WO2024110554A1 - N-[(1 -[2-[6-(pyridazin-3-yl]-1,2,4-triazol-3-yl]ethyl]-quinazolin-4-amine and n-[1-[3-(6-(pyridazin-3-yl)pyrazin-2-yl]ethyl]-8-quinazolin-4-amine derivatives as pesticides - Google Patents
N-[(1 -[2-[6-(pyridazin-3-yl]-1,2,4-triazol-3-yl]ethyl]-quinazolin-4-amine and n-[1-[3-(6-(pyridazin-3-yl)pyrazin-2-yl]ethyl]-8-quinazolin-4-amine derivatives as pesticides Download PDFInfo
- Publication number
- WO2024110554A1 WO2024110554A1 PCT/EP2023/082750 EP2023082750W WO2024110554A1 WO 2024110554 A1 WO2024110554 A1 WO 2024110554A1 EP 2023082750 W EP2023082750 W EP 2023082750W WO 2024110554 A1 WO2024110554 A1 WO 2024110554A1
- Authority
- WO
- WIPO (PCT)
- Prior art keywords
- spp
- formula
- methyl
- compounds
- c3alkyl
- Prior art date
- Legal status (The legal status is an assumption and is not a legal conclusion. Google has not performed a legal analysis and makes no representation as to the accuracy of the status listed.)
- Ceased
Links
Classifications
-
- C—CHEMISTRY; METALLURGY
- C07—ORGANIC CHEMISTRY
- C07D—HETEROCYCLIC COMPOUNDS
- C07D403/00—Heterocyclic compounds containing two or more hetero rings, having nitrogen atoms as the only ring hetero atoms, not provided for by group C07D401/00
- C07D403/14—Heterocyclic compounds containing two or more hetero rings, having nitrogen atoms as the only ring hetero atoms, not provided for by group C07D401/00 containing three or more hetero rings
-
- A—HUMAN NECESSITIES
- A01—AGRICULTURE; FORESTRY; ANIMAL HUSBANDRY; HUNTING; TRAPPING; FISHING
- A01N—PRESERVATION OF BODIES OF HUMANS OR ANIMALS OR PLANTS OR PARTS THEREOF; BIOCIDES, e.g. AS DISINFECTANTS, AS PESTICIDES OR AS HERBICIDES; PEST REPELLANTS OR ATTRACTANTS; PLANT GROWTH REGULATORS
- A01N25/00—Biocides, pest repellants or attractants, or plant growth regulators, characterised by their forms, or by their non-active ingredients or by their methods of application, e.g. seed treatment or sequential application; Substances for reducing the noxious effect of the active ingredients to organisms other than pests
-
- A—HUMAN NECESSITIES
- A01—AGRICULTURE; FORESTRY; ANIMAL HUSBANDRY; HUNTING; TRAPPING; FISHING
- A01N—PRESERVATION OF BODIES OF HUMANS OR ANIMALS OR PLANTS OR PARTS THEREOF; BIOCIDES, e.g. AS DISINFECTANTS, AS PESTICIDES OR AS HERBICIDES; PEST REPELLANTS OR ATTRACTANTS; PLANT GROWTH REGULATORS
- A01N43/00—Biocides, pest repellants or attractants, or plant growth regulators containing heterocyclic compounds
- A01N43/48—Biocides, pest repellants or attractants, or plant growth regulators containing heterocyclic compounds having rings with two nitrogen atoms as the only ring hetero atoms
- A01N43/54—1,3-Diazines; Hydrogenated 1,3-diazines
-
- A—HUMAN NECESSITIES
- A01—AGRICULTURE; FORESTRY; ANIMAL HUSBANDRY; HUNTING; TRAPPING; FISHING
- A01N—PRESERVATION OF BODIES OF HUMANS OR ANIMALS OR PLANTS OR PARTS THEREOF; BIOCIDES, e.g. AS DISINFECTANTS, AS PESTICIDES OR AS HERBICIDES; PEST REPELLANTS OR ATTRACTANTS; PLANT GROWTH REGULATORS
- A01N43/00—Biocides, pest repellants or attractants, or plant growth regulators containing heterocyclic compounds
- A01N43/48—Biocides, pest repellants or attractants, or plant growth regulators containing heterocyclic compounds having rings with two nitrogen atoms as the only ring hetero atoms
- A01N43/60—1,4-Diazines; Hydrogenated 1,4-diazines
-
- A—HUMAN NECESSITIES
- A01—AGRICULTURE; FORESTRY; ANIMAL HUSBANDRY; HUNTING; TRAPPING; FISHING
- A01N—PRESERVATION OF BODIES OF HUMANS OR ANIMALS OR PLANTS OR PARTS THEREOF; BIOCIDES, e.g. AS DISINFECTANTS, AS PESTICIDES OR AS HERBICIDES; PEST REPELLANTS OR ATTRACTANTS; PLANT GROWTH REGULATORS
- A01N43/00—Biocides, pest repellants or attractants, or plant growth regulators containing heterocyclic compounds
- A01N43/64—Biocides, pest repellants or attractants, or plant growth regulators containing heterocyclic compounds having rings with three nitrogen atoms as the only ring hetero atoms
- A01N43/647—Triazoles; Hydrogenated triazoles
- A01N43/653—1,2,4-Triazoles; Hydrogenated 1,2,4-triazoles
-
- A—HUMAN NECESSITIES
- A01—AGRICULTURE; FORESTRY; ANIMAL HUSBANDRY; HUNTING; TRAPPING; FISHING
- A01P—BIOCIDAL, PEST REPELLANT, PEST ATTRACTANT OR PLANT GROWTH REGULATORY ACTIVITY OF CHEMICAL COMPOUNDS OR PREPARATIONS
- A01P7/00—Arthropodicides
- A01P7/04—Insecticides
Definitions
- the present invention relates to pestidicidally active pyridazine compounds, e.g. as active ingredients, which have pestidicidal activity.
- the invention also relates to preparation of these pyridazine compounds, to intermediates useful in the preparation of these pyridazine compounds, to the preparation of these intermediates, to agrochemical compositions which comprise at least one of these pyridazine compounds, to preparation of these compositions and to the use of these pyridazine compounds or compositions in agriculture or horticulture for controlling animal pests, including arthropods and in particular insects or representatives of the order Acarina.
- WO 2021/083936, WO 2021/148639, WO 2021/177160 and WO 2023/104714 describe certain quinazoline, quinazolinone and quinoline compounds. It has now surprisingly been found that certain novel pyridazine compounds have pesticidal activity.
- the present invention also provides a method of preparation of compounds of formula (I) as well as intermediate compounds useful in the preparation of compounds of formula (I).
- the present invention makes available a composition comprising a compound of formula (I), one or more auxiliaries and diluent, and optionally one or more other active ingredient.
- the present invention makes available a method of combating and controlling insects, acarines, nematodes or molluscs, which method comprises applying to a pest, to a locus of a pest, or to a plant susceptible to attack by a pest an insecticidally, acaricidally, nematicidally or molluscicidally effective amount of a compound of formula (I) or a composition comprising such a compound.
- the present invention makes available a method for the protection of plant propagation material from the attack by insects, acarines, nematodes or molluscs, which method comprises treating the propagation material, or the site where the propagation material is planted, with an effective amount of a compound of formula (I) or a composition comprising such a compound.
- the present invention makes available a plant propagation material, such as a seed, comprising, or treated with or adhered thereto, a compound of formula (I) or a composition comprising such a compound.
- the present invention in a further aspect provides a method of controlling parasites in or on an animal in need thereof comprising administering an effective amount of a compound of the first aspect.
- the present invention further provides a method of controlling ectoparasites on an animal in need thereof comprising administering an effective amount of a compound of formula (I) as defined in the first aspect.
- the present invention further provides a method for preventing and/or treating diseases transmitted by ectoparasites comprising administering an effective amount of a compound of formula (I) as defined in the first aspect, to an animal in need thereof.
- Compounds of formula (I) which have at least one basic centre can form, for example, acid addition salts, for example with strong inorganic acids such as mineral acids, for example perchloric acid, sulfuric acid, nitric acid, nitrous acid, a phosphorus acid or a hydrohalic acid, with strong organic carboxylic acids, such as Ci-C4alkanecarboxylic acids which are unsubstituted or substituted, for example by halogen, for example acetic acid, such as saturated or unsaturated dicarboxylic acids, for example oxalic acid, malonic acid, succinic acid, maleic acid, fumaric acid or phthalic acid, such as hydroxycarboxylic acids, for example ascorbic acid, lactic acid, malic acid, tartaric acid or citric acid, or such as benzoic acid, or with organic sulfonic acids, such as Ci-C4alkane- or arylsulfonic acids which are unsubstituted or substituted, for
- Compounds of formula (I) which have at least one acidic group can form, for example, salts with bases, for example mineral salts such as alkali metal or alkaline earth metal salts, for example sodium, potassium or magnesium salts, or salts with ammonia or an organic amine, such as morpholine, piperidine, pyrrolidine, a mono-, di- or tri-lower-alkylamine, for example ethyl-, diethyl-, triethyl- or dimethylpropylamine, or a mono-, di- or trihydroxy-lower-alkylamine, for example mono-, di- or triethanolamine.
- bases for example mineral salts such as alkali metal or alkaline earth metal salts, for example sodium, potassium or magnesium salts
- salts with ammonia or an organic amine such as morpholine, piperidine, pyrrolidine, a mono-, di- or tri-lower-alkylamine, for example ethyl-, die
- the compounds of formula (I) according to the invention are in free form, in oxidized form as a N-oxide or in salt form, e.g. an agronomically usable salt form.
- N-oxides are oxidized forms of tertiary amines or oxidized forms of nitrogen containing heteroaromatic compounds. They are described for instance in the book “Heterocyclic N-oxides” by A. Albini and S. Pietra, CRC Press, Boca Raton 1991.
- the compounds of formula (I) according to the invention also include hydrates which may be formed during the salt formation.
- C1-Cnalkyl refers to a saturated straight-chain or branched hydrocarbon radical attached via any of the carbon atoms having 1 to n carbon atoms, for example, any one of the radicals methyl, ethyl, n-propyl, 1-methylbutyl, 2-methylbutyl, 3-methylbutyl, 2, 2- dimethylpropyl, 1-ethylpropyl, n-hexyl, n-pentyl, 1,1-dimethylpropyl, 1,2-dimethylpropyl, 1-methylpentyl, 2-methylpentyl, 3-methylpentyl, 4-methylpentyl, 1,1-dimethylbutyl, 1,2-dimethylbutyl, 1,3-dimethylbutyl, 2,2-dimethylbutyl, 2,3-dimethylbutyl, 3,3-dimethylbuty
- C1-Cnhaloalkyl refers to a straight-chain or branched saturated alkyl radical attached via any of the carbon atoms having 1 to n carbon atoms (as mentioned above), where some or all of the hydrogen atoms in these radicals may be replaced by fluorine, chlorine, bromine and/or iodine, i.e., for example, any one of chloromethyl, dichloromethyl, trichloromethyl, fluoromethyl, difluoromethyl, trifluoromethyl, chlorofluoromethyl, dichlorofluoromethyl, chlorodifluoromethyl, 2- fluoroethyl, 2-chloroethyl, 2-bromoethyl, 2-iodoethyl, 2,2-difluoroethyl, 2,2,2-trifluoroethyl, 2-chloro-2- fluoroethyl, 2-chloro-2,2-difluoroethyl,
- C1-C2fluoroalkyl would refer to a C1-C2alkyl radical which carries 1, 2, 3, 4 or 5 fluorine atoms, for example, any one of difluoromethyl, trifluoromethyl, 1-fluoroethyl, 2-fluoroethyl, 2,2-difluoroethyl, 2,2,2-trifluoroethyl, 1,1,2,2-tetrafluoroethyl or pentafluoroethyl.
- C1-Cnalkoxy refers to a straight-chain or branched saturated alkyl radical having 1 to n carbon atoms (as mentioned above) which is attached via an oxygen atom, i.e., for example, any one of the radicals methoxy, ethoxy, n-propoxy, 1-methylethoxy, or iso-propoxy, n-butoxy, 1-methylpropoxy, 2-methylpropoxy or 1,1-dimethylethoxy.
- C1-Cnhaloalkoxy refers to a C1-Cnalkoxy radical where one or more hydrogen atoms on the alkyl radical is replaced by the same or different halo atom(s) - examples include trifluoromethoxy, 2-fluoroethoxy, 3-fluoropropoxy, 3,3,3-trifluoropropoxy, 4-chlorobutoxy.
- C1-CnalkoxyC1-Cmalkyl refers to an alkoxy radical having 1 to n carbon atoms (as mentioned above) which is attached via the oxygen atom to an alkyl radical having 1 to m carbon atoms (as mentioned above), which alkyl radical is connected to the rest of the molecule.
- C1-Cncyanoalkyl refers to a straight chain or branched saturated C1- Cnalkyl radical having 1 to n carbon atoms (as mentioned above), where one of the hydrogen atoms in these radicals is replaced by a cyano group -CN: for example, cyanomethyl, 2-cyanoethyl, 2- cyanopropyl, 3-cyanopropyl, 1-(cyanomethyl)-2-ethyl, 1-(methyl)-2-cyanoethyl, 4-cyanobutyl, and the like.
- C1-Cnnitroalkyl refers to a straight chain or branched saturated C1- Cnalkyl radical having 1 to n carbon atoms (as mentioned above), where one of the hydrogen atoms in these radicals is replaced by a nitro group -NO2: for example, nitromethyl, 2-nitroethyl, 2-nitropropyl, 3- nitropropyl, 1-(nitromethyl)-2-ethyl, 1-(methyl)-2-nitroethyl, 4-nitrobutyl, and the like.
- C3-Cncycloalkyl refers to 3-n membered cycloalkyl groups such as cyclopropane, cyclobutane, cyclopentane and cyclohexane.
- C3-C4cycloalkylC1-C2alkyl “ as used herein refers to 3 or 4 membered cycloalkyl group with either a methylene or ethylene group, which methylene or ethylene group is connected to the rest of the molecule.
- C 3 -C 4 cycloalkyl-C 1 -C 2 alkyl group is substituted, the substituent(s) can be on the cycloalkyl group and/or on the alkyl group.
- C3-C6cycloalkylC1-C4haloalkoxy refers to a 3 to 6 membered cycloalkyl group connected to a 1 to 4 membered haloalkoxy group, which haloalkoxy group is connected to the rest of the molecule.
- aminocarbonylC1-Cnalkyl refers to an alkyl radical where one of the hydrogen atoms in the radical is replaced by CONH2 group.
- hydroxycarbonylC1-Cnalkyl refers to an alkyl radical where one of the hydrogen atoms in the radical is replaced by COOH group.
- C1-Cnalkylsulfanyl refers to a C1-Cnalkyl moiety linked through a sulfur atom.
- C1-Cnhaloalkylthio or “C1-Cnhaloalkylsulfanyl” as used herein refers to a C1- Cnhaloalkyl moiety linked through a sulfur atom.
- C3-Cncycloalkylsulfanyl refers to 3- n membered cycloalkyl moiety linked through a sulfur atom.
- trimethylsilaneC1-Cnalkyl refers to an alkyl radical where one of the hydrogen atoms in the radical is replaced by a -Si(CH3)3 group.
- C2-Cnalkenyl refers to a straight or branched alkenyl chain having from two to n carbon atoms and one or two double bonds, for example, ethenyl, prop-1-enyl, but-2-enyl.
- C2-Cnhaloalkenyl refers to a C2-Cnalkenyl moiety substituted with one or more halo atoms which may be the same or different.
- C2-Cnalkynyl refers to a straight or branched alkynyl chain having from two to n carbon atoms and one triple bond, for example, ethynyl, prop-2-ynyl, but-3-ynyl.
- C2-Cnhaloalkynyl refers to a C2-Cnalkynyl moiety substituted with one or more halo atoms which may be the same or different.
- Halogen or “halo” is generally fluorine, chlorine, bromine or iodine. This also applies, correspondingly, to halogen in combination with other meanings, such as haloalkyl.
- heteroaryl refers to a 5- or 6-membered aromatic monocyclic ring having 1 to 3 heteroatoms independently selected from N, O and S. Examples are heteroaryls J-1 to J-40 shown in Table J below. Preferred heteroaryls are pyridyl, pyrimidyl, and pyrazolyl.
- heteroaryl-methyl refers to a heteoaryl connected to a methyl group, which methyl group is connected to the rest of the molecule.
- heteroaryl examples include J-3 (4- pyridyl) and J-5 (pyrimidin-2-yl) Table J: Heteroaryl J-1 to J-40:
- C3-C4cycloalkyl is optionally substituted with 1 or 2 halo atoms
- C3-C4cycloalkyl is optionally substituted with 1 or 2 halo atoms
- controlling refers to reducing the number of pests, eliminating pests and/or preventing further pest damage such that damage to a plant or to a plant derived product is reduced.
- pest refers to insects, and molluscs that are found in agriculture, horticulture, forestry, the storage of products of vegetable origin (such as fruit, grain and timber); and those pests associated with the damage of man-made structures.
- the term pest encompasses all stages in the life cycle of the pest.
- the term “effective amount” refers to the amount of the compound, or a salt thereof, which, upon single or multiple applications provides the desired effect.
- a 1 , A 2 and A 3 are, independently from each other, N or CR Y , with the proviso that no more than two out of the three are N; or B.
- a 1 and A 3 are N, and A 2 is CR Y ; or C.
- a 1 , A 2 and A 3 are, independently from each other, N or CH; or D.
- a 1 , A 2 and A 3 are, independently from each other, N or CH, with the proviso that no more than two out of the three are N; or E.
- a 1 is N, and A 2 and A 3 are CH; or F.
- a 1 and A 2 are CH, and A 3 is N; or G.
- a 1 and A 3 are N, and A 2 is CH.
- a 1 and A 3 are N, and A 2 is CH.
- A. A 4 is CR YY , and A 5 is N; or B.
- a 4 is CR YY , and A 5 is CH; or C.
- a 4 is CH, and A 5 is N; or D.
- a 4 is N, and A 5 is CH; or E.
- a 4 and A 5 are both CH.
- a 4 and A 5 are both CH.
- A. A 1 is N, A 2 and A 3 are CH, and A 4 and A 5 are both CH; or B.
- a 1 and A 2 are CH, A 3 is N, and A 4 and A 5 are both CH.
- a 1 and A 3 are N, A 2 is CH, and A 4 is CR Y and A 5 is CH; or D.
- a 1 and A 3 are N, A 2 is CH, and A 4 is CH and A 5 is N; or E.
- a 1 and A 3 are N, A 2 is CH, and A 4 is N and A 5 is CH; or F.
- a 1 and A 3 are N, A 2 is CH, and A 4 is N or CH and A 5 is CH; or G.
- a 1 and A 3 are N, A 2 is CH, and A 4 is CH and A 5 is N or CH; or H.
- a 1 and A 3 are N, A 2 is CH, and A 4 and A 5 are both N; or I.
- a 1 and A 3 are N, A 2 is CH, and A 4 and A 5 are both CH.
- a 1 and A 3 are N, and A 2 , A 4 and A 5 are CH.
- R 1 is A.
- R 1 is hydrogen or methyl.
- R 2a is A.
- halogen C1-C3haloalkyl, C1-C3haloalkylsulfanyl, C1-C3haloalkysulfonyl, or C1-C3haloalkoxy; or L. halogen, C1-C2fluoroalkyl, C1-C2fluoroalkylsulfanyl, C1-C2fluoroalkysulfonyl, or C1- C2fluoroalkoxy; or M. chlorine, fluorine, bromine, iodine, difluoromethyl, trifluoromethyl, trifluoromethylsulfanyl or trifluoromethylsulfonyl; or N.
- R 2a is chlorine, bromine, iodine, or trifluoromethyl, most preferably, R 2a is chlorine or trifluoromethyl.
- R 2b is : A.
- halogen C1-C3haloalkyl, C1-C3haloalkylsulfanyl, C1-C3haloalkysulfonyl, or C1-C3haloalkoxy; or D. halogen, C 1 -C 2 haloalkyl, C 1 -C 2 haloalkylsulfanyl, C 1 -C 2 haloalkysulfonyl, or C 1 -C 2 haloalkoxy; or E. fluorine, chlorine, bromine, iodine, difluoromethyl, trifluoromethyl, trifluoromethylsulfanyl, trifluoromethylsulfonyl; or F.
- R 2b is chlorine, bromine, iodine, or trifluoromethyl, most preferably, R 2a is chlorine or trifluoromethyl.
- R 2a and R 2b are independently selected from halogen, C1-C3haloalkyl, C1-C3haloalkysulfanyl, C1-C3haloalkysulfonyl, and C1-C3haloalkoxy; or B.
- R 2a and R 2b are independently selected from halogen, C1-C3fluoroalkyl, C1-C3fluoroalkysulfanyl, C1-C3fluoroalkysulfonyl, and C1-C3fluoroalkoxy; or C.
- R 2a and R 2b are independently selected from chlorine, bromine, iodine, C1-C3fluoroalkyl, C1- C3fluoroalkysulfonyl, and C1-C3fluoroalkoxy; or D.
- R 2a and R 2b are independently selected from fluorine, chlorine, bromine, iodine, trifluoromethylsulfanyl, trifluoromethylsulfonyl, and trifluoromethyl; or E. R 2a and R 2b are independently selected from chlorine, bromine, iodine, trifluoromethylsulfonyl, and trifluoromethyl; or F. R 2a and R 2b are differently selected from chlorine, bromine, iodine, trifluoromethylsulfonyl, and trifluoromethyl; or G. R 2a and R 2b are differently selected from chlorine, bromine, iodine, and trifluoromethyl.
- R 2a and R 2b are independently chlorine, bromine, iodine, trifluoromethylsulfonyl, or trifluoromethyl.
- R 2a and R 2b are independently chlorine, bromine, iodine, or trifluoromethyl.
- R 2a and R 2b are independently chlorine, or trifluoromethyl.
- R 3 is A. C1-C3alkyl or C1-C3haloalkyl; or B. methyl or trifluoromethyl; or C. methyl.
- Q is A. Q a ; or B. Q b .
- Q a is A. selected from Q a -1 to Q a -16; or B. selected from Q a -1, Q a -6, Q a -7, Q a -10, and Q a -15; or C. Q a -1 or Q a -15; or D. Q a -1.
- Q b is
- Q is Q a -1 or Q b -1.ln other words, R 5 , R 5a and R 5b are hydrogen.
- Q is Q a -1 .
- R 4 is or where the staggered line represents the connection of R 4 to Q a or Q b . 4
- R is .
- This is a tautomeric form compounds where R 4 of is and R 4c is hydrogen.
- R 4 is where the staggered line represents the connection of R 4 to Q a or Q b , and R 4c is: A.
- C1-C3alkyl optionally substituted with a single substituent selected from cyano, -SCH3, -S(O)CH3, -SO2CH3 and -C(O)NR 4d R 4e ; C1-C3haloalkyl, allyl, propargyl, C3- C6cycloalkylC1-C4alkyl, C1-C2alkoxyC1-C3alkyl, -C(O)NR 4d R 4e ; isopropylideneamino, 1- methylpropylideneamino, 1-ethylpropylideneamino, cyclobutylideneamino, cyclopentylideneamino, cyclohexylideneamino, oxetan-3-ylideneamino, tetrahydrofuran-3- ylideneamino, tetrahydropyran-4-ylideneamino
- C1-C3alkyl optionally substituted with a single substituent selected from cyano, -SCH 3 , -S(O)CH 3 , -SO 2 CH 3 and -C(O)NR 4d R 4e ; C 1 -C 3 haloalkyl, allyl, propargyl, C 3 - C6cycloalkylC1-C4alkyl, C1-C2alkoxyC1-C3alkyl, -C(O)NR 4d R 4e ; isopropylideneamino, 1- methylpropylideneamino, 1-ethylpropylideneamino, cyclobutylideneamino, cyclopentylideneamino, cyclohexylideneamino, oxetan-3-ylideneamino, tetrahydrofuran-3- ylideneamino, tetrahydropyran-4-y
- C3-C4cycloalkylC1-C4alkyl isopropylideneamino, 1-methylpropylideneamino, cyclobutylideneamino, cyclopentylideneamino, oxetan-3-ylideneamino, tetrahydrofuran-3- ylideneamino, pyrimidin-2-yl-methyl, or 4-pyridinyl-methyl; or H.
- C3-C4cycloalkylC1-C4alkyl isopropylideneamino, 1-methylpropylideneamino, cyclobutylideneamino, cyclopentylideneamino, oxetan-3-ylideneamino, tetrahydrofuran-3- ylideneamino, pyrimidin-2-yl-methyl, 4-pyridinyl-methyl, or phenyl-methyl, where the phenyl is optionally substituted with a single halo, cyano or methyl; or I.
- T hydrogen, methyl, ethyl, cyclopropylmethyl, oxetan-3-ylideneamino, isopropylideneamino, pyrimidin-2-ylmethyl, cyanomethyl, 2-cyanoethyl, -CH2C(O)NH2, propargyl, benzyl, allyl, (3- fluorophenyl)methyl, (4-fluorophenyl)methyl, m-tolylmethyl, p-tolylmethyl, (3- cyanophenyl)methyl, or (4-cyanophenyl)methyl.
- R 4c is methyl or ethyl.
- R 4f and R 4g are independently selected from methyl, ethyl, propyl, and isopropyl, or R 4f and R 4g form, together with the carbon atom they are attached to, a cyclopropyl, cyclobutyl or cyclohexyl group, or a 4- to 6-membered saturated heterocycle containing one oxygen atom; or
- R 4f and R 4s are independently selected from methyl, ethyl, and propyl, or R 4f and R 4s form, together with the carbon atom they are attached to, a cyclopropyl, cyclobutyl, cyclohexyl, oxetan-3-yl, tetrahydrofuran-3-yl, tetrahydropyran-3-yl, tetrahydropyran-4-yl group;
- R 4f and R 4s are independently selected from methyl and ethyl, or R 4f and R 4s form, together with the carbon atom they are attached to, a cyclopropyl, cyclobutyl, cyclohexyl, oxetan-3-yl, tetrahydrofuran-3-yl, tetrahydropyran-4-yl group; or
- R 4f and R 4g are independently selected from methyl and ethyl; or
- R 4f and R 4g form, together with the carbon atom they are attached to, a cyclopropyl, cyclobutyl, cyclohexyl, oxetan-3-yl, tetra hydrofuran -3-yl, tetrahydropyran-4-yl group; or
- R 4f and R 4s are independently selected from methyl and ethyl; or R 4f and R 4s form, together with the carbon atom they are attached to, a cyclopropyl, cyclobutyl, or cyclohexyl group; or
- R 4f and R 4g are independently selected from methyl and ethyl; or R 4f and R 4g form, together with the carbon atom they are attached to, an oxetan-3-yl, tetrahydrofuran-3-yl, tetrahydropyran-4- yl group; or
- R 4f and R 4g form, together with the carbon atom they are attached to, a cyclopropyl, cyclobutyl, or cyclohexyl group; or
- R 4f and R 4s form, together with the carbon atom they are attached to, an oxetan-3-yl, tetrahydrofuran-3-yl, tetrahydropyran-4-yl group; or
- R 4f and R 4s are methyl; or R 4f and R 4s form, together with the carbon atom they are attached to, an oxetan-3-yl group.
- R 5 is A. hydrogen, C1-C3alkyl, C1-C3haloalkyl, C3-C4cycloalkyl, C1-C3alkoxy, halogen, C1-C3alkoxy-C1- C3alkyl, C1-C3alkoxy-C1-C3alkoxy-C1-C3alkyl, (C1-C3alkyl)C(O), (C1-C3alkoxy)C(O), HC(O), C1- C3haloalkoxy or a 5-membered heteroaromatic ring wherein the 5-membered heteroaromatic ring can be optionally substituted with one to three substituents selected from C1-C3alkyl, C1- C3haloalkyl, C1-C3alkoxy, C3-C4cycloalkyl, halogen, CN or hydroxy; or B.
- R 5a is A. hydrogen, halogen, CN, C1-C3alkyl, C1-C3haloalkyl, C3-C4cycloalkyl, C1-C3alkoxy or C1- C3haloalkoxy; or B.
