US20170223968A1 - Antifungal paenibacillus strains, fusaricidin-type compounds, and their use - Google Patents
Antifungal paenibacillus strains, fusaricidin-type compounds, and their use Download PDFInfo
- Publication number
- US20170223968A1 US20170223968A1 US15/501,784 US201515501784A US2017223968A1 US 20170223968 A1 US20170223968 A1 US 20170223968A1 US 201515501784 A US201515501784 A US 201515501784A US 2017223968 A1 US2017223968 A1 US 2017223968A1
- Authority
- US
- United States
- Prior art keywords
- seq
- paenibacillus
- strains
- strain
- plant
- Prior art date
- Legal status (The legal status is an assumption and is not a legal conclusion. Google has not performed a legal analysis and makes no representation as to the accuracy of the status listed.)
- Abandoned
Links
- 150000001875 compounds Chemical class 0.000 title claims abstract description 242
- 241000179039 Paenibacillus Species 0.000 title claims abstract description 198
- 230000000843 anti-fungal effect Effects 0.000 title claims description 20
- 229940121375 antifungal agent Drugs 0.000 title description 8
- 239000000203 mixture Substances 0.000 claims abstract description 151
- 239000000284 extract Substances 0.000 claims abstract description 88
- 238000000034 method Methods 0.000 claims abstract description 62
- 244000000003 plant pathogen Species 0.000 claims abstract description 38
- 239000000575 pesticide Substances 0.000 claims abstract description 35
- 239000002689 soil Substances 0.000 claims abstract description 25
- 208000015181 infectious disease Diseases 0.000 claims abstract description 6
- 239000001963 growth medium Substances 0.000 claims description 93
- 108091028043 Nucleic acid sequence Proteins 0.000 claims description 88
- 239000000463 material Substances 0.000 claims description 69
- 239000002773 nucleotide Substances 0.000 claims description 52
- 125000003729 nucleotide group Chemical group 0.000 claims description 52
- 244000005700 microbiome Species 0.000 claims description 51
- 150000003839 salts Chemical class 0.000 claims description 49
- 150000001413 amino acids Chemical class 0.000 claims description 43
- 229940024606 amino acid Drugs 0.000 claims description 42
- 235000001014 amino acid Nutrition 0.000 claims description 42
- 241000233866 Fungi Species 0.000 claims description 37
- 125000002915 carbonyl group Chemical group [*:2]C([*:1])=O 0.000 claims description 30
- IJGRMHOSHXDMSA-UHFFFAOYSA-N Atomic nitrogen Chemical compound N#N IJGRMHOSHXDMSA-UHFFFAOYSA-N 0.000 claims description 28
- 241000233622 Phytophthora infestans Species 0.000 claims description 26
- 241000123650 Botrytis cinerea Species 0.000 claims description 24
- 230000001747 exhibiting effect Effects 0.000 claims description 23
- 230000000853 biopesticidal effect Effects 0.000 claims description 20
- VVEZISRNAZFUDZ-UHFFFAOYSA-N 15-(diaminomethylideneamino)-3-hydroxypentadecanoic acid Chemical group NC(=N)NCCCCCCCCCCCCC(O)CC(O)=O VVEZISRNAZFUDZ-UHFFFAOYSA-N 0.000 claims description 19
- 241000223600 Alternaria Species 0.000 claims description 18
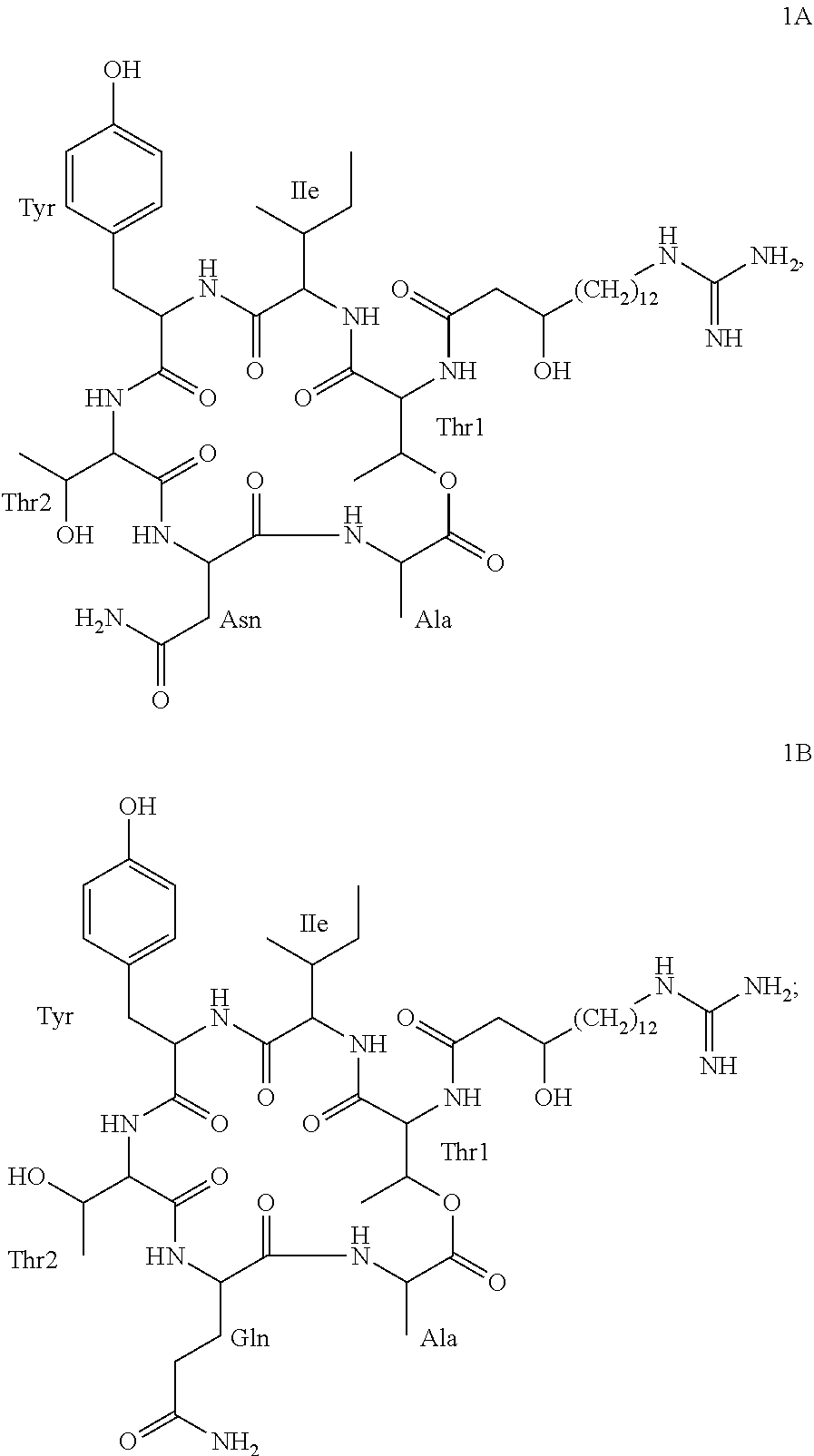
- VUFIBOZCWRWBJY-UHFFFAOYSA-N LI-F08b Natural products CCC(C)C1NC(=O)C(NC(=O)CC(O)CCCCCCCCCCCCNC(N)=N)C(C)OC(=O)C(C)NC(=O)C(CCC(N)=O)NC(=O)C(C(C)O)NC(=O)C(C(C)CC)NC1=O VUFIBOZCWRWBJY-UHFFFAOYSA-N 0.000 claims description 18
- 125000003277 amino group Chemical group 0.000 claims description 18
- ZQMLIVBQFXSJNR-UHFFFAOYSA-N fusaricidin A Natural products CC(C)C1NC(=O)C(NC(=O)CC(O)CCCCCCCCCCCCNC(N)=N)C(C)OC(=O)C(C)NC(=O)C(CC(N)=O)NC(=O)C(C(C)O)NC(=O)C(C(C)C)NC1=O ZQMLIVBQFXSJNR-UHFFFAOYSA-N 0.000 claims description 18
- 108010012765 fusaricidin D Proteins 0.000 claims description 18
- HCNCOYXCNMBDQH-UHFFFAOYSA-N fusaricidin D Natural products N1C(=O)C(C(C)C)NC(=O)C(NC(=O)CC(O)CCCCCCCCCCCCNC(N)=N)C(C)OC(=O)C(C)NC(=O)C(CCC(N)=O)NC(=O)C(C(C)O)NC(=O)C1CC1=CC=C(O)C=C1 HCNCOYXCNMBDQH-UHFFFAOYSA-N 0.000 claims description 18
- 108010012756 fusaricidin A Proteins 0.000 claims description 17
- WDNFMLNXGKOBJN-UHFFFAOYSA-N fusaricidin B Natural products CC(C)C1NC(=O)C(NC(=O)CC(O)CCCCCCCCCCCCNC(N)=N)C(C)OC(=O)C(C)NC(=O)C(CCC(N)=O)NC(=O)C(C(C)O)NC(=O)C(C(C)C)NC1=O WDNFMLNXGKOBJN-UHFFFAOYSA-N 0.000 claims description 17
- 108010012769 fusaricidin B Proteins 0.000 claims description 16
- OKTJSMMVPCPJKN-UHFFFAOYSA-N Carbon Chemical compound [C] OKTJSMMVPCPJKN-UHFFFAOYSA-N 0.000 claims description 15
- UVKPBUFNLWZISC-UHFFFAOYSA-N LI-FO6a Natural products CCC(C)C1NC(=O)C(NC(=O)CC(O)CCCCCCCCCCCCNC(N)=N)C(C)OC(=O)C(C)NC(=O)C(CC(N)=O)NC(=O)C(C(C)O)NC(=O)C(C(C)C)NC1=O UVKPBUFNLWZISC-UHFFFAOYSA-N 0.000 claims description 14
- DXZIDYHKMNHXIN-UHFFFAOYSA-N LI-FO6b Natural products CCC(C)C1NC(=O)C(NC(=O)CC(O)CCCCCCCCCCCCNC(N)=N)C(C)OC(=O)C(C)NC(=O)C(CCC(N)=O)NC(=O)C(C(C)O)NC(=O)C(C(C)C)NC1=O DXZIDYHKMNHXIN-UHFFFAOYSA-N 0.000 claims description 14
- 108010012762 fusaricidin C Proteins 0.000 claims description 14
- ZDWHXIUKVAAEQR-UHFFFAOYSA-N fusaricidin C Natural products N1C(=O)C(C(C)C)NC(=O)C(NC(=O)CC(O)CCCCCCCCCCCCNC(N)=N)C(C)OC(=O)C(C)NC(=O)C(CC(N)=O)NC(=O)C(C(C)O)NC(=O)C1CC1=CC=C(O)C=C1 ZDWHXIUKVAAEQR-UHFFFAOYSA-N 0.000 claims description 14
- 229910052757 nitrogen Inorganic materials 0.000 claims description 14
- 229910052799 carbon Inorganic materials 0.000 claims description 13
- 239000004473 Threonine Substances 0.000 claims description 12
- 229960002898 threonine Drugs 0.000 claims description 12
- 241000221696 Sclerotinia sclerotiorum Species 0.000 claims description 11
- 230000009931 harmful effect Effects 0.000 claims description 11
- PWXCHEOMZSDYEM-UHFFFAOYSA-N 12-(diaminomethylideneamino)dodecanoic acid Chemical group NC(=N)NCCCCCCCCCCCC(O)=O PWXCHEOMZSDYEM-UHFFFAOYSA-N 0.000 claims description 10
- DCXYFEDJOCDNAF-REOHCLBHSA-N L-asparagine Chemical group OC(=O)[C@@H](N)CC(N)=O DCXYFEDJOCDNAF-REOHCLBHSA-N 0.000 claims description 10
- AYFVYJQAPQTCCC-UHFFFAOYSA-N Threonine Natural products CC(O)C(N)C(O)=O AYFVYJQAPQTCCC-UHFFFAOYSA-N 0.000 claims description 10
- 238000000576 coating method Methods 0.000 claims description 10
- 125000000341 threoninyl group Chemical group [H]OC([H])(C([H])([H])[H])C([H])(N([H])[H])C(*)=O 0.000 claims description 10
- 125000003295 alanine group Chemical group N[C@@H](C)C(=O)* 0.000 claims description 9
- 229960001230 asparagine Drugs 0.000 claims description 9
- DCXYFEDJOCDNAF-UHFFFAOYSA-N Asparagine Chemical group OC(=O)C(N)CC(N)=O DCXYFEDJOCDNAF-UHFFFAOYSA-N 0.000 claims description 8
- 229960003767 alanine Drugs 0.000 claims description 8
- 235000009582 asparagine Nutrition 0.000 claims description 8
- 239000011248 coating agent Substances 0.000 claims description 8
- ZDXPYRJPNDTMRX-UHFFFAOYSA-N glutamine Natural products OC(=O)C(N)CCC(N)=O ZDXPYRJPNDTMRX-UHFFFAOYSA-N 0.000 claims description 8
- 125000000404 glutamine group Chemical group N[C@@H](CCC(N)=O)C(=O)* 0.000 claims description 8
- 125000002887 hydroxy group Chemical group [H]O* 0.000 claims description 8
- 235000004279 alanine Nutrition 0.000 claims description 7
- 238000012258 culturing Methods 0.000 claims description 7
- 229960004441 tyrosine Drugs 0.000 claims description 7
- 235000013290 Sagittaria latifolia Nutrition 0.000 claims description 6
- 235000015246 common arrowhead Nutrition 0.000 claims description 6
- 229960000310 isoleucine Drugs 0.000 claims description 6
- AGPKZVBTJJNPAG-UHFFFAOYSA-N isoleucine Natural products CCC(C)C(N)C(O)=O AGPKZVBTJJNPAG-UHFFFAOYSA-N 0.000 claims description 6
- OUYCCCASQSFEME-UHFFFAOYSA-N tyrosine Natural products OC(=O)C(N)CC1=CC=C(O)C=C1 OUYCCCASQSFEME-UHFFFAOYSA-N 0.000 claims description 6
- 125000000741 isoleucyl group Chemical group [H]N([H])C(C(C([H])([H])[H])C([H])([H])C([H])([H])[H])C(=O)O* 0.000 claims description 5
- 125000001493 tyrosinyl group Chemical group [H]OC1=C([H])C([H])=C(C([H])=C1[H])C([H])([H])C([H])(N([H])[H])C(*)=O 0.000 claims description 5
- 239000002207 metabolite Substances 0.000 abstract description 68
- 241000194105 Paenibacillus polymyxa Species 0.000 abstract description 50
- 230000001580 bacterial effect Effects 0.000 abstract description 27
- 230000000813 microbial effect Effects 0.000 abstract description 22
- 230000003042 antagnostic effect Effects 0.000 abstract description 18
- 241000894007 species Species 0.000 abstract description 18
- 244000052769 pathogen Species 0.000 abstract description 17
- 230000000845 anti-microbial effect Effects 0.000 abstract description 8
- 241000196324 Embryophyta Species 0.000 description 221
- 235000010633 broth Nutrition 0.000 description 104
- 235000002639 sodium chloride Nutrition 0.000 description 50
- 235000014113 dietary fatty acids Nutrition 0.000 description 47
- 229930195729 fatty acid Natural products 0.000 description 47
- 239000000194 fatty acid Substances 0.000 description 47
- 238000011282 treatment Methods 0.000 description 43
- 150000004665 fatty acids Chemical class 0.000 description 40
- OKKJLVBELUTLKV-UHFFFAOYSA-N Methanol Chemical compound OC OKKJLVBELUTLKV-UHFFFAOYSA-N 0.000 description 39
- 239000002609 medium Substances 0.000 description 39
- 229930193868 fusaricidin Natural products 0.000 description 37
- 108090000623 proteins and genes Proteins 0.000 description 37
- -1 LI-F05 Natural products 0.000 description 36
- 230000002538 fungal effect Effects 0.000 description 36
- 239000000047 product Substances 0.000 description 33
- 235000010469 Glycine max Nutrition 0.000 description 31
- 244000068988 Glycine max Species 0.000 description 31
- 241000611735 Paenibacillus peoriae Species 0.000 description 31
- 108020004465 16S ribosomal RNA Proteins 0.000 description 30
- 235000013339 cereals Nutrition 0.000 description 30
- 235000013399 edible fruits Nutrition 0.000 description 30
- 240000008042 Zea mays Species 0.000 description 29
- 235000002017 Zea mays subsp mays Nutrition 0.000 description 29
- 230000000694 effects Effects 0.000 description 29
- 235000005824 Zea mays ssp. parviglumis Nutrition 0.000 description 28
- 235000005822 corn Nutrition 0.000 description 28
- WEVYAHXRMPXWCK-UHFFFAOYSA-N Acetonitrile Chemical compound CC#N WEVYAHXRMPXWCK-UHFFFAOYSA-N 0.000 description 27
- 210000004027 cell Anatomy 0.000 description 26
- 241000213004 Alternaria solani Species 0.000 description 25
- 241000209140 Triticum Species 0.000 description 25
- 235000021307 Triticum Nutrition 0.000 description 25
- 230000012010 growth Effects 0.000 description 25
- 229920003266 Leaf® Polymers 0.000 description 24
- 241000894006 Bacteria Species 0.000 description 23
- 102000004169 proteins and genes Human genes 0.000 description 23
- 239000003053 toxin Substances 0.000 description 23
- XLYOFNOQVPJJNP-UHFFFAOYSA-N water Substances O XLYOFNOQVPJJNP-UHFFFAOYSA-N 0.000 description 23
- 231100000765 toxin Toxicity 0.000 description 22
- 108700012359 toxins Proteins 0.000 description 22
- 241000607479 Yersinia pestis Species 0.000 description 21
- IAZDPXIOMUYVGZ-WFGJKAKNSA-N Dimethyl sulfoxide Chemical compound [2H]C([2H])([2H])S(=O)C([2H])([2H])[2H] IAZDPXIOMUYVGZ-WFGJKAKNSA-N 0.000 description 20
- 240000007594 Oryza sativa Species 0.000 description 20
- 235000007164 Oryza sativa Nutrition 0.000 description 20
- 238000009472 formulation Methods 0.000 description 20
- 235000018102 proteins Nutrition 0.000 description 20
- 235000009566 rice Nutrition 0.000 description 20
- 229920001817 Agar Polymers 0.000 description 19
- 239000008272 agar Substances 0.000 description 19
- 235000019441 ethanol Nutrition 0.000 description 19
- 240000005979 Hordeum vulgare Species 0.000 description 18
- 235000007340 Hordeum vulgare Nutrition 0.000 description 18
- 230000004790 biotic stress Effects 0.000 description 18
- 235000013311 vegetables Nutrition 0.000 description 18
- LFQSCWFLJHTTHZ-UHFFFAOYSA-N Ethanol Chemical compound CCO LFQSCWFLJHTTHZ-UHFFFAOYSA-N 0.000 description 17
- 235000002595 Solanum tuberosum Nutrition 0.000 description 17
- 244000061456 Solanum tuberosum Species 0.000 description 17
- 239000000725 suspension Substances 0.000 description 17
- 238000010790 dilution Methods 0.000 description 16
- 239000012895 dilution Substances 0.000 description 16
- 238000011081 inoculation Methods 0.000 description 16
- 229920000742 Cotton Polymers 0.000 description 15
- IAZDPXIOMUYVGZ-UHFFFAOYSA-N Dimethylsulphoxide Chemical compound CS(C)=O IAZDPXIOMUYVGZ-UHFFFAOYSA-N 0.000 description 15
- PEDCQBHIVMGVHV-UHFFFAOYSA-N Glycerine Chemical compound OCC(O)CO PEDCQBHIVMGVHV-UHFFFAOYSA-N 0.000 description 15
- 241000219146 Gossypium Species 0.000 description 15
- 230000036579 abiotic stress Effects 0.000 description 15
- 239000002253 acid Substances 0.000 description 15
- 230000001276 controlling effect Effects 0.000 description 15
- 239000004615 ingredient Substances 0.000 description 15
- 208000037265 diseases, disorders, signs and symptoms Diseases 0.000 description 14
- 235000019198 oils Nutrition 0.000 description 14
- 230000001681 protective effect Effects 0.000 description 14
- 235000007688 Lycopersicon esculentum Nutrition 0.000 description 13
- 240000003768 Solanum lycopersicum Species 0.000 description 13
- 238000004458 analytical method Methods 0.000 description 13
- 201000010099 disease Diseases 0.000 description 13
- 239000003112 inhibitor Substances 0.000 description 13
- 230000003032 phytopathogenic effect Effects 0.000 description 13
- 239000007921 spray Substances 0.000 description 13
- 239000000126 substance Substances 0.000 description 13
- 241000219310 Beta vulgaris subsp. vulgaris Species 0.000 description 12
- FAPWRFPIFSIZLT-UHFFFAOYSA-M Sodium chloride Chemical compound [Na+].[Cl-] FAPWRFPIFSIZLT-UHFFFAOYSA-M 0.000 description 12
- 235000021536 Sugar beet Nutrition 0.000 description 12
- WQZGKKKJIJFFOK-VFUOTHLCSA-N beta-D-glucose Chemical compound OC[C@H]1O[C@@H](O)[C@H](O)[C@@H](O)[C@@H]1O WQZGKKKJIJFFOK-VFUOTHLCSA-N 0.000 description 12
- 244000053095 fungal pathogen Species 0.000 description 12
- 229960001031 glucose Drugs 0.000 description 12
- 239000007788 liquid Substances 0.000 description 12
- 239000003921 oil Substances 0.000 description 12
- 239000003960 organic solvent Substances 0.000 description 12
- 235000012015 potatoes Nutrition 0.000 description 12
- 239000004094 surface-active agent Substances 0.000 description 12
- XEKOWRVHYACXOJ-UHFFFAOYSA-N Ethyl acetate Natural products CCOC(C)=O XEKOWRVHYACXOJ-UHFFFAOYSA-N 0.000 description 11
- WQZGKKKJIJFFOK-GASJEMHNSA-N Glucose Natural products OC[C@H]1OC(O)[C@H](O)[C@@H](O)[C@@H]1O WQZGKKKJIJFFOK-GASJEMHNSA-N 0.000 description 11
- AYFVYJQAPQTCCC-GBXIJSLDSA-N L-threonine Chemical compound C[C@@H](O)[C@H](N)C(O)=O AYFVYJQAPQTCCC-GBXIJSLDSA-N 0.000 description 11
- 239000003242 anti bacterial agent Substances 0.000 description 11
- 229940088710 antibiotic agent Drugs 0.000 description 11
- 230000015572 biosynthetic process Effects 0.000 description 11
- 101150104165 dnaN gene Proteins 0.000 description 11
- 239000000839 emulsion Substances 0.000 description 11
- 101150013736 gyrB gene Proteins 0.000 description 11
- 230000036541 health Effects 0.000 description 11
- 239000004009 herbicide Substances 0.000 description 11
- JEIPFZHSYJVQDO-UHFFFAOYSA-N iron(III) oxide Inorganic materials O=[Fe]O[Fe]=O JEIPFZHSYJVQDO-UHFFFAOYSA-N 0.000 description 11
- 101150037928 recN gene Proteins 0.000 description 11
- 101150037064 rpoA gene Proteins 0.000 description 11
- 239000000243 solution Substances 0.000 description 11
- 239000002904 solvent Substances 0.000 description 11
- 235000000346 sugar Nutrition 0.000 description 11
- 102000012286 Chitinases Human genes 0.000 description 10
- 108010022172 Chitinases Proteins 0.000 description 10
- KFZMGEQAYNKOFK-UHFFFAOYSA-N Isopropanol Chemical compound CC(C)O KFZMGEQAYNKOFK-UHFFFAOYSA-N 0.000 description 10
- 241000592795 Paenibacillus sp. Species 0.000 description 10
- 239000013543 active substance Substances 0.000 description 10
- 238000007792 addition Methods 0.000 description 10
- ZRALSGWEFCBTJO-UHFFFAOYSA-N guanidine group Chemical group NC(=N)N ZRALSGWEFCBTJO-UHFFFAOYSA-N 0.000 description 10
- 238000003306 harvesting Methods 0.000 description 10
- 230000000749 insecticidal effect Effects 0.000 description 10
- 238000004519 manufacturing process Methods 0.000 description 10
- 230000000361 pesticidal effect Effects 0.000 description 10
- 239000000843 powder Substances 0.000 description 10
- 239000007787 solid Substances 0.000 description 10
- 150000003871 sulfonates Chemical class 0.000 description 10
- 241000223602 Alternaria alternata Species 0.000 description 9
- 101100038183 Dictyostelium discoideum polr2a gene Proteins 0.000 description 9
- OUYCCCASQSFEME-QMMMGPOBSA-N L-tyrosine Chemical compound OC(=O)[C@@H](N)CC1=CC=C(O)C=C1 OUYCCCASQSFEME-QMMMGPOBSA-N 0.000 description 9
- 241000244206 Nematoda Species 0.000 description 9
- 229920002472 Starch Polymers 0.000 description 9
- 229940041514 candida albicans extract Drugs 0.000 description 9
- 239000003795 chemical substances by application Substances 0.000 description 9
- 238000013467 fragmentation Methods 0.000 description 9
- 238000006062 fragmentation reaction Methods 0.000 description 9
- 239000008103 glucose Substances 0.000 description 9
- 238000002887 multiple sequence alignment Methods 0.000 description 9
- 101150012629 parE gene Proteins 0.000 description 9
- 101150002589 recF gene Proteins 0.000 description 9
- 101150047139 rpo1N gene Proteins 0.000 description 9
- 239000008107 starch Substances 0.000 description 9
- 235000019698 starch Nutrition 0.000 description 9
- 239000000758 substrate Substances 0.000 description 9
- 239000012138 yeast extract Substances 0.000 description 9
- KZSNJWFQEVHDMF-SCSAIBSYSA-N D-valine Chemical compound CC(C)[C@@H](N)C(O)=O KZSNJWFQEVHDMF-SCSAIBSYSA-N 0.000 description 8
- 241000208818 Helianthus Species 0.000 description 8
- 235000003222 Helianthus annuus Nutrition 0.000 description 8
- CSNNHWWHGAXBCP-UHFFFAOYSA-L Magnesium sulfate Chemical compound [Mg+2].[O-][S+2]([O-])([O-])[O-] CSNNHWWHGAXBCP-UHFFFAOYSA-L 0.000 description 8
- 238000007476 Maximum Likelihood Methods 0.000 description 8
- 238000012360 testing method Methods 0.000 description 8
- 241000193830 Bacillus <bacterium> Species 0.000 description 7
- 240000007124 Brassica oleracea Species 0.000 description 7
- 235000003899 Brassica oleracea var acephala Nutrition 0.000 description 7
- 235000011301 Brassica oleracea var capitata Nutrition 0.000 description 7
- 235000001169 Brassica oleracea var oleracea Nutrition 0.000 description 7
- DCXYFEDJOCDNAF-UWTATZPHSA-N D-Asparagine Chemical compound OC(=O)[C@H](N)CC(N)=O DCXYFEDJOCDNAF-UWTATZPHSA-N 0.000 description 7
- ZDXPYRJPNDTMRX-GSVOUGTGSA-N D-glutamine Chemical compound OC(=O)[C@H](N)CCC(N)=O ZDXPYRJPNDTMRX-GSVOUGTGSA-N 0.000 description 7
- 102000004190 Enzymes Human genes 0.000 description 7
- 108090000790 Enzymes Proteins 0.000 description 7
- 101000610620 Homo sapiens Putative serine protease 29 Proteins 0.000 description 7
- AGPKZVBTJJNPAG-WHFBIAKZSA-N L-isoleucine Chemical compound CC[C@H](C)[C@H](N)C(O)=O AGPKZVBTJJNPAG-WHFBIAKZSA-N 0.000 description 7
- 241000682645 Phakopsora pachyrhizi Species 0.000 description 7
- 102100040345 Putative serine protease 29 Human genes 0.000 description 7
- VYPSYNLAJGMNEJ-UHFFFAOYSA-N Silicium dioxide Chemical compound O=[Si]=O VYPSYNLAJGMNEJ-UHFFFAOYSA-N 0.000 description 7
- 241001360088 Zymoseptoria tritici Species 0.000 description 7
- 150000001298 alcohols Chemical class 0.000 description 7
- 230000000844 anti-bacterial effect Effects 0.000 description 7
- SRBFZHDQGSBBOR-UHFFFAOYSA-N beta-D-Pyranose-Lyxose Natural products OC1COC(O)C(O)C1O SRBFZHDQGSBBOR-UHFFFAOYSA-N 0.000 description 7
- 229920002678 cellulose Polymers 0.000 description 7
- 239000001913 cellulose Substances 0.000 description 7
- 229940126214 compound 3 Drugs 0.000 description 7
- 239000002270 dispersing agent Substances 0.000 description 7
- 229940088598 enzyme Drugs 0.000 description 7
- 239000008187 granular material Substances 0.000 description 7
- 230000005764 inhibitory process Effects 0.000 description 7
- 230000008635 plant growth Effects 0.000 description 7
- 108090000765 processed proteins & peptides Proteins 0.000 description 7
- 230000010076 replication Effects 0.000 description 7
- 239000011780 sodium chloride Substances 0.000 description 7
- 238000001228 spectrum Methods 0.000 description 7
- 239000006228 supernatant Substances 0.000 description 7
- PBLZLIFKVPJDCO-UHFFFAOYSA-N 12-aminododecanoic acid Chemical compound NCCCCCCCCCCCC(O)=O PBLZLIFKVPJDCO-UHFFFAOYSA-N 0.000 description 6
- 102000013142 Amylases Human genes 0.000 description 6
- 108010065511 Amylases Proteins 0.000 description 6
- 239000002028 Biomass Substances 0.000 description 6
- 241000221785 Erysiphales Species 0.000 description 6
- 241000238631 Hexapoda Species 0.000 description 6
- 241000233629 Phytophthora parasitica Species 0.000 description 6
- 241000228453 Pyrenophora Species 0.000 description 6
- 108020004511 Recombinant DNA Proteins 0.000 description 6
- 240000000111 Saccharum officinarum Species 0.000 description 6
- 235000007201 Saccharum officinarum Nutrition 0.000 description 6
- 235000007238 Secale cereale Nutrition 0.000 description 6
- 244000082988 Secale cereale Species 0.000 description 6
- 240000000359 Triticum dicoccon Species 0.000 description 6
- 239000004480 active ingredient Substances 0.000 description 6
- 239000002671 adjuvant Substances 0.000 description 6
- 150000001408 amides Chemical group 0.000 description 6
- 150000004945 aromatic hydrocarbons Chemical class 0.000 description 6
- 239000003899 bactericide agent Substances 0.000 description 6
- 238000005119 centrifugation Methods 0.000 description 6
- 238000006243 chemical reaction Methods 0.000 description 6
- KRKNYBCHXYNGOX-UHFFFAOYSA-N citric acid Chemical compound OC(=O)CC(O)(C(O)=O)CC(O)=O KRKNYBCHXYNGOX-UHFFFAOYSA-N 0.000 description 6
- 239000003086 colorant Substances 0.000 description 6
- JHIVVAPYMSGYDF-UHFFFAOYSA-N cyclohexanone Chemical compound O=C1CCCCC1 JHIVVAPYMSGYDF-UHFFFAOYSA-N 0.000 description 6
- 230000006378 damage Effects 0.000 description 6
- 239000004495 emulsifiable concentrate Substances 0.000 description 6
- 150000002148 esters Chemical group 0.000 description 6
- 239000000417 fungicide Substances 0.000 description 6
- 235000011187 glycerol Nutrition 0.000 description 6
- 238000002955 isolation Methods 0.000 description 6
- 125000001434 methanylylidene group Chemical group [H]C#[*] 0.000 description 6
- 229920000642 polymer Polymers 0.000 description 6
- 230000002829 reductive effect Effects 0.000 description 6
- VWDWKYIASSYTQR-UHFFFAOYSA-N sodium nitrate Chemical compound [Na+].[O-][N+]([O-])=O VWDWKYIASSYTQR-UHFFFAOYSA-N 0.000 description 6
- 238000009331 sowing Methods 0.000 description 6
- 150000008163 sugars Chemical class 0.000 description 6
- 239000002023 wood Substances 0.000 description 6
- VBOBACVWWXZJCQ-UHFFFAOYSA-N *.C.C.C.C.CC Chemical compound *.C.C.C.C.CC VBOBACVWWXZJCQ-UHFFFAOYSA-N 0.000 description 5
- 238000001644 13C nuclear magnetic resonance spectroscopy Methods 0.000 description 5
- QGZKDVFQNNGYKY-UHFFFAOYSA-N Ammonia Chemical compound N QGZKDVFQNNGYKY-UHFFFAOYSA-N 0.000 description 5
- 239000004382 Amylase Substances 0.000 description 5
- GXWANLBHRWUGKK-UHFFFAOYSA-N CCCCCCCCCCCC(CC(C)=N)C(O)CC(=O)NC1C(=O)NC(C(C)CC)C(=O)CC(CC2=CC=C(O)C=C2)C(=O)NC(C(C)O)C(=O)NC(CC(N)=O)C(=O)CC(C)C(=O)OC1C.CCCCCCCCCCCC(CC(C)=N)C(O)CC(=O)NC1C(=O)NC(C(C)CC)C(=O)CC(CC2=CC=C(O)C=C2)C(=O)NC(C(C)O)C(=O)NC(CCC(N)=O)C(=O)CC(C)C(=O)OC1C Chemical compound CCCCCCCCCCCC(CC(C)=N)C(O)CC(=O)NC1C(=O)NC(C(C)CC)C(=O)CC(CC2=CC=C(O)C=C2)C(=O)NC(C(C)O)C(=O)NC(CC(N)=O)C(=O)CC(C)C(=O)OC1C.CCCCCCCCCCCC(CC(C)=N)C(O)CC(=O)NC1C(=O)NC(C(C)CC)C(=O)CC(CC2=CC=C(O)C=C2)C(=O)NC(C(C)O)C(=O)NC(CCC(N)=O)C(=O)CC(C)C(=O)OC1C GXWANLBHRWUGKK-UHFFFAOYSA-N 0.000 description 5
- 240000007154 Coffea arabica Species 0.000 description 5
- 241000371644 Curvularia ravenelii Species 0.000 description 5
- FBPFZTCFMRRESA-KVTDHHQDSA-N D-Mannitol Chemical compound OC[C@@H](O)[C@@H](O)[C@H](O)[C@H](O)CO FBPFZTCFMRRESA-KVTDHHQDSA-N 0.000 description 5
- 241000223218 Fusarium Species 0.000 description 5
- 241000223195 Fusarium graminearum Species 0.000 description 5
- 241000223221 Fusarium oxysporum Species 0.000 description 5
- 241001465754 Metazoa Species 0.000 description 5
- 238000005481 NMR spectroscopy Methods 0.000 description 5
- 241000233679 Peronosporaceae Species 0.000 description 5
- 241000700605 Viruses Species 0.000 description 5
- 235000019418 amylase Nutrition 0.000 description 5
- 238000003556 assay Methods 0.000 description 5
- 239000002585 base Substances 0.000 description 5
- 230000009286 beneficial effect Effects 0.000 description 5
- 239000000969 carrier Substances 0.000 description 5
- 235000016213 coffee Nutrition 0.000 description 5
- 235000013353 coffee beverage Nutrition 0.000 description 5
- 238000007796 conventional method Methods 0.000 description 5
- 244000038559 crop plants Species 0.000 description 5
- 238000011161 development Methods 0.000 description 5
- 230000018109 developmental process Effects 0.000 description 5
- 239000003995 emulsifying agent Substances 0.000 description 5
- 238000011156 evaluation Methods 0.000 description 5
- 238000000605 extraction Methods 0.000 description 5
- 238000000855 fermentation Methods 0.000 description 5
- 230000004151 fermentation Effects 0.000 description 5
- 239000012634 fragment Substances 0.000 description 5
- 239000007789 gas Substances 0.000 description 5
- 239000000499 gel Substances 0.000 description 5
- 238000010353 genetic engineering Methods 0.000 description 5
- 230000035784 germination Effects 0.000 description 5
- 150000002500 ions Chemical class 0.000 description 5
- 239000011159 matrix material Substances 0.000 description 5
- 125000001570 methylene group Chemical group [H]C([H])([*:1])[*:2] 0.000 description 5
- 235000015097 nutrients Nutrition 0.000 description 5
- 230000001717 pathogenic effect Effects 0.000 description 5
- 230000008569 process Effects 0.000 description 5
- 238000000746 purification Methods 0.000 description 5
- 238000011160 research Methods 0.000 description 5
- 238000012163 sequencing technique Methods 0.000 description 5
- 230000035882 stress Effects 0.000 description 5
- 150000003467 sulfuric acid derivatives Chemical class 0.000 description 5
- 235000008521 threonine Nutrition 0.000 description 5
- HDTRYLNUVZCQOY-UHFFFAOYSA-N α-D-glucopyranosyl-α-D-glucopyranoside Natural products OC1C(O)C(O)C(CO)OC1OC1C(O)C(O)C(O)C(CO)O1 HDTRYLNUVZCQOY-UHFFFAOYSA-N 0.000 description 4
- QCWJKJLNCFEVPQ-WHFBIAKZSA-N Asn-Gln Chemical compound NC(=O)C[C@H](N)C(=O)N[C@H](C(O)=O)CCC(N)=O QCWJKJLNCFEVPQ-WHFBIAKZSA-N 0.000 description 4
- VTYYLEPIZMXCLO-UHFFFAOYSA-L Calcium carbonate Chemical compound [Ca+2].[O-]C([O-])=O VTYYLEPIZMXCLO-UHFFFAOYSA-L 0.000 description 4
- 108010059892 Cellulase Proteins 0.000 description 4
- QNAYBMKLOCPYGJ-UWTATZPHSA-N D-alanine Chemical compound C[C@@H](N)C(O)=O QNAYBMKLOCPYGJ-UWTATZPHSA-N 0.000 description 4
- SRBFZHDQGSBBOR-IOVATXLUSA-N D-xylopyranose Chemical compound O[C@@H]1COC(O)[C@H](O)[C@H]1O SRBFZHDQGSBBOR-IOVATXLUSA-N 0.000 description 4
- 108020004414 DNA Proteins 0.000 description 4
- 240000009088 Fragaria x ananassa Species 0.000 description 4
- RFSUNEUAIZKAJO-ARQDHWQXSA-N Fructose Chemical compound OC[C@H]1O[C@](O)(CO)[C@@H](O)[C@@H]1O RFSUNEUAIZKAJO-ARQDHWQXSA-N 0.000 description 4
- 239000005562 Glyphosate Substances 0.000 description 4
- DGAQECJNVWCQMB-PUAWFVPOSA-M Ilexoside XXIX Chemical class C[C@@H]1CC[C@@]2(CC[C@@]3(C(=CC[C@H]4[C@]3(CC[C@@H]5[C@@]4(CC[C@@H](C5(C)C)OS(=O)(=O)[O-])C)C)[C@@H]2[C@]1(C)O)C)C(=O)O[C@H]6[C@@H]([C@H]([C@@H]([C@H](O6)CO)O)O)O.[Na+] DGAQECJNVWCQMB-PUAWFVPOSA-M 0.000 description 4
- KZSNJWFQEVHDMF-BYPYZUCNSA-N L-valine Chemical compound CC(C)[C@H](N)C(O)=O KZSNJWFQEVHDMF-BYPYZUCNSA-N 0.000 description 4
- CHJJGSNFBQVOTG-UHFFFAOYSA-N N-methyl-guanidine Natural products CNC(N)=N CHJJGSNFBQVOTG-UHFFFAOYSA-N 0.000 description 4
- 229910002651 NO3 Inorganic materials 0.000 description 4
- 235000002637 Nicotiana tabacum Nutrition 0.000 description 4
- 244000061176 Nicotiana tabacum Species 0.000 description 4
- NHNBFGGVMKEFGY-UHFFFAOYSA-N Nitrate Chemical compound [O-][N+]([O-])=O NHNBFGGVMKEFGY-UHFFFAOYSA-N 0.000 description 4
- 229910019142 PO4 Inorganic materials 0.000 description 4
- 241000018243 Paenibacillus polymyxa M1 Species 0.000 description 4
- 235000010627 Phaseolus vulgaris Nutrition 0.000 description 4
- 244000046052 Phaseolus vulgaris Species 0.000 description 4
- NBIIXXVUZAFLBC-UHFFFAOYSA-N Phosphoric acid Chemical compound OP(O)(O)=O NBIIXXVUZAFLBC-UHFFFAOYSA-N 0.000 description 4
- 241000132152 Polymyxa Species 0.000 description 4
- 241000533281 Stagonospora Species 0.000 description 4
- 229930006000 Sucrose Natural products 0.000 description 4
- CZMRCDWAGMRECN-UGDNZRGBSA-N Sucrose Chemical compound O[C@H]1[C@H](O)[C@@H](CO)O[C@@]1(CO)O[C@@H]1[C@H](O)[C@@H](O)[C@H](O)[C@@H](CO)O1 CZMRCDWAGMRECN-UGDNZRGBSA-N 0.000 description 4
- MUPFEKGTMRGPLJ-UHFFFAOYSA-N UNPD196149 Natural products OC1C(O)C(CO)OC1(CO)OC1C(O)C(O)C(O)C(COC2C(C(O)C(O)C(CO)O2)O)O1 MUPFEKGTMRGPLJ-UHFFFAOYSA-N 0.000 description 4
- XSQUKJJJFZCRTK-UHFFFAOYSA-N Urea Chemical compound NC(N)=O XSQUKJJJFZCRTK-UHFFFAOYSA-N 0.000 description 4
- 0 [1*]C1OC(=O)C([6*])NC(=O)C([5*])NC(=O)C([4*])NC(=O)C([3*])NC(=O)C([2*])NC(=O)C1C Chemical compound [1*]C1OC(=O)C([6*])NC(=O)C([5*])NC(=O)C([4*])NC(=O)C([3*])NC(=O)C([2*])NC(=O)C1C 0.000 description 4
- 150000007513 acids Chemical class 0.000 description 4
- 230000009471 action Effects 0.000 description 4
- 239000008186 active pharmaceutical agent Substances 0.000 description 4
- HDTRYLNUVZCQOY-LIZSDCNHSA-N alpha,alpha-trehalose Chemical compound O[C@@H]1[C@@H](O)[C@H](O)[C@@H](CO)O[C@@H]1O[C@@H]1[C@H](O)[C@@H](O)[C@H](O)[C@@H](CO)O1 HDTRYLNUVZCQOY-LIZSDCNHSA-N 0.000 description 4
- 150000001412 amines Chemical class 0.000 description 4
- 239000002518 antifoaming agent Substances 0.000 description 4
- 244000052616 bacterial pathogen Species 0.000 description 4
- 238000009395 breeding Methods 0.000 description 4
- 230000001488 breeding effect Effects 0.000 description 4
- 239000002775 capsule Substances 0.000 description 4
- 238000012512 characterization method Methods 0.000 description 4
- UHZZMRAGKVHANO-UHFFFAOYSA-M chlormequat chloride Chemical compound [Cl-].C[N+](C)(C)CCCl UHZZMRAGKVHANO-UHFFFAOYSA-M 0.000 description 4
- 239000000084 colloidal system Substances 0.000 description 4
- 230000000875 corresponding effect Effects 0.000 description 4
- SWSQBOPZIKWTGO-UHFFFAOYSA-N dimethylaminoamidine Natural products CN(C)C(N)=N SWSQBOPZIKWTGO-UHFFFAOYSA-N 0.000 description 4
- ZPWVASYFFYYZEW-UHFFFAOYSA-L dipotassium hydrogen phosphate Chemical compound [K+].[K+].OP([O-])([O-])=O ZPWVASYFFYYZEW-UHFFFAOYSA-L 0.000 description 4
- 239000006185 dispersion Substances 0.000 description 4
- 238000001035 drying Methods 0.000 description 4
- 238000005516 engineering process Methods 0.000 description 4
- 238000002474 experimental method Methods 0.000 description 4
- 238000001914 filtration Methods 0.000 description 4
- 150000004676 glycans Chemical class 0.000 description 4
- 229940097068 glyphosate Drugs 0.000 description 4
- XDDAORKBJWWYJS-UHFFFAOYSA-M glyphosate(1-) Chemical compound OP(O)(=O)CNCC([O-])=O XDDAORKBJWWYJS-UHFFFAOYSA-M 0.000 description 4
- 125000000623 heterocyclic group Chemical group 0.000 description 4
- 238000000338 in vitro Methods 0.000 description 4
- 238000011534 incubation Methods 0.000 description 4
- 239000002054 inoculum Substances 0.000 description 4
- 238000009630 liquid culture Methods 0.000 description 4
- 229910052943 magnesium sulfate Inorganic materials 0.000 description 4
- 235000012054 meals Nutrition 0.000 description 4
- 239000004530 micro-emulsion Substances 0.000 description 4
- 238000002703 mutagenesis Methods 0.000 description 4
- 231100000350 mutagenesis Toxicity 0.000 description 4
- 238000000655 nuclear magnetic resonance spectrum Methods 0.000 description 4
- 150000007523 nucleic acids Chemical class 0.000 description 4
- 235000014571 nuts Nutrition 0.000 description 4
- 238000002888 pairwise sequence alignment Methods 0.000 description 4
- 239000006072 paste Substances 0.000 description 4
- 229920001282 polysaccharide Polymers 0.000 description 4
- 239000005017 polysaccharide Substances 0.000 description 4
- 229920002451 polyvinyl alcohol Polymers 0.000 description 4
- 235000019422 polyvinyl alcohol Nutrition 0.000 description 4
- 238000003825 pressing Methods 0.000 description 4
- 102000004196 processed proteins & peptides Human genes 0.000 description 4
- 230000005855 radiation Effects 0.000 description 4
- MUPFEKGTMRGPLJ-ZQSKZDJDSA-N raffinose Chemical compound O[C@H]1[C@H](O)[C@@H](CO)O[C@@]1(CO)O[C@@H]1[C@H](O)[C@@H](O)[C@H](O)[C@@H](CO[C@@H]2[C@@H]([C@@H](O)[C@@H](O)[C@@H](CO)O2)O)O1 MUPFEKGTMRGPLJ-ZQSKZDJDSA-N 0.000 description 4
- 239000000523 sample Substances 0.000 description 4
- 239000000741 silica gel Substances 0.000 description 4
- 229910002027 silica gel Inorganic materials 0.000 description 4
- 239000011734 sodium Chemical class 0.000 description 4
- 229910052708 sodium Inorganic materials 0.000 description 4
- 229920005552 sodium lignosulfonate Polymers 0.000 description 4
- 238000003860 storage Methods 0.000 description 4
- 239000005720 sucrose Substances 0.000 description 4
- 238000003786 synthesis reaction Methods 0.000 description 4
- 239000002562 thickening agent Substances 0.000 description 4
- 230000035899 viability Effects 0.000 description 4
- 239000000080 wetting agent Substances 0.000 description 4
- IAJOBQBIJHVGMQ-UHFFFAOYSA-N 2-amino-4-[hydroxy(methyl)phosphoryl]butanoic acid Chemical compound CP(O)(=O)CCC(N)C(O)=O IAJOBQBIJHVGMQ-UHFFFAOYSA-N 0.000 description 3
- CAAMSDWKXXPUJR-UHFFFAOYSA-N 3,5-dihydro-4H-imidazol-4-one Chemical class O=C1CNC=N1 CAAMSDWKXXPUJR-UHFFFAOYSA-N 0.000 description 3
- UHPMCKVQTMMPCG-UHFFFAOYSA-N 5,8-dihydroxy-2-methoxy-6-methyl-7-(2-oxopropyl)naphthalene-1,4-dione Chemical compound CC1=C(CC(C)=O)C(O)=C2C(=O)C(OC)=CC(=O)C2=C1O UHPMCKVQTMMPCG-UHFFFAOYSA-N 0.000 description 3
- QTBSBXVTEAMEQO-UHFFFAOYSA-N Acetic acid Chemical compound CC(O)=O QTBSBXVTEAMEQO-UHFFFAOYSA-N 0.000 description 3
- 108010000700 Acetolactate synthase Proteins 0.000 description 3
- 102000000452 Acetyl-CoA carboxylase Human genes 0.000 description 3
- 108010016219 Acetyl-CoA carboxylase Proteins 0.000 description 3
- GUBGYTABKSRVRQ-XLOQQCSPSA-N Alpha-Lactose Chemical compound O[C@@H]1[C@@H](O)[C@@H](O)[C@@H](CO)O[C@H]1O[C@@H]1[C@@H](CO)O[C@H](O)[C@H](O)[C@H]1O GUBGYTABKSRVRQ-XLOQQCSPSA-N 0.000 description 3
- 108010082340 Arginine deiminase Proteins 0.000 description 3
- 244000075850 Avena orientalis Species 0.000 description 3
- 235000007319 Avena orientalis Nutrition 0.000 description 3
- 235000016068 Berberis vulgaris Nutrition 0.000 description 3
- 241000335053 Beta vulgaris Species 0.000 description 3
- 108010018763 Biotin carboxylase Proteins 0.000 description 3
- 241001450781 Bipolaris oryzae Species 0.000 description 3
- 241001465180 Botrytis Species 0.000 description 3
- 235000006008 Brassica napus var napus Nutrition 0.000 description 3
- 240000000385 Brassica napus var. napus Species 0.000 description 3
- KRKNYBCHXYNGOX-UHFFFAOYSA-K Citrate Chemical compound [O-]C(=O)CC(O)(CC([O-])=O)C([O-])=O KRKNYBCHXYNGOX-UHFFFAOYSA-K 0.000 description 3
- 241000228437 Cochliobolus Species 0.000 description 3
- 241000047489 Cohnella thermotolerans Species 0.000 description 3
- 241001133184 Colletotrichum agaves Species 0.000 description 3
- 240000008067 Cucumis sativus Species 0.000 description 3
- AYFVYJQAPQTCCC-PWNYCUMCSA-N D-Allothreonine Chemical compound C[C@@H](O)[C@@H](N)C(O)=O AYFVYJQAPQTCCC-PWNYCUMCSA-N 0.000 description 3
- AGPKZVBTJJNPAG-RFZPGFLSSA-N D-Isoleucine Chemical compound CC[C@@H](C)[C@@H](N)C(O)=O AGPKZVBTJJNPAG-RFZPGFLSSA-N 0.000 description 3
- AGPKZVBTJJNPAG-CRCLSJGQSA-N D-allo-isoleucine Chemical compound CC[C@H](C)[C@@H](N)C(O)=O AGPKZVBTJJNPAG-CRCLSJGQSA-N 0.000 description 3
- SRBFZHDQGSBBOR-SOOFDHNKSA-N D-ribopyranose Chemical compound O[C@@H]1COC(O)[C@H](O)[C@@H]1O SRBFZHDQGSBBOR-SOOFDHNKSA-N 0.000 description 3
- 235000002767 Daucus carota Nutrition 0.000 description 3
- 244000000626 Daucus carota Species 0.000 description 3
- 108010002156 Depsipeptides Proteins 0.000 description 3
- 101000925662 Enterobacteria phage PRD1 Endolysin Proteins 0.000 description 3
- 108700039887 Essential Genes Proteins 0.000 description 3
- LYCAIKOWRPUZTN-UHFFFAOYSA-N Ethylene glycol Chemical compound OCCO LYCAIKOWRPUZTN-UHFFFAOYSA-N 0.000 description 3
- 241000192125 Firmicutes Species 0.000 description 3
- 241000514420 Fusarium phaseoli Species 0.000 description 3
- 239000005561 Glufosinate Substances 0.000 description 3
- QNAYBMKLOCPYGJ-REOHCLBHSA-N L-alanine Chemical compound C[C@H](N)C(O)=O QNAYBMKLOCPYGJ-REOHCLBHSA-N 0.000 description 3
- WHUUTDBJXJRKMK-VKHMYHEASA-N L-glutamic acid Chemical compound OC(=O)[C@@H](N)CCC(O)=O WHUUTDBJXJRKMK-VKHMYHEASA-N 0.000 description 3
- 241000757048 Libertella blepharis Species 0.000 description 3
- 240000005561 Musa balbisiana Species 0.000 description 3
- 102000004316 Oxidoreductases Human genes 0.000 description 3
- 108090000854 Oxidoreductases Proteins 0.000 description 3
- CBENFWSGALASAD-UHFFFAOYSA-N Ozone Chemical compound [O-][O+]=O CBENFWSGALASAD-UHFFFAOYSA-N 0.000 description 3
- 241000189604 Paenibacillus jamilae Species 0.000 description 3
- 241001140060 Paenibacillus peoriae KCTC 3763 Species 0.000 description 3
- 241000761358 Paenibacillus polymyxa SC2 Species 0.000 description 3
- 239000004372 Polyvinyl alcohol Substances 0.000 description 3
- KWYUFKZDYYNOTN-UHFFFAOYSA-M Potassium hydroxide Chemical compound [OH-].[K+] KWYUFKZDYYNOTN-UHFFFAOYSA-M 0.000 description 3
- DNIAPMSPPWPWGF-UHFFFAOYSA-N Propylene glycol Chemical compound CC(O)CO DNIAPMSPPWPWGF-UHFFFAOYSA-N 0.000 description 3
- 241000220324 Pyrus Species 0.000 description 3
- MUPFEKGTMRGPLJ-RMMQSMQOSA-N Raffinose Natural products O(C[C@H]1[C@@H](O)[C@H](O)[C@@H](O)[C@@H](O[C@@]2(CO)[C@H](O)[C@@H](O)[C@@H](CO)O2)O1)[C@@H]1[C@H](O)[C@@H](O)[C@@H](O)[C@@H](CO)O1 MUPFEKGTMRGPLJ-RMMQSMQOSA-N 0.000 description 3
- PYMYPHUHKUWMLA-LMVFSUKVSA-N Ribose Natural products OC[C@@H](O)[C@@H](O)[C@@H](O)C=O PYMYPHUHKUWMLA-LMVFSUKVSA-N 0.000 description 3
- 206010039509 Scab Diseases 0.000 description 3
- 241001533598 Septoria Species 0.000 description 3
- HEMHJVSKTPXQMS-UHFFFAOYSA-M Sodium hydroxide Chemical compound [OH-].[Na+] HEMHJVSKTPXQMS-UHFFFAOYSA-M 0.000 description 3
- IQFYYKKMVGJFEH-XLPZGREQSA-N Thymidine Chemical class O=C1NC(=O)C(C)=CN1[C@@H]1O[C@H](CO)[C@@H](O)C1 IQFYYKKMVGJFEH-XLPZGREQSA-N 0.000 description 3
- GWEVSGVZZGPLCZ-UHFFFAOYSA-N Titan oxide Chemical compound O=[Ti]=O GWEVSGVZZGPLCZ-UHFFFAOYSA-N 0.000 description 3
- YXFVVABEGXRONW-UHFFFAOYSA-N Toluene Chemical compound CC1=CC=CC=C1 YXFVVABEGXRONW-UHFFFAOYSA-N 0.000 description 3
- HDTRYLNUVZCQOY-WSWWMNSNSA-N Trehalose Natural products O[C@@H]1[C@@H](O)[C@@H](O)[C@@H](CO)O[C@@H]1O[C@@H]1[C@H](O)[C@@H](O)[C@@H](O)[C@@H](CO)O1 HDTRYLNUVZCQOY-WSWWMNSNSA-N 0.000 description 3
- 241000221577 Uromyces appendiculatus Species 0.000 description 3
- 239000003905 agrochemical Substances 0.000 description 3
- 230000009604 anaerobic growth Effects 0.000 description 3
- 150000001450 anions Chemical class 0.000 description 3
- PYMYPHUHKUWMLA-UHFFFAOYSA-N arabinose Natural products OCC(O)C(O)C(O)C=O PYMYPHUHKUWMLA-UHFFFAOYSA-N 0.000 description 3
- 235000021015 bananas Nutrition 0.000 description 3
- 239000011230 binding agent Substances 0.000 description 3
- 235000013877 carbamide Nutrition 0.000 description 3
- 229940106157 cellulase Drugs 0.000 description 3
- 229930002875 chlorophyll Natural products 0.000 description 3
- 235000019804 chlorophyll Nutrition 0.000 description 3
- ATNHDLDRLWWWCB-AENOIHSZSA-M chlorophyll a Chemical compound C1([C@@H](C(=O)OC)C(=O)C2=C3C)=C2N2C3=CC(C(CC)=C3C)=[N+]4C3=CC3=C(C=C)C(C)=C5N3[Mg-2]42[N+]2=C1[C@@H](CCC(=O)OC\C=C(/C)CCC[C@H](C)CCC[C@H](C)CCCC(C)C)[C@H](C)C2=C5 ATNHDLDRLWWWCB-AENOIHSZSA-M 0.000 description 3
- 238000013270 controlled release Methods 0.000 description 3
- 238000005100 correlation spectroscopy Methods 0.000 description 3
- 230000007423 decrease Effects 0.000 description 3
- 229910000396 dipotassium phosphate Inorganic materials 0.000 description 3
- 235000021186 dishes Nutrition 0.000 description 3
- 238000010410 dusting Methods 0.000 description 3
- 238000000119 electrospray ionisation mass spectrum Methods 0.000 description 3
- 230000007613 environmental effect Effects 0.000 description 3
- 239000003337 fertilizer Substances 0.000 description 3
- 244000037666 field crops Species 0.000 description 3
- 238000007710 freezing Methods 0.000 description 3
- 244000000004 fungal plant pathogen Species 0.000 description 3
- 230000002068 genetic effect Effects 0.000 description 3
- 230000002363 herbicidal effect Effects 0.000 description 3
- 238000003919 heteronuclear multiple bond coherence Methods 0.000 description 3
- 230000003993 interaction Effects 0.000 description 3
- 238000004949 mass spectrometry Methods 0.000 description 3
- 238000009629 microbiological culture Methods 0.000 description 3
- 239000003094 microcapsule Substances 0.000 description 3
- 239000000178 monomer Substances 0.000 description 3
- 230000000877 morphologic effect Effects 0.000 description 3
- VLKZOEOYAKHREP-UHFFFAOYSA-N n-Hexane Chemical compound CCCCCC VLKZOEOYAKHREP-UHFFFAOYSA-N 0.000 description 3
- 150000002790 naphthalenes Chemical class 0.000 description 3
- 108020004707 nucleic acids Proteins 0.000 description 3
- 102000039446 nucleic acids Human genes 0.000 description 3
- 150000007524 organic acids Chemical class 0.000 description 3
- 235000005985 organic acids Nutrition 0.000 description 3
- 239000012074 organic phase Substances 0.000 description 3
- 235000021017 pears Nutrition 0.000 description 3
- 239000012071 phase Substances 0.000 description 3
- 235000021317 phosphate Nutrition 0.000 description 3
- 230000035790 physiological processes and functions Effects 0.000 description 3
- 239000013612 plasmid Substances 0.000 description 3
- BDERNNFJNOPAEC-UHFFFAOYSA-N propan-1-ol Chemical compound CCCO BDERNNFJNOPAEC-UHFFFAOYSA-N 0.000 description 3
- 108091008146 restriction endonucleases Proteins 0.000 description 3
- 230000003248 secreting effect Effects 0.000 description 3
- 239000003381 stabilizer Substances 0.000 description 3
- 239000004575 stone Substances 0.000 description 3
- 235000021012 strawberries Nutrition 0.000 description 3
- 229940074410 trehalose Drugs 0.000 description 3
- 230000003612 virological effect Effects 0.000 description 3
- 229940088594 vitamin Drugs 0.000 description 3
- 235000013343 vitamin Nutrition 0.000 description 3
- 239000011782 vitamin Substances 0.000 description 3
- 229930003231 vitamin Natural products 0.000 description 3
- YBJHBAHKTGYVGT-ZKWXMUAHSA-N (+)-Biotin Chemical compound N1C(=O)N[C@@H]2[C@H](CCCCC(=O)O)SC[C@@H]21 YBJHBAHKTGYVGT-ZKWXMUAHSA-N 0.000 description 2
- WQZGKKKJIJFFOK-SVZMEOIVSA-N (+)-Galactose Chemical compound OC[C@H]1OC(O)[C@H](O)[C@@H](O)[C@H]1O WQZGKKKJIJFFOK-SVZMEOIVSA-N 0.000 description 2
- MTCFGRXMJLQNBG-REOHCLBHSA-N (2S)-2-Amino-3-hydroxypropansäure Chemical compound OC[C@H](N)C(O)=O MTCFGRXMJLQNBG-REOHCLBHSA-N 0.000 description 2
- NWUYHJFMYQTDRP-UHFFFAOYSA-N 1,2-bis(ethenyl)benzene;1-ethenyl-2-ethylbenzene;styrene Chemical compound C=CC1=CC=CC=C1.CCC1=CC=CC=C1C=C.C=CC1=CC=CC=C1C=C NWUYHJFMYQTDRP-UHFFFAOYSA-N 0.000 description 2
- 125000004066 1-hydroxyethyl group Chemical group [H]OC([H])([*])C([H])([H])[H] 0.000 description 2
- NUKQEEMKQGMUQH-UHFFFAOYSA-N 1-methyl-1-nitrosoguanidine Chemical compound O=NN(C)C(N)=N NUKQEEMKQGMUQH-UHFFFAOYSA-N 0.000 description 2
- OWEGMIWEEQEYGQ-UHFFFAOYSA-N 100676-05-9 Natural products OC1C(O)C(O)C(CO)OC1OCC1C(O)C(O)C(O)C(OC2C(OC(O)C(O)C2O)CO)O1 OWEGMIWEEQEYGQ-UHFFFAOYSA-N 0.000 description 2
- PAWQVTBBRAZDMG-UHFFFAOYSA-N 2-(3-bromo-2-fluorophenyl)acetic acid Chemical compound OC(=O)CC1=CC=CC(Br)=C1F PAWQVTBBRAZDMG-UHFFFAOYSA-N 0.000 description 2
- 238000005084 2D-nuclear magnetic resonance Methods 0.000 description 2
- YEJRWHAVMIAJKC-UHFFFAOYSA-N 4-Butyrolactone Chemical compound O=C1CCCO1 YEJRWHAVMIAJKC-UHFFFAOYSA-N 0.000 description 2
- MCFBUIIRFZBRCU-UHFFFAOYSA-N 4-[1-[5-[6-(trifluoromethyl)-1h-benzimidazol-2-yl]pyridin-2-yl]piperidin-4-yl]oxycyclohexane-1-carboxylic acid Chemical compound C1CC(C(=O)O)CCC1OC1CCN(C=2N=CC(=CC=2)C=2NC3=CC(=CC=C3N=2)C(F)(F)F)CC1 MCFBUIIRFZBRCU-UHFFFAOYSA-N 0.000 description 2
- ROWKJAVDOGWPAT-UHFFFAOYSA-N Acetoin Chemical compound CC(O)C(C)=O ROWKJAVDOGWPAT-UHFFFAOYSA-N 0.000 description 2
- PLXMOAALOJOTIY-FPTXNFDTSA-N Aesculin Natural products OC[C@@H]1[C@@H](O)[C@H](O)[C@@H](O)[C@H](O)[C@H]1Oc2cc3C=CC(=O)Oc3cc2O PLXMOAALOJOTIY-FPTXNFDTSA-N 0.000 description 2
- 244000291564 Allium cepa Species 0.000 description 2
- 235000002732 Allium cepa var. cepa Nutrition 0.000 description 2
- NLXLAEXVIDQMFP-UHFFFAOYSA-N Ammonia chloride Chemical compound [NH4+].[Cl-] NLXLAEXVIDQMFP-UHFFFAOYSA-N 0.000 description 2
- 239000004254 Ammonium phosphate Substances 0.000 description 2
- 241000235349 Ascomycota Species 0.000 description 2
- 244000003416 Asparagus officinalis Species 0.000 description 2
- 235000005340 Asparagus officinalis Nutrition 0.000 description 2
- 229930192334 Auxin Natural products 0.000 description 2
- 108010023063 Bacto-peptone Proteins 0.000 description 2
- 241000221198 Basidiomycota Species 0.000 description 2
- 241001465178 Bipolaris Species 0.000 description 2
- 241000190150 Bipolaris sorokiniana Species 0.000 description 2
- 241000228439 Bipolaris zeicola Species 0.000 description 2
- 235000014698 Brassica juncea var multisecta Nutrition 0.000 description 2
- 235000006618 Brassica rapa subsp oleifera Nutrition 0.000 description 2
- 235000004977 Brassica sinapistrum Nutrition 0.000 description 2
- 235000002566 Capsicum Nutrition 0.000 description 2
- 240000004160 Capsicum annuum Species 0.000 description 2
- 235000008534 Capsicum annuum var annuum Nutrition 0.000 description 2
- 108010076119 Caseins Proteins 0.000 description 2
- 102000016938 Catalase Human genes 0.000 description 2
- 108010053835 Catalase Proteins 0.000 description 2
- 241000221866 Ceratocystis Species 0.000 description 2
- 241001157813 Cercospora Species 0.000 description 2
- VEXZGXHMUGYJMC-UHFFFAOYSA-M Chloride anion Chemical compound [Cl-] VEXZGXHMUGYJMC-UHFFFAOYSA-M 0.000 description 2
- WNBCMONIPIJTSB-BGNCJLHMSA-N Cichoriin Natural products O([C@H]1[C@H](O)[C@@H](O)[C@@H](O)[C@@H](CO)O1)c1c(O)cc2c(OC(=O)C=C2)c1 WNBCMONIPIJTSB-BGNCJLHMSA-N 0.000 description 2
- 241000222290 Cladosporium Species 0.000 description 2
- 241001466031 Colletotrichum gossypii Species 0.000 description 2
- 241000219104 Cucurbitaceae Species 0.000 description 2
- RFSUNEUAIZKAJO-VRPWFDPXSA-N D-Fructose Natural products OC[C@H]1OC(O)(CO)[C@@H](O)[C@@H]1O RFSUNEUAIZKAJO-VRPWFDPXSA-N 0.000 description 2
- 125000000030 D-alanine group Chemical group [H]N([H])[C@](C([H])([H])[H])(C(=O)[*])[H] 0.000 description 2
- QNAYBMKLOCPYGJ-UHFFFAOYSA-N D-alpha-Ala Natural products CC([NH3+])C([O-])=O QNAYBMKLOCPYGJ-UHFFFAOYSA-N 0.000 description 2
- WQZGKKKJIJFFOK-QTVWNMPRSA-N D-mannopyranose Chemical compound OC[C@H]1OC(O)[C@@H](O)[C@@H](O)[C@@H]1O WQZGKKKJIJFFOK-QTVWNMPRSA-N 0.000 description 2
- 108010054814 DNA Gyrase Proteins 0.000 description 2
- 241001508801 Diaporthe phaseolorum Species 0.000 description 2
- 208000035240 Disease Resistance Diseases 0.000 description 2
- 235000001950 Elaeis guineensis Nutrition 0.000 description 2
- 241000221787 Erysiphe Species 0.000 description 2
- IAYPIBMASNFSPL-UHFFFAOYSA-N Ethylene oxide Chemical compound C1CO1 IAYPIBMASNFSPL-UHFFFAOYSA-N 0.000 description 2
- 229930091371 Fructose Natural products 0.000 description 2
- 239000005715 Fructose Substances 0.000 description 2
- 241000233732 Fusarium verticillioides Species 0.000 description 2
- DHMQDGOQFOQNFH-UHFFFAOYSA-N Glycine Chemical compound NCC(O)=O DHMQDGOQFOQNFH-UHFFFAOYSA-N 0.000 description 2
- UFHFLCQGNIYNRP-UHFFFAOYSA-N Hydrogen Chemical compound [H][H] UFHFLCQGNIYNRP-UHFFFAOYSA-N 0.000 description 2
- BCVIOZZGJNOEQS-XKNYDFJKSA-N Ile-Ile Chemical compound CC[C@H](C)[C@H](N)C(=O)N[C@H](C(O)=O)[C@@H](C)CC BCVIOZZGJNOEQS-XKNYDFJKSA-N 0.000 description 2
- 241000803621 Ilyonectria liriodendri Species 0.000 description 2
- SIKJAQJRHWYJAI-UHFFFAOYSA-N Indole Chemical compound C1=CC=C2NC=CC2=C1 SIKJAQJRHWYJAI-UHFFFAOYSA-N 0.000 description 2
- 206010061217 Infestation Diseases 0.000 description 2
- XEEYBQQBJWHFJM-UHFFFAOYSA-N Iron Chemical compound [Fe] XEEYBQQBJWHFJM-UHFFFAOYSA-N 0.000 description 2
- UQSXHKLRYXJYBZ-UHFFFAOYSA-N Iron oxide Chemical compound [Fe]=O UQSXHKLRYXJYBZ-UHFFFAOYSA-N 0.000 description 2
- COLNVLDHVKWLRT-QMMMGPOBSA-N L-phenylalanine Chemical compound OC(=O)[C@@H](N)CC1=CC=CC=C1 COLNVLDHVKWLRT-QMMMGPOBSA-N 0.000 description 2
- OVCBAIDIGSSWQK-UHFFFAOYSA-N LI-F08a Natural products CCC(C)C1NC(=O)C(NC(=O)CC(O)CCCCCCCCCCCCNC(N)=N)C(C)OC(=O)C(C)NC(=O)C(CC(N)=O)NC(=O)C(C(C)O)NC(=O)C(C(C)CC)NC1=O OVCBAIDIGSSWQK-UHFFFAOYSA-N 0.000 description 2
- GUBGYTABKSRVRQ-QKKXKWKRSA-N Lactose Natural products OC[C@H]1O[C@@H](O[C@H]2[C@H](O)[C@@H](O)C(O)O[C@@H]2CO)[C@H](O)[C@@H](O)[C@H]1O GUBGYTABKSRVRQ-QKKXKWKRSA-N 0.000 description 2
- 240000008415 Lactuca sativa Species 0.000 description 2
- 235000003228 Lactuca sativa Nutrition 0.000 description 2
- 241000228457 Leptosphaeria maculans Species 0.000 description 2
- 239000006137 Luria-Bertani broth Substances 0.000 description 2
- 241001344131 Magnaporthe grisea Species 0.000 description 2
- GUBGYTABKSRVRQ-PICCSMPSSA-N Maltose Natural products O[C@@H]1[C@@H](O)[C@H](O)[C@@H](CO)O[C@@H]1O[C@@H]1[C@@H](CO)OC(O)[C@H](O)[C@H]1O GUBGYTABKSRVRQ-PICCSMPSSA-N 0.000 description 2
- 244000070406 Malus silvestris Species 0.000 description 2
- 241000124008 Mammalia Species 0.000 description 2
- 208000031888 Mycoses Diseases 0.000 description 2
- LRHPLDYGYMQRHN-UHFFFAOYSA-N N-Butanol Chemical compound CCCCO LRHPLDYGYMQRHN-UHFFFAOYSA-N 0.000 description 2
- PVNIIMVLHYAWGP-UHFFFAOYSA-N Niacin Chemical compound OC(=O)C1=CC=CN=C1 PVNIIMVLHYAWGP-UHFFFAOYSA-N 0.000 description 2
- 241000233654 Oomycetes Species 0.000 description 2
- 241000221871 Ophiostoma Species 0.000 description 2
- 241000093525 Paenibacillus polymyxa 1-43 Species 0.000 description 2
- 241000768412 Paenibacillus polymyxa E681 Species 0.000 description 2
- 241000708561 Paenibacillus polymyxa SQR-21 Species 0.000 description 2
- 239000006002 Pepper Substances 0.000 description 2
- 241000047853 Phaeomoniella chlamydospora Species 0.000 description 2
- 241000222831 Phialophora <Chaetothyriales> Species 0.000 description 2
- 241000975369 Phoma betae Species 0.000 description 2
- 235000016761 Piper aduncum Nutrition 0.000 description 2
- 240000003889 Piper guineense Species 0.000 description 2
- 235000017804 Piper guineense Nutrition 0.000 description 2
- 235000008184 Piper nigrum Nutrition 0.000 description 2
- 235000010582 Pisum sativum Nutrition 0.000 description 2
- 240000004713 Pisum sativum Species 0.000 description 2
- 241001281803 Plasmopara viticola Species 0.000 description 2
- 229920003171 Poly (ethylene oxide) Polymers 0.000 description 2
- XBDQKXXYIPTUBI-UHFFFAOYSA-M Propionate Chemical compound CCC([O-])=O XBDQKXXYIPTUBI-UHFFFAOYSA-M 0.000 description 2
- 240000005809 Prunus persica Species 0.000 description 2
- 235000006040 Prunus persica var persica Nutrition 0.000 description 2
- 241000386899 Pseudocercospora vitis Species 0.000 description 2
- 241000221301 Puccinia graminis Species 0.000 description 2
- 241001246061 Puccinia triticina Species 0.000 description 2
- 241000520648 Pyrenophora teres Species 0.000 description 2
- 241000173767 Ramularia Species 0.000 description 2
- 241001361634 Rhizoctonia Species 0.000 description 2
- 241000813090 Rhizoctonia solani Species 0.000 description 2
- AUNGANRZJHBGPY-SCRDCRAPSA-N Riboflavin Chemical compound OC[C@@H](O)[C@@H](O)[C@@H](O)CN1C=2C=C(C)C(C)=CC=2N=C2C1=NC(=O)NC2=O AUNGANRZJHBGPY-SCRDCRAPSA-N 0.000 description 2
- 108090000829 Ribosome Inactivating Proteins Proteins 0.000 description 2
- 240000004808 Saccharomyces cerevisiae Species 0.000 description 2
- 241000332749 Setosphaeria turcica Species 0.000 description 2
- 240000006394 Sorghum bicolor Species 0.000 description 2
- 241000191967 Staphylococcus aureus Species 0.000 description 2
- 244000228451 Stevia rebaudiana Species 0.000 description 2
- 229940100389 Sulfonylurea Drugs 0.000 description 2
- NINIDFKCEFEMDL-UHFFFAOYSA-N Sulfur Chemical compound [S] NINIDFKCEFEMDL-UHFFFAOYSA-N 0.000 description 2
- QAOWNCQODCNURD-UHFFFAOYSA-N Sulfuric acid Chemical compound OS(O)(=O)=O QAOWNCQODCNURD-UHFFFAOYSA-N 0.000 description 2
- 241000561282 Thielaviopsis basicola Species 0.000 description 2
- 241000722093 Tilletia caries Species 0.000 description 2
- 235000019714 Triticale Nutrition 0.000 description 2
- DRTQHJPVMGBUCF-XVFCMESISA-N Uridine Chemical compound O[C@@H]1[C@H](O)[C@@H](CO)O[C@H]1N1C(=O)NC(=O)C=C1 DRTQHJPVMGBUCF-XVFCMESISA-N 0.000 description 2
- 244000301083 Ustilago maydis Species 0.000 description 2
- 235000014787 Vitis vinifera Nutrition 0.000 description 2
- 240000006365 Vitis vinifera Species 0.000 description 2
- XLOMVQKBTHCTTD-UHFFFAOYSA-N Zinc monoxide Chemical compound [Zn]=O XLOMVQKBTHCTTD-UHFFFAOYSA-N 0.000 description 2
- 108040004627 acetyl-CoA synthetase acetyltransferase activity proteins Proteins 0.000 description 2
- OIRDTQYFTABQOQ-KQYNXXCUSA-N adenosine Chemical compound C1=NC=2C(N)=NC=NC=2N1[C@@H]1O[C@H](CO)[C@@H](O)[C@H]1O OIRDTQYFTABQOQ-KQYNXXCUSA-N 0.000 description 2
- 238000005273 aeration Methods 0.000 description 2
- 238000013019 agitation Methods 0.000 description 2
- 239000012872 agrochemical composition Substances 0.000 description 2
- 229910000147 aluminium phosphate Inorganic materials 0.000 description 2
- 235000012211 aluminium silicate Nutrition 0.000 description 2
- 125000000539 amino acid group Chemical group 0.000 description 2
- 229910021529 ammonia Inorganic materials 0.000 description 2
- 229910000148 ammonium phosphate Inorganic materials 0.000 description 2
- 235000019289 ammonium phosphates Nutrition 0.000 description 2
- 150000003863 ammonium salts Chemical class 0.000 description 2
- BFNBIHQBYMNNAN-UHFFFAOYSA-N ammonium sulfate Chemical compound N.N.OS(O)(=O)=O BFNBIHQBYMNNAN-UHFFFAOYSA-N 0.000 description 2
- 229910052921 ammonium sulfate Inorganic materials 0.000 description 2
- 235000011130 ammonium sulphate Nutrition 0.000 description 2
- 239000002280 amphoteric surfactant Substances 0.000 description 2
- 239000003957 anion exchange resin Substances 0.000 description 2
- 239000003945 anionic surfactant Substances 0.000 description 2
- 235000021016 apples Nutrition 0.000 description 2
- 238000013459 approach Methods 0.000 description 2
- 239000007864 aqueous solution Substances 0.000 description 2
- 125000000613 asparagine group Chemical group N[C@@H](CC(N)=O)C(=O)* 0.000 description 2
- QVGXLLKOCUKJST-UHFFFAOYSA-N atomic oxygen Chemical compound [O] QVGXLLKOCUKJST-UHFFFAOYSA-N 0.000 description 2
- 239000002363 auxin Substances 0.000 description 2
- 238000010923 batch production Methods 0.000 description 2
- GUBGYTABKSRVRQ-QUYVBRFLSA-N beta-maltose Chemical compound OC[C@H]1O[C@H](O[C@H]2[C@H](O)[C@@H](O)[C@H](O)O[C@@H]2CO)[C@H](O)[C@@H](O)[C@@H]1O GUBGYTABKSRVRQ-QUYVBRFLSA-N 0.000 description 2
- 230000003115 biocidal effect Effects 0.000 description 2
- 229920001222 biopolymer Polymers 0.000 description 2
- 239000006227 byproduct Substances 0.000 description 2
- 210000004899 c-terminal region Anatomy 0.000 description 2
- 229910000019 calcium carbonate Inorganic materials 0.000 description 2
- OSGAYBCDTDRGGQ-UHFFFAOYSA-L calcium sulfate Chemical compound [Ca+2].[O-]S([O-])(=O)=O OSGAYBCDTDRGGQ-UHFFFAOYSA-L 0.000 description 2
- OOCMUZJPDXYRFD-UHFFFAOYSA-L calcium;2-dodecylbenzenesulfonate Chemical compound [Ca+2].CCCCCCCCCCCCC1=CC=CC=C1S([O-])(=O)=O.CCCCCCCCCCCCC1=CC=CC=C1S([O-])(=O)=O OOCMUZJPDXYRFD-UHFFFAOYSA-L 0.000 description 2
- 239000001511 capsicum annuum Substances 0.000 description 2
- 239000004202 carbamide Substances 0.000 description 2
- 150000007942 carboxylates Chemical class 0.000 description 2
- 235000021466 carotenoid Nutrition 0.000 description 2
- 150000001747 carotenoids Chemical class 0.000 description 2
- 239000005018 casein Substances 0.000 description 2
- BECPQYXYKAMYBN-UHFFFAOYSA-N casein, tech. Chemical compound NCCCCC(C(O)=O)N=C(O)C(CC(O)=O)N=C(O)C(CCC(O)=N)N=C(O)C(CC(C)C)N=C(O)C(CCC(O)=O)N=C(O)C(CC(O)=O)N=C(O)C(CCC(O)=O)N=C(O)C(C(C)O)N=C(O)C(CCC(O)=N)N=C(O)C(CCC(O)=N)N=C(O)C(CCC(O)=N)N=C(O)C(CCC(O)=O)N=C(O)C(CCC(O)=O)N=C(O)C(COP(O)(O)=O)N=C(O)C(CCC(O)=N)N=C(O)C(N)CC1=CC=CC=C1 BECPQYXYKAMYBN-UHFFFAOYSA-N 0.000 description 2
- 235000021240 caseins Nutrition 0.000 description 2
- 239000004359 castor oil Substances 0.000 description 2
- 235000019438 castor oil Nutrition 0.000 description 2
- YCIMNLLNPGFGHC-UHFFFAOYSA-N catechol Chemical compound OC1=CC=CC=C1O YCIMNLLNPGFGHC-UHFFFAOYSA-N 0.000 description 2
- 239000003729 cation exchange resin Substances 0.000 description 2
- 239000003093 cationic surfactant Substances 0.000 description 2
- 230000001413 cellular effect Effects 0.000 description 2
- 239000002738 chelating agent Substances 0.000 description 2
- 239000013611 chromosomal DNA Substances 0.000 description 2
- 235000020971 citrus fruits Nutrition 0.000 description 2
- 239000012141 concentrate Substances 0.000 description 2
- 235000008504 concentrate Nutrition 0.000 description 2
- 238000010276 construction Methods 0.000 description 2
- 125000004122 cyclic group Chemical group 0.000 description 2
- 230000007123 defense Effects 0.000 description 2
- 230000000593 degrading effect Effects 0.000 description 2
- 230000001419 dependent effect Effects 0.000 description 2
- 238000001514 detection method Methods 0.000 description 2
- 239000003599 detergent Substances 0.000 description 2
- MNNHAPBLZZVQHP-UHFFFAOYSA-N diammonium hydrogen phosphate Chemical compound [NH4+].[NH4+].OP([O-])([O-])=O MNNHAPBLZZVQHP-UHFFFAOYSA-N 0.000 description 2
- 230000004069 differentiation Effects 0.000 description 2
- 230000003292 diminished effect Effects 0.000 description 2
