WO2011078143A1 - Pyrimidine derivatives and pharmaceutical composition containing same - Google Patents
Pyrimidine derivatives and pharmaceutical composition containing same Download PDFInfo
- Publication number
- WO2011078143A1 WO2011078143A1 PCT/JP2010/072951 JP2010072951W WO2011078143A1 WO 2011078143 A1 WO2011078143 A1 WO 2011078143A1 JP 2010072951 W JP2010072951 W JP 2010072951W WO 2011078143 A1 WO2011078143 A1 WO 2011078143A1
- Authority
- WO
- WIPO (PCT)
- Prior art keywords
- substituted
- unsubstituted
- substituent
- group
- aromatic heterocyclic
- Prior art date
- Legal status (The legal status is an assumption and is not a legal conclusion. Google has not performed a legal analysis and makes no representation as to the accuracy of the status listed.)
- Ceased
Links
- 0 C=**(CC1)CC1O*=C Chemical compound C=**(CC1)CC1O*=C 0.000 description 62
- ZWXVSIBZXOSBCR-UHFFFAOYSA-N CC1C2(C)CN(C)CC(CCCC3)C3C1C2 Chemical compound CC1C2(C)CN(C)CC(CCCC3)C3C1C2 ZWXVSIBZXOSBCR-UHFFFAOYSA-N 0.000 description 4
- BNRNAKTVFSZAFA-UHFFFAOYSA-N C(C1)CC2C1CCCC2 Chemical compound C(C1)CC2C1CCCC2 BNRNAKTVFSZAFA-UHFFFAOYSA-N 0.000 description 1
- AGQIHNVZPIRVBP-UHFFFAOYSA-N CN(CC1)CCN1c1nc(NCCS(N)(=O)=O)c(CCC(C2)Cl)c2n1 Chemical compound CN(CC1)CCN1c1nc(NCCS(N)(=O)=O)c(CCC(C2)Cl)c2n1 AGQIHNVZPIRVBP-UHFFFAOYSA-N 0.000 description 1
- QPGMNHYYEIHNMZ-UHFFFAOYSA-N CN(CC1)CCN1c1nc(NCCS(N)(=O)=O)c(CCC(C2)O)c2n1 Chemical compound CN(CC1)CCN1c1nc(NCCS(N)(=O)=O)c(CCC(C2)O)c2n1 QPGMNHYYEIHNMZ-UHFFFAOYSA-N 0.000 description 1
- RXYPXQSKLGGKOL-UHFFFAOYSA-N CN1CCN(C)CC1 Chemical compound CN1CCN(C)CC1 RXYPXQSKLGGKOL-UHFFFAOYSA-N 0.000 description 1
- UHOVQNZJYSORNB-UHFFFAOYSA-N c1ccccc1 Chemical compound c1ccccc1 UHOVQNZJYSORNB-UHFFFAOYSA-N 0.000 description 1
Classifications
-
- C—CHEMISTRY; METALLURGY
- C07—ORGANIC CHEMISTRY
- C07D—HETEROCYCLIC COMPOUNDS
- C07D403/00—Heterocyclic compounds containing two or more hetero rings, having nitrogen atoms as the only ring hetero atoms, not provided for by group C07D401/00
- C07D403/02—Heterocyclic compounds containing two or more hetero rings, having nitrogen atoms as the only ring hetero atoms, not provided for by group C07D401/00 containing two hetero rings
- C07D403/04—Heterocyclic compounds containing two or more hetero rings, having nitrogen atoms as the only ring hetero atoms, not provided for by group C07D401/00 containing two hetero rings directly linked by a ring-member-to-ring-member bond
-
- A—HUMAN NECESSITIES
- A61—MEDICAL OR VETERINARY SCIENCE; HYGIENE
- A61P—SPECIFIC THERAPEUTIC ACTIVITY OF CHEMICAL COMPOUNDS OR MEDICINAL PREPARATIONS
- A61P1/00—Drugs for disorders of the alimentary tract or the digestive system
-
- A—HUMAN NECESSITIES
- A61—MEDICAL OR VETERINARY SCIENCE; HYGIENE
- A61P—SPECIFIC THERAPEUTIC ACTIVITY OF CHEMICAL COMPOUNDS OR MEDICINAL PREPARATIONS
- A61P11/00—Drugs for disorders of the respiratory system
-
- A—HUMAN NECESSITIES
- A61—MEDICAL OR VETERINARY SCIENCE; HYGIENE
- A61P—SPECIFIC THERAPEUTIC ACTIVITY OF CHEMICAL COMPOUNDS OR MEDICINAL PREPARATIONS
- A61P11/00—Drugs for disorders of the respiratory system
- A61P11/02—Nasal agents, e.g. decongestants
-
- A—HUMAN NECESSITIES
- A61—MEDICAL OR VETERINARY SCIENCE; HYGIENE
- A61P—SPECIFIC THERAPEUTIC ACTIVITY OF CHEMICAL COMPOUNDS OR MEDICINAL PREPARATIONS
- A61P17/00—Drugs for dermatological disorders
-
- A—HUMAN NECESSITIES
- A61—MEDICAL OR VETERINARY SCIENCE; HYGIENE
- A61P—SPECIFIC THERAPEUTIC ACTIVITY OF CHEMICAL COMPOUNDS OR MEDICINAL PREPARATIONS
- A61P17/00—Drugs for dermatological disorders
- A61P17/06—Antipsoriatics
-
- A—HUMAN NECESSITIES
- A61—MEDICAL OR VETERINARY SCIENCE; HYGIENE
- A61P—SPECIFIC THERAPEUTIC ACTIVITY OF CHEMICAL COMPOUNDS OR MEDICINAL PREPARATIONS
- A61P25/00—Drugs for disorders of the nervous system
- A61P25/04—Centrally acting analgesics, e.g. opioids
-
- A—HUMAN NECESSITIES
- A61—MEDICAL OR VETERINARY SCIENCE; HYGIENE
- A61P—SPECIFIC THERAPEUTIC ACTIVITY OF CHEMICAL COMPOUNDS OR MEDICINAL PREPARATIONS
- A61P27/00—Drugs for disorders of the senses
- A61P27/02—Ophthalmic agents
-
- A—HUMAN NECESSITIES
- A61—MEDICAL OR VETERINARY SCIENCE; HYGIENE
- A61P—SPECIFIC THERAPEUTIC ACTIVITY OF CHEMICAL COMPOUNDS OR MEDICINAL PREPARATIONS
- A61P29/00—Non-central analgesic, antipyretic or antiinflammatory agents, e.g. antirheumatic agents; Non-steroidal antiinflammatory drugs [NSAID]
-
- A—HUMAN NECESSITIES
- A61—MEDICAL OR VETERINARY SCIENCE; HYGIENE
- A61P—SPECIFIC THERAPEUTIC ACTIVITY OF CHEMICAL COMPOUNDS OR MEDICINAL PREPARATIONS
- A61P37/00—Drugs for immunological or allergic disorders
- A61P37/08—Antiallergic agents
-
- A—HUMAN NECESSITIES
- A61—MEDICAL OR VETERINARY SCIENCE; HYGIENE
- A61P—SPECIFIC THERAPEUTIC ACTIVITY OF CHEMICAL COMPOUNDS OR MEDICINAL PREPARATIONS
- A61P43/00—Drugs for specific purposes, not provided for in groups A61P1/00-A61P41/00
-
- A—HUMAN NECESSITIES
- A61—MEDICAL OR VETERINARY SCIENCE; HYGIENE
- A61P—SPECIFIC THERAPEUTIC ACTIVITY OF CHEMICAL COMPOUNDS OR MEDICINAL PREPARATIONS
- A61P9/00—Drugs for disorders of the cardiovascular system
- A61P9/10—Drugs for disorders of the cardiovascular system for treating ischaemic or atherosclerotic diseases, e.g. antianginal drugs, coronary vasodilators, drugs for myocardial infarction, retinopathy, cerebrovascula insufficiency, renal arteriosclerosis
-
- C—CHEMISTRY; METALLURGY
- C07—ORGANIC CHEMISTRY
- C07D—HETEROCYCLIC COMPOUNDS
- C07D239/00—Heterocyclic compounds containing 1,3-diazine or hydrogenated 1,3-diazine rings
- C07D239/02—Heterocyclic compounds containing 1,3-diazine or hydrogenated 1,3-diazine rings not condensed with other rings
- C07D239/24—Heterocyclic compounds containing 1,3-diazine or hydrogenated 1,3-diazine rings not condensed with other rings having three or more double bonds between ring members or between ring members and non-ring members
- C07D239/28—Heterocyclic compounds containing 1,3-diazine or hydrogenated 1,3-diazine rings not condensed with other rings having three or more double bonds between ring members or between ring members and non-ring members with hetero atoms or with carbon atoms having three bonds to hetero atoms with at the most one bond to halogen, directly attached to ring carbon atoms
- C07D239/46—Two or more oxygen, sulphur or nitrogen atoms
- C07D239/47—One nitrogen atom and one oxygen or sulfur atom, e.g. cytosine
-
- C—CHEMISTRY; METALLURGY
- C07—ORGANIC CHEMISTRY
- C07D—HETEROCYCLIC COMPOUNDS
- C07D239/00—Heterocyclic compounds containing 1,3-diazine or hydrogenated 1,3-diazine rings
- C07D239/02—Heterocyclic compounds containing 1,3-diazine or hydrogenated 1,3-diazine rings not condensed with other rings
- C07D239/24—Heterocyclic compounds containing 1,3-diazine or hydrogenated 1,3-diazine rings not condensed with other rings having three or more double bonds between ring members or between ring members and non-ring members
- C07D239/28—Heterocyclic compounds containing 1,3-diazine or hydrogenated 1,3-diazine rings not condensed with other rings having three or more double bonds between ring members or between ring members and non-ring members with hetero atoms or with carbon atoms having three bonds to hetero atoms with at the most one bond to halogen, directly attached to ring carbon atoms
- C07D239/46—Two or more oxygen, sulphur or nitrogen atoms
- C07D239/48—Two nitrogen atoms
-
- C—CHEMISTRY; METALLURGY
- C07—ORGANIC CHEMISTRY
- C07D—HETEROCYCLIC COMPOUNDS
- C07D239/00—Heterocyclic compounds containing 1,3-diazine or hydrogenated 1,3-diazine rings
- C07D239/02—Heterocyclic compounds containing 1,3-diazine or hydrogenated 1,3-diazine rings not condensed with other rings
- C07D239/24—Heterocyclic compounds containing 1,3-diazine or hydrogenated 1,3-diazine rings not condensed with other rings having three or more double bonds between ring members or between ring members and non-ring members
- C07D239/28—Heterocyclic compounds containing 1,3-diazine or hydrogenated 1,3-diazine rings not condensed with other rings having three or more double bonds between ring members or between ring members and non-ring members with hetero atoms or with carbon atoms having three bonds to hetero atoms with at the most one bond to halogen, directly attached to ring carbon atoms
- C07D239/46—Two or more oxygen, sulphur or nitrogen atoms
- C07D239/52—Two oxygen atoms
-
- C—CHEMISTRY; METALLURGY
- C07—ORGANIC CHEMISTRY
- C07D—HETEROCYCLIC COMPOUNDS
- C07D239/00—Heterocyclic compounds containing 1,3-diazine or hydrogenated 1,3-diazine rings
- C07D239/70—Heterocyclic compounds containing 1,3-diazine or hydrogenated 1,3-diazine rings condensed with carbocyclic rings or ring systems
-
- C—CHEMISTRY; METALLURGY
- C07—ORGANIC CHEMISTRY
- C07D—HETEROCYCLIC COMPOUNDS
- C07D239/00—Heterocyclic compounds containing 1,3-diazine or hydrogenated 1,3-diazine rings
- C07D239/70—Heterocyclic compounds containing 1,3-diazine or hydrogenated 1,3-diazine rings condensed with carbocyclic rings or ring systems
- C07D239/72—Quinazolines; Hydrogenated quinazolines
- C07D239/95—Quinazolines; Hydrogenated quinazolines with hetero atoms directly attached in positions 2 and 4
-
- C—CHEMISTRY; METALLURGY
- C07—ORGANIC CHEMISTRY
- C07D—HETEROCYCLIC COMPOUNDS
- C07D401/00—Heterocyclic compounds containing two or more hetero rings, having nitrogen atoms as the only ring hetero atoms, at least one ring being a six-membered ring with only one nitrogen atom
- C07D401/02—Heterocyclic compounds containing two or more hetero rings, having nitrogen atoms as the only ring hetero atoms, at least one ring being a six-membered ring with only one nitrogen atom containing two hetero rings
- C07D401/04—Heterocyclic compounds containing two or more hetero rings, having nitrogen atoms as the only ring hetero atoms, at least one ring being a six-membered ring with only one nitrogen atom containing two hetero rings directly linked by a ring-member-to-ring-member bond
-
- C—CHEMISTRY; METALLURGY
- C07—ORGANIC CHEMISTRY
- C07D—HETEROCYCLIC COMPOUNDS
- C07D401/00—Heterocyclic compounds containing two or more hetero rings, having nitrogen atoms as the only ring hetero atoms, at least one ring being a six-membered ring with only one nitrogen atom
- C07D401/02—Heterocyclic compounds containing two or more hetero rings, having nitrogen atoms as the only ring hetero atoms, at least one ring being a six-membered ring with only one nitrogen atom containing two hetero rings
- C07D401/12—Heterocyclic compounds containing two or more hetero rings, having nitrogen atoms as the only ring hetero atoms, at least one ring being a six-membered ring with only one nitrogen atom containing two hetero rings linked by a chain containing hetero atoms as chain links
-
- C—CHEMISTRY; METALLURGY
- C07—ORGANIC CHEMISTRY
- C07D—HETEROCYCLIC COMPOUNDS
- C07D401/00—Heterocyclic compounds containing two or more hetero rings, having nitrogen atoms as the only ring hetero atoms, at least one ring being a six-membered ring with only one nitrogen atom
- C07D401/14—Heterocyclic compounds containing two or more hetero rings, having nitrogen atoms as the only ring hetero atoms, at least one ring being a six-membered ring with only one nitrogen atom containing three or more hetero rings
-
- C—CHEMISTRY; METALLURGY
- C07—ORGANIC CHEMISTRY
- C07D—HETEROCYCLIC COMPOUNDS
- C07D403/00—Heterocyclic compounds containing two or more hetero rings, having nitrogen atoms as the only ring hetero atoms, not provided for by group C07D401/00
- C07D403/02—Heterocyclic compounds containing two or more hetero rings, having nitrogen atoms as the only ring hetero atoms, not provided for by group C07D401/00 containing two hetero rings
- C07D403/12—Heterocyclic compounds containing two or more hetero rings, having nitrogen atoms as the only ring hetero atoms, not provided for by group C07D401/00 containing two hetero rings linked by a chain containing hetero atoms as chain links
-
- C—CHEMISTRY; METALLURGY
- C07—ORGANIC CHEMISTRY
- C07D—HETEROCYCLIC COMPOUNDS
- C07D405/00—Heterocyclic compounds containing both one or more hetero rings having oxygen atoms as the only ring hetero atoms, and one or more rings having nitrogen as the only ring hetero atom
- C07D405/02—Heterocyclic compounds containing both one or more hetero rings having oxygen atoms as the only ring hetero atoms, and one or more rings having nitrogen as the only ring hetero atom containing two hetero rings
- C07D405/04—Heterocyclic compounds containing both one or more hetero rings having oxygen atoms as the only ring hetero atoms, and one or more rings having nitrogen as the only ring hetero atom containing two hetero rings directly linked by a ring-member-to-ring-member bond
-
- C—CHEMISTRY; METALLURGY
- C07—ORGANIC CHEMISTRY
- C07D—HETEROCYCLIC COMPOUNDS
- C07D405/00—Heterocyclic compounds containing both one or more hetero rings having oxygen atoms as the only ring hetero atoms, and one or more rings having nitrogen as the only ring hetero atom
- C07D405/02—Heterocyclic compounds containing both one or more hetero rings having oxygen atoms as the only ring hetero atoms, and one or more rings having nitrogen as the only ring hetero atom containing two hetero rings
- C07D405/12—Heterocyclic compounds containing both one or more hetero rings having oxygen atoms as the only ring hetero atoms, and one or more rings having nitrogen as the only ring hetero atom containing two hetero rings linked by a chain containing hetero atoms as chain links
-
- C—CHEMISTRY; METALLURGY
- C07—ORGANIC CHEMISTRY
- C07D—HETEROCYCLIC COMPOUNDS
- C07D405/00—Heterocyclic compounds containing both one or more hetero rings having oxygen atoms as the only ring hetero atoms, and one or more rings having nitrogen as the only ring hetero atom
- C07D405/14—Heterocyclic compounds containing both one or more hetero rings having oxygen atoms as the only ring hetero atoms, and one or more rings having nitrogen as the only ring hetero atom containing three or more hetero rings
-
- C—CHEMISTRY; METALLURGY
- C07—ORGANIC CHEMISTRY
- C07D—HETEROCYCLIC COMPOUNDS
- C07D409/00—Heterocyclic compounds containing two or more hetero rings, at least one ring having sulfur atoms as the only ring hetero atoms
- C07D409/02—Heterocyclic compounds containing two or more hetero rings, at least one ring having sulfur atoms as the only ring hetero atoms containing two hetero rings
- C07D409/12—Heterocyclic compounds containing two or more hetero rings, at least one ring having sulfur atoms as the only ring hetero atoms containing two hetero rings linked by a chain containing hetero atoms as chain links
-
- C—CHEMISTRY; METALLURGY
- C07—ORGANIC CHEMISTRY
- C07D—HETEROCYCLIC COMPOUNDS
- C07D413/00—Heterocyclic compounds containing two or more hetero rings, at least one ring having nitrogen and oxygen atoms as the only ring hetero atoms
- C07D413/02—Heterocyclic compounds containing two or more hetero rings, at least one ring having nitrogen and oxygen atoms as the only ring hetero atoms containing two hetero rings
- C07D413/04—Heterocyclic compounds containing two or more hetero rings, at least one ring having nitrogen and oxygen atoms as the only ring hetero atoms containing two hetero rings directly linked by a ring-member-to-ring-member bond
-
- C—CHEMISTRY; METALLURGY
- C07—ORGANIC CHEMISTRY
- C07D—HETEROCYCLIC COMPOUNDS
- C07D413/00—Heterocyclic compounds containing two or more hetero rings, at least one ring having nitrogen and oxygen atoms as the only ring hetero atoms
- C07D413/02—Heterocyclic compounds containing two or more hetero rings, at least one ring having nitrogen and oxygen atoms as the only ring hetero atoms containing two hetero rings
- C07D413/12—Heterocyclic compounds containing two or more hetero rings, at least one ring having nitrogen and oxygen atoms as the only ring hetero atoms containing two hetero rings linked by a chain containing hetero atoms as chain links
-
- C—CHEMISTRY; METALLURGY
- C07—ORGANIC CHEMISTRY
- C07D—HETEROCYCLIC COMPOUNDS
- C07D417/00—Heterocyclic compounds containing two or more hetero rings, at least one ring having nitrogen and sulfur atoms as the only ring hetero atoms, not provided for by group C07D415/00
- C07D417/02—Heterocyclic compounds containing two or more hetero rings, at least one ring having nitrogen and sulfur atoms as the only ring hetero atoms, not provided for by group C07D415/00 containing two hetero rings
- C07D417/04—Heterocyclic compounds containing two or more hetero rings, at least one ring having nitrogen and sulfur atoms as the only ring hetero atoms, not provided for by group C07D415/00 containing two hetero rings directly linked by a ring-member-to-ring-member bond
-
- C—CHEMISTRY; METALLURGY
- C07—ORGANIC CHEMISTRY
- C07D—HETEROCYCLIC COMPOUNDS
- C07D417/00—Heterocyclic compounds containing two or more hetero rings, at least one ring having nitrogen and sulfur atoms as the only ring hetero atoms, not provided for by group C07D415/00
- C07D417/02—Heterocyclic compounds containing two or more hetero rings, at least one ring having nitrogen and sulfur atoms as the only ring hetero atoms, not provided for by group C07D415/00 containing two hetero rings
- C07D417/12—Heterocyclic compounds containing two or more hetero rings, at least one ring having nitrogen and sulfur atoms as the only ring hetero atoms, not provided for by group C07D415/00 containing two hetero rings linked by a chain containing hetero atoms as chain links
-
- C—CHEMISTRY; METALLURGY
- C07—ORGANIC CHEMISTRY
- C07D—HETEROCYCLIC COMPOUNDS
- C07D471/00—Heterocyclic compounds containing nitrogen atoms as the only ring hetero atoms in the condensed system, at least one ring being a six-membered ring with one nitrogen atom, not provided for by groups C07D451/00 - C07D463/00
- C07D471/02—Heterocyclic compounds containing nitrogen atoms as the only ring hetero atoms in the condensed system, at least one ring being a six-membered ring with one nitrogen atom, not provided for by groups C07D451/00 - C07D463/00 in which the condensed system contains two hetero rings
- C07D471/04—Ortho-condensed systems
-
- C—CHEMISTRY; METALLURGY
- C07—ORGANIC CHEMISTRY
- C07D—HETEROCYCLIC COMPOUNDS
- C07D473/00—Heterocyclic compounds containing purine ring systems
- C07D473/26—Heterocyclic compounds containing purine ring systems with an oxygen, sulphur, or nitrogen atom directly attached in position 2 or 6, but not in both
- C07D473/32—Nitrogen atom
-
- C—CHEMISTRY; METALLURGY
- C07—ORGANIC CHEMISTRY
- C07D—HETEROCYCLIC COMPOUNDS
- C07D487/00—Heterocyclic compounds containing nitrogen atoms as the only ring hetero atoms in the condensed system, not provided for by groups C07D451/00 - C07D477/00
- C07D487/02—Heterocyclic compounds containing nitrogen atoms as the only ring hetero atoms in the condensed system, not provided for by groups C07D451/00 - C07D477/00 in which the condensed system contains two hetero rings
- C07D487/04—Ortho-condensed systems
-
- C—CHEMISTRY; METALLURGY
- C07—ORGANIC CHEMISTRY
- C07D—HETEROCYCLIC COMPOUNDS
- C07D487/00—Heterocyclic compounds containing nitrogen atoms as the only ring hetero atoms in the condensed system, not provided for by groups C07D451/00 - C07D477/00
- C07D487/02—Heterocyclic compounds containing nitrogen atoms as the only ring hetero atoms in the condensed system, not provided for by groups C07D451/00 - C07D477/00 in which the condensed system contains two hetero rings
- C07D487/08—Bridged systems
-
- C—CHEMISTRY; METALLURGY
- C07—ORGANIC CHEMISTRY
- C07D—HETEROCYCLIC COMPOUNDS
- C07D491/00—Heterocyclic compounds containing in the condensed ring system both one or more rings having oxygen atoms as the only ring hetero atoms and one or more rings having nitrogen atoms as the only ring hetero atoms, not provided for by groups C07D451/00 - C07D459/00, C07D463/00, C07D477/00 or C07D489/00
- C07D491/02—Heterocyclic compounds containing in the condensed ring system both one or more rings having oxygen atoms as the only ring hetero atoms and one or more rings having nitrogen atoms as the only ring hetero atoms, not provided for by groups C07D451/00 - C07D459/00, C07D463/00, C07D477/00 or C07D489/00 in which the condensed system contains two hetero rings
- C07D491/04—Ortho-condensed systems
- C07D491/044—Ortho-condensed systems with only one oxygen atom as ring hetero atom in the oxygen-containing ring
- C07D491/052—Ortho-condensed systems with only one oxygen atom as ring hetero atom in the oxygen-containing ring the oxygen-containing ring being six-membered
-
- C—CHEMISTRY; METALLURGY
- C07—ORGANIC CHEMISTRY
- C07D—HETEROCYCLIC COMPOUNDS
- C07D491/00—Heterocyclic compounds containing in the condensed ring system both one or more rings having oxygen atoms as the only ring hetero atoms and one or more rings having nitrogen atoms as the only ring hetero atoms, not provided for by groups C07D451/00 - C07D459/00, C07D463/00, C07D477/00 or C07D489/00
- C07D491/02—Heterocyclic compounds containing in the condensed ring system both one or more rings having oxygen atoms as the only ring hetero atoms and one or more rings having nitrogen atoms as the only ring hetero atoms, not provided for by groups C07D451/00 - C07D459/00, C07D463/00, C07D477/00 or C07D489/00 in which the condensed system contains two hetero rings
- C07D491/10—Spiro-condensed systems
- C07D491/113—Spiro-condensed systems with two or more oxygen atoms as ring hetero atoms in the oxygen-containing ring
-
- C—CHEMISTRY; METALLURGY
- C07—ORGANIC CHEMISTRY
- C07D—HETEROCYCLIC COMPOUNDS
- C07D495/00—Heterocyclic compounds containing in the condensed system at least one hetero ring having sulfur atoms as the only ring hetero atoms
- C07D495/02—Heterocyclic compounds containing in the condensed system at least one hetero ring having sulfur atoms as the only ring hetero atoms in which the condensed system contains two hetero rings
- C07D495/04—Ortho-condensed systems
-
- C—CHEMISTRY; METALLURGY
- C07—ORGANIC CHEMISTRY
- C07D—HETEROCYCLIC COMPOUNDS
- C07D498/00—Heterocyclic compounds containing in the condensed system at least one hetero ring having nitrogen and oxygen atoms as the only ring hetero atoms
- C07D498/02—Heterocyclic compounds containing in the condensed system at least one hetero ring having nitrogen and oxygen atoms as the only ring hetero atoms in which the condensed system contains two hetero rings
- C07D498/04—Ortho-condensed systems
-
- C—CHEMISTRY; METALLURGY
- C07—ORGANIC CHEMISTRY
- C07D—HETEROCYCLIC COMPOUNDS
- C07D519/00—Heterocyclic compounds containing more than one system of two or more relevant hetero rings condensed among themselves or condensed with a common carbocyclic ring system not provided for in groups C07D453/00 or C07D455/00
Definitions
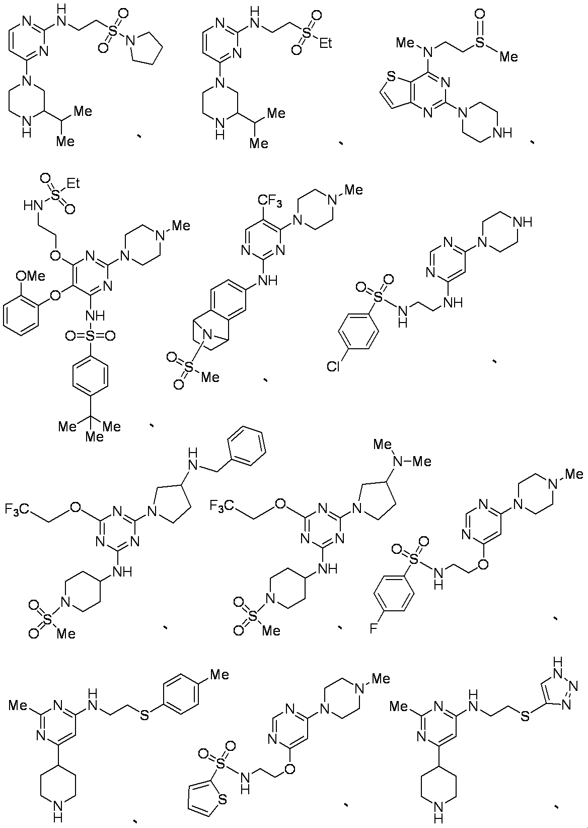
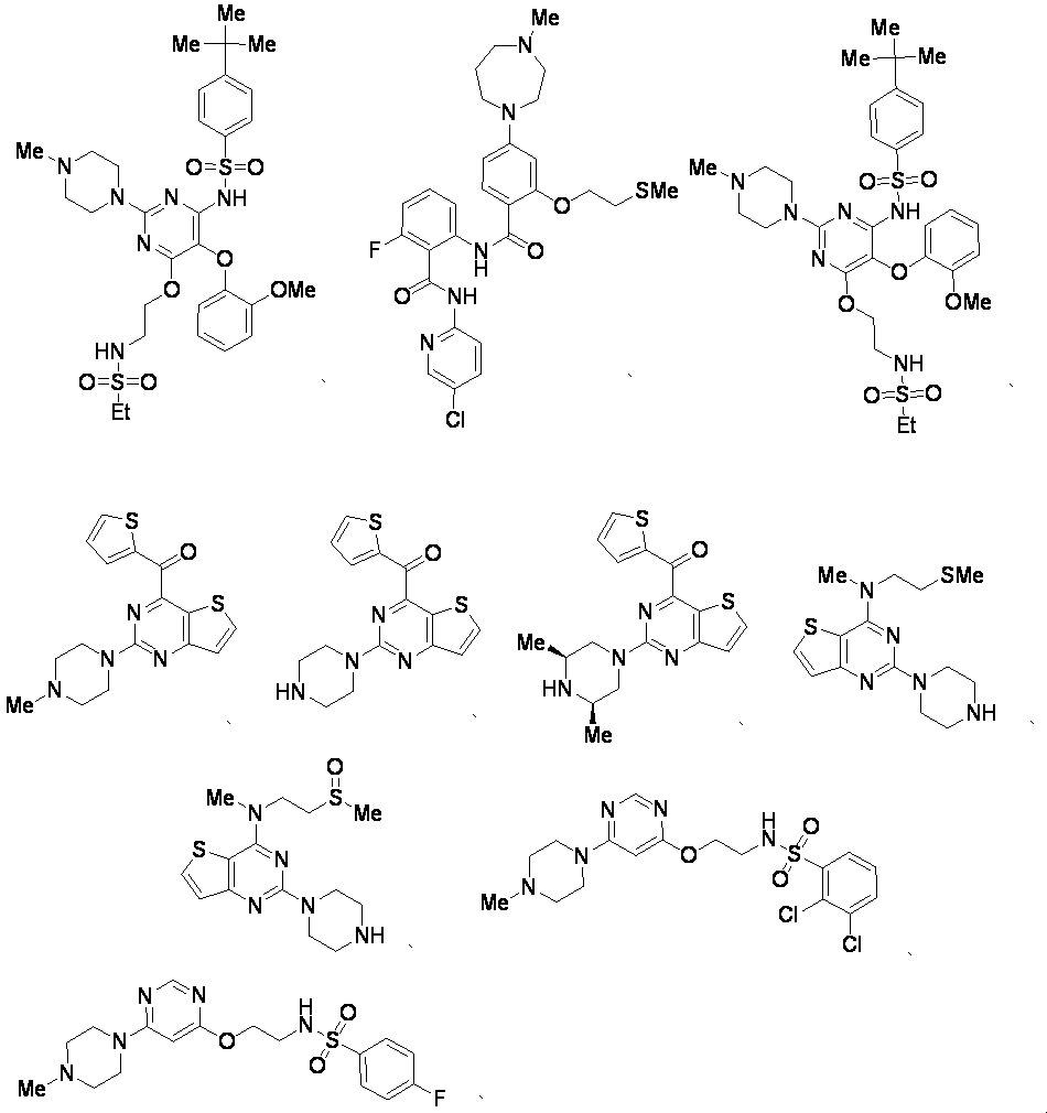
- the present invention relates to a compound useful for treating a disease or condition involving histamine H4 receptor, a pharmaceutically acceptable salt thereof, or a solvate thereof, and a pharmaceutical composition containing them.
- Histamine interacts with four receptors of the G-protein coupled superfamily (histamine H1, H2, H3 and H4 receptors), allergic reaction through H1 receptor, gastric acid secretion through H2 receptor, H3 receptor It expresses various physiological functions such as neurotransmission in the central nervous system through the body.
- the histamine H4 receptor is a 7-transmembrane G protein-coupled receptor consisting of 390 amino acids with about 40% homology to the H3 receptor. It is mainly expressed in blood cells such as eosinophils, mast cells, dendritic cells, and T cells, and particularly highly expressed in eosinophils and mast cells (Non-patent Documents 1 and 2). .
- histamine H4 receptor has been confirmed to be expressed in synovial cells collected from rheumatic patients (Non-patent Documents 3 and 4), and is also expressed in synovial cells collected from osteoarthritis patients. It has been confirmed (Non-Patent Document 5), and expression has also been confirmed in intestinal cells (Non-Patent Document 6). Furthermore, it has been reported that the expression level of histamine H4 receptor is also increased in intranasal polyps (Non-patent Document 7). The pharmacological properties of the histamine H4 receptor have also been revealed by several specific ligands.
- eosinophil migration and morphological changes, and increased expression of CD11b / CD18 and CD54 are known to be effects caused by binding of histamine to the H4 receptor (Non-patent Document 8).
- the histamine H4 receptor is also known to be involved in calcium influx in mast cells (Non-patent Document 9), to be involved in regulation of cytokine production in dendritic cells (Non-patent Document 10), and the like. The action is various.
- histamine H4 receptor is involved in the accumulation of mast cells induced by histamine (Non-patent document 9), peritonitis model induced by zymosan (Non-patent document 11) and pleurisy model (non-patent document) Involvement in neutrophil infiltration in literature 12), involvement in eosinophil infiltration in an asthma model by ovalbumin (Non-patent document 10), and involvement in itch (non-patent document 13) have been reported. Yes. It has been described in Patent Document 1, Patent Document 2, Patent Document 3, Non-Patent Document 14, and Non-Patent Document 15 that an aromatic heterocyclic derivative acts on a histamine H4 receptor. Inventive compounds are neither described nor suggested.
- the present invention provides a novel compound having an action of regulating histamine H4 receptor.
- the present inventors have an action of regulating histamine H4 receptor, and are useful for the prevention and / or treatment of diseases mediated by histamine H4 receptor.
- the inventors discovered a new compound and completed the invention described below.
- the present invention relates to the following (1) to (15).
- X 1 is N
- X 2 is N
- X 3 is C (R x3 )
- X 4 is C (R x4 )
- R x3 and R x4 are each together with an adjacent ring member atom.
- X 1 is N
- X 2 is C (R x2 )
- X 3 is C (R x3 )
- X 4 is N
- R x2 and R x3 are adjacent to each other Together with the ring atoms to form a C ring
- Y is substituted or unsubstituted cycloalkylthio, substituted or unsubstituted cycloalkenylthio, substituted or unsubstituted nonaromatic heterocyclic thio, substituted or unsubstituted arylthio, substituted or unsubstituted heteroarylthio, substituent Sulfinyl substituted with a substituent selected from group A, sulfony
- Ring C is (Wherein W 1 , W 2 , R 1a , R 1b , n 1 , n 2 , n 3 and n 4 have the same meaning as (1) above), and the compound according to (2) above Or a pharmaceutically acceptable salt thereof or a solvate thereof.
- Ring C is (Wherein W 1 , R 1a and n 1 have the same meanings as (1) above), or a pharmaceutically acceptable salt thereof or a solvate thereof. .
- R x1 , R x2 , R x3 and R x4 are each independently hydrogen, halogen, substituted or unsubstituted alkyl, substituted or unsubstituted alkenyl, substituted or unsubstituted alkynyl, substituted or unsubstituted Alkyloxy, substituted or unsubstituted alkenyloxy, substituted or unsubstituted alkynyloxy, substituted or unsubstituted alkylthio, substituted or unsubstituted alkenylthio, substituted or unsubstituted alkynylthio, substituted or unsubstituted acyl, Hydroxy, carboxy, substituted or unsubstituted alkyloxycarbonyl, substituted or unsubstituted alkenyloxycarbonyl, substituted or unsubstituted alkynyloxycarbonyl, substituted or unsubstituted cycloalkyl
- X 1 is N
- X 2 is N
- X 3 is C (R x3 )
- X 4 is C (R x4 )
- X 1 is N
- X 2 is C (R x2 )
- X 1 is N
- X 2 is C (R x2 )
- X 3 is C (R x3 )
- X 4 is C (R x4 ), or X 1 is C (R x1 ),
- B 2 is, (Wherein R 10 , R 11 , and p are as defined in (1) above), or a pharmaceutically acceptable compound thereof Salts or solvates thereof.
- Y is sulfonyl substituted with a substituent selected from Substituent Group A, unsubstituted sulfamoyl, sulfamoyl substituted with a substituent selected from Substituent Group A, substituted or unsubstituted alkylsulfonyl Amino, substituted or unsubstituted alkenylsulfonylamino, substituted or unsubstituted alkynylsulfonylamino, substituted or unsubstituted cycloalkylsulfonylamino, substituted or unsubstituted cycloalkenylsulfonylamino, substituted or unsubstituted nonaromatic heterocycle Sulfonylamino, substituted or unsubstituted arylsulfonylamino, substituted or unsubstituted heteroarylsulfonylamino, or nitrogen-containing
- Y is sulfonyl substituted with a substituent selected from Substituent Group A, unsubstituted sulfamoyl or sulfamoyl substituted with a substituent selected from Substituent Group A (9)
- (11) The compound according to any one of the above (1) to (10), wherein m is an integer of 1 to 3, or a pharmaceutically acceptable salt thereof, or a solvate thereof.
- a pharmaceutical composition comprising the compound according to any one of (1) to (11) above, or a pharmaceutically acceptable salt thereof, or a solvate thereof.
- a disease involving histamine H4 receptor comprising administering a compound according to any one of (1) to (11) above, a pharmaceutically acceptable salt thereof, or a solvate thereof; How to treat and / or prevent a condition.
- Ring A is an aromatic 6-membered ring;
- X 1 is N or C (R x1 );
- X 2 is N or C (R x2 );
- X 3 is N or C (R x3 );
- X 4 is N or C (R x4 );
- R x1 , R x2 , R x3 and R x4 are each independently hydrogen, halogen, substituted or unsubstituted alkyl, substituted or unsubstituted alkenyl, substituted or unsubstituted alkynyl, substituted or unsubstituted alkyloxy
- R x1 , R x2 , R x3 and R x4 are each independently hydrogen, halogen, substituted or unsubstituted alkyl, substituted or unsubstituted alkenyl, substituted or unsubstituted alkynyl, substituted or unsubstituted Substituted alkyloxy, substituted or unsubstituted alkenyloxy, substituted or unsubstituted alkynyloxy, substituted or unsubstituted alkylthio, substituted or unsubstituted alkenylthio, substituted or unsubstituted alkynylthio, substituted or unsubstituted acyl Hydroxy, carboxy, substituted or unsubstituted alkyloxycarbonyl, substituted or unsubstituted alkenyloxycarbonyl, substituted or unsubstituted alkynyloxycarbonyl, substituted or unsubstituted
- X 1 is N
- X 2 is N
- X 3 is C (R x3 )
- X 4 is C (R x4 ), or X 1 is N and X 2 is C (R x2 ) , X 3 is C (R x3 ), and X 4 is N, or a compound according to (1 ′) or (2 ′), or a pharmaceutically acceptable salt thereof, or a solvate thereof.
- (4 ′) B 2 is (Wherein R 10 , R 11 , and p have the same meanings as (1 ′) above), or a compound according to any one of (1 ′) to (3 ′) above, A pharmaceutically acceptable salt or a solvate thereof.
- X 1 is N
- X 2 is N
- X 3 is C (R x3 )
- X 4 is C (R x4 )
- R x3 and R x4 are each together with an adjacent ring member atom.
- X 1 is N
- X 2 is C (R x2 )
- X 3 is C (R x3 )
- X 4 is N
- R x2 and R x3 is a group that forms a C ring together with adjacent ring members
- Y is substituted or unsubstituted cycloalkylthio, substituted or unsubstituted cycloalkenylthio, substituted or unsubstituted nonaromatic heterocyclic thio, substituted or unsubstituted arylthio, substituted or unsubstituted heteroarylthio, substituent Sulfinyl substituted with a substituent selected from group A, sulfonyl substituted
- Ring C is (Wherein W 1 , W 2 , R 1a , R 1b , n 1 , n 2 , n 3 and n 4 have the same meaning as the above (1 ′)); Y is substituted or unsubstituted cycloalkylthio, substituted or unsubstituted cycloalkenylthio, substituted or unsubstituted nonaromatic heterocyclic thio, substituted or unsubstituted arylthio, substituted or unsubstituted heteroarylthio, substituent Sulfinyl substituted with a substituent selected from group A, sulfonyl substituted with a substituent selected from substituent group A, unsubstituted sulfamoyl, sulfamoyl substituted with a substituent Sulfinyl substituted with a substituent selected from group A, sulfonyl substituted with a substituent selected from substituent group A, un
- (7 ′) B 2 is (Wherein R 10 , R 11 , and p are as defined in (1 ′) above), or a compound described in (1 ′), (5 ′) or (6 ′) above, or The pharmaceutically acceptable salt or solvate thereof.
- Y is sulfamoyl substituted with a substituent selected from Substituent Group A, substituted or unsubstituted alkylsulfonylamino, substituted or unsubstituted alkenylsulfonylamino, substituted or unsubstituted alkynylsulfonylamino, Substituted or unsubstituted cycloalkylsulfonylamino, substituted or unsubstituted cycloalkenylsulfonylamino, substituted or unsubstituted nonaromatic heterocyclic sulfonylamino, substituted or unsubstituted arylsulfonylamino, substituted or unsubstituted heteroarylsulfonyl Amino or a nitrogen-containing non-aromatic heterocyclic group substituted with a sulfonyl substituted with a substituent selected from Sub
- a histamine H4 receptor characterized by administering a compound according to any one of (1 ′) to (10 ′) above, or a pharmaceutically acceptable salt thereof, or a solvate thereof. A method of treating and / or preventing a disease involved.
- R a1 and R a2 are each independently hydrogen, halogen, substituted or unsubstituted alkyl, substituted or unsubstituted alkenyl, substituted or unsubstituted alkynyl, substituted or unsubstituted alkyloxy, substituted Or unsubstituted alkenyloxy, substituted or unsubstituted alkynyloxy, substituted or unsubstituted alkylthio, substituted or unsubstituted alkenylthio, substituted or unsubstituted alkynylthio, acyl, hydroxy, carboxy, substituted or unsubstituted alkyl Oxycarbonyl, substituted or unsubstituted alkenyloxycarbonyl, substituted or unsubstituted alkynyloxycarbonyl, substituted or unsubstituted
- R a1 and R a2 are each independently hydrogen, halogen, substituted or unsubstituted alkyl, substituted or unsubstituted alkenyl, substituted or unsubstituted alkynyl, substituted or unsubstituted alkyloxy, Substituted or unsubstituted alkenyloxy, substituted or unsubstituted alkynyloxy, substituted or unsubstituted alkylthio, substituted or unsubstituted alkenylthio, substituted or unsubstituted alkynylthio, acyl, hydroxy, carboxy, substituted or unsubstituted Alkyloxycarbonyl, substituted or unsubstituted alkenyloxycarbonyl, substituted or unsubstituted alkynyloxycarbonyl, substituted or unsubstituted cycloalkyloxycarbonyl, substituted or unsubstituted cycloalky
- R a1 and R a2 are groups that together form a ring A together with the carbon atoms to which they are bonded (wherein the A ring is as defined above (1 ′′)), (1 ′′) or (2 ′′) a compound or a pharmaceutically acceptable salt thereof or a solvate thereof.
- Y is substituted or unsubstituted sulfamoyl, substituted or unsubstituted alkylsulfonylamino, substituted or unsubstituted alkenylsulfonylamino, substituted or unsubstituted alkynylsulfonylamino, substituted or unsubstituted cycloalkylsulfonyl Amino, substituted or unsubstituted cycloalkenylsulfonylamino, substituted or unsubstituted nonaromatic heterocyclic sulfonylamino, substituted or unsubstituted arylsulfonylamino or substituted or unsubstituted heteroarylsulfonylamino (1 ′ The compound according to any one of ') to (3' ') or a pharmaceutically acceptable salt thereof, or a solvate thereof.
- Halogen means fluorine, chlorine, bromine and iodine.
- Alkyl includes linear or branched monovalent hydrocarbon groups having 1 to 10 carbon atoms, preferably 1 to 6 carbon atoms, and more preferably 1 to 3 carbon atoms. For example, methyl, ethyl, n-propyl, isopropyl, n-butyl, isobutyl, sec-butyl, tert-butyl, n-pentyl, isopentyl, neopentyl, n-hexyl, isohexyl, n-heptyl, isoheptyl, n-octyl , Isooctyl, n-nonyl, n-decyl and the like.
- Examples of “alkyl” in R x1 , R x2 , R x3 and R x4 include methyl, ethyl, n-propyl, isopropyl and the like.
- Examples of “alkyl” in R 9a , R 9b , R 10 and R 11 include methyl, ethyl, n-propyl, isopropyl and the like.
- Alkyl such as “haloalkyl”, “alkylamino”, “alkylimino”, “alkylsulfinyl”, “alkylsulfonyl”, “alkylsulfonyloxy”, “alkylsulfamoyl”, “arylalkyl”, “arylalkylamino”, etc.
- the moiety is as defined above for “alkyl”.
- alkyl part of “alkyloxy” has the same meaning as the above “alkyl”. Examples thereof include methoxy, ethoxy, n-propoxy, isopropoxy, n-butoxy, isobutoxy, sec-butoxy, tert-butoxy, pentyloxy, isopentyloxy, neopentyloxy, hexyloxy and the like.
- Alkyloxy ” in R x1 , R x2 , R x3 and R x4 includes methoxy, ethoxy, propoxy, isopropoxy and the like.
- alkyloxy moiety such as “haloalkyloxy” and “alkyloxyimino” has the same meaning as the above “alkyloxy”.
- alkyl part of “alkylthio” has the same meaning as the above “alkyl”. Examples thereof include methylthio, ethylthio, n-propylthio, isopropylthio, butylthio, isobutylthio, sec-butylthio, tert-butylthio, pentylthio, isopentylthio, neopentylthio, hexylthio and the like.
- “Alkylthio” in R x1 , R x2 , R x3 and R x4 includes methylthio, ethylthio, n-propylthio, isopropylthio and the like.
- alkyloxycarbonyl has the same meaning as the above “alkyloxy”. Examples include methyloxycarbonyl, ethyloxycarbonyl, n-propyloxycarbonyl, isopropyloxycarbonyl, n-butyloxycarbonyl, tert-butyloxycarbonyl, n-pentyloxycarbonyl and the like.
- Alkyloxycarbonyl ” in R x1 , R x2 , R x3 and R x4 includes methyloxycarbonyl, ethyloxycarbonyl and the like.
- alkyl part of “alkylcarbamoyl” has the same meaning as the above “alkyl”.
- examples thereof include mono- or dialkylcarbamoyl such as methylcarbamoyl, ethylcarbamoyl, n-propylcarbamoyl, isopropylcarbamoyl, cyclopropylcarbamoyl, n-butylcarbamoyl, dimethylcarbamoyl, diethylcarbamoyl, dipropylcarbamoyl and the like.
- Examples of the “alkylcarbamoyl” in R x1 , R x2 , R x3 and R x4 include methylcarbamoyl, ethylcarbamoyl and the like.
- Alkenyl includes straight or branched alkenyl having 2 to 6, preferably 2 to 3, carbon atoms having one or more double bonds at any position. Examples include vinyl, propenyl, isopropenyl, butenyl, isobutenyl, prenyl, butadienyl, pentenyl, isopentenyl, pentadienyl, hexenyl, isohexenyl, hexadienyl and the like. “Alkenyl” in R x1 , R x2 , R x3 and R x4 includes vinyl, propenyl, isopropenyl, butenyl, isobutenyl and the like.
- alkenyl part of “alkenyloxy” has the same meaning as the above “alkenyl”.
- alkenyl part of “alkenylthio” has the same meaning as the above “alkenyl”. Examples thereof include vinylthio, propenylthio, isopropenylthio, butenylthio, isobutenylthio, prenylthio, butadienylthio, pentenylthio, isopentenylthio, pentadienylthio, hexenylthio, isohexenylthio, hexadienylthio and the like.
- alkenyloxy part of “alkenyloxycarbonyl” has the same meaning as the above “alkenyloxy”.
- alkenyl moiety such as “haloalkenyl”, “alkenylsulfinyl”, “alkenylsulfonyl”, “alkenylsulfonyloxy”, “alkenylsulfamoyl” has the same meaning as the above “alkenyl”.
- Alkynyl includes linear or branched alkynyl having 2 to 6, preferably 2 to 3, carbon atoms having one or more triple bonds at any position. These have one or more triple bonds at arbitrary positions, and may further have a double bond. Examples include ethynyl, 1-propynyl, 2-propynyl, 1-butynyl, 2-butynyl, 3-butynyl, 1-pentynyl, 2-pentynyl, various pentynyl isomers, and the like.
- alkynyl part of “alkynyloxy” has the same meaning as the above “alkynyl”.
- alkynyl For example, ethynyloxy, propynyloxy, butynyloxy, pentynyloxy and the like can be mentioned.
- C2-C6 alkynyloxy is used.
- Alkynylthio has the same meaning as the above “alkynyl” in the alkynyl moiety.
- alkynyl in the alkynyl moiety.
- ethynylthio, propynylthio, butynylthio, pentynylthio and the like can be mentioned.
- C2-C6 alkynylthio is used.
- alkynyloxycarbonyl has the same meaning as the above “alkynyloxy”. Examples include ethynyloxycarbonyl, propynyloxycarbonyl, butynyloxycarbonyl, pentynyloxycarbonyl, and the like. Preferably, C2-C6 alkynyloxycarbonyl is used.
- Alkynyl moieties such as “alkynylsulfinyl”, “alkynylsulfonyl”, “alkynylsulfonyloxy”, “alkynylsulfamoyl” and the like are synonymous with the above “alkynyl”.
- Acyl is R—C ( ⁇ O) — (for example, R is “alkyl”, “alkenyl” or “alkynyl”, or “cycloalkyl”, “cycloalkenyl”, “aryl”, “ A heteroaryl ”or a“ non-aromatic heterocyclic group ”).
- acyl part of “acylamino” and “acylimino” has the same meaning as the above “acyl”.
- Unsubstituted sulfamoyl means a group represented by —S ( ⁇ O) 2 —NH 2 .
- “Sulphamoyl substituted with a substituent selected from Substituent Group A” means a group represented by —S ( ⁇ O) 2 —NR X R Y.
- R X and R Y is a substituent group A (substituent group A: substituted or unsubstituted alkyl, substituted or unsubstituted alkenyl, substituted or unsubstituted alkynyl, substituted or unsubstituted cycloalkyl, substituted Or a group selected from unsubstituted cycloalkenyl, substituted or unsubstituted non-aromatic heterocyclic group, substituted or unsubstituted aryl and substituted or unsubstituted heteroaryl.
- substituent group A substituted or unsubstituted alkyl, substituted or unsubstituted alkenyl, substituted or unsubstituted alkynyl, substituted or unsubstituted cycloalkyl, substituted Or a group selected from unsubstituted cycloalkenyl, substituted or unsubstituted non-aromatic heterocyclic group, substitute
- “sulfamoyl substituted with a substituent selected from Substituent Group A” includes unsubstituted alkyl, Substituent Group C (Substituent Group C: hydroxy, halogen, substituted or unsubstituted alkoxy, Alkyl substituted with one or more substituents selected from substituted or unsubstituted alkyloxycarbonyl, substituted or unsubstituted cycloalkyl, substituted or unsubstituted non-aromatic heterocyclic group and substituted or unsubstituted aryl) Selected from substituent group B (substituent group B: hydroxy, substituted or unsubstituted alkyl, halogen and carbamoyl), one or more substituted aryls, unsubstituted aryl, substituent group B Heteroaryl substituted with one or more substituents, unsubstituted heteroaryl, substituent group D (substituent
- “Unsubstituted aminosulfonylamino” means a group represented by —NH—S ( ⁇ O) 2 —NH 2 . “Substituted aminosulfonylamino” means a group represented by —NR z —S ( ⁇ O) 2 —NR X R Y , and at least one of R X , R Y and R z is represented by “ The meaning is the same as the substituent of “substituted amino”.
- R X and R Y are substituent group A (substituent group A: substituted or unsubstituted alkyl, substituted or unsubstituted alkenyl, substituted or non-substituted Substituted alkynyl, substituted or unsubstituted cycloalkyl, substituted or unsubstituted cycloalkenyl, substituted or unsubstituted non-aromatic heterocyclic group, substituted or unsubstituted aryl and substituted or unsubstituted heteroaryl) Group.
- R z has the same meaning as the substituent of “substituted amino” shown below.
- “Cycloalkane” includes monocyclic or polycyclic saturated carbocyclic rings having 3 to 10 carbon atoms.
- Examples of the monocyclic cycloalkane include cyclopropane, cyclobutane, cyclopentane, cyclohexane, cycloheptane, cyclooctane, cyclononane, and cyclodecane.
- Examples of the polycyclic cycloalkane include norbornane and tetrahydronaphthalene.
- Cycloalkyl includes a monovalent group derived from the above “cycloalkane”.
- monocyclic cycloalkyl include cyclopropyl, cyclobutyl, cyclopentyl, cyclohexyl, cycloheptyl, cyclooctyl, cyclononyl, cyclodecyl and the like.
- polycyclic cycloalkyl include norbornyl, tetrahydronaphthalen-5-yl, tetrahydronaphthalen-6-yl, adamantyl and the like.
- “Cycloalkanediyl” includes a divalent group derived from the above “cycloalkane”.
- Examples of the monocyclic cycloalkanediyl include cyclopropanediyl, cyclobutanediyl, cyclopentanediyl, cyclohexanediyl, cycloheptanediyl, cyclooctanediyl, cyclononanediyl, cyclodecandidiyl and the like.
- Examples of polycyclic cycloalkanediyl include norbornanediyl, adamantanediyl and the like.
- cycloalkyl part of “cycloalkyloxy” has the same meaning as the above “cycloalkyl”.
- cyclopropyloxy, cyclobutyloxy, cyclopentyloxy, cyclohexyloxy, cycloheptyloxy, cyclooctyloxy, cyclononyloxy, cyclodecyloxy and the like can be mentioned.
- polycyclic cycloalkyloxy include norbornyloxy, tetrahydronaphthalen-5-yloxy, tetrahydronaphthalen-6-yloxy, adamantaneoxy and the like.
- cycloalkyloxy part of “cycloalkyloxycarbonyl” has the same meaning as the above “cycloalkyloxy”. Examples include cyclopropyloxycarbonyl, cyclobutyloxycarbonyl, cyclopentyloxycarbonyl, cyclohexyloxycarbonyl, cycloheptyloxycarbonyl, cyclooctyloxycarbonyl, cyclononyloxycarbonyl, cyclodecyloxycarbonyl, and the like.
- polycyclic cycloalkyloxycarbonyl examples include norbornyloxycarbonyl, tetrahydronaphthalen-5-yloxycarbonyl, tetrahydronaphthalen-6-yloxycarbonyl and the like.
- “Cycloalkene” includes a non-aromatic monocyclic or polycyclic ring having 3 to 10 carbon atoms and containing at least one carbon-carbon double bond.
- Examples of the monocyclic cycloalkene include cyclopentene and cyclohexene.
- Examples of the polycyclic cycloalkene include norbornene and indene.
- Cycloalkenyl includes a monovalent group derived from the above “cycloalkene”. Examples of monocyclic cycloalkenyl include cyclopentenyl, cyclohexenyl and the like. Examples of polycyclic cycloalkenyl include norbornenyl, inden-1-yl, inden-2-yl, inden-3-yl and the like.
- Cycloalkenediyl includes a divalent group derived from the above “cycloalkene”. Examples of monocyclic cycloalkenediyl include cyclopentenediyl, cyclohexenediyl and the like. Examples of polycyclic cycloalkenediyl include norbornene diyl.
- cycloalkenyl part of “cycloalkenyloxy” has the same meaning as the above “cycloalkenyl”.
- cycloalkenyloxy examples include norbornenyloxy and indenyloxy.
- cycloalkenyloxycarbonyl has the same meaning as the above “cycloalkenyloxy”.
- examples of the monocyclic cycloalkenyloxycarbonyl include cyclopentenyloxycarbonyl, cyclohexenyloxycarbonyl, and the like.
- examples of the polycyclic cycloalkenyloxycarbonyl include norbornenyloxycarbonyl, indenyloxycarbonyl and the like.
- aromatic carbocycle includes a monocyclic or condensed aromatic hydrocarbon ring.
- a benzene ring, a naphthalene ring, an anthracene ring, a phenanthrene ring, etc. are mentioned.
- Aryl means a monovalent group derived from the above “aromatic carbocycle”. Examples thereof include phenyl, 1-naphthyl, 2-naphthyl, anthryl, phenanthryl and the like.
- aryl part of “arylsulfonyloxy” has the same meaning as the above “aryl”.
- aryl For example, phenylsulfonyloxy, 1-naphthylsulfoneoxy and the like can be mentioned.
- aryl part of “aryloxy”, “aryloxycarbonyl”, “arylalkylamino”, “arylsulfinyl” and “arylalkyl” has the same meaning as the above “aryl”.
- “Aromatic carbocyclic diyl” includes a divalent group derived from the above “aromatic carbocycle”. For example, 1,2-phenylene, 1,3-phenylene, 1,4-phenylene, 1,2-naphthylene and the like can be mentioned.
- Heterocycle means a 5- to 7-membered ring having at least one nitrogen atom, oxygen atom, and / or sulfur atom in the ring, A ring in which two or more of them are independently fused, or A 5- to 7-membered ring having at least one nitrogen atom, oxygen atom and / or sulfur atom in the ring is condensed with one or more of the “aromatic carbocycle”, the “cycloalkane” or the “cycloalkene”.
- An aromatic or non-aromatic fused ring derived from the above ring.
- monocyclic non-aromatic heterocycles such as pyrroline, pyrrolidine, piperidine, piperazine, morpholine, thiomorphone, tetrahydropyran, dihydropyridine, dihydropyridazine, dioxane, oxathiolane, thiane, tetrahydrofuran, tetrahydropyran, tetrahydrothiazole, tetrahydroisothiazole, etc.
- heterocyclic group includes a monovalent group derived from the above “heterocycle”.
- Monocyclic non-aromatic heterocyclic groups such as, dioxanyl, oxathiolanyl, thianyl, tetrahydrofuryl, tetrahydropyranyl, tetrahydrothiazolinyl, tetrahydroisothiazolinyl
- a ring group For example, indolyl, isoindolyl, indazolyl, indolinyl, indolinyl, isoindolinyl, quinolyl, isoquinolyl, cinnolinyl, phthalazinyl, quinazolinyl, naphthyridinyl, quinoxalinyl, purinyl, pteridinyl, benzopyranyl, benzimidazolyl, benzisoxazolyl, benzoxazolyl, benzoxazolyl Diazolyl, benzoisothiazolyl, benzothiazolyl, benzothiadiazolyl, benzofuryl, isobenzofuryl, benzothienyl, benzotriazolyl, imidazopyridyl, triazolopyridyl, imidazothiazolyl, pyrazinopyridazinyl, benzimidazo Examples include condensed heterocyclic groups
- the “aromatic heterocycle” includes the above “heterocycle” which is an aromatic ring.
- a 5- to 7-membered aromatic ring having at least one nitrogen atom, oxygen atom and / or sulfur atom in the ring An aromatic ring in which two or more of them are independently fused, An aromatic ring in which a 5- to 7-membered aromatic ring having at least one nitrogen atom, oxygen atom and / or sulfur atom in the ring is condensed with one or more of the above “aromatic carbocycles” is included.
- indole isoindole, indazole, indolizine, quinoline, isoquinoline, cinnoline, phthalazine, quinazoline, naphthyridine, quinoxaline, purine, pteridine, benzimidazole, benzisoxazole, benzoxazole, benzoxadiazole, benzoisothiazole, benzo
- examples thereof include condensed aromatic heterocycles such as thiazole, benzothiadiazole, benzofuran, isobenzofuran, benzothiophene, benzotriazole, imidazopyridine, triazolopyridine, imidazothiazole, pyrazinopyridazine, benzimidazoline and the like.
- Heteroaryl includes a monovalent group derived from the above “aromatic heterocycle”.
- a 5- to 7-membered aromatic cyclic group having at least one nitrogen atom, oxygen atom and / or sulfur atom in the ring An aromatic cyclic group in which two or more of them are independently fused, An aromatic group in which a 5- to 7-membered aromatic ring having at least one nitrogen atom, oxygen atom and / or sulfur atom in the ring is condensed with one or more of the above “aromatic carbocycles” is included.
- Aryl For example, isoindolyl, indazolyl, indolizinyl, isoindolinyl, quinolyl, isoquinolyl, cinnolinyl, phthalazinyl, quinazolinyl, naphthyridinyl, quinoxalinyl, purinyl, pteridinyl, benzimidazolyl, benzisoxazolyl, benzoxazozolyl, benzoxiazozolyl, benzothiazozolyl Condensation such as ril, benzothiazolyl, benzothiadiazolyl, benzofuryl, isobenzofuryl, benzothienyl, benzotriazolyl, imidazopyridyl, triazolopyridyl, imidazolothiazolyl, pyrazinopyridazinyl, benzimidazolinyl Heteroaryl.
- aromatic 6-membered ring includes the above-mentioned “benzene ring” and “aromatic heterocycle” which are 6-membered aromatic rings.
- non-aromatic heterocycle includes those that are non-aromatic rings among the above-mentioned “heterocycle”.
- a 5- to 7-membered non-aromatic ring having at least one nitrogen atom, oxygen atom and / or sulfur atom in the ring A non-aromatic ring in which two or more of them are independently fused,
- a ring in which a 5- to 7-membered aromatic ring having at least one nitrogen atom, oxygen atom and / or sulfur atom in the ring is condensed with one or more of the above “cycloalkane” or “cycloalkene”;
- a 5- to 7-membered non-aromatic heterocyclic ring having at least one nitrogen atom, oxygen atom and / or sulfur atom in the ring is one or more of the above “aromatic carbocycle” or “non-aromatic carbocycle”.
- fused rings For example, pyrroline, pyrrolidine, imidazoline, imidazolidine, pyrazoline, pyrazolidine, piperidine, piperazine, morpholine, thiomorpholine, thiomorpholine, tetrahydropyran, dihydropyridine, dihydropyridazine, dihydropyrazine, dioxane, oxathiolane, thiane, tetrahydrofuran, tetrahydropyran, tetrahydro Monocyclic non-aromatic heterocycles such as thiazoline, tetrahydroisothiazoline, Examples thereof include condensed non-aromatic heteroaromatic rings such as indoline, isoindoline, benzopyran, benzodioxane, tetrahydroquinoline, benzo [d] oxazol-2 (3H) -one, tetrahydrobenzothiophen
- non-aromatic heterocyclic group includes a monovalent group derived from the above “non-aromatic heterocyclic ring”.
- non-aromatic sulfur-containing heterocyclic group includes at least one sulfur atom in the ring, and may further include one or more atoms arbitrarily selected from an oxygen atom and a nitrogen atom in the ring. It includes a group derived from a non-aromatic 4- to 7-membered ring or a ring in which two or more thereof are condensed. Examples thereof include thiomorpholinyl, thiomorpholino, thianyl, tetrahydrothiazolinyl, tetrahydroisothiazolinyl and the like.
- non-aromatic heterocyclic moiety of “non-aromatic heterocyclic oxy”, “non-aromatic heterocyclic oxycarbonyl”, “non-aromatic heterocyclic alkylamino” and “non-aromatic heterocyclic alkyl” Synonymous with “heterocycle”.
- Substituents for “substituted amino” and “substituted aminosulfonylamino” include, but are not limited to, one or more of the same or different substituents selected from the following group: Alkyl (eg, methyl, ethyl, isopropyl, tert-butyl, etc.), haloalkyl (eg, CF 3 , CH 2 CF 3 , CH 2 CCl 3, etc.), hydroxyalkyl (eg, hydroxyethyl, —C (CH 3 ) 2 CH 2 OH, etc.), alkenyl (eg, vinyl), alkynyl (eg, ethynyl), cycloalkyl (eg, cyclopropyl), cycloalkenyl (eg, cyclopropenyl), alkyloxy (eg, methoxy, ethoxy, propoxy, butoxy) Etc.), haloalkyloxy (eg
- Substituted or unsubstituted alkylsulfonylamino substituted or unsubstituted aminosulfonylamino
- substituted or unsubstituted cycloalkylsulfonylamino substituted or unsubstituted nonaromatic heterocyclic sulfonylamino
- amino in “substituted or unsubstituted arylsulfonylamino” or “substituted or unsubstituted heteroarylsulfonylamino” may also be substituted with the substituent represented by the above “substituted amino”.
- Substituents for “substituted aryl” and “substituted heteroaryl” include halogen, methyl, trifluoromethyl, ethyl, n-propyl, isopropyl, mekyloxy, ethyloxy, n-propyloxy, isopropyloxy, trifluoromethyloxyhalogen, Hydroxy, carbamoyl and the like can be mentioned.
- halogen, methyl, isopropyl, hydroxy, carbamoyl and the like can be mentioned.
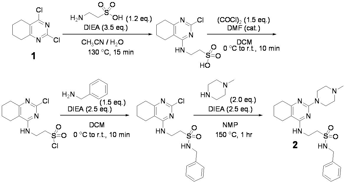
- one or more hydrogen, carbon or other atoms of the compound of general formula (I) may be replaced with isotopes of hydrogen, carbon or other atoms.
- the compound of general formula (I) includes all radiolabeled compounds of the compound of general formula (I). Such “radiolabeled”, “radiolabeled” and the like of compounds of general formula (I) are each encompassed by the present invention and are useful as research and / or diagnostic tools in metabolic pharmacokinetic studies and binding assays. is there. Examples of isotopes that can be incorporated into the compound of the general formula (I) of the present invention include 2 H, 3 H, 13 C, 14 C, 15 N, 18 O, 17 O, 31 P, 32 P, and 35, respectively.
- the radiolabeled compound of the present invention can be prepared by methods well known in the art.
- a tritium-labeled compound of general formula (I) can be prepared by introducing tritium into a specific compound of formula I, for example, by a catalytic dehalogenation reaction using tritium. This process comprises reacting a compound of general formula (I) with a suitably halogen-substituted precursor and tritium gas in the presence of a suitable catalyst, for example Pd / C, in the presence or absence of a base. It may be included.
- the 14 C-labeled compound can be prepared by using a raw material having 14 C carbon.
- the compound of the present invention represented by the above general formula (I) or a salt thereof may be converted into a hydrate or a solvate by a known method.
- Suitable solvates include solvates with acetone, 2-butanol, 2-propanol, ethanol, ethyl acetate, tetrahydrofuran, diethyl ether and the like.
- non-toxic and water-soluble hydrates or solvates for example, ethanol and the like
- the compounds according to the present invention include pharmaceutically acceptable salts.
- alkali metals such as lithium, sodium or potassium
- alkaline earth metals such as magnesium or calcium
- ammonium salts with organic bases and amino acids
- inorganic acids hydroochloric acid, sulfuric acid, nitric acid, hydrobromic acid, phosphorus Acid or hydroiodic acid
- organic acids acetic acid, citric acid, lactic acid, tartaric acid, oxalic acid, maleic acid, fumaric acid, mandelic acid, glutaric acid, malic acid, benzoic acid, phthalic acid, benzenesulfonic acid, and salts with p-toluenesulfonic acid, methanesulfonic acid, ethanesulfonic acid, etc.
- hydrochloric acid, phosphoric acid, tartaric acid, methanesulfonic acid and the like are preferable.
- “Modulators” include agonists, partial agonists, inverse agonists and antagonists.
- “Histamine H4 modulator” includes histamine H4 receptor modulators, ie, histamine H4 receptor agonists, histamine H4 receptor partial agonists, histamine H4 receptor inverse agonists, histamine H4 receptor antagonists To do.
- R 1a is a) halogen, substituted or unsubstituted alkyl, substituted or unsubstituted alkenyl, substituted or unsubstituted alkynyl, substituted or unsubstituted alkyloxy, substituted or unsubstituted alkenyloxy, substituted or unsubstituted alkynyloxy, substituted Or unsubstituted alkylthio, substituted or unsubstituted alkenylthio, substituted or unsubstituted alkynylthio, substituted or unsubstituted acyl, hydroxy, carboxy, substituted or unsubstituted alkyloxycarbonyl, substituted or unsubstituted alkenyloxycarbonyl Substituted or unsubstituted alkynyloxycarbonyl, substituted or unsubstituted cycloalky
- R 1a is a) halogen, substituted or unsubstituted alkyl, substituted or unsubstituted alkyloxy, hydroxy, substituted or unsubstituted cycloalkyl, substituted or unsubstituted non-aromatic heterocyclic group, substituted or unsubstituted aryl, substituted Or unsubstituted heteroaryl or substituted or unsubstituted cycloalkyloxy; n 1 is an integer from 0 to 4; -B 1 is represented by the formula: -X- (CR 8a R 8b ) mY (Where X is N (R 7c ); R 7c is hydrogen; R 8a and R 8b are hydrogen; m is an integer from 1 to 5: Y is substituent group A (substituent group A: substituted or unsubstituted alkyl, substituted or unsubstituted alken
- R 1a is a) halogen, substituted or unsubstituted alkyl, substituted or unsubstituted alkyloxy, hydroxy, substituted or unsubstituted cycloalkyl, substituted or unsubstituted non-aromatic heterocyclic group, substituted or unsubstituted aryl, substituted Or unsubstituted heteroaryl or substituted or unsubstituted cycloalkyloxy; n 1 is an integer from 0 to 4; -B 1 is represented by the formula: -X- (CR 8a R 8b ) mY (Where X is N (R 7c ); R 7c is hydrogen; R 8a and R 8b are hydrogen; m is an integer from 1 to 5: Y is substituted or unsubstituted alkylsulfonylamino, substituted or unsubstituted aminosulfonyla
- R 1a is a) halogen, substituted or unsubstituted alkyl, substituted or unsubstituted alkenyl, substituted or unsubstituted alkynyl, substituted or unsubstituted alkyloxy, substituted or unsubstituted alkenyloxy, substituted or unsubstituted alkynyloxy, substituted Or unsubstituted alkylthio, substituted or unsubstituted alkenylthio, substituted or unsubstituted alkynylthio, substituted or unsubstituted acyl, hydroxy, carboxy, substituted or unsubstituted alkyloxycarbonyl, substituted or unsubstituted alkenyloxycarbonyl Substituted or unsubstituted alkynyloxycarbonyl, substituted or unsubstituted cycloalky
- R 1a is a) halogen, substituted or unsubstituted alkyl, substituted or unsubstituted alkyloxy, hydroxy, substituted or unsubstituted cycloalkyl, substituted or unsubstituted non-aromatic heterocyclic group, substituted or unsubstituted aryl, substituted Or unsubstituted heteroaryl or substituted or unsubstituted cycloalkyloxy; n 1 is an integer from 0 to 4; -B 1 is represented by the formula: -X- (CR 8a R 8b ) mY (Where X is N (R 7c ); R 7c is hydrogen; R 8a and R 8b are hydrogen; m is an integer from 1 to 5: Y is substituent group A (substituent group A: substituted or unsubstituted alkyl, substituted or unsubstituted alken
- R 1a is a) halogen, substituted or unsubstituted alkyl, substituted or unsubstituted alkyloxy, hydroxy, substituted or unsubstituted cycloalkyl, substituted or unsubstituted non-aromatic heterocyclic group, substituted or unsubstituted aryl, substituted Or unsubstituted heteroaryl or substituted or unsubstituted cycloalkyloxy; n 1 is an integer from 0 to 4; -B 1 is represented by the formula: -X- (CR 8a R 8b ) mY (Where X is N (R 7c ); R 7c is hydrogen; R 8a and R 8b are hydrogen; m is an integer from 1 to 5: Y is substituted or unsubstituted alkylsulfonylamino, substituted or unsubstituted aminosulfonyla
- R 1a is a) halogen, substituted or unsubstituted alkyl, substituted or unsubstituted alkenyl, substituted or unsubstituted alkynyl, substituted or unsubstituted alkyloxy, substituted or unsubstituted alkenyloxy, substituted or unsubstituted alkynyloxy, substituted Or unsubstituted alkylthio, substituted or unsubstituted alkenylthio, substituted or unsubstituted alkynylthio, substituted or unsubstituted acyl, hydroxy, carboxy, substituted or unsubstituted alkyloxycarbonyl, substituted or unsubstituted alkenyloxycarbonyl Substituted or unsubstituted alkynyloxycarbonyl, substituted or unsubstituted cycloalky
- R 1a is a) halogen, substituted or unsubstituted alkyl, substituted or unsubstituted alkyloxy, hydroxy, substituted or unsubstituted cycloalkyl, substituted or unsubstituted non-aromatic heterocyclic group, substituted or unsubstituted aryl, substituted Or unsubstituted heteroaryl or substituted or unsubstituted cycloalkyloxy; n 1 is an integer from 0 to 4; -B 1 is represented by the formula: -X- (CR 8a R 8b ) mY (Where X is N (R 7c ); R 7c is hydrogen; R 8a and R 8b are hydrogen; m is an integer from 1 to 5: Y is substituent group A (substituent group A: substituted or unsubstituted alkyl, substituted or unsubstituted alken
- R 1a is a) halogen, substituted or unsubstituted alkyl, substituted or unsubstituted alkyloxy, hydroxy, substituted or unsubstituted cycloalkyl, substituted or unsubstituted non-aromatic heterocyclic group, substituted or unsubstituted aryl, substituted Or unsubstituted heteroaryl or substituted or unsubstituted cycloalkyloxy; n 1 is an integer from 0 to 4; -B 1 is represented by the formula: -X- (CR 8a R 8b ) mY (Where X is N (R 7c ); R 7c is hydrogen; R 8a and R 8b are hydrogen; m is an integer from 1 to 5: Y is substituted or unsubstituted alkylsulfonylamino, substituted or unsubstituted aminosulfonyla
- R 1a is a) halogen, substituted or unsubstituted alkyl, substituted or unsubstituted alkenyl, substituted or unsubstituted alkynyl, substituted or unsubstituted alkyloxy, substituted or unsubstituted alkenyloxy, substituted or unsubstituted alkynyloxy, substituted Or unsubstituted alkylthio, substituted or unsubstituted alkenylthio, substituted or unsubstituted alkynylthio, substituted or unsubstituted acyl, hydroxy, carboxy, substituted or unsubstituted alkyloxycarbonyl, substituted or unsubstituted alkenyloxycarbonyl Substituted or unsubstituted alkynyloxycarbonyl, substituted or unsubstituted cycloalky
- R 1a is a) halogen, substituted or unsubstituted alkyl, substituted or unsubstituted alkyloxy, hydroxy, substituted or unsubstituted cycloalkyl, substituted or unsubstituted non-aromatic heterocyclic group, substituted or unsubstituted aryl, substituted Or unsubstituted heteroaryl or substituted or unsubstituted cycloalkyloxy; n 1 is an integer from 0 to 4; -B 1 is represented by the formula: -X- (CR 8a R 8b ) mY (Where X is N (R 7c ); R 7c is hydrogen; R 8a and R 8b are hydrogen; m is an integer from 1 to 5: Y is substituent group A (substituent group A: substituted or unsubstituted alkyl, substituted or unsubstituted alken
- R 1a is a) halogen, substituted or unsubstituted alkyl, substituted or unsubstituted alkyloxy, hydroxy, substituted or unsubstituted cycloalkyl, substituted or unsubstituted non-aromatic heterocyclic group, substituted or unsubstituted aryl, substituted Or unsubstituted heteroaryl or substituted or unsubstituted cycloalkyloxy; n 1 is an integer from 0 to 4; -B 1 is represented by the formula: -X- (CR 8a R 8b ) mY (Where X is N (R 7c ); R 7c is hydrogen; R 8a and R 8b are hydrogen; m is an integer from 1 to 5: Y is substituted or unsubstituted alkylsulfonylamino, substituted or unsubstituted aminosulfonyla
- R 1a is a) halogen, substituted or unsubstituted alkyl, substituted or unsubstituted alkenyl, substituted or unsubstituted alkynyl, substituted or unsubstituted alkyloxy, substituted or unsubstituted alkenyloxy, substituted or unsubstituted alkynyloxy, substituted Or unsubstituted alkylthio, substituted or unsubstituted alkenylthio, substituted or unsubstituted alkynylthio, substituted or unsubstituted acyl, hydroxy, carboxy, substituted or unsubstituted alkyloxycarbonyl, substituted or unsubstituted alkenyloxycarbonyl Substituted or unsubstituted alkynyloxycarbonyl, substituted or unsubstituted cycloalky
- R 1a is a) halogen, substituted or unsubstituted alkyl, substituted or unsubstituted alkyloxy, hydroxy, substituted or unsubstituted cycloalkyl, substituted or unsubstituted non-aromatic heterocyclic group, substituted or unsubstituted aryl, substituted Or unsubstituted heteroaryl or substituted or unsubstituted cycloalkyloxy; n 1 is an integer from 0 to 4; -B 1 is represented by the formula: -X- (CR 8a R 8b ) mY (Where X is N (R 7c ); R 7c is hydrogen; R 8a and R 8b are hydrogen; m is an integer from 1 to 5: Y is substituent group A (substituent group A: substituted or unsubstituted alkyl, substituted or unsubstituted alken
- R 1a is a) halogen, substituted or unsubstituted alkyl, substituted or unsubstituted alkyloxy, hydroxy, substituted or unsubstituted cycloalkyl, substituted or unsubstituted non-aromatic heterocyclic group, substituted or unsubstituted aryl, substituted Or unsubstituted heteroaryl or substituted or unsubstituted cycloalkyloxy; n 1 is an integer from 0 to 4; -B 1 is represented by the formula: -X- (CR 8a R 8b ) mY (Where X is N (R 7c ); R 7c is hydrogen; R 8a and R 8b are hydrogen; m is an integer from 1 to 5: Y is substituted or unsubstituted alkylsulfonylamino, substituted or unsubstituted aminosulfonyla
- R 1a is a) halogen, substituted or unsubstituted alkyl, substituted or unsubstituted alkenyl, substituted or unsubstituted alkynyl, substituted or unsubstituted alkyloxy, substituted or unsubstituted alkenyloxy, substituted or unsubstituted alkynyloxy, substituted Or unsubstituted alkylthio, substituted or unsubstituted alkenylthio, substituted or unsubstituted alkynylthio, substituted or unsubstituted acyl, hydroxy, carboxy, substituted or unsubstituted alkyloxycarbonyl, substituted or unsubstituted alkenyloxycarbonyl Substituted or unsubstituted alkynyloxycarbonyl, substituted or unsubstituted cycloalky
- R 1a is a) halogen, substituted or unsubstituted alkyl, substituted or unsubstituted alkyloxy, hydroxy, substituted or unsubstituted cycloalkyl, substituted or unsubstituted non-aromatic heterocyclic group, substituted or unsubstituted aryl, substituted Or unsubstituted heteroaryl or substituted or unsubstituted cycloalkyloxy; n 1 is an integer from 0 to 4; -B 1 is represented by the formula: -X- (CR 8a R 8b ) mY (Where X is N (R 7c ); R 7c is hydrogen; R 8a and R 8b are hydrogen; m is an integer from 1 to 5: Y is substituent group A (substituent group A: substituted or unsubstituted alkyl, substituted or unsubstituted alken
- R 1a is a) halogen, substituted or unsubstituted alkyl, substituted or unsubstituted alkyloxy, hydroxy, substituted or unsubstituted cycloalkyl, substituted or unsubstituted non-aromatic heterocyclic group, substituted or unsubstituted aryl, substituted Or unsubstituted heteroaryl or substituted or unsubstituted cycloalkyloxy; n 1 is an integer from 0 to 4; -B 1 is represented by the formula: -X- (CR 8a R 8b ) mY (Where X is N (R 7c ); R 7c is hydrogen; R 8a and R 8b are hydrogen; m is an integer from 1 to 5: Y is substituted or unsubstituted alkylsulfonylamino, substituted or unsubstituted aminosulfonyla
- R x3 and R x4 are each independently hydrogen, halogen, substituted or unsubstituted alkyl, substituted or unsubstituted alkenyl, substituted or unsubstituted alkynyl, substituted or unsubstituted alkyloxy, substituted or unsubstituted Alkenyloxy, substituted or unsubstituted alkynyloxy, substituted or unsubstituted alkylthio, substituted or unsubstituted alkenylthio, substituted or unsubstituted alkynylthio, substituted or unsubstituted acyl, hydroxy, carboxy, substituted or unsubstituted Alkyloxycarbonyl, substituted or unsubstituted alkenyloxycarbonyl, substituted or unsubstituted alkynyloxycarbonyl, substituted or unsubstituted
- R x3 and R x4 each independently represent hydrogen, halogen, substituted or unsubstituted alkyl, substituted or unsubstituted alkyloxy, cyano, nitro, substituted or unsubstituted amino, substituted or unsubstituted cycloalkyl Substituted or unsubstituted non-aromatic heterocyclic group, substituted or unsubstituted aryl, substituted or unsubstituted cycloalkyloxy, or substituted or unsubstituted non-aromatic heterocyclic oxy; —B 1 represents the formula: —X— (CR 8a R 8b ) mY (Where X is N (R 7c ); R 7c is hydrogen; R 8a and R 8b are each independently hydrogen, halogen or substituted or unsubstituted alkyl; m is an integer from 1 to 5: Y is substitu
- R x3 and R x4 each independently represent hydrogen, halogen, substituted or unsubstituted alkyl, substituted or unsubstituted alkyloxy, cyano, nitro, substituted or unsubstituted amino, substituted or unsubstituted cycloalkyl Substituted or unsubstituted non-aromatic heterocyclic group, substituted or unsubstituted aryl, substituted or unsubstituted cycloalkyloxy, or substituted or unsubstituted non-aromatic heterocyclic oxy; —B 1 represents the formula: —X— (CR 8a R 8b ) mY (Where X is N (R 7c ); R 7c is hydrogen; R 8a and R 8b are each independently hydrogen, halogen or substituted or unsubstituted alkyl; m is an integer from 1 to 5: Y is substituted or unsubstituted alkyl; m is an integer from
- R x2 and R x3 are each independently hydrogen, halogen, substituted or unsubstituted alkyl, substituted or unsubstituted alkenyl, substituted or unsubstituted alkynyl, substituted or unsubstituted alkyloxy, substituted or unsubstituted Alkenyloxy, substituted or unsubstituted alkynyloxy, substituted or unsubstituted alkylthio, substituted or unsubstituted alkenylthio, substituted or unsubstituted alkynylthio, substituted or unsubstituted acyl, hydroxy, carboxy, substituted or unsubstituted Alkyloxycarbonyl, substituted or unsubstituted alkenyloxycarbonyl, substituted or unsubstituted alkynyloxycarbonyl, substituted or unsubstituted
- R x3 and R x4 each independently represent hydrogen, halogen, substituted or unsubstituted alkyl, substituted or unsubstituted alkyloxy, cyano, nitro, substituted or unsubstituted amino, substituted or unsubstituted cycloalkyl Substituted or unsubstituted non-aromatic heterocyclic group, substituted or unsubstituted aryl, substituted or unsubstituted cycloalkyloxy, or substituted or unsubstituted non-aromatic heterocyclic oxy; —B 1 represents the formula: —X— (CR 8a R 8b ) mY (Where X is N (R 7c ); R 7c is hydrogen; R 8a and R 8b are each independently hydrogen, halogen or substituted or unsubstituted alkyl; m is an integer from 1 to 5: Y is substitu
- R x3 and R x4 each independently represent hydrogen, halogen, substituted or unsubstituted alkyl, substituted or unsubstituted alkyloxy, cyano, nitro, substituted or unsubstituted amino, substituted or unsubstituted cycloalkyl Substituted or unsubstituted non-aromatic heterocyclic group, substituted or unsubstituted aryl, substituted or unsubstituted cycloalkyloxy, or substituted or unsubstituted non-aromatic heterocyclic oxy; —B 1 represents the formula: —X— (CR 8a R 8b ) mY (Where X is N (R 7c ); R 7c is hydrogen; R 8a and R 8b are each independently hydrogen, halogen or substituted or unsubstituted alkyl; m is an integer from 1 to 5: Y is substituted or unsubstituted alkyl; m is an integer from
- R x1 , R x2 and R x3 are each independently hydrogen, halogen, substituted or unsubstituted alkyl, substituted or unsubstituted alkenyl, substituted or unsubstituted alkynyl, substituted or unsubstituted alkyloxy, substituted or Unsubstituted alkenyloxy, substituted or unsubstituted alkynyloxy, substituted or unsubstituted alkylthio, substituted or unsubstituted alkenylthio, substituted or unsubstituted alkynylthio, substituted or unsubstituted acyl, hydroxy, carboxy, substituted or Unsubstituted alkyloxycarbonyl, substituted or unsubstituted alkenyloxycarbonyl, substituted or unsubstituted alkynyloxycarbonyl, substituted or unsubstituted acyl, hydroxy, carboxy, substituted or
- R x3 and R x4 each independently represent hydrogen, halogen, substituted or unsubstituted alkyl, substituted or unsubstituted alkyloxy, cyano, nitro, substituted or unsubstituted amino, substituted or unsubstituted cycloalkyl Substituted or unsubstituted non-aromatic heterocyclic group, substituted or unsubstituted aryl, substituted or unsubstituted cycloalkyloxy, or substituted or unsubstituted non-aromatic heterocyclic oxy; —B 1 represents the formula: —X— (CR 8a R 8b ) mY (Where X is N (R 7c ); R 7c is hydrogen; R 8a and R 8b are each independently hydrogen, halogen or substituted or unsubstituted alkyl; m is an integer from 1 to 5: Y is substitu
- R x3 and R x4 each independently represent hydrogen, halogen, substituted or unsubstituted alkyl, substituted or unsubstituted alkyloxy, cyano, nitro, substituted or unsubstituted amino, substituted or unsubstituted cycloalkyl Substituted or unsubstituted non-aromatic heterocyclic group, substituted or unsubstituted aryl, substituted or unsubstituted cycloalkyloxy, or substituted or unsubstituted non-aromatic heterocyclic oxy; —B 1 represents the formula: —X— (CR 8a R 8b ) mY (Where X is N (R 7c ); R 7c is hydrogen; R 8a and R 8b are each independently hydrogen, halogen or substituted or unsubstituted alkyl; m is an integer from 1 to 5: Y is substituted or unsubstituted alkyl; m is an integer from
- R 1b is a) halogen, substituted or unsubstituted alkyl, substituted or unsubstituted alkenyl, substituted or unsubstituted alkynyl, substituted or unsubstituted alkyloxy, substituted or unsubstituted alkenyloxy, substituted or unsubstituted alkynyloxy, substituted Or unsubstituted alkylthio, substituted or unsubstituted alkenylthio, substituted or unsubstituted alkynylthio, substituted or unsubstituted acyl, hydroxy, carboxy, substituted or unsubstituted alkyloxycarbonyl, substituted or unsubstituted alkenyloxycarbonyl Substituted or unsubstituted alkynyloxycarbonyl, substituted or unsubstituted cycloalky
- R 1b is a) halogen, substituted or unsubstituted alkyl, cyano, substituted or unsubstituted cycloalkyl, or substituted or unsubstituted non-aromatic heterocyclic group;
- Each R 2b is independently hydrogen, substituted or unsubstituted alkyl or substituted or unsubstituted acyl;
- n 3 is an integer from 0 to 2;
- —B 1 represents the formula: —X— (CR 8a R 8b ) mY (Where X is N (R 7c ); R 7c is hydrogen;
- R 8a and R 8b are hydrogen;
- m is an integer from 1 to 5:
- Y is a substituent group A (substituent group A: substituted or unsubstituted alkyl, substituted or unsubstituted alkenyl, substituted or unsubstituted alkynyl, substituted or
- R 1b is a) halogen, substituted or unsubstituted alkyl, cyano, substituted or unsubstituted cycloalkyl, or substituted or unsubstituted non-aromatic heterocyclic group;
- Each R 2b is independently hydrogen, substituted or unsubstituted alkyl or substituted or unsubstituted acyl;
- n 3 is an integer from 0 to 2;
- —B 1 represents the formula: —X— (CR 8a R 8b ) mY (Where X is N (R 7c ); R 7c is hydrogen;
- R 8a and R 8b are hydrogen;
- m is an integer from 1 to 5:
- Y is substituted or unsubstituted alkylsulfonylamino, substituted or unsubstituted aminosulfonylamino, substituted or unsubstituted cycloalkylsulfony
- R 1b is a) halogen, substituted or unsubstituted alkyl, substituted or unsubstituted alkenyl, substituted or unsubstituted alkynyl, substituted or unsubstituted alkyloxy, substituted or unsubstituted alkenyloxy, substituted or unsubstituted alkynyloxy, substituted Or unsubstituted alkylthio, substituted or unsubstituted alkenylthio, substituted or unsubstituted alkynylthio, substituted or unsubstituted acyl, hydroxy, carboxy, substituted or unsubstituted alkyloxycarbonyl, substituted or unsubstituted alkenyloxycarbonyl Substituted or unsubstituted alkynyloxycarbonyl, substituted or unsubstituted cycloalky
- R 1b is a) halogen, substituted or unsubstituted alkyl, cyano, substituted or unsubstituted cycloalkyl, or substituted or unsubstituted non-aromatic heterocyclic group;
- Each R 2b is independently hydrogen, substituted or unsubstituted alkyl or substituted or unsubstituted acyl;
- n 3 is an integer from 0 to 2;
- —B 1 represents the formula: —X— (CR 8a R 8b ) mY (Where X is N (R 7c ); R 7c is hydrogen;
- R 8a and R 8b are hydrogen;
- m is an integer from 1 to 5:
- Y represents substituent group A (substituent group A: substituted or unsubstituted alkyl, substituted or unsubstituted alkenyl, substituted or unsubstituted alkynyl, substituted or unsub
- R 1b is a) halogen, substituted or unsubstituted alkyl, cyano, substituted or unsubstituted cycloalkyl, or substituted or unsubstituted non-aromatic heterocyclic group;
- Each R 2b is independently hydrogen, substituted or unsubstituted alkyl, or substituted or unsubstituted acyl;
- n 3 is an integer from 0 to 2;
- —B 1 represents the formula: —X— (CR 8a R 8b ) mY (Where X is N (R 7c ); R 7c is hydrogen;
- R 8a and R 8b are hydrogen;
- m is an integer from 1 to 5:
- Y is substituted or unsubstituted alkylsulfonylamino, substituted or unsubstituted aminosulfonylamino, substituted or unsubstituted cycloalkylsulfon
- R 1b is a) halogen, substituted or unsubstituted alkyl, substituted or unsubstituted alkenyl, substituted or unsubstituted alkynyl, substituted or unsubstituted alkyloxy, substituted or unsubstituted alkenyloxy, substituted or unsubstituted alkynyloxy, substituted Or unsubstituted alkylthio, substituted or unsubstituted alkenylthio, substituted or unsubstituted alkynylthio, substituted or unsubstituted acyl, hydroxy, carboxy, substituted or unsubstituted alkyloxycarbonyl, substituted or unsubstituted alkenyloxycarbonyl Substituted or unsubstituted alkynyloxycarbonyl, substituted or unsubstituted cycloalky
- R 1b is a) halogen, substituted or unsubstituted alkyl, cyano, substituted or unsubstituted cycloalkyl, or substituted or unsubstituted non-aromatic heterocyclic group; n 3 is an integer from 0 to 2; —B 1 represents the formula: —X— (CR 8a R 8b ) mY (Where X is N (R 7c ); R 7c is hydrogen; R 8a and R 8b are hydrogen; m is an integer from 1 to 5: Y represents substituent group A (substituent group A: substituted or unsubstituted alkyl, substituted or unsubstituted alkenyl, substituted or unsubstituted alkynyl, substituted or unsubstituted cycloalkyl, substituted or unsubstituted cycloalkenyl, A substituted or unsubstituted
- R 1b is a) halogen, substituted or unsubstituted alkyl, cyano, substituted or unsubstituted cycloalkyl, or substituted or unsubstituted non-aromatic heterocyclic group; n 3 is an integer from 0 to 2; —B 1 represents the formula: —X— (CR 8a R 8b ) mY (Where X is N (R 7c ); R 7c is hydrogen; R 8a and R 8b are hydrogen; m is an integer from 1 to 5: Y is substituted or unsubstituted alkylsulfonylamino, substituted or unsubstituted aminosulfonylamino, substituted or unsubstituted cycloalkylsulfonylamino, substituted or unsubstituted non-aromatic heterocyclic sulfonylamino, substituted or
- R 1b is a) halogen, substituted or unsubstituted alkyl, substituted or unsubstituted alkenyl, substituted or unsubstituted alkynyl, substituted or unsubstituted alkyloxy, substituted or unsubstituted alkenyloxy, substituted or unsubstituted alkynyloxy, substituted Or unsubstituted alkylthio, substituted or unsubstituted alkenylthio, substituted or unsubstituted alkynylthio, substituted or unsubstituted acyl, hydroxy, carboxy, substituted or unsubstituted alkyloxycarbonyl, substituted or unsubstituted alkenyloxycarbonyl Substituted or unsubstituted alkynyloxycarbonyl, substituted or unsubstituted cycloalky
- R 1b is a) halogen, substituted or unsubstituted alkyl, cyano, substituted or unsubstituted cycloalkyl, or substituted or unsubstituted non-aromatic heterocyclic group;
- Each R 2b is independently hydrogen, substituted or unsubstituted alkyl or substituted or unsubstituted acyl;
- n 4 is an integer of 0 or 1;
- —B 1 represents the formula: —X— (CR 8a R 8b ) mY (Where X is N (R 7c ); R 7c is hydrogen;
- R 8a and R 8b are hydrogen;
- m is an integer from 1 to 5:
- Y represents substituent group A (substituent group A: substituted or unsubstituted alkyl, substituted or unsubstituted alkenyl, substituted or unsubstituted alkynyl, substituted or unsub
- R 1b is a) halogen, substituted or unsubstituted alkyl, cyano, substituted or unsubstituted cycloalkyl, or substituted or unsubstituted non-aromatic heterocyclic group;
- Each R 2b is independently hydrogen, substituted or unsubstituted alkyl or substituted or unsubstituted acyl;
- n 4 is an integer of 0 or 1;
- —B 1 represents the formula: —X— (CR 8a R 8b ) mY (Where X is N (R 7c ); R 7c is hydrogen;
- R 8a and R 8b are hydrogen;
- m is an integer from 1 to 5:
- Y is substituted or unsubstituted alkylsulfonylamino, substituted or unsubstituted aminosulfonylamino, substituted or unsubstituted cycloalkylsulfony
- R 1a is a) halogen, substituted or unsubstituted alkyl, substituted or unsubstituted alkenyl, substituted or unsubstituted alkynyl, substituted or unsubstituted alkyloxy, substituted or unsubstituted alkenyloxy, substituted or unsubstituted alkynyloxy, substituted Or unsubstituted alkylthio, substituted or unsubstituted alkenylthio, substituted or unsubstituted alkynylthio, substituted or unsubstituted acyl, hydroxy, carboxy, substituted or unsubstituted alkyloxycarbonyl, substituted or unsubstituted alkenyloxycarbonyl Substituted or unsubstituted alkynyloxycarbonyl, substituted or unsubstituted cycloalkyloxycarbonyl
- R 1b is a) halogen, substituted or unsubstituted alkyl, cyano, substituted or unsubstituted cycloalkyl, or substituted or unsubstituted non-aromatic heterocyclic group;
- Each R 2b is independently hydrogen, substituted or unsubstituted alkyl or substituted or unsubstituted acyl;
- n 1 is an integer from 0 to 4;
- —B 1 represents the formula: —X— (CR 8a R 8b ) mY (Where X is N (R 7c ); R 7c is hydrogen;
- R 8a and R 8b are hydrogen;
- m is an integer from 1 to 5:
- Y is substituent group A (substituent group A: substituted or unsubstituted alkyl, substituted or unsubstituted alkenyl, substituted or unsubstituted alkynyl, substituted or unsub
- R 1b is a) halogen, substituted or unsubstituted alkyl, cyano, substituted or unsubstituted cycloalkyl, or substituted or unsubstituted non-aromatic heterocyclic group;
- Each R 2b is independently hydrogen, substituted or unsubstituted alkyl or substituted or unsubstituted acyl;
- n 1 is an integer from 0 to 4;
- —B 1 represents the formula: —X— (CR 8a R 8b ) mY (Where X is N (R 7c ); R 7c is hydrogen;
- R 8a and R 8b are hydrogen;
- m is an integer from 1 to 5:
- Y is substituted or unsubstituted alkylsulfonylamino, substituted or unsubstituted aminosulfonylamino, substituted or unsubstituted cycloalkylsulfony
- R 1a is a) halogen, substituted or unsubstituted alkyl, substituted or unsubstituted alkenyl, substituted or unsubstituted alkynyl, substituted or unsubstituted alkyloxy, substituted or unsubstituted alkenyloxy, substituted or unsubstituted alkynyloxy, substituted Or unsubstituted alkylthio, substituted or unsubstituted alkenylthio, substituted or unsubstituted alkynylthio, substituted or unsubstituted acyl, hydroxy, carboxy, substituted or unsubstituted alkyloxycarbonyl, substituted or unsubstituted alkenyloxycarbonyl Substituted or unsubstituted alkynyloxycarbonyl, substituted or unsubstituted cycloalkyloxycarbonyl
- R 1b is a) halogen, substituted or unsubstituted alkyl, cyano, substituted or unsubstituted cycloalkyl, or substituted or unsubstituted non-aromatic heterocyclic group;
- Each R 2b is independently hydrogen, substituted or unsubstituted alkyl or substituted or unsubstituted acyl;
- n 1 an integer from 0 to 4;
- —B 1 represents the formula: —X— (CR 8a R 8b ) mY (Where X is N (R 7c ); R 7c is hydrogen;
- R 8a and R 8b are hydrogen;
- m is an integer from 1 to 5:
- Y is substituent group A (substituent group A: substituted or unsubstituted alkyl, substituted or unsubstituted alkenyl, substituted or unsubstituted alkynyl, substituted or un
- R 1b is a) halogen, substituted or unsubstituted alkyl, cyano, substituted or unsubstituted cycloalkyl, or substituted or unsubstituted non-aromatic heterocyclic group;
- Each R 2b is independently hydrogen, substituted or unsubstituted alkyl or substituted or unsubstituted acyl;
- n 1 is an integer from 0 to 4;
- —B 1 represents the formula: —X— (CR 8a R 8b ) mY (Where X is N (R 7c ); R 7c is hydrogen;
- R 8a and R 8b are hydrogen;
- m is an integer from 1 to 5:
- Y is substituted or unsubstituted alkylsulfonylamino, substituted or unsubstituted aminosulfonylamino, substituted or unsubstituted cycloalkylsulfony
- R 1a is a) halogen, substituted or unsubstituted alkyl, substituted or unsubstituted alkenyl, substituted or unsubstituted alkynyl, substituted or unsubstituted alkyloxy, substituted or unsubstituted alkenyloxy, substituted or unsubstituted alkynyloxy, substituted Or unsubstituted alkylthio, substituted or unsubstituted alkenylthio, substituted or unsubstituted alkynylthio, substituted or unsubstituted acyl, hydroxy, carboxy, substituted or unsubstituted alkyloxycarbonyl, substituted or unsubstituted alkenyloxycarbonyl Substituted or unsubstituted alkynyloxycarbonyl, substituted or unsubstituted cycloalkyloxycarbonyl
- R 1b is a) halogen, substituted or unsubstituted alkyl, cyano, substituted or unsubstituted cycloalkyl, or substituted or unsubstituted non-aromatic heterocyclic group;
- Each R 2b is independently hydrogen, substituted or unsubstituted alkyl or substituted or unsubstituted acyl;
- n 1 is an integer from 0 to 4;
- —B 1 represents the formula: —X— (CR 8a R 8b ) mY (Where X is N (R 7c ); R 7c is hydrogen;
- R 8a and R 8b are hydrogen;
- m is an integer from 1 to 5:
- Y is substituent group A (substituent group A: substituted or unsubstituted alkyl, substituted or unsubstituted alkenyl, substituted or unsubstituted alkynyl, substituted or unsub
- R 1b is a) halogen, substituted or unsubstituted alkyl, cyano, substituted or unsubstituted cycloalkyl, or substituted or unsubstituted non-aromatic heterocyclic group;
- Each R 2b is independently hydrogen, substituted or unsubstituted alkyl or substituted or unsubstituted acyl;
- n 1 is an integer from 0 to 4;
- —B 1 represents the formula: —X— (CR 8a R 8b ) mY (Where X is N (R 7c ); R 7c is hydrogen;
- R 8a and R 8b are hydrogen;
- m is an integer from 1 to 5:
- Y is substituted or unsubstituted alkylsulfonylamino, substituted or unsubstituted aminosulfonylamino, substituted or unsubstituted cycloalkylsulfony
- R 1a is a) halogen, substituted or unsubstituted alkyl, substituted or unsubstituted alkenyl, substituted or unsubstituted alkynyl, substituted or unsubstituted alkyloxy, substituted or unsubstituted alkenyloxy, substituted or unsubstituted alkynyloxy, substituted Or unsubstituted alkylthio, substituted or unsubstituted alkenylthio, substituted or unsubstituted alkynylthio, substituted or unsubstituted acyl, hydroxy, carboxy, substituted or unsubstituted alkyloxycarbonyl, substituted or unsubstituted alkenyloxycarbonyl Substituted or unsubstituted alkynyloxycarbonyl, substituted or unsubstituted cycloalkyloxycarbonyl
- R 1b is a) halogen, substituted or unsubstituted alkyl, cyano, substituted or unsubstituted cycloalkyl, or substituted or unsubstituted non-aromatic heterocyclic group;
- Each R 2b is independently hydrogen, substituted or unsubstituted alkyl or substituted or unsubstituted acyl;
- n 1 an integer from 0 to 4;
- —B 1 represents the formula: —X— (CR 8a R 8b ) mY (Where X is N (R 7c ); R 7c is hydrogen;
- R 8a and R 8b are hydrogen;
- m is an integer from 1 to 5:
- Y is substituent group A (substituent group A: substituted or unsubstituted alkyl, substituted or unsubstituted alkenyl, substituted or unsubstituted alkynyl, substituted or un
- R 1b is a) halogen, substituted or unsubstituted alkyl, cyano, substituted or unsubstituted cycloalkyl, or substituted or unsubstituted non-aromatic heterocyclic group;
- Each R 2b is independently hydrogen, substituted or unsubstituted alkyl or substituted or unsubstituted acyl;
- n 1 is an integer from 0 to 4;
- —B 1 represents the formula: —X— (CR 8a R 8b ) mY (Where X is N (R 7c ); R 7c is hydrogen;
- R 8a and R 8b are hydrogen;
- m is an integer from 1 to 5:
- Y is substituted or unsubstituted alkylsulfonylamino, substituted or unsubstituted aminosulfonylamino, substituted or unsubstituted cycloalkylsulfony
- Examples of the compound of the present invention represented by the formula (I), a pharmaceutically acceptable salt thereof or a solvate thereof include each substituent represented by the following general formula (IA) or (IB). Or a pharmaceutically acceptable salt or solvate thereof shown in all possible combinations of all options.
- R 2a is hydrogen, substituted or unsubstituted alkyl, substituted or unsubstituted alkylsulfonyl or substituted or Examples include unsubstituted acyl.
- W 2 includes N (R 2a ) or S
- R 2a is hydrogen or substituted or unsubstituted alkyl.
- W 2 N (R 2a ) and R 2a are hydrogen or substituted or unsubstituted alkyl.
- W 2 it includes S is.
- R 1b halogen, substituted or unsubstituted alkyl, substituted or unsubstituted alkenyl, substituted or unsubstituted alkynyl, substituted or unsubstituted alkyloxy, substituted or unsubstituted alkenyloxy, substituted or unsubstituted Alkynyloxy, substituted or unsubstituted alkylthio, substituted or unsubstituted alkenylthio, substituted or unsubstituted alkynylthio, substituted or unsubstituted acyl, hydroxy, carboxy, substituted or unsubstituted alkyloxycarbonyl, substituted or unsubstituted Alkenyloxycarbonyl, substituted or unsubstituted alkynyloxycarbonyl, substituted or unsubstituted cycloalkyloxycarbonyl, substituted or unsubstituted cycloalken
- R 1b includes halogen, substituted or unsubstituted alkyl, cyano, substituted or unsubstituted cycloalkyl, or substituted or unsubstituted non-aromatic heterocyclic group.
- n2 is an integer of 0 to 2.
- n2 is 0.
- R 7c includes hydrogen, substituted or unsubstituted alkyl, or substituted or unsubstituted acyl.
- X N (R 7c ) and R 7c include hydrogen or substituted or unsubstituted alkyl.
- NH is exemplified as X.
- m is an integer of 1 to 3.
- 2 is mentioned as m.
- substituted or unsubstituted cycloalkylthio substituted or unsubstituted cycloalkenylthio, substituted or unsubstituted nonaromatic heterocyclic thio, substituted or unsubstituted arylthio, substituted or unsubstituted heteroarylthio, Sulfinyl substituted with a substituent selected from Substituent Group A, Sulfonyl substituted with a substituent selected from Substituent Group A, unsubstituted sulfamoyl, substituted with a substituent selected from Substituent Group A Sulfamoyl, substituted or unsubstituted alkylsulfonylamino, substituted or unsubstituted alkenylsulfonylamino, substituted or unsubstituted alkynylsulfonylamino, substituted or unsubstituted amino
- Y unsubstituted sulfamoyl, sulfamoyl substituted with a substituent selected from substituent group A, sulfonyl substituted with a substituent selected from substituent group A, substituted or unsubstituted alkylsulfonylamino, Substituted or unsubstituted aminosulfonylamino, substituted or unsubstituted cycloalkylsulfonylamino, substituted or unsubstituted nonaromatic heterocyclic sulfonylamino, substituted or unsubstituted arylsulfonylamino, substituted or unsubstituted heteroarylsulfonylamino , Substituted or unsubstituted aryl, substituted or unsubstituted heteroaryl, or a nitrogen-containing non-aromatic heterocyclic group in which the nitrogen atom constituting the
- Y includes sulfonyl substituted with a substituent selected from Substituent Group A, unsubstituted sulfamoyl, or sulfamoyl substituted with a substituent selected from Substituent Group A.
- Y may be unsubstituted sulfamoyl or sulfamoyl substituted with a substituent selected from substituent group A.
- R 9a and R 9b are each independently hydrogen or substituted or unsubstituted alkyl;
- Each R 10 independently represents substituted or unsubstituted alkyl, halogen, hydroxy, substituted or unsubstituted alkyloxy, substituted or unsubstituted amino, or two R 10 taken together to form oxo or thioxo;
- R 11 represents hydrogen, substituted or unsubstituted cycloalkyl, unsubstituted alkyl, or substituent group C (substituent group C: hydroxy, halogen, substituted or unsubstituted alkoxy, substituted or unsubstituted alkyloxycarbonyl, substituted Or a substituent selected from unsubstituted cycloalkyl, substituted or unsubstituted cycloalkenyl, substituted or unsubstituted non-aromatic heterocyclic group, substituted or unsubstituted aryl
- R 9a and R 9b are each independently hydrogen or substituted or unsubstituted alkyl;
- R 10 is substituted or unsubstituted alkyl;
- R 11 represents hydrogen, unsubstituted alkyl or substituent group C (substituent group C: hydroxy, halogen, substituted or unsubstituted alkoxy, substituted or unsubstituted alkyloxycarbonyl, substituted or unsubstituted cycloalkyl, substituted Or alkyl substituted with one or more substituents selected from unsubstituted cycloalkenyl, substituted or unsubstituted non-aromatic heterocyclic group, substituted or unsubstituted aryl and substituted or unsubstituted heteroaryl;
- p is an integer from 0 to 4
- a B 2 wherein R 10 is substituted or unsubstituted alkyl; R 11 represents hydrogen, unsubstituted alkyl or substituent group C (substituent group C: hydroxy, halogen, substituted or unsubstituted alkoxy, substituted or unsubstituted alkyloxycarbonyl, substituted or unsubstituted cycloalkyl, substituted Or alkyl substituted with one or more substituents selected from unsubstituted cycloalkenyl, substituted or unsubstituted non-aromatic heterocyclic group, substituted or unsubstituted aryl and substituted or unsubstituted heteroaryl; p is an integer from 0 to 4) The group shown by these is mentioned.
- a B 2 wherein R 10 is substituted or unsubstituted alkyl; R 11 represents hydrogen, unsubstituted alkyl or substituent group C (substituent group C: hydroxy, halogen, substituted or unsubstituted alkoxy, substituted or unsubstituted alkyloxycarbonyl, substituted or unsubstituted cycloalkyl, substituted Or alkyl substituted with one or more substituents selected from unsubstituted cycloalkenyl, substituted or unsubstituted non-aromatic heterocyclic group, substituted or unsubstituted aryl and substituted or unsubstituted heteroaryl; p is an integer from 0 to 4) The group shown by these is mentioned.
- Examples of the compound of the present invention represented by the formula (I), a pharmaceutically acceptable salt thereof or a solvate thereof include all the options of each substituent represented by the following general formula (IC). Or a pharmaceutically acceptable salt thereof or a solvate thereof is also included.
- R 1c halogen, substituted or unsubstituted alkyl, substituted or unsubstituted alkyloxy, hydroxy, substituted or unsubstituted cycloalkyl, substituted or unsubstituted non-aromatic heterocyclic group, substituted or unsubstituted Aryl, substituted or unsubstituted heteroaryl or substituted or unsubstituted cycloalkyloxy.
- R 1c includes halogen, substituted or unsubstituted alkyl, substituted or unsubstituted alkyloxy, and hydroxy.
- R 1c includes halogen or hydroxy.
- R 1c includes hydroxy.
- R 1c includes halogen.
- fluorine is mentioned as R1c .
- R 1d halogen, substituted or unsubstituted alkyl, substituted or unsubstituted alkyloxy, hydroxy, substituted or unsubstituted cycloalkyl, substituted or unsubstituted non-aromatic heterocyclic group, substituted or unsubstituted Aryl, substituted or unsubstituted heteroaryl or substituted or unsubstituted cycloalkyloxy.
- R 1d includes halogen, substituted or unsubstituted alkyl, substituted or unsubstituted alkyloxy, or hydroxy.
- R 1d is bonded to the carbon atom to which R 1c is bonded, and includes halogen or substituted or unsubstituted alkyl.
- n3 is an integer of 0 to 3.
- n3 is 0 or 1.
- R 7c includes hydrogen, substituted or unsubstituted alkyl, or substituted or unsubstituted acyl.
- N (R 7c ) and R 7c include hydrogen or substituted or unsubstituted alkyl.
- NH is exemplified as X.
- m is an integer of 1 to 3.
- 2 is mentioned as m.
- substituted or unsubstituted cycloalkylthio substituted or unsubstituted cycloalkenylthio, substituted or unsubstituted nonaromatic heterocyclic thio, substituted or unsubstituted arylthio, substituted or unsubstituted heteroarylthio
- Substituent group A substituted or unsubstituted alkyl, substituted or unsubstituted alkenyl, substituted or unsubstituted alkynyl, substituted or unsubstituted cycloalkyl, substituted or unsubstituted cycloalkenyl, substituted or unsubstituted Substituted sulfinyl substituted with a substituent selected from a substituted non-aromatic heterocyclic group, substituted or unsubstituted aryl and substituted or unsubstituted heteroaryl),
- Y unsubstituted sulfamoyl, sulfamoyl substituted with a substituent selected from substituent group A, sulfonyl substituted with a substituent selected from substituent group A, substituted or unsubstituted alkylsulfonylamino, Substituted or unsubstituted aminosulfonylamino, substituted or unsubstituted cycloalkylsulfonylamino, substituted or unsubstituted nonaromatic heterocyclic sulfonylamino, substituted or unsubstituted arylsulfonylamino, substituted or unsubstituted heteroarylsulfonylamino , Substituted or unsubstituted aryl, substituted or unsubstituted heteroaryl, or a nitrogen-containing non-aromatic heterocyclic group in which the nitrogen atom constituting the
- Examples of Y include unsubstituted sulfamoyl, sulfamoyl substituted with a substituent selected from substituent group A, or sulfonyl substituted with a substituent selected from substituent group A.
- R 9a and R 9b are each independently hydrogen or substituted or unsubstituted alkyl;
- Each R 10 independently represents substituted or unsubstituted alkyl, halogen, hydroxy, substituted or unsubstituted alkyloxy, substituted or unsubstituted amino, or two R 10 taken together to form oxo or thioxo;
- R 11 represents hydrogen, substituted or unsubstituted cycloalkyl, unsubstituted alkyl, or substituent group C (substituent group C: hydroxy, halogen, substituted or unsubstituted alkoxy, substituted or unsubstituted alkyloxycarbonyl, substituted Or a substituent selected from unsubstituted cycloalkyl, substituted or unsubstituted cycloalkenyl, substituted or unsubstituted non-aromatic heterocyclic group, substituted or unsubstituted aryl
- R 9a and R 9b are each independently hydrogen or substituted or unsubstituted alkyl;
- R 10 is substituted or unsubstituted alkyl;
- R 11 represents hydrogen, unsubstituted alkyl or substituent group C (substituent group C: hydroxy, halogen, substituted or unsubstituted alkoxy, substituted or unsubstituted alkyloxycarbonyl, substituted or unsubstituted cycloalkyl, substituted Or alkyl substituted with one or more substituents selected from unsubstituted cycloalkenyl, substituted or unsubstituted non-aromatic heterocyclic group, substituted or unsubstituted aryl and substituted or unsubstituted heteroaryl;
- p is an integer from 0 to 4
- a B 2 wherein R 10 is substituted or unsubstituted alkyl; R 11 represents hydrogen, unsubstituted alkyl or substituent group C (substituent group C: hydroxy, halogen, substituted or unsubstituted alkoxy, substituted or unsubstituted alkyloxycarbonyl, substituted or unsubstituted cycloalkyl, substituted Or alkyl substituted with one or more substituents selected from unsubstituted cycloalkenyl, substituted or unsubstituted non-aromatic heterocyclic group, substituted or unsubstituted aryl and substituted or unsubstituted heteroaryl; p is an integer from 0 to 4) The group shown by these is mentioned.
- a B 2 wherein R 10 is substituted or unsubstituted alkyl; R 11 represents hydrogen, unsubstituted alkyl or substituent group C (substituent group C: hydroxy, halogen, substituted or unsubstituted alkoxy, substituted or unsubstituted alkyloxycarbonyl, substituted or unsubstituted cycloalkyl, substituted Or alkyl substituted with one or more substituents selected from unsubstituted cycloalkenyl, substituted or unsubstituted non-aromatic heterocyclic group, substituted or unsubstituted aryl and substituted or unsubstituted heteroaryl; p is an integer from 0 to 4) The group shown by these is mentioned.
- Examples of the compound of the present invention represented by the formula (I), a pharmaceutically acceptable salt thereof or a solvate thereof include all the options of each substituent represented by the following general formula (ID). Or a pharmaceutically acceptable salt thereof or a solvate thereof is also included.
- R 1a halogen, substituted or unsubstituted alkyl, substituted or unsubstituted alkenyl, substituted or unsubstituted alkynyl, substituted or unsubstituted alkyloxy, substituted or unsubstituted alkenyloxy, substituted or unsubstituted Alkynyloxy, substituted or unsubstituted alkylthio, substituted or unsubstituted alkenylthio, substituted or unsubstituted alkynylthio, substituted or unsubstituted acyl, hydroxy, carboxy, substituted or unsubstituted alkyloxycarbonyl, substituted or unsubstituted Alkenyloxycarbonyl, substituted or unsubstituted alkynyloxycarbonyl, substituted or unsubstituted cycloalkyloxycarbonyl, substituted or unsubstituted cycloalken
- R 1a halogen, substituted or unsubstituted alkyl, cyano, substituted or unsubstituted acyl, substituted or unsubstituted cycloalkyl, sulfonyl substituted with a substituent selected from substituent group A, or substituted or An unsubstituted non-aromatic heterocyclic group is mentioned.
- R 1a one R 1a is bonded to the 6-position nitrogen atom constituting the ring in formula (ID), and is halogen, substituted or unsubstituted alkyl, cyano, substituted or unsubstituted acyl, And substituted or unsubstituted cycloalkyl, sulfonyl substituted with a substituent selected from Substituent Group A, or substituted or unsubstituted non-aromatic heterocyclic group.
- R 1a one R 1a is bonded to the 6-position nitrogen atom constituting the ring in Formula (ID), and is substituted or unsubstituted alkyl, substituted or unsubstituted acyl, or a group of substituents And sulfonyl substituted with a substituent selected from A.
- n1 is an integer of 1 to 4.
- n1 is 1.
- R 7c includes hydrogen, substituted or unsubstituted alkyl, or substituted or unsubstituted acyl.
- N (R 7c ) and R 7c may be hydrogen or substituted or unsubstituted alkyl.
- X is NH.
- m is an integer of 1 to 3.
- 2 is mentioned as m.
- substituted or unsubstituted cycloalkylthio substituted or unsubstituted cycloalkenylthio, substituted or unsubstituted nonaromatic heterocyclic thio, substituted or unsubstituted arylthio, substituted or unsubstituted heteroarylthio, Sulfinyl substituted with a substituent selected from Substituent Group A, Sulfonyl substituted with a substituent selected from Substituent Group A, unsubstituted sulfamoyl, substituted with a substituent selected from Substituent Group A Sulfamoyl, substituted or unsubstituted alkylsulfonylamino, substituted or unsubstituted alkenylsulfonylamino, substituted or unsubstituted alkynylsulfonylamino, substituted or unsubstituted amino
- Y unsubstituted sulfamoyl, sulfamoyl substituted with a substituent selected from substituent group A, sulfonyl substituted with a substituent selected from substituent group A, substituted or unsubstituted alkylsulfonylamino, Substituted or unsubstituted aminosulfonylamino, substituted or unsubstituted cycloalkylsulfonylamino, substituted or unsubstituted nonaromatic heterocyclic sulfonylamino, substituted or unsubstituted arylsulfonylamino, substituted or unsubstituted heteroarylsulfonylamino , Substituted or unsubstituted aryl, substituted or unsubstituted heteroaryl, or a nitrogen-containing non-aromatic heterocyclic group in which the nitrogen atom constituting the
- Y includes sulfonyl substituted with a substituent selected from Substituent Group A, unsubstituted sulfamoyl, or sulfamoyl substituted with a substituent selected from Substituent Group A.
- Y may be unsubstituted sulfamoyl or sulfamoyl substituted with a substituent selected from substituent group A.
- R 9a and R 9b are each independently hydrogen or substituted or unsubstituted alkyl;
- Each R 10 independently represents substituted or unsubstituted alkyl, halogen, hydroxy, substituted or unsubstituted alkyloxy, substituted or unsubstituted amino, or two R 10 taken together to form oxo or thioxo;
- R 11 represents hydrogen, substituted or unsubstituted cycloalkyl, unsubstituted alkyl, or substituent group C (substituent group C: hydroxy, halogen, substituted or unsubstituted alkoxy, substituted or unsubstituted alkyloxycarbonyl, substituted Or a substituent selected from unsubstituted cycloalkyl, substituted or unsubstituted cycloalkenyl, substituted or unsubstituted non-aromatic heterocyclic group, substituted or unsubstituted aryl
- R 9a and R 9b are each independently hydrogen or substituted or unsubstituted alkyl;
- R 10 is substituted or unsubstituted alkyl;
- R 11 represents hydrogen, unsubstituted alkyl or substituent group C (substituent group C: hydroxy, halogen, substituted or unsubstituted alkoxy, substituted or unsubstituted alkyloxycarbonyl, substituted or unsubstituted cycloalkyl, substituted Or alkyl substituted with one or more substituents selected from unsubstituted cycloalkenyl, substituted or unsubstituted non-aromatic heterocyclic group, substituted or unsubstituted aryl and substituted or unsubstituted heteroaryl;
- p is an integer from 0 to 4
- a B 2 wherein R 10 is substituted or unsubstituted alkyl; R 11 represents hydrogen, unsubstituted alkyl or substituent group C (substituent group C: hydroxy, halogen, substituted or unsubstituted alkoxy, substituted or unsubstituted alkyloxycarbonyl, substituted or unsubstituted cycloalkyl, substituted Or alkyl substituted with one or more substituents selected from unsubstituted cycloalkenyl, substituted or unsubstituted non-aromatic heterocyclic group, substituted or unsubstituted aryl and substituted or unsubstituted heteroaryl; p is an integer from 0 to 4) The group shown by these is mentioned.
- a B 2 wherein R 10 is substituted or unsubstituted alkyl; R 11 represents hydrogen, unsubstituted alkyl or substituent group C (substituent group C: hydroxy, halogen, substituted or unsubstituted alkoxy, substituted or unsubstituted alkyloxycarbonyl, substituted or unsubstituted cycloalkyl, substituted Or alkyl substituted with one or more substituents selected from unsubstituted cycloalkenyl, substituted or unsubstituted non-aromatic heterocyclic group, substituted or unsubstituted aryl and substituted or unsubstituted heteroaryl; p is an integer from 0 to 4) The group shown by these is mentioned.
- R a1 and R a2 are each independently hydrogen, halogen, substituted or unsubstituted alkyl, substituted or unsubstituted alkenyl, substituted or unsubstituted alkynyl, substituted or unsubstituted alkyloxy, substituted Or unsubstituted alkenyloxy, substituted or unsubstituted alkynyloxy, substituted or unsubstituted alkylthio, substituted or unsubstituted alkenylthio, substituted or unsubstituted alkynylthio, acyl, hydroxy, carboxy, substituted or unsubstituted alkyl Oxycarbonyl, substituted or unsubstituted alkenyloxycarbonyl, substituted or unsubstituted alkynyloxycarbonyl, substituted or unsubstituted cycloalky
- R a1 and R a2 are each independently hydrogen, halogen, substituted or unsubstituted alkyl, substituted or unsubstituted alkenyl, substituted or unsubstituted alkynyl, substituted or unsubstituted alkyloxy, substituted Or unsubstituted alkenyloxy, substituted or unsubstituted alkynyloxy, substituted or unsubstituted alkylthio, substituted or unsubstituted alkenylthio, substituted or unsubstituted alkynylthio, acyl, hydroxy, carboxy, substituted or unsubstituted alkyl Oxycarbonyl, substituted or unsubstituted alkenyloxycarbonyl, substituted or unsubstituted alkynyloxycarbonyl, substituted or unsubstituted cycloalky
- R 1 is substituted or unsubstituted alkyl, substituted or unsubstituted alkyloxy, halogen or hydroxy
- n is an integer from 0 to 2
- —W— represents —O—, —N (R 2 ) —, —S—, —S (O) — or —S (O) 2 —
- R 2 is hydrogen, substituted or unsubstituted alkyl or acyl
- -B 1 is -B 'and -B 2 is -B "or -B 1 is -B" and -B 2 is -B'
- —B ′ has the formula: —X— (CH 2 ) m —Y; m is an integer from 1 to 5: —X— represents —NH—; Y is
- R 1 is substituted or unsubstituted alkyl, substituted or unsubstituted alkyloxy, halogen or hydroxy
- n is an integer from 0 to 2
- —W— represents —O—, —N (R 2 ) —, —S—, —S (O) — or —S (O) 2 —
- R 2 is hydrogen, substituted or unsubstituted alkyl or acyl
- -B 1 is -B 'and -B 2 is -B''
- —B ′ has the formula: —X— (CH 2 ) m —Y; m is an integer from 1 to 5:
- —X— represents —NH—;
- Y is unsubstituted sulfamoyl, sulf
- R 1 is substituted or unsubstituted alkyl, substituted or unsubstituted alkyloxy, halogen or hydroxy
- n is an integer from 0 to 2
- —W— represents —O—, —N (R 2 ) —, —S—, —S (O) — or —S (O) 2 —
- R 2 is hydrogen, substituted or unsubstituted alkyl or acyl
- -B 1 is -B "and -B 2 is -B '
- —B ′ has the formula: —X— (CH 2 ) m —Y; m is an integer from 1 to 5:
- —X— represents —NH—;
- Y is unsubstituted sulfamoyl, sulfam
- R 1 is substituted or unsubstituted alkyl, substituted or unsubstituted alkyloxy, halogen or hydroxy
- n is an integer from 0 to 2
- —W— represents —O—, —N (R 2 ) —, —S—, —S (O) — or —S (O) 2 —
- R 2 is hydrogen, substituted or unsubstituted alkyl or acyl
- -B 1 is -B 'and -B 2 is -B "or -B 1 is -B" and -B 2 is -B'
- —B ′ has the formula: —X— (CH 2 ) m —Y; m is an integer from 1 to 5: —X— represents —NH—; Y is
- R 1 is substituted or unsubstituted alkyl, substituted or unsubstituted alkyloxy, halogen or hydroxy
- n is an integer from 0 to 2
- —W— represents —O—, —N (R 2 ) —, —S—, —S (O) — or —S (O) 2 —
- R 2 is hydrogen, substituted or unsubstituted alkyl or acyl
- -B 1 is -B 'and -B 2 is -B''
- —B ′ has the formula: —X— (CH 2 ) m —Y; m is an integer from 1 to 5:
- —X— represents —NH—;
- Y is unsubstituted sulfamoyl, sulf
- R 1 is substituted or unsubstituted alkyl, substituted or unsubstituted alkyloxy, halogen or hydroxy
- n is an integer from 0 to 2
- —W— represents —O—, —N (R 2 ) —, —S—, —S (O) — or —S (O) 2 —
- R 2 is hydrogen, substituted or unsubstituted alkyl or acyl
- -B 1 is -B "and -B 2 is -B '
- —B ′ has the formula: —X— (CH 2 ) m —Y; m is an integer from 1 to 5:
- —X— represents —NH—;
- Y is unsubstituted sulfamoyl, sulfam
- R 1 is substituted or unsubstituted alkyl, substituted or unsubstituted alkyloxy, halogen or hydroxy
- n is an integer from 0 to 2
- -B 1 is -B 'and -B 2 is -B "or -B 1 is -B" and -B 2 is -B'
- —B ′ has the formula: —X— (CH 2 ) 2 —Y;
- —X— represents —NH—;
- Y is unsubstituted sulfamoyl, sulfamoyl substituted with a substituent selected from substituent group A;
- Each R 10 is independently substituted or unsubstituted alkyl, halogen, hydroxy, substituted or unsubstituted alkyloxy, or substituted or unsubstituted amino;
- R 11 is hydrogen or substituted or unsubstituted
- R 1 is substituted or unsubstituted alkyl, substituted or unsubstituted alkyloxy, halogen or hydroxy
- n is an integer from 0 to 2
- -B 1 is -B 'and -B 2 is -B''
- —B ′ has the formula: —X— (CH 2 ) 2 —Y; —X— represents —NH—;
- Y is unsubstituted sulfamoyl, sulfamoyl substituted with a substituent selected from substituent group A; -B ''
- Each R 10 is independently substituted or unsubstituted alkyl, halogen, hydroxy, substituted or unsubstituted alkyloxy, or substituted or unsubstituted amino;
- R 11 is hydrogen or substituted or unsubstituted alkyl; or a pharmaceutically acceptable salt thereof, or a solvate
- R 1 is substituted or unsubstituted alkyl, substituted or unsubstituted alkyloxy, halogen or hydroxy
- n is an integer from 0 to 2
- -B 1 is -B "and -B 2 is -B '
- —B ′ has the formula: —X— (CH 2 ) 2 —Y
- —X— represents —NH—
- Y is unsubstituted sulfamoyl, sulfamoyl substituted with a substituent selected from substituent group A;
- Each R 10 is independently substituted or unsubstituted alkyl, halogen, hydroxy, substituted or unsubstituted alkyloxy, or substituted or unsubstituted amino
- R 11 is hydrogen or substituted or unsubstituted alkyl; or a pharmaceutically acceptable salt thereof, or a solvate thereof
- histamine H4 receptor agonist, partial agonist, inverse agonist and antagonist, particularly antagonist
- histamine H4 receptor is It is useful as a therapeutic agent for diseases involved.
- respiratory diseases such as bronchial asthma, allergic rhinitis, chronic obstructive pulmonary disease (COPD); rheumatoid arthritis, atopic dermatitis, allergic conjunctivitis, psoriasis, inflammatory colitis, ulcerative colitis, lupus Inflammatory diseases such as atherosclerosis; effective for pain relief including neuropathic pain and nociceptive pain.
- the compound represented by the general formula (I) of the present invention can be produced, for example, by the following synthesis route.
- R a1 and R a2 are as defined above (1)
- R 14 is a leaving group such as halogen, substituted or unsubstituted alkyloxy or cyano
- R 15 is substituted or unsubstituted alkyl or substituted or Unsubstituted aryl.
- the compound represented by the general formula (iii) can be synthesized by allowing the compound represented by the general formula (ii) to act on the compound represented by the general formula (i) in the presence of a base.
- reaction solvent examples include THF, diethyl ether, DMF, DME, dioxane, hexane, methanol, ethanol, propanol, isopropanol, butanol and the like, and these can be used alone or in combination.
- sodium hydride and potassium hydride examples of the reaction solvent
- 1 to 10 molar equivalents can be used relative to compound (i).
- reaction temperature it can be ⁇ 78 ° C. to the reflux temperature of the solvent.
- An example of the reaction time is 0.5 to 24 hours.
- the resulting compound represented by the general formula (iii) can be isolated and purified by known means (for example, chromatography, recrystallization and the like).
- the compound represented by the general formula (iii) can be synthesized by condensing the compound represented by the general formula (iii) with urea.
- the reaction solvent include methanol, ethanol, propanol, isopropanol, butanol and the like, and these can be used alone or in combination.
- the base include sodium methoxide, sodium ethoxide, potassium tert-butoxide and the like.
- the reaction temperature it can be 0 ° C. to the reflux temperature of the solvent.
- An example of the reaction time is 0.5 to 24 hours.
- the obtained compound represented by the general formula (iv) can be isolated and purified by a known means (for example, chromatography, recrystallization and the like).
- Z is substituted alkyl or a substituted or unsubstituted non-aromatic heterocyclic group, and other symbols are as defined above.
- the compound represented by the general formula (vi) can be synthesized.
- the reaction solvent include methanol, ethanol, propanol, isopropanol, butanol and the like, and these can be used alone or in combination.
- Examples of the base include sodium methoxide, sodium ethoxide, potassium tert-butoxide and the like, and 1 to 10 molar equivalents can be used with respect to the compound represented by the general formula (iii).
- the reaction temperature it can be 0 ° C. to the reflux temperature of the solvent.
- An example of the reaction time is 0.5 to 24 hours.
- the resulting compound represented by the general formula (vi) can be isolated and purified by known means (for example, chromatography, recrystallization and the like).
- a compound represented by the general formula (vii) can be synthesized by allowing a halogenating agent to act on the compound represented by the general formula (iv).
- the reaction solvent include dichloromethane, 1,2-dichloroethane, chloroform, toluene, acetonitrile, and the like. These can be used alone, in combination, or without solvent.
- halogenating agent examples include thionyl chloride, thionyl bromide, phosphorus oxychloride, phosphorus pentachloride, phosphorus trichloride, oxalyl chloride and the like, and 1 equivalent to a solvent amount can be used with respect to compound (iv). Further, dimethylformamide, N, N-dimethylaniline, N, N-diethylaniline may be used as an additive. With respect to the reaction temperature, it can be 0 ° C. to the reflux temperature of the solvent. An example of the reaction time is 0.5 to 48 hours.
- the resulting compound represented by the general formula (vii) can be isolated and purified by a known means (for example, chromatography, recrystallization and the like).
- a compound represented by the general formula (viii) can be synthesized by allowing a halogenating agent to act on the compound represented by the general formula (vi).
- the reaction solvent include dichloromethane, 1,2-dichloroethane, chloroform, toluene, acetonitrile, and the like. These can be used alone, in combination, or without solvent.
- the halogenating agent include thionyl chloride, thionyl bromide, phosphorus oxychloride, phosphorus pentachloride, phosphorus trichloride, oxalyl chloride and the like, and 1 equivalent to a solvent amount can be used with respect to compound (vi).
- dimethylformamide, N, N-dimethylaniline, N, N-diethylaniline may be used as an additive.
- the reaction temperature it can be 0 ° C. to the reflux temperature of the solvent.
- An example of the reaction time is 0.5 to 48 hours.
- the resulting compound represented by the general formula (viii) can be isolated and purified by a known means (for example, chromatography, recrystallization and the like).
- R 16 is substituted alkyl, Z ′ is a substituted or unsubstituted non-aromatic heterocyclic group, and other symbols are as defined above.
- the reaction solvent include tetrahydrofuran, dioxane, toluene, methanol, ethanol, propanol, isopropanol, butanol, water, DMF, NMP, acetonitrile and the like, and these can be used alone or in combination.
- Bases include triethylamine, N, N-diisopropylethylamine, N-methylmorpholine, pyridine, sodium methoxide, sodium ethoxide, potassium tert-butoxide, n-butyllithium, lithium hexamethyldisilazide, sodium hexamethyldisila Examples thereof include zido, potassium hexamethyldisilazide, sodium amide, lithium diisopropylamide, sodium hydride, potassium hydride, and the like, and 1 to 10 molar equivalents can be used with respect to compound (ix). With respect to the reaction temperature, it can be 0 ° C. to the reflux temperature of the solvent. An example of the reaction time is 0.5 to 48 hours.
- the resulting compound represented by the general formula (xi) can be isolated and purified by a known means (for example, chromatography, recrystallization and the like).
- the compound represented by the general formula (vii) By reacting the compound represented by the general formula (vii) with the amine represented by the general formula (x) in the presence or absence of a base, the compound represented by the general formula (xii) is obtained.
- the reaction solvent include tetrahydrofuran, dioxane, toluene, methanol, ethanol, propanol, isopropanol, butanol, water, DMF, NMP, acetonitrile and the like, and these can be used alone or in combination.
- Bases include triethylamine, N, N-diisopropylethylamine, N-methylmorpholine, pyridine, sodium methoxide, sodium ethoxide, potassium tert-butoxide, n-butyllithium, lithium hexamethyldisilazide, sodium hexamethyldisila Examples thereof include zido, potassium hexamethyldisilazide, sodium amide, lithium diisopropylamide, sodium hydride, potassium hydride and the like, and 1 to 10 molar equivalents can be used with respect to compound (vii). With respect to the reaction temperature, it can be 0 ° C. to the reflux temperature of the solvent. An example of the reaction time is 0.5 to 48 hours.
- the resulting compound represented by the general formula (xii) can be isolated and purified by a known means (for example, chromatography, recrystallization and the like).
- the compound represented by the general formula (xii) By reacting the compound represented by the general formula (xii) with the amine represented by the general formula (xiii) in the presence or absence of a base, the compound represented by the general formula (xiv) is obtained.
- the reaction solvent include tetrahydrofuran, dioxane, toluene, methanol, ethanol, propanol, isopropanol, butanol, water, DMF, NMP, acetonitrile and the like, and these can be used alone or in combination.
- Bases include triethylamine, N, N-diisopropylethylamine, N-methylmorpholine, sodium pyridine pyridine, sodium ethoxide, potassium tert-butoxide, n-butyllithium, lithium hexamethyldisilazide, sodium hexamethyldisilazide Potassium hexamethyldisilazide, sodium amide, lithium diisopropylamide, sodium hydride, potassium hydride and the like, and 1 to 10 molar equivalents can be used relative to compound (xii). With respect to the reaction temperature, it can be 0 ° C. to the reflux temperature of the solvent. An example of the reaction time is 0.5 to 48 hours.
- the resulting compound represented by the general formula (xiv) can be isolated and purified by the known means (for example, chromatography, recrystallization and the like).
- P 1 is a common amine protecting group such as Boc, benzyloxycarbonyl or benzyl, Is a non-aromatic nitrogen-containing heterocyclic group, and other symbols are as defined above.
- An amine represented by the general formula (xvi) is obtained by subjecting the compound represented by the general formula (xv) to a known deprotection reaction (see: Green's Protective Groups in Organic Synthesis, Wiley). The resulting compound represented by the general formula (xv) can be isolated and purified by the known means (for example, chromatography, recrystallization and the like).
- R 18 is hydrogen or substituted or unsubstituted alkyl, Is a non-aromatic heterocyclic group, and other symbols are as defined above.
- An amine represented by the general formula (xviii) is obtained by subjecting the compound represented by the general formula (xvii) to a known deprotection reaction (see: Green's Protective Groups in Organic Synthesis, Wiley).
- the resulting compound represented by the general formula (xv) can be isolated and purified by the known means (for example, chromatography, recrystallization and the like).
- R 19 is hydrogen or substituted or unsubstituted alkyl
- R 20 is substituted or unsubstituted alkyl, substituted or unsubstituted alkenyl, substituted or unsubstituted alkynyl, substituted or unsubstituted cycloalkyl, substituted or (Unsubstituted cycloalkenyl, substituted or unsubstituted non-aromatic heterocyclic group, substituted or unsubstituted aryl or substituted or unsubstituted heteroaryl, and other symbols are as defined above.)
- the compound represented by the general formula (xxv) is obtained by allowing the compound represented by the general formula (xxiv) to act on the amine represented by the general formula (xxiii) in the presence of a base.
- reaction solvent examples include THF, acetonitrile, dichloromethane, 1,2-dichloroethane, chloroform, toluene and the like, and these can be used alone or in combination.
- reaction temperature it can be 0 ° C. to the reflux temperature of the solvent.
- reaction time is 0.5 to 72 hours.
- the resulting compound represented by the general formula (xxv) can be isolated and purified by the known means (eg chromatography, recrystallization etc.).
- a compound represented by the general formula (xxvii) is obtained by allowing a compound represented by the general formula (xxiv) to act on the amine represented by the general formula (xxvi) in the presence of a base.
- the reaction solvent include THF, acetonitrile, dichloromethane, 1,2-dichloroethane, chloroform, toluene and the like, and these can be used alone or in combination.
- the reaction temperature it can be 0 ° C. to the reflux temperature of the solvent.
- An example of the reaction time is 0.5 to 72 hours.
- the resulting compound represented by the general formula (xxvii) can be isolated and purified by the known means (eg chromatography, recrystallization etc.).
- a compound represented by the general formula (xxix) can be synthesized by allowing a halogenating agent to act on the compound represented by the general formula (xxviii).
- the reaction solvent include dichloromethane, 1,2-dichloroethane, chloroform, toluene, acetonitrile, and the like. These can be used alone, in combination, or without solvent.
- halogenating agent examples include thionyl chloride, thionyl bromide, phosphorus oxychloride, phosphorus pentachloride, phosphorus trichloride, oxalyl chloride, and the like, and 1 equivalent to a solvent amount can be used with respect to compound (xxviii). Further, dimethylformamide, N, N-dimethylaniline, N, N-diethylaniline may be used as an additive. With respect to the reaction temperature, it can be -20 ° C to the reflux temperature of the solvent. An example of the reaction time is 0.5 to 48 hours.
- the resulting compound represented by the general formula (xxix) can be isolated and purified by the known means (eg chromatography, recrystallization etc.).
- R 21 and R 22 are each independently hydrogen, substituted or unsubstituted alkyl, substituted or unsubstituted alkenyl, substituted or unsubstituted alkynyl, substituted or unsubstituted cycloalkyl, substituted or unsubstituted And cycloalkenyl, substituted or unsubstituted non-aromatic heterocyclic group, substituted or unsubstituted aryl, substituted or unsubstituted heteroaryl, and other symbols are as defined above.
- reaction solvent examples include tetrahydrofuran, dioxane, toluene, methanol, ethanol, propanol, isopropanol, butanol, water, DMF, NMP, acetonitrile and the like, and these can be used alone or in combination.
- base examples include triethylamine, N, N-diisopropylethylamine, N-methylmorpholine, pyridine and the like, and 1 to 10 molar equivalents can be used with respect to compound (xxx).
- reaction temperature it can be 0 ° C. to the reflux temperature of the solvent.
- An example of the reaction time is 0.5 to 48 hours.
- the resulting compound represented by the general formula (xxxii) can be isolated and purified by the known means (eg chromatography, recrystallization etc.).
- a compound represented by the general formula (xxxiv) is obtained by allowing an acid to act on the compound represented by the general formula (xxxiii).
- the reaction solvent include dichloromethane, 1,2-dichloroethane, chloroform and the like, and these can be used alone or in combination.
- the acid include trimethylsilane iodide, boron tribromide, and the like. The acid can be used at 1 to 30 molar equivalents relative to the compound (xxxiii). With respect to the reaction temperature, it can be ⁇ 78 ° C. to the reflux temperature of the solvent. An example of the reaction time is 0.5 to 48 hours.
- the resulting compound represented by the general formula (xxxiv) can be isolated and purified by the known means (eg chromatography, recrystallization etc.).
- the compound represented by the general formula (xxxvi) is obtained by allowing 1-chloroethyl chloroformate to act on the compound represented by the general formula (xxxv) in the presence of a base.
- the reaction solvent include dichloromethane, 1,2-dichloroethane, chloroform and the like, and these can be used alone or in combination.
- Examples of the base include triethylamine, N, N-diisopropylethylamine, N-methylmorpholine, pyridine and the like, and 1 to 10 molar equivalents can be used with respect to compound (xxxv).
- the reaction temperature it can be ⁇ 78 ° C. to the reflux temperature of the solvent.
- An example of the reaction time is 0.5 to 48 hours.
- the resulting compound represented by the general formula (xxxvi) can be isolated and purified by the known means (eg chromatography, recrystallization etc.).
- R 24 is substituted or unsubstituted alkyl, substituted or unsubstituted alkenyl, substituted or unsubstituted alkynyl, substituted or unsubstituted cycloalkyl, substituted or unsubstituted cycloalkenyl, substituted or unsubstituted unsubstituted Aromatic heterocyclic groups, substituted or unsubstituted aryl, substituted or unsubstituted heteroaryl, and other symbols are as defined above.
- the compound represented by the general formula (xxxviii) is obtained by allowing the compound represented by the general formula (xxxvii) to act on the compound represented by the general formula (xxxvi) in the presence of a base.
- reaction solvent examples include dichloromethane, 1,2-dichloroethane, chloroform, THF, diethyl ether, DMF, DME, dioxane, hexane, methanol, ethanol, propanol, isopropanol, butanol and the like, which can be used alone or in combination.
- base examples include triethylamine, N, N-diisopropylethylamine, N-methylmorpholine, pyridine, potassium carbonate, sodium carbonate, sodium hydrogencarbonate and the like, and 1 to 20 molar equivalents are used with respect to the compound (xxxvi). it can. With respect to the reaction temperature, it can be 0 ° C. to the reflux temperature of the solvent. An example of the reaction time is 0.5 to 48 hours.
- the resulting compound represented by the general formula (xxxviii) can be isolated and purified by the known means (eg chromatography, recrystallization etc.).
- Z 2 and Z 3 are a leaving group such as bromine atom, chlorine atom, tosylate, mesylate, alkylsulfone, arylsulfone, R 31 is substituted or unsubstituted alkyl, substituted or unsubstituted alkenyl, substituted or Unsubstituted alkynyl, substituted or unsubstituted cycloalkyl, substituted or unsubstituted cycloalkenyl, substituted or unsubstituted non-aromatic heterocyclic group, substituted or unsubstituted aryl, or substituted or unsubstituted heteroaryl, X 1 , X 2 , X 3 and X 4 are the same as defined in (1) above.)
- the compound (xli) represented by the general formula is obtained.
- reaction solvent examples include tetrahydrofuran, dioxane, toluene, methanol, ethanol, propanol, isopropanol, butanol, water, DMF, NMP, acetonitrile, pyridine and the like, and these can be used alone or in combination.
- Bases include triethylamine, N, N-diisopropylethylamine, N-methylmorpholine, pyridine, sodium methoxide, sodium ethoxide, potassium tert-butoxide, n-butyllithium, lithium hexamethyldisilazide, sodium hexamethyldisila Examples thereof include zido, potassium hexamethyldisilazide, sodium amide, lithium diisopropylamide, sodium hydride, potassium hydride and the like, and 1 to 10 molar equivalents can be used with respect to compound (ixl). With respect to the reaction temperature, it can be 0 ° C. to the reflux temperature of the solvent. An example of the reaction time is 0.5 to 48 hours.
- the resulting compound represented by the general formula (xli) can be isolated and purified by the known means (for example, chromatography, recrystallization and the like).
- R 32 is hydrogen, substituted or unsubstituted alkyl, or R 32 and Z 4 may be combined to form a ring
- Z 4 is hydrogen, substituted or unsubstituted alkyl or acyl, or other symbols. Is as defined above.)
- the compound represented by the general formula (xliii) is obtained by allowing the compound represented by the general formula (xlii) to act on the compound represented by the general formula (xli) in the presence or absence of a base.
- reaction solvent examples include tetrahydrofuran, dioxane, toluene, methanol, ethanol, propanol, isopropanol, butanol, water, DMF, NMP, acetonitrile, pyridine and the like, and these can be used alone or in combination.
- Bases include triethylamine, N, N-diisopropylethylamine, N-methylmorpholine, pyridine, sodium methoxide, sodium ethoxide, potassium tert-butoxide, n-butyllithium, lithium hexamethyldisilazide, sodium hexamethyldisila Examples thereof include zido, potassium hexamethyldisilazide, sodium amide, lithium diisopropylamide, sodium hydride, potassium hydride, and the like, and 1 to 10 molar equivalents can be used with respect to compound (xli). With respect to the reaction temperature, it can be 0 ° C. to the reflux temperature of the solvent. An example of the reaction time is 0.5 to 48 hours.
- the resulting compound represented by the general formula (xliii) can be isolated and purified by the known means (for example, chromatography, recrystallization and the like).
- R 33 is substituted or unsubstituted alkyl, substituted or unsubstituted alkenyl, substituted or unsubstituted alkynyl, substituted or unsubstituted cycloalkyl, substituted or unsubstituted cycloalkenyl, substituted or unsubstituted unsubstituted Aromatic heterocyclic group, substituted or unsubstituted aryl, or substituted or unsubstituted heteroaryl, R 34 is hydrogen, or two R 34 are bonded to each other, and- (CR 60a R 60b ) t-, t is 1 to An integer of 3, R 60a and R 60b are each independently hydrogen or alkyl.)
- a metal catalyst and a boronic acid or boronic acid ester represented by the general formula (xliv) By reacting a metal catalyst and a boronic acid or boronic acid ester represented by the general formula (xliv) with the compound represented by the general formula (xl
- reaction solvent examples include tetrahydrofuran, dioxane, toluene, water, methanol, ethanol, propanol, isopropanol, butanol, DMF, NMP and the like, and these can be used alone or in combination.
- metal catalyst examples include palladium acetate, bis (dibenzylideneacetone) palladium, tetrakis (triphenylphosphine) palladium, bis (triphenylphosphine) palladium (II) dichloride, bis (tri-tert-butylphosphine) palladium and the like.
- the compound can be used in an amount of 0.001 to 0.5 molar equivalent relative to the compound (xli).
- An organic phosphorus compound such as triphenylphosphine, tributylphosphine, or dppf can also be used as a ligand.
- Bases include lithium hydroxide, sodium hydroxide, potassium hydroxide, potassium tert-butoxide, sodium tert-butoxide, sodium carbonate, potassium carbonate, sodium bicarbonate, sodium phosphate, sodium hydrogen phosphate, potassium phosphate, phosphorus Examples thereof include potassium oxyhydrogen, cesium carbonate, and the like, and can be used at 1 to 10 molar equivalents relative to the compound (xli).
- Boronic acid or boronic acid ester (xliv) can be used at 1 to 10 molar equivalents relative to compound (xli). With respect to the reaction temperature, it can be 20 ° C. to the reflux temperature of the solvent. An example of the reaction time is 0.5 to 48 hours.
- the obtained compound represented by the general formula (xlv) can be isolated and purified by the known means (eg chromatography, recrystallization etc.).
- R 35 is hydrogen, substituted or unsubstituted alkyl, halogen, hydroxy, substituted or unsubstituted alkyloxy, substituted or unsubstituted amino, etc.
- R 36 and R 37 are each independently hydrogen, R 35 and R 36 may be combined to form a ring, such as substituted or unsubstituted alkyl, substituted or unsubstituted amino, etc., and other symbols are as defined above.
- reaction solvent examples include methanol, ethanol, propanol, isopropanol, butanol, tetrahydrofuran, diethyl ether, toluene, ethyl acetate, formic acid and the like, and these can be used alone or in combination.
- metal catalyst examples include palladium-carbon, palladium hydroxide, platinum oxide, chlorotris (triphenylphosphine) rhodium (I), and the like, and 0.01 to 0.5 weight percent is used with respect to the compound (xlvi). Can do.
- the hydrogen pressure is 1 to 50 atm. With respect to the reaction temperature, it can be 0 ° C. to the reflux temperature of the solvent.
- An example of the reaction time is 0.5 to 72 hours.
- the obtained compound (xlvii) can be isolated and purified by the known means (eg chromatography, recrystallization etc.).
- R 38 is substituted or unsubstituted alkylene or substituted or unsubstituted alkenylene
- R 39 is substituted or unsubstituted alkyl, substituted or unsubstituted alkenyl, substituted or unsubstituted alkynyl, or Z 4 and R 39 May be combined to form a non-aromatic heterocycle
- P 1 is a suitable protecting group for an amino group, and other symbols are as defined above.
- trifluoroacetic acid, hydrochloric acid, sulfuric acid, formic acid and the like can be used at 1 molar equivalent to a solvent amount.
- the reaction solvent include methanol, ethanol, propanol, isopropanol, butanol, dioxane, ethyl acetate, methylene chloride, chloroform, water and the like, and these can be used alone or in combination.
- the reaction temperature include 0 ° C. to 100 ° C.
- An example of the reaction time is 0.5 to 24 hours.
- the resulting compound represented by the general formula (il) can be isolated and purified by a known means (for example, chromatography, recrystallization and the like).
- R 40 is (CR 8a R 8b ) m, CR 8a , R 8b and m are the same as (1) above,
- R 41 is a carbamate group such as Boc and benzyloxycarbonyl
- R 42 and R 43 are Each independently hydrogen, substituted or unsubstituted alkyl, substituted or unsubstituted alkenyl, substituted or unsubstituted alkynyl, acyl, substituted or unsubstituted cycloalkyl, substituted or unsubstituted cycloalkenyl, substituted or unsubstituted A non-aromatic heterocyclic group, substituted or unsubstituted aryl, or substituted or unsubstituted heteroaryl, or R 42 and R 43 may be cyclic together, and other symbols are as defined above.
- diazocarboxylic acid esters examples include diazocarboxylic acid alkyl esters such as diethyl azodicarboxylate and diisopropylcarboxylate.
- reaction temperature it can be 0 ° C. to the reflux temperature of the solvent.
- An example of the reaction time is 0.5 to 72 hours.
- the resulting compound represented by the general formula (xliii) can be isolated and purified by the known means (for example, chromatography, recrystallization and the like).
- R 45 is hydrogen or substituted or unsubstituted alkyl, substituted or unsubstituted alkenyl, substituted or unsubstituted alkynyl, acyl, substituted or unsubstituted cycloalkyl, substituted or unsubstituted cycloalkenyl, substituted or An unsubstituted non-aromatic heterocyclic group, substituted or unsubstituted aryl, or substituted or unsubstituted heteroaryl
- R 46 is substituted or unsubstituted alkyl, substituted or unsubstituted alkenyl, substituted or unsubstituted alkynyl, It may be cyclic with acyl, substituted or unsubstituted cycloalkyl, substituted or unsubstituted cycloalkenyl, substituted or unsubstituted non-aromatic heterocyclic group, substituted or unsubstituted aryl, and
- Substituted alkyl, substituted or unsubstituted alkenyl, substituted or It may be cyclic with unsubstituted alkynyl, acyl, substituted or unsubstituted cycloalkyl, substituted or unsubstituted cycloalkenyl, substituted or unsubstituted non-aromatic heterocyclic group, substituted or unsubstituted aryl.
- the compound represented by the general formula (lv) is obtained by allowing the compound represented by the general formula (lv) to act on the compound represented by the general formula (lib).
- the reaction solvent include tetrahydrofuran, dioxane, toluene, methanol, ethanol, propanol, isopropanol, butanol, water, DMF, NMP, acetonitrile and the like, and these can be used alone or in combination.
- Bases include triethylamine, N, N-diisopropylethylamine, N-methylmorpholine, sodium pyridine pyridine, sodium ethoxide, potassium tert-butoxide, n-butyllithium, lithium hexamethyldisilazide, sodium hexamethyldisilazide Potassium hexamethyldisilazide, sodium amide, lithium diisopropylamide, sodium hydride, potassium hydride and the like, and can be used at 1 to 10 molar equivalents relative to the compound (lib). With respect to the reaction temperature, it can be 0 ° C. to the reflux temperature of the solvent. An example of the reaction time is 0.5 to 48 hours.
- the resulting compound represented by the general formula (lvi) can be isolated and purified by the known means (for example, chromatography, recrystallization and the like).
- a compound represented by the general formula (lvii) By treating the compound (lvi) with an acid, a compound represented by the general formula (lvii) can be synthesized.
- the compound (lvi) 1 molar equivalent to a solvent amount of trifluoroacetic acid, hydrochloric acid, sulfuric acid, formic acid and the like can be used.
- the reaction solvent include methanol, ethanol, propanol, isopropanol, butanol, dioxane, ethyl acetate, methylene chloride, chloroform, water and the like, and these can be used alone or in combination.
- the reaction temperature include 0 ° C. to 100 ° C.
- An example of the reaction time is 0.5 to 24 hours.
- the resulting compound represented by the general formula (lvii) can be isolated and purified by the known means (eg chromatography, recrystallization etc.).
- the compound represented by the general formula (lx) can be synthesized by allowing the compound represented by the general formula (lix) to act on the compound represented by the general formula (lviii) in the presence of a base.
- the reaction solvent include THF, diethyl ether, DMF, DME, dioxane, hexane, methanol, ethanol, propanol, isopropanol, butanol and the like, and these can be used alone or in combination.
- Bases include sodium methoxide, sodium ethoxide, potassium tert-butoxide, n-butyllithium, lithium hexamethyldisilazide, sodium hexamethyldisilazide, potassium hexamethyldisilazide, sodium amide, lithium diisopropylamide, hydrogen
- Examples thereof include sodium hydride and potassium hydride, and 1 to 10 molar equivalents can be used with respect to compound (lviii).
- the reaction temperature it can be ⁇ 78 ° C. to the reflux temperature of the solvent.
- An example of the reaction time is 0.5 to 24 hours.
- the resulting compound represented by the general formula (lx) can be isolated and purified by the known means (for example, chromatography, recrystallization and the like).
- the compound represented by the general formula (lxi) By reacting the compound represented by the general formula (lx) with urea in the presence of a base, the compound represented by the general formula (lxi) can be synthesized.
- the reaction solvent include methanol, ethanol, propanol, isopropanol, butanol and the like, and these can be used alone or in combination.
- the base include sodium methoxide, sodium ethoxide, potassium tert-butoxide and the like.
- the reaction temperature it can be 0 ° C. to the reflux temperature of the solvent.
- An example of the reaction time is 0.5 to 24 hours.
- the resulting compound represented by the general formula (lxi) can be isolated and purified by the known means (for example, chromatography, recrystallization and the like).
- Z 5 is nitrogen, sulfur atom, R 50 is alkyl, aryl group, and other symbols are as defined above.
- the compound represented by the general formula (lxii) can be synthesized.
- the reaction solvent include methanol, ethanol, propanol, isopropanol, butanol and the like, and these can be used alone or in combination.
- the base include sodium methoxide, sodium ethoxide, potassium tert-butoxide and the like, and 1 to 10 molar equivalents can be used with respect to the compound represented by the general formula (lx).
- reaction temperature it can be 0 ° C. to the reflux temperature of the solvent.
- reaction time is 0.5 to 24 hours.
- the resulting compound represented by the general formula (lxiii) can be isolated and purified by the known means (eg chromatography, recrystallization etc.).
- a compound represented by the general formula (lxiv) can be synthesized by allowing a halogenating agent to act on the compound represented by the general formula (lxi).
- the reaction solvent include dichloromethane, 1,2-dichloroethane, chloroform, toluene, acetonitrile, and the like. These can be used alone, in combination, or without solvent.
- halogenating agent examples include thionyl chloride, thionyl bromide, phosphorus oxychloride, phosphorus pentachloride, phosphorus trichloride, oxalyl chloride, phenyl dichloride diphosphoric acid, and the like. Can be used. Further, dimethylformamide, N, N-dimethylaniline, N, N-diethylaniline may be used as an additive. With respect to the reaction temperature, it can be 0 ° C. to the reflux temperature of the solvent. An example of the reaction time is 0.5 to 48 hours.
- the resulting compound represented by the general formula (lxiv) can be isolated and purified by the known means (eg chromatography, recrystallization etc.).
- Compound (lxvi) can be synthesized by allowing a halogenating reagent to act on compound (lxv).
- the reaction solvent include methylene chloride, chloroform, toluene and the like, and these can be used alone or in combination.
- halogenating reagent examples include diethylaminosulfur trifluoride, morpholinosulfur trifluoride, bis (2-methoxyethyl) aminosulfur trifluoride, 2,2-difluoro-1,3-dimethylimidazolidine, phosphorus pentachloride, Phosphorus chloride, tungsten hexachloride and the like can be mentioned, and 1 to 10 molar equivalents can be used with respect to compound (lxv).
- the reaction temperature it can be ⁇ 78 ° C. to the reflux temperature of the solvent.
- An example of the reaction time is 0.5 to 48 hours.
- the obtained compound (lxvi) can be isolated and purified by the known means (eg chromatography, recrystallization etc.).
- the compound represented by the general formula (lxviii) By reacting the compound represented by the general formula (lxviii) with the compound represented by the general formula (xlii) in the presence or absence of a base, the compound represented by the general formula (lxviii) is obtained.
- the reaction solvent include tetrahydrofuran, dioxane, toluene, methanol, ethanol, propanol, isopropanol, butanol, water, DMF, NMP, acetonitrile, pyridine and the like, and these can be used alone or in combination.
- Bases include triethylamine, N, N-diisopropylethylamine, N-methylmorpholine, pyridine, sodium methoxide, sodium ethoxide, potassium tert-butoxide, n-butyllithium, lithium hexamethyldisilazide, sodium hexamethyldisila Examples thereof include zido, potassium hexamethyldisilazide, sodium amide, lithium diisopropylamide, sodium hydride, potassium hydride, and the like, and 1 to 10 molar equivalents can be used with respect to compound (lxvii). With respect to the reaction temperature, it can be 0 ° C. to the reflux temperature of the solvent. An example of the reaction time is 0.5 to 48 hours.
- the resulting compound represented by the general formula (lxviii) can be isolated and purified by the known means (eg chromatography, recrystallization etc.).
- reaction solvent examples include methanol, ethanol, propanol, isopropanol, butanol, tetrahydrofuran, diethyl ether, toluene, ethyl acetate, trifluoroacetic acid, hydrochloric acid, formic acid and the like, and these can be used alone or in combination.
- the metal catalyst examples include palladium-carbon, palladium hydroxide, platinum oxide, chlorotris (triphenylphosphine) rhodium (I) and the like, and 0.01 to 0.5 weight percent is used with respect to the compound (lxix). Can do.
- the hydrogen pressure is 1 to 50 atm. With respect to the reaction temperature, it can be 0 ° C. to the reflux temperature of the solvent. An example of the reaction time is 0.5 to 72 hours.
- the obtained compound (lxx) can be isolated and purified by the known means (eg chromatography, recrystallization etc.).
- the compound represented by the general formula (lxxii) is obtained by allowing the compound represented by the general formula (lxxii) to act on the compound represented by the general formula (lxxii).
- the reaction solvent include tetrahydrofuran, dioxane, toluene, methanol, ethanol, propanol, isopropanol, butanol, water, DMF, NMP, acetonitrile and the like, and these can be used alone or in combination.
- Bases include triethylamine, N, N-diisopropylethylamine, N-methylmorpholine, sodium pyridine pyridine, sodium ethoxide, potassium tert-butoxide, n-butyllithium, lithium hexamethyldisilazide, sodium hexamethyldisilazide Potassium hexamethyldisilazide, sodium amide, lithium diisopropylamide, sodium hydride, potassium hydride and the like, and 1 to 10 molar equivalents can be used with respect to compound (lxxi). With respect to the reaction temperature, it can be 0 ° C. to the reflux temperature of the solvent. An example of the reaction time is 0.5 to 48 hours.
- the resulting compound represented by the general formula (lxiii) can be isolated and purified by the known means (eg chromatography, recrystallization etc.).
- a compound represented by the general formula (lxxiv) can be synthesized by allowing a base to act on the compound represented by the general formula (lxxiii).
- the reaction solvent include methanol, ethanol, propanol, isopropanol, butanol, water and the like, and these can be used alone or in combination.
- Bases include sodium methoxide, sodium ethoxide, lithium hydroxide, sodium hydroxide, potassium hydroxide, potassium tert-butoxide, sodium tert-butoxide, sodium carbonate, potassium carbonate, sodium bicarbonate, sodium phosphate, hydrogen phosphate
- Examples thereof include sodium, potassium phosphate, potassium hydrogen phosphate, cesium carbonate and the like, and the compound can be used at 1 to 10 molar equivalents relative to the compound represented by the general formula (lxxiii). With respect to the reaction temperature, it can be 0 ° C. to the reflux temperature of the solvent. An example of the reaction time is 0.5 to 24 hours.
- the resulting compound represented by the general formula (lxxiv) can be isolated and purified by the known means (eg chromatography, recrystallization etc.).
- R 49 and R 50 are each independently hydrogen, substituted or unsubstituted alkyl, substituted or unsubstituted alkenyl, substituted or unsubstituted alkynyl, substituted or unsubstituted cycloalkyl, substituted or unsubstituted Cycloalkenyl, substituted or unsubstituted non-aromatic heterocyclic group, substituted or unsubstituted aryl or substituted or unsubstituted heteroaryl, Z 8 is bromine atom, chlorine atom, tosylate, mesylate, alkylsulfone, arylsulfone Etc., and other symbols are as defined above.) In the presence of a base, the compound represented by the general formula (lxxvi) is allowed to act on the compound represented by the general formula (lxxv) to obtain the compound represented by the general formula (lxxvi).
- reaction solvent examples include tetrahydrofuran, dioxane, toluene, methanol, ethanol, propanol, isopropanol, butanol, water, DMF, NMP, acetonitrile, acetone and the like, and these can be used alone or in combination.
- Bases include sodium methoxide, sodium ethoxide, lithium hydroxide, sodium hydroxide, potassium hydroxide, potassium tert-butoxide, sodium tert-butoxide, sodium carbonate, potassium carbonate, sodium bicarbonate, sodium phosphate, phosphoric acid
- Sodium hydrogen, potassium phosphate, potassium hydrogen phosphate, cesium carbonate and the like can be mentioned, and 1 to 10 molar equivalents can be used with respect to the compound represented by the general formula (lxxiv).
- the reaction temperature it can be 0 ° C. to the reflux temperature of the solvent.
- An example of the reaction time is 0.5 to 48 hours.
- the resulting compound represented by the general formula (lxxvi) can be isolated and purified by the known means (eg chromatography, recrystallization etc.).
- the compound represented by the general formula (lxxvi) is heated, the compound represented by the general formula (lxxvii) is obtained.
- the reaction solvent include toluene, water, DMF, NMP and the like, and they can be used alone or in combination.
- the reaction temperature may be from room temperature to the reflux temperature of the solvent.
- An example of the reaction time is 0.5 to 72 hours.
- the resulting compound represented by the general formula (lxxvii) can be isolated and purified by the known means (eg chromatography, recrystallization etc.).
- reaction solvent examples include methanol, ethanol, propanol, isopropanol, butanol, tetrahydrofuran, diethyl ether, toluene, ethyl acetate, trifluoroacetic acid, hydrochloric acid, formic acid and the like, and these can be used alone or in combination.
- metal catalyst examples include palladium-carbon, palladium hydroxide, platinum oxide, chlorotris (triphenylphosphine) rhodium (I), and the like, and 0.01 to 0.5 weight percent is used with respect to the compound (lxxvii). Can do.
- the hydrogen pressure is 1 to 50 atm.
- reaction temperature it can be 0 ° C. to the reflux temperature of the solvent.
- An example of the reaction time is 0.5 to 72 hours.
- the obtained compound (lxxviii) can be isolated and purified by the known means (eg chromatography, recrystallization etc.).
- a compound represented by the general formula (lxxix) By treating the compound (lxxviii) with an acid, a compound represented by the general formula (lxxix) can be synthesized.
- 1 molar equivalent to a solvent amount of trifluoroacetic acid, hydrochloric acid, sulfuric acid and the like can be used.
- the reaction temperature it can be 0 ° C. to the reflux temperature of the solvent.
- An example of the reaction time is 0.5 to 24 hours.
- the resulting compound represented by the general formula (lxxix) can be isolated and purified by the known means (eg chromatography, recrystallization etc.).
- R 51 is substituted or unsubstituted alkyl, substituted or unsubstituted alkenyl, substituted or unsubstituted alkynyl, substituted or unsubstituted cycloalkyl, substituted or unsubstituted cycloalkenyl, substituted or unsubstituted unsubstituted Aromatic heterocyclic group, substituted or unsubstituted aryl or substituted or unsubstituted heteroaryl, e is an integer of 1 to 2, f is an integer of 1 to 3, and other symbols are as defined above.
- a compound represented by the general formula (lxxxii) is obtained by allowing a compound represented by the general formula (lxxxi) to act on the amine represented by the general formula (lxxx) in the presence of a base.
- the reaction solvent include THF, acetonitrile, dichloromethane, 1,2-dichloroethane, chloroform, toluene and the like, and these can be used alone or in combination.
- the reaction temperature it can be 0 ° C. to the reflux temperature of the solvent.
- An example of the reaction time is 0.5 to 72 hours.
- the resulting compound represented by the general formula (lxxxii) can be isolated and purified by the known means (eg chromatography, recrystallization etc.).
- R 52 represents substituted or unsubstituted alkyl, substituted or unsubstituted alkenyl, substituted or unsubstituted alkynyl, substituted or unsubstituted cycloalkyl, substituted or unsubstituted cycloalkenyl, substituted or unsubstituted unsubstituted Aromatic heterocyclic groups, substituted or unsubstituted aryl or substituted or unsubstituted heteroaryl, and other symbols are as defined above.
- the compound represented by the general formula (lxxxiii) When the compound represented by the general formula (lxxxiii) is allowed to act on the amine represented by the general formula (lxxxii) in the presence of a base, the compound represented by the general formula (xxxiv) is obtained.
- the reaction solvent include THF, acetonitrile, dichloromethane, 1,2-dichloroethane, chloroform, toluene and the like, and these can be used alone or in combination.
- the reaction temperature it can be 0 ° C. to the reflux temperature of the solvent.
- An example of the reaction time is 0.5 to 72 hours.
- the resulting compound represented by the general formula (lxxxiv) can be isolated and purified by the known means (eg chromatography, recrystallization etc.).
- the azide represented by the general formula (lxxxv) is obtained.
- the reaction solvent include tetrahydrofuran, dioxane, toluene, methanol, ethanol, propanol, isopropanol, butanol, water, DMF, NMP, acetonitrile, pyridine and the like, and these can be used alone or in combination.
- Sodium azide can be used at 1 to 10 molar equivalents relative to compound (lxxxiv). With respect to the reaction temperature, it can be 0 ° C. to the reflux temperature of the solvent.
- An example of the reaction time is 0.5 to 48 hours.
- the resulting compound represented by the general formula (lxxxv) can be isolated and purified by the known means (for example, chromatography, recrystallization and the like).
- reaction solvent examples include methanol, ethanol, propanol, isopropanol, butanol, tetrahydrofuran, diethyl ether, toluene, ethyl acetate, trifluoroacetic acid, hydrochloric acid, formic acid and the like, and these can be used alone or in combination.
- metal catalyst examples include palladium-carbon, palladium hydroxide, platinum oxide, chlorotris (triphenylphosphine) rhodium (I) and the like, and 0.01 to 0.5 weight percent is used with respect to the compound (lxxxv). Can do.
- the hydrogen pressure is 1 to 50 atm.
- reaction temperature it can be 0 ° C. to the reflux temperature of the solvent.
- An example of the reaction time is 0.5 to 72 hours.
- the obtained compound (lxxxvi) can be isolated and purified by the known means (eg chromatography, recrystallization etc.).
- R 53 is hydrogen, substituted or unsubstituted alkyl, substituted or unsubstituted alkenyl, substituted or unsubstituted alkynyl, substituted or unsubstituted cycloalkyl, substituted or unsubstituted cycloalkenyl, substituted or unsubstituted A non-aromatic heterocyclic group, substituted or unsubstituted aryl or substituted or unsubstituted heteroaryl, or R 52 and R 53 may be combined to form a ring
- P 2 is Boc, benzyloxy Protecting groups for general amines such as carbonyl and benzi i, and other symbols are as defined above.)
- An amine represented by the general formula (lxxxviii) is obtained by performing a known deprotection reaction (see Green's Protective Groups in Organic Synthesis, Wiley) on the compound represented by the general formula (lxxxvii). The resulting compound represented by the general formula (lx
- R 54 is substituted or unsubstituted alkyl, substituted or unsubstituted alkenyl, substituted or unsubstituted alkynyl, substituted or unsubstituted cycloalkyl, substituted or unsubstituted cycloalkenyl, substituted or unsubstituted unsubstituted Aromatic heterocyclic group, substituted or unsubstituted aryl or substituted or unsubstituted heteroaryl, g is 0 to 2, and the symbols are as defined above.