- R 5b is A.
- R 6 is A. phenyl, benzyl, heteroaryl, or C3-C6 cycloalkyl, each of which, independently of each other, is optionally substituted with one substituent selected from R x ; or B. phenyl, benzyl, cyclopropyl or cyclopropyl substituted with one substituent selected from R x .
- R x is independently selected from A. halogen, C1-C3haloalkyl, C1-C3alkoxy, C1-C3haloalkoxy or CN; or B. F, Cl, Br, OCF2H, OCH3 or CN.
- R Z is independently selected from A. oxo, halogen, C1-C3haloalkyl, C1-C3alkoxy, C1-C3haloalkoxy or CN; or B. oxo, F, Cl, Br, OCF2H, OCH3 or CN.
- R Y is independently selected from A.
- R YY is independently selected from A. hydrogen, C1-C3 alkyl, C1-C3 haloalkyl, C1-C3 alkoxy, C1-C3 haloalkoxy, halogen, CN and cyclopropyl; or B. hydrogen, C1-C3 alkyl, C1-C3 haloalkyl, C1-C3 alkoxy, C1-C3 haloalkoxy, halogen, and cyclopropyl; or C. hydrogen, C1-C3 alkyl, C1-C3 haloalkyl, and C1-C3 alkoxy; or D.
- compounds of formula I contain a stereogenic centre which is indicated with an asterisk in the structure below, where R 1 , R 2a , R 2b , R 3 , Q, A 1 , A 2 , A 3 , A 4 , and A 5 are as defined in the first aspect:
- the present invention contemplates both racemates and individual enantiomers. Compounds having preferred stereochemistry are set out below.
- Particularly preferred compounds of the present invention are compounds of formula I’a, where R 1 , R 2a , R 2b , R 3 , Q, A 1 , A 2 , A 3 , A 4 , and A 5 are as defined in the first aspect, and stereoisomers, enantiomers, tautomers and N-oxides of the compounds of formula (I’a), and agrochemically acceptable salts thereof.
- the present invention contemplates both E and Z diastereomers.
- the present invention accordingly, makes available a compound of formula (I) having the substituents R 1 , R 2a , R 2b , R 3 , Q, A 1 , A 2 , A 3 , A 4 , and A 5 as defined above in all combinations and each permutation.
- a compound of formula (I) with A 1 , A 2 and A 3 of embodiment C (i.e. A 1 , A 2 and A 3 are, independently from each other, N or CH); A 4 and A 5 of embodiment B (i.e. A 4 is CR YY , and A 5 is CH); R 1 of embodiment B (i.e.
- R 1 is hydrogen, C1-C6alkyl, C1-C6cyanoalkyl, aminocarbonylC1-C6alkyl, hydroxycarbonylC1-C6alkyl, C1-C6nitroalkyl, trimethylsilaneC1-C6alkyl, C1- C3alkoxy-C1-C6alkyl, C1–C6haloalkyl, C2-C6alkenyl, C2-C6haloalkenyl, C2-C6alkynyl, C2-C6haloalkynyl, C3-C4cycloalkylC1-C2alkyl-, benzyloxycarbonyl, or benzyl); R 2a of embodiment F (i.e.
- R 2a is hydrogen, halogen, C1-C3alkyl, C1-C3haloalkyl, C1-C3alkoxy, C1-C3haloalkoxy, cyclopropyl, cyclopropyl substituted with one to two substituents independently selected from halogen, methyl, and trifluoromethyl, cyclopropylcarbonyl, cyclopropylmethyl substituted with one to two substituents independently selected from oxo, halogen, and trifluoromethyl, or C1-C2alkylsulfanyl substituted with one to three halogens or C1-C2alkylsulfonyl substituted with one to three halogens); R 2b of embodiment B (i.e.
- R 2b is hydrogen, halogen, C3-C4cycloalkyl, cyclopropylcarbonyl, C3-C4cycloalkyl-C1-C2alkyl optionally substituted with one to two substituents selected from oxo, halogen, C1-C3alkyl and C1-C3haloalkyl, C1-C3haloalkyl, C1- C3haloalkysulfanyl, C1-C3haloalkysulfonyl, C1-C3alkoxy, C1-C3haloalkoxy, or CN); R 3 of embodiment A (i.e.
- R 3 is C1-C3alkyl or C1-C3haloalkyl); Q of embodiment A or B (i.e. Q is Q a or Q b ); Q a of embodiment B (i.e. Q a is selected from Q a -1, Q a -6, Q a -7, Q a -10, and Q a -15); Q b of embodiment B (i.e. Q b is Q b -1); R 4c of embodiment B (i.e.
- R 4c is hydrogen; C1-C3alkyl optionally substituted with a single substituent selected from cyano, -SCH3, -S(O)CH3, -SO2CH3 and -C(O)NR 4d R 4e ; C1-C3haloalkyl, allyl, propargyl, C3- C6cycloalkylC1-C4alkyl, C1-C2alkoxyC1-C3alkyl, -C(O)NR 4d R 4e ; isopropylideneamino, 1- methylpropylideneamino, 1-ethylpropylideneamino, cyclobutylideneamino, cyclopentylideneamino, cyclohexylideneamino, oxetan-3-ylideneamino, tetrahydrofuran-3-ylideneamino, tetrahydropyran-4- ylid
- R YY is independently selected from hydrogen, C1-C3 alkyl, C1-C3 haloalkyl, and C1-C3 alkoxy). Also made available is a compound of formula (I) with A 1 , A 2 and A 3 of embodiment D (i.e. A 1 , A 2 and A 3 are, independently from each other, N or CH, with the proviso that no more than two out of the three are N); A 4 and A 5 of embodiment E (i.e. A 4 and A 5 are both CH); R 1 of embodiment F (i.e.
- R 1 is hydrogen, C1-C3alkyl, C1-C3cyanoalkyl, C1-C3alkoxy-C1-C3alkyl, C1–C3haloalkyl, C2-C4alkenyl, C2- C 4 haloalkenyl, C 2 -C 4 alkynyl, C 2 -C 4 haloalkynyl, C 3 -C 4 cycloalkylC 1 -C 2 alkyl-, benzyloxycarbonyl, or benzyl); R 2a of embodiment J (i.e.
- R 2a is hydrogen, halogen, C3-C4cycloalkyl, C3-C4cycloalkylcarbonyl, C3-C4cycloalkyl-C1-C2alkyl optionally substituted with one to two substituents selected from oxo, halogen, C1-C3alkyl and C1-C3haloalkyl, C1-C3haloalkyl, C1-C3haloalkylsulfanyl, C1-C3haloalkysulfonyl, C 1 -C 3 alkoxy, C 1 -C 3 haloalkoxy, or CN); R 2b of embodiment F (i.e.
- R 2b is fluorine, chlorine, bromine, iodine, trifluoromethylsulfanyl, trifluoromethylsulfonyl or trifluoromethyl); R 3 of embodiment C (i.e. R 3 is methyl); Q of embodiment A (i.e. Q is Q a ); Q a of embodiment C (i.e. Q a is Q a -1 or Q a -15); R 4c of embodiment F (i.e.
- R 4c is hydrogen, C1-C3alkyl, cyclopropyl-C1-C2alkyl, cyclobutyl-C1-C2alkyl, isopropylideneamino, 1-methylpropylideneamino, 1-ethylpropylideneamino, cyclobutylideneamino, cyclopentylideneamino, cyclohexylideneamino, oxetan-3-ylideneamino, tetrahydrofuran-3- ylideneamino, tetrahydropyran-4-ylideneamino, pyrimidin-2-yl-methyl, 4-pyridinyl-methyl, where the pyridyl or pyrimidinyl is optionally substituted with 1 or 2 substituents independently selected from halogen, cyano, C 1 -C 3 alkyl, C 1 -C 3 haloalkyl,
- a compound of formula (I) with A 1 , A 2 and A 3 of embodiment (i.e.); A 4 and A 5 of embodiment E (i.e. A 4 and A 5 are both CH); R 1 of embodiment J (i.e. R 1 is hydrogen, methyl, or cyclopropyl-methyl); R 2a of embodiment O (i.e. R 2a is chlorine, bromine, iodine, trifluoromethylsulfonyl or trifluoromethyl); R 2b of embodiment G (i.e. R 2b is chlorine, bromine, iodine, trifluoromethylsulfonyl, or trifluoromethyl); R 3 of embodiment C (i.e.
- R 3 is methyl); Q of embodiment A (i.e. Q is Q a ); Q a of embodiment C (i.e. Q a is Q a -1 or Q a -15); R 4c of embodiment G (i.e. R 4c is C3-C4cycloalkylC1-C4alkyl, isopropylideneamino, 1-methylpropylideneamino, cyclobutylideneamino, cyclopentylideneamino, oxetan-3-ylideneamino, tetrahydrofuran-3-ylideneamino, pyrimidin-2-yl-methyl, 4-pyridinyl-methyl).
- a compound of formula (I) with A 1 , A 2 and A 3 of embodiment B (i.e. A 1 and A 3 are N, and A 2 is CR Y ); A 4 and A 5 of embodiment E (i.e. A 4 and A 5 are both CH); R 1 of embodiment G (i.e. R 1 is hydrogen, methyl, ethyl, cyanomethyl, methoxymethyl, cyclopropyl-methyl, allyl, propargyl, benzyloxycarbonyl, or benzyl); R 2a of embodiment L (i.e.
- R 2a is halogen, C1-C2fluoroalkyl, C1- C2fluoroalkylsulfanyl, C1-C2fluoroalkysulfonyl, or C1-C2fluoroalkoxy);
- R 2b of embodiment D i.e. R 2b is halogen, C1-C2haloalkyl, C1-C2haloalkylsulfanyl, C1-C2haloalkysulfonyl, or C1-C2haloalkoxy);
- R 3 of embodiment B i.e. R 3 is methyl or trifluoromethyl); Q of embodiment B (i.e. Q is Q b ); Q b of embodiment B (i.e.
- Q b is Q b -1);
- R 4c of embodiment H i.e. R 4c is hydrogen, methyl, ethyl, cyclopropylmethyl, oxetan- 3-ylideneamino, isopropylideneamino, or pyrimidin-2-ylmethyl);
- R Y of embodiment D i.e. R Y is selected from hydrogen, methyl, trifluoromethyl, and methoxy ).
- a compound of formula (I) with A 1 , A 2 and A 3 of embodiment G (i.e. A 1 and A 3 are N, and A 2 is CH); A 4 and A 5 of embodiment E (i.e. A 4 and A 5 are both CH); R 1 of embodiment J (i.e. R 1 is hydrogen, methyl, or cyclopropyl-methyl); R 2a of embodiment Q (i.e. R 2a is chlorine, or trifluoromethyl); R 2b of embodiment I (i.e. R 2b is chlorine, iodine, or trifluoromethyl); R 3 of embodiment C(i.e. R 3 is methyl); Q of embodiment A (i.e. Q is Q a ); Q a of embodiment D (i.e.
- R 4c of embodiment H i.e. R 4c is hydrogen, methyl, ethyl, cyclopropylmethyl, oxetan-3-ylideneamino, isopropylideneamino, or pyrimidin-2-ylmethyl.
- a 1 and A 3 are N, A 2 is CH; A 4 and A 5 are both CH; R 1 is hydrogen or methyl; R 2a is chlorine, bromine, iodine, or trifluoromethyl; R 2b is chlorine, bromine, iodine, difluoromethylsulfonyl, trifluoromethylsulfonyl, or trifluoromethyl; R 3 is methyl; Q is Q a -1 ;
- R 4 is ; and R 4c is hydrogen, Ci-Csalkyl, propargyl, allyl, cyanoCi-Csalkyl, -CH2C(O)NH2, C3-
- a 1 and A 3 are N, A 2 is CH; A 4 and A 5 are both CH; R 1 is hydrogen; R 2a is chlorine or trifluoromethyl; R 2b is chlorine or trifluoromethyl; R 3 is methyl; Q is Q a -1 ; R 4 is ; and R 4c is hydrogen, methyl, ethyl, propargyl, allyl, cyanomethyl,
- a 1 and A 3 are N, A 2 is CH; A 4 and A 5 are both CH; R 1 is hydrogen or methyl; R 2a is chlorine, bromine, iodine, or trifluoromethyl; R 2b is chlorine, bromine, iodine, difluoromethylsulfonyl, trifluoromethylsulfonyl, or trifluoromethyl; R 3 is methyl; Q is Q a -1 ; and R 4 is
- Compounds of the formula (I) can be made, for example, by reaction of a compound of the formula (II), wherein X 1 is a leaving group, such as a halogen or sulfonate, for instance chloride, and wherein T has the meaning given above, with a compound of formula (III), or a salt thereof (such as a hydrohalide salt, preferably a hydrochloride or a hydrobromide salt, or a trifluoroacetic acid salt, or any other equivalent salt), wherein R 1 , R 3 and Q have the same meaning as given above for compounds of the formula (I).
- X 1 is a leaving group, such as a halogen or sulfonate, for instance chloride
- T has the meaning given above
- a compound of formula (III) or a salt thereof (such as a hydrohalide salt, preferably a hydrochloride or a hydrobromide salt, or a trifluoroacetic acid salt, or any other equivalent salt)
- Such reactions can be conducted neat or in a solvent, preferably in a solvent, such as an organic solvent, for instance acetonitrile, tetra hydrofuran, 2-methyltetrahydrofuran, ethyl acetate, N,N-dimethylacetamide or N,N-dimethylformamide, in a temperature range of -100 to +300 °C, preferably between ambient temperature and 200 °C, with or without the presence of a catalyst, for instance a metal catalyst, such as a palladium complex, and with or without the addition of a base, such as an inorganic base, for instance sodium, potassium or cesium carbonate, or an organic base, such as, for example, triethylamine, diisopropylethylamine or pyridine.
- a solvent such as an organic solvent, for instance acetonitrile, tetra hydrofuran, 2-methyltetrahydrofuran, ethyl acetate, N,N-dimethylacet
- the reaction can be conducted neat or in a solvent, preferably in a solvent, such as an organic solvent, for instance acetonitrile, in a temperature range of -100 to +300 °C, preferably between ambient temperature and 200 °C, with or without the addition of a base, such as an inorganic base, for instance potassium carbonate, or an organic base, such as, for example, triethylamine.
- a solvent such as an organic solvent, for instance acetonitrile
- a base such as an inorganic base, for instance potassium carbonate
- an organic base such as, for example, triethylamine.
- This reaction is done in the presence of a reducing agent, such as for example hydrogen, or a hydride, such as sodium borohydride, with or without a catalyst, such as a hydrogenation catalyst, for example palladium on carbon, with or without the presence of an acid, such as acetic acid, or a Lewis acid, such as zinc bromide or titanium(IV) isopropoxide, in a solvent or without a solvent, such as, for instance, methanol.
- a reducing agent such as for example hydrogen
- a hydride such as sodium borohydride
- a catalyst such as a hydrogenation catalyst, for example palladium on carbon
- an acid such as acetic acid
- a Lewis acid such as zinc bromide or titanium(IV) isopropoxide
- compounds of formula (I) can be made, for example, by reaction of compound of the formula (IV), wherein T has the same meaning as given above in Scheme 1 , and R 1 has the same meaning as given above for compounds of the formula (I), with a compound of the formula (V), wherein R 3 and Q have the same meaning as given above for compounds of the formula (I), and X 2 is a leaving group, such as a halogen or sulfonate, for instance chloride or bromide.
- the reaction can be conducted neat or in a solvent, preferably in a solvent, such as an organic solvent, for instance acetonitrile, in a temperature range of -100 to +300 °C, preferably between ambient temperature and 200 °C, with or without the addition of a base, such as an inorganic base, for instance potassium carbonate, or an organic base, such as, for example, triethylamine.
- a solvent such as an organic solvent, for instance acetonitrile
- a base such as an inorganic base, for instance potassium carbonate
- organic base such as, for example, triethylamine.
- a compound of the formula (I) can be made by reaction of a compound of the formula (IVa), wherein T has the same meaning as given above in Scheme 1 , with a compound of the formula (VII), wherein R 3 and Q have the same meaning as given above for compounds of the formula (I).
- This reaction is done in the presence of a reducing agent, such as for example hydrogen, or a hydride, such as sodium borohydride, with or without a catalyst, such as a hydrogenation catalyst, for example palladium on carbon, with or without the presence of an acid, such as acetic acid, or a Lewis acid, such as zinc bromide, in a solvent or without a solvent, such as, for instance, methanol.
- the reaction can be conducted in a temperature range of -100 to +300 °C, preferably between ambient temperature and 200 °C.
- a temperature range of -100 to +300 °C preferably between ambient temperature and 200 °C.
- Compounds of formula (V) can be made, for example, as shown in scheme 4.
- a halogenating agent such as chlorine or bromine or N- bromosuccinimide, for example, gives compound of the formula (V), wherein the leaving group X 2 is a halogen, for instance chloride or bromide.
- This reaction is done with or without a solvent, preferably in a solvent, with or without an additive, such as a radical starter, such as, for example, benzoyl peroxide or azoisobutyronitrile.
- the reaction can be done with or without exposure to visible light, or to UV light, and it can be conducted in a temperature range of -100 to +300 °C, preferably between ambient temperature and 200 °C.
- a compound of the formula (VI I) can be treated with a reducing agent, followed by reaction with a sulfonyl chloride, for instance methanesulfonyl chloride, to give a compound of the formula (V), wherein the leaving group X 2 is a sulfonate, for instance a mesylate.
- This reaction can be done in a solvent, or without a solvent, in the presence of a base, such as an inorganic base, for instance potassium carbonate, or an organic base, such as an amine base, for instance trimethylamine, or without a base, and it can be conducted in a temperature range of -100 to +300 °C, preferably between ambient temperature and 200 °C.
- a suitable reducing agent could be, for example, hydrogen, or a hydride, such as sodium borohydride, with or without a catalyst, such as a hydrogenation catalyst, for example palladium on carbon, with or without the presence of an acid, such as acetic acid, or a Lewis acid, such as zinc bromide, in a solvent or without a solvent, such as, for instance, methanol.
- the reaction can be conducted in a temperature range of -100 to +300 °C, preferably between ambient temperature and 200 °C.
- Such methods for the halogenation, the reduction of carbonyl compounds and the sulfonylation of alcohols, and the range of conditions to perform them, are well known to a person skilled in the art.
- the compounds of the formula (VII) and the compounds of formula (VIII) are either known, or they can be prepared by methods known to a person skilled in the art.
- a leaving group such as a halogen or sulfonate, for instance a chloride, bromide, iodide or mesylate
- This reaction can be conducted neat or in a solvent, preferably in a solvent, such as an organic solvent, for instance acetonitrile, N,N-dimethylformamide (DMF) or N,N-dimethylacetamide (DMA), or mixtures thereof, in a temperature range of -100 to +300 °C, preferably between ambient temperature and 200 °C, with or without the addition of a base, such as an inorganic base, for instance sodium, potassium or cesium carbonate, or an organic base, such as, for example, triethylamine, diisopropylethylamine or pyridine.
- a solvent such as an organic solvent, for instance acetonitrile, N,N-dimethylformamide (DMF) or N,N-dimethylacetamide (DMA), or mixtures thereof
- a base such as an inorganic base, for instance sodium, potassium or cesium carbonate
- an organic base such as, for example, triethylamine, diisopropy
- the reaction can be conducted neat or in a solvent, preferably in a solvent, such as an organic solvent, for instance acetonitrile, tetrahydrofuran, 2- methyltetrahydrofuran, ethyl acetate, N,N-dimethylacetamide or N,N-dimethylformamide, in a temperature range of -100 to +300 °C, preferably between ambient temperature and 200 °C, with or without the presence of a catalyst, for instance a metal catalyst, such as a palladium complex, and with or without the addition of a base, such as an inorganic base, for instance sodium, potassium or cesium carbonate, or an organic base, such as, for example, triethylamine, diisopropylethylamine or pyridine.
- a solvent such as an organic solvent, for instance acetonitrile, tetrahydrofuran, 2- methyltetrahydrofuran, ethyl acetate, N,N-d
- This reaction can be conducted neat or in a solvent, preferably in a solvent, such as an organic solvent, for instance dichloromethane, tetrahydrofuran or dioxane, in a temperature range of -100 to +300 °C, preferably between ambient temperature and 100 °C, or between ambient temperature and 50 °C, without a base or in the presence of a base, such as an inorganic base, for instance sodium, potassium or cesium carbonate, or an organic base, such as, for example, triethylamine, diisopropylethylamine or pyridine.
- a solvent such as an organic solvent, for instance dichloromethane, tetrahydrofuran or dioxane
- a base such as an inorganic base, for instance sodium, potassium or cesium carbonate
- an organic base such as, for example, triethylamine, diisopropylethylamine or pyridine.
- This reaction can be conducted neat or in a solvent, preferably in a solvent, such as an organic solvent, for instance 1 ,4-dioxane, or acetic acid, or a mixture of 1 ,4-dioxane and acetic acid, in a temperature range of -100 to +300 °C, preferably between ambient temperature and 200 °C, or between ambient temperature and 80 °C.
- a solvent such as an organic solvent
- 1 ,4-dioxane for instance 1 ,4-dioxane, or acetic acid, or a mixture of 1 ,4-dioxane and acetic acid
- a temperature range of -100 to +300 °C preferably between ambient temperature and 200 °C, or between ambient temperature and 80 °C.
- the intermediate compounds of formula (X) and of formula (XI) can be used as crude products for the subsequent step, or they can be purified, for instance by chromatography, and used in purified form for
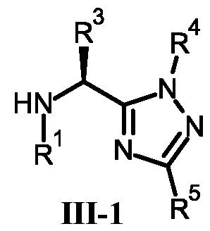
- Compounds of the formula Ik can be prepared by the reaction of an amine of the formula 111-1 , or a salt thereof wherein R 1 , R 3 , R 4 and R 5 are as described in formula (I), with a compound of the formula 11-1 wherein A 1 , A 2 , A 3 , A 4 , A 5 , R 2a and R 2b are as described in formula (I) and X 1 is a leaving group, such as a halogen or a sulfonate, for instance chloride, under conditions already described in Scheme 1 .
- the reaction can be carried out neat or in a solvent, such as for instance water, or alcohols such as methanol or ethanol, or methoxy cyclopentane, at temperatures between -100 °C and 200 °C, more commonly between 0 °C and 150 °C, such as, for example, at 100 °C, optionally under microwave conditions.
- a solvent such as for instance water, or alcohols such as methanol or ethanol, or methoxy cyclopentane
- compound of the formula (XV) in which R 4c has the same meaning as defined above for compounds of the formula (I), except that R 4c is different from hydrogen, and X 4 is a leaving group, such as for example a halogen, a sulfonate, Ci-C4-sulfanyl, Ci-C4-sulfinyl or Ci-C4-sulfonyl, can be made by treatment of compounds of the formula (XIV), in which X 4 and X 4 are, independently of each other, a leaving group, such as for example a halogen, a sulfonate, C1-C4- sulfanyl, Ci-C4-sulfinyl or Ci-C4-sulfonyl, with a reagent of the formula R 4c -OH, or a salt thereof, wherein R 4c has the same meaning as defined
- a base such as an inorganic base, for instance alkali metal carbonates such as sodium, potassium or cesium carbonate, or alkali metal hydrides such as sodium hydride, or alkali metal hydroxides such as sodium hydroxide and potassium hydroxide, or sodium or potassium tert-butoxide, or an organic base, such as, for
- Examples of salts of the compound of formula R 4c -OH include compounds of formula R 4c -O-M, wherein R 4c has the same meaning as defined above for compounds of the formula (I), except that R 4c is different from hydrogen, and wherein M is, for example, sodium or potassium.
- Alcohols R 4c -OH may be used as solvent when preparing compounds of the formula (XV) with such a reagent of the formula R 4c -O-M, as described for example in J. Org. Chem. 1995, 60, 748-750.
- This invention covers all such tautomers and mixtures thereof in all proportions.
- the reaction can be done in the presence of a catalyst, such as a metal catalyst, for instance a palladium catalyst, for example palladium acetate, and in the presence of a ligand, such as a phosphine ligand, for example 2-dicyclohexyl-phosphino-2',4',6'-triisopropylbiphenyl (XPhos).
- a catalyst such as a metal catalyst, for instance a palladium catalyst, for example palladium acetate
- a ligand such as a phosphine ligand, for example 2-dicyclohexyl-phosphino-2',4',6'-triisopropylbiphenyl (XPhos).
- a base such as an alkoxide or a carboxylate base, for instance potassium acetate.
- the reaction can be done neat or in a solvent, for instance in dioxane or toluene as a solvent, at a temperature between -100 °C and 200 °C, more commonly between 0 °C and 150 °C, such as, for example, at 100 °C.
- a solvent for instance in dioxane or toluene as a solvent, at a temperature between -100 °C and 200 °C, more commonly between 0 °C and 150 °C, such as, for example, at 100 °C.
- Compounds of the formula Ig can be prepared by the reaction of an amine of the formula 111-2, or a salt thereof wherein R 1 , R 3 , R 4 , R 5a and R 5b are as described in formula (I) with a compound of the formula 11-1 wherein A 1 , A 2 , A 3 , A 4 , A 5 , R 2a and R 2b are as described in formula (I) and X 1 is a leaving group, such as a halogen or a sulfonate, for instance chloride, under analogous conditions already described in Scheme 1 .
- the reaction can be done in the presence of a catalyst, such as a palladium catalyst, for instance 1 ,1 '-bis(diphenylphosphino)ferrocene]palladium(ll) dichloride (PdChdppf), in the presence of a base, such as a carbonate base, for example cesium carbonate CS2CO3, or such as a carboxylate base, for instance potassium acetate.
- a catalyst such as a palladium catalyst, for instance 1 ,1 '-bis(diphenylphosphino)ferrocene]palladium(ll) dichloride (PdChdppf)
- a base such as a carbonate base, for example cesium carbonate CS2CO3, or such as a carboxylate base, for instance potassium acetate.
- the reaction can be done neat or in a solvent, for instance in dioxane as a solvent, at a temperature between -100 °C and 200 °C, more commonly between 0
- the anion X- is the conjugate base of an acid, such as an inorganic acid, for instance hydrochloric acid, hydrobromic acid, hydrogen fluoride, hydrogen iodide, sulfuric acid, or the like, or of an organic acid, such as a carboxylic acid or a sulfonic acid, for instance trifluoroacetic acid, or methane sulfonic acid, or para-toluene sulfonic acid.
- an acid such as an inorganic acid, for instance hydrochloric acid, hydrobromic acid, hydrogen fluoride, hydrogen iodide, sulfuric acid, or the like
- an organic acid such as a carboxylic acid or a sulfonic acid, for instance trifluoroacetic acid, or methane sulfonic acid, or para-toluene sulfonic acid.
- Compounds of the formula (XXI), wherein R 3 and R 4c are as defined for compounds of the formula (I) and X- is an anion as defined above, can be made from compounds of the formula (XX), wherein R 3 and R 4c are as defined for compounds of the formula (I), by treatment with an acid, such as the acids listed above.
- the reaction can be done neat or in a solvent, for instance an organic solvent, such as in methanol, CPME, tetrahydrofuran, 2-methyltetrahydrofuran, dichloromethane or in dioxane, or in an inorganic solvent, such as in water, or in a mixture of such solvents.
- the reaction can be done in a temperature range between -100 °C and 200 °C, more commonly between 0 °C and 150 °C, such as, for example, at ambient temperature.
- the reaction can be performed in the presence or in the absence of a drying agent, such as for example in the presence of molecular sieves, at a temperature between -100 °C and 200 °C, more commonly between 0 °C and 150 °C, such as, for example, at 80 °C.
- a drying agent such as for example in the presence of molecular sieves
- compounds of the formula (XXI), wherein R 3 and R 4c are as defined for compounds of the formula (I) and X- is an anion as defined above can be made from compounds of the formula (XXIV) described below, wherein R 3 has the same meaning as given above for compounds of the formula (I) and X- is an anion as defined above, and in which X 6 is a leaving group, such as a halogen or sulfonate, for instance a chloride, bromide, iodide or mesylate, by reaction with a reagent of the formula R 4c -OH, or a salt thereof R 4c -O-M, wherein R 4c has the same meaning as defined above for compounds of the formula (I) and M has the same meaning as given above in Scheme 7, under analogous conditions already described above in Scheme 7 (transformation XIV into XV).
