyl, C 2-6 alkynyl, and phenyl are each optionally substituted with 1, 2, 3, or 4 substituents independently selected from R g ;
- each R a and R c is independently selected from H, C 1-6 alkyl, C 2-6 alkenyl, C 2-6 alkynyl, and C 1-6 haloalkyl; wherein said C 1-6 alkyl, C 2-6 alkenyl, and C 2-6 alkynyl are each optionally substituted with 1, 2, 3, or 4 substituents independently selected from R 10 ;
- each R d is independently selected from C 1-6 alkyl, C 2-6 alkenyl, C 2-6 alkynyl, and C 1-6 haloalkyl; wherein said C 1-6 alkyl, C 2-6 alkenyl, and C 2-6 alkynyl are each optionally substituted with 1, 2, 3, or 4 substituents independently selected from R 10 ;
- each R b is independently selected from C 1-6 alkyl, C 2-6 alkenyl, C 2-6 alkynyl, and C 1-6 haloalkyl; wherein said C 1-6 alkyl, C 2-6 alkenyl, and C 2-6 alkynyl are each optionally substituted with 1, 2, 3, or 4 substituents independently selected from R 10 ;
- each R a1 , R c1 and R d1 is independently selected from H, C 1-6 alkyl, C 2-6 alkenyl, C 2-6 alkynyl, C 1-6 haloalkyl, 4-10 membered heterocycloalkyl, and C 6-10 aryl; wherein said C 1-6 alkyl, C 2-6 alkenyl, C 2-6 alkynyl, 4-10 membered heterocycloalkyl and C 6-10 aryl are each optionally substituted with 1, 2, 3, or 4 substituents independently selected from R 11 ;
- R c1 and R d1 attached to the same N atom, together with the N atom to which they are attached, form a 4-, 5-, 6- or 7-membered heterocycloalkyl group optionally substituted with 1, 2, 3, or 4 substituents independently selected from R 11 ;
- each R b1 is independently selected from C 1-6 alkyl, C 2-6 alkenyl, C 2-6 alkynyl, C 1-6 haloalkyl, and 4-10 membered heterocycloalkyl; wherein said C 1-6 alkyl, C 2-6 alkenyl, C 2-6 alkynyl, and 4-10 membered heterocycloalkyl are each optionally substituted with 1, 2, 3, or 4 substituents independently selected from R 11 ;
- each R a2 , R c2 and R d2 is independently selected from H, C 1-6 alkyl, C 2-6 alkenyl, C 2-6 alkynyl, and C 1-6 haloalkyl; wherein said C 1-6 alkyl, C 2-6 alkenyl, and C 2-6 alkynyl are each optionally substituted with 1, 2, 3, or 4 substituents independently selected from R 21 ;
- each R b2 is independently selected from C 1-6 alkyl, C 2-6 alkenyl, C 2-6 alkynyl, and C 1-6 haloalkyl; wherein said C 1-6 alkyl, C 2-6 alkenyl, and C 2-6 alkynyl are each optionally substituted with 1, 2, 3, or 4 substituents independently selected from R 21 ;
- each R a3 , R c3 and R d3 is independently selected from H, C 1-6 alkyl, C 2-6 alkenyl, C 2-6 alkynyl, and C 1-6 haloalkyl; wherein said C 1-6 alkyl C 2-6 alkenyl, and C 2-6 alkynyl are each optionally substituted with 1, 2, 3, or 4 substituents independently selected from R 12 ;
- each R b3 is independently selected from C 1-6 alkyl, C 2-6 alkenyl, C 2-6 alkynyl, and C 1-6 haloalkyl; wherein said C 1-6 alkyl C 2-6 alkenyl, and C 2-6 alkynyl are each optionally substituted with 1, 2, 3, or 4 substituents independently selected from R 12 ;
- each R a4 , R c4 and R d4 is independently selected from H, C 1-6 alkyl, C 2-6 alkenyl, C 2-6 alkynyl, and C 1-6 haloalkyl; wherein said C 1-6 alkyl C 2-6 alkenyl, and C 2-6 alkynyl are each optionally substituted with 1, 2, 3, or 4 substituents independently selected from R 22 ;
- each R b4 is independently selected from C 1-6 alkyl, C 2-6 alkenyl, C 2-6 alkynyl, and C 1-6 haloalkyl; wherein said C 1-6 alkyl C 2-6 alkenyl, and C 2-6 alkynyl are each optionally substituted with 1, 2, 3, or 4 substituents independently selected from R 22 ;
- each R a5 , R c5 and R d5 is independently selected from H, C 1-6 alkyl, C 2-6 alkenyl, C 2-6 alkynyl and C 1-6 haloalkyl;
- each R b5 is independently selected from C 1-6 alkyl, C 2-6 alkenyl, C 2-6 alkynyl and C 1-6 haloalkyl;
- each R a6 , R c6 and R d6 is independently selected from H, C 1-6 alkyl, C 2-6 alkenyl, C 2-6 alkynyl and C 1-6 haloalkyl;
- each R b6 is independently selected from C 1-6 alkyl, C 2-6 alkenyl, C 2-6 alkynyl, and C 1-6 haloalkyl;
- each R a7 , R c7 , and R d7 is independently selected from H, C 1-6 alkyl, C 2-6 alkenyl, C 2-6 alkynyl, and C 1-6 haloalkyl;
- each R b7 is independently selected from C 1-6 alkyl, C 2-6 alkenyl, C 2-6 alkynyl, and C 1 -6 haloalkyl;
- each R a8 , R c8 and R d8 is independently selected from H, C 1-6 alkyl, C 2-6 alkenyl, C 2-6 alkynyl, and C 1-6 haloalkyl;
- each R b8 is independently selected from C 1-6 alkyl, C 2-6 alkenyl, C 2-6 alkynyl, and C 1-6 haloalkyl;
- each R g is independently selected from OH, NO 2 , CN, halo, C 1-6 alkyl, C 2-6 alkenyl, C 2-6 alkynyl, C 1-6 haloalkyl, C 1-6 alkoxy, C 1-6 haloalkoxy, C 1-3 alkoxy-C 1-3 alkyl, C 1-3 alkoxy-C 1-3 alkoxy, HO—C 1-3 alkoxy, HO—C 1-3 alkyl, cyano-C 1-3 alkyl, H 2 N—C 1-3 alkyl, amino, C 1-6 alkylamino, di(C 1-6 alkyl)amino, thio, C 1-6 alkylthio, C 1-6 alkylsulfinyl, C 1-6 alkylsulfonyl, carbamyl, C 1-6 alkylcarbamyl, di(C 1-6 alkyl)carbamyl, carboxy, C 1-6 alkylcarbonyl, C 1-6 alk
- R 1 is selected from Cy 1 , C 2-6 alkenyl, C 2-6 alkynyl, C 1-6 haloalkyl, halo, and CN; wherein said C 2-6 alkenyl and C 2-6 alkynyl are each optionally substituted with 1, 2, 3, or 4 substituents independently selected from R 10 ;
- Cy 1 is selected from C 6-10 aryl and 5-10 membered heteroaryl; wherein the 5-10 membered heteroaryl has at least one ring-forming carbon atom and 1, 2, 3, or 4 ring-forming heteroatoms independently selected from N, O, and S; wherein the N and S are optionally oxidized; wherein a ring-forming carbon atom of 5-10 membered heteroaryl is optionally substituted by oxo to form a carbonyl group; and wherein the C 6-10 aryl and 5-10 membered heteroaryl are each optionally substituted with 1, 2, 3 or 4 substituents independently selected from R 10 ;
- Cy A is selected from C 6-10 aryl and 5-10 membered heteroaryl; wherein the 5-membered heteroaryl has at least one ring-forming carbon atom and 1 or 2 ring-forming heteroatoms independently selected from N, O, and S and the 6-10 membered heteroaryl has at least one ring-forming carbon atom and 1, 2, 3, or 4 ring-forming heteroatoms independently selected from N, O, and S; wherein the N and S are optionally oxidized; wherein a ring-forming carbon atom of the 5-10 membered heteroaryl is optionally substituted by oxo to form a carbonyl group; and wherein the C 6-10 aryl and 5-10 membered heteroaryl are each optionally substituted with 1, 2, 3 or 4 substituents independently selected from R 20 ;
- R 2 is selected from H, C 1-6 alkyl, C 2-6 alkenyl, C 2-6 alkynyl, C 1-6 haloalkyl, halo, and CN;
- each R 10 is independently selected from C 1-6 alkyl, C 2-6 alkenyl, C 2-6 alkynyl, C 1-6 haloalkyl, piperazinyl, piperidinyl, halo, CN, OR a1 , C(O)R b1 , C(O)NR c1 R d1 , C(O)OR a1 , and NR c1 R d1 ; wherein said C 1-6 alkyl, C 2-6 alkenyl, C 2-6 alkynyl, piperazinyl, and piperidinyl are each optionally substituted with 1, 2, 3, or 4 substituents independently selected from R 11 ;
- each R 11 is independently selected from C 1-6 alkyl, C 2-6 alkenyl, C 2-6 alkynyl, C 1-6 haloalkyl, halo, OR a3 , C(O)R b3 , C(O)NR c3 R d3 , C(O)OR a3 , NR c3 R d3 , S(O) 2 R b3 , and S(O) 2 NR c3 R d3 ;
- each R 20 is independently selected from C 1-6 alkyl, C 2-6 alkenyl, C 2-6 alkynyl, C 1-6 haloalkyl, C 6-10 aryl, 5-10 membered heteroaryl, halo, CN, OR a2 , C(O)R b2 , C(O)NR c2 R d2 , C(O)OR a2 , NR c2 R d2 , NR c2 C(O)R b2 , and NR c2 S(O) 2 R b2 ; wherein said C 1-6 alkyl, C 2-6 alkenyl, C 2-6 alkynyl, C 6-10 aryl, and 5-10 membered heteroaryl are each optionally substituted with 1, 2, 3, or 4 substituents independently selected from R 21 ;
- each fused 5- or 6-membered heterocycloalkyl ring has at least one ring-forming carbon atom and 1, 2, 3, or 4 ring-forming heteroatoms independently selected from N, O, and S; wherein a ring-forming carbon atom of each fused 5- or 6-membered heterocycloalkyl ring is optionally substituted by oxo to form a carbonyl group; and wherein the fused 5- or 6-membered heterocycloalkyl ring and fused C 3-6 cycloalkyl ring are each optionally substituted with 1, 2, 3 or 4 substituents independently selected from R 21 ;
- each R 21 is independently selected from C 1-6 alkyl, C 2-6 alkenyl, C 2-6 alkynyl, C 1-6 haloalkyl, C 6-10 aryl, 5-10 membered heteroaryl, halo, OR a4 , C(O)R b4 , C(O)NR c4 R d4 , C(O)OR a4 , NR c4 R d4 , NR c4 C(O)R b4 , S(O) 2 R b4 , and S(O) 2 NR c4 R d4 ; wherein said C 1-6 alkyl, C 2-6 alkenyl, C 2-6 alkynyl, C 6-10 aryl, and 5-10 membered heteroaryl are each optionally substituted with 1, 2, 3, or 4 substituents independently selected from R 22 ;
- each R 22 is independently selected from C 1-6 alkyl, C 2-6 alkenyl, C 2-6 alkynyl, C 1-6 haloalkyl, OR a6 , C(O)R b6 , C(O)NR c6 R d6 , C(O)OR a6 , NR c6 R d6 , NR c6 C(O)R b6 , S(O) 2 R b6 , and S(O) 2 NR c6 R d6 ;
- each R a1 , R c1 and R d1 is independently selected from H, C 1-6 alkyl, C 2-6 alkenyl, C 2-6 alkynyl, C 1-6 haloalkyl, 4-10 membered heterocycloalkyl, and C 6-10 aryl; wherein said C 1-6 alkyl, C 2-6 alkenyl, C 2-6 alkynyl, 4-10 membered heterocycloalkyl and C 6-10 aryl are each optionally substituted with 1, 2, 3, or 4 substituents independently selected from R 11 ;
- R c1 and R d1 attached to the same N atom, together with the N atom to which they are attached, form a 4-, 5-, 6- or 7-membered heterocycloalkyl group optionally substituted with 1, 2, 3, or 4 substituents independently selected from R 11 ;
- each R b1 is independently selected from C 1-6 alkyl, C 2-6 alkenyl, C 2-6 alkynyl, C 1-6 haloalkyl, and 4-10 membered heterocycloalkyl; wherein said C 1-6 alkyl, C 2-6 alkenyl, C 2-6 alkynyl, and 4-10 membered heterocycloalkyl are each optionally substituted with 1, 2, 3, or 4 substituents independently selected from R 11 ;
- each R a2 , R c2 and R d2 is independently selected from H, C 1-6 alkyl, C 2-6 alkenyl, C 2-6 alkynyl, and C 1-6 haloalkyl; wherein said C 1-6 alkyl, C 2-6 alkenyl, and C 2-6 alkynyl are each optionally substituted with 1, 2, 3, or 4 substituents independently selected from R 21 ;
- each R b2 is independently selected from C 1-6 alkyl, C 2-6 alkenyl, C 2-6 alkynyl, and C 1-6 haloalkyl;
- each R a3 , R c3 and R d3 is independently selected from H, C 1-6 alkyl, C 2-6 alkenyl, C 2-6 alkynyl, and C 1-6 haloalkyl;
- each R b3 is independently selected from C 1-6 alkyl, C 2-6 alkenyl, C 2-6 alkynyl, and C 1-6 haloalkyl;
- each R a4 , R c4 and R d4 is independently selected from H, C 1-6 alkyl, C 2-6 alkenyl, C 2-6 alkynyl, and C 1-6 haloalkyl; wherein said C 1-6 alkyl C 2-6 alkenyl, and C 2-6 alkynyl are each optionally substituted with 1, 2, 3, or 4 substituents independently selected from R 22 ;
- each R b4 is independently selected from C 1-6 alkyl, C 2-6 alkenyl, C 2-6 alkynyl, and C 1-6 haloalkyl;
- each R a6 , R c6 and R d6 is independently selected from H, C 1-6 alkyl, C 2-6 alkenyl, C 2-6 alkynyl and C 1-6 haloalkyl;
- each R b6 is independently selected from C 1-6 alkyl, C 2-6 alkenyl, C 2-6 alkynyl, and C 1-6 haloalkyl.
- R 1 is Cy 1 ;
- Cy 1 is selected from C 6-10 aryl and 5-10 membered heteroaryl; wherein the 5-10 membered heteroaryl has at least one ring-forming carbon atom and 1, 2, 3, or 4 ring-forming heteroatoms independently selected from N, O, and S; wherein the N and S are optionally oxidized; wherein a ring-forming carbon atom of 5-10 membered heteroaryl is optionally substituted by oxo to form a carbonyl group; and wherein the C 6-10 aryl and 5-10 membered heteroaryl are each optionally substituted with 1, 2, 3 or 4 substituents independently selected from R 10 ;
- Cy A is selected from C 6-10 aryl and 5-10 membered heteroaryl; wherein the 5-membered heteroaryl has at least one ring-forming carbon atom and 1 or 2 ring-forming heteroatoms independently selected from N, O, and S and the 6-10 membered heteroaryl has at least one ring-forming carbon atom and 1, 2, 3, or 4 ring-forming heteroatoms independently selected from N, O, and S; wherein the N and S are optionally oxidized; wherein a ring-forming carbon atom of the 5-10 membered heteroaryl is optionally substituted by oxo to form a carbonyl group; and wherein the C 6-10 aryl and 5-10 membered heteroaryl are each optionally substituted with 1, 2, 3 or 4 substituents independently selected from R 20 ;
- R 2 is H
- each R 10 is independently selected from C 1-6 alkyl, piperazinyl, piperidinyl, C(O)R b1 , and C(O)NR c1 R d1 ; wherein said C 1-6 alkyl, piperazinyl, and piperidinyl are each optionally substituted with 1, 2, 3, or 4 substituents independently selected from R 11 ;
- each R 11 is independently selected from C 1-6 alkyl, C(O)R b3 , and S(O) 2 R b3 ;
- each R 20 is independently selected from C 1-6 alkyl, C 1-6 haloalkyl, C 6-10 aryl, 5-10 membered heteroaryl, halo, CN, OR a2 , C(O)NR c2 R d2 , C(O)OR a2 , NR c2 R d2 , NR c2 C(O)R b2 , and NR c2 S(O) 2 R b2 ; wherein said C 1-6 alkyl, C 6-10 aryl, and 5-10 membered heteroaryl are each optionally substituted with 1, 2, 3, or 4 substituents independently selected from R 21 ;
- each fused 5- or 6-membered heterocycloalkyl ring has at least one ring-forming carbon atom and 1, 2, 3, or 4 ring-forming heteroatoms independently selected from N, O, and S; wherein a ring-forming carbon atom of each fused 5- or 6-membered heterocycloalkyl ring is optionally substituted by oxo to form a carbonyl group; and wherein the fused 5- or 6-membered heterocycloalkyl ring and fused C 3-6 cycloalkyl ring are each optionally substituted with 1, 2, 3 or 4 substituents independently selected from R 21 ;
- each R 21 is independently selected from C 6-10 aryl, 5-10 membered heteroaryl, OR a4 , and NR c4 R d4 ;
- each R 22 is OR a6 ;
- each R c1 and R d1 is independently selected from H, C 1-6 alkyl, 4-10 membered heterocycloalkyl, and C 6-10 aryl; wherein said C 1-6 alkyl, 4-10 membered heterocycloalkyl and C 6-10 aryl are each optionally substituted with 1, 2, 3, or 4 substituents independently selected from R 11 ;
- R c1 and R d1 attached to the same N atom, together with the N atom to which they are attached, form a 4-, 5-, 6- or 7-membered heterocycloalkyl group optionally substituted with 1, 2, 3, or 4 substituents independently selected from R 11 ;
- R b1 is 4-10 membered heterocycloalkyl optionally substituted with 1, 2, 3, or 4 substituents independently selected from R 11 ;
- each R a2 , R c2 and R d2 is independently H or C 1-6 alkyl; wherein said C 1-6 alkyl is optionally substituted with 1, 2, 3, or 4 substituents independently selected from R 21 ;
- each R b2 is C 1-6 alkyl
- each R b3 is C 1-6 alkyl
- each R a4 , R c4 and R d4 is H or C 1-6 alkyl; wherein said C 1-6 alkyl is optionally substituted with 1, 2, 3, or 4 substituents independently selected from R 22 ; and
- R a6 is H.
- R 1 is Cy 1 ;
- Cy 1 is selected from C 6-10 aryl and 5-10 membered heteroaryl; wherein the 5-10 membered heteroaryl has at least one ring-forming carbon atom and 1, 2, 3, or 4 ring-forming heteroatoms independently selected from N, O, and S; wherein the N and S are optionally oxidized; wherein a ring-forming carbon atom of 5-10 membered heteroaryl is optionally substituted by oxo to form a carbonyl group; and wherein the C 6-10 aryl and 5-10 membered heteroaryl are each optionally substituted with 1, 2, 3 or 4 substituents independently selected from R 10 ;
- Cy A is selected from C 6-10 aryl and 5-10 membered heteroaryl; wherein the 5-membered heteroaryl has at least one ring-forming carbon atom and 1 or 2 ring-forming heteroatoms independently selected from N, O, and S and the 6-10 membered heteroaryl has at least one ring-forming carbon atom and 1, 2, 3, or 4 ring-forming heteroatoms independently selected from N, O, and S; wherein the N and S are optionally oxidized; wherein a ring-forming carbon atom of the 5-10 membered heteroaryl is optionally substituted by oxo to form a carbonyl group; and wherein the C 6-10 aryl and 5-10 membered heteroaryl are each optionally substituted with 1, 2, 3 or 4 substituents independently selected from R 20 ;
- R 2 is H or CN
- each R 10 is independently selected from C 1-6 alkyl, piperazinyl, piperidinyl, C(O)R b1 , and C(O)NR c1 R d1 ; wherein said C 1-6 alkyl, piperazinyl, and piperidinyl are each optionally substituted with 1, 2, 3, or 4 substituents independently selected from R 11 ;
- each R 11 is independently selected from C 1-6 alkyl, OR a3 , C(O)R b3 , and S(O) 2 R b3 ;
- each R 20 is independently selected from C 1-6 alkyl, C 1-6 haloalkyl, C 6-10 aryl, 5-10 membered heteroaryl, halo, CN, OR a2 , C(O)NR c2 R d2 , C(O)OR a2 , NR c2 R d2 , NR c2 C(O)R b2 , and NR c2 S(O) 2 R b2 ; wherein said C 1-6 alkyl, C 6-10 aryl, and 5-10 membered heteroaryl are each optionally substituted with 1, 2, 3, or 4 substituents independently selected from R 21 ;
- each fused 5- or 6-membered heterocycloalkyl ring has at least one ring-forming carbon atom and 1, 2, 3, or 4 ring-forming heteroatoms independently selected from N, O, and S; wherein a ring-forming carbon atom of each fused 5- or 6-membered heterocycloalkyl ring is optionally substituted by oxo to form a carbonyl group; and wherein the fused 5- or 6-membered heterocycloalkyl ring and fused C 3-6 cycloalkyl ring are each optionally substituted with 1, 2, 3 or 4 substituents independently selected from R 21 ;
- each R 21 is independently selected from C 6-10 aryl, 5-10 membered heteroaryl, OR a4 , and NR c4 R d4 ;
- each R 22 is OR a6 ;
- each R c1 and R d1 is independently selected from H, C 1-6 alkyl, 4-10 membered heterocycloalkyl, and C 6-10 aryl; wherein said C 1-6 alkyl, 4-10 membered heterocycloalkyl and C 6-10 aryl are each optionally substituted with 1, 2, 3, or 4 substituents independently selected from R 11 ;
- R c1 and R d1 attached to the same N atom, together with the N atom to which they are attached, form a 4-, 5-, 6- or 7-membered heterocycloalkyl group optionally substituted with 1, 2, 3, or 4 substituents independently selected from R 11 ;
- R b1 is 4-10 membered heterocycloalkyl optionally substituted with 1, 2, 3, or 4 substituents independently selected from R 11 ;
- each R a2 , R c2 and R d2 is independently H or C 1-6 alkyl; wherein said C 1-6 alkyl is optionally substituted with 1, 2, 3, or 4 substituents independently selected from R 21 ;
- each R b2 is C 1-6 alkyl
- each R b3 is C 1-6 alkyl
- each R a3 is independently H or C 1-6 alkyl
- each R a4 , R c4 and R d4 is H or C 1-6 alkyl; wherein said C 1-6 alkyl is optionally substituted with 1, 2, 3, or 4 substituents independently selected from R 22 ; and
- R a6 is H.
- C 1-6 alkyl is specifically intended to individually disclose (without limitation) methyl, ethyl, C 3 alkyl, C 4 alkyl, C 5 alkyl and C 6 alkyl.
- n-membered typically describes the number of ring-forming atoms in a moiety where the number of ring-forming atoms is n.
- piperidinyl is an example of a 6-membered heterocycloalkyl ring
- pyrazolyl is an example of a 5-membered heteroaryl ring
- pyridyl is an example of a 6-membered heteroaryl ring
- 1,2,3,4-tetrahydro-naphthalene is an example of a 10-membered cycloalkyl group.
- each linking substituent include both the forward and backward forms of the linking substituent.
- —NR(CR′R′′) n- includes both —NR(CR′R′′) n — and —(CR′R′′) n NR— and is intended to disclose each of the forms individually.
- the Markush variables listed for that group are understood to be linking groups. For example, if the structure requires a linking group and the Markush group definition for that variable lists “alkyl” or “aryl” then it is understood that the “alkyl” or “aryl” represents a linking alkylene group or arylene group, respectively.
- substituted means that an atom or group of atoms formally replaces hydrogen as a “substituent” attached to another group.
- substituted refers to any level of substitution, e.g., mono-, di-, tri-, tetra- or penta-substitution, where such substitution is permitted.
- the substituents are independently selected, and substitution may be at any chemically accessible position. It is to be understood that substitution at a given atom is limited by valency. It is to be understood that substitution at a given atom results in a chemically stable molecule.
- the phrase “optionally substituted” means unsubstituted or substituted.
- substituted means that a hydrogen atom is removed and replaced by a substituent.
- a single divalent substituent e.g., oxo, can replace two hydrogen atoms.
- C n-m indicates a range which includes the endpoints, wherein n and m are integers and indicate the number of carbons. Examples include C 1-4 , C 1 -6 and the like.
- alkyl refers to a saturated hydrocarbon group that may be straight-chained or branched.
- C n-m alkyl refers to an alkyl group having n to m carbon atoms.
- An alkyl group formally corresponds to an alkane with one C—H bond replaced by the point of attachment of the alkyl group to the remainder of the compound.
- the alkyl group contains from 1 to 6 carbon atoms, from 1 to 4 carbon atoms, from 1 to 3 carbon atoms, or 1 to 2 carbon atoms.
- alkyl moieties include, but are not limited to, chemical groups such as methyl, ethyl, n-propyl, isopropyl, n-butyl, tert-butyl, isobutyl, sec-butyl; higher homologs such as 2-methyl-1-butyl, n-pentyl, 3-pentyl, n-hexyl, 1,2,2-trimethylpropyl and the like.
- alkenyl refers to a straight-chain or branched hydrocarbon group corresponding to an alkyl group having one or more double carbon-carbon bonds.
- An alkenyl group formally corresponds to an alkene with one C—H bond replaced by the point of attachment of the alkenyl group to the remainder of the compound.
- C n-m alkenyl refers to an alkenyl group having n to m carbons.
- the alkenyl moiety contains 2 to 6, 2 to 4, or 2 to 3 carbon atoms.
- Example alkenyl groups include, but are not limited to, ethenyl, n-propenyl, isopropenyl, n-butenyl, sec-butenyl and the like.
- alkynyl refers to a straight-chain or branched hydrocarbon group corresponding to an alkyl group having one or more triple carbon-carbon bonds.
- An alkynyl group formally corresponds to an alkyne with one C—H bond replaced by the point of attachment of the alkyl group to the remainder of the compound.
- C n-m alkynyl refers to an alkynyl group having n to m carbons.
- Example alkynyl groups include, but are not limited to, ethynyl, propyn-1-yl, propyn-2-yl and the like. In some embodiments, the alkynyl moiety contains 2 to 6, 2 to 4, or 2 to 3 carbon atoms.
- alkylene employed alone or in combination with other terms, refers to a divalent alkyl linking group.
- An alkylene group formally corresponds to an alkane with two C—H bond replaced by points of attachment of the alkylene group to the remainder of the compound.
- C n-m alkylene refers to an alkylene group having n to m carbon atoms.
- alkylene groups include, but are not limited to, ethan-1,2-diyl, ethan-1,1-diyl, propan-1,3-diyl, propan-1,2-diyl, propan-1,1-diyl, butan-1,4-diyl, butan-1,3-diyl, butan-1,2-diyl, 2-methyl-propan-1,3-diyl and the like.
- alkoxy refers to a group of formula —O-alkyl, wherein the alkyl group is as defined above.
- C n-m alkoxy refers to an alkoxy group, the alkyl group of which has n to m carbons.
- Example alkoxy groups include methoxy, ethoxy, propoxy (e.g., n-propoxy and isopropoxy), t-butoxy and the like.
- the alkyl group has 1 to 6, 1 to 4, or 1 to 3 carbon atoms.
- amino refers to a group of formula —NH 2 .
- carbonyl employed alone or in combination with other terms, refers to a —C( ⁇ O)— group, which also may be written as C(O).
- cyano or “nitrile” refers to a group of formula —C ⁇ N, which also may be written as —CN.
- halo refers to fluoro, chloro, bromo and iodo.
- halo refers to a halogen atom selected from F, Cl, or Br.
- halo groups are F.
- haloalkyl refers to an alkyl group in which one or more of the hydrogen atoms has been replaced by a halogen atom.
- C n-m haloalkyl refers to a C n-m alkyl group having n to m carbon atoms and from at least one up to ⁇ 2(n to m)+1 ⁇ halogen atoms, which may either be the same or different.
- the halogen atoms are fluoro atoms.
- the haloalkyl group has 1 to 6 or 1 to 4 carbon atoms.
- Example haloalkyl groups include CF 3 , C 2 F 5 , CHF 2 , CH 2 F, CCl 3 , CHCl 2 , C 2 Cl 5 and the like.
- the haloalkyl group is a fluoroalkyl group.
- haloalkoxy refers to a group of formula —O-haloalkyl, wherein the haloalkyl group is as defined above.
- C n-m haloalkoxy refers to a haloalkoxy group, the haloalkyl group of which has n to m carbons.
- Example haloalkoxy groups include trifluoromethoxy and the like. In some embodiments, the haloalkoxy group has 1 to 6, 1 to 4, or 1 to 3 carbon atoms.
- oxo refers to an oxygen atom as a divalent substituent, forming a carbonyl group when attached to carbon, or attached to a heteroatom forming a sulfoxide or sulfone group, or an N-oxide group.
- heterocyclic groups may be optionally substituted by 1 or 2 oxo ( ⁇ O) substituents.
- sulfurido refers to a sulfur atom as a divalent substituent, forming a thiocarbonyl group (C ⁇ S) when attached to carbon.
- aromatic refers to a carbocycle or heterocycle having one or more polyunsaturated rings having aromatic character (i.e., having (4n+2) delocalized ⁇ (pi) electrons where n is an integer).
- aryl refers to an aromatic hydrocarbon group, which may be monocyclic or polycyclic (e.g., having 2 fused rings).
- C n-m aryl refers to an aryl group having from n to m ring carbon atoms.
- Aryl groups include, e.g., phenyl, naphthyl, and the like. In some embodiments, aryl groups have from 6 to about 10 carbon atoms. In some embodiments aryl groups have 6 carbon atoms. In some embodiments aryl groups have 10 carbon atoms. In some embodiments, the aryl group is phenyl. In some embodiments, the aryl group is naphthyl.
- heteroaryl or “heteroaromatic,” employed alone or in combination with other terms, refers to a monocyclic or polycyclic aromatic heterocycle having at least one heteroatom ring member selected from sulfur, oxygen and nitrogen.
- the heteroaryl ring has 1, 2, 3 or 4 heteroatom ring members independently selected from nitrogen, sulfur and oxygen.
- any ring-forming N in a heteroaryl moiety can be an N-oxide.
- the heteroaryl has 5-14 ring atoms including carbon atoms and 1, 2, 3 or 4 heteroatom ring members independently selected from nitrogen, sulfur and oxygen.
- the heteroaryl has 5-10 ring atoms including carbon atoms and 1, 2, 3 or 4 heteroatom ring members independently selected from nitrogen, sulfur and oxygen. In some embodiments, the heteroaryl has 5-6 ring atoms and 1 or 2 heteroatom ring members independently selected from nitrogen, sulfur and oxygen. In some embodiments, the heteroaryl is a five-membered or six-membered heteroaryl ring. In other embodiments, the heteroaryl is an eight-membered, nine-membered or ten-membered fused bicyclic heteroaryl ring.
- Example heteroaryl groups include, but are not limited to, pyridinyl (pyridyl), pyrimidinyl, pyrazinyl, pyridazinyl, pyrrolyl, pyrazolyl, azolyl, oxazolyl, isoxazolyl, thiazolyl, imidazolyl, furanyl, thiophenyl, quinolinyl, isoquinolinyl, naphthyridinyl (including 1,2-, 1,3-, 1,4-, 1,5-, 1,6-, 1,7-, 1,8-, 2,3- and 2,6-naphthyridine), indolyl, indazolyl, benzothiophenyl, benzofuranyl, benzisoxazolyl, imidazo[1,2-b]thiazolyl, purinyl, pyrrolopyridinyl, pyrazolopyridinyl, imidazopyridinyl, pyri
- a five-membered heteroaryl ring is a heteroaryl group having five ring atoms wherein one or more (e.g., 1, 2 or 3) ring atoms are independently selected from N, O and S.
- Exemplary five-membered ring heteroaryls include thienyl, furyl, pyrrolyl, imidazolyl, thiazolyl, oxazolyl, pyrazolyl, isothiazolyl, isoxazolyl, 1,2,3-triazolyl, tetrazolyl, 1,2,3-thiadiazolyl, 1,2,3-oxadiazolyl, 1,2,4-triazolyl, 1,2,4-thiadiazolyl, 1,2,4-oxadiazolyl, 1,3,4-triazolyl, 1,3,4-thiadiazolyl and 1,3,4-oxadiazolyl.
- a six-membered heteroaryl ring is a heteroaryl group having six ring atoms wherein one or more (e.g., 1, 2 or 3) ring atoms are independently selected from N, O and S.
- Exemplary six-membered ring heteroaryls are pyridyl, pyrazinyl, pyrimidinyl, triazinyl and pyridazinyl.
- cycloalkyl refers to a non-aromatic hydrocarbon ring system (monocyclic, bicyclic or polycyclic), including cyclized alkyl and alkenyl groups.
- C n-m cycloalkyl refers to a cycloalkyl that has n to m ring member carbon atoms.
- Cycloalkyl groups can include mono- or polycyclic (e.g., having 2, 3 or 4 fused rings) groups and spirocycles. Cycloalkyl groups can have 3, 4, 5, 6 or 7 ring-forming carbons (C 3-7 ).
- the cycloalkyl group has 3 to 6 ring members, 3 to 5 ring members, or 3 to 4 ring members. In some embodiments, the cycloalkyl group is monocyclic. In some embodiments, the cycloalkyl group is monocyclic or bicyclic. In some embodiments, the cycloalkyl group is a C 3-6 monocyclic cycloalkyl group. Ring-forming carbon atoms of a cycloalkyl group can be optionally oxidized to form an oxo or sulfido group. Cycloalkyl groups also include cycloalkylidenes.
- cycloalkyl is cyclopropyl, cyclobutyl, cyclopentyl or cyclohexyl. Also included in the definition of cycloalkyl are moieties that have one or more aromatic rings fused (i.e., having a bond in common with) to the cycloalkyl ring, e.g., benzo or thienyl derivatives of cyclopentane, cyclohexane and the like.
- a cycloalkyl group containing a fused aromatic ring can be attached through any ring-forming atom including a ring-forming atom of the fused aromatic ring.
- cycloalkyl groups include cyclopropyl, cyclobutyl, cyclopentyl, cyclohexyl, cycloheptyl, cyclopentenyl, cyclohexenyl, cyclohexadienyl, cycloheptatrienyl, norbornyl, norpinyl, norcarnyl, bicyclo[1.1.1]pentanyl, bicyclo[2.1.1]hexanyl, and the like.
- the cycloalkyl group is cyclopropyl, cyclobutyl, cyclopentyl, or cyclohexyl.
- heterocycloalkyl refers to a non-aromatic ring or ring system, which may optionally contain one or more alkenylene groups as part of the ring structure, which has at least one heteroatom ring member independently selected from nitrogen, sulfur oxygen and phosphorus, and which has 4-10 ring members, 4-7 ring members, or 4-6 ring members. Included within the term “heterocycloalkyl” are monocyclic 4-, 5-, 6- and 7-membered heterocycloalkyl groups. Heterocycloalkyl groups can include mono- or bicyclic (e.g., having two fused or bridged rings) or spirocyclic ring systems.
- the heterocycloalkyl group is a monocyclic group having 1, 2 or 3 heteroatoms independently selected from nitrogen, sulfur and oxygen. Ring-forming carbon atoms and heteroatoms of a heterocycloalkyl group can be optionally oxidized to form an oxo or sulfido group or other oxidized linkage (e.g., C(O), S(O), C(S) or S(O) 2 , N-oxide etc.) or a nitrogen atom can be quaternized.
- the heterocycloalkyl group can be attached through a ring-forming carbon atom or a ring-forming heteroatom. In some embodiments, the heterocycloalkyl group contains 0 to 3 double bonds.
- the heterocycloalkyl group contains 0 to 2 double bonds. Also included in the definition of heterocycloalkyl are moieties that have one or more aromatic rings fused (i.e., having a bond in common with) to the heterocycloalkyl ring, e.g., benzo or thienyl derivatives of piperidine, morpholine, azepine, etc.
- a heterocycloalkyl group containing a fused aromatic ring can be attached through any ring-forming atom including a ring-forming atom of the fused aromatic ring.
- heterocycloalkyl groups include azetidinyl, azepanyl, dihydrobenzofuranyl, dihydrobenzodioxine, dihydrofuranyl, dihydropyranyl, dihydropyrolopyridinyl, morpholino, 3-oxa-9-azaspiro[5.5]undecanyl, 1-oxa-8-azaspiro[4.5]decanyl, piperidinyl, piperazinyl, oxopiperazinyl, pyranyl, pyrrolidinyl, quinuclidinyl, tetrahydrofuranyl, tetrahydropyranyl, 1,2,3,4-tetrahydroquinolinyl, 1,2,3,4-tetrahydroisoquinolinyl, tropanyl, and thiomorpholino.
- the definitions or embodiments refer to specific rings (e.g., an azetidine ring, a pyridine ring, etc.). Unless otherwise indicated, these rings can be attached to any ring member provided that the valency of the atom is not exceeded. For example, an azetidine ring may be attached at any position of the ring, whereas an azetidin-3-yl ring is attached at the 3-position.
- the compounds described herein can be asymmetric (e.g., having one or more stereocenters). All stereoisomers, such as enantiomers and diastereomers, are intended unless otherwise indicated.
- Compounds of the present invention that contain asymmetrically substituted carbon atoms can be isolated in optically active or racemic forms. Methods on how to prepare optically active forms from optically inactive starting materials are known in the art, such as by resolution of racemic mixtures or by stereoselective synthesis. Many geometric isomers of olefins, C ⁇ N double bonds and the like can also be present in the compounds described herein, and all such stable isomers are contemplated in the present invention. Cis and trans geometric isomers of the compounds of the present invention are described and may be isolated as a mixture of isomers or as separated isomeric forms.
- Resolution of racemic mixtures of compounds can be carried out by any of numerous methods known in the art.
- One method includes fractional recrystallization using a chiral resolving acid which is an optically active, salt-forming organic acid.
- Suitable resolving agents for fractional recrystallization methods are, e.g., optically active acids, such as the D and L forms of tartaric acid, diacetyltartaric acid, dibenzoyltartaric acid, mandelic acid, malic acid, lactic acid or the various optically active camphorsulfonic acids such as ⁇ -camphorsulfonic acid.
- resolving agents suitable for fractional crystallization methods include stereoisomerically pure forms of ⁇ -methylbenzylamine (e.g., S and R forms, or diastereomerically pure forms), 2-phenylglycinol, norephedrine, ephedrine, N-methylephedrine, cyclohexylethylamine, 1,2-diaminocyclohexane and the like.
- Resolution of racemic mixtures can also be carried out by elution on a column packed with an optically active resolving agent (e.g., dinitrobenzoylphenylglycine).
- an optically active resolving agent e.g., dinitrobenzoylphenylglycine
- Suitable elution solvent composition can be determined by one skilled in the art.
- the compounds of the invention have the (R)-configuration. In other embodiments, the compounds have the (S)-configuration. In compounds with more than one chiral centers, each of the chiral centers in the compound may be independently (R) or (S), unless otherwise indicated.
- Tautomeric forms result from the swapping of a single bond with an adjacent double bond together with the concomitant migration of a proton.
- Tautomeric forms include prototropic tautomers which are isomeric protonation states having the same empirical formula and total charge.
- Example prototropic tautomers include ketone-enol pairs, amide-imidic acid pairs, lactam-lactim pairs, enamine-imine pairs, and annular forms where a proton can occupy two or more positions of a heterocyclic system, e.g., 1H- and 3H-imidazole, 1H-, 2H- and 4H-1,2,4-triazole, 1H- and 2H-isoindole and 1H- and 2H-pyrazole.
- Tautomeric forms can be in equilibrium or sterically locked into one form by appropriate substitution.
- Compounds of the invention can also include all isotopes of atoms occurring in the intermediates or final compounds.
- Isotopes include those atoms having the same atomic number but different mass numbers.
- isotopes of hydrogen include tritium and deuterium.
- One or more constituent atoms of the compounds of the invention can be replaced or substituted with isotopes of the atoms in natural or non-natural abundance.
- the compound includes at least one deuterium atom.
- one or more hydrogen atoms in a compound of the present disclosure can be replaced or substituted by deuterium.
- the compound includes two or more deuterium atoms.
- the compound includes 1, 2, 3, 4, 5, 6, 7, 8, 9, 10, 11 or 12 deuterium atoms.
- Synthetic methods for including isotopes into organic compounds are known in the art (Deuterium Labeling in Organic Chemistry by Alan F. Thomas (New York, N.Y., Appleton-Century-Crofts, 1971; The Renaissance of H/D Exchange by Jens Atzrodt, Volker Derdau, Thorsten Fey and Jochen Zimmermann, Angew. Chem. Int. Ed. 2007, 7744-7765; The Organic Chemistry of Isotopic Labelling by James R. Hanson, Royal Society of Chemistry, 2011). Isotopically labeled compounds can used in various studies such as NMR spectroscopy, metabolism experiments, and/or assays.
- compound as used herein is meant to include all stereoisomers, geometric isomers, tautomers and isotopes of the structures depicted.
- the term is also meant to refer to compounds of the inventions, regardless of how they are prepared, e.g., synthetically, through biological process (e.g., metabolism or enzyme conversion), or a combination thereof.
- All compounds, and pharmaceutically acceptable salts thereof can be found together with other substances such as water and solvents (e.g., hydrates and solvates) or can be isolated.
- solvents e.g., hydrates and solvates
- the compounds described herein and salts thereof may occur in various forms and may, e.g., take the form of solvates, including hydrates.
- the compounds may be in any solid state form, such as a polymorph or solvate, so unless clearly indicated otherwise, reference in the specification to compounds and salts thereof should be understood as encompassing any solid state form of the compound.
- the compounds of the invention, or salts thereof are substantially isolated.
- substantially isolated is meant that the compound is at least partially or substantially separated from the environment in which it was formed or detected.
- Partial separation can include, e.g., a composition enriched in the compounds of the invention.
- Substantial separation can include compositions containing at least about 50%, at least about 60%, at least about 70%, at least about 80%, at least about 90%, at least about 95%, at least about 97%, or at least about 99% by weight of the compounds of the invention, or salt thereof.
- phrases “pharmaceutically acceptable” is employed herein to refer to those compounds, materials, compositions and/or dosage forms which are, within the scope of sound medical judgment, suitable for use in contact with the tissues of human beings and animals without excessive toxicity, irritation, allergic response, or other problem or complication, commensurate with a reasonable benefit/risk ratio.
- ambient temperature and “room temperature,” as used herein, are understood in the art, and refer generally to a temperature, e.g., a reaction temperature, that is about the temperature of the room in which the reaction is carried out, e.g., a temperature from about 20° C. to about 30° C.
- the present invention also includes pharmaceutically acceptable salts of the compounds described herein.
- pharmaceutically acceptable salts refers to derivatives of the disclosed compounds wherein the parent compound is modified by converting an existing acid or base moiety to its salt form.
- examples of pharmaceutically acceptable salts include, but are not limited to, mineral or organic acid salts of basic residues such as amines; alkali or organic salts of acidic residues such as carboxylic acids; and the like.
- the pharmaceutically acceptable salts of the present invention include the non-toxic salts of the parent compound formed, e.g., from non-toxic inorganic or organic acids.
- the pharmaceutically acceptable salts of the present invention can be synthesized from the parent compound which contains a basic or acidic moiety by conventional chemical methods.
- such salts can be prepared by reacting the free acid or base forms of these compounds with a stoichiometric amount of the appropriate base or acid in water or in an organic solvent, or in a mixture of the two; generally, non-aqueous media like ether, ethyl acetate, alcohols (e.g., methanol, ethanol, iso-propanol or butanol) or acetonitrile (MeCN) are preferred.
- non-aqueous media like ether, ethyl acetate, alcohols (e.g., methanol, ethanol, iso-propanol or butanol) or acetonitrile (MeCN) are preferred.
- suitable salts are found in Remington's Pharmaceutical Sciences, 17 th Ed., (Mack Publishing Company, Easton, 1985), p. 1418, Berge et al., J. Pharm. Sci., 1977, 66(1), 1-19 and in Stahl et al., Handbook of Pharmaceutical
- the reactions for preparing compounds of the invention can be carried out in suitable solvents which can be readily selected by one of skill in the art of organic synthesis.
- suitable solvents can be substantially non-reactive with the starting materials (reactants), the intermediates or products at the temperatures at which the reactions are carried out, e.g., temperatures which can range from the solvent's freezing temperature to the solvent's boiling temperature.
- a given reaction can be carried out in one solvent or a mixture of more than one solvent.
- suitable solvents for a particular reaction step can be selected by the skilled artisan.
- Preparation of compounds of the invention can involve the protection and deprotection of various chemical groups.
- the need for protection and deprotection, and the selection of appropriate protecting groups, can be readily determined by one skilled in the art.
- the chemistry of protecting groups is described, e.g., in Kocienski, Protecting Groups, (Thieme, 2007); Robertson, Protecting Group Chemistry , (Oxford University Press, 2000); Smith et al., March's Advanced Organic Chemistry: Reactions, Mechanisms, and Structure, 6 th Ed. (Wiley, 2007); Peturssion et al., “Protecting Groups in Carbohydrate Chemistry,” J. Chem. Educ., 1997, 74(11), 1297; and Wuts et al., Protective Groups in Organic Synthesis, 4th Ed., (Wiley, 2006).
- Reactions can be monitored according to any suitable method known in the art.
- product formation can be monitored by spectroscopic means, such as nuclear magnetic resonance spectroscopy (e.g., 1 H or 13 C), infrared spectroscopy, spectrophotometry (e.g., UV-visible), mass spectrometry or by chromatographic methods such as high performance liquid chromatography (HPLC) or thin layer chromatography (TLC).
- spectroscopic means such as nuclear magnetic resonance spectroscopy (e.g., 1 H or 13 C), infrared spectroscopy, spectrophotometry (e.g., UV-visible), mass spectrometry or by chromatographic methods such as high performance liquid chromatography (HPLC) or thin layer chromatography (TLC).
- HPLC high performance liquid chromatography
- TLC thin layer chromatography
- the halo substituent in compounds of Formula 1-1 can be converted into Cy A via a number of different cross-coupling reactions, including Suzuki (e.g., in the presence of a palladium catalyst, such as Xphos Pd G2, and a base, such as potassium phosphate), Negishi and Stille (e.g., in the presence of a palladium(0) catalyst, such as tetrakis(triphenylphosphine)palladium(0)), Cu-catalyzed amination (e.g., in the presence of Cu catalyst and a ligand, such as CuI and phenanthroline, and a base, such as cesium carbonate or potassium carbonate), and others, to give compounds of Formula 1-2.
- Suzuki e.g., in the presence of a palladium catalyst, such as Xphos Pd G2, and a base, such as potassium phosphate
- Negishi and Stille e.g., in the presence of a palladium(0) catalyst, such as
- These compounds can be further halogenated with a halogenation agent (e.g., NIS or iodine) to form compounds of Formula 1-3.
- a halogenation agent e.g., NIS or iodine
- the halogen substituent in the compounds of Formula 1-3 can be converted into R 1 via a number of different cross-coupling reactions, including Stille (ACS Catalysis 2015, 5, 3040-3053) Suzuki (Tetrahedron 2002, 58, 9633-9695), Sonogashira (Chem. Soc. Rev. 2011, 40, 5084-5121), Negishi (ACS Catalysis 2016, 6, 1540-1552), Buchwald-Hartwig amination (Chem. Sci. 2011, 2, 27-50), Cu-catalyzed amination (Org. React. 2014, 85, 1-688) and others, to give the desired compounds of Formula (I).
- Stille ACS Catalysis 2015, 5, 3040-3053
- Suzuki Tetrahedron 2002, 58
- compounds of Formula (I) can be prepared, using a process as illustrated in Scheme 2. Iodination of the compounds of Formula 1-1 with an iodination agent, such as iodine or NIS, forms compounds of Formula 2-2.
- the iodo substituent in the compounds of Formula 2-2 can be converted into R 1 via a number of different cross-coupling reactions, including Suzuki, Sonogashira, Negishi, Buchwald-Hartwig amination, Cu-catalyzed amination and others, to give the compounds of Formula 2-3.
- the chloro substituent in the compounds of Formula 2-3 can be further converted into Cy A via a number of different cross-coupling reactions, including Suzuki, Stille, Negishi, Cu-catalyzed amination and others, to give the desired compounds of Formula (I).
- the halo substituent in the compounds of Formula 3-4 can be further converted into Cy A via a number of different cross-coupling reactions, including Suzuki, Stille, Negishi, Cu-catalyzed amination, and others, to give the compounds of Formula 3-5.
- Compounds of Formula 3-5 react with different acid chlorides in a presence of base, such as triethylamine or DIPEA, to form compounds of Formula 3-6.
- base such as triethylamine or DIPEA
- deprotection of the protecting group e.g. under acidic conditions, such as treatment with HCl or TFA, results in the formation of the desired compounds of Formula (Ia).
- compounds of Formula 3-6 can be alkylated or arylated and then deprotected to prepare amides wherein R c is other than hydrogen.
- Compounds of Formula (Ib) (compounds of Formula I wherein R 1 is C(O)NR c R d ) can be prepared, using a process as illustrated in Scheme 4.
- compounds of Formula 4-2 are formed after protection of the NH group of the compounds of Formula 1-3 with a suitable protecting group (e.g. SEM or Boc).
- the compounds of Formula 4-2 are converted into compounds of Formula 4-3 under Pd-catalyzed carbonylation conditions, such as in a presence of Pd catalyst (e.g., Pd(dppf)Cl 2 *DCM) and base (e.g., triethylamine) under carbon monoxide atmosphere.
- Pd catalyst e.g., Pd(dppf)Cl 2 *DCM
- base e.g., triethylamine
- the NH group of the pyrazole ring in the compounds of Formula 5-4 is protected with a suitable protecting group, such as Boc or SEM, to form compounds of Formula 5-5.
- a suitable protecting group such as Boc or SEM
- the iodo substituent in the compounds of Formula 5-5 can be converted into R via a number of different cross-coupling reactions, including Suzuki, Stille, Negishi, Cu-catalyzed amination, and others, to give the compounds of Formula 5-6.
- the bromo substituent in the compounds of Formula 5-6 can be further converted into Cy A via a number of different cross-coupling reactions, including Suzuki, Stille, Negishi, and others, to give the compounds of Formula 5-7.
- the chloro substituent in the compounds of Formula 5-7 can be further converted into R 2 via a number of different cross-coupling reactions, including Suzuki, Stille, Negishi, and others, to give the compounds of Formula 5-8.
- deprotection of the protecting group e.g. under acidic conditions, such as treatment with HCl or TFA, results in the formation of the desired compounds of Formula (I).
- the compounds of Formula 6-4 are converted into compounds of Formula 6-5.
- the chloro substituent in the compounds of Formula 6-5 can be converted into Cy A via a number of different cross-coupling reactions, including Suzuki, Stille, Negishi, and others, to give the compounds of Formula 6-6.
- Removal of the protecting group in the compounds of Formula 6-6 e.g. under acidic conditions, such as treatment with HCl or TFA gives compounds of Formula 6-7.
- These compounds can be further halogenated with one of the halogenation agents (e.g., NIS or iodine) to form compounds of formula 6-8.
- one of the halogenation agents e.g., NIS or iodine
- the compounds of Formula 6-8 are converted into compounds of Formula 6-9.
- a suitable protecting group e.g., Boc, SEM and others
- the iodo substituent in the compounds of Formula 6-9 can be further converted into R 1 via a number of different cross-coupling reactions, including Suzuki, Stille, Sonogashira, Negishi, Buchwald-Hartwig amination, Cu-catalyzed amination and others, to give the compounds of Formula 6-10.
- deprotection of the protecting group e.g. under acidic conditions, such as treatment with HCl or TFA, results in the formation of the desired compounds of Formula (Ic).
- HPK1 is a negative regulator of T cell and B cell activation (Hu, M. C., et al., Genes Dev, 1996. 10(18): p. 2251-64; Kiefer, F., et al., EMBO J, 1996. 15(24): p. 7013-25).
- HPK1-deficient mouse T cells showed dramatically increased activation of TCR proximal signaling, enhanced IL-2 production, and hyper-proliferation in vitro upon anti-CD3 stimulation (Shui, J. W., et al., Nat Immunol, 2007. 8(1): p. 84-91).
- HPK1 knockout B cells produced much higher levels of IgM and IgG isoforms after KLH immunization and displayed hyper-proliferation potentially as a result of enhanced BCR signaling.
- HPK1 is activated by LCK/ZAP70 (T cells) or SYK/LYN (B cells) mediated-Tyr379 phosphorylation and its subsequent binding to adaptor protein SLP-76 (T cells) or BLNK (B cells) (Wang, X., et al., J Biol Chem, 2012.
- HPK1-mediated downregulation of these adaptor proteins provide a negative feedback mechanism to attenuate signaling intensity during T cell or B cell activation (Wang, X., et al., J Biol Chem, 2012. 287(14): p. 11037-48).
- the bone marrow-derived dendritic cells (BDMCs) from HPK1 knockout mice showed higher expression of co-stimulatory molecules (e.g. CD80/CD86) and enhanced production of proinflammatory cytokines (IL-12, TNF- ⁇ etc), and demonstrated superior ability to stimulate T cell proliferation in vitro and in vivo as compared to wild-type DCs (Alzabin, S., et al., J Immunol, 2009. 182(10): p. 6187-94).
- co-stimulatory molecules e.g. CD80/CD86
- proinflammatory cytokines IL-12, TNF- ⁇ etc
- HPK1 appears to be a positive regulator of suppressive functions of regulatory T cells (Treg) (Sawasdikosol, S. et al., The journal of immunology, 2012. 188(supplement 1): p. 163).
- HPK1 deficient mouse Foxp3+ Tregs were defective in suppressing TCR-induced effector T cell proliferation, and paradoxically gained the ability to produce IL-2 following TCR engagement (Sawasdikosol, S. et al., The Journal of Immunology, 2012. 188(supplement 1): p. 163).
- HPK1 was also involved in PGE2-mediated inhibition of CD4+ T cell activation (Ikegami, R., et al., J Immunol, 2001. 166(7): p. 4689-96).
- the proliferation of HPK1 deficient T cells was resistant to the suppressive effects of PGE2 (see US 2007/0087988). Therefore, PGE2-mediated activation of HPK1 may represent a novel regulatory pathway of modulating immune response.
- the present disclosure provides methods of modulating (e.g., inhibiting) HPK1 activity, said method comprising administering to a patient a compound provided herein, or a pharmaceutically acceptable salt thereof.
- the compounds of the present disclosure, or pharmaceutically acceptable salts thereof are useful for therapeutic administration to enhance, stimulate and/or increase immunity in cancer.
- a method of treating a disease or disorder associated with inhibition of HPK1 interaction can include administering to a patient in need thereof a therapeutically effective amount of a compound provided herein, or a pharmaceutically acceptable salt thereof.
- the compounds of the present disclosure can be used alone, in combination with other agents or therapies or as an adjuvant or neoadjuvant for the treatment of diseases or disorders, including cancers.
- any of the compounds of the disclosure, including any of the embodiments thereof may be used.
- cancers that are treatable using the compounds of the present disclosure include, but are not limited to, bone cancer, pancreatic cancer, skin cancer, cancer of the head or neck, cutaneous or intraocular malignant melanoma, uterine cancer, ovarian cancer, rectal cancer, cancer of the anal region, stomach cancer, testicular cancer, uterine cancer, carcinoma of the fallopian tubes, carcinoma of the endometrium, endometrial cancer, carcinoma of the cervix, carcinoma of the vagina, carcinoma of the vulva, Hodgkin's Disease, non-Hodgkin's lymphoma, cancer of the esophagus, cancer of the small intestine, cancer of the endocrine system, cancer of the thyroid gland, cancer of the parathyroid gland, cancer of the adrenal gland, sarcoma of soft tissue, cancer of the urethra, cancer of the penis, chronic or acute leukemias including acute myeloid leukemia, chronic myeloid leukemia, acute lymphoblastic leuk
- cancers treatable with compounds of the present disclosure include melanoma (e.g., metastatic malignant melanoma), renal cancer (e.g. clear cell carcinoma), prostate cancer (e.g. hormone refractory prostate adenocarcinoma), breast cancer, triple-negative breast cancer, colon cancer and lung cancer (e.g. non-small cell lung cancer and small cell lung cancer). Additionally, the disclosure includes refractory or recurrent malignancies whose growth may be inhibited using the compounds of the disclosure.
- melanoma e.g., metastatic malignant melanoma
- renal cancer e.g. clear cell carcinoma
- prostate cancer e.g. hormone refractory prostate adenocarcinoma
- breast cancer triple-negative breast cancer
- colon cancer e.g. non-small cell lung cancer and small cell lung cancer
- lung cancer e.g. non-small cell lung cancer and small cell lung cancer.
- the disclosure includes refractory or recurrent malignancies whose growth may
- cancers that are treatable using the compounds of the present disclosure include, but are not limited to, solid tumors (e.g., prostate cancer, colon cancer, esophageal cancer, endometrial cancer, ovarian cancer, uterine cancer, renal cancer, hepatic cancer, pancreatic cancer, gastric cancer, breast cancer, lung cancer, cancers of the head and neck, thyroid cancer, glioblastoma, sarcoma, bladder cancer, etc.), hematological cancers (e.g., lymphoma, leukemia such as acute lymphoblastic leukemia (ALL), acute myelogenous leukemia (AML), chronic lymphocytic leukemia (CLL), chronic myelogenous leukemia (CML), DLBCL, mantle cell lymphoma, Non-Hodgkin lymphoma (including relapsed or refractory NHL and recurrent follicular), Hodgkin lymphoma or multiple myeloma) and combinations
- diseases and indications that are treatable using the compounds of the present disclosure include, but are not limited to hematological cancers, sarcomas, lung cancers, gastrointestinal cancers, genitourinary tract cancers, liver cancers, bone cancers, nervous system cancers, gynecological cancers, and skin cancers.
- Exemplary hematological cancers include lymphomas and leukemias such as acute lymphoblastic leukemia (ALL), acute myelogenous leukemia (AML), acute promyelocytic leukemia (APL), chronic lymphocytic leukemia (CLL), chronic myelogenous leukemia (CML), diffuse large B-cell lymphoma (DLBCL), mantle cell lymphoma, Non-Hodgkin lymphoma (including relapsed or refractory NHL and recurrent follicular), Hodgkin lymphoma, myeloproliferative diseases (e.g., primary myelofibrosis (PMF), polycythemia vera (PV), essential thrombocytosis (ET)), myelodysplasia syndrome (MDS), T-cell acute lymphoblastic lymphoma (T-ALL), multiple myeloma, cutaneous T-cell lymphoma, Waldenstrom's Macroglubulinemia,
- Exemplary sarcomas include chondrosarcoma, Ewing's sarcoma, osteosarcoma, rhabdomyosarcoma, angiosarcoma, fibrosarcoma, liposarcoma, myxoma, rhabdomyoma, rhabdosarcoma, fibroma, lipoma, harmatoma, and teratoma.
- Exemplary lung cancers include non-small cell lung cancer (NSCLC), small cell lung cancer, bronchogenic carcinoma (squamous cell, undifferentiated small cell, undifferentiated large cell, adenocarcinoma), alveolar (bronchiolar) carcinoma, bronchial adenoma, chondromatous hamartoma, and mesothelioma.
- NSCLC non-small cell lung cancer
- small cell lung cancer bronchogenic carcinoma
- squamous cell undifferentiated small cell, undifferentiated large cell
- adenocarcinoma adenocarcinoma
- alveolar (bronchiolar) carcinoma bronchial adenoma
- chondromatous hamartoma chondromatous hamartoma
- mesothelioma mesothelioma
- Exemplary gastrointestinal cancers include cancers of the esophagus (squamous cell carcinoma, adenocarcinoma, leiomyosarcoma, lymphoma), stomach (carcinoma, lymphoma, leiomyosarcoma), pancreas (ductal adenocarcinoma, insulinoma, glucagonoma, gastrinoma, carcinoid tumors, vipoma), small bowel (adenocarcinoma, lymphoma, carcinoid tumors, Kaposi's sarcoma, leiomyoma, hemangioma, lipoma, neurofibroma, fibroma), large bowel (adenocarcinoma, tubular adenoma, villous adenoma, hamartoma, leiomyoma), and colorectal cancer.
- esophagus squamous cell carcinoma, adenocarcinoma, leiomy
- Exemplary genitourinary tract cancers include cancers of the kidney (adenocarcinoma, Wilm's tumor [nephroblastoma]), bladder and urethra (squamous cell carcinoma, transitional cell carcinoma, adenocarcinoma), prostate (adenocarcinoma, sarcoma), and testis (seminoma, teratoma, embryonal carcinoma, teratocarcinoma, choriocarcinoma, sarcoma, interstitial cell carcinoma, fibroma, fibroadenoma, adenomatoid tumors, lipoma).
- liver cancers include hepatoma (hepatocellular carcinoma), cholangiocarcinoma, hepatoblastoma, angiosarcoma, hepatocellular adenoma, and hemangioma.
- Exemplary bone cancers include, for example, osteogenic sarcoma (osteosarcoma), fibrosarcoma, malignant fibrous histiocytoma, chondrosarcoma, Ewing's sarcoma, malignant lymphoma (reticulum cell sarcoma), multiple myeloma, malignant giant cell tumor chordoma, osteochronfroma (osteocartilaginous exostoses), benign chondroma, chondroblastoma, chondromyxofibroma, osteoid osteoma, and giant cell tumors
- osteogenic sarcoma osteosarcoma
- fibrosarcoma malignant fibrous histiocytoma
- chondrosarcoma chondrosarcoma
- Ewing's sarcoma malignant lymphoma
- multiple myeloma malignant giant cell tumor chordoma
- osteochronfroma osteocart
- Exemplary nervous system cancers include cancers of the skull (osteoma, hemangioma, granuloma, xanthoma, osteitis deformans), meninges (meningioma, meningiosarcoma, gliomatosis), brain (astrocytoma, meduoblastoma, glioma, ependymoma, germinoma (pinealoma), glioblastoma, glioblastoma multiform, oligodendroglioma, schwannoma, retinoblastoma, congenital tumors), and spinal cord (neurofibroma, meningioma, glioma, sarcoma), as well as neuroblastoma and Lhermitte-Duclos disease.
- skull osteoma, hemangioma, granuloma, xanthoma, osteitis de
- Exemplary gynecological cancers include cancers of the uterus (endometrial carcinoma), cervix (cervical carcinoma, pre-tumor cervical dysplasia), ovaries (ovarian carcinoma (serous cystadenocarcinoma, mucinous cystadenocarcinoma, unclassified carcinoma), granulosa-thecal cell tumors, Sertoli-Leydig cell tumors, dysgerminoma, malignant teratoma), vulva (squamous cell carcinoma, intraepithelial carcinoma, adenocarcinoma, fibrosarcoma, melanoma), vagina (clear cell carcinoma, squamous cell carcinoma, botryoid sarcoma (embryonal rhabdomyosarcoma), and fallopian tubes (carcinoma).
- endometrial carcinoma endometrial carcinoma
- cervix cervical carcinoma, pre-tumor cervical dysplasia
- ovaries
- Exemplary skin cancers include melanoma, basal cell carcinoma, squamous cell carcinoma, Kaposi's sarcoma, Merkel cell skin cancer, moles dysplastic nevi, lipoma, angioma, dermatofibroma, and keloids.
- diseases and indications that are treatable using the compounds of the present disclosure include, but are not limited to, sickle cell disease (e.g., sickle cell anemia), triple-negative breast cancer (TNBC), myelodysplastic syndromes, testicular cancer, bile duct cancer, esophageal cancer, and urothelial carcinoma.
- Exemplary head and neck cancers include glioblastoma, melanoma, rhabdosarcoma, lymphosarcoma, osteosarcoma, squamous cell carcinomas, adenocarcinomas, oral cancer, laryngeal cancer, nasopharyngeal cancer, nasal and paranasal cancers, thyroid and parathyroid cancers.
- HPK1 inhibitors may be used to treat tumors producing PGE2 (e.g. Cox-2 overexpressing tumors) and/or adenosine (CD73 and CD39 over-expressing tumors).
- PGE2 e.g. Cox-2 overexpressing tumors
- CD73 and CD39 over-expressing tumors Overexpression of Cox-2 has been detected in a number of tumors, such as colorectal, breast, pancreatic and lung cancers, where it correlates with a poor prognosis.
- Overexpression of COX-2 has been reported in hematological cancer models such as RAJI (Burkitt's lymphoma) and U937 (acute promonocytic leukemia) as well as in patient's blast cells.
- CD73 is up-regulated in various human carcinomas including those of colon, lung, pancreas and ovary. Importantly, higher expression levels of CD73 are associated with tumor neovascularization, invasiveness, and metastasis and with shorter patient survival time in breast cancer.
- mice refer to any animal, including mammals, preferably mice, rats, other rodents, rabbits, dogs, cats, swine, cattle, sheep, horses, or primates, and most preferably humans.
- terapéuticaally effective amount refers to the amount of active compound or pharmaceutical agent that elicits the biological or medicinal response in a tissue, system, animal, individual or human that is being sought by a researcher, veterinarian, medical doctor or other clinician.
- treating refers to one or more of (1) inhibiting the disease; e.g., inhibiting a disease, condition or disorder in an individual who is experiencing or displaying the pathology or symptomatology of the disease, condition or disorder (i.e., arresting further development of the pathology and/or symptomatology); and (2) ameliorating the disease; e.g., ameliorating a disease, condition or disorder in an individual who is experiencing or displaying the pathology or symptomatology of the disease, condition or disorder (i.e., reversing the pathology and/or symptomatology) such as decreasing the severity of disease.
- the compounds of the invention are useful in preventing or reducing the risk of developing any of the diseases referred to herein; e.g., preventing or reducing the risk of developing a disease, condition or disorder in an individual who may be predisposed to the disease, condition or disorder but does not yet experience or display the pathology or symptomatology of the disease.
- Cancer cell growth and survival can be impacted by multiple signaling pathways.
- agents that may be combined with compounds of the present disclosure include inhibitors of the PI3K-AKT-mTOR pathway, inhibitors of the Raf-MAPK pathway, inhibitors of JAK-STAT pathway, inhibitors of beta catenin pathway, inhibitors of notch pathway, inhibitors of hedgehog pathway, inhibitors of Pim kinases, and inhibitors of protein chaperones and cell cycle progression.
- Targeting more than one signaling pathway may reduce the likelihood of drug-resistance arising in a cell population, and/or reduce the toxicity of treatment.
- the compounds of the present disclosure can be used in combination with one or more other enzyme/protein/receptor inhibitors for the treatment of diseases, such as cancer.
- cancers include solid tumors and liquid tumors, such as blood cancers.
- the compounds of the present disclosure can be combined with one or more inhibitors of the following kinases for the treatment of cancer: Akt1, Akt2, Akt3, TGF- ⁇ R, PKA, PKG, PKC, CaM-kinase, phosphorylase kinase, MEKK, ERK, MAPK, mTOR, EGFR, HER2, HER3, HER4, INS-R, IGF-1R, IR-R, PDGF ⁇ R, PDGF ⁇ R, CSFIR, KIT, FLK-II, KDR/FLK-1, FLK-4, fit-1, FGFR1, FGFR2, FGFR3, FGFR4, c-Met, Ron, Sea, TRKA, TRKB, TRKC, FLT3, VEGFR/Flt2, Flt
- the compounds of the present disclosure can be combined with one or more of the following inhibitors for the treatment of cancer.
- inhibitors that can be combined with the compounds of the present disclosure for treatment of cancers include an FGFR inhibitor (FGFR1, FGFR2, FGFR3 or FGFR4, e.g., AZD4547, BAY1187982, ARQ087, BGJ398, BIBF1120, TKI258, lucitanib, dovitinib, TAS-120, JNJ-42756493, Debio1347, INCB54828, INCB62079 and INCB63904), a JAK inhibitor (JAK1 and/or JAK2, e.g., ruxolitinib, baricitinib or INCB39110), an IDO inhibitor (e.g., epacadostat and NLG919), an LSD1 inhibitor (e.g., GSK2979552, INCB59872 and INCB60003), a TDO
- FGFR inhibitor
- Inhibitors of HDAC such as panobinostat and vorinostat.
- Inhibitors of c-Met such as onartumzumab, tivantnib, and INC-280.
- Inhibitors of BTK such as ibrutinib.
- Inhibitors of mTOR such as rapamycin, sirolimus, temsirolimus, and everolimus.
- Inhibitors of Raf such as vemurafenib and dabrafenib.
- Inhibitors of MEK such as trametinib, selumetinib and GDC-0973.
- Hsp90 e.g., tanespimycin
- cyclin dependent kinases e.g., palbociclib
- PARP e.g., olaparib
- Pim kinases LGH447, INCB053914 and SGI-1776
- immune checkpoint inhibitors include inhibitors against immune checkpoint molecules such as CD20, CD27, CD28, CD39, CD40, CD122, CD96, CD73, CD47, OX40, GITR, CSF1R, JAK, PI3K delta, PI3K gamma, TAM, arginase, CD137 (also known as 4-1BB), ICOS, A2AR, B7-H3, B7-H4, BTLA, CTLA-4, LAG3, TIM3, VISTA, PD-1, PD-L1 and PD-L2.
- immune checkpoint inhibitors include inhibitors against immune checkpoint molecules such as CD20, CD27, CD28, CD39, CD40, CD122, CD96, CD73, CD47, OX40, GITR, CSF1R, JAK, PI3K delta, PI3K gamma, TAM, arginase, CD137 (also known as 4-1BB), ICOS, A2AR, B7-H3, B7-H4,
- the immune checkpoint molecule is a stimulatory checkpoint molecule selected from CD27, CD28, CD40, ICOS, OX40, GITR and CD137.
- the immune checkpoint molecule is an inhibitory checkpoint molecule selected from A2AR, B7-H3, B7-H4, BTLA, CTLA-4, IDO, KIR, LAG3, PD-1, TIM3, and VISTA.
- the compounds provided herein can be used in combination with one or more agents selected from KIR inhibitors, TIGIT inhibitors, LAIR1 inhibitors, CD160 inhibitors, 2B4 inhibitors and TGFR beta inhibitors.
- the inhibitor of an immune checkpoint molecule is anti-PD1 antibody, anti-PD-L1 antibody, or anti-CTLA-4 antibody.
- the inhibitor of an immune checkpoint molecule is an inhibitor of PD-1, e.g., an anti-PD-1 monoclonal antibody.
- the anti-PD-1 monoclonal antibody is nivolumab, pembrolizumab (also known as MK-3475), pidilizumab, SHR-1210, PDR001, or AMP-224.
- the anti-PD-1 monoclonal antibody is nivolumab or pembrolizumab.
- the anti-PD1 antibody is pembrolizumab.
- the anti PD-1 antibody is SHR-1210.
- the inhibitor of an immune checkpoint molecule is an inhibitor of PD-L1, e.g., an anti-PD-L1 monoclonal antibody.
- the anti-PD-L1 monoclonal antibody is BMS-935559, MEDI4736, MPDL3280A (also known as RG7446), or MSB0010718C.
- the anti-PD-L1 monoclonal antibody is MPDL3280A or MEDI4736.
- the inhibitor of an immune checkpoint molecule is an inhibitor of CTLA-4, e.g., an anti-CTLA-4 antibody.
- the anti-CTLA-4 antibody is ipilimumab.
- the inhibitor of an immune checkpoint molecule is an inhibitor of CSF1R, e.g., an anti-CSF1R antibody.
- the anti-CSF1R antibody is IMC-CS4 or RG7155.
- the inhibitor of an immune checkpoint molecule is an inhibitor of LAG3, e.g., an anti-LAG3 antibody.
- the anti-LAG3 antibody is BMS-986016, LAG525, IMP321 or GSK2831781.
- the inhibitor of an immune checkpoint molecule is an inhibitor of GITR, e.g., an anti-GITR antibody.
- the anti-GITR antibody is TRX518, MK-4166, MK1248, BMS-986156, MEDI1873 or GWN323.