- 239000004491 dispersible concentrate Substances 0.000 description 2
- 238000004821 distillation Methods 0.000 description 2
- 229940093496 esculin Drugs 0.000 description 2
- AWRMZKLXZLNBBK-UHFFFAOYSA-N esculin Natural products OC1OC(COc2cc3C=CC(=O)Oc3cc2O)C(O)C(O)C1O AWRMZKLXZLNBBK-UHFFFAOYSA-N 0.000 description 2
- 238000001704 evaporation Methods 0.000 description 2
- 230000008020 evaporation Effects 0.000 description 2
- 238000001125 extrusion Methods 0.000 description 2
- 239000010685 fatty oil Substances 0.000 description 2
- 239000000835 fiber Substances 0.000 description 2
- 239000000945 filler Substances 0.000 description 2
- OVBPIULPVIDEAO-LBPRGKRZSA-N folic acid Chemical compound C=1N=C2NC(N)=NC(=O)C2=NC=1CNC1=CC=C(C(=O)N[C@@H](CCC(O)=O)C(O)=O)C=C1 OVBPIULPVIDEAO-LBPRGKRZSA-N 0.000 description 2
- 238000005194 fractionation Methods 0.000 description 2
- BTCSSZJGUNDROE-UHFFFAOYSA-N gamma-aminobutyric acid Chemical compound NCCCC(O)=O BTCSSZJGUNDROE-UHFFFAOYSA-N 0.000 description 2
- 229920000159 gelatin Polymers 0.000 description 2
- 235000019322 gelatine Nutrition 0.000 description 2
- 238000012239 gene modification Methods 0.000 description 2
- 230000005017 genetic modification Effects 0.000 description 2
- 235000013617 genetically modified food Nutrition 0.000 description 2
- 102000005396 glutamine synthetase Human genes 0.000 description 2
- 108020002326 glutamine synthetase Proteins 0.000 description 2
- ZEMPKEQAKRGZGQ-XOQCFJPHSA-N glycerol triricinoleate Natural products CCCCCC[C@@H](O)CC=CCCCCCCCC(=O)OC[C@@H](COC(=O)CCCCCCCC=CC[C@@H](O)CCCCCC)OC(=O)CCCCCCCC=CC[C@H](O)CCCCCC ZEMPKEQAKRGZGQ-XOQCFJPHSA-N 0.000 description 2
- 239000003102 growth factor Substances 0.000 description 2
- 239000007952 growth promoter Substances 0.000 description 2
- IPCSVZSSVZVIGE-UHFFFAOYSA-N hexadecanoic acid Chemical compound CCCCCCCCCCCCCCCC(O)=O IPCSVZSSVZVIGE-UHFFFAOYSA-N 0.000 description 2
- NAQMVNRVTILPCV-UHFFFAOYSA-N hexane-1,6-diamine Chemical compound NCCCCCCN NAQMVNRVTILPCV-UHFFFAOYSA-N 0.000 description 2
- 238000009396 hybridization Methods 0.000 description 2
- 239000001257 hydrogen Substances 0.000 description 2
- 229910052739 hydrogen Inorganic materials 0.000 description 2
- 230000007062 hydrolysis Effects 0.000 description 2
- 238000006460 hydrolysis reaction Methods 0.000 description 2
- 230000003301 hydrolyzing effect Effects 0.000 description 2
- SEOVTRFCIGRIMH-UHFFFAOYSA-N indole-3-acetic acid Chemical compound C1=CC=C2C(CC(=O)O)=CNC2=C1 SEOVTRFCIGRIMH-UHFFFAOYSA-N 0.000 description 2
- 230000002401 inhibitory effect Effects 0.000 description 2
- 229910052500 inorganic mineral Inorganic materials 0.000 description 2
- JVTAAEKCZFNVCJ-UHFFFAOYSA-N lactic acid Chemical compound CC(O)C(O)=O JVTAAEKCZFNVCJ-UHFFFAOYSA-N 0.000 description 2
- 239000008101 lactose Substances 0.000 description 2
- 239000010985 leather Substances 0.000 description 2
- 239000012669 liquid formulation Substances 0.000 description 2
- 235000010355 mannitol Nutrition 0.000 description 2
- HEBKCHPVOIAQTA-UHFFFAOYSA-N meso ribitol Natural products OCC(O)C(O)C(O)CO HEBKCHPVOIAQTA-UHFFFAOYSA-N 0.000 description 2
- BDAGIHXWWSANSR-UHFFFAOYSA-N methanoic acid Natural products OC=O BDAGIHXWWSANSR-UHFFFAOYSA-N 0.000 description 2
- HOVAGTYPODGVJG-XUUWZHRGSA-N methyl beta-D-glucopyranoside Chemical compound CO[C@@H]1O[C@H](CO)[C@@H](O)[C@H](O)[C@H]1O HOVAGTYPODGVJG-XUUWZHRGSA-N 0.000 description 2
- 238000000386 microscopy Methods 0.000 description 2
- 235000010755 mineral Nutrition 0.000 description 2
- 239000002480 mineral oil Substances 0.000 description 2
- 235000013379 molasses Nutrition 0.000 description 2
- 239000003471 mutagenic agent Substances 0.000 description 2
- 231100000707 mutagenic chemical Toxicity 0.000 description 2
- 239000005445 natural material Substances 0.000 description 2
- 239000002736 nonionic surfactant Substances 0.000 description 2
- 235000016709 nutrition Nutrition 0.000 description 2
- 239000003791 organic solvent mixture Substances 0.000 description 2
- 239000001301 oxygen Substances 0.000 description 2
- 229910052760 oxygen Inorganic materials 0.000 description 2
- 239000002245 particle Substances 0.000 description 2
- 235000010603 pastilles Nutrition 0.000 description 2
- 239000008188 pellet Substances 0.000 description 2
- 238000005191 phase separation Methods 0.000 description 2
- 239000010452 phosphate Substances 0.000 description 2
- 150000003013 phosphoric acid derivatives Chemical class 0.000 description 2
- 238000013081 phylogenetic analysis Methods 0.000 description 2
- 108010001545 phytoene dehydrogenase Proteins 0.000 description 2
- 239000000049 pigment Substances 0.000 description 2
- 239000006187 pill Substances 0.000 description 2
- 230000037039 plant physiology Effects 0.000 description 2
- 239000004476 plant protection product Substances 0.000 description 2
- 235000021018 plums Nutrition 0.000 description 2
- 229920000867 polyelectrolyte Polymers 0.000 description 2
- 229920001451 polypropylene glycol Polymers 0.000 description 2
- 229920000036 polyvinylpyrrolidone Polymers 0.000 description 2
- 235000013855 polyvinylpyrrolidone Nutrition 0.000 description 2
- 235000021039 pomes Nutrition 0.000 description 2
- 238000002360 preparation method Methods 0.000 description 2
- LXNHXLLTXMVWPM-UHFFFAOYSA-N pyridoxine Chemical compound CC1=NC=C(CO)C(CO)=C1O LXNHXLLTXMVWPM-UHFFFAOYSA-N 0.000 description 2
- 239000002994 raw material Substances 0.000 description 2
- 101150079601 recA gene Proteins 0.000 description 2
- 229920005989 resin Polymers 0.000 description 2
- 239000011347 resin Substances 0.000 description 2
- HEBKCHPVOIAQTA-ZXFHETKHSA-N ribitol Chemical compound OC[C@H](O)[C@H](O)[C@H](O)CO HEBKCHPVOIAQTA-ZXFHETKHSA-N 0.000 description 2
- 230000005070 ripening Effects 0.000 description 2
- 238000012216 screening Methods 0.000 description 2
- 238000004062 sedimentation Methods 0.000 description 2
- 238000000926 separation method Methods 0.000 description 2
- 150000004760 silicates Chemical class 0.000 description 2
- 238000002791 soaking Methods 0.000 description 2
- 235000020354 squash Nutrition 0.000 description 2
- 238000006467 substitution reaction Methods 0.000 description 2
- 239000011593 sulfur Substances 0.000 description 2
- 229910052717 sulfur Inorganic materials 0.000 description 2
- 230000002194 synthesizing effect Effects 0.000 description 2
- 230000009897 systematic effect Effects 0.000 description 2
- 238000004885 tandem mass spectrometry Methods 0.000 description 2
- 239000011573 trace mineral Substances 0.000 description 2
- 235000013619 trace mineral Nutrition 0.000 description 2
- 239000001974 tryptic soy broth Substances 0.000 description 2
- 108010050327 trypticase-soy broth Proteins 0.000 description 2
- 108010003137 tyrosyltyrosine Proteins 0.000 description 2
- 235000015192 vegetable juice Nutrition 0.000 description 2
- 230000017260 vegetative to reproductive phase transition of meristem Effects 0.000 description 2
- 229920002554 vinyl polymer Polymers 0.000 description 2
- 244000052613 viral pathogen Species 0.000 description 2
- 230000000007 visual effect Effects 0.000 description 2
- 239000001993 wax Substances 0.000 description 2
- 241000228158 x Triticosecale Species 0.000 description 2
- 229920001285 xanthan gum Polymers 0.000 description 2
- 239000000230 xanthan gum Substances 0.000 description 2
- 235000010493 xanthan gum Nutrition 0.000 description 2
- 229940082509 xanthan gum Drugs 0.000 description 2
- OGNSCSPNOLGXSM-UHFFFAOYSA-N (+/-)-DABA Natural products NCCC(N)C(O)=O OGNSCSPNOLGXSM-UHFFFAOYSA-N 0.000 description 1
- SPFMQWBKVUQXJV-QGROCUHESA-N (2s,3r,4s,5s)-2,3,4,5,6-pentahydroxyhexanal;hydrate Chemical compound O.OC[C@H](O)[C@H](O)[C@@H](O)[C@H](O)C=O SPFMQWBKVUQXJV-QGROCUHESA-N 0.000 description 1
- GVJHHUAWPYXKBD-IEOSBIPESA-N (R)-alpha-Tocopherol Natural products OC1=C(C)C(C)=C2O[C@@](CCC[C@H](C)CCC[C@H](C)CCCC(C)C)(C)CCC2=C1C GVJHHUAWPYXKBD-IEOSBIPESA-N 0.000 description 1
- XUCIJNAGGSZNQT-JHSLDZJXSA-N (R)-amygdalin Chemical compound O[C@@H]1[C@@H](O)[C@H](O)[C@@H](CO)O[C@H]1OC[C@@H]1[C@@H](O)[C@H](O)[C@@H](O)[C@H](O[C@@H](C#N)C=2C=CC=CC=2)O1 XUCIJNAGGSZNQT-JHSLDZJXSA-N 0.000 description 1
- DSSYKIVIOFKYAU-XCBNKYQSSA-N (R)-camphor Chemical compound C1C[C@@]2(C)C(=O)C[C@@H]1C2(C)C DSSYKIVIOFKYAU-XCBNKYQSSA-N 0.000 description 1
- GHOKWGTUZJEAQD-ZETCQYMHSA-M (R)-pantothenate Chemical compound OCC(C)(C)[C@@H](O)C(=O)NCCC([O-])=O GHOKWGTUZJEAQD-ZETCQYMHSA-M 0.000 description 1
- QVADRSWDTZDDGR-VKHMYHEASA-M (S)-alpha-hydroxyglutarate-gamma-lactone Chemical compound [O-]C(=O)[C@@H]1CCC(=O)O1 QVADRSWDTZDDGR-VKHMYHEASA-M 0.000 description 1
- KANAPVJGZDNSCZ-UHFFFAOYSA-N 1,2-benzothiazole 1-oxide Chemical class C1=CC=C2S(=O)N=CC2=C1 KANAPVJGZDNSCZ-UHFFFAOYSA-N 0.000 description 1
- VUWCWMOCWKCZTA-UHFFFAOYSA-N 1,2-thiazol-4-one Chemical class O=C1CSN=C1 VUWCWMOCWKCZTA-UHFFFAOYSA-N 0.000 description 1
- HWGJWYNMDPTGTD-UHFFFAOYSA-N 1h-azonine Chemical compound C=1C=CC=CNC=CC=1 HWGJWYNMDPTGTD-UHFFFAOYSA-N 0.000 description 1
- OLXZPDWKRNYJJZ-RRKCRQDMSA-N 2'-deoxyadenosine Chemical compound C1=NC=2C(N)=NC=NC=2N1[C@H]1C[C@H](O)[C@@H](CO)O1 OLXZPDWKRNYJJZ-RRKCRQDMSA-N 0.000 description 1
- 239000005631 2,4-Dichlorophenoxyacetic acid Substances 0.000 description 1
- CHHHXKFHOYLYRE-UHFFFAOYSA-M 2,4-Hexadienoic acid, potassium salt (1:1), (2E,4E)- Chemical compound [K+].CC=CC=CC([O-])=O CHHHXKFHOYLYRE-UHFFFAOYSA-M 0.000 description 1
- NUPJIGQFXCQJBK-UHFFFAOYSA-N 2-(4-isopropyl-4-methyl-5-oxo-4,5-dihydro-1H-imidazol-2-yl)-5-(methoxymethyl)nicotinic acid Chemical compound OC(=O)C1=CC(COC)=CN=C1C1=NC(C)(C(C)C)C(=O)N1 NUPJIGQFXCQJBK-UHFFFAOYSA-N 0.000 description 1
- YQUVCSBJEUQKSH-UHFFFAOYSA-N 3,4-dihydroxybenzoic acid Chemical compound OC(=O)C1=CC=C(O)C(O)=C1 YQUVCSBJEUQKSH-UHFFFAOYSA-N 0.000 description 1
- UPMXNNIRAGDFEH-UHFFFAOYSA-N 3,5-dibromo-4-hydroxybenzonitrile Chemical compound OC1=C(Br)C=C(C#N)C=C1Br UPMXNNIRAGDFEH-UHFFFAOYSA-N 0.000 description 1
- DBTMGCOVALSLOR-UHFFFAOYSA-N 32-alpha-galactosyl-3-alpha-galactosyl-galactose Natural products OC1C(O)C(O)C(CO)OC1OC1C(O)C(OC2C(C(CO)OC(O)C2O)O)OC(CO)C1O DBTMGCOVALSLOR-UHFFFAOYSA-N 0.000 description 1
- OSWFIVFLDKOXQC-UHFFFAOYSA-N 4-(3-methoxyphenyl)aniline Chemical compound COC1=CC=CC(C=2C=CC(N)=CC=2)=C1 OSWFIVFLDKOXQC-UHFFFAOYSA-N 0.000 description 1
- BCFOOQRXUXKJCL-UHFFFAOYSA-N 4-amino-4-oxo-2-sulfobutanoic acid Chemical class NC(=O)CC(C(O)=O)S(O)(=O)=O BCFOOQRXUXKJCL-UHFFFAOYSA-N 0.000 description 1
- 125000003143 4-hydroxybenzyl group Chemical group [H]C([*])([H])C1=C([H])C([H])=C(O[H])C([H])=C1[H] 0.000 description 1
- PVXPPJIGRGXGCY-DJHAAKORSA-N 6-O-alpha-D-glucopyranosyl-alpha-D-fructofuranose Chemical compound O[C@@H]1[C@@H](O)[C@H](O)[C@@H](CO)O[C@@H]1OC[C@@H]1[C@@H](O)[C@H](O)[C@](O)(CO)O1 PVXPPJIGRGXGCY-DJHAAKORSA-N 0.000 description 1
- 108010066676 Abrin Proteins 0.000 description 1
- QTBSBXVTEAMEQO-UHFFFAOYSA-M Acetate Chemical compound CC([O-])=O QTBSBXVTEAMEQO-UHFFFAOYSA-M 0.000 description 1
- 241000251468 Actinopterygii Species 0.000 description 1
- 102100022089 Acyl-[acyl-carrier-protein] hydrolase Human genes 0.000 description 1
- XAEWTDMGFGHWFK-IMJSIDKUSA-N Ala-Asp Chemical compound C[C@H](N)C(=O)N[C@H](C(O)=O)CC(O)=O XAEWTDMGFGHWFK-IMJSIDKUSA-N 0.000 description 1
- HJCMDXDYPOUFDY-WHFBIAKZSA-N Ala-Gln Chemical compound C[C@H](N)C(=O)N[C@H](C(O)=O)CCC(N)=O HJCMDXDYPOUFDY-WHFBIAKZSA-N 0.000 description 1
- FUSPCLTUKXQREV-ACZMJKKPSA-N Ala-Glu-Ala Chemical compound [H]N[C@@H](C)C(=O)N[C@@H](CCC(O)=O)C(=O)N[C@@H](C)C(O)=O FUSPCLTUKXQREV-ACZMJKKPSA-N 0.000 description 1
- CXISPYVYMQWFLE-VKHMYHEASA-N Ala-Gly Chemical compound C[C@H]([NH3+])C(=O)NCC([O-])=O CXISPYVYMQWFLE-VKHMYHEASA-N 0.000 description 1
- XZWXFWBHYRFLEF-FSPLSTOPSA-N Ala-His Chemical compound C[C@H](N)C(=O)N[C@H](C(O)=O)CC1=CN=CN1 XZWXFWBHYRFLEF-FSPLSTOPSA-N 0.000 description 1
- 241000919511 Albugo Species 0.000 description 1
- 241000919507 Albugo candida Species 0.000 description 1
- 241001163841 Albugo ipomoeae-panduratae Species 0.000 description 1
- 241001147780 Alicyclobacillus Species 0.000 description 1
- 229920001450 Alpha-Cyclodextrin Polymers 0.000 description 1
- 241001558165 Alternaria sp. Species 0.000 description 1
- 239000005995 Aluminium silicate Substances 0.000 description 1
- ATRRKUHOCOJYRX-UHFFFAOYSA-N Ammonium bicarbonate Chemical compound [NH4+].OC([O-])=O ATRRKUHOCOJYRX-UHFFFAOYSA-N 0.000 description 1
- VHUUQVKOLVNVRT-UHFFFAOYSA-N Ammonium hydroxide Chemical compound [NH4+].[OH-] VHUUQVKOLVNVRT-UHFFFAOYSA-N 0.000 description 1
- 244000144725 Amygdalus communis Species 0.000 description 1
- 229920000945 Amylopectin Polymers 0.000 description 1
- 241000024188 Andala Species 0.000 description 1
- 241001444083 Aphanomyces Species 0.000 description 1
- 240000007087 Apium graveolens Species 0.000 description 1
- 235000015849 Apium graveolens Dulce Group Nutrition 0.000 description 1
- 235000010591 Appio Nutrition 0.000 description 1
- 241001553178 Arachis glabrata Species 0.000 description 1
- 241000239223 Arachnida Species 0.000 description 1
- 241000238421 Arthropoda Species 0.000 description 1
- 241000222195 Ascochyta Species 0.000 description 1
- 241000887188 Ascochyta hordei Species 0.000 description 1
- 244000309473 Ascochyta tritici Species 0.000 description 1
- 241000228212 Aspergillus Species 0.000 description 1
- 241000228245 Aspergillus niger Species 0.000 description 1
- 240000006439 Aspergillus oryzae Species 0.000 description 1
- 235000002247 Aspergillus oryzae Nutrition 0.000 description 1
- 241001530056 Athelia rolfsii Species 0.000 description 1
- 241000223678 Aureobasidium pullulans Species 0.000 description 1
- 241000271566 Aves Species 0.000 description 1
- 108010028334 Bacillus LI-F04a peptide Proteins 0.000 description 1
- 108700003918 Bacillus Thuringiensis insecticidal crystal Proteins 0.000 description 1
- 241000193408 Bacillus badius Species 0.000 description 1
- 241000193749 Bacillus coagulans Species 0.000 description 1
- 244000063299 Bacillus subtilis Species 0.000 description 1
- 235000014469 Bacillus subtilis Nutrition 0.000 description 1
- 241000193388 Bacillus thuringiensis Species 0.000 description 1
- DWRXFEITVBNRMK-UHFFFAOYSA-N Beta-D-1-Arabinofuranosylthymine Natural products O=C1NC(=O)C(C)=CN1C1C(O)C(O)C(CO)O1 DWRXFEITVBNRMK-UHFFFAOYSA-N 0.000 description 1
- 101710163256 Bibenzyl synthase Proteins 0.000 description 1
- BVKZGUZCCUSVTD-UHFFFAOYSA-M Bicarbonate Chemical compound OC([O-])=O BVKZGUZCCUSVTD-UHFFFAOYSA-M 0.000 description 1
- 241000228438 Bipolaris maydis Species 0.000 description 1
- 241001480060 Blumeria Species 0.000 description 1
- 241000167854 Bourreria succulenta Species 0.000 description 1
- 241000310268 Brachycaudus tragopogonis Species 0.000 description 1
- 241000219198 Brassica Species 0.000 description 1
- 235000003351 Brassica cretica Nutrition 0.000 description 1
- 235000003343 Brassica rupestris Nutrition 0.000 description 1
- 241000555281 Brevibacillus Species 0.000 description 1
- CPELXLSAUQHCOX-UHFFFAOYSA-M Bromide Chemical compound [Br-] CPELXLSAUQHCOX-UHFFFAOYSA-M 0.000 description 1
- 239000005489 Bromoxynil Substances 0.000 description 1
- LVDKZNITIUWNER-UHFFFAOYSA-N Bronopol Chemical compound OCC(Br)(CO)[N+]([O-])=O LVDKZNITIUWNER-UHFFFAOYSA-N 0.000 description 1
- FERIUCNNQQJTOY-UHFFFAOYSA-M Butyrate Chemical compound CCCC([O-])=O FERIUCNNQQJTOY-UHFFFAOYSA-M 0.000 description 1
- FERIUCNNQQJTOY-UHFFFAOYSA-N Butyric acid Natural products CCCC(O)=O FERIUCNNQQJTOY-UHFFFAOYSA-N 0.000 description 1
- ITPLBEGGXOAHCR-XYDNQRPCSA-N C.C.C.C.C.[2H]C(=O)C(C)NC Chemical compound C.C.C.C.C.[2H]C(=O)C(C)NC ITPLBEGGXOAHCR-XYDNQRPCSA-N 0.000 description 1
- 239000002126 C01EB10 - Adenosine Substances 0.000 description 1
- 241000498608 Cadophora gregata Species 0.000 description 1
- OYPRJOBELJOOCE-UHFFFAOYSA-N Calcium Chemical class [Ca] OYPRJOBELJOOCE-UHFFFAOYSA-N 0.000 description 1
- 108090000312 Calcium Channels Proteins 0.000 description 1
- 102000003922 Calcium Channels Human genes 0.000 description 1
- 241000222120 Candida <Saccharomycetales> Species 0.000 description 1
- 244000025254 Cannabis sativa Species 0.000 description 1
- 235000012766 Cannabis sativa ssp. sativa var. sativa Nutrition 0.000 description 1
- 235000012765 Cannabis sativa ssp. sativa var. spontanea Nutrition 0.000 description 1
- BVKZGUZCCUSVTD-UHFFFAOYSA-L Carbonate Chemical compound [O-]C([O-])=O BVKZGUZCCUSVTD-UHFFFAOYSA-L 0.000 description 1
- 229920002134 Carboxymethyl cellulose Polymers 0.000 description 1
- 241001290235 Ceratobasidium cereale Species 0.000 description 1
- 241000530549 Cercospora beticola Species 0.000 description 1
- 241000113401 Cercospora sojina Species 0.000 description 1
- 241000437818 Cercospora vignicola Species 0.000 description 1
- 206010008190 Cerebrovascular accident Diseases 0.000 description 1
- 241000221955 Chaetomium Species 0.000 description 1
- 229920002101 Chitin Polymers 0.000 description 1
- 240000006670 Chlorogalum pomeridianum Species 0.000 description 1
- 235000007836 Chlorogalum pomeridianum Nutrition 0.000 description 1
- 108010089254 Cholesterol oxidase Proteins 0.000 description 1
- 241000760356 Chytridiomycetes Species 0.000 description 1
- 241000723346 Cinnamomum camphora Species 0.000 description 1
- 244000223760 Cinnamomum zeylanicum Species 0.000 description 1
- 235000008733 Citrus aurantifolia Nutrition 0.000 description 1
- 235000005979 Citrus limon Nutrition 0.000 description 1
- 244000131522 Citrus pyriformis Species 0.000 description 1
- 241001672694 Citrus reticulata Species 0.000 description 1
- 240000000560 Citrus x paradisi Species 0.000 description 1
- 241001149956 Cladosporium herbarum Species 0.000 description 1
- 241000221751 Claviceps purpurea Species 0.000 description 1
- 241001149472 Clonostachys rosea Species 0.000 description 1
- 235000013162 Cocos nucifera Nutrition 0.000 description 1
- 244000060011 Cocos nucifera Species 0.000 description 1
- 241001265944 Coeloptera Species 0.000 description 1
- 241000254173 Coleoptera Species 0.000 description 1
- 241000222199 Colletotrichum Species 0.000 description 1
- 241001123534 Colletotrichum coccodes Species 0.000 description 1
- 241001429695 Colletotrichum graminicola Species 0.000 description 1
- 241001120669 Colletotrichum lindemuthianum Species 0.000 description 1
- 241000222239 Colletotrichum truncatum Species 0.000 description 1
- 241000218631 Coniferophyta Species 0.000 description 1
- 241001600093 Coniophora Species 0.000 description 1
- RYGMFSIKBFXOCR-UHFFFAOYSA-N Copper Chemical compound [Cu] RYGMFSIKBFXOCR-UHFFFAOYSA-N 0.000 description 1
- 235000011777 Corchorus aestuans Nutrition 0.000 description 1
- 240000004792 Corchorus capsularis Species 0.000 description 1
- 235000010862 Corchorus capsularis Nutrition 0.000 description 1
- 241000222356 Coriolus Species 0.000 description 1
- 241001529717 Corticium <basidiomycota> Species 0.000 description 1
- 241000219112 Cucumis Species 0.000 description 1
- 235000015510 Cucumis melo subsp melo Nutrition 0.000 description 1
- 235000009849 Cucumis sativus Nutrition 0.000 description 1
- 235000010799 Cucumis sativus var sativus Nutrition 0.000 description 1
- 229920000858 Cyclodextrin Polymers 0.000 description 1
- 241000723247 Cylindrocarpon Species 0.000 description 1
- 102000015833 Cystatin Human genes 0.000 description 1
- GUBGYTABKSRVRQ-CUHNMECISA-N D-Cellobiose Chemical compound O[C@@H]1[C@@H](O)[C@H](O)[C@@H](CO)O[C@H]1O[C@@H]1[C@@H](CO)OC(O)[C@H](O)[C@H]1O GUBGYTABKSRVRQ-CUHNMECISA-N 0.000 description 1
- GUBGYTABKSRVRQ-UHFFFAOYSA-N D-Cellobiose Natural products OCC1OC(OC2C(O)C(O)C(O)OC2CO)C(O)C(O)C1O GUBGYTABKSRVRQ-UHFFFAOYSA-N 0.000 description 1
- AEMOLEFTQBMNLQ-DTEWXJGMSA-N D-Galacturonic acid Natural products O[C@@H]1O[C@H](C(O)=O)[C@H](O)[C@H](O)[C@H]1O AEMOLEFTQBMNLQ-DTEWXJGMSA-N 0.000 description 1
- FBPFZTCFMRRESA-FSIIMWSLSA-N D-Glucitol Natural products OC[C@H](O)[C@H](O)[C@@H](O)[C@H](O)CO FBPFZTCFMRRESA-FSIIMWSLSA-N 0.000 description 1
- 229930182843 D-Lactic acid Natural products 0.000 description 1
- AUNGANRZJHBGPY-UHFFFAOYSA-N D-Lyxoflavin Natural products OCC(O)C(O)C(O)CN1C=2C=C(C)C(C)=CC=2N=C2C1=NC(=O)NC2=O AUNGANRZJHBGPY-UHFFFAOYSA-N 0.000 description 1
- CKLJMWTZIZZHCS-UHFFFAOYSA-N D-OH-Asp Natural products OC(=O)C(N)CC(O)=O CKLJMWTZIZZHCS-UHFFFAOYSA-N 0.000 description 1
- 229930182846 D-asparagine Natural products 0.000 description 1
- FBPFZTCFMRRESA-JGWLITMVSA-N D-glucitol Chemical compound OC[C@H](O)[C@@H](O)[C@H](O)[C@H](O)CO FBPFZTCFMRRESA-JGWLITMVSA-N 0.000 description 1
- RGHNJXZEOKUKBD-SQOUGZDYSA-N D-gluconic acid Chemical compound OC[C@@H](O)[C@@H](O)[C@H](O)[C@@H](O)C(O)=O RGHNJXZEOKUKBD-SQOUGZDYSA-N 0.000 description 1
- RGHNJXZEOKUKBD-UHFFFAOYSA-N D-gluconic acid Natural products OCC(O)C(O)C(O)C(O)C(O)=O RGHNJXZEOKUKBD-UHFFFAOYSA-N 0.000 description 1
- 229930195715 D-glutamine Natural products 0.000 description 1
- 229930182845 D-isoleucine Natural products 0.000 description 1
- JVTAAEKCZFNVCJ-UWTATZPHSA-N D-lactic acid Chemical compound C[C@@H](O)C(O)=O JVTAAEKCZFNVCJ-UWTATZPHSA-N 0.000 description 1
- RXVWSYJTUUKTEA-UHFFFAOYSA-N D-maltotriose Natural products OC1C(O)C(OC(C(O)CO)C(O)C(O)C=O)OC(CO)C1OC1C(O)C(O)C(O)C(CO)O1 RXVWSYJTUUKTEA-UHFFFAOYSA-N 0.000 description 1
- QWIZNVHXZXRPDR-UHFFFAOYSA-N D-melezitose Natural products O1C(CO)C(O)C(O)C(O)C1OC1C(O)C(CO)OC1(CO)OC1OC(CO)C(O)C(O)C1O QWIZNVHXZXRPDR-UHFFFAOYSA-N 0.000 description 1
- ZAQJHHRNXZUBTE-NQXXGFSBSA-N D-ribulose Chemical compound OC[C@@H](O)[C@@H](O)C(=O)CO ZAQJHHRNXZUBTE-NQXXGFSBSA-N 0.000 description 1
- ZAQJHHRNXZUBTE-UHFFFAOYSA-N D-threo-2-Pentulose Natural products OCC(O)C(O)C(=O)CO ZAQJHHRNXZUBTE-UHFFFAOYSA-N 0.000 description 1
- 238000007400 DNA extraction Methods 0.000 description 1
- 239000004375 Dextrin Substances 0.000 description 1
- 229920001353 Dextrin Polymers 0.000 description 1
- 241001508802 Diaporthe Species 0.000 description 1
- 239000005504 Dicamba Substances 0.000 description 1
- RWSOTUBLDIXVET-UHFFFAOYSA-N Dihydrogen sulfide Chemical class S RWSOTUBLDIXVET-UHFFFAOYSA-N 0.000 description 1
- 102000016680 Dioxygenases Human genes 0.000 description 1
- 108010028143 Dioxygenases Proteins 0.000 description 1
- 241000255925 Diptera Species 0.000 description 1
- 101710173731 Diuretic hormone receptor Proteins 0.000 description 1
- 241000591358 Eballistra oryzae Species 0.000 description 1
- UPEZCKBFRMILAV-JNEQICEOSA-N Ecdysone Natural products O=C1[C@H]2[C@@](C)([C@@H]3C([C@@]4(O)[C@@](C)([C@H]([C@H]([C@@H](O)CCC(O)(C)C)C)CC4)CC3)=C1)C[C@H](O)[C@H](O)C2 UPEZCKBFRMILAV-JNEQICEOSA-N 0.000 description 1
- 240000003133 Elaeis guineensis Species 0.000 description 1
- 244000127993 Elaeis melanococca Species 0.000 description 1
- 241000125117 Elsinoe Species 0.000 description 1
- 241000901048 Elsinoe ampelina Species 0.000 description 1
- 241001568757 Elsinoe glycines Species 0.000 description 1
- 241001568743 Elsinoe piri Species 0.000 description 1
- 241000191410 Elsinoe veneta Species 0.000 description 1
- 241001492222 Epicoccum Species 0.000 description 1
- 241000588698 Erwinia Species 0.000 description 1
- 241000896250 Erysiphe betae Species 0.000 description 1
- 241000984019 Erysiphe cruciferarum Species 0.000 description 1
- 241001337814 Erysiphe glycines Species 0.000 description 1
- 241001489205 Erysiphe pisi Species 0.000 description 1
- 241000588724 Escherichia coli Species 0.000 description 1
- VGGSQFUCUMXWEO-UHFFFAOYSA-N Ethene Chemical compound C=C VGGSQFUCUMXWEO-UHFFFAOYSA-N 0.000 description 1
- 239000005977 Ethylene Substances 0.000 description 1
- 241000378864 Eutypa Species 0.000 description 1
- 241000306559 Exserohilum Species 0.000 description 1
- 239000001116 FEMA 4028 Substances 0.000 description 1
- 108010039731 Fatty Acid Synthases Proteins 0.000 description 1
- KRHYYFGTRYWZRS-UHFFFAOYSA-M Fluoride anion Chemical compound [F-] KRHYYFGTRYWZRS-UHFFFAOYSA-M 0.000 description 1
- 208000014770 Foot disease Diseases 0.000 description 1
- BDAGIHXWWSANSR-UHFFFAOYSA-M Formate Chemical compound [O-]C=O BDAGIHXWWSANSR-UHFFFAOYSA-M 0.000 description 1
- 241000223194 Fusarium culmorum Species 0.000 description 1
- 241000221778 Fusarium fujikuroi Species 0.000 description 1
- 241000221779 Fusarium sambucinum Species 0.000 description 1
- 241000427940 Fusarium solani Species 0.000 description 1
- 241000590686 Fuscopannaria mediterranea Species 0.000 description 1
- 241001149475 Gaeumannomyces graminis Species 0.000 description 1
- DSLZVSRJTYRBFB-UHFFFAOYSA-N Galactaric acid Natural products OC(=O)C(O)C(O)C(O)C(O)C(O)=O DSLZVSRJTYRBFB-UHFFFAOYSA-N 0.000 description 1
- IAJILQKETJEXLJ-UHFFFAOYSA-N Galacturonsaeure Natural products O=CC(O)C(O)C(O)C(O)C(O)=O IAJILQKETJEXLJ-UHFFFAOYSA-N 0.000 description 1
- 108010010803 Gelatin Proteins 0.000 description 1
- 239000001828 Gelatine Substances 0.000 description 1
- 241000223247 Gloeocercospora Species 0.000 description 1
- 241000123332 Gloeophyllum Species 0.000 description 1
- 241001620302 Glomerella <beetle> Species 0.000 description 1
- PNMUAGGSDZXTHX-BYPYZUCNSA-N Gly-Gln Chemical compound NCC(=O)N[C@H](C(O)=O)CCC(N)=O PNMUAGGSDZXTHX-BYPYZUCNSA-N 0.000 description 1
- IEFJWDNGDZAYNZ-BYPYZUCNSA-N Gly-Glu Chemical compound NCC(=O)N[C@H](C(O)=O)CCC(O)=O IEFJWDNGDZAYNZ-BYPYZUCNSA-N 0.000 description 1
- PFMUCCYYAAFKTH-YFKPBYRVSA-N Gly-Met Chemical compound CSCC[C@@H](C(O)=O)NC(=O)CN PFMUCCYYAAFKTH-YFKPBYRVSA-N 0.000 description 1
- 239000004471 Glycine Substances 0.000 description 1
- 241000896246 Golovinomyces cichoracearum Species 0.000 description 1
- 241001091440 Grossulariaceae Species 0.000 description 1
- 241000221557 Gymnosporangium Species 0.000 description 1
- 241001409809 Gymnosporangium sabinae Species 0.000 description 1
- 229930191111 Helicokinin Natural products 0.000 description 1
- 241001181537 Hemileia Species 0.000 description 1
- 241001181532 Hemileia vastatrix Species 0.000 description 1
- 244000043261 Hevea brasiliensis Species 0.000 description 1
- 101000953492 Homo sapiens Inositol hexakisphosphate and diphosphoinositol-pentakisphosphate kinase 1 Proteins 0.000 description 1
- 101000953488 Homo sapiens Inositol hexakisphosphate and diphosphoinositol-pentakisphosphate kinase 2 Proteins 0.000 description 1
- 241000223198 Humicola Species 0.000 description 1
- 102000004286 Hydroxymethylglutaryl CoA Reductases Human genes 0.000 description 1
- 108090000895 Hydroxymethylglutaryl CoA Reductases Proteins 0.000 description 1
- 239000005566 Imazamox Substances 0.000 description 1
- 229930010555 Inosine Natural products 0.000 description 1
- UGQMRVRMYYASKQ-KQYNXXCUSA-N Inosine Chemical compound O[C@@H]1[C@H](O)[C@@H](CO)O[C@H]1N1C2=NC=NC(O)=C2N=C1 UGQMRVRMYYASKQ-KQYNXXCUSA-N 0.000 description 1
- 102100037739 Inositol hexakisphosphate and diphosphoinositol-pentakisphosphate kinase 1 Human genes 0.000 description 1
- 102100037736 Inositol hexakisphosphate and diphosphoinositol-pentakisphosphate kinase 2 Human genes 0.000 description 1
- 229920001202 Inulin Polymers 0.000 description 1
- 108090000862 Ion Channels Proteins 0.000 description 1
- 102000004310 Ion Channels Human genes 0.000 description 1
- 241000721662 Juniperus Species 0.000 description 1
- 239000005909 Kieselgur Substances 0.000 description 1
- LKDRXBCSQODPBY-AMVSKUEXSA-N L-(-)-Sorbose Chemical compound OCC1(O)OC[C@H](O)[C@@H](O)[C@@H]1O LKDRXBCSQODPBY-AMVSKUEXSA-N 0.000 description 1
- CKLJMWTZIZZHCS-UWTATZPHSA-N L-Aspartic acid Natural products OC(=O)[C@H](N)CC(O)=O CKLJMWTZIZZHCS-UWTATZPHSA-N 0.000 description 1
- CKLJMWTZIZZHCS-REOHCLBHSA-N L-aspartic acid Chemical compound OC(=O)[C@@H](N)CC(O)=O CKLJMWTZIZZHCS-REOHCLBHSA-N 0.000 description 1
- 241001293495 Lactuca virosa Species 0.000 description 1
- 108090001090 Lectins Proteins 0.000 description 1
- 102000004856 Lectins Human genes 0.000 description 1
- 240000004322 Lens culinaris Species 0.000 description 1
- 235000014647 Lens culinaris subsp culinaris Nutrition 0.000 description 1
- 241000222418 Lentinus Species 0.000 description 1
- 241000255777 Lepidoptera Species 0.000 description 1
- 241000228456 Leptosphaeria Species 0.000 description 1
- 108090000364 Ligases Proteins 0.000 description 1
- 102000003960 Ligases Human genes 0.000 description 1
- 235000019738 Limestone Nutrition 0.000 description 1
- 235000004431 Linum usitatissimum Nutrition 0.000 description 1
- 240000006240 Linum usitatissimum Species 0.000 description 1
- 241001495426 Macrophomina phaseolina Species 0.000 description 1
- FYYHWMGAXLPEAU-UHFFFAOYSA-N Magnesium Chemical class [Mg] FYYHWMGAXLPEAU-UHFFFAOYSA-N 0.000 description 1
- 229920002774 Maltodextrin Polymers 0.000 description 1
- 240000007679 Mandevilla laxa Species 0.000 description 1
- 240000004658 Medicago sativa Species 0.000 description 1
- 235000017587 Medicago sativa ssp. sativa Nutrition 0.000 description 1
- JHKXZYLNVJRAAJ-WDSKDSINSA-N Met-Ala Chemical compound CSCC[C@H](N)C(=O)N[C@@H](C)C(O)=O JHKXZYLNVJRAAJ-WDSKDSINSA-N 0.000 description 1
- CERQOIWHTDAKMF-UHFFFAOYSA-N Methacrylic acid Chemical compound CC(=C)C(O)=O CERQOIWHTDAKMF-UHFFFAOYSA-N 0.000 description 1
- VVQNEPGJFQJSBK-UHFFFAOYSA-N Methyl methacrylate Chemical compound COC(=O)C(C)=C VVQNEPGJFQJSBK-UHFFFAOYSA-N 0.000 description 1
- 241000237852 Mollusca Species 0.000 description 1
- ZOKXTWBITQBERF-UHFFFAOYSA-N Molybdenum Chemical class [Mo] ZOKXTWBITQBERF-UHFFFAOYSA-N 0.000 description 1
- 241001518729 Monilinia Species 0.000 description 1
- 241001518731 Monilinia fructicola Species 0.000 description 1
- 241001518836 Monilinia fructigena Species 0.000 description 1
- 241000235395 Mucor Species 0.000 description 1
- 108010014251 Muramidase Proteins 0.000 description 1
- 102000016943 Muramidase Human genes 0.000 description 1
- 241000131448 Mycosphaerella Species 0.000 description 1
- 108010062010 N-Acetylmuramoyl-L-alanine Amidase Proteins 0.000 description 1
- SECXISVLQFMRJM-UHFFFAOYSA-N N-Methylpyrrolidone Chemical compound CN1CCCC1=O SECXISVLQFMRJM-UHFFFAOYSA-N 0.000 description 1
- OVBPIULPVIDEAO-UHFFFAOYSA-N N-Pteroyl-L-glutaminsaeure Natural products C=1N=C2NC(N)=NC(=O)C2=NC=1CNC1=CC=C(C(=O)NC(CCC(O)=O)C(O)=O)C=C1 OVBPIULPVIDEAO-UHFFFAOYSA-N 0.000 description 1
- WHNWPMSKXPGLAX-UHFFFAOYSA-N N-Vinyl-2-pyrrolidone Chemical compound C=CN1CCCC1=O WHNWPMSKXPGLAX-UHFFFAOYSA-N 0.000 description 1
- OVRNDRQMDRJTHS-UHFFFAOYSA-N N-acelyl-D-glucosamine Natural products CC(=O)NC1C(O)OC(CO)C(O)C1O OVRNDRQMDRJTHS-UHFFFAOYSA-N 0.000 description 1
- OVRNDRQMDRJTHS-FMDGEEDCSA-N N-acetyl-beta-D-glucosamine Chemical compound CC(=O)N[C@H]1[C@H](O)O[C@H](CO)[C@@H](O)[C@@H]1O OVRNDRQMDRJTHS-FMDGEEDCSA-N 0.000 description 1
- 108010002311 N-glycylglutamic acid Proteins 0.000 description 1
- 241000498271 Necator Species 0.000 description 1
- 241001226034 Nectria <echinoderm> Species 0.000 description 1
- 241001231450 Neonectria Species 0.000 description 1
- IOVCWXUNBOPUCH-UHFFFAOYSA-M Nitrite anion Chemical compound [O-]N=O IOVCWXUNBOPUCH-UHFFFAOYSA-M 0.000 description 1
- 239000004677 Nylon Substances 0.000 description 1
- AYRXSINWFIIFAE-UHFFFAOYSA-N O6-alpha-D-Galactopyranosyl-D-galactose Natural products OCC1OC(OCC(O)C(O)C(O)C(O)C=O)C(O)C(O)C1O AYRXSINWFIIFAE-UHFFFAOYSA-N 0.000 description 1
- 241001668536 Oculimacula yallundae Species 0.000 description 1
- 241000896238 Oidium Species 0.000 description 1
- 241000207836 Olea <angiosperm> Species 0.000 description 1
- 240000007817 Olea europaea Species 0.000 description 1
- 235000002725 Olea europaea Nutrition 0.000 description 1
- 108010038807 Oligopeptides Proteins 0.000 description 1
- 102000015636 Oligopeptides Human genes 0.000 description 1
- 241000221671 Ophiostoma ulmi Species 0.000 description 1
- BPQQTUXANYXVAA-UHFFFAOYSA-N Orthosilicate Chemical compound [O-][Si]([O-])([O-])[O-] BPQQTUXANYXVAA-UHFFFAOYSA-N 0.000 description 1
- 241001236817 Paecilomyces <Clavicipitaceae> Species 0.000 description 1
- 241000680671 Paenibacillus anaericanus Species 0.000 description 1
- 241000933952 Paenibacillus campinasensis Species 0.000 description 1
- 241000611799 Paenibacillus chibensis Species 0.000 description 1
- 241000178959 Paenibacillus durus Species 0.000 description 1
- 241000611786 Paenibacillus glucanolyticus Species 0.000 description 1
- 241000406880 Paenibacillus hordei Species 0.000 description 1
- 241001497751 Paenibacillus hunanensis Species 0.000 description 1
- 241000331098 Paenibacillus lactis Species 0.000 description 1
- 241000194109 Paenibacillus lautus Species 0.000 description 1
- 241000178960 Paenibacillus macerans Species 0.000 description 1
- 241000314151 Paenibacillus massiliensis 2301065 = DSM 16942 Species 0.000 description 1
- 241000699077 Paenibacillus oryzae Species 0.000 description 1
- 241000193397 Paenibacillus pabuli Species 0.000 description 1
- 241000403580 Paenibacillus pini JCM 16418 Species 0.000 description 1
- 241000745382 Paenibacillus polymyxa A18 Species 0.000 description 1
- 241001016862 Paenibacillus polymyxa ATCC 842 Species 0.000 description 1
- 241001146929 Paenibacillus polymyxa CR1 Species 0.000 description 1
- 241000093527 Paenibacillus polymyxa TD94 Species 0.000 description 1
- 241000522566 Paenibacillus purispatii Species 0.000 description 1
- 241000058353 Paenibacillus terrae Species 0.000 description 1
- 241000458857 Paenibacillus terrae HPL-003 Species 0.000 description 1
- 241001508122 Paenibacillus terrigena Species 0.000 description 1
- 241000992251 Paenibacillus timonensis 2301032 Species 0.000 description 1
- 241000320116 Paenibacillus turicensis Species 0.000 description 1
- 241001035337 Paenibacillus uliginis N3/975 Species 0.000 description 1
- 241000178958 Paenibacillus validus Species 0.000 description 1
- 235000021314 Palmitic acid Nutrition 0.000 description 1
- 108090000526 Papain Proteins 0.000 description 1
- 241000736122 Parastagonospora nodorum Species 0.000 description 1
- 241000222291 Passalora fulva Species 0.000 description 1
- 101710091688 Patatin Proteins 0.000 description 1
- 101710096342 Pathogenesis-related protein Proteins 0.000 description 1
- 235000019483 Peanut oil Nutrition 0.000 description 1
- 241000228143 Penicillium Species 0.000 description 1
- 235000002245 Penicillium camembertii Nutrition 0.000 description 1
- 241001123663 Penicillium expansum Species 0.000 description 1
- 241000364057 Peoria Species 0.000 description 1
- 241001223281 Peronospora Species 0.000 description 1
- 241001670201 Peronospora destructor Species 0.000 description 1
- 241001670203 Peronospora manshurica Species 0.000 description 1
- 241000582441 Peronospora tabacina Species 0.000 description 1
- 235000008673 Persea americana Nutrition 0.000 description 1
- 244000025272 Persea americana Species 0.000 description 1
- 241000143552 Petriella Species 0.000 description 1
- 244000062780 Petroselinum sativum Species 0.000 description 1
- 241000263269 Phaeoacremonium minimum Species 0.000 description 1
- 241000555275 Phaeosphaeria Species 0.000 description 1
- 241000123107 Phellinus Species 0.000 description 1
- 241001480007 Phomopsis Species 0.000 description 1
- NBIIXXVUZAFLBC-UHFFFAOYSA-L Phosphate ion(2-) Chemical compound OP([O-])([O-])=O NBIIXXVUZAFLBC-UHFFFAOYSA-L 0.000 description 1
- 108010064785 Phospholipases Proteins 0.000 description 1
- 102000015439 Phospholipases Human genes 0.000 description 1
- ABLZXFCXXLZCGV-UHFFFAOYSA-N Phosphorous acid Chemical class OP(O)=O ABLZXFCXXLZCGV-UHFFFAOYSA-N 0.000 description 1
- OAICVXFJPJFONN-UHFFFAOYSA-N Phosphorus Chemical compound [P] OAICVXFJPJFONN-UHFFFAOYSA-N 0.000 description 1
- 241001148062 Photorhabdus Species 0.000 description 1
- 241000210649 Phyllosticta ampelicida Species 0.000 description 1
- 241000471406 Physoderma maydis Species 0.000 description 1
- 241000233614 Phytophthora Species 0.000 description 1
- 241000233616 Phytophthora capsici Species 0.000 description 1
- 241000233624 Phytophthora megasperma Species 0.000 description 1
- 241000370518 Phytophthora ramorum Species 0.000 description 1
- 108010089814 Plant Lectins Proteins 0.000 description 1
- 241001503436 Plasmodiophora brassicae Species 0.000 description 1
- 241001503460 Plasmodiophorida Species 0.000 description 1
- 241000233626 Plasmopara Species 0.000 description 1
- 241000233610 Plasmopara halstedii Species 0.000 description 1
- 241000782724 Plenodomus tracheiphilus Species 0.000 description 1
- 241000222350 Pleurotus Species 0.000 description 1
- 241000896242 Podosphaera Species 0.000 description 1
- 241000317981 Podosphaera fuliginea Species 0.000 description 1
- 241001337928 Podosphaera leucotricha Species 0.000 description 1
- 229920002873 Polyethylenimine Polymers 0.000 description 1
- 229920002396 Polyurea Polymers 0.000 description 1
- 241001619461 Poria <basidiomycete fungus> Species 0.000 description 1
- ZLMJMSJWJFRBEC-UHFFFAOYSA-N Potassium Chemical class [K] ZLMJMSJWJFRBEC-UHFFFAOYSA-N 0.000 description 1
- GOOHAUXETOMSMM-UHFFFAOYSA-N Propylene oxide Chemical compound CC1CO1 GOOHAUXETOMSMM-UHFFFAOYSA-N 0.000 description 1
- 239000004365 Protease Substances 0.000 description 1
- 108020001991 Protoporphyrinogen Oxidase Proteins 0.000 description 1
- 102000005135 Protoporphyrinogen oxidase Human genes 0.000 description 1
- 241000087479 Pseudocercospora fijiensis Species 0.000 description 1
- 241000113418 Pseudocercospora humuli Species 0.000 description 1
- 241000682843 Pseudocercosporella Species 0.000 description 1
- 241001646398 Pseudomonas chlororaphis Species 0.000 description 1
- 241001281802 Pseudoperonospora Species 0.000 description 1
- 241001281805 Pseudoperonospora cubensis Species 0.000 description 1
- 241001008025 Pseudopezicula Species 0.000 description 1
- 241001008026 Pseudopezicula tetraspora Species 0.000 description 1
- 241000221300 Puccinia Species 0.000 description 1
- 241000601159 Puccinia asparagi Species 0.000 description 1
- 241000928333 Puccinia kuehnii Species 0.000 description 1
- 241001123583 Puccinia striiformis Species 0.000 description 1
- 241000221535 Pucciniales Species 0.000 description 1
- 102100024820 Putative macrophage stimulating 1-like protein Human genes 0.000 description 1
- 241000233639 Pythium Species 0.000 description 1
- 241000918585 Pythium aphanidermatum Species 0.000 description 1
- 241000918584 Pythium ultimum Species 0.000 description 1
- 241000771943 Ramularia beticola Species 0.000 description 1
- 244000088415 Raphanus sativus Species 0.000 description 1
- 235000006140 Raphanus sativus var sativus Nutrition 0.000 description 1
- 241000589157 Rhizobiales Species 0.000 description 1
- 241000235546 Rhizopus stolonifer Species 0.000 description 1
- 241001515790 Rhynchosporium secalis Species 0.000 description 1
- 235000002357 Ribes grossularia Nutrition 0.000 description 1
- 108010039491 Ricin Proteins 0.000 description 1
- 240000000528 Ricinus communis Species 0.000 description 1
- 235000004443 Ricinus communis Nutrition 0.000 description 1
- 240000007651 Rubus glaucus Species 0.000 description 1
- 108010019477 S-adenosyl-L-methionine-dependent N-methyltransferase Proteins 0.000 description 1
- 235000014680 Saccharomyces cerevisiae Nutrition 0.000 description 1
- 108010084592 Saporins Proteins 0.000 description 1
- 241000800292 Sarocladium attenuatum Species 0.000 description 1
- 241000800294 Sarocladium oryzae Species 0.000 description 1
- 241000221662 Sclerotinia Species 0.000 description 1
- 241000239226 Scorpiones Species 0.000 description 1
- 241001599571 Serpula <basidiomycete> Species 0.000 description 1
- 240000000452 Sesamum alatum Species 0.000 description 1
- 235000009367 Sesamum alatum Nutrition 0.000 description 1
- 235000003434 Sesamum indicum Nutrition 0.000 description 1
- 241000254152 Sitophilus oryzae Species 0.000 description 1
- 108010052164 Sodium Channels Proteins 0.000 description 1
- 102000018674 Sodium Channels Human genes 0.000 description 1
- VMHLLURERBWHNL-UHFFFAOYSA-M Sodium acetate Chemical compound [Na+].CC([O-])=O VMHLLURERBWHNL-UHFFFAOYSA-M 0.000 description 1
- 229920002125 Sokalan® Polymers 0.000 description 1
- 235000018967 Solanum bulbocastanum Nutrition 0.000 description 1
- 241001327161 Solanum bulbocastanum Species 0.000 description 1
- 235000014289 Solanum fendleri Nutrition 0.000 description 1
- 235000009865 Solanum jamesii Nutrition 0.000 description 1
- 101000611441 Solanum lycopersicum Pathogenesis-related leaf protein 6 Proteins 0.000 description 1
- 235000007230 Sorghum bicolor Nutrition 0.000 description 1
- 235000011684 Sorghum saccharatum Nutrition 0.000 description 1
- 108010073771 Soybean Proteins Proteins 0.000 description 1
- 241000592344 Spermatophyta Species 0.000 description 1
- 241001250060 Sphacelotheca Species 0.000 description 1
- 241000011575 Spilocaea Species 0.000 description 1
- 235000009337 Spinacia oleracea Nutrition 0.000 description 1
- 244000300264 Spinacia oleracea Species 0.000 description 1
- 244000107946 Spondias cytherea Species 0.000 description 1
- 241000397423 Spongospora subterranea f. sp. subterranea Species 0.000 description 1
- 241001250070 Sporisorium reilianum Species 0.000 description 1
- UQZIYBXSHAGNOE-USOSMYMVSA-N Stachyose Natural products O(C[C@H]1[C@@H](O)[C@H](O)[C@H](O)[C@@H](O[C@@]2(CO)[C@H](O)[C@@H](O)[C@@H](CO)O2)O1)[C@@H]1[C@H](O)[C@@H](O)[C@@H](O)[C@H](CO[C@@H]2[C@@H](O)[C@@H](O)[C@@H](O)[C@H](CO)O2)O1 UQZIYBXSHAGNOE-USOSMYMVSA-N 0.000 description 1
- 235000021355 Stearic acid Nutrition 0.000 description 1
- 235000006092 Stevia rebaudiana Nutrition 0.000 description 1
- 241001655322 Streptomycetales Species 0.000 description 1
- 208000006011 Stroke Diseases 0.000 description 1
- 206010042434 Sudden death Diseases 0.000 description 1
- QAOWNCQODCNURD-UHFFFAOYSA-L Sulfate Chemical compound [O-]S([O-])(=O)=O QAOWNCQODCNURD-UHFFFAOYSA-L 0.000 description 1
- ULUAUXLGCMPNKK-UHFFFAOYSA-N Sulfobutanedioic acid Chemical class OC(=O)CC(C(O)=O)S(O)(=O)=O ULUAUXLGCMPNKK-UHFFFAOYSA-N 0.000 description 1
- 235000019486 Sunflower oil Nutrition 0.000 description 1
- 241000827175 Synchytrium endobioticum Species 0.000 description 1
- 241000228446 Taphrina Species 0.000 description 1
- 241001235617 Taphrina communis Species 0.000 description 1
- 241000228448 Taphrina deformans Species 0.000 description 1
- 241000231709 Taphrina pruni Species 0.000 description 1
- 244000269722 Thea sinensis Species 0.000 description 1
- 235000009470 Theobroma cacao Nutrition 0.000 description 1
- 244000299461 Theobroma cacao Species 0.000 description 1
- 206010053615 Thermal burn Diseases 0.000 description 1
- JZRWCGZRTZMZEH-UHFFFAOYSA-N Thiamine Natural products CC1=C(CCO)SC=[N+]1CC1=CN=C(C)N=C1N JZRWCGZRTZMZEH-UHFFFAOYSA-N 0.000 description 1
- 241000865903 Thielaviopsis Species 0.000 description 1
- 235000011941 Tilia x europaea Nutrition 0.000 description 1
- 241000722133 Tilletia Species 0.000 description 1
- 241000722096 Tilletia controversa Species 0.000 description 1
- 101710109289 Transcription factor IIIB 70 kDa subunit Proteins 0.000 description 1
- 101710101768 Transcription factor IIIB 90 kDa subunit Proteins 0.000 description 1
- 239000005626 Tribenuron Substances 0.000 description 1
- 241001114492 Trichurus Species 0.000 description 1
- DRQXUCVJDCRJDB-UHFFFAOYSA-N Turanose Natural products OC1C(CO)OC(O)(CO)C1OC1C(O)C(O)C(O)C(CO)O1 DRQXUCVJDCRJDB-UHFFFAOYSA-N 0.000 description 1
- 241000333201 Typhula incarnata Species 0.000 description 1
- JAQGKXUEKGKTKX-HOTGVXAUSA-N Tyr-Tyr Chemical compound C([C@H](N)C(=O)N[C@@H](CC=1C=CC(O)=CC=1)C(O)=O)C1=CC=C(O)C=C1 JAQGKXUEKGKTKX-HOTGVXAUSA-N 0.000 description 1
- 241001646063 Tyromyces Species 0.000 description 1
- 241000218220 Ulmaceae Species 0.000 description 1
- 241001286670 Ulmus x hollandica Species 0.000 description 1
- 241000510929 Uncinula Species 0.000 description 1
- ISAKRJDGNUQOIC-UHFFFAOYSA-N Uracil Chemical class O=C1C=CNC(=O)N1 ISAKRJDGNUQOIC-UHFFFAOYSA-N 0.000 description 1
- 241001154828 Urocystis <tapeworm> Species 0.000 description 1
- 241000157667 Urocystis occulta Species 0.000 description 1
- 241000221576 Uromyces Species 0.000 description 1
- 241001091387 Uromyces beticola Species 0.000 description 1
- 241000221566 Ustilago Species 0.000 description 1
- 235000015919 Ustilago maydis Nutrition 0.000 description 1
- 241000007070 Ustilago nuda Species 0.000 description 1
- 101150077913 VIP3 gene Proteins 0.000 description 1
- 244000078534 Vaccinium myrtillus Species 0.000 description 1
- 241000317942 Venturia <ichneumonid wasp> Species 0.000 description 1
- 241000228452 Venturia inaequalis Species 0.000 description 1
- 241000905623 Venturia oleaginea Species 0.000 description 1
- 241001123668 Verticillium dahliae Species 0.000 description 1
- XTXRWKRVRITETP-UHFFFAOYSA-N Vinyl acetate Chemical compound CC(=O)OC=C XTXRWKRVRITETP-UHFFFAOYSA-N 0.000 description 1
- 241001659629 Virgibacillus Species 0.000 description 1
- 241000219094 Vitaceae Species 0.000 description 1
- 208000000260 Warts Diseases 0.000 description 1
- 241000607757 Xenorhabdus Species 0.000 description 1
- 235000016383 Zea mays subsp huehuetenangensis Nutrition 0.000 description 1
- HCHKCACWOHOZIP-UHFFFAOYSA-N Zinc Chemical compound [Zn] HCHKCACWOHOZIP-UHFFFAOYSA-N 0.000 description 1
- JUNBYRXGWOTEEP-UHFFFAOYSA-N [C].NC(N)=N Chemical compound [C].NC(N)=N JUNBYRXGWOTEEP-UHFFFAOYSA-N 0.000 description 1
- 238000009825 accumulation Methods 0.000 description 1
- VJHCJDRQFCCTHL-UHFFFAOYSA-N acetic acid 2,3,4,5,6-pentahydroxyhexanal Chemical compound CC(O)=O.OCC(O)C(O)C(O)C(O)C=O VJHCJDRQFCCTHL-UHFFFAOYSA-N 0.000 description 1
- DPXJVFZANSGRMM-UHFFFAOYSA-N acetic acid;2,3,4,5,6-pentahydroxyhexanal;sodium Chemical compound [Na].CC(O)=O.OCC(O)C(O)C(O)C(O)C=O DPXJVFZANSGRMM-UHFFFAOYSA-N 0.000 description 1
- NIXOWILDQLNWCW-UHFFFAOYSA-N acrylic acid group Chemical group C(C=C)(=O)O NIXOWILDQLNWCW-UHFFFAOYSA-N 0.000 description 1
- 239000000654 additive Substances 0.000 description 1
- 229960005305 adenosine Drugs 0.000 description 1
- 239000000853 adhesive Substances 0.000 description 1
- 230000001070 adhesive effect Effects 0.000 description 1
- 239000003463 adsorbent Substances 0.000 description 1
- 239000000910 agglutinin Substances 0.000 description 1
- 239000003570 air Substances 0.000 description 1
- 108010041407 alanylaspartic acid Proteins 0.000 description 1
- 108010005233 alanylglutamic acid Proteins 0.000 description 1
- 108010044940 alanylglutamine Proteins 0.000 description 1
- 108010070944 alanylhistidine Proteins 0.000 description 1
- IAJILQKETJEXLJ-RSJOWCBRSA-N aldehydo-D-galacturonic acid Chemical compound O=C[C@H](O)[C@@H](O)[C@@H](O)[C@H](O)C(O)=O IAJILQKETJEXLJ-RSJOWCBRSA-N 0.000 description 1
- 125000001931 aliphatic group Chemical group 0.000 description 1
- 239000003513 alkali Substances 0.000 description 1
- 150000001447 alkali salts Chemical class 0.000 description 1
- 150000008055 alkyl aryl sulfonates Chemical class 0.000 description 1
- 125000005599 alkyl carboxylate group Chemical group 0.000 description 1
- 235000020224 almond Nutrition 0.000 description 1
- 229940087168 alpha tocopherol Drugs 0.000 description 1
- HMFHBZSHGGEWLO-UHFFFAOYSA-N alpha-D-Furanose-Ribose Natural products OCC1OC(O)C(O)C1O HMFHBZSHGGEWLO-UHFFFAOYSA-N 0.000 description 1
- WQZGKKKJIJFFOK-PHYPRBDBSA-N alpha-D-galactose Chemical compound OC[C@H]1O[C@H](O)[C@H](O)[C@@H](O)[C@H]1O WQZGKKKJIJFFOK-PHYPRBDBSA-N 0.000 description 1
- WQZGKKKJIJFFOK-DVKNGEFBSA-N alpha-D-glucose Chemical compound OC[C@H]1O[C@H](O)[C@H](O)[C@@H](O)[C@@H]1O WQZGKKKJIJFFOK-DVKNGEFBSA-N 0.000 description 1
- UPEZCKBFRMILAV-UHFFFAOYSA-N alpha-Ecdysone Natural products C1C(O)C(O)CC2(C)C(CCC3(C(C(C(O)CCC(C)(C)O)C)CCC33O)C)C3=CC(=O)C21 UPEZCKBFRMILAV-UHFFFAOYSA-N 0.000 description 1
- HFHDHCJBZVLPGP-RWMJIURBSA-N alpha-cyclodextrin Chemical compound OC[C@H]([C@H]([C@@H]([C@H]1O)O)O[C@H]2O[C@@H]([C@@H](O[C@H]3O[C@H](CO)[C@H]([C@@H]([C@H]3O)O)O[C@H]3O[C@H](CO)[C@H]([C@@H]([C@H]3O)O)O[C@H]3O[C@H](CO)[C@H]([C@@H]([C@H]3O)O)O3)[C@H](O)[C@H]2O)CO)O[C@@H]1O[C@H]1[C@H](O)[C@@H](O)[C@@H]3O[C@@H]1CO HFHDHCJBZVLPGP-RWMJIURBSA-N 0.000 description 1
- 229940043377 alpha-cyclodextrin Drugs 0.000 description 1
- 230000004075 alteration Effects 0.000 description 1
- PNEYBMLMFCGWSK-UHFFFAOYSA-N aluminium oxide Inorganic materials [O-2].[O-2].[O-2].[Al+3].[Al+3] PNEYBMLMFCGWSK-UHFFFAOYSA-N 0.000 description 1
- 239000012080 ambient air Substances 0.000 description 1
- 239000001099 ammonium carbonate Substances 0.000 description 1
- 235000012501 ammonium carbonate Nutrition 0.000 description 1
- 235000019270 ammonium chloride Nutrition 0.000 description 1
- 235000011114 ammonium hydroxide Nutrition 0.000 description 1
- 230000003321 amplification Effects 0.000 description 1
- 229940089837 amygdalin Drugs 0.000 description 1
- YZLOSXFCSIDECK-UHFFFAOYSA-N amygdalin Natural products OCC1OC(OCC2OC(O)C(O)C(O)C2O)C(O)C(O)C1OC(C#N)c3ccccc3 YZLOSXFCSIDECK-UHFFFAOYSA-N 0.000 description 1
- 235000019728 animal nutrition Nutrition 0.000 description 1
- 150000001449 anionic compounds Chemical class 0.000 description 1
- 125000000129 anionic group Chemical group 0.000 description 1
- 239000005557 antagonist Substances 0.000 description 1
- 230000001775 anti-pathogenic effect Effects 0.000 description 1
- 229940019748 antifibrinolytic proteinase inhibitors Drugs 0.000 description 1
- 239000003429 antifungal agent Substances 0.000 description 1
- 239000008346 aqueous phase Substances 0.000 description 1
- 239000003125 aqueous solvent Substances 0.000 description 1
- 239000007900 aqueous suspension Substances 0.000 description 1
- PYMYPHUHKUWMLA-WDCZJNDASA-N arabinose Chemical compound OC[C@@H](O)[C@@H](O)[C@H](O)C=O PYMYPHUHKUWMLA-WDCZJNDASA-N 0.000 description 1
- 125000003118 aryl group Chemical group 0.000 description 1
- 229960005261 aspartic acid Drugs 0.000 description 1
- 239000005667 attractant Substances 0.000 description 1
- 229940097012 bacillus thuringiensis Drugs 0.000 description 1
- 244000000007 bacterial human pathogen Species 0.000 description 1
- 230000004888 barrier function Effects 0.000 description 1
- 150000007514 bases Chemical class 0.000 description 1
- OGBUMNBNEWYMNJ-UHFFFAOYSA-N batilol Chemical class CCCCCCCCCCCCCCCCCCOCC(O)CO OGBUMNBNEWYMNJ-UHFFFAOYSA-N 0.000 description 1
- 230000008901 benefit Effects 0.000 description 1
- 239000000440 bentonite Substances 0.000 description 1
- 229910000278 bentonite Inorganic materials 0.000 description 1
- SVPXDRXYRYOSEX-UHFFFAOYSA-N bentoquatam Chemical compound O.O=[Si]=O.O=[Al]O[Al]=O SVPXDRXYRYOSEX-UHFFFAOYSA-N 0.000 description 1
- WPYMKLBDIGXBTP-UHFFFAOYSA-N benzoic acid Chemical compound OC(=O)C1=CC=CC=C1 WPYMKLBDIGXBTP-UHFFFAOYSA-N 0.000 description 1
- 239000012965 benzophenone Substances 0.000 description 1
- 150000008366 benzophenones Chemical class 0.000 description 1
- 125000003354 benzotriazolyl group Chemical class N1N=NC2=C1C=CC=C2* 0.000 description 1
- 235000021028 berry Nutrition 0.000 description 1
- AEMOLEFTQBMNLQ-UHFFFAOYSA-N beta-D-galactopyranuronic acid Natural products OC1OC(C(O)=O)C(O)C(O)C1O AEMOLEFTQBMNLQ-UHFFFAOYSA-N 0.000 description 1
- IQFYYKKMVGJFEH-UHFFFAOYSA-N beta-L-thymidine Natural products O=C1NC(=O)C(C)=CN1C1OC(CO)C(O)C1 IQFYYKKMVGJFEH-UHFFFAOYSA-N 0.000 description 1
- DRTQHJPVMGBUCF-PSQAKQOGSA-N beta-L-uridine Natural products O[C@H]1[C@@H](O)[C@H](CO)O[C@@H]1N1C(=O)NC(=O)C=C1 DRTQHJPVMGBUCF-PSQAKQOGSA-N 0.000 description 1
- WHGYBXFWUBPSRW-FOUAGVGXSA-N beta-cyclodextrin Chemical compound OC[C@H]([C@H]([C@@H]([C@H]1O)O)O[C@H]2O[C@@H]([C@@H](O[C@H]3O[C@H](CO)[C@H]([C@@H]([C@H]3O)O)O[C@H]3O[C@H](CO)[C@H]([C@@H]([C@H]3O)O)O[C@H]3O[C@H](CO)[C@H]([C@@H]([C@H]3O)O)O[C@H]3O[C@H](CO)[C@H]([C@@H]([C@H]3O)O)O3)[C@H](O)[C@H]2O)CO)O[C@@H]1O[C@H]1[C@H](O)[C@@H](O)[C@@H]3O[C@@H]1CO WHGYBXFWUBPSRW-FOUAGVGXSA-N 0.000 description 1
- 235000011175 beta-cyclodextrine Nutrition 0.000 description 1
- 229960004853 betadex Drugs 0.000 description 1
- 238000012742 biochemical analysis Methods 0.000 description 1
- 239000003124 biologic agent Substances 0.000 description 1
- 229960002685 biotin Drugs 0.000 description 1
- 235000020958 biotin Nutrition 0.000 description 1
- 239000011616 biotin Substances 0.000 description 1
- QKSKPIVNLNLAAV-UHFFFAOYSA-N bis(2-chloroethyl) sulfide Chemical compound ClCCSCCCl QKSKPIVNLNLAAV-UHFFFAOYSA-N 0.000 description 1
- 235000021029 blackberry Nutrition 0.000 description 1
- 238000009835 boiling Methods 0.000 description 1
- 210000004556 brain Anatomy 0.000 description 1
- 229960003168 bronopol Drugs 0.000 description 1
- 108010049223 bryodin Proteins 0.000 description 1
- 239000000872 buffer Substances 0.000 description 1
- 239000011575 calcium Substances 0.000 description 1
- 229910052791 calcium Inorganic materials 0.000 description 1
- 238000004364 calculation method Methods 0.000 description 1
- 235000009120 camo Nutrition 0.000 description 1
- 229960000846 camphor Drugs 0.000 description 1
- 229930008380 camphor Natural products 0.000 description 1
- 150000004649 carbonic acid derivatives Chemical class 0.000 description 1
- 239000001768 carboxy methyl cellulose Substances 0.000 description 1
- 235000010948 carboxy methyl cellulose Nutrition 0.000 description 1
- 239000008112 carboxymethyl-cellulose Substances 0.000 description 1
- 125000002091 cationic group Chemical group 0.000 description 1
- 150000001768 cations Chemical class 0.000 description 1
- 230000006037 cell lysis Effects 0.000 description 1
- 229920003086 cellulose ether Polymers 0.000 description 1
- 235000005607 chanvre indien Nutrition 0.000 description 1
- 239000013043 chemical agent Substances 0.000 description 1
- 235000019693 cherries Nutrition 0.000 description 1
- 235000017803 cinnamon Nutrition 0.000 description 1
- 239000004927 clay Substances 0.000 description 1
- 229910017052 cobalt Inorganic materials 0.000 description 1
- 239000010941 cobalt Chemical class 0.000 description 1
- GUTLYIVDDKVIGB-UHFFFAOYSA-N cobalt atom Chemical class [Co] GUTLYIVDDKVIGB-UHFFFAOYSA-N 0.000 description 1
- 239000003240 coconut oil Substances 0.000 description 1
- 235000019864 coconut oil Nutrition 0.000 description 1
- 230000008645 cold stress Effects 0.000 description 1
- 230000001332 colony forming effect Effects 0.000 description 1
- 239000000470 constituent Substances 0.000 description 1
- 239000000356 contaminant Substances 0.000 description 1
- 239000005068 cooling lubricant Substances 0.000 description 1
- 229920001577 copolymer Polymers 0.000 description 1
- 229910052802 copper Inorganic materials 0.000 description 1
- 239000010949 copper Substances 0.000 description 1
- 238000012937 correction Methods 0.000 description 1
- 230000002596 correlated effect Effects 0.000 description 1
- 238000009402 cross-breeding Methods 0.000 description 1
- 239000000287 crude extract Substances 0.000 description 1
- 238000002425 crystallisation Methods 0.000 description 1
- 230000008025 crystallization Effects 0.000 description 1
- 238000005520 cutting process Methods 0.000 description 1
- HPXRVTGHNJAIIH-UHFFFAOYSA-N cyclohexanol Chemical compound OC1CCCCC1 HPXRVTGHNJAIIH-UHFFFAOYSA-N 0.000 description 1
- 108050004038 cystatin Proteins 0.000 description 1
- 229940022769 d- lactic acid Drugs 0.000 description 1
- 230000034994 death Effects 0.000 description 1
- 230000003247 decreasing effect Effects 0.000 description 1
- 239000002837 defoliant Substances 0.000 description 1
- 238000003935 denaturing gradient gel electrophoresis Methods 0.000 description 1
- 230000008021 deposition Effects 0.000 description 1
- 239000002274 desiccant Substances 0.000 description 1
- 239000000645 desinfectant Substances 0.000 description 1
- 230000001627 detrimental effect Effects 0.000 description 1
- 235000019425 dextrin Nutrition 0.000 description 1
- 238000000502 dialysis Methods 0.000 description 1
- IWEDIXLBFLAXBO-UHFFFAOYSA-N dicamba Chemical compound COC1=C(Cl)C=CC(Cl)=C1C(O)=O IWEDIXLBFLAXBO-UHFFFAOYSA-N 0.000 description 1
- 239000002283 diesel fuel Substances 0.000 description 1
- 230000029087 digestion Effects 0.000 description 1
- NBIIXXVUZAFLBC-UHFFFAOYSA-M dihydrogenphosphate Chemical compound OP(O)([O-])=O NBIIXXVUZAFLBC-UHFFFAOYSA-M 0.000 description 1
- QKIUAMUSENSFQQ-UHFFFAOYSA-N dimethylazanide Chemical compound C[N-]C QKIUAMUSENSFQQ-UHFFFAOYSA-N 0.000 description 1
- LOKCTEFSRHRXRJ-UHFFFAOYSA-I dipotassium trisodium dihydrogen phosphate hydrogen phosphate dichloride Chemical compound P(=O)(O)(O)[O-].[K+].P(=O)(O)([O-])[O-].[Na+].[Na+].[Cl-].[K+].[Cl-].[Na+] LOKCTEFSRHRXRJ-UHFFFAOYSA-I 0.000 description 1
- 238000002845 discoloration Methods 0.000 description 1
- 238000009826 distribution Methods 0.000 description 1
- 239000010459 dolomite Substances 0.000 description 1
- 229910000514 dolomite Inorganic materials 0.000 description 1
- 230000008641 drought stress Effects 0.000 description 1
- 239000000975 dye Substances 0.000 description 1
- UPEZCKBFRMILAV-JMZLNJERSA-N ecdysone Chemical compound C1[C@@H](O)[C@@H](O)C[C@]2(C)[C@@H](CC[C@@]3([C@@H]([C@@H]([C@H](O)CCC(C)(C)O)C)CC[C@]33O)C)C3=CC(=O)[C@@H]21 UPEZCKBFRMILAV-JMZLNJERSA-N 0.000 description 1
- 230000005611 electricity Effects 0.000 description 1
- 238000001962 electrophoresis Methods 0.000 description 1
- 238000002330 electrospray ionisation mass spectrometry Methods 0.000 description 1
- 238000010828 elution Methods 0.000 description 1
- 230000001804 emulsifying effect Effects 0.000 description 1
- 239000003623 enhancer Substances 0.000 description 1
- 230000000967 entomopathogenic effect Effects 0.000 description 1
- XHCADAYNFIFUHF-TVKJYDDYSA-N esculin Chemical compound O[C@@H]1[C@@H](O)[C@H](O)[C@@H](CO)O[C@H]1OC(C(=C1)O)=CC2=C1OC(=O)C=C2 XHCADAYNFIFUHF-TVKJYDDYSA-N 0.000 description 1
- 235000020776 essential amino acid Nutrition 0.000 description 1
- 239000003797 essential amino acid Substances 0.000 description 1
- YGHHWSRCTPQFFC-UHFFFAOYSA-N eucalyptosin A Natural products OC1C(O)C(O)C(CO)OC1OC1C(OC(C#N)C=2C=CC=CC=2)OC(CO)C(O)C1O YGHHWSRCTPQFFC-UHFFFAOYSA-N 0.000 description 1
- 239000004744 fabric Substances 0.000 description 1
- 238000012262 fermentative production Methods 0.000 description 1
- 239000010408 film Substances 0.000 description 1
- 239000007888 film coating Substances 0.000 description 1
- 238000009501 film coating Methods 0.000 description 1
- 235000013312 flour Nutrition 0.000 description 1
- 230000009969 flowable effect Effects 0.000 description 1
- 239000006260 foam Substances 0.000 description 1