- XXIV is a leaving group, such as a halogen or sulfonate, for instance a chloride,
- compounds of the formula (le) may be prepared from compounds of the formula (XXV) by involving the same chemistry as described above, but by changing the order of the steps: i .e. by running the sequence (XXV) + (VI) to (XXVI), wherein T has the same meaning as given above in Scheme 1 , and wherein R 1 and R 3 have the same meaning as given above for compounds of the formula (I), except that R 1 is different from hydrogen, and in which X 6 is a leaving group, such as a halogen or sulfonate, for instance a chloride, bromide, iodide or mesylate, followed by reacting (XXVI) with R 4c -OH (alternatively R 4c -O-M) to form compounds (le).
- R 4c -OH alternatively R 4c -O-M
- compounds of the formula (XX), wherein R 3 and R 4c are as defined for compounds of the formula (I) can be made from compounds of the formula (XXIII), wherein R 3 has the same meaning as given above for compounds of the formula (I), and in which X 6 is a leaving group, such as a halogen or sulfonate, for instance a chloride, bromide, iodide or mesylate, by reaction with a reagent of the formula R 4c -OH, or a salt thereof R 4c -O-M, wherein R 4c has the same meaning as defined above for compounds of the formula (I) and M has the same meaning as given above in Scheme 7, under analogous conditions already described above in Scheme 7 (transformation XIV into XV).
- XXIII wherein R 3 has the same meaning as given above for compounds of the formula (I)
- X 6 is a leaving group, such as a halogen or sulfonate, for instance a chloride, bromide
- compounds of the formula (XX-1), or a tautomer thereof may be prepared by hydrolysis of compounds of the formula (XXIII), for example under aqueous basic conditions, such as an aqueous sodium or potassium hydroxide solution, at temperatures between 0 and 100 °C, preferably between room temperature and 80 °C, as described, for example, in Bulletin of the Korean Chemical Society (1989), 10(6), 614-17.
- aqueous basic conditions such as an aqueous sodium or potassium hydroxide solution
- the compound of formula (XII-1) or a tautomer thereof, or a salt thereof can be made by reaction of compounds of the formula (XV-1) or a tautomer thereof, a subset of compounds of formula (XV), wherein X 4 is a leaving group, such as for example a halogen, for instance chloride, bromide or iodide, with hydrazine or with hydrazine hydrate, or salts thereof, under analogous conditions already described above in Scheme 7 (transformation XV into XII), or alternatively according to descriptions found, for example, in Bulletin of the Korean Chemical Society (1989), 10(6), 614-17.
- a leaving group such as for example a halogen, for instance chloride, bromide or iodide
- compounds of the formula (XV-1), or a tautomer thereof may be prepared by hydrolysis of compounds of the formula (XIV), under analogous conditions already described above in the present Scheme 12 (transformation XXIII into XX-1).
- This invention covers all such tautomers and mixtures thereof in all proportions.
- such compounds of the formula (If), or tautomers (lf-1) thereof can be prepared by treating compounds of the formula (le-1), wherein T has the same meaning as given above in Scheme 1 , and wherein R 1 and R 3 have the same meaning as given above for compounds of the formula (I), and in which R 4c is Ci-Csalkyl, Ci-C2alkoxyCi-C3alkyl or benzyl optionally substituted with methoxy (preferably R 4c is methyl or ethyl), by treatment with a mineral acid (alternatively with a Lewis acid or with for example sodium ethanethiolate), such as for example a hydrohalic acid (preferably hydrochloric or hydrobromic acid), in a suitable inert solvent such as for example acetic acid, dioxane or the like, and at temperatures ranging from 0°C to 100°C, for instance between RT and 60°C, under conditions described for example in Chem. Rev. 1954, 54, 4, 615-685
- compounds of the formula (VI 1-1 ) a subset of compounds of formula (VII), wherein R 3 , R 4c , R 5a and R 5b have the same meaning as defined above for compounds of the formula (I)
- R 3 , R 4c , R 5a and R 5b have the same meaning as defined above for compounds of the formula (I)
- Scheme 14 Scheme 14
- R 3 , R 4c , R 5a and R 5b have the same meaning as defined above for compounds of the formula (I)
- Dess-Martin periodinane or similar hypervalent iodine reagents
- chlorinated solvents such as dichloromethane or chloroform
- compounds of the formula (XXVII), or a salt thereof such as a hydrohalide salt, preferably a hydrochloride or a hydrobromide salt, or a trifluoroacetic acid salt, or any other equivalent salt
- R 3 , R 4c , R 5a and R 5b have the same meaning as defined above for compounds of the formula (I)
- Scheme 14 from compounds of the formula (XXX), wherein R 3 , R 4c , R 5a and R 5b have the same meaning as defined above for compounds of the formula (I) and Z3 is -NPhth (N- phthalimide group) or -NB0C2 (N-bis(tert-butyloxycarbonyl) group), typically by treatment with either hydrazine (preferably hydrazine hydrate or hydrazine monohydrate) in an alcohol solvent such as ethanol or isopropanol (Z3 is -NPhth), or with an acid such as trifluoroace
- Such a reaction involves treating compounds of the formula (XXXI) with an azodicarboxylate, such as diethyl azodicarboxylate or diisopropyl azodicarboxylate, in the presence of a phosphine, such as triphenylphosphine or tributylphosphine, and of an amine such as phthalimide (HNPhth) or bis(tert- butoxycarbonyl)amine (HNB0C2). Mitsunobu reactions (and conditions to perform them) are known by those skilled in the art and described for instance in Chem. Rev. 2009, 109, 2551-2651 .
- an azodicarboxylate such as diethyl azodicarboxylate or diisopropyl azodicarboxylate
- a phosphine such as triphenylphosphine or tributylphosphine
- an amine such as phthalimide (HNPhth) or bis(tert
- the reaction can be done in a temperature range of -10°C to 80°C, for instance between 0°C and 30°C.
- deprotection reactions are known to a person skilled in the art, and described in the literature, for instance in: Protective Groups in Organic Synthesis, 3rd Edition Theodora W. Green (The Rowland Institute for Science) and Peter G. M. Wuts (Pharmacia and Upjohn Company). John Wiley & Sons, Inc., New York, NY. 1999, ISBN 0-471-16019-9.
- compounds of the formula (XXXI), wherein R 3 , R 4c , R 5a and R 5b have the same meaning as defined above for compounds of the formula (I) may be made by reduction of compounds of the formula (VII-1) described above (Scheme 13), a subset of compounds of formula (VII), wherein R 3 , R 4c , R 5a and R 5b have the same meaning as defined above for compounds of the formula (I), for example with sodium borohydride NaBFU, under conditions known known to a person skilled in the art (see for example WO2012/082997, p. 141), preferably in MeOH as solvent.
- the lithium- or magnesium species thus generated can be transmetalated, for instance with a zinc halide, for example zinc chloride, and subsequently coupled with compounds of the formula (XV), wherein R 4c has the same meaning as defined above for compounds of the formula (I), except that R 4c is different from hydrogen, and X 4 is a leaving group, such as a halogen, for example a bromide or iodide, in the presence of a catalyst, for instance a palladium catalyst, for example tris(dibenzylideneacetone)dipalladium(0), and of a ligand, for instance a phosphine ligand, such as for example tri(2-furyl)phosphine, in an inert solvent, such as for example tetrahydrofuran.
- a catalyst for instance a palladium catalyst, for example tris(dibenzylideneacetone)dipalladium(0)
- a ligand for instance a phosphine ligand
- the reaction can be done in a temperature range of -100°C to 100°C, for instance between -78°C and 80°C.
- This transformation is known to a person skilled in the art, for instance as Negishi cross-coupling reaction, and described in the literature, for example in: Jie Jack Li, Name Reactions, A Collection of Detailed Mechanisms and Synthetic Applications, Springer, ISBN: 978-3-030- 50865-4.
- the reaction can be done in a temperature range of 0°C to 100°C, for instance between 10°C and 80°C.
- Such silylation reactions are known to a person skilled in the art, and described in the literature, such as for example in: Protective Groups in Organic Synthesis, 3rd Edition Theodora W. Green (The Rowland Institute for Science) and Peter G. M. Wuts (Pharmacia and Upjohn Company). John Wiley & Sons, Inc., New York, NY.1999, ISBN 0-471-16019-9.
- This reaction can be done neat or in a solvent, for instance in an organic solvent, such as for example in tetrahydrofuran as a solvent.
- the reaction can be done in a temperature range of -100°C to 100°C, for instance between -80°C and 0°C, for example at 0°C or at -78°C.
- any of the compounds of the formula (XXI), (XXI-1) (substituents as defined in Scheme 10), formula (XXI-2) (substituents as defined in Scheme 12), and formula (XXVII) (substituents as defined in Schemes 13/14), or (where applicable) a salt thereof, or (where applicable) a free base thereof, represent a particular subset of compounds of the formula (III) defined above in Scheme 1 , hence can be used according to descriptions outlined in said Scheme 1 for the preparation of compounds of the formula (I).
- such sulfone compounds of formula (XLIIIa) can be obtained by means of an oxidation reaction of either the corresponding sulfide compounds of formula (XLIIIb) or the sulfoxide compounds of formula (XLIIIb-1) involving reagents such as, for example, m- chloroperoxybenzoic acid (mCPBA), hydrogen peroxide, potassium peroxymonosulfate (oxone ®), sodium periodate, sodium hypochlorite or tert-butyl hypochlorite, amongst other oxidants, and optionally in the presence of a catalyst, such as ruthenium chloride, sodium tungstate or iron-, manganese-, cobalt- and vanadium-based catalysts.
- reagents such as, for example, m- chloroperoxybenzoic acid (mCPBA), hydrogen peroxide, potassium peroxymonosulfate (oxone ®), sodium periodate, sodium hypochlorite or tert-but
- This oxidation reaction is generally conducted in the presence of a solvent such as, for example, aliphatic halogenated hydrocarbons (for instance dichloromethane, chloroform or carbon tetrachloride), esters (for instance ethyl acetate), alcohols (for instance methanol or ethanol), acetonitrile, acetic acid or water; or mixtures thereof.
- a solvent such as, for example, aliphatic halogenated hydrocarbons (for instance dichloromethane, chloroform or carbon tetrachloride), esters (for instance ethyl acetate), alcohols (for instance methanol or ethanol), acetonitrile, acetic acid or water; or mixtures thereof.
- a solvent such as, for example, aliphatic halogenated hydrocarbons (for instance dichloromethane, chloroform or carbon tetrachloride), esters (for instance ethyl acetate), alcohols (for instance methanol
- the amount of the oxidant to be used in the reaction is generally 1 to 3 moles, preferably 1 to 1 .2 moles, relative to 1 mole of the sulfide compounds (XLIIIb) to produce the sulfoxide compounds (XLIIIb-1), and preferably 2 to 2.2 moles of oxidant, relative to 1 mole of the sulfide compounds (XLIIIb) to produce the sulfone compounds (XLIIIa).
- compounds of formula (XLIIIb) may be obtained by treatment of compounds of formula (XLIIId) with a difluoromethylsulfinate reagent, in the presence of an oxidant, as described for example in J. Fluor. Chem., 193, 113-117; 2017.
- compounds of the formula (XLIIId), wherein R 2a , A 4 and A 5 are as described in formula (I) above may be obtained by treatment of compounds of the formula (XLIIIc), wherein R 2a , A 4 and A 5 are as described in formula (I), and in which R 2b is iodo or bromo, with sodium or potassium sulfide, alternatively sodium or potassium hydrosulfide, optionally as a hydrate salt, in an appropriate solvent like for example N,N-dimethylformamide, N-methyl-2-pyrrolidone (NMP) or ethanol, at temperatures between room temperature and the boiling point of the solvent, as described for example in Bioorg. Med. Chem. Lett. 23(13), 3947-3953; 2013 or WO12/088190.
- NMP N-methyl-2-pyrrolidone
- THP protection of (XLIIIc) to generate (XLIIIf), wherein PG1 is tetrahydropyranyl (THP) can be achieved by treatment with 3,4-dihydro-2H-pyran, in the presence of a Lewis acid such as trifluoroacetic acid, in an inert solvent such as dimethylsulfoxide, toluene or dioxane, and at temperatures between room temperature and the boiling point of the reaction mixture.
- a Lewis acid such as trifluoroacetic acid
- Deprotection of (XLIIIh), wherein PG1 is tetrahydropyranyl (THP), can be achieved by treatment with for instance p-methoxybenzenesulfonic acid or p-toluenesulfonic acid (PTSA), optionally as a hydrate salt, in an alcohol solvent such as methanol or ethanol, optionally in the presence of a co-solvent such as tetra hydrofuran, 2- methyltetrahydrofuran or dioxane, and at temperatures between 0 and 80°C, preferably around room temperature.
- PTSA p-methoxybenzenesulfonic acid
- PTSA p-toluenesulfonic acid
- compounds of the formula (XLIIIb-1), wherein R 2a , A 4 and A 5 are as described in formula (I), and in which Gr is difluoromethyl or trifluoromethyl may be obtained through deprotection of compounds of formula (XLIIIi-1), wherein R 2a , A 4 and A 5 are as described in formula (I), and in which Gr is difluoromethyl or trifluoromethyl and PG1 is a protective group, such as for example a tetrahydropyranyl (THP) or a tert-butyloxycarbonyl (Boc) group.
- THP tetrahydropyranyl
- Boc tert-butyloxycarbonyl
- the reactants can be reacted in the presence of a base.
- suitable bases are alkali metal or alkaline earth metal hydroxides, alkali metal or alkaline earth metal hydrides, alkali metal or alkaline earth metal amides, alkali metal or alkaline earth metal alkoxides, alkali metal or alkaline earth metal acetates, alkali metal or alkaline earth metal carbonates, alkali metal or alkaline earth metal dialkylamides or alkali metal or alkaline earth metal alkylsilylamides, alkylamines, alkylenediamines, free or N-alkylated saturated or unsaturated cycloalkylamines, basic heterocycles, ammonium hydroxides and carbocyclic amines.
- Examples which may be mentioned are sodium hydroxide, sodium hydride, sodium amide, sodium methoxide, sodium acetate, sodium carbonate, potassium tert-butoxide, potassium hydroxide, potassium carbonate, potassium hydride, lithium diisopropylamide, potassium bis(trimethylsilyl)amide, calcium hydride, triethylamine, diisopropylethylamine, triethylenediamine, cyclohexylamine, N-cyclohexyl-N,N- dimethylamine, N,N-diethylaniline, pyridine, 4-(N,N-dimethylamino)pyridine, quinuclidine, N- methylmorpholine, benzyltrimethylammonium hydroxide and 1 ,8-diazabicyclo[5.4.0]undec-7-ene (DBU).
- the reactants can be reacted with each other as such, i.e. without adding a solvent or diluent. In most cases, however, it is advantageous to add an inert solvent or diluent or a mixture of these. If the reaction is carried out in the presence of a base, bases which are employed in excess, such as triethylamine, pyridine, N-methylmorpholine or N,N-diethylaniline, may also act as solvents or diluents.
- the reactions are advantageously carried out in a temperature range from approximately -80°C to approximately +140°C, preferably from approximately -30°C to approximately +100°C, in many cases in the range between ambient temperature and approximately +80°C.
- Salts of compounds of formula (I) can be prepared in a manner known perse.
- acid addition salts of compounds of formula (I) are obtained by treatment with a suitable acid or a suitable ion exchanger reagent and salts with bases are obtained by treatment with a suitable base or with a suitable ion exchanger reagent.
- Salts of compounds of formula (I) can be converted in the customary manner into the free compounds of formula (I), acid addition salts, for example, by treatment with a suitable basic compound or with a suitable ion exchanger reagent and salts with bases, for example, by treatment with a suitable acid or with a suitable ion exchanger reagent.
- Salts of compounds of formula (I) can be converted in a manner known per se into other salts of compounds of formula (I), acid addition salts, for example, into other acid addition salts, for example by treatment of a salt of inorganic acid such as hydrochloride with a suitable metal salt such as a sodium, barium or silver salt, of an acid, for example with silver acetate, in a suitable solvent in which an inorganic salt which forms, for example silver chloride, is insoluble and thus precipitates from the reaction mixture.
- a salt of inorganic acid such as hydrochloride
- a suitable metal salt such as a sodium, barium or silver salt
- the compounds of formula (I), which have salt-forming properties can be obtained in free form or in the form of salts.
- the compounds of formula (I) and, where appropriate, the tautomers thereof, in each case in free form or in salt form, can be present in the form of one of the isomers which are possible or as a mixture of these, for example in the form of pure isomers, such as antipodes and/or diastereomers, or as isomer mixtures, such as enantiomer mixtures, for example racemates, diastereomer mixtures or racemate mixtures, depending on the number, absolute and relative configuration of asymmetric carbon atoms which occur in the molecule and/or depending on the configuration of non-aromatic double bonds which occur in the molecule; the invention relates to the pure isomers and also to all isomer mixtures which are possible and is to be understood in each case in this sense hereinabove and hereinbelow, even when stereochemical details are not mentioned specifically in each case.
- Diastereomer mixtures or racemate mixtures of compounds of formula (I), in free form or in salt form, which can be obtained depending on which starting materials and procedures have been chosen can be separated in a known manner into the pure diastereomers or racemates on the basis of the physicochemical differences of the components, for example by fractional crystallization, distillation and/or chromatography.
- Enantiomer mixtures such as racemates, which can be obtained in a similar manner can be resolved into the optical antipodes by known methods, for example by recrystallization from an optically active solvent, by chromatography on chiral adsorbents, for example high-performance liquid chromatography (HPLC) on acetyl cellulose, with the aid of suitable microorganisms, by cleavage with specific, immobilized enzymes, via the formation of inclusion compounds, for example using chiral crown ethers, where only one enantiomer is complexed, or by conversion into diastereomeric salts, for example by reacting a basic end-product racemate with an optically active acid, such as a carboxylic acid, for example camphor, tartaric or malic acid, or sulfonic acid, for example camphorsulfonic acid, and separating the diastereomer mixture which can be obtained in this manner, for example by fractional crystallization based on their differing solubilities, to give the di
- Pure diastereomers or enantiomers can be obtained according to the invention not only by separating suitable isomer mixtures, but also by generally known methods of diastereoselective or enantioselective synthesis, for example by carrying out the process according to the invention with starting materials of a suitable stereochemistry.
- N-oxides can be prepared by reacting a compound of the formula (I) with a suitable oxidizing agent, for example the H2 ⁇ D2/urea adduct in the presence of an acid anhydride, e.g. trifluoroacetic anhydride.
- a suitable oxidizing agent for example the H2 ⁇ D2/urea adduct
- an acid anhydride e.g. trifluoroacetic anhydride.
- the compounds of formula (I) and, where appropriate, the tautomers thereof, in each case in free form or in salt form, can, if appropriate, also be obtained in the form of hydrates and/or include other solvents, for example those which may have been used for the crystallization of compounds which are present in solid form.
- Table A-1 provides 23 compounds A-1 .001 to A-1 .023 of formula l-A wherein R 1 is H, R 3 is CH3, R 4c is H and T are as defined in table Z.
- Table A-2 provides 23 compounds A-2.001 to A-2.023 of formula l-A wherein R 1 is H, R 3 is CH3, R 4c is CH3 and T are as defined in table Z.
- Table A-3 provides 23 compounds A-3.001 to A-3.023 of formula l-A wherein R 1 is H, R 3 is CH3, R 4c is CH2CH3 and T are as defined in table Z.
- Table A-4 provides 23 compounds A-4.001 to A-4.023 of formula l-A wherein R 1 is H, R 3 is
- R 4c is CH2-cyclopropyl and T are as defined in table Z.
- Table A-5 provides 23 compounds A-5.001 to A-5.023 of formula l-A wherein R 1 is H, R 3 is CH3, R 4c is isopropylideneamino and T are as defined in table Z.
- Table A-6 provides 23 compounds A-6.001 to A-6.023 of formula l-A wherein R 1 is H, R 3 is CH3, R 4c is pyrimidin-2-ylmethyl and T are as defined in table Z.
- Table A-7 provides 23 compounds A-7.001 to A-7.023 of formula l-A wherein R 1 is CH3, R 3 is CH3, R 4c is H and T are as defined in table Z.
- Table A-8 provides 23 compounds A-8.001 to A-8.023 of formula l-A wherein R 1 is CH3, R 3 is
- Table A-9 provides 23 compounds A-9.001 to A-9.023 of formula l-A wherein R 1 is CH3, R 3 is CH3, R 4c is CH2CH3 and T are as defined in table Z.
- Table A-10 provides 23 compounds A-10.001 to A-10.023 of formula l-A wherein R 1 is CH3, R 3 is CH3, R 4c is CH2-cyclopropyl and T are as defined in table Z.
- Table A-11 provides 23 compounds A-11 .001 to A-11 .023 of formula l-A wherein R 1 is CH3, R 3 is CH3, R 4c is isopropylideneamino and T are as defined in table Z.
- Table A-12 provides 23 compounds A-12.001 to A-12.023 of formula l-A wherein R 1 is CH3, R 3 is CH3, R 4c is pyrimidin-2-ylmethyl and T are as defined in table Z.
- Table A-13 provides 23 compounds A-13.001 to A-13.023 of formula l-A wherein R 1 is CH2- cyclopropyl, R 3 is CH3, R 4c is H and T are as defined in table Z.
- Table A-14 provides 23 compounds A-14.001 to A-14.023 of formula l-A wherein R 1 is CH2- cyclopropyl, R 3 is CH3, R 4c is CH3 and T are as defined in table Z.
- Table A-15 provides 23 compounds A-15.001 to A-15.023 of formula l-A wherein R 1 is CH2- cyclopropyl, R 3 is CH3, R 4c is CH2CH3 and T are as defined in table Z.
- Table A-16 provides 23 compounds A-16.001 to A-16.023 of formula l-A wherein R 1 is CH2- cyclopropyl, R 3 is CH3, R 4c is CH2-cyclopropyl and T are as defined in table Z.
- Table A-17 provides 23 compounds A-17.001 to A-17.023 of formula l-A wherein R 1 is CH2- cyclopropyl, R 3 is CH3, R 4c is isopropylideneamino and T are as defined in table Z.
- Table A-18 provides 23 compounds A-18.001 to A-18.023 of formula l-A wherein R 1 is CH2- cyclopropyl, R 3 is CH3, R 4c is pyrimidin-2-ylmethyl and T are as defined in table Z.
- compound A-18.014 is
- Table A-19 provides 23 compounds A-19.001 to A-19.023 of formula l-A wherein R 1 is H, R 3 is
- CH3, R 4c is allyl and T are as defined in table Z.
- Table A-20 provides 23 compounds A-20.001 to A-20.023 of formula l-A wherein R 1 is H, R 3 is
- R 4c is propargyl and T are as defined in table Z.
- Table A-21 provides 23 compounds A-21 .001 to A-21 .023 of formula l-A wherein R 1 is H, R 3 is CH3, R 4c is CH2CN and T are as defined in table Z.
- Table A-22 provides 23 compounds A-22.001 to A-22.023 of formula l-A wherein R 1 is H, R 3 is
- R 4c is CH2CH2CN and T are as defined in table Z.
- Table A-23 provides 23 compounds A-23.001 to A-23.023 of formula l-A wherein R 1 is H, R 3 is CH3, R 4c is benzyl and T are as defined in table Z.
- Table A-24 provides 23 compounds A-24.001 to A-24.023 of formula l-A wherein R 1 is H, R 3 is CH3, R 4c is CH2C(O)NH2 and T are as defined in table Z.
- Table B-1 provides 23 compounds B-1 .001 to B-1.023 of formula l-B wherein R 1 is H, R 3 is CH3, R 4c is H and T are as defined in table Z.
- Table B-2 provides 23 compounds B-2.001 to B-2.023 of formula l-B wherein R 1 is H, R 3 is CH3, R 4c is CH3 and T are as defined in table Z.
- Table B-4 provides 23 compounds B-4.001 to B-4.023 of formula l-B wherein R 1 is H, R 3 is CH3, R 4c is CH2-cyclopropyl and T are as defined in table Z.
- Table B-5 provides 23 compounds B-5.001 to B-5.023 of formula l-B wherein R 1 is H, R 3 is CH3, R 4c is isopropylideneamino and T are as defined in table Z.
- Table B-6 provides 23 compounds B-6.001 to B-6.023 of formula l-B wherein R 1 is H, R 3 is CH3, R 4c is pyrimidin-2-ylmethyl and T are as defined in table Z.
- Table B-8 provides 23 compounds B-8.001 to B-8.023 of formula l-B wherein R 1 is CH3, R 3 is CH3, R 4c is CH3 and T are as defined in table Z.
- Table B-9 provides 23 compounds B-9.001 to B-9.023 of formula l-B wherein R 1 is CH3, R 3 is CH3, R 4c is CH2CH3 and T are as defined in table Z.
- Table B-10 provides 23 compounds B-10.001 to B-10.023 of formula l-B wherein R 1 is CH3, R 3 is CH3, R 4c is CH2-cyclopropyl and T are as defined in table Z.
- Table B-11 provides 23 compounds B-11 .001 to B-11 .023 of formula l-B wherein R 1 is CH3, R 3 is CH3, R 4c is isopropylideneamino and T are as defined in table Z.
- Table B-12 provides 23 compounds B-12.001 to B-12.023 of formula l-B wherein R 1 is CH3, R 3 is CH3, R 4c is pyrimidin-2-ylmethyl and T are as defined in table Z.
- Table B-13 provides 23 compounds B-13.001 to B-13.023 of formula l-B wherein R 1 is CH2- cyclopropyl, R 3 is CH3, R 4c is H and T are as defined in table Z.
- Table B-14 provides 23 compounds B-14.001 to B-14.023 of formula l-B wherein R 1 is CH2- cyclopropyl, R 3 is CH3, R 4c is CH3 and T are as defined in table Z.
- Table B-15 provides 23 compounds B-15.001 to B-15.023 of formula l-B wherein R 1 is CH2- cyclopropyl, R 3 is CH3, R 4c is CH2CH3 and T are as defined in table Z.
- Table B-16 provides 23 compounds B-16.001 to B-16.023 of formula l-B wherein R 1 is CH2- cyclopropyl, R 3 is CH3, R 4c is CH2-cyclopropyl and T are as defined in table Z.
- Table B-17 provides 23 compounds B-17.001 to B-17.023 of formula l-B wherein R 1 is CH2- cyclopropyl, R 3 is CH3, R 4c is isopropylideneamino and T are as defined in table Z.
- Table B-18 provides 23 compounds B-18.001 to B-18.023 of formula l-B wherein R 1 is CH2- cyclopropyl, R 3 is CH3, R 4c is pyrimidin-2-ylmethyl and T are as defined in table Z.
- Table B-19 provides 23 compounds B-19.001 to B-19.023 of formula l-B wherein R 1 is H, R 3 is
- CH3, R 4c is allyl and T are as defined in table Z.
- Table B-20 provides 23 compounds B-20.001 to B-20.023 of formula l-B wherein R 1 is H, R 3 is CH3, R 4c is propargyl and T are as defined in table Z.
- Table B-21 provides 23 compounds B-21 .001 to B-21 .023 of formula l-B wherein R 1 is H, R 3 is CH3, R 4c is CH2CN and T are as defined in table Z.
- Table B-22 provides 23 compounds B-22.001 to B-22.023 of formula l-B wherein R 1 is H, R 3 is CH3, R 4c is CH2CH2CN and T are as defined in table Z.
- Table B-23 provides 23 compounds B-23.001 to B-23.023 of formula l-B wherein R 1 is H, R 3 is CH3, R 4c is benzyl and T are as defined in table Z.
- Table B-24 provides 23 compounds B-24.001 to B-24.023 of formula l-B wherein R 1 is H, R 3 is
- R 4c is CH2C(O)NH2 and T are as defined in table Z.