- the inhibitor of an immune checkpoint molecule is an inhibitor of OX40, e.g., an anti-OX40 antibody or OX40L fusion protein.
- OX40 e.g., an anti-OX40 antibody or OX40L fusion protein.
- the anti-OX40 antibody is MEDI0562, MEDI6469, MOXR0916, PF-04518600 or GSK3174998.
- the OX40L fusion protein is MEDI6383.
- the inhibitor of an immune checkpoint molecule is an inhibitor of TIM3, e.g., an anti-TIM3 antibody.
- the anti-TIM3 antibody is MBG-453.
- the inhibitor of an immune checkpoint molecule is an inhibitor of CD20, e.g., an anti-CD20 antibody.
- the anti-CD20 antibody is obinutuzumab or rituximab.
- the compounds of the invention can be used in combination with one or more metabolic enzyme inhibitors.
- the metabolic enzyme inhibitor is an inhibitor of IDO1, TDO, or arginase.
- IDO1 inhibitors include epacadostat and NGL919.
- An example of an arginase inhibitor is CB-1158.
- the compounds of the present disclosure can be used in combination with bispecific antibodies.
- one of the domains of the bispecific antibody targets PD-1, PD-L1, CTLA-4, GITR, OX40, TIM3, LAG3, CD137, ICOS, CD3 or TG ⁇ receptor.
- the agent is an alkylating agent, a proteasome inhibitor, a corticosteroid, or an immunomodulatory agent.
- an alkylating agent include bendamustine, nitrogen mustards, ethylenimine derivatives, alkyl sulfonates, nitrosoureas and triazenes, uracil mustard, chlormethine, cyclophosphamide (CytoxanTM), ifosfamide, melphalan, chlorambucil, pipobroman, triethylene-melamine, triethylenethiophosphoramine, busulfan, carmustine, lomustine, streptozocin, dacarbazine, and temozolomide.
- the proteasome inhibitor is carfilzomib.
- the corticosteroid is dexamethasone (DEX).
- the immunomodulatory agent is lenalidomide (LEN) or pomalidomide (POM).
- the compounds of the present disclosure can further be used in combination with other methods of treating cancers, for example by chemotherapy, irradiation therapy, tumor-targeted therapy, adjuvant therapy, immunotherapy or surgery.
- immunotherapy include cytokine treatment (e.g., interferons, GM-CSF, G-CSF, IL-2), CRS-207 immunotherapy, cancer vaccine, monoclonal antibody, adoptive T cell transfer, oncolytic virotherapy and immunomodulating small molecules, including thalidomide or JAK1/2 inhibitor and the like.
- the compounds can be administered in combination with one or more anti-cancer drugs, such as a chemotherapeutics.
- Example chemotherapeutics include any of: abarelix, abiraterone, afatinib, aflibercept, aldesleukin, alemtuzumab, alitretinoin, allopurinol, altretamine, anastrozole, arsenic trioxide, asparaginase, axitinib, azacitidine, bevacizumab, bexarotene, baricitinib, bicalutamide, bleomycin, bortezombi, bortezomib, brivanib, buparlisib, busulfan intravenous, busulfan oral, calusterone, capecitabine, carboplatin, carmustine, cediranib, cetuximab, chlorambucil, cisplatin, cladribine, clofarabine, crizotinib, cyclophosphamide, cytarabine, dacarb
- anti-cancer agent(s) include antibody therapeutics such as trastuzumab (Herceptin), antibodies to costimulatory molecules such as CTLA-4 (e.g., ipilimumab or tremelimumab), 4-1BB, antibodies to PD-1 and PD-L1, or antibodies to cytokines (IL-10, TGF- ⁇ , etc.).
- CTLA-4 e.g., ipilimumab or tremelimumab
- 4-1BB antibodies to PD-1 and PD-L1
- antibodies to cytokines IL-10, TGF- ⁇ , etc.
- Examples of antibodies to PD-1 and/or PD-L1 that can be combined with compounds of the present disclosure for the treatment of cancer or infections such as viral, bacteria, fungus and parasite infections include, but are not limited to, nivolumab, pembrolizumab, MPDL3280A, MEDI-4736 and SHR-1210.
- kinases associated cell proliferative disorder. These kinases include but not limited to Aurora-A, CDK1, CDK2, CDK3, CDK5, CDK7, CDK8, CDK9, ephrin receptor kinases, CHK1, CHK2, SRC, Yes, Fyn, Lck, Fer, Fes, Syk, Itk, Bmx, GSK3, JNK, PAK1, PAK2, PAK3, PAK4, PDK1, PKA, PKC, Rsk and SGK.
- Aurora-A CDK1, CDK2, CDK3, CDK5, CDK7, CDK8, CDK9
- ephrin receptor kinases CHK1, CHK2, SRC, Yes, Fyn, Lck, Fer, Fes, Syk, Itk, Bmx, GSK3, JNK, PAK1, PAK2, PAK3, PAK4, PDK1, PKA, PKC, Rsk and SGK.
- anti-cancer agents also include those that block immune cell migration such as antagonists to chemokine receptors, including CCR2 and CCR4.
- the compounds of the present disclosure can further be used in combination with one or more anti-inflammatory agents, steroids, immunosuppressants or therapeutic antibodies.
- the compounds of Formula (I) or any of the formulas as described herein, a compound as recited in any of the claims and described herein, or salts thereof can be combined with another immunogenic agent, such as cancerous cells, purified tumor antigens (including recombinant proteins, peptides, and carbohydrate molecules), cells, and cells transfected with genes encoding immune stimulating cytokines.
- tumor vaccines include peptides of melanoma antigens, such as peptides of gp100, MAGE antigens, Trp-2, MARTI and/or tyrosinase, or tumor cells transfected to express the cytokine GM-CSF.
- tumor vaccines include the proteins from viruses implicated in human cancers such as Human Papilloma Viruses (HPV), Hepatitis Viruses (HBV and HCV) and Kaposi's Herpes Sarcoma Virus (KHSV).
- HPV Human Papilloma Viruses
- HBV and HCV Hepatitis Viruses
- KHSV Kaposi's Herpes Sarcoma Virus
- the compounds of the present disclosure can be used in combination with tumor specific antigen such as heat shock proteins isolated from tumor tissue itself.
- the compounds of Formula (I) or any of the formulas as described herein, a compound as recited in any of the claims and described herein, or salts thereof can be combined with dendritic cells immunization to activate potent anti-tumor responses.
- the compounds of the present disclosure can be used in combination with bispecific macrocyclic peptides that target Fe alpha or Fe gamma receptor-expressing effectors cells to tumor cells.
- the compounds of the present disclosure can also be combined with macrocyclic peptides that activate host immune responsiveness.
- the compounds of the present disclosure can be used in combination with bone marrow transplant for the treatment of a variety of tumors of hematopoietic origin.
- Suitable antiviral agents contemplated for use in combination with the compounds of the present disclosure can comprise nucleoside and nucleotide reverse transcriptase inhibitors (NRTIs), non-nucleoside reverse transcriptase inhibitors (NNRTIs), protease inhibitors and other antiviral drugs.
- NRTIs nucleoside and nucleotide reverse transcriptase inhibitors
- NRTIs non-nucleoside reverse transcriptase inhibitors
- protease inhibitors and other antiviral drugs.
- Example suitable NRTIs include zidovudine (AZT); didanosine (ddl); zalcitabine (ddC); stavudine (d4T); lamivudine (3TC); abacavir (1592U89); adefovir dipivoxil [bis(POM)-PMEA]; lobucavir (BMS-180194); BCH-10652; emitricitabine [( ⁇ )-FTC]; beta-L-FD4 (also called beta-L-D4C and named beta-L-2′,3′-dicleoxy-5-fluoro-cytidene); DAPD, (( ⁇ )-beta-D-2,6,-diamino-purine dioxolane); and lodenosine (FddA).
- ZT zidovudine
- ddl didanosine
- ddC zalcitabine
- stavudine d4T
- NNRTIs include nevirapine (BI-RG-587); delaviradine (BHAP, U-90152); efavirenz (DMP-266); PNU-142721; AG-1549; MKC-442 (1-(ethoxy-methyl)-5-(1-methylethyl)-6-(phenylmethyl)-(2,4(1H,3H)-pyrimidinedione); and (+)-calanolide A (NSC-675451) and B.
- Typical suitable protease inhibitors include saquinavir (Ro 31-8959); ritonavir (ABT-538); indinavir (MK-639); nelfnavir (AG-1343); amprenavir (141W94); lasinavir (BMS-234475); DMP-450; BMS-2322623; ABT-378; and AG-1 549.
- Other antiviral agents include hydroxyurea, ribavirin, IL-2, IL-12, pentafuside and Yissum Project No. 11607.
- more than one pharmaceutical agent When more than one pharmaceutical agent is administered to a patient, they can be administered simultaneously, separately, sequentially, or in combination (e.g., for more than two agents).
- the compounds of the present disclosure can be administered in the form of pharmaceutical compositions.
- a composition comprising a compound of Formula (I) or any of the formulas as described herein, a compound as recited in any of the claims and described herein, or a pharmaceutically acceptable salt thereof, or any of the embodiments thereof, and at least one pharmaceutically acceptable carrier or excipient.
- These compositions can be prepared in a manner well known in the pharmaceutical art, and can be administered by a variety of routes, depending upon whether local or systemic treatment is indicated and upon the area to be treated.
- Administration may be topical (including transdermal, epidermal, ophthalmic and to mucous membranes including intranasal, vaginal and rectal delivery), pulmonary (e.g., by inhalation or insufflation of powders or aerosols, including by nebulizer; intratracheal or intranasal), oral or parenteral.
- Parenteral administration includes intravenous, intraarterial, subcutaneous, intraperitoneal intramuscular or injection or infusion; or intracranial, e.g., intrathecal or intraventricular, administration.
- Parenteral administration can be in the form of a single bolus dose, or may be, e.g., by a continuous perfusion pump.
- compositions and formulations for topical administration may include transdermal patches, ointments, lotions, creams, gels, drops, suppositories, sprays, liquids and powders.
- Conventional pharmaceutical carriers, aqueous, powder or oily bases, thickeners and the like may be necessary or desirable.
- compositions which contain, as the active ingredient, the compound of the present disclosure or a pharmaceutically acceptable salt thereof, in combination with one or more pharmaceutically acceptable carriers or excipients.
- the composition is suitable for topical administration.
- the active ingredient is typically mixed with an excipient, diluted by an excipient or enclosed within such a carrier in the form of, e.g., a capsule, sachet, paper, or other container.
- the excipient serves as a diluent, it can be a solid, semi-solid, or liquid material, which acts as a vehicle, carrier or medium for the active ingredient.
- compositions can be in the form of tablets, pills, powders, lozenges, sachets, cachets, elixirs, suspensions, emulsions, solutions, syrups, aerosols (as a solid or in a liquid medium), ointments containing, e.g., up to 10% by weight of the active compound, soft and hard gelatin capsules, suppositories, sterile injectable solutions and sterile packaged powders.
- the active compound can be milled to provide the appropriate particle size prior to combining with the other ingredients. If the active compound is substantially insoluble, it can be milled to a particle size of less than 200 mesh. If the active compound is substantially water soluble, the particle size can be adjusted by milling to provide a substantially uniform distribution in the formulation, e.g., about 40 mesh.
- the compounds of the invention may be milled using known milling procedures such as wet milling to obtain a particle size appropriate for tablet formation and for other formulation types.
- Finely divided (nanoparticulate) preparations of the compounds of the invention can be prepared by processes known in the art see, e.g., WO 2002/000196.
- excipients include lactose, dextrose, sucrose, sorbitol, mannitol, starches, gum acacia, calcium phosphate, alginates, tragacanth, gelatin, calcium silicate, microcrystalline cellulose, polyvinylpyrrolidone, cellulose, water, syrup and methyl cellulose.
- the formulations can additionally include: lubricating agents such as talc, magnesium stearate and mineral oil; wetting agents; emulsifying and suspending agents; preserving agents such as methyl- and propylhydroxy-benzoates; sweetening agents; and flavoring agents.
- the compositions of the invention can be formulated so as to provide quick, sustained or delayed release of the active ingredient after administration to the patient by employing procedures known in the art.
- the pharmaceutical composition comprises silicified microcrystalline cellulose (SMCC) and at least one compound described herein, or a pharmaceutically acceptable salt thereof.
- SMCC silicified microcrystalline cellulose
- the silicified microcrystalline cellulose comprises about 98% microcrystalline cellulose and about 2% silicon dioxide w/w.
- the composition is a sustained release composition comprising at least one compound described herein, or a pharmaceutically acceptable salt thereof, and at least one pharmaceutically acceptable carrier or excipient.
- the composition comprises at least one compound described herein, or a pharmaceutically acceptable salt thereof, and at least one component selected from microcrystalline cellulose, lactose monohydrate, hydroxypropyl methylcellulose and polyethylene oxide.
- the composition comprises at least one compound described herein, or a pharmaceutically acceptable salt thereof, and microcrystalline cellulose, lactose monohydrate and hydroxypropyl methylcellulose.
- the composition comprises at least one compound described herein, or a pharmaceutically acceptable salt thereof, and microcrystalline cellulose, lactose monohydrate and polyethylene oxide.
- the composition further comprises magnesium stearate or silicon dioxide.
- the microcrystalline cellulose is Avicel PH102TM.
- the lactose monohydrate is Fast-flo 316TM.
- the hydroxypropyl methylcellulose is hydroxypropyl methylcellulose 2208 K4M (e.g., Methocel K4 M PremierTM) and/or hydroxypropyl methylcellulose 2208 K100LV (e.g., Methocel K00LVTM).
- the polyethylene oxide is polyethylene oxide WSR 1105 (e.g., Polyox WSR 1105TM).
- a wet granulation process is used to produce the composition. In some embodiments, a dry granulation process is used to produce the composition.
- compositions can be formulated in a unit dosage form, each dosage containing from about 5 to about 1,000 mg (1 g), more usually about 100 mg to about 500 mg, of the active ingredient. In some embodiments, each dosage contains about 10 mg of the active ingredient. In some embodiments, each dosage contains about 50 mg of the active ingredient. In some embodiments, each dosage contains about 25 mg of the active ingredient.
- unit dosage forms refers to physically discrete units suitable as unitary dosages for human subjects and other mammals, each unit containing a predetermined quantity of active material calculated to produce the desired therapeutic effect, in association with a suitable pharmaceutical excipient.
- the components used to formulate the pharmaceutical compositions are of high purity and are substantially free of potentially harmful contaminants (e.g., at least National Food grade, generally at least analytical grade, and more typically at least pharmaceutical grade).
- the composition is preferably manufactured or formulated under Good Manufacturing Practice standards as defined in the applicable regulations of the U.S. Food and Drug Administration.
- suitable formulations may be sterile and/or substantially isotonic and/or in full compliance with all Good Manufacturing Practice regulations of the U.S. Food and Drug Administration.
- the active compound may be effective over a wide dosage range and is generally administered in a therapeutically effective amount. It will be understood, however, that the amount of the compound actually administered will usually be determined by a physician, according to the relevant circumstances, including the condition to be treated, the chosen route of administration, the actual compound administered, the age, weight, and response of the individual patient, the severity of the patient's symptoms and the like.
- the therapeutic dosage of a compound of the present invention can vary according to, e.g., the particular use for which the treatment is made, the manner of administration of the compound, the health and condition of the patient, and the judgment of the prescribing physician.
- the proportion or concentration of a compound of the invention in a pharmaceutical composition can vary depending upon a number of factors including dosage, chemical characteristics (e.g., hydrophobicity), and the route of administration.
- the compounds of the invention can be provided in an aqueous physiological buffer solution containing about 0.1 to about 10% w/v of the compound for parenteral administration. Some typical dose ranges are from about 1 ⁇ g/kg to about 1 g/kg of body weight per day.
- the dose range is from about 0.01 mg/kg to about 100 mg/kg of body weight per day.
- the dosage is likely to depend on such variables as the type and extent of progression of the disease or disorder, the overall health status of the particular patient, the relative biological efficacy of the compound selected, formulation of the excipient, and its route of administration. Effective doses can be extrapolated from dose-response curves derived from in vitro or animal model test systems.
- the principal active ingredient is mixed with a pharmaceutical excipient to form a solid preformulation composition containing a homogeneous mixture of a compound of the present invention.
- a solid preformulation composition containing a homogeneous mixture of a compound of the present invention.
- the active ingredient is typically dispersed evenly throughout the composition so that the composition can be readily subdivided into equally effective unit dosage forms such as tablets, pills and capsules.
- This solid preformulation is then subdivided into unit dosage forms of the type described above containing from, e.g., about 0.1 to about 1000 mg of the active ingredient of the present invention.
- the tablets or pills of the present invention can be coated or otherwise compounded to provide a dosage form affording the advantage of prolonged action.
- the tablet or pill can comprise an inner dosage and an outer dosage component, the latter being in the form of an envelope over the former.
- the two components can be separated by an enteric layer which serves to resist disintegration in the stomach and permit the inner component to pass intact into the duodenum or to be delayed in release.
- enteric layers or coatings such materials including a number of polymeric acids and mixtures of polymeric acids with such materials as shellac, cetyl alcohol and cellulose acetate.
- liquid forms in which the compounds and compositions of the present invention can be incorporated for administration orally or by injection include aqueous solutions, suitably flavored syrups, aqueous or oil suspensions, and flavored emulsions with edible oils such as cottonseed oil, sesame oil, coconut oil, or peanut oil, as well as elixirs and similar pharmaceutical vehicles.
- compositions for inhalation or insufflation include solutions and suspensions in pharmaceutically acceptable, aqueous or organic solvents, or mixtures thereof, and powders.
- the liquid or solid compositions may contain suitable pharmaceutically acceptable excipients as described supra.
- the compositions are administered by the oral or nasal respiratory route for local or systemic effect.
- Compositions can be nebulized by use of inert gases. Nebulized solutions may be breathed directly from the nebulizing device or the nebulizing device can be attached to a face mask, tent, or intermittent positive pressure breathing machine. Solution, suspension, or powder compositions can be administered orally or nasally from devices which deliver the formulation in an appropriate manner.
- Topical formulations can contain one or more conventional carriers.
- ointments can contain water and one or more hydrophobic carriers selected from, e.g., liquid paraffin, polyoxyethylene alkyl ether, propylene glycol, white Vaseline, and the like.
- Carrier compositions of creams can be based on water in combination with glycerol and one or more other components, e.g., glycerinemonostearate, PEG-glycerinemonostearate and cetylstearyl alcohol.
- Gels can be formulated using isopropyl alcohol and water, suitably in combination with other components such as, e.g., glycerol, hydroxyethyl cellulose, and the like.
- topical formulations contain at least about 0.1, at least about 0.25, at least about 0.5, at least about 1, at least about 2 or at least about 5 wt % of the compound of the invention.
- the topical formulations can be suitably packaged in tubes of, e.g., 100 g which are optionally associated with instructions for the treatment of the select indication, e.g., psoriasis or other skin condition.
- compositions can be administered to a patient already suffering from a disease in an amount sufficient to cure or at least partially arrest the symptoms of the disease and its complications. Effective doses will depend on the disease condition being treated as well as by the judgment of the attending clinician depending upon factors such as the severity of the disease, the age, weight and general condition of the patient and the like.
- compositions administered to a patient can be in the form of pharmaceutical compositions described above. These compositions can be sterilized by conventional sterilization techniques, or may be sterile filtered. Aqueous solutions can be packaged for use as is, or lyophilized, the lyophilized preparation being combined with a sterile aqueous carrier prior to administration.
- the pH of the compound preparations typically will be between 3 and 11, more preferably from 5 to 9 and most preferably from 7 to 8. It will be understood that use of certain of the foregoing excipients, carriers or stabilizers will result in the formation of pharmaceutical salts.
- the therapeutic dosage of a compound of the present invention can vary according to, e.g., the particular use for which the treatment is made, the manner of administration of the compound, the health and condition of the patient, and the judgment of the prescribing physician.
- the proportion or concentration of a compound of the invention in a pharmaceutical composition can vary depending upon a number of factors including dosage, chemical characteristics (e.g., hydrophobicity), and the route of administration.
- the compounds of the invention can be provided in an aqueous physiological buffer solution containing about 0.1 to about 10% w/v of the compound for parenteral administration. Some typical dose ranges are from about 1 ⁇ g/kg to about 1 g/kg of body weight per day.
- the dose range is from about 0.01 mg/kg to about 100 mg/kg of body weight per day.
- the dosage is likely to depend on such variables as the type and extent of progression of the disease or disorder, the overall health status of the particular patient, the relative biological efficacy of the compound selected, formulation of the excipient, and its route of administration. Effective doses can be extrapolated from dose-response curves derived from in vitro or animal model test systems.
- the compounds of the present disclosure can further be useful in investigations of biological processes in normal and abnormal tissues.
- another aspect of the present invention relates to fluorescent dye, spin label, heavy metal or radio-labeled compounds provided herein that would be useful not only in imaging techniques but also in assays, both in vitro and in vivo, for localizing and quantitating HPK1 protein in tissue samples, including human, and for identifying HPK1 ligands by inhibition binding of a labeled compound.
- the present invention includes HPK1 binding assays that contain such labeled compounds.
- the present invention further includes isotopically-substituted compounds of the disclosure.
- An “isotopically-substituted” compound is a compound of the invention where one or more atoms are replaced or substituted by an atom having the same atomic number but a different atomic mass or mass number.
- Compounds of the invention may contain isotopes in a natural abundance as found in nature.
- Compounds of the invention may also have isotopes in amounts greater to that found in nature, e.g., synthetically incorporating low natural abundance isotopes into the compounds of the invention so they are enriched in a particularly useful isotope (e.g., 2 H and 13 C).
- a “radio-labeled” compound is a compound that has incorporated at least one isotope that is radioactive (e.g., radionuclide), e.g., 3 H and 14 C.
- Suitable radionuclides that may be incorporated in compounds of the present invention include but are not limited to 3 H (also written as T for tritium), 11 C, 13 C, 14 C, 13 N, 15 N, 15 O, 17 O, 18 O, 18 F, 35 S, 36 Cl, 82 Br, 75 Br, 76 Br, 77 Br, 123 I, 124 I, 125 I and 131 I.
- the radionuclide that is incorporated in the instant radio-labeled compounds will depend on the specific application of that radio-labeled compound.
- the radionuclide is selected from the group consisting of 3 H, 14 C, 125 I, 35 S and 82 Br.
- compounds that incorporate 3 H, 14 C, 82 Br, 125 I, 131 I, or 35 S will generally be most useful.
- C, 18 F, 125 I, 123 I, 124 I, 131 I, 75 Br, 76 Br or 77 Br will generally be most useful.
- Synthetic methods for incorporating radio-isotopes into organic compounds are known in the art.
- a labeled compound of the invention can be used in a screening assay to identify and/or evaluate compounds.
- a newly synthesized or identified compound i.e., test compound
- a test compound which is labeled can be evaluated for its ability to bind a HPK1 protein by monitoring its concentration variation when contacting with the HPK1, through tracking of the labeling.
- a test compound (labeled) can be evaluated for its ability to reduce binding of another compound which is known to bind to a HPK1 protein (i.e., standard compound). Accordingly, the ability of a test compound to compete with the standard compound for binding to the HPK1 protein directly correlates to its binding affinity.
- the standard compound is labeled and test compounds are unlabeled. Accordingly, the concentration of the labeled standard compound is monitored in order to evaluate the competition between the standard compound and the test compound, and the relative binding affinity of the test compound is thus ascertained.
- kits useful useful, e.g., in the treatment or prevention of diseases or disorders associated with the activity of HPK1, such as cancer or infections, which include one or more containers containing a pharmaceutical composition comprising a therapeutically effective amount of a compound of Formula (I), or any of the embodiments thereof.
- kits can further include one or more of various conventional pharmaceutical kit components, such as, e.g., containers with one or more pharmaceutically acceptable carriers, additional containers, etc., as will be readily apparent to those skilled in the art.
- Instructions, either as inserts or as labels, indicating quantities of the components to be administered, guidelines for administration, and/or guidelines for mixing the components, can also be included in the kit.
- Typical preparative reverse-phase high performance liquid chromatography (RP-HPLC) column conditions are as follows:
- pH 10 purifications: Waters XBridge C 18 5 ⁇ m particle size, 19 ⁇ 100 mm column, eluting with mobile phase A: 0.15% NH 4 OH in water and mobile phase B: acetonitrile; the flow rate was 30 mL/minute, the separating gradient was optimized for each compound using the Compound Specific Method Optimization protocol as described in the literature (See “Preparative LCMS Purification: Improved Compound Specific Method Optimization”, K. Blom, B. Glass, R. Sparks, A. Combs, J. Comb. Chem., 6, 874-883 (2004)). Typically, the flow rate used with 30 ⁇ 100 mm column was 60 mL/minute.
- the reaction was degassed and backfilled with N 2 and warmed up to 90° C.
- the reaction mixture was stirred at 90° C. for 15 hours.
- the reaction mixture was cooled to r.t., diluted with methanol, filtered and purified by prep-LCMS (XBridge C18 column, eluting with a gradient of acetonitrile/water containing 0.1% TFA, at flow rate of 60 mL/min).
- reaction mixture was diluted with methanol, filtered and purified by prep-LCMS (XBridge C18 column, eluting with a gradient of acetonitrile/water containing 0.1% TFA, at flow rate of 60 mL/min).
- the reaction was degassed and backfilled with N 2 and stirred at 90° C. for 15 hours.
- the reaction mixture was cooled to r.t., filtered and concentrated to dryness. 1 mL of 1:1 mixture of TFA and DCM was added to the obtained residue and the reaction was stirred for another 1 hour.
- Step 1 4-(3-(4-(4-(4-Methylpiperazin-1-yl)phenyl)-1H-pyrazolo[4,3-b]pyridin-5-yl)-2, 3-dihydro-1H-inden-1-one
- the reaction mixture was degassed by bubbling nitrogen through the mixture for 10 minutes and then heated to 70° C. for 1 h. After cooling to room temperature the reaction mixture was filtered over a pad of Celite, diluted with water, and extracted with ethyl acetate. The combined organic phases were washed with brine, dried over magnesium sulfate, and concentrated under reduced pressure. The crude product was purified by Biotage IsoleraTM (5.46 g, 77%).
- tert-butyl (4-bromo-3-fluoro-5-methylbenzyl)(methyl)-carbamate 573 mg, 1.73 mmol
- THF 11.5 mL
- n-BuLi 1.6 M solution in hexanes, 1.19 mL, 1.90 mmol
- the reaction mixture was then allowed to stir for 3 minutes before 2-isopropyl-4,4,5,5-tetramethyl-1,3,2-dioxaborolane (427 ⁇ L, 2.25 mmol) was added dropwise.
- the mixture was warmed to room temperature and stirred for an additional 5 hours.
- the reaction mixture was degassed by bubbling nitrogen through the mixture for 10 minutes and then chloro(2-dicyclohexylphosphino-2′,4′,6′-tri-i-propyl-1,1′-biphenyl)(2′-amino-1,1′-biphenyl-2-yl) palladium(II) (0.076 g, 0.097 mmol) was added.
- the reaction mixture was stirred at 60° C. for 1 hour followed by addition of 5 mL of 4N HCl in dioxane and 4 mL of water. The resulting mixture was stirred at 80° C.
- a screw-cap vial was charged with 5-chloro-1-trityl-1H-pyrazolo[4,3-b]pyridine-6-carbonitrile (362.4 mg, 0.861 mmol), chloro(2-dicyclohexylphosphino-2′,6′-dimethoxy-1,1′-biphenyl)[2-(2′-amino-1,1′-biphenyl)]palladium(II) (SPhos Pd G2, 57.8 mg, 0.080 mmol) and cesium carbonate (869.3 mg, 2.67 mmol).
- the vial was sealed, evacuated and backfilled with nitrogen (this process was repeated a total of three times).
- a vial was charged with 1-methyl-4-(5-(4,4,5,5-tetramethyl-1,3,2-dioxaborolan-2-yl)pyridin-2-yl)piperazine (20.4 mg, 0.067 mmol), chloro(2-dicyclohexylphosphino-2′,4′,6′-triisopropyl-1,1′-biphenyl)[2-(2′-amino-1,1′-biphenyl)]palladium(II) (XPhos Pd G2, 5.3 mg, 6.74 ⁇ mol) and cesium carbonate (53.3 mg, 0.164 mmol).
- the vial was sealed, evacuated and backfilled with nitrogen (this process was repeated a total of three times).
- a vial was charged with 5-chloro-1-trityl-1H-pyrazolo[4,3-b]pyridine-6-carbonitrile (see step 4 in example 62, 449.7 mg, 1.068 mmol), bis(di-tert-butyl(4-dimethylaminophenyl)-phosphine)dichloropalladium(II) (76.2 mg, 0.108 mmol) and CsF (668.8 mg, 4.40 mmol).
- the vial was sealed, evacuated and backfilled with nitrogen (this process was repeated a total of three times).
- a vial was charged with 1-methyl-4-(4,4,5,5-tetramethyl-1,3,2-dioxaborolan-2-yl)-1H-pyrazole (11.0 mg, 0.053 mmol), chloro(2-dicyclohexylphosphino-2′,4′,6′-triisopropyl-1,1′-biphenyl)[2-(2′-amino-1,1′-biphenyl)]palladium(II) (XPhos Pd G2, 4.8 mg, 6.10 ⁇ mol) and cesium carbonate (33.2 mg, 0.102 mmol).
- the vial was sealed, evacuated and backfilled with nitrogen (this process was repeated a total of three times).
- a vial was charged with 5-chloro-1-trityl-1H-pyrazolo[4,3-b]pyridine-6-carbonitrile (see step 4 in example 62, 569.3 mg, 1.353 mmol), bis(di-tert-butyl(4-dimethylaminophenyl)-phosphine)dichloropalladium(II) (99.8 mg, 0.141 mmol) and CsF (822.2 mg, 5.41 mmol).
- Step 7 5-(6-Fluoro-1, 2,3, 4-tetrahydroisoquinolin-5-yl)-3-(1-methyl-1H-pyrazol-4-yl)-1H-pyrazolo[4,3-b]pyridine-6-carbonitrile
- a vial was charged with 1-methyl-4-(4,4,5,5-tetramethyl-1,3,2-dioxaborolan-2-yl)-1H-pyrazole (11.2 mg, 0.054 mmol), chloro(2-dicyclohexylphosphino-2′,4′,6′-triisopropyl-1,1′-biphenyl)[2-(2′-amino-1,1′-biphenyl)]palladium(II) (XPhos Pd G2, 4.5 mg, 5.72 ⁇ mol) and cesium carbonate (38.3 mg, 0.118 mmol).
- the vial was sealed, evacuated and backfilled with nitrogen (this process was repeated a total of three times).
- This compound was prepared according to the procedure described in Example 74 (step 7), using 1-methyl-4-(5-(4,4,5,5-tetramethyl-1,3,2-dioxaborolan-2-yl)pyridin-2-yl)piperazine instead of 1-methyl-4-(4,4,5,5-tetramethyl-1,3,2-dioxaborolan-2-yl)-1H-pyrazole as the starting material.
- LCMS calculated for C 26 H 26 FN 8 (M+H) + : m/z 469.2; found: 469.2.
- This compound was prepared according to the procedure described in Example 62 (step 8), using 1-methyl-4-(4,4,5,5-tetramethyl-1,3,2-dioxaborolan-2-yl)-1H-pyrazole instead of 1-methyl-4-(5-(4,4,5,5-tetramethyl-1,3,2-dioxaborolan-2-yl)pyridin-2-yl)piperazine as the starting material.
- LCMS calculated for C 18 H 14 FN 6 (M+H) + : m/z 333.1; found: 333.1.
- a stock solution of 1 mM test compound was prepared in DMSO.
- the compound plate was prepared by 3-fold and 11-point serial dilutions. 0.1 ⁇ L of the compound in DMSO was transferred from the compound plate to the white 384 well polystyrene plates.
- the assay buffer contained 50 mM HEPES, pH 7.5, 0.01% Tween-20, 5 mM MgCl 2 , 0.01% BSA, and 5 mM DTT. 5 ⁇ l of 4 nM active HPK1 (SignalChem M23-11G) prepared in the buffer was added to the plate. The enzyme concentration given was based on the given stock concentration reported by the vender.
- One or more compounds of the invention can be tested using the p-SLP76S376 HTRF assay described as follows.
- Jurkat cells (cultured in RPMI1640 media with 10% FBS) are collected and centrifuged, followed by resuspension in appropriate media at 3 ⁇ 10 6 cells/ml.
- the Jurkat cells (35 ul) are dispensed into each well in a 384 well plate.
- Test compounds are diluted with cell culture media for 40-fold dilution (adding 39 ul cell culture media into 1 ul compound).
- the Jurkat cells in the well plate are treated with the test compounds at various concentrations (adding 5 ul diluted compound into 35 ul Jurkat cells and starting from 3 uM with 1:3 dilution) for 1 hour at 37° C., 5% CO 2 ), followed by treatment with anti-CD3 (5 ug/ml, OKT3 clone) for 30 min.
- a 1:25 dilution of 100 ⁇ blocking reagent (from p-SLP76 ser376HTRF kit) with 4 ⁇ Lysis Buffer(LB) is prepared and 15 ul of the 4 ⁇ LB buffer with blocking reagent is added into each well and incubated at room temperature for 45 mins with gentle shaking.
- the cell lysate (16 ul) is added into a Greiner white plate, treated with p-SLP76 ser376HTRF reagents (2 ul donor, 2 ul acceptor) and incubated at 4° C. for overnight.
- the homogeneous time resolved fluorescence (HTRF) is measured on a PHERAstar plate reader the next day.
- IC 50 determination is performed by fitting the curve of percent inhibition versus the log of the inhibitor concentration using the GraphPad Prism 5.0 software.
- CD4+ or CD8+ T cells are isolated by negative selection using CD4+ or CD8+ enrichment kits (lifetech, USA). The purity of the isolated CD4+ or CD8+ T cells is determined by flow cytometry and is routinely >80%.
- Cells are cultured in RPMI 1640 supplemented with 10% FCS, glutamine and antibiotics (Invitrogen Life Technologies, USA).
- cytokine measurement Jurkat cells or primary CD4+ or CD8+ T cells are plated at 200 k cells/well and are stimulated for 24 h with anti-CD3/anti-CD28 beads in the presence or absence of testing compounds at various concentrations. 16 ⁇ L of supernatants are then transferred to a white detection plate and analyzed using the human IL2 or IFN ⁇ assay kits (Cisbio).
- Regulatory T-cell proliferation assay described as following.
- Primary CD4+/CD25 ⁇ T-cells and CD4+/CD25+ regulatory T-cells are isolated from human donated Peripheral Blood Mononuclear Cells, using an isolated kit from Thermo Fisher Scientific (11363D).
- CD4+/CD25 ⁇ T-cells are labeled with CFSE (Thermo Fisher Scientific, C34554) following the protocol provided by the vendor.
- CFSE labeled T-cells and CD4+/CD25+ regulatory T-cells are re-suspended at the concentration of 1 ⁇ 106 cells/ml in RPMI-1640 medium.
- CFSE-labeled T-cells 100 ⁇ l of CFSE-labeled T-cells are mixed with or without 50 ⁇ l of CD4+/CD25+ regulatory T-cells, treated with 5 ⁇ l of anti-CD3/CD28 beads (Thermo Fisher Scientific, 11132D) and various concentrations of compounds diluted in 50 ⁇ l of RPMI-1640 medium. Mixed populations of cells are cultured for 5 days (37° C., 5% CO 2 ) and proliferation of CFSE-labeled T-cells is analyzed by BD LSRFortessa X-20 using FITC channel on the 5th day.
Landscapes
- Chemical & Material Sciences (AREA)
- Organic Chemistry (AREA)
- Health & Medical Sciences (AREA)
- General Chemical & Material Sciences (AREA)
- Medicinal Chemistry (AREA)
- Nuclear Medicine, Radiotherapy & Molecular Imaging (AREA)
- Chemical Kinetics & Catalysis (AREA)
- Pharmacology & Pharmacy (AREA)
- Life Sciences & Earth Sciences (AREA)
- Animal Behavior & Ethology (AREA)
- General Health & Medical Sciences (AREA)
- Public Health (AREA)
- Veterinary Medicine (AREA)
- Pharmaceuticals Containing Other Organic And Inorganic Compounds (AREA)
- Nitrogen Condensed Heterocyclic Rings (AREA)
Abstract
Disclosed are compounds of Formula (I), methods of using the compounds for inhibiting HPK1 activity and pharmaceutical compositions comprising such compounds. The compounds are useful in treating, preventing or ameliorating diseases or disorders associated with HPK1 activity such as cancer.
Description
- The disclosure provides compounds as well as their compositions and methods of use. The compounds modulate hematopoietic progenitor kinase 1 (HPK1) activity and are useful in the treatment of various diseases including cancer.
- Hematopoietic progenitor kinase 1 (HPK1) originally cloned from hematopoietic progenitor cells is a member of MAP kinase kinase kinase kinases (MAP4Ks) family, which includes MAP4K1/HPK1, MAP4K2/GCK, MAP4K3/GLK, MAP4K4/HGK, MAP4K5/KHS, and MAP4K6/MINK (Hu, M. C., et al., Genes Dev, 1996. 10(18): p. 2251-64). HPK1 is of particular interest because it is predominantly expressed in hematopoietic cells such as T cells, B cells, macrophages, dendritic cells, neutrophils, and mast cells (Hu, M. C., et al., Genes Dev, 1996. 10(18): p. 2251-64; Kiefer, F., et al., EMBO J, 1996. 15(24): p. 7013-25). HPK1 kinase activity has been shown to be induced upon activation of T cell receptors (TCR) (Liou, J., et al., Immunity, 2000. 12(4): p. 399-408), B cell receptors (BCR) (Liou, J., et al., Immunity, 2000. 12(4): p. 399-408), transforming growth factor receptor (TGF-βR) (Wang, W., et al., J Biol Chem, 1997. 272(36): p. 22771-5; Zhou, G., et al., J Biol Chem, 1999. 274(19): p. 13133-8), or GS-coupled PGE2 receptors (EP2 and EP4) (Ikegami, R., et al., J Immunol, 2001. 166(7): p. 4689-96). As such, HPK1 regulates diverse functions of various immune cells.
- HPK1 is important in regulating the functions of various immune cells and it has been implicated in autoimmune diseases and anti-tumor immunity (Shui, J. W., et al., Nat Immunol, 2007. 8(1): p. 84-91; Wang, X., et al., J Biol Chem, 2012. 287(14): p. 11037-48). HPK1 knockout mice were more susceptible to the induction of experimental autoimmune encephalomyelitis (EAE) (Shui, J. W., et al., Nat Immunol, 2007. 8(1): p. 84-91). In human, HPK1 was downregulated in peripheral blood mononuclear cells of psoriatic arthritis patients or T cells of systemic lupus erythematosus (SLE) patients (Batliwalla, F. M., et al., Mol Med, 2005. 11(1-12): p. 21-9). Those observations suggested that attenuation of HPK1 activity may contribute to autoimmunity in patients. Furthermore, HPK1 may also control anti-tumor immunity via T cell-dependent mechanisms. In the PGE2-producing Lewis lung carcinoma tumor model, the tumors developed more slowly in HPK1 knockout mice as compared to wild-type mice (see US 2007/0087988). In addition, it was shown that adoptive transfer of HPK1 deficient T cells was more effective in controlling tumor growth and metastasis than wild-type T cells (Alzabin, S., et al., Cancer Immunol Immunother, 2010. 59(3): p. 419-29). Similarly, BMDCs from HPK1 knockout mice were more efficient to mount a T cell response to eradicate Lewis lung carcinoma as compared to wild-type BMDCs (Alzabin, S., et al., J Immunol, 2009. 182(10): p. 6187-94). These data, in conjunction with the restricted expression of HPK1 in hematopoietic cells and lack of effect on the normal development of immune cells, suggest that HPK1 may be an excellent drug target for enhancing antitumor immunity. Accordingly, there is a need for new compounds that modulate HPK1 activity.
- The present disclosure provides, inter alia, a compound of Formula (I):
- or a pharmaceutically acceptable salt thereof, wherein constituent variables are defined herein.
- The present disclosure further provides a pharmaceutical composition comprising a compound of the disclosure, or a pharmaceutically acceptable salt thereof, and at least one pharmaceutically acceptable carrier or excipient.
- The present disclosure further provides methods of inhibiting HPK1 activity, which comprises administering to an individual a compound of the disclosure, or a pharmaceutically acceptable salt thereof.
- The present disclosure further provides methods of treating a disease or disorder in a patient comprising administering to the patient a therapeutically effective amount of a compound of the disclosure, or a pharmaceutically acceptable salt thereof.
- The present disclosure provides, a compound of Formula (I):
- or a pharmaceutically acceptable salt thereof, wherein:
- R1 is selected from Cy1, C1-6 alkyl, C2-6 alkenyl, C2-6 alkynyl, C1-6 haloalkyl, halo, CN, NO2, ORa, SRa, C(O)Rb, C(O)NRcRd, C(O)ORa, OC(O)Rb, OC(O)NRcRd, NRcRd, NRcC(O)Rb, NRcC(O)ORa, NRcC(O)NRcRd, C(═NRe)Rb, C(═NORa)Rb, C(═NRe)NRcRd, NRcC(═NRe)NRcRd, NRcS(O)Rb, NRcS(O)2Rb, NRcS(O)2NRcRd, S(O)Rb, S(O)NRcRd, S(O)2Rb, and S(O)2NRcRd; wherein said C1-6 alkyl, C2-6 alkenyl and C2-6 alkynyl are each optionally substituted with 1, 2, 3, or 4 substituents independently selected from R10;
- Cy1 is selected from C3-10 cycloalkyl, 4-10 membered heterocycloalkyl, C6-10 aryl and 5-10 membered heteroaryl; wherein each 4-10 membered heterocycloalkyl and 5-10 membered heteroaryl has at least one ring-forming carbon atom and 1, 2, 3, or 4 ring-forming heteroatoms independently selected from N, O, and S; wherein the N and S are optionally oxidized; wherein a ring-forming carbon atom of 5-10 membered heteroaryl and 4-10 membered heterocycloalkyl is optionally substituted by oxo to form a carbonyl group; and wherein the C3-10 cycloalkyl, 4-10 membered heterocycloalkyl, C6-10 aryl and 5-10 membered heteroaryl are each optionally substituted with 1, 2, 3 or 4 substituents independently selected from R10;
- CyA is selected from C6-10 aryl and 5-10 membered heteroaryl; wherein the 5-10 membered heteroaryl has at least one ring-forming carbon atom and 1, 2, 3, or 4 ring-forming heteroatoms independently selected from N, O, and S; wherein the N and S are optionally oxidized; wherein a ring-forming carbon atom of the 5-10 membered heteroaryl is optionally substituted by oxo to form a carbonyl group; and wherein the C6-10 aryl and 5-10 membered heteroaryl are each optionally substituted with 1, 2, 3 or 4 substituents independently selected from R20;
- R2 is selected from H, C1-6 alkyl, C2-6 alkenyl, C2-6 alkynyl, C1-6 haloalkyl, C3-10 cycloalkyl, 4-10 membered heterocycloalkyl, C6-10 aryl, 5-10 membered heteroaryl, C3-10 cycloalkyl-C1-3 alkylene, 4-10 membered heterocycloalkyl-C1-3 alkylene, C6-10 aryl-C1-3 alkylene, 5-10 membered heteroaryl-C1-3 alkylene, halo, CN, ORa7, SRa7, C(O)Rb7, C(O)NRc7Rd7, C(O)ORa7, NRc7Rd7, NRc7C(O)Rb7, NRc7C(O)ORa7, NRc7S(O)Rb7, NRc7S(O)2Rb7, NRc7S(O)2NRc7Rd7, S(O)NRc7Rd7, S(O)2Rb7, and S(O)2NRc7Rd7; wherein said C1-6 alkyl, C2-6 alkenyl, C2-6 alkynyl, C3-10 cycloalkyl, 4-10 membered heterocycloalkyl, C6-10 aryl, 5-10 membered heteroaryl, C3-10 cycloalkyl-C1-3 alkylene, 4-10 membered heterocycloalkyl-C1-3 alkylene, C6-10 aryl-C1-3 alkylene and 5-10 membered heteroaryl-C1-3 alkylene are each optionally substituted with 1, 2, 3, or 4 substituents independently selected from R30;
- each R10 is independently selected from C1-6 alkyl, C2-6 alkenyl, C2-6 alkynyl, C1-6 haloalkyl, C3-10 cycloalkyl, 4-10 membered heterocycloalkyl, C6-10 aryl, 5-10 membered heteroaryl, C3-10cycloalkyl-C1-3 alkylene, 4-10 membered heterocycloalkyl-C1-3 alkylene, C6-10 aryl-C1-3 alkylene, 5-10 membered heteroaryl-C1-3 alkylene, halo, CN, NO2, ORa1, SRa1, C(O)Rb1, C(O)NRc1Rd1, C(O)ORa1, OC(O)Rb1, OC(O)NRc1Rd1, NRc1Rd1, NRc1(O)Rb1, NRc1C(O)ORa1, NRc1C(O)NRc1Rd1, C(═NRe1)Rb1, C(═NORa1)Rb1, C(═NRe1)NRc1Rd1, NRc1C(—NRe1)NRc1Rd1, NRc1S(O)Rb1, NRc1S(O)2Rb1, NRc1S(O)2NRc1Rd1, S(O)Rb1, S(O)NRc1Rd1, S(O)2Rb1, and S(O)2NRc1Rd1; wherein said C1-6 alkyl, C2-6 alkenyl, C2-6 alkynyl, C3-10 cycloalkyl, 4-10 membered heterocycloalkyl, C6-10 aryl, 5-10 membered heteroaryl, C3-10 cycloalkyl-C1-3 alkylene, 4-10 membered heterocycloalkyl-C1-3 alkylene, C6-10 aryl-C1-3 alkylene and 5-10 membered heteroaryl-C1-3 alkylene are each optionally substituted with 1, 2, 3, or 4 substituents independently selected from R11;
- or two R10 substituents taken together with the carbon atom to which they are attached form a spiro 3-7-membered heterocycloalkyl ring, or a spiro C3-6 cycloalkyl ring; wherein each spiro 3-7-membered heterocycloalkyl ring has at least one ring-forming carbon atom and 1, 2 or 3 ring-forming heteroatoms independently selected from N, O, and S; wherein a ring-forming carbon atom of each spiro 3-7-membered heterocycloalkyl ring is optionally substituted by oxo to form a carbonyl group; and wherein the spiro 3-7-membered heterocycloalkyl ring and spiro C3-6 cycloalkyl ring are each optionally substituted with 1, 2, 3 or 4 substituents independently selected from R11;
- each R11 is independently selected from C1-6 alkyl, C2-6 alkenyl, C2-6 alkynyl, C1-6 haloalkyl, C3-10 cycloalkyl, 4-10 membered heterocycloalkyl, C6-10 aryl, 5-10 membered heteroaryl, C3-10 cycloalkyl-C1-3 alkylene, 4-10 membered heterocycloalkyl-C1-3 alkylene, C6-10 aryl-C1-3 alkylene, 5-10 membered heteroaryl-C1-3 alkylene, halo, CN, ORa3, SRa3, C(O)Rb3, C(O)NRc3Rd3, C(O)ORa3, NRc3Rd3, NRc3C(O)Rb3, NRc3C(O)ORa3, NRc3S(O)Rb3, NRc3S(O)2Rb3, NRc3S(O)2NRc3Rd3, S(O)NRc3Rd3, S(O)2Rb3, and S(O)2NRc3Rd3; wherein said C1-6 alkyl, C2-6 alkenyl, C2-6 alkynyl, C3-10 cycloalkyl, 4-10 membered heterocycloalkyl, C6-10 aryl, 5-10 membered heteroaryl, C3-10 cycloalkyl-C1-3 alkylene, 4-10 membered heterocycloalkyl-C1-3 alkylene, C6-10 aryl-C1-3 alkylene and 5-10 membered heteroaryl-C1-3 alkylene are each optionally substituted with 1, 2, 3, or 4 substituents independently selected from R12;
- each R12 is independently selected from C1-6 alkyl, C2-6 alkenyl, C2-6 alkynyl, C1-6 haloalkyl, C3-6 cycloalkyl, C6-10 aryl, 5-10 membered heteroaryl, 4-7 membered heterocycloalkyl, halo, CN, ORa5, SRa5, C(O)Rb5, C(O)NRc5Rd5, C(O)ORa5, NRc5Rd5, NRc5C(O)Rb5, NRc5C(O)ORa5, NRc5S(O)Rb5, NRc5S(O)2Rb5, NRc5S(O)2NRc5Rd5, S(O)Rb5, S(O)NRc5Rd5, S(O)2Rb5, and S(O)2NRc5Rd5; wherein said C1-6 alkyl, C2-6 alkenyl, C2-6 alkynyl, C3-6 cycloalkyl, C6-10 aryl, 5-10 membered heteroaryl and 4-7 membered heterocycloalkyl, are each optionally substituted with 1, 2, 3, or 4 substituents independently selected from Rg;
- each R20 is independently selected from C1-6 alkyl, C2-6 alkenyl, C2-6 alkynyl, C1-6 haloalkyl, C3-10 cycloalkyl, 4-10 membered heterocycloalkyl, C6-10 aryl, 5-10 membered heteroaryl, C3-10 cycloalkyl-C1-3 alkylene, 4-10 membered heterocycloalkyl-C1-3 alkylene, C6-10 aryl-C1-3 alkylene, 5-10 membered heteroaryl-C1-3 alkylene, halo, CN, NO2, ORa2, SRa2, C(O)Rb2, C(O)NRc2Rd2, C(O)ORa2, OC(O)Rb2, OC(O)NRc2Rd2, NRc2Rd2, NRc2C(O)Rb2, NRc2C(O)ORa2, NRc2C(O)NRc2Rd2, C(═NRe2)Rb2, C(═NORa2)Rb2, C(═NRe2)NRc2Rd2, NRc2C(═NRe2)NRc2Rd2, NRc2S(O)Rb2, NRc2S(O)2Rb2, NRc2S(O)2NRc2Rd2, S(O)Rb2, S(O)NRc2Rd2, S(O)2Rb2, and S(O)2NRc2Rd2; wherein said C1-6 alkyl, C2-6 alkenyl, C2-6 alkynyl, C3-10 cycloalkyl, 4-10 membered heterocycloalkyl, C6-10 aryl, 5-10 membered heteroaryl, C3-10 cycloalkyl-C1-3 alkylene, 4-10 membered heterocycloalkyl-C1-3 alkylene, C6-10 aryl-C1-3 alkylene and 5-10 membered heteroaryl-C1-3 alkylene are each optionally substituted with 1, 2, 3, or 4 substituents independently selected from R21;
- or two adjacent R20 substituents on the CyA ring, taken together with the atoms to which they are attached, form a fused 4-, 5-, 6- or 7-membered heterocycloalkyl ring, or a fused C3-7 cycloalkyl ring; wherein each fused 4-, 5-, 6- or 7-membered heterocycloalkyl ring has at least one ring-forming carbon atom and 1, 2, 3, or 4 ring-forming heteroatoms independently selected from N, O, and S; wherein a ring-forming carbon atom of each fused 4-, 5-, 6- or 7-membered heterocycloalkyl ring is optionally substituted by oxo to form a carbonyl group; and wherein the fused 4-, 5-, 6- or 7-membered heterocycloalkyl ring and fused C3-6 cycloalkyl ring are each optionally substituted with 1, 2, 3 or 4 substituents independently selected from R21;
- each R21 is independently selected from C1-6 alkyl, C2-6 alkenyl, C2-6 alkynyl, C1-6 haloalkyl, C3-10cycloalkyl, 4-10 membered heterocycloalkyl, C6-10 aryl, 5-10 membered heteroaryl, C3-10cycloalkyl-C1-3 alkylene, 4-10 membered heterocycloalkyl-C1-3 alkylene, C6-10 aryl-C1-3 alkylene, 5-10 membered heteroaryl-C1-3 alkylene, halo, CN, ORa4, SRa4, C(O)Rb4C(O)NRc4Rd4, C(O)ORa4, NRc4Rd4, NRc4C(O)Rb4, NRc4C(O)ORa4, NRc4S(O)Rb4, NRc4S(O)2Rb4, NRc4S(O)2NRc4Rd4, S(O)Rb4, S(O)NRc4Rd4, S(O)2Rb4, and S(O)2NRc4Rd4; wherein said C1-6 alkyl, C2-6 alkenyl, C2-6 alkynyl, C3-10 cycloalkyl, 4-10 membered heterocycloalkyl, C6-10 aryl, 5-10 membered heteroaryl, C3-10 cycloalkyl-C1-3 alkylene, 4-10 membered heterocycloalkyl-C1-3 alkylene, C6-10 aryl-C1-3 alkylene and 5-10 membered heteroaryl-C1-3 alkylene are each optionally substituted with 1, 2, 3, or 4 substituents independently selected from R22;
- or two R21 substituents taken together with the carbon atom to which they are attached form a spiro 3-7-membered heterocycloalkyl ring, or a spiro C3-6 cycloalkyl ring; wherein each spiro 3-7-membered heterocycloalkyl ring has at least one ring-forming carbon atom and 1, 2 or 3 ring-forming heteroatoms independently selected from N, O, and S; wherein a ring-forming carbon atom of each spiro 3-7-membered heterocycloalkyl ring is optionally substituted by oxo to form a carbonyl group; and wherein the spiro 3-7 membered heterocycloalkyl ring and spiro C3-6 cycloalkyl ring are each optionally substituted with 1, 2, 3 or 4 substituents independently selected from R22;
- each R22 is independently selected from C1-6 alkyl, C2-6 alkenyl, C2-6 alkynyl, C1-6 haloalkyl, C3-6 cycloalkyl, phenyl, 5-6 membered heteroaryl, 4-7 membered heterocycloalkyl, halo, CN, ORa6, SRa6, C(O)Rb6, C(O)NRc6Rd6, C(O)ORa6, NRc6Rd6, NRc6C(O)Rb6, NRc6C(O)ORa6, NRc6S(O)Rb6, NRc6S(O)2Rb6, NRc6S(O)2NRc6Rd6, S(O)Rb6, S(O)NRc6Rd6, S(O)2Rb6, and S(O)2NRc6Rd6; wherein said C1-6 alkyl, C2-6 alkenyl, C2-6 alkynyl, C3-6 cycloalkyl, phenyl, 5-6 membered heteroaryl and 4-7 membered heterocycloalkyl, are each optionally substituted with 1, 2, 3, or 4 substituents independently selected from Rg;
- each R30 is independently selected from C1-6 alkyl, C2-6 alkenyl, C2-6 alkynyl, C1-6 haloalkyl, C3-6 cycloalkyl, phenyl, 5-6 membered heteroaryl, 4-7 membered heterocycloalkyl, halo, CN, ORa8, SRa8, C(O)Rb8, C(O)NRc8Rd8, C(O)ORa8, NRc8Rd8, NRc8C(O)Rb8, NRc8C(O)ORa8, NRc8S(O)Rb8, NRc8S(O)2Rb8, NRc8S(O)2NRc8Rd8, S(O)Rb8, S(O)NRc8Rd8, S(O)2Rb8, and S(O)2NRc8Rd8; wherein said C1-6 alkyl, C2-6 alkenyl, C2-6 alkynyl, C3-6 cycloalkyl, phenyl, 5-6 membered heteroaryl and 4-7 membered heterocycloalkyl, are each optionally substituted with 1, 2, 3, or 4 substituents independently selected from Rg;
- each Ra and Rc is independently selected from H, C1-6 alkyl, C2-6 alkenyl, C2-6 alkynyl, C1-6 haloalkyl, C3-10 cycloalkyl, 4-10 membered heterocycloalkyl, C6-10 aryl and 5-10 membered heteroaryl; wherein said C1-6 alkyl, C2-6 alkenyl, C2-6 alkynyl, C3-10 cycloalkyl, 4-10 membered heterocycloalkyl, C6-10 aryl and 5-10 membered heteroaryl, are each optionally substituted with 1, 2, 3, or 4 substituents independently selected from R10;
- each Rd is independently selected from C1-6 alkyl, C2-6 alkenyl, C2-6 alkynyl, C1-6 haloalkyl, C3-10 cycloalkyl, 4-10 membered heterocycloalkyl, C6-10 aryl and 5-10 membered heteroaryl; wherein said C1-6 alkyl, C2-6 alkenyl, C2-6 alkynyl, C3-10 cycloalkyl, 4-10 membered heterocycloalkyl, C6-10 aryl and 5-10 membered heteroaryl, are each optionally substituted with 1, 2, 3, or 4 substituents independently selected from R10;
- or any Rc and Rd attached to the same N atom, together with the N atom to which they are attached, form a 4-, 5-, 6- or 7-membered heterocycloalkyl group optionally substituted with 1, 2, 3, or 4 substituents independently selected from R10;
- each Rb is independently selected from C1-6 alkyl, C2-6 alkenyl, C2-6 alkynyl, C1-6 haloalkyl, C3-10 cycloalkyl, 4-10 membered heterocycloalkyl, C6-10 aryl and 5-10 membered heteroaryl; wherein said C1-6 alkyl, C2-6 alkenyl, C2-6 alkynyl, C3-10 cycloalkyl, 4-10 membered heterocycloalkyl, C6-10 aryl and 5-10 membered heteroaryl, are each optionally substituted with 1, 2, 3, or 4 substituents independently selected from R10;
- each Re is independently selected from H, CN, C1-6 alkyl, C1-6 haloalkyl, C1-6 alkylthio, C1-6 alkylsulfonyl, C1-6 alkylcarbonyl, C1-6 alkylaminosulfonyl, carbamyl, C1-6 alkylcarbamyl, di(C1-6 alkyl)carbamyl, aminosulfonyl, C1-6 alkylaminosulfonyl and di(C1-6 alkyl)aminosulfonyl;
- each Ra1, Rc1 and Rd1 is independently selected from H, C1-6 alkyl, C2-6 alkenyl, C2-6 alkynyl, C1-6 haloalkyl, C3-10 cycloalkyl, 4-10 membered heterocycloalkyl, C6-10 aryl and 5-10 membered heteroaryl; wherein said C1-6 alkyl, C2-6 alkenyl, C2-6 alkynyl, C3-10 cycloalkyl, 4-10 membered heterocycloalkyl, C6-10 aryl and 5-10 membered heteroaryl, are each optionally substituted with 1, 2, 3, or 4 substituents independently selected from R11;
- or any Rc1 and Rd1 attached to the same N atom, together with the N atom to which they are attached, form a 4-, 5-, 6- or 7-membered heterocycloalkyl group optionally substituted with 1, 2, 3, or 4 substituents independently selected from R11;
- each Rb1 is independently selected from C1-6 alkyl, C2-6 alkenyl, C2-6 alkynyl, C1-6 haloalkyl, C3-10 cycloalkyl, 4-10 membered heterocycloalkyl, C6-10 aryl and 5-10 membered heteroaryl; wherein said C1-6 alkyl, C2-6 alkenyl, C2-6 alkynyl, C3-10 cycloalkyl, 4-10 membered heterocycloalkyl, C6-10 aryl and 5-10 membered heteroaryl, are each optionally substituted with 1, 2, 3, or 4 substituents independently selected from R11;
- each Re1 is independently selected from H, CN, C1-6 alkyl, C1-6 haloalkyl, C1-6 alkylthio, C1-6 alkylsulfonyl, C1-6 alkylcarbonyl, C1-6 alkylaminosulfonyl, carbamyl, C1-6 alkylcarbamyl, di(C1-6 alkyl)carbamyl, aminosulfonyl, C1-6 alkylaminosulfonyl and di(C1-6 alkyl)aminosulfonyl;
- each Ra2, Rc2 and Rd2, is independently selected from H, C1-6 alkyl, C2-6 alkenyl, C2-6 alkynyl, C1-6 haloalkyl, C3-10 cycloalkyl, 4-10 membered heterocycloalkyl, C6-10 aryl and 5-10 membered heteroaryl; wherein said C1-6 alkyl, C2-6 alkenyl, C2-6 alkynyl, C3-10 cycloalkyl, 4-10 membered heterocycloalkyl, C6-10 aryl and 5-10 membered heteroaryl are each optionally substituted with 1, 2, 3, or 4 substituents independently selected from R21;
- or any Rc2 and Rd2 attached to the same N atom, together with the N atom to which they are attached, form a 4-, 5-, 6- or 7-membered heterocycloalkyl group optionally substituted with 1, 2 or 3 substituents independently selected from R21;
- each Rb2 is independently selected from C1-6 alkyl, C2-6 alkenyl, C2-6 alkynyl, C1-6 haloalkyl, C3-10 cycloalkyl, 4-10 membered heterocycloalkyl, C6-10 aryl and 5-10 membered heteroaryl; wherein said C1-6 alkyl, C2-6 alkenyl, C2-6 alkynyl, C3-10 cycloalkyl, 4-10 membered heterocycloalkyl, C6-10 aryl and 5-10 membered heteroaryl are each optionally substituted with 1, 2, 3, or 4 substituents independently selected from R21;
- each Re2 is independently selected from H, CN, C1-6 alkyl, C1-6 haloalkyl, C1-6 alkylthio, C1-6 alkylsulfonyl, C1-6 alkylcarbonyl, C1-6 alkylaminosulfonyl, carbamyl, C1-6 alkylcarbamyl, di(C1-6 alkyl)carbamyl, aminosulfonyl, C1-6 alkylaminosulfonyl and di(C1-6 alkyl)aminosulfonyl;
- each Ra3, Rc3 and Rd3, is independently selected from H, C1-6 alkyl, C2-6 alkenyl, C2-6 alkynyl, C1-6 haloalkyl, C3-6 cycloalkyl, phenyl, 5-6 membered heteroaryl and 4-7 membered heterocycloalkyl; wherein said C1-6 alkyl C2-6 alkenyl, C2-6 alkynyl, C3-6 cycloalkyl, phenyl, 5-6 membered heteroaryl and 4-7 membered heterocycloalkyl are each optionally substituted with 1, 2, 3, or 4 substituents independently selected from R12;
- or any Rc3 and Rd3 attached to the same N atom, together with the N atom to which they are attached, form a 4-, 5-, 6- or 7-membered heterocycloalkyl group optionally substituted with 1, 2 or 3 substituents independently selected from R12;
- each Rb3 is independently selected from C1-6 alkyl, C2-6 alkenyl, C2-6 alkynyl, C1-6 haloalkyl, C3-6 cycloalkyl, phenyl, 5-6 membered heteroaryl and 4-7 membered heterocycloalkyl; wherein said C1-6 alkyl C2-6 alkenyl, C2-6 alkynyl, C3-6 cycloalkyl, phenyl, 5-6 membered heteroaryl and 4-7 membered heterocycloalkyl, are each optionally substituted with 1, 2, 3, or 4 substituents independently selected from R12;
- each Ra4, Rc4 and Rd4, is independently selected from H, C1-6 alkyl, C2-6 alkenyl, C2-6 alkynyl, C1-6 haloalkyl, C3-6 cycloalkyl, phenyl, 5-6 membered heteroaryl and 4-7 membered heterocycloalkyl; wherein said C1-6 alkyl C2-6 alkenyl, C2-6 alkynyl, C3-6 cycloalkyl, phenyl, 5-6 membered heteroaryl and 4-7 membered heterocycloalkyl are each optionally substituted with 1, 2, 3, or 4 substituents independently selected from R22;
- or any Rc4 and Rd4 attached to the same N atom, together with the N atom to which they are attached, form a 4-, 5-, 6- or 7-membered heterocycloalkyl group optionally substituted with 1, 2 or 3 substituents independently selected from R22;
- each Rb4 is independently selected from C1-6 alkyl, C2-6 alkenyl, C2-6 alkynyl, C1-6 haloalkyl, C3-6 cycloalkyl, phenyl, 5-6 membered heteroaryl and 4-7 membered heterocycloalkyl; wherein said C1-6 alkyl C2-6 alkenyl, C2-6 alkynyl, C3-6 cycloalkyl, phenyl, 5-6 membered heteroaryl and 4-7 membered heterocycloalkyl are each optionally substituted with 1, 2, 3, or 4 substituents independently selected from R22;
- each Ra5, Rc5 and Rd5, is independently selected from H, C1-6 alkyl, C2-6 alkenyl, C2-6 alkynyl and C1-6 haloalkyl; wherein said C1-6 alkyl, C2-6 alkenyl and C2-6 alkynyl are each optionally substituted with 1, 2, 3, or 4 substituents independently selected from Rg;
- each Rb5 is independently selected from C1-6 alkyl, C2-6 alkenyl, C2-6 alkynyl and C1-6 haloalkyl; wherein said C1-6 alkyl C2-6 alkenyl and C2-6 alkynyl are each optionally substituted with 1, 2, 3, or 4 substituents independently selected from Rg;
- each Ra6, Rc6 and Rd6, is independently selected from H, C1-6 alkyl, C2-6 alkenyl, C2-6 alkynyl and C1-6 haloalkyl; wherein said C1-6 alkyl, C2-6 alkenyl and C2-6 alkynyl are each optionally substituted with 1, 2, 3, or 4 substituents independently selected from Rg;
- each Rb6 is independently selected from C1-6 alkyl, C2-6 alkenyl, C2-6 alkynyl, and C1-6 haloalkyl; wherein said C1-6 alkyl, C2-6 alkenyl and C2-6 alkynyl are each optionally substituted with 1, 2, 3, or 4 substituents independently selected from Rg;
- each Ra7, Rc7, and Rd7 is independently selected from H, C1-6 alkyl, C2-6 alkenyl, C2-6 alkynyl, C1-6 haloalkyl, C3-10 cycloalkyl, 4-10 membered heterocycloalkyl, C6-10 aryl and 5-10 membered heteroaryl; wherein said C1-6 alkyl, C2-6 alkenyl, C2-6 alkynyl, C3-10 cycloalkyl, 4-10 membered heterocycloalkyl, C6-10 aryl and 5-10 membered heteroaryl, are each optionally substituted with 1, 2, 3, or 4 substituents independently selected from R30;
- or any Rc7 and Rd7 attached to the same N atom, together with the N atom to which they are attached, form a 4-, 5-, 6- or 7-membered heterocycloalkyl group optionally substituted with 1, 2 or 3 substituents independently selected from R30;
- each Rb7 is independently selected from C1-6 alkyl, C2-6 alkenyl, C2-6 alkynyl, C1-6 haloalkyl, C3-10 cycloalkyl, 4-10 membered heterocycloalkyl, C6-10 aryl and 5-10 membered heteroaryl; wherein said C1-6 alkyl, C2-6 alkenyl, C2-6 alkynyl, C3-10 cycloalkyl, 4-10 membered heterocycloalkyl, C6-10 aryl and 5-10 membered heteroaryl, are each optionally substituted with 1, 2, 3, or 4 substituents independently selected from R30;
- each Ra8, Rc8 and Rd8, is independently selected from H, C1-6 alkyl, C2-6 alkenyl, C2-6 alkynyl, C1-6 haloalkyl, C3-6 cycloalkyl, phenyl, 5-6 membered heteroaryl and 4-7 membered heterocycloalkyl; wherein said C1-6 alkyl C2-6 alkenyl, C2-6 alkynyl, C3-6 cycloalkyl, phenyl, 5-6 membered heteroaryl and 4-7 membered heterocycloalkyl are each optionally substituted with 1, 2, 3, or 4 substituents independently selected from Rg;
- or any Rc8 and Rd8 attached to the same N atom, together with the N atom to which they are attached, form a 4-, 5-, 6- or 7-membered heterocycloalkyl group optionally substituted with 1, 2 or 3 substituents independently selected from Rg;
- each Rb8 is independently selected from C1-6 alkyl, C2-6 alkenyl, C2-6 alkynyl, C1-6 haloalkyl, C3-6 cycloalkyl, phenyl, 5-6 membered heteroaryl and 4-7 membered heterocycloalkyl; wherein said C1-6 alkyl C2-6 alkenyl, C2-6 alkynyl, C3-6 cycloalkyl, phenyl, 5-6 membered heteroaryl and 4-7 membered heterocycloalkyl are each optionally substituted with 1, 2, 3, or 4 substituents independently selected from Rg; and
- each Rg is independently selected from OH, NO2, CN, halo, C1-6 alkyl, C2-6 alkenyl, C2-6 alkynyl, C1-6 haloalkyl, C3-6 cycloalkyl, C3-6 cycloalkyl-C1-2 alkylene, C1-6 alkoxy, C1-6 haloalkoxy, C1-3 alkoxy-C1-3 alkyl, C1-3 alkoxy-C1-3 alkoxy, HO—C1-3 alkoxy, HO—C1-3 alkyl, cyano-C1-3 alkyl, H2N—C1-3 alkyl, amino, C1-6 alkylamino, di(C1-6 alkyl)amino, thio, C1-6 alkylthio, C1-6 alkylsulfinyl, C1-6 alkylsulfonyl, carbamyl, C1-6 alkylcarbamyl, di(C1-6 alkyl)carbamyl, carboxy, C1-6 alkylcarbonyl, C1-6 alkoxycarbonyl, C1-6 alkylcarbonylamino, C1-6 alkylsulfonylamino, aminosulfonyl, C1-6 alkylaminosulfonyl, di(C1-6 alkyl)aminosulfonyl, aminosulfonylamino, C1-6 alkylaminosulfonylamino, di(C1-6 alkyl)aminosulfonylamino, aminocarbonylamino, C1-6 alkylaminocarbonylamino, and di(C1-6 alkyl)aminocarbonylamino;
- provided that:
- 1) R1 is other than CH3;
- 2) R1 is other than 2-morpholinopyridin-4-yl;
- 3) when CyA is phenyl, then R1 is other than (2-chloropyridin-4-yloxy)methyl; and
- 4) when R1 is halogen-substituted phenyl, then CyA is other than unsubstituted or substituted 4H-1,2,4-triazol-3-yl.
- In some embodiments, R1 is selected from Cy1, C2-6 alkenyl, C2-6 alkynyl, C1-6 haloalkyl, halo, CN, NO2, ORa, SRa, C(O)Rb, C(O)NRcRd, C(O)ORa, OC(O)Rb, OC(O)NRcRd, NRcRd, NRcC(O)Rb, and NRcC(O)ORa; wherein said C2-6 alkenyl and C2-6 alkynyl are each optionally substituted with 1, 2, 3, or 4 substituents independently selected from R10.
- In some embodiments, R1 is selected from Cy1, C2-6 alkenyl, C2-6 alkynyl, C1-6 haloalkyl, halo, and CN; wherein said C2-6 alkenyl and C2-6 alkynyl are each optionally substituted with 1, 2, 3, or 4 substituents independently selected from R10.
- In some embodiments, R1 is selected from Cy1, C2-6 alkenyl, and C2-6 alkynyl; wherein said C2-6 alkenyl and C2-6 alkynyl are each optionally substituted with 1, 2, 3, or 4 substituents independently selected from R10.
- In some embodiments, R1 is Cy1.
- In some embodiments, R1 is selected from Cy1, C(O)NRcRd and NRcC(O)Rb. In some embodiments, R1 is selected from phenyl, pyridinyl, pyrazolyl, thiazolyl, C(O)NRcRd and NRcC(O)Rb; wherein the phenyl, pyridinyl, pyrazolyl, and thiazolyl are each optionally substituted with 1, 2 or 3 substituents independently selected from R10.
- In some embodiments, Cy1 is selected from C6-10 aryl and 5-10 membered heteroaryl; wherein the 5-10 membered heteroaryl has at least one ring-forming carbon atom and 1, 2, 3, or 4 ring-forming heteroatoms independently selected from N, O, and S; wherein the N and S are optionally oxidized; wherein a ring-forming carbon atom of 5-10 membered heteroaryl is optionally substituted by oxo to form a carbonyl group; and wherein the C6-10 aryl and 5-10 membered heteroaryl are each optionally substituted with 1, 2, 3 or 4 substituents independently selected from R10.