- 238000005187 foaming Methods 0.000 description 1
- 229960000304 folic acid Drugs 0.000 description 1
- 235000019152 folic acid Nutrition 0.000 description 1
- 239000011724 folic acid Substances 0.000 description 1
- 235000013305 food Nutrition 0.000 description 1
- 235000019253 formic acid Nutrition 0.000 description 1
- 238000004108 freeze drying Methods 0.000 description 1
- 230000000855 fungicidal effect Effects 0.000 description 1
- DSLZVSRJTYRBFB-DUHBMQHGSA-N galactaric acid Chemical compound OC(=O)[C@H](O)[C@@H](O)[C@@H](O)[C@H](O)C(O)=O DSLZVSRJTYRBFB-DUHBMQHGSA-N 0.000 description 1
- 229930182830 galactose Natural products 0.000 description 1
- 229960003692 gamma aminobutyric acid Drugs 0.000 description 1
- 238000010413 gardening Methods 0.000 description 1
- 239000008273 gelatin Substances 0.000 description 1
- 235000011852 gelatine desserts Nutrition 0.000 description 1
- 238000012252 genetic analysis Methods 0.000 description 1
- DLRVVLDZNNYCBX-CQUJWQHSSA-N gentiobiose Chemical compound O[C@@H]1[C@@H](O)[C@H](O)[C@@H](CO)O[C@H]1OC[C@@H]1[C@@H](O)[C@H](O)[C@@H](O)C(O)O1 DLRVVLDZNNYCBX-CQUJWQHSSA-N 0.000 description 1
- 235000012208 gluconic acid Nutrition 0.000 description 1
- 229950006191 gluconic acid Drugs 0.000 description 1
- 150000002303 glucose derivatives Chemical class 0.000 description 1
- 239000003292 glue Substances 0.000 description 1
- 229930195712 glutamate Natural products 0.000 description 1
- 229940049906 glutamate Drugs 0.000 description 1
- 229960002989 glutamic acid Drugs 0.000 description 1
- 150000002314 glycerols Chemical class 0.000 description 1
- 150000002333 glycines Chemical class 0.000 description 1
- 150000002334 glycols Chemical class 0.000 description 1
- 230000013595 glycosylation Effects 0.000 description 1
- 238000006206 glycosylation reaction Methods 0.000 description 1
- 108010010147 glycylglutamine Proteins 0.000 description 1
- 238000005469 granulation Methods 0.000 description 1
- 230000003179 granulation Effects 0.000 description 1
- 235000019674 grape juice Nutrition 0.000 description 1
- 235000021021 grapes Nutrition 0.000 description 1
- 230000009036 growth inhibition Effects 0.000 description 1
- 239000003630 growth substance Substances 0.000 description 1
- 210000004209 hair Anatomy 0.000 description 1
- 230000008642 heat stress Effects 0.000 description 1
- 238000010438 heat treatment Methods 0.000 description 1
- 229910001385 heavy metal Inorganic materials 0.000 description 1
- 239000011487 hemp Substances 0.000 description 1
- 238000001052 heteronuclear multiple bond coherence spectrum Methods 0.000 description 1
- 238000003929 heteronuclear multiple quantum coherence Methods 0.000 description 1
- 150000004761 hexafluorosilicates Chemical class 0.000 description 1
- 238000002114 high-resolution electrospray ionisation mass spectrometry Methods 0.000 description 1
- 239000003906 humectant Substances 0.000 description 1
- 239000010903 husk Substances 0.000 description 1
- XMBWDFGMSWQBCA-UHFFFAOYSA-N hydrogen iodide Chemical compound I XMBWDFGMSWQBCA-UHFFFAOYSA-N 0.000 description 1
- QAOWNCQODCNURD-UHFFFAOYSA-M hydrogensulfate Chemical compound OS([O-])(=O)=O QAOWNCQODCNURD-UHFFFAOYSA-M 0.000 description 1
- 125000001165 hydrophobic group Chemical group 0.000 description 1
- 150000002462 imidazolines Chemical class 0.000 description 1
- 238000007654 immersion Methods 0.000 description 1
- 230000006872 improvement Effects 0.000 description 1
- 238000001727 in vivo Methods 0.000 description 1
- 229910052738 indium Inorganic materials 0.000 description 1
- PZOUSPYUWWUPPK-UHFFFAOYSA-N indole Natural products CC1=CC=CC2=C1C=CN2 PZOUSPYUWWUPPK-UHFFFAOYSA-N 0.000 description 1
- RKJUIXBNRJVNHR-UHFFFAOYSA-N indolenine Natural products C1=CC=C2CC=NC2=C1 RKJUIXBNRJVNHR-UHFFFAOYSA-N 0.000 description 1
- 238000001802 infusion Methods 0.000 description 1
- 239000003999 initiator Substances 0.000 description 1
- 229910001412 inorganic anion Inorganic materials 0.000 description 1
- 150000002484 inorganic compounds Chemical class 0.000 description 1
- 229910010272 inorganic material Inorganic materials 0.000 description 1
- 229910017053 inorganic salt Inorganic materials 0.000 description 1
- 229960003786 inosine Drugs 0.000 description 1
- 239000002917 insecticide Substances 0.000 description 1
- 238000004920 integrated pest control Methods 0.000 description 1
- JYJIGFIDKWBXDU-MNNPPOADSA-N inulin Chemical compound O[C@H]1[C@H](O)[C@@H](CO)O[C@@]1(CO)OC[C@]1(OC[C@]2(OC[C@]3(OC[C@]4(OC[C@]5(OC[C@]6(OC[C@]7(OC[C@]8(OC[C@]9(OC[C@]%10(OC[C@]%11(OC[C@]%12(OC[C@]%13(OC[C@]%14(OC[C@]%15(OC[C@]%16(OC[C@]%17(OC[C@]%18(OC[C@]%19(OC[C@]%20(OC[C@]%21(OC[C@]%22(OC[C@]%23(OC[C@]%24(OC[C@]%25(OC[C@]%26(OC[C@]%27(OC[C@]%28(OC[C@]%29(OC[C@]%30(OC[C@]%31(OC[C@]%32(OC[C@]%33(OC[C@]%34(OC[C@]%35(OC[C@]%36(O[C@@H]%37[C@@H]([C@@H](O)[C@H](O)[C@@H](CO)O%37)O)[C@H]([C@H](O)[C@@H](CO)O%36)O)[C@H]([C@H](O)[C@@H](CO)O%35)O)[C@H]([C@H](O)[C@@H](CO)O%34)O)[C@H]([C@H](O)[C@@H](CO)O%33)O)[C@H]([C@H](O)[C@@H](CO)O%32)O)[C@H]([C@H](O)[C@@H](CO)O%31)O)[C@H]([C@H](O)[C@@H](CO)O%30)O)[C@H]([C@H](O)[C@@H](CO)O%29)O)[C@H]([C@H](O)[C@@H](CO)O%28)O)[C@H]([C@H](O)[C@@H](CO)O%27)O)[C@H]([C@H](O)[C@@H](CO)O%26)O)[C@H]([C@H](O)[C@@H](CO)O%25)O)[C@H]([C@H](O)[C@@H](CO)O%24)O)[C@H]([C@H](O)[C@@H](CO)O%23)O)[C@H]([C@H](O)[C@@H](CO)O%22)O)[C@H]([C@H](O)[C@@H](CO)O%21)O)[C@H]([C@H](O)[C@@H](CO)O%20)O)[C@H]([C@H](O)[C@@H](CO)O%19)O)[C@H]([C@H](O)[C@@H](CO)O%18)O)[C@H]([C@H](O)[C@@H](CO)O%17)O)[C@H]([C@H](O)[C@@H](CO)O%16)O)[C@H]([C@H](O)[C@@H](CO)O%15)O)[C@H]([C@H](O)[C@@H](CO)O%14)O)[C@H]([C@H](O)[C@@H](CO)O%13)O)[C@H]([C@H](O)[C@@H](CO)O%12)O)[C@H]([C@H](O)[C@@H](CO)O%11)O)[C@H]([C@H](O)[C@@H](CO)O%10)O)[C@H]([C@H](O)[C@@H](CO)O9)O)[C@H]([C@H](O)[C@@H](CO)O8)O)[C@H]([C@H](O)[C@@H](CO)O7)O)[C@H]([C@H](O)[C@@H](CO)O6)O)[C@H]([C@H](O)[C@@H](CO)O5)O)[C@H]([C@H](O)[C@@H](CO)O4)O)[C@H]([C@H](O)[C@@H](CO)O3)O)[C@H]([C@H](O)[C@@H](CO)O2)O)[C@@H](O)[C@H](O)[C@@H](CO)O1 JYJIGFIDKWBXDU-MNNPPOADSA-N 0.000 description 1
- 229940029339 inulin Drugs 0.000 description 1
- NRXQIUSYPAHGNM-UHFFFAOYSA-N ioxynil Chemical compound OC1=C(I)C=C(C#N)C=C1I NRXQIUSYPAHGNM-UHFFFAOYSA-N 0.000 description 1
- 229910052742 iron Inorganic materials 0.000 description 1
- 239000001034 iron oxide pigment Substances 0.000 description 1
- VRWKTAYJTKRVCU-UHFFFAOYSA-N iron(6+);hexacyanide Chemical compound [Fe+6].N#[C-].N#[C-].N#[C-].N#[C-].N#[C-].N#[C-] VRWKTAYJTKRVCU-UHFFFAOYSA-N 0.000 description 1
- 238000003973 irrigation Methods 0.000 description 1
- 230000002262 irrigation Effects 0.000 description 1
- 239000012948 isocyanate Substances 0.000 description 1
- 150000002513 isocyanates Chemical class 0.000 description 1
- 108010080576 juvenile hormone esterase Proteins 0.000 description 1
- NLYAJNPCOHFWQQ-UHFFFAOYSA-N kaolin Chemical compound O.O.O=[Al]O[Si](=O)O[Si](=O)O[Al]=O NLYAJNPCOHFWQQ-UHFFFAOYSA-N 0.000 description 1
- 239000003350 kerosene Substances 0.000 description 1
- 150000002576 ketones Chemical class 0.000 description 1
- 150000003893 lactate salts Chemical class 0.000 description 1
- 239000004310 lactic acid Substances 0.000 description 1
- 235000014655 lactic acid Nutrition 0.000 description 1
- 239000000832 lactitol Substances 0.000 description 1
- VQHSOMBJVWLPSR-JVCRWLNRSA-N lactitol Chemical compound OC[C@H](O)[C@@H](O)[C@@H]([C@H](O)CO)O[C@@H]1O[C@H](CO)[C@H](O)[C@H](O)[C@H]1O VQHSOMBJVWLPSR-JVCRWLNRSA-N 0.000 description 1
- 235000010448 lactitol Nutrition 0.000 description 1
- 229960003451 lactitol Drugs 0.000 description 1
- JCQLYHFGKNRPGE-FCVZTGTOSA-N lactulose Chemical compound OC[C@H]1O[C@](O)(CO)[C@@H](O)[C@@H]1O[C@H]1[C@H](O)[C@@H](O)[C@@H](O)[C@@H](CO)O1 JCQLYHFGKNRPGE-FCVZTGTOSA-N 0.000 description 1
- 229960000511 lactulose Drugs 0.000 description 1
- PFCRQPBOOFTZGQ-UHFFFAOYSA-N lactulose keto form Natural products OCC(=O)C(O)C(C(O)CO)OC1OC(CO)C(O)C(O)C1O PFCRQPBOOFTZGQ-UHFFFAOYSA-N 0.000 description 1
- 239000002523 lectin Substances 0.000 description 1
- 235000021374 legumes Nutrition 0.000 description 1
- 239000004571 lime Substances 0.000 description 1
- 239000006028 limestone Substances 0.000 description 1
- 230000000670 limiting effect Effects 0.000 description 1
- 150000002632 lipids Chemical class 0.000 description 1
- 235000020667 long-chain omega-3 fatty acid Nutrition 0.000 description 1
- 230000007774 longterm Effects 0.000 description 1
- 239000004325 lysozyme Substances 0.000 description 1
- 229960000274 lysozyme Drugs 0.000 description 1
- 235000010335 lysozyme Nutrition 0.000 description 1
- 230000002101 lytic effect Effects 0.000 description 1
- 239000011777 magnesium Chemical class 0.000 description 1
- 229910052749 magnesium Inorganic materials 0.000 description 1
- 239000000395 magnesium oxide Substances 0.000 description 1
- CPLXHLVBOLITMK-UHFFFAOYSA-N magnesium oxide Inorganic materials [Mg]=O CPLXHLVBOLITMK-UHFFFAOYSA-N 0.000 description 1
- 235000019341 magnesium sulphate Nutrition 0.000 description 1
- AXZKOIWUVFPNLO-UHFFFAOYSA-N magnesium;oxygen(2-) Chemical compound [O-2].[Mg+2] AXZKOIWUVFPNLO-UHFFFAOYSA-N 0.000 description 1
- 238000012423 maintenance Methods 0.000 description 1
- 235000009973 maize Nutrition 0.000 description 1
- WPBNNNQJVZRUHP-UHFFFAOYSA-L manganese(2+);methyl n-[[2-(methoxycarbonylcarbamothioylamino)phenyl]carbamothioyl]carbamate;n-[2-(sulfidocarbothioylamino)ethyl]carbamodithioate Chemical class [Mn+2].[S-]C(=S)NCCNC([S-])=S.COC(=O)NC(=S)NC1=CC=CC=C1NC(=S)NC(=O)OC WPBNNNQJVZRUHP-UHFFFAOYSA-L 0.000 description 1
- FYGDTMLNYKFZSV-UHFFFAOYSA-N mannotriose Natural products OC1C(O)C(O)C(CO)OC1OC1C(CO)OC(OC2C(OC(O)C(O)C2O)CO)C(O)C1O FYGDTMLNYKFZSV-UHFFFAOYSA-N 0.000 description 1
- 230000035800 maturation Effects 0.000 description 1
- 235000013372 meat Nutrition 0.000 description 1
- 230000001404 mediated effect Effects 0.000 description 1
- QWIZNVHXZXRPDR-WSCXOGSTSA-N melezitose Chemical compound O([C@@]1(O[C@@H]([C@H]([C@@H]1O[C@@H]1[C@@H]([C@@H](O)[C@H](O)[C@@H](CO)O1)O)O)CO)CO)[C@H]1O[C@H](CO)[C@@H](O)[C@H](O)[C@H]1O QWIZNVHXZXRPDR-WSCXOGSTSA-N 0.000 description 1
- DLRVVLDZNNYCBX-ABXHMFFYSA-N melibiose Chemical compound O[C@@H]1[C@@H](O)[C@@H](O)[C@@H](CO)O[C@@H]1OC[C@@H]1[C@@H](O)[C@H](O)[C@@H](O)C(O)O1 DLRVVLDZNNYCBX-ABXHMFFYSA-N 0.000 description 1
- 239000012528 membrane Substances 0.000 description 1
- 230000002503 metabolic effect Effects 0.000 description 1
- 229910021645 metal ion Inorganic materials 0.000 description 1
- MYWUZJCMWCOHBA-VIFPVBQESA-N methamphetamine Chemical compound CN[C@@H](C)CC1=CC=CC=C1 MYWUZJCMWCOHBA-VIFPVBQESA-N 0.000 description 1
- HOVAGTYPODGVJG-PZRMXXKTSA-N methyl alpha-D-galactoside Chemical compound CO[C@H]1O[C@H](CO)[C@H](O)[C@H](O)[C@H]1O HOVAGTYPODGVJG-PZRMXXKTSA-N 0.000 description 1
- HOVAGTYPODGVJG-ZFYZTMLRSA-N methyl alpha-D-glucopyranoside Chemical compound CO[C@H]1O[C@H](CO)[C@@H](O)[C@H](O)[C@H]1O HOVAGTYPODGVJG-ZFYZTMLRSA-N 0.000 description 1
- ZBDGHWFPLXXWRD-JGWLITMVSA-N methyl beta-D-xylopyranoside Chemical compound CO[C@@H]1OC[C@@H](O)[C@H](O)[C@H]1O ZBDGHWFPLXXWRD-JGWLITMVSA-N 0.000 description 1
- 125000002496 methyl group Chemical group [H]C([H])([H])* 0.000 description 1
- JZMJDSHXVKJFKW-UHFFFAOYSA-M methyl sulfate(1-) Chemical compound COS([O-])(=O)=O JZMJDSHXVKJFKW-UHFFFAOYSA-M 0.000 description 1
- 108091040857 miR-604 stem-loop Proteins 0.000 description 1
- 239000011785 micronutrient Substances 0.000 description 1
- 235000013369 micronutrients Nutrition 0.000 description 1
- 239000011707 mineral Substances 0.000 description 1
- 235000010446 mineral oil Nutrition 0.000 description 1
- 108091005573 modified proteins Proteins 0.000 description 1
- 102000035118 modified proteins Human genes 0.000 description 1
- 229910052750 molybdenum Inorganic materials 0.000 description 1
- 239000011733 molybdenum Chemical class 0.000 description 1
- 229910000402 monopotassium phosphate Inorganic materials 0.000 description 1
- 235000019796 monopotassium phosphate Nutrition 0.000 description 1
- 235000010460 mustard Nutrition 0.000 description 1
- 230000003505 mutagenic effect Effects 0.000 description 1
- 230000035772 mutation Effects 0.000 description 1
- WQEPLUUGTLDZJY-UHFFFAOYSA-N n-Pentadecanoic acid Natural products CCCCCCCCCCCCCCC(O)=O WQEPLUUGTLDZJY-UHFFFAOYSA-N 0.000 description 1
- 229950006780 n-acetylglucosamine Drugs 0.000 description 1
- 229930014626 natural product Natural products 0.000 description 1
- 238000011392 neighbor-joining method Methods 0.000 description 1
- 239000002581 neurotoxin Substances 0.000 description 1
- 231100000618 neurotoxin Toxicity 0.000 description 1
- 235000001968 nicotinic acid Nutrition 0.000 description 1
- 229960003512 nicotinic acid Drugs 0.000 description 1
- 239000011664 nicotinic acid Substances 0.000 description 1
- 150000002823 nitrates Chemical class 0.000 description 1
- 229910017464 nitrogen compound Inorganic materials 0.000 description 1
- 150000002830 nitrogen compounds Chemical class 0.000 description 1
- 108010000785 non-ribosomal peptide synthase Proteins 0.000 description 1
- 231100001184 nonphytotoxic Toxicity 0.000 description 1
- 231100000252 nontoxic Toxicity 0.000 description 1
- 230000003000 nontoxic effect Effects 0.000 description 1
- 238000003199 nucleic acid amplification method Methods 0.000 description 1
- 235000021049 nutrient content Nutrition 0.000 description 1
- 229920001778 nylon Polymers 0.000 description 1
- QIQXTHQIDYTFRH-UHFFFAOYSA-N octadecanoic acid Chemical compound CCCCCCCCCCCCCCCCCC(O)=O QIQXTHQIDYTFRH-UHFFFAOYSA-N 0.000 description 1
- OQCDKBAXFALNLD-UHFFFAOYSA-N octadecanoic acid Natural products CCCCCCCC(C)CCCCCCCCC(O)=O OQCDKBAXFALNLD-UHFFFAOYSA-N 0.000 description 1
- 235000014593 oils and fats Nutrition 0.000 description 1
- 235000021315 omega 9 monounsaturated fatty acids Nutrition 0.000 description 1
- 238000000238 one-dimensional nuclear magnetic resonance spectroscopy Methods 0.000 description 1
- 230000003287 optical effect Effects 0.000 description 1
- 238000005457 optimization Methods 0.000 description 1
- 150000002894 organic compounds Chemical class 0.000 description 1
- 150000002898 organic sulfur compounds Chemical class 0.000 description 1
- 238000010979 pH adjustment Methods 0.000 description 1
- 239000003973 paint Substances 0.000 description 1
- 229940014662 pantothenate Drugs 0.000 description 1
- 235000019161 pantothenic acid Nutrition 0.000 description 1
- 239000011713 pantothenic acid Substances 0.000 description 1
- 229940055729 papain Drugs 0.000 description 1
- 235000019834 papain Nutrition 0.000 description 1
- 239000000123 paper Substances 0.000 description 1
- 239000011087 paperboard Substances 0.000 description 1
- 239000012188 paraffin wax Substances 0.000 description 1
- 230000036961 partial effect Effects 0.000 description 1
- 239000000312 peanut oil Substances 0.000 description 1
- 239000001814 pectin Substances 0.000 description 1
- 229920001277 pectin Polymers 0.000 description 1
- 235000010987 pectin Nutrition 0.000 description 1
- 229960000292 pectin Drugs 0.000 description 1
- 230000035515 penetration Effects 0.000 description 1
- 239000003961 penetration enhancing agent Substances 0.000 description 1
- 239000000137 peptide hydrolase inhibitor Substances 0.000 description 1
- 235000011197 perejil Nutrition 0.000 description 1
- 239000004477 pesticide formulation type Substances 0.000 description 1
- WVDDGKGOMKODPV-ZQBYOMGUSA-N phenyl(114C)methanol Chemical compound O[14CH2]C1=CC=CC=C1 WVDDGKGOMKODPV-ZQBYOMGUSA-N 0.000 description 1
- 108010078226 phenylalanine oxidase Proteins 0.000 description 1
- NBIIXXVUZAFLBC-UHFFFAOYSA-K phosphate Chemical compound [O-]P([O-])([O-])=O NBIIXXVUZAFLBC-UHFFFAOYSA-K 0.000 description 1
- 239000002953 phosphate buffered saline Substances 0.000 description 1
- 150000003014 phosphoric acid esters Chemical class 0.000 description 1
- PJNZPQUBCPKICU-UHFFFAOYSA-N phosphoric acid;potassium Chemical compound [K].OP(O)(O)=O PJNZPQUBCPKICU-UHFFFAOYSA-N 0.000 description 1
- 239000011574 phosphorus Substances 0.000 description 1
- 229910052698 phosphorus Inorganic materials 0.000 description 1
- 230000029553 photosynthesis Effects 0.000 description 1
- 238000010672 photosynthesis Methods 0.000 description 1
- 230000000243 photosynthetic effect Effects 0.000 description 1
- IEQIEDJGQAUEQZ-UHFFFAOYSA-N phthalocyanine Chemical compound N1C(N=C2C3=CC=CC=C3C(N=C3C4=CC=CC=C4C(=N4)N3)=N2)=C(C=CC=C2)C2=C1N=C1C2=CC=CC=C2C4=N1 IEQIEDJGQAUEQZ-UHFFFAOYSA-N 0.000 description 1
- 230000035479 physiological effects, processes and functions Effects 0.000 description 1
- 231100000208 phytotoxic Toxicity 0.000 description 1
- 230000000885 phytotoxic effect Effects 0.000 description 1
- 239000005962 plant activator Substances 0.000 description 1
- 230000008121 plant development Effects 0.000 description 1
- 239000005648 plant growth regulator Substances 0.000 description 1
- 239000003726 plant lectin Substances 0.000 description 1
- 229920003023 plastic Polymers 0.000 description 1
- 239000004033 plastic Substances 0.000 description 1
- 229920000058 polyacrylate Polymers 0.000 description 1
- 239000004584 polyacrylic acid Substances 0.000 description 1
- 229920000768 polyamine Polymers 0.000 description 1
- 229920005646 polycarboxylate Polymers 0.000 description 1
- 229920001223 polyethylene glycol Polymers 0.000 description 1
- 229920001522 polyglycol ester Polymers 0.000 description 1
- 229930001119 polyketide Natural products 0.000 description 1
- 125000000830 polyketide group Chemical group 0.000 description 1
- 229930001118 polyketide hybrid Natural products 0.000 description 1
- 125000003308 polyketide hybrid group Chemical group 0.000 description 1
- 229920006254 polymer film Polymers 0.000 description 1
- 229920000193 polymethacrylate Polymers 0.000 description 1
- 235000010482 polyoxyethylene sorbitan monooleate Nutrition 0.000 description 1
- 229920001184 polypeptide Polymers 0.000 description 1
- 229920001296 polysiloxane Polymers 0.000 description 1
- 229920000053 polysorbate 80 Polymers 0.000 description 1
- 229920002689 polyvinyl acetate Polymers 0.000 description 1
- 239000001267 polyvinylpyrrolidone Substances 0.000 description 1
- 239000011148 porous material Substances 0.000 description 1
- 230000008092 positive effect Effects 0.000 description 1
- 230000004481 post-translational protein modification Effects 0.000 description 1
- 239000011591 potassium Chemical class 0.000 description 1
- 229910052700 potassium Inorganic materials 0.000 description 1
- 239000004302 potassium sorbate Substances 0.000 description 1
- 229940069338 potassium sorbate Drugs 0.000 description 1
- 235000010241 potassium sorbate Nutrition 0.000 description 1
- 239000001965 potato dextrose agar Substances 0.000 description 1
- 238000012794 pre-harvesting Methods 0.000 description 1
- 239000002244 precipitate Substances 0.000 description 1
- 238000001556 precipitation Methods 0.000 description 1
- 239000002243 precursor Substances 0.000 description 1
- 230000002028 premature Effects 0.000 description 1
- 238000002953 preparative HPLC Methods 0.000 description 1
- 230000003449 preventive effect Effects 0.000 description 1
- 150000003141 primary amines Chemical class 0.000 description 1
- 125000002924 primary amino group Chemical group [H]N([H])* 0.000 description 1
- 238000012545 processing Methods 0.000 description 1
- 230000001737 promoting effect Effects 0.000 description 1
- 235000013772 propylene glycol Nutrition 0.000 description 1
- 108020001580 protein domains Proteins 0.000 description 1
- 230000022558 protein metabolic process Effects 0.000 description 1
- 235000008160 pyridoxine Nutrition 0.000 description 1
- 239000011677 pyridoxine Substances 0.000 description 1
- WQGWDDDVZFFDIG-UHFFFAOYSA-N pyrogallol Chemical class OC1=CC=CC(O)=C1O WQGWDDDVZFFDIG-UHFFFAOYSA-N 0.000 description 1
- 150000003856 quaternary ammonium compounds Chemical class 0.000 description 1
- 238000010526 radical polymerization reaction Methods 0.000 description 1
- 150000003254 radicals Chemical class 0.000 description 1
- 235000021013 raspberries Nutrition 0.000 description 1
- HELXLJCILKEWJH-NCGAPWICSA-N rebaudioside A Chemical compound O([C@H]1[C@H](O)[C@@H](CO)O[C@H]([C@@H]1O[C@H]1[C@@H]([C@@H](O)[C@H](O)[C@@H](CO)O1)O)O[C@]12C(=C)C[C@@]3(C1)CC[C@@H]1[C@@](C)(CCC[C@]1([C@@H]3CC2)C)C(=O)O[C@H]1[C@@H]([C@@H](O)[C@H](O)[C@@H](CO)O1)O)[C@@H]1O[C@H](CO)[C@@H](O)[C@H](O)[C@H]1O HELXLJCILKEWJH-NCGAPWICSA-N 0.000 description 1
- 108020003175 receptors Proteins 0.000 description 1
- 230000006798 recombination Effects 0.000 description 1
- 238000005215 recombination Methods 0.000 description 1
- 238000001953 recrystallisation Methods 0.000 description 1
- 238000007670 refining Methods 0.000 description 1
- 239000005871 repellent Substances 0.000 description 1
- 230000002940 repellent Effects 0.000 description 1
- 230000033458 reproduction Effects 0.000 description 1
- 230000001850 reproductive effect Effects 0.000 description 1
- 230000000717 retained effect Effects 0.000 description 1
- 238000012552 review Methods 0.000 description 1
- 235000019192 riboflavin Nutrition 0.000 description 1
- 239000002151 riboflavin Substances 0.000 description 1
- 229960002477 riboflavin Drugs 0.000 description 1
- 210000003705 ribosome Anatomy 0.000 description 1
- OHRURASPPZQGQM-GCCNXGTGSA-N romidepsin Chemical compound O1C(=O)[C@H](C(C)C)NC(=O)C(=C/C)/NC(=O)[C@H]2CSSCC\C=C\[C@@H]1CC(=O)N[C@H](C(C)C)C(=O)N2 OHRURASPPZQGQM-GCCNXGTGSA-N 0.000 description 1
- 238000013341 scale-up Methods 0.000 description 1
- 229930000044 secondary metabolite Natural products 0.000 description 1
- 230000028327 secretion Effects 0.000 description 1
- 230000009758 senescence Effects 0.000 description 1
- 238000002864 sequence alignment Methods 0.000 description 1
- 229960001153 serine Drugs 0.000 description 1
- 239000003001 serine protease inhibitor Substances 0.000 description 1
- 238000010898 silica gel chromatography Methods 0.000 description 1
- RMAQACBXLXPBSY-UHFFFAOYSA-N silicic acid Chemical compound O[Si](O)(O)O RMAQACBXLXPBSY-UHFFFAOYSA-N 0.000 description 1
- 239000000377 silicon dioxide Substances 0.000 description 1
- 235000012239 silicon dioxide Nutrition 0.000 description 1
- 238000009367 silviculture Methods 0.000 description 1
- 201000010153 skin papilloma Diseases 0.000 description 1
- 239000002002 slurry Substances 0.000 description 1
- 150000003384 small molecules Chemical class 0.000 description 1
- 239000001632 sodium acetate Substances 0.000 description 1
- 235000017281 sodium acetate Nutrition 0.000 description 1
- 239000002364 soil amendment Substances 0.000 description 1
- 239000011343 solid material Substances 0.000 description 1
- 239000004550 soluble concentrate Substances 0.000 description 1
- 238000000638 solvent extraction Methods 0.000 description 1
- 239000011877 solvent mixture Substances 0.000 description 1
- 239000000600 sorbitol Substances 0.000 description 1
- 238000001179 sorption measurement Methods 0.000 description 1
- 239000003549 soybean oil Substances 0.000 description 1
- 235000012424 soybean oil Nutrition 0.000 description 1
- 235000019710 soybean protein Nutrition 0.000 description 1
- 238000001694 spray drying Methods 0.000 description 1
- UQZIYBXSHAGNOE-XNSRJBNMSA-N stachyose Chemical compound O[C@H]1[C@H](O)[C@@H](CO)O[C@@]1(CO)O[C@@H]1[C@H](O)[C@@H](O)[C@H](O)[C@@H](CO[C@@H]2[C@@H]([C@@H](O)[C@@H](O)[C@@H](CO[C@@H]3[C@@H]([C@@H](O)[C@@H](O)[C@@H](CO)O3)O)O2)O)O1 UQZIYBXSHAGNOE-XNSRJBNMSA-N 0.000 description 1
- 239000008117 stearic acid Substances 0.000 description 1
- 210000000130 stem cell Anatomy 0.000 description 1
- 238000011146 sterile filtration Methods 0.000 description 1
- 230000037359 steroid metabolism Effects 0.000 description 1
- 108010076424 stilbene synthase Proteins 0.000 description 1
- 239000000021 stimulant Substances 0.000 description 1
- 230000000638 stimulation Effects 0.000 description 1
- WPLOVIFNBMNBPD-ATHMIXSHSA-N subtilin Chemical compound CC1SCC(NC2=O)C(=O)NC(CC(N)=O)C(=O)NC(C(=O)NC(CCCCN)C(=O)NC(C(C)CC)C(=O)NC(=C)C(=O)NC(CCCCN)C(O)=O)CSC(C)C2NC(=O)C(CC(C)C)NC(=O)C1NC(=O)C(CCC(N)=O)NC(=O)C(CC(C)C)NC(=O)C(NC(=O)C1NC(=O)C(=C/C)/NC(=O)C(CCC(N)=O)NC(=O)C(CC(C)C)NC(=O)C(C)NC(=O)CNC(=O)C(NC(=O)C(NC(=O)C2NC(=O)CNC(=O)C3CCCN3C(=O)C(NC(=O)C3NC(=O)C(CC(C)C)NC(=O)C(=C)NC(=O)C(CCC(O)=O)NC(=O)C(NC(=O)C(CCCCN)NC(=O)C(N)CC=4C5=CC=CC=C5NC=4)CSC3)C(C)SC2)C(C)C)C(C)SC1)CC1=CC=CC=C1 WPLOVIFNBMNBPD-ATHMIXSHSA-N 0.000 description 1
- 229960004793 sucrose Drugs 0.000 description 1
- LSNNMFCWUKXFEE-UHFFFAOYSA-L sulfite Chemical class [O-]S([O-])=O LSNNMFCWUKXFEE-UHFFFAOYSA-L 0.000 description 1
- 239000002600 sunflower oil Substances 0.000 description 1
- 208000011580 syndromic disease Diseases 0.000 description 1
- 239000000454 talc Substances 0.000 description 1
- 229910052623 talc Inorganic materials 0.000 description 1
- 235000012222 talc Nutrition 0.000 description 1
- CXWXQJXEFPUFDZ-UHFFFAOYSA-N tetralin Chemical compound C1=CC=C2CCCCC2=C1 CXWXQJXEFPUFDZ-UHFFFAOYSA-N 0.000 description 1
- 239000004753 textile Substances 0.000 description 1
- KYMBYSLLVAOCFI-UHFFFAOYSA-N thiamine Chemical compound CC1=C(CCO)SCN1CC1=CN=C(C)N=C1N KYMBYSLLVAOCFI-UHFFFAOYSA-N 0.000 description 1
- 235000019157 thiamine Nutrition 0.000 description 1
- 229960003495 thiamine Drugs 0.000 description 1
- 239000011721 thiamine Substances 0.000 description 1
- 239000010409 thin film Substances 0.000 description 1
- 150000003568 thioethers Chemical class 0.000 description 1
- 150000003573 thiols Chemical class 0.000 description 1
- 150000004764 thiosulfuric acid derivatives Chemical class 0.000 description 1
- 150000003588 threonines Chemical class 0.000 description 1
- 229940104230 thymidine Drugs 0.000 description 1
- 210000001519 tissue Anatomy 0.000 description 1
- 239000004408 titanium dioxide Substances 0.000 description 1
- AOBORMOPSGHCAX-DGHZZKTQSA-N tocofersolan Chemical compound OCCOC(=O)CCC(=O)OC1=C(C)C(C)=C2O[C@](CCC[C@H](C)CCC[C@H](C)CCCC(C)C)(C)CCC2=C1C AOBORMOPSGHCAX-DGHZZKTQSA-N 0.000 description 1
- 229960000984 tocofersolan Drugs 0.000 description 1
- 238000001551 total correlation spectroscopy Methods 0.000 description 1
- 238000012546 transfer Methods 0.000 description 1
- 238000002054 transplantation Methods 0.000 description 1
- BQZXUHDXIARLEO-UHFFFAOYSA-N tribenuron Chemical compound COC1=NC(C)=NC(N(C)C(=O)NS(=O)(=O)C=2C(=CC=CC=2)C(O)=O)=N1 BQZXUHDXIARLEO-UHFFFAOYSA-N 0.000 description 1
- MCVUKOYZUCWLQQ-UHFFFAOYSA-N tridecylbenzene Chemical class CCCCCCCCCCCCCC1=CC=CC=C1 MCVUKOYZUCWLQQ-UHFFFAOYSA-N 0.000 description 1
- 239000002753 trypsin inhibitor Substances 0.000 description 1
- RULSWEULPANCDV-PIXUTMIVSA-N turanose Chemical compound OC[C@@H](O)[C@@H](O)[C@@H](C(=O)CO)O[C@H]1O[C@H](CO)[C@@H](O)[C@H](O)[C@H]1O RULSWEULPANCDV-PIXUTMIVSA-N 0.000 description 1
- 238000002604 ultrasonography Methods 0.000 description 1
- DRTQHJPVMGBUCF-UHFFFAOYSA-N uracil arabinoside Natural products OC1C(O)C(CO)OC1N1C(=O)NC(=O)C=C1 DRTQHJPVMGBUCF-UHFFFAOYSA-N 0.000 description 1
- 150000003672 ureas Chemical class 0.000 description 1
- 229940045145 uridine Drugs 0.000 description 1
- 239000013598 vector Substances 0.000 description 1
- 235000015112 vegetable and seed oil Nutrition 0.000 description 1
- 239000005418 vegetable material Substances 0.000 description 1
- 239000008158 vegetable oil Substances 0.000 description 1
- 229940011671 vitamin b6 Drugs 0.000 description 1
- 238000005406 washing Methods 0.000 description 1
- 239000003643 water by type Substances 0.000 description 1
- 239000004562 water dispersible granule Substances 0.000 description 1
- 239000003021 water soluble solvent Substances 0.000 description 1
- 244000000190 yeast pathogen Species 0.000 description 1
- 239000011701 zinc Substances 0.000 description 1
- 229910052725 zinc Inorganic materials 0.000 description 1
- 239000011787 zinc oxide Substances 0.000 description 1
- 239000004711 α-olefin Substances 0.000 description 1
- 239000002076 α-tocopherol Substances 0.000 description 1
- 235000004835 α-tocopherol Nutrition 0.000 description 1
- FYGDTMLNYKFZSV-BYLHFPJWSA-N β-1,4-galactotrioside Chemical compound O[C@@H]1[C@@H](O)[C@H](O)[C@@H](CO)O[C@H]1O[C@@H]1[C@H](CO)O[C@@H](O[C@@H]2[C@@H](O[C@@H](O)[C@H](O)[C@H]2O)CO)[C@H](O)[C@H]1O FYGDTMLNYKFZSV-BYLHFPJWSA-N 0.000 description 1
Images
Classifications
-
- A01N63/02—
-
- A—HUMAN NECESSITIES
- A01—AGRICULTURE; FORESTRY; ANIMAL HUSBANDRY; HUNTING; TRAPPING; FISHING
- A01N—PRESERVATION OF BODIES OF HUMANS OR ANIMALS OR PLANTS OR PARTS THEREOF; BIOCIDES, e.g. AS DISINFECTANTS, AS PESTICIDES OR AS HERBICIDES; PEST REPELLANTS OR ATTRACTANTS; PLANT GROWTH REGULATORS
- A01N63/00—Biocides, pest repellants or attractants, or plant growth regulators containing microorganisms, viruses, microbial fungi, animals or substances produced by, or obtained from, microorganisms, viruses, microbial fungi or animals, e.g. enzymes or fermentates
- A01N63/20—Bacteria; Substances produced thereby or obtained therefrom
- A01N63/25—Paenibacillus
-
- C—CHEMISTRY; METALLURGY
- C12—BIOCHEMISTRY; BEER; SPIRITS; WINE; VINEGAR; MICROBIOLOGY; ENZYMOLOGY; MUTATION OR GENETIC ENGINEERING
- C12N—MICROORGANISMS OR ENZYMES; COMPOSITIONS THEREOF; PROPAGATING, PRESERVING, OR MAINTAINING MICROORGANISMS; MUTATION OR GENETIC ENGINEERING; CULTURE MEDIA
- C12N1/00—Microorganisms, e.g. protozoa; Compositions thereof; Processes of propagating, maintaining or preserving microorganisms or compositions thereof; Processes of preparing or isolating a composition containing a microorganism; Culture media therefor
- C12N1/20—Bacteria; Culture media therefor
-
- A—HUMAN NECESSITIES
- A01—AGRICULTURE; FORESTRY; ANIMAL HUSBANDRY; HUNTING; TRAPPING; FISHING
- A01N—PRESERVATION OF BODIES OF HUMANS OR ANIMALS OR PLANTS OR PARTS THEREOF; BIOCIDES, e.g. AS DISINFECTANTS, AS PESTICIDES OR AS HERBICIDES; PEST REPELLANTS OR ATTRACTANTS; PLANT GROWTH REGULATORS
- A01N63/00—Biocides, pest repellants or attractants, or plant growth regulators containing microorganisms, viruses, microbial fungi, animals or substances produced by, or obtained from, microorganisms, viruses, microbial fungi or animals, e.g. enzymes or fermentates
-
- A—HUMAN NECESSITIES
- A01—AGRICULTURE; FORESTRY; ANIMAL HUSBANDRY; HUNTING; TRAPPING; FISHING
- A01N—PRESERVATION OF BODIES OF HUMANS OR ANIMALS OR PLANTS OR PARTS THEREOF; BIOCIDES, e.g. AS DISINFECTANTS, AS PESTICIDES OR AS HERBICIDES; PEST REPELLANTS OR ATTRACTANTS; PLANT GROWTH REGULATORS
- A01N63/00—Biocides, pest repellants or attractants, or plant growth regulators containing microorganisms, viruses, microbial fungi, animals or substances produced by, or obtained from, microorganisms, viruses, microbial fungi or animals, e.g. enzymes or fermentates
- A01N63/10—Animals; Substances produced thereby or obtained therefrom
-
- C—CHEMISTRY; METALLURGY
- C07—ORGANIC CHEMISTRY
- C07K—PEPTIDES
- C07K14/00—Peptides having more than 20 amino acids; Gastrins; Somatostatins; Melanotropins; Derivatives thereof
- C07K14/195—Peptides having more than 20 amino acids; Gastrins; Somatostatins; Melanotropins; Derivatives thereof from bacteria
-
- C—CHEMISTRY; METALLURGY
- C07—ORGANIC CHEMISTRY
- C07K—PEPTIDES
- C07K7/00—Peptides having 5 to 20 amino acids in a fully defined sequence; Derivatives thereof
- C07K7/04—Linear peptides containing only normal peptide links
- C07K7/06—Linear peptides containing only normal peptide links having 5 to 11 amino acids
-
- C—CHEMISTRY; METALLURGY
- C07—ORGANIC CHEMISTRY
- C07K—PEPTIDES
- C07K7/00—Peptides having 5 to 20 amino acids in a fully defined sequence; Derivatives thereof
- C07K7/50—Cyclic peptides containing at least one abnormal peptide link
- C07K7/54—Cyclic peptides containing at least one abnormal peptide link with at least one abnormal peptide link in the ring
-
- C—CHEMISTRY; METALLURGY
- C07—ORGANIC CHEMISTRY
- C07K—PEPTIDES
- C07K7/00—Peptides having 5 to 20 amino acids in a fully defined sequence; Derivatives thereof
- C07K7/64—Cyclic peptides containing only normal peptide links
-
- C—CHEMISTRY; METALLURGY
- C12—BIOCHEMISTRY; BEER; SPIRITS; WINE; VINEGAR; MICROBIOLOGY; ENZYMOLOGY; MUTATION OR GENETIC ENGINEERING
- C12N—MICROORGANISMS OR ENZYMES; COMPOSITIONS THEREOF; PROPAGATING, PRESERVING, OR MAINTAINING MICROORGANISMS; MUTATION OR GENETIC ENGINEERING; CULTURE MEDIA
- C12N1/00—Microorganisms, e.g. protozoa; Compositions thereof; Processes of propagating, maintaining or preserving microorganisms or compositions thereof; Processes of preparing or isolating a composition containing a microorganism; Culture media therefor
- C12N1/20—Bacteria; Culture media therefor
- C12N1/205—Bacterial isolates
-
- C—CHEMISTRY; METALLURGY
- C12—BIOCHEMISTRY; BEER; SPIRITS; WINE; VINEGAR; MICROBIOLOGY; ENZYMOLOGY; MUTATION OR GENETIC ENGINEERING
- C12R—INDEXING SCHEME ASSOCIATED WITH SUBCLASSES C12C - C12Q, RELATING TO MICROORGANISMS
- C12R2001/00—Microorganisms ; Processes using microorganisms
- C12R2001/01—Bacteria or Actinomycetales ; using bacteria or Actinomycetales
Definitions
- the present invention relates to novel isolated bacterial strains, which are members of the genus Paenibacillus , originally isolated from soil and showing antagonistic activity against a broad range of pathogens and being capable of producing antimicrobial metabolites.
- the present invention also relates to microbial pesticide compositions comprising at least one of such novel bacterial strains, whole culture broth or a cell-free extract or a fraction thereof or at least one metabolite thereof, and/or a mutant of at least one of said novel bacterial strains having all the identifying characteristics of the respective bacterial strain or whole culture broth, cell-free extract, fraction and/or metabolite of the mutant thereof showing antagonistic activity against plant pathogens.
- the present invention also relates to a method of controlling or suppressing plant pathogens or preventing plant pathogen infections by applying such composition.
- the present invention also relates to novel fusaricidin-type compounds which are metabolites produced by the strains of the present invention.
- active compound compositions comprising biopesticides, for example selected from bacteria, like spore-forming bacteria, or fungi which are not detrimental to the plant or crop to be treated and which biological control agents may be further combined with classical organic chemical antagonists of plant pathogens.
- Biopesticides have been defined as a form of pesticides based on micro-organisms (bacteria, fungi, viruses, nematodes, etc.) or natural products (compounds or extracts from biological sources) (U.S. Environmental Protection Agency: http://www.epa.gov/pesticides/biopesticides/).
- Biopesticides fall into two major classes, microbial and biochemical pesticides:
- WO 2009/0126473 discloses agriculturally acceptable aqueous compositions comprising bacterial or fungal spores contained in an aqueous/organic solvent and which may further comprise insect control agents, pesticides, fungicides or combinations thereof. Spores of bacteria of the genus Bacillus are a preferred species.
- EP-A-1 168 922 relates to compositions for affecting plant growth and/or imparting disease resistance comprising at least two plant-growth promoting Rhizobacteria strains and a chitinous compound, wherein said strains are selected from the genera Bacillus, Paenibacillus, Brevibacillus, Virgibacillus, Alicyclobacillus , and Aneurinibacilus . No particular Paenibacillus strains are, however, exemplified in support of the claimed combinations.
- WO 1999/059412 discloses a Paenibacillus polymyxa strain PKB1 (bearing ATCC accession no. 202127) active against several phytopathogenic fungi.
- WO 2006/016558 discloses Paenibacillus sp. strains BS-0048, BS-0074, BS-0277 and P. polymyxa strain BS-0105 as well as fusaricidin A and fusaricidin B for protection of plants from infections with fungi.
- a further antifungal Paenibacillus strain BRF-1 has been isolated from soybean rhizosphere (African J. Microbiol. Res. 4(24), 2692-2698, 2010).
- WO 2011/069227 discloses a P. polymyxa strain JB05-01-1 (bearing ATCC accession no. PTA-10436) having a highly inhibitory effect against pathogenic bacteria, pre-dominantly food-borne human pathogenic bacteria.
- Budi et al. (Appl Environ Microbiol, 1999, 65, 5148-5150) have isolated Paenibacillus sp. strain B2 from mycorrhizosphere of Sorghum bicolor having antagonistic activity towards soil borne fungal pathogens like Phytophthora parasitica.
- NRRL is the abbreviation for the Agricultural Research Service Culture Collection, an international depositary authority for the purposes of deposing microorganism strains under the BUDAPEST TREATY ON THE INTERNATIONAL RECOGNITION OF THE DEPOSIT OF MICROORGANISMS FOR THE PURPOSES OF PATENT PROCEDURE, having the address National Center for Agricultural Utilization Research, Agricultural Research Service, U.S. Department of Agriculture, 1815 North University Street, Peoria, Ill. 61604, USA.
- Fusaricidins are a group of antibiotics isolated from Paenibacillus spp., which belong to the class of cyclic lipodepsipeptides. Their common structural features which are conserved throughout the family are as follows: a macrocyclic ring consisting of 6 amino acid residues, three of which are L-Thr, D-allo-Thr and D-Ala, as well as the 15-guanidino-3-hydroxypentadecanoic acid tail attached to the N-terminal L-Thr residue by an amide bond (ChemMedChem 7, 871-882, 2012; J. Microbiol. Meth. 85, 175-182, 2011, Table 1 herein).
- the amino acid chain of a fusaricidin is not ribosomally generated but is generated by a non-ribosomal peptide synthetase. Structural formulae of known fusaricidins are shown in Table 1 (Biotechnol Lett.
- the compounds designated as LI-F03a, LI-F03b up to LI-F08a and LI-F08b are herein also referred to as fusaricidins LI-F03a, LI-F03b up to LI-F08a and LI-F08b due to their structure within the fusaricidin family (see Table 1).
- Fusaricidin X 2 X 3 X 5 A (Ll-F04a) D-Val L-Val D-Asn B (Ll-F04b) D-Val L-Val D-Gln C (Ll-F03a) D-Val L-Tyr D-Asn D (Ll-F03b) D-Val L-Tyr D-Gln Ll-F05a D-Val L-Ile D-Asn Ll-F05b D-Val L-Ile D-Gln Ll-F06a D-allo-Ile L-Val D-Asn Ll-F06b D-allo-Ile L-Val D-Gln Ll-F07a D-Val L-Phe D-Asn Ll-F07b D-Val L-Phe D-Gln Ll-F08a D-Ile L-allo-Ile D-Asn Ll-F08b D-Ile L-allo-Ile D-A
- fusaricidin A has shown the most promising antimicrobial activity against a variety of clinically relevant fungi and gram-positive bacteria such a Staphylococcus aureus (MIC value range: 0.78-3.12 ⁇ g/ml) (ChemMedChem 7, 871-882, 2012).
- Fusaricidins A, B, C and D are also reported to inhibit plant pathogenic fungi such as Fusarium oxysporum, Aspergillus niger, Aspergillus oryzae , and Penicillum thomii (J. Antibiotics 49(2), 129-135, 1996; J. Antibiotics 50(3), 220-228, 1997).
- Fusaricidins such as LI-F05, LI-F07 and LI-F08 have been found to have certain antifungal activity against various plant pathogenic fungi such as Fusarium moniliforme, F. oxysporum, F. roseum, Giberella fujkuroi, Helminthosporium sesamum and Penicillium expansum (J.
- Fusaricidins also have antibacterial activity to Gram-positive bacteria including Staphylococcus aureus (J. Antibiotics 49, 129-135, 1996; J. Antibiotics 50, 220-228, 1997). In addition, fusaricidins have antifungal activity against Leptosphaena maculans which causes black root rot of canola (Can. J. Microbiol. 48, 159-169, 2002).
- fusaricidins A and B and two related compounds thereof, wherein D-allo-Thr is bound via its hydroxyl group to an additional alanine using an ester bridge produced by certain Paenibacillus strains were found to induce resistance reactions in cultured parsley cells and to inhibit growth of Fusarium oxysporum (WO 2006/016558; EP 1 788 074 A1).
- WO 2007/086645 describes the fusaricidin synthetase enzyme and its encoding gene as isolated from Paenibacillus polymyxa strain E681 which enzyme is involved in the synthesis of fusaricidins A, B, C, D, LI-F03, LI-F04, LI-F05, LI-F07 and LI-F08.
- strain M-1 NCBI acc. no. NC_017542; J. Bacteriol. 193 (29), 5862-63, 2011; BMC Microbiol. 13, 137, 2013
- strain CR1 GeneBank acc. no. CP006941; Genome Announcements 2 (1), 1, 2014
- strain SC2 GeneticBank acc. nos. CP002213 and CP002214; NCBI acc. no. NC_014622; J. Bacteriol. 193 (1), 311-312, 2011
- the P. polymyxa strain M-1 has been deposited in China General Microbiological Culture Collection Center (CGMCC) under acc. no. CGMCC 7581.
- CGMCC General Microbiological Culture Collection Center
- Biopesticides for use against crop diseases have already established themselves on a variety of crops. For example, biopesticides already play an important role in controlling downy mildew diseases. Their benefits include: a 0-Day Pre-Harvest Interval and the ability to use under moderate to severe disease pressure.
- Biopesticidal seed treatments are e.g. used to control soil borne fungal pathogens that cause seed rots, damping-off, root rot and seedling blights. They can also be used to control internal seed borne fungal pathogens as well as fungal pathogens that are on the surface of the seed. Many biopesticidal products also show capacities to stimulate plant host defenses and other physiological processes that can make treated crops more resistant to a variety of biotic and abiotic stresses.
- biopesticides under certain conditions can also have disadvantages, such as high specificity (requiring an exact identification of the pest/pathogen and the use of multiple products), slow speed of action (thus making them unsuitable if a pest outbreak is an immediate threat to a crop), variable efficacy due to the influences of various biotic and abiotic factors (since biopesticides are usually living organisms, which bring about pest/pathogen control by multiplying within the target insect pest/pathogen), and resistance development.
- Said problem was, surprisingly solved by providing novel strains of bacteria of the genus Paenibacillus which are characterized by a unique profile of antagonistic activity against phytopathogenic fungi, also extending to plant leaf pathogens, as for example selected from Alternaria spp., Botrytis cinerea, Phytophthora infestans , and Sclerotinia sclerotiorum .
- Said bacterial strains have been deposited with the International Depositary Authority: Deutsche Sammlung von Mikroorganismen und Zellkulturen GmbH, Inhoffenstra ⁇ e 7 B, 38124 Braunschweig, Germany (hereinafter DSMZ).
- the present invention relates to an isolated microorganism, being a member of the family Paenibacillus , having at least one of the identifying characteristics of one of the following strains:
- Paenibacillus sp. strain is identical to the term Paenibacillus strain.
- isolate refers to a pure microbial culture separated from its natural origin, such an isolate obtained by culturing a single microbial colony.
- An isolate is a pure culture derived from a heterogeneous, wild population of microorganisms.
- strain refers to isolate or a group of isolates exhibiting phenotypic, physiological, metabolic and/or genotypic traits belonging to the same lineage, distinct from those of other isolates or strains of the same species.
- a further embodiment relates to a whole culture broth, a supernatant or a cell-free extract or a fraction or at least one metabolite of at least one of the microorganisms as defined above which preferably exhibit antagonistic activity against at least one plant pathogen.
- whole culture broth refers to a liquid culture of a microorganism containing vegetative cells and/or spores suspended in the culture medium and optionally metabolites produced by the respective microorganism.
- culture medium refers to a medium obtainable by culturing the microorganism in said medium, preferably a liquid broth, and remaining when cells grown in the medium are removed, e.g., the supernatant remaining when cells grown in a liquid broth are removed by centrifugation, filtration, sedimentation, or other means well known in the art; comprising e.g. metabolites produced by the respective microorganism and secreted into the culture medium.
- the “culture medium” sometimes also referred to as “supernatant” can be obtained e.g. by centrifugation at temperatures of about 2 to 30° C. (more preferably at temperatures of 4 to 20° C.) for about 10 to 60 min (more preferably about 15 to 30 min) at about 5,000 to 20,000 ⁇ g (more preferably at about 15,000 ⁇ g).
- cell-free extract refers to an extract of the vegetative cells, spores and/or the whole culture broth of a microorganism comprising cellular metabolites produced by the respective microorganism obtainable by cell disruption methods known in the art such as solvent-based (e.g. organic solvents such as alcohols sometimes in combination with suitable salts), temperature-based, application of shear forces, cell disruption with an ultrasonicator.
- solvent-based e.g. organic solvents such as alcohols sometimes in combination with suitable salts
- temperature-based e.g. temperature-based
- shear forces e.g. cell disruption with an ultrasonicator.
- the desired extract may be concentrated by conventional concentration techniques such as drying, evaporation, centrifugation or alike. Certain washing steps using organic solvents and/or water-based media may also be applied to the crude extract preferably prior to use.
- the term “metabolite” refers to any component, compound, substance or byproduct (including but not limited to small molecule secondary metabolites, polyketides, fatty acid synthase products, non-ribosomal peptides, ribosomal peptides, proteins and enzymes) produced by a microorganism (such as fungi and bacteria, in particular the strains of the invention) that has any beneficial effect as described herein such as pesticidal activity or improvement of plant growth, water use efficiency of the plant, plant health, plant appearance, or the population of beneficial microorganisms in the soil around the plant activity herein.
- a microorganism such as fungi and bacteria, in particular the strains of the invention
- isolate refers to a pure microbial culture separated from its natural origin, such an isolate obtained by culturing a single microbial colony.
- An isolate is a pure culture derived from a heterogeneous, wild population of microorganisms.
- strain refers to isolate or a group of isolates exhibiting phenotypic and/or genotypic traits belonging to the same lineage, distinct from those of other isolates or strains of the same species.
- the invention further relates to compounds 1A and 1B, which are of formula I, wherein R is GHPD and wherein X 5 is asparagine in case of compound 1A and X 5 is glutamine in case of compound 1B:
- the present invention further relates to compositions comprising the strains, whole culture broth, cell-free extracts, culture media, or compounds of formula I and their salts of the invention, as well as to their use for controlling or suppressing plant pathogens or preventing plant pathogen infection or for protection of materials against infestation destruction by harmful microorganisms, and to corresponding methods which comprise treating the pathogens, their habitat or the materials or plants to be protected against pathogen attack, or the soil or propagation material with an effective amount of the compositions, strains, whole culture broth, cell-free extracts, culture media, or compounds of formula I and their salts of the invention.
- the invention relates to the microorganism strains
- the strains Lu16774, Lu17007 and Lu17015 have been isolated from soil samples from a variety of European locations including Germany and deposited under the Budapest Treaty with the Deutsche Sammlung von Mikroorganismen und Zellkulturen (DSMZ) under the abovementioned Accession numbers on Feb. 20, 2013 by BASF SE, Germany.
- DSMZ Deutsche Sammlung von Mikroorganismen und Zellkulturen
- the genus Paenibacillus (formerly rRNA group 3 bacilli) has been characterized phenotypically and physiologically (Antonie van Leeuwenhoek 64, 253-260 (1993)) by:
- the genus Paenibacillus (formerly rRNA group 3 bacilli) has also been characterized by 16S rDNA analysis (Antonie van Leeuwenhoek 64, 253-260 (1993)):
- the deposited strains Lu16774, Lu17007 and Lu17015 of the invention were determined to belong to the genus Paenibacillus on the following morphological and physiological observations (see Example 2.3 herein):
- the deposited strains Lu16774, Lu17007 and Lu17015 of the invention were also determined to belong to the genus Paenibacillus by 16S rDNA analysis by having the Paenibacillus -specific 22-base sequence in 16S rDNA (5′ to 3′):
- sequencing of the complete 16S rDNA in comparison to 24 different Paenibacillus strains resulted in clustering of the deposited strains Lu16774, Lu17007 and Lu17015 with the type strains of Paenibacillus brasiliensis, P. knbbensis, P. jamilae, P. peoriae , and P. polymyxa , more preferably to P. peoriae , in particular Paenibacillus peoriae strain BD-62 (see FIGS. 1 and 2 herein). It is known that P. polymyxa and P. peoriae have 16S rDNA sequence identity values of 99.6 to 99.7% (J. Gen. Appl. Microbiol. 48, 281-285 (2002)).
- Percent Identity or “percent similarity” between two nucleotide sequences means percent identity of the residues over the complete length of the aligned sequences and is determined by comparing two optimally locally aligned sequences over a comparison window defined by the length of the local alignment between the two sequences, such as, for example, the identity calculated (for rather similar sequences) after manual alignment with the aid of the program AE2 (Alignment Editor 2). Local alignment between two sequences only includes segments of each sequence that are deemed to be sufficiently similar according to the criterion that depends on the algorithm used to perform the alignment (e.g. AE2, BLAST, secondary structure of the rRNA molecule or alike). The percentage identity is calculated by determining the number of positions at which the identical nucleic acid occurs in both sequences to yield the number of matched positions, dividing the number of matched positions by the total number of positions in the window of comparison and multiplying the result by 100.
- sequences are aligned for optimal comparison purposes (e.g., gaps can be introduced in the sequence of one nucleic acid for optimal alignment with the other nucleic acid).
- the bases at corresponding positions are then compared. When a position in one sequence is occupied by the base as the corresponding position in the other sequence then the molecules are identical at that position. It is to be understood that for the purposes of determining sequence identity when comparing a DNA sequence to an RNA sequence, a thymidine nucleotide is equivalent to a uracil nucleotide.
- sequence data was put into the program AE2 (http://iubio.bio.indiana.edu/soft/molbio/unix/ae2.readme), aligned manually according to the 30 secondary structure of the resulting rRNA molecule and compared with representative 16S rRNA gene sequences of organisms belonging to the Firmcutes (Nucl. Acids Res. 27, 171-173, 1999).
- AE2 http://iubio.bio.indiana.edu/soft/molbio/unix/ae2.readme
- % identity values for multiple sequences all sequences of were aligned with each other (multiple sequence alignment). Further, to obtain % identity values between two sequences over a longer stretch of aligned sequences in comparison to multiple alignment, a manual pairwise sequence alignment was done as described above using AE2 (pairwise sequence alignment).
- strains have been designated to the following taxonomic groups.
- the Paenibacillus strains Lu16774 and Lu17007 both belong to the species Paenibacillus polymyxa.
- the invention relates to the microorganism strains
- strains Lu16674 and Lu17007 together with strain P. polymyxa M-1, 1-43, SC2 and Sb3-1 form the second sub cluster in each of the maximum likelihood dendrograms analysed for five conserved house keeping genes (dnaN, gyrB, recA, recN and rpoA) ( FIGS. 17-21 ).
- this second sub cluster is confirmed by its representative strains Lu16674 and Lu17007 together with the P. polymyxa M-1 and SC2 strains.
- the first sub cluster according to the type P. polymyxa strain DSM 36 T Paenibacillus polymyxa ssp. polymyxa .
- the P. polymyxa strains SQR-21, CF05, CICC 10580, NRRL B-30509 and A18 shall belong to the subspecies Paenibacillus polymyxa ssp. polymyxa.
- the second sub cluster as novel subspecies Paenibacillus polymyxa ssp. plantarum .
- the P. polymyxa strains M-1, 1-43, SC2 and Sb3-1 shall belong to Paenibacillus polymyxa ssp. plantarum.
- the strain Lu17015 and also the strains E681 and CR2 can be designated to a novel species.
- a new species Paenibacillus spec. nov. epiphyticus is proposed herewith. Consequently, the Paenibacillus strain Lu17015 belongs to Paenibacillus epiphyticus. It is proposed that said strain shall be the type strain.
- the dendrograms based on the sequence comparisons of the five house keeping genes show that this cluster of distant from all other P. polymyxa strains.
- the P. polymyxa strains E681, CR2 TD94, DSM 365 and WLY78 shall belong to Paenibacillus spec. nov. epiphyticus.
- the invention relates to the microorganism strains
- the invention in addition to the strains Lu16774, Lu17007 and Lu17015, the invention relates to any Paenibacillus strain, whether physically derived from the original deposit of any of the strains Lu16774, Lu17007 and Lu17015 or independently isolated, so long as they retain at least one of the identifying characteristics of the deposited Paenibacillus strains Lu16774, Lu17007 and Lu17015.
- Paenibacillus strains of the invention include any progeny of any of the strains Lu16774, Lu17007 and Lu17015, including mutants of said strains.
- mutant refers a microorganism obtained by direct mutant selection but also includes microorganisms that have been further mutagenized or otherwise manipulated (e.g., via the introduction of a plasmid). Accordingly, embodiments include mutants, variants, and or derivatives of the respective microorganism, both naturally occurring and artificially induced mutants. For example, mutants may be induced by subjecting the microorganism to known mutagens, such as X-ray, UV radiation or N-methyl-nitrosoguanidine, using conventional methods. Subsequent to said treatments a screening for mutant strains showing the desired characteristics may be performed.
- mutagens such as X-ray, UV radiation or N-methyl-nitrosoguanidine
- Mutant strains may be obtained by any methods known in the art such as direct mutant selection, chemical mutagenesis or genetic manipulation (e.g., via the introduction of a plasmid).
- such mutants are obtainable by applying a known mutagen, such as X-ray, UV radiation or N-methyl-nitrosoguanidine. Subsequent to said treatments a screening for mutant strains showing the desired characteristics may be performed.
- a Paenibacillus strain of the invention is in particular one which comprises a DNA sequence exhibiting at least at least 99.6%, preferably at least 99.8%, even more preferably at least 99.9%, and in particular 100.0% nucleotide sequence identity to any one of the 16S rDNA sequences of the strains Lu16774, Lu17007 and Lu17015, i.e. to any one of those nucleotide sequences set forth in the Sequence listing being SEQ ID NO:1, SEQ ID NO:2 and SEQ ID NO:3.
- a Paenibacillus strain of the invention is in particular one which comprises a DNA sequence exhibiting 100% nucleotide sequence identity to any one of the 16S rDNA sequences of the strains Lu16774, Lu17007 and Lu17015, i.e. to any one of those nucleotide sequences set forth in the Sequence listing being SEQ ID NO:1, SEQ ID NO:2 or SEQ ID NO:3.
- a Paenibacillus strain of the invention is one whose complete 16S rDNA sequence has after optimal alignment within the aligned sequence window at least 99.6% identity to at least one of the sequences SEQ ID NO:1 and SEQ ID NO:2 or at least 99.8% identity to SEQ ID NO:3; preferably at least 99.8% identity to at least one of the sequences SEQ ID NO:1, SEQ ID:2 and SEQ ID NO:3; more preferably at least 99.9% identity to at least one of the sequences SEQ ID NO:1, SEQ ID NO:2 and SEQ ID NO:3; even more preferably greater than 99.9% identity to at least one of the sequences SEQ ID NO:1, SEQ ID:2 and SEQ ID NO:3; in particular 100% identity to at least one of the sequences SEQ ID NO:1, SEQ ID:2 and SEQ ID NO:3.
- a Paenibacillus strain of the invention is selected from the group consisting of:
- a Paenibacillus strain of the invention is in particular one which comprises a dnaN DNA sequence exhibiting at least 99.6% nucleotide sequence identity to the DNA sequences SEQ ID NO:4 or SEQ ID NO:9 or which comprises a DNA sequence exhibiting at least 99.8% nucleotide sequence identity to the DNA sequence SEQ ID NO:14.
- a Paenibacillus strain of the invention is one whose complete dnaN DNA sequence has after optimal alignment within the aligned sequence window at least 99.6% identity to at least one of the DNA sequences SEQ ID NO:4 and SEQ ID NO:9 or at least 99.8% identity to SEQ ID NO:14; preferably at least 99.9% identity to SEQ ID NO:14; in particular 100% identity to SEQ ID NO:14.
- a Paenibacillus strain of the invention is in particular one which comprises a DNA sequence exhibiting at least 99.8%, in particular 100.0% nucleotide sequence identity to any one of the dnaN DNA sequences of the strains Lu16774, Lu17007 and Lu17015, i.e. to any one of those DNA sequences SEQ ID NO:4, SEQ ID NO:9 and SEQ ID NO:14.
- a Paenibacillus strain of the invention is in particular one which comprises a gyrB DNA sequence exhibiting at least 99.9% nucleotide sequence identity to the DNA sequences SEQ ID NO:5 or SEQ ID NO:10 or which comprises a DNA sequence exhibiting at least 99.2% nucleotide sequence identity to the DNA sequence SEQ ID NO:15.
- a Paenibacillus strain of the invention is one whose complete gyrB DNA sequence has after optimal alignment within the aligned sequence window at least 99.9% identity to at least one of the DNA sequences SEQ ID NO:5 and SEQ ID NO:10 or at least 99.9% identity to SEQ ID NO:15; preferably at least 99.9% identity to SEQ ID NO:15; in particular 100% identity to SEQ ID NO:15.