- a compound of formula XXVI-1 wherein T has the same meaning as given above in Scheme 1 , R 1 and R 3 have the same meaning as given above for compounds of the formula (I), and X 6 is a leaving group, such as a halogen or sulfonate, for instance a chlorine, bromine, iodine or mesylate preferably, where T is as defined in table Z above, R 1 is hydrogene or methyl, R 3 is methyl, and X 6 is chlorine; such as compounds of formula XXVI-1 -13 wherein R 1 , R 2a , R 2b , and R 3 , are as defined for compounds of the formula (I), and X 6 is a leaving group, such as a halogen or sulfonate, for instance chlorine, bromine, iodine or mesylate, preferably X 6 is chlorine.
- R 3 is methyl, R 4 is hydrogen or methyl, and X 6 is chlorine;
- the compounds of formula (I) according to the invention are preventively and/or curatively valuable active ingredients in the field of pest control, even at low rates of application, which have a very favorable biocidal spectrum and are well tolerated by warm-blooded species, fish and plants.
- the active ingredients according to the invention act against all or individual developmental stages of normally sensitive, but also resistant, animal pests, such as insects or representatives of the order Acarina.
- the insecticidal or acaricidal activity of the active ingredients according to the invention can manifest itself directly, i.e. in destruction of the pests, which takes place either immediately or only after some time has elapsed, for example during ecdysis, or indirectly, for example in a reduced oviposition and/or hatching rate.
- Examples of the above mentioned animal pests are: from the order Acarina, for example,
- Haematopinus spp. Linognathus spp., Pediculus spp., Pemphigus spp. and Phylloxera spp.; from the order Coleoptera, for example,
- Agriotes spp. Amphimallon majale, Anomala orientalis, Anthonomus spp., Aphodius spp, Astylus atromaculatus, Ataenius spp, Atomaria linearis, Chaetocnema tibialis, Cerotoma spp, Conoderus spp, Cosmopolites spp., Cotinis nitida, Curculio spp., Cyclocephala spp, Dermestes spp., Diabrotica spp., Diloboderus abderus, Epilachna spp., Eremnus spp., Heteronychus arator, Hypothenemus hampei, Lagria vilosa, Leptinotarsa decemlineata, Lissorhoptrus spp., Liogenys spp, Maecolaspis spp, Maladera castanea, Megas
- Acyrthosium pisum Adalges spp, Agalliana ensigera, Agonoscena targionii, Aleurodicus spp, Aleurocanthus spp, Aleurolobus barodensis, Aleurothrixus floccosus, Aleyrodes brassicae, Amarasca biguttula, Amritodus atkinsoni, Aonidiella spp., Aphididae, Aphis spp., Aspidiotus spp., Aulacorthum solani, Bactericera cockerelli, Bemisia spp, Brachycaudus spp, Brevicoryne brassicae, Cacopsylla spp, Cavariella aegopodii Scop., Ceroplaster spp., Chrysomphalus aonidium, Chrysomphalus dictyospermi, Cicadella spp, Cofana spec
- Coptotermes spp Corniternes cumulans, Incisitermes spp, Macrotermes spp, Mastotermes spp, Microtermes spp, Reticulitermes spp.; Solenopsis geminate from the order Lepidoptera, for example,
- Trichodectes spp. from the order Orthoptera, for example, Blatta spp., Blattella spp., Gryllotalpa spp., Leucophaea maderae, Locusta spp., Neocurtilla hexadactyla, Periplaneta spp. , Scapteriscus spp, and Schistocerca spp.; from the order Psocoptera, for example,
- Liposcelis spp. from the order Siphonaptera, for example,
- Calliothrips phaseoli Frankliniella spp., Heliothrips spp, Hercinothrips spp., Parthenothrips spp, Scirtothrips aurantii, Sericothrips variabilis, Taeniothrips spp., Thrips spp; from the order Thysanura, for example, Lepisma saccharina.
- the invention may also relate to a method of controlling damage to plant and parts thereof by plant parasitic nematodes (Endoparasitic-, Semiendoparasitic- and Ectoparasitic nematodes), especially plant parasitic nematodes such as root knot nematodes, Meloidogyne hapla, Meloidogyne incognita, Meloidogyne javanica, Meloidogyne arenaria and other Meloidogyne species; cyst-forming nematodes, Globodera rostochiensis and other Globodera species; Heterodera avenae, Heterodera glycines, Heterodera schachtii, Heterodera trifolii, and other Heterodera species; Seed gall nematodes, Anguina species; Stem and foliar nematodes, Aphelenchoides species; Sting nematodes, Belonolai
- the compounds of the invention may also have activity against the molluscs.
- Examples of which include, for example, Ampullariidae; Arion (A. ater, A. circumscriptus, A. hortensis, A. rufus); Bradybaenidae (Bradybaena fruticum); Cepaea (C. hortensis, C. Nemoralis); ochlodina; Deroceras (D. agrestis, D. empiricorum, D. laeve, D. reticulatum); Discus (D. rotundatus); Euomphalia; Galba (G. trunculata); Helicelia (H. itala, H.
- H. aperta Limax (L. cinereoniger, L. flavus, L. marginatus, L. maximus, L. tenellus); Lymnaea; Milax (M. gagates, M. marginatus, M. sowerbyi); Opeas; Pomacea (P. canaticulata); Vallonia and Zanitoides.
- the active ingredients according to the invention can be used for controlling, i.e. containing or destroying, pests of the abovementioned type which occur in particular on plants, especially on useful plants and ornamentals in agriculture, in horticulture and in forests, or on organs, such as fruits, flowers, foliage, stalks, tubers or roots, of such plants, and in some cases even plant organs which are formed at a later point in time remain protected against these pests.
- Suitable target crops are, in particular, cereals, such as wheat, barley, rye, oats, rice, maize or sorghum; beet, such as sugar or fodder beet; fruit, for example pomaceous fruit, stone fruit or soft fruit, such as apples, pears, plums, peaches, almonds, cherries or berries, for example strawberries, raspberries or blackberries; leguminous crops, such as beans, lentils, peas or soya; oil crops, such as oilseed rape, mustard, poppies, olives, sunflowers, coconut, castor, cocoa or ground nuts; cucurbits, such as pumpkins, cucumbers or melons; fibre plants, such as cotton, flax, hemp or jute; citrus fruit, such as oranges, lemons, grapefruit or tangerines; vegetables, such as spinach, lettuce, asparagus, cabbages, carrots, onions, tomatoes, potatoes or bell peppers; Lauraceae, such as avocado, Cinnamonium or camphor; and also tobacco, nuts,
- compositions and/or methods of the present invention may be also used on any ornamental and/or vegetable crops, including flowers, shrubs, broad-leaved trees and evergreens.
- the invention may be used on any of the following ornamental species: Ageratum spp., Alonsoa spp., Anemone spp., Anisodontea capsenisis, Anthemis spp., Antirrhinum spp., Aster spp., Begonia spp. (e.g. B. elatior, B. semperflorens, B. tubereux), Bougainvillea spp., Brachycome spp., Brassica spp.
- Ageratum spp. Ageratum spp., Alonsoa spp., Anemone spp., Anisodontea capsenisis, Anthemis spp., Antirrhinum spp., Aster spp., Begonia spp. (e.g. B. elatior, B. semperflorens, B. tubereux), Bougainvillea spp., Brachycome spp.
- Calceolaria spp. (ornamental), Calceolaria spp., Capsicum annuum, Catharanthus roseus, Canna spp., Centa urea spp., Chrysanthemum spp., Cineraria spp. (C.
- Coreopsis spp. Crassula coccinea, Cuphea ignea, Dahlia spp., Delphinium spp., Dicentra spectabilis, Dorotheantus spp., Eustoma grandiflorum, Forsythia spp., Fuchsia spp., Geranium gnaphalium, Gerbera spp., Gomphrena globosa, Heliotropium spp., Helianthus spp., Hibiscus spp., Hortensia spp., Hydrangea spp., Hypoestes phyllostachya, Impatiens spp. (/.
- Iresines spp. Kalanchoe spp., Lantana camara, Lavatera trimestris, Leonotis leonurus, Lilium spp., Mesembryanthemum spp., Mimulus spp., Monarda spp., Nemesia spp., Tagetes spp., Dianthus spp. (carnation), Canna spp., Oxalis spp., Bellis spp., Pelargonium spp. (P. peltatum, P. Zonale), Viola spp.
- the invention may be used on any of the following vegetable species: Allium spp. (A. sativum, A., cepa, A. oschaninii, A. Porrum, A. ascalonicum, A. fistulosum), Anthriscus cerefolium, Apium graveolus, Asparagus officinalis, Beta vulgarus, Brassica spp. (B. Oleracea, B. Pekinensis, B. rapa), Capsicum annuum, Cicer arietinum, Cichorium endivia, Cichorum spp. (C. intybus, C. endivia), Citrillus lanatus, Cucumis spp. (C. sativus, C.
- Preferred ornamental species include African violet, Begonia, Dahlia, Gerbera, Hydrangea, Verbena, Rosa, Kalanchoe, Poinsettia, Aster, Centaurea, Coreopsis, Delphinium, Monarda, Phlox, Rudbeckia, Sedum, Petunia, Viola, Impatiens, Geranium, Chrysanthemum, Ranunculus, Fuchsia, Salvia, Hortensia, rosemary, sage, St. Johnswort, mint, sweet pepper, tomato and cucumber.
- the active ingredients according to the invention are especially suitable for controlling Aphis craccivora, Diabrotica balteata, Heliothis virescens, Myzus persicae, Plutella xylostella and Spodoptera littoralis in cotton, vegetable, maize, rice and soya crops.
- the active ingredients according to the invention are further especially suitable for controlling Mamestra (preferably in vegetables), Cydia pomonella (preferably in apples), Empoasca (preferably in vegetables, vineyards), Leptinotarsa (preferably in potatos) and Chilo supressalis (preferably in rice).
- the compounds of formula (I) are particularly suitable for control of
- a pest of the order Hemiptera for example, one or more of the species Bemisia tabaci, Aphis craccivora, Myzus persicae, Rhopalosiphum padi, Nilaparvata lugens, and Euschistus heros (preferably in vegetables, soybeans, and sugarcane);
- a pest of the order Lepidoptera for example, one or more of the species Spodoptera littoralis, Spodoptera frugiperda, Plutella xylostella, Cnaphalocrocis medinalis, Cydia pomonella, Chrysodeixis includes, Chilo suppressalis, Elasmopalpus lignosellus, Pseudoplusia includens, and Tuta absoluta (preferably in vegetables and corn);
- Thysanoptera such as the family Thripidae, for example, one or more of Thrips tabaci and Frankliniella occidentalis (preferably in vegetables);
- soil pests such as of the order Coleoptera
- the species Diabrotica balteata, Agriotes spp. and Leptinotarsa decemlineata preferably in vegetables and corn.
- crops is to be understood as including also crop plants which have been so transformed by the use of recombinant DNA techniques that they are capable of synthesising one or more selectively acting toxins, such as are known, for example, from toxin-producing bacteria, especially those of the genus Bacillus.
- Toxins that can be expressed by such transgenic plants include, for example, insecticidal proteins, for example insecticidal proteins from Bacillus cereus or Bacillus popilliae; or insecticidal proteins from Bacillus thuringiensis, such as 8-endotoxins, e.g. CrylAb, CrylAc, Cry1 F, Cry1 Fa2, Cry2Ab, Cry3A, Cry3Bb1 or Cry9C, or vegetative insecticidal proteins (Vip), e.g. Vip1 , Vip2, Vip3 or Vip3A; or insecticidal proteins of bacteria colonising nematodes, for example Photorhabdus spp.
- insecticidal proteins for example insecticidal proteins from Bacillus cereus or Bacillus popilliae
- Bacillus thuringiensis such as 8-endotoxins, e.g. CrylAb, CrylAc, Cry1 F, Cry1 Fa2, Cry2Ab,
- Xenorhabdus spp. such as Photorhabdus luminescens, Xenorhabdus nematophilus
- toxins produced by animals such as scorpion toxins, arachnid toxins, wasp toxins and other insect-specific neurotoxins
- toxins produced by fungi such as Streptomycetes toxins, plant lectins, such as pea lectins, barley lectins or snowdrop lectins
- agglutinins proteinase inhibitors, such as trypsin inhibitors, serine protease inhibitors, patatin, cystatin, papain inhibitors
- steroid metabolism enzymes such as 3-hydroxysteroidoxidase, ecdysteroid-UDP-glycosyl-transferase, cholesterol oxidases, ec
- 8-endotoxins for example CrylAb, CrylAc, Cry1 F, Cry1 Fa2, Cry2Ab, Cry3A, Cry3Bb1 or Cry9C, or vegetative insecticidal proteins (Vip), for example Vip1 , Vip2, Vip3 or Vip3A, expressly also hybrid toxins, truncated toxins and modified toxins.
- Hybrid toxins are produced recombinantly by a new combination of different domains of those proteins (see, for example, WO 02/15701).
- Truncated toxins for example a truncated CrylAb, are known.
- modified toxins one or more amino acids of the naturally occurring toxin are replaced.
- amino acid replacements preferably non-naturally present protease recognition sequences are inserted into the toxin, such as, for example, in the case of Cry3A055, a cathepsin-G- recognition sequence is inserted into a Cry3A toxin (see WO 03/018810).
- Examples of such toxins or transgenic plants capable of synthesising such toxins are disclosed, for example, in EP-A-0 374 753, WO 93/07278, WO 95/34656, EP-A-0 427 529, EP-A-451 878 and WO 03/052073.
- Cryl-type deoxyribonucleic acids and their preparation are known, for example, from WO 95/34656, EP-A-0 367 474, EP-A-0 401 979 and WO 90/13651.
- the toxin contained in the transgenic plants imparts to the plants tolerance to harmful insects .
- Such insects can occur in any taxonomic group of insects, but are especially commonly found in the beetles (Coleoptera), two-winged insects (Diptera) and moths (Lepidoptera).
- Transgenic plants containing one or more genes that code for an insecticidal resistance and express one or more toxins are known and some of them are commercially available. Examples of such plants are: YieldGard® (maize variety that expresses a CrylAb toxin); YieldGard Rootworm® (maize variety that expresses a Cry3Bb1 toxin); YieldGard Plus® (maize variety that expresses a CrylAb and a Cry3Bb1 toxin); Starlink® (maize variety that expresses a Cry9C toxin); Herculex I® (maize variety that expresses a Cry1 Fa2 toxin and the enzyme phosphinothricine N-acetyltransferase (PAT) to achieve tolerance to the herbicide glufosinate ammonium); NuCOTN 33B® (cotton variety that expresses a CrylAc toxin); Bollgard I® (cotton variety that expresses a
- MIR604 Maize from Syngenta Seeds SAS, Chemin de I'Hobit 27, F-31 790 St. Sauveur, France, registration number C/FR/96/05/10. Maize which has been rendered insect-resistant by transgenic expression of a modified Cry3A toxin. This toxin is Cry3A055 modified by insertion of a cathepsin-G-protease recognition sequence. The preparation of such transgenic maize plants is described in WO 03/018810.
- MON 863 Maize from Monsanto Europe S.A. 270-272 Avenue de Tervuren, B-1150 Brussels, Belgium, registration number C/DE/02/9. MON 863 expresses a Cry3Bb1 toxin and has resistance to certain Coleoptera insects.
- NK603 x MON 810 Maize from Monsanto Europe S.A. 270-272 Avenue de Tervuren, B-1 150 Brussels, Belgium, registration number C/GB/02/M3/03. Consists of conventionally bred hybrid maize varieties by crossing the genetically modified varieties NK603 and MON 810.
- NK603 x MON 810 Maize transgenically expresses the protein CP4 EPSPS, obtained from Agrobacterium sp. strain CP4, which imparts tolerance to the herbicide Roundup® (contains glyphosate), and also a CrylAb toxin obtained from Bacillus thuringiensis subsp. kurstaki which brings about tolerance to certain Lepidoptera, include the European corn borer.
- crops is to be understood as including also crop plants which have been so transformed by the use of recombinant DNA techniques that they are capable of synthesising anti pathogenic substances having a selective action, such as, for example, the so-called “pathogenesis- related proteins” (PRPs, see e.g. EP-A-0 392 225).
- PRPs pathogenesis- related proteins
- Examples of such antipathogenic substances and transgenic plants capable of synthesising such antipathogenic substances are known, for example, from EP-A-0 392 225, WO 95/33818 and EP-A-0 353 191 .
- the methods of producing such transgenic plants are generally known to the person skilled in the art and are described, for example, in the publications mentioned above.
- Crops may also be modified for enhanced resistance to fungal (for example Fusarium, Anthracnose, or Phytophthora), bacterial (for example Pseudomonas) or viral (for example potato leafroll virus, tomato spotted wilt virus, cucumber mosaic virus) pathogens.
- fungal for example Fusarium, Anthracnose, or Phytophthora
- bacterial for example Pseudomonas
- viral for example potato leafroll virus, tomato spotted wilt virus, cucumber mosaic virus
- Crops also include those that have enhanced resistance to nematodes, such as the soybean cyst nematode.
- Crops that are tolerance to abiotic stress include those that have enhanced tolerance to drought, high salt, high temperature, chill, frost, or light radiation, for example through expression of NF-YB or other proteins known in the art.
- Antipathogenic substances which can be expressed by such transgenic plants include, for example, ion channel blockers, such as blockers for sodium and calcium channels, for example the viral KP1 , KP4 or KP6 toxins; stilbene synthases; bibenzyl synthases; chitinases; glucanases; the so-called “pathogenesis-related proteins” (PRPs; see e.g. EP-A-0 392 225); antipathogenic substances produced by microorganisms, for example peptide antibiotics or heterocyclic antibiotics (see e.g. WO 95/33818) or protein or polypeptide factors involved in plant pathogen defence (so-called “plant disease resistance genes”, as described in WO 03/000906).
- ion channel blockers such as blockers for sodium and calcium channels
- the viral KP1 , KP4 or KP6 toxins stilbene synthases; bibenzyl synthases; chitinases; glucanases; the so-called
- compositions according to the invention are the protection of stored goods and store rooms and the protection of raw materials, such as wood, textiles, floor coverings or buildings, and also in the hygiene sector, especially the protection of humans, domestic animals and productive livestock against pests of the mentioned type.
- the present invention provides a compound of the first aspect for use in therapy.
- the present invention provides a compound of the first aspect, for use in controlling parasites in or on an animal.
- the present invention further provides a compound of the first aspect, for use in controlling ectoparasites on an animal.
- the present invention further provides a compound of the first aspect, for use in preventing and/or treating diseases transmitted by ectoparasites.
- the present invention provides the use of a compound of the first aspect, for the manufacture of a medicament for controlling parasites in or on an animal.
- the present invention further provides the use of a compound of the first aspect, for the manufacture of a medicament for controlling ectoparasites on an animal.
- the present invention further provides the use of a compound of the first aspect, for the manufacture of a medicament for preventing and/or treating diseases transmitted by ectoparasites.
- the present invention provides the use of a compound of the first aspect, in controlling parasites in or on an animal.
- the present invention further provides the use of a compound of the first aspect , in controlling ectoparasites on an animal.
- controlling when used in context of parasites in or on an animal refers to reducing the number of pests or parasites, eliminating pests or parasites and/or preventing further pest or parasite infestation.
- treating when used in context of parasites in or on an animal refers to restraining, slowing, stopping or reversing the progression or severity of an existing symptom or disease.
- preventing when used in context of parasites in or on an animal refers to the avoidance of a symptom or disease developing in the animal.
- animal when used in context of parasites in or on an animal may refer to a mammal and a non-mammal, such as a bird or fish. In the case of a mammal, it may be a human or non-human mammal.
- Non-human mammals include, but are not limited to, livestock animals and companion animals.
- Livestock animals include, but are not limited to, cattle, camelids, pigs, sheep, goats and horses.
- Companion animals include, but are not limited to, dogs, cats and rabbits.
- a “parasite” is a pest which lives in or on the host animal and benefits by deriving nutrients at the host animal's expense.
- An “endoparasite” is a parasite which lives in the host animal.
- An “ectoparasite” is a parasite which lives on the host animal. Ectoparasites include, but are not limited to, acari, insects and crustaceans (e.g. sea lice).
- the Acari (or Acarina) sub-class comprises ticks and mites.
- Ticks include, but are not limited to, members of the following genera: Rhipicaphalus, for example, Rhipicaphalus (Boophilus) microplus and Rhipicephalus sanguineus; Amblyomrna; Dermacentor; Haemaphysalis; Hyalomma; Ixodes; Rhipicentor; Margaropus; Argas; Otobius; and Ornithodoros.
- Mites include, but are not limited to, members of the following genera: Chorioptes, for example Chorioptes bovis; Psoroptes, for example Psoroptes ovis; Cheyletiella; Dermanyssus; for example Dermanyssus gallinae; Ortnithonyssus; Demodex, for example Demodex canis; Sarcoptes, for example Sarcoptes scabiei; and Psorergates.
- Insects include, but are not limited to, members of the orders: Siphonaptera, Diptera, Phthiraptera, Lepidoptera, Coleoptera and Homoptera.
- Members of the Siphonaptera order include, but are not limited to, Ctenocephalides felis and Ctenocephatides canis.
- Members of the Diptera order include, but are not limited to, Musca spp.; bot fly, for example Gasterophilus intestinalis and Oestrus ovis; biting flies; horse flies, for example Haematopota spp. and Tabunus spp.; haematobia, for example haematobia irritans; Stomoxys; Lucilia; midges; and mosquitoes.
- Members of the Phthiraptera class include, but are not limited to, blood sucking lice and chewing lice, for example Bovicola Ovis and Bovicola Bovis.
- an effective amount when used in context of parasites in or on an animal refers to the amount or dose of the compound of the invention, or a salt thereof, which, upon single or multiple dose administration to the animal, provides the desired effect in or on the animal.
- the effective amount can be readily determined by the attending diagnostician, as one skilled in the art, by the use of known techniques and by observing results obtained under analogous circumstances.
- a number of factors are considered by the attending diagnostician, including, but not limited to: the species of mammal; its size, age, and general health; the parasite to be controlled and the degree of infestation; the specific disease or disorder involved; the degree of involvement or the severity of the disease or disorder; the response of the individual; the particular compound administered; the mode of administration; the bioavailability characteristics of the preparation administered; the dose regimen selected; the use of concomitant medication; and other relevant circumstances.
- the compounds of the invention may be administered to the animal by any route which has the desired effect including, but not limited to topically, orally, parenterally' and subcutaneously. Topical administration is preferred.
- Formulations suitable for topical administration include, for example, solutions, emulsions and suspensions and may take the form of a pour-on, spot-on, spray-on, spray race or dip.
- the compounds of the invention may be administered by means of an ear tag or collar.
- Salt forms of the compounds of the invention include both pharmaceutically acceptable salts and veterinary acceptable salts, which can be different to agrochemically acceptable salts.
- Pharmaceutically and veterinary acceptable salts and common methodology for preparing them are well known in the art. See, for example, Gould, P.L., “Salt selection for basic drugs”, International Journal of Pharmaceutics, 33: 201 -217 (1986); Bastin, R.J., et al. “Salt Selection and Optimization Procedures for Pharmaceutical New Chemical Entities”, Organic Process Research and Development, 4: 427-435 (2000); and Berge, S.M., et al., “Pharmaceutical Salts”, Journal of Pharmaceutical Sciences, 66: 1 -19, (1977).
- the present invention also provides a method for controlling pests (such as mosquitoes and other disease vectors; see also http://www.who.int/malaria/vector_control/irs/en/).
- the method for controlling pests comprises applying the compositions of the invention to the target pests, to their locus or to a surface or substrate by brushing, rolling, spraying, spreading or dipping.
- an IRS (indoor residual spraying) application of a surface such as a wall, ceiling or floor surface is contemplated by the method of the invention.
- the method for controlling such pests comprises applying a pesticidally effective amount of the compositions of the invention to the target pests, to their locus, or to a surface or substrate so as to provide effective residual pesticidal activity on the surface or substrate.
- a pesticidally effective amount of the compositions of the invention to the target pests, to their locus, or to a surface or substrate so as to provide effective residual pesticidal activity on the surface or substrate.
- Such application may be made by brushing, rolling, spraying, spreading or dipping the pesticidal composition of the invention.
- an IRS application of a surface such as a wall, ceiling or floor surface is contemplated by the method of the invention so as to provide effective residual pesticidal activity on the surface.
- it is contemplated to apply such compositions for residual control of pests on a substrate such as a fabric material in the form of (or which can be used in the manufacture of) netting, clothing, bedding, curtains and tents.
- Substrates including non-woven, fabrics or netting to be treated may be made of natural fibres such as cotton, raffia, jute, flax, sisal, hessian, or wool, or synthetic fibres such as polyamide, polyester, polypropylene, polyacrylonitrile or the like.
- the polyesters are particularly suitable.
- the methods of textile treatment are known, e.g. WO 2008/151984, WO 2003/034823, US 5631072, WO 2005/64072, W02006/128870, EP 1724392, WO 2005113886 or WO 2007/090739.
- compositions according to the invention are especially suitable against wood-boring insects from the order Lepidoptera as mentioned above and from the order Coleoptera, especially against woodborers listed in the following tables 1 and 2:
- Table 1 Examples of exotic woodborers of economic importance.
- the present invention may be also used to control any insect pests that may be present in turfgrass, including for example beetles, caterpillars, fire ants, ground pearls, millipedes, sow bugs, mites, mole crickets, scales, mealybugs, ticks, spittlebugs, southern chinch bugs and white grubs.
- the present invention may be used to control insect pests at various stages of their life cycle, including eggs, larvae, nymphs and adults.
- the present invention may be used to control insect pests that feed on the roots of turfgrass including white grubs (such as Cyclocephala spp. (e.g. masked chafer, C. lurida), Rhizotrogus spp. (e.g. European chafer, R. majalis), Cotinus spp. (e.g. Green June beetle, C. nitida), Popillia spp. (e.g. Japanese beetle, P. japonica), Phyllophaga spp. (e.g. May/June beetle), Ataenius spp. (e.g. Black turfgrass ataenius, A.
- white grubs such as Cyclocephala spp. (e.g. masked chafer, C. lurida), Rhizotrogus spp. (e.g. European chafer, R. majalis), Cotinus spp
- Maladera spp. e.g. Asiatic garden beetle, M. castanea
- Tomarus spp. ground pearls
- mole crickets tawny, southern, and short-winged; Scapteriscus spp., Gryllotalpa africana) and leatherjackets (European crane fly, Tipula spp.).
- the present invention may also be used to control insect pests of turfgrass that are thatch dwelling, including armyworms (such as fall armyworm Spodoptera frugiperda, and common armyworm Pseudaletia unipuncta), cutworms, billbugs (Sphenophorus spp., such as S. venatus verstitus and S. parvulus), and sod webworms (such as Crambus spp. and the tropical sod webworm, Herpetogramma phaeopteralis).
- armyworms such as fall armyworm Spodoptera frugiperda, and common armyworm Pseudaletia unipuncta
- cutworms such as S. venatus verstitus and S. parvulus
- sod webworms such as Crambus spp. and the tropical sod webworm, Herpetogramma phaeopteralis.
- the present invention may also be used to control insect pests of turfgrass that live above the ground and feed on the turfgrass leaves, including chinch bugs (such as southern chinch bugs, B/issus insu/aris), Bermudagrass mite (Eriophyes cynodoniensis), rhodesgrass mealybug (Antonina graminis), two-lined spittlebug (Propsapia bicincta), leafhoppers, cutworms (Noctuidae family), and greenbugs.
- chinch bugs such as southern chinch bugs, B/issus insu/aris
- Bermudagrass mite Eriophyes cynodoniensis
- rhodesgrass mealybug Antonina graminis
- two-lined spittlebug Propsapia bicincta
- the present invention may also be used to control other pests of turfgrass such as red imported fire ants (Solenopsis invicta) that create ant mounds in turf.
- red imported fire ants Solenopsis invicta
- compositions according to the invention are active against ectoparasites such as hard ticks, soft ticks, mange mites, harvest mites, flies (biting and licking), parasitic fly larvae, lice, hair lice, bird lice and fleas.
- ectoparasites such as hard ticks, soft ticks, mange mites, harvest mites, flies (biting and licking), parasitic fly larvae, lice, hair lice, bird lice and fleas.
- Anoplurida Haematopinus spp., Linognathus spp., Pediculus spp. and Phtirus spp., Solenopotes spp..