- In some embodiments, Cy1 is selected from phenyl and 5-6 membered heteroaryl; wherein the 5-6 membered heteroaryl has at least one ring-forming carbon atom and 1, 2 or 3 ring-forming heteroatoms independently selected from N, O, and S; wherein a ring-forming carbon atom of 5-6 membered heteroaryl is optionally substituted by oxo to form a carbonyl group; and wherein the phenyl and 5-6 membered heteroaryl are each optionally substituted with 1, 2 or 3 substituents independently selected from R10.
- In some embodiments, Cy1 is phenyl, pyridinyl, pyrazolyl, or pyrimidinyl; wherein the phenyl, pyridinyl, pyrazolyl, or pyrimidinyl are each optionally substituted with 1, 2, 3 or 4 substituents independently selected from R10.
- In some embodiments, Cy1 is phenyl, pyridin-4-yl, 1H-pyrazol-4-yl, pyridin-3-yl, or pyrimidin-5-yl; wherein the phenyl, pyridin-4-yl, 1H-pyrazol-4-yl, pyridin-3-yl, or pyrimidin-5-yl are each optionally substituted with 1, 2, 3 or 4 substituents independently selected from R10.
- In some embodiments, Cy1 is pyrazolyl (e.g., 1H-pyrazol-4-yl) optionally substituted with 1 or 2 C1-6 alkyl (e.g., methyl). In some embodiments, Cy1 is 1-methyl-1H-pyrazol-4-yl.
- In some embodiments, Cy1 is phenyl, pyridin-4-yl, or 1H-pyrazol-4-yl; wherein the phenyl, pyridin-4-yl, and 1H-pyrazol-4-yl are each optionally substituted with 1, 2, 3 or 4 substituents independently selected from R10.
- In some embodiments, each R10 is independently selected from C1-6 alkyl, C2-6 alkenyl, C2-6 alkynyl, C1-6 haloalkyl, C3-10 cycloalkyl, 4-10 membered heterocycloalkyl, C6-10 aryl, 5-10 membered heteroaryl, halo, CN, NO2, ORa1, SRa1, C(O)Rb1, C(O)NRc1Rd1, C(O)ORa1, OC(O)Rb1, OC(O)NRc1Rd1, NRc1Rd1, NRc1C(O)Rb1, NRc1C(O)ORa1, NRc1S(O)Rb1, NRc1S(O)2Rb1, NRc1S(O)2NRc1Rd1, S(O)Rb1, S(O)NRc1Rd1, S(O)2Rb1, and S(O)2NRc1Rd1; wherein said C1-6 alkyl, C2-6 alkenyl, C2-6 alkynyl, C3-10 cycloalkyl, 4-10 membered heterocycloalkyl, C6-10 aryl, and 5-10 membered heteroaryl are each optionally substituted with 1, 2, 3, or 4 substituents independently selected from R11.
- In some embodiments, each R10 is independently selected from C1-6 alkyl, C2-6 alkenyl, C2-6 alkynyl, C1-6 haloalkyl, C3-10 cycloalkyl, 4-10 membered heterocycloalkyl, C6-10 aryl, 5-10 membered heteroaryl, halo, CN, ORa1, SRa1, C(O)Rb1, C(O)NRc1Rd1, C(O)ORa1, NRc1Rd1, and NRc1C(O)Rb1; wherein said C1-6 alkyl, C2-6 alkenyl, C2-6 alkynyl, C3-10 cycloalkyl, 4-10 membered heterocycloalkyl, C6-10 aryl, and 5-10 membered heteroaryl are each optionally substituted with 1, 2, 3, or 4 substituents independently selected from R11.
- In some embodiments, each R10 is independently selected from C1-6 alkyl, 4-10 membered heterocycloalkyl, C(O)Rb1, and C(O)NRc1Rd1; wherein said C1-6 alkyl and 4-10 membered heterocycloalkyl are each optionally substituted with 1, 2, 3, or 4 substituents independently selected from R11.
- In some embodiments, each R10 is independently selected from C1-6 alkyl, piperazinyl, piperidinyl, morpholinyl, C(O)Rb1, and C(O)NRc1Rd1; wherein said C1-6 alkyl, piperazinyl, and piperidinyl are each optionally substituted with 1, 2, 3, or 4 substituents independently selected from R11.
- In some embodiments, R10 is morpholinyl optionally substituted with 1, 2, 3, or 4 substituents independently selected from R11. In some embodiments, R1 is 2-morpholinopyrimidin-5-yl.
- In some embodiments, each R10 is independently selected from C1-6 alkyl, piperazinyl, piperidinyl, C(O)Rb1, and C(O)NRc1Rd1; wherein said C1-6 alkyl, piperazinyl, and piperidinyl are each optionally substituted with 1, 2, 3, or 4 substituents independently selected from R11.
- In some embodiments, each R11 is independently selected from C1-6 alkyl, C2-6 alkenyl, C2-6 alkynyl, C1-6 haloalkyl, C3-10 cycloalkyl, 4-10 membered heterocycloalkyl, C6-10 aryl, 5-10 membered heteroaryl, halo, CN, ORa3, SRa3, C(O)Rb3, C(O)NRc3Rd3, C(O)ORa3, S(O)Rb3, S(O)NRc3Rd3, S(O)2Rb3, and S(O)2NRc3Rd3; wherein said C1-6 alkyl, C2-6 alkenyl, C2-6 alkynyl, C3-10 cycloalkyl, 4-10 membered heterocycloalkyl, C6-10 aryl, and 5-10 membered heteroaryl are each optionally substituted with 1, 2, 3, or 4 substituents independently selected from R12.
- In some embodiments, each R11 is independently selected from C1-6 alkyl, C2-6 alkenyl, C2-6 alkynyl, C1-6 haloalkyl, halo, ORa3, C(O)Rb3, and S(O)2Rb3; wherein said C1-6 alkyl, C2-6 alkenyl, and C2-6 alkynyl are each optionally substituted with 1, 2, 3, or 4 substituents independently selected from R12.
- In some embodiments, each R11 is independently selected from C1-6 alkyl, C2-6 alkenyl, C2-6 alkynyl, C1-6 haloalkyl, halo, C(O)Rb3, and S(O)2Rb3; wherein said C1-6 alkyl, C2-6 alkenyl, and C2-6 alkynyl are each optionally substituted with 1, 2, 3, or 4 substituents independently selected from R12.
- In some embodiments, each R11 is independently selected from C1-6 alkyl, ORa3C(O)Rb3, and S(O)2Rb3.
- In some embodiments, each R11 is independently selected from C1-6 alkyl, C(O)Rb3, and S(O)2Rb3.
- In some embodiments, each R10 is independently selected from 4-methylpiperazin-1-yl, N-methylaminocarbonyl, methyl, N-(1-methylpiperidin-4-yl)aminocarbonyl, (4-methylpiperazin-1-yl)carbonyl, N-phenylaminocarbonyl, piperidin-4-yl, 1-(methylsulfonyl)piperidin-4-yl, 1-acetyl-piperidin-4-yl, morpholinyl, 4-ethylpiperazin-1-yl, or 2-hydroxypropan-2-yl.
- In some embodiments, each R10 is independently selected from 4-methylpiperazin-1-yl, N-methylaminocarbonyl, methyl, N-(1-methylpiperidin-4-yl)aminocarbonyl, (4-methylpiperazin-1-yl)carbonyl, N-phenylaminocarbonyl, piperidin-4-yl, 1-(methylsulfonyl)piperidin-4-yl, and 1-acetyl-piperidin-4-yl.
- In some embodiments, CyA is C6-10 aryl optionally substituted with 1, 2, 3 or 4 substituents independently selected from R20.
- In some embodiments, CyA is 5-10 membered heteroaryl; wherein the 5-10 membered heteroaryl has at least one ring-forming carbon atom and 1, 2, 3, or 4 ring-forming heteroatoms independently selected from N, O, and S; wherein the N and S are optionally oxidized; wherein a ring-forming carbon atom of the 5-10 membered heteroaryl is optionally substituted by oxo to form a carbonyl group; and wherein the 5-10 membered heteroaryl is optionally substituted with 1, 2, 3 or 4 substituents independently selected from R20.
- In some embodiments, CyA is phenyl, 1H-indazol-4-yl, pyridin-3-yl, pyridin-4-yl, pyrimidin-5-yl, 1H-pyrazolo[4,3-b]pyridin-6-yl, pyridin-2(1H)-on-5-yl, 3H-imidazo[4,5-b]pyridin-6-yl, pyrido[3,2-b]pyrazin-7-yl, oxazolo[5,4-c]pyridin-7-yl, 1H-pyrazol-4-yl, pyrazolo[1,5-a]pyridin-3-yl, quinolin-5-yl, isoquinolin-4-yl, 1H-indol-4-yl, and imidazo[1,2-a]pyridin-8-yl, each of which is optionally substituted with 1, 2, 3 or 4 substituents independently selected from R20.
- In some embodiments, CyA is phenyl optionally substituted with 1, 2, 3 or 4 substituents independently selected from R20; wherein optionally two adjacent R20 substituents on the CyA ring, taken together with the atoms to which they are attached, form a fused 5- or 6-membered heterocycloalkyl ring, or a fused C4-6 cycloalkyl ring; wherein the fused 5- or 6-membered heterocycloalkyl ring each has at least one ring-forming carbon atom and 1, 2 or 3 ring-forming heteroatoms independently selected from N, O, and S; wherein a ring-forming carbon atom of each fused 5- or 6-membered heterocycloalkyl ring is optionally substituted by oxo to form a carbonyl group; and wherein the fused 5- or 6-membered heterocycloalkyl ring and fused C4-6 cycloalkyl ring are each optionally substituted with 1, 2 or 3 substituents independently selected from R21.
- In some embodiments, CyA is phenyl optionally substituted with 1, 2, 3 or 4 substituents independently selected from R20. In some embodiments, CyA is phenyl substituted with 1, 2, or 3 substituents independently selected from C1-6 alkyl or halo, wherein said C1-6 alkyl is each optionally substituted NRc4Rd4. In some embodiments, CyA is phenyl substituted with methyl, fluoro, or methylaminomethyl.
- In some embodiments, each R20 is independently selected from C1-6 alkyl, C2-6 alkenyl, C2-6 alkynyl, C1-6 haloalkyl, C3-10 cycloalkyl, 4-10 membered heterocycloalkyl, C6-10 aryl, 5-10 membered heteroaryl, halo, CN, NO2, ORa2, SRa2, C(O)Rb2, C(O)NRc2Rd2, C(O)ORa2, OC(O)Rb2, OC(O)NRc2Rd2, NRc2Rd2, NRc2C(O)Rb2, NRc2C(O)ORa2, NRc2S(O)Rb2, NRc2S(O)2Rb2, S(O)Rb2, S(O)NRc2Rd2, S(O)2Rb2, and S(O)2NRc2Rd2; wherein said C1-6 alkyl, C2-6 alkenyl, C2-6 alkynyl, C3-10 cycloalkyl, 4-10 membered heterocycloalkyl, C6-10 aryl, and 5-10 membered heteroaryl are each optionally substituted with 1, 2, 3, or 4 substituents independently selected from R21;
- or two adjacent R20 substituents on the CyA ring, taken together with the atoms to which they are attached, form a fused 4-, 5-, 6- or 7-membered heterocycloalkyl ring, or a fused C3-7 cycloalkyl ring; wherein each fused 4-, 5-, 6- or 7-membered heterocycloalkyl ring has at least one ring-forming carbon atom and 1, 2, 3, or 4 ring-forming heteroatoms independently selected from N, O, and S; wherein a ring-forming carbon atom of each fused 4-, 5-, 6- or 7-membered heterocycloalkyl ring is optionally substituted by oxo to form a carbonyl group; and wherein the fused 4-, 5-, 6- or 7-membered heterocycloalkyl ring and fused C3-6 cycloalkyl ring are each optionally substituted with 1, 2, 3 or 4 substituents independently selected from R21.
- In some embodiments, each R20 is independently selected from C1-6 alkyl, C2-6 alkenyl, C2-6 alkynyl, C1-6 haloalkyl, C6-10 aryl, 5-10 membered heteroaryl, halo, CN, ORa2, SRa2, C(O)Rb2, C(O)NRc2Rd2, C(O)ORa2, NRc2Rd2, NRc2C(O)Rb2, NRc2C(O)ORa2, NRc2S(O)Rb2, NRc2S(O)2Rb2, S(O)Rb2, S(O)NRc2Rd2, S(O)2Rb2, and S(O)2NRc2Rd2; wherein said C1-6 alkyl, C2-6 alkenyl, C2-6 alkynyl, C6-10 aryl, and 5-10 membered heteroaryl are each optionally substituted with 1, 2, 3, or 4 substituents independently selected from R21;
- or two adjacent R20 substituents on the CyA ring, taken together with the atoms to which they are attached, form a fused 4-, 5-, 6- or 7-membered heterocycloalkyl ring, or a fused C3-7 cycloalkyl ring; wherein each fused 4-, 5-, 6- or 7-membered heterocycloalkyl ring has at least one ring-forming carbon atom and 1, 2, 3, or 4 ring-forming heteroatoms independently selected from N, O, and S; wherein a ring-forming carbon atom of each fused 4-, 5-, 6- or 7-membered heterocycloalkyl ring is optionally substituted by oxo to form a carbonyl group; and wherein the fused 4-, 5-, 6- or 7-membered heterocycloalkyl ring and fused C3-6 cycloalkyl ring are each optionally substituted with 1, 2, 3 or 4 substituents independently selected from R21.
- In some embodiments, each R20 is independently selected from C1-6 alkyl, C1-6 haloalkyl, C6-10 aryl, 5-10 membered heteroaryl, halo, CN, ORa2, C(O)NRc2Rd2, C(O)ORa2, NRc2Rd2, NRc2C(O)Rb2, and NRc2S(O)2Rb2; wherein said C1-6 alkyl, C6-10 aryl, and 5-10 membered heteroaryl are each optionally substituted with 1, 2, 3, or 4 substituents independently selected from R21;
- or two adjacent R20 substituents on the CyA ring, taken together with the atoms to which they are attached, form a fused 4-, 5-, 6- or 7-membered heterocycloalkyl ring, or a fused C3-7 cycloalkyl ring; wherein each fused 4-, 5-, 6- or 7-membered heterocycloalkyl ring has at least one ring-forming carbon atom and 1, 2, 3, or 4 ring-forming heteroatoms independently selected from N, O, and S; wherein a ring-forming carbon atom of each fused 4-, 5-, 6- or 7-membered heterocycloalkyl ring is optionally substituted by oxo to form a carbonyl group; and wherein the fused 4-, 5-, 6- or 7-membered heterocycloalkyl ring and fused C3-6 cycloalkyl ring are each optionally substituted with 1, 2, 3 or 4 substituents independently selected from R21.
- In some embodiments, each R20 is independently selected from methoxy, methyl, fluoro, trifluoromethyl, amino, methoxy, hydroxymethyl, ethoxycarbonyl, methanesulfonamino, hydroxyl, N-methylaminocarbonyl, dimethylamino, cyano, methoxycarbonyl, acetylamino, phenyl, 2-oxazolyl, tert-butyl, aminocarbonyl, N-benzylaminocarbonyl, N-(pyridin-4-ylmethyl)aminocarbonyl, ethyl, methylaminomethyl;
- or two adjacent R20 substituents on the CyA ring, taken together with the atoms to which they are attached, form a fused 5- or 6-membered heterocycloalkyl ring, or a fused C5 cycloalkyl ring; wherein each fused 5- or 6-membered heterocycloalkyl ring has at least one ring-forming carbon atom and 1 or 2 ring-forming heteroatoms independently selected from N and O; wherein a ring-forming carbon atom of each fused 5- or 6-membered heterocycloalkyl ring is optionally substituted by oxo to form a carbonyl group; and wherein the fused 5- or 6-membered heterocycloalkyl ring and fused C5 cycloalkyl ring are each optionally substituted with 1 or 2 substituents independently selected from amino, methylamino, 2-hydroxyethylamino, and N-benzylamino.
- In some embodiments, each R20 is independently selected from methoxy, methyl, fluoro, trifluoromethyl, amino, methoxy, hydroxymethyl, ethoxycarbonyl, methanesulfonamino, hydroxyl, N-methylaminocarbonyl, dimethylamino, cyano, methoxycarbonyl, acetylamino, phenyl, 2-oxazolyl, tert-butyl, aminocarbonyl, N-benzylaminocarbonyl, N-(pyridin-4-ylmethyl)aminocarbonyl, and ethyl;
- or two adjacent R20 substituents on the CyA ring, taken together with the atoms to which they are attached, form a fused 5- or 6-membered heterocycloalkyl ring, or a fused C5 cycloalkyl ring; wherein each fused 5- or 6-membered heterocycloalkyl ring has at least one ring-forming carbon atom and 1 or 2 ring-forming heteroatoms independently selected from N and O; wherein a ring-forming carbon atom of each fused 5- or 6-membered heterocycloalkyl ring is optionally substituted by oxo to form a carbonyl group; and wherein the fused 5- or 6-membered heterocycloalkyl ring and fused C5 cycloalkyl ring are each optionally substituted with 1 or 2 substituents independently selected from amino, methylamino, 2-hydroxyethylamino, and N-benzylamino.
- In some embodiments, R2 is selected from H, C1-6 alkyl, C2-6 alkenyl, C2-6 alkynyl, C1-6 haloalkyl, halo, CN, ORa7, SRa7, C(O)Rb7, C(O)NRc7Rd7, C(O)ORa7, NRc7Rd7, NRc7C(O)Rb7, S(O)Rb7, S(O)NRc7Rd7, S(O)2Rb7, and S(O)2NRc7Rd7; wherein said C1-6 alkyl, C2-6 alkenyl, and C2-6 alkynyl are each optionally substituted with 1, 2, 3, or 4 substituents independently selected from R30.
- In some embodiments, R2 is selected from H, C1-6 alkyl, C2-6 alkenyl, C2-6 alkynyl, C1-6 haloalkyl, halo, and CN; wherein said C1-6 alkyl, C2-6 alkenyl, and C2-6 alkynyl are each optionally substituted with 1, 2, 3, or 4 substituents independently selected from R30.
- In some embodiments, R2 is H, C1-6 alkyl, or CN.
- In some embodiments, R2 is H or C1-6 alkyl.
- In some embodiments, R2 is H. In some embodiments, R2 is CN.
- In some embodiments, provided herein is a compound having Formula IIa:
- or a pharmaceutically acceptable salt thereof, wherein n is 1, 2, 3, or 4.
- In some embodiments, provided herein is a compound having Formula IIb:
- or a pharmaceutically acceptable salt thereof, wherein m is 1, 2, or 3.
- In some embodiments, provided herein is a compound having Formula IIIa:
- or a pharmaceutically acceptable salt thereof.
- In some embodiments, provided herein is a compound having Formula IIIb:
- or a pharmaceutically acceptable salt thereof.
- In some embodiments, provided herein is a compound having Formula IVa:
- or a pharmaceutically acceptable salt thereof, wherein n is 1, 2, 3, or 4 and y is 1, 2, 3, or 4.
- In some embodiments, n is 1.
- In some embodiments, n is 2.
- In some embodiments, n is 3.
- In some embodiments, m is 1.
- In some embodiments, m is 2.
- In some embodiments, y is 1.
- In some embodiments, y is 2.
- In some embodiments, y is 3.
- In some embodiments:
- CyA is phenyl substituted with 1, 2, or 3 substitutents selected from C1-6 alkyl and halo, wherein said C1-6 alkyl is optionally substituted with NRc4Rd4;
- R2 is H or CN;
- Cy1 is 5-6 membered heteroaryl optionally substituted with C1-6 alkyl or halo; and each of Rc4 and Rd4 is H or C1-6 alkyl.
- In some embodiments:
- R1 is selected from Cy1, C2-6 alkenyl, C2-6 alkynyl, C1-6 haloalkyl, halo, CN, NO2, ORa, SRa, C(O)Rb, C(O)NRcRd, C(O)ORa, OC(O)Rb, OC(O)NRcRd, NRcRd, NRcC(O)Rb, NRcC(O)ORa, NRcC(O)NRcRd, C(═NRe)Rb, C(═NORa)Rb, C(═NRe)NRcRd, NRcC(═NRe)NRcRd, NRcS(O)Rb, NRcS(O)2Rb, NRcS(O)2NRcRd, S(O)Rb, S(O)NRcRd, S(O)2Rb, and S(O)2NRcRd; wherein said C2-6 alkenyl and C2-6 alkynyl are each optionally substituted with 1, 2, 3, or 4 substituents independently selected from R10;
- Cy1 is selected from C3-10 cycloalkyl, 4-10 membered heterocycloalkyl, C6-10 aryl and 5-10 membered heteroaryl; wherein each 4-10 membered heterocycloalkyl and 5-10 membered heteroaryl has at least one ring-forming carbon atom and 1, 2, 3, or 4 ring-forming heteroatoms independently selected from N, O, and S; wherein the N and S are optionally oxidized; wherein a ring-forming carbon atom of 5-10 membered heteroaryl and 4-10 membered heterocycloalkyl is optionally substituted by oxo to form a carbonyl group; and wherein the C3-10 cycloalkyl, 4-10 membered heterocycloalkyl, C6-10 aryl and 5-10 membered heteroaryl are each optionally substituted with 1, 2, 3 or 4 substituents independently selected from R10;
- CyA is selected from C6-10 aryl and 5-10 membered heteroaryl; wherein the 5-membered heteroaryl has at least one ring-forming carbon atom and 1 or 2 ring-forming heteroatoms independently selected from N, O, and S and the 6-10 membered heteroaryl has at least one ring-forming carbon atom and 1, 2, 3, or 4 ring-forming heteroatoms independently selected from N, O, and S; wherein the N and S are optionally oxidized; wherein a ring-forming carbon atom of the 5-10 membered heteroaryl is optionally substituted by oxo to form a carbonyl group; and wherein the C6-10 aryl and 5-10 membered heteroaryl are each optionally substituted with 1, 2, 3 or 4 substituents independently selected from R20;
- R2 is selected from H, C1-6 alkyl, C2-6 alkenyl, C2-6 alkynyl, C1-6 haloalkyl, C3-10 cycloalkyl, 4-10 membered heterocycloalkyl, C6-10 aryl, 5-10 membered heteroaryl, C3-10 cycloalkyl-C1-3 alkylene, 4-10 membered heterocycloalkyl-C1-3 alkylene, C6-10 aryl-C1-3 alkylene, 5-10 membered heteroaryl-C1-3 alkylene, halo, CN, ORa7, SRa7, C(O)Rb7, C(O)NRc7Rd7, C(O)ORa7, NRc7Rd7, NRc7C(O)Rb7, NRc7C(O)ORa7, NRc7S(O)Rb7, NRc7S(O)2Rb7, NRc7S(O)2NRc7Rd7, S(O)Rb7, S(O)NRc7Rd7, S(O)2Rb7, and S(O)2NRc7Rd7; wherein said C1-6 alkyl, C2-6 alkenyl, C2-6 alkynyl, C3-10 cycloalkyl, 4-10 membered heterocycloalkyl, C6-10 aryl, 5-10 membered heteroaryl, C3-10 cycloalkyl-C1-3 alkylene, 4-10 membered heterocycloalkyl-C1-3 alkylene, C6-10 aryl-C1-3 alkylene and 5-10 membered heteroaryl-C1-3 alkylene are each optionally substituted with 1, 2, 3, or 4 substituents independently selected from R30;
- each R10 is independently selected from C1-6 alkyl, C2-6 alkenyl, C2-6 alkynyl, C1-6 haloalkyl, C3-10 cycloalkyl, piperazinyl, piperidinyl, C6-10 aryl, 5-10 membered heteroaryl, C3-10 cycloalkyl-C1-3 alkylene, 4-10 membered heterocycloalkyl-C1-3 alkylene, C6-10 aryl-C1-3 alkylene, 5-10 membered heteroaryl-C1-3 alkylene, halo, CN, NO2, ORa1, SRa1, C(O)Rb1C(O)NRc1Rd1, C(O)ORa1, OC(O)Rb1, OC(O)NRc1Rd1, NRc1Rd1, NRc1C(O)Rb1, NRc1C(O)ORa1, NRc1C(O)NRc1Rd1, C(═NRe1)Rb1, C(═NORa1)Rb1, C(═NRe1)NRc1Rd1 NRc1C(═NRe1)NRc1Rd1, NRc1S(O)Rb1, NRc1S(O)2Rb1, NRc1S(O)2NRc1Rd1, S(O)Rb1, S(O)NRc1Rd1, S(O)2Rb1, and S(O)2NRc1Rd1; wherein said C1-6 alkyl, C2-6 alkenyl, C2-6 alkynyl, C3-10 cycloalkyl, piperazinyl, piperidinyl, C6-10 aryl, 5-10 membered heteroaryl, C3-10 cycloalkyl-C1-3 alkylene, 4-10 membered heterocycloalkyl-C1-3 alkylene, C6-10 aryl-C1-3 alkylene and 5-10 membered heteroaryl-C1-3 alkylene are each optionally substituted with 1, 2, 3, or 4 substituents independently selected from R11;
- or two R10 substituents taken together with the carbon atom to which they are attached form a spiro 3-7-membered heterocycloalkyl ring, or a spiro C3-6 cycloalkyl ring; wherein each spiro 3-7-membered heterocycloalkyl ring has at least one ring-forming carbon atom and 1, 2 or 3 ring-forming heteroatoms independently selected from N, O, and S; wherein a ring-forming carbon atom of each spiro 3-7-membered heterocycloalkyl ring is optionally substituted by oxo to form a carbonyl group; and wherein the spiro 3-7-membered heterocycloalkyl ring and spiro C3-6 cycloalkyl ring are each optionally substituted with 1, 2, 3 or 4 substituents independently selected from R11;
- each R11 is independently selected from C1-6 alkyl, C2-6 alkenyl, C2-6 alkynyl, C1-6 haloalkyl, C3-10 cycloalkyl, 4-10 membered heterocycloalkyl, C6-10 aryl, 5-10 membered heteroaryl, C3-10 cycloalkyl-C1-3 alkylene, 4-10 membered heterocycloalkyl-C1-3 alkylene, C6-10 aryl-C1-3 alkylene, 5-10 membered heteroaryl-C1-3 alkylene, halo, CN, ORa3, SRa3, C(O)Rb3C(O)NRc3Rd3, C(O)ORa3, NRc3Rd3, NRc3C(O)Rb3, NRc3C(O)ORa3, NRc3S(O)Rb3 NRc3S(O)2Rb3, NRc3S(O)2NRc3Rd3, S(O)Rb3, S(O)NRc3Rd3, S(O)2Rb3, and S(O)2NRc3Rd3; wherein said C1-6 alkyl, C2-6 alkenyl, C2-6 alkynyl, C3-10 cycloalkyl, 4-10 membered heterocycloalkyl, C6-10 aryl, 5-10 membered heteroaryl, C3-10 cycloalkyl-C1-3 alkylene, 4-10 membered heterocycloalkyl-C1-3 alkylene, C6-10 aryl-C1-3 alkylene and 5-10 membered heteroaryl-C1-3 alkylene are each optionally substituted with 1, 2, 3, or 4 substituents independently selected from R12;
- each R12 is independently selected from C1-6 alkyl, C2-6 alkenyl, C2-6 alkynyl, C1-6 haloalkyl, C3-6 cycloalkyl, C6-10 aryl, 5-10 membered heteroaryl, 4-7 membered heterocycloalkyl, halo, CN, ORa5, SRa5, C(O)Rb5, C(O)NRc5Rd5, C(O)ORa8, NRc5Rd5 NRc5C(O)Rb5, NRc5C(O)ORa5, NRc5 S(O)Rb5, NRc5S(O)2Rb5, NRc5S(O)2NRc5Rd5, S(O)Rb5 S(O)NRc5Rd5, S(O)2Rb5, and S(O)2NRc5Rd5; wherein said C1-6 alkyl, C2-6 alkenyl, C2-6 alkynyl, C3-6 cycloalkyl, C6-10 aryl, 5-10 membered heteroaryl and 4-7 membered heterocycloalkyl, are each optionally substituted with 1, 2, 3, or 4 substituents independently selected from Rg;
- each R20 is independently selected from C1-6 alkyl, C2-6 alkenyl, C2-6 alkynyl, C1-6 haloalkyl, C3-10 cycloalkyl, 4-10 membered heterocycloalkyl, C6-10 aryl, 5-10 membered heteroaryl, C3-10 cycloalkyl-C1-3 alkylene, 4-10 membered heterocycloalkyl-C1-3 alkylene, C6-10 aryl-C1-3 alkylene, 5-10 membered heteroaryl-C1-3 alkylene, halo, CN, NO2, ORa2, SRa2, C(O)Rb2, C(O)NRc2Rd2, C(O)ORa2, OC(O)Rb2, OC(O)NRc2Rd2, NRc2Rd2, NRc2C(O)Rb2 NRc2C(O)ORa2, NRc2C(O)NRc2Rd2, C(═NRe2)Rb2, C(═NORa2)Rb2, C(═NRe2)NRc2Rd2, NRc2C(═NRe2)NRc2Rd2, NRc2S(O)Rb2, NRc2S(O)2Rb2, NRc2S(O)2NRc2Rd2, S(O)Rb2 S(O)NRc2Rd2, S(O)2Rb2, and S(O)2NRc2Rd2; wherein said C1-6 alkyl, C2-6 alkenyl, C2-6 alkynyl, C3-10 cycloalkyl, 4-10 membered heterocycloalkyl, C6-10 aryl, 5-10 membered heteroaryl, C3-10 cycloalkyl-C1-3 alkylene, 4-10 membered heterocycloalkyl-C1-3 alkylene, C6-10 aryl-C1-3 alkylene and 5-10 membered heteroaryl-C1-3 alkylene are each optionally substituted with 1, 2, 3, or 4 substituents independently selected from R21;
- or two adjacent R20 substituents on the CyA ring, taken together with the atoms to which they are attached, form a fused 4-, 5-, 6- or 7-membered heterocycloalkyl ring, or a fused C3-7 cycloalkyl ring; wherein each fused 4-, 5-, 6- or 7-membered heterocycloalkyl ring has at least one ring-forming carbon atom and 1, 2, 3, or 4 ring-forming heteroatoms independently selected from N, O, and S; wherein a ring-forming carbon atom of each fused 4-, 5-, 6- or 7-membered heterocycloalkyl ring is optionally substituted by oxo to form a carbonyl group; and wherein the fused 4-, 5-, 6- or 7-membered heterocycloalkyl ring and fused C3-6 cycloalkyl ring are each optionally substituted with 1, 2, 3 or 4 substituents independently selected from R21;
- each R21 is independently selected from C1-6 alkyl, C2-6 alkenyl, C2-6 alkynyl, C1-6 haloalkyl, C3-10 cycloalkyl, 4-10 membered heterocycloalkyl, C6-10 aryl, 5-10 membered heteroaryl, C3-10 cycloalkyl-C1-3 alkylene, 4-10 membered heterocycloalkyl-C1-3 alkylene, C6-10 aryl-C1-3 alkylene, 5-10 membered heteroaryl-C1-3 alkylene, halo, CN, ORa4, SRa4, C(O)Rb4, C(O)NRc4Rd4, C(O)ORa4, NRc4Rd4, NRc4C(O)Rb4, NRc4C(O)ORa4, NRc4S(O)Rb4, NRc4S(O)2Rb4, NRc4S(O)2NRc4Rd4, S(O)Rb4, S(O)NRc4Rd4, S(O)2Rb4, and S(O)2NRc4Rd4; wherein said C1-6 alkyl, C2-6 alkenyl, C2-6 alkynyl, C3-10 cycloalkyl, 4-10 membered heterocycloalkyl, C6-10 aryl, 5-10 membered heteroaryl, C3-10 cycloalkyl-C1-3 alkylene, 4-10 membered heterocycloalkyl-C1-3 alkylene, C6-10 aryl-C1-3 alkylene and 5-10 membered heteroaryl-C1-3 alkylene are each optionally substituted with 1, 2, 3, or 4 substituents independently selected from R22;
- or two R21 substituents taken together with the carbon atom to which they are attached form a spiro 3-7-membered heterocycloalkyl ring, or a spiro C3-6 cycloalkyl ring; wherein each spiro 3-7-membered heterocycloalkyl ring has at least one ring-forming carbon atom and 1, 2 or 3 ring-forming heteroatoms independently selected from N, O, and S; wherein a ring-forming carbon atom of each spiro 3-7-membered heterocycloalkyl ring is optionally substituted by oxo to form a carbonyl group; and wherein the spiro 3-7 membered heterocycloalkyl ring and spiro C3-6 cycloalkyl ring are each optionally substituted with 1, 2, 3 or 4 substituents independently selected from R22;
- each R22 is independently selected from C1-6 alkyl, C2-6 alkenyl, C2-6 alkynyl, C1-6 haloalkyl, C3-6 cycloalkyl, phenyl, 5-6 membered heteroaryl, 4-7 membered heterocycloalkyl, halo, CN, ORa6, SRa6, C(O)Rb6, C(O)NRc6Rd6, C(O)ORa6, NRc6Rd6, NRc6C(O)Rb6, NRc6C(O)ORa6, NRc6S(O)Rb6, NRc6S(O)2Rb6, NRc6S(O)2NRc6Rd6, S(O)Rb6, S(O)NRc6Rd6 S(O)2Rb6, and S(O)2NRc6Rd6; wherein said C1-6 alkyl, C2-6 alkenyl, C2-6 alkynyl, C3-6 cycloalkyl, phenyl, 5-6 membered heteroaryl and 4-7 membered heterocycloalkyl, are each optionally substituted with 1, 2, 3, or 4 substituents independently selected from Rg;
- each R30 is independently selected from C1-6 alkyl, C2-6 alkenyl, C2-6 alkynyl, C1-6 haloalkyl, C3-6 cycloalkyl, phenyl, 5-6 membered heteroaryl, 4-7 membered heterocycloalkyl, halo, CN, ORa8, SRa8, C(O)Rb8, C(O)NRc8Rd8, C(O)ORa8, NRc8Rd8, NRc8C(O)Rb8, NRc8C(O)ORa8, NRc8S(O)Rb8, NRc8S(O)2Rb8, NRc8S(O)2NRc8Rd8, S(O)Rb8, S(O)NRc8Rd8, S(O)2Rb8, and S(O)2NRc8Rd8; wherein said C1-6 alkyl, C2-6 alkenyl, C2-6 alkynyl, C3-6 cycloalkyl, phenyl, 5-6 membered heteroaryl and 4-7 membered heterocycloalkyl, are each optionally substituted with 1, 2, 3, or 4 substituents independently selected from Rg;
- each Ra and Rc is independently selected from H, C1-6 alkyl, C2-6 alkenyl, C2-6 alkynyl, C1-6 haloalkyl, C3-10 cycloalkyl, 4-10 membered heterocycloalkyl, C6-10 aryl and 5-10 membered heteroaryl; wherein said C1-6 alkyl, C2-6 alkenyl, C2-6 alkynyl, C3-10 cycloalkyl, 4-10 membered heterocycloalkyl, C6-10 aryl and 5-10 membered heteroaryl, are each optionally substituted with 1, 2, 3, or 4 substituents independently selected from R10;
- each Rd is independently selected from C1-6 alkyl, C2-6 alkenyl, C2-6 alkynyl, C1-6 haloalkyl, C3-10 cycloalkyl, 4-10 membered heterocycloalkyl, C6-10 aryl and 5-10 membered heteroaryl; wherein said C1-6 alkyl, C2-6 alkenyl, C2-6 alkynyl, C3-10 cycloalkyl, 4-10 membered heterocycloalkyl, C6-10 aryl and 5-10 membered heteroaryl, are each optionally substituted with 1, 2, 3, or 4 substituents independently selected from R10;
- or any Rc and Rd attached to the same N atom, together with the N atom to which they are attached, form a 4-, 5-, 6- or 7-membered heterocycloalkyl group optionally substituted with 1, 2, 3, or 4 substituents independently selected from R10;
- each Rb is independently selected from C1-6 alkyl, C2-6 alkenyl, C2-6 alkynyl, C1-6 haloalkyl, C3-10 cycloalkyl, 4-10 membered heterocycloalkyl, C6-10 aryl and 5-10 membered heteroaryl; wherein said C1-6 alkyl, C2-6 alkenyl, C2-6 alkynyl, C3-10 cycloalkyl, 4-10 membered heterocycloalkyl, C6-10 aryl and 5-10 membered heteroaryl, are each optionally substituted with 1, 2, 3, or 4 substituents independently selected from R10;
- each Re is independently selected from H, CN, C1-6 alkyl, C1-6 haloalkyl, C1-6 alkylthio, C1-6 alkylsulfonyl, C1-6 alkylcarbonyl, C1-6 alkylaminosulfonyl, carbamyl, C1-6 alkylcarbamyl, di(C1-6 alkyl)carbamyl, aminosulfonyl, C1-6 alkylaminosulfonyl and di(C1-6 alkyl)aminosulfonyl;
- each Ra1, Rc1 and Rd1 is independently selected from H, C1-6 alkyl, C2-6 alkenyl, C2-6 alkynyl, C1-6 haloalkyl, C3-10 cycloalkyl, 4-10 membered heterocycloalkyl, C6-10 aryl and 5-10 membered heteroaryl; wherein said C1-6 alkyl, C2-6 alkenyl, C2-6 alkynyl, C3-10 cycloalkyl, 4-10 membered heterocycloalkyl, C6-10 aryl and 5-10 membered heteroaryl, are each optionally substituted with 1, 2, 3, or 4 substituents independently selected from R11;
- or any Rc1 and Rd1 attached to the same N atom, together with the N atom to which they are attached, form a 4-, 5-, 6- or 7-membered heterocycloalkyl group optionally substituted with 1, 2, 3, or 4 substituents independently selected from R11;
- each Rb1 is independently selected from C1-6 alkyl, C2-6 alkenyl, C2-6 alkynyl, C1-6 haloalkyl, C3-10 cycloalkyl, 4-10 membered heterocycloalkyl, C6-10 aryl and 5-10 membered heteroaryl; wherein said C1-6 alkyl, C2-6 alkenyl, C2-6 alkynyl, C3-10 cycloalkyl, 4-10 membered heterocycloalkyl, C6-10 aryl and 5-10 membered heteroaryl, are each optionally substituted with 1, 2, 3, or 4 substituents independently selected from R11;
- each Re1 is independently selected from H, CN, C1-6 alkyl, C1-6 haloalkyl, C1-6 alkylthio, C1-6 alkylsulfonyl, C1-6 alkylcarbonyl, C1-6 alkylaminosulfonyl, carbamyl, C1-6 alkylcarbamyl, di(C1-6 alkyl)carbamyl, aminosulfonyl, C1-6 alkylaminosulfonyl and di(C1-6 alkyl)aminosulfonyl;
- each Ra2, Rc2 and Rd2, is independently selected from H, C1-6 alkyl, C2-6 alkenyl, C2-6 alkynyl, C1-6 haloalkyl, C3-10 cycloalkyl, 4-10 membered heterocycloalkyl, C6-10 aryl and 5-10 membered heteroaryl; wherein said C1-6 alkyl, C2-6 alkenyl, C2-6 alkynyl, C3-10 cycloalkyl, 4-10 membered heterocycloalkyl, C6-10 aryl and 5-10 membered heteroaryl are each optionally substituted with 1, 2, 3, or 4 substituents independently selected from R21;
- or any Rc2 and Rd2 attached to the same N atom, together with the N atom to which they are attached, form a 4-, 5-, 6- or 7-membered heterocycloalkyl group optionally substituted with 1, 2 or 3 substituents independently selected from R21;
- each Rb2 is independently selected from C1-6 alkyl, C2-6 alkenyl, C2-6 alkynyl, C1-6 haloalkyl, C3-10 cycloalkyl, 4-10 membered heterocycloalkyl, C6-10 aryl and 5-10 membered heteroaryl; wherein said C1-6 alkyl, C2-6 alkenyl, C2-6 alkynyl, C3-10 cycloalkyl, 4-10 membered heterocycloalkyl, C6-10 aryl and 5-10 membered heteroaryl are each optionally substituted with 1, 2, 3, or 4 substituents independently selected from R21;
- each Re2 is independently selected from H, CN, C1-6 alkyl, C1-6 haloalkyl, C1-6 alkylthio, C1-6 alkylsulfonyl, C1-6 alkylcarbonyl, C1-6 alkylaminosulfonyl, carbamyl, C1-6 alkylcarbamyl, di(C1-6 alkyl)carbamyl, aminosulfonyl, C1-6 alkylaminosulfonyl and di(C1-6 alkyl)aminosulfonyl;
- each Ra3, Rc3 and Rd3, is independently selected from H, C1-6 alkyl, C2-6 alkenyl, C2-6 alkynyl, C1-6 haloalkyl, C3-6 cycloalkyl, phenyl, 5-6 membered heteroaryl and 4-7 membered heterocycloalkyl; wherein said C1-6 alkyl C2-6 alkenyl, C2-6 alkynyl, C3-6 cycloalkyl, phenyl, 5-6 membered heteroaryl and 4-7 membered heterocycloalkyl are each optionally substituted with 1, 2, 3, or 4 substituents independently selected from R12;
- or any Rc3 and Rd3 attached to the same N atom, together with the N atom to which they are attached, form a 4-, 5-, 6- or 7-membered heterocycloalkyl group optionally substituted with 1, 2 or 3 substituents independently selected from R12;
- each Rb3 is independently selected from C1-6 alkyl, C2-6 alkenyl, C2-6 alkynyl, C1-6 haloalkyl, C3-6 cycloalkyl, phenyl, 5-6 membered heteroaryl and 4-7 membered heterocycloalkyl; wherein said C1-6 alkyl C2-6 alkenyl, C2-6 alkynyl, C3-6 cycloalkyl, phenyl, 5-6 membered heteroaryl and 4-7 membered heterocycloalkyl, are each optionally substituted with 1, 2, 3, or 4 substituents independently selected from R12;
- each Ra4, Rc4 and Rd4, is independently selected from H, C1-6 alkyl, C2-6 alkenyl, C2-6 alkynyl, C1-6 haloalkyl, C3-6 cycloalkyl, phenyl, 5-6 membered heteroaryl and 4-7 membered heterocycloalkyl; wherein said C1-6 alkyl C2-6 alkenyl, C2-6 alkynyl, C3-6 cycloalkyl, phenyl, 5-6 membered heteroaryl and 4-7 membered heterocycloalkyl are each optionally substituted with 1, 2, 3, or 4 substituents independently selected from R22;
- or any Rc4 and Rd4 attached to the same N atom, together with the N atom to which they are attached, form a 4-, 5-, 6- or 7-membered heterocycloalkyl group optionally substituted with 1, 2 or 3 substituents independently selected from R22;
- each Rb4 is independently selected from C1-6 alkyl, C2-6 alkenyl, C2-6 alkynyl, C1-6 haloalkyl, C3-6 cycloalkyl, phenyl, 5-6 membered heteroaryl and 4-7 membered heterocycloalkyl; wherein said C1-6 alkyl C2-6 alkenyl, C2-6 alkynyl, C3-6 cycloalkyl, phenyl, 5-6 membered heteroaryl and 4-7 membered heterocycloalkyl are each optionally substituted with 1, 2, 3, or 4 substituents independently selected from R22;
- each Ra5, Rc5 and Rd5, is independently selected from H, C1-6 alkyl, C2-6 alkenyl, C2-6 alkynyl and C1-6 haloalkyl; wherein said C1-6 alkyl, C2-6 alkenyl and C2-6 alkynyl are each optionally substituted with 1, 2, 3, or 4 substituents independently selected from Rg;
- each Rb5 is independently selected from C1-6 alkyl, C2-6 alkenyl, C2-6 alkynyl and C1-6 haloalkyl; wherein said C1-6 alkyl C2-6 alkenyl and C2-6 alkynyl are each optionally substituted with 1, 2, 3, or 4 substituents independently selected from Rg;
- each Ra6, Rc6 and Rd6, is independently selected from H, C1-6 alkyl, C2-6 alkenyl, C2-6 alkynyl and C1-6 haloalkyl; wherein said C1-6 alkyl, C2-6 alkenyl and C2-6 alkynyl are each optionally substituted with 1, 2, 3, or 4 substituents independently selected from Rg;
- each Rb6 is independently selected from C1-6 alkyl, C2-6 alkenyl, C2-6 alkynyl, and C1-6 haloalkyl; wherein said C1-6 alkyl, C2-6 alkenyl and C2-6 alkynyl are each optionally substituted with 1, 2, 3, or 4 substituents independently selected from Rg;
- each Ra7, Rc7, and Rd7 is independently selected from H, C1-6 alkyl, C2-6 alkenyl, C2-6 alkynyl, C1-6 haloalkyl, C3-10 cycloalkyl, 4-10 membered heterocycloalkyl, C6-10 aryl and 5-10 membered heteroaryl; wherein said C1-6 alkyl, C2-6 alkenyl, C2-6 alkynyl, C3-10 cycloalkyl, 4-10 membered heterocycloalkyl, C6-10 aryl and 5-10 membered heteroaryl, are each optionally substituted with 1, 2, 3, or 4 substituents independently selected from R30;
- or any Rc7 and Rd7 attached to the same N atom, together with the N atom to which they are attached, form a 4-, 5-, 6- or 7-membered heterocycloalkyl group optionally substituted with 1, 2 or 3 substituents independently selected from R30;
- each Rb7 is independently selected from C1-6 alkyl, C2-6 alkenyl, C2-6 alkynyl, C1-6 haloalkyl, C3-10 cycloalkyl, 4-10 membered heterocycloalkyl, C6-10 aryl and 5-10 membered heteroaryl; wherein said C1-6 alkyl, C2-6 alkenyl, C2-6 alkynyl, C3-10 cycloalkyl, 4-10 membered heterocycloalkyl, C6-10 aryl and 5-10 membered heteroaryl, are each optionally substituted with 1, 2, 3, or 4 substituents independently selected from R30;
- each Ra8, Rc8 and Rd8, is independently selected from H, C1-6 alkyl, C2-6 alkenyl, C2-6 alkynyl, C1-6 haloalkyl, C3-6 cycloalkyl, phenyl, 5-6 membered heteroaryl and 4-7 membered heterocycloalkyl; wherein said C1-6 alkyl C2-6 alkenyl, C2-6 alkynyl, C3-6 cycloalkyl, phenyl, 5-6 membered heteroaryl and 4-7 membered heterocycloalkyl are each optionally substituted with 1, 2, 3, or 4 substituents independently selected from Rg;
- or any Rc8 and Rd8 attached to the same N atom, together with the N atom to which they are attached, form a 4-, 5-, 6- or 7-membered heterocycloalkyl group optionally substituted with 1, 2 or 3 substituents independently selected from Rg;
- each Rb8 is independently selected from C1-6 alkyl, C2-6 alkenyl, C2-6 alkynyl, C1-6 haloalkyl, C3-6 cycloalkyl, phenyl, 5-6 membered heteroaryl and 4-7 membered heterocycloalkyl; wherein said C1-6 alkyl C2-6 alkenyl, C2-6 alkynyl, C3-6 cycloalkyl, phenyl, 5-6 membered heteroaryl and 4-7 membered heterocycloalkyl are each optionally substituted with 1, 2, 3, or 4 substituents independently selected from Rg; and
- each Rg is independently selected from OH, NO2, CN, halo, C1-6 alkyl, C2-6 alkenyl, C2-6 alkynyl, C1-6 haloalkyl, C3-6 cycloalkyl, C3-6 cycloalkyl-C1-2 alkylene, C1-6 alkoxy, C1-6 haloalkoxy, C1-3 alkoxy-C1-3 alkyl, C1-3 alkoxy-C1-3 alkoxy, HO—C1-3 alkoxy, HO—C1-3 alkyl, cyano-C1-3 alkyl, H2N—C1-3 alkyl, amino, C1-6 alkylamino, di(C1-6 alkyl)amino, thio, C1-6 alkylthio, C1-6 alkylsulfinyl, C1-6 alkylsulfonyl, carbamyl, C1-6 alkylcarbamyl, di(C1-6 alkyl)carbamyl, carboxy, C1-6 alkylcarbonyl, C1-6 alkoxycarbonyl, C1-6 alkylcarbonylamino, C1-6 alkylsulfonylamino, aminosulfonyl, C1-6 alkylaminosulfonyl, di(C1-6 alkyl)aminosulfonyl, aminosulfonylamino, C1-6 alkylaminosulfonylamino, di(C1-6 alkyl)aminosulfonylamino, aminocarbonylamino, C1-6 alkylaminocarbonylamino, and di(C1-6 alkyl)aminocarbonylamino.
- In some embodiments:
- R1 is selected from Cy1, C2-6 alkenyl, C2-6 alkynyl, C1-6 haloalkyl, halo, CN, NO2, ORa, SRa, C(O)Rb, C(O)NRcRd, C(O)ORa, OC(O)Rb, OC(O)NRcRd, NRcRd, NRcC(O)Rb, NRcC(O)ORa, NRcS(O)Rb, NRcS(O)2Rb, NRcS(O)2NRcRd, S(O)Rb, S(O)NRcRd, S(O)2Rb, and S(O)2NRcRd; wherein said C2-6 alkenyl and C2-6 alkynyl are each optionally substituted with 1, 2, 3, or 4 substituents independently selected from R10;
- Cy1 is selected from C6-10 aryl and 5-10 membered heteroaryl; wherein the 5-10 membered heteroaryl has at least one ring-forming carbon atom and 1, 2, 3, or 4 ring-forming heteroatoms independently selected from N, O, and S; wherein the N and S are optionally oxidized; wherein a ring-forming carbon atom of 5-10 membered heteroaryl is optionally substituted by oxo to form a carbonyl group; and wherein the C6-10 aryl and 5-10 membered heteroaryl are each optionally substituted with 1, 2, 3 or 4 substituents independently selected from R10;
- CyA is selected from C6-10 aryl and 5-10 membered heteroaryl; wherein the 5-membered heteroaryl has at least one ring-forming carbon atom and 1 or 2 ring-forming heteroatoms independently selected from N, O, and S and the 6-10 membered heteroaryl has at least one ring-forming carbon atom and 1, 2, 3, or 4 ring-forming heteroatoms independently selected from N, O, and S; wherein the N and S are optionally oxidized; wherein a ring-forming carbon atom of the 5-10 membered heteroaryl is optionally substituted by oxo to form a carbonyl group; and wherein the C6-10 aryl and 5-10 membered heteroaryl are each optionally substituted with 1, 2, 3 or 4 substituents independently selected from R20;
- R2 is selected from H, C1-6 alkyl, C2-6 alkenyl, C2-6 alkynyl, C1-6 haloalkyl, halo, CN, ORa7, SRa7, C(O)Rb7, C(O)NRc7Rd7, C(O)ORa7, NRc7Rd7, NRc7C(O)Rb7, and NRc7C(O)ORa7; wherein said C1-6 alkyl, C2-6 alkenyl, and C2-6 alkynyl are each optionally substituted with 1, 2, 3, or 4 substituents independently selected from R30;
- each R10 is independently selected from C1-6 alkyl, C2-6 alkenyl, C2-6 alkynyl, C1-6 haloalkyl, C3-10 cycloalkyl, piperazinyl, piperidinyl, C6-10 aryl, 5-10 membered heteroaryl, halo, CN, NO2, ORa1, SRa1, C(O)Rb1, C(O)NRc1Rd1, C(O)ORa1, NRc1Rd1, NRc1C(O)Rb1, NRc1C(O)ORa1, S(O)Rb1, S(O)NRc1Rd1, S(O)2Rb1, and S(O)2NRc1Rd1; wherein said C1-6 alkyl, C2-6 alkenyl, C2-6 alkynyl, C3-10 cycloalkyl, piperazinyl, piperidinyl, C6-10 aryl, and 5-10 membered heteroaryl are each optionally substituted with 1, 2, 3, or 4 substituents independently selected from R11;
- each R11 is independently selected from C1-6 alkyl, C2-6 alkenyl, C2-6 alkynyl, C1-6 haloalkyl, halo, CN, ORa3, SRa3, C(O)Rb3, C(O)NRc3Rd3, C(O)ORa3, NRc3Rd3, NRc3C(O)Rb3NRc3C(O)ORa3, S(O)Rb3, S(O)NRc3Rd3, S(O)2Rb3, and S(O)2NRc3Rd3; wherein said C1-6 alkyl, C2-6 alkenyl, and C2-6 alkynyl are each optionally substituted with 1, 2, 3, or 4 substituents independently selected from R12;
- each R12 is independently selected from C1-6 alkyl, C2-6 alkenyl, C2-6 alkynyl, C1-6 haloalkyl, CN, ORa5, SRa5, C(O)Rb5, C(O)NRc5Rd5, C(O)ORa5, NRc5Rd5, NRc5C(O)Rb5NRc5C(O)ORa5, S(O)Rb5, S(O)NRc5Rd5, S(O)2Rb5, and S(O)2NRc5Rd5; wherein said C1-6 alkyl, C2-6 alkenyl, and C2-6 alkynyl are each optionally substituted with 1, 2, 3, or 4 substituents independently selected from Rg;
- each R20 is independently selected from C1-6 alkyl, C2-6 alkenyl, C2-6 alkynyl, C1-6 haloalkyl, C3-10 cycloalkyl, 4-10 membered heterocycloalkyl, C6-10 aryl, 5-10 membered heteroaryl, halo, CN, NO2, ORa2, SRa2, C(O)Rb2, C(O)NRc2Rd2, C(O)ORa2, OC(O)Rb2, OC(O)NRc2Rd2, NRc2Rd2, NRc2C(O)Rb2, NRc2C(O)ORa2, NRc2S(O)Rb2, NRc2S(O)2Rb2 NRc2S(O)2NRc2Rd2, S(O)Rb2, S(O)NRc2Rd2, S(O)2Rb2, and S(O)2NRc2Rd2; wherein said C1-6 alkyl, C2-6 alkenyl, C2-6 alkynyl, C3-10 cycloalkyl, 4-10 membered heterocycloalkyl, C6-10 aryl, and 5-10 membered heteroaryl are each optionally substituted with 1, 2, 3, or 4 substituents independently selected from R21;
- or two adjacent R20 substituents on the CyA ring, taken together with the atoms to which they are attached, form a fused 5- or 6-membered heterocycloalkyl ring, or a fused C3-7 cycloalkyl ring; wherein each fused 5- or 6-membered heterocycloalkyl ring has at least one ring-forming carbon atom and 1, 2, 3, or 4 ring-forming heteroatoms independently selected from N, O, and S; wherein a ring-forming carbon atom of each fused 5- or 6-membered heterocycloalkyl ring is optionally substituted by oxo to form a carbonyl group; and wherein the fused 5- or 6-membered heterocycloalkyl ring and fused C3-6 cycloalkyl ring are each optionally substituted with 1, 2, 3 or 4 substituents independently selected from R21;
- each R21 is independently selected from C1-6 alkyl, C2-6 alkenyl, C2-6 alkynyl, C1-6 haloalkyl, C3-10cycloalkyl, 4-10 membered heterocycloalkyl, C6-10 aryl, 5-10 membered heteroaryl, halo, CN, ORa4, SRa4, C(O)Rb4, C(O)NRc4Rd4, C(O)ORa4, NRc4Rd4, NRc4C(O)Rb4NRc4C(O)ORa4, S(O)Rb4, S(O)NRc4Rd4, S(O)2Rb4, and S(O)2NRc4Rd4; wherein said C1-6 alkyl, C2-6 alkenyl, C2-6 alkynyl, C3-10 cycloalkyl, 4-10 membered heterocycloalkyl, C6-10 aryl, and 5-10 membered heteroaryl are each optionally substituted with 1, 2, 3, or 4 substituents independently selected from R22;
- each R22 is independently selected from C1-6 alkyl, C2-6 alkenyl, C2-6 alkynyl, C1-6 haloalkyl, CN, ORa6, SRa6, C(O)Rb6, C(O)NRc6Rd6, C(O)ORa6, NRc6Rd6, NRc6C(O)Rb6, NRc6C(O)ORa6, S(O)Rb6, S(O)NRc6Rd6, S(O)2Rb6, and S(O)2NRc6Rd6; wherein said C1-6 alkyl, C2-6 alkenyl, and C2-6 alkynyl are each optionally substituted with 1, 2, 3, or 4 substituents independently selected from Rg;
- each R30 is independently selected from C1-6 alkyl, C2-6 alkenyl, C2-6 alkynyl, C1-6 haloalkyl, phenyl, halo, CN, ORa8, SRa8, C(O)Rb8, C(O)NRc8Rd8, C(O)ORa8, NRc8Rd8, NRc8C(O)Rb8, NRc8C(O)ORa8, S(O)Rb8, S(O)NRc8Rd8, S(O)2Rb8, and S(O)2NRc8Rd8; wherein said C1-6 alkyl, C2-6 alkenyl, C2-6 alkynyl, and phenyl are each optionally substituted with 1, 2, 3, or 4 substituents independently selected from Rg;
- each Ra and Rc is independently selected from H, C1-6 alkyl, C2-6 alkenyl, C2-6 alkynyl, and C1-6 haloalkyl; wherein said C1-6 alkyl, C2-6 alkenyl, and C2-6 alkynyl are each optionally substituted with 1, 2, 3, or 4 substituents independently selected from R10;
- each Rd is independently selected from C1-6 alkyl, C2-6 alkenyl, C2-6 alkynyl, and C1-6 haloalkyl; wherein said C1-6 alkyl, C2-6 alkenyl, and C2-6 alkynyl are each optionally substituted with 1, 2, 3, or 4 substituents independently selected from R10;
- each Rb is independently selected from C1-6 alkyl, C2-6 alkenyl, C2-6 alkynyl, and C1-6 haloalkyl; wherein said C1-6 alkyl, C2-6 alkenyl, and C2-6 alkynyl are each optionally substituted with 1, 2, 3, or 4 substituents independently selected from R10;
- each Ra1, Rc1 and Rd1 is independently selected from H, C1-6 alkyl, C2-6 alkenyl, C2-6 alkynyl, C1-6 haloalkyl, 4-10 membered heterocycloalkyl, and C6-10 aryl; wherein said C1-6 alkyl, C2-6 alkenyl, C2-6 alkynyl, 4-10 membered heterocycloalkyl and C6-10 aryl are each optionally substituted with 1, 2, 3, or 4 substituents independently selected from R11;
- or any Rc1 and Rd1 attached to the same N atom, together with the N atom to which they are attached, form a 4-, 5-, 6- or 7-membered heterocycloalkyl group optionally substituted with 1, 2, 3, or 4 substituents independently selected from R11;
- each Rb1 is independently selected from C1-6 alkyl, C2-6 alkenyl, C2-6 alkynyl, C1-6 haloalkyl, and 4-10 membered heterocycloalkyl; wherein said C1-6 alkyl, C2-6 alkenyl, C2-6 alkynyl, and 4-10 membered heterocycloalkyl are each optionally substituted with 1, 2, 3, or 4 substituents independently selected from R11;
- each Ra2, Rc2 and Rd2, is independently selected from H, C1-6 alkyl, C2-6 alkenyl, C2-6 alkynyl, and C1-6 haloalkyl; wherein said C1-6 alkyl, C2-6 alkenyl, and C2-6 alkynyl are each optionally substituted with 1, 2, 3, or 4 substituents independently selected from R21;
- each Rb2 is independently selected from C1-6 alkyl, C2-6 alkenyl, C2-6 alkynyl, and C1-6 haloalkyl; wherein said C1-6 alkyl, C2-6 alkenyl, and C2-6 alkynyl are each optionally substituted with 1, 2, 3, or 4 substituents independently selected from R21;
- each Ra3, Rc3 and Rd3, is independently selected from H, C1-6 alkyl, C2-6 alkenyl, C2-6 alkynyl, and C1-6 haloalkyl; wherein said C1-6 alkyl C2-6 alkenyl, and C2-6 alkynyl are each optionally substituted with 1, 2, 3, or 4 substituents independently selected from R12;
- each Rb3 is independently selected from C1-6 alkyl, C2-6 alkenyl, C2-6 alkynyl, and C1-6 haloalkyl; wherein said C1-6 alkyl C2-6 alkenyl, and C2-6 alkynyl are each optionally substituted with 1, 2, 3, or 4 substituents independently selected from R12;
- each Ra4, Rc4 and Rd4, is independently selected from H, C1-6 alkyl, C2-6 alkenyl, C2-6 alkynyl, and C1-6 haloalkyl; wherein said C1-6 alkyl C2-6 alkenyl, and C2-6 alkynyl are each optionally substituted with 1, 2, 3, or 4 substituents independently selected from R22;
- each Rb4 is independently selected from C1-6 alkyl, C2-6 alkenyl, C2-6 alkynyl, and C1-6 haloalkyl; wherein said C1-6 alkyl C2-6 alkenyl, and C2-6 alkynyl are each optionally substituted with 1, 2, 3, or 4 substituents independently selected from R22;
- each Ra5, Rc5 and Rd5, is independently selected from H, C1-6 alkyl, C2-6 alkenyl, C2-6 alkynyl and C1-6 haloalkyl;
- each Rb5 is independently selected from C1-6 alkyl, C2-6 alkenyl, C2-6 alkynyl and C1-6 haloalkyl;
- each Ra6, Rc6 and Rd6, is independently selected from H, C1-6 alkyl, C2-6 alkenyl, C2-6 alkynyl and C1-6 haloalkyl;
- each Rb6 is independently selected from C1-6 alkyl, C2-6 alkenyl, C2-6 alkynyl, and C1-6 haloalkyl;
- each Ra7, Rc7, and Rd7 is independently selected from H, C1-6 alkyl, C2-6 alkenyl, C2-6 alkynyl, and C1-6 haloalkyl;
- each Rb7 is independently selected from C1-6 alkyl, C2-6 alkenyl, C2-6 alkynyl, and C1-6 haloalkyl;
- each Ra8, Rc8 and Rd8, is independently selected from H, C1-6 alkyl, C2-6 alkenyl, C2-6 alkynyl, and C1-6 haloalkyl;
- each Rb8 is independently selected from C1-6 alkyl, C2-6 alkenyl, C2-6 alkynyl, and C1-6 haloalkyl; and
- each Rg is independently selected from OH, NO2, CN, halo, C1-6 alkyl, C2-6 alkenyl, C2-6 alkynyl, C1-6 haloalkyl, C1-6 alkoxy, C1-6 haloalkoxy, C1-3 alkoxy-C1-3 alkyl, C1-3 alkoxy-C1-3 alkoxy, HO—C1-3 alkoxy, HO—C1-3 alkyl, cyano-C1-3 alkyl, H2N—C1-3 alkyl, amino, C1-6 alkylamino, di(C1-6 alkyl)amino, thio, C1-6 alkylthio, C1-6 alkylsulfinyl, C1-6 alkylsulfonyl, carbamyl, C1-6 alkylcarbamyl, di(C1-6 alkyl)carbamyl, carboxy, C1-6 alkylcarbonyl, C1-6 alkoxycarbonyl, C1-6 alkylcarbonylamino, C1-6 alkylsulfonylamino, aminosulfonyl, C1-6 alkylaminosulfonyl, and di(C1-6 alkyl)aminosulfonyl.
- In some embodiments:
- R1 is selected from Cy1, C2-6 alkenyl, C2-6 alkynyl, C1-6 haloalkyl, halo, and CN; wherein said C2-6 alkenyl and C2-6 alkynyl are each optionally substituted with 1, 2, 3, or 4 substituents independently selected from R10;
- Cy1 is selected from C6-10 aryl and 5-10 membered heteroaryl; wherein the 5-10 membered heteroaryl has at least one ring-forming carbon atom and 1, 2, 3, or 4 ring-forming heteroatoms independently selected from N, O, and S; wherein the N and S are optionally oxidized; wherein a ring-forming carbon atom of 5-10 membered heteroaryl is optionally substituted by oxo to form a carbonyl group; and wherein the C6-10 aryl and 5-10 membered heteroaryl are each optionally substituted with 1, 2, 3 or 4 substituents independently selected from R10;
- CyA is selected from C6-10 aryl and 5-10 membered heteroaryl; wherein the 5-membered heteroaryl has at least one ring-forming carbon atom and 1 or 2 ring-forming heteroatoms independently selected from N, O, and S and the 6-10 membered heteroaryl has at least one ring-forming carbon atom and 1, 2, 3, or 4 ring-forming heteroatoms independently selected from N, O, and S; wherein the N and S are optionally oxidized; wherein a ring-forming carbon atom of the 5-10 membered heteroaryl is optionally substituted by oxo to form a carbonyl group; and wherein the C6-10 aryl and 5-10 membered heteroaryl are each optionally substituted with 1, 2, 3 or 4 substituents independently selected from R20;
- R2 is selected from H, C1-6 alkyl, C2-6 alkenyl, C2-6 alkynyl, C1-6 haloalkyl, halo, and CN;
- each R10 is independently selected from C1-6 alkyl, C2-6 alkenyl, C2-6 alkynyl, C1-6 haloalkyl, piperazinyl, piperidinyl, halo, CN, ORa1, C(O)Rb1, C(O)NRc1Rd1, C(O)ORa1, and NRc1Rd1; wherein said C1-6 alkyl, C2-6 alkenyl, C2-6 alkynyl, piperazinyl, and piperidinyl are each optionally substituted with 1, 2, 3, or 4 substituents independently selected from R11;
- each R11 is independently selected from C1-6 alkyl, C2-6 alkenyl, C2-6 alkynyl, C1-6 haloalkyl, halo, ORa3, C(O)Rb3, C(O)NRc3Rd3, C(O)ORa3, NRc3Rd3, S(O)2Rb3, and S(O)2NRc3Rd3;
- each R20 is independently selected from C1-6 alkyl, C2-6 alkenyl, C2-6 alkynyl, C1-6 haloalkyl, C6-10 aryl, 5-10 membered heteroaryl, halo, CN, ORa2, C(O)Rb2, C(O)NRc2Rd2, C(O)ORa2, NRc2Rd2, NRc2C(O)Rb2, and NRc2S(O)2Rb2; wherein said C1-6 alkyl, C2-6 alkenyl, C2-6 alkynyl, C6-10 aryl, and 5-10 membered heteroaryl are each optionally substituted with 1, 2, 3, or 4 substituents independently selected from R21;
- or two adjacent R20 substituents on the CyA ring, taken together with the atoms to which they are attached, form a fused 5- or 6-membered heterocycloalkyl ring, or a fused C3-7 cycloalkyl ring; wherein each fused 5- or 6-membered heterocycloalkyl ring has at least one ring-forming carbon atom and 1, 2, 3, or 4 ring-forming heteroatoms independently selected from N, O, and S; wherein a ring-forming carbon atom of each fused 5- or 6-membered heterocycloalkyl ring is optionally substituted by oxo to form a carbonyl group; and wherein the fused 5- or 6-membered heterocycloalkyl ring and fused C3-6 cycloalkyl ring are each optionally substituted with 1, 2, 3 or 4 substituents independently selected from R21;
- each R21 is independently selected from C1-6 alkyl, C2-6 alkenyl, C2-6 alkynyl, C1-6 haloalkyl, C6-10 aryl, 5-10 membered heteroaryl, halo, ORa4, C(O)Rb4, C(O)NRc4Rd4, C(O)ORa4, NRc4Rd4, NRc4C(O)Rb4, S(O)2Rb4, and S(O)2NRc4Rd4; wherein said C1-6 alkyl, C2-6 alkenyl, C2-6 alkynyl, C6-10 aryl, and 5-10 membered heteroaryl are each optionally substituted with 1, 2, 3, or 4 substituents independently selected from R22;
- each R22 is independently selected from C1-6 alkyl, C2-6 alkenyl, C2-6 alkynyl, C1-6 haloalkyl, ORa6, C(O)Rb6, C(O)NRc6Rd6, C(O)ORa6, NRc6Rd6, NRc6C(O)Rb6, S(O)2Rb6, and S(O)2NRc6Rd6;
- each Ra1, Rc1 and Rd1 is independently selected from H, C1-6 alkyl, C2-6 alkenyl, C2-6 alkynyl, C1-6 haloalkyl, 4-10 membered heterocycloalkyl, and C6-10 aryl; wherein said C1-6 alkyl, C2-6 alkenyl, C2-6 alkynyl, 4-10 membered heterocycloalkyl and C6-10 aryl are each optionally substituted with 1, 2, 3, or 4 substituents independently selected from R11;
- or any Rc1 and Rd1 attached to the same N atom, together with the N atom to which they are attached, form a 4-, 5-, 6- or 7-membered heterocycloalkyl group optionally substituted with 1, 2, 3, or 4 substituents independently selected from R11;
- each Rb1 is independently selected from C1-6 alkyl, C2-6 alkenyl, C2-6 alkynyl, C1-6 haloalkyl, and 4-10 membered heterocycloalkyl; wherein said C1-6 alkyl, C2-6 alkenyl, C2-6 alkynyl, and 4-10 membered heterocycloalkyl are each optionally substituted with 1, 2, 3, or 4 substituents independently selected from R11;
- each Ra2, Rc2 and Rd2, is independently selected from H, C1-6 alkyl, C2-6 alkenyl, C2-6 alkynyl, and C1-6 haloalkyl; wherein said C1-6 alkyl, C2-6 alkenyl, and C2-6 alkynyl are each optionally substituted with 1, 2, 3, or 4 substituents independently selected from R21;
- each Rb2 is independently selected from C1-6 alkyl, C2-6 alkenyl, C2-6 alkynyl, and C1-6 haloalkyl;
- each Ra3, Rc3 and Rd3, is independently selected from H, C1-6 alkyl, C2-6 alkenyl, C2-6 alkynyl, and C1-6 haloalkyl;
- each Rb3 is independently selected from C1-6 alkyl, C2-6 alkenyl, C2-6 alkynyl, and C1-6 haloalkyl;
- each Ra4, Rc4 and Rd4, is independently selected from H, C1-6 alkyl, C2-6 alkenyl, C2-6 alkynyl, and C1-6 haloalkyl; wherein said C1-6 alkyl C2-6 alkenyl, and C2-6 alkynyl are each optionally substituted with 1, 2, 3, or 4 substituents independently selected from R22;
- each Rb4 is independently selected from C1-6 alkyl, C2-6 alkenyl, C2-6 alkynyl, and C1-6 haloalkyl;
- each Ra6, Rc6 and Rd6, is independently selected from H, C1-6 alkyl, C2-6 alkenyl, C2-6 alkynyl and C1-6 haloalkyl; and
- each Rb6 is independently selected from C1-6 alkyl, C2-6 alkenyl, C2-6 alkynyl, and C1-6 haloalkyl.