- a Paenibacillus strain of the invention is in particular one which comprises a DNA sequence exhibiting 100.0% nucleotide sequence identity to any one of the gyrB DNA sequences of the strains Lu16774, Lu17007 and Lu17015, i.e. to any one of those DNA sequences SEQ ID NO:5, SEQ ID NO:10 and SEQ ID NO:15.
- a Paenibacillus strain of the invention is in particular one which comprises a recF DNA sequence exhibiting at least 99.2% nucleotide sequence identity to the DNA sequences SEQ ID NO:6 or SEQ ID NO: 11 or which comprises a DNA sequence exhibiting at least 99.8% nucleotide sequence identity to the DNA sequence SEQ ID NO:16.
- a Paenibacillus strain of the invention is one whose complete recF DNA sequence has after optimal alignment within the aligned sequence window at least 99.2% identity to at least one of the DNA sequences SEQ ID NO:6 and SEQ ID NO: 11 or at least 99.8% identity to SEQ ID NO:16; preferably at least 99.9% identity to SEQ ID NO:16; in particular 100% identity to SEQ ID NO:16.
- a Paenibacillus strain of the invention is in particular one which comprises a DNA sequence exhibiting at least 99.8%, in particular 100.0% nucleotide sequence identity to any one of the recF DNA sequences of the strains Lu16774, Lu17007 and Lu17015, i.e. to any one of those DNA sequences SEQ ID NO:6, SEQ ID NO:11 and SEQ ID NO:16.
- a Paenibacillus strain of the invention is in particular one which comprises a recN DNA sequence exhibiting at least 99.8% nucleotide sequence identity to the DNA sequences SEQ ID NO:7 or SEQ ID NO:12 or which comprises a DNA sequence exhibiting at least 99.3% nucleotide sequence identity to the DNA sequence SEQ ID NO:17.
- a Paenibacillus strain of the invention is one whose complete recN DNA sequence has after optimal alignment within the aligned sequence window at least 99.8% identity to at least one of the DNA sequences SEQ ID NO:7 and SEQ ID NO:12 or at least 99.3% identity to SEQ ID NO:17; preferably at least 99.6% identity to SEQ ID NO:17; in particular 100% identity to SEQ ID NO:17.
- a Paenibacillus strain of the invention is in particular one which comprises a DNA sequence exhibiting at least 99.8%, in particular 100.0% nucleotide sequence identity to any one of the recN DNA sequences of the strains Lu16774, Lu17007 and Lu17015, i.e. to any one of those DNA sequences SEQ ID NO:7, SEQ ID NO:12 and SEQ ID NO:17.
- a Paenibacillus strain of the invention is in particular one which comprises a rpoA DNA sequence exhibiting 100.0% nucleotide sequence identity to the DNA sequences SEQ ID NO:8 or SEQ ID NO:13 or which comprises a DNA sequence exhibiting at least 99.8% nucleotide sequence identity to the DNA sequence SEQ ID NO:18.
- a Paenibacillus strain of the invention is one whose complete rpoA DNA sequence has after optimal alignment within the aligned sequence window 100.0% identity to at least one of the DNA sequences SEQ ID NO:8 and SEQ ID NO:13 or at least 99.8% identity to SEQ ID NO:18; preferably at least 99.9% identity to SEQ ID NO:17; in particular 100% identity to SEQ ID NO:18.
- a Paenibacillus strain of the invention is in particular one which comprises a DNA sequence exhibiting 100.0% nucleotide sequence identity to any one of the rpoA DNA sequences of the strains Lu16774, Lu17007 and Lu17015, i.e. to any one of those DNA sequences SEQ ID NO:8, SEQ ID NO:13 and SEQ ID NO:18.
- a further embodiment relates to an isolated microorganism, being a member of the family Paenibacillus , having at least one of the identifying characteristics of one of the following strains:
- a further embodiment relates to a Paenibacillus strain, which is selected from the group consisting of:
- An identifying characteristic of the deposited Paenibacillus strains Lu16774, Lu17007 and Lu17015 is that they are capable of producing at least one compound of formula I, preferably selected from compounds 1A and 1B, in particular producing compounds 1A and 1B, which are metabolites of the respective strains; and the agriculturally acceptable salts thereof.
- Paenibacillus strains of the invention are capable of producing at least one compound of formula I, more preferably producing compounds 1A or 1B, in particular producing compounds 1A and 1B; and the agriculturally acceptable salts thereof.
- Paenibacillus strains of the invention are capable of producing at least one compound of formula I, more preferably producing compounds 1A or 1B, in particular producing compounds 1A and 1B; and the agriculturally acceptable salts thereof, in a growth medium comprising at least one source of carbon and one source of nitrogen as defined herein.
- Paenibacillus strains of the invention in a growth medium comprising at least one source of carbon and one source of nitrogen as defined herein produce at least one compound of formula I, more preferably produce compounds 1A or 1B, in particular produce compounds 1A and 1B; and the agriculturally acceptable salts thereof.
- a further identifying characteristic of the deposited Paenibacillus strains Lu16774, Lu17007 and Lu17015 or a mutant strain thereof is that they are capable of producing at least one compound selected from the group consisting of fusaricidin A, fusaricidin B, fusaricidin C, fusaricidin D, LI-F06a, LI-F06b and LI-F08b in addition to their capability of producing at least one compound of formula I, preferably selected from compounds 1A and 1B, in particular producing compounds 1A and 1B.
- Paenibacillus strains of the invention are capable of producing at least one fusaricidin of formula I, preferably selected from compounds 1A and 1B, in particular producing compounds 1A and 1B, as disclosed herein, and are capable of producing at least one compound selected from the group consisting of fusaricidin A, fusaricidin B, fusaricidin C, fusaricidin D, LI-F06a, LI-F06b and LI-F08b.
- Paenibacillus strains of the invention are capable of producing at least one fusaricidin of formula I, preferably selected from compounds 1A and 1B, in particular producing compounds 1A and 1B, as disclosed herein, and are capable of producing at least three compounds selected from the group consisting of fusaricidin A, fusaricidin B, fusaricidin C, fusaricidin D, LI-F06a, LI-F06b and LI-F08b.
- Paenibacillus strains of the invention are capable of producing at least one fusaricidin of formula I, preferably selected from compounds 1A and 1B, in particular producing compounds 1A and 1B, as disclosed herein, and are capable of producing at least five compounds selected from the group consisting of fusaricidin A, fusaricidin B, fusaricidin C, fusaricidin D, LI-F06a, LI-F06b and LI-F08b.
- Paenibacillus strains of the invention are capable of producing at least one fusaricidin of formula I, preferably selected from compounds 1A and 1B, in particular producing compounds 1A and 1B, as disclosed herein, and are capable of producing fusaricidin A, fusaricidin B, fusaricidin C, fusaricidin D and LI-F08b.
- a further identifying characteristic of the deposited Paenibacillus strains are their antifungal activity.
- these strains were found to be effective against infestion with plant pathogens including Alternaria spp., Botrytis cinerea, Phytophthora infestans , and Sclerotinia sclerotiorum wherein Alternaria spp. is preferably selected from A. solani and A. alternata , in particular A. solani.
- Paenibacillus strains of the invention have antifungal activity, particularly against a plant pathogen selected from the group consisting of Alternaria spp., Botrytis cinema, Phytophthora infestans , and Sclerotinia sclerotiorum , wherein Alternaria spp. is preferably selected from A. solani and A. alternata , in particular A. solani More particularly, Paenibacillus strains of the invention have antifungal activity against at least two or against all four of said pathogens.
- Paenibacillus strains of the invention have antifungal activity against the plant pathogens Alternaria solani, Botrytis cinema, Phytophthora infestans , and Sclerotinia sclerotiorum.
- Antagonistic activity of the Paenibacillus strains against plant pathogens can be shown in an in-vitro confrontation assays using the desired phytopathogenic fungi such as Alternaria spp., Botrytis cinema, Phytophthora infestans , and Sclerotinia sclerotiorum wherein Alternaria spp. is preferably selected from A. solani and A. alternata , in particular A. solani
- ISP2 medium As growth medium for these phytopathogenic fungi, ISP2 medium is used comprising per litre: 10 g malt extract (Sigma Aldrich, 70167); 4 g Bacto yeast extract (Becton Dickinson, 212750); 4 g glucose monohydrate (Sigma Aldrich, 16301); 20 g Agar (Becton Dickinson, 214510), pH about 7, Aq. bidest.
- V8 medium is used comprising per litre: 200 ml of vegetable juice, 3 g calcium carbonate (Merck Millipore, 1020660250); 30 g Agar (Becton Dickinson, 214510), pH 6.8, Aq. bidest.
- the Paenibacillus strains are point-inoculated on one side of an agar plate.
- An agar block (approx. 0.3 cm 2 ) containing one actively growing plant pathogen was put in the center of the plate. After incubating for 7-14 days at about 25° C., the growth of the plant pathogen is examined, especially for inhibition zones.
- the following antagonistic effects can be evaluated: Antibiosis is scored by evaluation of the diameter of the fungi-free zone (zone of inhibition). Competition is scored by comparing the diameter of the growth of the fungal pathogen on plates with bacterial strains in comparison to control plates. Mycoparasitism can be documented in case the bacteria overgrows the fungal pathogen and also mycoparasite the pathogens. This can be visualized by microscopy.
- a lytic enzyme preferably selected from chitinase, cellulase and amylase (see Example 6), even more preferably at least chitinase and cellulose; in particular in a growth medium comprising at least one source of carbon and one source of nitrogen as defined herein.
- Paenibacillus strains of the invention are capable of producing and secreting at least one lytic enzyme preferably selected from chitinase, cellulase and amylase, even more preferably at least chitinase and cellulose; in particular in a growth medium comprising at least one source of carbon and one source of nitrogen as defined herein.
- at least one lytic enzyme preferably selected from chitinase, cellulase and amylase, even more preferably at least chitinase and cellulose; in particular in a growth medium comprising at least one source of carbon and one source of nitrogen as defined herein.
- the present invention relates to the deposited strains Lu16774, Lu17007 and Lu17015 and any Paenibacillus strain having one or more of the identifying characteristics of the deposited strain, wherein the identifying characteristics are selected from the group consisting of:
- Paenibacillus strains of the invention have two or more of the identifying characteristics of the deposited strain, with strains having at least the characteristics (a) and (b) being particularly preferred.
- the strains of the invention (a) have an antifungal activity against a plant pathogen selected from the group consisting of Alternaria spp., Botrytis cinerea, Phytophthora infestans , and Sclerotinia sclerotiorum , wherein Alternaria spp. is preferably selected from A. solani and A. alternata , in particular A. solani and (b) are capable of producing at least one compound of formula I, and particularly compound 1B.
- the strains of the invention (a) have an antifungal activity against three or against all of the plant pathogens selected from the group consisting of Alternaria spp., Botrytis cinerea, Phytophthora infestans , and Sclerotinia sclerotiorum , wherein Alternaria spp. is preferably selected from A. solani and A. alternata , in particular A. solani and (b) are capable of producing at least one compound of formula I, more preferably producing compounds 1A or 1B, in particular of producing compounds 1A and 1B.
- the strains of the invention are provided in isolated or substantially purified form.
- isolated or “substantially purified” are meant to denote that the strains of the invention have been removed from a natural environment and have been isolated or separated, and are at least 60% free, preferably at least 75% free, and more preferably at least 90% free, even more preferably at least 95% free, and most preferably at least 99% free from other components with which they were naturally associated.
- An isolate obtained by culturing a single microbial colony is an example of an isolated strain of the invention.
- the strains of the invention may be provided in any physiological state such as active or dormant.
- Dormant strains may be provided for example frozen, dried, or lyophilized or partly desiccated (procedures to produce partly desiccated organisms are given in WO 2008/002371) or in form of spores.
- the strains of the invention are provided in the form of spores.
- the strains of the invention are provided as a whole culture broth comprising a strain of the invention.
- the culture is preferably an isolated or substantially purified culture.
- an “isolated culture” or “substantially purified culture” refers to a culture of the strains of the invention that does not include significant amounts of other materials which normally are found in natural habitat in which the strain grows and/or from which the strain normally may be obtained. Consequently, such “isolated culture” or “substantially purified culture” is at least 60% free, preferably at least 75% free, and more preferably at least 90% free, even more preferably at least 95% free, and most preferably at least 99% free from other materials which normally are found in natural habitat in which the strain grows and/or from which the strain normally may be obtained. Such an “isolated culture” or “substantially purified culture” does normally not include any other microorganism in quantities sufficient to interfere with the replication of the strain of the invention. Isolated cultures of the invention may, however, be combined to prepare a mixed culture of the strains of the invention and a further biopesticide, preferably a microbial pesticide.
- the invention relates to methods for the fermentative production of antipathogenic biopesticides as described herein.
- the strains as used according to the invention can be cultivated continuously or discontinuously in the batch process or in the fed batch or repeated fed batch process.
- a review of known methods of cultivation will be found in the textbook by Chmiel (Bioreaktoren und periphere Junior (Vieweg Verlag, Braunschweig/Wiesbaden, 1994)).
- the medium that is to be used for cultivation of the microorganism must satisfy the requirements of the particular strains in an appropriate manner. Descriptions of culture media for various microorganisms are given in the handbook “Manual of Methods for General Bacteriology” of the American Society for Bacteriology (Washington D. C., USA, 1981).
- These media that can be used according to the invention generally comprise one or more sources of carbon, sources of nitrogen, inorganic salts, vitamins and/or trace elements.
- Preferred sources of carbon are sugars, such as mono-, di- or polysaccharides. Very good sources of carbon are for example glucose, fructose, mannose, galactose, ribose, sorbose, ribulose, lactose, maltose, sucrose, raffinose, starch or cellulose.
- Sugars can also be added to the media via complex compounds, such as molasses, or other by-products from sugar refining. It may also be advantageous to add mixtures of various sources of carbon.
- oils and fats such as soybean oil, sunflower oil, peanut oil and coconut oil, fatty acids such as palmitic acid, stearic acid or linoleic acid, alcohols such as glycerol, methanol or ethanol and organic acids such as acetic acid or lactic acid.
- Sources of nitrogen are usually organic or inorganic nitrogen compounds or materials containing these compounds.
- sources of nitrogen include ammonia gas or ammonium salts, such as ammonium sulfate, ammonium chloride, ammonium phosphate, ammonium carbonate or ammonium nitrate, nitrates, urea, amino acids or complex sources of nitrogen, such as corn-steep liquor, soybean flour, soybean protein, yeast extract, meat extract and others.
- the sources of nitrogen can be used separately or as a mixture.
- Inorganic salt compounds that may be present in the media comprise the chloride, phosphate or sulfate salts of calcium, magnesium, sodium, cobalt, molybdenum, potassium, manganese, zinc, copper and iron.
- Inorganic sulfur-containing compounds for example sulfates, sulfites, dithionites, tetrathionates, thiosulfates, sulfides, but also organic sulfur compounds, such as mercaptans and thiols, can be used as sources of sulfur.
- Phosphoric acid, potassium dihydrogenphosphate or dipotassium hydrogenphosphate or the corresponding sodium-containing salts can be used as sources of phosphorus.
- Chelating agents can be added to the medium, in order to keep the metal ions in solution.
- Especially suitable chelating agents comprise dihydroxyphenols, such as catechol or protocatechuate, or organic acids, such as citric acid.
- the fermentation media used according to the invention may also contain other growth factors, such as vitamins or growth promoters, which include for example biotin, riboflavin, thiamine, folic acid, nicotinic acid, pantothenate and pyridoxine.
- Growth factors and salts often come from complex components of the media, such as yeast extract, molasses, com-steep liquor and the like.
- suitable precursors can be added to the medium.
- the precise composition of the compounds in the medium is strongly dependent on the particular experiment and must be decided individually for each specific case. Information on media optimization can be found in the textbook “Applied Microbiol. Physiology, A Practical Approach” (Publ. P. M. Rhodes, P. F. Stanbury, IRL Press (1997) p. 53-73, ISBN 0 19 963577 3).
- Growing media can also be obtained from commercial suppliers, such as Standard 1 (Merck) or BHI (Brain heart infusion, DIFCO) etc.
- Preferred growth media that can be used according to the invention comprise one or more sources of carbon selected from L-arabinose, N-acetyl-D-glucosamine, D-galactose, L-aspartaic acid, D-trehalose, D-mannose, glycerol, D-gluconic acid, D-xylose, D-mannitol, D-ribose, D-fructose, ⁇ -D-glucose, maltose, D-melibiose, thymidine, ⁇ -methyl-D-Galactoside, ⁇ -D-lactose, lactulose, sucrose, uridine, ⁇ -hydroxy glutaric acid- ⁇ -lactone, ⁇ -methyl-D-glucoside, adonitol, maltotriose, 2-deoxyadenosine, adenosine, citric acid, mucic acid, D-cellobiose, inosine, L-serine
- All components of the medium are sterilized, either by heating (20 min at 2.0 bar and 121° C.) or by sterile filtration.
- the components can be sterilized either together, or if necessary separately.
- All the components of the medium can be present at the start of growing, or optionally can be added continuously or by batch feed.
- the temperature of the culture is normally between 15° C. and 36° C., preferably 25° C. to 33° C. and can be kept constant or can be varied during the experiment.
- the pH value of the medium should be in the range from 5 to 8.5, preferably around 7.0.
- the pH value for growing can be controlled during growing by adding basic compounds such as sodium hydroxide, potassium hydroxide, ammonia or ammonia water or acid compounds such as phosphoric acid or sulfuric acid.
- Antifoaming agents e.g. fatty acid polyglycol esters, can be used for controlling foaming.
- suitable substances with selective action e.g. antibiotics, can be added to the medium.
- Oxygen or oxygen-containing gas mixtures e.g. the ambient air, are fed into the culture in order to maintain aerobic conditions.
- the temperature of the culture is normally from 20° C. to 45° C. Culture is continued until a maximum of the desired product has formed. This is normally achieved within 10 hours to 160 hours.
- the strains of the invention may be cultivated in a medium a variety of standard microbiology media such as Luria-Bertani Broth (LB), trypticase-soy broth (TSB), yeast extract/malt extract/glucose broth (YMG, ISP2) at 15° C. to 36° C. for 18 to 360 h in liquid media or in agar-solidified media on a petri dish. Aeration may be necessary.
- the bacterial cells can be washed and concentrated (e.g. by centrifugation at temperatures of about 15 to 30° C. for about 15 min at 7,000 ⁇ g).
- the invention also relates to culture medium obtainable by culturing the strains of the invention in a medium and separating the medium from the culture broth (thus, remaining when cells grown in the medium are removed from the whole culture broth), e.g., the supernatant of a whole culture broth, i.e., the liquid broth remaining when cells grown in broth and other debris are removed by centrifugation, filtration, sedimentation, or other means well known in the art.
- the supernatant can be obtained e.g. by centrifugation at temperatures of about 2 to 30° C. (more preferably at temperatures of 4 to 20° C.) for about 10 to 60 min (more preferably about 15 to 30 min) at about 5,000 to 20,000 ⁇ g (more preferably at about 15,000 ⁇ g).
- Such culture medium contains pesticidal metabolites which are produced by the cultured strain.
- the invention also relates to cell-free extracts of the strains of the invention.
- the strains of the invention may be cultivated as described above.
- the cells can be disrupted also by high-frequency ultrasound, by high pressure, e.g. in a French pressure cell, by osmolysis, by the action of detergents, lytic enzymes or organic solvents, by means of homogenizers or by a combination of several of the methods listed.
- the extraction can be carried out preferably with an organic solvent or solvent mixture, more preferably an alcohol (e.g. methanol, ethanol, n-propanol, 2-propanol or alike), even more preferably with 2-propanol (e.g. in a 1:1 ratio to the culture volume).
- Phase separation may be enhanced by addition of salts such as NaCl.
- the organic phase can be collected and the solvent or solvent mixture may be removed by conventional distillation and/or drying followed by resuspension in methanol and filtration.
- Such extract contains pesticidal metabolites which are produced by the cultured strain.
- Pesticidal metabolites that are specific to the strains of the invention may be recovered from such medium or extract according to conventional methods in particular when the strains of the invention have been cultivated as described above.
- the methodology of the present invention can further include a step of recovering individual pesticidal metabolites.
- the term “recovering” includes extracting, harvesting, isolating or purifying the compound from culture media or cell-free extracts.
- Recovering the compound can be performed according to any conventional isolation or purification methodology known in the art including, but not limited to, treatment with a conventional resin (e.g., anion or cation exchange resin, non-ionic adsorption resin, etc.), treatment with a conventional adsorbent (e.g., activated charcoal, silicic acid, silica gel, cellulose, alumina, etc.), alteration of pH, solvent extraction (e.g., with a conventional solvent such as an alcohol, ethyl acetate, hexane and the like), distillation, dialysis, filtration, concentration, crystallization, recrystallization, pH adjustment, lyophilization and the like.
- a conventional resin e.g., anion or cation exchange resin, non-ionic adsorption resin, etc.
- a conventional adsorbent
- the metabolites can be recovered from culture media by first removing the microorganisms. The remaining broth is then passed through or over a cation exchange resin to remove unwanted cations and then through or over an anion exchange resin to remove unwanted inorganic anions and organic acids.
- X 1 in formula I is preferably L-threonine.
- X 2 in formula I is preferably D-isoleucine or D-allo-isoleucine.
- X 3 in formula I is preferably L-tyrosine.
- X 4 in formula I is preferably D-allo-threonine.
- X 5 in formula I is preferably D-glutamine or D-asparagine.
- R in formula I is preferably GHPD.
- R 1 in this formula I is preferably (1S,2R)-1-hydroxyethyl.
- R 2 in this formula I is preferably (1R,2R)-1-methylpropyl or (1R,2S)-1-methylpropy.
- R 3 in this formula I is preferably (S)-4-hydroxy-benzyl.
- R 4 in this formula I is preferably (1S,2R)-1-hydroxyethyl.
- R 5 in this formula I is preferably (R)-carbamoylethyl and (R)-carbamoylmethyl.
- X in this formula I is preferably —NH—(C ⁇ O)—CH 2 —CH(OH)—(CH 2 ) 12 —NH—C( ⁇ NH)NH 2 .
- the invention further relates to compounds 1A and 1B, which are of formula I, wherein R is GHPD and wherein X 4 is asparagine in case of compound 1A and X 4 is glutamine in case of compound 1B:
- the pesticidal metabolites from the strains of the invention are preferably selected from compounds of formula I wherein R is GHPD, in particular selected from compounds 1A and 1B, which can be obtained by extraction and isolation from cultures, i.e. whole culture broths, of the strains of the invention.
- fusaricidin-type compounds of formula I including those wherein R is GHTD can be synthesized in analogy to methods known in the art (Biopolymers 80(4), 541, 2005; J. Peptide Sci. 12S, 219, 2006; Tetrahedron Lett. 47(48), 8587-90, 2006; Biopolymers 88(4), 568, 2007; ChemMedChem 7, 871-882, 2012).
- the invention also relates to the agriculturally acceptable salts, particularly acid addition salts of said fusaricidin-type compounds of formula I.
- Said salts can be obtained by conventional methods well known in the art, e.g. by reacting the compounds of the invention with a suitable acid to form an acid addition salt.
- Anions of useful acid addition salts are primarily chloride, bromide, fluoride, iodide, hydrogensulfate, methylsulfate, sulfate, dihydrogenphosphate, hydrogen-phosphate, nitrate, bicarbonate, carbonate, hexafluorosilicate, hexafluorophosphate, benzoate and also the anions of C 1 -C 4 -alkanoic acids, preferably formate, acetate, propionate and butyrate.
- the invention also relates to a whole culture broth of a microorganism comprising at least one compound of formula I or an agriculturally acceptable salt thereof, preferably selected from compounds 1A and 1B or an agriculturally acceptable salt thereof, in particular said whole culture broth comprises compounds 1A and 1B or an agriculturally acceptable salt thereof.
- the invention also relates to a whole culture broth of a microorganism of the genus Paenibacillus comprising at least one compound of formula I or an agriculturally acceptable salt thereof, preferably selected from compounds 1A and 1B or an agriculturally acceptable salt thereof, in particular said whole culture broth comprises compounds 1A and 1B or an agriculturally acceptable salt thereof.
- the invention also relates to a whole culture broth of at least one Paenibacillus strain of the invention as identified and defined above comprising at least one compound of formula I or an agriculturally acceptable salt thereof, preferably selected from compounds 1A and 1B or an agriculturally acceptable salt thereof, in particular said whole culture broth comprises compounds 1A and 1B or an agriculturally acceptable salt thereof.
- Said fusaricidin-type compounds are secreted into the culture medium of the respective microorganism capable of producing it.
- the invention also relates to a culture medium and/or a cell-free extract of a microorganism comprising at least one compound of formula I or an agriculturally acceptable salt thereof, preferably selected from compounds 1A and 1B or an agriculturally acceptable salt thereof, in particular said culture medium and/or a cell-free extract comprises compounds 1A and 1B or an agriculturally acceptable salt thereof.
- the invention also relates to a culture medium and/or a cell-free extract of a microorganism of the genus Paenibacillus comprising at least one compound of formula I or an agriculturally acceptable salt thereof, preferably selected from compounds 1A and 1B or an agriculturally acceptable salt thereof, in particular said culture medium and/or a cell-free extract comprises compounds 1A and 1B or an agriculturally acceptable salt thereof.
- the invention also relates to culture medium and/or a cell-free extract of at least one Paenibacillus strain of the invention as identified and defined above comprising at least one compound of formula I or an agriculturally acceptable salt thereof, preferably selected from compounds 1A and 1B or an agriculturally acceptable salt thereof, in particular said culture medium and/or a cell-free extract comprises compounds 1A and 1B or an agriculturally acceptable salt thereof.
- the invention further relates to agrochemical compositions comprising an auxiliary as defined below and at least one or more of the strains, whole culture broths, cell-free extracts, culture media and compounds of formula I, of the invention, respectively.
- composition in reference to a product (microbial strain, agent or formulation) of the present invention refers to a combination of ingredients, wherein “formulating” is the process of using a formula, such as a recipe, for a combination of ingredients, to be added to form the formulation.
- formulation is also referred herein to as formulation.
- the strains, whole culture broths, cell-free extracts, culture media, compounds of formula I, and compositions of the invention, respectively, are suitable as antifungal agents or fungicides. They are distinguished by an outstanding effectiveness against a broad spectrum of phytopathogenic fungi, including soil-borne fungi, which derive especially from the classes of the Plasmodiophoromycetes, Peronosporomycetes (syn. Oomycetes), Chytridiomycetes, Zygomycetes, Ascomycetes, Basidiomycetes and Deuteromycetes (syn. Fungi imperfecti). Some are systemically effective and they can be used in crop protection as foliar fungicides, fungicides for seed dressing and soil fungicides. Moreover, they are suitable for controlling harmful fungi, which inter alia occur in wood or roots of plants.
- the strains, whole culture broths, cell-free extracts, culture media, compounds of formula I, and compositions of the invention, respectively, are particularly important in the control of a multitude of phytopathogenic fungi on various cultivated plants, such as cereals, e.g. wheat, rye, barley, triticale, oats or rice; beet, e.g. sugar beet or fodder beet; fruits, such as pomes, stone fruits or soft fruits, e.g.
- the strains, whole culture broths, cell-free extracts culture media, compounds of formula I; and compositions of the invention, respectively, are used for controlling a multitude of fungi on field crops, such as potatoes sugar beets, tobacco, wheat, rye, barley, oats, rice, corn, cotton, soybeans, rape, legumes, sunflowers, coffee or sugar cane; fruits; vines; ornamentals; or vegetables, such as cucumbers, tomatoes, beans or squashes.
- field crops such as potatoes sugar beets, tobacco, wheat, rye, barley, oats, rice, corn, cotton, soybeans, rape, legumes, sunflowers, coffee or sugar cane
- fruits vines; ornamentals
- vegetables such as cucumbers, tomatoes, beans or squashes.
- plant propagation material is to be understood to denote all the generative parts of the plant such as seeds and vegetative plant material such as cuttings and tubers (e.g. potatoes), which can be used for the multiplication of the plant.
- vegetative plant material such as cuttings and tubers (e.g. potatoes)
- These young plants may also be protected before transplantation by a total or partial treatment by immersion or pouring.
- treatment of plant propagation materials with the strains, whole culture broths, cell-free extracts culture media, compounds of formula I; and compositions of the invention, respectively, is used for controlling a multitude of fungi on cereals, such as wheat, rye, barley and oats; rice, corn, cotton and soybeans.
- cultiva plants is to be understood as including plants which have been modified by breeding, mutagenesis or genetic engineering including but not limiting to agricultural biotech products on the market or in development (cf. http://cera-gmc.org/, see GM crop database therein).
- Genetically modified plants are plants, which genetic material has been so modified by the use of recombinant DNA techniques that under natural circumstances cannot readily be obtained by cross breeding, mutations or natural recombination.
- one or more genes have been integrated into the genetic material of a genetically modified plant in order to improve certain properties of the plant.
- Such genetic modifications also include but are not limited to targeted post-translational modification of protein(s), oligo- or polypeptides e.g. by glycosylation or polymer additions such as prenylated, acetylated or famesylated moieties or PEG moieties.
- auxin herbicides such as
- herbicides e. bromoxynil or ioxynil herbicides as a result of conventional methods of breeding or genetic engineering. Furthermore, plants have been made resistant to multiple classes of herbicides through multiple genetic modifications, such as resistance to both glyphosate and glufosinate or to both glyphosate and a herbicide from another class such as ALS inhibitors, HPPD inhibitors, auxin herbicides, or ACCase inhibitors.
- ALS inhibitors e.g. described in Pest Managem. Sci. 61, 2005, 246; 61, 2005, 258; 61, 2005, 277; 61, 2005, 269; 61, 2005, 286; 64, 2008, 326; 64, 2008, 332; Weed Sci.
- mutagenesis e.g. Clearfield® summer rape (Canola, BASF SE, Germany) being tolerant to imidazolinones, e.g. imazamox, or ExpressSun® sunflowers (DuPont, USA) being tolerant to sulfonyl ureas, e.g. tribenuron.
- mutagenesis e.g. Clearfield® summer rape (Canola, BASF SE, Germany) being tolerant to imidazolinones, e.g. imazamox, or ExpressSun® sunflowers (DuPont, USA) being tolerant to sulfonyl ureas, e.g. tribenuron.
- plants are also covered that are by the use of recombinant DNA techniques capable to synthesize one or more insecticidal proteins, especially those known from the bacterial genus Bacillus , particularly from Bacillus thuringiensis , such as ⁇ -endotoxins, e.g. CryIA(b), CryIA(c), CryIF, CryIF(a2), CryIIA(b), CryIIIA, CryIIIB(b1) or Cry9c; vegetative insecticidal proteins (VIP), e.g. VIP1, VIP2, VIP3 or VIP3A; insecticidal proteins of bacteria colonizing nematodes, e.g. Photorhabdus spp.
- VIP vegetative insecticidal proteins
- toxins produced by animals such as scorpion toxins, arachnid toxins, wasp toxins, or other insect-specific neurotoxins
- toxins produced by fungi such Streptomycetes toxins, plant lectins, such as pea or barley lectins; agglutinins
- proteinase inhibitors such as trypsin inhibitors, serine protease inhibitors, patatin, cystatin or papain inhibitors
- ribosome-inactivating proteins (RIP) such as ricin, maize-RIP, abrin, luffin, saporin or bryodin
- steroid metabolism enzymes such as 3-hydroxysteroid oxidase, ecdysteroid-IDP-glycosyl-transferase, cholesterol oxidases, ecdysone inhibitors or HMG-CoA-reductase
- ion channel blockers such as blockers of sodium or calcium channels
- these insecticidal proteins or toxins are to be understood expressly also as pre-toxins, hybrid proteins, truncated or otherwise modified proteins.
- Hybrid proteins are characterized by a new combination of protein domains, (see, e.g. WO 02/015701).
- Further examples of such toxins or genetically modified plants capable of synthesizing such toxins are disclosed, e.g., in EP-A 374 753, WO 93/007278, WO 95/34656, EP-A 427 529, EP-A 451 878, WO 03/18810 und WO 03/52073.
- the methods for producing such genetically modified plants are generally known to the person skilled in the art and are described, e.g. in the publications mentioned above.
- insecticidal proteins contained in the genetically modified plants impart to the plants producing these proteins tolerance to harmful pests from all taxonomic groups of arthropods, especially to beetles (Coeloptera), two-winged insects (Diptera), and moths (Lepidoptera) and to nematodes (Nematoda).
- plants are also covered that are by the use of recombinant DNA techniques capable to synthesize one or more proteins to increase the resistance or tolerance of those plants to bacterial, viral or fungal pathogens.
- proteins are the so-called “pathogenesis-related proteins” (PR proteins, see, e.g. EP-A 392 225), plant disease resistance genes (e.g. potato cultivars, which express resistance genes acting against Phytophthora infestans derived from the mexican wild potato Solanum bulbocastanum ) or T4-lysozym (e.g. potato cultivars capable of synthesizing these proteins with increased resistance against bacteria such as Erwinia amylvora ).
- PR proteins pathogenesis-related proteins
- plant disease resistance genes e.g. potato cultivars, which express resistance genes acting against Phytophthora infestans derived from the mexican wild potato Solanum bulbocastanum
- T4-lysozym e.g. potato cultivars capable
- plants are also covered that are by the use of recombinant DNA techniques capable to synthesize one or more proteins to increase the productivity (e.g. bio mass production, grain yield, starch content, oil content or protein content), tolerance to drought, salinity or other growth-limiting environmental factors or tolerance to pests and fungal, bacterial or viral pathogens of those plants.
- productivity e.g. bio mass production, grain yield, starch content, oil content or protein content
- plants are also covered that contain by the use of recombinant DNA techniques a modified amount of substances of content or new substances of content, specifically to improve human or animal nutrition, e.g. oil crops that produce health-promoting long-chain omega-3 fatty acids or unsaturated omega-9 fatty acids (e.g. Nexera® rape, DOW Agro Sciences, Canada).
- a modified amount of substances of content or new substances of content specifically to improve human or animal nutrition, e.g. oil crops that produce health-promoting long-chain omega-3 fatty acids or unsaturated omega-9 fatty acids (e.g. Nexera® rape, DOW Agro Sciences, Canada).
- strains, whole culture broths, cell-free extracts, culture media, compounds of formula I, and compositions of the invention, respectively, are particularly suitable for controlling the following plant diseases:
- Albugo spp. white rust on ornamentals, vegetables (e.g. A. candida ) and sunflowers (e.g. A. tragopogonis ); Alternaria spp. ( Alternaria leaf spot) on vegetables, rape ( A. brassicola or brassicae ), sugar beets ( A. tenuis ), fruits, rice, soybeans, potatoes (e.g. A. solani or A. alternata ), tomatoes (e.g. A. solani or A. alternata ) and wheat; Aphanomyces spp. on sugar beets and vegetables; Ascochyta spp. on cereals and vegetables, e.g. A. tritici (anthracnose) on wheat and A.
- Bipolaris and Drechslera spp. (teleomorph: Cochliobolus spp.), e.g. Southern leaf blight ( D. maydis ) or Northern leaf blight ( B. zeicola ) on corn, e.g. spot blotch ( B. sorokiniana ) on cereals and e.g. B. oryzae on rice and turfs; Blumeria (formerly Eysiphe ) graminis (powdery mildew) on cereals (e.g. on wheat or barley); Botrytis cinerea (teleomorph: Botryotinia fuckeliana grey mold) on fruits and berries (e.g.
- strawberries strawberries
- vegetables e.g. lettuce, carrots, celery and cabbages
- rape flowers, vines, forestry plants and wheat
- Bremmia lactucae downy mildew
- Ceratocystis syn. Ophiostoma
- spp. rot or wilt
- broad-leaved trees and evergreens e.g. C. ulmi (Dutch elm disease) on elms
- Cercospora spp. Cercospora leaf spots
- corn e.g. Gray leaf spot: C. zeae - maydis
- sugar beets e.g. C.
- sasakii sheath blight
- Corynespora cassiicola leaf spots
- Cycloconium spp. e.g. C. oleaginum on olive trees
- Cylindrocarpon spp. e.g. fruit tree canker or young vine decline, teleomorph: Nectria or Neonectria spp.
- tritici - repentis tritici - repentis : tan spot), rice and turf; Esca (dieback, apoplexy) on vines, caused by Formitiporia (syn. Phellinus ) punctata, F. mediterranea, Phaeomoniella chlamydospora (earlier Phaeoacremonium chlamydosporum ), Phaeoacremonium aleophilum and/or Botryosphaea obtusa; Elsinoe spp. on pome fruits ( E. pyri ), soft fruits ( E. veneta anthracnose) and vines ( E.
- ampelina anthracnose Entyloma oryzae (leaf smut) on rice; Epicoccum spp. (black mold) on wheat; Erysiphe spp. (powdery mildew) on sugar beets ( E. betae ), vegetables (e.g. E. pisi ), such as cucurbits (e.g. E. cichoracearum ), cabbages, rape (e.g. E. cruciferarum ); Eutypa lata ( Eutypa canker or dieback, anamorph: Cytosporina lata , syn.
- Microsphaera diffusa (powdery mildew) on soybeans
- Monilinia spp. e.g. M. laxa, M. fructicola and M. fructigena (bloom and twig blight, brown rot) on stone fruits and other rosaceous plants
- Mycosphaerella spp. on cereals, bananas, soft fruits and ground nuts, such as e.g. M. graminicola (anamorph: Septoria tritici, Septoria blotch) on wheat or M. fijiensis (black Sigatoka disease) on bananas
- Peronospora spp. downy mildew) on cabbage (e.g. P.
- brassicae rape (e.g. P. parasitica ), onions (e.g. P. destructor ), tobacco ( P. tabacina ) and soybeans (e.g. P. manshurica ); Phakopsora pachyrhizi and P. melbomiae (soybean rust) on soybeans; Phialophora spp. e.g. on vines (e.g. P. tracheiphila and P. tetraspora ) and soybeans (e.g. P. gregata stem rot); Phoma lingam (root and stem rot) on rape and cabbage and P.
- rape e.g. P. parasitica
- onions e.g. P. destructor
- tobacco P. tabacina
- soybeans e.g. P. manshurica
- Phakopsora pachyrhizi and P. melbomiae soybean rust
- betae root rot, leaf spot and damping-off
- Phomopsis spp. on sunflowers, vines (e.g. P. viticola can and leaf spot) and soybeans (e.g. stem rot: P. phaseoli , teleomorph: Diaporthe phaseolorum ); Physoderma maydis (brown spots) on corn; Phytophthora spp. (wilt, root, leaf, fruit and stem root) on various plants, such as paprika and cucurbits (e.g. P. capsici ), soybeans (e.g. P. megasperma , syn. P. sojae ), potatoes and tomatoes (e.g. P.
- Plasmodiophora brassicae club root
- Plasmopara spp. e.g. P. viticola (grapevine downy mildew) on vines and P. halstedii on sunflowers
- Plasmopara spp. e.g. P. viticola (grapevine downy mildew) on vines and P. halstedii on sunflowers
- Podosphaera spp. powdery mildew) on rosaceous plants, hop, pome and soft fruits, e.g. P. leucotricha on apples
- Polymyxa spp. e.g. on cereals, such as barley and wheat ( P.
- Pseudocercosporella herpoinchoides eyespot, teleomorph: Tapesia yallundae
- Pseudoperonospora downy mildew
- Pseudopezicula tracheiphila red fire disease or ‘rotbrenner’, anamorph: Phialophora ) on vines
- Puccinia spp. rusts
- P. triticina (brown or leaf rust), P. striiformis (stripe or yellow rust), P. hordei (dwarf rust), P. graminis (stem or black rust) or P. recondita (brown or leaf rust) on cereals, such as e.g. wheat, barley or rye, P. kuehnii (orange rust) on sugar cane and P. asparagi on asparagus; Pyrenophora (anamorph: Drechslera ) tritici - repentis (tan spot) on wheat or P. teres (net blotch) on barley; Pyriculania spp., e.g. P.
- oryzae (teleomorph: Magnaporthe grisea , rice blast) on rice and P. grisea on turf and cereals; Pythium spp. (damping-off) on turf, rice, corn, wheat, cotton, rape, sunflowers, soybeans, sugar beets, vegetables and various other plants (e.g. P. ultimum or P. aphanidermatum ); Ramularia spp., e.g. R. collo - cygni ( Ramularia leaf spots, Physiological leaf spots) on barley and R. beticola on sugar beets; Rhizoctonia spp.
- R. solani root and stem rot
- S. solani silk and stem rot
- S. solani silk blight
- R. cerealis Rhizoctonia spring blight
- Rhizopus stolonifer black mold, soft rot
- Rhynchosporium secalis scald
- seed rot or white mold on vegetables and field crops, such as rape, sunflowers (e.g. S. sclerotiorum ) and soybeans (e.g. S. rolfsii or S. sclerotiorum ); Septoria spp. on various plants, e.g. S. glycines (brown spot) on soybeans, S. tritici ( Septoria blotch) on wheat and S . (syn. Stagonospora ) nodorum ( Stagonospora blotch) on cereals; Uncinula (syn.
- Erysiphe ) necator prowdery mildew, anamorph: Oidium tucken ) on vines
- Setospaeria spp. leaf blight
- corn e.g. S. turcicum , syn. Helminthosporium turcicum
- turf e.g. Sphacelotheca spp. (smut) on corn, (e.g. S. reiliana . head smut), sorghum und sugar cane
- Sphaerotheca fuliginea prowdery mildew
- Spongospora subterranea powdery scab
- S. nodorum Stagonospora blotch, teleomorph: Leptosphaeria [syn. Phaeosphaeria] nodorum
- wheat Synchytrium endobioticum on potatoes (potato wart disease)
- Taphrina spp. e.g. T. deformans (leaf curl disease) on peaches and T. pruni (plum pocket) on plums
- Thielaviopsis spp. black root rot
- tobacco, pome fruits, vegetables, soybeans and cotton e.g. T. basicola (syn. Chalara elegans ); Tilletia spp.
- T. tritici syn. T. caries , wheat bunt
- T. controversa dwarf bunt
- Typhula incarnata grey snow mold
- Urocystis spp. e.g. U. occulta (stem smut) on rye
- Uromyces spp. rust on vegetables, such as beans (e.g. U. appendiculatus , syn. U. phaseoli ) and sugar beets (e.g. U. betae ); Ustilago spp.
- strains, whole culture broths, cell-free extracts, culture media, compounds of formula I, and compositions of the invention, respectively, are also suitable for controlling harmful pathogens, especially fungi, in the protection of stored products or harvest and in the protection of materials.
- protection of materials is to be understood to denote the protection of technical and non-living materials, such as adhesives, glues, wood, paper and paperboard, textiles, leather, paint dispersions, plastics, cooling lubricants, fiber or fabrics, against the infestation and destruction by harmful microorganisms, such as fungi and bacteria.
- Ascomycetes such as Ophiostoma spp., Ceratocystis spp., Aureobasidium pullulans, Sclerophoma spp., Chaetomium spp., Humicola spp., Petriella spp., Trichurus spp.; Basidiomycetes such as Coniophora spp., Coriolus spp., Gloeophyllum spp., Lentinus spp., Pleurotus spp., Poria spp., Serpula spp.
- yeast fungi are worthy of note: Candida spp. and Saccharomyces cerevisiae.
- the method of treatment according to the invention can also be used in the field of protecting stored products or harvest against attack of fungi and microorganisms.
- the term “stored products” is understood to denote natural substances of plant or animal origin and their processed forms, which have been taken from the natural life cycle and for which long-term protection is desired.
- Stored products of crop plant origin such as plants or parts thereof, for example stalks, leafs, tubers, seeds, fruits or grains, can be protected in the freshly harvested state or in processed form, such as pre-dried, moistened, comminuted, ground, pressed or roasted, which process is also known as post-harvest treatment.
- stored products are timber, whether in the form of crude timber, such as construction timber, electricity pylons and barriers, or in the form of finished articles, such as furniture or objects made from wood.
- Stored products of animal origin are hides, leather, furs, hairs and the like.
- the combinations according the present invention can prevent disadvantageous effects such as decay, discoloration or mold.
- stored products is understood to denote natural substances of plant origin and their processed forms, more preferably fruits and their processed forms, such as pomes, stone fruits, soft fruits and citrus fruits and their processed forms.
- strains, whole culture broths, cell-free extracts, culture media, compounds of formula I, and compositions of the invention, respectively, may be used for improving the health of a plant.
- the invention also relates to a method for improving plant health by treating a plant, its propagation material and/or the locus where the plant is growing or is to grow with an effective amount of the strains, whole culture broths, cell-free extracts, culture media, compounds of formula I, and compositions.
- plant health is to be understood to denote a condition of the plant and/or its products which is determined by several indicators alone or in combination with each other such as yield (e.g. increased biomass and/or increased content of valuable ingredients), plant vigor (e.g. improved plant growth and/or greener leaves (“greening effect”)), quality (e.g. improved content or composition of certain ingredients) and tolerance to abiotic and/or biotic stress.
- yield e.g. increased biomass and/or increased content of valuable ingredients
- plant vigor e.g. improved plant growth and/or greener leaves (“greening effect”)
- quality e.g. improved content or composition of certain ingredients
- tolerance to abiotic and/or biotic stress e.g. improved content or composition of certain ingredients
- Healthier plants are desirable since they result among others in better yields and/or a better quality of the plants or crops, specifically better quality of the harvested plant parts. Healthier plants also better resist to biotic and/or abiotic stress. A high resistance against biotic stresses in turn allows the person skilled in the art to reduce the quantity of pesticides applied and consequently to slow down the development of resistances against the respective pesticides.
- a plant suffering from fungal or insecticidal attack shows reduced germination and emergence leading to poorer plant or crop establishment and vigor, and consequently, to a reduced yield as compared to a plant propagation material which has been subjected to curative or preventive treatment against the relevant pest and which can grow without the damage caused by the biotic stress factor.
- the methods according to the invention lead to an enhanced plant health even in the absence of any biotic stress.
- the present invention relates to a method for improving the health of plants grown from said plant propagation material, wherein the plant propagation material is treated with an effective amount of at least one strains, whole culture broths, cell-free extract, culture medium, compound of formula I, or a composition of the invention.
- Each plant health indicator listed below which is selected from the groups consisting of yield, plant vigor, quality and tolerance of the plant to abiotic and/or biotic stress, is to be understood as a preferred embodiment of the present invention either each on its own or preferably in combination with each other.
- “increased yield” of a plant means that the yield of a product of the respective plant is increased by a measurable amount over the yield of the same product of the plant produced under the same conditions, but without the application of the strains, whole culture broths, cell-free extracts, culture media, compounds of formula I, and compositions of the invention, respectively.
- increased yield can be characterized, among others, by the following improved properties of the plant: increased plant weight; and/or increased plant height; and/or increased biomass such as higher overall fresh weight (FW); and/or increased number of flowers per plant; and/or higher grain and/or fruit yield; and/or more tillers or side shoots (branches); and/or larger leaves; and/or increased shoot growth; and/or increased protein content; and/or increased oil content; and/or increased starch content; and/or increased pigment content; and/or increased chlorophyll content (chlorophyll content has a positive correlation with the plant's photosynthesis rate and accordingly, the higher the chlorophyll content the higher the yield of a plant) and/or increased quality of a plant.
- Gram and “fruit” are to be understood as any plant product which is further utilized after harvesting, e.g. fruits in the proper sense, vegetables, nuts, grains, seeds, wood (e.g. in the case of silviculture plants), flowers (e.g. in the case of gardening plants, ornamentals) etc., that is anything of economic value that is produced by the plant.
- the yield is increased by at least 4%.
- the yield increase may even be higher, for example 5 to 10%, more preferable by 10 to 20%, or even 20 to 30%
- the yield if measured in the absence of pest pressure—is increased by at least 2%
- the yield increase may even be higher, for example until 4% to 5% or even more.
- the plant vigor becomes manifest in several aspects such as the general visual appearance.
- improved plant vigor can be characterized, among others, by the following improved properties of the plant: improved vitality of the plant; and/or improved plant growth; and/or improved plant development; and/or improved visual appearance; and/or improved plant stand (less plant verse/lodging and/or bigger leaf blade; and/or bigger size; and/or increased plant height; and/or increased tiller number; and/or increased number of side shoots; and/or increased number of flowers per plant; and/or increased shoot growth; and/or enhanced photosynthetic activity (e.g.
- Another indicator for the condition of the plant is the “quality” of a plant and/or its products.
- enhanced quality means that certain plant characteristics such as the content or composition of certain ingredients are increased or improved by a measurable or noticeable amount over the same factor of the plant produced under the same conditions, but without the application of the strains, whole culture broths, cell-free extracts, culture media, compounds of formula I, and compositions of the invention, respectively.
- Enhanced quality can be characterized, among others, by following improved properties of the plant or its product: increased nutrient content; and/or increased protein content; and/or increased oil content; and/or increased starch content; and/or increased content of fatty acids; and/or increased metabolite content; and/or increased carotenoid content; and/or increased sugar content; and/or increased amount of essential amino acids; and/or improved nutrient composition; and/or improved protein composition; and/or improved composition of fatty acids; and/or improved metabolite composition; and/or improved carotenoid composition; and/or improved sugar composition; and/or improved amino acids composition; and/or improved or optimal fruit color; and/or improved leaf color; and/or higher storage capacity; and/or better processability of the harvested products.
- Another indicator for the condition of the plant is the plant's tolerance or resistance to biotic and/or abiotic stress factors. Biotic and abiotic stress, especially over longer terms, can have harmful effects on plants.
- Biotic stress is caused by living organisms while abiotic stress is caused for example by environmental extremes.
- “enhanced tolerance or resistance to biotic and/or abiotic stress factors” means (1.) that certain negative factors caused by biotic and/or abiotic stress are diminished in a measurable or noticeable amount as compared to plants exposed to the same conditions, but without being treated with the strains, whole culture broths, cell-free extracts, culture media, compounds of formula I, and compositions of the invention, respectively, and (2.) that the negative effects are not diminished by a direct action of the strains, whole culture broths, cell-free extracts, culture media, compounds of formula I, and compositions of the invention, respectively, on the stress factors, e.g. by its fungicidal or insecticidal action which directly destroys the microorganisms or pests, but rather by a stimulation of the plants' own defensive reactions against said stress factors.
- Negative factors caused by biotic stress such as pathogens and pests are widely known and are caused by living organisms, such as competing plants (for example weeds), microorganisms (such as phytopathogenic fungi and/or bacteria) and/or viruses.
- Negative factors caused by abiotic stress are also well-known and can often be observed as reduced plant vigor (see above), for example:
- less yield and/or less vigor, for both effects examples can be burned leaves, less flowers, pre-mature ripening, later crop maturity, reduced nutritional value amongst others.
- Abiotic stress can be caused for example by: extremes in temperature such as heat or cold (heat stress/cold stress); and/or strong variations in temperature; and/or temperatures unusual for the specific season; and/or drought (drought stress); and/or extreme wetness; and/or high salinity (salt stress); and/or radiation (for example by increased UV radiation due to the decreasing ozone layer); and/or increased ozone levels (ozone stress); and/or organic pollution (for example by phytotoxic amounts of pesticides); and/or inorganic pollution (for example by heavy metal contaminants).
- extremes in temperature such as heat or cold (heat stress/cold stress); and/or strong variations in temperature; and/or temperatures unusual for the specific season; and/or drought (drought stress); and/or extreme wetness; and/or high salinity (salt stress); and/or radiation (for example by increased UV radiation due to the decreasing ozone layer); and/or increased ozone levels (ozone stress); and/or organic pollution (for example by phytotoxic
- the above identified indicators for the health condition of a plant may be interdependent and may result from each other.
- an increased resistance to biotic and/or abiotic stress may lead to a better plant vigor, e.g. to better and bigger crops, and thus to an increased yield.
- a more developed root system may result in an increased resistance to biotic and/or abiotic stress.
- these interdependencies and interactions are neither all known nor fully understood and therefore the different indicators are described separately.
- the strains, whole culture broths, cell-free extracts, culture media, compounds of formula I, and compositions of the invention effectuate an increased yield of a plant or its product.
- the strains, whole culture broths, cell-free extracts, culture media, compounds of formula I, and compositions of the invention respectively, effectuate an increased vigor of a plant or its product.
- the strains, whole culture broths, cell-free extracts, culture media, compounds of formula I, and compositions of the invention respectively, effectuate in an increased quality of a plant or its product.
- strains, whole culture broths, cell-free extracts, culture media, compounds of formula I, and compositions of the invention effectuate an increased tolerance and/or resistance of a plant or its product against biotic stress.
- strains, whole culture broths, cell-free extracts, culture media, compounds of formula I, and compositions of the invention respectively, effectuate an increased tolerance and/or resistance of a plant or its product against abiotic stress.
- the strains, whole culture broths, cell-free extracts, culture media and compounds of formula I, respectively, are employed as such or in form of compositions by treating the fungi or the plants, plant propagation materials, such as seeds, soil, surfaces, materials or rooms to be protected from fungal attack with a fungicidally effective amount of the active substances.
- the application can be carried out both before and after the infection of the plants, plant propagation materials, such as seeds, soil, surfaces, materials or rooms by the fungi.
- the term “effective amount” denotes an amount which is sufficient for controlling harmful fungi on cultivated plants or in the protection of materials and which does not result in a substantial damage to the treated plants. Such an amount can vary in a broad range and is dependent on various factors, such as the fungal species to be controlled, the treated cultivated plant or material, the climatic conditions and the strains, whole culture broths, cell-free extracts, culture media and compounds of formula I or salt thereof, of the invention, respectively, used.
- Plant propagation materials may be treated with the strains, whole culture broths, cell-free extracts, culture media, compounds of formula I, and compositions of the invention, respectively, prophylactically either at or before planting or transplanting.
- the strains of the invention can be formulated as an inoculant for a plant.
- inoculant means a composition that includes an isolated strain of the invention and optionally a carrier, which may include a biologically acceptable medium.
- Such inoculants and other suitable compositions can be prepared as compositions comprising besides the active ingredients at least one auxiliary (inert ingredient) by usual means (see e.g. H. D. Burges: Formulation of Microbial Biopesticides, Springer, 1998).
- bacterial cells preferably spores can be suspended in a suitable dry carrier (e.g. clay).
- a suitable dry carrier e.g. clay
- cells, preferably spores can be re-suspended in a suitable liquid carrier (e.g. water-based) to the desired spore density.
- the spore density number of spores per ml can be determined by identifying the number of colony-forming units (CFU) on agar medium e.g. potato dextrose agar after incubation for several days at temperatures of about 20 to about 30° C.
- individual components of the composition according to the invention such as parts of a kit or parts of a binary or ternary mixture may be mixed by the user himself in a spray tank or any other kind of vessel used for applications (e.g seed treater drums, seed pelleting machinery, knapsack sprayer) and further auxiliaries may be added, if appropriate.
- a spray tank or any other kind of vessel used for applications e.g seed treater drums, seed pelleting machinery, knapsack sprayer
- further auxiliaries may be added, if appropriate.
- living microorganisms such as the Paenibacillus strains of the invention, form part of such kit, it must be taken care that choice and amounts of the other parts of the kit (e.g. chemical pesticidal agents) and of the further auxiliaries should not influence the viability of the microbial pesticides in the composition mixed by the user.
- compatibility with the respective microbial pesticide has to be taken into account.
- the strains, whole culture broths, cell-free extracts, culture media and/or compounds of formula I of the invention can be converted into customary types of agrochemical compositions, e.g. solutions, emulsions, suspensions, dusts, powders, pastes, granules, pressings, capsules, and mixtures thereof.
- agrochemical compositions e.g. solutions, emulsions, suspensions, dusts, powders, pastes, granules, pressings, capsules, and mixtures thereof.
- composition types are suspensions (e.g. SC, OD, FS), emulsifiable concentrates (e.g. EC), emulsions (e.g. EW, EO, ES, ME), capsules (e.g. CS, ZC), pastes, pastilles, wettable powders or dusts (e.g.
- compositions types are defined in the “Catalogue of pesticide formulation types and international coding system”, Technical Monograph No. 2, 6 th Ed. May 2008, CropLife International.
- compositions are prepared in a known manner, such as described by Mollet and Grubemann, Formulation technology, Wiley VCH, Weinheim, 2001; or Knowles, New developments in crop protection product formulation, Agrow Reports DS243, T&F Informa, London, 2005.
- Suitable auxiliaries are solvents, liquid carriers, solid carriers or fillers, surfactants, dispersants, emulsifiers, wetters, adjuvants, solubilizers, penetration enhancers, protective colloids, adhesion agents, thickeners, humectants, repellents, attractants, feeding stimulants, compatibilizers, bactericides, anti-freezing agents, anti-foaming agents, colorants, tackifiers and binders.
- Suitable solvents and liquid carriers are water and organic solvents, such as mineral oil fractions of medium to high boiling point, e.g. kerosene, diesel oil; oils of vegetable or animal origin; aliphatic, cyclic and aromatic hydrocarbons, e.g. toluene, paraffin, tetrahydronaphthalene, alkylated naphthalenes; alcohols, e.g. ethanol, propanol, butanol, benzylalcohol, cyclohexanol; glycols; DMSO; ketones, e.g. cyclohexanone; esters, e.g.
- mineral oil fractions of medium to high boiling point e.g. kerosene, diesel oil
- oils of vegetable or animal origin oils of vegetable or animal origin
- aliphatic, cyclic and aromatic hydrocarbons e.g. toluene, paraffin, tetrahydronaphthalene, alkylated n
- lactates carbonates, fatty acid esters, gamma-butyrolactone; fatty acids; phosphonates; amines; amides, e.g. N-methylpyrrolidone, fatty acid dimethylamides; and mixtures thereof.
- Suitable solid carriers or fillers are mineral earths, e.g. silicates, silica gels, talc, kaolins, limestone, lime, chalk, clays, dolomite, diatomaceous earth, bentonite, calcium sulfate, magnesium sulfate, magnesium oxide; polysaccharides, e.g. cellulose, starch; fertilizers, e.g. ammonium sulfate, ammonium phosphate, ammonium nitrate, ureas; products of vegetable origin, e.g. cereal meal, tree bark meal, wood meal, nutshell meal, and mixtures thereof.
- mineral earths e.g. silicates, silica gels, talc, kaolins, limestone, lime, chalk, clays, dolomite, diatomaceous earth, bentonite, calcium sulfate, magnesium sulfate, magnesium oxide
- polysaccharides e.g. cellulose, starch
- fertilizers
- Suitable surfactants are surface-active compounds, such as anionic, cationic, nonionic and amphoteric surfactants, block polymers, polyelectrolytes, and mixtures thereof. Such surfactants can be used as emulsifier, dispersant, solubilizer, wetter, penetration enhancer, protective colloid, or adjuvant. Examples of surfactants are listed in McCutcheon's, Vol. 1: Emulsifiers & Detergents, McCutcheon's Directories, Glen Rock, USA, 2008 (International Ed. or North American Ed.).
- Suitable anionic surfactants are alkali, alkaline earth or ammonium salts of sulfonates, sulfates, phosphates, carboxylates, and mixtures thereof.
- sulfonates are alkylarylsulfonates, diphenylsulfonates, alpha-olefin sulfonates, lignine sulfonates, sulfonates of fatty acids and oils, sulfonates of ethoxylated alkylphenols, sulfonates of alkoxylated arylphenols, sulfonates of condensed naphthalenes, sulfonates of dodecyl- and tridecylbenzenes, sulfonates of naphthalenes and alkylnaphthalenes, sulfosuccinates or sulfosuccinamates.
- Examples of sulfates are sulfates of fatty acids and oils, of ethoxylated alkylphenols, of alcohols, of ethoxylated alcohols, or of fatty acid esters.
- Examples of phosphates are phosphate esters.
- Examples of carboxylates are alkyl carboxylates, and carboxylated alcohol or alkylphenol ethoxylates.
- Suitable nonionic surfactants are alkoxylates, N-substituted fatty acid amides, amine oxides, esters, sugar-based surfactants, polymeric surfactants, and mixtures thereof.
- alkoxylates are compounds such as alcohols, alkylphenols, amines, amides, arylphenols, fatty acids or fatty acid esters which have been alkoxylated with 1 to 50 equivalents.
- Ethylene oxide and/or propylene oxide may be employed for the alkoxylation, preferably ethylene oxide.
- N-substituted fatty acid amides are fatty acid glucamides or fatty acid alkanolamides.
- esters are fatty acid esters, glycerol esters or monoglycerides.
- sugar-based surfactants are sorbitans, ethoxylated sorbitans, sucrose and glucose esters or alkylpolyglucosides.
- polymeric surfactants are home- or copolymers of vinylpyrrolidone, vinyl alcohols, or vinyl acetate.
- Suitable cationic surfactants are quaternary surfactants, for example quaternary ammonium compounds with one or two hydrophobic groups, or salts of long-chain primary amines.
- Suitable amphoteric surfactants are alkylbetains and imidazolines.
- Suitable block polymers are block polymers of the A-B or A-B-A type comprising blocks of polyethylene oxide and polypropylene oxide, or of the A-B-C type comprising alkanol, polyethylene oxide and polypropylene oxide.
- Suitable polyelectrolytes are polyacids or polybases. Examples of polyacids are alkali salts of polyacrylic acid or polyacid comb polymers. Examples of polybases are polyvinyl amines or polyethyleneamines.
- Suitable adjuvants are compounds, which have a negligible or even no pesticidal activity themselves, and which improve the biological performance of cell-free extract, culture medium or metabolite on the target.
- examples are surfactants, mineral or vegetable oils, and other auxilaries. Further examples are listed by Knowles, Adjuvants and additives, Agrow Reports DS256, T&F Informa UK, 2006, chapter 5.
- Suitable thickeners are polysaccharides (e.g. xanthan gum, carboxymethyl cellulose), inorganic clays (organically modified or unmodified), polycarboxylates, and silicates.
- Suitable bactericides are bronopol and isothiazolinone derivatives such as alkylisothiazolinones and benzisothiazolinones.
- Suitable anti-freezing agents are ethylene glycol, propylene glycol, urea and glycerin.
- Suitable anti-foaming agents are silicones, long chain alcohols, and salts of fatty acids.
- Suitable colorants e.g. in red, blue, or green
- Suitable colorants are pigments of low water solubility and water-soluble dyes. Examples are inorganic colorants (e.g. iron oxide, titan oxide, iron hexacyanoferrate) and organic colorants (e.g. alizarin-, azo- and phthalocyanine colorants).
- Suitable tackifiers or binders are polyvinyl pyrrolidones, polyvinyl acetates, polyvinyl alcohols, polyacrylates, biological or synthetic waxes, and
- compositions When living microorganisms, such as Paenibacillus strains of the invention in form of cells or spores, form part of the compositions, such compositions can be prepared as compositions comprising besides the active ingredients at least one auxiliary (inert ingredient) by usual means (see e.g. H. D. Burges: Formulation of Microbial Biopesticides, Springer, 1998).
- auxiliary inert ingredient
- Suitable customary types of such compositions are suspensions, dusts, powders, pastes, granules, pressings, capsules, and mixtures thereof.
- composition types are suspensions (e. g. SC, OD, FS), capsules (e.g. CS, ZC), pastes, pastilles, wettable powders or dusts (e.g.
- compositions with microbial pesticides may further contain stabilizers or nutrients and UV protectants.
- stabilizers or nutrients are e.g. alpha-tocopherol, trehalose, glutamate, potassium sorbate, various sugars like glucose, sucrose, lactose and maltodextrine (H. D. Burges: Formulation of Microbial Biopesticides, Springer, 1998).
- Suitable UV protectants are e.g. inorganic compounds like titanium dioxide, zinc oxide and iron oxide pigments or organic compounds like benzophenones, benzotriazoles and phenyitriazines.
- the compositions may in addition to auxiliaries mentioned for compositions comprising compounds I herein optionally comprise 0.1-80% stabilizers or nutrients and 0.1-10% UV protectants.
- the agrochemical compositions generally comprise between 0.01 and 95%, preferably between 0.1 and 90%, and in particular between 0.5 and 75%, by weight of active substance.
- the active substances are employed in a purity of from 90% to 100%, preferably from 95% to 100% (according to NMR spectrum).
- composition types and their preparation are:
- 10-60 wt % of a whole culture broth, cell-free extract, culture medium or metabolite of the invention and 5-15 wt % wetting agent e.g. alcohol alkoxylates
- a wetting agent e.g. alcohol alkoxylates
- the active substance dissolves upon dilution with water.
- dispersant e.g. polyvinyl pyrrolidone
- organic solvent e.g. cyclohexanone
- emulsifiers e.g. calcium dodecylbenzenesulfonate and castor oil ethoxylate
- water-insoluble organic solvent e.g. aromatic hydrocarbon
- Emulsions (EW, EO, ES)
- emulsifiers e.g. calcium dodecylbenzenesulfonate and castor oil ethoxylate
- 20-40 wt % water-insoluble organic solvent e.g. aromatic hydrocarbon
- 20-60 wt % of a whole culture broth, cell-free extract, culture medium or metabolite of the invention are comminuted with addition of 2-10 wt % dispersants and wetting agents (e.g. sodium lignosulfonate and alcohol ethoxylate), 0.1-2 wt % thickener (e.g. xanthan gum) and water ad 100 wt % to give a fine active substance suspension. Dilution with water gives a stable suspension of the active substance.
- dispersants and wetting agents e.g. sodium lignosulfonate and alcohol ethoxylate
- 0.1-2 wt % thickener e.g. xanthan gum
- Dilution with water gives a stable dispersion or solution of the active substance.
- WP, SP, WS Water-dispersible powders and water-soluble powders 50-80 wt % of a whole culture broth, cell-free extract, culture medium or metabolite of the invention are ground in a rotor-stator mill with addition of 1-5 wt % dispersants (e.g. sodium lignosulfonate), 1-3 wt % wetting agents (e.g. alcohol ethoxylate) and solid carrier (e.g. silica gel) ad 100 wt %. Dilution with water gives a stable dispersion or solution of the active substance.
- dispersants e.g. sodium lignosulfonate
- wetting agents e.g. alcohol ethoxylate
- solid carrier e.g. silica gel
- a whole culture broth, cell-free extract, culture medium or metabolite of the invention are comminuted with addition of 3-10 wt % dispersants (e.g. sodium lignosulfonate), 1-5 wt % thickener (e.g. carboxymethyl cellulose) and water ad 100 wt % to give a fine suspension of the active substance. Dilution with water gives a stable suspension of the active substance.
- dispersants e.g. sodium lignosulfonate
- 1-5 wt % thickener e.g. carboxymethyl cellulose
- 5-20 wt % of a whole culture broth, cell-free extract, culture medium or metabolite of the invention are added to 5-30 wt % organic solvent blend (e.g. fatty acid dimethylamide and cyclohexanone), 10-25 wt % surfactant blend (e.g. alcohol ethoxylate and arylphenol ethoxylate), and water ad 100%.
- organic solvent blend e.g. fatty acid dimethylamide and cyclohexanone
- surfactant blend e.g. alcohol ethoxylate and arylphenol ethoxylate
- An oil phase comprising 5-50 wt % of a whole culture broth, cell-free extract, culture medium or metabolite of the invention, 0-40 wt % water insoluble organic solvent (e.g. aromatic hydrocarbon), 2-15 wt % acrylic monomers (e.g. methylmethacrylate, methacrylic acid and a di- or triacrylate) are dispersed into an aqueous solution of a protective colloid (e.g. polyvinyl alcohol). Radical polymerization initiated by a radical initiator results in the formation of poly(meth)acrylate microcapsules.
- a protective colloid e.g. polyvinyl alcohol
- an oil phase comprising 5-50 wt % of a whole culture broth, cell-free extract, culture medium or metabolite of the invention, 0-40 wt % water insoluble organic solvent (e.g. aromatic hydrocarbon), and an isocyanate monomer (e.g. diphenylmethene-4,4′-diisocyanatae) are dispersed into an aqueous solution of a protective colloid (e.g. polyvinyl alcohol).
- a polyamine e.g. hexamethylenediamine
- the monomers amount to 1-10 wt %.
- the wt % relate to the total CS composition.
- Dustable powders (DP, DS)
- 1-10 wt % of a whole culture broth, cell-free extract, culture medium or metabolite of the invention are ground finely and mixed intimately with solid carrier (e.g. finely divided kaolin) ad 100 wt %.
- solid carrier e.g. finely divided kaolin
- 0.5-30 wt % of a whole culture broth, cell-free extract, culture medium or metabolite of the invention are ground finely and associated with solid carrier (e.g. silicate) ad 100 wt %.
- Solid carrier e.g. silicate
- 1-50 wt % of a whole culture broth, cell-free extract, culture medium or metabolite of the invention are dissolved in organic solvent (e.g. aromatic hydrocarbon) ad 100 wt %.
- organic solvent e.g. aromatic hydrocarbon
- compositions types i) to xiii) may optionally comprise further auxiliaries, such as 0.1-1 wt % bactericides, 5-15 wt % anti-freezing agents, 0.1-1 wt % anti-foaming agents, and 0.1-1 wt % colorants.
- auxiliaries such as 0.1-1 wt % bactericides, 5-15 wt % anti-freezing agents, 0.1-1 wt % anti-foaming agents, and 0.1-1 wt % colorants.
- Solutions for seed treatment (LS), suspoemulsions (SE), flowable concentrates (FS), powders for dry treatment (DS), water-dispersible powders for slurry treatment (WS), water-soluble powders (SS), emulsions (ES), emulsifiable concentrates (EC) and gels (GF) are usually employed for the purposes of treatment of plant propagation materials, particularly seeds.
- Preferred examples of seed treatment formulation types or soil application for pre-mix compositions are of WS, LS, ES, FS, WG or CS-type.
- a pre-mix formulation for seed treatment application comprises 0.5 to 99.9 percent, especially 1 to 95 percent, of the desired ingredients, and 99.5 to 0.1 percent, especially 99 to 5 percent, of a solid or liquid adjuvant (including, for example, a solvent such as water), where the auxiliaries can be a surfactant in an amount of 0 to 50 percent, especially 0.5 to 40 percent, based on the pre-mix formulation.
- a solid or liquid adjuvant including, for example, a solvent such as water
- the auxiliaries can be a surfactant in an amount of 0 to 50 percent, especially 0.5 to 40 percent, based on the pre-mix formulation.
- the end user will normally employ dilute formulations (e.g., tank mix composition).
- Seed treatment methods for applying or treating the strains, whole culture broths, cell-free extracts, culture media, compounds of formula I and compositions of the invention, respectively, to plant propagation material, especially seeds are known in the art, and include dressing, coating, filmcoating, pelleting and soaking application methods of the propagation material. Such methods are also applicable to the combinations according to the invention.
- the strains, whole culture broths, cell-free extracts, culture media, compounds of formula I, and compositions of the invention, respectively are applied or treated onto the plant propagation material by a method such that the germination is not negatively impacted.
- suitable methods for applying (or treating) a plant propagation material, such as a seed is seed dressing, seed coating or seed pelleting and alike.
- the plant propagation material is a seed, seed piece (i.e. stalk) or seed bulb.
- the present method can be applied to a seed in any physiological state, it is preferred that the seed be in a sufficiently durable state that it incurs no damage during the treatment process.
- the seed would be a seed that had been harvested from the field; removed from the plant; and separated from any cob, stalk, outer husk, and surrounding pulp or other non-seed plant material.
- the seed would preferably also be biologically stable to the extent that the treatment would cause no biological damage to the seed. It is believed that the treatment can be applied to the seed at any time between harvest of the seed and sowing of the seed or during the sowing process (seed directed applications).
- the seed may also be primed either before or after the treatment.
- Treatment could vary from a thin film (dressing) of the formulation containing the combination, for example, a mixture of active ingredient(s), on a plant propagation material, such as a seed, where the original size and/or shape are recognizable to an intermediary state (such as a coating) and then to a thicker film (such as pelleting with many layers of different materials (such as carriers, for example, clays; different formulations, such as of other active ingredients; polymers; and colourants) where the original shape and/or size of the seed is no longer recognizable.
- An aspect of the present invention includes application of the strains, whole culture broths, cell-free extracts, culture media, compounds of formula I, and compositions of the invention, respectively, onto the plant propagation material in a targeted fashion, including positioning the ingredients in the combination onto the entire plant propagation material or on only parts thereof, including on only a single side or a portion of a single side.
- One of ordinary skill in the art would understand these application methods from the description provided in EP954213B1 and WO06/112700.
- strains, whole culture broths, cell-free extracts, culture media, compounds of formula I and compositions of the invention, respectively, can also be used in form of a “pill” or “pellet” or a suitable substrate and placing, or sowing, the treated pill, or substrate, next to a plant propagation material.
- a “pill” or “pellet” or a suitable substrate and placing, or sowing, the treated pill, or substrate, next to a plant propagation material.
- Such techniques are known in the art, particularly in EP1124414, WO07/67042, and WO 07/67044.
- Application of the strains, whole culture broths, cell-free extracts, culture media, compounds of formula I and compositions, respectively, described herein onto plant propagation material also includes protecting the plant propagation material treated with the combination of the present invention by placing one or more pesticide-containing particles next to a pesticide-treated seed, wherein the amount of pesticide is such that the pesticide-treated seed and the pesticide-containing particles together contain an Effective Dose of the pesticide and the pesticide dose contained in the pesticide-treated seed is less than or equal to the Maximal Non-Phytotoxic Dose of the pesticide.
- Such techniques are known in the art, particularly in WO2005/120226.
- controlled release coatings on the seeds, wherein the ingredients of the combinations are incorporated into materials that release the ingredients over time.
- controlled release seed treatment technologies are generally known in the art and include polymer films, waxes, or other seed coatings, wherein the ingredients may be incorporated into the controlled release material or applied between layers of materials, or both.
- Seed can be treated by applying thereto the strains, whole culture broths, cell-free extracts, culture media, compounds of formula I, and compositions of the invention, respectively, in any desired sequence or simultaneously.
- the seed treatment occurs to an unsown seed, and the term “unsown seed” is meant to include seed at any period between the harvest of the seed and the sowing of the seed in the ground for the purpose of germination and growth of the plant.
- Treatment to an unsown seed is not meant to include those practices in which the active ingredient is applied to the soil but would include any application practice that would target the seed during the planting process.
- the treatment occurs before sowing of the seed so that the sown seed has been pre-treated with the strains, whole culture broths, cell-free extracts, culture media, compounds of formula I and compositions of the invention, respectively.
- seed coating or seed pelleting are preferred.
- the ingredients are adhered on to the seed and therefore available for pest control.
- the treated seeds can be stored, handled, sowed and tilled in the same manner as any other active ingredient treated seed.
- the present invention relates to a method for protection of plant propagation material from pests and/or improving the health of plants grown from said plant propagation material, wherein the soil, wherein plant propagation material is sown, is treated with an effective amount of a strain, cell-free extract, culture medium, metabolite or composition of the invention, respectively.