- Nematocerina and Brachycerina for example Aedes spp., Anopheles spp., Culex spp., Simulium spp., Eusimulium spp., Phlebotomus spp., Lutzomyia spp., Culicoides spp., Chrysops spp., Hybomitra spp., Atylotus spp., Tabanus spp., Haematopota spp., Philipomyia spp., Braula spp., Musca spp., Hydrotaea spp., Stomoxys spp., Haematobia spp., Morellia spp., Fannia spp., Glossina spp., Calliphora spp., Glossina spp., Calliphora spp., Glossina spp., Call
- Heteropterida for example Cimex spp., Triatoma spp., Rhodnius spp., Panstrongylus spp.,
- Actinedida Prostigmata
- Acaridida Acaridida
- Acarapis spp. Cheyletiella spp., Ornitrocheyletia spp., Myobia spp., Psorergatesspp., Demodex spp., Trombicula spp., Listrophorus spp., Acarus spp., Tyrophagus spp., Caloglyphus spp., Hypodectes spp., Pterolichus spp., Psoroptes spp., Chorioptes spp., Otodectes spp., Sarcoptes spp., Notoedres spp., Knemidocoptes spp., Cytodites spp. and Laminosioptes spp.
- compositions according to the invention are also suitable for protecting against insect infestation in the case of materials such as wood, textiles, plastics, adhesives, glues, paints, paper and card, leather, floor coverings and buildings.
- compositions according to the invention can be used, for example, against the following pests: beetles such as Hylotrupes bajulus, Chlorophorus pilosis, Anobium punctatum, Xestobium rufovillosum, Ptilinuspecticornis, Dendrobium pertinex, Ernobius mollis, Priobium carpini, Lyctus brunneus, Lyctus africanus, Lyctus planicollis, Lyctus linearis, Lyctus pubescens, Trogoxylon aequale, Minthesrugicollis, Xyleborus spec.,Tryptodendron spec., Apate monachus, Bostrychus capucins, Heterobostrychus brunneus, Sinoxylon spec, and Dinoderus minutus, and also hymenopterans such as Sirex juvencus, Urocerus gigas, Urocerus gigas taign
- the compounds of formulae (I), and (I’a), or salts thereof, are especially suitable for controlling one or more pests selected from the family: Noctuidae, Plutellidae, Chrysomelidae, Thripidae, Pentatomidae, Tortricidae, Delphacidae, Aphididae, Noctuidae, Crambidae, Meloidogynidae, and Heteroderidae.
- a compound TX controls one or more of pests selected from the family: Noctuidae, Plutellidae, Chrysomelidae, Thripidae, Pentatomidae, Tortricidae, Delphacidae, Aphididae, Noctuidae, Crambidae, Meloidogynidae, and Heteroderidae.
- the compounds of formulae (I), and (I’a), or salts thereof, are especially suitable for controlling one or more of pests selected from the genus: Spodoptera spp, Plutella spp, Frankliniella spp, Thrips spp, Euschistus spp, Cydia spp, Nilaparvata spp, Myzus spp, Aphis spp, Diabrotica spp, Rhopalosiphum spp, Pseudoplusia spp and Chilo spp.
- pests selected from the genus: Spodoptera spp, Plutella spp, Frankliniella spp, Thrips spp, Euschistus spp, Cydia spp, Nilaparvata spp, Myzus spp, Aphis spp, Diabrotica spp, Rhopalosiphum spp, Pseudoplusia
- a compound TX controls one or more of pests selected from the genus: Aphis spp., Chilo spp., Cydia spp., Diabrotica spp., Empoasca spp., Euschistus spp., Frankliniella spp., Leptinotarsa spp., Mamestra spp., Myzus spp., Nilaparvata spp., Plutella spp., Pseudoplusia spp., Rhopalosiphum spp., Spodoptera spp., and Thrips spp.
- the compounds of formulae (I), and (I’a), or salts thereof, are especially suitable for controlling one or more of Aphis craccivora, Chilo suppressalis, Chrysodeixis includens, Cydia pomonella, Diabrotica balteata, Euschistus heros, Frankliniella occidentalis, Myzus persicae, Nilaparvata lugens, Plutella xylostella, Pseudoplusia includens, Rhopalosiphum padi, Spodoptera littoralis, and Thrips tabaci.
- a compound TX controls one or more of Aphis craccivora, Chilo suppressalis, Chrysodeixis includens, Cydia pomonella, Diabrotica balteata, Euschistus heros, Frankliniella occidentalis, Myzus persicae, Nilaparvata lugens, Plutella xylostella, Pseudoplusia includens, Rhopalosiphum padi, Spodoptera littoralis, and Thrips tabaci; such as Aphis craccivora + TX, Chilo suppressalis + TX, Chrysodeixis includens + TX, Cydia pomonella + TX, Diabrotica balteata + TX, Euschistus heros + TX,
- one compound from Tables A-1 to A-24 and B-1 to B-24, and Table P is suitable for controlling Aphis craccivora, Chilo suppressalis, Chrysodeixis includens, Cydia pomonella, Diabrotica balteata, Euschistus heros, Frankliniella occidentalis, Myzus persicae, Nilaparvata lugens, Plutella xylostella, Pseudoplusia includens, Rhopalosiphum padi, Spodoptera littoralis, and Thrips tabaci, in cotton, vegetable, maize, cereal, rice and soya crops.
- one compound from Tables A-1 to A-24 and B-1 to B-24 and Table P is suitable for controlling Chilo supressalis (preferably in rice), Diabrotica balteata (preferably in vegetables, sucha as cucurbits or beans, soybean, potato, cereals such as maize, rice or wheat), Euschistus heros (preferably in soybean), Frankliniella occidentalis (preferably in vegetable, fruits, soybean, sunflower), Myzus persicae (preferably in potatoe, vegetables), Plutella xylostella (preferably in cotton, vegetables), Pseudoplusia includens (preferably in soy), Spodoptera littoralis (preferably in cotton).
- Chilo supressalis preferably in rice
- Diabrotica balteata preferably in vegetables, sucha as cucurbits or beans, soybean, potato, cereals such as maize, rice or wheat
- Euschistus heros preferably in soybean
- Frankliniella occidentalis preferably in vegetable, fruits, soybean, sunflower
- Myzus persicae
- Compounds according to the invention may possess any number of benefits including, inter alia, advantageous levels of biological activity for protecting plants against insects or superior properties for use as agrochemical active ingredients (for example, greater biological activity, an advantageous spectrum of activity, an increased safety profile (against non-target organisms above and below ground (such as fish, birds and bees), improved physico-chemical properties, or increased biodegradability).
- advantageous levels of biological activity for protecting plants against insects or superior properties for use as agrochemical active ingredients for example, greater biological activity, an advantageous spectrum of activity, an increased safety profile (against non-target organisms above and below ground (such as fish, birds and bees), improved physico-chemical properties, or increased biodegradability).
- certain compounds of formula (I) may show an advantageous safety profile with respect to non-target arthropods, in particular pollinators such as honey bees, solitary bees, and bumble bees.
- Apis mellifera is particularly, for example, Apis mellif
- the compounds according to the invention can be used as pesticidal agents in unmodified form, but they are generally formulated into compositions in various ways using formulation adjuvants, such as carriers, solvents and surface-active substances.
- formulation adjuvants such as carriers, solvents and surface-active substances.
- the formulations can be in various physical forms, e.g.
- Such formulations can either be used directly or diluted prior to use.
- the dilutions can be made, for example, with water, liquid fertilisers, micronutrients, biological organisms, oil or solvents.
- the formulations can be prepared e.g. by mixing the active ingredient with the formulation adjuvants in order to obtain compositions in the form of finely divided solids, granules, solutions, dispersions or emulsions.
- the active ingredients can also be formulated with other adjuvants, such as finely divided solids, mineral oils, oils of vegetable or animal origin, modified oils of vegetable or animal origin, organic solvents, water, surface-active substances or combinations thereof.
- the active ingredients can also be contained in very fine microcapsules.
- Microcapsules contain the active ingredients in a porous carrier. This enables the active ingredients to be released into the environment in controlled amounts (e.g. slow-release).
- Microcapsules usually have a diameter of from 0.1 to 500 microns. They contain active ingredients in an amount of about from 25 to 95 % by weight of the capsule weight.
- the active ingredients can be in the form of a monolithic solid, in the form of fine particles in solid or liquid dispersion or in the form of a suitable solution.
- the encapsulating membranes can comprise, for example, natural or synthetic rubbers, cellulose, styrene/butadiene copolymers, polyacrylonitrile, polyacrylate, polyesters, polyamides, polyureas, polyurethane or chemically modified polymers and starch xanthates or other polymers that are known to the person skilled in the art.
- very fine microcapsules can be formed in which the active ingredient is contained in the form of finely divided particles in a solid matrix of base substance, but the microcapsules are not themselves encapsulated.
- liquid carriers there may be used: water, toluene, xylene, petroleum ether, vegetable oils, acetone, methyl ethyl ketone, cyclohexanone, acid anhydrides, acetonitrile, acetophenone, amyl acetate, 2-butanone, butylene carbonate, chlorobenzene, cyclohexane, cyclohexanol, alkyl esters of acetic acid, diacetone alcohol, 1 ,2-dichloropropane, diethanolamine, p- diethylbenzene, diethylene glycol, diethylene glycol abietate, diethylene glycol butyl ether, diethylene glycol ethyl ether, diethylene glycol methyl ether, A/,A/-dimethylformamide, dimethyl sulfoxide, 1 ,4- dioxane, di
- Suitable solid carriers are, for example, talc, titanium dioxide, pyrophyllite clay, silica, attapulgite clay, kieselguhr, limestone, calcium carbonate, bentonite, calcium montmorillonite, cottonseed husks, wheat flour, soybean flour, pumice, wood flour, ground walnut shells, lignin and similar substances.
- a large number of surface-active substances can advantageously be used in both solid and liquid formulations, especially in those formulations which can be diluted with a carrier prior to use.
- Surface-active substances may be anionic, cationic, non-ionic or polymeric and they can be used as emulsifiers, wetting agents or suspending agents or for other purposes.
- Typical surface-active substances include, for example, salts of alkyl sulfates, such as diethanolammonium lauryl sulfate; salts of alkylarylsulfonates, such as calcium dodecylbenzenesulfonate; alkylphenol/alkylene oxide addition products, such as nonylphenol ethoxylate; alcohol/alkylene oxide addition products, such as tridecylalcohol ethoxylate; soaps, such as sodium stearate; salts of alkylnaphthalenesulfonates, such as sodium dibutylnaphthalenesulfonate; dialkyl esters of sulfosuccinate salts, such as sodium di(2- ethylhexyl)sulfosuccinate; sorbitol esters, such as sorbitol oleate; quaternary amines, such as lauryltrimethylammonium chloride, polyethylene glycol esters of
- Further adjuvants that can be used in pesticidal formulations include crystallisation inhibitors, viscosity modifiers, suspending agents, dyes, anti-oxidants, foaming agents, light absorbers, mixing auxiliaries, antifoams, complexing agents, neutralising or pH-modifying substances and buffers, corrosion inhibitors, fragrances, wetting agents, take-up enhancers, micronutrients, plasticisers, glidants, lubricants, dispersants, thickeners, antifreezes, microbicides, and liquid and solid fertilisers.
- compositions according to the invention can include an additive comprising an oil of vegetable or animal origin, a mineral oil, alkyl esters of such oils or mixtures of such oils and oil derivatives.
- the amount of oil additive in the composition according to the invention is generally from 0.01 to 10 %, based on the mixture to be applied.
- the oil additive can be added to a spray tank in the desired concentration after a spray mixture has been prepared.
- Preferred oil additives comprise mineral oils or an oil of vegetable origin, for example rapeseed oil, olive oil or sunflower oil, emulsified vegetable oil, alkyl esters of oils of vegetable origin, for example the methyl derivatives, or an oil of animal origin, such as fish oil or beef tallow.
- Preferred oil additives comprise alkyl esters of C8-C22 fatty acids, especially the methyl derivatives of C12-C18 fatty acids, for example the methyl esters of lauric acid, palmitic acid and oleic acid (methyl laurate, methyl palmitate and methyl oleate, respectively).
- Many oil derivatives are known from the Compendium of Herbicide Adjuvants, 10 th Edition, Southern Illinois University, 2010.
- inventive compositions generally comprise from 0.1 to 99 % by weight, especially from 0.1 to 95 % by weight, of compounds of the present invention and from 1 to 99.9 % by weight of a formulation adjuvant which preferably includes from 0 to 25 % by weight of a surface-active substance.
- a formulation adjuvant which preferably includes from 0 to 25 % by weight of a surface-active substance.
- commercial products may preferably be formulated as concentrates, the end user will normally employ dilute formulations.
- the rates of application vary within wide limits and depend on the nature of the soil, the method of application, the crop plant, the pest to be controlled, the prevailing climatic conditions, and other factors governed by the method of application, the time of application and the target crop.
- a general guideline compounds may be applied at a rate of from 1 to 2000 l/ha, especially from 10 to 1000 l/ha.
- Formulation types include an emulsion concentrate (EC), a suspension concentrate (SC), a suspo-emulsion (SE), a capsule suspension (CS), a water dispersible granule (WG), an emulsifiable granule (EG), an emulsion, water in oil (EG), an emulsion, oil in water (EW), a micro-emulsion (ME), an oil dispersion (OD), an oil miscible flowable (OF), an oil miscible liquid (OL), a soluble concentrate (SL), an ultra-low volume suspension (SU), an ultra-low volume liquid (UL), a technical concentrate (TK), a dispersible concentrate (DC), a wettable powder (WP), a soluble granule (SG) or any technically feasible formulation in combination with agriculturally acceptable adjuvants.
- EC emulsion concentrate
- SC suspension concentrate
- SE suspo-emulsion
- CS capsule suspension
- WG water dispersible granule
- EG
- Preferred formulations can have the following compositions (weight %):
- Emulsifiable concentrates active ingredient: 1 to 95 %, preferably 60 to 90 % surface-active agent: 1 to 30 %, preferably 5 to 20 % liquid carrier: 1 to 80 %, preferably 1 to 35 %
- Dusts active ingredient: 0.1 to 10 %, preferably 0.1 to 5 % solid carrier: 99.9 to 90 %, preferably 99.9 to 99 %
- Suspension concentrates active ingredient: 5 to 75 %, preferably 10 to 50 % water: 94 to 24 %, preferably 88 to 30 % surface-active agent: 1 to 40 %, preferably 2 to 30 %
- Wettable powders active ingredient: 0.5 to 90 %, preferably 1 to 80 % surface-active agent: 0.5 to 20 %, preferably 1 to 15 % solid carrier: 5 to 95 %, preferably 15 to 90 %
- Granules active ingredient: 0.1 to 30 %, preferably 0.1 to 15 % solid carrier: 99.5 to 70 %, preferably 97 to 85 %
- TX means “one compound selected from the compounds defined in the Tables A-1 to A-24 and B-1 to B-24 and Table P”):
- Israelensis + TX Bacillus thuringiensis subsp. Japonensis + TX, Bacillus thuringiensis subsp. Kurstaki + TX, Bacillus thuringiensis subsp. Tenebrionis + TX, Bacillus thuringiensis subspec.
- TX Muscodor roseus A3- 5 (NRRL Accession No. 30548) + TX, Myrothecium verrucaria composition + TX, nabam + TX, NC- 184 + TX, Neem tree based products + TX, Neodiprion sertifer NPV and N.
- lecontei NPV + TX nickel bis(dimethyldithiocarbamate) + TX, niclosamide + TX, niclosamide-olamine + TX, nicofluprole + TX, nitenpyram + TX, nithiazine + TX, nitrapyrin + TX, octadeca-2,13-dien-1-yl acetate + TX, octadeca- 3, 13-dien-1 -yl acetate + TX, octhilinone + TX, omethoate + TX, orfralure + TX, Orius spp.
- TX trifenmorph + TX, trifluenfuronate + TX, triflumezopyrim + TX, trimedlure + TX, trimedlure A + TX, trimedlure B1 + TX, trimedlure B2 + TX, trimedlure C + TX, trimethacarb + TX, triphenyltin acetate + TX, triphenyltin hydroxide + TX, trunc-call + TX, tyclopyrazoflor + TX, Typhlodromus occidentalis + TX, uredepa + TX, Verticillium lecanii + TX, Verticillium spp. + TX, xylenols + TX, YI-5302 + TX, zeatin + TX, zeta-Cypermethrin + TX;
- acridum + TX Metarhizium anisopliae var. anisopliae + TX, metarylpicoxamid + TX, metconazole + TX, metepa + TX, methacrifos + TX, methanesulfonyl fluoride + TX, methasulfocarb + TX, methiotepa + TX, methocrotophos + TX, methoprene + TX, methoquin-butyl + TX, methothrin + TX, methoxychlor + TX, methyl (Z)-2-(5-cyclohexyl-2-methyl-phenoxy)-3-methoxy-prop-2-enoate + TX, methyl (Z)-2-(5-cyclopentyl-2-methyl-phenoxy)-3-methoxy-prop-2-enoate (these compounds may be prepared from the methods described in W02020/193387) + TX, methyl (
- AdoxGV Adoxophyes orana granulovirus
- Bacillus subtilis strain AQ178 + TX Bacillus subtilis strain AQ153 + TX, Bacillus subtilis strain AQ743 + TX, Bacillus subtilis strain QST 713 (CEASE® + TX, Serenade® + TX, Rhapsody®) + TX, Bacillus subtilis strain QST 714 (JAZZ®) + TX, Bacillus subtilis strain QST3002 + TX, Bacillus subtilis strain QST3004 + TX, Bacillus subtilis var.
- amyloliquefaciens strain FZB24 (Taegro® + TX, Rhizopro®) + TX, Bacillus thuringiensis aizawai GC 91 (Agree®) + TX, Bacillus thuringiensis Cry 2Ae + TX, Bacillus thuringiensis Cry1 Ab + TX, Bacillus thuringiensis israelensis (BMP123® + TX, Aquabac® + TX, VectoBac®) + TX, Bacillus thuringiensis kurstaki (Javelin® + TX, Deliver® + TX, CryMax® + TX, Bonide® + TX, Scutella WP® + TX, Turilav WP ® + TX, Astuto® + TX, Dipel WP® + TX, Biobit® + TX, Foray®) + TX, Bacillus thuringiensis kurstaki BMP 123 (Baritone
- aizawai (XenTari® + TX, DiPei®) + TX, bacteria spp. (GROWMEND® + TX, GROWSWEET® + TX, Shootup®) + TX, bacteriophage of Clavipacter michiganensis (AgriPhage® + TX, Bakflor®) + TX, Beauveria bassiana (Beaugenic® + TX, Brocaril WP®) + TX, Beauveria bassiana GHA (Mycotrol ES® + TX, Mycotrol O® + TX, BotaniGuard®) + TX, Beauveria brongniartii (Engerlingspilz® + TX, Schweizer Beauveria® + TX, Melocont®) + TX, Beauveria spp.
- TX Botrytis cineria + TX, Bradyrhizobium japonicum (TerraMax®) + TX, Brevibacillus brevis + TX, Burkholderia cepacia (Deny® + TX, Intercept® + TX, Blue Circle®) + TX, Burkholderia gladii + TX, Burkholderia gladioli + TX, Burkholderia spp.
- TX Canadian thistle fungus (CBH Canadian Bioherbicide®) + TX, Candida butyri + TX, Candida famata + TX, Candida fructus + TX, Candida glabrata + TX, Candida guilliermondii + TX, Candida melibiosica + TX, Candida oleophila strain O + TX, Candida parapsilosis + TX, Candida pelliculosa + TX, Candida pulcherrima + TX, Candida reuêtii + TX, Candida saitoana (Bio-Coat® + TX, Biocure®) + TX, Candida sake + TX, Candida spp.
- TX Cladosporium tenuissimum + TX, Clonostachys rosea (EndoFine®) + TX, Colletotrichum acutatum + TX, Coniothyrium minitans (Cotans WG®) + TX, Coniothyrium spp.
- TX Filobasidium floriforme + TX, Fusarium acuminatum + TX, Fusarium chlamydosporum + TX, Fusarium oxysporum (Fusaclean® + TX, Biofox C®) + TX, Fusarium proliferatum + TX, Fusarium spp. + TX, Galactomyces geotrichum + TX, Gliocladium catenulatum (Primastop® + TX, Prestop®) + TX, Gliocladium roseum + TX, Gliocladium spp.
- TX Lagenidium giganteum (Laginex®) + TX, Lecanicillium lecanii (formerly known as Vertici Ilium lecanii (Mycotal®) conidia of strain KV01 (e.g. Vertalec® by Koppert/Arysta) + TX, Lecanicillium longisporum (Vertiblast®) + TX, Lecanicillium muscarium (Vertikil®) + TX, Lymantria Dispar nucleopolyhedrosis virus (Disparvirus®) + TX, Marinococcus halophilus + TX, Meira geulakonigii + TX, Metarhizium anisopliae (Destruxin WP®) + TX, Metarhizium anisopliae (Met52®) + TX, Metschnikowia fruticola (Shemer®) + TX, Metschnikowia pulcherrima + TX, Microdochium dimerum (Antibot®) +
- TX Pasteuria nishizawae in particular strain Pn1 (CLARIVA from Syngenta/ChemChina) + TX; + TX, Pasteuria spp. (Econem®) + TX, Penicillium aurantiogriseum + TX, Penicillium billai (Jumpstart® + TX, TagTeam®) + TX, Penicillium brevicompactum + TX, Penicillium frequentans + TX, Penicillium griseofulvum + TX, Penicillium purpurogenum + TX, Penicillium spp.
- TX Penicillium viridicatum + TX, Phlebiopsis gigantean (Rotstop®) + TX, phosphate solubilizing bacteria (Phosphomeal®) + TX, Phytophthora cryptogea + TX, Phytophthora palmivora (Devine®) + TX, Pichia anomala + TX, Pichia guilliermondii + TX, Pichia membranaefaciens + TX, Pichia onychis + TX, Pichia stipites + TX, Pseudomonas aeruginosa + TX, Pseudomonas aureofasciens (Spot-Less Biofungicide®) + TX, Pseudomonas cepacia + TX, Pseudomonas chlororaphis (AtEze®) + TX, Pseudomonas corrugate + TX, P
- TX Pseudomonas syringae (Bio-Save®) + TX, Pseudomonas viridiflava + TX, Pseudomonas fluorescens (Zequanox®) + TX, Pseudozyma flocculosa strain PF-A22 UL (Sporodex L®) + TX, Puccinia canaliculata + TX, Puccinia thlaspeos (Wood Warrior®) + TX, Pythium paroecandrum + TX, Pythium oligandrum (Polygandron® + TX, Polyversum®) + TX, Pythium periplocum + TX, Rhanella aquatilis + TX, Rhanella spp.
- Rhizobia Distal® + TX, Vault®
- Rhizoctonia + TX Rhodococcus globerulus strain AQ719 + TX, Rhodosporidium diobovatum + TX, Rhodosporidium toruloides + TX, Rhodotorula glutinis + TX, Rhodotorula graminis + TX, Rhodotorula mucilagnosa + TX, Rhodotorula rubra + TX, Rhodotorula spp.
- TX Saccharomyces cerevisiae + TX, Salinococcus roseus + TX, Sclerotinia minor + TX, Sclerotinia minor (SARRITOR®) + TX, Scytalidium spp. + TX, Scytalidium uredinicola + TX, Serratia marcescens + TX, Serratia plymuthica + TX, Serratia spp.
- TX Sordaria fimicola + TX, Spodoptera exigua nuclear polyhedrosis virus (Spod-X® + TX, Spexit®) + TX, Spodoptera littoralis nucleopolyhedrovirus (Littovir®) + TX, Sporobolomyces roseus + TX, Stenotrophomonas maltophilia + TX, Streptomyces hygroscopicus + TX, Streptomyces albaduncus + TX, Streptomyces exfoliates + TX, Streptomyces galbus + TX, Streptomyces griseoplanus + TX, Streptomyces griseoviridis (Mycostop®) + TX, Streptomyces lydicus (Actinovate®) + TX, Streptomyces lydicus WYEC-108 (ActinoGrow®) + TX, Streptomyces violaceus + TX, Tillet
- Trichoderma asperellum T34 Biocontrol®
- TX Trichoderma atroviride
- Trichoderma gamsii TX
- Trichoderma hamatum TH 382 + TX Trichoderma harzianum rifai (Mycostar®) + TX
- Trichoderma harzianum T-22 Trianum-P® + TX, Plantshield HC® + TX, RootShield® + TX, Trianum-G® + TX, Trichoderma harzianum T-39 (Trichodex®) + TX, Trichoderma inhamatum + TX, Trichoderma koningii + TX, Trichoderma lignorum + TX, Trichoderma longibrachiatum + TX, Trichoderma polysporum (Binab T®) + TX, Trichoderma spp.
- LC 52 (Sentinel®) + TX, Trichoderma taxi + TX, Trichoderma virens + TX, Trichoderma virens (formerly Gliocladium virens GL-21) (SoilGuard®) + TX, Trichoderma viride + TX, Trichoderma viride strain ICC 080 (Remedier®) + TX, Trichosporon pullulans + TX, Trichosporon spp. + TX, Trichothecium roseum + TX, Trichothecium spp.
- TX Typhula phacorrhiza strain 94671 + TX, Ulocladium atrum + TX, Ulocladium oudemansii (Botry-Zen®) + TX, Ustilago maydis + TX, various bacteria and supplementary micronutrients (Natural II®) + TX, various fungi (Millennium Microbes®) + TX, Vertici Ilium chlamydosporium + TX, Vip3Aa20 (VIPtera®) + TX, Virgibaclillus marismortui + TX, Xanthomonas campestris pv.
- TX Coccidoxenoides perminutus (Pianopar®) + TX, Coccophagus cowperi + TX, Coccophagus lycimnia + TX, Cotesia flavipes + TX, Cotesia plutellae + TX, Cryptolaemus montrouzieri (Cryptobug® + TX, Cryptoline®) + TX, Cybocephalus nipponicus + TX, Dacnusa sibirica (Minusa® + TX, DacDigline® + TX, Minex®) + TX, Delphastus catalinae (Delphastus®) + TX, Delphastus pusillus + TX, Diachasmimorpha krausii + TX, Diachasmimorpha longicaudata + TX, Diaparsis jucunda + TX, Diaphorencyrtus aligarhensis + TX, Diglyphus isaea (
- TX Steinernematid spp. (Guardian Nematodes®) + TX, Stethorus punctillum (Stethorus®) + TX, Tamarixia radiate + TX, Tetrastichus setifer + TX, Thripobius semiluteus + TX, Torymus sinensis + TX, Trichogramma brassicae (Tricholine b®) + TX, Trichogramma brassicae (Tricho-Strip®) + TX, Trichogramma evanescens + TX, Trichogramma minutum + TX, Trichogramma ostriniae + TX, Trichogramma platneri + TX, Trichogramma pretiosum + TX, Xanthopimpla stemmator + TX; abscisic acid + TX, Aminomite® + TX, BioGain® + TX, bioSea® + TX, Chondrostereum purpureum (Chontrol Paste®)
- Bacillus mojavensis strain R3B (Accession No. NCAIM (P) B001389) (WO 2013/034938) from Certis USA LLC + TX, Bacillus pumilus, in particular strain BU F-33, having NRRL Accession No. 50185 (CARTISSA® from BASF, EPA Reg. No. 71840-19) + TX, Bacillus subtilis CX-9060 from Certis USA LLC + TX, Bacillus sp., in particular strain D747 (available as DOUBLE NICKEL® from Kumiai Chemical Industry Co, Ltd.), having Accession No. FERM BP-8234, (U.S. Patent No.
- Bacillus subtilis strain BU1814 (VELONDIS® PLUS, VELONDIS® FLEX and VELONDIS® EXTRA from BASF SE) + TX
- Bacillus subtilis var. amyloliquefaciens strain FZB24 having Accession No. DSM 10271 (available from Novozymes as TAEGRO® or TAEGRO® ECO (EPA Registration No. 70127-5)) + TX
- Bacillus subtilis in particular strain QST713/AQ713 (having NRRL Accession No. B-21661 and described in U.S. Patent No.