- In some embodiments:
- R1 is Cy1;
- Cy1 is selected from C6-10 aryl and 5-10 membered heteroaryl; wherein the 5-10 membered heteroaryl has at least one ring-forming carbon atom and 1, 2, 3, or 4 ring-forming heteroatoms independently selected from N, O, and S; wherein the N and S are optionally oxidized; wherein a ring-forming carbon atom of 5-10 membered heteroaryl is optionally substituted by oxo to form a carbonyl group; and wherein the C6-10 aryl and 5-10 membered heteroaryl are each optionally substituted with 1, 2, 3 or 4 substituents independently selected from R10;
- CyA is selected from C6-10 aryl and 5-10 membered heteroaryl; wherein the 5-membered heteroaryl has at least one ring-forming carbon atom and 1 or 2 ring-forming heteroatoms independently selected from N, O, and S and the 6-10 membered heteroaryl has at least one ring-forming carbon atom and 1, 2, 3, or 4 ring-forming heteroatoms independently selected from N, O, and S; wherein the N and S are optionally oxidized; wherein a ring-forming carbon atom of the 5-10 membered heteroaryl is optionally substituted by oxo to form a carbonyl group; and wherein the C6-10 aryl and 5-10 membered heteroaryl are each optionally substituted with 1, 2, 3 or 4 substituents independently selected from R20;
- R2 is H;
- each R10 is independently selected from C1-6 alkyl, piperazinyl, piperidinyl, C(O)Rb1, and C(O)NRc1Rd1; wherein said C1-6 alkyl, piperazinyl, and piperidinyl are each optionally substituted with 1, 2, 3, or 4 substituents independently selected from R11;
- each R11 is independently selected from C1-6 alkyl, C(O)Rb3, and S(O)2Rb3;
- each R20 is independently selected from C1-6 alkyl, C1-6 haloalkyl, C6-10 aryl, 5-10 membered heteroaryl, halo, CN, ORa2, C(O)NRc2Rd2, C(O)ORa2, NRc2Rd2, NRc2C(O)Rb2, and NRc2S(O)2Rb2; wherein said C1-6 alkyl, C6-10 aryl, and 5-10 membered heteroaryl are each optionally substituted with 1, 2, 3, or 4 substituents independently selected from R21;
- or two adjacent R20 substituents on the CyA ring, taken together with the atoms to which they are attached, form a fused 5- or 6-membered heterocycloalkyl ring, or a fused C3-7 cycloalkyl ring; wherein each fused 5- or 6-membered heterocycloalkyl ring has at least one ring-forming carbon atom and 1, 2, 3, or 4 ring-forming heteroatoms independently selected from N, O, and S; wherein a ring-forming carbon atom of each fused 5- or 6-membered heterocycloalkyl ring is optionally substituted by oxo to form a carbonyl group; and wherein the fused 5- or 6-membered heterocycloalkyl ring and fused C3-6 cycloalkyl ring are each optionally substituted with 1, 2, 3 or 4 substituents independently selected from R21;
- each R21 is independently selected from C6-10 aryl, 5-10 membered heteroaryl, ORa4, and NRc4Rd4;
- each R22 is ORa6;
- each Rc1 and Rd1 is independently selected from H, C1-6 alkyl, 4-10 membered heterocycloalkyl, and C6-10 aryl; wherein said C1-6 alkyl, 4-10 membered heterocycloalkyl and C6-10 aryl are each optionally substituted with 1, 2, 3, or 4 substituents independently selected from R11;
- or any Rc1 and Rd1 attached to the same N atom, together with the N atom to which they are attached, form a 4-, 5-, 6- or 7-membered heterocycloalkyl group optionally substituted with 1, 2, 3, or 4 substituents independently selected from R11;
- Rb1 is 4-10 membered heterocycloalkyl optionally substituted with 1, 2, 3, or 4 substituents independently selected from R11;
- each Ra2, Rc2 and Rd2 is independently H or C1-6 alkyl; wherein said C1-6 alkyl is optionally substituted with 1, 2, 3, or 4 substituents independently selected from R21;
- each Rb2 is C1-6 alkyl;
- each Rb3 is C1-6 alkyl;
- each Ra4, Rc4 and Rd4 is H or C1-6 alkyl; wherein said C1-6 alkyl is optionally substituted with 1, 2, 3, or 4 substituents independently selected from R22; and
- Ra6 is H.
- In some embodiments:
- R1 is Cy1;
- Cy1 is selected from C6-10 aryl and 5-10 membered heteroaryl; wherein the 5-10 membered heteroaryl has at least one ring-forming carbon atom and 1, 2, 3, or 4 ring-forming heteroatoms independently selected from N, O, and S; wherein the N and S are optionally oxidized; wherein a ring-forming carbon atom of 5-10 membered heteroaryl is optionally substituted by oxo to form a carbonyl group; and wherein the C6-10 aryl and 5-10 membered heteroaryl are each optionally substituted with 1, 2, 3 or 4 substituents independently selected from R10;
- CyA is selected from C6-10 aryl and 5-10 membered heteroaryl; wherein the 5-membered heteroaryl has at least one ring-forming carbon atom and 1 or 2 ring-forming heteroatoms independently selected from N, O, and S and the 6-10 membered heteroaryl has at least one ring-forming carbon atom and 1, 2, 3, or 4 ring-forming heteroatoms independently selected from N, O, and S; wherein the N and S are optionally oxidized; wherein a ring-forming carbon atom of the 5-10 membered heteroaryl is optionally substituted by oxo to form a carbonyl group; and wherein the C6-10 aryl and 5-10 membered heteroaryl are each optionally substituted with 1, 2, 3 or 4 substituents independently selected from R20;
- R2 is H or CN;
- each R10 is independently selected from C1-6 alkyl, piperazinyl, piperidinyl, C(O)Rb1, and C(O)NRc1Rd1; wherein said C1-6 alkyl, piperazinyl, and piperidinyl are each optionally substituted with 1, 2, 3, or 4 substituents independently selected from R11;
- each R11 is independently selected from C1-6 alkyl, ORa3, C(O)Rb3, and S(O)2Rb3;
- each R20 is independently selected from C1-6 alkyl, C1-6 haloalkyl, C6-10 aryl, 5-10 membered heteroaryl, halo, CN, ORa2, C(O)NRc2Rd2, C(O)ORa2, NRc2Rd2, NRc2C(O)Rb2, and NRc2S(O)2Rb2; wherein said C1-6 alkyl, C6-10 aryl, and 5-10 membered heteroaryl are each optionally substituted with 1, 2, 3, or 4 substituents independently selected from R21;
- or two adjacent R20 substituents on the CyA ring, taken together with the atoms to which they are attached, form a fused 5- or 6-membered heterocycloalkyl ring, or a fused C3-7 cycloalkyl ring; wherein each fused 5- or 6-membered heterocycloalkyl ring has at least one ring-forming carbon atom and 1, 2, 3, or 4 ring-forming heteroatoms independently selected from N, O, and S; wherein a ring-forming carbon atom of each fused 5- or 6-membered heterocycloalkyl ring is optionally substituted by oxo to form a carbonyl group; and wherein the fused 5- or 6-membered heterocycloalkyl ring and fused C3-6 cycloalkyl ring are each optionally substituted with 1, 2, 3 or 4 substituents independently selected from R21;
- each R21 is independently selected from C6-10 aryl, 5-10 membered heteroaryl, ORa4, and NRc4Rd4;
- each R22 is ORa6;
- each Rc1 and Rd1 is independently selected from H, C1-6 alkyl, 4-10 membered heterocycloalkyl, and C6-10 aryl; wherein said C1-6 alkyl, 4-10 membered heterocycloalkyl and C6-10 aryl are each optionally substituted with 1, 2, 3, or 4 substituents independently selected from R11;
- or any Rc1 and Rd1 attached to the same N atom, together with the N atom to which they are attached, form a 4-, 5-, 6- or 7-membered heterocycloalkyl group optionally substituted with 1, 2, 3, or 4 substituents independently selected from R11;
- Rb1 is 4-10 membered heterocycloalkyl optionally substituted with 1, 2, 3, or 4 substituents independently selected from R11;
- each Ra2, Rc2 and Rd2 is independently H or C1-6 alkyl; wherein said C1-6 alkyl is optionally substituted with 1, 2, 3, or 4 substituents independently selected from R21;
- each Rb2 is C1-6 alkyl;
- each Rb3 is C1-6 alkyl;
- each Ra3 is independently H or C1-6 alkyl;
- each Ra4, Rc4 and Rd4 is H or C1-6 alkyl; wherein said C1-6 alkyl is optionally substituted with 1, 2, 3, or 4 substituents independently selected from R22; and
- Ra6 is H.
- It is further appreciated that certain features of the invention, which are, for clarity, described in the context of separate embodiments, can also be provided in combination in a single embodiment (while the embodiments are intended to be combined as if written in multiply dependent form). Conversely, various features of the invention which are, for brevity, described in the context of a single embodiment, can also be provided separately or in any suitable subcombination. Thus, it is contemplated as features described as embodiments of the compounds of Formula (I) can be combined in any suitable combination.
- At various places in the present specification, certain features of the compounds are disclosed in groups or in ranges. It is specifically intended that such a disclosure include each and every individual subcombination of the members of such groups and ranges. For example, the term “C1-6 alkyl” is specifically intended to individually disclose (without limitation) methyl, ethyl, C3 alkyl, C4 alkyl, C5 alkyl and C6 alkyl.
- The term “n-membered,” where n is an integer, typically describes the number of ring-forming atoms in a moiety where the number of ring-forming atoms is n. For example, piperidinyl is an example of a 6-membered heterocycloalkyl ring, pyrazolyl is an example of a 5-membered heteroaryl ring, pyridyl is an example of a 6-membered heteroaryl ring and 1,2,3,4-tetrahydro-naphthalene is an example of a 10-membered cycloalkyl group.
- At various places in the present specification, variables defining divalent linking groups may be described. It is specifically intended that each linking substituent include both the forward and backward forms of the linking substituent. For example, —NR(CR′R″)n-includes both —NR(CR′R″)n— and —(CR′R″)nNR— and is intended to disclose each of the forms individually. Where the structure requires a linking group, the Markush variables listed for that group are understood to be linking groups. For example, if the structure requires a linking group and the Markush group definition for that variable lists “alkyl” or “aryl” then it is understood that the “alkyl” or “aryl” represents a linking alkylene group or arylene group, respectively.
- The term “substituted” means that an atom or group of atoms formally replaces hydrogen as a “substituent” attached to another group. The term “substituted”, unless otherwise indicated, refers to any level of substitution, e.g., mono-, di-, tri-, tetra- or penta-substitution, where such substitution is permitted. The substituents are independently selected, and substitution may be at any chemically accessible position. It is to be understood that substitution at a given atom is limited by valency. It is to be understood that substitution at a given atom results in a chemically stable molecule. The phrase “optionally substituted” means unsubstituted or substituted. The term “substituted” means that a hydrogen atom is removed and replaced by a substituent. A single divalent substituent, e.g., oxo, can replace two hydrogen atoms.
- The term “Cn-m” indicates a range which includes the endpoints, wherein n and m are integers and indicate the number of carbons. Examples include C1-4, C1-6 and the like.
- The term “alkyl,” employed alone or in combination with other terms, refers to a saturated hydrocarbon group that may be straight-chained or branched. The term “Cn-m alkyl”, refers to an alkyl group having n to m carbon atoms. An alkyl group formally corresponds to an alkane with one C—H bond replaced by the point of attachment of the alkyl group to the remainder of the compound. In some embodiments, the alkyl group contains from 1 to 6 carbon atoms, from 1 to 4 carbon atoms, from 1 to 3 carbon atoms, or 1 to 2 carbon atoms. Examples of alkyl moieties include, but are not limited to, chemical groups such as methyl, ethyl, n-propyl, isopropyl, n-butyl, tert-butyl, isobutyl, sec-butyl; higher homologs such as 2-methyl-1-butyl, n-pentyl, 3-pentyl, n-hexyl, 1,2,2-trimethylpropyl and the like.
- The term “alkenyl,” employed alone or in combination with other terms, refers to a straight-chain or branched hydrocarbon group corresponding to an alkyl group having one or more double carbon-carbon bonds. An alkenyl group formally corresponds to an alkene with one C—H bond replaced by the point of attachment of the alkenyl group to the remainder of the compound. The term “Cn-m alkenyl” refers to an alkenyl group having n to m carbons. In some embodiments, the alkenyl moiety contains 2 to 6, 2 to 4, or 2 to 3 carbon atoms. Example alkenyl groups include, but are not limited to, ethenyl, n-propenyl, isopropenyl, n-butenyl, sec-butenyl and the like.
- The term “alkynyl,” employed alone or in combination with other terms, refers to a straight-chain or branched hydrocarbon group corresponding to an alkyl group having one or more triple carbon-carbon bonds. An alkynyl group formally corresponds to an alkyne with one C—H bond replaced by the point of attachment of the alkyl group to the remainder of the compound. The term “Cn-m alkynyl” refers to an alkynyl group having n to m carbons. Example alkynyl groups include, but are not limited to, ethynyl, propyn-1-yl, propyn-2-yl and the like. In some embodiments, the alkynyl moiety contains 2 to 6, 2 to 4, or 2 to 3 carbon atoms.
- The term “alkylene,” employed alone or in combination with other terms, refers to a divalent alkyl linking group. An alkylene group formally corresponds to an alkane with two C—H bond replaced by points of attachment of the alkylene group to the remainder of the compound. The term “Cn-m alkylene” refers to an alkylene group having n to m carbon atoms. Examples of alkylene groups include, but are not limited to, ethan-1,2-diyl, ethan-1,1-diyl, propan-1,3-diyl, propan-1,2-diyl, propan-1,1-diyl, butan-1,4-diyl, butan-1,3-diyl, butan-1,2-diyl, 2-methyl-propan-1,3-diyl and the like.
- The term “alkoxy,” employed alone or in combination with other terms, refers to a group of formula —O-alkyl, wherein the alkyl group is as defined above. The term “Cn-m alkoxy” refers to an alkoxy group, the alkyl group of which has n to m carbons. Example alkoxy groups include methoxy, ethoxy, propoxy (e.g., n-propoxy and isopropoxy), t-butoxy and the like. In some embodiments, the alkyl group has 1 to 6, 1 to 4, or 1 to 3 carbon atoms.
- The term “amino” refers to a group of formula —NH2.
- The term “carbonyl,” employed alone or in combination with other terms, refers to a —C(═O)— group, which also may be written as C(O).
- The term “cyano” or “nitrile” refers to a group of formula —C≡N, which also may be written as —CN.
- The terms “halo” or “halogen”, used alone or in combination with other terms, refers to fluoro, chloro, bromo and iodo. In some embodiments, “halo” refers to a halogen atom selected from F, Cl, or Br. In some embodiments, halo groups are F.
- The term “haloalkyl” as used herein refers to an alkyl group in which one or more of the hydrogen atoms has been replaced by a halogen atom. The term “Cn-mhaloalkyl” refers to a Cn-malkyl group having n to m carbon atoms and from at least one up to {2(n to m)+1} halogen atoms, which may either be the same or different. In some embodiments, the halogen atoms are fluoro atoms. In some embodiments, the haloalkyl group has 1 to 6 or 1 to 4 carbon atoms. Example haloalkyl groups include CF3, C2F5, CHF2, CH2F, CCl3, CHCl2, C2Cl5 and the like. In some embodiments, the haloalkyl group is a fluoroalkyl group.
- The term “haloalkoxy,” employed alone or in combination with other terms, refers to a group of formula —O-haloalkyl, wherein the haloalkyl group is as defined above. The term “Cn-m haloalkoxy” refers to a haloalkoxy group, the haloalkyl group of which has n to m carbons. Example haloalkoxy groups include trifluoromethoxy and the like. In some embodiments, the haloalkoxy group has 1 to 6, 1 to 4, or 1 to 3 carbon atoms.
- The term “oxo” refers to an oxygen atom as a divalent substituent, forming a carbonyl group when attached to carbon, or attached to a heteroatom forming a sulfoxide or sulfone group, or an N-oxide group. In some embodiments, heterocyclic groups may be optionally substituted by 1 or 2 oxo (═O) substituents.
- The term “sulfido” refers to a sulfur atom as a divalent substituent, forming a thiocarbonyl group (C═S) when attached to carbon.
- The term “aromatic” refers to a carbocycle or heterocycle having one or more polyunsaturated rings having aromatic character (i.e., having (4n+2) delocalized π (pi) electrons where n is an integer).
- The term “aryl,” employed alone or in combination with other terms, refers to an aromatic hydrocarbon group, which may be monocyclic or polycyclic (e.g., having 2 fused rings). The term “Cn-m aryl” refers to an aryl group having from n to m ring carbon atoms. Aryl groups include, e.g., phenyl, naphthyl, and the like. In some embodiments, aryl groups have from 6 to about 10 carbon atoms. In some embodiments aryl groups have 6 carbon atoms. In some embodiments aryl groups have 10 carbon atoms. In some embodiments, the aryl group is phenyl. In some embodiments, the aryl group is naphthyl.
- The term “heteroaryl” or “heteroaromatic,” employed alone or in combination with other terms, refers to a monocyclic or polycyclic aromatic heterocycle having at least one heteroatom ring member selected from sulfur, oxygen and nitrogen. In some embodiments, the heteroaryl ring has 1, 2, 3 or 4 heteroatom ring members independently selected from nitrogen, sulfur and oxygen. In some embodiments, any ring-forming N in a heteroaryl moiety can be an N-oxide. In some embodiments, the heteroaryl has 5-14 ring atoms including carbon atoms and 1, 2, 3 or 4 heteroatom ring members independently selected from nitrogen, sulfur and oxygen. In some embodiments, the heteroaryl has 5-10 ring atoms including carbon atoms and 1, 2, 3 or 4 heteroatom ring members independently selected from nitrogen, sulfur and oxygen. In some embodiments, the heteroaryl has 5-6 ring atoms and 1 or 2 heteroatom ring members independently selected from nitrogen, sulfur and oxygen. In some embodiments, the heteroaryl is a five-membered or six-membered heteroaryl ring. In other embodiments, the heteroaryl is an eight-membered, nine-membered or ten-membered fused bicyclic heteroaryl ring. Example heteroaryl groups include, but are not limited to, pyridinyl (pyridyl), pyrimidinyl, pyrazinyl, pyridazinyl, pyrrolyl, pyrazolyl, azolyl, oxazolyl, isoxazolyl, thiazolyl, imidazolyl, furanyl, thiophenyl, quinolinyl, isoquinolinyl, naphthyridinyl (including 1,2-, 1,3-, 1,4-, 1,5-, 1,6-, 1,7-, 1,8-, 2,3- and 2,6-naphthyridine), indolyl, indazolyl, benzothiophenyl, benzofuranyl, benzisoxazolyl, imidazo[1,2-b]thiazolyl, purinyl, pyrrolopyridinyl, pyrazolopyridinyl, imidazopyridinyl, pyridopyridinyl, pyridopyrazinyl, oxazolopyridinyl and the like. In some embodiments, the heteroaryl group is pyridone (e.g., 2-pyridone).
- A five-membered heteroaryl ring is a heteroaryl group having five ring atoms wherein one or more (e.g., 1, 2 or 3) ring atoms are independently selected from N, O and S. Exemplary five-membered ring heteroaryls include thienyl, furyl, pyrrolyl, imidazolyl, thiazolyl, oxazolyl, pyrazolyl, isothiazolyl, isoxazolyl, 1,2,3-triazolyl, tetrazolyl, 1,2,3-thiadiazolyl, 1,2,3-oxadiazolyl, 1,2,4-triazolyl, 1,2,4-thiadiazolyl, 1,2,4-oxadiazolyl, 1,3,4-triazolyl, 1,3,4-thiadiazolyl and 1,3,4-oxadiazolyl.
- A six-membered heteroaryl ring is a heteroaryl group having six ring atoms wherein one or more (e.g., 1, 2 or 3) ring atoms are independently selected from N, O and S. Exemplary six-membered ring heteroaryls are pyridyl, pyrazinyl, pyrimidinyl, triazinyl and pyridazinyl.
- The term “cycloalkyl,” employed alone or in combination with other terms, refers to a non-aromatic hydrocarbon ring system (monocyclic, bicyclic or polycyclic), including cyclized alkyl and alkenyl groups. The term “Cn-m cycloalkyl” refers to a cycloalkyl that has n to m ring member carbon atoms. Cycloalkyl groups can include mono- or polycyclic (e.g., having 2, 3 or 4 fused rings) groups and spirocycles. Cycloalkyl groups can have 3, 4, 5, 6 or 7 ring-forming carbons (C3-7). In some embodiments, the cycloalkyl group has 3 to 6 ring members, 3 to 5 ring members, or 3 to 4 ring members. In some embodiments, the cycloalkyl group is monocyclic. In some embodiments, the cycloalkyl group is monocyclic or bicyclic. In some embodiments, the cycloalkyl group is a C3-6 monocyclic cycloalkyl group. Ring-forming carbon atoms of a cycloalkyl group can be optionally oxidized to form an oxo or sulfido group. Cycloalkyl groups also include cycloalkylidenes. In some embodiments, cycloalkyl is cyclopropyl, cyclobutyl, cyclopentyl or cyclohexyl. Also included in the definition of cycloalkyl are moieties that have one or more aromatic rings fused (i.e., having a bond in common with) to the cycloalkyl ring, e.g., benzo or thienyl derivatives of cyclopentane, cyclohexane and the like. A cycloalkyl group containing a fused aromatic ring can be attached through any ring-forming atom including a ring-forming atom of the fused aromatic ring. Examples of cycloalkyl groups include cyclopropyl, cyclobutyl, cyclopentyl, cyclohexyl, cycloheptyl, cyclopentenyl, cyclohexenyl, cyclohexadienyl, cycloheptatrienyl, norbornyl, norpinyl, norcarnyl, bicyclo[1.1.1]pentanyl, bicyclo[2.1.1]hexanyl, and the like. In some embodiments, the cycloalkyl group is cyclopropyl, cyclobutyl, cyclopentyl, or cyclohexyl.
- The term “heterocycloalkyl,” employed alone or in combination with other terms, refers to a non-aromatic ring or ring system, which may optionally contain one or more alkenylene groups as part of the ring structure, which has at least one heteroatom ring member independently selected from nitrogen, sulfur oxygen and phosphorus, and which has 4-10 ring members, 4-7 ring members, or 4-6 ring members. Included within the term “heterocycloalkyl” are monocyclic 4-, 5-, 6- and 7-membered heterocycloalkyl groups. Heterocycloalkyl groups can include mono- or bicyclic (e.g., having two fused or bridged rings) or spirocyclic ring systems. In some embodiments, the heterocycloalkyl group is a monocyclic group having 1, 2 or 3 heteroatoms independently selected from nitrogen, sulfur and oxygen. Ring-forming carbon atoms and heteroatoms of a heterocycloalkyl group can be optionally oxidized to form an oxo or sulfido group or other oxidized linkage (e.g., C(O), S(O), C(S) or S(O)2, N-oxide etc.) or a nitrogen atom can be quaternized. The heterocycloalkyl group can be attached through a ring-forming carbon atom or a ring-forming heteroatom. In some embodiments, the heterocycloalkyl group contains 0 to 3 double bonds. In some embodiments, the heterocycloalkyl group contains 0 to 2 double bonds. Also included in the definition of heterocycloalkyl are moieties that have one or more aromatic rings fused (i.e., having a bond in common with) to the heterocycloalkyl ring, e.g., benzo or thienyl derivatives of piperidine, morpholine, azepine, etc. A heterocycloalkyl group containing a fused aromatic ring can be attached through any ring-forming atom including a ring-forming atom of the fused aromatic ring. Examples of heterocycloalkyl groups include azetidinyl, azepanyl, dihydrobenzofuranyl, dihydrobenzodioxine, dihydrofuranyl, dihydropyranyl, dihydropyrolopyridinyl, morpholino, 3-oxa-9-azaspiro[5.5]undecanyl, 1-oxa-8-azaspiro[4.5]decanyl, piperidinyl, piperazinyl, oxopiperazinyl, pyranyl, pyrrolidinyl, quinuclidinyl, tetrahydrofuranyl, tetrahydropyranyl, 1,2,3,4-tetrahydroquinolinyl, 1,2,3,4-tetrahydroisoquinolinyl, tropanyl, and thiomorpholino.
- At certain places, the definitions or embodiments refer to specific rings (e.g., an azetidine ring, a pyridine ring, etc.). Unless otherwise indicated, these rings can be attached to any ring member provided that the valency of the atom is not exceeded. For example, an azetidine ring may be attached at any position of the ring, whereas an azetidin-3-yl ring is attached at the 3-position.
- The compounds described herein can be asymmetric (e.g., having one or more stereocenters). All stereoisomers, such as enantiomers and diastereomers, are intended unless otherwise indicated. Compounds of the present invention that contain asymmetrically substituted carbon atoms can be isolated in optically active or racemic forms. Methods on how to prepare optically active forms from optically inactive starting materials are known in the art, such as by resolution of racemic mixtures or by stereoselective synthesis. Many geometric isomers of olefins, C═N double bonds and the like can also be present in the compounds described herein, and all such stable isomers are contemplated in the present invention. Cis and trans geometric isomers of the compounds of the present invention are described and may be isolated as a mixture of isomers or as separated isomeric forms.
- Resolution of racemic mixtures of compounds can be carried out by any of numerous methods known in the art. One method includes fractional recrystallization using a chiral resolving acid which is an optically active, salt-forming organic acid. Suitable resolving agents for fractional recrystallization methods are, e.g., optically active acids, such as the D and L forms of tartaric acid, diacetyltartaric acid, dibenzoyltartaric acid, mandelic acid, malic acid, lactic acid or the various optically active camphorsulfonic acids such as β-camphorsulfonic acid. Other resolving agents suitable for fractional crystallization methods include stereoisomerically pure forms of α-methylbenzylamine (e.g., S and R forms, or diastereomerically pure forms), 2-phenylglycinol, norephedrine, ephedrine, N-methylephedrine, cyclohexylethylamine, 1,2-diaminocyclohexane and the like.
- Resolution of racemic mixtures can also be carried out by elution on a column packed with an optically active resolving agent (e.g., dinitrobenzoylphenylglycine). Suitable elution solvent composition can be determined by one skilled in the art.
- In some embodiments, the compounds of the invention have the (R)-configuration. In other embodiments, the compounds have the (S)-configuration. In compounds with more than one chiral centers, each of the chiral centers in the compound may be independently (R) or (S), unless otherwise indicated.
- Compounds of the invention also include tautomeric forms. Tautomeric forms result from the swapping of a single bond with an adjacent double bond together with the concomitant migration of a proton. Tautomeric forms include prototropic tautomers which are isomeric protonation states having the same empirical formula and total charge. Example prototropic tautomers include ketone-enol pairs, amide-imidic acid pairs, lactam-lactim pairs, enamine-imine pairs, and annular forms where a proton can occupy two or more positions of a heterocyclic system, e.g., 1H- and 3H-imidazole, 1H-, 2H- and 4H-1,2,4-triazole, 1H- and 2H-isoindole and 1H- and 2H-pyrazole. Tautomeric forms can be in equilibrium or sterically locked into one form by appropriate substitution.
- Compounds of the invention can also include all isotopes of atoms occurring in the intermediates or final compounds. Isotopes include those atoms having the same atomic number but different mass numbers. For example, isotopes of hydrogen include tritium and deuterium. One or more constituent atoms of the compounds of the invention can be replaced or substituted with isotopes of the atoms in natural or non-natural abundance. In some embodiments, the compound includes at least one deuterium atom. For example, one or more hydrogen atoms in a compound of the present disclosure can be replaced or substituted by deuterium. In some embodiments, the compound includes two or more deuterium atoms.
- In some embodiments, the compound includes 1, 2, 3, 4, 5, 6, 7, 8, 9, 10, 11 or 12 deuterium atoms. Synthetic methods for including isotopes into organic compounds are known in the art (Deuterium Labeling in Organic Chemistry by Alan F. Thomas (New York, N.Y., Appleton-Century-Crofts, 1971; The Renaissance of H/D Exchange by Jens Atzrodt, Volker Derdau, Thorsten Fey and Jochen Zimmermann, Angew. Chem. Int. Ed. 2007, 7744-7765; The Organic Chemistry of Isotopic Labelling by James R. Hanson, Royal Society of Chemistry, 2011). Isotopically labeled compounds can used in various studies such as NMR spectroscopy, metabolism experiments, and/or assays.
- Substitution with heavier isotopes such as deuterium, may afford certain therapeutic advantages resulting from greater metabolic stability, for example, increased in vivo half-life or reduced dosage requirements, and hence may be preferred in some circumstances. (A. Kerekes et. al. J. Med. Chem. 2011, 54, 201-210; R. Xu et. al. J. Label Compd. Radiopharm. 2015, 58, 308-312).
- The term, “compound,” as used herein is meant to include all stereoisomers, geometric isomers, tautomers and isotopes of the structures depicted. The term is also meant to refer to compounds of the inventions, regardless of how they are prepared, e.g., synthetically, through biological process (e.g., metabolism or enzyme conversion), or a combination thereof.
- All compounds, and pharmaceutically acceptable salts thereof, can be found together with other substances such as water and solvents (e.g., hydrates and solvates) or can be isolated. When in the solid state, the compounds described herein and salts thereof may occur in various forms and may, e.g., take the form of solvates, including hydrates. The compounds may be in any solid state form, such as a polymorph or solvate, so unless clearly indicated otherwise, reference in the specification to compounds and salts thereof should be understood as encompassing any solid state form of the compound.
- In some embodiments, the compounds of the invention, or salts thereof, are substantially isolated. By “substantially isolated” is meant that the compound is at least partially or substantially separated from the environment in which it was formed or detected. Partial separation can include, e.g., a composition enriched in the compounds of the invention. Substantial separation can include compositions containing at least about 50%, at least about 60%, at least about 70%, at least about 80%, at least about 90%, at least about 95%, at least about 97%, or at least about 99% by weight of the compounds of the invention, or salt thereof.
- The phrase “pharmaceutically acceptable” is employed herein to refer to those compounds, materials, compositions and/or dosage forms which are, within the scope of sound medical judgment, suitable for use in contact with the tissues of human beings and animals without excessive toxicity, irritation, allergic response, or other problem or complication, commensurate with a reasonable benefit/risk ratio.
- The expressions, “ambient temperature” and “room temperature,” as used herein, are understood in the art, and refer generally to a temperature, e.g., a reaction temperature, that is about the temperature of the room in which the reaction is carried out, e.g., a temperature from about 20° C. to about 30° C.
- The present invention also includes pharmaceutically acceptable salts of the compounds described herein. The term “pharmaceutically acceptable salts” refers to derivatives of the disclosed compounds wherein the parent compound is modified by converting an existing acid or base moiety to its salt form. Examples of pharmaceutically acceptable salts include, but are not limited to, mineral or organic acid salts of basic residues such as amines; alkali or organic salts of acidic residues such as carboxylic acids; and the like. The pharmaceutically acceptable salts of the present invention include the non-toxic salts of the parent compound formed, e.g., from non-toxic inorganic or organic acids. The pharmaceutically acceptable salts of the present invention can be synthesized from the parent compound which contains a basic or acidic moiety by conventional chemical methods. Generally, such salts can be prepared by reacting the free acid or base forms of these compounds with a stoichiometric amount of the appropriate base or acid in water or in an organic solvent, or in a mixture of the two; generally, non-aqueous media like ether, ethyl acetate, alcohols (e.g., methanol, ethanol, iso-propanol or butanol) or acetonitrile (MeCN) are preferred. Lists of suitable salts are found in Remington's Pharmaceutical Sciences, 17th Ed., (Mack Publishing Company, Easton, 1985), p. 1418, Berge et al., J. Pharm. Sci., 1977, 66(1), 1-19 and in Stahl et al., Handbook of Pharmaceutical Salts: Properties, Selection, and Use, (Wiley, 2002). In some embodiments, the compounds described herein include the N-oxide forms.
- Compounds of the invention, including salts thereof, can be prepared using known organic synthesis techniques and can be synthesized according to any of numerous possible synthetic routes, such as those in the Schemes below.
- The reactions for preparing compounds of the invention can be carried out in suitable solvents which can be readily selected by one of skill in the art of organic synthesis. Suitable solvents can be substantially non-reactive with the starting materials (reactants), the intermediates or products at the temperatures at which the reactions are carried out, e.g., temperatures which can range from the solvent's freezing temperature to the solvent's boiling temperature. A given reaction can be carried out in one solvent or a mixture of more than one solvent. Depending on the particular reaction step, suitable solvents for a particular reaction step can be selected by the skilled artisan.
- Preparation of compounds of the invention can involve the protection and deprotection of various chemical groups. The need for protection and deprotection, and the selection of appropriate protecting groups, can be readily determined by one skilled in the art. The chemistry of protecting groups is described, e.g., in Kocienski, Protecting Groups, (Thieme, 2007); Robertson, Protecting Group Chemistry, (Oxford University Press, 2000); Smith et al., March's Advanced Organic Chemistry: Reactions, Mechanisms, and Structure, 6th Ed. (Wiley, 2007); Peturssion et al., “Protecting Groups in Carbohydrate Chemistry,” J. Chem. Educ., 1997, 74(11), 1297; and Wuts et al., Protective Groups in Organic Synthesis, 4th Ed., (Wiley, 2006).
- Reactions can be monitored according to any suitable method known in the art. For example, product formation can be monitored by spectroscopic means, such as nuclear magnetic resonance spectroscopy (e.g., 1H or 13C), infrared spectroscopy, spectrophotometry (e.g., UV-visible), mass spectrometry or by chromatographic methods such as high performance liquid chromatography (HPLC) or thin layer chromatography (TLC).
- The Schemes below provide general guidance in connection with preparing the compounds of the invention. One skilled in the art would understand that the preparations shown in the Schemes can be modified or optimized using general knowledge of organic chemistry to prepare various compounds of the invention.
- Compounds of Formula (I) can be prepared, e.g., using a process as illustrated in the schemes below. Compounds of Formula (I) with a various substitutions at position R1 such as those described herein can be prepared, using a process as illustrated in Scheme 1. In the process depicted in Scheme 1, the halo substituent in compounds of Formula 1-1 can be converted into CyA via a number of different cross-coupling reactions, including Suzuki (e.g., in the presence of a palladium catalyst, such as Xphos Pd G2, and a base, such as potassium phosphate), Negishi and Stille (e.g., in the presence of a palladium(0) catalyst, such as tetrakis(triphenylphosphine)palladium(0)), Cu-catalyzed amination (e.g., in the presence of Cu catalyst and a ligand, such as CuI and phenanthroline, and a base, such as cesium carbonate or potassium carbonate), and others, to give compounds of Formula 1-2. These compounds can be further halogenated with a halogenation agent (e.g., NIS or iodine) to form compounds of Formula 1-3. The halogen substituent in the compounds of Formula 1-3 can be converted into R1 via a number of different cross-coupling reactions, including Stille (ACS Catalysis 2015, 5, 3040-3053) Suzuki (Tetrahedron 2002, 58, 9633-9695), Sonogashira (Chem. Soc. Rev. 2011, 40, 5084-5121), Negishi (ACS Catalysis 2016, 6, 1540-1552), Buchwald-Hartwig amination (Chem. Sci. 2011, 2, 27-50), Cu-catalyzed amination (Org. React. 2014, 85, 1-688) and others, to give the desired compounds of Formula (I).
- Alternatively, for the exploration of the substitution at position CyA, compounds of Formula (I) can be prepared, using a process as illustrated in Scheme 2. Iodination of the compounds of Formula 1-1 with an iodination agent, such as iodine or NIS, forms compounds of Formula 2-2. The iodo substituent in the compounds of Formula 2-2 can be converted into R1 via a number of different cross-coupling reactions, including Suzuki, Sonogashira, Negishi, Buchwald-Hartwig amination, Cu-catalyzed amination and others, to give the compounds of Formula 2-3. The chloro substituent in the compounds of Formula 2-3 can be further converted into CyA via a number of different cross-coupling reactions, including Suzuki, Stille, Negishi, Cu-catalyzed amination and others, to give the desired compounds of Formula (I).
- Compounds of Formula (Ia) (compounds of Formula I wherein R1 is NRcC(O)Rb) can be prepared, using a process as illustrated in Scheme 3. In the process depicted in Scheme 3, compounds of Formula 3-1 react which hydroxylamine hydrochloride to form oxime intermediates, which are further converted to compounds of Formula 3-2 under the standard conditions (e.g. under treatment with cyanuric chloride). Cyclization upon treatment of the compounds of Formula 3-2 with hydrazine hydrate results in compounds of Formula 3-3. The NH group of the pyrazole ring of the compounds of Formula 3-3 is protected with a suitable protecting group (e.g., Boc) to form compounds of Formula 3-4. The halo substituent in the compounds of Formula 3-4 can be further converted into CyA via a number of different cross-coupling reactions, including Suzuki, Stille, Negishi, Cu-catalyzed amination, and others, to give the compounds of Formula 3-5. Compounds of Formula 3-5 react with different acid chlorides in a presence of base, such as triethylamine or DIPEA, to form compounds of Formula 3-6. Finally, deprotection of the protecting group, e.g. under acidic conditions, such as treatment with HCl or TFA, results in the formation of the desired compounds of Formula (Ia). Alternatively compounds of Formula 3-6 can be alkylated or arylated and then deprotected to prepare amides wherein Rc is other than hydrogen.
- Compounds of Formula (Ib) (compounds of Formula I wherein R1 is C(O)NRcRd) can be prepared, using a process as illustrated in Scheme 4. In the process depicted in Scheme 4, compounds of Formula 4-2 are formed after protection of the NH group of the compounds of Formula 1-3 with a suitable protecting group (e.g. SEM or Boc). The compounds of Formula 4-2 are converted into compounds of Formula 4-3 under Pd-catalyzed carbonylation conditions, such as in a presence of Pd catalyst (e.g., Pd(dppf)Cl2*DCM) and base (e.g., triethylamine) under carbon monoxide atmosphere. Hydrolysis of the ester group under basic conditions, such as LiOH or NaOH, forms the compounds of Formula 4-4. Compounds of the Formula 4-4 can be coupled to an amine, HNRcRd, using standard amide coupling agents (e.g., HBTU, HATU or EDC) to give compounds of Formula 4-5. Finally, deprotection of the protecting group, e.g. under acidic conditions, such as treatment with HCl or TFA, results in the formation of the desired compounds of Formula (Ib).
- Compounds of Formula (I) with various substitutions at position R2 such as those described herein can be prepared, using a process as illustrated in Scheme 5. In the process depicted in Scheme 5, bromination of 5-chloro-2-methylpyridin-3-amine 5-1 with a brominating agent (e.g., bromine or NBS) forms compounds of Formula 5-2. Acylation of the NH2 group in the compounds of Formula 5-2 with acylating agents (e.g., Ac2O or AcCl) followed by the treatment with amyl nitrite forms compounds of Formula 5-3. These compounds can be further iodinated with an iodinating agent (e.g., NIS or iodine) to form compounds of Formula 5-4. The NH group of the pyrazole ring in the compounds of Formula 5-4 is protected with a suitable protecting group, such as Boc or SEM, to form compounds of Formula 5-5. The iodo substituent in the compounds of Formula 5-5 can be converted into R via a number of different cross-coupling reactions, including Suzuki, Stille, Negishi, Cu-catalyzed amination, and others, to give the compounds of Formula 5-6. The bromo substituent in the compounds of Formula 5-6 can be further converted into CyA via a number of different cross-coupling reactions, including Suzuki, Stille, Negishi, and others, to give the compounds of Formula 5-7. The chloro substituent in the compounds of Formula 5-7 can be further converted into R2 via a number of different cross-coupling reactions, including Suzuki, Stille, Negishi, and others, to give the compounds of Formula 5-8. Finally, deprotection of the protecting group, e.g. under acidic conditions, such as treatment with HCl or TFA, results in the formation of the desired compounds of Formula (I).
- Compounds of Formula (Ic) with the cyano group at position R2 such as those described herein can be prepared, using a process as illustrated in Scheme 6. In the process depicted in Scheme 6, protection of 6-bromo-1H-pyrazolo[4,3-b]pyridine 6-1 with a suitable protecting group (e.g., trityl, SEM, boc and others) forms compounds of Formula 6-2. Treating the compounds of Formula 6-2 with m-CPBA forms compounds of Formula 6-3 which could be further converted into compounds of Formula 6-4 via Pd-catalyzed cyanation. Upon treating with base (eg. Et3N or iPr2EtN) and oxalyl dichloride, the compounds of Formula 6-4 are converted into compounds of Formula 6-5. The chloro substituent in the compounds of Formula 6-5 can be converted into CyA via a number of different cross-coupling reactions, including Suzuki, Stille, Negishi, and others, to give the compounds of Formula 6-6. Removal of the protecting group in the compounds of Formula 6-6 (e.g. under acidic conditions, such as treatment with HCl or TFA) gives compounds of Formula 6-7. These compounds can be further halogenated with one of the halogenation agents (e.g., NIS or iodine) to form compounds of formula 6-8. Upon protection with a suitable protecting group (e.g., Boc, SEM and others), the compounds of Formula 6-8 are converted into compounds of Formula 6-9. The iodo substituent in the compounds of Formula 6-9 can be further converted into R1 via a number of different cross-coupling reactions, including Suzuki, Stille, Sonogashira, Negishi, Buchwald-Hartwig amination, Cu-catalyzed amination and others, to give the compounds of Formula 6-10. Finally, deprotection of the protecting group, e.g. under acidic conditions, such as treatment with HCl or TFA, results in the formation of the desired compounds of Formula (Ic).
- Extensive studies have established that HPK1 is a negative regulator of T cell and B cell activation (Hu, M. C., et al., Genes Dev, 1996. 10(18): p. 2251-64; Kiefer, F., et al., EMBO J, 1996. 15(24): p. 7013-25). HPK1-deficient mouse T cells showed dramatically increased activation of TCR proximal signaling, enhanced IL-2 production, and hyper-proliferation in vitro upon anti-CD3 stimulation (Shui, J. W., et al., Nat Immunol, 2007. 8(1): p. 84-91). Similar to T cells, HPK1 knockout B cells produced much higher levels of IgM and IgG isoforms after KLH immunization and displayed hyper-proliferation potentially as a result of enhanced BCR signaling. Wang, X., et al., J Biol Chem, 2012. 287(14): p. 11037-48. Mechanistically, during TCR or BCR signaling, HPK1 is activated by LCK/ZAP70 (T cells) or SYK/LYN (B cells) mediated-Tyr379 phosphorylation and its subsequent binding to adaptor protein SLP-76 (T cells) or BLNK (B cells) (Wang, X., et al., J Biol Chem, 2012. 287(14): p. 11037-48). Activated HPK1 phosphorylates SLP-76 on Ser376 or BLNK on Thr152, leading to the recruitment of signaling molecule 14-3-3 and ultimate ubiquitination-mediated degradation of SLP-76 or BLNK (Liou, J., et al., Immunity, 2000. 12(4): p. 399-408; Di Bartolo, V., et al., J Exp Med, 2007. 204(3): p. 681-91). As SLP-76 and BLNK are essential for TCR/BCR-mediated signaling activation (e.g. ERK, phospholipase Cγ1, calcium flux, and NFAT activation), HPK1-mediated downregulation of these adaptor proteins provide a negative feedback mechanism to attenuate signaling intensity during T cell or B cell activation (Wang, X., et al., J Biol Chem, 2012. 287(14): p. 11037-48).
- The bone marrow-derived dendritic cells (BDMCs) from HPK1 knockout mice showed higher expression of co-stimulatory molecules (e.g. CD80/CD86) and enhanced production of proinflammatory cytokines (IL-12, TNF-α etc), and demonstrated superior ability to stimulate T cell proliferation in vitro and in vivo as compared to wild-type DCs (Alzabin, S., et al., J Immunol, 2009. 182(10): p. 6187-94). These data suggest that HPK1 is also an important negative regulator of dendritic cell activation (Alzabin, S., et al., J Immunol, 2009. 182(10): p. 6187-94). However, the signaling mechanisms underlying HPK-1 mediated negative regulation of DC activation remains to be elucidated.
- In contrast, HPK1 appears to be a positive regulator of suppressive functions of regulatory T cells (Treg) (Sawasdikosol, S. et al., The journal of immunology, 2012. 188(supplement 1): p. 163). HPK1 deficient mouse Foxp3+ Tregs were defective in suppressing TCR-induced effector T cell proliferation, and paradoxically gained the ability to produce IL-2 following TCR engagement (Sawasdikosol, S. et al., The Journal of Immunology, 2012. 188(supplement 1): p. 163). These data suggest that HPK1 is an important regulator of Treg functions and peripheral self-tolerance.
- HPK1 was also involved in PGE2-mediated inhibition of CD4+ T cell activation (Ikegami, R., et al., J Immunol, 2001. 166(7): p. 4689-96). Studies published in US 2007/0087988 indicated that HPK1 kinase activity was increased by exposure to physiological concentrations of PGE2 in CD4+ T cells and this effect was mediated by PEG2-induced PKA activation. The proliferation of HPK1 deficient T cells was resistant to the suppressive effects of PGE2 (see US 2007/0087988). Therefore, PGE2-mediated activation of HPK1 may represent a novel regulatory pathway of modulating immune response.
- The present disclosure provides methods of modulating (e.g., inhibiting) HPK1 activity, said method comprising administering to a patient a compound provided herein, or a pharmaceutically acceptable salt thereof. In certain embodiments, the compounds of the present disclosure, or pharmaceutically acceptable salts thereof, are useful for therapeutic administration to enhance, stimulate and/or increase immunity in cancer. For example, a method of treating a disease or disorder associated with inhibition of HPK1 interaction can include administering to a patient in need thereof a therapeutically effective amount of a compound provided herein, or a pharmaceutically acceptable salt thereof. The compounds of the present disclosure can be used alone, in combination with other agents or therapies or as an adjuvant or neoadjuvant for the treatment of diseases or disorders, including cancers. For the uses described herein, any of the compounds of the disclosure, including any of the embodiments thereof, may be used.
- Examples of cancers that are treatable using the compounds of the present disclosure include, but are not limited to, bone cancer, pancreatic cancer, skin cancer, cancer of the head or neck, cutaneous or intraocular malignant melanoma, uterine cancer, ovarian cancer, rectal cancer, cancer of the anal region, stomach cancer, testicular cancer, uterine cancer, carcinoma of the fallopian tubes, carcinoma of the endometrium, endometrial cancer, carcinoma of the cervix, carcinoma of the vagina, carcinoma of the vulva, Hodgkin's Disease, non-Hodgkin's lymphoma, cancer of the esophagus, cancer of the small intestine, cancer of the endocrine system, cancer of the thyroid gland, cancer of the parathyroid gland, cancer of the adrenal gland, sarcoma of soft tissue, cancer of the urethra, cancer of the penis, chronic or acute leukemias including acute myeloid leukemia, chronic myeloid leukemia, acute lymphoblastic leukemia, chronic lymphocytic leukemia, solid tumors of childhood, lymphocytic lymphoma, cancer of the bladder, cancer of the kidney or urethra, carcinoma of the renal pelvis, neoplasm of the central nervous system (CNS), primary CNS lymphoma, tumor angiogenesis, spinal axis tumor, brain stem glioma, pituitary adenoma, Kaposi's sarcoma, epidermoid cancer, squamous cell cancer, T-cell lymphoma, environmentally induced cancers including those induced by asbestos, and combinations of said cancers.
- In some embodiments, cancers treatable with compounds of the present disclosure include melanoma (e.g., metastatic malignant melanoma), renal cancer (e.g. clear cell carcinoma), prostate cancer (e.g. hormone refractory prostate adenocarcinoma), breast cancer, triple-negative breast cancer, colon cancer and lung cancer (e.g. non-small cell lung cancer and small cell lung cancer). Additionally, the disclosure includes refractory or recurrent malignancies whose growth may be inhibited using the compounds of the disclosure.
- In some embodiments, cancers that are treatable using the compounds of the present disclosure include, but are not limited to, solid tumors (e.g., prostate cancer, colon cancer, esophageal cancer, endometrial cancer, ovarian cancer, uterine cancer, renal cancer, hepatic cancer, pancreatic cancer, gastric cancer, breast cancer, lung cancer, cancers of the head and neck, thyroid cancer, glioblastoma, sarcoma, bladder cancer, etc.), hematological cancers (e.g., lymphoma, leukemia such as acute lymphoblastic leukemia (ALL), acute myelogenous leukemia (AML), chronic lymphocytic leukemia (CLL), chronic myelogenous leukemia (CML), DLBCL, mantle cell lymphoma, Non-Hodgkin lymphoma (including relapsed or refractory NHL and recurrent follicular), Hodgkin lymphoma or multiple myeloma) and combinations of said cancers.
- In some embodiments, diseases and indications that are treatable using the compounds of the present disclosure include, but are not limited to hematological cancers, sarcomas, lung cancers, gastrointestinal cancers, genitourinary tract cancers, liver cancers, bone cancers, nervous system cancers, gynecological cancers, and skin cancers.
- Exemplary hematological cancers include lymphomas and leukemias such as acute lymphoblastic leukemia (ALL), acute myelogenous leukemia (AML), acute promyelocytic leukemia (APL), chronic lymphocytic leukemia (CLL), chronic myelogenous leukemia (CML), diffuse large B-cell lymphoma (DLBCL), mantle cell lymphoma, Non-Hodgkin lymphoma (including relapsed or refractory NHL and recurrent follicular), Hodgkin lymphoma, myeloproliferative diseases (e.g., primary myelofibrosis (PMF), polycythemia vera (PV), essential thrombocytosis (ET)), myelodysplasia syndrome (MDS), T-cell acute lymphoblastic lymphoma (T-ALL), multiple myeloma, cutaneous T-cell lymphoma, Waldenstrom's Macroglubulinemia, hairy cell lymphoma, chronic myelogenic lymphoma and Burkitt's lymphoma.
- Exemplary sarcomas include chondrosarcoma, Ewing's sarcoma, osteosarcoma, rhabdomyosarcoma, angiosarcoma, fibrosarcoma, liposarcoma, myxoma, rhabdomyoma, rhabdosarcoma, fibroma, lipoma, harmatoma, and teratoma.
- Exemplary lung cancers include non-small cell lung cancer (NSCLC), small cell lung cancer, bronchogenic carcinoma (squamous cell, undifferentiated small cell, undifferentiated large cell, adenocarcinoma), alveolar (bronchiolar) carcinoma, bronchial adenoma, chondromatous hamartoma, and mesothelioma.
- Exemplary gastrointestinal cancers include cancers of the esophagus (squamous cell carcinoma, adenocarcinoma, leiomyosarcoma, lymphoma), stomach (carcinoma, lymphoma, leiomyosarcoma), pancreas (ductal adenocarcinoma, insulinoma, glucagonoma, gastrinoma, carcinoid tumors, vipoma), small bowel (adenocarcinoma, lymphoma, carcinoid tumors, Kaposi's sarcoma, leiomyoma, hemangioma, lipoma, neurofibroma, fibroma), large bowel (adenocarcinoma, tubular adenoma, villous adenoma, hamartoma, leiomyoma), and colorectal cancer.
- Exemplary genitourinary tract cancers include cancers of the kidney (adenocarcinoma, Wilm's tumor [nephroblastoma]), bladder and urethra (squamous cell carcinoma, transitional cell carcinoma, adenocarcinoma), prostate (adenocarcinoma, sarcoma), and testis (seminoma, teratoma, embryonal carcinoma, teratocarcinoma, choriocarcinoma, sarcoma, interstitial cell carcinoma, fibroma, fibroadenoma, adenomatoid tumors, lipoma).
- Exemplary liver cancers include hepatoma (hepatocellular carcinoma), cholangiocarcinoma, hepatoblastoma, angiosarcoma, hepatocellular adenoma, and hemangioma.
- Exemplary bone cancers include, for example, osteogenic sarcoma (osteosarcoma), fibrosarcoma, malignant fibrous histiocytoma, chondrosarcoma, Ewing's sarcoma, malignant lymphoma (reticulum cell sarcoma), multiple myeloma, malignant giant cell tumor chordoma, osteochronfroma (osteocartilaginous exostoses), benign chondroma, chondroblastoma, chondromyxofibroma, osteoid osteoma, and giant cell tumors
- Exemplary nervous system cancers include cancers of the skull (osteoma, hemangioma, granuloma, xanthoma, osteitis deformans), meninges (meningioma, meningiosarcoma, gliomatosis), brain (astrocytoma, meduoblastoma, glioma, ependymoma, germinoma (pinealoma), glioblastoma, glioblastoma multiform, oligodendroglioma, schwannoma, retinoblastoma, congenital tumors), and spinal cord (neurofibroma, meningioma, glioma, sarcoma), as well as neuroblastoma and Lhermitte-Duclos disease.
- Exemplary gynecological cancers include cancers of the uterus (endometrial carcinoma), cervix (cervical carcinoma, pre-tumor cervical dysplasia), ovaries (ovarian carcinoma (serous cystadenocarcinoma, mucinous cystadenocarcinoma, unclassified carcinoma), granulosa-thecal cell tumors, Sertoli-Leydig cell tumors, dysgerminoma, malignant teratoma), vulva (squamous cell carcinoma, intraepithelial carcinoma, adenocarcinoma, fibrosarcoma, melanoma), vagina (clear cell carcinoma, squamous cell carcinoma, botryoid sarcoma (embryonal rhabdomyosarcoma), and fallopian tubes (carcinoma).
- Exemplary skin cancers include melanoma, basal cell carcinoma, squamous cell carcinoma, Kaposi's sarcoma, Merkel cell skin cancer, moles dysplastic nevi, lipoma, angioma, dermatofibroma, and keloids. In some embodiments, diseases and indications that are treatable using the compounds of the present disclosure include, but are not limited to, sickle cell disease (e.g., sickle cell anemia), triple-negative breast cancer (TNBC), myelodysplastic syndromes, testicular cancer, bile duct cancer, esophageal cancer, and urothelial carcinoma.
- Exemplary head and neck cancers include glioblastoma, melanoma, rhabdosarcoma, lymphosarcoma, osteosarcoma, squamous cell carcinomas, adenocarcinomas, oral cancer, laryngeal cancer, nasopharyngeal cancer, nasal and paranasal cancers, thyroid and parathyroid cancers.
- In some embodiments, HPK1 inhibitors may be used to treat tumors producing PGE2 (e.g. Cox-2 overexpressing tumors) and/or adenosine (CD73 and CD39 over-expressing tumors). Overexpression of Cox-2 has been detected in a number of tumors, such as colorectal, breast, pancreatic and lung cancers, where it correlates with a poor prognosis. Overexpression of COX-2 has been reported in hematological cancer models such as RAJI (Burkitt's lymphoma) and U937 (acute promonocytic leukemia) as well as in patient's blast cells. CD73 is up-regulated in various human carcinomas including those of colon, lung, pancreas and ovary. Importantly, higher expression levels of CD73 are associated with tumor neovascularization, invasiveness, and metastasis and with shorter patient survival time in breast cancer.
- The terms “individual” or “patient,” used interchangeably, refer to any animal, including mammals, preferably mice, rats, other rodents, rabbits, dogs, cats, swine, cattle, sheep, horses, or primates, and most preferably humans.
- The phrase “therapeutically effective amount” refers to the amount of active compound or pharmaceutical agent that elicits the biological or medicinal response in a tissue, system, animal, individual or human that is being sought by a researcher, veterinarian, medical doctor or other clinician.
- As used herein, the term “treating” or “treatment” refers to one or more of (1) inhibiting the disease; e.g., inhibiting a disease, condition or disorder in an individual who is experiencing or displaying the pathology or symptomatology of the disease, condition or disorder (i.e., arresting further development of the pathology and/or symptomatology); and (2) ameliorating the disease; e.g., ameliorating a disease, condition or disorder in an individual who is experiencing or displaying the pathology or symptomatology of the disease, condition or disorder (i.e., reversing the pathology and/or symptomatology) such as decreasing the severity of disease.
- In some embodiments, the compounds of the invention are useful in preventing or reducing the risk of developing any of the diseases referred to herein; e.g., preventing or reducing the risk of developing a disease, condition or disorder in an individual who may be predisposed to the disease, condition or disorder but does not yet experience or display the pathology or symptomatology of the disease.
- Cancer cell growth and survival can be impacted by multiple signaling pathways. Thus, it is useful to combine different enzyme/protein/receptor inhibitors, exhibiting different preferences in the targets which they modulate the activities of, to treat such conditions. Examples of agents that may be combined with compounds of the present disclosure include inhibitors of the PI3K-AKT-mTOR pathway, inhibitors of the Raf-MAPK pathway, inhibitors of JAK-STAT pathway, inhibitors of beta catenin pathway, inhibitors of notch pathway, inhibitors of hedgehog pathway, inhibitors of Pim kinases, and inhibitors of protein chaperones and cell cycle progression. Targeting more than one signaling pathway (or more than one biological molecule involved in a given signaling pathway) may reduce the likelihood of drug-resistance arising in a cell population, and/or reduce the toxicity of treatment.
- The compounds of the present disclosure can be used in combination with one or more other enzyme/protein/receptor inhibitors for the treatment of diseases, such as cancer. Examples of cancers include solid tumors and liquid tumors, such as blood cancers. For example, the compounds of the present disclosure can be combined with one or more inhibitors of the following kinases for the treatment of cancer: Akt1, Akt2, Akt3, TGF-βR, PKA, PKG, PKC, CaM-kinase, phosphorylase kinase, MEKK, ERK, MAPK, mTOR, EGFR, HER2, HER3, HER4, INS-R, IGF-1R, IR-R, PDGFαR, PDGFβR, CSFIR, KIT, FLK-II, KDR/FLK-1, FLK-4, fit-1, FGFR1, FGFR2, FGFR3, FGFR4, c-Met, Ron, Sea, TRKA, TRKB, TRKC, FLT3, VEGFR/Flt2, Flt4, EphA1, EphA2, EphA3, EphB2, EphB4, Tie2, Src, Fyn, Lck, Fgr, Btk, Fak, SYK, FRK, JAK, ABL, ALK and B-Raf. In some embodiments, the compounds of the present disclosure can be combined with one or more of the following inhibitors for the treatment of cancer. Non-limiting examples of inhibitors that can be combined with the compounds of the present disclosure for treatment of cancers include an FGFR inhibitor (FGFR1, FGFR2, FGFR3 or FGFR4, e.g., AZD4547, BAY1187982, ARQ087, BGJ398, BIBF1120, TKI258, lucitanib, dovitinib, TAS-120, JNJ-42756493, Debio1347, INCB54828, INCB62079 and INCB63904), a JAK inhibitor (JAK1 and/or JAK2, e.g., ruxolitinib, baricitinib or INCB39110), an IDO inhibitor (e.g., epacadostat and NLG919), an LSD1 inhibitor (e.g., GSK2979552, INCB59872 and INCB60003), a TDO inhibitor, a PI3K-delta inhibitor (e.g., INCB50797 and INCB50465), a PI3K-gamma inhibitor such as a PI3K-gamma selective inhibitor, a CSF1R inhibitor (e.g., PLX3397 and LY3022855), a TAM receptor tyrosine kinases (Tyro-3, Axl, and Mer), an angiogenesis inhibitor, an interleukin receptor inhibitor, bromo and extra terminal family members inhibitors (for example, bromodomain inhibitors or BET inhibitors such as OTX015, CPI-0610, INCB54329 and INCB57643) and an adenosine receptor antagonist or combinations thereof. Inhibitors of HDAC such as panobinostat and vorinostat. Inhibitors of c-Met such as onartumzumab, tivantnib, and INC-280. Inhibitors of BTK such as ibrutinib. Inhibitors of mTOR such as rapamycin, sirolimus, temsirolimus, and everolimus. Inhibitors of Raf, such as vemurafenib and dabrafenib. Inhibitors of MEK such as trametinib, selumetinib and GDC-0973. Inhibitors of Hsp90 (e.g., tanespimycin), cyclin dependent kinases (e.g., palbociclib), PARP (e.g., olaparib) and Pim kinases (LGH447, INCB053914 and SGI-1776) can also be combined with compounds of the present disclosure.
- Compounds of the present disclosure can be used in combination with one or more immune checkpoint inhibitors. Exemplary immune checkpoint inhibitors include inhibitors against immune checkpoint molecules such as CD20, CD27, CD28, CD39, CD40, CD122, CD96, CD73, CD47, OX40, GITR, CSF1R, JAK, PI3K delta, PI3K gamma, TAM, arginase, CD137 (also known as 4-1BB), ICOS, A2AR, B7-H3, B7-H4, BTLA, CTLA-4, LAG3, TIM3, VISTA, PD-1, PD-L1 and PD-L2. In some embodiments, the immune checkpoint molecule is a stimulatory checkpoint molecule selected from CD27, CD28, CD40, ICOS, OX40, GITR and CD137. In some embodiments, the immune checkpoint molecule is an inhibitory checkpoint molecule selected from A2AR, B7-H3, B7-H4, BTLA, CTLA-4, IDO, KIR, LAG3, PD-1, TIM3, and VISTA. In some embodiments, the compounds provided herein can be used in combination with one or more agents selected from KIR inhibitors, TIGIT inhibitors, LAIR1 inhibitors, CD160 inhibitors, 2B4 inhibitors and TGFR beta inhibitors.
- In some embodiments, the inhibitor of an immune checkpoint molecule is anti-PD1 antibody, anti-PD-L1 antibody, or anti-CTLA-4 antibody.
- In some embodiments, the inhibitor of an immune checkpoint molecule is an inhibitor of PD-1, e.g., an anti-PD-1 monoclonal antibody. In some embodiments, the anti-PD-1 monoclonal antibody is nivolumab, pembrolizumab (also known as MK-3475), pidilizumab, SHR-1210, PDR001, or AMP-224. In some embodiments, the anti-PD-1 monoclonal antibody is nivolumab or pembrolizumab. In some embodiments, the anti-PD1 antibody is pembrolizumab. In some embodiments, the anti PD-1 antibody is SHR-1210.
- In some embodiments, the inhibitor of an immune checkpoint molecule is an inhibitor of PD-L1, e.g., an anti-PD-L1 monoclonal antibody. In some embodiments, the anti-PD-L1 monoclonal antibody is BMS-935559, MEDI4736, MPDL3280A (also known as RG7446), or MSB0010718C. In some embodiments, the anti-PD-L1 monoclonal antibody is MPDL3280A or MEDI4736.
- In some embodiments, the inhibitor of an immune checkpoint molecule is an inhibitor of CTLA-4, e.g., an anti-CTLA-4 antibody. In some embodiments, the anti-CTLA-4 antibody is ipilimumab.
- In some embodiments, the inhibitor of an immune checkpoint molecule is an inhibitor of CSF1R, e.g., an anti-CSF1R antibody. In some embodiments, the anti-CSF1R antibody is IMC-CS4 or RG7155.
- In some embodiments, the inhibitor of an immune checkpoint molecule is an inhibitor of LAG3, e.g., an anti-LAG3 antibody. In some embodiments, the anti-LAG3 antibody is BMS-986016, LAG525, IMP321 or GSK2831781.
- In some embodiments, the inhibitor of an immune checkpoint molecule is an inhibitor of GITR, e.g., an anti-GITR antibody. In some embodiments, the anti-GITR antibody is TRX518, MK-4166, MK1248, BMS-986156, MEDI1873 or GWN323.
- In some embodiments, the inhibitor of an immune checkpoint molecule is an inhibitor of OX40, e.g., an anti-OX40 antibody or OX40L fusion protein. In some embodiments, the anti-OX40 antibody is MEDI0562, MEDI6469, MOXR0916, PF-04518600 or GSK3174998. In some embodiments, the OX40L fusion protein is MEDI6383.
- In some embodiments, the inhibitor of an immune checkpoint molecule is an inhibitor of TIM3, e.g., an anti-TIM3 antibody. In some embodiments, the anti-TIM3 antibody is MBG-453.
- In some embodiments, the inhibitor of an immune checkpoint molecule is an inhibitor of CD20, e.g., an anti-CD20 antibody. In some embodiments, the anti-CD20 antibody is obinutuzumab or rituximab.
- In some embodiments, the compounds of the invention can be used in combination with one or more metabolic enzyme inhibitors. In some embodiments, the metabolic enzyme inhibitor is an inhibitor of IDO1, TDO, or arginase. Examples of IDO1 inhibitors include epacadostat and NGL919. An example of an arginase inhibitor is CB-1158.
- The compounds of the present disclosure can be used in combination with bispecific antibodies. In some embodiments, one of the domains of the bispecific antibody targets PD-1, PD-L1, CTLA-4, GITR, OX40, TIM3, LAG3, CD137, ICOS, CD3 or TGβ receptor.
- Compounds of the present disclosure can be used in combination with one or more agents for the treatment of diseases such as cancer. In some embodiments, the agent is an alkylating agent, a proteasome inhibitor, a corticosteroid, or an immunomodulatory agent. Examples of an alkylating agent include bendamustine, nitrogen mustards, ethylenimine derivatives, alkyl sulfonates, nitrosoureas and triazenes, uracil mustard, chlormethine, cyclophosphamide (Cytoxan™), ifosfamide, melphalan, chlorambucil, pipobroman, triethylene-melamine, triethylenethiophosphoramine, busulfan, carmustine, lomustine, streptozocin, dacarbazine, and temozolomide. In some embodiments, the proteasome inhibitor is carfilzomib. In some embodiments, the corticosteroid is dexamethasone (DEX). In some embodiments, the immunomodulatory agent is lenalidomide (LEN) or pomalidomide (POM).
- The compounds of the present disclosure can further be used in combination with other methods of treating cancers, for example by chemotherapy, irradiation therapy, tumor-targeted therapy, adjuvant therapy, immunotherapy or surgery. Examples of immunotherapy include cytokine treatment (e.g., interferons, GM-CSF, G-CSF, IL-2), CRS-207 immunotherapy, cancer vaccine, monoclonal antibody, adoptive T cell transfer, oncolytic virotherapy and immunomodulating small molecules, including thalidomide or JAK1/2 inhibitor and the like. The compounds can be administered in combination with one or more anti-cancer drugs, such as a chemotherapeutics. Example chemotherapeutics include any of: abarelix, abiraterone, afatinib, aflibercept, aldesleukin, alemtuzumab, alitretinoin, allopurinol, altretamine, anastrozole, arsenic trioxide, asparaginase, axitinib, azacitidine, bevacizumab, bexarotene, baricitinib, bicalutamide, bleomycin, bortezombi, bortezomib, brivanib, buparlisib, busulfan intravenous, busulfan oral, calusterone, capecitabine, carboplatin, carmustine, cediranib, cetuximab, chlorambucil, cisplatin, cladribine, clofarabine, crizotinib, cyclophosphamide, cytarabine, dacarbazine, dacomitinib, dactinomycin, dalteparin sodium, dasatinib, dactinomycin, daunorubicin, decitabine, degarelix, denileukin, denileukin diftitox, deoxycoformycin, dexrazoxane, docetaxel, doxorubicin, droloxafine, dromostanolone propionate, eculizumab, enzalutamide, epidophyllotoxin, epirubicin, erlotinib, estramustine, etoposide phosphate, etoposide, exemestane, fentanyl citrate, filgrastim, floxuridine, fludarabine, fluorouracil, flutamide, fulvestrant, gefitinib, gemcitabine, gemtuzumab ozogamicin, goserelin acetate, histrelin acetate, ibritumomab tiuxetan, idarubicin, idelalisib, ifosfamide, imatinib mesylate, interferon alfa 2a, irinotecan, lapatinib ditosylate, lenalidomide, letrozole, leucovorin, leuprolide acetate, levamisole, lomustine, meclorethamine, megestrol acetate, melphalan, mercaptopurine, methotrexate, methoxsalen, mithramycin, mitomycin C, mitotane, mitoxantrone, nandrolone phenpropionate, navelbene, necitumumab, nelarabine, neratinib, nilotinib, nilutamide, nofetumomab, oserelin, oxaliplatin, paclitaxel, pamidronate, panitumumab, pazopanib, pegaspargase, pegfilgrastim, pemetrexed disodium, pentostatin, pilaralisib, pipobroman, plicamycin, ponatinib, prednisone, procarbazine, quinacrine, rasburicase, regorafenib, reloxafine, rituximab, ruxolitinib, sorafenib, streptozocin, sunitinib, sunitinib maleate, tamoxifen, tegafur, temozolomide, teniposide, testolactone, thalidomide, thioguanine, thiotepa, topotecan, toremifene, tositumomab, trastuzumab, tretinoin, triptorelin, uracil mustard, valrubicin, vandetanib, vinblastine, vincristine, vinorelbine, vorinostat and zoledronate.
- Other anti-cancer agent(s) include antibody therapeutics such as trastuzumab (Herceptin), antibodies to costimulatory molecules such as CTLA-4 (e.g., ipilimumab or tremelimumab), 4-1BB, antibodies to PD-1 and PD-L1, or antibodies to cytokines (IL-10, TGF-β, etc.). Examples of antibodies to PD-1 and/or PD-L1 that can be combined with compounds of the present disclosure for the treatment of cancer or infections such as viral, bacteria, fungus and parasite infections include, but are not limited to, nivolumab, pembrolizumab, MPDL3280A, MEDI-4736 and SHR-1210.
- Other anti-cancer agents include inhibitors of kinases associated cell proliferative disorder. These kinases include but not limited to Aurora-A, CDK1, CDK2, CDK3, CDK5, CDK7, CDK8, CDK9, ephrin receptor kinases, CHK1, CHK2, SRC, Yes, Fyn, Lck, Fer, Fes, Syk, Itk, Bmx, GSK3, JNK, PAK1, PAK2, PAK3, PAK4, PDK1, PKA, PKC, Rsk and SGK.
- Other anti-cancer agents also include those that block immune cell migration such as antagonists to chemokine receptors, including CCR2 and CCR4.
- The compounds of the present disclosure can further be used in combination with one or more anti-inflammatory agents, steroids, immunosuppressants or therapeutic antibodies.
- The compounds of Formula (I) or any of the formulas as described herein, a compound as recited in any of the claims and described herein, or salts thereof can be combined with another immunogenic agent, such as cancerous cells, purified tumor antigens (including recombinant proteins, peptides, and carbohydrate molecules), cells, and cells transfected with genes encoding immune stimulating cytokines. Non-limiting examples of tumor vaccines that can be used include peptides of melanoma antigens, such as peptides of gp100, MAGE antigens, Trp-2, MARTI and/or tyrosinase, or tumor cells transfected to express the cytokine GM-CSF.
- The compounds of Formula (I) or any of the formulas as described herein, a compound as recited in any of the claims and described herein, or salts thereof can be used in combination with a vaccination protocol for the treatment of cancer. In some embodiments, the tumor cells are transduced to express GM-CSF. In some embodiments, tumor vaccines include the proteins from viruses implicated in human cancers such as Human Papilloma Viruses (HPV), Hepatitis Viruses (HBV and HCV) and Kaposi's Herpes Sarcoma Virus (KHSV). In some embodiments, the compounds of the present disclosure can be used in combination with tumor specific antigen such as heat shock proteins isolated from tumor tissue itself. In some embodiments, the compounds of Formula (I) or any of the formulas as described herein, a compound as recited in any of the claims and described herein, or salts thereof can be combined with dendritic cells immunization to activate potent anti-tumor responses.
- The compounds of the present disclosure can be used in combination with bispecific macrocyclic peptides that target Fe alpha or Fe gamma receptor-expressing effectors cells to tumor cells. The compounds of the present disclosure can also be combined with macrocyclic peptides that activate host immune responsiveness.
- The compounds of the present disclosure can be used in combination with bone marrow transplant for the treatment of a variety of tumors of hematopoietic origin.
- Suitable antiviral agents contemplated for use in combination with the compounds of the present disclosure can comprise nucleoside and nucleotide reverse transcriptase inhibitors (NRTIs), non-nucleoside reverse transcriptase inhibitors (NNRTIs), protease inhibitors and other antiviral drugs.
- Example suitable NRTIs include zidovudine (AZT); didanosine (ddl); zalcitabine (ddC); stavudine (d4T); lamivudine (3TC); abacavir (1592U89); adefovir dipivoxil [bis(POM)-PMEA]; lobucavir (BMS-180194); BCH-10652; emitricitabine [(−)-FTC]; beta-L-FD4 (also called beta-L-D4C and named beta-L-2′,3′-dicleoxy-5-fluoro-cytidene); DAPD, ((−)-beta-D-2,6,-diamino-purine dioxolane); and lodenosine (FddA). Typical suitable NNRTIs include nevirapine (BI-RG-587); delaviradine (BHAP, U-90152); efavirenz (DMP-266); PNU-142721; AG-1549; MKC-442 (1-(ethoxy-methyl)-5-(1-methylethyl)-6-(phenylmethyl)-(2,4(1H,3H)-pyrimidinedione); and (+)-calanolide A (NSC-675451) and B. Typical suitable protease inhibitors include saquinavir (Ro 31-8959); ritonavir (ABT-538); indinavir (MK-639); nelfnavir (AG-1343); amprenavir (141W94); lasinavir (BMS-234475); DMP-450; BMS-2322623; ABT-378; and AG-1 549. Other antiviral agents include hydroxyurea, ribavirin, IL-2, IL-12, pentafuside and Yissum Project No. 11607.
- When more than one pharmaceutical agent is administered to a patient, they can be administered simultaneously, separately, sequentially, or in combination (e.g., for more than two agents).