- a compound represented by the general formula (xc) is obtained by allowing a compound represented by the general formula (lxxxix) to act on the amine represented by the general formula (lxxxviii) in the presence of a base.
- the reaction solvent include THF, acetonitrile, dichloromethane, 1,2-dichloroethane, chloroform, toluene and the like, and these can be used alone or in combination.
- the reaction temperature it can be 0 ° C. to the reflux temperature of the solvent.
- An example of the reaction time is 0.5 to 72 hours.
- the resulting compound represented by the general formula (xc) can be isolated and purified by a known means (for example, chromatography, recrystallization and the like).
- R 55 is (CR 8a R 8b ) m, and the symbols are as defined above.
- a compound represented by the general formula (xcii) can be synthesized by allowing a halogenating agent to act on the compound represented by the general formula (xci).
- the reaction solvent include dichloromethane, 1,2-dichloroethane, chloroform, toluene, acetonitrile, and the like. These can be used alone, in combination, or without solvent.
- halogenating agent examples include thionyl chloride, thionyl bromide, phosphorus oxychloride, phosphorus pentachloride, phosphorus trichloride, oxalyl chloride, sulfuryl chloride and the like, and 1 equivalent to a solvent amount is used with respect to the compound (xci). it can. Further, dimethylformamide, N, N-dimethylaniline, N, N-diethylaniline may be used as an additive. With respect to the reaction temperature, it can be -20 ° C to the reflux temperature of the solvent. An example of the reaction time is 0.5 to 48 hours.
- the resulting compound represented by the general formula (xcii) can be isolated and purified by a known means (for example, chromatography, recrystallization and the like).
- R 56 and R 57 are each independently hydrogen, substituted or unsubstituted alkyl, substituted or unsubstituted alkenyl, substituted or unsubstituted alkynyl, substituted or unsubstituted cycloalkyl, substituted or unsubstituted A cycloalkenyl, a substituted or unsubstituted non-aromatic heterocyclic group, a substituted or unsubstituted aryl or a substituted or unsubstituted heteroaryl, the symbols thereof are as defined above.
- the compound represented by the general formula (xcii) By reacting the compound represented by the general formula (xcii) with the amine represented by the general formula (xciii) in the presence of a base, the compound represented by the general formula (xciv) is obtained.
- the reaction solvent include tetrahydrofuran, dioxane, toluene, methanol, ethanol, propanol, isopropanol, butanol, water, DMF, NMP, acetonitrile and the like, and these can be used alone or in combination.
- Examples of the base include triethylamine, N, N-diisopropylethylamine, N-methylmorpholine, pyridine and the like, and 1 to 10 molar equivalents can be used with respect to compound (xciv).
- the reaction temperature it can be 0 ° C. to the reflux temperature of the solvent.
- An example of the reaction time is 0.5 to 48 hours.
- the resulting compound represented by the general formula (xciv) can be isolated and purified by the known means (for example, chromatography, recrystallization and the like).
- the general synthesis method of the compound included in the present invention is shown below, but is not limited to this synthesis method.
- Y is a leaving group such as bromine, chlorine, tosylate, mesylate, alkylsulfonyl, arylsulfonyl, and other symbols are as defined above.
- a compound represented by the general formula (xcv) can be converted into a compound represented by the general formula (xcvi) with a halogenating agent.
- the halogenating agent include N-chlorosuccinimide, N-bromosuccinimide, N-iodosuccinimide, chlorine, bromine, iodine and the like. An equivalent amount can be used.
- reaction solvent examples include methylene chloride and chloroform, and these can be used alone or in combination.
- reaction temperature it can be -20 ° C to the reflux temperature of the solvent.
- reaction time is 0.5 to 72 hours.
- the obtained carboxylic acid compound (xcvi) can be isolated and purified by a known means (for example, chromatography, recrystallization and the like).
- the compound represented by the general formula (xcvii) can be converted into the alcohol compound represented by the general formula (xcviii) by a reducing agent.
- the reducing agent include sodium borohydride, lithium borohydride, lithium aluminum hydride and the like.
- the reducing agent can be used in an amount of 1 to 10 molar equivalents relative to the compound represented by the general formula (xcvii).
- the reaction solvent include methanol, ethanol, propanol, isopropanol, butanol, tetrahydrofuran, diethyl ether, methylene chloride, water and the like, and these can be used alone or in combination.
- reaction temperature it can be ⁇ 78 ° C. to the reflux temperature of the solvent.
- reaction time is 0.5 to 48 hours.
- the resulting compound represented by the general formula (xcviii) can be isolated and purified by the known means (eg chromatography, recrystallization etc.).
- R 61 is hydrogen, substituted or unsubstituted alkyl, substituted or unsubstituted alkenyl, substituted or unsubstituted alkynyl, substituted or unsubstituted cycloalkyl, substituted or unsubstituted cycloalkenyl, substituted or unsubstituted Non-aromatic heterocyclic group, substituted or unsubstituted aryl, or substituted or unsubstituted heteroaryl; R 62 represents hydrogen, or substituted or unsubstituted benzyl, and other symbols are as defined above.
- the compound represented by the general formula (c) can be synthesized by allowing a halogenating agent to act on the compound represented by the general formula (ic).
- a halogenating agent examples include dichloromethane, 1,2-dichloroethane, chloroform, toluene, acetonitrile, and the like. These can be used alone, in combination, or without solvent.
- the halogenating agent examples include thionyl chloride, thionyl bromide, phosphorus oxychloride, phosphorus pentachloride, phosphorus trichloride, oxalyl chloride, phenyl dichloride phosphoric acid, and the like. Can be used.
- dimethylformamide, N, N-dimethylaniline, N, N-diethylaniline may be used as an additive.
- the reaction temperature it can be 0 ° C. to the reflux temperature of the solvent.
- An example of the reaction time is 0.5 to 48 hours.
- the resulting compound represented by the general formula (c) can be isolated and purified by known means (for example, chromatography, recrystallization and the like).
- the epoxide represented by the general formula (cii) can be synthesized by allowing a peroxide to act on the compound represented by the general formula (c).
- the reaction solvent include dichloromethane, 1,2-dichloroethane, chloroform, acetone, water and the like, and these can be used alone or in combination.
- the peroxide include metachloroperbenzoic acid, performic acid, dimethyldioxolane, hydrogen peroxide and the like, and 1 to 20 equivalents can be used with respect to the compound (c).
- the reaction temperature it can be 0 ° C. to the reflux temperature of the solvent.
- An example of the reaction time is 0.5 to 48 hours.
- the resulting compound represented by the general formula (cii) can be isolated and purified by a known means (for example, chromatography, recrystallization and the like).
- the compound represented by the general formula (cii) can be converted into the alcohol compound represented by the general formula (civ) by a reducing agent.
- the reducing agent include sodium borohydride, lithium borohydride, lithium aluminum hydride and the like, and 1 to 10 molar equivalents can be used with respect to the compound represented by the general formula (cii).
- the reaction solvent include methanol, ethanol, propanol, isopropanol, butanol, tetrahydrofuran, diethyl ether, methylene chloride, water and the like, and these can be used alone or in combination.
- the reaction temperature it can be ⁇ 78 ° C. to the reflux temperature of the solvent.
- An example of the reaction time is 0.5 to 48 hours.
- the resulting compound represented by the general formula (civ) can be isolated and purified by a known means (for example, chromatography, recrystallization and the like).
- Ar 1 is substituted or unsubstituted aryl, or substituted or unsubstituted heteroaryl
- R 63 is substituted or unsubstituted alkyl, substituted or unsubstituted alkenyl, substituted or unsubstituted alkynyl, substituted or unsubstituted Substituted cycloalkyl, substituted or unsubstituted cycloalkenyl, substituted or unsubstituted alkyl non-aromatic heterocyclic group, substituted or unsubstituted aryl, or substituted or unsubstituted heteroaryl;
- R 64 is hydrogen, or two R 64 is bonded to- (CR 65a R 65b ) t-, R 65a and R 65b are each independently hydrogen or alkyl, t is an integer of 1 to 3, and other symbols are as defined above.
- the metal catalyst examples include palladium acetate, bis (dibenzylideneacetone) palladium, tetrakis (triphenylphosphine) palladium, bis (triphenylphosphine) palladium (II) dichloride, bis (tri-tert-butylphosphine) palladium and the like. 0.001 to 0.5 molar equivalent can be used with respect to the compound ().
- An organic phosphorus compound such as triphenylphosphine, tributylphosphine, or dppf can also be used as a ligand.
- Bases include lithium hydroxide, sodium hydroxide, potassium hydroxide, potassium tert-butoxide, sodium tert-butoxide, sodium carbonate, potassium carbonate, sodium bicarbonate, sodium phosphate, sodium hydrogen phosphate, potassium phosphate, phosphorus
- Examples thereof include potassium oxyhydrogen, cesium carbonate and the like, and 1 to 10 molar equivalents can be used with respect to the compound ().
- Boronic acid or boronic acid ester (cvi) can be used in an amount of 1 to 10 molar equivalents relative to compound (cv). With respect to the reaction temperature, it can be 20 ° C. to the reflux temperature of the solvent.
- An example of the reaction time is 0.5 to 48 hours.
- the resulting compound represented by the general formula (cvii) can be isolated and purified by the known means (for example, chromatography, recrystallization and the like).
- a compound represented by the general formula (cix) can be synthesized by reducing the compound represented by the general formula (cviii) with hydrogen in the presence of a metal catalyst.
- the reaction solvent include methanol, ethanol, propanol, isopropanol, butanol, tetrahydrofuran, diethyl ether, toluene, ethyl acetate and the like, and these can be used alone or in combination.
- the metal catalyst examples include palladium-carbon, palladium hydroxide, platinum oxide, chlorotris (triphenylphosphine) rhodium (I), and the like. 5 weight percent can be used.
- the hydrogen pressure is 1 to 50 atm. With respect to the reaction temperature, it can be 0 ° C. to the reflux temperature of the solvent. An example of the reaction time is 0.5 to 72 hours.
- the resulting compound represented by the general formula (cix) can be isolated and purified by a known means (for example, chromatography, recrystallization and the like).
- R 67 represents substituted or unsubstituted alkyl, substituted or unsubstituted cycloalkyl, substituted or unsubstituted non-aromatic heterocyclic group, substituted or unsubstituted aryl, or substituted or unsubstituted heteroaryl, Other symbols are as defined above.
- a compound represented by the general formula (cix) can be converted to an amide compound represented by the general formula (cxi) by an acylating agent.
- the acylating agent include acid anhydrides such as acetic anhydride and acid chlorides such as acetyl chloride.
- the acylating agent can be used in an amount of 1 to 10 molar equivalents relative to the compound represented by the general formula (cix).
- the base include triethylamine, N, N-diisopropylethylamine, N-methylmorpholine, pyridine, sodium methoxide, sodium ethoxide, potassium tert-butoxide, sodium hydride, potassium hydride and the like.
- 1 to 10 molar equivalents can be used.
- the reaction solvent include dichloromethane, 1,2-dichloroethane, chloroform, tetrahydrofuran, diethyl ether, pyridine, water and the like, and these can be used alone or in combination.
- reaction temperature it can be 0 ° C. to the reflux temperature of the solvent.
- An example of the reaction time is 0.5 to 48 hours.
- the obtained compound represented by the general formula (cxi) can be isolated and purified by the known means (eg, chromatography, recrystallization and the like).
- the compound represented by the general formula (cix) can be converted to a sulfonamide compound represented by the general formula (cxiii) with a sulfonylating agent.
- a sulfonylating agent include sulfonic acid anhydrides and sulfonic acid chlorides, and 1 to 10 molar equivalents can be used with respect to the compound represented by the general formula (cix).
- Examples of the base include triethylamine, N, N-diisopropylethylamine, N-methylmorpholine, pyridine, sodium methoxide, sodium ethoxide, potassium tert-butoxide, sodium hydride, potassium hydride, and the like (compix) 1 to 10 molar equivalents can be used.
- Examples of the reaction solvent include dichloromethane, 1,2-dichloroethane, chloroform, tetrahydrofuran, diethyl ether, pyridine, water and the like, and these can be used alone or in combination. With respect to the reaction temperature, it can be 0 ° C. to the reflux temperature of the solvent. An example of the reaction time is 0.5 to 48 hours.
- the resulting compound represented by the general formula (cxiii) can be isolated and purified by the known means (eg chromatography, recrystallization etc.).
- the compound represented by the general formula (cix) can be converted to the compound represented by the general formula (cxv) with an alkylating agent.
- alkylating agent include alkyl chloride, alkyl bromide, alkyl iodide and the like, and 1 to 10 molar equivalents can be used with respect to the compound represented by the general formula (cix).
- Examples of the base include triethylamine, N, N-diisopropylethylamine, N-methylmorpholine, pyridine, sodium methoxide, sodium ethoxide, potassium tert-butoxide, sodium hydride, potassium hydride, and the like (compix) 1 to 10 molar equivalents can be used.
- Examples of the reaction solvent include dichloromethane, 1,2-dichloroethane, chloroform, tetrahydrofuran, diethyl ether, pyridine, water and the like, and these can be used alone or in combination. With respect to the reaction temperature, it can be 0 ° C. to the reflux temperature of the solvent. An example of the reaction time is 0.5 to 48 hours.
- the obtained compound represented by the general formula (cxv) can be isolated and purified by the known means (for example, chromatography, recrystallization and the like).
- R 68 is substituted or unsubstituted benzyl
- R 69 and R 70 are each independently substituted or unsubstituted alkyl, substituted or unsubstituted cycloalkyl, substituted or unsubstituted non-aromatic heterocyclic group
- Substituted or unsubstituted aryl, substituted or unsubstituted heteroaryl, or R 69 and R 70 may form a ring together.
- the reaction solvent include dichloromethane, 1,2-dichloroethane, chloroform, tetrahydrofuran, diethyl ether, pyridine, water and the like, and these can be used alone or in combination.
- reaction temperature it can be 0 ° C. to the reflux temperature of the solvent.
- reaction time is 0.5 to 48 hours.
- the resulting compound represented by the general formula (cxviii) can be isolated and purified by the known means (eg chromatography, recrystallization etc.).
- the compound represented by the general formula (cxx) can be synthesized by reducing the compound represented by the general formula (cxix) with hydrogen in the presence of a metal catalyst.
- the reaction solvent include methanol, ethanol, propanol, isopropanol, butanol, tetrahydrofuran, diethyl ether, toluene, ethyl acetate and the like, and these can be used alone or in combination.
- the metal catalyst examples include palladium-carbon, palladium hydroxide, platinum oxide, chlorotris (triphenylphosphine) rhodium (I), and the like, and 0.01 to 0.000 with respect to the compound represented by the general formula (cxix). 5 weight percent can be used.
- the hydrogen pressure is 1 to 50 atm. With respect to the reaction temperature, it can be 0 ° C. to the reflux temperature of the solvent. An example of the reaction time is 0.5 to 72 hours.
- the resulting compound represented by the general formula (cxx) can be isolated and purified by the known means (for example, chromatography, recrystallization and the like).
- R 71 is independently hydrogen, substituted or unsubstituted alkyl, substituted or unsubstituted alkenyl, substituted or unsubstituted alkynyl, acyl, substituted or unsubstituted cycloalkyl, substituted or unsubstituted And cycloalkenyl, substituted or unsubstituted non-aromatic heterocyclic group, substituted or unsubstituted aryl, or substituted or unsubstituted heteroaryl, and other symbols are as defined above.
- reaction solvent examples include tetrahydrofuran, dioxane, toluene, acetonitrile and the like, and these can be used alone or in combination.
- organophosphorus reagent examples include alkyl or aryl phosphines such as triphenylphosphine and tributylphosphine, and 1 to 10 molar equivalents can be used with respect to the compound (cxxi).
- diazocarboxylic acid esters examples include diazocarboxylic acid alkyl esters such as diethyl azodicarboxylate and diisopropylcarboxylate.
- reaction temperature it can be 0 ° C. to the reflux temperature of the solvent.
- An example of the reaction time is 0.5 to 72 hours.
- the resulting compound represented by the general formula (cxxiii) can be isolated and purified by the known means (eg chromatography, recrystallization etc.).
- the compound represented by the general formula (cxxv) can be synthesized by allowing a peroxide to act on the compound represented by the general formula (cxxiv).
- the reaction solvent include dichloromethane, 1,2-dichloroethane, chloroform, acetone, water and the like, and these can be used alone or in combination.
- peroxides include metachloroperbenzoic acid, formic acid, dimethyldioxolane, hydrogen peroxide, and the like, and 1 to 20 equivalents can be used with respect to compound (cxxiv).
- the reaction temperature it can be 0 ° C. to the reflux temperature of the solvent.
- An example of the reaction time is 0.5 to 48 hours.
- the resulting compound represented by the general formula (cxxv) can be isolated and purified by the known means (for example, chromatography, recrystallization and the like).
- the compound represented by the general formula (cxxvii) can be synthesized by allowing a peroxide to act on the compound represented by the general formula (cxxvi).
- the reaction solvent include dichloromethane, 1,2-dichloroethane, chloroform, acetone, water and the like, and these can be used alone or in combination.
- the peroxide include metachloroperbenzoic acid, performic acid, dimethyldioxolane, hydrogen peroxide, and the like, and 1 to 1.5 equivalents can be used with respect to the compound (cxxvi).
- the reaction temperature it can be 0 ° C. to the reflux temperature of the solvent.
- An example of the reaction time is 0.5 to 48 hours.
- the resulting compound represented by the general formula (cxxvii) can be isolated and purified by the known means (for example, chromatography, recrystallization and the like).
- One embodiment of the compound of the present invention has the following group in the following general formula (II).
- AC, Ba, Bb (AC1, Ba1, Bb1), (AC1, Ba1, Bb2), (AC1, Ba1, Bb3), (AC1, Ba1, Bb4), (AC1, Ba1, Bb5), (AC1 , Ba1, Bb6), (AC1, Ba2, Bb1), (AC1, Ba2, Bb2), (AC1, Ba2, Bb3), (AC1, Ba2, Bb4), (AC1, Ba2, Bb5), (AC1, Ba2 , Bb6), (AC1, Ba3, Bb1), (AC1, Ba3, Bb2), (AC1, Ba3, Bb3), (AC1, Ba3, Bb4), (AC1, Ba3, Bb5), (AC1, Ba3, Bb6 ), (AC1, Ba4, Bb1), (AC1, Ba4, Bb2), (AC1, Ba4, Bb3), (AC1, Ba4, Bb4), (AC1, Ba4, Bb5), (AC1, Ba4, Bb6), (AC1, Ba4, Bb5), (AC1, Ba4, Bb6), (AC1, Ba4, Bb5),
- One embodiment of the compound of the present invention has the following group in the following general formula (III).
- the compound whose combination of AC, Ba, and Bb is the following (AC, Ba, Bb).
- (AC, Ba, Bb) (AC1, Ba1, Bb1), (AC1, Ba1, Bb2), (AC1, Ba1, Bb3), (AC1, Ba1, Bb4), (AC1, Ba1, Bb5), (AC1 , Ba1, Bb6), (AC1, Ba2, Bb1), (AC1, Ba2, Bb2), (AC1, Ba2, Bb3), (AC1, Ba2, Bb4), (AC1, Ba2, Bb5), (AC1, Ba2 , Bb6), (AC1, Ba3, Bb1), (AC1, Ba3, Bb2), (AC1, Ba3, Bb3), (AC1, Ba3, Bb4), (AC1, Ba3, Bb5), (AC1, Ba3, Bb6 ), (AC1, Ba4, Bb1), (AC1, Ba4, Bb2), (AC1, Ba4, Bb3), (AC1,
- One embodiment of the compound of the present invention has the following groups in the following general formulas (IV) and (V).
- AAC, Ba, Bb (AAC1, BBa1, BBb1), (AAC1, BBa1, BBb2), (AAC1, BBa1, BBb3), (AAC1, BBa2, BBb1), (AAC1, BBa2, BBb2), (AAC1 , BBa2, BBb3), (AAC1, BBa3, BBb1), (AAC1, BBa3, BBb2), (AAC1, BBa3, BBb3), (AAC1, BBa4, BBb1), (AAC1, BBa4, BBb2), (AAC1, BBa4 , BBb3), (AAC1, BBa5, BBb1), (AAC1, BBa5, BBb2), (AAC1, BBa5, BBb3), (AAC2, BBa1, BBb1), (AAC1, BBa5, BBb1), (AAC1, BBa5, BBb1), (AAC1, BBa5,
- histamine H4 receptor agonist, partial agonist, inverse agonist and antagonist, particularly antagonist
- histamine H4 receptor is It is useful as a therapeutic agent for diseases involved.
- respiratory diseases such as bronchial asthma, allergic rhinitis, chronic obstructive pulmonary disease (COPD); rheumatoid arthritis, atopic dermatitis, allergic conjunctivitis, psoriasis, inflammatory colitis, ulcerative colitis, lupus Inflammatory diseases such as atherosclerosis; effective for pain relief including neuropathic pain and nociceptive pain.
- the compounds of the present invention have a high affinity for histamine receptors, in particular histamine H4 receptors, subtype selectivity (selectivity for histamine H1, H2, and H3 receptors, in particular selectivity for H3 receptors) and Since it has high selectivity for other receptors, it can be a medicament with reduced side effects (for example, influence on motor function).
- the compound of the present invention has high stability, high oral absorption, high solubility, good bioavailability, low clearance, long half-life, high sustained efficacy, and / or liver enzyme There are also advantages such as low inhibitory activity.
- the present invention provides a pharmaceutical composition comprising a combination of an effective amount of a compound of the present invention and a pharmaceutically acceptable carrier.
- compositions for example, excipients, binders, disintegrants, lubricants, colorants, flavoring agents, flavoring agents, surfactants, and the like
- pharmaceutically acceptable carriers well known in the art Can be used to produce a pharmaceutical composition according to a conventional method.
- the dosage unit dosage form can be appropriately selected depending on the therapeutic purpose and administration route. Specifically, oral preparations such as tablets, coated tablets, powders, granules, capsules, solutions, pills, suspensions, emulsions, and parenterals such as injections, suppositories, ointments, patches, aerosols, etc. Agents. These dosage unit forms are formulated according to methods well known in the art.
- the amount of the compound of the present invention to be contained in the above preparation can be appropriately changed depending on the dosage form, administration route, administration schedule and the like.
- the administration method of the pharmaceutical composition according to the present invention is appropriately determined according to the dosage form of the preparation, the age, sex, weight, symptom level and other conditions of the patient, and is oral, subcutaneous, transdermal, rectal, nasal It can be selected from various routes such as inner and oral cavity.
- the dose of the compound of the present invention contained in the pharmaceutical composition of the present invention depends on the selected route of administration, patient age, sex, weight, disease state, type of the compound administered, other conditions, etc. Although it is appropriately selected, in the case of oral administration to adults, it is usually 0.05 to 1000 mg / kg / day, preferably 0.1 to 10 mg / kg / day. In the case of parenteral administration, although it varies greatly depending on the administration route, it is usually 0.005 to 100 mg / kg / day, preferably 0.01 to 1 mg / kg / day. These pharmaceutical compositions of the present invention can be administered once a day or divided into a plurality of times.
- reaction solution was poured into water, washed with ethyl acetate, neutralized with sodium bicarbonate with stirring, and the aqueous layer was adjusted to pH 8.
- the aqueous layer was extracted again with ethyl acetate, the organic layers were combined, dried over anhydrous magnesium sulfate, and concentrated under reduced pressure. The residue was subjected to silica gel chromatography to obtain compound (4) (48.8 mg, 94% yield).
- reaction solution was poured into ice water-2 mol / l hydrochloric acid and extracted with ethyl acetate.
- organic layer was washed with aqueous sodium hydrogen carbonate solution and then with water, dried over anhydrous sodium sulfate and concentrated under reduced pressure.
- reaction mixture was poured into water and extracted with ethyl acetate-tetrahydrofuran.
- the organic layer was washed with water and dried over anhydrous sodium sulfate.
- the organic layer was concentrated under reduced pressure to obtain yellow compound 39 (8.4 g, crude yield 98%). Used in the next step without purification.
- Step 5 Compound 41 (2.37 g, 5.83 mmol) was dissolved in ethanol-tetrahydrofuran (3: 1) (75 mL), 20 w / w% palladium hydroxide on carbon (460 mg) was added, and 1 The mixture was stirred at room temperature for 2.5 hours under atmospheric hydrogen atmosphere. The reaction solution was filtered through celite, and the filtrate was concentrated under reduced pressure. The residue was subjected to silica gel chromatography to obtain yellow compound 42 (1.36 g, yield 57%).
- Step 7 Compound 43 (50 mg, 0.297 mmol) was dissolved in phenylphosphoric dichloride (232 mg, 1.189 mmol), and the mixture was heated and stirred at 140 ° C. for 1.5 hours and 160 ° C. for 2 hours. The reaction mixture was poured into water, basified with sodium bicarbonate, and extracted with ethyl acetate. The organic layer was washed with water, dried over anhydrous sodium sulfate, and concentrated under reduced pressure. The residue was subjected to silica gel chromatography to obtain white compound 44 (15.9 mg, yield 26%).
- Step 2 Compound 48 (1.7 mL) was added to a solution of compound 47 (5.27 g, 20.1 mmol) and triethylamine (5.6 mL, 40.3 mmol) in dichloromethane-tetrahydrofuran (1: 1, 60 mL). 22.1 mmol) was added under ice cooling, followed by stirring for 2.5 hours under ice cooling. The reaction mixture was poured into ice water and extracted with dichloromethane. The organic layer was washed successively with 10% aqueous citric acid solution, saturated aqueous sodium hydrogen carbonate solution, and saturated aqueous sodium chloride solution. The organic layer was dried over anhydrous sodium sulfate and concentrated under reduced pressure. Compound 49 was used in the next step without purification.
- Step 4 To a solution of compound 51 (0.40 g, 1.40 mmol) in ethanol-tetrahydrofuran-formic acid (5: 1: 0.1, 12 mL) was added palladium / carbon (0.30 g, 0.279 mmol). The mixture was stirred at room temperature for 12 hours under a hydrogen atmosphere. The reaction mixture was filtered through celite and concentrated under reduced pressure. The residue was dissolved in chloroform and washed sequentially with a saturated aqueous sodium bicarbonate solution and a saturated aqueous sodium chloride solution. The organic layer was dried over anhydrous sodium sulfate and concentrated under reduced pressure.
- Step 7 To a compound 66 (40 mg, 0.076 mmol) was added a 4 mol / L ethyl acetate solution (0.5 ml), and the mixture was stirred at room temperature for 16 hours. The reaction mixture was concentrated and recrystallized with ethyl acetate to obtain Compound 67 (33.2 mg, total yield 94.4%).
- tert-butyl piperazine-1-carboxylate (Compound 74, 245 mg, 1.32 mmol) was added, and the mixture was further stirred for 45 minutes.
- the reaction mixture was poured into ice water and extracted with ethyl acetate.
- the organic layer was washed with water, dried over anhydrous sodium sulfate, and concentrated under reduced pressure.
- Compound 80 (I-304) Compound 80 was synthesized by the method described in International Publication No. WO03 / 088381A1. This was carried out using Escherichia coli BL21 (DE3) into which an expression vector into which the CYP146 gene derived from Amycolatopsis orientalis was inserted was introduced.
- Sterilized seed culture medium (6.78 g / L Na 2 HPO 4 (anhydrous), 3 g / L KH 2 PO 4 , 0.5 g / L NaCl, 1 g / L NH 4 Cl, 10 g / L casamino acid, 4 g / L Glucose, 20 mg / L thymine, 11 mg / L CaCl 2 , 95 mg / L MgCl 2 , 28 mg / L FeSO 4 , 100 mg / L Carbicillin) and cultured at 25 ° C. for 24 hours on a reciprocating shaker at 300 rpm Was the seed mother.
- Sterilized main culture medium (6.78 g / L Na 2 HPO 4 (anhydrous), 3 g / L KH 2 PO 4 , 0.5 g / L NaCl, 1 g / L NH 4 Cl, 10 g / L casamino acid, 20 mg / L Thymine, 11 mg / L CaCl 2 , 28 mg / L FeSO 4 , 80 mg / L 5-aminolevulinic acid, 100 mg / L Carbillillin, Merck's 0 version AutoInduction System-Solution I 20 ml / L, -Solution III 50 1 ml / L) was dispensed 3 L at a time into two 5 L aeration and agitation culture apparatuses, then 15 ml of the seed mother was inoculated and aerated (3 L / min) at 25 ° C.
- the culture broth was collected in a centrifuge tube, centrifuged at 4000 rpm for 10 minutes, and the supernatant was removed. Then, 1.2 L of sodium phosphate buffer (50 mmol / L sodium phosphate (pH 7.4), 2% glycerol, 50 mg / LC Carbicillin, 24 mg / L isopropyl- ⁇ -thiogalactopyranoside) was added and suspended to prepare a 5-fold concentrated bacterial solution.
- sodium phosphate buffer 50 mmol / L sodium phosphate (pH 7.4)
- 2% glycerol 50 mg / LC Carbicillin, 24 mg / L isopropyl- ⁇ -thiogalactopyranoside
- Step 6 To a solution of compound 95 (94 mg, 0.40 mmol) in N-methylpyrrolidone (1.5 mL), 2-amino-N-isopropylethanesulfonamide hydrochloride (98 mg, 0.48 mmol), N, N-di After adding isopropyl ethylamine (0.169 mL, 0.97 mmol), the mixture was stirred at 100 ° C. for 30 minutes. Further, tert-butyl piperazine-1-carboxylate (376 mg, 2.02 mmol) was added to the reaction solution, and the mixture was stirred at 150 ° C. for 1 hour under microwave irradiation.
- Step 4 Compound 102 (159 mg, 0.36 mmol) in 1,4-dioxane (3 mL) was added to triphenylphosphine (123 mg, 0.47 mmol), 2.2 M diethylazodicarboxylate / toluene solution (0.213 mL). , 0.47 mmol), and a solution of compound 100 (72 mg, 0.43 mmol) in 1,4-dioxane (0.5 mL) were added and stirred at room temperature for 2 hours.
- triphenylphosphine (123 mg, 0.47 mmol), 2.2 M diethylazodicarboxylate / toluene solution (0.213 mL, 0.47 mmol), compound 100 (72 mg, 0.43 mmol) in 1,4-dioxane (0 0.5 mL) solution was added twice every hour and stirred at room temperature for 1 hour.
- the reaction mixture was poured into water and extracted with ethyl acetate, and the organic layer was washed with water and saturated aqueous sodium chloride solution.
- tert-butyl piperazine-1-carboxylate (212 mg, 1.14 mmol) was added to the reaction solution, and the mixture was stirred at 150 ° C. for 1 hour under microwave irradiation.
- the reaction mixture was poured into water and extracted with ethyl acetate, and the organic layer was washed with water and saturated aqueous sodium chloride solution.
- the extract was dried over anhydrous magnesium sulfate, concentrated under reduced pressure, and recrystallized from chloroform to give Compound 110 (152 mg, yield 75%) as a white solid.
- Nonspecific binding was determined by incubating in the presence of 100 ⁇ mol / L unlabeled histamine dihydrochloride (Nakalai Tesque). Membrane fractions were collected on 0.5% PEI coated Unifilterplate GF / B (PerkinElmer) by rapid filtration using a PerkinElmer cell harvester and washed 6 times with 350 ⁇ L ice-cold 50 mmol / L Tris-HCl, pH 7.4. . The filter was air-dried, mixed with a scintillation cocktail Microscinti-MS (PerkinElmer), and the radioactivity trapped on the filter was measured with a Topcount liquid scintillation counter (PerkinElmer).
- the results of the histamine H4 receptor binding test of the compounds of the present invention are shown in the following table.
- the unit nM in the table indicates nmol / L.
- Test Example Histamine H3 receptor binding test Human-derived histamine H3 receptor forced expression CHO-K1 cell membrane fraction (PerkinElmer), radioligand [3H] -histamine (PerkinElmer), binding buffer (50 mmol / L Tris) Receptor binding assays were performed in HCl pH 7.4, 5 mmol / L EDTA). [3H] -Histamine with a final concentration of 15 nmol / L was added to a binding buffer in which 15 ⁇ g of the histamine H3 receptor-expressing membrane fraction was suspended, and incubated at room temperature for 60 minutes at a reaction volume of 150 ⁇ L.
- Nonspecific binding was determined by incubating in the presence of 100 ⁇ mol / L unlabeled histamine dihydrochloride (Nakalai Tesque). Membrane fractions were collected on 0.5% PEI coated Unifilterplate GF / B (PerkinElmer) by rapid filtration using a PerkinElmer cell harvester and washed 6 times with 350 ⁇ L ice-cold 50 mM Tris-HCl, pH 7.4. The filter was air-dried, mixed with a scintillation cocktail Microscinti-MS (PerkinElmer), and the radioactivity trapped on the filter was measured with a Topcount liquid scintillation counter (PerkinElmer).
- the CYP3A4 fluorescence MBI test is a test for examining the enhancement of CYP3A4 inhibition of a compound by metabolic reaction, using 7-benzyloxytrifluoromethylcoumarin (BFC) as a CYP3A4 enzyme using E. coli-expressed CYP3A4 as an enzyme.
- BFC 7-benzyloxytrifluoromethylcoumarin
- the reaction is debenzylated to produce a metabolite 7-hydroxytrifluoromethylcoumarin (HFC) that emits fluorescence.
- the reaction conditions are as follows: substrate, 5.6 ⁇ mol / L 7-BFC; pre-reaction time, 0 or 30 minutes; reaction time, 15 minutes; reaction temperature, 25 ° C.
- the fluorescence value of 7-HFC which is a metabolite, is measured using a fluorescent plate reader on the plate on which each index reaction has been performed.
- the control (100%) was obtained by adding DMSO, which is a solvent in which the drug was dissolved, to the reaction system, and the residual activity (%) at each concentration with the test drug solution added was calculated.
- DMSO a solvent in which the drug was dissolved
- Test Example CYP Inhibition Test O-deethylation of 7-ethoxyresorufin (CYP1A2) as a typical substrate metabolic reaction of human major CYP5 molecular species (CYP1A2, 2C9, 2C19, 2D6, 3A4) using commercially available pooled human liver microsomes ), Methyl-hydroxylation of tolbutamide (CYP2C9), 4′-hydroxylation of mephenytoin (CYP2C19), O-demethylation of dextromethorphan (CYP2D6), and hydroxylation of terfenadine (CYP3A4) The degree to which the amount of product produced is inhibited by the test compound is evaluated.
- reaction conditions were as follows: substrate, 0.5 ⁇ mol / L ethoxyresorufin (CYP1A2), 100 ⁇ mol / L tolbutamide (CYP2C9), 50 ⁇ mol / L S-mephenytoin (CYP2C19), 5 ⁇ mol / L dextromethorphan ( CYP2D6), 1 ⁇ mol / L terfenadine (CYP3A4); reaction time, 15 minutes; reaction temperature, 37 ° C .; enzyme, pooled human liver microsome 0.2 mg protein / mL; test drug concentration 1, 5, 10, 20 ⁇ mol / L (4 points).
- resorufin CYP1A2 metabolite
- CYP1A2 metabolite resorufin in the supernatant of the centrifugation was analyzed with a fluorescent multilabel counter, tolbutamide hydroxide (CYP2C9 metabolite), mephenytoin 4 ′ hydroxide (CYP2C19 metabolite), Dextrorphan (CYP2D6 metabolite) and terfenadine alcohol (CYP3A4 metabolite) are quantified by LC / MS / MS.
- the control (100%) was obtained by adding DMSO, which is a solvent in which the drug was dissolved, to the reaction system, and the residual activity (%) at each concentration with the test drug solution added was calculated. Used to calculate IC 50 by inverse estimation with a logistic model.
- Test example Metabolic stability test Using pooled rat liver microsomes prepared according to the literature (Japanese journal of pharmacology, 33 (1), p.41-56, Feb 1983) or commercially available pooled human liver microsomes The reaction is performed for a certain period of time, the residual rate is calculated by comparing the reaction sample and the unreacted sample, and the degree of metabolism in the liver is evaluated. 1 mmol / L NADPH in 0.2 mL buffer (50 mmol / L tris-HCl pH 7.4, 150 mmol / L potassium chloride, 10 mmol / L magnesium chloride) containing 0.5 mg protein / mL rat or human liver microsomes The reaction is carried out at 37 ° C.
- the test compound in the centrifugal supernatant is quantified by LC / MS / MS, and the remaining amount of the test compound after the reaction is calculated with the amount of the compound at 0 minute reaction as 100%.
- the hydrolysis reaction is carried out in the absence of NADPH, the glucuronic acid conjugation reaction is carried out in the presence of 5 mmol / L UDP-glucuronic acid instead of NADPH, and the same operation is carried out thereafter.
- Intravenous administration is performed from the tail vein using a syringe with an injection needle.
- Test substance DMSO solution (maximum dose 50 mg / mL to 8-fold dilution at 2-fold common ratio), DMSO as negative control, 50 ⁇ g / mL 4-nitroquinoline for TA98 strain under non-metabolic activation conditions as positive control -1-oxide DMSO solution, for TA100 strain, 0.25 ⁇ g / mL 2- (2-furyl) -3- (5-nitro-2-furyl) acrylamide DMSO solution, for metabolic activation conditions against TA98 strain 40 ⁇ g / mL 2-aminoanthracene DMSO solution and for TA100 strain, 20 ⁇ g / mL 2-aminoanthracene DMSO solution each 12 ⁇ L and test bacterial solution 588 ⁇ L (under metabolic activation conditions, test bacterial solution 498 ⁇ L and S9 mix 90 ⁇ L of the mixture), and cultured with shaking at 37 ° C.
- Test example hERG test A delay that plays an important role in the ventricular repolarization process using HEK293 cells expressing human ether-a-go-go related gene (hERG) channel for the purpose of risk assessment of ECG QT interval prolongation
- I Kr rectified K + current
- a +50 mV depolarization stimulus was further applied for 2 seconds. Record the I Kr elicited when a 50 mV repolarization stimulus is applied for 2 seconds.
- the absolute value of the maximum tail current is measured using the analysis software (DataXpress ver. 1, Molecular Devices Corporation) based on the current value at the holding membrane potential. Furthermore, the inhibition rate with respect to the maximum tail current before application of the test substance is calculated, and compared with the vehicle application group (0.1% dimethyl sulfoxide solution), the effect of the test substance on I Kr is evaluated. (Result) The inhibition rate at a compound concentration of 1 ⁇ mol / l is shown.
- I-005 1% I-065: 1% I-067: 7% I-212: 4% I-236: 1% I-279: 3% I-301: 2% I-342: 8%
- Test example Powder solubility test Put an appropriate amount of sample in a suitable container, JP-1 solution (2.0 g sodium chloride, 7.0 mL hydrochloric acid to 1000 mL), JP-2 solution (pH 6.8 phosphate buffer) Add 500 mL of water to 500 mL of solution), and add 200 ⁇ L of 20 mmol / L TCA (sodium taurocholate) / JP-2 solution (add water to 1.08 g of TCA to make 100 mL). If dissolved after adding the test solution, add bulk powder as appropriate. Seal and shake at 37 ° C for 1 hour. Filter, add 100 ⁇ L of methanol to 100 ⁇ L of each filtrate and dilute 2 times. Change the dilution factor as necessary. Check for bubbles and precipitates, seal and shake. Quantify using HPLC with the absolute calibration curve method.
- Formulation Example 1 A granule containing the following ingredients is produced.
- Ingredient Compound represented by formula (I) 10 mg Lactose 700 mg Corn starch 274 mg HPC-L 16 mg
- the compound of formula (I) and lactose are passed through a 60 mesh sieve. Pass cornstarch through a 120 mesh sieve. These are mixed in a V-type mixer.
- HPC-L low-viscosity hydroxypropylcellulose
- aqueous solution to the powder mixture, knead, granulate (extruded granulation pore size 0.5-1mm), and dry.
- the obtained dried granules are combed with a vibrating sieve (12/60 mesh) to obtain granules.
- Formulation Example 2 A capsule filling granule containing the following ingredients is produced.
- Ingredient Compound represented by formula (I) 15 mg Lactose 90 mg Corn starch 42 mg HPC-L 3 mg
- the compound of formula (I), lactose is passed through a 60 mesh sieve. Pass cornstarch through a 120 mesh sieve. These are mixed, and the HPC-L solution is added to the mixed powder to knead, granulate and dry. After sizing the obtained dry granules, 150 mg thereof is filled into No. 4 hard gelatin capsules.
- Formulation Example 3 A tablet containing the following ingredients is produced.
- Ingredient Compound represented by formula (I) 10 mg Lactose 90 mg Microcrystalline cellulose 30 mg CMC-Na 15 mg Magnesium stearate 5 mg
- the compound of formula (I), lactose, microcrystalline cellulose and CMC-Na (carboxymethylcellulose sodium salt) are passed through a 60 mesh sieve and mixed.
- the mixed powder is mixed with magnesium stearate to obtain a mixed powder for tableting. This mixed powder is directly hit to obtain a 150 mg tablet.
- Formulation Example 5 A haptic agent containing the following components is produced.
- Ingredient Compound represented by formula (I) 50 mg Aqueous base (5% ethanol / 5% butylene glycol / 90% purified water) 950 mg Glycerin Kaolin Polyvinyl alcohol aqueous solution
- the compound represented by the formula (I) is added to an aqueous base, and after ultrasonic irradiation for about 15 minutes, the mixture is sufficiently stirred to obtain a solution. 5 parts of glycerin, 1 part of kaolin and 5 parts of an aqueous polyvinyl alcohol solution are uniformly mixed, and 1 part of the prepared solution is added.
- the compound of the present invention has a modulatory action on the histamine H4 receptor, and diseases or conditions involving the histamine H4 receptor such as bronchial asthma, allergic rhinitis, chronic obstructive pulmonary disease (COPD), etc. Diseases; rheumatoid arthritis, atopic dermatitis, allergic conjunctivitis, psoriasis, inflammatory colitis, ulcerative colitis, lupus, atherosclerosis, and other inflammatory diseases; pain relief including neuropathic or nociceptive pain Useful for.
- diseases or conditions involving the histamine H4 receptor such as bronchial asthma, allergic rhinitis, chronic obstructive pulmonary disease (COPD), etc. Diseases; rheumatoid arthritis, atopic dermatitis, allergic conjunctivitis, psoriasis, inflammatory colitis, ulcerative colitis, lupus, atherosclerosis, and other inflammatory diseases; pain relief including
Landscapes
- Chemical & Material Sciences (AREA)
- Organic Chemistry (AREA)
- Health & Medical Sciences (AREA)
- Veterinary Medicine (AREA)
- Life Sciences & Earth Sciences (AREA)
- General Chemical & Material Sciences (AREA)
- Medicinal Chemistry (AREA)
- Nuclear Medicine, Radiotherapy & Molecular Imaging (AREA)
- Bioinformatics & Cheminformatics (AREA)
- Pharmacology & Pharmacy (AREA)
- Chemical Kinetics & Catalysis (AREA)
- Animal Behavior & Ethology (AREA)
- General Health & Medical Sciences (AREA)
- Public Health (AREA)
- Engineering & Computer Science (AREA)
- Pulmonology (AREA)
- Dermatology (AREA)
- Pain & Pain Management (AREA)
- Vascular Medicine (AREA)
- Heart & Thoracic Surgery (AREA)
- Immunology (AREA)
- Cardiology (AREA)
- Biomedical Technology (AREA)
- Neurology (AREA)
- Neurosurgery (AREA)
- Rheumatology (AREA)
- Ophthalmology & Optometry (AREA)
- Urology & Nephrology (AREA)
- Otolaryngology (AREA)
- Pharmaceuticals Containing Other Organic And Inorganic Compounds (AREA)
Abstract
Description
本発明は、ヒスタミンH4受容体が関与する疾患または状態を治療するのに有用な化合物もしくはその製薬上許容される塩またはそれらの溶媒和物、およびそれらを含有する医薬組成物に関する。 The present invention relates to a compound useful for treating a disease or condition involving histamine H4 receptor, a pharmaceutically acceptable salt thereof, or a solvate thereof, and a pharmaceutical composition containing them.
ヒスタミンは、G-タンパク質結合スーパーファミリーの4つの受容体(ヒスタミンH1、H2、H3およびH4受容体)と相互作用し、H1受容体を介するアレルギー反応、H2受容体を介する胃酸分泌作用、H3受容体を介する中枢神経系における神経伝達作用などの、種々の生理機能を発現する。
ヒスタミンH4受容体は、H3受容体に約40%の相同性を持つ390個のアミノ酸からなる7回膜貫通型Gタンパク質結合受容体である。主に好酸球、肥満細胞、樹状細胞、T細胞などの血球系細胞に発現しており、特に好酸球、肥満細胞において高発現している(非特許文献1、非特許文献2)。
また、ヒスタミンH4受容体は、リウマチ患者より採取した滑膜細胞における発現が確認されており(非特許文献3、非特許文献4)、変形性関節症患者より採取した滑膜細胞においても発現が確認されており(非特許文献5)、腸管細胞においても発現が確認されている(非特許文献6)。さらに、鼻腔内ポリープにおいても、ヒスタミンH4受容体の発現量が増加していることが報告されている(非特許文献7)。
ヒスタミンH4受容体の薬理学的性質は、幾つかの特異的なリガンドによっても明らかにされている。例えば、好酸球の遊走および形態変化、ならびにCD11b/CD18、CD54の発現上昇などは、ヒスタミンがH4受容体に結合することによって惹起される作用であることが知られている(非特許文献8)。また、ヒスタミンH4受容体は、肥満細胞におけるカルシウムの流入に関与すること(非特許文献9)、樹状細胞におけるサイトカイン産生調節に関与すること(非特許文献10)なども知られており、その作用は多彩である。
in vivoにおいては、ヒスタミンH4受容体は、ヒスタミンによって誘発される肥満細胞の集積に関与すること(非特許文献9)、zymosanによって誘発される腹膜炎モデル(非特許文献11)および胸膜炎モデル(非特許文献12)における好中球浸潤に関与すること、卵白アルブミンによる喘息モデルにおける好酸球浸潤に関与すること(非特許文献10)、ならびに痒みに関与すること(非特許文献13)が報告されている。
ヒスタミンH4受容体に芳香族複素環誘導体が作用することは、特許文献1、特許文献2、特許文献3、非特許文献14および非特許文献15に記載されているが、いずれの文献にも本発明化合物は記載も示唆もされていない。
Histamine interacts with four receptors of the G-protein coupled superfamily (histamine H1, H2, H3 and H4 receptors), allergic reaction through H1 receptor, gastric acid secretion through H2 receptor, H3 receptor It expresses various physiological functions such as neurotransmission in the central nervous system through the body.
The histamine H4 receptor is a 7-transmembrane G protein-coupled receptor consisting of 390 amino acids with about 40% homology to the H3 receptor. It is mainly expressed in blood cells such as eosinophils, mast cells, dendritic cells, and T cells, and particularly highly expressed in eosinophils and mast cells (Non-patent Documents 1 and 2). .
In addition, histamine H4 receptor has been confirmed to be expressed in synovial cells collected from rheumatic patients (Non-patent Documents 3 and 4), and is also expressed in synovial cells collected from osteoarthritis patients. It has been confirmed (Non-Patent Document 5), and expression has also been confirmed in intestinal cells (Non-Patent Document 6). Furthermore, it has been reported that the expression level of histamine H4 receptor is also increased in intranasal polyps (Non-patent Document 7).
The pharmacological properties of the histamine H4 receptor have also been revealed by several specific ligands. For example, eosinophil migration and morphological changes, and increased expression of CD11b / CD18 and CD54 are known to be effects caused by binding of histamine to the H4 receptor (Non-patent Document 8). ). The histamine H4 receptor is also known to be involved in calcium influx in mast cells (Non-patent Document 9), to be involved in regulation of cytokine production in dendritic cells (Non-patent Document 10), and the like. The action is various.
In vivo, histamine H4 receptor is involved in the accumulation of mast cells induced by histamine (Non-patent document 9), peritonitis model induced by zymosan (Non-patent document 11) and pleurisy model (non-patent document) Involvement in neutrophil infiltration in literature 12), involvement in eosinophil infiltration in an asthma model by ovalbumin (Non-patent document 10), and involvement in itch (non-patent document 13) have been reported. Yes.
It has been described in Patent Document 1, Patent Document 2, Patent Document 3, Non-Patent Document 14, and Non-Patent Document 15 that an aromatic heterocyclic derivative acts on a histamine H4 receptor. Inventive compounds are neither described nor suggested.
本発明は、ヒスタミンH4受容体を調節する作用を有する新規な化合物を提供する。 The present invention provides a novel compound having an action of regulating histamine H4 receptor.
本発明者らは、上記課題を解決するために鋭意研究を重ねた結果、ヒスタミンH4受容体を調節する作用を有し、ヒスタミンH4受容体により仲介される疾患の予防および/または治療に有用な新規化合物を見出し、以下に記載する発明を完成した。 As a result of intensive studies to solve the above problems, the present inventors have an action of regulating histamine H4 receptor, and are useful for the prevention and / or treatment of diseases mediated by histamine H4 receptor. The inventors discovered a new compound and completed the invention described below.
本発明は、以下の(1)~(15)に関する。
(1) 式(I):
[式中、
環Aは、芳香族複素環;
X1は、NまたはC(Rx1);
X2は、NまたはC(Rx2);
X3は、NまたはC(Rx3);
X4は、NまたはC(Rx4);
ただし、X1、X2、X3およびX4の少なくとも1つは、窒素原子である;
Rx1、Rx2、Rx3およびRx4は、それぞれ独立して、水素、ハロゲン、置換もしくは非置換のアルキル、置換もしくは非置換のアルケニル、置換もしくは非置換のアルキニル、置換もしくは非置換のアルキルオキシ、置換もしくは非置換のアルケニルオキシ、置換もしくは非置換のアルキニルオキシ、置換もしくは非置換のアルキルチオ、置換もしくは非置換のアルケニルチオ、置換もしくは非置換のアルキニルチオ、置換もしくは非置換のアシル、ヒドロキシ、カルボキシ、置換もしくは非置換のアルキルオキシカルボニル、置換もしくは非置換のアルケニルオキシカルボニル、置換もしくは非置換のアルキニルオキシカルボニル、置換もしくは非置換のシクロアルキルオキシカルボニル、置換もしくは非置換のシクロアルケニルオキシカルボニル、置換もしくは非置換の非芳香族複素環オキシカルボニル、置換もしくは非置換のアリールオキシカルボニル、置換もしくは非置換のヘテロアリールオキシカルボニル、非置換カルバモイル、置換基群A(置換基群A:置換もしくは非置換のアルキル、置換もしくは非置換のアルケニル、置換もしくは非置換のアルキニル、置換もしくは非置換のシクロアルキル、置換もしくは非置換のシクロアルケニル、置換もしくは非置換の非芳香族複素環基、置換もしくは非置換のアリールおよび置換もしくは非置換のヘテロアリール)から選択される置換基で置換されたカルバモイル、非置換スルファモイル、置換基群Aから選択される置換基で置換されたスルファモイル、置換基群Aから選択される置換基で置換されたスルフィニル、置換基群Aから選択される置換基で置換されたスルホニル、置換もしくは非置換のアルキルスルホニルオキシ、置換もしくは非置換のアリールスルホニルオキシ、シアノ、ニトロ、置換もしくは非置換のアミノ、置換もしくは非置換のシクロアルキル、置換もしくは非置換のシクロアルケニル、置換もしくは非置換の非芳香族複素環式基、置換もしくは非置換のアリール、置換もしくは非置換のヘテロアリール、置換もしくは非置換のシクロアルキルオキシ、置換もしくは非置換のシクロアルケニルオキシ、置換もしくは非置換の非芳香族複素環オキシ、置換もしくは非置換のアリールオキシ、または置換もしくは非置換のヘテロアリールオキシ;または、
Rx2およびRx3、またはRx3およびRx4は、それぞれ隣接する環構成原子と一緒になってC環を形成してもよく;
C環は、
(式中、
W1は、それぞれ独立して、O、N(R2a)、S、S(O)またはS(O)2;
W2は、それぞれ独立して、O、N(R2b)またはS;
R2aおよびR2bは、それぞれ独立して、水素、置換もしくは非置換のアルキル、非置換スルファモイル、置換基群Aから選択される置換基で置換されたスルファモイル、置換基群Aから選択される置換基で置換されたスルフィニル、置換基群Aから選択される置換基で置換されたスルホニルまたは置換もしくは非置換のアシル;
n1は、0~4の整数;
n2は、0~3の整数;
n3は、0~2の整数;
n4は、0または1の整数;
R1aおよびR1bは、それぞれ独立して、
a)ハロゲン、置換もしくは非置換のアルキル、置換もしくは非置換のアルケニル、置換もしくは非置換のアルキニル、置換もしくは非置換のアルキルオキシ、置換もしくは非置換のアルケニルオキシ、置換もしくは非置換のアルキニルオキシ、置換もしくは非置換のアルキルチオ、置換もしくは非置換のアルケニルチオ、置換もしくは非置換のアルキニルチオ、置換もしくは非置換のアシル、ヒドロキシ、カルボキシ、置換もしくは非置換のアルキルオキシカルボニル、置換もしくは非置換のアルケニルオキシカルボニル、置換もしくは非置換のアルキニルオキシカルボニル、置換もしくは非置換のシクロアルキルオキシカルボニル、置換もしくは非置換のシクロアルケニルオキシカルボニル、置換もしくは非置換の非芳香族複素環オキシカルボニル、置換もしくは非置換のアリールオキシカルボニル、置換もしくは非置換のヘテロアリールオキシカルボニル、非置換カルバモイル、置換基群Aから選択される置換基で置換されたカルバモイル、非置換スルファモイル、置換基群Aから選択される置換基で置換されたスルファモイル、置換基群Aから選択される置換基で置換されたスルフィニル、置換基群Aから選択される置換基で置換されたスルホニル、置換もしくは非置換のアルキルスルホニルオキシ、置換もしくは非置換のアリールスルホニルオキシ、シアノ、ニトロ、置換もしくは非置換のアミノ、置換もしくは非置換のシクロアルキル、置換もしくは非置換のシクロアルケニル、置換もしくは非置換の非芳香族複素環式基、置換もしくは非置換のアリール、置換もしくは非置換のヘテロアリール、置換もしくは非置換のシクロアルキルオキシ、置換もしくは非置換のシクロアルケニルオキシ、置換もしくは非置換の非芳香族複素環オキシ、置換もしくは非置換のアリールオキシ、または置換もしくは非置換のヘテロアリールオキシ、または、
R1aは、以下のb)群~e)群からなる群から選択される1以上の基であってもよい;
b)2つのR1aが、同一の炭素原子に結合して、=Oならびに=NR3、
c)2つのR1aが、同一の炭素原子に結合して-(CR4aR4b)x-または-O-(CR4aR4b)x-O-、
d)2つのR1aが、隣接する炭素原子に結合して-(CR5aR5b)y-、および
e)2つのR1aが、同一でなく、かつ隣接しない炭素原子に結合して-(CR6aR6b)z-、
ただし、R1aは、c)群、d)群およびe)群から同時に2以上選択される場合はない;
R3は、水素、置換もしくは非置換のアルキル、ヒドロキシ、置換もしくは非置換のアルキルオキシ、置換もしくは非置換のアルケニルオキシまたは置換もしくは非置換のアルキニルオキシ;
R4a、R4b、R5a、R5b、R6aおよびR6bは、それぞれ独立して、水素、ハロゲンまたは置換もしくは非置換のアルキル;
xは、2~7の整数;
yは、1~5の整数;
zは、1~3の整数)で示される環;
-B1は、式:-X-(CR8aR8b)m-Y
(式中、
Xは、N(R7c)またはO;
R7cは、水素、置換もしくは非置換のアルキルまたは置換もしくは非置換のアシル;
R8aおよびR8bは、それぞれ独立して、水素、ハロゲンまたは置換もしくは非置換のアルキル;
mは、0~5の整数、
ただし、Yが、置換基群Aから選択される置換基で置換されたスルホニルによって環を構成する窒素原子が置換されている含窒素非芳香族複素環基以外の基である場合は、mは1~4の整数である;
Yは、置換もしくは非置換のシクロアルキルチオ、置換もしくは非置換のシクロアルケニルチオ、置換もしくは非置換の非芳香族複素環チオ、置換もしくは非置換のアリールチオ、置換もしくは非置換のヘテロアリールチオ、置換基群Aから選択される置換基で置換されたスルフィニル、置換基群Aから選択される置換基で置換されたスルホニル、非置換スルファモイル、置換基群Aから選択される置換基で置換されたスルファモイル、置換もしくは非置換のアルキルスルホニルアミノ、置換もしくは非置換のアルケニルスルホニルアミノ、置換もしくは非置換のアルキニルスルホニルアミノ、置換もしくは非置換のアミノスルホニルアミノ、置換もしくは非置換のシクロアルキルスルホニルアミノ、置換もしくは非置換のシクロアルケニルスルホニルアミノ、置換もしくは非置換の非芳香族複素環スルホニルアミノ、置換もしくは非置換のアリールスルホニルアミノ、置換もしくは非置換のヘテロアリールスルホニルアミノ、置換もしくは非置換のシクロアルキル、置換もしくは非置換のシクロアルケニル、環を構成する窒素原子が置換基群Aから選択される置換基で置換されたスルホニルで置換された含窒素非芳香族複素環基、置換もしくは非置換のアリール、または置換もしくは非置換のヘテロアリール)で示される基;
B2は、
(式中、
R9aおよびR9bは、それぞれ独立して、水素または置換もしくは非置換のアルキル;
R10は、それぞれ独立して、置換もしくは非置換のアルキル、ハロゲン、ヒドロキシ、置換もしくは非置換のアルキルオキシ、置換もしくは非置換のアミノ、または2つのR10が一緒になってオキソもしくはチオキソ;
R11は、水素、置換もしくは非置換のアルキルまたは置換もしくは非置換のシクロアルキル;
R12は、置換もしくは非置換のアルキル、ハロゲン、ヒドロキシまたは置換もしくは非置換のアルキルオキシ;
pは0~4の整数)で示される基または置換もしくは非置換のアミノで置換されたアルキレン]で示される化合物(ただし、
(i)A環がC環と縮合せず、Yが置換もしくは非置換のシクロアルキル、置換もしくは非置換のシクロアルケニル、置換もしくは非置換のアリールまたは置換もしくは非置換のヘテロアリールである化合物、
(ii)mが0であり、XがN(R7c)であり、R7cが水素、置換もしくは非置換のアルキルまたは置換もしくは非置換のアシルであり、Yが置換もしくは非置換のヘテロアリールまたは環を構成する窒素原子が置換基群Aから選択される置換基で置換されたスルホニルで置換されたインドリンである化合物、
(iii)R11がヘテロアリールで置換されたアミノおよびチオキソで置換されたアルキルである化合物、
および
(iv)以下に示す化合物:
(式中、Meはメチルであり、Etはエチルである)
を除く。)、もしくはその製薬上許容される塩またはそれらの溶媒和物。
The present invention relates to the following (1) to (15).
(1) Formula (I):
[Where:
Ring A is an aromatic heterocycle;
X 1 is N or C (R x1 );
X 2 is N or C (R x2 );
X 3 is N or C (R x3 );
X 4 is N or C (R x4 );
Provided that at least one of X 1 , X 2 , X 3 and X 4 is a nitrogen atom;
R x1 , R x2 , R x3 and R x4 are each independently hydrogen, halogen, substituted or unsubstituted alkyl, substituted or unsubstituted alkenyl, substituted or unsubstituted alkynyl, substituted or unsubstituted alkyloxy Substituted or unsubstituted alkenyloxy, substituted or unsubstituted alkynyloxy, substituted or unsubstituted alkylthio, substituted or unsubstituted alkenylthio, substituted or unsubstituted alkynylthio, substituted or unsubstituted acyl, hydroxy, carboxy Substituted or unsubstituted alkyloxycarbonyl, substituted or unsubstituted alkenyloxycarbonyl, substituted or unsubstituted alkynyloxycarbonyl, substituted or unsubstituted cycloalkyloxycarbonyl, substituted or unsubstituted cycloalkenyl Ruoxycarbonyl, substituted or unsubstituted non-aromatic heterocyclic oxycarbonyl, substituted or unsubstituted aryloxycarbonyl, substituted or unsubstituted heteroaryloxycarbonyl, unsubstituted carbamoyl, substituent group A (substituent group A: Substituted or unsubstituted alkyl, substituted or unsubstituted alkenyl, substituted or unsubstituted alkynyl, substituted or unsubstituted cycloalkyl, substituted or unsubstituted cycloalkenyl, substituted or unsubstituted non-aromatic heterocyclic group, substituted Or substituted aryl or substituted heteroaryl), carbamoyl substituted with a substituent selected from substituents selected from substituent group A, sulfamoyl substituted with substituent selected from substituent group A, substituent group A Sulfur substituted with a substituent selected from Nyl, sulfonyl substituted with a substituent selected from substituent group A, substituted or unsubstituted alkylsulfonyloxy, substituted or unsubstituted arylsulfonyloxy, cyano, nitro, substituted or unsubstituted amino, substituted or non-substituted Substituted cycloalkyl, substituted or unsubstituted cycloalkenyl, substituted or unsubstituted non-aromatic heterocyclic group, substituted or unsubstituted aryl, substituted or unsubstituted heteroaryl, substituted or unsubstituted cycloalkyloxy, Substituted or unsubstituted cycloalkenyloxy, substituted or unsubstituted non-aromatic heterocyclic oxy, substituted or unsubstituted aryloxy, or substituted or unsubstituted heteroaryloxy; or
R x2 and R x3 , or R x3 and R x4 , together with adjacent ring members, may form a C ring;
Ring C is
(Where
Each W 1 is independently O, N (R 2a ), S, S (O) or S (O) 2 ;
Each W 2 independently represents O, N (R 2b ) or S;
R 2a and R 2b are each independently hydrogen, substituted or unsubstituted alkyl, unsubstituted sulfamoyl, a sulfamoyl substituted with a substituent selected from substituent group A, or a substituent selected from substituent group A A sulfinyl substituted with a group, a sulfonyl substituted with a substituent selected from Substituent Group A, or a substituted or unsubstituted acyl;
n 1 is an integer from 0 to 4;
n 2 is an integer from 0 to 3;
n 3 is an integer from 0 to 2;
n 4 is an integer of 0 or 1;
R 1a and R 1b are each independently
a) halogen, substituted or unsubstituted alkyl, substituted or unsubstituted alkenyl, substituted or unsubstituted alkynyl, substituted or unsubstituted alkyloxy, substituted or unsubstituted alkenyloxy, substituted or unsubstituted alkynyloxy, substituted Or unsubstituted alkylthio, substituted or unsubstituted alkenylthio, substituted or unsubstituted alkynylthio, substituted or unsubstituted acyl, hydroxy, carboxy, substituted or unsubstituted alkyloxycarbonyl, substituted or unsubstituted alkenyloxycarbonyl Substituted or unsubstituted alkynyloxycarbonyl, substituted or unsubstituted cycloalkyloxycarbonyl, substituted or unsubstituted cycloalkenyloxycarbonyl, substituted or unsubstituted non-aromatic heterocyclic oxy From sulfonyl, substituted or unsubstituted aryloxycarbonyl, substituted or unsubstituted heteroaryloxycarbonyl, unsubstituted carbamoyl, carbamoyl substituted with a substituent selected from substituent group A, unsubstituted sulfamoyl, substituent group A Sulfamoyl substituted with a selected substituent, sulfinyl substituted with a substituent selected from substituent group A, sulfonyl substituted with a substituent selected from substituent group A, substituted or unsubstituted alkylsulfonyl Oxy, substituted or unsubstituted arylsulfonyloxy, cyano, nitro, substituted or unsubstituted amino, substituted or unsubstituted cycloalkyl, substituted or unsubstituted cycloalkenyl, substituted or unsubstituted non-aromatic heterocyclic group Substituted or unsubstituted aryl, substituted or Unsubstituted heteroaryl, substituted or unsubstituted cycloalkyloxy, substituted or unsubstituted cycloalkenyloxy, substituted or unsubstituted non-aromatic heterocyclic oxy, substituted or unsubstituted aryloxy, or substituted or unsubstituted Heteroaryloxy or
R 1a may be one or more groups selected from the group consisting of the following groups b) to e);
b) two R 1a are bonded to the same carbon atom, and ═O and ═NR 3 ,
c) when two R 1a are bonded to the same carbon atom to form — (CR 4a R 4b ) x— or —O— (CR 4a R 4b ) x—O—,
d) two R 1a bonded to adjacent carbon atoms-(CR 5a R 5b ) y-, and e) two R 1a bonded to non-identical and non-adjacent carbon atoms- ( CR 6a R 6b ) z-,
Provided that R 1a is not selected from two or more of c), d) and e) simultaneously;
R 3 is hydrogen, substituted or unsubstituted alkyl, hydroxy, substituted or unsubstituted alkyloxy, substituted or unsubstituted alkenyloxy, or substituted or unsubstituted alkynyloxy;
R 4a , R 4b , R 5a , R 5b , R 6a and R 6b are each independently hydrogen, halogen or substituted or unsubstituted alkyl;
x is an integer of 2 to 7;
y is an integer of 1 to 5;
z is an integer of 1 to 3);
—B 1 represents the formula: —X— (CR 8a R 8b ) mY
(Where
X is N (R 7c ) or O;
R 7c is hydrogen, substituted or unsubstituted alkyl or substituted or unsubstituted acyl;
R 8a and R 8b are each independently hydrogen, halogen or substituted or unsubstituted alkyl;
m is an integer from 0 to 5,
However, when Y is a group other than a nitrogen-containing non-aromatic heterocyclic group in which the nitrogen atom constituting the ring is substituted by a sulfonyl substituted with a substituent selected from the substituent group A, m is An integer from 1 to 4;
Y is substituted or unsubstituted cycloalkylthio, substituted or unsubstituted cycloalkenylthio, substituted or unsubstituted non-aromatic heterocyclic thio, substituted or unsubstituted arylthio, substituted or unsubstituted heteroarylthio, substituent Sulfinyl substituted with a substituent selected from group A, sulfonyl substituted with a substituent selected from substituent group A, unsubstituted sulfamoyl, sulfamoyl substituted with a substituent selected from substituent group A, Substituted or unsubstituted alkylsulfonylamino, substituted or unsubstituted alkenylsulfonylamino, substituted or unsubstituted alkynylsulfonylamino, substituted or unsubstituted aminosulfonylamino, substituted or unsubstituted cycloalkylsulfonylamino, substituted or unsubstituted Cycloalkenyl Sulfonylamino, substituted or unsubstituted non-aromatic heterocyclic sulfonylamino, substituted or unsubstituted arylsulfonylamino, substituted or unsubstituted heteroarylsulfonylamino, substituted or unsubstituted cycloalkyl, substituted or unsubstituted cycloalkenyl, Nitrogen-containing non-aromatic heterocyclic group, substituted or unsubstituted aryl, or substituted or unsubstituted heteroaryl, wherein the nitrogen atom constituting the ring is substituted with a sulfonyl substituted with a substituent selected from substituent group A A group represented by
B 2 is,
(Where
R 9a and R 9b are each independently hydrogen or substituted or unsubstituted alkyl;
Each R 10 independently represents substituted or unsubstituted alkyl, halogen, hydroxy, substituted or unsubstituted alkyloxy, substituted or unsubstituted amino, or two R 10 taken together to form oxo or thioxo;
R 11 is hydrogen, substituted or unsubstituted alkyl or substituted or unsubstituted cycloalkyl;
R 12 represents substituted or unsubstituted alkyl, halogen, hydroxy, or substituted or unsubstituted alkyloxy;
p is an integer of 0 to 4) or a alkylene represented by a substituted or unsubstituted amino group] (provided that,
(I) a compound wherein A ring is not fused to C ring and Y is substituted or unsubstituted cycloalkyl, substituted or unsubstituted cycloalkenyl, substituted or unsubstituted aryl, or substituted or unsubstituted heteroaryl,
(Ii) m is 0, X is N (R 7c ), R 7c is hydrogen, substituted or unsubstituted alkyl or substituted or unsubstituted acyl, and Y is substituted or unsubstituted heteroaryl or A compound in which the nitrogen atom constituting the ring is an indoline substituted with a sulfonyl substituted with a substituent selected from the substituent group A;
(Iii) the compound wherein R 11 is amino substituted with heteroaryl and alkyl substituted with thioxo,
And (iv) the following compounds:
(Wherein Me is methyl and Et is ethyl)
except for. Or a pharmaceutically acceptable salt thereof or a solvate thereof.
(2)X1がN、X2がN、X3がC(Rx3)、およびX4がC(Rx4)であり、Rx3およびRx4が、それぞれ隣接する環構成原子と一緒になってC環を形成するか、またはX1がN、X2がC(Rx2)、X3がC(Rx3)、およびX4がNであり、Rx2およびRx3が、それぞれ隣接する環構成原子と一緒になってC環を形成し;
Yが、置換もしくは非置換のシクロアルキルチオ、置換もしくは非置換のシクロアルケニルチオ、置換もしくは非置換の非芳香族複素環チオ、置換もしくは非置換のアリールチオ、置換もしくは非置換のヘテロアリールチオ、置換基群Aから選択される置換基で置換されたスルフィニル、置換基群Aから選択される置換基で置換されたスルホニル、非置換スルファモイル、置換基群Aから選択される置換基で置換されたスルファモイル、置換もしくは非置換のアルキルスルホニルアミノ、置換もしくは非置換のアルケニルスルホニルアミノ、置換もしくは非置換のアルキニルスルホニルアミノ、置換もしくは非置換のアミノスルホニルアミノ、置換もしくは非置換のシクロアルキルスルホニルアミノ、置換もしくは非置換のシクロアルケニルスルホニルアミノ、置換もしくは非置換の非芳香族複素環スルホニルアミノ、置換もしくは非置換のアリールスルホニルアミノ、置換もしくは非置換のヘテロアリールスルホニルアミノ、または環を構成する窒素原子が置換基群Aから選択される置換基で置換されたスルホニルで置換された含窒素非芳香族複素環基であり;
B2が、
(式中、R9a、R9b、R10、R11およびpは上記(1)と同意義)で示される基である上記(1)記載の化合物、もしくはその製薬上許容される塩またはそれらの溶媒和物。
(2) X 1 is N, X 2 is N, X 3 is C (R x3 ), and X 4 is C (R x4 ), and R x3 and R x4 are each together with an adjacent ring member atom. To form a C ring, or X 1 is N, X 2 is C (R x2 ), X 3 is C (R x3 ), and X 4 is N, and R x2 and R x3 are adjacent to each other Together with the ring atoms to form a C ring;
Y is substituted or unsubstituted cycloalkylthio, substituted or unsubstituted cycloalkenylthio, substituted or unsubstituted nonaromatic heterocyclic thio, substituted or unsubstituted arylthio, substituted or unsubstituted heteroarylthio, substituent Sulfinyl substituted with a substituent selected from group A, sulfonyl substituted with a substituent selected from substituent group A, unsubstituted sulfamoyl, sulfamoyl substituted with a substituent selected from substituent group A, Substituted or unsubstituted alkylsulfonylamino, substituted or unsubstituted alkenylsulfonylamino, substituted or unsubstituted alkynylsulfonylamino, substituted or unsubstituted aminosulfonylamino, substituted or unsubstituted cycloalkylsulfonylamino, substituted or unsubstituted Cycloalkenyl The sulfonylamino, substituted or unsubstituted non-aromatic heterocyclic sulfonylamino, substituted or unsubstituted arylsulfonylamino, substituted or unsubstituted heteroarylsulfonylamino, or the nitrogen atom constituting the ring is selected from the substituent group A A nitrogen-containing non-aromatic heterocyclic group substituted with a sulfonyl substituted with a substituent;
B 2 is,
(Wherein R 9a , R 9b , R 10 , R 11 and p are as defined in (1) above), or a pharmaceutically acceptable salt thereof or a compound thereof Solvates.
(3)C環が、
(式中、W1、W2、R1a、R1b、n1、n2、n3およびn4は、上記(1)と同意義)で示される環である上記(2)記載の化合物、もしくはその製薬上許容される塩またはそれらの溶媒和物。
(3) Ring C is
(Wherein W 1 , W 2 , R 1a , R 1b , n 1 , n 2 , n 3 and n 4 have the same meaning as (1) above), and the compound according to (2) above Or a pharmaceutically acceptable salt thereof or a solvate thereof.
(4)C環が、
(式中、W1、R1aおよびn1は、上記(1)と同意義)で示される環である上記(2)記載の化合物、もしくはその製薬上許容される塩またはそれらの溶媒和物。
(4) Ring C is
(Wherein W 1 , R 1a and n 1 have the same meanings as (1) above), or a pharmaceutically acceptable salt thereof or a solvate thereof. .
(5)Rx1、Rx2、Rx3およびRx4が、それぞれ独立して、水素、ハロゲン、置換もしくは非置換のアルキル、置換もしくは非置換のアルケニル、置換もしくは非置換のアルキニル、置換もしくは非置換のアルキルオキシ、置換もしくは非置換のアルケニルオキシ、置換もしくは非置換のアルキニルオキシ、置換もしくは非置換のアルキルチオ、置換もしくは非置換のアルケニルチオ、置換もしくは非置換のアルキニルチオ、置換もしくは非置換のアシル、ヒドロキシ、カルボキシ、置換もしくは非置換のアルキルオキシカルボニル、置換もしくは非置換のアルケニルオキシカルボニル、置換もしくは非置換のアルキニルオキシカルボニル、置換もしくは非置換のシクロアルキルオキシカルボニル、置換もしくは非置換のシクロアルケニルオキシカルボニル、置換もしくは非置換の非芳香族複素環オキシカルボニル、置換もしくは非置換のアリールオキシカルボニル、置換もしくは非置換のヘテロアリールオキシカルボニル、非置換カルバモイル、置換基群Aから選択される置換基で置換されたカルバモイル、非置換スルファモイル、置換基群Aから選択される置換基で置換されたスルファモイル、置換基群Aから選択される置換基で置換されたスルフィニル、置換基群Aから選択される置換基で置換されたスルホニル、置換もしくは非置換のアルキルスルホニルオキシ、置換もしくは非置換のアリールスルホニルオキシ、シアノ、ニトロ、置換もしくは非置換のアミノ、置換もしくは非置換のシクロアルキル、置換もしくは非置換のシクロアルケニル、置換もしくは非置換の非芳香族複素環式基、置換もしくは非置換のアリール、置換もしくは非置換のヘテロアリール、置換もしくは非置換のシクロアルキルオキシ、置換もしくは非置換のシクロアルケニルオキシ、置換もしくは非置換の非芳香族複素環オキシ、置換もしくは非置換のアリールオキシ、または置換もしくは非置換のヘテロアリールオキシ;
Xが、N(R7c)(式中、R7cは上記(1)と同意義);
Yが、置換もしくは非置換のシクロアルキルチオ、置換もしくは非置換のシクロアルケニルチオ、置換もしくは非置換の非芳香族複素環チオ、置換もしくは非置換のアリールチオ、置換もしくは非置換のヘテロアリールチオ、置換基群Aから選択される置換基で置換されたスルフィニル、置換基群Aから選択される置換基で置換されたスルホニル、非置換スルファモイル、置換基群Aから選択される置換基で置換されたスルファモイル、置換もしくは非置換のアルキルスルホニルアミノ、置換もしくは非置換のアルケニルスルホニルアミノ、置換もしくは非置換のアルキニルスルホニルアミノ、置換もしくは非置換のアミノスルホニルアミノ、置換もしくは非置換のシクロアルキルスルホニルアミノ、置換もしくは非置換のシクロアルケニルスルホニルアミノ、置換もしくは非置換の非芳香族複素環スルホニルアミノ、置換もしくは非置換のアリールスルホニルアミノ、置換もしくは非置換のヘテロアリールスルホニルアミノ、または環を構成する窒素原子が置換基群Aから選択される置換基で置換されたスルホニルで置換された含窒素非芳香族複素環基;
B2が、
(式中、R9a、R9b、R10、R11およびpは上記(1)と同意義)で示される基である請求項1記載の化合物、もしくはその製薬上許容される塩またはそれらの溶媒和物。
(5) R x1 , R x2 , R x3 and R x4 are each independently hydrogen, halogen, substituted or unsubstituted alkyl, substituted or unsubstituted alkenyl, substituted or unsubstituted alkynyl, substituted or unsubstituted Alkyloxy, substituted or unsubstituted alkenyloxy, substituted or unsubstituted alkynyloxy, substituted or unsubstituted alkylthio, substituted or unsubstituted alkenylthio, substituted or unsubstituted alkynylthio, substituted or unsubstituted acyl, Hydroxy, carboxy, substituted or unsubstituted alkyloxycarbonyl, substituted or unsubstituted alkenyloxycarbonyl, substituted or unsubstituted alkynyloxycarbonyl, substituted or unsubstituted cycloalkyloxycarbonyl, substituted or unsubstituted cyclo Substitution selected from lukenyloxycarbonyl, substituted or unsubstituted non-aromatic heterocyclic oxycarbonyl, substituted or unsubstituted aryloxycarbonyl, substituted or unsubstituted heteroaryloxycarbonyl, unsubstituted carbamoyl, substituent group A Selected from carbamoyl substituted with a group, unsubstituted sulfamoyl, sulfamoyl substituted with a substituent selected from Substituent Group A, sulfinyl substituted with a substituent selected from Substituent Group A, Substituent Group A Substituted sulfonyl, substituted or unsubstituted alkylsulfonyloxy, substituted or unsubstituted arylsulfonyloxy, cyano, nitro, substituted or unsubstituted amino, substituted or unsubstituted cycloalkyl, substituted or unsubstituted Of cycloalkenyl, substituted or Substituted non-aromatic heterocyclic group, substituted or unsubstituted aryl, substituted or unsubstituted heteroaryl, substituted or unsubstituted cycloalkyloxy, substituted or unsubstituted cycloalkenyloxy, substituted or unsubstituted non-aromatic Heterocyclic oxy, substituted or unsubstituted aryloxy, or substituted or unsubstituted heteroaryloxy;
X is N (R 7c ) (wherein R 7c is as defined in (1) above);
Y is substituted or unsubstituted cycloalkylthio, substituted or unsubstituted cycloalkenylthio, substituted or unsubstituted nonaromatic heterocyclic thio, substituted or unsubstituted arylthio, substituted or unsubstituted heteroarylthio, substituent Sulfinyl substituted with a substituent selected from group A, sulfonyl substituted with a substituent selected from substituent group A, unsubstituted sulfamoyl, sulfamoyl substituted with a substituent selected from substituent group A, Substituted or unsubstituted alkylsulfonylamino, substituted or unsubstituted alkenylsulfonylamino, substituted or unsubstituted alkynylsulfonylamino, substituted or unsubstituted aminosulfonylamino, substituted or unsubstituted cycloalkylsulfonylamino, substituted or unsubstituted Cycloalkenyl The sulfonylamino, substituted or unsubstituted non-aromatic heterocyclic sulfonylamino, substituted or unsubstituted arylsulfonylamino, substituted or unsubstituted heteroarylsulfonylamino, or the nitrogen atom constituting the ring is selected from the substituent group A A nitrogen-containing non-aromatic heterocyclic group substituted with a sulfonyl substituted with a substituent;
B 2 is,
(Wherein R 9a , R 9b , R 10 , R 11 and p are the same as defined in (1) above), or a pharmaceutically acceptable salt thereof or a salt thereof Solvate.
(6)X1がN、X2がN、X3がC(Rx3)、およびX4がC(Rx4)であるか、または
X1がN、X2がC(Rx2)、X3がC(Rx3)、およびX4がNである、上記(5)記載の化合物、もしくはその製薬上許容される塩またはそれらの溶媒和物。
(6) X 1 is N, X 2 is N, X 3 is C (R x3 ), and X 4 is C (R x4 ), or X 1 is N, X 2 is C (R x2 ), The compound of the above-mentioned (5), wherein X 3 is C (R x3 ), and X 4 is N, or a pharmaceutically acceptable salt thereof, or a solvate thereof.
(7)X1がN、X2がC(Rx2)、X3がC(Rx3)、およびX4がC(Rx4)であるか、または
X1がC(Rx1)、X2がN、X3がC(Rx3)、およびX4がC(Rx4)である、上記(5)記載の化合物、もしくはその製薬上許容される塩またはそれらの溶媒和物。
(7) X 1 is N, X 2 is C (R x2 ), X 3 is C (R x3 ), and X 4 is C (R x4 ), or X 1 is C (R x1 ), X The compound according to the above (5), wherein 2 is N, X 3 is C (R x3 ), and X 4 is C (R x4 ), or a pharmaceutically acceptable salt thereof, or a solvate thereof.
(8)B2が、
(式中、R10、R11、およびpは上記(1)と同意義)で示される基である、上記(1)~(7)のいずれかに記載の化合物、もしくはその製薬上許容される塩またはそれらの溶媒和物。
(8) B 2 is,
(Wherein R 10 , R 11 , and p are as defined in (1) above), or a pharmaceutically acceptable compound thereof Salts or solvates thereof.
(9)Yが、置換基群Aから選択される置換基で置換されたスルホニル、非置換のスルファモイル、置換基群Aから選択される置換基で置換されたスルファモイル、置換もしくは非置換のアルキルスルホニルアミノ、置換もしくは非置換のアルケニルスルホニルアミノ、置換もしくは非置換のアルキニルスルホニルアミノ、置換もしくは非置換のシクロアルキルスルホニルアミノ、置換もしくは非置換のシクロアルケニルスルホニルアミノ、置換もしくは非置換の非芳香族複素環スルホニルアミノ、置換もしくは非置換のアリールスルホニルアミノ、置換もしくは非置換のヘテロアリールスルホニルアミノまたは環を構成する窒素原子が置換基群Aから選択される置換基で置換されたスルホニルで置換された含窒素非芳香族複素環基である、上記(1)~(8)のいずれかに記載の化合物、もしくはその製薬上許容される塩またはそれらの溶媒和物。
(10)Yが、置換基群Aから選択される置換基で置換されたスルホニル、非置換のスルファモイルまたは置換基群Aから選択される置換基で置換されたスルファモイルである、上記(1)~(9)のいずれかに記載の化合物、もしくはその製薬上許容される塩またはそれらの溶媒和物。
(11)mが、1~3の整数である上記(1)~(10)のいずれかに記載の化合物、もしくはその製薬上許容される塩またはそれらの溶媒和物。
(12)上記(1)~(11)のいずれかに記載の化合物、もしくはその製薬上許容される塩またはそれらの溶媒和物を含有する医薬組成物。
(13)ヒスタミンH4調節剤である、上記(12)記載の医薬組成物。
(14)上記(1)~(11)のいずれかに記載の化合物、その製薬上許容される塩またはそれらの溶媒和物を投与することを特徴とする、ヒスタミンH4受容体が関与する疾患または状態の治療および/または予防方法。
(15)ヒスタミンH4受容体が関与する疾患または状態の治療および/または予防のための、上記(1)~(11)のいずれかに記載の化合物、その製薬上許容される塩またはそれらの溶媒和物。
(9) Y is sulfonyl substituted with a substituent selected from Substituent Group A, unsubstituted sulfamoyl, sulfamoyl substituted with a substituent selected from Substituent Group A, substituted or unsubstituted alkylsulfonyl Amino, substituted or unsubstituted alkenylsulfonylamino, substituted or unsubstituted alkynylsulfonylamino, substituted or unsubstituted cycloalkylsulfonylamino, substituted or unsubstituted cycloalkenylsulfonylamino, substituted or unsubstituted nonaromatic heterocycle Sulfonylamino, substituted or unsubstituted arylsulfonylamino, substituted or unsubstituted heteroarylsulfonylamino, or nitrogen-containing nitrogen substituted with a sulfonyl substituted with a substituent selected from substituent group A A non-aromatic heterocyclic group, Serial (1) compound, or a pharmaceutically acceptable salt or solvate thereof according to any one of the - (8).
(10) Y is sulfonyl substituted with a substituent selected from Substituent Group A, unsubstituted sulfamoyl or sulfamoyl substituted with a substituent selected from Substituent Group A (9) The compound according to any one of the above, or a pharmaceutically acceptable salt thereof, or a solvate thereof.
(11) The compound according to any one of the above (1) to (10), wherein m is an integer of 1 to 3, or a pharmaceutically acceptable salt thereof, or a solvate thereof.
(12) A pharmaceutical composition comprising the compound according to any one of (1) to (11) above, or a pharmaceutically acceptable salt thereof, or a solvate thereof.
(13) The pharmaceutical composition according to the above (12), which is a histamine H4 modulator.
(14) a disease involving histamine H4 receptor, comprising administering a compound according to any one of (1) to (11) above, a pharmaceutically acceptable salt thereof, or a solvate thereof; How to treat and / or prevent a condition.
(15) The compound according to any one of (1) to (11) above, a pharmaceutically acceptable salt thereof or a solvent thereof for the treatment and / or prevention of a disease or condition involving histamine H4 receptor Japanese products.
また、本発明は例えば、以下の項目に関する。
(1’)式(I):
[式中、
環Aは、芳香族6員環;
X1は、NまたはC(Rx1);
X2は、NまたはC(Rx2);
X3は、NまたはC(Rx3);
X4は、NまたはC(Rx4);
Rx1、Rx2、Rx3およびRx4は、それぞれ独立して、水素、ハロゲン、置換もしくは非置換のアルキル、置換もしくは非置換のアルケニル、置換もしくは非置換のアルキニル、置換もしくは非置換のアルキルオキシ、置換もしくは非置換のアルケニルオキシ、置換もしくは非置換のアルキニルオキシ、置換もしくは非置換のアルキルチオ、置換もしくは非置換のアルケニルチオ、置換もしくは非置換のアルキニルチオ、置換もしくは非置換のアシル、ヒドロキシ、カルボキシ、置換もしくは非置換のアルキルオキシカルボニル、置換もしくは非置換のアルケニルオキシカルボニル、置換もしくは非置換のアルキニルオキシカルボニル、置換もしくは非置換のシクロアルキルオキシカルボニル、置換もしくは非置換のシクロアルケニルオキシカルボニル、置換もしくは非置換の非芳香族複素環オキシカルボニル、置換もしくは非置換のアリールオキシカルボニル、置換もしくは非置換のヘテロアリールオキシカルボニル、非置換カルバモイル、置換基群A(置換基群A:置換もしくは非置換のアルキル、置換もしくは非置換のアルケニル、置換もしくは非置換のアルキニル、置換もしくは非置換のシクロアルキル、置換もしくは非置換のシクロアルケニル、置換もしくは非置換の非芳香族複素環基、置換もしくは非置換のアリールおよび置換もしくは非置換のヘテロアリール)から選択される置換基で置換されたカルバモイル、非置換スルファモイル、置換基群Aから選択される置換基で置換されたスルファモイル、置換基群Aから選択される置換基で置換されたスルフィニル、置換基群Aから選択される置換基で置換されたスルホニル、置換もしくは非置換のアルキルスルホニルオキシ、置換もしくは非置換のアリールスルホニルオキシ、シアノ、ニトロ、置換もしくは非置換のアミノ、置換もしくは非置換のシクロアルキル、置換もしくは非置換のシクロアルケニル、置換もしくは非置換の非芳香族複素環式基、置換もしくは非置換のアリール、置換もしくは非置換のヘテロアリール、置換もしくは非置換のシクロアルキルオキシ、置換もしくは非置換のシクロアルケニルオキシ、置換もしくは非置換の非芳香族複素環オキシ、置換もしくは非置換のアリールオキシ、または置換もしくは非置換のヘテロアリールオキシ;または、
Rx2およびRx3、またはRx3およびRx4は、それぞれ隣接する環構成原子と一緒になってC環を形成してもよく;
C環は、
(式中、
W1は、それぞれ独立して、O、N(R2a)、S、S(O)またはS(O)2;
W2は、それぞれ独立して、O、N(R2b)またはS;
R2aおよびR2bは、それぞれ独立して、水素、置換もしくは非置換のアルキルまたは置換もしくは非置換のアシル;
n1は、0~4の整数;
n2は、0~3の整数;
n3は、0~2の整数;
n4は、0または1の整数;
R1aおよびR1bは、それぞれ独立して、
a)ハロゲン、置換もしくは非置換のアルキル、置換もしくは非置換のアルケニル、置換もしくは非置換のアルキニル、置換もしくは非置換のアルキルオキシ、置換もしくは非置換のアルケニルオキシ、置換もしくは非置換のアルキニルオキシ、置換もしくは非置換のアルキルチオ、置換もしくは非置換のアルケニルチオ、置換もしくは非置換のアルキニルチオ、置換もしくは非置換のアシル、ヒドロキシ、カルボキシ、置換もしくは非置換のアルキルオキシカルボニル、置換もしくは非置換のアルケニルオキシカルボニル、置換もしくは非置換のアルキニルオキシカルボニル、置換もしくは非置換のシクロアルキルオキシカルボニル、置換もしくは非置換のシクロアルケニルオキシカルボニル、置換もしくは非置換の非芳香族複素環オキシカルボニル、置換もしくは非置換のアリールオキシカルボニル、置換もしくは非置換のヘテロアリールオキシカルボニル、非置換カルバモイル、置換基群Aから選択される置換基で置換されたカルバモイル、非置換スルファモイル、置換基群Aから選択される置換基で置換されたスルファモイル、置換基群Aから選択される置換基で置換されたスルフィニル、置換基群Aから選択される置換基で置換されたスルホニル、置換もしくは非置換のアルキルスルホニルオキシ、置換もしくは非置換のアリールスルホニルオキシ、シアノ、ニトロ、置換もしくは非置換のアミノ、置換もしくは非置換のシクロアルキル、置換もしくは非置換のシクロアルケニル、置換もしくは非置換の非芳香族複素環式基、置換もしくは非置換のアリール、置換もしくは非置換のヘテロアリール、置換もしくは非置換のシクロアルキルオキシ、置換もしくは非置換のシクロアルケニルオキシ、置換もしくは非置換の非芳香族複素環オキシ、置換もしくは非置換のアリールオキシ、または置換もしくは非置換のヘテロアリールオキシ、または、
R1aは、以下のb)群~e)群からなる群から選択される1以上の基であってもよい;
b)2つのR1aが、同一の炭素原子に結合して、=Oならびに=NR3、
c)2つのR1aが、同一の炭素原子に結合して-(CR4aR4b)x-、
d)2つのR1aが、隣接する炭素原子に結合して-(CR5aR5b)y-、および
e)2つのR1aが、同一でなく、かつ隣接しない炭素原子に結合して-(CR6aR6b)z-、
ただし、R1aは、c)群、d)群およびe)群から同時に2以上選択される場合はない;
R3は、水素、置換もしくは非置換のアルキル、ヒドロキシ、置換もしくは非置換のアルキルオキシ、置換もしくは非置換のアルケニルオキシまたは置換もしくは非置換のアルキニルオキシ;
R4a、R4b、R5a、R5b、R6aおよびR6bは、それぞれ独立して、水素、ハロゲンまたは置換もしくは非置換のアルキル;
xは、2~7の整数;
yは、1~5の整数;
zは、1~3の整数)で示される環;
-B1は、式:-X-(CR8aR8b)m-Y
(式中、
Xは、C(R7aR7b)、N(R7c)、OまたはS;
R7aおよびR7bは、それぞれ独立して、水素、置換もしくは非置換のアルキル、シアノ、または一緒になってオキソもしくはチオキソ;
R7cは、水素、置換もしくは非置換のアルキルまたは置換もしくは非置換のアシル;
R8aおよびR8bは、それぞれ独立して、水素、ハロゲンまたは置換もしくは非置換のアルキル;
mは、0~5の整数;
Yは、メルカプト、置換もしくは非置換のアルキルチオ、置換もしくは非置換のアルケニルチオ、置換もしくは非置換のアルキニルチオ、置換もしくは非置換のシクロアルキルチオ、置換もしくは非置換のシクロアルケニルチオ、置換もしくは非置換の非芳香族複素環チオ、置換もしくは非置換のアリールチオ、置換もしくは非置換のヘテロアリールチオ、置換基群Aから選択される置換基で置換されたスルフィニル、置換基群Aから選択される置換基で置換されたスルホニル、非置換スルファモイル、置換基群Aから選択される置換基で置換されたスルファモイル、置換もしくは非置換のアルキルスルホニルアミノ、置換もしくは非置換のアルケニルスルホニルアミノ、置換もしくは非置換のアルキニルスルホニルアミノ、置換もしくは非置換のアミノスルホニルアミノ、置換もしくは非置換のシクロアルキルスルホニルアミノ、置換もしくは非置換のシクロアルケニルスルホニルアミノ、置換もしくは非置換の非芳香族複素環スルホニルアミノ、置換もしくは非置換のアリールスルホニルアミノ、置換もしくは非置換のヘテロアリールスルホニルアミノ、置換もしくは非置換のシクロアルキル、置換もしくは非置換のシクロアルケニル、環内の窒素原子が置換基群Aから選択される置換基で置換されたスルホニルで置換された含窒素非芳香族複素環基、置換もしくは非置換のアリール、または置換もしくは非置換のヘテロアリール)で示される基;
B2は、
(式中、
R9aおよびR9bは、それぞれ独立して、水素または置換もしくは非置換のアルキル;
R10は、それぞれ独立して、置換もしくは非置換のアルキル、ハロゲン、ヒドロキシ、置換もしくは非置換のアルキルオキシ、置換もしくは非置換のアミノ、または2つのR10が一緒になってオキソもしくはチオキソ;
R11は、水素または置換もしくは非置換のアルキル;
R12は、置換もしくは非置換のアルキル、ハロゲン、ヒドロキシまたは置換もしくは非置換のアルキルオキシ;
pは0~4の整数)で示される基)で示される化合物(ただし、
(i)Rx1、Rx2、Rx3およびRx4が、同時に2つ以上非置換スルファモイルである化合物、
(ii)A環がC環と縮合せず、Yがメルカプト、置換もしくは非置換のアルキルチオ、置換もしくは非置換のアルケニルチオ、置換もしくは非置換のアルキニルチオ、置換もしくは非置換のシクロアルキル、置換もしくは非置換のシクロアルケニル、置換もしくは非置換の非芳香族複素環、置換もしくは非置換のアリールまたは置換もしくは非置換のヘテロアリールである化合物、
(iii)Yが置換もしくは非置換のアルキルおよび置換もしくは非置換のアルキルオキシカルボニルで置換されたチアゾリル、または置換もしくは非置換のピリジルで置換されたチアゾリルである化合物、
(iv)mが0であり、XがN(R7c)、OまたはSである化合物、
(v)mが1であり、R7aまたはR7bがシアノであり、かつYが非置換ベンゾチアゾリルである化合物、および
(vi)以下に示す化合物:
を除く。]、もしくはその製薬上許容される塩またはそれらの溶媒和物。
Moreover, this invention relates to the following items, for example.
(1 ′) Formula (I):
[Where:
Ring A is an aromatic 6-membered ring;
X 1 is N or C (R x1 );
X 2 is N or C (R x2 );
X 3 is N or C (R x3 );
X 4 is N or C (R x4 );
R x1 , R x2 , R x3 and R x4 are each independently hydrogen, halogen, substituted or unsubstituted alkyl, substituted or unsubstituted alkenyl, substituted or unsubstituted alkynyl, substituted or unsubstituted alkyloxy Substituted or unsubstituted alkenyloxy, substituted or unsubstituted alkynyloxy, substituted or unsubstituted alkylthio, substituted or unsubstituted alkenylthio, substituted or unsubstituted alkynylthio, substituted or unsubstituted acyl, hydroxy, carboxy Substituted or unsubstituted alkyloxycarbonyl, substituted or unsubstituted alkenyloxycarbonyl, substituted or unsubstituted alkynyloxycarbonyl, substituted or unsubstituted cycloalkyloxycarbonyl, substituted or unsubstituted cycloalkenyl Ruoxycarbonyl, substituted or unsubstituted non-aromatic heterocyclic oxycarbonyl, substituted or unsubstituted aryloxycarbonyl, substituted or unsubstituted heteroaryloxycarbonyl, unsubstituted carbamoyl, substituent group A (substituent group A: Substituted or unsubstituted alkyl, substituted or unsubstituted alkenyl, substituted or unsubstituted alkynyl, substituted or unsubstituted cycloalkyl, substituted or unsubstituted cycloalkenyl, substituted or unsubstituted non-aromatic heterocyclic group, substituted Or substituted aryl or substituted heteroaryl), carbamoyl substituted with a substituent selected from substituents selected from substituent group A, sulfamoyl substituted with substituent selected from substituent group A, substituent group A Sulfur substituted with a substituent selected from Nyl, sulfonyl substituted with a substituent selected from substituent group A, substituted or unsubstituted alkylsulfonyloxy, substituted or unsubstituted arylsulfonyloxy, cyano, nitro, substituted or unsubstituted amino, substituted or non-substituted Substituted cycloalkyl, substituted or unsubstituted cycloalkenyl, substituted or unsubstituted non-aromatic heterocyclic group, substituted or unsubstituted aryl, substituted or unsubstituted heteroaryl, substituted or unsubstituted cycloalkyloxy, Substituted or unsubstituted cycloalkenyloxy, substituted or unsubstituted non-aromatic heterocyclic oxy, substituted or unsubstituted aryloxy, or substituted or unsubstituted heteroaryloxy; or
R x2 and R x3 , or R x3 and R x4 , together with adjacent ring members, may form a C ring;
Ring C is
(Where
Each W 1 is independently O, N (R 2a ), S, S (O) or S (O) 2 ;
Each W 2 independently represents O, N (R 2b ) or S;
R 2a and R 2b are each independently hydrogen, substituted or unsubstituted alkyl or substituted or unsubstituted acyl;
n 1 is an integer from 0 to 4;
n 2 is an integer from 0 to 3;
n 3 is an integer from 0 to 2;
n 4 is an integer of 0 or 1;
R 1a and R 1b are each independently
a) halogen, substituted or unsubstituted alkyl, substituted or unsubstituted alkenyl, substituted or unsubstituted alkynyl, substituted or unsubstituted alkyloxy, substituted or unsubstituted alkenyloxy, substituted or unsubstituted alkynyloxy, substituted Or unsubstituted alkylthio, substituted or unsubstituted alkenylthio, substituted or unsubstituted alkynylthio, substituted or unsubstituted acyl, hydroxy, carboxy, substituted or unsubstituted alkyloxycarbonyl, substituted or unsubstituted alkenyloxycarbonyl Substituted or unsubstituted alkynyloxycarbonyl, substituted or unsubstituted cycloalkyloxycarbonyl, substituted or unsubstituted cycloalkenyloxycarbonyl, substituted or unsubstituted non-aromatic heterocyclic oxycarbonyl From bonyl, substituted or unsubstituted aryloxycarbonyl, substituted or unsubstituted heteroaryloxycarbonyl, unsubstituted carbamoyl, carbamoyl substituted with a substituent selected from substituent group A, unsubstituted sulfamoyl, substituent group A Sulfamoyl substituted with a selected substituent, sulfinyl substituted with a substituent selected from substituent group A, sulfonyl substituted with a substituent selected from substituent group A, substituted or unsubstituted alkylsulfonyl Oxy, substituted or unsubstituted arylsulfonyloxy, cyano, nitro, substituted or unsubstituted amino, substituted or unsubstituted cycloalkyl, substituted or unsubstituted cycloalkenyl, substituted or unsubstituted non-aromatic heterocyclic group Substituted or unsubstituted aryl, substituted or non-substituted Substituted heteroaryl, substituted or unsubstituted cycloalkyloxy, substituted or unsubstituted cycloalkenyloxy, substituted or unsubstituted non-aromatic heterocyclic oxy, substituted or unsubstituted aryloxy, or substituted or unsubstituted hetero Aryloxy or
R 1a may be one or more groups selected from the group consisting of the following groups b) to e);
b) two R 1a are bonded to the same carbon atom, and ═O and ═NR 3 ,
c) Two R 1a are bonded to the same carbon atom to form — (CR 4a R 4b ) x—,
d) two R 1a bonded to adjacent carbon atoms-(CR 5a R 5b ) y-, and e) two R 1a bonded to non-identical and non-adjacent carbon atoms- ( CR 6a R 6b ) z-,
Provided that R 1a is not selected from two or more of c), d) and e) simultaneously;
R 3 is hydrogen, substituted or unsubstituted alkyl, hydroxy, substituted or unsubstituted alkyloxy, substituted or unsubstituted alkenyloxy, or substituted or unsubstituted alkynyloxy;
R 4a , R 4b , R 5a , R 5b , R 6a and R 6b are each independently hydrogen, halogen or substituted or unsubstituted alkyl;
x is an integer of 2 to 7;
y is an integer of 1 to 5;
z is an integer of 1 to 3);
—B 1 represents the formula: —X— (CR 8a R 8b ) mY
(Where
X is C (R 7a R 7b ), N (R 7c ), O or S;
R 7a and R 7b are each independently hydrogen, substituted or unsubstituted alkyl, cyano, or together oxo or thioxo;
R 7c is hydrogen, substituted or unsubstituted alkyl or substituted or unsubstituted acyl;
R 8a and R 8b are each independently hydrogen, halogen or substituted or unsubstituted alkyl;
m is an integer from 0 to 5;
Y is mercapto, substituted or unsubstituted alkylthio, substituted or unsubstituted alkenylthio, substituted or unsubstituted alkynylthio, substituted or unsubstituted cycloalkylthio, substituted or unsubstituted cycloalkenylthio, substituted or unsubstituted Non-aromatic heterocyclic thio, substituted or unsubstituted arylthio, substituted or unsubstituted heteroarylthio, sulfinyl substituted with a substituent selected from Substituent Group A, substituent selected from Substituent Group A Substituted sulfonyl, unsubstituted sulfamoyl, sulfamoyl substituted with a substituent selected from substituent group A, substituted or unsubstituted alkylsulfonylamino, substituted or unsubstituted alkenylsulfonylamino, substituted or unsubstituted alkynylsulfonyl Amino, substituted or non- Substituted aminosulfonylamino, substituted or unsubstituted cycloalkylsulfonylamino, substituted or unsubstituted cycloalkenylsulfonylamino, substituted or unsubstituted nonaromatic heterocyclic sulfonylamino, substituted or unsubstituted arylsulfonylamino, substituted or An unsubstituted heteroarylsulfonylamino, a substituted or unsubstituted cycloalkyl, a substituted or unsubstituted cycloalkenyl, a nitrogen atom in the ring substituted with a sulfonyl substituted with a substituent selected from Substituent Group A A nitrogen non-aromatic heterocyclic group, substituted or unsubstituted aryl, or substituted or unsubstituted heteroaryl);
B 2 is,
(Where
R 9a and R 9b are each independently hydrogen or substituted or unsubstituted alkyl;
Each R 10 independently represents substituted or unsubstituted alkyl, halogen, hydroxy, substituted or unsubstituted alkyloxy, substituted or unsubstituted amino, or two R 10 taken together to form oxo or thioxo;
R 11 is hydrogen or substituted or unsubstituted alkyl;
R 12 represents substituted or unsubstituted alkyl, halogen, hydroxy, or substituted or unsubstituted alkyloxy;
p is an integer of 0 to 4))
(I) the compound wherein R x1 , R x2 , R x3 and R x4 are simultaneously two or more unsubstituted sulfamoyl;
(Ii) ring A is not fused to ring C and Y is mercapto, substituted or unsubstituted alkylthio, substituted or unsubstituted alkenylthio, substituted or unsubstituted alkynylthio, substituted or unsubstituted cycloalkyl, substituted or A compound that is an unsubstituted cycloalkenyl, a substituted or unsubstituted non-aromatic heterocycle, a substituted or unsubstituted aryl or a substituted or unsubstituted heteroaryl,
(Iii) a compound wherein Y is thiazolyl substituted with substituted or unsubstituted alkyl and substituted or unsubstituted alkyloxycarbonyl, or thiazolyl substituted with substituted or unsubstituted pyridyl,
(Iv) a compound wherein m is 0 and X is N (R 7c ), O or S;
(V) a compound wherein m is 1, R 7a or R 7b is cyano, and Y is unsubstituted benzothiazolyl, and (vi) a compound shown below:
except for. Or a pharmaceutically acceptable salt or solvate thereof.
(2’)Rx1、Rx2、Rx3およびRx4が、それぞれ独立して、水素、ハロゲン、置換もしくは非置換のアルキル、置換もしくは非置換のアルケニル、置換もしくは非置換のアルキニル、置換もしくは非置換のアルキルオキシ、置換もしくは非置換のアルケニルオキシ、置換もしくは非置換のアルキニルオキシ、置換もしくは非置換のアルキルチオ、置換もしくは非置換のアルケニルチオ、置換もしくは非置換のアルキニルチオ、置換もしくは非置換のアシル、ヒドロキシ、カルボキシ、置換もしくは非置換のアルキルオキシカルボニル、置換もしくは非置換のアルケニルオキシカルボニル、置換もしくは非置換のアルキニルオキシカルボニル、置換もしくは非置換のシクロアルキルオキシカルボニル、置換もしくは非置換のシクロアルケニルオキシカルボニル、置換もしくは非置換の非芳香族複素環オキシカルボニル、置換もしくは非置換のアリールオキシカルボニル、置換もしくは非置換のヘテロアリールオキシカルボニル、非置換カルバモイル、置換基群Aから選択される置換基で置換されたカルバモイル、非置換スルファモイル、置換基群Aから選択される置換基で置換されたスルファモイル、置換基群Aから選択される置換基で置換されたスルフィニル、置換基群Aから選択される置換基で置換されたスルホニル、置換もしくは非置換のアルキルスルホニルオキシ、置換もしくは非置換のアリールスルホニルオキシ、シアノ、ニトロ、置換もしくは非置換のアミノ、置換もしくは非置換のシクロアルキル、置換もしくは非置換のシクロアルケニル、置換もしくは非置換の非芳香族複素環式基、置換もしくは非置換のアリール、置換もしくは非置換のヘテロアリール、置換もしくは非置換のシクロアルキルオキシ、置換もしくは非置換のシクロアルケニルオキシ、置換もしくは非置換の非芳香族複素環オキシ、置換もしくは非置換のアリールオキシ、または置換もしくは非置換のヘテロアリールオキシ;
Yが、置換もしくは非置換のシクロアルキルチオ、置換もしくは非置換のシクロアルケニルチオ、置換もしくは非置換の非芳香族複素環チオ、置換もしくは非置換のアリールチオ、置換もしくは非置換のヘテロアリールチオ、置換基群Aから選択される置換基で置換されたスルフィニル、置換基群Aから選択される置換基で置換されたスルホニル、非置換スルファモイル、置換基群Aから選択される置換基で置換されたスルファモイル、置換もしくは非置換のアルキルスルホニルアミノ、置換もしくは非置換のアルケニルスルホニルアミノ、置換もしくは非置換のアルキニルスルホニルアミノ、置換もしくは非置換のアミノスルホニルアミノ、置換もしくは非置換のシクロアルキルスルホニルアミノ、置換もしくは非置換のシクロアルケニルスルホニルアミノ、置換もしくは非置換の非芳香族複素環スルホニルアミノ、置換もしくは非置換のアリールスルホニルアミノ、置換もしくは非置換のヘテロアリールスルホニルアミノ、または環内の窒素原子が置換基群Aから選択される置換基で置換されたスルホニルで置換された含窒素非芳香族複素環基;
B2が、
(式中、R9a、R9b、R10、R11およびpは上記(1)と同意義。)で示される基である上記(1’)記載の化合物、もしくはその製薬上許容される塩またはそれらの溶媒和物。
(2 ′) R x1 , R x2 , R x3 and R x4 are each independently hydrogen, halogen, substituted or unsubstituted alkyl, substituted or unsubstituted alkenyl, substituted or unsubstituted alkynyl, substituted or unsubstituted Substituted alkyloxy, substituted or unsubstituted alkenyloxy, substituted or unsubstituted alkynyloxy, substituted or unsubstituted alkylthio, substituted or unsubstituted alkenylthio, substituted or unsubstituted alkynylthio, substituted or unsubstituted acyl Hydroxy, carboxy, substituted or unsubstituted alkyloxycarbonyl, substituted or unsubstituted alkenyloxycarbonyl, substituted or unsubstituted alkynyloxycarbonyl, substituted or unsubstituted cycloalkyloxycarbonyl, substituted or unsubstituted cyclo Substituent selected from alkenyloxycarbonyl, substituted or unsubstituted non-aromatic heterocyclic oxycarbonyl, substituted or unsubstituted aryloxycarbonyl, substituted or unsubstituted heteroaryloxycarbonyl, unsubstituted carbamoyl, substituent group A Selected from carbamoyl, unsubstituted sulfamoyl, sulfamoyl substituted with a substituent selected from Substituent Group A, sulfinyl substituted with a substituent selected from Substituent Group A, Substituent Group A Substituted sulfonyl, substituted or unsubstituted alkylsulfonyloxy, substituted or unsubstituted arylsulfonyloxy, cyano, nitro, substituted or unsubstituted amino, substituted or unsubstituted cycloalkyl, substituted or unsubstituted Cycloalkenyl, substituted or Substituted non-aromatic heterocyclic group, substituted or unsubstituted aryl, substituted or unsubstituted heteroaryl, substituted or unsubstituted cycloalkyloxy, substituted or unsubstituted cycloalkenyloxy, substituted or unsubstituted non-aromatic Heterocyclic oxy, substituted or unsubstituted aryloxy, or substituted or unsubstituted heteroaryloxy;
Y is substituted or unsubstituted cycloalkylthio, substituted or unsubstituted cycloalkenylthio, substituted or unsubstituted nonaromatic heterocyclic thio, substituted or unsubstituted arylthio, substituted or unsubstituted heteroarylthio, substituent Sulfinyl substituted with a substituent selected from group A, sulfonyl substituted with a substituent selected from substituent group A, unsubstituted sulfamoyl, sulfamoyl substituted with a substituent selected from substituent group A, Substituted or unsubstituted alkylsulfonylamino, substituted or unsubstituted alkenylsulfonylamino, substituted or unsubstituted alkynylsulfonylamino, substituted or unsubstituted aminosulfonylamino, substituted or unsubstituted cycloalkylsulfonylamino, substituted or unsubstituted Cycloalkenyl Sulfonylamino, substituted or unsubstituted non-aromatic heterocyclic sulfonylamino, substituted or unsubstituted arylsulfonylamino, substituted or unsubstituted heteroarylsulfonylamino, or a substituent in which the nitrogen atom in the ring is selected from substituent group A A nitrogen-containing non-aromatic heterocyclic group substituted with a sulfonyl substituted with a group;
B 2 is,
(Wherein R 9a , R 9b , R 10 , R 11 and p are as defined in (1) above), or a pharmaceutically acceptable salt thereof, or a pharmaceutically acceptable salt thereof Or a solvate thereof.
(3’)X1がN、X2がN、X3がC(Rx3)、およびX4がC(Rx4)であるか、またはX1がN、X2がC(Rx2)、X3がC(Rx3)、およびX4がNである、上記(1’)または(2’)記載の化合物、もしくはその製薬上許容される塩またはそれらの溶媒和物。 (3 ′) X 1 is N, X 2 is N, X 3 is C (R x3 ), and X 4 is C (R x4 ), or X 1 is N and X 2 is C (R x2 ) , X 3 is C (R x3 ), and X 4 is N, or a compound according to (1 ′) or (2 ′), or a pharmaceutically acceptable salt thereof, or a solvate thereof.
(4’)B2が、
(式中、R10、R11、およびpは上記(1’)と同意義。)で示される基である、上記(1’)~(3’)のいずれかに記載の化合物、もしくはその製薬上許容される塩またはそれらの溶媒和物。
(4 ′) B 2 is
(Wherein R 10 , R 11 , and p have the same meanings as (1 ′) above), or a compound according to any one of (1 ′) to (3 ′) above, A pharmaceutically acceptable salt or a solvate thereof.
(5’)X1がN、X2がN、X3がC(Rx3)、およびX4がC(Rx4)であり、Rx3およびRx4が、それぞれ隣接する環構成原子と一緒になってC環を形成する基であるか、または、X1がN、X2がC(Rx2)、X3がC(Rx3)、およびX4がNであり、Rx2およびRx3が、それぞれ隣接する環構成原子と一緒になってC環を形成する基であり;
Yが、置換もしくは非置換のシクロアルキルチオ、置換もしくは非置換のシクロアルケニルチオ、置換もしくは非置換の非芳香族複素環チオ、置換もしくは非置換のアリールチオ、置換もしくは非置換のヘテロアリールチオ、置換基群Aから選択される置換基で置換されたスルフィニル、置換基群Aから選択される置換基で置換されたスルホニル、非置換スルファモイル、置換基群Aから選択される置換基で置換されたスルファモイル、置換もしくは非置換のアルキルスルホニルアミノ、置換もしくは非置換のアルケニルスルホニルアミノ、置換もしくは非置換のアルキニルスルホニルアミノ、置換もしくは非置換のアミノスルホニルアミノ、置換もしくは非置換のシクロアルキルスルホニルアミノ、置換もしくは非置換のシクロアルケニルスルホニルアミノ、置換もしくは非置換の非芳香族複素環スルホニルアミノ、置換もしくは非置換のアリールスルホニルアミノ、置換もしくは非置換のヘテロアリールスルホニルアミノ、または環内の窒素原子が置換基群Aから選択される置換基で置換されたスルホニルで置換された含窒素非芳香族複素環基;
B2が、
(式中、R9a、R9b、R10、R11およびpは上記(1’)と同意義。)で示される基である上記(1’)記載の化合物、もしくはその製薬上許容される塩またはそれらの溶媒和物。
(5 ′) X 1 is N, X 2 is N, X 3 is C (R x3 ), and X 4 is C (R x4 ), and R x3 and R x4 are each together with an adjacent ring member atom. Or X 1 is N, X 2 is C (R x2 ), X 3 is C (R x3 ), and X 4 is N, and R x2 and R x3 is a group that forms a C ring together with adjacent ring members;
Y is substituted or unsubstituted cycloalkylthio, substituted or unsubstituted cycloalkenylthio, substituted or unsubstituted nonaromatic heterocyclic thio, substituted or unsubstituted arylthio, substituted or unsubstituted heteroarylthio, substituent Sulfinyl substituted with a substituent selected from group A, sulfonyl substituted with a substituent selected from substituent group A, unsubstituted sulfamoyl, sulfamoyl substituted with a substituent selected from substituent group A, Substituted or unsubstituted alkylsulfonylamino, substituted or unsubstituted alkenylsulfonylamino, substituted or unsubstituted alkynylsulfonylamino, substituted or unsubstituted aminosulfonylamino, substituted or unsubstituted cycloalkylsulfonylamino, substituted or unsubstituted Cycloalkenyl Sulfonylamino, substituted or unsubstituted non-aromatic heterocyclic sulfonylamino, substituted or unsubstituted arylsulfonylamino, substituted or unsubstituted heteroarylsulfonylamino, or a substituent in which the nitrogen atom in the ring is selected from substituent group A A nitrogen-containing non-aromatic heterocyclic group substituted with a sulfonyl substituted with a group;
B 2 is,
(Wherein R 9a , R 9b , R 10 , R 11 and p are as defined in (1 ′) above), or a pharmaceutically acceptable compound thereof described above (1 ′) Salts or solvates thereof.
(6’)Rx2およびRx3、またはRx3およびRx4が、それぞれ隣接する環構成原子と一緒になってC環を形成してもよく:
C環は、
(式中、W1、W2、R1a、R1b、n1、n2、n3およびn4は、上記(1’)と同意義。)で示される環;
Yが、置換もしくは非置換のシクロアルキルチオ、置換もしくは非置換のシクロアルケニルチオ、置換もしくは非置換の非芳香族複素環チオ、置換もしくは非置換のアリールチオ、置換もしくは非置換のヘテロアリールチオ、置換基群Aから選択される置換基で置換されたスルフィニル、置換基群Aから選択される置換基で置換されたスルホニル、非置換スルファモイル、置換基群Aから選択される置換基で置換されたスルファモイル、置換もしくは非置換のアルキルスルホニルアミノ、置換もしくは非置換のアルケニルスルホニルアミノ、置換もしくは非置換のアルキニルスルホニルアミノ、置換もしくは非置換のアミノスルホニルアミノ、置換もしくは非置換のシクロアルキルスルホニルアミノ、置換もしくは非置換のシクロアルケニルスルホニルアミノ、置換もしくは非置換の非芳香族複素環スルホニルアミノ、置換もしくは非置換のアリールスルホニルアミノ、置換もしくは非置換のヘテロアリールスルホニルアミノまたは環内の窒素原子が置換基群Aから選択される置換基で置換されたスルホニルで置換された含窒素非芳香族複素環基;
B2が、
(式中、R9a、R9b、R10、R11およびpは上記(1)と同意義。)で示される基である上記(1’)または(5’)記載の化合物、もしくはその製薬上許容される塩またはそれらの溶媒和物。
(6 ′) R x2 and R x3 , or R x3 and R x4 , together with adjacent ring members, may form a C ring:
Ring C is
(Wherein W 1 , W 2 , R 1a , R 1b , n 1 , n 2 , n 3 and n 4 have the same meaning as the above (1 ′));
Y is substituted or unsubstituted cycloalkylthio, substituted or unsubstituted cycloalkenylthio, substituted or unsubstituted nonaromatic heterocyclic thio, substituted or unsubstituted arylthio, substituted or unsubstituted heteroarylthio, substituent Sulfinyl substituted with a substituent selected from group A, sulfonyl substituted with a substituent selected from substituent group A, unsubstituted sulfamoyl, sulfamoyl substituted with a substituent selected from substituent group A, Substituted or unsubstituted alkylsulfonylamino, substituted or unsubstituted alkenylsulfonylamino, substituted or unsubstituted alkynylsulfonylamino, substituted or unsubstituted aminosulfonylamino, substituted or unsubstituted cycloalkylsulfonylamino, substituted or unsubstituted Cycloalkenyl A sulfonylamino, a substituted or unsubstituted non-aromatic heterocyclic sulfonylamino, a substituted or unsubstituted arylsulfonylamino, a substituted or unsubstituted heteroarylsulfonylamino or a substituent in which the nitrogen atom in the ring is selected from the substituent group A A nitrogen-containing non-aromatic heterocyclic group substituted with a sulfonyl substituted with
B 2 is,
(Wherein R 9a , R 9b , R 10 , R 11 and p have the same meanings as (1) above), or a compound thereof according to (1 ′) or (5 ′) or a pharmaceutical product thereof Top acceptable salts or solvates thereof.
(7’)B2が、
(式中、R10、R11、およびpは上記(1’)と同意義。)で示される基である、上記(1’)、(5’)または(6’)記載の化合物、もしくはその製薬上許容される塩またはそれらの溶媒和物。
(7 ′) B 2 is
(Wherein R 10 , R 11 , and p are as defined in (1 ′) above), or a compound described in (1 ′), (5 ′) or (6 ′) above, or The pharmaceutically acceptable salt or solvate thereof.
(8’)Yが、置換基群Aから選択される置換基で置換されたスルファモイル、置換もしくは非置換のアルキルスルホニルアミノ、置換もしくは非置換のアルケニルスルホニルアミノ、置換もしくは非置換のアルキニルスルホニルアミノ、置換もしくは非置換のシクロアルキルスルホニルアミノ、置換もしくは非置換のシクロアルケニルスルホニルアミノ、置換もしくは非置換の非芳香族複素環スルホニルアミノ、置換もしくは非置換のアリールスルホニルアミノ、置換もしくは非置換のヘテロアリールスルホニルアミノ、または環内の窒素原子が置換基群Aから選択される置換基で置換されたスルホニルで置換された含窒素非芳香族複素環基である、上記(1’)~(7’)のいずれかに記載の化合物、もしくはその製薬上許容される塩またはそれらの溶媒和物。 (8 ′) Y is sulfamoyl substituted with a substituent selected from Substituent Group A, substituted or unsubstituted alkylsulfonylamino, substituted or unsubstituted alkenylsulfonylamino, substituted or unsubstituted alkynylsulfonylamino, Substituted or unsubstituted cycloalkylsulfonylamino, substituted or unsubstituted cycloalkenylsulfonylamino, substituted or unsubstituted nonaromatic heterocyclic sulfonylamino, substituted or unsubstituted arylsulfonylamino, substituted or unsubstituted heteroarylsulfonyl Amino or a nitrogen-containing non-aromatic heterocyclic group substituted with a sulfonyl substituted with a substituent selected from Substituent Group A in the nitrogen atom, (1 ′) to (7 ′) above Any one of the compounds or pharmaceutically acceptable salts thereof. The solvate thereof.
(9’)Yが、置換基群Aから選択される置換基で置換されたスルファモイルである、上記(1’)~(8’)のいずれかに記載の化合物、もしくはその製薬上許容される塩またはそれらの溶媒和物。
(10’)mが、1~3の整数である上記(1’)~(9’)のいずれかに記載の化合物、もしくはその製薬上許容される塩またはそれらの溶媒和物。
(11’)上記(1’)~(10’)のいずれかに記載の化合物、もしくはその製薬上許容される塩またはそれらの溶媒和物を含有する医薬組成物。
(12’)ヒスタミンH4調節剤である、上記(11’)記載の医薬組成物。
(13’)上記(1’)~(10’)のいずれかに記載の化合物、もしくはその製薬上許容される塩またはそれらの溶媒和物を投与することを特徴とする、ヒスタミンH4受容体が関与する疾患の治療および/または予防方法。
(14’)ヒスタミンH4受容体が関与する疾患の治療薬および/または予防薬の製造のための、上記(1’)~(10’)のいずれかに記載の化合物、もしくはその製薬上許容される塩またはそれらの溶媒和物の使用。
(15’)ヒスタミンH4受容体が関与する疾患の治療および/または予防のための、上記(1’)~(10’)のいずれかに記載の化合物、もしくはその製薬上許容される塩またはそれらの溶媒和物。
(9 ′) The compound according to any one of the above (1 ′) to (8 ′), or a pharmaceutically acceptable salt thereof, wherein Y is sulfamoyl substituted with a substituent selected from Substituent Group A Salts or solvates thereof.
(10 ′) The compound according to any one of (1 ′) to (9 ′) above, wherein m is an integer of 1 to 3, or a pharmaceutically acceptable salt thereof, or a solvate thereof.
(11 ′) A pharmaceutical composition comprising the compound according to any one of (1 ′) to (10 ′) above, or a pharmaceutically acceptable salt thereof, or a solvate thereof.
(12 ′) The pharmaceutical composition according to the above (11 ′), which is a histamine H4 modulator.
(13 ′) A histamine H4 receptor characterized by administering a compound according to any one of (1 ′) to (10 ′) above, or a pharmaceutically acceptable salt thereof, or a solvate thereof. A method of treating and / or preventing a disease involved.
(14 ′) The compound according to any one of the above (1 ′) to (10 ′) or a pharmaceutically acceptable salt thereof for the manufacture of a therapeutic and / or prophylactic agent for a disease involving a histamine H4 receptor Salt or solvate thereof.
(15 ′) The compound according to any one of the above (1 ′) to (10 ′), or a pharmaceutically acceptable salt thereof, or the like thereof, for the treatment and / or prevention of a disease involving histamine H4 receptor Solvates.
また、本発明は例えば、以下の項目に関する。
(1’’)
式(I’):
[式中、Ra1およびRa2は、それぞれ独立して、水素、ハロゲン、置換もしくは非置換のアルキル、置換もしくは非置換のアルケニル、置換もしくは非置換のアルキニル、置換もしくは非置換のアルキルオキシ、置換もしくは非置換のアルケニルオキシ、置換もしくは非置換のアルキニルオキシ、置換もしくは非置換のアルキルチオ、置換もしくは非置換のアルケニルチオ、置換もしくは非置換のアルキニルチオ、アシル、ヒドロキシ、カルボキシ、置換もしくは非置換のアルキルオキシカルボニル、置換もしくは非置換のアルケニルオキシカルボニル、置換もしくは非置換のアルキニルオキシカルボニル、置換もしくは非置換のシクロアルキルオキシカルボニル、置換もしくは非置換のシクロアルケニルオキシカルボニル、置換もしくは非置換の非芳香族複素環オキシカルボニル、置換もしくは非置換のアリールオキシカルボニル、置換もしくは非置換のヘテロアリールオキシカルボニル、置換もしくは非置換のカルバモイル、置換もしくは非置換のスルファモイル、置換もしくは非置換のアルキルスルフィニル、置換もしくは非置換のアルケニルスルフィニル、置換もしくは非置換のアルキニルスルフィニル、置換もしくは非置換のシクロアルキルスルフィニル、置換もしくは非置換のシクロアルケニルスルフィニル、置換もしくは非置換の非芳香族複素環スルフィニル、置換もしくは非置換のアリールスルフィニル、置換もしくは非置換のヘテロアリールスルフィニル、置換基群Aから選択される置換基で置換されたスルホニル、置換もしくは非置換のアルキルスルホニルオキシ、置換もしくは非置換のアリールスルホニルオキシ、シアノ、ニトロ、置換もしくは非置換のアミノ、置換もしくは非置換のシクロアルキル、置換もしくは非置換のシクロアルケニル、置換もしくは非置換の非芳香族複素環式基、置換もしくは非置換のアリール、置換もしくは非置換のヘテロアリール、置換もしくは非置換のシクロアルキルオキシ、置換もしくは非置換のシクロアルケニルオキシ、置換もしくは非置換の非芳香族複素環オキシ、置換もしくは非置換のアリールオキシ、または置換もしくは非置換のヘテロアリールオキシ;またはRa1およびRa2は、それらが結合する炭素原子と一緒になってA環を形成してもよく:
A環は、
(式中、
R1は、それぞれ独立して、以下のa)群~e)群からなる群から選択される1以上の基;
a)ハロゲン、置換もしくは非置換のアルキル、置換もしくは非置換のアルケニル、置換もしくは非置換のアルキニル、置換もしくは非置換のアルキルオキシ、置換もしくは非置換のアルケニルオキシ、置換もしくは非置換のアルキニルオキシ、置換もしくは非置換のアルキルチオ、置換もしくは非置換のアルケニルチオ、置換もしくは非置換のアルキニルチオ、アシル、ヒドロキシ、カルボキシ、置換もしくは非置換のアルキルオキシカルボニル、置換もしくは非置換のアルケニルオキシカルボニル、置換もしくは非置換のアルキニルオキシカルボニル、置換もしくは非置換のシクロアルキルオキシカルボニル、置換もしくは非置換のシクロアルケニルオキシカルボニル、置換もしくは非置換の非芳香族複素環オキシカルボニル、置換もしくは非置換のアリールオキシカルボニル、置換もしくは非置換のヘテロアリールオキシカルボニル、置換もしくは非置換のカルバモイル、置換もしくは非置換のスルファモイル、置換もしくは非置換のアルキルスルフィニル、置換もしくは非置換のアルケニルスルフィニル、置換もしくは非置換のアルキニルスルフィニル、置換もしくは非置換のシクロアルキルスルフィニル、置換もしくは非置換のシクロアルケニルスルフィニル、置換もしくは非置換の非芳香族複素環スルフィニル、置換もしくは非置換のアリールスルフィニル、置換もしくは非置換のヘテロアリールスルフィニル、置換基群Aから選択される置換基で置換されたスルホニル、置換もしくは非置換のアルキルスルホニルオキシ、置換もしくは非置換のアリールスルホニルオキシ、シアノ、ニトロ、置換もしくは非置換のアミノ、置換もしくは非置換のシクロアルキル、置換もしくは非置換のシクロアルケニル、置換もしくは非置換の非芳香族複素環式基、置換もしくは非置換のアリール、置換もしくは非置換のヘテロアリール、置換もしくは非置換のシクロアルキルオキシ、置換もしくは非置換のシクロアルケニルオキシ、置換もしくは非置換の非芳香族複素環オキシ、置換もしくは非置換のアリールオキシ、ならびに置換もしくは非置換のヘテロアリールオキシ、
b)2つのR1が、同一の炭素原子に結合して、=Oならびに=NR3、
c)2つのR1が、同一の炭素原子に結合して-(CR4aR4b)x-、
d)2つのR1が、隣接する炭素原子に結合して-(CR5aR5b)y-、および
e)2つのR1が、同一でなく、かつ隣接しない炭素原子に結合して-(CR6aR6b)z-、
ただし、R1は、c)群、d)群およびe)群から同時に2以上選択される場合はない;
-W-は、-O-、-N(R2)-、-S-、-S(O)-または-S(O)2-;
R2は、水素、置換もしくは非置換のアルキルまたはアシル;
R3は、水素、置換もしくは非置換のアルキル、ヒドロキシ、置換もしくは非置換のアルキルオキシ、置換もしくは非置換のアルケニルオキシまたは置換もしくは非置換のアルキニルオキシ;
R4a、R4b、R5a、R5b、R6aおよびR6bは、それぞれ独立して、水素、ハロゲンまたは置換もしくは非置換のアルキル;
nは、0~4の整数;
xは、2~7の整数;
yは、1~5の整数;
zは、1~3の整数)で示される環;
-B1が-B’であり、-B2が-B’’であるか、または-B1が-B’’であり、-B2が-B’であり;
-B’は、式:-X-(CR8aR8b)m-Y
[式中、
-X-は、単結合、-N(R7)-、-O-または-S-;
R7は、水素、置換もしくは非置換のアルキルまたはアシル;
R8aおよびR8bは、それぞれ独立して、水素、ハロゲンまたは置換もしくは非置換のアルキル;
mは、1~5の整数:
Yは、メルカプト、置換もしくは非置換のアルキルチオ、置換もしくは非置換のアルケニルチオ、置換もしくは非置換のアルキニルチオ、置換もしくは非置換のシクロアルキルチオ、置換もしくは非置換のシクロアルケニルチオ、置換もしくは非置換の非芳香族複素環チオ、置換もしくは非置換のアリールチオ、置換もしくは非置換のヘテロアリールチオ、置換もしくは非置換のアルキルスルフィニル、置換もしくは非置換のアルケニルスルフィニル、置換もしくは非置換のアルキニルスルフィニル、置換もしくは非置換のシクロアルキルスルフィニル、置換もしくは非置換のシクロアルケニルスルフィニル、置換もしくは非置換の非芳香族複素環スルフィニル、置換もしくは非置換のアリールスルフィニル、置換もしくは非置換のヘテロアリールスルフィニル、置換基群Aから選択される置換基で置換されたスルホニル、置換もしくは非置換のスルファモイル、置換もしくは非置換のアルキルスルホニルアミノ、置換もしくは非置換のアルケニルスルホニルアミノ、置換もしくは非置換のアルキニルスルホニルアミノ、置換もしくは非置換のシクロアルキルスルホニルアミノ、置換もしくは非置換のシクロアルケニルスルホニルアミノ、置換もしくは非置換の非芳香族複素環スルホニルアミノ、置換もしくは非置換のアリールスルホニルアミノ、置換もしくは非置換のヘテロアリールスルホニルアミノ、または置換もしくは非置換の非芳香族含硫黄複素環式基]で示される基;
-B’’は、
(式中、R10は、それぞれ独立して、置換もしくは非置換のアルキル、ハロゲン、ヒドロキシ、置換もしくは非置換のアルキルオキシ、または置換もしくは非置換のアミノ;
R11は、水素または置換もしくは非置換のアルキル;
R9aおよびR9bは、それぞれ独立して、水素または置換もしくは非置換のアルキル;
pは0~4の整数)で示される環]で示される化合物(ただし、
を除く。)もしくはその製薬上許容される塩またはそれらの溶媒和物。
Moreover, this invention relates to the following items, for example.
(1 '')
Formula (I ′):
Wherein R a1 and R a2 are each independently hydrogen, halogen, substituted or unsubstituted alkyl, substituted or unsubstituted alkenyl, substituted or unsubstituted alkynyl, substituted or unsubstituted alkyloxy, substituted Or unsubstituted alkenyloxy, substituted or unsubstituted alkynyloxy, substituted or unsubstituted alkylthio, substituted or unsubstituted alkenylthio, substituted or unsubstituted alkynylthio, acyl, hydroxy, carboxy, substituted or unsubstituted alkyl Oxycarbonyl, substituted or unsubstituted alkenyloxycarbonyl, substituted or unsubstituted alkynyloxycarbonyl, substituted or unsubstituted cycloalkyloxycarbonyl, substituted or unsubstituted cycloalkenyloxycarbonyl, substituted Is an unsubstituted non-aromatic heterocyclic oxycarbonyl, substituted or unsubstituted aryloxycarbonyl, substituted or unsubstituted heteroaryloxycarbonyl, substituted or unsubstituted carbamoyl, substituted or unsubstituted sulfamoyl, substituted or unsubstituted Alkylsulfinyl, substituted or unsubstituted alkenylsulfinyl, substituted or unsubstituted alkynylsulfinyl, substituted or unsubstituted cycloalkylsulfinyl, substituted or unsubstituted cycloalkenylsulfinyl, substituted or unsubstituted nonaromatic heterocyclic sulfinyl, substituted Or unsubstituted arylsulfinyl, substituted or unsubstituted heteroarylsulfinyl, sulfonyl substituted with a substituent selected from substituent group A, substituted or unsubstituted alkylsulfonyl Ruoxy, substituted or unsubstituted arylsulfonyloxy, cyano, nitro, substituted or unsubstituted amino, substituted or unsubstituted cycloalkyl, substituted or unsubstituted cycloalkenyl, substituted or unsubstituted non-aromatic heterocyclic group Substituted or unsubstituted aryl, substituted or unsubstituted heteroaryl, substituted or unsubstituted cycloalkyloxy, substituted or unsubstituted cycloalkenyloxy, substituted or unsubstituted non-aromatic heterocyclic oxy, substituted or unsubstituted Or a substituted or unsubstituted heteroaryloxy; or R a1 and R a2 together with the carbon atom to which they are attached may form an A ring:
Ring A is
(Where
Each R 1 independently represents one or more groups selected from the group consisting of the following groups a) to e);
a) halogen, substituted or unsubstituted alkyl, substituted or unsubstituted alkenyl, substituted or unsubstituted alkynyl, substituted or unsubstituted alkyloxy, substituted or unsubstituted alkenyloxy, substituted or unsubstituted alkynyloxy, substituted Or unsubstituted alkylthio, substituted or unsubstituted alkenylthio, substituted or unsubstituted alkynylthio, acyl, hydroxy, carboxy, substituted or unsubstituted alkyloxycarbonyl, substituted or unsubstituted alkenyloxycarbonyl, substituted or unsubstituted Alkynyloxycarbonyl, substituted or unsubstituted cycloalkyloxycarbonyl, substituted or unsubstituted cycloalkenyloxycarbonyl, substituted or unsubstituted non-aromatic heterocyclic oxycarbonyl, substituted or unsubstituted Unsubstituted aryloxycarbonyl, substituted or unsubstituted heteroaryloxycarbonyl, substituted or unsubstituted carbamoyl, substituted or unsubstituted sulfamoyl, substituted or unsubstituted alkylsulfinyl, substituted or unsubstituted alkenylsulfinyl, substituted or unsubstituted Substituted alkynylsulfinyl, substituted or unsubstituted cycloalkylsulfinyl, substituted or unsubstituted cycloalkenylsulfinyl, substituted or unsubstituted nonaromatic heterocyclic sulfinyl, substituted or unsubstituted arylsulfinyl, substituted or unsubstituted heteroaryl Sulfinyl, sulfonyl substituted with a substituent selected from substituent group A, substituted or unsubstituted alkylsulfonyloxy, substituted or unsubstituted arylsulfonyloxy , Cyano, nitro, substituted or unsubstituted amino, substituted or unsubstituted cycloalkyl, substituted or unsubstituted cycloalkenyl, substituted or unsubstituted non-aromatic heterocyclic group, substituted or unsubstituted aryl, substituted or Unsubstituted heteroaryl, substituted or unsubstituted cycloalkyloxy, substituted or unsubstituted cycloalkenyloxy, substituted or unsubstituted non-aromatic heterocyclic oxy, substituted or unsubstituted aryloxy, and substituted or unsubstituted Heteroaryloxy,
b) two R 1 are bonded to the same carbon atom, and ═O and ═NR 3 ,
c) when two R 1 are bonded to the same carbon atom-(CR 4a R 4b ) x-,
d) Two R 1 are bonded to adjacent carbon atoms-(CR 5a R 5b ) y-, and e) Two R 1 are bonded to non-identical and non-adjacent carbon atoms- ( CR 6a R 6b ) z-,
Provided that R 1 is not selected from two or more of c), d) and e) at the same time;
—W— represents —O—, —N (R 2 ) —, —S—, —S (O) — or —S (O) 2 —;
R 2 is hydrogen, substituted or unsubstituted alkyl or acyl;
R 3 is hydrogen, substituted or unsubstituted alkyl, hydroxy, substituted or unsubstituted alkyloxy, substituted or unsubstituted alkenyloxy, or substituted or unsubstituted alkynyloxy;
R 4a , R 4b , R 5a , R 5b , R 6a and R 6b are each independently hydrogen, halogen or substituted or unsubstituted alkyl;
n is an integer from 0 to 4;
x is an integer of 2 to 7;
y is an integer of 1 to 5;
z is an integer of 1 to 3);
-B 1 is -B 'and -B 2 is -B "or -B 1 is -B" and -B 2 is -B';
—B ′ is represented by the formula: —X— (CR 8a R 8b ) mY
[Where
—X— represents a single bond, —N (R 7 ) —, —O— or —S—;
R 7 is hydrogen, substituted or unsubstituted alkyl or acyl;
R 8a and R 8b are each independently hydrogen, halogen or substituted or unsubstituted alkyl;
m is an integer from 1 to 5:
Y is mercapto, substituted or unsubstituted alkylthio, substituted or unsubstituted alkenylthio, substituted or unsubstituted alkynylthio, substituted or unsubstituted cycloalkylthio, substituted or unsubstituted cycloalkenylthio, substituted or unsubstituted Non-aromatic heterocyclic thio, substituted or unsubstituted arylthio, substituted or unsubstituted heteroarylthio, substituted or unsubstituted alkylsulfinyl, substituted or unsubstituted alkenylsulfinyl, substituted or unsubstituted alkynylsulfinyl, substituted or unsubstituted Substituted cycloalkylsulfinyl, substituted or unsubstituted cycloalkenylsulfinyl, substituted or unsubstituted non-aromatic heterocyclic sulfinyl, substituted or unsubstituted arylsulfinyl, substituted or unsubstituted heteroaryl Sulfinyl, sulfonyl substituted with a substituent selected from substituent group A, substituted or unsubstituted sulfamoyl, substituted or unsubstituted alkylsulfonylamino, substituted or unsubstituted alkenylsulfonylamino, substituted or unsubstituted alkynylsulfonyl Amino, substituted or unsubstituted cycloalkylsulfonylamino, substituted or unsubstituted cycloalkenylsulfonylamino, substituted or unsubstituted nonaromatic heterocyclic sulfonylamino, substituted or unsubstituted arylsulfonylamino, substituted or unsubstituted hetero Arylsulfonylamino, or a group represented by a substituted or unsubstituted non-aromatic sulfur-containing heterocyclic group];
-B ''
Wherein R 10 is independently substituted or unsubstituted alkyl, halogen, hydroxy, substituted or unsubstituted alkyloxy, or substituted or unsubstituted amino;
R 11 is hydrogen or substituted or unsubstituted alkyl;
R 9a and R 9b are each independently hydrogen or substituted or unsubstituted alkyl;
p is a ring represented by 0 to 4, and a compound represented by the formula:
except for. Or a pharmaceutically acceptable salt thereof or a solvate thereof.
(2’’)Ra1およびRa2が、それぞれ独立して、水素、ハロゲン、置換もしくは非置換のアルキル、置換もしくは非置換のアルケニル、置換もしくは非置換のアルキニル、置換もしくは非置換のアルキルオキシ、置換もしくは非置換のアルケニルオキシ、置換もしくは非置換のアルキニルオキシ、置換もしくは非置換のアルキルチオ、置換もしくは非置換のアルケニルチオ、置換もしくは非置換のアルキニルチオ、アシル、ヒドロキシ、カルボキシ、置換もしくは非置換のアルキルオキシカルボニル、置換もしくは非置換のアルケニルオキシカルボニル、置換もしくは非置換のアルキニルオキシカルボニル、置換もしくは非置換のシクロアルキルオキシカルボニル、置換もしくは非置換のシクロアルケニルオキシカルボニル、置換もしくは非置換の非芳香族複素環オキシカルボニル、置換もしくは非置換のアリールオキシカルボニル、置換もしくは非置換のヘテロアリールオキシカルボニル、置換もしくは非置換のカルバモイル、置換もしくは非置換のスルファモイル、置換もしくは非置換のアルキルスルフィニル、置換もしくは非置換のアルケニルスルフィニル、置換もしくは非置換のアルキニルスルフィニル、置換もしくは非置換のシクロアルキルスルフィニル、置換もしくは非置換のシクロアルケニルスルフィニル、置換もしくは非置換の非芳香族複素環スルフィニル、置換もしくは非置換のアリールスルフィニル、置換もしくは非置換のヘテロアリールスルフィニル、置換基群Aから選択される置換基で置換されたスルホニル、置換もしくは非置換のアルキルスルホニルオキシ、置換もしくは非置換のアリールスルホニルオキシ、シアノ、ニトロ、置換もしくは非置換のアミノ、置換もしくは非置換のシクロアルキル、置換もしくは非置換のシクロアルケニル、置換もしくは非置換の非芳香族複素環式基、置換もしくは非置換のアリール、置換もしくは非置換のヘテロアリール、置換もしくは非置換のシクロアルキルオキシ、置換もしくは非置換のシクロアルケニルオキシ、置換もしくは非置換の非芳香族複素環オキシ、置換もしくは非置換のアリールオキシ、または置換もしくは非置換のヘテロアリールオキシである、上記(1’’)記載の化合物もしくはその製薬上許容される塩またはそれらの溶媒和物。 (2 ″) R a1 and R a2 are each independently hydrogen, halogen, substituted or unsubstituted alkyl, substituted or unsubstituted alkenyl, substituted or unsubstituted alkynyl, substituted or unsubstituted alkyloxy, Substituted or unsubstituted alkenyloxy, substituted or unsubstituted alkynyloxy, substituted or unsubstituted alkylthio, substituted or unsubstituted alkenylthio, substituted or unsubstituted alkynylthio, acyl, hydroxy, carboxy, substituted or unsubstituted Alkyloxycarbonyl, substituted or unsubstituted alkenyloxycarbonyl, substituted or unsubstituted alkynyloxycarbonyl, substituted or unsubstituted cycloalkyloxycarbonyl, substituted or unsubstituted cycloalkenyloxycarbonyl, substituted or Is an unsubstituted non-aromatic heterocyclic oxycarbonyl, substituted or unsubstituted aryloxycarbonyl, substituted or unsubstituted heteroaryloxycarbonyl, substituted or unsubstituted carbamoyl, substituted or unsubstituted sulfamoyl, substituted or unsubstituted Alkylsulfinyl, substituted or unsubstituted alkenylsulfinyl, substituted or unsubstituted alkynylsulfinyl, substituted or unsubstituted cycloalkylsulfinyl, substituted or unsubstituted cycloalkenylsulfinyl, substituted or unsubstituted non-aromatic heterocyclic sulfinyl, substituted Or unsubstituted arylsulfinyl, substituted or unsubstituted heteroarylsulfinyl, sulfonyl substituted with a substituent selected from substituent group A, substituted or unsubstituted alkylsulfonyl Oxy, substituted or unsubstituted arylsulfonyloxy, cyano, nitro, substituted or unsubstituted amino, substituted or unsubstituted cycloalkyl, substituted or unsubstituted cycloalkenyl, substituted or unsubstituted non-aromatic heterocyclic group Substituted or unsubstituted aryl, substituted or unsubstituted heteroaryl, substituted or unsubstituted cycloalkyloxy, substituted or unsubstituted cycloalkenyloxy, substituted or unsubstituted non-aromatic heterocyclic oxy, substituted or unsubstituted Or a pharmaceutically acceptable salt thereof or a solvate thereof. The compound according to the above (1 ″), which is an aryloxy of the above, or a substituted or unsubstituted heteroaryloxy.
(3’’)Ra1およびRa2が、それぞれ結合する炭素原子と一緒になってA環(式中、A環は上記(1’’)と同意義。)を形成する基である、上記(1’’)または(2’’)記載の化合物もしくはその製薬上許容される塩またはそれらの溶媒和物。 (3 ″) R a1 and R a2 are groups that together form a ring A together with the carbon atoms to which they are bonded (wherein the A ring is as defined above (1 ″)), (1 ″) or (2 ″) a compound or a pharmaceutically acceptable salt thereof or a solvate thereof.
(4’’)Yが、置換もしくは非置換のスルファモイル、置換もしくは非置換のアルキルスルホニルアミノ、置換もしくは非置換のアルケニルスルホニルアミノ、置換もしくは非置換のアルキニルスルホニルアミノ、置換もしくは非置換のシクロアルキルスルホニルアミノ、置換もしくは非置換のシクロアルケニルスルホニルアミノ、置換もしくは非置換の非芳香族複素環スルホニルアミノ、置換もしくは非置換のアリールスルホニルアミノまたは置換もしくは非置換のヘテロアリールスルホニルアミノである、上記(1’’)~(3’’)のいずれかに記載の化合物もしくはその製薬上許容される塩またはそれらの溶媒和物。 (4 ″) Y is substituted or unsubstituted sulfamoyl, substituted or unsubstituted alkylsulfonylamino, substituted or unsubstituted alkenylsulfonylamino, substituted or unsubstituted alkynylsulfonylamino, substituted or unsubstituted cycloalkylsulfonyl Amino, substituted or unsubstituted cycloalkenylsulfonylamino, substituted or unsubstituted nonaromatic heterocyclic sulfonylamino, substituted or unsubstituted arylsulfonylamino or substituted or unsubstituted heteroarylsulfonylamino (1 ′ The compound according to any one of ') to (3' ') or a pharmaceutically acceptable salt thereof, or a solvate thereof.
(5’’)-B1が-B’であり、-B2が-B’’である、上記(1’’)~(4’’)のいずれかに記載の化合物もしくはその製薬上許容される塩またはそれらの溶媒和物。 (5 ″) The compound according to any one of the above (1 ″) to (4 ″) or a pharmaceutically acceptable salt thereof, wherein —B 1 is —B ′ and —B 2 is —B ″. Salts or solvates thereof.
(6’’)-B1が-B’’であり、-B2が-B’である、上記(1’’)~(4’’)のいずれかに記載の化合物もしくはその製薬上許容される塩またはそれらの溶媒和物。 (6 ″) The compound according to any one of the above (1 ″) to (4 ″) or a pharmaceutically acceptable salt thereof, wherein —B 1 is —B ″ and —B 2 is —B ′. Salts or solvates thereof.
(7’’)-B’’が、
(式中、R10、R11、およびpは上記(1’’)と同意義)である、上記(1’’)~(6’’)のいずれかに記載の化合物もしくはその製薬上許容される塩またはそれらの溶媒和物。
(7 ") -B"
(Wherein R 10 , R 11 , and p are as defined above (1 ″)), or a pharmaceutically acceptable compound thereof according to any one of (1 ″) to (6 ″) above Salts or solvates thereof.
(8’’)上記(1’’)~(7’’)のいずれかに記載の化合物、もしくはその製薬上許容される塩またはそれらの溶媒和物を含有する医薬組成物。
(9’’)ヒスタミンH4調節剤である、上記(8’’)記載の医薬組成物。
(10’’)上記(1’’)~(7’’)のいずれかに記載の化合物、その製薬上許容される塩またはそれらの溶媒和物を投与することを特徴とする、ヒスタミンH4受容体が関与する疾患の予防または治療方法。
(11’’)ヒスタミンH4受容体が関与する疾患の治療薬および/または予防薬の製造のための、(1’’)~(7’’)のいずれかに記載の化合物、その製薬上許容される塩またはそれらの溶媒和物の使用。
(12’’)ヒスタミンH4受容体が関与する疾患の治療および/または予防のための、(1’’)~(7’’)のいずれかに記載の化合物、その製薬上許容される塩またはそれらの溶媒和物。
(8 ″) A pharmaceutical composition comprising the compound according to any one of (1 ″) to (7 ″) above, or a pharmaceutically acceptable salt thereof, or a solvate thereof.
(9 ″) The pharmaceutical composition according to the above (8 ″), which is a histamine H4 modulator.
(10 ″) Histamine H4 receptor characterized by administering the compound according to any one of (1 ″) to (7 ″) above, a pharmaceutically acceptable salt thereof or a solvate thereof A method for preventing or treating diseases involving the body.
(11 ″) The compound according to any one of (1 ″) to (7 ″) for the manufacture of a therapeutic and / or prophylactic agent for diseases involving histamine H4 receptor, its pharmaceutically acceptable Salt or solvate thereof.
(12 ″) The compound according to any one of (1 ″) to (7 ″), a pharmaceutically acceptable salt thereof or a compound for the treatment and / or prevention of a disease involving histamine H4 receptor Their solvates.
以下、本発明について実施形態を示しながら説明する。本明細書の全体にわたり、単数形の表現は、特に言及しない限り、その複数形の概念をも含むことが理解されるべきである。従って、単数形の冠詞(例えば、英語の場合は「a」、「an」、「the」など)は、特に言及しない限り、その複数形の概念をも含むことが理解されるべきである。また、本明細書において使用される用語は、特に言及しない限り、当上記分野で通常用いられる意味で用いられることが理解されるべきである。したがって、他に定義されない限り、本明細書中で使用される全ての専門用語および科学技術用語は、本発明の属する分野の当業者によって一般的に理解されるのと同じ意味を有する。矛盾する場合、本明細書(定義を含めて)が優先する。 Hereinafter, the present invention will be described with reference to embodiments. Throughout this specification, it should be understood that the singular forms also include the plural concept unless specifically stated otherwise. Thus, it should be understood that singular articles (eg, “a”, “an”, “the”, etc. in the case of English) also include the plural concept unless otherwise stated. In addition, it is to be understood that the terms used in the present specification are used in the meaning normally used in the above field unless otherwise specified. Thus, unless defined otherwise, all technical and scientific terms used herein have the same meaning as commonly understood by one of ordinary skill in the art to which this invention belongs. In case of conflict, the present specification, including definitions, will control.
本明細書中で用いる用語を以下に説明する。各用語は、特に記載しない限り以下の意味を有する。 The terms used in this specification are explained below. Each term has the following meaning unless otherwise specified.
「ハロゲン」とはフッ素、塩素、臭素およびヨウ素を意味する。 “Halogen” means fluorine, chlorine, bromine and iodine.
「ハロアルキル」、「ハロアルキルオキシ」のハロゲン部分は上記「ハロゲン」と同義である。 The halogen part of “haloalkyl” and “haloalkyloxy” has the same meaning as the above “halogen”.
「アルキル」とは、炭素数1~10、好ましくは炭素数1~6、さらに好ましくは炭素数1~3の直鎖または分枝鎖の1価の炭化水素基を包含する。例えば、メチル、エチル、n-プロピル、イソプロピル、n-ブチル、イソブチル、sec-ブチル、tert-ブチル、n-ペンチル、イソペンチル、ネオペンチル、n-ヘキシル、イソヘキシル、n-へプチル、イソヘプチル、n-オクチル、イソオクチル、n-ノニル、n-デシル等が挙げられる。
Rx1、Rx2、Rx3およびRx4における「アルキル」としては、メチル、エチル、n-プロピル、イソプロピル等が挙げられる。
R9a、R9b、R10およびR11における「アルキル」としては、メチル、エチル、n-プロピル、イソプロピル等が挙げられる。
“Alkyl” includes linear or branched monovalent hydrocarbon groups having 1 to 10 carbon atoms, preferably 1 to 6 carbon atoms, and more preferably 1 to 3 carbon atoms. For example, methyl, ethyl, n-propyl, isopropyl, n-butyl, isobutyl, sec-butyl, tert-butyl, n-pentyl, isopentyl, neopentyl, n-hexyl, isohexyl, n-heptyl, isoheptyl, n-octyl , Isooctyl, n-nonyl, n-decyl and the like.
Examples of “alkyl” in R x1 , R x2 , R x3 and R x4 include methyl, ethyl, n-propyl, isopropyl and the like.
Examples of “alkyl” in R 9a , R 9b , R 10 and R 11 include methyl, ethyl, n-propyl, isopropyl and the like.
「ハロアルキル」、「アルキルアミノ」、「アルキルイミノ」、「アルキルスルフィニル」、「アルキルスルホニル」、「アルキルスルホニルオキシ」、「アルキルスルファモイル」、「アリールアルキル」、「アリールアルキルアミノ」等のアルキル部分は、上記「アルキル」と同義である。 Alkyl such as “haloalkyl”, “alkylamino”, “alkylimino”, “alkylsulfinyl”, “alkylsulfonyl”, “alkylsulfonyloxy”, “alkylsulfamoyl”, “arylalkyl”, “arylalkylamino”, etc. The moiety is as defined above for “alkyl”.
「アルキルオキシ」のアルキル部分は、上記「アルキル」と同義である。例えば、メトキシ、エトキシ、n-プロポキシ、イソプロポキシ、n-ブトキシ、イソブトキシ、sec-ブトキシ、tert-ブトキシ、ペンチルオキシ、イソペンチルオキシ、ネオペンチルオキシ、ヘキシルオキシ等が挙げられる。
Rx1、Rx2、Rx3およびRx4における「アルキルオキシ」としては、メトキシ、エトキシ、プロポキシ、イソプロポキシ等が挙げられる。
The alkyl part of “alkyloxy” has the same meaning as the above “alkyl”. Examples thereof include methoxy, ethoxy, n-propoxy, isopropoxy, n-butoxy, isobutoxy, sec-butoxy, tert-butoxy, pentyloxy, isopentyloxy, neopentyloxy, hexyloxy and the like.
“ Alkyloxy ” in R x1 , R x2 , R x3 and R x4 includes methoxy, ethoxy, propoxy, isopropoxy and the like.
「ハロアルキルオキシ」、「アルキルオキシイミノ」等のアルキルオキシ部分は、上記「アルキルオキシ」と同義である。 The alkyloxy moiety such as “haloalkyloxy” and “alkyloxyimino” has the same meaning as the above “alkyloxy”.
「アルキルチオ」のアルキル部分は、上記「アルキル」と同義である。例えば、メチルチオ、エチルチオ、n-プロピルチオ、イソプロピルチオ、ブチルチオ、イソブチルチオ、sec-ブチルチオ、tert-ブチルチオ、ペンチルチオ、イソペンチルチオ、ネオペンチルチオ、ヘキシルチオ等が挙げられる。
Rx1、Rx2、Rx3およびRx4における「アルキルチオ」としては、メチルチオ、エチルチオ、n-プロピルチオ、イソプロピルチオ等が挙げられる。
The alkyl part of “alkylthio” has the same meaning as the above “alkyl”. Examples thereof include methylthio, ethylthio, n-propylthio, isopropylthio, butylthio, isobutylthio, sec-butylthio, tert-butylthio, pentylthio, isopentylthio, neopentylthio, hexylthio and the like.
“Alkylthio” in R x1 , R x2 , R x3 and R x4 includes methylthio, ethylthio, n-propylthio, isopropylthio and the like.
「アルキルオキシカルボニル」のアルキルオキシ部分は、上記「アルキルオキシ」と同義である。例えば、メチルオキシカルボニル、エチルオキシカルボニル、n-プロピルオキシカルボニル、イソプロピルオキシカルボニル、n-ブチルオキシカルボニル、tert-ブチルオキシカルボニル、n-ペンチルオキシカルボニル等が挙げられる。
Rx1、Rx2、Rx3およびRx4における「アルキルオキシカルボニル」としては、メチルオキシカルボニル、エチルオキシカルボニル等が挙げられる。
The alkyloxy moiety of “alkyloxycarbonyl” has the same meaning as the above “alkyloxy”. Examples include methyloxycarbonyl, ethyloxycarbonyl, n-propyloxycarbonyl, isopropyloxycarbonyl, n-butyloxycarbonyl, tert-butyloxycarbonyl, n-pentyloxycarbonyl and the like.
“ Alkyloxycarbonyl ” in R x1 , R x2 , R x3 and R x4 includes methyloxycarbonyl, ethyloxycarbonyl and the like.
「アルキルカルバモイル」のアルキル部分は、上記「アルキル」と同義である。例えば、メチルカルバモイル、エチルカルバモイル、n-プロピルカルバモイル、イソプロピルカルバモイル、シクロプロピルカルバモイル、n-ブチルカルバモイル、ジメチルカルバモイル、ジエチルカルバモイル、ジプロピルカルバモイル等のモノ又はジアルキルカルバモイルが挙げられる。
Rx1、Rx2、Rx3およびRx4における「アルキルカルバモイル」としては、メチルカルバモイル、エチルカルバモイル等が挙げられる。
The alkyl part of “alkylcarbamoyl” has the same meaning as the above “alkyl”. Examples thereof include mono- or dialkylcarbamoyl such as methylcarbamoyl, ethylcarbamoyl, n-propylcarbamoyl, isopropylcarbamoyl, cyclopropylcarbamoyl, n-butylcarbamoyl, dimethylcarbamoyl, diethylcarbamoyl, dipropylcarbamoyl and the like.
Examples of the “alkylcarbamoyl” in R x1 , R x2 , R x3 and R x4 include methylcarbamoyl, ethylcarbamoyl and the like.
「アルケニル」とは、任意の位置に1以上の二重結合を有する炭素数2~6、好ましくは炭素数2~3の直鎖または分枝状のアルケニルを包含する。例えば、ビニル、プロペニル、イソプロペニル、ブテニル、イソブテニル、プレニル、ブタジエニル、ペンテニル、イソペンテニル、ペンタジエニル、ヘキセニル、イソヘキセニル、ヘキサジエニル等が挙げられる。
Rx1、Rx2、Rx3およびRx4における「アルケニル」としては、ビニル、プロペニル、イソプロペニル、ブテニル、イソブテニル等が挙げられる。
“Alkenyl” includes straight or branched alkenyl having 2 to 6, preferably 2 to 3, carbon atoms having one or more double bonds at any position. Examples include vinyl, propenyl, isopropenyl, butenyl, isobutenyl, prenyl, butadienyl, pentenyl, isopentenyl, pentadienyl, hexenyl, isohexenyl, hexadienyl and the like.
“Alkenyl” in R x1 , R x2 , R x3 and R x4 includes vinyl, propenyl, isopropenyl, butenyl, isobutenyl and the like.
「アルケニルオキシ」のアルケニル部分は、上記「アルケニル」と同義である。例えば、ビニルオキシ、プロペニルオキシ、イソプロペニルオキシ、ブテニルオキシ、イソブテニルオキシ、プレニルオキシ、ブタジエニルオキシ、ペンテニルオキシ、イソペンテニルオキシ、ペンタジエニルオキシ、ヘキセニルオキシ、イソヘキセニルオキシ、ヘキサジエニルオキシ等が挙げられる。 The alkenyl part of “alkenyloxy” has the same meaning as the above “alkenyl”. For example, vinyloxy, propenyloxy, isopropenyloxy, butenyloxy, isobutenyloxy, prenyloxy, butadienyloxy, pentenyloxy, isopentenyloxy, pentadienyloxy, hexenyloxy, isohexenyloxy, hexadienyloxy, etc. Is mentioned.
「アルケニルチオ」のアルケニル部分は、上記「アルケニル」と同義である。例えば、ビニルチオ、プロペニルチオ、イソプロペニルチオ、ブテニルチオ、イソブテニルチオ、プレニルチオ、ブタジエニルチオ、ペンテニルチオ、イソペンテニルチオ、ペンタジエニルチオ、ヘキセニルチオ、イソヘキセニルチオ、ヘキサジエニルチオ等が挙げられる。 The alkenyl part of “alkenylthio” has the same meaning as the above “alkenyl”. Examples thereof include vinylthio, propenylthio, isopropenylthio, butenylthio, isobutenylthio, prenylthio, butadienylthio, pentenylthio, isopentenylthio, pentadienylthio, hexenylthio, isohexenylthio, hexadienylthio and the like.
「アルケニルオキシカルボニル」のアルケニルオキシ部分は、上記「アルケニルオキシ」と同義である。例えば、ビニルオキシカルボニル、プロペニルオキシカルボニル、イソプロペニルオキシカルボニル、ブテニルオキシカルボニル、イソブテニルオキシカルボニル、プレニルオキシカルボニル、ブタジエニルオキシカルボニル、ペンテニルオキシカルボニル、イソペンテニルオキシカルボニル、ペンタジエニルオキシカルボニル、ヘキセニルオキシカルボニル、イソヘキセニルオキシカルボニル、ヘキサジエニルオキシカルボニル等が挙げられる。 The alkenyloxy part of “alkenyloxycarbonyl” has the same meaning as the above “alkenyloxy”. For example, vinyloxycarbonyl, propenyloxycarbonyl, isopropenyloxycarbonyl, butenyloxycarbonyl, isobutenyloxycarbonyl, prenyloxycarbonyl, butadienyloxycarbonyl, pentenyloxycarbonyl, isopentenyloxycarbonyl, pentadienyloxycarbonyl Hexenyloxycarbonyl, isohexenyloxycarbonyl, hexadienyloxycarbonyl and the like.
「ハロアルケニル」、「アルケニルスルフィニル」、「アルケニルスルホニル」、「アルケニルスルホニルオキシ」、「アルケニルスルファモイル」等のアルケニル部分は、上記「アルケニル」と同義である。 The alkenyl moiety such as “haloalkenyl”, “alkenylsulfinyl”, “alkenylsulfonyl”, “alkenylsulfonyloxy”, “alkenylsulfamoyl” has the same meaning as the above “alkenyl”.
「アルキニル」とは、任意の位置に1以上の三重結合を有する炭素数2~6、好ましくは炭素数2~3の直鎖または分枝状のアルキニルを包含する。これらは任意の位置に1以上の三重結合を有しており、さらに二重結合を有していてもよい。例えば、エチニル、1-プロピニル、2-プロピニル、1-ブチニル、2-ブチニル、3-ブチニル、1-ペンチニル、2-ペンチニル、種々のペンチニル異性体等が挙げられる。 “Alkynyl” includes linear or branched alkynyl having 2 to 6, preferably 2 to 3, carbon atoms having one or more triple bonds at any position. These have one or more triple bonds at arbitrary positions, and may further have a double bond. Examples include ethynyl, 1-propynyl, 2-propynyl, 1-butynyl, 2-butynyl, 3-butynyl, 1-pentynyl, 2-pentynyl, various pentynyl isomers, and the like.
「アルキニルオキシ」のアルキニル部分は、上記「アルキニル」と同義である。例えば、エチニルオキシ、プロピニルオキシ、ブチニルオキシ、ペンチニルオキシ等が挙げられる。好ましくは、C2~C6アルキニルオキシが挙げられる
The alkynyl part of “alkynyloxy” has the same meaning as the above “alkynyl”. For example, ethynyloxy, propynyloxy, butynyloxy, pentynyloxy and the like can be mentioned. Preferably, C2-C6 alkynyloxy is used.
「アルキニルチオ」とは、アルキニル部分が上記「アルキニル」と同義である。例えば、エチニルチオ、プロピニルチオ、ブチニルチオ、ペンチニルチオ等が挙げられる。好ましくは、C2~C6アルキニルチオが挙げられる。 “Alkynylthio” has the same meaning as the above “alkynyl” in the alkynyl moiety. For example, ethynylthio, propynylthio, butynylthio, pentynylthio and the like can be mentioned. Preferably, C2-C6 alkynylthio is used.
「アルキニルオキシカルボニル」のアルキニルオキシ部分は、上記「アルキニルオキシ」と同義である。例えば、エチニルオキシカルボニル、プロピニルオキシカルボニル、ブチニルオキシカルボニル、ペンチニルオキシカルボニル等が挙げられる。好ましくは、C2~C6アルキニルオキシカルボニルが挙げられる The alkynyloxy moiety of “alkynyloxycarbonyl” has the same meaning as the above “alkynyloxy”. Examples include ethynyloxycarbonyl, propynyloxycarbonyl, butynyloxycarbonyl, pentynyloxycarbonyl, and the like. Preferably, C2-C6 alkynyloxycarbonyl is used.
「アルキニルスルフィニル」、「アルキニルスルホニル」、「アルキニルスルホニルオキシ」、「アルキニルスルファモイル」等のアルキニル部分は、上記「アルキニキル」と同義である。 Alkynyl moieties such as “alkynylsulfinyl”, “alkynylsulfonyl”, “alkynylsulfonyloxy”, “alkynylsulfamoyl” and the like are synonymous with the above “alkynyl”.
「アシル」とは、R-C(=O)-(例えば、Rは上記「アルキル」、「アルケニル」もしくは「アルキニル」、または後述の「シクロアルキル」、「シクロアルケニル」、「アリール」、「ヘテロアリール」もしくは「非芳香族複素環式基」である。)で示される基を包含する。 “Acyl” is R—C (═O) — (for example, R is “alkyl”, “alkenyl” or “alkynyl”, or “cycloalkyl”, “cycloalkenyl”, “aryl”, “ A heteroaryl ”or a“ non-aromatic heterocyclic group ”).
「アシルアミノ」および「アシルイミノ」の「アシル」部分は、上記「アシル」と同義である。 The “acyl” part of “acylamino” and “acylimino” has the same meaning as the above “acyl”.
「非置換スルファモイル」とは、-S(=O)2-NH2で示される基を意味する。
「置換基群Aから選択される置換基で置換されたスルファモイル」とは、-S(=O)2-NRXRYで示される基を意味する。RXおよびRYの少なくとも一方は、置換基群A(置換基群A:置換もしくは非置換のアルキル、置換もしくは非置換のアルケニル、置換もしくは非置換のアルキニル、置換もしくは非置換のシクロアルキル、置換もしくは非置換のシクロアルケニル、置換もしくは非置換の非芳香族複素環基、置換もしくは非置換のアリールおよび置換もしくは非置換のヘテロアリール)から選択される基を包含する。
具体的には、「置換基群Aから選択される置換基で置換されたスルファモイル」は、非置換のアルキル、置換基群C(置換基群C:ヒドロキシ、ハロゲン、置換もしくは非置換のアルコキシ、置換もしくは非置換のアルキルオキシカルボニル、置換もしくは非置換のシクロアルキル、置換もしくは非置換の非芳香族複素環式基および置換もしくは非置換のアリール)から選択される置換基で1以上置換されたアルキル、置換基群B(置換基群B:ヒドロキシ、置換もしくは非置換のアルキル、ハロゲンおよびカルバモイル)から選択される置換基で1以上置換されたアリール、非置換のアリール、置換基群Bから選択される置換基で1以上置換されたヘテロアリール、非置換のへテロアリール、置換基群D(置換基群D:ヒドロキシ、ハロゲン、シアノ、置換もしくは非置換のアルキル、置換もしくは非置換のアルコキシ、置換もしくは非置換のアルキルオキシカルボニル)から選択される置換基で1以上置換されたシクロアルキル、、非置換のシクロアルキル、置換基群Dから選択される置換基で1以上置換されたシクロアルケニル、非置換のシクロアルケニル、置換基群E(置換基群E:ヒドロキシ、アルキル、ハロゲン、オキソおよびカルバモイル)から選択される置換基で1以上置換された非芳香族複素環式基、非置換の非芳香族複素環式基、から選択される置換基で少なくとも1つ置換されたスルファモイルを包含する。
“Unsubstituted sulfamoyl” means a group represented by —S (═O) 2 —NH 2 .
“Sulphamoyl substituted with a substituent selected from Substituent Group A” means a group represented by —S (═O) 2 —NR X R Y. At least one of R X and R Y is a substituent group A (substituent group A: substituted or unsubstituted alkyl, substituted or unsubstituted alkenyl, substituted or unsubstituted alkynyl, substituted or unsubstituted cycloalkyl, substituted Or a group selected from unsubstituted cycloalkenyl, substituted or unsubstituted non-aromatic heterocyclic group, substituted or unsubstituted aryl and substituted or unsubstituted heteroaryl.
Specifically, “sulfamoyl substituted with a substituent selected from Substituent Group A” includes unsubstituted alkyl, Substituent Group C (Substituent Group C: hydroxy, halogen, substituted or unsubstituted alkoxy, Alkyl substituted with one or more substituents selected from substituted or unsubstituted alkyloxycarbonyl, substituted or unsubstituted cycloalkyl, substituted or unsubstituted non-aromatic heterocyclic group and substituted or unsubstituted aryl) Selected from substituent group B (substituent group B: hydroxy, substituted or unsubstituted alkyl, halogen and carbamoyl), one or more substituted aryls, unsubstituted aryl, substituent group B Heteroaryl substituted with one or more substituents, unsubstituted heteroaryl, substituent group D (substituent group D: hydroxy, halogen , Cycloalkyl, substituted or unsubstituted alkyl, substituted or unsubstituted alkoxy, substituted or unsubstituted alkyloxycarbonyl), one or more substituted cycloalkyl, unsubstituted cycloalkyl, substituent A substituent selected from cycloalkenyl, unsubstituted cycloalkenyl, substituent group E (substituent group E: hydroxy, alkyl, halogen, oxo and carbamoyl) substituted with one or more substituents selected from group D It includes sulfamoyl substituted with at least one substituent selected from one or more substituted non-aromatic heterocyclic groups and unsubstituted non-aromatic heterocyclic groups.