- the present invention relates to a method for protection of plant propagation material from pests, wherein the soil, wherein plant propagation material is sown, is treated with an effective amount of a strain, cell-free extract, culture medium, metabolite or composition of the invention, respectively.
- the present invention relates to a method for protection of plant propagation material from harmful fungi, wherein the soil, wherein plant propagation material is sown, is treated with an effective amount of a strain, cell-free extract, culture medium, metabolite or composition of the invention, respectively.
- the present invention relates to a method for protection of plant propagation material from animal pests (insects, acarids or nematodes), wherein the soil, wherein plant propagation material is sown, is treated with an effective amount of a strain, cell-free extract, culture medium, metabolite or composition of the invention, respectively.
- compositions of the invention usually from a predosage device, a knapsack sprayer, a spray tank, a spray plane, or an irrigation system.
- the agrochemical composition is made up with water, buffer, and/or further auxiliaries to the desired application concentration and the ready-to-use spray liquor or the agrochemical composition according to the invention is thus obtained.
- 20 to 2000 liters, preferably 50 to 400 liters, of the ready-to-use spray liquor are applied per hectare of agricultural useful area.
- compositions disclosed herein give, after two-to-tenfold dilution, active components concentrations of from 0.01 to 60% by weight, preferably from 0.1 to 40%, in the ready-to-use preparations.
- Application can be carried out before or during sowing.
- Methods for applying a strain, cell-free extract, culture medium, metabolite or composition of the invention, respectively, onto plant propagation material, especially seeds include dressing, coating, pelleting, dusting, soaking and in-furrow application methods of the propagation material.
- the strains, whole culture broths, cell-free extracts, culture media, compounds of formula I or compositions of the invention, respectively, are applied onto the plant propagation material by a method such that germination is not induced, e.g. by seed dressing, pelleting, coating and dusting.
- the application rates usually range from about 1 ⁇ 10 6 to 5 ⁇ 10 15 (or more) CFU/ha, preferably from about 1 ⁇ 10 7 to about 1 ⁇ 10 13 CFU/ha, even more preferably from 1 ⁇ 10 9 to 5 ⁇ 10 12 CFU/ha.
- the application rates with respect to plant propagation material usually range from about 1 ⁇ 10 1 to 1 ⁇ 10 12 (or more) CFU/seed, preferably from about 1 ⁇ 10 3 to about 1 ⁇ 10 10 CFU/seed, and even more preferably from about 1 ⁇ 10 3 to about 1 ⁇ 10 6 CFU/seed.
- the application rates with respect to plant propagation material preferably range from about 1 ⁇ 10 7 to 1 ⁇ 10 16 (or more) CFU per 100 kg of seed, preferably from 1 ⁇ 10 9 to about 1 ⁇ 10 15 CFU per 100 kg of seed, even more preferably from 1 ⁇ 10 11 to about 1 ⁇ 10 15 CFU per 100 kg of seed.
- the solid material dry matter
- the amounts of active components applied are, depending on the kind of effect desired, from 0.001 to 2 kg per ha, preferably from 0.005 to 2 kg per ha, more preferably from 0.05 to 0.9 kg per ha, and in particular from 0.1 to 0.75 kg per ha.
- amounts of active components of from 0.1 to 1000 g, preferably from 1 to 1000 g, more preferably from 1 to 100 g and most preferably from 5 to 100 g, per 100 kilogram of plant propagation material (preferably seeds) are generally required.
- the amount of active components applied depends on the kind of application area and on the desired effect. Amounts customarily applied in the protection of materials are 0.001 g to 2 kg, preferably 0.005 g to 1 kg, of active components per
- composition of the invention such as parts of a kit or parts of a binary or ternary mixture may be mixed by the user himself in a spray tank or any other kind of vessel used for applications (e.g seed treater drums, seed pelleting machinery, knapsack sprayer) and further auxiliaries may be added, if appropriate.
- a spray tank or any other kind of vessel used for applications (e.g seed treater drums, seed pelleting machinery, knapsack sprayer) and further auxiliaries may be added, if appropriate.
- oils, wetters, adjuvants, fertilizer, or micronutrients, and further pesticides may be added to the strains, cell-free extracts, culture media, metabolites, compounds of formula I and composition of the invention, respectively as premix or, if appropriate not until immediately prior to use (tank mix).
- pesticides e.g. herbicides, insecticides, fungicides, growth regulators, safeners, biopesticides
- these agents can be admixed with the compositions according to the invention in a weight ratio of 1:100 to 100:1, preferably 1:10 to 10:1.
- a composition of the invention comprises a further biopesticide.
- a composition of the invention comprises besides an auxiliary and at least one compound of formula I, a microbial pesticide.
- a pesticide is generally a chemical or biological agent (such as a virus, bacterium, antimicrobial or disinfectant) that through its effect deters, incapacitates, kills or otherwise discourages pests.
- Target pests can include insects, plant pathogens, weeds, mollusks, birds, mammals, fish, nematodes (roundworms), and microbes that destroy property, cause nuisance, spread disease or are vectors for disease.
- pesticides includes also plant growth regulators that alter the expected growth, flowering, or reproduction rate of plants; defoliants that cause leaves or other foliage to drop from a plant, usually to facilitate harvest; desiccants that promote drying of living tissues, such as unwanted plant tops; plant activators that activate plant physiology for defense of against certain pests; safeners that reduce unwanted herbicidal action of pesticides on crop plants; and plant growth promoters that affect plant physiology to increase plant growth, biomass, yield or any other quality parameter of the harvestable goods of a crop plant.
- Soil samples from a variety of European locations including Germany were collected. By applying commonly known microbial isolation procedures to these soils, the inventors obtained a variety of bacteria that were further subjected to conventional isolation techniques for providing pure isolates as described herein.
- the 16S rRNA gene sequences of the Paenibacillus strains were determined by direct sequencing of PCR-amplified 16S rDNA at the DSMZ, Braunschweig, Germany.
- Genomic DNA extraction was carried out using the MasterPureTM Gram Positive DNA Purification Kit from Epicentre Biotechnologies according to the manufacturer's instructions. PCR-mediated amplification of the 16S rDNA and purification of the PCR product was carried out as described previously (Int. J. Syst. Bacteriol. 46, 1088-1092, 1996). Purified PCR products were sequenced using the BigDye® Terminator v1.1 Cycle Sequencing Kit (Applied Biosystems) as directed in the manufacturer's protocol. Sequence reactions were electrophoresed using the 3500xL Genetic Analyzer from Applied Biosystems. Sequence ambiguities may be due to the existence of several cistrons encoding 16S rRNAs with different sequences within a single genome (J. Bacteriol. 178(19), 5636-5643, 1996).
- the resulting sequence data from the strains was put into the alignment editor AE2 (http://iubio.bio.indiana.edulsoft/molbio/unixlae2.readme), aligned manually according to the secondary structure of the resulting rRNA molecule and compared with representative 16S rRNA gene sequences of organisms belonging to the Firmicutes (Nucl. Acids Res. 27, 171-173, 1999). For comparison, 16S rRNA sequences were obtained from the EMBL and RDP data bases.
- the 16S rDNA gene identity values in % were calculated by pairwise comparison of the sequences within the alignment of the sequences compared.
- Comparison performed of only two sequences based on pairwise sequence alignment are denoted herein as binary values.
- the other values are based on a multiple sequence alignment of all sequences within the comparison.
- Higher identity values from multi-sequence comparisons result from the problem that the sequence data of the compared sequences were of different length resulting in a shorter alignment.
- FIG. 10 The phylogenetic dendrogram of these sequences ( FIG. 10 ) shows that the three novel strains Lu16774, Lu17007 and Lu17015 are most-closely related to each other and that their closest relative known to each of them was the Paenibacillus peoriae strain NRRL BD-62.
- the RiboPrinter system combines molecular processing steps for ribotyping in a stand-alone, automated instrument.
- the procedure includes cell lysis, digestion of chromosomal DNA with restriction enzyme EcoRI, separation of fragments by electrophoresis, transfer of DNA fragments to a nylon membrane, hybridization to a probe generated from the rmB operon from E. coli , chemiluminescent detection of the probe to the fragments containing rm operon sequences, image detection and computerized analysis of RiboPrint patterns (Food Technology 50(1), 77-81, 1996; Proc. Natl. Acad. Sci. USA 92, 5229-5233, 1995; Int. Journ. Syst. Bact. 44(3), 454-460, 1994).
- Ribotyping have been executed by the DSMZ, Germany with the novel Paenibacillus strains Lu16774, Lu17007 and Lu17015 in comparison to the P. peoriae strain BD-62 using the restriction enzyme EcoRI.
- the resulting patterns have been compared using the Software of the RiboPrinter system, the integrated DuPont Identification Library as well as the BioNumerics Software (Applied Maths, Belgium).
- strain BD-62 has been identified as Paenibacillus peoriae based on the entry DUP-13142 of the DuPont identification library (entry based on Paenibacillus peoriae DSM 8320).
- Paenibacillus strains of the invention and comparison to known Paenibacillus peoriae strain NRRL BD-62.
- the strains Lu16774, Lu17007 and Lu17015 belong to the genus Paenibacillus .
- the strains Lu16774, Lu17007 and Lu17015 as well as BD-62 do produce gas from glucose, none of them belongs to Paenibacillus jamilae.
- a phenotypic differentiation between Paenibacillus peoriae and Paenibacillus polymyxa is primarily possible using characteristics of acid production from certain substrates (Int. J. Syst. Bacteriol. 43(2), 388-390, 1993; In. J. Syst. Bacteriol. 46(6), 988-1003, 1996). None of the novel strains did completely match with its characteristics outlined in Table 4 completely to any of these two species, but in sum of the available genetic, physiological and biochemical data most likely point to the species Paenibacillus peoriae and P. polymyxa or at least to another species very closely related to Paenibacillus peoriae and P. polymyxa.
- Example 2.4 Phylogenetic Analysis Based on Genes Coding for DnaN, GyrB, RecF, RecN and RpoA
- nucleotide sequences of the genes coding for DnaN, GyrB, RecF, RecN and RpoA have been extracted from complete genome sequences or from public databases (Sequence listings as outlined in Table 28).
- the identity tables ( FIGS. 12 to 16 ) have been generated with an all against all approach where every sequence is aligned with every other sequence.
- the sequence alignment was performed with a program needle (EMBOSS package 6.6.0; Trends in Genetics 16 (6), 276-277). Standard parameters where used (gap creation 10.0; gap extension 0.5).
- Identity Scores are calculated on the basis of the alignments without taking any gaps into account.
- Genome comparisons have be performed using the software package EDGAR of the university Gie ⁇ en (BMC Bioinformatics 10, 154, 2009; (https://edgar.computational.bio.unigiessen.de/cgi-bin/edgar.cgi).
- the determination of the core genome, the phylogenetic dendrograms on the basis of the complete genome sequences and the AAI matrix values have been performed using the software package EDGAR. Results are shown in FIG. 22 .
- the Paenibacillus strains were first grown on ISP2 plates (ready-to-use agar from BD [USA], catalog number 277010). Afterwards, baffled shake flasks containing liquid ISP2 medium were inoculated with a colony from the agar plate and incubated for 5-7 days at 150 rpm and 25° C. Depending on the test, either whole culture broth, or the centrifuged and H 2 O-washed cell pellet, or the supernatant was applied to the plants. A scale-up to 10 L fermenters was possible.
- Paenibacillus strains were grown in ISP2 liquid media (10 g/L malt extract, 4 g/L Bacto yeast extract, 4 g/L glucose monohydrate) for 6 days at 22° C. at 150 rpm. OD 600nm indicating bacterial growth was measured at different time points.
- Antagonistic activity of the Paenibacillus strains against plant pathogens was shown in in-vitro confrontation assay.
- the phytopathogenic fungi used are Sclerotina scerotiorum (SCLSCL), Botrytis cinerea (BOTRCI), Alternaria sp. (ALTESP) and Phytophthora infestans (PHYTIN).
- ALTESP As growth medium for BOTRCI, ALTESP, SCLSCL, ISP2 medium is used comprising per litre: 10 g malt extract (Sigma Aldrich, 70167); 4 g Bacto yeast extract (Becton Dickinson, 212750); 4 g glucose monohydrate (Sigma Aldrich, 16301); 20 g Agar (Becton Dickinson, 214510), pH about 7, Aq. bidest.
- V8 medium is used comprising per litre: 200 ml of vegetable juice, 3 g calcium carbonate (Merck Millipore, 1020660250); 30 g Agar (Becton Dickinson, 214510), pH 6.8, Aq. bidest.
- the Paenibacillus strains were point-inoculated on one side of an agar plate.
- An agar block (approx. 0.3 cm 2 ) containing one actively growing plant pathogen was put in the center of the plate. After incubating for 7-14 days at 25° C., the growth of the plant pathogen was examined, especially for inhibition zones.
- the agar plates are incubated at ° C. for about 7-14 days before evaluation.
- Antibiosis is scored by evaluation of the diameter of the fungi-free zone (zone of inhibition).
- Competition is scored by comparing the diameter of the growth of the fungal pathogen on plates with bacterial strains in comparison to control plates.
- Mycoparasitism can be documented in case the bacteria overgrows the fungal pathogen and also parasitize the pathogens. This can be visualized by microscopy.
- the novel Paenibacillus strains showed antifungal activity against all tested plant pathogens.
- Plants were used for the described greenhouse trial. 2 replications (pots with 1 plant each) were used per treatment. Plants were grown in commercially available substrate (Universal, Floragard) at approx. 22° C. in the greenhouse. The humidity was controlled using a special device ( ⁇ 90% humidity). The plants were sprayed to runoff with crude culture broth of 2-6 days old cultures of Paenibacillus spp. (depending on the setup) using a spray cabinet. One day after application the treated plants were inoculated with a suspension of spores of Phakopsora pachyrhizi (PHAKPA). After inoculation, the trial plants were immediately transferred to a humid chamber. The extent of fungal attack on the leaves was visually assessed 5-7 days after inoculation.
- PHAKPA Phakopsora pachyrhizi
- Test solid medium is autoclaved and filled into 9 cm Petri dishes. Paenibacillus strains are inoculated in the center of the plates and incubated for two days at 27° C. Thereafter, the plates are stained with a 1:3 diluted Lugol solution (Carl Roth N052.2) for 5 to 10 min. Lugol solution is poured out and the plates are photographed and evaluated. Growth of the different strains was no more than 5-10 mm. Non-stained zones (correlating with chitinase activity) varied from 0 mm (no activity; “ ⁇ ” in Table 11) to several cm (“+” in Table 11).
- the Paenibacillus strains were cultivated on agar plates containing GYM medium (10 g/l glucose, 4 g/l yeast extract, 10 g/l malt extract; pH 5.5, adjusted before autoclaving) and 20 g/l agar. Cultivation was performed for 10 to 20 days at room temperature. For maintenance agar slants with the same medium were used and stored at 4° C.
- GYM medium 10 g/l glucose, 4 g/l yeast extract, 10 g/l malt extract; pH 5.5, adjusted before autoclaving
- the isopropanol phase was concentrated in vacuo.
- the resulting extract still containing large amount of salt, was dissolved in methanol, centrifuged for better precipitation of salt residues, and the organic phase was concentrated again. This step was repeated until no salt precipitate was present anymore.
- Step 1-4 l ethyl acetate
- Step 2-4 l ethyl acetate:methanol (3:1, v/v)
- Step 3-7 l ethyl acetate:methanol (1:1, v/v)
- Step 4-4 l methanol
- the third fraction (intermediate 1) containing the active compounds, was dried in vacuo and dissolved in 40% methanol (MeOH) in 0.1% formic acid (FA) (concentration: 100 mg/ml). The other fractions were discarded.
- the mixture also contained as minor component, the lighter homologue 1A, and the mass difference between both compounds was 14 amu. This observation was supported by a second peak observed in the ESI-MS spectrum at m/z 961.6.
- NMR spectra (Table 12) included in addition to signals of exchangeable protons between ⁇ 6.83 and 8.58, resonances of carbonyl in the range of ⁇ 166.0-174.5 and methine signals between ⁇ 47.8 and ⁇ 60.4 indicative for a peptide.
- the methine hydrogen of Ile at ⁇ 4.16 had a strong correlation with the carbonyl signal of Ile at ⁇ 170.4 and a weak contact with that of Thr1 at ⁇ 168.6; the signal of the methine proton at ⁇ 5.30 of Thr1 correlated with the carbonyl signal at ⁇ 170.4 of Ala. Additionally to the aforementioned correlations, others were displayed from the N-proton at ⁇ 7.27 of Ala to the methine proton at ⁇ 4.20 of the same amino acid while this latter proton had the same interaction with the carbonyl of its amino and the one of Gln.
- This cyclodepsipeptide 1B contained a terminal guanidine ⁇ -hydroxy fatty acid attached to Thr1 since a key correlation was observed between the signal of its ⁇ -methine proton at ⁇ 4.39 and the resonance of a carbonyl at ⁇ 171.9; HMBC contacts from that carbonyl at ⁇ 171.9 to the ⁇ -methylene protons at ⁇ 2.35 and the ⁇ -methine proton at ⁇ 3.77 were further observed as well as between the methylene protons at ⁇ 3.03 and the guanidine carbon at ⁇ 157.2.
- Example 7.3 Structural Identification of Compounds 2A and 2B as Fusaricidins C and D
- FIGS. 5 a , 5 b The mass spectrometric fragmentation pattern of the parent ions of m/z 961.6 and 947.6 for compounds 2B and 2A, respectively, ( FIGS. 5 a , 5 b ) confirmed the length of the substituted fatty acid side chain to be identical as in compound 1B. Fusaricidins C and D have formerly been reported by Kajimura et al. (J. Antibiot. 50, 220-228, 1997).
- the whole culture broth of all of the novel Paenibacillus strains Lu16774, Lu17007 and Lu17015 contained at least one the fusaricidin-type metabolites identified in Example 7 (Table 17). None of these fusaricidin-type metabolites were detected in the whole culture broth of P. peoriae strain BD-62.
- Compounds 1A and 1B were not detected in the whole culture broth of the closely related P. peoriae strain BD-62. Fusaricidins A, B, C and D, LI-F06a, LI-F06b and LI-F08b were also not in the whole culture broth of P. peoriae strain BD-62.
- Example 9 Activity of Metabolites by Paenibacillus Strains Against Various Fungal Pathogens
- Fungal growth assays were performed in 96 well plates with spore suspension of the pathogen Botrytis cinerea (BOTRCI, in YBA [10 g Bacto peptone (Becton Dickinson 211677), 10 g yeast extract (Becton Dickinson 212750), 20 g sodium acetate, ad 1000 mL aqua bidest] or Alternaria solani (ALTESO, in YBG [10 g Bacto peptone (Becton Dickinson 211677), 10 g yeast extract (Becton Dickinson 212750), 20 g glycerine 99%, ad 1000 mL aqua bidest]).
- BOTRCI pathogen Botrytis cinerea
- YBA 10 g Bacto peptone (Becton Dickinson 211677), 10 g yeast extract (Becton Dickinson 212750), 20 g sodium acetate, ad 1000 mL aqua bidest]
- ATESO Alternaria solani
- Fusaricidins and compounds 1A and 1B were dissolved and diluted in DMSO. Different concentrations ranging from 60 ⁇ M down to 0.3 ⁇ M were pipetted into the microtiter plate. An aqueous suspension of 10 4 spores/ml was added. The plates were incubated at about 18° C. Fungal growth was determined by measuring the optical density at 600 nm in a microplate reader 3 and 7 days after the inoculation of the spores and compared to the untreated control (DMSO). IC 50 (concentration [ ⁇ M] of the respective metabolite required for 50% inhibition of fungal growth) has been determined thereafter.
- the compounds 1A and 1B showed the highest antifungal efficacy with IC 50 values of 0.4-0.6 ⁇ M (Tab. 18).
- Example 10 Comparison of Activity of Paenibacillus polymyxa nov. ssp. Plantarum Strains Lu16674 and Lu17007 of According to the Invention with Paenibacillus polymyxa nov. ssp. Plantarum M-1 against Various Pathogens in Glass House Trials
- the Paenibacillus strains Lu16774 and Lu17007 were effective in controlling important fungal diseases on crop plants even at high dilution factors and showed higher antifungal efficacy than the closely related strain M-1 (Tables 22 to 27).
- FIG. 1 Compounds 1A, 1B, 2A, 2B, 3, 4A, 4B, 5A and 5B.
- FIG. 3 HMBC correlation of compound 1B.
- FIG. 5 Fragmentation patterns a) of compound 2A (fusaricidin C) and b) of compound 2B (fusaricidin D).
- FIG. 6 Fragmentation pattern of compound 3 (LI-F08b).
- FIG. 7 Fragmentation patterns a) of compound 4A (LI-F06a) and b) of compound 4B (LI-F06b).
- FIG. 8 Fragmentation patterns a) of compound 5A (fusaricidin A) and b) of compound 5B (fusaricidin B).
- FIG. 9 shows the percentage identity of the complete 16S rDNA sequence of the Paenibacillus strains of the invention to related taxa after multiple sequence alignment.
- FIG. 10 shows a phylogenetic dendrogram calculated from the % identity of 16S-rDNA sequences of the Paenibacillus strains of the invention with other taxa ( FIG. 9 ).
- the root of the tree was determined by including the 16S rRNA gene sequence of Cohnella thermotolerans into the analysis.
- the scale bar below the dendrogram indicates 1 nucleotide substitutions per 100 nucleotides.
- FIG. 12 shows the percentage identity of the DNA sequence of the dnaN gene of the Paenibacillus strains of the invention to related Paenibacillus strains after multiple sequence alignment.
- FIG. 13 shows the percentage identity of the DNA sequence of the complete gyrB gene of the Paenibacillus strains of the invention to related Paenibacillus strains after multiple sequence alignment. Strain numbers are described in Legend to FIG. 12 .
- FIG. 14 shows the percentage identity of the DNA sequence of the complete recF gene of the Paenibacillus strains of the invention to related Paenibacillus strains after multiple sequence alignment. Strain numbers are described in Legend to FIG. 12 .
- FIG. 15 shows the percentage identity of the DNA sequence of the complete recN gene of the Paenibacillus strains of the invention to related Paenibacillus strains after multiple sequence alignment. Strain numbers are described in Legend to FIG. 12 .
- FIG. 16 shows the percentage identity of the DNA sequence of the complete rpoA gene of the Paenibacillus strains of the invention to related Paenibacillus strains after multiple sequence alignment. Strain numbers are described in Legend to FIG. 12 .
- FIG. 17 shows the maximum likelihood dendrogram on basis of the complete dnaN gene sequence of strains of the P. polymyxa complex.
- the scale of 0.1 shown corresponds to 1% nucleotide exchanges.
- FIG. 18 shows the maximum likelihood dendrogram on basis of the complete gyrB gene sequence of strains of the P. polymyxa complex.
- the scale of 0.1 shown corresponds to 1% nucleotide exchanges.
- FIG. 19 shows the maximum likelihood dendrogram on basis of the complete recF gene sequence of strains of the P. polymyxa complex.
- the scale of 0.1 shown corresponds to 1% nucleotide exchanges.
- FIG. 20 shows the maximum likelihood dendrogram on basis of the complete recN gene sequence of strains of the P. polymyxa complex.
- the scale of 0.1 shown corresponds to 1% nucleotide exchanges.
- FIG. 21 shows the maximum likelihood dendrogram on basis of the complete rpoA gene sequence of strains of the P. polymyxa complex.
- the scale of 0.1 shown corresponds to 1% nucleotide exchanges.
- FIG. 22 shows the Amino Acid Index (AAI) matrix of representative genomes of the P. polymyxa complex performed according to Example 2.5. Strain numbers are described in Legend to FIG. 12 .
Landscapes
- Life Sciences & Earth Sciences (AREA)
- Health & Medical Sciences (AREA)
- Chemical & Material Sciences (AREA)
- Engineering & Computer Science (AREA)
- Zoology (AREA)
- Organic Chemistry (AREA)
- General Health & Medical Sciences (AREA)
- Biotechnology (AREA)
- Wood Science & Technology (AREA)
- Genetics & Genomics (AREA)
- Bioinformatics & Cheminformatics (AREA)
- Virology (AREA)
- Microbiology (AREA)
- Medicinal Chemistry (AREA)
- Biochemistry (AREA)
- Biomedical Technology (AREA)
- Tropical Medicine & Parasitology (AREA)
- General Engineering & Computer Science (AREA)
- Plant Pathology (AREA)
- Agronomy & Crop Science (AREA)
- Pest Control & Pesticides (AREA)
- Dentistry (AREA)
- Environmental Sciences (AREA)
- Biophysics (AREA)
- Proteomics, Peptides & Aminoacids (AREA)
- Molecular Biology (AREA)
- Gastroenterology & Hepatology (AREA)
- Micro-Organisms Or Cultivation Processes Thereof (AREA)
- Agricultural Chemicals And Associated Chemicals (AREA)
- Preparation Of Compounds By Using Micro-Organisms (AREA)
- Medicines Containing Material From Animals Or Micro-Organisms (AREA)
- Medicines That Contain Protein Lipid Enzymes And Other Medicines (AREA)
- Measuring Or Testing Involving Enzymes Or Micro-Organisms (AREA)
- Pharmaceuticals Containing Other Organic And Inorganic Compounds (AREA)
Abstract
The present invention relates to novel isolated bacterial strains, which are members of the genus Paenibacillus, originally isolated from soil and showing antagonistic activity against a broad range of pathogens and being capable of producing antimicrobial metabolites. It was found that the strains Lu16774 and Lu17007 belong to a novel subspecies named Paenibacillus polymyxa ssp. plantarum while the strain Lu17015 belongs to a novel species which is proposed to be Paenibacillus epiphyticus. The present invention also relates to microbial pesticide compositions comprising at least one of such novel bacterial strains, whole culture broth or a cell-free extract or a fraction thereof or at least one metabolite thereof, and/or a mutant of at least one of said novel bacterial strains having all the identifying characteristics of the respective bacterial strain or whole culture broth, cell-free extract, fraction and/or metabolite of the mutant thereof showing antagonistic activity against plant pathogens. The present invention also relates to a method of controlling or suppressing plant pathogens or preventing plant pathogen infections by applying such composition. The present invention also relates to novel fusaricidin-type compounds which are metabolites produced by the strains of the present invention.
Description
- The present invention relates to novel isolated bacterial strains, which are members of the genus Paenibacillus, originally isolated from soil and showing antagonistic activity against a broad range of pathogens and being capable of producing antimicrobial metabolites. The present invention also relates to microbial pesticide compositions comprising at least one of such novel bacterial strains, whole culture broth or a cell-free extract or a fraction thereof or at least one metabolite thereof, and/or a mutant of at least one of said novel bacterial strains having all the identifying characteristics of the respective bacterial strain or whole culture broth, cell-free extract, fraction and/or metabolite of the mutant thereof showing antagonistic activity against plant pathogens. The present invention also relates to a method of controlling or suppressing plant pathogens or preventing plant pathogen infections by applying such composition. The present invention also relates to novel fusaricidin-type compounds which are metabolites produced by the strains of the present invention.
- In the technical field of controlling phytopathogenic fungi affecting plants or crops it is well known to apply active compound compositions comprising biopesticides, for example selected from bacteria, like spore-forming bacteria, or fungi which are not detrimental to the plant or crop to be treated and which biological control agents may be further combined with classical organic chemical antagonists of plant pathogens.
- Biopesticides have been defined as a form of pesticides based on micro-organisms (bacteria, fungi, viruses, nematodes, etc.) or natural products (compounds or extracts from biological sources) (U.S. Environmental Protection Agency: http://www.epa.gov/pesticides/biopesticides/).
- Biopesticides are typically created by growing and concentrating naturally occurring organisms and/or their metabolites including bacteria and other microbes, fungi, viruses, nematodes, proteins, etc. They are often considered to be important components of integrated pest management (IPM) programmes, and have received much practical attention as substitutes to synthetic chemical plant protection products (PPPs).
- Biopesticides fall into two major classes, microbial and biochemical pesticides:
-
- (1) Microbial pesticides consist of bacteria, fungi or viruses (and often include the metabolites that bacteria and fungi produce). Entomopathogenic nematodes are also classed as microbial pesticides, even though they are multi-cellular.
- (2) Biochemical pesticides are naturally occurring substances that control pests or provide other crop protection uses as defined below, but are relatively non-toxic to mammals.
- For controlling phytopathogenic fungi several microbial pesticides comprising spore-forming bacteria such as Bacillus subtilis have been described earlier, see e.g. WO 1998/050422; WO 2000/029426; WO 1998/50422 and WO 2000/58442.
- WO 2009/0126473 discloses agriculturally acceptable aqueous compositions comprising bacterial or fungal spores contained in an aqueous/organic solvent and which may further comprise insect control agents, pesticides, fungicides or combinations thereof. Spores of bacteria of the genus Bacillus are a preferred species.
- WO 2006/017361 discloses compositions for controlling plant pathogens and comprising at least one beneficial bacterium, at least one beneficial fungus, at least on nutrient and at least one compound which extends the effective lifetime of such a composition. The group of beneficial bacteria e.a. comprises bacteria of Paenibacillus polymyxa and Paenibacillus durum.
- EP-A-1 168 922 relates to compositions for affecting plant growth and/or imparting disease resistance comprising at least two plant-growth promoting Rhizobacteria strains and a chitinous compound, wherein said strains are selected from the genera Bacillus, Paenibacillus, Brevibacillus, Virgibacillus, Alicyclobacillus, and Aneurinibacilus. No particular Paenibacillus strains are, however, exemplified in support of the claimed combinations.
- WO 1999/059412 discloses a Paenibacillus polymyxa strain PKB1 (bearing ATCC accession no. 202127) active against several phytopathogenic fungi.
- WO 2006/016558 discloses Paenibacillus sp. strains BS-0048, BS-0074, BS-0277 and P. polymyxa strain BS-0105 as well as fusaricidin A and fusaricidin B for protection of plants from infections with fungi. A further antifungal Paenibacillus strain BRF-1 has been isolated from soybean rhizosphere (African J. Microbiol. Res. 4(24), 2692-2698, 2010).
- WO 2011/069227 discloses a P. polymyxa strain JB05-01-1 (bearing ATCC accession no. PTA-10436) having a highly inhibitory effect against pathogenic bacteria, pre-dominantly food-borne human pathogenic bacteria.
- Budi et al. (Appl Environ Microbiol, 1999, 65, 5148-5150) have isolated Paenibacillus sp. strain B2 from mycorrhizosphere of Sorghum bicolor having antagonistic activity towards soil borne fungal pathogens like Phytophthora parasitica.
- A Paenibacillus peoriae strain 11.D.3 isolated by Delaporte, B. (Lab Cytol Veg, Paris, France) and deposited in the open collection of Agricultural Research Service, USDA, U.S.A. under the NRRL Accession No. BD-62 (Int. J. Syst Bacteriol. 46(4), 988-1003, 1996, hereinafter also referred to as strain BD-62) from soil in Cote d'Ivoire showed antifungal activity against several phytopathogenic bacteria and fungi (J. Appl. Microbiol. 95, 1143-1151, 2003). NRRL is the abbreviation for the Agricultural Research Service Culture Collection, an international depositary authority for the purposes of deposing microorganism strains under the BUDAPEST TREATY ON THE INTERNATIONAL RECOGNITION OF THE DEPOSIT OF MICROORGANISMS FOR THE PURPOSES OF PATENT PROCEDURE, having the address National Center for Agricultural Utilization Research, Agricultural Research Service, U.S. Department of Agriculture, 1815 North University Street, Peoria, Ill. 61604, USA.
- The antimicrobial activity of numerous Paenibacillus strains, i. a. a P. peorirae strain, against numerous bacterial, fungal and yeast pathogens has been reported elsewhere (Lett. Appl. Microbiol. 43, 541-547, 2006).
- Raza et al. (Brazilian Arch. Biol. Techol. 53, 1145-1154, 2010; Eur. J. Plant Pathol. 125: 471-483, 2009) described a fusaricidin-type compound-producing Paenibacillus polymyxa strain SQR-21 effective against Fusarium oxysporum.
- Fusaricidins are a group of antibiotics isolated from Paenibacillus spp., which belong to the class of cyclic lipodepsipeptides. Their common structural features which are conserved throughout the family are as follows: a macrocyclic ring consisting of 6 amino acid residues, three of which are L-Thr, D-allo-Thr and D-Ala, as well as the 15-guanidino-3-hydroxypentadecanoic acid tail attached to the N-terminal L-Thr residue by an amide bond (ChemMedChem 7, 871-882, 2012; J. Microbiol. Meth. 85, 175-182, 2011, Table 1 herein). These compounds are cyclized by a lactone bridge between the N-terminal L-Thr hydroxyl group and the C-terminal D-Ala carbonyl group. The position of the amino acid residues within the depsipeptide cycle are usually numbered starting with the abovementioned L-Thr which itself also carries the GHPD chain and ending with the C-terminal D-Ala. Non-limiting examples of fusaricidins isolated from Paenibacillus are designated LI-F03, LI-F04, LI-F05, LI-F07 and LI-F08 (J. Antibiotics 40(11), 1506-1514, 1987; Heterocycles 53(7), 1533-1549, 2000; Peptides 32, 1917-1923, 2011) and fusaricidins A (also called LI-F04a), B (also called LI-F04b), C (also called LI-F03a) and D (also called LI-F03b) (J. Antibiotics 49(2), 129-135, 1996; J. Antibiotics 50(3), 220-228, 1997). The amino acid chain of a fusaricidin is not ribosomally generated but is generated by a non-ribosomal peptide synthetase. Structural formulae of known fusaricidins are shown in Table 1 (Biotechnol Lett. 34, 1327-1334, 2012;
FIG. 1 therein). The compounds designated as LI-F03a, LI-F03b up to LI-F08a and LI-F08b are herein also referred to as fusaricidins LI-F03a, LI-F03b up to LI-F08a and LI-F08b due to their structure within the fusaricidin family (see Table 1). -
TABLE 1 Structures of the fusaricidin family. Fusaricidin X2 X3 X5 A (Ll-F04a) D-Val L-Val D-Asn B (Ll-F04b) D-Val L-Val D-Gln C (Ll-F03a) D-Val L-Tyr D-Asn D (Ll-F03b) D-Val L-Tyr D-Gln Ll-F05a D-Val L-Ile D-Asn Ll-F05b D-Val L-Ile D-Gln Ll-F06a D-allo-Ile L-Val D-Asn Ll-F06b D-allo-Ile L-Val D-Gln Ll-F07a D-Val L-Phe D-Asn Ll-F07b D-Val L-Phe D-Gln Ll-F08a D-Ile L-allo-Ile D-Asn Ll-F08b D-Ile L-allo-Ile D-Gln -
- wherein an arrow defines a single (amide) bond either between the carbonyl moiety of GHPD and the amino group of L-Thr (L-threonine) or between the carbonyl group of one amino acid and the amino group of a neighboring amino acid, wherein the tip of the arrow indicates the attachment to the amino group of said amino acid L-Thr or of said neighboring amino acid; and
- wherein the single line (without an arrow head) defines a single (ester) bond between the carbonyl group of D-Ala (D-alanine) and the hydroxyl group of L-Thr; and wherein GHPD is 15-guanidino-3-hydroxypentadecanoic acid.
- Among isolated fusaricidin antibiotics, fusaricidin A has shown the most promising antimicrobial activity against a variety of clinically relevant fungi and gram-positive bacteria such a Staphylococcus aureus (MIC value range: 0.78-3.12 μg/ml) (ChemMedChem 7, 871-882, 2012). The synthesis of fusaricidin analogues that contain 12-guanidino-dodecanoic acid (12-GDA) or 12-amino-dodecanoic acid (12-ADA) instead of naturally occurring GHPD has been established but the replacement of GHPD by 12-ADA resulted in complete loss of the antimicrobial activity while the replacement of GHPD by 12-GDA retained antimicrobial activity (Tetrahedron Lett. 47, 8587-8590, 2006; ChemMedChem 7, 871-882, 2012).
- Fusaricidins A, B, C and D are also reported to inhibit plant pathogenic fungi such as Fusarium oxysporum, Aspergillus niger, Aspergillus oryzae, and Penicillum thomii (J. Antibiotics 49(2), 129-135, 1996; J. Antibiotics 50(3), 220-228, 1997). Fusaricidins such as LI-F05, LI-F07 and LI-F08 have been found to have certain antifungal activity against various plant pathogenic fungi such as Fusarium moniliforme, F. oxysporum, F. roseum, Giberella fujkuroi, Helminthosporium sesamum and Penicillium expansum (J. Antibiotics 40(11), 1506-1514, 1987). Fusaricidins also have antibacterial activity to Gram-positive bacteria including Staphylococcus aureus (J. Antibiotics 49, 129-135, 1996; J. Antibiotics 50, 220-228, 1997). In addition, fusaricidins have antifungal activity against Leptosphaena maculans which causes black root rot of canola (Can. J. Microbiol. 48, 159-169, 2002). Moreover, fusaricidins A and B and two related compounds thereof, wherein D-allo-Thr is bound via its hydroxyl group to an additional alanine using an ester bridge, produced by certain Paenibacillus strains were found to induce resistance reactions in cultured parsley cells and to inhibit growth of Fusarium oxysporum (WO 2006/016558;
EP 1 788 074 A1). - WO 2007/086645 describes the fusaricidin synthetase enzyme and its encoding gene as isolated from Paenibacillus polymyxa strain E681 which enzyme is involved in the synthesis of fusaricidins A, B, C, D, LI-F03, LI-F04, LI-F05, LI-F07 and LI-F08.
- The genome of several Paenibacillus polymyxa strains has been published so far: inter alia for strain M-1 (NCBI acc. no. NC_017542; J. Bacteriol. 193 (29), 5862-63, 2011; BMC Microbiol. 13, 137, 2013), strain CR1 (GenBank acc. no. CP006941; Genome Announcements 2 (1), 1, 2014) and strain SC2 (GenBank acc. nos. CP002213 and CP002214; NCBI acc. no. NC_014622; J. Bacteriol. 193 (1), 311-312, 2011), for further strains see legend of
FIG. 12 herein. The P. polymyxa strain M-1 has been deposited in China General Microbiological Culture Collection Center (CGMCC) under acc. no. CGMCC 7581. - Montefusco et al. describe in Int. J. Systematic Bacteriol. (43, 388-390, 1993) a novel bacterial species of the genus Bacillus and suggest the name Bacillus peoriae which may be distinguished from other Bacillus strains as for example Bacillus badius, B. coagulans, B. polymyxa and others. Said novel Bacillus strain is reported to produce spores, to be gram-positive and to produce catalase, without producing oxidase. Further biochemical characteristics are summarized therein. The strain, which may be isolated from soil or rotting vegetable materials, was designated BD-57 and was deposited at the Agricultural Research Service, USDA, U.S.A. as NRRL B-14750 and also at the DSMZ (see below) as
strain DSM 8320. Based on further biochemical and genetic analysis said strain later has been renamed as Paenibacillus peoriae (see Int. J. Systematic Bacteriol. 46, 988-1003, 1996). A more recent assessment of the diversity of Paenibacillus spp. in the maize rhizosphere using PCR-DGGE method was described in J. Microbiol. Methods 54, 213-231, 2003. - Biopesticides for use against crop diseases have already established themselves on a variety of crops. For example, biopesticides already play an important role in controlling downy mildew diseases. Their benefits include: a 0-Day Pre-Harvest Interval and the ability to use under moderate to severe disease pressure.
- A major growth area for biopesticides is in the area of seed treatments and soil amendments. Biopesticidal seed treatments are e.g. used to control soil borne fungal pathogens that cause seed rots, damping-off, root rot and seedling blights. They can also be used to control internal seed borne fungal pathogens as well as fungal pathogens that are on the surface of the seed. Many biopesticidal products also show capacities to stimulate plant host defenses and other physiological processes that can make treated crops more resistant to a variety of biotic and abiotic stresses.
- However, biopesticides under certain conditions can also have disadvantages, such as high specificity (requiring an exact identification of the pest/pathogen and the use of multiple products), slow speed of action (thus making them unsuitable if a pest outbreak is an immediate threat to a crop), variable efficacy due to the influences of various biotic and abiotic factors (since biopesticides are usually living organisms, which bring about pest/pathogen control by multiplying within the target insect pest/pathogen), and resistance development.
- Therefore there is a need for further bacterial strains and for further antimicrobial metabolites which antagonize phytopathogenic microorganisms, in particular fungi, which are characterized by a broad spectrum of activity against all classes of phytopathogenic fungi.
- Said problem was, surprisingly solved by providing novel strains of bacteria of the genus Paenibacillus which are characterized by a unique profile of antagonistic activity against phytopathogenic fungi, also extending to plant leaf pathogens, as for example selected from Alternaria spp., Botrytis cinerea, Phytophthora infestans, and Sclerotinia sclerotiorum. Said bacterial strains have been deposited with the International Depositary Authority: Deutsche Sammlung von Mikroorganismen und Zellkulturen GmbH, Inhoffenstraβe 7 B, 38124 Braunschweig, Germany (hereinafter DSMZ).
- Furthermore, the whole culture broth, the culture medium and cell-free extracts of these bacterial strains showed inhibitory activity at least against Alternaria spp., Botrytis cinerea and Phytophthora infestans. Bioactivity guided fractionation of organic extracts led to the isolation of two novel fusaricidin-type compounds (
1A and 1B), the structure of which were elucidated by 1D- and 2D-NMR spectroscopy as well as mass spectrometry.compounds - Thus, the present invention relates to an isolated microorganism, being a member of the family Paenibacillus, having at least one of the identifying characteristics of one of the following strains:
-
- 1) Paenibacillus sp. strain Lu16774 deposited with DSMZ under Accession No. DSM 26969,
- 2) Paenibacillus sp. strain Lu17007 deposited with DSMZ under Accession No. DSM 26970, and
-
- 3) Paenibacillus sp. strain Lu17015 deposited with DSMZ under Accession No. DSM 26971.
- As used herein, the term Paenibacillus sp. strain is identical to the term Paenibacillus strain.
- As used herein, “isolate” refers to a pure microbial culture separated from its natural origin, such an isolate obtained by culturing a single microbial colony. An isolate is a pure culture derived from a heterogeneous, wild population of microorganisms.
- As used herein, “strain” refers to isolate or a group of isolates exhibiting phenotypic, physiological, metabolic and/or genotypic traits belonging to the same lineage, distinct from those of other isolates or strains of the same species.
- A further embodiment relates to a whole culture broth, a supernatant or a cell-free extract or a fraction or at least one metabolite of at least one of the microorganisms as defined above which preferably exhibit antagonistic activity against at least one plant pathogen.
- As used herein, “whole culture broth” refers to a liquid culture of a microorganism containing vegetative cells and/or spores suspended in the culture medium and optionally metabolites produced by the respective microorganism.
- As used herein, “culture medium”, refers to a medium obtainable by culturing the microorganism in said medium, preferably a liquid broth, and remaining when cells grown in the medium are removed, e.g., the supernatant remaining when cells grown in a liquid broth are removed by centrifugation, filtration, sedimentation, or other means well known in the art; comprising e.g. metabolites produced by the respective microorganism and secreted into the culture medium. The “culture medium” sometimes also referred to as “supernatant” can be obtained e.g. by centrifugation at temperatures of about 2 to 30° C. (more preferably at temperatures of 4 to 20° C.) for about 10 to 60 min (more preferably about 15 to 30 min) at about 5,000 to 20,000×g (more preferably at about 15,000×g).
- As used herein, “cell-free extract” refers to an extract of the vegetative cells, spores and/or the whole culture broth of a microorganism comprising cellular metabolites produced by the respective microorganism obtainable by cell disruption methods known in the art such as solvent-based (e.g. organic solvents such as alcohols sometimes in combination with suitable salts), temperature-based, application of shear forces, cell disruption with an ultrasonicator. The desired extract may be concentrated by conventional concentration techniques such as drying, evaporation, centrifugation or alike. Certain washing steps using organic solvents and/or water-based media may also be applied to the crude extract preferably prior to use.
- As used herein, the term “metabolite” refers to any component, compound, substance or byproduct (including but not limited to small molecule secondary metabolites, polyketides, fatty acid synthase products, non-ribosomal peptides, ribosomal peptides, proteins and enzymes) produced by a microorganism (such as fungi and bacteria, in particular the strains of the invention) that has any beneficial effect as described herein such as pesticidal activity or improvement of plant growth, water use efficiency of the plant, plant health, plant appearance, or the population of beneficial microorganisms in the soil around the plant activity herein.
- As used herein, “isolate” refers to a pure microbial culture separated from its natural origin, such an isolate obtained by culturing a single microbial colony. An isolate is a pure culture derived from a heterogeneous, wild population of microorganisms.
- As used herein, “strain” refers to isolate or a group of isolates exhibiting phenotypic and/or genotypic traits belonging to the same lineage, distinct from those of other isolates or strains of the same species.
- A further embodiment relates to novel compounds of formula I
- wherein
- R is selected from 15-guanidino-3-hydroxypentadecanoic acid (GHPD) and 12-guanidinododecanoic acid (12-GDA);
- X1 is threonine;
- X2 is isoleucine;
- X3 is tyrosine;
- X4 is threonine;
- X5 is selected from glutamine and asparagine;
- X6 is alanine; and
wherein an arrow defines a single (amide) bond either between the carbonyl moiety of R and the amino group of the amino acid X1 or between the carbonyl group of one amino acid and the amino group of a neighboring amino acid, wherein the tip of the arrow indicates the attachment to the amino group of said amino acid X1 or of said neighboring amino acid; and
wherein the single line (without an arrow head) defines a single (ester) bond between the carbonyl group of X6 and the hydroxyl group of X1;
and the agriculturally acceptable salts thereof, and to methods of preparing compounds of formula I of the invention which method comprises culturing the strains of the invention and isolating said compounds of formula I from the whole culture broth. - According to a further embodiment, the invention further relates to compounds 1A and 1B, which are of formula I, wherein R is GHPD and wherein X5 is asparagine in case of compound 1A and X5 is glutamine in case of compound 1B:
- The present invention further relates to compositions comprising the strains, whole culture broth, cell-free extracts, culture media, or compounds of formula I and their salts of the invention, as well as to their use for controlling or suppressing plant pathogens or preventing plant pathogen infection or for protection of materials against infestation destruction by harmful microorganisms, and to corresponding methods which comprise treating the pathogens, their habitat or the materials or plants to be protected against pathogen attack, or the soil or propagation material with an effective amount of the compositions, strains, whole culture broth, cell-free extracts, culture media, or compounds of formula I and their salts of the invention.
- Further embodiments of the invention are disclosed in the following detailed description of the invention, the claims and the figures.
- The invention relates to the microorganism strains
-
- 1) Paenibacillus sp. strain Lu16774 deposited with DSMZ under Accession No. DSM 26969, 2) Paenibacillus sp. strain Lu17007 deposited with DSMZ under Accession No. DSM 26970, and
- 3) Paenibacillus sp. strain Lu17015 deposited with DSMZ under Accession No. DSM 26971.
- The strains Lu16774, Lu17007 and Lu17015 have been isolated from soil samples from a variety of European locations including Germany and deposited under the Budapest Treaty with the Deutsche Sammlung von Mikroorganismen und Zellkulturen (DSMZ) under the abovementioned Accession numbers on Feb. 20, 2013 by BASF SE, Germany.
- The genus Paenibacillus (formerly
rRNA group 3 bacilli) has been characterized phenotypically and physiologically (Antonie van Leeuwenhoek 64, 253-260 (1993)) by: -
- rod-shaped cells of Gram-positive structure,
- weak reaction with Gram's stain, often even stain negatively,
- differentiation into ellipsoidal endospores which distinctly swell the sporangium (mother cell),
- facultative anaerobic growth with strong growth in absence of air irrespective of whether nitrate is present or not,
- fermentation of a variety of sugars,
- acid and gas formation from various sugars including glucose,
- no acid production from adonitol and sorbitol,
- Urease-negative (with exception of P. validus),
- arginine dihydrolase negative,
- no utilization of citrate,
- no growth in presence of 10% sodium chloride,
- secretion of numerous extracellular hydrolytic enzymes degrading DNA, protein, starch; and/or
- G+C content of DNA from 40% to 54%.
- The genus Paenibacillus (formerly
rRNA group 3 bacilli) has also been characterized by 16S rDNA analysis (Antonie van Leeuwenhoek 64, 253-260 (1993)): -
- having a specific 22-base sequence in a variable region V5 of the 16S rDNA (5′ to 3′): TCGATACCCTTGGTGCCGAAGT (Antonie van Leeuwenhoek 64, 253-260 (1993), see Table 3 therein); and/or
- by hybridization of isolated or PCR-amplified chromosomal DNA with BG3 probe (5′-TCGATACCCTTGGTGCCGAAGT-3′) (see Antonie van Leeuwenhoek 64, 253-260 (1993)).
- The deposited strains Lu16774, Lu17007 and Lu17015 of the invention were determined to belong to the genus Paenibacillus on the following morphological and physiological observations (see Example 2.3 herein):
-
- rod-shaped cells
- ellipsoidal spores
- swollen sporangium
- anaerobic growth
- fermentation of a variety of sugars including glucose, arabinose, xylose, mannit, fructose, raffinose, trehalose and glycerol with acid formation
- gas production from glucose
- arginine dihydrolase negative
- no utilization of citrate
- no growth in presence of 5% or more sodium chloride
- production of extracellular hydrolytic enzymes degrading starch, gelatine, casein and esculin.
- Further, the deposited strains Lu16774, Lu17007 and Lu17015 of the invention were also determined to belong to the genus Paenibacillus by 16S rDNA analysis by having the Paenibacillus-specific 22-base sequence in 16S rDNA (5′ to 3′):
-
5′-TCGATACCCTTGGTGCCGAAGT-3′
(see SEQ ID NO:1 (nucleotides 840-861), SEQ ID NO:2 (840-861), SEQ ID NO:3 (844-865) and SEQ ID NO:4 (840-861) in sequence listings herein). - Further, sequencing of the complete 16S rDNA in comparison to 24 different Paenibacillus strains resulted in clustering of the deposited strains Lu16774, Lu17007 and Lu17015 with the type strains of Paenibacillus brasiliensis, P. knbbensis, P. jamilae, P. peoriae, and P. polymyxa, more preferably to P. peoriae, in particular Paenibacillus peoriae strain BD-62 (see
FIGS. 1 and 2 herein). It is known that P. polymyxa and P. peoriae have 16S rDNA sequence identity values of 99.6 to 99.7% (J. Gen. Appl. Microbiol. 48, 281-285 (2002)). - “Percent Identity” or “percent similarity” between two nucleotide sequences means percent identity of the residues over the complete length of the aligned sequences and is determined by comparing two optimally locally aligned sequences over a comparison window defined by the length of the local alignment between the two sequences, such as, for example, the identity calculated (for rather similar sequences) after manual alignment with the aid of the program AE2 (Alignment Editor 2). Local alignment between two sequences only includes segments of each sequence that are deemed to be sufficiently similar according to the criterion that depends on the algorithm used to perform the alignment (e.g. AE2, BLAST, secondary structure of the rRNA molecule or alike). The percentage identity is calculated by determining the number of positions at which the identical nucleic acid occurs in both sequences to yield the number of matched positions, dividing the number of matched positions by the total number of positions in the window of comparison and multiplying the result by 100.
- To determine the percent sequence identity of two nucleic acid sequences (e.g., one of the nucleotide sequences of Table 1 and a homolog thereof), the sequences are aligned for optimal comparison purposes (e.g., gaps can be introduced in the sequence of one nucleic acid for optimal alignment with the other nucleic acid). The bases at corresponding positions are then compared. When a position in one sequence is occupied by the base as the corresponding position in the other sequence then the molecules are identical at that position. It is to be understood that for the purposes of determining sequence identity when comparing a DNA sequence to an RNA sequence, a thymidine nucleotide is equivalent to a uracil nucleotide.
- For alignment, the sequence data was put into the program AE2 (http://iubio.bio.indiana.edu/soft/molbio/unix/ae2.readme), aligned manually according to the 30 secondary structure of the resulting rRNA molecule and compared with representative 16S rRNA gene sequences of organisms belonging to the Firmcutes (Nucl. Acids Res. 27, 171-173, 1999). To obtain % identity values for multiple sequences, all sequences of were aligned with each other (multiple sequence alignment). Further, to obtain % identity values between two sequences over a longer stretch of aligned sequences in comparison to multiple alignment, a manual pairwise sequence alignment was done as described above using AE2 (pairwise sequence alignment).
- Further, standardized, automated ribotyping is performed using the Qualicon RiboPrintersystem with the Paenibacillus strains Lu16774, Lu17007 and Lu17015 in comparison to the P. peoriae BD-62 using the restriction enzyme EcoRI resulted in similarity of all three novel strains to P. peoriae BD-62 of between 0.24 and 0.5 (Example 2.2 and
FIG. 12 ). - In sum, the strains have been designated to the following taxonomic groups.
- The Paenibacillus strains Lu16774 and Lu17007 both belong to the species Paenibacillus polymyxa.
- Thus, the invention relates to the microorganism strains
-
- 1) Paenibacillus polymyxa strain Lu16774 deposited with DSMZ under Accession No. DSM 26969,
- 2) Paenibacillus polymyxa strain Lu17007 deposited with DSMZ under Accession No.
- DSM 26970, and
-
- 3) Paenibacillus sp. strain Lu17015 deposited with DSMZ under Accession No. DSM 26971.
- According to the results of the phylogenetic analysis presented herein (
FIGS. 12 to 22 ) and unpublished results of Professor Borriss, Germany, it is proposed that the heterogenous species Paenibacillus polymyxa requires a new taxonomic classification into two subspecies: - 1) Paenibacillus polymyxa ssp. polymyxa and 2) Paenibacillus polymyxa ssp. plantarum; and 3) a novel species Paenibacillus nov. spec. epiphyticus.
- The type strain P. polymyxa
DSM 36 together with the P. polymyxa strains SQR-21, CF05,CICC 10580, NRRL B-30509 and A18 form in each of the maximum likelihood dendrograms analysed for five conserved house keeping genes (dnaN, gyrB, recA, recN and rpoA) a separate cluster (FIGS. 17-21 ). - Very similar results have been obtained by determination of the Average Amino acid Identity (AAI) which is frequently used for determination of phylogenetic relationship amongst bacterial species. This method is based on the calculation of the average identity of a core genome on amino acid level (Proc. Natl. Acad. USA 102, 2567-2572, 2005). According to the resulting AAI-matrix in
FIG. 22 ,P. polymyxa DSM 36 forms together with the P. polymyxa SQR-21 strain a sub cluster that is different from the two other sub clusters shown therein. - The strains Lu16674 and Lu17007 together with strain P. polymyxa M-1, 1-43, SC2 and Sb3-1 form the second sub cluster in each of the maximum likelihood dendrograms analysed for five conserved house keeping genes (dnaN, gyrB, recA, recN and rpoA) (
FIGS. 17-21 ). According to AAI-matrix inFIG. 22 based on the analysis of the core genome, this second sub cluster is confirmed by its representative strains Lu16674 and Lu17007 together with the P. polymyxa M-1 and SC2 strains. - The difference between the two sub clusters is not so significant to justify a new species, but the AAI identity levels between the representatives of both clusters is of about 97.5% justifying the classification into two separate subspecies
- Thus, it is proposed to nominate the first sub cluster according to the type P.
polymyxa strain DSM 36T Paenibacillus polymyxa ssp. polymyxa. Besidesstrain DSM 36, the P. polymyxa strains SQR-21, CF05,CICC 10580, NRRL B-30509 and A18 shall belong to the subspecies Paenibacillus polymyxa ssp. polymyxa. - Further, it is proposed to nominate the second sub cluster as novel subspecies Paenibacillus polymyxa ssp. plantarum. Besides the strains Lu16674 and Lu17007, the P. polymyxa strains M-1, 1-43, SC2 and Sb3-1 shall belong to Paenibacillus polymyxa ssp. plantarum.
- The strain Lu17015 has only 94.9% identity (AAI) amongst the genes of the core genome with the type strain Paenibacillus polymyxa DSM36=ATCC 842 (
FIG. 22 ). Thus, the strain Lu17015 could not have been designated to the species Paenibacillus polymyxa nor to any other known Paenibacillus species. Similar values are found for the strains E681 (94.7%) and CR2 (94.9%). Amongst each other, these three strains have at least 98.1% identity (AAI). According to the species definition of Konstantinides and Tiedje (Proc Natl. Acad. Sci. USA. 102, 2567-2572, 2005), the strain Lu17015 and also the strains E681 and CR2 can be designated to a novel species. Thus, a new species Paenibacillus spec. nov. epiphyticus is proposed herewith. Consequently, the Paenibacillus strain Lu17015 belongs to Paenibacillus epiphyticus. It is proposed that said strain shall be the type strain. Likewise, the dendrograms based on the sequence comparisons of the five house keeping genes (FIGS. 17-21 ) show that this cluster of distant from all other P. polymyxa strains. Besides Lu17015, it is proposed that the P. polymyxa strains E681, CR2 TD94,DSM 365 and WLY78 shall belong to Paenibacillus spec. nov. epiphyticus. - Thus, the invention relates to the microorganism strains
-
- 4) Paenibacillus polymyxa ssp. plantarum strain Lu16774 deposited with DSMZ under Accession No. DSM 26969,
- 5) Paenibacillus polymyxa ssp. plantarum strain Lu17007 deposited with DSMZ under Accession No. DSM 26970, and
- 6) Paenibacillus epiphyticus strain Lu17015 deposited with DSMZ under Accession No. DSM 26971.
- In addition to the strains Lu16774, Lu17007 and Lu17015, the invention relates to any Paenibacillus strain, whether physically derived from the original deposit of any of the strains Lu16774, Lu17007 and Lu17015 or independently isolated, so long as they retain at least one of the identifying characteristics of the deposited Paenibacillus strains Lu16774, Lu17007 and Lu17015. Such Paenibacillus strains of the invention include any progeny of any of the strains Lu16774, Lu17007 and Lu17015, including mutants of said strains.
- The term “mutant” refers a microorganism obtained by direct mutant selection but also includes microorganisms that have been further mutagenized or otherwise manipulated (e.g., via the introduction of a plasmid). Accordingly, embodiments include mutants, variants, and or derivatives of the respective microorganism, both naturally occurring and artificially induced mutants. For example, mutants may be induced by subjecting the microorganism to known mutagens, such as X-ray, UV radiation or N-methyl-nitrosoguanidine, using conventional methods. Subsequent to said treatments a screening for mutant strains showing the desired characteristics may be performed.
- Mutant strains may be obtained by any methods known in the art such as direct mutant selection, chemical mutagenesis or genetic manipulation (e.g., via the introduction of a plasmid). For example, such mutants are obtainable by applying a known mutagen, such as X-ray, UV radiation or N-methyl-nitrosoguanidine. Subsequent to said treatments a screening for mutant strains showing the desired characteristics may be performed.
- A Paenibacillus strain of the invention is in particular one which comprises a DNA sequence exhibiting at least at least 99.6%, preferably at least 99.8%, even more preferably at least 99.9%, and in particular 100.0% nucleotide sequence identity to any one of the 16S rDNA sequences of the strains Lu16774, Lu17007 and Lu17015, i.e. to any one of those nucleotide sequences set forth in the Sequence listing being SEQ ID NO:1, SEQ ID NO:2 and SEQ ID NO:3.
- According to a further embodiment, a Paenibacillus strain of the invention is in particular one which comprises a DNA sequence exhibiting 100% nucleotide sequence identity to any one of the 16S rDNA sequences of the strains Lu16774, Lu17007 and Lu17015, i.e. to any one of those nucleotide sequences set forth in the Sequence listing being SEQ ID NO:1, SEQ ID NO:2 or SEQ ID NO:3.
- According to a further embodiment, a Paenibacillus strain of the invention is one whose complete 16S rDNA sequence has after optimal alignment within the aligned sequence window at least 99.6% identity to at least one of the sequences SEQ ID NO:1 and SEQ ID NO:2 or at least 99.8% identity to SEQ ID NO:3; preferably at least 99.8% identity to at least one of the sequences SEQ ID NO:1, SEQ ID:2 and SEQ ID NO:3; more preferably at least 99.9% identity to at least one of the sequences SEQ ID NO:1, SEQ ID NO:2 and SEQ ID NO:3; even more preferably greater than 99.9% identity to at least one of the sequences SEQ ID NO:1, SEQ ID:2 and SEQ ID NO:3; in particular 100% identity to at least one of the sequences SEQ ID NO:1, SEQ ID:2 and SEQ ID NO:3.
- According to a further embodiment, a Paenibacillus strain of the invention is selected from the group consisting of:
-
- a) strain Lu16774 deposited with DSMZ under Accession No. DSM 26969;
- b) strain Lu17007 deposited with DSMZ under Accession No. DSM 26970;
- c) strain Lu17015 deposited with DSMZ under Accession No. DSM 26971; and
- d) a strain which comprises a DNA sequence exhibiting
- d1) at least 99.6% nucleotide sequence identity to the DNA sequences SEQ ID NO:4 or SEQ ID NO:9; or
- d2) at least 99.8% nucleotide sequence identity to the DNA sequence SEQ ID NO:14; or
- d3) at least 99.9% nucleotide sequence identity to the DNA sequences SEQ ID NO:5 or SEQ ID NO:10; or
- d4) at least 99.2% nucleotide sequence identity to the DNA sequence SEQ ID NO:15; or
- d5) at least 99.2% nucleotide sequence identity to the DNA sequences SEQ ID NO:6 or SEQ ID NO:11; or
- d6) at least 99.8% nucleotide sequence identity to the DNA sequence SEQ ID NO:16; or
- d7) at least 99.8% nucleotide sequence identity to the DNA sequences SEQ ID NO:7 or SEQ ID NO:12; or
- d8) at least 99.3% nucleotide sequence identity to the DNA sequence SEQ ID NO:17; or
- d9) 100.0% nucleotide sequence identity to the DNA sequences SEQ ID NO:8 or SEQ ID NO:13; or
- d10) at least 99.8% nucleotide sequence identity to the DNA sequence SEQ ID NO:18.
- A Paenibacillus strain of the invention is in particular one which comprises a dnaN DNA sequence exhibiting at least 99.6% nucleotide sequence identity to the DNA sequences SEQ ID NO:4 or SEQ ID NO:9 or which comprises a DNA sequence exhibiting at least 99.8% nucleotide sequence identity to the DNA sequence SEQ ID NO:14.
- According to a further embodiment, a Paenibacillus strain of the invention is one whose complete dnaN DNA sequence has after optimal alignment within the aligned sequence window at least 99.6% identity to at least one of the DNA sequences SEQ ID NO:4 and SEQ ID NO:9 or at least 99.8% identity to SEQ ID NO:14; preferably at least 99.9% identity to SEQ ID NO:14; in particular 100% identity to SEQ ID NO:14.
- A Paenibacillus strain of the invention is in particular one which comprises a DNA sequence exhibiting at least 99.8%, in particular 100.0% nucleotide sequence identity to any one of the dnaN DNA sequences of the strains Lu16774, Lu17007 and Lu17015, i.e. to any one of those DNA sequences SEQ ID NO:4, SEQ ID NO:9 and SEQ ID NO:14.
- A Paenibacillus strain of the invention is in particular one which comprises a gyrB DNA sequence exhibiting at least 99.9% nucleotide sequence identity to the DNA sequences SEQ ID NO:5 or SEQ ID NO:10 or which comprises a DNA sequence exhibiting at least 99.2% nucleotide sequence identity to the DNA sequence SEQ ID NO:15.
- According to a further embodiment, a Paenibacillus strain of the invention is one whose complete gyrB DNA sequence has after optimal alignment within the aligned sequence window at least 99.9% identity to at least one of the DNA sequences SEQ ID NO:5 and SEQ ID NO:10 or at least 99.9% identity to SEQ ID NO:15; preferably at least 99.9% identity to SEQ ID NO:15; in particular 100% identity to SEQ ID NO:15.
- A Paenibacillus strain of the invention is in particular one which comprises a DNA sequence exhibiting 100.0% nucleotide sequence identity to any one of the gyrB DNA sequences of the strains Lu16774, Lu17007 and Lu17015, i.e. to any one of those DNA sequences SEQ ID NO:5, SEQ ID NO:10 and SEQ ID NO:15.
- A Paenibacillus strain of the invention is in particular one which comprises a recF DNA sequence exhibiting at least 99.2% nucleotide sequence identity to the DNA sequences SEQ ID NO:6 or SEQ ID NO: 11 or which comprises a DNA sequence exhibiting at least 99.8% nucleotide sequence identity to the DNA sequence SEQ ID NO:16.
- According to a further embodiment, a Paenibacillus strain of the invention is one whose complete recF DNA sequence has after optimal alignment within the aligned sequence window at least 99.2% identity to at least one of the DNA sequences SEQ ID NO:6 and SEQ ID NO: 11 or at least 99.8% identity to SEQ ID NO:16; preferably at least 99.9% identity to SEQ ID NO:16; in particular 100% identity to SEQ ID NO:16.
- A Paenibacillus strain of the invention is in particular one which comprises a DNA sequence exhibiting at least 99.8%, in particular 100.0% nucleotide sequence identity to any one of the recF DNA sequences of the strains Lu16774, Lu17007 and Lu17015, i.e. to any one of those DNA sequences SEQ ID NO:6, SEQ ID NO:11 and SEQ ID NO:16.
- A Paenibacillus strain of the invention is in particular one which comprises a recN DNA sequence exhibiting at least 99.8% nucleotide sequence identity to the DNA sequences SEQ ID NO:7 or SEQ ID NO:12 or which comprises a DNA sequence exhibiting at least 99.3% nucleotide sequence identity to the DNA sequence SEQ ID NO:17.
- According to a further embodiment, a Paenibacillus strain of the invention is one whose complete recN DNA sequence has after optimal alignment within the aligned sequence window at least 99.8% identity to at least one of the DNA sequences SEQ ID NO:7 and SEQ ID NO:12 or at least 99.3% identity to SEQ ID NO:17; preferably at least 99.6% identity to SEQ ID NO:17; in particular 100% identity to SEQ ID NO:17.
- A Paenibacillus strain of the invention is in particular one which comprises a DNA sequence exhibiting at least 99.8%, in particular 100.0% nucleotide sequence identity to any one of the recN DNA sequences of the strains Lu16774, Lu17007 and Lu17015, i.e. to any one of those DNA sequences SEQ ID NO:7, SEQ ID NO:12 and SEQ ID NO:17.
- A Paenibacillus strain of the invention is in particular one which comprises a rpoA DNA sequence exhibiting 100.0% nucleotide sequence identity to the DNA sequences SEQ ID NO:8 or SEQ ID NO:13 or which comprises a DNA sequence exhibiting at least 99.8% nucleotide sequence identity to the DNA sequence SEQ ID NO:18.
- According to a further embodiment, a Paenibacillus strain of the invention is one whose complete rpoA DNA sequence has after optimal alignment within the aligned sequence window 100.0% identity to at least one of the DNA sequences SEQ ID NO:8 and SEQ ID NO:13 or at least 99.8% identity to SEQ ID NO:18; preferably at least 99.9% identity to SEQ ID NO:17; in particular 100% identity to SEQ ID NO:18.
- A Paenibacillus strain of the invention is in particular one which comprises a DNA sequence exhibiting 100.0% nucleotide sequence identity to any one of the rpoA DNA sequences of the strains Lu16774, Lu17007 and Lu17015, i.e. to any one of those DNA sequences SEQ ID NO:8, SEQ ID NO:13 and SEQ ID NO:18.
- A further embodiment relates to an isolated microorganism, being a member of the family Paenibacillus, having at least one of the identifying characteristics of one of the following strains:
-
- 1) Paenibacillus strain Lu16774 deposited with DSMZ under Accession No. DSM 26969,
- 2) Paenibacillus strain Lu17007 deposited with DSMZ under Accession No. DSM 26970, or
- 3) Paenibacillus strain Lu17015 deposited with DSMZ under Accession No. DSM 26971.
- A further embodiment relates to a Paenibacillus strain, which is selected from the group consisting of:
-
- 1) strain Lu16774 deposited with DSMZ under Accession No. DSM 26969,
- 2) strain Lu17007 deposited with DSMZ under Accession No. DSM 26970, and
- 3) strain Lu17015 deposited with DSMZ under Accession No. DSM 26971,
- 4) strains having at least one of the identifying characteristics of one of said strains Lu16774, Lu17007 and Lu17015.
- Another embodiment of the invention relates to an isolated microorganism selected from strains:
-
- 1) Paenibacillus strain Lu16774 deposited with DSMZ under Accession No. DSM 26969,
- 2) Paenibacillus strain Lu17007 deposited with DSMZ under Accession No. DSM 26970, and
- 3) Paenibacillus strain Lu17015 deposited with DSMZ under Accession No. DSM 26971; showing antagonistic activity against at least one plant pathogen, and being capable of producing at least one fusaricidin-type compound; or a mutant strain thereof retaining said capability, i.e. retaining said antagonistic activity against at least one plant pathogen, and retaining said capability of producing at least one fusaricidin-type compound.
- A further embodiment relates to a microorganism selected from:
-
- 1) Paenibacillus strain Lu16774 deposited with DSMZ under Accession No. DSM 26969,
- 2) Paenibacillus strain Lu17007 deposited with DSMZ under Accession No. DSM 26970, and
- 3) Paenibacillus strain Lu17015 deposited with DSMZ under Accession No. DSM 26971; or a mutant strain thereof having all the identifying characteristics of one of said strains.
- An identifying characteristic of the deposited Paenibacillus strains Lu16774, Lu17007 and Lu17015 is that they are capable of producing at least one compound of formula I, preferably selected from
1A and 1B, in particular producingcompounds 1A and 1B, which are metabolites of the respective strains; and the agriculturally acceptable salts thereof.compounds - Thus, according to one aspect of the invention, Paenibacillus strains of the invention are capable of producing at least one compound of formula I, more preferably producing
1A or 1B, in particular producingcompounds 1A and 1B; and the agriculturally acceptable salts thereof.compounds - Thus, according to one aspect of the invention, Paenibacillus strains of the invention are capable of producing at least one compound of formula I, more preferably producing
1A or 1B, in particular producingcompounds 1A and 1B; and the agriculturally acceptable salts thereof, in a growth medium comprising at least one source of carbon and one source of nitrogen as defined herein.compounds - Thus, according to one aspect of the invention, Paenibacillus strains of the invention in a growth medium comprising at least one source of carbon and one source of nitrogen as defined herein produce at least one compound of formula I, more preferably produce
1A or 1B, incompounds 1A and 1B; and the agriculturally acceptable salts thereof.particular produce compounds - Another embodiment of the invention relates to an isolated microorganism selected from
-
- 1) Paenibacillus strain Lu16774 deposited with DSMZ under Accession No. DSM 26969,
- 2) Paenibacillus strain Lu17007 deposited with DSMZ under Accession No. DSM 26970, and
- 3) Paenibacillus strain Lu17015 deposited with DSMZ under Accession No. DSM 26971;
showing antagonistic activity against at least one plant pathogen, and being capable of producing at least one fusaricidin-type compound of formula I, preferably selected from 1A and 1B, in particular producingcompounds 1A and 1B; or a mutant strain thereof retaining said capability, i.e. retaining said antagonistic activity against at least one plant pathogen, and retaining said capability of producing at least one fusaricidin-type compound of formula I, preferably selected fromcompounds 1A and 1B, in particular producingcompounds 1A and 1B.compounds
- Another embodiment of the invention relates to an isolated microorganism selected from
-
- 1) Paenibacillus strain Lu16774 deposited with DSMZ under Accession No. DSM 26969,
- 2) Paenibacillus strain Lu17007 deposited with DSMZ under Accession No. DSM 26970, and
- 3) Paenibacillus strain Lu17015 deposited with DSMZ under Accession No. DSM 26971;
showing antagonistic activity against at least one plant pathogen, and being in a growth medium comprising at least one source of carbon and one source of nitrogen as defined herein capable of producing at least one fusaricidin-type compound of formula I, preferably selected from 1A and 1B, in particular producingcompounds 1A and 1B; or a mutant strain thereof retaining said capability, i.e. retaining said antagonistic activity against at least one plant pathogen, and retaining said capability of producing at least one fusaricidin-type compound of formula I, preferably selected fromcompounds 1A and 1B, in particular producingcompounds 1A and 1B.compounds
- Another embodiment of the invention relates to an isolated microorganism selected from
-
- 1) Paenibacillus strain Lu16774 deposited with DSMZ under Accession No. DSM 26969,
- 2) Paenibacillus strain Lu17007 deposited with DSMZ under Accession No. DSM 26970, and
- 3) Paenibacillus strain Lu17015 deposited with DSMZ under Accession No. DSM 26971;
showing antagonistic activity against at least one plant pathogen, and producing at least one fusaricidin-type compound of formula I, preferably selected from 1A and 1B, in particular producingcompounds 1A and 1B; or a mutant strain thereof retaining said capability, i.e. retaining said antagonistic activity against at least one plant pathogen, and retaining said capability of producing at least one fusaricidin-type compound of formula I, preferably selected fromcompounds 1A and 1B, in particular producingcompounds 1A and 1B.compounds
- A further identifying characteristic of the deposited Paenibacillus strains Lu16774, Lu17007 and Lu17015 or a mutant strain thereof is that they are capable of producing at least one compound selected from the group consisting of fusaricidin A, fusaricidin B, fusaricidin C, fusaricidin D, LI-F06a, LI-F06b and LI-F08b in addition to their capability of producing at least one compound of formula I, preferably selected from
1A and 1B, in particular producingcompounds 1A and 1B.compounds - Thus, according to a further aspect of the invention, Paenibacillus strains of the invention are capable of producing at least one fusaricidin of formula I, preferably selected from
1A and 1B, in particular producingcompounds 1A and 1B, as disclosed herein, and are capable of producing at least one compound selected from the group consisting of fusaricidin A, fusaricidin B, fusaricidin C, fusaricidin D, LI-F06a, LI-F06b and LI-F08b.compounds - According to a further aspect of the invention, Paenibacillus strains of the invention are capable of producing at least one fusaricidin of formula I, preferably selected from
1A and 1B, in particular producingcompounds 1A and 1B, as disclosed herein, and are capable of producing at least three compounds selected from the group consisting of fusaricidin A, fusaricidin B, fusaricidin C, fusaricidin D, LI-F06a, LI-F06b and LI-F08b.compounds - According to a further aspect of the invention, Paenibacillus strains of the invention are capable of producing at least one fusaricidin of formula I, preferably selected from
1A and 1B, in particular producingcompounds 1A and 1B, as disclosed herein, and are capable of producing at least five compounds selected from the group consisting of fusaricidin A, fusaricidin B, fusaricidin C, fusaricidin D, LI-F06a, LI-F06b and LI-F08b.compounds - According to a further aspect of the invention, Paenibacillus strains of the invention are capable of producing at least one fusaricidin of formula I, preferably selected from
1A and 1B, in particular producingcompounds 1A and 1B, as disclosed herein, and are capable of producing fusaricidin A, fusaricidin B, fusaricidin C, fusaricidin D and LI-F08b.compounds - A further identifying characteristic of the deposited Paenibacillus strains are their antifungal activity. In particular, these strains were found to be effective against infestion with plant pathogens including Alternaria spp., Botrytis cinerea, Phytophthora infestans, and Sclerotinia sclerotiorum wherein Alternaria spp. is preferably selected from A. solani and A. alternata, in particular A. solani.