- When employed as pharmaceuticals, the compounds of the present disclosure can be administered in the form of pharmaceutical compositions. Thus the present disclosure provides a composition comprising a compound of Formula (I) or any of the formulas as described herein, a compound as recited in any of the claims and described herein, or a pharmaceutically acceptable salt thereof, or any of the embodiments thereof, and at least one pharmaceutically acceptable carrier or excipient. These compositions can be prepared in a manner well known in the pharmaceutical art, and can be administered by a variety of routes, depending upon whether local or systemic treatment is indicated and upon the area to be treated. Administration may be topical (including transdermal, epidermal, ophthalmic and to mucous membranes including intranasal, vaginal and rectal delivery), pulmonary (e.g., by inhalation or insufflation of powders or aerosols, including by nebulizer; intratracheal or intranasal), oral or parenteral. Parenteral administration includes intravenous, intraarterial, subcutaneous, intraperitoneal intramuscular or injection or infusion; or intracranial, e.g., intrathecal or intraventricular, administration. Parenteral administration can be in the form of a single bolus dose, or may be, e.g., by a continuous perfusion pump. Pharmaceutical compositions and formulations for topical administration may include transdermal patches, ointments, lotions, creams, gels, drops, suppositories, sprays, liquids and powders. Conventional pharmaceutical carriers, aqueous, powder or oily bases, thickeners and the like may be necessary or desirable.
- This invention also includes pharmaceutical compositions which contain, as the active ingredient, the compound of the present disclosure or a pharmaceutically acceptable salt thereof, in combination with one or more pharmaceutically acceptable carriers or excipients. In some embodiments, the composition is suitable for topical administration. In making the compositions of the invention, the active ingredient is typically mixed with an excipient, diluted by an excipient or enclosed within such a carrier in the form of, e.g., a capsule, sachet, paper, or other container. When the excipient serves as a diluent, it can be a solid, semi-solid, or liquid material, which acts as a vehicle, carrier or medium for the active ingredient. Thus, the compositions can be in the form of tablets, pills, powders, lozenges, sachets, cachets, elixirs, suspensions, emulsions, solutions, syrups, aerosols (as a solid or in a liquid medium), ointments containing, e.g., up to 10% by weight of the active compound, soft and hard gelatin capsules, suppositories, sterile injectable solutions and sterile packaged powders.
- In preparing a formulation, the active compound can be milled to provide the appropriate particle size prior to combining with the other ingredients. If the active compound is substantially insoluble, it can be milled to a particle size of less than 200 mesh. If the active compound is substantially water soluble, the particle size can be adjusted by milling to provide a substantially uniform distribution in the formulation, e.g., about 40 mesh.
- The compounds of the invention may be milled using known milling procedures such as wet milling to obtain a particle size appropriate for tablet formation and for other formulation types. Finely divided (nanoparticulate) preparations of the compounds of the invention can be prepared by processes known in the art see, e.g., WO 2002/000196.
- Some examples of suitable excipients include lactose, dextrose, sucrose, sorbitol, mannitol, starches, gum acacia, calcium phosphate, alginates, tragacanth, gelatin, calcium silicate, microcrystalline cellulose, polyvinylpyrrolidone, cellulose, water, syrup and methyl cellulose. The formulations can additionally include: lubricating agents such as talc, magnesium stearate and mineral oil; wetting agents; emulsifying and suspending agents; preserving agents such as methyl- and propylhydroxy-benzoates; sweetening agents; and flavoring agents. The compositions of the invention can be formulated so as to provide quick, sustained or delayed release of the active ingredient after administration to the patient by employing procedures known in the art.
- In some embodiments, the pharmaceutical composition comprises silicified microcrystalline cellulose (SMCC) and at least one compound described herein, or a pharmaceutically acceptable salt thereof. In some embodiments, the silicified microcrystalline cellulose comprises about 98% microcrystalline cellulose and about 2% silicon dioxide w/w.
- In some embodiments, the composition is a sustained release composition comprising at least one compound described herein, or a pharmaceutically acceptable salt thereof, and at least one pharmaceutically acceptable carrier or excipient. In some embodiments, the composition comprises at least one compound described herein, or a pharmaceutically acceptable salt thereof, and at least one component selected from microcrystalline cellulose, lactose monohydrate, hydroxypropyl methylcellulose and polyethylene oxide. In some embodiments, the composition comprises at least one compound described herein, or a pharmaceutically acceptable salt thereof, and microcrystalline cellulose, lactose monohydrate and hydroxypropyl methylcellulose. In some embodiments, the composition comprises at least one compound described herein, or a pharmaceutically acceptable salt thereof, and microcrystalline cellulose, lactose monohydrate and polyethylene oxide. In some embodiments, the composition further comprises magnesium stearate or silicon dioxide. In some embodiments, the microcrystalline cellulose is Avicel PH102™. In some embodiments, the lactose monohydrate is Fast-flo 316™. In some embodiments, the hydroxypropyl methylcellulose is hydroxypropyl methylcellulose 2208 K4M (e.g., Methocel K4 M Premier™) and/or hydroxypropyl methylcellulose 2208 K100LV (e.g., Methocel K00LV™). In some embodiments, the polyethylene oxide is polyethylene oxide WSR 1105 (e.g., Polyox WSR 1105™).
- In some embodiments, a wet granulation process is used to produce the composition. In some embodiments, a dry granulation process is used to produce the composition.
- The compositions can be formulated in a unit dosage form, each dosage containing from about 5 to about 1,000 mg (1 g), more usually about 100 mg to about 500 mg, of the active ingredient. In some embodiments, each dosage contains about 10 mg of the active ingredient. In some embodiments, each dosage contains about 50 mg of the active ingredient. In some embodiments, each dosage contains about 25 mg of the active ingredient. The term “unit dosage forms” refers to physically discrete units suitable as unitary dosages for human subjects and other mammals, each unit containing a predetermined quantity of active material calculated to produce the desired therapeutic effect, in association with a suitable pharmaceutical excipient.
- The components used to formulate the pharmaceutical compositions are of high purity and are substantially free of potentially harmful contaminants (e.g., at least National Food grade, generally at least analytical grade, and more typically at least pharmaceutical grade). Particularly for human consumption, the composition is preferably manufactured or formulated under Good Manufacturing Practice standards as defined in the applicable regulations of the U.S. Food and Drug Administration. For example, suitable formulations may be sterile and/or substantially isotonic and/or in full compliance with all Good Manufacturing Practice regulations of the U.S. Food and Drug Administration.
- The active compound may be effective over a wide dosage range and is generally administered in a therapeutically effective amount. It will be understood, however, that the amount of the compound actually administered will usually be determined by a physician, according to the relevant circumstances, including the condition to be treated, the chosen route of administration, the actual compound administered, the age, weight, and response of the individual patient, the severity of the patient's symptoms and the like.
- The therapeutic dosage of a compound of the present invention can vary according to, e.g., the particular use for which the treatment is made, the manner of administration of the compound, the health and condition of the patient, and the judgment of the prescribing physician. The proportion or concentration of a compound of the invention in a pharmaceutical composition can vary depending upon a number of factors including dosage, chemical characteristics (e.g., hydrophobicity), and the route of administration. For example, the compounds of the invention can be provided in an aqueous physiological buffer solution containing about 0.1 to about 10% w/v of the compound for parenteral administration. Some typical dose ranges are from about 1 μg/kg to about 1 g/kg of body weight per day. In some embodiments, the dose range is from about 0.01 mg/kg to about 100 mg/kg of body weight per day. The dosage is likely to depend on such variables as the type and extent of progression of the disease or disorder, the overall health status of the particular patient, the relative biological efficacy of the compound selected, formulation of the excipient, and its route of administration. Effective doses can be extrapolated from dose-response curves derived from in vitro or animal model test systems.
- For preparing solid compositions such as tablets, the principal active ingredient is mixed with a pharmaceutical excipient to form a solid preformulation composition containing a homogeneous mixture of a compound of the present invention. When referring to these preformulation compositions as homogeneous, the active ingredient is typically dispersed evenly throughout the composition so that the composition can be readily subdivided into equally effective unit dosage forms such as tablets, pills and capsules. This solid preformulation is then subdivided into unit dosage forms of the type described above containing from, e.g., about 0.1 to about 1000 mg of the active ingredient of the present invention.
- The tablets or pills of the present invention can be coated or otherwise compounded to provide a dosage form affording the advantage of prolonged action. For example, the tablet or pill can comprise an inner dosage and an outer dosage component, the latter being in the form of an envelope over the former. The two components can be separated by an enteric layer which serves to resist disintegration in the stomach and permit the inner component to pass intact into the duodenum or to be delayed in release. A variety of materials can be used for such enteric layers or coatings, such materials including a number of polymeric acids and mixtures of polymeric acids with such materials as shellac, cetyl alcohol and cellulose acetate.
- The liquid forms in which the compounds and compositions of the present invention can be incorporated for administration orally or by injection include aqueous solutions, suitably flavored syrups, aqueous or oil suspensions, and flavored emulsions with edible oils such as cottonseed oil, sesame oil, coconut oil, or peanut oil, as well as elixirs and similar pharmaceutical vehicles.
- Compositions for inhalation or insufflation include solutions and suspensions in pharmaceutically acceptable, aqueous or organic solvents, or mixtures thereof, and powders. The liquid or solid compositions may contain suitable pharmaceutically acceptable excipients as described supra. In some embodiments, the compositions are administered by the oral or nasal respiratory route for local or systemic effect. Compositions can be nebulized by use of inert gases. Nebulized solutions may be breathed directly from the nebulizing device or the nebulizing device can be attached to a face mask, tent, or intermittent positive pressure breathing machine. Solution, suspension, or powder compositions can be administered orally or nasally from devices which deliver the formulation in an appropriate manner.
- Topical formulations can contain one or more conventional carriers. In some embodiments, ointments can contain water and one or more hydrophobic carriers selected from, e.g., liquid paraffin, polyoxyethylene alkyl ether, propylene glycol, white Vaseline, and the like. Carrier compositions of creams can be based on water in combination with glycerol and one or more other components, e.g., glycerinemonostearate, PEG-glycerinemonostearate and cetylstearyl alcohol. Gels can be formulated using isopropyl alcohol and water, suitably in combination with other components such as, e.g., glycerol, hydroxyethyl cellulose, and the like. In some embodiments, topical formulations contain at least about 0.1, at least about 0.25, at least about 0.5, at least about 1, at least about 2 or at least about 5 wt % of the compound of the invention. The topical formulations can be suitably packaged in tubes of, e.g., 100 g which are optionally associated with instructions for the treatment of the select indication, e.g., psoriasis or other skin condition.
- The amount of compound or composition administered to a patient will vary depending upon what is being administered, the purpose of the administration, such as prophylaxis or therapy, the state of the patient, the manner of administration and the like. In therapeutic applications, compositions can be administered to a patient already suffering from a disease in an amount sufficient to cure or at least partially arrest the symptoms of the disease and its complications. Effective doses will depend on the disease condition being treated as well as by the judgment of the attending clinician depending upon factors such as the severity of the disease, the age, weight and general condition of the patient and the like.
- The compositions administered to a patient can be in the form of pharmaceutical compositions described above. These compositions can be sterilized by conventional sterilization techniques, or may be sterile filtered. Aqueous solutions can be packaged for use as is, or lyophilized, the lyophilized preparation being combined with a sterile aqueous carrier prior to administration. The pH of the compound preparations typically will be between 3 and 11, more preferably from 5 to 9 and most preferably from 7 to 8. It will be understood that use of certain of the foregoing excipients, carriers or stabilizers will result in the formation of pharmaceutical salts.
- The therapeutic dosage of a compound of the present invention can vary according to, e.g., the particular use for which the treatment is made, the manner of administration of the compound, the health and condition of the patient, and the judgment of the prescribing physician. The proportion or concentration of a compound of the invention in a pharmaceutical composition can vary depending upon a number of factors including dosage, chemical characteristics (e.g., hydrophobicity), and the route of administration. For example, the compounds of the invention can be provided in an aqueous physiological buffer solution containing about 0.1 to about 10% w/v of the compound for parenteral administration. Some typical dose ranges are from about 1 μg/kg to about 1 g/kg of body weight per day. In some embodiments, the dose range is from about 0.01 mg/kg to about 100 mg/kg of body weight per day. The dosage is likely to depend on such variables as the type and extent of progression of the disease or disorder, the overall health status of the particular patient, the relative biological efficacy of the compound selected, formulation of the excipient, and its route of administration. Effective doses can be extrapolated from dose-response curves derived from in vitro or animal model test systems.
- The compounds of the present disclosure can further be useful in investigations of biological processes in normal and abnormal tissues. Thus, another aspect of the present invention relates to fluorescent dye, spin label, heavy metal or radio-labeled compounds provided herein that would be useful not only in imaging techniques but also in assays, both in vitro and in vivo, for localizing and quantitating HPK1 protein in tissue samples, including human, and for identifying HPK1 ligands by inhibition binding of a labeled compound. Accordingly, the present invention includes HPK1 binding assays that contain such labeled compounds.
- The present invention further includes isotopically-substituted compounds of the disclosure. An “isotopically-substituted” compound is a compound of the invention where one or more atoms are replaced or substituted by an atom having the same atomic number but a different atomic mass or mass number. Compounds of the invention may contain isotopes in a natural abundance as found in nature. Compounds of the invention may also have isotopes in amounts greater to that found in nature, e.g., synthetically incorporating low natural abundance isotopes into the compounds of the invention so they are enriched in a particularly useful isotope (e.g., 2H and 13C). It is to be understood that a “radio-labeled” compound is a compound that has incorporated at least one isotope that is radioactive (e.g., radionuclide), e.g., 3H and 14C. Suitable radionuclides that may be incorporated in compounds of the present invention include but are not limited to 3H (also written as T for tritium), 11C, 13C, 14C, 13N, 15N, 15O, 17O, 18O, 18F, 35S, 36Cl, 82Br, 75Br, 76Br, 77Br, 123I, 124I, 125I and 131I. The radionuclide that is incorporated in the instant radio-labeled compounds will depend on the specific application of that radio-labeled compound. In some embodiments the radionuclide is selected from the group consisting of 3H, 14C, 125I, 35S and 82Br. For in vitro HPK1 labeling and competition assays, compounds that incorporate 3H, 14C, 82Br, 125I, 131I, or 35S will generally be most useful. For radio-imaging applications C, 18F, 125I, 123I, 124I, 131I, 75Br, 76Br or 77Br will generally be most useful. Synthetic methods for incorporating radio-isotopes into organic compounds are known in the art.
- Specifically, a labeled compound of the invention can be used in a screening assay to identify and/or evaluate compounds. For example, a newly synthesized or identified compound (i.e., test compound) which is labeled can be evaluated for its ability to bind a HPK1 protein by monitoring its concentration variation when contacting with the HPK1, through tracking of the labeling. For example, a test compound (labeled) can be evaluated for its ability to reduce binding of another compound which is known to bind to a HPK1 protein (i.e., standard compound). Accordingly, the ability of a test compound to compete with the standard compound for binding to the HPK1 protein directly correlates to its binding affinity. Conversely, in some other screening assays, the standard compound is labeled and test compounds are unlabeled. Accordingly, the concentration of the labeled standard compound is monitored in order to evaluate the competition between the standard compound and the test compound, and the relative binding affinity of the test compound is thus ascertained.
- The present disclosure also includes pharmaceutical kits useful, e.g., in the treatment or prevention of diseases or disorders associated with the activity of HPK1, such as cancer or infections, which include one or more containers containing a pharmaceutical composition comprising a therapeutically effective amount of a compound of Formula (I), or any of the embodiments thereof. Such kits can further include one or more of various conventional pharmaceutical kit components, such as, e.g., containers with one or more pharmaceutically acceptable carriers, additional containers, etc., as will be readily apparent to those skilled in the art. Instructions, either as inserts or as labels, indicating quantities of the components to be administered, guidelines for administration, and/or guidelines for mixing the components, can also be included in the kit.
- The invention will be described in greater detail by way of specific examples. The following examples are offered for illustrative purposes, and are not intended to limit the invention in any manner. Those of skill in the art will readily recognize a variety of non-critical parameters which can be changed or modified to yield essentially the same results. The compounds of the Examples have been found to inhibit the activity of HPK1 according to at least one assay described herein.
- Experimental procedures for compounds of the invention are provided below. Preparatory LC-MS purifications of some of the compounds prepared were performed on Waters mass directed fractionation systems. The basic equipment setup, protocols, and control software for the operation of these systems have been described in detail in the literature. See e.g. “Two-Pump At Column Dilution Configuration for Preparative LC-MS”, K. Blom, J. Combi. Chem., 4, 295 (2002); “Optimizing Preparative LC-MS Configurations and Methods for Parallel Synthesis Purification”, K. Blom, R. Sparks, J. Doughty, G. Everlof, T. Haque, A. Combs, J. Combi. Chem., 5, 670 (2003); and “Preparative LC-MS Purification: Improved Compound Specific Method Optimization”, K. Blom, B. Glass, R. Sparks, A. Combs, J. Combi. Chem., 6, 874-883 (2004). The separated compounds were typically subjected to analytical liquid chromatography mass spectrometry (LCMS) for purity check under the following conditions: Instrument; Agilent 1100 series, LC/MSD, Column: Waters Sunfire™ C18 5 μm particle size, 2.1×5.0 mm, Buffers: mobile phase A: 0.025% TFA in water and mobile phase B: acetonitrile; gradient 2% to 80% of B in 3 minutes with flow rate 2.0 mL/minute.
- Some of the compounds prepared were also separated on a preparative scale by reverse-phase high performance liquid chromatography (RP-HPLC) with MS detector or flash chromatography (silica gel) as indicated in the Examples. Typical preparative reverse-phase high performance liquid chromatography (RP-HPLC) column conditions are as follows:
- pH=2 purifications: Waters Sunfire™ C18 5 μm particle size, 19×100 mm column, eluting with mobile phase A: 0.1% TFA (trifluoroacetic acid) in water and mobile phase B: acetonitrile; the flow rate was 30 mL/minute, the separating gradient was optimized for each compound using the Compound Specific Method Optimization protocol as described in the literature (see “Preparative LCMS Purification: Improved Compound Specific Method Optimization”, K. Blom, B. Glass, R. Sparks, A. Combs, J. Comb. Chem., 6, 874-883 (2004)). Typically, the flow rate used with the 30×100 mm column was 60 mL/minute.
- pH=10 purifications: Waters XBridge C18 5 μm particle size, 19×100 mm column, eluting with mobile phase A: 0.15% NH4OH in water and mobile phase B: acetonitrile; the flow rate was 30 mL/minute, the separating gradient was optimized for each compound using the Compound Specific Method Optimization protocol as described in the literature (See “Preparative LCMS Purification: Improved Compound Specific Method Optimization”, K. Blom, B. Glass, R. Sparks, A. Combs, J. Comb. Chem., 6, 874-883 (2004)). Typically, the flow rate used with 30×100 mm column was 60 mL/minute.
-
-
- To a solution of 5-chloro-1H-pyrazolo[4,3-b]pyridine (1.0 g, 6.5 mmol) in 1,4-dioxane (60 mL) was added potassium hydroxide (1.5 g, 26 mmol) and iodine (3.3 g, 13 mmol). The reaction was warmed up to 50° C. and stirred at that temperature for 4 hours. After this time the reaction mixture was cooled to r.t. and then poured into saturated sodium thiosulfate solution (100 mL) and stirred for another 10 mins. The resulting mixture was extracted with ethyl acetate (2×50 mL). The combined organic layers were dried over MgSO4, filtered and concentrated to dryness. The residue was used in the next step without further purification. LC-MS calculated for C6H4ClIN3 (M+H)+: m/z=279.9; found 279.9.
-
- To a solution of the above intermediate in 1,4-dioxane (60 mL) and water (20 mL) was added potassium phosphate (2.76 g, 13.0 mmol), (4-(4-methylpiperazin-1-yl)phenyl)boronic acid (1.4 g, 6.5 mmol) and [1,1′-bis(diphenylphosphino)ferrocene]dichloropalladium(II) (50 mg, 0.061 mmol). The reaction mixture was degassed and backfilled with N2 and then stirred at 90° C. for 15 hours. The reaction mixture was cooled to r.t., filtered and concentrated to dryness. The residue was purified by silica gel chromatography using 0-15% methanol in DCM to afford the desired product as brownish solid (630 mg, 30% over two steps). LC-MS calculated for C17H19ClN5 (M+H)+: m/z=328.1; found 328.1.
- To a solution of 5-chloro-3-(4-(4-methylpiperazin-1-yl)phenyl)-1H-pyrazolo[4,3-b]pyridine (20 mg, 0.061 mmol) in 1,4-dioxane (1 mL) and water (0.25 mL) was added (2-fluoro-6-methylphenyl)boronic acid (14 mg, 0.092 mmol), potassium phosphate (26 mg, 0.12 mmol) and (2′-aminobiphenyl-2-yl)(chloro)(dicyclohexyl(2′,4′,6′-triisopropylbiphenyl-2-yl)phosphoranylidene)palladium (10 mg, 0.013 mmol). The reaction was degassed and backfilled with N2 and warmed up to 90° C. The reaction mixture was stirred at 90° C. for 15 hours. The reaction mixture was cooled to r.t., diluted with methanol, filtered and purified by prep-LCMS (XBridge C18 column, eluting with a gradient of acetonitrile/water containing 0.1% TFA, at flow rate of 60 mL/min). LCMS calculated for C23H24N5(M+H)+: m/z=370.2; found 370.2.
-
- This compound was prepared according to the procedures described in Example 1, using 2-methoxyphenylboronic acid instead of phenylboronic acid as starting material. LC-MS calculated for C24H26N5O (M+H)+: m/z=400.2; found 400.2.
-
- This compound was prepared according to the procedures described in Example 1, using 2-methylphenylboronic acid instead of phenylboronic acid as starting material. LC-MS calculated for C24H26N5(M+H)+: m/z=384.2; found 384.2.
-
- This compound was prepared according to the procedures described in Example 1, using 2-fluorophenylboronic acid instead of phenylboronic acid as starting material. LC-MS calculated for C23H23FN5 (M+H)+: m/z=388.2; found 388.2.
-
- This compound was prepared according to the procedures described in Example 1, using 2-(trifluoromethyl)phenylboronic acid instead of phenylboronic acid as starting material. LC-MS calculated for C24H23F3N5 (M+H)+: m/z=438.2; found 438.2.
-
- This compound was prepared according to the procedures described in Example 1, using 3-amino-2-methylphenylboronic acid instead of phenylboronic acid as starting material. LC-MS calculated for C24H27N6(M+H)+: m/z=399.2; found 399.2.
-
- This compound was prepared according to the procedures described in Example 1, using 2-fluoro-6-methylphenylboronic acid instead of phenylboronic acid as starting material. LC-MS calculated for C24H25FN5 (M+H)+: m/z=402.2; found 402.2.
-
- This compound was prepared according to the procedures described in Example 1, using 2-fluoro-6-methoxyphenylboronic acid instead of phenylboronic acid as starting material. LC-MS calculated for C24H25FN5O (M+H)+: m/z=418.2; found 418.2. 1H NMR (400 MHz, DMSO) δ 8.43-8.31 (m, 2H), 8.11-8.02 (d, J=8.6 Hz, 1H), 7.53-7.44 (td, J=8.4, 6.7 Hz, 1H), 7.44-7.37 (d, J=8.7 Hz, 1H), 7.16-7.13 (d, J=8.9 Hz, 2H), 7.06-7.02 (d, J=8.3 Hz, 1H), 7.00-6.93 (t, J=8.8 Hz, 1H), 4.02-3.87 (m, 2H), 3.83-3.70 (s, 3H), 3.61-3.48 (d, J=11.7 Hz, 2H), 3.27-3.10 (m, 2H), 3.11-2.97 (m, 2H), 2.93-2.80 (s, 3H).
-
- This compound was prepared according to the procedures described in Example 1, using 2,3-difluorophenylboronic acid instead of phenylboronic acid as starting material. LC-MS calculated for C23H22F2N5 (M+H)+: m/z=406.2; found 406.2.
-
- This compound was prepared according to the procedures described in Example 1, using 2,3-difluoro-6-methoxyphenylboronic acid instead of phenylboronic acid as starting material. LC-MS calculated for C24H24F2N5O (M+H)+: m/z=436.2; found 436.2.
-
- This compound was prepared according to the procedures described in Example 1, using 2-fluoro-6-(hydroxymethyl)phenylboronic acid instead of phenylboronic acid as starting material. LC-MS calculated for C24H25FN5O (M+H)+: m/z=418.2; found 418.2.
-
- This compound was prepared according to the procedures described in Example 1, using 3-(ethoxycarbonyl)-2-fluorophenylboronic acid instead of phenylboronic acid as starting material. LC-MS calculated for C26H27FN5O2(M+H)+: m/z=460.2; found 460.2.
-
- To a solution of 2-fluoro-3-(3-(4-(4-methylpiperazin-1-yl)phenyl)-1H-pyrazolo[4,3-b]pyridin-5-yl)aniline (Example 6, 20 mg, 0.050 mmol) in tetrahydrofuran (1 mL) was added N,N-diisopropylethylamine (20 mg, 0.15 mmol) followed by methanesulfonyl chloride (12 mg, 0.1 mmol) and the reaction was stirred at r.t. for 1 hour. After this time the reaction mixture was diluted with methanol, filtered and purified by prep-LCMS (XBridge C18 column, eluting with a gradient of acetonitrile/water containing 0.1% TFA, at flow rate of 60 mL/min). LC-MS calculated for C24H26FN6O2S (M+H)+: m/z=481.2; found 481.2.
-
- This compound was prepared according to the procedures described in Example 1, using 2-hydroxyphenylboronic acid instead of phenylboronic acid as starting material. LC-MS calculated for C23H24N5O (M+H)+: m/z=386.2; found 386.2.
-
- This compound was prepared according to the procedures described in Example 1, using 2,3-dihydrobenzofuran-7-ylboronic acid instead of phenylboronic acid as starting material. LC-MS calculated for C25H26N5O (M+H)+: m/z=412.2; found 412.2.
-
- This compound was prepared according to the procedures described in Example 1, using 2,3-dihydrobenzo[b][1,4]dioxin-5-ylboronic acid instead of phenylboronic acid as starting material. LC-MS calculated for C25H26N5O2 (M+H)+: m/z=428.2; found 428.2.
-
- This compound was prepared according to the procedures described in Example 1, using 3-(methylcarbamoyl)phenylboronic acid instead of phenylboronic acid as starting material. LC-MS calculated for C25H27N6O (M+H)+: m/z=427.2; found 427.2.
-
- This compound was prepared according to the procedures described in Example 1, using 3-(dimethylamino)phenylboronic acid instead of phenylboronic acid as starting material. LC-MS calculated for C25H29N6(M+H)+: m/z=413.2; found 413.2.
-
- This compound was prepared according to the procedures described in Example 1, using 2-cyanophenylboronic acid instead of phenylboronic acid as starting material. LC-MS calculated for C24H23N6(M+H)+: m/z=395.2; found 395.2.
-
- This compound was prepared according to the procedures described in Example 1, using 2-(methoxycarbonyl)phenylboronic acid instead of phenylboronic acid as starting material. LC-MS calculated for C25H26N5O2 (M+H)+: m/z=428.2; found 428.2.
-
- This compound was prepared according to the procedures described in Example 1, using 2-acetamidophenylboronic acid instead of phenylboronic acid as starting material. LC-MS calculated for C25H27N6O (M+H)+: m/z=427.2; found 427.2.
-
- This compound was prepared according to the procedures described in Example 1, using biphenyl-2-ylboronic acid instead of phenylboronic acid as starting material. LC-MS calculated for C29H28N5(M+H)+: m/z=446.2; found 446.2.
-
- This compound was prepared according to the procedures described in Example 1, using 1H-indazol-4-ylboronic acid instead of phenylboronic acid as starting material. LC-MS calculated for C24H24N7(M+H)+: m/z=410.2; found 410.2.
-
- This compound was prepared according to the procedures described in Example 1, using pyridin-3-ylboronic acid instead of phenylboronic acid as starting material. LC-MS calculated for C22H23N6(M+H)+: m/z=371.2; found 371.2. 1H NMR (400 MHz, DMSO) δ 9.50 (d, J=2.2 Hz, 1H), 8.82-8.72 (m, 2H), 8.55-8.45 (m, 2H), 8.24-8.09 (m, 2H), 7.81-7.71 (dd, J=8.0, 5.0 Hz, 1H), 7.26-7.16 (m, 2H), 4.07-3.89 (m, 2H), 3.65-3.47 (m, 2H), 3.30-3.03 (m, 4H), 2.95-2.80 (s, 3H).
-
- This compound was prepared according to the procedures described in Example 1, using pyridin-4-ylboronic acid instead of phenylboronic acid as starting material. LC-MS calculated for C22H23N6(M+H)+: m/z=371.2; found 371.2.
-
- This compound was prepared according to the procedures described in Example 1, using pyrimidin-5-ylboronic acid instead of phenylboronic acid as starting material. LC-MS calculated for C21H22N7(M+H)+: m/z=372.2; found 372.2.
-
- This compound was prepared according to the procedures described in Example 1, using 2-oxo-2,3-dihydro-1H-pyrrolo[2,3-b]pyridin-5-ylboronic acid instead of phenylboronic acid as starting material. LC-MS calculated for C24H24N7O (M+H)+: m/z=426.2; found 426.2.
-
- This compound was prepared according to the procedures described in Example 1, using 1-methyl-1H-pyrazolo[4,3-b]pyridin-6-ylboronic acid instead of phenylboronic acid as starting material. LC-MS calculated for C24H25N8(M+H)+: m/z=425.2; found 425.2.
-
- This compound was prepared according to the procedures described in Example 1, using 5-(oxazol-2-yl)pyridin-3-ylboronic acid instead of phenylboronic acid as starting material. LC-MS calculated for C25H24N7O (M+H)+: m/z=438.2; found 438.2.
-
- This compound was prepared according to the procedures described in Example 1, using 1-methyl-6-oxo-1,6-dihydropyridin-3-ylboronic acid instead of phenylboronic acid as starting material. LC-MS calculated for C23H25N6O (M+H)+: m/z=401.2; found 401.2.
-
- This compound was prepared according to the procedures described in Example 1, using 3-methyl-3H-imidazo[4,5-b]pyridin-6-ylboronic acid instead of phenylboronic acid as starting material. LC-MS calculated for C24H25N8(M+H)+: m/z=425.2; found 425.2.
-
- This compound was prepared according to the procedures described in Example 1, using pyrido[3,2-b]pyrazin-7-ylboronic acid instead of phenylboronic acid as starting material. LC-MS calculated for C24H23N8(M+H)+: m/z=423.2; found 423.2.
-
- This compound was prepared according to the procedures described in Example 1, using 2-tert-butyloxazolo[5,4-c]pyridin-7-ylboronic acid instead of phenylboronic acid as starting material. LC-MS calculated for C27H30N7O (M+H)+: m/z=468.2; found 468.2.
-
- This compound was prepared according to the procedures described in Example 1, using 3-methyl-1H-pyrazol-4-ylboronic acid instead of phenylboronic acid as starting material. LC-MS calculated for C21H24N7(M+H)+: m/z=374.2; found 374.2. 1H NMR (400 MHz, DMSO) δ 9.50 (d, J=2.2 Hz, 1H), 8.82-8.72 (m, 2H), 8.55-8.45 (m, 2H), 8.24-8.09 (m, 2H), 7.81-7.71 (dd, J=8.0, 5.0 Hz, 1H), 7.26-7.16 (m, 2H), 4.07-3.89 (m, 2H), 3.65-3.47 (m, 2H), 3.30-3.03 (m, 4H), 2.95-2.80 (s, 3H).
-
- This compound was prepared according to the procedures described in Example 1, using pyrazolo[1,5-a]pyridin-3-ylboronic acid instead of phenylboronic acid as starting material. LC-MS calculated for C24H24N7(M+H)+: m/z=410.2; found 410.2.
-
- This compound was prepared according to the procedures described in Example 1, using quinolin-5-ylboronic acid instead of phenylboronic acid as starting material. LC-MS calculated for C26H25N6(M+H)+: m/z=421.2; found 421.2.
-
- This compound was prepared according to the procedures described in Example 1, using isoquinolin-4-ylboronic acid instead of phenylboronic acid as starting material. LC-MS calculated for C26H25N6(M+H)+: m/z=421.2; found 421.2.
-
- This compound was prepared according to the procedures described in Example 1, using 2-oxoindolin-4-ylboronic acid instead of phenylboronic acid as starting material. LC-MS calculated for C25H25N6O (M+H)+: m/z=425.2; found 425.2.
-
- This compound was prepared according to the procedures described in Example 1, using 1-methyl-1H-indol-4-ylboronic acid instead of phenylboronic acid as starting material. LC-MS calculated for C26H27N6(M+H)+: m/z=423.2; found 423.2.
-
-
- To a solution of 5-chloro-3-(4-(4-methylpiperazin-1-yl)phenyl)-1H-pyrazolo[4,3-b]pyridine (Example 1, Step 2, 200 mg, 0.61 mmol) in 1,4-dioxane (4 mL) and water (1 mL) was added ethyl 2-fluoro-3-(4,4,5,5-tetramethyl-1,3,2-dioxaborolan-2-yl)benzoate (380 mg, 1.29 mmol) and potassium phosphate (280 mg, 1.32 mmol), followed by (2′-aminobiphenyl-2-yl)(chloro)(dicyclohexyl(2′,4′,6′-triisopropylbiphenyl-2-yl)phosphoranylidene)palladium (50 mg, 0.064 mmol), and the reaction vial was purged with nitrogen for 5 mins. After this time the reaction mixture was stirred at 90° C. for 15 hours. It was then cooled to r.t., filtered and concentrated to dryness. The residue was purified by silica gel chromatography using 0-10% methanol in DCM to afford desired product as yellowish solid (151 mg, 55%). LC-MS calculated for C26H27FN5O2(M+H)+: m/z=460.2; found 460.2.
-
- To a solution of ethyl 2-fluoro-3-(3-(4-(4-methylpiperazin-1-yl)phenyl)-1H-pyrazolo[4,3-b]pyridin-5-yl)benzoate (151 mg, 0.329 mmol) in methanol (4 mL) was added potassium hydroxide (185 mg, 3.30 mmol) and the reaction mixture was stirred at r.t. for 1 hour. After this time the reaction was filtered and concentrated to dryness. To the residue was added 1N HCl solution in water (10 mL) and the product was extracted with ethyl acetate (2×10 mL). The combined organic layers were washed with brine, dried over MgSO4, filtered and concentrated to dryness to afford the crude desired product as yellowish solid which was used for next step without purification. LC-MS calculated for C24H23FN5O2(M+H)+: m/z=432.2; found 432.2.
- To a solution of 2-fluoro-3-(3-(4-(4-methylpiperazin-1-yl)phenyl)-1H-pyrazolo[4,3-b]pyridin-5-yl)benzoic acid (20 mg, 0.046 mmol) in N,N-dimethylformamide (1 mL) were added ammonia in dioxane (0.5 M in dioxane, 1 mL, 0.5 mmol), N,N-diisopropylethylamine (0.4 mL, 0.9 mmol) and N,N,N′,N′-tetramethyl-O-(7-azabenzotriazol-1-yl)uronium hexafluorophosphate (53 mg, 0.14 mmol). The reaction was stirred at r.t. for 30 mins, then diluted with acetonitrile, filtered and purified by prep-LCMS (XBridge C18 column, eluting with a gradient of acetonitrile/water containing 0.1% TFA, at flow rate of 60 mL/min). LC-MS calculated for C24H24FN6O (M+H)+: m/z=431.2; found 431.2.
-
- This compound was prepared according to the procedures described in example 40, using methylamine solution instead of ammonia solution as starting material. LC-MS calculated for C25H26FN6O (M+H)+: m/z=445.2; found 445.2.
-
- This compound was prepared according to the procedures described in example 40, using benzylamine instead of ammonia solution as starting material. LC-MS calculated for C31H30FN6O (M+H)+: m/z=521.2; found 521.2.
-
- This compound was prepared according to the procedures described in Example 40, using pyridin-4-ylmethanamine instead of ammonia solution as starting material. LC-MS calculated for C30H29FN7O (M+H)+: m/z=522.2; found 522.2.
-
-
- To a solution of 5-chloro-3-(4-(4-methylpiperazin-1-yl)phenyl)-1H-pyrazolo[4,3-b]pyridine (Example 1, Step 2, 150 mg, 0.456 mmol) in 1,4-dioxane (4 mL) and water (1 mL) were added 3-(4,4,5,5-tetramethyl-1,3,2-dioxaborolan-2-yl)pyridin-2-amine (100 mg, 0.455 mmol), potassium phosphate (190 mg, 0.896 mmol) and (2′-aminobiphenyl-2-yl)(chloro)(dicyclohexyl(2′,4′,6′-triisopropylbiphenyl-2-yl)phosphoranylidene)palladium (40 mg, 0.051 mmol). The reaction was degassed and backfilled with N2 and stirred at 90° C. for 15 hours. The reaction mixture was cooled to r.t., diluted with ethyl acetate and washed with water and brine. The organic layer was dried over MgSO4, filtered and concentrated to dryness. The residue was used in the next step without purification. LC-MS calculated for C22H24N7(M+H)+: m/z=386.2; found 386.2.
- To a solution of 3-(3-(4-(4-methylpiperazin-1-yl)phenyl)-1H-pyrazolo[4,3-b]pyridin-5-yl)pyridin-2-amine (20 mg, 0.052 mmol) in isopropyl alcohol (1 mL) was added N,N-diisopropylethylamine (20 mg, 0.16 mmol) and chloroacetaldehyde (40 mg, 0.51 mmol) then it was stirred at 90° C. for 15 hours. After this time the reaction mixture was cooled to r.t., diluted with methanol, filtered and purified by prep-LCMS (XBridge C18 column, eluting with a gradient of acetonitrile/water containing 0.1% TFA, at flow rate of 60 mL/min) to afford desired product. LC-MS calculated for C24H24N7(M+H)+: m/z=410.2; found 410.2.
-
- This compound was prepared according to the procedures described in Example 44, using 1-chlorobutan-2-one instead of chloroacetaldehyde as starting material. LC-MS calculated for C26H28N7(M+H)+: m/z=438.2; found 438.2.
-
- To a solution of 5-chloro-3-(4-(4-methylpiperazin-1-yl)phenyl)-1H-pyrazolo[4,3-b]pyridine (Example 1, Step 2, 30 mg, 0.091 mmol) in 1,4-dioxane (1 mL) and water (0.25 mL) were added tert-butyl 5-(4,4,5,5-tetramethyl-1,3,2-dioxaborolan-2-yl)-3,4-dihydroisoquinoline-2(1H)-carboxylate (66 mg, 0.18 mmol), potassium phosphate (39 mg, 0.18 mmol) and (2′-aminobiphenyl-2-yl)(chloro)(dicyclohexyl(2′,4′,6′-triisopropylbiphenyl-2-yl)phosphoranylidene)palladium (7 mg, 0.01 mmol). The reaction was degassed and backfilled with N2 and stirred at 90° C. for 15 hours. The reaction mixture was cooled to r.t., filtered and concentrated to dryness. 1 mL of 1:1 mixture of TFA and DCM was added to the obtained residue and the reaction was stirred for another 1 hour. The solution was concentrated to dryness, diluted with methanol, filtered and purified by prep-LCMS (XBridge C18 column, eluting with a gradient of acetonitrile/water containing 0.1% TFA, at flow rate of 60 mL/min). LC-MS calculated for C26H29N6(M+H)+: m/z=425.2; found 425.2.
-
-
- To a solution of 4-bromoindan-1-one (200 mg, 0.952 mmol) in 1,4-dioxane (4 mL) were added bis(pinacolato)diboron (0.48 g, 1.9 mmol), potassium acetate (0.19 g, 1.9 mmol) and (2′-aminobiphenyl-2-yl)(chloro)(dicyclohexyl(2′,4′,6′-triisopropylbiphenyl-2-yl)phosphoranylidene)palladium (100 mg, 0.127 mmol). The reaction was stirred at 100° C. for 4 hours. After this time it was cooled to r.t., and then water (0.8 mL), 5-chloro-3-(4-(4-methylpiperazin-1-yl)phenyl)-1H-pyrazolo[4,3-b]pyridine (Example 1, Step 2, 200 mg, 0.608 mmol) and potassium phosphate (200 mg, 0.943 mmol) were added and the reaction was stirred for another 4 hours at 90° C. The reaction mixture was cooled to r.t., diluted with DCM (20 mL) filtered and concentrated to dryness. The residue was used in the next step without purification. LC-MS calculated for C26H26N5O (M+H)+: m/z=424.2; found 424.2.
- To a solution of 4-(3-(4-(4-methylpiperazin-1-yl)phenyl)-1H-pyrazolo[4,3-b]pyridin-5-yl)indan-1-one (20 mg, 0.047 mmol) in methanol (20 mmol) was added ammonium acetate (40 mg, 0.526 mmol) and sodium cyanoborohydride (10 mg, 0.16 mmol). The reaction was stirred at 60° C. for 2 hours. After this time it was diluted with methanol, filtered and purified by prep-LCMS (XBridge C18 column, eluting with a gradient of acetonitrile/water containing 0.1% TFA, at flow rate of 60 mL/min). LC-MS calculated for C26H29N6(M+H)+: m/z=425.2; found 425.2.
-
- To a solution of 4-{3-[4-(4-methylpiperazin-1-yl)phenyl]-1H-pyrazolo[4,3-b]pyridin-5-yl}indan-1-one (Example 47, step 1, 20 mg, 0.047 mmol) in tetrahydrofuran (1 mL) was added sodium cyanoborohydride (10 mg, 0.16 mmol) and methyl amine (HCl salt, 30 mg, 0.44 mmol). The reaction was stirred at 80° C. for 4 hours. After this time it was cooled to r.t., diluted with methanol, filtered and purified by prep-LCMS (XBridge C18 column, eluting with a gradient of acetonitrile/water containing 0.1% TFA, at flow rate of 60 mL/min). LC-MS calculated for C27H31N6(M+H)+: m/z=439.2; found 439.2.
-
- This compound was prepared according to the procedures described in example 48, using 2-aminoethanol instead of methylamine as starting material. LC-MS calculated for C28H33N6O (M+H)+: m/z=469.2; found 469.2.
-
- This compound was prepared according to the procedures described in example 48, using benzylamine instead of methylamine as starting material. LC-MS calculated for C33H35N6(M+H)+: m/z=515.2; found 515.2.
-
-
- To a solution of 5-chloro-1H-pyrazolo[4,3-b]pyridine (500 mg, 3.29 mmol) in 1,4-dioxane (20 mL) and water (5 mL) were added (2-fluorophenyl)boronic acid (500 mg, 3.57 mmol), potassium phosphate (1.4 g, 6.5 mmol) and (2′-aminobiphenyl-2-yl)(chloro)(dicyclohexyl(2′,4′,6′-triisopropylbiphenyl-2-yl)phosphoranylidene)palladium (100 mg, 0.127 mmol). The reaction was degassed and backfilled with N2 and stirred at 90° C. for 15 hours. After this time it was cooled to r.t., filtered and concentrated to dryness. The residue was purified by silica gel chromatography using 0-100% ethyl acetate in hexanes to afford desired product as yellowish oil (620 mg, 98%). LC-MS calculated for C12H9FN3 (M+H)+: m/z=214.2; found 214.2.
-
- To a solution of 5-(2-fluorophenyl)-1H-pyrazolo[4,3-b]pyridine (750 mg, 3.50 mmol) in 1,4-dioxane (20 mL) were added iodine (1.8 g, 7.0 mmol) and potassium hydroxide (590 mg, 10.5 mmol) and the reaction was stirred at 50° C. for 15 hours. The resulting slurry was poured into an aq. solution of sodium thiosulfate and stirred for 15 mins. After this time the product was extracted with ethyl acetate. The organic layer was washed with brine, dried with MgSO4, filtered and concentrated to dryness to afford the crude product as brownish solid which was used in the next step without purification. LC-MS calculated for C12H8FIN3 (M+H)+: m/z=340.2; found 340.2.
- To a solution of 5-(3-fluorophenyl)-3-iodo-1H-pyrazolo[4,3-b]pyridine (30 mg, 0.09 mmol) in 1,4-dioxane (1 mL) and water (0.25 mL) were added phenylboronic acid (16 mg, 0.13 mmol), potassium phosphate (38 mg, 0.18 mmol) and (2′-aminobiphenyl-2-yl)(chloro)(dicyclohexyl(2′,4′,6′-triisopropylbiphenyl-2-yl)phosphoranylidene)palladium (20 mg, 0.013 mmol). The reaction was degassed and stirred at 100° C. for 3 hours. The reaction mixture was then cooled to r.t., diluted with methanol, filtered and purified by prep-LCMS (XBridge C18 column, eluting with a gradient of acetonitrile/water containing 0.1% TFA, at flow rate of 60 mL/min). LC-MS calculated for C18H13FN3 (M+H)+: m/z=290.2; found 290.2.
-
- This compound was prepared according to the procedures described in Example 51, using pyridin-4-ylboronic acid instead of phenylboronic acid as starting material. LC-MS calculated for C17H12FN4 (M+H)+: m/z=291.2; found 291.2.
-
- This compound was prepared according to the procedures described in Example 51, using 4-(methylcarbamoyl)phenylboronic acid instead of phenylboronic acid as starting material. LC-MS calculated for C20H61FN4O (M+H)+: m/z=347.2; found 347.2.
-
- This compound was prepared according to the procedures described in Example 51, using 1-methyl-1H-pyrazol-4-ylboronic acid instead of phenylboronic acid as starting material. LC-MS calculated for C16H13FN5 (M+H)+: m/z=294.2; found 294.2.
-
-
- To a solution of 5-(3-fluorophenyl)-3-iodo-1H-pyrazolo[4,3-b]pyridine (Example 51, Step 2, 300 mg, 0.882 mmol) in 1,4-dioxane (10 mL) and water (2 mL) were added (4-(methoxycarbonyl)phenyl)boronic acid (240 mg, 1.33 mmol), potassium phosphate (380 mg, 1.79 mmol) and (2′-aminobiphenyl-2-yl)(chloro)(dicyclohexyl(2′,4′,6′-triisopropylbiphenyl-2-yl)phosphoranylidene)palladium (70 mg, 0.089 mmol). The reaction was degassed and stirred at 100° C. for 15 hours. The reaction mixture was cooled to r.t., filtered and concentrated to dryness. The residue was dissolved in methanol (10 mL) and potassium hydroxide (500 mg, 8.93 mmol) was added. The reaction was stirred at r.t. for 1 hour. After this time the reaction mixture was concentrated to dryness, diluted with water, acidified with 1N HCl and the product extracted with ethyl acetate. The organic layer was dried over MgSO4, filtered and concentrated to dryness to afford a crude product as white solid. It was used in the next step without further purification. LC-MS calculated for C19H13FN3O2(M+H)+: m/z=334.2; found 334.2.
- To a solution of 4-(5-(2-fluorophenyl)-1H-pyrazolo[4,3-b]pyridin-3-yl)benzoic acid (30 mg, 0.090 mmol) in N,N-dimethylformamide (1 mL) were added N,N-diisopropylethylamine (40 mg, 0.31 mmol), 1-methylpiperidin-4-amine (50 mg, 0.44 mmol) and N,N,N′,N′-tetramethyl-O-(7-azabenzotriazol-1-yl)uronium hexafluorophosphate (HATU, 100 mg, 0.263 mmol). The reaction was stirred for 30 mins at r.t., then it was diluted with methanol, filtered and purified by prep-LCMS (XBridge C18 column, eluting with a gradient of acetonitrile/water containing 0.1% TFA, at flow rate of 60 mL/min). LC-MS calculated for C25H25FN5O (M+H)+: m/z=430.2; found 430.2.
-
- This compound was prepared according to the procedures described in Example 55, using 1-methylpiperazine instead of 1-methylpiperidin-4-amine as starting material. LC-MS calculated for C24H23FN5O (M+H)+: m/z=416.2; found 416.2.
-
- This compound was prepared according to the procedures described in Example 55, using aniline instead of 1-methylpiperidin-4-amine as starting material. LC-MS calculated for C25H18FN4O (M+H)+: m/z=409.2; found 409.2.
-
- To a solution of 5-(3-fluorophenyl)-3-iodo-1H-pyrazolo[4,3-b]pyridine (30 mg, 0.090 mmol) in 1,4-dioxane (1 mL) and water (0.25 mL) were added (1-(1-(tert-butoxycarbonyl)piperidin-4-yl)-1H-pyrazol-4-yl)boronic acid (39 mg, 0.13 mmol), potassium phosphate (38 mg, 0.18 mmol) and [1,1′-bis(diphenylphosphino)ferrocene]dichloropalladium(II) (20 mg, 0.027 mmol). The reaction was degassed and was stirred at 100° C. for 3 hours. The reaction mixture was then cooled to r.t., filtered and concentrated to dryness. It was dissolved in dioxane (1 mL) and 1N HCl solution in water was added. The reaction mixture was stirred at r.t. for 1 hour. After this time the solution was diluted with methanol, filtered and purified by prep-LCMS (XBridge C18 column, eluting with a gradient of acetonitrile/water containing 0.1% TFA, at flow rate of 60 mL/min). LC-MS calculated for C20H20FN6 (M+H)+: m/z=363.2; found 363.2.
-
- To a solution of 5-(2-fluorophenyl)-3-(1-piperidin-4-yl-1H-pyrazol-4-yl)-1H-pyrazolo[4,3-b]pyridine (20 mg, 0.055 mmol) in 1,4-dioxane (1 mL) were added N,N-diisopropylethylamine (20 mg, 0.16 mmol) and methanesulfonyl chloride (20 mg, 0.18 mmol). The reaction was stirred at r.t. for 1 hour. The resulting solution was diluted with methanol, filtered and purified by prep-LCMS (XBridge C18 column, eluting with a gradient of acetonitrile/water containing 0.1% TFA, at flow rate of 60 mL/min). LC-MS calculated for C21H22FN6O2S (M+H)+: m/z=441.2; found 441.2.
-
- This compound was prepared according to the procedures described in Example 59, using acetyl chloride instead of methanesulfonyl chloride as starting material. LC-MS calculated for C22H22FN6O (M+H)+: m/z=405.2; found 405.2.
-
-
- To a solution of 5-chloro-1H-pyrazolo[4,3-b]pyridine (1.0 g, 6.5 mmol) in acetonitrile (32.6 ml) was added N-iodosuccinimide (1.61 g, 7.16 mmol) and the reaction mixture was stirred at 50° C. for 2 hours. The reaction mixture was cooled to room temperature and DIPEA (1.25 ml, 7.16 mmol) was added followed by the addition of SEM-C1 (1.27 ml, 7.16 mmol). The resulting solution was stirred for another 1 hour at room temperature and then concentrated to dryness. The residue was purified by silica gel chromatography using 0-100% ethyl acetate in hexanes to afford desired product as yellowish solid (2.2 g, 82%). LC-MS calculated for C12H18ClIN3OSi (M+H)+: m/z=410.0; found 410.0.
-
- To a solution of 5-chloro-3-iodo-1-((2-(trimethylsilyl)ethoxy)methyl)-1H-pyrazolo[4,3-b]pyridine (2.2 g, 5.4 mmol) in dioxane (43.0 ml) and water (10.7 ml) was added potassium phosphate (2.28 g, 10.7 mmol), 1-methyl-4-(4-(4,4,5,5-tetramethyl-1,3,2-dioxaborolan-2-yl)phenyl)piperazine (1.623 g, 5.37 mmol) followed by Pd-dppf (4.38 g, 5.37 mmol). The reaction mixture was degassed by bubbling nitrogen through the mixture for 10 minutes and was then stirred at 90° C. for 15 hours. After cooling to room temperature it was concentrated to dryness. The residue was purified by silica gel chromatography using 0-10% methanol in DCM to afford Intermediate 1 as brownish oil (1.8 g, 73%). LC-MS calculated for C23H33C1N5OSi (M+H)+: m/z=458.0; found 458.0.
-
-
- N-Bromosuccinimide (15.8 g, 89 mmol) was added to a solution of 3-fluoro-5-methylaniline (Combi-Blocks, 11 g, 88 mmol) in DMF (80 mL) cooled to 0° C. in an ice bath. The reaction mixture was stirred at 0° C. for 30 minutes. After warming to room temperature, the reaction was stirred for an additional 1 hour. Water and EtOAc were then added, and the separated organic phase was washed with saturated aqueous NaHCO3 and brine. The organic phase was dried over magnesium sulfate and concentrated under reduced pressure. The crude product was purified by Biotage Isolera™ (17.2 g, 96%). LCMS calculated for C7H8BrFN (M+H)+ m/z=203.9; found 204.0.
-
- To a solution of 4-bromo-3-fluoro-5-methylaniline (7.28 g, 36 mmol) in acetonitrile (190 mL) cooled to 0° C. was added aqueous sulfuric acid (4.75 mL, 89 mmol in 10 mL H2O). After stirring for 5 minutes, a solution of sodium nitrite (4.92 g, 71.4 mmol) in water (10 mL) was added dropwise and the reaction mixture was stirred for an additional 15 minutes at 0° C. Potassium iodide (23.7 g, 143 mmol) in water (20 mL) was then added, and the ice-bath was removed. After warming to room temperature the reaction was stirred for an additional 20 minutes before the reaction was treated with aqueous Na2S2O3. The mixture was extracted with ethyl acetate and the combined organic phases were washed with brine, dried over magnesium sulfate, and concentrated under reduced pressure. The crude product was purified by Biotage Isolera™ (10.3 g, 94%). 1H NMR (400 MHz, CDCl3) δ 7.39 (br s, 1H), 7.29 (m, 1H), 2.38 (s, 3H) ppm.
-
- To a solution of 2-bromo-1-fluoro-5-iodo-3-methylbenzene (10.3 g, 32.8 mmol) in 1,4-dioxane (80 mL) and water (13.3 mL) was added 4,4,5,5-tetramethyl-2-vinyl-1,3,2-dioxaborolane (Aldrich, 6.16 mL, 34.5 mmol), [1,1′-bis(diphenylphosphino)ferrocene]-dichloropalladium(II) (Pd(dppf)Cl2) (2.40 g, 3.3 mmol), and potassium phosphate tribasic (13.9 g, 65.7 mmol). The reaction mixture was degassed by bubbling nitrogen through the mixture for 10 minutes and then heated to 70° C. for 1 h. After cooling to room temperature the reaction mixture was filtered over a pad of Celite, diluted with water, and extracted with ethyl acetate. The combined organic phases were washed with brine, dried over magnesium sulfate, and concentrated under reduced pressure. The crude product was purified by Biotage Isolera™ (5.46 g, 77%). 1H NMR (400 MHz, CDCl3) δ 7.05 (br s, 1H), 7.01 (dd, J=2.0, 9.4 Hz, 1H), 6.60 (dd, J=10.9, 17.5 Hz, 1H), 5.75 (d, J=17.5 Hz, 1H), 5.31 (d, J=10.9 Hz, 1H), 2.42 (s, 3H) ppm.
-
- To a solution of 2-bromo-1-fluoro-3-methyl-5-vinylbenzene (5.46 g, 25.4 mmol) in acetone (46 mL) and water (4.6 mL) was sequentially added sodium periodate (21.7 g, 102 mmol) and a 4% aqueous solution of osmium tetroxide (8.07 mL, 1.27 mmol). The reaction was stirred at r.t. for 2 h. The reaction mixture was then filtered over a pad of celite, diluted with water, and extracted with ethyl acetate. The combined organic phases were washed with brine, dried over magnesium sulfate, and concentrated under reduced pressure. The crude product was purified by Biotage Isolera™ (3.22 g, 58%). 1H NMR (400 MHz, CDCl3) δ 9.93 (d, J=1.8 Hz, 1H), 7.55 (d, J=1.8 Hz, 1H), 7.44 (dd, J=1.8, 7.8 Hz, 1H), 2.52 (s, 3H) ppm.
-
- In a 20 mL scintillation vial equipped with a magnetic stir bar, 4-bromo-3-fluoro-5-methylbenzaldehyde (1.46 g, 6.70 mmol) was dissolved in MeOH (6.70 mL) and the solution was placed under a nitrogen environment. A 33% solution of methanamine (3.15 g, 33.5 mmol) in ethanol and titanium(IV) isopropoxide (0.982 mL, 3.35 mmol) were added and the reaction mixture was stirred at room temperature for 3 hours. Sodium borohydride (1.01 g, 26.8 mmol) was then added to the reaction mixture portion wise and stirring was continued at room temperature for an additional 1.5 hours. The reaction mixture was treated with NH4OH (30% aqueous solution) and stirring continued for another 15 minutes. The reaction was then acidified with 1 N HCl and extracted with ethyl acetate. The separated aqueous phase was then made basic and extracted with ethyl acetate. The combined organic phases were washed with brine, dried over magnesium sulfate, and concentrated under reduced pressure to afford 1-(4-bromo-3-fluoro-5-methylphenyl)-N-methylmethanamine (1.32 g, 85%) as a light yellow oil. The crude product was used in the next step without further purification. LCMS calculated for C9H12BrFN (M+H)+ m/z=232.0; found 231.9.
-
- To a solution of 1-(4-bromo-3-fluoro-5-methylphenyl)-N-methylmethanamine (1.32 g, 5.67 mmol) and triethylamine (1.58 mL, 11.34 mmol) in THF (18.9 mL) was added di-tert-butyl dicarbonate (1.58 mL, 6.80 mmol). The reaction mixture was stirred at ambient temperature for 1 hour. The reaction mixture was then diluted with water and extracted with ethyl acetate. The combined organic phases were dried with magnesium sulfate and concentrated under reduced pressure. The crude product was purified by Biotage Isolera™ (1.42 g, 78%). LCMS calculated for C10H12BrFNO2 (M+H-C4H8)+ m/z=276.0; found 276.0.
-
- In an 20 mL scintillation vial, tert-butyl (4-bromo-3-fluoro-5-methylbenzyl)(methyl)-carbamate (573 mg, 1.73 mmol) was dissolved in THF (11.5 mL). The solution was then cooled to −78° C. and n-BuLi (1.6 M solution in hexanes, 1.19 mL, 1.90 mmol) was added dropwise. The reaction mixture was then allowed to stir for 3 minutes before 2-isopropyl-4,4,5,5-tetramethyl-1,3,2-dioxaborolane (427 μL, 2.25 mmol) was added dropwise. The mixture was warmed to room temperature and stirred for an additional 5 hours. The reaction was then treated with water, acidified to pH 5-6 using 1 N HCl, and extracted with ethyl acetate. The combined organic phases were washed with brine, dried over magnesium sulfate, and concentrated to afford tert-butyl 3-fluoro-5-methyl-4-(4,4,5,5-tetramethyl-1,3,2-dioxaborolan-2-yl)benzyl(methyl)-carbamate. The crude product was used in the next step without further purification. LCMS calculated for C16H24BrFNO4 (M+H-C4H8)+ m/z=324.2; found 324.1.
-
-
- To a solution of 3,5-difluorobenzaldehyde (15.0 g, 106 mmol) in methanol (528 ml) was added 2M solution of methylamine in THF (79.0 ml, 158 mmol) and the reaction mixture was stirred at room temperature for 1 hour. Then sodium borohydride (7.99 g, 211 mmol) was added and the reaction mixture was stirred at room temperature until gas evolution had stopped. The solvents were evaporated in vacuo and residue was dissolved in 300 mL of DCM. Sodium bicarbonate solution was added and the reaction mixture was stirred at room temperature for 1 hour. The organic phase was separated, dried over MgSO4, filtered and concentrated to dryness. To a solution of the resulting residue in DCM (528 ml) was added DIPEA (18.4 ml, 106 mmol) and di-tert-butyl dicarbonate (24.51 ml, 106 mmol). The mixture was stirred at room temperature for 1 hour, concentrated in vacuo to dryness and the residue purified by silica gel chromatography using 0-70% ethyl acetate in hexanes. The desired product was isolated as a colorless oil (15.0 g, 55.4%). LC-MS calculated for C13H18F2NO2 (M+H)+: m/z=258.2; found 258.2.
- To a solution of tert-butyl (3,5-difluorobenzyl)(methyl)carbamate (0.500 g, 1.94 mmol) in THF (8.6 ml) under nitrogen was added 2.5M solution of n-butyllithium in hexane (0.933 ml, 2.33 mmol) dropwise at −78° C. The reaction mixture was stirred at that temperature for 1 hour. Then 2-isopropoxy-4,4,5,5-tetramethyl-1,3,2-dioxaborolane (0.542 g, 2.92 mmol) was added and the reaction mixture was allowed to warm to room temperature over 1 hour. The resulting mixture was treated with water and extracted with ethyl acetate. The combined organic phases were washed with brine, dried over MgSO4, filtered and concentrated to dryness. To a solution of the resulting residue in dioxane (8.64 ml) and water (2.159 ml) was added intermediate 1 (0.089 g, 0.19 mmol) and potassium phosphate, tribasic (0.338 g, 1.94 mmol). The reaction mixture was degassed by bubbling nitrogen through the mixture for 10 minutes and then chloro(2-dicyclohexylphosphino-2′,4′,6′-tri-i-propyl-1,1′-biphenyl)(2′-amino-1,1′-biphenyl-2-yl) palladium(II) (0.076 g, 0.097 mmol) was added. The reaction mixture was stirred at 60° C. for 1 hour followed by addition of 5 mL of 4N HCl in dioxane and 4 mL of water. The resulting mixture was stirred at 80° C. for 2 hours, cooled to room temperature, diluted with acetonitrile, filtered and purified by prep-LCMS (XBridge C18 column, eluting with a gradient of acetonitrile/water containing 0.1% TFA, at flow rate of 60 mL/min). LC-MS calculated for C25H27F2N6 (M+H)+: m/z=449.2; found 449.2.
-
-
- To a suspension of NaH (60% in mineral oil, 755.4 mg, 18.89 mmol) in DMF (20.0 mL) at 0° C. was added a solution of 6-bromo-1H-pyrazolo[4,3-b]pyridine (2.469 g, 12.47 mmol) in DMF (20.0 mL) dropwise. The mixture was allowed to warm to room temperature and stirred for 30 min. The reaction mixture was cooled back to 0° C. before a solution of (chloromethanetriyl)-tribenzene (4.20 g, 15.07 mmol) in DMF (20.0 mL) was added dropwise. The reaction mixture was allowed to warm to room temperature and was stirred for 16 h. The reaction mixture was treated with sat. NH4Cl (aq) and extracted with DCM. The combined organic phases were concentrated and the residue was purified on silica gel (120 g, 0-50% EtOAc in hexanes) to give the desired product as a white solid (4.80 g, 87%). LCMS calculated for C25H19BrN3 (M+H)+: m/z=440.1; found 440.0.
-
- To a solution of 6-bromo-1-trityl-1H-pyrazolo[4,3-b]pyridine (3.240 g, 7.36 mmol) in DCM (60.0 ml) was added m-CPBA (5.83 g, 26.0 mmol) portionwise. After stirring at room temperature for 16 h, the reaction mixture was treated with a solution of sodium thiosulfate (30.0 g, 190 mmol) in water (100 ml). The organic phase was washed with 2 M K2CO3 (aq), dried over anhydrous Na2SO4, filtered and concentrated. The residue was purified on silica gel (120 g, 0-100% EtOAc in DCM) to give the desired product as a white foamy solid (3.22 g, 96%). LCMS calculated for C25H19BrN3O (M+H)+: m/z=456.1; found 456.0.
-
- A vial was charged with 6-bromo-1-trityl-1H-pyrazolo[4,3-b]pyridine 4-oxide (1.623 g, 3.56 mmol), dicyanozinc (1.691 g, 14.40 mmol), tris(dibenzylideneacetone)dipalladium(0) (376.8 mg, 0.411 mmol) and 4,5-bis(diphenylphosphino)-9,9-dimethylxanthene (455.4 mg, 0.787 mmol). The vial was sealed, evacuated and backfilled with nitrogen (this process was repeated a total of three times). A solution of TMEDA (341.5 mg, 2.94 mmol) in DMF (15.0 ml) was added. The reaction mixture was stirred at 110° C. for 2 h. After cooling to room temperature, the reaction mixture was filtered. The filter cake was washed with DCM. The filtrate was concentrated. The resultant residue was purified on silica gel (120 g, 0-100% EtOAc in DCM) to give the desired product as a yellow foamy solid (894.5 mg, 63%). LCMS calculated for C26H18N4NaO (M+Na)+: m/z=425.1; found 425.1.
-
- To a solution of 6-cyano-1-trityl-1H-pyrazolo[4,3-b]pyridine 4-oxide (447.3 mg, 1.1 mmol) in DCM (10.0 ml) at 0° C. was added Et3N (264.9 mg, 2.62 mmol) followed by the dropwise addition of a solution of oxalyl chloride (317.6 mg, 2.5 mmol) in DCM (3.0 ml). After stirring at 0° C. for 30 min, the mixture was diluted with DCM and washed with sat. NaHCO3. The organic phase was dried over anhydrous Na2SO4, filtered and concentrated. The residue was purified on silica gel (40 g, 0-100% EtOAc in hexanes) to give the desired product as a white foamy solid (446.7 mg, 95%). LCMS calculated for C26H17ClN4Na (M+Na)+: m/z=443.1; found 443.1.
-
- A screw-cap vial was charged with 5-chloro-1-trityl-1H-pyrazolo[4,3-b]pyridine-6-carbonitrile (362.4 mg, 0.861 mmol), chloro(2-dicyclohexylphosphino-2′,6′-dimethoxy-1,1′-biphenyl)[2-(2′-amino-1,1′-biphenyl)]palladium(II) (SPhos Pd G2, 57.8 mg, 0.080 mmol) and cesium carbonate (869.3 mg, 2.67 mmol). The vial was sealed, evacuated and backfilled with nitrogen (this process was repeated a total of three times). A solution of (2-fluoro-6-methylphenyl)boronic acid (184.5 mg, 1.2 mmol) in 1,4-dioxane (10.0 ml) was added, followed by water (2.0 ml). The reaction mixture was stirred at 50° C. for 16 h. The reaction mixture was concentrated. The resultant residue was purified on silica gel (40 g, 0-100% EtOAc in hexanes) to give the desired product as a pale yellow solid (406.1 mg, 95%). LCMS calculated for C33H24FN4 (M+H)+: m/z=495.2; found 495.2.
-
- To a solution of 5-(2-fluoro-6-methylphenyl)-1-trityl-1H-pyrazolo[4,3-b]pyridine-6-carbonitrile (406.1 mg, 0.821 mmol) in DCM (10.0 ml) was added TFA (5.0 ml). The reaction was stirred at room temperature for 30 min, and then concentrated. The residue was dissolved in DCM and washed with sat. NaHCO3(aq). The organic phase was dried over anhydrous Na2SO4, filtered and concentrated. The residue was purified on silica gel (40 g, 0-100% EtOAc in DCM) to give the desired product as a white solid (140.1 mg, 68%). LCMS calculated for C14H10FN4 (M+H)+: m/z=253.1; found 253.1.
-
- To a solution of 5-(2-fluoro-6-methylphenyl)-1H-pyrazolo[4,3-b]pyridine-6-carbonitrile (140.1 mg, 0.555 mmol) in DMF (8.0 ml) was added N-iodosuccinimide (175.2 mg, 0.779 mmol). The mixture was stirred at 80° C. for 2 h. After cooling to room temperature, Boc-anhydride (168.1 mg, 0.770 mmol) was added followed by DMAP (24.9 mg, 0.204 mmol). The reaction was stirred at room temperature for 30 min, and then concentrated. The residue was purified on silica gel (40 g, 0-100% EtOAc in hexanes) to give the desired product as a white foamy solid (244.3 mg, 92%). LCMS calculated for C19H17FIN4O2(M+H)+: m/z=479.0; found 479.0.
- A vial was charged with 1-methyl-4-(5-(4,4,5,5-tetramethyl-1,3,2-dioxaborolan-2-yl)pyridin-2-yl)piperazine (20.4 mg, 0.067 mmol), chloro(2-dicyclohexylphosphino-2′,4′,6′-triisopropyl-1,1′-biphenyl)[2-(2′-amino-1,1′-biphenyl)]palladium(II) (XPhos Pd G2, 5.3 mg, 6.74 μmol) and cesium carbonate (53.3 mg, 0.164 mmol). The vial was sealed, evacuated and backfilled with nitrogen (this process was repeated a total of three times). A solution of tert-butyl 6-cyano-5-(2-fluoro-6-methylphenyl)-3-iodo-1H-pyrazolo[4,3-b]pyridine-1-carboxylate (20.0 mg, 0.042 mmol) in 1,4-dioxane (2.00 ml) was added, followed by water (200.0 μL). The reaction mixture was heated to 50° C. for 16 h. The reaction mixture was concentrated. To the resultant residue was added CH2Cl2 (2.0 mL) followed by TFA (2.0 mL). The mixture was stirred at room temperature for 15 min, and then concentrated. The residue was purified using prep-LCMS (XBridge C18 column, eluting with a gradient of acetonitrile/water containing 0.1% TFA, at flow rate of 60 mL/min) to afford the desired product. LCMS calculated for C24H23FN7 (M+H)+: m/z=428.2; found: 428.2.
-
- This compound was prepared according to the procedure described in Example 62, using 4-(5-(4,4,5,5-tetramethyl-1,3,2-dioxaborolan-2-yl)pyrimidin-2-yl)morpholine instead of 1-methyl-4-(5-(4,4,5,5-tetramethyl-1,3,2-dioxaborolan-2-yl)pyridin-2-yl)piperazine as the starting material. LCMS calculated for C22H19FN7O (M+H)+: m/z=416.2; found: 416.1. 1H NMR (TFA salt, 400 MHz, DMSO) δ 14.18 (br, 1H), 9.23 (s, 2H), 8.94 (s, 1H), 7.55-7.44 (m, 1H), 7.28 (d, J=7.7 Hz, 1H), 7.23 (t, J=8.9 Hz, 1H), 3.81-3.72 (m, 4H), 3.69-3.62 (m, 4H), 2.14 (s, 3H).
-
- This compound was prepared according to the procedure described in Example 62, using 1-ethyl-4-(4-(4,4,5,5-tetramethyl-1,3,2-dioxaborolan-2-yl)phenyl)piperazine instead of 1-methyl-4-(5-(4,4,5,5-tetramethyl-1,3,2-dioxaborolan-2-yl)pyridin-2-yl)piperazine as the starting material. LCMS calculated for C26H26FN6 (M+H)+: m/z=441.2; found: 441.2.
-
- This compound was prepared according to the procedure described in Example 62, using N-methyl-5-(4,4,5,5-tetramethyl-1,3,2-dioxaborolan-2-yl)picolinamide instead of 1-methyl-4-(5-(4,4,5,5-tetramethyl-1,3,2-dioxaborolan-2-yl)pyridin-2-yl)piperazine as the starting material. LCMS calculated for C21H16FN6O (M+H)+: m/z=387.1; found: 387.1.
-
-
- A vial was charged with 5-chloro-1-trityl-1H-pyrazolo[4,3-b]pyridine-6-carbonitrile (see step 4 in example 62, 449.7 mg, 1.068 mmol), bis(di-tert-butyl(4-dimethylaminophenyl)-phosphine)dichloropalladium(II) (76.2 mg, 0.108 mmol) and CsF (668.8 mg, 4.40 mmol). The vial was sealed, evacuated and backfilled with nitrogen (this process was repeated a total of three times). A solution of tert-butyl (3-fluoro-5-methyl-4-(4,4,5,5-tetramethyl-1,3,2-dioxaborolan-2-yl)benzyl)(methyl)carbamate (Intermediate 2, 557.8 mg, 1.471 mmol) in butan-1-ol (9.00 ml) was added, followed by water (3.00 ml). After stirring at 60° C. for 90 min, the reaction mixture was concentrated. The residue was purified on silica gel (40 g, 0-100% EtOAc in hexanes) to give the desired product as a yellow semi-solid (585.9 mg, 86%). LCMS calculated for C40H37FN5O2(M+H)+: m/z=638.3; found: 638.3.