- NRRL B-21856 (available as BLOOMTIME BIOLOGICALTM FD BIOPESTICIDE from Northwest Agri Products) + TX, Pseudomonas proradix (e.g. PRORADIX® from Sourcon Padena) + TX;
- Aureobasidium pullulans in particular blastospores of strain DSM14940 + TX, blastospores of strain DSM 14941 or mixtures of blastospores of strains DSM14940 and DSM14941 (e.g., BOTECTOR® and BLOSSOM PROTECT® from bio-ferm, CH) + TX, Pseudozyma aphidis (as disclosed in WO2011/151819 by Yissum Research Development Company of the Hebrew University of Jerusalem) + TX, Saccharomyces cerevisiae, in particular strains from Lesaffre et Compagnie (e..g CNCM No. 1-393, CNCM No. 1-3937, CNCM No.
- DSM 23117 (available as RHIZOVITAL® from ABiTEP, DE) + TX
- Bacillus amyloliquefaciens in particular strain D747 (available as Double NickelTM from Kumiai Chemical Industry Co., Ltd., having accession number FERM BP-8234, US Patent No. 7,094,592) + TX
- Bacillus licheniformis FMCH001 and Bacillus subtilis FMCH002 (QUARTZO® (WG) and PRESENCE® (WP) from FMC Corporation) + TX
- Bacillus licheniformis in particular strain SB3086, having Accession No.
- ATCC 55406, WO 2003/000051 available as ECOGUARD® Biofungicide and GREEN RELEAFTM from Novozymes
- TX Bacillus methylotrophicus strain BAC-9912 (from Chinese Academy of Sciences’ Institute of Applied Ecology) + TX
- Patent No. 5,061 ,495 + TX Bacillus subtilis strain Y1336 (available as BIOBAC® WP from Bion-Tech + TX, Taiwan + TX, registered as a biological fungicide in Taiwan under Registration Nos. 4764 + TX, 5454 + TX, 5096 and 5277) + TX, Bacillus subtilis var. amyloliquefaciens strain FZB24 having Accession No. DSM 10271 (available from Novozymes as TAEGRO® or TAEGRO® ECO (EPA Registration No.
- Trichoderma atroviride strain T11 (I Ml 352941 / CECT20498) + TX
- Ampelomyces quisqualis strain AQ10 having Accession No. CNCM 1-807 (e.g. AQ 10® by IntrachemBio, Italia) + TX
- Ampelomyces quisqualis in particular strain AQ 10 (e.g.
- BIOKUPRUMTM by AgriLife + TX
- Chaetomium globosum available as RIVADIOM® by Rivale
- TX Cladosporium cladosporioides
- strain H39 having Accession No. CBS122244, US 2010/0291039 (by Stichting Moowgrass Onderzoek) + TX
- Coniothyrium minitans in particular strain CON/M/91-8 (Accession No. DSM9660, e.g.
- Gliocladium roseum also known as Clonostachys rosea f rosea
- strain IK726 Jensen DF, et al. Development of a biocontrol agent for plant disease control with special emphasis on the near commercial fungal antagonist Clonostachys rosea strain ’IK726, Australasian Plant Pathol. 2007,36(2):95-101) + TX, Gliocladium roseum (also known as Clonostachys rosea f rosea), in particular strain 321 U from Adjuvants Plus, strain ACM941 as disclosed in Xue A.G.
- IMI 392151 e.g., BIO-TAMTM from Isagro USA, Inc. or BIODERMA® by Agrobiosol de Mexico, S.A.
- TX Saccharomyces cerevisiae, in particular strain LASO2 (from Agro-Levures et Derives) + TX, Simplicillium lanosoniveum strain T34 ((e.g. T34 Biocontrol by Biocontrol Technologies S.L., ES) or strain ICC 012 from Isagro, or strain WRL-076 (NRRL Y-30842), U.S. Patent No. 7,579,183) + TX, Talaromyces flavus, strain V117b + TX, Trichoderma asperelloides JM41 R (Accession No.
- NRRL B-50759 (TRICHO PLUS® from BASF SE) + TX, Trichoderma asperellum, in particular strain SKT-1 , having Accession No. FERM P-16510 (e.g. ECO-HOPE® from Kumiai Chemical Industry) + TX, Trichoderma asperellum, in particular strain kd (e.g. T-Gro from Andermatt Biocontrol) + TX, Trichoderma atroviride strain 77B (T77 from Andermatt Biocontrol) + TX, Trichoderma atroviride strain ATCC 20476 (IMI 206040) + TX, Trichoderma atroviride strain LC52 (e.g.
- Trichoderma atroviride strain LU132 e.g. Sentinel from Agrimm Technologies Limited
- TX Trichoderma atroviride strain NMI no. V08/002388 + TX
- Trichoderma atroviride strain NMI no. V08/002389 + TX Trichoderma atroviride strain NMI no. V08/002390 + TX
- Trichodex® from Makhteshim, US + TX, Trichoderma harzianum strain Cepa SimbT5 (from Simbiose Agro) + TX, + TX, Trichoderma harzianum strain DB 103 (available as T-GRO® 7456 by Dagutat Biolab) + TX, Trichoderma harzianum strain ITEM 908 (e.g. Trianum- P from Koppert) + TX, Trichoderma harzianum strain T-22 (e.g. Trianum-P from Andermatt Biocontrol or Koppert) + TX, Trichoderma harzianum strain TH35 (e.g.
- Trichoderma polysporum strain IMI 206039 e.g. Binab TF WP by BINAB Bio-Innovation AB + TX, Sweden
- Trichoderma stromaticum having Accession No. Ts3550 (e.g. Tricovab by CEPLAC, Brazil) + TX
- Trichoderma virens also known as Gliocladium virens
- strain GL-21 e.g. SoilGard by Certis, US
- Trichoderma virens strain G-41 + TX formerly known as Gliocladium virens (Accession No.
- ATCC 20906 (e.g., ROOTSHIELD® PLUS WP and TURFSHIELD® PLUS WP from BioWorks, US) + TX, Trichoderma viride in particular strain B35 (Pietr et al. + TX, 1993 + TX, Zesz. Nauk. A R w Szczecinie 161 : 125-137) + TX, Trichoderma viride strain TV1 (e.g. Trianum-P by Koppert) + TX, Ulocladium oudemansii strain U3, having Accession No.
- NM 99/06216 e.g., BOTRY-ZEN® by Botry-Zen Ltd, New Zealand and BOTRYSTOP® from BioWorks, Inc.
- TX Vertici Ilium albo-atrum (formerly V. dahliae) strain WCS850 having Accession No.
- WCS850 deposited at the Central Bureau for Fungi Cultures (e.g., DUTCH TRIG® by Tree Care Innovations) + TX, Vertici Ilium chlamydosporium + TX; bacteria including a mixture of Azotobacter vinelandii and Clostridium pasteurianum (available as INVIGORATE® from Agrinos) + TX, a mixture of Bacillus licheniformis FMCH001 and Bacillus subtilis FMCH002 (available as QUARTZO® (WG), PRESENCE® (WP) from FMC Corporation), Azorhizobium caulinodans, in particular strain ZB-SK-5 + TX, Azospirillum brasilense (e.g., VIGOR® from KALO, Inc.) + TX, Azospirillum lipoferum (e.g., VERTEX-IFTM from TerraMax, Inc.) + TX, Azotobacter chroococcum, in particular strain H23
- NRRL B-5015 + TX
- Bacillus amyloliquefaciens in particular strain FZB42 e.g. RHIZOVITAL® from ABiTEP, DE
- Bacillus amyloliquefaciens in particular strain IN937a + TX Bacillus amyloliquefaciens pm414 (LOLI-PEPTA® from Biofilm Crop Protection) + TX
- Bacillus amyloliquefaciens SB3281 ATCC # PTA-7542 + TX, WO 2017/205258
- Bacillus amyloliquefaciens TJ1000 available as QUIKROOTS® from Novozymes
- Bacillus cereus family member EE128 NRRL No.
- BIOBOOST® from Brett Young Seeds + TX, Lactobacillus sp. (e.g. LACTOPLANT® from LactoPAFI) + TX, Mesorhizobium cicer (e.g., NODULATOR from BASF SE) + TX, Paenibacillus polymyxa in particular strain AC-1 (e.g. TOPSEED® from Green Biotech Company Ltd.) + TX, Pseudomonas aeruginosa in particular strain PN1 + TX, Pseudomonas proradix (e.g.
- Myrothecium verrucaria strain AARC-0255 e.g. DiTeraTM from Valent Biosciences
- Penicillium bilaii strain ATCC 22348 e.g. JumpStart® from Acceleron BioAg
- Penicillium bilaii strain ATCC ATCC20851 + TX Penicillium bilaii strain ATCC ATCC20851 + TX
- Purpureocillium lilacinum previously known as Paecilomyces lilacinus
- strain 251 AGAL 89/030550 + TX, e.g.
- the active ingredient mixture of the compounds of formula (I) selected from the compounds defined in the Tables A-1 to A-24 and B-1 to B-24, and Table P, with active ingredients described above comprises a compound selected from one compound defined in the Tables A-1 to A-24 and B-1 to B- 24, and Table P, and an active ingredient as described above preferably in a mixing ratio of from 100:1 to 1 :6000, especially from 50:1 to 1 :50, more especially in a ratio of from 20:1 to 1 :20, even more especially from 10:1 to 1 :10, very especially from 5:1 to 1 :5, special preference being given to a ratio of from 2:1 to 1 :2, and a ratio of from 4:1 to 2:1 being likewise preferred, above all in a ratio of 1 :1 , or 5:1 , or 5:2, or 5:3, or 5:4, or 4:1 , or 4:2, or 4:3, or 3:1 , or 3:2, or 2:1 , or 1 :5, or 2:5, or 3:5, or 4:5, or 1 :
- the compounds and mixtures as described above can be used in a method for controlling pests, which comprises applying a composition comprising a compound or mixture respectively as described above to the pests or their environment, with the exception of a method for treatment of the human or animal body by surgery or therapy and diagnostic methods practised on the human or animal body.
- the mixtures comprising a compound of formula (I) selected from the compounds defined in the Tables A-1 to A-24 and B-1 to B-24, and Table P, and one or more active ingredients as described above can be applied, for example, in a single “ready-mix” form, in a combined spray mixture composed from separate formulations of the single active ingredient components, such as a “tank-mix”, and in a combined use of the single active ingredients when applied in a sequential manner, i.e. one after the other with a reasonably short period, such as a few hours or days.
- the order of applying the compounds of formula (I) and the active ingredients as described above is not essential for working the present invention.
- compositions according to the invention can also comprise further solid or liquid auxiliaries, such as stabilizers, for example unepoxidized or epoxidized vegetable oils (for example epoxidized coconut oil, rapeseed oil or soya oil), antifoams, for example silicone oil, preservatives, viscosity regulators, binders and/or tackifiers, fertilizers or other active ingredients for achieving specific effects, for example bactericides, fungicides, nematocides, plant activators, molluscicides or herbicides.
- auxiliaries such as stabilizers, for example unepoxidized or epoxidized vegetable oils (for example epoxidized coconut oil, rapeseed oil or soya oil), antifoams, for example silicone oil, preservatives, viscosity regulators, binders and/or tackifiers, fertilizers or other active ingredients for achieving specific effects, for example bactericides, fungicides, nematocides
- compositions according to the invention are prepared in a manner known per se, in the absence of auxiliaries for example by grinding, screening and/or compressing a solid active ingredient and in the presence of at least one auxiliary for example by intimately mixing and/or grinding the active ingredient with the auxiliary (auxiliaries).
- auxiliaries for example by grinding, screening and/or compressing a solid active ingredient and in the presence of at least one auxiliary for example by intimately mixing and/or grinding the active ingredient with the auxiliary (auxiliaries).
- compositions that is the methods of controlling pests of the abovementioned type, such as spraying, atomizing, dusting, brushing on, dressing, scattering or pouring - which are to be selected to suit the intended aims of the prevailing circumstances - and the use of the compositions for controlling pests of the abovementioned type are other subjects of the invention .
- Typical rates of concentration are between 0.1 and 1000 ppm, preferably between 0.1 and 500 ppm, of active ingredient.
- the rate of application per hectare is generally 1 to 2000 g of active ingredient per hectare, in particular 10 to 1000 g/ha, preferably 10 to 600 g/ha.
- a preferred method of application in the field of crop protection is application to the foliage of the plants (foliar application), it being possible to select frequency and rate of application to match the danger of infestation with the pest in question.
- the active ingredient can reach the plants via the root system (systemic action), by drenching the locus of the plants with a liquid composition or by incorporating the active ingredient in solid form into the locus of the plants, for example into the soil, for example in the form of granules (soil application). In the case of paddy rice crops, such granules can be metered into the flooded paddy-field.
- the compounds of formula (I) of the invention and compositions thereof are also suitable for the protection of plant propagation material, for example seeds, such as fruit, tubers or kernels, or nursery plants, against pests of the abovementioned type.
- the propagation material can be treated with the compound prior to planting, for example seed can be treated prior to sowing.
- the compound can be applied to seed kernels (coating), either by soaking the kernels in a liquid composition or by applying a layer of a solid composition. It is also possible to apply the compositions when the propagation material is planted to the site of application, for example into the seed furrow during drilling .
- These treatment methods for plant propagation material and the plant propagation material thus treated are further subjects of the invention.
- Typical treatment rates would depend on the plant and pest/fungi to be controlled and are generally between 1 to 200 grams per 100 kg of seeds, preferably between 5 to 150 grams per 100 kg of seeds, such as between 10 to 100 grams per 100 kg of seeds.
- seed embraces seeds and plant propagules of all kinds including but not limited to true seeds, seed pieces, suckers, corns, bulbs, fruit, tubers, grains, rhizomes, cuttings, cut shoots and the like and means in a preferred embodiment true seeds.
- the present invention also comprises seeds coated or treated with or containing a compound of formula (I).
- coated or treated with and/or containing generally signifies that the active ingredient is for the most part on the surface of the seed at the time of application, although a greater or lesser part of the ingredient may penetrate into the seed material, depending on the method of application.
- the seed product When the said seed product is (re)planted, it may absorb the active ingredient.
- the present invention makes available a plant propagation material adhered thereto with a compound of formula (I). Further, it is hereby made available, a composition comprising a plant propagation material treated with a compound of formula (I).
- Seed treatment comprises all suitable seed treatment techniques known in the art, such as seed dressing, seed coating, seed dusting, seed soaking and seed pelleting.
- the seed treatment application of the compound formula (I) can be carried out by any known methods, such as spraying or by dusting the seeds before sowing or during the sowing/planting of the seeds.
- the compounds of the invention can be distinguished from other similar compounds by virtue of greater efficacy at low application rates and/or different pest control, which can be verified by the person skilled in the art using the experimental procedures, using lower concentrations if necessary, for example 10 ppm, 5 ppm, 2 ppm, 1 ppm or 0.2 ppm; or lower application rates, such as 300, 200 or 100, mg of Al per m 2 .
- the greater efficacy can be observed by an increased safety profile (against non-target organisms above and below ground (such as fish, birds and bees), improved physico-chemical properties, or increased biodegradability).
- Wettable powders a) b) c) active ingredients 25 % 50 % 75 % sodium lignosulfonate 5 % 5 % sodium lauryl sulfate 3 % - 5 % sodium diisobutylnaphthalenesulfonate - 6 % 10 % phenol polyethylene glycol ether (7-8 mol of ethylene oxide) - 2 % highly dispersed silicic acid 5 % 10 % 10 % kaolin 62 % 27 %
- the combination is thoroughly mixed with the adjuvants and the mixture is thoroughly ground in a suitable mill, affording wettable powders that can be diluted with water to give suspensions of the desired concentration.
- Powders for dry seed treatment a) b) c) active ingredients 25 % 50 % 75 % light mineral oil 5 % 5 % 5 % highly dispersed silicic acid 5 % 5 % Powders for dry seed treatment a) b) c) kaolin 65 % 40 % talcum - 20 %
- the combination is thoroughly mixed with the adjuvants and the mixture is thoroughly ground in a suitable mill, affording powders that can be used directly for seed treatment.
- Emulsifiable concentrate active ingredients 10 % octylphenol polyethylene glycol ether (4-5 mol of ethylene oxide) 3 % calcium dodecylbenzenesulfonate 3 % castor oil polyglycol ether (35 mol of ethylene oxide) 4 % cyclohexanone 30 % xylene mixture 50 %
- Emulsions of any required dilution which can be used in plant protection, can be obtained from this concentrate by dilution with water.
- Dusts a) b) c) active ingredients 5 % 6 % 4 % talcum 95 % kaolin - 94 % mineral filler - - 96 %
- Ready-for-use dusts are obtained by mixing the combination with the carrier and grinding the mixture in a suitable mill. Such powders can also be used for dry dressings for seed.
- Extruder granules active ingredients 15 % sodium lignosulfonate 2 % carboxymethylcellulose 1 % kaolin 82 %
- the combination is mixed and ground with the adjuvants, and the mixture is moistened with water.
- the mixture is extruded and then dried in a stream of air.
- Coated granules active ingredients 8 % polyethylene glycol (mol. wt. 200) 3 % kaolin 89 %
- the finely ground combination is uniformly applied, in a mixer, to the kaolin moistened with polyethylene glycol.
- Non-dusty coated granules are obtained in this manner.
- Suspension concentrate active ingredients 40 % propylene glycol 10 % nonylphenol polyethylene glycol ether (15 mol of ethylene oxide) 6 % sodium lignosulfonate 10 % carboxymethylcellulose 1 % silicone oil (in the form of a 75 % emulsion in water) 1 % water 32 %
- the finely ground combination is intimately mixed with the adjuvants, giving a suspension concentrate from which suspensions of any desired dilution can be obtained by dilution with water.
- a suspension concentrate from which suspensions of any desired dilution can be obtained by dilution with water.
- living plants as well as plant propagation material can be treated and protected against infestation by microorganisms, by spraying, pouring or immersion.
- Flowable concentrate for seed treatment active ingredients 40 % propylene glycol 5 % copolymer butanol PO/EO 2 % tristyrenephenole with 10-20 moles EO 2 %
- the finely ground combination is intimately mixed with the adjuvants, giving a suspension concentrate from which suspensions of any desired dilution can be obtained by dilution with water.
- a suspension concentrate from which suspensions of any desired dilution can be obtained by dilution with water.
- living plants as well as plant propagation material can be treated and protected against infestation by microorganisms, by spraying, pouring or immersion.
- Spectra were recorded on a mass spectrometer from Agilent Technologies (6410 Triple Quadrupole mass spectrometer) equipped with an equipped with an electrospray source (Polarity: positive or negative ions, MS2 Scan, Capillary: 7.00 kV, Fragmentor: 120 V, Desolvatation Temperature: 350°C, Gas Flow: 1 1 L/min, Nebulizer Gas: 40 psi, Mass range: 110 to 650 Da) and a 1200 Series HPLC from Agilent: quaternary pump, heated column compartment and diode-array detector.
- Spectra were recorded on a mass spectrometer from Waters (SQD, SQDII Single quadrupole mass spectrometer) equipped with an electrospray source (Polarity: positive and negative ions, Capillary: 3.00 kV, Cone range: 41 V, Extractor: 2.00 V, Source Temperature: 150°C, Desolvatation Temperature: 5000°C, Cone Gas Flow: 50 L/h, Desolvatation Gas Flow: 1000 L/h, Mass range: 110 to 800 Da) and an Acquity UPLC from Waters: Binary pump, heated column compartment, diode-array detector and ELSD detector.
- Spectra were recorded on a mass spectrometer from Waters (SQD, SQDII or QDA Single quadrupole mass spectrometer) equipped with an electrospray source (Polarity: positive and negative ions), Capillary: 0.8-3.00 kV, Cone: 5-30 V, Source Temperature: 120-150°C, Desolvation Temperature: 350- 600°C, Cone Gas Flow: 50-150 l/h, Desolvation Gas Flow: 650-1000 l/h, Mass range: 50 to 900 Da and an Acquity UPLC from Waters Corporation: Binary pump, heated column compartment , diode-array detector and ELSD.
- Spectra were recorded on a Mass Spectrometer from Waters (SQD2 or QDA Single quadrupole mass spectrometer) equipped with an electrospray source (Polarity: Positive and Negative Polarity Switch), Capillary: 0.8-3.00 kV, Cone range: 25 Source Temperature: 120-150°C, Desolvation Temperature: 500-600°C, Cone Gas Flow: 50 L/h, Desolvation Gas Flow: 1000 L/h, Mass range: 110 to 850 Da) and an Acquity UPLC from Waters: Quaternary solvent manager, heated column compartment , diode-array detector.
- Spectra were recorded on a Mass Spectrometer from Waters (SQD2 or QDA Single quadrupole mass spectrometer) equipped with an electrospray source (Polarity: Positive and Negative Polarity Switch), Capillary: 0.8-3.00 kV, Cone range: 25 Source Temperature: 120-150°C, Desolvation Temperature: 500-600°C, Cone Gas Flow: 50 L/h, Desolvation Gas Flow: 1000 L/h, Mass range: 110 to 850 Da) and an Acquity UPLC from Waters: Quaternary solvent manager, heated column compartment , diodearray detector.
- Example 1 Preparation of 6-chloro-N-[(1 S)-1-[2-[6-(isopropylideneamino)oxypyridazin-3-yl]-1 ,2,4- triazol-3-yl]ethyl]-8-(trifluoromethyl)quinazolin-4-amine (compound P2)
- Step D Preparation of 6-chloro-N-[(1S)-1-[2-[6-(isopropylideneamino)oxypyridazin-3-yl]-1,2,4-triazol-3- yl]ethyl]-8-(trifluoromethyl)quinazolin-4-amine (compound P2)
- N,N-dimethylformamide 1.2 mL
- cesium carbonate 64 mg, 0.197 mmol
- propan-2-one oxime 14 mg, 0.197 mmol
- Example 2 Preparation of 6-chloro-N-[(1S)-1-[2-[6-(pyrimidin-2-ylmethoxy)pyridazin-3-yl]-1,2,4-triazol- 3-yl]ethyl]-8-(trifluoromethyl)quinazolin-4-amine (compound P6)
- pyrimidin-2-ylmethanol 73 mg, 0.65 mmol
- sodium hydride 60 mass% in oil, 33 mg, 0.83 mmol
- Example 3 Preparation of 6-chloro-N-[(1S)-1-[2-(6-ethoxypyridazin-3-yl)-1,2,4-triazol-3-yl]ethyl]-8- (trifluoromethyl)quinazolin-4-amine (compound P4)
- compound P4 To a solution of 6-chloro-N-[(1S)-1-[2-(6-chloropyridazin-3-yl)-1,2,4-triazol-3-yl]ethyl]-8- (trifluoromethyl)quinazolin-4-amine (I-3) (250 mg, 0.55 mmol) in ethanol (2.5 mL) was added potassium carbonate (230 mg, 1.648 mmol).
- Example 4 Preparation of 6-chloro-8-iodo-N-[(1S)-1-[2-(6-methoxypyridazin-3-yl)-1,2,4-triazol-3- yl]ethyl]quinazolin-4-amine (compound P8) (P8) Step A: Preparation of tert-butyl N-[(1S)-1-[2-(6-methoxypyridazin-3-yl)-1,2,4-triazol-3- yl]ethyl]carbamate (I-4) (I-4) To a solution of tert-butyl N-[(1S)-1-[2-(6-chloropyridazin-3-yl)-1,2,4-triazol-3-yl]ethyl]carbamate (I-1) (1.0 g, 2.93 mmol ) in methanol (10 mL) was added potassium carbonate (1.021 g, 7.31 mmol) and the
- Step B Preparation of [(1S)-1-[2-(6-methoxypyridazin-3-yl)-1,2,4-triazol-3-yl]ethyl]ammonium; 2,2,2- trifluoroacetate (I-5) (I-5)
- II-5 A mixture of tert-butyl N-[(1S)-1-[2-(6-methoxypyridazin-3-yl)-1,2,4-triazol-3-yl]ethyl]carbamate (I-4) (200 mg, 0.56 mmol) in 2,2,2-trifluoroacetic acid (2.5 mL) was stirred at room temperature for 3 h, then concentrated to dryness in vacuo.
- Step C Preparation of 6-chloro-8-iodo-N-[(1S)-1-[2-(6-methoxypyridazin-3-yl)-1,2,4-triazol-3- yl]ethyl]quinazolin-4-amine (compound P8) (P8) To a mixture of 4,6-dichloro-8-iodo-quinazoline (CAS 100949-33-5) (130 mg, 0.36 mmol, 90 mass%) and [(1S)-1-[2-(6-methoxypyridazin-3-yl)-1,2,4-triazol-3-yl]ethyl]ammonium; 2,2,2-trifluoroacetate (I-5) (120 mg, 0.36 mmol) in a microwave vial was added tetrahydrofuran (1.95 mL), followed by triethylamine (0.252 mL, 1.8 mmol).
- Example 6 Preparation of 3-[5-[(1S)-1-[(6-chloro-8-iodo-quinazolin-4-yl)amino]ethyl]-1,2,4-triazol-1- yl]-1H-pyridazin-6-one (compound P11) 6-Chloro-8-iodo-N-[(1S)-1-[2-(6-methoxypyridazin-3-yl)-1,2,4-triazol-3-yl]ethyl]quinazolin-4-amine (P8) (250 mg, 0.47 mmol) was dissolved in hydrochloric acid (4M in dioxane) (2.334 mL, 9.34 mmol) at RT.
- hydrochloric acid (4M in dioxane
- Example 7 Preparation of 6-chloro-N-[(1S)-1-[2-(6-ethoxypyridazin-3-yl)-1,2,4-triazol-3-yl]ethyl]-N- methyl-8-(trifluoromethyl)quinazolin-4-amine (compound P20)
- Example 8 Preparation of 3-[5-[(1S)-1-[[6-chloro-8-(trifluoromethyl)quinazolin-4-yl]-methyl- amino]ethyl]-1,2,4-triazol-1-yl]-1H-pyridazin-6-one (compound P27) 6-Chloro-N-[(1S)-1-[2-(6-methoxypyridazin-3-yl)-1,2,4-triazol-3-yl]ethyl]-N-methyl-8-(trifluoro- methyl)quinazolin-4-amine (P19) (100 mg, 0.20 mmol) was dissolved in hydrochloric acid (4M in dioxane) (1.02 mL, 4.09 mmol) at RT.
- hydrochloric acid (4M in dioxane
- Example 9 Preparation of 6-[5-[(1S)-1-[[6-chloro-8-(trifluoromethyl)quinazolin-4-yl]amino]ethyl]-1,2,4- triazol-1-yl]pyridazin-3-ol (compound P7) (P7) To a solution of 6-chloro-N-[(1S)-1-[2-(6-chloropyridazin-3-yl)-1,2,4-triazol-3-yl]ethyl]-8- (trifluoromethyl)quinazolin-4-amine (I-3) (500 mg, 1.09 mmol) and (E)-benzaldehyde oxime (205 mg, 1.64 mmol) in acetonitrile (10 mL) was added potassium carbonate (383 mg, 2.74 mmol) at room temperature.
- Example 10 Preparation of 3-[5-[(1S)-1-[(8-chloro-6-iodo-quinazolin-4-yl)-methyl-amino]ethyl]-1,2,4- triazol-1-yl]-1H-pyridazin-6-one (compound P25) (P25) Step A: Preparation of 8-chloro-N-[(1S)-1-[2-(6-chloropyridazin-3-yl)-1,2,4-triazol-3-yl]ethyl]-6-iodo-N- methyl-quinazolin-4-amine (intermediate I-20)
- Step B Preparation of 3-[5-[(1S)-1-[(8-chloro-6-iodo-quinazolin-4-yl)-methyl-amino]ethyl]-1,2,4-triazol- 1-yl]-1H-pyridazin-6-one (compound P25)
- Example 11 Preparation of 6-chloro-8-iodo-N-[(1S)-1-[2-(6-methoxypyridazin-3-yl)-1,2,4-triazol-3- yl]ethyl]-N-methyl-quinazolin-4-amine (compound P26) To a mixture of 6-chloro-N-[(1S)-1-[2-(6-chloropyridazin-3-yl)-1,2,4-triazol-3-yl]ethyl]-8-iodo-N-methyl- quinazolin-4-amine (I-19) (175 mg, 0.315 mmol) in methanol (1.75 mL) was added potassium carbonate (0.788 mmol).