「非置換アミノスルホニルアミノ」とは、-NH-S(=O)2-NH2で示される基を意味する。
「置換アミノスルホニルアミノ」とは、-NRz-S(=O)2-NRXRYで示される基を意味し、RX、RYおよびRzの少なくとも1つは、下記に示す「置換アミノ」の置換基と同意義である。
具体的には、「置換アミノスルホニルアミノ」における、RXおよびRYの少なくとも一方は、置換基群A(置換基群A:置換もしくは非置換のアルキル、置換もしくは非置換のアルケニル、置換もしくは非置換のアルキニル、置換もしくは非置換のシクロアルキル、置換もしくは非置換のシクロアルケニル、置換もしくは非置換の非芳香族複素環基、置換もしくは非置換のアリールおよび置換もしくは非置換のヘテロアリール)から選択される基を包含する。Rzは、下記に示す「置換アミノ」の置換基と同意義である。
“Unsubstituted aminosulfonylamino” means a group represented by —NH—S (═O) 2 —NH 2 .
“Substituted aminosulfonylamino” means a group represented by —NR z —S (═O) 2 —NR X R Y , and at least one of R X , R Y and R z is represented by “ The meaning is the same as the substituent of “substituted amino”.
Specifically, in “substituted aminosulfonylamino”, at least one of R X and R Y is substituent group A (substituent group A: substituted or unsubstituted alkyl, substituted or unsubstituted alkenyl, substituted or non-substituted Substituted alkynyl, substituted or unsubstituted cycloalkyl, substituted or unsubstituted cycloalkenyl, substituted or unsubstituted non-aromatic heterocyclic group, substituted or unsubstituted aryl and substituted or unsubstituted heteroaryl) Group. R z has the same meaning as the substituent of “substituted amino” shown below.
「シクロアルカン」とは、炭素数が3~10の単環式または多環式飽和炭素環を包含する。単環式シクロアルカンとしては、例えば、シクロプロパン、シクロブタン、シクロペンタン、シクロヘキサン、シクロヘプタン、シクロオクタン、シクロノナン、シクロデカン等が挙げられる。多環式シクロアルカンとしては、ノルボルナン、テトラヒドロナフタレン等が挙げられる。 “Cycloalkane” includes monocyclic or polycyclic saturated carbocyclic rings having 3 to 10 carbon atoms. Examples of the monocyclic cycloalkane include cyclopropane, cyclobutane, cyclopentane, cyclohexane, cycloheptane, cyclooctane, cyclononane, and cyclodecane. Examples of the polycyclic cycloalkane include norbornane and tetrahydronaphthalene.
「シクロアルキル」とは、上記「シクロアルカン」から導かれる1価の基を包含する。単環式シクロアルキルとしては、例えば、シクロプロピル、シクロブチル、シクロペンチル、シクロヘキシル、シクロヘプチル、シクロオクチル、シクロノニル、シクロデシル等が挙げられる。多環式シクロアルキルとしては、ノルボルニル、テトラヒドロナフタレン-5-イル、テトラヒドロナフタレン-6-イル、アダマンチル等が挙げられる。 “Cycloalkyl” includes a monovalent group derived from the above “cycloalkane”. Examples of monocyclic cycloalkyl include cyclopropyl, cyclobutyl, cyclopentyl, cyclohexyl, cycloheptyl, cyclooctyl, cyclononyl, cyclodecyl and the like. Examples of polycyclic cycloalkyl include norbornyl, tetrahydronaphthalen-5-yl, tetrahydronaphthalen-6-yl, adamantyl and the like.
「シクロアルカンジイル」とは、上記「シクロアルカン」から導かれる2価の基を包含する。単環式シクロアルカンジイルとしては、例えば、シクロプロパンジイル、シクロブタンジイル、シクロペンタンジイル、シクロヘキサンジイル、シクロヘプタンジイル、シクロオクタンジイル、シクロノナンジイル、シクロデカンジイル等が挙げられる。多環式シクロアルカンジイルとしては、ノルボルナンジイル、アダマンタンジイル等が挙げられる。 “Cycloalkanediyl” includes a divalent group derived from the above “cycloalkane”. Examples of the monocyclic cycloalkanediyl include cyclopropanediyl, cyclobutanediyl, cyclopentanediyl, cyclohexanediyl, cycloheptanediyl, cyclooctanediyl, cyclononanediyl, cyclodecandidiyl and the like. Examples of polycyclic cycloalkanediyl include norbornanediyl, adamantanediyl and the like.
「シクロアルキルオキシ」のシクロアルキル部分は、上記「シクロアルキル」と同義である。例えば、シクロプロピルオキシ、シクロブチルオキシ、シクロペンチルオキシ、シクロヘキシルオキシ、シクロヘプチルオキシ、シクロオクチルオキシ、シクロノニルオキシ、シクロデシルオキシ等が挙げられる。多環式シクロアルキルオキシとしては、ノルボルニルオキシ、テトラヒドロナフタレン-5-イルオキシ、テトラヒドロナフタレン-6-イルオキシ、アダマンタンオキシ等が挙げられる。 The cycloalkyl part of “cycloalkyloxy” has the same meaning as the above “cycloalkyl”. For example, cyclopropyloxy, cyclobutyloxy, cyclopentyloxy, cyclohexyloxy, cycloheptyloxy, cyclooctyloxy, cyclononyloxy, cyclodecyloxy and the like can be mentioned. Examples of polycyclic cycloalkyloxy include norbornyloxy, tetrahydronaphthalen-5-yloxy, tetrahydronaphthalen-6-yloxy, adamantaneoxy and the like.
「シクロアルキルオキシカルボニル」のシクロアルキルオキシ部分は、上記「シクロアルキルオキシ」と同義である。例えば、シクロプロピルオキシカルボニル、シクロブチルオキシカルボニル、シクロペンチルオキシカルボニル、シクロヘキシルオキシカルボニル、シクロヘプチルオキシカルボニル、シクロオクチルオキシカルボニル、シクロノニルオキシカルボニル、シクロデシルオキシカルボニル等が挙げられる。多環式シクロアルキルオキシカルボニルとしては、ノルボルニルオキシカルボニル、テトラヒドロナフタレン-5-イルオキシカルボニル、テトラヒドロナフタレン-6-イルオキシカルボニル等が挙げられる。 The cycloalkyloxy part of “cycloalkyloxycarbonyl” has the same meaning as the above “cycloalkyloxy”. Examples include cyclopropyloxycarbonyl, cyclobutyloxycarbonyl, cyclopentyloxycarbonyl, cyclohexyloxycarbonyl, cycloheptyloxycarbonyl, cyclooctyloxycarbonyl, cyclononyloxycarbonyl, cyclodecyloxycarbonyl, and the like. Examples of the polycyclic cycloalkyloxycarbonyl include norbornyloxycarbonyl, tetrahydronaphthalen-5-yloxycarbonyl, tetrahydronaphthalen-6-yloxycarbonyl and the like.
「シクロアルケン」とは、少なくとも1つの炭素-炭素二重結合を含む炭素数3~10の非芳香族単環または多環式環を包含する。単環式シクロアルケンとしては、シクロペンテン、シクロヘキセン等が挙げられる。多環式シクロアルケンとしてはノルボルネン、インデン等が挙げられる。 “Cycloalkene” includes a non-aromatic monocyclic or polycyclic ring having 3 to 10 carbon atoms and containing at least one carbon-carbon double bond. Examples of the monocyclic cycloalkene include cyclopentene and cyclohexene. Examples of the polycyclic cycloalkene include norbornene and indene.
「シクロアルケニル」とは、上記「シクロアルケン」から導かれる1価の基を包含する。単環式シクロアルケニルとしては、シクロペンテニル、シクロヘキセニル等が挙げられる。多環式シクロアルケニルとしてはノルボルネニル、インデン-1-イル、インデン-2-イル、インデン-3-イル等が挙げられる。 “Cycloalkenyl” includes a monovalent group derived from the above “cycloalkene”. Examples of monocyclic cycloalkenyl include cyclopentenyl, cyclohexenyl and the like. Examples of polycyclic cycloalkenyl include norbornenyl, inden-1-yl, inden-2-yl, inden-3-yl and the like.
「シクロアルケンジイル」とは、上記「シクロアルケン」から導かれる2価の基を包含する。単環式シクロアルケンジイルとしては、シクロペンテンジイル、シクロヘキセンジイル等が挙げられる。多環式シクロアルケンジイルとしてはノルボルネンジイル等が挙げられる。 “Cycloalkenediyl” includes a divalent group derived from the above “cycloalkene”. Examples of monocyclic cycloalkenediyl include cyclopentenediyl, cyclohexenediyl and the like. Examples of polycyclic cycloalkenediyl include norbornene diyl.
「シクロアルケニルオキシ」のシクロアルケニル部分は、上記「シクロアルケニル」と同義である。例えば、単環式シクロアルケニルオキシとしては、シクロペンテニルオキシ、シクロヘキセニルオキシ等が挙げられる。多環式シクロアルケニルオキシとしてはノルボルネニルオキシ、インデニルオキシ等が挙げられる。 The cycloalkenyl part of “cycloalkenyloxy” has the same meaning as the above “cycloalkenyl”. For example, as monocyclic cycloalkenyloxy, cyclopentenyloxy, cyclohexenyloxy and the like can be mentioned. Examples of polycyclic cycloalkenyloxy include norbornenyloxy and indenyloxy.
「シクロアルケニルオキシカルボニル」のシクロアルケニルオキシ部分は、上記「シクロアルケニルルオキシ」と同義である。例えば、単環式シクロアルケニルオキシカルボニルとしては、シクロペンテニルオキシカルボニル、シクロヘキセニルオキシカルボニル等が挙げられる。多環式シクロアルケニルオキシカルボニルとしてはノルボルネニルオキシカルボニル、インデニルオキシカルボニル等が挙げられる。 The cycloalkenyloxy moiety of “cycloalkenyloxycarbonyl” has the same meaning as the above “cycloalkenyloxy”. For example, examples of the monocyclic cycloalkenyloxycarbonyl include cyclopentenyloxycarbonyl, cyclohexenyloxycarbonyl, and the like. Examples of the polycyclic cycloalkenyloxycarbonyl include norbornenyloxycarbonyl, indenyloxycarbonyl and the like.
「芳香族炭素環」とは、単環または縮合環の芳香族炭化水素環を包含する。例えば、ベンゼン環、ナフタレン環、アントラセン環、フェナントレン環等が挙げられる。 The “aromatic carbocycle” includes a monocyclic or condensed aromatic hydrocarbon ring. For example, a benzene ring, a naphthalene ring, an anthracene ring, a phenanthrene ring, etc. are mentioned.
「アリール」とは、上記「芳香族炭素環」から導かれる1価の基を意味する。例えば、フェニル、1-ナフチル、2-ナフチル、アントリル、フェナントリル等が挙げられる。 “Aryl” means a monovalent group derived from the above “aromatic carbocycle”. Examples thereof include phenyl, 1-naphthyl, 2-naphthyl, anthryl, phenanthryl and the like.
「アリールスルホニルオキシ」のアリール部分は、上記「アリール」と同義である。例えば、フェニルスルホニルオキシ、1-ナフチルスルホンオキシ等が挙げられる。 The aryl part of “arylsulfonyloxy” has the same meaning as the above “aryl”. For example, phenylsulfonyloxy, 1-naphthylsulfoneoxy and the like can be mentioned.
「アリールオキシ」、「アリールオキシカルボニル」、「アリールアルキルアミノ」、「アリールスルフィニル」および「アリールアルキル」のアリール部分は、上記「アリール」と同義である。 The aryl part of “aryloxy”, “aryloxycarbonyl”, “arylalkylamino”, “arylsulfinyl” and “arylalkyl” has the same meaning as the above “aryl”.
「芳香族炭素環ジイル」とは、上記「芳香族炭素環」から導かれる2価の基を包含する。例えば、1,2-フェニレン、1,3-フェニレン、1,4-フェニレン、1,2-ナフチレン等が挙げられる。 “Aromatic carbocyclic diyl” includes a divalent group derived from the above “aromatic carbocycle”. For example, 1,2-phenylene, 1,3-phenylene, 1,4-phenylene, 1,2-naphthylene and the like can be mentioned.
「複素環」とは、環内に窒素原子、酸素原子、及び/又は硫黄原子を少なくとも1個有する5~7員環、
それらが独立して2個以上縮合した環、または、
環内に窒素原子、酸素原子、及び/又は硫黄原子を少なくとも1個有する5~7員環が、1以上の上記「芳香族炭素環」、上記「シクロアルカン」もしくは上記「シクロアルケン」と縮合した環から誘導される、芳香族または非芳香族の縮合環を包含する。
例えば、ピロリン、ピロリジン、ピペリジン、ピペラジン、モルホリン、チオモルホン、テトラヒドロピラン、ジヒドロピリジン、ジヒドロピリダジン、ジオキサン、オキサチオラン、チアン、テトラヒドロフラン、テトラヒドロピラン、テトラヒドロチアゾール、テトラヒドロイソチアゾール等の、単環の非芳香族複素環;
例えば、ピロール、ピラジン、ピラゾール、テトラゾール、フラン、チオフェン、ピリジン、イミダゾール、トリアゾール、テトラゾール、トリアジン、ピリダジン、ピリミジン、イソオキサゾール、チアゾール、イソチアゾール、チアジアゾール、オキサゾール、オキサジアゾール等の、単環の芳香族複素環;
例えば、インドール、イソインドール、インダゾール、インドリジン、インドリン、イソインドリン、キノリン、イソキノリン、シンノリン、フタラジン、キナゾリン、ナフチリジン、キノキサリン、プリン、プテリジン、ベンゾピラン、ベンズイミダゾール、ベンズイソオキサゾール、ベンズオキサゾール、ベンズオキサジアゾール、ベンゾイソチアゾール、ベンゾチアゾール、ベンゾチアジアゾール、ベンゾフラン、イソベンゾフラン、ベンゾチオフェン、ベンゾトリアゾール、イミダゾピリジン、トリアゾロピリジン、イミダゾチアゾール、ピラジノピリダジン、ベンズイミダゾール、ベンゾジオキサン、テトラヒドロキノリン、テトラヒドロベンゾチオフェン等の、縮合した複素環が挙げられる。
“Heterocycle” means a 5- to 7-membered ring having at least one nitrogen atom, oxygen atom, and / or sulfur atom in the ring,
A ring in which two or more of them are independently fused, or
A 5- to 7-membered ring having at least one nitrogen atom, oxygen atom and / or sulfur atom in the ring is condensed with one or more of the “aromatic carbocycle”, the “cycloalkane” or the “cycloalkene”. An aromatic or non-aromatic fused ring derived from the above ring.
For example, monocyclic non-aromatic heterocycles such as pyrroline, pyrrolidine, piperidine, piperazine, morpholine, thiomorphone, tetrahydropyran, dihydropyridine, dihydropyridazine, dioxane, oxathiolane, thiane, tetrahydrofuran, tetrahydropyran, tetrahydrothiazole, tetrahydroisothiazole, etc. ;
For example, pyrrole, pyrazine, pyrazole, tetrazole, furan, thiophene, pyridine, imidazole, triazole, tetrazole, triazine, pyridazine, pyrimidine, isoxazole, thiazole, isothiazole, thiadiazole, oxazole, oxadiazole, etc. Family heterocycles;
For example, indole, isoindole, indazole, indolizine, indoline, isoindoline, quinoline, isoquinoline, cinnoline, phthalazine, quinazoline, naphthyridine, quinoxaline, purine, pteridine, benzopyran, benzimidazole, benzisoxazole, benzoxazole, benzoxazidi Azole, benzoisothiazole, benzothiazole, benzothiadiazole, benzofuran, isobenzofuran, benzothiophene, benzotriazole, imidazopyridine, triazolopyridine, imidazothiazole, pyrazinopyridazine, benzimidazole, benzodioxane, tetrahydroquinoline, tetrahydrobenzothiophene, etc. And a condensed heterocyclic ring.
「複素環基」とは、上記「複素環」から導かれる1価の基を包含する。
例えば、ピロリニル、ピロリジノ、ピロリジニル、イミダゾリニル、イミダゾリジニル、ピラゾリニル、ピラゾリジニル、ピペリジノ、ピペリジル、ピペラジノ、ピペラジニル、モルホリニル、モルホリノ、チオモルホリニル、チオモルホリノ、テトラヒドロピラニル、ジヒドロピリジル、ジヒドロピリダジニル、ジヒドロピラジニル、ジオキサニル、オキサチオラニル、チアニル、テトラヒドロフリル、テトラヒドロピラニル、テトラヒドロチアゾリニル、テトラヒドロイソチアゾリニル等の、単環の非芳香族複素環式基;
例えば、ピロリル、ピラジニル、ピラゾリル、テトラゾリル、フリル、チエニル、ピリジル、イミダゾリル、トリアゾリル、テトラゾリル、トリアジニル、ピリダジニル、ピリミジニル、ピラジニル、イソオキサゾリル、チアゾリル、イソチアゾリル、チアジアゾリル、オキサゾリル、オキサジアゾリル等の、単環の芳香族複素環基;
例えば、インドリル、イソインドリル、インダゾリル、インドリジニル、インドリニル、イソインドリニル、キノリル、イソキノリル、シンノリニル、フタラジニル、キナゾリニル、ナフチリジニル、キノキサリニル、プリニル、プテリジニル、ベンゾピラニル、ベンズイミダゾリル、ベンズイソオキサゾリル、ベンズオキサゾリル、ベンズオキサジアゾリル、ベンゾイソチアゾリル、ベンゾチアゾリル、ベンゾチアジアゾリル、ベンゾフリル、イソベンゾフリル、ベンゾチエニル、ベンゾトリアゾリル、イミダゾピリジル、トリアゾロピリジル、イミダゾチアゾリル、ピラジノピリダジニル、ベンズイミダゾリニル、ベンゾジオキサニル、テトラヒドロキノリン、テトラヒドロベンゾチエニル等の、縮合した複素環式基が挙げられる。
The “heterocyclic group” includes a monovalent group derived from the above “heterocycle”.
For example, pyrrolinyl, pyrrolidino, pyrrolidinyl, imidazolinyl, imidazolidinyl, pyrazolinyl, pyrazolidinyl, piperidino, piperidyl, piperazino, piperazinyl, morpholinyl, morpholino, thiomorpholinyl, thiomorpholino, tetrahydropyridyl, dihydropyridinyl, dihydropyridinyl, dihydropyridinyl Monocyclic non-aromatic heterocyclic groups such as, dioxanyl, oxathiolanyl, thianyl, tetrahydrofuryl, tetrahydropyranyl, tetrahydrothiazolinyl, tetrahydroisothiazolinyl;
For example, pyrrolyl, pyrazinyl, pyrazolyl, tetrazolyl, furyl, thienyl, pyridyl, imidazolyl, triazolyl, tetrazolyl, triazinyl, pyridazinyl, pyrimidinyl, pyrazinyl, isoxazolyl, thiazolyl, isothiazolyl, thiadiazolyl, oxazolyl, oxadiazolyl, etc. A ring group;
For example, indolyl, isoindolyl, indazolyl, indolinyl, indolinyl, isoindolinyl, quinolyl, isoquinolyl, cinnolinyl, phthalazinyl, quinazolinyl, naphthyridinyl, quinoxalinyl, purinyl, pteridinyl, benzopyranyl, benzimidazolyl, benzisoxazolyl, benzoxazolyl, benzoxazolyl Diazolyl, benzoisothiazolyl, benzothiazolyl, benzothiadiazolyl, benzofuryl, isobenzofuryl, benzothienyl, benzotriazolyl, imidazopyridyl, triazolopyridyl, imidazothiazolyl, pyrazinopyridazinyl, benzimidazo Examples include condensed heterocyclic groups such as linyl, benzodioxanyl, tetrahydroquinoline, tetrahydrobenzothienyl and the like.
「芳香族複素環」とは、上記「複素環」のうち、芳香環であるものを包含する。
環内に窒素原子、酸素原子、及び/又は硫黄原子を少なくとも1個有する5~7員の芳香環、
それらが独立して2個以上縮合した芳香環、
環内に窒素原子、酸素原子、及び/又は硫黄原子を少なくとも1個有する5~7員の芳香環が1以上の上記「芳香族炭素環」と縮合した芳香環を包含する。
例えば、ピラジン、ピラゾール、テトラゾール、フラン、チオフェン、ピリジン、イミダゾール、トリアゾール、トリアジン、ピリダジン、ピリミジン、ピラジン、イソオキサゾール、チアゾール、イソチアゾール、チアジアゾール、オキサゾール、オキサジアゾール等の、単環の芳香族複素環;
例えば、インドール、イソインドール、インダゾール、インドリジン、キノリン、イソキノリン、シンノリン、フタラジン、キナゾリン、ナフチリジン、キノキサリン、プリン、プテリジン、ベンズイミダゾール、ベンズイソオキサゾール、ベンズオキサゾール、ベンズオキサジアゾール、ベンゾイソチアゾール、ベンゾチアゾール、ベンゾチアジアゾール、ベンゾフラン、イソベンゾフラン、ベンゾチオフェン、ベンゾトリアゾール、イミダゾピリジン、トリアゾロピリジン、イミダゾチアゾール、ピラジノピリダジン、ベンズイミダゾリン等の、縮合した芳香族複素環が挙げられる。
The “aromatic heterocycle” includes the above “heterocycle” which is an aromatic ring.
A 5- to 7-membered aromatic ring having at least one nitrogen atom, oxygen atom and / or sulfur atom in the ring,
An aromatic ring in which two or more of them are independently fused,
An aromatic ring in which a 5- to 7-membered aromatic ring having at least one nitrogen atom, oxygen atom and / or sulfur atom in the ring is condensed with one or more of the above “aromatic carbocycles” is included.
For example, pyrazine, pyrazole, tetrazole, furan, thiophene, pyridine, imidazole, triazole, triazine, pyridazine, pyrimidine, pyrazine, isoxazole, thiazole, isothiazole, thiadiazole, oxazole, oxadiazole, etc. ring;
For example, indole, isoindole, indazole, indolizine, quinoline, isoquinoline, cinnoline, phthalazine, quinazoline, naphthyridine, quinoxaline, purine, pteridine, benzimidazole, benzisoxazole, benzoxazole, benzoxadiazole, benzoisothiazole, benzo Examples thereof include condensed aromatic heterocycles such as thiazole, benzothiadiazole, benzofuran, isobenzofuran, benzothiophene, benzotriazole, imidazopyridine, triazolopyridine, imidazothiazole, pyrazinopyridazine, benzimidazoline and the like.
「ヘテロアリール」とは、上記「芳香族複素環」から導かれる1価の基を包含する。環内に窒素原子、酸素原子、及び/又は硫黄原子を少なくとも1個有する5~7員の芳香環式基、
それらが独立して2個以上縮合した芳香環式基、
環内に窒素原子、酸素原子、及び/又は硫黄原子を少なくとも1個有する5~7員芳香環が1以上の上記「芳香族炭素環」と縮合した芳香環式基を包含する。
例えば、ピロリル、ピラジニル、ピラゾリル、インドリル、テトラゾリル、フリル、チエニル、ピリジル、イミダゾリル、トリアゾリル、テトラゾリル、トリアジニル、ピリダジニル、ピリミジニル、ピラジニル、イソオキサゾリル、チアゾリル、イソチアゾリル、チアジアゾリル、オキサゾリル、オキサジアゾリル等の、単環のヘテロアリール、
例えば、イソインドリル、インダゾリル、インドリジニル、イソインドリニル、キノリル、イソキノリル、シンノリニル、フタラジニル、キナゾリニル、ナフチリジニル、キノキサリニル、プリニル、プテリジニル、ベンズイミダゾリル、ベンズイソオキサゾリル、ベンズオキサゾリル、ベンズオキサジアゾリル、ベンゾイソチアゾリル、ベンゾチアゾリル、ベンゾチアジアゾリル、ベンゾフリル、イソベンゾフリル、ベンゾチエニル、ベンゾトリアゾリル、イミダゾピリジル、トリアゾロピリジル、イミダゾチアゾリル、ピラジノピリダジニル、ベンズイミダゾリニル等の、縮合したヘテロアリールが挙げられる。
「ヘテロアリールオキシ」、「ヘテロアリールオキシカルボニル」、「ヘテロアリールアルキルアミノ」および「ヘテロアリールアルキル」のヘテロアリール部分は、上記「ヘテロアリール」と同義である。
“Heteroaryl” includes a monovalent group derived from the above “aromatic heterocycle”. A 5- to 7-membered aromatic cyclic group having at least one nitrogen atom, oxygen atom and / or sulfur atom in the ring,
An aromatic cyclic group in which two or more of them are independently fused,
An aromatic group in which a 5- to 7-membered aromatic ring having at least one nitrogen atom, oxygen atom and / or sulfur atom in the ring is condensed with one or more of the above “aromatic carbocycles” is included.
For example, pyrrolyl, pyrazinyl, pyrazolyl, indolyl, tetrazolyl, furyl, thienyl, pyridyl, imidazolyl, triazolyl, tetrazolyl, triazinyl, pyridazinyl, pyrimidinyl, pyrazinyl, isoxazolyl, thiazolyl, isothiazolyl, thiadiazolyl, oxazolyl, oxadiazolyl, etc. Aryl,
For example, isoindolyl, indazolyl, indolizinyl, isoindolinyl, quinolyl, isoquinolyl, cinnolinyl, phthalazinyl, quinazolinyl, naphthyridinyl, quinoxalinyl, purinyl, pteridinyl, benzimidazolyl, benzisoxazolyl, benzoxazozolyl, benzoxiazozolyl, benzothiazozolyl Condensation such as ril, benzothiazolyl, benzothiadiazolyl, benzofuryl, isobenzofuryl, benzothienyl, benzotriazolyl, imidazopyridyl, triazolopyridyl, imidazolothiazolyl, pyrazinopyridazinyl, benzimidazolinyl Heteroaryl.
The heteroaryl part of “heteroaryloxy”, “heteroaryloxycarbonyl”, “heteroarylalkylamino” and “heteroarylalkyl” has the same meaning as the above “heteroaryl”.
「芳香族6員環」とは、上記「ベンゼン環」、および「芳香族複素環」のうち6員の芳香環であるものを包含する。
例えば、ベンゼン環、ピリジン環、ピリダジン環、ピリミジン環、ピラジン、1,2,4-トリアジン、1,3,5-トリアジン、1,2,3-トリアジン、1、2,3,4-テトラジン等が挙げられる。
The “aromatic 6-membered ring” includes the above-mentioned “benzene ring” and “aromatic heterocycle” which are 6-membered aromatic rings.
For example, benzene ring, pyridine ring, pyridazine ring, pyrimidine ring, pyrazine, 1,2,4-triazine, 1,3,5-triazine, 1,2,3-triazine, 1,2,3,4-tetrazine, etc. Is mentioned.
「非芳香族複素環」とは、上記「複素環」のうち、非芳香環であるものを包含する。
環内に窒素原子、酸素原子、及び/又は硫黄原子を少なくとも1個有する5~7員の非芳香族環、
それらが独立して2個以上縮合した非芳香族環、
環内に窒素原子、酸素原子、及び/又は硫黄原子を少なくとも1個有する5~7員の芳香族環が、1以上の上記「シクロアルカン」または上記「シクロアルケン」と縮合した環、
環内に窒素原子、酸素原子、及び/又は硫黄原子を少なくとも1個有する5~7員の非芳香族複素環が、1以上の上記「芳香族炭素環」または「非芳香族炭素環」と縮合した環を包含する。
例えば、ピロリン、ピロリジン、イミダゾリン、イミダゾリジン、ピラゾリン、ピラゾリジン、ピペリジン、ピペラジン、モルホリン、チオモルホリン、チオモルホリン、テトラヒドロピラン、ジヒドロピリジン、ジヒドロピリダジン、ジヒドロピラジン、ジオキサン、オキサチオラン、チアン、テトラヒドロフラン、テトラヒドロピラン、テトラヒドロチアゾリン、テトラヒドロイソチアゾリン等の、単環の非芳香族複素環、
例えば、インドリン、イソインドリン、ベンゾピラン、ベンゾジオキサン、テトラヒドロキノリン、ベンゾ[d]オキサゾール-2(3H)-オン、テトラヒドロベンゾチオフェン等の、縮合した非芳香族ヘテロ芳香環が挙げられる。
C環の非芳香族複素環としては、トリアゾール、ピラゾール、イミダゾール、ピロール、チオフェンが挙げられる。
The “non-aromatic heterocycle” includes those that are non-aromatic rings among the above-mentioned “heterocycle”.
A 5- to 7-membered non-aromatic ring having at least one nitrogen atom, oxygen atom and / or sulfur atom in the ring,
A non-aromatic ring in which two or more of them are independently fused,
A ring in which a 5- to 7-membered aromatic ring having at least one nitrogen atom, oxygen atom and / or sulfur atom in the ring is condensed with one or more of the above “cycloalkane” or “cycloalkene”;
A 5- to 7-membered non-aromatic heterocyclic ring having at least one nitrogen atom, oxygen atom and / or sulfur atom in the ring is one or more of the above “aromatic carbocycle” or “non-aromatic carbocycle”. Includes fused rings.
For example, pyrroline, pyrrolidine, imidazoline, imidazolidine, pyrazoline, pyrazolidine, piperidine, piperazine, morpholine, thiomorpholine, thiomorpholine, tetrahydropyran, dihydropyridine, dihydropyridazine, dihydropyrazine, dioxane, oxathiolane, thiane, tetrahydrofuran, tetrahydropyran, tetrahydro Monocyclic non-aromatic heterocycles such as thiazoline, tetrahydroisothiazoline,
Examples thereof include condensed non-aromatic heteroaromatic rings such as indoline, isoindoline, benzopyran, benzodioxane, tetrahydroquinoline, benzo [d] oxazol-2 (3H) -one, tetrahydrobenzothiophene and the like.
Examples of the non-aromatic heterocyclic ring of C ring include triazole, pyrazole, imidazole, pyrrole, and thiophene.
「非芳香族複素環式基」とは、上記「非芳香族複素環」から導かれる1価の基を包含する。
例えば、ピロリニル、ピロリジノ、ピロリジニル、イミダゾリニル、イミダゾリジニル、ピラゾリニル、ピラゾリジニル、ピペリジノ、ピペリジル、ピペラジノ、ピペラジニル、モルホリニル、モルホリノ、チオモルホリニル、チオモルホリノ、テトラヒドロピラニル、ジヒドロピリジル、ジヒドロピリダジニル、ジヒドロピラジニル、ジオキサニル、オキサチオラニル、チアニル、テトラヒドロフリル、テトラヒドロピラニル、テトラヒドロチアゾリニル、テトラヒドロイソチアゾリニル等の、単環の非芳香族複素環式基、
ベンゾジオキサン、テトラヒドロキノリン、ベンゾ[d]オキサゾール-2(3H)-オン、テトラヒドロベンゾチオフェン等の縮合した複素環基が挙げられる。
The “non-aromatic heterocyclic group” includes a monovalent group derived from the above “non-aromatic heterocyclic ring”.
For example, pyrrolinyl, pyrrolidino, pyrrolidinyl, imidazolinyl, imidazolidinyl, pyrazolinyl, pyrazolidinyl, piperidino, piperidyl, piperazino, piperazinyl, morpholinyl, morpholino, thiomorpholinyl, thiomorpholino, tetrahydropyridyl, dihydropyridinyl, dihydropyridinyl, dihydropyridinyl Monocyclic non-aromatic heterocyclic groups such as, dioxanyl, oxathiolanyl, thianyl, tetrahydrofuryl, tetrahydropyranyl, tetrahydrothiazolinyl, tetrahydroisothiazolinyl,
Examples thereof include condensed heterocyclic groups such as benzodioxane, tetrahydroquinoline, benzo [d] oxazol-2 (3H) -one, and tetrahydrobenzothiophene.
「非芳香族含硫黄複素環式基」なる用語は、硫黄原子を少なくとも1つ環内に含み、さらに酸素原子および窒素原子から任意に選ばれる原子を環内に1個以上含んでいてもよい非芳香族の4~7員環またはそれらが2個以上縮合した環から誘導される基を包含する。例えば、チオモルホリニル、チオモルホリノ、チアニル、テトラヒドロチアゾリニル、テトラヒドロイソチアゾリニル等が挙げられる。 The term “non-aromatic sulfur-containing heterocyclic group” includes at least one sulfur atom in the ring, and may further include one or more atoms arbitrarily selected from an oxygen atom and a nitrogen atom in the ring. It includes a group derived from a non-aromatic 4- to 7-membered ring or a ring in which two or more thereof are condensed. Examples thereof include thiomorpholinyl, thiomorpholino, thianyl, tetrahydrothiazolinyl, tetrahydroisothiazolinyl and the like.
「非芳香族複素環オキシ」、「非芳香族複素環オキシカルボニル」「非芳香族複素環アルキルアミノ」および「非芳香族複素環アルキル」の非芳香族複素環部分は、上記「非芳香族複素環」と同義である。 The non-aromatic heterocyclic moiety of “non-aromatic heterocyclic oxy”, “non-aromatic heterocyclic oxycarbonyl”, “non-aromatic heterocyclic alkylamino” and “non-aromatic heterocyclic alkyl” Synonymous with “heterocycle”.
「置換アルキル」、「置換アルケニル」、「置換アルキニル」、「置換アルキルオキシ」、「置換アルケニルオキシ」、「置換アルキニルオキシ」、「置換アルキルチオ」、「置換アルケニルチオ」、「置換アルキニルチオ」、「置換アルキルオキシカルボニル」、「置換アルケニルオキシカルボニル」、「置換アルキニルオキシカルボニル」、「置換アルキルカルバモイル」、「置換アルケニルカルバモイル」、「置換アルキニルカルバモイル」、「置換アルキルスルファモイル」、「置換アルケニルスルファモイル」、「置換アルキニルスルファモイル」「置換アルキルスルフィニル」、「置換アルケニルスルフィニル」、「置換アルキニルスルフィニル」、「置換アルキルスルホニル」、「置換アルケニルスルホニル」、「置換アルキニルスルホニル」、「置換アルキルスルホニルオキシ」、「置換アシル」、の置換基としては、以下からなる群から選択される1個またはそれ以上のそれぞれ同一又は異なる置換基が挙げられるが、これに限定されない:
重水素、ヒドロキシ、カルボキシ、ハロゲン(F、Cl、Br、I)、ハロアルキルオキシ(例えば、CF3O)、シクロアルキル(例えば、シクロプロピル)、シクロアルケニル(例えば、シクロプロペニル)、アルキルオキシ(例えば、メトキシ、エトキシ、プロポキシ、ブトキシ等)、アルケニルオキシ(例えば、ビニルオキシ、アリルオキシ等)、アルキルオキシカルボニル(例えば、メトキシカルボニル、エトキシカルボニル、tert-ブトキシカルボニル等)、ニトロ、ニトロソ、アミノ、アルキルアミノ(例えば、メチルアミノ、エチルアミノ、ジメチルアミノ等)、アシルアミノ(例えば、アセチルアミノ、ベンゾイルアミノ等)、アリールアルキルアミノ(例えば、ベンジルアミノ、トリチルアミノ)、ヒドロキシアミノ、イミノ、ヒドロキシイミノ、アルキルイミノ(例えば、メチルイミノ、エチルイミノ、ジメチルイミノ等)、アルキルオキシイミノ(例えば、メトキシイミノ、エトキシイミノ等)、アシルイミノ(例えば、アセチルイミノ、ベンゾイルイミノ等)、アジド、置換基群α(置換基群α:アルキル、ハロゲン、ヒドロキシ、アルキルオキシ、アシル、アシルオキシ、カルボキシ、アルキルオキシカルボニル、アミノ、アシルアミノ、アルキルアミノ、アルキルオキシカルボニルアミノ、アルキルチオ、カルバモイル、アルキルカルバモイル、スルファモイル、アルキルスルファモイル、シアノおよびニトロ)から選択される置換基で置換もしくは非置換のアリール(例えば、フェニル、メチルフェニル、エチルフェニル、メチルオキシフェニル、エチルオキシフェニル、フルオロフェニル、クロロフェニル、メチルオキシフェニル、エチルオキシフェニル、アミノフェニル、メチルアミノフェニル、ジメチルアミノフェニル等)、置換基群αから選択される置換基で置換もしくは非置換のアリールアルキル(例えば、ベンジル、フェニルエチル、メチルフェニルメチル、エチルフェニルメチル、メチルオキシフェニルメチル、エチルオキシフェニルメチル、フルオロフェニルメチル、クロロフェニルメチル、メチルオキシフェニルメチル、エチルオキシフェニルメチル、アミノフェニルメチル、メチルアミノフェニルメチル、ジメチルアミノフェニルメチル等)、置換基群αから選択される置換基で置換もしくは非置換のアリールアルキルオキシ(例えば、ベンジルオキシ、フェニルエチルオキシ、メチルフェニルメチルオキシ、エチルフェニルメチルオキシ、メチルオキシフェニルメチルオキシ、エチルオキシフェニルメチルオキシ、フルオロフェニルメチルオキシ、クロロフェニルメチルオキシ、メチルオキシフェニルメチルオキシ、エチルオキシフェニルメチルオキシ、アミノフェニルメチルオキシ、メチルアミノフェニルメチルオキシ、ジメチルアミノフェニルメチルオキシ等)、置換基群αから選択される置換基で置換もしくは非置換の非芳香族複素環式基(例えば、ピロリニル、ピペリジル、ピペラジノピロリジノ、ピロリジニル、モルホリニル、モルホリノ、メチルピロリニル、メチルピペリジル、メチルピペラジノピロリジノ、メチルピロリジニル、メチルモルホリニル、メチルモルホリノ等)、置換基群αから選択される置換基で置換もしくは非置換のヘテロアリール(例えば、フリル、チエニル、ピリジル、イソオキサゾリル、チアゾリル、チアジアゾリル、オキサゾリル、オキサジアゾリル、メチルフリル、メチルチエニル、メチルピリジル、メチルイソオキサゾリル、メチルチアゾリル、メチルチアジアゾリル、メチルオキサゾリル、メチルオキサジアゾリル等)、置換基群αから選択される置換基で置換もしくは非置換のヘテロアリールアルキル(ピリジルメチル、ピリジルエチル、メチルピリジルメチル、メチルピリジルエチル等)、シアノ、イソシアノ、イソシアナト、チオシアナト、イソチオシアナト、メルカプト、アルキルチオ(例えば、メチルチオ等)、アルキルスルホニル(例えば、メタンスルホニル、エタンスルホニル)、カルバモイル、アルキルカルバモイル(例えば、メチルカルバモイル、エチルカルバモイル、ジメチルカルバモイル等)、スルファモイル、アルキルスルファモイル、アシル(例えば、アセチル等)、ホルミルオキシ、チオホルミル、チオカルボキシ、ジチオカルボキシ、チオカルバモイル、スルフィノ、スルホ、ヒドラジノ、アジド、ウレイド、アミジノ、グアニジノ、フタルイミド、トリアルキルシリル(トリメチルシリル等)、およびオキソ。
“Substituted alkyl”, “substituted alkenyl”, “substituted alkynyl”, “substituted alkyloxy”, “substituted alkenyloxy”, “substituted alkynyloxy”, “substituted alkylthio”, “substituted alkenylthio”, “substituted alkynylthio”, "Substituted alkyloxycarbonyl", "substituted alkenyloxycarbonyl", "substituted alkynyloxycarbonyl", "substituted alkylcarbamoyl", "substituted alkenylcarbamoyl", "substituted alkynylcarbamoyl", "substituted alkylsulfamoyl", "substituted alkenyl" Sulfamoyl, substituted alkynylsulfamoyl, substituted alkylsulfinyl, substituted alkenylsulfinyl, substituted alkynylsulfinyl, substituted alkylsulfonyl, substituted alkenylsulfonyl, substituted alkynyl Examples of the substituents of “rusulfonyl”, “substituted alkylsulfonyloxy”, and “substituted acyl” include, but are not limited to, one or more of the same or different substituents selected from the group consisting of: Not:
Deuterium, hydroxy, carboxy, halogen (F, Cl, Br, I), haloalkyloxy (eg CF 3 O), cycloalkyl (eg cyclopropyl), cycloalkenyl (eg cyclopropenyl), alkyloxy (eg Methoxy, ethoxy, propoxy, butoxy, etc.), alkenyloxy (eg, vinyloxy, allyloxy, etc.), alkyloxycarbonyl (eg, methoxycarbonyl, ethoxycarbonyl, tert-butoxycarbonyl, etc.), nitro, nitroso, amino, alkylamino ( For example, methylamino, ethylamino, dimethylamino, etc.), acylamino (eg, acetylamino, benzoylamino, etc.), arylalkylamino (eg, benzylamino, tritylamino), hydroxyamino, imino, hydro Simino, alkylimino (eg, methylimino, ethylimino, dimethylimino, etc.), alkyloxyimino (eg, methoxyimino, ethoxyimino, etc.), acylimino (eg, acetylimino, benzoylimino, etc.), azide, substituent group α (substituted) Group α: alkyl, halogen, hydroxy, alkyloxy, acyl, acyloxy, carboxy, alkyloxycarbonyl, amino, acylamino, alkylamino, alkyloxycarbonylamino, alkylthio, carbamoyl, alkylcarbamoyl, sulfamoyl, alkylsulfamoyl, cyano Substituted or unsubstituted aryl (eg, phenyl, methylphenyl, ethylphenyl, methyloxyphenyl, ethyloxyphenyl) with a substituent selected from Nyl, fluorophenyl, chlorophenyl, methyloxyphenyl, ethyloxyphenyl, aminophenyl, methylaminophenyl, dimethylaminophenyl, etc.), substituted or unsubstituted arylalkyl with a substituent selected from the substituent group α (for example, benzyl , Phenylethyl, methylphenylmethyl, ethylphenylmethyl, methyloxyphenylmethyl, ethyloxyphenylmethyl, fluorophenylmethyl, chlorophenylmethyl, methyloxyphenylmethyl, ethyloxyphenylmethyl, aminophenylmethyl, methylaminophenylmethyl, dimethylamino Phenylmethyl, etc.), substituted or unsubstituted arylalkyloxy (eg, benzyloxy, phenylethyloxy, methyl) with a substituent selected from the substituent group α Phenylmethyloxy, ethylphenylmethyloxy, methyloxyphenylmethyloxy, ethyloxyphenylmethyloxy, fluorophenylmethyloxy, chlorophenylmethyloxy, methyloxyphenylmethyloxy, ethyloxyphenylmethyloxy, aminophenylmethyloxy, methylaminophenyl Methyloxy, dimethylaminophenylmethyloxy, etc.), a non-aromatic heterocyclic group substituted or unsubstituted with a substituent selected from the substituent group α (for example, pyrrolinyl, piperidyl, piperazinopyrrolidino, pyrrolidinyl, morpholinyl) , Morpholino, methylpyrrolinyl, methylpiperidyl, methylpiperazinopyrrolidino, methylpyrrolidinyl, methylmorpholinyl, methylmorpholino, etc.), a substituent selected from the substituent group α Substituted or unsubstituted heteroaryl (eg, furyl, thienyl, pyridyl, isoxazolyl, thiazolyl, thiadiazolyl, oxazolyl, oxadiazolyl, methylfuryl, methylthienyl, methylpyridyl, methylisoxazolyl, methylthiazolyl, methylthiazolyl, methyl Oxazolyl, methyloxadiazolyl, etc.), a heteroarylalkyl substituted or unsubstituted with a substituent selected from the substituent group α (pyridylmethyl, pyridylethyl, methylpyridylmethyl, methylpyridylethyl, etc.), cyano, isocyano , Isocyanato, thiocyanato, isothiocyanato, mercapto, alkylthio (eg, methylthio, etc.), alkylsulfonyl (eg, methanesulfonyl, ethanesulfonyl), carbamoyl, al Rucarbamoyl (eg, methylcarbamoyl, ethylcarbamoyl, dimethylcarbamoyl, etc.), sulfamoyl, alkylsulfamoyl, acyl (eg, acetyl, etc.), formyloxy, thioformyl, thiocarboxy, dithiocarboxy, thiocarbamoyl, sulfino, sulfo, hydrazino, Azide, ureido, amidino, guanidino, phthalimide, trialkylsilyl (such as trimethylsilyl), and oxo.
「置換アミノ」、「置換アミノスルホニルアミノ」の置換基としては、以下の群から選択される1個またはそれ以上のそれぞれ同一又は異なる置換基が挙げられるがこれらに限定されない:
アルキル(例えば、メチル、エチル、イソプロピル、tert-ブチル等)、ハロアルキル(例えば、CF3、CH2CF3、CH2CCl3等)、ヒドロキシアルキル(例えば、ヒドロキシエチル、-C(CH3)2CH2OH等)、アルケニル(例えば、ビニル)、アルキニル(例えば、エチニル)、シクロアルキル(例えば、シクロプロピル)、シクロアルケニル(例えば、シクロプロペニル)、アルキルオキシ(例えば、メトキシ、エトキシ、プロポキシ、ブトキシ等)、ハロアルキルオキシ(例えば、CF3O)、アルケニルオキシ(例えば、ビニルオキシ、アリルオキシ等)、アルキルオキシカルボニル(tert-ブチルオキシカルボニル等)、アミノ、アルキルアミノ(例えば、メチルアミノ、エチルアミノ、ジメチルアミノ等)、アシルアミノ(例えば、アセチルアミノ、ベンゾイルアミノ等)、アリールアルキルアミノ(例えば、ベンジルアミノ、トリチルアミノ)、ヒドロキシアミノ、イミノ、ヒドロキシイミノ、アルキルイミノ(例えば、メチルイミノ、エチルイミノ、ジメチルイミノ等)、アルキルオキシイミノ(例えば、メトキシイミノ、エトキシイミノ等)、アシルイミノ(例えば、アセチルイミノ、ベンゾイルイミノ等)、置換基群αから選択される置換基で置換もしくは非置換のアリール(例えば、フェニルメチルフェニル、エチルフェニル、メチルオキシフェニル、エチルオキシフェニル、フルオロフェニル、クロロフェニル、メチルオキシフェニル、エチルオキシフェニル、アミノフェニル、メチルアミノフェニル、ジメチルアミノフェニル等)、置換基群αから選択される置換基で置換もしくは非置換のアリールアルキル(例えば、ベンジル、フェニルエチル、メチルフェニルメチル、エチルフェニルメチル、メチルオキシフェニルメチル、エチルオキシフェニルメチル、フルオロフェニルメチル、クロロフェニルメチル、メチルオキシフェニルメチル、エチルオキシフェニルメチル、アミノフェニルメチル、メチルアミノフェニルメチル、ジメチルアミノフェニルメチル等)、置換基群αから選択される置換基で置換もしくは非置換のアリールオキシ(例えば、フェノキシ、メチルフェニルオキシ等)、置換基群αから選択される置換基で置換もしくは非置換の非芳香族複素環式基(例えば、ピロリニル、ピロリジノ、ピペリジノ、ピペリジル、ピペラジノ、ピペラジニル、モルホリニル、モルホリノ、メチルピロリニル、メチルピロリジノ、メチルピペリジノ、メチルピペリジル、メチルピペラジノ、メチルピペラジニル、メチルモルホリニル、メチルモルホリノ等)、置換基群αから選択される置換基で置換もしくは非置換のヘテロアリール(例えば、ピリジル、チエニル、チアゾリル、フリル、メチルフリル、メチルチエニル、メチルピリジル、メチルイソオキサゾリル、メチルチアゾリル、メチルチアジアゾリル、メチルオキサゾリル、メチルオキサジアゾリル等)、置換基群αから選択される置換基で置換もしくは非置換のヘテロアリールアルキル(例えば、ピリジルメチル、チエニルメチル、チアゾリルメチル、フリルメチル、メチルピリジルメチル、メチルチエニルメチル、メチルチアゾリルメチル、メチルフリルメチル等)、置換基群αから選択される置換基で置換もしくは非置換の非芳香族複素環オキシ(ピペラジノオキシ、ピペリジノオキシ等)、置換基群αから選択される置換基で置換もしくは非置換のヘテロアリールオキシ(ピリジルオキシ、メチルピペラジノオキシ、メチルピペリジノオキシ等)、置換基群αから選択される置換基で置換もしくは非置換のヘテロアリールオキシ(ピリジルオキシ、メチルピリジルオキシ等)、ヒドロキシ、ハロゲン(F、Cl、Br、I)、シアノおよびアシル(例えば、アセチル等)。
「置換もしくは非置換のアルキルスルホニルアミノ」、「置換もしくは非置換のアミノスルホニルアミノ」、「置換もしくは非置換のシクロアルキルスルホニルアミノ」、「置換もしくは非置換の非芳香族複素環スルホニルアミノ」、「置換もしくは非置換のアリールスルホニルアミノ」、または「置換もしくは非置換のヘテロアリールスルホニルアミノ」における「アミノ」も、上記「置換アミノ」で示される置換基で置換されていてもよい。
Substituents for “substituted amino” and “substituted aminosulfonylamino” include, but are not limited to, one or more of the same or different substituents selected from the following group:
Alkyl (eg, methyl, ethyl, isopropyl, tert-butyl, etc.), haloalkyl (eg, CF 3 , CH 2 CF 3 , CH 2 CCl 3, etc.), hydroxyalkyl (eg, hydroxyethyl, —C (CH 3 ) 2 CH 2 OH, etc.), alkenyl (eg, vinyl), alkynyl (eg, ethynyl), cycloalkyl (eg, cyclopropyl), cycloalkenyl (eg, cyclopropenyl), alkyloxy (eg, methoxy, ethoxy, propoxy, butoxy) Etc.), haloalkyloxy (eg CF 3 O), alkenyloxy (eg vinyloxy, allyloxy etc.), alkyloxycarbonyl (tert-butyloxycarbonyl etc.), amino, alkylamino (eg methylamino, ethylamino, dimethyl) Amino), acylamino (eg, Tilamino, benzoylamino, etc.), arylalkylamino (eg, benzylamino, tritylamino), hydroxyamino, imino, hydroxyimino, alkylimino (eg, methylimino, ethylimino, dimethylimino, etc.), alkyloxyimino (eg, methoxyimino) , Ethoxyimino, etc.), acylimino (eg, acetylimino, benzoylimino, etc.), substituted or unsubstituted aryl with a substituent selected from the substituent group α (eg, phenylmethylphenyl, ethylphenyl, methyloxyphenyl, ethyl) Oxyphenyl, fluorophenyl, chlorophenyl, methyloxyphenyl, ethyloxyphenyl, aminophenyl, methylaminophenyl, dimethylaminophenyl, etc.), a substituent selected from the substituent group α Substituted or unsubstituted arylalkyl (eg benzyl, phenylethyl, methylphenylmethyl, ethylphenylmethyl, methyloxyphenylmethyl, ethyloxyphenylmethyl, fluorophenylmethyl, chlorophenylmethyl, methyloxyphenylmethyl, ethyloxyphenyl) Methyl, aminophenylmethyl, methylaminophenylmethyl, dimethylaminophenylmethyl, etc.), substituted or unsubstituted aryloxy (for example, phenoxy, methylphenyloxy, etc.), substituent group a non-aromatic heterocyclic group substituted or unsubstituted with a substituent selected from α (for example, pyrrolinyl, pyrrolidino, piperidino, piperidyl, piperazino, piperazinyl, morpholinyl, morpholino, methylpyrrole) Nyl, methylpyrrolidino, methylpiperidino, methylpiperidyl, methylpiperazino, methylpiperazinyl, methylmorpholinyl, methylmorpholino, etc.), substituted or unsubstituted heteroaryl (for example, pyridyl) , Thienyl, thiazolyl, furyl, methylfuryl, methylthienyl, methylpyridyl, methylisoxazolyl, methylthiazolyl, methylthiadiazolyl, methyloxazolyl, methyloxadiazolyl), a substituent selected from the substituent group α Substituted or unsubstituted heteroarylalkyl (eg, pyridylmethyl, thienylmethyl, thiazolylmethyl, furylmethyl, methylpyridylmethyl, methylthienylmethyl, methylthiazolylmethyl, methylfurylmethyl, etc.), substituent group α Substituted or unsubstituted non-aromatic heterocyclic oxy (piperazinooxy, piperidinooxy, etc.), or substituted or unsubstituted heteroaryloxy (pyridyloxy, methylpiperazi) with a substituent selected from the substituent group α Nooxy, methylpiperidinooxy, etc.), substituted or unsubstituted heteroaryloxy (pyridyloxy, methylpyridyloxy, etc.), hydroxy, halogen (F, Cl, Br, etc.) selected from the substituent group α I), cyano and acyl (eg acetyl etc.).
“Substituted or unsubstituted alkylsulfonylamino”, “substituted or unsubstituted aminosulfonylamino”, “substituted or unsubstituted cycloalkylsulfonylamino”, “substituted or unsubstituted nonaromatic heterocyclic sulfonylamino”, “ “Amino” in “substituted or unsubstituted arylsulfonylamino” or “substituted or unsubstituted heteroarylsulfonylamino” may also be substituted with the substituent represented by the above “substituted amino”.
「置換非芳香族炭素環基」、「置換シクロアルキル」、「置換シクロアルケニル」、「置換アリール」、「置換非芳香族複素環式基」、「置換ヘテロアリール」、「置換シクロアルキルオキシ」、「置換シクロアルケニルオキシ」、「置換非芳香族複素環オキシ」、
「置換アリールオキシ」、「置換ヘテロアリールオキシ」、「置換アリールアルキル」、「置換ヘテロアリールアルキル」、「置換シクロアルキルカルバモイル」、「置換シクロアルケニルカルバモイル」、「置換非芳香族複素環カルバモイル」、「置換アリールカルバモイル」、「置換ヘテロアリールカルバモイル」、「置換シクロアルキルスルファモイル」、「置換シクロアルケニルスルファモイル」、「置換非芳香族複素環スルファモイル」、「置換アリールスルファモイル」、「置換ヘテロアリールスルファモイル」、「置換シクロアルキルオキシカルボニル」、「置換シクロアルケニルオキシカルボニル」、「置換非芳香族複素環オキシカルボニル」、「置換アリールオキシカルボニル」、「置換ヘテロアリールオキシカルボニル」、「置換シクロアルキルスルフィニル」、「置換シクロアルケニルスルフィニル」、「置換非芳香族複素環スルフィニル」、「置換アリールスルフィニル」、「置換ヘテロアリールスルフィニル」、「置換シクロアルキルスルホニル」、「置換シクロアルケニルスルホニル」、「置換非芳香族複素環スルホニル」、「置換アリールスルホニル」、「置換ヘテロアリールスルホニル」、「置換アリールスルホニルオキシ」、「置換非芳香族複素環式基」および「含窒素非芳香族複素環基」の置換基としては、以下からなる群から選択される1個またはそれ以上のそれぞれ同一又は異なる置換基が挙げられるがこれに限定されない:
アルキル(例えば、メチル、エチル、イソプロピル、tert-ブチル等)、ハロアルキル(例えば、CF3、CH2CF3、CH2CCl3等)、ハロアルキルオキシ(例えば、CF3O、CHCF2O等)、アルケニル(例えば、ビニル)、アルキニル(例えば、エチニル)、シクロアルキル(例えば、シクロプロピル)、シクロアルケニル(例えば、シクロプロペニル)、アルキルオキシ(例えば、メトキシ、エトキシ、プロポキシ、ブトキシ等)、アルケニルオキシ(例えば、ビニルオキシ、アリルオキシ等)、アルキルオキシカルボニル(例えば、メトキシカルボニル、エトキシカルボニル、tert-ブトキシカルボニル等)、ニトロ、ニトロソ、アミノ、アルキルアミノ(例えば、メチルアミノ、エチルアミノ、ジメチルアミノ等)、アシルアミノ(例えば、アセチルアミノ、ベンゾイルアミノ等)、置換基群αから選択される置換基で置換もしくは非置換のアリールアルキルアミノ(例えば、ベンジルアミノ、メチルフェニルメチルアミノ、エチルフェニルメチルアミノ、メチルオキシフェニルメチルアミノ、エチルオキシフェニルメチルアミノ、フルオロフェニルメチルアミノ、クロロフェニルメチルアミノ、メチルオキシフェニルメチルアミノ、エチルオキシフェニルメチルアミノ、アミノフェニルメチルアミノ、メチルアミノフェニルメチルアミノ、ジメチルアミノフェニルメチル、トリチルアミノ等)、ヒドロキシアミノ、イミノ、ヒドロキシイミノ、アルキルイミノ(例えば、メチルイミノ、エチルイミノ、ジメチルイミノ等)、アルキルオキシイミノ(例えば、メトキシイミノ、エトキシイミノ等)、アシルイミノ(例えば、アセチルイミノ、ベンゾイルイミノ等)、アジド、置換基群αから選択される置換基で置換もしくは非置換のアリール(例えば、フェニル、メチルフェニル、エチルフェニル、メチルオキシフェニル、エチルオキシフェニル、フルオロフェニル、クロロフェニル、メチルオキシフェニル、エチルオキシフェニル、アミノフェニル、メチルアミノフェニル、ジメチルアミノフェニル等)、置換基群αから選択される置換基で置換もしくは非置換のアリールアルキル(例えば、ベンジル、フェニルエチル、メチルフェニルメチル、エチルフェニルメチル、メチルオキシフェニルメチル、エチルオキシフェニルメチル、フルオロフェニルメチル、クロロフェニルメチル、メチルオキシフェニルメチル、エチルオキシフェニルメチル、アミノフェニルメチル、メチルアミノフェニルメチル、ジメチルアミノフェニルメチル等)、置換基群αから選択される置換基で置換もしくは非置換のアリールオキシ(例えば、フェノキシ、メチルフェニルオキシ等)、置換基群αから選択される置換基で置換もしくは非置換のアリールアルキルオキシ(例えば、ベンジルオキシ、フェニルエチルオキシ、メチルフェニルメチルオキシ、エチルフェニルメチルオキシ、メチルオキシフェニルメチルオキシ、エチルオキシフェニルメチルオキシ、フルオロフェニルメチルオキシ、クロロフェニルメチルオキシ、メチルオキシフェニルメチルオキシ、エチルオキシフェニルメチルオキシ、アミノフェニルメチルオキシ、メチルアミノフェニルメチルオキシ、ジメチルアミノフェニルメチルオキシ等)、置換基群αから選択される置換基で置換もしくは非置換の非芳香族複素環式基(例えば、ピロリニル、ピロリジノ、ピペリジノ、ピペリジル、ピペラジノ、ピペラジニル、モルホリニル、モルホリノ、メチルピロリニル、メチルピロリジノ、メチルピペリジノ、メチルピペリジル、メチルピペラジノ、メチルピペラジニル、メチルモルホリニル、メチルモルホリノ等)、置換基群αから選択される置換基で置換もしくは非置換のヘテロアリール(例えば、ピリジル、チエニル、チアゾリル、フリル、メチルピリジル、メチルチエニル、メチルチアゾリル、メチルフリル等)、置換基群αから選択される置換基で置換もしくは非置換のヘテロアリールアルキル(例えば、ピリジルメチル、チエニルメチル、チアゾリルメチル、フリルメチル、メチルピリジルメチル、メチルチエニルメチル、メチルチアゾリルメチル、メチルフリルメチル等)、置換基群αから選択される置換基で置換もしくは非置換の非芳香族複素環オキシ(ピペラジノオキシ、ピペリジノオキシ、メチルピペラジノオキシ、メチルピペリジノオキシ等)、置換基群αから選択される置換基で置換もしくは非置換のヘテロアリールオキシ(ピリジルオキシ、メチルピリジルオキシ等)、シアノ、イソシアノ、イソシアナト、チオシアナト、イソチオシアナト、メルカプト、アルキルチオ(例えば、メチルチオ等)、アルキルスルホニル(例えば、メタンスルホニル、エタンスルホニル)、非置換スルファモイル、置換基群Aから選択される置換基で置換されたスルファモイル、(例えば、カルバモイル、N-メチル-N-メトキシカルバモイル等)、置換もしくは非置換のアルキルカルバモイル(例えば、メチルカルバモイル、エチルカルバモイル、ジメチルカルバモイル、ヒドロキシエチルカルバモイル、トリフルオロメチルカルバモイル、トリフルオロエチルカルバモイル等)、スルファモイル、アルキルスルファモイル、ヒドロキシ、カルボキシ、ハロゲン(F、Cl、Br、I)、アシル(例えば、ホルミル、アセチル等)、ホルミルオキシ、チオホルミル、チオカルボキシ、ジチオカルボキシ、チオカルバモイル、スルフィノ、スルホ、ヒドラジノ、アジド、ウレイド、アミジノ、グアニジノ、フタルイミドおよびオキソ。
「置換アリール」および「置換ヘテロアリール」の置換基としては、ハロゲン、メチル、トリフルオロメチル、エチル、n-プロピル、イソプロピル、メキルオキシ、エチルオキシ、n-プロピルオキシ、イソプロピルオキシ、トリフルオロメチルオキシハロゲン、ヒドロキシ、カルバモイル等が挙げられる。好ましくは、ハロゲン、メチル、イソプロピル、ヒドロキシ、カルバモイル等が挙げられる。
“Substituted non-aromatic carbocyclic group”, “substituted cycloalkyl”, “substituted cycloalkenyl”, “substituted aryl”, “substituted non-aromatic heterocyclic group”, “substituted heteroaryl”, “substituted cycloalkyloxy” , “Substituted cycloalkenyloxy”, “substituted non-aromatic heterocyclic oxy”,
“Substituted aryloxy”, “substituted heteroaryloxy”, “substituted arylalkyl”, “substituted heteroarylalkyl”, “substituted cycloalkylcarbamoyl”, “substituted cycloalkenylcarbamoyl”, “substituted non-aromatic heterocyclic carbamoyl”, “Substituted arylcarbamoyl”, “substituted heteroarylcarbamoyl”, “substituted cycloalkylsulfamoyl”, “substituted cycloalkenylsulfamoyl”, “substituted non-aromatic heterocyclic sulfamoyl”, “substituted arylsulfamoyl”, “ “Substituted heteroarylsulfamoyl”, “substituted cycloalkyloxycarbonyl”, “substituted cycloalkenyloxycarbonyl”, “substituted non-aromatic heterocyclic oxycarbonyl”, “substituted aryloxycarbonyl”, “substituted heteroaryloxycarbonyl” , “Substituted cycloalkylsulfinyl”, “substituted cycloalkenylsulfinyl”, “substituted non-aromatic heterocyclic sulfinyl”, “substituted arylsulfinyl”, “substituted heteroarylsulfinyl”, “substituted cycloalkylsulfonyl”, “substituted cycloalkenylsulfonyl” , “Substituted non-aromatic heterocyclic sulfonyl”, “substituted arylsulfonyl”, “substituted heteroarylsulfonyl”, “substituted arylsulfonyloxy”, “substituted non-aromatic heterocyclic group” and “nitrogen-containing non-aromatic heterocyclic” Substituents for “ring groups” include, but are not limited to, one or more of the same or different substituents selected from the group consisting of:
Alkyl (eg, methyl, ethyl, isopropyl, tert-butyl, etc.), haloalkyl (eg, CF 3 , CH 2 CF 3 , CH 2 CCl 3, etc.), haloalkyloxy (eg, CF 3 O, CHCF 2 O, etc.), Alkenyl (eg vinyl), alkynyl (eg ethynyl), cycloalkyl (eg cyclopropyl), cycloalkenyl (eg cyclopropenyl), alkyloxy (eg methoxy, ethoxy, propoxy, butoxy etc.), alkenyloxy ( For example, vinyloxy, allyloxy, etc.), alkyloxycarbonyl (eg, methoxycarbonyl, ethoxycarbonyl, tert-butoxycarbonyl, etc.), nitro, nitroso, amino, alkylamino (eg, methylamino, ethylamino, dimethylamino, etc.), acylamino (For example, Arylamino, substituted or unsubstituted with a substituent selected from the substituent group α (for example, benzylamino, methylphenylmethylamino, ethylphenylmethylamino, methyloxyphenylmethylamino, ethyloxy) Phenylmethylamino, fluorophenylmethylamino, chlorophenylmethylamino, methyloxyphenylmethylamino, ethyloxyphenylmethylamino, aminophenylmethylamino, methylaminophenylmethylamino, dimethylaminophenylmethyl, tritylamino, etc.), hydroxyamino, imino Hydroxyimino, alkylimino (for example, methylimino, ethylimino, dimethylimino, etc.), alkyloxyimino (for example, methoxyimino, ethoxyimino) Mino, etc.), acylimino (eg, acetylimino, benzoylimino, etc.), azide, aryl substituted or unsubstituted with a substituent selected from substituent group α (eg, phenyl, methylphenyl, ethylphenyl, methyloxyphenyl, Ethyloxyphenyl, fluorophenyl, chlorophenyl, methyloxyphenyl, ethyloxyphenyl, aminophenyl, methylaminophenyl, dimethylaminophenyl, etc.), substituted or unsubstituted arylalkyl with a substituent selected from the substituent group α (for example, , Benzyl, phenylethyl, methylphenylmethyl, ethylphenylmethyl, methyloxyphenylmethyl, ethyloxyphenylmethyl, fluorophenylmethyl, chlorophenylmethyl, methyloxyphenylmethyl, ethyloxy Phenylmethyl, aminophenylmethyl, methylaminophenylmethyl, dimethylaminophenylmethyl, etc.), substituted or unsubstituted aryloxy (eg, phenoxy, methylphenyloxy, etc.), substituents selected from the substituent group α Arylalkyloxy substituted or unsubstituted with a substituent selected from group α (eg, benzyloxy, phenylethyloxy, methylphenylmethyloxy, ethylphenylmethyloxy, methyloxyphenylmethyloxy, ethyloxyphenylmethyloxy, fluoro Phenylmethyloxy, chlorophenylmethyloxy, methyloxyphenylmethyloxy, ethyloxyphenylmethyloxy, aminophenylmethyloxy, methylaminophenylmethyloxy, dimethylaminopheny A non-aromatic heterocyclic group substituted or unsubstituted with a substituent selected from the substituent group α (for example, pyrrolinyl, pyrrolidino, piperidino, piperidyl, piperazino, piperazinyl, morpholinyl, morpholino, methylpyrrolinyl, A heteroaryl substituted or unsubstituted with a substituent selected from methylpyrrolidino, methylpiperidino, methylpiperidyl, methylpiperazino, methylpiperazinyl, methylmorpholinyl, methylmorpholino, etc.), substituent group α (eg pyridyl, thienyl , Thiazolyl, furyl, methylpyridyl, methylthienyl, methylthiazolyl, methylfuryl, etc.), substituted or unsubstituted heteroarylalkyl with a substituent selected from the substituent group α (eg, pyridylmethyl, thienylmethyl, thiazolylmethyl) Furylmethyl, methylpyridylmethyl, methylthienylmethyl, methylthiazolylmethyl, methylfurylmethyl, etc.), substituted or unsubstituted non-aromatic heterocyclic oxy (piperazinooxy, piperidinooxy, Methylpiperazinooxy, methylpiperidinooxy, etc.), heteroaryloxy (pyridyloxy, methylpyridyloxy, etc.) substituted or unsubstituted with a substituent selected from the substituent group α, cyano, isocyano, isocyanato, thiocyanato , Isothiocyanato, mercapto, alkylthio (eg, methylthio, etc.), alkylsulfonyl (eg, methanesulfonyl, ethanesulfonyl), unsubstituted sulfamoyl, sulfamoyl substituted with a substituent selected from Substituent Group A (eg, carbamoyl) N-methyl-N-methoxycarbamoyl), substituted or unsubstituted alkylcarbamoyl (eg, methylcarbamoyl, ethylcarbamoyl, dimethylcarbamoyl, hydroxyethylcarbamoyl, trifluoromethylcarbamoyl, trifluoroethylcarbamoyl, etc.), sulfamoyl, alkyl Sulfamoyl, hydroxy, carboxy, halogen (F, Cl, Br, I), acyl (eg, formyl, acetyl, etc.), formyloxy, thioformyl, thiocarboxy, dithiocarboxy, thiocarbamoyl, sulfino, sulfo, hydrazino, azide Ureido, amidino, guanidino, phthalimide and oxo.
Substituents for “substituted aryl” and “substituted heteroaryl” include halogen, methyl, trifluoromethyl, ethyl, n-propyl, isopropyl, mekyloxy, ethyloxy, n-propyloxy, isopropyloxy, trifluoromethyloxyhalogen, Hydroxy, carbamoyl and the like can be mentioned. Preferably, halogen, methyl, isopropyl, hydroxy, carbamoyl and the like can be mentioned.
本明細書中、式(I)における置換基R10の結合手が、2つの環にまたがっている場合は、R10がいずれの環に置換してもよいことを示す。また、本明細書中、置換基R10の結合手が、1つの環のみに置換している場合は、R10がその環に置換してもよいことを示す In the present specification, when the bond of the substituent R 10 in the formula (I) extends over two rings, it indicates that R 10 may be substituted on any ring. In the present specification, when the bond of the substituent R 10 is substituted on only one ring, it indicates that R 10 may be substituted on that ring.
さらに、一般式(I)の化合物の一つ以上の水素、炭素または他の原子は、水素、炭素または他の原子の同位体で置換され得る。一般式(I)の化合物は、一般式(I)の化合物のすべての放射性標識体を包含する。一般式(I)の化合物のそのような「放射性標識化」、「放射性標識体」などは、それぞれが本発明に包含され、代謝薬物動態研究ならびに結合アッセイにおける研究および/または診断ツールとして有用である。本発明の一般式(I)の化合物に組み込まれ得る同位体の例としては、それぞれ2H、3H、13C、14C、15N、18O、17O、31P、32P、35S、18F、および36Clのように、水素、炭素、窒素、酸素、リン、硫黄、フッ素、および塩素が包含される。本発明の放射性標識化合物は、当該技術分野で周知の方法で調製できる。例えば、一般式(I)のトリチウム標識化合物は、例えば、トリチウムを用いた触媒的脱ハロゲン化反応によって、式Iの特定の化合物にトリチウムを導入することで調製できる。この方法は、適切な触媒、例えばPd/Cの存在下、塩基の存在または非存在下で、一般式(I)の化合物が適切にハロゲン置換された前駆体とトリチウムガスとを反応させることを包含してもよい。他のトリチウム標識化合物を調製するための適切な方法としては、文書Isotopes in the Physical and Biomedical Sciences, Vol. 1, Labeled Compounds (Part A), Chapter 6 (1987年).を参照にできる。14C-標識化合物は、14C炭素を有する原料を用いることによって調製できる。 Furthermore, one or more hydrogen, carbon or other atoms of the compound of general formula (I) may be replaced with isotopes of hydrogen, carbon or other atoms. The compound of general formula (I) includes all radiolabeled compounds of the compound of general formula (I). Such “radiolabeled”, “radiolabeled” and the like of compounds of general formula (I) are each encompassed by the present invention and are useful as research and / or diagnostic tools in metabolic pharmacokinetic studies and binding assays. is there. Examples of isotopes that can be incorporated into the compound of the general formula (I) of the present invention include 2 H, 3 H, 13 C, 14 C, 15 N, 18 O, 17 O, 31 P, 32 P, and 35, respectively. Hydrogen, carbon, nitrogen, oxygen, phosphorus, sulfur, fluorine, and chlorine are included, such as S, 18 F, and 36 Cl. The radiolabeled compound of the present invention can be prepared by methods well known in the art. For example, a tritium-labeled compound of general formula (I) can be prepared by introducing tritium into a specific compound of formula I, for example, by a catalytic dehalogenation reaction using tritium. This process comprises reacting a compound of general formula (I) with a suitably halogen-substituted precursor and tritium gas in the presence of a suitable catalyst, for example Pd / C, in the presence or absence of a base. It may be included. For suitable methods for preparing other tritium labeled compounds, reference may be made to the document Isotopes in the Physical and Biomedical Sciences, Vol. 1, Labeled Compounds (Part A), Chapter 6 (1987). The 14 C-labeled compound can be prepared by using a raw material having 14 C carbon.
上記一般式(I)で示される本発明化合物またはその塩は、公知の方法により、水和物または溶媒和物に変換されることもある。適当な溶媒和物としては、アセトン、2-ブタノール、2-プロパノール、エタノール、酢酸エチル、テトラヒドロフラン、ジエチルエーテル等との溶媒和物があげられる。例えば、非毒性かつ水溶性である、水和物または溶媒和物(例えば、エタノール等)が挙げられる。水和物を形成する時は、任意の数の水分子と配位していてもよい。
本発明に係る化合物は製薬上許容される塩を包含する。例えば、アルカリ金属(リチウム、ナトリウムまたはカリウム等)、アルカリ土類金属(マグネシウムまたはカルシウム等)、アンモニウム、有機塩基およびアミノ酸との塩、または無機酸(塩酸、硫酸、硝酸、臭化水素酸、リン酸またはヨウ化水素酸等)、および有機酸(酢酸、クエン酸、乳酸、酒石酸、シュウ酸、マレイン酸、フマル酸、マンデル酸、グルタル酸、リンゴ酸、安息香酸、フタル酸、ベンゼンスルホン酸、p-トルエンスルホン酸、メタンスルホン酸またはエタンスルホン酸等)との塩が挙げられる。特に塩酸、リン酸、酒石酸またはメタンスルホン酸等が好ましい。これらの塩は、通常行われる方法によって形成させることができる。
The compound of the present invention represented by the above general formula (I) or a salt thereof may be converted into a hydrate or a solvate by a known method. Suitable solvates include solvates with acetone, 2-butanol, 2-propanol, ethanol, ethyl acetate, tetrahydrofuran, diethyl ether and the like. For example, non-toxic and water-soluble hydrates or solvates (for example, ethanol and the like) can be mentioned. When forming a hydrate, it may be coordinated with any number of water molecules.
The compounds according to the present invention include pharmaceutically acceptable salts. For example, alkali metals (such as lithium, sodium or potassium), alkaline earth metals (such as magnesium or calcium), ammonium, salts with organic bases and amino acids, or inorganic acids (hydrochloric acid, sulfuric acid, nitric acid, hydrobromic acid, phosphorus Acid or hydroiodic acid) and organic acids (acetic acid, citric acid, lactic acid, tartaric acid, oxalic acid, maleic acid, fumaric acid, mandelic acid, glutaric acid, malic acid, benzoic acid, phthalic acid, benzenesulfonic acid, and salts with p-toluenesulfonic acid, methanesulfonic acid, ethanesulfonic acid, etc.). In particular, hydrochloric acid, phosphoric acid, tartaric acid, methanesulfonic acid and the like are preferable. These salts can be formed by a commonly performed method.
「調節剤」とは、作動剤、部分作動剤、逆作動剤および拮抗剤を包含する。
「ヒスタミンH4調節剤」とは、ヒスタミンH4受容体の調節剤、すなわち、ヒスタミンH4受容体作動剤、ヒスタミンH4受容体部分作動剤、ヒスタミンH4受容体逆作動剤、ヒスタミンH4受容体拮抗剤を包含する。
“Modulators” include agonists, partial agonists, inverse agonists and antagonists.
“Histamine H4 modulator” includes histamine H4 receptor modulators, ie, histamine H4 receptor agonists, histamine H4 receptor partial agonists, histamine H4 receptor inverse agonists, histamine H4 receptor antagonists To do.
本発明化合物において、一つの態様は以下の通りである。
式(I):
であり、
R1aが、
a)ハロゲン、置換もしくは非置換のアルキル、置換もしくは非置換のアルケニル、置換もしくは非置換のアルキニル、置換もしくは非置換のアルキルオキシ、置換もしくは非置換のアルケニルオキシ、置換もしくは非置換のアルキニルオキシ、置換もしくは非置換のアルキルチオ、置換もしくは非置換のアルケニルチオ、置換もしくは非置換のアルキニルチオ、置換もしくは非置換のアシル、ヒドロキシ、カルボキシ、置換もしくは非置換のアルキルオキシカルボニル、置換もしくは非置換のアルケニルオキシカルボニル、置換もしくは非置換のアルキニルオキシカルボニル、置換もしくは非置換のシクロアルキルオキシカルボニル、置換もしくは非置換のシクロアルケニルオキシカルボニル、置換もしくは非置換の非芳香族複素環オキシカルボニル、置換もしくは非置換のアリールオキシカルボニル、置換もしくは非置換のヘテロアリールオキシカルボニル、非置換スルファモイル、置換基群A(置換基群A:置換もしくは非置換のアルキル、置換もしくは非置換のアルケニル、置換もしくは非置換のアルキニル、置換もしくは非置換のシクロアルキル、置換もしくは非置換のシクロアルケニル、置換もしくは非置換の非芳香族複素環基、置換もしくは非置換のアリールおよび置換もしくは非置換のヘテロアリール)から選択される置換基で置換されたスルファモイル、置換もしくは非置換のスルファモイル、置換基群Aから選択される置換基で置換されたスルフィニル、置換基群Aから選択される置換基で置換されたスルホニル、置換もしくは非置換のアルキルスルホニルオキシ、置換もしくは非置換のアリールスルホニルオキシ、シアノ、ニトロ、置換もしくは非置換のアミノ、置換もしくは非置換のシクロアルキル、置換もしくは非置換のシクロアルケニル、置換もしくは非置換の非芳香族複素環式基、置換もしくは非置換のアリール、置換もしくは非置換のヘテロアリール、置換もしくは非置換のシクロアルキルオキシ、置換もしくは非置換のシクロアルケニルオキシ、置換もしくは非置換の非芳香族複素環オキシ、置換もしくは非置換のアリールオキシ、または置換もしくは非置換のヘテロアリールオキシ、または、
以下のb)群~e)群からなる群から選択される1以上の基であってもよい;
b)2つのR1aが、同一の炭素原子に結合して、=Oならびに=NR3、
c)2つのR1aが、同一の炭素原子に結合して-(CR4aR4b)x-、または-O-(CR4aR4b)x-O-、
d)2つのR1aが、隣接する炭素原子に結合して-(CR5aR5b)y-、および
e)2つのR1aが、同一でなく、かつ隣接しない炭素原子に結合して-(CR6aR6b)z-、
ただし、R1aは、c)群、d)群およびe)群から同時に2以上選択される場合はない;
R3は、水素、置換もしくは非置換のアルキル、ヒドロキシ、置換もしくは非置換のアルキルオキシ、置換もしくは非置換のアルケニルオキシまたは置換もしくは非置換のアルキニルオキシ;
R4a、R4b、R5a、R5b、R6aおよびR6bは、それぞれ独立して、水素、ハロゲンまたは置換もしくは非置換のアルキル;
n1は、0~4の整数;
xは、2~7の整数;
yは、1~5の整数;
zは、1~3の整数)で示される環;
-B1は、式:-X-(CR8aR8b)m-Y
(式中、
Xは、N(R7c)またはO;
R7cは、水素、置換もしくは非置換のアルキルまたは置換もしくは非置換のアシル;
R8aおよびR8bは、それぞれ独立して、水素、ハロゲンまたは置換もしくは非置換のアルキル;
mは、1~5の整数:
Yは、置換もしくは非置換のシクロアルキルチオ、置換もしくは非置換のシクロアルケニルチオ、置換もしくは非置換の非芳香族複素環チオ、置換もしくは非置換のアリールチオ、置換もしくは非置換のヘテロアリールチオ、置換基群Aから選択される置換基で置換されたスルフィニル、置換基群Aから選択される置換基で置換されたスルホニル、非置換スルファモイル、置換基群Aから選択される置換基で置換されたスルファモイル、置換もしくは非置換のアルキルスルホニルアミノ、置換もしくは非置換のアルケニルスルホニルアミノ、置換もしくは非置換のアルキニルスルホニルアミノ、置換もしくは非置換のアミノスルホニルアミノ、置換もしくは非置換のシクロアルキルスルホニルアミノ、置換もしくは非置換のシクロアルケニルスルホニルアミノ、置換もしくは非置換の非芳香族複素環スルホニルアミノ、置換もしくは非置換のアリールスルホニルアミノ、置換もしくは非置換のヘテロアリールスルホニルアミノ、または環を構成する窒素原子が置換基群Aから選択される置換基で置換されたスルホニルで置換された含窒素非芳香族複素環基)で示される基;
B2は、
(式中、R10は、それぞれ独立して、置換もしくは非置換のアルキル、ハロゲン、ヒドロキシ、置換もしくは非置換のアルキルオキシ、置換もしくは非置換のアミノまたは一緒になってオキソもしくはチオキソ;
R12は、置換もしくは非置換のアルキル、ハロゲン、ヒドロキシまたは置換もしくは非置換のアルキルオキシ;
R11は、水素、置換もしくは非置換のシクロアルキル、非置換のアルキルまたは置換基群C(置換基群C:ヒドロキシ、ハロゲン、置換もしくは非置換のアルコキシ、置換もしくは非置換のアルキルオキシカルボニル、置換もしくは非置換のシクロアルキル、置換もしくは非置換のシクロアルケニル、置換もしくは非置換の非芳香族複素環式基、置換もしくは非置換のアリールおよび置換もしくは非置換のヘテロアリール)から選択される置換基で1以上置換されたアルキル;
R9aおよびR9bは、それぞれ独立して、水素または置換もしくは非置換のアルキル;
pは0~4の整数)で示される基または置換もしくは非置換のアミノで置換されたアルキレン)で示される化合物、もしくはその製薬上許容される塩またはそれらの溶媒和物。
In the compound of the present invention, one embodiment is as follows.
Formula (I):
And
R 1a is
a) halogen, substituted or unsubstituted alkyl, substituted or unsubstituted alkenyl, substituted or unsubstituted alkynyl, substituted or unsubstituted alkyloxy, substituted or unsubstituted alkenyloxy, substituted or unsubstituted alkynyloxy, substituted Or unsubstituted alkylthio, substituted or unsubstituted alkenylthio, substituted or unsubstituted alkynylthio, substituted or unsubstituted acyl, hydroxy, carboxy, substituted or unsubstituted alkyloxycarbonyl, substituted or unsubstituted alkenyloxycarbonyl Substituted or unsubstituted alkynyloxycarbonyl, substituted or unsubstituted cycloalkyloxycarbonyl, substituted or unsubstituted cycloalkenyloxycarbonyl, substituted or unsubstituted non-aromatic heterocyclic oxy Rubonyl, substituted or unsubstituted aryloxycarbonyl, substituted or unsubstituted heteroaryloxycarbonyl, unsubstituted sulfamoyl, substituent group A (substituent group A: substituted or unsubstituted alkyl, substituted or unsubstituted alkenyl, substituted Or unsubstituted alkynyl, substituted or unsubstituted cycloalkyl, substituted or unsubstituted cycloalkenyl, substituted or unsubstituted non-aromatic heterocyclic group, substituted or unsubstituted aryl and substituted or unsubstituted heteroaryl) Sulfamoyl substituted with a selected substituent, substituted or unsubstituted sulfamoyl, sulfinyl substituted with a substituent selected from substituent group A, sulfonyl substituted with a substituent selected from substituent group A, Substituted or unsubstituted alkylsulfonylo Ci, substituted or unsubstituted arylsulfonyloxy, cyano, nitro, substituted or unsubstituted amino, substituted or unsubstituted cycloalkyl, substituted or unsubstituted cycloalkenyl, substituted or unsubstituted non-aromatic heterocyclic group Substituted or unsubstituted aryl, substituted or unsubstituted heteroaryl, substituted or unsubstituted cycloalkyloxy, substituted or unsubstituted cycloalkenyloxy, substituted or unsubstituted non-aromatic heterocyclic oxy, substituted or unsubstituted Aryloxy or substituted or unsubstituted heteroaryloxy, or
It may be one or more groups selected from the group consisting of the following groups b) to e);
b) two R 1a are bonded to the same carbon atom, and ═O and ═NR 3 ,
c) when two R 1a are bonded to the same carbon atom to form — (CR 4a R 4b ) x—, or —O— (CR 4a R 4b ) x—O—,
d) two R 1a bonded to adjacent carbon atoms-(CR 5a R 5b ) y-, and e) two R 1a bonded to non-identical and non-adjacent carbon atoms- ( CR 6a R 6b ) z-,
Provided that R 1a is not selected from two or more of c), d) and e) simultaneously;
R 3 is hydrogen, substituted or unsubstituted alkyl, hydroxy, substituted or unsubstituted alkyloxy, substituted or unsubstituted alkenyloxy, or substituted or unsubstituted alkynyloxy;
R 4a , R 4b , R 5a , R 5b , R 6a and R 6b are each independently hydrogen, halogen or substituted or unsubstituted alkyl;
n 1 is an integer from 0 to 4;
x is an integer of 2 to 7;
y is an integer of 1 to 5;
z is an integer of 1 to 3);
—B 1 represents the formula: —X— (CR 8a R 8b ) mY
(Where
X is N (R 7c ) or O;
R 7c is hydrogen, substituted or unsubstituted alkyl or substituted or unsubstituted acyl;
R 8a and R 8b are each independently hydrogen, halogen or substituted or unsubstituted alkyl;
m is an integer from 1 to 5:
Y is substituted or unsubstituted cycloalkylthio, substituted or unsubstituted cycloalkenylthio, substituted or unsubstituted non-aromatic heterocyclic thio, substituted or unsubstituted arylthio, substituted or unsubstituted heteroarylthio, substituent Sulfinyl substituted with a substituent selected from group A, sulfonyl substituted with a substituent selected from substituent group A, unsubstituted sulfamoyl, sulfamoyl substituted with a substituent selected from substituent group A, Substituted or unsubstituted alkylsulfonylamino, substituted or unsubstituted alkenylsulfonylamino, substituted or unsubstituted alkynylsulfonylamino, substituted or unsubstituted aminosulfonylamino, substituted or unsubstituted cycloalkylsulfonylamino, substituted or unsubstituted Cycloalkenyl The sulfonylamino, substituted or unsubstituted non-aromatic heterocyclic sulfonylamino, substituted or unsubstituted arylsulfonylamino, substituted or unsubstituted heteroarylsulfonylamino, or the nitrogen atom constituting the ring is selected from the substituent group A A nitrogen-containing non-aromatic heterocyclic group substituted with a sulfonyl substituted with a substituent);
B 2 is,
Wherein each R 10 is independently substituted or unsubstituted alkyl, halogen, hydroxy, substituted or unsubstituted alkyloxy, substituted or unsubstituted amino, or together oxo or thioxo;
R 12 represents substituted or unsubstituted alkyl, halogen, hydroxy, or substituted or unsubstituted alkyloxy;
R 11 represents hydrogen, substituted or unsubstituted cycloalkyl, unsubstituted alkyl, or substituent group C (substituent group C: hydroxy, halogen, substituted or unsubstituted alkoxy, substituted or unsubstituted alkyloxycarbonyl, substituted Or a substituent selected from unsubstituted cycloalkyl, substituted or unsubstituted cycloalkenyl, substituted or unsubstituted non-aromatic heterocyclic group, substituted or unsubstituted aryl and substituted or unsubstituted heteroaryl) One or more substituted alkyls;
R 9a and R 9b are each independently hydrogen or substituted or unsubstituted alkyl;
p is an integer of 0 to 4) or a compound represented by a substituted or unsubstituted amino-substituted alkylene), or a pharmaceutically acceptable salt thereof, or a solvate thereof.
本発明化合物において、一つの態様は以下の通りである。
式(I):
であり、
R1aが、
a)ハロゲン、置換もしくは非置換のアルキル、置換もしくは非置換のアルキルオキシ、ヒドロキシ、置換もしくは非置換のシクロアルキル、置換もしくは非置換の非芳香族複素環式基、置換もしくは非置換のアリール、置換もしくは非置換のヘテロアリールまたは置換もしくは非置換のシクロアルキルオキシ;
n1が、0~4の整数;
-B1が、式:-X-(CR8aR8b)m-Y
(式中、
Xが、N(R7c);
R7cが、水素;
R8aおよびR8bが、水素;
mが、1~5の整数:
Yが、置換基群A(置換基群A:置換もしくは非置換のアルキル、置換もしくは非置換のアルケニル、置換もしくは非置換のアルキニル、置換もしくは非置換のシクロアルキル、置換もしくは非置換のシクロアルケニル、置換もしくは非置換の非芳香族複素環基、置換もしくは非置換のアリールおよび置換もしくは非置換のヘテロアリール)から選択される置換基で置換されたスルファモイル、非置換のスルファモイルまたは置換基群Aから選択される置換基で置換されたスルホニル)で示される基;
B2が、
(式中、R10が、置換もしくは非置換のアルキル;
R11が、水素、非置換のアルキルまたは置換基群C(置換基群C:ヒドロキシ、ハロゲン、置換もしくは非置換のアルコキシ、置換もしくは非置換のアルキルオキシカルボニル、置換もしくは非置換のシクロアルキル、置換もしくは非置換のシクロアルケニル、置換もしくは非置換の非芳香族複素環式基、置換もしくは非置換のアリールおよび置換もしくは非置換のヘテロアリール)から選択される置換基で1以上置換されたアルキル;
R9aまたはR9bは、それぞれ独立して、水素または置換もしくは非置換のアルキル;
pは0~4の整数)で示される基)で示される化合物、もしくはその製薬上許容される塩またはそれらの溶媒和物。
In the compound of the present invention, one embodiment is as follows.
Formula (I):
And
R 1a is
a) halogen, substituted or unsubstituted alkyl, substituted or unsubstituted alkyloxy, hydroxy, substituted or unsubstituted cycloalkyl, substituted or unsubstituted non-aromatic heterocyclic group, substituted or unsubstituted aryl, substituted Or unsubstituted heteroaryl or substituted or unsubstituted cycloalkyloxy;
n 1 is an integer from 0 to 4;
-B 1 is represented by the formula: -X- (CR 8a R 8b ) mY
(Where
X is N (R 7c );
R 7c is hydrogen;
R 8a and R 8b are hydrogen;
m is an integer from 1 to 5:
Y is substituent group A (substituent group A: substituted or unsubstituted alkyl, substituted or unsubstituted alkenyl, substituted or unsubstituted alkynyl, substituted or unsubstituted cycloalkyl, substituted or unsubstituted cycloalkenyl, A substituted or unsubstituted non-aromatic heterocyclic group, substituted or unsubstituted aryl and substituted or unsubstituted heteroaryl) selected from sulfamoyl, unsubstituted sulfamoyl or substituent group A substituted with a substituent selected from A sulfonyl substituted with a substituent selected from
B 2 is,
Wherein R 10 is substituted or unsubstituted alkyl;
R 11 represents hydrogen, unsubstituted alkyl, or substituent group C (substituent group C: hydroxy, halogen, substituted or unsubstituted alkoxy, substituted or unsubstituted alkyloxycarbonyl, substituted or unsubstituted cycloalkyl, substituted Or alkyl substituted with one or more substituents selected from unsubstituted cycloalkenyl, substituted or unsubstituted non-aromatic heterocyclic group, substituted or unsubstituted aryl and substituted or unsubstituted heteroaryl;
R 9a or R 9b each independently represents hydrogen or substituted or unsubstituted alkyl;
p is an integer of 0 to 4), or a pharmaceutically acceptable salt or solvate thereof.
本発明化合物において、一つの態様は以下の通りである。
式(I):
であり、
R1aが、
a)ハロゲン、置換もしくは非置換のアルキル、置換もしくは非置換のアルキルオキシ、ヒドロキシ、置換もしくは非置換のシクロアルキル、置換もしくは非置換の非芳香族複素環式基、置換もしくは非置換のアリール、置換もしくは非置換のヘテロアリールまたは置換もしくは非置換のシクロアルキルオキシ;
n1が、0~4の整数;
-B1が、式:-X-(CR8aR8b)m-Y
(式中、
Xが、N(R7c);
R7cが、水素;
R8aおよびR8bが、水素;
mが、1~5の整数:
Yが、置換もしくは非置換のアルキルスルホニルアミノ、置換もしくは非置換のアミノスルホニルアミノ、置換もしくは非置換のシクロアルキルスルホニルアミノ、置換もしくは非置換の非芳香族複素環スルホニルアミノ、置換もしくは非置換のアリールスルホニルアミノ、置換もしくは非置換のヘテロアリールスルホニルアミノまたは環を構成する窒素原子が置換基群Aから選択される置換基で置換されたスルホニルで置換された含窒素非芳香族複素環基)で示される基;
B2が、
(式中、R10が、置換もしくは非置換のアルキル;
R11が、水素、非置換のアルキルまたは置換基群C(置換基群C:ヒドロキシ、ハロゲン、置換もしくは非置換のアルコキシ、置換もしくは非置換のアルキルオキシカルボニル、置換もしくは非置換のシクロアルキル、置換もしくは非置換のシクロアルケニル、置換もしくは非置換の非芳香族複素環式基、置換もしくは非置換のアリールおよび置換もしくは非置換のヘテロアリール)から選択される置換基で1以上置換されたアルキル;
R9aまたはR9bは、それぞれ独立して、水素または置換もしくは非置換のアルキル;
pは0~4の整数)で示される基)で示される化合物、もしくはその製薬上許容される塩またはそれらの溶媒和物。
In the compound of the present invention, one embodiment is as follows.
Formula (I):
And
R 1a is
a) halogen, substituted or unsubstituted alkyl, substituted or unsubstituted alkyloxy, hydroxy, substituted or unsubstituted cycloalkyl, substituted or unsubstituted non-aromatic heterocyclic group, substituted or unsubstituted aryl, substituted Or unsubstituted heteroaryl or substituted or unsubstituted cycloalkyloxy;
n 1 is an integer from 0 to 4;
-B 1 is represented by the formula: -X- (CR 8a R 8b ) mY
(Where
X is N (R 7c );
R 7c is hydrogen;
R 8a and R 8b are hydrogen;
m is an integer from 1 to 5:
Y is substituted or unsubstituted alkylsulfonylamino, substituted or unsubstituted aminosulfonylamino, substituted or unsubstituted cycloalkylsulfonylamino, substituted or unsubstituted non-aromatic heterocyclic sulfonylamino, substituted or unsubstituted aryl Sulfonylamino, substituted or unsubstituted heteroarylsulfonylamino or a nitrogen-containing non-aromatic heterocyclic group in which a nitrogen atom constituting the ring is substituted with a sulfonyl substituted with a substituent selected from Substituent Group A) Group
B 2 is,
Wherein R 10 is substituted or unsubstituted alkyl;
R 11 represents hydrogen, unsubstituted alkyl, or substituent group C (substituent group C: hydroxy, halogen, substituted or unsubstituted alkoxy, substituted or unsubstituted alkyloxycarbonyl, substituted or unsubstituted cycloalkyl, substituted Or alkyl substituted with one or more substituents selected from unsubstituted cycloalkenyl, substituted or unsubstituted non-aromatic heterocyclic group, substituted or unsubstituted aryl and substituted or unsubstituted heteroaryl;
R 9a or R 9b each independently represents hydrogen or substituted or unsubstituted alkyl;
p is an integer of 0 to 4), or a pharmaceutically acceptable salt or solvate thereof.
本発明化合物において、一つの態様は以下の通りである。
式(I):
であり、
R1aが、
a)ハロゲン、置換もしくは非置換のアルキル、置換もしくは非置換のアルケニル、置換もしくは非置換のアルキニル、置換もしくは非置換のアルキルオキシ、置換もしくは非置換のアルケニルオキシ、置換もしくは非置換のアルキニルオキシ、置換もしくは非置換のアルキルチオ、置換もしくは非置換のアルケニルチオ、置換もしくは非置換のアルキニルチオ、置換もしくは非置換のアシル、ヒドロキシ、カルボキシ、置換もしくは非置換のアルキルオキシカルボニル、置換もしくは非置換のアルケニルオキシカルボニル、置換もしくは非置換のアルキニルオキシカルボニル、置換もしくは非置換のシクロアルキルオキシカルボニル、置換もしくは非置換のシクロアルケニルオキシカルボニル、置換もしくは非置換の非芳香族複素環オキシカルボニル、置換もしくは非置換のアリールオキシカルボニル、置換もしくは非置換のヘテロアリールオキシカルボニル、非置換スルファモイル、置換基群A(置換基群A:置換もしくは非置換のアルキル、置換もしくは非置換のアルケニル、置換もしくは非置換のアルキニル、置換もしくは非置換のシクロアルキル、置換もしくは非置換のシクロアルケニル、置換もしくは非置換の非芳香族複素環基、置換もしくは非置換のアリールおよび置換もしくは非置換のヘテロアリール)から選択される置換基で置換されたスルファモイル、置換もしくは非置換のスルファモイル、置換基群Aから選択される置換基で置換されたスルフィニル、置換基群Aから選択される置換基で置換されたスルホニル、置換もしくは非置換のアルキルスルホニルオキシ、置換もしくは非置換のアリールスルホニルオキシ、シアノ、ニトロ、置換もしくは非置換のアミノ、置換もしくは非置換のシクロアルキル、置換もしくは非置換のシクロアルケニル、置換もしくは非置換の非芳香族複素環式基、置換もしくは非置換のアリール、置換もしくは非置換のヘテロアリール、置換もしくは非置換のシクロアルキルオキシ、置換もしくは非置換のシクロアルケニルオキシ、置換もしくは非置換の非芳香族複素環オキシ、置換もしくは非置換のアリールオキシ、または置換もしくは非置換のヘテロアリールオキシ、または、
以下のb)群~e)群からなる群から選択される1以上の基であってもよい;
b)2つのR1aが、同一の炭素原子に結合して、=Oならびに=NR3、
c)2つのR1aが、同一の炭素原子に結合して-(CR4aR4b)x-、または-O-(CR4aR4b)x-O-、
d)2つのR1aが、隣接する炭素原子に結合して-(CR5aR5b)y-、および
e)2つのR1aが、同一でなく、かつ隣接しない炭素原子に結合して-(CR6aR6b)z-、
ただし、R1aは、c)群、d)群およびe)群から同時に2以上選択される場合はない;
R3は、水素、置換もしくは非置換のアルキル、ヒドロキシ、置換もしくは非置換のアルキルオキシ、置換もしくは非置換のアルケニルオキシまたは置換もしくは非置換のアルキニルオキシ;
R4a、R4b、R5a、R5b、R6aおよびR6bは、それぞれ独立して、水素、ハロゲンまたは置換もしくは非置換のアルキル;
n1は、0~4の整数;
xは、2~7の整数;
yは、1~5の整数;
zは、1~3の整数)で示される環;
-B1は、式:-X-(CR8aR8b)m-Y
(式中、
Xは、N(R7c)またはO;
R7cは、水素、置換もしくは非置換のアルキルまたは置換もしくは非置換のアシル;
R8aおよびR8bは、それぞれ独立して、水素、ハロゲンまたは置換もしくは非置換のアルキル;
mは、1~5の整数:
Yは、置換もしくは非置換のシクロアルキルチオ、置換もしくは非置換のシクロアルケニルチオ、置換もしくは非置換の非芳香族複素環チオ、置換もしくは非置換のアリールチオ、置換もしくは非置換のヘテロアリールチオ、置換基群Aから選択される置換基で置換されたスルフィニル、置換基群Aから選択される置換基で置換されたスルホニル、非置換スルファモイル、置換基群Aから選択される置換基で置換されたスルファモイル、置換もしくは非置換のアルキルスルホニルアミノ、置換もしくは非置換のアルケニルスルホニルアミノ、置換もしくは非置換のアルキニルスルホニルアミノ、置換もしくは非置換のアミノスルホニルアミノ、置換もしくは非置換のシクロアルキルスルホニルアミノ、置換もしくは非置換のシクロアルケニルスルホニルアミノ、置換もしくは非置換の非芳香族複素環スルホニルアミノ、置換もしくは非置換のアリールスルホニルアミノ、置換もしくは非置換のヘテロアリールスルホニルアミノ、または環を構成する窒素原子が置換基群Aから選択される置換基で置換されたスルホニルで置換された含窒素非芳香族複素環基)で示される基;
B2は、
(式中、R10は、それぞれ独立して、置換もしくは非置換のアルキル、ハロゲン、ヒドロキシ、置換もしくは非置換のアルキルオキシ、置換もしくは非置換のアミノまたは一緒になってオキソもしくはチオキソ;
R12は、置換もしくは非置換のアルキル、ハロゲン、ヒドロキシまたは置換もしくは非置換のアルキルオキシ;
R11は、水素、置換もしくは非置換のシクロアルキル、非置換のアルキルまたは置換基群C(置換基群C:ヒドロキシ、ハロゲン、置換もしくは非置換のアルコキシ、置換もしくは非置換のアルキルオキシカルボニル、置換もしくは非置換のシクロアルキル、置換もしくは非置換のシクロアルケニル、置換もしくは非置換の非芳香族複素環式基、置換もしくは非置換のアリールおよび置換もしくは非置換のヘテロアリール)から選択される置換基で1以上置換されたアルキル;
R9aおよびR9bは、それぞれ独立して、水素または置換もしくは非置換のアルキル;
pは0~4の整数)で示される基または置換もしくは非置換のアミノで置換されたアルキレン)で示される化合物、もしくはその製薬上許容される塩またはそれらの溶媒和物。
In the compound of the present invention, one embodiment is as follows.
Formula (I):
And
R 1a is
a) halogen, substituted or unsubstituted alkyl, substituted or unsubstituted alkenyl, substituted or unsubstituted alkynyl, substituted or unsubstituted alkyloxy, substituted or unsubstituted alkenyloxy, substituted or unsubstituted alkynyloxy, substituted Or unsubstituted alkylthio, substituted or unsubstituted alkenylthio, substituted or unsubstituted alkynylthio, substituted or unsubstituted acyl, hydroxy, carboxy, substituted or unsubstituted alkyloxycarbonyl, substituted or unsubstituted alkenyloxycarbonyl Substituted or unsubstituted alkynyloxycarbonyl, substituted or unsubstituted cycloalkyloxycarbonyl, substituted or unsubstituted cycloalkenyloxycarbonyl, substituted or unsubstituted non-aromatic heterocyclic oxycarbonyl Bonyl, substituted or unsubstituted aryloxycarbonyl, substituted or unsubstituted heteroaryloxycarbonyl, unsubstituted sulfamoyl, substituent group A (substituent group A: substituted or unsubstituted alkyl, substituted or unsubstituted alkenyl, substituted Or unsubstituted alkynyl, substituted or unsubstituted cycloalkyl, substituted or unsubstituted cycloalkenyl, substituted or unsubstituted non-aromatic heterocyclic group, substituted or unsubstituted aryl and substituted or unsubstituted heteroaryl) Sulfamoyl substituted with a selected substituent, substituted or unsubstituted sulfamoyl, sulfinyl substituted with a substituent selected from substituent group A, sulfonyl substituted with a substituent selected from substituent group A, Substituted or unsubstituted alkylsulfonyloxy Substituted or unsubstituted arylsulfonyloxy, cyano, nitro, substituted or unsubstituted amino, substituted or unsubstituted cycloalkyl, substituted or unsubstituted cycloalkenyl, substituted or unsubstituted non-aromatic heterocyclic group, Substituted or unsubstituted aryl, substituted or unsubstituted heteroaryl, substituted or unsubstituted cycloalkyloxy, substituted or unsubstituted cycloalkenyloxy, substituted or unsubstituted non-aromatic heterocyclic oxy, substituted or unsubstituted Aryloxy or substituted or unsubstituted heteroaryloxy, or
It may be one or more groups selected from the group consisting of the following groups b) to e);
b) two R 1a are bonded to the same carbon atom, and ═O and ═NR 3 ,
c) when two R 1a are bonded to the same carbon atom to form — (CR 4a R 4b ) x—, or —O— (CR 4a R 4b ) x—O—,
d) two R 1a bonded to adjacent carbon atoms-(CR 5a R 5b ) y-, and e) two R 1a bonded to non-identical and non-adjacent carbon atoms- ( CR 6a R 6b ) z-,
Provided that R 1a is not selected from two or more of c), d) and e) simultaneously;
R 3 is hydrogen, substituted or unsubstituted alkyl, hydroxy, substituted or unsubstituted alkyloxy, substituted or unsubstituted alkenyloxy, or substituted or unsubstituted alkynyloxy;
R 4a , R 4b , R 5a , R 5b , R 6a and R 6b are each independently hydrogen, halogen or substituted or unsubstituted alkyl;
n 1 is an integer from 0 to 4;
x is an integer of 2 to 7;
y is an integer of 1 to 5;
z is an integer of 1 to 3);
—B 1 represents the formula: —X— (CR 8a R 8b ) mY
(Where
X is N (R 7c ) or O;
R 7c is hydrogen, substituted or unsubstituted alkyl or substituted or unsubstituted acyl;
R 8a and R 8b are each independently hydrogen, halogen or substituted or unsubstituted alkyl;
m is an integer from 1 to 5:
Y is substituted or unsubstituted cycloalkylthio, substituted or unsubstituted cycloalkenylthio, substituted or unsubstituted non-aromatic heterocyclic thio, substituted or unsubstituted arylthio, substituted or unsubstituted heteroarylthio, substituent Sulfinyl substituted with a substituent selected from group A, sulfonyl substituted with a substituent selected from substituent group A, unsubstituted sulfamoyl, sulfamoyl substituted with a substituent selected from substituent group A, Substituted or unsubstituted alkylsulfonylamino, substituted or unsubstituted alkenylsulfonylamino, substituted or unsubstituted alkynylsulfonylamino, substituted or unsubstituted aminosulfonylamino, substituted or unsubstituted cycloalkylsulfonylamino, substituted or unsubstituted Cycloalkenyl The sulfonylamino, substituted or unsubstituted non-aromatic heterocyclic sulfonylamino, substituted or unsubstituted arylsulfonylamino, substituted or unsubstituted heteroarylsulfonylamino, or the nitrogen atom constituting the ring is selected from the substituent group A A nitrogen-containing non-aromatic heterocyclic group substituted with a sulfonyl substituted with a substituent);
B 2 is,
Wherein each R 10 is independently substituted or unsubstituted alkyl, halogen, hydroxy, substituted or unsubstituted alkyloxy, substituted or unsubstituted amino, or together oxo or thioxo;
R 12 represents substituted or unsubstituted alkyl, halogen, hydroxy, or substituted or unsubstituted alkyloxy;
R 11 represents hydrogen, substituted or unsubstituted cycloalkyl, unsubstituted alkyl, or substituent group C (substituent group C: hydroxy, halogen, substituted or unsubstituted alkoxy, substituted or unsubstituted alkyloxycarbonyl, substituted Or a substituent selected from unsubstituted cycloalkyl, substituted or unsubstituted cycloalkenyl, substituted or unsubstituted non-aromatic heterocyclic group, substituted or unsubstituted aryl and substituted or unsubstituted heteroaryl) One or more substituted alkyls;
R 9a and R 9b are each independently hydrogen or substituted or unsubstituted alkyl;
p is an integer of 0 to 4) or a compound represented by a substituted or unsubstituted amino-substituted alkylene), or a pharmaceutically acceptable salt thereof, or a solvate thereof.
本発明化合物において、一つの態様は以下の通りである。
式(I):
であり、
R1aが、
a)ハロゲン、置換もしくは非置換のアルキル、置換もしくは非置換のアルキルオキシ、ヒドロキシ、置換もしくは非置換のシクロアルキル、置換もしくは非置換の非芳香族複素環式基、置換もしくは非置換のアリール、置換もしくは非置換のヘテロアリールまたは置換もしくは非置換のシクロアルキルオキシ;
n1が、0~4の整数;
-B1が、式:-X-(CR8aR8b)m-Y
(式中、
Xが、N(R7c);
R7cが、水素;
R8aおよびR8bが、水素;
mが、1~5の整数:
Yが、置換基群A(置換基群A:置換もしくは非置換のアルキル、置換もしくは非置換のアルケニル、置換もしくは非置換のアルキニル、置換もしくは非置換のシクロアルキル、置換もしくは非置換のシクロアルケニル、置換もしくは非置換の非芳香族複素環基、置換もしくは非置換のアリールおよび置換もしくは非置換のヘテロアリール)から選択される置換基で置換されたスルファモイル、非置換のスルファモイルまたは置換基群Aから選択される置換基で置換されたスルホニル)で示される基;
B2が、
(式中、R10が、置換もしくは非置換のアルキル;
R11が、水素、非置換のアルキルまたは置換基群C(置換基群C:ヒドロキシ、ハロゲン、置換もしくは非置換のアルコキシ、置換もしくは非置換のアルキルオキシカルボニル、置換もしくは非置換のシクロアルキル、置換もしくは非置換のシクロアルケニル、置換もしくは非置換の非芳香族複素環式基、置換もしくは非置換のアリールおよび置換もしくは非置換のヘテロアリール)から選択される置換基で1以上置換されたアルキル;
R9aまたはR9bは、それぞれ独立して、水素または置換もしくは非置換のアルキル;
pは0~4の整数)で示される基)で示される化合物、もしくはその製薬上許容される塩またはそれらの溶媒和物。
In the compound of the present invention, one embodiment is as follows.
Formula (I):
And
R 1a is
a) halogen, substituted or unsubstituted alkyl, substituted or unsubstituted alkyloxy, hydroxy, substituted or unsubstituted cycloalkyl, substituted or unsubstituted non-aromatic heterocyclic group, substituted or unsubstituted aryl, substituted Or unsubstituted heteroaryl or substituted or unsubstituted cycloalkyloxy;
n 1 is an integer from 0 to 4;
-B 1 is represented by the formula: -X- (CR 8a R 8b ) mY
(Where
X is N (R 7c );
R 7c is hydrogen;
R 8a and R 8b are hydrogen;
m is an integer from 1 to 5:
Y is substituent group A (substituent group A: substituted or unsubstituted alkyl, substituted or unsubstituted alkenyl, substituted or unsubstituted alkynyl, substituted or unsubstituted cycloalkyl, substituted or unsubstituted cycloalkenyl, A substituted or unsubstituted non-aromatic heterocyclic group, substituted or unsubstituted aryl and substituted or unsubstituted heteroaryl) selected from sulfamoyl, unsubstituted sulfamoyl or substituent group A substituted with a substituent selected from A sulfonyl substituted with a substituent selected from
B 2 is,
Wherein R 10 is substituted or unsubstituted alkyl;
R 11 represents hydrogen, unsubstituted alkyl, or substituent group C (substituent group C: hydroxy, halogen, substituted or unsubstituted alkoxy, substituted or unsubstituted alkyloxycarbonyl, substituted or unsubstituted cycloalkyl, substituted Or alkyl substituted with one or more substituents selected from unsubstituted cycloalkenyl, substituted or unsubstituted non-aromatic heterocyclic group, substituted or unsubstituted aryl and substituted or unsubstituted heteroaryl;
R 9a or R 9b each independently represents hydrogen or substituted or unsubstituted alkyl;
p is an integer of 0 to 4), or a pharmaceutically acceptable salt or solvate thereof.
本発明化合物において、一つの態様は以下の通りである。
式(I):
であり、
R1aが、
a)ハロゲン、置換もしくは非置換のアルキル、置換もしくは非置換のアルキルオキシ、ヒドロキシ、置換もしくは非置換のシクロアルキル、置換もしくは非置換の非芳香族複素環式基、置換もしくは非置換のアリール、置換もしくは非置換のヘテロアリールまたは置換もしくは非置換のシクロアルキルオキシ;
n1が、0~4の整数;
-B1が、式:-X-(CR8aR8b)m-Y
(式中、
Xが、N(R7c);
R7cが、水素;
R8aおよびR8bが、水素;
mが、1~5の整数:
Yが、置換もしくは非置換のアルキルスルホニルアミノ、置換もしくは非置換のアミノスルホニルアミノ、置換もしくは非置換のシクロアルキルスルホニルアミノ、置換もしくは非置換の非芳香族複素環スルホニルアミノ、置換もしくは非置換のアリールスルホニルアミノ、置換もしくは非置換のヘテロアリールスルホニルアミノまたは環を構成する窒素原子が置換基群Aから選択される置換基で置換されたスルホニルで置換された含窒素非芳香族複素環基)で示される基;
B2が、
(式中、R10が、置換もしくは非置換のアルキル;
R11が、水素、非置換のアルキルまたは置換基群C(置換基群C:ヒドロキシ、ハロゲン、置換もしくは非置換のアルコキシ、置換もしくは非置換のアルキルオキシカルボニル、置換もしくは非置換のシクロアルキル、置換もしくは非置換のシクロアルケニル、置換もしくは非置換の非芳香族複素環式基、置換もしくは非置換のアリールおよび置換もしくは非置換のヘテロアリール)から選択される置換基で1以上置換されたアルキル;
R9aまたはR9bは、それぞれ独立して、水素または置換もしくは非置換のアルキル;
pは0~4の整数)で示される基)で示される化合物、もしくはその製薬上許容される塩またはそれらの溶媒和物。
In the compound of the present invention, one embodiment is as follows.
Formula (I):
And
R 1a is
a) halogen, substituted or unsubstituted alkyl, substituted or unsubstituted alkyloxy, hydroxy, substituted or unsubstituted cycloalkyl, substituted or unsubstituted non-aromatic heterocyclic group, substituted or unsubstituted aryl, substituted Or unsubstituted heteroaryl or substituted or unsubstituted cycloalkyloxy;
n 1 is an integer from 0 to 4;
-B 1 is represented by the formula: -X- (CR 8a R 8b ) mY
(Where
X is N (R 7c );
R 7c is hydrogen;
R 8a and R 8b are hydrogen;
m is an integer from 1 to 5:
Y is substituted or unsubstituted alkylsulfonylamino, substituted or unsubstituted aminosulfonylamino, substituted or unsubstituted cycloalkylsulfonylamino, substituted or unsubstituted non-aromatic heterocyclic sulfonylamino, substituted or unsubstituted aryl Sulfonylamino, substituted or unsubstituted heteroarylsulfonylamino or a nitrogen-containing non-aromatic heterocyclic group in which a nitrogen atom constituting the ring is substituted with a sulfonyl substituted with a substituent selected from Substituent Group A) Group
B 2 is,
Wherein R 10 is substituted or unsubstituted alkyl;
R 11 represents hydrogen, unsubstituted alkyl, or substituent group C (substituent group C: hydroxy, halogen, substituted or unsubstituted alkoxy, substituted or unsubstituted alkyloxycarbonyl, substituted or unsubstituted cycloalkyl, substituted Or alkyl substituted with one or more substituents selected from unsubstituted cycloalkenyl, substituted or unsubstituted non-aromatic heterocyclic group, substituted or unsubstituted aryl and substituted or unsubstituted heteroaryl;
R 9a or R 9b each independently represents hydrogen or substituted or unsubstituted alkyl;
p is an integer of 0 to 4), or a pharmaceutically acceptable salt or solvate thereof.
本発明化合物において、一つの態様は以下の通りである。
式(I):
であり、
R1aが、
a)ハロゲン、置換もしくは非置換のアルキル、置換もしくは非置換のアルケニル、置換もしくは非置換のアルキニル、置換もしくは非置換のアルキルオキシ、置換もしくは非置換のアルケニルオキシ、置換もしくは非置換のアルキニルオキシ、置換もしくは非置換のアルキルチオ、置換もしくは非置換のアルケニルチオ、置換もしくは非置換のアルキニルチオ、置換もしくは非置換のアシル、ヒドロキシ、カルボキシ、置換もしくは非置換のアルキルオキシカルボニル、置換もしくは非置換のアルケニルオキシカルボニル、置換もしくは非置換のアルキニルオキシカルボニル、置換もしくは非置換のシクロアルキルオキシカルボニル、置換もしくは非置換のシクロアルケニルオキシカルボニル、置換もしくは非置換の非芳香族複素環オキシカルボニル、置換もしくは非置換のアリールオキシカルボニル、置換もしくは非置換のヘテロアリールオキシカルボニル、非置換スルファモイル、置換基群A(置換基群A:置換もしくは非置換のアルキル、置換もしくは非置換のアルケニル、置換もしくは非置換のアルキニル、置換もしくは非置換のシクロアルキル、置換もしくは非置換のシクロアルケニル、置換もしくは非置換の非芳香族複素環基、置換もしくは非置換のアリールおよび置換もしくは非置換のヘテロアリール)から選択される置換基で置換されたスルファモイル、置換もしくは非置換のスルファモイル、置換基群Aから選択される置換基で置換されたスルフィニル、置換基群Aから選択される置換基で置換されたスルホニル、置換もしくは非置換のアルキルスルホニルオキシ、置換もしくは非置換のアリールスルホニルオキシ、シアノ、ニトロ、置換もしくは非置換のアミノ、置換もしくは非置換のシクロアルキル、置換もしくは非置換のシクロアルケニル、置換もしくは非置換の非芳香族複素環式基、置換もしくは非置換のアリール、置換もしくは非置換のヘテロアリール、置換もしくは非置換のシクロアルキルオキシ、置換もしくは非置換のシクロアルケニルオキシ、置換もしくは非置換の非芳香族複素環オキシ、置換もしくは非置換のアリールオキシ、または置換もしくは非置換のヘテロアリールオキシ、または、
以下のb)群~e)群からなる群から選択される1以上の基であってもよい;
b)2つのR1aが、同一の炭素原子に結合して、=Oならびに=NR3、
c)2つのR1aが、同一の炭素原子に結合して-(CR4aR4b)x-、または-O-(CR4aR4b)x-O-、
d)2つのR1aが、隣接する炭素原子に結合して-(CR5aR5b)y-、および
e)2つのR1aが、同一でなく、かつ隣接しない炭素原子に結合して-(CR6aR6b)z-、
ただし、R1aは、c)群、d)群およびe)群から同時に2以上選択される場合はない;
R3は、水素、置換もしくは非置換のアルキル、ヒドロキシ、置換もしくは非置換のアルキルオキシ、置換もしくは非置換のアルケニルオキシまたは置換もしくは非置換のアルキニルオキシ;
R4a、R4b、R5a、R5b、R6aおよびR6bは、それぞれ独立して、水素、ハロゲンまたは置換もしくは非置換のアルキル;
n1は、0~4の整数;
xは、2~7の整数;
yは、1~5の整数;
zは、1~3の整数)で示される環;
-B1は、式:-X-(CR8aR8b)m-Y
(式中、
Xは、N(R7c)またはO;
R7cは、水素、置換もしくは非置換のアルキルまたは置換もしくは非置換のアシル;
R8aおよびR8bは、それぞれ独立して、水素、ハロゲンまたは置換もしくは非置換のアルキル;
mは、1~5の整数:
Yは、置換もしくは非置換のシクロアルキルチオ、置換もしくは非置換のシクロアルケニルチオ、置換もしくは非置換の非芳香族複素環チオ、置換もしくは非置換のアリールチオ、置換もしくは非置換のヘテロアリールチオ、置換基群Aから選択される置換基で置換されたスルフィニル、置換基群Aから選択される置換基で置換されたスルホニル、非置換スルファモイル、置換基群Aから選択される置換基で置換されたスルファモイル、置換もしくは非置換のアルキルスルホニルアミノ、置換もしくは非置換のアルケニルスルホニルアミノ、置換もしくは非置換のアルキニルスルホニルアミノ、置換もしくは非置換のアミノスルホニルアミノ、置換もしくは非置換のシクロアルキルスルホニルアミノ、置換もしくは非置換のシクロアルケニルスルホニルアミノ、置換もしくは非置換の非芳香族複素環スルホニルアミノ、置換もしくは非置換のアリールスルホニルアミノ、置換もしくは非置換のヘテロアリールスルホニルアミノ、または環を構成する窒素原子が置換基群Aから選択される置換基で置換されたスルホニルで置換された含窒素非芳香族複素環基)で示される基;
B2は、
(式中、R10は、それぞれ独立して、置換もしくは非置換のアルキル、ハロゲン、ヒドロキシ、置換もしくは非置換のアルキルオキシ、置換もしくは非置換のアミノまたは一緒になってオキソもしくはチオオキソ;
R12は、置換もしくは非置換のアルキル、ハロゲン、ヒドロキシまたは置換もしくは非置換のアルキルオキシ;
R11は、水素、置換もしくは非置換のシクロアルキル、非置換のアルキルまたは置換基群C(置換基群C:ヒドロキシ、ハロゲン、置換もしくは非置換のアルコキシ、置換もしくは非置換のアルキルオキシカルボニル、置換もしくは非置換のシクロアルキル、置換もしくは非置換のシクロアルケニル、置換もしくは非置換の非芳香族複素環式基、置換もしくは非置換のアリールおよび置換もしくは非置換のヘテロアリール)から選択される置換基で1以上置換されたアルキル;
R9aおよびR9bは、それぞれ独立して、水素または置換もしくは非置換のアルキル;
pは0~4の整数)で示される基または置換もしくは非置換のアミノで置換されたアルキレン)で示される化合物、もしくはその製薬上許容される塩またはそれらの溶媒和物。
In the compound of the present invention, one embodiment is as follows.
Formula (I):
And
R 1a is
a) halogen, substituted or unsubstituted alkyl, substituted or unsubstituted alkenyl, substituted or unsubstituted alkynyl, substituted or unsubstituted alkyloxy, substituted or unsubstituted alkenyloxy, substituted or unsubstituted alkynyloxy, substituted Or unsubstituted alkylthio, substituted or unsubstituted alkenylthio, substituted or unsubstituted alkynylthio, substituted or unsubstituted acyl, hydroxy, carboxy, substituted or unsubstituted alkyloxycarbonyl, substituted or unsubstituted alkenyloxycarbonyl Substituted or unsubstituted alkynyloxycarbonyl, substituted or unsubstituted cycloalkyloxycarbonyl, substituted or unsubstituted cycloalkenyloxycarbonyl, substituted or unsubstituted non-aromatic heterocyclic oxycarbonyl Bonyl, substituted or unsubstituted aryloxycarbonyl, substituted or unsubstituted heteroaryloxycarbonyl, unsubstituted sulfamoyl, substituent group A (substituent group A: substituted or unsubstituted alkyl, substituted or unsubstituted alkenyl, substituted Or unsubstituted alkynyl, substituted or unsubstituted cycloalkyl, substituted or unsubstituted cycloalkenyl, substituted or unsubstituted non-aromatic heterocyclic group, substituted or unsubstituted aryl and substituted or unsubstituted heteroaryl) Sulfamoyl substituted with a selected substituent, substituted or unsubstituted sulfamoyl, sulfinyl substituted with a substituent selected from substituent group A, sulfonyl substituted with a substituent selected from substituent group A, Substituted or unsubstituted alkylsulfonyloxy Substituted or unsubstituted arylsulfonyloxy, cyano, nitro, substituted or unsubstituted amino, substituted or unsubstituted cycloalkyl, substituted or unsubstituted cycloalkenyl, substituted or unsubstituted non-aromatic heterocyclic group, Substituted or unsubstituted aryl, substituted or unsubstituted heteroaryl, substituted or unsubstituted cycloalkyloxy, substituted or unsubstituted cycloalkenyloxy, substituted or unsubstituted non-aromatic heterocyclic oxy, substituted or unsubstituted Aryloxy or substituted or unsubstituted heteroaryloxy, or
It may be one or more groups selected from the group consisting of the following groups b) to e);
b) two R 1a are bonded to the same carbon atom, and ═O and ═NR 3 ,
c) when two R 1a are bonded to the same carbon atom to form — (CR 4a R 4b ) x—, or —O— (CR 4a R 4b ) x—O—,
d) two R 1a bonded to adjacent carbon atoms-(CR 5a R 5b ) y-, and e) two R 1a bonded to non-identical and non-adjacent carbon atoms- ( CR 6a R 6b ) z-,
Provided that R 1a is not selected from two or more of c), d) and e) simultaneously;
R 3 is hydrogen, substituted or unsubstituted alkyl, hydroxy, substituted or unsubstituted alkyloxy, substituted or unsubstituted alkenyloxy, or substituted or unsubstituted alkynyloxy;
R 4a , R 4b , R 5a , R 5b , R 6a and R 6b are each independently hydrogen, halogen or substituted or unsubstituted alkyl;
n 1 is an integer from 0 to 4;
x is an integer of 2 to 7;
y is an integer of 1 to 5;
z is an integer of 1 to 3);
—B 1 represents the formula: —X— (CR 8a R 8b ) mY
(Where
X is N (R 7c ) or O;
R 7c is hydrogen, substituted or unsubstituted alkyl or substituted or unsubstituted acyl;
R 8a and R 8b are each independently hydrogen, halogen or substituted or unsubstituted alkyl;
m is an integer from 1 to 5:
Y is substituted or unsubstituted cycloalkylthio, substituted or unsubstituted cycloalkenylthio, substituted or unsubstituted non-aromatic heterocyclic thio, substituted or unsubstituted arylthio, substituted or unsubstituted heteroarylthio, substituent Sulfinyl substituted with a substituent selected from group A, sulfonyl substituted with a substituent selected from substituent group A, unsubstituted sulfamoyl, sulfamoyl substituted with a substituent selected from substituent group A, Substituted or unsubstituted alkylsulfonylamino, substituted or unsubstituted alkenylsulfonylamino, substituted or unsubstituted alkynylsulfonylamino, substituted or unsubstituted aminosulfonylamino, substituted or unsubstituted cycloalkylsulfonylamino, substituted or unsubstituted Cycloalkenyl The sulfonylamino, substituted or unsubstituted non-aromatic heterocyclic sulfonylamino, substituted or unsubstituted arylsulfonylamino, substituted or unsubstituted heteroarylsulfonylamino, or the nitrogen atom constituting the ring is selected from the substituent group A A nitrogen-containing non-aromatic heterocyclic group substituted with a sulfonyl substituted with a substituent);
B 2 is,
Wherein each R 10 independently represents a substituted or unsubstituted alkyl, halogen, hydroxy, substituted or unsubstituted alkyloxy, substituted or unsubstituted amino or together oxo or thiooxo;
R 12 represents substituted or unsubstituted alkyl, halogen, hydroxy, or substituted or unsubstituted alkyloxy;
R 11 represents hydrogen, substituted or unsubstituted cycloalkyl, unsubstituted alkyl, or substituent group C (substituent group C: hydroxy, halogen, substituted or unsubstituted alkoxy, substituted or unsubstituted alkyloxycarbonyl, substituted Or a substituent selected from unsubstituted cycloalkyl, substituted or unsubstituted cycloalkenyl, substituted or unsubstituted non-aromatic heterocyclic group, substituted or unsubstituted aryl and substituted or unsubstituted heteroaryl) One or more substituted alkyls;
R 9a and R 9b are each independently hydrogen or substituted or unsubstituted alkyl;
p is an integer of 0 to 4) or a compound represented by a substituted or unsubstituted amino-substituted alkylene), or a pharmaceutically acceptable salt thereof, or a solvate thereof.
本発明化合物において、一つの態様は以下の通りである。
式(I):
であり、
R1aが、
a)ハロゲン、置換もしくは非置換のアルキル、置換もしくは非置換のアルキルオキシ、ヒドロキシ、置換もしくは非置換のシクロアルキル、置換もしくは非置換の非芳香族複素環式基、置換もしくは非置換のアリール、置換もしくは非置換のヘテロアリールまたは置換もしくは非置換のシクロアルキルオキシ;
n1が、0~4の整数;
-B1が、式:-X-(CR8aR8b)m-Y
(式中、
Xが、N(R7c);
R7cが、水素;
R8aおよびR8bが、水素;
mが、1~5の整数:
Yが、置換基群A(置換基群A:置換もしくは非置換のアルキル、置換もしくは非置換のアルケニル、置換もしくは非置換のアルキニル、置換もしくは非置換のシクロアルキル、置換もしくは非置換のシクロアルケニル、置換もしくは非置換の非芳香族複素環基、置換もしくは非置換のアリールおよび置換もしくは非置換のヘテロアリール)から選択される置換基で置換されたスルファモイル、非置換のスルファモイルまたは置換基群Aから選択される置換基で置換されたスルホニル)で示される基;
B2が、
(式中、R10が、置換もしくは非置換のアルキル;
R11が、水素、非置換のアルキルまたは置換基群C(置換基群C:ヒドロキシ、ハロゲン、置換もしくは非置換のアルコキシ、置換もしくは非置換のアルキルオキシカルボニル、置換もしくは非置換のシクロアルキル、置換もしくは非置換のシクロアルケニル、置換もしくは非置換の非芳香族複素環式基、置換もしくは非置換のアリールおよび置換もしくは非置換のヘテロアリール)から選択される置換基で1以上置換されたアルキル;
R9aまたはR9bは、それぞれ独立して、水素または置換もしくは非置換のアルキル;
pは0~4の整数)で示される基)で示される化合物、もしくはその製薬上許容される塩またはそれらの溶媒和物。
In the compound of the present invention, one embodiment is as follows.
Formula (I):
And
R 1a is
a) halogen, substituted or unsubstituted alkyl, substituted or unsubstituted alkyloxy, hydroxy, substituted or unsubstituted cycloalkyl, substituted or unsubstituted non-aromatic heterocyclic group, substituted or unsubstituted aryl, substituted Or unsubstituted heteroaryl or substituted or unsubstituted cycloalkyloxy;
n 1 is an integer from 0 to 4;
-B 1 is represented by the formula: -X- (CR 8a R 8b ) mY
(Where
X is N (R 7c );
R 7c is hydrogen;
R 8a and R 8b are hydrogen;
m is an integer from 1 to 5:
Y is substituent group A (substituent group A: substituted or unsubstituted alkyl, substituted or unsubstituted alkenyl, substituted or unsubstituted alkynyl, substituted or unsubstituted cycloalkyl, substituted or unsubstituted cycloalkenyl, A substituted or unsubstituted non-aromatic heterocyclic group, substituted or unsubstituted aryl and substituted or unsubstituted heteroaryl) selected from sulfamoyl, unsubstituted sulfamoyl or substituent group A substituted with a substituent selected from A sulfonyl substituted with a substituent selected from
B 2 is,
Wherein R 10 is substituted or unsubstituted alkyl;
R 11 represents hydrogen, unsubstituted alkyl, or substituent group C (substituent group C: hydroxy, halogen, substituted or unsubstituted alkoxy, substituted or unsubstituted alkyloxycarbonyl, substituted or unsubstituted cycloalkyl, substituted Or alkyl substituted with one or more substituents selected from unsubstituted cycloalkenyl, substituted or unsubstituted non-aromatic heterocyclic group, substituted or unsubstituted aryl and substituted or unsubstituted heteroaryl;
R 9a or R 9b each independently represents hydrogen or substituted or unsubstituted alkyl;
p is an integer of 0 to 4), or a pharmaceutically acceptable salt or solvate thereof.
本発明化合物において、一つの態様は以下の通りである。
式(I):
であり、
R1aが、
a)ハロゲン、置換もしくは非置換のアルキル、置換もしくは非置換のアルキルオキシ、ヒドロキシ、置換もしくは非置換のシクロアルキル、置換もしくは非置換の非芳香族複素環式基、置換もしくは非置換のアリール、置換もしくは非置換のヘテロアリールまたは置換もしくは非置換のシクロアルキルオキシ;
n1が、0~4の整数;
-B1が、式:-X-(CR8aR8b)m-Y
(式中、
Xが、N(R7c);
R7cが、水素;
R8aおよびR8bが、水素;
mが、1~5の整数:
Yが、置換もしくは非置換のアルキルスルホニルアミノ、置換もしくは非置換のアミノスルホニルアミノ、置換もしくは非置換のシクロアルキルスルホニルアミノ、置換もしくは非置換の非芳香族複素環スルホニルアミノ、置換もしくは非置換のアリールスルホニルアミノ、置換もしくは非置換のヘテロアリールスルホニルアミノまたは環を構成する窒素原子が置換基群Aから選択される置換基で置換されたスルホニルで置換された含窒素非芳香族複素環基)で示される基;
B2が、
(式中、R10が、置換もしくは非置換のアルキル;
R11が、水素、非置換のアルキルまたは置換基群C(置換基群C:ヒドロキシ、ハロゲン、置換もしくは非置換のアルコキシ、置換もしくは非置換のアルキルオキシカルボニル、置換もしくは非置換のシクロアルキル、置換もしくは非置換のシクロアルケニル、置換もしくは非置換の非芳香族複素環式基、置換もしくは非置換のアリールおよび置換もしくは非置換のヘテロアリール)から選択される置換基で1以上置換されたアルキル;
R9aまたはR9bは、それぞれ独立して、水素または置換もしくは非置換のアルキル;
pは0~4の整数)で示される基)で示される化合物、もしくはその製薬上許容される塩またはそれらの溶媒和物。
In the compound of the present invention, one embodiment is as follows.
Formula (I):
And
R 1a is
a) halogen, substituted or unsubstituted alkyl, substituted or unsubstituted alkyloxy, hydroxy, substituted or unsubstituted cycloalkyl, substituted or unsubstituted non-aromatic heterocyclic group, substituted or unsubstituted aryl, substituted Or unsubstituted heteroaryl or substituted or unsubstituted cycloalkyloxy;
n 1 is an integer from 0 to 4;
-B 1 is represented by the formula: -X- (CR 8a R 8b ) mY
(Where
X is N (R 7c );
R 7c is hydrogen;
R 8a and R 8b are hydrogen;
m is an integer from 1 to 5:
Y is substituted or unsubstituted alkylsulfonylamino, substituted or unsubstituted aminosulfonylamino, substituted or unsubstituted cycloalkylsulfonylamino, substituted or unsubstituted non-aromatic heterocyclic sulfonylamino, substituted or unsubstituted aryl Sulfonylamino, substituted or unsubstituted heteroarylsulfonylamino or a nitrogen-containing non-aromatic heterocyclic group in which a nitrogen atom constituting the ring is substituted with a sulfonyl substituted with a substituent selected from Substituent Group A) Group
B 2 is,
Wherein R 10 is substituted or unsubstituted alkyl;
R 11 represents hydrogen, unsubstituted alkyl, or substituent group C (substituent group C: hydroxy, halogen, substituted or unsubstituted alkoxy, substituted or unsubstituted alkyloxycarbonyl, substituted or unsubstituted cycloalkyl, substituted Or alkyl substituted with one or more substituents selected from unsubstituted cycloalkenyl, substituted or unsubstituted non-aromatic heterocyclic group, substituted or unsubstituted aryl and substituted or unsubstituted heteroaryl;
R 9a or R 9b each independently represents hydrogen or substituted or unsubstituted alkyl;
p is an integer of 0 to 4), or a pharmaceutically acceptable salt or solvate thereof.
本発明化合物において、一つの態様は以下の通りである。
式(I):
であり、
R1aが、
a)ハロゲン、置換もしくは非置換のアルキル、置換もしくは非置換のアルケニル、置換もしくは非置換のアルキニル、置換もしくは非置換のアルキルオキシ、置換もしくは非置換のアルケニルオキシ、置換もしくは非置換のアルキニルオキシ、置換もしくは非置換のアルキルチオ、置換もしくは非置換のアルケニルチオ、置換もしくは非置換のアルキニルチオ、置換もしくは非置換のアシル、ヒドロキシ、カルボキシ、置換もしくは非置換のアルキルオキシカルボニル、置換もしくは非置換のアルケニルオキシカルボニル、置換もしくは非置換のアルキニルオキシカルボニル、置換もしくは非置換のシクロアルキルオキシカルボニル、置換もしくは非置換のシクロアルケニルオキシカルボニル、置換もしくは非置換の非芳香族複素環オキシカルボニル、置換もしくは非置換のアリールオキシカルボニル、置換もしくは非置換のヘテロアリールオキシカルボニル、非置換スルファモイル、置換基群A(置換基群A:置換もしくは非置換のアルキル、置換もしくは非置換のアルケニル、置換もしくは非置換のアルキニル、置換もしくは非置換のシクロアルキル、置換もしくは非置換のシクロアルケニル、置換もしくは非置換の非芳香族複素環基、置換もしくは非置換のアリールおよび置換もしくは非置換のヘテロアリール)から選択される置換基で置換されたスルファモイル、置換もしくは非置換のスルファモイル、置換基群Aから選択される置換基で置換されたスルフィニル、置換基群Aから選択される置換基で置換されたスルホニル、置換もしくは非置換のアルキルスルホニルオキシ、置換もしくは非置換のアリールスルホニルオキシ、シアノ、ニトロ、置換もしくは非置換のアミノ、置換もしくは非置換のシクロアルキル、置換もしくは非置換のシクロアルケニル、置換もしくは非置換の非芳香族複素環式基、置換もしくは非置換のアリール、置換もしくは非置換のヘテロアリール、置換もしくは非置換のシクロアルキルオキシ、置換もしくは非置換のシクロアルケニルオキシ、置換もしくは非置換の非芳香族複素環オキシ、置換もしくは非置換のアリールオキシ、または置換もしくは非置換のヘテロアリールオキシ、または、
以下のb)群~e)群からなる群から選択される1以上の基であってもよい;
b)2つのR1aが、同一の炭素原子に結合して、=Oならびに=NR3、
c)2つのR1aが、同一の炭素原子に結合して-(CR4aR4b)x-、または-O-(CR4aR4b)x-O-、
d)2つのR1aが、隣接する炭素原子に結合して-(CR5aR5b)y-、および
e)2つのR1aが、同一でなく、かつ隣接しない炭素原子に結合して-(CR6aR6b)z-、
ただし、R1aは、c)群、d)群およびe)群から同時に2以上選択される場合はない;
R3は、水素、置換もしくは非置換のアルキル、ヒドロキシ、置換もしくは非置換のアルキルオキシ、置換もしくは非置換のアルケニルオキシまたは置換もしくは非置換のアルキニルオキシ;
R4a、R4b、R5a、R5b、R6aおよびR6bは、それぞれ独立して、水素、ハロゲンまたは置換もしくは非置換のアルキル;
n1は、0~4の整数;
xは、2~7の整数;
yは、1~5の整数;
zは、1~3の整数)で示される環;
-B1は、式:-X-(CR8aR8b)m-Y
(式中、
Xは、N(R7c)またはO;
R7cは、水素、置換もしくは非置換のアルキルまたは置換もしくは非置換のアシル;
R8aおよびR8bは、それぞれ独立して、水素、ハロゲンまたは置換もしくは非置換のアルキル;
mは、1~5の整数:
Yは、置換もしくは非置換のシクロアルキルチオ、置換もしくは非置換のシクロアルケニルチオ、置換もしくは非置換の非芳香族複素環チオ、置換もしくは非置換のアリールチオ、置換もしくは非置換のヘテロアリールチオ、置換基群Aから選択される置換基で置換されたスルフィニル、置換基群Aから選択される置換基で置換されたスルホニル、非置換スルファモイル、置換基群Aから選択される置換基で置換されたスルファモイル、置換もしくは非置換のアルキルスルホニルアミノ、置換もしくは非置換のアルケニルスルホニルアミノ、置換もしくは非置換のアルキニルスルホニルアミノ、置換もしくは非置換のアミノスルホニルアミノ、置換もしくは非置換のシクロアルキルスルホニルアミノ、置換もしくは非置換のシクロアルケニルスルホニルアミノ、置換もしくは非置換の非芳香族複素環スルホニルアミノ、置換もしくは非置換のアリールスルホニルアミノ、置換もしくは非置換のヘテロアリールスルホニルアミノ、または環を構成する窒素原子が置換基群Aから選択される置換基で置換されたスルホニルで置換された含窒素非芳香族複素環基)で示される基;
B2は、
(式中、R10は、それぞれ独立して、置換もしくは非置換のアルキル、ハロゲン、ヒドロキシ、置換もしくは非置換のアルキルオキシ、置換もしくは非置換のアミノまたは一緒になってオキソもしくはチオキソ;
R12は、置換もしくは非置換のアルキル、ハロゲン、ヒドロキシまたは置換もしくは非置換のアルキルオキシ;
R11は、水素、置換もしくは非置換のシクロアルキル、非置換のアルキルまたは置換基群C(置換基群C:ヒドロキシ、ハロゲン、置換もしくは非置換のアルコキシ、置換もしくは非置換のアルキルオキシカルボニル、置換もしくは非置換のシクロアルキル、置換もしくは非置換のシクロアルケニル、置換もしくは非置換の非芳香族複素環式基、置換もしくは非置換のアリールおよび置換もしくは非置換のヘテロアリール)から選択される置換基で1以上置換されたアルキル;
R9aおよびR9bは、それぞれ独立して、水素または置換もしくは非置換のアルキル;
pは0~4の整数)で示される基または置換もしくは非置換のアミノで置換されたアルキレン)で示される化合物、もしくはその製薬上許容される塩またはそれらの溶媒和物。
In the compound of the present invention, one embodiment is as follows.
Formula (I):
And
R 1a is
a) halogen, substituted or unsubstituted alkyl, substituted or unsubstituted alkenyl, substituted or unsubstituted alkynyl, substituted or unsubstituted alkyloxy, substituted or unsubstituted alkenyloxy, substituted or unsubstituted alkynyloxy, substituted Or unsubstituted alkylthio, substituted or unsubstituted alkenylthio, substituted or unsubstituted alkynylthio, substituted or unsubstituted acyl, hydroxy, carboxy, substituted or unsubstituted alkyloxycarbonyl, substituted or unsubstituted alkenyloxycarbonyl Substituted or unsubstituted alkynyloxycarbonyl, substituted or unsubstituted cycloalkyloxycarbonyl, substituted or unsubstituted cycloalkenyloxycarbonyl, substituted or unsubstituted non-aromatic heterocyclic oxycarbonyl Bonyl, substituted or unsubstituted aryloxycarbonyl, substituted or unsubstituted heteroaryloxycarbonyl, unsubstituted sulfamoyl, substituent group A (substituent group A: substituted or unsubstituted alkyl, substituted or unsubstituted alkenyl, substituted Or unsubstituted alkynyl, substituted or unsubstituted cycloalkyl, substituted or unsubstituted cycloalkenyl, substituted or unsubstituted non-aromatic heterocyclic group, substituted or unsubstituted aryl and substituted or unsubstituted heteroaryl) Sulfamoyl substituted with a selected substituent, substituted or unsubstituted sulfamoyl, sulfinyl substituted with a substituent selected from substituent group A, sulfonyl substituted with a substituent selected from substituent group A, Substituted or unsubstituted alkylsulfonyloxy Substituted or unsubstituted arylsulfonyloxy, cyano, nitro, substituted or unsubstituted amino, substituted or unsubstituted cycloalkyl, substituted or unsubstituted cycloalkenyl, substituted or unsubstituted non-aromatic heterocyclic group, Substituted or unsubstituted aryl, substituted or unsubstituted heteroaryl, substituted or unsubstituted cycloalkyloxy, substituted or unsubstituted cycloalkenyloxy, substituted or unsubstituted non-aromatic heterocyclic oxy, substituted or unsubstituted Aryloxy or substituted or unsubstituted heteroaryloxy, or
It may be one or more groups selected from the group consisting of the following groups b) to e);
b) two R 1a are bonded to the same carbon atom, and ═O and ═NR 3 ,
c) when two R 1a are bonded to the same carbon atom to form — (CR 4a R 4b ) x—, or —O— (CR 4a R 4b ) x—O—,
d) two R 1a bonded to adjacent carbon atoms-(CR 5a R 5b ) y-, and e) two R 1a bonded to non-identical and non-adjacent carbon atoms- ( CR 6a R 6b ) z-,
Provided that R 1a is not selected from two or more of c), d) and e) simultaneously;
R 3 is hydrogen, substituted or unsubstituted alkyl, hydroxy, substituted or unsubstituted alkyloxy, substituted or unsubstituted alkenyloxy, or substituted or unsubstituted alkynyloxy;
R 4a , R 4b , R 5a , R 5b , R 6a and R 6b are each independently hydrogen, halogen or substituted or unsubstituted alkyl;
n 1 is an integer from 0 to 4;
x is an integer of 2 to 7;
y is an integer of 1 to 5;
z is an integer of 1 to 3);
—B 1 represents the formula: —X— (CR 8a R 8b ) mY
(Where
X is N (R 7c ) or O;
R 7c is hydrogen, substituted or unsubstituted alkyl or substituted or unsubstituted acyl;
R 8a and R 8b are each independently hydrogen, halogen or substituted or unsubstituted alkyl;
m is an integer from 1 to 5:
Y is substituted or unsubstituted cycloalkylthio, substituted or unsubstituted cycloalkenylthio, substituted or unsubstituted non-aromatic heterocyclic thio, substituted or unsubstituted arylthio, substituted or unsubstituted heteroarylthio, substituent Sulfinyl substituted with a substituent selected from group A, sulfonyl substituted with a substituent selected from substituent group A, unsubstituted sulfamoyl, sulfamoyl substituted with a substituent selected from substituent group A, Substituted or unsubstituted alkylsulfonylamino, substituted or unsubstituted alkenylsulfonylamino, substituted or unsubstituted alkynylsulfonylamino, substituted or unsubstituted aminosulfonylamino, substituted or unsubstituted cycloalkylsulfonylamino, substituted or unsubstituted Cycloalkenyl The sulfonylamino, substituted or unsubstituted non-aromatic heterocyclic sulfonylamino, substituted or unsubstituted arylsulfonylamino, substituted or unsubstituted heteroarylsulfonylamino, or the nitrogen atom constituting the ring is selected from the substituent group A A nitrogen-containing non-aromatic heterocyclic group substituted with a sulfonyl substituted with a substituent);
B 2 is,
Wherein each R 10 is independently substituted or unsubstituted alkyl, halogen, hydroxy, substituted or unsubstituted alkyloxy, substituted or unsubstituted amino, or together oxo or thioxo;
R 12 represents substituted or unsubstituted alkyl, halogen, hydroxy, or substituted or unsubstituted alkyloxy;
R 11 represents hydrogen, substituted or unsubstituted cycloalkyl, unsubstituted alkyl, or substituent group C (substituent group C: hydroxy, halogen, substituted or unsubstituted alkoxy, substituted or unsubstituted alkyloxycarbonyl, substituted Or a substituent selected from unsubstituted cycloalkyl, substituted or unsubstituted cycloalkenyl, substituted or unsubstituted non-aromatic heterocyclic group, substituted or unsubstituted aryl and substituted or unsubstituted heteroaryl) One or more substituted alkyls;
R 9a and R 9b are each independently hydrogen or substituted or unsubstituted alkyl;
p is an integer of 0 to 4) or a compound represented by a substituted or unsubstituted amino-substituted alkylene), or a pharmaceutically acceptable salt thereof, or a solvate thereof.
本発明化合物において、一つの態様は以下の通りである。
式(I):
であり、
R1aが、
a)ハロゲン、置換もしくは非置換のアルキル、置換もしくは非置換のアルキルオキシ、ヒドロキシ、置換もしくは非置換のシクロアルキル、置換もしくは非置換の非芳香族複素環式基、置換もしくは非置換のアリール、置換もしくは非置換のヘテロアリールまたは置換もしくは非置換のシクロアルキルオキシ;
n1が、0~4の整数;
-B1が、式:-X-(CR8aR8b)m-Y
(式中、
Xが、N(R7c);
R7cが、水素;
R8aおよびR8bが、水素;
mが、1~5の整数:
Yが、置換基群A(置換基群A:置換もしくは非置換のアルキル、置換もしくは非置換のアルケニル、置換もしくは非置換のアルキニル、置換もしくは非置換のシクロアルキル、置換もしくは非置換のシクロアルケニル、置換もしくは非置換の非芳香族複素環基、置換もしくは非置換のアリールおよび置換もしくは非置換のヘテロアリール)から選択される置換基で置換されたスルファモイル、非置換のスルファモイルまたは置換基群Aから選択される置換基で置換されたスルホニル)で示される基;
B2が、
(式中、R10が、置換もしくは非置換のアルキル;
R11が、水素、非置換のアルキルまたは置換基群C(置換基群C:ヒドロキシ、ハロゲン、置換もしくは非置換のアルコキシ、置換もしくは非置換のアルキルオキシカルボニル、置換もしくは非置換のシクロアルキル、置換もしくは非置換のシクロアルケニル、置換もしくは非置換の非芳香族複素環式基、置換もしくは非置換のアリールおよび置換もしくは非置換のヘテロアリール)から選択される置換基で1以上置換されたアルキル;
R9aおよびR9bは、それぞれ独立して、水素または置換もしくは非置換のアルキル;
pは0~4の整数)で示される基)で示される化合物、もしくはその製薬上許容される塩またはそれらの溶媒和物。
In the compound of the present invention, one embodiment is as follows.
Formula (I):
And
R 1a is
a) halogen, substituted or unsubstituted alkyl, substituted or unsubstituted alkyloxy, hydroxy, substituted or unsubstituted cycloalkyl, substituted or unsubstituted non-aromatic heterocyclic group, substituted or unsubstituted aryl, substituted Or unsubstituted heteroaryl or substituted or unsubstituted cycloalkyloxy;
n 1 is an integer from 0 to 4;
-B 1 is represented by the formula: -X- (CR 8a R 8b ) mY
(Where
X is N (R 7c );
R 7c is hydrogen;
R 8a and R 8b are hydrogen;
m is an integer from 1 to 5:
Y is substituent group A (substituent group A: substituted or unsubstituted alkyl, substituted or unsubstituted alkenyl, substituted or unsubstituted alkynyl, substituted or unsubstituted cycloalkyl, substituted or unsubstituted cycloalkenyl, A substituted or unsubstituted non-aromatic heterocyclic group, substituted or unsubstituted aryl and substituted or unsubstituted heteroaryl) selected from sulfamoyl, unsubstituted sulfamoyl or substituent group A substituted with a substituent selected from A sulfonyl substituted with a substituent selected from
B 2 is,
Wherein R 10 is substituted or unsubstituted alkyl;
R 11 represents hydrogen, unsubstituted alkyl, or substituent group C (substituent group C: hydroxy, halogen, substituted or unsubstituted alkoxy, substituted or unsubstituted alkyloxycarbonyl, substituted or unsubstituted cycloalkyl, substituted Or alkyl substituted with one or more substituents selected from unsubstituted cycloalkenyl, substituted or unsubstituted non-aromatic heterocyclic group, substituted or unsubstituted aryl and substituted or unsubstituted heteroaryl;
R 9a and R 9b are each independently hydrogen or substituted or unsubstituted alkyl;
p is an integer of 0 to 4), or a pharmaceutically acceptable salt or solvate thereof.
本発明化合物において、一つの態様は以下の通りである。
式(I):
であり、
R1aが、
a)ハロゲン、置換もしくは非置換のアルキル、置換もしくは非置換のアルキルオキシ、ヒドロキシ、置換もしくは非置換のシクロアルキル、置換もしくは非置換の非芳香族複素環式基、置換もしくは非置換のアリール、置換もしくは非置換のヘテロアリールまたは置換もしくは非置換のシクロアルキルオキシ;
n1が、0~4の整数;
-B1が、式:-X-(CR8aR8b)m-Y
(式中、
Xが、N(R7c);
R7cが、水素;
R8aおよびR8bが、水素;
mが、1~5の整数:
Yが、置換もしくは非置換のアルキルスルホニルアミノ、置換もしくは非置換のアミノスルホニルアミノ、置換もしくは非置換のシクロアルキルスルホニルアミノ、置換もしくは非置換の非芳香族複素環スルホニルアミノ、置換もしくは非置換のアリールスルホニルアミノ、置換もしくは非置換のヘテロアリールスルホニルアミノまたは環を構成する窒素原子が置換基群Aから選択される置換基で置換されたスルホニルで置換された含窒素非芳香族複素環基)で示される基;
B2が、
(式中、R10が、置換もしくは非置換のアルキル;
R11が、水素、非置換のアルキルまたは置換基群C(置換基群C:ヒドロキシ、ハロゲン、置換もしくは非置換のアルコキシ、置換もしくは非置換のアルキルオキシカルボニル、置換もしくは非置換のシクロアルキル、置換もしくは非置換のシクロアルケニル、置換もしくは非置換の非芳香族複素環式基、置換もしくは非置換のアリールおよび置換もしくは非置換のヘテロアリール)から選択される置換基で1以上置換されたアルキル;
R9aまたはR9bは、それぞれ独立して、水素または置換もしくは非置換のアルキル;
pは0~4の整数)で示される基)で示される化合物、もしくはその製薬上許容される塩またはそれらの溶媒和物。
In the compound of the present invention, one embodiment is as follows.
Formula (I):
And
R 1a is
a) halogen, substituted or unsubstituted alkyl, substituted or unsubstituted alkyloxy, hydroxy, substituted or unsubstituted cycloalkyl, substituted or unsubstituted non-aromatic heterocyclic group, substituted or unsubstituted aryl, substituted Or unsubstituted heteroaryl or substituted or unsubstituted cycloalkyloxy;
n 1 is an integer from 0 to 4;
-B 1 is represented by the formula: -X- (CR 8a R 8b ) mY
(Where
X is N (R 7c );
R 7c is hydrogen;
R 8a and R 8b are hydrogen;
m is an integer from 1 to 5:
Y is substituted or unsubstituted alkylsulfonylamino, substituted or unsubstituted aminosulfonylamino, substituted or unsubstituted cycloalkylsulfonylamino, substituted or unsubstituted non-aromatic heterocyclic sulfonylamino, substituted or unsubstituted aryl Sulfonylamino, substituted or unsubstituted heteroarylsulfonylamino or a nitrogen-containing non-aromatic heterocyclic group in which a nitrogen atom constituting the ring is substituted with a sulfonyl substituted with a substituent selected from Substituent Group A) Group
B 2 is,
Wherein R 10 is substituted or unsubstituted alkyl;
R 11 is hydrogen, unsubstituted alkyl, or substituent group C (substituent group C: hydroxy, halogen, substituted or unsubstituted alkoxy, substituted or unsubstituted alkyloxycarbonyl, substituted or unsubstituted cycloalkyl, substituted Or alkyl substituted with one or more substituents selected from unsubstituted cycloalkenyl, substituted or unsubstituted non-aromatic heterocyclic group, substituted or unsubstituted aryl and substituted or unsubstituted heteroaryl;
R 9a or R 9b each independently represents hydrogen or substituted or unsubstituted alkyl;
p is an integer of 0 to 4), or a pharmaceutically acceptable salt or solvate thereof.
本発明化合物において、一つの態様は以下の通りである。
式(I):
であり、
R1aが、
a)ハロゲン、置換もしくは非置換のアルキル、置換もしくは非置換のアルケニル、置換もしくは非置換のアルキニル、置換もしくは非置換のアルキルオキシ、置換もしくは非置換のアルケニルオキシ、置換もしくは非置換のアルキニルオキシ、置換もしくは非置換のアルキルチオ、置換もしくは非置換のアルケニルチオ、置換もしくは非置換のアルキニルチオ、置換もしくは非置換のアシル、ヒドロキシ、カルボキシ、置換もしくは非置換のアルキルオキシカルボニル、置換もしくは非置換のアルケニルオキシカルボニル、置換もしくは非置換のアルキニルオキシカルボニル、置換もしくは非置換のシクロアルキルオキシカルボニル、置換もしくは非置換のシクロアルケニルオキシカルボニル、置換もしくは非置換の非芳香族複素環オキシカルボニル、置換もしくは非置換のアリールオキシカルボニル、置換もしくは非置換のヘテロアリールオキシカルボニル、非置換スルファモイル、置換基群A(置換基群A:置換もしくは非置換のアルキル、置換もしくは非置換のアルケニル、置換もしくは非置換のアルキニル、置換もしくは非置換のシクロアルキル、置換もしくは非置換のシクロアルケニル、置換もしくは非置換の非芳香族複素環基、置換もしくは非置換のアリールおよび置換もしくは非置換のヘテロアリール)から選択される置換基で置換されたスルファモイル、置換もしくは非置換のスルファモイル、置換基群Aから選択される置換基で置換されたスルフィニル、置換基群Aから選択される置換基で置換されたスルホニル、置換もしくは非置換のアルキルスルホニルオキシ、置換もしくは非置換のアリールスルホニルオキシ、シアノ、ニトロ、置換もしくは非置換のアミノ、置換もしくは非置換のシクロアルキル、置換もしくは非置換のシクロアルケニル、置換もしくは非置換の非芳香族複素環式基、置換もしくは非置換のアリール、置換もしくは非置換のヘテロアリール、置換もしくは非置換のシクロアルキルオキシ、置換もしくは非置換のシクロアルケニルオキシ、置換もしくは非置換の非芳香族複素環オキシ、置換もしくは非置換のアリールオキシ、または置換もしくは非置換のヘテロアリールオキシ、または、
以下のb)群~e)群からなる群から選択される1以上の基であってもよい;
b)2つのR1aが、同一の炭素原子に結合して、=Oならびに=NR3、
c)2つのR1aが、同一の炭素原子に結合して-(CR4aR4b)x-、または-O-(CR4aR4b)x-O-、
d)2つのR1aが、隣接する炭素原子に結合して-(CR5aR5b)y-、および
e)2つのR1aが、同一でなく、かつ隣接しない炭素原子に結合して-(CR6aR6b)z-、
ただし、R1aは、c)群、d)群およびe)群から同時に2以上選択される場合はない;
R3は、水素、置換もしくは非置換のアルキル、ヒドロキシ、置換もしくは非置換のアルキルオキシ、置換もしくは非置換のアルケニルオキシまたは置換もしくは非置換のアルキニルオキシ;
R4a、R4b、R5a、R5b、R6aおよびR6bは、それぞれ独立して、水素、ハロゲンまたは置換もしくは非置換のアルキル;
n1は、0~4の整数;
xは、2~7の整数;
yは、1~5の整数;
zは、1~3の整数)で示される環;
-B1は、式:-X-(CR8aR8b)m-Y
(式中、
Xは、N(R7c)またはO;
R7cは、水素、置換もしくは非置換のアルキルまたは置換もしくは非置換のアシル;
R8aおよびR8bは、それぞれ独立して、水素、ハロゲンまたは置換もしくは非置換のアルキル;
mは、1~5の整数:
Yは、置換もしくは非置換のシクロアルキルチオ、置換もしくは非置換のシクロアルケニルチオ、置換もしくは非置換の非芳香族複素環チオ、置換もしくは非置換のアリールチオ、置換もしくは非置換のヘテロアリールチオ、置換基群Aから選択される置換基で置換されたスルフィニル、置換基群Aから選択される置換基で置換されたスルホニル、非置換スルファモイル、置換基群Aから選択される置換基で置換されたスルファモイル、置換もしくは非置換のアルキルスルホニルアミノ、置換もしくは非置換のアルケニルスルホニルアミノ、置換もしくは非置換のアルキニルスルホニルアミノ、置換もしくは非置換のアミノスルホニルアミノ、置換もしくは非置換のシクロアルキルスルホニルアミノ、置換もしくは非置換のシクロアルケニルスルホニルアミノ、置換もしくは非置換の非芳香族複素環スルホニルアミノ、置換もしくは非置換のアリールスルホニルアミノ、置換もしくは非置換のヘテロアリールスルホニルアミノ、または環を構成する窒素原子が置換基群Aから選択される置換基で置換されたスルホニルで置換された含窒素非芳香族複素環基)で示される基;
B2は、
(式中、R10は、それぞれ独立して、置換もしくは非置換のアルキル、ハロゲン、ヒドロキシ、置換もしくは非置換のアルキルオキシ、置換もしくは非置換のアミノまたは一緒になってオキソもしくはチオキソ;
R12は、置換もしくは非置換のアルキル、ハロゲン、ヒドロキシまたは置換もしくは非置換のアルキルオキシ;
R11は、水素、置換もしくは非置換のシクロアルキル、非置換のアルキルまたは置換基群C(置換基群C:ヒドロキシ、ハロゲン、置換もしくは非置換のアルコキシ、置換もしくは非置換のアルキルオキシカルボニル、置換もしくは非置換のシクロアルキル、置換もしくは非置換のシクロアルケニル、置換もしくは非置換の非芳香族複素環式基、置換もしくは非置換のアリールおよび置換もしくは非置換のヘテロアリール)から選択される置換基で1以上置換されたアルキル;
R9aおよびR9bは、それぞれ独立して、水素または置換もしくは非置換のアルキル;
pは0~4の整数)で示される基または置換もしくは非置換のアミノで置換されたアルキレン)で示される化合物、もしくはその製薬上許容される塩またはそれらの溶媒和物。
In the compound of the present invention, one embodiment is as follows.
Formula (I):
And
R 1a is
a) halogen, substituted or unsubstituted alkyl, substituted or unsubstituted alkenyl, substituted or unsubstituted alkynyl, substituted or unsubstituted alkyloxy, substituted or unsubstituted alkenyloxy, substituted or unsubstituted alkynyloxy, substituted Or unsubstituted alkylthio, substituted or unsubstituted alkenylthio, substituted or unsubstituted alkynylthio, substituted or unsubstituted acyl, hydroxy, carboxy, substituted or unsubstituted alkyloxycarbonyl, substituted or unsubstituted alkenyloxycarbonyl Substituted or unsubstituted alkynyloxycarbonyl, substituted or unsubstituted cycloalkyloxycarbonyl, substituted or unsubstituted cycloalkenyloxycarbonyl, substituted or unsubstituted non-aromatic heterocyclic oxycarbonyl Bonyl, substituted or unsubstituted aryloxycarbonyl, substituted or unsubstituted heteroaryloxycarbonyl, unsubstituted sulfamoyl, substituent group A (substituent group A: substituted or unsubstituted alkyl, substituted or unsubstituted alkenyl, substituted Or unsubstituted alkynyl, substituted or unsubstituted cycloalkyl, substituted or unsubstituted cycloalkenyl, substituted or unsubstituted non-aromatic heterocyclic group, substituted or unsubstituted aryl and substituted or unsubstituted heteroaryl) Sulfamoyl substituted with a selected substituent, substituted or unsubstituted sulfamoyl, sulfinyl substituted with a substituent selected from substituent group A, sulfonyl substituted with a substituent selected from substituent group A, Substituted or unsubstituted alkylsulfonyloxy Substituted or unsubstituted arylsulfonyloxy, cyano, nitro, substituted or unsubstituted amino, substituted or unsubstituted cycloalkyl, substituted or unsubstituted cycloalkenyl, substituted or unsubstituted non-aromatic heterocyclic group, Substituted or unsubstituted aryl, substituted or unsubstituted heteroaryl, substituted or unsubstituted cycloalkyloxy, substituted or unsubstituted cycloalkenyloxy, substituted or unsubstituted non-aromatic heterocyclic oxy, substituted or unsubstituted Aryloxy or substituted or unsubstituted heteroaryloxy, or
It may be one or more groups selected from the group consisting of the following groups b) to e);
b) two R 1a are bonded to the same carbon atom, and ═O and ═NR 3 ,
c) when two R 1a are bonded to the same carbon atom to form — (CR 4a R 4b ) x—, or —O— (CR 4a R 4b ) x—O—,
d) two R 1a bonded to adjacent carbon atoms-(CR 5a R 5b ) y-, and e) two R 1a bonded to non-identical and non-adjacent carbon atoms- ( CR 6a R 6b ) z-,
Provided that R 1a is not selected from two or more of c), d) and e) simultaneously;
R 3 is hydrogen, substituted or unsubstituted alkyl, hydroxy, substituted or unsubstituted alkyloxy, substituted or unsubstituted alkenyloxy, or substituted or unsubstituted alkynyloxy;
R 4a , R 4b , R 5a , R 5b , R 6a and R 6b are each independently hydrogen, halogen or substituted or unsubstituted alkyl;
n 1 is an integer from 0 to 4;
x is an integer of 2 to 7;
y is an integer of 1 to 5;
z is an integer of 1 to 3);
—B 1 represents the formula: —X— (CR 8a R 8b ) mY
(Where
X is N (R 7c ) or O;
R 7c is hydrogen, substituted or unsubstituted alkyl or substituted or unsubstituted acyl;
R 8a and R 8b are each independently hydrogen, halogen or substituted or unsubstituted alkyl;
m is an integer from 1 to 5:
Y is substituted or unsubstituted cycloalkylthio, substituted or unsubstituted cycloalkenylthio, substituted or unsubstituted non-aromatic heterocyclic thio, substituted or unsubstituted arylthio, substituted or unsubstituted heteroarylthio, substituent Sulfinyl substituted with a substituent selected from group A, sulfonyl substituted with a substituent selected from substituent group A, unsubstituted sulfamoyl, sulfamoyl substituted with a substituent selected from substituent group A, Substituted or unsubstituted alkylsulfonylamino, substituted or unsubstituted alkenylsulfonylamino, substituted or unsubstituted alkynylsulfonylamino, substituted or unsubstituted aminosulfonylamino, substituted or unsubstituted cycloalkylsulfonylamino, substituted or unsubstituted Cycloalkenyl The sulfonylamino, substituted or unsubstituted non-aromatic heterocyclic sulfonylamino, substituted or unsubstituted arylsulfonylamino, substituted or unsubstituted heteroarylsulfonylamino, or the nitrogen atom constituting the ring is selected from the substituent group A A nitrogen-containing non-aromatic heterocyclic group substituted with a sulfonyl substituted with a substituent);
B 2 is,
Wherein each R 10 is independently substituted or unsubstituted alkyl, halogen, hydroxy, substituted or unsubstituted alkyloxy, substituted or unsubstituted amino, or together oxo or thioxo;
R 12 represents substituted or unsubstituted alkyl, halogen, hydroxy, or substituted or unsubstituted alkyloxy;
R 11 represents hydrogen, substituted or unsubstituted cycloalkyl, unsubstituted alkyl, or substituent group C (substituent group C: hydroxy, halogen, substituted or unsubstituted alkoxy, substituted or unsubstituted alkyloxycarbonyl, substituted Or a substituent selected from unsubstituted cycloalkyl, substituted or unsubstituted cycloalkenyl, substituted or unsubstituted non-aromatic heterocyclic group, substituted or unsubstituted aryl and substituted or unsubstituted heteroaryl) One or more substituted alkyls;
R 9a and R 9b are each independently hydrogen or substituted or unsubstituted alkyl;
p is an integer of 0 to 4) or a compound represented by a substituted or unsubstituted amino-substituted alkylene), or a pharmaceutically acceptable salt thereof, or a solvate thereof.
本発明化合物において、一つの態様は以下の通りである。
式(I):
であり、
R1aが、
a)ハロゲン、置換もしくは非置換のアルキル、置換もしくは非置換のアルキルオキシ、ヒドロキシ、置換もしくは非置換のシクロアルキル、置換もしくは非置換の非芳香族複素環式基、置換もしくは非置換のアリール、置換もしくは非置換のヘテロアリールまたは置換もしくは非置換のシクロアルキルオキシ;
n1が、0~4の整数;
-B1が、式:-X-(CR8aR8b)m-Y
(式中、
Xが、N(R7c);
R7cが、水素;
R8aおよびR8bが、水素;
mが、1~5の整数:
Yが、置換基群A(置換基群A:置換もしくは非置換のアルキル、置換もしくは非置換のアルケニル、置換もしくは非置換のアルキニル、置換もしくは非置換のシクロアルキル、置換もしくは非置換のシクロアルケニル、置換もしくは非置換の非芳香族複素環基、置換もしくは非置換のアリールおよび置換もしくは非置換のヘテロアリール)から選択される置換基で置換されたスルファモイル、非置換のスルファモイルまたは置換基群Aから選択される置換基で置換されたスルホニル)で示される基;
B2が、
(式中、R10が、置換もしくは非置換のアルキル;
R11が、水素、非置換のアルキルまたは置換基群C(置換基群C:ヒドロキシ、ハロゲン、置換もしくは非置換のアルコキシ、置換もしくは非置換のアルキルオキシカルボニル、置換もしくは非置換のシクロアルキル、置換もしくは非置換のシクロアルケニル、置換もしくは非置換の非芳香族複素環式基、置換もしくは非置換のアリールおよび置換もしくは非置換のヘテロアリール)から選択される置換基で1以上置換されたアルキル;
R9aおよびR9bは、それぞれ独立して、水素または置換もしくは非置換のアルキル;
pは0~4の整数)で示される基)で示される化合物、もしくはその製薬上許容される塩またはそれらの溶媒和物。
In the compound of the present invention, one embodiment is as follows.
Formula (I):
And
R 1a is
a) halogen, substituted or unsubstituted alkyl, substituted or unsubstituted alkyloxy, hydroxy, substituted or unsubstituted cycloalkyl, substituted or unsubstituted non-aromatic heterocyclic group, substituted or unsubstituted aryl, substituted Or unsubstituted heteroaryl or substituted or unsubstituted cycloalkyloxy;
n 1 is an integer from 0 to 4;
-B 1 is represented by the formula: -X- (CR 8a R 8b ) mY
(Where
X is N (R 7c );
R 7c is hydrogen;
R 8a and R 8b are hydrogen;
m is an integer from 1 to 5:
Y is substituent group A (substituent group A: substituted or unsubstituted alkyl, substituted or unsubstituted alkenyl, substituted or unsubstituted alkynyl, substituted or unsubstituted cycloalkyl, substituted or unsubstituted cycloalkenyl, A substituted or unsubstituted non-aromatic heterocyclic group, substituted or unsubstituted aryl and substituted or unsubstituted heteroaryl) selected from sulfamoyl, unsubstituted sulfamoyl or substituent group A substituted with a substituent selected from A sulfonyl substituted with a substituent selected from
B 2 is,
Wherein R 10 is substituted or unsubstituted alkyl;
R 11 represents hydrogen, unsubstituted alkyl, or substituent group C (substituent group C: hydroxy, halogen, substituted or unsubstituted alkoxy, substituted or unsubstituted alkyloxycarbonyl, substituted or unsubstituted cycloalkyl, substituted Or alkyl substituted with one or more substituents selected from unsubstituted cycloalkenyl, substituted or unsubstituted non-aromatic heterocyclic group, substituted or unsubstituted aryl and substituted or unsubstituted heteroaryl;
R 9a and R 9b are each independently hydrogen or substituted or unsubstituted alkyl;
p is an integer of 0 to 4), or a pharmaceutically acceptable salt or solvate thereof.