-
- To a solution of tert-butyl (4-(6-cyano-1-trityl-1H-pyrazolo[4,3-b]pyridin-5-yl)-3-fluoro-5-methylbenzyl)(methyl)carbamate (585.9 mg, 0.919 mmol) in DCM (10.0 ml) was added TFA (5.0 ml). The reaction was stirred at room temperature for 30 min, and then concentrated. The residue was dissolved in DCM and washed with sat. NaHCO3(aq). The organic phase was dried over anhydrous Na2SO4, filtered and concentrated. The residue was dissolved in DCM (10.0 ml), and treated with a solution of Boc-anhydride (199.1 mg, 0.912 mmol) in DCM (10.0 ml). The mixture was stirred at room temperature for 15 min, and concentrated. The residue was purified on silica gel (40 g, 0-100% EtOAc in hexanes) to give the desired product as a yellow foamy solid (252.3 mg, 69%). LCMS calculated for C21H22FN5NaO2 (M+Na)+: m/z=418.2; found: 418.2.
-
- To a solution of tert-butyl (4-(6-cyano-1H-pyrazolo[4,3-b]pyridin-5-yl)-3-fluoro-5-methylbenzyl)(methyl)carbamate (252.3 mg, 0.638 mmol) in DMF (6.0 ml) was added N-iodosuccinimide (201.2 mg, 0.894 mmol). The mixture was stirred at 80° C. for 2 h. After cooling to room temperature, Boc-anhydride (208.6 mg, 0.956 mmol) was added followed by DMAP (28.5 mg, 0.233 mmol). The reaction mixture was stirred at room temperature for 30 min, and then concentrated. The residue was purified on silica gel (40 g, 0-100% EtOAc in hexanes) to give the desired product as a yellow foamy solid (269.3 mg, 68%). LCMS calculated for C26H30FIN5O4(M+H)+: m/z=622.1; found: 622.1.
- A vial was charged with 1-methyl-4-(4,4,5,5-tetramethyl-1,3,2-dioxaborolan-2-yl)-1H-pyrazole (11.0 mg, 0.053 mmol), chloro(2-dicyclohexylphosphino-2′,4′,6′-triisopropyl-1,1′-biphenyl)[2-(2′-amino-1,1′-biphenyl)]palladium(II) (XPhos Pd G2, 4.8 mg, 6.10 μmol) and cesium carbonate (33.2 mg, 0.102 mmol). The vial was sealed, evacuated and backfilled with nitrogen (this process was repeated a total of three times). A solution of tert-butyl 5-(4-(((tert-butoxycarbonyl)(methyl)amino)methyl)-2-fluoro-6-methylphenyl)-6-cyano-3-iodo-1H-pyrazolo[4,3-b]pyridine-1-carboxylate (18.1 mg, 0.029 mmol) in 1,4-dioxane (2.00 ml) was added, followed by water (200.0 μl). The reaction mixture was heated to 50° C. for 16 h. The reaction was concentrated. To the residue was added CH2Cl2 (2.0 mL) followed by TFA (2.0 mL). The mixture was stirred at room temperature for 15 min, and then concentrated. The resultant residue was purified using prep-LCMS (XBridge C18 column, eluting with a gradient of acetonitrile/water containing 0.1% TFA, at flow rate of 60 mL/min) to afford the desired product. LCMS calculated for C20H19FN7 (M+H)+: m/z=376.2; found: 376.2.
-
- This compound was prepared according to the procedure described in Example 66, using 1-methyl-4-(5-(4,4,5,5-tetramethyl-1,3,2-dioxaborolan-2-yl)pyridin-2-yl)piperazine instead of 1-methyl-4-(4,4,5,5-tetramethyl-1,3,2-dioxaborolan-2-yl)-1H-pyrazole as the starting material. LCMS calculated for C26H28FN8 (M+H)+: m/z=471.2; found: 471.1.
-
- This compound was prepared according to the procedure described in Example 66, using 2-(4-methylpiperazin-1-yl)-5-(4,4,5,5-tetramethyl-1,3,2-dioxaborolan-2-yl)pyrimidine instead of 1-methyl-4-(4,4,5,5-tetramethyl-1,3,2-dioxaborolan-2-yl)-1H-pyrazole as the starting material. LCMS calculated for C25H27FN9 (M+H)+: m/z=472.2; found: 472.2.
-
- This compound was prepared according to the procedure described in Example 66, using 1-ethyl-4-(4-(4,4,5,5-tetramethyl-1,3,2-dioxaborolan-2-yl)phenyl)piperazine instead of 1-methyl-4-(4,4,5,5-tetramethyl-1,3,2-dioxaborolan-2-yl)-1H-pyrazole as the starting material. LCMS calculated for C28H31FN7 (M+H)+: m/z=484.3; found: 484.2.
-
- This compound was prepared according to the procedure described in Example 66, using 4-(5-(4,4,5,5-tetramethyl-1,3,2-dioxaborolan-2-yl)pyrimidin-2-yl)morpholine instead of 1-methyl-4-(4,4,5,5-tetramethyl-1,3,2-dioxaborolan-2-yl)-1H-pyrazole as the starting material. LCMS calculated for C24H24FN8O (M+H)+: m/z=459.2; found: 459.1.
-
- This compound was prepared according to the procedure described in Example 66, using 2-(5-(4,4,5,5-tetramethyl-1,3,2-dioxaborolan-2-yl)pyridin-2-yl)propan-2-ol instead of 1-methyl-4-(4,4,5,5-tetramethyl-1,3,2-dioxaborolan-2-yl)-1H-pyrazole as the starting material. LCMS calculated for C24H24FN6O (M+H)+: m/z=431.2; found: 431.1.
-
- This compound was prepared according to the procedure described in Example 66, using N-methyl-5-(4,4,5,5-tetramethyl-1,3,2-dioxaborolan-2-yl)picolinamide instead of 1-methyl-4-(4,4,5,5-tetramethyl-1,3,2-dioxaborolan-2-yl)-1H-pyrazole as the starting material. LCMS calculated for C23H21FN7O (M+H)+: m/z=430.2; found: 430.1. 1H NMR (TFA salt, 400 MHz, DMSO) δ 14.62 (br, 1H), 9.57 (m, 1H), 9.06 (s, 1H), 8.95 (br, 2H), 8.84 (dd, J=8.2, 2.1 Hz, 1H), 8.83-8.77 (m, 1H), 8.17 (d, J=8.2 Hz, 1H), 7.41 (m, 2H), 4.23 (t, J=5.1 Hz, 2H), 2.83 (d, J=4.8 Hz, 3H), 2.65 (t, J=4.8 Hz, 3H), 2.20 (s, 3H).
-
- This compound was prepared according to the procedure described in Example 66, using 3-(4,4,5,5-tetramethyl-1,3,2-dioxaborolan-2-yl)pyridine instead of 1-methyl-4-(4,4,5,5-tetramethyl-1,3,2-dioxaborolan-2-yl)-1H-pyrazole as the starting material. LCMS calculated for C21H18FN6 (M+H)+: m/z=373.2; found: 373.1.
-
-
- To a solution of 5-bromo-6-fluoroisoquinoline (1.0 g, 4.4 mmol) in acetic acid (20.0 mL) at room temperature was added sodium tetrahydroborate (592.0 mg, 15.65 mmol) portionwise. The mixture was stirred at room temperature for 16 h, and then concentrated. The residue was diluted with CH2Cl2 and washed with aqueous Na2CO3 (2 M). The separated organic phase was dried over anhydrous Na2SO4, filtered and concentrated to give a yellow oil which was used directly in the next step without further purification. LCMS calculated for C9H10BrFN (M+H)+ m/z=230.0; found 230.1.
-
- To a solution of 5-bromo-6-fluoro-1,2,3,4-tetrahydroisoquinoline (1.0 g, 4.3 mmol) in CH2Cl2 (12.0 mL) was added di-tert-butyl dicarbonate (1.617 g, 7.409 mmol). The mixture was stirred at room temperature for 1 h, and then concentrated. The residue was purified on silica gel (120 g, 0-100% EtOAc in hexanes) to give the desired product as a white solid (1.119 g, 76% over two steps). LCMS calculated for C14H17BrFNNaO2 (M+Na)+ m/z=352.0; found 352.0.
-
- A vial was charged with tert-butyl 5-bromo-6-fluoro-3,4-dihydroisoquinoline-2(1H)-carboxylate (1.119 g, 3.389 mmol), 4,4,5,5,4′,4′,5′,5′-octamethyl-[2,2′]bi[[1,3,2]dioxaborolanyl] (1.358 g, 5.348 mmol), potassium acetate (1.101 g, 11.22 mmol), and [1,1′-bis(diphenylphosphino)ferrocene]dichloropalladium(II), complexed with dichloromethane (1:1) (298.6 mg, 0.366 mmol). The vial was sealed, evacuated and backfilled with nitrogen (this process was repeated a total of three times). 1,4-Dioxane (15.0 mL) was added and the mixture was heated at 100° C. for 16 h. After cooling to room temperature, the reaction mixture was diluted with CH2Cl2 and filtered. The filtrate was concentrated. The residue was purified on silica gel (40 g, 0-100% EtOAc in hexanes) to give the desired product as a pale yellow oil (1001 mg, 78%). LCMS calculated for C20H29BFNNaO4 (M+Na)+ m/z=400.2; found 400.2.
-
- A vial was charged with 5-chloro-1-trityl-1H-pyrazolo[4,3-b]pyridine-6-carbonitrile (see step 4 in example 62, 569.3 mg, 1.353 mmol), bis(di-tert-butyl(4-dimethylaminophenyl)-phosphine)dichloropalladium(II) (99.8 mg, 0.141 mmol) and CsF (822.2 mg, 5.41 mmol). A solution of tert-butyl 6-fluoro-5-(4,4,5,5-tetramethyl-1,3,2-dioxaborolan-2-yl)-3,4-dihydroisoquinoline-2(1H)-carboxylate (666.7 mg, 1.767 mmol) in butan-1-ol (9.00 ml) was added, followed by water (3.00 ml). After stirring at 60° C. for 3 h, the reaction was concentrated. The residue was purified on silica gel (40 g, 0-100% EtOAc in hexanes) to give the desired product (860 mg). LCMS calculated for C40H34FN5NaO2 (M+Na)+: m/z=658.3; found: 658.2.
-
- To a solution of tert-butyl 5-(6-cyano-1-trityl-1H-pyrazolo[4,3-b]pyridin-5-yl)-6-fluoro-3,4-dihydroisoquinoline-2(1H)-carboxylate (860 mg, 1.353 mmol) in DCM (10.0 ml) was added TFA (6.0 ml). The reaction was stirred at room temperature for 30 min, and then concentrated. The residue was dissolved in DCM, washed with sat. NaHCO3(aq). The aqueous phase was extracted with DCM (10×). The combined organic phases were dried over anhydrous Na2SO4, filtered and concentrated. The residue was dissolved in DCM (10.0 ml) and treated with a solution of Boc-anhydride (300.0 mg, 1.375 mmol) in DCM (10.0 ml). The mixture was stirred at room temperature for 15 min and concentrated. The residue was purified on silica gel (40 g, 0-100% EtOAc in hexanes) to give the desired product as a yellow foamy solid (354.7 mg, 67%). LCMS calculated for C21H20FN5NaO2 (M+Na)+: m/z=416.1; found: 416.1.
-
- To a solution of tert-butyl 5-(6-cyano-1H-pyrazolo[4,3-b]pyridin-5-yl)-6-fluoro-3,4-dihydroisoquinoline-2(1H)-carboxylate (354.7 mg, 0.902 mmol) in DMF (6.0 ml) was added N-iodosuccinimide (304.2 mg, 1.352 mmol). The mixture was stirred at 80° C. for 2 h, and cooled to room temperature. Boc-anhydride (306.1 mg, 1.403 mmol) was added, followed by DMAP (31.6 mg, 0.259 mmol). The reaction was stirred at room temperature for 30 min, and then concentrated. The residue was purified on silica gel (40 g, 0-100% EtOAc in hexanes) to give the desired product as a yellow foamy solid (407.4 mg, 73%). LCMS calculated for C26H27FIN5NaO4 (M+Na)+: m/z=642.1; found: 642.0.
- A vial was charged with 1-methyl-4-(4,4,5,5-tetramethyl-1,3,2-dioxaborolan-2-yl)-1H-pyrazole (11.2 mg, 0.054 mmol), chloro(2-dicyclohexylphosphino-2′,4′,6′-triisopropyl-1,1′-biphenyl)[2-(2′-amino-1,1′-biphenyl)]palladium(II) (XPhos Pd G2, 4.5 mg, 5.72 μmol) and cesium carbonate (38.3 mg, 0.118 mmol). The vial was sealed, evacuated and backfilled with nitrogen (this process was repeated a total of three times). A solution of tert-butyl 5-(1-(tert-butoxycarbonyl)-6-cyano-3-iodo-1H-pyrazolo[4,3-b]pyridin-5-yl)-6-fluoro-3,4-dihydroisoquinoline-2(1H)-carboxylate (20.0 mg, 0.032 mmol) in 1,4-dioxane (2.00 ml) was added, followed by water (200.0 μl). The reaction mixture was heated to 50° C. for 16 h. The reaction mixture was concentrated. The residue was dissolved in CH2Cl2 (2.0 mL) and treated with TFA (2.0 mL). The mixture was stirred at room temperature for 15 min, and then concentrated. The residue was purified using prep-LCMS (XBridge C18 column, eluting with a gradient of acetonitrile/water containing 0.1% TFA, at flow rate of 60 mL/min) to afford the desired product. LCMS calculated for C20H17FN7 (M+H)+: m/z=374.2; found: 374.1.
-
- This compound was prepared according to the procedure described in Example 74, using 1-ethyl-4-(4-(4,4,5,5-tetramethyl-1,3,2-dioxaborolan-2-yl)phenyl)piperazine instead of 1-methyl-4-(4,4,5,5-tetramethyl-1,3,2-dioxaborolan-2-yl)-1H-pyrazole as the starting material. LCMS calculated for C28H29FN7 (M+H)+: m/z=482.2; found: 482.2.
-
- This compound was prepared according to the procedure described in Example 74 (step 7), using 1-methyl-4-(5-(4,4,5,5-tetramethyl-1,3,2-dioxaborolan-2-yl)pyridin-2-yl)piperazine instead of 1-methyl-4-(4,4,5,5-tetramethyl-1,3,2-dioxaborolan-2-yl)-1H-pyrazole as the starting material. LCMS calculated for C26H26FN8 (M+H)+: m/z=469.2; found: 469.2.
-
- This compound was prepared according to the procedure described in Example 62 (step 8), using 1-methyl-4-(4,4,5,5-tetramethyl-1,3,2-dioxaborolan-2-yl)-1H-pyrazole instead of 1-methyl-4-(5-(4,4,5,5-tetramethyl-1,3,2-dioxaborolan-2-yl)pyridin-2-yl)piperazine as the starting material. LCMS calculated for C18H14FN6 (M+H)+: m/z=333.1; found: 333.1. 1H NMR (TFA salt, 600 MHz, DMSO) δ 13.89 (br, 1H), 8.85 (s, 1H), 8.36 (s, 1H), 8.05 (s, 1H), 7.49 (m, 1H), 7.28 (d, J=7.7 Hz, 1H), 7.23 (t, J=8.9 Hz, 1H), 3.91 (s, 3H), 2.14 (s, 3H).
- A stock solution of 1 mM test compound was prepared in DMSO. The compound plate was prepared by 3-fold and 11-point serial dilutions. 0.1 μL of the compound in DMSO was transferred from the compound plate to the white 384 well polystyrene plates. The assay buffer contained 50 mM HEPES, pH 7.5, 0.01% Tween-20, 5 mM MgCl2, 0.01% BSA, and 5 mM DTT. 5 μl of 4 nM active HPK1 (SignalChem M23-11G) prepared in the buffer was added to the plate. The enzyme concentration given was based on the given stock concentration reported by the vender. 5 μl of 18 nM tracer 222 (ThermoFisher PV6121) and 4 nM LanthaScreen Eu-Anti GST antibody (ThermoFisher PV5595) were added. After one hour incubation at 25° C., the plates were read on a PHERAstar FS plate reader (BMG Labtech). Ki values were determined.
- Compounds of the present disclosure, as exemplified in Examples, showed the Ki values in the following ranges: +=Ki≦100 nM; ++=100 nM<Ki≦500 nM; +++=500 nM<Ki≦10000 nM.
-
TABLE 1 Example HPK1 Ki (nM) 1 ++ 2 ++ 3 + 4 + 5 + 6 + 7 + 8 + 9 + 10 + 11 + 12 + 13 + 14 ++ 15 ++ 16 ++ 17 ++ 18 +++ 19 + 20 +++ 21 +++ 22 ++ 23 + 24 + 25 ++ 26 + 27 + 28 + 29 + 30 +++ 31 + 32 + 33 + 34 + 35 + 36 ++ 37 + 38 ++ 39 ++ 40 + 41 + 42 + 43 + 44 + 45 ++ 46 + 47 + 48 + 49 + 50 + 51 +++ 52 +++ 53 ++ 54 ++ 55 + 56 +++ 57 +++ 58 ++ 59 +++ 60 +++ 61 + 62 + 63 + 64 + 65 + 66 + 67 + 68 + 69 + 70 + 71 + 72 + 72 + 74 + 75 + 76 + 77 + - One or more compounds of the invention can be tested using the p-SLP76S376 HTRF assay described as follows. Jurkat cells (cultured in RPMI1640 media with 10% FBS) are collected and centrifuged, followed by resuspension in appropriate media at 3×106 cells/ml. The Jurkat cells (35 ul) are dispensed into each well in a 384 well plate. Test compounds are diluted with cell culture media for 40-fold dilution (adding 39 ul cell culture media into 1 ul compound). The Jurkat cells in the well plate are treated with the test compounds at various concentrations (adding 5 ul diluted compound into 35 ul Jurkat cells and starting from 3 uM with 1:3 dilution) for 1 hour at 37° C., 5% CO2), followed by treatment with anti-CD3 (5 ug/ml, OKT3 clone) for 30 min. A 1:25 dilution of 100× blocking reagent (from p-SLP76 ser376HTRF kit) with 4×Lysis Buffer(LB) is prepared and 15 ul of the 4×LB buffer with blocking reagent is added into each well and incubated at room temperature for 45 mins with gentle shaking. The cell lysate (16 ul) is added into a Greiner white plate, treated with p-SLP76 ser376HTRF reagents (2 ul donor, 2 ul acceptor) and incubated at 4° C. for overnight. The homogeneous time resolved fluorescence (HTRF) is measured on a PHERAstar plate reader the next day. IC50 determination is performed by fitting the curve of percent inhibition versus the log of the inhibitor concentration using the GraphPad Prism 5.0 software.
- Blood samples are collected from healthy donors. CD4+ or CD8+ T cells are isolated by negative selection using CD4+ or CD8+ enrichment kits (lifetech, USA). The purity of the isolated CD4+ or CD8+ T cells is determined by flow cytometry and is routinely >80%. Cells are cultured in RPMI 1640 supplemented with 10% FCS, glutamine and antibiotics (Invitrogen Life Technologies, USA). For cytokine measurement, Jurkat cells or primary CD4+ or CD8+ T cells are plated at 200 k cells/well and are stimulated for 24 h with anti-CD3/anti-CD28 beads in the presence or absence of testing compounds at various concentrations. 16 μL of supernatants are then transferred to a white detection plate and analyzed using the human IL2 or IFNγ assay kits (Cisbio).
- One or more compounds can be tested using the Regulatory T-cell proliferation assay described as following. Primary CD4+/CD25− T-cells and CD4+/CD25+ regulatory T-cells are isolated from human donated Peripheral Blood Mononuclear Cells, using an isolated kit from Thermo Fisher Scientific (11363D). CD4+/CD25− T-cells are labeled with CFSE (Thermo Fisher Scientific, C34554) following the protocol provided by the vendor. CFSE labeled T-cells and CD4+/CD25+ regulatory T-cells are re-suspended at the concentration of 1×106 cells/ml in RPMI-1640 medium. 100 μl of CFSE-labeled T-cells are mixed with or without 50 μl of CD4+/CD25+ regulatory T-cells, treated with 5 μl of anti-CD3/CD28 beads (Thermo Fisher Scientific, 11132D) and various concentrations of compounds diluted in 50 μl of RPMI-1640 medium. Mixed populations of cells are cultured for 5 days (37° C., 5% CO2) and proliferation of CFSE-labeled T-cells is analyzed by BD LSRFortessa X-20 using FITC channel on the 5th day.
- Various modifications of the invention, in addition to those described herein, will be apparent to those skilled in the art from the foregoing description. Such modifications are also intended to fall within the scope of the appended claims. Each reference, including without limitation all patent, patent applications, and publications, cited in the present application is incorporated herein by reference in its entirety.
Claims (48)
1. A compound of Formula I:
or a pharmaceutically acceptable salt thereof, wherein:
R1 is selected from Cy1, C1-6 alkyl, C2-6 alkenyl, C2-6 alkynyl, C1-6 haloalkyl, halo, CN, NO2, ORa, SRa, C(O)Rb, C(O)NRcRd, C(O)ORa, OC(O)Rb, OC(O)NRcRd, NRcRd, NRcC(O)Rb, NRcC(O)ORa, NRcC(O)NRcRd, C(═NRe)Rb, C(═NORa)Rb, C(═NRe)NRcRd, NRcC(═NRe)NRcRd, NRcS(O)Rb, NRcS(O)2Rb, NRcS(O)2NRcRd, S(O)Rb, S(O)NRcRd, S(O)2Rb, and S(O)2NRcRd; wherein said C1-6 alkyl, C2-6 alkenyl and C2-6 alkynyl are each optionally substituted with 1, 2, 3, or 4 substituents independently selected from R10;
Cy1 is selected from C3-10 cycloalkyl, 4-10 membered heterocycloalkyl, C6-10 aryl and 5-10 membered heteroaryl; wherein each 4-10 membered heterocycloalkyl and 5-10 membered heteroaryl has at least one ring-forming carbon atom and 1, 2, 3, or 4 ring-forming heteroatoms independently selected from N, O, and S; wherein the N and S are optionally oxidized; wherein a ring-forming carbon atom of 5-10 membered heteroaryl and 4-10 membered heterocycloalkyl is optionally substituted by oxo to form a carbonyl group; and wherein the C3-10 cycloalkyl, 4-10 membered heterocycloalkyl, C6-10 aryl and 5-10 membered heteroaryl are each optionally substituted with 1, 2, 3 or 4 substituents independently selected from R10;
CyA is selected from C6-10 aryl and 5-10 membered heteroaryl; wherein the 5-10 membered heteroaryl has at least one ring-forming carbon atom and 1, 2, 3, or 4 ring-forming heteroatoms independently selected from N, O, and S; wherein the N and S are optionally oxidized; wherein a ring-forming carbon atom of the 5-10 membered heteroaryl is optionally substituted by oxo to form a carbonyl group; and wherein the C6-10 aryl and 5-10 membered heteroaryl are each optionally substituted with 1, 2, 3 or 4 substituents independently selected from R20;
R2 is selected from H, C1-6 alkyl, C2-6 alkenyl, C2-6 alkynyl, C1-6 haloalkyl, C3-10 cycloalkyl, 4-10 membered heterocycloalkyl, C6-10 aryl, 5-10 membered heteroaryl, C3-10 cycloalkyl-C1-3 alkylene, 4-10 membered heterocycloalkyl-C1-3 alkylene, C6-10 aryl-C1-3 alkylene, 5-10 membered heteroaryl-C1-3 alkylene, halo, CN, ORa7, SRa7, C(O)Rb7, C(O)NRc7Rd7, C(O)ORa7, NRc7Rd7, NRc7C(O)Rb7, NRc7C(O)ORa7, NRc7S(O)Rb7, NRc7S(O)2Rb7, NRc7S(O)2NRc7Rd7, S(O)Rb7, S(O)NRc7Rd7, S(O)2Rb7, and S(O)2NRc7Rd7; wherein said C1-6 alkyl, C2-6 alkenyl, C2-6 alkynyl, C3-10 cycloalkyl, 4-10 membered heterocycloalkyl, C6-10 aryl, 5-10 membered heteroaryl, C3-10 cycloalkyl-C1-3 alkylene, 4-10 membered heterocycloalkyl-C1-3 alkylene, C6-10 aryl-C1-3 alkylene and 5-10 membered heteroaryl-C1-3 alkylene are each optionally substituted with 1, 2, 3, or 4 substituents independently selected from R30;
each R10 is independently selected from C1-6 alkyl, C2-6 alkenyl, C2-6 alkynyl, C1-6 haloalkyl, C3-10 cycloalkyl, 4-10 membered heterocycloalkyl, C6-10 aryl, 5-10 membered heteroaryl, C3-10 cycloalkyl-C1-3 alkylene, 4-10 membered heterocycloalkyl-C1-3 alkylene, C6-10 aryl-C1-3 alkylene, 5-10 membered heteroaryl-C1-3 alkylene, halo, CN, NO2, ORa1, SRa1, C(O)Rb1, C(O)NRc1Rd1, C(O)ORa1, OC(O)Rb1, OC(O)NRc1Rd1, NRc1Rd1, NRc1C(O)Rb1, NRc1C(O)ORa1, NRc1C(O)NRc1Rd1, C(═NRe1)Rb1, C(═NORa1)Rb1, C(═NRe1)NRc1Rd1 NRc1C(═NRe1)NRc1Rd1, NRc1S(O)Rb1, NRc1S(O)2Rb1, NRc1S(O)2NRc1Rd1, S(O)Rb1, S(O)NRc1Rd1, S(O)2Rb1, and S(O)2NRc1Rd1; wherein said C1-6 alkyl, C2-6 alkenyl, C2-6 alkynyl, C3-10 cycloalkyl, 4-10 membered heterocycloalkyl, C6-10 aryl, 5-10 membered heteroaryl, C3-10 cycloalkyl-C1-3 alkylene, 4-10 membered heterocycloalkyl-C1-3 alkylene, C6-10 aryl-C1-3 alkylene and 5-10 membered heteroaryl-C1-3 alkylene are each optionally substituted with 1, 2, 3, or 4 substituents independently selected from R11;
or two R10 substituents taken together with the carbon atom to which they are attached form a spiro 3-7-membered heterocycloalkyl ring, or a spiro C3-6 cycloalkyl ring; wherein each spiro 3-7-membered heterocycloalkyl ring has at least one ring-forming carbon atom and 1, 2 or 3 ring-forming heteroatoms independently selected from N, O, and S; wherein a ring-forming carbon atom of each spiro 3-7-membered heterocycloalkyl ring is optionally substituted by oxo to form a carbonyl group; and wherein the spiro 3-7-membered heterocycloalkyl ring and spiro C3-6 cycloalkyl ring are each optionally substituted with 1, 2, 3 or 4 substituents independently selected from R11;
each R11 is independently selected from C1-6 alkyl, C2-6 alkenyl, C2-6 alkynyl, C1-6 haloalkyl, C3-10 cycloalkyl, 4-10 membered heterocycloalkyl, C6-10 aryl, 5-10 membered heteroaryl, C3-10 cycloalkyl-C1-3 alkylene, 4-10 membered heterocycloalkyl-C1-3 alkylene, C6-10 aryl-C1-3 alkylene, 5-10 membered heteroaryl-C1-3 alkylene, halo, CN, ORa3, SRa3, C(O)Rb3, C(O)NRc3Rd3, C(O)ORa3, NRc3Rd3, NRc3C(O)Rb3, NRc3C(O)ORa3, NRc3S(O)Rb3, NRc3S(O)2Rb3, NRc3S(O)2NRc3Rd3, S(O)Rb3, S(O)NRc3Rd3, S(O)2Rb3, and S(O)2NRc3Rd3; wherein said C1-6 alkyl, C2-6 alkenyl, C2-6 alkynyl, C3-10 cycloalkyl, 4-10 membered heterocycloalkyl, C6-10 aryl, 5-10 membered heteroaryl, C3-10 cycloalkyl-C1-3 alkylene, 4-10 membered heterocycloalkyl-C1-3 alkylene, C6-10 aryl-C1-3 alkylene and 5-10 membered heteroaryl-C1-3 alkylene are each optionally substituted with 1, 2, 3, or 4 substituents independently selected from R12;
each R12 is independently selected from C1-6 alkyl, C2-6 alkenyl, C2-6 alkynyl, C1-6 haloalkyl, C3-6 cycloalkyl, C6-10 aryl, 5-10 membered heteroaryl, 4-7 membered heterocycloalkyl, halo, CN, ORa8, SRa8, C(O)Rb5, C(O)NRc5Rd5, C(O)ORa5, NRc5Rd5, NRc5C(O)Rb5, NRc5C(O)ORa5, NRc5S(O)Rb5, NRc5S(O)2Rb5, NRc5S(O)2NRc5Rd5, S(O)Rb5, S(O)NRc5Rd5, S(O)2Rb5, and S(O)2NRc5Rd5; wherein said C1-6 alkyl, C2-6 alkenyl, C2-6 alkynyl, C3-6 cycloalkyl, C6-10 aryl, 5-10 membered heteroaryl and 4-7 membered heterocycloalkyl, are each optionally substituted with 1, 2, 3, or 4 substituents independently selected from Rg;
each R20 is independently selected from C1-6 alkyl, C2-6 alkenyl, C2-6 alkynyl, C1-6 haloalkyl, C3-10 cycloalkyl, 4-10 membered heterocycloalkyl, C6-10 aryl, 5-10 membered heteroaryl, C3-10 cycloalkyl-C1-3 alkylene, 4-10 membered heterocycloalkyl-C1-3 alkylene, C6-10 aryl-C1-3 alkylene, 5-10 membered heteroaryl-C1-3 alkylene, halo, CN, NO2, ORa2, SRa2, C(O)Rb2, C(O)NRc2Rd2, C(O)ORa2, OC(O)Rb2, OC(O)NRc2Rd2, NRc2Rd2, NRc2C(O)Rb2, NRc2C(O)ORa2, NRc2C(O)NRc2Rd2, C(═NRe2)Rb2, C(═NORa2)Rb2, C(═NRe2)NRc2Rd2, NRc2C(═NRe2)NRc2Rd2, NRc2S(O)Rb2, NRc2S(O)2Rb2, NRc2S(O)2NRc2Rd2, S(O)Rb2, S(O)NRc2Rd2, S(O)2Rb2, and S(O)2NRc2Rd2; wherein said C1-6 alkyl, C2-6 alkenyl, C2-6 alkynyl, C3-10 cycloalkyl, 4-10 membered heterocycloalkyl, C6-10 aryl, 5-10 membered heteroaryl, C3-10 cycloalkyl-C1-3 alkylene, 4-10 membered heterocycloalkyl-C1-3 alkylene, C6-10 aryl-C1-3 alkylene and 5-10 membered heteroaryl-C1-3 alkylene are each optionally substituted with 1, 2, 3, or 4 substituents independently selected from R21;
or two adjacent R20 substituents on the CyA ring, taken together with the atoms to which they are attached, form a fused 4-, 5-, 6- or 7-membered heterocycloalkyl ring, or a fused C3-7 cycloalkyl ring; wherein each fused 4-, 5-, 6- or 7-membered heterocycloalkyl ring has at least one ring-forming carbon atom and 1, 2, 3, or 4 ring-forming heteroatoms independently selected from N, O, and S; wherein a ring-forming carbon atom of each fused 4-, 5-, 6- or 7-membered heterocycloalkyl ring is optionally substituted by oxo to form a carbonyl group; and wherein the fused 4-, 5-, 6- or 7-membered heterocycloalkyl ring and fused C3-6 cycloalkyl ring are each optionally substituted with 1, 2, 3 or 4 substituents independently selected from R21;
each R21 is independently selected from C1-6 alkyl, C2-6 alkenyl, C2-6 alkynyl, C1-6 haloalkyl, C3-10 cycloalkyl, 4-10 membered heterocycloalkyl, C6-10 aryl, 5-10 membered heteroaryl, C3-10 cycloalkyl-C1-3 alkylene, 4-10 membered heterocycloalkyl-C1-3 alkylene, C6-10 aryl-C1-3 alkylene, 5-10 membered heteroaryl-C1-3 alkylene, halo, CN, ORa4, SRa4, C(O)Rb4, C(O)NRc4Rd4, C(O)ORa4, NRc4Rd4, NRc4C(O)Rb4, NRc4C(O)ORa4, NRc4S(O)Rb4, NRc4S(O)2Rb4, NRc4S(O)2NRc4Rd4, S(O)Rb4, S(O)NRc4Rd4, S(O)2Rb4, and S(O)2NRc4Rd4; wherein said C1-6 alkyl, C2-6 alkenyl, C2-6 alkynyl, C3-10 cycloalkyl, 4-10 membered heterocycloalkyl, C6-10 aryl, 5-10 membered heteroaryl, C3-10 cycloalkyl-C1-3 alkylene, 4-10 membered heterocycloalkyl-C1-3 alkylene, C6-10 aryl-C1-3 alkylene and 5-10 membered heteroaryl-C1-3 alkylene are each optionally substituted with 1, 2, 3, or 4 substituents independently selected from R22;
or two R21 substituents taken together with the carbon atom to which they are attached form a spiro 3-7-membered heterocycloalkyl ring, or a spiro C3-6 cycloalkyl ring; wherein each spiro 3-7-membered heterocycloalkyl ring has at least one ring-forming carbon atom and 1, 2 or 3 ring-forming heteroatoms independently selected from N, O, and S; wherein a ring-forming carbon atom of each spiro 3-7-membered heterocycloalkyl ring is optionally substituted by oxo to form a carbonyl group; and wherein the spiro 3-7 membered heterocycloalkyl ring and spiro C3-6 cycloalkyl ring are each optionally substituted with 1, 2, 3 or 4 substituents independently selected from R22; each R22 is independently selected from C1-6 alkyl, C2-6 alkenyl, C2-6 alkynyl, C1-6 haloalkyl, C3-6 cycloalkyl, phenyl, 5-6 membered heteroaryl, 4-7 membered heterocycloalkyl, halo, CN, ORa6, SRa6, C(O)Rb6, C(O)NRc6Rd6, C(O)ORa6, NRc6Rd6, NRc6C(O)Rb6, NRc6C(O)ORa6, NRc6S(O)Rb6, NRc6S(O)2Rb6, NRc6S(O)2NRc6Rd6, S(O)Rb6, S(O)NRc6Rd6, S(O)2Rb6, and S(O)2NRc6Rd6; wherein said C1-6 alkyl, C2-6 alkenyl, C2-6 alkynyl, C3-6 cycloalkyl, phenyl, 5-6 membered heteroaryl and 4-7 membered heterocycloalkyl, are each optionally substituted with 1, 2, 3, or 4 substituents independently selected from Rg;
each R30 is independently selected from C1-6 alkyl, C2-6 alkenyl, C2-6 alkynyl, C1-6 haloalkyl, C3-6 cycloalkyl, phenyl, 5-6 membered heteroaryl, 4-7 membered heterocycloalkyl, halo, CN, ORa8, SRa8, C(O)Rb8, C(O)NRc8Rd8, C(O)ORa8, NRc8Rd8, NRc8C(O)Rb8, NRc8C(O)ORa8, NRc8S(O)Rb8, NRc8S(O)2Rb8, NRc8S(O)2NRc8Rd8, S(O)Rb8, S(O)NRc8Rd8, S(O)2Rb8, and S(O)2NRc8Rd8; wherein said C1-6 alkyl, C2-6 alkenyl, C2-6 alkynyl, C3-6 cycloalkyl, phenyl, 5-6 membered heteroaryl and 4-7 membered heterocycloalkyl, are each optionally substituted with 1, 2, 3, or 4 substituents independently selected from Rg;
each Ra and Rc is independently selected from H, C1-6 alkyl, C2-6 alkenyl, C2-6 alkynyl, C1-6 haloalkyl, C3-10 cycloalkyl, 4-10 membered heterocycloalkyl, C6-10 aryl and 5-10 membered heteroaryl; wherein said C1-6 alkyl, C2-6 alkenyl, C2-6 alkynyl, C3-10 cycloalkyl, 4-10 membered heterocycloalkyl, C6-10 aryl and 5-10 membered heteroaryl, are each optionally substituted with 1, 2, 3, or 4 substituents independently selected from R10;
each Rd is independently selected from C1-6 alkyl, C2-6 alkenyl, C2-6 alkynyl, C1-6 haloalkyl, C3-10 cycloalkyl, 4-10 membered heterocycloalkyl, C6-10 aryl and 5-10 membered heteroaryl; wherein said C1-6 alkyl, C2-6 alkenyl, C2-6 alkynyl, C3-10 cycloalkyl, 4-10 membered heterocycloalkyl, C6-10 aryl and 5-10 membered heteroaryl, are each optionally substituted with 1, 2, 3, or 4 substituents independently selected from R10;
or any Rc and Rd attached to the same N atom, together with the N atom to which they are attached, form a 4-, 5-, 6- or 7-membered heterocycloalkyl group optionally substituted with 1, 2, 3, or 4 substituents independently selected from R10;
each Rb is independently selected from C1-6 alkyl, C2-6 alkenyl, C2-6 alkynyl, C1-6 haloalkyl, C3-10 cycloalkyl, 4-10 membered heterocycloalkyl, C6-10 aryl and 5-10 membered heteroaryl; wherein said C1-6 alkyl, C2-6 alkenyl, C2-6 alkynyl, C3-10 cycloalkyl, 4-10 membered heterocycloalkyl, C6-10 aryl and 5-10 membered heteroaryl, are each optionally substituted with 1, 2, 3, or 4 substituents independently selected from R10;
each Re is independently selected from H, CN, C1-6 alkyl, C1-6 haloalkyl, C1-6 alkylthio, C1-6 alkylsulfonyl, C1-6 alkylcarbonyl, C1-6 alkylaminosulfonyl, carbamyl, C1-6 alkylcarbamyl, di(C1-6 alkyl)carbamyl, aminosulfonyl, C1-6 alkylaminosulfonyl and di(C1-6 alkyl)aminosulfonyl;
each Ra1, Rc1 and Rd1 is independently selected from H, C1-6 alkyl, C2-6 alkenyl, C2-6 alkynyl, C1-6 haloalkyl, C3-10 cycloalkyl, 4-10 membered heterocycloalkyl, C6-10 aryl and 5-10 membered heteroaryl; wherein said C1-6 alkyl, C2-6 alkenyl, C2-6 alkynyl, C3-10 cycloalkyl, 4-10 membered heterocycloalkyl, C6-10 aryl and 5-10 membered heteroaryl, are each optionally substituted with 1, 2, 3, or 4 substituents independently selected from R11;
or any Rc1 and Rd1 attached to the same N atom, together with the N atom to which they are attached, form a 4-, 5-, 6- or 7-membered heterocycloalkyl group optionally substituted with 1, 2, 3, or 4 substituents independently selected from R11;
each Rb1 is independently selected from C1-6 alkyl, C2-6 alkenyl, C2-6 alkynyl, C1-6 haloalkyl, C3-10 cycloalkyl, 4-10 membered heterocycloalkyl, C6-10 aryl and 5-10 membered heteroaryl; wherein said C1-6 alkyl, C2-6 alkenyl, C2-6 alkynyl, C3-10 cycloalkyl, 4-10 membered heterocycloalkyl, C6-10 aryl and 5-10 membered heteroaryl, are each optionally substituted with 1, 2, 3, or 4 substituents independently selected from R11;
each Re1 is independently selected from H, CN, C1-6 alkyl, C1-6 haloalkyl, C1-6 alkylthio, C1-6 alkylsulfonyl, C1-6 alkylcarbonyl, C1-6 alkylaminosulfonyl, carbamyl, C1-6 alkylcarbamyl, di(C1-6 alkyl)carbamyl, aminosulfonyl, C1-6 alkylaminosulfonyl and di(C1-6 alkyl)aminosulfonyl;
each Ra2, Rc2 and Rd2, is independently selected from H, C1-6 alkyl, C2-6 alkenyl, C2-6 alkynyl, C1-6 haloalkyl, C3-10 cycloalkyl, 4-10 membered heterocycloalkyl, C6-10 aryl and 5-10 membered heteroaryl; wherein said C1-6 alkyl, C2-6 alkenyl, C2-6 alkynyl, C3-10 cycloalkyl, 4-10 membered heterocycloalkyl, C6-10 aryl and 5-10 membered heteroaryl are each optionally substituted with 1, 2, 3, or 4 substituents independently selected from R21;
or any Rc2 and Rd2 attached to the same N atom, together with the N atom to which they are attached, form a 4-, 5-, 6- or 7-membered heterocycloalkyl group optionally substituted with 1, 2 or 3 substituents independently selected from R21;
each Rb2 is independently selected from C1-6 alkyl, C2-6 alkenyl, C2-6 alkynyl, C1-6 haloalkyl, C3-10 cycloalkyl, 4-10 membered heterocycloalkyl, C6-10 aryl and 5-10 membered heteroaryl; wherein said C1-6 alkyl, C2-6 alkenyl, C2-6 alkynyl, C3-10 cycloalkyl, 4-10 membered heterocycloalkyl, C6-10 aryl and 5-10 membered heteroaryl are each optionally substituted with 1, 2, 3, or 4 substituents independently selected from R21;
each Re2 is independently selected from H, CN, C1-6 alkyl, C1-6 haloalkyl, C1-6 alkylthio, C1-6 alkylsulfonyl, C1-6 alkylcarbonyl, C1-6 alkylaminosulfonyl, carbamyl, C1-6 alkylcarbamyl, di(C1-6 alkyl)carbamyl, aminosulfonyl, C1-6 alkylaminosulfonyl and di(C1-6 alkyl)aminosulfonyl;
each Ra3, Rc3 and Rd3, is independently selected from H, C1-6 alkyl, C2-6 alkenyl, C2-6 alkynyl, C1-6 haloalkyl, C3-6 cycloalkyl, phenyl, 5-6 membered heteroaryl and 4-7 membered heterocycloalkyl; wherein said C1-6 alkyl C2-6 alkenyl, C2-6 alkynyl, C3-6 cycloalkyl, phenyl, 5-6 membered heteroaryl and 4-7 membered heterocycloalkyl are each optionally substituted with 1, 2, 3, or 4 substituents independently selected from R12;
or any Rc3 and Rd3 attached to the same N atom, together with the N atom to which they are attached, form a 4-, 5-, 6- or 7-membered heterocycloalkyl group optionally substituted with 1, 2 or 3 substituents independently selected from R12;
each Rb3 is independently selected from C1-6 alkyl, C2-6 alkenyl, C2-6 alkynyl, C1-6 haloalkyl, C3-6 cycloalkyl, phenyl, 5-6 membered heteroaryl and 4-7 membered heterocycloalkyl; wherein said C1-6 alkyl C2-6 alkenyl, C2-6 alkynyl, C3-6 cycloalkyl, phenyl, 5-6 membered heteroaryl and 4-7 membered heterocycloalkyl, are each optionally substituted with 1, 2, 3, or 4 substituents independently selected from R12;
each Ra4, Rc4 and Rd4, is independently selected from H, C1-6 alkyl, C2-6 alkenyl, C2-6 alkynyl, C1-6 haloalkyl, C3-6 cycloalkyl, phenyl, 5-6 membered heteroaryl and 4-7 membered heterocycloalkyl; wherein said C1-6 alkyl C2-6 alkenyl, C2-6 alkynyl, C3-6 cycloalkyl, phenyl, 5-6 membered heteroaryl and 4-7 membered heterocycloalkyl are each optionally substituted with 1, 2, 3, or 4 substituents independently selected from R22;
or any Rc4 and Rd4 attached to the same N atom, together with the N atom to which they are attached, form a 4-, 5-, 6- or 7-membered heterocycloalkyl group optionally substituted with 1, 2 or 3 substituents independently selected from R22;
each Rb4 is independently selected from C1-6 alkyl, C2-6 alkenyl, C2-6 alkynyl, C1-6 haloalkyl, C3-6 cycloalkyl, phenyl, 5-6 membered heteroaryl and 4-7 membered heterocycloalkyl; wherein said C1-6 alkyl C2-6 alkenyl, C2-6 alkynyl, C3-6 cycloalkyl, phenyl, 5-6 membered heteroaryl and 4-7 membered heterocycloalkyl are each optionally substituted with 1, 2, 3, or 4 substituents independently selected from R22;
each Ra5, Rc5 and Rd5, is independently selected from H, C1-6 alkyl, C2-6 alkenyl, C2-6 alkynyl and C1-6 haloalkyl; wherein said C1-6 alkyl, C2-6 alkenyl and C2-6 alkynyl are each optionally substituted with 1, 2, 3, or 4 substituents independently selected from Rg;
each Rb5 is independently selected from C1-6 alkyl, C2-6 alkenyl, C2-6 alkynyl and C1-6 haloalkyl; wherein said C1-6 alkyl C2-6 alkenyl and C2-6 alkynyl are each optionally substituted with 1, 2, 3, or 4 substituents independently selected from Rg;
each Ra6, Rc6 and Rd6, is independently selected from H, C1-6 alkyl, C2-6 alkenyl, C2-6 alkynyl and C1-6 haloalkyl; wherein said C1-6 alkyl, C2-6 alkenyl and C2-6 alkynyl are each optionally substituted with 1, 2, 3, or 4 substituents independently selected from Rg;
each Rb6 is independently selected from C1-6 alkyl, C2-6 alkenyl, C2-6 alkynyl, and C1-6 haloalkyl; wherein said C1-6 alkyl, C2-6 alkenyl and C2-6 alkynyl are each optionally substituted with 1, 2, 3, or 4 substituents independently selected from Rg;
each Ra7, Rc7, and Rd7 is independently selected from H, C1-6 alkyl, C2-6 alkenyl, C2-6 alkynyl, C1-6 haloalkyl, C3-10 cycloalkyl, 4-10 membered heterocycloalkyl, C6-10 aryl and 5-10 membered heteroaryl; wherein said C1-6 alkyl, C2-6 alkenyl, C2-6 alkynyl, C3-10 cycloalkyl, 4-10 membered heterocycloalkyl, C6-10 aryl and 5-10 membered heteroaryl, are each optionally substituted with 1, 2, 3, or 4 substituents independently selected from R30;
or any Rc7 and Rd7 attached to the same N atom, together with the N atom to which they are attached, form a 4-, 5-, 6- or 7-membered heterocycloalkyl group optionally substituted with 1, 2 or 3 substituents independently selected from R30;
each Rb7 is independently selected from C1-6 alkyl, C2-6 alkenyl, C2-6 alkynyl, C1-6 haloalkyl, C3-10 cycloalkyl, 4-10 membered heterocycloalkyl, C6-10 aryl and 5-10 membered heteroaryl; wherein said C1-6 alkyl, C2-6 alkenyl, C2-6 alkynyl, C3-10 cycloalkyl, 4-10 membered heterocycloalkyl, C6-10 aryl and 5-10 membered heteroaryl, are each optionally substituted with 1, 2, 3, or 4 substituents independently selected from R30;
each Ra8, Rc8 and Rd8, is independently selected from H, C1-6 alkyl, C2-6 alkenyl, C2-6 alkynyl, C1-6 haloalkyl, C3-6 cycloalkyl, phenyl, 5-6 membered heteroaryl and 4-7 membered heterocycloalkyl; wherein said C1-6 alkyl C2-6 alkenyl, C2-6 alkynyl, C3-6 cycloalkyl, phenyl, 5-6 membered heteroaryl and 4-7 membered heterocycloalkyl are each optionally substituted with 1, 2, 3, or 4 substituents independently selected from Rg;
or any Rc8 and Rd8 attached to the same N atom, together with the N atom to which they are attached, form a 4-, 5-, 6- or 7-membered heterocycloalkyl group optionally substituted with 1, 2 or 3 substituents independently selected from Rg;
each Rb8 is independently selected from C1-6 alkyl, C2-6 alkenyl, C2-6 alkynyl, C1-6 haloalkyl, C3-6 cycloalkyl, phenyl, 5-6 membered heteroaryl and 4-7 membered heterocycloalkyl; wherein said C1-6 alkyl C2-6 alkenyl, C2-6 alkynyl, C3-6 cycloalkyl, phenyl, 5-6 membered heteroaryl and 4-7 membered heterocycloalkyl are each optionally substituted with 1, 2, 3, or 4 substituents independently selected from Rg; and
each Rg is independently selected from OH, NO2, CN, halo, C1-6 alkyl, C2-6 alkenyl, C2-6 alkynyl, C1-6 haloalkyl, C3-6 cycloalkyl, C3-6 cycloalkyl-C1-2 alkylene, C1-6 alkoxy, C1-6 haloalkoxy, C1-3 alkoxy-C1-3 alkyl, C1-3 alkoxy-C1-3 alkoxy, HO—C1-3 alkoxy, HO—C1-3 alkyl, cyano-C1-3 alkyl, H2N—C1-3 alkyl, amino, C1-6 alkylamino, di(C1-6 alkyl)amino, thio, C1-6 alkylthio, C1-6 alkylsulfinyl, C1-6 alkylsulfonyl, carbamyl, C1-6 alkylcarbamyl, di(C1-6 alkyl)carbamyl, carboxy, C1-6 alkylcarbonyl, C1-6 alkoxycarbonyl, C1-6 alkylcarbonylamino, C1-6 alkylsulfonylamino, aminosulfonyl, C1-6 alkylaminosulfonyl, di(C1-6 alkyl)aminosulfonyl, aminosulfonylamino, C1-6 alkylaminosulfonylamino, di(C1-6 alkyl)aminosulfonylamino, aminocarbonylamino, C1-6 alkylaminocarbonylamino, and di(C1-6 alkyl)aminocarbonylamino;
provided that:
1) R1 is other than CH3;
2) R1 is other than 2-morpholinopyridin-4-yl;
3) when CyA is phenyl, then R1 is other than (2-chloropyridin-4-yloxy)methyl; and
4) when R1 is halogen-substituted phenyl, then CyA is other than unsubstituted or substituted 4H-1,2,4-triazol-3-yl.
2. The compound of claim 1 , or a pharmaceutically acceptable salt thereof, wherein R1 is selected from Cy1, C2-6 alkenyl, C2-6 alkynyl, C1-6 haloalkyl, halo, CN, NO2, ORa, SRa, C(O)Rb, C(O)NRcRd, C(O)ORa, OC(O)Rb, OC(O)NRcRd, NRcRd, NRcC(O)Rb, and NRcC(O)ORa; wherein said C2-6 alkenyl and C2-6 alkynyl are each optionally substituted with 1, 2, 3, or 4 substituents independently selected from R10.
3. The compound of claim 1 , or a pharmaceutically acceptable salt thereof, wherein R1 is selected from Cy1, C2-6 alkenyl, C2-6 alkynyl, C1-6 haloalkyl, halo, and CN; wherein said C2-6 alkenyl and C2-6 alkynyl are each optionally substituted with 1, 2, 3, or 4 substituents independently selected from R10.
4. The compound of claim 1 , or a pharmaceutically acceptable salt thereof, wherein R1 is selected from Cy1, C2-6 alkenyl, and C2-6 alkynyl; wherein said C2-6 alkenyl and C2-6 alkynyl are each optionally substituted with 1, 2, 3, or 4 substituents independently selected from R10.
5. The compound of claim 1 , or a pharmaceutically acceptable salt thereof, wherein R1 is Cy1.
6. The compound of claim 1 , or a pharmaceutically acceptable salt thereof, wherein Cy1 is selected from C6-10 aryl and 5-10 membered heteroaryl; wherein the 5-10 membered heteroaryl has at least one ring-forming carbon atom and 1, 2, 3, or 4 ring-forming heteroatoms independently selected from N, O, and S; wherein the N and S are optionally oxidized; wherein a ring-forming carbon atom of 5-10 membered heteroaryl is optionally substituted by oxo to form a carbonyl group; and wherein the C6-10 aryl and 5-10 membered heteroaryl are each optionally substituted with 1, 2, 3 or 4 substituents independently selected from R10.
7. The compound of claim 1 , or a pharmaceutically acceptable salt thereof, wherein Cy1 is phenyl, pyridinyl, pyrazolyl, or pyrimidinyl; wherein the phenyl, pyridinyl, pyrazolyl, or pyrimidinyl are each optionally substituted with 1, 2, 3 or 4 substituents independently selected from R10.
8. The compound of claim 1 , or a pharmaceutically acceptable salt thereof, wherein Cy1 is phenyl, pyridin-4-yl, 1H-pyrazol-4-yl, pyridin-3-yl, or pyrimidin-5-yl; wherein the phenyl, pyridin-4-yl, 1H-pyrazol-4-yl, pyridin-3-yl, or pyrimidin-5-yl are each optionally substituted with 1, 2, 3 or 4 substituents independently selected from R10.
9. The compound of claim 1 , or a pharmaceutically acceptable salt thereof, wherein Cy1 is phenyl, pyridin-4-yl, or 1H-pyrazol-4-yl; wherein the phenyl, pyridin-4-yl, and 1H-pyrazol-4-yl are each optionally substituted with 1, 2, 3 or 4 substituents independently selected from R10.
10. The compound of claim 1 , or a pharmaceutically acceptable salt thereof, wherein each R10 is independently selected from C1-6 alkyl, C2-6 alkenyl, C2-6 alkynyl, C1-6 haloalkyl, C3-10 cycloalkyl, 4-10 membered heterocycloalkyl, C6-10 aryl, 5-10 membered heteroaryl, halo, CN, NO2, ORa1, SRa1, C(O)Rb1, C(O)NRc1Rd1, C(O)ORa1, OC(O)Rb1, OC(O)NRc1Rd1, NRc1Rd1, NRc1C(O)Rb1, NRc1C(O)ORa1, NRc1S(O)Rb1, NRc1S(O)2Rb1, NRc1S(O)2NRc1Rd1, S(O)Rb1, S(O)NRc1Rd1, S(O)2Rb1, and S(O)2NRc1Rd1; wherein said C1-6 alkyl, C2-6 alkenyl, C2-6 alkynyl, C3-10 cycloalkyl, 4-10 membered heterocycloalkyl, C6-10 aryl, and 5-10 membered heteroaryl are each optionally substituted with 1, 2, 3, or 4 substituents independently selected from R11.
11. The compound of claim 1 , or a pharmaceutically acceptable salt thereof, wherein each R10 is independently selected from C1-6 alkyl, C2-6 alkenyl, C2-6 alkynyl, C1-6 haloalkyl, C3-10 cycloalkyl, 4-10 membered heterocycloalkyl, C6-10 aryl, 5-10 membered heteroaryl, halo, CN, ORa1, SRa1, C(O)Rb1, C(O)NRc1Rd1, C(O)ORa1, NRc1Rd1, and NRc1C(O)Rb1; wherein said C1-6 alkyl, C2-6 alkenyl, C2-6 alkynyl, C3-10 cycloalkyl, 4-10 membered heterocycloalkyl, C6-10 aryl, and 5-10 membered heteroaryl are each optionally substituted with 1, 2, 3, or 4 substituents independently selected from R11.
12. The compound of claim 1 , or a pharmaceutically acceptable salt thereof, wherein each R10 is independently selected from C1-6 alkyl, 4-10 membered heterocycloalkyl, C(O)Rb1, and C(O)NRc1Rd1; wherein said C1-6 alkyl and 4-10 membered heterocycloalkyl are each optionally substituted with 1, 2, 3, or 4 substituents independently selected from R11.
13. The compound of claim 1 , or a pharmaceutically acceptable salt thereof, wherein each R10 is independently selected from C1-6 alkyl, piperazinyl, piperidinyl, morpholinyl, C(O)Rb1, and C(O)NRc1Rd1; wherein said C1-6 alkyl, piperazinyl, and piperidinyl are each optionally substituted with 1, 2, 3, or 4 substituents independently selected from R11.
14. The compound of claim 1 , or a pharmaceutically acceptable salt thereof, wherein each R10 is independently selected from C1-6 alkyl, piperazinyl, piperidinyl, C(O)Rb1, and C(O)NRc1Rd1; wherein said C1-6 alkyl, piperazinyl, and piperidinyl are each optionally substituted with 1, 2, 3, or 4 substituents independently selected from R11.
15. The compound of claim 1 , or a pharmaceutically acceptable salt thereof, wherein each R11 is independently selected from C1-6 alkyl, C2-6 alkenyl, C2-6 alkynyl, C1-6 haloalkyl, C3-10 cycloalkyl, 4-10 membered heterocycloalkyl, C6-10 aryl, 5-10 membered heteroaryl, halo, CN, ORa3, SRa3, C(O)Rb3, C(O)NRc3Rd3, C(O)ORa3, S(O)Rb3, S(O)NRc3Rd3, S(O)2Rb3, and S(O)2NRc3Rd3; wherein said C1-6 alkyl, C2-6 alkenyl, C2-6 alkynyl, C3-10 cycloalkyl, 4-10 membered heterocycloalkyl, C6-10 aryl, and 5-10 membered heteroaryl are each optionally substituted with 1, 2, 3, or 4 substituents independently selected from R12.
16. The compound of claim 1 , or a pharmaceutically acceptable salt thereof, wherein each R11 is independently selected from C1-6 alkyl, C2-6 alkenyl, C2-6 alkynyl, C1-6 haloalkyl, halo, ORa3, C(O)Rb3, and S(O)2Rb3; wherein said C1-6 alkyl, C2-6 alkenyl, and C2-6 alkynyl are each optionally substituted with 1, 2, 3, or 4 substituents independently selected from R12.
17. The compound of claim 1 , or a pharmaceutically acceptable salt thereof, wherein each R11 is independently selected from C1-6 alkyl, C2-6 alkenyl, C2-6 alkynyl, C1-6 haloalkyl, halo, C(O)Rb3, and S(O)2Rb3; wherein said C1-6 alkyl, C2-6 alkenyl, and C2-6 alkynyl are each optionally substituted with 1, 2, 3, or 4 substituents independently selected from R12.
18. The compound of claim 1 , or a pharmaceutically acceptable salt thereof, wherein each R11 is independently selected from C1-6 alkyl, ORa3, C(O)Rb3, and S(O)2Rb3.
19. The compound of claim 1 , or a pharmaceutically acceptable salt thereof, wherein each R11 is independently selected from C1-6 alkyl, C(O)Rb3, and S(O)2Rb3.
20. The compound of claim 1 , or a pharmaceutically acceptable salt thereof, wherein each R10 is independently selected from 4-methylpiperazin-1-yl, N-methylaminocarbonyl, methyl, N-(1-methylpiperidin-4-yl)aminocarbonyl, (4-methylpiperazin-1-yl)carbonyl, N-phenylaminocarbonyl, piperidin-4-yl, 1-(methylsulfonyl)piperidin-4-yl, 1-acetyl-piperidin-4-yl, morpholinyl, 4-ethylpiperazin-1-yl, or 2-hydroxypropan-2-yl.
21. The compound of claim 1 , or a pharmaceutically acceptable salt thereof, wherein each R10 is independently selected from 4-methylpiperazin-1-yl, N-methylaminocarbonyl, methyl, N-(1-methylpiperidin-4-yl)aminocarbonyl, (4-methylpiperazin-1-yl)carbonyl, N-phenylaminocarbonyl, piperidin-4-yl, 1-(methylsulfonyl)piperidin-4-yl, and 1-acetyl-piperidin-4-yl.
22. The compound of claim 1 , or a pharmaceutically acceptable salt thereof, wherein CyA is C6-10 aryl optionally substituted with 1, 2, 3 or 4 substituents independently selected from R20.
23. The compound of claim 1 , or a pharmaceutically acceptable salt thereof, wherein CyA is 5-10 membered heteroaryl; wherein the 5-10 membered heteroaryl has at least one ring-forming carbon atom and 1, 2, 3, or 4 ring-forming heteroatoms independently selected from N, O, and S; wherein the N and S are optionally oxidized; wherein a ring-forming carbon atom of the 5-10 membered heteroaryl is optionally substituted by oxo to form a carbonyl group; and wherein the 5-10 membered heteroaryl is optionally substituted with 1, 2, 3 or 4 substituents independently selected from R20.
24. The compound of claim 1 , or a pharmaceutically acceptable salt thereof, wherein CyA is phenyl, 1H-indazol-4-yl, pyridin-3-yl, pyridin-4-yl, pyrimidin-5-yl, 1H-pyrazolo[4,3-b]pyridin-6-yl, pyridin-2(1H)-on-5-yl, 3H-imidazo[4,5-b]pyridin-6-yl, pyrido[3,2-b]pyrazin-7-yl, oxazolo[5,4-c]pyridin-7-yl, 1H-pyrazol-4-yl, pyrazolo[1,5-a]pyridin-3-yl, quinolin-5-yl, isoquinolin-4-yl, 1H-indol-4-yl, and imidazo[1,2-a]pyridin-8-yl, each of which is optionally substituted with 1, 2, 3 or 4 substituents independently selected from R20.
25. The compound of claim 1 , or a pharmaceutically acceptable salt thereof, wherein:
each R20 is independently selected from C1-6 alkyl, C2-6 alkenyl, C2-6 alkynyl, C1-6 haloalkyl, C3-10 cycloalkyl, 4-10 membered heterocycloalkyl, C6-10 aryl, 5-10 membered heteroaryl, halo, CN, NO2, ORa2, SRa2, C(O)Rb2, C(O)NRc2Rd2, C(O)ORa2, OC(O)Rb2, OC(O)NRc2Rd2, NRc2Rd2, NRc2C(O)Rb2, NRc2C(O)ORa2, NRc2S(O)Rb2, NRc2S(O)2Rb2, S(O)Rb2, S(O)NRc2Rd2, S(O)2Rb2, and S(O)2NRc2Rd2; wherein said C1-6 alkyl, C2-6 alkenyl, C2-6 alkynyl, C3-10 cycloalkyl, 4-10 membered heterocycloalkyl, C6-10 aryl, and 5-10 membered heteroaryl are each optionally substituted with 1, 2, 3, or 4 substituents independently selected from R21;
or two adjacent R20 substituents on the CyA ring, taken together with the atoms to which they are attached, form a fused 4-, 5-, 6- or 7-membered heterocycloalkyl ring, or a fused C3-7 cycloalkyl ring; wherein each fused 4-, 5-, 6- or 7-membered heterocycloalkyl ring has at least one ring-forming carbon atom and 1, 2, 3, or 4 ring-forming heteroatoms independently selected from N, O, and S; wherein a ring-forming carbon atom of each fused 4-, 5-, 6- or 7-membered heterocycloalkyl ring is optionally substituted by oxo to form a carbonyl group; and wherein the fused 4-, 5-, 6- or 7-membered heterocycloalkyl ring and fused C3-6 cycloalkyl ring are each optionally substituted with 1, 2, 3 or 4 substituents independently selected from R21.
26. The compound of claim 1 , or a pharmaceutically acceptable salt thereof, wherein:
each R20 is independently selected from C1-6 alkyl, C2-6 alkenyl, C2-6 alkynyl, C1-6 haloalkyl, C6-10 aryl, 5-10 membered heteroaryl, halo, CN, ORa2, SRa2, C(O)Rb2, C(O)NRc2Rd2, C(O)ORa2, NRc2Rd2, NRc2C(O)Rb2, NRc2C(O)ORa2, NRc2S(O)Rb2, NRc2S(O)2Rb2, S(O)Rb2, S(O)NRc2Rd2, S(O)2Rb2, and S(O)2NRc2Rd2; wherein said C1-6 alkyl, C2-6 alkenyl, C2-6 alkynyl, C6-10 aryl, and 5-10 membered heteroaryl are each optionally substituted with 1, 2, 3, or 4 substituents independently selected from R21;
or two adjacent R20 substituents on the CyA ring, taken together with the atoms to which they are attached, form a fused 4-, 5-, 6- or 7-membered heterocycloalkyl ring, or a fused C3-7 cycloalkyl ring; wherein each fused 4-, 5-, 6- or 7-membered heterocycloalkyl ring has at least one ring-forming carbon atom and 1, 2, 3, or 4 ring-forming heteroatoms independently selected from N, O, and S; wherein a ring-forming carbon atom of each fused 4-, 5-, 6- or 7-membered heterocycloalkyl ring is optionally substituted by oxo to form a carbonyl group; and wherein the fused 4-, 5-, 6- or 7-membered heterocycloalkyl ring and fused C3-6 cycloalkyl ring are each optionally substituted with 1, 2, 3 or 4 substituents independently selected from R21.
27. The compound of claim 1 , or a pharmaceutically acceptable salt thereof, wherein:
each R20 is independently selected from C1-6 alkyl, C1-6 haloalkyl, C6-10 aryl, 5-10 membered heteroaryl, halo, CN, ORa2, C(O)NRc2Rd2, C(O)ORa2, NRc2Rd2, NRc2C(O)Rb2, and NRc2S(O)2Rb2; wherein said C1-6 alkyl, C6-10 aryl, and 5-10 membered heteroaryl are each optionally substituted with 1, 2, 3, or 4 substituents independently selected from R21;
or two adjacent R20 substituents on the CyA ring, taken together with the atoms to which they are attached, form a fused 4-, 5-, 6- or 7-membered heterocycloalkyl ring, or a fused C3-7 cycloalkyl ring; wherein each fused 4-, 5-, 6- or 7-membered heterocycloalkyl ring has at least one ring-forming carbon atom and 1, 2, 3, or 4 ring-forming heteroatoms independently selected from N, O, and S; wherein a ring-forming carbon atom of each fused 4-, 5-, 6- or 7-membered heterocycloalkyl ring is optionally substituted by oxo to form a carbonyl group; and wherein the fused 4-, 5-, 6- or 7-membered heterocycloalkyl ring and fused C3-6 cycloalkyl ring are each optionally substituted with 1, 2, 3 or 4 substituents independently selected from R21.
28. The compound of claim 1 , or a pharmaceutically acceptable salt thereof, wherein:
each R20 is independently selected from methoxy, methyl, fluoro, trifluoromethyl, amino, methoxy, hydroxymethyl, ethoxycarbonyl, methanesulfonamino, hydroxyl, N-methylaminocarbonyl, dimethylamino, cyano, methoxycarbonyl, acetylamino, phenyl, 2-oxazolyl, tert-butyl, aminocarbonyl, N-benzylaminocarbonyl, N-(pyridin-4-ylmethyl)aminocarbonyl, ethyl, methylaminomethyl;
or two adjacent R20 substituents on the CyA ring, taken together with the atoms to which they are attached, form a fused 5- or 6-membered heterocycloalkyl ring, or a fused C5 cycloalkyl ring; wherein each fused 5- or 6-membered heterocycloalkyl ring has at least one ring-forming carbon atom and 1 or 2 ring-forming heteroatoms independently selected from N and O; wherein a ring-forming carbon atom of each fused 5- or 6-membered heterocycloalkyl ring is optionally substituted by oxo to form a carbonyl group; and wherein the fused 5- or 6-membered heterocycloalkyl ring and fused C5 cycloalkyl ring are each optionally substituted with 1 or 2 substituents independently selected from amino, methylamino, 2-hydroxyethylamino, and N-benzylamino.
29. The compound of claim 1 , or a pharmaceutically acceptable salt thereof, wherein:
each R20 is independently selected from methoxy, methyl, fluoro, trifluoromethyl, amino, methoxy, hydroxymethyl, ethoxycarbonyl, methanesulfonamino, hydroxyl, N-methylaminocarbonyl, dimethylamino, cyano, methoxycarbonyl, acetylamino, phenyl, 2-oxazolyl, tert-butyl, aminocarbonyl, N-benzylaminocarbonyl, N-(pyridin-4-ylmethyl)aminocarbonyl, and ethyl;
or two adjacent R20 substituents on the CyA ring, taken together with the atoms to which they are attached, form a fused 5- or 6-membered heterocycloalkyl ring, or a fused C5 cycloalkyl ring; wherein each fused 5- or 6-membered heterocycloalkyl ring has at least one ring-forming carbon atom and 1 or 2 ring-forming heteroatoms independently selected from N and O; wherein a ring-forming carbon atom of each fused 5- or 6-membered heterocycloalkyl ring is optionally substituted by oxo to form a carbonyl group; and wherein the fused 5- or 6-membered heterocycloalkyl ring and fused C5 cycloalkyl ring are each optionally substituted with 1 or 2 substituents independently selected from amino, methylamino, 2-hydroxyethylamino, and N-benzylamino.
30. The compound of claim 1 , or a pharmaceutically acceptable salt thereof, wherein R2 is selected from H, C1-6 alkyl, C2-6 alkenyl, C2-6 alkynyl, C1-6 haloalkyl, halo, CN, ORa7, SRa7, C(O)Rb7, C(O)NRc7Rd7, C(O)ORa7, NRc7Rd7, NRc7C(O)Rb7, S(O)Rb7, S(O)NRc7Rd7, S(O)2Rb7 and S(O)2NRc7Rd7; wherein said C1-6 alkyl, C2-6 alkenyl, and C2-6 alkynyl are each optionally substituted with 1, 2, 3, or 4 substituents independently selected from R30.
31. The compound of claim 1 , or a pharmaceutically acceptable salt thereof, wherein R2 is selected from H, C1-6 alkyl, C2-6 alkenyl, C2-6 alkynyl, C1-6 haloalkyl, halo, and CN; wherein said C1-6 alkyl, C2-6 alkenyl, and C2-6 alkynyl are each optionally substituted with 1, 2, 3, or 4 substituents independently selected from R30.