- Thus, according to a further aspect of the invention, Paenibacillus strains of the invention have antifungal activity, particularly against a plant pathogen selected from the group consisting of Alternaria spp., Botrytis cinema, Phytophthora infestans, and Sclerotinia sclerotiorum, wherein Alternaria spp. is preferably selected from A. solani and A. alternata, in particular A. solani More particularly, Paenibacillus strains of the invention have antifungal activity against at least two or against all four of said pathogens.
- According to a further aspect of the invention, Paenibacillus strains of the invention have antifungal activity against the plant pathogens Alternaria solani, Botrytis cinema, Phytophthora infestans, and Sclerotinia sclerotiorum.
- Antagonistic activity of the Paenibacillus strains against plant pathogens can be shown in an in-vitro confrontation assays using the desired phytopathogenic fungi such as Alternaria spp., Botrytis cinema, Phytophthora infestans, and Sclerotinia sclerotiorum wherein Alternaria spp. is preferably selected from A. solani and A. alternata, in particular A. solani
- As growth medium for these phytopathogenic fungi, ISP2 medium is used comprising per litre: 10 g malt extract (Sigma Aldrich, 70167); 4 g Bacto yeast extract (Becton Dickinson, 212750); 4 g glucose monohydrate (Sigma Aldrich, 16301); 20 g Agar (Becton Dickinson, 214510), pH about 7, Aq. bidest. As growth medium for PHYTIN, V8 medium is used comprising per litre: 200 ml of vegetable juice, 3 g calcium carbonate (Merck Millipore, 1020660250); 30 g Agar (Becton Dickinson, 214510), pH 6.8, Aq. bidest.
- The Paenibacillus strains are point-inoculated on one side of an agar plate. An agar block (approx. 0.3 cm2) containing one actively growing plant pathogen was put in the center of the plate. After incubating for 7-14 days at about 25° C., the growth of the plant pathogen is examined, especially for inhibition zones. The following antagonistic effects can be evaluated: Antibiosis is scored by evaluation of the diameter of the fungi-free zone (zone of inhibition). Competition is scored by comparing the diameter of the growth of the fungal pathogen on plates with bacterial strains in comparison to control plates. Mycoparasitism can be documented in case the bacteria overgrows the fungal pathogen and also mycoparasite the pathogens. This can be visualized by microscopy.
- Another identifying characteristic of the deposited Paenibacillus strains Lu16774, Lu17007 and Lu17015 is that they are capable of producing and secreting at least one lytic enzyme preferably selected from chitinase, cellulase and amylase (see Example 6), even more preferably at least chitinase and cellulose; in particular in a growth medium comprising at least one source of carbon and one source of nitrogen as defined herein.
- Thus, according to a further aspect of the invention, Paenibacillus strains of the invention are capable of producing and secreting at least one lytic enzyme preferably selected from chitinase, cellulase and amylase, even more preferably at least chitinase and cellulose; in particular in a growth medium comprising at least one source of carbon and one source of nitrogen as defined herein.
- More specifically, the present invention relates to the deposited strains Lu16774, Lu17007 and Lu17015 and any Paenibacillus strain having one or more of the identifying characteristics of the deposited strain, wherein the identifying characteristics are selected from the group consisting of:
-
- (a) antifungal activity against a plant pathogen selected from the group consisting of Alternaria spp., Botrytis cinerea, Phytophthora infestans, and Sclerotinia sclerotiorum, wherein Alternaria spp. is preferably selected from A. solani and A. alternata, in particular A. solani, as disclosed herein;
- (b) the capability of producing at least one fusaricidin-type compound of formula I, in
particular compounds 1A and/or 1B, as disclosed herein; - (c) the capability of producing at least one compound selected from the group consisting of fusaricidins A, B, C, D, LI-F06a, LI-F06b and LI-F08b, as disclosed herein; and
- (d) the capability of producing and secreting at least one lytic enzyme selected from the group consisting of chitinase, cellulose and amylase, as disclosed herein.
- More preferably, said Paenibacillus strain has the capabilities referred to as (b), (c) and (d) in a growth medium comprising at least one source of carbon and one source of nitrogen as defined herein.
- In particular, Paenibacillus strains of the invention have two or more of the identifying characteristics of the deposited strain, with strains having at least the characteristics (a) and (b) being particularly preferred. For instance, according to a preferred embodiment, the strains of the invention (a) have an antifungal activity against a plant pathogen selected from the group consisting of Alternaria spp., Botrytis cinerea, Phytophthora infestans, and Sclerotinia sclerotiorum, wherein Alternaria spp. is preferably selected from A. solani and A. alternata, in particular A. solani and (b) are capable of producing at least one compound of formula I, and particularly compound 1B. According to a further preferred embodiment, the strains of the invention (a) have an antifungal activity against three or against all of the plant pathogens selected from the group consisting of Alternaria spp., Botrytis cinerea, Phytophthora infestans, and Sclerotinia sclerotiorum, wherein Alternaria spp. is preferably selected from A. solani and A. alternata, in particular A. solani and (b) are capable of producing at least one compound of formula I, more preferably producing
1A or 1B, in particular of producingcompounds 1A and 1B.compounds - According to an embodiment of the invention, the strains of the invention are provided in isolated or substantially purified form.
- The terms “isolated” or “substantially purified” are meant to denote that the strains of the invention have been removed from a natural environment and have been isolated or separated, and are at least 60% free, preferably at least 75% free, and more preferably at least 90% free, even more preferably at least 95% free, and most preferably at least 99% free from other components with which they were naturally associated. An isolate obtained by culturing a single microbial colony is an example of an isolated strain of the invention.
- The strains of the invention may be provided in any physiological state such as active or dormant. Dormant strains may be provided for example frozen, dried, or lyophilized or partly desiccated (procedures to produce partly desiccated organisms are given in WO 2008/002371) or in form of spores.
- According to an embodiment of the invention, the strains of the invention are provided in the form of spores.
- According to a further embodiment of the invention, the strains of the invention are provided as a whole culture broth comprising a strain of the invention.
- The culture is preferably an isolated or substantially purified culture.
- An “isolated culture” or “substantially purified culture” refers to a culture of the strains of the invention that does not include significant amounts of other materials which normally are found in natural habitat in which the strain grows and/or from which the strain normally may be obtained. Consequently, such “isolated culture” or “substantially purified culture” is at least 60% free, preferably at least 75% free, and more preferably at least 90% free, even more preferably at least 95% free, and most preferably at least 99% free from other materials which normally are found in natural habitat in which the strain grows and/or from which the strain normally may be obtained. Such an “isolated culture” or “substantially purified culture” does normally not include any other microorganism in quantities sufficient to interfere with the replication of the strain of the invention. Isolated cultures of the invention may, however, be combined to prepare a mixed culture of the strains of the invention and a further biopesticide, preferably a microbial pesticide.
- The invention relates to methods for the fermentative production of antipathogenic biopesticides as described herein.
- The strains as used according to the invention can be cultivated continuously or discontinuously in the batch process or in the fed batch or repeated fed batch process. A review of known methods of cultivation will be found in the textbook by Chmiel (
Bioprozesstechnik 1. Einführung in die Bioverfahrenstechnik (Gustav Fischer Verlag, Stuttgart, 1991)) or in the textbook by Storhas (Bioreaktoren und periphere Einrichtungen (Vieweg Verlag, Braunschweig/Wiesbaden, 1994)). - The medium that is to be used for cultivation of the microorganism must satisfy the requirements of the particular strains in an appropriate manner. Descriptions of culture media for various microorganisms are given in the handbook “Manual of Methods for General Bacteriology” of the American Society for Bacteriology (Washington D. C., USA, 1981).
- These media that can be used according to the invention generally comprise one or more sources of carbon, sources of nitrogen, inorganic salts, vitamins and/or trace elements. Preferred sources of carbon are sugars, such as mono-, di- or polysaccharides. Very good sources of carbon are for example glucose, fructose, mannose, galactose, ribose, sorbose, ribulose, lactose, maltose, sucrose, raffinose, starch or cellulose. Sugars can also be added to the media via complex compounds, such as molasses, or other by-products from sugar refining. It may also be advantageous to add mixtures of various sources of carbon. Other possible sources of carbon are oils and fats such as soybean oil, sunflower oil, peanut oil and coconut oil, fatty acids such as palmitic acid, stearic acid or linoleic acid, alcohols such as glycerol, methanol or ethanol and organic acids such as acetic acid or lactic acid. Sources of nitrogen are usually organic or inorganic nitrogen compounds or materials containing these compounds. Examples of sources of nitrogen include ammonia gas or ammonium salts, such as ammonium sulfate, ammonium chloride, ammonium phosphate, ammonium carbonate or ammonium nitrate, nitrates, urea, amino acids or complex sources of nitrogen, such as corn-steep liquor, soybean flour, soybean protein, yeast extract, meat extract and others. The sources of nitrogen can be used separately or as a mixture. Inorganic salt compounds that may be present in the media comprise the chloride, phosphate or sulfate salts of calcium, magnesium, sodium, cobalt, molybdenum, potassium, manganese, zinc, copper and iron. Inorganic sulfur-containing compounds, for example sulfates, sulfites, dithionites, tetrathionates, thiosulfates, sulfides, but also organic sulfur compounds, such as mercaptans and thiols, can be used as sources of sulfur. Phosphoric acid, potassium dihydrogenphosphate or dipotassium hydrogenphosphate or the corresponding sodium-containing salts can be used as sources of phosphorus. Chelating agents can be added to the medium, in order to keep the metal ions in solution. Especially suitable chelating agents comprise dihydroxyphenols, such as catechol or protocatechuate, or organic acids, such as citric acid. The fermentation media used according to the invention may also contain other growth factors, such as vitamins or growth promoters, which include for example biotin, riboflavin, thiamine, folic acid, nicotinic acid, pantothenate and pyridoxine. Growth factors and salts often come from complex components of the media, such as yeast extract, molasses, com-steep liquor and the like. In addition, suitable precursors can be added to the medium. The precise composition of the compounds in the medium is strongly dependent on the particular experiment and must be decided individually for each specific case. Information on media optimization can be found in the textbook “Applied Microbiol. Physiology, A Practical Approach” (Publ. P. M. Rhodes, P. F. Stanbury, IRL Press (1997) p. 53-73, ISBN 0 19 963577 3). Growing media can also be obtained from commercial suppliers, such as Standard 1 (Merck) or BHI (Brain heart infusion, DIFCO) etc.
- Preferred growth media that can be used according to the invention comprise one or more sources of carbon selected from L-arabinose, N-acetyl-D-glucosamine, D-galactose, L-aspartaic acid, D-trehalose, D-mannose, glycerol, D-gluconic acid, D-xylose, D-mannitol, D-ribose, D-fructose, α-D-glucose, maltose, D-melibiose, thymidine, α-methyl-D-Galactoside, α-D-lactose, lactulose, sucrose, uridine, α-hydroxy glutaric acid-γ-lactone, β-methyl-D-glucoside, adonitol, maltotriose, 2-deoxyadenosine, adenosine, citric acid, mucic acid, D-cellobiose, inosine, L-serine, L-alanyl-glycine, D-galacturonic acid, α-cyclodextrin, β-cyclodextrin, dextrin, inulin, pectin, amygdalin, gentiobiose, lactitol, D-melezitose, α-methyl-D-glucoside, β-methyl-D-galactoside, β-methyl-D-xyloside, palatinose, D-raffinose, stachyose, turanose, γ-amino butyric acid, D-gluosamine, D-lactic acid, L-lysine, 3-hydroxy 2-butanone; and one or more sources of nitrogen selected from ammonia, nitrite, nitrate, L-alanine, L-asparagine, L-aspartic acid, L-glutamic acid, L-glutamie, glycine, aminoacid dimes: Ala-Asp, AlaGln, Ala-Glu, Ala-His, Gly-Gln, Gly-Glu, Gly-Met, and Met-Ala; in particular nitrate. These media can be supplemented with inorganic salts and vitamins and/or trace elements. The strains are capable to produce
1A and 1B in these growth media.compounds - All components of the medium are sterilized, either by heating (20 min at 2.0 bar and 121° C.) or by sterile filtration. The components can be sterilized either together, or if necessary separately. All the components of the medium can be present at the start of growing, or optionally can be added continuously or by batch feed.
- The temperature of the culture is normally between 15° C. and 36° C., preferably 25° C. to 33° C. and can be kept constant or can be varied during the experiment. The pH value of the medium should be in the range from 5 to 8.5, preferably around 7.0. The pH value for growing can be controlled during growing by adding basic compounds such as sodium hydroxide, potassium hydroxide, ammonia or ammonia water or acid compounds such as phosphoric acid or sulfuric acid. Antifoaming agents, e.g. fatty acid polyglycol esters, can be used for controlling foaming. To maintain the stability of plasmids, suitable substances with selective action, e.g. antibiotics, can be added to the medium. Oxygen or oxygen-containing gas mixtures, e.g. the ambient air, are fed into the culture in order to maintain aerobic conditions. The temperature of the culture is normally from 20° C. to 45° C. Culture is continued until a maximum of the desired product has formed. This is normally achieved within 10 hours to 160 hours.
- In particular, the strains of the invention may be cultivated in a medium a variety of standard microbiology media such as Luria-Bertani Broth (LB), trypticase-soy broth (TSB), yeast extract/malt extract/glucose broth (YMG, ISP2) at 15° C. to 36° C. for 18 to 360 h in liquid media or in agar-solidified media on a petri dish. Aeration may be necessary. The bacterial cells (vegetative cells and spores) can be washed and concentrated (e.g. by centrifugation at temperatures of about 15 to 30° C. for about 15 min at 7,000×g).
- The invention also relates to culture medium obtainable by culturing the strains of the invention in a medium and separating the medium from the culture broth (thus, remaining when cells grown in the medium are removed from the whole culture broth), e.g., the supernatant of a whole culture broth, i.e., the liquid broth remaining when cells grown in broth and other debris are removed by centrifugation, filtration, sedimentation, or other means well known in the art.
- The supernatant can be obtained e.g. by centrifugation at temperatures of about 2 to 30° C. (more preferably at temperatures of 4 to 20° C.) for about 10 to 60 min (more preferably about 15 to 30 min) at about 5,000 to 20,000×g (more preferably at about 15,000×g).
- Such culture medium contains pesticidal metabolites which are produced by the cultured strain.
- The invention also relates to cell-free extracts of the strains of the invention. To produce a cell-free extract, the strains of the invention may be cultivated as described above. The cells can be disrupted also by high-frequency ultrasound, by high pressure, e.g. in a French pressure cell, by osmolysis, by the action of detergents, lytic enzymes or organic solvents, by means of homogenizers or by a combination of several of the methods listed. The extraction can be carried out preferably with an organic solvent or solvent mixture, more preferably an alcohol (e.g. methanol, ethanol, n-propanol, 2-propanol or alike), even more preferably with 2-propanol (e.g. in a 1:1 ratio to the culture volume). Phase separation may be enhanced by addition of salts such as NaCl. The organic phase can be collected and the solvent or solvent mixture may be removed by conventional distillation and/or drying followed by resuspension in methanol and filtration.
- Such extract contains pesticidal metabolites which are produced by the cultured strain.
- Pesticidal metabolites that are specific to the strains of the invention may be recovered from such medium or extract according to conventional methods in particular when the strains of the invention have been cultivated as described above.
- The methodology of the present invention can further include a step of recovering individual pesticidal metabolites.
- The term “recovering” includes extracting, harvesting, isolating or purifying the compound from culture media or cell-free extracts. Recovering the compound can be performed according to any conventional isolation or purification methodology known in the art including, but not limited to, treatment with a conventional resin (e.g., anion or cation exchange resin, non-ionic adsorption resin, etc.), treatment with a conventional adsorbent (e.g., activated charcoal, silicic acid, silica gel, cellulose, alumina, etc.), alteration of pH, solvent extraction (e.g., with a conventional solvent such as an alcohol, ethyl acetate, hexane and the like), distillation, dialysis, filtration, concentration, crystallization, recrystallization, pH adjustment, lyophilization and the like. For example the metabolites can be recovered from culture media by first removing the microorganisms. The remaining broth is then passed through or over a cation exchange resin to remove unwanted cations and then through or over an anion exchange resin to remove unwanted inorganic anions and organic acids.
- Several metabolites have been found in whole culture broth of the novel Paenibacillus strains. Nine metabolites have been studied in detail and identified (see Example 7,
FIG. 1 ). Two of them were found to be novel (compound 1A andcompound 1B). 1A and 1B have been found to be produced by all three Paenibacillus strains of the invention (see Table 17) but none of them was found in the whole culture broth of the related Paenibacillus peoriae strain NRRL BD-62.Compounds - Thus the present invention also relates to compounds of formula I
- wherein
- R is selected from 15-guanidino-3-hydroxypentadecanoic acid (GHPD) and 12-guanidinododecanoic acid (12-GDA);
- X1 is threonine;
- X2 is isoleucine;
- X3 is tyrosine;
- X4 is threonine;
- X5 is selected from glutamine and asparagine;
- X6 is alanine; and
wherein an arrow defines a single (amide) bond either between the carbonyl moiety of R and the amino group of the amino acid X1 or between the carbonyl group of one amino acid and the amino group of a neighboring amino acid wherein the tip of the arrow indicates the attachment to the amino group of said neighboring amino acid; and
wherein the single line (without an arrow head) defines a single (ester) bond between the carbonyl group of X6 and the hydroxyl group of X1;
and the agriculturally acceptable salts thereof. - According to a further embodiment, X1 in formula I is preferably L-threonine.
- According to a further embodiment, X2 in formula I is preferably D-isoleucine or D-allo-isoleucine.
- According to a further embodiment, X3 in formula I is preferably L-tyrosine.
- According to a further embodiment, X4 in formula I is preferably D-allo-threonine.
- According to a further embodiment, X5 in formula I is preferably D-glutamine or D-asparagine.
- According to a further embodiment, R in formula I is preferably GHPD.
- The sketch of formula I for compounds of formula I may also be depicted as follows:
- wherein
- X is selected from —NH—(C═O)—CH2—CH(OH)—(CH2)12—NH—C(═NH)NH2 and —NH—(C═O)—(CH2)11—NH—C(═NH)NH2;
- R1 is 1-hydroxyethyl;
- R2 is 1-methylpropyl (sec-butyl);
- R3 is 4-hydroxybenzyl;
- R4 is 1-hydroxyethyl;
- R5 is selected from carbamoylethyl and carbamoylmethyl;
- R6 is methyl.
- Likewise, the preferred embodiments based on this alternative sketch of formula I
- are as follows:
- R1 in this formula I is preferably (1S,2R)-1-hydroxyethyl.
- R2 in this formula I is preferably (1R,2R)-1-methylpropyl or (1R,2S)-1-methylpropy.
- R3 in this formula I is preferably (S)-4-hydroxy-benzyl.
- R4 in this formula I is preferably (1S,2R)-1-hydroxyethyl.
- R5 in this formula I is preferably (R)-carbamoylethyl and (R)-carbamoylmethyl.
- X in this formula I is preferably —NH—(C═O)—CH2—CH(OH)—(CH2)12—NH—C(═NH)NH2.
- According to a further embodiment, the invention further relates to compounds 1A and 1B, which are of formula I, wherein R is GHPD and wherein X4 is asparagine in case of compound 1A and X4 is glutamine in case of compound 1B:
- The pesticidal metabolites from the strains of the invention are preferably selected from compounds of formula I wherein R is GHPD, in particular selected from
1A and 1B, which can be obtained by extraction and isolation from cultures, i.e. whole culture broths, of the strains of the invention.compounds - Further, the fusaricidin-type compounds of formula I including those wherein R is GHTD can be synthesized in analogy to methods known in the art (Biopolymers 80(4), 541, 2005; J. Peptide Sci. 12S, 219, 2006; Tetrahedron Lett. 47(48), 8587-90, 2006; Biopolymers 88(4), 568, 2007;
ChemMedChem 7, 871-882, 2012). - The invention also relates to the agriculturally acceptable salts, particularly acid addition salts of said fusaricidin-type compounds of formula I. Said salts can be obtained by conventional methods well known in the art, e.g. by reacting the compounds of the invention with a suitable acid to form an acid addition salt. Anions of useful acid addition salts are primarily chloride, bromide, fluoride, iodide, hydrogensulfate, methylsulfate, sulfate, dihydrogenphosphate, hydrogen-phosphate, nitrate, bicarbonate, carbonate, hexafluorosilicate, hexafluorophosphate, benzoate and also the anions of C1-C4-alkanoic acids, preferably formate, acetate, propionate and butyrate.
- Consequently, the invention also relates to a whole culture broth of a microorganism comprising at least one compound of formula I or an agriculturally acceptable salt thereof, preferably selected from
1A and 1B or an agriculturally acceptable salt thereof, in particular said whole culture broth comprisescompounds 1A and 1B or an agriculturally acceptable salt thereof.compounds - According to a further embodiment, the invention also relates to a whole culture broth of a microorganism of the genus Paenibacillus comprising at least one compound of formula I or an agriculturally acceptable salt thereof, preferably selected from
1A and 1B or an agriculturally acceptable salt thereof, in particular said whole culture broth comprisescompounds 1A and 1B or an agriculturally acceptable salt thereof.compounds - According to a further embodiment, the invention also relates to a whole culture broth of at least one Paenibacillus strain of the invention as identified and defined above comprising at least one compound of formula I or an agriculturally acceptable salt thereof, preferably selected from
1A and 1B or an agriculturally acceptable salt thereof, in particular said whole culture broth comprisescompounds 1A and 1B or an agriculturally acceptable salt thereof.compounds - Said fusaricidin-type compounds are secreted into the culture medium of the respective microorganism capable of producing it.
- Consequently, the invention also relates to a culture medium and/or a cell-free extract of a microorganism comprising at least one compound of formula I or an agriculturally acceptable salt thereof, preferably selected from
1A and 1B or an agriculturally acceptable salt thereof, in particular said culture medium and/or a cell-free extract comprisescompounds 1A and 1B or an agriculturally acceptable salt thereof.compounds - According to a further embodiment, the invention also relates to a culture medium and/or a cell-free extract of a microorganism of the genus Paenibacillus comprising at least one compound of formula I or an agriculturally acceptable salt thereof, preferably selected from
1A and 1B or an agriculturally acceptable salt thereof, in particular said culture medium and/or a cell-free extract comprisescompounds 1A and 1B or an agriculturally acceptable salt thereof.compounds - According to a further embodiment, the invention also relates to culture medium and/or a cell-free extract of at least one Paenibacillus strain of the invention as identified and defined above comprising at least one compound of formula I or an agriculturally acceptable salt thereof, preferably selected from
1A and 1B or an agriculturally acceptable salt thereof, in particular said culture medium and/or a cell-free extract comprisescompounds 1A and 1B or an agriculturally acceptable salt thereof.compounds - The invention further relates to agrochemical compositions comprising an auxiliary as defined below and at least one or more of the strains, whole culture broths, cell-free extracts, culture media and compounds of formula I, of the invention, respectively.
- As used herein, “composition” in reference to a product (microbial strain, agent or formulation) of the present invention refers to a combination of ingredients, wherein “formulating” is the process of using a formula, such as a recipe, for a combination of ingredients, to be added to form the formulation. Such composition is also referred herein to as formulation.
- The strains, whole culture broths, cell-free extracts, culture media, compounds of formula I, and compositions of the invention, respectively, are suitable as antifungal agents or fungicides. They are distinguished by an outstanding effectiveness against a broad spectrum of phytopathogenic fungi, including soil-borne fungi, which derive especially from the classes of the Plasmodiophoromycetes, Peronosporomycetes (syn. Oomycetes), Chytridiomycetes, Zygomycetes, Ascomycetes, Basidiomycetes and Deuteromycetes (syn. Fungi imperfecti). Some are systemically effective and they can be used in crop protection as foliar fungicides, fungicides for seed dressing and soil fungicides. Moreover, they are suitable for controlling harmful fungi, which inter alia occur in wood or roots of plants.
- The strains, whole culture broths, cell-free extracts, culture media, compounds of formula I, and compositions of the invention, respectively, are particularly important in the control of a multitude of phytopathogenic fungi on various cultivated plants, such as cereals, e.g. wheat, rye, barley, triticale, oats or rice; beet, e.g. sugar beet or fodder beet; fruits, such as pomes, stone fruits or soft fruits, e.g. apples, pears, plums, peaches, almonds, cherries, strawberries, raspberries, blackberries or gooseberries; leguminous plants, such as lentils, peas, alfalfa or soybeans; oil plants, such as rape, mustard, olives, sunflowers, coconut, cocoa beans, castor oil plants, oil palms, ground nuts or soybeans; cucurbits, such as squashes, cucumber or melons; fiber plants, such as cotton, flax, hemp or jute; citrus fruit, such as oranges, lemons, grapefruits or mandarins; vegetables, such as spinach, lettuce, asparagus, cabbages, carrots, onions, tomatoes, potatoes, cucurbits or paprika; lauraceous plants, such as avocados, cinnamon or camphor; energy and raw material plants, such as corn, soybean, rape, sugar cane or oil palm; corn; tobacco; nuts; coffee; tea; bananas; vines (table grapes and grape juice grape vines); hop; turf; sweet leaf (also called Stevia); natural rubber plants or ornamental and forestry plants, such as flowers, shrubs, broad-leaved trees or evergreens, e.g. conifers; and on the plant propagation material, such as seeds, and the crop material of these plants.
- Preferably, the strains, whole culture broths, cell-free extracts culture media, compounds of formula I; and compositions of the invention, respectively, are used for controlling a multitude of fungi on field crops, such as potatoes sugar beets, tobacco, wheat, rye, barley, oats, rice, corn, cotton, soybeans, rape, legumes, sunflowers, coffee or sugar cane; fruits; vines; ornamentals; or vegetables, such as cucumbers, tomatoes, beans or squashes.
- The term “plant propagation material” is to be understood to denote all the generative parts of the plant such as seeds and vegetative plant material such as cuttings and tubers (e.g. potatoes), which can be used for the multiplication of the plant. This includes seeds, roots, fruits, tubers, bulbs, rhizomes, shoots, sprouts and other parts of plants, including seedlings and young plants, which are to be transplanted after germination or after emergence from soil. These young plants may also be protected before transplantation by a total or partial treatment by immersion or pouring.
- Preferably, treatment of plant propagation materials with the strains, whole culture broths, cell-free extracts culture media, compounds of formula I; and compositions of the invention, respectively, is used for controlling a multitude of fungi on cereals, such as wheat, rye, barley and oats; rice, corn, cotton and soybeans.
- The term “cultivated plants” is to be understood as including plants which have been modified by breeding, mutagenesis or genetic engineering including but not limiting to agricultural biotech products on the market or in development (cf. http://cera-gmc.org/, see GM crop database therein). Genetically modified plants are plants, which genetic material has been so modified by the use of recombinant DNA techniques that under natural circumstances cannot readily be obtained by cross breeding, mutations or natural recombination. Typically, one or more genes have been integrated into the genetic material of a genetically modified plant in order to improve certain properties of the plant. Such genetic modifications also include but are not limited to targeted post-translational modification of protein(s), oligo- or polypeptides e.g. by glycosylation or polymer additions such as prenylated, acetylated or famesylated moieties or PEG moieties.
- Plants that have been modified by breeding, mutagenesis or genetic engineering, e.g. have been rendered tolerant to applications of specific classes of herbicides, such as auxin herbicides such as dicamba or 2,4-D; bleacher herbicides such as hydroxylphenylpyruvate dioxygenase (HPPD) inhibitors or phytoene desaturase (PDS) inhibitors; acetolactate synthase (ALS) inhibitors such as sulfonyl ureas or imidazolinones; enolpyruvylshikimate-3-phosphate synthase (EPSPS) inhibitors, such as glyphosate; glutamine synthetase (GS) inhibitors such as glufosinate; protoporphyrinogen-IX oxidase inhibitors; lipid biosynthesis inhibitors such as acetyl CoA carboxylase (ACCase) inhibitors; or oxynil (i. e. bromoxynil or ioxynil) herbicides as a result of conventional methods of breeding or genetic engineering. Furthermore, plants have been made resistant to multiple classes of herbicides through multiple genetic modifications, such as resistance to both glyphosate and glufosinate or to both glyphosate and a herbicide from another class such as ALS inhibitors, HPPD inhibitors, auxin herbicides, or ACCase inhibitors. These herbicide resistance technologies are e.g. described in Pest Managem. Sci. 61, 2005, 246; 61, 2005, 258; 61, 2005, 277; 61, 2005, 269; 61, 2005, 286; 64, 2008, 326; 64, 2008, 332; Weed Sci. 57, 2009, 108; Austral. J. Agricult. Res. 58, 2007, 708; Science 316, 2007, 1185; and references quoted therein. Several cultivated plants have been rendered tolerant to herbicides by conventional methods of breeding (mutagenesis), e.g. Clearfield® summer rape (Canola, BASF SE, Germany) being tolerant to imidazolinones, e.g. imazamox, or ExpressSun® sunflowers (DuPont, USA) being tolerant to sulfonyl ureas, e.g. tribenuron. Genetic engineering methods have been used to render cultivated plants such as soybean, cotton, corn, beets and rape, tolerant to herbicides such as glyphosate and glufosinate, some of which are commercially available under the trade names RoundupReady® (glyphosate-tolerant, Monsanto, U.S.A.), Cultivance® (imidazolinone tolerant, BASF SE, Germany) and LibertyLink® (glufosinate-tolerant, Bayer CropScience, Germany).
- Furthermore, plants are also covered that are by the use of recombinant DNA techniques capable to synthesize one or more insecticidal proteins, especially those known from the bacterial genus Bacillus, particularly from Bacillus thuringiensis, such as δ-endotoxins, e.g. CryIA(b), CryIA(c), CryIF, CryIF(a2), CryIIA(b), CryIIIA, CryIIIB(b1) or Cry9c; vegetative insecticidal proteins (VIP), e.g. VIP1, VIP2, VIP3 or VIP3A; insecticidal proteins of bacteria colonizing nematodes, e.g. Photorhabdus spp. or Xenorhabdus spp.; toxins produced by animals, such as scorpion toxins, arachnid toxins, wasp toxins, or other insect-specific neurotoxins; toxins produced by fungi, such Streptomycetes toxins, plant lectins, such as pea or barley lectins; agglutinins; proteinase inhibitors, such as trypsin inhibitors, serine protease inhibitors, patatin, cystatin or papain inhibitors; ribosome-inactivating proteins (RIP), such as ricin, maize-RIP, abrin, luffin, saporin or bryodin; steroid metabolism enzymes, such as 3-hydroxysteroid oxidase, ecdysteroid-IDP-glycosyl-transferase, cholesterol oxidases, ecdysone inhibitors or HMG-CoA-reductase; ion channel blockers, such as blockers of sodium or calcium channels; juvenile hormone esterase; diuretic hormone receptors (helicokinin receptors); stilbene synthase, bibenzyl synthase, chitinases or glucanases. In the context of the present invention these insecticidal proteins or toxins are to be understood expressly also as pre-toxins, hybrid proteins, truncated or otherwise modified proteins. Hybrid proteins are characterized by a new combination of protein domains, (see, e.g. WO 02/015701). Further examples of such toxins or genetically modified plants capable of synthesizing such toxins are disclosed, e.g., in EP-A 374 753, WO 93/007278, WO 95/34656, EP-A 427 529, EP-A 451 878, WO 03/18810 und WO 03/52073. The methods for producing such genetically modified plants are generally known to the person skilled in the art and are described, e.g. in the publications mentioned above. These insecticidal proteins contained in the genetically modified plants impart to the plants producing these proteins tolerance to harmful pests from all taxonomic groups of arthropods, especially to beetles (Coeloptera), two-winged insects (Diptera), and moths (Lepidoptera) and to nematodes (Nematoda). Genetically modified plants capable to synthesize one or more insecticidal proteins are, e.g., described in the publications mentioned above, and some of which are commercially available such as YieldGard® (corn cultivars producing the Cry1Ab toxin), YieldGard® Plus (corn cultivars producing Cry1Ab and Cry3Bb1 toxins), Starlink® (corn cultivars producing the Cry9c toxin), Herculex® RW (corn cultivars producing Cry34Ab1, Cry35Ab1 and the enzyme Phosphinothricin-N-Acetyttransferase [PAT]); NuCOTN® 33B (cotton cultivars producing the Cry1Ac toxin), Bollgard® I (cotton cultivars producing the Cry1Ac toxin), Bollgard® II (cotton cultivars producing Cry1Ac and Cry2Ab2 toxins); VIPCOT® (cotton cultivars producing a VIP-toxin); NewLeaf® (potato cultivars producing the Cry3A toxin); Bt-Xtra®, NatureGard®, KnockOut®, BiteGard®, Protecta®, Bt11 (e.g. Agrisure® CB) and Bt176 from Syngenta Seeds SAS, France, (corn cultivars producing the Cry1Ab toxin and PAT enzyme), MIR604 from Syngenta Seeds SAS, France (corn cultivars producing a modified version of the Cry3A toxin, c.f. WO 03/018810), MON 863 from Monsanto Europe S.A., Belgium (corn cultivars producing the Cry3Bb1 toxin), IPC 531 from Monsanto Europe S.A., Belgium (cotton cultivars producing a modified version of the Cry1Ac toxin) and 1507 from Pioneer Overseas Corporation, Belgium (corn cultivars producing the Cry1F toxin and PAT enzyme).
- Furthermore, plants are also covered that are by the use of recombinant DNA techniques capable to synthesize one or more proteins to increase the resistance or tolerance of those plants to bacterial, viral or fungal pathogens. Examples of such proteins are the so-called “pathogenesis-related proteins” (PR proteins, see, e.g. EP-A 392 225), plant disease resistance genes (e.g. potato cultivars, which express resistance genes acting against Phytophthora infestans derived from the mexican wild potato Solanum bulbocastanum) or T4-lysozym (e.g. potato cultivars capable of synthesizing these proteins with increased resistance against bacteria such as Erwinia amylvora). The methods for producing such genetically modified plants are generally known to the person skilled in the art and are described, e.g. in the publications mentioned above.
- Furthermore, plants are also covered that are by the use of recombinant DNA techniques capable to synthesize one or more proteins to increase the productivity (e.g. bio mass production, grain yield, starch content, oil content or protein content), tolerance to drought, salinity or other growth-limiting environmental factors or tolerance to pests and fungal, bacterial or viral pathogens of those plants.
- Furthermore, plants are also covered that contain by the use of recombinant DNA techniques a modified amount of substances of content or new substances of content, specifically to improve human or animal nutrition, e.g. oil crops that produce health-promoting long-chain omega-3 fatty acids or unsaturated omega-9 fatty acids (e.g. Nexera® rape, DOW Agro Sciences, Canada).
- Furthermore, plants are also covered that contain by the use of recombinant DNA techniques a modified amount of substances of content or new substances of content, specifically to improve raw material production, e.g. potatoes that produce increased amounts of amylopectin (e.g. Amflora® potato, BASF SE, Germany).
- The strains, whole culture broths, cell-free extracts, culture media, compounds of formula I, and compositions of the invention, respectively, are particularly suitable for controlling the following plant diseases:
- Albugo spp. (white rust) on ornamentals, vegetables (e.g. A. candida) and sunflowers (e.g. A. tragopogonis); Alternaria spp. (Alternaria leaf spot) on vegetables, rape (A. brassicola or brassicae), sugar beets (A. tenuis), fruits, rice, soybeans, potatoes (e.g. A. solani or A. alternata), tomatoes (e.g. A. solani or A. alternata) and wheat; Aphanomyces spp. on sugar beets and vegetables; Ascochyta spp. on cereals and vegetables, e.g. A. tritici (anthracnose) on wheat and A. hordei on barley; Bipolaris and Drechslera spp. (teleomorph: Cochliobolus spp.), e.g. Southern leaf blight (D. maydis) or Northern leaf blight (B. zeicola) on corn, e.g. spot blotch (B. sorokiniana) on cereals and e.g. B. oryzae on rice and turfs; Blumeria (formerly Eysiphe) graminis (powdery mildew) on cereals (e.g. on wheat or barley); Botrytis cinerea (teleomorph: Botryotinia fuckeliana grey mold) on fruits and berries (e.g. strawberries), vegetables (e.g. lettuce, carrots, celery and cabbages), rape, flowers, vines, forestry plants and wheat; Bremmia lactucae (downy mildew) on lettuce; Ceratocystis (syn. Ophiostoma) spp. (rot or wilt) on broad-leaved trees and evergreens, e.g. C. ulmi (Dutch elm disease) on elms; Cercospora spp. (Cercospora leaf spots) on corn (e.g. Gray leaf spot: C. zeae-maydis), rice, sugar beets (e.g. C. beticola), sugar cane, vegetables, coffee, soybeans (e.g. C. sojina or C. kikuchi) and rice; Cladosporium spp. on tomatoes (e.g. C. fulvum: leaf mold) and cereals, e.g. C. herbarum (black ear) on wheat; Claviceps purpurea (ergot) on cereals; Cochliobolus (anamorph: Helminthosporium of Bipolaris) spp. (leaf spots) on corn (C. carbonum), cereals (e.g. C. sativus, anamorph: B. sorokiniana) and rice (e.g. C. miyabeanus, anamorph: H. oryzae); Colletotrichum (teleomorph: Glomerella) spp. (anthracnose) on cotton (e.g. C. gossypii), corn (e.g. C. graminicola: Anthracnose stalk rot), soft fruits, potatoes (e.g. C. coccodes black dot), beans (e.g. C. lindemuthianum) and soybeans (e.g. C. truncatum or C. gloeosponoides); Corticium spp., e.g. C. sasakii (sheath blight) on rice; Corynespora cassiicola (leaf spots) on soybeans and ornamentals; Cycloconium spp., e.g. C. oleaginum on olive trees; Cylindrocarpon spp. (e.g. fruit tree canker or young vine decline, teleomorph: Nectria or Neonectria spp.) on fruit trees, vines (e.g. C. liriodendri teleomorph: Neonectria liriodendri Black Foot Disease) and ornamentals; Dematophora (teleomorph: Roselinia) necatrix (root and stem rot) on soybeans; Diaporthe spp., e.g. D. phaseolorum (damping off) on soybeans; Drechslera (syn. Helminthosporium, teleomorph: Pyrenophora) spp. on corn, cereals, such as barley (e.g. D. teres, net blotch) and wheat (e.g. D. tritici-repentis: tan spot), rice and turf; Esca (dieback, apoplexy) on vines, caused by Formitiporia (syn. Phellinus) punctata, F. mediterranea, Phaeomoniella chlamydospora (earlier Phaeoacremonium chlamydosporum), Phaeoacremonium aleophilum and/or Botryosphaea obtusa; Elsinoe spp. on pome fruits (E. pyri), soft fruits (E. veneta anthracnose) and vines (E. ampelina anthracnose); Entyloma oryzae (leaf smut) on rice; Epicoccum spp. (black mold) on wheat; Erysiphe spp. (powdery mildew) on sugar beets (E. betae), vegetables (e.g. E. pisi), such as cucurbits (e.g. E. cichoracearum), cabbages, rape (e.g. E. cruciferarum); Eutypa lata (Eutypa canker or dieback, anamorph: Cytosporina lata, syn. Libertella blepharis) on fruit trees, vines and ornamental woods; Exserohilum (syn. Helminthosporium) spp. on corn (e.g. E. turcicum); Fusarium (teleomorph: Gibberella) spp. (wilt, root or stem rot) on various plants, such as F. graminearum or F. culmorum (root rot, scab or head blight) on cereals (e.g. wheat or barley), F. oxysporum on tomatoes, F. solani(f. sp. glycines now syn. F. virguliforme) and F. tucumaniae and F. brasiliense each causing sudden death syndrome on soybeans, and F. verticillioides on corn; Gaeumannomyces graminis (take-all) on cereals (e.g. wheat or barley) and corn; Gibberella spp. on cereals (e.g. G. zeae) and rice (e.g. G. fujikuroi Bakanae disease); Glomerella cingulata on vines, pome fruits and other plants and G. gossypii on cotton; Grainstaining complex on rice; Guignardia bidwellii (black rot) on vines; Gymnosporangium spp. on rosaceous plants and junipers, e.g. G. sabinae (rust) on pears; Helminthosporium spp. (syn. Drechslera, teleomorph: Cochliobolus) on corn, cereals and rice; Hemileia spp., e.g. H. vastatrix (coffee leaf rust) on coffee; Isariopsis clavispora (syn. Cladosporium vitis) on vines; Macrophomina phaseolina (syn. phaseoli) (root and stem rot) on soybeans and cotton; Microdochium (syn. Fusarium) nivale (pink snow mold) on cereals (e.g. wheat or barley); Microsphaera diffusa (powdery mildew) on soybeans; Monilinia spp., e.g. M. laxa, M. fructicola and M. fructigena (bloom and twig blight, brown rot) on stone fruits and other rosaceous plants; Mycosphaerella spp. on cereals, bananas, soft fruits and ground nuts, such as e.g. M. graminicola (anamorph: Septoria tritici, Septoria blotch) on wheat or M. fijiensis (black Sigatoka disease) on bananas; Peronospora spp. (downy mildew) on cabbage (e.g. P. brassicae), rape (e.g. P. parasitica), onions (e.g. P. destructor), tobacco (P. tabacina) and soybeans (e.g. P. manshurica); Phakopsora pachyrhizi and P. melbomiae (soybean rust) on soybeans; Phialophora spp. e.g. on vines (e.g. P. tracheiphila and P. tetraspora) and soybeans (e.g. P. gregata stem rot); Phoma lingam (root and stem rot) on rape and cabbage and P. betae (root rot, leaf spot and damping-off) on sugar beets; Phomopsis spp. on sunflowers, vines (e.g. P. viticola can and leaf spot) and soybeans (e.g. stem rot: P. phaseoli, teleomorph: Diaporthe phaseolorum); Physoderma maydis (brown spots) on corn; Phytophthora spp. (wilt, root, leaf, fruit and stem root) on various plants, such as paprika and cucurbits (e.g. P. capsici), soybeans (e.g. P. megasperma, syn. P. sojae), potatoes and tomatoes (e.g. P. infestans late blight) and broad-leaved trees (e.g. P. ramorum: sudden oak death); Plasmodiophora brassicae (club root) on cabbage, rape, radish and other plants; Plasmopara spp., e.g. P. viticola (grapevine downy mildew) on vines and P. halstedii on sunflowers; Podosphaera spp. (powdery mildew) on rosaceous plants, hop, pome and soft fruits, e.g. P. leucotricha on apples; Polymyxa spp., e.g. on cereals, such as barley and wheat (P. graminis) and sugar beets (P. betae) and thereby transmitted viral diseases; Pseudocercosporella herpoinchoides (eyespot, teleomorph: Tapesia yallundae) on cereals, e.g. wheat or barley; Pseudoperonospora (downy mildew) on various plants, e.g. P. cubensis on cucurbits or P. humili on hop; Pseudopezicula tracheiphila (red fire disease or ‘rotbrenner’, anamorph: Phialophora) on vines; Puccinia spp. (rusts) on various plants, e.g. P. triticina (brown or leaf rust), P. striiformis (stripe or yellow rust), P. hordei(dwarf rust), P. graminis (stem or black rust) or P. recondita (brown or leaf rust) on cereals, such as e.g. wheat, barley or rye, P. kuehnii(orange rust) on sugar cane and P. asparagi on asparagus; Pyrenophora (anamorph: Drechslera) tritici-repentis (tan spot) on wheat or P. teres (net blotch) on barley; Pyriculania spp., e.g. P. oryzae (teleomorph: Magnaporthe grisea, rice blast) on rice and P. grisea on turf and cereals; Pythium spp. (damping-off) on turf, rice, corn, wheat, cotton, rape, sunflowers, soybeans, sugar beets, vegetables and various other plants (e.g. P. ultimum or P. aphanidermatum); Ramularia spp., e.g. R. collo-cygni (Ramularia leaf spots, Physiological leaf spots) on barley and R. beticola on sugar beets; Rhizoctonia spp. on cotton, rice, potatoes, turf, corn, rape, potatoes, sugar beets, vegetables and various other plants, e.g. R. solani (root and stem rot) on soybeans, R. solani(sheath blight) on rice or R. cerealis (Rhizoctonia spring blight) on wheat or barley; Rhizopus stolonifer(black mold, soft rot) on strawberries, carrots, cabbage, vines and tomatoes; Rhynchosporium secalis (scald) on barley, rye and triticale; Sarocladium oryzae and S. attenuatum (sheath rot) on rice; Sclerotinia spp. (stem rot or white mold) on vegetables and field crops, such as rape, sunflowers (e.g. S. sclerotiorum) and soybeans (e.g. S. rolfsii or S. sclerotiorum); Septoria spp. on various plants, e.g. S. glycines (brown spot) on soybeans, S. tritici (Septoria blotch) on wheat and S. (syn. Stagonospora) nodorum (Stagonospora blotch) on cereals; Uncinula (syn. Erysiphe) necator (powdery mildew, anamorph: Oidium tucken) on vines; Setospaeria spp. (leaf blight) on corn (e.g. S. turcicum, syn. Helminthosporium turcicum) and turf; Sphacelotheca spp. (smut) on corn, (e.g. S. reiliana. head smut), sorghum und sugar cane; Sphaerotheca fuliginea (powdery mildew) on cucurbits; Spongospora subterranea (powdery scab) on potatoes and thereby transmitted viral diseases; Stagonospora spp. on cereals, e.g. S. nodorum (Stagonospora blotch, teleomorph: Leptosphaeria [syn. Phaeosphaeria] nodorum) on wheat; Synchytrium endobioticum on potatoes (potato wart disease); Taphrina spp., e.g. T. deformans (leaf curl disease) on peaches and T. pruni (plum pocket) on plums; Thielaviopsis spp. (black root rot) on tobacco, pome fruits, vegetables, soybeans and cotton, e.g. T. basicola (syn. Chalara elegans); Tilletia spp. (common bunt or stinking smut) on cereals, such as e.g. T. tritici (syn. T. caries, wheat bunt) and T. controversa (dwarf bunt) on wheat; Typhula incarnata (grey snow mold) on barley or wheat; Urocystis spp., e.g. U. occulta (stem smut) on rye; Uromyces spp. (rust) on vegetables, such as beans (e.g. U. appendiculatus, syn. U. phaseoli) and sugar beets (e.g. U. betae); Ustilago spp. (loose smut) on cereals (e.g. U. nuda and U. avaenae), corn (e.g. U. maydis. corn smut) and sugar cane; Venturia spp. (scab) on apples (e.g. V. inaequalis) and pears; and Verticilium spp. (wilt) on various plants, such as fruits and ornamentals, vines, soft fruits, vegetables and field crops, e.g. V. dahliae on strawberries, rape, potatoes and tomatoes.
- The strains, whole culture broths, cell-free extracts, culture media, compounds of formula I, and compositions of the invention, respectively, are also suitable for controlling harmful pathogens, especially fungi, in the protection of stored products or harvest and in the protection of materials.
- The term “protection of materials” is to be understood to denote the protection of technical and non-living materials, such as adhesives, glues, wood, paper and paperboard, textiles, leather, paint dispersions, plastics, cooling lubricants, fiber or fabrics, against the infestation and destruction by harmful microorganisms, such as fungi and bacteria. As to the protection of wood and other materials, the particular attention is paid to the following harmful fungi: Ascomycetes such as Ophiostoma spp., Ceratocystis spp., Aureobasidium pullulans, Sclerophoma spp., Chaetomium spp., Humicola spp., Petriella spp., Trichurus spp.; Basidiomycetes such as Coniophora spp., Coriolus spp., Gloeophyllum spp., Lentinus spp., Pleurotus spp., Poria spp., Serpula spp. and Tyromyces spp., Deuteromycetes such as Aspergillus spp., Cladosporium spp., Penicillium spp., Trichorma spp., Alternaria spp., Paecilomyces spp. and Zygomycetes such as Mucor spp., and in addition in the protection of stored products and harvest the following yeast fungi are worthy of note: Candida spp. and Saccharomyces cerevisiae.
- The method of treatment according to the invention can also be used in the field of protecting stored products or harvest against attack of fungi and microorganisms. According to the present invention, the term “stored products” is understood to denote natural substances of plant or animal origin and their processed forms, which have been taken from the natural life cycle and for which long-term protection is desired. Stored products of crop plant origin, such as plants or parts thereof, for example stalks, leafs, tubers, seeds, fruits or grains, can be protected in the freshly harvested state or in processed form, such as pre-dried, moistened, comminuted, ground, pressed or roasted, which process is also known as post-harvest treatment. Also falling under the definition of stored products is timber, whether in the form of crude timber, such as construction timber, electricity pylons and barriers, or in the form of finished articles, such as furniture or objects made from wood. Stored products of animal origin are hides, leather, furs, hairs and the like. The combinations according the present invention can prevent disadvantageous effects such as decay, discoloration or mold. Preferably “stored products” is understood to denote natural substances of plant origin and their processed forms, more preferably fruits and their processed forms, such as pomes, stone fruits, soft fruits and citrus fruits and their processed forms.
- The strains, whole culture broths, cell-free extracts, culture media, compounds of formula I, and compositions of the invention, respectively, may be used for improving the health of a plant.
- The invention also relates to a method for improving plant health by treating a plant, its propagation material and/or the locus where the plant is growing or is to grow with an effective amount of the strains, whole culture broths, cell-free extracts, culture media, compounds of formula I, and compositions.
- The term “plant health” is to be understood to denote a condition of the plant and/or its products which is determined by several indicators alone or in combination with each other such as yield (e.g. increased biomass and/or increased content of valuable ingredients), plant vigor (e.g. improved plant growth and/or greener leaves (“greening effect”)), quality (e.g. improved content or composition of certain ingredients) and tolerance to abiotic and/or biotic stress. The above identified indicators for the health condition of a plant may be interdependent or may result from each other.
- Healthier plants are desirable since they result among others in better yields and/or a better quality of the plants or crops, specifically better quality of the harvested plant parts. Healthier plants also better resist to biotic and/or abiotic stress. A high resistance against biotic stresses in turn allows the person skilled in the art to reduce the quantity of pesticides applied and consequently to slow down the development of resistances against the respective pesticides.
- It has to be emphasized that the above mentioned effects of the strains, whole culture broths, cell-free extracts, culture media, compounds of formula I, and compositions of the invention, respectively, i.e. enhanced health of the plant, are also present when the plant is not under biotic stress and in particular when the plant is not under pest pressure.
- For example, for seed treatment and soil applications, it is evident that a plant suffering from fungal or insecticidal attack shows reduced germination and emergence leading to poorer plant or crop establishment and vigor, and consequently, to a reduced yield as compared to a plant propagation material which has been subjected to curative or preventive treatment against the relevant pest and which can grow without the damage caused by the biotic stress factor. However, the methods according to the invention lead to an enhanced plant health even in the absence of any biotic stress. This means that the positive effects of the strains, whole culture broths, cell-free extracts, culture media, compounds of formula I, and compositions of the invention, respectively, cannot be explained just by the pesticidal activities of strains, whole culture broths, cell-free extracts, culture media, compounds of formula I, and compositions of the invention, respectively, but are based on further activity profiles. Accordingly, the application of the strains, whole culture broths, cell-free extracts, culture media, compounds of formula I, and compositions of the invention, respectively, can also be carried out in the absence of pest pressure.
- In an equally preferred embodiment, the present invention relates to a method for improving the health of plants grown from said plant propagation material, wherein the plant propagation material is treated with an effective amount of at least one strains, whole culture broths, cell-free extract, culture medium, compound of formula I, or a composition of the invention.
- Each plant health indicator listed below, which is selected from the groups consisting of yield, plant vigor, quality and tolerance of the plant to abiotic and/or biotic stress, is to be understood as a preferred embodiment of the present invention either each on its own or preferably in combination with each other.
- According to the present invention, “increased yield” of a plant means that the yield of a product of the respective plant is increased by a measurable amount over the yield of the same product of the plant produced under the same conditions, but without the application of the strains, whole culture broths, cell-free extracts, culture media, compounds of formula I, and compositions of the invention, respectively.
- For seed treatment e.g. as inoculant and/or foliar application forms, increased yield can be characterized, among others, by the following improved properties of the plant: increased plant weight; and/or increased plant height; and/or increased biomass such as higher overall fresh weight (FW); and/or increased number of flowers per plant; and/or higher grain and/or fruit yield; and/or more tillers or side shoots (branches); and/or larger leaves; and/or increased shoot growth; and/or increased protein content; and/or increased oil content; and/or increased starch content; and/or increased pigment content; and/or increased chlorophyll content (chlorophyll content has a positive correlation with the plant's photosynthesis rate and accordingly, the higher the chlorophyll content the higher the yield of a plant) and/or increased quality of a plant.
- “Grain” and “fruit” are to be understood as any plant product which is further utilized after harvesting, e.g. fruits in the proper sense, vegetables, nuts, grains, seeds, wood (e.g. in the case of silviculture plants), flowers (e.g. in the case of gardening plants, ornamentals) etc., that is anything of economic value that is produced by the plant.
- According to the present invention, the yield is increased by at least 4%. In general, the yield increase may even be higher, for example 5 to 10%, more preferable by 10 to 20%, or even 20 to 30%
- According to the present invention, the yield—if measured in the absence of pest pressure—is increased by at least 2% In general, the yield increase may even be higher, for example until 4% to 5% or even more.
- Another indicator for the condition of the plant is the plant vigor. The plant vigor becomes manifest in several aspects such as the general visual appearance.
- For foliar applications, improved plant vigor can be characterized, among others, by the following improved properties of the plant: improved vitality of the plant; and/or improved plant growth; and/or improved plant development; and/or improved visual appearance; and/or improved plant stand (less plant verse/lodging and/or bigger leaf blade; and/or bigger size; and/or increased plant height; and/or increased tiller number; and/or increased number of side shoots; and/or increased number of flowers per plant; and/or increased shoot growth; and/or enhanced photosynthetic activity (e.g. based on increased stomatal conductance and/or increased CO2 assimilation rate)); and/or earlier flowering; and/or earlier fruiting; and/or earlier grain maturity; and/or less non-productive tillers; and/or less dead basal leaves; and/or less input needed (such as fertilizers or water); and/or greener leaves; and/or complete maturation under shortened vegetation periods; and/or easier harvesting; and/or faster and more uniform ripening; and/or longer shelf-life; and/or longer panicles; and/or delay of senescence; and/or stronger and/or more productive tillers; and/or better extractability of ingredients; and/or improved quality of seeds (for being seeded in the following seasons for seed production); and/or reduced production of ethylene and/or the inhibition of its reception by the plant.
- Another indicator for the condition of the plant is the “quality” of a plant and/or its products.
- According to the present invention, enhanced quality means that certain plant characteristics such as the content or composition of certain ingredients are increased or improved by a measurable or noticeable amount over the same factor of the plant produced under the same conditions, but without the application of the strains, whole culture broths, cell-free extracts, culture media, compounds of formula I, and compositions of the invention, respectively.
- Enhanced quality can be characterized, among others, by following improved properties of the plant or its product: increased nutrient content; and/or increased protein content; and/or increased oil content; and/or increased starch content; and/or increased content of fatty acids; and/or increased metabolite content; and/or increased carotenoid content; and/or increased sugar content; and/or increased amount of essential amino acids; and/or improved nutrient composition; and/or improved protein composition; and/or improved composition of fatty acids; and/or improved metabolite composition; and/or improved carotenoid composition; and/or improved sugar composition; and/or improved amino acids composition; and/or improved or optimal fruit color; and/or improved leaf color; and/or higher storage capacity; and/or better processability of the harvested products.
- Another indicator for the condition of the plant is the plant's tolerance or resistance to biotic and/or abiotic stress factors. Biotic and abiotic stress, especially over longer terms, can have harmful effects on plants.
- Biotic stress is caused by living organisms while abiotic stress is caused for example by environmental extremes. According to the present invention, “enhanced tolerance or resistance to biotic and/or abiotic stress factors” means (1.) that certain negative factors caused by biotic and/or abiotic stress are diminished in a measurable or noticeable amount as compared to plants exposed to the same conditions, but without being treated with the strains, whole culture broths, cell-free extracts, culture media, compounds of formula I, and compositions of the invention, respectively, and (2.) that the negative effects are not diminished by a direct action of the strains, whole culture broths, cell-free extracts, culture media, compounds of formula I, and compositions of the invention, respectively, on the stress factors, e.g. by its fungicidal or insecticidal action which directly destroys the microorganisms or pests, but rather by a stimulation of the plants' own defensive reactions against said stress factors.
- Negative factors caused by biotic stress such as pathogens and pests are widely known and are caused by living organisms, such as competing plants (for example weeds), microorganisms (such as phytopathogenic fungi and/or bacteria) and/or viruses.
- Negative factors caused by abiotic stress are also well-known and can often be observed as reduced plant vigor (see above), for example:
- less yield and/or less vigor, for both effects examples can be burned leaves, less flowers, pre-mature ripening, later crop maturity, reduced nutritional value amongst others.
- Abiotic stress can be caused for example by: extremes in temperature such as heat or cold (heat stress/cold stress); and/or strong variations in temperature; and/or temperatures unusual for the specific season; and/or drought (drought stress); and/or extreme wetness; and/or high salinity (salt stress); and/or radiation (for example by increased UV radiation due to the decreasing ozone layer); and/or increased ozone levels (ozone stress); and/or organic pollution (for example by phytotoxic amounts of pesticides); and/or inorganic pollution (for example by heavy metal contaminants).
- As a result of biotic and/or abiotic stress factors, the quantity and the quality of the stressed plants decrease. As far as quality (as defined above) is concerned, reproductive development is usually severely affected with consequences on the crops which are important for fruits or seeds. Synthesis, accumulation and storage of proteins are mostly affected by temperature; growth is slowed by almost all types of stress; polysaccharide synthesis, both structural and storage is reduced or modified: these effects result in a decrease in biomass (yield) and in changes in the nutritional value of the product.
- As pointed out above, the above identified indicators for the health condition of a plant may be interdependent and may result from each other. For example, an increased resistance to biotic and/or abiotic stress may lead to a better plant vigor, e.g. to better and bigger crops, and thus to an increased yield. Inversely, a more developed root system may result in an increased resistance to biotic and/or abiotic stress. However, these interdependencies and interactions are neither all known nor fully understood and therefore the different indicators are described separately.
- In one embodiment the strains, whole culture broths, cell-free extracts, culture media, compounds of formula I, and compositions of the invention, respectively, effectuate an increased yield of a plant or its product. In another embodiment the strains, whole culture broths, cell-free extracts, culture media, compounds of formula I, and compositions of the invention, respectively, effectuate an increased vigor of a plant or its product. In another embodiment the strains, whole culture broths, cell-free extracts, culture media, compounds of formula I, and compositions of the invention, respectively, effectuate in an increased quality of a plant or its product. In yet another embodiment the strains, whole culture broths, cell-free extracts, culture media, compounds of formula I, and compositions of the invention, respectively, effectuate an increased tolerance and/or resistance of a plant or its product against biotic stress. In yet another embodiment the strains, whole culture broths, cell-free extracts, culture media, compounds of formula I, and compositions of the invention, respectively, effectuate an increased tolerance and/or resistance of a plant or its product against abiotic stress.
- The strains, whole culture broths, cell-free extracts, culture media and compounds of formula I, respectively, are employed as such or in form of compositions by treating the fungi or the plants, plant propagation materials, such as seeds, soil, surfaces, materials or rooms to be protected from fungal attack with a fungicidally effective amount of the active substances. The application can be carried out both before and after the infection of the plants, plant propagation materials, such as seeds, soil, surfaces, materials or rooms by the fungi.
- The term “effective amount” denotes an amount which is sufficient for controlling harmful fungi on cultivated plants or in the protection of materials and which does not result in a substantial damage to the treated plants. Such an amount can vary in a broad range and is dependent on various factors, such as the fungal species to be controlled, the treated cultivated plant or material, the climatic conditions and the strains, whole culture broths, cell-free extracts, culture media and compounds of formula I or salt thereof, of the invention, respectively, used.
- Plant propagation materials may be treated with the strains, whole culture broths, cell-free extracts, culture media, compounds of formula I, and compositions of the invention, respectively, prophylactically either at or before planting or transplanting.
- The strains of the invention can be formulated as an inoculant for a plant. The term “inoculant” means a composition that includes an isolated strain of the invention and optionally a carrier, which may include a biologically acceptable medium.
- Such inoculants and other suitable compositions can be prepared as compositions comprising besides the active ingredients at least one auxiliary (inert ingredient) by usual means (see e.g. H. D. Burges: Formulation of Microbial Biopesticides, Springer, 1998).
- To produce a dry formulation, bacterial cells, preferably spores can be suspended in a suitable dry carrier (e.g. clay). To produce a liquid formulation, cells, preferably spores, can be re-suspended in a suitable liquid carrier (e.g. water-based) to the desired spore density. The spore density number of spores per ml can be determined by identifying the number of colony-forming units (CFU) on agar medium e.g. potato dextrose agar after incubation for several days at temperatures of about 20 to about 30° C.
- According to one embodiment, individual components of the composition according to the invention such as parts of a kit or parts of a binary or ternary mixture may be mixed by the user himself in a spray tank or any other kind of vessel used for applications (e.g seed treater drums, seed pelleting machinery, knapsack sprayer) and further auxiliaries may be added, if appropriate. When living microorganisms, such as the Paenibacillus strains of the invention, form part of such kit, it must be taken care that choice and amounts of the other parts of the kit (e.g. chemical pesticidal agents) and of the further auxiliaries should not influence the viability of the microbial pesticides in the composition mixed by the user. Especially for bactericides and solvents, compatibility with the respective microbial pesticide has to be taken into account.
- The strains, whole culture broths, cell-free extracts, culture media and/or compounds of formula I of the invention can be converted into customary types of agrochemical compositions, e.g. solutions, emulsions, suspensions, dusts, powders, pastes, granules, pressings, capsules, and mixtures thereof. Examples for composition types are suspensions (e.g. SC, OD, FS), emulsifiable concentrates (e.g. EC), emulsions (e.g. EW, EO, ES, ME), capsules (e.g. CS, ZC), pastes, pastilles, wettable powders or dusts (e.g. WP, SP, WS, DP, DS), pressings (e.g. BR, TB, DT), granules (e.g. WG, SG, GR, FG, GG, MG), insecticidal articles (e.g. LN), as well as gel formulations for the treatment of plant propagation materials such as seeds (e.g. GF). These and further compositions types are defined in the “Catalogue of pesticide formulation types and international coding system”, Technical Monograph No. 2, 6th Ed. May 2008, CropLife International.
- The compositions are prepared in a known manner, such as described by Mollet and Grubemann, Formulation technology, Wiley VCH, Weinheim, 2001; or Knowles, New developments in crop protection product formulation, Agrow Reports DS243, T&F Informa, London, 2005.
- Suitable auxiliaries are solvents, liquid carriers, solid carriers or fillers, surfactants, dispersants, emulsifiers, wetters, adjuvants, solubilizers, penetration enhancers, protective colloids, adhesion agents, thickeners, humectants, repellents, attractants, feeding stimulants, compatibilizers, bactericides, anti-freezing agents, anti-foaming agents, colorants, tackifiers and binders.
- Suitable solvents and liquid carriers are water and organic solvents, such as mineral oil fractions of medium to high boiling point, e.g. kerosene, diesel oil; oils of vegetable or animal origin; aliphatic, cyclic and aromatic hydrocarbons, e.g. toluene, paraffin, tetrahydronaphthalene, alkylated naphthalenes; alcohols, e.g. ethanol, propanol, butanol, benzylalcohol, cyclohexanol; glycols; DMSO; ketones, e.g. cyclohexanone; esters, e.g. lactates, carbonates, fatty acid esters, gamma-butyrolactone; fatty acids; phosphonates; amines; amides, e.g. N-methylpyrrolidone, fatty acid dimethylamides; and mixtures thereof.
- Suitable solid carriers or fillers are mineral earths, e.g. silicates, silica gels, talc, kaolins, limestone, lime, chalk, clays, dolomite, diatomaceous earth, bentonite, calcium sulfate, magnesium sulfate, magnesium oxide; polysaccharides, e.g. cellulose, starch; fertilizers, e.g. ammonium sulfate, ammonium phosphate, ammonium nitrate, ureas; products of vegetable origin, e.g. cereal meal, tree bark meal, wood meal, nutshell meal, and mixtures thereof.
- Suitable surfactants are surface-active compounds, such as anionic, cationic, nonionic and amphoteric surfactants, block polymers, polyelectrolytes, and mixtures thereof. Such surfactants can be used as emulsifier, dispersant, solubilizer, wetter, penetration enhancer, protective colloid, or adjuvant. Examples of surfactants are listed in McCutcheon's, Vol. 1: Emulsifiers & Detergents, McCutcheon's Directories, Glen Rock, USA, 2008 (International Ed. or North American Ed.).
- Suitable anionic surfactants are alkali, alkaline earth or ammonium salts of sulfonates, sulfates, phosphates, carboxylates, and mixtures thereof. Examples of sulfonates are alkylarylsulfonates, diphenylsulfonates, alpha-olefin sulfonates, lignine sulfonates, sulfonates of fatty acids and oils, sulfonates of ethoxylated alkylphenols, sulfonates of alkoxylated arylphenols, sulfonates of condensed naphthalenes, sulfonates of dodecyl- and tridecylbenzenes, sulfonates of naphthalenes and alkylnaphthalenes, sulfosuccinates or sulfosuccinamates. Examples of sulfates are sulfates of fatty acids and oils, of ethoxylated alkylphenols, of alcohols, of ethoxylated alcohols, or of fatty acid esters. Examples of phosphates are phosphate esters. Examples of carboxylates are alkyl carboxylates, and carboxylated alcohol or alkylphenol ethoxylates.
- Suitable nonionic surfactants are alkoxylates, N-substituted fatty acid amides, amine oxides, esters, sugar-based surfactants, polymeric surfactants, and mixtures thereof. Examples of alkoxylates are compounds such as alcohols, alkylphenols, amines, amides, arylphenols, fatty acids or fatty acid esters which have been alkoxylated with 1 to 50 equivalents. Ethylene oxide and/or propylene oxide may be employed for the alkoxylation, preferably ethylene oxide. Examples of N-substituted fatty acid amides are fatty acid glucamides or fatty acid alkanolamides. Examples of esters are fatty acid esters, glycerol esters or monoglycerides. Examples of sugar-based surfactants are sorbitans, ethoxylated sorbitans, sucrose and glucose esters or alkylpolyglucosides. Examples of polymeric surfactants are home- or copolymers of vinylpyrrolidone, vinyl alcohols, or vinyl acetate.
- Suitable cationic surfactants are quaternary surfactants, for example quaternary ammonium compounds with one or two hydrophobic groups, or salts of long-chain primary amines. Suitable amphoteric surfactants are alkylbetains and imidazolines. Suitable block polymers are block polymers of the A-B or A-B-A type comprising blocks of polyethylene oxide and polypropylene oxide, or of the A-B-C type comprising alkanol, polyethylene oxide and polypropylene oxide. Suitable polyelectrolytes are polyacids or polybases. Examples of polyacids are alkali salts of polyacrylic acid or polyacid comb polymers. Examples of polybases are polyvinyl amines or polyethyleneamines.
- Suitable adjuvants are compounds, which have a negligible or even no pesticidal activity themselves, and which improve the biological performance of cell-free extract, culture medium or metabolite on the target. Examples are surfactants, mineral or vegetable oils, and other auxilaries. Further examples are listed by Knowles, Adjuvants and additives, Agrow Reports DS256, T&F Informa UK, 2006,
chapter 5. - Suitable thickeners are polysaccharides (e.g. xanthan gum, carboxymethyl cellulose), inorganic clays (organically modified or unmodified), polycarboxylates, and silicates.
- Suitable bactericides are bronopol and isothiazolinone derivatives such as alkylisothiazolinones and benzisothiazolinones. Suitable anti-freezing agents are ethylene glycol, propylene glycol, urea and glycerin. Suitable anti-foaming agents are silicones, long chain alcohols, and salts of fatty acids. Suitable colorants (e.g. in red, blue, or green) are pigments of low water solubility and water-soluble dyes. Examples are inorganic colorants (e.g. iron oxide, titan oxide, iron hexacyanoferrate) and organic colorants (e.g. alizarin-, azo- and phthalocyanine colorants). Suitable tackifiers or binders are polyvinyl pyrrolidones, polyvinyl acetates, polyvinyl alcohols, polyacrylates, biological or synthetic waxes, and cellulose ethers.
- When living microorganisms, such as Paenibacillus strains of the invention in form of cells or spores, form part of the compositions, such compositions can be prepared as compositions comprising besides the active ingredients at least one auxiliary (inert ingredient) by usual means (see e.g. H. D. Burges: Formulation of Microbial Biopesticides, Springer, 1998). Suitable customary types of such compositions are suspensions, dusts, powders, pastes, granules, pressings, capsules, and mixtures thereof. Examples for composition types are suspensions (e. g. SC, OD, FS), capsules (e.g. CS, ZC), pastes, pastilles, wettable powders or dusts (e.g. WP, SP, WS, DP, DS), pressings (e.g. BR, TB, DT), granules (e.g. WG, SG, GR, FG, GG, MG), insecticidal articles (e.g. LN), as well as gel formulations for the treatment of plant propagation materials such as seeds (e.g. GF). Herein, it has to be taken into account that each formulation type or choice of auxiliary should not influence the viability of the microorganism during storage of the composition and when finally applied to the soil, plant or plant propagation material. Suitable formulations are e.g. mentioned in WO 2008/002371, U.S. Pat. No. 6,955,912, U.S. Pat. No. 5,422,107.
- Examples for suitable auxiliaries are those mentioned earlier herein, wherein it must be taken care that choice and amounts of such auxiliaries should not influence the viability of the microbial pesticides in the composition. Especially for bactericides and solvents, compatibility with the respective microorganism of the respective microbial pesticide has to be taken into account. In addition, compositions with microbial pesticides may further contain stabilizers or nutrients and UV protectants. Suitable stabilizers or nutrients are e.g. alpha-tocopherol, trehalose, glutamate, potassium sorbate, various sugars like glucose, sucrose, lactose and maltodextrine (H. D. Burges: Formulation of Microbial Biopesticides, Springer, 1998). Suitable UV protectants are e.g. inorganic compounds like titanium dioxide, zinc oxide and iron oxide pigments or organic compounds like benzophenones, benzotriazoles and phenyitriazines. The compositions may in addition to auxiliaries mentioned for compositions comprising compounds I herein optionally comprise 0.1-80% stabilizers or nutrients and 0.1-10% UV protectants.
- The agrochemical compositions generally comprise between 0.01 and 95%, preferably between 0.1 and 90%, and in particular between 0.5 and 75%, by weight of active substance. The active substances are employed in a purity of from 90% to 100%, preferably from 95% to 100% (according to NMR spectrum).
- Examples for composition types and their preparation are:
- 10-60 wt % of a whole culture broth, cell-free extract, culture medium or metabolite of the invention and 5-15 wt % wetting agent (e.g. alcohol alkoxylates) are dissolved in water and/or in a water-soluble solvent (e.g. alcohols)
ad 100 wt %. The active substance dissolves upon dilution with water. - 5-25 wt % of a whole culture broth, cell-free extract, culture medium or metabolite of the invention and 1-10 wt % dispersant (e.g. polyvinyl pyrrolidone) are dissolved in organic solvent (e.g. cyclohexanone)
ad 100 wt %. Dilution with water gives a dispersion. - iii) Emulsifiable Concentrates (EC)
- 15-70 wt % of a whole culture broth, cell-free extract, culture medium or metabolite of the invention and 5-10 wt % emulsifiers (e.g. calcium dodecylbenzenesulfonate and castor oil ethoxylate) are dissolved in water-insoluble organic solvent (e.g. aromatic hydrocarbon)
ad 100 wt %. Dilution with water gives an emulsion. - 5-40 wt % of a whole culture broth, cell-free extract, culture medium or metabolite of the invention and 1-10 wt % emulsifiers (e.g. calcium dodecylbenzenesulfonate and castor oil ethoxylate) are dissolved in 20-40 wt % water-insoluble organic solvent (e.g. aromatic hydrocarbon). This mixture is introduced into
water ad 100 wt % by means of an emulsifying machine and made into a homogeneous emulsion. Dilution with water gives an emulsion. - In an agitated ball mill, 20-60 wt % of a whole culture broth, cell-free extract, culture medium or metabolite of the invention are comminuted with addition of 2-10 wt % dispersants and wetting agents (e.g. sodium lignosulfonate and alcohol ethoxylate), 0.1-2 wt % thickener (e.g. xanthan gum) and
water ad 100 wt % to give a fine active substance suspension. Dilution with water gives a stable suspension of the active substance. For FS type composition up to 40 wt % binder (e.g. polyvinyl alcohol) is added. -
- vi) Water-dispersible granules and water-soluble granules (WG, SG) 50-80 wt % of a whole culture broth, cell-free extract, culture medium or metabolite of the invention are ground finely with addition of dispersants and wetting agents (e.g. sodium lignosulfonate and alcohol ethoxylate)
ad 100 wt % and prepared as water-dispersible or water-soluble granules by means of technical appliances (e.g. extrusion, spray tower, fluidized bed).
- vi) Water-dispersible granules and water-soluble granules (WG, SG) 50-80 wt % of a whole culture broth, cell-free extract, culture medium or metabolite of the invention are ground finely with addition of dispersants and wetting agents (e.g. sodium lignosulfonate and alcohol ethoxylate)
- Dilution with water gives a stable dispersion or solution of the active substance. vii) Water-dispersible powders and water-soluble powders (WP, SP, WS) 50-80 wt % of a whole culture broth, cell-free extract, culture medium or metabolite of the invention are ground in a rotor-stator mill with addition of 1-5 wt % dispersants (e.g. sodium lignosulfonate), 1-3 wt % wetting agents (e.g. alcohol ethoxylate) and solid carrier (e.g. silica gel)
ad 100 wt %. Dilution with water gives a stable dispersion or solution of the active substance. - viii) Gel (GW, GF)
- In an agitated ball mill, 5-25 wt % of a whole culture broth, cell-free extract, culture medium or metabolite of the invention are comminuted with addition of 3-10 wt % dispersants (e.g. sodium lignosulfonate), 1-5 wt % thickener (e.g. carboxymethyl cellulose) and
water ad 100 wt % to give a fine suspension of the active substance. Dilution with water gives a stable suspension of the active substance. - 5-20 wt % of a whole culture broth, cell-free extract, culture medium or metabolite of the invention are added to 5-30 wt % organic solvent blend (e.g. fatty acid dimethylamide and cyclohexanone), 10-25 wt % surfactant blend (e.g. alcohol ethoxylate and arylphenol ethoxylate), and
water ad 100%. This mixture is stirred for 1 h to produce spontaneously a thermodynamically stable microemulsion. - An oil phase comprising 5-50 wt % of a whole culture broth, cell-free extract, culture medium or metabolite of the invention, 0-40 wt % water insoluble organic solvent (e.g. aromatic hydrocarbon), 2-15 wt % acrylic monomers (e.g. methylmethacrylate, methacrylic acid and a di- or triacrylate) are dispersed into an aqueous solution of a protective colloid (e.g. polyvinyl alcohol). Radical polymerization initiated by a radical initiator results in the formation of poly(meth)acrylate microcapsules.