本発明化合物において、一つの態様は以下の通りである。
式(I):
であり、
R1aが、
a)ハロゲン、置換もしくは非置換のアルキル、置換もしくは非置換のアルキルオキシ、ヒドロキシ、置換もしくは非置換のシクロアルキル、置換もしくは非置換の非芳香族複素環式基、置換もしくは非置換のアリール、置換もしくは非置換のヘテロアリールまたは置換もしくは非置換のシクロアルキルオキシ;
n1が、0~4の整数;
-B1が、式:-X-(CR8aR8b)m-Y
(式中、
Xが、N(R7c);
R7cが、水素;
R8aおよびR8bが、水素;
mが、1~5の整数:
Yが、置換もしくは非置換のアルキルスルホニルアミノ、置換もしくは非置換のアミノスルホニルアミノ、置換もしくは非置換のシクロアルキルスルホニルアミノ、置換もしくは非置換の非芳香族複素環スルホニルアミノ、置換もしくは非置換のアリールスルホニルアミノ、置換もしくは非置換のヘテロアリールスルホニルアミノまたは環を構成する窒素原子が置換基群Aから選択される置換基で置換されたスルホニルで置換された含窒素非芳香族複素環基)で示される基;
B2が、
(式中、R10が、置換もしくは非置換のアルキル;
R11が、水素、非置換のアルキルまたは置換基群C(置換基群C:ヒドロキシ、ハロゲン、置換もしくは非置換のアルコキシ、置換もしくは非置換のアルキルオキシカルボニル、置換もしくは非置換のシクロアルキル、置換もしくは非置換のシクロアルケニル、置換もしくは非置換の非芳香族複素環式基、置換もしくは非置換のアリールおよび置換もしくは非置換のヘテロアリール)から選択される置換基で1以上置換されたアルキル;
R9aまたはR9bは、それぞれ独立して、水素または置換もしくは非置換のアルキル;
pは0~4の整数)で示される基)で示される化合物、もしくはその製薬上許容される塩またはそれらの溶媒和物。
In the compound of the present invention, one embodiment is as follows.
Formula (I):
And
R 1a is
a) halogen, substituted or unsubstituted alkyl, substituted or unsubstituted alkyloxy, hydroxy, substituted or unsubstituted cycloalkyl, substituted or unsubstituted non-aromatic heterocyclic group, substituted or unsubstituted aryl, substituted Or unsubstituted heteroaryl or substituted or unsubstituted cycloalkyloxy;
n 1 is an integer from 0 to 4;
-B 1 is represented by the formula: -X- (CR 8a R 8b ) mY
(Where
X is N (R 7c );
R 7c is hydrogen;
R 8a and R 8b are hydrogen;
m is an integer from 1 to 5:
Y is substituted or unsubstituted alkylsulfonylamino, substituted or unsubstituted aminosulfonylamino, substituted or unsubstituted cycloalkylsulfonylamino, substituted or unsubstituted non-aromatic heterocyclic sulfonylamino, substituted or unsubstituted aryl Sulfonylamino, substituted or unsubstituted heteroarylsulfonylamino or a nitrogen-containing non-aromatic heterocyclic group in which a nitrogen atom constituting the ring is substituted with a sulfonyl substituted with a substituent selected from Substituent Group A) Group
B 2 is,
Wherein R 10 is substituted or unsubstituted alkyl;
R 11 represents hydrogen, unsubstituted alkyl, or substituent group C (substituent group C: hydroxy, halogen, substituted or unsubstituted alkoxy, substituted or unsubstituted alkyloxycarbonyl, substituted or unsubstituted cycloalkyl, substituted Or alkyl substituted with one or more substituents selected from unsubstituted cycloalkenyl, substituted or unsubstituted non-aromatic heterocyclic group, substituted or unsubstituted aryl and substituted or unsubstituted heteroaryl;
R 9a or R 9b each independently represents hydrogen or substituted or unsubstituted alkyl;
p is an integer of 0 to 4), or a pharmaceutically acceptable salt or solvate thereof.
本発明化合物において、一つの態様は以下の通りである。
式(I):
であり、
R1aが、
a)ハロゲン、置換もしくは非置換のアルキル、置換もしくは非置換のアルケニル、置換もしくは非置換のアルキニル、置換もしくは非置換のアルキルオキシ、置換もしくは非置換のアルケニルオキシ、置換もしくは非置換のアルキニルオキシ、置換もしくは非置換のアルキルチオ、置換もしくは非置換のアルケニルチオ、置換もしくは非置換のアルキニルチオ、置換もしくは非置換のアシル、ヒドロキシ、カルボキシ、置換もしくは非置換のアルキルオキシカルボニル、置換もしくは非置換のアルケニルオキシカルボニル、置換もしくは非置換のアルキニルオキシカルボニル、置換もしくは非置換のシクロアルキルオキシカルボニル、置換もしくは非置換のシクロアルケニルオキシカルボニル、置換もしくは非置換の非芳香族複素環オキシカルボニル、置換もしくは非置換のアリールオキシカルボニル、置換もしくは非置換のヘテロアリールオキシカルボニル、非置換スルファモイル、置換基群A(置換基群A:置換もしくは非置換のアルキル、置換もしくは非置換のアルケニル、置換もしくは非置換のアルキニル、置換もしくは非置換のシクロアルキル、置換もしくは非置換のシクロアルケニル、置換もしくは非置換の非芳香族複素環基、置換もしくは非置換のアリールおよび置換もしくは非置換のヘテロアリール)から選択される置換基で置換されたスルファモイル、置換もしくは非置換のスルファモイル、置換基群Aから選択される置換基で置換されたスルフィニル、置換基群Aから選択される置換基で置換されたスルホニル、置換もしくは非置換のアルキルスルホニルオキシ、置換もしくは非置換のアリールスルホニルオキシ、シアノ、ニトロ、置換もしくは非置換のアミノ、置換もしくは非置換のシクロアルキル、置換もしくは非置換のシクロアルケニル、置換もしくは非置換の非芳香族複素環式基、置換もしくは非置換のアリール、置換もしくは非置換のヘテロアリール、置換もしくは非置換のシクロアルキルオキシ、置換もしくは非置換のシクロアルケニルオキシ、置換もしくは非置換の非芳香族複素環オキシ、置換もしくは非置換のアリールオキシ、または置換もしくは非置換のヘテロアリールオキシ、または、
以下のb)群~e)群からなる群から選択される1以上の基であってもよい;
b)2つのR1aが、同一の炭素原子に結合して、=Oならびに=NR3、
c)2つのR1aが、同一の炭素原子に結合して-(CR4aR4b)x-、または-O-(CR4aR4b)x-O-、
d)2つのR1aが、隣接する炭素原子に結合して-(CR5aR5b)y-、および
e)2つのR1aが、同一でなく、かつ隣接しない炭素原子に結合して-(CR6aR6b)z-、
ただし、R1aは、c)群、d)群およびe)群から同時に2以上選択される場合はない;
R3は、水素、置換もしくは非置換のアルキル、ヒドロキシ、置換もしくは非置換のアルキルオキシ、置換もしくは非置換のアルケニルオキシまたは置換もしくは非置換のアルキニルオキシ;
R4a、R4b、R5a、R5b、R6aおよびR6bは、それぞれ独立して、水素、ハロゲンまたは置換もしくは非置換のアルキル;
n1は、0~4の整数;
xは、2~7の整数;
yは、1~5の整数;
zは、1~3の整数)で示される環;
-B1は、式:-X-(CR8aR8b)m-Y
(式中、
Xは、N(R7c)またはO;
R7cは、水素、置換もしくは非置換のアルキルまたは置換もしくは非置換のアシル;
R8aおよびR8bは、それぞれ独立して、水素、ハロゲンまたは置換もしくは非置換のアルキル;
mは、1~5の整数:
Yは、置換もしくは非置換のシクロアルキルチオ、置換もしくは非置換のシクロアルケニルチオ、置換もしくは非置換の非芳香族複素環チオ、置換もしくは非置換のアリールチオ、置換もしくは非置換のヘテロアリールチオ、置換基群Aから選択される置換基で置換されたスルフィニル、置換基群Aから選択される置換基で置換されたスルホニル、非置換スルファモイル、置換基群Aから選択される置換基で置換されたスルファモイル、置換もしくは非置換のアルキルスルホニルアミノ、置換もしくは非置換のアルケニルスルホニルアミノ、置換もしくは非置換のアルキニルスルホニルアミノ、置換もしくは非置換のアミノスルホニルアミノ、置換もしくは非置換のシクロアルキルスルホニルアミノ、置換もしくは非置換のシクロアルケニルスルホニルアミノ、置換もしくは非置換の非芳香族複素環スルホニルアミノ、置換もしくは非置換のアリールスルホニルアミノ、置換もしくは非置換のヘテロアリールスルホニルアミノ、または環を構成する窒素原子が置換基群Aから選択される置換基で置換されたスルホニルで置換された含窒素非芳香族複素環基)で示される基;
B2は、
(式中、R10は、それぞれ独立して、置換もしくは非置換のアルキル、ハロゲン、ヒドロキシ、置換もしくは非置換のアルキルオキシ、置換もしくは非置換のアミノまたは一緒になってオキソもしくはチオキソ;
R12は、置換もしくは非置換のアルキル、ハロゲン、ヒドロキシまたは置換もしくは非置換のアルキルオキシ;
R11は、水素、置換もしくは非置換のシクロアルキル、非置換のアルキルまたは置換基群C(置換基群C:ヒドロキシ、ハロゲン、置換もしくは非置換のアルコキシ、置換もしくは非置換のアルキルオキシカルボニル、置換もしくは非置換のシクロアルキル、置換もしくは非置換のシクロアルケニル、置換もしくは非置換の非芳香族複素環式基、置換もしくは非置換のアリールおよび置換もしくは非置換のヘテロアリール)から選択される置換基で1以上置換されたアルキル;
R9aおよびR9bは、それぞれ独立して、水素または置換もしくは非置換のアルキル;
pは0~4の整数)で示される基または置換もしくは非置換のアミノで置換されたアルキレン)で示される化合物、もしくはその製薬上許容される塩またはそれらの溶媒和物。
In the compound of the present invention, one embodiment is as follows.
Formula (I):
And
R 1a is
a) halogen, substituted or unsubstituted alkyl, substituted or unsubstituted alkenyl, substituted or unsubstituted alkynyl, substituted or unsubstituted alkyloxy, substituted or unsubstituted alkenyloxy, substituted or unsubstituted alkynyloxy, substituted Or unsubstituted alkylthio, substituted or unsubstituted alkenylthio, substituted or unsubstituted alkynylthio, substituted or unsubstituted acyl, hydroxy, carboxy, substituted or unsubstituted alkyloxycarbonyl, substituted or unsubstituted alkenyloxycarbonyl Substituted or unsubstituted alkynyloxycarbonyl, substituted or unsubstituted cycloalkyloxycarbonyl, substituted or unsubstituted cycloalkenyloxycarbonyl, substituted or unsubstituted non-aromatic heterocyclic oxycarbonyl Bonyl, substituted or unsubstituted aryloxycarbonyl, substituted or unsubstituted heteroaryloxycarbonyl, unsubstituted sulfamoyl, substituent group A (substituent group A: substituted or unsubstituted alkyl, substituted or unsubstituted alkenyl, substituted Or unsubstituted alkynyl, substituted or unsubstituted cycloalkyl, substituted or unsubstituted cycloalkenyl, substituted or unsubstituted non-aromatic heterocyclic group, substituted or unsubstituted aryl and substituted or unsubstituted heteroaryl) Sulfamoyl substituted with a selected substituent, substituted or unsubstituted sulfamoyl, sulfinyl substituted with a substituent selected from substituent group A, sulfonyl substituted with a substituent selected from substituent group A, Substituted or unsubstituted alkylsulfonyloxy Substituted or unsubstituted arylsulfonyloxy, cyano, nitro, substituted or unsubstituted amino, substituted or unsubstituted cycloalkyl, substituted or unsubstituted cycloalkenyl, substituted or unsubstituted non-aromatic heterocyclic group, Substituted or unsubstituted aryl, substituted or unsubstituted heteroaryl, substituted or unsubstituted cycloalkyloxy, substituted or unsubstituted cycloalkenyloxy, substituted or unsubstituted non-aromatic heterocyclic oxy, substituted or unsubstituted Aryloxy or substituted or unsubstituted heteroaryloxy, or
It may be one or more groups selected from the group consisting of the following groups b) to e);
b) two R 1a are bonded to the same carbon atom, and ═O and ═NR 3 ,
c) when two R 1a are bonded to the same carbon atom to form — (CR 4a R 4b ) x—, or —O— (CR 4a R 4b ) x—O—,
d) two R 1a bonded to adjacent carbon atoms-(CR 5a R 5b ) y-, and e) two R 1a bonded to non-identical and non-adjacent carbon atoms- ( CR 6a R 6b ) z-,
Provided that R 1a is not selected from two or more of c), d) and e) simultaneously;
R 3 is hydrogen, substituted or unsubstituted alkyl, hydroxy, substituted or unsubstituted alkyloxy, substituted or unsubstituted alkenyloxy, or substituted or unsubstituted alkynyloxy;
R 4a , R 4b , R 5a , R 5b , R 6a and R 6b are each independently hydrogen, halogen or substituted or unsubstituted alkyl;
n 1 is an integer from 0 to 4;
x is an integer of 2 to 7;
y is an integer of 1 to 5;
z is an integer of 1 to 3);
—B 1 represents the formula: —X— (CR 8a R 8b ) mY
(Where
X is N (R 7c ) or O;
R 7c is hydrogen, substituted or unsubstituted alkyl or substituted or unsubstituted acyl;
R 8a and R 8b are each independently hydrogen, halogen or substituted or unsubstituted alkyl;
m is an integer from 1 to 5:
Y is substituted or unsubstituted cycloalkylthio, substituted or unsubstituted cycloalkenylthio, substituted or unsubstituted non-aromatic heterocyclic thio, substituted or unsubstituted arylthio, substituted or unsubstituted heteroarylthio, substituent Sulfinyl substituted with a substituent selected from group A, sulfonyl substituted with a substituent selected from substituent group A, unsubstituted sulfamoyl, sulfamoyl substituted with a substituent selected from substituent group A, Substituted or unsubstituted alkylsulfonylamino, substituted or unsubstituted alkenylsulfonylamino, substituted or unsubstituted alkynylsulfonylamino, substituted or unsubstituted aminosulfonylamino, substituted or unsubstituted cycloalkylsulfonylamino, substituted or unsubstituted Cycloalkenyl The sulfonylamino, substituted or unsubstituted non-aromatic heterocyclic sulfonylamino, substituted or unsubstituted arylsulfonylamino, substituted or unsubstituted heteroarylsulfonylamino, or the nitrogen atom constituting the ring is selected from the substituent group A A nitrogen-containing non-aromatic heterocyclic group substituted with a sulfonyl substituted with a substituent);
B 2 is,
Wherein each R 10 is independently substituted or unsubstituted alkyl, halogen, hydroxy, substituted or unsubstituted alkyloxy, substituted or unsubstituted amino, or together oxo or thioxo;
R 12 represents substituted or unsubstituted alkyl, halogen, hydroxy, or substituted or unsubstituted alkyloxy;
R 11 represents hydrogen, substituted or unsubstituted cycloalkyl, unsubstituted alkyl, or substituent group C (substituent group C: hydroxy, halogen, substituted or unsubstituted alkoxy, substituted or unsubstituted alkyloxycarbonyl, substituted Or a substituent selected from unsubstituted cycloalkyl, substituted or unsubstituted cycloalkenyl, substituted or unsubstituted non-aromatic heterocyclic group, substituted or unsubstituted aryl and substituted or unsubstituted heteroaryl) One or more substituted alkyls;
R 9a and R 9b are each independently hydrogen or substituted or unsubstituted alkyl;
p is an integer of 0 to 4) or a compound represented by a substituted or unsubstituted amino-substituted alkylene), or a pharmaceutically acceptable salt thereof, or a solvate thereof.
本発明化合物において、一つの態様は以下の通りである。
式(I):
であり、
R1aが、
a)ハロゲン、置換もしくは非置換のアルキル、置換もしくは非置換のアルキルオキシ、ヒドロキシ、置換もしくは非置換のシクロアルキル、置換もしくは非置換の非芳香族複素環式基、置換もしくは非置換のアリール、置換もしくは非置換のヘテロアリールまたは置換もしくは非置換のシクロアルキルオキシ;
n1が、0~4の整数;
-B1が、式:-X-(CR8aR8b)m-Y
(式中、
Xが、N(R7c);
R7cが、水素;
R8aおよびR8bが、水素;
mが、1~5の整数:
Yが、置換基群A(置換基群A:置換もしくは非置換のアルキル、置換もしくは非置換のアルケニル、置換もしくは非置換のアルキニル、置換もしくは非置換のシクロアルキル、置換もしくは非置換のシクロアルケニル、置換もしくは非置換の非芳香族複素環基、置換もしくは非置換のアリールおよび置換もしくは非置換のヘテロアリール)から選択される置換基で置換されたスルファモイル、非置換のスルファモイルまたは置換基群Aから選択される置換基で置換されたスルホニル)で示される基;
B2が、
(式中、R10が、置換もしくは非置換のアルキル;
R11が、水素、非置換のアルキルまたは置換基群C(置換基群C:ヒドロキシ、ハロゲン、置換もしくは非置換のアルコキシ、置換もしくは非置換のアルキルオキシカルボニル、置換もしくは非置換のシクロアルキル、置換もしくは非置換のシクロアルケニル、置換もしくは非置換の非芳香族複素環式基、置換もしくは非置換のアリールおよび置換もしくは非置換のヘテロアリール)から選択される置換基で1以上置換されたアルキル;
R9aおよびR9bは、それぞれ独立して、水素または置換もしくは非置換のアルキル;
pは0~4の整数)で示される基)で示される化合物、もしくはその製薬上許容される塩またはそれらの溶媒和物。
In the compound of the present invention, one embodiment is as follows.
Formula (I):
And
R 1a is
a) halogen, substituted or unsubstituted alkyl, substituted or unsubstituted alkyloxy, hydroxy, substituted or unsubstituted cycloalkyl, substituted or unsubstituted non-aromatic heterocyclic group, substituted or unsubstituted aryl, substituted Or unsubstituted heteroaryl or substituted or unsubstituted cycloalkyloxy;
n 1 is an integer from 0 to 4;
-B 1 is represented by the formula: -X- (CR 8a R 8b ) mY
(Where
X is N (R 7c );
R 7c is hydrogen;
R 8a and R 8b are hydrogen;
m is an integer from 1 to 5:
Y is substituent group A (substituent group A: substituted or unsubstituted alkyl, substituted or unsubstituted alkenyl, substituted or unsubstituted alkynyl, substituted or unsubstituted cycloalkyl, substituted or unsubstituted cycloalkenyl, A substituted or unsubstituted non-aromatic heterocyclic group, substituted or unsubstituted aryl and substituted or unsubstituted heteroaryl) selected from sulfamoyl, unsubstituted sulfamoyl or substituent group A substituted with a substituent selected from A sulfonyl substituted with a substituent selected from
B 2 is,
Wherein R 10 is substituted or unsubstituted alkyl;
R 11 represents hydrogen, unsubstituted alkyl, or substituent group C (substituent group C: hydroxy, halogen, substituted or unsubstituted alkoxy, substituted or unsubstituted alkyloxycarbonyl, substituted or unsubstituted cycloalkyl, substituted Or alkyl substituted with one or more substituents selected from unsubstituted cycloalkenyl, substituted or unsubstituted non-aromatic heterocyclic group, substituted or unsubstituted aryl and substituted or unsubstituted heteroaryl;
R 9a and R 9b are each independently hydrogen or substituted or unsubstituted alkyl;
p is an integer of 0 to 4), or a pharmaceutically acceptable salt or solvate thereof.
本発明化合物において、一つの態様は以下の通りである。
式(I):
であり、
R1aが、
a)ハロゲン、置換もしくは非置換のアルキル、置換もしくは非置換のアルキルオキシ、ヒドロキシ、置換もしくは非置換のシクロアルキル、置換もしくは非置換の非芳香族複素環式基、置換もしくは非置換のアリール、置換もしくは非置換のヘテロアリールまたは置換もしくは非置換のシクロアルキルオキシ;
n1が、0~4の整数;
-B1が、式:-X-(CR8aR8b)m-Y
(式中、
Xが、N(R7c);
R7cが、水素;
R8aおよびR8bが、水素;
mが、1~5の整数:
Yが、置換もしくは非置換のアルキルスルホニルアミノ、置換もしくは非置換のアミノスルホニルアミノ、置換もしくは非置換のシクロアルキルスルホニルアミノ、置換もしくは非置換の非芳香族複素環スルホニルアミノ、置換もしくは非置換のアリールスルホニルアミノ、置換もしくは非置換のヘテロアリールスルホニルアミノまたは環を構成する窒素原子が置換基群Aから選択される置換基で置換されたスルホニルで置換された含窒素非芳香族複素環基)で示される基;
B2が、
(式中、R10が、置換もしくは非置換のアルキル;
R11が、水素、非置換のアルキルまたは置換基群C(置換基群C:ヒドロキシ、ハロゲン、置換もしくは非置換のアルコキシ、置換もしくは非置換のアルキルオキシカルボニル、置換もしくは非置換のシクロアルキル、置換もしくは非置換のシクロアルケニル、置換もしくは非置換の非芳香族複素環式基、置換もしくは非置換のアリールおよび置換もしくは非置換のヘテロアリール)から選択される置換基で1以上置換されたアルキル;
R9aまたはR9bは、それぞれ独立して、水素または置換もしくは非置換のアルキル;
pは0~4の整数)で示される基)で示される化合物、もしくはその製薬上許容される塩またはそれらの溶媒和物。
In the compound of the present invention, one embodiment is as follows.
Formula (I):
And
R 1a is
a) halogen, substituted or unsubstituted alkyl, substituted or unsubstituted alkyloxy, hydroxy, substituted or unsubstituted cycloalkyl, substituted or unsubstituted non-aromatic heterocyclic group, substituted or unsubstituted aryl, substituted Or unsubstituted heteroaryl or substituted or unsubstituted cycloalkyloxy;
n 1 is an integer from 0 to 4;
-B 1 is represented by the formula: -X- (CR 8a R 8b ) mY
(Where
X is N (R 7c );
R 7c is hydrogen;
R 8a and R 8b are hydrogen;
m is an integer from 1 to 5:
Y is substituted or unsubstituted alkylsulfonylamino, substituted or unsubstituted aminosulfonylamino, substituted or unsubstituted cycloalkylsulfonylamino, substituted or unsubstituted non-aromatic heterocyclic sulfonylamino, substituted or unsubstituted aryl Sulfonylamino, substituted or unsubstituted heteroarylsulfonylamino or a nitrogen-containing non-aromatic heterocyclic group in which a nitrogen atom constituting the ring is substituted with a sulfonyl substituted with a substituent selected from Substituent Group A) Group
B 2 is,
Wherein R 10 is substituted or unsubstituted alkyl;
R 11 represents hydrogen, unsubstituted alkyl, or substituent group C (substituent group C: hydroxy, halogen, substituted or unsubstituted alkoxy, substituted or unsubstituted alkyloxycarbonyl, substituted or unsubstituted cycloalkyl, substituted Or alkyl substituted with one or more substituents selected from unsubstituted cycloalkenyl, substituted or unsubstituted non-aromatic heterocyclic group, substituted or unsubstituted aryl and substituted or unsubstituted heteroaryl;
R 9a or R 9b each independently represents hydrogen or substituted or unsubstituted alkyl;
p is an integer of 0 to 4), or a pharmaceutically acceptable salt or solvate thereof.
本発明化合物において、一つの態様は以下の通りである。
式(I):
Rx3およびRx4は、それぞれ独立して、水素、ハロゲン、置換もしくは非置換のアルキル、置換もしくは非置換のアルケニル、置換もしくは非置換のアルキニル、置換もしくは非置換のアルキルオキシ、置換もしくは非置換のアルケニルオキシ、置換もしくは非置換のアルキニルオキシ、置換もしくは非置換のアルキルチオ、置換もしくは非置換のアルケニルチオ、置換もしくは非置換のアルキニルチオ、置換もしくは非置換のアシル、ヒドロキシ、カルボキシ、置換もしくは非置換のアルキルオキシカルボニル、置換もしくは非置換のアルケニルオキシカルボニル、置換もしくは非置換のアルキニルオキシカルボニル、置換もしくは非置換のシクロアルキルオキシカルボニル、置換もしくは非置換のシクロアルケニルオキシカルボニル、置換もしくは非置換の非芳香族複素環オキシカルボニル、置換もしくは非置換のアリールオキシカルボニル、置換もしくは非置換のヘテロアリールオキシカルボニル、非置換スルファモイル、置換基群A(置換基群A:置換もしくは非置換のアルキル、置換もしくは非置換のアルケニル、置換もしくは非置換のアルキニル、置換もしくは非置換のシクロアルキル、置換もしくは非置換のシクロアルケニル、置換もしくは非置換の非芳香族複素環基、置換もしくは非置換のアリールおよび置換もしくは非置換のヘテロアリール)から選択される置換基で置換されたスルファモイル、置換もしくは非置換のスルファモイル、置換基群Aから選択される置換基で置換されたスルフィニル、置換基群Aから選択される置換基で置換されたスルホニル、置換もしくは非置換のアルキルスルホニルオキシ、置換もしくは非置換のアリールスルホニルオキシ、シアノ、ニトロ、置換もしくは非置換のアミノ、置換もしくは非置換のシクロアルキル、置換もしくは非置換のシクロアルケニル、置換もしくは非置換の非芳香族複素環式基、置換もしくは非置換のアリール、置換もしくは非置換のヘテロアリール、置換もしくは非置換のシクロアルキルオキシ、置換もしくは非置換のシクロアルケニルオキシ、置換もしくは非置換の非芳香族複素環オキシ、置換もしくは非置換のアリールオキシ、または置換もしくは非置換のヘテロアリールオキシ;
-B1は、式:-X-(CR8aR8b)m-Y
(式中、
Xは、N(R7c)またはO;
R7cは、水素、置換もしくは非置換のアルキルまたは置換もしくは非置換のアシル;
R8aおよびR8bは、それぞれ独立して、水素、ハロゲンまたは置換もしくは非置換のアルキル;
mは、1~5の整数:
Yが、置換もしくは非置換のシクロアルキルチオ、置換もしくは非置換のシクロアルケニルチオ、置換もしくは非置換の非芳香族複素環チオ、置換もしくは非置換のアリールチオ、置換もしくは非置換のヘテロアリールチオ、置換基群Aから選択される置換基で置換されたスルフィニル、置換基群Aから選択される置換基で置換されたスルホニル、非置換スルファモイル、置換基群Aから選択される置換基で置換されたスルファモイル、置換もしくは非置換のアルキルスルホニルアミノ、置換もしくは非置換のアルケニルスルホニルアミノ、置換もしくは非置換のアルキニルスルホニルアミノ、置換もしくは非置換のアミノスルホニルアミノ、置換もしくは非置換のシクロアルキルスルホニルアミノ、置換もしくは非置換のシクロアルケニルスルホニルアミノ、置換もしくは非置換の非芳香族複素環スルホニルアミノ、置換もしくは非置換のアリールスルホニルアミノ、置換もしくは非置換のヘテロアリールスルホニルアミノ、または環を構成する窒素原子が置換基群Aから選択される置換基で置換されたスルホニルで置換された含窒素非芳香族複素環基)で示される基;
B2は、
(式中、R10は、それぞれ独立して、置換もしくは非置換のアルキル、ハロゲン、ヒドロキシ、置換もしくは非置換のアルキルオキシ、置換もしくは非置換のアミノまたは一緒になってオキソもしくはチオキソ;
R12は、置換もしくは非置換のアルキル、ハロゲン、ヒドロキシまたは置換もしくは非置換のアルキルオキシ;
R11は、水素、置換もしくは非置換のシクロアルキル、非置換のアルキルまたは置換基群C(置換基群C:ヒドロキシ、ハロゲン、置換もしくは非置換のアルコキシ、置換もしくは非置換のアルキルオキシカルボニル、置換もしくは非置換のシクロアルキル、置換もしくは非置換のシクロアルケニル、置換もしくは非置換の非芳香族複素環式基、置換もしくは非置換のアリールおよび置換もしくは非置換のヘテロアリール)から選択される置換基で1以上置換されたアルキル;
R9aおよびR9bは、それぞれ独立して、水素または置換もしくは非置換のアルキル;
pは0~4の整数)で示される基または置換もしくは非置換のアミノで置換されたアルキレン)で示される化合物)、もしくはその製薬上許容される塩またはそれらの溶媒和物。
In the compound of the present invention, one embodiment is as follows.
Formula (I):
R x3 and R x4 are each independently hydrogen, halogen, substituted or unsubstituted alkyl, substituted or unsubstituted alkenyl, substituted or unsubstituted alkynyl, substituted or unsubstituted alkyloxy, substituted or unsubstituted Alkenyloxy, substituted or unsubstituted alkynyloxy, substituted or unsubstituted alkylthio, substituted or unsubstituted alkenylthio, substituted or unsubstituted alkynylthio, substituted or unsubstituted acyl, hydroxy, carboxy, substituted or unsubstituted Alkyloxycarbonyl, substituted or unsubstituted alkenyloxycarbonyl, substituted or unsubstituted alkynyloxycarbonyl, substituted or unsubstituted cycloalkyloxycarbonyl, substituted or unsubstituted cycloalkenyloxycarbonyl , Substituted or unsubstituted non-aromatic heterocyclic oxycarbonyl, substituted or unsubstituted aryloxycarbonyl, substituted or unsubstituted heteroaryloxycarbonyl, unsubstituted sulfamoyl, substituent group A (substituent group A: substituted or unsubstituted Substituted alkyl, substituted or unsubstituted alkenyl, substituted or unsubstituted alkynyl, substituted or unsubstituted cycloalkyl, substituted or unsubstituted cycloalkenyl, substituted or unsubstituted non-aromatic heterocyclic group, substituted or unsubstituted Aryl and substituted or unsubstituted heteroaryl), substituted or unsubstituted sulfamoyl, substituted or unsubstituted sulfamoyl, sulfinyl substituted with a substituent selected from Substituent Group A, Substituent Group A Sulfonyl substituted with a substituent selected from Substituted, unsubstituted alkylsulfonyloxy, substituted or unsubstituted arylsulfonyloxy, cyano, nitro, substituted or unsubstituted amino, substituted or unsubstituted cycloalkyl, substituted or unsubstituted cycloalkenyl, substituted or unsubstituted Non-aromatic heterocyclic group, substituted or unsubstituted aryl, substituted or unsubstituted heteroaryl, substituted or unsubstituted cycloalkyloxy, substituted or unsubstituted cycloalkenyloxy, substituted or unsubstituted non-aromatic Heterocyclic oxy, substituted or unsubstituted aryloxy, or substituted or unsubstituted heteroaryloxy;
—B 1 represents the formula: —X— (CR 8a R 8b ) mY
(Where
X is N (R 7c ) or O;
R 7c is hydrogen, substituted or unsubstituted alkyl or substituted or unsubstituted acyl;
R 8a and R 8b are each independently hydrogen, halogen or substituted or unsubstituted alkyl;
m is an integer from 1 to 5:
Y is substituted or unsubstituted cycloalkylthio, substituted or unsubstituted cycloalkenylthio, substituted or unsubstituted nonaromatic heterocyclic thio, substituted or unsubstituted arylthio, substituted or unsubstituted heteroarylthio, substituent Sulfinyl substituted with a substituent selected from group A, sulfonyl substituted with a substituent selected from substituent group A, unsubstituted sulfamoyl, sulfamoyl substituted with a substituent selected from substituent group A, Substituted or unsubstituted alkylsulfonylamino, substituted or unsubstituted alkenylsulfonylamino, substituted or unsubstituted alkynylsulfonylamino, substituted or unsubstituted aminosulfonylamino, substituted or unsubstituted cycloalkylsulfonylamino, substituted or unsubstituted Cycloalkenyl The sulfonylamino, substituted or unsubstituted non-aromatic heterocyclic sulfonylamino, substituted or unsubstituted arylsulfonylamino, substituted or unsubstituted heteroarylsulfonylamino, or the nitrogen atom constituting the ring is selected from the substituent group A A nitrogen-containing non-aromatic heterocyclic group substituted with a sulfonyl substituted with a substituent);
B 2 is,
Wherein each R 10 is independently substituted or unsubstituted alkyl, halogen, hydroxy, substituted or unsubstituted alkyloxy, substituted or unsubstituted amino, or together oxo or thioxo;
R 12 represents substituted or unsubstituted alkyl, halogen, hydroxy, or substituted or unsubstituted alkyloxy;
R 11 represents hydrogen, substituted or unsubstituted cycloalkyl, unsubstituted alkyl, or substituent group C (substituent group C: hydroxy, halogen, substituted or unsubstituted alkoxy, substituted or unsubstituted alkyloxycarbonyl, substituted Or a substituent selected from unsubstituted cycloalkyl, substituted or unsubstituted cycloalkenyl, substituted or unsubstituted non-aromatic heterocyclic group, substituted or unsubstituted aryl and substituted or unsubstituted heteroaryl) One or more substituted alkyls;
R 9a and R 9b are each independently hydrogen or substituted or unsubstituted alkyl;
p is an integer of 0 to 4) or a compound represented by a substituted or unsubstituted amino-substituted alkylene), or a pharmaceutically acceptable salt thereof, or a solvate thereof.
本発明化合物において、一つの態様は以下の通りである。
式(I):
Rx3およびRx4は、それぞれ独立して、水素、ハロゲン、置換もしくは非置換のアルキル、置換もしくは非置換のアルキルオキシ、、シアノ、ニトロ、置換もしくは非置換のアミノ、置換もしくは非置換のシクロアルキル、置換もしくは非置換の非芳香族複素環式基、置換もしくは非置換のアリール、置換もしくは非置換のシクロアルキルオキシ、または置換もしくは非置換の非芳香族複素環オキシ;
-B1は、式:-X-(CR8aR8b)m-Y
(式中、
Xが、N(R7c);
R7cが、水素;
R8aおよびR8bが、それぞれ独立して、水素、ハロゲンまたは置換もしくは非置換のアルキル;
mは、1~5の整数:
Yが、置換基群A(置換基群A:置換もしくは非置換のアルキル、置換もしくは非置換のアルケニル、置換もしくは非置換のアルキニル、置換もしくは非置換のシクロアルキル、置換もしくは非置換のシクロアルケニル、置換もしくは非置換の非芳香族複素環基、置換もしくは非置換のアリールおよび置換もしくは非置換のヘテロアリール)から選択される置換基で置換されたスルファモイル、非置換のスルファモイルまたは置換基群Aから選択される置換基で置換されたスルホニル)で示される基;
B2は、
(式中、R10は、それぞれ独立して、置換もしくは非置換のアルキル;
R11は、水素、非置換のアルキルまたは置換基群C(置換基群C:ヒドロキシ、ハロゲン、置換もしくは非置換のアルコキシ、置換もしくは非置換のアルキルオキシカルボニル、置換もしくは非置換のシクロアルキル、置換もしくは非置換のシクロアルケニル、置換もしくは非置換の非芳香族複素環式基、置換もしくは非置換のアリールおよび置換もしくは非置換のヘテロアリール)から選択される置換基で1以上置換されたアルキル;
R9aおよびR9bは、それぞれ独立して、水素または置換もしくは非置換のアルキル;
pは0~4の整数)で示される基)で示される化合物、もしくはその製薬上許容される塩またはそれらの溶媒和物。
In the compound of the present invention, one embodiment is as follows.
Formula (I):
R x3 and R x4 each independently represent hydrogen, halogen, substituted or unsubstituted alkyl, substituted or unsubstituted alkyloxy, cyano, nitro, substituted or unsubstituted amino, substituted or unsubstituted cycloalkyl Substituted or unsubstituted non-aromatic heterocyclic group, substituted or unsubstituted aryl, substituted or unsubstituted cycloalkyloxy, or substituted or unsubstituted non-aromatic heterocyclic oxy;
—B 1 represents the formula: —X— (CR 8a R 8b ) mY
(Where
X is N (R 7c );
R 7c is hydrogen;
R 8a and R 8b are each independently hydrogen, halogen or substituted or unsubstituted alkyl;
m is an integer from 1 to 5:
Y is substituent group A (substituent group A: substituted or unsubstituted alkyl, substituted or unsubstituted alkenyl, substituted or unsubstituted alkynyl, substituted or unsubstituted cycloalkyl, substituted or unsubstituted cycloalkenyl, A substituted or unsubstituted non-aromatic heterocyclic group, substituted or unsubstituted aryl and substituted or unsubstituted heteroaryl) selected from sulfamoyl, unsubstituted sulfamoyl or substituent group A substituted with a substituent selected from A sulfonyl substituted with a substituent selected from
B 2 is,
Wherein R 10 are each independently substituted or unsubstituted alkyl;
R 11 represents hydrogen, unsubstituted alkyl or substituent group C (substituent group C: hydroxy, halogen, substituted or unsubstituted alkoxy, substituted or unsubstituted alkyloxycarbonyl, substituted or unsubstituted cycloalkyl, substituted Or alkyl substituted with one or more substituents selected from unsubstituted cycloalkenyl, substituted or unsubstituted non-aromatic heterocyclic group, substituted or unsubstituted aryl and substituted or unsubstituted heteroaryl;
R 9a and R 9b are each independently hydrogen or substituted or unsubstituted alkyl;
p is an integer of 0 to 4), or a pharmaceutically acceptable salt or solvate thereof.
本発明化合物において、一つの態様は以下の通りである。
式(I):
Rx3およびRx4は、それぞれ独立して、水素、ハロゲン、置換もしくは非置換のアルキル、置換もしくは非置換のアルキルオキシ、、シアノ、ニトロ、置換もしくは非置換のアミノ、置換もしくは非置換のシクロアルキル、置換もしくは非置換の非芳香族複素環式基、置換もしくは非置換のアリール、置換もしくは非置換のシクロアルキルオキシ、または置換もしくは非置換の非芳香族複素環オキシ;
-B1は、式:-X-(CR8aR8b)m-Y
(式中、
Xが、N(R7c);
R7cが、水素;
R8aおよびR8bは、それぞれ独立して、水素、ハロゲンまたは置換もしくは非置換のアルキル;
mは、1~5の整数:
Yが、置換もしくは非置換のアルキルスルホニルアミノ、置換もしくは非置換のアミノスルホニルアミノ、置換もしくは非置換のシクロアルキルスルホニルアミノ、置換もしくは非置換の非芳香族複素環スルホニルアミノ、置換もしくは非置換のアリールスルホニルアミノ、置換もしくは非置換のヘテロアリールスルホニルアミノまたは環を構成する窒素原子が置換基群Aから選択される置換基で置換されたスルホニルで置換された含窒素非芳香族複素環基)で示される基;
-B2は、
(式中、R10は、それぞれ独立して、置換もしくは非置換のアルキル;
R11は、水素、非置換のアルキルまたは置換基群C(置換基群C:ヒドロキシ、ハロゲン、置換もしくは非置換のアルコキシ、置換もしくは非置換のアルキルオキシカルボニル、置換もしくは非置換のシクロアルキル、置換もしくは非置換のシクロアルケニル、置換もしくは非置換の非芳香族複素環式基、置換もしくは非置換のアリールおよび置換もしくは非置換のヘテロアリール)から選択される置換基で1以上置換されたアルキル;
R9aおよびR9bは、それぞれ独立して、水素または置換もしくは非置換のアルキル;
pは0~4の整数)で示される基)で示される化合物、もしくはその製薬上許容される塩またはそれらの溶媒和物。
In the compound of the present invention, one embodiment is as follows.
Formula (I):
R x3 and R x4 each independently represent hydrogen, halogen, substituted or unsubstituted alkyl, substituted or unsubstituted alkyloxy, cyano, nitro, substituted or unsubstituted amino, substituted or unsubstituted cycloalkyl Substituted or unsubstituted non-aromatic heterocyclic group, substituted or unsubstituted aryl, substituted or unsubstituted cycloalkyloxy, or substituted or unsubstituted non-aromatic heterocyclic oxy;
—B 1 represents the formula: —X— (CR 8a R 8b ) mY
(Where
X is N (R 7c );
R 7c is hydrogen;
R 8a and R 8b are each independently hydrogen, halogen or substituted or unsubstituted alkyl;
m is an integer from 1 to 5:
Y is substituted or unsubstituted alkylsulfonylamino, substituted or unsubstituted aminosulfonylamino, substituted or unsubstituted cycloalkylsulfonylamino, substituted or unsubstituted non-aromatic heterocyclic sulfonylamino, substituted or unsubstituted aryl Sulfonylamino, substituted or unsubstituted heteroarylsulfonylamino or a nitrogen-containing non-aromatic heterocyclic group in which a nitrogen atom constituting the ring is substituted with a sulfonyl substituted with a substituent selected from Substituent Group A) Group
-B 2 is
Wherein R 10 are each independently substituted or unsubstituted alkyl;
R 11 represents hydrogen, unsubstituted alkyl or substituent group C (substituent group C: hydroxy, halogen, substituted or unsubstituted alkoxy, substituted or unsubstituted alkyloxycarbonyl, substituted or unsubstituted cycloalkyl, substituted Or alkyl substituted with one or more substituents selected from unsubstituted cycloalkenyl, substituted or unsubstituted non-aromatic heterocyclic group, substituted or unsubstituted aryl and substituted or unsubstituted heteroaryl;
R 9a and R 9b are each independently hydrogen or substituted or unsubstituted alkyl;
p is an integer of 0 to 4), or a pharmaceutically acceptable salt or solvate thereof.
本発明化合物において、一つの態様は以下の通りである。
式(I):
Rx2およびRx3は、それぞれ独立して、水素、ハロゲン、置換もしくは非置換のアルキル、置換もしくは非置換のアルケニル、置換もしくは非置換のアルキニル、置換もしくは非置換のアルキルオキシ、置換もしくは非置換のアルケニルオキシ、置換もしくは非置換のアルキニルオキシ、置換もしくは非置換のアルキルチオ、置換もしくは非置換のアルケニルチオ、置換もしくは非置換のアルキニルチオ、置換もしくは非置換のアシル、ヒドロキシ、カルボキシ、置換もしくは非置換のアルキルオキシカルボニル、置換もしくは非置換のアルケニルオキシカルボニル、置換もしくは非置換のアルキニルオキシカルボニル、置換もしくは非置換のシクロアルキルオキシカルボニル、置換もしくは非置換のシクロアルケニルオキシカルボニル、置換もしくは非置換の非芳香族複素環オキシカルボニル、置換もしくは非置換のアリールオキシカルボニル、置換もしくは非置換のヘテロアリールオキシカルボニル、非置換スルファモイル、置換基群A(置換基群A:置換もしくは非置換のアルキル、置換もしくは非置換のアルケニル、置換もしくは非置換のアルキニル、置換もしくは非置換のシクロアルキル、置換もしくは非置換のシクロアルケニル、置換もしくは非置換の非芳香族複素環基、置換もしくは非置換のアリールおよび置換もしくは非置換のヘテロアリール)から選択される置換基で置換されたスルファモイル、置換もしくは非置換のスルファモイル、置換基群Aから選択される置換基で置換されたスルフィニル、置換基群Aから選択される置換基で置換されたスルホニル、置換もしくは非置換のアルキルスルホニルオキシ、置換もしくは非置換のアリールスルホニルオキシ、シアノ、ニトロ、置換もしくは非置換のアミノ、置換もしくは非置換のシクロアルキル、置換もしくは非置換のシクロアルケニル、置換もしくは非置換の非芳香族複素環式基、置換もしくは非置換のアリール、置換もしくは非置換のヘテロアリール、置換もしくは非置換のシクロアルキルオキシ、置換もしくは非置換のシクロアルケニルオキシ、置換もしくは非置換の非芳香族複素環オキシ、置換もしくは非置換のアリールオキシ、または置換もしくは非置換のヘテロアリールオキシ;
-B1は、式:-X-(CR8aR8b)m-Y
(式中、
Xは、N(R7c)またはO;
R7cは、水素、置換もしくは非置換のアルキルまたは置換もしくは非置換のアシル;
R8aおよびR8bは、それぞれ独立して、水素、ハロゲンまたは置換もしくは非置換のアルキル;
mは、1~5の整数:
Yが、置換もしくは非置換のシクロアルキルチオ、置換もしくは非置換のシクロアルケニルチオ、置換もしくは非置換の非芳香族複素環チオ、置換もしくは非置換のアリールチオ、置換もしくは非置換のヘテロアリールチオ、置換基群Aから選択される置換基で置換されたスルフィニル、置換基群Aから選択される置換基で置換されたスルホニル、非置換スルファモイル、置換基群Aから選択される置換基で置換されたスルファモイル、置換もしくは非置換のアルキルスルホニルアミノ、置換もしくは非置換のアルケニルスルホニルアミノ、置換もしくは非置換のアルキニルスルホニルアミノ、置換もしくは非置換のアミノスルホニルアミノ、置換もしくは非置換のシクロアルキルスルホニルアミノ、置換もしくは非置換のシクロアルケニルスルホニルアミノ、置換もしくは非置換の非芳香族複素環スルホニルアミノ、置換もしくは非置換のアリールスルホニルアミノ、置換もしくは非置換のヘテロアリールスルホニルアミノ、または環を構成する窒素原子が置換基群Aから選択される置換基で置換されたスルホニルで置換された含窒素非芳香族複素環基)で示される基;
B2は、
(式中、R10は、それぞれ独立して、置換もしくは非置換のアルキル、ハロゲン、ヒドロキシ、置換もしくは非置換のアルキルオキシ、置換もしくは非置換のアミノまたは一緒になってオキソもしくはチオキソ;
R12は、置換もしくは非置換のアルキル、ハロゲン、ヒドロキシまたは置換もしくは非置換のアルキルオキシ;
R11は、水素、置換もしくは非置換のシクロアルキル、非置換のアルキルまたは置換基群C(置換基群C:ヒドロキシ、ハロゲン、置換もしくは非置換のアルコキシ、置換もしくは非置換のアルキルオキシカルボニル、置換もしくは非置換のシクロアルキル、置換もしくは非置換のシクロアルケニル、置換もしくは非置換の非芳香族複素環式基、置換もしくは非置換のアリールおよび置換もしくは非置換のヘテロアリール)から選択される置換基で1以上置換されたアルキル;
R9aおよびR9bは、それぞれ独立して、水素または置換もしくは非置換のアルキル;
pは0~4の整数)で示される基または置換もしくは非置換のアミノで置換されたアルキレン)で示される化合物、もしくはその製薬上許容される塩またはそれらの溶媒和物。
In the compound of the present invention, one embodiment is as follows.
Formula (I):
R x2 and R x3 are each independently hydrogen, halogen, substituted or unsubstituted alkyl, substituted or unsubstituted alkenyl, substituted or unsubstituted alkynyl, substituted or unsubstituted alkyloxy, substituted or unsubstituted Alkenyloxy, substituted or unsubstituted alkynyloxy, substituted or unsubstituted alkylthio, substituted or unsubstituted alkenylthio, substituted or unsubstituted alkynylthio, substituted or unsubstituted acyl, hydroxy, carboxy, substituted or unsubstituted Alkyloxycarbonyl, substituted or unsubstituted alkenyloxycarbonyl, substituted or unsubstituted alkynyloxycarbonyl, substituted or unsubstituted cycloalkyloxycarbonyl, substituted or unsubstituted cycloalkenyloxycarbonyl , Substituted or unsubstituted non-aromatic heterocyclic oxycarbonyl, substituted or unsubstituted aryloxycarbonyl, substituted or unsubstituted heteroaryloxycarbonyl, unsubstituted sulfamoyl, substituent group A (substituent group A: substituted or unsubstituted Substituted alkyl, substituted or unsubstituted alkenyl, substituted or unsubstituted alkynyl, substituted or unsubstituted cycloalkyl, substituted or unsubstituted cycloalkenyl, substituted or unsubstituted non-aromatic heterocyclic group, substituted or unsubstituted Aryl and substituted or unsubstituted heteroaryl), substituted or unsubstituted sulfamoyl, substituted or unsubstituted sulfamoyl, sulfinyl substituted with a substituent selected from Substituent Group A, Substituent Group A Sulfonyl substituted with a substituent selected from Substituted, unsubstituted alkylsulfonyloxy, substituted or unsubstituted arylsulfonyloxy, cyano, nitro, substituted or unsubstituted amino, substituted or unsubstituted cycloalkyl, substituted or unsubstituted cycloalkenyl, substituted or unsubstituted Non-aromatic heterocyclic group, substituted or unsubstituted aryl, substituted or unsubstituted heteroaryl, substituted or unsubstituted cycloalkyloxy, substituted or unsubstituted cycloalkenyloxy, substituted or unsubstituted non-aromatic Heterocyclic oxy, substituted or unsubstituted aryloxy, or substituted or unsubstituted heteroaryloxy;
—B 1 represents the formula: —X— (CR 8a R 8b ) mY
(Where
X is N (R 7c ) or O;
R 7c is hydrogen, substituted or unsubstituted alkyl or substituted or unsubstituted acyl;
R 8a and R 8b are each independently hydrogen, halogen or substituted or unsubstituted alkyl;
m is an integer from 1 to 5:
Y is substituted or unsubstituted cycloalkylthio, substituted or unsubstituted cycloalkenylthio, substituted or unsubstituted nonaromatic heterocyclic thio, substituted or unsubstituted arylthio, substituted or unsubstituted heteroarylthio, substituent Sulfinyl substituted with a substituent selected from group A, sulfonyl substituted with a substituent selected from substituent group A, unsubstituted sulfamoyl, sulfamoyl substituted with a substituent selected from substituent group A, Substituted or unsubstituted alkylsulfonylamino, substituted or unsubstituted alkenylsulfonylamino, substituted or unsubstituted alkynylsulfonylamino, substituted or unsubstituted aminosulfonylamino, substituted or unsubstituted cycloalkylsulfonylamino, substituted or unsubstituted Cycloalkenyl The sulfonylamino, substituted or unsubstituted non-aromatic heterocyclic sulfonylamino, substituted or unsubstituted arylsulfonylamino, substituted or unsubstituted heteroarylsulfonylamino, or the nitrogen atom constituting the ring is selected from the substituent group A A nitrogen-containing non-aromatic heterocyclic group substituted with a sulfonyl substituted with a substituent);
B 2 is,
Wherein each R 10 is independently substituted or unsubstituted alkyl, halogen, hydroxy, substituted or unsubstituted alkyloxy, substituted or unsubstituted amino, or together oxo or thioxo;
R 12 represents substituted or unsubstituted alkyl, halogen, hydroxy, or substituted or unsubstituted alkyloxy;
R 11 represents hydrogen, substituted or unsubstituted cycloalkyl, unsubstituted alkyl, or substituent group C (substituent group C: hydroxy, halogen, substituted or unsubstituted alkoxy, substituted or unsubstituted alkyloxycarbonyl, substituted Or a substituent selected from unsubstituted cycloalkyl, substituted or unsubstituted cycloalkenyl, substituted or unsubstituted non-aromatic heterocyclic group, substituted or unsubstituted aryl and substituted or unsubstituted heteroaryl) One or more substituted alkyls;
R 9a and R 9b are each independently hydrogen or substituted or unsubstituted alkyl;
p is an integer of 0 to 4) or a compound represented by a substituted or unsubstituted amino-substituted alkylene), or a pharmaceutically acceptable salt thereof, or a solvate thereof.
本発明化合物において、一つの態様は以下の通りである。
式(I):
Rx3およびRx4は、それぞれ独立して、水素、ハロゲン、置換もしくは非置換のアルキル、置換もしくは非置換のアルキルオキシ、、シアノ、ニトロ、置換もしくは非置換のアミノ、置換もしくは非置換のシクロアルキル、置換もしくは非置換の非芳香族複素環式基、置換もしくは非置換のアリール、置換もしくは非置換のシクロアルキルオキシ、または置換もしくは非置換の非芳香族複素環オキシ;
-B1は、式:-X-(CR8aR8b)m-Y
(式中、
Xが、N(R7c);
R7cが、水素;
R8aおよびR8bが、それぞれ独立して、水素、ハロゲンまたは置換もしくは非置換のアルキル;
mは、1~5の整数:
Yが、置換基群A(置換基群A:置換もしくは非置換のアルキル、置換もしくは非置換のアルケニル、置換もしくは非置換のアルキニル、置換もしくは非置換のシクロアルキル、置換もしくは非置換のシクロアルケニル、置換もしくは非置換の非芳香族複素環基、置換もしくは非置換のアリールおよび置換もしくは非置換のヘテロアリール)から選択される置換基で置換されたスルファモイル、非置換のスルファモイルまたは置換基群Aから選択される置換基で置換されたスルホニル)で示される基;
B2は、
(式中、R10は、それぞれ独立して、置換もしくは非置換のアルキル;
R11は、水素、非置換のアルキルまたは置換基群C(置換基群C:ヒドロキシ、ハロゲン、置換もしくは非置換のアルコキシ、置換もしくは非置換のアルキルオキシカルボニル、置換もしくは非置換のシクロアルキル、置換もしくは非置換のシクロアルケニル、置換もしくは非置換の非芳香族複素環式基、置換もしくは非置換のアリールおよび置換もしくは非置換のヘテロアリール)から選択される置換基で1以上置換されたアルキル;
R9aおよびR9bは、それぞれ独立して、水素または置換もしくは非置換のアルキル;
pは0~4の整数)で示される基)で示される化合物、もしくはその製薬上許容される塩またはそれらの溶媒和物。
In the compound of the present invention, one embodiment is as follows.
Formula (I):
R x3 and R x4 each independently represent hydrogen, halogen, substituted or unsubstituted alkyl, substituted or unsubstituted alkyloxy, cyano, nitro, substituted or unsubstituted amino, substituted or unsubstituted cycloalkyl Substituted or unsubstituted non-aromatic heterocyclic group, substituted or unsubstituted aryl, substituted or unsubstituted cycloalkyloxy, or substituted or unsubstituted non-aromatic heterocyclic oxy;
—B 1 represents the formula: —X— (CR 8a R 8b ) mY
(Where
X is N (R 7c );
R 7c is hydrogen;
R 8a and R 8b are each independently hydrogen, halogen or substituted or unsubstituted alkyl;
m is an integer from 1 to 5:
Y is substituent group A (substituent group A: substituted or unsubstituted alkyl, substituted or unsubstituted alkenyl, substituted or unsubstituted alkynyl, substituted or unsubstituted cycloalkyl, substituted or unsubstituted cycloalkenyl, A substituted or unsubstituted non-aromatic heterocyclic group, substituted or unsubstituted aryl and substituted or unsubstituted heteroaryl) selected from sulfamoyl, unsubstituted sulfamoyl or substituent group A substituted with a substituent selected from A sulfonyl substituted with a substituent selected from
B 2 is,
Wherein R 10 are each independently substituted or unsubstituted alkyl;
R 11 represents hydrogen, unsubstituted alkyl or substituent group C (substituent group C: hydroxy, halogen, substituted or unsubstituted alkoxy, substituted or unsubstituted alkyloxycarbonyl, substituted or unsubstituted cycloalkyl, substituted Or alkyl substituted with one or more substituents selected from unsubstituted cycloalkenyl, substituted or unsubstituted non-aromatic heterocyclic group, substituted or unsubstituted aryl and substituted or unsubstituted heteroaryl;
R 9a and R 9b are each independently hydrogen or substituted or unsubstituted alkyl;
p is an integer of 0 to 4), or a pharmaceutically acceptable salt or solvate thereof.
本発明化合物において、一つの態様は以下の通りである。
式(I):
Rx3およびRx4は、それぞれ独立して、水素、ハロゲン、置換もしくは非置換のアルキル、置換もしくは非置換のアルキルオキシ、、シアノ、ニトロ、置換もしくは非置換のアミノ、置換もしくは非置換のシクロアルキル、置換もしくは非置換の非芳香族複素環式基、置換もしくは非置換のアリール、置換もしくは非置換のシクロアルキルオキシ、または置換もしくは非置換の非芳香族複素環オキシ;
-B1は、式:-X-(CR8aR8b)m-Y
(式中、
Xが、N(R7c);
R7cが、水素;
R8aおよびR8bは、それぞれ独立して、水素、ハロゲンまたは置換もしくは非置換のアルキル;
mは、1~5の整数:
Yが、置換もしくは非置換のアルキルスルホニルアミノ、置換もしくは非置換のアミノスルホニルアミノ、置換もしくは非置換のシクロアルキルスルホニルアミノ、置換もしくは非置換の非芳香族複素環スルホニルアミノ、置換もしくは非置換のアリールスルホニルアミノ、置換もしくは非置換のヘテロアリールスルホニルアミノまたは環を構成する窒素原子が置換基群Aから選択される置換基で置換されたスルホニルで置換された含窒素非芳香族複素環基)で示される基;
B2は、
(式中、R10は、それぞれ独立して、置換もしくは非置換のアルキル;
R11は、水素、非置換のアルキルまたは置換基群C(置換基群C:ヒドロキシ、ハロゲン、置換もしくは非置換のアルコキシ、置換もしくは非置換のアルキルオキシカルボニル、置換もしくは非置換のシクロアルキル、置換もしくは非置換のシクロアルケニル、置換もしくは非置換の非芳香族複素環式基、置換もしくは非置換のアリールおよび置換もしくは非置換のヘテロアリール)から選択される置換基で1以上置換されたアルキル;
R9aおよびR9bは、それぞれ独立して、水素または置換もしくは非置換のアルキル;
pは0~4の整数)で示される基)で示される化合物、もしくはその製薬上許容される塩またはそれらの溶媒和物。
In the compound of the present invention, one embodiment is as follows.
Formula (I):
R x3 and R x4 each independently represent hydrogen, halogen, substituted or unsubstituted alkyl, substituted or unsubstituted alkyloxy, cyano, nitro, substituted or unsubstituted amino, substituted or unsubstituted cycloalkyl Substituted or unsubstituted non-aromatic heterocyclic group, substituted or unsubstituted aryl, substituted or unsubstituted cycloalkyloxy, or substituted or unsubstituted non-aromatic heterocyclic oxy;
—B 1 represents the formula: —X— (CR 8a R 8b ) mY
(Where
X is N (R 7c );
R 7c is hydrogen;
R 8a and R 8b are each independently hydrogen, halogen or substituted or unsubstituted alkyl;
m is an integer from 1 to 5:
Y is substituted or unsubstituted alkylsulfonylamino, substituted or unsubstituted aminosulfonylamino, substituted or unsubstituted cycloalkylsulfonylamino, substituted or unsubstituted non-aromatic heterocyclic sulfonylamino, substituted or unsubstituted aryl Sulfonylamino, substituted or unsubstituted heteroarylsulfonylamino or a nitrogen-containing non-aromatic heterocyclic group in which a nitrogen atom constituting the ring is substituted with a sulfonyl substituted with a substituent selected from Substituent Group A) Group
B 2 is,
Wherein R 10 are each independently substituted or unsubstituted alkyl;
R 11 represents hydrogen, unsubstituted alkyl or substituent group C (substituent group C: hydroxy, halogen, substituted or unsubstituted alkoxy, substituted or unsubstituted alkyloxycarbonyl, substituted or unsubstituted cycloalkyl, substituted Or alkyl substituted with one or more substituents selected from unsubstituted cycloalkenyl, substituted or unsubstituted non-aromatic heterocyclic group, substituted or unsubstituted aryl and substituted or unsubstituted heteroaryl;
R 9a and R 9b are each independently hydrogen or substituted or unsubstituted alkyl;
p is an integer of 0 to 4), or a pharmaceutically acceptable salt or solvate thereof.
本発明化合物において、一つの態様は以下の通りである。
式(I):
Rx1、Rx2およびRx3は、それぞれ独立して、水素、ハロゲン、置換もしくは非置換のアルキル、置換もしくは非置換のアルケニル、置換もしくは非置換のアルキニル、置換もしくは非置換のアルキルオキシ、置換もしくは非置換のアルケニルオキシ、置換もしくは非置換のアルキニルオキシ、置換もしくは非置換のアルキルチオ、置換もしくは非置換のアルケニルチオ、置換もしくは非置換のアルキニルチオ、置換もしくは非置換のアシル、ヒドロキシ、カルボキシ、置換もしくは非置換のアルキルオキシカルボニル、置換もしくは非置換のアルケニルオキシカルボニル、置換もしくは非置換のアルキニルオキシカルボニル、置換もしくは非置換のシクロアルキルオキシカルボニル、置換もしくは非置換のシクロアルケニルオキシカルボニル、置換もしくは非置換の非芳香族複素環オキシカルボニル、置換もしくは非置換のアリールオキシカルボニル、置換もしくは非置換のヘテロアリールオキシカルボニル、非置換スルファモイル、置換基群A(置換基群A:置換もしくは非置換のアルキル、置換もしくは非置換のアルケニル、置換もしくは非置換のアルキニル、置換もしくは非置換のシクロアルキル、置換もしくは非置換のシクロアルケニル、置換もしくは非置換の非芳香族複素環基、置換もしくは非置換のアリールおよび置換もしくは非置換のヘテロアリール)から選択される置換基で置換されたスルファモイル、置換もしくは非置換のスルファモイル(ただし、Rx3およびRx4が、同時に2つ以上非置換スルファモイルである場合を除く)、置換基群Aから選択される置換基で置換されたスルフィニル、置換基群Aから選択される置換基で置換されたスルホニル、置換もしくは非置換のアルキルスルホニルオキシ、置換もしくは非置換のアリールスルホニルオキシ、シアノ、ニトロ、置換もしくは非置換のアミノ、置換もしくは非置換のシクロアルキル、置換もしくは非置換のシクロアルケニル、置換もしくは非置換の非芳香族複素環式基、置換もしくは非置換のアリール、置換もしくは非置換のヘテロアリール、置換もしくは非置換のシクロアルキルオキシ、置換もしくは非置換のシクロアルケニルオキシ、置換もしくは非置換の非芳香族複素環オキシ、置換もしくは非置換のアリールオキシ、または置換もしくは非置換のヘテロアリールオキシ;
-B1は、式:-X-(CR8aR8b)m-Y
(式中、
Xは、N(R7c)またはO;
R7cは、水素、置換もしくは非置換のアルキルまたは置換もしくは非置換のアシル;
R8aおよびR8bは、それぞれ独立して、水素、ハロゲンまたは置換もしくは非置換のアルキル;
mは、1~5の整数:
Yが、置換もしくは非置換のシクロアルキルチオ、置換もしくは非置換のシクロアルケニルチオ、置換もしくは非置換の非芳香族複素環チオ、置換もしくは非置換のアリールチオ、置換もしくは非置換のヘテロアリールチオ、置換基群Aから選択される置換基で置換されたスルフィニル、置換基群Aから選択される置換基で置換されたスルホニル、非置換スルファモイル、置換基群Aから選択される置換基で置換されたスルファモイル、置換もしくは非置換のアルキルスルホニルアミノ、置換もしくは非置換のアルケニルスルホニルアミノ、置換もしくは非置換のアルキニルスルホニルアミノ、置換もしくは非置換のアミノスルホニルアミノ、置換もしくは非置換のシクロアルキルスルホニルアミノ、置換もしくは非置換のシクロアルケニルスルホニルアミノ、置換もしくは非置換の非芳香族複素環スルホニルアミノ、置換もしくは非置換のアリールスルホニルアミノ、置換もしくは非置換のヘテロアリールスルホニルアミノ、または環を構成する窒素原子が置換基群Aから選択される置換基で置換されたスルホニルで置換された含窒素非芳香族複素環基)で示される基;
B2は、
(式中、R10は、それぞれ独立して、置換もしくは非置換のアルキル、ハロゲン、ヒドロキシ、置換もしくは非置換のアルキルオキシ、置換もしくは非置換のアミノまたは一緒になってオキソもしくはチオキソ;
R12は、置換もしくは非置換のアルキル、ハロゲン、ヒドロキシまたは置換もしくは非置換のアルキルオキシ;
R11は、水素、置換もしくは非置換のシクロアルキル、非置換のアルキルまたは置換基群C(置換基群C:ヒドロキシ、ハロゲン、置換もしくは非置換のアルコキシ、置換もしくは非置換のアルキルオキシカルボニル、置換もしくは非置換のシクロアルキル、置換もしくは非置換のシクロアルケニル、置換もしくは非置換の非芳香族複素環式基、置換もしくは非置換のアリールおよび置換もしくは非置換のヘテロアリール)から選択される置換基で1以上置換されたアルキル;
R9aおよびR9bは、それぞれ独立して、水素または置換もしくは非置換のアルキル;
pは0~4の整数)で示される基または置換もしくは非置換のアミノで置換されたアルキレン)で示される化合物、もしくはその製薬上許容される塩またはそれらの溶媒和物。
In the compound of the present invention, one embodiment is as follows.
Formula (I):
R x1 , R x2 and R x3 are each independently hydrogen, halogen, substituted or unsubstituted alkyl, substituted or unsubstituted alkenyl, substituted or unsubstituted alkynyl, substituted or unsubstituted alkyloxy, substituted or Unsubstituted alkenyloxy, substituted or unsubstituted alkynyloxy, substituted or unsubstituted alkylthio, substituted or unsubstituted alkenylthio, substituted or unsubstituted alkynylthio, substituted or unsubstituted acyl, hydroxy, carboxy, substituted or Unsubstituted alkyloxycarbonyl, substituted or unsubstituted alkenyloxycarbonyl, substituted or unsubstituted alkynyloxycarbonyl, substituted or unsubstituted cycloalkyloxycarbonyl, substituted or unsubstituted cycloalkenyloxy Carbonyl, substituted or unsubstituted non-aromatic heterocyclic oxycarbonyl, substituted or unsubstituted aryloxycarbonyl, substituted or unsubstituted heteroaryloxycarbonyl, unsubstituted sulfamoyl, substituent group A (substituent group A: substituted or Unsubstituted alkyl, substituted or unsubstituted alkenyl, substituted or unsubstituted alkynyl, substituted or unsubstituted cycloalkyl, substituted or unsubstituted cycloalkenyl, substituted or unsubstituted non-aromatic heterocyclic group, substituted or unsubstituted Sulfamoyl substituted with a substituent selected from substituted aryl and substituted or unsubstituted heteroaryl), substituted or unsubstituted sulfamoyl (provided that R x3 and R x4 are two or more unsubstituted sulfamoyl at the same time) Or substituent group A) Sulfinyl substituted with a selected substituent, sulfonyl substituted with a substituent selected from substituent group A, substituted or unsubstituted alkylsulfonyloxy, substituted or unsubstituted arylsulfonyloxy, cyano, nitro, substituted Or unsubstituted amino, substituted or unsubstituted cycloalkyl, substituted or unsubstituted cycloalkenyl, substituted or unsubstituted non-aromatic heterocyclic group, substituted or unsubstituted aryl, substituted or unsubstituted heteroaryl, Substituted or unsubstituted cycloalkyloxy, substituted or unsubstituted cycloalkenyloxy, substituted or unsubstituted non-aromatic heterocyclic oxy, substituted or unsubstituted aryloxy, or substituted or unsubstituted heteroaryloxy;
—B 1 represents the formula: —X— (CR 8a R 8b ) mY
(Where
X is N (R 7c ) or O;
R 7c is hydrogen, substituted or unsubstituted alkyl or substituted or unsubstituted acyl;
R 8a and R 8b are each independently hydrogen, halogen or substituted or unsubstituted alkyl;
m is an integer from 1 to 5:
Y is substituted or unsubstituted cycloalkylthio, substituted or unsubstituted cycloalkenylthio, substituted or unsubstituted nonaromatic heterocyclic thio, substituted or unsubstituted arylthio, substituted or unsubstituted heteroarylthio, substituent Sulfinyl substituted with a substituent selected from group A, sulfonyl substituted with a substituent selected from substituent group A, unsubstituted sulfamoyl, sulfamoyl substituted with a substituent selected from substituent group A, Substituted or unsubstituted alkylsulfonylamino, substituted or unsubstituted alkenylsulfonylamino, substituted or unsubstituted alkynylsulfonylamino, substituted or unsubstituted aminosulfonylamino, substituted or unsubstituted cycloalkylsulfonylamino, substituted or unsubstituted Cycloalkenyl The sulfonylamino, substituted or unsubstituted non-aromatic heterocyclic sulfonylamino, substituted or unsubstituted arylsulfonylamino, substituted or unsubstituted heteroarylsulfonylamino, or the nitrogen atom constituting the ring is selected from the substituent group A A nitrogen-containing non-aromatic heterocyclic group substituted with a sulfonyl substituted with a substituent);
B 2 is,
Wherein each R 10 is independently substituted or unsubstituted alkyl, halogen, hydroxy, substituted or unsubstituted alkyloxy, substituted or unsubstituted amino, or together oxo or thioxo;
R 12 represents substituted or unsubstituted alkyl, halogen, hydroxy, or substituted or unsubstituted alkyloxy;
R 11 represents hydrogen, substituted or unsubstituted cycloalkyl, unsubstituted alkyl, or substituent group C (substituent group C: hydroxy, halogen, substituted or unsubstituted alkoxy, substituted or unsubstituted alkyloxycarbonyl, substituted Or a substituent selected from unsubstituted cycloalkyl, substituted or unsubstituted cycloalkenyl, substituted or unsubstituted non-aromatic heterocyclic group, substituted or unsubstituted aryl and substituted or unsubstituted heteroaryl) One or more substituted alkyls;
R 9a and R 9b are each independently hydrogen or substituted or unsubstituted alkyl;
p is an integer of 0 to 4) or a compound represented by a substituted or unsubstituted amino-substituted alkylene), or a pharmaceutically acceptable salt thereof, or a solvate thereof.
本発明化合物において、一つの態様は以下の通りである。
式(I):
Rx3およびRx4は、それぞれ独立して、水素、ハロゲン、置換もしくは非置換のアルキル、置換もしくは非置換のアルキルオキシ、、シアノ、ニトロ、置換もしくは非置換のアミノ、置換もしくは非置換のシクロアルキル、置換もしくは非置換の非芳香族複素環式基、置換もしくは非置換のアリール、置換もしくは非置換のシクロアルキルオキシ、または置換もしくは非置換の非芳香族複素環オキシ;
-B1は、式:-X-(CR8aR8b)m-Y
(式中、
Xが、N(R7c);
R7cが、水素;
R8aおよびR8bが、それぞれ独立して、水素、ハロゲンまたは置換もしくは非置換のアルキル;
mは、1~5の整数:
Yが、置換基群A(置換基群A:置換もしくは非置換のアルキル、置換もしくは非置換のアルケニル、置換もしくは非置換のアルキニル、置換もしくは非置換のシクロアルキル、置換もしくは非置換のシクロアルケニル、置換もしくは非置換の非芳香族複素環基、置換もしくは非置換のアリールおよび置換もしくは非置換のヘテロアリール)から選択される置換基で置換されたスルファモイル、非置換のスルファモイルまたは置換基群Aから選択される置換基で置換されたスルホニル)で示される基;
B2は、
(式中、R10は、それぞれ独立して、置換もしくは非置換のアルキル;
R11は、水素、非置換のアルキルまたは置換基群C(置換基群C:ヒドロキシ、ハロゲン、置換もしくは非置換のアルコキシ、置換もしくは非置換のアルキルオキシカルボニル、置換もしくは非置換のシクロアルキル、置換もしくは非置換のシクロアルケニル、置換もしくは非置換の非芳香族複素環式基、置換もしくは非置換のアリールおよび置換もしくは非置換のヘテロアリール)から選択される置換基で1以上置換されたアルキル;
R9aおよびR9bは、それぞれ独立して、水素または置換もしくは非置換のアルキル;
pは0~4の整数)で示される基)で示される化合物、もしくはその製薬上許容される塩またはそれらの溶媒和物。
In the compound of the present invention, one embodiment is as follows.
Formula (I):
R x3 and R x4 each independently represent hydrogen, halogen, substituted or unsubstituted alkyl, substituted or unsubstituted alkyloxy, cyano, nitro, substituted or unsubstituted amino, substituted or unsubstituted cycloalkyl Substituted or unsubstituted non-aromatic heterocyclic group, substituted or unsubstituted aryl, substituted or unsubstituted cycloalkyloxy, or substituted or unsubstituted non-aromatic heterocyclic oxy;
—B 1 represents the formula: —X— (CR 8a R 8b ) mY
(Where
X is N (R 7c );
R 7c is hydrogen;
R 8a and R 8b are each independently hydrogen, halogen or substituted or unsubstituted alkyl;
m is an integer from 1 to 5:
Y is substituent group A (substituent group A: substituted or unsubstituted alkyl, substituted or unsubstituted alkenyl, substituted or unsubstituted alkynyl, substituted or unsubstituted cycloalkyl, substituted or unsubstituted cycloalkenyl, A substituted or unsubstituted non-aromatic heterocyclic group, substituted or unsubstituted aryl and substituted or unsubstituted heteroaryl) selected from sulfamoyl, unsubstituted sulfamoyl or substituent group A substituted with a substituent selected from A sulfonyl substituted with a substituent selected from
B 2 is,
Wherein R 10 are each independently substituted or unsubstituted alkyl;
R 11 represents hydrogen, unsubstituted alkyl or substituent group C (substituent group C: hydroxy, halogen, substituted or unsubstituted alkoxy, substituted or unsubstituted alkyloxycarbonyl, substituted or unsubstituted cycloalkyl, substituted Or alkyl substituted with one or more substituents selected from unsubstituted cycloalkenyl, substituted or unsubstituted non-aromatic heterocyclic group, substituted or unsubstituted aryl and substituted or unsubstituted heteroaryl;
R 9a and R 9b are each independently hydrogen or substituted or unsubstituted alkyl;
p is an integer of 0 to 4), or a pharmaceutically acceptable salt or solvate thereof.
本発明化合物において、一つの態様は以下の通りである。
式(I):
Rx3およびRx4は、それぞれ独立して、水素、ハロゲン、置換もしくは非置換のアルキル、置換もしくは非置換のアルキルオキシ、、シアノ、ニトロ、置換もしくは非置換のアミノ、置換もしくは非置換のシクロアルキル、置換もしくは非置換の非芳香族複素環式基、置換もしくは非置換のアリール、置換もしくは非置換のシクロアルキルオキシ、または置換もしくは非置換の非芳香族複素環オキシ;
-B1は、式:-X-(CR8aR8b)m-Y
(式中、
Xが、N(R7c);
R7cが、水素;
R8aおよびR8bは、それぞれ独立して、水素、ハロゲンまたは置換もしくは非置換のアルキル;
mは、1~5の整数:
Yが、置換もしくは非置換のアルキルスルホニルアミノ、置換もしくは非置換のアミノスルホニルアミノ、置換もしくは非置換のシクロアルキルスルホニルアミノ、置換もしくは非置換の非芳香族複素環スルホニルアミノ、置換もしくは非置換のアリールスルホニルアミノ、置換もしくは非置換のヘテロアリールスルホニルアミノまたは環を構成する窒素原子が置換基群Aから選択される置換基で置換されたスルホニルで置換された含窒素非芳香族複素環基)で示される基;
B2は、
(式中、R10は、それぞれ独立して、置換もしくは非置換のアルキル;
R11は、水素、非置換のアルキルまたは置換基群C(置換基群C:ヒドロキシ、ハロゲン、置換もしくは非置換のアルコキシ、置換もしくは非置換のアルキルオキシカルボニル、置換もしくは非置換のシクロアルキル、置換もしくは非置換のシクロアルケニル、置換もしくは非置換の非芳香族複素環式基、置換もしくは非置換のアリールおよび置換もしくは非置換のヘテロアリール)から選択される置換基で1以上置換されたアルキル;
R9aおよびR9bは、それぞれ独立して、水素または置換もしくは非置換のアルキル;
pは0~4の整数)で示される基)で示される化合物、もしくはその製薬上許容される塩またはそれらの溶媒和物。
In the compound of the present invention, one embodiment is as follows.
Formula (I):
R x3 and R x4 each independently represent hydrogen, halogen, substituted or unsubstituted alkyl, substituted or unsubstituted alkyloxy, cyano, nitro, substituted or unsubstituted amino, substituted or unsubstituted cycloalkyl Substituted or unsubstituted non-aromatic heterocyclic group, substituted or unsubstituted aryl, substituted or unsubstituted cycloalkyloxy, or substituted or unsubstituted non-aromatic heterocyclic oxy;
—B 1 represents the formula: —X— (CR 8a R 8b ) mY
(Where
X is N (R 7c );
R 7c is hydrogen;
R 8a and R 8b are each independently hydrogen, halogen or substituted or unsubstituted alkyl;
m is an integer from 1 to 5:
Y is substituted or unsubstituted alkylsulfonylamino, substituted or unsubstituted aminosulfonylamino, substituted or unsubstituted cycloalkylsulfonylamino, substituted or unsubstituted non-aromatic heterocyclic sulfonylamino, substituted or unsubstituted aryl Sulfonylamino, substituted or unsubstituted heteroarylsulfonylamino or a nitrogen-containing non-aromatic heterocyclic group in which a nitrogen atom constituting the ring is substituted with a sulfonyl substituted with a substituent selected from Substituent Group A) Group
B 2 is,
Wherein R 10 are each independently substituted or unsubstituted alkyl;
R 11 represents hydrogen, unsubstituted alkyl or substituent group C (substituent group C: hydroxy, halogen, substituted or unsubstituted alkoxy, substituted or unsubstituted alkyloxycarbonyl, substituted or unsubstituted cycloalkyl, substituted Or alkyl substituted with one or more substituents selected from unsubstituted cycloalkenyl, substituted or unsubstituted non-aromatic heterocyclic group, substituted or unsubstituted aryl and substituted or unsubstituted heteroaryl;
R 9a and R 9b are each independently hydrogen or substituted or unsubstituted alkyl;
p is an integer of 0 to 4), or a pharmaceutically acceptable salt or solvate thereof.
本発明化合物において、一つの態様は以下の通りである。
式(I):
であり、
R1bが、
a)ハロゲン、置換もしくは非置換のアルキル、置換もしくは非置換のアルケニル、置換もしくは非置換のアルキニル、置換もしくは非置換のアルキルオキシ、置換もしくは非置換のアルケニルオキシ、置換もしくは非置換のアルキニルオキシ、置換もしくは非置換のアルキルチオ、置換もしくは非置換のアルケニルチオ、置換もしくは非置換のアルキニルチオ、置換もしくは非置換のアシル、ヒドロキシ、カルボキシ、置換もしくは非置換のアルキルオキシカルボニル、置換もしくは非置換のアルケニルオキシカルボニル、置換もしくは非置換のアルキニルオキシカルボニル、置換もしくは非置換のシクロアルキルオキシカルボニル、置換もしくは非置換のシクロアルケニルオキシカルボニル、置換もしくは非置換の非芳香族複素環オキシカルボニル、置換もしくは非置換のアリールオキシカルボニル、置換もしくは非置換のヘテロアリールオキシカルボニル、非置換スルファモイル、置換基群A(置換基群A:置換もしくは非置換のアルキル、置換もしくは非置換のアルケニル、置換もしくは非置換のアルキニル、置換もしくは非置換のシクロアルキル、置換もしくは非置換のシクロアルケニル、置換もしくは非置換の非芳香族複素環基、置換もしくは非置換のアリールおよび置換もしくは非置換のヘテロアリール)から選択される置換基で置換されたスルファモイル、置換もしくは非置換のスルファモイル、置換基群Aから選択される置換基で置換されたスルフィニル、置換基群Aから選択される置換基で置換されたスルホニル、置換もしくは非置換のアルキルスルホニルオキシ、置換もしくは非置換のアリールスルホニルオキシ、シアノ、ニトロ、置換もしくは非置換のアミノ、置換もしくは非置換のシクロアルキル、置換もしくは非置換のシクロアルケニル、置換もしくは非置換の非芳香族複素環式基、置換もしくは非置換のアリール、置換もしくは非置換のヘテロアリール、置換もしくは非置換のシクロアルキルオキシ、置換もしくは非置換のシクロアルケニルオキシ、置換もしくは非置換の非芳香族複素環オキシ、置換もしくは非置換のアリールオキシ、または置換もしくは非置換のヘテロアリールオキシ;
R2bは、それぞれ独立して、水素、置換もしくは非置換のアルキルまたは置換もしくは非置換のアシル;
n3は、0~2の整数;
-B1は、式:-X-(CR8aR8b)m-Y
(式中、
Xは、N(R7c)またはO;
R7cは、水素、置換もしくは非置換のアルキルまたは置換もしくは非置換のアシル;
R8aおよびR8bは、それぞれ独立して、水素、ハロゲンまたは置換もしくは非置換のアルキル;
mは、1~5の整数:
Yは、置換もしくは非置換のシクロアルキルチオ、置換もしくは非置換のシクロアルケニルチオ、置換もしくは非置換の非芳香族複素環チオ、置換もしくは非置換のアリールチオ、置換もしくは非置換のヘテロアリールチオ、置換基群Aから選択される置換基で置換されたスルフィニル、置換基群Aから選択される置換基で置換されたスルホニル、非置換スルファモイル、置換基群Aから選択される置換基で置換されたスルファモイル、置換もしくは非置換のアルキルスルホニルアミノ、置換もしくは非置換のアルケニルスルホニルアミノ、置換もしくは非置換のアルキニルスルホニルアミノ、置換もしくは非置換のアミノスルホニルアミノ、置換もしくは非置換のシクロアルキルスルホニルアミノ、置換もしくは非置換のシクロアルケニルスルホニルアミノ、置換もしくは非置換の非芳香族複素環スルホニルアミノ、置換もしくは非置換のアリールスルホニルアミノ、置換もしくは非置換のヘテロアリールスルホニルアミノ、または環を構成する窒素原子が置換基群Aから選択される置換基で置換されたスルホニルで置換された含窒素非芳香族複素環基)で示される基;
B2は、
(式中、R10は、それぞれ独立して、置換もしくは非置換のアルキル、ハロゲン、ヒドロキシ、置換もしくは非置換のアルキルオキシ、置換もしくは非置換のアミノまたは一緒になってオキソもしくはチオキソ;
R12は、置換もしくは非置換のアルキル、ハロゲン、ヒドロキシまたは置換もしくは非置換のアルキルオキシ;
R11は、水素、置換もしくは非置換のシクロアルキル、非置換のアルキルまたは置換基群C(置換基群C:ヒドロキシ、ハロゲン、置換もしくは非置換のアルコキシ、置換もしくは非置換のアルキルオキシカルボニル、置換もしくは非置換のシクロアルキル、置換もしくは非置換のシクロアルケニル、置換もしくは非置換の非芳香族複素環式基、置換もしくは非置換のアリールおよび置換もしくは非置換のヘテロアリール)から選択される置換基で1以上置換されたアルキル;
R9aおよびR9bは、それぞれ独立して、水素または置換もしくは非置換のアルキル;
pは0~4の整数)で示される基または置換もしくは非置換のアミノで置換されたアルキレン)で示される化合物、もしくはその製薬上許容される塩またはそれらの溶媒和物。
In the compound of the present invention, one embodiment is as follows.
Formula (I):
And
R 1b is
a) halogen, substituted or unsubstituted alkyl, substituted or unsubstituted alkenyl, substituted or unsubstituted alkynyl, substituted or unsubstituted alkyloxy, substituted or unsubstituted alkenyloxy, substituted or unsubstituted alkynyloxy, substituted Or unsubstituted alkylthio, substituted or unsubstituted alkenylthio, substituted or unsubstituted alkynylthio, substituted or unsubstituted acyl, hydroxy, carboxy, substituted or unsubstituted alkyloxycarbonyl, substituted or unsubstituted alkenyloxycarbonyl Substituted or unsubstituted alkynyloxycarbonyl, substituted or unsubstituted cycloalkyloxycarbonyl, substituted or unsubstituted cycloalkenyloxycarbonyl, substituted or unsubstituted non-aromatic heterocyclic oxycarbonyl Bonyl, substituted or unsubstituted aryloxycarbonyl, substituted or unsubstituted heteroaryloxycarbonyl, unsubstituted sulfamoyl, substituent group A (substituent group A: substituted or unsubstituted alkyl, substituted or unsubstituted alkenyl, substituted Or unsubstituted alkynyl, substituted or unsubstituted cycloalkyl, substituted or unsubstituted cycloalkenyl, substituted or unsubstituted non-aromatic heterocyclic group, substituted or unsubstituted aryl and substituted or unsubstituted heteroaryl) Sulfamoyl substituted with a selected substituent, substituted or unsubstituted sulfamoyl, sulfinyl substituted with a substituent selected from substituent group A, sulfonyl substituted with a substituent selected from substituent group A, Substituted or unsubstituted alkylsulfonyloxy Substituted or unsubstituted arylsulfonyloxy, cyano, nitro, substituted or unsubstituted amino, substituted or unsubstituted cycloalkyl, substituted or unsubstituted cycloalkenyl, substituted or unsubstituted non-aromatic heterocyclic group, Substituted or unsubstituted aryl, substituted or unsubstituted heteroaryl, substituted or unsubstituted cycloalkyloxy, substituted or unsubstituted cycloalkenyloxy, substituted or unsubstituted non-aromatic heterocyclic oxy, substituted or unsubstituted Aryloxy or substituted or unsubstituted heteroaryloxy;
Each R 2b is independently hydrogen, substituted or unsubstituted alkyl or substituted or unsubstituted acyl;
n 3 is an integer from 0 to 2;
—B 1 represents the formula: —X— (CR 8a R 8b ) mY
(Where
X is N (R 7c ) or O;
R 7c is hydrogen, substituted or unsubstituted alkyl or substituted or unsubstituted acyl;
R 8a and R 8b are each independently hydrogen, halogen or substituted or unsubstituted alkyl;
m is an integer from 1 to 5:
Y is substituted or unsubstituted cycloalkylthio, substituted or unsubstituted cycloalkenylthio, substituted or unsubstituted non-aromatic heterocyclic thio, substituted or unsubstituted arylthio, substituted or unsubstituted heteroarylthio, substituent Sulfinyl substituted with a substituent selected from group A, sulfonyl substituted with a substituent selected from substituent group A, unsubstituted sulfamoyl, sulfamoyl substituted with a substituent selected from substituent group A, Substituted or unsubstituted alkylsulfonylamino, substituted or unsubstituted alkenylsulfonylamino, substituted or unsubstituted alkynylsulfonylamino, substituted or unsubstituted aminosulfonylamino, substituted or unsubstituted cycloalkylsulfonylamino, substituted or unsubstituted Cycloalkenyl The sulfonylamino, substituted or unsubstituted non-aromatic heterocyclic sulfonylamino, substituted or unsubstituted arylsulfonylamino, substituted or unsubstituted heteroarylsulfonylamino, or the nitrogen atom constituting the ring is selected from the substituent group A A nitrogen-containing non-aromatic heterocyclic group substituted with a sulfonyl substituted with a substituent);
B 2 is,
Wherein each R 10 is independently substituted or unsubstituted alkyl, halogen, hydroxy, substituted or unsubstituted alkyloxy, substituted or unsubstituted amino, or together oxo or thioxo;
R 12 represents substituted or unsubstituted alkyl, halogen, hydroxy, or substituted or unsubstituted alkyloxy;
R 11 represents hydrogen, substituted or unsubstituted cycloalkyl, unsubstituted alkyl, or substituent group C (substituent group C: hydroxy, halogen, substituted or unsubstituted alkoxy, substituted or unsubstituted alkyloxycarbonyl, substituted Or a substituent selected from unsubstituted cycloalkyl, substituted or unsubstituted cycloalkenyl, substituted or unsubstituted non-aromatic heterocyclic group, substituted or unsubstituted aryl and substituted or unsubstituted heteroaryl) One or more substituted alkyls;
R 9a and R 9b are each independently hydrogen or substituted or unsubstituted alkyl;
p is an integer of 0 to 4) or a compound represented by a substituted or unsubstituted amino-substituted alkylene), or a pharmaceutically acceptable salt thereof, or a solvate thereof.
本発明化合物において、一つの態様は以下の通りである。
式(I):
であり、
R1bが、
a)ハロゲン、置換もしくは非置換のアルキル、シアノ、置換もしくは非置換のシクロアルキル、または置換もしくは非置換の非芳香族複素環式基;
R2bは、それぞれ独立して、水素、置換もしくは非置換のアルキルまたは置換もしくは非置換アシル;
n3は、0~2の整数;
-B1は、式:-X-(CR8aR8b)m-Y
(式中、
Xが、N(R7c);
R7cが、水素;
R8aおよびR8bが、水素;
mは、1~5の整数:
Yは、置換基群A(置換基群A:置換もしくは非置換のアルキル、置換もしくは非置換のアルケニル、置換もしくは非置換のアルキニル、置換もしくは非置換のシクロアルキル、置換もしくは非置換のシクロアルケニル、置換もしくは非置換の非芳香族複素環基、置換もしくは非置換のアリールおよび置換もしくは非置換のヘテロアリール)から選択される置換基で置換されたスルファモイル、非置換のスルファモイルまたは置換基群Aから選択される置換基で置換されたスルホニル)
で示される基;
B2は、
(式中、R10は、それぞれ独立して、置換もしくは非置換のアルキル;
R11は、水素、非置換のアルキルまたは置換基群C(置換基群C:ヒドロキシ、ハロゲン、置換もしくは非置換のアルコキシ、置換もしくは非置換のアルキルオキシカルボニル、置換もしくは非置換のシクロアルキル、置換もしくは非置換のシクロアルケニル、置換もしくは非置換の非芳香族複素環式基、置換もしくは非置換のアリールおよび置換もしくは非置換のヘテロアリール)から選択される置換基で1以上置換されたアルキル;
R9aおよびR9bは、それぞれ独立して、水素または置換もしくは非置換のアルキル;
pは0~4の整数)で示される基)で示される化合物、もしくはその製薬上許容される塩またはそれらの溶媒和物。
In the compound of the present invention, one embodiment is as follows.
Formula (I):
And
R 1b is
a) halogen, substituted or unsubstituted alkyl, cyano, substituted or unsubstituted cycloalkyl, or substituted or unsubstituted non-aromatic heterocyclic group;
Each R 2b is independently hydrogen, substituted or unsubstituted alkyl or substituted or unsubstituted acyl;
n 3 is an integer from 0 to 2;
—B 1 represents the formula: —X— (CR 8a R 8b ) mY
(Where
X is N (R 7c );
R 7c is hydrogen;
R 8a and R 8b are hydrogen;
m is an integer from 1 to 5:
Y is a substituent group A (substituent group A: substituted or unsubstituted alkyl, substituted or unsubstituted alkenyl, substituted or unsubstituted alkynyl, substituted or unsubstituted cycloalkyl, substituted or unsubstituted cycloalkenyl, A substituted or unsubstituted non-aromatic heterocyclic group, substituted or unsubstituted aryl and substituted or unsubstituted heteroaryl) selected from sulfamoyl, unsubstituted sulfamoyl or substituent group A substituted with a substituent selected from Sulfonyl substituted with a substituent
A group represented by:
B 2 is,
Wherein R 10 are each independently substituted or unsubstituted alkyl;
R 11 represents hydrogen, unsubstituted alkyl or substituent group C (substituent group C: hydroxy, halogen, substituted or unsubstituted alkoxy, substituted or unsubstituted alkyloxycarbonyl, substituted or unsubstituted cycloalkyl, substituted Or alkyl substituted with one or more substituents selected from unsubstituted cycloalkenyl, substituted or unsubstituted non-aromatic heterocyclic group, substituted or unsubstituted aryl and substituted or unsubstituted heteroaryl;
R 9a and R 9b are each independently hydrogen or substituted or unsubstituted alkyl;
p is an integer of 0 to 4), or a pharmaceutically acceptable salt or solvate thereof.
本発明化合物において、一つの態様は以下の通りである。
式(I):
であり、
R1bが、
a) ハロゲン、置換もしくは非置換のアルキル、シアノ、置換もしくは非置換のシクロアルキル、または置換もしくは非置換の非芳香族複素環式基;
R2bは、それぞれ独立して、水素、置換もしくは非置換のアルキルまたは置換もしくは非置換アシル;
n3は、0~2の整数;
-B1は、式:-X-(CR8aR8b)m-Y
(式中、
Xが、N(R7c);
R7cが、水素;
R8aおよびR8bが、水素;
mは、1~5の整数:
Yは、置換もしくは非置換のアルキルスルホニルアミノ、置換もしくは非置換のアミノスルホニルアミノ、置換もしくは非置換のシクロアルキルスルホニルアミノ、置換もしくは非置換の非芳香族複素環スルホニルアミノ、置換もしくは非置換のアリールスルホニルアミノ、置換もしくは非置換のヘテロアリールスルホニルアミノ、または環を構成する窒素原子が置換基群Aから選択される置換基で置換されたスルホニルで置換された含窒素非芳香族複素環基;
)示される基;
B2は、
(式中、R10は、それぞれ独立して、置換もしくは非置換のアルキル;
R11は、水素、非置換のアルキルまたは置換基群C(置換基群C:ヒドロキシ、ハロゲン、置換もしくは非置換のアルコキシ、置換もしくは非置換のアルキルオキシカルボニル、置換もしくは非置換のシクロアルキル、置換もしくは非置換のシクロアルケニル、置換もしくは非置換の非芳香族複素環式基、置換もしくは非置換のアリールおよび置換もしくは非置換のヘテロアリール)から選択される置換基で1以上置換されたアルキル;
R9aおよびR9bは、それぞれ独立して、水素または置換もしくは非置換のアルキル;
pは0~4の整数)で示される基)で示される化合物、もしくはその製薬上許容される塩またはそれらの溶媒和物。
In the compound of the present invention, one embodiment is as follows.
Formula (I):
And
R 1b is
a) halogen, substituted or unsubstituted alkyl, cyano, substituted or unsubstituted cycloalkyl, or substituted or unsubstituted non-aromatic heterocyclic group;
Each R 2b is independently hydrogen, substituted or unsubstituted alkyl or substituted or unsubstituted acyl;
n 3 is an integer from 0 to 2;
—B 1 represents the formula: —X— (CR 8a R 8b ) mY
(Where
X is N (R 7c );
R 7c is hydrogen;
R 8a and R 8b are hydrogen;
m is an integer from 1 to 5:
Y is substituted or unsubstituted alkylsulfonylamino, substituted or unsubstituted aminosulfonylamino, substituted or unsubstituted cycloalkylsulfonylamino, substituted or unsubstituted non-aromatic heterocyclic sulfonylamino, substituted or unsubstituted aryl Sulfonylamino, substituted or unsubstituted heteroarylsulfonylamino, or a nitrogen-containing non-aromatic heterocyclic group in which a nitrogen atom constituting the ring is substituted with a sulfonyl substituted with a substituent selected from Substituent Group A;
) A group shown;
B 2 is,
Wherein R 10 are each independently substituted or unsubstituted alkyl;
R 11 represents hydrogen, unsubstituted alkyl or substituent group C (substituent group C: hydroxy, halogen, substituted or unsubstituted alkoxy, substituted or unsubstituted alkyloxycarbonyl, substituted or unsubstituted cycloalkyl, substituted Or alkyl substituted with one or more substituents selected from unsubstituted cycloalkenyl, substituted or unsubstituted non-aromatic heterocyclic group, substituted or unsubstituted aryl and substituted or unsubstituted heteroaryl;
R 9a and R 9b are each independently hydrogen or substituted or unsubstituted alkyl;
p is an integer of 0 to 4), or a pharmaceutically acceptable salt or solvate thereof.
本発明化合物において、一つの態様は以下の通りである。
式(I):
であり、
R1bが、
a)ハロゲン、置換もしくは非置換のアルキル、置換もしくは非置換のアルケニル、置換もしくは非置換のアルキニル、置換もしくは非置換のアルキルオキシ、置換もしくは非置換のアルケニルオキシ、置換もしくは非置換のアルキニルオキシ、置換もしくは非置換のアルキルチオ、置換もしくは非置換のアルケニルチオ、置換もしくは非置換のアルキニルチオ、置換もしくは非置換のアシル、ヒドロキシ、カルボキシ、置換もしくは非置換のアルキルオキシカルボニル、置換もしくは非置換のアルケニルオキシカルボニル、置換もしくは非置換のアルキニルオキシカルボニル、置換もしくは非置換のシクロアルキルオキシカルボニル、置換もしくは非置換のシクロアルケニルオキシカルボニル、置換もしくは非置換の非芳香族複素環オキシカルボニル、置換もしくは非置換のアリールオキシカルボニル、置換もしくは非置換のヘテロアリールオキシカルボニル、非置換スルファモイル、置換基群A(置換基群A:置換もしくは非置換のアルキル、置換もしくは非置換のアルケニル、置換もしくは非置換のアルキニル、置換もしくは非置換のシクロアルキル、置換もしくは非置換のシクロアルケニル、置換もしくは非置換の非芳香族複素環基、置換もしくは非置換のアリールおよび置換もしくは非置換のヘテロアリール)から選択される置換基で置換されたスルファモイル、置換もしくは非置換のスルファモイル、置換基群Aから選択される置換基で置換されたスルフィニル、置換基群Aから選択される置換基で置換されたスルホニル、置換もしくは非置換のアルキルスルホニルオキシ、置換もしくは非置換のアリールスルホニルオキシ、シアノ、ニトロ、置換もしくは非置換のアミノ、置換もしくは非置換のシクロアルキル、置換もしくは非置換のシクロアルケニル、置換もしくは非置換の非芳香族複素環式基、置換もしくは非置換のアリール、置換もしくは非置換のヘテロアリール、置換もしくは非置換のシクロアルキルオキシ、置換もしくは非置換のシクロアルケニルオキシ、置換もしくは非置換の非芳香族複素環オキシ、置換もしくは非置換のアリールオキシ、または置換もしくは非置換のヘテロアリールオキシ;
R2bは、それぞれ独立して、水素、置換もしくは非置換のアルキルまたは置換もしくは非置換のアシル;
n3は、0~2の整数;
-B1は、式:-X-(CR8aR8b)m-Y
(式中、
Xは、N(R7c)またはO;
R7cは、水素、置換もしくは非置換のアルキルまたは置換もしくは非置換のアシル;
R8aおよびR8bは、それぞれ独立して、水素、ハロゲンまたは置換もしくは非置換のアルキル;
mは、1~5の整数:
Yは、置換もしくは非置換のシクロアルキルチオ、置換もしくは非置換のシクロアルケニルチオ、置換もしくは非置換の非芳香族複素環チオ、置換もしくは非置換のアリールチオ、置換もしくは非置換のヘテロアリールチオ、置換基群Aから選択される置換基で置換されたスルフィニル、置換基群Aから選択される置換基で置換されたスルホニル、非置換スルファモイル、置換基群Aから選択される置換基で置換されたスルファモイル、置換もしくは非置換のアルキルスルホニルアミノ、置換もしくは非置換のアルケニルスルホニルアミノ、置換もしくは非置換のアルキニルスルホニルアミノ、置換もしくは非置換のアミノスルホニルアミノ、置換もしくは非置換のシクロアルキルスルホニルアミノ、置換もしくは非置換のシクロアルケニルスルホニルアミノ、置換もしくは非置換の非芳香族複素環スルホニルアミノ、置換もしくは非置換のアリールスルホニルアミノ、置換もしくは非置換のヘテロアリールスルホニルアミノ、または環を構成する窒素原子が置換基群Aから選択される置換基で置換されたスルホニルで置換された含窒素非芳香族複素環基)で示される基;
B2は、
(式中、R10は、それぞれ独立して、置換もしくは非置換のアルキル、ハロゲン、ヒドロキシ、置換もしくは非置換のアルキルオキシ、置換もしくは非置換のアミノまたは一緒になってオキソもしくはチオキソ;
R12は、置換もしくは非置換のアルキル、ハロゲン、ヒドロキシまたは置換もしくは非置換のアルキルオキシ;
R11は、水素、置換もしくは非置換のシクロアルキル、非置換のアルキルまたは置換基群C(置換基群C:ヒドロキシ、ハロゲン、置換もしくは非置換のアルコキシ、置換もしくは非置換のアルキルオキシカルボニル、置換もしくは非置換のシクロアルキル、置換もしくは非置換のシクロアルケニル、置換もしくは非置換の非芳香族複素環式基、置換もしくは非置換のアリールおよび置換もしくは非置換のヘテロアリール)から選択される置換基で1以上置換されたアルキル;
R9aおよびR9bは、それぞれ独立して、水素または置換もしくは非置換のアルキル;
pは0~4の整数)で示される基または置換もしくは非置換のアミノで置換されたアルキレン)で示される化合物、もしくはその製薬上許容される塩またはそれらの溶媒和物。
In the compound of the present invention, one embodiment is as follows.
Formula (I):
And
R 1b is
a) halogen, substituted or unsubstituted alkyl, substituted or unsubstituted alkenyl, substituted or unsubstituted alkynyl, substituted or unsubstituted alkyloxy, substituted or unsubstituted alkenyloxy, substituted or unsubstituted alkynyloxy, substituted Or unsubstituted alkylthio, substituted or unsubstituted alkenylthio, substituted or unsubstituted alkynylthio, substituted or unsubstituted acyl, hydroxy, carboxy, substituted or unsubstituted alkyloxycarbonyl, substituted or unsubstituted alkenyloxycarbonyl Substituted or unsubstituted alkynyloxycarbonyl, substituted or unsubstituted cycloalkyloxycarbonyl, substituted or unsubstituted cycloalkenyloxycarbonyl, substituted or unsubstituted non-aromatic heterocyclic oxycarbonyl Bonyl, substituted or unsubstituted aryloxycarbonyl, substituted or unsubstituted heteroaryloxycarbonyl, unsubstituted sulfamoyl, substituent group A (substituent group A: substituted or unsubstituted alkyl, substituted or unsubstituted alkenyl, substituted Or unsubstituted alkynyl, substituted or unsubstituted cycloalkyl, substituted or unsubstituted cycloalkenyl, substituted or unsubstituted non-aromatic heterocyclic group, substituted or unsubstituted aryl and substituted or unsubstituted heteroaryl) Sulfamoyl substituted with a selected substituent, substituted or unsubstituted sulfamoyl, sulfinyl substituted with a substituent selected from substituent group A, sulfonyl substituted with a substituent selected from substituent group A, Substituted or unsubstituted alkylsulfonyloxy Substituted or unsubstituted arylsulfonyloxy, cyano, nitro, substituted or unsubstituted amino, substituted or unsubstituted cycloalkyl, substituted or unsubstituted cycloalkenyl, substituted or unsubstituted non-aromatic heterocyclic group, Substituted or unsubstituted aryl, substituted or unsubstituted heteroaryl, substituted or unsubstituted cycloalkyloxy, substituted or unsubstituted cycloalkenyloxy, substituted or unsubstituted non-aromatic heterocyclic oxy, substituted or unsubstituted Aryloxy or substituted or unsubstituted heteroaryloxy;
Each R 2b is independently hydrogen, substituted or unsubstituted alkyl or substituted or unsubstituted acyl;
n 3 is an integer from 0 to 2;
—B 1 represents the formula: —X— (CR 8a R 8b ) mY
(Where
X is N (R 7c ) or O;
R 7c is hydrogen, substituted or unsubstituted alkyl or substituted or unsubstituted acyl;
R 8a and R 8b are each independently hydrogen, halogen or substituted or unsubstituted alkyl;
m is an integer from 1 to 5:
Y is substituted or unsubstituted cycloalkylthio, substituted or unsubstituted cycloalkenylthio, substituted or unsubstituted non-aromatic heterocyclic thio, substituted or unsubstituted arylthio, substituted or unsubstituted heteroarylthio, substituent Sulfinyl substituted with a substituent selected from group A, sulfonyl substituted with a substituent selected from substituent group A, unsubstituted sulfamoyl, sulfamoyl substituted with a substituent selected from substituent group A, Substituted or unsubstituted alkylsulfonylamino, substituted or unsubstituted alkenylsulfonylamino, substituted or unsubstituted alkynylsulfonylamino, substituted or unsubstituted aminosulfonylamino, substituted or unsubstituted cycloalkylsulfonylamino, substituted or unsubstituted Cycloalkenyl The sulfonylamino, substituted or unsubstituted non-aromatic heterocyclic sulfonylamino, substituted or unsubstituted arylsulfonylamino, substituted or unsubstituted heteroarylsulfonylamino, or the nitrogen atom constituting the ring is selected from the substituent group A A nitrogen-containing non-aromatic heterocyclic group substituted with a sulfonyl substituted with a substituent);
B 2 is,
Wherein each R 10 is independently substituted or unsubstituted alkyl, halogen, hydroxy, substituted or unsubstituted alkyloxy, substituted or unsubstituted amino, or together oxo or thioxo;
R 12 represents substituted or unsubstituted alkyl, halogen, hydroxy, or substituted or unsubstituted alkyloxy;
R 11 represents hydrogen, substituted or unsubstituted cycloalkyl, unsubstituted alkyl, or substituent group C (substituent group C: hydroxy, halogen, substituted or unsubstituted alkoxy, substituted or unsubstituted alkyloxycarbonyl, substituted Or a substituent selected from unsubstituted cycloalkyl, substituted or unsubstituted cycloalkenyl, substituted or unsubstituted non-aromatic heterocyclic group, substituted or unsubstituted aryl and substituted or unsubstituted heteroaryl) One or more substituted alkyls;
R 9a and R 9b are each independently hydrogen or substituted or unsubstituted alkyl;
p is an integer of 0 to 4) or a compound represented by a substituted or unsubstituted amino-substituted alkylene), or a pharmaceutically acceptable salt thereof, or a solvate thereof.
本発明化合物において、一つの態様は以下の通りである。
式(I):
であり、
R1bが、
a)ハロゲン、置換もしくは非置換のアルキル、シアノ、置換もしくは非置換のシクロアルキル、または置換もしくは非置換の非芳香族複素環式基;
R2bは、それぞれ独立して、水素、置換もしくは非置換のアルキルまたは置換もしくは非置換アシル;
n3は、0~2の整数;
-B1は、式:-X-(CR8aR8b)m-Y
(式中、
Xが、N(R7c);
R7cが、水素;
R8aおよびR8bが、水素;
mは、1~5の整数:
Yは、置換基群A(置換基群A:置換もしくは非置換のアルキル、置換もしくは非置換のアルケニル、置換もしくは非置換のアルキニル、置換もしくは非置換のシクロアルキル、置換もしくは非置換のシクロアルケニル、置換もしくは非置換の非芳香族複素環基、置換もしくは非置換のアリールおよび置換もしくは非置換のヘテロアリール)から選択される置換基で置換されたスルファモイル、非置換のスルファモイルまたは置換基群Aから選択される置換基で置換されたスルホニル)で示される基;
B2は、
(式中、R10は、それぞれ独立して、置換もしくは非置換のアルキル;
R11は、水素、非置換のアルキルまたは置換基群C(置換基群C:ヒドロキシ、ハロゲン、置換もしくは非置換のアルコキシ、置換もしくは非置換のアルキルオキシカルボニル、置換もしくは非置換のシクロアルキル、置換もしくは非置換のシクロアルケニル、置換もしくは非置換の非芳香族複素環式基、置換もしくは非置換のアリールおよび置換もしくは非置換のヘテロアリール)から選択される置換基で1以上置換されたアルキル;
R9aおよびR9bは、それぞれ独立して、水素または置換もしくは非置換のアルキル;
pは0~4の整数)で示される基)で示される化合物、もしくはその製薬上許容される塩またはそれらの溶媒和物。
In the compound of the present invention, one embodiment is as follows.
Formula (I):
And
R 1b is
a) halogen, substituted or unsubstituted alkyl, cyano, substituted or unsubstituted cycloalkyl, or substituted or unsubstituted non-aromatic heterocyclic group;
Each R 2b is independently hydrogen, substituted or unsubstituted alkyl or substituted or unsubstituted acyl;
n 3 is an integer from 0 to 2;
—B 1 represents the formula: —X— (CR 8a R 8b ) mY
(Where
X is N (R 7c );
R 7c is hydrogen;
R 8a and R 8b are hydrogen;
m is an integer from 1 to 5:
Y represents substituent group A (substituent group A: substituted or unsubstituted alkyl, substituted or unsubstituted alkenyl, substituted or unsubstituted alkynyl, substituted or unsubstituted cycloalkyl, substituted or unsubstituted cycloalkenyl, A substituted or unsubstituted non-aromatic heterocyclic group, substituted or unsubstituted aryl and substituted or unsubstituted heteroaryl) selected from sulfamoyl, unsubstituted sulfamoyl or substituent group A substituted with a substituent selected from A sulfonyl substituted with a substituent selected from
B 2 is,
Wherein R 10 are each independently substituted or unsubstituted alkyl;
R 11 represents hydrogen, unsubstituted alkyl or substituent group C (substituent group C: hydroxy, halogen, substituted or unsubstituted alkoxy, substituted or unsubstituted alkyloxycarbonyl, substituted or unsubstituted cycloalkyl, substituted Or alkyl substituted with one or more substituents selected from unsubstituted cycloalkenyl, substituted or unsubstituted non-aromatic heterocyclic group, substituted or unsubstituted aryl and substituted or unsubstituted heteroaryl;
R 9a and R 9b are each independently hydrogen or substituted or unsubstituted alkyl;
p is an integer of 0 to 4), or a pharmaceutically acceptable salt or solvate thereof.
本発明化合物において、一つの態様は以下の通りである。
式(I):
であり、
R1bが、
a) ハロゲン、置換もしくは非置換のアルキル、シアノ、置換もしくは非置換のシクロアルキル、または置換もしくは非置換の非芳香族複素環式基;
R2bは、それぞれ独立して、水素、置換もしくは非置換のアルキル、または置換もしくは非置換アシル;
n3は、0~2の整数;
-B1は、式:-X-(CR8aR8b)m-Y
(式中、
Xが、N(R7c);
R7cが、水素;
R8aおよびR8bが、水素;
mは、1~5の整数:
Yは、置換もしくは非置換のアルキルスルホニルアミノ、置換もしくは非置換のアミノスルホニルアミノ、置換もしくは非置換のシクロアルキルスルホニルアミノ、置換もしくは非置換の非芳香族複素環スルホニルアミノ、置換もしくは非置換のアリールスルホニルアミノ、置換もしくは非置換のヘテロアリールスルホニルアミノ、または環を構成する窒素原子が置換基群Aから選択される置換基で置換されたスルホニルで置換された含窒素非芳香族複素環基)示される基;
B2は、
(式中、R10は、それぞれ独立して、置換もしくは非置換のアルキル;
R11は、水素、非置換のアルキルまたは置換基群C(置換基群C:ヒドロキシ、ハロゲン、置換もしくは非置換のアルコキシ、置換もしくは非置換のアルキルオキシカルボニル、置換もしくは非置換のシクロアルキル、置換もしくは非置換のシクロアルケニル、置換もしくは非置換の非芳香族複素環式基、置換もしくは非置換のアリールおよび置換もしくは非置換のヘテロアリール)から選択される置換基で1以上置換されたアルキル;
R9aおよびR9bは、それぞれ独立して、水素または置換もしくは非置換のアルキル;
pは0~4の整数)で示される基)で示される化合物、もしくはその製薬上許容される塩またはそれらの溶媒和物。
In the compound of the present invention, one embodiment is as follows.
Formula (I):
And
R 1b is
a) halogen, substituted or unsubstituted alkyl, cyano, substituted or unsubstituted cycloalkyl, or substituted or unsubstituted non-aromatic heterocyclic group;
Each R 2b is independently hydrogen, substituted or unsubstituted alkyl, or substituted or unsubstituted acyl;
n 3 is an integer from 0 to 2;
—B 1 represents the formula: —X— (CR 8a R 8b ) mY
(Where
X is N (R 7c );
R 7c is hydrogen;
R 8a and R 8b are hydrogen;
m is an integer from 1 to 5:
Y is substituted or unsubstituted alkylsulfonylamino, substituted or unsubstituted aminosulfonylamino, substituted or unsubstituted cycloalkylsulfonylamino, substituted or unsubstituted non-aromatic heterocyclic sulfonylamino, substituted or unsubstituted aryl Sulfonylamino, substituted or unsubstituted heteroarylsulfonylamino, or a nitrogen-containing non-aromatic heterocyclic group in which a nitrogen atom constituting the ring is substituted with a sulfonyl substituted with a substituent selected from Substituent Group A) Group
B 2 is,
Wherein R 10 are each independently substituted or unsubstituted alkyl;
R 11 represents hydrogen, unsubstituted alkyl or substituent group C (substituent group C: hydroxy, halogen, substituted or unsubstituted alkoxy, substituted or unsubstituted alkyloxycarbonyl, substituted or unsubstituted cycloalkyl, substituted Or alkyl substituted with one or more substituents selected from unsubstituted cycloalkenyl, substituted or unsubstituted non-aromatic heterocyclic group, substituted or unsubstituted aryl and substituted or unsubstituted heteroaryl;
R 9a and R 9b are each independently hydrogen or substituted or unsubstituted alkyl;
p is an integer of 0 to 4), or a pharmaceutically acceptable salt or solvate thereof.
本発明化合物において、一つの態様は以下の通りである。
式(I):
であり、
R1bが、
a)ハロゲン、置換もしくは非置換のアルキル、置換もしくは非置換のアルケニル、置換もしくは非置換のアルキニル、置換もしくは非置換のアルキルオキシ、置換もしくは非置換のアルケニルオキシ、置換もしくは非置換のアルキニルオキシ、置換もしくは非置換のアルキルチオ、置換もしくは非置換のアルケニルチオ、置換もしくは非置換のアルキニルチオ、置換もしくは非置換のアシル、ヒドロキシ、カルボキシ、置換もしくは非置換のアルキルオキシカルボニル、置換もしくは非置換のアルケニルオキシカルボニル、置換もしくは非置換のアルキニルオキシカルボニル、置換もしくは非置換のシクロアルキルオキシカルボニル、置換もしくは非置換のシクロアルケニルオキシカルボニル、置換もしくは非置換の非芳香族複素環オキシカルボニル、置換もしくは非置換のアリールオキシカルボニル、置換もしくは非置換のヘテロアリールオキシカルボニル、置換もしくは非置換のカルバモイル、非置換スルファモイル、置換基群A(置換基群A:置換もしくは非置換のアルキル、置換もしくは非置換のアルケニル、置換もしくは非置換のアルキニル、置換もしくは非置換のシクロアルキル、置換もしくは非置換のシクロアルケニル、置換もしくは非置換の非芳香族複素環基、置換もしくは非置換のアリールおよび置換もしくは非置換のヘテロアリール)から選択される置換基で置換されたスルファモイル、置換基群Aから選択される置換基で置換されたスルフィニル、置換基群Aから選択される置換基で置換されたスルホニル、置換もしくは非置換のアルキルスルホニルオキシ、置換もしくは非置換のアリールスルホニルオキシ、シアノ、ニトロ、置換もしくは非置換のアミノ、置換もしくは非置換のシクロアルキル、置換もしくは非置換のシクロアルケニル、置換もしくは非置換の非芳香族複素環式基、置換もしくは非置換のアリール、置換もしくは非置換のヘテロアリール、置換もしくは非置換のシクロアルキルオキシ、置換もしくは非置換のシクロアルケニルオキシ、置換もしくは非置換の非芳香族複素環オキシ、置換もしくは非置換のアリールオキシ、または置換もしくは非置換のヘテロアリールオキシ;
n3は、0~2の整数;
-B1は、式:-X-(CR8aR8b)m-Y
(式中、
Xは、N(R7c)またはO;
R7cは、水素、置換もしくは非置換のアルキルまたは置換もしくは非置換のアシル;
R8aおよびR8bは、それぞれ独立して、水素、ハロゲンまたは置換もしくは非置換のアルキル;
mは、1~5の整数:
Yは、置換もしくは非置換のシクロアルキルチオ、置換もしくは非置換のシクロアルケニルチオ、置換もしくは非置換の非芳香族複素環チオ、置換もしくは非置換のアリールチオ、置換もしくは非置換のヘテロアリールチオ、置換基群Aから選択される置換基で置換されたスルフィニル、置換基群Aから選択される置換基で置換されたスルホニル、非置換スルファモイル、置換基群Aから選択される置換基で置換されたスルファモイル、置換もしくは非置換のアルキルスルホニルアミノ、置換もしくは非置換のアルケニルスルホニルアミノ、置換もしくは非置換のアルキニルスルホニルアミノ、置換もしくは非置換のアミノスルホニルアミノ、置換もしくは非置換のシクロアルキルスルホニルアミノ、置換もしくは非置換のシクロアルケニルスルホニルアミノ、置換もしくは非置換の非芳香族複素環スルホニルアミノ、置換もしくは非置換のアリールスルホニルアミノ、置換もしくは非置換のヘテロアリールスルホニルアミノ、または環を構成する窒素原子が置換基群Aから選択される置換基で置換されたスルホニルで置換された含窒素非芳香族複素環基)で示される基;
B2は、
(式中、R10は、それぞれ独立して、置換もしくは非置換のアルキル、ハロゲン、ヒドロキシ、置換もしくは非置換のアルキルオキシ、置換もしくは非置換のアミノまたは一緒になってオキソもしくはチオキソ;
R12は、置換もしくは非置換のアルキル、ハロゲン、ヒドロキシまたは置換もしくは非置換のアルキルオキシ;
R11は、水素、置換もしくは非置換のシクロアルキル、非置換のアルキルまたは置換基群C(置換基群C:ヒドロキシ、ハロゲン、置換もしくは非置換のアルコキシ、置換もしくは非置換のアルキルオキシカルボニル、置換もしくは非置換のシクロアルキル、置換もしくは非置換のシクロアルケニル、置換もしくは非置換の非芳香族複素環式基、置換もしくは非置換のアリールおよび置換もしくは非置換のヘテロアリール)から選択される置換基で1以上置換されたアルキル;
R9aおよびR9bは、それぞれ独立して、水素または置換もしくは非置換のアルキル;
pは0~4の整数)で示される基または置換もしくは非置換のアミノで置換されたアルキレン)で示される化合物、もしくはその製薬上許容される塩またはそれらの溶媒和物。
In the compound of the present invention, one embodiment is as follows.
Formula (I):
And
R 1b is
a) halogen, substituted or unsubstituted alkyl, substituted or unsubstituted alkenyl, substituted or unsubstituted alkynyl, substituted or unsubstituted alkyloxy, substituted or unsubstituted alkenyloxy, substituted or unsubstituted alkynyloxy, substituted Or unsubstituted alkylthio, substituted or unsubstituted alkenylthio, substituted or unsubstituted alkynylthio, substituted or unsubstituted acyl, hydroxy, carboxy, substituted or unsubstituted alkyloxycarbonyl, substituted or unsubstituted alkenyloxycarbonyl Substituted or unsubstituted alkynyloxycarbonyl, substituted or unsubstituted cycloalkyloxycarbonyl, substituted or unsubstituted cycloalkenyloxycarbonyl, substituted or unsubstituted non-aromatic heterocyclic oxycarbonyl Bonyl, substituted or unsubstituted aryloxycarbonyl, substituted or unsubstituted heteroaryloxycarbonyl, substituted or unsubstituted carbamoyl, unsubstituted sulfamoyl, substituent group A (substituent group A: substituted or unsubstituted alkyl, substituted Or unsubstituted alkenyl, substituted or unsubstituted alkynyl, substituted or unsubstituted cycloalkyl, substituted or unsubstituted cycloalkenyl, substituted or unsubstituted non-aromatic heterocyclic group, substituted or unsubstituted aryl and substituted or Sulfamoyl substituted with a substituent selected from (unsubstituted heteroaryl), sulfinyl substituted with a substituent selected from substituent group A, sulfonyl substituted with a substituent selected from substituent group A, Substituted or unsubstituted alkylsulfonyloxy, Substituted or unsubstituted arylsulfonyloxy, cyano, nitro, substituted or unsubstituted amino, substituted or unsubstituted cycloalkyl, substituted or unsubstituted cycloalkenyl, substituted or unsubstituted non-aromatic heterocyclic group, substituted Or unsubstituted aryl, substituted or unsubstituted heteroaryl, substituted or unsubstituted cycloalkyloxy, substituted or unsubstituted cycloalkenyloxy, substituted or unsubstituted non-aromatic heterocyclic oxy, substituted or unsubstituted aryl Oxy or substituted or unsubstituted heteroaryloxy;
n 3 is an integer from 0 to 2;
—B 1 represents the formula: —X— (CR 8a R 8b ) mY
(Where
X is N (R 7c ) or O;
R 7c is hydrogen, substituted or unsubstituted alkyl or substituted or unsubstituted acyl;
R 8a and R 8b are each independently hydrogen, halogen or substituted or unsubstituted alkyl;
m is an integer from 1 to 5:
Y is substituted or unsubstituted cycloalkylthio, substituted or unsubstituted cycloalkenylthio, substituted or unsubstituted non-aromatic heterocyclic thio, substituted or unsubstituted arylthio, substituted or unsubstituted heteroarylthio, substituent Sulfinyl substituted with a substituent selected from group A, sulfonyl substituted with a substituent selected from substituent group A, unsubstituted sulfamoyl, sulfamoyl substituted with a substituent selected from substituent group A, Substituted or unsubstituted alkylsulfonylamino, substituted or unsubstituted alkenylsulfonylamino, substituted or unsubstituted alkynylsulfonylamino, substituted or unsubstituted aminosulfonylamino, substituted or unsubstituted cycloalkylsulfonylamino, substituted or unsubstituted Cycloalkenyl The sulfonylamino, substituted or unsubstituted non-aromatic heterocyclic sulfonylamino, substituted or unsubstituted arylsulfonylamino, substituted or unsubstituted heteroarylsulfonylamino, or the nitrogen atom constituting the ring is selected from the substituent group A A nitrogen-containing non-aromatic heterocyclic group substituted with a sulfonyl substituted with a substituent);
B 2 is,
Wherein each R 10 is independently substituted or unsubstituted alkyl, halogen, hydroxy, substituted or unsubstituted alkyloxy, substituted or unsubstituted amino, or together oxo or thioxo;
R 12 represents substituted or unsubstituted alkyl, halogen, hydroxy, or substituted or unsubstituted alkyloxy;
R 11 represents hydrogen, substituted or unsubstituted cycloalkyl, unsubstituted alkyl, or substituent group C (substituent group C: hydroxy, halogen, substituted or unsubstituted alkoxy, substituted or unsubstituted alkyloxycarbonyl, substituted Or a substituent selected from unsubstituted cycloalkyl, substituted or unsubstituted cycloalkenyl, substituted or unsubstituted non-aromatic heterocyclic group, substituted or unsubstituted aryl and substituted or unsubstituted heteroaryl) One or more substituted alkyls;
R 9a and R 9b are each independently hydrogen or substituted or unsubstituted alkyl;
p is an integer of 0 to 4) or a compound represented by a substituted or unsubstituted amino-substituted alkylene), or a pharmaceutically acceptable salt thereof, or a solvate thereof.
本発明化合物において、一つの態様は以下の通りである。
式(I):
であり、
R1bが、
a)ハロゲン、置換もしくは非置換のアルキル、シアノ、置換もしくは非置換のシクロアルキル、または置換もしくは非置換の非芳香族複素環式基;
n3は、0~2の整数;
-B1は、式:-X-(CR8aR8b)m-Y
(式中、
Xが、N(R7c);
R7cが、水素;
R8aおよびR8bが、水素;
mは、1~5の整数:
Yは、置換基群A(置換基群A:置換もしくは非置換のアルキル、置換もしくは非置換のアルケニル、置換もしくは非置換のアルキニル、置換もしくは非置換のシクロアルキル、置換もしくは非置換のシクロアルケニル、置換もしくは非置換の非芳香族複素環基、置換もしくは非置換のアリールおよび置換もしくは非置換のヘテロアリール)から選択される置換基で置換されたスルファモイル、非置換のスルファモイルまたは置換基群Aから選択される置換基で置換されたスルホニル)で示される基;
B2は、
(式中、R10は、それぞれ独立して、置換もしくは非置換のアルキル;
R11は、水素、非置換のアルキルまたは置換基群C(置換基群C:ヒドロキシ、ハロゲン、置換もしくは非置換のアルコキシ、置換もしくは非置換のアルキルオキシカルボニル、置換もしくは非置換のシクロアルキル、置換もしくは非置換のシクロアルケニル、置換もしくは非置換の非芳香族複素環式基、置換もしくは非置換のアリールおよび置換もしくは非置換のヘテロアリール)から選択される置換基で1以上置換されたアルキル;
R9aおよびR9bは、それぞれ独立して、水素または置換もしくは非置換のアルキル;
pは0~4の整数)で示される基)で示される化合物、もしくはその製薬上許容される塩またはそれらの溶媒和物。
In the compound of the present invention, one embodiment is as follows.
Formula (I):
And
R 1b is
a) halogen, substituted or unsubstituted alkyl, cyano, substituted or unsubstituted cycloalkyl, or substituted or unsubstituted non-aromatic heterocyclic group;
n 3 is an integer from 0 to 2;
—B 1 represents the formula: —X— (CR 8a R 8b ) mY
(Where
X is N (R 7c );
R 7c is hydrogen;
R 8a and R 8b are hydrogen;
m is an integer from 1 to 5:
Y represents substituent group A (substituent group A: substituted or unsubstituted alkyl, substituted or unsubstituted alkenyl, substituted or unsubstituted alkynyl, substituted or unsubstituted cycloalkyl, substituted or unsubstituted cycloalkenyl, A substituted or unsubstituted non-aromatic heterocyclic group, substituted or unsubstituted aryl and substituted or unsubstituted heteroaryl) selected from sulfamoyl, unsubstituted sulfamoyl or substituent group A substituted with a substituent selected from A sulfonyl substituted with a substituent selected from
B 2 is,
Wherein R 10 are each independently substituted or unsubstituted alkyl;
R 11 represents hydrogen, unsubstituted alkyl or substituent group C (substituent group C: hydroxy, halogen, substituted or unsubstituted alkoxy, substituted or unsubstituted alkyloxycarbonyl, substituted or unsubstituted cycloalkyl, substituted Or alkyl substituted with one or more substituents selected from unsubstituted cycloalkenyl, substituted or unsubstituted non-aromatic heterocyclic group, substituted or unsubstituted aryl and substituted or unsubstituted heteroaryl;
R 9a and R 9b are each independently hydrogen or substituted or unsubstituted alkyl;
p is an integer of 0 to 4), or a pharmaceutically acceptable salt or solvate thereof.
本発明化合物において、一つの態様は以下の通りである。
式(I):
であり、
R1bが、
a) ハロゲン、置換もしくは非置換のアルキル、シアノ、置換もしくは非置換のシクロアルキル、または置換もしくは非置換の非芳香族複素環式基;
n3は、0~2の整数;
-B1は、式:-X-(CR8aR8b)m-Y
(式中、
Xが、N(R7c);
R7cが、水素;
R8aおよびR8bが、水素;
mは、1~5の整数:
Yは、置換もしくは非置換のアルキルスルホニルアミノ、置換もしくは非置換のアミノスルホニルアミノ、置換もしくは非置換のシクロアルキルスルホニルアミノ、置換もしくは非置換の非芳香族複素環スルホニルアミノ、置換もしくは非置換のアリールスルホニルアミノ、置換もしくは非置換のヘテロアリールスルホニルアミノ、または環を構成する窒素原子が置換基群Aから選択される置換基で置換されたスルホニルで置換された含窒素非芳香族複素環基)示される基;
B2は、
(式中、R10は、それぞれ独立して、置換もしくは非置換のアルキル;
R11は、水素、非置換のアルキルまたは置換基群C(置換基群C:ヒドロキシ、ハロゲン、置換もしくは非置換のアルコキシ、置換もしくは非置換のアルキルオキシカルボニル、置換もしくは非置換のシクロアルキル、置換もしくは非置換のシクロアルケニル、置換もしくは非置換の非芳香族複素環式基、置換もしくは非置換のアリールおよび置換もしくは非置換のヘテロアリール)から選択される置換基で1以上置換されたアルキル;
R9aおよびR9bは、それぞれ独立して、水素または置換もしくは非置換のアルキル;
pは0~4の整数)で示される基)で示される化合物、もしくはその製薬上許容される塩またはそれらの溶媒和物。
In the compound of the present invention, one embodiment is as follows.
Formula (I):
And
R 1b is
a) halogen, substituted or unsubstituted alkyl, cyano, substituted or unsubstituted cycloalkyl, or substituted or unsubstituted non-aromatic heterocyclic group;
n 3 is an integer from 0 to 2;
—B 1 represents the formula: —X— (CR 8a R 8b ) mY
(Where
X is N (R 7c );
R 7c is hydrogen;
R 8a and R 8b are hydrogen;
m is an integer from 1 to 5:
Y is substituted or unsubstituted alkylsulfonylamino, substituted or unsubstituted aminosulfonylamino, substituted or unsubstituted cycloalkylsulfonylamino, substituted or unsubstituted non-aromatic heterocyclic sulfonylamino, substituted or unsubstituted aryl Sulfonylamino, substituted or unsubstituted heteroarylsulfonylamino, or a nitrogen-containing non-aromatic heterocyclic group in which a nitrogen atom constituting the ring is substituted with a sulfonyl substituted with a substituent selected from Substituent Group A) Group
B 2 is,
Wherein R 10 are each independently substituted or unsubstituted alkyl;
R 11 represents hydrogen, unsubstituted alkyl or substituent group C (substituent group C: hydroxy, halogen, substituted or unsubstituted alkoxy, substituted or unsubstituted alkyloxycarbonyl, substituted or unsubstituted cycloalkyl, substituted Or alkyl substituted with one or more substituents selected from unsubstituted cycloalkenyl, substituted or unsubstituted non-aromatic heterocyclic group, substituted or unsubstituted aryl and substituted or unsubstituted heteroaryl;
R 9a and R 9b are each independently hydrogen or substituted or unsubstituted alkyl;
p is an integer of 0 to 4), or a pharmaceutically acceptable salt or solvate thereof.
本発明化合物において、一つの態様は以下の通りである。
式(I):
であり、
R1bが、
a)ハロゲン、置換もしくは非置換のアルキル、置換もしくは非置換のアルケニル、置換もしくは非置換のアルキニル、置換もしくは非置換のアルキルオキシ、置換もしくは非置換のアルケニルオキシ、置換もしくは非置換のアルキニルオキシ、置換もしくは非置換のアルキルチオ、置換もしくは非置換のアルケニルチオ、置換もしくは非置換のアルキニルチオ、置換もしくは非置換のアシル、ヒドロキシ、カルボキシ、置換もしくは非置換のアルキルオキシカルボニル、置換もしくは非置換のアルケニルオキシカルボニル、置換もしくは非置換のアルキニルオキシカルボニル、置換もしくは非置換のシクロアルキルオキシカルボニル、置換もしくは非置換のシクロアルケニルオキシカルボニル、置換もしくは非置換の非芳香族複素環オキシカルボニル、置換もしくは非置換のアリールオキシカルボニル、置換もしくは非置換のヘテロアリールオキシカルボニル、非置換スルファモイル、置換基群A(置換基群A:置換もしくは非置換のアルキル、置換もしくは非置換のアルケニル、置換もしくは非置換のアルキニル、置換もしくは非置換のシクロアルキル、置換もしくは非置換のシクロアルケニル、置換もしくは非置換の非芳香族複素環基、置換もしくは非置換のアリールおよび置換もしくは非置換のヘテロアリール)から選択される置換基で置換されたスルファモイル、置換基群Aから選択される置換基で置換されたスルフィニル、置換基群Aから選択される置換基で置換されたスルホニル、置換もしくは非置換のアルキルスルホニルオキシ、置換もしくは非置換のアリールスルホニルオキシ、シアノ、ニトロ、置換もしくは非置換のアミノ、置換もしくは非置換のシクロアルキル、置換もしくは非置換のシクロアルケニル、置換もしくは非置換の非芳香族複素環式基、置換もしくは非置換のアリール、置換もしくは非置換のヘテロアリール、置換もしくは非置換のシクロアルキルオキシ、置換もしくは非置換のシクロアルケニルオキシ、置換もしくは非置換の非芳香族複素環オキシ、置換もしくは非置換のアリールオキシ、または置換もしくは非置換のヘテロアリールオキシ;
R2bは、それぞれ独立して、水素、置換もしくは非置換のアルキルまたは置換もしくは非置換のアシル;
n4は、0または1の整数;
-B1は、式:-X-(CR8aR8b)m-Y
(式中、
Xは、N(R7c)またはO;
R7cは、水素、置換もしくは非置換のアルキルまたは置換もしくは非置換のアシル;
R8aおよびR8bは、それぞれ独立して、水素、ハロゲンまたは置換もしくは非置換のアルキル;
mは、1~5の整数:
Yは、置換もしくは非置換のシクロアルキルチオ、置換もしくは非置換のシクロアルケニルチオ、置換もしくは非置換の非芳香族複素環チオ、置換もしくは非置換のアリールチオ、置換もしくは非置換のヘテロアリールチオ、置換基群Aから選択される置換基で置換されたスルフィニル、置換基群Aから選択される置換基で置換されたスルホニル、非置換スルファモイル、置換基群Aから選択される置換基で置換されたスルファモイル、置換もしくは非置換のアルキルスルホニルアミノ、置換もしくは非置換のアルケニルスルホニルアミノ、置換もしくは非置換のアルキニルスルホニルアミノ、置換もしくは非置換のアミノスルホニルアミノ、置換もしくは非置換のシクロアルキルスルホニルアミノ、置換もしくは非置換のシクロアルケニルスルホニルアミノ、置換もしくは非置換の非芳香族複素環スルホニルアミノ、置換もしくは非置換のアリールスルホニルアミノ、置換もしくは非置換のヘテロアリールスルホニルアミノ、または環を構成する窒素原子が置換基群Aから選択される置換基で置換されたスルホニルで置換された含窒素非芳香族複素環基)で示される基;
B2は、
(式中、R10は、それぞれ独立して、置換もしくは非置換のアルキル、ハロゲン、ヒドロキシ、置換もしくは非置換のアルキルオキシ、置換もしくは非置換のアミノまたは一緒になってオキソもしくはチオキソ;
R12は、置換もしくは非置換のアルキル、ハロゲン、ヒドロキシまたは置換もしくは非置換のアルキルオキシ;
R11は、水素、置換もしくは非置換のシクロアルキル、非置換のアルキルまたは置換基群C(置換基群C:ヒドロキシ、ハロゲン、置換もしくは非置換のアルコキシ、置換もしくは非置換のアルキルオキシカルボニル、置換もしくは非置換のシクロアルキル、置換もしくは非置換のシクロアルケニル、置換もしくは非置換の非芳香族複素環式基、置換もしくは非置換のアリールおよび置換もしくは非置換のヘテロアリール)から選択される置換基で1以上置換されたアルキル;
R9aおよびR9bは、それぞれ独立して、水素または置換もしくは非置換のアルキル;
pは0~4の整数)で示される基または置換もしくは非置換のアミノで置換されたアルキレン)で示される化合物、もしくはその製薬上許容される塩またはそれらの溶媒和物。
In the compound of the present invention, one embodiment is as follows.
Formula (I):
And
R 1b is
a) halogen, substituted or unsubstituted alkyl, substituted or unsubstituted alkenyl, substituted or unsubstituted alkynyl, substituted or unsubstituted alkyloxy, substituted or unsubstituted alkenyloxy, substituted or unsubstituted alkynyloxy, substituted Or unsubstituted alkylthio, substituted or unsubstituted alkenylthio, substituted or unsubstituted alkynylthio, substituted or unsubstituted acyl, hydroxy, carboxy, substituted or unsubstituted alkyloxycarbonyl, substituted or unsubstituted alkenyloxycarbonyl Substituted or unsubstituted alkynyloxycarbonyl, substituted or unsubstituted cycloalkyloxycarbonyl, substituted or unsubstituted cycloalkenyloxycarbonyl, substituted or unsubstituted non-aromatic heterocyclic oxycarbonyl Bonyl, substituted or unsubstituted aryloxycarbonyl, substituted or unsubstituted heteroaryloxycarbonyl, unsubstituted sulfamoyl, substituent group A (substituent group A: substituted or unsubstituted alkyl, substituted or unsubstituted alkenyl, substituted Or unsubstituted alkynyl, substituted or unsubstituted cycloalkyl, substituted or unsubstituted cycloalkenyl, substituted or unsubstituted non-aromatic heterocyclic group, substituted or unsubstituted aryl and substituted or unsubstituted heteroaryl) Sulfamoyl substituted with a selected substituent, sulfinyl substituted with a substituent selected from substituent group A, sulfonyl substituted with a substituent selected from substituent group A, substituted or unsubstituted alkylsulfonyl Oxy, substituted or unsubstituted arylsulfo Nyloxy, cyano, nitro, substituted or unsubstituted amino, substituted or unsubstituted cycloalkyl, substituted or unsubstituted cycloalkenyl, substituted or unsubstituted non-aromatic heterocyclic group, substituted or unsubstituted aryl, substituted Or unsubstituted heteroaryl, substituted or unsubstituted cycloalkyloxy, substituted or unsubstituted cycloalkenyloxy, substituted or unsubstituted non-aromatic heterocyclic oxy, substituted or unsubstituted aryloxy, or substituted or unsubstituted Of heteroaryloxy;
Each R 2b is independently hydrogen, substituted or unsubstituted alkyl or substituted or unsubstituted acyl;
n 4 is an integer of 0 or 1;
—B 1 represents the formula: —X— (CR 8a R 8b ) mY
(Where
X is N (R 7c ) or O;
R 7c is hydrogen, substituted or unsubstituted alkyl or substituted or unsubstituted acyl;
R 8a and R 8b are each independently hydrogen, halogen or substituted or unsubstituted alkyl;
m is an integer from 1 to 5:
Y is substituted or unsubstituted cycloalkylthio, substituted or unsubstituted cycloalkenylthio, substituted or unsubstituted non-aromatic heterocyclic thio, substituted or unsubstituted arylthio, substituted or unsubstituted heteroarylthio, substituent Sulfinyl substituted with a substituent selected from group A, sulfonyl substituted with a substituent selected from substituent group A, unsubstituted sulfamoyl, sulfamoyl substituted with a substituent selected from substituent group A, Substituted or unsubstituted alkylsulfonylamino, substituted or unsubstituted alkenylsulfonylamino, substituted or unsubstituted alkynylsulfonylamino, substituted or unsubstituted aminosulfonylamino, substituted or unsubstituted cycloalkylsulfonylamino, substituted or unsubstituted Cycloalkenyl The sulfonylamino, substituted or unsubstituted non-aromatic heterocyclic sulfonylamino, substituted or unsubstituted arylsulfonylamino, substituted or unsubstituted heteroarylsulfonylamino, or the nitrogen atom constituting the ring is selected from the substituent group A A nitrogen-containing non-aromatic heterocyclic group substituted with a sulfonyl substituted with a substituent);
B 2 is,
Wherein each R 10 is independently substituted or unsubstituted alkyl, halogen, hydroxy, substituted or unsubstituted alkyloxy, substituted or unsubstituted amino, or together oxo or thioxo;
R 12 represents substituted or unsubstituted alkyl, halogen, hydroxy, or substituted or unsubstituted alkyloxy;
R 11 represents hydrogen, substituted or unsubstituted cycloalkyl, unsubstituted alkyl, or substituent group C (substituent group C: hydroxy, halogen, substituted or unsubstituted alkoxy, substituted or unsubstituted alkyloxycarbonyl, substituted Or a substituent selected from unsubstituted cycloalkyl, substituted or unsubstituted cycloalkenyl, substituted or unsubstituted non-aromatic heterocyclic group, substituted or unsubstituted aryl and substituted or unsubstituted heteroaryl) One or more substituted alkyls;
R 9a and R 9b are each independently hydrogen or substituted or unsubstituted alkyl;
p is an integer of 0 to 4) or a compound represented by a substituted or unsubstituted amino-substituted alkylene), or a pharmaceutically acceptable salt thereof, or a solvate thereof.
本発明化合物において、一つの態様は以下の通りである。
式(I):
であり、
R1bが、
a)ハロゲン、置換もしくは非置換のアルキル、シアノ、置換もしくは非置換のシクロアルキル、または置換もしくは非置換の非芳香族複素環式基;
R2bは、それぞれ独立して、水素、置換もしくは非置換のアルキルまたは置換もしくは非置換アシル;
n4は、0または1の整数;
-B1は、式:-X-(CR8aR8b)m-Y
(式中、
Xが、N(R7c);
R7cが、水素;
R8aおよびR8bが、水素;
mは、1~5の整数:
Yは、置換基群A(置換基群A:置換もしくは非置換のアルキル、置換もしくは非置換のアルケニル、置換もしくは非置換のアルキニル、置換もしくは非置換のシクロアルキル、置換もしくは非置換のシクロアルケニル、置換もしくは非置換の非芳香族複素環基、置換もしくは非置換のアリールおよび置換もしくは非置換のヘテロアリール)から選択される置換基で置換されたスルファモイル、非置換のスルファモイルまたは置換基群Aから選択される置換基で置換されたスルホニル)で示される基;
B2は、
(式中、R10は、それぞれ独立して、置換もしくは非置換のアルキル;
R11は、水素、非置換のアルキルまたは置換基群C(置換基群C:ヒドロキシ、ハロゲン、置換もしくは非置換のアルコキシ、置換もしくは非置換のアルキルオキシカルボニル、置換もしくは非置換のシクロアルキル、置換もしくは非置換のシクロアルケニル、置換もしくは非置換の非芳香族複素環式基、置換もしくは非置換のアリールおよび置換もしくは非置換のヘテロアリール)から選択される置換基で1以上置換されたアルキル;
R9aおよびR9bは、それぞれ独立して、水素または置換もしくは非置換のアルキル;
pは0~4の整数)で示される基)で示される化合物、もしくはその製薬上許容される塩またはそれらの溶媒和物。
In the compound of the present invention, one embodiment is as follows.
Formula (I):
And
R 1b is
a) halogen, substituted or unsubstituted alkyl, cyano, substituted or unsubstituted cycloalkyl, or substituted or unsubstituted non-aromatic heterocyclic group;
Each R 2b is independently hydrogen, substituted or unsubstituted alkyl or substituted or unsubstituted acyl;
n 4 is an integer of 0 or 1;
—B 1 represents the formula: —X— (CR 8a R 8b ) mY
(Where
X is N (R 7c );
R 7c is hydrogen;
R 8a and R 8b are hydrogen;
m is an integer from 1 to 5:
Y represents substituent group A (substituent group A: substituted or unsubstituted alkyl, substituted or unsubstituted alkenyl, substituted or unsubstituted alkynyl, substituted or unsubstituted cycloalkyl, substituted or unsubstituted cycloalkenyl, A substituted or unsubstituted non-aromatic heterocyclic group, substituted or unsubstituted aryl and substituted or unsubstituted heteroaryl) selected from sulfamoyl, unsubstituted sulfamoyl or substituent group A substituted with a substituent selected from A sulfonyl substituted with a substituent selected from
B 2 is,
Wherein R 10 are each independently substituted or unsubstituted alkyl;
R 11 represents hydrogen, unsubstituted alkyl or substituent group C (substituent group C: hydroxy, halogen, substituted or unsubstituted alkoxy, substituted or unsubstituted alkyloxycarbonyl, substituted or unsubstituted cycloalkyl, substituted Or alkyl substituted with one or more substituents selected from unsubstituted cycloalkenyl, substituted or unsubstituted non-aromatic heterocyclic group, substituted or unsubstituted aryl and substituted or unsubstituted heteroaryl;
R 9a and R 9b are each independently hydrogen or substituted or unsubstituted alkyl;
p is an integer of 0 to 4), or a pharmaceutically acceptable salt or solvate thereof.
本発明化合物において、一つの態様は以下の通りである。
式(I):
であり、
R1bが、
a) ハロゲン、置換もしくは非置換のアルキル、シアノ、置換もしくは非置換のシクロアルキル、または置換もしくは非置換の非芳香族複素環式基;
R2bは、それぞれ独立して、水素、置換もしくは非置換のアルキルまたは置換もしくは非置換アシル;
n4は、0または1の整数;
-B1は、式:-X-(CR8aR8b)m-Y
(式中、
Xが、N(R7c);
R7cが、水素;
R8aおよびR8bが、水素;
mは、1~5の整数:
Yは、置換もしくは非置換のアルキルスルホニルアミノ、置換もしくは非置換のアミノスルホニルアミノ、置換もしくは非置換のシクロアルキルスルホニルアミノ、置換もしくは非置換の非芳香族複素環スルホニルアミノ、置換もしくは非置換のアリールスルホニルアミノ、置換もしくは非置換のヘテロアリールスルホニルアミノ、または環を構成する窒素原子が置換基群Aから選択される置換基で置換されたスルホニルで置換された含窒素非芳香族複素環基)示される基;
B2は、
(式中、R10は、それぞれ独立して、置換もしくは非置換のアルキル;
R11は、水素、非置換のアルキルまたは置換基群C(置換基群C:ヒドロキシ、ハロゲン、置換もしくは非置換のアルコキシ、置換もしくは非置換のアルキルオキシカルボニル、置換もしくは非置換のシクロアルキル、置換もしくは非置換のシクロアルケニル、置換もしくは非置換の非芳香族複素環式基、置換もしくは非置換のアリールおよび置換もしくは非置換のヘテロアリール)から選択される置換基で1以上置換されたアルキル;
R9aおよびR9bは、それぞれ独立して、水素または置換もしくは非置換のアルキル;
pは0~4の整数)で示される基)で示される化合物、もしくはその製薬上許容される塩またはそれらの溶媒和物。
In the compound of the present invention, one embodiment is as follows.
Formula (I):
And
R 1b is
a) halogen, substituted or unsubstituted alkyl, cyano, substituted or unsubstituted cycloalkyl, or substituted or unsubstituted non-aromatic heterocyclic group;
Each R 2b is independently hydrogen, substituted or unsubstituted alkyl or substituted or unsubstituted acyl;
n 4 is an integer of 0 or 1;
—B 1 represents the formula: —X— (CR 8a R 8b ) mY
(Where
X is N (R 7c );
R 7c is hydrogen;
R 8a and R 8b are hydrogen;
m is an integer from 1 to 5:
Y is substituted or unsubstituted alkylsulfonylamino, substituted or unsubstituted aminosulfonylamino, substituted or unsubstituted cycloalkylsulfonylamino, substituted or unsubstituted non-aromatic heterocyclic sulfonylamino, substituted or unsubstituted aryl Sulfonylamino, substituted or unsubstituted heteroarylsulfonylamino, or a nitrogen-containing non-aromatic heterocyclic group in which a nitrogen atom constituting the ring is substituted with a sulfonyl substituted with a substituent selected from Substituent Group A) Group
B 2 is,
Wherein R 10 are each independently substituted or unsubstituted alkyl;
R 11 represents hydrogen, unsubstituted alkyl or substituent group C (substituent group C: hydroxy, halogen, substituted or unsubstituted alkoxy, substituted or unsubstituted alkyloxycarbonyl, substituted or unsubstituted cycloalkyl, substituted Or alkyl substituted with one or more substituents selected from unsubstituted cycloalkenyl, substituted or unsubstituted non-aromatic heterocyclic group, substituted or unsubstituted aryl and substituted or unsubstituted heteroaryl;
R 9a and R 9b are each independently hydrogen or substituted or unsubstituted alkyl;
p is an integer of 0 to 4), or a pharmaceutically acceptable salt or solvate thereof.
本発明化合物において、一つの態様は以下の通りである。
であり、
R1aが、
a) ハロゲン、置換もしくは非置換のアルキル、置換もしくは非置換のアルケニル、置換もしくは非置換のアルキニル、置換もしくは非置換のアルキルオキシ、置換もしくは非置換のアルケニルオキシ、置換もしくは非置換のアルキニルオキシ、置換もしくは非置換のアルキルチオ、置換もしくは非置換のアルケニルチオ、置換もしくは非置換のアルキニルチオ、置換もしくは非置換のアシル、ヒドロキシ、カルボキシ、置換もしくは非置換のアルキルオキシカルボニル、置換もしくは非置換のアルケニルオキシカルボニル、置換もしくは非置換のアルキニルオキシカルボニル、置換もしくは非置換のシクロアルキルオキシカルボニル、置換もしくは非置換のシクロアルケニルオキシカルボニル、置換もしくは非置換の非芳香族複素環オキシカルボニル、置換もしくは非置換のアリールオキシカルボニル、置換もしくは非置換のヘテロアリールオキシカルボニル、非置換スルファモイル、置換基群A(置換基群A:置換もしくは非置換のアルキル、置換もしくは非置換のアルケニル、置換もしくは非置換のアルキニル、置換もしくは非置換のシクロアルキル、置換もしくは非置換のシクロアルケニル、置換もしくは非置換の非芳香族複素環基、置換もしくは非置換のアリールおよび置換もしくは非置換のヘテロアリール)から選択される置換基で置換されたスルファモイル、非置換スルファモイル、置換基群Aから選択される置換基で置換されたスルフィニル、置換基群Aから選択される置換基で置換されたスルホニル、置換もしくは非置換のアルキルスルホニルオキシ、置換もしくは非置換のアリールスルホニルオキシ、シアノ、ニトロ、置換もしくは非置換のアミノ、置換もしくは非置換のシクロアルキル、置換もしくは非置換のシクロアルケニル、置換もしくは非置換の非芳香族複素環式基、置換もしくは非置換のアリール、置換もしくは非置換のヘテロアリール、置換もしくは非置換のシクロアルキルオキシ、置換もしくは非置換のシクロアルケニルオキシ、置換もしくは非置換の非芳香族複素環オキシ、置換もしくは非置換のアリールオキシ、または置換もしくは非置換のヘテロアリールオキシ、または、
以下のb)群~e)群からなる群から選択される1以上の基であってもよい;
b)2つのR1aが、同一の炭素原子に結合して、=Oならびに=NR3、
c)2つのR1aが、同一の炭素原子に結合して-(CR4aR4b)x-、
d)2つのR1aが、隣接する炭素原子に結合して-(CR5aR5b)y-、および
e)2つのR1aが、同一でなく、かつ隣接しない炭素原子に結合して-(CR6aR6b)z-、
ただし、R1aは、c)群、d)群およびe)群から同時に2以上選択される場合はない;
R3は、水素、置換もしくは非置換のアルキル、ヒドロキシ、置換もしくは非置換のアルキルオキシ、置換もしくは非置換のアルケニルオキシまたは置換もしくは非置換のアルキニルオキシ;
R4a、R4b、R5a、R5b、R6aおよびR6bは、それぞれ独立して、水素、ハロゲンまたは置換もしくは非置換のアルキル;
n1は、0~4の整数;
xは、2~7の整数;
yは、1~5の整数;
zは、1~3の整数)で示される環;
-B1は、式:-X-(CR8aR8b)m-Y
(式中、
Xは、N(R7c)またはO;
R7cは、水素、置換もしくは非置換のアルキルまたは置換もしくは非置換のアシル;
R8aおよびR8bは、それぞれ独立して、水素、ハロゲンまたは置換もしくは非置換のアルキル;
mは、1~5の整数:
Yは、置換もしくは非置換のシクロアルキルチオ、置換もしくは非置換のシクロアルケニルチオ、置換もしくは非置換の非芳香族複素環チオ、置換もしくは非置換のアリールチオ、置換もしくは非置換のヘテロアリールチオ、置換基群Aから選択される置換基で置換されたスルフィニル、置換基群Aから選択される置換基で置換されたスルホニル、非置換スルファモイル、置換基群Aから選択される置換基で置換されたスルファモイル、置換もしくは非置換のアルキルスルホニルアミノ、置換もしくは非置換のアルケニルスルホニルアミノ、置換もしくは非置換のアルキニルスルホニルアミノ、置換もしくは非置換のアミノスルホニルアミノ、置換もしくは非置換のシクロアルキルスルホニルアミノ、置換もしくは非置換のシクロアルケニルスルホニルアミノ、置換もしくは非置換の非芳香族複素環スルホニルアミノ、置換もしくは非置換のアリールスルホニルアミノ、置換もしくは非置換のヘテロアリールスルホニルアミノ、または環を構成する窒素原子が置換基群Aから選択される置換基で置換されたスルホニルで置換された含窒素非芳香族複素環基)で示される基;
B2は、
(式中、R10は、それぞれ独立して、置換もしくは非置換のアルキル、ハロゲン、ヒドロキシ、置換もしくは非置換のアルキルオキシ、置換もしくは非置換のアミノまたは一緒になってオキソもしくはチオキソ;
R12は、置換もしくは非置換のアルキル、ハロゲン、ヒドロキシまたは置換もしくは非置換のアルキルオキシ;
R11は、水素、置換もしくは非置換のシクロアルキル、非置換のアルキルまたは置換基群C(置換基群C:ヒドロキシ、ハロゲン、置換もしくは非置換のアルコキシ、置換もしくは非置換のアルキルオキシカルボニル、置換もしくは非置換のシクロアルキル、置換もしくは非置換のシクロアルケニル、置換もしくは非置換の非芳香族複素環式基、置換もしくは非置換のアリールおよび置換もしくは非置換のヘテロアリール)から選択される置換基で1以上置換されたアルキル;
R9aおよびR9bは、それぞれ独立して、水素または置換もしくは非置換のアルキル;
pは0~4の整数)で示される基または置換もしくは非置換のアミノで置換されたアルキレン)で示される化合物、もしくはその製薬上許容される塩またはそれらの溶媒和物。
In the compound of the present invention, one embodiment is as follows.
And
R 1a is
a) halogen, substituted or unsubstituted alkyl, substituted or unsubstituted alkenyl, substituted or unsubstituted alkynyl, substituted or unsubstituted alkyloxy, substituted or unsubstituted alkenyloxy, substituted or unsubstituted alkynyloxy, substituted Or unsubstituted alkylthio, substituted or unsubstituted alkenylthio, substituted or unsubstituted alkynylthio, substituted or unsubstituted acyl, hydroxy, carboxy, substituted or unsubstituted alkyloxycarbonyl, substituted or unsubstituted alkenyloxycarbonyl Substituted or unsubstituted alkynyloxycarbonyl, substituted or unsubstituted cycloalkyloxycarbonyl, substituted or unsubstituted cycloalkenyloxycarbonyl, substituted or unsubstituted non-aromatic heterocyclic oxycarbonyl Bonyl, substituted or unsubstituted aryloxycarbonyl, substituted or unsubstituted heteroaryloxycarbonyl, unsubstituted sulfamoyl, substituent group A (substituent group A: substituted or unsubstituted alkyl, substituted or unsubstituted alkenyl, substituted Or unsubstituted alkynyl, substituted or unsubstituted cycloalkyl, substituted or unsubstituted cycloalkenyl, substituted or unsubstituted non-aromatic heterocyclic group, substituted or unsubstituted aryl and substituted or unsubstituted heteroaryl) Sulfamoyl substituted with a selected substituent, unsubstituted sulfamoyl, sulfinyl substituted with a substituent selected from substituent group A, sulfonyl substituted with a substituent selected from substituent group A, substituted or non-substituted Substituted alkylsulfonyloxy, substituted or Unsubstituted arylsulfonyloxy, cyano, nitro, substituted or unsubstituted amino, substituted or unsubstituted cycloalkyl, substituted or unsubstituted cycloalkenyl, substituted or unsubstituted non-aromatic heterocyclic group, substituted or unsubstituted Substituted aryl, substituted or unsubstituted heteroaryl, substituted or unsubstituted cycloalkyloxy, substituted or unsubstituted cycloalkenyloxy, substituted or unsubstituted non-aromatic heterocyclic oxy, substituted or unsubstituted aryloxy, Or substituted or unsubstituted heteroaryloxy, or
It may be one or more groups selected from the group consisting of the following groups b) to e);
b) two R 1a are bonded to the same carbon atom, and ═O and ═NR 3 ,
c) Two R 1a are bonded to the same carbon atom to form — (CR 4a R 4b ) x—,
d) two R 1a bonded to adjacent carbon atoms-(CR 5a R 5b ) y-, and e) two R 1a bonded to non-identical and non-adjacent carbon atoms- ( CR 6a R 6b ) z-,
Provided that R 1a is not selected from two or more of c), d) and e) simultaneously;
R 3 is hydrogen, substituted or unsubstituted alkyl, hydroxy, substituted or unsubstituted alkyloxy, substituted or unsubstituted alkenyloxy, or substituted or unsubstituted alkynyloxy;
R 4a , R 4b , R 5a , R 5b , R 6a and R 6b are each independently hydrogen, halogen or substituted or unsubstituted alkyl;
n 1 is an integer from 0 to 4;
x is an integer of 2 to 7;
y is an integer of 1 to 5;
z is an integer of 1 to 3);
—B 1 represents the formula: —X— (CR 8a R 8b ) mY
(Where
X is N (R 7c ) or O;
R 7c is hydrogen, substituted or unsubstituted alkyl or substituted or unsubstituted acyl;
R 8a and R 8b are each independently hydrogen, halogen or substituted or unsubstituted alkyl;
m is an integer from 1 to 5:
Y is substituted or unsubstituted cycloalkylthio, substituted or unsubstituted cycloalkenylthio, substituted or unsubstituted non-aromatic heterocyclic thio, substituted or unsubstituted arylthio, substituted or unsubstituted heteroarylthio, substituent Sulfinyl substituted with a substituent selected from group A, sulfonyl substituted with a substituent selected from substituent group A, unsubstituted sulfamoyl, sulfamoyl substituted with a substituent selected from substituent group A, Substituted or unsubstituted alkylsulfonylamino, substituted or unsubstituted alkenylsulfonylamino, substituted or unsubstituted alkynylsulfonylamino, substituted or unsubstituted aminosulfonylamino, substituted or unsubstituted cycloalkylsulfonylamino, substituted or unsubstituted Cycloalkenyl The sulfonylamino, substituted or unsubstituted non-aromatic heterocyclic sulfonylamino, substituted or unsubstituted arylsulfonylamino, substituted or unsubstituted heteroarylsulfonylamino, or the nitrogen atom constituting the ring is selected from the substituent group A A nitrogen-containing non-aromatic heterocyclic group substituted with a sulfonyl substituted with a substituent);
B 2 is,
Wherein each R 10 is independently substituted or unsubstituted alkyl, halogen, hydroxy, substituted or unsubstituted alkyloxy, substituted or unsubstituted amino, or together oxo or thioxo;
R 12 represents substituted or unsubstituted alkyl, halogen, hydroxy, or substituted or unsubstituted alkyloxy;
R 11 represents hydrogen, substituted or unsubstituted cycloalkyl, unsubstituted alkyl, or substituent group C (substituent group C: hydroxy, halogen, substituted or unsubstituted alkoxy, substituted or unsubstituted alkyloxycarbonyl, substituted Or a substituent selected from unsubstituted cycloalkyl, substituted or unsubstituted cycloalkenyl, substituted or unsubstituted non-aromatic heterocyclic group, substituted or unsubstituted aryl and substituted or unsubstituted heteroaryl) One or more substituted alkyls;
R 9a and R 9b are each independently hydrogen or substituted or unsubstituted alkyl;
p is an integer of 0 to 4) or a compound represented by a substituted or unsubstituted amino-substituted alkylene), or a pharmaceutically acceptable salt thereof, or a solvate thereof.
本発明化合物において、一つの態様は以下の通りである。
式(I):
であり、
R1bが、
a)ハロゲン、置換もしくは非置換のアルキル、シアノ、置換もしくは非置換のシクロアルキル、または置換もしくは非置換の非芳香族複素環式基;
R2bは、それぞれ独立して、水素、置換もしくは非置換のアルキルまたは置換もしくは非置換アシル;
n1は、0~4の整数;
-B1は、式:-X-(CR8aR8b)m-Y
(式中、
Xが、N(R7c);
R7cが、水素;
R8aおよびR8bが、水素;
mは、1~5の整数:
Yが、置換基群A(置換基群A:置換もしくは非置換のアルキル、置換もしくは非置換のアルケニル、置換もしくは非置換のアルキニル、置換もしくは非置換のシクロアルキル、置換もしくは非置換のシクロアルケニル、置換もしくは非置換の非芳香族複素環基、置換もしくは非置換のアリールおよび置換もしくは非置換のヘテロアリール)から選択される置換基で置換されたスルファモイル、非置換のスルファモイルまたは置換基群Aから選択される置換基で置換されたスルホニル)で示される基;
B2は、
(式中、R10は、それぞれ独立して、置換もしくは非置換のアルキル;
R11は、水素、非置換のアルキルまたは置換基群C(置換基群C:ヒドロキシ、ハロゲン、置換もしくは非置換のアルコキシ、置換もしくは非置換のアルキルオキシカルボニル、置換もしくは非置換のシクロアルキル、置換もしくは非置換のシクロアルケニル、置換もしくは非置換の非芳香族複素環式基、置換もしくは非置換のアリールおよび置換もしくは非置換のヘテロアリール)から選択される置換基で1以上置換されたアルキル;
R9aおよびR9bは、それぞれ独立して、水素または置換もしくは非置換のアルキル;
pは0~4の整数)で示される基)で示される化合物、もしくはその製薬上許容される塩またはそれらの溶媒和物。
In the compound of the present invention, one embodiment is as follows.
Formula (I):
And
R 1b is
a) halogen, substituted or unsubstituted alkyl, cyano, substituted or unsubstituted cycloalkyl, or substituted or unsubstituted non-aromatic heterocyclic group;
Each R 2b is independently hydrogen, substituted or unsubstituted alkyl or substituted or unsubstituted acyl;
n 1 is an integer from 0 to 4;
—B 1 represents the formula: —X— (CR 8a R 8b ) mY
(Where
X is N (R 7c );
R 7c is hydrogen;
R 8a and R 8b are hydrogen;
m is an integer from 1 to 5:
Y is substituent group A (substituent group A: substituted or unsubstituted alkyl, substituted or unsubstituted alkenyl, substituted or unsubstituted alkynyl, substituted or unsubstituted cycloalkyl, substituted or unsubstituted cycloalkenyl, A substituted or unsubstituted non-aromatic heterocyclic group, substituted or unsubstituted aryl and substituted or unsubstituted heteroaryl) selected from sulfamoyl, unsubstituted sulfamoyl or substituent group A substituted with a substituent selected from A sulfonyl substituted with a substituent selected from
B 2 is,
Wherein R 10 are each independently substituted or unsubstituted alkyl;
R 11 represents hydrogen, unsubstituted alkyl or substituent group C (substituent group C: hydroxy, halogen, substituted or unsubstituted alkoxy, substituted or unsubstituted alkyloxycarbonyl, substituted or unsubstituted cycloalkyl, substituted Or alkyl substituted with one or more substituents selected from unsubstituted cycloalkenyl, substituted or unsubstituted non-aromatic heterocyclic group, substituted or unsubstituted aryl and substituted or unsubstituted heteroaryl;
R 9a and R 9b are each independently hydrogen or substituted or unsubstituted alkyl;
p is an integer of 0 to 4), or a pharmaceutically acceptable salt or solvate thereof.
本発明化合物において、一つの態様は以下の通りである。
式(I):
であり、
R1bが、
a) ハロゲン、置換もしくは非置換のアルキル、シアノ、置換もしくは非置換のシクロアルキル、または置換もしくは非置換の非芳香族複素環式基;
R2bは、それぞれ独立して、水素、置換もしくは非置換のアルキルまたは置換もしくは非置換アシル;
n1は、0~4の整数;
-B1は、式:-X-(CR8aR8b)m-Y
(式中、
Xが、N(R7c);
R7cが、水素;
R8aおよびR8bが、水素;
mは、1~5の整数:
Yは、置換もしくは非置換のアルキルスルホニルアミノ、置換もしくは非置換のアミノスルホニルアミノ、置換もしくは非置換のシクロアルキルスルホニルアミノ、置換もしくは非置換の非芳香族複素環スルホニルアミノ、置換もしくは非置換のアリールスルホニルアミノ、置換もしくは非置換のヘテロアリールスルホニルアミノ、または環を構成する窒素原子が置換基群Aから選択される置換基で置換されたスルホニルで置換された含窒素非芳香族複素環基)示される基;
B2は、
(式中、R10は、それぞれ独立して、置換もしくは非置換のアルキル;
R11は、水素、非置換のアルキルまたは置換基群C(置換基群C:ヒドロキシ、ハロゲン、置換もしくは非置換のアルコキシ、置換もしくは非置換のアルキルオキシカルボニル、置換もしくは非置換のシクロアルキル、置換もしくは非置換のシクロアルケニル、置換もしくは非置換の非芳香族複素環式基、置換もしくは非置換のアリールおよび置換もしくは非置換のヘテロアリール)から選択される置換基で1以上置換されたアルキル;
R9aおよびR9bは、それぞれ独立して、水素または置換もしくは非置換のアルキル;
pは0~4の整数)で示される基)で示される化合物、もしくはその製薬上許容される塩またはそれらの溶媒和物。
In the compound of the present invention, one embodiment is as follows.
Formula (I):
And
R 1b is
a) halogen, substituted or unsubstituted alkyl, cyano, substituted or unsubstituted cycloalkyl, or substituted or unsubstituted non-aromatic heterocyclic group;
Each R 2b is independently hydrogen, substituted or unsubstituted alkyl or substituted or unsubstituted acyl;
n 1 is an integer from 0 to 4;
—B 1 represents the formula: —X— (CR 8a R 8b ) mY
(Where
X is N (R 7c );
R 7c is hydrogen;
R 8a and R 8b are hydrogen;
m is an integer from 1 to 5:
Y is substituted or unsubstituted alkylsulfonylamino, substituted or unsubstituted aminosulfonylamino, substituted or unsubstituted cycloalkylsulfonylamino, substituted or unsubstituted non-aromatic heterocyclic sulfonylamino, substituted or unsubstituted aryl Sulfonylamino, substituted or unsubstituted heteroarylsulfonylamino, or a nitrogen-containing non-aromatic heterocyclic group in which a nitrogen atom constituting the ring is substituted with a sulfonyl substituted with a substituent selected from Substituent Group A) Group
B 2 is,
Wherein R 10 are each independently substituted or unsubstituted alkyl;
R 11 represents hydrogen, unsubstituted alkyl or substituent group C (substituent group C: hydroxy, halogen, substituted or unsubstituted alkoxy, substituted or unsubstituted alkyloxycarbonyl, substituted or unsubstituted cycloalkyl, substituted Or alkyl substituted with one or more substituents selected from unsubstituted cycloalkenyl, substituted or unsubstituted non-aromatic heterocyclic group, substituted or unsubstituted aryl and substituted or unsubstituted heteroaryl;
R 9a and R 9b are each independently hydrogen or substituted or unsubstituted alkyl;
p is an integer of 0 to 4), or a pharmaceutically acceptable salt or solvate thereof.