32. The compound of claim 1 , or a pharmaceutically acceptable salt thereof, wherein R2 is H, C1-6 alkyl, or CN.
33. The compound of claim 1 , or a pharmaceutically acceptable salt thereof, wherein R2 is H or C1-6 alkyl.
34. The compound of claim 1 , or a pharmaceutically acceptable salt thereof, wherein R2 is H.
35. The compound of claim 1 , or a pharmaceutically acceptable salt thereof, wherein R2 is CN.
38. The compound of claim 1 , or a pharmaceutically acceptable salt thereof, wherein:
R1 is selected from Cy1, C2-6 alkenyl, C2-6 alkynyl, C1-6 haloalkyl, halo, CN, NO2, ORa, SRa, C(O)Rb, C(O)NRcRd, C(O)ORa, OC(O)Rb, OC(O)NRcRd, NRcRd, NRcC(O)Rb, NRcC(O)ORa, NRcC(O)NRcRd, C(═NRe)Rb, C(═NORa)Rb, C(═NRe)NRcRd, NRcC(═NRe)NRcRd, NRcS(O)Rb, NRcS(O)2Rb, NRcS(O)2NRcRd, S(O)Rb, S(O)NRcRd, S(O)2Rb, and S(O)2NRcRd; wherein said C2-6 alkenyl and C2-6 alkynyl are each optionally substituted with 1, 2, 3, or 4 substituents independently selected from R10;
Cy1 is selected from C3-10 cycloalkyl, 4-10 membered heterocycloalkyl, C6-10 aryl and 5-10 membered heteroaryl; wherein each 4-10 membered heterocycloalkyl and 5-10 membered heteroaryl has at least one ring-forming carbon atom and 1, 2, 3, or 4 ring-forming heteroatoms independently selected from N, O, and S; wherein the N and S are optionally oxidized; wherein a ring-forming carbon atom of 5-10 membered heteroaryl and 4-10 membered heterocycloalkyl is optionally substituted by oxo to form a carbonyl group; and wherein the C3-10cycloalkyl, 4-10 membered heterocycloalkyl, C6-10 aryl and 5-10 membered heteroaryl are each optionally substituted with 1, 2, 3 or 4 substituents independently selected from R10;
CyA is selected from C6-10 aryl and 5-10 membered heteroaryl; wherein the 5-membered heteroaryl has at least one ring-forming carbon atom and 1 or 2 ring-forming heteroatoms independently selected from N, O, and S and the 6-10 membered heteroaryl has at least one ring-forming carbon atom and 1, 2, 3, or 4 ring-forming heteroatoms independently selected from N, O, and S; wherein the N and S are optionally oxidized; wherein a ring-forming carbon atom of the 5-10 membered heteroaryl is optionally substituted by oxo to form a carbonyl group; and wherein the C6-10 aryl and 5-10 membered heteroaryl are each optionally substituted with 1, 2, 3 or 4 substituents independently selected from R20;
R2 is selected from H, C1-6 alkyl, C2-6 alkenyl, C2-6 alkynyl, C1-6 haloalkyl, C3-10 cycloalkyl, 4-10 membered heterocycloalkyl, C6-10 aryl, 5-10 membered heteroaryl, C3-10 cycloalkyl-C1-3 alkylene, 4-10 membered heterocycloalkyl-C1-3 alkylene, C6-10 aryl-C1-3 alkylene, 5-10 membered heteroaryl-C1-3 alkylene, halo, CN, ORa7, SRa7, C(O)Rb7C(O)NRc7Rd7, C(O)ORa7, NRc7Rd7, NRc7C(O)Rb7, NRc7C(O)ORa7, NRc7S(O)Rb7, NRc7S(O)2Rb7, NRc7S(O)2NRc7Rd7, S(O)Rb7, S(O)NRc7Rd7, S(O)2Rb7, and S(O)2NRc7Rd7; wherein said C1-6 alkyl, C2-6 alkenyl, C2-6 alkynyl, C3-10 cycloalkyl, 4-10 membered heterocycloalkyl, C6-10 aryl, 5-10 membered heteroaryl, C3-10 cycloalkyl-C1-3 alkylene, 4-10 membered heterocycloalkyl-C1-3 alkylene, C6-10 aryl-C1-3 alkylene and 5-10 membered heteroaryl-C1-3 alkylene are each optionally substituted with 1, 2, 3, or 4 substituents independently selected from R30;
each R10 is independently selected from C1-6 alkyl, C2-6 alkenyl, C2-6 alkynyl, C1-6 haloalkyl, C3-10 cycloalkyl, piperazinyl, piperidinyl, C6-10 aryl, 5-10 membered heteroaryl, C3-10 cycloalkyl-C1-3 alkylene, 4-10 membered heterocycloalkyl-C1-3 alkylene, C6-10 aryl-C1-3 alkylene, 5-10 membered heteroaryl-C1-3 alkylene, halo, CN, NO2, ORa1, SRa1, C(O)Rb1, C(O)NRc1Rd1, C(O)ORa1, OC(O)Rb1, OC(O)NRc1Rd1, NRc1Rd1, NRc1C(O)Rb1, NRc1C(O)ORa1, NRc1C(O)NRc1Rd1, C(═NRe1)Rb1, C(═NORa1)Rb1, C(═NRe1)NRc1Rd1 NRc1C(═NRe1)NRc1Rd1, NRc1S(O)Rb1, NRc1S(O)2Rb1, NRc1S(O)2NRc1Rd1, S(O)Rb1, S(O)NRc1Rd1, S(O)2Rb1, and S(O)2NRc1Rd1; wherein said C1-6 alkyl, C2-6 alkenyl, C2-6 alkynyl, C3-10 cycloalkyl, piperazinyl, piperidinyl, C6-10 aryl, 5-10 membered heteroaryl, C3-10 cycloalkyl-C1-3 alkylene, 4-10 membered heterocycloalkyl-C1-3 alkylene, C6-10 aryl-C1-3 alkylene and 5-10 membered heteroaryl-C1-3 alkylene are each optionally substituted with 1, 2, 3, or 4 substituents independently selected from R11;
or two R10 substituents taken together with the carbon atom to which they are attached form a spiro 3-7-membered heterocycloalkyl ring, or a spiro C3-6 cycloalkyl ring; wherein each spiro 3-7-membered heterocycloalkyl ring has at least one ring-forming carbon atom and 1, 2 or 3 ring-forming heteroatoms independently selected from N, O, and S; wherein a ring-forming carbon atom of each spiro 3-7-membered heterocycloalkyl ring is optionally substituted by oxo to form a carbonyl group; and wherein the spiro 3-7-membered heterocycloalkyl ring and spiro C3-6 cycloalkyl ring are each optionally substituted with 1, 2, 3 or 4 substituents independently selected from R11;
each R11 is independently selected from C1-6 alkyl, C2-6 alkenyl, C2-6 alkynyl, C1-6 haloalkyl, C3-10 cycloalkyl, 4-10 membered heterocycloalkyl, C6-10 aryl, 5-10 membered heteroaryl, C3-10 cycloalkyl-C1-3 alkylene, 4-10 membered heterocycloalkyl-C1-3 alkylene, C6-10 aryl-C1-3 alkylene, 5-10 membered heteroaryl-C1-3 alkylene, halo, CN, ORa3, SRa3, C(O)Rb3, C(O)NRc3Rd3, C(O)ORa3, NRc3Rd3, NRc3C(O)Rb3, NRc3C(O)ORa3, NRc3S(O)Rb3 NRc3S(O)2Rb3, NRc3S(O)2NRc3Rd3, S(O)Rb3, S(O)NRc3Rd3, S(O)2Rb3, and S(O)2NRc3Rd3; wherein said C1-6 alkyl, C2-6 alkenyl, C2-6 alkynyl, C3-10 cycloalkyl, 4-10 membered heterocycloalkyl, C6-10 aryl, 5-10 membered heteroaryl, C3-10 cycloalkyl-C1-3 alkylene, 4-10 membered heterocycloalkyl-C1-3 alkylene, C6-10 aryl-C1-3 alkylene and 5-10 membered heteroaryl-C1-3 alkylene are each optionally substituted with 1, 2, 3, or 4 substituents independently selected from R12;
each R12 is independently selected from C1-6 alkyl, C2-6 alkenyl, C2-6 alkynyl, C1-6 haloalkyl, C3-6 cycloalkyl, C6-10 aryl, 5-10 membered heteroaryl, 4-7 membered heterocycloalkyl, halo, CN, ORa5, SRa5, C(O)Rb5, C(O)NRc5Rd5, C(O)ORa5, NRc5Rd5, NRc5C(O)Rb5, NRc5C(O)ORa5, NRc5S(O)Rb5, NRcSS(O)2Rb5, NRcSS(O)2NRc5Rd5, S(O)Rb5 S(O)NRc5Rd5, S(O)2Rb5, and S(O)2NRc5Rd5; wherein said C1-6 alkyl, C2-6 alkenyl, C2-6 alkynyl, C3-6 cycloalkyl, C6-10 aryl, 5-10 membered heteroaryl and 4-7 membered heterocycloalkyl, are each optionally substituted with 1, 2, 3, or 4 substituents independently selected from Rg;
each R20 is independently selected from C1-6 alkyl, C2-6 alkenyl, C2-6 alkynyl, C1-6 haloalkyl, C3-10 cycloalkyl, 4-10 membered heterocycloalkyl, C6-10 aryl, 5-10 membered heteroaryl, C3-10 cycloalkyl-C1-3 alkylene, 4-10 membered heterocycloalkyl-C1-3 alkylene, C6-10 aryl-C1-3 alkylene, 5-10 membered heteroaryl-C1-3 alkylene, halo, CN, NO2, ORa2, SRa2, C(O)Rb2, C(O)NRc2Rd2, C(O)ORa2, OC(O)Rb2, OC(O)NRc2Rd2, NRc2Rd2, NRc2C(O)Rb2, NRc2C(O)ORa2, NRc2C(O)NRc2Rd2, C(═NRe2)Rb2, C(═NORa2)Rb2, C(═NRe2)NRc2Rd2 NRc2C(═NRe2)NRc2Rd2, NRc2S(O)Rb2, NRc2S(O)2Rb2, NRc2S(O)2NRc2Rd2, S(O)Rb2 S(O)NRc2Rd2, S(O)2Rb2, and S(O)2NRc2Rd2; wherein said C1-6 alkyl, C2-6 alkenyl, C2-6 alkynyl, C3-10 cycloalkyl, 4-10 membered heterocycloalkyl, C6-10 aryl, 5-10 membered heteroaryl, C3-10 cycloalkyl-C1-3 alkylene, 4-10 membered heterocycloalkyl-C1-3 alkylene, C6-10 aryl-C1-3 alkylene and 5-10 membered heteroaryl-C1-3 alkylene are each optionally substituted with 1, 2, 3, or 4 substituents independently selected from R21;
or two adjacent R20 substituents on the CyA ring, taken together with the atoms to which they are attached, form a fused 4-, 5-, 6- or 7-membered heterocycloalkyl ring, or a fused C3-7 cycloalkyl ring; wherein each fused 4-, 5-, 6- or 7-membered heterocycloalkyl ring has at least one ring-forming carbon atom and 1, 2, 3, or 4 ring-forming heteroatoms independently selected from N, O, and S; wherein a ring-forming carbon atom of each fused 4-, 5-, 6- or 7-membered heterocycloalkyl ring is optionally substituted by oxo to form a carbonyl group; and wherein the fused 4-, 5-, 6- or 7-membered heterocycloalkyl ring and fused C3-6 cycloalkyl ring are each optionally substituted with 1, 2, 3 or 4 substituents independently selected from R21;
each R21 is independently selected from C1-6 alkyl, C2-6 alkenyl, C2-6 alkynyl, C1-6 haloalkyl, C3-10 cycloalkyl, 4-10 membered heterocycloalkyl, C6-10 aryl, 5-10 membered heteroaryl, C3-10 cycloalkyl-C1-3 alkylene, 4-10 membered heterocycloalkyl-C1-3 alkylene, C6-10 aryl-C1-3 alkylene, 5-10 membered heteroaryl-C1-3 alkylene, halo, CN, ORa4, SRa4, C(O)Rb4, C(O)NRc4Rd4, C(O)ORa4, NRc4Rd4, NRc4C(O)Rb4, NRc4C(O)ORa4, NRc4S(O)Rb4, NRc4S(O)2Rb4, NRc4S(O)2NRc4Rd4, S(O)Rb4, S(O)NRc4Rd4, S(O)2Rb4, and S(O)2NRc4Rd4; wherein said C1-6 alkyl, C2-6 alkenyl, C2-6 alkynyl, C3-10 cycloalkyl, 4-10 membered heterocycloalkyl, C6-10 aryl, 5-10 membered heteroaryl, C3-10 cycloalkyl-C1-3 alkylene, 4-10 membered heterocycloalkyl-C1-3 alkylene, C6-10 aryl-C1-3 alkylene and 5-10 membered heteroaryl-C1-3 alkylene are each optionally substituted with 1, 2, 3, or 4 substituents independently selected from R22;
or two R21 substituents taken together with the carbon atom to which they are attached form a spiro 3-7-membered heterocycloalkyl ring, or a spiro C3-6 cycloalkyl ring; wherein each spiro 3-7-membered heterocycloalkyl ring has at least one ring-forming carbon atom and 1, 2 or 3 ring-forming heteroatoms independently selected from N, O, and S; wherein a ring-forming carbon atom of each spiro 3-7-membered heterocycloalkyl ring is optionally substituted by oxo to form a carbonyl group; and wherein the spiro 3-7 membered heterocycloalkyl ring and spiro C3-6 cycloalkyl ring are each optionally substituted with 1, 2, 3 or 4 substituents independently selected from R22;
each R22 is independently selected from C1-6 alkyl, C2-6 alkenyl, C2-6 alkynyl, C1-6 haloalkyl, C3-6 cycloalkyl, phenyl, 5-6 membered heteroaryl, 4-7 membered heterocycloalkyl, halo, CN, ORa6, SRa6, C(O)Rb6, C(O)NRc6Rd6, C(O)ORa6, NRc6Rd6, NRc6C(O)Rb6, NRc6C(O)ORa6, NRc6S(O)Rb6, NRc6S(O)2Rb6, NRc6S(O)2NRc6Rd6, S(O)Rb6, S(O)NRc6Rd6, S(O)2Rb6, and S(O)2NRc6Rd6; wherein said C1-6 alkyl, C2-6 alkenyl, C2-6 alkynyl, C3-6 cycloalkyl, phenyl, 5-6 membered heteroaryl and 4-7 membered heterocycloalkyl, are each optionally substituted with 1, 2, 3, or 4 substituents independently selected from Rg;
each R30 is independently selected from C1-6 alkyl, C2-6 alkenyl, C2-6 alkynyl, C1-6 haloalkyl, C3-6 cycloalkyl, phenyl, 5-6 membered heteroaryl, 4-7 membered heterocycloalkyl, halo, CN, ORa8, SRa8, C(O)Rb8, C(O)NRc8Rd8, C(O)ORa8, NRc8Rd8, NRc8C(O)Rb8, NRc8C(O)ORa8S, NRc8S(O)Rb8, NRc8S(O)2Rb8, NRc8S(O)2NRc8Rd8, S(O)Rb8, S(O)NRc8Rd8, S(O)2Rb8, and S(O)2NRc8Rd8; wherein said C1-6 alkyl, C2-6 alkenyl, C2-6 alkynyl, C3-6 cycloalkyl, phenyl, 5-6 membered heteroaryl and 4-7 membered heterocycloalkyl, are each optionally substituted with 1, 2, 3, or 4 substituents independently selected from Rg;
each Ra and Rc is independently selected from H, C1-6 alkyl, C2-6 alkenyl, C2-6 alkynyl, C1-6 haloalkyl, C3-10 cycloalkyl, 4-10 membered heterocycloalkyl, C6-10 aryl and 5-10 membered heteroaryl; wherein said C1-6 alkyl, C2-6 alkenyl, C2-6 alkynyl, C3-10 cycloalkyl, 4-10 membered heterocycloalkyl, C6-10 aryl and 5-10 membered heteroaryl, are each optionally substituted with 1, 2, 3, or 4 substituents independently selected from R10;
each Rd is independently selected from C1-6 alkyl, C2-6 alkenyl, C2-6 alkynyl, C1-6 haloalkyl, C3-10 cycloalkyl, 4-10 membered heterocycloalkyl, C6-10 aryl and 5-10 membered heteroaryl; wherein said C1-6 alkyl, C2-6 alkenyl, C2-6 alkynyl, C3-10 cycloalkyl, 4-10 membered heterocycloalkyl, C6-10 aryl and 5-10 membered heteroaryl, are each optionally substituted with 1, 2, 3, or 4 substituents independently selected from R10;
or any Rc and Rd attached to the same N atom, together with the N atom to which they are attached, form a 4-, 5-, 6- or 7-membered heterocycloalkyl group optionally substituted with 1, 2, 3, or 4 substituents independently selected from R10;
each Rb is independently selected from C1-6 alkyl, C2-6 alkenyl, C2-6 alkynyl, C1-6 haloalkyl, C3-10 cycloalkyl, 4-10 membered heterocycloalkyl, C6-10 aryl and 5-10 membered heteroaryl; wherein said C1-6 alkyl, C2-6 alkenyl, C2-6 alkynyl, C3-10 cycloalkyl, 4-10 membered heterocycloalkyl, C6-10 aryl and 5-10 membered heteroaryl, are each optionally substituted with 1, 2, 3, or 4 substituents independently selected from R10;
each Re is independently selected from H, CN, C1-6 alkyl, C1-6 haloalkyl, C1-6 alkylthio, C1-6 alkylsulfonyl, C1-6 alkylcarbonyl, C1-6 alkylaminosulfonyl, carbamyl, C1-6 alkylcarbamyl, di(C1-6 alkyl)carbamyl, aminosulfonyl, C1-6 alkylaminosulfonyl and di(C1-6 alkyl)aminosulfonyl;
each Ra1, Rc1 and Rd1 is independently selected from H, C1-6 alkyl, C2-6 alkenyl, C2-6 alkynyl, C1-6 haloalkyl, C3-10 cycloalkyl, 4-10 membered heterocycloalkyl, C6-10 aryl and 5-10 membered heteroaryl; wherein said C1-6 alkyl, C2-6 alkenyl, C2-6 alkynyl, C3-10 cycloalkyl, 4-10 membered heterocycloalkyl, C6-10 aryl and 5-10 membered heteroaryl, are each optionally substituted with 1, 2, 3, or 4 substituents independently selected from R11;
or any Rc1 and Rd1 attached to the same N atom, together with the N atom to which they are attached, form a 4-, 5-, 6- or 7-membered heterocycloalkyl group optionally substituted with 1, 2, 3, or 4 substituents independently selected from R11;
each Rb1 is independently selected from C1-6 alkyl, C2-6 alkenyl, C2-6 alkynyl, C1-6 haloalkyl, C3-10 cycloalkyl, 4-10 membered heterocycloalkyl, C6-10 aryl and 5-10 membered heteroaryl; wherein said C1-6 alkyl, C2-6 alkenyl, C2-6 alkynyl, C3-10 cycloalkyl, 4-10 membered heterocycloalkyl, C6-10 aryl and 5-10 membered heteroaryl, are each optionally substituted with 1, 2, 3, or 4 substituents independently selected from R11;
each Re1 is independently selected from H, CN, C1-6 alkyl, C1-6 haloalkyl, C1-6 alkylthio, C1-6 alkylsulfonyl, C1-6 alkylcarbonyl, C1-6 alkylaminosulfonyl, carbamyl, C1-6 alkylcarbamyl, di(C1-6 alkyl)carbamyl, aminosulfonyl, C1-6 alkylaminosulfonyl and di(C1-6 alkyl)aminosulfonyl;
each Ra2, Rc2 and Rd2, is independently selected from H, C1-6 alkyl, C2-6 alkenyl, C2-6 alkynyl, C1-6 haloalkyl, C3-10 cycloalkyl, 4-10 membered heterocycloalkyl, C6-10 aryl and 5-10 membered heteroaryl; wherein said C1-6 alkyl, C2-6 alkenyl, C2-6 alkynyl, C3-10 cycloalkyl, 4-10 membered heterocycloalkyl, C6-10 aryl and 5-10 membered heteroaryl are each optionally substituted with 1, 2, 3, or 4 substituents independently selected from R21;
or any Rc2 and Rd2 attached to the same N atom, together with the N atom to which they are attached, form a 4-, 5-, 6- or 7-membered heterocycloalkyl group optionally substituted with 1, 2 or 3 substituents independently selected from R21;
each Rb2 is independently selected from C1-6 alkyl, C2-6 alkenyl, C2-6 alkynyl, C1-6 haloalkyl, C3-10 cycloalkyl, 4-10 membered heterocycloalkyl, C6-10 aryl and 5-10 membered heteroaryl; wherein said C1-6 alkyl, C2-6 alkenyl, C2-6 alkynyl, C3-10 cycloalkyl, 4-10 membered heterocycloalkyl, C6-10 aryl and 5-10 membered heteroaryl are each optionally substituted with 1, 2, 3, or 4 substituents independently selected from R21;
each Re2 is independently selected from H, CN, C1-6 alkyl, C1-6 haloalkyl, C1-6 alkylthio, C1-6 alkylsulfonyl, C1-6 alkylcarbonyl, C1-6 alkylaminosulfonyl, carbamyl, C1-6 alkylcarbamyl, di(C1-6 alkyl)carbamyl, aminosulfonyl, C1-6 alkylaminosulfonyl and di(C1-6 alkyl)aminosulfonyl;
each Ra3, Rc3 and Rd3, is independently selected from H, C1-6 alkyl, C2-6 alkenyl, C2-6 alkynyl, C1-6 haloalkyl, C3-6 cycloalkyl, phenyl, 5-6 membered heteroaryl and 4-7 membered heterocycloalkyl; wherein said C1-6 alkyl C2-6 alkenyl, C2-6 alkynyl, C3-6 cycloalkyl, phenyl, 5-6 membered heteroaryl and 4-7 membered heterocycloalkyl are each optionally substituted with 1, 2, 3, or 4 substituents independently selected from R12;
or any Rc3 and Rd3 attached to the same N atom, together with the N atom to which they are attached, form a 4-, 5-, 6- or 7-membered heterocycloalkyl group optionally substituted with 1, 2 or 3 substituents independently selected from R12;
each Rb3 is independently selected from C1-6 alkyl, C2-6 alkenyl, C2-6 alkynyl, C1-6 haloalkyl, C3-6 cycloalkyl, phenyl, 5-6 membered heteroaryl and 4-7 membered heterocycloalkyl; wherein said C1-6 alkyl C2-6 alkenyl, C2-6 alkynyl, C3-6 cycloalkyl, phenyl, 5-6 membered heteroaryl and 4-7 membered heterocycloalkyl, are each optionally substituted with 1, 2, 3, or 4 substituents independently selected from R12;
each Ra4, Rc4 and Rd4, is independently selected from H, C1-6 alkyl, C2-6 alkenyl, C2-6 alkynyl, C1-6 haloalkyl, C3-6 cycloalkyl, phenyl, 5-6 membered heteroaryl and 4-7 membered heterocycloalkyl; wherein said C1-6 alkyl C2-6 alkenyl, C2-6 alkynyl, C3-6 cycloalkyl, phenyl, 5-6 membered heteroaryl and 4-7 membered heterocycloalkyl are each optionally substituted with 1, 2, 3, or 4 substituents independently selected from R22;
or any Rc4 and Rd4 attached to the same N atom, together with the N atom to which they are attached, form a 4-, 5-, 6- or 7-membered heterocycloalkyl group optionally substituted with 1, 2 or 3 substituents independently selected from R22;
each Rb4 is independently selected from C1-6 alkyl, C2-6 alkenyl, C2-6 alkynyl, C1-6 haloalkyl, C3-6 cycloalkyl, phenyl, 5-6 membered heteroaryl and 4-7 membered heterocycloalkyl; wherein said C1-6 alkyl C2-6 alkenyl, C2-6 alkynyl, C3-6 cycloalkyl, phenyl, 5-6 membered heteroaryl and 4-7 membered heterocycloalkyl are each optionally substituted with 1, 2, 3, or 4 substituents independently selected from R22;
each Ra5, Rc5 and Rd5, is independently selected from H, C1-6 alkyl, C2-6 alkenyl, C2-6 alkynyl and C1-6 haloalkyl; wherein said C1-6 alkyl, C2-6 alkenyl and C2-6 alkynyl are each optionally substituted with 1, 2, 3, or 4 substituents independently selected from Rg;
each Rb5 is independently selected from C1-6 alkyl, C2-6 alkenyl, C2-6 alkynyl and C1-6 haloalkyl; wherein said C1-6 alkyl C2-6 alkenyl and C2-6 alkynyl are each optionally substituted with 1, 2, 3, or 4 substituents independently selected from Rg;
each Ra6, Rc6 and Rd6, is independently selected from H, C1-6 alkyl, C2-6 alkenyl, C2-6 alkynyl and C1-6 haloalkyl; wherein said C1-6 alkyl, C2-6 alkenyl and C2-6 alkynyl are each optionally substituted with 1, 2, 3, or 4 substituents independently selected from Rg;
each Rb6 is independently selected from C1-6 alkyl, C2-6 alkenyl, C2-6 alkynyl, and C1-6 haloalkyl; wherein said C1-6 alkyl, C2-6 alkenyl and C2-6 alkynyl are each optionally substituted with 1, 2, 3, or 4 substituents independently selected from Rg;
each Ra7, Rc7, and Rd7 is independently selected from H, C1-6 alkyl, C2-6 alkenyl, C2-6 alkynyl, C1-6 haloalkyl, C3-10 cycloalkyl, 4-10 membered heterocycloalkyl, C6-10 aryl and 5-10 membered heteroaryl; wherein said C1-6 alkyl, C2-6 alkenyl, C2-6 alkynyl, C3-10 cycloalkyl, 4-10 membered heterocycloalkyl, C6-10 aryl and 5-10 membered heteroaryl, are each optionally substituted with 1, 2, 3, or 4 substituents independently selected from R30;
or any Rc7 and Rd7 attached to the same N atom, together with the N atom to which they are attached, form a 4-, 5-, 6- or 7-membered heterocycloalkyl group optionally substituted with 1, 2 or 3 substituents independently selected from R30;
each Rb7 is independently selected from C1-6 alkyl, C2-6 alkenyl, C2-6 alkynyl, C1-6 haloalkyl, C3-10 cycloalkyl, 4-10 membered heterocycloalkyl, C6-10 aryl and 5-10 membered heteroaryl; wherein said C1-6 alkyl, C2-6 alkenyl, C2-6 alkynyl, C3-10 cycloalkyl, 4-10 membered heterocycloalkyl, C6-10 aryl and 5-10 membered heteroaryl, are each optionally substituted with 1, 2, 3, or 4 substituents independently selected from R30;
each Ra8, Rc8 and Rd8, is independently selected from H, C1-6 alkyl, C2-6 alkenyl, C2-6 alkynyl, C1-6 haloalkyl, C3-6 cycloalkyl, phenyl, 5-6 membered heteroaryl and 4-7 membered heterocycloalkyl; wherein said C1-6 alkyl C2-6 alkenyl, C2-6 alkynyl, C3-6 cycloalkyl, phenyl, 5-6 membered heteroaryl and 4-7 membered heterocycloalkyl are each optionally substituted with 1, 2, 3, or 4 substituents independently selected from Rg;
or any Rc8 and Rd8 attached to the same N atom, together with the N atom to which they are attached, form a 4-, 5-, 6- or 7-membered heterocycloalkyl group optionally substituted with 1, 2 or 3 substituents independently selected from Rg;
each Rb8 is independently selected from C1-6 alkyl, C2-6 alkenyl, C2-6 alkynyl, C1-6 haloalkyl, C3-6 cycloalkyl, phenyl, 5-6 membered heteroaryl and 4-7 membered heterocycloalkyl; wherein said C1-6 alkyl C2-6 alkenyl, C2-6 alkynyl, C3-6 cycloalkyl, phenyl, 5-6 membered heteroaryl and 4-7 membered heterocycloalkyl are each optionally substituted with 1, 2, 3, or 4 substituents independently selected from Rg; and
each Rg is independently selected from OH, NO2, CN, halo, C1-6 alkyl, C2-6 alkenyl, C2-6 alkynyl, C1-6 haloalkyl, C3-6 cycloalkyl, C3-6 cycloalkyl-C1-2 alkylene, C1-6 alkoxy, C1-6 haloalkoxy, C1-3 alkoxy-C1-3 alkyl, C1-3 alkoxy-C1-3 alkoxy, HO—C1-3 alkoxy, HO—C1-3 alkyl, cyano-C1-3 alkyl, H2N—C1-3 alkyl, amino, C1-6 alkylamino, di(C1-6 alkyl)amino, thio, C1-6 alkylthio, C1-6 alkylsulfinyl, C1-6 alkylsulfonyl, carbamyl, C1-6 alkylcarbamyl, di(C1-6 alkyl)carbamyl, carboxy, C1-6 alkylcarbonyl, C1-6 alkoxycarbonyl, C1-6 alkylcarbonylamino, C1-6 alkylsulfonylamino, aminosulfonyl, C1-6 alkylaminosulfonyl, di(C1-6 alkyl)aminosulfonyl, aminosulfonylamino, C1-6 alkylaminosulfonylamino, di(C1-6 alkyl)aminosulfonylamino, aminocarbonylamino, C1-6 alkylaminocarbonylamino, and di(C1-6 alkyl)aminocarbonylamino.
39. The compound of claim 1 , or a pharmaceutically acceptable salt thereof, wherein:
R1 is selected from Cy1, C2-6 alkenyl, C2-6 alkynyl, C1-6 haloalkyl, halo, CN, NO2, ORa, SRa, C(O)Rb, C(O)NRcRd, C(O)ORa, OC(O)Rb, OC(O)NRcRd, NRcRd, NRcC(O)Rb, NRcC(O)ORa, NRcS(O)Rb, NRcS(O)2Rb, NRcS(O)2NRcRd, S(O)Rb, S(O)NRcRd, S(O)2Rb, and S(O)2NRcRd; wherein said C2-6 alkenyl and C2-6 alkynyl are each optionally substituted with 1, 2, 3, or 4 substituents independently selected from R10;
Cy1 is selected from C6-10 aryl and 5-10 membered heteroaryl; wherein the 5-10 membered heteroaryl has at least one ring-forming carbon atom and 1, 2, 3, or 4 ring-forming heteroatoms independently selected from N, O, and S; wherein the N and S are optionally oxidized; wherein a ring-forming carbon atom of 5-10 membered heteroaryl is optionally substituted by oxo to form a carbonyl group; and wherein the C6-10 aryl and 5-10 membered heteroaryl are each optionally substituted with 1, 2, 3 or 4 substituents independently selected from R10;
CyA is selected from C6-10 aryl and 5-10 membered heteroaryl; wherein the 5-membered heteroaryl has at least one ring-forming carbon atom and 1 or 2 ring-forming heteroatoms independently selected from N, O, and S and the 6-10 membered heteroaryl has at least one ring-forming carbon atom and 1, 2, 3, or 4 ring-forming heteroatoms independently selected from N, O, and S; wherein the N and S are optionally oxidized; wherein a ring-forming carbon atom of the 5-10 membered heteroaryl is optionally substituted by oxo to form a carbonyl group; and wherein the C6-10 aryl and 5-10 membered heteroaryl are each optionally substituted with 1, 2, 3 or 4 substituents independently selected from R20;
R2 is selected from H, C1-6 alkyl, C2-6 alkenyl, C2-6 alkynyl, C1-6 haloalkyl, halo, CN, ORa7, SRa7, C(O)Rb7, C(O)NRc7Rd7, C(O)ORa7, NRc7Rd7, NRc7C(O)Rb7, and NRc7C(O)ORa7; wherein said C1-6 alkyl, C2-6 alkenyl, and C2-6 alkynyl are each optionally substituted with 1, 2, 3, or 4 substituents independently selected from R30;
each R10 is independently selected from C1-6 alkyl, C2-6 alkenyl, C2-6 alkynyl, C1-6 haloalkyl, C3-10 cycloalkyl, piperazinyl, piperidinyl, C6-10 aryl, 5-10 membered heteroaryl, halo, CN, NO2, ORa1, SRa1, C(O)Rb1, C(O)NRc1Rd1, C(O)ORa1, NRc1Rd1, NRc1C(O)Rb1, NRc1C(O)ORa1, S(O)Rb1, S(O)NRc1Rd1, S(O)2Rb1, and S(O)2NRc1Rd1; wherein said C1-6 alkyl, C2-6 alkenyl, C2-6 alkynyl, C3-10 cycloalkyl, piperazinyl, piperidinyl, C6-10 aryl, and 5-10 membered heteroaryl are each optionally substituted with 1, 2, 3, or 4 substituents independently selected from R11;
each R11 is independently selected from C1-6 alkyl, C2-6 alkenyl, C2-6 alkynyl, C1-6 haloalkyl, halo, CN, ORa3, SRa3, C(O)Rb3, C(O)NRc3Rd3, C(O)ORa3, NRc3Rd3, NRc3C(O)Rb3NRc3C(O)ORa3, S(O)Rb3, S(O)NRc3Rd3, S(O)2Rb3, and S(O)2NRc3Rd3; wherein said C1-6 alkyl, C2-6 alkenyl, and C2-6 alkynyl are each optionally substituted with 1, 2, 3, or 4 substituents independently selected from R12;
each R12 is independently selected from C1-6 alkyl, C2-6 alkenyl, C2-6 alkynyl, C1-6 haloalkyl, CN, ORa5, SRa5, C(O)Rb5, C(O)NRc5Rd5, C(O)ORa5, NRc5Rd5, NRc5C(O)Rb5NRc5C(O)ORa5, S(O)Rb5, S(O)NRc5Rd5, S(O)2Rb5, and S(O)2NRc5Rd5; wherein said C1-6 alkyl, C2-6 alkenyl, and C2-6 alkynyl are each optionally substituted with 1, 2, 3, or 4 substituents independently selected from Rg;
each R20 is independently selected from C1-6 alkyl, C2-6 alkenyl, C2-6 alkynyl, C1-6 haloalkyl, C3-10 cycloalkyl, 4-10 membered heterocycloalkyl, C6-10 aryl, 5-10 membered heteroaryl, halo, CN, NO2, ORa2, SRa2, C(O)Rb2, C(O)NRc2Rd2, C(O)ORa2, OC(O)Rb2, OC(O)NRc2Rd2, NRc2Rd2, NRc2C(O)Rb2, NRc2C(O)ORa2, NRc2S(O)Rb2, NRc2S(O)2Rb2, NRc2S(O)2NRc2Rd2, S(O)Rb2, S(O)NRc2Rd2, S(O)2Rb2, and S(O)2NRc2Rd2; wherein said C1-6 alkyl, C2-6 alkenyl, C2-6 alkynyl, C3-10 cycloalkyl, 4-10 membered heterocycloalkyl, C6-10 aryl, and 5-10 membered heteroaryl are each optionally substituted with 1, 2, 3, or 4 substituents independently selected from R21;
or two adjacent R20 substituents on the CyA ring, taken together with the atoms to which they are attached, form a fused 5- or 6-membered heterocycloalkyl ring, or a fused C3-7 cycloalkyl ring; wherein each fused 5- or 6-membered heterocycloalkyl ring has at least one ring-forming carbon atom and 1, 2, 3, or 4 ring-forming heteroatoms independently selected from N, O, and S; wherein a ring-forming carbon atom of each fused 5- or 6-membered heterocycloalkyl ring is optionally substituted by oxo to form a carbonyl group; and wherein the fused 5- or 6-membered heterocycloalkyl ring and fused C3-6 cycloalkyl ring are each optionally substituted with 1, 2, 3 or 4 substituents independently selected from R21;
each R21 is independently selected from C1-6 alkyl, C2-6 alkenyl, C2-6 alkynyl, C1-6 haloalkyl, C3-10 cycloalkyl, 4-10 membered heterocycloalkyl, C6-10 aryl, 5-10 membered heteroaryl, halo, CN, ORa4, SRa4, C(O)Rb4, C(O)NRc4Rd4, C(O)ORa4, NRc4Rd4, NRc4C(O)Rb4NRc4C(O)ORa4, S(O)Rb4, S(O)NRc4Rd4, S(O)2Rb4, and S(O)2NRc4Rd4; wherein said C1-6 alkyl, C2-6 alkenyl, C2-6 alkynyl, C3-10 cycloalkyl, 4-10 membered heterocycloalkyl, C6-10 aryl, and 5-10 membered heteroaryl are each optionally substituted with 1, 2, 3, or 4 substituents independently selected from R22;
each R22 is independently selected from C1-6 alkyl, C2-6 alkenyl, C2-6 alkynyl, C1-6 haloalkyl, CN, ORa6, SRa6, C(O)Rb6, C(O)NRc6Rd6, C(O)ORa6, NRc6Rd6, NRc6C(O)Rb6, NRc6C(O)ORa6, S(O)Rb6, S(O)NRc6Rd6, S(O)2Rb6, and S(O)2NRc6Rd6; wherein said C1-6 alkyl, C2-6 alkenyl, and C2-6 alkynyl are each optionally substituted with 1, 2, 3, or 4 substituents independently selected from Rg;
each R30 is independently selected from C1-6 alkyl, C2-6 alkenyl, C2-6 alkynyl, C1-6 haloalkyl, phenyl, halo, CN, ORa8, SRa8, C(O)Rb8, C(O)NRc8Rd8, C(O)ORa8, NRc8Rd8, NRc8C(O)Rb8, NRc8C(O)ORa8, S(O)Rb8, S(O)NRc8Rd8, S(O)2Rb8, and S(O)2NRc8Rd8; wherein said C1-6 alkyl, C2-6 alkenyl, C2-6 alkynyl, and phenyl are each optionally substituted with 1, 2, 3, or 4 substituents independently selected from Rg;
each Ra and Rc is independently selected from H, C1-6 alkyl, C2-6 alkenyl, C2-6 alkynyl, and C1-6 haloalkyl; wherein said C1-6 alkyl, C2-6 alkenyl, and C2-6 alkynyl are each optionally substituted with 1, 2, 3, or 4 substituents independently selected from R10;
each Rd is independently selected from C1-6 alkyl, C2-6 alkenyl, C2-6 alkynyl, and C1-6 haloalkyl; wherein said C1-6 alkyl, C2-6 alkenyl, and C2-6 alkynyl are each optionally substituted with 1, 2, 3, or 4 substituents independently selected from R10;
each Rb is independently selected from C1-6 alkyl, C2-6 alkenyl, C2-6 alkynyl, and C1-6 haloalkyl; wherein said C1-6 alkyl, C2-6 alkenyl, and C2-6 alkynyl are each optionally substituted with 1, 2, 3, or 4 substituents independently selected from R10;
each Ra1, Rc1 and Rd1 is independently selected from H, C1-6 alkyl, C2-6 alkenyl, C2-6 alkynyl, C1-6 haloalkyl, 4-10 membered heterocycloalkyl, and C6-10 aryl; wherein said C1-6 alkyl, C2-6 alkenyl, C2-6 alkynyl, 4-10 membered heterocycloalkyl and C6-10 aryl are each optionally substituted with 1, 2, 3, or 4 substituents independently selected from R11;
or any Rc1 and Rd1 attached to the same N atom, together with the N atom to which they are attached, form a 4-, 5-, 6- or 7-membered heterocycloalkyl group optionally substituted with 1, 2, 3, or 4 substituents independently selected from R11;
each Rb1 is independently selected from C1-6 alkyl, C2-6 alkenyl, C2-6 alkynyl, C1-6 haloalkyl, and 4-10 membered heterocycloalkyl; wherein said C1-6 alkyl, C2-6 alkenyl, C2-6 alkynyl, and 4-10 membered heterocycloalkyl are each optionally substituted with 1, 2, 3, or 4 substituents independently selected from R11;
each Ra2, Rc2 and Rd2, is independently selected from H, C1-6 alkyl, C2-6 alkenyl, C2-6 alkynyl, and C1-6 haloalkyl; wherein said C1-6 alkyl, C2-6 alkenyl, and C2-6 alkynyl are each optionally substituted with 1, 2, 3, or 4 substituents independently selected from R21;
each Rb2 is independently selected from C1-6 alkyl, C2-6 alkenyl, C2-6 alkynyl, and C1-6 haloalkyl; wherein said C1-6 alkyl, C2-6 alkenyl, and C2-6 alkynyl are each optionally substituted with 1, 2, 3, or 4 substituents independently selected from R21;
each Ra3, Rc3 and Rd3, is independently selected from H, C1-6 alkyl, C2-6 alkenyl, C2-6 alkynyl, and C1-6 haloalkyl; wherein said C1-6 alkyl C2-6 alkenyl, and C2-6 alkynyl are each optionally substituted with 1, 2, 3, or 4 substituents independently selected from R12;
each Rb3 is independently selected from C1-6 alkyl, C2-6 alkenyl, C2-6 alkynyl, and C1-6 haloalkyl; wherein said C1-6 alkyl C2-6 alkenyl, and C2-6 alkynyl are each optionally substituted with 1, 2, 3, or 4 substituents independently selected from R12;
each Ra4, Rc4 and Rd4, is independently selected from H, C1-6 alkyl, C2-6 alkenyl, C2-6 alkynyl, and C1-6 haloalkyl; wherein said C1-6 alkyl C2-6 alkenyl, and C2-6 alkynyl are each optionally substituted with 1, 2, 3, or 4 substituents independently selected from R22;
each Rb4 is independently selected from C1-6 alkyl, C2-6 alkenyl, C2-6 alkynyl, and C1-6 haloalkyl; wherein said C1-6 alkyl C2-6 alkenyl, and C2-6 alkynyl are each optionally substituted with 1, 2, 3, or 4 substituents independently selected from R22;
each Ra5, Rc5 and Rd5, is independently selected from H, C1-6 alkyl, C2-6 alkenyl, C2-6 alkynyl and C1-6 haloalkyl;
each Rb5 is independently selected from C1-6 alkyl, C2-6 alkenyl, C2-6 alkynyl and C1-6 haloalkyl;
each Ra6, Rc6 and Rd6, is independently selected from H, C1-6 alkyl, C2-6 alkenyl, C2-6 alkynyl and C1-6 haloalkyl;
each Rb6 is independently selected from C1-6 alkyl, C2-6 alkenyl, C2-6 alkynyl, and C1-6 haloalkyl;
each Ra7, Rc7, and Rd7 is independently selected from H, C1-6 alkyl, C2-6 alkenyl, C2-6 alkynyl, and C1-6 haloalkyl;
each Rb7 is independently selected from C1-6 alkyl, C2-6 alkenyl, C2-6 alkynyl, and C1-6 haloalkyl;
each Ra8, Rc8 and Rd8, is independently selected from H, C1-6 alkyl, C2-6 alkenyl, C2-6 alkynyl, and C1-6 haloalkyl;
each Rb8 is independently selected from C1-6 alkyl, C2-6 alkenyl, C2-6 alkynyl, and C1-6 haloalkyl; and
each Rg is independently selected from OH, NO2, CN, halo, C1-6 alkyl, C2-6 alkenyl, C2-6 alkynyl, C1-6 haloalkyl, C1-6 alkoxy, C1-6 haloalkoxy, C1-3 alkoxy-C1-3 alkyl, C1-3 alkoxy-C1-3 alkoxy, HO—C1-3 alkoxy, HO—C1-3 alkyl, cyano-C1-3 alkyl, H2N—C1-3 alkyl, amino, C1-6 alkylamino, di(C1-6 alkyl)amino, thio, C1-6 alkylthio, C1-6 alkylsulfinyl, C1-6 alkylsulfonyl, carbamyl, C1-6 alkylcarbamyl, di(C1-6 alkyl)carbamyl, carboxy, C1-6 alkylcarbonyl, C1-6 alkoxycarbonyl, C1-6 alkylcarbonylamino, C1-6 alkylsulfonylamino, aminosulfonyl, C1-6 alkylaminosulfonyl, and di(C1-6 alkyl)aminosulfonyl.
40. The compound of claim 1 , or a pharmaceutically acceptable salt thereof, wherein:
R1 is selected from Cy1, C2-6 alkenyl, C2-6 alkynyl, C1-6 haloalkyl, halo, and CN; wherein said C2-6 alkenyl and C2-6 alkynyl are each optionally substituted with 1, 2, 3, or 4 substituents independently selected from R10;
Cy1 is selected from C6-10 aryl and 5-10 membered heteroaryl; wherein the 5-10 membered heteroaryl has at least one ring-forming carbon atom and 1, 2, 3, or 4 ring-forming heteroatoms independently selected from N, O, and S; wherein the N and S are optionally oxidized; wherein a ring-forming carbon atom of 5-10 membered heteroaryl is optionally substituted by oxo to form a carbonyl group; and wherein the C6-10 aryl and 5-10 membered heteroaryl are each optionally substituted with 1, 2, 3 or 4 substituents independently selected from R10;
CyA is selected from C6-10 aryl and 5-10 membered heteroaryl; wherein the 5-membered heteroaryl has at least one ring-forming carbon atom and 1 or 2 ring-forming heteroatoms independently selected from N, O, and S and the 6-10 membered heteroaryl has at least one ring-forming carbon atom and 1, 2, 3, or 4 ring-forming heteroatoms independently selected from N, O, and S; wherein the N and S are optionally oxidized; wherein a ring-forming carbon atom of the 5-10 membered heteroaryl is optionally substituted by oxo to form a carbonyl group; and wherein the C6-10 aryl and 5-10 membered heteroaryl are each optionally substituted with 1, 2, 3 or 4 substituents independently selected from R20;
R2 is selected from H, C1-6 alkyl, C2-6 alkenyl, C2-6 alkynyl, C1-6 haloalkyl, halo, and CN;
each R10 is independently selected from C1-6 alkyl, C2-6 alkenyl, C2-6 alkynyl, C1-6 haloalkyl, piperazinyl, piperidinyl, halo, CN, ORa1, C(O)Rb1, C(O)NRc1Rd1, C(O)ORa1, and NRc1Rd1; wherein said C1-6 alkyl, C2-6 alkenyl, C2-6 alkynyl, piperazinyl, and piperidinyl are each optionally substituted with 1, 2, 3, or 4 substituents independently selected from R11;
each R11 is independently selected from C1-6 alkyl, C2-6 alkenyl, C2-6 alkynyl, C1-6 haloalkyl, halo, ORa3, C(O)Rb3, C(O)NRc3Rd3, C(O)ORa3, NRc3Rd3, S(O)2Rb3, and S(O)2NRc3Rd3;
each R20 is independently selected from C1-6 alkyl, C2-6 alkenyl, C2-6 alkynyl, C1-6 haloalkyl, C6-10 aryl, 5-10 membered heteroaryl, halo, CN, ORa2, C(O)Rb2, C(O)NRc2Rd2, C(O)ORa2, NRc2Rd2, NRc2C(O)Rb2, and NRc2S(O)2Rb2; wherein said C1-6 alkyl, C2-6 alkenyl, C2-6 alkynyl, C6-10 aryl, and 5-10 membered heteroaryl are each optionally substituted with 1, 2, 3, or 4 substituents independently selected from R21;
or two adjacent R20 substituents on the CyA ring, taken together with the atoms to which they are attached, form a fused 5- or 6-membered heterocycloalkyl ring, or a fused C3-7 cycloalkyl ring; wherein each fused 5- or 6-membered heterocycloalkyl ring has at least one ring-forming carbon atom and 1, 2, 3, or 4 ring-forming heteroatoms independently selected from N, O, and S; wherein a ring-forming carbon atom of each fused 5- or 6-membered heterocycloalkyl ring is optionally substituted by oxo to form a carbonyl group; and wherein the fused 5- or 6-membered heterocycloalkyl ring and fused C3-6 cycloalkyl ring are each optionally substituted with 1, 2, 3 or 4 substituents independently selected from R21;
each R21 is independently selected from C1-6 alkyl, C2-6 alkenyl, C2-6 alkynyl, C1-6 haloalkyl, C6-10 aryl, 5-10 membered heteroaryl, halo, ORa4, C(O)Rb4, C(O)NRc4Rd4, C(O)ORa4, NRc4Rd4, NRc4C(O)Rb4, S(O)2Rb4, and S(O)2NRc4Rd4; wherein said C1-6 alkyl, C2-6 alkenyl, C2-6 alkynyl, C6-10 aryl, and 5-10 membered heteroaryl are each optionally substituted with 1, 2, 3, or 4 substituents independently selected from R22;
each R22 is independently selected from C1-6 alkyl, C2-6 alkenyl, C2-6 alkynyl, C1-6 haloalkyl, ORa6, C(O)Rb6, C(O)NRc6Rd6, C(O)ORa6, NRc6Rd6, NRc6C(O)Rb6, S(O)2Rb6, and S(O)2NRc6Rd6;
each Ra1, Rc1 and Rd1 is independently selected from H, C1-6 alkyl, C2-6 alkenyl, C2-6 alkynyl, C1-6 haloalkyl, 4-10 membered heterocycloalkyl, and C6-10 aryl; wherein said C1-6 alkyl, C2-6 alkenyl, C2-6 alkynyl, 4-10 membered heterocycloalkyl and C6-10 aryl are each optionally substituted with 1, 2, 3, or 4 substituents independently selected from R11;
or any Rc1 and Rd1 attached to the same N atom, together with the N atom to which they are attached, form a 4-, 5-, 6- or 7-membered heterocycloalkyl group optionally substituted with 1, 2, 3, or 4 substituents independently selected from R11;
each Rb1 is independently selected from C1-6 alkyl, C2-6 alkenyl, C2-6 alkynyl, C1-6 haloalkyl, and 4-10 membered heterocycloalkyl; wherein said C1-6 alkyl, C2-6 alkenyl, C2-6 alkynyl, and 4-10 membered heterocycloalkyl are each optionally substituted with 1, 2, 3, or 4 substituents independently selected from R11;
each Ra2, Rc2 and Rd2, is independently selected from H, C1-6 alkyl, C2-6 alkenyl, C2-6 alkynyl, and C1-6 haloalkyl; wherein said C1-6 alkyl, C2-6 alkenyl, and C2-6 alkynyl are each optionally substituted with 1, 2, 3, or 4 substituents independently selected from R21;
each Rb2 is independently selected from C1-6 alkyl, C2-6 alkenyl, C2-6 alkynyl, and C1-6 haloalkyl;
each Ra3, Rc3 and Rd3, is independently selected from H, C1-6 alkyl, C2-6 alkenyl, C2-6 alkynyl, and C1-6 haloalkyl;
each Rb3 is independently selected from C1-6 alkyl, C2-6 alkenyl, C2-6 alkynyl, and C1-6 haloalkyl;
each Ra4, Rc4 and Rd4, is independently selected from H, C1-6 alkyl, C2-6 alkenyl, C2-6 alkynyl, and C1-6 haloalkyl; wherein said C1-6 alkyl C2-6 alkenyl, and C2-6 alkynyl are each optionally substituted with 1, 2, 3, or 4 substituents independently selected from R22;
each Rb4 is independently selected from C1-6 alkyl, C2-6 alkenyl, C2-6 alkynyl, and C1-6 haloalkyl;
each Ra6, Rc6 and Rd6, is independently selected from H, C1-6 alkyl, C2-6 alkenyl, C2-6 alkynyl and C1-6 haloalkyl; and
each Rb6 is independently selected from C1-6 alkyl, C2-6 alkenyl, C2-6 alkynyl, and C1-6 haloalkyl.
41. The compound of claim 1 , or a pharmaceutically acceptable salt thereof, wherein:
R1 is Cy1;
Cy1 is selected from C6-10 aryl and 5-10 membered heteroaryl; wherein the 5-10 membered heteroaryl has at least one ring-forming carbon atom and 1, 2, 3, or 4 ring-forming heteroatoms independently selected from N, O, and S; wherein the N and S are optionally oxidized; wherein a ring-forming carbon atom of 5-10 membered heteroaryl is optionally substituted by oxo to form a carbonyl group; and wherein the C6-10 aryl and 5-10 membered heteroaryl are each optionally substituted with 1, 2, 3 or 4 substituents independently selected from R10;
CyA is selected from C6-10 aryl and 5-10 membered heteroaryl; wherein the 5-membered heteroaryl has at least one ring-forming carbon atom and 1 or 2 ring-forming heteroatoms independently selected from N, O, and S and the 6-10 membered heteroaryl has at least one ring-forming carbon atom and 1, 2, 3, or 4 ring-forming heteroatoms independently selected from N, O, and S; wherein the N and S are optionally oxidized; wherein a ring-forming carbon atom of the 5-10 membered heteroaryl is optionally substituted by oxo to form a carbonyl group; and wherein the C6-10 aryl and 5-10 membered heteroaryl are each optionally substituted with 1, 2, 3 or 4 substituents independently selected from R20;
R2 is H or CN;
each R10 is independently selected from C1-6 alkyl, piperazinyl, piperidinyl, C(O)Rb1 and C(O)NRc1Rd1; wherein said C1-6 alkyl, piperazinyl, and piperidinyl are each optionally substituted with 1, 2, 3, or 4 substituents independently selected from R11;
each R11 is independently selected from C1-6 alkyl, ORa3, C(O)Rb3, and S(O)2Rb3;
each R20 is independently selected from C1-6 alkyl, C1-6 haloalkyl, C6-10 aryl, 5-10 membered heteroaryl, halo, CN, ORa2, C(O)NRc2Rd2, C(O)ORa2, NRc2Rd2, NRc2C(O)Rb2, and NRc2S(O)2Rb2; wherein said C1-6 alkyl, C6-10 aryl, and 5-10 membered heteroaryl are each optionally substituted with 1, 2, 3, or 4 substituents independently selected from R21;
or two adjacent R20 substituents on the CyA ring, taken together with the atoms to which they are attached, form a fused 5- or 6-membered heterocycloalkyl ring, or a fused C3-7 cycloalkyl ring; wherein each fused 5- or 6-membered heterocycloalkyl ring has at least one ring-forming carbon atom and 1, 2, 3, or 4 ring-forming heteroatoms independently selected from N, O, and S; wherein a ring-forming carbon atom of each fused 5- or 6-membered heterocycloalkyl ring is optionally substituted by oxo to form a carbonyl group; and wherein the fused 5- or 6-membered heterocycloalkyl ring and fused C3-6 cycloalkyl ring are each optionally substituted with 1, 2, 3 or 4 substituents independently selected from R21;
each R21 is independently selected from C6-10 aryl, 5-10 membered heteroaryl, ORa4, and NRc4Rd4;
each R22 is ORa6;
each Rc1 and Rd1 is independently selected from H, C1-6 alkyl, 4-10 membered heterocycloalkyl, and C6-10 aryl; wherein said C1-6 alkyl, 4-10 membered heterocycloalkyl and C6-10 aryl are each optionally substituted with 1, 2, 3, or 4 substituents independently selected from R11;
or any Rc1 and Rd1 attached to the same N atom, together with the N atom to which they are attached, form a 4-, 5-, 6- or 7-membered heterocycloalkyl group optionally substituted with 1, 2, 3, or 4 substituents independently selected from R11;
Rb1 is 4-10 membered heterocycloalkyl optionally substituted with 1, 2, 3, or 4 substituents independently selected from R11;
each Ra2, Rc2 and Rd2 is independently H or C1-6 alkyl; wherein said C1-6 alkyl is optionally substituted with 1, 2, 3, or 4 substituents independently selected from R21;
each Rb2 is C1-6 alkyl;
each Rb3 is C1-6 alkyl;
each Ra3 is independently H or C1-6 alkyl;
each Ra4, Rc4 and Rd4 is H or C1-6 alkyl; wherein said C1-6 alkyl is optionally substituted with 1, 2, 3, or 4 substituents independently selected from R22; and
Ra6 is H.
42. The compound of claim 1 selected from:
3-(4-(4-Methylpiperazin-1-yl)phenyl)-5-phenyl-1H-pyrazolo[4,3-b]pyridine;
5-(2-Methoxyphenyl)-3-(4-(4-methylpiperazin-1-yl)phenyl)-1H-pyrazolo[4,3-b]pyridine;
3-(4-(4-Methylpiperazin-1-yl)phenyl)-5-o-tolyl-1H-pyrazolo[4,3-b]pyridine;
5-(2-Fluorophenyl)-3-(4-(4-methylpiperazin-1-yl)phenyl)-1H-pyrazolo[4,3-b]pyridine;
3-(4-(4-Methylpiperazin-1-yl)phenyl)-5-(2-(trifluoromethyl)phenyl)-1H-pyrazolo[4,3-b]pyridine;
2-Methyl-3-(3-(4-(4-methylpiperazin-1-yl)phenyl)-1H-pyrazolo[4,3-b]pyridin-5-yl)aniline;
5-(2-Fluoro-6-methylphenyl)-3-(4-(4-methylpiperazin-1-yl)phenyl)-1H-pyrazolo[4,3-b]pyridine;
5-(2-Fluoro-6-methoxyphenyl)-3-(4-(4-methylpiperazin-1-yl)phenyl)-1H-pyrazolo[4,3-b]pyridine;
5-(2,3-Difluorophenyl)-3-(4-(4-methylpiperazin-1-yl)phenyl)-1H-pyrazolo[4,3-b]pyridine;
5-(2,3-Difluoro-6-methoxyphenyl)-3-(4-(4-methylpiperazin-1-yl)phenyl)-1H-pyrazolo[4,3-b]pyridine;
(3-Fluoro-2-(3-(4-(4-methylpiperazin-1-yl)phenyl)-1H-pyrazolo[4,3-b]pyridin-5-yl)phenyl)methanol;
Ethyl 2-fluoro-3-(3-(4-(4-methylpiperazin-1-yl)phenyl)-1H-pyrazolo[4,3-b]pyridin-5-yl)benzoate;
N-(2-Fluoro-3-(3-(4-(4-methylpiperazin-1-yl)phenyl)-1H-pyrazolo[4,3-b]pyridin-5-yl)phenyl)methanesulfonamide;
2-(3-(4-(4-Methylpiperazin-1-yl)phenyl)-1H-pyrazolo[4,3-b]pyridin-5-yl)phenol;
5-(2,3-Dihydrobenzofuran-7-yl)-3-(4-(4-methylpiperazin-1-yl)phenyl)-1H-pyrazolo[4,3-b]pyridine;
5-(2,3-Dihydrobenzo[b][1,4]dioxin-5-yl)-3-(4-(4-methylpiperazin-1-yl)phenyl)-1H-pyrazolo[4,3-b]pyridine;
N-Methyl-3-(3-(4-(4-methylpiperazin-1-yl)phenyl)-1H-pyrazolo[4,3-b]pyridin-5-yl)benzamide;
N,N-Dimethyl-3-(3-(4-(4-methylpiperazin-1-yl)phenyl)-1H-pyrazolo[4,3-b]pyridin-5-yl)aniline;
2-(3-(4-(4-Methylpiperazin-1-yl)phenyl)-1H-pyrazolo[4,3-b]pyridin-5-yl)benzonitrile;
Methyl 2-(3-(4-(4-methylpiperazin-1-yl)phenyl)-1H-pyrazolo[4,3-b]pyridin-5-yl)benzoate;
N-(2-(3-(4-(4-Methylpiperazin-1-yl)phenyl)-1H-pyrazolo[4,3-b]pyridin-5-yl)phenyl)acetamide;
5-(Biphenyl-2-yl)-3-(4-(4-methylpiperazin-1-yl)phenyl)-1H-pyrazolo[4,3-b]pyridine;
5-(1H-Indazol-4-yl)-3-(4-(4-methylpiperazin-1-yl)phenyl)-1H-pyrazolo[4,3-b]pyridine;
3-(4-(4-Methylpiperazin-1-yl)phenyl)-5-(pyridin-3-yl)-1H-pyrazolo[4,3-b]pyridine;
3-(4-(4-Methylpiperazin-1-yl)phenyl)-5-(pyridin-4-yl)-1H-pyrazolo[4,3-b]pyridine;
3-(4-(4-Methylpiperazin-1-yl)phenyl)-5-(pyrimidin-5-yl)-1H-pyrazolo[4,3-b]pyridine;
5-(3-(4-(4-Methylpiperazin-1-yl)phenyl)-1H-pyrazolo[4,3-b]pyridin-5-yl)-1H-pyrrolo[2,3-b]pyridin-2(3H)-one;
1′-Methyl-3-(4-(4-methylpiperazin-1-yl)phenyl)-1H,1′H-5,6′-bipyrazolo[4,3-b]pyridine;
2-(5-(3-(4-(4-Methylpiperazin-1-yl)phenyl)-1H-pyrazolo[4,3-b]pyridin-5-yl)pyridin-3-yl)oxazole;
1-Methyl-5-(3-(4-(4-methylpiperazin-1-yl)phenyl)-1H-pyrazolo[4,3-b]pyridin-5-yl)pyridin-2(1H)-one;
5-(3-Methyl-3H-imidazo[4,5-b]pyridin-6-yl)-3-(4-(4-methylpiperazin-1-yl)phenyl)-1H-pyrazolo[4,3-b]pyridine;
7-(3-(4-(4-methylpiperazin-1-yl)phenyl)-1H-pyrazolo[4,3-b]pyridin-5-yl)pyrido[3,2-b]pyrazine;
2-tert-Butyl-7-(3-(4-(4-methylpiperazin-1-yl)phenyl)-1H-pyrazolo[4,3-b]pyridin-5-yl)oxazolo[5,4-c]pyridine;
5-(3-Methyl-1H-pyrazol-4-yl)-3-(4-(4-methylpiperazin-1-yl)phenyl)-1H-pyrazolo[4,3-b]pyridine;
3-(4-(4-Methylpiperazin-1-yl)phenyl)-5-(pyrazolo[1,5-a]pyridin-3-yl)-1H-pyrazolo[4,3-b]pyridine;
5-(3-(4-(4-Methylpiperazin-1-yl)phenyl)-1H-pyrazolo[4,3-b]pyridin-5-yl)quinoline;
4-(3-(4-(4-Methylpiperazin-1-yl)phenyl)-1H-pyrazolo[4,3-b]pyridin-5-yl)isoquinoline;
4-(3-(4-(4-Methylpiperazin-1-yl)phenyl)-1H-pyrazolo[4,3-b]pyridin-5-yl)indolin-2-one;
5-(1-Methyl-1H-indol-4-yl)-3-(4-(4-methylpiperazin-1-yl)phenyl)-1H-pyrazolo[4,3-b]pyridine;
2-Fluoro-3-(3-(4-(4-methylpiperazin-1-yl)phenyl)-1H-pyrazolo[4,3-b]pyridin-5-yl)benzamide;
2-Fluoro-N-methyl-3-(3-(4-(4-methylpiperazin-1-yl)phenyl)-1H-pyrazolo[4,3-b]pyridin-5-yl)benzamide;
N-Benzyl-2-fluoro-3-(3-(4-(4-methylpiperazin-1-yl)phenyl)-1H-pyrazolo[4,3-b]pyridin-5-yl)benzamide;
2-Fluoro-3-(3-(4-(4-methylpiperazin-1-yl)phenyl)-1H-pyrazolo[4,3-b]pyridin-5-yl)-N-(pyridin-4-ylmethyl)benzamide;
5-(Imidazo[1,2-a]pyridin-8-yl)-3-(4-(4-methylpiperazin-1-yl)phenyl)-1H-pyrazolo[4,3-b]pyridine;
5-(2-Ethylimidazo[1,2-a]pyridin-8-yl)-3-(4-(4-methylpiperazin-1-yl)phenyl)-1H-pyrazolo[4,3-b]pyridine;
5-(3-(4-(4-Methylpiperazin-1-yl)phenyl)-1H-pyrazolo[4,3-b]pyridin-5-yl)-1,2,3,4-tetrahydroisoquinoline;
4-(3-(4-(4-Methylpiperazin-1-yl)phenyl)-1H-pyrazolo[4,3-b]pyridin-5-yl)-2,3-dihydro-1H-inden-1-amine;
N-Methyl-4-(3-(4-(4-methylpiperazin-1-yl)phenyl)-1H-pyrazolo[4,3-b]pyridin-5-yl)-2,3-dihydro-1H-inden-1-amine;
2-(4-(3-(4-(4-Methylpiperazin-1-yl)phenyl)-1H-pyrazolo[4,3-b]pyridin-5-yl)-2,3-dihydro-1H-inden-1-ylamino)ethanol;
N-Benzyl-4-(3-(4-(4-methylpiperazin-1-yl)phenyl)-1H-pyrazolo[4,3-b]pyridin-5-yl)-2,3-dihydro-1H-inden-1-amine;
5-(2-Fluorophenyl)-3-phenyl-1H-pyrazolo[4,3-b]pyridine;
5-(2-Fluorophenyl)-3-(pyridin-4-yl)-1H-pyrazolo[4,3-b]pyridine;
4-(5-(2-Fluorophenyl)-1H-pyrazolo[4,3-b]pyridin-3-yl)-N-methylbenzamide;
5-(2-Fluorophenyl)-3-(1-methyl-1H-pyrazol-4-yl)-1H-pyrazolo[4,3-b]pyridine;
4-(5-(2-Fluorophenyl)-1H-pyrazolo[4,3-b]pyridin-3-yl)-N-(1-methylpiperidin-4-yl)benzamide;
(4-(5-(2-Fluorophenyl)-1H-pyrazolo[4,3-b]pyridin-3-yl)phenyl)(4-methylpiperazin-1-yl)methanone;
4-(5-(2-Fluorophenyl)-1H-pyrazolo[4,3-b]pyridin-3-yl)-N-phenylbenzamide;
5-(2-Fluorophenyl)-3-(1-(piperidin-4-yl)-1H-pyrazol-4-yl)-1H-pyrazolo[4,3-b]pyridine;
5-(2-Fluorophenyl)-3-(1-(1-(methylsulfonyl)piperidin-4-yl)-1H-pyrazol-4-yl)-1H-pyrazolo[4,3-b]pyridine; and
1-(4-(4-(5-(2-Fluorophenyl)-1H-pyrazolo[4,3-b]pyridin-3-yl)-1H-pyrazol-1-yl)piperidin-1-yl)ethanone;
or a pharmaceutically acceptable salt thereof.
43. The compound of claim 1 selected from:
1-(3,5-Difluoro-4-(3-(4-(4-methylpiperazin-1-yl)phenyl)-1H-pyrazolo[4,3-b]pyridin-5-yl)phenyl)-N-methylmethanamine;
5-(2-Fluoro-6-methylphenyl)-3-(6-(4-methylpiperazin-1-yl)pyridin-3-yl)-1H-pyrazolo[4,3-b]pyridine-6-carbonitrile;
5-(2-Fluoro-6-methylphenyl)-3-(2-morpholinopyrimidin-5-yl)-1H-pyrazolo[4,3-b]pyridine-6-carbonitrile;
3-(4-(4-Ethylpiperazin-1-yl)phenyl)-5-(2-fluoro-6-methylphenyl)-1H-pyrazolo[4,3-b]pyridine-6-carbonitrile;
5-(6-Cyano-5-(2-fluoro-6-methylphenyl)-1H-pyrazolo[4,3-b]pyridin-3-yl)-N-methylpicolinamide;
5-(2-Fluoro-6-methyl-4-((methylamino)methyl)phenyl)-3-(1-methyl-1H-pyrazol-4-yl)-1H-pyrazolo[4,3-b]pyridine-6-carbonitrile;
5-(2-Fluoro-6-methyl-4-((methylamino)methyl)phenyl)-3-(6-(4-methylpiperazin-1-yl)pyridin-3-yl)-1H-pyrazolo[4,3-b]pyridine-6-carbonitrile;
5-(2-Fluoro-6-methyl-4-((methylamino)methyl)phenyl)-3-(2-(4-methylpiperazin-1-yl)pyrimidin-5-yl)-1H-pyrazolo[4,3-b]pyridine-6-carbonitrile;
3-(4-(4-Ethylpiperazin-1-yl)phenyl)-5-(2-fluoro-6-methyl-4-((methylamino)methyl)phenyl)-1H-pyrazolo[4,3-b]pyridine-6-carbonitrile;
5-(2-Fluoro-6-methyl-4-((methylamino)methyl)phenyl)-3-(2-morpholinopyrimidin-5-yl)-1H-pyrazolo[4,3-b]pyridine-6-carbonitrile;
5-(2-Fluoro-6-methyl-4-((methylamino)methyl)phenyl)-3-(6-(2-hydroxypropan-2-yl)pyridin-3-yl)-1H-pyrazolo[4,3-b]pyridine-6-carbonitrile;
5-(6-Cyano-5-(2-fluoro-6-methyl-4-((methylamino)methyl)phenyl)-1H-pyrazolo[4,3-b]pyridin-3-yl)-N-methylpicolinamide;
5-(2-Fluoro-6-methyl-4-((methylamino)methyl)phenyl)-3-(pyridin-3-yl)-1H-pyrazolo[4,3-b]pyridine-6-carbonitrile;
5-(6-Fluoro-1,2,3,4-tetrahydroisoquinolin-5-yl)-3-(1-methyl-1H-pyrazol-4-yl)-1H-pyrazolo[4,3-b]pyridine-6-carbonitrile;
3-(4-(4-Ethylpiperazin-1-yl)phenyl)-5-(6-fluoro-1,2,3,4-tetrahydroisoquinolin-5-yl)-1H-pyrazolo[4,3-b]pyridine-6-carbonitrile;
5-(6-Fluoro-1,2,3,4-tetrahydroisoquinolin-5-yl)-3-(6-(4-methylpiperazin-1-yl)pyridin-3-yl)-1H-pyrazolo[4,3-b]pyridine-6-carbonitrile; and
5-(2-Fluoro-6-methylphenyl)-3-(1-methyl-1H-pyrazol-4-yl)-1H-pyrazolo[4,3-b]pyridine-6-carbonitrile;
or a pharmaceutically acceptable salt thereof.
44. A pharmaceutical composition comprising a compound of claim 1 , or a pharmaceutically acceptable salt thereof, and at least one pharmaceutically acceptable carrier or excipient.
45. A method of inhibiting HPK1 activity, said method comprising administering to a patient a compound of claim 1 , or a pharmaceutically acceptable salt thereof.
46. A method of treating a disease or disorder associated with inhibition of HPK1 interaction, said method comprising administering to a patient in need thereof a therapeutically effective amount of a compound of claim 1 , or a pharmaceutically acceptable salt thereof.
47. A method for treating a cancer in a patient, said method comprising administering to the patient a therapeutically effective amount of the compound of claim 1 , or a pharmaceutically acceptable salt thereof.
48. The method of claim 47 , wherein the cancer is selected from breast cancer, colorectal cancer, lung cancer, ovarian cancer, and pancreatic cancer.