- Alternatively, an oil phase comprising 5-50 wt % of a whole culture broth, cell-free extract, culture medium or metabolite of the invention, 0-40 wt % water insoluble organic solvent (e.g. aromatic hydrocarbon), and an isocyanate monomer (e.g. diphenylmethene-4,4′-diisocyanatae) are dispersed into an aqueous solution of a protective colloid (e.g. polyvinyl alcohol). The addition of a polyamine (e.g. hexamethylenediamine) results in the formation of polyurea microcapsules. The monomers amount to 1-10 wt %. The wt % relate to the total CS composition.
- xi) Dustable powders (DP, DS)
- 1-10 wt % of a whole culture broth, cell-free extract, culture medium or metabolite of the invention are ground finely and mixed intimately with solid carrier (e.g. finely divided kaolin)
ad 100 wt %. -
- xii) Granules (GR, FG)
- 0.5-30 wt % of a whole culture broth, cell-free extract, culture medium or metabolite of the invention are ground finely and associated with solid carrier (e.g. silicate)
ad 100 wt %. Granulation is achieved by extrusion, spray-drying or fluidized bed. - xiii) Ultra-Low Volume Liquids (UL)
- 1-50 wt % of a whole culture broth, cell-free extract, culture medium or metabolite of the invention are dissolved in organic solvent (e.g. aromatic hydrocarbon)
ad 100 wt %. - The compositions types i) to xiii) may optionally comprise further auxiliaries, such as 0.1-1 wt % bactericides, 5-15 wt % anti-freezing agents, 0.1-1 wt % anti-foaming agents, and 0.1-1 wt % colorants.
- Solutions for seed treatment (LS), suspoemulsions (SE), flowable concentrates (FS), powders for dry treatment (DS), water-dispersible powders for slurry treatment (WS), water-soluble powders (SS), emulsions (ES), emulsifiable concentrates (EC) and gels (GF) are usually employed for the purposes of treatment of plant propagation materials, particularly seeds.
- Preferred examples of seed treatment formulation types or soil application for pre-mix compositions are of WS, LS, ES, FS, WG or CS-type.
- Typically, a pre-mix formulation for seed treatment application comprises 0.5 to 99.9 percent, especially 1 to 95 percent, of the desired ingredients, and 99.5 to 0.1 percent, especially 99 to 5 percent, of a solid or liquid adjuvant (including, for example, a solvent such as water), where the auxiliaries can be a surfactant in an amount of 0 to 50 percent, especially 0.5 to 40 percent, based on the pre-mix formulation. Whereas commercial products will preferably be formulated as concentrates (e.g., pre-mix composition (formulation)), the end user will normally employ dilute formulations (e.g., tank mix composition).
- Seed treatment methods for applying or treating the strains, whole culture broths, cell-free extracts, culture media, compounds of formula I and compositions of the invention, respectively, to plant propagation material, especially seeds, are known in the art, and include dressing, coating, filmcoating, pelleting and soaking application methods of the propagation material. Such methods are also applicable to the combinations according to the invention. In a preferred embodiment, the strains, whole culture broths, cell-free extracts, culture media, compounds of formula I, and compositions of the invention, respectively, are applied or treated onto the plant propagation material by a method such that the germination is not negatively impacted. Accordingly, examples of suitable methods for applying (or treating) a plant propagation material, such as a seed, is seed dressing, seed coating or seed pelleting and alike.
- It is preferred that the plant propagation material is a seed, seed piece (i.e. stalk) or seed bulb.
- Although it is believed that the present method can be applied to a seed in any physiological state, it is preferred that the seed be in a sufficiently durable state that it incurs no damage during the treatment process. Typically, the seed would be a seed that had been harvested from the field; removed from the plant; and separated from any cob, stalk, outer husk, and surrounding pulp or other non-seed plant material. The seed would preferably also be biologically stable to the extent that the treatment would cause no biological damage to the seed. It is believed that the treatment can be applied to the seed at any time between harvest of the seed and sowing of the seed or during the sowing process (seed directed applications). The seed may also be primed either before or after the treatment.
- Even distribution of the ingredients in the strains, whole culture broths, cell-free extracts, culture media, compounds of formula I, and compositions of the invention, respectively, and adherence thereof to the seeds is desired during propagation material treatment. Treatment could vary from a thin film (dressing) of the formulation containing the combination, for example, a mixture of active ingredient(s), on a plant propagation material, such as a seed, where the original size and/or shape are recognizable to an intermediary state (such as a coating) and then to a thicker film (such as pelleting with many layers of different materials (such as carriers, for example, clays; different formulations, such as of other active ingredients; polymers; and colourants) where the original shape and/or size of the seed is no longer recognizable.
- An aspect of the present invention includes application of the strains, whole culture broths, cell-free extracts, culture media, compounds of formula I, and compositions of the invention, respectively, onto the plant propagation material in a targeted fashion, including positioning the ingredients in the combination onto the entire plant propagation material or on only parts thereof, including on only a single side or a portion of a single side. One of ordinary skill in the art would understand these application methods from the description provided in EP954213B1 and WO06/112700.
- The strains, whole culture broths, cell-free extracts, culture media, compounds of formula I and compositions of the invention, respectively, can also be used in form of a “pill” or “pellet” or a suitable substrate and placing, or sowing, the treated pill, or substrate, next to a plant propagation material. Such techniques are known in the art, particularly in EP1124414, WO07/67042, and WO 07/67044. Application of the strains, whole culture broths, cell-free extracts, culture media, compounds of formula I and compositions, respectively, described herein onto plant propagation material also includes protecting the plant propagation material treated with the combination of the present invention by placing one or more pesticide-containing particles next to a pesticide-treated seed, wherein the amount of pesticide is such that the pesticide-treated seed and the pesticide-containing particles together contain an Effective Dose of the pesticide and the pesticide dose contained in the pesticide-treated seed is less than or equal to the Maximal Non-Phytotoxic Dose of the pesticide. Such techniques are known in the art, particularly in WO2005/120226.
- Application of the strains, whole culture broths, cell-free extracts, culture media, compounds of formula I and compositions of the invention, respectively, onto the seed also includes controlled release coatings on the seeds, wherein the ingredients of the combinations are incorporated into materials that release the ingredients over time. Examples of controlled release seed treatment technologies are generally known in the art and include polymer films, waxes, or other seed coatings, wherein the ingredients may be incorporated into the controlled release material or applied between layers of materials, or both.
- Seed can be treated by applying thereto the strains, whole culture broths, cell-free extracts, culture media, compounds of formula I, and compositions of the invention, respectively, in any desired sequence or simultaneously.
- The seed treatment occurs to an unsown seed, and the term “unsown seed” is meant to include seed at any period between the harvest of the seed and the sowing of the seed in the ground for the purpose of germination and growth of the plant.
- Treatment to an unsown seed is not meant to include those practices in which the active ingredient is applied to the soil but would include any application practice that would target the seed during the planting process.
- Preferably, the treatment occurs before sowing of the seed so that the sown seed has been pre-treated with the strains, whole culture broths, cell-free extracts, culture media, compounds of formula I and compositions of the invention, respectively. In particular, seed coating or seed pelleting are preferred. As a result of the treatment, the ingredients are adhered on to the seed and therefore available for pest control.
- The treated seeds can be stored, handled, sowed and tilled in the same manner as any other active ingredient treated seed.
- In particular, the present invention relates to a method for protection of plant propagation material from pests and/or improving the health of plants grown from said plant propagation material, wherein the soil, wherein plant propagation material is sown, is treated with an effective amount of a strain, cell-free extract, culture medium, metabolite or composition of the invention, respectively.
- In particular, the present invention relates to a method for protection of plant propagation material from pests, wherein the soil, wherein plant propagation material is sown, is treated with an effective amount of a strain, cell-free extract, culture medium, metabolite or composition of the invention, respectively.
- In particular, the present invention relates to a method for protection of plant propagation material from harmful fungi, wherein the soil, wherein plant propagation material is sown, is treated with an effective amount of a strain, cell-free extract, culture medium, metabolite or composition of the invention, respectively.
- In particular, the present invention relates to a method for protection of plant propagation material from animal pests (insects, acarids or nematodes), wherein the soil, wherein plant propagation material is sown, is treated with an effective amount of a strain, cell-free extract, culture medium, metabolite or composition of the invention, respectively.
- The user applies the compositions of the invention usually from a predosage device, a knapsack sprayer, a spray tank, a spray plane, or an irrigation system. Usually, the agrochemical composition is made up with water, buffer, and/or further auxiliaries to the desired application concentration and the ready-to-use spray liquor or the agrochemical composition according to the invention is thus obtained. Usually, 20 to 2000 liters, preferably 50 to 400 liters, of the ready-to-use spray liquor are applied per hectare of agricultural useful area.
- When it comes to the treatment of plant propagation material, especially seeds, the compositions disclosed herein give, after two-to-tenfold dilution, active components concentrations of from 0.01 to 60% by weight, preferably from 0.1 to 40%, in the ready-to-use preparations. Application can be carried out before or during sowing. Methods for applying a strain, cell-free extract, culture medium, metabolite or composition of the invention, respectively, onto plant propagation material, especially seeds, include dressing, coating, pelleting, dusting, soaking and in-furrow application methods of the propagation material. Preferably, the strains, whole culture broths, cell-free extracts, culture media, compounds of formula I or compositions of the invention, respectively, are applied onto the plant propagation material by a method such that germination is not induced, e.g. by seed dressing, pelleting, coating and dusting.
- When the strains of the invention are employed in crop protection, wherein the strains are applied as foliar treatment or to the soil, the application rates usually range from about 1×106 to 5×1015 (or more) CFU/ha, preferably from about 1×107 to about 1×1013 CFU/ha, even more preferably from 1×109 to 5×1012 CFU/ha.
- When the strains of the invention are employed in seed treatment, the application rates with respect to plant propagation material usually range from about 1×101 to 1×1012 (or more) CFU/seed, preferably from about 1×103 to about 1×1010 CFU/seed, and even more preferably from about 1×103 to about 1×106 CFU/seed. Alternatively, the application rates with respect to plant propagation material preferably range from about 1×107 to 1×1016 (or more) CFU per 100 kg of seed, preferably from 1×109 to about 1×1015 CFU per 100 kg of seed, even more preferably from 1×1011 to about 1×1015 CFU per 100 kg of seed.
- When cell-free extracts, culture media and/or compounds of formula I are employed, the solid material (dry matter) are considered as active components, e.g. to be obtained after drying or evaporation of the extraction medium or the suspension medium in case of liquid formulations. When employed in plant protection, the amounts of active components applied are, depending on the kind of effect desired, from 0.001 to 2 kg per ha, preferably from 0.005 to 2 kg per ha, more preferably from 0.05 to 0.9 kg per ha, and in particular from 0.1 to 0.75 kg per ha. In treatment of plant propagation materials such as seeds, e.g. by dusting, coating or drenching seed, amounts of active components of from 0.1 to 1000 g, preferably from 1 to 1000 g, more preferably from 1 to 100 g and most preferably from 5 to 100 g, per 100 kilogram of plant propagation material (preferably seeds) are generally required. When used in the protection of materials or stored products, the amount of active components applied depends on the kind of application area and on the desired effect. Amounts customarily applied in the protection of materials are 0.001 g to 2 kg, preferably 0.005 g to 1 kg, of active components per
-
- cubic meter of treated material.
- According to one embodiment, individual components of the composition of the invention such as parts of a kit or parts of a binary or ternary mixture may be mixed by the user himself in a spray tank or any other kind of vessel used for applications (e.g seed treater drums, seed pelleting machinery, knapsack sprayer) and further auxiliaries may be added, if appropriate.
- If living microorganisms, such as the strains of the invention, form part of such kit, it must be taken care that choice and amounts of the components (e.g. chemical pesticidal agents) and of the further auxiliaries should not influence the viability of the microorganisms in the composition mixed by the user. Especially for bactericides and solvents, compatibility with the respective microorganisms has to be taken into account.
- Various types of oils, wetters, adjuvants, fertilizer, or micronutrients, and further pesticides (e.g. herbicides, insecticides, fungicides, growth regulators, safeners, biopesticides) may be added to the strains, cell-free extracts, culture media, metabolites, compounds of formula I and composition of the invention, respectively as premix or, if appropriate not until immediately prior to use (tank mix). These agents can be admixed with the compositions according to the invention in a weight ratio of 1:100 to 100:1, preferably 1:10 to 10:1. Preferably, a composition of the invention comprises a further biopesticide. Even more preferably, a composition of the invention comprises besides an auxiliary and at least one compound of formula I, a microbial pesticide.
- A pesticide is generally a chemical or biological agent (such as a virus, bacterium, antimicrobial or disinfectant) that through its effect deters, incapacitates, kills or otherwise discourages pests. Target pests can include insects, plant pathogens, weeds, mollusks, birds, mammals, fish, nematodes (roundworms), and microbes that destroy property, cause nuisance, spread disease or are vectors for disease. The term pesticides includes also plant growth regulators that alter the expected growth, flowering, or reproduction rate of plants; defoliants that cause leaves or other foliage to drop from a plant, usually to facilitate harvest; desiccants that promote drying of living tissues, such as unwanted plant tops; plant activators that activate plant physiology for defense of against certain pests; safeners that reduce unwanted herbicidal action of pesticides on crop plants; and plant growth promoters that affect plant physiology to increase plant growth, biomass, yield or any other quality parameter of the harvestable goods of a crop plant.
- The present invention will be described in greater detail by means of the following examples. The following examples are for illustrative purposes and are not intended to limit the scope of the invention.
- Soil samples from a variety of European locations including Germany were collected. By applying commonly known microbial isolation procedures to these soils, the inventors obtained a variety of bacteria that were further subjected to conventional isolation techniques for providing pure isolates as described herein.
- Standard microbial enrichment technique (C. A. Reddy, T. J. Beveridge, J. A. Breznak, G. A. Marzluf, T. M. Schmidt, and L. R. Snyder (eds.). Methods for General and Molecular Microbiology, Am. Soc. Microbiol., Washington, District of Columbia) was followed to isolate each type of bacteria.
- The following strains have been isolated and deposited under Budapest Treaty with the Deutsche Sammlung von Mikroorganismen und Zellkuturen (DSMZ) on Feb. 20, 2013: a) Lu16774 as deposited with DSMZ having the deposit number DSM 26969
-
- b) Lu17007 as deposited with DSMZ having the deposit number DSM 26970
- c) Lu17015 as deposited with DSMZ having the deposit number DSM 26971.
- The 16S rRNA gene sequences of the Paenibacillus strains were determined by direct sequencing of PCR-amplified 16S rDNA at the DSMZ, Braunschweig, Germany.
- Genomic DNA extraction was carried out using the MasterPure™ Gram Positive DNA Purification Kit from Epicentre Biotechnologies according to the manufacturer's instructions. PCR-mediated amplification of the 16S rDNA and purification of the PCR product was carried out as described previously (Int. J. Syst. Bacteriol. 46, 1088-1092, 1996). Purified PCR products were sequenced using the BigDye® Terminator v1.1 Cycle Sequencing Kit (Applied Biosystems) as directed in the manufacturer's protocol. Sequence reactions were electrophoresed using the 3500xL Genetic Analyzer from Applied Biosystems. Sequence ambiguities may be due to the existence of several cistrons encoding 16S rRNAs with different sequences within a single genome (J. Bacteriol. 178(19), 5636-5643, 1996).
- The resulting sequence data from the strains was put into the alignment editor AE2 (http://iubio.bio.indiana.edulsoft/molbio/unixlae2.readme), aligned manually according to the secondary structure of the resulting rRNA molecule and compared with representative 16S rRNA gene sequences of organisms belonging to the Firmicutes (Nucl. Acids Res. 27, 171-173, 1999). For comparison, 16S rRNA sequences were obtained from the EMBL and RDP data bases.
- The 16S rDNA sequences of the strains of the invention are set forth in the Sequence Listing as indicated in Table 2.
-
TABLE 2 Sequence listing references of the 16S rDNA of the Paenibacillus strains. Strain SEQ ID NO Lu16774 1 Lu17007 2 Lu17015 3 - The 16S rDNA gene identity values in % were calculated by pairwise comparison of the sequences within the alignment of the sequences compared.
- Comparison performed of only two sequences based on pairwise sequence alignment are denoted herein as binary values. The other values are based on a multiple sequence alignment of all sequences within the comparison. Higher identity values from multi-sequence comparisons result from the problem that the sequence data of the compared sequences were of different length resulting in a shorter alignment.
- The % identity from pair-wise comparisons of the complete rDNA sequences among the three novel strains Lu16774, Lu17007 and Lu17015 was between 99.5 and 99.9% (Table 3, binary values).
-
TABLE 3 Identity in % of the complete 16S rRNA sequences of the three novel Paenibacillus strains (binary values in brackets). Identity of the complete 16S rRNA sequence of the novel Paenibacillus strains (%) Strains Lu16774 Lu17015 Lu17007 Lu16774 — Lu17015 99.7 (99.5) — Lu17007 99.9 (99.8) 99.8 (99.5) — - The comparison of the complete 16S rRNA sequence of the three novel strains Lu16774, Lu17007 and Lu17015 with related taxa (see
FIG. 9 ) revealed a high percentage of identity to Paenibacillus peoriae (type-strain DSM 8320) with 99.8%. The binary values for pairwise-sequence alignments of P. peoriae with the novel strains were as follows: Lu16774: 99.5%, Lu17007: 99.5%; and Lu17015: 99.7% identity, respectively. - A final evaluation of species to which the novel Paenibacillus strains Lu16774, Lu17015 and Lu17007 belong was based on the 16S rRNA sequence data not possible.
- The sequencing of the complete rDNA resulted for Paenibacillus peoriae NRRL BD-62 in 100.0% identity to P. peoriae (type strain DSM 8320) confirming the species designation P. peoriae for this strain BD-62 (see
FIG. 9 ). - The close relationship of all three novel Paenibacillus strains Lu16774, Lu17007 and Lu17015 to P. peoriae was confirmed by the comparison with the 16S rRNA sequence of P. peoriae strain BD-62 which resulted in identity values of 99.8% (see
FIG. 9 ). - For construction of the phylogenetic dendrogram operations of the ARB package (Nucl. Acids Res. 35, 7188-7196, 2007) were used: based on the evolutionary distance values the phylogenetic tree was constructed by the neighbor-joining method (Jukes, T. H. & Cantor C. R. (1969). Evolution of protein molecules. In Mammalian protein metabolism, pp. 21-132. Edited by H. N. Munro. New York: Academic press) using the correction of Jukes and Cantor (Mol. Biol. Evol. 4, 406-425, 1987). The root of the tree was determined by including the 16S rRNA gene sequence of Cohnella thermotolerans into the analysis. The scale bar below the dendrogram indicates 1 nucleotide substitutions per 100 nucleotides. The results are given in
FIG. 10 . - The phylogenetic dendrogram of these sequences (
FIG. 10 ) shows that the three novel strains Lu16774, Lu17007 and Lu17015 are most-closely related to each other and that their closest relative known to each of them was the Paenibacillus peoriae strain NRRL BD-62. - Standardized, automated ribotyping is performed using the Qualicon RiboPrintersystem. The RiboPrinter system combines molecular processing steps for ribotyping in a stand-alone, automated instrument. The procedure includes cell lysis, digestion of chromosomal DNA with restriction enzyme EcoRI, separation of fragments by electrophoresis, transfer of DNA fragments to a nylon membrane, hybridization to a probe generated from the rmB operon from E. coli, chemiluminescent detection of the probe to the fragments containing rm operon sequences, image detection and computerized analysis of RiboPrint patterns (Food Technology 50(1), 77-81, 1996; Proc. Natl. Acad. Sci. USA 92, 5229-5233, 1995; Int. Journ. Syst. Bact. 44(3), 454-460, 1994).
- Ribotyping have been executed by the DSMZ, Germany with the novel Paenibacillus strains Lu16774, Lu17007 and Lu17015 in comparison to the P. peoriae strain BD-62 using the restriction enzyme EcoRI. The resulting patterns have been compared using the Software of the RiboPrinter system, the integrated DuPont Identification Library as well as the BioNumerics Software (Applied Maths, Belgium).
- Similarity of all three novel strains to BD-62 was between 0.24 and 0.5 (
FIG. 11 ). The three novel strains group in two groups, first comprising Lu17015, whereas the second group comprises the strains Lu16774 and Lu17007. None of the novel strains has a similarity higher than 0.84 to any strain within the DuPont Identification Library and was therefore not identified automatically. - The strain BD-62 has been identified as Paenibacillus peoriae based on the entry DUP-13142 of the DuPont identification library (entry based on Paenibacillus peoriae DSM 8320).
- The strains were characterized at the DSMZ in analogy to methods described in Gordon, R. E., Haynes, W. C. & Pang. C. H.-N. (1973): The Genus Bacillus, Agriculture Handbook no. 427. Washington D.C.: US Department of Agriculture. The results are given in Table 4.
-
TABLE 4 Characterization Data of the Paenibacillus strains of the invention and comparison to known Paenibacillus peoriae strain NRRL BD-62. Paenibacillus strains Identification Lu16774 Lu17007 Lu17015 BD-62 Characteristics cell form rod- rod- rod- rod- shaped shaped shaped shaped width [μm] 0.9-1.0 0.9-1.0 0.9-1.0 0.9-1.0 length [μm] 3->5.0 3-5.0 3-5.0 2.5-5.0 ellipsoid spores + + + + swollen sporangium + + + + Catalase + + + + Oxidase − − − − anaerobic growth + + + + VP reaction + + + + pH in VP-Medium 5.2 5.7 4.8 5.2 maximum temperature positive growth at ° C. 40 40 40 40 negative growth at ° C. 50 50 50 50 Growth in: Medium pH 5.7 + + + + NaCl 2%+ + + + NaCl 5%− − − − NaCl 7%− − − − Acid formation from: D-Glucose + + + + L-Arabinose + + + + D-Xylose + + + + D-Mannitol + + + + D-Fructose + + + + Raffinose + + + + Trehalose + + + − Glycerol + + + + Gas from glucose + + + + Hydrolysis of starch + + + + gelatin + + + + casein + + + ? Tween 80 − − − − esculin + + + + Utilisation of citrate n.g.* n.g. n.g. n.g. propionate n.g. n.g. n.g. n.g. N03 to N02 + + + + Indole reaction − − − − Lecithinase + + + − Phenylalanine − − − − desaminase Arginine dihydrolase − − − − Lysozyme + + + + *n.g. = no growth. - Analysis of the cellular fatty acids performed at the DSMZ resulted that all strains showed at typical profile for Paenibacillus spp.
- Using the available genetic, physiological and biochemical data, it is shown that the strains Lu16774, Lu17007 and Lu17015 belong to the genus Paenibacillus. As the strains Lu16774, Lu17007 and Lu17015 as well as BD-62 do produce gas from glucose, none of them belongs to Paenibacillus jamilae.
- A phenotypic differentiation between Paenibacillus peoriae and Paenibacillus polymyxa is primarily possible using characteristics of acid production from certain substrates (Int. J. Syst. Bacteriol. 43(2), 388-390, 1993; In. J. Syst. Bacteriol. 46(6), 988-1003, 1996). None of the novel strains did completely match with its characteristics outlined in Table 4 completely to any of these two species, but in sum of the available genetic, physiological and biochemical data most likely point to the species Paenibacillus peoriae and P. polymyxa or at least to another species very closely related to Paenibacillus peoriae and P. polymyxa.
- Due to the multitude of Paenibacillus species described so far, it is impossible to determine the correct taxonomic species of the three isolates tested based on physiological and morphological criteria from Table 4 (Rainer Borriss, Humboldt University Berlin, unpublished results).
- Nevertheless, it was not possible to completely determine the species within this genus. The most closely related species and strain was found to be Paenibacillus peoriae BD-62 based on 16S-rDNA analysis (see e.g.
FIG. 11 ). - The nucleotide sequences of the genes coding for DnaN, GyrB, RecF, RecN and RpoA have been extracted from complete genome sequences or from public databases (Sequence listings as outlined in Table 28).
- The identity tables (
FIGS. 12 to 16 ) have been generated with an all against all approach where every sequence is aligned with every other sequence. The sequence alignment was performed with a program needle (EMBOSS package 6.6.0; Trends in Genetics 16 (6), 276-277). Standard parameters where used (gap creation 10.0; gap extension 0.5). Identity Scores are calculated on the basis of the alignments without taking any gaps into account. - For the phylogenetic trees (
FIGS. 17 to 21 ), multiple sequence alignments that have been performed with Clustal Omega (version 1.2.0; Molecular Systems Biology 7: 539, doi:10.1038/msb.2011.75). The phylogenetic trees are calculated by maximum likelihood method with the software DnamI (implemented in the Phylip 3.696 package; Felsenstein 1981, http://evolution.genetics.washington.edu/phylip.html). The dendrograms have been established using a F84 distance model while applying a transition-transversion ratio of two (2). The trees are plotted with the tool Dendroscope (http://dendroscope.org/). -
TABLE 28 Sequence listing references of the dnaN, gyrB, recF, recN and rpoA DNA sequences of the Paenibacillus strains. Strain Gene SEQ ID NO Lu16774 dnaN 4 Lu17007 dnaN 5 Lu17015 dnaN 6 Lu16774 gyrB 7 Lu17007 gyrB 8 Lu17015 gyrB 9 Lu16774 recF 10 Lu17007 recF 11 Lu17015 recF 12 Lu16774 recN 13 Lu17007 recN 14 Lu17015 recN 15 Lu16774 rpoA 16 Lu17007 rpoA 17 Lu17015 rpoA 18 - Genome comparisons have be performed using the software package EDGAR of the university Gieβen (
BMC Bioinformatics 10, 154, 2009; (https://edgar.computational.bio.unigiessen.de/cgi-bin/edgar.cgi). The determination of the core genome, the phylogenetic dendrograms on the basis of the complete genome sequences and the AAI matrix values have been performed using the software package EDGAR. Results are shown inFIG. 22 . - For green-house and field trials, the Paenibacillus strains were first grown on ISP2 plates (ready-to-use agar from BD [USA], catalog number 277010). Afterwards, baffled shake flasks containing liquid ISP2 medium were inoculated with a colony from the agar plate and incubated for 5-7 days at 150 rpm and 25° C. Depending on the test, either whole culture broth, or the centrifuged and H2O-washed cell pellet, or the supernatant was applied to the plants. A scale-up to 10 L fermenters was possible.
- Paenibacillus strains were grown in ISP2 liquid media (10 g/L malt extract, 4 g/L Bacto yeast extract, 4 g/L glucose monohydrate) for 6 days at 22° C. at 150 rpm. OD600nm indicating bacterial growth was measured at different time points.
-
TABLE 5 Bacterial growth of Paenibacillus strains in liquid ISP2 medium. OD at 600 nm Paenibacillus strain 0 d 3 d 6 d Lu17007 0.011 3.110 3.050 BD-62 0.013 0.442 0.446 - Antagonistic activity of the Paenibacillus strains against plant pathogens was shown in in-vitro confrontation assay. The phytopathogenic fungi used are Sclerotina scerotiorum (SCLSCL), Botrytis cinerea (BOTRCI), Alternaria sp. (ALTESP) and Phytophthora infestans (PHYTIN).
- As growth medium for BOTRCI, ALTESP, SCLSCL, ISP2 medium is used comprising per litre: 10 g malt extract (Sigma Aldrich, 70167); 4 g Bacto yeast extract (Becton Dickinson, 212750); 4 g glucose monohydrate (Sigma Aldrich, 16301); 20 g Agar (Becton Dickinson, 214510), pH about 7, Aq. bidest. As growth medium for PHYTIN, V8 medium is used comprising per litre: 200 ml of vegetable juice, 3 g calcium carbonate (Merck Millipore, 1020660250); 30 g Agar (Becton Dickinson, 214510), pH 6.8, Aq. bidest.
- The Paenibacillus strains were point-inoculated on one side of an agar plate. An agar block (approx. 0.3 cm2) containing one actively growing plant pathogen was put in the center of the plate. After incubating for 7-14 days at 25° C., the growth of the plant pathogen was examined, especially for inhibition zones.
- Thereafter, the agar plates are incubated at ° C. for about 7-14 days before evaluation. Antibiosis is scored by evaluation of the diameter of the fungi-free zone (zone of inhibition). Competition is scored by comparing the diameter of the growth of the fungal pathogen on plates with bacterial strains in comparison to control plates. Mycoparasitism can be documented in case the bacteria overgrows the fungal pathogen and also parasitize the pathogens. This can be visualized by microscopy.
- The novel Paenibacillus strains showed antifungal activity against all tested plant pathogens.
-
TABLE 6 In-vitro confrontation assay results. Diameter of zone of inhibition [mm] Paenibacillus strain PHYTIN BOTRCI ALTESP SCLSCL Lu16774 8 2 2 2 Lu17007 8 8 5 2 Lu17015 8 5 5 2 BD-62 2 5 0 0 - Commercially available young tomato seedlings (“Goldene Königin”) were used for the described greenhouse trial. 2 replications (pots with 1 plant each) were used per treatment. Plants were grown in commercially available substrate (Universal, Floragard) at approx. 22° C. in the greenhouse. The humidity was controlled using a special device (˜90% humidity). The plants were sprayed to runoff with crude/whole culture broth of 6 days old cultures of the respective Paenibacillus strain (depending on the setup) using a spray cabinet. Culture conditions for the strains are described in Example 3. One day after application the treated plants were inoculated with a suspension of sporangia of Phytophthora infestans (PHYTIN). After inoculation, the trial plants were immediately transferred to a humid chamber. The extent of fungal attack on the leaves was visually assessed 5-7 days after inoculation. Fungal attack in the untreated control was between 80-100% and set to 100% for comparison reason.
-
TABLE 7 Paenibacillus strain PHYTIN (% fungal attack) Lu17007 4 Lu16774 20 BD-62 53 - Commercially available young pepper seedlings (“Neusiedler Ideal”) were used for the described greenhouse trial. 2 replications (pots with 1 plant each) were used per treatment. Plants were grown in commercially available substrate (Universal, Floragard) at approx. 22° C. in the greenhouse. The humidity was controlled using a special device (˜90% humidity). The plants were sprayed to runoff with crude culture broth of 6 days old cultures of the respective Paenibacillus strain (depending on the setup) using a spray cabinet. Culture conditions for the strains are described in Example 3. One day after application the treated plants were inoculated with a suspension of spores of Botrytis cinerea (BOTRCI). After inoculation, the trial plants were immediately transferred to a humid chamber. The extent of fungal attack on the leaves was visually assessed 5-7 days after inoculation. Fungal attack in the untreated control was between 80-100% and set to 100% for comparison reason.
-
TABLE 8 Paenibacillus strain BOTRCI (% fungal attack) Lu17007 2 Lu16774 16 Lu17015 20 BD-62 97 - Commercially available young tomato seedlings (“Goldene Königin”) were used for the described greenhouse trial. 2 replications (pots with 1 plant each) were used per treatment. Plants were grown in commercially available substrate (Universal, Floragard) at approx. 22° C. in the greenhouse. The humidity was controlled using a special device (−90% humidity). The plants were sprayed to runoff with crude/whole culture broth of 6 days old cultures of the respective Paenibacillus strain (depending on the setup) using a spray cabinet. Culture conditions for the strains are described in Example 3. One day after application the treated plants were inoculated with a suspension of spores of Alternaria solani (ALTESO). After inoculation, the trial plants were immediately transferred to a humid chamber. The extent of fungal attack on the leaves was visually assessed 5-7 days after inoculation. Fungal attack in the untreated control was between 80-100% and set to 100% for comparison reason.
-
TABLE 9 Paenibacillus strain ALTESO (% fungal attack) Lu17007 3 Lu17015 16 BD-62 96 - Commercially available young soybean seedlings (‘Mentor’) were used for the described greenhouse trial. 2 replications (pots with 1 plant each) were used per treatment. Plants were grown in commercially available substrate (Universal, Floragard) at approx. 22° C. in the greenhouse. The humidity was controlled using a special device (−90% humidity). The plants were sprayed to runoff with crude culture broth of 2-6 days old cultures of Paenibacillus spp. (depending on the setup) using a spray cabinet. One day after application the treated plants were inoculated with a suspension of spores of Phakopsora pachyrhizi (PHAKPA). After inoculation, the trial plants were immediately transferred to a humid chamber. The extent of fungal attack on the leaves was visually assessed 5-7 days after inoculation.
- Commercially available young wheat seedlings were used for the described greenhouse trial. 2 replications (pots with 1 plant each) were used per treatment. Plants were grown in commercially available substrate (Universal, Floragard) at approx. 22° C. in the greenhouse. The humidity was controlled using a special device (˜90% humidity). The plants were sprayed to runoff with crude culture broth of 2-6 days old cultures of Paenibacillus spp. (depending on the setup) using a spray cabinet. Culture conditions are described in Example 3. One day after application the treated plants were inoculated with a suspension of spores of Fusarium graminearum (GIBBZE). After inoculation, the trial plants were immediately transferred to a humid chamber. The extent of fungal attack on the leaves was visually assessed 5-7 days after inoculation.
- Commercially available young wheat seedlings were used for the described greenhouse trial. 2 replications (pots with 1 plant each) were used per treatment. Plants were grown in commercially available substrate (Universal, Floragard) at approx. 22° C. in the greenhouse. The humidity was controlled using a special device (˜90% humidity). The plants were sprayed to runoff with crude culture broth of 2-6 days old cultures of Paenibacillus spp. (depending on the setup) using a spray cabinet. Culture conditions are described in Example 3. One day after application the treated plants were inoculated with a suspension of spores of Septoria tritici (SEPTTR). After inoculation, the trial plants were immediately transferred to a humid chamber. The extent of fungal attack on the leaves was visually assessed 21-28 days after inoculation.
- Whole culture broth from 6 days old cultures of Paenibacillus strain Lu17007 was obtained according to Use Example 3 and used as in the experimental setup of Use Example 5.1 to 5.3. Alternatively, such whole culture broth was filtered through a filter with 0.2 μm pore size to obtain the culture medium and the crude cell fraction. The crude cell fraction could further be washed three times with the original volumes of phosphate-buffered saline to obtain washed cells.
- The glasshouse trials were performed as described in the Use Examples 5.1, 5.2 and 5.3 above for the respective pathogens Phytophthora infestans, Botrytis cinerea and Alternaria solani. The extent of fungal attack on the leaves was visually assessed 5-7 days after inoculation. Fungal attack in the untreated control was between 80-100% and set to 100% for comparison reason.
-
TABLE 10 Paenibacillus culture % fungal attack by component BOTRCI ALTESO PHYTIN Whole culture broth 0 2 7 Culture medium 3 40 3 Crude cell fraction 0 5 4 Washed cells 1 10 1 - 2 g/l NaNO3, 1 g/l K2HPO4, 0.5 g/l MgSO4, 0.5 g/l KCl, 0.2 g/l pepton, 15 g/l agar, 10 g/l chitin from crab shells (Sigma-Aidrich C7170).
- Test solid medium is autoclaved and filled into 9 cm Petri dishes. Paenibacillus strains are inoculated in the center of the plates and incubated for two days at 27° C. Thereafter, the plates are stained with a 1:3 diluted Lugol solution (Carl Roth N052.2) for 5 to 10 min. Lugol solution is poured out and the plates are photographed and evaluated. Growth of the different strains was no more than 5-10 mm. Non-stained zones (correlating with chitinase activity) varied from 0 mm (no activity; “−” in Table 11) to several cm (“+” in Table 11).
- 2 g/l NaNO3, 1 g/l K2HPO4, 0.5 g/l MgSO4, 0.5 g/l KCl, 0.2 g/l pepton, 15 g/l agar, carboxymethyl cellulose, sodium salt (Sigma-Aldrich 419273).
- Medium is autoclaved poured into 9 cm Petri dishes. Paenibacillus strains are inoculated in the center of the plates and incubated for two days at 27° C. After incubation plates are stained with a 1:3 diluted Lugol solution (Carl Roth N052.2) for 5 to 10 min. Lugol solution is poured out and plates photographed.
- 2 g/l NaNO3, 1 g/l K2HPO4, 0.5 g/l MgSO4, 0.5 g/l KCl, 0.2 g/l pepton, 15 g/l agar, 10 g/l soluble starch (Merck 1.01252).
- Medium is autoclaved poured into 9 cm Petri dishes. Paenibacillus strains are inoculated in the center of the plates and incubated for two days at 27° C. After incubation plates are stained with a 1:3 diluted Lugol solution (Carl Roth N052.2) for 5 to 10 min. Lugol solution is poured out and plates photographed.
-
TABLE 11 Chitinase, cellulose and amylase activities of Paenibacillus strains. Strain Chitinase Cellulase Amylase Lu16774 + + − Lu17007 ++ + + Lu17015 + + + BD-62 − − − −, no activity; (+), low activity; +, regular activity; ++, high activity. - The Paenibacillus strains were cultivated on agar plates containing GYM medium (10 g/l glucose, 4 g/l yeast extract, 10 g/l malt extract; pH 5.5, adjusted before autoclaving) and 20 g/l agar. Cultivation was performed for 10 to 20 days at room temperature. For maintenance agar slants with the same medium were used and stored at 4° C.
- Small scale liquid cultures (250 ml GYM medium in 500 ml flasks) were inoculated with 4-5 pieces of a well grown agar culture and cultivated in an orbital shaker at 120 rpm at room temperature (20-23° C.).
- Large scale fermentations were performed in 20 l fermenters with 15 l GYM medium (total capacity of fermenters was not used because of foam formation) inoculated with 250 ml well grown liquid culture and fermentation was carried out at room temperature (20-23° C.) with agitation (120 rpm) and aeration (3 l/min) for 5 to 8 days.
- One equal volume of isopropanol was added to the whole culture broth (no separation of biomass from liquid culture was performed). After agitation and incubation for 2 to 16 hours, common table salt (sodium chloride—100 to 200 g/l) was added to the mixture until phase separation of the organic and aqueous phase was visible.
- The isopropanol phase was concentrated in vacuo. The resulting extract, still containing large amount of salt, was dissolved in methanol, centrifuged for better precipitation of salt residues, and the organic phase was concentrated again. This step was repeated until no salt precipitate was present anymore.
- i) Silica Gel Chromatography
- 30 grams of extract were dissolved in methanol and bound to 50 g silica gel (Merck, K60, 70-230 mesh), dried at 40° C. and layered onto 1 kg of silica gel (
column 10 cm diameter, 30 cm high approx.). - Elution was carried out in four steps as following:
- Step 1-4 l ethyl acetate
Step 2-4 l ethyl acetate:methanol (3:1, v/v)
Step 3-7 l ethyl acetate:methanol (1:1, v/v)
Step 4-4 l methanol - The third fraction (intermediate 1), containing the active compounds, was dried in vacuo and dissolved in 40% methanol (MeOH) in 0.1% formic acid (FA) (concentration: 100 mg/ml). The other fractions were discarded.
- ii) Chromabond HR-X Fractionation
- 20 ml of intermediate 1 was loaded onto a previously equilibrated (with 40% MeOH in 0.1% FA) Chromabond HR-X cartridge (Macherey-Nagel, 1000 mg, ref 730941). The cartridge was washed with 100
ml 40% MeOH in 0.1% FA and eluted with 60 ml 70% MeOH in 0.1% FA. This intermediate 1-1 was then dried in vacuo. - iii) Preparative HPLC on a Sunfire C18 Column
- Intermediate 1-1 was dissolved in DMSO (concentration: 200 mg/ml) and 300 μl of intermediate 1-1 were chromatographed on a Sunfire C18 column (19×250 mm, 5 μm, Waters) as follows:
- 16 min at 10 ml/min, isocratic 70% 0.2 FA; 30% acetonitrile (ACN),
1 min at 14 ml/min, gradient to 65% 0.2% FA; 35% ACN,
5 min at 14 ml/min, isocratic 65% 0.2% FA; 35% ACN. - Five fractions could be detected. All five resulting fractions were dried in vacuo and dissolved in DMSO (concentration: 125 mg/ml). Further purification was performed using the same column and isocratic conditions (flow: 10.5 ml/min) adjusted for every fraction (12.5 mg per run):
- Fraction 1: 69% 0.2 FA; 31% ACN; two peaks detected (1-1 and 1-2)
- Fraction 2: 69% 0.2 FA; 31% ACN; two peaks detected (2-1 and 2-2)
- Fraction 3: 69% 0.2 FA; 31% ACN; three peaks detected (3-1, 3-2 and 3-3)
-
Fraction 4/5: 67% 0.2 FA; 33% ACN; one peak detected (4/5) - Fraction 6: 65% 0.2 FA; 35% ACN; two peaks detected (6-1 and 6-2)
- The purity and quantity of the following samples was sufficient for NMR analysis and structure elucidation: peaks 1-2, 2-1, 3-2, 4/5 and 6-1.
- From peak 2-1 of
fraction 2, a mixture of 1A and 1B (ratio about 3:7) was obtained as a brown oil ([α]D 25=+20.9 (c=0.6, DMSO-de)).compounds - The molecular formula C47H78N10O12 of the major component,
compound 1B, was deduced from the HR-ESI-MS spectrum which gave a peak at m/z 975.5863 [M+H]+; ESI-MS: 975.6 (100%, [M+H]+), 488.4 (51%, [M+2H]2+). - Besides, the mixture also contained as minor component, the
lighter homologue 1A, and the mass difference between both compounds was 14 amu. This observation was supported by a second peak observed in the ESI-MS spectrum at m/z 961.6. - The NMR spectra (Table 12) included in addition to signals of exchangeable protons between δ 6.83 and 8.58, resonances of carbonyl in the range of δ 166.0-174.5 and methine signals between δ 47.8 and δ 60.4 indicative for a peptide.
- Extensive analysis of the 1D- and 2D-NMR data of
compound 1B revealed the presence of six amino acids including tyrosine (Tyr), glutamine (Gln), alanine (Ala), two threonines (Thr1 and Thr2) and isoleucine (Ile). Their sequence was found using two or three bonds correlations across amide functions. Thus, COSY, NOESY (FIG. 2 ) and HMBC (FIG. 3 ) spectra depicted correlations from the nitrogen-proton of Thr2 at δ 8.58 to the signal of methine proton of Thr2 at δ 3.84 and the carbonyl at δ 166.7 of Tyr while the same relationship was noted between the nitrogen-proton of Tyr at δ 8.52 and the signal of methylene proton of Tyr at δ 2.60 and the carbonyl at δ 170.4 of Ile. Furthermore, the methine hydrogen of Ile at δ 4.16 had a strong correlation with the carbonyl signal of Ile at δ 170.4 and a weak contact with that of Thr1 at δ 168.6; the signal of the methine proton at δ 5.30 of Thr1 correlated with the carbonyl signal at δ 170.4 of Ala. Additionally to the aforementioned correlations, others were displayed from the N-proton at δ 7.27 of Ala to the methine proton at δ 4.20 of the same amino acid while this latter proton had the same interaction with the carbonyl of its amino and the one of Gln. Besides, a cross peak was revealed from the exchangeable proton at δ 8.20 of Gln to the methine hydrogen at δ 3.87 of Gln and the carbonyl of Thr2 at δ 170.6; these above-mentioned data suggested the cyclodepsipeptidic structure forcompound 1B. - This
cyclodepsipeptide 1B contained a terminal guanidine β-hydroxy fatty acid attached to Thr1 since a key correlation was observed between the signal of its α-methine proton at δ 4.39 and the resonance of a carbonyl at δ 171.9; HMBC contacts from that carbonyl at δ 171.9 to the α-methylene protons at δ 2.35 and the β-methine proton at δ 3.77 were further observed as well as between the methylene protons at δ 3.03 and the guanidine carbon at δ 157.2. The side chain was deduced to contain twelve methylene groups between the 1-hydroxy and the guanidine group on the basis of the fragment ion observed in the APCI-MS-MS spectrum of the parent [M+H]+ ion at m/z 256.2. Likewise, this spectrum provided information (FIG. 4b ) which confirmed the connection sequence of amino acids and led to elucidate the structure ofcompound 1B as shown inFIG. 1 . - Signals of a CH2 group at 2.80, 2.52/36.3 in the 1 D- and 2D-spectra corresponded presumably to the CH2 group of asparagine (Asn) in
compound 1A. This conclusion was supported by reported data (Heterocycles 53, 1533-1549, 2000) in conjunction to fragments obtained from MS/MS of the parent peak at m/z 961.6 (FIG. 4a ). Likewise, the latter analyses provided information (FIGS. 4a, 4b ) which confirmed the connection sequence of amino acids in both compounds and led to elucidate the structure of 1A and 1B as shown incompounds FIG. 1 . - From peak 1-2 of
fraction 1, a mixture of 2A and 2B (ratio about 1:1) was obtained as a brown oil. The molecular formula of the heavier component,compounds compound 2B, was determined to be C46H76N10O12 on the basis of the low resolution mass spectrometry. Analysis of the NMR data (Table 13) allowed to identifycompound 2B as fusaricidin D. The lighter component of the mixture,compound 2A, was likewise identified as fusaricidin C, in which the Gln residue of fusaricidin C is replaced by Asn. - The mass spectrometric fragmentation pattern of the parent ions of m/z 961.6 and 947.6 for
2B and 2A, respectively, (compounds FIGS. 5a, 5b ) confirmed the length of the substituted fatty acid side chain to be identical as incompound 1B. Fusaricidins C and D have formerly been reported by Kajimura et al. (J. Antibiot. 50, 220-228, 1997). - From peak 6-1 of
fraction 6,compound 3 was isolated as a brown oil and its low resolution presented a peak at m/z 925.6 [M+H]+ which, combined with NMR data (Table 14), led to the molecular formula C44H80N10O11. Compound 3 showed similar features in the NMR spectra ascompound 1B andcompound 2B (fusaricidin D) except for the presence of aromatic signals (Table 14). Thus, characteristic resonances of a peptide were observed namely ten signals of protons attached to nitrogen between δ 6.89 and 8.49, eight resonances of carbonyl ranged between δ 168.1 and 174.3, and six signals of N-methine comprised between δ 48.0 and 59.5. A detailed analysis of the HMQC, COSY and TOCSY spectra revealed the presence of six amino acids including Gln, two units of Thr, two units of lie and Ala. Furthermore, these spectra showed chemical shifts attributable to the same β-hydroxyl fatty acid with a terminal guanidine as in 1A, 1B and fusaricidins C (2A) and D (2B). The position of this side chain was determined on the basis of a long range correlation found on the HMBC spectrum between the proton signal of N-methine at δ 4.44 of Thr1 and the carbonyl signal at δ 172.1 of the fatty acid. The sequence of the amino acids was deduced from NOESY interactions and the fragmentation pattern (compounds FIG. 6 ). - The combination of the NMR data (Table 14) and mass spectrometry led to identify the
metabolite compound 3 as LI-F08b, herein also called fusaricidin LI-F08b, reported for the first time by Kuroda et al. (Heterocycles 53, 1533-1549, 2000). - From
peak 4/5 offraction 4/5, a mixture of two further metabolites, compounds 4A and 4B (ratio about 1:3), was obtained which gave two peaks at m/z 897.5 (4A) and 911.6 (4B) in the ESI-MS spectrum, suggesting two further homologous cyclodepsipeptides. Resonances indicative for peptides were observed in their NMR spectra (Table 15) as well as those of a β-hydroxyl fatty acid terminating in a guanidine group. The fragmentation patterns of both parent ions found for 4A and 4B (compounds FIGS. 7a, 7b ) allowed to determine the sequence of amino acids and to identify the constituents of the mixture as LI-F06a (4A) and LI-F06b (4B), respectively. - Obtained from peak 3-2 of
fraction 3, the mixture of 5A and 5B (ratio about 1:3) was analyzed in the same manner. The ESI mass spectrum of the mixture showed two peaks at m/z 883.6 (5A) and 897.5 (5B) and the fragmentation patterns of these parent ions (compounds FIGS. 8a, 8b ) in conjunction to NMR data (Table 16) allowed to identify the components as fusaricidin A (5A) and fusaricidin B (5B). The data found for 4A, 4B, 5A and 5B matched those previously reported. (J. Antibiot. 50, 220-228, 1997; Heterocycles 53, 1533-1549, 2000). -
TABLE 12 1H (DMSO-d6, 600 MHz) and 13C-NMR (DMSO-d6, 150 MHz) data of 1Acompounds and 1B. Compounds 1Compound 1ACompound 1B *Pos. δH δC Pos. δH δC Thr1 Thr1 NH 7.79 (br) — NH 8.18 (br s) — 1 — 168.6 1 — 168.6 2 4.46 (br d, 8.5) 56.4 2 4.39 (br d, 8.7) 56.9 3 5.30 (overlapped) 70.2 3 5.30 (m) 70.2 4 1.13 (overlapped) 16.6 4 1.13 (d, 6.4) 16.7 Ala Ala NH 7.22 (br) — NH 7.27 (br s) — 1 — nf* 1 — 170.4 2 4.13 (overlapped) 47.7 2 4.20 (m) 47.8 3 1.11 (overlapped) 17.8 3 1.17 (d, 7.1) 17.8 Asn Gln NH 8.33 (overlapped) — NH 8.20 (br s) — 1 — 169.7 1 — 70.4 2 4.20 (1H, m) 50.6 2 3.87 (m) 53.2 3 2.52 (m), 36.3 3 1.96 (m), 2.08 (m) 26.2 2.80 (dd, 5.9, 15.1) 4 — 172.5 4 2.08 (m), 2.18 (m) 32.0 5 — — — — 174.3 NH2 6.99 (br s), 7.42 (br s) — NH2 6.83 (br s), 7.26 (br s) — Thr2 Thr2 NH 8.50 (overlapped) — NH 8.58 (br s) — 1 — 170.6 1 — 170.6 2 3.94 (m) 59.9 2 3.84 (m) 60.5 3 3.94 (m) 65.5 3 3.85 (m) 65.8 4 1.05 (br) 20.3 4 1.08 (overlapped) 20.0 Tyr Tyr NH 8.48 (overlapped) — NH 8.52 (br s) — 1 — nf 1 — 166.7 2 4.60 (m) 54.2 2 4.51 (m) 54.5 3 2.60 (overlapped) 36.8 3 2.60 (m), 2.88 (m) 36.9 2.88 (overlapped) 4 — 127.7 4 — 127.8 5 and 9 7.07 (d, 8.7) 130.2 5 and 9 7.06 (d, 8.5) 130.2 6 and 8 6.60 (overlapped) 114.7 6 and 8 6.60 (d, 8.5) 114.7 7 — 155.9 7 — 155.9 Ile Ile NH 7.28 (br s) — NH 7.42 (br s) — 1 — nf 1 — 170.4 2 4.16 (overlapped) 56.5 2 4.16 (br d, 8.5) 56.5 3 1.34 (overlapped) 37.2 3 1.34 (m) 37.2 4 1.34 (overlapped) 25.4 4 1.22 (m), 1.34 (m) 25.4 5 0.52 (overlapped) 14.4 5 0.53 (overlapped) 14.4 6 0.59 (overlapped) 11.4 6 0.61 (overlapped) 11.4 *FA FA 1 — 171.9 1 — 171.9 2 2.35 (overlapped) 43.1 2 2.35 (m) 43.3 3 3.77 (overlapped) 67.5 3 3.77 (m) 67.5 4 1.34 (overlapped) 36.8 4 1.34 (m) 36.9 5-12 1.19-1.30 (br s) 29.0-29.2 5-12 1.19-1.30 (br s) 29.0-29.2 13 1.25 (br s) 21.2 13 1.25 (br s) 21.2 14 1.43 (overlapped) 28.7 14 1.43 (m) 28.5 15 3.03 (overlapped) 40.6 15 3.03 (q, 6.6) 40.6 *Gu Gu NH nf — NH 8.40 (br s) — 16 — 157.2 16 — 157.2 -
TABLE 13 1H (DMSO-d6, 600 MHz) and 13C-NMR (DMSO-d6, 150 MHz) data of 2A and 2B.compounds Compounds 2 = fusaricidins C andD Compound 2A = fusaricidin C Compound 2B = fusaricidin D Pos. δH δC Pos. δH δC Thr1 Thr1 NH 7.66 (d, 7.1) — NH 8.17 (br s) — 1 — 168.5 1 — 168.6 2 4.44 (br d, 8.9) 56.6 2 4.40 (br d, 8.9) 57.0 3 5.31 (m) 70.2 3 5.30 (m) 70.3 4 1.13 (overlapped) 16.5 4 1.14 (overlapped) 16.7 Ala Ala NH 7.21 (br) — NH 7.60 (br s) 1 — nf 1 — 170.6 2 4.12 (m) 47.7 2 4.19 (m) 47.8 3 1.12 (overlapped) 17.8 3 1.17 (d, 7.2) 17.7 Asn Gln NH 8.26 (br) — NH 8.08 (br s) — 1 — 169.7 1 — 170.4 2 4.21 (m) 50.5 2 3.86 (m) 53.2 3 2.53 (overlapped), 36.3 3 1.98 (m), 2.09 (m) 26.1 2.80 (dd, 6.3, 15.0) 4 — 172.6 4 2.10 (m), 2.18 (m) 31.9 5 — — 5 — 174.3 NH2 nf — NH2 6.84 (br s), — 7.28 (br s) Thr2 Thr2 NH 8.52 (overlapped) — NH 8.47 (overlapped) — 1 — 170.3 1 — 170.6 2 3.85 (m) 60.5 2 3.94 (m) 59.9 3 3.86 (m) 65.8 3 3.92 (m) 65.7 4 1.09 (d, 5.7) 19.9 4 1.05 (d, 5.8) 20.2 OH-3 4.96 (br d, 4.2) — OH-3 5.05 (d, 2.9) — Tyr Tyr NH 8.46 (overlapped) — NH 8.52 (overlapped) — 1 — nf 1 — 172.3 2 4.60 (m) 54.2 2 4.52 (m) 54.6 3 2.63 (overlapped) 36.9 3 2.63 (m), 2.87 (m) 36.9 2.87 (overlapped) 4 — 127.7 4 — 127.7 5 and 9 7.08 (overlapped) 130.2 5 and 9 7.06 (d, 8.4) 130.2 6 and 8 6.60 (overlapped) 114.7 6 and 8 6.60 (d, 8.4) 114.7 7 — 155.8 7 — 155.8 OH nf — OH 9.13 (br s) — Val Val NH 7.30 (overlapped) — NH 7.42 (br s) — 1 — nf 1 — 170.3 2 4.12 (br s) 57.5 2 4.12 (br s) 57.5 3 1.59 (m) 30.9 3 1.59 (m) 31.0 4 0.56 (d, 6.4) 18.2 4 0.57 (d, 6.3) 18.3 5 0.35 (d, 6.5) 18.7 5 0.40 (d, 6.6) 18.7 FA FA 1 — nf 1 — 172.0 2 2.37 (overlapped) 43.1 2 2.37 (m) 43.3 3 3.79 (overlapped) 67.5 3 3.79 (m) 67.6 4 1.35 (overlapped) 36.9 4 1.35 (m) 36.9 5 1.22 (overlapped) 25.3 5 1.22 (br s) 25.3 6-12 1.20-1.27 (br s) 29.1-29.2 6-12 1.20-1.27 (br s) 29.1-29.2 13 1.26 (br s) 26.1 13 1.26 (br s) 26.1 14 1.44 (overlapped) 28.5 14 1.44 (m) 28.7 15 3.07 (overlapped) 40.7 15 3.07 (q, 6.7) 40.7 Gu Gu NH nf — NH 7.60 (br s) — 16 — 156.8 16 — 156.8 -
TABLE 14 1H (DMSO-d6, 600 MHz) and 13C-NMR (DMSO-d6, 150 MHz) data of compound 3 being Ll-F08b.Compound 3 = Ll-F08bPos. δH δC Thr1 NH 7.55 (br s) — 1 — 168.1 2 4.44 (br d, 8.4) 56.6 3 5.33 (m) 70.2 4 1.15 (d, 6.5) 16.7 Ala NH 7.53 (br s) — 1 — 170.6 2 4.05 (m) 48.0 3 1.22 (br s) 17.2 Gln NH 7.93 (br s) — 1 — 170.5 2 3.94 (m) 52.7 3 1.98 (m), 2.09 (m) 26.5 4 2.12 (m), 2.20 (m) 31.9 5 — 174.3 NH2 6.89 (br s), 7.32 (br s) — Thr2 NH 8.48 (br s) — 1 — 170.7 2 4.03 (m) 59.5 3 3.98 (m) 65.7 4 1.08 (d, 6.1) 19.8 Ile1 NH 8.49 (br s) — 1 — 172.5 2 4.15 (t, 7.6) 57.3 3 1.81 (m) 35.4 4 1.17 (m), 1.41 (m) 24.4 5 0.80 (t, 6.3) 10.6 6 0.81 (d, 7.2) 15.5 Ile2 NH 7.30 (br s) — 1 — 171.3 2 4.53 (m) 55.3 3 1.65 (m) 38.2 4 1.01 (m), 1.37 (m) 25.5 5 0.83 (t, 6.4) 11.4 6 0.70 (d, 7.4) 14.2 FA 1 — 172.1 2 2.37 (d, 5.7) 43.4 3 3.77 (m) 67.6 4 1.37 (m) 36.9 5-12 1.20-1.28 (br s) 29.0-29.2 13 1.25 (br s) 26.2 14 1.43 (m) 28.7 15 3.03 (q, 6.7) 40.6 Gu NH 8.37 (br s) — 16 — 157.2 -
TABLE 15 1H (DMSO-d6, 600 MHz) and 13C-NMR (DMSO-d6, 150 MHz) data of 4A and 4B.compounds Compounds 4 = Ll-F06a and Ll-F06b Compound 4A = Ll- F06a Compound 4B = Ll-F06b Pos. δH δC Pos. δH δC Thr1 Thr1 NH 8.31 (br) — NH 7.59 (br s) — 1 — 168.5 1 — 168.4 2 4.40 (m) 56.9 2 4.44 (m) 56.7 3 5.30 (m) 70.5 3 5.32 (m) 70.3 4 1.14 (m) 16.6 4 1.15 (m) 16.6 Ala Ala NH nf — NH 7.53 (br s) 1 — 170.6 1 — 170.7 2 3.97 (m) 47.9 2 4.07 (m) 48.0 3 1.15 (overlapped) 17.3 3 1.21 (d, 7.3) 17.4 Asn Gln NH 8.06 (br) — NH 7.96 (br s) — 1 — 169.8 1 — 170.7 2 4.28 (m) 50.5 2 3.93 (m) 52.9 3 2.55 (m), 36.9 3 1.97 (m), 2.10 (m) 26.5 2.75 (dd, 6.7, 15.1) 4 — 172.6 4 2.12 (m), 2.21 (m) 32.0 5 — — 5 — 174.4 NH2 nf — NH2 6.88 (br s), — 7.33 (br s) Thr2 Thr2 NH 8.54 (br) NH 8.48 (br) — 1 — 170.4 1 — 170.6 2 3.91 (m) 60.5 2 4.02 (m) 59.7 3 3.92 (m) 65.6 3 3.99 (m) 65.7 4 1.09 (d, 6.4) 19.6 4 1.08 (d, 6.4) 19.8 Val Val NH 7.28 (m) — NH 7.39 (m) — 1 — nf 1 — 171.0 2 4.40 (overlapped) 57.3 2 4.39 (m) 57.0 3 1.83 (overlapped) 32.0 3 1.83 (m) 31.6 4 0.75 (d, 6.6) 18.1 4 0.74 (d, 6.6) 18.4 5 0.84 (overlapped) 19.3 5 0.80 (overlapped) 19.2 Ile Ile NH 7.31 (overlapped) — NH 7.23 (overlapped) — 1 — nf 1 — 171.2 2 4.51 (overlapped) 55.5 2 4.51 (1H, m) 55.6 3 1.65 (overlapped) 38.1 3 1.65 (m) 38.1 4 1.02 (m), 1.36 (m) 25.4 4 1.02 (m), 1.36 (m) 25.5 5 0.82 (overlapped) 15.6 5 0.82 (overlapped) 15.6 6 0.72 (overlapped) 14.4 6 0.71 (overlapped) 14.3 FA FA 1 — 172.1 1 — 172.2 2 2.44 (dd) 43.1 2 2.37 (m) 43.4 3 3.81 (m) 67.7 3 3.78 (m) 67.7 4 1.37 (overlapped) 36.9 4 1.37 (m) 36.9 5-12 1.22-1.24 (br s) 29.1-29.2 5 1.22-1.24 (br s) 29.1-29.2 13 1.25 (br s) 26.4 13 1.25 (br s) 26.2 14 1.43 (m) 28.5 14 1.43 (m) 28.5 15 3.03 (q, 6.7) 40.7 15 3.03 (q, 6.7) 40.7 Gu Gu NH nf — NH 8.34 (br s) — 16 — 157.2 16 — 157.2 -
TABLE 16 1H (DMSO-d6, 600 MHz) and 13C-NMR (DMSO-d6, 150 MHz) data of 5Acompounds and 5B. Compounds 5 = fusaricidins A and B, Ll-F04a and Ll-F04b Compound 5A = fusaricidin A Compound 5B = fusaricidin BPos. δH δC Pos. δH δC Thr1 Thr1 NH 7.66 (br) — NH 8.30 (d, 8.0) — 1 — 168.5 1 — 168.4 2 4.46 (m) 56.6 2 4.40 (br d, 8.5) 57.0 3 5.32 (m) 70.4 3 5.31 (m) 70.3 4 1.16 (overlapped) 16.3 4 1.15 (d, 5.7) 16.6 Ala Ala NH 7.26 (br) — NH 7.53 (br s) — 1 — 170.6 1 — 170.6 2 4.00 (m) 47.8 2 4.10 (m) 47.9 3 1.15 (overlapped) 17.4 3 1.20 (d, 7.2) 17.5 Asn Gln NH 8.10 (br) — NH 8.53 (d, 4.3) — 1 — 169.8 1 — 170.6 2 4.28 (q, 6.6) 50.5 2 3.92 (m) 52.9 3 2.53 (m), 36.7 3 1.98 (m), 2.09 (m) 26.4 2.76 (dd, 6.6, 15.0) 4 — 172.5 4 2.10 (m), 2.20 (m) 31.9 5 — — 5 — 174.3 NH2 nf — NH2 6.86 (br s), 7.30 (br — s) Thr2 Thr2 NH 8.54 (br s) — NH 8.46 (d, 6.9) — 1 — nf 1 — 170.5 2 3.91 (m) 60.4 2 4.02 (m) 59.7 3 3.91 (m) 65.6 3 3.99 (m) 65.5 4 1.09 (d, 5.6) 19.6 4 1.07 (d, 6.0) 19.9 Val Val NH nf — NH 7.29 (br s) — 1 — nf 1 — 171.2 2 4.40 (m) 57.1 2 4.40 (m) 57.1 3 1.82 (m) 31.4 3 1.82 (m) 31.5 4 nf nf 4 0.76 (d, 6.6) 18.4 5 0.82 (d, 6.0) 19.1 5 0.81 (d, 6.2) 19.1 Val Val NH 8.41 (br s) — NH 8.37 (d, 7.6) — 1 — 172.1 1 — 173.1 2 4.13 (m) 58.3 2 4.23 (m) 57.8 3 2.02 (m) 29.7 3 1.99 (m) 30.2 4 0.86 (d, 6.7) 18.2 4 0.86 (d, 6.7) 18.2 5 0.84 (7.0) 19.3 5 0.84 (7.0) 19.3 FA FA 1 — 172.1 1 — 172.0 2 2.37 (br d, 5.8) 43.4 2 2.34 (dd, 7.0, 13.5), 43.4 2.44 (dd, 4.9, 13.5) 3 3.80 (m) 67.6 3 3.80 (m) 67.6 4 1.37 (m) 36.9 4 1.37 (m) 36.8 5-12 1.22-1.25 (br s) 26.2-29.2 5-12 1.22-1.25 (br s) 26.2-29.2 13 1.25 (br s) 26.2 13 1.25 (br s) 26.2 14 1.43 (m) 28.7 14 1.43 (m) 28.5 15 3.03 (q, 6.7) 40.6 15 3.03 (q, 6.7) 40.6 Gu Gu NH nf — NH 8.47 (br s) — 16 — 157.2 16 — 157.2 - No hydrolysis experiments were carried out to determine the configuration of the constituting amino acids. *Pos.=position; FA=fatty acid; Gu=Guanidine; nf=not found. Legend applies also to Tables 13 to 16
- The presence of fusaricidins in general and in particular of the known fusaricidins A, B, C, D, LI-F06a, LI-F06b and LI-F08b as well as the novel fusaricidin-
1A and 1B was determined for the Paenibacillus strains following the procedural steps which are described in Example 7.1 above.type compounds -
TABLE 17 Fusaricidin-type metabolite production of the Paenibacillus strains. Compound/ Fusaricidin 2A 2B 3 4A 4B 5A 5B Strains 1A 1B C D LI-F08b LI-F06a LI-F06b A B Lu16774 + ++ ++ ++ ++ − − ++ ++ Lu17007 + ++ ++ ++ ++ + ++ ++ ++ Lu17015 ++ ++ ++ ++ ++ ++ ++ ++ ++ BD-62 − − − − − − − − − Legend: −, compound not detectable; +, compound detectable; ++, compound detectable at higher amounts compared to scale +. - The whole culture broth of all of the novel Paenibacillus strains Lu16774, Lu17007 and Lu17015 contained at least one the fusaricidin-type metabolites identified in Example 7 (Table 17). None of these fusaricidin-type metabolites were detected in the whole culture broth of P. peoriae strain BD-62.
- The whole culture broth of the novel Paenibacillus strains Lu16774, Lu17007 and Lu17015 all contained the novel fusaricidin-
1A and 1B. Further, the whole culture broth of the novel Paenibacillus strains Lu16774, Lu17007 and Lu17015 all contained the fusaricidins A, B, C and D as well as LI-F08b. In addition, the whole culture broth of the novel Paenibacillus strains Lu17007 and Lu17015 contained fusaricidins LI-F06a and LI-F06b.type compounds -
1A and 1B were not detected in the whole culture broth of the closely related P. peoriae strain BD-62. Fusaricidins A, B, C and D, LI-F06a, LI-F06b and LI-F08b were also not in the whole culture broth of P. peoriae strain BD-62.Compounds - The
1A and 1B, fusaricidin A, B and D and were obtained were used in the following experiments.compounds - Fungal growth assays were performed in 96 well plates with spore suspension of the pathogen Botrytis cinerea (BOTRCI, in YBA [10 g Bacto peptone (Becton Dickinson 211677), 10 g yeast extract (Becton Dickinson 212750), 20 g sodium acetate, ad 1000 mL aqua bidest] or Alternaria solani (ALTESO, in YBG [10 g Bacto peptone (Becton Dickinson 211677), 10 g yeast extract (Becton Dickinson 212750), 20 g glycerine 99%, ad 1000 mL aqua bidest]). Fusaricidins and compounds 1A and 1B were dissolved and diluted in DMSO. Different concentrations ranging from 60 μM down to 0.3 μM were pipetted into the microtiter plate. An aqueous suspension of 104 spores/ml was added. The plates were incubated at about 18° C. Fungal growth was determined by measuring the optical density at 600 nm in a
3 and 7 days after the inoculation of the spores and compared to the untreated control (DMSO). IC50 (concentration [μM] of the respective metabolite required for 50% inhibition of fungal growth) has been determined thereafter.microplate reader - Notably, the
1A and 1B showed the highest antifungal efficacy with IC50 values of 0.4-0.6 μM (Tab. 18).compounds -
TABLE 18 Antifungal growth inhibition of Paenibacillus metabolites IC50 values Compound/ Fusaricidin Pathogen 2B 5A 5B ( Evaluation 1A 1B Fus. D Fus. A Fus. B day) Fungal growth inhibition (IC50 [μM]) ALTESO (3 d) 0.6 0.6 1.1 1.3 1.1 ALTESO (7 d) 0.5 0.4 0.6 0.7 0.6 BOTRCI (7 d) 0.3 0.4 0.5 0.5 0.6 “—” means that growth inhibition in tested concentration range not sufficient to determine IC50. - In addition, glasshouse trials were performed with
1A and 1B as described in the Use Examples 5.1 to 5.5 above for the respective pathogens Botrytis cinerea (BOTRCI), Alternaria solani (ALTESO), Phytophthora infestans (PHYTIN), Phakopsora pachyrhizi (PHAKPA) and Fusarium graminearum (GIBBZE). The extent of fungal attack on the leaves was visually assessed 5-7 days after inoculation.Compounds - Notably, compounds 1A and 1B were effective in controlling important fungal diseases on crop plants already at dose levels as low as 7.2 ppm and showed higher antifungal efficacy than Fusaricidin A, B and D (Tables 19 to 21).
-
TABLE 19 Antifungal efficacy of metabolites determined in planta. % efficacy (% fungal attack) Metabolite tested Conc. BOTRCI ALTESO PHYTIN PHAKPA GIBBZE Untreated — 0 (100) 0 (100) 0 (100) 0 (100) 0 (100) Compound 1A360 ppm 99 100 95 49 Compound 1A36 ppm 97 74 Compound 1B360 ppm 100 100 97 Compound 1B36 ppm 97 -
TABLE 20 Efficacy of metabolites against late blight on tomato caused by Phytophthora infestans with protective application. % efficacy Metabolite tested Conc. (% fungal attack) Untreated — 0 (100) Fusaricidin A 7.2 ppm 15 Fusaricidin B 7.2 ppm 4 Fusaricidin D 7.2 ppm 0 Compound 1B7.2 ppm 44 -
TABLE 21 Efficacy of metabolites against head blight on wheat caused by Fusarium graminearum with protective application. % efficacy Metabolite tested Conc. (% fungal attack) Untreated — 0 (100) Fusaricidin A 360 ppm 31 Fusaricidin B 360 ppm 0 Compound 1A360 ppm 49 -
TABLE 22 Efficacy of metabolites against head blight on wheat caused by Septoria tritici with protective application. % efficacy Metabolite tested Conc. (% fungal attack) Untreated — 0 (100) Fusaricidin D 360 ppm 50 Compound 1B360 ppm 80 - Whole culture broth from 6 days old cultures of Paenibacillus strain Lu17007, Lu16674 and M1 was obtained according to Use Example 3 and used as in the experimental setup of Use Example 5.1 to 5.5. The glasshouse trials were performed as described in the Use Examples 5.1 to 5.5 above for the respective pathogens. The extent of fungal attack on the leaves was visually assessed 5-7 days after inoculation.
- Notably, the Paenibacillus strains Lu16774 and Lu17007 were effective in controlling important fungal diseases on crop plants even at high dilution factors and showed higher antifungal efficacy than the closely related strain M-1 (Tables 22 to 27).
-
TABLE 22 Paenibacillus Dilution factor of BOTRCI % efficacy strain whole culture broth (% fungal attack) Untreated 0 (100) Lu16674 1:10 95 M-1 1:10 86 Lu16674 1:50 76 Lu17007 1:50 98 M-1 1:50 51 -
TABLE 23 Paenibacillus Dilution factor of BOTRCI % efficacy strain whole culture broth (% fungal attack) Untreated 0 (100) Lu17007 undiluted 92 M-1 undiluted 87 Lu17007 1:10 84 M-1 1:10 53 Lu17007 1:50 63 M-1 1:50 32 -
TABLE 24 Paenibacillus Dilution factor of ALTESO % efficacy strain whole culture broth (% fungal attack) Untreated 0 (100) Lu16674 1:10 77 M-1 1:10 41 -
TABLE 25 Paenibacillus Dilution factor of PHYTIN % efficacy strain whole culture broth (% fungal attack) Untreated 0 (100) Lu17007 1:10 83 M-1 1:10 42 Lu16674 1:50 13 Lu17007 1:50 30 M-1 1:50 0 -
TABLE 26 Paenibacillus Dilution factor of PHAKPA % efficacy strain whole culture broth (% fungal attack) Untreated 0 (100) Lu17007 undiluted 94 M-1 Undiluted 87 -
TABLE 27 Paenibacillus Dilution factor of GIBBZE % efficacy strain whole culture broth (% fungal attack) Untreated 0 (100) Lu17007 undiluted 70 M-1 undiluted 31 Lu16674 1:50 52 Lu17007 1:50 33 M-1 1:50 24 - The documents as cited herein are incorporated by reference.
-
FIG. 1 . 1A, 1B, 2A, 2B, 3, 4A, 4B, 5A and 5B.Compounds -
FIG. 2 . Key NOESY and COSY correlations ofcompound 1B. -
FIG. 3 . HMBC correlation ofcompound 1B. -
FIG. 4 . Fragmentation patterns a) ofcompound 1A and b) ofcompound 1B. -
FIG. 5 . Fragmentation patterns a) ofcompound 2A (fusaricidin C) and b) ofcompound 2B (fusaricidin D). -
FIG. 6 . Fragmentation pattern of compound 3 (LI-F08b). -
FIG. 7 . Fragmentation patterns a) ofcompound 4A (LI-F06a) and b) ofcompound 4B (LI-F06b). -
FIG. 8 . Fragmentation patterns a) ofcompound 5A (fusaricidin A) and b) ofcompound 5B (fusaricidin B). -
FIG. 9 shows the percentage identity of the complete 16S rDNA sequence of the Paenibacillus strains of the invention to related taxa after multiple sequence alignment. Legend: *Strain numbers: 1=Paenibacillus strain Lu16774; 2=Paenibacillus strain Lu17015; 3=Paenibacillus strain Lu17007; 4=Paenibacillus peoriae NRRL BD-62; 5=Paenibacillus anaericanus M H21; 6=Paenibacillus brasiliensis PB172; 7=Paenibacillus campinasensis 324; 8=Paenibacillus chibensis JCM 9905; 9=Paenibacillus glucanolyticus DSM 5162; 10=Paenibacillus hunanensis FeL05; 11=Paenibacillus jamilae CECT 5266; 12=Paenibacillus knbbensis AM49; 13=Paenibacillus lactis MB 1871; 14=Paenibacillus lautus JCM 9073; 15=Paenibacillus macerans IAM 12467; 16=Paenibacillus massiliensis 2301065; 17=Paenibacillus pabuli HSCC 492; 18=Paenibacillus peoriae DSM 8320 (BD-57); 19=Paenibacillus pini S22; 20=Paenibacillus polymyxa IAM 13419; 21=Paenibacillus purispatii ES_MS17; 22=Paenibacillus sedininis GT-H3; 23=Paenibacillus terrae AM141; 24=Paenibacillus terrigena A35; 25=Paenibacillus timonensis 2301032; 26=Paenibacillus turicensis MOL722; 27=Paenibacillus uliginis N3/975; 28=Cohnella thermotolerans CCUG 47242.Strains 6 to 28 are type strains for the respective species. - Similarities of the novel strains with Paenibacillus peoriae (NRRL BD-62 and DSM 8320) have been marked in bold letters.