本発明化合物において、一つの態様は以下の通りである。
であり、
R1aが、
a) ハロゲン、置換もしくは非置換のアルキル、置換もしくは非置換のアルケニル、置換もしくは非置換のアルキニル、置換もしくは非置換のアルキルオキシ、置換もしくは非置換のアルケニルオキシ、置換もしくは非置換のアルキニルオキシ、置換もしくは非置換のアルキルチオ、置換もしくは非置換のアルケニルチオ、置換もしくは非置換のアルキニルチオ、置換もしくは非置換のアシル、ヒドロキシ、カルボキシ、置換もしくは非置換のアルキルオキシカルボニル、置換もしくは非置換のアルケニルオキシカルボニル、置換もしくは非置換のアルキニルオキシカルボニル、置換もしくは非置換のシクロアルキルオキシカルボニル、置換もしくは非置換のシクロアルケニルオキシカルボニル、置換もしくは非置換の非芳香族複素環オキシカルボニル、置換もしくは非置換のアリールオキシカルボニル、置換もしくは非置換のヘテロアリールオキシカルボニル、非置換スルファモイル、置換基群A(置換基群A:置換もしくは非置換のアルキル、置換もしくは非置換のアルケニル、置換もしくは非置換のアルキニル、置換もしくは非置換のシクロアルキル、置換もしくは非置換のシクロアルケニル、置換もしくは非置換の非芳香族複素環基、置換もしくは非置換のアリールおよび置換もしくは非置換のヘテロアリール)から選択される置換基で置換されたスルファモイル、非置換スルファモイル、置換基群Aから選択される置換基で置換されたスルフィニル、置換基群Aから選択される置換基で置換されたスルホニル、置換もしくは非置換のアルキルスルホニルオキシ、置換もしくは非置換のアリールスルホニルオキシ、シアノ、ニトロ、置換もしくは非置換のアミノ、置換もしくは非置換のシクロアルキル、置換もしくは非置換のシクロアルケニル、置換もしくは非置換の非芳香族複素環式基、置換もしくは非置換のアリール、置換もしくは非置換のヘテロアリール、置換もしくは非置換のシクロアルキルオキシ、置換もしくは非置換のシクロアルケニルオキシ、置換もしくは非置換の非芳香族複素環オキシ、置換もしくは非置換のアリールオキシ、または置換もしくは非置換のヘテロアリールオキシ、または、
以下のb)群~e)群からなる群から選択される1以上の基であってもよい;
b)2つのR1aが、同一の炭素原子に結合して、=Oならびに=NR3、
c)2つのR1aが、同一の炭素原子に結合して-(CR4aR4b)x-、
d)2つのR1aが、隣接する炭素原子に結合して-(CR5aR5b)y-、および
e)2つのR1aが、同一でなく、かつ隣接しない炭素原子に結合して-(CR6aR6b)z-、
ただし、R1aは、c)群、d)群およびe)群から同時に2以上選択される場合はない;
R3は、水素、置換もしくは非置換のアルキル、ヒドロキシ、置換もしくは非置換のアルキルオキシ、置換もしくは非置換のアルケニルオキシまたは置換もしくは非置換のアルキニルオキシ;
R4a、R4b、R5a、R5b、R6aおよびR6bは、それぞれ独立して、水素、ハロゲンまたは置換もしくは非置換のアルキル;
n1は、0~4の整数;
xは、2~7の整数;
yは、1~5の整数;
zは、1~3の整数)で示される環;
-B1は、式:-X-(CR8aR8b)m-Y
(式中、
Xは、N(R7c)またはO;
R7cは、水素、置換もしくは非置換のアルキルまたは置換もしくは非置換のアシル;
R8aおよびR8bは、それぞれ独立して、水素、ハロゲンまたは置換もしくは非置換のアルキル;
mは、1~5の整数:
Yは、置換もしくは非置換のシクロアルキルチオ、置換もしくは非置換のシクロアルケニルチオ、置換もしくは非置換の非芳香族複素環チオ、置換もしくは非置換のアリールチオ、置換もしくは非置換のヘテロアリールチオ、置換基群Aから選択される置換基で置換されたスルフィニル、置換基群Aから選択される置換基で置換されたスルホニル、非置換スルファモイル、置換基群Aから選択される置換基で置換されたスルファモイル、置換もしくは非置換のアルキルスルホニルアミノ、置換もしくは非置換のアルケニルスルホニルアミノ、置換もしくは非置換のアルキニルスルホニルアミノ、置換もしくは非置換のアミノスルホニルアミノ、置換もしくは非置換のシクロアルキルスルホニルアミノ、置換もしくは非置換のシクロアルケニルスルホニルアミノ、置換もしくは非置換の非芳香族複素環スルホニルアミノ、置換もしくは非置換のアリールスルホニルアミノ、置換もしくは非置換のヘテロアリールスルホニルアミノ、または環を構成する窒素原子が置換基群Aから選択される置換基で置換されたスルホニルで置換された含窒素非芳香族複素環基)で示される基;
B2は、
(式中、R10は、それぞれ独立して、置換もしくは非置換のアルキル、ハロゲン、ヒドロキシ、置換もしくは非置換のアルキルオキシ、置換もしくは非置換のアミノまたは一緒になってオキソもしくはチオキソ;
R12は、置換もしくは非置換のアルキル、ハロゲン、ヒドロキシまたは置換もしくは非置換のアルキルオキシ;
R11は、水素、置換もしくは非置換のシクロアルキル、非置換のアルキルまたは置換基群C(置換基群C:ヒドロキシ、ハロゲン、置換もしくは非置換のアルコキシ、置換もしくは非置換のアルキルオキシカルボニル、置換もしくは非置換のシクロアルキル、置換もしくは非置換のシクロアルケニル、置換もしくは非置換の非芳香族複素環式基、置換もしくは非置換のアリールおよび置換もしくは非置換のヘテロアリール)から選択される置換基で1以上置換されたアルキル;
R9aおよびR9bは、それぞれ独立して、水素または置換もしくは非置換のアルキル;
pは0~4の整数)で示される基または置換もしくは非置換のアミノで置換されたアルキレン)で示される化合物、もしくはその製薬上許容される塩またはそれらの溶媒和物。
In the compound of the present invention, one embodiment is as follows.
And
R 1a is
a) halogen, substituted or unsubstituted alkyl, substituted or unsubstituted alkenyl, substituted or unsubstituted alkynyl, substituted or unsubstituted alkyloxy, substituted or unsubstituted alkenyloxy, substituted or unsubstituted alkynyloxy, substituted Or unsubstituted alkylthio, substituted or unsubstituted alkenylthio, substituted or unsubstituted alkynylthio, substituted or unsubstituted acyl, hydroxy, carboxy, substituted or unsubstituted alkyloxycarbonyl, substituted or unsubstituted alkenyloxycarbonyl Substituted or unsubstituted alkynyloxycarbonyl, substituted or unsubstituted cycloalkyloxycarbonyl, substituted or unsubstituted cycloalkenyloxycarbonyl, substituted or unsubstituted non-aromatic heterocyclic oxycarbonyl Bonyl, substituted or unsubstituted aryloxycarbonyl, substituted or unsubstituted heteroaryloxycarbonyl, unsubstituted sulfamoyl, substituent group A (substituent group A: substituted or unsubstituted alkyl, substituted or unsubstituted alkenyl, substituted Or unsubstituted alkynyl, substituted or unsubstituted cycloalkyl, substituted or unsubstituted cycloalkenyl, substituted or unsubstituted non-aromatic heterocyclic group, substituted or unsubstituted aryl and substituted or unsubstituted heteroaryl) Sulfamoyl substituted with a selected substituent, unsubstituted sulfamoyl, sulfinyl substituted with a substituent selected from substituent group A, sulfonyl substituted with a substituent selected from substituent group A, substituted or non-substituted Substituted alkylsulfonyloxy, substituted or Unsubstituted arylsulfonyloxy, cyano, nitro, substituted or unsubstituted amino, substituted or unsubstituted cycloalkyl, substituted or unsubstituted cycloalkenyl, substituted or unsubstituted non-aromatic heterocyclic group, substituted or unsubstituted Substituted aryl, substituted or unsubstituted heteroaryl, substituted or unsubstituted cycloalkyloxy, substituted or unsubstituted cycloalkenyloxy, substituted or unsubstituted non-aromatic heterocyclic oxy, substituted or unsubstituted aryloxy, Or substituted or unsubstituted heteroaryloxy, or
It may be one or more groups selected from the group consisting of the following groups b) to e);
b) two R 1a are bonded to the same carbon atom, and ═O and ═NR 3 ,
c) Two R 1a are bonded to the same carbon atom to form — (CR 4a R 4b ) x—,
d) two R 1a bonded to adjacent carbon atoms-(CR 5a R 5b ) y-, and e) two R 1a bonded to non-identical and non-adjacent carbon atoms- ( CR 6a R 6b ) z-,
Provided that R 1a is not selected from two or more of c), d) and e) simultaneously;
R 3 is hydrogen, substituted or unsubstituted alkyl, hydroxy, substituted or unsubstituted alkyloxy, substituted or unsubstituted alkenyloxy, or substituted or unsubstituted alkynyloxy;
R 4a , R 4b , R 5a , R 5b , R 6a and R 6b are each independently hydrogen, halogen or substituted or unsubstituted alkyl;
n 1 is an integer from 0 to 4;
x is an integer of 2 to 7;
y is an integer of 1 to 5;
z is an integer of 1 to 3);
—B 1 represents the formula: —X— (CR 8a R 8b ) mY
(Where
X is N (R 7c ) or O;
R 7c is hydrogen, substituted or unsubstituted alkyl or substituted or unsubstituted acyl;
R 8a and R 8b are each independently hydrogen, halogen or substituted or unsubstituted alkyl;
m is an integer from 1 to 5:
Y is substituted or unsubstituted cycloalkylthio, substituted or unsubstituted cycloalkenylthio, substituted or unsubstituted non-aromatic heterocyclic thio, substituted or unsubstituted arylthio, substituted or unsubstituted heteroarylthio, substituent Sulfinyl substituted with a substituent selected from group A, sulfonyl substituted with a substituent selected from substituent group A, unsubstituted sulfamoyl, sulfamoyl substituted with a substituent selected from substituent group A, Substituted or unsubstituted alkylsulfonylamino, substituted or unsubstituted alkenylsulfonylamino, substituted or unsubstituted alkynylsulfonylamino, substituted or unsubstituted aminosulfonylamino, substituted or unsubstituted cycloalkylsulfonylamino, substituted or unsubstituted Cycloalkenyl The sulfonylamino, substituted or unsubstituted non-aromatic heterocyclic sulfonylamino, substituted or unsubstituted arylsulfonylamino, substituted or unsubstituted heteroarylsulfonylamino, or the nitrogen atom constituting the ring is selected from the substituent group A A nitrogen-containing non-aromatic heterocyclic group substituted with a sulfonyl substituted with a substituent);
B 2 is,
Wherein each R 10 is independently substituted or unsubstituted alkyl, halogen, hydroxy, substituted or unsubstituted alkyloxy, substituted or unsubstituted amino, or together oxo or thioxo;
R 12 represents substituted or unsubstituted alkyl, halogen, hydroxy, or substituted or unsubstituted alkyloxy;
R 11 represents hydrogen, substituted or unsubstituted cycloalkyl, unsubstituted alkyl, or substituent group C (substituent group C: hydroxy, halogen, substituted or unsubstituted alkoxy, substituted or unsubstituted alkyloxycarbonyl, substituted Or a substituent selected from unsubstituted cycloalkyl, substituted or unsubstituted cycloalkenyl, substituted or unsubstituted non-aromatic heterocyclic group, substituted or unsubstituted aryl and substituted or unsubstituted heteroaryl) One or more substituted alkyls;
R 9a and R 9b are each independently hydrogen or substituted or unsubstituted alkyl;
p is an integer of 0 to 4) or a compound represented by a substituted or unsubstituted amino-substituted alkylene), or a pharmaceutically acceptable salt thereof, or a solvate thereof.
本発明化合物において、一つの態様は以下の通りである。
式(I):
であり、
R1bが、
a)ハロゲン、置換もしくは非置換のアルキル、シアノ、置換もしくは非置換のシクロアルキル、または置換もしくは非置換の非芳香族複素環式基;
R2bは、それぞれ独立して、水素、置換もしくは非置換のアルキルまたは置換もしくは非置換アシル;
n1、0~4の整数;
-B1は、式:-X-(CR8aR8b)m-Y
(式中、
Xが、N(R7c);
R7cが、水素;
R8aおよびR8bが、水素;
mは、1~5の整数:
Yが、置換基群A(置換基群A:置換もしくは非置換のアルキル、置換もしくは非置換のアルケニル、置換もしくは非置換のアルキニル、置換もしくは非置換のシクロアルキル、置換もしくは非置換のシクロアルケニル、置換もしくは非置換の非芳香族複素環基、置換もしくは非置換のアリールおよび置換もしくは非置換のヘテロアリール)から選択される置換基で置換されたスルファモイル、非置換のスルファモイルまたは置換基群Aから選択される置換基で置換されたスルホニル)で示される基;
B2は、
(式中、R10は、それぞれ独立して、置換もしくは非置換のアルキル;
R11は、水素、非置換のアルキルまたは置換基群C(置換基群C:ヒドロキシ、ハロゲン、置換もしくは非置換のアルコキシ、置換もしくは非置換のアルキルオキシカルボニル、置換もしくは非置換のシクロアルキル、置換もしくは非置換のシクロアルケニル、置換もしくは非置換の非芳香族複素環式基、置換もしくは非置換のアリールおよび置換もしくは非置換のヘテロアリール)から選択される置換基で1以上置換されたアルキル;
R9aおよびR9bは、それぞれ独立して、水素または置換もしくは非置換のアルキル;
pは0~4の整数)で示される基)で示される化合物、もしくはその製薬上許容される塩またはそれらの溶媒和物。
In the compound of the present invention, one embodiment is as follows.
Formula (I):
And
R 1b is
a) halogen, substituted or unsubstituted alkyl, cyano, substituted or unsubstituted cycloalkyl, or substituted or unsubstituted non-aromatic heterocyclic group;
Each R 2b is independently hydrogen, substituted or unsubstituted alkyl or substituted or unsubstituted acyl;
n 1 , an integer from 0 to 4;
—B 1 represents the formula: —X— (CR 8a R 8b ) mY
(Where
X is N (R 7c );
R 7c is hydrogen;
R 8a and R 8b are hydrogen;
m is an integer from 1 to 5:
Y is substituent group A (substituent group A: substituted or unsubstituted alkyl, substituted or unsubstituted alkenyl, substituted or unsubstituted alkynyl, substituted or unsubstituted cycloalkyl, substituted or unsubstituted cycloalkenyl, A substituted or unsubstituted non-aromatic heterocyclic group, substituted or unsubstituted aryl and substituted or unsubstituted heteroaryl) selected from sulfamoyl, unsubstituted sulfamoyl or substituent group A substituted with a substituent selected from A sulfonyl substituted with a substituent selected from
B 2 is,
Wherein R 10 are each independently substituted or unsubstituted alkyl;
R 11 represents hydrogen, unsubstituted alkyl or substituent group C (substituent group C: hydroxy, halogen, substituted or unsubstituted alkoxy, substituted or unsubstituted alkyloxycarbonyl, substituted or unsubstituted cycloalkyl, substituted Or alkyl substituted with one or more substituents selected from unsubstituted cycloalkenyl, substituted or unsubstituted non-aromatic heterocyclic group, substituted or unsubstituted aryl and substituted or unsubstituted heteroaryl;
R 9a and R 9b are each independently hydrogen or substituted or unsubstituted alkyl;
p is an integer of 0 to 4), or a pharmaceutically acceptable salt or solvate thereof.
本発明化合物において、一つの態様は以下の通りである。
式(I):
であり、
R1bが、
a) ハロゲン、置換もしくは非置換のアルキル、シアノ、置換もしくは非置換のシクロアルキル、または置換もしくは非置換の非芳香族複素環式基;
R2bは、それぞれ独立して、水素、置換もしくは非置換のアルキルまたは置換もしくは非置換アシル;
n1は、0~4の整数;
-B1は、式:-X-(CR8aR8b)m-Y
(式中、
Xが、N(R7c);
R7cが、水素;
R8aおよびR8bが、水素;
mは、1~5の整数:
Yは、置換もしくは非置換のアルキルスルホニルアミノ、置換もしくは非置換のアミノスルホニルアミノ、置換もしくは非置換のシクロアルキルスルホニルアミノ、置換もしくは非置換の非芳香族複素環スルホニルアミノ、置換もしくは非置換のアリールスルホニルアミノ、置換もしくは非置換のヘテロアリールスルホニルアミノ、または環を構成する窒素原子が置換基群Aから選択される置換基で置換されたスルホニルで置換された含窒素非芳香族複素環基)示される基;
B2は、
(式中、R10は、それぞれ独立して、置換もしくは非置換のアルキル;
R11は、水素、非置換のアルキルまたは置換基群C(置換基群C:ヒドロキシ、ハロゲン、置換もしくは非置換のアルコキシ、置換もしくは非置換のアルキルオキシカルボニル、置換もしくは非置換のシクロアルキル、置換もしくは非置換のシクロアルケニル、置換もしくは非置換の非芳香族複素環式基、置換もしくは非置換のアリールおよび置換もしくは非置換のヘテロアリール)から選択される置換基で1以上置換されたアルキル;
R9aおよびR9bは、それぞれ独立して、水素または置換もしくは非置換のアルキル;
pは0~4の整数)で示される基)で示される化合物、もしくはその製薬上許容される塩またはそれらの溶媒和物。
In the compound of the present invention, one embodiment is as follows.
Formula (I):
And
R 1b is
a) halogen, substituted or unsubstituted alkyl, cyano, substituted or unsubstituted cycloalkyl, or substituted or unsubstituted non-aromatic heterocyclic group;
Each R 2b is independently hydrogen, substituted or unsubstituted alkyl or substituted or unsubstituted acyl;
n 1 is an integer from 0 to 4;
—B 1 represents the formula: —X— (CR 8a R 8b ) mY
(Where
X is N (R 7c );
R 7c is hydrogen;
R 8a and R 8b are hydrogen;
m is an integer from 1 to 5:
Y is substituted or unsubstituted alkylsulfonylamino, substituted or unsubstituted aminosulfonylamino, substituted or unsubstituted cycloalkylsulfonylamino, substituted or unsubstituted non-aromatic heterocyclic sulfonylamino, substituted or unsubstituted aryl Sulfonylamino, substituted or unsubstituted heteroarylsulfonylamino, or a nitrogen-containing non-aromatic heterocyclic group in which a nitrogen atom constituting the ring is substituted with a sulfonyl substituted with a substituent selected from Substituent Group A) Group
B 2 is,
Wherein R 10 are each independently substituted or unsubstituted alkyl;
R 11 represents hydrogen, unsubstituted alkyl or substituent group C (substituent group C: hydroxy, halogen, substituted or unsubstituted alkoxy, substituted or unsubstituted alkyloxycarbonyl, substituted or unsubstituted cycloalkyl, substituted Or alkyl substituted with one or more substituents selected from unsubstituted cycloalkenyl, substituted or unsubstituted non-aromatic heterocyclic group, substituted or unsubstituted aryl and substituted or unsubstituted heteroaryl;
R 9a and R 9b are each independently hydrogen or substituted or unsubstituted alkyl;
p is an integer of 0 to 4), or a pharmaceutically acceptable salt or solvate thereof.
本発明化合物において、一つの態様は以下の通りである。
であり、
R1aが、
a) ハロゲン、置換もしくは非置換のアルキル、置換もしくは非置換のアルケニル、置換もしくは非置換のアルキニル、置換もしくは非置換のアルキルオキシ、置換もしくは非置換のアルケニルオキシ、置換もしくは非置換のアルキニルオキシ、置換もしくは非置換のアルキルチオ、置換もしくは非置換のアルケニルチオ、置換もしくは非置換のアルキニルチオ、置換もしくは非置換のアシル、ヒドロキシ、カルボキシ、置換もしくは非置換のアルキルオキシカルボニル、置換もしくは非置換のアルケニルオキシカルボニル、置換もしくは非置換のアルキニルオキシカルボニル、置換もしくは非置換のシクロアルキルオキシカルボニル、置換もしくは非置換のシクロアルケニルオキシカルボニル、置換もしくは非置換の非芳香族複素環オキシカルボニル、置換もしくは非置換のアリールオキシカルボニル、置換もしくは非置換のヘテロアリールオキシカルボニル、非置換スルファモイル、置換基群A(置換基群A:置換もしくは非置換のアルキル、置換もしくは非置換のアルケニル、置換もしくは非置換のアルキニル、置換もしくは非置換のシクロアルキル、置換もしくは非置換のシクロアルケニル、置換もしくは非置換の非芳香族複素環基、置換もしくは非置換のアリールおよび置換もしくは非置換のヘテロアリール)から選択される置換基で置換されたスルファモイル、非置換スルファモイル、置換基群Aから選択される置換基で置換されたスルフィニル、置換基群Aから選択される置換基で置換されたスルホニル、置換もしくは非置換のアルキルスルホニルオキシ、置換もしくは非置換のアリールスルホニルオキシ、シアノ、ニトロ、置換もしくは非置換のアミノ、置換もしくは非置換のシクロアルキル、置換もしくは非置換のシクロアルケニル、置換もしくは非置換の非芳香族複素環式基、置換もしくは非置換のアリール、置換もしくは非置換のヘテロアリール、置換もしくは非置換のシクロアルキルオキシ、置換もしくは非置換のシクロアルケニルオキシ、置換もしくは非置換の非芳香族複素環オキシ、置換もしくは非置換のアリールオキシ、または置換もしくは非置換のヘテロアリールオキシ、または、
以下のb)群~e)群からなる群から選択される1以上の基であってもよい;
b)2つのR1aが、同一の炭素原子に結合して、=Oならびに=NR3、
c)2つのR1aが、同一の炭素原子に結合して-(CR4aR4b)x-、
d)2つのR1aが、隣接する炭素原子に結合して-(CR5aR5b)y-、および
e)2つのR1aが、同一でなく、かつ隣接しない炭素原子に結合して-(CR6aR6b)z-、
ただし、R1aは、c)群、d)群およびe)群から同時に2以上選択される場合はない;
R3は、水素、置換もしくは非置換のアルキル、ヒドロキシ、置換もしくは非置換のアルキルオキシ、置換もしくは非置換のアルケニルオキシまたは置換もしくは非置換のアルキニルオキシ;
R4a、R4b、R5a、R5b、R6aおよびR6bは、それぞれ独立して、水素、ハロゲンまたは置換もしくは非置換のアルキル;
n1は、0~4の整数;
xは、2~7の整数;
yは、1~5の整数;
zは、1~3の整数)で示される環;
-B1は、式:-X-(CR8aR8b)m-Y
(式中、
Xは、N(R7c)またはO;
R7cは、水素、置換もしくは非置換のアルキルまたは置換もしくは非置換のアシル;
R8aおよびR8bは、それぞれ独立して、水素、ハロゲンまたは置換もしくは非置換のアルキル;
mは、1~5の整数:
Yは、置換もしくは非置換のシクロアルキルチオ、置換もしくは非置換のシクロアルケニルチオ、置換もしくは非置換の非芳香族複素環チオ、置換もしくは非置換のアリールチオ、置換もしくは非置換のヘテロアリールチオ、置換基群Aから選択される置換基で置換されたスルフィニル、置換基群Aから選択される置換基で置換されたスルホニル、非置換スルファモイル、置換基群Aから選択される置換基で置換されたスルファモイル、置換もしくは非置換のアルキルスルホニルアミノ、置換もしくは非置換のアルケニルスルホニルアミノ、置換もしくは非置換のアルキニルスルホニルアミノ、置換もしくは非置換のアミノスルホニルアミノ、置換もしくは非置換のシクロアルキルスルホニルアミノ、置換もしくは非置換のシクロアルケニルスルホニルアミノ、置換もしくは非置換の非芳香族複素環スルホニルアミノ、置換もしくは非置換のアリールスルホニルアミノ、置換もしくは非置換のヘテロアリールスルホニルアミノ、または環を構成する窒素原子が置換基群Aから選択される置換基で置換されたスルホニルで置換された含窒素非芳香族複素環基)で示される基;
B2は、
(式中、R10は、それぞれ独立して、置換もしくは非置換のアルキル、ハロゲン、ヒドロキシ、置換もしくは非置換のアルキルオキシ、置換もしくは非置換のアミノまたは一緒になってオキソもしくはチオキソ;
R12は、置換もしくは非置換のアルキル、ハロゲン、ヒドロキシまたは置換もしくは非置換のアルキルオキシ;
R11は、水素、置換もしくは非置換のシクロアルキル、非置換のアルキルまたは置換基群C(置換基群C:ヒドロキシ、ハロゲン、置換もしくは非置換のアルコキシ、置換もしくは非置換のアルキルオキシカルボニル、置換もしくは非置換のシクロアルキル、置換もしくは非置換のシクロアルケニル、置換もしくは非置換の非芳香族複素環式基、置換もしくは非置換のアリールおよび置換もしくは非置換のヘテロアリール)から選択される置換基で1以上置換されたアルキル;
R9aおよびR9bは、それぞれ独立して、水素または置換もしくは非置換のアルキル;
pは0~4の整数)で示される基または置換もしくは非置換のアミノで置換されたアルキレン)で示される化合物、もしくはその製薬上許容される塩またはそれらの溶媒和物。
In the compound of the present invention, one embodiment is as follows.
And
R 1a is
a) halogen, substituted or unsubstituted alkyl, substituted or unsubstituted alkenyl, substituted or unsubstituted alkynyl, substituted or unsubstituted alkyloxy, substituted or unsubstituted alkenyloxy, substituted or unsubstituted alkynyloxy, substituted Or unsubstituted alkylthio, substituted or unsubstituted alkenylthio, substituted or unsubstituted alkynylthio, substituted or unsubstituted acyl, hydroxy, carboxy, substituted or unsubstituted alkyloxycarbonyl, substituted or unsubstituted alkenyloxycarbonyl Substituted or unsubstituted alkynyloxycarbonyl, substituted or unsubstituted cycloalkyloxycarbonyl, substituted or unsubstituted cycloalkenyloxycarbonyl, substituted or unsubstituted non-aromatic heterocyclic oxycarbonyl Bonyl, substituted or unsubstituted aryloxycarbonyl, substituted or unsubstituted heteroaryloxycarbonyl, unsubstituted sulfamoyl, substituent group A (substituent group A: substituted or unsubstituted alkyl, substituted or unsubstituted alkenyl, substituted Or unsubstituted alkynyl, substituted or unsubstituted cycloalkyl, substituted or unsubstituted cycloalkenyl, substituted or unsubstituted non-aromatic heterocyclic group, substituted or unsubstituted aryl and substituted or unsubstituted heteroaryl) Sulfamoyl substituted with a selected substituent, unsubstituted sulfamoyl, sulfinyl substituted with a substituent selected from substituent group A, sulfonyl substituted with a substituent selected from substituent group A, substituted or non-substituted Substituted alkylsulfonyloxy, substituted or Unsubstituted arylsulfonyloxy, cyano, nitro, substituted or unsubstituted amino, substituted or unsubstituted cycloalkyl, substituted or unsubstituted cycloalkenyl, substituted or unsubstituted non-aromatic heterocyclic group, substituted or unsubstituted Substituted aryl, substituted or unsubstituted heteroaryl, substituted or unsubstituted cycloalkyloxy, substituted or unsubstituted cycloalkenyloxy, substituted or unsubstituted non-aromatic heterocyclic oxy, substituted or unsubstituted aryloxy, Or substituted or unsubstituted heteroaryloxy, or
It may be one or more groups selected from the group consisting of the following groups b) to e);
b) two R 1a are bonded to the same carbon atom, and ═O and ═NR 3 ,
c) Two R 1a are bonded to the same carbon atom to form — (CR 4a R 4b ) x—,
d) two R 1a bonded to adjacent carbon atoms-(CR 5a R 5b ) y-, and e) two R 1a bonded to non-identical and non-adjacent carbon atoms- ( CR 6a R 6b ) z-,
Provided that R 1a is not selected from two or more of c), d) and e) simultaneously;
R 3 is hydrogen, substituted or unsubstituted alkyl, hydroxy, substituted or unsubstituted alkyloxy, substituted or unsubstituted alkenyloxy, or substituted or unsubstituted alkynyloxy;
R 4a , R 4b , R 5a , R 5b , R 6a and R 6b are each independently hydrogen, halogen or substituted or unsubstituted alkyl;
n 1 is an integer from 0 to 4;
x is an integer of 2 to 7;
y is an integer of 1 to 5;
z is an integer of 1 to 3);
—B 1 represents the formula: —X— (CR 8a R 8b ) mY
(Where
X is N (R 7c ) or O;
R 7c is hydrogen, substituted or unsubstituted alkyl or substituted or unsubstituted acyl;
R 8a and R 8b are each independently hydrogen, halogen or substituted or unsubstituted alkyl;
m is an integer from 1 to 5:
Y is substituted or unsubstituted cycloalkylthio, substituted or unsubstituted cycloalkenylthio, substituted or unsubstituted non-aromatic heterocyclic thio, substituted or unsubstituted arylthio, substituted or unsubstituted heteroarylthio, substituent Sulfinyl substituted with a substituent selected from group A, sulfonyl substituted with a substituent selected from substituent group A, unsubstituted sulfamoyl, sulfamoyl substituted with a substituent selected from substituent group A, Substituted or unsubstituted alkylsulfonylamino, substituted or unsubstituted alkenylsulfonylamino, substituted or unsubstituted alkynylsulfonylamino, substituted or unsubstituted aminosulfonylamino, substituted or unsubstituted cycloalkylsulfonylamino, substituted or unsubstituted Cycloalkenyl The sulfonylamino, substituted or unsubstituted non-aromatic heterocyclic sulfonylamino, substituted or unsubstituted arylsulfonylamino, substituted or unsubstituted heteroarylsulfonylamino, or the nitrogen atom constituting the ring is selected from the substituent group A A nitrogen-containing non-aromatic heterocyclic group substituted with a sulfonyl substituted with a substituent);
B 2 is,
Wherein each R 10 is independently substituted or unsubstituted alkyl, halogen, hydroxy, substituted or unsubstituted alkyloxy, substituted or unsubstituted amino, or together oxo or thioxo;
R 12 represents substituted or unsubstituted alkyl, halogen, hydroxy, or substituted or unsubstituted alkyloxy;
R 11 represents hydrogen, substituted or unsubstituted cycloalkyl, unsubstituted alkyl, or substituent group C (substituent group C: hydroxy, halogen, substituted or unsubstituted alkoxy, substituted or unsubstituted alkyloxycarbonyl, substituted Or a substituent selected from unsubstituted cycloalkyl, substituted or unsubstituted cycloalkenyl, substituted or unsubstituted non-aromatic heterocyclic group, substituted or unsubstituted aryl and substituted or unsubstituted heteroaryl) One or more substituted alkyls;
R 9a and R 9b are each independently hydrogen or substituted or unsubstituted alkyl;
p is an integer of 0 to 4) or a compound represented by a substituted or unsubstituted amino-substituted alkylene), or a pharmaceutically acceptable salt thereof, or a solvate thereof.
本発明化合物において、一つの態様は以下の通りである。
式(I):
であり、
R1bが、
a)ハロゲン、置換もしくは非置換のアルキル、シアノ、置換もしくは非置換のシクロアルキル、または置換もしくは非置換の非芳香族複素環式基;
R2bは、それぞれ独立して、水素、置換もしくは非置換のアルキルまたは置換もしくは非置換アシル;
n1は、0~4の整数;
-B1は、式:-X-(CR8aR8b)m-Y
(式中、
Xが、N(R7c);
R7cが、水素;
R8aおよびR8bが、水素;
mは、1~5の整数:
Yが、置換基群A(置換基群A:置換もしくは非置換のアルキル、置換もしくは非置換のアルケニル、置換もしくは非置換のアルキニル、置換もしくは非置換のシクロアルキル、置換もしくは非置換のシクロアルケニル、置換もしくは非置換の非芳香族複素環基、置換もしくは非置換のアリールおよび置換もしくは非置換のヘテロアリール)から選択される置換基で置換されたスルファモイル、非置換のスルファモイルまたは置換基群Aから選択される置換基で置換されたスルホニル)で示される基;
B2は、
(式中、R10は、それぞれ独立して、置換もしくは非置換のアルキル;
R11は、水素、非置換のアルキルまたは置換基群C(置換基群C:ヒドロキシ、ハロゲン、置換もしくは非置換のアルコキシ、置換もしくは非置換のアルキルオキシカルボニル、置換もしくは非置換のシクロアルキル、置換もしくは非置換のシクロアルケニル、置換もしくは非置換の非芳香族複素環式基、置換もしくは非置換のアリールおよび置換もしくは非置換のヘテロアリール)から選択される置換基で1以上置換されたアルキル;
R9aおよびR9bは、それぞれ独立して、水素または置換もしくは非置換のアルキル;
pは0~4の整数)で示される基)で示される化合物、もしくはその製薬上許容される塩またはそれらの溶媒和物。
In the compound of the present invention, one embodiment is as follows.
Formula (I):
And
R 1b is
a) halogen, substituted or unsubstituted alkyl, cyano, substituted or unsubstituted cycloalkyl, or substituted or unsubstituted non-aromatic heterocyclic group;
Each R 2b is independently hydrogen, substituted or unsubstituted alkyl or substituted or unsubstituted acyl;
n 1 is an integer from 0 to 4;
—B 1 represents the formula: —X— (CR 8a R 8b ) mY
(Where
X is N (R 7c );
R 7c is hydrogen;
R 8a and R 8b are hydrogen;
m is an integer from 1 to 5:
Y is substituent group A (substituent group A: substituted or unsubstituted alkyl, substituted or unsubstituted alkenyl, substituted or unsubstituted alkynyl, substituted or unsubstituted cycloalkyl, substituted or unsubstituted cycloalkenyl, A substituted or unsubstituted non-aromatic heterocyclic group, substituted or unsubstituted aryl and substituted or unsubstituted heteroaryl) selected from sulfamoyl, unsubstituted sulfamoyl or substituent group A substituted with a substituent selected from A sulfonyl substituted with a substituent selected from
B 2 is,
Wherein R 10 are each independently substituted or unsubstituted alkyl;
R 11 represents hydrogen, unsubstituted alkyl or substituent group C (substituent group C: hydroxy, halogen, substituted or unsubstituted alkoxy, substituted or unsubstituted alkyloxycarbonyl, substituted or unsubstituted cycloalkyl, substituted Or alkyl substituted with one or more substituents selected from unsubstituted cycloalkenyl, substituted or unsubstituted non-aromatic heterocyclic group, substituted or unsubstituted aryl and substituted or unsubstituted heteroaryl;
R 9a and R 9b are each independently hydrogen or substituted or unsubstituted alkyl;
p is an integer of 0 to 4), or a pharmaceutically acceptable salt or solvate thereof.
本発明化合物において、一つの態様は以下の通りである。
式(I):
であり、
R1bが、
a) ハロゲン、置換もしくは非置換のアルキル、シアノ、置換もしくは非置換のシクロアルキル、または置換もしくは非置換の非芳香族複素環式基;
R2bは、それぞれ独立して、水素、置換もしくは非置換のアルキルまたは置換もしくは非置換アシル;
n1は、0~4の整数;
-B1は、式:-X-(CR8aR8b)m-Y
(式中、
Xが、N(R7c);
R7cが、水素;
R8aおよびR8bが、水素;
mは、1~5の整数:
Yは、置換もしくは非置換のアルキルスルホニルアミノ、置換もしくは非置換のアミノスルホニルアミノ、置換もしくは非置換のシクロアルキルスルホニルアミノ、置換もしくは非置換の非芳香族複素環スルホニルアミノ、置換もしくは非置換のアリールスルホニルアミノ、置換もしくは非置換のヘテロアリールスルホニルアミノ、または環を構成する窒素原子が置換基群Aから選択される置換基で置換されたスルホニルで置換された含窒素非芳香族複素環基)示される基;
B2は、
(式中、R10は、それぞれ独立して、置換もしくは非置換のアルキル;
R11は、水素、非置換のアルキルまたは置換基群C(置換基群C:ヒドロキシ、ハロゲン、置換もしくは非置換のアルコキシ、置換もしくは非置換のアルキルオキシカルボニル、置換もしくは非置換のシクロアルキル、置換もしくは非置換のシクロアルケニル、置換もしくは非置換の非芳香族複素環式基、置換もしくは非置換のアリールおよび置換もしくは非置換のヘテロアリール)から選択される置換基で1以上置換されたアルキル;
R9aおよびR9bは、それぞれ独立して、水素または置換もしくは非置換のアルキル;
pは0~4の整数)で示される基)で示される化合物、もしくはその製薬上許容される塩またはそれらの溶媒和物。
In the compound of the present invention, one embodiment is as follows.
Formula (I):
And
R 1b is
a) halogen, substituted or unsubstituted alkyl, cyano, substituted or unsubstituted cycloalkyl, or substituted or unsubstituted non-aromatic heterocyclic group;
Each R 2b is independently hydrogen, substituted or unsubstituted alkyl or substituted or unsubstituted acyl;
n 1 is an integer from 0 to 4;
—B 1 represents the formula: —X— (CR 8a R 8b ) mY
(Where
X is N (R 7c );
R 7c is hydrogen;
R 8a and R 8b are hydrogen;
m is an integer from 1 to 5:
Y is substituted or unsubstituted alkylsulfonylamino, substituted or unsubstituted aminosulfonylamino, substituted or unsubstituted cycloalkylsulfonylamino, substituted or unsubstituted non-aromatic heterocyclic sulfonylamino, substituted or unsubstituted aryl Sulfonylamino, substituted or unsubstituted heteroarylsulfonylamino, or a nitrogen-containing non-aromatic heterocyclic group in which a nitrogen atom constituting the ring is substituted with a sulfonyl substituted with a substituent selected from Substituent Group A) Group
B 2 is,
Wherein R 10 are each independently substituted or unsubstituted alkyl;
R 11 represents hydrogen, unsubstituted alkyl or substituent group C (substituent group C: hydroxy, halogen, substituted or unsubstituted alkoxy, substituted or unsubstituted alkyloxycarbonyl, substituted or unsubstituted cycloalkyl, substituted Or alkyl substituted with one or more substituents selected from unsubstituted cycloalkenyl, substituted or unsubstituted non-aromatic heterocyclic group, substituted or unsubstituted aryl and substituted or unsubstituted heteroaryl;
R 9a and R 9b are each independently hydrogen or substituted or unsubstituted alkyl;
p is an integer of 0 to 4), or a pharmaceutically acceptable salt or solvate thereof.
本発明化合物において、一つの態様は以下の通りである。
であり、
R1aが、
a) ハロゲン、置換もしくは非置換のアルキル、置換もしくは非置換のアルケニル、置換もしくは非置換のアルキニル、置換もしくは非置換のアルキルオキシ、置換もしくは非置換のアルケニルオキシ、置換もしくは非置換のアルキニルオキシ、置換もしくは非置換のアルキルチオ、置換もしくは非置換のアルケニルチオ、置換もしくは非置換のアルキニルチオ、置換もしくは非置換のアシル、ヒドロキシ、カルボキシ、置換もしくは非置換のアルキルオキシカルボニル、置換もしくは非置換のアルケニルオキシカルボニル、置換もしくは非置換のアルキニルオキシカルボニル、置換もしくは非置換のシクロアルキルオキシカルボニル、置換もしくは非置換のシクロアルケニルオキシカルボニル、置換もしくは非置換の非芳香族複素環オキシカルボニル、置換もしくは非置換のアリールオキシカルボニル、置換もしくは非置換のヘテロアリールオキシカルボニル、非置換スルファモイル、置換基群A(置換基群A:置換もしくは非置換のアルキル、置換もしくは非置換のアルケニル、置換もしくは非置換のアルキニル、置換もしくは非置換のシクロアルキル、置換もしくは非置換のシクロアルケニル、置換もしくは非置換の非芳香族複素環基、置換もしくは非置換のアリールおよび置換もしくは非置換のヘテロアリール)から選択される置換基で置換されたスルファモイル、非置換スルファモイル、置換基群Aから選択される置換基で置換されたスルフィニル、置換基群Aから選択される置換基で置換されたスルホニル、置換もしくは非置換のアルキルスルホニルオキシ、置換もしくは非置換のアリールスルホニルオキシ、シアノ、ニトロ、置換もしくは非置換のアミノ、置換もしくは非置換のシクロアルキル、置換もしくは非置換のシクロアルケニル、置換もしくは非置換の非芳香族複素環式基、置換もしくは非置換のアリール、置換もしくは非置換のヘテロアリール、置換もしくは非置換のシクロアルキルオキシ、置換もしくは非置換のシクロアルケニルオキシ、置換もしくは非置換の非芳香族複素環オキシ、置換もしくは非置換のアリールオキシ、または置換もしくは非置換のヘテロアリールオキシ、または、
以下のb)群~e)群からなる群から選択される1以上の基であってもよい;
b)2つのR1aが、同一の炭素原子に結合して、=Oならびに=NR3、
c)2つのR1aが、同一の炭素原子に結合して-(CR4aR4b)x-、
d)2つのR1aが、隣接する炭素原子に結合して-(CR5aR5b)y-、および
e)2つのR1aが、同一でなく、かつ隣接しない炭素原子に結合して-(CR6aR6b)z-、
ただし、R1aは、c)群、d)群およびe)群から同時に2以上選択される場合はない;
R3は、水素、置換もしくは非置換のアルキル、ヒドロキシ、置換もしくは非置換のアルキルオキシ、置換もしくは非置換のアルケニルオキシまたは置換もしくは非置換のアルキニルオキシ;
R4a、R4b、R5a、R5b、R6aおよびR6bは、それぞれ独立して、水素、ハロゲンまたは置換もしくは非置換のアルキル;
n1は、0~4の整数;
xは、2~7の整数;
yは、1~5の整数;
zは、1~3の整数)で示される環;
-B1は、式:-X-(CR8aR8b)m-Y
(式中、
Xは、N(R7c)またはO;
R7cは、水素、置換もしくは非置換のアルキルまたは置換もしくは非置換のアシル;
R8aおよびR8bは、それぞれ独立して、水素、ハロゲンまたは置換もしくは非置換のアルキル;
mは、1~5の整数:
Yは、置換もしくは非置換のシクロアルキルチオ、置換もしくは非置換のシクロアルケニルチオ、置換もしくは非置換の非芳香族複素環チオ、置換もしくは非置換のアリールチオ、置換もしくは非置換のヘテロアリールチオ、置換基群Aから選択される置換基で置換されたスルフィニル、置換基群Aから選択される置換基で置換されたスルホニル、非置換スルファモイル、置換基群Aから選択される置換基で置換されたスルファモイル、置換もしくは非置換のアルキルスルホニルアミノ、置換もしくは非置換のアルケニルスルホニルアミノ、置換もしくは非置換のアルキニルスルホニルアミノ、置換もしくは非置換のアミノスルホニルアミノ、置換もしくは非置換のシクロアルキルスルホニルアミノ、置換もしくは非置換のシクロアルケニルスルホニルアミノ、置換もしくは非置換の非芳香族複素環スルホニルアミノ、置換もしくは非置換のアリールスルホニルアミノ、置換もしくは非置換のヘテロアリールスルホニルアミノ、または環を構成する窒素原子が置換基群Aから選択される置換基で置換されたスルホニルで置換された含窒素非芳香族複素環基)で示される基;
B2は、
(式中、R10は、それぞれ独立して、置換もしくは非置換のアルキル、ハロゲン、ヒドロキシ、置換もしくは非置換のアルキルオキシ、置換もしくは非置換のアミノまたは一緒になってオキソもしくはチオキソ;
R12は、置換もしくは非置換のアルキル、ハロゲン、ヒドロキシまたは置換もしくは非置換のアルキルオキシ;
R11は、水素、置換もしくは非置換のシクロアルキル、非置換のアルキルまたは置換基群C(置換基群C:ヒドロキシ、ハロゲン、置換もしくは非置換のアルコキシ、置換もしくは非置換のアルキルオキシカルボニル、置換もしくは非置換のシクロアルキル、置換もしくは非置換のシクロアルケニル、置換もしくは非置換の非芳香族複素環式基、置換もしくは非置換のアリールおよび置換もしくは非置換のヘテロアリール)から選択される置換基で1以上置換されたアルキル;
R9aおよびR9bは、それぞれ独立して、水素または置換もしくは非置換のアルキル;
pは0~4の整数)で示される基または置換もしくは非置換のアミノで置換されたアルキレン)で示される化合物、もしくはその製薬上許容される塩またはそれらの溶媒和物。
In the compound of the present invention, one embodiment is as follows.
And
R 1a is
a) halogen, substituted or unsubstituted alkyl, substituted or unsubstituted alkenyl, substituted or unsubstituted alkynyl, substituted or unsubstituted alkyloxy, substituted or unsubstituted alkenyloxy, substituted or unsubstituted alkynyloxy, substituted Or unsubstituted alkylthio, substituted or unsubstituted alkenylthio, substituted or unsubstituted alkynylthio, substituted or unsubstituted acyl, hydroxy, carboxy, substituted or unsubstituted alkyloxycarbonyl, substituted or unsubstituted alkenyloxycarbonyl Substituted or unsubstituted alkynyloxycarbonyl, substituted or unsubstituted cycloalkyloxycarbonyl, substituted or unsubstituted cycloalkenyloxycarbonyl, substituted or unsubstituted non-aromatic heterocyclic oxycarbonyl Bonyl, substituted or unsubstituted aryloxycarbonyl, substituted or unsubstituted heteroaryloxycarbonyl, unsubstituted sulfamoyl, substituent group A (substituent group A: substituted or unsubstituted alkyl, substituted or unsubstituted alkenyl, substituted Or unsubstituted alkynyl, substituted or unsubstituted cycloalkyl, substituted or unsubstituted cycloalkenyl, substituted or unsubstituted non-aromatic heterocyclic group, substituted or unsubstituted aryl and substituted or unsubstituted heteroaryl) Sulfamoyl substituted with a selected substituent, unsubstituted sulfamoyl, sulfinyl substituted with a substituent selected from substituent group A, sulfonyl substituted with a substituent selected from substituent group A, substituted or non-substituted Substituted alkylsulfonyloxy, substituted or Unsubstituted arylsulfonyloxy, cyano, nitro, substituted or unsubstituted amino, substituted or unsubstituted cycloalkyl, substituted or unsubstituted cycloalkenyl, substituted or unsubstituted non-aromatic heterocyclic group, substituted or unsubstituted Substituted aryl, substituted or unsubstituted heteroaryl, substituted or unsubstituted cycloalkyloxy, substituted or unsubstituted cycloalkenyloxy, substituted or unsubstituted non-aromatic heterocyclic oxy, substituted or unsubstituted aryloxy, Or substituted or unsubstituted heteroaryloxy, or
It may be one or more groups selected from the group consisting of the following groups b) to e);
b) two R 1a are bonded to the same carbon atom, and ═O and ═NR 3 ,
c) Two R 1a are bonded to the same carbon atom to form — (CR 4a R 4b ) x—,
d) two R 1a bonded to adjacent carbon atoms-(CR 5a R 5b ) y-, and e) two R 1a bonded to non-identical and non-adjacent carbon atoms- ( CR 6a R 6b ) z-,
Provided that R 1a is not selected from two or more of c), d) and e) simultaneously;
R 3 is hydrogen, substituted or unsubstituted alkyl, hydroxy, substituted or unsubstituted alkyloxy, substituted or unsubstituted alkenyloxy, or substituted or unsubstituted alkynyloxy;
R 4a , R 4b , R 5a , R 5b , R 6a and R 6b are each independently hydrogen, halogen or substituted or unsubstituted alkyl;
n 1 is an integer from 0 to 4;
x is an integer of 2 to 7;
y is an integer of 1 to 5;
z is an integer of 1 to 3);
—B 1 represents the formula: —X— (CR 8a R 8b ) mY
(Where
X is N (R 7c ) or O;
R 7c is hydrogen, substituted or unsubstituted alkyl or substituted or unsubstituted acyl;
R 8a and R 8b are each independently hydrogen, halogen or substituted or unsubstituted alkyl;
m is an integer from 1 to 5:
Y is substituted or unsubstituted cycloalkylthio, substituted or unsubstituted cycloalkenylthio, substituted or unsubstituted non-aromatic heterocyclic thio, substituted or unsubstituted arylthio, substituted or unsubstituted heteroarylthio, substituent Sulfinyl substituted with a substituent selected from group A, sulfonyl substituted with a substituent selected from substituent group A, unsubstituted sulfamoyl, sulfamoyl substituted with a substituent selected from substituent group A, Substituted or unsubstituted alkylsulfonylamino, substituted or unsubstituted alkenylsulfonylamino, substituted or unsubstituted alkynylsulfonylamino, substituted or unsubstituted aminosulfonylamino, substituted or unsubstituted cycloalkylsulfonylamino, substituted or unsubstituted Cycloalkenyl The sulfonylamino, substituted or unsubstituted non-aromatic heterocyclic sulfonylamino, substituted or unsubstituted arylsulfonylamino, substituted or unsubstituted heteroarylsulfonylamino, or the nitrogen atom constituting the ring is selected from the substituent group A A nitrogen-containing non-aromatic heterocyclic group substituted with a sulfonyl substituted with a substituent);
B 2 is,
Wherein each R 10 is independently substituted or unsubstituted alkyl, halogen, hydroxy, substituted or unsubstituted alkyloxy, substituted or unsubstituted amino, or together oxo or thioxo;
R 12 represents substituted or unsubstituted alkyl, halogen, hydroxy, or substituted or unsubstituted alkyloxy;
R 11 represents hydrogen, substituted or unsubstituted cycloalkyl, unsubstituted alkyl, or substituent group C (substituent group C: hydroxy, halogen, substituted or unsubstituted alkoxy, substituted or unsubstituted alkyloxycarbonyl, substituted Or a substituent selected from unsubstituted cycloalkyl, substituted or unsubstituted cycloalkenyl, substituted or unsubstituted non-aromatic heterocyclic group, substituted or unsubstituted aryl and substituted or unsubstituted heteroaryl) One or more substituted alkyls;
R 9a and R 9b are each independently hydrogen or substituted or unsubstituted alkyl;
p is an integer of 0 to 4) or a compound represented by a substituted or unsubstituted amino-substituted alkylene), or a pharmaceutically acceptable salt thereof, or a solvate thereof.
本発明化合物において、一つの態様は以下の通りである。
式(I):
であり、
R1bが、
a)ハロゲン、置換もしくは非置換のアルキル、シアノ、置換もしくは非置換のシクロアルキル、または置換もしくは非置換の非芳香族複素環式基;
R2bは、それぞれ独立して、水素、置換もしくは非置換のアルキルまたは置換もしくは非置換アシル;
n1、0~4の整数;
-B1は、式:-X-(CR8aR8b)m-Y
(式中、
Xが、N(R7c);
R7cが、水素;
R8aおよびR8bが、水素;
mは、1~5の整数:
Yが、置換基群A(置換基群A:置換もしくは非置換のアルキル、置換もしくは非置換のアルケニル、置換もしくは非置換のアルキニル、置換もしくは非置換のシクロアルキル、置換もしくは非置換のシクロアルケニル、置換もしくは非置換の非芳香族複素環基、置換もしくは非置換のアリールおよび置換もしくは非置換のヘテロアリール)から選択される置換基で置換されたスルファモイル、非置換のスルファモイルまたは置換基群Aから選択される置換基で置換されたスルホニル)で示される基;
B2は、
(式中、R10は、それぞれ独立して、置換もしくは非置換のアルキル;
R11は、水素、非置換のアルキルまたは置換基群C(置換基群C:ヒドロキシ、ハロゲン、置換もしくは非置換のアルコキシ、置換もしくは非置換のアルキルオキシカルボニル、置換もしくは非置換のシクロアルキル、置換もしくは非置換のシクロアルケニル、置換もしくは非置換の非芳香族複素環式基、置換もしくは非置換のアリールおよび置換もしくは非置換のヘテロアリール)から選択される置換基で1以上置換されたアルキル;
R9aおよびR9bは、それぞれ独立して、水素または置換もしくは非置換のアルキル;
pは0~4の整数)で示される基)で示される化合物、もしくはその製薬上許容される塩またはそれらの溶媒和物。
In the compound of the present invention, one embodiment is as follows.
Formula (I):
And
R 1b is
a) halogen, substituted or unsubstituted alkyl, cyano, substituted or unsubstituted cycloalkyl, or substituted or unsubstituted non-aromatic heterocyclic group;
Each R 2b is independently hydrogen, substituted or unsubstituted alkyl or substituted or unsubstituted acyl;
n 1 , an integer from 0 to 4;
—B 1 represents the formula: —X— (CR 8a R 8b ) mY
(Where
X is N (R 7c );
R 7c is hydrogen;
R 8a and R 8b are hydrogen;
m is an integer from 1 to 5:
Y is substituent group A (substituent group A: substituted or unsubstituted alkyl, substituted or unsubstituted alkenyl, substituted or unsubstituted alkynyl, substituted or unsubstituted cycloalkyl, substituted or unsubstituted cycloalkenyl, A substituted or unsubstituted non-aromatic heterocyclic group, substituted or unsubstituted aryl and substituted or unsubstituted heteroaryl) selected from sulfamoyl, unsubstituted sulfamoyl or substituent group A substituted with a substituent selected from A sulfonyl substituted with a substituent selected from
B 2 is,
Wherein R 10 are each independently substituted or unsubstituted alkyl;
R 11 represents hydrogen, unsubstituted alkyl or substituent group C (substituent group C: hydroxy, halogen, substituted or unsubstituted alkoxy, substituted or unsubstituted alkyloxycarbonyl, substituted or unsubstituted cycloalkyl, substituted Or alkyl substituted with one or more substituents selected from unsubstituted cycloalkenyl, substituted or unsubstituted non-aromatic heterocyclic group, substituted or unsubstituted aryl and substituted or unsubstituted heteroaryl;
R 9a and R 9b are each independently hydrogen or substituted or unsubstituted alkyl;
p is an integer of 0 to 4), or a pharmaceutically acceptable salt or solvate thereof.
本発明化合物において、一つの態様は以下の通りである。
式(I):
であり、
R1bが、
a) ハロゲン、置換もしくは非置換のアルキル、シアノ、置換もしくは非置換のシクロアルキル、または置換もしくは非置換の非芳香族複素環式基;
R2bは、それぞれ独立して、水素、置換もしくは非置換のアルキルまたは置換もしくは非置換アシル;
n1は、0~4の整数;
-B1は、式:-X-(CR8aR8b)m-Y
(式中、
Xが、N(R7c);
R7cが、水素;
R8aおよびR8bが、水素;
mは、1~5の整数:
Yは、置換もしくは非置換のアルキルスルホニルアミノ、置換もしくは非置換のアミノスルホニルアミノ、置換もしくは非置換のシクロアルキルスルホニルアミノ、置換もしくは非置換の非芳香族複素環スルホニルアミノ、置換もしくは非置換のアリールスルホニルアミノ、置換もしくは非置換のヘテロアリールスルホニルアミノ、または環を構成する窒素原子が置換基群Aから選択される置換基で置換されたスルホニルで置換された含窒素非芳香族複素環基)示される基;
B2は、
(式中、R10は、それぞれ独立して、置換もしくは非置換のアルキル;
R11は、水素、非置換のアルキルまたは置換基群C(置換基群C:ヒドロキシ、ハロゲン、置換もしくは非置換のアルコキシ、置換もしくは非置換のアルキルオキシカルボニル、置換もしくは非置換のシクロアルキル、置換もしくは非置換のシクロアルケニル、置換もしくは非置換の非芳香族複素環式基、置換もしくは非置換のアリールおよび置換もしくは非置換のヘテロアリール)から選択される置換基で1以上置換されたアルキル;
R9aおよびR9bは、それぞれ独立して、水素または置換もしくは非置換のアルキル;
pは0~4の整数)で示される基)で示される化合物、もしくはその製薬上許容される塩またはそれらの溶媒和物。
In the compound of the present invention, one embodiment is as follows.
Formula (I):
And
R 1b is
a) halogen, substituted or unsubstituted alkyl, cyano, substituted or unsubstituted cycloalkyl, or substituted or unsubstituted non-aromatic heterocyclic group;
Each R 2b is independently hydrogen, substituted or unsubstituted alkyl or substituted or unsubstituted acyl;
n 1 is an integer from 0 to 4;
—B 1 represents the formula: —X— (CR 8a R 8b ) mY
(Where
X is N (R 7c );
R 7c is hydrogen;
R 8a and R 8b are hydrogen;
m is an integer from 1 to 5:
Y is substituted or unsubstituted alkylsulfonylamino, substituted or unsubstituted aminosulfonylamino, substituted or unsubstituted cycloalkylsulfonylamino, substituted or unsubstituted non-aromatic heterocyclic sulfonylamino, substituted or unsubstituted aryl Sulfonylamino, substituted or unsubstituted heteroarylsulfonylamino, or a nitrogen-containing non-aromatic heterocyclic group in which a nitrogen atom constituting the ring is substituted with a sulfonyl substituted with a substituent selected from Substituent Group A) Group
B 2 is,
Wherein R 10 are each independently substituted or unsubstituted alkyl;
R 11 represents hydrogen, unsubstituted alkyl or substituent group C (substituent group C: hydroxy, halogen, substituted or unsubstituted alkoxy, substituted or unsubstituted alkyloxycarbonyl, substituted or unsubstituted cycloalkyl, substituted Or alkyl substituted with one or more substituents selected from unsubstituted cycloalkenyl, substituted or unsubstituted non-aromatic heterocyclic group, substituted or unsubstituted aryl and substituted or unsubstituted heteroaryl;
R 9a and R 9b are each independently hydrogen or substituted or unsubstituted alkyl;
p is an integer of 0 to 4), or a pharmaceutically acceptable salt or solvate thereof.
式(I)で示される本発明の化合物、その製薬上許容される塩またはそれらの溶媒和物としては、以下の一般式(I-A)または(I-B)で示された各置換基の全ての選択肢の全ての考え得る組み合わせで示される化合物、その製薬上許容される塩またはそれらの溶媒和物が包含される。 Examples of the compound of the present invention represented by the formula (I), a pharmaceutically acceptable salt thereof or a solvate thereof include each substituent represented by the following general formula (IA) or (IB). Or a pharmaceutically acceptable salt or solvate thereof shown in all possible combinations of all options.
以下の式(I-A)または(I-B)において
例えば、W2として、O、N(R2a)、S、S(O)またはS(O)2、R2aが、水素、置換もしくは非置換のアルキル、置換もしくは非置換のアルキルスルホニルまたは置換もしくは非置換のアシルが挙げられる。
例えば、W2として、N(R2a)またはS、R2aが、水素または置換もしくは非置換のアルキルが挙げられる。
例えば、W2として、N(R2a)、R2aが、水素または置換もしくは非置換のアルキルが挙げられる。
例えば、W2として、Sが挙げられる。
In the following formula (IA) or (IB)
For example, as W 2 , O, N (R 2a ), S, S (O) or S (O) 2 , R 2a is hydrogen, substituted or unsubstituted alkyl, substituted or unsubstituted alkylsulfonyl or substituted or Examples include unsubstituted acyl.
For example, W 2 includes N (R 2a ) or S, R 2a is hydrogen or substituted or unsubstituted alkyl.
For example, as W 2 , N (R 2a ) and R 2a are hydrogen or substituted or unsubstituted alkyl.
For example, as W 2, it includes S is.
例えば、R1bとして、ハロゲン、置換もしくは非置換のアルキル、置換もしくは非置換のアルケニル、置換もしくは非置換のアルキニル、置換もしくは非置換のアルキルオキシ、置換もしくは非置換のアルケニルオキシ、置換もしくは非置換のアルキニルオキシ、置換もしくは非置換のアルキルチオ、置換もしくは非置換のアルケニルチオ、置換もしくは非置換のアルキニルチオ、置換もしくは非置換のアシル、ヒドロキシ、カルボキシ、置換もしくは非置換のアルキルオキシカルボニル、置換もしくは非置換のアルケニルオキシカルボニル、置換もしくは非置換のアルキニルオキシカルボニル、置換もしくは非置換のシクロアルキルオキシカルボニル、置換もしくは非置換のシクロアルケニルオキシカルボニル、置換もしくは非置換の非芳香族複素環オキシカルボニル、置換もしくは非置換のアリールオキシカルボニル、置換もしくは非置換のヘテロアリールオキシカルボニル、置換もしくは非置換のカルバモイル、非置換スルファモイル、置換基群A(置換基群A:置換もしくは非置換のアルキル、置換もしくは非置換のアルケニル、置換もしくは非置換のアルキニル、置換もしくは非置換のシクロアルキル、置換もしくは非置換のシクロアルケニル、置換もしくは非置換の非芳香族複素環基、置換もしくは非置換のアリールおよび置換もしくは非置換のヘテロアリール)から選択される置換基で置換されたスルファモイル、置換基群Aから選択される置換基で置換されたスルフィニル、置換基群Aから選択される置換基で置換されたスルホニル、置換もしくは非置換のアルキルスルホニルオキシ、置換もしくは非置換のアリールスルホニルオキシ、シアノ、ニトロ、置換もしくは非置換のアミノ、置換もしくは非置換のシクロアルキル、置換もしくは非置換のシクロアルケニル、置換もしくは非置換の非芳香族複素環式基、置換もしくは非置換のアリール、置換もしくは非置換のヘテロアリール、置換もしくは非置換のシクロアルキルオキシ、置換もしくは非置換のシクロアルケニルオキシ、置換もしくは非置換の非芳香族複素環オキシ、置換もしくは非置換のアリールオキシ、または置換もしくは非置換のヘテロアリールオキシが挙げられる。
例えば、R1bとして、ハロゲン、置換もしくは非置換のアルキル、シアノ、置換もしくは非置換のシクロアルキル、または置換もしくは非置換の非芳香族複素環式基が挙げられる。
For example, as R 1b , halogen, substituted or unsubstituted alkyl, substituted or unsubstituted alkenyl, substituted or unsubstituted alkynyl, substituted or unsubstituted alkyloxy, substituted or unsubstituted alkenyloxy, substituted or unsubstituted Alkynyloxy, substituted or unsubstituted alkylthio, substituted or unsubstituted alkenylthio, substituted or unsubstituted alkynylthio, substituted or unsubstituted acyl, hydroxy, carboxy, substituted or unsubstituted alkyloxycarbonyl, substituted or unsubstituted Alkenyloxycarbonyl, substituted or unsubstituted alkynyloxycarbonyl, substituted or unsubstituted cycloalkyloxycarbonyl, substituted or unsubstituted cycloalkenyloxycarbonyl, substituted or unsubstituted non-substituted Aromatic heterocyclic oxycarbonyl, substituted or unsubstituted aryloxycarbonyl, substituted or unsubstituted heteroaryloxycarbonyl, substituted or unsubstituted carbamoyl, unsubstituted sulfamoyl, substituent group A (substituent group A: substituted or unsubstituted Substituted alkyl, substituted or unsubstituted alkenyl, substituted or unsubstituted alkynyl, substituted or unsubstituted cycloalkyl, substituted or unsubstituted cycloalkenyl, substituted or unsubstituted non-aromatic heterocyclic group, substituted or unsubstituted An aryl and a substituted or unsubstituted heteroaryl), a sulfamoyl substituted with a substituent selected from substituent group A, a sulfinyl substituted with a substituent selected from substituent group A, and a substituent selected from substituent group A Substituted sulfonyl, substituted or unsubstituted al Rusulfonyloxy, substituted or unsubstituted arylsulfonyloxy, cyano, nitro, substituted or unsubstituted amino, substituted or unsubstituted cycloalkyl, substituted or unsubstituted cycloalkenyl, substituted or unsubstituted non-aromatic heterocycle Formula group, substituted or unsubstituted aryl, substituted or unsubstituted heteroaryl, substituted or unsubstituted cycloalkyloxy, substituted or unsubstituted cycloalkenyloxy, substituted or unsubstituted non-aromatic heterocyclic oxy, substituted or Unsubstituted aryloxy, or substituted or unsubstituted heteroaryloxy may be mentioned.
For example, R 1b includes halogen, substituted or unsubstituted alkyl, cyano, substituted or unsubstituted cycloalkyl, or substituted or unsubstituted non-aromatic heterocyclic group.
例えば、n2として、0~2の整数が挙げられる。
例えば、n2として、0でが挙げられる。
例えば、Xとして、N(R7c)またはO、R7cは、水素、置換もしくは非置換のアルキルまたは置換もしくは非置換のアシルが挙げられる。
例えば、Xとして、N(R7c)、R7cは、水素または置換もしくは非置換のアルキルが挙げられる。
例えば、Xとして、NHが挙げられる。
例えば、mとして、1~3の整数が挙げられる。
例えば、mとして、2が挙げられる。
For example, n2 is an integer of 0 to 2.
For example, n2 is 0.
For example, as X, N (R 7c ) or O, R 7c includes hydrogen, substituted or unsubstituted alkyl, or substituted or unsubstituted acyl.
For example, as X, N (R 7c ) and R 7c include hydrogen or substituted or unsubstituted alkyl.
For example, NH is exemplified as X.
For example, m is an integer of 1 to 3.
For example, 2 is mentioned as m.
例えば、Yとして、置換もしくは非置換のシクロアルキルチオ、置換もしくは非置換のシクロアルケニルチオ、置換もしくは非置換の非芳香族複素環チオ、置換もしくは非置換のアリールチオ、置換もしくは非置換のヘテロアリールチオ、置換基群Aから選択される置換基で置換されたスルフィニル、置換基群Aから選択される置換基で置換されたスルホニル、非置換スルファモイル、置換基群Aから選択される置換基で置換されたスルファモイル、置換もしくは非置換のアルキルスルホニルアミノ、置換もしくは非置換のアルケニルスルホニルアミノ、置換もしくは非置換のアルキニルスルホニルアミノ、置換もしくは非置換のアミノスルホニルアミノ、置換もしくは非置換のシクロアルキルスルホニルアミノ、置換もしくは非置換のシクロアルケニルスルホニルアミノ、置換もしくは非置換の非芳香族複素環スルホニルアミノ、置換もしくは非置換のアリールスルホニルアミノ、置換もしくは非置換のヘテロアリールスルホニルアミノまたは環を構成する窒素原子が置換基群Aから選択される置換基で置換されたスルホニルで置換された含窒素非芳香族複素環基が挙げられる。
例えば、Yとして、非置換スルファモイル、置換基群Aから選択される置換基で置換されたスルファモイル、置換基群Aから選択される置換基で置換されたスルホニル、置換もしくは非置換のアルキルスルホニルアミノ、置換もしくは非置換のアミノスルホニルアミノ、置換もしくは非置換のシクロアルキルスルホニルアミノ、置換もしくは非置換の非芳香族複素環スルホニルアミノ、置換もしくは非置換のアリールスルホニルアミノ、置換もしくは非置換のヘテロアリールスルホニルアミノ、置換もしくは非置換のアリール、置換もしくは非置換のヘテロアリールまたは環を構成する窒素原子が置換基群Aから選択される置換基で置換されたスルホニルで置換された含窒素非芳香族複素環基が挙げられる。
例えば、Yとして、置換基群Aから選択される置換基で置換されたスルホニル、非置換スルファモイルまたは置換基群Aから選択される置換基で置換されたスルファモイルが挙げられる。
例えば、Yとして、非置換スルファモイルまたは置換基群Aから選択される置換基で置換されたスルファモイルが挙げられる。
For example, as Y, substituted or unsubstituted cycloalkylthio, substituted or unsubstituted cycloalkenylthio, substituted or unsubstituted nonaromatic heterocyclic thio, substituted or unsubstituted arylthio, substituted or unsubstituted heteroarylthio, Sulfinyl substituted with a substituent selected from Substituent Group A, Sulfonyl substituted with a substituent selected from Substituent Group A, unsubstituted sulfamoyl, substituted with a substituent selected from Substituent Group A Sulfamoyl, substituted or unsubstituted alkylsulfonylamino, substituted or unsubstituted alkenylsulfonylamino, substituted or unsubstituted alkynylsulfonylamino, substituted or unsubstituted aminosulfonylamino, substituted or unsubstituted cycloalkylsulfonylamino, substituted or Non-replacement Alkenylsulfonylamino, substituted or unsubstituted non-aromatic heterocyclic sulfonylamino, substituted or unsubstituted arylsulfonylamino, substituted or unsubstituted heteroarylsulfonylamino or a nitrogen atom constituting the ring is selected from substituent group A And a nitrogen-containing non-aromatic heterocyclic group substituted with a sulfonyl substituted with a substituent.
For example, as Y, unsubstituted sulfamoyl, sulfamoyl substituted with a substituent selected from substituent group A, sulfonyl substituted with a substituent selected from substituent group A, substituted or unsubstituted alkylsulfonylamino, Substituted or unsubstituted aminosulfonylamino, substituted or unsubstituted cycloalkylsulfonylamino, substituted or unsubstituted nonaromatic heterocyclic sulfonylamino, substituted or unsubstituted arylsulfonylamino, substituted or unsubstituted heteroarylsulfonylamino , Substituted or unsubstituted aryl, substituted or unsubstituted heteroaryl, or a nitrogen-containing non-aromatic heterocyclic group in which the nitrogen atom constituting the ring is substituted with a sulfonyl substituted with a substituent selected from Substituent Group A Is mentioned.
For example, Y includes sulfonyl substituted with a substituent selected from Substituent Group A, unsubstituted sulfamoyl, or sulfamoyl substituted with a substituent selected from Substituent Group A.
For example, Y may be unsubstituted sulfamoyl or sulfamoyl substituted with a substituent selected from substituent group A.
例えば、B2として、
(式中、R9aおよびR9bは、それぞれ独立して、水素または置換もしくは非置換のアルキル;
R10は、それぞれ独立して、置換もしくは非置換のアルキル、ハロゲン、ヒドロキシ、置換もしくは非置換のアルキルオキシ、置換もしくは非置換のアミノ、または2つのR10が一緒になってオキソもしくはチオキソ;
R11は、水素、置換もしくは非置換のシクロアルキル、非置換のアルキルまたは置換基群C(置換基群C:ヒドロキシ、ハロゲン、置換もしくは非置換のアルコキシ、置換もしくは非置換のアルキルオキシカルボニル、置換もしくは非置換のシクロアルキル、置換もしくは非置換のシクロアルケニル、置換もしくは非置換の非芳香族複素環式基、置換もしくは非置換のアリールおよび置換もしくは非置換のヘテロアリール)から選択される置換基で1以上置換されたアルキル;
R12は、置換もしくは非置換のアルキル、ハロゲン、ヒドロキシまたは置換もしくは非置換のアルキルオキシ;
pは0~4の整数)
で示される基または置換もしくは非置換のアミノで置換されたアルキレンが挙げられる。
For example, a B 2,
Wherein R 9a and R 9b are each independently hydrogen or substituted or unsubstituted alkyl;
Each R 10 independently represents substituted or unsubstituted alkyl, halogen, hydroxy, substituted or unsubstituted alkyloxy, substituted or unsubstituted amino, or two R 10 taken together to form oxo or thioxo;
R 11 represents hydrogen, substituted or unsubstituted cycloalkyl, unsubstituted alkyl, or substituent group C (substituent group C: hydroxy, halogen, substituted or unsubstituted alkoxy, substituted or unsubstituted alkyloxycarbonyl, substituted Or a substituent selected from unsubstituted cycloalkyl, substituted or unsubstituted cycloalkenyl, substituted or unsubstituted non-aromatic heterocyclic group, substituted or unsubstituted aryl and substituted or unsubstituted heteroaryl) One or more substituted alkyls;
R 12 represents substituted or unsubstituted alkyl, halogen, hydroxy, or substituted or unsubstituted alkyloxy;
p is an integer from 0 to 4)
Or an alkylene substituted with a substituted or unsubstituted amino.
例えば、B2として、
(式中、R9aおよびR9bは、それぞれ独立して、水素または置換もしくは非置換のアルキル;
R10は、置換もしくは非置換のアルキル;
R11は、水素、非置換のアルキルまたは置換基群C(置換基群C:ヒドロキシ、ハロゲン、置換もしくは非置換のアルコキシ、置換もしくは非置換のアルキルオキシカルボニル、置換もしくは非置換のシクロアルキル、置換もしくは非置換のシクロアルケニル、置換もしくは非置換の非芳香族複素環式基、置換もしくは非置換のアリールおよび置換もしくは非置換のヘテロアリール)から選択される置換基で1以上置換されたアルキル;
pは0~4の整数)
で示される基が挙げられる。
For example, a B 2,
Wherein R 9a and R 9b are each independently hydrogen or substituted or unsubstituted alkyl;
R 10 is substituted or unsubstituted alkyl;
R 11 represents hydrogen, unsubstituted alkyl or substituent group C (substituent group C: hydroxy, halogen, substituted or unsubstituted alkoxy, substituted or unsubstituted alkyloxycarbonyl, substituted or unsubstituted cycloalkyl, substituted Or alkyl substituted with one or more substituents selected from unsubstituted cycloalkenyl, substituted or unsubstituted non-aromatic heterocyclic group, substituted or unsubstituted aryl and substituted or unsubstituted heteroaryl;
p is an integer from 0 to 4)
The group shown by these is mentioned.
例えば、B2として、
(式中、R10は、置換もしくは非置換のアルキル;
R11は、水素、非置換のアルキルまたは置換基群C(置換基群C:ヒドロキシ、ハロゲン、置換もしくは非置換のアルコキシ、置換もしくは非置換のアルキルオキシカルボニル、置換もしくは非置換のシクロアルキル、置換もしくは非置換のシクロアルケニル、置換もしくは非置換の非芳香族複素環式基、置換もしくは非置換のアリールおよび置換もしくは非置換のヘテロアリール)から選択される置換基で1以上置換されたアルキル;
pは0~4の整数)
で示される基が挙げられる。
For example, a B 2,
Wherein R 10 is substituted or unsubstituted alkyl;
R 11 represents hydrogen, unsubstituted alkyl or substituent group C (substituent group C: hydroxy, halogen, substituted or unsubstituted alkoxy, substituted or unsubstituted alkyloxycarbonyl, substituted or unsubstituted cycloalkyl, substituted Or alkyl substituted with one or more substituents selected from unsubstituted cycloalkenyl, substituted or unsubstituted non-aromatic heterocyclic group, substituted or unsubstituted aryl and substituted or unsubstituted heteroaryl;
p is an integer from 0 to 4)
The group shown by these is mentioned.
例えば、B2として、
(式中、R10は、置換もしくは非置換のアルキル;
R11は、水素、非置換のアルキルまたは置換基群C(置換基群C:ヒドロキシ、ハロゲン、置換もしくは非置換のアルコキシ、置換もしくは非置換のアルキルオキシカルボニル、置換もしくは非置換のシクロアルキル、置換もしくは非置換のシクロアルケニル、置換もしくは非置換の非芳香族複素環式基、置換もしくは非置換のアリールおよび置換もしくは非置換のヘテロアリール)から選択される置換基で1以上置換されたアルキル;
pは0~4の整数)
で示される基が挙げられる。
For example, a B 2,
Wherein R 10 is substituted or unsubstituted alkyl;
R 11 represents hydrogen, unsubstituted alkyl or substituent group C (substituent group C: hydroxy, halogen, substituted or unsubstituted alkoxy, substituted or unsubstituted alkyloxycarbonyl, substituted or unsubstituted cycloalkyl, substituted Or alkyl substituted with one or more substituents selected from unsubstituted cycloalkenyl, substituted or unsubstituted non-aromatic heterocyclic group, substituted or unsubstituted aryl and substituted or unsubstituted heteroaryl;
p is an integer from 0 to 4)
The group shown by these is mentioned.
例えば、B2として、
で示される基が挙げられる。
For example, a B 2,
The group shown by these is mentioned.
式(I)で示される本発明の化合物、その製薬上許容される塩またはそれらの溶媒和物としては、以下の一般式(I-C)で示された各置換基の全ての選択肢の全ての考え得る組み合わせで示される化合物、その製薬上許容される塩またはそれらの溶媒和物も包含される。
Examples of the compound of the present invention represented by the formula (I), a pharmaceutically acceptable salt thereof or a solvate thereof include all the options of each substituent represented by the following general formula (IC). Or a pharmaceutically acceptable salt thereof or a solvate thereof is also included.
以下の式(I-C)において
例えば、R1cとして、ハロゲン、置換もしくは非置換のアルキル、置換もしくは非置換のアルキルオキシ、ヒドロキシ、置換もしくは非置換のシクロアルキル、置換もしくは非置換の非芳香族複素環式基、置換もしくは非置換のアリール、置換もしくは非置換のヘテロアリールまたは置換もしくは非置換のシクロアルキルオキシが挙げられる。
例えば、R1cとして、ハロゲン、置換もしくは非置換のアルキル、置換もしくは非置換のアルキルオキシ、ヒドロキシが挙げられる。
例えば、R1cとして、ハロゲンまたはヒドロキシが挙げられる。
例えば、R1cとしてが、ヒドロキシが挙げられる。
例えば、R1cとして、ハロゲンが挙げられる。
例えば、R1cとして、フッ素が挙げられる。
In the following formula (IC)
For example, as R 1c , halogen, substituted or unsubstituted alkyl, substituted or unsubstituted alkyloxy, hydroxy, substituted or unsubstituted cycloalkyl, substituted or unsubstituted non-aromatic heterocyclic group, substituted or unsubstituted Aryl, substituted or unsubstituted heteroaryl or substituted or unsubstituted cycloalkyloxy.
For example, R 1c includes halogen, substituted or unsubstituted alkyl, substituted or unsubstituted alkyloxy, and hydroxy.
For example, R 1c includes halogen or hydroxy.
For example, R 1c includes hydroxy.
For example, R 1c includes halogen.
For example, fluorine is mentioned as R1c .
例えば、R1dとして、ハロゲン、置換もしくは非置換のアルキル、置換もしくは非置換のアルキルオキシ、ヒドロキシ、置換もしくは非置換のシクロアルキル、置換もしくは非置換の非芳香族複素環式基、置換もしくは非置換のアリール、置換もしくは非置換のヘテロアリールまたは置換もしくは非置換のシクロアルキルオキシが挙げられる。
例えば、R1dとして、ハロゲン、置換もしくは非置換のアルキル、置換もしくは非置換のアルキルオキシまたはヒドロキシが挙げられる。
例えば、R1dとして、R1cが結合する炭素原子に結合し、ハロゲンまたは置換もしくは非置換のアルキルが挙げられる。
例えば、n3がとして、0~3の整数が挙げられる。
例えば、n3がとして、0または1が挙げられる。
例えば、Xとして、N(R7c)またはO、R7cは、水素、置換もしくは非置換のアルキルまたは置換もしくは非置換のアシルが挙げられる。
例えば、Xとして、N(R7c)、R7cは、水素または置換もしくは非置換のアルキルが挙げられる。
例えば、Xとして、NHが挙げられる。
例えば、mとして、1~3の整数が挙げられる。
例えば、mとして、2が挙げられる。
For example, as R 1d , halogen, substituted or unsubstituted alkyl, substituted or unsubstituted alkyloxy, hydroxy, substituted or unsubstituted cycloalkyl, substituted or unsubstituted non-aromatic heterocyclic group, substituted or unsubstituted Aryl, substituted or unsubstituted heteroaryl or substituted or unsubstituted cycloalkyloxy.
For example, R 1d includes halogen, substituted or unsubstituted alkyl, substituted or unsubstituted alkyloxy, or hydroxy.
For example, R 1d is bonded to the carbon atom to which R 1c is bonded, and includes halogen or substituted or unsubstituted alkyl.
For example, n3 is an integer of 0 to 3.
For example, n3 is 0 or 1.
For example, as X, N (R 7c ) or O, R 7c includes hydrogen, substituted or unsubstituted alkyl, or substituted or unsubstituted acyl.
For example, as X, N (R 7c ) and R 7c include hydrogen or substituted or unsubstituted alkyl.
For example, NH is exemplified as X.
For example, m is an integer of 1 to 3.
For example, 2 is mentioned as m.
例えば、Yとして、置換もしくは非置換のシクロアルキルチオ、置換もしくは非置換のシクロアルケニルチオ、置換もしくは非置換の非芳香族複素環チオ、置換もしくは非置換のアリールチオ、置換もしくは非置換のヘテロアリールチオ、置換基群A(置換基群A:置換もしくは非置換のアルキル、置換もしくは非置換のアルケニル、置換もしくは非置換のアルキニル、置換もしくは非置換のシクロアルキル、置換もしくは非置換のシクロアルケニル、置換もしくは非置換の非芳香族複素環基、置換もしくは非置換のアリールおよび置換もしくは非置換のヘテロアリール)から選択される置換基で置換されたスルフィニル、置換基群Aから選択される置換基で置換されたスルホニル、非置換スルファモイル、置換基群Aから選択される置換基で置換されたスルファモイル、置換もしくは非置換のアルキルスルホニルアミノ、置換もしくは非置換のアルケニルスルホニルアミノ、置換もしくは非置換のアルキニルスルホニルアミノ、置換もしくは非置換のアミノスルホニルアミノ、置換もしくは非置換のシクロアルキルスルホニルアミノ、置換もしくは非置換のシクロアルケニルスルホニルアミノ、置換もしくは非置換の非芳香族複素環スルホニルアミノ、置換もしくは非置換のアリールスルホニルアミノ、置換もしくは非置換のヘテロアリールスルホニルアミノまたは環を構成する窒素原子が置換基群Aから選択される置換基で置換されたスルホニルで置換された含窒素非芳香族複素環基が挙げられる。
例えば、Yとして、非置換スルファモイル、置換基群Aから選択される置換基で置換されたスルファモイル、置換基群Aから選択される置換基で置換されたスルホニル、置換もしくは非置換のアルキルスルホニルアミノ、置換もしくは非置換のアミノスルホニルアミノ、置換もしくは非置換のシクロアルキルスルホニルアミノ、置換もしくは非置換の非芳香族複素環スルホニルアミノ、置換もしくは非置換のアリールスルホニルアミノ、置換もしくは非置換のヘテロアリールスルホニルアミノ、置換もしくは非置換のアリール、置換もしくは非置換のヘテロアリールまたは環を構成する窒素原子が置換基群Aから選択される置換基で置換されたスルホニルで置換された含窒素非芳香族複素環基が挙げられる。
例えば、Yとして、非置換スルファモイル、置換基群Aから選択される置換基で置換されたスルファモイルまたは置換基群Aから選択される置換基で置換されたスルホニルが挙げられる。
For example, as Y, substituted or unsubstituted cycloalkylthio, substituted or unsubstituted cycloalkenylthio, substituted or unsubstituted nonaromatic heterocyclic thio, substituted or unsubstituted arylthio, substituted or unsubstituted heteroarylthio, Substituent group A (Substituent group A: substituted or unsubstituted alkyl, substituted or unsubstituted alkenyl, substituted or unsubstituted alkynyl, substituted or unsubstituted cycloalkyl, substituted or unsubstituted cycloalkenyl, substituted or unsubstituted Substituted sulfinyl substituted with a substituent selected from a substituted non-aromatic heterocyclic group, substituted or unsubstituted aryl and substituted or unsubstituted heteroaryl), substituted with a substituent selected from substituent group A Substituent selected from sulfonyl, unsubstituted sulfamoyl, substituent group A Substituted sulfamoyl, substituted or unsubstituted alkylsulfonylamino, substituted or unsubstituted alkenylsulfonylamino, substituted or unsubstituted alkynylsulfonylamino, substituted or unsubstituted aminosulfonylamino, substituted or unsubstituted cycloalkylsulfonylamino Substituted or unsubstituted cycloalkenylsulfonylamino, substituted or unsubstituted non-aromatic heterocyclic sulfonylamino, substituted or unsubstituted arylsulfonylamino, substituted or unsubstituted heteroarylsulfonylamino, or a nitrogen atom constituting the ring And nitrogen-containing non-aromatic heterocyclic group substituted with sulfonyl substituted with a substituent selected from Substituent Group A.
For example, as Y, unsubstituted sulfamoyl, sulfamoyl substituted with a substituent selected from substituent group A, sulfonyl substituted with a substituent selected from substituent group A, substituted or unsubstituted alkylsulfonylamino, Substituted or unsubstituted aminosulfonylamino, substituted or unsubstituted cycloalkylsulfonylamino, substituted or unsubstituted nonaromatic heterocyclic sulfonylamino, substituted or unsubstituted arylsulfonylamino, substituted or unsubstituted heteroarylsulfonylamino , Substituted or unsubstituted aryl, substituted or unsubstituted heteroaryl, or a nitrogen-containing non-aromatic heterocyclic group in which the nitrogen atom constituting the ring is substituted with a sulfonyl substituted with a substituent selected from Substituent Group A Is mentioned.
Examples of Y include unsubstituted sulfamoyl, sulfamoyl substituted with a substituent selected from substituent group A, or sulfonyl substituted with a substituent selected from substituent group A.
例えば、B2として、
(式中、R9aおよびR9bは、それぞれ独立して、水素または置換もしくは非置換のアルキル;
R10は、それぞれ独立して、置換もしくは非置換のアルキル、ハロゲン、ヒドロキシ、置換もしくは非置換のアルキルオキシ、置換もしくは非置換のアミノ、または2つのR10が一緒になってオキソもしくはチオキソ;
R11は、水素、置換もしくは非置換のシクロアルキル、非置換のアルキルまたは置換基群C(置換基群C:ヒドロキシ、ハロゲン、置換もしくは非置換のアルコキシ、置換もしくは非置換のアルキルオキシカルボニル、置換もしくは非置換のシクロアルキル、置換もしくは非置換のシクロアルケニル、置換もしくは非置換の非芳香族複素環式基、置換もしくは非置換のアリールおよび置換もしくは非置換のヘテロアリール)から選択される置換基で1以上置換されたアルキル;
R12は、置換もしくは非置換のアルキル、ハロゲン、ヒドロキシまたは置換もしくは非置換のアルキルオキシ;
pは0~4の整数)
で示される基または置換もしくは非置換のアミノで置換されたアルキレンが挙げられる。
For example, a B 2,
Wherein R 9a and R 9b are each independently hydrogen or substituted or unsubstituted alkyl;
Each R 10 independently represents substituted or unsubstituted alkyl, halogen, hydroxy, substituted or unsubstituted alkyloxy, substituted or unsubstituted amino, or two R 10 taken together to form oxo or thioxo;
R 11 represents hydrogen, substituted or unsubstituted cycloalkyl, unsubstituted alkyl, or substituent group C (substituent group C: hydroxy, halogen, substituted or unsubstituted alkoxy, substituted or unsubstituted alkyloxycarbonyl, substituted Or a substituent selected from unsubstituted cycloalkyl, substituted or unsubstituted cycloalkenyl, substituted or unsubstituted non-aromatic heterocyclic group, substituted or unsubstituted aryl and substituted or unsubstituted heteroaryl) One or more substituted alkyls;
R 12 represents substituted or unsubstituted alkyl, halogen, hydroxy, or substituted or unsubstituted alkyloxy;
p is an integer from 0 to 4)
Or an alkylene substituted with a substituted or unsubstituted amino.
例えば、B2として、
(式中、R9aおよびR9bは、それぞれ独立して、水素または置換もしくは非置換のアルキル;
R10は、置換もしくは非置換のアルキル;
R11は、水素、非置換のアルキルまたは置換基群C(置換基群C:ヒドロキシ、ハロゲン、置換もしくは非置換のアルコキシ、置換もしくは非置換のアルキルオキシカルボニル、置換もしくは非置換のシクロアルキル、置換もしくは非置換のシクロアルケニル、置換もしくは非置換の非芳香族複素環式基、置換もしくは非置換のアリールおよび置換もしくは非置換のヘテロアリール)から選択される置換基で1以上置換されたアルキル;
pは0~4の整数)
で示される基が挙げられる。
For example, a B 2,
Wherein R 9a and R 9b are each independently hydrogen or substituted or unsubstituted alkyl;
R 10 is substituted or unsubstituted alkyl;
R 11 represents hydrogen, unsubstituted alkyl or substituent group C (substituent group C: hydroxy, halogen, substituted or unsubstituted alkoxy, substituted or unsubstituted alkyloxycarbonyl, substituted or unsubstituted cycloalkyl, substituted Or alkyl substituted with one or more substituents selected from unsubstituted cycloalkenyl, substituted or unsubstituted non-aromatic heterocyclic group, substituted or unsubstituted aryl and substituted or unsubstituted heteroaryl;
p is an integer from 0 to 4)
The group shown by these is mentioned.
例えば、B2として、
(式中、R10は、置換もしくは非置換のアルキル;
R11は、水素、非置換のアルキルまたは置換基群C(置換基群C:ヒドロキシ、ハロゲン、置換もしくは非置換のアルコキシ、置換もしくは非置換のアルキルオキシカルボニル、置換もしくは非置換のシクロアルキル、置換もしくは非置換のシクロアルケニル、置換もしくは非置換の非芳香族複素環式基、置換もしくは非置換のアリールおよび置換もしくは非置換のヘテロアリール)から選択される置換基で1以上置換されたアルキル;
pは0~4の整数)
で示される基が挙げられる。
For example, a B 2,
Wherein R 10 is substituted or unsubstituted alkyl;
R 11 represents hydrogen, unsubstituted alkyl or substituent group C (substituent group C: hydroxy, halogen, substituted or unsubstituted alkoxy, substituted or unsubstituted alkyloxycarbonyl, substituted or unsubstituted cycloalkyl, substituted Or alkyl substituted with one or more substituents selected from unsubstituted cycloalkenyl, substituted or unsubstituted non-aromatic heterocyclic group, substituted or unsubstituted aryl and substituted or unsubstituted heteroaryl;
p is an integer from 0 to 4)
The group shown by these is mentioned.
例えば、B2として、
(式中、R10は、置換もしくは非置換のアルキル;
R11は、水素、非置換のアルキルまたは置換基群C(置換基群C:ヒドロキシ、ハロゲン、置換もしくは非置換のアルコキシ、置換もしくは非置換のアルキルオキシカルボニル、置換もしくは非置換のシクロアルキル、置換もしくは非置換のシクロアルケニル、置換もしくは非置換の非芳香族複素環式基、置換もしくは非置換のアリールおよび置換もしくは非置換のヘテロアリール)から選択される置換基で1以上置換されたアルキル;
pは0~4の整数)
で示される基が挙げられる。
For example, a B 2,
Wherein R 10 is substituted or unsubstituted alkyl;
R 11 represents hydrogen, unsubstituted alkyl or substituent group C (substituent group C: hydroxy, halogen, substituted or unsubstituted alkoxy, substituted or unsubstituted alkyloxycarbonyl, substituted or unsubstituted cycloalkyl, substituted Or alkyl substituted with one or more substituents selected from unsubstituted cycloalkenyl, substituted or unsubstituted non-aromatic heterocyclic group, substituted or unsubstituted aryl and substituted or unsubstituted heteroaryl;
p is an integer from 0 to 4)
The group shown by these is mentioned.
例えば、B2として、
で示される基が挙げられる。
For example, a B 2,
The group shown by these is mentioned.
式(I)で示される本発明の化合物、その製薬上許容される塩またはそれらの溶媒和物としては、以下の一般式(I-D)で示された各置換基の全ての選択肢の全ての考え得る組み合わせで示される化合物、その製薬上許容される塩またはそれらの溶媒和物も包含される。 Examples of the compound of the present invention represented by the formula (I), a pharmaceutically acceptable salt thereof or a solvate thereof include all the options of each substituent represented by the following general formula (ID). Or a pharmaceutically acceptable salt thereof or a solvate thereof is also included.
以下の式(I-D)において
例えば、R1aとして、ハロゲン、置換もしくは非置換のアルキル、置換もしくは非置換のアルケニル、置換もしくは非置換のアルキニル、置換もしくは非置換のアルキルオキシ、置換もしくは非置換のアルケニルオキシ、置換もしくは非置換のアルキニルオキシ、置換もしくは非置換のアルキルチオ、置換もしくは非置換のアルケニルチオ、置換もしくは非置換のアルキニルチオ、置換もしくは非置換のアシル、ヒドロキシ、カルボキシ、置換もしくは非置換のアルキルオキシカルボニル、置換もしくは非置換のアルケニルオキシカルボニル、置換もしくは非置換のアルキニルオキシカルボニル、置換もしくは非置換のシクロアルキルオキシカルボニル、置換もしくは非置換のシクロアルケニルオキシカルボニル、置換もしくは非置換の非芳香族複素環オキシカルボニル、置換もしくは非置換のアリールオキシカルボニル、置換もしくは非置換のヘテロアリールオキシカルボニル、置換もしくは非置換のカルバモイル、非置換スルファモイル、置換基群A(置換基群A:置換もしくは非置換のアルキル、置換もしくは非置換のアルケニル、置換もしくは非置換のアルキニル、置換もしくは非置換のシクロアルキル、置換もしくは非置換のシクロアルケニル、置換もしくは非置換の非芳香族複素環基、置換もしくは非置換のアリールおよび置換もしくは非置換のヘテロアリール)から選択される置換基で置換されたスルファモイル、置換基群Aから選択される置換基で置換されたスルフィニル、置換基群Aから選択される置換基で置換されたスルホニル、置換もしくは非置換のアルキルスルホニルオキシ、置換もしくは非置換のアリールスルホニルオキシ、シアノ、ニトロ、置換もしくは非置換のアミノ、置換もしくは非置換のシクロアルキル、置換もしくは非置換のシクロアルケニル、置換もしくは非置換の非芳香族複素環式基、置換もしくは非置換のアリール、置換もしくは非置換のヘテロアリール、置換もしくは非置換のシクロアルキルオキシ、置換もしくは非置換のシクロアルケニルオキシ、置換もしくは非置換の非芳香族複素環オキシ、置換もしくは非置換のアリールオキシ、または置換もしくは非置換のヘテロアリールオキシが挙げられる。
例えば、R1aとして、ハロゲン、置換もしくは非置換のアルキル、シアノ、置換もしくは非置換のアシル、置換もしくは非置換のシクロアルキル、置換基群Aから選択される置換基で置換されたスルホニルまたは置換もしくは非置換の非芳香族複素環式基が挙げられる。
例えば、R1aとして、1つのR1aが、式(I-D)における環を構成する6位の窒素原子に結合し、ハロゲン、置換もしくは非置換のアルキル、シアノ、置換もしくは非置換のアシル、置換もしくは非置換のシクロアルキル、置換基群Aから選択される置換基で置換されたスルホニルまたは置換もしくは非置換の非芳香族複素環式基が挙げられる。
例えば、R1aとして、1つのR1aが、式(I-D)における環を構成するの6位の窒素原子に結合し、置換もしくは非置換のアルキル、置換もしくは非置換のアシルまたは置換基群Aから選択される置換基で置換されたスルホニルが挙げられる。
For example, as R 1a , halogen, substituted or unsubstituted alkyl, substituted or unsubstituted alkenyl, substituted or unsubstituted alkynyl, substituted or unsubstituted alkyloxy, substituted or unsubstituted alkenyloxy, substituted or unsubstituted Alkynyloxy, substituted or unsubstituted alkylthio, substituted or unsubstituted alkenylthio, substituted or unsubstituted alkynylthio, substituted or unsubstituted acyl, hydroxy, carboxy, substituted or unsubstituted alkyloxycarbonyl, substituted or unsubstituted Alkenyloxycarbonyl, substituted or unsubstituted alkynyloxycarbonyl, substituted or unsubstituted cycloalkyloxycarbonyl, substituted or unsubstituted cycloalkenyloxycarbonyl, substituted or unsubstituted non-substituted Aromatic heterocyclic oxycarbonyl, substituted or unsubstituted aryloxycarbonyl, substituted or unsubstituted heteroaryloxycarbonyl, substituted or unsubstituted carbamoyl, unsubstituted sulfamoyl, substituent group A (substituent group A: substituted or unsubstituted Substituted alkyl, substituted or unsubstituted alkenyl, substituted or unsubstituted alkynyl, substituted or unsubstituted cycloalkyl, substituted or unsubstituted cycloalkenyl, substituted or unsubstituted non-aromatic heterocyclic group, substituted or unsubstituted An aryl and a substituted or unsubstituted heteroaryl), a sulfamoyl substituted with a substituent selected from substituent group A, a sulfinyl substituted with a substituent selected from substituent group A, and a substituent selected from substituent group A Substituted sulfonyl, substituted or unsubstituted al Rusulfonyloxy, substituted or unsubstituted arylsulfonyloxy, cyano, nitro, substituted or unsubstituted amino, substituted or unsubstituted cycloalkyl, substituted or unsubstituted cycloalkenyl, substituted or unsubstituted non-aromatic heterocycle Formula group, substituted or unsubstituted aryl, substituted or unsubstituted heteroaryl, substituted or unsubstituted cycloalkyloxy, substituted or unsubstituted cycloalkenyloxy, substituted or unsubstituted non-aromatic heterocyclic oxy, substituted or Unsubstituted aryloxy, or substituted or unsubstituted heteroaryloxy may be mentioned.
For example, as R 1a , halogen, substituted or unsubstituted alkyl, cyano, substituted or unsubstituted acyl, substituted or unsubstituted cycloalkyl, sulfonyl substituted with a substituent selected from substituent group A, or substituted or An unsubstituted non-aromatic heterocyclic group is mentioned.
For example, as R 1a , one R 1a is bonded to the 6-position nitrogen atom constituting the ring in formula (ID), and is halogen, substituted or unsubstituted alkyl, cyano, substituted or unsubstituted acyl, And substituted or unsubstituted cycloalkyl, sulfonyl substituted with a substituent selected from Substituent Group A, or substituted or unsubstituted non-aromatic heterocyclic group.
For example, as R 1a , one R 1a is bonded to the 6-position nitrogen atom constituting the ring in Formula (ID), and is substituted or unsubstituted alkyl, substituted or unsubstituted acyl, or a group of substituents And sulfonyl substituted with a substituent selected from A.
例えば、n1として、1~4の整数が挙げられる。
例えば、n1として、1が挙げられる。
例えば、Xがとして、N(R7c)またはO、R7cは、水素、置換もしくは非置換のアルキルまたは置換もしくは非置換のアシルが挙げられる。
例えば、Xがとして、N(R7c)、R7cは、水素また置換もしくは非置換のアルキルが挙げられる。
例えば、Xがとして、NHが挙げられる。
例えば、mとして、1~3の整数が挙げられる。
例えば、mとして、2が挙げられる。
For example, n1 is an integer of 1 to 4.
For example, n1 is 1.
For example, as X, N (R 7c ) or O, R 7c includes hydrogen, substituted or unsubstituted alkyl, or substituted or unsubstituted acyl.
For example, as X, N (R 7c ) and R 7c may be hydrogen or substituted or unsubstituted alkyl.
For example, as X is NH.
For example, m is an integer of 1 to 3.
For example, 2 is mentioned as m.
例えば、Yとして、置換もしくは非置換のシクロアルキルチオ、置換もしくは非置換のシクロアルケニルチオ、置換もしくは非置換の非芳香族複素環チオ、置換もしくは非置換のアリールチオ、置換もしくは非置換のヘテロアリールチオ、置換基群Aから選択される置換基で置換されたスルフィニル、置換基群Aから選択される置換基で置換されたスルホニル、非置換スルファモイル、置換基群Aから選択される置換基で置換されたスルファモイル、置換もしくは非置換のアルキルスルホニルアミノ、置換もしくは非置換のアルケニルスルホニルアミノ、置換もしくは非置換のアルキニルスルホニルアミノ、置換もしくは非置換のアミノスルホニルアミノ、置換もしくは非置換のシクロアルキルスルホニルアミノ、置換もしくは非置換のシクロアルケニルスルホニルアミノ、置換もしくは非置換の非芳香族複素環スルホニルアミノ、置換もしくは非置換のアリールスルホニルアミノ、置換もしくは非置換のヘテロアリールスルホニルアミノまたは環を構成する窒素原子が置換基群Aから選択される置換基で置換されたスルホニルで置換された含窒素非芳香族複素環基が挙げられる。
例えば、Yとして、非置換スルファモイル、置換基群Aから選択される置換基で置換されたスルファモイル、置換基群Aから選択される置換基で置換されたスルホニル、置換もしくは非置換のアルキルスルホニルアミノ、置換もしくは非置換のアミノスルホニルアミノ、置換もしくは非置換のシクロアルキルスルホニルアミノ、置換もしくは非置換の非芳香族複素環スルホニルアミノ、置換もしくは非置換のアリールスルホニルアミノ、置換もしくは非置換のヘテロアリールスルホニルアミノ、置換もしくは非置換のアリール、置換もしくは非置換のヘテロアリールまたは環を構成する窒素原子が置換基群Aから選択される置換基で置換されたスルホニルで置換された含窒素非芳香族複素環基が挙げられる。
例えば、Yとして、置換基群Aから選択される置換基で置換されたスルホニル、非置換スルファモイルまたは置換基群Aから選択される置換基で置換されたスルファモイルが挙げられる。
例えば、Yとして、非置換スルファモイルまたは置換基群Aから選択される置換基で置換されたスルファモイルが挙げられる。
For example, as Y, substituted or unsubstituted cycloalkylthio, substituted or unsubstituted cycloalkenylthio, substituted or unsubstituted nonaromatic heterocyclic thio, substituted or unsubstituted arylthio, substituted or unsubstituted heteroarylthio, Sulfinyl substituted with a substituent selected from Substituent Group A, Sulfonyl substituted with a substituent selected from Substituent Group A, unsubstituted sulfamoyl, substituted with a substituent selected from Substituent Group A Sulfamoyl, substituted or unsubstituted alkylsulfonylamino, substituted or unsubstituted alkenylsulfonylamino, substituted or unsubstituted alkynylsulfonylamino, substituted or unsubstituted aminosulfonylamino, substituted or unsubstituted cycloalkylsulfonylamino, substituted or Non-replacement Alkenylsulfonylamino, substituted or unsubstituted non-aromatic heterocyclic sulfonylamino, substituted or unsubstituted arylsulfonylamino, substituted or unsubstituted heteroarylsulfonylamino or a nitrogen atom constituting the ring is selected from substituent group A And a nitrogen-containing non-aromatic heterocyclic group substituted with a sulfonyl substituted with a substituent.
For example, as Y, unsubstituted sulfamoyl, sulfamoyl substituted with a substituent selected from substituent group A, sulfonyl substituted with a substituent selected from substituent group A, substituted or unsubstituted alkylsulfonylamino, Substituted or unsubstituted aminosulfonylamino, substituted or unsubstituted cycloalkylsulfonylamino, substituted or unsubstituted nonaromatic heterocyclic sulfonylamino, substituted or unsubstituted arylsulfonylamino, substituted or unsubstituted heteroarylsulfonylamino , Substituted or unsubstituted aryl, substituted or unsubstituted heteroaryl, or a nitrogen-containing non-aromatic heterocyclic group in which the nitrogen atom constituting the ring is substituted with a sulfonyl substituted with a substituent selected from Substituent Group A Is mentioned.
For example, Y includes sulfonyl substituted with a substituent selected from Substituent Group A, unsubstituted sulfamoyl, or sulfamoyl substituted with a substituent selected from Substituent Group A.
For example, Y may be unsubstituted sulfamoyl or sulfamoyl substituted with a substituent selected from substituent group A.
例えば、B2として、
(式中、R9aおよびR9bは、それぞれ独立して、水素または置換もしくは非置換のアルキル;
R10は、それぞれ独立して、置換もしくは非置換のアルキル、ハロゲン、ヒドロキシ、置換もしくは非置換のアルキルオキシ、置換もしくは非置換のアミノ、または2つのR10が一緒になってオキソもしくはチオキソ;
R11は、水素、置換もしくは非置換のシクロアルキル、非置換のアルキルまたは置換基群C(置換基群C:ヒドロキシ、ハロゲン、置換もしくは非置換のアルコキシ、置換もしくは非置換のアルキルオキシカルボニル、置換もしくは非置換のシクロアルキル、置換もしくは非置換のシクロアルケニル、置換もしくは非置換の非芳香族複素環式基、置換もしくは非置換のアリールおよび置換もしくは非置換のヘテロアリール)から選択される置換基で1以上置換されたアルキル;
R12は、置換もしくは非置換のアルキル、ハロゲン、ヒドロキシまたは置換もしくは非置換のアルキルオキシ;
pは0~4の整数)
で示される基または置換もしくは非置換のアミノで置換されたアルキレンが挙げられる。
For example, a B 2,
Wherein R 9a and R 9b are each independently hydrogen or substituted or unsubstituted alkyl;
Each R 10 independently represents substituted or unsubstituted alkyl, halogen, hydroxy, substituted or unsubstituted alkyloxy, substituted or unsubstituted amino, or two R 10 taken together to form oxo or thioxo;
R 11 represents hydrogen, substituted or unsubstituted cycloalkyl, unsubstituted alkyl, or substituent group C (substituent group C: hydroxy, halogen, substituted or unsubstituted alkoxy, substituted or unsubstituted alkyloxycarbonyl, substituted Or a substituent selected from unsubstituted cycloalkyl, substituted or unsubstituted cycloalkenyl, substituted or unsubstituted non-aromatic heterocyclic group, substituted or unsubstituted aryl and substituted or unsubstituted heteroaryl) One or more substituted alkyls;
R 12 represents substituted or unsubstituted alkyl, halogen, hydroxy, or substituted or unsubstituted alkyloxy;
p is an integer from 0 to 4)
Or an alkylene substituted with a substituted or unsubstituted amino.
例えば、B2として、
(式中、R9aおよびR9bは、それぞれ独立して、水素または置換もしくは非置換のアルキル;
R10は、置換もしくは非置換のアルキル;
R11は、水素、非置換のアルキルまたは置換基群C(置換基群C:ヒドロキシ、ハロゲン、置換もしくは非置換のアルコキシ、置換もしくは非置換のアルキルオキシカルボニル、置換もしくは非置換のシクロアルキル、置換もしくは非置換のシクロアルケニル、置換もしくは非置換の非芳香族複素環式基、置換もしくは非置換のアリールおよび置換もしくは非置換のヘテロアリール)から選択される置換基で1以上置換されたアルキル;
pは0~4の整数)
で示される基が挙げられる。
For example, a B 2,
Wherein R 9a and R 9b are each independently hydrogen or substituted or unsubstituted alkyl;
R 10 is substituted or unsubstituted alkyl;
R 11 represents hydrogen, unsubstituted alkyl or substituent group C (substituent group C: hydroxy, halogen, substituted or unsubstituted alkoxy, substituted or unsubstituted alkyloxycarbonyl, substituted or unsubstituted cycloalkyl, substituted Or alkyl substituted with one or more substituents selected from unsubstituted cycloalkenyl, substituted or unsubstituted non-aromatic heterocyclic group, substituted or unsubstituted aryl and substituted or unsubstituted heteroaryl;
p is an integer from 0 to 4)
The group shown by these is mentioned.
例えば、B2として、
(式中、R10は、置換もしくは非置換のアルキル;
R11は、水素、非置換のアルキルまたは置換基群C(置換基群C:ヒドロキシ、ハロゲン、置換もしくは非置換のアルコキシ、置換もしくは非置換のアルキルオキシカルボニル、置換もしくは非置換のシクロアルキル、置換もしくは非置換のシクロアルケニル、置換もしくは非置換の非芳香族複素環式基、置換もしくは非置換のアリールおよび置換もしくは非置換のヘテロアリール)から選択される置換基で1以上置換されたアルキル;
pは0~4の整数)
で示される基が挙げられる。
For example, a B 2,
Wherein R 10 is substituted or unsubstituted alkyl;
R 11 represents hydrogen, unsubstituted alkyl or substituent group C (substituent group C: hydroxy, halogen, substituted or unsubstituted alkoxy, substituted or unsubstituted alkyloxycarbonyl, substituted or unsubstituted cycloalkyl, substituted Or alkyl substituted with one or more substituents selected from unsubstituted cycloalkenyl, substituted or unsubstituted non-aromatic heterocyclic group, substituted or unsubstituted aryl and substituted or unsubstituted heteroaryl;
p is an integer from 0 to 4)
The group shown by these is mentioned.
例えば、B2として、
(式中、R10は、置換もしくは非置換のアルキル;
R11は、水素、非置換のアルキルまたは置換基群C(置換基群C:ヒドロキシ、ハロゲン、置換もしくは非置換のアルコキシ、置換もしくは非置換のアルキルオキシカルボニル、置換もしくは非置換のシクロアルキル、置換もしくは非置換のシクロアルケニル、置換もしくは非置換の非芳香族複素環式基、置換もしくは非置換のアリールおよび置換もしくは非置換のヘテロアリール)から選択される置換基で1以上置換されたアルキル;
pは0~4の整数)
で示される基が挙げられる。
For example, a B 2,
Wherein R 10 is substituted or unsubstituted alkyl;
R 11 represents hydrogen, unsubstituted alkyl or substituent group C (substituent group C: hydroxy, halogen, substituted or unsubstituted alkoxy, substituted or unsubstituted alkyloxycarbonyl, substituted or unsubstituted cycloalkyl, substituted Or alkyl substituted with one or more substituents selected from unsubstituted cycloalkenyl, substituted or unsubstituted non-aromatic heterocyclic group, substituted or unsubstituted aryl and substituted or unsubstituted heteroaryl;
p is an integer from 0 to 4)
The group shown by these is mentioned.
例えば、B2として、
で示される基が挙げられる。
For example, a B 2,
The group shown by these is mentioned.
本発明化合物において、一つの態様は以下の通りである。
式(I’):
[式中、Ra1およびRa2は、それぞれ独立して、水素、ハロゲン、置換もしくは非置換のアルキル、置換もしくは非置換のアルケニル、置換もしくは非置換のアルキニル、置換もしくは非置換のアルキルオキシ、置換もしくは非置換のアルケニルオキシ、置換もしくは非置換のアルキニルオキシ、置換もしくは非置換のアルキルチオ、置換もしくは非置換のアルケニルチオ、置換もしくは非置換のアルキニルチオ、アシル、ヒドロキシ、カルボキシ、置換もしくは非置換のアルキルオキシカルボニル、置換もしくは非置換のアルケニルオキシカルボニル、置換もしくは非置換のアルキニルオキシカルボニル、置換もしくは非置換のシクロアルキルオキシカルボニル、置換もしくは非置換のシクロアルケニルオキシカルボニル、置換もしくは非置換の非芳香族複素環オキシカルボニル、置換もしくは非置換のアリールオキシカルボニル、置換もしくは非置換のヘテロアリールオキシカルボニル、非置換スルファモイル、置換基群Aから選択される置換基で置換されたスルファモイル、非置換スルファモイル、置換基群Aから選択される置換基で置換されたスルフィニル、置換基群Aから選択される置換基で置換されたスルホニル、置換もしくは非置換のアルキルスルホニルオキシ、置換もしくは非置換のアリールスルホニルオキシ、シアノ、ニトロ、置換もしくは非置換のアミノ、置換もしくは非置換のシクロアルキル、置換もしくは非置換のシクロアルケニル、置換もしくは非置換の非芳香族複素環式基、置換もしくは非置換のアリール、置換もしくは非置換のヘテロアリール、置換もしくは非置換のシクロアルキルオキシ、置換もしくは非置換のシクロアルケニルオキシ、置換もしくは非置換の非芳香族複素環オキシ、置換もしくは非置換のアリールオキシ、または置換もしくは非置換のヘテロアリールオキシ;
-B1が-B’であり、-B2が-B’’であるか、または-B1が-B’’であり、-B2が-B’であり;
-B’は、式:-X-(CR8aR8b)m-Y
[式中、
-X-は、単結合、-N(R7)-、-O-または-S-;
R7は、水素、置換もしくは非置換のアルキルまたはアシル;
R8aおよびR8bは、それぞれ独立して、水素、ハロゲンまたは置換もしくは非置換のアルキル;
mは、1~5の整数:
Yは、非置換スルファモイル、置換基群Aから選択される置換基で置換されたスルファモイル、
-B’’が、
(式中、R10、R11、およびpは上記と同意義)で示される化合物もしくはその製薬上許容される塩またはそれらの溶媒和物。
In the compound of the present invention, one embodiment is as follows.
Formula (I ′):
Wherein R a1 and R a2 are each independently hydrogen, halogen, substituted or unsubstituted alkyl, substituted or unsubstituted alkenyl, substituted or unsubstituted alkynyl, substituted or unsubstituted alkyloxy, substituted Or unsubstituted alkenyloxy, substituted or unsubstituted alkynyloxy, substituted or unsubstituted alkylthio, substituted or unsubstituted alkenylthio, substituted or unsubstituted alkynylthio, acyl, hydroxy, carboxy, substituted or unsubstituted alkyl Oxycarbonyl, substituted or unsubstituted alkenyloxycarbonyl, substituted or unsubstituted alkynyloxycarbonyl, substituted or unsubstituted cycloalkyloxycarbonyl, substituted or unsubstituted cycloalkenyloxycarbonyl, substituted Is an unsubstituted non-aromatic heterocyclic oxycarbonyl, substituted or unsubstituted aryloxycarbonyl, substituted or unsubstituted heteroaryloxycarbonyl, unsubstituted sulfamoyl, sulfamoyl substituted with a substituent selected from Substituent Group A , Unsubstituted sulfamoyl, sulfinyl substituted with a substituent selected from substituent group A, sulfonyl substituted with a substituent selected from substituent group A, substituted or unsubstituted alkylsulfonyloxy, substituted or unsubstituted Arylsulfonyloxy, cyano, nitro, substituted or unsubstituted amino, substituted or unsubstituted cycloalkyl, substituted or unsubstituted cycloalkenyl, substituted or unsubstituted non-aromatic heterocyclic group, substituted or unsubstituted Aryl, substituted or unsubstituted heteroaryl Substituted or unsubstituted cycloalkyloxy, substituted or unsubstituted cycloalkenyloxy, substituted or unsubstituted non-aromatic heterocyclic oxy, substituted or unsubstituted aryloxy, or substituted or unsubstituted heteroaryloxy;
-B 1 is -B 'and -B 2 is -B "or -B 1 is -B" and -B 2 is -B';
—B ′ is represented by the formula: —X— (CR 8a R 8b ) mY
[Where
—X— represents a single bond, —N (R 7 ) —, —O— or —S—;
R 7 is hydrogen, substituted or unsubstituted alkyl or acyl;
R 8a and R 8b are each independently hydrogen, halogen or substituted or unsubstituted alkyl;
m is an integer from 1 to 5:
Y is unsubstituted sulfamoyl, sulfamoyl substituted with a substituent selected from substituent group A,
-B ''
Wherein R 10 , R 11 , and p are as defined above, or a pharmaceutically acceptable salt thereof, or a solvate thereof.
本発明化合物において、一つの態様は以下の通りである。
式(I’):
[式中、Ra1およびRa2は、それぞれ独立して、水素、ハロゲン、置換もしくは非置換のアルキル、置換もしくは非置換のアルケニル、置換もしくは非置換のアルキニル、置換もしくは非置換のアルキルオキシ、置換もしくは非置換のアルケニルオキシ、置換もしくは非置換のアルキニルオキシ、置換もしくは非置換のアルキルチオ、置換もしくは非置換のアルケニルチオ、置換もしくは非置換のアルキニルチオ、アシル、ヒドロキシ、カルボキシ、置換もしくは非置換のアルキルオキシカルボニル、置換もしくは非置換のアルケニルオキシカルボニル、置換もしくは非置換のアルキニルオキシカルボニル、置換もしくは非置換のシクロアルキルオキシカルボニル、置換もしくは非置換のシクロアルケニルオキシカルボニル、置換もしくは非置換の非芳香族複素環オキシカルボニル、置換もしくは非置換のアリールオキシカルボニル、置換もしくは非置換のヘテロアリールオキシカルボニル、非置換スルファモイル、置換基群Aから選択される置換基で置換されたスルファモイル、非置換スルファモイル、置換基群Aから選択される置換基で置換されたスルフィニル、置換基群Aから選択される置換基で置換されたスルホニル、置換もしくは非置換のアルキルスルホニルオキシ、置換もしくは非置換のアリールスルホニルオキシ、シアノ、ニトロ、置換もしくは非置換のアミノ、置換もしくは非置換のシクロアルキル、置換もしくは非置換のシクロアルケニル、置換もしくは非置換の非芳香族複素環式基、置換もしくは非置換のアリール、置換もしくは非置換のヘテロアリール、置換もしくは非置換のシクロアルキルオキシ、置換もしくは非置換のシクロアルケニルオキシ、置換もしくは非置換の非芳香族複素環オキシ、置換もしくは非置換のアリールオキシ、または置換もしくは非置換のヘテロアリールオキシ;
-B1が-B’であり、-B2が-B’’であるか、または-B1が-B’’であり、-B2が-B’であり;
-B’は、式:-X-(CR8aR8b)2-Y
[式中、
-X-は、単結合、-N(R7)-、-O-または-S-;
R7は、水素、置換もしくは非置換のアルキルまたはアシル;
R8aおよびR8bは、それぞれ独立して、水素、ハロゲンまたは置換もしくは非置換のアルキル;
mは、1~5の整数:
Yは、非置換スルファモイル、置換基群Aから選択される置換基で置換されたスルファモイル、
-B’’が、
(式中、R10、R11、およびpは上記と同意義)で示される化合物もしくはその製薬上許容される塩またはそれらの溶媒和物。
In the compound of the present invention, one embodiment is as follows.
Formula (I ′):
Wherein R a1 and R a2 are each independently hydrogen, halogen, substituted or unsubstituted alkyl, substituted or unsubstituted alkenyl, substituted or unsubstituted alkynyl, substituted or unsubstituted alkyloxy, substituted Or unsubstituted alkenyloxy, substituted or unsubstituted alkynyloxy, substituted or unsubstituted alkylthio, substituted or unsubstituted alkenylthio, substituted or unsubstituted alkynylthio, acyl, hydroxy, carboxy, substituted or unsubstituted alkyl Oxycarbonyl, substituted or unsubstituted alkenyloxycarbonyl, substituted or unsubstituted alkynyloxycarbonyl, substituted or unsubstituted cycloalkyloxycarbonyl, substituted or unsubstituted cycloalkenyloxycarbonyl, substituted Is an unsubstituted non-aromatic heterocyclic oxycarbonyl, substituted or unsubstituted aryloxycarbonyl, substituted or unsubstituted heteroaryloxycarbonyl, unsubstituted sulfamoyl, sulfamoyl substituted with a substituent selected from Substituent Group A , Unsubstituted sulfamoyl, sulfinyl substituted with a substituent selected from substituent group A, sulfonyl substituted with a substituent selected from substituent group A, substituted or unsubstituted alkylsulfonyloxy, substituted or unsubstituted Arylsulfonyloxy, cyano, nitro, substituted or unsubstituted amino, substituted or unsubstituted cycloalkyl, substituted or unsubstituted cycloalkenyl, substituted or unsubstituted non-aromatic heterocyclic group, substituted or unsubstituted Aryl, substituted or unsubstituted heteroaryl Substituted or unsubstituted cycloalkyloxy, substituted or unsubstituted cycloalkenyloxy, substituted or unsubstituted non-aromatic heterocyclic oxy, substituted or unsubstituted aryloxy, or substituted or unsubstituted heteroaryloxy;
-B 1 is -B 'and -B 2 is -B "or -B 1 is -B" and -B 2 is -B';
—B ′ is represented by the formula: —X— (CR 8a R 8b ) 2 —Y
[Where
—X— represents a single bond, —N (R 7 ) —, —O— or —S—;
R 7 is hydrogen, substituted or unsubstituted alkyl or acyl;
R 8a and R 8b are each independently hydrogen, halogen or substituted or unsubstituted alkyl;
m is an integer from 1 to 5:
Y is unsubstituted sulfamoyl, sulfamoyl substituted with a substituent selected from substituent group A,
-B ''
Wherein R 10 , R 11 , and p are as defined above, or a pharmaceutically acceptable salt thereof, or a solvate thereof.
本発明化合物において、一つの態様は以下の通りである。
式(I’):
[式中、Ra1およびRa2が、それらが結合する炭素原子と一緒になって形成したA環が
R1が、置換もしくは非置換のアルキル、置換もしくは非置換のアルキルオキシ、ハロゲンまたはヒドロキシ;
nは、0~2の整数;
-W-は、-O-、-N(R2)-、-S-、-S(O)-または-S(O)2-;
R2は、水素、置換もしくは非置換のアルキルまたはアシル;
-B1が-B’であり、-B2が-B’’であるか、または-B1が-B’’であり、-B2が-B’であり;
-B’は、式:-X-(CH2)m-Y;
mは、1~5の整数:
-X-は、-NH-;
Yは、非置換スルファモイル、置換基群Aから選択される置換基で置換されたスルファモイル、;
-B’’が、
R10が、それぞれ独立して、置換もしくは非置換のアルキル、ハロゲン、ヒドロキシ、置換もしくは非置換のアルキルオキシ、または置換もしくは非置換のアミノ;
R11は、水素または置換もしくは非置換のアルキル;
pは0~4の整数)で示される環]で示される化合物もしくはその製薬上許容される塩またはそれらの溶媒和物。
In the compound of the present invention, one embodiment is as follows.
Formula (I ′):
[Wherein the ring A formed by R a1 and R a2 together with the carbon atom to which they are bonded is
R 1 is substituted or unsubstituted alkyl, substituted or unsubstituted alkyloxy, halogen or hydroxy;
n is an integer from 0 to 2;
—W— represents —O—, —N (R 2 ) —, —S—, —S (O) — or —S (O) 2 —;
R 2 is hydrogen, substituted or unsubstituted alkyl or acyl;
-B 1 is -B 'and -B 2 is -B "or -B 1 is -B" and -B 2 is -B';
—B ′ has the formula: —X— (CH 2 ) m —Y;
m is an integer from 1 to 5:
—X— represents —NH—;
Y is unsubstituted sulfamoyl, sulfamoyl substituted with a substituent selected from substituent group A;
-B ''
Each R 10 is independently substituted or unsubstituted alkyl, halogen, hydroxy, substituted or unsubstituted alkyloxy, or substituted or unsubstituted amino;
R 11 is hydrogen or substituted or unsubstituted alkyl;
or a pharmaceutically acceptable salt thereof, or a solvate thereof, wherein p is an integer of 0 to 4.
本発明化合物において、一つの態様は以下の通りである。
式(I’):
[式中、Ra1およびRa2が、それらが結合する炭素原子と一緒になって形成したA環が
R1が、置換もしくは非置換のアルキル、置換もしくは非置換のアルキルオキシ、ハロゲンまたはヒドロキシ;
nは、0~2の整数;
-W-は、-O-、-N(R2)-、-S-、-S(O)-または-S(O)2-;
R2は、水素、置換もしくは非置換のアルキルまたはアシル;
-B1が-B’であり、-B2が-B’’あり;
-B’は、式:-X-(CH2)m-Y;
mは、1~5の整数:
-X-は、-NH-;
Yは、非置換スルファモイル、置換基群Aから選択される置換基で置換されたスルファモイル、;
-B’’が、
R10が、それぞれ独立して、置換もしくは非置換のアルキル、ハロゲン、ヒドロキシ、置換もしくは非置換のアルキルオキシ、または置換もしくは非置換のアミノ;
R11は、水素または置換もしくは非置換のアルキル;
pは0~4の整数)で示される環]で示される化合物もしくはその製薬上許容される塩またはそれらの溶媒和物。
In the compound of the present invention, one embodiment is as follows.
Formula (I ′):
[Wherein the ring A formed by R a1 and R a2 together with the carbon atom to which they are bonded is
R 1 is substituted or unsubstituted alkyl, substituted or unsubstituted alkyloxy, halogen or hydroxy;
n is an integer from 0 to 2;
—W— represents —O—, —N (R 2 ) —, —S—, —S (O) — or —S (O) 2 —;
R 2 is hydrogen, substituted or unsubstituted alkyl or acyl;
-B 1 is -B 'and -B 2 is -B'';
—B ′ has the formula: —X— (CH 2 ) m —Y;
m is an integer from 1 to 5:
—X— represents —NH—;
Y is unsubstituted sulfamoyl, sulfamoyl substituted with a substituent selected from substituent group A;
-B ''
Each R 10 is independently substituted or unsubstituted alkyl, halogen, hydroxy, substituted or unsubstituted alkyloxy, or substituted or unsubstituted amino;
R 11 is hydrogen or substituted or unsubstituted alkyl;
or a pharmaceutically acceptable salt thereof, or a solvate thereof, wherein p is an integer of 0 to 4.
本発明化合物において、一つの態様は以下の通りである。
式(I’):
[式中、Ra1およびRa2が、それらが結合する炭素原子と一緒になって形成したA環が
R1が、置換もしくは非置換のアルキル、置換もしくは非置換のアルキルオキシ、ハロゲンまたはヒドロキシ;
nは、0~2の整数;
-W-は、-O-、-N(R2)-、-S-、-S(O)-または-S(O)2-;
R2は、水素、置換もしくは非置換のアルキルまたはアシル;
-B1が-B’’であり、-B2が-B’であり;
-B’は、式:-X-(CH2)m-Y;
mは、1~5の整数:
-X-は、-NH-;
Yは、非置換スルファモイル、置換基群Aから選択される置換基で置換されたスルファモイル、;
-B’’が、
R10が、それぞれ独立して、置換もしくは非置換のアルキル、ハロゲン、ヒドロキシ、置換もしくは非置換のアルキルオキシ、または置換もしくは非置換のアミノ;
R11は、水素または置換もしくは非置換のアルキル;
pは0~4の整数)で示される環]で示される化合物もしくはその製薬上許容される塩またはそれらの溶媒和物。
In the compound of the present invention, one embodiment is as follows.
Formula (I ′):
[Wherein the ring A formed by R a1 and R a2 together with the carbon atom to which they are bonded is
R 1 is substituted or unsubstituted alkyl, substituted or unsubstituted alkyloxy, halogen or hydroxy;
n is an integer from 0 to 2;
—W— represents —O—, —N (R 2 ) —, —S—, —S (O) — or —S (O) 2 —;
R 2 is hydrogen, substituted or unsubstituted alkyl or acyl;
-B 1 is -B "and -B 2 is -B ';
—B ′ has the formula: —X— (CH 2 ) m —Y;
m is an integer from 1 to 5:
—X— represents —NH—;
Y is unsubstituted sulfamoyl, sulfamoyl substituted with a substituent selected from substituent group A;
-B ''
Each R 10 is independently substituted or unsubstituted alkyl, halogen, hydroxy, substituted or unsubstituted alkyloxy, or substituted or unsubstituted amino;
R 11 is hydrogen or substituted or unsubstituted alkyl;
or a pharmaceutically acceptable salt thereof, or a solvate thereof, wherein p is an integer of 0 to 4.
本発明化合物において、一つの態様は以下の通りである。
式(I’):
[式中、Ra1およびRa2が、それらが結合する炭素原子と一緒になって形成したA環が
R1が、置換もしくは非置換のアルキル、置換もしくは非置換のアルキルオキシ、ハロゲンまたはヒドロキシ;
nは、0~2の整数;
-W-は、-O-、-N(R2)-、-S-、-S(O)-または-S(O)2-;
R2は、水素、置換もしくは非置換のアルキルまたはアシル;
-B1が-B’であり、-B2が-B’’であるか、または-B1が-B’’であり、-B2が-B’であり;
-B’は、式:-X-(CH2)m-Y;
mは、1~5の整数:
-X-は、-NH-;
Yは、非置換スルファモイル、置換基群Aから選択される置換基で置換されたスルファモイル、;
-B’’が、
R10が、それぞれ独立して、置換もしくは非置換のアルキル、ハロゲン、ヒドロキシ、置換もしくは非置換のアルキルオキシ、または置換もしくは非置換のアミノ;
R11は、水素または置換もしくは非置換のアルキル;
pは0~4の整数)で示される環]で示される化合物もしくはその製薬上許容される塩またはそれらの溶媒和物。
In the compound of the present invention, one embodiment is as follows.
Formula (I ′):
[Wherein the ring A formed by R a1 and R a2 together with the carbon atom to which they are bonded is
R 1 is substituted or unsubstituted alkyl, substituted or unsubstituted alkyloxy, halogen or hydroxy;
n is an integer from 0 to 2;
—W— represents —O—, —N (R 2 ) —, —S—, —S (O) — or —S (O) 2 —;
R 2 is hydrogen, substituted or unsubstituted alkyl or acyl;
-B 1 is -B 'and -B 2 is -B "or -B 1 is -B" and -B 2 is -B';
—B ′ has the formula: —X— (CH 2 ) m —Y;
m is an integer from 1 to 5:
—X— represents —NH—;
Y is unsubstituted sulfamoyl, sulfamoyl substituted with a substituent selected from substituent group A;
-B ''
Each R 10 is independently substituted or unsubstituted alkyl, halogen, hydroxy, substituted or unsubstituted alkyloxy, or substituted or unsubstituted amino;
R 11 is hydrogen or substituted or unsubstituted alkyl;
or a pharmaceutically acceptable salt thereof, or a solvate thereof, wherein p is an integer of 0 to 4.
本発明化合物において、一つの態様は以下の通りである。
式(I’):
[式中、Ra1およびRa2が、それらが結合する炭素原子と一緒になって形成したA環が
R1が、置換もしくは非置換のアルキル、置換もしくは非置換のアルキルオキシ、ハロゲンまたはヒドロキシ;
nは、0~2の整数;
-W-は、-O-、-N(R2)-、-S-、-S(O)-または-S(O)2-;
R2は、水素、置換もしくは非置換のアルキルまたはアシル;
-B1が-B’であり、-B2が-B’’あり;
-B’は、式:-X-(CH2)m-Y;
mは、1~5の整数:
-X-は、-NH-;
Yは、非置換スルファモイル、置換基群Aから選択される置換基で置換されたスルファモイル、;
-B’’が、
R10が、それぞれ独立して、置換もしくは非置換のアルキル、ハロゲン、ヒドロキシ、置換もしくは非置換のアルキルオキシ、または置換もしくは非置換のアミノ;
R11は、水素または置換もしくは非置換のアルキル;
pは0~4の整数)で示される環]で示される化合物もしくはその製薬上許容される塩またはそれらの溶媒和物。
In the compound of the present invention, one embodiment is as follows.
Formula (I ′):
[Wherein the ring A formed by R a1 and R a2 together with the carbon atom to which they are bonded is
R 1 is substituted or unsubstituted alkyl, substituted or unsubstituted alkyloxy, halogen or hydroxy;
n is an integer from 0 to 2;
—W— represents —O—, —N (R 2 ) —, —S—, —S (O) — or —S (O) 2 —;
R 2 is hydrogen, substituted or unsubstituted alkyl or acyl;
-B 1 is -B 'and -B 2 is -B'';
—B ′ has the formula: —X— (CH 2 ) m —Y;
m is an integer from 1 to 5:
—X— represents —NH—;
Y is unsubstituted sulfamoyl, sulfamoyl substituted with a substituent selected from substituent group A;
-B ''
Each R 10 is independently substituted or unsubstituted alkyl, halogen, hydroxy, substituted or unsubstituted alkyloxy, or substituted or unsubstituted amino;
R 11 is hydrogen or substituted or unsubstituted alkyl;
or a pharmaceutically acceptable salt thereof, or a solvate thereof, wherein p is an integer of 0 to 4.
本発明化合物において、一つの態様は以下の通りである。
式(I’):
[式中、Ra1およびRa2が、それらが結合する炭素原子と一緒になって形成したA環が
R1が、置換もしくは非置換のアルキル、置換もしくは非置換のアルキルオキシ、ハロゲンまたはヒドロキシ;
nは、0~2の整数;
-W-は、-O-、-N(R2)-、-S-、-S(O)-または-S(O)2-;
R2は、水素、置換もしくは非置換のアルキルまたはアシル;
-B1が-B’’であり、-B2が-B’であり;
-B’は、式:-X-(CH2)m-Y;
mは、1~5の整数:
-X-は、-NH-;
Yは、非置換スルファモイル、置換基群Aから選択される置換基で置換されたスルファモイル、;
-B’’が、
R10が、それぞれ独立して、置換もしくは非置換のアルキル、ハロゲン、ヒドロキシ、置換もしくは非置換のアルキルオキシ、または置換もしくは非置換のアミノ;
R11は、水素または置換もしくは非置換のアルキル;
pは0~4の整数)で示される環]で示される化合物もしくはその製薬上許容される塩またはそれらの溶媒和物。
In the compound of the present invention, one embodiment is as follows.
Formula (I ′):
[Wherein the ring A formed by R a1 and R a2 together with the carbon atom to which they are bonded is
R 1 is substituted or unsubstituted alkyl, substituted or unsubstituted alkyloxy, halogen or hydroxy;
n is an integer from 0 to 2;
—W— represents —O—, —N (R 2 ) —, —S—, —S (O) — or —S (O) 2 —;
R 2 is hydrogen, substituted or unsubstituted alkyl or acyl;
-B 1 is -B "and -B 2 is -B ';
—B ′ has the formula: —X— (CH 2 ) m —Y;
m is an integer from 1 to 5:
—X— represents —NH—;
Y is unsubstituted sulfamoyl, sulfamoyl substituted with a substituent selected from substituent group A;
-B ''
Each R 10 is independently substituted or unsubstituted alkyl, halogen, hydroxy, substituted or unsubstituted alkyloxy, or substituted or unsubstituted amino;
R 11 is hydrogen or substituted or unsubstituted alkyl;
or a pharmaceutically acceptable salt thereof, or a solvate thereof, wherein p is an integer of 0 to 4.
本発明化合物において、一つの態様は以下の通りである。
式(I’):
であり、
R1が、置換もしくは非置換のアルキル、置換もしくは非置換のアルキルオキシ、ハロゲンまたはヒドロキシ;
nは、0~2の整数;
-B1が-B’であり、-B2が-B’’であるか、または-B1が-B’’であり、-B2が-B’であり;
-B’は、式:-X-(CH2)2-Y;
-X-は、-NH-;
Yは、非置換スルファモイル、置換基群Aから選択される置換基で置換されたスルファモイル、;
-B’’が、
R10が、それぞれ独立して、置換もしくは非置換のアルキル、ハロゲン、ヒドロキシ、置換もしくは非置換のアルキルオキシ、または置換もしくは非置換のアミノ;
R11は、水素または置換もしくは非置換のアルキル;
pは0~4の整数)で示される環]で示される化合物もしくはその製薬上許容される塩またはそれらの溶媒和物。
In the compound of the present invention, one embodiment is as follows.
Formula (I ′):
And
R 1 is substituted or unsubstituted alkyl, substituted or unsubstituted alkyloxy, halogen or hydroxy;
n is an integer from 0 to 2;
-B 1 is -B 'and -B 2 is -B "or -B 1 is -B" and -B 2 is -B';
—B ′ has the formula: —X— (CH 2 ) 2 —Y;
—X— represents —NH—;
Y is unsubstituted sulfamoyl, sulfamoyl substituted with a substituent selected from substituent group A;
-B ''
Each R 10 is independently substituted or unsubstituted alkyl, halogen, hydroxy, substituted or unsubstituted alkyloxy, or substituted or unsubstituted amino;
R 11 is hydrogen or substituted or unsubstituted alkyl;
or a pharmaceutically acceptable salt thereof, or a solvate thereof, wherein p is an integer of 0 to 4.
本発明化合物において、一つの態様は以下の通りである。
式(I’):
であり、
R1が、置換もしくは非置換のアルキル、置換もしくは非置換のアルキルオキシ、ハロゲンまたはヒドロキシ;
nは、0~2の整数;
-B1が-B’であり、-B2が-B’’あり;
-B’は、式:-X-(CH2)2-Y;
-X-は、-NH-;
Yは、非置換スルファモイル、置換基群Aから選択される置換基で置換されたスルファモイル、;
-B’’が、
R10が、それぞれ独立して、置換もしくは非置換のアルキル、ハロゲン、ヒドロキシ、置換もしくは非置換のアルキルオキシ、または置換もしくは非置換のアミノ;
R11は、水素または置換もしくは非置換のアルキル;
pは0~4の整数)で示される環]で示される化合物もしくはその製薬上許容される塩またはそれらの溶媒和物。
In the compound of the present invention, one embodiment is as follows.
Formula (I ′):
And
R 1 is substituted or unsubstituted alkyl, substituted or unsubstituted alkyloxy, halogen or hydroxy;
n is an integer from 0 to 2;
-B 1 is -B 'and -B 2 is -B'';
—B ′ has the formula: —X— (CH 2 ) 2 —Y;
—X— represents —NH—;
Y is unsubstituted sulfamoyl, sulfamoyl substituted with a substituent selected from substituent group A;
-B ''
Each R 10 is independently substituted or unsubstituted alkyl, halogen, hydroxy, substituted or unsubstituted alkyloxy, or substituted or unsubstituted amino;
R 11 is hydrogen or substituted or unsubstituted alkyl;
or a pharmaceutically acceptable salt thereof, or a solvate thereof, wherein p is an integer of 0 to 4.
本発明化合物において、一つの態様は以下の通りである。
式(I’):
であり、
R1が、置換もしくは非置換のアルキル、置換もしくは非置換のアルキルオキシ、ハロゲンまたはヒドロキシ;
nは、0~2の整数;
-B1が-B’’であり、-B2が-B’であり;
-B’は、式:-X-(CH2)2-Y;
-X-は、-NH-;
Yは、非置換スルファモイル、置換基群Aから選択される置換基で置換されたスルファモイル、;
-B’’が、
R10が、それぞれ独立して、置換もしくは非置換のアルキル、ハロゲン、ヒドロキシ、置換もしくは非置換のアルキルオキシ、または置換もしくは非置換のアミノ;
R11は、水素または置換もしくは非置換のアルキル;
pは0~4の整数)で示される環]で示される化合物もしくはその製薬上許容される塩またはそれらの溶媒和物。
In the compound of the present invention, one embodiment is as follows.
Formula (I ′):
And
R 1 is substituted or unsubstituted alkyl, substituted or unsubstituted alkyloxy, halogen or hydroxy;
n is an integer from 0 to 2;
-B 1 is -B "and -B 2 is -B ';
—B ′ has the formula: —X— (CH 2 ) 2 —Y;
—X— represents —NH—;
Y is unsubstituted sulfamoyl, sulfamoyl substituted with a substituent selected from substituent group A;
-B ''
Each R 10 is independently substituted or unsubstituted alkyl, halogen, hydroxy, substituted or unsubstituted alkyloxy, or substituted or unsubstituted amino;
R 11 is hydrogen or substituted or unsubstituted alkyl;
or a pharmaceutically acceptable salt thereof, or a solvate thereof, wherein p is an integer of 0 to 4.
上記一般式(I)で表される本発明化合物は、ヒスタミンH4受容体に対する調節作用を有し(作動剤、部分作動剤、逆作動剤および拮抗剤、特に拮抗剤)、ヒスタミンH4受容体が関与する疾患の治療剤として有用である。
例えば、気管支喘息、アレルギー性鼻炎、慢性閉塞性肺疾患(COPD)などの呼吸器系疾患;慢性関節リウマチ、アトピー性皮膚炎、アレルギー性結膜炎、乾癬、炎症性大腸炎、潰瘍性大腸炎、狼瘡、アテローム硬化症などの炎症性疾患;神経性疼痛および侵害性疼痛を含む疼痛緩和などに有効である。
The compound of the present invention represented by the above general formula (I) has a modulatory action on histamine H4 receptor (agonist, partial agonist, inverse agonist and antagonist, particularly antagonist), and histamine H4 receptor is It is useful as a therapeutic agent for diseases involved.
For example, respiratory diseases such as bronchial asthma, allergic rhinitis, chronic obstructive pulmonary disease (COPD); rheumatoid arthritis, atopic dermatitis, allergic conjunctivitis, psoriasis, inflammatory colitis, ulcerative colitis, lupus Inflammatory diseases such as atherosclerosis; effective for pain relief including neuropathic pain and nociceptive pain.
本発明の一般式(I)で表される化合物は、例えば、以下に示す合成ルートによって製造することができる。 The compound represented by the general formula (I) of the present invention can be produced, for example, by the following synthesis route.
以下に本発明に含まれる化合物の一般的合成法を示すが、本合成法に限られるものではない。
(式中、Ra1およびRa2は上記(1)と同意義、R14はハロゲン、置換もしくは非置換のアルキルオキシまたはシアノなどの脱離基、R15は置換もしくは非置換のアルキルまたは置換もしくは非置換のアリール。)
塩基存在下、一般式(i)で示される化合物に対し、一般式(ii)で示される化合物を作用させることで、一般式(iii)で示される化合物を合成することができる。
反応溶媒としてはTHF、ジエチルエーテル、DMF、DME、ジオキサン、ヘキサン、メタノール、エタノール、プロパノール、イソプロパノール、ブタノール等が挙げられ、単独または混合して用いることができる。
塩基としてはナトリウムメトキシド、ナトリウムエトキシド、カリウムtert-ブトキシド、n-ブチルリチウム、リチウムヘキサメチルジシラジド、ナトリウムヘキサメチルジシラジド、カリウムヘキサメチルジシラジド、ナトリウムアミド、リチウムジイソプロピルアミド、水素化ナトリウムまたは水素化カリウム等が挙げられ、化合物(i)に対して、1~10モル当量用いることができる。
反応温度は-78℃~溶媒の還流温度が挙げられる。
反応時間としては0.5~24時間が挙げられる。
得られた一般式(iii)で示される化合物は、公知の手段(例えば、クロマトグラフィー、再結晶など)によって単離精製することができる。
The general synthesis method of the compound included in the present invention is shown below, but is not limited to this synthesis method.
Wherein R a1 and R a2 are as defined above (1), R 14 is a leaving group such as halogen, substituted or unsubstituted alkyloxy or cyano, R 15 is substituted or unsubstituted alkyl or substituted or Unsubstituted aryl.)
The compound represented by the general formula (iii) can be synthesized by allowing the compound represented by the general formula (ii) to act on the compound represented by the general formula (i) in the presence of a base.
Examples of the reaction solvent include THF, diethyl ether, DMF, DME, dioxane, hexane, methanol, ethanol, propanol, isopropanol, butanol and the like, and these can be used alone or in combination.
Sodium methoxide, sodium ethoxide, potassium tert-butoxide, n-butyllithium, lithium hexamethyldisilazide, sodium hexamethyldisilazide, potassium hexamethyldisilazide, sodium amide, lithium diisopropylamide, hydrogen Examples thereof include sodium hydride and potassium hydride, and 1 to 10 molar equivalents can be used relative to compound (i).
With respect to the reaction temperature, it can be −78 ° C. to the reflux temperature of the solvent.
An example of the reaction time is 0.5 to 24 hours.
The resulting compound represented by the general formula (iii) can be isolated and purified by known means (for example, chromatography, recrystallization and the like).
(式中の記号は、上記と同意義である。)
塩基存在下、一般式(iii)で示される化合物と尿素を縮合させることで、一般式(iv)で示される化合物を合成することができる。
反応溶媒としてはメタノール、エタノール、プロパノール、イソプロパノール、ブタノール等が挙げられ、単独または混合して用いることができる。
塩基としてはナトリウムメトキシド、ナトリウムエトキシド、カリウムtert-ブトキシド等が挙げられる。
反応温度は0℃~溶媒の還流温度が挙げられる。
反応時間としては0.5~24時間が挙げられる。
得られた一般式(iv)で示される化合物は、公知の手段(例えば、クロマトグラフィー、再結晶など)によって単離精製することができる。
(The symbols in the formula are as defined above.)
In the presence of a base, the compound represented by the general formula (iii) can be synthesized by condensing the compound represented by the general formula (iii) with urea.
Examples of the reaction solvent include methanol, ethanol, propanol, isopropanol, butanol and the like, and these can be used alone or in combination.
Examples of the base include sodium methoxide, sodium ethoxide, potassium tert-butoxide and the like.
With respect to the reaction temperature, it can be 0 ° C. to the reflux temperature of the solvent.
An example of the reaction time is 0.5 to 24 hours.
The obtained compound represented by the general formula (iv) can be isolated and purified by a known means (for example, chromatography, recrystallization and the like).
(式中、Zは置換アルキルまたは置換もしくは非置換の非芳香族複素環式基、その他の記号は上記と同意義である。)
塩基存在下、一般式(iii)で示される化合物と一般式(v)で示される化合物を縮合させることで、一般式(vi)で示される化合物を合成することができる。
反応溶媒としてはメタノール、エタノール、プロパノール、イソプロパノール、ブタノール等が挙げられ、単独または混合して用いることができる。
塩基としてはナトリウムメトキシド、ナトリウムエトキシド、カリウムtert-ブトキシド等が挙げられ、一般式(iii)で示される化合物に対して1~10モル当量用いることができる。
反応温度は0℃~溶媒の還流温度が挙げられる。
反応時間としては0.5~24時間が挙げられる。
得られた一般式(vi)で示される化合物は、公知の手段(例えば、クロマトグラフィー、再結晶など)によって単離精製することができる。
(In the formula, Z is substituted alkyl or a substituted or unsubstituted non-aromatic heterocyclic group, and other symbols are as defined above.)
By condensing the compound represented by the general formula (iii) and the compound represented by the general formula (v) in the presence of a base, the compound represented by the general formula (vi) can be synthesized.
Examples of the reaction solvent include methanol, ethanol, propanol, isopropanol, butanol and the like, and these can be used alone or in combination.
Examples of the base include sodium methoxide, sodium ethoxide, potassium tert-butoxide and the like, and 1 to 10 molar equivalents can be used with respect to the compound represented by the general formula (iii).
With respect to the reaction temperature, it can be 0 ° C. to the reflux temperature of the solvent.
An example of the reaction time is 0.5 to 24 hours.
The resulting compound represented by the general formula (vi) can be isolated and purified by known means (for example, chromatography, recrystallization and the like).
(式中、Qは臭素原子または塩素原子、その他の記号は上記と同意義である。)
一般式(iv)で示される化合物に対して、ハロゲン化剤を作用させることで、一般式(vii)で示される化合物を合成することができる。
反応溶媒としてはジクロロメタン、1,2-ジクロロエタン、クロロホルム、トルエン、アセトニトリル等が挙げられ、単独または混合して用いる、または無溶媒でも行うことができる。
ハロゲン化剤としては塩化チオニル、臭化チオニル、オキシ塩化リン、五塩化リン、三塩化リン、オキサリルクロリド等が挙げられ、化合物(iv)に対して、1当量~溶媒量用いることができる。また添加剤としてジメチルホルムアミド、N,N-ジメチルアニリン、N,N-ジエチルアニリンを用いてもよい。
反応温度は0℃~溶媒の還流温度が挙げられる。
反応時間としては0.5~48時間が挙げられる。
得られた一般式(vii)で示される化合物は、公知の手段(例えば、クロマトグラフィー、再結晶など)によって単離精製することができる。
(In the formula, Q is a bromine atom or a chlorine atom, and other symbols are as defined above.)
A compound represented by the general formula (vii) can be synthesized by allowing a halogenating agent to act on the compound represented by the general formula (iv).
Examples of the reaction solvent include dichloromethane, 1,2-dichloroethane, chloroform, toluene, acetonitrile, and the like. These can be used alone, in combination, or without solvent.
Examples of the halogenating agent include thionyl chloride, thionyl bromide, phosphorus oxychloride, phosphorus pentachloride, phosphorus trichloride, oxalyl chloride and the like, and 1 equivalent to a solvent amount can be used with respect to compound (iv). Further, dimethylformamide, N, N-dimethylaniline, N, N-diethylaniline may be used as an additive.
With respect to the reaction temperature, it can be 0 ° C. to the reflux temperature of the solvent.
An example of the reaction time is 0.5 to 48 hours.
The resulting compound represented by the general formula (vii) can be isolated and purified by a known means (for example, chromatography, recrystallization and the like).
(式中の記号は、上記と同意義である。)
一般式(vi)で示される化合物に対して、ハロゲン化剤を作用させることで、一般式(viii)で示される化合物を合成することができる。
反応溶媒としてはジクロロメタン、1,2-ジクロロエタン、クロロホルム、トルエン、アセトニトリル等が挙げられ、単独または混合して用いる、または無溶媒でも行うことができる。
ハロゲン化剤としては塩化チオニル、臭化チオニル、オキシ塩化リン、五塩化リン、三塩化リン、オキサリルクロリド等が挙げられ、化合物(vi)に対して、1当量~溶媒量用いることができる。また添加剤としてジメチルホルムアミド、N,N-ジメチルアニリン、N,N-ジエチルアニリンを用いてもよい。
反応温度は0℃~溶媒の還流温度が挙げられる。
反応時間としては0.5~48時間が挙げられる。
得られた一般式(viii)で示される化合物は、公知の手段(例えば、クロマトグラフィー、再結晶など)によって単離精製することができる。
(The symbols in the formula are as defined above.)
A compound represented by the general formula (viii) can be synthesized by allowing a halogenating agent to act on the compound represented by the general formula (vi).
Examples of the reaction solvent include dichloromethane, 1,2-dichloroethane, chloroform, toluene, acetonitrile, and the like. These can be used alone, in combination, or without solvent.
Examples of the halogenating agent include thionyl chloride, thionyl bromide, phosphorus oxychloride, phosphorus pentachloride, phosphorus trichloride, oxalyl chloride and the like, and 1 equivalent to a solvent amount can be used with respect to compound (vi). Further, dimethylformamide, N, N-dimethylaniline, N, N-diethylaniline may be used as an additive.
With respect to the reaction temperature, it can be 0 ° C. to the reflux temperature of the solvent.
An example of the reaction time is 0.5 to 48 hours.
The resulting compound represented by the general formula (viii) can be isolated and purified by a known means (for example, chromatography, recrystallization and the like).
(式中、R16は置換アルキル、Z’は置換もしくは非置換の非芳香族複素環式基、その他の記号は、上記と同意義である。)
一般式(ix)で示される化合物に対して、塩基の存在または非存在下、一般式(x)で示されるアミンを作用させることで、一般式(xi)で示される化合物が得られる。
反応溶媒としてはテトラヒドロフラン、ジオキサン、トルエン、メタノール、エタノール、プロパノール、イソプロパノール、ブタノール、水、DMF、NMP、アセトニトリル等が挙げられ、単独または混合して用いることができる。
塩基としては、トリエチルアミン、N,N-ジイソプロピルエチルアミン、N-メチルモルホリン、ピリジン、ナトリウムメトキシド、ナトリウムエトキシド、カリウムtert-ブトキシド、n-ブチルリチウム、リチウムヘキサメチルジシラジド、ナトリウムヘキサメチルジシラジド、カリウムヘキサメチルジシラジド、ナトリウムアミド、リチウムジイソプロピルアミド、水素化ナトリウム、水素化カリウム等が挙げられ、化合物(ix)に対して、1~10モル当量用いることができる。
反応温度は0℃~溶媒の還流温度が挙げられる。
反応時間としては0.5~48時間が挙げられる。
得られた一般式(xi)で示される化合物は、公知の手段(例えば、クロマトグラフィー、再結晶など)によって単離精製することができる。
(Wherein R 16 is substituted alkyl, Z ′ is a substituted or unsubstituted non-aromatic heterocyclic group, and other symbols are as defined above.)
By reacting the compound represented by the general formula (ix) with the amine represented by the general formula (x) in the presence or absence of a base, the compound represented by the general formula (xi) is obtained.
Examples of the reaction solvent include tetrahydrofuran, dioxane, toluene, methanol, ethanol, propanol, isopropanol, butanol, water, DMF, NMP, acetonitrile and the like, and these can be used alone or in combination.
Bases include triethylamine, N, N-diisopropylethylamine, N-methylmorpholine, pyridine, sodium methoxide, sodium ethoxide, potassium tert-butoxide, n-butyllithium, lithium hexamethyldisilazide, sodium hexamethyldisila Examples thereof include zido, potassium hexamethyldisilazide, sodium amide, lithium diisopropylamide, sodium hydride, potassium hydride, and the like, and 1 to 10 molar equivalents can be used with respect to compound (ix).
With respect to the reaction temperature, it can be 0 ° C. to the reflux temperature of the solvent.
An example of the reaction time is 0.5 to 48 hours.
The resulting compound represented by the general formula (xi) can be isolated and purified by a known means (for example, chromatography, recrystallization and the like).
(式中の記号は、上記と同意義である。)
一般式(vii)で示される化合物に対して、塩基の存在または非存在下、一般式(x)で示されるアミンを作用させることで、一般式(xii)で示される化合物が得られる。
反応溶媒としてはテトラヒドロフラン、ジオキサン、トルエン、メタノール、エタノール、プロパノール、イソプロパノール、ブタノール、水、DMF、NMP、アセトニトリル等が挙げられ、単独または混合して用いることができる。
塩基としては、トリエチルアミン、N,N-ジイソプロピルエチルアミン、N-メチルモルホリン、ピリジン、ナトリウムメトキシド、ナトリウムエトキシド、カリウムtert-ブトキシド、n-ブチルリチウム、リチウムヘキサメチルジシラジド、ナトリウムヘキサメチルジシラジド、カリウムヘキサメチルジシラジド、ナトリウムアミド、リチウムジイソプロピルアミド、水素化ナトリウム、水素化カリウム等が挙げられ、化合物(vii)に対して、1~10モル当量用いることができる。
反応温度は0℃~溶媒の還流温度が挙げられる。
反応時間としては0.5~48時間が挙げられる。
得られた一般式(xii)で示される化合物は、公知の手段(例えば、クロマトグラフィー、再結晶など)によって単離精製することができる。
(The symbols in the formula are as defined above.)
By reacting the compound represented by the general formula (vii) with the amine represented by the general formula (x) in the presence or absence of a base, the compound represented by the general formula (xii) is obtained.
Examples of the reaction solvent include tetrahydrofuran, dioxane, toluene, methanol, ethanol, propanol, isopropanol, butanol, water, DMF, NMP, acetonitrile and the like, and these can be used alone or in combination.
Bases include triethylamine, N, N-diisopropylethylamine, N-methylmorpholine, pyridine, sodium methoxide, sodium ethoxide, potassium tert-butoxide, n-butyllithium, lithium hexamethyldisilazide, sodium hexamethyldisila Examples thereof include zido, potassium hexamethyldisilazide, sodium amide, lithium diisopropylamide, sodium hydride, potassium hydride and the like, and 1 to 10 molar equivalents can be used with respect to compound (vii).
With respect to the reaction temperature, it can be 0 ° C. to the reflux temperature of the solvent.
An example of the reaction time is 0.5 to 48 hours.
The resulting compound represented by the general formula (xii) can be isolated and purified by a known means (for example, chromatography, recrystallization and the like).
(式中の記号は、上記と同意義である。)
一般式(xii)で示される化合物に対して、塩基の存在または非存在下、一般式(xiii)で示されるアミンを作用させることで、一般式(xiv)で示される化合物が得られる。
反応溶媒としてはテトラヒドロフラン、ジオキサン、トルエン、メタノール、エタノール、プロパノール、イソプロパノール、ブタノール、水、DMF、NMP、アセトニトリル等が挙げられ、単独または混合して用いることができる。
塩基としては、トリエチルアミン、N,N-ジイソプロピルエチルアミン、N-メチルモルホリン、ピリジンナトリウムメトキシド、ナトリウムエトキシド、カリウムtert-ブトキシド、n-ブチルリチウム、リチウムヘキサメチルジシラジド、ナトリウムヘキサメチルジシラジド、カリウムヘキサメチルジシラジド、ナトリウムアミド、リチウムジイソプロピルアミド、水素化ナトリウム、水素化カリウム等が挙げられ、化合物(xii)に対して、1~10モル当量用いることができる。
反応温度は0℃~溶媒の還流温度が挙げられる。
反応時間としては0.5~48時間が挙げられる。
得られた一般式(xiv)で示される化合物は、公知の手段(例えば、クロマトグラフィー、再結晶など)によって単離精製することができる。
(The symbols in the formula are as defined above.)
By reacting the compound represented by the general formula (xii) with the amine represented by the general formula (xiii) in the presence or absence of a base, the compound represented by the general formula (xiv) is obtained.
Examples of the reaction solvent include tetrahydrofuran, dioxane, toluene, methanol, ethanol, propanol, isopropanol, butanol, water, DMF, NMP, acetonitrile and the like, and these can be used alone or in combination.
Bases include triethylamine, N, N-diisopropylethylamine, N-methylmorpholine, sodium pyridine pyridine, sodium ethoxide, potassium tert-butoxide, n-butyllithium, lithium hexamethyldisilazide, sodium hexamethyldisilazide Potassium hexamethyldisilazide, sodium amide, lithium diisopropylamide, sodium hydride, potassium hydride and the like, and 1 to 10 molar equivalents can be used relative to compound (xii).
With respect to the reaction temperature, it can be 0 ° C. to the reflux temperature of the solvent.
An example of the reaction time is 0.5 to 48 hours.
The resulting compound represented by the general formula (xiv) can be isolated and purified by the known means (for example, chromatography, recrystallization and the like).
(式中、P1はBoc、ベンジルオキシカルボニルまたはベンジル等の一般的なアミンの保護基、
は非芳香族含窒素複素環基、その他の記号は上記と同意義である。)
一般式(xv)で示される化合物に対して、公知の脱保護反応(参照:Green’s Protective Groups in Organic Synthesis, Wiley)を行うにより、一般式(xvi)で示されるアミンが得られる。
得られた一般式(xv)で示される化合物は、公知の手段(例えば、クロマトグラフィー、再結晶など)によって単離精製することができる。
Wherein P 1 is a common amine protecting group such as Boc, benzyloxycarbonyl or benzyl,
Is a non-aromatic nitrogen-containing heterocyclic group, and other symbols are as defined above. )
An amine represented by the general formula (xvi) is obtained by subjecting the compound represented by the general formula (xv) to a known deprotection reaction (see: Green's Protective Groups in Organic Synthesis, Wiley).
The resulting compound represented by the general formula (xv) can be isolated and purified by the known means (for example, chromatography, recrystallization and the like).
(式中、R18は水素または置換もしくは非置換アルキル、
は非芳香族複素環基、その他の記号は、上記と同意義である。)
一般式(xvii)で示される化合物に対して、公知の脱保護反応(参照:Green’s Protective Groups in Organic Synthesis, Wiley)を行うにより、一般式(xviii)で示されるアミンが得られる。
得られた一般式(xv)で示される化合物は、公知の手段(例えば、クロマトグラフィー、再結晶など)によって単離精製することができる。
Wherein R 18 is hydrogen or substituted or unsubstituted alkyl,
Is a non-aromatic heterocyclic group, and other symbols are as defined above. )
An amine represented by the general formula (xviii) is obtained by subjecting the compound represented by the general formula (xvii) to a known deprotection reaction (see: Green's Protective Groups in Organic Synthesis, Wiley).
The resulting compound represented by the general formula (xv) can be isolated and purified by the known means (for example, chromatography, recrystallization and the like).
(式の記号は、上記と同意義である。)
一般式(xix)で示される化合物に対して、公知の脱保護反応(参照:Green’s Protective Groups in Organic Synthesis, Wiley)を行うにより、一般式(xx)で示されるアミンが得られる。
得られた一般式(xx)で示される化合物は、公知の手段(例えば、クロマトグラフィー、再結晶など)によって単離精製することができる。
(The symbols in the formula are as defined above.)
By subjecting the compound represented by the general formula (xix) to a known deprotection reaction (see: Green's Protective Groups in Organic Synthesis, Wiley), an amine represented by the general formula (xx) is obtained.
The resulting compound represented by the general formula (xx) can be isolated and purified by the known means (eg chromatography, recrystallization etc.).
(式の記号は、上記と同意義である。)
一般式(xxi)で示される化合物に対して、公知の脱保護反応(参照:Green’s Protective Groups in Organic Synthesis, Wiley)を行うにより、一般式(xxii)で示されるアミンが得られる。
得られた一般式(xxii)で示される化合物は、公知の手段(例えば、クロマトグラフィー、再結晶など)によって単離精製することができる。
(The symbols in the formula are as defined above.)
The compound represented by the general formula (xxi) is subjected to a known deprotection reaction (see Green's Protective Groups in Organic Synthesis, Wiley) to obtain the amine represented by the general formula (xxii).
The resulting compound represented by the general formula (xxii) can be isolated and purified by the known means (eg chromatography, recrystallization etc.).
(式中、R19は水素または置換もしくは非置換のアルキル、R20は置換もしくは非置換のアルキル、置換もしくは非置換のアルケニル、置換もしくは非置換のアルキニル、置換もしくは非置換のシクロアルキル、置換もしくは非置換のシクロアルケニル、置換もしくは非置換の非芳香族複素環式基、置換もしくは非置換のアリールまたは置換もしくは非置換のヘテロアリール、その他の記号は前記と同意義である。)
一般式(xxiii)で示されるアミンに対して、塩基存在下、一般式(xxiv)で示される化合物を作用させることで、一般式(xxv)で示される化合物が得られる。
反応溶媒としてはTHF、アセトニトリル、ジクロロメタン、1,2-ジクロロエタン、クロロホルム、トルエン等が挙げられ、単独または混合して用いることができる。
反応温度は0℃~溶媒の還流温度が挙げられる。
反応時間としては0.5~72時間が挙げられる。
得られた一般式(xxv)で示される化合物は、公知の手段(例えば、クロマトグラフィー、再結晶など)によって単離精製することができる。
Wherein R 19 is hydrogen or substituted or unsubstituted alkyl, R 20 is substituted or unsubstituted alkyl, substituted or unsubstituted alkenyl, substituted or unsubstituted alkynyl, substituted or unsubstituted cycloalkyl, substituted or (Unsubstituted cycloalkenyl, substituted or unsubstituted non-aromatic heterocyclic group, substituted or unsubstituted aryl or substituted or unsubstituted heteroaryl, and other symbols are as defined above.)
The compound represented by the general formula (xxv) is obtained by allowing the compound represented by the general formula (xxiv) to act on the amine represented by the general formula (xxiii) in the presence of a base.
Examples of the reaction solvent include THF, acetonitrile, dichloromethane, 1,2-dichloroethane, chloroform, toluene and the like, and these can be used alone or in combination.
With respect to the reaction temperature, it can be 0 ° C. to the reflux temperature of the solvent.
An example of the reaction time is 0.5 to 72 hours.
The resulting compound represented by the general formula (xxv) can be isolated and purified by the known means (eg chromatography, recrystallization etc.).
(式中の記号は、前記と同意義である。)
一般式(xxvi)で示されるアミンに対して、塩基存在下、一般式(xxiv)で示される化合物を作用させることで、一般式(xxvii)で示される化合物が得られる。
反応溶媒としてはTHF、アセトニトリル、ジクロロメタン、1,2-ジクロロエタン、クロロホルム、トルエン等が挙げられ、単独または混合して用いることができる。
反応温度は0℃~溶媒の還流温度が挙げられる。
反応時間としては0.5~72時間が挙げられる。
得られた一般式(xxvii)で示される化合物は、公知の手段(例えば、クロマトグラフィー、再結晶など)によって単離精製することができる。
(The symbols in the formula are as defined above.)
A compound represented by the general formula (xxvii) is obtained by allowing a compound represented by the general formula (xxiv) to act on the amine represented by the general formula (xxvi) in the presence of a base.
Examples of the reaction solvent include THF, acetonitrile, dichloromethane, 1,2-dichloroethane, chloroform, toluene and the like, and these can be used alone or in combination.
With respect to the reaction temperature, it can be 0 ° C. to the reflux temperature of the solvent.
An example of the reaction time is 0.5 to 72 hours.
The resulting compound represented by the general formula (xxvii) can be isolated and purified by the known means (eg chromatography, recrystallization etc.).
(式中、tは0~2の整数、その他の記号は、上記と同意義である。)
一般式(xxviii)で示される化合物に対して、ハロゲン化剤を作用させることで、一般式(xxix)で示される化合物を合成することができる。
反応溶媒としてはジクロロメタン、1,2-ジクロロエタン、クロロホルム、トルエン、アセトニトリル等が挙げられ、単独または混合して用いる、または無溶媒でも行うことができる。
ハロゲン化剤としては塩化チオニル、臭化チオニル、オキシ塩化リン、五塩化リン、三塩化リン、オキサリルクロリドなどが挙げられ、化合物(xxviii)に対して、1当量~溶媒量用いることができる。また添加剤としてジメチルホルムアミド、N,N-ジメチルアニリン、N,N-ジエチルアニリンを用いてもよい。
反応温度は-20℃~溶媒の還流温度が挙げられる。
反応時間としては0.5~48時間が挙げられる。
得られた一般式(xxix)で示される化合物は、公知の手段(例えば、クロマトグラフィー、再結晶など)によって単離精製することができる。
(In the formula, t is an integer of 0 to 2, and other symbols are as defined above.)
A compound represented by the general formula (xxix) can be synthesized by allowing a halogenating agent to act on the compound represented by the general formula (xxviii).
Examples of the reaction solvent include dichloromethane, 1,2-dichloroethane, chloroform, toluene, acetonitrile, and the like. These can be used alone, in combination, or without solvent.
Examples of the halogenating agent include thionyl chloride, thionyl bromide, phosphorus oxychloride, phosphorus pentachloride, phosphorus trichloride, oxalyl chloride, and the like, and 1 equivalent to a solvent amount can be used with respect to compound (xxviii). Further, dimethylformamide, N, N-dimethylaniline, N, N-diethylaniline may be used as an additive.
With respect to the reaction temperature, it can be -20 ° C to the reflux temperature of the solvent.
An example of the reaction time is 0.5 to 48 hours.
The resulting compound represented by the general formula (xxix) can be isolated and purified by the known means (eg chromatography, recrystallization etc.).
(式中、R21およびR22は、それぞれ独立して水素、置換もしくは非置換のアルキル、置換もしくは非置換のアルケニル、置換もしくは非置換のアルキニル、置換もしくは非置換のシクロアルキル、置換もしくは非置換のシクロアルケニル、置換もしくは非置換の非芳香族複素環式基、置換もしくは非置換のアリール、置換もしくは非置換のヘテロアリール、その他の記号は前記と同意義である。)
一般式(xxx)で示される化合物に対して、塩基存在下、一般式(xxxi)で示されるアミンを作用させることで、一般式(xxxii)で示される化合物が得られる。
反応溶媒としてはテトラヒドロフラン、ジオキサン、トルエン、メタノール、エタノール、プロパノール、イソプロパノール、ブタノール、水、DMF、NMP、アセトニトリル等が挙げられ、単独または混合して用いることができる。
塩基としては、トリエチルアミン、N,N-ジイソプロピルエチルアミン、N-メチルモルホリン、ピリジン等が挙げられ、化合物(xxx)に対して、1~10モル当量用いることができる。
反応温度は0℃~溶媒の還流温度が挙げられる。
反応時間としては0.5~48時間が挙げられる。
得られた一般式(xxxii)で示される化合物は、公知の手段(例えば、クロマトグラフィー、再結晶など)によって単離精製することができる。
Wherein R 21 and R 22 are each independently hydrogen, substituted or unsubstituted alkyl, substituted or unsubstituted alkenyl, substituted or unsubstituted alkynyl, substituted or unsubstituted cycloalkyl, substituted or unsubstituted And cycloalkenyl, substituted or unsubstituted non-aromatic heterocyclic group, substituted or unsubstituted aryl, substituted or unsubstituted heteroaryl, and other symbols are as defined above.)
By reacting the compound represented by the general formula (xxx) with the amine represented by the general formula (xxxi) in the presence of a base, the compound represented by the general formula (xxxii) is obtained.
Examples of the reaction solvent include tetrahydrofuran, dioxane, toluene, methanol, ethanol, propanol, isopropanol, butanol, water, DMF, NMP, acetonitrile and the like, and these can be used alone or in combination.
Examples of the base include triethylamine, N, N-diisopropylethylamine, N-methylmorpholine, pyridine and the like, and 1 to 10 molar equivalents can be used with respect to compound (xxx).
With respect to the reaction temperature, it can be 0 ° C. to the reflux temperature of the solvent.
An example of the reaction time is 0.5 to 48 hours.
The resulting compound represented by the general formula (xxxii) can be isolated and purified by the known means (eg chromatography, recrystallization etc.).
(式中、uは1~4の整数、その他の記号は前記と同意義である。)
一般式(xxxiii)で示される化合物に対して、酸を作用させることで、一般式(xxxiv)で示される化合物が得られる。
反応溶媒としてはジクロロメタン、1,2-ジクロロエタン、クロロホルム等が挙げられ、単独または混合して用いることができる。
酸としては、ヨウ化トリメチルシラン、三臭化ホウ素等が挙げられ、化合物(xxxiii)に対して、1~30モル当量用いることができる。
反応温度は-78℃~溶媒の還流温度が挙げられる。
反応時間としては0.5~48時間が挙げられる。
得られた一般式(xxxiv)で示される化合物は、公知の手段(例えば、クロマトグラフィー、再結晶など)によって単離精製することができる。
(In the formula, u is an integer of 1 to 4, and other symbols are as defined above.)
A compound represented by the general formula (xxxiv) is obtained by allowing an acid to act on the compound represented by the general formula (xxxiii).
Examples of the reaction solvent include dichloromethane, 1,2-dichloroethane, chloroform and the like, and these can be used alone or in combination.
Examples of the acid include trimethylsilane iodide, boron tribromide, and the like. The acid can be used at 1 to 30 molar equivalents relative to the compound (xxxiii).
With respect to the reaction temperature, it can be −78 ° C. to the reflux temperature of the solvent.
An example of the reaction time is 0.5 to 48 hours.
The resulting compound represented by the general formula (xxxiv) can be isolated and purified by the known means (eg chromatography, recrystallization etc.).
(式中、qは1~3の整数、rは1~3の整数、R23は水素、置換もしくは非置換のアルキルオキシ、その他の記号は前記と同意義である。)
一般式(xxxv)で示される化合物に対して、塩基存在下、1-クロロエチルクロロホルメートを作用させることで、一般式(xxvi)で示される化合物が得られる。
反応溶媒としてはジクロロメタン、1,2-ジクロロエタン、クロロホルム等が挙げられ、単独または混合して用いることができる。
塩基としては、トリエチルアミン、N,N-ジイソプロピルエチルアミン、N-メチルモルホリン、ピリジン等が挙げられ、化合物(xxxv)に対して、1~10モル当量用いることができる。
反応温度は-78℃~溶媒の還流温度が挙げられる。
反応時間としては0.5~48時間が挙げられる。
得られた一般式(xxxvi)で示される化合物は、公知の手段(例えば、クロマトグラフィー、再結晶など)によって単離精製することができる。
(Wherein q is an integer of 1 to 3, r is an integer of 1 to 3, R 23 is hydrogen, substituted or unsubstituted alkyloxy, and other symbols are as defined above.)
The compound represented by the general formula (xxxvi) is obtained by allowing 1-chloroethyl chloroformate to act on the compound represented by the general formula (xxxv) in the presence of a base.
Examples of the reaction solvent include dichloromethane, 1,2-dichloroethane, chloroform and the like, and these can be used alone or in combination.
Examples of the base include triethylamine, N, N-diisopropylethylamine, N-methylmorpholine, pyridine and the like, and 1 to 10 molar equivalents can be used with respect to compound (xxxv).
With respect to the reaction temperature, it can be −78 ° C. to the reflux temperature of the solvent.
An example of the reaction time is 0.5 to 48 hours.