- Example 12 Preparation of 6-chloro-N-[1-[3-(6-methoxypyridazin-3-yl)pyrazin-2-yl]ethyl]-8- (trifluoromethyl)quinazolin-4-amine (compound P39)
- CAS 1565368-05-9 4,6-dichloro-8-(trifluoromethyl)quinazoline
- 1-[3-(6-methoxypyridazin-3-yl)pyrazin-2-yl]ethanamine (I-11) 553 mg, 2.39 mmol
- acetonitrile (11.6 mL) was added triethylamine (0.510 mL, 442 mg, 4.34 mmol).
- Example 13 Preparation of 6-chloro-N-[(1S)-1-[2-(6-methoxypyridazin-3-yl)-1,2,4-triazol-3-yl]ethyl]-8- (trifluoromethylsulfonyl)quinazolin-4-amine (compound P43)
- Step 1 Preparation of 6-chloro-8-(trifluoromethylsulfanyl)quinazolin-4-ol (I-27)
- 6-chloro-8-iodo-quinazolin-4-ol CAS 101581-08-2
- copper(I) trifluoromethanethiolate 4.94 g, 30.02 mmol
- the reaction mixture was heated at 90°C for 48 hours. After cooling, the mixture was diluted with aqueous 2N HCl (100 mL) and water (300 mL). The precipitated solid was filtered, the solid re-dissolved in ethyl acetate and the solution passed though a celite bed. The filtrate was dried over sodium sulfate, filtered and concentrated in vacuo. The residue was purified by combiflash (ethyl acetate in cyclohexane) to afford 6-chloro-8-(trifluoromethylsulfanyl)quinazolin-4-ol (I-27) as a pale brown solid.
- combiflash ethyl acetate in cyclohexane
- Step 2 Preparation of 6-chloro-8-(trifluoromethylsulfonyl)quinazolin-4-ol (I-22) To a solution of 6-chloro-8-(trifluoromethylsulfanyl)quinazolin-4-ol (I-27) (0.65 g, 2.32 mmol) in acetonitrile (6.5 mL), carbon tetrachloride (6.5 mL) and water (13 mL) was added ruthenium(III) chloride (0.048 g, 0.23 mmol), followed by sodium periodate (1.05 g, 4.86 mmol) at room temperature.
- Step 3 Preparation of 4,6-dichloro-8-(trifluoromethylsulfonyl)quinazoline (I-28) A mixture of 6-chloro-8-(trifluoromethylsulfonyl)quinazolin-4-ol (I-22) (0.43 g, 1.37 mmol), thionyl chloride (117.9 mmol) and N,N-dimethylformamide (0.068 mmol) was heated at 100°C for 8 hours.
- reaction mixture was heated at 45°C for 1 h, then quenched with water and the product extracted twice with ethyl acetate.
- the combined organic layers were washed with an aqueous saturated solution of NaHCO3 and brine, dried over anhydrous sodium sulfate, filtered and concentrated under reduced pressure.
- Example 14 Preparation of 2-[6-[5-[(1S)-1-[[6-chloro-8-(trifluoromethyl)quinazolin-4-yl]amino]ethyl]- 1,2,4-triazol-1-yl]pyridazin-3-yl]oxyacetonitrile (compound P47) To a solution of 2-[6-[5-[(1S)-1-[[6-chloro-8-(trifluoromethyl)quinazolin-4-yl]amino]ethyl]-1,2,4-triazol-1- yl]pyridazin-3-yl]oxyacetamide (P49) (0.32 g, 0.58 mmol) in tetrahydrofuran (6.4 mL) were added trifluoroacetic anhydride (0.21 mL, 1.46 mmol) and triethylamine (0.214 mL, 1.46 mmol) at 0°C.
- reaction mixture was stirred at room temperature for 2 h, then cooled to 0°C, quenched with an aqueous saturated sodium bicarbonate solution and the product extracted with ethyl acetate. The organic layer was dried over anhydrous sodium sulfate, filtered and concentrated under reduced pressure.
- Example PI-1 Preparation of [(1 S)-1-[2-(6-oxo-1 H-pyridazin-3-yl)-1 ,2,4-triazol-3- yl]ethyl]ammonium;chloride (compound i-7)
- Step A Preparation of tert-butyl N-[(1S)-1-[2-(6-oxo-1 H-pyridazin-3-yl)-1 ,2,4-triazol-3- yl]ethyl]carbamate (I-6) (I-6) To a solution of tert-butyl N-[(1S)-1-[2-(6-chloropyridazin-3-yl)-1,2,4-triazol-3-yl]ethyl]carbamate (I-1) (4.0 g, 12.32 mmol) and (E)-benzaldehyde oxime (1.99 g, 16.01 mmol) in N,N-dimethylformamide (40 mL) was added cesium carbonate (10.03 g, 30.79 mmol).
- reaction mixture was cooled to -78°C, then a solution of 2-iodopyrazine (5.0 g, 23.06 mmol, 1.0 equiv.) in THF (5 mL) was added dropwise. After stirring for 1 hour, acetaldehyde (12 mL, 210 mmol, 9.2 equiv.) was added dropwise at -78°C. After addition, the reaction mixture was allowed to warm up to room temperature before it was quenched with saturated aqueous ammonium chloride solution. The reaction mixture was diluted with water and a mixture of TBME and ethyl acetate. The aqueous layer was acidified with 1M HCl to pH 1-2.
- Step B Preparation of tert-butyl-[1-(3-iodopyrazin-2-yl)ethoxy]-dimethyl-silane (Int-B) (Int-B)
- Int-A 1-(3-iodopyrazin-2-yl)ethanol
- Int-A tert-butyldimethylchlorosilane
- Step C Preparation of tert-butyl-[1-[3-(6-methoxypyridazin-3-yl)pyrazin-2-yl]ethoxy]-dimethyl-silane (I- 8) (I-8) To a degassed solution of tert-butyl-[1-(3-iodopyrazin-2-yl)ethoxy]-dimethyl-silane (Int-B) (500 mg, 1.37 mmol) in THF (8.9 mL) under argon at 0°C was added isopropylmagnesium chloride (2.0M in THF, 0.89 mL, 1.78 mmol) dropwise.
- Step E Preparation of 2-[1-[3-(6-methoxypyridazin-3-yl)pyrazin-2-yl]ethyl]isoindoline-1,3-dione (I-10) (I-10)
- I-9 1-[3-(6-methoxypyridazin-3-yl)pyrazin-2-yl]ethanol (I-9) (330 mg, 1.42 mmol)
- phthalimide 232 mg, 1.56 mmol
- triphenylphosphine 452 mg, 1.71 mmol
- THF 4.3 mL
- diisopropyl azodicarboxylate 0.376 mL, 383 mg, 1.71 mmol
- the reaction mixture was stirred at 0°C for 20 minutes, then at room temperature for 1.7 hours.
- the mixture was diluted with water and ethyl acetate, the layers were separated and the aqueous phase extracted once with ethyl acetate.
- the combined organic layers were dried over sodium sulfate, filtered and concentrated in vacuo.
- the residue was purified by flash column chromatography (gradient ethyl acetate in cyclohexane) to afford 2-[1-[3-(6-methoxypyridazin-3-yl)pyrazin-2-yl]ethyl]isoindoline-1,3-dione (I-10), as a white solid.
- Step F Preparation of 1-[3-(6-methoxypyridazin-3-yl)pyrazin-2-yl]ethanamine (compound I-11) (I-11)
- 2-[1-[3-(6-methoxypyridazin-3-yl)pyrazin-2-yl]ethyl]isoindoline-1,3-dione (I-10) (420 mg, 1.16 mmol) in EtOH (11.6 mL) was added hydrazine monohydrate (0.068 mL, 1.40 mmol). The reaction mixture was heated at 80°C for 6 hours, then cooled to 20°C and diluted with EtOAC and water.
- Example PI-3 Preparation of (1S)-1-[2-(6-methoxypyridazin-3-yl)-1,2,4-triazol-3-yl]ethanamine (I-5a) To a solution of [(1S)-1-[2-(6-chloropyridazin-3-yl)-1,2,4-triazol-3-yl]ethyl]ammonium;chloride (I-2) (600 mg, 2.30 mmol) in methanol (5.74 mL) was added potassium carbonate (953 mg, 6.89 mmol). The reaction mixture was stirred at 60°C for 1 h, cooled to room temperature and diluted with water and EtOAc.
- 6-chloro-8-(difluoromethylsulfonyl)quinazolin-4-ol (I-21)
- 6-chloro-8-iodo-4-tetrahydropyran-2-yloxy-quinazoline (I-23)
- 6-chloro-8-iodo-quinazolin-4-ol (CAS 101581-08-2) (95%, 1.00 g, 3.10 mmol) in toluene (40 mL) under argon were added 3,4-dihydro-2H-pyran (2.60 g, 31.0 mmol) and trifluoroacetic acid (0.25 mL, 3.2 mmol) at room temperature.
- Step 2 Preparation of 6-chloro-4-tetrahydropyran-2-yloxy-quinazoline-8-thiol (I-24) (I-24) To 6-chloro-8-iodo-4-tetrahydropyran-2-yloxy-quinazoline (I-23) (90%, 500 mg, 1.15 mmol) in N- methyl-2-pyrrolidone (5 mL) under argon was added sodium sulfide hydrate (180 mg, 2.30 mmol). The reaction mixture was heated to 110°C for 6 h, then cooled to room temperature, poured in ice cold water and the product extracted with EtOAc (2x 30 mL).
- Step 3 Preparation of 6-chloro-8-(difluoromethylsulfanyl)-4-tetrahydropyran-2-yloxy-quinazoline (I-25) (I-25) To 6-chloro-4-tetrahydropyran-2-yloxy-quinazoline-8-thiol (I-24) (estimated 70.0 %, 1.00 g, 2.36 mmol) in N-methyl-2-pyrrolidone (10 mL) under argon were added potassium carbonate (1.30 g, 9.43 mmol) and sodium chlorodifluoroacetate (CAS 1895-39-2) (539 mg, 3.54 mmol) at room temperature.
- reaction mixture was heated to 110°C for 1 h, then cooled to room temperature, poured in ice cold water and the product extracted with EtOAc (2x 50 mL). The combined organic layers were dried over sodium sulfate, filtered and concentrated under reduced pressure. The residue was purified by combiflash (gradient EtOAc in hexane) to afford 6-chloro-8-(difluoromethylsulfanyl)-4-tetrahydropyran- 2-yloxy-quinazoline (I-25) as an off-white solid.
- reaction mixture was stirred at room temperature for 12 h, then diluted with an aqueous saturated sodium hydrogencarbonate solution and stirred for 10 min.
- the layers were separated, the aqueous phase extracted with dichloromethane (2x 30 mL), the combined organic layers washed twice with an aqueous saturated sodium hydrogencarbonate solution, dried over sodium sulfate, filtered and concentrated under reduced pressure.
- the residue was purified by combiflash (gradient EtOAc in hexane) to afford 6-chloro-8-(difluoromethylsulfonyl)-4- tetrahydropyran-2-yloxy-quinazoline (I-26) as an off-white solid.
- Example B1 Activity against Chilo suppressalis (Striped rice stemborer)
- 24-well microtiter plates with artificial diet were treated with aqueous test solutions prepared from 10'000 ppm DMSO stock solutions by pipetting. After drying, the plates were infested with L2 larvae (6-8 per well). The samples were assessed for mortality, anti-feeding effect, and growth inhibition in comparison to untreated samples 6 days after infestation. Control of Chilo suppressalis by a test sample is given when at least one of the categories mortality, anti-feedant effect, and growth inhibition is higher than the untreated sample.
- the following compounds resulted in at least 80% control in at least one of the three categories (mortality, anti-feedant effect, or growth inhibition) at an application rate of 200 ppm: P1, P2, P3, P4, P5, P6, P7, P8, P9, P10, P11, P12, P13, P14, P15, P16, P17, P18, P19, P20, P21, P22, P23, P24, P25, P26, P27, P28, P29, P30, P31, P32, P33, P34, P35, P36, P37, P38, P39, P40, P41, P42, P43, P44, P45, P46, P47, P48, P50, P51, P52.
- Example B2 Activity against Diabrotica balteata (Corn root worm) Maize sprouts placed onto an agar layer in 24-well microtiter plates were treated with aqueous test solutions prepared from 10'000 ppm DMSO stock solutions by spraying. After drying, the plates were infested with L2 larvae (6 to 10 per well). The samples were assessed for mortality and growth inhibition in comparison to untreated samples 4 days after infestation.
- aqueous test solutions prepared from 10'000 ppm DMSO stock solutions by spraying. After drying, the plates were infested with L2 larvae (6 to 10 per well). The samples were assessed for mortality and growth inhibition in comparison to untreated samples 4 days after infestation.
- the following compounds gave an effect of at least 80% control in at least one of the two categories (mortality or growth inhibition) at an application rate of 200 ppm: P1, P2, P3, P4, P5, P6, P7, P8, P9, P10, P11, P12, P13, P14, P15, P16, P17, P18, P19, P20, P21, P22, P24, P25, P26, P27, P28, P29, P30, P31, P32, P33, P34, P35, P36, P37, P38, P39, P40, P41, P42, P43, P44, P45, P46, P47, P48, P50, P51, P52, P53.
- Example B3 Activity against Euschistus heros (Neotropical Brown Stink Bug) Soybean leaves on agar in 24-well microtiter plates were sprayed with aqueous test solutions prepared from 10'000 ppm DMSO stock solutions. After drying the leaves were infested with N2 nymphs. The samples were assessed for mortality and growth inhibition in comparison to untreated samples 5 days after infestation.
- Euschistus heros Neotropical Brown Stink Bug
- Example B4 Activity against Myzus persicae (Green peach aphid). Feeding/Contact activity Sunflower leaf discs were placed onto agar in a 24-well microtiter plate and sprayed with aqueous test solutions prepared from 10'000 ppm DMSO stock solutions.
- Example B5 Activity against Myzus persicae (Green peach aphid). Intrinsic activity Test compounds prepared from 10’000 ppm DMSO stock solutions were applied by pipette into 24-well microtiter plates and mixed with sucrose solution. The plates were closed with a stretched Parafilm. A plastic stencil with 24 holes was placed onto the plate and infested pea seedlings were placed directly on the Parafilm. The infested plate was closed with a gel blotting paper and another plastic stencil and then turned upside down. The samples were assessed for mortality 5 days after infestation.
- Example B6 Activity against Plutella xylostella (Diamond back moth)
- 24-well microtiter plates with artificial diet were treated with aqueous test solutions prepared from 10'000 ppm DMSO stock solutions by pipetting. After drying, Plutella eggs were pipetted through a plastic stencil onto a gel blotting paper and the plate was closed with it. The samples were assessed for mortality and growth inhibition in comparison to untreated samples 8 days after infestation.
- Example B8 Activity against Spodoptera littoralis (Egyptian cotton leaf worm)
- Cotton leaf discs were placed onto agar in 24-well microtiter plates and sprayed with aqueous test solutions prepared from 10'000 ppm DMSO stock solutions. After drying the leaf discs were infested with five L1 larvae. The samples were assessed for mortality, anti-feeding effect, and growth inhibition in comparison to untreated samples 3 days after infestation. Control of Spodoptera littoralis by a test sample is given when at least one of the categories mortality, anti-feedant effect, and growth inhibition is higher than the untreated sample.
- Example B9 Activity against Myzus persicae (Green peach aphid). Feedinq/Contact activity
- Larvicide, feeding/contact Soybean plants were treated in a spray chamber, cut off and placed into petri dishes containing wet filter paper.1d after application leaves were infested with 5 L2 larvae and covered with a fabric filter and plastic lids.5 days after infestation the samples were assessed for mortality and growth inhibition.
- the following compounds gave an effect of at least 80% in at least one of the two categories (mortality or growth inhibition) at an application rate of 50 ppm: P4, P5, P6, P7, P8, P13, P19, P20, P36, P37, P41.
- Example B11 Activity against Frankliniella occidentalis (Western flower thrips) Feeding/contact activity Sunflower leaf discs were placed on agar in 24-well microtiter plates and sprayed with aqueous test solutions prepared from 10'000 DMSO stock solutions. After drying the leaf discs were infested with a Frankliniella population of mixed ages. The samples were assessed for mortality 7 days after infestation. The following compounds resulted in at least 80% mortality at an application rate of 200 ppm: P25.
- Example B12 Activity against Frankliniella occidentalis (Western flower thrips) Feeding/contact activity Bean leaf discs were placed on agar in 24-well microtiter plates and sprayed with aqueous test solutions prepared from 10'000 DMSO stock solutions. After drying the leaf discs were infested with a Frankliniella population of mixed ages. The samples were assessed for mortality 4 days after infestation. The following compounds resulted in at least 80% mortality at an application rate of 200 ppm: P53.
Landscapes
- Life Sciences & Earth Sciences (AREA)
- Environmental Sciences (AREA)
- Wood Science & Technology (AREA)
- General Health & Medical Sciences (AREA)
- Pest Control & Pesticides (AREA)
- Plant Pathology (AREA)
- Health & Medical Sciences (AREA)
- Engineering & Computer Science (AREA)
- Zoology (AREA)
- Dentistry (AREA)
- Agronomy & Crop Science (AREA)
- Chemical & Material Sciences (AREA)
- Organic Chemistry (AREA)
- Insects & Arthropods (AREA)
- Chemical Kinetics & Catalysis (AREA)
- General Chemical & Material Sciences (AREA)
- Toxicology (AREA)
- Pharmaceuticals Containing Other Organic And Inorganic Compounds (AREA)
Abstract
Compounds of formula (I) where Q is Qa or Qb, R4 is (Ia) or (Ib) and the other substituents are as defined in claim 1, and the agrochemically acceptable salts, stereoisomers, enantiomers, tautomers and N-oxides of those compounds, can be used as insecticides.
Description
PESTICIDALLY ACTIVE PYRIDAZINE COMPOUNDS The present invention relates to pestidicidally active pyridazine compounds, e.g. as active ingredients, which have pestidicidal activity. The invention also relates to preparation of these pyridazine compounds, to intermediates useful in the preparation of these pyridazine compounds, to the preparation of these intermediates, to agrochemical compositions which comprise at least one of these pyridazine compounds, to preparation of these compositions and to the use of these pyridazine compounds or compositions in agriculture or horticulture for controlling animal pests, including arthropods and in particular insects or representatives of the order Acarina. In particular, pesticidally active 3-oxy pyridazine compounds are disclosed. WO 2021/083936, WO 2021/148639, WO 2021/177160 and WO 2023/104714 describe certain quinazoline, quinazolinone and quinoline compounds. It has now surprisingly been found that certain novel pyridazine compounds have pesticidal activity. The present invention therefore provides, in a first aspect, compounds of formula (I):
or an agrochemically acceptable salt, stereoisomer, enantiomer, tautomer or N-oxide thereof, wherein: A1, A2 and A3 are, independently from each other, N or CRY; or A1=A2-A3, taken together, are NR-C(=O)-N; A4 and A5 are, independently from each other, N or CRYY;
, where the staggered line represents the connection of Q to the rest of compound of the formula (I); R is hydrogen, C1-C3alkyl, C1-C3haloalkyl, C1-C3alkoxy, or C1-C3haloalkoxy; R1 is hydrogen, C1-C6alkyl, C1-C6cyanoalkyl, aminocarbonylC1-C6alkyl, hydroxycarbonylC1- C6alkyl, C1-C6nitroalkyl, trimethylsilaneC1-C6alkyl, C1-C3alkoxy-C1-C6alkyl, C1-C6haloalkyl, C2-C6alkenyl, C2-C6haloalkenyl, C2-C6alkynyl, C2-C6haloalkynyl, C3-C4cycloalkyl-C1-C2alkyl, C3-C4cycloalkyl-C1- C2alkyl wherein the C3-C4cycloalkyl group is substituted with 1 or 2 halogen atoms, oxetan-3-yl-CH2-,
C1-C6alkylcarbonyl, C1-C6alkoxycarbonyl, phenyloxycarbonyl, benzyloxycarbonyl, benzyl, or benzyl substituted with 1 to 3 substituents independently selected from halogen, C1-C6alkoxy and C1-C6haloalkyl; R2a and R2b are independently selected from hydrogen, C1-C3alkyl, C1-C3haloalkyl, C1C3haloalkylsulfanyl, C1-C3alkoxy, C1-C3haloalkoxy, halogen, NO2, SF5, CN, C(O)NH2, C(O)OH, C(S)NH2, C3-C6cycloalkyl, C3-C6cycloalkyl substituted with one to three substituents independently selected from RX; C3-C6cycloalkylcarbonyl, phenyl, phenyl substituted with one to three substituents independently selected from RX; heteroaryl, heteroaryl substituted with one to three substituents independently selected from RX; OR6, piperidin-2-one-1-yl, piperidin-2-one-1-yl substituted with one to two substituents independently selected from RX; pyridin-2-one-1-yl, pyridin-2-one-1-yl substituted with one to two substituents independently selected from RX; azetidin-1-yl, azetidin-1-yl substituted with one to two substituents independently selected from RX; pyrrolidin-1-yl, pyrrolidin-1-yl substituted with one to two substituents independently selected from RX; C3-C6cycloalkyl-C1C4alkyl, C3-C6cycloalkyl-C1- C4alkyl substituted with one to two substituents independently selected from RZ; C3-C6cycloalkyl-C1- C3alkoxy, C3-C6cycloalkyl-C1-C3alkoxy substituted with one to two substituents independently selected from RX; C1-C5cyanoalkyl, C1-C5cyanoalkoxy, C1-C4alkylsulfanyl, C1-C4alkylsulfanyl substituted with one to three substituents independently selected from RX; C1C4alkylsulfonyl, C1-C4alkylsulfonyl substituted with one to three substituents independently selected from RX; C1-C4alkylsulfinyl, and C1-C4alkylsulfinyl substituted with one to three substituents independently selected from RX; R3 is C1-C3alkyl or C1-C3haloalkyl; 4
R is
, where the staggered line represents the connection of R4 to Qa or Qb; R4c is hydrogen, C1-C3alkyl optionally substituted with a single substituent selected from cyano, C1-C3alkylsulfanyl, C1-C3alkylsulfinyl, C1-C3alkylsulfonyl, and -C(O)NR4dR4e; C1-C3haloalkyl, allyl, propargyl, C3-C6cycloalkylC1-C4alkyl, C1-C2alkoxyC1-C3alkyl, -C(O)NR4dR4e, -N=CR4fR4g, or benzyl optionally substituted with 1 to 3 substituents independently selected from halogen, cyano, C1-C3alkyl, C1-C3haloalkyl, C1-C3alkoxy, and C3-C4cycloalkyl; or R4c is heteroaryl-methyl, where said heteroaryl group is optionally substituted with 1 to 3 substituents independently selected from halogen, cyano, C1-C3alkyl, C1-C3haloalkyl, C1-C3alkoxy, and C3-C4cycloalkyl; or R4c is -C(O)C1-C6alkyl, or -C(O)OC1-C6alkyl, each optionally substituted with 1 to 3 substituents independently selected from halogen, cyano, and C1-C3alkoxy; R4d and R4e are independently hydrogen, or C1-C5alkyl optionally substituted with 1 to 3 substituents independently selected from halogen, cyano, and C1-C3alkoxy;
R4f and R4g are independently C1-C3alkyl, or R4f and R4g form, together with the carbon atom they are attached to, a C4-C6cycloalkyl or a 4- to 6-membered saturated heterocycle containing one oxygen atom; R5 is hydrogen, C1-C3alkyl, C1-C3haloalkyl, C3-C4cycloalkyl, C1-C3alkoxy, C3-C4alkoxyC(O)-, (C1-C3alkoxy)2CH-, halogen, -CN, NH2C(O)-, amino (i.e. -NH2), (C1-C3alkyl)amino, di(C1-C3alkyl)amino, hydroxy, C3-C4halocycloalkyl, C3-C4cyanocycloalkyl, C2-C6alkenyl, C2-C6haloalkenyl, C2-C6alkynyl, C2-C6haloalkynyl, C1-C4haloalkylsulfanyl, C1-C4haloalkylsulfinyl, C1-C4haloalkylsulfonyl, C1- C4alkylsulfanyl, C1-C4alkylsulfinyl, C1-C4alkylsulfonyl, C1-C3alkoxy-C1-C3alkyl, C1-C3alkoxy-C1- C3alkoxy-C1-C3alkyl, (C1-C3alkyl)sulfonylamino, (C1-C3alkyl)sulfonyl(C1-C3alkyl)amino, (C1- C3alkyl)NHC(O)-, (C1-C3alkyl)2NC(O)-, (C3-C4cycloalkyl)NHC(O)-, (C3-C4cycloalkyl)(C1-C3alkyl)NC(O)-, (C1-C3alkyl)C(O)(C1-C3alkyl)N-, (C1-C3alkyl)C(O)NH-, (C1-C3alkyl)C(O)-, (C1-C3alkoxy)C(O)-, HC(O)-, diphenylmethanimine, C1-C3haloalkoxy, phenyl, or a 5-membered heteroaromatic ring; or R5 is phenyl substituted with one to three substituents selected from C1-C3alkyl, C1-C3haloalkyl, C1-C3alkoxy, C3-C4cycloalkyl, halogen, -CN and hydroxyl; or R5 is a 5-membered heteroaromatic ring substituted with one to three substituents selected from C1-C3alkyl, C1-C3haloalkyl, C1-C3alkoxy, C3-C4cycloalkyl, halogen, -CN and hydroxyl; R5a and R5b are, independently of each other, selected from hydrogen, halogen, -CN, C1-C3alkyl, C1-C3haloalkyl, C3-C4cycloalkyl, C1-C3alkoxy, and C1-C3haloalkoxy; R6 is phenyl, benzyl, heteroaryl, or C3-C6cycloalkyl; or R6 is phenyl, benzyl, heteroaryl, or C3-C6cycloalkyl, each of which, independently of each other, is substituted with one to three substituents independently selected from RX; RX is independently selected from halogen, C1-C3alkyl, C1-C3haloalkyl, C1-C3alkoxy, C1-C3haloalkoxy, NO2, SF5, CN, -C(O)NH2, -C(S)NH2, C1-C4haloalkylsulfanyl, C1-C4haloalkylsulfinyl, C1-C4haloalkylsulfonyl, C1-C4alkylsulfanyl, C1-C4alkylsulfinyl and C1-C4alkylsulfonyl; RY is selected from hydrogen, C1-C3 alkyl, C1-C3haloalkyl, hydroxy, C1-C3alkoxy, C1-C3haloalkoxy, halogen, -CN and cyclopropyl; RYY is selected from hydrogen, C1-C3 alkyl, C1-C3 haloalkyl, hydroxy, C1-C3 alkoxy, C1-C3 haloalkoxy, halogen, CN and cyclopropyl; and RZ is selected from oxo, halogen, C1-C3alkyl, C1-C3haloalkyl, C1-C3alkoxy, C1-C3haloalkoxy and CN. The present invention also provides a method of preparation of compounds of formula (I) as well as intermediate compounds useful in the preparation of compounds of formula (I). In a second aspect, the present invention makes available a composition comprising a compound of formula (I), one or more auxiliaries and diluent, and optionally one or more other active ingredient. In a third aspect, the present invention makes available a method of combating and controlling insects, acarines, nematodes or molluscs, which method comprises applying to a pest, to a locus of a pest, or to a plant susceptible to attack by a pest an insecticidally, acaricidally, nematicidally or
molluscicidally effective amount of a compound of formula (I) or a composition comprising such a compound.
In a fourth aspect, the present invention makes available a method for the protection of plant propagation material from the attack by insects, acarines, nematodes or molluscs, which method comprises treating the propagation material, or the site where the propagation material is planted, with an effective amount of a compound of formula (I) or a composition comprising such a compound.
In a fifth aspect, the present invention makes available a plant propagation material, such as a seed, comprising, or treated with or adhered thereto, a compound of formula (I) or a composition comprising such a compound.