-
FIG. 10 shows a phylogenetic dendrogram calculated from the % identity of 16S-rDNA sequences of the Paenibacillus strains of the invention with other taxa (FIG. 9 ). The root of the tree was determined by including the 16S rRNA gene sequence of Cohnella thermotolerans into the analysis. The scale bar below the dendrogram indicates 1 nucleotide substitutions per 100 nucleotides. -
FIG. 11 shows the RiboPrint pattern obtained from samples of the Paenibacillus strains of the invention in comparison to a sample of the closely related P. peoriae strain BD-62 using RiboPrinter Microbial Characterization System and a phylogenetic dendrogram resulting therefrom. -
FIG. 12 shows the percentage identity of the DNA sequence of the dnaN gene of the Paenibacillus strains of the invention to related Paenibacillus strains after multiple sequence alignment. - Legend: *Strain numbers: 1=Paenibacillus strain Lu16774; 2=Paenibacillus strain Lu17007; 3=Paenibacillus strain Lu17015; 4=
P. peoriae DSM 8320T=KCTC 3763T (GenBank acc. no. AGFX00000000; J. Bacteriol. 194, 1237-1238, 2012); 5=P. polymyxa 1-43 (GenBank acc. no. ASRZ01000000; deposition no. GCMCC 4965; CN 102352332B); 6=P. polymyxa A18 (GenBank acc. no JWJJ00000000.1; NCBI Project ID 225496); 7=P. polymyxaATCC 842T=DSM 36T=KCTC 3858T (GenBank acc. no. AFOX00000000; J. Bacteriol. 193(18), 5026-5027, 2011); 8=P. polymyxa CF05 (GenBank acc. no. CP009909; Genome Announc 3(2):e00198-15. Doi:10.1128/genomeA.00198-15); 9=P. polymyxa CICC 10580 (GenBank acc. no. JNCB00000000; Genome Announc. 2(4):e00854-14. doi:10.1128/genomeA.00854-14); 10=P. polymyxa DSM 365 (GenBank acc. no. JMIQ00000000; J. Biotechnol. 195, 72-73, 2015); 11=P. polymyxa E681 (GenBank acc. no. CP000154; GenomeNet Ref Seq NC_014483.2; J. Bacteriol. 192(22), 6103-6104, 2010); 12=P. polymyxa M-1 (GenBank acc. no. HE577054.1; GenomeNet Ref Seq NC_017542.1); 13=P. polymyxa NRRL B-30509 (GenBank acc. no. JTHO00000000; Genome Announc. 2015 March-April; 3(2): e00372-15); 14=P. polymyxa SC2 (GenBank acc. no. CP002213; J. Bacteriol. 193 (1), 311-312, 2011); 15=P. polymyxa SQR-21 (GenBank acc. no. CP006872; GenomeNet Ref Seq NZ_CP006872.1; Genome Announc. 2014 March-April; 2(2): e00281-14); 16=P. polymyxa Sb3-1 (GenBank acc. no. CP010268; Genome Announc. 2015 March-April; 3(2): e00052-15); 17=P. polymyxa TD94 (GenBank acc. no. ASSA00000000); 17=P. polymyxa WLY78 (GenBank acc. no. ALJV00000000); P. terrae HPL-003 (GenBank acc. no. CP003107; NCBI Ref Seq NC_016641.1); P. polymyxa CR1 (GenBank acc. no. CP006941; Genome Announc. 2014 January-February; 2(1): e01218-13). -
FIG. 13 shows the percentage identity of the DNA sequence of the complete gyrB gene of the Paenibacillus strains of the invention to related Paenibacillus strains after multiple sequence alignment. Strain numbers are described in Legend toFIG. 12 . -
FIG. 14 shows the percentage identity of the DNA sequence of the complete recF gene of the Paenibacillus strains of the invention to related Paenibacillus strains after multiple sequence alignment. Strain numbers are described in Legend toFIG. 12 . -
FIG. 15 shows the percentage identity of the DNA sequence of the complete recN gene of the Paenibacillus strains of the invention to related Paenibacillus strains after multiple sequence alignment. Strain numbers are described in Legend toFIG. 12 . -
FIG. 16 shows the percentage identity of the DNA sequence of the complete rpoA gene of the Paenibacillus strains of the invention to related Paenibacillus strains after multiple sequence alignment. Strain numbers are described in Legend toFIG. 12 . -
FIG. 17 shows the maximum likelihood dendrogram on basis of the complete dnaN gene sequence of strains of the P. polymyxa complex. The scale of 0.1 shown corresponds to 1% nucleotide exchanges. -
FIG. 18 shows the maximum likelihood dendrogram on basis of the complete gyrB gene sequence of strains of the P. polymyxa complex. The scale of 0.1 shown corresponds to 1% nucleotide exchanges. -
FIG. 19 shows the maximum likelihood dendrogram on basis of the complete recF gene sequence of strains of the P. polymyxa complex. The scale of 0.1 shown corresponds to 1% nucleotide exchanges. -
FIG. 20 shows the maximum likelihood dendrogram on basis of the complete recN gene sequence of strains of the P. polymyxa complex. The scale of 0.1 shown corresponds to 1% nucleotide exchanges. -
FIG. 21 shows the maximum likelihood dendrogram on basis of the complete rpoA gene sequence of strains of the P. polymyxa complex. The scale of 0.1 shown corresponds to 1% nucleotide exchanges. -
FIG. 22 shows the Amino Acid Index (AAI) matrix of representative genomes of the P. polymyxa complex performed according to Example 2.5. Strain numbers are described in Legend toFIG. 12 .
Claims (20)
1.-19. (canceled)
20. A Paenibacillus strain, which is selected from the group consisting of:
a) strain Lu16774 deposited with DSMZ under Accession No. DSM 26969;
b) strain Lu17007 deposited with DSMZ under Accession No. DSM 26970;
c) strain Lu17015 deposited with DSMZ under Accession No. DSM 26971; and
d) a strain which comprises a DNA sequence exhibiting
d1) at least 99.6% nucleotide sequence identity to the DNA sequences SEQ ID NO:4 or SEQ ID NO:9; or
d2) at least 99.8% nucleotide sequence identity to the DNA sequence SEQ ID NO:14; or
d3) at least 99.9% nucleotide sequence identity to the DNA sequences SEQ ID NO:5 or SEQ ID NO:10; or
d4) at least 99.2% nucleotide sequence identity to the DNA sequence SEQ ID NO:15; or
d5) at least 99.2% nucleotide sequence identity to the DNA sequences SEQ ID NO:6 or SEQ ID NO:11; or
d6) at least 99.8% nucleotide sequence identity to the DNA sequence SEQ ID NO:16; or
d7) at least 99.8% nucleotide sequence identity to the DNA sequences SEQ ID NO:7 or SEQ ID NO:12; or
d8) at least 99.3% nucleotide sequence identity to the DNA sequence SEQ ID NO:17; or
d9) 100.0% nucleotide sequence identity to the DNA sequences SEQ ID NO:8 or SEQ ID NO:13; or
d10) 100% nucleotide sequence identity to the DNA sequence SEQ ID NO:18.
21. The Paenibacillus strain according to claim 20 , which is selected from the group consisting of:
a) strain Lu16774 deposited with DSMZ under Accession No. DSM 26969;
b) strain Lu17007 deposited with DSMZ under Accession No. DSM 26970;
c) strain Lu17015 deposited with DSMZ under Accession No. DSM 26971; and
d) strains which comprise a DNA sequence exhibiting
d1) at least 99.8% nucleotide sequence identity to any one of the DNA sequences SEQ ID NO:4, SEQ ID NO:9 and SEQ ID NO:14; or
d2) 100.0% nucleotide sequence identity to any one of the DNA sequences SEQ ID NO:5, SEQ ID NO:10 and SEQ ID NO:15; or
d3) exhibiting at least 99.8% nucleotide sequence identity to any one of the DNA sequences SEQ ID NO:6, SEQ ID NO:11 and SEQ ID NO:16; or
d4) at least 99.8% nucleotide sequence identity to any one of the DNA sequences SEQ ID NO:7, SEQ ID NO:12 and SEQ ID NO:17; or
d5) 100.0% nucleotide sequence identity to any one of the DNA sequences SEQ ID NO:8, SEQ ID NO:13 and SEQ ID NO:18.
22. The Paenibacillus strain according to claim 20 , wherein said Paenibacillus strain has antifungal activity against at least two of the plant pathogen selected from the group consisting of Alternaria spp., Botrytis cinerea, Phytophthora infestans and Sclerotinia sclerotiorum.
24. The Paenibacillus strain according to claim 23 , wherein said Paenibacillus strain is further capable of producing at least three compounds selected from the group consisting of fusaricidin A, fusaricidin B, fusaricidin C, fusaricidin D, LI-F06a, LI-F06b and LI-F08b.
26. The Paenibacillus strain according to claim 25 , wherein said Paenibacillus strain further comprises at least three compounds selected from the group consisting of fusaricidin A, fusaricidin B, fusaricidin C, fusaricidin D, LI-F06a, LI-F06b and LI-F08b.
27. A substantially purified culture of the Paenibacillus strain according to claim 20 .
28. A whole culture broth or a cell-free extract of the Paenibacillus strain according to claim 20 .
29. A compound of formula I
wherein
R is selected from 15-guanidino-3-hydroxypentadecanoic acid and 12-guanidinododecanoic acid;
X1 is threonine;
X2 is isoleucine;
X3 is tyrosine;
X4 is threonine;
X5 is selected from glutamine and asparagine;
X6 is alanine; and
wherein an arrow defines a single amide bond either between the carbonyl moiety of R and the amino group of the amino acid X1 or between the carbonyl group of one amino acid and the amino group of a neighboring amino acid,
wherein the tip of the arrow indicates the attachment to the amino group of
said amino acid X1 or of said neighboring amino acid; and
wherein the single line without an arrow head defines a single ester bond between the carbonyl group of X6 and the hydroxyl group of X1;
or an agriculturally acceptable salt thereof.
31. A method of preparing a compound of formula I
wherein
R is selected from 15-guanidino-3-hydroxypentadecanoic acid and 12-guanidinododecanoic acid;
X1 is threonine;
X2 is isoleucine;
X3 is tyrosine;
X4 is threonine;
X5 is selected from glutamine and asparagine;
X6 is alanine; and
wherein an arrow defines a single amide bond either between the carbonyl moiety of R and the amino group of the amino acid X1 or between the carbonyl group of one amino acid and the amino group of a neighboring amino acid,
wherein the tip of the arrow indicates the attachment to the amino group of said amino acid X1 or of said neighboring amino acid; and
wherein the single line without an arrow head defines a single ester bond between the carbonyl group of X6 and the hydroxyl group of X1;
or an agriculturally acceptable salt thereof,
which method comprises culturing the Paenibacillus strain of claim 20 and recovering said compound or salt thereof from the whole culture broth.
32. A composition comprising
a) a Paenibacillus strain according to claim 20 ; or
b) a substantially purified culture of a); or
c) a whole culture broth or a cell-free extract of a); or
d) a compound of formula I
wherein
R is selected from 15-guanidino-3-hydroxypentadecanoic acid and 12-guanidinododecanoic acid;
X1 is threonine;
X2 is isoleucine;
X3 is tyrosine;
X4 is threonine;
X5 is selected from glutamine and asparagine;
X6 is alanine; and
wherein an arrow defines a single amide bond either between the carbonyl moiety of R and the amino group of the amino acid X1 or between the carbonyl group of one amino acid and the amino group of a neighboring amino acid,
wherein the tip of the arrow indicates the attachment to the amino group of said amino acid X1 or of said neighboring amino acid; and
wherein the single line without an arrow head defines a single ester bond between the carbonyl group of X6 and the hydroxyl group of X1;
or an agriculturally acceptable salt thereof; and
an auxiliary.
33. The composition of claim 32 , further comprising a pesticide.
34. The composition of claim 33 , wherein the pesticide is a further biopesticide.
35. A plant propagation material having a coating comprising the composition according to claim 32 .
36. (canceled)
37. A method of controlling, suppressing plant pathogens or preventing plant pathogen infection, wherein the plant pathogens, their habitat or plants to be protected against plant pathogen attack, or the soil or propagation material are treated with an effective amount of the composition according to claim 32 .
38. The method of claim 37 , wherein the plant pathogens and/or harmful microorganisms are selected from harmful fungi.
Applications Claiming Priority (3)
| Application Number | Priority Date | Filing Date | Title |
|---|---|---|---|
| EP14179620 | 2014-08-04 | ||
| EP14179620.1 | 2014-08-04 | ||
| PCT/EP2015/067925 WO2016020371A1 (en) | 2014-08-04 | 2015-08-04 | Antifungal paenibacillus strains, fusaricidin-type compounds, and their use |
Related Parent Applications (1)
| Application Number | Title | Priority Date | Filing Date |
|---|---|---|---|
| PCT/EP2015/067925 A-371-Of-International WO2016020371A1 (en) | 2014-08-04 | 2015-08-04 | Antifungal paenibacillus strains, fusaricidin-type compounds, and their use |
Related Child Applications (2)
| Application Number | Title | Priority Date | Filing Date |
|---|---|---|---|
| US15/724,866 Division US11064703B2 (en) | 2014-08-04 | 2017-10-04 | Antifungal Paenibacillus strains, fusaricidin-type compounds, and their use |
| US15/724,894 Division US10548326B2 (en) | 2014-08-04 | 2017-10-04 | Antifungal Paenibacillus strains, fusaricidin-type compounds, and their use |
Publications (1)
| Publication Number | Publication Date |
|---|---|
| US20170223968A1 true US20170223968A1 (en) | 2017-08-10 |
Family
ID=51260746
Family Applications (4)
| Application Number | Title | Priority Date | Filing Date |
|---|---|---|---|
| US15/501,784 Abandoned US20170223968A1 (en) | 2014-08-04 | 2015-08-04 | Antifungal paenibacillus strains, fusaricidin-type compounds, and their use |
| US15/724,894 Active 2035-11-15 US10548326B2 (en) | 2014-08-04 | 2017-10-04 | Antifungal Paenibacillus strains, fusaricidin-type compounds, and their use |
| US15/724,866 Active 2036-10-02 US11064703B2 (en) | 2014-08-04 | 2017-10-04 | Antifungal Paenibacillus strains, fusaricidin-type compounds, and their use |
| US17/378,845 Active 2037-08-30 US12258554B2 (en) | 2014-08-04 | 2021-07-19 | Antifungal Paenibacillus strains, fusaricidin-type compounds, and their use |
Family Applications After (3)
| Application Number | Title | Priority Date | Filing Date |
|---|---|---|---|
| US15/724,894 Active 2035-11-15 US10548326B2 (en) | 2014-08-04 | 2017-10-04 | Antifungal Paenibacillus strains, fusaricidin-type compounds, and their use |
| US15/724,866 Active 2036-10-02 US11064703B2 (en) | 2014-08-04 | 2017-10-04 | Antifungal Paenibacillus strains, fusaricidin-type compounds, and their use |
| US17/378,845 Active 2037-08-30 US12258554B2 (en) | 2014-08-04 | 2021-07-19 | Antifungal Paenibacillus strains, fusaricidin-type compounds, and their use |
Country Status (19)
| Country | Link |
|---|---|
| US (4) | US20170223968A1 (en) |
| EP (2) | EP3505616A1 (en) |
| JP (1) | JP6621803B2 (en) |
| KR (1) | KR102530120B1 (en) |
| CN (1) | CN107075458B (en) |
| AR (1) | AR101421A1 (en) |
| AU (2) | AU2015299053B2 (en) |
| BR (1) | BR112017002182B1 (en) |
| CA (1) | CA2956880C (en) |
| CL (1) | CL2017000291A1 (en) |
| ES (1) | ES2732578T3 (en) |
| HU (1) | HUE045008T2 (en) |
| MX (2) | MX380769B (en) |
| PL (1) | PL3194566T3 (en) |
| PT (1) | PT3194566T (en) |
| RU (1) | RU2745671C2 (en) |
| TR (1) | TR201908655T4 (en) |
| UA (1) | UA128055C2 (en) |
| WO (1) | WO2016020371A1 (en) |
Cited By (6)
| Publication number | Priority date | Publication date | Assignee | Title |
|---|---|---|---|---|
| US20190110480A1 (en) * | 2016-02-09 | 2019-04-18 | Basf Se | Mixtures and compositions comprising paenibacillus strains or fusaricidins and chemical pesticides |
| CN113332456A (en) * | 2021-07-08 | 2021-09-03 | 广东丸美生物技术股份有限公司 | Detection method for anti-wrinkle and wrinkle-reducing activity of skin care raw material and application thereof |
| US20210345629A1 (en) * | 2019-03-11 | 2021-11-11 | National Institute Of Plant Genome Research | Method for extending shelf-life of agricultural produce |
| CN116323911A (en) * | 2020-07-31 | 2023-06-23 | 巴斯夫欧洲公司 | Novel agrochemical formulation for fusaricidin-producing bacteria |
| CN116590199A (en) * | 2023-06-26 | 2023-08-15 | 上海市农业科学院 | A kind of Paenibacillus peirui and its application in the prevention and treatment of corn ear rot |
| CN119162030A (en) * | 2024-09-19 | 2024-12-20 | 华南农业大学 | A strain of Pseudomonas reinhardtii Y8-2 and its application |
Families Citing this family (269)
| Publication number | Priority date | Publication date | Assignee | Title |
|---|---|---|---|---|
| MX380894B (en) | 2013-06-26 | 2025-03-12 | Indigo Ag Inc | Seed-origin endophyte populations, compositions, and methods of use |
| HUE048666T2 (en) | 2013-09-04 | 2020-08-28 | Indigo Ag Inc | Agricultural endophyte-plant compositions, and methods of use |
| MX380207B (en) | 2013-11-06 | 2025-03-12 | Texas A & M Univ Sys | FUNGAL ENDOPHYTES TO IMPROVE CROP YIELDS AND PROTECTION AGAINST PESTS. |
| US9364005B2 (en) | 2014-06-26 | 2016-06-14 | Ait Austrian Institute Of Technology Gmbh | Plant-endophyte combinations and uses therefor |
| WO2015100432A2 (en) | 2013-12-24 | 2015-07-02 | Symbiota, Inc. | Method for propagating microorganisms within plant bioreactors and stably storing microorganisms within agricultural seeds |
| EP3161124B1 (en) | 2014-06-26 | 2020-06-03 | Indigo Ag, Inc. | Endophytes, associated compositions, and methods of use thereof |
| CA2956880C (en) | 2014-08-04 | 2023-04-25 | Basf Se | Antifungal paenibacillus strains, fusaricidin-type compounds, and their use |
| KR102859105B1 (en) * | 2015-03-26 | 2025-09-12 | 바이엘 크롭사이언스 엘피 | A novel paenibacillus strain, antifungal compounds, and methods for their use |
| MX2017013864A (en) | 2015-05-01 | 2018-04-24 | Indigo Agriculture Inc | COMPOSITIONS ENDOFITAS IN ISOLATED COMPLEX AND METHODS TO IMPROVE PLANTS TRAYS. |
| AU2016274683B2 (en) | 2015-06-08 | 2021-06-24 | Indigo Ag, Inc. | Streptomyces endophyte compositions and methods for improved agronomic traits in plants |
| AU2016378742A1 (en) | 2015-12-21 | 2018-07-12 | Indigo Ag, Inc. | Endophyte compositions and methods for improvement of plant traits in plants of agronomic importance |
| EP3205209A1 (en) * | 2016-02-09 | 2017-08-16 | Basf Se | Mixtures and compositions comprising paenibacillus strains or metabolites thereof and other biopesticides |
| WO2018102733A1 (en) | 2016-12-01 | 2018-06-07 | Indigo Ag, Inc. | Modulated nutritional quality traits in seeds |
| WO2018119419A1 (en) | 2016-12-23 | 2018-06-28 | The Texas A&M University System | Fungal endophytes for improved crop yields and protection from pests |
| LV15345B (en) * | 2017-01-10 | 2018-10-20 | Alina, Sia | A metal free antimicrobial and uv protection additive |
| KR101878288B1 (en) * | 2017-01-10 | 2018-07-13 | 강원대학교 산학협력단 | Paenibacillus tianmuensis jr103 strain having antimicrobial activity and uses thereof |
| MX2019010350A (en) | 2017-03-01 | 2019-12-19 | Indigo Ag Inc | Endophyte compositions and methods for improvement of plant traits. |
| JP7084414B2 (en) * | 2017-03-27 | 2022-06-14 | テンフォールド テクノロジーズ リミティッド ライアビリティ カンパニー | Methods and Agricultural Compositions for Preventing or Controlling Plant Diseases |
| US12274732B2 (en) | 2017-03-27 | 2025-04-15 | Tenfold Technologies, LLC | Anti-pathogen composition and methods of use thereof |
| CN106978457B (en) * | 2017-04-24 | 2021-06-25 | 光明乳业股份有限公司 | Preparation method of antibiotic fusaricidin A |
| CN107033222B (en) * | 2017-04-24 | 2021-02-19 | 光明乳业股份有限公司 | Antibacterial substance Bovisin and preparation method thereof |
| BR112019022446B1 (en) * | 2017-04-27 | 2024-01-16 | The Flinders University Of South Australia | COMPOSITIONS OF STREPTOMYCES BACTERIAL INOCULANTS AND METHOD FOR CONTROLLING FUNGAL ROOT DISEASE IN WHEAT OR CANOLA |
| WO2019055968A2 (en) | 2017-09-18 | 2019-03-21 | Indigo Ag, Inc. | Markers of plant health |
| WO2019057660A1 (en) | 2017-09-25 | 2019-03-28 | Basf Se | Indole and azaindole compounds with substituted 6-membered aryl and heteroaryl rings as agrochemical fungicides |
| WO2019121143A1 (en) | 2017-12-20 | 2019-06-27 | Basf Se | Substituted cyclopropyl derivatives |
| AU2019211978B2 (en) | 2018-01-09 | 2024-08-22 | Basf Se | Silylethynyl hetaryl compounds as nitrification inhibitors |
| WO2019137995A1 (en) | 2018-01-11 | 2019-07-18 | Basf Se | Novel pyridazine compounds for controlling invertebrate pests |
| CN108294049B (en) * | 2018-01-19 | 2019-07-19 | 江西省科学院微生物研究所 | A kind of Paenibacillus polymyxa culture solution combination drug and preparation method thereof for treating Citrus Huanglongbing pathogen |
| PE20211753A1 (en) | 2018-02-28 | 2021-09-06 | Basf Se | USE OF ALCOXYPYRAZOLES AS NITRIFICATION INHIBITORS |
| KR102730587B1 (en) | 2018-02-28 | 2024-11-14 | 바스프 에스이 | Use of N-functionalized alkoxy pyrazole compounds as nitrification inhibitors |
| WO2019166558A1 (en) | 2018-02-28 | 2019-09-06 | Basf Se | Use of pyrazole propargyl ethers as nitrification inhibitors |
| WO2019175712A1 (en) | 2018-03-14 | 2019-09-19 | Basf Corporation | New uses for catechol molecules as inhibitors to glutathione s-transferase metabolic pathways |
| WO2019175713A1 (en) | 2018-03-14 | 2019-09-19 | Basf Corporation | New catechol molecules and their use as inhibitors to p450 related metabolic pathways |
| AR115094A1 (en) * | 2018-05-17 | 2020-11-25 | Bayer Cropscience Lp | STABLE FORMULATIONS OF PAENIBACILLUS WITH ANTIFUNGAL ACTIVITY |
| WO2019224092A1 (en) | 2018-05-22 | 2019-11-28 | Basf Se | Pesticidally active c15-derivatives of ginkgolides |
| WO2020002472A1 (en) | 2018-06-28 | 2020-01-02 | Basf Se | Use of alkynylthiophenes as nitrification inhibitors |
| CN112424147B (en) | 2018-07-23 | 2023-06-30 | 巴斯夫欧洲公司 | Use of substituted thiazolidine compounds as nitrification inhibitors |
| PL3826983T3 (en) | 2018-07-23 | 2024-09-09 | Basf Se | Use of substituted 2-thiazolines as nitrification inhibitors |
| CN108977383B (en) * | 2018-08-07 | 2021-09-10 | 中国科学院东北地理与农业生态研究所 | Paenibacillus for decomposing chitin and application thereof |
| CN109097303B (en) * | 2018-08-17 | 2021-11-16 | 河南农业大学 | Paenibacillus polymyxa, spore suspension of paenibacillus polymyxa, microbial seedling culture substrate and preparation method of microbial seedling culture substrate |
| EP3613736A1 (en) | 2018-08-22 | 2020-02-26 | Basf Se | Substituted glutarimide derivatives |
| CN109212075A (en) * | 2018-09-26 | 2019-01-15 | 胡贝贞 | The ion chromatography of glufosinate-ammonium-tandem mass spectrum is combined detection method in tealeaves |
| EP3628158A1 (en) | 2018-09-28 | 2020-04-01 | Basf Se | Pesticidal mixture comprising a mesoionic compound and a biopesticide |
| EP3643705A1 (en) | 2018-10-24 | 2020-04-29 | Basf Se | Pesticidal compounds |
| RU2712745C1 (en) * | 2018-11-29 | 2020-01-30 | Федеральное государственное бюджетное учреждение науки Федеральный научный центр "Владикавказский научный центр Российской академии наук" | Strain of bacteria paenibacillus jamilae vkpm-13067, used as a fungicide and a stimulator of nodule bacteria |
| US20220015371A1 (en) * | 2018-12-06 | 2022-01-20 | Cytozyme Laboratories, Inc. | Compositions and Methods for Reducing Pesticide-Induced Plant Damage and Improving Plant Yield |
| EP3670501A1 (en) | 2018-12-17 | 2020-06-24 | Basf Se | Substituted [1,2,4]triazole compounds as fungicides |
| CA3114256C (en) * | 2019-02-01 | 2021-10-12 | Kontzamanis Graumann Smith Macmillan Inc. | Bacterial strain having anti-fungal properties and uses thereof |
| EP3696177A1 (en) | 2019-02-12 | 2020-08-19 | Basf Se | Heterocyclic compounds for the control of invertebrate pests |
| EP3730489A1 (en) | 2019-04-25 | 2020-10-28 | Basf Se | Heteroaryl compounds as agrochemical fungicides |
| CN110157638B (en) * | 2019-05-08 | 2020-06-23 | 长江师范学院 | A kind of Bacillus kreebii YY-1 and its application |
| EP3769623A1 (en) | 2019-07-22 | 2021-01-27 | Basf Se | Mesoionic imidazolium compounds and derivatives for combating animal pests |
| CA3140280A1 (en) * | 2019-05-29 | 2020-12-03 | Chr. Hansen A/S | Composition comprising biofilm forming bacillus |
| BR112021019416A2 (en) | 2019-05-29 | 2021-12-07 | Basf Se | Compounds, composition, methods of protecting crops and combating, controlling, preventing or protecting against infestations, non-therapeutic method of treating infested animals, seed and use |
| AR119228A1 (en) | 2019-06-24 | 2021-12-01 | Bayer Cropscience Lp | A STRAIN OF BACILLUS AND METHODS FOR ITS USE IN PROMOTING PLANT GROWTH |
| US20220322671A1 (en) * | 2019-07-03 | 2022-10-13 | Aequor, Inc. | Methods to reduce contamination, biofilm and fouling from water systems, surfaces, and products |
| EP3766879A1 (en) | 2019-07-19 | 2021-01-20 | Basf Se | Pesticidal pyrazole derivatives |
| EP3701796A1 (en) | 2019-08-08 | 2020-09-02 | Bayer AG | Active compound combinations |
| BR112022004761A2 (en) | 2019-10-02 | 2022-06-21 | Bayer Ag | Active compound combinations comprising fatty acids |
| WO2021097162A1 (en) | 2019-11-13 | 2021-05-20 | Bayer Cropscience Lp | Beneficial combinations with paenibacillus |
| EP4061969A1 (en) * | 2019-11-22 | 2022-09-28 | Novozymes Bioag A/S | Paenibacillus isolates and uses thereof |
| RU2724464C1 (en) * | 2019-12-02 | 2020-06-23 | Общество с ограниченной ответственностью «Агрофирма «Урожайная» | Strains, biopreparation, biopreparation production method and method for biological protection of crops against fusariosis |
| CN111172065B (en) * | 2020-01-06 | 2022-06-24 | 河南新仰韶生物科技有限公司 | High-yield paenibacillus polymyxa and application thereof |
| WO2021170463A1 (en) | 2020-02-28 | 2021-09-02 | BASF Agro B.V. | Methods and uses of a mixture comprising alpha-cypermethrin and dinotefuran for controlling invertebrate pests in turf |
| EP3708565A1 (en) | 2020-03-04 | 2020-09-16 | Bayer AG | Pyrimidinyloxyphenylamidines and the use thereof as fungicides |
| WO2021209490A1 (en) | 2020-04-16 | 2021-10-21 | Bayer Aktiengesellschaft | Cyclaminephenylaminoquinolines as fungicides |
| EP3903584A1 (en) | 2020-04-28 | 2021-11-03 | Basf Se | Use of strobilurin type compounds for combating phytopathogenic fungi containing an amino acid substitution f129l in the mitochondrial cytochrome b protein conferring resistance to qo inhibitors iv |
| EP3903583A1 (en) | 2020-04-28 | 2021-11-03 | Basf Se | Use of strobilurin type compounds for combating phytopathogenic fungi containing an amino acid substitution f129l in the mitochondrial cytochrome b protein conferring resistance to qo inhibitors iii |
| EP3903581A1 (en) | 2020-04-28 | 2021-11-03 | Basf Se | Use of strobilurin type compounds for combating phytopathogenic fungi containing an amino acid substitution f129l in the mitochondrial cytochrome b protein conferring resistance to qo inhibitors i |
| BR112022021631A2 (en) | 2020-04-28 | 2022-12-06 | Basf Se | COMPOUNDS, COMPOSITION, METHODS TO COMBAT OR CONTROL INVERTEBRATE PEST, TO PROTECT GROWING PLANTS AND TO TREAT OR PROTECT AN ANIMAL, SEED AND USE OF A COMPOUND |
| EP3903582A1 (en) | 2020-04-28 | 2021-11-03 | Basf Se | Use of strobilurin type compounds for combating phytopathogenic fungi containing an amino acid substitution f129l in the mitochondrial cytochrome b protein conferring resistance to qo inhibitors ii |
| EP4146628A1 (en) | 2020-05-06 | 2023-03-15 | Bayer Aktiengesellschaft | Pyridine (thio)amides as fungicidal compounds |
| BR112022023012A2 (en) | 2020-05-12 | 2022-12-20 | Bayer Ag | (THIO)AMIDES OF TRIAZINE AND PYRMIDINE AS FUNGICIDAL COMPOUNDS |
| EP3909950A1 (en) | 2020-05-13 | 2021-11-17 | Basf Se | Heterocyclic compounds for the control of invertebrate pests |
| EP4153566A1 (en) | 2020-05-19 | 2023-03-29 | Bayer CropScience Aktiengesellschaft | Azabicyclic(thio)amides as fungicidal compounds |
| EP4161906A1 (en) | 2020-06-04 | 2023-04-12 | Bayer Aktiengesellschaft | Heterocyclyl pyrimidines and triazines as novel fungicides |
| WO2021249800A1 (en) | 2020-06-10 | 2021-12-16 | Basf Se | Substituted [1,2,4]triazole compounds as fungicides |
| KR20230024343A (en) | 2020-06-10 | 2023-02-20 | 바이엘 악티엔게젤샤프트 | Azabicyclyl-substituted heterocycles as fungicides |
| EP3945089A1 (en) | 2020-07-31 | 2022-02-02 | Basf Se | Use of strobilurin type compounds for combating phytopathogenic fungi containing an amino acid substitution f129l in the mitochondrial cytochrome b protein conferring resistance to qo inhibitors v |
| JP7735329B2 (en) | 2020-06-18 | 2025-09-08 | バイエル、アクチエンゲゼルシャフト | Oxadiazinylpyridazines as novel fungicides. |
| UY39276A (en) | 2020-06-19 | 2022-01-31 | Bayer Ag | USE OF 1,3,4-OXADIAZOL-2-ILPYRIMIDINE COMPOUNDS TO CONTROL PHYTOPATHOGENIC MICROORGANISMS, METHODS OF USE AND COMPOSITIONS. |
| BR112022025710A2 (en) | 2020-06-19 | 2023-03-07 | Bayer Ag | 1,3,4-OXADIAZOLE PYRIMIDINES AND 1,3,4-OXADIAZOLE PYRIDINES AS FUNGICIDES |
| UY39275A (en) | 2020-06-19 | 2022-01-31 | Bayer Ag | 1,3,4-OXADIAZOLE PYRIMIDINES AS FUNGICIDES, PROCESSES AND INTERMEDIARIES FOR THEIR PREPARATION, METHODS OF USE AND USES OF THE SAME |
| BR112022025692A2 (en) | 2020-06-19 | 2023-02-28 | Bayer Ag | 1,3,4-OXADIAZOLES AND THEIR DERIVATIVES AS FUNGICIDES |
| EP3960727A1 (en) | 2020-08-28 | 2022-03-02 | Basf Se | Use of strobilurin type compounds for combating phytopathogenic fungi containing an amino acid substitution f129l in the mitochondrial cytochrome b protein conferring resistance to qo inhibitors vi |
| EP3939961A1 (en) | 2020-07-16 | 2022-01-19 | Basf Se | Strobilurin type compounds and their use for combating phytopathogenic fungi |
| WO2022017836A1 (en) | 2020-07-20 | 2022-01-27 | BASF Agro B.V. | Fungicidal compositions comprising (r)-2-[4-(4-chlorophenoxy)-2-(trifluoromethyl)phenyl]-1- (1,2,4-triazol-1-yl)propan-2-ol |
| WO2022029027A1 (en) | 2020-08-03 | 2022-02-10 | Basf Se | Materials and methods for improving plant health |
| EP3970494A1 (en) | 2020-09-21 | 2022-03-23 | Basf Se | Use of strobilurin type compounds for combating phytopathogenic fungi containing an amino acid substitution f129l in the mitochondrial cytochrome b protein conferring resistance to qo inhibitors viii |
| WO2022058327A1 (en) | 2020-09-15 | 2022-03-24 | Bayer Aktiengesellschaft | Substituted ureas and derivatives as new antifungal agents |
| US20230397607A1 (en) | 2020-10-27 | 2023-12-14 | BASF Agro B.V. | Compositions comprising mefentrifluconazole |
| WO2022090069A1 (en) | 2020-11-02 | 2022-05-05 | Basf Se | Compositions comprising mefenpyr-diethyl |
| WO2022106304A1 (en) | 2020-11-23 | 2022-05-27 | BASF Agro B.V. | Compositions comprising mefentrifluconazole |
| EP4011208A1 (en) | 2020-12-08 | 2022-06-15 | BASF Corporation | Microparticle compositions comprising fluopyram |
| EP3915971A1 (en) | 2020-12-16 | 2021-12-01 | Bayer Aktiengesellschaft | Phenyl-s(o)n-phenylamidines and the use thereof as fungicides |
| JP2023553717A (en) | 2020-12-17 | 2023-12-25 | ビーエーエスエフ ソシエタス・ヨーロピア | Spore composition, its production and use |
| WO2022129190A1 (en) | 2020-12-18 | 2022-06-23 | Bayer Aktiengesellschaft | (hetero)aryl substituted 1,2,4-oxadiazoles as fungicides |
| WO2022129196A1 (en) | 2020-12-18 | 2022-06-23 | Bayer Aktiengesellschaft | Heterobicycle substituted 1,2,4-oxadiazoles as fungicides |
| WO2022129188A1 (en) | 2020-12-18 | 2022-06-23 | Bayer Aktiengesellschaft | 1,2,4-oxadiazol-3-yl pyrimidines as fungicides |
| CN116634876A (en) * | 2020-12-23 | 2023-08-22 | 巴斯夫欧洲公司 | Mixtures and compositions comprising fusicidin A, fusaricidin B and fungicides |
| EP4288398A1 (en) | 2021-02-02 | 2023-12-13 | Basf Se | Synergistic action of dcd and alkoxypyrazoles as nitrification inhibitors |
| EP4043444A1 (en) | 2021-02-11 | 2022-08-17 | Basf Se | Substituted isoxazoline derivatives |
| WO2022207462A1 (en) | 2021-03-30 | 2022-10-06 | Syngenta Crop Protection Ag | Pesticidally active cyclic amine compounds |
| BR112023019788A2 (en) | 2021-03-30 | 2023-11-07 | Bayer Ag | 3-(HETERO)ARYL-5-CHLORODIFLOROMETHYL-1,2,4-OXADIAZOLE AS A FUNGICIDE |
| BR112023019400A2 (en) | 2021-03-30 | 2023-12-05 | Bayer Ag | 3-(HETERO)ARYL-5-CHLORODIFLOROMETHYL-1,2,4-OXADIAZOLE AS A FUNGICIDE |
| AR125342A1 (en) | 2021-04-16 | 2023-07-05 | Syngenta Crop Protection Ag | CYCLIC AMINE COMPOUNDS ACTIVE AS PESTICIDES |
| WO2022243107A1 (en) | 2021-05-18 | 2022-11-24 | Basf Se | New substituted pyridines as fungicides |
| CN117355520A (en) | 2021-05-18 | 2024-01-05 | 巴斯夫欧洲公司 | New substituted quinolines for use as fungicides |
| US20240270727A1 (en) | 2021-05-18 | 2024-08-15 | Basf Se | New substituted pyridines as fungicide |
| CN113481117B (en) * | 2021-05-20 | 2022-07-19 | 吉林农业大学 | Multifunctional bacterium C1 for improving soda saline-alkali soil and application thereof |
| US20240270658A1 (en) | 2021-05-21 | 2024-08-15 | Basf Se | Use of an N-Functionalized Alkoxy Pyrazole Compound as Nitrification Inhibitor |
| US20240351959A1 (en) | 2021-05-21 | 2024-10-24 | Basf Se | Use of ethynylpyridine compounds as nitrification inhibitors |
| PH12023553272A1 (en) | 2021-06-02 | 2024-04-22 | Syngenta Crop Protection Ag | Pesticidally active heterocyclic derivatives with sulfoximine containing substituents |
| CN113174350B (en) * | 2021-06-07 | 2022-04-29 | 上海中境环能环保有限公司 | Alicyclobacillus for degrading anionic surfactant and application thereof |
| US20240287047A1 (en) | 2021-06-09 | 2024-08-29 | Syngenta Crop Protection Ag | Pesticidally active diazine-amide compounds |
| CA3223077A1 (en) | 2021-06-21 | 2022-12-29 | Barbara Nave | Metal-organic frameworks with pyrazole-based building blocks |
| EP4359408A1 (en) | 2021-06-24 | 2024-05-01 | Syngenta Crop Protection AG | 2-[3-[1 [(quinazolin-4-yl)amino]ethyl]pyrazin-2-yl]thiazole-5-carbonitrile derivatives and similar compounds as pesticides |
| CN113337441B (en) * | 2021-06-24 | 2022-08-09 | 哈尔滨工业大学 | High-temperature-resistant sulfur oxidizing strain LYH-2 and application thereof |
| EP4119547A1 (en) | 2021-07-12 | 2023-01-18 | Basf Se | Triazole compounds for the control of invertebrate pests |
| EP4376616A1 (en) | 2021-07-27 | 2024-06-05 | Syngenta Crop Protection AG | Method for controlling diamide resistant pests & compounds therefor |
| AU2022318251A1 (en) | 2021-07-29 | 2024-01-25 | Syngenta Crop Protection Ag | Pesticidally active fused bicyclic heteroaromatic compounds |
| US20250019361A1 (en) | 2021-08-02 | 2025-01-16 | Basf Se | (3-quinolyl)-quinazoline |
| AU2022321882A1 (en) | 2021-08-02 | 2024-02-15 | Basf Se | (3-pirydyl)-quinazoline |
| US20240308988A1 (en) | 2021-08-05 | 2024-09-19 | Syngenta Crop Protection Ag | Method For Controlling Diamide Resistant Pests and Compounds Therefor |
| AR126729A1 (en) | 2021-08-10 | 2023-11-08 | Syngenta Crop Protection Ag | FUNGICIDE MIXTURE |
| US20250145640A1 (en) | 2021-08-10 | 2025-05-08 | Syngenta Crop Protection Ag | 2,2-difluoro-5h-[1,3]dioxolo[4,5-f]isoindol-7-one derivatives as pesticides |
| AU2022326207A1 (en) | 2021-08-13 | 2024-02-15 | Bayer Aktiengesellschaft | Active compound combinations and fungicide compositions comprising those |
| JP2024532152A (en) | 2021-08-19 | 2024-09-05 | シンジェンタ クロップ プロテクション アクチェンゲゼルシャフト | Method for controlling diamide-resistant pests and compounds therefor |
| CN117881775A (en) | 2021-08-20 | 2024-04-12 | 巴斯夫欧洲公司 | Paenibacillus strains producing small amounts of exopolysaccharides |
| EP4140986A1 (en) | 2021-08-23 | 2023-03-01 | Basf Se | Pyrazine compounds for the control of invertebrate pests |
| EP4140995A1 (en) | 2021-08-27 | 2023-03-01 | Basf Se | Pyrazine compounds for the control of invertebrate pests |
| US20240376424A1 (en) | 2021-09-10 | 2024-11-14 | Basf Se | Exopolysaccharide production microorganisms and uses thereof |
| EP4151631A1 (en) | 2021-09-20 | 2023-03-22 | Basf Se | Heterocyclic compounds for the control of invertebrate pests |
| IL312020A (en) | 2021-10-14 | 2024-06-01 | Syngenta Crop Protection Ag | IMIDAZO[1,2-A]PYRIDINE DERIVATIVES |
| UY39992A (en) | 2021-10-25 | 2023-05-15 | Syngenta Crop Protection Ag | Heterocyclic derivatives active as pesticides with sulfur-containing substituents |
| JP2024540115A (en) | 2021-10-27 | 2024-10-31 | シンジェンタ クロップ プロテクション アクチェンゲゼルシャフト | Pesticidal Active Pyridazinone Compounds. |
| WO2023072671A1 (en) | 2021-10-28 | 2023-05-04 | Basf Se | Use of strobilurin type compounds for combating phytopathogenic fungi containing an amino acid substitution f129l in the mitochondrial cytochrome b protein conferring resistance to qo inhibitors ix |
| WO2023072670A1 (en) | 2021-10-28 | 2023-05-04 | Basf Se | Use of strobilurin type compounds for combating phytopathogenic fungi containing an amino acid substitution f129l in the mitochondrial cytochrome b protein conferring resistance to qo inhibitors x |
| US20250064060A1 (en) | 2021-11-03 | 2025-02-27 | Bayer Aktiengesellschaft | Bis(hetero)aryl thioether (thio)amides as fungicidal compounds |
| JP2024543953A (en) | 2021-11-30 | 2024-11-26 | バイエル、アクチエンゲゼルシャフト | Bis(hetero)arylthioether oxadiazines as antifungal compounds |
| EP4194453A1 (en) | 2021-12-08 | 2023-06-14 | Basf Se | Pyrazine compounds for the control of invertebrate pests |
| CN118891256A (en) | 2021-12-10 | 2024-11-01 | 先正达农作物保护股份公司 | Pesticidal activity pyridazinone compounds of (A) |
| WO2023110710A1 (en) | 2021-12-13 | 2023-06-22 | Syngenta Crop Protection Ag | Method for controlling diamide resistant pests & compounds therefor |
| EP4198033A1 (en) | 2021-12-14 | 2023-06-21 | Basf Se | Heterocyclic compounds for the control of invertebrate pests |
| EP4197333A1 (en) | 2021-12-15 | 2023-06-21 | Syngenta Crop Protection AG | Method for controlling diamide resistant pests & compounds therefor |
| EP4198023A1 (en) | 2021-12-16 | 2023-06-21 | Basf Se | Pesticidally active thiosemicarbazone compounds |
| UY40138A (en) | 2022-02-07 | 2023-08-31 | Syngenta Crop Protection Ag | PYRAZOLO[3,4-C]PYRIDIN-5-YL]-2-QUINOXALINE OR 2-QUINOLINE DERIVATIVES ACTIVE AS PESTICIDES WITH THEIR |
| UY40139A (en) | 2022-02-07 | 2023-08-31 | Syngenta Crop Protection Ag | IMIDAZO[1,2-A]PYRIDIN-2-YL]-1-PYRAZOLO[3,4-C]PYRIDINE DERIVATIVES ACTIVE AS PESTICIDES WITH SUBSTITUTES |
| EP4238971A1 (en) | 2022-03-02 | 2023-09-06 | Basf Se | Substituted isoxazoline derivatives |
| UY40202A (en) | 2022-04-01 | 2023-10-31 | Syngenta Crop Protection Ag | Pyrazolopyridine derivatives active as pesticides with sulfur-containing substituents |
| WO2023203066A1 (en) | 2022-04-21 | 2023-10-26 | Basf Se | Synergistic action as nitrification inhibitors of dcd oligomers with alkoxypyrazole and its oligomers |
| KR20250004024A (en) | 2022-05-03 | 2025-01-07 | 바이엘 악티엔게젤샤프트 | Use of (5S)-3-[3-(3-chloro-2-fluorophenoxy)-6-methylpyridazin-4-yl]-5-(2-chloro-4-methylbenzyl)-5,6-dihydro-4H-1,2,4-oxadiazine for controlling unwanted microorganisms |
| KR20250004025A (en) | 2022-05-03 | 2025-01-07 | 바이엘 악티엔게젤샤프트 | Crystalline form of (5S)-3-[3-(3-chloro-2-fluorophenoxy)-6-methylpyridazin-4-yl]-5-(2-chloro-4-methylbenzyl)-5,6-dihydro-4H-1,2,4-oxadiazine |
| AR129265A1 (en) | 2022-05-12 | 2024-08-07 | Syngenta Crop Protection Ag | ALKOXY-HETEROARYL-CARBOXAMIDE OR THIOAMIDE COMPOUNDS |
| UY40273A (en) * | 2022-05-17 | 2023-11-30 | Bioconsortia Inc | METHODS AND COMPOSITIONS FOR REFACTORING NITROGEN FIXING GROUPS |
| JP2025520650A (en) | 2022-06-21 | 2025-07-03 | シンジェンタ クロップ プロテクション アクチェンゲゼルシャフト | Pesticidal Active Fused Bicyclic Aromatic Heterocyclic Compounds |
| CN115197853B (en) * | 2022-06-28 | 2024-02-06 | 中国中医科学院中药研究所 | Endophyte Epicoccum thailandicum LF-28 strain and application thereof |
| KR20250036910A (en) | 2022-07-22 | 2025-03-14 | 신젠타 크롭 프로텍션 아게 | Solid form of heterocyclic amide derivative |
| WO2024022910A1 (en) | 2022-07-26 | 2024-02-01 | Syngenta Crop Protection Ag | 1-[1-[2-(pyrimidin-4-yl)-1,2,4-triazol-3-yl]ethyl]-3-[2,4-dichloro-5-phenyl]urea derivatives and similar compounds as pesticides |
| AU2023317620A1 (en) | 2022-08-02 | 2025-02-13 | Basf Se | Pyrazolo pesticidal compounds |
| WO2024033374A1 (en) | 2022-08-11 | 2024-02-15 | Syngenta Crop Protection Ag | Novel arylcarboxamide or arylthioamide compounds |
| JP2025532590A (en) | 2022-09-16 | 2025-10-01 | シンジェンタ クロップ プロテクション アクチェンゲゼルシャフト | Pesticidally active cyclic amine compounds |
| EP4342885A1 (en) | 2022-09-20 | 2024-03-27 | Basf Se | N-(3-(aminomethyl)-phenyl)-5-(4-phenyl)-5-(trifluoromethyl)-4,5-dihydroisoxazol-3-amine derivatives and similar compounds as pesticides |
| WO2024068517A1 (en) | 2022-09-28 | 2024-04-04 | Bayer Aktiengesellschaft | 3-(hetero)aryl-5-chlorodifluoromethyl-1,2,4-oxadiazole as fungicide |
| WO2024068520A1 (en) | 2022-09-28 | 2024-04-04 | Bayer Aktiengesellschaft | 3-(hetero)aryl-5-chlorodifluoromethyl-1,2,4-oxadiazole as fungicide |
| EP4295688A1 (en) | 2022-09-28 | 2023-12-27 | Bayer Aktiengesellschaft | Active compound combination |
| WO2024068518A1 (en) | 2022-09-28 | 2024-04-04 | Bayer Aktiengesellschaft | 3-heteroaryl-5-chlorodifluoromethyl-1,2,4-oxadiazole as fungicide |
| GB202214203D0 (en) | 2022-09-28 | 2022-11-09 | Syngenta Crop Protection Ag | Fungicidal compositions |
| WO2024068519A1 (en) | 2022-09-28 | 2024-04-04 | Bayer Aktiengesellschaft | 3-(hetero)aryl-5-chlorodifluoromethyl-1,2,4-oxadiazole as fungicide |
| GB202214202D0 (en) | 2022-09-28 | 2022-11-09 | Syngenta Crop Protection Ag | Agricultural methods |
| EP4361126A1 (en) | 2022-10-24 | 2024-05-01 | Basf Se | Use of strobilurin type compounds for combating phytopathogenic fungi containing an amino acid substitution f129l in the mitochondrial cytochrome b protein conferring resistance to qo inhibitors xv |
| WO2024089023A1 (en) | 2022-10-25 | 2024-05-02 | Syngenta Crop Protection Ag | Pesticidally active heterocyclic derivatives with sulfur containing substituents |
| WO2024089216A1 (en) | 2022-10-27 | 2024-05-02 | Syngenta Crop Protection Ag | Novel sulfur-containing heteroaryl carboxamide compounds |
| WO2024094575A1 (en) | 2022-10-31 | 2024-05-10 | Syngenta Crop Protection Ag | Pesticidally active heterocyclic derivatives with sulfur containing substituents |
| CN120202195A (en) | 2022-11-16 | 2025-06-24 | 巴斯夫欧洲公司 | Substituted benzodiazepines as fungicides |
| EP4619393A1 (en) | 2022-11-16 | 2025-09-24 | Basf Se | Substituted benzodiazepines as fungicides |
| EP4619399A1 (en) | 2022-11-16 | 2025-09-24 | Basf Se | New substituted tetrahydrobenzoxazepine |
| WO2024104822A1 (en) | 2022-11-16 | 2024-05-23 | Basf Se | Substituted tetrahydrobenzodiazepine as fungicides |
| WO2024104643A1 (en) | 2022-11-17 | 2024-05-23 | Bayer Aktiengesellschaft | Use of isotianil for controlling plasmodiophora brassica |
| WO2024110554A1 (en) | 2022-11-23 | 2024-05-30 | Syngenta Crop Protection Ag | N-[(1 -[2-[6-(pyridazin-3-yl]-1,2,4-triazol-3-yl]ethyl]-quinazolin-4-amine and n-[1-[3-(6-(pyridazin-3-yl)pyrazin-2-yl]ethyl]-8-quinazolin-4-amine derivatives as pesticides |
| WO2024110215A1 (en) | 2022-11-24 | 2024-05-30 | Syngenta Crop Protection Ag | Pesticidally active cyclic amine compounds |
| WO2024126388A1 (en) | 2022-12-12 | 2024-06-20 | Syngenta Crop Protection Ag | Pesticidally active heterocyclic derivatives with sulfur containing substituents |
| EP4634178A1 (en) | 2022-12-14 | 2025-10-22 | Syngenta Crop Protection AG | Imidazo[1,2-a]pyridine derivatives |
| EP4634152A1 (en) | 2022-12-15 | 2025-10-22 | Syngenta Crop Protection AG | Novel bicyclic-carboxamide compounds useful as pesticides |
| WO2024126407A1 (en) | 2022-12-16 | 2024-06-20 | Syngenta Crop Protection Ag | Benzimidazole derivatives |
| EP4389210A1 (en) | 2022-12-21 | 2024-06-26 | Basf Se | Heteroaryl compounds for the control of invertebrate pests |
| WO2024133426A1 (en) | 2022-12-21 | 2024-06-27 | Syngenta Crop Protection Ag | Method for controlling diamide resistant pests and compounds therefor |
| WO2024133551A1 (en) | 2022-12-21 | 2024-06-27 | Syngenta Crop Protection Ag | Pesticidally active pyridazine compounds |
| AR131541A1 (en) | 2023-01-07 | 2025-04-09 | Syngenta Crop Protection Ag | NOVEL CARBOXAMIDE COMPOUNDS |
| EP4655293A1 (en) | 2023-01-23 | 2025-12-03 | Syngenta Crop Protection AG | Pesticidally active heterocyclic derivatives with sulfur containing substituents |
| WO2024165343A1 (en) | 2023-02-08 | 2024-08-15 | Basf Se | New substituted quinoline compounds for combatitng phytopathogenic fungi |
| CN120693061A (en) | 2023-02-13 | 2025-09-23 | 先正达农作物保护股份公司 | Bicyclic compounds with pesticidal activity |
| AU2024238668A1 (en) | 2023-03-17 | 2025-09-25 | Basf Se | Substituted pyridyl/pyrazidyl dihydrobenzothiazepine compounds for combatting phytopathogenic fungi |
| WO2025201636A1 (en) | 2023-03-31 | 2025-10-02 | Syngenta Crop Protection Ag | Pesticidally-active 2,2-dihalocyclopropyl compounds |
| AR132354A1 (en) | 2023-04-13 | 2025-06-18 | Syngenta Crop Protection Ag | PYRAZOLO[1,5-A]PYRIDINE DERIVATIVES |
| AR132351A1 (en) | 2023-04-13 | 2025-06-18 | Syngenta Crop Protection Ag | IMIDAZO[1,2-A]PYRAZINE DERIVATIVES |
| TW202446263A (en) | 2023-04-13 | 2024-12-01 | 瑞士商先正達農作物保護股份公司 | Fungicidal compositions |
| WO2024213650A1 (en) | 2023-04-13 | 2024-10-17 | Syngenta Crop Protection Ag | Imidazo[1,2-a]pyridine derivatives |
| WO2024213653A1 (en) | 2023-04-13 | 2024-10-17 | Syngenta Crop Protection Ag | Imidazo[1,2-a]pyridine derivatives |
| AR132358A1 (en) | 2023-04-13 | 2025-06-18 | Syngenta Crop Protection Ag | BICYCLIC IMIDAZO DERIVATIVES |
| AR132353A1 (en) | 2023-04-13 | 2025-06-18 | Syngenta Crop Protection Ag | PYRAZOLO[1,5-A]PYRIDINE DERIVATIVES |
| WO2024213651A1 (en) | 2023-04-13 | 2024-10-17 | Syngenta Crop Protection Ag | Imidazo[1,2-a]pyridine derivatives |
| WO2025214612A1 (en) | 2023-04-14 | 2025-10-16 | Syngenta Crop Protection Ag | Pesticidally-active 2,2-dihalocyclopropyl compounds |
| WO2024217995A1 (en) | 2023-04-20 | 2024-10-24 | Syngenta Crop Protection Ag | Pesticidally active dihydropyridinone derivatives |
| EP4455137A1 (en) | 2023-04-24 | 2024-10-30 | Basf Se | Pyrimidine compounds for the control of invertebrate pests |
| CN121335882A (en) | 2023-04-26 | 2026-01-13 | 巴斯夫欧洲公司 | The use of umbelliferone-type compounds to combat plant pathogenic fungi containing amino acid substitutions in mitochondrial cytochrome b proteins that confer resistance to the Qo inhibitor XVI, specifically F129L. |
| EP4467535A1 (en) | 2023-05-25 | 2024-11-27 | Basf Se | Lactam pesticidal compounds |
| WO2025261608A1 (en) | 2023-06-29 | 2025-12-26 | Syngenta Crop Protection Ag | Pesticidally-active 2,2-dihalocyclopropyl compounds |
| WO2025008227A1 (en) | 2023-07-05 | 2025-01-09 | Basf Se | Substituted pyridyl/pyrazinyl dihydropyrrolotriazine compounds for combatting phytopath-ogenic fungi |
| WO2025008226A1 (en) | 2023-07-05 | 2025-01-09 | Basf Se | Substituted quinolyl/quinoxalyl dihydropyrrolotriazine compounds for combatting phyto-pathogenic fungi |
| EP4488273A1 (en) | 2023-07-06 | 2025-01-08 | Basf Se | Triazole compounds for the control of invertebrate pests |
| EP4488270A1 (en) | 2023-07-06 | 2025-01-08 | Basf Se | Triazole compounds for the control of invertebrate pests |
| EP4488269A1 (en) | 2023-07-06 | 2025-01-08 | Basf Se | Triazole compounds for the control of invertebrate pests |
| WO2026002399A1 (en) | 2023-07-07 | 2026-01-02 | Syngenta Crop Protection Ag | Pesticidally-active 2,2-dihalocyclopropyl compounds |
| WO2025021537A1 (en) | 2023-07-21 | 2025-01-30 | Syngenta Crop Protection Ag | Benzimidazole derivatives |
| WO2025022008A1 (en) | 2023-07-27 | 2025-01-30 | Syngenta Crop Protection Ag | Pesticidally active quinazoline compounds |
| WO2025022007A1 (en) | 2023-07-27 | 2025-01-30 | Syngenta Crop Protection Ag | Pesticidally active quinazoline compounds |
| WO2026017247A1 (en) | 2023-07-28 | 2026-01-22 | Syngenta Crop Protection Ag | Pesticidally-active 2,2-dihalocyclopropyl compounds |
| EP4501112A1 (en) | 2023-08-01 | 2025-02-05 | Globachem NV | Plant defense elicitors |
| WO2025032129A1 (en) | 2023-08-08 | 2025-02-13 | Syngenta Crop Protection Ag | Novel aminoindane and aminotetraline compounds |
| WO2025032038A1 (en) | 2023-08-09 | 2025-02-13 | Bayer Aktiengesellschaft | Pyridazin-4-yloxadiazines as novel fungicides |
| WO2025031668A1 (en) | 2023-08-09 | 2025-02-13 | Bayer Aktiengesellschaft | Azaheterobiaryl-substituted 4,5-dihydro-1h-2,4,5-oxadiazines as novel fungicides |
| WO2025031842A1 (en) | 2023-08-09 | 2025-02-13 | Basf Se | New substituted benzoxazepine picolinonitrile compounds for combatting phytopathogenic fungi |
| WO2025031843A1 (en) | 2023-08-09 | 2025-02-13 | Basf Se | New substituted benzoxazine picolinonitrile compounds for combatting phytopathogenic fungi |
| WO2025045835A1 (en) | 2023-08-30 | 2025-03-06 | Syngenta Crop Protection Ag | Pesticidally active oxoindole compounds |
| WO2025045837A1 (en) | 2023-08-31 | 2025-03-06 | Syngenta Crop Protection Ag | Pesticidally active indazole compounds |
| WO2025045838A2 (en) | 2023-08-31 | 2025-03-06 | Syngenta Crop Protection Ag | Pesticidally active benzisothiazole compounds |
| WO2025078181A1 (en) | 2023-10-09 | 2025-04-17 | Basf Se | Fungicidal mixture comprising substituted pyridines |
| WO2025078183A1 (en) | 2023-10-09 | 2025-04-17 | Basf Se | Fungicidal mixture comprising substituted quinazolyl quinolines |
| WO2025078128A1 (en) | 2023-10-11 | 2025-04-17 | Bayer Aktiengesellschaft | Pyridazin-3-one-4-yloxadiazines as novel fungicides |
| CN117384793B (en) * | 2023-10-24 | 2025-07-18 | 沈阳农业大学 | A biological agent for preventing and controlling corn ear rot and its preparation method and application |
| WO2025087761A1 (en) | 2023-10-27 | 2025-05-01 | Syngenta Crop Protection Ag | Pesticidally active cyclic amine compounds |
| WO2025104032A1 (en) | 2023-11-14 | 2025-05-22 | Syngenta Crop Protection Ag | Novel carboxamide compounds |
| WO2025109114A1 (en) | 2023-11-24 | 2025-05-30 | Syngenta Crop Protection Ag | Novel carboxamide compounds |
| WO2025132349A1 (en) | 2023-12-19 | 2025-06-26 | Syngenta Crop Protection Ag | Pesticidally active quinazoline compounds |
| WO2025132758A1 (en) | 2023-12-21 | 2025-06-26 | Syngenta Crop Protection Ag | Pesticidally active quinazoline compounds |
| WO2025132754A1 (en) | 2023-12-21 | 2025-06-26 | Syngenta Crop Protection Ag | Pesticidally active quinazoline compounds |
| EP4574819A1 (en) | 2023-12-22 | 2025-06-25 | Basf Se | Diazinone compounds for the control of invertebrate pests |
| WO2025149637A1 (en) | 2024-01-12 | 2025-07-17 | Syngenta Crop Protection Ag | Novel carboxamide compounds |
| WO2025149629A1 (en) | 2024-01-12 | 2025-07-17 | Syngenta Crop Protection Ag | Novel carboxamide compounds |
| WO2025157611A1 (en) | 2024-01-24 | 2025-07-31 | Basf Se | Mixtures comprising rna and fungicides to control phytopathogenic fungi |
| WO2025157612A1 (en) | 2024-01-24 | 2025-07-31 | Basf Se | Mixtures comprising rna to control phytopathogenic fungi. |
| WO2025157614A1 (en) | 2024-01-24 | 2025-07-31 | Basf Se | Mixtures comprising rna and fungicides to control phytopathogenic fungi |
| WO2025168620A1 (en) | 2024-02-07 | 2025-08-14 | Bayer Aktiengesellschaft | Heteroaryl-substituted 4,5-dihydro-1h-2,4,5-oxadiazines as novel fungicides |
| WO2025180964A1 (en) | 2024-03-01 | 2025-09-04 | Basf Se | New substituted benzoxazepine compounds for combatting phytopathogenic fungi |
| WO2025202499A1 (en) | 2024-03-28 | 2025-10-02 | Syngenta Crop Protection Ag | Fungicidal compositions |
| WO2025202482A1 (en) | 2024-03-28 | 2025-10-02 | Syngenta Crop Protection Ag | Fungicidal compositions |
| WO2025210150A1 (en) | 2024-04-04 | 2025-10-09 | Syngenta Crop Protection Ag | Fungicidal composition |
| WO2025219337A1 (en) | 2024-04-15 | 2025-10-23 | Syngenta Crop Protection Ag | Use of strigolactone derivatives and analogues as nitrification inhibitors |
| EP4640052A1 (en) | 2024-04-24 | 2025-10-29 | Basf Se | Mixtures of strobilurin type compounds for combating phytopathogenic fungi containing an amino acid substitution f129l in the mitochondrial cytochrome b protein conferring resistance to qo inhibitors with at least one further pesticide i |
| WO2025223904A1 (en) | 2024-04-24 | 2025-10-30 | Basf Se | Mixtures of strobilurin type compounds for combating phytopathogenic fungi containing an amino acid substitution f129l in the mitochondrial cytochrome b protein conferring resistance to qo inhibitors with at least one further pesticide i |
| WO2025247783A1 (en) | 2024-05-29 | 2025-12-04 | Syngenta Crop Protection Ag | Pesticidally active dihydro-benzoxazinone compounds |
| WO2025248032A1 (en) | 2024-05-31 | 2025-12-04 | Syngenta Crop Protection Ag | Pesticidally active indazole compounds |
| WO2025252553A1 (en) | 2024-06-04 | 2025-12-11 | Syngenta Crop Protection Ag | Pesticidally-active 2,2-dihalocyclopropyl compounds |
| WO2025252556A1 (en) | 2024-06-05 | 2025-12-11 | Syngenta Crop Protection Ag | Pesticidally-active 2,2-dihalocyclopropyl compounds |
| WO2025252655A1 (en) | 2024-06-06 | 2025-12-11 | Syngenta Crop Protection Ag | Pesticidally active pyridopyrimidone compounds |
| WO2025257024A1 (en) | 2024-06-12 | 2025-12-18 | Syngenta Crop Protection Ag | Fungicidal compositions |
| WO2025257023A1 (en) | 2024-06-12 | 2025-12-18 | Syngenta Crop Protection Ag | Fungicidal compositions |
| WO2025256333A1 (en) | 2024-06-13 | 2025-12-18 | Syngenta Crop Protection Ag | Pesticidally active aminoheterocycle derivatives |
| CN118325742B (en) * | 2024-06-13 | 2025-02-07 | 中国农业科学院蔬菜花卉研究所 | A strain of Lecanococcus attenuata for controlling pepper gray mold |
| WO2025257413A1 (en) | 2024-06-13 | 2025-12-18 | Syngenta Crop Protection Ag | Pecticidally active dihydroazole derivatives |
| WO2025257072A1 (en) | 2024-06-14 | 2025-12-18 | Syngenta Crop Protection Ag | Pesticidally active 2-oxobenzimidazole compounds |
| EP4667451A1 (en) | 2024-06-21 | 2025-12-24 | Syngenta Crop Protection AG | Pesticidally-active 2,2-dihalocyclopropyl compounds |
| WO2026008750A1 (en) | 2024-07-05 | 2026-01-08 | Syngenta Crop Protection Ag | Novel carboxamide compounds |
| WO2026012814A1 (en) | 2024-07-10 | 2026-01-15 | Basf Se | Compositions and methods to enhance crop yield and plant health |
| WO2026021912A1 (en) | 2024-07-23 | 2026-01-29 | Basf Se | New substituted benzothiazine pyridine compounds for combatting phytopathogenic fungi |
| WO2026021909A1 (en) | 2024-07-23 | 2026-01-29 | Basf Se | New substituted benzothiazine pyridine compounds for combatting phytopathogenic fungi |
| WO2026021911A1 (en) | 2024-07-23 | 2026-01-29 | Basf Se | New substituted benzothiazine pyridine compounds for combatting phytopathogenic fungi |
| WO2026021910A1 (en) | 2024-07-23 | 2026-01-29 | Basf Se | New substituted benzothiazine pyridine compounds for combatting phytopathogenic fungi |
Citations (1)
| Publication number | Priority date | Publication date | Assignee | Title |
|---|---|---|---|---|
| WO2007086645A1 (en) * | 2006-01-24 | 2007-08-02 | Korea Research Institute Of Bioscience And Biotechnology | Fusaricidin synthetase and gene thereof |
Family Cites Families (17)
| Publication number | Priority date | Publication date | Assignee | Title |
|---|---|---|---|---|
| CA2238289C (en) * | 1998-05-20 | 2013-08-06 | The Governors Of The University Of Alberta | Biocontrol agent and fungicide for blackleg disease |
| US6524998B1 (en) | 1999-03-01 | 2003-02-25 | Auburn University | Biological compositions and methods for enhancing plant growth and health and producing disease-suppressive plants |
| CA2573860A1 (en) | 2004-07-13 | 2006-02-16 | William Brower | Formulation and method for treating plants to control or suppress a plant pathogen |
| MX2007001335A (en) | 2004-08-09 | 2007-07-04 | Kaken Parmaceutical Co Ltd | Novel strains belonging to the genus paenibacillus and method of controlling plant disease by using these strains or culture thereof. |
| RU2312135C2 (en) * | 2005-12-19 | 2007-12-10 | Институт биологии Уфимского научного центра Российской академии наук | Strain of bacterium paenibacillus campinasensis as producer of cyclodextrin glucanotransferase |
| WO2009143481A1 (en) * | 2008-05-23 | 2009-11-26 | University Of Georgia Research Foundation, Inc. | Paenibacillus ssp. and methods for fermentation of lignocellulosic materials |
| KR20090123158A (en) * | 2008-05-27 | 2009-12-02 | (주)한성이씨오 | Antimicrobial egg yolk preparation method using antagonist Fanibacilli polymesh SES-85 and Salmonella extract against Salmonella |
| WO2011069227A1 (en) | 2009-12-09 | 2011-06-16 | Best Environmental Technologies Inc. | Anti-microbial agent from paenibacillus sp. and methods and uses thereof |
| KR101313900B1 (en) * | 2010-04-28 | 2013-09-30 | 대한민국(농촌진흥청장) | Methods for plant protection by fusaricidin |
| EP2463314A1 (en) * | 2010-12-10 | 2012-06-13 | Sika Technology AG | Preparation of comb polymers by esterification |
| WO2013086003A1 (en) * | 2011-12-05 | 2013-06-13 | The Ohio State University | Antimicrobial agent, bacterial strain, biosynthesis, and methods of use |
| US8906668B2 (en) * | 2012-11-23 | 2014-12-09 | Seres Health, Inc. | Synergistic bacterial compositions and methods of production and use thereof |
| KR101541446B1 (en) * | 2012-12-11 | 2015-08-06 | 한국생명공학연구원 | A strain producing high level of fusaricidin and the method for mass production of fusaricidin using the strain |
| JP6479685B2 (en) * | 2013-02-04 | 2019-03-06 | セレス セラピューティクス インコーポレイテッド | Compositions and methods for the control of pathogenic bacterial growth |
| CN105120666A (en) * | 2013-02-22 | 2015-12-02 | 美商华仑公司 | Seed Treatment Preparations |
| CN103146614B (en) * | 2013-03-14 | 2014-07-23 | 中国科学院成都生物研究所 | Camptotheca endophytic bacterium LY214 for producing camptothecin and application thereof |
| CA2956880C (en) | 2014-08-04 | 2023-04-25 | Basf Se | Antifungal paenibacillus strains, fusaricidin-type compounds, and their use |
-
2015
- 2015-08-04 CA CA2956880A patent/CA2956880C/en active Active
- 2015-08-04 CN CN201580053531.XA patent/CN107075458B/en active Active
- 2015-08-04 EP EP19151404.1A patent/EP3505616A1/en active Pending
- 2015-08-04 BR BR112017002182-0A patent/BR112017002182B1/en active IP Right Grant
- 2015-08-04 PL PL15744949T patent/PL3194566T3/en unknown
- 2015-08-04 EP EP15744949.7A patent/EP3194566B1/en active Active
- 2015-08-04 AR ARP150102497A patent/AR101421A1/en active IP Right Grant
- 2015-08-04 WO PCT/EP2015/067925 patent/WO2016020371A1/en not_active Ceased
- 2015-08-04 ES ES15744949T patent/ES2732578T3/en active Active
- 2015-08-04 HU HUE15744949A patent/HUE045008T2/en unknown
- 2015-08-04 JP JP2017505833A patent/JP6621803B2/en active Active
- 2015-08-04 TR TR2019/08655T patent/TR201908655T4/en unknown
- 2015-08-04 AU AU2015299053A patent/AU2015299053B2/en active Active
- 2015-08-04 MX MX2017001644A patent/MX380769B/en unknown
- 2015-08-04 PT PT15744949T patent/PT3194566T/en unknown
- 2015-08-04 RU RU2017107095A patent/RU2745671C2/en active
- 2015-08-04 US US15/501,784 patent/US20170223968A1/en not_active Abandoned
- 2015-08-04 KR KR1020177006147A patent/KR102530120B1/en active Active
- 2015-08-04 UA UAA201702045A patent/UA128055C2/en unknown
-
2017
- 2017-02-03 MX MX2021000804A patent/MX2021000804A/en unknown
- 2017-02-03 CL CL2017000291A patent/CL2017000291A1/en unknown
- 2017-10-04 US US15/724,894 patent/US10548326B2/en active Active
- 2017-10-04 US US15/724,866 patent/US11064703B2/en active Active
-
2021
- 2021-07-19 US US17/378,845 patent/US12258554B2/en active Active
-
2022
- 2022-01-17 AU AU2022200285A patent/AU2022200285B2/en active Active
Patent Citations (1)
| Publication number | Priority date | Publication date | Assignee | Title |
|---|---|---|---|---|
| WO2007086645A1 (en) * | 2006-01-24 | 2007-08-02 | Korea Research Institute Of Bioscience And Biotechnology | Fusaricidin synthetase and gene thereof |
Non-Patent Citations (2)
| Title |
|---|
| Han et al. "Site-directed modification of the adenylation domain of the fusaricidin nonribosomal peptide synthetase for enhanced production of fusaricidin analogs" Biotechnol Lett (2012) 34:1327–1334 (Year: 2012) * |
| Vater et al. "Characterization of Novel Fusaricidins Produced by Paenibacillus polymyxa-M1 Using MALDI-TOF Mass Spectrometry" J. Am. Soc. Mass Spectrom. (2015) 26:1548Y1558 (Year: 2015) * |
Cited By (8)
| Publication number | Priority date | Publication date | Assignee | Title |
|---|---|---|---|---|
| US20190110480A1 (en) * | 2016-02-09 | 2019-04-18 | Basf Se | Mixtures and compositions comprising paenibacillus strains or fusaricidins and chemical pesticides |
| US12239136B2 (en) * | 2016-02-09 | 2025-03-04 | Basf Se | Mixtures and compositions comprising Paenibacillus strains or fusaricidins and chemical pesticides |
| US20210345629A1 (en) * | 2019-03-11 | 2021-11-11 | National Institute Of Plant Genome Research | Method for extending shelf-life of agricultural produce |
| US12310380B2 (en) * | 2019-03-11 | 2025-05-27 | National Institute Of Plant Genome Research | Method for extending shelf-life of agricultural produce |
| CN116323911A (en) * | 2020-07-31 | 2023-06-23 | 巴斯夫欧洲公司 | Novel agrochemical formulation for fusaricidin-producing bacteria |
| CN113332456A (en) * | 2021-07-08 | 2021-09-03 | 广东丸美生物技术股份有限公司 | Detection method for anti-wrinkle and wrinkle-reducing activity of skin care raw material and application thereof |
| CN116590199A (en) * | 2023-06-26 | 2023-08-15 | 上海市农业科学院 | A kind of Paenibacillus peirui and its application in the prevention and treatment of corn ear rot |
| CN119162030A (en) * | 2024-09-19 | 2024-12-20 | 华南农业大学 | A strain of Pseudomonas reinhardtii Y8-2 and its application |
Also Published As
Similar Documents
| Publication | Publication Date | Title |
|---|---|---|
| US12258554B2 (en) | Antifungal Paenibacillus strains, fusaricidin-type compounds, and their use | |
| EP3413714B1 (en) | Mixtures and compositions comprising paenibacillus strains or fusaricidins and chemical pesticides | |
| US11185078B2 (en) | Mixtures and compositions comprising Paenibacillus strains or metabolites thereof and other biopesticides | |
| WO2023088791A1 (en) | Paenibacillus strains producing low amounts of dab comprising compounds. | |
| CA3228896A1 (en) | Paenibacillus strains producing low amounts of exopolysaccarides | |
| BR122022023093B1 (en) | MIXTURE, COMPOSITION, PLANT PROPAGATION MATERIAL, USE OF A MIXTURE AND CONTROL METHOD, SUPPRESSION OF PATHOGENS IN PLANTS OR PREVENTION OF INFECTION BY PLANT PATHOGENS |
Legal Events
| Date | Code | Title | Description |
|---|---|---|---|
| STPP | Information on status: patent application and granting procedure in general |
Free format text: FINAL REJECTION MAILED |
|
| STCB | Information on status: application discontinuation |
Free format text: ABANDONED -- FAILURE TO RESPOND TO AN OFFICE ACTION |