The resulting compound represented by the general formula (xxxvi) can be isolated and purified by the known means (eg chromatography, recrystallization etc.).
(式中、R24は置換もしくは非置換のアルキル、置換もしくは非置換のアルケニル、置換もしくは非置換のアルキニル、置換もしくは非置換のシクロアルキル、置換もしくは非置換のシクロアルケニル、置換もしくは非置換の非芳香族複素環式基、置換もしくは非置換のアリール、置換もしくは非置換のヘテロアリール、その他の記号は前記と同意義である。)
一般式(xxxvi)で示される化合物に対して、塩基存在下、一般式(xxxvii)で示される化合物を作用させることで、一般式(xxxviii)で示される化合物が得られる。
反応溶媒としてはジクロロメタン、1,2-ジクロロエタン、クロロホルム、THF、ジエチルエーテル、DMF、DME、ジオキサン、ヘキサン、メタノール、エタノール、プロパノール、イソプロパノール、ブタノール等が挙げられ、単独または混合して用いることができる。
塩基としては、トリエチルアミン、N,N-ジイソプロピルエチルアミン、N-メチルモルホリン、ピリジン、炭酸カリウム、炭酸ナトリウム、炭酸水素ナトリウム等が挙げられ、化合物(xxxvi)に対して、1~20モル当量用いることができる。
反応温度は0℃~溶媒の還流温度が挙げられる。
反応時間としては0.5~48時間が挙げられる。
得られた一般式(xxxviii)で示される化合物は、公知の手段(例えば、クロマトグラフィー、再結晶など)によって単離精製することができる。
Wherein R 24 is substituted or unsubstituted alkyl, substituted or unsubstituted alkenyl, substituted or unsubstituted alkynyl, substituted or unsubstituted cycloalkyl, substituted or unsubstituted cycloalkenyl, substituted or unsubstituted unsubstituted Aromatic heterocyclic groups, substituted or unsubstituted aryl, substituted or unsubstituted heteroaryl, and other symbols are as defined above.
The compound represented by the general formula (xxxviii) is obtained by allowing the compound represented by the general formula (xxxvii) to act on the compound represented by the general formula (xxxvi) in the presence of a base.
Examples of the reaction solvent include dichloromethane, 1,2-dichloroethane, chloroform, THF, diethyl ether, DMF, DME, dioxane, hexane, methanol, ethanol, propanol, isopropanol, butanol and the like, which can be used alone or in combination. .
Examples of the base include triethylamine, N, N-diisopropylethylamine, N-methylmorpholine, pyridine, potassium carbonate, sodium carbonate, sodium hydrogencarbonate and the like, and 1 to 20 molar equivalents are used with respect to the compound (xxxvi). it can.
With respect to the reaction temperature, it can be 0 ° C. to the reflux temperature of the solvent.
An example of the reaction time is 0.5 to 48 hours.
The resulting compound represented by the general formula (xxxviii) can be isolated and purified by the known means (eg chromatography, recrystallization etc.).
(式中、Z2およびZ3は臭素原子、塩素原子、トシレート、メシレート、アルキルスルホン、アリールスルホン等の脱離基、R31は置換もしくは非置換のアルキル、置換もしくは非置換のアルケニル、置換もしくは非置換のアルキニル、置換もしくは非置換のシクロアルキル、置換もしくは非置換のシクロアルケニル、置換もしくは非置換の非芳香族複素環基、置換もしくは非置換のアリール、または置換もしくは非置換のヘテロアリール、X1、X2、X3およびX4は上記(1)と同意義である。)
一般式(ixl)で示される化合物に対して、塩基の存在または非存在下、一般式(xl)で示される化合物を作用させることで、一般式で示される化合物(xli)が得られる。
反応溶媒としてはテトラヒドロフラン、ジオキサン、トルエン、メタノール、エタノール、プロパノール、イソプロパノール、ブタノール、水、DMF、NMP、アセトニトリル、ピリジン等が挙げられ、単独または混合して用いることができる。
塩基としては、トリエチルアミン、N,N-ジイソプロピルエチルアミン、N-メチルモルホリン、ピリジン、ナトリウムメトキシド、ナトリウムエトキシド、カリウムtert-ブトキシド、n-ブチルリチウム、リチウムヘキサメチルジシラジド、ナトリウムヘキサメチルジシラジド、カリウムヘキサメチルジシラジド、ナトリウムアミド、リチウムジイソプロピルアミド、水素化ナトリウム、水素化カリウム等が挙げられ、化合物(ixl)に対して、1~10モル当量用いることができる。
反応温度は0℃~溶媒の還流温度が挙げられる。
反応時間としては0.5~48時間が挙げられる。
得られた一般式(xli)で示される化合物は、公知の手段(例えば、クロマトグラフィー、再結晶など)によって単離精製することができる。
(Wherein Z 2 and Z 3 are a leaving group such as bromine atom, chlorine atom, tosylate, mesylate, alkylsulfone, arylsulfone, R 31 is substituted or unsubstituted alkyl, substituted or unsubstituted alkenyl, substituted or Unsubstituted alkynyl, substituted or unsubstituted cycloalkyl, substituted or unsubstituted cycloalkenyl, substituted or unsubstituted non-aromatic heterocyclic group, substituted or unsubstituted aryl, or substituted or unsubstituted heteroaryl, X 1 , X 2 , X 3 and X 4 are the same as defined in (1) above.)
By reacting the compound represented by the general formula (xl) with the compound represented by the general formula (ixl) in the presence or absence of a base, the compound (xli) represented by the general formula is obtained.
Examples of the reaction solvent include tetrahydrofuran, dioxane, toluene, methanol, ethanol, propanol, isopropanol, butanol, water, DMF, NMP, acetonitrile, pyridine and the like, and these can be used alone or in combination.
Bases include triethylamine, N, N-diisopropylethylamine, N-methylmorpholine, pyridine, sodium methoxide, sodium ethoxide, potassium tert-butoxide, n-butyllithium, lithium hexamethyldisilazide, sodium hexamethyldisila Examples thereof include zido, potassium hexamethyldisilazide, sodium amide, lithium diisopropylamide, sodium hydride, potassium hydride and the like, and 1 to 10 molar equivalents can be used with respect to compound (ixl).
With respect to the reaction temperature, it can be 0 ° C. to the reflux temperature of the solvent.
An example of the reaction time is 0.5 to 48 hours.
The resulting compound represented by the general formula (xli) can be isolated and purified by the known means (for example, chromatography, recrystallization and the like).
(式中、R32は水素、置換もしくは非置換アルキルまたはR32とZ4は一緒になって環を形成してもよい、Z4は水素、置換もしくは非置換のアルキルまたはアシル、その他の記号は前記と同意義である。)
一般式(xli)で示される化合物に対して、塩基の存在または非存在下、一般式(xlii)で示される化合物を作用させることで、一般式(xliii)で示される化合物が得られる。
反応溶媒としてはテトラヒドロフラン、ジオキサン、トルエン、メタノール、エタノール、プロパノール、イソプロパノール、ブタノール、水、DMF、NMP、アセトニトリル、ピリジン等が挙げられ、単独または混合して用いることができる。
塩基としては、トリエチルアミン、N,N-ジイソプロピルエチルアミン、N-メチルモルホリン、ピリジン、ナトリウムメトキシド、ナトリウムエトキシド、カリウムtert-ブトキシド、n-ブチルリチウム、リチウムヘキサメチルジシラジド、ナトリウムヘキサメチルジシラジド、カリウムヘキサメチルジシラジド、ナトリウムアミド、リチウムジイソプロピルアミド、水素化ナトリウム、水素化カリウム等が挙げられ、化合物(xli)に対して、1~10モル当量用いることができる。
反応温度は0℃~溶媒の還流温度が挙げられる。
反応時間としては0.5~48時間が挙げられる。
得られた一般式(xliii)で示される化合物は、公知の手段(例えば、クロマトグラフィー、再結晶など)によって単離精製することができる。
Wherein R 32 is hydrogen, substituted or unsubstituted alkyl, or R 32 and Z 4 may be combined to form a ring, Z 4 is hydrogen, substituted or unsubstituted alkyl or acyl, or other symbols. Is as defined above.)
The compound represented by the general formula (xliii) is obtained by allowing the compound represented by the general formula (xlii) to act on the compound represented by the general formula (xli) in the presence or absence of a base.
Examples of the reaction solvent include tetrahydrofuran, dioxane, toluene, methanol, ethanol, propanol, isopropanol, butanol, water, DMF, NMP, acetonitrile, pyridine and the like, and these can be used alone or in combination.
Bases include triethylamine, N, N-diisopropylethylamine, N-methylmorpholine, pyridine, sodium methoxide, sodium ethoxide, potassium tert-butoxide, n-butyllithium, lithium hexamethyldisilazide, sodium hexamethyldisila Examples thereof include zido, potassium hexamethyldisilazide, sodium amide, lithium diisopropylamide, sodium hydride, potassium hydride, and the like, and 1 to 10 molar equivalents can be used with respect to compound (xli).
With respect to the reaction temperature, it can be 0 ° C. to the reflux temperature of the solvent.
An example of the reaction time is 0.5 to 48 hours.
The resulting compound represented by the general formula (xliii) can be isolated and purified by the known means (for example, chromatography, recrystallization and the like).
(式中、R33は置換もしくは非置換のアルキル、置換もしくは非置換のアルケニル、置換もしくは非置換のアルキニル、置換もしくは非置換のシクロアルキル、置換もしくは非置換のシクロアルケニル、置換もしくは非置換の非芳香族複素環基、置換もしくは非置換のアリール、または置換もしくは非置換のヘテロアリール、R34は水素、または2つのR34が結合して-(CR60aR60b)t-、tは1~3の整数、R60aおよびR60bは、それぞれ独立して、水素またはアルキル。)
塩基存在下、一般式(xli)で示される化合物に対し、金属触媒および一般式(xliv)で示されるボロン酸またはボロン酸エステルを作用させることで、一般式(xlv)で、示される化合物を合成することができる。
反応溶媒としてはテトラヒドロフラン、ジオキサン、トルエン、水、メタノール、エタノール、プロパノール、イソプロパノール、ブタノール、DMF,NMP等が挙げられ、単独または混合して用いることができる。
金属触媒としては、酢酸パラジウム、ビス(ジベンジリデンアセトン)パラジウム、テトラキス(トリフェニルホスフィン)パラジウム、ビス(トリフェニルホスフィン)パラジウム(II)二塩化物、ビス(トリ-tert-ブチルホスフィン)パラジウムなどが挙げられ、化合物(xli)に対して、0.001~0.5モル当量用いることができる。また配位子としてトリフェニルホスフィン、トリブチルホスフィン、dppf等の有機リン化合物を用いることもできる。
塩基としては、水酸化リチウム、水酸化ナトリウム、水酸化カリウム、カリウムtert-ブトキシド、ナトリウムtert-ブトキシド、炭酸ナトリウム、炭酸カリウム、炭酸水素ナトリウム、リン酸ナトリウム、リン酸水素ナトリウム、リン酸カリウム、リン酸水素カリウム、炭酸セシウム等が挙げられ、化合物(xli)に対して、1~10モル当量用いることができる。
ボロン酸またはボロン酸エステル(xliv)は、化合物(xli)に対して、1~10モル当量用いることができる。
反応温度は、20℃~溶媒の還流温度が挙げられる。
反応時間としては、0.5~48時間が挙げられる。
得られた一般式(xlv)で示される化合物は、公知の手段(例えば、クロマトグラフィー、再結晶など)によって単離精製することができる。
Wherein R 33 is substituted or unsubstituted alkyl, substituted or unsubstituted alkenyl, substituted or unsubstituted alkynyl, substituted or unsubstituted cycloalkyl, substituted or unsubstituted cycloalkenyl, substituted or unsubstituted unsubstituted Aromatic heterocyclic group, substituted or unsubstituted aryl, or substituted or unsubstituted heteroaryl, R 34 is hydrogen, or two R 34 are bonded to each other, and- (CR 60a R 60b ) t-, t is 1 to An integer of 3, R 60a and R 60b are each independently hydrogen or alkyl.)
By reacting a metal catalyst and a boronic acid or boronic acid ester represented by the general formula (xliv) with the compound represented by the general formula (xli) in the presence of a base, the compound represented by the general formula (xlv) Can be synthesized.
Examples of the reaction solvent include tetrahydrofuran, dioxane, toluene, water, methanol, ethanol, propanol, isopropanol, butanol, DMF, NMP and the like, and these can be used alone or in combination.
Examples of the metal catalyst include palladium acetate, bis (dibenzylideneacetone) palladium, tetrakis (triphenylphosphine) palladium, bis (triphenylphosphine) palladium (II) dichloride, bis (tri-tert-butylphosphine) palladium and the like. The compound can be used in an amount of 0.001 to 0.5 molar equivalent relative to the compound (xli). An organic phosphorus compound such as triphenylphosphine, tributylphosphine, or dppf can also be used as a ligand.
Bases include lithium hydroxide, sodium hydroxide, potassium hydroxide, potassium tert-butoxide, sodium tert-butoxide, sodium carbonate, potassium carbonate, sodium bicarbonate, sodium phosphate, sodium hydrogen phosphate, potassium phosphate, phosphorus Examples thereof include potassium oxyhydrogen, cesium carbonate, and the like, and can be used at 1 to 10 molar equivalents relative to the compound (xli).
Boronic acid or boronic acid ester (xliv) can be used at 1 to 10 molar equivalents relative to compound (xli).
With respect to the reaction temperature, it can be 20 ° C. to the reflux temperature of the solvent.
An example of the reaction time is 0.5 to 48 hours.
The obtained compound represented by the general formula (xlv) can be isolated and purified by the known means (eg chromatography, recrystallization etc.).
(式中、R35は水素、置換もしくは非置換のアルキル、ハロゲン、ヒドロキシ、置換もしくは非置換のアルキルオキシ、置換もしくは非置換のアミノ等、R36およびR37は、それぞれ独立して、水素、置換もしくは非置換のアルキル、置換もしくは非置換のアミノ等、R35およびR36は一緒になって環を形成してもよい、その他の記号は前記と同意義である。)
反応溶媒としては、メタノール、エタノール、プロパノール、イソプロパノール、ブタノール、テトラヒドロフラン、ジエチルエーテル、トルエン、酢酸エチル、蟻酸等が挙げられ、単独または混合して用いることができる。
金属触媒としては、パラジウム-炭素、水酸化パラジウム、酸化白金、クロロトリス(トリフェニルホスフィン)ロジウム(I)等が挙げられ、化合物(xlvi)に対して、0.01~0.5重量パーセント用いることができる。
水素気圧は、1~50気圧が挙げられる。
反応温度は、0℃から溶媒の還流温度が挙げられる。
反応時間としては、0.5~72時間が挙げられる。
得られた化合物(xlvii)は、公知の手段(例えば、クロマトグラフィー、再結晶など)によって単離精製することができる。
Wherein R 35 is hydrogen, substituted or unsubstituted alkyl, halogen, hydroxy, substituted or unsubstituted alkyloxy, substituted or unsubstituted amino, etc., R 36 and R 37 are each independently hydrogen, R 35 and R 36 may be combined to form a ring, such as substituted or unsubstituted alkyl, substituted or unsubstituted amino, etc., and other symbols are as defined above.
Examples of the reaction solvent include methanol, ethanol, propanol, isopropanol, butanol, tetrahydrofuran, diethyl ether, toluene, ethyl acetate, formic acid and the like, and these can be used alone or in combination.
Examples of the metal catalyst include palladium-carbon, palladium hydroxide, platinum oxide, chlorotris (triphenylphosphine) rhodium (I), and the like, and 0.01 to 0.5 weight percent is used with respect to the compound (xlvi). Can do.
The hydrogen pressure is 1 to 50 atm.
With respect to the reaction temperature, it can be 0 ° C. to the reflux temperature of the solvent.
An example of the reaction time is 0.5 to 72 hours.
The obtained compound (xlvii) can be isolated and purified by the known means (eg chromatography, recrystallization etc.).
(式中、R38は置換もしくは非置換のアルキレンまたは置換もしくは非置換のアルケニレンR39は置換もしくは非置換のアルキル、置換もしくは非置換のアルケニル、置換もしくは非置換のアルキニル、またはZ4およびR39が、一緒になって非芳香族複素環を形成してもよい;P1は、アミノ基の適切な保護基、その他の記号は前記と同意義である。)
化合物(xlviii)を酸処理することにより、一般式(il)で示されるアミン化合物を合成することができる。
化合物(xlviii)に対して、トリフルオロ酢酸、塩酸、硫酸、蟻酸等を1モル当量~溶媒量用いることができる。
反応溶媒としては、メタノール、エタノール、プロパノール、イソプロパノール、ブタノール、ジオキサン、酢酸エチル、塩化メチレン、クロロホルム、水等が挙げられ、単独または混合して用いることができる。
反応温度は、0℃~100℃が挙げられる。
反応時間としては、0.5~24時間が挙げられる。
得られた一般式(il)で示される化合物は、公知の手段(例えば、クロマトグラフィー、再結晶など)によって単離精製することができる。
Wherein R 38 is substituted or unsubstituted alkylene or substituted or unsubstituted alkenylene R 39 is substituted or unsubstituted alkyl, substituted or unsubstituted alkenyl, substituted or unsubstituted alkynyl, or Z 4 and R 39 May be combined to form a non-aromatic heterocycle; P 1 is a suitable protecting group for an amino group, and other symbols are as defined above.)
By subjecting compound (xlviii) to an acid treatment, an amine compound represented by general formula (il) can be synthesized.
For the compound (xlviii), trifluoroacetic acid, hydrochloric acid, sulfuric acid, formic acid and the like can be used at 1 molar equivalent to a solvent amount.
Examples of the reaction solvent include methanol, ethanol, propanol, isopropanol, butanol, dioxane, ethyl acetate, methylene chloride, chloroform, water and the like, and these can be used alone or in combination.
Examples of the reaction temperature include 0 ° C. to 100 ° C.
An example of the reaction time is 0.5 to 24 hours.
The resulting compound represented by the general formula (il) can be isolated and purified by a known means (for example, chromatography, recrystallization and the like).
(式中、R40は(CR8aR8b)m、CR8a、R8bおよびmは上記(1)と同じ、R41はBoc、ベンジルオキシカルボニル等のカルバメート基、R42およびR43は、それぞれ独立して、水素、置換もしくは非置換のアルキル、置換もしくは非置換のアルケニル、置換もしくは非置換のアルキニル、アシル、置換もしくは非置換のシクロアルキル、置換もしくは非置換のシクロアルケニル、置換もしくは非置換の非芳香族複素環基、置換もしくは非置換のアリール、または置換もしくは非置換のヘテロアリール、またはR42およびR43は一緒になって環状であってもよい、その他の記号は前記と同意義である。)
一般式(l)で示される化合物に対して、有機リン試薬と一般式(lii)で示されるジアゾカルボン酸エステルの存在下、一般式(li)で示される化合物を作用させることで、一般式(liii)で示される化合物が得られる。
反応溶媒としてはテトラヒドロフラン、ジオキサン、トルエン、アセトニトリル等が挙げられ、単独または混合して用いることができる。
有機リン試薬としては、トリフェニルホスフィン、トリブチルホスフィン等のアルキルまたはアリールホスフィンが挙げられ、化合物(l)に対して、1~10モル当量用いることができる。またジアゾカルボン酸エステルとしてはジエチルアゾジカルボキレート、ジイソプロピルカルボキシレートなどのジアゾカルボン酸アルキルエステルが挙げられる。
反応温度は0℃~溶媒の還流温度が挙げられる。
反応時間としては0.5~72時間が挙げられる。
得られた一般式(xliii)で示される化合物は、公知の手段(例えば、クロマトグラフィー、再結晶など)によって単離精製することができる。
(Wherein R 40 is (CR 8a R 8b ) m, CR 8a , R 8b and m are the same as (1) above, R 41 is a carbamate group such as Boc and benzyloxycarbonyl, R 42 and R 43 are Each independently hydrogen, substituted or unsubstituted alkyl, substituted or unsubstituted alkenyl, substituted or unsubstituted alkynyl, acyl, substituted or unsubstituted cycloalkyl, substituted or unsubstituted cycloalkenyl, substituted or unsubstituted A non-aromatic heterocyclic group, substituted or unsubstituted aryl, or substituted or unsubstituted heteroaryl, or R 42 and R 43 may be cyclic together, and other symbols are as defined above. .)
By reacting the compound represented by the general formula (l) with the compound represented by the general formula (li) in the presence of the organophosphorus reagent and the diazocarboxylic acid ester represented by the general formula (lii), A compound represented by (liiii) is obtained.
Examples of the reaction solvent include tetrahydrofuran, dioxane, toluene, acetonitrile and the like, and these can be used alone or in combination.
Examples of the organophosphorus reagent include alkyl or aryl phosphines such as triphenylphosphine and tributylphosphine, and 1 to 10 molar equivalents can be used with respect to compound (l). Examples of diazocarboxylic acid esters include diazocarboxylic acid alkyl esters such as diethyl azodicarboxylate and diisopropylcarboxylate.
With respect to the reaction temperature, it can be 0 ° C. to the reflux temperature of the solvent.
An example of the reaction time is 0.5 to 72 hours.
The resulting compound represented by the general formula (xliii) can be isolated and purified by the known means (for example, chromatography, recrystallization and the like).
(式中、R45は水素または置換もしくは非置換のアルキル、置換もしくは非置換のアルケニル、置換もしくは非置換のアルキニル、アシル、置換もしくは非置換のシクロアルキル、置換もしくは非置換のシクロアルケニル、置換もしくは非置換の非芳香族複素環基、置換もしくは非置換のアリール、または置換もしくは非置換のヘテロアリール、R46は置換もしくは非置換のアルキル、置換もしくは非置換のアルケニル、置換もしくは非置換のアルキニル、アシル、置換もしくは非置換のシクロアルキル、置換もしくは非置換のシクロアルケニル、置換もしくは非置換の非芳香族複素環基、置換もしくは非置換のアリールで環状であってもよい。R47は置換もしくは非置換のアルキル、置換もしくは非置換のアルケニル、置換もしくは非置換のアルキニル、アシル、置換もしくは非置換のシクロアルキル、置換もしくは非置換のシクロアルケニル、置換もしくは非置換の非芳香族複素環基、置換もしくは非置換のアリールで環状であってもよい。aは0~3、bは0~3、Z7は酸素、窒素、硫黄原子、その他の記号は前記と同意義である。)
塩基存在下、一般式(liv)で示される化合物に対して、一般式(lv)で示される化合物を作用させることで、一般式(lvi)で示される化合物が得られる。
反応溶媒としてはテトラヒドロフラン、ジオキサン、トルエン、メタノール、エタノール、プロパノール、イソプロパノール、ブタノール、水、DMF、NMP、アセトニトリル等が挙げられ、単独または混合して用いることができる。
塩基としては、トリエチルアミン、N,N-ジイソプロピルエチルアミン、N-メチルモルホリン、ピリジンナトリウムメトキシド、ナトリウムエトキシド、カリウムtert-ブトキシド、n-ブチルリチウム、リチウムヘキサメチルジシラジド、ナトリウムヘキサメチルジシラジド、カリウムヘキサメチルジシラジド、ナトリウムアミド、リチウムジイソプロピルアミド、水素化ナトリウム、水素化カリウム等が挙げられ、化合物(liv)に対して、1~10モル当量用いることができる。
反応温度は0℃~溶媒の還流温度が挙げられる。
反応時間としては0.5~48時間が挙げられる。
得られた一般式(lvi)で示される化合物は、公知の手段(例えば、クロマトグラフィー、再結晶など)によって単離精製することができる。
Wherein R 45 is hydrogen or substituted or unsubstituted alkyl, substituted or unsubstituted alkenyl, substituted or unsubstituted alkynyl, acyl, substituted or unsubstituted cycloalkyl, substituted or unsubstituted cycloalkenyl, substituted or An unsubstituted non-aromatic heterocyclic group, substituted or unsubstituted aryl, or substituted or unsubstituted heteroaryl, R 46 is substituted or unsubstituted alkyl, substituted or unsubstituted alkenyl, substituted or unsubstituted alkynyl, It may be cyclic with acyl, substituted or unsubstituted cycloalkyl, substituted or unsubstituted cycloalkenyl, substituted or unsubstituted non-aromatic heterocyclic group, substituted or unsubstituted aryl, and R 47 is substituted or unsubstituted. Substituted alkyl, substituted or unsubstituted alkenyl, substituted or It may be cyclic with unsubstituted alkynyl, acyl, substituted or unsubstituted cycloalkyl, substituted or unsubstituted cycloalkenyl, substituted or unsubstituted non-aromatic heterocyclic group, substituted or unsubstituted aryl. Is 0 to 3, b is 0 to 3, Z 7 is oxygen, nitrogen, sulfur atom, and other symbols are as defined above.)
In the presence of a base, the compound represented by the general formula (lv) is obtained by allowing the compound represented by the general formula (lv) to act on the compound represented by the general formula (lib).
Examples of the reaction solvent include tetrahydrofuran, dioxane, toluene, methanol, ethanol, propanol, isopropanol, butanol, water, DMF, NMP, acetonitrile and the like, and these can be used alone or in combination.
Bases include triethylamine, N, N-diisopropylethylamine, N-methylmorpholine, sodium pyridine pyridine, sodium ethoxide, potassium tert-butoxide, n-butyllithium, lithium hexamethyldisilazide, sodium hexamethyldisilazide Potassium hexamethyldisilazide, sodium amide, lithium diisopropylamide, sodium hydride, potassium hydride and the like, and can be used at 1 to 10 molar equivalents relative to the compound (lib).
With respect to the reaction temperature, it can be 0 ° C. to the reflux temperature of the solvent.
An example of the reaction time is 0.5 to 48 hours.
The resulting compound represented by the general formula (lvi) can be isolated and purified by the known means (for example, chromatography, recrystallization and the like).
(式中の記号は前記と同意義である。)
化合物(lvi)を酸処理することにより、一般式(lvii)で示される化合物を合成することができる。
化合物(lvi)に対して、トリフルオロ酢酸、塩酸、硫酸、蟻酸等を1モル当量~溶媒量用いることができる。
反応溶媒としては、メタノール、エタノール、プロパノール、イソプロパノール、ブタノール、ジオキサン、酢酸エチル、塩化メチレン、クロロホルム、水等が挙げられ、単独または混合して用いることができる。
反応温度は、0℃~100℃が挙げられる。
反応時間としては、0.5~24時間が挙げられる。
得られた一般式(lvii)で示される化合物は、公知の手段(例えば、クロマトグラフィー、再結晶など)によって単離精製することができる。
(The symbols in the formula are as defined above.)
By treating the compound (lvi) with an acid, a compound represented by the general formula (lvii) can be synthesized.
For the compound (lvi), 1 molar equivalent to a solvent amount of trifluoroacetic acid, hydrochloric acid, sulfuric acid, formic acid and the like can be used.
Examples of the reaction solvent include methanol, ethanol, propanol, isopropanol, butanol, dioxane, ethyl acetate, methylene chloride, chloroform, water and the like, and these can be used alone or in combination.
Examples of the reaction temperature include 0 ° C. to 100 ° C.
An example of the reaction time is 0.5 to 24 hours.
The resulting compound represented by the general formula (lvii) can be isolated and purified by the known means (eg chromatography, recrystallization etc.).
(式中、R48はハロゲン、アルコキシ、シアノなど脱離基、R49はアルキル、アリール基、Rx3およびRx4は、上記(1)と同意義、)
塩基存在下、一般式(lviii)で示される化合物に対し、一般式(lix)で示される化合物を作用させることで、一般式(lx)でで示される化合物を合成することができる。
反応溶媒としてはTHF、ジエチルエーテル、DMF、DME、ジオキサン、ヘキサン、メタノール、エタノール、プロパノール、イソプロパノール、ブタノール等が挙げられ、単独または混合して用いることができる。
塩基としてはナトリウムメトキシド、ナトリウムエトキシド、カリウムtert-ブトキシド、n-ブチルリチウム、リチウムヘキサメチルジシラジド、ナトリウムヘキサメチルジシラジド、カリウムヘキサメチルジシラジド、ナトリウムアミド、リチウムジイソプロピルアミド、水素化ナトリウム、水素化カリウム等が挙げられ、化合物(lviii)に対して、1~10モル当量用いることができる。
反応温度は-78℃~溶媒の還流温度が挙げられる。
反応時間としては0.5~24時間が挙げられる。
得られた一般式(lx)で示される化合物は、公知の手段(例えば、クロマトグラフィー、再結晶など)によって単離精製することができる。
(Wherein R 48 is a leaving group such as halogen, alkoxy, cyano, R 49 is an alkyl, aryl group, R x3 and R x4 have the same meanings as in (1) above)
The compound represented by the general formula (lx) can be synthesized by allowing the compound represented by the general formula (lix) to act on the compound represented by the general formula (lviii) in the presence of a base.
Examples of the reaction solvent include THF, diethyl ether, DMF, DME, dioxane, hexane, methanol, ethanol, propanol, isopropanol, butanol and the like, and these can be used alone or in combination.
Bases include sodium methoxide, sodium ethoxide, potassium tert-butoxide, n-butyllithium, lithium hexamethyldisilazide, sodium hexamethyldisilazide, potassium hexamethyldisilazide, sodium amide, lithium diisopropylamide, hydrogen Examples thereof include sodium hydride and potassium hydride, and 1 to 10 molar equivalents can be used with respect to compound (lviii).
With respect to the reaction temperature, it can be −78 ° C. to the reflux temperature of the solvent.
An example of the reaction time is 0.5 to 24 hours.
The resulting compound represented by the general formula (lx) can be isolated and purified by the known means (for example, chromatography, recrystallization and the like).
(式中の記号は前記と同意義である。)
塩基存在下、一般式(lx)で示される化合物と尿素を反応させることで、一般式(lxi)で示される化合物を合成することができる。
反応溶媒としてはメタノール、エタノール、プロパノール、イソプロパノール、ブタノール等が挙げられ、単独または混合して用いることができる。
塩基としてはナトリウムメトキシド、ナトリウムエトキシド、カリウムtert-ブトキシド等が挙げられる。
反応温度は0℃~溶媒の還流温度が挙げられる。
反応時間としては0.5~24時間が挙げられる。
得られた一般式(lxi)で示される化合物は、公知の手段(例えば、クロマトグラフィー、再結晶など)によって単離精製することができる。
(The symbols in the formula are as defined above.)
By reacting the compound represented by the general formula (lx) with urea in the presence of a base, the compound represented by the general formula (lxi) can be synthesized.
Examples of the reaction solvent include methanol, ethanol, propanol, isopropanol, butanol and the like, and these can be used alone or in combination.
Examples of the base include sodium methoxide, sodium ethoxide, potassium tert-butoxide and the like.
With respect to the reaction temperature, it can be 0 ° C. to the reflux temperature of the solvent.
An example of the reaction time is 0.5 to 24 hours.
The resulting compound represented by the general formula (lxi) can be isolated and purified by the known means (for example, chromatography, recrystallization and the like).
(式中、Z5は窒素、硫黄原子、R50はアルキル、アリール基、その他の記号は、上記と同意義である。)
塩基存在下、一般式(lx)で示される化合物と一般式(lxii)で示される化合物を縮合させることで、一般式(lxiii)でで示される化合物を合成することができる。
反応溶媒としてはメタノール、エタノール、プロパノール、イソプロパノール、ブタノール等が挙げられ、単独または混合して用いることができる。
塩基としてはナトリウムメトキシド、ナトリウムエトキシド、カリウムtert-ブトキシド等が挙げられ、一般式(lx)で示される化合物に対して1~10モル当量用いることができる。
反応温度は0℃~溶媒の還流温度が挙げられる。
反応時間としては0.5~24時間が挙げられる。
得られた一般式(lxiii)で示される化合物は、公知の手段(例えば、クロマトグラフィー、再結晶など)によって単離精製することができる。
(In the formula, Z 5 is nitrogen, sulfur atom, R 50 is alkyl, aryl group, and other symbols are as defined above.)
By condensing the compound represented by the general formula (lx) and the compound represented by the general formula (lxii) in the presence of a base, the compound represented by the general formula (lxiii) can be synthesized.
Examples of the reaction solvent include methanol, ethanol, propanol, isopropanol, butanol and the like, and these can be used alone or in combination.
Examples of the base include sodium methoxide, sodium ethoxide, potassium tert-butoxide and the like, and 1 to 10 molar equivalents can be used with respect to the compound represented by the general formula (lx).
With respect to the reaction temperature, it can be 0 ° C. to the reflux temperature of the solvent.
An example of the reaction time is 0.5 to 24 hours.
The resulting compound represented by the general formula (lxiii) can be isolated and purified by the known means (eg chromatography, recrystallization etc.).
(式中、Z6は臭素、塩素原子、その他の記号は前記と同意義である。)
一般式(lxi)で示される化合物に対して、ハロゲン化剤を作用させることで、一般式(lxiv)で示される化合物を合成することができる。
反応溶媒としてはジクロロメタン、1,2-ジクロロエタン、クロロホルム、トルエン、アセトニトリル等が挙げられ、単独または混合して用いる、または無溶媒でも行うことができる。
ハロゲン化剤としては塩化チオニル、臭化チオニル、オキシ塩化リン、五塩化リン、三塩化リン、オキサリルクロリド、二塩化フェニルリン酸等が挙げられ、化合物(lxi)に対して、1当量~溶媒量用いることができる。また添加剤としてジメチルホルムアミド、N,N-ジメチルアニリン、N,N-ジエチルアニリンを用いてもよい。
反応温度は0℃~溶媒の還流温度が挙げられる。
反応時間としては0.5~48時間が挙げられる。
得られた一般式(lxiv)で示される化合物は、公知の手段(例えば、クロマトグラフィー、再結晶など)によって単離精製することができる。
(In the formula, Z 6 is bromine, chlorine atom, and other symbols are as defined above.)
A compound represented by the general formula (lxiv) can be synthesized by allowing a halogenating agent to act on the compound represented by the general formula (lxi).
Examples of the reaction solvent include dichloromethane, 1,2-dichloroethane, chloroform, toluene, acetonitrile, and the like. These can be used alone, in combination, or without solvent.
Examples of the halogenating agent include thionyl chloride, thionyl bromide, phosphorus oxychloride, phosphorus pentachloride, phosphorus trichloride, oxalyl chloride, phenyl dichloride diphosphoric acid, and the like. Can be used. Further, dimethylformamide, N, N-dimethylaniline, N, N-diethylaniline may be used as an additive.
With respect to the reaction temperature, it can be 0 ° C. to the reflux temperature of the solvent.
An example of the reaction time is 0.5 to 48 hours.
The resulting compound represented by the general formula (lxiv) can be isolated and purified by the known means (eg chromatography, recrystallization etc.).
(式中、G1はハロゲン、cは0~3、dは0~3、他の記号は前記と同意義である。)
化合物(lxv)にハロゲン化試薬を作用させ、化合物(lxvi)を合成することができる。
反応溶媒としては、塩化メチレン、クロロホルム、トルエン等が挙げられ、単独または混合して用いることができる。
ハロゲン化試薬としては、ジエチルアミノ硫黄三フッ化物、モルホリノ硫黄三フッ化物、ビス(2-メトキシエチル)アミノ硫黄三フッ化物、2,2-ジフルオロ-1,3-ジメチルイミダゾリジン、五塩化リン、三塩化リン、六塩化タングステンなどが挙げられ、化合物(lxv)に対して、1~10モル当量用いることができる。
反応温度は、-78℃~溶媒の還流温度が挙げられる。
反応時間としては、0.5~48時間が挙げられる。
得られた化合物(lxvi)は、公知の手段(例えば、クロマトグラフィー、再結晶など)によって単離精製することができる。
(In the formula, G 1 is halogen, c is 0 to 3, d is 0 to 3, and other symbols are as defined above.)
Compound (lxvi) can be synthesized by allowing a halogenating reagent to act on compound (lxv).
Examples of the reaction solvent include methylene chloride, chloroform, toluene and the like, and these can be used alone or in combination.
Examples of the halogenating reagent include diethylaminosulfur trifluoride, morpholinosulfur trifluoride, bis (2-methoxyethyl) aminosulfur trifluoride, 2,2-difluoro-1,3-dimethylimidazolidine, phosphorus pentachloride, Phosphorus chloride, tungsten hexachloride and the like can be mentioned, and 1 to 10 molar equivalents can be used with respect to compound (lxv).
With respect to the reaction temperature, it can be −78 ° C. to the reflux temperature of the solvent.
An example of the reaction time is 0.5 to 48 hours.
The obtained compound (lxvi) can be isolated and purified by the known means (eg chromatography, recrystallization etc.).
(式中の記号は前記と同意義である。)
一般式(lxvii)で示される化合物に対して、塩基の存在または非存在下、一般式(xlii)で示される化合物を作用させることで、一般式(lxviii)で示される化合物が得られる。
反応溶媒としてはテトラヒドロフラン、ジオキサン、トルエン、メタノール、エタノール、プロパノール、イソプロパノール、ブタノール、水、DMF、NMP、アセトニトリル、ピリジン等が挙げられ、単独または混合して用いることができる。
塩基としては、トリエチルアミン、N,N-ジイソプロピルエチルアミン、N-メチルモルホリン、ピリジン、ナトリウムメトキシド、ナトリウムエトキシド、カリウムtert-ブトキシド、n-ブチルリチウム、リチウムヘキサメチルジシラジド、ナトリウムヘキサメチルジシラジド、カリウムヘキサメチルジシラジド、ナトリウムアミド、リチウムジイソプロピルアミド、水素化ナトリウム、水素化カリウム等が挙げられ、化合物(lxvii)に対して、1~10モル当量用いることができる。
反応温度は0℃~溶媒の還流温度が挙げられる。
反応時間としては0.5~48時間が挙げられる。
得られた一般式(lxviii)で示される化合物は、公知の手段(例えば、クロマトグラフィー、再結晶など)によって単離精製することができる。
(The symbols in the formula are as defined above.)
By reacting the compound represented by the general formula (lxviii) with the compound represented by the general formula (xlii) in the presence or absence of a base, the compound represented by the general formula (lxviii) is obtained.
Examples of the reaction solvent include tetrahydrofuran, dioxane, toluene, methanol, ethanol, propanol, isopropanol, butanol, water, DMF, NMP, acetonitrile, pyridine and the like, and these can be used alone or in combination.
Bases include triethylamine, N, N-diisopropylethylamine, N-methylmorpholine, pyridine, sodium methoxide, sodium ethoxide, potassium tert-butoxide, n-butyllithium, lithium hexamethyldisilazide, sodium hexamethyldisila Examples thereof include zido, potassium hexamethyldisilazide, sodium amide, lithium diisopropylamide, sodium hydride, potassium hydride, and the like, and 1 to 10 molar equivalents can be used with respect to compound (lxvii).
With respect to the reaction temperature, it can be 0 ° C. to the reflux temperature of the solvent.
An example of the reaction time is 0.5 to 48 hours.
The resulting compound represented by the general formula (lxviii) can be isolated and purified by the known means (eg chromatography, recrystallization etc.).
(式中、X5、X6、X7およびX8は、炭素原子または窒素原子、その他の記号は前記と同意義である。)
反応溶媒としては、メタノール、エタノール、プロパノール、イソプロパノール、ブタノール、テトラヒドロフラン、ジエチルエーテル、トルエン、酢酸エチル、トリフルオロ酢酸、塩酸、蟻酸等が挙げられ、単独または混合して用いることができる。
金属触媒としては、パラジウム-炭素、水酸化パラジウム、酸化白金、クロロトリス(トリフェニルホスフィン)ロジウム(I)等が挙げられ、化合物(lxix)に対して、0.01~0.5重量パーセント用いることができる。
水素気圧は、1~50気圧が挙げられる。
反応温度は、0℃から溶媒の還流温度が挙げられる。
反応時間としては、0.5~72時間が挙げられる。
得られた化合物(lxx)は、公知の手段(例えば、クロマトグラフィー、再結晶など)によって単離精製することができる。
(Wherein, X 5 , X 6 , X 7 and X 8 are carbon atoms or nitrogen atoms, and other symbols are as defined above.)
Examples of the reaction solvent include methanol, ethanol, propanol, isopropanol, butanol, tetrahydrofuran, diethyl ether, toluene, ethyl acetate, trifluoroacetic acid, hydrochloric acid, formic acid and the like, and these can be used alone or in combination.
Examples of the metal catalyst include palladium-carbon, palladium hydroxide, platinum oxide, chlorotris (triphenylphosphine) rhodium (I) and the like, and 0.01 to 0.5 weight percent is used with respect to the compound (lxix). Can do.
The hydrogen pressure is 1 to 50 atm.
With respect to the reaction temperature, it can be 0 ° C. to the reflux temperature of the solvent.
An example of the reaction time is 0.5 to 72 hours.
The obtained compound (lxx) can be isolated and purified by the known means (eg chromatography, recrystallization etc.).
(式中、R48は置換ベンジル基、その他の記号は前記と同意義である。)
塩基存在下、一般式(lxxi)で示される化合物に対して、一般式(lxxii)で示される化合物を作用させることで一般式(lxxiii)で示される化合物が得られる。
反応溶媒としてはテトラヒドロフラン、ジオキサン、トルエン、メタノール、エタノール、プロパノール、イソプロパノール、ブタノール、水、DMF、NMP、アセトニトリル等が挙げられ、単独または混合して用いることができる。
塩基としては、トリエチルアミン、N,N-ジイソプロピルエチルアミン、N-メチルモルホリン、ピリジンナトリウムメトキシド、ナトリウムエトキシド、カリウムtert-ブトキシド、n-ブチルリチウム、リチウムヘキサメチルジシラジド、ナトリウムヘキサメチルジシラジド、カリウムヘキサメチルジシラジド、ナトリウムアミド、リチウムジイソプロピルアミド、水素化ナトリウム、水素化カリウム等が挙げられ、化合物(lxxi)に対して、1~10モル当量用いることができる。
反応温度は0℃~溶媒の還流温度が挙げられる。
反応時間としては0.5~48時間が挙げられる。
得られた一般式(lxiii)で示される化合物は、公知の手段(例えば、クロマトグラフィー、再結晶など)によって単離精製することができる。
(Wherein R 48 is a substituted benzyl group, and other symbols are as defined above.)
In the presence of a base, the compound represented by the general formula (lxxii) is obtained by allowing the compound represented by the general formula (lxxii) to act on the compound represented by the general formula (lxxii).
Examples of the reaction solvent include tetrahydrofuran, dioxane, toluene, methanol, ethanol, propanol, isopropanol, butanol, water, DMF, NMP, acetonitrile and the like, and these can be used alone or in combination.
Bases include triethylamine, N, N-diisopropylethylamine, N-methylmorpholine, sodium pyridine pyridine, sodium ethoxide, potassium tert-butoxide, n-butyllithium, lithium hexamethyldisilazide, sodium hexamethyldisilazide Potassium hexamethyldisilazide, sodium amide, lithium diisopropylamide, sodium hydride, potassium hydride and the like, and 1 to 10 molar equivalents can be used with respect to compound (lxxi).
With respect to the reaction temperature, it can be 0 ° C. to the reflux temperature of the solvent.
An example of the reaction time is 0.5 to 48 hours.
The resulting compound represented by the general formula (lxiii) can be isolated and purified by the known means (eg chromatography, recrystallization etc.).
(式中の記号は前記と同意義である。)
一般式(lxiii)で示される化合物に塩基を作用させることで、一般式(lxxiv)で示される化合物を合成することができる。
反応溶媒としてはメタノール、エタノール、プロパノール、イソプロパノール、ブタノール、水等が挙げられ、単独または混合して用いることができる。
塩基としてはナトリウムメトキシド、ナトリウムエトキシド、水酸化リチウム、水酸化ナトリウム、水酸化カリウム、カリウムtert-ブトキシド、ナトリウムtert-ブトキシド、炭酸ナトリウム、炭酸カリウム、炭酸水素ナトリウム、リン酸ナトリウム、リン酸水素ナトリウム、リン酸カリウム、リン酸水素カリウム、炭酸セシウム等が挙げられ、一般式(lxxiii)で示される化合物に対して1~10モル当量用いることができる。
反応温度は0℃~溶媒の還流温度が挙げられる。
反応時間としては0.5~24時間が挙げられる。
得られた一般式(lxxiv)で示される化合物は、公知の手段(例えば、クロマトグラフィー、再結晶など)によって単離精製することができる。
(The symbols in the formula are as defined above.)
A compound represented by the general formula (lxxiv) can be synthesized by allowing a base to act on the compound represented by the general formula (lxxiii).
Examples of the reaction solvent include methanol, ethanol, propanol, isopropanol, butanol, water and the like, and these can be used alone or in combination.
Bases include sodium methoxide, sodium ethoxide, lithium hydroxide, sodium hydroxide, potassium hydroxide, potassium tert-butoxide, sodium tert-butoxide, sodium carbonate, potassium carbonate, sodium bicarbonate, sodium phosphate, hydrogen phosphate Examples thereof include sodium, potassium phosphate, potassium hydrogen phosphate, cesium carbonate and the like, and the compound can be used at 1 to 10 molar equivalents relative to the compound represented by the general formula (lxxiii).
With respect to the reaction temperature, it can be 0 ° C. to the reflux temperature of the solvent.
An example of the reaction time is 0.5 to 24 hours.
The resulting compound represented by the general formula (lxxiv) can be isolated and purified by the known means (eg chromatography, recrystallization etc.).
(式中、R49およびR50はそれぞれ独立して、水素、置換もしくは非置換のアルキル、置換もしくは非置換のアルケニル、置換もしくは非置換のアルキニル、置換もしくは非置換のシクロアルキル、置換もしくは非置換のシクロアルケニル、置換もしくは非置換の非芳香族複素環式基、置換もしくは非置換のアリールまたは置換もしくは非置換のヘテロアリール、Z8は臭素原子、塩素原子、トシレート、メシレート、アルキルスルホン、アリールスルホン等の脱離基、その他の記号は前記と同意義である。)
塩基存在下、一般式(lxxiv)で示される化合物に対して、一般式(lxxv)で示される化合物を作用させることで、一般式(lxxvi)で示される化合物が得られる。
反応溶媒としてはテトラヒドロフラン、ジオキサン、トルエン、メタノール、エタノール、プロパノール、イソプロパノール、ブタノール、水、DMF、NMP、アセトニトリル、アセトン等が挙げられ、単独または混合して用いることができる。
塩基としては、ナトリウムメトキシド、ナトリウムエトキシド、水酸化リチウム、水酸化ナトリウム、水酸化カリウム、カリウムtert-ブトキシド、ナトリウムtert-ブトキシド、炭酸ナトリウム、炭酸カリウム、炭酸水素ナトリウム、リン酸ナトリウム、リン酸水素ナトリウム、リン酸カリウム、リン酸水素カリウム、炭酸セシウム等が挙げられ、一般式(lxxiv)で示される化合物に対して1~10モル当量用いることができる。
反応温度は0℃~溶媒の還流温度が挙げられる。
反応時間としては0.5~48時間が挙げられる。
得られた一般式(lxxvi)で示される化合物は、公知の手段(例えば、クロマトグラフィー、再結晶など)によって単離精製することができる。
Wherein R 49 and R 50 are each independently hydrogen, substituted or unsubstituted alkyl, substituted or unsubstituted alkenyl, substituted or unsubstituted alkynyl, substituted or unsubstituted cycloalkyl, substituted or unsubstituted Cycloalkenyl, substituted or unsubstituted non-aromatic heterocyclic group, substituted or unsubstituted aryl or substituted or unsubstituted heteroaryl, Z 8 is bromine atom, chlorine atom, tosylate, mesylate, alkylsulfone, arylsulfone Etc., and other symbols are as defined above.)
In the presence of a base, the compound represented by the general formula (lxxvi) is allowed to act on the compound represented by the general formula (lxxv) to obtain the compound represented by the general formula (lxxvi).
Examples of the reaction solvent include tetrahydrofuran, dioxane, toluene, methanol, ethanol, propanol, isopropanol, butanol, water, DMF, NMP, acetonitrile, acetone and the like, and these can be used alone or in combination.
Bases include sodium methoxide, sodium ethoxide, lithium hydroxide, sodium hydroxide, potassium hydroxide, potassium tert-butoxide, sodium tert-butoxide, sodium carbonate, potassium carbonate, sodium bicarbonate, sodium phosphate, phosphoric acid Sodium hydrogen, potassium phosphate, potassium hydrogen phosphate, cesium carbonate and the like can be mentioned, and 1 to 10 molar equivalents can be used with respect to the compound represented by the general formula (lxxiv).
With respect to the reaction temperature, it can be 0 ° C. to the reflux temperature of the solvent.
An example of the reaction time is 0.5 to 48 hours.
The resulting compound represented by the general formula (lxxvi) can be isolated and purified by the known means (eg chromatography, recrystallization etc.).
(式中の記号は前記と同意義である。)
一般式(lxxvi)で示される化合物を加熱するとで、一般式(lxxvii)で示される化合物が得られる。
反応溶媒としてはトルエン、水、DMF、NMP等が挙げられ、単独または混合して用いることができる。
反応温度は室温~溶媒の還流温度が挙げられる。
反応時間としては0.5~72時間が挙げられる。
得られた一般式(lxxvii)で示される化合物は、公知の手段(例えば、クロマトグラフィー、再結晶など)によって単離精製することができる。
(The symbols in the formula are as defined above.)
When the compound represented by the general formula (lxxvi) is heated, the compound represented by the general formula (lxxvii) is obtained.
Examples of the reaction solvent include toluene, water, DMF, NMP and the like, and they can be used alone or in combination.
The reaction temperature may be from room temperature to the reflux temperature of the solvent.
An example of the reaction time is 0.5 to 72 hours.
The resulting compound represented by the general formula (lxxvii) can be isolated and purified by the known means (eg chromatography, recrystallization etc.).
(式中の記号は前記と同意義である。)
反応溶媒としては、メタノール、エタノール、プロパノール、イソプロパノール、ブタノール、テトラヒドロフラン、ジエチルエーテル、トルエン、酢酸エチル、トリフルオロ酢酸、塩酸、蟻酸等が挙げられ、単独または混合して用いることができる。
金属触媒としては、パラジウム-炭素、水酸化パラジウム、酸化白金、クロロトリス(トリフェニルホスフィン)ロジウム(I)等が挙げられ、化合物(lxxvii)に対して、0.01~0.5重量パーセント用いることができる。
水素気圧は、1~50気圧が挙げられる。
反応温度は、0℃から溶媒の還流温度が挙げられる。
反応時間としては、0.5~72時間が挙げられる。
得られた化合物(lxxviii)は、公知の手段(例えば、クロマトグラフィー、再結晶など)によって単離精製することができる。
(The symbols in the formula are as defined above.)
Examples of the reaction solvent include methanol, ethanol, propanol, isopropanol, butanol, tetrahydrofuran, diethyl ether, toluene, ethyl acetate, trifluoroacetic acid, hydrochloric acid, formic acid and the like, and these can be used alone or in combination.
Examples of the metal catalyst include palladium-carbon, palladium hydroxide, platinum oxide, chlorotris (triphenylphosphine) rhodium (I), and the like, and 0.01 to 0.5 weight percent is used with respect to the compound (lxxvii). Can do.
The hydrogen pressure is 1 to 50 atm.
With respect to the reaction temperature, it can be 0 ° C. to the reflux temperature of the solvent.
An example of the reaction time is 0.5 to 72 hours.
The obtained compound (lxxviii) can be isolated and purified by the known means (eg chromatography, recrystallization etc.).
(式中の記号は前記と同意義である。)
化合物(lxxviii)を酸処理することにより、一般式(lxxix)で示される化合物を合成することができる。
化合物(lxxviii)に対して、トリフルオロ酢酸、塩酸、硫酸等を1モル当量~溶媒量用いることができる。
反応温度は、0℃~溶媒の還流温度が挙げられる。
反応時間としては、0.5~24時間が挙げられる。
得られた一般式(lxxix)で示される化合物は、公知の手段(例えば、クロマトグラフィー、再結晶など)によって単離精製することができる。
(The symbols in the formula are as defined above.)
By treating the compound (lxxviii) with an acid, a compound represented by the general formula (lxxix) can be synthesized.
For the compound (lxxviii), 1 molar equivalent to a solvent amount of trifluoroacetic acid, hydrochloric acid, sulfuric acid and the like can be used.
With respect to the reaction temperature, it can be 0 ° C. to the reflux temperature of the solvent.
An example of the reaction time is 0.5 to 24 hours.
The resulting compound represented by the general formula (lxxix) can be isolated and purified by the known means (eg chromatography, recrystallization etc.).
(式中、R51は置換もしくは非置換のアルキル、置換もしくは非置換のアルケニル、置換もしくは非置換のアルキニル、置換もしくは非置換のシクロアルキル、置換もしくは非置換のシクロアルケニル、置換もしくは非置換の非芳香族複素環式基、置換もしくは非置換のアリールまたは置換もしくは非置換のヘテロアリール、eは1~2整数、fは1~3の整数、その他の記号は前記と同意義である。)
一般式(lxxx)で示されるアミンに対して、塩基存在下、一般式(lxxxi)で示される化合物を作用させることで一般式(lxxxii)で示される化合物が得られる。
反応溶媒としてはTHF、アセトニトリル、ジクロロメタン、1,2-ジクロロエタン、クロロホルム、トルエン等が挙げられ、単独または混合して用いることができる。
反応温度は0℃~溶媒の還流温度が挙げられる。
反応時間としては0.5~72時間が挙げられる。
得られた一般式(lxxxii)で示される化合物は、公知の手段(例えば、クロマトグラフィー、再結晶など)によって単離精製することができる。
Wherein R 51 is substituted or unsubstituted alkyl, substituted or unsubstituted alkenyl, substituted or unsubstituted alkynyl, substituted or unsubstituted cycloalkyl, substituted or unsubstituted cycloalkenyl, substituted or unsubstituted unsubstituted Aromatic heterocyclic group, substituted or unsubstituted aryl or substituted or unsubstituted heteroaryl, e is an integer of 1 to 2, f is an integer of 1 to 3, and other symbols are as defined above.
A compound represented by the general formula (lxxxii) is obtained by allowing a compound represented by the general formula (lxxxi) to act on the amine represented by the general formula (lxxx) in the presence of a base.
Examples of the reaction solvent include THF, acetonitrile, dichloromethane, 1,2-dichloroethane, chloroform, toluene and the like, and these can be used alone or in combination.
With respect to the reaction temperature, it can be 0 ° C. to the reflux temperature of the solvent.
An example of the reaction time is 0.5 to 72 hours.
The resulting compound represented by the general formula (lxxxii) can be isolated and purified by the known means (eg chromatography, recrystallization etc.).
(式中、R52は置換もしくは非置換のアルキル、置換もしくは非置換のアルケニル、置換もしくは非置換のアルキニル、置換もしくは非置換のシクロアルキル、置換もしくは非置換のシクロアルケニル、置換もしくは非置換の非芳香族複素環式基、置換もしくは非置換のアリールまたは置換もしくは非置換のヘテロアリール、その他の記号は前記と同意義である。)
一般式(lxxxii)で示されるアミンに対して、塩基存在下、一般式(lxxxiii)で示される化合物を作用させることで、一般式(ixxxiv)で示される化合物が得られる。
反応溶媒としてはTHF、アセトニトリル、ジクロロメタン、1,2-ジクロロエタン、クロロホルム、トルエン等が挙げられ、単独または混合して用いることができる。
反応温度は0℃~溶媒の還流温度が挙げられる。
反応時間としては0.5~72時間が挙げられる。
得られた一般式(lxxxiv)で示される化合物は、公知の手段(例えば、クロマトグラフィー、再結晶など)によって単離精製することができる。
Wherein R 52 represents substituted or unsubstituted alkyl, substituted or unsubstituted alkenyl, substituted or unsubstituted alkynyl, substituted or unsubstituted cycloalkyl, substituted or unsubstituted cycloalkenyl, substituted or unsubstituted unsubstituted Aromatic heterocyclic groups, substituted or unsubstituted aryl or substituted or unsubstituted heteroaryl, and other symbols are as defined above.
When the compound represented by the general formula (lxxxiii) is allowed to act on the amine represented by the general formula (lxxxii) in the presence of a base, the compound represented by the general formula (xxxiv) is obtained.
Examples of the reaction solvent include THF, acetonitrile, dichloromethane, 1,2-dichloroethane, chloroform, toluene and the like, and these can be used alone or in combination.
With respect to the reaction temperature, it can be 0 ° C. to the reflux temperature of the solvent.
An example of the reaction time is 0.5 to 72 hours.
The resulting compound represented by the general formula (lxxxiv) can be isolated and purified by the known means (eg chromatography, recrystallization etc.).
(式中の記号は前記と同意義である。)
一般式(lxxxiv)で示される化合物に対して、アジ化ナトリウムを作用させることで、一般式(lxxxv)で示されるアジドが得られる。
反応溶媒としてはテトラヒドロフラン、ジオキサン、トルエン、メタノール、エタノール、プロパノール、イソプロパノール、ブタノール、水、DMF、NMP、アセトニトリル、ピリジン等が挙げられ、単独または混合して用いることができる。
アジ化ナトリウムは化合物(lxxxiv)に対して、1~10モル当量用いることができる。
反応温度は0℃~溶媒の還流温度が挙げられる。
反応時間としては0.5~48時間が挙げられる。
得られた一般式(lxxxv)で示される化合物は、公知の手段(例えば、クロマトグラフィー、再結晶など)によって単離精製することができる。
(The symbols in the formula are as defined above.)
By reacting the compound represented by the general formula (lxxxiv) with sodium azide, the azide represented by the general formula (lxxxv) is obtained.
Examples of the reaction solvent include tetrahydrofuran, dioxane, toluene, methanol, ethanol, propanol, isopropanol, butanol, water, DMF, NMP, acetonitrile, pyridine and the like, and these can be used alone or in combination.
Sodium azide can be used at 1 to 10 molar equivalents relative to compound (lxxxiv).
With respect to the reaction temperature, it can be 0 ° C. to the reflux temperature of the solvent.
An example of the reaction time is 0.5 to 48 hours.
The resulting compound represented by the general formula (lxxxv) can be isolated and purified by the known means (for example, chromatography, recrystallization and the like).
(式中の記号は前記と同意義である。)
反応溶媒としては、メタノール、エタノール、プロパノール、イソプロパノール、ブタノール、テトラヒドロフラン、ジエチルエーテル、トルエン、酢酸エチル、トリフルオロ酢酸、塩酸、蟻酸等が挙げられ、単独または混合して用いることができる。
金属触媒としては、パラジウム-炭素、水酸化パラジウム、酸化白金、クロロトリス(トリフェニルホスフィン)ロジウム(I)等が挙げられ、化合物(lxxxv)に対して、0.01~0.5重量パーセント用いることができる。
水素気圧は、1~50気圧が挙げられる。
反応温度は、0℃から溶媒の還流温度が挙げられる。
反応時間としては、0.5~72時間が挙げられる。
得られた化合物(lxxxvi)は、公知の手段(例えば、クロマトグラフィー、再結晶など)によって単離精製することができる。
(The symbols in the formula are as defined above.)
Examples of the reaction solvent include methanol, ethanol, propanol, isopropanol, butanol, tetrahydrofuran, diethyl ether, toluene, ethyl acetate, trifluoroacetic acid, hydrochloric acid, formic acid and the like, and these can be used alone or in combination.
Examples of the metal catalyst include palladium-carbon, palladium hydroxide, platinum oxide, chlorotris (triphenylphosphine) rhodium (I) and the like, and 0.01 to 0.5 weight percent is used with respect to the compound (lxxxv). Can do.
The hydrogen pressure is 1 to 50 atm.
With respect to the reaction temperature, it can be 0 ° C. to the reflux temperature of the solvent.
An example of the reaction time is 0.5 to 72 hours.
The obtained compound (lxxxvi) can be isolated and purified by the known means (eg chromatography, recrystallization etc.).
(式中、R53は水素、置換もしくは非置換のアルキル、置換もしくは非置換のアルケニル、置換もしくは非置換のアルキニル、置換もしくは非置換のシクロアルキル、置換もしくは非置換のシクロアルケニル、置換もしくは非置換の非芳香族複素環式基、置換もしくは非置換のアリールまたは置換もしくは非置換のヘテロアリール、またはR52とR53は一緒になって環を形成してもよい、P2はBoc、ベンジルオキシカルボニル、ベンジi等の一般的なアミンの保護基、その他の記号は前記と同意義である。)
一般式(lxxxvii)で示される化合物に対して、公知の脱保護反応(参照:Green’s Protective Groups in Organic Synthesis, Wiley)を行うにより、一般式(lxxxviii)で示されるアミンが得られる。
得られた一般式(lxxxviii)で示される化合物は、公知の手段(例えば、クロマトグラフィー、再結晶など)によって単離精製することができる。
Wherein R 53 is hydrogen, substituted or unsubstituted alkyl, substituted or unsubstituted alkenyl, substituted or unsubstituted alkynyl, substituted or unsubstituted cycloalkyl, substituted or unsubstituted cycloalkenyl, substituted or unsubstituted A non-aromatic heterocyclic group, substituted or unsubstituted aryl or substituted or unsubstituted heteroaryl, or R 52 and R 53 may be combined to form a ring, P 2 is Boc, benzyloxy Protecting groups for general amines such as carbonyl and benzi i, and other symbols are as defined above.)
An amine represented by the general formula (lxxxviii) is obtained by performing a known deprotection reaction (see Green's Protective Groups in Organic Synthesis, Wiley) on the compound represented by the general formula (lxxxvii).
The resulting compound represented by the general formula (lxxxviii) can be isolated and purified by the known means (eg chromatography, recrystallization etc.).
(式中、R54は置換もしくは非置換のアルキル、置換もしくは非置換のアルケニル、置換もしくは非置換のアルキニル、置換もしくは非置換のシクロアルキル、置換もしくは非置換のシクロアルケニル、置換もしくは非置換の非芳香族複素環式基、置換もしくは非置換のアリールまたは置換もしくは非置換のヘテロアリール、gは0~2、その記号は前記と同意義である。)
一般式(lxxxviii)で示されるアミンに対して、塩基存在下、一般式(lxxxix)で示される化合物を作用させることで一般式(xc)で示される化合物が得られる。
反応溶媒としてはTHF、アセトニトリル、ジクロロメタン、1,2-ジクロロエタン、クロロホルム、トルエン等が挙げられ、単独または混合して用いることができる。
反応温度は0℃~溶媒の還流温度が挙げられる。
反応時間としては0.5~72時間が挙げられる。
得られた一般式(xc)で示される化合物は、公知の手段(例えば、クロマトグラフィー、再結晶など)によって単離精製することができる。
Wherein R 54 is substituted or unsubstituted alkyl, substituted or unsubstituted alkenyl, substituted or unsubstituted alkynyl, substituted or unsubstituted cycloalkyl, substituted or unsubstituted cycloalkenyl, substituted or unsubstituted unsubstituted Aromatic heterocyclic group, substituted or unsubstituted aryl or substituted or unsubstituted heteroaryl, g is 0 to 2, and the symbols are as defined above.
A compound represented by the general formula (xc) is obtained by allowing a compound represented by the general formula (lxxxix) to act on the amine represented by the general formula (lxxxviii) in the presence of a base.
Examples of the reaction solvent include THF, acetonitrile, dichloromethane, 1,2-dichloroethane, chloroform, toluene and the like, and these can be used alone or in combination.
With respect to the reaction temperature, it can be 0 ° C. to the reflux temperature of the solvent.
An example of the reaction time is 0.5 to 72 hours.
The resulting compound represented by the general formula (xc) can be isolated and purified by a known means (for example, chromatography, recrystallization and the like).
(式中、R55は(CR8aR8b)m、その記号は前記と同意義である。)
一般式(xci)で示される化合物に対して、ハロゲン化剤を作用させることで、一般式(xcii)で示される化合物を合成することができる。
反応溶媒としてはジクロロメタン、1,2-ジクロロエタン、クロロホルム、トルエン、アセトニトリル等が挙げられ、単独または混合して用いる、または無溶媒でも行うことができる。
ハロゲン化剤としては塩化チオニル、臭化チオニル、オキシ塩化リン、五塩化リン、三塩化リン、オキサリルクロリド、塩化スルフリルなどが挙げられ、化合物(xci)に対して、1当量~溶媒量用いることができる。また添加剤としてジメチルホルムアミド、N,N-ジメチルアニリン、N,N-ジエチルアニリンを用いてもよい。
反応温度は-20℃~溶媒の還流温度が挙げられる。
反応時間としては0.5~48時間が挙げられる。
得られた一般式(xcii)で示される化合物は、公知の手段(例えば、クロマトグラフィー、再結晶など)によって単離精製することができる。
(In the formula, R 55 is (CR 8a R 8b ) m, and the symbols are as defined above.)
A compound represented by the general formula (xcii) can be synthesized by allowing a halogenating agent to act on the compound represented by the general formula (xci).
Examples of the reaction solvent include dichloromethane, 1,2-dichloroethane, chloroform, toluene, acetonitrile, and the like. These can be used alone, in combination, or without solvent.
Examples of the halogenating agent include thionyl chloride, thionyl bromide, phosphorus oxychloride, phosphorus pentachloride, phosphorus trichloride, oxalyl chloride, sulfuryl chloride and the like, and 1 equivalent to a solvent amount is used with respect to the compound (xci). it can. Further, dimethylformamide, N, N-dimethylaniline, N, N-diethylaniline may be used as an additive.
With respect to the reaction temperature, it can be -20 ° C to the reflux temperature of the solvent.
An example of the reaction time is 0.5 to 48 hours.
The resulting compound represented by the general formula (xcii) can be isolated and purified by a known means (for example, chromatography, recrystallization and the like).
(式中、R56およびR57はそれぞれ独立して、水素、置換もしくは非置換のアルキル、置換もしくは非置換のアルケニル、置換もしくは非置換のアルキニル、置換もしくは非置換のシクロアルキル、置換もしくは非置換のシクロアルケニル、置換もしくは非置換の非芳香族複素環式基、置換もしくは非置換のアリールまたは置換もしくは非置換のヘテロアリール、その記号は前記と同意義である。)
一般式(xcii)で示される化合物に対して、塩基存在下、一般式(xciii)で示されるアミンを作用させることで、一般式(xciv)で示される化合物が得られる。
反応溶媒としてはテトラヒドロフラン、ジオキサン、トルエン、メタノール、エタノール、プロパノール、イソプロパノール、ブタノール、水、DMF、NMP、アセトニトリル等が挙げられ、単独または混合して用いることができる。
塩基としては、トリエチルアミン、N,N-ジイソプロピルエチルアミン、N-メチルモルホリン、ピリジン等が挙げられ、化合物(xciv)に対して、1~10モル当量用いることができる。
反応温度は0℃~溶媒の還流温度が挙げられる。
反応時間としては0.5~48時間が挙げられる。
得られた一般式(xciv)で示される化合物は、公知の手段(例えば、クロマトグラフィー、再結晶など)によって単離精製することができる。
Wherein R 56 and R 57 are each independently hydrogen, substituted or unsubstituted alkyl, substituted or unsubstituted alkenyl, substituted or unsubstituted alkynyl, substituted or unsubstituted cycloalkyl, substituted or unsubstituted A cycloalkenyl, a substituted or unsubstituted non-aromatic heterocyclic group, a substituted or unsubstituted aryl or a substituted or unsubstituted heteroaryl, the symbols thereof are as defined above.
By reacting the compound represented by the general formula (xcii) with the amine represented by the general formula (xciii) in the presence of a base, the compound represented by the general formula (xciv) is obtained.
Examples of the reaction solvent include tetrahydrofuran, dioxane, toluene, methanol, ethanol, propanol, isopropanol, butanol, water, DMF, NMP, acetonitrile and the like, and these can be used alone or in combination.
Examples of the base include triethylamine, N, N-diisopropylethylamine, N-methylmorpholine, pyridine and the like, and 1 to 10 molar equivalents can be used with respect to compound (xciv).
With respect to the reaction temperature, it can be 0 ° C. to the reflux temperature of the solvent.
An example of the reaction time is 0.5 to 48 hours.
The resulting compound represented by the general formula (xciv) can be isolated and purified by the known means (for example, chromatography, recrystallization and the like).
以下に本発明に含まれる化合物の一般的合成法を示すが、本合成法に限られるものではない。
(式中、Yは臭素、塩素、トシレート、メシレート、アルキルスルホニル、アリールスルホニルなどの脱離基、その他の記号は上記と同意義である。)
一般式(xcv)で示される化合物をハロゲン化剤により、一般式(xcvi)で示される化合物に変換することができる。
ハロゲン化剤としてはN-クロロスクシニルイミド、N-ブロモスクシニルイミド、N-ヨードスクシニルイミド、塩素、臭素、ヨウ素等が挙げられ、一般式(xcv)で示される化合物に対して、1~10モル当量用いることができる。
反応溶媒としては、塩化メチレン、クロロホルム等が挙げられ、単独または混合して用いることができる。
反応温度は、-20℃から溶媒の還流温度が挙げられる。
反応時間としては、0.5~72時間が挙げられる。
得られたカルボン酸化合物(xcvi)は、公知の手段(例えば、クロマトグラフィー、再結晶など)によって単離精製することができる。
The general synthesis method of the compound included in the present invention is shown below, but is not limited to this synthesis method.
(Wherein Y is a leaving group such as bromine, chlorine, tosylate, mesylate, alkylsulfonyl, arylsulfonyl, and other symbols are as defined above.)
A compound represented by the general formula (xcv) can be converted into a compound represented by the general formula (xcvi) with a halogenating agent.
Examples of the halogenating agent include N-chlorosuccinimide, N-bromosuccinimide, N-iodosuccinimide, chlorine, bromine, iodine and the like. An equivalent amount can be used.
Examples of the reaction solvent include methylene chloride and chloroform, and these can be used alone or in combination.
With respect to the reaction temperature, it can be -20 ° C to the reflux temperature of the solvent.
An example of the reaction time is 0.5 to 72 hours.
The obtained carboxylic acid compound (xcvi) can be isolated and purified by a known means (for example, chromatography, recrystallization and the like).
(式中の記号は上記と同意義である。)
一般式(xcvii)で示される化合物を還元剤により、一般式(xcviii)で示されるアルコール化合物に変換することができる。
還元剤としては、水素化ホウ素ナトリウム、水素化ホウ素リチウム、水素化リチウムアルミニウム等が挙げられ、一般式(xcvii)で示される化合物に対して、1~10モル当量用いることができる。
反応溶媒としてはメタノール、エタノール、プロパノール、イソプロパノール、ブタノール、テトラヒドロフラン、ジエチルエーテル、塩化メチレン、水等が挙げられ、単独または混合して用いることができる。
反応温度は-78℃から溶媒の還流温度が挙げられる。
反応時間としては0.5~48時間が挙げられる。
得られた一般式(xcviii)で示される化合物は、公知の手段(例えば、クロマトグラフィー、再結晶など)によって単離精製することができる。
(The symbols in the formula are as defined above.)
The compound represented by the general formula (xcvii) can be converted into the alcohol compound represented by the general formula (xcviii) by a reducing agent.
Examples of the reducing agent include sodium borohydride, lithium borohydride, lithium aluminum hydride and the like. The reducing agent can be used in an amount of 1 to 10 molar equivalents relative to the compound represented by the general formula (xcvii).
Examples of the reaction solvent include methanol, ethanol, propanol, isopropanol, butanol, tetrahydrofuran, diethyl ether, methylene chloride, water and the like, and these can be used alone or in combination.
With respect to the reaction temperature, it can be −78 ° C. to the reflux temperature of the solvent.
An example of the reaction time is 0.5 to 48 hours.
The resulting compound represented by the general formula (xcviii) can be isolated and purified by the known means (eg chromatography, recrystallization etc.).
(式中、R61は水素、置換もしくは非置換のアルキル、置換もしくは非置換のアルケニル、置換もしくは非置換のアルキニル、置換もしくは非置換のシクロアルキル、置換もしくは非置換のシクロアルケニル、置換もしくは非置換の非芳香族複素環基、置換もしくは非置換のアリール、または置換もしくは非置換のヘテロアリール;R62は水素、または置換もしくは非置換のベンジル、、その他の記号は上記と同意義である。)
一般式(ic)で示される化合物に対して、ハロゲン化剤を作用させることで、一般式(c)で示される化合物を合成することができる。
反応溶媒としてはジクロロメタン、1,2-ジクロロエタン、クロロホルム、トルエン、アセトニトリル等が挙げられ、単独または混合して用いる、または無溶媒でも行うことができる。
ハロゲン化剤としては塩化チオニル、臭化チオニル、オキシ塩化リン、五塩化リン、三塩化リン、オキサリルクロリド、二塩化フェニルリン酸等が挙げられ、化合物(ic)に対して、1当量~溶媒量用いることができる。また添加剤としてジメチルホルムアミド、N,N-ジメチルアニリン、N,N-ジエチルアニリンを用いてもよい。
反応温度は0℃~溶媒の還流温度が挙げられる。
反応時間としては0.5~48時間が挙げられる。
得られた一般式(c)で示される化合物は、公知の手段(例えば、クロマトグラフィー、再結晶など)によって単離精製することができる。
Wherein R 61 is hydrogen, substituted or unsubstituted alkyl, substituted or unsubstituted alkenyl, substituted or unsubstituted alkynyl, substituted or unsubstituted cycloalkyl, substituted or unsubstituted cycloalkenyl, substituted or unsubstituted Non-aromatic heterocyclic group, substituted or unsubstituted aryl, or substituted or unsubstituted heteroaryl; R 62 represents hydrogen, or substituted or unsubstituted benzyl, and other symbols are as defined above.
The compound represented by the general formula (c) can be synthesized by allowing a halogenating agent to act on the compound represented by the general formula (ic).
Examples of the reaction solvent include dichloromethane, 1,2-dichloroethane, chloroform, toluene, acetonitrile, and the like. These can be used alone, in combination, or without solvent.
Examples of the halogenating agent include thionyl chloride, thionyl bromide, phosphorus oxychloride, phosphorus pentachloride, phosphorus trichloride, oxalyl chloride, phenyl dichloride phosphoric acid, and the like. Can be used. Further, dimethylformamide, N, N-dimethylaniline, N, N-diethylaniline may be used as an additive.
With respect to the reaction temperature, it can be 0 ° C. to the reflux temperature of the solvent.
An example of the reaction time is 0.5 to 48 hours.
The resulting compound represented by the general formula (c) can be isolated and purified by known means (for example, chromatography, recrystallization and the like).
(式中の記号は、上記と同意義である。)
一般式(c)で示される化合物に対して、過酸化物を作用させることで、一般式(cii)で示されるエポキシドを合成する事ができる。
反応溶媒としてはジクロロメタン、1,2-ジクロロエタン、クロロホルム、アセトン、水等が挙げられ、単独または混合して用いることができる。
過酸化物としてはメタクロロ過安息香酸、過蟻酸、ジメチルジオキソラン、過酸化水素などが挙げられ、化合物(c)に対して、1~20当量用いることができる。
反応温度は0℃~溶媒の還流温度が挙げられる。
反応時間としては0.5~48時間が挙げられる。
得られた一般式(cii)で示される化合物は、公知の手段(例えば、クロマトグラフィー、再結晶など)によって単離精製することができる。
(The symbols in the formula are as defined above.)
The epoxide represented by the general formula (cii) can be synthesized by allowing a peroxide to act on the compound represented by the general formula (c).
Examples of the reaction solvent include dichloromethane, 1,2-dichloroethane, chloroform, acetone, water and the like, and these can be used alone or in combination.
Examples of the peroxide include metachloroperbenzoic acid, performic acid, dimethyldioxolane, hydrogen peroxide and the like, and 1 to 20 equivalents can be used with respect to the compound (c).
With respect to the reaction temperature, it can be 0 ° C. to the reflux temperature of the solvent.
An example of the reaction time is 0.5 to 48 hours.
The resulting compound represented by the general formula (cii) can be isolated and purified by a known means (for example, chromatography, recrystallization and the like).
(式中の記号は、上記と同意義である。)
一般式(cii)で示される化合物を還元剤により、一般式(civ)で示されるアルコール化合物に変換することができる。
還元剤としては、水素化ホウ素ナトリウム、水素化ホウ素リチウム、水素化リチウムアルミニウム等が挙げられ、一般式(cii)で示される化合物に対して、1~10モル当量用いることができる。
反応溶媒としてはメタノール、エタノール、プロパノール、イソプロパノール、ブタノール、テトラヒドロフラン、ジエチルエーテル、塩化メチレン、水等が挙げられ、単独または混合して用いることができる。
反応温度は-78℃から溶媒の還流温度が挙げられる。
反応時間としては0.5~48時間が挙げられる。
得られた一般式(civ)で示される化合物は、公知の手段(例えば、クロマトグラフィー、再結晶など)によって単離精製することができる。
(The symbols in the formula are as defined above.)
The compound represented by the general formula (cii) can be converted into the alcohol compound represented by the general formula (civ) by a reducing agent.
Examples of the reducing agent include sodium borohydride, lithium borohydride, lithium aluminum hydride and the like, and 1 to 10 molar equivalents can be used with respect to the compound represented by the general formula (cii).
Examples of the reaction solvent include methanol, ethanol, propanol, isopropanol, butanol, tetrahydrofuran, diethyl ether, methylene chloride, water and the like, and these can be used alone or in combination.
With respect to the reaction temperature, it can be −78 ° C. to the reflux temperature of the solvent.
An example of the reaction time is 0.5 to 48 hours.
The resulting compound represented by the general formula (civ) can be isolated and purified by a known means (for example, chromatography, recrystallization and the like).
(式中、Ar1は置換もしくは非置換のアリール、または置換もしくは非置換のヘテロアリール;R63は置換もしくは非置換のアルキル、置換もしくは非置換のアルケニル、置換もしくは非置換のアルキニル、置換もしくは非置換のシクロアルキル、置換もしくは非置換のシクロアルケニル、置換もしくは非置換のアルキル非芳香族複素環基、置換もしくは非置換のアリール、または置換もしくは非置換のヘテロアリール;R64は水素、または2つのR64が結合して-(CR65aR65b)t-、R65aおよびR65bはそれぞれ独立して、水素またはアルキル、tは1~3の整数、その他の記号は上記と同意義である。)
塩基存在下、一般式(cv)で示される化合物に対し、金属触媒および一般式(cvi)で示されるボロン酸またはボロン酸エステルを作用させることで一般式(cvii)で示す化合物を合成することができる。
反応溶媒としてはテトラヒドロフラン、ジオキサン、トルエン、水、メタノール、エタノール、プロパノール、イソプロパノール、ブタノール、DMF,NMP等が挙げられ、単独または混合して用いることができる。
金属触媒としては、酢酸パラジウム、ビス(ジベンジリデンアセトン)パラジウム、テトラキス(トリフェニルホスフィン)パラジウム、ビス(トリフェニルホスフィン)パラジウム(II)二塩化物、ビス(トリ-tert-ブチルホスフィン)パラジウムなどが挙げられ、化合物()に対して、0.001~0.5モル当量用いることができる。また配位子としてトリフェニルフォスフィン、トリブチルフォスフィン、dppf等の有機リン化合物を用いることもできる。
塩基としては、水酸化リチウム、水酸化ナトリウム、水酸化カリウム、カリウムtert-ブトキシド、ナトリウムtert-ブトキシド、炭酸ナトリウム、炭酸カリウム、炭酸水素ナトリウム、リン酸ナトリウム、リン酸水素ナトリウム、リン酸カリウム、リン酸水素カリウム、炭酸セシウム等が挙げられ、化合物()に対して、1~10モル当量用いることができる。
ボロン酸またはボロン酸エステル(cvi)は、化合物(cv)に対して、1~10モル当量用いることができる。
反応温度は、20℃~溶媒の還流温度が挙げられる。
反応時間としては、0.5~48時間が挙げられる。
得られた一般式(cvii)で示される化合物は、公知の手段(例えば、クロマトグラフィー、再結晶など)によって単離精製することができる。
Wherein Ar 1 is substituted or unsubstituted aryl, or substituted or unsubstituted heteroaryl; R 63 is substituted or unsubstituted alkyl, substituted or unsubstituted alkenyl, substituted or unsubstituted alkynyl, substituted or unsubstituted Substituted cycloalkyl, substituted or unsubstituted cycloalkenyl, substituted or unsubstituted alkyl non-aromatic heterocyclic group, substituted or unsubstituted aryl, or substituted or unsubstituted heteroaryl; R 64 is hydrogen, or two R 64 is bonded to- (CR 65a R 65b ) t-, R 65a and R 65b are each independently hydrogen or alkyl, t is an integer of 1 to 3, and other symbols are as defined above. )
Synthesis of a compound represented by the general formula (cvii) by reacting a metal catalyst and a boronic acid or boronic acid ester represented by the general formula (cvi) on the compound represented by the general formula (cv) in the presence of a base. Can do.
Examples of the reaction solvent include tetrahydrofuran, dioxane, toluene, water, methanol, ethanol, propanol, isopropanol, butanol, DMF, NMP and the like, and these can be used alone or in combination.
Examples of the metal catalyst include palladium acetate, bis (dibenzylideneacetone) palladium, tetrakis (triphenylphosphine) palladium, bis (triphenylphosphine) palladium (II) dichloride, bis (tri-tert-butylphosphine) palladium and the like. 0.001 to 0.5 molar equivalent can be used with respect to the compound (). An organic phosphorus compound such as triphenylphosphine, tributylphosphine, or dppf can also be used as a ligand.
Bases include lithium hydroxide, sodium hydroxide, potassium hydroxide, potassium tert-butoxide, sodium tert-butoxide, sodium carbonate, potassium carbonate, sodium bicarbonate, sodium phosphate, sodium hydrogen phosphate, potassium phosphate, phosphorus Examples thereof include potassium oxyhydrogen, cesium carbonate and the like, and 1 to 10 molar equivalents can be used with respect to the compound ().
Boronic acid or boronic acid ester (cvi) can be used in an amount of 1 to 10 molar equivalents relative to compound (cv).
With respect to the reaction temperature, it can be 20 ° C. to the reflux temperature of the solvent.
An example of the reaction time is 0.5 to 48 hours.
The resulting compound represented by the general formula (cvii) can be isolated and purified by the known means (for example, chromatography, recrystallization and the like).
(式中、R66は置換もしくは非置換のベンジル、その他の記号は上記と同意義である。)
金属触媒存在下、一般式(cviii)で示される化合物を水素で還元することにより、一般式(cix)で示される化合物を合成することができる。
反応溶媒としてはメタノール、エタノール、プロパノール、イソプロパノール、ブタノール、テトラヒドロフラン、ジエチルエーテル、トルエン、酢酸エチル等が挙げられ、単独または混合して用いることができる。
金属触媒としては、パラジウム-炭素、水酸化パラジウム、酸化白金、クロロトリス(トリフェニルホスフィン)ロジウム(I)等が挙げられ、一般式(cviii)で示される化合物に対して、0.01~0.5重量パーセント用いることができる。
水素気圧は1~50気圧が挙げられる。
反応温度は0℃から溶媒の還流温度が挙げられる。
反応時間としては0.5~72時間が挙げられる。
得られた一般式(cix)で示される化合物は、公知の手段(例えば、クロマトグラフィー、再結晶など)によって単離精製することができる。
(Wherein R 66 is substituted or unsubstituted benzyl, and other symbols are as defined above.)
A compound represented by the general formula (cix) can be synthesized by reducing the compound represented by the general formula (cviii) with hydrogen in the presence of a metal catalyst.
Examples of the reaction solvent include methanol, ethanol, propanol, isopropanol, butanol, tetrahydrofuran, diethyl ether, toluene, ethyl acetate and the like, and these can be used alone or in combination.
Examples of the metal catalyst include palladium-carbon, palladium hydroxide, platinum oxide, chlorotris (triphenylphosphine) rhodium (I), and the like. 5 weight percent can be used.
The hydrogen pressure is 1 to 50 atm.
With respect to the reaction temperature, it can be 0 ° C. to the reflux temperature of the solvent.
An example of the reaction time is 0.5 to 72 hours.
The resulting compound represented by the general formula (cix) can be isolated and purified by a known means (for example, chromatography, recrystallization and the like).
(式中、R67は置換もしくは非置換のアルキル、置換もしくは非置換のシクロアルキル、置換もしくは非置換の非芳香族複素環基、置換もしくは非置換のアリール、または置換もしくは非置換のヘテロアリール、その他の記号は上記と同意義である。)
塩基存在下、一般式(cix)で示される化合物をアシル化剤により、一般式(cxi)で示されるアミド化合物に変換することができる。
アシル化剤としては、無水酢酸などの酸無水物、アセチルクロリド等の酸塩化物等が挙げられ、一般式(cix)で示される化合物に対して、1~10モル当量用いることができる。 塩基としては、トリエチルアミン、N,N-ジイソプロピルエチルアミン、N-メチルモルホリン、ピリジン、ナトリウムメトキシド、ナトリウムエトキシド、カリウムtert-ブトキシド、、水素化ナトリウム、水素化カリウム等が挙げられ、化合物()に対して、1~10モル当量用いることができる。
反応溶媒としてはジクロロメタン、1,2-ジクロロエタン、クロロホルム、テトラヒドロフラン、ジエチルエーテル、ピリジン、水等が挙げられ、単独または混合して用いることができる。
反応温度は0℃から溶媒の還流温度が挙げられる。
反応時間としては0.5~48時間が挙げられる。
得られた一般式(cxi)で示される化合物は、公知の手段(例えば、クロマトグラフィー、再結晶など)によって単離精製することができる。
Wherein R 67 represents substituted or unsubstituted alkyl, substituted or unsubstituted cycloalkyl, substituted or unsubstituted non-aromatic heterocyclic group, substituted or unsubstituted aryl, or substituted or unsubstituted heteroaryl, Other symbols are as defined above.)
In the presence of a base, a compound represented by the general formula (cix) can be converted to an amide compound represented by the general formula (cxi) by an acylating agent.
Examples of the acylating agent include acid anhydrides such as acetic anhydride and acid chlorides such as acetyl chloride. The acylating agent can be used in an amount of 1 to 10 molar equivalents relative to the compound represented by the general formula (cix). Examples of the base include triethylamine, N, N-diisopropylethylamine, N-methylmorpholine, pyridine, sodium methoxide, sodium ethoxide, potassium tert-butoxide, sodium hydride, potassium hydride and the like. On the other hand, 1 to 10 molar equivalents can be used.
Examples of the reaction solvent include dichloromethane, 1,2-dichloroethane, chloroform, tetrahydrofuran, diethyl ether, pyridine, water and the like, and these can be used alone or in combination.
With respect to the reaction temperature, it can be 0 ° C. to the reflux temperature of the solvent.
An example of the reaction time is 0.5 to 48 hours.
The obtained compound represented by the general formula (cxi) can be isolated and purified by the known means (eg, chromatography, recrystallization and the like).
(式中の記号は、上記と同意義である。)
塩基存在下、一般式(cix)で示される化合物をスルホニル化剤により、一般式(cxiii)で示されるスルホンアミド化合物に変換することができる。
スルホニル化剤としては、スルホン酸無水物、スルホン酸塩化物等が挙げられ、一般式(cix)で示される化合物に対して、1~10モル当量用いることができる。 塩基としては、トリエチルアミン、N,N-ジイソプロピルエチルアミン、N-メチルモルホリン、ピリジン、ナトリウムメトキシド、ナトリウムエトキシド、カリウムtert-ブトキシド、、水素化ナトリウム、水素化カリウム等が挙げられ、化合物(cix)に対して、1~10モル当量用いることができる。
反応溶媒としてはジクロロメタン、1,2-ジクロロエタン、クロロホルム、テトラヒドロフラン、ジエチルエーテル、ピリジン、水等が挙げられ、単独または混合して用いることができる。
反応温度は0℃から溶媒の還流温度が挙げられる。
反応時間としては0.5~48時間が挙げられる。
得られた一般式(cxiii)で示される化合物は、公知の手段(例えば、クロマトグラフィー、再結晶など)によって単離精製することができる。
(The symbols in the formula are as defined above.)
In the presence of a base, the compound represented by the general formula (cix) can be converted to a sulfonamide compound represented by the general formula (cxiii) with a sulfonylating agent.
Examples of the sulfonylating agent include sulfonic acid anhydrides and sulfonic acid chlorides, and 1 to 10 molar equivalents can be used with respect to the compound represented by the general formula (cix). Examples of the base include triethylamine, N, N-diisopropylethylamine, N-methylmorpholine, pyridine, sodium methoxide, sodium ethoxide, potassium tert-butoxide, sodium hydride, potassium hydride, and the like (compix) 1 to 10 molar equivalents can be used.
Examples of the reaction solvent include dichloromethane, 1,2-dichloroethane, chloroform, tetrahydrofuran, diethyl ether, pyridine, water and the like, and these can be used alone or in combination.
With respect to the reaction temperature, it can be 0 ° C. to the reflux temperature of the solvent.
An example of the reaction time is 0.5 to 48 hours.
The resulting compound represented by the general formula (cxiii) can be isolated and purified by the known means (eg chromatography, recrystallization etc.).
(式中の記号は、上記と同意義である。)
塩基存在下、一般式(cix)で示される化合物をアルキル化剤により、一般式(cxv)で示される化合物に変換することができる。
アルキル化剤としては、アルキルクロリド、アルキルブロミド、アルキルヨージド等が挙げられ、一般式(cix)で示される化合物に対して、1~10モル当量用いることができる。 塩基としては、トリエチルアミン、N,N-ジイソプロピルエチルアミン、N-メチルモルホリン、ピリジン、ナトリウムメトキシド、ナトリウムエトキシド、カリウムtert-ブトキシド、、水素化ナトリウム、水素化カリウム等が挙げられ、化合物(cix)に対して、1~10モル当量用いることができる。
反応溶媒としてはジクロロメタン、1,2-ジクロロエタン、クロロホルム、テトラヒドロフラン、ジエチルエーテル、ピリジン、水等が挙げられ、単独または混合して用いることができる。
反応温度は0℃から溶媒の還流温度が挙げられる。
反応時間としては0.5~48時間が挙げられる。
得られた一般式(cxv)で示される化合物は、公知の手段(例えば、クロマトグラフィー、再結晶など)によって単離精製することができる。
(The symbols in the formula are as defined above.)
In the presence of a base, the compound represented by the general formula (cix) can be converted to the compound represented by the general formula (cxv) with an alkylating agent.
Examples of the alkylating agent include alkyl chloride, alkyl bromide, alkyl iodide and the like, and 1 to 10 molar equivalents can be used with respect to the compound represented by the general formula (cix). Examples of the base include triethylamine, N, N-diisopropylethylamine, N-methylmorpholine, pyridine, sodium methoxide, sodium ethoxide, potassium tert-butoxide, sodium hydride, potassium hydride, and the like (compix) 1 to 10 molar equivalents can be used.
Examples of the reaction solvent include dichloromethane, 1,2-dichloroethane, chloroform, tetrahydrofuran, diethyl ether, pyridine, water and the like, and these can be used alone or in combination.
With respect to the reaction temperature, it can be 0 ° C. to the reflux temperature of the solvent.
An example of the reaction time is 0.5 to 48 hours.
The obtained compound represented by the general formula (cxv) can be isolated and purified by the known means (for example, chromatography, recrystallization and the like).
(式中、R68は置換もしくは非置換のベンジル、R69およびR70はそれぞれ独立して置換もしくは非置換のアルキル、置換もしくは非置換のシクロアルキル、置換もしくは非置換の非芳香族複素環基、置換もしくは非置換のアリール、置換もしくは非置換のヘテロアリール、またはR69およびR70は一緒になって環を形成していてもよい。)
反応溶媒としてはジクロロメタン、1,2-ジクロロエタン、クロロホルム、テトラヒドロフラン、ジエチルエーテル、ピリジン、水等が挙げられ、単独または混合して用いることができる。
反応温度は0℃から溶媒の還流温度が挙げられる。
反応時間としては0.5~48時間が挙げられる。
得られた一般式(cxviii)で示される化合物は、公知の手段(例えば、クロマトグラフィー、再結晶など)によって単離精製することができる。
Wherein R 68 is substituted or unsubstituted benzyl, R 69 and R 70 are each independently substituted or unsubstituted alkyl, substituted or unsubstituted cycloalkyl, substituted or unsubstituted non-aromatic heterocyclic group , Substituted or unsubstituted aryl, substituted or unsubstituted heteroaryl, or R 69 and R 70 may form a ring together.)
Examples of the reaction solvent include dichloromethane, 1,2-dichloroethane, chloroform, tetrahydrofuran, diethyl ether, pyridine, water and the like, and these can be used alone or in combination.
With respect to the reaction temperature, it can be 0 ° C. to the reflux temperature of the solvent.
An example of the reaction time is 0.5 to 48 hours.
The resulting compound represented by the general formula (cxviii) can be isolated and purified by the known means (eg chromatography, recrystallization etc.).
(式中、nは1~3、その他の記号は上記と同意義である。)
金属触媒存在下、一般式(cxix)で示される化合物を水素で還元することにより、一般式(cxx)で示される化合物を合成することができる。
反応溶媒としてはメタノール、エタノール、プロパノール、イソプロパノール、ブタノール、テトラヒドロフラン、ジエチルエーテル、トルエン、酢酸エチル等が挙げられ、単独または混合して用いることができる。
金属触媒としては、パラジウム-炭素、水酸化パラジウム、酸化白金、クロロトリス(トリフェニルホスフィン)ロジウム(I)等が挙げられ、一般式(cxix)で示される化合物に対して、0.01~0.5重量パーセント用いることができる。
水素気圧は1~50気圧が挙げられる。
反応温度は0℃から溶媒の還流温度が挙げられる。
反応時間としては0.5~72時間が挙げられる。
得られた一般式(cxx)で示される化合物は、公知の手段(例えば、クロマトグラフィー、再結晶など)によって単離精製することができる。
(In the formula, n is 1 to 3, and other symbols are as defined above.)
The compound represented by the general formula (cxx) can be synthesized by reducing the compound represented by the general formula (cxix) with hydrogen in the presence of a metal catalyst.
Examples of the reaction solvent include methanol, ethanol, propanol, isopropanol, butanol, tetrahydrofuran, diethyl ether, toluene, ethyl acetate and the like, and these can be used alone or in combination.
Examples of the metal catalyst include palladium-carbon, palladium hydroxide, platinum oxide, chlorotris (triphenylphosphine) rhodium (I), and the like, and 0.01 to 0.000 with respect to the compound represented by the general formula (cxix). 5 weight percent can be used.
The hydrogen pressure is 1 to 50 atm.
With respect to the reaction temperature, it can be 0 ° C. to the reflux temperature of the solvent.
An example of the reaction time is 0.5 to 72 hours.
The resulting compound represented by the general formula (cxx) can be isolated and purified by the known means (for example, chromatography, recrystallization and the like).
(式中、R71は、それぞれ独立して、水素、置換もしくは非置換のアルキル、置換もしくは非置換のアルケニル、置換もしくは非置換のアルキニル、アシル、置換もしくは非置換のシクロアルキル、置換もしくは非置換のシクロアルケニル、置換もしくは非置換の非芳香族複素環基、置換もしくは非置換のアリール、または置換もしくは非置換のヘテロアリール、その他の記号は上記と同意義である。)
一般式(cxxi)で示される化合物に対して、有機リン試薬と一般式(cxxii)で示されるジアゾカルボン酸エステルの存在下、一般式(cxx)で示される化合物を作用させることで一般式(cxxiii)で示される化合物が得られる。
反応溶媒としてはテトラヒドロフラン、ジオキサン、トルエン、アセトニトリル等が挙げられ、単独または混合して用いることができる。
有機リン試薬としては、トリフェニルホスフィン、トリブチルホスフィン等のアルキルまたはアリールホスフィンが挙げられ、化合物(cxxi)に対して、1~10モル当量用いることができる。またジアゾカルボン酸エステルとしてはジエチルアゾジカルボキレート、ジイソプロピルカルボキシレートなどのジアゾカルボン酸アルキルエステルが挙げられる。
反応温度は0℃~溶媒の還流温度が挙げられる。
反応時間としては0.5~72時間が挙げられる。
得られた一般式(cxxiii)で示される化合物は、公知の手段(例えば、クロマトグラフィー、再結晶など)によって単離精製することができる。
Wherein R 71 is independently hydrogen, substituted or unsubstituted alkyl, substituted or unsubstituted alkenyl, substituted or unsubstituted alkynyl, acyl, substituted or unsubstituted cycloalkyl, substituted or unsubstituted And cycloalkenyl, substituted or unsubstituted non-aromatic heterocyclic group, substituted or unsubstituted aryl, or substituted or unsubstituted heteroaryl, and other symbols are as defined above.)
By reacting the compound represented by the general formula (cxx) with the compound represented by the general formula (cxx) in the presence of the organophosphorus reagent and the diazocarboxylic acid ester represented by the general formula (cxxxii), cxxiii) is obtained.
Examples of the reaction solvent include tetrahydrofuran, dioxane, toluene, acetonitrile and the like, and these can be used alone or in combination.
Examples of the organophosphorus reagent include alkyl or aryl phosphines such as triphenylphosphine and tributylphosphine, and 1 to 10 molar equivalents can be used with respect to the compound (cxxi). Examples of diazocarboxylic acid esters include diazocarboxylic acid alkyl esters such as diethyl azodicarboxylate and diisopropylcarboxylate.
With respect to the reaction temperature, it can be 0 ° C. to the reflux temperature of the solvent.
An example of the reaction time is 0.5 to 72 hours.
The resulting compound represented by the general formula (cxxiii) can be isolated and purified by the known means (eg chromatography, recrystallization etc.).
(式中、mは1または2、その他の記号は上記と同意義である。)
一般式(cxxiv)で示される化合物に対して、過酸化物を作用させることで、一般式(cxxv)で示される化合物を合成する事ができる。
反応溶媒としてはジクロロメタン、1,2-ジクロロエタン、クロロホルム、アセトン、水等が挙げられ、単独または混合して用いることができる。
過酸化物としてはメタクロロ過安息香酸、過蟻酸、ジメチルジオキソラン、過酸化水素などが挙げられ、化合物(cxxiv)に対して、1~20当量用いることができる。
反応温度は0℃~溶媒の還流温度が挙げられる。
反応時間としては0.5~48時間が挙げられる。
得られた一般式(cxxv)で示される化合物は、公知の手段(例えば、クロマトグラフィー、再結晶など)によって単離精製することができる。
(In the formula, m is 1 or 2, and other symbols are as defined above.)
The compound represented by the general formula (cxxv) can be synthesized by allowing a peroxide to act on the compound represented by the general formula (cxxiv).
Examples of the reaction solvent include dichloromethane, 1,2-dichloroethane, chloroform, acetone, water and the like, and these can be used alone or in combination.
Examples of peroxides include metachloroperbenzoic acid, formic acid, dimethyldioxolane, hydrogen peroxide, and the like, and 1 to 20 equivalents can be used with respect to compound (cxxiv).
With respect to the reaction temperature, it can be 0 ° C. to the reflux temperature of the solvent.
An example of the reaction time is 0.5 to 48 hours.
The resulting compound represented by the general formula (cxxv) can be isolated and purified by the known means (for example, chromatography, recrystallization and the like).
(式中の記号は、上記と同意義である。)
一般式(cxxvi)で示される化合物に対して、過酸化物を作用させることで、一般式(cxxvii)で示される化合物を合成する事ができる。
反応溶媒としてはジクロロメタン、1,2-ジクロロエタン、クロロホルム、アセトン、水等が挙げられ、単独または混合して用いることができる。
過酸化物としてはメタクロロ過安息香酸、過蟻酸、ジメチルジオキソラン、過酸化水素などが挙げられ、化合物(cxxvi)に対して、1~1.5当量用いることができる。
反応温度は0℃~溶媒の還流温度が挙げられる。
反応時間としては0.5~48時間が挙げられる。
得られた一般式(cxxvii)で示される化合物は、公知の手段(例えば、クロマトグラフィー、再結晶など)によって単離精製することができる。
(The symbols in the formula are as defined above.)
The compound represented by the general formula (cxxvii) can be synthesized by allowing a peroxide to act on the compound represented by the general formula (cxxvi).
Examples of the reaction solvent include dichloromethane, 1,2-dichloroethane, chloroform, acetone, water and the like, and these can be used alone or in combination.
Examples of the peroxide include metachloroperbenzoic acid, performic acid, dimethyldioxolane, hydrogen peroxide, and the like, and 1 to 1.5 equivalents can be used with respect to the compound (cxxvi).
With respect to the reaction temperature, it can be 0 ° C. to the reflux temperature of the solvent.
An example of the reaction time is 0.5 to 48 hours.
The resulting compound represented by the general formula (cxxvii) can be isolated and purified by the known means (for example, chromatography, recrystallization and the like).
本発明化合物の一つの態様は、以下の一般式(II)において、以下の基を有するものである。
AC、Ba、Bbの組み合わせが、以下の(AC、Ba、Bb)である化合物。
(AC,Ba, Bb)=(AC1,Ba1,Bb1),(AC1,Ba1,Bb2),(AC1,Ba1,Bb3),(AC1,Ba1,Bb4),(AC1,Ba1,Bb5),(AC1,Ba1,Bb6),(AC1,Ba2,Bb1),(AC1,Ba2,Bb2),(AC1,Ba2,Bb3),(AC1,Ba2,Bb4),(AC1,Ba2,Bb5),(AC1,Ba2,Bb6),(AC1,Ba3,Bb1),(AC1,Ba3,Bb2),(AC1,Ba3,Bb3),(AC1,Ba3,Bb4),(AC1,Ba3,Bb5),(AC1,Ba3,Bb6),(AC1,Ba4,Bb1),(AC1,Ba4,Bb2),(AC1,Ba4,Bb3),(AC1,Ba4,Bb4),(AC1,Ba4,Bb5),(AC1,Ba4,Bb6),(AC1,Ba5,Bb1),(AC1,Ba5,Bb2),(AC1,Ba5,Bb3),(AC1,Ba5,Bb4),(AC1,Ba5,Bb5),(AC1,Ba5,Bb6),(AC1,Ba6,Bb1),(AC1,Ba6,Bb2),(AC1,Ba6,Bb3),(AC1,Ba6,Bb4),(AC1,Ba6,Bb5),(AC1,Ba6,Bb6),(AC1,Ba7,Bb1),(AC1,Ba7,Bb2),(AC1,Ba7,Bb3),(AC1,Ba7,Bb4),(AC1,Ba7,Bb5),(AC1,Ba7,Bb6),(AC2,Ba1,Bb1),(AC2,Ba1,Bb2),(AC2,Ba1,Bb3),(AC2,Ba1,Bb4),(AC2,Ba1,Bb5),(AC2,Ba1,Bb6),(AC2,Ba2,Bb1),(AC2,Ba2,Bb2),(AC2,Ba2,Bb3),(AC2,Ba2,Bb4),(AC2,Ba2,Bb5),(AC2,Ba2,Bb6),(AC2,Ba3,Bb1),(AC2,Ba3,Bb2),(AC2,Ba3,Bb3),(AC2,Ba3,Bb4),(AC2,Ba3,Bb5),(AC2,Ba3,Bb6),(AC2,Ba4,Bb1),(AC2,Ba4,Bb2),(AC2,Ba4,Bb3),(AC2,Ba4,Bb4),(AC2,Ba4,Bb5),(AC2,Ba4,Bb6),(AC2,Ba5,Bb1),(AC2,Ba5,Bb2),(AC2,Ba5,Bb3),(AC2,Ba5,Bb4),(AC2,Ba5,Bb5),(AC2,Ba5,Bb6),(AC2,Ba6,Bb1),(AC2,Ba6,Bb2),(AC2,Ba6,Bb3),(AC2,Ba6,Bb4),(AC2,Ba6,Bb5),(AC2,Ba6,Bb6),(AC2,Ba7,Bb1),(AC2,Ba7,Bb2),(AC2,Ba7,Bb3),(AC2,Ba7,Bb4),(AC2,Ba7,Bb5),(AC2,Ba7,Bb6),(AC3,Ba1,Bb1),(AC3,Ba1,Bb2),(AC3,Ba1,Bb3),(AC3,Ba1,Bb4),(AC3,Ba1,Bb5),(AC3,Ba1,Bb6),(AC3,Ba2,Bb1),(AC3,Ba2,Bb2),(AC3,Ba2,Bb3),(AC3,Ba2,Bb4),(AC3,Ba2,Bb5),(AC3,Ba2,Bb6),(AC3,Ba3,Bb1),(AC3,Ba3,Bb2),(AC3,Ba3,Bb3),(AC3,Ba3,Bb4),(AC3,Ba3,Bb5),(AC3,Ba3,Bb6),(AC3,Ba4,Bb1),(AC3,Ba4,Bb2),(AC3,Ba4,Bb3),(AC3,Ba4,Bb4),(AC3,Ba4,Bb5),(AC3,Ba4,Bb6),(AC3,Ba5,Bb1),(AC3,Ba5,Bb2),(AC3,Ba5,Bb3),(AC3,Ba5,Bb4),(AC3,Ba5,Bb5),(AC3,Ba5,Bb6),(AC3,Ba6,Bb1),(AC3,Ba6,Bb2),(AC3,Ba6,Bb3),(AC3,Ba6,Bb4),(AC3,Ba6,Bb5),(AC3,Ba6,Bb6),(AC3,Ba7,Bb1),(AC3,Ba7,Bb2),(AC3,Ba7,Bb3),(AC3,Ba7,Bb4),(AC3,Ba7,Bb5),(AC3,Ba7,Bb6),(AC4,Ba1,Bb1),(AC4,Ba1,Bb2),(AC4,Ba1,Bb3),(AC4,Ba1,Bb4),(AC4,Ba1,Bb5),(AC4,Ba1,Bb6),(AC4,Ba2,Bb1),(AC4,Ba2,Bb2),(AC4,Ba2,Bb3),(AC4,Ba2,Bb4),(AC4,Ba2,Bb5),(AC4,Ba2,Bb6),(AC4,Ba3,Bb1),(AC4,Ba3,Bb2),(AC4,Ba3,Bb3),(AC4,Ba3,Bb4),(AC4,Ba3,Bb5),(AC4,Ba3,Bb6),(AC4,Ba4,Bb1),(AC4,Ba4,Bb2),(AC4,Ba4,Bb3),(AC4,Ba4,Bb4),(AC4,Ba4,Bb5),(AC4,Ba4,Bb6),(AC4,Ba5,Bb1),(AC4,Ba5,Bb2),(AC4,Ba5,Bb3),(AC4,Ba5,Bb4),(AC4,Ba5,Bb5),(AC4,Ba5,Bb6),(AC4,Ba6,Bb1),(AC4,Ba6,Bb2),(AC4,Ba6,Bb3),(AC4,Ba6,Bb4),(AC4,Ba6,Bb5),(AC4,Ba6,Bb6),(AC4,Ba7,Bb1),(AC4,Ba7,Bb2),(AC4,Ba7,Bb3),(AC4,Ba7,Bb4),(AC4,Ba7,Bb5),(AC4,Ba7,Bb6),(AC5,Ba1,Bb1),(AC5,Ba1,Bb2),(AC5,Ba1,Bb3),(AC5,Ba1,Bb4),(AC5,Ba1,Bb5),(AC5,Ba1,Bb6),(AC5,Ba2,Bb1),(AC5,Ba2,Bb2),(AC5,Ba2,Bb3),(AC5,Ba2,Bb4),(AC5,Ba2,Bb5),(AC5,Ba2,Bb6),(AC5,Ba3,Bb1),(AC5,Ba3,Bb2),(AC5,Ba3,Bb3),(AC5,Ba3,Bb4),(AC5,Ba3,Bb5),(AC5,Ba3,Bb6),(AC5,Ba4,Bb1),(AC5,Ba4,Bb2),(AC5,Ba4,Bb3),(AC5,Ba4,Bb4),(AC5,Ba4,Bb5),(AC5,Ba4,Bb6),(AC5,Ba5,Bb1),(AC5,Ba5,Bb2),(AC5,Ba5,Bb3),(AC5,Ba5,Bb4),(AC5,Ba5,Bb5),(AC5,Ba5,Bb6),(AC5,Ba6,Bb1),(AC5,Ba6,Bb2),(AC5,Ba6,Bb3),(AC5,Ba6,Bb4),(AC5,Ba6,Bb5),(AC5,Ba6,Bb6),(AC5,Ba7,Bb1),(AC5,Ba7,Bb2),(AC5,Ba7,Bb3),(AC5,Ba7,Bb4),(AC5,Ba7,Bb5),(AC5,Ba7,Bb6),(AC6,Ba1,Bb1),(AC6,Ba1,Bb2),(AC6,Ba1,Bb3),(AC6,Ba1,Bb4),(AC6,Ba1,Bb5),(AC6,Ba1,Bb6),(AC6,Ba2,Bb1),(AC6,Ba2,Bb2),(AC6,Ba2,Bb3),(AC6,Ba2,Bb4),(AC6,Ba2,Bb5),(AC6,Ba2,Bb6),(AC6,Ba3,Bb1),(AC6,Ba3,Bb2),(AC6,Ba3,Bb3),(AC6,Ba3,Bb4),(AC6,Ba3,Bb5),(AC6,Ba3,Bb6),(AC6,Ba4,Bb1),(AC6,Ba4,Bb2),(AC6,Ba4,Bb3),(AC6,Ba4,Bb4),(AC6,Ba4,Bb5),(AC6,Ba4,Bb6),(AC6,Ba5,Bb1),(AC6,Ba5,Bb2),(AC6,Ba5,Bb3),(AC6,Ba5,Bb4),(AC6,Ba5,Bb5),(AC6,Ba5,Bb6),(AC6,Ba6,Bb1),(AC6,Ba6,Bb2),(AC6,Ba6,Bb3),(AC6,Ba6,Bb4),(AC6,Ba6,Bb5),(AC6,Ba6,Bb6),(AC6,Ba7,Bb1),(AC6,Ba7,Bb2),(AC6,Ba7,Bb3),(AC6,Ba7,Bb4),(AC6,Ba7,Bb5),(AC6,Ba7,Bb6),(AC7,Ba1,Bb1),(AC7,Ba1,Bb2),(AC7,Ba1,Bb3),(AC7,Ba1,Bb4),(AC7,Ba1,Bb5),(AC7,Ba1,Bb6),(AC7,Ba2,Bb1),(AC7,Ba2,Bb2),(AC7,Ba2,Bb3),(AC7,Ba2,Bb4),(AC7,Ba2,Bb5),(AC7,Ba2,Bb6),(AC7,Ba3,Bb1),(AC7,Ba3,Bb2),(AC7,Ba3,Bb3),(AC7,Ba3,Bb4),(AC7,Ba3,Bb5),(AC7,Ba3,Bb6),(AC7,Ba4,Bb1),(AC7,Ba4,Bb2),(AC7,Ba4,Bb3),(AC7,Ba4,Bb4),(AC7,Ba4,Bb5),(AC7,Ba4,Bb6),(AC7,Ba5,Bb1),(AC7,Ba5,Bb2),(AC7,Ba5,Bb3),(AC7,Ba5,Bb4),(AC7,Ba5,Bb5),(AC7,Ba5,Bb6),(AC7,Ba6,Bb1),(AC7,Ba6,Bb2),(AC7,Ba6,Bb3),(AC7,Ba6,Bb4),(AC7,Ba6,Bb5),(AC7,Ba6,Bb6),(AC7,Ba7,Bb1),(AC7,Ba7,Bb2),(AC7,Ba7,Bb3),(AC7,Ba7,Bb4),(AC7,Ba7,Bb5),(AC7,Ba7,Bb6),(AC8,Ba1,Bb1),(AC8,Ba1,Bb2),(AC8,Ba1,Bb3),(AC8,Ba1,Bb4),(AC8,Ba1,Bb5),(AC8,Ba1,Bb6),(AC8,Ba2,Bb1),(AC8,Ba2,Bb2),(AC8,Ba2,Bb3),(AC8,Ba2,Bb4),(AC8,Ba2,Bb5),(AC8,Ba2,Bb6),(AC8,Ba3,Bb1),(AC8,Ba3,Bb2),(AC8,Ba3,Bb3),(AC8,Ba3,Bb4),(AC8,Ba3,Bb5),(AC8,Ba3,Bb6),(AC8,Ba4,Bb1),(AC8,Ba4,Bb2),(AC8,Ba4,Bb3),(AC8,Ba4,Bb4),(AC8,Ba4,Bb5),(AC8,Ba4,Bb6),(AC8,Ba5,Bb1),(AC8,Ba5,Bb2),(AC8,Ba5,Bb3),(AC8,Ba5,Bb4),(AC8,Ba5,Bb5),(AC8,Ba5,Bb6),(AC8,Ba6,Bb1),(AC8,Ba6,Bb2),(AC8,Ba6,Bb3),(AC8,Ba6,Bb4),(AC8,Ba6,Bb5),(AC8,Ba6,Bb6),(AC8,Ba7,Bb1),(AC8,Ba7,Bb2),(AC8,Ba7,Bb3),(AC8,Ba7,Bb4),(AC8,Ba7,Bb5),(AC8,Ba7,Bb6),(AC9,Ba1,Bb1),(AC9,Ba1,Bb2),(AC9,Ba1,Bb3),(AC9,Ba1,Bb4),(AC9,Ba1,Bb5),(AC9,Ba1,Bb6),(AC9,Ba2,Bb1),(AC9,Ba2,Bb2),(AC9,Ba2,Bb3),(AC9,Ba2,Bb4),(AC9,Ba2,Bb5),(AC9,Ba2,Bb6),(AC9,Ba3,Bb1),(AC9,Ba3,Bb2),(AC9,Ba3,Bb3),(AC9,Ba3,Bb4),(AC9,Ba3,Bb5),(AC9,Ba3,Bb6),(AC9,Ba4,Bb1),(AC9,Ba4,Bb2),(AC9,Ba4,Bb3),(AC9,Ba4,Bb4),(AC9,Ba4,Bb5),(AC9,Ba4,Bb6),(AC9,Ba5,Bb1),(AC9,Ba5,Bb2),(AC9,Ba5,Bb3),(AC9,Ba5,Bb4),(AC9,Ba5,Bb5),(AC9,Ba5,Bb6),(AC9,Ba6,Bb1),(AC9,Ba6,Bb2),(AC9,Ba6,Bb3),(AC9,Ba6,Bb4),(AC9,Ba6,Bb5),(AC9,Ba6,Bb6),(AC9,Ba7,Bb1),(AC9,Ba7,Bb2),(AC9,Ba7,Bb3),(AC9,Ba7,Bb4),(AC9,Ba7,Bb5),(AC9,Ba7,Bb6),(AC10,Ba1,Bb1),(AC10,Ba1,Bb2),(AC10,Ba1,Bb3),(AC10,Ba1,Bb4),(AC10,Ba1,Bb5),(AC10,Ba1,Bb6),(AC10,Ba2,Bb1),(AC10,Ba2,Bb2),(AC10,Ba2,Bb3),(AC10,Ba2,Bb4),(AC10,Ba2,Bb5),(AC10,Ba2,Bb6),(AC10,Ba3,Bb1),(AC10,Ba3,Bb2),(AC10,Ba3,Bb3),(AC10,Ba3,Bb4),(AC10,Ba3,Bb5),(AC10,Ba3,Bb6),(AC10,Ba4,Bb1),(AC10,Ba4,Bb2),(AC10,Ba4,Bb3),(AC10,Ba4,Bb4),(AC10,Ba4,Bb5),(AC10,Ba4,Bb6),(AC10,Ba5,Bb1),(AC10,Ba5,Bb2),(AC10,Ba5,Bb3),(AC10,Ba5,Bb4),(AC10,Ba5,Bb5),(AC10,Ba5,Bb6),(AC10,Ba6,Bb1),(AC10,Ba6,Bb2),(AC10,Ba6,Bb3),(AC10,Ba6,Bb4),(AC10,Ba6,Bb5),(AC10,Ba6,Bb6),(AC10,Ba7,Bb1),(AC10,Ba7,Bb2),(AC10,Ba7,Bb3),(AC10,Ba7,Bb4),(AC10,Ba7,Bb5),(AC10,Ba7,Bb6),(AC11,Ba1,Bb1),(AC11,Ba1,Bb2),(AC11,Ba1,Bb3),(AC11,Ba1,Bb4),(AC11,Ba1,Bb5),(AC11,Ba1,Bb6),(AC11,Ba2,Bb1),(AC11,Ba2,Bb2),(AC11,Ba2,Bb3),(AC11,Ba2,Bb4),(AC11,Ba2,Bb5),(AC11,Ba2,Bb6),(AC11,Ba3,Bb1),(AC11,Ba3,Bb2),(AC11,Ba3,Bb3),(AC11,Ba3,Bb4),(AC11,Ba3,Bb5),(AC11,Ba3,Bb6),(AC11,Ba4,Bb1),(AC11,Ba4,Bb2),(AC11,Ba4,Bb3),(AC11,Ba4,Bb4),(AC11,Ba4,Bb5),(AC11,Ba4,Bb6),(AC11,Ba5,Bb1),(AC11,Ba5,Bb2),(AC11,Ba5,Bb3),(AC11,Ba5,Bb4),(AC11,Ba5,Bb5),(AC11,Ba5,Bb6),(AC11,Ba6,Bb1),(AC11,Ba6,Bb2),(AC11,Ba6,Bb3),(AC11,Ba6,Bb4),(AC11,Ba6,Bb5),(AC11,Ba6,Bb6),(AC11,Ba7,Bb1),(AC11,Ba7,Bb2),(AC11,Ba7,Bb3),(AC11,Ba7,Bb4),(AC11,Ba7,Bb5),(AC11,Ba7,Bb6),(AC12,Ba1,Bb1),(AC12,Ba1,Bb2),(AC12,Ba1,Bb3),(AC12,Ba1,Bb4),(AC12,Ba1,Bb5),(AC12,Ba1,Bb6),(AC12,Ba2,Bb1),(AC12,Ba2,Bb2),(AC12,Ba2,Bb3),(AC12,Ba2,Bb4),(AC12,Ba2,Bb5),(AC12,Ba2,Bb6),(AC12,Ba3,Bb1),(AC12,Ba3,Bb2),(AC12,Ba3,Bb3),(AC12,Ba3,Bb4),(AC12,Ba3,Bb5),(AC12,Ba3,Bb6),(AC12,Ba4,Bb1),(AC12,Ba4,Bb2),(AC12,Ba4,Bb3),(AC12,Ba4,Bb4),(AC12,Ba4,Bb5),(AC12,Ba4,Bb6),(AC12,Ba5,Bb1),(AC12,Ba5,Bb2),(AC12,Ba5,Bb3),(AC12,Ba5,Bb4),(AC12,Ba5,Bb5),(AC12,Ba5,Bb6),(AC12,Ba6,Bb1),(AC12,Ba6,Bb2),(AC12,Ba6,Bb3),(AC12,Ba6,Bb4),(AC12,Ba6,Bb5),(AC12,Ba6,Bb6),(AC12,Ba7,Bb1),(AC12,Ba7,Bb2),(AC12,Ba7,Bb3),(AC12,Ba7,Bb4),(AC12,Ba7,Bb5),(AC12,Ba7,Bb6),(AC13,Ba1,Bb1),(AC13,Ba1,Bb2),(AC13,Ba1,Bb3),(AC13,Ba1,Bb4),(AC13,Ba1,Bb5),(AC13,Ba1,Bb6),(AC13,Ba2,Bb1),(AC13,Ba2,Bb2),(AC13,Ba2,Bb3),(AC13,Ba2,Bb4),(AC13,Ba2,Bb5),(AC13,Ba2,Bb6),(AC13,Ba3,Bb1),(AC13,Ba3,Bb2),(AC13,Ba3,Bb3),(AC13,Ba3,Bb4),(AC13,Ba3,Bb5),(AC13,Ba3,Bb6),(AC13,Ba4,Bb1),(AC13,Ba4,Bb2),(AC13,Ba4,Bb3),(AC13,Ba4,Bb4),(AC13,Ba4,Bb5),(AC13,Ba4,Bb6),(AC13,Ba5,Bb1),(AC13,Ba5,Bb2),(AC13,Ba5,Bb3),(AC13,Ba5,Bb4),(AC13,Ba5,Bb5),(AC13,Ba5,Bb6),(AC13,Ba6,Bb1),(AC13,Ba6,Bb2),(AC13,Ba6,Bb3),(AC13,Ba6,Bb4),(AC13,Ba6,Bb5),(AC13,Ba6,Bb6),(AC13,Ba7,Bb1),(AC13,Ba7,Bb2),(AC13,Ba7,Bb3),(AC13,Ba7,Bb4),(AC13,Ba7,Bb5),(AC13,Ba7,Bb6),(AC14,Ba1,Bb1),(AC14,Ba1,Bb2),(AC14,Ba1,Bb3),(AC14,Ba1,Bb4),(AC14,Ba1,Bb5),(AC14,Ba1,Bb6),(AC14,Ba2,Bb1),(AC14,Ba2,Bb2),(AC14,Ba2,Bb3),(AC14,Ba2,Bb4),(AC14,Ba2,Bb5),(AC14,Ba2,Bb6),(AC14,Ba3,Bb1),(AC14,Ba3,Bb2),(AC14,Ba3,Bb3),(AC14,Ba3,Bb4),(AC14,Ba3,Bb5),(AC14,Ba3,Bb6),(AC14,Ba4,Bb1),(AC14,Ba4,Bb2),(AC14,Ba4,Bb3),(AC14,Ba4,Bb4),(AC14,Ba4,Bb5),(AC14,Ba4,Bb6),(AC14,Ba5,Bb1),(AC14,Ba5,Bb2),(AC14,Ba5,Bb3),(AC14,Ba5,Bb4),(AC14,Ba5,Bb5),(AC14,Ba5,Bb6),(AC14,Ba6,Bb1),(AC14,Ba6,Bb2),(AC14,Ba6,Bb3),(AC14,Ba6,Bb4),(AC14,Ba6,Bb5),(AC14,Ba6,Bb6),(AC14,Ba7,Bb1),(AC14,Ba7,Bb2),(AC14,Ba7,Bb3),(AC14,Ba7,Bb4),(AC14,Ba7,Bb5),(AC14,Ba7,Bb6),(AC15,Ba1,Bb1),(AC15,Ba1,Bb2),(AC15,Ba1,Bb3),(AC15,Ba1,Bb4),(AC15,Ba1,Bb5),(AC15,Ba1,Bb6),(AC15,Ba2,Bb1),(AC15,Ba2,Bb2),(AC15,Ba2,Bb3),(AC15,Ba2,Bb4),(AC15,Ba2,Bb5),(AC15,Ba2,Bb6),(AC15,Ba3,Bb1),(AC15,Ba3,Bb2),(AC15,Ba3,Bb3),(AC15,Ba3,Bb4),(AC15,Ba3,Bb5),(AC15,Ba3,Bb6),(AC15,Ba4,Bb1),(AC15,Ba4,Bb2),(AC15,Ba4,Bb3),(AC15,Ba4,Bb4),(AC15,Ba4,Bb5),(AC15,Ba4,Bb6),(AC15,Ba5,Bb1),(AC15,Ba5,Bb2),(AC15,Ba5,Bb3),(AC15,Ba5,Bb4),(AC15,Ba5,Bb5),(AC15,Ba5,Bb6),(AC15,Ba6,Bb1),(AC15,Ba6,Bb2),(AC15,Ba6,Bb3),(AC15,Ba6,Bb4),(AC15,Ba6,Bb5),(AC15,Ba6,Bb6),(AC15,Ba7,Bb1),(AC15,Ba7,Bb2),(AC15,Ba7,Bb3),(AC15,Ba7,Bb4),(AC15,Ba7,Bb5),(AC15,Ba7,Bb6),(AC16,Ba1,Bb1),(AC16,Ba1,Bb2),(AC16,Ba1,Bb3),(AC16,Ba1,Bb4),(AC16,Ba1,Bb5),(AC16,Ba1,Bb6),(AC16,Ba2,Bb1),(AC16,Ba2,Bb2),(AC16,Ba2,Bb3),(AC16,Ba2,Bb4),(AC16,Ba2,Bb5),(AC16,Ba2,Bb6),(AC16,Ba3,Bb1),(AC16,Ba3,Bb2),(AC16,Ba3,Bb3),(AC16,Ba3,Bb4),(AC16,Ba3,Bb5),(AC16,Ba3,Bb6),(AC16,Ba4,Bb1),(AC16,Ba4,Bb2),(AC16,Ba4,Bb3),(AC16,Ba4,Bb4),(AC16,Ba4,Bb5),(AC16,Ba4,Bb6),(AC16,Ba5,Bb1),(AC16,Ba5,Bb2),(AC16,Ba5,Bb3),(AC16,Ba5,Bb4),(AC16,Ba5,Bb5),(AC16,Ba5,Bb6),(AC16,Ba6,Bb1),(AC16,Ba6,Bb2),(AC16,Ba6,Bb3),(AC16,Ba6,Bb4),(AC16,Ba6,Bb5),(AC16,Ba6,Bb6),(AC16,Ba7,Bb1),(AC16,Ba7,Bb2),(AC16,Ba7,Bb3),(AC16,Ba7,Bb4),(AC16,Ba7,Bb5),(AC16,Ba7,Bb6),(AC17,Ba1,Bb1),(AC17,Ba1,Bb2),(AC17,Ba1,Bb3),(AC17,Ba1,Bb4),(AC17,Ba1,Bb5),(AC17,Ba1,Bb6),(AC17,Ba2,Bb1),(AC17,Ba2,Bb2),(AC17,Ba2,Bb3),(AC17,Ba2,Bb4),(AC17,Ba2,Bb5),(AC17,Ba2,Bb6),(AC17,Ba3,Bb1),(AC17,Ba3,Bb2),(AC17,Ba3,Bb3),(AC17,Ba3,Bb4),(AC17,Ba3,Bb5),(AC17,Ba3,Bb6),(AC17,Ba4,Bb1),(AC17,Ba4,Bb2),(AC17,Ba4,Bb3),(AC17,Ba4,Bb4),(AC17,Ba4,Bb5),(AC17,Ba4,Bb6),(AC17,Ba5,Bb1),(AC17,Ba5,Bb2),(AC17,Ba5,Bb3),(AC17,Ba5,Bb4),(AC17,Ba5,Bb5),(AC17,Ba5,Bb6),(AC17,Ba6,Bb1),(AC17,Ba6,Bb2),(AC17,Ba6,Bb3),(AC17,Ba6,Bb4),(AC17,Ba6,Bb5),(A
C17,Ba6,Bb6),(AC17,Ba7,Bb1),(AC17,Ba7,Bb2),(AC17,Ba7,Bb3),(AC17,Ba7,Bb4),(AC17,Ba7,Bb5),(AC17,Ba7,Bb6),(AC18,Ba1,Bb1),(AC18,Ba1,Bb2),(AC18,Ba1,Bb3),(AC18,Ba1,Bb4),(AC18,Ba1,Bb5),(AC18,Ba1,Bb6),(AC18,Ba2,Bb1),(AC18,Ba2,Bb2),(AC18,Ba2,Bb3),(AC18,Ba2,Bb4),(AC18,Ba2,Bb5),(AC18,Ba2,Bb6),(AC18,Ba3,Bb1),(AC18,Ba3,Bb2),(AC18,Ba3,Bb3),(AC18,Ba3,Bb4),(AC18,Ba3,Bb5),(AC18,Ba3,Bb6),(AC18,Ba4,Bb1),(AC18,Ba4,Bb2),(AC18,Ba4,Bb3),(AC18,Ba4,Bb4),(AC18,Ba4,Bb5),(AC18,Ba4,Bb6),(AC18,Ba5,Bb1),(AC18,Ba5,Bb2),(AC18,Ba5,Bb3),(AC18,Ba5,Bb4),(AC18,Ba5,Bb5),(AC18,Ba5,Bb6),(AC18,Ba6,Bb1),(AC18,Ba6,Bb2),(AC18,Ba6,Bb3),(AC18,Ba6,Bb4),(AC18,Ba6,Bb5),(AC18,Ba6,Bb6),(AC18,Ba7,Bb1),(AC18,Ba7,Bb2),(AC18,Ba7,Bb3),(AC18,Ba7,Bb4),(AC18,Ba7,Bb5),(AC18,Ba7,Bb6),(AC19,Ba1,Bb1),(AC19,Ba1,Bb2),(AC19,Ba1,Bb3),(AC19,Ba1,Bb4),(AC19,Ba1,Bb5),(AC19,Ba1,Bb6),(AC19,Ba2,Bb1),(AC19,Ba2,Bb2),(AC19,Ba2,Bb3),(AC19,Ba2,Bb4),(AC19,Ba2,Bb5),(AC19,Ba2,Bb6),(AC19,Ba3,Bb1),(AC19,Ba3,Bb2),(AC19,Ba3,Bb3),(AC19,Ba3,Bb4),(AC19,Ba3,Bb5),(AC19,Ba3,Bb6),(AC19,Ba4,Bb1),(AC19,Ba4,Bb2),(AC19,Ba4,Bb3),(AC19,Ba4,Bb4),(AC19,Ba4,Bb5),(AC19,Ba4,Bb6),(AC19,Ba5,Bb1),(AC19,Ba5,Bb2),(AC19,Ba5,Bb3),(AC19,Ba5,Bb4),(AC19,Ba5,Bb5),(AC19,Ba5,Bb6),(AC19,Ba6,Bb1),(AC19,Ba6,Bb2),(AC19,Ba6,Bb3),(AC19,Ba6,Bb4),(AC19,Ba6,Bb5),(AC19,Ba6,Bb6),(AC19,Ba7,Bb1),(AC19,Ba7,Bb2),(AC19,Ba7,Bb3),(AC19,Ba7,Bb4),(AC19,Ba7,Bb5),(AC19,Ba7,Bb6),(AC20,Ba1,Bb1),(AC20,Ba1,Bb2),(AC20,Ba1,Bb3),(AC20,Ba1,Bb4),(AC20,Ba1,Bb5),(AC20,Ba1,Bb6),(AC20,Ba2,Bb1),(AC20,Ba2,Bb2),(AC20,Ba2,Bb3),(AC20,Ba2,Bb4),(AC20,Ba2,Bb5),(AC20,Ba2,Bb6),(AC20,Ba3,Bb1),(AC20,Ba3,Bb2),(AC20,Ba3,Bb3),(AC20,Ba3,Bb4),(AC20,Ba3,Bb5),(AC20,Ba3,Bb6),(AC20,Ba4,Bb1),(AC20,Ba4,Bb2),(AC20,Ba4,Bb3),(AC20,Ba4,Bb4),(AC20,Ba4,Bb5),(AC20,Ba4,Bb6),(AC20,Ba5,Bb1),(AC20,Ba5,Bb2),(AC20,Ba5,Bb3),(AC20,Ba5,Bb4),(AC20,Ba5,Bb5),(AC20,Ba5,Bb6),(AC20,Ba6,Bb1),(AC20,Ba6,Bb2),(AC20,Ba6,Bb3),(AC20,Ba6,Bb4),(AC20,Ba6,Bb5),(AC20,Ba6,Bb6),(AC20,Ba7,Bb1),(AC20,Ba7,Bb2),(AC20,Ba7,Bb3),(AC20,Ba7,Bb4),(AC20,Ba7,Bb5),(AC20,Ba7,Bb6),(AC21,Ba1,Bb1),(AC21,Ba1,Bb2),(AC21,Ba1,Bb3),(AC21,Ba1,Bb4),(AC21,Ba1,Bb5),(AC21,Ba1,Bb6),(AC21,Ba2,Bb1),(AC21,Ba2,Bb2),(AC21,Ba2,Bb3),(AC21,Ba2,Bb4),(AC21,Ba2,Bb5),(AC21,Ba2,Bb6),(AC21,Ba3,Bb1),(AC21,Ba3,Bb2),(AC21,Ba3,Bb3),(AC21,Ba3,Bb4),(AC21,Ba3,Bb5),(AC21,Ba3,Bb6),(AC21,Ba4,Bb1),(AC21,Ba4,Bb2),(AC21,Ba4,Bb3),(AC21,Ba4,Bb4),(AC21,Ba4,Bb5),(AC21,Ba4,Bb6),(AC21,Ba5,Bb1),(AC21,Ba5,Bb2),(AC21,Ba5,Bb3),(AC21,Ba5,Bb4),(AC21,Ba5,Bb5),(AC21,Ba5,Bb6),(AC21,Ba6,Bb1),(AC21,Ba6,Bb2),(AC21,Ba6,Bb3),(AC21,Ba6,Bb4),(AC21,Ba6,Bb5),(AC21,Ba6,Bb6),(AC21,Ba7,Bb1),(AC21,Ba7,Bb2),(AC21,Ba7,Bb3),(AC21,Ba7,Bb4),(AC21,Ba7,Bb5),(AC21,Ba7,Bb6).
The compound whose combination of AC, Ba, and Bb is the following (AC, Ba, Bb).
(AC, Ba, Bb) = (AC1, Ba1, Bb1), (AC1, Ba1, Bb2), (AC1, Ba1, Bb3), (AC1, Ba1, Bb4), (AC1, Ba1, Bb5), (AC1 , Ba1, Bb6), (AC1, Ba2, Bb1), (AC1, Ba2, Bb2), (AC1, Ba2, Bb3), (AC1, Ba2, Bb4), (AC1, Ba2, Bb5), (AC1, Ba2 , Bb6), (AC1, Ba3, Bb1), (AC1, Ba3, Bb2), (AC1, Ba3, Bb3), (AC1, Ba3, Bb4), (AC1, Ba3, Bb5), (AC1, Ba3, Bb6 ), (AC1, Ba4, Bb1), (AC1, Ba4, Bb2), (AC1, Ba4, Bb3), (AC1, Ba4, Bb4), (AC1, Ba4, Bb5), (AC1, Ba4, Bb6), (AC1, Ba5, Bb1), (AC1, Ba5, Bb2), (AC1, Ba5, Bb3), (AC1, Ba5, Bb4), (AC1, Ba5, Bb5), (AC1, Ba5, Bb6), (AC1 , Ba6, Bb1), (AC1, Ba6, Bb2), (AC1, Ba6, Bb3), (AC1, Ba6, Bb4), (AC1, Ba6, Bb5), (AC1, Ba6, Bb6), (AC1, Ba7 , Bb1), (AC1, Ba7, Bb2), (AC1, Ba7, Bb3), (AC1, Ba7, Bb4), (AC1, Ba7, Bb5), (AC1, Ba7, Bb6), (AC2, Ba1, Bb1 ), (AC2, Ba1, Bb2), (AC2, Ba1, Bb3), (AC2, Ba1, Bb4), (AC2, Ba1, Bb5), (AC2, Ba1, Bb6), (AC2, Ba2, Bb1), (AC2, Ba2, Bb2), (AC2, Ba2, Bb3), (AC2, Ba2, Bb4), (AC2, Ba2, Bb5), (AC2, Ba2, Bb6), (AC2, Ba3, Bb1), (AC2 , Ba3, Bb2), (AC2, Ba3, Bb3), (AC2, Ba3, Bb4), (AC2, Ba3, Bb5), (AC2, Ba3, Bb6), (AC2, Ba4, Bb1), (AC2, Ba4 , Bb2), (AC2, Ba4, Bb3), (AC2, Ba4, Bb4), (AC2, Ba4, Bb5), (AC2, Ba4, Bb6), (AC2, Ba5, Bb1), (AC2, Ba5, Bb2 ), (AC2, Ba5, Bb3), (AC2, Ba5, Bb4), (AC2, Ba5 , Bb5), (AC2, Ba5, Bb6), (AC2, Ba6, Bb1), (AC2, Ba6, Bb2), (AC2, Ba6, Bb3), (AC2, Ba6, Bb4), (AC2, Ba6, Bb5 ), (AC2, Ba6, Bb6), (AC2, Ba7, Bb1), (AC2, Ba7, Bb2), (AC2, Ba7, Bb3), (AC2, Ba7, Bb4), (AC2, Ba7, Bb5), (AC2, Ba7, Bb6), (AC3, Ba1, Bb1), (AC3, Ba1, Bb2), (AC3, Ba1, Bb3), (AC3, Ba1, Bb4), (AC3, Ba1, Bb5), (AC3 , Ba1, Bb6), (AC3, Ba2, Bb1), (AC3, Ba2, Bb2), (AC3, Ba2, Bb3), (AC3, Ba2, Bb4), (AC3, Ba2, Bb5), (AC3, Ba2 , Bb6), (AC3, Ba3, Bb1), (AC3, Ba3, Bb2), (AC3, Ba3, Bb3), (AC3, Ba3, Bb4), (AC3, Ba3, Bb5), (AC3, Ba3, Bb6 ), (AC3, Ba4, Bb1), (AC3, Ba4, Bb2), (AC3, Ba4, Bb3), (AC3, Ba4, Bb4), (AC3, Ba4, Bb5), (AC3, Ba4, Bb6), (AC3, Ba5, Bb1), (AC3, Ba5, Bb2), (AC3, Ba5, Bb3), (AC3, Ba5, Bb4), (AC3, Ba5, Bb5), (AC3, Ba5, Bb6), (AC3 , Ba6, Bb1), (AC3, Ba6, Bb2), (AC3, Ba6, Bb3), (AC3, Ba6, Bb4), (AC3, Ba6, Bb5), (AC3, Ba6, Bb6), (AC3, Ba7 , Bb1), (AC3, Ba7, Bb2), (AC3, Ba7, Bb3), (AC3, Ba7, Bb4), (AC3, Ba7, Bb5), (AC3, Ba7, Bb6), (AC4, Ba1, Bb1 ), (AC4, Ba1, Bb2), (AC4, Ba1, Bb3), (AC4, Ba1, Bb4), (AC4, Ba1, Bb5), (AC4, Ba1, Bb6), (AC4, Ba2, Bb1), (AC4, Ba2, Bb2), (AC4, Ba2, Bb3), (AC4, Ba2, Bb4), (AC4, Ba2, Bb5), (AC4, Ba2, Bb6), (AC4, Ba3, Bb1), (AC4 , Ba3, Bb2), (AC4, Ba3, Bb3), (AC4, Ba3, Bb4), (AC4, Ba3, Bb5), (AC4, Ba3, Bb6), (AC4, Ba4, Bb1), (AC4, Ba4, Bb2), (AC4, Ba4, Bb3), (AC4, Ba4, Bb4), (AC4 , Ba4, Bb5), (AC4, Ba4, Bb6), (AC4, Ba5, Bb1), (AC4, Ba5, Bb2), (AC4, Ba5, Bb3), (AC4, Ba5, Bb4), (AC4, Ba5 , Bb5), (AC4, Ba5, Bb6), (AC4, Ba6, Bb1), (AC4, Ba6, Bb2), (AC4, Ba6, Bb3), (AC4, Ba6, Bb4), (AC4, Ba6, Bb5 ), (AC4, Ba6, Bb6), (AC4, Ba7, Bb1), (AC4, Ba7, Bb2), (AC4, Ba7, Bb3), (AC4, Ba7, Bb4), (AC4, Ba7, Bb5), (AC4, Ba7, Bb6), (AC5, Ba1, Bb1), (AC5, Ba1, Bb2), (AC5, Ba1, Bb3), (AC5, Ba1, Bb4), (AC5, Ba1, Bb5), (AC5 , Ba1, Bb6), (AC5, Ba2, Bb1), (AC5, Ba2, Bb2), (AC5, Ba2, Bb3), (AC5, Ba2, Bb4), (AC5, Ba2, Bb5), (AC5, Ba2 , Bb6), (AC5, Ba3, Bb1), (AC5, Ba3, Bb2), (AC5, Ba3, Bb3), (AC5, Ba3, Bb4), (AC5, Ba3, Bb5), (AC5, Ba3, Bb6 ), (AC5, Ba4, Bb1), (AC5, Ba4, Bb2), (AC5, Ba4, Bb3), (AC5, Ba4, Bb4), (AC5, Ba4, Bb5), (AC5, Ba4, Bb6), (AC5, Ba5, Bb1), (AC5, Ba5, Bb2), (AC5, Ba5, Bb3), (AC5, Ba5, Bb4), (AC5, Ba5, Bb5), (AC5, Ba5, Bb6), (AC5 , Ba6, Bb1), (AC5, Ba6, Bb2), (AC5, Ba6, Bb3), (AC5, Ba6, Bb4), (AC5, Ba6, Bb5), (AC5, Ba6, Bb6), (AC5, Ba7 , Bb1), (AC5, Ba7, Bb2), (AC5, Ba7, Bb3), (AC5, Ba7, Bb4), (AC5, Ba7, Bb5), (AC5, Ba7, Bb6), (AC6, Ba1, Bb1 ), (AC6, Ba1, Bb2), (AC6, Ba1, Bb3), (AC6, B a1, Bb4), (AC6, Ba1, Bb5), (AC6, Ba1, Bb6), (AC6, Ba2, Bb1), (AC6, Ba2, Bb2), (AC6, Ba2, Bb3), (AC6, Ba2, (Bb4), (AC6, Ba2, Bb5), (AC6, Ba2, Bb6), (AC6, Ba3, Bb1), (AC6, Ba3, Bb2), (AC6, Ba3, Bb3), (AC6, Ba3, Bb4) , (AC6, Ba3, Bb5), (AC6, Ba3, Bb6), (AC6, Ba4, Bb1), (AC6, Ba4, Bb2), (AC6, Ba4, Bb3), (AC6, Ba4, Bb4), ( (AC6, Ba4, Bb5), (AC6, Ba4, Bb6), (AC6, Ba5, Bb1), (AC6, Ba5, Bb2), (AC6, Ba5, Bb3), (AC6, Ba5, Bb4), (AC6, (Ba5, Bb5), (AC6, Ba5, Bb6), (AC6, Ba6, Bb1), (AC6, Ba6, Bb2), (AC6, Ba6, Bb3), (AC6, Ba6, Bb4), (AC6, Ba6, (Bb5), (AC6, Ba6, Bb6), (AC6, Ba7, Bb1), (AC6, Ba7, Bb2), (AC6, Ba7, Bb3), (AC6, Ba7, Bb4), (AC6, Ba7, Bb5) , (AC6, Ba7, Bb6), (AC7, Ba1, Bb1), (AC7, Ba1, Bb2), (AC7, Ba1, Bb3), (AC7, Ba1, Bb4), (AC7, Ba1, Bb5), ( (AC7, Ba1, Bb6), (AC7, Ba2, Bb1), (AC7, Ba2, Bb2), (AC7, Ba2, Bb3), (AC7, Ba2, Bb4), (AC7, Ba2, Bb5), (AC7, (Ba2, Bb6), (AC7, Ba3, Bb1), (AC7, Ba3, Bb2), (AC7, Ba3, Bb3), (AC7, Ba3, Bb4), (AC7, Ba3, Bb5), (AC7, Ba3, (Bb6), (AC7, Ba4, Bb1), (AC7, Ba4, Bb2), (AC7, Ba4, Bb3), (AC7, Ba4, Bb4), (AC7, Ba4, Bb5), (AC7, Ba4, Bb6) , (AC7, Ba5, Bb1), (AC7, Ba5, Bb2), (AC7, Ba5, Bb3), (AC7, Ba5, Bb4), (AC7, Ba5, Bb5), (AC7, Ba5, Bb6), ( (AC7, Ba6, Bb1), (AC7, Ba6, Bb2), (AC7, Ba6, Bb3) ), (AC7, Ba6, Bb4), (AC7, Ba6, Bb5), (AC7, Ba6, Bb6), (AC7, Ba7, Bb1), (AC7, Ba7, Bb2), (AC7, Ba7, Bb3), (AC7, Ba7, Bb4), (AC7, Ba7, Bb5), (AC7, Ba7, Bb6), (AC8, Ba1, Bb1), (AC8, Ba1, Bb2), (AC8, Ba1, Bb3), (AC8 , Ba1, Bb4), (AC8, Ba1, Bb5), (AC8, Ba1, Bb6), (AC8, Ba2, Bb1), (AC8, Ba2, Bb2), (AC8, Ba2, Bb3), (AC8, Ba2 , Bb4), (AC8, Ba2, Bb5), (AC8, Ba2, Bb6), (AC8, Ba3, Bb1), (AC8, Ba3, Bb2), (AC8, Ba3, Bb3), (AC8, Ba3, Bb4 ), (AC8, Ba3, Bb5), (AC8, Ba3, Bb6), (AC8, Ba4, Bb1), (AC8, Ba4, Bb2), (AC8, Ba4, Bb3), (AC8, Ba4, Bb4), (AC8, Ba4, Bb5), (AC8, Ba4, Bb6), (AC8, Ba5, Bb1), (AC8, Ba5, Bb2), (AC8, Ba5, Bb3), (AC8, Ba5, Bb4), (AC8 , Ba5, Bb5), (AC8, Ba5, Bb6), (AC8, Ba6, Bb1), (AC8, Ba6, Bb2), (AC8, Ba6, Bb3), (AC8, Ba6, Bb4), (AC8, Ba6) , Bb5), (AC8, Ba6, Bb6), (AC8, Ba7, Bb1), (AC8, Ba7, Bb2), (AC8, Ba7, Bb3), (AC8, Ba7, Bb4), (AC8, Ba7, Bb5 ), (AC8, Ba7, Bb6), (AC9, Ba1, Bb1), (AC9, Ba1, Bb2), (AC9, Ba1, Bb3), (AC9, Ba1, Bb4), (AC9, Ba1, Bb5), (AC9, Ba1, Bb6), (AC9, Ba2, Bb1), (AC9, Ba2, Bb2), (AC9, Ba2, Bb3), (AC9, Ba2, Bb4), (AC9, Ba2, Bb5), (AC9 , Ba2, Bb6), (AC9, Ba3, Bb1), (AC9, Ba3, Bb2), (AC9, Ba3, Bb3), (AC9, Ba3, Bb4), (AC9, Ba3, Bb5), (AC9, Ba3 , Bb6), (AC9, Ba4, Bb1), (AC9, Ba4, Bb2), (AC9 , Ba4, Bb3), (AC9, Ba4, Bb4), (AC9, Ba4, Bb5), (AC9, Ba4, Bb6), (AC9, Ba5, Bb1), (AC9, Ba5, Bb2), (AC9, Ba5 , Bb3), (AC9, Ba5, Bb4), (AC9, Ba5, Bb5), (AC9, Ba5, Bb6), (AC9, Ba6, Bb1), (AC9, Ba6, Bb2), (AC9, Ba6, Bb3 ), (AC9, Ba6, Bb4), (AC9, Ba6, Bb5), (AC9, Ba6, Bb6), (AC9, Ba7, Bb1), (AC9, Ba7, Bb2), (AC9, Ba7, Bb3), (AC9, Ba7, Bb4), (AC9, Ba7, Bb5), (AC9, Ba7, Bb6), (AC10, Ba1, Bb1), (AC10, Ba1, Bb2), (AC10, Ba1, Bb3), (AC10 , Ba1, Bb4), (AC10, Ba1, Bb5), (AC10, Ba1, Bb6), (AC10, Ba2, Bb1), (AC10, Ba2, Bb2), (AC10, Ba2, Bb3), (AC10, Ba2 , Bb4), (AC10, Ba2, Bb5), (AC10, Ba2, Bb6), (AC10, Ba3, Bb1), (AC10, Ba3, Bb2), (AC10, Ba3, Bb3), (AC10, Ba3, Bb4 ), (AC10, Ba3, Bb5), (AC10, Ba3, Bb6), (AC10, Ba4, Bb1), (AC10, Ba4, Bb2), (AC10, Ba4, Bb3), (AC10, Ba4, Bb4), (AC10, Ba4, Bb5), (AC10, Ba4, Bb6), (AC10, Ba5, Bb1), (AC10, Ba5, Bb2), (AC10, Ba5, Bb3), (AC10, Ba5, Bb4), (AC10 , Ba5, Bb5), (AC10, Ba5, Bb6), (AC10, Ba6, Bb1), (AC10, Ba6, Bb2), (AC10, Ba6, Bb3), (AC10, Ba6, Bb4), (AC10, Ba6) , Bb5), (AC10, Ba6, Bb6), (AC10, Ba7, Bb1), (AC10, Ba7, Bb2), (AC10, Ba7, Bb3), (AC10, Ba7, Bb4), (AC10, Ba7, Bb5 ), (AC10, Ba7, Bb6), (AC11, Ba1, Bb1), (AC11, Ba1, Bb2), (AC11, Ba1, Bb3), (AC11, Ba1, Bb4), (AC11, (Ba1, Bb5), (AC11, Ba1, Bb6), (AC11, Ba2, Bb1), (AC11, Ba2, Bb2), (AC11, Ba2, Bb3), (AC11, Ba2, Bb4), (AC11, Ba2, (Bb5), (AC11, Ba2, Bb6), (AC11, Ba3, Bb1), (AC11, Ba3, Bb2), (AC11, Ba3, Bb3), (AC11, Ba3, Bb4), (AC11, Ba3, Bb5) , (AC11, Ba3, Bb6), (AC11, Ba4, Bb1), (AC11, Ba4, Bb2), (AC11, Ba4, Bb3), (AC11, Ba4, Bb4), (AC11, Ba4, Bb5), ( (AC11, Ba4, Bb6), (AC11, Ba5, Bb1), (AC11, Ba5, Bb2), (AC11, Ba5, Bb3), (AC11, Ba5, Bb4), (AC11, Ba5, Bb5), (AC11, (Ba5, Bb6), (AC11, Ba6, Bb1), (AC11, Ba6, Bb2), (AC11, Ba6, Bb3), (AC11, Ba6, Bb4), (AC11, Ba6, Bb5), (AC11, Ba6, (Bb6), (AC11, Ba7, Bb1), (AC11, Ba7, Bb2), (AC11, Ba7, Bb3), (AC11, Ba7, Bb4), (AC11, Ba7, Bb5), (AC11, Ba7, Bb6) , (AC12, Ba1, Bb1), (AC12, Ba1, Bb2), (AC12, Ba1, Bb3), (AC12, Ba1, Bb4), (AC12, Ba1, Bb5), (AC12, Ba1, Bb6), ( (AC12, Ba2, Bb1), (AC12, Ba2, Bb2), (AC12, Ba2, Bb3), (AC12, Ba2, Bb4), (AC12, Ba2, Bb5), (AC12, Ba2, Bb6), (AC12, (Ba3, Bb1), (AC12, Ba3, Bb2), (AC12, Ba3, Bb3), (AC12, Ba3, Bb4), (AC12, Ba3, Bb5), (AC12, Ba3, Bb6), (AC12, Ba4, (Bb1), (AC12, Ba4, Bb2), (AC12, Ba4, Bb3), (AC12, Ba4, Bb4), (AC12, Ba4, Bb5), (AC12, Ba4, Bb6), (AC12, Ba5, Bb1) , (AC12, Ba5, Bb2), (AC12, Ba5, Bb3), (AC12, Ba5, Bb4), (AC12, Ba5, Bb5), ( (AC12, Ba5, Bb6), (AC12, Ba6, Bb1), (AC12, Ba6, Bb2), (AC12, Ba6, Bb3), (AC12, Ba6, Bb4), (AC12, Ba6, Bb5), (AC12, (Ba6, Bb6), (AC12, Ba7, Bb1), (AC12, Ba7, Bb2), (AC12, Ba7, Bb3), (AC12, Ba7, Bb4), (AC12, Ba7, Bb5), (AC12, Ba7, (Bb6), (AC13, Ba1, Bb1), (AC13, Ba1, Bb2), (AC13, Ba1, Bb3), (AC13, Ba1, Bb4), (AC13, Ba1, Bb5), (AC13, Ba1, Bb6) , (AC13, Ba2, Bb1), (AC13, Ba2, Bb2), (AC13, Ba2, Bb3), (AC13, Ba2, Bb4), (AC13, Ba2, Bb5), (AC13, Ba2, Bb6), ( (AC13, Ba3, Bb1), (AC13, Ba3, Bb2), (AC13, Ba3, Bb3), (AC13, Ba3, Bb4), (AC13, Ba3, Bb5), (AC13, Ba3, Bb6), (AC13, (Ba4, Bb1), (AC13, Ba4, Bb2), (AC13, Ba4, Bb3), (AC13, Ba4, Bb4), (AC13, Ba4, Bb5), (AC13, Ba4, Bb6), (AC13, Ba5, (Bb1), (AC13, Ba5, Bb2), (AC13, Ba5, Bb3), (AC13, Ba5, Bb4), (AC13, Ba5, Bb5), (AC13, Ba5, Bb6), (AC13, Ba6, Bb1) , (AC13, Ba6, Bb2), (AC13, Ba6, Bb3), (AC13, Ba6, Bb4), (AC13, Ba6, Bb5), (AC13, Ba6, Bb6), (AC13, Ba7, Bb1), ( (AC13, Ba7, Bb2), (AC13, Ba7, Bb3), (AC13, Ba7, Bb4), (AC13, Ba7, Bb5), (AC13, Ba7, Bb6), (AC14, Ba1, Bb1), (AC14, (Ba1, Bb2), (AC14, Ba1, Bb3), (AC14, Ba1, Bb4), (AC14, Ba1, Bb5), (AC14, Ba1, Bb6), (AC14, Ba2, Bb1), (AC14, Ba2, Bb2), (AC14, Ba2, Bb3), (AC14, Ba2, Bb4), (AC14, Ba2, Bb5), (AC14, Ba2, B b6), (AC14, Ba3, Bb1), (AC14, Ba3, Bb2), (AC14, Ba3, Bb3), (AC14, Ba3, Bb4), (AC14, Ba3, Bb5), (AC14, Ba3, Bb6) , (AC14, Ba4, Bb1), (AC14, Ba4, Bb2), (AC14, Ba4, Bb3), (AC14, Ba4, Bb4), (AC14, Ba4, Bb5), (AC14, Ba4, Bb6), ( (AC14, Ba5, Bb1), (AC14, Ba5, Bb2), (AC14, Ba5, Bb3), (AC14, Ba5, Bb4), (AC14, Ba5, Bb5), (AC14, Ba5, Bb6), (AC14, (Ba6, Bb1), (AC14, Ba6, Bb2), (AC14, Ba6, Bb3), (AC14, Ba6, Bb4), (AC14, Ba6, Bb5), (AC14, Ba6, Bb6), (AC14, Ba7, (Bb1), (AC14, Ba7, Bb2), (AC14, Ba7, Bb3), (AC14, Ba7, Bb4), (AC14, Ba7, Bb5), (AC14, Ba7, Bb6), (AC15, Ba1, Bb1) , (AC15, Ba1, Bb2), (AC15, Ba1, Bb3), (AC15, Ba1, Bb4), (AC15, Ba1, Bb5), (AC15, Ba1, Bb6), (AC15, Ba2, Bb1), ( (AC15, Ba2, Bb2), (AC15, Ba2, Bb3), (AC15, Ba2, Bb4), (AC15, Ba2, Bb5), (AC15, Ba2, Bb6), (AC15, Ba3, Bb1), (AC15, (Ba3, Bb2), (AC15, Ba3, Bb3), (AC15, Ba3, Bb4), (AC15, Ba3, Bb5), (AC15, Ba3, Bb6), (AC15, Ba4, Bb1), (AC15, Ba4, (Bb2), (AC15, Ba4, Bb3), (AC15, Ba4, Bb4), (AC15, Ba4, Bb5), (AC15, Ba4, Bb6), (AC15, Ba5, Bb1), (AC15, Ba5, Bb2) , (AC15, Ba5, Bb3), (AC15, Ba5, Bb4), (AC15, Ba5, Bb5), (AC15, Ba5, Bb6), (AC15, Ba6, Bb1), (AC15, Ba6, Bb2), ( (AC15, Ba6, Bb3), (AC15, Ba6, Bb4), (AC15, Ba6, Bb5), (AC15, Ba6, Bb6), (AC15, (Ba7, Bb1), (AC15, Ba7, Bb2), (AC15, Ba7, Bb3), (AC15, Ba7, Bb4), (AC15, Ba7, Bb5), (AC15, Ba7, Bb6), (AC16, Ba1, (Bb1), (AC16, Ba1, Bb2), (AC16, Ba1, Bb3), (AC16, Ba1, Bb4), (AC16, Ba1, Bb5), (AC16, Ba1, Bb6), (AC16, Ba2, Bb1) , (AC16, Ba2, Bb2), (AC16, Ba2, Bb3), (AC16, Ba2, Bb4), (AC16, Ba2, Bb5), (AC16, Ba2, Bb6), (AC16, Ba3, Bb1), ( (AC16, Ba3, Bb2), (AC16, Ba3, Bb3), (AC16, Ba3, Bb4), (AC16, Ba3, Bb5), (AC16, Ba3, Bb6), (AC16, Ba4, Bb1), (AC16, (Ba4, Bb2), (AC16, Ba4, Bb3), (AC16, Ba4, Bb4), (AC16, Ba4, Bb5), (AC16, Ba4, Bb6), (AC16, Ba5, Bb1), (AC16, Ba5, (Bb2), (AC16, Ba5, Bb3), (AC16, Ba5, Bb4), (AC16, Ba5, Bb5), (AC16, Ba5, Bb6), (AC16, Ba6, Bb1), (AC16, Ba6, Bb2) , (AC16, Ba6, Bb3), (AC16, Ba6, Bb4), (AC16, Ba6, Bb5), (AC16, Ba6, Bb6), (AC16, Ba7, Bb1), (AC16, Ba7, Bb2), ( (AC16, Ba7, Bb3), (AC16, Ba7, Bb4), (AC16, Ba7, Bb5), (AC16, Ba7, Bb6), (AC17, Ba1, Bb1), (AC17, Ba1, Bb2), (AC17, (Ba1, Bb3), (AC17, Ba1, Bb4), (AC17, Ba1, Bb5), (AC17, Ba1, Bb6), (AC17, Ba2, Bb1), (AC17, Ba2, Bb2), (AC17, Ba2, (Bb3), (AC17, Ba2, Bb4), (AC17, Ba2, Bb5), (AC17, Ba2, Bb6), (AC17, Ba3, Bb1), (AC17, Ba3, Bb2), (AC17, Ba3, Bb3) , (AC17, Ba3, Bb4), (AC17, Ba3, Bb5), (AC17, Ba3, Bb6), (AC17, Ba4, Bb1), ( (AC17, Ba4, Bb2), (AC17, Ba4, Bb3), (AC17, Ba4, Bb4), (AC17, Ba4, Bb5), (AC17, Ba4, Bb6), (AC17, Ba5, Bb1), (AC17, (Ba5, Bb2), (AC17, Ba5, Bb3), (AC17, Ba5, Bb4), (AC17, Ba5, Bb5), (AC17, Ba5, Bb6), (AC17, Ba6, Bb1), (AC17, Ba6, (Bb2), (AC17, Ba6, Bb3), (AC17, Ba6, Bb4), (AC17, Ba6, Bb5), (A
C17, Ba6, Bb6), (AC17, Ba7, Bb1), (AC17, Ba7, Bb2), (AC17, Ba7, Bb3), (AC17, Ba7, Bb4), (AC17, Ba7, Bb5), (AC17, (Ba7, Bb6), (AC18, Ba1, Bb1), (AC18, Ba1, Bb2), (AC18, Ba1, Bb3), (AC18, Ba1, Bb4), (AC18, Ba1, Bb5), (AC18, Ba1, (Bb6), (AC18, Ba2, Bb1), (AC18, Ba2, Bb2), (AC18, Ba2, Bb3), (AC18, Ba2, Bb4), (AC18, Ba2, Bb5), (AC18, Ba2, Bb6) , (AC18, Ba3, Bb1), (AC18, Ba3, Bb2), (AC18, Ba3, Bb3), (AC18, Ba3, Bb4), (AC18, Ba3, Bb5), (AC18, Ba3, Bb6), ( (AC18, Ba4, Bb1), (AC18, Ba4, Bb2), (AC18, Ba4, Bb3), (AC18, Ba4, Bb4), (AC18, Ba4, Bb5), (AC18, Ba4, Bb6), (AC18, (Ba5, Bb1), (AC18, Ba5, Bb2), (AC18, Ba5, Bb3), (AC18, Ba5, Bb4), (AC18, Ba5, Bb5), (AC18, Ba5, Bb6), (AC18, Ba6, (Bb1), (AC18, Ba6, Bb2), (AC18, Ba6, Bb3), (AC18, Ba6, Bb4), (AC18, Ba6, Bb5), (AC18, Ba6, Bb6), (AC18, Ba7, Bb1) , (AC18, Ba7, Bb2), (AC18, Ba7, Bb3), (AC18, Ba7, Bb4), (AC18, Ba7, Bb5), (AC18, Ba7, Bb6), (AC19, Ba1, Bb1), ( (AC19, Ba1, Bb2), (AC19, Ba1, Bb3), (AC19, Ba1, Bb4), (AC19, Ba1, Bb5), (AC19, Ba1, Bb6), (AC19, Ba2, Bb1), (AC19, (Ba2, Bb2), (AC19, Ba2, Bb3), (AC19, Ba2, Bb4), (AC19, Ba2, Bb5), (AC19, Ba2, Bb6), (AC19, Ba3, Bb1), (AC19, Ba3, (Bb2), (AC19, Ba3, Bb3), (AC19, Ba3, Bb4), (AC19, Ba3, Bb5), (AC19, Ba3, Bb 6), (AC19, Ba4, Bb1), (AC19, Ba4, Bb2), (AC19, Ba4, Bb3), (AC19, Ba4, Bb4), (AC19, Ba4, Bb5), (AC19, Ba4, Bb6) , (AC19, Ba5, Bb1), (AC19, Ba5, Bb2), (AC19, Ba5, Bb3), (AC19, Ba5, Bb4), (AC19, Ba5, Bb5), (AC19, Ba5, Bb6), ( (AC19, Ba6, Bb1), (AC19, Ba6, Bb2), (AC19, Ba6, Bb3), (AC19, Ba6, Bb4), (AC19, Ba6, Bb5), (AC19, Ba6, Bb6), (AC19, (Ba7, Bb1), (AC19, Ba7, Bb2), (AC19, Ba7, Bb3), (AC19, Ba7, Bb4), (AC19, Ba7, Bb5), (AC19, Ba7, Bb6), (AC20, Ba1, (Bb1), (AC20, Ba1, Bb2), (AC20, Ba1, Bb3), (AC20, Ba1, Bb4), (AC20, Ba1, Bb5), (AC20, Ba1, Bb6), (AC20, Ba2, Bb1) , (AC20, Ba2, Bb2), (AC20, Ba2, Bb3), (AC20, Ba2, Bb4), (AC20, Ba2, Bb5), (AC20, Ba2, Bb6), (AC20, Ba3, Bb1), ( (AC20, Ba3, Bb2), (AC20, Ba3, Bb3), (AC20, Ba3, Bb4), (AC20, Ba3, Bb5), (AC20, Ba3, Bb6), (AC20, Ba4, Bb1), (AC20, (Ba4, Bb2), (AC20, Ba4, Bb3), (AC20, Ba4, Bb4), (AC20, Ba4, Bb5), (AC20, Ba4, Bb6), (AC20, Ba5, Bb1), (AC20, Ba5, (Bb2), (AC20, Ba5, Bb3), (AC20, Ba5, Bb4), (AC20, Ba5, Bb5), (AC20, Ba5, Bb6), (AC20, Ba6, Bb1), (AC20, Ba6, Bb2) , (AC20, Ba6, Bb3), (AC20, Ba6, Bb4), (AC20, Ba6, Bb5), (AC20, Ba6, Bb6), (AC20, Ba7, Bb1), (AC20, Ba7, Bb2), ( (AC20, Ba7, Bb3), (AC20, Ba7, Bb4), (AC20, Ba7, Bb5), (AC20, Ba7, Bb6), (AC21, B a1, Bb1), (AC21, Ba1, Bb2), (AC21, Ba1, Bb3), (AC21, Ba1, Bb4), (AC21, Ba1, Bb5), (AC21, Ba1, Bb6), (AC21, Ba2, (Bb1), (AC21, Ba2, Bb2), (AC21, Ba2, Bb3), (AC21, Ba2, Bb4), (AC21, Ba2, Bb5), (AC21, Ba2, Bb6), (AC21, Ba3, Bb1) , (AC21, Ba3, Bb2), (AC21, Ba3, Bb3), (AC21, Ba3, Bb4), (AC21, Ba3, Bb5), (AC21, Ba3, Bb6), (AC21, Ba4, Bb1), ( (AC21, Ba4, Bb2), (AC21, Ba4, Bb3), (AC21, Ba4, Bb4), (AC21, Ba4, Bb5), (AC21, Ba4, Bb6), (AC21, Ba5, Bb1), (AC21, (Ba5, Bb2), (AC21, Ba5, Bb3), (AC21, Ba5, Bb4), (AC21, Ba5, Bb5), (AC21, Ba5, Bb6), (AC21, Ba6, Bb1), (AC21, Ba6, (Bb2), (AC21, Ba6, Bb3), (AC21, Ba6, Bb4), (AC21, Ba6, Bb5), (AC21, Ba6, Bb6), (AC21, Ba7, Bb1), (AC21, Ba7, Bb2) , (AC21, Ba7, Bb3), (AC21, Ba7, Bb4), (AC21, Ba7, Bb5), (AC21, Ba7, Bb6).