Priority Applications (5)
| Application Number | Priority Date | Filing Date | Title |
|---|---|---|---|
| US15/698,753 US20180072718A1 (en) | 2016-09-09 | 2017-09-08 | Pyrazolopyridine compounds and uses thereof |
| US16/454,661 US20190315743A1 (en) | 2016-09-09 | 2019-06-27 | Pyrazolopyridine compounds and uses thereof |
| US16/786,169 US11242343B2 (en) | 2016-09-09 | 2020-02-10 | Pyrazolopyridine compounds and uses thereof |
| US17/558,824 US11891388B2 (en) | 2016-09-09 | 2021-12-22 | Pyrazolopyridine compounds and uses thereof |
| US18/545,201 US12516059B2 (en) | 2016-09-09 | 2023-12-19 | Pyrazolopyridine compounds and uses thereof |
Applications Claiming Priority (2)
| Application Number | Priority Date | Filing Date | Title |
|---|---|---|---|
| US201662385620P | 2016-09-09 | 2016-09-09 | |
| US15/698,753 US20180072718A1 (en) | 2016-09-09 | 2017-09-08 | Pyrazolopyridine compounds and uses thereof |
Related Child Applications (1)
| Application Number | Title | Priority Date | Filing Date |
|---|---|---|---|
| US16/454,661 Continuation US20190315743A1 (en) | 2016-09-09 | 2019-06-27 | Pyrazolopyridine compounds and uses thereof |
Publications (1)
| Publication Number | Publication Date |
|---|---|
| US20180072718A1 true US20180072718A1 (en) | 2018-03-15 |
Family
ID=59901622
Family Applications (5)
| Application Number | Title | Priority Date | Filing Date |
|---|---|---|---|
| US15/698,753 Abandoned US20180072718A1 (en) | 2016-09-09 | 2017-09-08 | Pyrazolopyridine compounds and uses thereof |
| US16/454,661 Abandoned US20190315743A1 (en) | 2016-09-09 | 2019-06-27 | Pyrazolopyridine compounds and uses thereof |
| US16/786,169 Active 2037-11-13 US11242343B2 (en) | 2016-09-09 | 2020-02-10 | Pyrazolopyridine compounds and uses thereof |
| US17/558,824 Active 2037-10-13 US11891388B2 (en) | 2016-09-09 | 2021-12-22 | Pyrazolopyridine compounds and uses thereof |
| US18/545,201 Active US12516059B2 (en) | 2016-09-09 | 2023-12-19 | Pyrazolopyridine compounds and uses thereof |
Family Applications After (4)
| Application Number | Title | Priority Date | Filing Date |
|---|---|---|---|
| US16/454,661 Abandoned US20190315743A1 (en) | 2016-09-09 | 2019-06-27 | Pyrazolopyridine compounds and uses thereof |
| US16/786,169 Active 2037-11-13 US11242343B2 (en) | 2016-09-09 | 2020-02-10 | Pyrazolopyridine compounds and uses thereof |
| US17/558,824 Active 2037-10-13 US11891388B2 (en) | 2016-09-09 | 2021-12-22 | Pyrazolopyridine compounds and uses thereof |
| US18/545,201 Active US12516059B2 (en) | 2016-09-09 | 2023-12-19 | Pyrazolopyridine compounds and uses thereof |
Country Status (2)
| Country | Link |
|---|---|
| US (5) | US20180072718A1 (en) |
| WO (1) | WO2018049214A1 (en) |
Cited By (36)
| Publication number | Priority date | Publication date | Assignee | Title |
|---|---|---|---|---|
| US10266530B2 (en) | 2016-09-09 | 2019-04-23 | Incyte Corporation | Pyrazolopyridine compounds and uses thereof |
| US10280164B2 (en) | 2016-09-09 | 2019-05-07 | Incyte Corporation | Pyrazolopyridone compounds and uses thereof |
| WO2020023551A1 (en) * | 2018-07-24 | 2020-01-30 | Genentech, Inc. | Naphthyridine compounds and uses thereof |
| US10722495B2 (en) | 2017-09-08 | 2020-07-28 | Incyte Corporation | Cyanoindazole compounds and uses thereof |
| US10745388B2 (en) | 2018-02-20 | 2020-08-18 | Incyte Corporation | Indazole compounds and uses thereof |
| US10752635B2 (en) | 2018-02-20 | 2020-08-25 | Incyte Corporation | Indazole compounds and uses thereof |
| US10800761B2 (en) | 2018-02-20 | 2020-10-13 | Incyte Corporation | Carboxamide compounds and uses thereof |
| US10899755B2 (en) | 2018-08-08 | 2021-01-26 | Incyte Corporation | Benzothiazole compounds and uses thereof |
| WO2021076602A1 (en) | 2019-10-14 | 2021-04-22 | Incyte Corporation | Bicyclic heterocycles as fgfr inhibitors |
| US11014929B2 (en) | 2016-09-09 | 2021-05-25 | Incyte Corporation | Pyrazolopyrimidine compounds and uses thereof |
| US11066394B2 (en) | 2019-08-06 | 2021-07-20 | Incyte Corporation | Solid forms of an HPK1 inhibitor |
| US11111247B2 (en) | 2018-09-25 | 2021-09-07 | Incyte Corporation | Pyrazolopyrimidine compounds and uses thereof |
| US11174257B2 (en) | 2018-05-04 | 2021-11-16 | Incyte Corporation | Salts of an FGFR inhibitor |
| US11242343B2 (en) | 2016-09-09 | 2022-02-08 | Incyte Corporation | Pyrazolopyridine compounds and uses thereof |
| US11299473B2 (en) | 2018-04-13 | 2022-04-12 | Incyte Corporation | Benzimidazole and indole compounds and uses thereof |
| US11406624B2 (en) | 2017-02-15 | 2022-08-09 | Incyte Corporation | Pyrazolopyridine compounds and uses thereof |
| US11407750B2 (en) | 2019-12-04 | 2022-08-09 | Incyte Corporation | Derivatives of an FGFR inhibitor |
| CN115087657A (en) * | 2019-12-18 | 2022-09-20 | 加利福尼亚大学董事会 | LIN28 inhibitor and method of use thereof |
| US11466004B2 (en) | 2018-05-04 | 2022-10-11 | Incyte Corporation | Solid forms of an FGFR inhibitor and processes for preparing the same |
| US11472801B2 (en) | 2017-05-26 | 2022-10-18 | Incyte Corporation | Crystalline forms of a FGFR inhibitor and processes for preparing the same |
| CN115279771A (en) * | 2020-01-15 | 2022-11-01 | 缆图药品公司 | MAP4K1 inhibitors |
| US11530214B2 (en) | 2013-04-19 | 2022-12-20 | Incyte Holdings Corporation | Bicyclic heterocycles as FGFR inhibitors |
| US11566028B2 (en) | 2019-10-16 | 2023-01-31 | Incyte Corporation | Bicyclic heterocycles as FGFR inhibitors |
| US11591329B2 (en) | 2019-07-09 | 2023-02-28 | Incyte Corporation | Bicyclic heterocycles as FGFR inhibitors |
| US11628162B2 (en) | 2019-03-08 | 2023-04-18 | Incyte Corporation | Methods of treating cancer with an FGFR inhibitor |
| US11667635B2 (en) | 2015-02-20 | 2023-06-06 | Incyte Corporation | Bicyclic heterocycles as FGFR4 inhibitors |
| US11840534B2 (en) | 2012-06-13 | 2023-12-12 | Incyte Corporation | Substituted tricyclic compounds as FGFR inhibitors |
| WO2023250335A1 (en) * | 2022-06-21 | 2023-12-28 | Chulalongkorn University | 1,4-diphenyl-1 h-indazole and 1-pyridin-2-yl-4-phenyl-1 h-indazole derivatives as pd-1/pd-l1 modulators for the treatment of cancer |
| US11897891B2 (en) | 2019-12-04 | 2024-02-13 | Incyte Corporation | Tricyclic heterocycles as FGFR inhibitors |
| US11939331B2 (en) | 2021-06-09 | 2024-03-26 | Incyte Corporation | Tricyclic heterocycles as FGFR inhibitors |
| US12012409B2 (en) | 2020-01-15 | 2024-06-18 | Incyte Corporation | Bicyclic heterocycles as FGFR inhibitors |
| US12065494B2 (en) | 2021-04-12 | 2024-08-20 | Incyte Corporation | Combination therapy comprising an FGFR inhibitor and a Nectin-4 targeting agent |
| US12122767B2 (en) | 2019-10-01 | 2024-10-22 | Incyte Corporation | Bicyclic heterocycles as FGFR inhibitors |
| US12202844B2 (en) | 2021-07-14 | 2025-01-21 | Blueprint Medicines Corporation | MAP4K1 inhibitors |
| US12331320B2 (en) | 2018-10-10 | 2025-06-17 | The Research Foundation For The State University Of New York | Genome edited cancer cell vaccines |
| US12428420B2 (en) | 2021-06-09 | 2025-09-30 | Incyte Corporation | Tricyclic heterocycles as FGFR inhibitors |
Families Citing this family (57)
| Publication number | Priority date | Publication date | Assignee | Title |
|---|---|---|---|---|
| PE20171514A1 (en) | 2015-02-20 | 2017-10-20 | Incyte Corp | BICYCLE HETEROCYCLES AS FGFR INHIBITORS |
| WO2018081531A2 (en) * | 2016-10-28 | 2018-05-03 | Ariad Pharmaceuticals, Inc. | Methods for human t-cell activation |
| CA3066859A1 (en) | 2017-06-13 | 2018-12-20 | Bayer Pharma Aktiengesellschaft | Substituted pyrrolopyridine-derivatives |
| EP3707138B1 (en) | 2017-11-06 | 2022-07-13 | Bristol-Myers Squibb Company | Isofuranone compounds useful as hpk1 inhibitors |
| GB201801128D0 (en) * | 2018-01-24 | 2018-03-07 | Univ Oxford Innovation Ltd | Compounds |
| EP4371987B9 (en) | 2018-10-31 | 2025-11-26 | Gilead Sciences, Inc. | Substituted 6-azabenzimidazole compounds as hpk1 inhibitors |
| KR102658602B1 (en) | 2018-10-31 | 2024-04-19 | 길리애드 사이언시즈, 인코포레이티드 | Substituted 6-azabenzimidazole compounds with HPK1 inhibitory activity |
| WO2020120257A1 (en) | 2018-12-11 | 2020-06-18 | Bayer Aktiengesellschaft | Substituted pyrrolopyridine-derivatives |
| CA3129768A1 (en) | 2019-03-26 | 2020-10-01 | Laurence Anne Mevellec | Hpk1 inhibitors |
| ES3031241T3 (en) | 2019-03-26 | 2025-07-07 | Janssen Pharmaceutica Nv | Bicyclic hpk1 inhibitors |
| WO2020237025A1 (en) | 2019-05-23 | 2020-11-26 | Gilead Sciences, Inc. | Substituted exo-methylene-oxindoles which are hpk1/map4k1 inhibitors |
| WO2020263830A1 (en) | 2019-06-25 | 2020-12-30 | Gilead Sciences, Inc. | Flt3l-fc fusion proteins and methods of use |
| TWI848141B (en) | 2019-07-04 | 2024-07-11 | 英屬開曼群島商百濟神州有限公司 | PYRROLO[2,3-b]PYRAZINES AS HPK1 INHIBITOR AND THE USE THEREOF |
| KR20220044495A (en) * | 2019-07-04 | 2022-04-08 | 치루 레고르 테라퓨틱스 인코포레이티드 | HPK1 inhibitors and uses thereof |
| TW202116771A (en) | 2019-07-17 | 2021-05-01 | 英屬開曼群島商百濟神州有限公司 | Tricyclic compounds as hpk1 inhibitor and the use thereof |
| CN118178645A (en) | 2019-10-18 | 2024-06-14 | 四十七公司 | Combination therapy for the treatment of myelodysplastic syndrome and acute myeloid leukemia |
| KR20220091576A (en) | 2019-10-31 | 2022-06-30 | 포티 세븐, 인코포레이티드 | Anti-CD47 and Anti-CD20 Based Treatment of Hematological Cancers |
| TWI778443B (en) | 2019-11-12 | 2022-09-21 | 美商基利科學股份有限公司 | Mcl1 inhibitors |
| HRP20241518T1 (en) | 2019-12-24 | 2025-01-03 | Carna Biosciences, Inc. | Diacylglycerol kinase modulating compounds |
| PH12022552122A1 (en) | 2020-02-14 | 2024-01-29 | Jounce Therapeutics Inc | Antibodies and fusion proteins that bind to ccr8 and uses thereof |
| US12110294B2 (en) | 2020-05-01 | 2024-10-08 | Gilead Sciences, Inc. | CD73 compounds |
| WO2021249913A1 (en) | 2020-06-09 | 2021-12-16 | Bayer Aktiengesellschaft | 2'-(quinolin-3-yl)-5',6'-dihydrospiro[azetidine-3,4'-pyrrolo[1,2-b]pyrazole]-1-carboxylate derivatives and related compounds as map4k1 (hpk1) inhibitors for the treatment of cancer |
| WO2022068848A1 (en) | 2020-09-30 | 2022-04-07 | Beigene, Ltd. | 3-[(1h-pyrazol-4-yl)oxy]pyrazin-2-amine compounds as hpk1 inhibitor and use thereof |
| WO2022167627A1 (en) | 2021-02-05 | 2022-08-11 | Bayer Aktiengesellschaft | Map4k1 inhibitors |
| WO2022171034A1 (en) * | 2021-02-10 | 2022-08-18 | 江苏先声药业有限公司 | Bicyclic compound as hpk1 inhibitor and application thereof |
| TW202302145A (en) | 2021-04-14 | 2023-01-16 | 美商基利科學股份有限公司 | Co-inhibition of cd47/sirpα binding and nedd8-activating enzyme e1 regulatory subunit for the treatment of cancer |
| WO2022245671A1 (en) | 2021-05-18 | 2022-11-24 | Gilead Sciences, Inc. | Methods of using flt3l-fc fusion proteins |
| EP4359413A1 (en) | 2021-06-23 | 2024-05-01 | Gilead Sciences, Inc. | Diacylglyercol kinase modulating compounds |
| WO2022271659A1 (en) | 2021-06-23 | 2022-12-29 | Gilead Sciences, Inc. | Diacylglyercol kinase modulating compounds |
| US11976072B2 (en) | 2021-06-23 | 2024-05-07 | Gilead Sciences, Inc. | Diacylglycerol kinase modulating compounds |
| US11932634B2 (en) | 2021-06-23 | 2024-03-19 | Gilead Sciences, Inc. | Diacylglycerol kinase modulating compounds |
| ES3036245T3 (en) | 2021-07-20 | 2025-09-18 | Astrazeneca Ab | Substituted pyrazine-2-carboxamides as hpk1 inhibitors for the treatment of cancer |
| CN113861188B (en) * | 2021-08-23 | 2023-02-28 | 杭州医学院 | Pyrazolo [3,4-b ] pyridine derivative, preparation method thereof and application thereof as HPK1 inhibitor |
| US20230183216A1 (en) | 2021-10-28 | 2023-06-15 | Gilead Sciences, Inc. | Pyridizin-3(2h)-one derivatives |
| CR20240173A (en) | 2021-10-29 | 2024-06-20 | Gilead Sciences Inc | CD73 COMPOUNDS |
| US20230203202A1 (en) | 2021-12-08 | 2023-06-29 | Dragonfly Therapeutics, Inc. | Proteins binding nkg2d, cd16 and 5t4 |
| WO2023107954A1 (en) | 2021-12-08 | 2023-06-15 | Dragonfly Therapeutics, Inc. | Antibodies targeting 5t4 and uses thereof |
| CN118488948A (en) | 2021-12-22 | 2024-08-13 | 吉利德科学公司 | IKAROS zinc finger family degraders and their uses |
| JP2024546851A (en) | 2021-12-22 | 2024-12-26 | ギリアード サイエンシーズ, インコーポレイテッド | IKAROS ZINC FINGER FAMILY DEGRADANT AND USES THEREOF |
| TW202340168A (en) | 2022-01-28 | 2023-10-16 | 美商基利科學股份有限公司 | Parp7 inhibitors |
| JP2025509610A (en) | 2022-03-17 | 2025-04-11 | ギリアード サイエンシーズ, インコーポレイテッド | IKAROS ZINC FINGER FAMILY DEGRADANT AND USES THEREOF |
| WO2023183817A1 (en) | 2022-03-24 | 2023-09-28 | Gilead Sciences, Inc. | Combination therapy for treating trop-2 expressing cancers |
| TWI876305B (en) | 2022-04-05 | 2025-03-11 | 美商基利科學股份有限公司 | Combination therapy for treating colorectal cancer |
| JP2025513258A (en) | 2022-04-21 | 2025-04-24 | ギリアード サイエンシーズ, インコーポレイテッド | KRA G12D modulating compounds |
| IL317958A (en) | 2022-07-01 | 2025-02-01 | Gilead Sciences Inc | Cd73 compounds |
| US20240091351A1 (en) | 2022-09-21 | 2024-03-21 | Gilead Sciences, Inc. | FOCAL IONIZING RADIATION AND CD47/SIRPa DISRUPTION ANTICANCER COMBINATION THERAPY |
| KR20250122479A (en) | 2022-12-22 | 2025-08-13 | 길리애드 사이언시즈, 인코포레이티드 | PRMT5 inhibitors and uses thereof |
| CN120882725A (en) | 2023-04-11 | 2025-10-31 | 吉利德科学公司 | KRAS-regulated compounds |
| CN121079300A (en) | 2023-04-21 | 2025-12-05 | 吉利德科学公司 | PRMT5 inhibitors and their uses |
| WO2025006720A1 (en) | 2023-06-30 | 2025-01-02 | Gilead Sciences, Inc. | Kras modulating compounds |
| WO2025024811A1 (en) | 2023-07-26 | 2025-01-30 | Gilead Sciences, Inc. | Parp7 inhibitors |
| WO2025024663A1 (en) | 2023-07-26 | 2025-01-30 | Gilead Sciences, Inc. | Parp7 inhibitors |
| US20250109147A1 (en) | 2023-09-08 | 2025-04-03 | Gilead Sciences, Inc. | Kras g12d modulating compounds |
| US20250101042A1 (en) | 2023-09-08 | 2025-03-27 | Gilead Sciences, Inc. | Kras g12d modulating compounds |
| WO2025096589A1 (en) | 2023-11-03 | 2025-05-08 | Gilead Sciences, Inc. | Prmt5 inhibitors and uses thereof |
| WO2025137640A1 (en) | 2023-12-22 | 2025-06-26 | Gilead Sciences, Inc. | Azaspiro wrn inhibitors |
| US20250376484A1 (en) | 2024-05-21 | 2025-12-11 | Gilead Sciences, Inc. | Prmt5 inhibitors and uses thereof |
Citations (2)
| Publication number | Priority date | Publication date | Assignee | Title |
|---|---|---|---|---|
| WO2015026683A1 (en) * | 2013-08-22 | 2015-02-26 | Merck Sharp & Dohme Corp. | Compounds inhibiting leucine-rich repeat kinase enzyme activity |
| WO2017023972A1 (en) * | 2015-08-03 | 2017-02-09 | Samumed, Llc. | 3-(1h-imidazo[4,5-c]pyridin-2-yl)-1h-pyrazolo[4,3-b]pyridines and therapeutic uses thereof |
Family Cites Families (248)
| Publication number | Priority date | Publication date | Assignee | Title |
|---|---|---|---|---|
| SE8800613D0 (en) | 1988-02-23 | 1988-02-23 | Wallac Oy | A NOVEL SPECTROFLUOROMETRIC METHOD AND COMPOUNDS THAT ARE OF VALUE FOR THE METHOD |
| JPH03287584A (en) | 1990-04-05 | 1991-12-18 | Banyu Pharmaceut Co Ltd | Substituted allylamine derivative |
| US5250534A (en) | 1990-06-20 | 1993-10-05 | Pfizer Inc. | Pyrazolopyrimidinone antianginal agents |
| US6200980B1 (en) | 1995-06-07 | 2001-03-13 | Cell Pathways, Inc. | Method of treating a patient having precancerous lesions with phenyl purinone derivatives |
| GB9523675D0 (en) | 1995-11-20 | 1996-01-24 | Celltech Therapeutics Ltd | Chemical compounds |
| DE19622270A1 (en) | 1996-06-03 | 1997-12-04 | Basf Ag | Pyrimidine-4-carboxamides |
| KR100390612B1 (en) | 1997-04-25 | 2003-07-07 | 화이자 인코포레이티드 | Method of Producing the Intermediate for Use in the Preparation of Pyrazolopyrimidinones Which Inhibit Type 5 Cyclic Guanosine 3',5'-Monophosphate Phosphodiesterase for the Treatment of Sexual Dysfunction |
| SK15532000A3 (en) | 1998-04-20 | 2001-12-03 | Pfizer Inc. | Pyrazolopyrimidinone cgmp pde5 inhibitors for the treatment of sexual dysfunction |
| JP2000038350A (en) | 1998-05-18 | 2000-02-08 | Yoshitomi Pharmaceut Ind Ltd | Diabetes treatment |
| GB9823101D0 (en) | 1998-10-23 | 1998-12-16 | Pfizer Ltd | Pharmaceutically active compounds |
| GB9823102D0 (en) | 1998-10-23 | 1998-12-16 | Pfizer Ltd | Pharmaceutically active compounds |
| CZ27399A3 (en) | 1999-01-26 | 2000-08-16 | Ústav Experimentální Botaniky Av Čr | Substituted nitrogen heterocyclic derivatives process of their preparation, the derivatives employed as medicaments, pharmaceutical composition and a compound pharmaceutical preparation in which these derivatives are comprised as well as use of these derivatives for preparing medicaments |
| IN187433B (en) | 1999-09-10 | 2002-04-27 | Cipla Ltd | |
| WO2001019827A1 (en) | 1999-09-13 | 2001-03-22 | Cipla Ltd. | A novel process for the synthesis of sildenafil citrate |
| AU7491400A (en) | 1999-09-17 | 2001-04-17 | Abbott Gmbh & Co. Kg | Kinase inhibitors as therapeutic agents |
| PL353791A1 (en) | 1999-09-24 | 2003-12-01 | Nihon Nohyaku Co, Ltd.Nihon Nohyaku Co, Ltd. | Aromatic diamide derivatives or salts thereof, agricultural/horticultural chemicals and method of using the same |
| NZ517324A (en) | 1999-10-11 | 2003-09-26 | Pfizer | 5-(2-substituted-5-heterocyclylsulphonylpyrid-3-YL)- dihydropyrazolo[4,3-d]pyrimidin-7-ones as phosphodiesterase inhibitors |
| TWI265925B (en) | 1999-10-11 | 2006-11-11 | Pfizer | Pyrazolo[4,3-d]pyrimidin-7-ones useful in inhibiting type 5 cyclic guanosine 3',5'-monophosphate phosphodiesterases(cGMP PDE5), process and intermediates for their preparation, their uses and composition comprising them |
| IL152925A (en) | 1999-10-21 | 2010-04-15 | Pfizer | Pharmaceutical compositions for treatment of neuropathy comprising an inhibitor of cyclic guanosine 3',5'-monophosphate phosphodiesterase 5 and either gabapentin or pregabalin |
| PL356481A1 (en) | 1999-12-22 | 2004-06-28 | Nihon Nohyaku Co, Ltd. | Aromatic diamide derivatives, chemicals for agricultural or horticultural use and usage thereof |
| CO5271697A1 (en) | 2000-01-12 | 2003-04-30 | Pfizer Prod Inc | COMPOSITIONS AND PROCEDURES FOR THE TREATMENT OF AFFECTIONS THAT RESPOND TO AN INCREASE OF TESTOSTERONE |
| US20020013327A1 (en) | 2000-04-18 | 2002-01-31 | Lee Andrew G. | Compositions and methods for treating female sexual dysfunction |
| KR100786927B1 (en) | 2000-06-28 | 2007-12-17 | 스미스클라인비이참피이엘시이 | Wet Grinding Method |
| AU2001277621A1 (en) | 2000-08-09 | 2002-03-04 | Astrazeneca Ab | Antiangiogenic bicyclic derivatives |
| WO2002019975A1 (en) | 2000-09-05 | 2002-03-14 | Taisho Pharmaceutical Co., Ltd. | Hair growth stimulants |
| US6548508B2 (en) | 2000-10-20 | 2003-04-15 | Pfizer, Inc. | Use of PDE V inhibitors for improved fecundity in mammals |
| AU2002229573A1 (en) | 2000-12-19 | 2002-07-01 | Merck Patent Gmbh | Pharmaceutical formulation containing pyrazolo(4,3-D)pyrimidines and antithrombotic agents, calcium-antagonists, prostaglandins or prostaglandin derivatives |
| WO2002050073A1 (en) | 2000-12-19 | 2002-06-27 | Smithkline Beecham P.L.C. | Pyrazolo[3,4-c]pyridines as gsk-3 inhibitors |
| US6770645B2 (en) | 2001-03-16 | 2004-08-03 | Pfizer Inc. | Pharmaceutically active compounds |
| US6784185B2 (en) | 2001-03-16 | 2004-08-31 | Pfizer Inc. | Pharmaceutically active compounds |
| JP4196678B2 (en) | 2001-04-26 | 2008-12-17 | 味の素株式会社 | Heterocyclic compounds |
| WO2002090347A1 (en) | 2001-04-30 | 2002-11-14 | Fujisawa Pharmaceutical Co., Ltd. | Amide compounds |
| FR2825706B1 (en) | 2001-06-06 | 2003-12-12 | Pf Medicament | NOVEL BENZOTHIENYL OR INDOLE DERIVATIVES, THEIR PREPARATION AND THEIR USE AS PRENYL TRANSFERASE PROTEIN INHIBITORS |
| PL370599A1 (en) | 2001-11-02 | 2005-05-30 | Pfizer Products Inc. | Treatment of insulin resistance syndrome and type 2 diabetes with pde9 inhibitors |
| TW200738672A (en) | 2001-12-10 | 2007-10-16 | Bristol Myers Squibb Co | Intermediated for the preparation of 4,5-dihydro-pyrazolo [3,4-c] pyrid-2-ones |
| US7166293B2 (en) | 2002-03-29 | 2007-01-23 | Carlsbad Technology, Inc. | Angiogenesis inhibitors |
| US20050119278A1 (en) | 2002-05-16 | 2005-06-02 | Che-Ming Teng | Anti-angiogenesis methods |
| IL164209A0 (en) | 2002-05-31 | 2005-12-18 | Eisai Co Ltd | Pyrazole derivatives and pharmaceutical compositions containing the same |
| MXPA05008441A (en) | 2003-02-14 | 2005-10-19 | Wyeth Corp | Heterocyclyl-3-sulfonylazaindole or -azaindazole derivatives as 5-hydroxytryptamine-6 ligands. |
| ES2337254T3 (en) | 2003-02-14 | 2010-04-22 | Glaxo Group Limited | CARBOXAMIDE DERIVATIVES |
| EP1613747A1 (en) | 2003-03-31 | 2006-01-11 | Pfizer Products Inc. | Crystal structure of 3 ,5 -cyclic nucleotide phosphodiesterase 1b (pde1b) and uses thereof |
| EA008596B1 (en) | 2003-04-29 | 2007-06-29 | Пфайзер Инк. | 5,7-DIAMINOPYRAZOLO[4,3-d]PYRIMIDINES USEFUL IN THE TREATMENT OF HYPERTENSION |
| WO2004108133A2 (en) | 2003-06-05 | 2004-12-16 | Vertex Pharmaceuticals Incorporated | Modulators of vr1 receptor |
| CA2528587A1 (en) | 2003-06-10 | 2005-01-20 | Fulcrum Pharmaceuticals, Inc. | .beta.-lactamase inhibitors and methods of use thereof |
| ZA200305330B (en) | 2003-07-10 | 2004-05-26 | Jb Chemicals & Pharmaceuticals | An improved process for the preparation of 5-[2-ethoxy-5-(4-methylpiperazin-1-ylsulphonyl)phenyl]-1-methyl-3-n-propyl-1,6-dihydro-7H-pyrazole[4,3-D]P yrimidin-7-one. |
| JP2007500700A (en) | 2003-07-29 | 2007-01-18 | スミスクライン ビーチャム コーポレーション | Compound |
| TWI339206B (en) | 2003-09-04 | 2011-03-21 | Vertex Pharma | Compositions useful as inhibitors of protein kinases |
| EP2251327B1 (en) | 2003-11-19 | 2014-02-12 | Array Biopharma, Inc. | Heterocyclic inhibitors of mek |
| US7241773B2 (en) | 2003-12-22 | 2007-07-10 | Abbott Laboratories | 3-quinuclidinyl heteroatom bridged biaryl derivatives |
| US20050137398A1 (en) | 2003-12-22 | 2005-06-23 | Jianguo Ji | 3-Quinuclidinyl heteroatom bridged biaryl derivatives |
| GB0402137D0 (en) | 2004-01-30 | 2004-03-03 | Smithkline Beecham Corp | Novel compounds |
| DE102004005172A1 (en) | 2004-02-02 | 2005-08-18 | Aventis Pharma Deutschland Gmbh | Indazole derivatives as inhibitors of the hormone sensitive lipase |
| CN1926139A (en) | 2004-02-27 | 2007-03-07 | 霍夫曼-拉罗奇有限公司 | Fused pyrazole derivatives |
| EP1720878A1 (en) | 2004-02-27 | 2006-11-15 | F.Hoffmann-La Roche Ag | Heteroaryl-fused pyrazolo derivatives |
| JP2007526324A (en) | 2004-03-02 | 2007-09-13 | スミスクライン・ビーチャム・コーポレイション | Inhibitors with AKT activity |
| TW200618800A (en) | 2004-08-03 | 2006-06-16 | Uriach Y Compania S A J | Heterocyclic compounds |
| CN102964294A (en) | 2004-09-02 | 2013-03-13 | 遗传技术研究公司 | Pyridyl inhibitors of hedgehog signalling |
| WO2006038001A1 (en) | 2004-10-06 | 2006-04-13 | Celltech R & D Limited | Aminopyrimidine derivatives as jnk inhibitors |
| EP1838296B1 (en) | 2004-10-20 | 2012-08-08 | Resverlogix Corp. | Flavanoids and isoflavanoids for the prevention and treatment of cardiovascular diseases |
| AR051596A1 (en) | 2004-10-26 | 2007-01-24 | Irm Llc | CONDENSED HETEROCICLIC COMPOUNDS NITROGENATED AS INHIBITORS OF THE ACTIVITY OF THE CANABINOID RECEIVER 1; PHARMACEUTICAL COMPOSITIONS THAT CONTAIN THEM AND THEIR EMPLOYMENT IN THE PREPARATION OF MEDICINES FOR THE TREATMENT OF FOOD DISORDERS |
| JP2008518926A (en) | 2004-10-28 | 2008-06-05 | ジ インスティチューツ フォー ファーマシューティカル ディスカバリー、エルエルシー | Substituted phenylalkanoic acid |
| TW200628159A (en) | 2004-11-10 | 2006-08-16 | Synta Pharmaceuticals Corp | IL-12 modulatory compounds |
| TW200628463A (en) | 2004-11-10 | 2006-08-16 | Synta Pharmaceuticals Corp | Heteroaryl compounds |
| WO2006053121A2 (en) | 2004-11-10 | 2006-05-18 | Cgi Pharmaceuticals, Inc. | Imidazo[1 , 2-a] pyrazin-8-ylamines useful as modulators of kinase activity |
| DE102004054666A1 (en) | 2004-11-12 | 2006-05-18 | Bayer Cropscience Gmbh | New substituted pyrazol-3-carboxamide derivatives useful to combat harmful plants and for growth regulation of plants |
| CN100516049C (en) | 2004-11-16 | 2009-07-22 | 永信药品工业股份有限公司 | Synthesis of Antiangiogenic Drug N2-(Substituted Arylmethyl)-3-(Substituted Phenyl)indazole |
| CA2593578C (en) | 2005-01-07 | 2013-11-05 | Emory University | Cxcr4 antagonists for the treatment of medical disorders |
| US7842810B2 (en) | 2005-03-31 | 2010-11-30 | Janssen Pharmaceutica, Nv | Bicyclic pyrazole compounds as antibacterial agents |
| US20070032493A1 (en) | 2005-05-26 | 2007-02-08 | Synta Pharmaceuticals Corp. | Method for treating B cell regulated autoimmune disorders |
| JP2009502734A (en) | 2005-07-29 | 2009-01-29 | アステラス製薬株式会社 | Fused heterocycles as Lck inhibitors |
| WO2007019416A1 (en) | 2005-08-04 | 2007-02-15 | Sirtris Pharmaceuticals, Inc. | Benzimidazole derivatives as sirtuin modulators |
| GB0516703D0 (en) | 2005-08-15 | 2005-09-21 | Syngenta Participations Ag | Novel insecticides |
| JP2007055940A (en) | 2005-08-24 | 2007-03-08 | Astellas Pharma Inc | Pyrazolopyrimidine derivatives |
| CN101243090A (en) | 2005-08-25 | 2008-08-13 | 霍夫曼-拉罗奇有限公司 | p38 MAP kinase inhibitors and methods of using the same |
| AU2006283944A1 (en) | 2005-08-25 | 2007-03-01 | F. Hoffmann-La Roche Ag | P38 MAP kinase inhibitors and methods for using the same |
| WO2007023111A2 (en) | 2005-08-25 | 2007-03-01 | F. Hoffmann-La Roche Ag | P38 map kinase inhibitors and methods for using the same |
| WO2007030582A2 (en) | 2005-09-09 | 2007-03-15 | Bristol-Myers Squibb Company | Acyclic ikur inhibitors |
| WO2007041511A2 (en) | 2005-09-30 | 2007-04-12 | New York University | Hematopoietic progenitor kinase 1 for modulation of an immune response |
| WO2007114848A2 (en) | 2005-10-25 | 2007-10-11 | Smithkline Beecham Corporation | Chemical compounds |
| MX2008005664A (en) | 2005-11-03 | 2008-12-15 | Ilypsa Inc | Indole compounds having c4-acidic substituents and use thereof as phospholipase-a2 inhibitors. |
| CN101312720A (en) | 2005-11-30 | 2008-11-26 | 安斯泰来制药有限公司 | 2-aminobenzamide derivatives |
| GB0525143D0 (en) | 2005-12-09 | 2006-01-18 | Novartis Ag | Organic compounds |
| CA2635997A1 (en) | 2006-01-11 | 2007-07-19 | Astrazeneca Ab | Morpholino pyrimidine derivatives and their use in therapy |
| UA91406C2 (en) | 2006-02-16 | 2010-07-26 | Сингента Партисипейшнс Аг | urn:schemas-microsoft-com:office:smarttagsBICYCLIC BISAMIDE DERIVATIVES, PESTICIDE COMPOSITION AND METHOD OF PESTCONTROL |
| AU2007230911A1 (en) | 2006-03-23 | 2007-10-04 | Synta Pharmaceuticals Corp. | Benzimidazolyl-pyridine compounds for inflammation and immune-related uses |
| AU2007239033B2 (en) | 2006-03-30 | 2011-12-15 | Irm Llc | Azolopyrimidines as inhibitors of Cannabinoid 1 activity |
| DK2018380T3 (en) | 2006-05-19 | 2012-01-23 | Abbott Lab | CNS-activated condensed bi-heterocyclic-substituted azabicyclic alkane derivatives |
| US20080280891A1 (en) | 2006-06-27 | 2008-11-13 | Locus Pharmaceuticals, Inc. | Anti-cancer agents and uses thereof |
| WO2008008059A1 (en) | 2006-07-12 | 2008-01-17 | Locus Pharmaceuticals, Inc. | Anti-cancer agents ans uses thereof |
| PE20121506A1 (en) | 2006-07-14 | 2012-11-26 | Amgen Inc | TRIAZOLOPYRIDINE COMPOUNDS AS C-MET INHIBITORS |
| GB0614691D0 (en) | 2006-07-24 | 2006-08-30 | Syngenta Participations Ag | Insecticidal compounds |
| CN101522026A (en) | 2006-10-06 | 2009-09-02 | Irm责任有限公司 | Protein kinase inhibitors and methods for using thereof |
| EP2089392A4 (en) | 2006-10-20 | 2010-05-05 | Concert Pharmaceuticals Inc | 3-(dihydro-1h-pyrazolo ý4,3-d¨pyrimidin-5-yl)-4-propoxybenzenesulfonamide derivatives and methods of use |
| WO2008089310A2 (en) | 2007-01-18 | 2008-07-24 | Lexicon Pharmaceuticals, Inc. | Delta 5 desaturase inhibitors for the treatment of obesity |
| WO2008089307A2 (en) | 2007-01-18 | 2008-07-24 | Lexicon Pharmaceuticals, Inc. | Delta 5 desaturase inhibitors for the treatment of pain, inflammation and cancer |
| AU2008221263B2 (en) | 2007-03-01 | 2012-02-23 | Novartis Ag | Pim kinase inhibitors and methods of their use |
| US20140249135A1 (en) | 2007-03-01 | 2014-09-04 | Novartis Ag | Pim kinase inhibitors and methods of their use |
| EP2002835A1 (en) | 2007-06-04 | 2008-12-17 | GenKyo Tex | Pyrazolo pyridine derivatives as NADPH oxidase inhibitors |
| TW200916472A (en) | 2007-06-20 | 2009-04-16 | Sirtris Pharmaceuticals Inc | Sirtuin modulating compounds |
| NZ582708A (en) | 2007-07-19 | 2012-04-27 | Schering Corp | Heterocyclic amide compounds as protein kinase inhibitors |
| MY146643A (en) | 2007-07-30 | 2012-09-14 | Dae Woong Pharma | Novel benzoimidazole derivatives and pharmaceutical composition comprising the same |
| US8399448B2 (en) | 2007-08-08 | 2013-03-19 | Merck Serono Sa | 6-amino-pyrimidine-4-carboxamide derivatives and related compounds which bind to the sphingosine 1-phosphate (S1P) receptor for the treatment of multiple sclerosis |
| GB0716414D0 (en) | 2007-08-22 | 2007-10-03 | Syngenta Participations Ag | Novel insecticides |
| WO2009032651A1 (en) | 2007-08-31 | 2009-03-12 | Smithkline Beecham Corporation | Inhibitors of akt activity |
| US8314131B2 (en) | 2007-09-21 | 2012-11-20 | Amgen Inc. | Triazole fused heteroaryl compounds and methods of use thereof |
| MX2010004965A (en) | 2007-11-01 | 2010-05-20 | Sirtris Pharmaceuticals Inc | Amide derivatives as sirtuin modulators. |
| KR100963644B1 (en) | 2007-11-23 | 2010-06-15 | 한국과학기술연구원 | Pyrazolopyrimidinone derivatives and preparation method thereof |
| NZ587165A (en) | 2008-02-04 | 2012-03-30 | Mercury Therapeutics Inc | Ampk modulators |
| EP2273882A4 (en) | 2008-05-13 | 2011-07-13 | Poniard Pharmaceuticals Inc | BIOACTIVE COMPOUNDS FOR THE TREATMENT OF CANCER AND NEURODEGENERATIVE DISEASES |
| CA2726158A1 (en) | 2008-06-11 | 2009-12-17 | Dana Farber Cancer Institute | Compounds and compositions useful for the treatment of malaria |
| DK2361248T3 (en) | 2008-06-27 | 2019-01-14 | Celgene Car Llc | Heteroberl compounds and uses thereof |
| US20110294853A1 (en) | 2008-09-12 | 2011-12-01 | Benjamin Pelcman | Bis Aromatic Compounds for Use in the Treatment of Inflammation |
| EP2165707A1 (en) | 2008-09-23 | 2010-03-24 | Genkyo Tex Sa | Pyrazolo pyridine derivatives as NADPH oxidase inhibitors |
| EP2166008A1 (en) | 2008-09-23 | 2010-03-24 | Genkyo Tex Sa | Pyrazolo pyridine derivatives as NADPH oxidase inhibitors |
| EP2166010A1 (en) | 2008-09-23 | 2010-03-24 | Genkyo Tex Sa | Pyrazolo pyridine derivatives as NADPH oxidase inhibitors |
| WO2010046780A2 (en) | 2008-10-22 | 2010-04-29 | Institut Pasteur Korea | Anti viral compounds |
| JP2010111624A (en) | 2008-11-06 | 2010-05-20 | Shionogi & Co Ltd | Indazole derivative having ttk inhibitory action |
| CN102316733B (en) | 2008-12-19 | 2014-01-01 | 健泰科生物技术公司 | Heterocyclic compounds and methods of use |
| WO2010104307A2 (en) | 2009-03-07 | 2010-09-16 | 주식회사 메디젠텍 | Pharmaceutical compositions for treating or preventing diseases caused by the translocation of gsk3 from the cell nucleus to the cytoplasm, containing compounds for inhibiting the translocation of gsk3 from the cell nucleus to the cytoplasm |
| WO2010107765A1 (en) | 2009-03-18 | 2010-09-23 | Schering Corporation | Bicyclic compounds as inhibitors of diacylglycerol acyltransferase |
| EP3584217B1 (en) | 2009-03-26 | 2023-07-05 | Northeastern University | Carbon nanostructures from pyrolysis of organic materials |
| WO2010118367A2 (en) | 2009-04-10 | 2010-10-14 | Progenics Pharmaceuticals, Inc. | Antiviral pyrimidines |
| EP2789614B1 (en) | 2009-08-11 | 2017-04-26 | Bristol-Myers Squibb Company | Azaindazoles as Btk kinase modulators and use thereof |
| WO2011031628A1 (en) | 2009-09-14 | 2011-03-17 | Schering Corporation | Inhibitors of diacylglycerol acyltransferase |
| WO2011050245A1 (en) | 2009-10-23 | 2011-04-28 | Yangbo Feng | Bicyclic heteroaryls as kinase inhibitors |
| ES2360333B1 (en) | 2009-10-29 | 2012-05-04 | Consejo Superior De Investigaciones Cientificas (Csic) (70%) | DERIVATIVES OF BIS (ARALQUIL) AMINO AND AROMATICS SYSTEMS OF SIX MEMBERS AND THEIR USE IN THE TREATMENT OF NEURODEGENERATIVE PATHOLOGIES, INCLUDING ALZHEIMER'S DISEASE |
| JP2013032290A (en) | 2009-11-20 | 2013-02-14 | Dainippon Sumitomo Pharma Co Ltd | Novel fused pyrimidine derivative |
| WO2011078143A1 (en) | 2009-12-22 | 2011-06-30 | 塩野義製薬株式会社 | Pyrimidine derivatives and pharmaceutical composition containing same |
| WO2011079236A1 (en) | 2009-12-22 | 2011-06-30 | The Ohio State University Research Foundation | Compositions and methods for cancer detection and treatment |
| EP2519517B1 (en) | 2009-12-29 | 2015-03-25 | Dana-Farber Cancer Institute, Inc. | Type ii raf kinase inhibitors |
| WO2011082400A2 (en) | 2010-01-04 | 2011-07-07 | President And Fellows Of Harvard College | Modulators of immunoinhibitory receptor pd-1, and methods of use thereof |
| AR079975A1 (en) | 2010-01-06 | 2012-03-07 | British Columbia Cancer Agency | THERAPEUTIC AGENTS DERIVED FROM BISPHENOL OR METHODS FOR USE, PHARMACEUTICAL COMPOSITIONS AND USE OF THE SAME |
| DE102010009903A1 (en) | 2010-03-02 | 2011-09-08 | Merck Patent Gmbh | Connections for electronic devices |
| CN102206172B (en) | 2010-03-30 | 2015-02-25 | 中国医学科学院医药生物技术研究所 | Substituted diaryl compound and preparation method and antiviral application thereof |
| US9133123B2 (en) | 2010-04-23 | 2015-09-15 | Cytokinetics, Inc. | Certain amino-pyridines and amino-triazines, compositions thereof, and methods for their use |
| DK2563776T3 (en) | 2010-04-27 | 2016-09-19 | Calcimedica Inc | Relations that modulate intracellular calcium |
| KR20110123657A (en) | 2010-05-07 | 2011-11-15 | 에스케이케미칼주식회사 | Picolinamide and pyrimidine-4-carboxamide compounds, methods for their preparation and pharmaceutical compositions containing the same |
| GB201008134D0 (en) | 2010-05-14 | 2010-06-30 | Medical Res Council Technology | Compounds |
| JP2011246389A (en) | 2010-05-26 | 2011-12-08 | Oncotherapy Science Ltd | Condensed-ring pyrazole derivative having ttk inhibiting action |
| ES2660611T3 (en) | 2010-05-27 | 2018-03-23 | Bayer Cropscience Ag | Pyridinylcarboxylic acid derivatives as fungicides |
| WO2011153553A2 (en) | 2010-06-04 | 2011-12-08 | The Regents Of The University Of California | Methods and compositions for kinase inhibition |
| KR20130087495A (en) | 2010-06-15 | 2013-08-06 | 바이엘 인텔렉쳐 프로퍼티 게엠베하 | Anthranilic acid derivatives |
| JP2013530180A (en) | 2010-06-16 | 2013-07-25 | パーデュー、ファーマ、リミテッド、パートナーシップ | Aryl substituted indoles and uses thereof |
| WO2012013713A2 (en) | 2010-07-28 | 2012-02-02 | Bayer Pharma Aktiengesellschaft | Substituted imidazo[1,2-b]pyridazines |
| JP5844376B2 (en) | 2010-10-06 | 2016-01-13 | ジェイファーマ株式会社 | Development of potent urate transporter inhibitors: compounds designed for their uric acid excretion effect |
| GB201017345D0 (en) | 2010-10-14 | 2010-11-24 | Proximagen Ltd | Receptor antagonists |
| MX2013006467A (en) | 2010-12-09 | 2013-10-01 | Amgen Inc | Bicyclic compounds as pim inhibitors. |
| UY33808A (en) | 2010-12-17 | 2012-07-31 | Syngenta Participations Ag | INSECTICIDE COMPOUNDS |
| AU2012204920B2 (en) | 2011-01-04 | 2014-08-07 | Novartis Ag | Indole compounds or analogues thereof useful for the treatment of age-related macular degeneration (AMD) |
| EP2672820B1 (en) | 2011-02-07 | 2019-04-17 | The Washington University | Mannoside compounds and methods of use thereof |
| BR112013024901A2 (en) | 2011-03-28 | 2017-11-07 | Hoffmann La Roche | thiazolopyrimidine compounds |
| RU2597266C2 (en) | 2011-04-12 | 2016-09-10 | Чхон Кхун Дан Фармасьютикал Корп. | Cycloalkenylarylic derivatives for inhibiting transport protein cholesterin esters |
| CN103492389B (en) | 2011-04-21 | 2016-09-14 | 原真股份有限公司 | Pyrazolo [4,3-d] pyrimidine as inhibitors of kinases |
| US9328075B2 (en) | 2011-05-05 | 2016-05-03 | St. Jude Children's Research Hospital | Pyrimidinone compounds and methods for treating influenza |
| WO2012156367A1 (en) | 2011-05-17 | 2012-11-22 | Bayer Intellectual Property Gmbh | Amino-substituted imidazopyridazines as mknk1 kinase inhibitors |
| US20140107151A1 (en) | 2011-05-17 | 2014-04-17 | Principia Biophama Inc. | Tyrosine kinase inhibitors |
| AR086587A1 (en) | 2011-05-31 | 2014-01-08 | Syngenta Participations Ag | INSECTICIDE COMPOUNDS |
| JP6073868B2 (en) | 2011-06-01 | 2017-02-01 | バイエル・インテレクチュアル・プロパティ・ゲゼルシャフト・ミット・ベシュレンクテル・ハフツングBayer Intellectual Property GmbH | Substituted aminoimidazopyridazine |
| WO2012175591A1 (en) | 2011-06-22 | 2012-12-27 | Bayer Intellectual Property Gmbh | Heterocyclyl aminoimidazopyridazines |
| EP2543372A1 (en) | 2011-07-08 | 2013-01-09 | Helmholtz-Zentrum für Infektionsforschung GmbH | Medicament for the treatment of liver cancer |
| EP3111937B1 (en) | 2011-07-08 | 2020-06-17 | Helmholtz-Zentrum für Infektionsforschung GmbH | Medicament for treatment of liver cancer |
| AU2012293417A1 (en) | 2011-08-10 | 2013-05-02 | Purdue Pharma L.P. | TRPV1 antagonists including dihydroxy substituent and uses thereof |
| KR20140071361A (en) | 2011-08-12 | 2014-06-11 | 에프. 호프만-라 로슈 아게 | PYRAZOLO[3,4-c]PYRIDINE COMPOUNDS AND METHODS OF USE |
| CA2843499A1 (en) | 2011-08-12 | 2013-02-21 | F. Hoffmann-La Roche Ag | Indazole compounds, compositions and methods of use |
| WO2013042137A1 (en) | 2011-09-19 | 2013-03-28 | Aurigene Discovery Technologies Limited | Bicyclic heterocycles as irak4 inhibitors |
| CN103814029B (en) | 2011-09-23 | 2016-10-12 | 拜耳知识产权有限责任公司 | Substituted imidazopyridazines |
| CN102503959B (en) | 2011-10-25 | 2015-04-08 | 南方医科大学 | Tricyclic compounds and preparation method thereof, and medicinal composition containing compounds and application thereof |
| CN102516263B (en) | 2011-10-25 | 2015-04-08 | 南方医科大学 | Spirotricyclic compound, its preparation method, and pharmaceutical composition containing it as well as application thereof |
| EP2773645A1 (en) | 2011-11-01 | 2014-09-10 | F.Hoffmann-La Roche Ag | Imidazopyridazine compounds |
| JP6200903B2 (en) | 2012-02-17 | 2017-09-20 | キネタ フォー エルエルシー | Antiviral drugs for the treatment of arenavirus infections |
| TW201348231A (en) | 2012-02-29 | 2013-12-01 | Amgen Inc | Heterobicyclic compounds |
| EP2824099A4 (en) | 2012-03-09 | 2015-11-11 | Carna Biosciences Inc | NEW TRIAZINE DERIVATIVE |
| JP6101248B2 (en) | 2012-03-28 | 2017-03-22 | 出光興産株式会社 | NOVEL COMPOUND, MATERIAL FOR ORGANIC ELECTROLUMINESCENT DEVICE AND ORGANIC ELECTROLUMINESCENT DEVICE |
| PH12014500842A1 (en) | 2012-04-20 | 2014-06-09 | Gilead Sciences Inc | Benzothiazol-6-yl acetic acid derivatives and their use for treating an hiv infection |
| WO2014003405A1 (en) | 2012-06-26 | 2014-01-03 | 주식회사 제이앤드제이 캐미칼 | Novel compound, and light emitting device comprising same |
| EP2867222A1 (en) | 2012-06-28 | 2015-05-06 | Novartis AG | Pyrrolidine derivatives and their use as complement pathway modulators |
| KR101936851B1 (en) | 2012-07-16 | 2019-01-11 | 한국과학기술연구원 | Pyrazolopyridine or indazole derivatives as protein kinase inhibitors |
| WO2014024125A1 (en) | 2012-08-08 | 2014-02-13 | Celon Pharma S.A. | Pyrazolo[4,3-d]pyrimidin-7(6h)-one derivatives as pde9 inhibitors |
| US20150239889A1 (en) | 2012-08-23 | 2015-08-27 | Mitsubishi Tanabe Pharma Corporation | Pyrazolopyrimidine compound |
| WO2014047616A1 (en) | 2012-09-24 | 2014-03-27 | Arizona Board Of Regents For And On Behalf Of Arizona State University | Metal compounds, methods, and uses thereof |
| KR20150072412A (en) | 2012-10-05 | 2015-06-29 | 리겔 파마슈티칼스, 인크. | Gdf-8 inhibitors |
| HRP20182037T1 (en) | 2012-12-21 | 2019-02-08 | Epizyme, Inc. | PRMT5 INHIBITORS AND THEIR USE |
| KR102137472B1 (en) | 2013-02-08 | 2020-07-27 | 삼성디스플레이 주식회사 | Organic light emitting diode comprising the same |
| US9242969B2 (en) | 2013-03-14 | 2016-01-26 | Novartis Ag | Biaryl amide compounds as kinase inhibitors |
| ES2705247T3 (en) | 2013-03-14 | 2019-03-22 | Univ Columbia | 4-phenylpiperidines, their preparation and use |
| US9227978B2 (en) | 2013-03-15 | 2016-01-05 | Araxes Pharma Llc | Covalent inhibitors of Kras G12C |
| AU2014247138B2 (en) | 2013-04-03 | 2018-06-28 | Janssen Sciences Ireland Uc | N-phenyl-carboxamide derivatives and the use thereof as medicaments for the treatment of hepatitis B |
| US8853278B1 (en) | 2013-05-22 | 2014-10-07 | Curza Global, Llc | Compositions comprising a biocidal polyamine |
| KR102349659B1 (en) | 2013-06-10 | 2022-01-11 | 아리조나 보드 오브 리젠츠 온 비하프 오브 아리조나 스테이트 유니버시티 | Phosphorescent tetradentate metal complexes having modified emission spectra |
| TWI652014B (en) | 2013-09-13 | 2019-03-01 | 美商艾佛艾姆希公司 | Heterocyclic substituted bicycloazole insecticide |
| WO2015037965A1 (en) | 2013-09-16 | 2015-03-19 | Rohm And Haas Electronic Materials Korea Ltd. | Novel organic electroluminescent compounds and organic electroluminescent device comprising the same |
| EP3057954A2 (en) | 2013-10-18 | 2016-08-24 | Syros Pharmaceuticals, Inc. | Heteromaromatic compounds useful for the treatment of proliferative diseases |
| AR098136A1 (en) | 2013-10-21 | 2016-05-04 | Merck Patent Gmbh | HETEROARILO COMPOUNDS AS BTK INHIBITORS AND USES OF THE SAME |
| ES2713196T3 (en) | 2013-12-11 | 2019-05-20 | Biogen Ma Inc | Biaryl compounds useful for the treatment of human diseases in oncology, neurology and immunology |
| EP3079683A4 (en) | 2013-12-13 | 2017-12-20 | Dana-Farber Cancer Institute, Inc. | Methods to treat lymphoplasmacytic lymphoma |
| TWI667233B (en) | 2013-12-19 | 2019-08-01 | 德商拜耳製藥公司 | Novel indazolecarboxamides, processes for their preparation, pharmaceutical preparations comprising them and their use for producing medicaments |
| EP3083589B1 (en) | 2013-12-20 | 2019-12-18 | Sunshine Lake Pharma Co., Ltd. | Substituted piperazine compounds and methods of use thereof |
| EP3092226B1 (en) | 2014-01-10 | 2019-03-13 | Aurigene Discovery Technologies Limited | Indazole compounds as irak4 inhibitors |
| CN105980519B (en) | 2014-02-05 | 2019-06-14 | 默克专利有限公司 | metal complex |
| CA2940769A1 (en) | 2014-02-25 | 2015-09-03 | Achillion Pharmaceuticals, Inc. | Amino compounds for treatment of complement mediated disorders |
| US9871208B2 (en) | 2014-02-26 | 2018-01-16 | Samsung Display Co., Ltd. | Condensed cyclic compound and organic light-emitting device including the same |
| WO2015164956A1 (en) | 2014-04-29 | 2015-11-05 | The University Of British Columbia | Benzisothiazole derivative compounds as therapeutics and methods for their use |
| US20150328188A1 (en) | 2014-05-19 | 2015-11-19 | Everardus O. Orlemans | Combination Therapies for the Treatment of Proliferative Disorders |
| EP3158597B1 (en) | 2014-06-18 | 2020-09-23 | Merck Patent GmbH | Materials for organic electroluminescent devices |
| WO2015193506A1 (en) | 2014-06-20 | 2015-12-23 | Institut Pasteur Korea | Anti-infective compounds |
| EP3157521A4 (en) | 2014-06-20 | 2018-02-14 | Aurigene Discovery Technologies Limited | Substituted indazole compounds as irak4 inhibitors |
| EP3160477A4 (en) | 2014-06-25 | 2018-07-04 | Epizyme, Inc. | Prmt5 inhibitors and uses thereof |
| US20170247366A1 (en) | 2014-06-25 | 2017-08-31 | Vanderbilt University | Substituted 4-alkoxypicolinamide analogs as mglur5 negative allosteric modulators and methods of making and using the same |
| KR20160007967A (en) | 2014-07-10 | 2016-01-21 | 삼성디스플레이 주식회사 | Organic light emitting device |
| WO2016040180A1 (en) | 2014-09-08 | 2016-03-17 | Samumed, Llc | 3-(1h-benzo[d]imidazol-2-yl)-1h-pyrazolo[3,4-c]pyridine and therapeutic uses thereof |
| WO2016040181A1 (en) | 2014-09-08 | 2016-03-17 | Samumed, Llc | 3-(1h-imidazo[4,5-c]pyridin-2-yl)-1h-pyrazolo[3,4-c]pyridine and therapeutic uses thereof |
| WO2016040188A1 (en) | 2014-09-08 | 2016-03-17 | Samumed, Llc | 3-(3h-imidazo[4,5-c]pyridin-2-yl)-1h-pyrazolo[3,4-c]pyridine and therapeutic uses thereof |
| WO2016040184A1 (en) | 2014-09-08 | 2016-03-17 | Samumed, Llc | 3-(3h-imidazo[4,5-b]pyridin-2-yl)-1h-pyrazolo[3,4-c]pyridine and therapeutic uses thereof |
| WO2016041618A1 (en) | 2014-09-15 | 2016-03-24 | Merck Patent Gmbh | Substituted indazoles and related heterocycles |
| ES2907622T3 (en) | 2014-10-06 | 2022-04-25 | Merck Patent Gmbh | Heteroaryl Compounds as BTK Inhibitors and Uses of These |
| JO3705B1 (en) | 2014-11-26 | 2021-01-31 | Bayer Pharma AG | Novel substituted indazoles, processes for preparation thereof, pharmaceutical preparations comprising them and use thereof for production of medicaments |
| JP2017537929A (en) | 2014-12-05 | 2017-12-21 | ジェネンテック, インコーポレイテッド | Methods and compositions for cancer treatment using PD-1 axis antagonists and HPK1 antagonists |
| JP6772188B2 (en) | 2015-02-03 | 2020-10-21 | メルク、パテント、ゲゼルシャフト、ミット、ベシュレンクテル、ハフツングMerck Patent GmbH | Metal complex |
| WO2016144702A1 (en) | 2015-03-06 | 2016-09-15 | Pharmakea, Inc. | Lysyl oxidase-like 2 inhibitors and uses thereof |
| WO2016144351A1 (en) | 2015-03-11 | 2016-09-15 | E. I. Du Pont De Nemours And Company | Heterocycle-substituted bicyclic azole pesticides |
| WO2016161571A1 (en) | 2015-04-08 | 2016-10-13 | Merck Sharp & Dohme Corp. | Indazole and azaindazole btk inhibitors |
| CA2984259C (en) | 2015-04-30 | 2024-02-13 | Bayer Pharma Aktiengesellschaft | Combinations of inhibitors of irak4 with inhibitors of btk |
| MX386480B (en) | 2015-06-25 | 2025-03-18 | Univ Health Network | HPK1 INHIBITORS AND METHODS OF USING THEM. |
| HK1249435A1 (en) | 2015-07-15 | 2018-11-02 | Aurigene Discovery Technologies Limited | Substituted aza compounds as irak-4 inhibitors |
| KR20180025896A (en) | 2015-07-15 | 2018-03-09 | 오리진 디스커버리 테크놀로지스 리미티드 | As IRAK-4 inhibitors, indazole and azindazole compounds |
| WO2017023894A1 (en) | 2015-08-03 | 2017-02-09 | Raze Therapeutics, Inc. | Mthfd2 inhibitors and uses thereof |
| DK3331525T3 (en) | 2015-08-07 | 2020-12-14 | Calcimedica Inc | Use of CRAC channel inhibitors to treat stroke and traumatic brain injury |
| WO2017045955A1 (en) | 2015-09-14 | 2017-03-23 | Basf Se | Heterobicyclic compounds |
| WO2017058915A1 (en) | 2015-09-28 | 2017-04-06 | Araxes Pharma Llc | Inhibitors of kras g12c mutant proteins |
| JP6889494B2 (en) | 2015-10-09 | 2021-06-18 | エイシア セラピューティクス, インコーポレイテッド | Pharmaceutical salts, physical forms, and compositions of pyrrolopyrimidine kinase inhibitors, and methods of making them. |
| WO2017108744A1 (en) | 2015-12-22 | 2017-06-29 | Bayer Pharma Aktiengesellschaft | Novel substituted indazoles, methods for producing same, pharmaceutical preparations that contain same, and use of same to produce drugs |
| JP2019501222A (en) | 2016-01-07 | 2019-01-17 | シーエス ファーマテック リミテッド | Selective inhibitors of clinically important variants of EGFR tyrosine kinase |
| CN108602802B (en) | 2016-07-26 | 2020-01-21 | 深圳市塔吉瑞生物医药有限公司 | Aminopyrimidines for Inhibiting Protein Tyrosine Kinase Activity |
| US10280164B2 (en) | 2016-09-09 | 2019-05-07 | Incyte Corporation | Pyrazolopyridone compounds and uses thereof |
| ES2927104T3 (en) | 2016-09-09 | 2022-11-02 | Incyte Corp | Pyrazolopyridine derivatives as modulators of HPK1 and uses thereof for the treatment of cancer |
| US20180072718A1 (en) | 2016-09-09 | 2018-03-15 | Incyte Corporation | Pyrazolopyridine compounds and uses thereof |
| US20180072741A1 (en) | 2016-09-09 | 2018-03-15 | Incyte Corporation | Pyrazolopyrimidine compounds and uses thereof |
| WO2018152220A1 (en) | 2017-02-15 | 2018-08-23 | Incyte Corporation | Pyrazolopyridine compounds and uses thereof |
| US10722495B2 (en) | 2017-09-08 | 2020-07-28 | Incyte Corporation | Cyanoindazole compounds and uses thereof |
| LT3755703T (en) | 2018-02-20 | 2022-10-10 | Incyte Corporation | N-(PHENYL)-2-(PHENYL)PYRIMIDINE-4-CARBOXAMIDE DERIVATIVES AND RELATED COMPOUNDS AS HPK1 INHIBITORS FOR THE TREATMENT OF CANCER |
| US10745388B2 (en) | 2018-02-20 | 2020-08-18 | Incyte Corporation | Indazole compounds and uses thereof |
| WO2019164847A1 (en) | 2018-02-20 | 2019-08-29 | Incyte Corporation | Indazole compounds and uses thereof |
| US11299473B2 (en) | 2018-04-13 | 2022-04-12 | Incyte Corporation | Benzimidazole and indole compounds and uses thereof |
| LT3784664T (en) | 2018-04-26 | 2025-03-25 | Pfizer Inc. | 2-AMINO-PYRIDINE OR 2-AMINO PYRIDINE DERIVATIVES AS CYCLIN-DEPENDENT KINASE INHIBITORS |
| TWI707865B (en) | 2018-05-04 | 2020-10-21 | 丹麥商諾佛 儂迪克股份有限公司 | Gip derivatives and uses thereof |
| CU20200084A7 (en) | 2018-05-17 | 2021-06-08 | Bayer Ag | SUBSTITUTE DERIVATIVES OF CARBOXAMIDE DIHYDROPIRAZOLO PIRAZINE |
| US10899755B2 (en) | 2018-08-08 | 2021-01-26 | Incyte Corporation | Benzothiazole compounds and uses thereof |
| AU2020326703A1 (en) | 2019-08-06 | 2022-02-17 | Incyte Corporation | Solid forms of an HPK1 inhibitor |
-
2017
- 2017-09-08 US US15/698,753 patent/US20180072718A1/en not_active Abandoned
- 2017-09-08 WO PCT/US2017/050757 patent/WO2018049214A1/en not_active Ceased
-
2019
- 2019-06-27 US US16/454,661 patent/US20190315743A1/en not_active Abandoned
-
2020
- 2020-02-10 US US16/786,169 patent/US11242343B2/en active Active
-
2021
- 2021-12-22 US US17/558,824 patent/US11891388B2/en active Active
-
2023
- 2023-12-19 US US18/545,201 patent/US12516059B2/en active Active
Patent Citations (2)
| Publication number | Priority date | Publication date | Assignee | Title |
|---|---|---|---|---|
| WO2015026683A1 (en) * | 2013-08-22 | 2015-02-26 | Merck Sharp & Dohme Corp. | Compounds inhibiting leucine-rich repeat kinase enzyme activity |
| WO2017023972A1 (en) * | 2015-08-03 | 2017-02-09 | Samumed, Llc. | 3-(1h-imidazo[4,5-c]pyridin-2-yl)-1h-pyrazolo[4,3-b]pyridines and therapeutic uses thereof |
Cited By (62)
| Publication number | Priority date | Publication date | Assignee | Title |
|---|---|---|---|---|
| US11840534B2 (en) | 2012-06-13 | 2023-12-12 | Incyte Corporation | Substituted tricyclic compounds as FGFR inhibitors |
| US12534463B2 (en) | 2012-06-13 | 2026-01-27 | Incyte Corporation | Substituted tricyclic compounds as FGFR inhibitors |
| US11530214B2 (en) | 2013-04-19 | 2022-12-20 | Incyte Holdings Corporation | Bicyclic heterocycles as FGFR inhibitors |
| US11667635B2 (en) | 2015-02-20 | 2023-06-06 | Incyte Corporation | Bicyclic heterocycles as FGFR4 inhibitors |
| US12516059B2 (en) | 2016-09-09 | 2026-01-06 | Incyte Corporation | Pyrazolopyridine compounds and uses thereof |
| US11242343B2 (en) | 2016-09-09 | 2022-02-08 | Incyte Corporation | Pyrazolopyridine compounds and uses thereof |
| US11542265B2 (en) | 2016-09-09 | 2023-01-03 | Incyte Corporation | Pyrazolopyrimidine compounds and uses thereof |
| US12384778B2 (en) | 2016-09-09 | 2025-08-12 | Incyte Corporation | Pyrazolopyridine compounds and uses thereof |
| US10266530B2 (en) | 2016-09-09 | 2019-04-23 | Incyte Corporation | Pyrazolopyridine compounds and uses thereof |
| US10934288B2 (en) | 2016-09-09 | 2021-03-02 | Incyte Corporation | Pyrazolopyridine compounds and uses thereof |
| US11891388B2 (en) | 2016-09-09 | 2024-02-06 | Incyte Corporation | Pyrazolopyridine compounds and uses thereof |
| US11014929B2 (en) | 2016-09-09 | 2021-05-25 | Incyte Corporation | Pyrazolopyrimidine compounds and uses thereof |
| US11795166B2 (en) | 2016-09-09 | 2023-10-24 | Incyte Corporation | Pyrazolopyridine compounds and uses thereof |
| US10280164B2 (en) | 2016-09-09 | 2019-05-07 | Incyte Corporation | Pyrazolopyridone compounds and uses thereof |
| US10435405B2 (en) | 2016-09-09 | 2019-10-08 | Incyte Corporation | Pyrazolopyridine compounds and uses thereof |
| US11406624B2 (en) | 2017-02-15 | 2022-08-09 | Incyte Corporation | Pyrazolopyridine compounds and uses thereof |
| US11472801B2 (en) | 2017-05-26 | 2022-10-18 | Incyte Corporation | Crystalline forms of a FGFR inhibitor and processes for preparing the same |
| US10722495B2 (en) | 2017-09-08 | 2020-07-28 | Incyte Corporation | Cyanoindazole compounds and uses thereof |
| US10745388B2 (en) | 2018-02-20 | 2020-08-18 | Incyte Corporation | Indazole compounds and uses thereof |
| US11731958B2 (en) | 2018-02-20 | 2023-08-22 | Incyte Corporation | Carboxamide compounds and uses thereof |
| US10800761B2 (en) | 2018-02-20 | 2020-10-13 | Incyte Corporation | Carboxamide compounds and uses thereof |
| US12466815B2 (en) | 2018-02-20 | 2025-11-11 | Incyte Corporation | Carboxamide compounds and uses thereof |
| US11492354B2 (en) | 2018-02-20 | 2022-11-08 | Incyte Corporation | Indazole compounds and uses thereof |
| US10752635B2 (en) | 2018-02-20 | 2020-08-25 | Incyte Corporation | Indazole compounds and uses thereof |
| US11299473B2 (en) | 2018-04-13 | 2022-04-12 | Incyte Corporation | Benzimidazole and indole compounds and uses thereof |
| US11466004B2 (en) | 2018-05-04 | 2022-10-11 | Incyte Corporation | Solid forms of an FGFR inhibitor and processes for preparing the same |
| US11174257B2 (en) | 2018-05-04 | 2021-11-16 | Incyte Corporation | Salts of an FGFR inhibitor |
| US12024517B2 (en) | 2018-05-04 | 2024-07-02 | Incyte Corporation | Salts of an FGFR inhibitor |
| US12473286B2 (en) | 2018-05-04 | 2025-11-18 | Incyte Corporation | Salts of an FGFR inhibitor |
| US12297210B2 (en) | 2018-07-24 | 2025-05-13 | Genentech, Inc. | Naphthyridine compounds and uses thereof |
| WO2020023551A1 (en) * | 2018-07-24 | 2020-01-30 | Genentech, Inc. | Naphthyridine compounds and uses thereof |
| US10899755B2 (en) | 2018-08-08 | 2021-01-26 | Incyte Corporation | Benzothiazole compounds and uses thereof |
| US11866426B2 (en) | 2018-08-08 | 2024-01-09 | Incyte Corporation | Benzothiazole compounds and uses thereof |
| US12441731B2 (en) | 2018-09-25 | 2025-10-14 | Incyte Corporation | Pyrazolopyrimidine compounds and uses thereof |
| US11111247B2 (en) | 2018-09-25 | 2021-09-07 | Incyte Corporation | Pyrazolopyrimidine compounds and uses thereof |
| US12331320B2 (en) | 2018-10-10 | 2025-06-17 | The Research Foundation For The State University Of New York | Genome edited cancer cell vaccines |
| US11628162B2 (en) | 2019-03-08 | 2023-04-18 | Incyte Corporation | Methods of treating cancer with an FGFR inhibitor |
| US11591329B2 (en) | 2019-07-09 | 2023-02-28 | Incyte Corporation | Bicyclic heterocycles as FGFR inhibitors |
| US11787784B2 (en) | 2019-08-06 | 2023-10-17 | Incyte Corporation | Solid forms of an HPK1 inhibitor |
| US11066394B2 (en) | 2019-08-06 | 2021-07-20 | Incyte Corporation | Solid forms of an HPK1 inhibitor |
| US12122767B2 (en) | 2019-10-01 | 2024-10-22 | Incyte Corporation | Bicyclic heterocycles as FGFR inhibitors |
| CN115835908A (en) * | 2019-10-14 | 2023-03-21 | 因赛特公司 | Bicyclic heterocycles as FGFR inhibitors |
| JP7675711B2 (en) | 2019-10-14 | 2025-05-13 | インサイト・コーポレイション | Bicyclic heterocycles as FGFR inhibitors |
| WO2021076602A1 (en) | 2019-10-14 | 2021-04-22 | Incyte Corporation | Bicyclic heterocycles as fgfr inhibitors |
| JP2022552324A (en) * | 2019-10-14 | 2022-12-15 | インサイト・コーポレイション | Bicyclic heterocycles as FGFR inhibitors |
| US12083124B2 (en) | 2019-10-14 | 2024-09-10 | Incyte Corporation | Bicyclic heterocycles as FGFR inhibitors |
| TWI891666B (en) * | 2019-10-14 | 2025-08-01 | 美商英塞特公司 | Bicyclic heterocycles as fgfr inhibitors |
| US11607416B2 (en) | 2019-10-14 | 2023-03-21 | Incyte Corporation | Bicyclic heterocycles as FGFR inhibitors |
| US11566028B2 (en) | 2019-10-16 | 2023-01-31 | Incyte Corporation | Bicyclic heterocycles as FGFR inhibitors |
| US11897891B2 (en) | 2019-12-04 | 2024-02-13 | Incyte Corporation | Tricyclic heterocycles as FGFR inhibitors |
| US12168660B2 (en) | 2019-12-04 | 2024-12-17 | Incyte Corporation | Derivatives of an FGFR inhibitor |
| US11407750B2 (en) | 2019-12-04 | 2022-08-09 | Incyte Corporation | Derivatives of an FGFR inhibitor |
| CN115087657B (en) * | 2019-12-18 | 2025-01-21 | 加利福尼亚大学董事会 | LIN28 inhibitors and methods of use thereof |
| CN115087657A (en) * | 2019-12-18 | 2022-09-20 | 加利福尼亚大学董事会 | LIN28 inhibitor and method of use thereof |
| US12012409B2 (en) | 2020-01-15 | 2024-06-18 | Incyte Corporation | Bicyclic heterocycles as FGFR inhibitors |
| US12042495B2 (en) | 2020-01-15 | 2024-07-23 | Blueprint Medicines Corporation | MAP4K1 inhibitors |
| CN115279771A (en) * | 2020-01-15 | 2022-11-01 | 缆图药品公司 | MAP4K1 inhibitors |
| US12065494B2 (en) | 2021-04-12 | 2024-08-20 | Incyte Corporation | Combination therapy comprising an FGFR inhibitor and a Nectin-4 targeting agent |
| US12428420B2 (en) | 2021-06-09 | 2025-09-30 | Incyte Corporation | Tricyclic heterocycles as FGFR inhibitors |
| US11939331B2 (en) | 2021-06-09 | 2024-03-26 | Incyte Corporation | Tricyclic heterocycles as FGFR inhibitors |
| US12202844B2 (en) | 2021-07-14 | 2025-01-21 | Blueprint Medicines Corporation | MAP4K1 inhibitors |
| WO2023250335A1 (en) * | 2022-06-21 | 2023-12-28 | Chulalongkorn University | 1,4-diphenyl-1 h-indazole and 1-pyridin-2-yl-4-phenyl-1 h-indazole derivatives as pd-1/pd-l1 modulators for the treatment of cancer |
Also Published As
| Publication number | Publication date |
|---|---|
| US11891388B2 (en) | 2024-02-06 |
| US20200283434A1 (en) | 2020-09-10 |
| WO2018049214A9 (en) | 2018-10-18 |
| US11242343B2 (en) | 2022-02-08 |
| US20190315743A1 (en) | 2019-10-17 |
| US20240383889A1 (en) | 2024-11-21 |
| WO2018049214A1 (en) | 2018-03-15 |
| US20220227752A1 (en) | 2022-07-21 |
| US12516059B2 (en) | 2026-01-06 |
Similar Documents
| Publication | Publication Date | Title |
|---|---|---|
| US12516059B2 (en) | Pyrazolopyridine compounds and uses thereof | |
| US11542265B2 (en) | Pyrazolopyrimidine compounds and uses thereof | |
| US12384778B2 (en) | Pyrazolopyridine compounds and uses thereof | |
| US11492354B2 (en) | Indazole compounds and uses thereof | |
| US11406624B2 (en) | Pyrazolopyridine compounds and uses thereof | |
| US10280164B2 (en) | Pyrazolopyridone compounds and uses thereof | |
| US10722495B2 (en) | Cyanoindazole compounds and uses thereof | |
| HK40010119B (en) | Pyrazolopyridine derivatives as hpk1 modulators and uses thereof for the treatment of cancer | |
| HK40010119A (en) | Pyrazolopyridine derivatives as hpk1 modulators and uses thereof for the treatment of cancer |
Legal Events
| Date | Code | Title | Description |
|---|---|---|---|
| AS | Assignment |
Owner name: INCYTE CORPORATION, DELAWARE Free format text: ASSIGNMENT OF ASSIGNORS INTEREST;ASSIGNORS:LIU, KAI;PAN, JUN;SOKOLSKY, ALEXANDER;AND OTHERS;SIGNING DATES FROM 20170919 TO 20171005;REEL/FRAME:043849/0207 |
|
| STPP | Information on status: patent application and granting procedure in general |
Free format text: NON FINAL ACTION MAILED |
|
| STCB | Information on status: application discontinuation |
Free format text: ABANDONED -- FAILURE TO RESPOND TO AN OFFICE ACTION |

































































































