本発明化合物の一つの態様は、以下の一般式(III)において、以下の基を有するものである。
AC、Ba、Bbの組み合わせが、以下の(AC、Ba、Bb)である化合物。
(AC,Ba, Bb)= (AC1,Ba1,Bb1),(AC1,Ba1,Bb2),(AC1,Ba1,Bb3),(AC1,Ba1,Bb4),(AC1,Ba1,Bb5),(AC1,Ba1,Bb6),(AC1,Ba2,Bb1),(AC1,Ba2,Bb2),(AC1,Ba2,Bb3),(AC1,Ba2,Bb4),(AC1,Ba2,Bb5),(AC1,Ba2,Bb6),(AC1,Ba3,Bb1),(AC1,Ba3,Bb2),(AC1,Ba3,Bb3),(AC1,Ba3,Bb4),(AC1,Ba3,Bb5),(AC1,Ba3,Bb6),(AC1,Ba4,Bb1),(AC1,Ba4,Bb2),(AC1,Ba4,Bb3),(AC1,Ba4,Bb4),(AC1,Ba4,Bb5),(AC1,Ba4,Bb6),(AC1,Ba5,Bb1),(AC1,Ba5,Bb2),(AC1,Ba5,Bb3),(AC1,Ba5,Bb4),(AC1,Ba5,Bb5),(AC1,Ba5,Bb6),(AC1,Ba6,Bb1),(AC1,Ba6,Bb2),(AC1,Ba6,Bb3),(AC1,Ba6,Bb4),(AC1,Ba6,Bb5),(AC1,Ba6,Bb6),(AC1,Ba7,Bb1),(AC1,Ba7,Bb2),(AC1,Ba7,Bb3),(AC1,Ba7,Bb4),(AC1,Ba7,Bb5),(AC1,Ba7,Bb6),(AC2,Ba1,Bb1),(AC2,Ba1,Bb2),(AC2,Ba1,Bb3),(AC2,Ba1,Bb4),(AC2,Ba1,Bb5),(AC2,Ba1,Bb6),(AC2,Ba2,Bb1),(AC2,Ba2,Bb2),(AC2,Ba2,Bb3),(AC2,Ba2,Bb4),(AC2,Ba2,Bb5),(AC2,Ba2,Bb6),(AC2,Ba3,Bb1),(AC2,Ba3,Bb2),(AC2,Ba3,Bb3),(AC2,Ba3,Bb4),(AC2,Ba3,Bb5),(AC2,Ba3,Bb6),(AC2,Ba4,Bb1),(AC2,Ba4,Bb2),(AC2,Ba4,Bb3),(AC2,Ba4,Bb4),(AC2,Ba4,Bb5),(AC2,Ba4,Bb6),(AC2,Ba5,Bb1),(AC2,Ba5,Bb2),(AC2,Ba5,Bb3),(AC2,Ba5,Bb4),(AC2,Ba5,Bb5),(AC2,Ba5,Bb6),(AC2,Ba6,Bb1),(AC2,Ba6,Bb2),(AC2,Ba6,Bb3),(AC2,Ba6,Bb4),(AC2,Ba6,Bb5),(AC2,Ba6,Bb6),(AC2,Ba7,Bb1),(AC2,Ba7,Bb2),(AC2,Ba7,Bb3),(AC2,Ba7,Bb4),(AC2,Ba7,Bb5),(AC2,Ba7,Bb6),(AC3,Ba1,Bb1),(AC3,Ba1,Bb2),(AC3,Ba1,Bb3),(AC3,Ba1,Bb4),(AC3,Ba1,Bb5),(AC3,Ba1,Bb6),(AC3,Ba2,Bb1),(AC3,Ba2,Bb2),(AC3,Ba2,Bb3),(AC3,Ba2,Bb4),(AC3,Ba2,Bb5),(AC3,Ba2,Bb6),(AC3,Ba3,Bb1),(AC3,Ba3,Bb2),(AC3,Ba3,Bb3),(AC3,Ba3,Bb4),(AC3,Ba3,Bb5),(AC3,Ba3,Bb6),(AC3,Ba4,Bb1),(AC3,Ba4,Bb2),(AC3,Ba4,Bb3),(AC3,Ba4,Bb4),(AC3,Ba4,Bb5),(AC3,Ba4,Bb6),(AC3,Ba5,Bb1),(AC3,Ba5,Bb2),(AC3,Ba5,Bb3),(AC3,Ba5,Bb4),(AC3,Ba5,Bb5),(AC3,Ba5,Bb6),(AC3,Ba6,Bb1),(AC3,Ba6,Bb2),(AC3,Ba6,Bb3),(AC3,Ba6,Bb4),(AC3,Ba6,Bb5),(AC3,Ba6,Bb6),(AC3,Ba7,Bb1),(AC3,Ba7,Bb2),(AC3,Ba7,Bb3),(AC3,Ba7,Bb4),(AC3,Ba7,Bb5),(AC3,Ba7,Bb6),(AC4,Ba1,Bb1),(AC4,Ba1,Bb2),(AC4,Ba1,Bb3),(AC4,Ba1,Bb4),(AC4,Ba1,Bb5),(AC4,Ba1,Bb6),(AC4,Ba2,Bb1),(AC4,Ba2,Bb2),(AC4,Ba2,Bb3),(AC4,Ba2,Bb4),(AC4,Ba2,Bb5),(AC4,Ba2,Bb6),(AC4,Ba3,Bb1),(AC4,Ba3,Bb2),(AC4,Ba3,Bb3),(AC4,Ba3,Bb4),(AC4,Ba3,Bb5),(AC4,Ba3,Bb6),(AC4,Ba4,Bb1),(AC4,Ba4,Bb2),(AC4,Ba4,Bb3),(AC4,Ba4,Bb4),(AC4,Ba4,Bb5),(AC4,Ba4,Bb6),(AC4,Ba5,Bb1),(AC4,Ba5,Bb2),(AC4,Ba5,Bb3),(AC4,Ba5,Bb4),(AC4,Ba5,Bb5),(AC4,Ba5,Bb6),(AC4,Ba6,Bb1),(AC4,Ba6,Bb2),(AC4,Ba6,Bb3),(AC4,Ba6,Bb4),(AC4,Ba6,Bb5),(AC4,Ba6,Bb6),(AC4,Ba7,Bb1),(AC4,Ba7,Bb2),(AC4,Ba7,Bb3),(AC4,Ba7,Bb4),(AC4,Ba7,Bb5),(AC4,Ba7,Bb6),(AC5,Ba1,Bb1),(AC5,Ba1,Bb2),(AC5,Ba1,Bb3),(AC5,Ba1,Bb4),(AC5,Ba1,Bb5),(AC5,Ba1,Bb6),(AC5,Ba2,Bb1),(AC5,Ba2,Bb2),(AC5,Ba2,Bb3),(AC5,Ba2,Bb4),(AC5,Ba2,Bb5),(AC5,Ba2,Bb6),(AC5,Ba3,Bb1),(AC5,Ba3,Bb2),(AC5,Ba3,Bb3),(AC5,Ba3,Bb4),(AC5,Ba3,Bb5),(AC5,Ba3,Bb6),(AC5,Ba4,Bb1),(AC5,Ba4,Bb2),(AC5,Ba4,Bb3),(AC5,Ba4,Bb4),(AC5,Ba4,Bb5),(AC5,Ba4,Bb6),(AC5,Ba5,Bb1),(AC5,Ba5,Bb2),(AC5,Ba5,Bb3),(AC5,Ba5,Bb4),(AC5,Ba5,Bb5),(AC5,Ba5,Bb6),(AC5,Ba6,Bb1),(AC5,Ba6,Bb2),(AC5,Ba6,Bb3),(AC5,Ba6,Bb4),(AC5,Ba6,Bb5),(AC5,Ba6,Bb6),(AC5,Ba7,Bb1),(AC5,Ba7,Bb2),(AC5,Ba7,Bb3),(AC5,Ba7,Bb4),(AC5,Ba7,Bb5),(AC5,Ba7,Bb6),(AC6,Ba1,Bb1),(AC6,Ba1,Bb2),(AC6,Ba1,Bb3),(AC6,Ba1,Bb4),(AC6,Ba1,Bb5),(AC6,Ba1,Bb6),(AC6,Ba2,Bb1),(AC6,Ba2,Bb2),(AC6,Ba2,Bb3),(AC6,Ba2,Bb4),(AC6,Ba2,Bb5),(AC6,Ba2,Bb6),(AC6,Ba3,Bb1),(AC6,Ba3,Bb2),(AC6,Ba3,Bb3),(AC6,Ba3,Bb4),(AC6,Ba3,Bb5),(AC6,Ba3,Bb6),(AC6,Ba4,Bb1),(AC6,Ba4,Bb2),(AC6,Ba4,Bb3),(AC6,Ba4,Bb4),(AC6,Ba4,Bb5),(AC6,Ba4,Bb6),(AC6,Ba5,Bb1),(AC6,Ba5,Bb2),(AC6,Ba5,Bb3),(AC6,Ba5,Bb4),(AC6,Ba5,Bb5),(AC6,Ba5,Bb6),(AC6,Ba6,Bb1),(AC6,Ba6,Bb2),(AC6,Ba6,Bb3),(AC6,Ba6,Bb4),(AC6,Ba6,Bb5),(AC6,Ba6,Bb6),(AC6,Ba7,Bb1),(AC6,Ba7,Bb2),(AC6,Ba7,Bb3),(AC6,Ba7,Bb4),(AC6,Ba7,Bb5),(AC6,Ba7,Bb6),(AC7,Ba1,Bb1),(AC7,Ba1,Bb2),(AC7,Ba1,Bb3),(AC7,Ba1,Bb4),(AC7,Ba1,Bb5),(AC7,Ba1,Bb6),(AC7,Ba2,Bb1),(AC7,Ba2,Bb2),(AC7,Ba2,Bb3),(AC7,Ba2,Bb4),(AC7,Ba2,Bb5),(AC7,Ba2,Bb6),(AC7,Ba3,Bb1),(AC7,Ba3,Bb2),(AC7,Ba3,Bb3),(AC7,Ba3,Bb4),(AC7,Ba3,Bb5),(AC7,Ba3,Bb6),(AC7,Ba4,Bb1),(AC7,Ba4,Bb2),(AC7,Ba4,Bb3),(AC7,Ba4,Bb4),(AC7,Ba4,Bb5),(AC7,Ba4,Bb6),(AC7,Ba5,Bb1),(AC7,Ba5,Bb2),(AC7,Ba5,Bb3),(AC7,Ba5,Bb4),(AC7,Ba5,Bb5),(AC7,Ba5,Bb6),(AC7,Ba6,Bb1),(AC7,Ba6,Bb2),(AC7,Ba6,Bb3),(AC7,Ba6,Bb4),(AC7,Ba6,Bb5),(AC7,Ba6,Bb6),(AC7,Ba7,Bb1),(AC7,Ba7,Bb2),(AC7,Ba7,Bb3),(AC7,Ba7,Bb4),(AC7,Ba7,Bb5),(AC7,Ba7,Bb6),(AC8,Ba1,Bb1),(AC8,Ba1,Bb2),(AC8,Ba1,Bb3),(AC8,Ba1,Bb4),(AC8,Ba1,Bb5),(AC8,Ba1,Bb6),(AC8,Ba2,Bb1),(AC8,Ba2,Bb2),(AC8,Ba2,Bb3),(AC8,Ba2,Bb4),(AC8,Ba2,Bb5),(AC8,Ba2,Bb6),(AC8,Ba3,Bb1),(AC8,Ba3,Bb2),(AC8,Ba3,Bb3),(AC8,Ba3,Bb4),(AC8,Ba3,Bb5),(AC8,Ba3,Bb6),(AC8,Ba4,Bb1),(AC8,Ba4,Bb2),(AC8,Ba4,Bb3),(AC8,Ba4,Bb4),(AC8,Ba4,Bb5),(AC8,Ba4,Bb6),(AC8,Ba5,Bb1),(AC8,Ba5,Bb2),(AC8,Ba5,Bb3),(AC8,Ba5,Bb4),(AC8,Ba5,Bb5),(AC8,Ba5,Bb6),(AC8,Ba6,Bb1),(AC8,Ba6,Bb2),(AC8,Ba6,Bb3),(AC8,Ba6,Bb4),(AC8,Ba6,Bb5),(AC8,Ba6,Bb6),(AC8,Ba7,Bb1),(AC8,Ba7,Bb2),(AC8,Ba7,Bb3),(AC8,Ba7,Bb4),(AC8,Ba7,Bb5),(AC8,Ba7,Bb6),(AC9,Ba1,Bb1),(AC9,Ba1,Bb2),(AC9,Ba1,Bb3),(AC9,Ba1,Bb4),(AC9,Ba1,Bb5),(AC9,Ba1,Bb6),(AC9,Ba2,Bb1),(AC9,Ba2,Bb2),(AC9,Ba2,Bb3),(AC9,Ba2,Bb4),(AC9,Ba2,Bb5),(AC9,Ba2,Bb6),(AC9,Ba3,Bb1),(AC9,Ba3,Bb2),(AC9,Ba3,Bb3),(AC9,Ba3,Bb4),(AC9,Ba3,Bb5),(AC9,Ba3,Bb6),(AC9,Ba4,Bb1),(AC9,Ba4,Bb2),(AC9,Ba4,Bb3),(AC9,Ba4,Bb4),(AC9,Ba4,Bb5),(AC9,Ba4,Bb6),(AC9,Ba5,Bb1),(AC9,Ba5,Bb2),(AC9,Ba5,Bb3),(AC9,Ba5,Bb4),(AC9,Ba5,Bb5),(AC9,Ba5,Bb6),(AC9,Ba6,Bb1),(AC9,Ba6,Bb2),(AC9,Ba6,Bb3),(AC9,Ba6,Bb4),(AC9,Ba6,Bb5),(AC9,Ba6,Bb6),(AC9,Ba7,Bb1),(AC9,Ba7,Bb2),(AC9,Ba7,Bb3),(AC9,Ba7,Bb4),(AC9,Ba7,Bb5),(AC9,Ba7,Bb6),(AC10,Ba1,Bb1),(AC10,Ba1,Bb2),(AC10,Ba1,Bb3),(AC10,Ba1,Bb4),(AC10,Ba1,Bb5),(AC10,Ba1,Bb6),(AC10,Ba2,Bb1),(AC10,Ba2,Bb2),(AC10,Ba2,Bb3),(AC10,Ba2,Bb4),(AC10,Ba2,Bb5),(AC10,Ba2,Bb6),(AC10,Ba3,Bb1),(AC10,Ba3,Bb2),(AC10,Ba3,Bb3),(AC10,Ba3,Bb4),(AC10,Ba3,Bb5),(AC10,Ba3,Bb6),(AC10,Ba4,Bb1),(AC10,Ba4,Bb2),(AC10,Ba4,Bb3),(AC10,Ba4,Bb4),(AC10,Ba4,Bb5),(AC10,Ba4,Bb6),(AC10,Ba5,Bb1),(AC10,Ba5,Bb2),(AC10,Ba5,Bb3),(AC10,Ba5,Bb4),(AC10,Ba5,Bb5),(AC10,Ba5,Bb6),(AC10,Ba6,Bb1),(AC10,Ba6,Bb2),(AC10,Ba6,Bb3),(AC10,Ba6,Bb4),(AC10,Ba6,Bb5),(AC10,Ba6,Bb6),(AC10,Ba7,Bb1),(AC10,Ba7,Bb2),(AC10,Ba7,Bb3),(AC10,Ba7,Bb4),(AC10,Ba7,Bb5),(AC10,Ba7,Bb6),(AC11,Ba1,Bb1),(AC11,Ba1,Bb2),(AC11,Ba1,Bb3),(AC11,Ba1,Bb4),(AC11,Ba1,Bb5),(AC11,Ba1,Bb6),(AC11,Ba2,Bb1),(AC11,Ba2,Bb2),(AC11,Ba2,Bb3),(AC11,Ba2,Bb4),(AC11,Ba2,Bb5),(AC11,Ba2,Bb6),(AC11,Ba3,Bb1),(AC11,Ba3,Bb2),(AC11,Ba3,Bb3),(AC11,Ba3,Bb4),(AC11,Ba3,Bb5),(AC11,Ba3,Bb6),(AC11,Ba4,Bb1),(AC11,Ba4,Bb2),(AC11,Ba4,Bb3),(AC11,Ba4,Bb4),(AC11,Ba4,Bb5),(AC11,Ba4,Bb6),(AC11,Ba5,Bb1),(AC11,Ba5,Bb2),(AC11,Ba5,Bb3),(AC11,Ba5,Bb4),(AC11,Ba5,Bb5),(AC11,Ba5,Bb6),(AC11,Ba6,Bb1),(AC11,Ba6,Bb2),(AC11,Ba6,Bb3),(AC11,Ba6,Bb4),(AC11,Ba6,Bb5),(AC11,Ba6,Bb6),(AC11,Ba7,Bb1),(AC11,Ba7,Bb2),(AC11,Ba7,Bb3),(AC11,Ba7,Bb4),(AC11,Ba7,Bb5),(AC11,Ba7,Bb6),(AC12,Ba1,Bb1),(AC12,Ba1,Bb2),(AC12,Ba1,Bb3),(AC12,Ba1,Bb4),(AC12,Ba1,Bb5),(AC12,Ba1,Bb6),(AC12,Ba2,Bb1),(AC12,Ba2,Bb2),(AC12,Ba2,Bb3),(AC12,Ba2,Bb4),(AC12,Ba2,Bb5),(AC12,Ba2,Bb6),(AC12,Ba3,Bb1),(AC12,Ba3,Bb2),(AC12,Ba3,Bb3),(AC12,Ba3,Bb4),(AC12,Ba3,Bb5),(AC12,Ba3,Bb6),(AC12,Ba4,Bb1),(AC12,Ba4,Bb2),(AC12,Ba4,Bb3),(AC12,Ba4,Bb4),(AC12,Ba4,Bb5),(AC12,Ba4,Bb6),(AC12,Ba5,Bb1),(AC12,Ba5,Bb2),(AC12,Ba5,Bb3),(AC12,Ba5,Bb4),(AC12,Ba5,Bb5),(AC12,Ba5,Bb6),(AC12,Ba6,Bb1),(AC12,Ba6,Bb2),(AC12,Ba6,Bb3),(AC12,Ba6,Bb4),(AC12,Ba6,Bb5),(AC12,Ba6,Bb6),(AC12,Ba7,Bb1),(AC12,Ba7,Bb2),(AC12,Ba7,Bb3),(AC12,Ba7,Bb4),(AC12,Ba7,Bb5),(AC12,Ba7,Bb6),(AC13,Ba1,Bb1),(AC13,Ba1,Bb2),(AC13,Ba1,Bb3),(AC13,Ba1,Bb4),(AC13,Ba1,Bb5),(AC13,Ba1,Bb6),(AC13,Ba2,Bb1),(AC13,Ba2,Bb2),(AC13,Ba2,Bb3),(AC13,Ba2,Bb4),(AC13,Ba2,Bb5),(AC13,Ba2,Bb6),(AC13,Ba3,Bb1),(AC13,Ba3,Bb2),(AC13,Ba3,Bb3),(AC13,Ba3,Bb4),(AC13,Ba3,Bb5),(AC13,Ba3,Bb6),(AC13,Ba4,Bb1),(AC13,Ba4,Bb2),(AC13,Ba4,Bb3),(AC13,Ba4,Bb4),(AC13,Ba4,Bb5),(AC13,Ba4,Bb6),(AC13,Ba5,Bb1),(AC13,Ba5,Bb2),(AC13,Ba5,Bb3),(AC13,Ba5,Bb4),(AC13,Ba5,Bb5),(AC13,Ba5,Bb6),(AC13,Ba6,Bb1),(AC13,Ba6,Bb2),(AC13,Ba6,Bb3),(AC13,Ba6,Bb4),(AC13,Ba6,Bb5),(AC13,Ba6,Bb6),(AC13,Ba7,Bb1),(AC13,Ba7,Bb2),(AC13,Ba7,Bb3),(AC13,Ba7,Bb4),(AC13,Ba7,Bb5),(AC13,Ba7,Bb6),(AC14,Ba1,Bb1),(AC14,Ba1,Bb2),(AC14,Ba1,Bb3),(AC14,Ba1,Bb4),(AC14,Ba1,Bb5),(AC14,Ba1,Bb6),(AC14,Ba2,Bb1),(AC14,Ba2,Bb2),(AC14,Ba2,Bb3),(AC14,Ba2,Bb4),(AC14,Ba2,Bb5),(AC14,Ba2,Bb6),(AC14,Ba3,Bb1),(AC14,Ba3,Bb2),(AC14,Ba3,Bb3),(AC14,Ba3,Bb4),(AC14,Ba3,Bb5),(AC14,Ba3,Bb6),(AC14,Ba4,Bb1),(AC14,Ba4,Bb2),(AC14,Ba4,Bb3),(AC14,Ba4,Bb4),(AC14,Ba4,Bb5),(AC14,Ba4,Bb6),(AC14,Ba5,Bb1),(AC14,Ba5,Bb2),(AC14,Ba5,Bb3),(AC14,Ba5,Bb4),(AC14,Ba5,Bb5),(AC14,Ba5,Bb6),(AC14,Ba6,Bb1),(AC14,Ba6,Bb2),(AC14,Ba6,Bb3),(AC14,Ba6,Bb4),(AC14,Ba6,Bb5),(AC14,Ba6,Bb6),(AC14,Ba7,Bb1),(AC14,Ba7,Bb2),(AC14,Ba7,Bb3),(AC14,Ba7,Bb4),(AC14,Ba7,Bb5),(AC14,Ba7,Bb6),(AC15,Ba1,Bb1),(AC15,Ba1,Bb2),(AC15,Ba1,Bb3),(AC15,Ba1,Bb4),(AC15,Ba1,Bb5),(AC15,Ba1,Bb6),(AC15,Ba2,Bb1),(AC15,Ba2,Bb2),(AC15,Ba2,Bb3),(AC15,Ba2,Bb4),(AC15,Ba2,Bb5),(AC15,Ba2,Bb6),(AC15,Ba3,Bb1),(AC15,Ba3,Bb2),(AC15,Ba3,Bb3),(AC15,Ba3,Bb4),(AC15,Ba3,Bb5),(AC15,Ba3,Bb6),(AC15,Ba4,Bb1),(AC15,Ba4,Bb2),(AC15,Ba4,Bb3),(AC15,Ba4,Bb4),(AC15,Ba4,Bb5),(AC15,Ba4,Bb6),(AC15,Ba5,Bb1),(AC15,Ba5,Bb2),(AC15,Ba5,Bb3),(AC15,Ba5,Bb4),(AC15,Ba5,Bb5),(AC15,Ba5,Bb6),(AC15,Ba6,Bb1),(AC15,Ba6,Bb2),(AC15,Ba6,Bb3),(AC15,Ba6,Bb4),(AC15,Ba6,Bb5),(AC15,Ba6,Bb6),(AC15,Ba7,Bb1),(AC15,Ba7,Bb2),(AC15,Ba7,Bb3),(AC15,Ba7,Bb4),(AC15,Ba7,Bb5),(AC15,Ba7,Bb6),(AC16,Ba1,Bb1),(AC16,Ba1,Bb2),(AC16,Ba1,Bb3),(AC16,Ba1,Bb4),(AC16,Ba1,Bb5),(AC16,Ba1,Bb6),(AC16,Ba2,Bb1),(AC16,Ba2,Bb2),(AC16,Ba2,Bb3),(AC16,Ba2,Bb4),(AC16,Ba2,Bb5),(AC16,Ba2,Bb6),(AC16,Ba3,Bb1),(AC16,Ba3,Bb2),(AC16,Ba3,Bb3),(AC16,Ba3,Bb4),(AC16,Ba3,Bb5),(AC16,Ba3,Bb6),(AC16,Ba4,Bb1),(AC16,Ba4,Bb2),(AC16,Ba4,Bb3),(AC16,Ba4,Bb4),(AC16,Ba4,Bb5),(AC16,Ba4,Bb6),(AC16,Ba5,Bb1),(AC16,Ba5,Bb2),(AC16,Ba5,Bb3),(AC16,Ba5,Bb4),(AC16,Ba5,Bb5),(AC16,Ba5,Bb6),(AC16,Ba6,Bb1),(AC16,Ba6,Bb2),(AC16,Ba6,Bb3),(AC16,Ba6,Bb4),(AC16,Ba6,Bb5),(AC16,Ba6,Bb6),(AC16,Ba7,Bb1),(AC16,Ba7,Bb2),(AC16,Ba7,Bb3),(AC16,Ba7,Bb4),(AC16,Ba7,Bb5),(AC16,Ba7,Bb6),(AC17,Ba1,Bb1),(AC17,Ba1,Bb2),(AC17,Ba1,Bb3),(AC17,Ba1,Bb4),(AC17,Ba1,Bb5),(AC17,Ba1,Bb6),(AC17,Ba2,Bb1),(AC17,Ba2,Bb2),(AC17,Ba2,Bb3),(AC17,Ba2,Bb4),(AC17,Ba2,Bb5),(AC17,Ba2,Bb6),(AC17,Ba3,Bb1),(AC17,Ba3,Bb2),(AC17,Ba3,Bb3),(AC17,Ba3,Bb4),(AC17,Ba3,Bb5),(AC17,Ba3,Bb6),(AC17,Ba4,Bb1),(AC17,Ba4,Bb2),(AC17,Ba4,Bb3),(AC17,Ba4,Bb4),(AC17,Ba4,Bb5),(AC17,Ba4,Bb6),(AC17,Ba5,Bb1),(AC17,Ba5,Bb2),(AC17,Ba5,Bb3),(AC17,Ba5,Bb4),(AC17,Ba5,Bb5),(AC17,Ba5,Bb6),(AC17,Ba6,Bb1),(AC17,Ba6,Bb2),(AC17,Ba6,Bb3),(AC17,Ba6,Bb4),(AC17,Ba6,Bb5),(
AC17,Ba6,Bb6),(AC17,Ba7,Bb1),(AC17,Ba7,Bb2),(AC17,Ba7,Bb3),(AC17,Ba7,Bb4),(AC17,Ba7,Bb5),(AC17,Ba7,Bb6),(AC18,Ba1,Bb1),(AC18,Ba1,Bb2),(AC18,Ba1,Bb3),(AC18,Ba1,Bb4),(AC18,Ba1,Bb5),(AC18,Ba1,Bb6),(AC18,Ba2,Bb1),(AC18,Ba2,Bb2),(AC18,Ba2,Bb3),(AC18,Ba2,Bb4),(AC18,Ba2,Bb5),(AC18,Ba2,Bb6),(AC18,Ba3,Bb1),(AC18,Ba3,Bb2),(AC18,Ba3,Bb3),(AC18,Ba3,Bb4),(AC18,Ba3,Bb5),(AC18,Ba3,Bb6),(AC18,Ba4,Bb1),(AC18,Ba4,Bb2),(AC18,Ba4,Bb3),(AC18,Ba4,Bb4),(AC18,Ba4,Bb5),(AC18,Ba4,Bb6),(AC18,Ba5,Bb1),(AC18,Ba5,Bb2),(AC18,Ba5,Bb3),(AC18,Ba5,Bb4),(AC18,Ba5,Bb5),(AC18,Ba5,Bb6),(AC18,Ba6,Bb1),(AC18,Ba6,Bb2),(AC18,Ba6,Bb3),(AC18,Ba6,Bb4),(AC18,Ba6,Bb5),(AC18,Ba6,Bb6),(AC18,Ba7,Bb1),(AC18,Ba7,Bb2),(AC18,Ba7,Bb3),(AC18,Ba7,Bb4),(AC18,Ba7,Bb5),(AC18,Ba7,Bb6),(AC19,Ba1,Bb1),(AC19,Ba1,Bb2),(AC19,Ba1,Bb3),(AC19,Ba1,Bb4),(AC19,Ba1,Bb5),(AC19,Ba1,Bb6),(AC19,Ba2,Bb1),(AC19,Ba2,Bb2),(AC19,Ba2,Bb3),(AC19,Ba2,Bb4),(AC19,Ba2,Bb5),(AC19,Ba2,Bb6),(AC19,Ba3,Bb1),(AC19,Ba3,Bb2),(AC19,Ba3,Bb3),(AC19,Ba3,Bb4),(AC19,Ba3,Bb5),(AC19,Ba3,Bb6),(AC19,Ba4,Bb1),(AC19,Ba4,Bb2),(AC19,Ba4,Bb3),(AC19,Ba4,Bb4),(AC19,Ba4,Bb5),(AC19,Ba4,Bb6),(AC19,Ba5,Bb1),(AC19,Ba5,Bb2),(AC19,Ba5,Bb3),(AC19,Ba5,Bb4),(AC19,Ba5,Bb5),(AC19,Ba5,Bb6),(AC19,Ba6,Bb1),(AC19,Ba6,Bb2),(AC19,Ba6,Bb3),(AC19,Ba6,Bb4),(AC19,Ba6,Bb5),(AC19,Ba6,Bb6),(AC19,Ba7,Bb1),(AC19,Ba7,Bb2),(AC19,Ba7,Bb3),(AC19,Ba7,Bb4),(AC19,Ba7,Bb5),(AC19,Ba7,Bb6),(AC20,Ba1,Bb1),(AC20,Ba1,Bb2),(AC20,Ba1,Bb3),(AC20,Ba1,Bb4),(AC20,Ba1,Bb5),(AC20,Ba1,Bb6),(AC20,Ba2,Bb1),(AC20,Ba2,Bb2),(AC20,Ba2,Bb3),(AC20,Ba2,Bb4),(AC20,Ba2,Bb5),(AC20,Ba2,Bb6),(AC20,Ba3,Bb1),(AC20,Ba3,Bb2),(AC20,Ba3,Bb3),(AC20,Ba3,Bb4),(AC20,Ba3,Bb5),(AC20,Ba3,Bb6),(AC20,Ba4,Bb1),(AC20,Ba4,Bb2),(AC20,Ba4,Bb3),(AC20,Ba4,Bb4),(AC20,Ba4,Bb5),(AC20,Ba4,Bb6),(AC20,Ba5,Bb1),(AC20,Ba5,Bb2),(AC20,Ba5,Bb3),(AC20,Ba5,Bb4),(AC20,Ba5,Bb5),(AC20,Ba5,Bb6),(AC20,Ba6,Bb1),(AC20,Ba6,Bb2),(AC20,Ba6,Bb3),(AC20,Ba6,Bb4),(AC20,Ba6,Bb5),(AC20,Ba6,Bb6),(AC20,Ba7,Bb1),(AC20,Ba7,Bb2),(AC20,Ba7,Bb3),(AC20,Ba7,Bb4),(AC20,Ba7,Bb5),(AC20,Ba7,Bb6),(AC21,Ba1,Bb1),(AC21,Ba1,Bb2),(AC21,Ba1,Bb3),(AC21,Ba1,Bb4),(AC21,Ba1,Bb5),(AC21,Ba1,Bb6),(AC21,Ba2,Bb1),(AC21,Ba2,Bb2),(AC21,Ba2,Bb3),(AC21,Ba2,Bb4),(AC21,Ba2,Bb5),(AC21,Ba2,Bb6),(AC21,Ba3,Bb1),(AC21,Ba3,Bb2),(AC21,Ba3,Bb3),(AC21,Ba3,Bb4),(AC21,Ba3,Bb5),(AC21,Ba3,Bb6),(AC21,Ba4,Bb1),(AC21,Ba4,Bb2),(AC21,Ba4,Bb3),(AC21,Ba4,Bb4),(AC21,Ba4,Bb5),(AC21,Ba4,Bb6),(AC21,Ba5,Bb1),(AC21,Ba5,Bb2),(AC21,Ba5,Bb3),(AC21,Ba5,Bb4),(AC21,Ba5,Bb5),(AC21,Ba5,Bb6),(AC21,Ba6,Bb1),(AC21,Ba6,Bb2),(AC21,Ba6,Bb3),(AC21,Ba6,Bb4),(AC21,Ba6,Bb5),(AC21,Ba6,Bb6),(AC21,Ba7,Bb1),(AC21,Ba7,Bb2),(AC21,Ba7,Bb3),(AC21,Ba7,Bb4),(AC21,Ba7,Bb5),(AC21,Ba7,Bb6).
One embodiment of the compound of the present invention has the following group in the following general formula (III).
The compound whose combination of AC, Ba, and Bb is the following (AC, Ba, Bb).
(AC, Ba, Bb) = (AC1, Ba1, Bb1), (AC1, Ba1, Bb2), (AC1, Ba1, Bb3), (AC1, Ba1, Bb4), (AC1, Ba1, Bb5), (AC1 , Ba1, Bb6), (AC1, Ba2, Bb1), (AC1, Ba2, Bb2), (AC1, Ba2, Bb3), (AC1, Ba2, Bb4), (AC1, Ba2, Bb5), (AC1, Ba2 , Bb6), (AC1, Ba3, Bb1), (AC1, Ba3, Bb2), (AC1, Ba3, Bb3), (AC1, Ba3, Bb4), (AC1, Ba3, Bb5), (AC1, Ba3, Bb6 ), (AC1, Ba4, Bb1), (AC1, Ba4, Bb2), (AC1, Ba4, Bb3), (AC1, Ba4, Bb4), (AC1, Ba4, Bb5), (AC1, Ba4, Bb6), (AC1, Ba5, Bb1), (AC1, Ba5, Bb2), (AC1, Ba5, Bb3), (AC1, Ba5, Bb4), (AC1, Ba5, Bb5), (AC1, Ba5, Bb6), (AC1 , Ba6, Bb1), (AC1, Ba6, Bb2), (AC1, Ba6, Bb3), (AC1, Ba6, Bb4), (AC1, Ba6, Bb5), (AC1, Ba6, Bb6), (AC1, Ba7 , Bb1), (AC1, Ba7, Bb2), (AC1, Ba7, Bb3), (AC1, Ba7, Bb4), (AC1, Ba7, Bb5), (AC1, Ba7, Bb6), (AC2, Ba1, Bb1 ), (AC2, Ba1, Bb2), (AC2, Ba1, Bb3), (AC2, Ba1, Bb4), (AC2, Ba1, Bb5), (AC2, Ba1, Bb6), (AC2, Ba2, Bb1), (AC2, Ba2, Bb2), (AC2, Ba2, Bb3), (AC2, Ba2, Bb4), (AC2, Ba2, Bb5), (AC2, Ba2, Bb6), (AC2, Ba3, Bb1), (AC2 , Ba3, Bb2), (AC2, Ba3, Bb3), (AC2, Ba3, Bb4), (AC2, Ba3, Bb5), (AC2, Ba3, Bb6), (AC2, Ba4, Bb1), (AC2, Ba4 , Bb2), (AC2, Ba4, Bb3), (AC2, Ba4, Bb4), (AC2, Ba4, Bb5), (AC2, Ba4, Bb6), (AC2, Ba5, Bb1), (AC2, Ba5, Bb2 ), (AC2, Ba5, Bb3), (AC2, Ba5, Bb4), (AC2, Ba 5, Bb5), (AC2, Ba5, Bb6), (AC2, Ba6, Bb1), (AC2, Ba6, Bb2), (AC2, Ba6, Bb3), (AC2, Ba6, Bb4), (AC2, Ba6, (Bb5), (AC2, Ba6, Bb6), (AC2, Ba7, Bb1), (AC2, Ba7, Bb2), (AC2, Ba7, Bb3), (AC2, Ba7, Bb4), (AC2, Ba7, Bb5) , (AC2, Ba7, Bb6), (AC3, Ba1, Bb1), (AC3, Ba1, Bb2), (AC3, Ba1, Bb3), (AC3, Ba1, Bb4), (AC3, Ba1, Bb5), ( (AC3, Ba1, Bb6), (AC3, Ba2, Bb1), (AC3, Ba2, Bb2), (AC3, Ba2, Bb3), (AC3, Ba2, Bb4), (AC3, Ba2, Bb5), (AC3, (Ba2, Bb6), (AC3, Ba3, Bb1), (AC3, Ba3, Bb2), (AC3, Ba3, Bb3), (AC3, Ba3, Bb4), (AC3, Ba3, Bb5), (AC3, Ba3, (Bb6), (AC3, Ba4, Bb1), (AC3, Ba4, Bb2), (AC3, Ba4, Bb3), (AC3, Ba4, Bb4), (AC3, Ba4, Bb5), (AC3, Ba4, Bb6) , (AC3, Ba5, Bb1), (AC3, Ba5, Bb2), (AC3, Ba5, Bb3), (AC3, Ba5, Bb4), (AC3, Ba5, Bb5), (AC3, Ba5, Bb6), ( (AC3, Ba6, Bb1), (AC3, Ba6, Bb2), (AC3, Ba6, Bb3), (AC3, Ba6, Bb4), (AC3, Ba6, Bb5), (AC3, Ba6, Bb6), (AC3, (Ba7, Bb1), (AC3, Ba7, Bb2), (AC3, Ba7, Bb3), (AC3, Ba7, Bb4), (AC3, Ba7, Bb5), (AC3, Ba7, Bb6), (AC4, Ba1, (Bb1), (AC4, Ba1, Bb2), (AC4, Ba1, Bb3), (AC4, Ba1, Bb4), (AC4, Ba1, Bb5), (AC4, Ba1, Bb6), (AC4, Ba2, Bb1) , (AC4, Ba2, Bb2), (AC4, Ba2, Bb3), (AC4, Ba2, Bb4), (AC4, Ba2, Bb5), (AC4, Ba2, Bb6), (AC4, Ba3, Bb1), ( (AC4, Ba3, Bb2), (AC4, Ba3, Bb3), (AC4, Ba3, Bb4) , (AC4, Ba3, Bb5), (AC4, Ba3, Bb6), (AC4, Ba4, Bb1), (AC4, Ba4, Bb2), (AC4, Ba4, Bb3), (AC4, Ba4, Bb4), ( (AC4, Ba4, Bb5), (AC4, Ba4, Bb6), (AC4, Ba5, Bb1), (AC4, Ba5, Bb2), (AC4, Ba5, Bb3), (AC4, Ba5, Bb4), (AC4, (Ba5, Bb5), (AC4, Ba5, Bb6), (AC4, Ba6, Bb1), (AC4, Ba6, Bb2), (AC4, Ba6, Bb3), (AC4, Ba6, Bb4), (AC4, Ba6, (Bb5), (AC4, Ba6, Bb6), (AC4, Ba7, Bb1), (AC4, Ba7, Bb2), (AC4, Ba7, Bb3), (AC4, Ba7, Bb4), (AC4, Ba7, Bb5) , (AC4, Ba7, Bb6), (AC5, Ba1, Bb1), (AC5, Ba1, Bb2), (AC5, Ba1, Bb3), (AC5, Ba1, Bb4), (AC5, Ba1, Bb5), ( (AC5, Ba1, Bb6), (AC5, Ba2, Bb1), (AC5, Ba2, Bb2), (AC5, Ba2, Bb3), (AC5, Ba2, Bb4), (AC5, Ba2, Bb5), (AC5, (Ba2, Bb6), (AC5, Ba3, Bb1), (AC5, Ba3, Bb2), (AC5, Ba3, Bb3), (AC5, Ba3, Bb4), (AC5, Ba3, Bb5), (AC5, Ba3, (Bb6), (AC5, Ba4, Bb1), (AC5, Ba4, Bb2), (AC5, Ba4, Bb3), (AC5, Ba4, Bb4), (AC5, Ba4, Bb5), (AC5, Ba4, Bb6) , (AC5, Ba5, Bb1), (AC5, Ba5, Bb2), (AC5, Ba5, Bb3), (AC5, Ba5, Bb4), (AC5, Ba5, Bb5), (AC5, Ba5, Bb6), ( (AC5, Ba6, Bb1), (AC5, Ba6, Bb2), (AC5, Ba6, Bb3), (AC5, Ba6, Bb4), (AC5, Ba6, Bb5), (AC5, Ba6, Bb6), (AC5, (Ba7, Bb1), (AC5, Ba7, Bb2), (AC5, Ba7, Bb3), (AC5, Ba7, Bb4), (AC5, Ba7, Bb5), (AC5, Ba7, Bb6), (AC6, Ba1, Bb1), (AC6, Ba1, Bb2), (AC6, Ba1, Bb3), (AC6, (Ba1, Bb4), (AC6, Ba1, Bb5), (AC6, Ba1, Bb6), (AC6, Ba2, Bb1), (AC6, Ba2, Bb2), (AC6, Ba2, Bb3), (AC6, Ba2, (Bb4), (AC6, Ba2, Bb5), (AC6, Ba2, Bb6), (AC6, Ba3, Bb1), (AC6, Ba3, Bb2), (AC6, Ba3, Bb3), (AC6, Ba3, Bb4) , (AC6, Ba3, Bb5), (AC6, Ba3, Bb6), (AC6, Ba4, Bb1), (AC6, Ba4, Bb2), (AC6, Ba4, Bb3), (AC6, Ba4, Bb4), ( (AC6, Ba4, Bb5), (AC6, Ba4, Bb6), (AC6, Ba5, Bb1), (AC6, Ba5, Bb2), (AC6, Ba5, Bb3), (AC6, Ba5, Bb4), (AC6, (Ba5, Bb5), (AC6, Ba5, Bb6), (AC6, Ba6, Bb1), (AC6, Ba6, Bb2), (AC6, Ba6, Bb3), (AC6, Ba6, Bb4), (AC6, Ba6, (Bb5), (AC6, Ba6, Bb6), (AC6, Ba7, Bb1), (AC6, Ba7, Bb2), (AC6, Ba7, Bb3), (AC6, Ba7, Bb4), (AC6, Ba7, Bb5) , (AC6, Ba7, Bb6), (AC7, Ba1, Bb1), (AC7, Ba1, Bb2), (AC7, Ba1, Bb3), (AC7, Ba1, Bb4), (AC7, Ba1, Bb5), ( (AC7, Ba1, Bb6), (AC7, Ba2, Bb1), (AC7, Ba2, Bb2), (AC7, Ba2, Bb3), (AC7, Ba2, Bb4), (AC7, Ba2, Bb5), (AC7, (Ba2, Bb6), (AC7, Ba3, Bb1), (AC7, Ba3, Bb2), (AC7, Ba3, Bb3), (AC7, Ba3, Bb4), (AC7, Ba3, Bb5), (AC7, Ba3, (Bb6), (AC7, Ba4, Bb1), (AC7, Ba4, Bb2), (AC7, Ba4, Bb3), (AC7, Ba4, Bb4), (AC7, Ba4, Bb5), (AC7, Ba4, Bb6) , (AC7, Ba5, Bb1), (AC7, Ba5, Bb2), (AC7, Ba5, Bb3), (AC7, Ba5, Bb4), (AC7, Ba5, Bb5), (AC7, Ba5, Bb6), ( (AC7, Ba6, Bb1), (AC7, Ba6, Bb2), (AC7, Ba6, Bb 3), (AC7, Ba6, Bb4), (AC7, Ba6, Bb5), (AC7, Ba6, Bb6), (AC7, Ba7, Bb1), (AC7, Ba7, Bb2), (AC7, Ba7, Bb3) , (AC7, Ba7, Bb4), (AC7, Ba7, Bb5), (AC7, Ba7, Bb6), (AC8, Ba1, Bb1), (AC8, Ba1, Bb2), (AC8, Ba1, Bb3), ( (AC8, Ba1, Bb4), (AC8, Ba1, Bb5), (AC8, Ba1, Bb6), (AC8, Ba2, Bb1), (AC8, Ba2, Bb2), (AC8, Ba2, Bb3), (AC8, (Ba2, Bb4), (AC8, Ba2, Bb5), (AC8, Ba2, Bb6), (AC8, Ba3, Bb1), (AC8, Ba3, Bb2), (AC8, Ba3, Bb3), (AC8, Ba3, (Bb4), (AC8, Ba3, Bb5), (AC8, Ba3, Bb6), (AC8, Ba4, Bb1), (AC8, Ba4, Bb2), (AC8, Ba4, Bb3), (AC8, Ba4, Bb4) , (AC8, Ba4, Bb5), (AC8, Ba4, Bb6), (AC8, Ba5, Bb1), (AC8, Ba5, Bb2), (AC8, Ba5, Bb3), (AC8, Ba5, Bb4), ( (AC8, Ba5, Bb5), (AC8, Ba5, Bb6), (AC8, Ba6, Bb1), (AC8, Ba6, Bb2), (AC8, Ba6, Bb3), (AC8, Ba6, Bb4), (AC8, (Ba6, Bb5), (AC8, Ba6, Bb6), (AC8, Ba7, Bb1), (AC8, Ba7, Bb2), (AC8, Ba7, Bb3), (AC8, Ba7, Bb4), (AC8, Ba7, (Bb5), (AC8, Ba7, Bb6), (AC9, Ba1, Bb1), (AC9, Ba1, Bb2), (AC9, Ba1, Bb3), (AC9, Ba1, Bb4), (AC9, Ba1, Bb5) , (AC9, Ba1, Bb6), (AC9, Ba2, Bb1), (AC9, Ba2, Bb2), (AC9, Ba2, Bb3), (AC9, Ba2, Bb4), (AC9, Ba2, Bb5), ( (AC9, Ba2, Bb6), (AC9, Ba3, Bb1), (AC9, Ba3, Bb2), (AC9, Ba3, Bb3), (AC9, Ba3, Bb4), (AC9, Ba3, Bb5), (AC9, (Ba3, Bb6), (AC9, Ba4, Bb1), (AC9, Ba4, Bb2), (AC 9, Ba4, Bb3), (AC9, Ba4, Bb4), (AC9, Ba4, Bb5), (AC9, Ba4, Bb6), (AC9, Ba5, Bb1), (AC9, Ba5, Bb2), (AC9, (Ba5, Bb3), (AC9, Ba5, Bb4), (AC9, Ba5, Bb5), (AC9, Ba5, Bb6), (AC9, Ba6, Bb1), (AC9, Ba6, Bb2), (AC9, Ba6, (Bb3), (AC9, Ba6, Bb4), (AC9, Ba6, Bb5), (AC9, Ba6, Bb6), (AC9, Ba7, Bb1), (AC9, Ba7, Bb2), (AC9, Ba7, Bb3) , (AC9, Ba7, Bb4), (AC9, Ba7, Bb5), (AC9, Ba7, Bb6), (AC10, Ba1, Bb1), (AC10, Ba1, Bb2), (AC10, Ba1, Bb3), ( (AC10, Ba1, Bb4), (AC10, Ba1, Bb5), (AC10, Ba1, Bb6), (AC10, Ba2, Bb1), (AC10, Ba2, Bb2), (AC10, Ba2, Bb3), (AC10, (Ba2, Bb4), (AC10, Ba2, Bb5), (AC10, Ba2, Bb6), (AC10, Ba3, Bb1), (AC10, Ba3, Bb2), (AC10, Ba3, Bb3), (AC10, Ba3, (Bb4), (AC10, Ba3, Bb5), (AC10, Ba3, Bb6), (AC10, Ba4, Bb1), (AC10, Ba4, Bb2), (AC10, Ba4, Bb3), (AC10, Ba4, Bb4) , (AC10, Ba4, Bb5), (AC10, Ba4, Bb6), (AC10, Ba5, Bb1), (AC10, Ba5, Bb2), (AC10, Ba5, Bb3), (AC10, Ba5, Bb4), ( (AC10, Ba5, Bb5), (AC10, Ba5, Bb6), (AC10, Ba6, Bb1), (AC10, Ba6, Bb2), (AC10, Ba6, Bb3), (AC10, Ba6, Bb4), (AC10, (Ba6, Bb5), (AC10, Ba6, Bb6), (AC10, Ba7, Bb1), (AC10, Ba7, Bb2), (AC10, Ba7, Bb3), (AC10, Ba7, Bb4), (AC10, Ba7, (Bb5), (AC10, Ba7, Bb6), (AC11, Ba1, Bb1), (AC11, Ba1, Bb2), (AC11, Ba1, Bb3), (AC11, Ba1, Bb4), (AC11 , Ba1, Bb5), (AC11, Ba1, Bb6), (AC11, Ba2, Bb1), (AC11, Ba2, Bb2), (AC11, Ba2, Bb3), (AC11, Ba2, Bb4), (AC11, Ba2 , Bb5), (AC11, Ba2, Bb6), (AC11, Ba3, Bb1), (AC11, Ba3, Bb2), (AC11, Ba3, Bb3), (AC11, Ba3, Bb4), (AC11, Ba3, Bb5 ), (AC11, Ba3, Bb6), (AC11, Ba4, Bb1), (AC11, Ba4, Bb2), (AC11, Ba4, Bb3), (AC11, Ba4, Bb4), (AC11, Ba4, Bb5), (AC11, Ba4, Bb6), (AC11, Ba5, Bb1), (AC11, Ba5, Bb2), (AC11, Ba5, Bb3), (AC11, Ba5, Bb4), (AC11, Ba5, Bb5), (AC11 , Ba5, Bb6), (AC11, Ba6, Bb1), (AC11, Ba6, Bb2), (AC11, Ba6, Bb3), (AC11, Ba6, Bb4), (AC11, Ba6, Bb5), (AC11, Ba6 , Bb6), (AC11, Ba7, Bb1), (AC11, Ba7, Bb2), (AC11, Ba7, Bb3), (AC11, Ba7, Bb4), (AC11, Ba7, Bb5), (AC11, Ba7, Bb6 ), (AC12, Ba1, Bb1), (AC12, Ba1, Bb2), (AC12, Ba1, Bb3), (AC12, Ba1, Bb4), (AC12, Ba1, Bb5), (AC12, Ba1, Bb6), (AC12, Ba2, Bb1), (AC12, Ba2, Bb2), (AC12, Ba2, Bb3), (AC12, Ba2, Bb4), (AC12, Ba2, Bb5), (AC12, Ba2, Bb6), (AC12 , Ba3, Bb1), (AC12, Ba3, Bb2), (AC12, Ba3, Bb3), (AC12, Ba3, Bb4), (AC12, Ba3, Bb5), (AC12, Ba3, Bb6), (AC12, Ba4 , Bb1), (AC12, Ba4, Bb2), (AC12, Ba4, Bb3), (AC12, Ba4, Bb4), (AC12, Ba4, Bb5), (AC12, Ba4, Bb6), (AC12, Ba5, Bb1 ), (AC12, Ba5, Bb2), (AC12, Ba5, Bb3), (AC12, Ba5, Bb4), (AC12, Ba5, Bb5), (AC12, Ba5, Bb6), (AC12, Ba6, Bb1), (AC12, Ba6, Bb2), (AC12, Ba6, Bb3), (AC12, Ba6, Bb4), (AC12, Ba6, Bb5), (AC12 , Ba6, Bb6), (AC12, Ba7, Bb1), (AC12, Ba7, Bb2), (AC12, Ba7, Bb3), (AC12, Ba7, Bb4), (AC12, Ba7, Bb5), (AC12, Ba7 , Bb6), (AC13, Ba1, Bb1), (AC13, Ba1, Bb2), (AC13, Ba1, Bb3), (AC13, Ba1, Bb4), (AC13, Ba1, Bb5), (AC13, Ba1, Bb6 ), (AC13, Ba2, Bb1), (AC13, Ba2, Bb2), (AC13, Ba2, Bb3), (AC13, Ba2, Bb4), (AC13, Ba2, Bb5), (AC13, Ba2, Bb6), (AC13, Ba3, Bb1), (AC13, Ba3, Bb2), (AC13, Ba3, Bb3), (AC13, Ba3, Bb4), (AC13, Ba3, Bb5), (AC13, Ba3, Bb6), (AC13 , Ba4, Bb1), (AC13, Ba4, Bb2), (AC13, Ba4, Bb3), (AC13, Ba4, Bb4), (AC13, Ba4, Bb5), (AC13, Ba4, Bb6), (AC13, Ba5 , Bb1), (AC13, Ba5, Bb2), (AC13, Ba5, Bb3), (AC13, Ba5, Bb4), (AC13, Ba5, Bb5), (AC13, Ba5, Bb6), (AC13, Ba6, Bb1 ), (AC13, Ba6, Bb2), (AC13, Ba6, Bb3), (AC13, Ba6, Bb4), (AC13, Ba6, Bb5), (AC13, Ba6, Bb6), (AC13, Ba7, Bb1), (AC13, Ba7, Bb2), (AC13, Ba7, Bb3), (AC13, Ba7, Bb4), (AC13, Ba7, Bb5), (AC13, Ba7, Bb6), (AC14, Ba1, Bb1), (AC14 , Ba1, Bb2), (AC14, Ba1, Bb3), (AC14, Ba1, Bb4), (AC14, Ba1, Bb5), (AC14, Ba1, Bb6), (AC14, Ba2, Bb1), (AC14, Ba2 , Bb2), (AC14, Ba2, Bb3), (AC14, Ba2, Bb4), (AC14, Ba2, Bb5), (AC14, Ba2, (Bb6), (AC14, Ba3, Bb1), (AC14, Ba3, Bb2), (AC14, Ba3, Bb3), (AC14, Ba3, Bb4), (AC14, Ba3, Bb5), (AC14, Ba3, Bb6) , (AC14, Ba4, Bb1), (AC14, Ba4, Bb2), (AC14, Ba4, Bb3), (AC14, Ba4, Bb4), (AC14, Ba4, Bb5), (AC14, Ba4, Bb6), ( (AC14, Ba5, Bb1), (AC14, Ba5, Bb2), (AC14, Ba5, Bb3), (AC14, Ba5, Bb4), (AC14, Ba5, Bb5), (AC14, Ba5, Bb6), (AC14, (Ba6, Bb1), (AC14, Ba6, Bb2), (AC14, Ba6, Bb3), (AC14, Ba6, Bb4), (AC14, Ba6, Bb5), (AC14, Ba6, Bb6), (AC14, Ba7, (Bb1), (AC14, Ba7, Bb2), (AC14, Ba7, Bb3), (AC14, Ba7, Bb4), (AC14, Ba7, Bb5), (AC14, Ba7, Bb6), (AC15, Ba1, Bb1) , (AC15, Ba1, Bb2), (AC15, Ba1, Bb3), (AC15, Ba1, Bb4), (AC15, Ba1, Bb5), (AC15, Ba1, Bb6), (AC15, Ba2, Bb1), ( (AC15, Ba2, Bb2), (AC15, Ba2, Bb3), (AC15, Ba2, Bb4), (AC15, Ba2, Bb5), (AC15, Ba2, Bb6), (AC15, Ba3, Bb1), (AC15, (Ba3, Bb2), (AC15, Ba3, Bb3), (AC15, Ba3, Bb4), (AC15, Ba3, Bb5), (AC15, Ba3, Bb6), (AC15, Ba4, Bb1), (AC15, Ba4, (Bb2), (AC15, Ba4, Bb3), (AC15, Ba4, Bb4), (AC15, Ba4, Bb5), (AC15, Ba4, Bb6), (AC15, Ba5, Bb1), (AC15, Ba5, Bb2) , (AC15, Ba5, Bb3), (AC15, Ba5, Bb4), (AC15, Ba5, Bb5), (AC15, Ba5, Bb6), (AC15, Ba6, Bb1), (AC15, Ba6, Bb2), ( (AC15, Ba6, Bb3), (AC15, Ba6, Bb4), (AC15, Ba6, Bb5), (AC15, Ba6, Bb6), (AC15 , Ba7, Bb1), (AC15, Ba7, Bb2), (AC15, Ba7, Bb3), (AC15, Ba7, Bb4), (AC15, Ba7, Bb5), (AC15, Ba7, Bb6), (AC16, Ba1 , Bb1), (AC16, Ba1, Bb2), (AC16, Ba1, Bb3), (AC16, Ba1, Bb4), (AC16, Ba1, Bb5), (AC16, Ba1, Bb6), (AC16, Ba2, Bb1 ), (AC16, Ba2, Bb2), (AC16, Ba2, Bb3), (AC16, Ba2, Bb4), (AC16, Ba2, Bb5), (AC16, Ba2, Bb6), (AC16, Ba3, Bb1), (AC16, Ba3, Bb2), (AC16, Ba3, Bb3), (AC16, Ba3, Bb4), (AC16, Ba3, Bb5), (AC16, Ba3, Bb6), (AC16, Ba4, Bb1), (AC16 , Ba4, Bb2), (AC16, Ba4, Bb3), (AC16, Ba4, Bb4), (AC16, Ba4, Bb5), (AC16, Ba4, Bb6), (AC16, Ba5, Bb1), (AC16, Ba5 , Bb2), (AC16, Ba5, Bb3), (AC16, Ba5, Bb4), (AC16, Ba5, Bb5), (AC16, Ba5, Bb6), (AC16, Ba6, Bb1), (AC16, Ba6, Bb2 ), (AC16, Ba6, Bb3), (AC16, Ba6, Bb4), (AC16, Ba6, Bb5), (AC16, Ba6, Bb6), (AC16, Ba7, Bb1), (AC16, Ba7, Bb2), (AC16, Ba7, Bb3), (AC16, Ba7, Bb4), (AC16, Ba7, Bb5), (AC16, Ba7, Bb6), (AC17, Ba1, Bb1), (AC17, Ba1, Bb2), (AC17 , Ba1, Bb3), (AC17, Ba1, Bb4), (AC17, Ba1, Bb5), (AC17, Ba1, Bb6), (AC17, Ba2, Bb1), (AC17, Ba2, Bb2), (AC17, Ba2 , Bb3), (AC17, Ba2, Bb4), (AC17, Ba2, Bb5), (AC17, Ba2, Bb6), (AC17, Ba3, Bb1), (AC17, Ba3, Bb2), (AC17, Ba3, Bb3 ), (AC17, Ba3, Bb4), (AC17, Ba3, Bb5), (AC17, Ba3, Bb6), (AC17, Ba4, Bb1), (AC17, Ba4, Bb2), (AC17, Ba4, Bb3), (AC17, Ba4, Bb4), (AC17, Ba4, Bb5), (AC17, Ba4, Bb6), (AC17, Ba5, Bb1), (AC17 , Ba5, Bb2), (AC17, Ba5, Bb3), (AC17, Ba5, Bb4), (AC17, Ba5, Bb5), (AC17, Ba5, Bb6), (AC17, Ba6, Bb1), (AC17, Ba6) , Bb2), (AC17, Ba6, Bb3), (AC17, Ba6, Bb4), (AC17, Ba6, Bb5), (
(AC17, Ba6, Bb6), (AC17, Ba7, Bb1), (AC17, Ba7, Bb2), (AC17, Ba7, Bb3), (AC17, Ba7, Bb4), (AC17, Ba7, Bb5), (AC17, (Ba7, Bb6), (AC18, Ba1, Bb1), (AC18, Ba1, Bb2), (AC18, Ba1, Bb3), (AC18, Ba1, Bb4), (AC18, Ba1, Bb5), (AC18, Ba1, (Bb6), (AC18, Ba2, Bb1), (AC18, Ba2, Bb2), (AC18, Ba2, Bb3), (AC18, Ba2, Bb4), (AC18, Ba2, Bb5), (AC18, Ba2, Bb6) , (AC18, Ba3, Bb1), (AC18, Ba3, Bb2), (AC18, Ba3, Bb3), (AC18, Ba3, Bb4), (AC18, Ba3, Bb5), (AC18, Ba3, Bb6), ( (AC18, Ba4, Bb1), (AC18, Ba4, Bb2), (AC18, Ba4, Bb3), (AC18, Ba4, Bb4), (AC18, Ba4, Bb5), (AC18, Ba4, Bb6), (AC18, (Ba5, Bb1), (AC18, Ba5, Bb2), (AC18, Ba5, Bb3), (AC18, Ba5, Bb4), (AC18, Ba5, Bb5), (AC18, Ba5, Bb6), (AC18, Ba6, (Bb1), (AC18, Ba6, Bb2), (AC18, Ba6, Bb3), (AC18, Ba6, Bb4), (AC18, Ba6, Bb5), (AC18, Ba6, Bb6), (AC18, Ba7, Bb1) , (AC18, Ba7, Bb2), (AC18, Ba7, Bb3), (AC18, Ba7, Bb4), (AC18, Ba7, Bb5), (AC18, Ba7, Bb6), (AC19, Ba1, Bb1), ( (AC19, Ba1, Bb2), (AC19, Ba1, Bb3), (AC19, Ba1, Bb4), (AC19, Ba1, Bb5), (AC19, Ba1, Bb6), (AC19, Ba2, Bb1), (AC19, (Ba2, Bb2), (AC19, Ba2, Bb3), (AC19, Ba2, Bb4), (AC19, Ba2, Bb5), (AC19, Ba2, Bb6), (AC19, Ba3, Bb1), (AC19, Ba3, (Bb2), (AC19, Ba3, Bb3), (AC19, Ba3, Bb4), (AC19, Ba3, Bb5), (AC19, Ba3, B b6), (AC19, Ba4, Bb1), (AC19, Ba4, Bb2), (AC19, Ba4, Bb3), (AC19, Ba4, Bb4), (AC19, Ba4, Bb5), (AC19, Ba4, Bb6) , (AC19, Ba5, Bb1), (AC19, Ba5, Bb2), (AC19, Ba5, Bb3), (AC19, Ba5, Bb4), (AC19, Ba5, Bb5), (AC19, Ba5, Bb6), ( (AC19, Ba6, Bb1), (AC19, Ba6, Bb2), (AC19, Ba6, Bb3), (AC19, Ba6, Bb4), (AC19, Ba6, Bb5), (AC19, Ba6, Bb6), (AC19, (Ba7, Bb1), (AC19, Ba7, Bb2), (AC19, Ba7, Bb3), (AC19, Ba7, Bb4), (AC19, Ba7, Bb5), (AC19, Ba7, Bb6), (AC20, Ba1, (Bb1), (AC20, Ba1, Bb2), (AC20, Ba1, Bb3), (AC20, Ba1, Bb4), (AC20, Ba1, Bb5), (AC20, Ba1, Bb6), (AC20, Ba2, Bb1) , (AC20, Ba2, Bb2), (AC20, Ba2, Bb3), (AC20, Ba2, Bb4), (AC20, Ba2, Bb5), (AC20, Ba2, Bb6), (AC20, Ba3, Bb1), ( (AC20, Ba3, Bb2), (AC20, Ba3, Bb3), (AC20, Ba3, Bb4), (AC20, Ba3, Bb5), (AC20, Ba3, Bb6), (AC20, Ba4, Bb1), (AC20, (Ba4, Bb2), (AC20, Ba4, Bb3), (AC20, Ba4, Bb4), (AC20, Ba4, Bb5), (AC20, Ba4, Bb6), (AC20, Ba5, Bb1), (AC20, Ba5, (Bb2), (AC20, Ba5, Bb3), (AC20, Ba5, Bb4), (AC20, Ba5, Bb5), (AC20, Ba5, Bb6), (AC20, Ba6, Bb1), (AC20, Ba6, Bb2) , (AC20, Ba6, Bb3), (AC20, Ba6, Bb4), (AC20, Ba6, Bb5), (AC20, Ba6, Bb6), (AC20, Ba7, Bb1), (AC20, Ba7, Bb2), ( (AC20, Ba7, Bb3), (AC20, Ba7, Bb4), (AC20, Ba7, Bb5), (AC20, Ba7, Bb6), (AC21, (Ba1, Bb1), (AC21, Ba1, Bb2), (AC21, Ba1, Bb3), (AC21, Ba1, Bb4), (AC21, Ba1, Bb5), (AC21, Ba1, Bb6), (AC21, Ba2, (Bb1), (AC21, Ba2, Bb2), (AC21, Ba2, Bb3), (AC21, Ba2, Bb4), (AC21, Ba2, Bb5), (AC21, Ba2, Bb6), (AC21, Ba3, Bb1) , (AC21, Ba3, Bb2), (AC21, Ba3, Bb3), (AC21, Ba3, Bb4), (AC21, Ba3, Bb5), (AC21, Ba3, Bb6), (AC21, Ba4, Bb1), ( (AC21, Ba4, Bb2), (AC21, Ba4, Bb3), (AC21, Ba4, Bb4), (AC21, Ba4, Bb5), (AC21, Ba4, Bb6), (AC21, Ba5, Bb1), (AC21, (Ba5, Bb2), (AC21, Ba5, Bb3), (AC21, Ba5, Bb4), (AC21, Ba5, Bb5), (AC21, Ba5, Bb6), (AC21, Ba6, Bb1), (AC21, Ba6, (Bb2), (AC21, Ba6, Bb3), (AC21, Ba6, Bb4), (AC21, Ba6, Bb5), (AC21, Ba6, Bb6), (AC21, Ba7, Bb1), (AC21, Ba7, Bb2) , (AC21, Ba7, Bb3), (AC21, Ba7, Bb4), (AC21, Ba7, Bb5), (AC21, Ba7, Bb6).
本発明化合物の一つの態様は、以下の一般式(IV)および(V)において、以下の基を有するものである。
AAC、BBa、BBbの組み合わせが、以下の(AAC、BBa、BBb)である化合物。
(AAC,Ba, Bb)= (AAC1,BBa1,BBb1),(AAC1,BBa1,BBb2),(AAC1,BBa1,BBb3),(AAC1,BBa2,BBb1),(AAC1,BBa2,BBb2),(AAC1,BBa2,BBb3),(AAC1,BBa3,BBb1),(AAC1,BBa3,BBb2),(AAC1,BBa3,BBb3),(AAC1,BBa4,BBb1),(AAC1,BBa4,BBb2),(AAC1,BBa4,BBb3),(AAC1,BBa5,BBb1),(AAC1,BBa5,BBb2),(AAC1,BBa5,BBb3),(AAC2,BBa1,BBb1),(AAC2,BBa1,BBb2),(AAC2,BBa1,BBb3),(AAC2,BBa2,BBb1),(AAC2,BBa2,BBb2),(AAC2,BBa2,BBb3),(AAC2,BBa3,BBb1),(AAC2,BBa3,BBb2),(AAC2,BBa3,BBb3),(AAC2,BBa4,BBb1),(AAC2,BBa4,BBb2),(AAC2,BBa4,BBb3),(AAC2,BBa5,BBb1),(AAC2,BBa5,BBb2),(AAC2,BBa5,BBb3),(AAC3,BBa1,BBb1),(AAC3,BBa1,BBb2),(AAC3,BBa1,BBb3),(AAC3,BBa2,BBb1),(AAC3,BBa2,BBb2),(AAC3,BBa2,BBb3),(AAC3,BBa3,BBb1),(AAC3,BBa3,BBb2),(AAC3,BBa3,BBb3),(AAC3,BBa4,BBb1),(AAC3,BBa4,BBb2),(AAC3,BBa4,BBb3),(AAC3,BBa5,BBb1),(AAC3,BBa5,BBb2),(AAC3,BBa5,BBb3),(AAC4,BBa1,BBb1),(AAC4,BBa1,BBb2),(AAC4,BBa1,BBb3),(AAC4,BBa2,BBb1),(AAC4,BBa2,BBb2),(AAC4,BBa2,BBb3),(AAC4,BBa3,BBb1),(AAC4,BBa3,BBb2),(AAC4,BBa3,BBb3),(AAC4,BBa4,BBb1),(AAC4,BBa4,BBb2),(AAC4,BBa4,BBb3),(AAC4,BBa5,BBb1),(AAC4,BBa5,BBb2),(AAC4,BBa5,BBb3),(AAC5,BBa1,BBb1),(AAC5,BBa1,BBb2),(AAC5,BBa1,BBb3),(AAC5,BBa2,BBb1),(AAC5,BBa2,BBb2),(AAC5,BBa2,BBb3),(AAC5,BBa3,BBb1),(AAC5,BBa3,BBb2),(AAC5,BBa3,BBb3),(AAC5,BBa4,BBb1),(AAC5,BBa4,BBb2),(AAC5,BBa4,BBb3),(AAC5,BBa5,BBb1),(AAC5,BBa5,BBb2),(AAC5,BBa5,BBb3),(AAC6,BBa1,BBb1),(AAC6,BBa1,BBb2),(AAC6,BBa1,BBb3),(AAC6,BBa2,BBb1),(AAC6,BBa2,BBb2),(AAC6,BBa2,BBb3),(AAC6,BBa3,BBb1),(AAC6,BBa3,BBb2),(AAC6,BBa3,BBb3),(AAC6,BBa4,BBb1),(AAC6,BBa4,BBb2),(AAC6,BBa4,BBb3),(AAC6,BBa5,BBb1),(AAC6,BBa5,BBb2),(AAC6,BBa5,BBb3),(AAC7,BBa1,BBb1),(AAC7,BBa1,BBb2),(AAC7,BBa1,BBb3),(AAC7,BBa2,BBb1),(AAC7,BBa2,BBb2),(AAC7,BBa2,BBb3),(AAC7,BBa3,BBb1),(AAC7,BBa3,BBb2),(AAC7,BBa3,BBb3),(AAC7,BBa4,BBb1),(AAC7,BBa4,BBb2),(AAC7,BBa4,BBb3),(AAC7,BBa5,BBb1),(AAC7,BBa5,BBb2),(AAC7,BBa5,BBb3),(AAC8,BBa1,BBb1),(AAC8,BBa1,BBb2),(AAC8,BBa1,BBb3),(AAC8,BBa2,BBb1),(AAC8,BBa2,BBb2),(AAC8,BBa2,BBb3),(AAC8,BBa3,BBb1),(AAC8,BBa3,BBb2),(AAC8,BBa3,BBb3),(AAC8,BBa4,BBb1),(AAC8,BBa4,BBb2),(AAC8,BBa4,BBb3),(AAC8,BBa5,BBb1),(AAC8,BBa5,BBb2),(AAC8,BBa5,BBb3)
The compound whose combination of AAC, BBa, and BBb is the following (AAC, BBa, BBb).
(AAC, Ba, Bb) = (AAC1, BBa1, BBb1), (AAC1, BBa1, BBb2), (AAC1, BBa1, BBb3), (AAC1, BBa2, BBb1), (AAC1, BBa2, BBb2), (AAC1 , BBa2, BBb3), (AAC1, BBa3, BBb1), (AAC1, BBa3, BBb2), (AAC1, BBa3, BBb3), (AAC1, BBa4, BBb1), (AAC1, BBa4, BBb2), (AAC1, BBa4 , BBb3), (AAC1, BBa5, BBb1), (AAC1, BBa5, BBb2), (AAC1, BBa5, BBb3), (AAC2, BBa1, BBb1), (AAC2, BBa1, BBb2), (AAC2, BBa1, BBb3 ), (AAC2, BBa2, BBb1), (AAC2, BBa2, BBb2), (AAC2, BBa2, BBb3), (AAC2, BBa3, BBb1), (AAC2, BBa3, BBb2), (AAC2, BBa3, BBb3), (AAC2, BBa4, BBb1), (AAC2, BBa4, BBb2), (AAC2, BBa4, BBb3), (AAC2, BBa5, BBb1), (AAC2, BBa5, BBb2), (AAC2, BBa5, BBb3), (AAC3 , BBa1, BBb1), (AAC3, BBa1, BBb2), (AAC3, BBa1, BBb3), (AAC3, BBa2, BBb1), (AAC3, BBa2, BBb2), (AAC3, BBa2, BBb3), (AAC3, BBa3 , BBb1), (AAC3, BBa3, BBb2), (AAC3, BBa3, BBb3), (AAC3, BBa4, BBb1), (AAC3, BBa4, BBb2), (AAC3, BBa4, BBb3), (AAC3, BBa5, BBb1 ), (AAC3, BBa5, BBb2), (AAC3, BBa5, BBb3), (AAC4, BBa1, BBb1), (AAC4, BBa1, BBb2), (AAC4, BBa1, BBb3), (AAC4, BBa2, BBb1), (AAC4, BBa2, BBb2), (AAC4, BBa2, BBb3), (AAC4, BBa3, BBb1), (AAC4, BBa3, BBb2), (AAC4, BBa3, BBb3), (AAC4, BBa4, BBb1), (AAC4 , BBa4, BBb2), (AAC4, BBa4, BBb3), (AAC4, BBa5, BBb1), (AAC4, BBa5, BBb2), (AAC4, BBa5, BBb3), (AAC5, BBa1, BBb1), (AAC5, BBa1, BBb2), (AAC5, BBa1, BBb3), (AAC5, BBa2, BBb1), (AAC5 , BBa2, BBb2), (AAC5, BBa2, BBb3), (AAC5, BBa3, BBb1), (AAC5, BBa3, BBb2), (AAC5, BBa3, BBb3), (AAC5, BBa4, BBb1), (AAC5, BBa4 , BBb2), (AAC5, BBa4, BBb3), (AAC5, BBa5, BBb1), (AAC5, BBa5, BBb2), (AAC5, BBa5, BBb3), (AAC6, BBa1, BBb1), (AAC6, BBa1, BBb2 ), (AAC6, BBa1, BBb3), (AAC6, BBa2, BBb1), (AAC6, BBa2, BBb2), (AAC6, BBa2, BBb3), (AAC6, BBa3, BBb1), (AAC6, BBa3, BBb2), (AAC6, BBa3, BBb3), (AAC6, BBa4, BBb1), (AAC6, BBa4, BBb2), (AAC6, BBa4, BBb3), (AAC6, BBa5, BBb1), (AAC6, BBa5, BBb2), (AAC6 , BBa5, BBb3), (AAC7, BBa1, BBb1), (AAC7, BBa1, BBb2), (AAC7, BBa1, BBb3), (AAC7, BBa2, BBb1), (AAC7, BBa2, BBb2), (AAC7, BBa2 , BBb3), (AAC7, BBa3, BBb1), (AAC7, BBa3, BBb2), (AAC7, BBa3, BBb3), (AAC7, BBa4, BBb1), (AAC7, BBa4, BBb2), (AAC7, BBa4, BBb3 ), (AAC7, BBa5, BBb1), (AAC7, BBa5, BBb2), (AAC7, BBa5, BBb3), (AAC8, BBa1, BBb1), (AAC8, BBa1, BBb2), (AAC8, BBa1, BBb3), (AAC8, BBa2, BBb1), (AAC8, BBa2, BBb2), (AAC8, BBa2, BBb3), (AAC8, BBa3, BBb1), (AAC8, BBa3, BBb2), (AAC8, BBa3, BBb3), (AAC8 , BBa4, BBb1), (AAC8, BBa4, BBb2), (AAC8, BBa4, BBb 3), (AAC8, BBa5, BBb1), (AAC8, BBa5, BBb2), (AAC8, BBa5, BBb3)
上記一般式(I)で表される本発明化合物は、ヒスタミンH4受容体に対する調節作用を有し(作動剤、部分作動剤、逆作動剤および拮抗剤、特に拮抗剤)、ヒスタミンH4受容体が関与する疾患の治療剤として有用である。
例えば、気管支喘息、アレルギー性鼻炎、慢性閉塞性肺疾患(COPD)などの呼吸器系疾患;慢性関節リウマチ、アトピー性皮膚炎、アレルギー性結膜炎、乾癬、炎症性大腸炎、潰瘍性大腸炎、狼瘡、アテローム硬化症などの炎症性疾患;神経性疼痛および侵害性疼痛を含む疼痛緩和などに有効である。
The compound of the present invention represented by the above general formula (I) has a modulatory action on histamine H4 receptor (agonist, partial agonist, inverse agonist and antagonist, particularly antagonist), and histamine H4 receptor is It is useful as a therapeutic agent for diseases involved.
For example, respiratory diseases such as bronchial asthma, allergic rhinitis, chronic obstructive pulmonary disease (COPD); rheumatoid arthritis, atopic dermatitis, allergic conjunctivitis, psoriasis, inflammatory colitis, ulcerative colitis, lupus Inflammatory diseases such as atherosclerosis; effective for pain relief including neuropathic pain and nociceptive pain.
本発明の化合物は、ヒスタミン受容体、特にヒスタミンH4受容体に対して親和性が高く、サブタイプ選択性(ヒスタミンH1、H2、およびH3受容体に対する選択性、特にH3受容体に対する選択性)および他の受容体に対する選択性が高いため、副作用(たとえば運動機能への影響など)が軽減された医薬となり得る。また本発明の化合物は、安定性が高い、経口吸収性が高い、溶解度が高い、良好なバイオアベイラビリティーを示す、クリアランスが低い、半減期が長い、薬効持続性が高い、および/または肝酵素阻害活性が低い等の利点も有する。 The compounds of the present invention have a high affinity for histamine receptors, in particular histamine H4 receptors, subtype selectivity (selectivity for histamine H1, H2, and H3 receptors, in particular selectivity for H3 receptors) and Since it has high selectivity for other receptors, it can be a medicament with reduced side effects (for example, influence on motor function). In addition, the compound of the present invention has high stability, high oral absorption, high solubility, good bioavailability, low clearance, long half-life, high sustained efficacy, and / or liver enzyme There are also advantages such as low inhibitory activity.
さらなる態様において、本発明は、有効量の本発明化合物と製薬的に許容し得る担体とを組み合わせて含有してなる医薬組成物を提供する。 In a further aspect, the present invention provides a pharmaceutical composition comprising a combination of an effective amount of a compound of the present invention and a pharmaceutically acceptable carrier.
本発明化合物を医薬として用いる場合、例えば賦形剤、結合剤、崩壊剤、滑沢剤、着色剤、矯味剤、矯臭剤、界面活性剤等、当分野において周知の製薬的に許容し得る担体を用い、常法に従って医薬組成物を製造することができる。 When the compound of the present invention is used as a pharmaceutical, for example, excipients, binders, disintegrants, lubricants, colorants, flavoring agents, flavoring agents, surfactants, and the like, pharmaceutically acceptable carriers well known in the art Can be used to produce a pharmaceutical composition according to a conventional method.
本発明に係る医薬組成物を、ヒトを含む哺乳動物の治療に投与する場合、投与単位剤形は治療目的と投与経路に応じて適宜選択することができる。具体的には錠剤、被覆錠剤、散剤、顆粒剤、カプセル剤、液剤、丸剤、懸濁剤、乳剤等の経口剤、および注射剤、坐剤、軟膏、貼付剤、エアゾール剤等の非経口剤が挙げられる。これら投与単位剤形は、当分野で周知の方法により製剤化される。 When the pharmaceutical composition according to the present invention is administered to the treatment of mammals including humans, the dosage unit dosage form can be appropriately selected depending on the therapeutic purpose and administration route. Specifically, oral preparations such as tablets, coated tablets, powders, granules, capsules, solutions, pills, suspensions, emulsions, and parenterals such as injections, suppositories, ointments, patches, aerosols, etc. Agents. These dosage unit forms are formulated according to methods well known in the art.
上記製剤中に含有されるべき本発明化合物の量は、剤形、投与経路、投与計画等によって適宜変更することができる。 The amount of the compound of the present invention to be contained in the above preparation can be appropriately changed depending on the dosage form, administration route, administration schedule and the like.
本発明に係る医薬組成物の投与方法は、製剤の剤形、患者の年齢、性別、体重、症状の程度およびその他の条件等に応じて適宜決定され、経口、皮下、経皮、直腸、鼻内、口腔等の種々の経路から選択することができる。 The administration method of the pharmaceutical composition according to the present invention is appropriately determined according to the dosage form of the preparation, the age, sex, weight, symptom level and other conditions of the patient, and is oral, subcutaneous, transdermal, rectal, nasal It can be selected from various routes such as inner and oral cavity.
本発明の医薬組成物に含有される本発明化合物の用量は、選択した投与経路、患者の年齢、性別、体重、疾患の状態、投与される本発明化合物の種類、その他の条件等に応じて適宜選択されるが、成人に経口投与する場合、通常0.05~1000mg/kg/日であり、好ましくは0.1~10mg/kg/日の範囲内である。非経口投与の場合には投与経路により大きく異なるが、通常0.005~100mg/kg/日であり、好ましくは0.01~1mg/kg/日の範囲内である。これら本発明の医薬組成物は1日に1回または複数回に分けて投与することができる。 The dose of the compound of the present invention contained in the pharmaceutical composition of the present invention depends on the selected route of administration, patient age, sex, weight, disease state, type of the compound administered, other conditions, etc. Although it is appropriately selected, in the case of oral administration to adults, it is usually 0.05 to 1000 mg / kg / day, preferably 0.1 to 10 mg / kg / day. In the case of parenteral administration, although it varies greatly depending on the administration route, it is usually 0.005 to 100 mg / kg / day, preferably 0.01 to 1 mg / kg / day. These pharmaceutical compositions of the present invention can be administered once a day or divided into a plurality of times.
以下に実施例を示し、本発明を具体的に説明するが、本発明はこれらに限定されるものではない。なお、各略号は本明細書中、以下に示す意味を有する。
Me:メチル
Et:エチル
Bu:ブチル
Ac:アセチル
Boc2O:二炭酸-ジ-tert-ブチル
TMS:テトラメチルシラン
DIEA:N,N-ジイソプロピルエチルアミン
DMSO:ジメチルスルホキシド
DMF:ジメチルホルムアミド
NMP:N-メチル-ピロリドン
THF:テトラヒドロフラン
DMAP:4-(ジメチルアミノ)ピリジン
LHMDS:リチウムヘキナメチルジシラジド
TFA:トリフルオロ酢酸
PdCl2(dppf)CH2Cl2:[1,1’-ビス(ジフェニルフォスフィノ)-フェロセン]ジクロロパラジウム(II),ジクロロメタンコンプレックス
rt:室温
EXAMPLES The present invention will be specifically described below with reference to examples, but the present invention is not limited to these examples. In addition, each abbreviation has the meaning shown below in this specification.
Me: methyl Et: ethyl Bu: butyl Ac: acetyl Boc 2 O: dicarbonate-di-tert-butyl TMS: tetramethylsilane DIEA: N, N-diisopropylethylamine DMSO: dimethyl sulfoxide DMF: dimethylformamide NMP: N-methyl - pyrrolidone THF: tetrahydrofuran DMAP: 4-(dimethylamino) pyridine LHMDS: lithium f Kina hexamethyldisilazide TFA: trifluoroacetic acid PdCl 2 (dppf) CH 2 Cl 2: [1,1'- bis (diphenylphosphino) -Ferrocene] dichloropalladium (II), dichloromethane complex rt: room temperature
化合物2(I-002)の合成
化合物1(100 mg, 0.492 mmol)をアセトニトリル(1.0 mL)に溶解し、タウリン(74.0 mg, 0.591 mmol)とDIEA(0.301 mL, 1.724 mmol)および水(0.177 mL)を加え、マイクロウェーブ照射下130℃で15分間攪拌した。溶媒を減圧留去後、アセトニトリル(3.0 mL)を加えて3度共沸した。残渣をジクロロメタン(2.0 mL)に溶解し、氷浴下でオキサリルクロリド(0.129 mL, 1.48 mmol)とDMF(1.92 μL, 0.025 mmol)を加え、室温下で10分間撹拌した。溶媒を減圧留去し、得られた残渣をジクロロメタン(1.0 mL)に溶解し、氷浴下にてベンジルアミン(79 mg, 0.739 mmol)とDIEA(0.215 mL, 1.23 mmol)を加え、室温下で10分間撹拌した。反応溶液にジクロロメタン(3.0 mL)および水(3.0 mL)を加えて撹拌した後、フェーズセパレーターを通して有機層を回収し、減圧留去した。得られた残渣をNMP(1.0 mL)に溶解し、N-メチルピペラジン(0.11 mL, 0.985 mmol)、DIEA(0.215mL, 1.23 mmol)を加え、マイクロウェーブ照射下150℃で60分間攪拌した。反応溶液を分取用LC/MS(メソッドE)で精製し、化合物 2(79.3 mg, 収率36 %)を得た。
1H-NMR(DMSO-d6)δppm:1.67 (s, 4H), 2.17 (s, 5H), 2.28 (s, 4H), 2.41 (s, 2H), 3.26 (s, 2H), 3.60 (s, 4H), 3.68 (s, 2H), 4.13 (s, 2H), 6.46 (s, 1H), 7.24-7.38 (m, 5H), 7.70 (s, 1H)
Synthesis of Compound 2 (I-002)
Compound 1 (100 mg, 0.492 mmol) was dissolved in acetonitrile (1.0 mL), taurine (74.0 mg, 0.591 mmol), DIEA (0.301 mL, 1.724 mmol) and water. (0.177 mL) was added, and the mixture was stirred at 130 ° C. for 15 minutes under microwave irradiation. After the solvent was distilled off under reduced pressure, acetonitrile (3.0 mL) was added and azeotroped three times. The residue was dissolved in dichloromethane (2.0 mL), and oxalyl chloride (0.129 mL, 1.48 mmol) and DMF (1.92 μL, 0.025 mmol) were added in an ice bath. Stir for minutes. The solvent was distilled off under reduced pressure, and the resulting residue was dissolved in dichloromethane (1.0 mL), and benzylamine (79 mg, 0.739 mmol) and DIEA (0.215 mL, 1.23) were added in an ice bath. mmol) was added and stirred at room temperature for 10 minutes. Dichloromethane (3.0 mL) and water (3.0 mL) were added to the reaction solution and stirred, and then the organic layer was collected through a phase separator and evaporated under reduced pressure. The obtained residue was dissolved in NMP (1.0 mL), N-methylpiperazine (0.11 mL, 0.985 mmol) and DIEA (0.215 mL, 1.23 mmol) were added, and microwave irradiation was performed. The mixture was stirred at 150 ° C. for 60 minutes. The reaction solution was purified by preparative LC / MS (Method E) to obtain Compound 2 (79.3 mg, yield 36%).
1 H-NMR (DMSO-d 6 ) δ ppm: 1.67 (s, 4H), 2.17 (s, 5H), 2.28 (s, 4H), 2.41 (s, 2H), 26 (s, 2H), 3.60 (s, 4H), 3.68 (s, 2H), 4.13 (s, 2H), 6.46 (s, 1H), 7.24-7.38 (M, 5H), 7.70 (s, 1H)
化合物5の合成
化合物3(4.14 g, 20.08 mmol)をエタノール(50 mL)に溶解し、尿素(6.03 g, 100 mmol)と28% ナトリウムメトキシド(メタノール溶液、11.6 g, 60.2 mmol)を加えて、9時間加熱還流した。反応溶液を室温まで放冷後、2mol/L 塩酸で中和し(pH=6)、クロロホルム(50 mL)を加えて抽出した。更に水層をクロロホルム/メタノール(2/1)溶液(30 mL)で抽出し、飽和食塩水で洗浄、無水硫酸マグネシウムで乾燥した。溶媒を減圧留去し、化合物4(2.70 g, 収率 66 %)を得た。
1H-NMR(DMSO-d6)δppm:2.05-2.20 (m, 2H), 2.59 (s, 2H), 2.60 (t, J = 14.4 Hz , 2H), 10.95 (s, 1H), 11.13 (s, 1H)
化合物4(0.5 g, 2.473 mmol)をオキシ塩化リン(3.0 mL, 32.3 mmol)に溶解し、4時間加熱還流した。溶媒を減圧留去後、氷水(10 mL)に溶解し、クロロホルムで抽出した。有機層を飽和食塩水で洗浄後、無水硫酸マグネシウムで乾燥し、溶媒を減圧留去して化合物5(340 mg, 収率 58 %)を得た。
1H-NMR(DMSO-d6)δppm:2.30-2.45 (m, 2H), 3.10 (s, 2H), 3.33 (t, J = 14.4 Hz , 2H)
Synthesis of compound 5
Compound 3 (4.14 g, 20.08 mmol) was dissolved in ethanol (50 mL), urea (6.03 g, 100 mmol) and 28% sodium methoxide (methanol solution, 11.6 g, 60. 2 mmol) was added and heated to reflux for 9 hours. The reaction solution was allowed to cool to room temperature, neutralized with 2 mol / L hydrochloric acid (pH = 6), and extracted by adding chloroform (50 mL). Further, the aqueous layer was extracted with a chloroform / methanol (2/1) solution (30 mL), washed with saturated brine, and dried over anhydrous magnesium sulfate. The solvent was distilled off under reduced pressure to obtain Compound 4 (2.70 g, yield 66%).
1 H-NMR (DMSO-d 6 ) δ ppm: 2.05-2.20 (m, 2H), 2.59 (s, 2H), 2.60 (t, J = 14.4 Hz, 2H), 10.95 (s, 1H), 11.13 (s, 1H)
Compound 4 (0.5 g, 2.473 mmol) was dissolved in phosphorus oxychloride (3.0 mL, 32.3 mmol) and heated to reflux for 4 hours. The solvent was distilled off under reduced pressure, dissolved in ice water (10 mL), and extracted with chloroform. The organic layer was washed with saturated brine, dried over anhydrous magnesium sulfate, and the solvent was evaporated under reduced pressure to give compound 5 (340 mg, yield 58%).
1 H-NMR (DMSO-d 6 ) δ ppm: 2.30-2.45 (m, 2H), 3.10 (s, 2H), 3.33 (t, J = 14.4 Hz, 2H)
化合物9(I-012)の合成
化合物1(700 mg, 3.45 mmol)、化合物6(664 mg, 4.14 mmol)をアセトニトリル(7 mL)に溶解し、DIEA(1.51 mL, 8.62 mmol)を加えて、70℃で8時間撹拌した。反応溶液を室温まで放冷後、水(30 mL)を加えて酢酸エチルで抽出した。有機層を飽和食塩水で洗浄後、無水硫酸マグネシウムで乾燥し、溶媒を減圧留去して化合物7(656 mg, 収率 65 %)を得た。
1H-NMR(DMSO-d6)δppm:1.72 (s, 4H), 2.26 (s, 2H), 2.53 (s, 2H), 3.26 (s, 2H), 3.71 (s, 2H), 6.96 (s, 2H), 7.20 (s, 1H)
化合物7(30 mg, 0.103 mmol)をDMSO(1.0 mL)に溶解し、N-Bocピペラジン(96 mg, 0.516 mmol)を加えてマイクロウェーブ照射下150℃で30分間攪拌した。反応溶液を室温まで放冷後、水(3 mL)を加えて酢酸エチルで抽出した。有機層を飽和食塩水で洗浄、無水硫酸マグネシウムで乾燥し、溶媒を減圧留去後、シリカゲルカラムクロマトグラフィー(クロロホルム-メタノール-トリエチルアミン)により精製し、化合物8を得た。得られた化合物8を4mol/L塩酸(酢酸エチル溶液、4.0 mL)に溶解し、室温にて15分間攪拌した。溶媒を減圧留去し、化合物9(36 mg, 収率 84 %)を得た。
1H-NMR(DMSO-d6)δppm:1.72 (s, 4H), 2.26 (s, 2H), 2.53 (s, 2H), 3.20 (s, 4H), 3.34 (br, 2H), 3.81 (s, 2H), 4.09 (s, 4H), 7.07 (s, 2H), 9.65 (s, 2H), 9.78 (s, 2H)
Synthesis of Compound 9 (I-012)
Compound 1 (700 mg, 3.45 mmol), Compound 6 (664 mg, 4.14 mmol) were dissolved in acetonitrile (7 mL), DIEA (1.51 mL, 8.62 mmol) was added, and 70 was added. Stir at 8 ° C. for 8 hours. The reaction solution was allowed to cool to room temperature, water (30 mL) was added, and the mixture was extracted with ethyl acetate. The organic layer was washed with saturated brine, dried over anhydrous magnesium sulfate, and the solvent was evaporated under reduced pressure to give compound 7 (656 mg, yield 65%).
1 H-NMR (DMSO-d 6 ) δ ppm: 1.72 (s, 4H), 2.26 (s, 2H), 2.53 (s, 2H), 3.26 (s, 2H), 71 (s, 2H), 6.96 (s, 2H), 7.20 (s, 1H)
Compound 7 (30 mg, 0.103 mmol) was dissolved in DMSO (1.0 mL), N-Boc piperazine (96 mg, 0.516 mmol) was added, and the mixture was stirred at 150 ° C. for 30 minutes under microwave irradiation. . The reaction solution was allowed to cool to room temperature, water (3 mL) was added, and the mixture was extracted with ethyl acetate. The organic layer was washed with saturated brine, dried over anhydrous magnesium sulfate, the solvent was evaporated under reduced pressure, and the residue was purified by silica gel column chromatography (chloroform-methanol-triethylamine) to give compound 8. The obtained compound 8 was dissolved in 4 mol / L hydrochloric acid (ethyl acetate solution, 4.0 mL) and stirred at room temperature for 15 minutes. The solvent was distilled off under reduced pressure to obtain Compound 9 (36 mg, 84% yield).
1 H-NMR (DMSO-d 6 ) δ ppm: 1.72 (s, 4H), 2.26 (s, 2H), 2.53 (s, 2H), 3.20 (s, 4H), 34 (br, 2H), 3.81 (s, 2H), 4.09 (s, 4H), 7.07 (s, 2H), 9.65 (s, 2H), 9.78 (s, 2H) )
化合物12(I-022)の合成
化合物1(300 mg, 1.48 mmol)をNMP(3.0 mL)に溶解し、1-Bocエチレンジアミン(284 mg, 1.77 mmol)、DIEA(0.774 mL, 4.43 mmol)を加えて、マイクロウェーブ照射下100℃で10分間攪拌した。室温まで放冷後、N-メチルピペラジン(0.247 mL, 2.22 mmol)を加えて、マイクロウェーブ照射下150℃で30分間攪拌した。室温まで放冷後、水(50 mL)を加えて、酢酸エチルで抽出した。有機層を飽和食塩水で洗浄、無水硫酸マグネシウムで乾燥し、溶媒を減圧留去後、シリカゲルカラムクロマトグラフィー(クロロホルム-メタノール)により精製し、化合物10(265 mg, 収率46 %)を得た。
1H-NMR(DMSO-d6)δppm:1.37 (s, 9H), 1.67 (s, 4H), 2.18 (s, 5H), 2.28 (s, 4H), 2.39 (s, 2H), 3.13 (br, 2H), 3.35 (s, 2H), 3.59 (s, 4H), 6.28 (s, 1H), 6.88 (s, 1H)
化合物10(45 mg, 0.115 mmol)を4mol/L 塩酸(酢酸エチル溶液、1.0 mL)に溶解し、室温下1時間撹拌した。反応溶液を減圧留去し、化合物11を得た。これをジクロロメタン(1.0 mL)に懸濁させ、p-フルオロベンゼンスルホニルクロリド(33.5 mg, 0.172 mmol)とDIEA(0,120 mL, 0.688 mmol)を加えて室温で1時間撹拌した。溶媒を減圧留去し、
メソッドEで精製して、化合物 12(23 mg, 収率45 %)を得た。
1H-NMR(DMSO-d6)δppm:1.64 (s, 4H), 2.10 (s, 2H), 2.18 (s, 3H), 2.25 (s, 4H), 2.36 (s, 2H), 2.96 (s, 2H), 3.32 (s, 2H), 3.53 (s, 4H), 6.23 (s, 1H), 7.35 (t, J = 8.0 Hz,2H), 7.73-7.80 (m, 3H)
Synthesis of Compound 12 (I-022)
Compound 1 (300 mg, 1.48 mmol) was dissolved in NMP (3.0 mL), and 1-Boc ethylenediamine (284 mg, 1.77 mmol), DIEA (0.774 mL, 4.43 mmol) were added. In addition, the mixture was stirred at 100 ° C. for 10 minutes under microwave irradiation. After allowing to cool to room temperature, N-methylpiperazine (0.247 mL, 2.22 mmol) was added, and the mixture was stirred at 150 ° C. for 30 minutes under microwave irradiation. After cooling to room temperature, water (50 mL) was added, and the mixture was extracted with ethyl acetate. The organic layer was washed with saturated brine, dried over anhydrous magnesium sulfate, the solvent was evaporated under reduced pressure, and the residue was purified by silica gel column chromatography (chloroform-methanol) to obtain compound 10 (265 mg, yield 46%). .
1 H-NMR (DMSO-d 6 ) δ ppm: 1.37 (s, 9H), 1.67 (s, 4H), 2.18 (s, 5H), 2.28 (s, 4H), 2. 39 (s, 2H), 3.13 (br, 2H), 3.35 (s, 2H), 3.59 (s, 4H), 6.28 (s, 1H), 6.88 (s, 1H )
Compound 10 (45 mg, 0.115 mmol) was dissolved in 4 mol / L hydrochloric acid (ethyl acetate solution, 1.0 mL) and stirred at room temperature for 1 hour. The reaction solution was distilled off under reduced pressure to obtain Compound 11. This was suspended in dichloromethane (1.0 mL), p-fluorobenzenesulfonyl chloride (33.5 mg, 0.172 mmol) and DIEA (0,120 mL, 0.688 mmol) were added, and 1 at room temperature was added. Stir for hours. Remove the solvent under reduced pressure,
Purification by Method E gave Compound 12 (23 mg, 45% yield).
1 H-NMR (DMSO-d 6 ) δ ppm: 1.64 (s, 4H), 2.10 (s, 2H), 2.18 (s, 3H), 2.25 (s, 4H), 2. 36 (s, 2H), 2.96 (s, 2H), 3.32 (s, 2H), 3.53 (s, 4H), 6.23 (s, 1H), 7.35 (t, J = 8.0 Hz, 2H), 7.73-7.80 (m, 3H)
化合物16の合成
第1工程
化合物13(810 mg, 4.0 mmol)のエタノール(25 mL)溶液に尿素(1.2 g, 20 mmol)及び28%ナトリウムメトキシド-メタノール溶液(2.7 g, 14 mmol)を加え、120℃で2時間攪拌した。反応液を5%クエン酸水溶液にあけ、酢酸エステル-テトラヒドロフラン(1:1)で抽出し、無水硫酸マグネシウムにて乾燥後、減圧濃縮した。残渣を酢酸エチル-ジイソプロピルエーテル(2:1)に懸濁させ、ろ取し、化合物14(540 mg, 収率60%(純度88.6w/w%, 尿素11.4w/w%を含む))を得た。
1H NMR (d6-DMSO) δ: 1.49-1.66 (m, 3H), 1.80-1.91 (m, 1H), 1.95-2.06 (m, 1H), 2.17-2.28 (m, 1H), 3.32(s, 3H), 3.86-3.92 (m, 1H), 10.68 (br, 1H), 11.03 (br, 1H).
第2工程
塩化ホスホリル(5.3 mL, 57.0 mmol)に化合物14 (純度88.6w/w%, 尿素11.4w/w%を含む) (538 mg, 2.43 mmol)及びN,N-ジメチルアニリン(0.770 ml, 6.07 mmol)を加え、120℃で1時間攪拌した。反応液を氷約100mlにあけ、酢酸エチルで洗いこみ、攪拌下、重曹を加えて中和した(pH8)。水層を再度、酢酸エチルで抽出し、有機層を合わせ無水硫酸マグネシウムにて乾燥後、減圧濃縮した。残渣をシリカゲルクロマトグラフィーに付し、化合物15(494 mg、収率87%)を得た。
1H NMR (CDCl3) δ: 1.77-1.95 (m, 2H), 1.97-2.10 (m, 1H), 2.15-2.25 (m, 1H), 2.55-2.68 (m, 1H), 2.80-2.91 (m, 1H), 3.57 (s, 3H), 4.21-4.28 (m, 1H).
第3工程
化合物15(55 mg, 0.215 mmol)の塩化メチレン(0.8 mL)溶液に1 mol/L三臭化ホウ素-塩化メチレン溶液(3.54 mL, 3.54 mmol)を加え、室温にて3.5時間攪拌した。反応液を水にあけ、酢酸エチルで洗いこみ、攪拌下、重曹を加え中和し、水層をpH8とした。水層を再度、酢酸エチルで抽出し、有機層を合わせ無水硫酸マグネシウムにて乾燥後、減圧濃縮した。残渣をシリカゲルクロマトグラフィーに付し、化合物(4)(48.8 mg、収率94%)を得た。
1H NMR (CDCl3) δ: 1.74-1.90 (m, 2H), 2.00-2.16 (m, 1H), 2.21-2.32 (m, 1H), 2.68-2.86 (m, 2H), 3.65 (br, 1H), 4.61-4.72 (m, 1H).
Synthesis of Compound 16
First Step Compound 13 (810 mg, 4.0 mmol) in ethanol (25 mL) in urea (1.2 g, 20 mmol) and 28% sodium methoxide-methanol solution (2.7 g, 14 mmol) And stirred at 120 ° C. for 2 hours. The reaction mixture was poured into a 5% aqueous citric acid solution, extracted with acetic ester-tetrahydrofuran (1: 1), dried over anhydrous magnesium sulfate, and concentrated under reduced pressure. The residue was suspended in ethyl acetate-diisopropyl ether (2: 1), collected by filtration, and compound 14 (540 mg, yield 60% (purity 88.6 w / w%, urea 11.4 w / w% included) )
1 H NMR (d6-DMSO) δ: 1.49-1.66 (m, 3H), 1.80-1.91 (m, 1H), 1.95-2.06 (m, 1H), 2 17-2.28 (m, 1H), 3.32 (s, 3H), 3.86-3.92 (m, 1H), 10.68 (br, 1H), 11.03 (br, 1H ).
Second Step Phosphoryl chloride (5.3 mL, 57.0 mmol) was added to compound 14 (purity 88.6 w / w%, urea 11.4 w / w% included) (538 mg, 2.43 mmol) and N, N-dimethylaniline (0.770 ml, 6.07 mmol) was added and stirred at 120 ° C. for 1 hour. The reaction solution was poured into about 100 ml of ice, washed with ethyl acetate, and neutralized by adding sodium bicarbonate with stirring (pH 8). The aqueous layer was extracted again with ethyl acetate, the organic layers were combined, dried over anhydrous magnesium sulfate, and concentrated under reduced pressure. The residue was subjected to silica gel chromatography to obtain compound 15 (494 mg, yield 87%).
1 H NMR (CDCl 3 ) δ: 1.77-1.95 (m, 2H), 1.97-2.10 (m, 1H), 2.15-2.25 (m, 1H), 55-2.68 (m, 1H), 2.80-2.91 (m, 1H), 3.57 (s, 3H), 4.21-4.28 (m, 1H).
Step 3 To a solution of compound 15 (55 mg, 0.215 mmol) in methylene chloride (0.8 mL) was added 1 mol / L boron tribromide-methylene chloride solution (3.54 mL, 3.54 mmol). And stirred at room temperature for 3.5 hours. The reaction solution was poured into water, washed with ethyl acetate, neutralized with sodium bicarbonate with stirring, and the aqueous layer was adjusted to pH 8. The aqueous layer was extracted again with ethyl acetate, the organic layers were combined, dried over anhydrous magnesium sulfate, and concentrated under reduced pressure. The residue was subjected to silica gel chromatography to obtain compound (4) (48.8 mg, 94% yield).
1 H NMR (CDCl 3 ) δ: 1.74-1.90 (m, 2H), 2.00-2.16 (m, 1H), 2.21-2.32 (m, 1H), 68-2.86 (m, 2H), 3.65 (br, 1H), 4.61-4.72 (m, 1H).
化合物22(I-111)の合成
第1工程
化合物17(600 mg, 2.76 mmol)の塩化メチレン(60 mL)溶液に六塩化タングステン(2.19 g, 5.13 mmol)を加え、室温で30分間攪拌した。反応液にmol/L水酸化ナトリウム水溶液(30 mL)を加え、クロロホルムで抽出し、有機層を飽和塩化ナトリウム水溶液で洗浄した。無水硫酸マグネシウムで乾燥後、減圧濃縮し、残渣をシリカゲルクロマトグラフィーに付し、ヘキサン/酢酸エチル = 85/15にて溶出する部分を集め、白色の化合物18(293 mg, 収率39 %)を得た。
1H NMR (DMSO-d6) δ: 2.78 (t, J = 6.4 Hz, 2H), 3.15 (t, J = 6.4 Hz, 2H), 3.77 (s, 2H).
第2工程
化合物18(50 mg, 0.18 mmol)の1-メチル-2-ピロリドン(1 mL)溶液に、2-アミノエタンスルホンアミド塩酸塩19(44 mg, 0.27 mmol)、次いでN,N-ジイソプロピルエチルアミン(0.161 mL, 0.92 mmol)を加え、100 ℃で1時間加熱攪拌した。反応液をシリカゲルクロマトグラフィーに付し、クロロホルム/メタノール = 95/5にて溶出する部分を集め、淡黄色の化合物20(30 mg, 収率45 %)を得た。
1H-NMR (DMSO-d6) δ: 2.69 (m, 2H), 2.84 (t, J = 6.0 Hz, 2H), 3.25-3.40 (m, 4H), 3.70 (m, 2H), 6.97 (s, 2H), 7.51 (s, 1H).
第3工程
化合物20(28 mg、0.078 mmol)の1-メチル-2-ピロリドン(0.5 mL)溶液に、1-メチルピペラジン21(0.087 mL, 0.78 mmol)、次いでN,N-ジイソプロピルエチルアミン(0.136 mL, 0.78 mmol)を加え、マイクロ波照射下200 ℃で30分間加熱攪拌した。反応液をシリカゲルクロマトグラフィーに付し、クロロホルム/メタノール = 95/5にて溶出する部分を集め、化合物22(13 mg, 収率43 %)を得た。
1H NMR (DMSO-d6) δ: 2.21 (s, H), 2.33 (brs, 4H), 2.56-2.61 (m, 2H), 2.68-2.74 (m, 2H), 3.19-3.25 (m, 2H), 3.64-3.70 (m, 6H), 6.69 (s, 1H), 6.92 (s, 2H), 7.04 (t, J = 5.5 Hz, 1H).
Synthesis of Compound 22 (I-111)
First Step Tungsten hexachloride (2.19 g, 5.13 mmol) was added to a solution of compound 17 (600 mg, 2.76 mmol) in methylene chloride (60 mL), and the mixture was stirred at room temperature for 30 minutes. To the reaction solution was added a mol / L aqueous sodium hydroxide solution (30 mL), extracted with chloroform, and the organic layer was washed with a saturated aqueous sodium chloride solution. The extract was dried over anhydrous magnesium sulfate and concentrated under reduced pressure. The residue was subjected to silica gel chromatography, and the fraction eluted with hexane / ethyl acetate = 85/15 was collected. White compound 18 (293 mg, yield 39%) was collected. Obtained.
1 H NMR (DMSO-d6) δ: 2.78 (t, J = 6.4 Hz, 2H), 3.15 (t, J = 6.4 Hz, 2H), 3.77 (s, 2H).
Second Step A solution of compound 18 (50 mg, 0.18 mmol) in 1-methyl-2-pyrrolidone (1 mL) was added 2-aminoethanesulfonamide hydrochloride 19 (44 mg, 0.27 mmol), then N , N-diisopropylethylamine (0.161 mL, 0.92 mmol) was added, and the mixture was stirred with heating at 100 ° C. for 1 hr. The reaction solution was subjected to silica gel chromatography, and the fractions eluted with chloroform / methanol = 95/5 were collected to obtain pale yellow compound 20 (30 mg, 45% yield).
1 H-NMR (DMSO-d6) δ: 2.69 (m, 2H), 2.84 (t, J = 6.0 Hz, 2H), 3.25-3.40 (m, 4H), 3.70 (m, 2H), 6.97 (s, 2H), 7.51 (s, 1H).
Step 3 To a solution of compound 20 (28 mg, 0.078 mmol) in 1-methyl-2-pyrrolidone (0.5 mL), 1-methylpiperazine 21 (0.087 mL, 0.78 mmol), then N , N-diisopropylethylamine (0.136 mL, 0.78 mmol) was added, and the mixture was stirred with heating at 200 ° C. for 30 minutes under microwave irradiation. The reaction solution was subjected to silica gel chromatography, and the fractions eluted with chloroform / methanol = 95/5 were collected to obtain Compound 22 (13 mg, 43% yield).
1 H NMR (DMSO-d6) δ: 2.21 (s, H), 2.33 (brs, 4H), 2.56-2.61 (m, 2H), 2.68-2.74 (m, 2H), 3.19-3.25 (m, 2H) , 3.64-3.70 (m, 6H), 6.69 (s, 1H), 6.92 (s, 2H), 7.04 (t, J = 5.5 Hz, 1H).
化合物24(I-113)の合成
第1工程
化合物23(65 mg, 0.185 mmol)のメタノール(2 mL)懸濁液に、トリフルオロ酢酸(0.2 mL)、次いで酸化白金一水和物(10 mg, 0.044 mmol)を加え、水素雰囲気下、室温で1時間攪拌した。反応液をセライトで濾過し、濾液に飽和炭酸水素ナトリウム水溶液を加え、クロロホルムで抽出した。有機層を飽和塩化ナトリウム水溶液で洗浄し、無水硫酸マグネシウムにて乾燥後、減圧濃縮した。残渣をシリカゲルクロマトグラフィーに付し、クロロホルム/メタノール = 90/10にて溶出する部分を集め、化合物24(4 mg, 収率6 %)を得た。
1H NMR (DMSO-d6) δ: 1.73 (m, 2H), 2.19-2.32 (m, 7H), 2.46-2.53 (m, 2H), 3.50-3.63 (m, 6H), 5.98 (t, J = 5.4 Hz, 1H), 6.05 (s, 1H), 6.88 (s, 2H).
Synthesis of Compound 24 (I-113)
First Step To a suspension of compound 23 (65 mg, 0.185 mmol) in methanol (2 mL), trifluoroacetic acid (0.2 mL) and then platinum oxide monohydrate (10 mg, 0.044 mmol). ) And stirred at room temperature for 1 hour under a hydrogen atmosphere. The reaction mixture was filtered through celite, saturated aqueous sodium hydrogen carbonate solution was added to the filtrate, and the mixture was extracted with chloroform. The organic layer was washed with a saturated aqueous sodium chloride solution, dried over anhydrous magnesium sulfate, and concentrated under reduced pressure. The residue was subjected to silica gel chromatography, and the fractions eluted with chloroform / methanol = 90/10 were collected to obtain Compound 24 (4 mg, yield 6%).
1 H NMR (DMSO-d6) δ: 1.73 (m, 2H), 2.19-2.32 (m, 7H), 2.46-2.53 (m, 2H), 3.50-3.63 (m, 6H), 5.98 (t, J = 5.4 Hz, 1H), 6.05 (s, 1H), 6.88 (s, 2H).
化合物28の合成
第1工程
水素化ナトリウム(60wt%油性)のテトラヒドロフラン(30ml)の懸濁液に、化合物25(2g、11.6mmol)のテトラヒドロフラン(10ml)溶液を氷冷下で滴下後、1時間攪拌した。反応液に化合物26(1.6ml、12.77mmol)を加え、室温で1時間攪拌後、さらに1時間加熱還流した。加熱攪拌後、テトラブチルアンモニウムブロミド(0.94g、2.90mmol)を加え3時間加熱還流した。反応液を氷水-2mol/l塩酸に注ぎ酢酸エチルにて抽出した、有機層を炭酸水素ナトリウム水溶液、次いで水で洗浄し、無水硫酸ナトリウムにて乾燥後減圧濃縮した。残渣をシリカゲルクロマトグラフィーに付し、ヘキサン/酢酸エチル =1/5にて溶出する部分を集め、無色油状物として化合物27(2.94g、収率90%)を得た。
1H NMR (CDCl3) δ: 1.26 (s, 3H), 1.50-1.70 (m, 4H), 1.84-1.98 (m, 4H), 3.95-4.00 (m, 4H), 4.36 (s, 2H), 6.96-7.06 (m, 2H), 7.27-7.35 (m, 2H)
第2工程
化合物27(2.94g、10.49 mmol)のテトラヒドロフラン(30 mL)溶液に、2mol/L塩酸(21 mL、42 mmol)を加え、80℃で2.5時間加熱撹拌した。反応液を氷水に注ぎ酢酸エチルにて抽出した。有機層を炭酸水素ナトリウム水溶液、次いで水で洗浄し、無水硫酸ナトリウムにて乾燥後減圧濃縮して化合物28を淡黄色油状物として得た(2.46g、収率99%)
1H-NMR (CDCl3) δ: 1.36 (s, 3H), 1.72-1.86 (m, 2H), 2.18-2.30 (m, 4H), 2.58-2.74 (m, 2H), 4.48 (s, 2H), 7.00-7.09 (m, 2H), 7.28-7.38 (m, 2H)
Synthesis of Compound 28
First Step To a suspension of sodium hydride (60 wt% oily) in tetrahydrofuran (30 ml), a solution of compound 25 (2 g, 11.6 mmol) in tetrahydrofuran (10 ml) was added dropwise under ice cooling, and the mixture was stirred for 1 hour. Compound 26 (1.6 ml, 12.77 mmol) was added to the reaction mixture, and the mixture was stirred at room temperature for 1 hour, and further heated under reflux for 1 hour. After heating and stirring, tetrabutylammonium bromide (0.94 g, 2.90 mmol) was added, and the mixture was heated to reflux for 3 hours. The reaction solution was poured into ice water-2 mol / l hydrochloric acid and extracted with ethyl acetate. The organic layer was washed with aqueous sodium hydrogen carbonate solution and then with water, dried over anhydrous sodium sulfate and concentrated under reduced pressure. The residue was subjected to silica gel chromatography, and the fraction eluted with hexane / ethyl acetate = 1/5 was collected to obtain Compound 27 (2.94 g, yield 90%) as a colorless oil.
1 H NMR (CDCl 3 ) δ: 1.26 (s, 3H), 1.50-1.70 (m, 4H), 1.84-1.98 (m, 4H), 3.95-4.00 (m, 4H), 4.36 (s, 2H), 6.96-7.06 (m, 2H), 7.27-7.35 (m, 2H)
Second Step 2 mol / L hydrochloric acid (21 mL, 42 mmol) was added to a solution of compound 27 (2.94 g, 10.49 mmol) in tetrahydrofuran (30 mL), and the mixture was heated and stirred at 80 ° C. for 2.5 hours. The reaction mixture was poured into ice water and extracted with ethyl acetate. The organic layer was washed with an aqueous sodium hydrogen carbonate solution and then with water, dried over anhydrous sodium sulfate, and concentrated under reduced pressure to give compound 28 as a pale yellow oil (2.46 g, yield 99%).
1 H-NMR (CDCl 3 ) δ: 1.36 (s, 3H), 1.72-1.86 (m, 2H), 2.18-2.30 (m, 4H), 2.58-2.74 (m, 2H), 4.48 (s, 2H) , 7.00-7.09 (m, 2H), 7.28-7.38 (m, 2H)
化合物33(I-087)の合成
第一工程
化合物29(100 mg, 0.263 mmol)、化合物30(106 mg, 0.341 mmol)、ジフェニルホスフィノフェロセンパラジウムジクロリド・ジクロロメタンコンプレックス(10.7 mg, 0.013 mmol)をTHF(1 mL)に懸濁し、2mol/L炭酸ナトリウム水溶液(0.394 mL, 0.788 mmol)を加えて、マイクロウェーブ照射下130℃にて30分間撹拌した。反応溶液を室温まで放冷後、水(3 mL)を加えて酢酸エチルで抽出した。有機層を飽和食塩水で洗浄後、無水硫酸マグネシウムで乾燥した。有機層を減圧留去後、シリカゲルカラムクロマトグラフィー(ヘキサン-酢酸エチル)により精製し、化合物31(116 mg, 84 %)を得た。
1H-NMR(DMSO-d6)δppm:1.41 (s, 9H), 1.72 (s, 4H), 2.27 (s, 2H), 2.55 (s, 2H), 3.29 (t, J = 6.0 Hz, 2H), 3.47 (br, 2H), 3.75 (m, 2H), 4.00 (s, 2H), 4.14 (d, J = 5.6 Hz, 2H), 6.72 (br, 2H), 6.95 (s, 2H), 7.20-7.35 (m, 5H), 7.69 (t, J = 6.0 Hz, 1H)
第二工程
化合物31(70 mg、 0.133 mmol)を酢酸エチル(2 mL)に溶解し、パラジウム炭素を加えて水素気流下、室温で2時間半撹拌した。反応溶液をセライトろ過して、溶媒を減圧留去して化合物32(78 mg、 97 %)を得た。
1H-NMR(DMSO-d6)δppm:1.07 (s, 2H), 1.39 (s, 9H), 1.56 (m, 2H), 1.70 (br, 4H), 1.80 (d, J = 12 Hz, 2H), 2.23 (s, 2H), 2.64 (m, 1H), 2.78 (m, 2H), 3.26 (t, J = 6.4 Hz, 2H), 3.72 (m, 2H), 3.95-3.99 (m, 2H), 4.13 (d, J = 6.0 Hz , 2H), 6.69 (br, 1H), 7.20-7.35 (m, 5H), 7.69 (t, J = 6.4 Hz, 1H)
第三工程
化合物32(75 mg、 0.142 mmol)を4mol/L塩酸-酢酸エチル溶液(2 mL)に溶解し、室温で1時間撹拌した。溶媒を減圧留去し、化合物33(68 mg、 95 %)を得た。
1H-NMR(DMSO-d6)δppm: 1.75 (s, 4H), 2.11 (s, 4H), 2.36 (s, 2H), 2.75 (s, 2H), 3.00 (m, 2H), 3.20-3.36 (m, 5H), 3.86 (br, 2H), 4.13 (d, J = 6.4 Hz , 2H), 7.20-7.35 (m, 5H), 8.02 (br, 1H), 8.93 (s, 1H), 9.19 (m, 1H), 9.33 (m, 1H)
Synthesis of Compound 33 (I-087)
First Step Compound 29 (100 mg, 0.263 mmol), Compound 30 (106 mg, 0.341 mmol), diphenylphosphinoferrocene palladium dichloride / dichloromethane complex (10.7 mg, 0.013 mmol) were dissolved in THF ( 1 mol), 2 mol / L aqueous sodium carbonate solution (0.394 mL, 0.788 mmol) was added, and the mixture was stirred at 130 ° C. for 30 minutes under microwave irradiation. The reaction solution was allowed to cool to room temperature, water (3 mL) was added, and the mixture was extracted with ethyl acetate. The organic layer was washed with saturated brine and dried over anhydrous magnesium sulfate. The organic layer was evaporated under reduced pressure and purified by silica gel column chromatography (hexane-ethyl acetate) to obtain Compound 31 (116 mg, 84%).
1 H-NMR (DMSO-d 6 ) δ ppm: 1.41 (s, 9H), 1.72 (s, 4H), 2.27 (s, 2H), 2.55 (s, 2H), 3.29 (t, J = 6.0 Hz, 2H ), 3.47 (br, 2H), 3.75 (m, 2H), 4.00 (s, 2H), 4.14 (d, J = 5.6 Hz, 2H), 6.72 (br, 2H), 6.95 (s, 2H), 7.20 -7.35 (m, 5H), 7.69 (t, J = 6.0 Hz, 1H)
Second step compound 31 (70 mg, 0.133 mmol) was dissolved in ethyl acetate (2 mL), palladium on carbon was added, and the mixture was stirred at room temperature for 2 and a half hours under a hydrogen stream. The reaction solution was filtered through Celite, and the solvent was distilled off under reduced pressure to obtain Compound 32 (78 mg, 97%).
1 H-NMR (DMSO-d 6 ) δ ppm: 1.07 (s, 2H), 1.39 (s, 9H), 1.56 (m, 2H), 1.70 (br, 4H), 1.80 (d, J = 12 Hz, 2H ), 2.23 (s, 2H), 2.64 (m, 1H), 2.78 (m, 2H), 3.26 (t, J = 6.4 Hz, 2H), 3.72 (m, 2H), 3.95-3.99 (m, 2H) , 4.13 (d, J = 6.0 Hz, 2H), 6.69 (br, 1H), 7.20-7.35 (m, 5H), 7.69 (t, J = 6.4 Hz, 1H)
Third Step Compound 32 (75 mg, 0.142 mmol) was dissolved in 4 mol / L hydrochloric acid-ethyl acetate solution (2 mL) and stirred at room temperature for 1 hour. The solvent was distilled off under reduced pressure to obtain Compound 33 (68 mg, 95%).
1 H-NMR (DMSO-d 6 ) δ ppm: 1.75 (s, 4H), 2.11 (s, 4H), 2.36 (s, 2H), 2.75 (s, 2H), 3.00 (m, 2H), 3.20-3.36 (m, 5H), 3.86 (br, 2H), 4.13 (d, J = 6.4 Hz, 2H), 7.20-7.35 (m, 5H), 8.02 (br, 1H), 8.93 (s, 1H), 9.19 ( m, 1H), 9.33 (m, 1H)
化合物36の合成
化合物34(56 mg, 0.192 mmol)をTHF(1 mL)に溶解し、化合物35(79 mg, 0.288 mmol)、ポリマー担持トリフェニルホスフィン(3 mmol/g, 192 mg, 0.576 mmol)、ジイソプロピルアザジカルボキシレート(95 wt%, 0.059 mL, 0.288 mmol)を加えて室温で1時間半撹拌した。反応溶液に水(2 mL)を加えてジクロロメタンで抽出した。有機層を飽和食塩水で洗浄、無水硫酸マグネシウムで乾燥した。有機層を減圧留去後、分取型LCMS(メソッドE)により精製し、化合物36(6 mg, 5.7 %)を得た。
1H-NMR(DMSO-d6)δppm: 1.31 (s, 9H), 1.65 (m, 4H), 2.11 (br, 2H), 2.20 (s, 3H), 2.31 (br, 4H), 2.38 (br, 2H), 3.24 (m, 2H), 3.60 (s, 4H), 3.68 (m, 2H), 6.06 (br, 1H), 7.15 (m, 3H), 7.34 (t, J = 7.6 Hz, 2H)
Synthesis of Compound 36
Compound 34 (56 mg, 0.192 mmol) was dissolved in THF (1 mL), compound 35 (79 mg, 0.288 mmol), polymer-supported triphenylphosphine (3 mmol / g, 192 mg, 0.576). mmol) and diisopropyl azadicarboxylate (95 wt%, 0.059 mL, 0.288 mmol) were added, and the mixture was stirred at room temperature for 1.5 hours. Water (2 mL) was added to the reaction solution, and the mixture was extracted with dichloromethane. The organic layer was washed with saturated brine and dried over anhydrous magnesium sulfate. The organic layer was distilled off under reduced pressure and then purified by preparative LCMS (Method E) to obtain Compound 36 (6 mg, 5.7%).
1 H-NMR (DMSO-d 6 ) δ ppm: 1.31 (s, 9H), 1.65 (m, 4H), 2.11 (br, 2H), 2.20 (s, 3H), 2.31 (br, 4H), 2.38 (br , 2H), 3.24 (m, 2H), 3.60 (s, 4H), 3.68 (m, 2H), 6.06 (br, 1H), 7.15 (m, 3H), 7.34 (t, J = 7.6 Hz, 2H)
化合物44の合成
第1工程
p-メトキシベンジルクロリド(20.50 g, 131 mmol)のN-メチルピリミドン(100 mL)溶液に化合物37(10 g, 52.4 mmol)及び炭酸カリウム(28.9 g, 209 mmol)を加え、100℃で1時間攪拌した。反応液を濾過後、ろ液を水に注ぎ、酢酸エチルで抽出した。有機層を水洗し、無水硫酸ナトリウムで乾燥した。有機層を減圧濃縮し、得られた白色固体をジイソプロピルエーテルで洗浄し、白色の化合物38(21.8g、収率96%)を得た。
1H NMR (DMSO-d6) δ: 3.71 (s, 3H), 3.73 (s, 3H), 4.87 (s, 2H), 4.94 (s, 2H), 6.85 (d, J = 8.1 Hz, 2H), 6.91 (d, J = 8.1 Hz, 2H), 7.24 (d, J = 8.1 Hz, 2H), 7.32 (d, J = 8.1 Hz, 2H), 8.45 (s, 1H).
第2工程
化合物38(10 g, 23.2 mmol)及び炭酸水素ナトリウム(39.0 g, 464 mol)をイソプロパノール-水(1:1)(400 mL)に溶解させ、110℃で12時間攪拌した。反応液を水に注ぎ、酢酸エチル-テトラヒドロフランで抽出した。有機層を水洗し、無水硫酸ナトリウムで乾燥した。有機層を減圧濃縮し、黄色の化合物39(8.4 g、粗収率98%)を得た。精製することなく次工程に用いた。
1H NMR (DMSO-d6) δ: 3.71 (s, 3H), 3.73 (s, 3H), 4.81 (s, 2H), 4.97 (s, 2H), 6.86 (d, J = 8.1 Hz, 2H), 6.91 (d, J = 8.1 Hz, 2H), 7.27 (d, J = 8.1 Hz, 2H), 7.28 (d, J = 8.1 Hz, 2H), 7.34 (s, 1H), 8.78 (s, 1H).
第3工程
化合物39(5 g, 13.6 mmol)のアセトン(25 mL)溶液に炭酸カリウム(13.1 g, 95 mmol)及びプロパルギルブロミド(6.1 ml、80 mmol)を加え、1.5時間加熱還流した。反応液を水に注ぎ、酢酸エチルで抽出した。有機層を水洗し、無水硫酸ナトリウムで乾燥後した。有機層を減圧濃縮し、残渣をシリカゲルクロマトグラフィーに付し、黄色の化合物40(4.89 g、収率89%)を得た。
1H NMR (DMSO-d6) δ: 3.61 (s, 1H), 3.71 (s, 3H), 3.73 (s, 3H), 4.66 (s, 2H), 4.84 (s, 2H), 4.92 (s, 2H), 6.85 (d, J = 8.1 Hz, 2H), 6.92 (d, J = 8.1 Hz, 2H), 7.24 (d, J = 8.1 Hz, 2H), 7.31 (d, J = 8.1 Hz, 2H), 7.81 (s, 1H).
第4工程
化合物40(3.6 g, 8.9 mmmol)のトルエン(140 mL)の溶液を13時間加熱還流した。反応液を減圧濃縮し、残渣をシリカゲルクロマトグラフィーに付し、黄色の化合物41(3.30g、収率92%)を得た。
1H NMR (CDCl3) δ: 3.76 (s, 3H), 3.77 (s, 3H), 4.63 (d, J = 4.0 Hz, 2H), 5.00 (s, 2H), 5.13 (s, 2H), 5.98 (dt, J = 9.6, 4.0 Hz, 1H), 6.28 (d, J = 9.6 Hz, 1H), 6.82 (d, J = 8.1 Hz, 2H), 6.84 (d, J = 8.1 Hz, 2H), 7.10 (d, J = 8.1 Hz, 2H), 7.49 (d, J = 8.1 Hz, 2H).
第5工程
化合物41(2.37 g, 5.83 mmol)をエタノール-テトラヒドロフラン(3:1)(75 mL)に溶解させ、20w/w%炭素担持水酸化パラジウム(460 mg)を加え、1気圧水素雰囲気下、室温で2.5時間攪拌した。反応液をセライト濾過後、瀘液を減圧濃縮した。残渣をシリカゲルクロマトグラフィーに付し、黄色の化合物42(1.36 g, 収率57%)を得た。
1H NMR (CDCl3) δ: 1.92 (br, 2H), 2.49 (br, 2H), 3.77 (s, 3H), 3.77 (s, 3H), 4.00 (br, 2H), 4.98 (s, 2H), 5.14 (s, 2H), 6.81 (d, J = 8.1 Hz, 2H), 6.84 (d, J = 8.1 Hz, 2H), 7.07 (d, J = 8.1 Hz, 2H), 7.48 (d, J = 8.1 Hz, 2H).
第6工程
化合物42(1.82 g, 4.46 mmol)のトリフルオロ酢酸(18 mL)溶液に濃硫酸(495 μl, 8.91 mmol)を加え、45分間加熱還流した。反応液を減圧乾固させ、得られた固体をメタノールで洗浄し、濃緑色の化合物43(583 mg, 収率78%)を得た。
1H NMR (DMSO-d6) δ: 1.86 (m, 2H), 2.36 (t, J = 6.1 Hz, 2H), 3.93 (t, J = 4.3 Hz, 2H), 10.39 ( s, 1H), 10.98 (s, 1H).
第7工程
化合物43(50 mg, 0.297 mmol)をフェニルリン酸ジクロリド(232 mg, 1.189 mmol)に溶解させ、140℃で1.5時間及び160度で2時間加熱攪拌した。反応液を水に注ぎ、重曹で塩基性にした後、酢酸エチルで抽出した。有機層を水洗し、無水硫酸ナトリウムにて乾燥後、減圧濃縮した。残渣をシリカゲルクロマトグラフィーに付し、白色の化合物44(15.9 mg、収率26%)を得た。
1H NMR (CDCl3) δ: 2.17 (m, 2H), 2.95 (t, J = 6.1 Hz, 2H), 4.36 (t, J = 4.8 Hz, 2H).
Synthesis of Compound 44
Step 1 Compound 37 (10 g, 52.4 mmol) and potassium carbonate (28.9 g, 209) were added to a solution of p-methoxybenzyl chloride (20.50 g, 131 mmol) in N-methylpyrimidone (100 mL). mmol) and stirred at 100 ° C. for 1 hour. After filtering the reaction solution, the filtrate was poured into water and extracted with ethyl acetate. The organic layer was washed with water and dried over anhydrous sodium sulfate. The organic layer was concentrated under reduced pressure, and the resulting white solid was washed with diisopropyl ether to obtain white compound 38 (21.8 g, yield 96%).
1 H NMR (DMSO-d6) δ: 3.71 (s, 3H), 3.73 (s, 3H), 4.87 (s, 2H), 4.94 (s, 2H), 6.85 (d, J = 8.1 Hz, 2H), 6.91 (d, J = 8.1 Hz, 2H), 7.24 (d, J = 8.1 Hz, 2H), 7.32 (d, J = 8.1 Hz, 2H), 8.45 (s, 1H).
Second Step Compound 38 (10 g, 23.2 mmol) and sodium hydrogen carbonate (39.0 g, 464 mol) were dissolved in isopropanol-water (1: 1) (400 mL) and stirred at 110 ° C. for 12 hours. did. The reaction mixture was poured into water and extracted with ethyl acetate-tetrahydrofuran. The organic layer was washed with water and dried over anhydrous sodium sulfate. The organic layer was concentrated under reduced pressure to obtain yellow compound 39 (8.4 g, crude yield 98%). Used in the next step without purification.
1 H NMR (DMSO-d6) δ: 3.71 (s, 3H), 3.73 (s, 3H), 4.81 (s, 2H), 4.97 (s, 2H), 6.86 (d, J = 8.1 Hz, 2H), 6.91 (d, J = 8.1 Hz, 2H), 7.27 (d, J = 8.1 Hz, 2H), 7.28 (d, J = 8.1 Hz, 2H), 7.34 (s, 1H), 8.78 (s, 1H).
Third Step To a solution of compound 39 (5 g, 13.6 mmol) in acetone (25 mL) was added potassium carbonate (13.1 g, 95 mmol) and propargyl bromide (6.1 ml, 80 mmol). The mixture was heated to reflux for 5 hours. The reaction mixture was poured into water and extracted with ethyl acetate. The organic layer was washed with water and dried over anhydrous sodium sulfate. The organic layer was concentrated under reduced pressure, and the residue was subjected to silica gel chromatography to obtain yellow compound 40 (4.89 g, yield 89%).
1 H NMR (DMSO-d6) δ: 3.61 (s, 1H), 3.71 (s, 3H), 3.73 (s, 3H), 4.66 (s, 2H), 4.84 (s, 2H), 4.92 (s, 2H ), 6.85 (d, J = 8.1 Hz, 2H), 6.92 (d, J = 8.1 Hz, 2H), 7.24 (d, J = 8.1 Hz, 2H), 7.31 (d, J = 8.1 Hz, 2H), 7.81 (s, 1H).
Fourth Step A solution of compound 40 (3.6 g, 8.9 mmol) in toluene (140 mL) was heated to reflux for 13 hours. The reaction solution was concentrated under reduced pressure, and the residue was subjected to silica gel chromatography to obtain yellow compound 41 (3.30 g, yield 92%).
1 H NMR (CDCl 3 ) δ: 3.76 (s, 3H), 3.77 (s, 3H), 4.63 (d, J = 4.0 Hz, 2H), 5.00 (s, 2H), 5.13 (s, 2H), 5.98 (dt, J = 9.6, 4.0 Hz, 1H), 6.28 (d, J = 9.6 Hz, 1H), 6.82 (d, J = 8.1 Hz, 2H), 6.84 (d, J = 8.1 Hz, 2H), 7.10 (d, J = 8.1 Hz, 2H), 7.49 (d, J = 8.1 Hz, 2H).
Step 5 Compound 41 (2.37 g, 5.83 mmol) was dissolved in ethanol-tetrahydrofuran (3: 1) (75 mL), 20 w / w% palladium hydroxide on carbon (460 mg) was added, and 1 The mixture was stirred at room temperature for 2.5 hours under atmospheric hydrogen atmosphere. The reaction solution was filtered through celite, and the filtrate was concentrated under reduced pressure. The residue was subjected to silica gel chromatography to obtain yellow compound 42 (1.36 g, yield 57%).
1 H NMR (CDCl 3 ) δ: 1.92 (br, 2H), 2.49 (br, 2H), 3.77 (s, 3H), 3.77 (s, 3H), 4.00 (br, 2H), 4.98 (s, 2H) , 5.14 (s, 2H), 6.81 (d, J = 8.1 Hz, 2H), 6.84 (d, J = 8.1 Hz, 2H), 7.07 (d, J = 8.1 Hz, 2H), 7.48 (d, J = 8.1 Hz, 2H).
Sixth Step Concentrated sulfuric acid (495 μl, 8.91 mmol) was added to a solution of compound 42 (1.82 g, 4.46 mmol) in trifluoroacetic acid (18 mL), and the mixture was heated to reflux for 45 minutes. The reaction solution was dried under reduced pressure, and the resulting solid was washed with methanol to obtain dark green compound 43 (583 mg, yield 78%).
1 H NMR (DMSO-d6) δ: 1.86 (m, 2H), 2.36 (t, J = 6.1 Hz, 2H), 3.93 (t, J = 4.3 Hz, 2H), 10.39 (s, 1H), 10.98 ( s, 1H).
Step 7 Compound 43 (50 mg, 0.297 mmol) was dissolved in phenylphosphoric dichloride (232 mg, 1.189 mmol), and the mixture was heated and stirred at 140 ° C. for 1.5 hours and 160 ° C. for 2 hours. The reaction mixture was poured into water, basified with sodium bicarbonate, and extracted with ethyl acetate. The organic layer was washed with water, dried over anhydrous sodium sulfate, and concentrated under reduced pressure. The residue was subjected to silica gel chromatography to obtain white compound 44 (15.9 mg, yield 26%).
1 H NMR (CDCl 3 ) δ: 2.17 (m, 2H), 2.95 (t, J = 6.1 Hz, 2H), 4.36 (t, J = 4.8 Hz, 2H).
化合物52の合成
第1工程
化合物45(2g、23.0mmol)とトリエチルアミン(3.5 mL、25.3 mmol)のジクロロメタン(40mL)溶液に化合物46(4.8g、23.0 mmol) を氷冷下に加え、氷冷下で1.5時間攪拌した。反応液を氷水に注ぎ、酢酸エチルで抽出した。有機層を10%クエン酸水溶液、飽和炭酸水素ナトリウム水溶液、飽和塩化ナトリウム水溶液で順次洗浄した。有機層を無水硫酸ナトリウムにて乾燥し、減圧濃縮した。残渣をシリカゲルクロマトグラフィーに付し、クロロホルム/メタノール =1/10にて溶出する部分を集め、白色固体の化合物47(5.27g、収率88%)を得た。
1H NMR (DMSO-d6) δ: 1.60-1.78 (m, 2H), 3.01 (dt, J = 0.9, 10.5 Hz 1H), 3.14-3.30 (m, 3H), 4.15 (brs, 1H), 4.87 (d, J = 2.7 Hz, 1H), 7.66 (dd, J = 0.9, 9.3 Hz 2H), 7.78 (dd, J = 0.9, 9.3 Hz 2H).
第2工程
化合物47(5.27g、20.1 mmol)とトリエチルアミン(5.6 mL、40.3 mmol)のジクロロメタン-テトラヒドロフラン(1:1, 60 mL)溶液に、化合物48(1.7 mL、22.1 mmol)を氷冷下に加え、氷冷下で2.5時間撹拌した。反応液を氷水に注ぎ、ジクロロメタンで抽出した。有機層を10%クエン酸水溶液、飽和炭酸水素ナトリウム水溶液、飽和塩化ナトリウム水溶液で順次洗浄した。有機層を無水硫酸ナトリウムにて乾燥し、減圧濃縮した。化合物49は精製することなく次工程に用いた。
1H-NMR (DMSO-d6) δ: 2.03-2.07 (m, 2H), 3.12 (s, 3H), 3.21-3.37 (m, 2H), 3.46(brs, 2H), 5.17 (brs, 1H), 7.70 (d, J = 8.7 Hz, 2H), 7.83 (d, J = 8.7 Hz, 2H).
第3工程
化合物49(1.5g、4.41 mmol)のジメチルホルムアミド(15 mL)溶液に、室温で アジ化ナトリウム50(0.43g、6.62mmol)を加え、65 ℃で8時間撹拌した。反応液を氷水に注ぎ、酢酸エチルで抽出した。有機層を水洗し、無水硫酸ナトリウムにて乾燥後、減圧濃縮した。残渣をシリカゲルクロマトグラフィーに付し、酢酸エチル/ヘキサン=2/5にて溶出する部分を集め、白色固体の化合物51(1.22g、収率96%)を得た。
1H NMR (DMSO-d6) δ: 1.82-1.85 (m, 1H), 1.92-1.96 (m, 1H), 3.12-3.39 (m, 4H), 4.28 (brs, 1H), 7.70 (dd, J = 0.6, 8.7 Hz, 2H), 7.84 (dd, J = 0.6, 8.7 Hz, 2H).
第4工程
化合物51(0.40g、1.40 mmol)のエタノール-テトラヒドロフラン-ギ酸(5:1:0.1, 12 mL)溶液に、パラジウム/炭素(0.30g、0.279mmol)を加え水素雰囲気下にて12時間室温で攪拌した。反応液をセライトでろ過し、減圧濃縮した。残渣をクロロホルムに溶解させ、飽和炭酸水素ナトリウム水溶液、飽和塩化ナトリウム水溶液で順次洗浄した。有機層を無水硫酸ナトリウムにて乾燥後、減圧濃縮した。残渣をシリカゲルクロマトグラフィーに付し、ヘキサン/酢酸エチル=1/9にて溶出する部分を集め、淡茶色の化合物52(0.20g、収率64%)を得た。
1H NMR (DMSO-d6) δ: 1.18-1.50 (m, 3H), 1.76 (ddt, J = 6.9, 7.5, 7.5 Hz, 1H), 2.76 (dt, J = 4.2, 8.1 Hz, 1H), 3.12-3.30 (m, 4H), 7.60-7.81 (m, 5H).
Synthesis of Compound 52
Step 1 Compound 46 (4.8 g, 23.0 mmol) was added to a solution of compound 45 (2 g, 23.0 mmol) and triethylamine (3.5 mL, 25.3 mmol) in dichloromethane (40 mL) under ice cooling. The mixture was stirred for 1.5 hours under ice cooling. The reaction mixture was poured into ice water and extracted with ethyl acetate. The organic layer was washed successively with 10% aqueous citric acid solution, saturated aqueous sodium hydrogen carbonate solution, and saturated aqueous sodium chloride solution. The organic layer was dried over anhydrous sodium sulfate and concentrated under reduced pressure. The residue was subjected to silica gel chromatography, and the portion eluted with chloroform / methanol = 1/10 was collected to obtain white solid compound 47 (5.27 g, yield 88%).
1 H NMR (DMSO-d6) δ: 1.60-1.78 (m, 2H), 3.01 (dt, J = 0.9, 10.5 Hz 1H), 3.14-3.30 (m, 3H), 4.15 (brs, 1H), 4.87 ( d, J = 2.7 Hz, 1H), 7.66 (dd, J = 0.9, 9.3 Hz 2H), 7.78 (dd, J = 0.9, 9.3 Hz 2H).
Step 2 Compound 48 (1.7 mL) was added to a solution of compound 47 (5.27 g, 20.1 mmol) and triethylamine (5.6 mL, 40.3 mmol) in dichloromethane-tetrahydrofuran (1: 1, 60 mL). 22.1 mmol) was added under ice cooling, followed by stirring for 2.5 hours under ice cooling. The reaction mixture was poured into ice water and extracted with dichloromethane. The organic layer was washed successively with 10% aqueous citric acid solution, saturated aqueous sodium hydrogen carbonate solution, and saturated aqueous sodium chloride solution. The organic layer was dried over anhydrous sodium sulfate and concentrated under reduced pressure. Compound 49 was used in the next step without purification.
1 H-NMR (DMSO-d6) δ: 2.03-2.07 (m, 2H), 3.12 (s, 3H), 3.21-3.37 (m, 2H), 3.46 (brs, 2H), 5.17 (brs, 1H), 7.70 (d, J = 8.7 Hz, 2H), 7.83 (d, J = 8.7 Hz, 2H).
Third Step To a solution of compound 49 (1.5 g, 4.41 mmol) in dimethylformamide (15 mL) was added sodium azide 50 (0.43 g, 6.62 mmol) at room temperature, and the mixture was stirred at 65 ° C. for 8 hours. . The reaction mixture was poured into ice water and extracted with ethyl acetate. The organic layer was washed with water, dried over anhydrous sodium sulfate, and concentrated under reduced pressure. The residue was subjected to silica gel chromatography, and the fractions eluted with ethyl acetate / hexane = 2/5 were collected to obtain Compound 51 (1.22 g, yield 96%) as a white solid.
1 H NMR (DMSO-d6) δ: 1.82-1.85 (m, 1H), 1.92-1.96 (m, 1H), 3.12-3.39 (m, 4H), 4.28 (brs, 1H), 7.70 (dd, J = 0.6, 8.7 Hz, 2H), 7.84 (dd, J = 0.6, 8.7 Hz, 2H).
Step 4 To a solution of compound 51 (0.40 g, 1.40 mmol) in ethanol-tetrahydrofuran-formic acid (5: 1: 0.1, 12 mL) was added palladium / carbon (0.30 g, 0.279 mmol). The mixture was stirred at room temperature for 12 hours under a hydrogen atmosphere. The reaction mixture was filtered through celite and concentrated under reduced pressure. The residue was dissolved in chloroform and washed sequentially with a saturated aqueous sodium bicarbonate solution and a saturated aqueous sodium chloride solution. The organic layer was dried over anhydrous sodium sulfate and concentrated under reduced pressure. The residue was subjected to silica gel chromatography, and the fractions eluted with hexane / ethyl acetate = 1/9 were collected to obtain pale brown compound 52 (0.20 g, yield 64%).
1 H NMR (DMSO-d6) δ: 1.18-1.50 (m, 3H), 1.76 (ddt, J = 6.9, 7.5, 7.5 Hz, 1H), 2.76 (dt, J = 4.2, 8.1 Hz, 1H), 3.12 -3.30 (m, 4H), 7.60-7.81 (m, 5H).
化合物57(I-078)の合成
第1工程
化合物53(40 mg, 0.2 mmol)の1-メチル-2-ピロリドン(1.0 mL)溶液に、化合物54(66 mg, 0.26 mmol)、次いでN,N-ジイソプロピルエチルアミン(0.088 mL, 0.50 mmol)を加え、100 ℃で5分間加熱攪拌した。得られた化合物55を含む反応混合物を、そのまま次反応に使用した。
第2工程
第1工程で得られた反応混合物に,化合物56(0.066 mL, 0.6 mmol)を加え、マイクロ波照射下150℃で30分間加熱攪拌した。反応液をシリカゲルクロマトグラフィーに付し、クロロホルム/メタノール = 98/2にて溶出する部分を集めて濃縮した。濃縮残渣にヘキサン-酢酸エチルにより固化させて,化合物57(34 mg, 収率38 %)を、白色固体として得た。
1H NMR (DMSO-d6) δ: 2.26 (s, 3H), 2.42 (br, 4H), 3.68 (br, 4H), 3.81 (m, 2H), 3.87 (s, 3H), 4.16 (d, 2H), 6.85 (br, 1H), 7.25-7.40 (m, 5H), 7.76 (br, 1H), 7.88 (s, 1H).
Synthesis of Compound 57 (I-078)
First Step To a solution of compound 53 (40 mg, 0.2 mmol) in 1-methyl-2-pyrrolidone (1.0 mL), compound 54 (66 mg, 0.26 mmol) and then N, N-diisopropylethylamine (0.088 mL, 0.50 mmol) was added, and the mixture was heated and stirred at 100 ° C. for 5 minutes. The reaction mixture containing the obtained compound 55 was used for the next reaction as it was.
Second Step Compound 56 (0.066 mL, 0.6 mmol) was added to the reaction mixture obtained in the first step, and the mixture was heated and stirred at 150 ° C. for 30 minutes under microwave irradiation. The reaction solution was subjected to silica gel chromatography, and portions eluted with chloroform / methanol = 98/2 were collected and concentrated. The concentrated residue was solidified with hexane-ethyl acetate to obtain Compound 57 (34 mg, 38% yield) as a white solid.
1 H NMR (DMSO-d6) δ: 2.26 (s, 3H), 2.42 (br, 4H), 3.68 (br, 4H), 3.81 (m, 2H), 3.87 (s, 3H), 4.16 (d, 2H ), 6.85 (br, 1H), 7.25-7.40 (m, 5H), 7.76 (br, 1H), 7.88 (s, 1H).
化合物67(I-340)の合成
第1工程
エチル-1-ベンジル-4-オキソピペリジン-3-カルボキシレート(化合物58)(10g、38.3mmol)とウレア(59)(11.49g、191mmol)のエタノール(300mL)溶液にナトリウムメトキシド(25.8g、134mmol)を加え、120℃で5時間攪拌した。反応容器を室温に戻し、一晩静置した。溶媒を留去し、水を30ml加え、15%クエン酸水溶液でpHを7にし、固体を析出させた。反応容器を0℃にし、3時間撹拌した後、固体をろ取し、水で洗った。固体を乾燥させ、薄黄色の化合物(60)(4.87g、収率49.5%)を得た。
1H-NMR (DMSO-d6) δ: 10.91 (2H, br s), 7.31 (5H, s), 3.61 (2H, s), 2.99 (2H, s), 2.62 (2H, t, J = 5.49 Hz), 2.42-2.38 (2H, m).
第2工程
化合物60(1g、3.89mmol)に、オキシ塩化リン(3.6mL、38.9mmol)を加え、120℃で1.5時間撹拌した。反応液を室温まで下げ、氷浴に注ぎ、飽和炭酸水素ナトリウム水溶液でpHを7に調整し、酢酸エチルで抽出した。有機層を飽和炭酸水素ナトリウム水溶液で洗い、飽和食塩水で洗浄後、減圧濃縮した。残渣をシリカゲルクロマトグラフィーに付し、酢酸エチル/ヘキサン=1/5にて溶出する部分を集め化合物61(679.7mg、収率59.4%)を得た。化合物61は精製することなく次工程に用いた。
1H-NMR (CDCl3) δ: 7.33-7.30 (5H, m), 3.77 (2H, s), 3.62 (2H, s), 2.99 (2H, t, J = 5.72 Hz), 2.81 (2H, t, J = 5.80 Hz).
第3工程
化合物61(200mg、0.68mmol)のNMP(0.5mL)溶液に、室温で2-アミノ-N-イソプロピルエタンスルフォンアミド塩酸塩(62)(165mg、0.816mmol)、次いでDIPEA(0.356mL、2.04mmol)を加えマイクロウェーブで140℃20分間撹拌した。反応液を水に注ぎ、酢酸エチルで抽出した。有機層を水洗し、飽和食塩水にて洗浄後、減圧濃縮した。化合物63は精製することなく次工程に用いた。
第4工程
化合物63のNMP(0.5mL)溶液に、tert-ブチルピペラジン-1-カルボキシレート(253mg、1.36mmol)、次いでDIPEA(0.356ml、2.04mmol)を加え、マイクロウェーブで160℃30分間加熱攪拌した。反応液を水に注ぎ、酢酸エチルで抽出した。有機層を飽和塩化ナトリウム水溶液で洗浄し、減圧濃縮した。残渣をシリカゲルクロマトグラフィーに付し、酢酸エチル/n-ヘキサン=1/1にて溶出する部分を集め、淡茶色の化合物64(第3工程から、263.7mg、収率67.6%)を得た。
1H-NMR (CDCl3) δ: 7.34-7.29 (5H, m), 3.92-3.90 (1H, m), 3.72-3.70 (4H, m), 3.70 (2H, s), 3.45 (4H, t, J = 4.88 Hz), 3.28 (2H, t, J = 5.95 Hz), 3.23 (2H, s), 2.71-2.67 (4H, m), 1.47 (9H, s), 1.19 (6H, d, J = 6.41 Hz).
第5工程
化合物64(200mg、0.349mmol)のメタノール(1mL)/THF(0.5ml)溶液に、室温で水酸化パラジウム(49mg、0.07mmol)を加え、水素雰囲気下、室温で2時間撹拌した。反応液をセライトろ過し、減圧濃縮し、化合物65(165.6mg、98.5%)を得た。化合物65は精製することなく次工程に用いた。
1H-NMR (CDCl3) δ: 5.12 (1H, s), 3.94 (2H, d, J = 5.37 Hz), 3.71 (4H, t, J = 4.87 Hz), 3.63 (2H, s), 3.46 (4H, t, J = 5.04 Hz), 3.30 (2H, t, J = 5.71 Hz), 3.11 (2H, t, J = 5.79 Hz), 2.60 (2H, t, J = 5.46 Hz), 1.48 (9H, s), 1.21 (6H, d, J = 6.55 Hz).
第6工程
化合物65(70mg、0.145mmol)のピリジン(0.5ml)溶液に、無水酢酸(0.016ml,0.174mmol)を加え、室温で30分間攪拌した。反応液を15%クエン酸水溶液で希釈し、クロロホルムで抽出し、有機層を飽和塩化ナトリウム水溶液で洗浄し、減圧濃縮した。残渣をクロロホルム/メタノール=10/1にて溶出する部分を集め、白色固体の化合物66(43.3mg,収率53%)を得た。
1H-NMR (CDCl3) δ: 4.32 (2H, s), 3.95-3.92 (2H, m), 3.73 (4H, t, J = 4.96 Hz), 3.67 (2H, t, J = 5.95 Hz), 3.60 (m, 1H), 3.46 (4H, t, J = 5.03 Hz), 3.32 (2H, t, J = 6.02 Hz), 2.71-2.68 (2H, m), 2.19 (3H, s), 1.48 (9H, s), 1.20 (6H, d, J = 6.41 Hz).
Synthesis of Compound 67 (I-340)
First Step Ethyl-1-benzyl-4-oxopiperidine-3-carboxylate (Compound 58) (10 g, 38.3 mmol) and urea (59) (11.49 g, 191 mmol) in a solution of sodium methoxy in ethanol (300 mL) (25.8 g, 134 mmol) was added, and the mixture was stirred at 120 ° C. for 5 hours. The reaction vessel was returned to room temperature and allowed to stand overnight. The solvent was distilled off, 30 ml of water was added, and the pH was adjusted to 7 with a 15% aqueous citric acid solution to precipitate a solid. The reaction vessel was brought to 0 ° C. and stirred for 3 hours, and then the solid was collected by filtration and washed with water. The solid was dried to obtain pale yellow compound (60) (4.87 g, yield 49.5%).
1H-NMR (DMSO-d6) δ: 10.91 (2H, br s), 7.31 (5H, s), 3.61 (2H, s), 2.99 (2H, s), 2.62 (2H, t, J = 5.49 Hz) , 2.42-2.38 (2H, m).
Second Step Phosphorous oxychloride (3.6 mL, 38.9 mmol) was added to compound 60 (1 g, 3.89 mmol), and the mixture was stirred at 120 ° C. for 1.5 hours. The reaction solution was cooled to room temperature, poured into an ice bath, adjusted to pH 7 with saturated aqueous sodium hydrogen carbonate solution, and extracted with ethyl acetate. The organic layer was washed with saturated aqueous sodium hydrogen carbonate solution, washed with saturated brine, and concentrated under reduced pressure. The residue was subjected to silica gel chromatography, and the fraction eluted with ethyl acetate / hexane = 1/5 was collected to obtain Compound 61 (679.7 mg, yield 59.4%). Compound 61 was used in the next step without purification.
1H-NMR (CDCl3) δ: 7.33-7.30 (5H, m), 3.77 (2H, s), 3.62 (2H, s), 2.99 (2H, t, J = 5.72 Hz), 2.81 (2H, t, J = 5.80 Hz).
Step 3 Compound 61 (200 mg, 0.68 mmol) in NMP (0.5 mL) was stirred at room temperature with 2-amino-N-isopropylethanesulfonamide hydrochloride (62) (165 mg, 0.816 mmol), then DIPEA ( 0.356 mL, 2.04 mmol) was added, and the mixture was stirred with microwave at 140 ° C. for 20 minutes. The reaction mixture was poured into water and extracted with ethyl acetate. The organic layer was washed with water, washed with saturated brine, and concentrated under reduced pressure. Compound 63 was used in the next step without purification.
Fourth Step To a solution of compound 63 in NMP (0.5 mL), tert-butylpiperazine-1-carboxylate (253 mg, 1.36 mmol) and then DIPEA (0.356 ml, 2.04 mmol) were added, and 160 μg was added by microwave. The mixture was heated and stirred at 30 ° C. for 30 minutes. The reaction mixture was poured into water and extracted with ethyl acetate. The organic layer was washed with a saturated aqueous sodium chloride solution and concentrated under reduced pressure. The residue was subjected to silica gel chromatography, and the fraction eluted with ethyl acetate / n-hexane = 1/1 was collected to obtain pale brown compound 64 (from the third step, 263.7 mg, yield 67.6%). Obtained.
1H-NMR (CDCl3) δ: 7.34-7.29 (5H, m), 3.92-3.90 (1H, m), 3.72-3.70 (4H, m), 3.70 (2H, s), 3.45 (4H, t, J = 4.88 Hz), 3.28 (2H, t, J = 5.95 Hz), 3.23 (2H, s), 2.71-2.67 (4H, m), 1.47 (9H, s), 1.19 (6H, d, J = 6.41 Hz) .
Fifth Step To a solution of compound 64 (200 mg, 0.349 mmol) in methanol (1 mL) / THF (0.5 ml) was added palladium hydroxide (49 mg, 0.07 mmol) at room temperature, and in a hydrogen atmosphere at room temperature for 2 hours. Stir. The reaction solution was filtered through Celite and concentrated under reduced pressure to obtain Compound 65 (165.6 mg, 98.5%). Compound 65 was used in the next step without purification.
1H-NMR (CDCl3) δ: 5.12 (1H, s), 3.94 (2H, d, J = 5.37 Hz), 3.71 (4H, t, J = 4.87 Hz), 3.63 (2H, s), 3.46 (4H, t, J = 5.04 Hz), 3.30 (2H, t, J = 5.71 Hz), 3.11 (2H, t, J = 5.79 Hz), 2.60 (2H, t, J = 5.46 Hz), 1.48 (9H, s) , 1.21 (6H, d, J = 6.55 Hz).
Step 6 Acetic anhydride (0.016 ml, 0.174 mmol) was added to a solution of compound 65 (70 mg, 0.145 mmol) in pyridine (0.5 ml), and the mixture was stirred at room temperature for 30 minutes. The reaction solution was diluted with 15% aqueous citric acid solution and extracted with chloroform, and the organic layer was washed with saturated aqueous sodium chloride solution and concentrated under reduced pressure. Portions eluting the residue with chloroform / methanol = 10/1 were collected to obtain Compound 66 (43.3 mg, 53% yield) as a white solid.
1H-NMR (CDCl3) δ: 4.32 (2H, s), 3.95-3.92 (2H, m), 3.73 (4H, t, J = 4.96 Hz), 3.67 (2H, t, J = 5.95 Hz), 3.60 ( m, 1H), 3.46 (4H, t, J = 5.03 Hz), 3.32 (2H, t, J = 6.02 Hz), 2.71-2.68 (2H, m), 2.19 (3H, s), 1.48 (9H, s ), 1.20 (6H, d, J = 6.41 Hz).
第7工程
化合物66(40mg,0.076mmol)に4mol/Lの塩酸酢酸エチル溶液を(0.5ml)加え、室温で16時間攪拌した。反応液を濃縮し、酢酸エチルで再結晶し、化合物67(33.2mg、総収率94.4%)を得た。
1H-NMR (DMSO-d6) δ: 9.43 (2H, bs), 7.20 (2H, d, J = 7.22 Hz), 4.29 (2H, s), 4.09-4.06 (4H, br m), 3.82-3.79 (2H, m), 3.71 (2H, t, J = 5.54 Hz), 3.25-3.22 (7H, br m), 2.91-2.88 (2H, m), 2.14 (3H, s), 1.15 (6H, d, J = 6.38 Hz).
Step 7 To a compound 66 (40 mg, 0.076 mmol) was added a 4 mol / L ethyl acetate solution (0.5 ml), and the mixture was stirred at room temperature for 16 hours. The reaction mixture was concentrated and recrystallized with ethyl acetate to obtain Compound 67 (33.2 mg, total yield 94.4%).
1H-NMR (DMSO-d6) δ: 9.43 (2H, bs), 7.20 (2H, d, J = 7.22 Hz), 4.29 (2H, s), 4.09-4.06 (4H, br m), 3.82-3.79 ( 2H, m), 3.71 (2H, t, J = 5.54 Hz), 3.25-3.22 (7H, br m), 2.91-2.88 (2H, m), 2.14 (3H, s), 1.15 (6H, d, J = 6.38 Hz).
化合物69(I-342)の合成
第一工程
実施例14第5工程で得られた化合物65(100mg、0.207mmol)のTHF(0.5ml)溶液に、DIPEA(0.108ml,0.620mmol)とトリフルオロメタンスルホン酸チリフルオロメチルエーテル(0.149ml、1.034mmol)を加え、室温で1時間攪拌した。反応液を水で希釈し、酢酸エチルで抽出し、有機層を飽和塩化ナトリウム水溶液で洗浄し、減圧濃縮した。残渣をヘキサン/酢酸エチル=1/1にて溶出する部分を集め、白色固体の化合物68(42.1mg,収率36%)を得た。
第二工程
化合物68を用い、実施例14第7工程に準じて反応を行い、化合物69を得た。
1H-NMR (DMSO-d6) δ: 9.48 (2H, s), 8.46 (1H, s), 7.19 (1H, d, J = 7.47 Hz), 4.08-4.05 (4H, m), 3.78-3.75 (2H, m), 3.46 (s, 2H), 3.27 (2H, t, J = 7.24 Hz), 3.23-3.19 (4H, m), 2.98-2.94 (2H, m), 2.81-2.78 (2H, m), 1.12 (6H, d, J = 6.25 Hz).
Synthesis of Compound 69 (I-342)
First Step Example 14 To a solution of compound 65 (100 mg, 0.207 mmol) obtained in the fifth step in THF (0.5 ml), DIPEA (0.108 ml, 0.620 mmol) and trifluoromethanesulfonic acid trifluoromethyl Ether (0.149 ml, 1.034 mmol) was added and stirred at room temperature for 1 hour. The reaction mixture was diluted with water and extracted with ethyl acetate, and the organic layer was washed with saturated aqueous sodium chloride solution and concentrated under reduced pressure. The residue was eluted with hexane / ethyl acetate = 1/1 to collect Compound 68 (42.1 mg, yield 36%) as a white solid.
The reaction was performed according to the seventh step of Example 14 using the second step compound 68, to obtain a compound 69.
1H-NMR (DMSO-d6) δ: 9.48 (2H, s), 8.46 (1H, s), 7.19 (1H, d, J = 7.47 Hz), 4.08-4.05 (4H, m), 3.78-3.75 (2H , m), 3.46 (s, 2H), 3.27 (2H, t, J = 7.24 Hz), 3.23-3.19 (4H, m), 2.98-2.94 (2H, m), 2.81-2.78 (2H, m), 1.12 (6H, d, J = 6.25 Hz).
化合物71(I-338)の合成
第一工程
実施例14第5工程で得られた化合物65(45mg、0.093mmol)のピリジン(0.5ml)溶液に、メシルクロライド(0.011ml、0.140mmol)を加え、室温で45分間攪拌した。反応液を水で希釈し、酢酸エチルで抽出し、有機層を1mol/L塩酸水溶液、飽和塩化ナトリウム水溶液で洗浄し、減圧濃縮することにより黄色固体の化合物70(62.9mg,収率>99%)を得た。化合物70は精製することなく次工程に用いた。
1H-NMR (CDCl3) δ: 4.04 (2H, s), 3.95 (2H, d, J = 6.25 Hz), 3.74 (4H, t, J = 4.96 Hz), 3.67-3.63 (1H, m), 3.52 (2H, t, J = 5.64 Hz), 3.46 (4H, t, J = 4.96 Hz), 3.30 (2H, t, J = 5.80 Hz), 2.87 (3H, s), 2.78 (2H, t, J = 5.64 Hz), 1.48 (9H, s), 1.23 (6H, d, J = 6.41 Hz).
第二工程
化合物70を用い、実施例14の第7工程に準じて反応を行い、化合物71を得た。
1H-NMR (DMSO-d6) δ: 9.39 (2H, br s), 7.18 (1H, d, J = 7.17 Hz), 4.04 (4H, s), 3.75 (2H, d, J = 6.41 Hz), 3.64 (2H, s), 3.56 (2H, s), 3.22-3.18 (4H, m), 3.00 (3H, s), 2.86-2.84 (2H, m), 1.12 (6H, d, J = 6.25 Hz).
Synthesis of Compound 71 (I-338)
First Step Example 14 To a solution of compound 65 (45 mg, 0.093 mmol) obtained in the fifth step in pyridine (0.5 ml), mesyl chloride (0.011 ml, 0.140 mmol) was added, and room temperature was 45 minutes. Stir. The reaction mixture was diluted with water and extracted with ethyl acetate. The organic layer was washed with 1 mol / L aqueous hydrochloric acid solution and saturated aqueous sodium chloride solution, and concentrated under reduced pressure to give yellow solid compound 70 (62.9 mg, yield> 99). %). Compound 70 was used in the next step without purification.
1H-NMR (CDCl3) δ: 4.04 (2H, s), 3.95 (2H, d, J = 6.25 Hz), 3.74 (4H, t, J = 4.96 Hz), 3.67-3.63 (1H, m), 3.52 ( 2H, t, J = 5.64 Hz), 3.46 (4H, t, J = 4.96 Hz), 3.30 (2H, t, J = 5.80 Hz), 2.87 (3H, s), 2.78 (2H, t, J = 5.64 Hz), 1.48 (9H, s), 1.23 (6H, d, J = 6.41 Hz).
The reaction was conducted according to the seventh step of Example 14 using the second step compound 70, to give a compound 71.
1H-NMR (DMSO-d6) δ: 9.39 (2H, br s), 7.18 (1H, d, J = 7.17 Hz), 4.04 (4H, s), 3.75 (2H, d, J = 6.41 Hz), 3.64 (2H, s), 3.56 (2H, s), 3.22-3.18 (4H, m), 3.00 (3H, s), 2.86-2.84 (2H, m), 1.12 (6H, d, J = 6.25 Hz).
化合物78(I-280)の合成
第一工程
5-ブロモ-2,4-ジクロロピリミジン(化合物72、0.056ml,0.439mmol)のN-メチル-2-ピロリジノン(1.5mL)溶液に2-アミノ-N-イソプロピルエタンスルホンアミド(化合物73、88mg,0.527mmol)とN,N-ジイソプロピルエチルアミン(0.383ml,2.19mmol)を加え、100℃で15分攪拌した。TLCで反応の進行を確認した後に、tert-ブチルピペラジン-1-カルボキシラート(化合物74、245mg,1.32mmol)を加え、さらに45分攪拌した。反応液を氷水に注ぎ、酢酸エチルで抽出した。有機層を水で洗浄し、無水硫酸ナトリウムにて乾燥後、減圧濃縮した。残渣をシリカゲルクロマトグラフィーに付し、ヘキサン/酢酸エチル=1/1にて溶出する部分を集め、黄色の固体化合物75(197.7mg、収率89%)を得た。
1H NMR (DMSO-d6) δ: 1.12 (d, J = 6.3 Hz, 6H), 1.42 (s, 9H), 3.23-3.46 (m, 7H), 3.63-3.74 (m, 6H), 6.99 (t, J = 5.7 Hz, 1H), 7.13 (d, J = 7.2 Hz, 1H), 7.95 (s, 1H).
第二工程
化合物75(90mg,0.177mmol)のエチレングリコールジメチルエーテル/エタノール(1.5ml,2:1)溶液に4-フルオロフェニルボロン酸(化合物76、37.2mg,0.266mmol)、テトラキストリフェニルホスフィンパラジウム(10.3mg,0.0089mmol)、炭酸ナトリウム水溶液(1mol/L,1ml)を加え85℃で2時間攪拌した。反応液を氷水に注ぎ、酢酸エチルで抽出した。有機層を水、飽和塩化ナトリウム水溶液で順次洗浄し、無水硫酸ナトリウムにて乾燥後、減圧濃縮した。残渣をシリカゲルクロマトグラフィーに付し、ヘキサン/酢酸エチル=1/1にて溶出する部分を集め、白色化合物77(76.9mg、収率83%)を得た。
1H NMR (DMSO-d6) δ: 1.10 (d, J = 6.6 Hz, 6H), 1.43 (s, 9H), 3.24 (t, J = 6.6 Hz, 2H), 3.38-3.43 (m, 5H), 3.70-3.72 (m, 6H), 6.54 (t, J = 5.4 Hz, 1H), 7.09 (d, J = 7.2 Hz, 1H), 7.25 (t, J = 8.7 Hz, 2H), 7.38 (t, J = 8.7 Hz, 2H), 7.70 (s, 1H).
第三工程
化合物77(68mg,0.130mmol)の酢酸エチル/塩化メチレン(2ml,1:1)溶液に塩酸(0.16ml,4mol/L酢酸エチル溶液)を氷冷下にて加え、室温で3時間攪拌した。反応溶液を濃縮し、得られた粗生成物を酢酸エチル/メタノールで再結晶することで淡黄色化合物78(56.1mg,94%)を得た。
1H NMR (DMSO-d6) δ: 1.10 (d, J = 6.6 Hz, 6H), 3.24-3.30 (m, 6H), 3.40 (q, 6.6 Hz, 1H), 3.75-3.77 (m, 2H), 4.11 (brs, 4H), 7.20 (d, J = 7.2 Hz, 1H), 7.34 (t, J = 8.7 Hz, 2H), 7.45 (t, J = 8.7 Hz, 2H), 7.68 (s, 1H), 7.96 (brs, 1H), 9.79 (brs, 1H).
Synthesis of Compound 78 (I-280)
First Step 2-Amino-N-isopropylethanesulfonamide in a solution of 5-bromo-2,4-dichloropyrimidine (Compound 72, 0.056 ml, 0.439 mmol) in N-methyl-2-pyrrolidinone (1.5 mL) (Compound 73, 88 mg, 0.527 mmol) and N, N-diisopropylethylamine (0.383 ml, 2.19 mmol) were added, and the mixture was stirred at 100 ° C. for 15 minutes. After confirming the progress of the reaction by TLC, tert-butyl piperazine-1-carboxylate (Compound 74, 245 mg, 1.32 mmol) was added, and the mixture was further stirred for 45 minutes. The reaction mixture was poured into ice water and extracted with ethyl acetate. The organic layer was washed with water, dried over anhydrous sodium sulfate, and concentrated under reduced pressure. The residue was subjected to silica gel chromatography, and the fractions eluted with hexane / ethyl acetate = 1/1 were collected to obtain yellow solid compound 75 (197.7 mg, yield 89%).
1 H NMR (DMSO-d6) δ: 1.12 (d, J = 6.3 Hz, 6H), 1.42 (s, 9H), 3.23-3.46 (m, 7H), 3.63-3.74 (m, 6H), 6.99 (t , J = 5.7 Hz, 1H), 7.13 (d, J = 7.2 Hz, 1H), 7.95 (s, 1H).
Second Step Compound 75 (90 mg, 0.177 mmol) in an ethylene glycol dimethyl ether / ethanol (1.5 ml, 2: 1) solution of 4-fluorophenylboronic acid (Compound 76, 37.2 mg, 0.266 mmol), tetrakistri Phenylphosphine palladium (10.3 mg, 0.0089 mmol) and an aqueous sodium carbonate solution (1 mol / L, 1 ml) were added, and the mixture was stirred at 85 ° C. for 2 hours. The reaction mixture was poured into ice water and extracted with ethyl acetate. The organic layer was washed successively with water and a saturated aqueous sodium chloride solution, dried over anhydrous sodium sulfate, and concentrated under reduced pressure. The residue was subjected to silica gel chromatography, and the portion eluted with hexane / ethyl acetate = 1/1 was collected to obtain white compound 77 (76.9 mg, yield 83%).
1 H NMR (DMSO-d6) δ: 1.10 (d, J = 6.6 Hz, 6H), 1.43 (s, 9H), 3.24 (t, J = 6.6 Hz, 2H), 3.38-3.43 (m, 5H), 3.70-3.72 (m, 6H), 6.54 (t, J = 5.4 Hz, 1H), 7.09 (d, J = 7.2 Hz, 1H), 7.25 (t, J = 8.7 Hz, 2H), 7.38 (t, J = 8.7 Hz, 2H), 7.70 (s, 1H).
Hydrochloric acid (0.16 ml, 4 mol / L ethyl acetate solution) was added to a solution of the third step compound 77 (68 mg, 0.130 mmol) in ethyl acetate / methylene chloride (2 ml, 1: 1) under ice-cooling at room temperature. Stir for 3 hours. The reaction solution was concentrated, and the resulting crude product was recrystallized from ethyl acetate / methanol to obtain a pale yellow compound 78 (56.1 mg, 94%).
1 H NMR (DMSO-d6) δ: 1.10 (d, J = 6.6 Hz, 6H), 3.24-3.30 (m, 6H), 3.40 (q, 6.6 Hz, 1H), 3.75-3.77 (m, 2H), 4.11 (brs, 4H), 7.20 (d, J = 7.2 Hz, 1H), 7.34 (t, J = 8.7 Hz, 2H), 7.45 (t, J = 8.7 Hz, 2H), 7.68 (s, 1H), 7.96 (brs, 1H), 9.79 (brs, 1H).
化合物80(I-304)の合成
化合物80の合成は、国際公開番号WO03/087381A1に記載の方法により作製した。Amycolatopsis orientalis由来CYP146遺伝子が挿入された発現ベクターを導入した大腸菌(Escherichia Coli BL21(DE3))を用い行った。滅菌した種培養培地(6.78g/L Na2HPO4(無水),3g/L KH2PO4,0.5g/L NaCl,1g/L NH4Cl,10g/L カザミノ酸,4g/L グルコース,20mg/L チミン,11mg/L CaCl2,95mg/L MgCl2,28mg/L FeSO4,100mg/L Carbenicillin)に植菌し、300rpmの往復振とう機で25℃、24時間培養したものを種母とした。滅菌した本培養培地(6.78g/L Na2HPO4(無水),3g/L KH2PO4,0.5g/L NaCl,1g/L NH4Cl,10g/L カザミノ酸,20mg/L チミン,11mg/L CaCl2,28mg/L FeSO4,80mg/L 5-アミノレブリン酸,100mg/L Carbenicillin,メルク社製0vernight AutoInduction System-Solution I 20ml/L,-Solution II 50ml/L,-Solution III 1ml/L)を5L容通気攪拌培養装置2台に3Lずつ分注し、続いて種母を15mlずつ植菌して25℃、24時間、400rpmで通気培養(3L/min)した。培養液を遠心管に集めて4000rpmで10分間遠心し、上清を除去した菌体に1.2Lのリン酸ナトリウム緩衝液(50mmol/L リン酸ナトリウム(pH7.4),2%グリセロール,50mg/LCarbenicillin,24mg/L イソプロピル-β-チオガラクトピラノシド)を加えて懸濁し、5倍濃縮菌体液を調製した。5倍濃縮菌体液を500ml容広口フラスコ30本に40mlずつ分注し、続いて、N-メチルピペラジンを用いて実施例3に準じて合成した化合物79のDMSO溶液(240mg、0.68mmolの化合物79を30mlのDMSOに溶解)を各1mlずつ添加して反応を開始した。旋回振とう機を用いて28℃,24時間,200rpmで反応後、反応物を遠心管に集めて4000rpmで10分間遠心し、上清をHP20SSカラム(20φx150mm,溶出液:アセトニトリル/水)で粗精製した。さらに粗精製物をC30カラム(Develosil RPAQUEOUS,20φx250mm)を用いて中性条件(溶出液:50mmol/L 酢酸アンモニウム水溶液/アセトニトリル)及び酸性条件(溶出液:0.1%TFA-水/0.1%TFA-アセトニトリル)で繰り返し精製し、化合物80を得た(22mg,0.059mmol)。
1H NMR (DMSO-d6) δ:1.59 (m, 1H), 1.84 (m, 1H), 2.15 (m, 1H), 2.182 (s, 3H), 2.28 (m, 1H), 2.29 (m, 4H), 2.316 (dd, J=17.1, 6.8 Hz, 1H), 2.606 (dd, J=17.1, 4.3 Hz, 1H), 3.22 (m, 2H), 3.59 (m, 4H), 3.69 (m, 2H), 3.86 (m, 1H), 6.47 (brt, J=~6Hz, 1H), 6.91 (brs, 2H)
Synthesis of Compound 80 (I-304)
Compound 80 was synthesized by the method described in International Publication No. WO03 / 088381A1. This was carried out using Escherichia coli BL21 (DE3) into which an expression vector into which the CYP146 gene derived from Amycolatopsis orientalis was inserted was introduced. Sterilized seed culture medium (6.78 g / L Na 2 HPO 4 (anhydrous), 3 g / L KH 2 PO 4 , 0.5 g / L NaCl, 1 g / L NH 4 Cl, 10 g / L casamino acid, 4 g / L Glucose, 20 mg / L thymine, 11 mg / L CaCl 2 , 95 mg / L MgCl 2 , 28 mg / L FeSO 4 , 100 mg / L Carbicillin) and cultured at 25 ° C. for 24 hours on a reciprocating shaker at 300 rpm Was the seed mother. Sterilized main culture medium (6.78 g / L Na 2 HPO 4 (anhydrous), 3 g / L KH 2 PO 4 , 0.5 g / L NaCl, 1 g / L NH 4 Cl, 10 g / L casamino acid, 20 mg / L Thymine, 11 mg / L CaCl 2 , 28 mg / L FeSO 4 , 80 mg / L 5-aminolevulinic acid, 100 mg / L Carbillillin, Merck's 0 version AutoInduction System-Solution I 20 ml / L, -Solution III 50 1 ml / L) was dispensed 3 L at a time into two 5 L aeration and agitation culture apparatuses, then 15 ml of the seed mother was inoculated and aerated (3 L / min) at 25 ° C. for 24 hours at 400 rpm. The culture broth was collected in a centrifuge tube, centrifuged at 4000 rpm for 10 minutes, and the supernatant was removed. Then, 1.2 L of sodium phosphate buffer (50 mmol / L sodium phosphate (pH 7.4), 2% glycerol, 50 mg / LC Carbicillin, 24 mg / L isopropyl-β-thiogalactopyranoside) was added and suspended to prepare a 5-fold concentrated bacterial solution. Dispense 40-fold portions of 5-fold concentrated bacterial body solution into 30 500 ml wide-necked flasks, followed by DMSO solution of compound 79 synthesized according to Example 3 using N-methylpiperazine (240 mg, 0.68 mmol of compound) 79 was dissolved in 30 ml of DMSO, and 1 ml each was added to initiate the reaction. After reaction at 200 ° C. for 24 hours at 28 ° C. using a rotary shaker, the reaction product was collected in a centrifuge tube, centrifuged at 4000 rpm for 10 minutes, and the supernatant was crudely collected on a HP20SS column (20φ × 150 mm, eluent: acetonitrile / water). Purified. Further, the crude product was subjected to neutral conditions (eluent: 50 mmol / L ammonium acetate aqueous solution / acetonitrile) and acidic conditions (eluent: 0.1% TFA-water / 0.1 using a C30 column (Develosil RPAQUEOUS, 20φ × 250 mm). % TFA-acetonitrile) to obtain compound 80 (22 mg, 0.059 mmol).
1 H NMR (DMSO-d6) δ: 1.59 (m, 1H), 1.84 (m, 1H), 2.15 (m, 1H), 2.182 (s, 3H), 2.28 (m, 1H), 2.29 (m, 4H ), 2.316 (dd, J = 17.1, 6.8 Hz, 1H), 2.606 (dd, J = 17.1, 4.3 Hz, 1H), 3.22 (m, 2H), 3.59 (m, 4H), 3.69 (m, 2H) , 3.86 (m, 1H), 6.47 (brt, J = ~ 6Hz, 1H), 6.91 (brs, 2H)
化合物81(I-341)の合成
実施例18で得られた化合物80(6.6mg,18μmol)のテトラヒドロフラン(1.3ml)溶液にピリジン(29μl)、塩化チオニル(52μl)加え、室温で30分攪拌後,さらに塩化チオニル(26μl)を加え1.5時間反応させた。反応液に水,メタノールを加え減圧乾燥し、再びテトラヒドロフラン(1.3ml)に溶解させ,ピリジン(29μl)、塩化チオニル(52μl)加え、室温で2時間反応させた。反応液に水,メタノールを加え減圧乾燥し、ODSカラム(SunFire Prep C18 5μm 10φx150mm)を用い酸性条件(溶出液:0.1%TFA-水/0.1%TFA-アセトニトリル)で精製することで、化合物81を得た(1.1mg,2.8μmol)。
1H NMR (DMSO-d6) δ: 2.08 (m, 1H), 2.13 (m, 1H), 2.39 (m, 2H), 2.81 (m, 1H), 2.83 (s, 3H), 3.05 (m, 2H), 3.13 (m, 1H), 3.24 (m, 2H), 3.248 (t, J=7.3 Hz, 2H), 3.49 (m, 2H), 3.77 (m, 2H) 4.60 (m, 2H) 4.70 (m, 1H)
Synthesis of Compound 81 (I-341)
Pyridine (29 μl) and thionyl chloride (52 μl) were added to a solution of compound 80 (6.6 mg, 18 μmol) obtained in Example 18 in tetrahydrofuran (1.3 ml), and the mixture was stirred at room temperature for 30 minutes, and further thionyl chloride (26 μl). Was allowed to react for 1.5 hours. Water and methanol were added to the reaction solution, dried under reduced pressure, dissolved again in tetrahydrofuran (1.3 ml), pyridine (29 μl) and thionyl chloride (52 μl) were added, and the mixture was reacted at room temperature for 2 hours. Water and methanol were added to the reaction solution, dried under reduced pressure, and purified under acidic conditions (eluent: 0.1% TFA-water / 0.1% TFA-acetonitrile) using an ODS column (SunFire Prep C18 5 μm 10φ × 150 mm). Compound 81 was obtained (1.1 mg, 2.8 μmol).
1 H NMR (DMSO-d6) δ: 2.08 (m, 1H), 2.13 (m, 1H), 2.39 (m, 2H), 2.81 (m, 1H), 2.83 (s, 3H), 3.05 (m, 2H ), 3.13 (m, 1H), 3.24 (m, 2H), 3.248 (t, J = 7.3 Hz, 2H), 3.49 (m, 2H), 3.77 (m, 2H) 4.60 (m, 2H) 4.70 (m , 1H)
化合物85(I-277)の合成
第1工程
化合物82(710mg,2.37mmol)のクロロホルム(18mL)溶液に、N-クロロスクシミド(1.58g,11.9mmol)を加え、80℃で3時間攪拌した。反応液を水に注ぎ、クロロホルムで抽出し、有機層を飽和炭酸水素ナトリウム水溶液、飽和塩化ナトリウム水溶液で洗浄した。無水硫酸マグネシウムで乾燥後、減圧濃縮し、残渣をシリカゲルクロマトグラフィーに付し、ヘキサン/酢酸エチル=70/30にて溶出する部分を集め減圧濃縮することにより、白色固体83(356mg,収率45%)を得た。
1H NMR (CDCl3) δ: 4.49 (2H, t, J = 4.5 Hz), 3.24 (2H, t, J = 4.4 Hz), 2.97 (3H, s).
第2工程
化合物83(275mg,0.82mmol)のテトラヒドロフラン(5mL)溶液に、N,N-ジイソプロピルエチルアミン(0.432mL,2.47mmol)、1-メチルピペラジン(0.138mL,1.24mmol)を加え、50℃で30分間攪拌した。反応液を水に注ぎ、クロロホルムで抽出し、有機層を飽和塩化ナトリウム水溶液で洗浄した。無水硫酸マグネシウムで乾燥後、減圧濃縮し、残渣をシリカゲルクロマトグラフィーに付し、クロロホルム/メタノール=90/10にて溶出する部分を集め減圧濃縮することにより、黄色油状化合物84(190mg,収率81%)を得た。
1H NMR (CDCl3) δ: 4.40 (2H, t, J = 4.5 Hz), 3.75 (4H, t, J = 5.0 Hz), 3.13 (2H, t, J = 4.5 Hz), 2.77 (3H, s), 2.43 (4H, t, J = 5.1 Hz), 2.32 (3H, s).
第3工程
化合物84(50mg,0.17mmol)の1,4-ジオキサン(1mL)溶液に、2-アミノ-N-イソプロピルエタンスルホンアミド塩酸塩(44mg,0.26mmol)、トリス(ジベンジリデンアセトン)ジパラジウム(0)(16mg,0.02mmol)、2-ジシクロヘキシルホスフィノ-2’,6’-ジイソプロポキシ-1,1’-ビフェニル(33mg,0.07mmol)、ナトリウム-tert-ブトキシド(51mg,0.53mmol)を加え、100℃で2時間攪拌した。反応液を水に注ぎ、クロロホルムで抽出し、有機層を飽和塩化ナトリウム水溶液で洗浄した。無水硫酸マグネシウムで乾燥後、減圧濃縮し、残渣をアミノシリカゲルクロマトグラフィーに付し、クロロホルム/メタノール=90/10にて溶出する部分を集め減圧濃縮し、ジエチルエーテルで再結晶することにより、白色固体として化合物85(11mg,収率15%)を得た。
1H NMR (DMSO-d6) δ: 7.11 (1H, d, J = 7.2 Hz), 6.47 (1H, t, J = 5.9 Hz), 4.24 (2H, t, J = 4.2 Hz), 3.67 (2H, q, J = 7.5 Hz), 3.54 (4H, brs), 3.41 (1H, m), 3.24 (2H, t, J = 7.1 Hz), 2.92 (2H, t, J = 4.4 Hz), 2.45 (3H, s), 2.29 (4H, brs), 2.19 (3H, s), 1.12 (6H, d, J = 6.6 Hz).
Synthesis of Compound 85 (I-277)
First Step N-chlorosuccinimide (1.58 g, 11.9 mmol) was added to a solution of compound 82 (710 mg, 2.37 mmol) in chloroform (18 mL), and the mixture was stirred at 80 ° C. for 3 hours. The reaction solution was poured into water and extracted with chloroform, and the organic layer was washed with a saturated aqueous sodium bicarbonate solution and a saturated aqueous sodium chloride solution. The extract was dried over anhydrous magnesium sulfate and concentrated under reduced pressure. The residue was subjected to silica gel chromatography, and the portion eluted with hexane / ethyl acetate = 70/30 was collected and concentrated under reduced pressure to give a white solid 83 (356 mg, yield 45). %).
1 H NMR (CDCl3) δ: 4.49 (2H, t, J = 4.5 Hz), 3.24 (2H, t, J = 4.4 Hz), 2.97 (3H, s).
Second Step To a solution of compound 83 (275 mg, 0.82 mmol) in tetrahydrofuran (5 mL), N, N-diisopropylethylamine (0.432 mL, 2.47 mmol) and 1-methylpiperazine (0.138 mL, 1.24 mmol) were added. In addition, the mixture was stirred at 50 ° C. for 30 minutes. The reaction solution was poured into water, extracted with chloroform, and the organic layer was washed with a saturated aqueous sodium chloride solution. The extract was dried over anhydrous magnesium sulfate and concentrated under reduced pressure. The residue was subjected to silica gel chromatography, and the fraction eluted with chloroform / methanol = 90/10 was collected and concentrated under reduced pressure to give yellow oily compound 84 (190 mg, yield 81). %).
1 H NMR (CDCl3) δ: 4.40 (2H, t, J = 4.5 Hz), 3.75 (4H, t, J = 5.0 Hz), 3.13 (2H, t, J = 4.5 Hz), 2.77 (3H, s) , 2.43 (4H, t, J = 5.1 Hz), 2.32 (3H, s).
Third Step To a solution of compound 84 (50 mg, 0.17 mmol) in 1,4-dioxane (1 mL), 2-amino-N-isopropylethanesulfonamide hydrochloride (44 mg, 0.26 mmol), tris (dibenzylideneacetone) Di-palladium (0) (16 mg, 0.02 mmol), 2-dicyclohexylphosphino-2 ′, 6′-diisopropoxy-1,1′-biphenyl (33 mg, 0.07 mmol), sodium-tert-butoxide (51 mg , 0.53 mmol) and stirred at 100 ° C. for 2 hours. The reaction solution was poured into water, extracted with chloroform, and the organic layer was washed with a saturated aqueous sodium chloride solution. After drying over anhydrous magnesium sulfate and concentrating under reduced pressure, the residue was subjected to amino silica gel chromatography. The fraction eluted with chloroform / methanol = 90/10 was collected and concentrated under reduced pressure, and recrystallized with diethyl ether to give a white solid. As a compound 85 (11 mg, 15% yield).
1 H NMR (DMSO-d6) δ: 7.11 (1H, d, J = 7.2 Hz), 6.47 (1H, t, J = 5.9 Hz), 4.24 (2H, t, J = 4.2 Hz), 3.67 (2H, q, J = 7.5 Hz), 3.54 (4H, brs), 3.41 (1H, m), 3.24 (2H, t, J = 7.1 Hz), 2.92 (2H, t, J = 4.4 Hz), 2.45 (3H, s), 2.29 (4H, brs), 2.19 (3H, s), 1.12 (6H, d, J = 6.6 Hz).
化合物89(I-279)の合成
第1工程
化合物86(100mg,0.46mmol)のテトラヒドロフラン(2mL)/メタノール(1mL)溶液に、氷冷下で水素化ホウ素ナトリウム(17mg,0.46mmol)を加えた後、室温で30分間攪拌した。反応液を1mol/L塩酸水溶液に注ぎ、酢酸エチルで抽出し、有機層を飽和塩化ナトリウム水溶液で洗浄した。無水硫酸マグネシウムで乾燥後、減圧濃縮し、残渣をシリカゲルクロマトグラフィーに付し、ヘキサン/酢酸エチル=30/70にて溶出する部分を集め減圧濃縮することにより、黄色固体87(52mg,収率52%)を得た。
1H NMR (CDCl3) δ: 4.43-4.37 (1H, m), 3.25-2.80 (4H, m), 2.07 (2H, dd, J = 12.3, 6.21 Hz), 1.71 (1H, d, J = 3.7 Hz).
第2工程
化合物87(50mg,0.23mmol)のN-メチルピロリドン(1mL)溶液に、2-アミノ-エタンスルホンアミド塩酸塩(55mg,0.34mmol)、N,N-ジイソプロピエルエチルアミン(0.120mL,0.69mmol)を加えた後、100℃で30分間攪拌した。反応液をシリカゲルクロマトグラフィーに付し、クロロホルム/メタノール=90/10にて溶出する部分を集め減圧濃縮することにより、黄色固体88(98mg)を混合物として得た。化合物88はこれ以上精製することなく、そのまま次の反応に用いた。
第3工程
化合物88(98mg)のN-メチルピロリドン(1mL)溶液に、1-メチルピペラジン(0.254mL,2.28mmol)を加えた後、マイクロウェーブ照射下180℃で30分間攪拌した。反応液をアミノシリカゲルクロマトグラフィーに付し、クロロホルム/メタノール=90/10にて溶出する部分を集め減圧濃縮し、酢酸エチルで再結晶することにより、白色固体として化合物89(45mg,収率53%)を得た。
1H-NMR (DMSO-d6) δ: 6.91 (2H, s), 6.48 (1H, s), 4.80 (1H, d, J = 4.1 Hz), 3.87 (1.0H, brs), 3.68-3.61 (6H, m), 3.22 (2H, t, J = 7.0 Hz), 2.55-2.42 (2H, m), 2.29 (4H, brs), 2.18 (3H, s), 2.09-1.99 (1H, m), 1.81-1.78 (1H, m), 1.63-1.61 (1H, m).
Synthesis of Compound 89 (I-279)
Step 1 To a solution of compound 86 (100 mg, 0.46 mmol) in tetrahydrofuran (2 mL) / methanol (1 mL) was added sodium borohydride (17 mg, 0.46 mmol) under ice-cooling, followed by stirring at room temperature for 30 minutes. did. The reaction solution was poured into a 1 mol / L hydrochloric acid aqueous solution, extracted with ethyl acetate, and the organic layer was washed with a saturated aqueous sodium chloride solution. The extract was dried over anhydrous magnesium sulfate and concentrated under reduced pressure. The residue was subjected to silica gel chromatography, and the fraction eluted with hexane / ethyl acetate = 30/70 was collected and concentrated under reduced pressure to give a yellow solid 87 (52 mg, yield 52). %).
1 H NMR (CDCl3) δ: 4.43-4.37 (1H, m), 3.25-2.80 (4H, m), 2.07 (2H, dd, J = 12.3, 6.21 Hz), 1.71 (1H, d, J = 3.7 Hz ).
Second Step To a solution of compound 87 (50 mg, 0.23 mmol) in N-methylpyrrolidone (1 mL), 2-amino-ethanesulfonamide hydrochloride (55 mg, 0.34 mmol), N, N-diisopropylethylamine (0 120 mL, 0.69 mmol) was added, followed by stirring at 100 ° C. for 30 minutes. The reaction solution was subjected to silica gel chromatography, and the portions eluted with chloroform / methanol = 90/10 were collected and concentrated under reduced pressure to obtain a yellow solid 88 (98 mg) as a mixture. Compound 88 was directly used in the next reaction without further purification.
Third Step To a solution of compound 88 (98 mg) in N-methylpyrrolidone (1 mL) was added 1-methylpiperazine (0.254 mL, 2.28 mmol), and the mixture was stirred at 180 ° C. for 30 minutes under microwave irradiation. The reaction solution was subjected to amino silica gel chromatography, and the portion eluted with chloroform / methanol = 90/10 was collected, concentrated under reduced pressure, and recrystallized with ethyl acetate to give Compound 89 (45 mg, 53% yield) as a white solid. )
1 H-NMR (DMSO-d6) δ: 6.91 (2H, s), 6.48 (1H, s), 4.80 (1H, d, J = 4.1 Hz), 3.87 (1.0H, brs), 3.68-3.61 (6H , m), 3.22 (2H, t, J = 7.0 Hz), 2.55-2.42 (2H, m), 2.29 (4H, brs), 2.18 (3H, s), 2.09-1.99 (1H, m), 1.81- 1.78 (1H, m), 1.63-1.61 (1H, m).
化合物97(I-336)の合成
第1工程
n-ヘキサンで3回洗浄した60%水素化ナトリウム(1.53g,38.3mmol)のテトラヒドロフラン(30mL)溶液に、炭酸ジエチル(3.77g,32.3mmol)を加えた後、80℃で5分間攪拌した。加熱攪拌下、反応液に化合物90(2.79g,12.8mmol)のテトラヒドフラン(10mL)を滴下し、80℃でさらに5時間攪拌した。反応液を1mol/L塩酸水溶液に注ぎ、ジエチルエーテルで抽出し、有機層を水、飽和塩化ナトリウム水溶液で洗浄した。無水硫酸マグネシウムで乾燥後、減圧濃縮することにより、黄色油状化合物91(3.79g)を混合物として得た。化合物91はこれ以上精製することなく、そのまま次の反応に用いた。
第2工程
化合物91(3.79g)のエタノール(30mL)溶液に、28%ナトリウムメトキシド(7.55g,39.2mmol)、尿素(3.92g,65.3mmol)を加えた後、95℃で2時間攪拌した。反応液を減圧濃縮し、濃塩酸を用いてpHを3.5に調整することで、黄色固体が析出した。固体をろ過した後、得られた固体を水で洗浄し、減圧乾燥することにより、黄色固体92(2.06g,2段階収率55%)を得た。
1H NMR (DMSO-d6) δ: 10.86 (1H, s), 10.64 (1H, s), 7.40-7.18 (5H, m), 4.46-4.32 (2H, m), 2.61-2.06 (4H, m), 2.03-1.91 (1H, m), 1.72-1.59 (1H, m), 1.31 (3H, s).
第3工程
化合物92(2.06g,7.19mmol)に、オキシ塩化リン(10.0mL,108mmol)を加えた後、100℃で4時間攪拌した。反応液を減圧濃縮し、氷冷下で水を加えた後、水酸化ナトリウムで中和した。反応液を水に注ぎ、酢酸エチルで抽出し、有機層を水、飽和塩化ナトリウム水溶液で洗浄した。無水硫酸マグネシウムで乾燥後、減圧濃縮し、残渣をシリカゲルクロマトグラフィーに付し、ヘキサン/酢酸エチル=90/10にて溶出する部分を集め減圧濃縮することにより、黄色固体として化合物93(400mg,収率26%)を得た。
1H NMR (CDCl3) δ: 6.42 (1H, dd, J = 3.0, 1.7 Hz), 3.03 (2H, t, J = 8.5 Hz), 2.47 (2H, t, J = 8.5 Hz), 2.03 (3H, d, J = 1.1 Hz).
第4工程
化合物93(250mg,1.16mmol)の塩化メチレン(5mL)溶液に、m-クロロ過安息香酸(401mg,2.33mmol)を加えた後、室温で2時間攪拌した。反応液をシリカゲルクロマトグラフィーに付し、ヘキサン/酢酸エチル=80/20にて溶出する部分を集め減圧濃縮することにより、白色固体として化合物94(181mg,収率67%)を得た。
1H NMR (CDCl3) δ: 4.08 (1H, s), 2.94-2.75 (2H, m), 2.40-2.30 (1H, m), 1.98-1.84 (1H, m), 1.61 (3H, s).
第5工程
化合物94(178mg,0.77mmol)のテトラヒドロフラン(5mL)溶液に、氷冷下で水素化リチウムアルミニウム(28mg,0.77mmol)を加えた後、室温で一晩攪拌した。反応液に氷冷下で水を加えた後、反応液を水に注ぎ、クロロホルムで抽出し、有機層を飽和塩化ナトリウム水溶液で洗浄した。無水硫酸マグネシウムで乾燥後、減圧濃縮し、残渣をシリカゲルクロマトグラフィーに付し、ヘキサン/酢酸エチル=70/30にて溶出する部分を集め減圧濃縮することにより、無色油状化合物として化合物95(73mg,収率41%)を得た。
1H NMR (CDCl3) δ: 3.27-3.11 (1H, m), 2.98-2.83 (2H, m), 2.72 (1H, d, J = 18.0 Hz), 2.06-1.96 (2H, m), 1.90-1.77 (1H, m), 1.49 (3H, s), 1.38 (1H, s).
第6工程
化合物95(94mg,0.40mmol)のN-メチルピロリドン(1.5mL)溶液に、2-アミノ-N-イソプロピルエタンスルホンアミド塩酸塩(98mg,0.48mmol)、N,N-ジイソプロピエルエチルアミン(0.169mL,0.97mmol)を加えた後、100℃で30分間攪拌した。さらに反応液にtert-ブチルピペラジン-1-カルボキシレート(376mg,2.02mmol)を加えた後、マイクロウェーブ照射下150℃で1時間攪拌した。反応液を水に注ぎ、酢酸エチルで抽出し、有機層を水、飽和塩化ナトリウム水溶液で洗浄した。無水硫酸マグネシウムで乾燥後、減圧濃縮し、残渣をシリカゲルクロマトグラフィーに付し、クロロホルム/メタノール=95/5にて溶出する部分を集め減圧濃縮することにより、黄色油状化合物69(277mg)を混合物として得た。化合物96はこれ以上精製することなく、そのまま次の反応に用いた。
第7工程
化合物96(277mg)の塩化メチレン(4mL)溶液に、トリフルオロ酢酸(0.8mL)を加えた後、室温で一晩攪拌した。反応液を減圧濃縮し、塩基性になるまでトリエチルアミンを加えた後、反応液をアミノシリカゲルクロマトグラフィーに付し、クロロホルム/メタノール=90/10にて溶出する部分を集め減圧濃縮し、ジエチルエーテル/酢酸エチルで再結晶することにより、白色固体として化合物97(85mg,収率51%)を得た。
1H NMR (DMSO-d6) δ: 7.08 (1H, d, J = 7.3 Hz), 6.40 (1H, t, J = 5.1 Hz), 4.40 (1H, s), 3.65 (2H, dd, J = 13.8, 6.5 Hz), 3.57-3.48 (4H, m), 3.46-3.35 (1H, m), 3.26-3.19 (2H, m), 2.72-2.53 (5H, m), 2.39-2.15 (3H, m), 1.73-1.50 (2H, m), 1.20 (3H, s), 1.11 (6H, d, J = 6.4 Hz).
Synthesis of Compound 97 (I-336)
First Step Diethyl carbonate (3.77 g, 32.3 mmol) was added to a solution of 60% sodium hydride (1.53 g, 38.3 mmol) in tetrahydrofuran (30 mL) washed three times with n-hexane, and then 80 Stir at 5 ° C. for 5 minutes. Under heating and stirring, tetrahydrofuran (10 mL) of Compound 90 (2.79 g, 12.8 mmol) was added dropwise to the reaction solution, and the mixture was further stirred at 80 ° C. for 5 hours. The reaction solution was poured into a 1 mol / L hydrochloric acid aqueous solution and extracted with diethyl ether, and the organic layer was washed with water and a saturated aqueous sodium chloride solution. After drying over anhydrous magnesium sulfate and concentrating under reduced pressure, yellow oily compound 91 (3.79 g) was obtained as a mixture. Compound 91 was directly used in the next reaction without further purification.
Second Step To a solution of compound 91 (3.79 g) in ethanol (30 mL) was added 28% sodium methoxide (7.55 g, 39.2 mmol) and urea (3.92 g, 65.3 mmol), and then 95 ° C. For 2 hours. The reaction solution was concentrated under reduced pressure, and the pH was adjusted to 3.5 using concentrated hydrochloric acid to precipitate a yellow solid. After filtering the solid, the obtained solid was washed with water and dried under reduced pressure to obtain a yellow solid 92 (2.06 g, 2-step yield 55%).
1 H NMR (DMSO-d6) δ: 10.86 (1H, s), 10.64 (1H, s), 7.40-7.18 (5H, m), 4.46-4.32 (2H, m), 2.61-2.06 (4H, m) , 2.03-1.91 (1H, m), 1.72-1.59 (1H, m), 1.31 (3H, s).
Third Step After adding phosphorus oxychloride (10.0 mL, 108 mmol) to compound 92 (2.06 g, 7.19 mmol), the mixture was stirred at 100 ° C. for 4 hours. The reaction mixture was concentrated under reduced pressure, water was added under ice cooling, and then neutralized with sodium hydroxide. The reaction mixture was poured into water and extracted with ethyl acetate, and the organic layer was washed with water and saturated aqueous sodium chloride solution. After drying over anhydrous magnesium sulfate and concentrating under reduced pressure, the residue was subjected to silica gel chromatography. The fraction eluted with hexane / ethyl acetate = 90/10 was collected and concentrated under reduced pressure to give Compound 93 (400 mg, yield) as a yellow solid. 26%).
1 H NMR (CDCl3) δ: 6.42 (1H, dd, J = 3.0, 1.7 Hz), 3.03 (2H, t, J = 8.5 Hz), 2.47 (2H, t, J = 8.5 Hz), 2.03 (3H, d, J = 1.1 Hz).
Fourth Step To a solution of compound 93 (250 mg, 1.16 mmol) in methylene chloride (5 mL) was added m-chloroperbenzoic acid (401 mg, 2.33 mmol), and the mixture was stirred at room temperature for 2 hours. The reaction solution was subjected to silica gel chromatography, and the portions eluted with hexane / ethyl acetate = 80/20 were collected and concentrated under reduced pressure to obtain Compound 94 (181 mg, 67% yield) as a white solid.
1 H NMR (CDCl3) δ: 4.08 (1H, s), 2.94-2.75 (2H, m), 2.40-2.30 (1H, m), 1.98-1.84 (1H, m), 1.61 (3H, s).
Step 5 To a solution of compound 94 (178 mg, 0.77 mmol) in tetrahydrofuran (5 mL) was added lithium aluminum hydride (28 mg, 0.77 mmol) under ice-cooling, and the mixture was stirred overnight at room temperature. After adding water to the reaction solution under ice-cooling, the reaction solution was poured into water, extracted with chloroform, and the organic layer was washed with a saturated aqueous sodium chloride solution. The extract was dried over anhydrous magnesium sulfate and concentrated under reduced pressure. The residue was subjected to silica gel chromatography, and the fraction eluted with hexane / ethyl acetate = 70/30 was collected and concentrated under reduced pressure to give Compound 95 (73 mg, 73 mg, Yield 41%).
1 H NMR (CDCl3) δ: 3.27-3.11 (1H, m), 2.98-2.83 (2H, m), 2.72 (1H, d, J = 18.0 Hz), 2.06-1.96 (2H, m), 1.90-1.77 (1H, m), 1.49 (3H, s), 1.38 (1H, s).
Step 6 To a solution of compound 95 (94 mg, 0.40 mmol) in N-methylpyrrolidone (1.5 mL), 2-amino-N-isopropylethanesulfonamide hydrochloride (98 mg, 0.48 mmol), N, N-di After adding isopropyl ethylamine (0.169 mL, 0.97 mmol), the mixture was stirred at 100 ° C. for 30 minutes. Further, tert-butyl piperazine-1-carboxylate (376 mg, 2.02 mmol) was added to the reaction solution, and the mixture was stirred at 150 ° C. for 1 hour under microwave irradiation. The reaction mixture was poured into water and extracted with ethyl acetate, and the organic layer was washed with water and saturated aqueous sodium chloride solution. After drying over anhydrous magnesium sulfate and concentrating under reduced pressure, the residue was subjected to silica gel chromatography. The fraction eluted with chloroform / methanol = 95/5 was collected and concentrated under reduced pressure to give yellow oily compound 69 (277 mg) as a mixture. Obtained. Compound 96 was directly used in the next reaction without further purification.
Step 7 To a solution of compound 96 (277 mg) in methylene chloride (4 mL) was added trifluoroacetic acid (0.8 mL), and the mixture was stirred overnight at room temperature. The reaction solution was concentrated under reduced pressure, triethylamine was added until basic, and the reaction solution was subjected to amino silica gel chromatography. The portion eluted with chloroform / methanol = 90/10 was collected and concentrated under reduced pressure, and diethyl ether / Recrystallization with ethyl acetate gave Compound 97 (85 mg, 51% yield) as a white solid.
1 H NMR (DMSO-d6) δ: 7.08 (1H, d, J = 7.3 Hz), 6.40 (1H, t, J = 5.1 Hz), 4.40 (1H, s), 3.65 (2H, dd, J = 13.8 , 6.5 Hz), 3.57-3.48 (4H, m), 3.46-3.35 (1H, m), 3.26-3.19 (2H, m), 2.72-2.53 (5H, m), 2.39-2.15 (3H, m), 1.73-1.50 (2H, m), 1.20 (3H, s), 1.11 (6H, d, J = 6.4 Hz).
化合物104(I-344)の合成
第1工程
2-(ベンジルオキシ)エタンスルホニルクロライド(化合物98、5.80g,24.8mmol)のテトラヒドロフラン(60mL)溶液に、氷冷下でイソプロピルアミン(10.6mLg,124mmol)を加えた後、室温で1時間攪拌した。反応液を水に注ぎ、ジエチルエーテルで抽出し、有機層を水、飽和塩化ナトリウム水溶液で洗浄した。無水硫酸マグネシウムで乾燥後、減圧濃縮し、残渣をシリカゲルクロマトグラフィーに付し、ヘキサン/酢酸エチル=50/50にて溶出する部分を集め減圧濃縮することにより、淡黄色油状化合物として化合物99(5.88g,収率92%)を得た。
1H NMR (CDCl3) δ: 7.43-7.27 (5H, m), 4.54 (2H, s), 4.17 (1H, s), 3.91 (2H, t, J = 5.9 Hz), 3.66-3.51 (1H, m), 3.30 (2H, t, J = 5.9 Hz), 1.14 (6H, d, J = 6.0 Hz).
第2工程
化合物99(5.87g,22.8mmol)のメタノール(120mL)溶液に、20%水酸化パラジウム(10.6mLg,124mmol)を加えた後、水素雰囲気下、室温で2時間攪拌した。反応液をセライトろ過後、減圧濃縮し、残渣をシリカゲルクロマトグラフィーに付し、クロロホルム/メタノール=90/10にて溶出する部分を集め減圧濃縮することにより、無色油状化合物として2-ヒドロキシ-N-イソプロピルエタンスルホンアミド(化合物100、3.60g,収率94%)を得た。
1H NMR (CDCl3) δ: 4.57-4.49 (1H, m), 4.06 (2H, q, J = 5.1 Hz), 3.72-3.59 (1H, m), 3.29-3.25 (2H, m), 2.88-2.81 (1H, m), 1.26 (6H, dd, J = 6.6, 0.86 Hz).
第3工程
化合物101(200mg,0.72mmol)のメタノール(2mL)溶液に、tert-ブチル-4-カルボイミドイルピペラジン-1-カルボキシレート塩酸塩(230mg,0.87mmol)、1規定ナトリムメトキシド/メタノール溶液(1.81mL,1.81mmol)を加えた後、室温で一晩攪拌した。反応液を水に注ぎ、酢酸エチルで抽出し、有機層を水、飽和塩化ナトリウム水溶液で洗浄した。無水硫酸マグネシウムで乾燥後、減圧濃縮した。残渣をジイソプロピルエーテルで洗浄することにより、白色固体として化合物102(274mg,収率86%)を得た。
1H NMR (CDCl3) δ: 11.80 (1H, brs), 7.42-7.25 (5H, m), 4.64 (2H, s), 3.85 (1.0H, t, J = 4.7 Hz), 3.73-3.63 (4H, m), 3.57-3.49 (4H, m), 2.80-2.66 (2H, m), 2.57-2.45 (2H, m), 2.03-1.94 (2H, m), 1.50 (9H, s).
第4工程
化合物102(159mg,0.36mmol)の1,4-ジオキサン(3mL)溶液に、トリフェニルホスフィン(123mg,0.47mmol)、2.2Mジエチルアゾジカルボキシレート/トルエン溶液(0.213mL,0.47mmol)、化合物100(72mg,0.43mmol)の1,4-ジオキサン(0.5mL)溶液を加え、室温で2時間攪拌した。さらにトリフェニルホスフィン(123mg,0.47mmol)、2.2Mジエチルアゾジカルボキシレート/トルエン溶液(0.213mL,0.47mmol)、化合物100(72mg,0.43mmol)の1,4-ジオキサン(0.5 mL)溶液を1時間毎に2度加え、室温で1時間攪拌した。反応液を水に注ぎ、酢酸エチルで抽出し、有機層を水、飽和塩化ナトリウム水溶液で洗浄した。無水硫酸マグネシウムで乾燥後、減圧濃縮し、残渣を逆相のHPLCに付し、0.3%ギ酸を含む水/アセトニトリル=40/60にて溶出する部分を集め減圧濃縮することにより、黄色油状化合物として化合物103(105mg)を混合物として得た。化合物103はこれ以上精製することなく、そのまま次の反応に用いた。
第5工程
化合物103(103mg)のメタノール(12mL)溶液を連続水素化反応装置を用いて、80気圧水素雰囲気下、10%パラジウム炭素を触媒として、80℃で2時間攪拌した。反応液を減圧濃縮した後、塩化メチレン(5mL)、トリフルオロ酢酸(1mL)を加え、室温で1時間攪拌した。反応液を減圧濃縮し、塩基性になるまでトリエチルアミンを加えた後、反応液をアミノシリカゲルクロマトグラフィーに付し、クロロホルム/メタノール=90/10にて溶出する部分を集め減圧濃縮し、ジエチルエーテル/酢酸エチルで再結晶することにより、白色固体として化合物104(31mg,2段階収率22%)を得た。
1H NMR (DMSO-d6) δ: 7.18 (1H, d, J = 7.3 Hz), 4.78 (1H, s), 4.56 (2H, brs), 3.86 (1H, brs), 3.62 (4H, brs), 3.51-3.36 (3H, m), 2.77 (4H, brs), 2.69-2.53 (3H, m), 2.29-2.17 (1H, m), 1.89-1.78 (1H, m), 1.72-1.60 (1H, m), 1.11 (6H, d, J = 5.6 Hz).
Synthesis of Compound 104 (I-344)
Step 1 To a solution of 2- (benzyloxy) ethanesulfonyl chloride (compound 98, 5.80 g, 24.8 mmol) in tetrahydrofuran (60 mL) was added isopropylamine (10.6 mL g, 124 mmol) under ice cooling, Stir at room temperature for 1 hour. The reaction solution was poured into water and extracted with diethyl ether, and the organic layer was washed with water and a saturated aqueous sodium chloride solution. The extract was dried over anhydrous magnesium sulfate and concentrated under reduced pressure. The residue was subjected to silica gel chromatography, and the fraction eluted with hexane / ethyl acetate = 50/50 was collected and concentrated under reduced pressure to give Compound 99 (5 .88 g, 92% yield).
1 H NMR (CDCl3) δ: 7.43-7.27 (5H, m), 4.54 (2H, s), 4.17 (1H, s), 3.91 (2H, t, J = 5.9 Hz), 3.66-3.51 (1H, m ), 3.30 (2H, t, J = 5.9 Hz), 1.14 (6H, d, J = 6.0 Hz).
Second Step 20% palladium hydroxide (10.6 mLg, 124 mmol) was added to a solution of compound 99 (5.87 g, 22.8 mmol) in methanol (120 mL), and the mixture was stirred at room temperature for 2 hours in a hydrogen atmosphere. The reaction mixture was filtered through celite and concentrated under reduced pressure. The residue was subjected to silica gel chromatography, and the fraction eluted with chloroform / methanol = 90/10 was collected and concentrated under reduced pressure to give 2-hydroxy-N— as a colorless oily compound. Isopropylethanesulfonamide (Compound 100, 3.60 g, 94% yield) was obtained.
1 H NMR (CDCl3) δ: 4.57-4.49 (1H, m), 4.06 (2H, q, J = 5.1 Hz), 3.72-3.59 (1H, m), 3.29-3.25 (2H, m), 2.88-2.81 (1H, m), 1.26 (6H, dd, J = 6.6, 0.86 Hz).
Step 3 To a solution of compound 101 (200 mg, 0.72 mmol) in methanol (2 mL) was added tert-butyl-4-carbomidoylpiperazine-1-carboxylate hydrochloride (230 mg, 0.87 mmol), 1N sodium methoxide. / Methanol solution (1.81 mL, 1.81 mmol) was added, and the mixture was stirred overnight at room temperature. The reaction mixture was poured into water and extracted with ethyl acetate, and the organic layer was washed with water and saturated aqueous sodium chloride solution. The extract was dried over anhydrous magnesium sulfate and concentrated under reduced pressure. The residue was washed with diisopropyl ether to obtain Compound 102 (274 mg, yield 86%) as a white solid.
1 H NMR (CDCl3) δ: 11.80 (1H, brs), 7.42-7.25 (5H, m), 4.64 (2H, s), 3.85 (1.0H, t, J = 4.7 Hz), 3.73-3.63 (4H, m), 3.57-3.49 (4H, m), 2.80-2.66 (2H, m), 2.57-2.45 (2H, m), 2.03-1.94 (2H, m), 1.50 (9H, s).
Step 4 Compound 102 (159 mg, 0.36 mmol) in 1,4-dioxane (3 mL) was added to triphenylphosphine (123 mg, 0.47 mmol), 2.2 M diethylazodicarboxylate / toluene solution (0.213 mL). , 0.47 mmol), and a solution of compound 100 (72 mg, 0.43 mmol) in 1,4-dioxane (0.5 mL) were added and stirred at room temperature for 2 hours. Further, triphenylphosphine (123 mg, 0.47 mmol), 2.2 M diethylazodicarboxylate / toluene solution (0.213 mL, 0.47 mmol), compound 100 (72 mg, 0.43 mmol) in 1,4-dioxane (0 0.5 mL) solution was added twice every hour and stirred at room temperature for 1 hour. The reaction mixture was poured into water and extracted with ethyl acetate, and the organic layer was washed with water and saturated aqueous sodium chloride solution. After drying over anhydrous magnesium sulfate and concentrating under reduced pressure, the residue was subjected to reverse phase HPLC, and the fraction eluted with water / acetonitrile containing 0.3% formic acid = 40/60 was collected and concentrated under reduced pressure to give a yellow oil. Compound 103 (105 mg) was obtained as a mixture as a compound. Compound 103 was directly used in the next reaction without further purification.
Fifth Step A methanol (12 mL) solution of compound 103 (103 mg) was stirred at 80 ° C. for 2 hours using 10% palladium on carbon as a catalyst in a hydrogen atmosphere of 80 atm using a continuous hydrogenation reactor. The reaction mixture was concentrated under reduced pressure, methylene chloride (5 mL) and trifluoroacetic acid (1 mL) were added, and the mixture was stirred at room temperature for 1 hr. The reaction solution was concentrated under reduced pressure, triethylamine was added until basic, and the reaction solution was subjected to amino silica gel chromatography. The portion eluted with chloroform / methanol = 90/10 was collected and concentrated under reduced pressure, and diethyl ether / Recrystallization from ethyl acetate gave Compound 104 (31 mg, two-stage yield 22%) as a white solid.
1 H NMR (DMSO-d6) δ: 7.18 (1H, d, J = 7.3 Hz), 4.78 (1H, s), 4.56 (2H, brs), 3.86 (1H, brs), 3.62 (4H, brs), 3.51-3.36 (3H, m), 2.77 (4H, brs), 2.69-2.53 (3H, m), 2.29-2.17 (1H, m), 1.89-1.78 (1H, m), 1.72-1.60 (1H, m ), 1.11 (6H, d, J = 5.6 Hz).
化合物111(I-351)の合成
第1工程
化合物105(5g,26.6mmol)のエタノール(40mL)溶液に、28%ナトリウムメトキシド(15.37g,80.0mmol)、尿素(7.98g,133mmol)を加え、95℃で2時間攪拌した。氷冷下で反応液に濃塩酸を加えpHを3.5に調整した後、減圧濃縮した。残渣に水を加えろ取した後、大量の水で洗浄し、減圧乾燥することにより、白色固体106(1.96g,収率40%)を得た。
1H NMR (DMSO-d6) δ: 11.04 (1H, brs), 10.76 (1H, brs), 3.27 (2H, s), 2.80 (2H, t, J = 5.8 Hz), 2.57 (2H, t, J = 5.6 Hz).
第2工程
化合物106(1.95g,10.6 mmol)に、オキシ塩化リン(9.84mL,106mmol)、N,N-ジメチルホルムアミド(触媒量)を加え、100℃で3時間攪拌した。反応液をゆっくりと氷水に注ぎ、析出した固体をろ取した後、大量の水で洗浄し、減圧乾燥することにより、白色固体107(2g,収率86%)を得た。
1H NMR (CDCl3) δ: 3.81 (2H, s), 3.23 (2H, t, J = 6.0 Hz), 2.96 (2H, t, J = 6.1 Hz).
第3工程
化合物107(500mg,2.26mmol)の塩化メチレン(10mL)溶液に、氷冷下でm-クロロ過安息香酸(585mg,3.39mmol)を加え、室温で1時間攪拌した。反応液をシリカゲルクロマトグラフィーに付し、クロロホルム/メタノール=97/3にて溶出する部分を集め減圧濃縮することにより、混合物として化合物108(596mg)を得た。化合物108はこれ以上精製することなく、次の反応に用いた。
1H NMR (CDCl3) δ: 4.21 (1H, dd, J = 17.2, 2.4 Hz), 3.79-3.68 (2H, m), 3.48-3.40 (1H, m), 3.22 (1H, dt, J = 18.9, 4.0 Hz), 2.86 (1H, dt, J = 19.5, 6.4 Hz).
第4工程
化合物108(195mg)の塩化メチレン(4mL)溶液に、氷冷下でm-クロロ過安息香酸(213mg,1.23mmol)を加え、室温で1時間攪拌した。反応液を1mol/L水酸化ナトリウム水溶液に注ぎ、酢酸エチルで抽出した。有機層を飽和塩化ナトリウム水溶液で洗浄し、無水硫酸マグネシウムで乾燥後、減圧濃縮することにより、白色固体として化合物109(154mg,2段階収率74%)を得た。
1H NMR (CDCl3) δ: 4.35 (2H, s), 3.66 (2H, t, J = 6.6 Hz), 3.46 (2H, t, J = 6.6 Hz).
第5工程
化合物109(96mg,0.38mmol)のN-メチルピロリドン(1.5mL)溶液に、2-アミノ-N-イソプロピルエタンスルホンアミド塩酸塩(92mg,0.46mmol)、N,N-ジイソプロピエルエチルアミン(0.166mL,0.95mmol)を加えた後、100℃で30分間攪拌した。さらに反応液にtert-ブチルピペラジン-1-カルボキシレート(212mg,1.14mmol)を加えた後、マイクロウェーブ照射下150℃で1時間攪拌した。反応液を水に注ぎ、酢酸エチルで抽出し、有機層を水、飽和塩化ナトリウム水溶液で洗浄した。無水硫酸マグネシウムで乾燥後、減圧濃縮し、クロロホルムで再結晶することにより、白色固体として化合物110(152mg,収率75%)を得た。
1H NMR (DMSO-d6) δ: 7.14 (1H, d, J = 7.1 Hz), 6.93 (1H, t, J = 5.3 Hz), 3.98 (2H, s), 3.69 (4H, brs), 3.45 (2H, t, J = 5.8 Hz), 3.26 (2H, t, J = 7.3 Hz), 3.02 (2H, t, J = 6.4 Hz), 1.44 (9H, s), 1.14 (6H, d, J = 6.6 Hz).
第6工程
化合物110(149mg,0.28mmol)の塩化メチレン(4mL)溶液に、トリフルオロ酢酸(0.8mL)を加えた後、室温で1時間攪拌した。反応液を減圧濃縮し、塩基性になるまでトリエチルアミンを加えた後、反応液をアミノシリカゲルクロマトグラフィーに付し、クロロホルム/メタノール=95/5にて溶出する部分を集め減圧濃縮し、酢酸エチルで再結晶することにより、白色固体として化合物111(57mg,収率47%)を得た。
1H NMR (DMSO-d6) δ: 7.11 (1H, d, J = 7.2 Hz), 6.83 (1H, t, J = 6.0 Hz), 3.94(2H, s), 3.68-3.58 (6H, m), 3.43-3.20 (6H, m), 2.98 (2H, t, J = 6.6 Hz), 2.68 (4H, brs), 1.11 (6H, d, J = 6.6 Hz)
Synthesis of Compound 111 (I-351)
First Step 28% sodium methoxide (15.37 g, 80.0 mmol) and urea (7.98 g, 133 mmol) were added to a solution of compound 105 (5 g, 26.6 mmol) in ethanol (40 mL), and 2% at 95 ° C. Stir for hours. Concentrated hydrochloric acid was added to the reaction solution under ice cooling to adjust the pH to 3.5, followed by concentration under reduced pressure. Water was added to the residue and collected by filtration, washed with a large amount of water, and dried under reduced pressure to obtain a white solid 106 (1.96 g, yield 40%).
1 H NMR (DMSO-d6) δ: 11.04 (1H, brs), 10.76 (1H, brs), 3.27 (2H, s), 2.80 (2H, t, J = 5.8 Hz), 2.57 (2H, t, J = 5.6 Hz).
Second Step To compound 106 (1.95 g, 10.6 mmol), phosphorus oxychloride (9.84 mL, 106 mmol) and N, N-dimethylformamide (catalytic amount) were added, and the mixture was stirred at 100 ° C. for 3 hours. The reaction solution was slowly poured into ice water, and the precipitated solid was collected by filtration, washed with a large amount of water, and dried under reduced pressure to obtain a white solid 107 (2 g, yield 86%).
1 H NMR (CDCl3) δ: 3.81 (2H, s), 3.23 (2H, t, J = 6.0 Hz), 2.96 (2H, t, J = 6.1 Hz).
Third Step m-Chloroperbenzoic acid (585 mg, 3.39 mmol) was added to a methylene chloride (10 mL) solution of Compound 107 (500 mg, 2.26 mmol) under ice cooling, and the mixture was stirred at room temperature for 1 hour. The reaction solution was subjected to silica gel chromatography, and the fraction eluted with chloroform / methanol = 97/3 was collected and concentrated under reduced pressure to obtain Compound 108 (596 mg) as a mixture. Compound 108 was used in the next reaction without further purification.
1 H NMR (CDCl3) δ: 4.21 (1H, dd, J = 17.2, 2.4 Hz), 3.79-3.68 (2H, m), 3.48-3.40 (1H, m), 3.22 (1H, dt, J = 18.9, 4.0 Hz), 2.86 (1H, dt, J = 19.5, 6.4 Hz).
Fourth Step To a solution of compound 108 (195 mg) in methylene chloride (4 mL) was added m-chloroperbenzoic acid (213 mg, 1.23 mmol) under ice cooling, and the mixture was stirred at room temperature for 1 hour. The reaction solution was poured into a 1 mol / L aqueous sodium hydroxide solution and extracted with ethyl acetate. The organic layer was washed with a saturated aqueous sodium chloride solution, dried over anhydrous magnesium sulfate, and concentrated under reduced pressure to obtain Compound 109 (154 mg, two-stage yield 74%) as a white solid.
1 H NMR (CDCl3) δ: 4.35 (2H, s), 3.66 (2H, t, J = 6.6 Hz), 3.46 (2H, t, J = 6.6 Hz).
Fifth Step To a solution of compound 109 (96 mg, 0.38 mmol) in N-methylpyrrolidone (1.5 mL), 2-amino-N-isopropylethanesulfonamide hydrochloride (92 mg, 0.46 mmol), N, N-di After adding isopropyl ethylamine (0.166 mL, 0.95 mmol), the mixture was stirred at 100 ° C. for 30 minutes. Further, tert-butyl piperazine-1-carboxylate (212 mg, 1.14 mmol) was added to the reaction solution, and the mixture was stirred at 150 ° C. for 1 hour under microwave irradiation. The reaction mixture was poured into water and extracted with ethyl acetate, and the organic layer was washed with water and saturated aqueous sodium chloride solution. The extract was dried over anhydrous magnesium sulfate, concentrated under reduced pressure, and recrystallized from chloroform to give Compound 110 (152 mg, yield 75%) as a white solid.
1 H NMR (DMSO-d6) δ: 7.14 (1H, d, J = 7.1 Hz), 6.93 (1H, t, J = 5.3 Hz), 3.98 (2H, s), 3.69 (4H, brs), 3.45 ( 2H, t, J = 5.8 Hz), 3.26 (2H, t, J = 7.3 Hz), 3.02 (2H, t, J = 6.4 Hz), 1.44 (9H, s), 1.14 (6H, d, J = 6.6 Hz).
Step 6 To a solution of compound 110 (149 mg, 0.28 mmol) in methylene chloride (4 mL) was added trifluoroacetic acid (0.8 mL), and the mixture was stirred at room temperature for 1 hour. The reaction solution was concentrated under reduced pressure, triethylamine was added until basic, and the reaction solution was subjected to amino silica gel chromatography. The portion eluted with chloroform / methanol = 95/5 was collected and concentrated under reduced pressure. Recrystallization gave compound 111 (57 mg, 47% yield) as a white solid.
1 H NMR (DMSO-d6) δ: 7.11 (1H, d, J = 7.2 Hz), 6.83 (1H, t, J = 6.0 Hz), 3.94 (2H, s), 3.68-3.58 (6H, m), 3.43-3.20 (6H, m), 2.98 (2H, t, J = 6.6 Hz), 2.68 (4H, brs), 1.11 (6H, d, J = 6.6 Hz)
化合物114(I-352)の合成
第1工程
実施例24第2工程で得られた化合物107(100mg,0.45mmol)のN-メチルピロリドン(1.5mL)溶液に、2-アミノ-N-イソプロピルエタンスルホンアミド塩酸塩(110mg,0.54mmol)、N,N-ジイソプロピエルエチルアミン(0.197mL,1.13mmol)を加えた後、100℃で30分間攪拌した。さらに反応液にtert-ブチルピペラジン-1-カルボキシレート(253mg,1.36 mmol)を加えた後、マイクロウェーブ照射下150℃で1時間攪拌した。反応液を水に注ぎ、酢酸エチルで抽出し、有機層を水、飽和塩化ナトリウム水溶液で洗浄した。無水硫酸マグネシウムで乾燥後、減圧濃縮し、残渣をシリカゲルクロマトグラフィーに付し、ヘキサン/酢酸エチル= 40/60にて溶出する部分を集め減圧濃縮することにより、無色粉末として化合物112(188mg,収率83%)を得た。
1H NMR (CDCl3) δ: 5.19 (1H, t, J = 5.6 Hz), 4.15 (1H, d, J = 7.3 Hz), 3.96 (2H, q, J = 5.7 Hz), 3.74-3.58 (5H, m), 3.46 (4H, t, J = 5.1 Hz), 3.36 (2H, s), 3.30 (2H, t, J = 5.5 Hz), 2.91-2.81 (4H, m), 1.49 (9H, s), 1.23 (6H, d, J = 6.6 Hz).
第2工程
化合物112(186mg,0.37mmol)の塩化メチレン(5mL)溶液に、氷冷下でm-クロロ過安息香酸(96mg,0.56mmol)を加え、室温で4時間攪拌した。反応液をシリカゲルクロマトグラフィーに付し、クロロホルム/メタノール=90/10にて溶出する部分を集め減圧濃縮することにより、混合物として化合物113(151mg)を得た。化合物113はこれ以上精製することなく、次の反応に用いた。
第3工程
化合物113(149mg)の塩化メチレン(4mL)溶液に、トリフルオロ酢酸(0.8mL)を加えた後、室温で1時間攪拌した。反応液を減圧濃縮し、塩基性になるまでトリエチルアミンを加えた後、反応液をアミノシリカゲルクロマトグラフィーに付し、クロロホルム/メタノール=90/10にて溶出する部分を集め減圧濃縮し、酢酸エチルで再結晶することにより、白色固体として化合物114(94mg,2段階収率61%)を得た。
1H NMR (DMSO-d6) δ: 7.11 (1H, d, J = 6.9 Hz), 6.82 (1H, brs), 3.68-3.21(9H, m), 3.13-2.91 (4H, m), 2.69-2.62 (6H, m), 1.11 (6H, d, J = 6.6 Hz)
Synthesis of Compound 114 (I-352)
First Step Example 24 To a solution of compound 107 (100 mg, 0.45 mmol) obtained in the second step in N-methylpyrrolidone (1.5 mL), 2-amino-N-isopropylethanesulfonamide hydrochloride (110 mg, 0.54 mmol) and N, N-diisopropylethylamine (0.197 mL, 1.13 mmol) were added, followed by stirring at 100 ° C. for 30 minutes. Further, tert-butyl piperazine-1-carboxylate (253 mg, 1.36 mmol) was added to the reaction solution, and the mixture was stirred at 150 ° C. for 1 hour under microwave irradiation. The reaction mixture was poured into water and extracted with ethyl acetate, and the organic layer was washed with water and saturated aqueous sodium chloride solution. The extract was dried over anhydrous magnesium sulfate and concentrated under reduced pressure. The residue was subjected to silica gel chromatography, and the fraction eluted with hexane / ethyl acetate = 40/60 was collected and concentrated under reduced pressure to give Compound 112 (188 mg, yield) as a colorless powder. 83%).
1 H NMR (CDCl3) δ: 5.19 (1H, t, J = 5.6 Hz), 4.15 (1H, d, J = 7.3 Hz), 3.96 (2H, q, J = 5.7 Hz), 3.74-3.58 (5H, m), 3.46 (4H, t, J = 5.1 Hz), 3.36 (2H, s), 3.30 (2H, t, J = 5.5 Hz), 2.91-2.81 (4H, m), 1.49 (9H, s), 1.23 (6H, d, J = 6.6 Hz).
Second Step To a solution of compound 112 (186 mg, 0.37 mmol) in methylene chloride (5 mL) was added m-chloroperbenzoic acid (96 mg, 0.56 mmol) under ice cooling, and the mixture was stirred at room temperature for 4 hours. The reaction solution was subjected to silica gel chromatography, and the portion eluted with chloroform / methanol = 90/10 was collected and concentrated under reduced pressure to obtain Compound 113 (151 mg) as a mixture. Compound 113 was used in the next reaction without further purification.
Third Step To a solution of compound 113 (149 mg) in methylene chloride (4 mL) was added trifluoroacetic acid (0.8 mL), and the mixture was stirred at room temperature for 1 hour. The reaction solution was concentrated under reduced pressure, triethylamine was added until basic, and the reaction solution was subjected to amino silica gel chromatography. The portion eluted with chloroform / methanol = 90/10 was collected and concentrated under reduced pressure. Recrystallization gave compound 114 (94 mg, 2-step yield 61%) as a white solid.
1 H NMR (DMSO-d6) δ: 7.11 (1H, d, J = 6.9 Hz), 6.82 (1H, brs), 3.68-3.21 (9H, m), 3.13-2.91 (4H, m), 2.69-2.62 (6H, m), 1.11 (6H, d, J = 6.6 Hz)
一般的製造法および実施例に記載の方法に準じて以下の化合物を得た。構造および物性を以下に示す。
(化合物の同定方法)
本発明の化合物のLC/MSデータは、以下の9つの条件(メソッドA~F、S、Y、Z)のいずれかで測定し、保持時間および[M+H]+を示した。
The following compounds were obtained according to the general production methods and the methods described in the examples. The structure and physical properties are shown below.
(Compound identification method)
The LC / MS data of the compounds of the present invention were measured under any of the following nine conditions (Methods A to F, S, Y, Z) and indicated retention time and [M + H] + .
(メソッドA)
カラム:Xbridge C18(5μm、i.d.4.6x50mm)(Waters)
流速:3 mL/分
UV検出波長:254nm
移動相:[A]は0.1%ギ酸含有水溶液、[B]は0.1%ギ酸含有アセトニトリル溶液
グラジェント:3分間で10%-100%溶媒[B]のリニアグラジエントを行い、1分間、100%溶媒[B]を維持した。
(メソッドB)
カラム:Shim-pack XR-ODS (2.2μm、i.d.50x3.0mm) (Shimadzu)
流速:1.6 mL/分
UV検出波長:254nm
移動相:[A]は0.1%ギ酸含有水溶液、[B]は0.1%ギ酸含有アセトニトリル溶液
グラジェント:3分間で10%-100%溶媒[B]のリニアグラジエントを行い、1分間、100%溶媒[B]を維持した。
(メソッドC)
カラム:Gemini-NX (5μm、i.d.4.6x50mm)(Phenomenex)
流速:3 mL/分
UV検出波長:254nm
移動相:[A]は0.1%ギ酸含有水溶液、[B]は0.1%ギ酸含有メタノール溶液
グラジェント:3.5分間で5%-100%溶媒[B]のリニアグラジエントを行い、0.5分間、100%溶媒[B]を維持した。
(メソッドD)
カラム:Gemini-NX (5μm、i.d.4.6x50mm)(Phenomenex)
流速:3 mL/分
UV検出波長:254nm
移動相:[A]は10mM炭酸アンモニウム含有水溶液、[B]はメタノール
グラジェント:3.5分間で5%-100%溶媒[B]のリニアグラジエントを行い、0.5分間、100%溶媒[B]を維持した。
(メソッドE)
カラム::Gemini-NX (C18, 5μm AXIA Packed , i.d.21.2 x 50mm)(Phenomenex)
流速:25 mL/分
UV検出波長:254nm
移動相:[A]は10mM炭酸アンモニウム含有水溶液、[B]はメタノール
グラジェント:4分間のリニアグラジエントを行い、1分間、100%溶媒[B]を維持した。
(メソッドF)
カラム:ACQUITY UPLC BEH C18 (1.7μm i.d.2.1x50mm) (Waters)
流速:0.9 mL/分
UV検出波長:254nm
移動相:[A]は0.1%ギ酸含有水溶液、[B]は0.1%ギ酸含有アセトニトリル溶液
グラジェント:3.5分間で10%-100%溶媒[B]のリニアグラジエントを行い、0.5分間、100%溶媒[B]を維持した。
(メソッドS)
カラム:ACQUITY UPLC BEH C18 (1.7μm i.d.2.1x50mm) (Waters)
流速:0.8 mL/分
UV検出波長:254nm
移動相:[A]は10mM炭酸アンモニウム含有水溶液、[B]はアセトニトリル
グラジェント:3.5分間で5%-100%溶媒[B]のリニアグラジエントを行い、0.5分間、100%溶媒[B]を維持した。
(メソッドY)
カラム:Develosil C30-UG-5 4.6x150 (野村化学)
流速:1.0 mL/分
UV検出波長:230nm
移動相:[A]は0.05%TFA含有水溶液、[B]は0.05%TFA含有アセトニトリル
グラジェント:3分間で2%溶媒[B]を維持し、次いで5分間で2-20%溶媒[B]のグラジエントを行った。
(メソッドZ)
カラム:SunFire C18 3.5μm 4.6x50 (waters)
流速:1.0 mL/分
UV検出波長:230nm
移動相:[A]は0.1%TFA含有水溶液、[B]は0.1%TFA含有アセトニトリル
グラジェント:8分間で2-20%溶媒[B]のグラジエントを行った。
(Method A)
Column: Xbridge C18 (5 μm, id 4.6 × 50 mm) (Waters)
Flow rate: 3 mL / min UV detection wavelength: 254 nm
Mobile phase: [A] is 0.1% formic acid-containing aqueous solution, [B] is 0.1% formic acid-containing acetonitrile solution Gradient: Linear gradient of 10% -100% solvent [B] in 3 minutes, 1 minute 100% solvent [B] was maintained.
(Method B)
Column: Shim-pack XR-ODS (2.2 μm, id 50 × 3.0 mm) (Shimadzu)
Flow rate: 1.6 mL / min UV detection wavelength: 254 nm
Mobile phase: [A] is 0.1% formic acid-containing aqueous solution, [B] is 0.1% formic acid-containing acetonitrile solution Gradient: Linear gradient of 10% -100% solvent [B] in 3 minutes, 1 minute 100% solvent [B] was maintained.
(Method C)
Column: Gemini-NX (5 μm, id 4.6 × 50 mm) (Phenomenex)
Flow rate: 3 mL / min UV detection wavelength: 254 nm
Mobile phase: [A] is a 0.1% formic acid-containing aqueous solution, [B] is a 0.1% formic acid-containing methanol solution. 100% solvent [B] was maintained for 0.5 minutes.
(Method D)
Column: Gemini-NX (5 μm, id 4.6 × 50 mm) (Phenomenex)
Flow rate: 3 mL / min UV detection wavelength: 254 nm
Mobile phase: [A] is a 10 mM ammonium carbonate-containing aqueous solution, [B] is a methanol gradient: 5% -100% solvent [B] is linearly gradient over 3.5 minutes, and 100% solvent [B] is added for 0.5 minutes. B] was maintained.
(Method E)
Column :: Gemini-NX (C18, 5 μm AXIA Packed, id 21.2 × 50 mm) (Phenomenex)
Flow rate: 25 mL / min UV detection wavelength: 254 nm
Mobile phase: [A] was a 10 mM ammonium carbonate-containing aqueous solution, [B] was a methanol gradient: linear gradient of 4 minutes, and 100% solvent [B] was maintained for 1 minute.
(Method F)
Column: ACQUITY UPLC BEH C18 (1.7 μm id 2.1 × 50 mm) (Waters)
Flow rate: 0.9 mL / min UV detection wavelength: 254 nm
Mobile phase: [A] is 0.1% formic acid-containing aqueous solution, [B] is 0.1% formic acid-containing acetonitrile solution Gradient: Linear gradient of 10% -100% solvent [B] in 3.5 minutes 100% solvent [B] was maintained for 0.5 minutes.
(Method S)
Column: ACQUITY UPLC BEH C18 (1.7 μm id 2.1 × 50 mm) (Waters)
Flow rate: 0.8 mL / min UV detection wavelength: 254 nm
Mobile phase: [A] is an aqueous solution containing 10 mM ammonium carbonate, [B] is an acetonitrile gradient: linear gradient of 5% -100% solvent [B] is performed for 3.5 minutes, and 100% solvent [B] is added for 0.5 minutes. B] was maintained.
(Method Y)
Column: Develosil C30-UG-5 4.6x150 (Nomura Chemical)
Flow rate: 1.0 mL / min UV detection wavelength: 230 nm
Mobile phase: [A] is 0.05% TFA-containing aqueous solution, [B] is 0.05% TFA-containing acetonitrile gradient: 2% solvent [B] is maintained for 3 minutes, then 2-20% for 5 minutes A gradient of solvent [B] was performed.
(Method Z)
Column: SunFire C18 3.5 μm 4.6 × 50 (waters)
Flow rate: 1.0 mL / min UV detection wavelength: 230 nm
Mobile phase: [A] was 0.1% TFA-containing aqueous solution, [B] was 0.1% TFA-containing acetonitrile gradient: 2-20% solvent [B] was gradient over 8 minutes.
試験例 ヒスタミンH4受容体の結合試験
ヒトヒスタミンH4受容体強制発現CHO-K1細胞膜画分(PerkinElmer)、放射リガンド[3H]-Histamine(PerkinElmer)を使用し、結合用緩衝液(50mmol/L Tris-HCl pH7.4, 5mmol/L EDTA)中で受容体結合アッセイを実施した。
ヒトヒスタミンH4受容体発現膜画分15μgを懸濁した結合用緩衝液中に終濃度15nmol/Lの[3H]-Histamineを添加し、反応体積150μLで室温、60分間インキュベートした。非特異的結合は、100μmol/Lの非標識ヒスタミン二塩酸塩(Nakalai Tesque)存在下でインキュベートすることで測定した。PerkinElmerセルハーベスターを使用した急速ろ過で0.5% PEIコートUnifilterplate GF/B(PerkinElmer)上に膜画分を回収し、350μLの氷冷50mmol/L Tris-HCl,pH7.4で6回洗浄した。フィルターを風乾後、シンチレーションカクテルMicroscinti-MS(PerkinElmer)と混和し、Topcount液体シンチレーション・カウンター(PerkinElmer)でフィルターにトラップされた放射能を測定した。
化合物の存在下で前記の反応を行うことにより、被検化合物の[3H]-Histamineに対する競合能を測定した。化合物希釈列により6点線量応答曲線を作成し、エクセルおよびXL-fitを使用してIC50を求めた。Ki値はCheng-Prusoff式によってIC50を変換して導出した。
Test Example Binding test of histamine H4 receptor Human histamine H4 receptor forced expression CHO-K1 cell membrane fraction (PerkinElmer), radioligand [3H] -histamine (PerkinElmer) was used, and binding buffer (50 mmol / L Tris- Receptor binding assays were performed in HCl pH 7.4, 5 mmol / L EDTA).
[3H] -Histamine with a final concentration of 15 nmol / L was added to a binding buffer in which 15 μg of the human histamine H4 receptor-expressing membrane fraction was suspended, and incubated at a reaction volume of 150 μL at room temperature for 60 minutes. Nonspecific binding was determined by incubating in the presence of 100 μmol / L unlabeled histamine dihydrochloride (Nakalai Tesque). Membrane fractions were collected on 0.5% PEI coated Unifilterplate GF / B (PerkinElmer) by rapid filtration using a PerkinElmer cell harvester and washed 6 times with 350 μL ice-cold 50 mmol / L Tris-HCl, pH 7.4. . The filter was air-dried, mixed with a scintillation cocktail Microscinti-MS (PerkinElmer), and the radioactivity trapped on the filter was measured with a Topcount liquid scintillation counter (PerkinElmer).
By conducting the above reaction in the presence of the compound, the ability of the test compound to compete with [3H] -histamine was measured. A 6-point dose response curve was generated by the compound dilution series, and IC 50 was determined using Excel and XL-fit. The Ki value was derived by converting IC 50 using the Cheng-Prusoff equation.
本発明化合物のヒスタミンH4受容体の結合試験の結果を以下の表に示す。表中の単位nMは、nmol/Lを示す。
試験例 ヒスタミンH3受容体の結合試験
ヒト由来ヒスタミンH3受容体強制発現CHO-K1細胞膜画分(PerkinElmer)、放射リガンド[3H]-Histamine(PerkinElmer)を使用し、結合用緩衝液(50mmol/L Tris-HCl pH7.4, 5mmol/L EDTA)中で受容体結合アッセイを実施した。
ヒスタミンH3受容体発現膜画分15μgを懸濁した結合用緩衝液中に終濃度15nmol/Lの[3H]-Histamineを添加し、反応体積150μLで室温、60分間インキュベートした。非特異的結合は、100μmol/Lの非標識ヒスタミン二塩酸塩(Nakalai Tesque)存在下でインキュベートすることで測定した。PerkinElmerセルハーベスターを使用した急速ろ過で0.5% PEIコートUnifilterplate GF/B(PerkinElmer)上に膜画分を回収し、350μLの氷冷50mM Tris-HCl,pH7.4で6回洗浄した。フィルターを風乾後、シンチレーションカクテルMicroscinti-MS(PerkinElmer)と混和し、Topcount液体シンチレーション・カウンター(PerkinElmer)でフィルターにトラップされた放射能を測定した。
化合物の存在下で前記の反応を行うことにより、被検化合物の[3H]-Histamineに対する競合能を測定した。化合物希釈列により6点線量応答曲線を作成し、エクセルおよびXL-fitを使用してIC50を求めた。Ki値はCheng-Prusoff式によってIC50を変換して導出した。
(結果)ヒスタミンH3受容体の結合試験の結果を以下に示す。
I-001: 2700nmol/L
I-002: >3000nmol/L
I-007: 2300nmol/L
I-010: >3000nmol/L
I-119: >3000nmol/L
I-124: >3000nmol/L
I-133: >3000nmol/L
I-236: >3000nmol/L
Test Example Histamine H3 receptor binding test Human-derived histamine H3 receptor forced expression CHO-K1 cell membrane fraction (PerkinElmer), radioligand [3H] -histamine (PerkinElmer), binding buffer (50 mmol / L Tris) Receptor binding assays were performed in HCl pH 7.4, 5 mmol / L EDTA).
[3H] -Histamine with a final concentration of 15 nmol / L was added to a binding buffer in which 15 μg of the histamine H3 receptor-expressing membrane fraction was suspended, and incubated at room temperature for 60 minutes at a reaction volume of 150 μL. Nonspecific binding was determined by incubating in the presence of 100 μmol / L unlabeled histamine dihydrochloride (Nakalai Tesque). Membrane fractions were collected on 0.5% PEI coated Unifilterplate GF / B (PerkinElmer) by rapid filtration using a PerkinElmer cell harvester and washed 6 times with 350 μL ice-cold 50 mM Tris-HCl, pH 7.4. The filter was air-dried, mixed with a scintillation cocktail Microscinti-MS (PerkinElmer), and the radioactivity trapped on the filter was measured with a Topcount liquid scintillation counter (PerkinElmer).
By conducting the above reaction in the presence of the compound, the ability of the test compound to compete with [3H] -histamine was measured. A 6-point dose response curve was generated by the compound dilution series, and IC 50 was determined using Excel and XL-fit. The Ki value was derived by converting IC 50 using the Cheng-Prusoff equation.
(Results) The results of the histamine H3 receptor binding test are shown below.
I-001: 2700 nmol / L
I-002:> 3000 nmol / L
I-007: 2300 nmol / L
I-010:> 3000 nmol / L
I-119:> 3000 nmol / L
I-124:> 3000 nmol / L
I-133:> 3000 nmol / L
I-236:> 3000 nmol / L
試験例 CYP3A4蛍光MBI試験
CYP3A4蛍光MBI試験は、代謝反応による化合物のCYP3A4阻害の増強を調べる試験であり、酵素に大腸菌発現CYP3A4を用いて、7-ベンジルオキシトリフルオロメチルクマリン(BFC)がCYP3A4酵素により脱ベンジル化し、蛍光を発する代謝物7-ハイドロキシトリフルオロメチルクマリン(HFC)を生成する反応を指標として行う。
反応条件は以下のとおり:基質、5.6μmol/L 7-BFC;プレ反応時間、0または30分;反応時間、15分;反応温度、25℃(室温);CYP3A4含量(大腸菌発現酵素)、プレ反応時62.5pmol/mL,反応時6.25pmol/mL(10倍希釈時);被検薬物濃度、0.625、1.25、2.5、5、10、20μmol/L(6点)。
96穴プレートにプレ反応液としてK-Pi緩衝液(pH7.4)中に酵素、被検薬物溶液を上記のプレ反応の組成で加え、別の96穴プレートに基質とK-Pi緩衝液で1/10希釈されるようにその一部を移行し、補酵素であるNADPHを添加して指標とする反応を開始し(プレ反応無)、所定の時間反応後、アセトニトリル/0.5mol/L Tris(トリスヒドロキシアミノメタン)=4/1を加えることによって反応を停止する。また残りのプレ反応液にもNADPHを添加しプレ反応を開始し(プレ反応有)、所定時間プレ反応後、別のプレートに基質とK-Pi緩衝液で1/10希釈されるように一部を移行し指標とする反応を開始する。所定の時間反応後、アセトニトリル/0.5mol/L Tris(トリスヒドロキシアミノメタン)=4/1を加えることによって反応を停止する。それぞれの指標反応を行ったプレートを蛍光プレートリーダーで代謝物である7-HFCの蛍光値を測定する。(Ex=420nm、Em=535nm)
薬物を溶解した溶媒であるDMSOのみを反応系に添加したものをコントロール(100%)とし、被検薬物溶液を加えたそれぞれの濃度での残存活性(%)を算出し、濃度と抑制率を用いて、ロジスティックモデルによる逆推定によりIC50を算出する。IC50値の差が5μM以上の場合を(+)とし、3μM以下の場合を(-)とする。
Test Example CYP3A4 Fluorescence MBI Test The CYP3A4 fluorescence MBI test is a test for examining the enhancement of CYP3A4 inhibition of a compound by metabolic reaction, using 7-benzyloxytrifluoromethylcoumarin (BFC) as a CYP3A4 enzyme using E. coli-expressed CYP3A4 as an enzyme. The reaction is debenzylated to produce a metabolite 7-hydroxytrifluoromethylcoumarin (HFC) that emits fluorescence.
The reaction conditions are as follows: substrate, 5.6 μmol / L 7-BFC; pre-reaction time, 0 or 30 minutes; reaction time, 15 minutes; reaction temperature, 25 ° C. (room temperature); CYP3A4 content (E. coli expression enzyme), Pre-reaction 62.5 pmol / mL, reaction 6.25 pmol / mL (10-fold dilution); test drug concentration, 0.625, 1.25, 2.5, 5, 10, 20 μmol / L (6 points) ).
Enzyme and test drug solution are added to K-Pi buffer (pH 7.4) as a pre-reaction solution in a 96-well plate with the above pre-reaction composition, and the substrate and K-Pi buffer are added to another 96-well plate. A part of the solution was transferred so as to be diluted to 1/10, and a reaction using NADPH as a coenzyme was started as an index (no pre-reaction). After a predetermined time reaction, acetonitrile / 0.5 mol / L The reaction is stopped by adding Tris (trishydroxyaminomethane) = 4/1. In addition, NADPH is also added to the remaining pre-reaction solution to start the pre-reaction (pre-reaction is present), and after pre-reaction for a predetermined time, one plate is diluted to 1/10 with the substrate and K-Pi buffer. Start the reaction with the part as the indicator. After the reaction for a predetermined time, the reaction is stopped by adding acetonitrile / 0.5 mol / L Tris (trishydroxyaminomethane) = 4/1. The fluorescence value of 7-HFC, which is a metabolite, is measured using a fluorescent plate reader on the plate on which each index reaction has been performed. (Ex = 420nm, Em = 535nm)
The control (100%) was obtained by adding DMSO, which is a solvent in which the drug was dissolved, to the reaction system, and the residual activity (%) at each concentration with the test drug solution added was calculated. Used to calculate IC 50 by inverse estimation with a logistic model. The case where the difference in IC 50 value is 5 μM or more is (+), and the case where it is 3 μM or less is (−).
試験例 CYP阻害試験
市販のプールドヒト肝ミクロソームを用いて、ヒト主要CYP5分子種(CYP1A2、2C9、2C19、2D6、3A4)の典型的基質代謝反応として7-エトキシレゾルフィンのO-脱エチル化(CYP1A2)、トルブタミドのメチル-水酸化(CYP2C9)、メフェニトインの4’-水酸化(CYP2C19)、 デキストロメトルファンのO脱メチル化(CYP2D6)、テルフェナジンの水酸化(CYP3A4)を指標とし、それぞれの代謝物生成量が被検化合物によって阻害される程度を評価する。
反応条件は以下のとおり:基質、0.5 μmol/L エトキシレゾルフィン(CYP1A2)、100 μmol/L トルブタミド(CYP2C9)、50 μmol/L S-メフェニトイン(CYP2C19)、5μmol/L デキストロメトルファン(CYP2D6)、1 μmol/L テルフェナジン(CYP3A4);反応時間、15分;反応温度、37℃;酵素、プールドヒト肝ミクロソーム 0.2mg タンパク質/mL;被検薬物濃度、1、5、10、20 μmol/L(4点)。
96穴プレートに反応溶液として、50mmol/L Hepes 緩衝液中に各5種の基質、ヒト肝ミクロソーム、被検薬物を上記組成で加え、補酵素であるNADPHを添加して、指標とする代謝反応を開始し、37℃、15分間反応した後、メタノール/アセトニトリル=1/1(v/v)溶液を添加することで反応を停止する。3000rpm、15分間の遠心操作後、遠心上清中のレゾルフィン(CYP1A2代謝物)を蛍光マルチラベルカウンタで、トルブタミド水酸化体 (CYP2C9代謝物)、メフェニトイン4’水酸化体(CYP2C19代謝物)、デキストロルファン(CYP2D6代謝物)、テルフェナジンアルコール体(CYP3A4代謝物)をLC/MS/MSで定量する。
薬物を溶解した溶媒であるDMSOのみを反応系に添加したものをコントロール(100%)とし、被検薬物溶液を加えたそれぞれの濃度での残存活性(%)を算出し、濃度と抑制率を用いて、ロジスティックモデルによる逆推定によりIC50を算出する。
Test Example CYP Inhibition Test O-deethylation of 7-ethoxyresorufin (CYP1A2) as a typical substrate metabolic reaction of human major CYP5 molecular species (CYP1A2, 2C9, 2C19, 2D6, 3A4) using commercially available pooled human liver microsomes ), Methyl-hydroxylation of tolbutamide (CYP2C9), 4′-hydroxylation of mephenytoin (CYP2C19), O-demethylation of dextromethorphan (CYP2D6), and hydroxylation of terfenadine (CYP3A4) The degree to which the amount of product produced is inhibited by the test compound is evaluated.
The reaction conditions were as follows: substrate, 0.5 μmol / L ethoxyresorufin (CYP1A2), 100 μmol / L tolbutamide (CYP2C9), 50 μmol / L S-mephenytoin (CYP2C19), 5 μmol / L dextromethorphan ( CYP2D6), 1 μmol / L terfenadine (CYP3A4); reaction time, 15 minutes; reaction temperature, 37 ° C .; enzyme, pooled human liver microsome 0.2 mg protein / mL; test drug concentration 1, 5, 10, 20 μmol / L (4 points).
As a reaction solution in a 96-well plate, each of 5 types of substrates, human liver microsomes, and test drugs are added in the above composition in a 50 mmol / L Hepes buffer solution, and NADPH as a coenzyme is added as an indicator for metabolic reaction. After reacting at 37 ° C. for 15 minutes, the reaction is stopped by adding a methanol / acetonitrile = 1/1 (v / v) solution. After centrifuging at 3000 rpm for 15 minutes, resorufin (CYP1A2 metabolite) in the supernatant of the centrifugation was analyzed with a fluorescent multilabel counter, tolbutamide hydroxide (CYP2C9 metabolite), mephenytoin 4 ′ hydroxide (CYP2C19 metabolite), Dextrorphan (CYP2D6 metabolite) and terfenadine alcohol (CYP3A4 metabolite) are quantified by LC / MS / MS.
The control (100%) was obtained by adding DMSO, which is a solvent in which the drug was dissolved, to the reaction system, and the residual activity (%) at each concentration with the test drug solution added was calculated. Used to calculate IC 50 by inverse estimation with a logistic model.
試験例 代謝安定性試験
文献(Japanese journal of pharmacology, 33 (1), p.41-56, Feb 1983)に準じて調製したプールドラット肝ミクロソームまたは市販のプールドヒト肝ミクロソームを用いて、対象化合物を一定時間反応させ、反応サンプルと未反応サンプルの比較により残存率を算出し、肝で代謝される程度を評価する。
ラットまたはヒト肝ミクロソーム0.5mg タンパク質/mLを含む0.2mLの緩衝液(50mmol/L tris-HCl pH7.4、 150mmol/L 塩化カリウム、 10 mmol/L 塩化マグネシウム)中で、1mmol/L NADPH存在下で37℃、0分あるいは30分間反応させる(酸化的反応)。反応後、メタノール/アセトニトリル=1/1(v/v)溶液の100μLに反応液50 μLを添加、混合し、3000rpmで15分間遠心する。その遠心上清中の試験化合物をLC/MS/MSにて定量し、反応後の試験化合物の残存量を0分反応時の化合物量を100%として計算する。なお、加水分解反応はNADPH非存在下で、グルクロン酸抱合反応はNADPHに換えて5mmol/L UDP-グルクロン酸の存在下で反応を行い、以後同じ操作を実施する。
Test example Metabolic stability test Using pooled rat liver microsomes prepared according to the literature (Japanese journal of pharmacology, 33 (1), p.41-56, Feb 1983) or commercially available pooled human liver microsomes The reaction is performed for a certain period of time, the residual rate is calculated by comparing the reaction sample and the unreacted sample, and the degree of metabolism in the liver is evaluated.
1 mmol / L NADPH in 0.2 mL buffer (50 mmol / L tris-HCl pH 7.4, 150 mmol / L potassium chloride, 10 mmol / L magnesium chloride) containing 0.5 mg protein / mL rat or human liver microsomes The reaction is carried out at 37 ° C. for 0 minutes or 30 minutes in the presence (oxidative reaction). After the reaction, 50 μL of the reaction solution is added to 100 μL of methanol / acetonitrile = 1/1 (v / v) solution, mixed, and centrifuged at 3000 rpm for 15 minutes. The test compound in the centrifugal supernatant is quantified by LC / MS / MS, and the remaining amount of the test compound after the reaction is calculated with the amount of the compound at 0 minute reaction as 100%. The hydrolysis reaction is carried out in the absence of NADPH, the glucuronic acid conjugation reaction is carried out in the presence of 5 mmol / L UDP-glucuronic acid instead of NADPH, and the same operation is carried out thereafter.
試験例 BA及び全身クリアランス試験
経口吸収性の検討実験材料と方法
(1)使用動物:マウスあるいはラットを使用する。
(2)飼育条件:マウス及びラットは、固形飼料および滅菌水道水を自由摂取させる。
(3)投与量、群分けの設定:経口投与、静脈内投与を所定の投与量により投与する。以下のように群を設定する。(化合物ごとで投与量は変更する)
経口投与 1~30mg/kg(n=2~3)
静脈内投与 0.5~10mg/kg(n=2~3)
(4)投与液の調製:経口投与は溶液または懸濁液として投与する。静脈内投与は可溶化して投与する。
(5)投与方法:経口投与は、経口ゾンデにより強制的に胃内に投与する。静脈内投与は、注射針を付けたシリンジにより尾静脈から投与する。
(6)評価項目:経時的に採血し、血漿中薬物濃度をLC/MS/MSを用いて測定する。
(7)統計解析:血漿中濃度推移について、非線形最小二乗法プログラムWinNonlin(登録商標)を用いて血漿中濃度‐時間曲線下面積(AUC)及び全身クリアランス(Clt)を算出し、経口投与群と静脈内投与群のAUCからバイオアベイラビリティ(BA)を算出する。
(結果)ラット、経口投与1mg/kgでの値を示す。
BA値
I-005: 21%
I-265: 24%
Clt値
I-304: 18.2 mL/min/kg
I-308: 18.5 mL/min/kg
I-331: 17.8 mL/min/kg
I-336: 15.6 mL/min/kg
I-338: 32.7 mL/min/kg
I-340: 21.7 mL/min/kg
Test Example BA and systemic clearance test Examination of oral absorbability Experimental materials and methods (1) Animals used: Mice or rats are used.
(2) Breeding conditions: Mice and rats are allowed to freely take solid feed and sterilized tap water.
(3) Setting of dose and grouping: oral administration and intravenous administration are administered at a predetermined dose. Set the group as follows. (Dosage varies for each compound)
Oral administration 1-30 mg / kg (n = 2-3)
Intravenous administration 0.5-10 mg / kg (n = 2-3)
(4) Preparation of administration solution: Oral administration is administered as a solution or suspension. Intravenous administration is administered after solubilization.
(5) Administration method: Oral administration is forcibly administered into the stomach with an oral sonde. Intravenous administration is performed from the tail vein using a syringe with an injection needle.
(6) Evaluation items: Blood is collected over time, and the drug concentration in plasma is measured using LC / MS / MS.
(7) Statistical analysis: For the plasma concentration transition, the area under the plasma concentration-time curve (AUC) and systemic clearance (Clt) were calculated using the non-linear least squares program WinNonlin (registered trademark). Bioavailability (BA) is calculated from the AUC of the intravenous administration group.
(Results) Values for rats, orally administered at 1 mg / kg are shown.
BA value I-005: 21%
I-265: 24%
Clt value I-304: 18.2 mL / min / kg
I-308: 18.5 mL / min / kg
I-331: 17.8 mL / min / kg
I-336: 15.6 mL / min / kg
I-338: 32.7 mL / min / kg
I-340: 21.7 mL / min / kg
試験例 FAT試験
凍結保存しているネズミチフス菌(Salmonella typhimurium TA98株、TA100株)20μLを10 mL液体栄養培地(2.5% Oxoid nutrient broth No.2)に接種し37℃にて10 時間、振盪前培養する。TA98株は9mLの菌液を遠心(2000×g、10 分間)して培養液を除去し、9mLのMicro F緩衝液(K2HPO4:3.5 g/L、 KH2PO4:1 g/L、 (NH4)2SO4:1g/L、 クエン酸三ナトリウム二水和物:0.25 g/L、 MgSO4・7H20:0.1g/L)に菌を懸濁し、110 mLのExposure培地(ビオチン:8 μg/mL、ヒスチジン:0.2 μg/mL、 グルコース:8 mg/mLを含むMicroF緩衝液)に添加し、TA100株は3.16mL菌液に対しExposure培地120mLに添加し試験菌液を調製する。被験物質DMSO溶液(最高用量50mg/mLから2倍公比で8段階希釈)、陰性対照としてDMSO、陽性対照として非代謝活性化条件ではTA98株に対しては50 μg/mLの4-ニトロキノリン-1-オキシドDMSO溶液、 TA100株に対しては0.25 μg/mLの2-(2-フリル)-3-(5-ニトロ-2-フリル)アクリルアミド DMSO溶液、 代謝活性化条件ではTA98株に対して40μg/mLの2-アミノアントラセンDMSO溶液、 TA100株に対しては20 μg/mLの2-アミノアントラセンDMSO溶液それぞれ12 μL と試験菌液588μL(代謝活性化条件では試験菌液498 μLとS9 mix 90 μLの混合液)を混和し、37℃にて90分間、振盪培養した。被験物質を暴露した菌液460 μLを、Indicator培地(ビオチン:8 μg/mL、ヒスチジン:0.2 μg/mL、グルコース:8 mg/mL、ブロモクレゾールパープル:37.5 μg/mLを含むMicroF緩衝液)2300μLに混和し50 μLずつマイクロプレート48ウェル/用量に分注し、37℃にて 3日間、 静置培養する。アミノ酸(ヒスチジン)合成酵素遺伝子の突然変異によって増殖能を獲得した菌を含むウェルは、pH変化により紫色から黄色に変色するため、1用量あたり48ウェル中の黄色に変色した菌増殖ウェルを計数し、陰性対照群と比較して評価する。
Test example FAT test Cryopreserved Salmonella typhimurium TA98 strain, TA100 strain 20 μL was inoculated into 10 mL liquid nutrient medium (2.5% Oxoid nutrient broth No. 2) and cultured at 37 ° C for 10 hours before shaking. To do. For TA98 strain, 9 mL of the bacterial solution was centrifuged (2000 × g, 10 minutes) to remove the culture solution, and 9 mL of Micro F buffer solution (K 2 HPO 4 : 3.5 g / L, KH 2 PO 4 : 1 g / L, (NH 4 ) 2 SO 4 : 1 g / L, trisodium citrate dihydrate: 0.25 g / L, MgSO 4 · 7H 2 0: 0.1 g / L), 110 mL of Exposure Add to medium (biotin: 8 μg / mL, histidine: 0.2 μg / mL, glucose: MicroF buffer containing 8 mg / mL), TA100 strain to 3.16 mL bacterial solution, add 120 mL of exposure medium to test medium To prepare. Test substance DMSO solution (maximum dose 50 mg / mL to 8-fold dilution at 2-fold common ratio), DMSO as negative control, 50 μg / mL 4-nitroquinoline for TA98 strain under non-metabolic activation conditions as positive control -1-oxide DMSO solution, for TA100 strain, 0.25 μg / mL 2- (2-furyl) -3- (5-nitro-2-furyl) acrylamide DMSO solution, for metabolic activation conditions against TA98 strain 40 μg / mL 2-aminoanthracene DMSO solution and for TA100 strain, 20 μg / mL 2-aminoanthracene DMSO solution each 12 μL and test bacterial solution 588 μL (under metabolic activation conditions, test bacterial solution 498 μL and S9 mix 90 μL of the mixture), and cultured with shaking at 37 ° C. for 90 minutes. 2300 μL of 460 μL of bacterial solution exposed to the test substance in Indicator medium (MicroF buffer containing biotin: 8 μg / mL, histidine: 0.2 μg / mL, glucose: 8 mg / mL, bromocresol purple: 37.5 μg / mL) Add 50 μL each to a 48-well / dose microplate and incubate at 37 ° C for 3 days. Since wells containing bacteria that have acquired growth ability due to mutations in the amino acid (histidine) synthase gene turn from purple to yellow due to pH change, count the number of bacterial growth wells that turn yellow in 48 wells per dose. Evaluation is made in comparison with the negative control group.
試験例 溶解性試験
化合物の溶解度は、1%DMSO添加条件下で決定する。DMSOにて10mmol/L化合物溶液を調製し、化合物溶液6 μLをpH 6.8 人工腸液(0.2 mol/L リン酸二水素カリウム試液 250 mL に 0.2 mol/L NaOH 試液 118 mL、水を加えて 1000 mL とする) 594μLに添加する。25℃で16時間静置させた後、混液を吸引濾過する。濾液をメタノール/水= 1/1にて2倍希釈し、絶対検量線法によりHPLCまたはLC/MS/MSを用いてろ液中濃度を測定する。
Test Example Solubility test The solubility of a compound is determined under the condition of addition of 1% DMSO. Prepare 10 mMol / L compound solution in DMSO, add 6 μL of the compound solution to pH 6.8 artificial intestinal fluid (250 mL of 0.2 mol / L potassium dihydrogen phosphate reagent solution, 118 mL of 0.2 mol / L NaOH reagent solution, add 1000 mL of water) Add to 594 μL. After allowing to stand at 25 ° C. for 16 hours, the mixed solution is subjected to suction filtration. Dilute the filtrate twice with methanol / water = 1/1, and measure the concentration in the filtrate using HPLC or LC / MS / MS by the absolute calibration method.
試験例 hERG試験
心電図QT間隔延長のリスク評価を目的として、human ether-a-go-go related gene (hERG) チャンネルを発現させたHEK293細胞を用いて、心室再分極過程に重要な役割を果たす遅延整流K+電流 (IKr) への作用を検討する。
全自動パッチクランプシステム (PatchXpress 7000A, Axon Instruments Inc.) を用い、ホールセルパッチクランプ法により、細胞を-80 mVの膜電位に保持した後、+50 mVの脱分極刺激を2秒間、さらに-50 mVの再分極刺激を2秒間与えた際に誘発されるIKrを記録する。発生する電流が安定した後、被検物質を目的の濃度で溶解させた細胞外液 (NaCl: 137 mmol/L、 KCl: 4 mmol/L、 CaCl2・2H2O: 1.8 mmol/L、 MgCl2・6H2O: 1 mmol/L、 グルコース: 10 mmol/L、 HEPES(4-(2-hydroxyethyl)-1-piperazineethanesulfonic acid、4-(2-ヒドロキシエチル)-1-ピペラジンエタンスルホン酸): 10 mmol/L、 pH = 7.4) を室温条件下で、10分間細胞に適用させる。得られるIKrから、解析ソフト (DataXpress ver. 1、 Molecular Devices Corporation) を使用して、保持膜電位における電流値を基準に最大テール電流の絶対値を計測する。さらに、被検物質適用前の最大テール電流に対する阻害率を算出し、媒体適用群 (0.1 % ジメチルスルホキシド溶液) と比較して、被検物質のIKrへの影響を評価する。
(結果)化合物濃度1μmol/lでの阻害率を示す。
I-005: 1%
I-065: 1%
I-067: 7%
I-212: 4%
I-236: 1%
I-279: 3%
I-301: 2%
I-342: 8%
Test example hERG test A delay that plays an important role in the ventricular repolarization process using HEK293 cells expressing human ether-a-go-go related gene (hERG) channel for the purpose of risk assessment of ECG QT interval prolongation Consider the effect on rectified K + current (I Kr ).
Using a fully automatic patch clamp system (PatchXpress 7000A, Axon Instruments Inc.) and holding the cells at a membrane potential of -80 mV using the whole cell patch clamp method, a +50 mV depolarization stimulus was further applied for 2 seconds. Record the I Kr elicited when a 50 mV repolarization stimulus is applied for 2 seconds. After the generated current stabilizes, the extracellular fluid (NaCl: 137 mmol / L, KCl: 4 mmol / L, CaCl 2・ 2H 2 O: 1.8 mmol / L, MgCl 2 · 6H 2 O: 1 mmol / L, glucose: 10 mmol / L, HEPES ( 4- (2-hydroxyethyl) -1-piperazineethanesulfonic acid, 4- (2- hydroxyethyl) -1-piperazine-ethanesulfonic acid): 10 mmol / L, pH = 7.4) is applied to the cells for 10 minutes at room temperature. From the obtained I Kr , the absolute value of the maximum tail current is measured using the analysis software (DataXpress ver. 1, Molecular Devices Corporation) based on the current value at the holding membrane potential. Furthermore, the inhibition rate with respect to the maximum tail current before application of the test substance is calculated, and compared with the vehicle application group (0.1% dimethyl sulfoxide solution), the effect of the test substance on I Kr is evaluated.
(Result) The inhibition rate at a compound concentration of 1 μmol / l is shown.
I-005: 1%
I-065: 1%
I-067: 7%
I-212: 4%
I-236: 1%
I-279: 3%
I-301: 2%
I-342: 8%
試験例 粉末溶解度試験
適当な容器に検体を適量入れ、JP-1液(塩化ナトリウム2.0g、塩酸7.0mLに水を加えて1000mLとする)、JP-2液(pH6.8のリン酸塩緩衝液500mLに水500mLを加える)、20mmol/L TCA(タウロコール酸ナトリウム)/JP-2液(TCA 1.08gに水を加え100mLとする)を200μLずつ添加する。試験液添加後に溶解した場合には、適宜原末を追加する。密閉し37℃で1時間振とうする。濾過し、各濾液100μLにメタノール100μLを添加して2倍希釈を行う。希釈倍率は、必要に応じて変更する。気泡および析出物がないかを確認し、密閉して振とうする。絶対検量線法によりHPLCを用いて定量を行う。
Test example Powder solubility test Put an appropriate amount of sample in a suitable container, JP-1 solution (2.0 g sodium chloride, 7.0 mL hydrochloric acid to 1000 mL), JP-2 solution (pH 6.8 phosphate buffer) Add 500 mL of water to 500 mL of solution), and add 200 μL of 20 mmol / L TCA (sodium taurocholate) / JP-2 solution (add water to 1.08 g of TCA to make 100 mL). If dissolved after adding the test solution, add bulk powder as appropriate. Seal and shake at 37 ° C for 1 hour. Filter, add 100 μL of methanol to 100 μL of each filtrate and dilute 2 times. Change the dilution factor as necessary. Check for bubbles and precipitates, seal and shake. Quantify using HPLC with the absolute calibration curve method.
製剤例1
以下の成分を含有する顆粒剤を製造する。
成分 式(I)で示される化合物 10 mg
乳糖 700 mg
コーンスターチ 274 mg
HPC-L 16 mg
式(I)で示される化合物と乳糖を60メッシュのふるいに通す。コーンスターチを120メッシュのふるいに通す。これらをV型混合機にて混合する。混合末にHPC-L(低粘度ヒドロキシプロピルセルロース)水溶液を添加し、練合、造粒(押し出し造粒 孔径0.5~1mm)、乾燥工程する。得られた乾燥顆粒を振動ふるい(12/60メッシュ)で櫛過し顆粒剤を得る。
Formulation Example 1
A granule containing the following ingredients is produced.
Ingredient Compound represented by formula (I) 10 mg
Lactose 700 mg
Corn starch 274 mg
HPC-L 16 mg
The compound of formula (I) and lactose are passed through a 60 mesh sieve. Pass cornstarch through a 120 mesh sieve. These are mixed in a V-type mixer. Add HPC-L (low-viscosity hydroxypropylcellulose) aqueous solution to the powder mixture, knead, granulate (extruded granulation pore size 0.5-1mm), and dry. The obtained dried granules are combed with a vibrating sieve (12/60 mesh) to obtain granules.
製剤例2
以下の成分を含有するカプセル充填用顆粒剤を製造する。
成分 式(I)で示される化合物 15 mg
乳糖 90 mg
コーンスターチ 42 mg
HPC-L 3 mg
式(I)で示される化合物、乳糖を60メッシュのふるいに通す。コーンスターチを120メッシュのふるいに通す。これらを混合し、混合末にHPC-L溶液を添加して練合、造粒、乾燥する。得られた乾燥顆粒を整粒後、その150mgを4号硬ゼラチンカプセルに充填する。
Formulation Example 2
A capsule filling granule containing the following ingredients is produced.
Ingredient Compound represented by formula (I) 15 mg
Lactose 90 mg
Corn starch 42 mg
HPC-L 3 mg
The compound of formula (I), lactose, is passed through a 60 mesh sieve. Pass cornstarch through a 120 mesh sieve. These are mixed, and the HPC-L solution is added to the mixed powder to knead, granulate and dry. After sizing the obtained dry granules, 150 mg thereof is filled into No. 4 hard gelatin capsules.
製剤例3
以下の成分を含有する錠剤を製造する。
成分 式(I)で示される化合物 10 mg
乳糖 90 mg
微結晶セルロース 30 mg
CMC-Na 15 mg
ステアリン酸マグネシウム 5 mg
式(I)で示される化合物、乳糖、微結晶セルロース、CMC-Na(カルボキシメチルセルロース ナトリウム塩)を60メッシュのふるいに通し、混合する。混合末にステアリン酸マグネシウム混合し、製錠用混合末を得る。本混合末を直打し、150mgの錠剤を得る。
Formulation Example 3
A tablet containing the following ingredients is produced.
Ingredient Compound represented by formula (I) 10 mg
Lactose 90 mg
Microcrystalline cellulose 30 mg
CMC-Na 15 mg
Magnesium stearate 5 mg
The compound of formula (I), lactose, microcrystalline cellulose and CMC-Na (carboxymethylcellulose sodium salt) are passed through a 60 mesh sieve and mixed. The mixed powder is mixed with magnesium stearate to obtain a mixed powder for tableting. This mixed powder is directly hit to obtain a 150 mg tablet.
製剤例4
以下の成分を加温混合後、滅菌して注射剤とする。
成分 式(I)で示される化合物 3 mg
非イオン界面活性剤 15 mg
注射用精製水 1 ml
Formulation Example 4
The following ingredients are heated and mixed and then sterilized to give an injection.
Ingredient Compound represented by formula (I) 3 mg
Nonionic surfactant 15 mg
Purified water for injection 1 ml
製剤例5
以下の成分を含有するハップ剤を製造する。
成分 式(I)で示される化合物 50 mg
水性基剤(5%エタノール/5%ブチレングリコール/90%精製水)950mg
グリセリン
カオリン
ポリビニルアルコール水溶液
水性基剤に式(I)で示される化合物を添加し、超音波を15分ほど照射した後、十分に攪拌し、溶液とする。グリセリン5部、カオリン1部、ポリビニルアルコール水溶液5部を均一に混合し、調製した溶液1部を添加する。これをさらに混合してペースト状物とし、不織布上に塗布してポリエステルフィルムで覆い、ハップ剤とする。
本出願は、日本で出願された特願2009-290033および特願2010-081490を基礎としており、その内容は本明細書にすべて包含されるものである。
Formulation Example 5
A haptic agent containing the following components is produced.
Ingredient Compound represented by formula (I) 50 mg
Aqueous base (5% ethanol / 5% butylene glycol / 90% purified water) 950 mg
Glycerin Kaolin Polyvinyl alcohol aqueous solution The compound represented by the formula (I) is added to an aqueous base, and after ultrasonic irradiation for about 15 minutes, the mixture is sufficiently stirred to obtain a solution. 5 parts of glycerin, 1 part of kaolin and 5 parts of an aqueous polyvinyl alcohol solution are uniformly mixed, and 1 part of the prepared solution is added. This is further mixed to obtain a paste, which is coated on a non-woven fabric and covered with a polyester film to obtain a happing agent.
This application is based on patent application Nos. 2009-290033 and 2010-081490 filed in Japan, the contents of which are incorporated in full herein.
本発明の化合物は、ヒスタミンH4受容体に対する調節作用を有し、ヒスタミンH4受容体が関与する疾患または状態、例えば、気管支喘息、アレルギー性鼻炎、慢性閉塞性肺疾患(COPD)などの呼吸器系疾患;慢性関節リウマチ、アトピー性皮膚炎、アレルギー性結膜炎、乾癬、炎症性大腸炎、潰瘍性大腸炎、狼瘡、アテローム硬化症などの炎症性疾患;神経性疼痛または侵害性疼痛を含む疼痛緩和などに対して有用である。 The compound of the present invention has a modulatory action on the histamine H4 receptor, and diseases or conditions involving the histamine H4 receptor such as bronchial asthma, allergic rhinitis, chronic obstructive pulmonary disease (COPD), etc. Diseases; rheumatoid arthritis, atopic dermatitis, allergic conjunctivitis, psoriasis, inflammatory colitis, ulcerative colitis, lupus, atherosclerosis, and other inflammatory diseases; pain relief including neuropathic or nociceptive pain Useful for.
Claims (15)
[式中、
環Aは、芳香族複素環;
X1は、NまたはC(Rx1);
X2は、NまたはC(Rx2);
X3は、NまたはC(Rx3);
X4は、NまたはC(Rx4);
Rx1、Rx2、Rx3およびRx4は、それぞれ独立して、水素、ハロゲン、置換もしくは非置換のアルキル、置換もしくは非置換のアルケニル、置換もしくは非置換のアルキニル、置換もしくは非置換のアルキルオキシ、置換もしくは非置換のアルケニルオキシ、置換もしくは非置換のアルキニルオキシ、置換もしくは非置換のアルキルチオ、置換もしくは非置換のアルケニルチオ、置換もしくは非置換のアルキニルチオ、置換もしくは非置換のアシル、ヒドロキシ、カルボキシ、置換もしくは非置換のアルキルオキシカルボニル、置換もしくは非置換のアルケニルオキシカルボニル、置換もしくは非置換のアルキニルオキシカルボニル、置換もしくは非置換のシクロアルキルオキシカルボニル、置換もしくは非置換のシクロアルケニルオキシカルボニル、置換もしくは非置換の非芳香族複素環オキシカルボニル、置換もしくは非置換のアリールオキシカルボニル、置換もしくは非置換のヘテロアリールオキシカルボニル、非置換カルバモイル、置換基群A(置換基群A:置換もしくは非置換のアルキル、置換もしくは非置換のアルケニル、置換もしくは非置換のアルキニル、置換もしくは非置換のシクロアルキル、置換もしくは非置換のシクロアルケニル、置換もしくは非置換の非芳香族複素環基、置換もしくは非置換のアリールおよび置換もしくは非置換のヘテロアリール)から選択される置換基で置換されたカルバモイル、非置換スルファモイル、置換基群Aから選択される置換基で置換されたスルファモイル、置換基群Aから選択される置換基で置換されたスルフィニル、置換基群Aから選択される置換基で置換されたスルホニル、置換もしくは非置換のアルキルスルホニルオキシ、置換もしくは非置換のアリールスルホニルオキシ、シアノ、ニトロ、置換もしくは非置換のアミノ、置換もしくは非置換のシクロアルキル、置換もしくは非置換のシクロアルケニル、置換もしくは非置換の非芳香族複素環式基、置換もしくは非置換のアリール、置換もしくは非置換のヘテロアリール、置換もしくは非置換のシクロアルキルオキシ、置換もしくは非置換のシクロアルケニルオキシ、置換もしくは非置換の非芳香族複素環オキシ、置換もしくは非置換のアリールオキシ、または置換もしくは非置換のヘテロアリールオキシ;または、
Rx2およびRx3、またはRx3およびRx4は、それぞれ隣接する環構成原子と一緒になってC環を形成してもよく;
C環は、
(式中、
W1は、それぞれ独立して、O、N(R2a)、S、S(O)またはS(O)2;
W2は、それぞれ独立して、O、N(R2b)またはS;
R2aおよびR2bは、それぞれ独立して、水素、置換もしくは非置換のアルキル、非置換スルファモイル、置換基群Aから選択される置換基で置換されたスルファモイル、置換基群Aから選択される置換基で置換されたスルフィニル、置換基群Aから選択される置換基で置換されたスルホニルまたは置換もしくは非置換のアシル;
n1は、0~4の整数;
n2は、0~3の整数;
n3は、0~2の整数;
n4は、0または1の整数;
R1aおよびR1bは、それぞれ独立して、
a)ハロゲン、置換もしくは非置換のアルキル、置換もしくは非置換のアルケニル、置換もしくは非置換のアルキニル、置換もしくは非置換のアルキルオキシ、置換もしくは非置換のアルケニルオキシ、置換もしくは非置換のアルキニルオキシ、置換もしくは非置換のアルキルチオ、置換もしくは非置換のアルケニルチオ、置換もしくは非置換のアルキニルチオ、置換もしくは非置換のアシル、ヒドロキシ、カルボキシ、置換もしくは非置換のアルキルオキシカルボニル、置換もしくは非置換のアルケニルオキシカルボニル、置換もしくは非置換のアルキニルオキシカルボニル、置換もしくは非置換のシクロアルキルオキシカルボニル、置換もしくは非置換のシクロアルケニルオキシカルボニル、置換もしくは非置換の非芳香族複素環オキシカルボニル、置換もしくは非置換のアリールオキシカルボニル、置換もしくは非置換のヘテロアリールオキシカルボニル、非置換カルバモイル、置換基群Aから選択される置換基で置換されたカルバモイル、非置換スルファモイル、置換基群Aから選択される置換基で置換されたスルファモイル、置換基群Aから選択される置換基で置換されたスルフィニル、置換基群Aから選択される置換基で置換されたスルホニル、置換もしくは非置換のアルキルスルホニルオキシ、置換もしくは非置換のアリールスルホニルオキシ、シアノ、ニトロ、置換もしくは非置換のアミノ、置換もしくは非置換のシクロアルキル、置換もしくは非置換のシクロアルケニル、置換もしくは非置換の非芳香族複素環式基、置換もしくは非置換のアリール、置換もしくは非置換のヘテロアリール、置換もしくは非置換のシクロアルキルオキシ、置換もしくは非置換のシクロアルケニルオキシ、置換もしくは非置換の非芳香族複素環オキシ、置換もしくは非置換のアリールオキシ、または置換もしくは非置換のヘテロアリールオキシ、または、
R1aは、以下のb)群~e)群からなる群から選択される1以上の基であってもよい;
b)2つのR1aが、同一の炭素原子に結合して、=Oならびに=NR3、
c)2つのR1aが、同一の炭素原子に結合して-(CR4aR4b)x-または-O-(CR4aR4b)x-O-、
d)2つのR1aが、隣接する炭素原子に結合して-(CR5aR5b)y-、および
e)2つのR1aが、同一でなく、かつ隣接しない炭素原子に結合して-(CR6aR6b)z-、
ただし、R1aは、c)群、d)群およびe)群から同時に2以上選択される場合はない;
R3は、水素、置換もしくは非置換のアルキル、ヒドロキシ、置換もしくは非置換のアルキルオキシ、置換もしくは非置換のアルケニルオキシまたは置換もしくは非置換のアルキニルオキシ;
R4a、R4b、R5a、R5b、R6aおよびR6bは、それぞれ独立して、水素、ハロゲンまたは置換もしくは非置換のアルキル;
xは、2~7の整数;
yは、1~5の整数;
zは、1~3の整数)で示される環;
-B1は、式:-X-(CR8aR8b)m-Y
(式中、
Xは、N(R7c)またはO;
R7cは、水素、置換もしくは非置換のアルキルまたは置換もしくは非置換のアシル;
R8aおよびR8bは、それぞれ独立して、水素、ハロゲンまたは置換もしくは非置換のアルキル;
mは、0~5の整数;
ただし、Yが、置換基群Aから選択される置換基で置換されたスルホニルによって環を構成する窒素原子が置換されている含窒素非芳香族複素環基以外の基である場合は、mは1~4の整数である;
Yは、置換もしくは非置換のシクロアルキルチオ、置換もしくは非置換のシクロアルケニルチオ、置換もしくは非置換の非芳香族複素環チオ、置換もしくは非置換のアリールチオ、置換もしくは非置換のヘテロアリールチオ、置換基群Aから選択される置換基で置換されたスルフィニル、置換基群Aから選択される置換基で置換されたスルホニル、非置換スルファモイル、置換基群Aから選択される置換基で置換されたスルファモイル、置換もしくは非置換のアルキルスルホニルアミノ、置換もしくは非置換のアルケニルスルホニルアミノ、置換もしくは非置換のアルキニルスルホニルアミノ、置換もしくは非置換のアミノスルホニルアミノ、置換もしくは非置換のシクロアルキルスルホニルアミノ、置換もしくは非置換のシクロアルケニルスルホニルアミノ、置換もしくは非置換の非芳香族複素環スルホニルアミノ、置換もしくは非置換のアリールスルホニルアミノ、置換もしくは非置換のヘテロアリールスルホニルアミノ、置換もしくは非置換のシクロアルキル、置換もしくは非置換のシクロアルケニル、環を構成する窒素原子が置換基群Aから選択される置換基で置換されたスルホニルで置換された含窒素非芳香族複素環基、置換もしくは非置換のアリール、または置換もしくは非置換のヘテロアリール)で示される基;
B2は、
(式中、
R9aおよびR9bは、それぞれ独立して、水素または置換もしくは非置換のアルキル;
R10は、それぞれ独立して、置換もしくは非置換のアルキル、ハロゲン、ヒドロキシ、置換もしくは非置換のアルキルオキシ、置換もしくは非置換のアミノ、または2つのR10が一緒になってオキソもしくはチオキソ;
R11は、水素、置換もしくは非置換のアルキルまたは置換もしくは非置換のシクロアルキル;
R12は、置換もしくは非置換のアルキル、ハロゲン、ヒドロキシまたは置換もしくは非置換のアルキルオキシ;
pは0~4の整数)で示される基または置換もしくは非置換のアミノで置換されたアルキレン]で示される化合物(ただし、
(i)A環がC環と縮合せず、Yが置換もしくは非置換のシクロアルキル、置換もしくは非置換のシクロアルケニル、置換もしくは非置換のアリールまたは置換もしくは非置換のヘテロアリールである化合物、
(ii)mが0であり、XがN(R7c)であり、R7cが水素、置換もしくは非置換のアルキルまたは置換もしくは非置換のアシルであり、Yが置換もしくは非置換のヘテロアリールまたは環を構成する窒素原子が置換基群Aから選択される置換基で置換されたスルホニルで置換されたインドリンである化合物、
(iii)R11がヘテロアリールで置換されたアミノおよびチオキソで置換されたアルキルである化合物、
および
(iv)以下に示す化合物:
(式中、Meはメチルであり、Etはエチルである)
を除く。)、もしくはその製薬上許容される塩またはそれらの溶媒和物。
Formula (I):
[Where:
Ring A is an aromatic heterocycle;
X 1 is N or C (R x1 );
X 2 is N or C (R x2 );
X 3 is N or C (R x3 );
X 4 is N or C (R x4 );
R x1 , R x2 , R x3 and R x4 are each independently hydrogen, halogen, substituted or unsubstituted alkyl, substituted or unsubstituted alkenyl, substituted or unsubstituted alkynyl, substituted or unsubstituted alkyloxy Substituted or unsubstituted alkenyloxy, substituted or unsubstituted alkynyloxy, substituted or unsubstituted alkylthio, substituted or unsubstituted alkenylthio, substituted or unsubstituted alkynylthio, substituted or unsubstituted acyl, hydroxy, carboxy Substituted or unsubstituted alkyloxycarbonyl, substituted or unsubstituted alkenyloxycarbonyl, substituted or unsubstituted alkynyloxycarbonyl, substituted or unsubstituted cycloalkyloxycarbonyl, substituted or unsubstituted cycloalkenyl Ruoxycarbonyl, substituted or unsubstituted non-aromatic heterocyclic oxycarbonyl, substituted or unsubstituted aryloxycarbonyl, substituted or unsubstituted heteroaryloxycarbonyl, unsubstituted carbamoyl, substituent group A (substituent group A: Substituted or unsubstituted alkyl, substituted or unsubstituted alkenyl, substituted or unsubstituted alkynyl, substituted or unsubstituted cycloalkyl, substituted or unsubstituted cycloalkenyl, substituted or unsubstituted non-aromatic heterocyclic group, substituted Or substituted aryl or substituted heteroaryl), carbamoyl substituted with a substituent selected from substituents selected from substituent group A, sulfamoyl substituted with substituent selected from substituent group A, substituent group A Sulfur substituted with a substituent selected from Nyl, sulfonyl substituted with a substituent selected from substituent group A, substituted or unsubstituted alkylsulfonyloxy, substituted or unsubstituted arylsulfonyloxy, cyano, nitro, substituted or unsubstituted amino, substituted or non-substituted Substituted cycloalkyl, substituted or unsubstituted cycloalkenyl, substituted or unsubstituted non-aromatic heterocyclic group, substituted or unsubstituted aryl, substituted or unsubstituted heteroaryl, substituted or unsubstituted cycloalkyloxy, Substituted or unsubstituted cycloalkenyloxy, substituted or unsubstituted non-aromatic heterocyclic oxy, substituted or unsubstituted aryloxy, or substituted or unsubstituted heteroaryloxy; or
R x2 and R x3 , or R x3 and R x4 , together with adjacent ring members, may form a C ring;
Ring C is
(Where
Each W 1 is independently O, N (R 2a ), S, S (O) or S (O) 2 ;
Each W 2 independently represents O, N (R 2b ) or S;
R 2a and R 2b are each independently hydrogen, substituted or unsubstituted alkyl, unsubstituted sulfamoyl, a sulfamoyl substituted with a substituent selected from substituent group A, or a substituent selected from substituent group A A sulfinyl substituted with a group, a sulfonyl substituted with a substituent selected from Substituent Group A, or a substituted or unsubstituted acyl;
n 1 is an integer from 0 to 4;
n 2 is an integer from 0 to 3;
n 3 is an integer from 0 to 2;
n 4 is an integer of 0 or 1;
R 1a and R 1b are each independently
a) halogen, substituted or unsubstituted alkyl, substituted or unsubstituted alkenyl, substituted or unsubstituted alkynyl, substituted or unsubstituted alkyloxy, substituted or unsubstituted alkenyloxy, substituted or unsubstituted alkynyloxy, substituted Or unsubstituted alkylthio, substituted or unsubstituted alkenylthio, substituted or unsubstituted alkynylthio, substituted or unsubstituted acyl, hydroxy, carboxy, substituted or unsubstituted alkyloxycarbonyl, substituted or unsubstituted alkenyloxycarbonyl Substituted or unsubstituted alkynyloxycarbonyl, substituted or unsubstituted cycloalkyloxycarbonyl, substituted or unsubstituted cycloalkenyloxycarbonyl, substituted or unsubstituted non-aromatic heterocyclic oxycarbonyl From bonyl, substituted or unsubstituted aryloxycarbonyl, substituted or unsubstituted heteroaryloxycarbonyl, unsubstituted carbamoyl, carbamoyl substituted with a substituent selected from substituent group A, unsubstituted sulfamoyl, substituent group A Sulfamoyl substituted with a selected substituent, sulfinyl substituted with a substituent selected from substituent group A, sulfonyl substituted with a substituent selected from substituent group A, substituted or unsubstituted alkylsulfonyl Oxy, substituted or unsubstituted arylsulfonyloxy, cyano, nitro, substituted or unsubstituted amino, substituted or unsubstituted cycloalkyl, substituted or unsubstituted cycloalkenyl, substituted or unsubstituted non-aromatic heterocyclic group Substituted or unsubstituted aryl, substituted or non-substituted Substituted heteroaryl, substituted or unsubstituted cycloalkyloxy, substituted or unsubstituted cycloalkenyloxy, substituted or unsubstituted non-aromatic heterocyclic oxy, substituted or unsubstituted aryloxy, or substituted or unsubstituted hetero Aryloxy or
R 1a may be one or more groups selected from the group consisting of the following groups b) to e);
b) two R 1a are bonded to the same carbon atom, and ═O and ═NR 3 ,
c) when two R 1a are bonded to the same carbon atom to form — (CR 4a R 4b ) x— or —O— (CR 4a R 4b ) x—O—,
d) two R 1a bonded to adjacent carbon atoms-(CR 5a R 5b ) y-, and e) two R 1a bonded to non-identical and non-adjacent carbon atoms- ( CR 6a R 6b ) z-,
Provided that R 1a is not selected from two or more of c), d) and e) simultaneously;
R 3 is hydrogen, substituted or unsubstituted alkyl, hydroxy, substituted or unsubstituted alkyloxy, substituted or unsubstituted alkenyloxy, or substituted or unsubstituted alkynyloxy;
R 4a , R 4b , R 5a , R 5b , R 6a and R 6b are each independently hydrogen, halogen or substituted or unsubstituted alkyl;
x is an integer of 2 to 7;
y is an integer of 1 to 5;
z is an integer of 1 to 3);
—B 1 represents the formula: —X— (CR 8a R 8b ) mY
(Where
X is N (R 7c ) or O;
R 7c is hydrogen, substituted or unsubstituted alkyl or substituted or unsubstituted acyl;
R 8a and R 8b are each independently hydrogen, halogen or substituted or unsubstituted alkyl;
m is an integer from 0 to 5;
However, when Y is a group other than a nitrogen-containing non-aromatic heterocyclic group in which the nitrogen atom constituting the ring is substituted by a sulfonyl substituted with a substituent selected from the substituent group A, m is An integer from 1 to 4;
Y is substituted or unsubstituted cycloalkylthio, substituted or unsubstituted cycloalkenylthio, substituted or unsubstituted non-aromatic heterocyclic thio, substituted or unsubstituted arylthio, substituted or unsubstituted heteroarylthio, substituent Sulfinyl substituted with a substituent selected from group A, sulfonyl substituted with a substituent selected from substituent group A, unsubstituted sulfamoyl, sulfamoyl substituted with a substituent selected from substituent group A, Substituted or unsubstituted alkylsulfonylamino, substituted or unsubstituted alkenylsulfonylamino, substituted or unsubstituted alkynylsulfonylamino, substituted or unsubstituted aminosulfonylamino, substituted or unsubstituted cycloalkylsulfonylamino, substituted or unsubstituted Cycloalkenyl Sulfonylamino, substituted or unsubstituted non-aromatic heterocyclic sulfonylamino, substituted or unsubstituted arylsulfonylamino, substituted or unsubstituted heteroarylsulfonylamino, substituted or unsubstituted cycloalkyl, substituted or unsubstituted cycloalkenyl, Nitrogen-containing non-aromatic heterocyclic group, substituted or unsubstituted aryl, or substituted or unsubstituted heteroaryl, wherein the nitrogen atom constituting the ring is substituted with a sulfonyl substituted with a substituent selected from substituent group A A group represented by
B 2 is,
(Where
R 9a and R 9b are each independently hydrogen or substituted or unsubstituted alkyl;
Each R 10 independently represents substituted or unsubstituted alkyl, halogen, hydroxy, substituted or unsubstituted alkyloxy, substituted or unsubstituted amino, or two R 10 taken together to form oxo or thioxo;
R 11 is hydrogen, substituted or unsubstituted alkyl or substituted or unsubstituted cycloalkyl;
R 12 represents substituted or unsubstituted alkyl, halogen, hydroxy, or substituted or unsubstituted alkyloxy;
p is an integer of 0 to 4) or a alkylene represented by a substituted or unsubstituted amino group] (provided that,
(I) a compound wherein A ring is not fused to C ring and Y is substituted or unsubstituted cycloalkyl, substituted or unsubstituted cycloalkenyl, substituted or unsubstituted aryl, or substituted or unsubstituted heteroaryl,
(Ii) m is 0, X is N (R 7c ), R 7c is hydrogen, substituted or unsubstituted alkyl or substituted or unsubstituted acyl, and Y is substituted or unsubstituted heteroaryl or A compound in which the nitrogen atom constituting the ring is an indoline substituted with a sulfonyl substituted with a substituent selected from the substituent group A;
(Iii) the compound wherein R 11 is amino substituted with heteroaryl and alkyl substituted with thioxo,
And (iv) the following compounds:
(Wherein Me is methyl and Et is ethyl)
except for. Or a pharmaceutically acceptable salt thereof or a solvate thereof.
Yが、置換もしくは非置換のシクロアルキルチオ、置換もしくは非置換のシクロアルケニルチオ、置換もしくは非置換の非芳香族複素環チオ、置換もしくは非置換のアリールチオ、置換もしくは非置換のヘテロアリールチオ、置換基群Aから選択される置換基で置換されたスルフィニル、置換基群Aから選択される置換基で置換されたスルホニル、非置換スルファモイル、置換基群Aから選択される置換基で置換されたスルファモイル、置換もしくは非置換のアルキルスルホニルアミノ、置換もしくは非置換のアルケニルスルホニルアミノ、置換もしくは非置換のアルキニルスルホニルアミノ、置換もしくは非置換のアミノスルホニルアミノ、置換もしくは非置換のシクロアルキルスルホニルアミノ、置換もしくは非置換のシクロアルケニルスルホニルアミノ、置換もしくは非置換の非芳香族複素環スルホニルアミノ、置換もしくは非置換のアリールスルホニルアミノ、置換もしくは非置換のヘテロアリールスルホニルアミノ、または環を構成する窒素原子が置換基群Aから選択される置換基で置換されたスルホニルで置換された含窒素非芳香族複素環基であり;
B2が、
(式中、R9a、R9b、R10、R11およびpは請求項1と同意義)で示される基である請求項1記載の化合物、もしくはその製薬上許容される塩またはそれらの溶媒和物。
X 1 is N, X 2 is N, X 3 is C (R x3 ), and X 4 is C (R x4 ), and R x3 and R x4 are each taken together with adjacent ring atoms to form C Form a ring, or X 1 is N, X 2 is C (R x2 ), X 3 is C (R x3 ), and X 4 is N, and R x2 and R x3 are each adjacent rings Together with the constituent atoms form a C ring;
Y is substituted or unsubstituted cycloalkylthio, substituted or unsubstituted cycloalkenylthio, substituted or unsubstituted nonaromatic heterocyclic thio, substituted or unsubstituted arylthio, substituted or unsubstituted heteroarylthio, substituent Sulfinyl substituted with a substituent selected from group A, sulfonyl substituted with a substituent selected from substituent group A, unsubstituted sulfamoyl, sulfamoyl substituted with a substituent selected from substituent group A, Substituted or unsubstituted alkylsulfonylamino, substituted or unsubstituted alkenylsulfonylamino, substituted or unsubstituted alkynylsulfonylamino, substituted or unsubstituted aminosulfonylamino, substituted or unsubstituted cycloalkylsulfonylamino, substituted or unsubstituted Cycloalkenyl The sulfonylamino, substituted or unsubstituted non-aromatic heterocyclic sulfonylamino, substituted or unsubstituted arylsulfonylamino, substituted or unsubstituted heteroarylsulfonylamino, or the nitrogen atom constituting the ring is selected from the substituent group A A nitrogen-containing non-aromatic heterocyclic group substituted with a sulfonyl substituted with a substituent;
B 2 is,
(Wherein R 9a , R 9b , R 10 , R 11 and p are as defined in claim 1), or a pharmaceutically acceptable salt thereof or a solvent thereof. Japanese products.
(式中、W1、W2、R1a、R1b、n1、n2、n3およびn4は、請求項1と同意義)で示される環である請求項2記載の化合物、もしくはその製薬上許容される塩またはそれらの溶媒和物。
Ring C is
(Wherein W 1 , W 2 , R 1a , R 1b , n 1 , n 2 , n 3 and n 4 have the same meaning as in claim 1), or a compound according to claim 2, or The pharmaceutically acceptable salt or solvate thereof.
(式中、W1、R1aおよびn1は、請求項1と同意義)で示される環である請求項2記載の化合物、もしくはその製薬上許容される塩またはそれらの溶媒和物。
Ring C is
(Wherein W 1 , R 1a and n 1 have the same meaning as in claim 1), or a pharmaceutically acceptable salt or solvate thereof.
Xが、N(R7c)(式中、R7cは請求項1と同意義);
Yが、置換もしくは非置換のシクロアルキルチオ、置換もしくは非置換のシクロアルケニルチオ、置換もしくは非置換の非芳香族複素環チオ、置換もしくは非置換のアリールチオ、置換もしくは非置換のヘテロアリールチオ、置換基群Aから選択される置換基で置換されたスルフィニル、置換基群Aから選択される置換基で置換されたスルホニル、非置換スルファモイル、置換基群Aから選択される置換基で置換されたスルファモイル、置換もしくは非置換のアルキルスルホニルアミノ、置換もしくは非置換のアルケニルスルホニルアミノ、置換もしくは非置換のアルキニルスルホニルアミノ、置換もしくは非置換のアミノスルホニルアミノ、置換もしくは非置換のシクロアルキルスルホニルアミノ、置換もしくは非置換のシクロアルケニルスルホニルアミノ、置換もしくは非置換の非芳香族複素環スルホニルアミノ、置換もしくは非置換のアリールスルホニルアミノ、置換もしくは非置換のヘテロアリールスルホニルアミノ、または環を構成する窒素原子が置換基群Aから選択される置換基で置換されたスルホニルで置換された含窒素非芳香族複素環基;
B2が、
(式中、R9a、R9b、R10、R11およびpは請求項1と同意義)で示される基である請求項1記載の化合物、もしくはその製薬上許容される塩またはそれらの溶媒和物。
R x1 , R x2 , R x3 and R x4 are each independently hydrogen, halogen, substituted or unsubstituted alkyl, substituted or unsubstituted alkenyl, substituted or unsubstituted alkynyl, substituted or unsubstituted alkyloxy Substituted or unsubstituted alkenyloxy, substituted or unsubstituted alkynyloxy, substituted or unsubstituted alkylthio, substituted or unsubstituted alkenylthio, substituted or unsubstituted alkynylthio, substituted or unsubstituted acyl, hydroxy, carboxy Substituted or unsubstituted alkyloxycarbonyl, substituted or unsubstituted alkenyloxycarbonyl, substituted or unsubstituted alkynyloxycarbonyl, substituted or unsubstituted cycloalkyloxycarbonyl, substituted or unsubstituted cycloalkenyl A substituent selected from ruoxycarbonyl, substituted or unsubstituted non-aromatic heterocyclic oxycarbonyl, substituted or unsubstituted aryloxycarbonyl, substituted or unsubstituted heteroaryloxycarbonyl, unsubstituted carbamoyl, substituent group A Selected from carbamoyl, unsubstituted sulfamoyl, sulfamoyl substituted with a substituent selected from Substituent Group A, sulfinyl substituted with a substituent selected from Substituent Group A, Substituent Group A Substituted sulfonyl, substituted or unsubstituted alkylsulfonyloxy, substituted or unsubstituted arylsulfonyloxy, cyano, nitro, substituted or unsubstituted amino, substituted or unsubstituted cycloalkyl, substituted or unsubstituted Cycloalkenyl, substituted or unsubstituted Non-aromatic heterocyclic group, substituted or unsubstituted aryl, substituted or unsubstituted heteroaryl, substituted or unsubstituted cycloalkyloxy, substituted or unsubstituted cycloalkenyloxy, substituted or unsubstituted non-aromatic hetero Ring oxy, substituted or unsubstituted aryloxy, or substituted or unsubstituted heteroaryloxy;
X is N (R 7c ) (wherein R 7c is as defined in claim 1);
Y is substituted or unsubstituted cycloalkylthio, substituted or unsubstituted cycloalkenylthio, substituted or unsubstituted nonaromatic heterocyclic thio, substituted or unsubstituted arylthio, substituted or unsubstituted heteroarylthio, substituent Sulfinyl substituted with a substituent selected from group A, sulfonyl substituted with a substituent selected from substituent group A, unsubstituted sulfamoyl, sulfamoyl substituted with a substituent selected from substituent group A, Substituted or unsubstituted alkylsulfonylamino, substituted or unsubstituted alkenylsulfonylamino, substituted or unsubstituted alkynylsulfonylamino, substituted or unsubstituted aminosulfonylamino, substituted or unsubstituted cycloalkylsulfonylamino, substituted or unsubstituted Cycloalkenyl The sulfonylamino, substituted or unsubstituted non-aromatic heterocyclic sulfonylamino, substituted or unsubstituted arylsulfonylamino, substituted or unsubstituted heteroarylsulfonylamino, or the nitrogen atom constituting the ring is selected from the substituent group A A nitrogen-containing non-aromatic heterocyclic group substituted with a sulfonyl substituted with a substituent;
B 2 is,
(Wherein R 9a , R 9b , R 10 , R 11 and p are as defined in claim 1), or a pharmaceutically acceptable salt thereof or a solvent thereof. Japanese products.
X1がN、X2がC(Rx2)、X3がC(Rx3)、およびX4がNである、請求項5記載の化合物、もしくはその製薬上許容される塩またはそれらの溶媒和物。
X 1 is N, X 2 is N, X 3 is C (R x3 ), and X 4 is C (R x4 ), or X 1 is N, X 2 is C (R x2 ), and X 3 is 6. The compound according to claim 5, wherein C (R x3 ) and X 4 are N, or a pharmaceutically acceptable salt thereof, or a solvate thereof.
X1がC(Rx1)、X2がN、X3がC(Rx3)、およびX4がC(Rx4)である、請求項5記載の化合物、もしくはその製薬上許容される塩またはそれらの溶媒和物。
X 1 is N, X 2 is C (R x2 ), X 3 is C (R x3 ), and X 4 is C (R x4 ), or X 1 is C (R x1 ), X 2 is N The compound according to claim 5, wherein X 3 is C (R x3 ), and X 4 is C (R x4 ), or a pharmaceutically acceptable salt thereof, or a solvate thereof.
(式中、R10、R11、およびpは請求項1と同意義)で示される基である、請求項1~7のいずれかに記載の化合物、もしくはその製薬上許容される塩またはそれらの溶媒和物。
B 2 is,
(Wherein R 10 , R 11 , and p are as defined in claim 1), or a pharmaceutically acceptable salt thereof or a group thereof Solvates.
Y is sulfonyl substituted with a substituent selected from substituent group A, unsubstituted sulfamoyl, sulfamoyl substituted with a substituent selected from substituent group A, substituted or unsubstituted alkylsulfonylamino, substituted Or unsubstituted alkenylsulfonylamino, substituted or unsubstituted alkynylsulfonylamino, substituted or unsubstituted cycloalkylsulfonylamino, substituted or unsubstituted cycloalkenylsulfonylamino, substituted or unsubstituted nonaromatic heterocyclic sulfonylamino, Substituted or unsubstituted arylsulfonylamino, substituted or unsubstituted heteroarylsulfonylamino, or nitrogen-containing non-aromatic in which a nitrogen atom constituting the ring is substituted with a sulfonyl substituted with a substituent selected from Substituent Group A Claims that are heterocyclic groups Compound, or a pharmaceutically acceptable salt or solvate thereof according to any one of 1 to 8.
Y is sulfonyl substituted with a substituent selected from Substituent Group A, unsubstituted sulfamoyl, or sulfamoyl substituted with a substituent selected from Substituent Group A. Or a pharmaceutically acceptable salt or solvate thereof.
The compound according to any one of claims 1 to 10, or a pharmaceutically acceptable salt thereof, or a solvate thereof, wherein m is an integer of 1 to 3.
A pharmaceutical composition comprising the compound according to any one of claims 1 to 11, or a pharmaceutically acceptable salt thereof, or a solvate thereof.
The pharmaceutical composition according to claim 12, which is a histamine H4 modulator.
Treatment of a disease or condition involving histamine H4 receptor, and / or administration of a compound according to any one of claims 1 to 11, a pharmaceutically acceptable salt thereof, or a solvate thereof Prevention method.
Applications Claiming Priority (4)
| Application Number | Priority Date | Filing Date | Title |
|---|---|---|---|
| JP2009-290033 | 2009-12-22 | ||
| JP2009290033 | 2009-12-22 | ||
| JP2010-081490 | 2010-03-31 | ||
| JP2010081490 | 2010-03-31 |
Publications (1)
| Publication Number | Publication Date |
|---|---|
| WO2011078143A1 true WO2011078143A1 (en) | 2011-06-30 |
Family
ID=44195670
Family Applications (1)
| Application Number | Title | Priority Date | Filing Date |
|---|---|---|---|
| PCT/JP2010/072951 Ceased WO2011078143A1 (en) | 2009-12-22 | 2010-12-21 | Pyrimidine derivatives and pharmaceutical composition containing same |
Country Status (1)
| Country | Link |
|---|---|
| WO (1) | WO2011078143A1 (en) |
Cited By (58)
| Publication number | Priority date | Publication date | Assignee | Title |
|---|---|---|---|---|
| WO2013117288A1 (en) | 2012-02-09 | 2013-08-15 | Merck Patent Gmbh | Tetrahydro-quinazolinone derivatives as tank and parp inhibitors |
| US9266886B2 (en) | 2014-02-03 | 2016-02-23 | Vitae Pharmaceuticals, Inc. | Dihydropyrrolopyridine inhibitors of ROR-gamma |
| US9481674B1 (en) | 2016-06-10 | 2016-11-01 | Vitae Pharmaceuticals, Inc. | Dihydropyrrolopyridine inhibitors of ROR-gamma |
| US9663515B2 (en) | 2014-11-05 | 2017-05-30 | Vitae Pharmaceuticals, Inc. | Dihydropyrrolopyridine inhibitors of ROR-gamma |
| US9796710B2 (en) | 2014-10-14 | 2017-10-24 | Vitae Pharmaceuticals, Inc. | Dihydropyrrolopyridine inhibitors of ROR-gamma |
| US9815813B2 (en) | 2014-01-17 | 2017-11-14 | Novartis Ag | 1-(triazin-3-yl/pyridazin-3-yl)-piper(-azine)idine derivatives and compositions therefor for inhibiting the activity of SHP2 |
| US9845308B2 (en) | 2014-11-05 | 2017-12-19 | Vitae Pharmaceuticals, Inc. | Isoindoline inhibitors of ROR-gamma |
| US10077276B2 (en) | 2014-01-17 | 2018-09-18 | Novartis Ag | N-azaspirocycloalkane substituted N-heteroaryl compounds and compositions for inhibiting the activity of SHP2 |
| US10093646B2 (en) | 2014-01-17 | 2018-10-09 | Novartis Ag | 1-pyridazin-/triazin-3-yl-piper(-azine)/idine/pyrolidine derivatives and compositions thereof for inhibiting the activity of SHP2 |
| US10195196B2 (en) | 2012-08-13 | 2019-02-05 | Novartis Ag | 1,4-disubstituted pyridazine analogs there of and methods for treating SMN-deficiency-related conditions |
| US10266530B2 (en) | 2016-09-09 | 2019-04-23 | Incyte Corporation | Pyrazolopyridine compounds and uses thereof |
| US10280164B2 (en) | 2016-09-09 | 2019-05-07 | Incyte Corporation | Pyrazolopyridone compounds and uses thereof |
| US10287266B2 (en) | 2015-06-19 | 2019-05-14 | Novartis Ag | Compounds and compositions for inhibiting the activity of SHP2 |
| US10301261B2 (en) | 2015-08-05 | 2019-05-28 | Vitae Pharmaceuticals, Llc | Substituted indoles as modulators of ROR-gamma |
| US10308660B2 (en) | 2015-06-19 | 2019-06-04 | Novartis Ag | Compounds and compositions for inhibiting the activity of SHP2 |
| US10683293B2 (en) | 2014-08-04 | 2020-06-16 | Nuevolution A/S | Optionally fused heterocyclyl-substituted derivatives of pyrimidine useful for the treatment of inflammatory, metabolic, oncologic and autoimmune diseases |
| US10722495B2 (en) | 2017-09-08 | 2020-07-28 | Incyte Corporation | Cyanoindazole compounds and uses thereof |
| CN111499641A (en) * | 2019-01-30 | 2020-08-07 | 格格巫(珠海)生物科技有限公司 | JAK inhibitor and preparation method thereof |
| US10745388B2 (en) | 2018-02-20 | 2020-08-18 | Incyte Corporation | Indazole compounds and uses thereof |
| US10752635B2 (en) | 2018-02-20 | 2020-08-25 | Incyte Corporation | Indazole compounds and uses thereof |
| US10800761B2 (en) | 2018-02-20 | 2020-10-13 | Incyte Corporation | Carboxamide compounds and uses thereof |
| US10829481B2 (en) | 2016-01-29 | 2020-11-10 | Vitae Pharmaceuticals, Llc | Benzimidazole derivatives as modulators of ROR-gamma |
| US10899755B2 (en) | 2018-08-08 | 2021-01-26 | Incyte Corporation | Benzothiazole compounds and uses thereof |
| US10913739B2 (en) | 2017-07-24 | 2021-02-09 | Vitae Pharmaceuticals, LLC (121374) | Inhibitors of RORγ |
| WO2021026245A1 (en) * | 2019-08-06 | 2021-02-11 | The University Of North Carolina At Chapel Hill | Rna-targeting ligands, compositions thereof, and methods of making and using the same |
| US10934285B2 (en) | 2016-06-14 | 2021-03-02 | Novartis Ag | Compounds and compositions for inhibiting the activity of SHP2 |
| US10975080B2 (en) | 2015-06-19 | 2021-04-13 | Novartis Ag | Compounds and compositions for inhibiting the activity of SHP2 |
| US11008340B2 (en) | 2015-11-20 | 2021-05-18 | Vitae Pharmaceuticals, Llc | Modulators of ROR-gamma |
| US11014929B2 (en) | 2016-09-09 | 2021-05-25 | Incyte Corporation | Pyrazolopyrimidine compounds and uses thereof |
| US11066394B2 (en) | 2019-08-06 | 2021-07-20 | Incyte Corporation | Solid forms of an HPK1 inhibitor |
| US11111247B2 (en) | 2018-09-25 | 2021-09-07 | Incyte Corporation | Pyrazolopyrimidine compounds and uses thereof |
| US11161850B2 (en) | 2018-07-05 | 2021-11-02 | Incyte Corporation | Fused pyrazine derivatives as A2A / A2B inhibitors |
| WO2021221097A1 (en) * | 2020-04-28 | 2021-11-04 | Meiji Seikaファルマ株式会社 | Novel bicyclic compound |
| US11168089B2 (en) | 2018-05-18 | 2021-11-09 | Incyte Corporation | Fused pyrimidine derivatives as A2A / A2B inhibitors |
| US11186573B2 (en) | 2017-07-24 | 2021-11-30 | Vitae Pharmaceuticals, Llc | Inhibitors of ROR gamma |
| US11242343B2 (en) | 2016-09-09 | 2022-02-08 | Incyte Corporation | Pyrazolopyridine compounds and uses thereof |
| JP2022518823A (en) * | 2019-01-29 | 2022-03-16 | シャンドン スアンズ ファーマ カンパニー,リミテッド | Hexon glucokinase inhibitors and their use |
| US11299473B2 (en) | 2018-04-13 | 2022-04-12 | Incyte Corporation | Benzimidazole and indole compounds and uses thereof |
| JP2022523860A (en) * | 2019-03-11 | 2022-04-26 | コラボレイティブ メディシナル デベロップメント, エルエルシー | Complex aromatics and heterobicyclic aromatic derivatives for the treatment of ferrotosis-related disorders |
| US11390624B2 (en) | 2019-01-29 | 2022-07-19 | Incyte Corporation | Pyrazolopyridines and triazolopyridines as A2A / A2B inhibitors |
| US11406624B2 (en) | 2017-02-15 | 2022-08-09 | Incyte Corporation | Pyrazolopyridine compounds and uses thereof |
| US11414390B2 (en) | 2017-09-07 | 2022-08-16 | Hutchison Medipharma Limited | Cycloolefin substituted heteroaromatic compounds and their use |
| US11447479B2 (en) | 2019-12-20 | 2022-09-20 | Nuevolution A/S | Compounds active towards nuclear receptors |
| WO2022256382A1 (en) * | 2021-06-02 | 2022-12-08 | The University Of North Carolina At Chapel Hill | Rna-targeting ligands, compositions thereof, and methods of making and using the same |
| US11613532B2 (en) | 2020-03-31 | 2023-03-28 | Nuevolution A/S | Compounds active towards nuclear receptors |
| US11661422B2 (en) | 2020-08-27 | 2023-05-30 | Incyte Corporation | Tricyclic urea compounds as JAK2 V617F inhibitors |
| US11673894B2 (en) | 2018-02-27 | 2023-06-13 | Incyte Corporation | Imidazopyrimidines and triazolopyrimidines as A2A / A2B inhibitors |
| US11672799B2 (en) | 2013-07-31 | 2023-06-13 | Novartis Ag | 1,4-disubstituted pyridazine quinolne analogs there of and methods for treating SMN-deficiency-related conditions |
| US11691971B2 (en) | 2020-06-19 | 2023-07-04 | Incyte Corporation | Naphthyridinone compounds as JAK2 V617F inhibitors |
| US11753413B2 (en) | 2020-06-19 | 2023-09-12 | Incyte Corporation | Substituted pyrrolo[2,1-f][1,2,4]triazine compounds as JAK2 V617F inhibitors |
| US11767323B2 (en) | 2020-07-02 | 2023-09-26 | Incyte Corporation | Tricyclic pyridone compounds as JAK2 V617F inhibitors |
| US11780840B2 (en) | 2020-07-02 | 2023-10-10 | Incyte Corporation | Tricyclic urea compounds as JAK2 V617F inhibitors |
| US11780843B2 (en) | 2020-03-31 | 2023-10-10 | Nuevolution A/S | Compounds active towards nuclear receptors |
| US11919908B2 (en) | 2020-12-21 | 2024-03-05 | Incyte Corporation | Substituted pyrrolo[2,3-d]pyrimidine compounds as JAK2 V617F inhibitors |
| US11958861B2 (en) | 2021-02-25 | 2024-04-16 | Incyte Corporation | Spirocyclic lactams as JAK2 V617F inhibitors |
| US12053470B2 (en) | 2017-01-10 | 2024-08-06 | Novartis Ag | Pharmaceutical combination comprising an ALK inhibitor and a SHP2 inhibitor |
| US12084430B2 (en) | 2022-03-17 | 2024-09-10 | Incyte Corporation | Tricyclic urea compounds as JAK2 V617F inhibitors |
| US12441704B2 (en) | 2019-12-20 | 2025-10-14 | Nuevolution A/S | Compounds active towards nuclear receptors |
Citations (13)
| Publication number | Priority date | Publication date | Assignee | Title |
|---|---|---|---|---|
| GB1185039A (en) * | 1966-03-31 | 1970-03-18 | Ici Ltd | Pyrimidine Derivatives and Compositions containing them |
| DE2121950A1 (en) * | 1971-05-04 | 1972-11-23 | Dr. Karl Thomae Gmbh, 7950 Biberach | Thieno(3,2-d)pyrimidine derivs - with thrombocyte aggregation inhibiting activity |
| EP0658548A1 (en) * | 1993-12-17 | 1995-06-21 | Tanabe Seiyaku Co., Ltd. | Benzenesulfonamide derivative and process for preparing thereof |
| JPH0959160A (en) * | 1995-06-16 | 1997-03-04 | Tanabe Seiyaku Co Ltd | Pharmaceutical composition |
| EP0852226A1 (en) * | 1995-09-06 | 1998-07-08 | Kowa Co. Ltd. | Pyrimidine derivatives |
| WO2002053557A1 (en) * | 2000-12-18 | 2002-07-11 | Actelion Pharmaceuticals Ltd | Novel sulfamides and their use as endothelin receptor antagonists |
| WO2007113202A1 (en) * | 2006-03-31 | 2007-10-11 | Glaxo Group Limited | Piperazine derivatives as growth hormone secretagogue (ghs) receptor agonists |
| WO2008122378A1 (en) * | 2007-04-04 | 2008-10-16 | Ucb Pharma, S.A. | Novel pyridine derivatives, processes for preparing them, pharmaceutical compositions thereof |
| WO2009023978A1 (en) * | 2007-08-17 | 2009-02-26 | Oncalis Ag | Pyrazolo [3,4 -d] pyrimidine compounds and their use as modulators of protein kinase |
| WO2009079000A1 (en) * | 2007-12-17 | 2009-06-25 | Janssen Pharmaceutica N.V. | Imidazolopyrimidine modulators of trpv1 |
| WO2009078999A1 (en) * | 2007-12-17 | 2009-06-25 | Janssen Pharmaceutica N.V. | Imidazolo-, oxazolo-, and thiazolopyrimidine modulators of trpv1 |
| WO2009152325A1 (en) * | 2008-06-12 | 2009-12-17 | Janssen Pharmaceutica Nv | Diamino-pyridine, pyrimidine, and pyridazine modulators of the histamine h4 receptor |
| WO2010046109A1 (en) * | 2008-10-23 | 2010-04-29 | Grünenthal GmbH | Pyrimidine and triazine sulfonamide derivates as b1 bradykinin receptor (b1r) inhibitors for treating pain |
-
2010
- 2010-12-21 WO PCT/JP2010/072951 patent/WO2011078143A1/en not_active Ceased
Patent Citations (13)
| Publication number | Priority date | Publication date | Assignee | Title |
|---|---|---|---|---|
| GB1185039A (en) * | 1966-03-31 | 1970-03-18 | Ici Ltd | Pyrimidine Derivatives and Compositions containing them |
| DE2121950A1 (en) * | 1971-05-04 | 1972-11-23 | Dr. Karl Thomae Gmbh, 7950 Biberach | Thieno(3,2-d)pyrimidine derivs - with thrombocyte aggregation inhibiting activity |
| EP0658548A1 (en) * | 1993-12-17 | 1995-06-21 | Tanabe Seiyaku Co., Ltd. | Benzenesulfonamide derivative and process for preparing thereof |
| JPH0959160A (en) * | 1995-06-16 | 1997-03-04 | Tanabe Seiyaku Co Ltd | Pharmaceutical composition |
| EP0852226A1 (en) * | 1995-09-06 | 1998-07-08 | Kowa Co. Ltd. | Pyrimidine derivatives |
| WO2002053557A1 (en) * | 2000-12-18 | 2002-07-11 | Actelion Pharmaceuticals Ltd | Novel sulfamides and their use as endothelin receptor antagonists |
| WO2007113202A1 (en) * | 2006-03-31 | 2007-10-11 | Glaxo Group Limited | Piperazine derivatives as growth hormone secretagogue (ghs) receptor agonists |
| WO2008122378A1 (en) * | 2007-04-04 | 2008-10-16 | Ucb Pharma, S.A. | Novel pyridine derivatives, processes for preparing them, pharmaceutical compositions thereof |
| WO2009023978A1 (en) * | 2007-08-17 | 2009-02-26 | Oncalis Ag | Pyrazolo [3,4 -d] pyrimidine compounds and their use as modulators of protein kinase |
| WO2009079000A1 (en) * | 2007-12-17 | 2009-06-25 | Janssen Pharmaceutica N.V. | Imidazolopyrimidine modulators of trpv1 |
| WO2009078999A1 (en) * | 2007-12-17 | 2009-06-25 | Janssen Pharmaceutica N.V. | Imidazolo-, oxazolo-, and thiazolopyrimidine modulators of trpv1 |
| WO2009152325A1 (en) * | 2008-06-12 | 2009-12-17 | Janssen Pharmaceutica Nv | Diamino-pyridine, pyrimidine, and pyridazine modulators of the histamine h4 receptor |
| WO2010046109A1 (en) * | 2008-10-23 | 2010-04-29 | Grünenthal GmbH | Pyrimidine and triazine sulfonamide derivates as b1 bradykinin receptor (b1r) inhibitors for treating pain |
Non-Patent Citations (1)
| Title |
|---|
| MORIMOTO, H. ET AL.: "Modifications and structure- activity relationships at the 2-position of 4-sulfonamidopyrimidine derivatives as potent endothelin antagonists", BIOORGANIC & MEDICINAL CHEMISTRY LETTERS, vol. 12, no. 1, 2001, pages 81 - 84, XP002599929, DOI: doi:10.1016/S0960-894X(01)00682-5 * |
Cited By (100)
| Publication number | Priority date | Publication date | Assignee | Title |
|---|---|---|---|---|
| WO2013117288A1 (en) | 2012-02-09 | 2013-08-15 | Merck Patent Gmbh | Tetrahydro-quinazolinone derivatives as tank and parp inhibitors |
| US10195196B2 (en) | 2012-08-13 | 2019-02-05 | Novartis Ag | 1,4-disubstituted pyridazine analogs there of and methods for treating SMN-deficiency-related conditions |
| US10758533B2 (en) | 2012-08-13 | 2020-09-01 | Novartis Ag | 1,4-disubstituted pyridazine analogs there of and methods for treating SMN-deficiency-related conditions |
| US11229648B2 (en) | 2012-08-13 | 2022-01-25 | Novartis Ag | 1,4-disubstituted pyridazine analogs thereof and methods for treating SMN-deficiency-related conditions |
| US11672799B2 (en) | 2013-07-31 | 2023-06-13 | Novartis Ag | 1,4-disubstituted pyridazine quinolne analogs there of and methods for treating SMN-deficiency-related conditions |
| US11952386B2 (en) | 2014-01-17 | 2024-04-09 | Novartis Ag | N-azaspirocycloalkane substituted N-heteroaryl compounds and compositions for inhibiting the activity of SHP2 |
| US10774065B2 (en) | 2014-01-17 | 2020-09-15 | Novartis Ag | 1-pyridazin-/triazin-3-yl-piper(-azine)/idine/pyrolidine derivatives and compositions thereof for inhibiting the activity of SHP2 |
| US10968235B2 (en) | 2014-01-17 | 2021-04-06 | Novartis Ag | N-azaspirocycloalkane substituted N-heteroaryl compounds and compositions for inhibiting the activity of SHP2 |
| US10336774B2 (en) | 2014-01-17 | 2019-07-02 | Novartis Ag | N-azaspirocycloalkane substituted N-heteroaryl compounds and compositions for inhibiting the activity of SHP2 |
| US10077276B2 (en) | 2014-01-17 | 2018-09-18 | Novartis Ag | N-azaspirocycloalkane substituted N-heteroaryl compounds and compositions for inhibiting the activity of SHP2 |
| US12209098B2 (en) | 2014-01-17 | 2025-01-28 | Novartis Ag | N-azaspirocycloalkane substituted N-heteroaryl compounds and compositions for inhibiting the activity of SHP2 |
| US10093646B2 (en) | 2014-01-17 | 2018-10-09 | Novartis Ag | 1-pyridazin-/triazin-3-yl-piper(-azine)/idine/pyrolidine derivatives and compositions thereof for inhibiting the activity of SHP2 |
| US11401259B2 (en) | 2014-01-17 | 2022-08-02 | Novartis Ag | 1-Pyridazin-/triazin-3-yl-piper(-azine)/idine/pyrolidine derivatives and compositions thereof for inhibiting the activity of SHP2 |
| US9815813B2 (en) | 2014-01-17 | 2017-11-14 | Novartis Ag | 1-(triazin-3-yl/pyridazin-3-yl)-piper(-azine)idine derivatives and compositions therefor for inhibiting the activity of SHP2 |
| US10301278B2 (en) | 2014-01-17 | 2019-05-28 | Novartis Ag | 1-(triazin-3-yl/pyridazin-3-yl)-piper(-azine)idine derivatives and compositions therefor for inhibiting the activity of SHP2 |
| US11535614B2 (en) | 2014-02-03 | 2022-12-27 | Vitae Pharmaceuticals, Llc | Dihydropyrrolopyridine inhibitors of ROR-gamma |
| US9266886B2 (en) | 2014-02-03 | 2016-02-23 | Vitae Pharmaceuticals, Inc. | Dihydropyrrolopyridine inhibitors of ROR-gamma |
| US9624217B2 (en) | 2014-02-03 | 2017-04-18 | Vitae Pharmaceuticals, Inc. | Dihydropyrrolopyridine inhibitors of ROR-gamma |
| US10807980B2 (en) | 2014-02-03 | 2020-10-20 | Vitae Pharmaceuticals, Llc | Dihydropyrrolopyridine inhibitors of ROR-gamma |
| US10047085B2 (en) | 2014-02-03 | 2018-08-14 | Vitae Pharmaceuticals, Inc. | Dihydropyrrolopyridine inhibitors of ROR-gamma |
| US10399976B2 (en) | 2014-02-03 | 2019-09-03 | Vitae Pharmaceuticals, Llc | Dihydropyrrolopyridine inhibitors of ROR-gamma |
| US11254681B2 (en) | 2014-08-04 | 2022-02-22 | Nuevolution A/S | Optionally fused heterocyclyl-substituted derivatives of pyrimidine useful for the treatment of inflammatory, metabolic, oncologic and autoimmune diseases |
| US10683293B2 (en) | 2014-08-04 | 2020-06-16 | Nuevolution A/S | Optionally fused heterocyclyl-substituted derivatives of pyrimidine useful for the treatment of inflammatory, metabolic, oncologic and autoimmune diseases |
| US10689383B2 (en) | 2014-08-04 | 2020-06-23 | Nuevolution A/S | Optionally fused heterocyclyl-substituted derivatives of pyrimidine useful for the treatment of inflammatory, metabolic, oncologic and autoimmune diseases |
| US9796710B2 (en) | 2014-10-14 | 2017-10-24 | Vitae Pharmaceuticals, Inc. | Dihydropyrrolopyridine inhibitors of ROR-gamma |
| US10087184B2 (en) | 2014-10-14 | 2018-10-02 | Vitae Pharmaceuticals, Inc. | Dihydropyrrolopyridine inhibitors of RORγ |
| US11001583B2 (en) | 2014-11-05 | 2021-05-11 | Vitae Pharmaceuticals, Llc | Dihydropyrrolopyridine inhibitors of ROR-gamma |
| US9663515B2 (en) | 2014-11-05 | 2017-05-30 | Vitae Pharmaceuticals, Inc. | Dihydropyrrolopyridine inhibitors of ROR-gamma |
| US9845308B2 (en) | 2014-11-05 | 2017-12-19 | Vitae Pharmaceuticals, Inc. | Isoindoline inhibitors of ROR-gamma |
| US10308660B2 (en) | 2015-06-19 | 2019-06-04 | Novartis Ag | Compounds and compositions for inhibiting the activity of SHP2 |
| US10287266B2 (en) | 2015-06-19 | 2019-05-14 | Novartis Ag | Compounds and compositions for inhibiting the activity of SHP2 |
| US10975080B2 (en) | 2015-06-19 | 2021-04-13 | Novartis Ag | Compounds and compositions for inhibiting the activity of SHP2 |
| US10301261B2 (en) | 2015-08-05 | 2019-05-28 | Vitae Pharmaceuticals, Llc | Substituted indoles as modulators of ROR-gamma |
| US10829448B2 (en) | 2015-08-05 | 2020-11-10 | Vitae Pharmaceuticals, Llc | Substituted benzoimidazoles as modulators of ROR-γ |
| US11008340B2 (en) | 2015-11-20 | 2021-05-18 | Vitae Pharmaceuticals, Llc | Modulators of ROR-gamma |
| US10829481B2 (en) | 2016-01-29 | 2020-11-10 | Vitae Pharmaceuticals, Llc | Benzimidazole derivatives as modulators of ROR-gamma |
| US9481674B1 (en) | 2016-06-10 | 2016-11-01 | Vitae Pharmaceuticals, Inc. | Dihydropyrrolopyridine inhibitors of ROR-gamma |
| US11905283B2 (en) | 2016-06-14 | 2024-02-20 | Novartis Ag | Compounds and compositions for inhibiting the activity of SHP2 |
| US10934285B2 (en) | 2016-06-14 | 2021-03-02 | Novartis Ag | Compounds and compositions for inhibiting the activity of SHP2 |
| US11014929B2 (en) | 2016-09-09 | 2021-05-25 | Incyte Corporation | Pyrazolopyrimidine compounds and uses thereof |
| US12384778B2 (en) | 2016-09-09 | 2025-08-12 | Incyte Corporation | Pyrazolopyridine compounds and uses thereof |
| US12516059B2 (en) | 2016-09-09 | 2026-01-06 | Incyte Corporation | Pyrazolopyridine compounds and uses thereof |
| US11242343B2 (en) | 2016-09-09 | 2022-02-08 | Incyte Corporation | Pyrazolopyridine compounds and uses thereof |
| US10934288B2 (en) | 2016-09-09 | 2021-03-02 | Incyte Corporation | Pyrazolopyridine compounds and uses thereof |
| US11891388B2 (en) | 2016-09-09 | 2024-02-06 | Incyte Corporation | Pyrazolopyridine compounds and uses thereof |
| US11795166B2 (en) | 2016-09-09 | 2023-10-24 | Incyte Corporation | Pyrazolopyridine compounds and uses thereof |
| US10435405B2 (en) | 2016-09-09 | 2019-10-08 | Incyte Corporation | Pyrazolopyridine compounds and uses thereof |
| US11542265B2 (en) | 2016-09-09 | 2023-01-03 | Incyte Corporation | Pyrazolopyrimidine compounds and uses thereof |
| US10266530B2 (en) | 2016-09-09 | 2019-04-23 | Incyte Corporation | Pyrazolopyridine compounds and uses thereof |
| US10280164B2 (en) | 2016-09-09 | 2019-05-07 | Incyte Corporation | Pyrazolopyridone compounds and uses thereof |
| US12053470B2 (en) | 2017-01-10 | 2024-08-06 | Novartis Ag | Pharmaceutical combination comprising an ALK inhibitor and a SHP2 inhibitor |
| US11406624B2 (en) | 2017-02-15 | 2022-08-09 | Incyte Corporation | Pyrazolopyridine compounds and uses thereof |
| US11186573B2 (en) | 2017-07-24 | 2021-11-30 | Vitae Pharmaceuticals, Llc | Inhibitors of ROR gamma |
| US10913739B2 (en) | 2017-07-24 | 2021-02-09 | Vitae Pharmaceuticals, LLC (121374) | Inhibitors of RORγ |
| US11414390B2 (en) | 2017-09-07 | 2022-08-16 | Hutchison Medipharma Limited | Cycloolefin substituted heteroaromatic compounds and their use |
| US12234211B2 (en) | 2017-09-07 | 2025-02-25 | Hutchison Medipharma Limited | Cycloolefin substituted heteroaromatic compounds and their use |
| US10722495B2 (en) | 2017-09-08 | 2020-07-28 | Incyte Corporation | Cyanoindazole compounds and uses thereof |
| US10745388B2 (en) | 2018-02-20 | 2020-08-18 | Incyte Corporation | Indazole compounds and uses thereof |
| US10800761B2 (en) | 2018-02-20 | 2020-10-13 | Incyte Corporation | Carboxamide compounds and uses thereof |
| US11492354B2 (en) | 2018-02-20 | 2022-11-08 | Incyte Corporation | Indazole compounds and uses thereof |
| US11731958B2 (en) | 2018-02-20 | 2023-08-22 | Incyte Corporation | Carboxamide compounds and uses thereof |
| US10752635B2 (en) | 2018-02-20 | 2020-08-25 | Incyte Corporation | Indazole compounds and uses thereof |
| US12466815B2 (en) | 2018-02-20 | 2025-11-11 | Incyte Corporation | Carboxamide compounds and uses thereof |
| US11673894B2 (en) | 2018-02-27 | 2023-06-13 | Incyte Corporation | Imidazopyrimidines and triazolopyrimidines as A2A / A2B inhibitors |
| US11299473B2 (en) | 2018-04-13 | 2022-04-12 | Incyte Corporation | Benzimidazole and indole compounds and uses thereof |
| US11873304B2 (en) | 2018-05-18 | 2024-01-16 | Incyte Corporation | Fused pyrimidine derivatives as A2A/A2B inhibitors |
| US11168089B2 (en) | 2018-05-18 | 2021-11-09 | Incyte Corporation | Fused pyrimidine derivatives as A2A / A2B inhibitors |
| US11999740B2 (en) | 2018-07-05 | 2024-06-04 | Incyte Corporation | Fused pyrazine derivatives as A2A / A2B inhibitors |
| US11161850B2 (en) | 2018-07-05 | 2021-11-02 | Incyte Corporation | Fused pyrazine derivatives as A2A / A2B inhibitors |
| US10899755B2 (en) | 2018-08-08 | 2021-01-26 | Incyte Corporation | Benzothiazole compounds and uses thereof |
| US11866426B2 (en) | 2018-08-08 | 2024-01-09 | Incyte Corporation | Benzothiazole compounds and uses thereof |
| US12441731B2 (en) | 2018-09-25 | 2025-10-14 | Incyte Corporation | Pyrazolopyrimidine compounds and uses thereof |
| US11111247B2 (en) | 2018-09-25 | 2021-09-07 | Incyte Corporation | Pyrazolopyrimidine compounds and uses thereof |
| US12331038B2 (en) | 2019-01-29 | 2025-06-17 | Shandong Xuanzhu Pharma Co., Ltd. | Hexone glucokinase inhibitor and use thereof |
| US11390624B2 (en) | 2019-01-29 | 2022-07-19 | Incyte Corporation | Pyrazolopyridines and triazolopyridines as A2A / A2B inhibitors |
| JP2022518823A (en) * | 2019-01-29 | 2022-03-16 | シャンドン スアンズ ファーマ カンパニー,リミテッド | Hexon glucokinase inhibitors and their use |
| JP7248255B2 (en) | 2019-01-29 | 2023-03-29 | シャンドン スアンズ ファーマ カンパニー,リミテッド | Hexone glucokinase inhibitors and uses thereof |
| US11884665B2 (en) | 2019-01-29 | 2024-01-30 | Incyte Corporation | Pyrazolopyridines and triazolopyridines as A2A / A2B inhibitors |
| CN111499641A (en) * | 2019-01-30 | 2020-08-07 | 格格巫(珠海)生物科技有限公司 | JAK inhibitor and preparation method thereof |
| US12509463B2 (en) | 2019-01-30 | 2025-12-30 | Felicamed Biotechnology Co., Ltd. | JAK inhibitor and preparation method therefor |
| CN111499641B (en) * | 2019-01-30 | 2021-06-04 | 格格巫(珠海)生物科技有限公司 | JAK inhibitor and preparation method thereof |
| JP2022523860A (en) * | 2019-03-11 | 2022-04-26 | コラボレイティブ メディシナル デベロップメント, エルエルシー | Complex aromatics and heterobicyclic aromatic derivatives for the treatment of ferrotosis-related disorders |
| WO2021026245A1 (en) * | 2019-08-06 | 2021-02-11 | The University Of North Carolina At Chapel Hill | Rna-targeting ligands, compositions thereof, and methods of making and using the same |
| US11787784B2 (en) | 2019-08-06 | 2023-10-17 | Incyte Corporation | Solid forms of an HPK1 inhibitor |
| US11066394B2 (en) | 2019-08-06 | 2021-07-20 | Incyte Corporation | Solid forms of an HPK1 inhibitor |
| US11447479B2 (en) | 2019-12-20 | 2022-09-20 | Nuevolution A/S | Compounds active towards nuclear receptors |
| US12441704B2 (en) | 2019-12-20 | 2025-10-14 | Nuevolution A/S | Compounds active towards nuclear receptors |
| US11613532B2 (en) | 2020-03-31 | 2023-03-28 | Nuevolution A/S | Compounds active towards nuclear receptors |
| US11780843B2 (en) | 2020-03-31 | 2023-10-10 | Nuevolution A/S | Compounds active towards nuclear receptors |
| WO2021221097A1 (en) * | 2020-04-28 | 2021-11-04 | Meiji Seikaファルマ株式会社 | Novel bicyclic compound |
| US11753413B2 (en) | 2020-06-19 | 2023-09-12 | Incyte Corporation | Substituted pyrrolo[2,1-f][1,2,4]triazine compounds as JAK2 V617F inhibitors |
| US11691971B2 (en) | 2020-06-19 | 2023-07-04 | Incyte Corporation | Naphthyridinone compounds as JAK2 V617F inhibitors |
| US11767323B2 (en) | 2020-07-02 | 2023-09-26 | Incyte Corporation | Tricyclic pyridone compounds as JAK2 V617F inhibitors |
| US12187725B2 (en) | 2020-07-02 | 2025-01-07 | Incyte Corporation | Tricyclic urea compounds as JAK2 V617F inhibitors |
| US11780840B2 (en) | 2020-07-02 | 2023-10-10 | Incyte Corporation | Tricyclic urea compounds as JAK2 V617F inhibitors |
| US11661422B2 (en) | 2020-08-27 | 2023-05-30 | Incyte Corporation | Tricyclic urea compounds as JAK2 V617F inhibitors |
| US11919908B2 (en) | 2020-12-21 | 2024-03-05 | Incyte Corporation | Substituted pyrrolo[2,3-d]pyrimidine compounds as JAK2 V617F inhibitors |
| US11958861B2 (en) | 2021-02-25 | 2024-04-16 | Incyte Corporation | Spirocyclic lactams as JAK2 V617F inhibitors |
| WO2022256382A1 (en) * | 2021-06-02 | 2022-12-08 | The University Of North Carolina At Chapel Hill | Rna-targeting ligands, compositions thereof, and methods of making and using the same |
| US12084430B2 (en) | 2022-03-17 | 2024-09-10 | Incyte Corporation | Tricyclic urea compounds as JAK2 V617F inhibitors |
Similar Documents
| Publication | Publication Date | Title |
|---|---|---|
| WO2011078143A1 (en) | Pyrimidine derivatives and pharmaceutical composition containing same | |
| JP6124351B2 (en) | Heterocyclic and carbocyclic derivatives | |
| JP6075621B2 (en) | Novel heterocyclic derivatives and pharmaceutical compositions containing them | |
| JP5692747B2 (en) | Novel triazine derivative and pharmaceutical composition containing the same | |
| KR101813411B1 (en) | Amino-triazine derivatives and pharmaceutical composition containing said derivatives | |
| JP5594706B2 (en) | Triazine derivative and pharmaceutical composition containing the same having analgesic action | |
| AU2009232721B2 (en) | Pyrimidine derivative having cell protecting effect and uses thereof | |
| WO2013089212A1 (en) | Substituted triazine derivative and pharmaceutical composition containing same | |
| WO2011024987A1 (en) | Aromatic fused heterocyclic derivative and pharmaceutical composition containing same | |
| JPWO2010024258A1 (en) | Fused azole derivative having PI3K inhibitory activity | |
| KR20180110151A (en) | Substituted amino 6-membered nitrogen heterocyclic compounds and their preparation and use | |
| KR20140009106A (en) | Azaindole derivative | |
| WO2011013752A1 (en) | Pharmaceutical composition containing fused hetero-ring derivative | |
| WO1999065881A1 (en) | Heterocyclic compounds as hypoglycemic agents | |
| JP2001031652A (en) | Six-membered heterocyclic compounds |
Legal Events
| Date | Code | Title | Description |
|---|---|---|---|
| 121 | Ep: the epo has been informed by wipo that ep was designated in this application |
Ref document number: 10839373 Country of ref document: EP Kind code of ref document: A1 |
|
| NENP | Non-entry into the national phase |
Ref country code: DE |
|
| 122 | Ep: pct application non-entry in european phase |
Ref document number: 10839373 Country of ref document: EP Kind code of ref document: A1 |
|
| NENP | Non-entry into the national phase |
Ref country code: JP |


































































































































































































































































































































