The present invention in a further aspect provides a method of controlling parasites in or on an animal in need thereof comprising administering an effective amount of a compound of the first aspect. The present invention further provides a method of controlling ectoparasites on an animal in need thereof comprising administering an effective amount of a compound of formula (I) as defined in the first aspect. The present invention further provides a method for preventing and/or treating diseases transmitted by ectoparasites comprising administering an effective amount of a compound of formula (I) as defined in the first aspect, to an animal in need thereof.
Compounds of formula (I) which have at least one basic centre can form, for example, acid addition salts, for example with strong inorganic acids such as mineral acids, for example perchloric acid, sulfuric acid, nitric acid, nitrous acid, a phosphorus acid or a hydrohalic acid, with strong organic carboxylic acids, such as Ci-C4alkanecarboxylic acids which are unsubstituted or substituted, for example by halogen, for example acetic acid, such as saturated or unsaturated dicarboxylic acids, for example oxalic acid, malonic acid, succinic acid, maleic acid, fumaric acid or phthalic acid, such as hydroxycarboxylic acids, for example ascorbic acid, lactic acid, malic acid, tartaric acid or citric acid, or such as benzoic acid, or with organic sulfonic acids, such as Ci-C4alkane- or arylsulfonic acids which are unsubstituted or substituted, for example by halogen, for example methane- or p-toluenesulfonic acid. Compounds of formula (I) which have at least one acidic group can form, for example, salts with bases, for example mineral salts such as alkali metal or alkaline earth metal salts, for example sodium, potassium or magnesium salts, or salts with ammonia or an organic amine, such as morpholine, piperidine, pyrrolidine, a mono-, di- or tri-lower-alkylamine, for example ethyl-, diethyl-, triethyl- or dimethylpropylamine, or a mono-, di- or trihydroxy-lower-alkylamine, for example mono-, di- or triethanolamine.
In each case, the compounds of formula (I) according to the invention are in free form, in oxidized form as a N-oxide or in salt form, e.g. an agronomically usable salt form.
N-oxides are oxidized forms of tertiary amines or oxidized forms of nitrogen containing heteroaromatic compounds. They are described for instance in the book “Heterocyclic N-oxides” by A. Albini and S. Pietra, CRC Press, Boca Raton 1991.
The compounds of formula (I) according to the invention also include hydrates which may be formed during the salt formation.
The term “C1-Cnalkyl” as used herein refers to a saturated straight-chain or branched hydrocarbon radical attached via any of the carbon atoms having 1 to n carbon atoms, for example, any one of the radicals methyl, ethyl, n-propyl, 1-methylbutyl, 2-methylbutyl, 3-methylbutyl, 2, 2- dimethylpropyl, 1-ethylpropyl, n-hexyl, n-pentyl, 1,1-dimethylpropyl, 1,2-dimethylpropyl, 1-methylpentyl, 2-methylpentyl, 3-methylpentyl, 4-methylpentyl, 1,1-dimethylbutyl, 1,2-dimethylbutyl, 1,3-dimethylbutyl, 2,2-dimethylbutyl, 2,3-dimethylbutyl, 3,3-dimethylbutyl, 1-ethylbutyl, 2-ethylbutyl, 1,1,2-trimethylpropyl, 1,2,2-trimethylpropyl, 1-ethyl-1-methylpropyl or 1-ethyl-2-methylpropyl. The term “C1-Cnhaloalkyl” as used herein refers to a straight-chain or branched saturated alkyl radical attached via any of the carbon atoms having 1 to n carbon atoms (as mentioned above), where some or all of the hydrogen atoms in these radicals may be replaced by fluorine, chlorine, bromine and/or iodine, i.e., for example, any one of chloromethyl, dichloromethyl, trichloromethyl, fluoromethyl, difluoromethyl, trifluoromethyl, chlorofluoromethyl, dichlorofluoromethyl, chlorodifluoromethyl, 2- fluoroethyl, 2-chloroethyl, 2-bromoethyl, 2-iodoethyl, 2,2-difluoroethyl, 2,2,2-trifluoroethyl, 2-chloro-2- fluoroethyl, 2-chloro-2,2-difluoroethyl, 2,2-dichloro-2-fluoroethyl, 2,2,2-trichloroethyl, pentafluoroethyl, 2-fluoropropyl, 3-fluoropropyl, 2,2-difluoropropyl, 2,3-difluoropropyl, 2-chloropropyl, 3-chloropropyl, 2,3- dichloropropyl, 2-bromopropyl, 3-bromopropyl, 3,3,3-trifluoropropyl, 3,3,3-trichloropropyl, 2,2,3,3,3- pentafluoropropyl, heptafluoropropyl, 1-(fluoromethyl)-2-fluoroethyl, 1-(chloromethyl)-2-chloroethyl, 1- (bromomethyl)-2-bromoethyl, 4-fluorobutyl, 4-chlorobutyl, 4-bromobutyl or nonafluorobutyl. Accordingly, a term “C1-C2fluoroalkyl” would refer to a C1-C2alkyl radical which carries 1, 2, 3, 4 or 5 fluorine atoms, for example, any one of difluoromethyl, trifluoromethyl, 1-fluoroethyl, 2-fluoroethyl, 2,2-difluoroethyl, 2,2,2-trifluoroethyl, 1,1,2,2-tetrafluoroethyl or pentafluoroethyl. The term “C1-Cnalkoxy” as used herein refers to a straight-chain or branched saturated alkyl radical having 1 to n carbon atoms (as mentioned above) which is attached via an oxygen atom, i.e., for example, any one of the radicals methoxy, ethoxy, n-propoxy, 1-methylethoxy, or iso-propoxy, n-butoxy, 1-methylpropoxy, 2-methylpropoxy or 1,1-dimethylethoxy. The term “C1-Cnhaloalkoxy” as used herein refers to a C1-Cnalkoxy radical where one or more hydrogen atoms on the alkyl radical is replaced by the same or different halo atom(s) - examples include trifluoromethoxy, 2-fluoroethoxy, 3-fluoropropoxy, 3,3,3-trifluoropropoxy, 4-chlorobutoxy. The term “C1-CnalkoxyC1-Cmalkyl” as used herein refers to an alkoxy radical having 1 to n carbon atoms (as mentioned above) which is attached via the oxygen atom to an alkyl radical having 1 to m carbon atoms (as mentioned above), which alkyl radical is connected to the rest of the molecule. The term “C1-Cncyanoalkyl” as used herein refers to a straight chain or branched saturated C1- Cnalkyl radical having 1 to n carbon atoms (as mentioned above), where one of the hydrogen atoms in these radicals is replaced by a cyano group -CN: for example, cyanomethyl, 2-cyanoethyl, 2- cyanopropyl, 3-cyanopropyl, 1-(cyanomethyl)-2-ethyl, 1-(methyl)-2-cyanoethyl, 4-cyanobutyl, and the like. The term “C1-Cnnitroalkyl” as used herein refers to a straight chain or branched saturated C1- Cnalkyl radical having 1 to n carbon atoms (as mentioned above), where one of the hydrogen atoms in
these radicals is replaced by a nitro group -NO2: for example, nitromethyl, 2-nitroethyl, 2-nitropropyl, 3- nitropropyl, 1-(nitromethyl)-2-ethyl, 1-(methyl)-2-nitroethyl, 4-nitrobutyl, and the like. The term “C3-Cncycloalkyl” as used herein refers to 3-n membered cycloalkyl groups such as cyclopropane, cyclobutane, cyclopentane and cyclohexane. The term “C3-Cncycloalkylcarbonyl” as used herein refers to a 3-n membered cycloalkyl group attached to a carbonyl (C=O) group, which carbonyl group is connected to the rest of the molecule. Similarly the terms “C1-Cnalkylcarbonyl”, “C1-Cnalkoxycarbonyl”, “phenyloxycarbonyl” and “benzyloxycarbonyl” as used herein refers to an alkyl, alkoxy, phenyloxy and benzyloxy group attached to a carbonyl (C=O) group, which carbonyl group is connected to the rest of the molecule. The term “C3-C4cycloalkylC1-C2alkyl”“ as used herein refers to 3 or 4 membered cycloalkyl group with either a methylene or ethylene group, which methylene or ethylene group is connected to the rest of the molecule. In the instance the C3-C4cycloalkyl-C1-C2alkyl group is substituted, the substituent(s) can be on the cycloalkyl group and/or on the alkyl group. The term “C3-C6cycloalkylC1-C4haloalkoxy” as used herein refers to a 3 to 6 membered cycloalkyl group connected to a 1 to 4 membered haloalkoxy group, which haloalkoxy group is connected to the rest of the molecule. The term “aminocarbonylC1-Cnalkyl” as used herein refers to an alkyl radical where one of the hydrogen atoms in the radical is replaced by CONH2 group. The term “hydroxycarbonylC1-Cnalkyl” as used herein refers to an alkyl radical where one of the hydrogen atoms in the radical is replaced by COOH group. The term “C1-Cnalkylsulfanyl” as used herein refers to a C1-Cnalkyl moiety linked through a sulfur atom. Similarly, the term “C1-Cnhaloalkylthio” or “C1-Cnhaloalkylsulfanyl” as used herein refers to a C1- Cnhaloalkyl moiety linked through a sulfur atom. Similarly, the term “C3-Cncycloalkylsulfanyl” refers to 3- n membered cycloalkyl moiety linked through a sulfur atom. The term “C1-Cnalkylsulfinyl” as used herein refers to a C1-Cnalkyl moiety linked through the sulfur atom of the S(=O) group. Similarly, the term “C1-Cnhaloalkylsulfinyl” as used herein refers to a C1- Cnhaloalkyl moiety linked through the sulfur atom of the S(=O) group. Similarly, the term “C3- Cncycloalkylsulfinyl” refers to 3-n membered cycloalkyl moiety linked through the sulfur atom of the S(=O) group. The term “C1-Cnalkylsulfonyl” as used herein refers to a C1-Cnalkyl moiety linked through the sulfur atom of the S(=O)2 group. Similarly, the term “C1-Cnhaloalkylsulfonyl” as used herein refers to a C1-Cnhaloalkyl moiety linked through the sulfur atom of the S(=O)2 group. Similarly, the term “C3- Cncycloalkylsulfonyl” refers to 3-n membered cycloalkyl moiety linked through the sulfur atom of the S(=O)2 group The term “trimethylsilaneC1-Cnalkyl” as used herein refers to an alkyl radical where one of the hydrogen atoms in the radical is replaced by a -Si(CH3)3 group. The term “C2-Cnalkenyl” as used herein refers to a straight or branched alkenyl chain having from two to n carbon atoms and one or two double bonds, for example, ethenyl, prop-1-enyl, but-2-enyl.
The term “C2-Cnhaloalkenyl” as used herein refers to a C2-Cnalkenyl moiety substituted with one or more halo atoms which may be the same or different. The term “C2-Cnalkynyl” as used herein refers to a straight or branched alkynyl chain having from two to n carbon atoms and one triple bond, for example, ethynyl, prop-2-ynyl, but-3-ynyl. The term “C2-Cnhaloalkynyl” as used herein refers to a C2-Cnalkynyl moiety substituted with one or more halo atoms which may be the same or different. Halogen or “halo” is generally fluorine, chlorine, bromine or iodine. This also applies, correspondingly, to halogen in combination with other meanings, such as haloalkyl. The term “heteroaryl” as used herein refers to a 5- or 6-membered aromatic monocyclic ring having 1 to 3 heteroatoms independently selected from N, O and S. Examples are heteroaryls J-1 to J-40 shown in Table J below. Preferred heteroaryls are pyridyl, pyrimidyl, and pyrazolyl. The term “heteroaryl-methyl” as used herein refers to a heteoaryl connected to a methyl group, which methyl group is connected to the rest of the molecule. Examples of heteroaryl are shown in Table J below. As used herein, the term “substituted heteroaryl-methyl” refers to a heteroaryl-methyl wherein the heteraryl group is substituted by a designated substituent. Preferred heteroaryls include J-3 (4- pyridyl) and J-5 (pyrimidin-2-yl) Table J: Heteroaryl J-1 to J-40:
The term “optionally substituted” as used herein means that the group referenced is either unsubstituted or is substituted by a designated substituent, for example, “C3-C4cycloalkyl is optionally substituted with 1 or 2 halo atoms” means C3-C4cycloalkyl, C3-C4cycloalkyl substituted with 1 halo atom and C3-C4cycloalkyl substituted with 2 halo atoms.
The staggered line as used herein, for example in Table J above, in groups Qa, Qb, R4, and T, represent the point of connection / attachment to the rest of the compound.
As used herein, the term “controlling” refers to reducing the number of pests, eliminating pests and/or preventing further pest damage such that damage to a plant or to a plant derived product is reduced.
As used herein, the term “pest” refers to insects, and molluscs that are found in agriculture, horticulture, forestry, the storage of products of vegetable origin (such as fruit, grain and timber); and those pests associated with the damage of man-made structures. The term pest encompasses all stages in the life cycle of the pest.
As used herein, the term “effective amount” refers to the amount of the compound, or a salt thereof, which, upon single or multiple applications provides the desired effect.
An effective amount is readily determined by the skilled person in the art, by the use of known techniques and by observing results obtained under analogous circumstances. In determining the effective amount a number of factors are considered including, but not limited to: the type of plant or
derived product to be applied; the pest to be controlled & its lifecycle; the particular compound applied; the type of application; and other relevant circumstances. Embodiments according to the invention are provided as set out below. In an embodiment of each aspect of the invention, A. A1, A2 and A3 are, independently from each other, N or CRY, with the proviso that no more than two out of the three are N; or B. A1 and A3 are N, and A2 is CRY; or C. A1, A2 and A3 are, independently from each other, N or CH; or D. A1, A2 and A3 are, independently from each other, N or CH, with the proviso that no more than two out of the three are N; or E. A1 is N, and A2 and A3 are CH; or F. A1 and A2 are CH, and A3 is N; or G. A1 and A3 are N, and A2 is CH. In preferred embodiments of each aspect of the invention, A1 and A3 are N, and A2 is CH. In an embodiment of each aspect of the invention, A. A4 is CRYY, and A5 is N; or B. A4 is CRYY, and A5 is CH; or C. A4 is CH, and A5 is N; or D. A4 is N, and A5 is CH; or E. A4 and A5 are both CH. In preferred embodiments of each aspect of the invention, A4 and A5 are both CH. In an embodiment of each aspect of the invention, A. A1 is N, A2 and A3 are CH, and A4 and A5 are both CH; or B. A1 and A2 are CH, A3 is N, and A4 and A5 are both CH. C. A1 and A3 are N, A2 is CH, and A4 is CRY and A5 is CH; or D. A1 and A3 are N, A2 is CH, and A4 is CH and A5 is N; or E. A1 and A3 are N, A2 is CH, and A4 is N and A5 is CH; or F. A1 and A3 are N, A2 is CH, and A4 is N or CH and A5 is CH; or G. A1 and A3 are N, A2 is CH, and A4 is CH and A5 is N or CH; or H. A1 and A3 are N, A2 is CH, and A4 and A5 are both N; or I. A1 and A3 are N, A2 is CH, and A4 and A5 are both CH. In preferred embodiments of each aspect of the invention, A1 and A3 are N, and A2, A4 and A5 are CH. In an embodiment of each aspect of the invention, R1 is A. hydrogen, C1-C6alkyl, C1-C6cyanoalkyl, aminocarbonylC1-C6alkyl, hydroxycarbonylC1-C6alkyl, C1-C6nitroalkyl, trimethylsilaneC1-C6alkyl, C1-C3alkoxy-C1-C6alkyl, C1–C6haloalkyl, C2-
C6alkenyl, C2-C6haloalkenyl, C2-C6alkynyl, C2-C6haloalkynyl, C3-C4cycloalkylC1-C2alkyl-, C3- C4cycloalkylC1-C2alkyl- wherein the C3-C4cycloalkyl group is substituted with 1 or 2 halogen atoms, oxetan-3-yl-CH2-, C1-C3alkylcarbonyl, C1-C3alkoxycarbonyl, phenyloxycarbonyl, benzyloxycarbonyl, or benzyl; or B. hydrogen, C1-C6alkyl, C1-C6cyanoalkyl, aminocarbonylC1-C6alkyl, hydroxycarbonylC1-C6alkyl, C1-C6nitroalkyl, trimethylsilaneC1-C6alkyl, C1-C3alkoxy-C1-C6alkyl, C1–C6haloalkyl, C2- C6alkenyl, C2-C6haloalkenyl, C2-C6alkynyl, C2-C6haloalkynyl, C3-C4cycloalkylC1-C2alkyl-, benzyloxycarbonyl, or benzyl; or C. hydrogen, C1-C6alkyl, C1-C6cyanoalkyl, aminocarbonylC1-C6alkyl, hydroxycarbonylC1-C6alkyl, C1-C3alkoxy-C1-C6alkyl, C1–C6haloalkyl, C2-C6alkenyl, C2-C6haloalkenyl, C2-C6alkynyl, C2- C6haloalkynyl, C3-C4cycloalkylC1-C2alkyl-, benzyloxycarbonyl, or benzyl; or D. hydrogen, C1-C6alkyl, C1-C6cyanoalkyl, C1-C3alkoxy-C1-C6alkyl, C1–C6haloalkyl, C2-C6alkenyl, C2-C6haloalkenyl, C2-C6alkynyl, C2-C6haloalkynyl, C3-C4cycloalkylC1-C2alkyl-, benzyloxycarbonyl, or benzyl; or E. hydrogen, C1-C3alkyl, C1-C3cyanoalkyl, C1-C3alkoxy-C1-C3alkyl, C1–C3haloalkyl, C2-C4alkenyl, C2-C4haloalkenyl, C2-C4alkynyl, C2-C4haloalkynyl, C3-C4cycloalkylC1-C2alkyl-, benzyloxycarbonyl, or benzyl; or F. hydrogen, C1-C3alkyl, C1-C3cyanoalkyl, C1-C3alkoxy-C1-C3alkyl, C1–C3haloalkyl, C2-C4alkenyl, C2-C4haloalkenyl, C2-C4alkynyl, C2-C4haloalkynyl, C3-C4cycloalkylC1-C2alkyl-, benzyloxycarbonyl, or benzyl; or G. hydrogen, methyl, ethyl, cyanomethyl, methoxymethyl, cyclopropyl-methyl, allyl, propargyl, benzyloxycarbonyl, or benzyl; or H. hydrogen, methyl, ethyl, allyl, propargyl or cyclopropyl-methyl; or I. hydrogen, methyl, propargyl or cyclopropyl-methyl; or J. hydrogen, methyl, or cyclopropyl-methyl; or K. hydrogen; or L. hydrogen or methyl. In preferred embodiments of each aspect of the invention, R1 is hydrogen or methyl. In an embodiment of each aspect of the invention, R2a is A. hydrogen, halogen, C1-C3alkyl, C1-C3haloalkyl, C1-C3alkoxy, C1-C3haloalkoxy, CN, C3- C4cycloalkyl, C3-C6cycloalkylcarbonyl, phenyl, heteroaryl selected from J-1 to J-40, each of C3- C4cycloalkyl, phenyl and heteroaryl, independently of each other, being optionally substituted with one to three substituents Rx; OR6, piperidin-2-one-1-yl, pyridin-2-one-1-yl, azetidin-1-yl optionally substituted with Rx; pyrrolidin-1-yl, C3-C6cycloalkylC1-C4alkyl optionally substituted with one or two substituents RZ; C3-C6cycloalkylC1-C3alkoxy optionally substituted with one or two substituents Rx; C1-C5cyanoalkyl, C1-C5cyanoalkoxy, C1-C4alkylsulfanyl optionally substituted with one to three substituents Rx, C1-C4alkylsulfonyl optionally substituted with one
to three substituents Rx, or C1-C4alkylsulfinyl optionally substituted by one to three substituents Rx; or B. hydrogen, halogen, C1-C3alkyl, C1-C3haloalkyl, C1-C3alkoxy, C1-C3haloalkoxy, CN, C3- C4cycloalkyl, C3-C6cycloalkylcarbonyl, phenyl, or pyrazolyl, each of C3-C4cycloalkyl, phenyl, and pyrazolyl, independently of each other, being optionally substituted with one to three substituents Rx; OR6, piperidin-2-one-1-yl, pyridin-2-one-1-yl, azetidin-1-yl optionally substituted with one or two substituents Rx; pyrrolidin-1-yl, C3-C6cycloalkylC1-C4alkyl optionally substituted with one or two substituents RZ; C3-C6cycloalkylC1-C3alkoxy optionally substituted with Rx, C1- C5cyanoalkyl, C1-C5cyanoalkoxy, C1-C4alkylsulfanyl optionally substituted with one to three substituents Rx; C1-C4alkylsulfonyl optionally substituted with one to three substituents Rx, or C1-C4alkylsulfinyl optionally substituted with one to three substituents Rx; or C. hydrogen, halogen, C1-C3alkyl, C1-C3haloalkyl, C1-C3alkoxy, C1-C3haloalkoxy, CN, C3- C4cycloalkyl, C3-C6cycloalkylcarbonyl, phenyl or pyrazolyl, each of C3-C4cycloalkyl, phenyl, and pyrazolyl, independently of each other, being optionally substituted with one to two substituents Rx, OR6, azetidin-1-yl optionally substituted with Rx, C3-C6cycloalkylC1-C4alkyl optionally substituted with one or two substituents RZ, C3-C6cycloalkylC1-C3alkoxy optionally substituted with Rx, C1-C4alkylsulfanyl optionally substituted by one to three substituents Rx, C1- C4alkylsulfonyl optionally substituted by one to three substituents Rx, or C1-C4alkylsulfinyl optionally substituted by one to three substituents Rx; or D. hydrogen, halogen, C1-C3alkyl, C1-C3haloalkyl, C1-C3alkoxy, C1-C3haloalkoxy, CN, C3- C4cycloalkyl, C3-C4cycloalkyl substituted with one to two substituents Rx; C3- C6cycloalkylcarbonyl, OR6, C3-C6cycloalkylC1-C4alkyl, C3-C6cycloalkylC1-C4alkyl substituted with one or two substituents RZ, C1-C4alkylsulfanyl, C1-C4alkylsulfanyl substituted by one to three substituents Rx, C1-C4alkylsulfonyl, C1-C4alkylsulfonyl substituted by one to three substituents Rx, C1-C4alkylsulfinyl, or C1-C4alkylsulfinyl substituted by one to three substituents Rx; or E. hydrogen, halogen, C1-C3alkyl, C1-C3haloalkyl, C1-C3alkoxy, C1-C3haloalkoxy, CN, C3- C4cycloalkyl, C3-C4cycloalkyl substituted with one to two substituents independently selected from halogen, C1-C3alkyl and C1-C3haloalkyl, C3-C4cycloalkylcarbonyl, C3-C4cycloalkylmethyl, C3-C4cycloalkylmethyl substituted with one to two substituents independently selected from oxo, halogen, C1-C3alkyl, and C1-C3haloalkyl, C1-C2alkylsulfanyl substituted with one to three halogens or C1-C2alkylsulfonyl substituted with one to three halogens; or F. hydrogen, halogen, C1-C3alkyl, C1-C3haloalkyl, C1-C3alkoxy, C1-C3haloalkoxy, cyclopropyl, cyclopropyl substituted with one to two substituents independently selected from halogen, methyl, and trifluoromethyl, cyclopropylcarbonyl, cyclopropylmethyl substituted with one to two substituents independently selected from oxo, halogen, and trifluoromethyl, or C1- C2alkylsulfanyl substituted with one to three halogens or C1-C2alkylsulfonyl substituted with one to three halogens; or
G. hydrogen, halogen, C1-C3alkyl, C1-C3haloalkyl, C1-C3haloalkylsulfanyl, C1-C3alkoxy, C1- C3haloalkoxy, CN, C3-C6cycloalkyl, C3-C6cycloalkyl substituted with one to three substituents independently selected from C1-C3alkyl, C1-C3haloalkyl, cyano, and halogen, cyclopropylcarbonyl, C3-C6cycloalkylC1-C4alkyl, C3-C6cycloalkylC1-C4alkyl substituted with one to five substituents independently selected from oxo, C1-C3alkyl, C1-C3haloalkyl, cyano, and halogen, C1-C5cyanoalkyl, C1-C4alkylsulfonyl, C1-C4haloalkylsulfonyl, C1-C4alkylsulfinyl, C1- C4haloalkylsulfinyl, C3-C6cycloalkylsulfanyl, C3-C6cycloalkylsulfinyl, or C3-C6cycloalkylsulfonyl; or H. hydrogen, halogen, C1-C3alkyl, C1-C3haloalkyl, C1-C3haloalkylsulfanyl, C1-C3alkoxy, C1- C3haloalkoxy, CN, C3-C6cycloalkyl, C3-C6cycloalkyl substituted with one or two substituents independently selected from C1-C3haloalkyl, cyano, and halogen, C3-C4cycloalkylcarbonyl, C3- C6cycloalkylC1-C4alkyl, C3-C6cycloalkylC1-C4alkyl substituted with one to three substituents independently selected from oxo, C1-C3haloalkyl, cyano, and halogen, C1-C5cyanoalkyl, C1- C4alkylsulfonyl, C1-C4haloalkylsulfonyl, C1-C4alkylsulfinyl, C1-C4haloalkylsulfinyl, C3- C6cycloalkylsulfanyl, C3-C6cycloalkylsulfinyl, or C3-C6cycloalkylsulfonyl; or I. hydrogen, halogen, C1-C3haloalkyl, C1-C3haloalkylsulfanyl, C1-C3haloalkoxy, C3-C6cycloalkyl, C3-C6cycloalkyl substituted with one or two substituents independently selected from C1- C3haloalkyl, cyano, and halogen, C3-C4cycloalkylcarbonyl, C3-C6cycloalkylC1-C4alkyl, C3- C6cycloalkylC1-C4alkyl substituted with one to three substituents independently selected from oxo, C1-C3haloalkyl, cyano, and halogen, C1-C5cyanoalkyl, C1-C4alkylsulfonyl, C1- C4haloalkylsulfonyl, C1-C4alkylsulfinyl, C1-C4haloalkylsulfinyl, C3-C6cycloalkylsulfanyl, C3- C6cycloalkylsulfinyl, or C3-C6cycloalkylsulfonyl; or J. hydrogen, halogen, C3-C4cycloalkyl, C3-C4cycloalkylcarbonyl, C3-C4cycloalkyl-C1-C2alkyl optionally substituted with one to two substituents selected from oxo, halogen, C1-C3alkyl and C1-C3haloalkyl, C1-C3haloalkyl, C1-C3haloalkylsulfanyl, C1-C3haloalkysulfonyl, C1-C3alkoxy, C1- C3haloalkoxy, or CN; or K. halogen, C1-C3haloalkyl, C1-C3haloalkylsulfanyl, C1-C3haloalkysulfonyl, or C1-C3haloalkoxy; or L. halogen, C1-C2fluoroalkyl, C1-C2fluoroalkylsulfanyl, C1-C2fluoroalkysulfonyl, or C1- C2fluoroalkoxy; or M. chlorine, fluorine, bromine, iodine, difluoromethyl, trifluoromethyl, trifluoromethylsulfanyl or trifluoromethylsulfonyl; or N. fluorine, chlorine, bromine, iodine, trifluoromethylsulfanyl, trifluoromethylsulfonyl or trifluoromethyl; or O. chlorine, bromine, iodine, trifluoromethylsulfonyl or trifluoromethyl; or P. chlorine, bromine, iodine, or trifluoromethyl; or Q. chlorine or trifluoromethyl. In preferred embodiments of each aspect of the invention, R2a is chlorine, bromine, iodine, or trifluoromethyl, most preferably, R2a is chlorine or trifluoromethyl.
In an embodiment of each aspect of the invention, R2b is : A. hydrogen, halogen, C1-C3alkyl, C1-C3haloalkyl, C3-C4cycloalkyl, cyclopropylcarbonyl, C3- C6cycloalkylC1-C4alkyl optionally substituted with one or two substituents RZ, C1-C3alkoxy, C1- C3haloalkoxy, CN, C1-C4alkylsulfanyl optionally substituted with one to three substituents Rx, C1-C4alkylsulfonyl optionally substituted with one to three substituents Rx, or C1-C4alkylsulfinyl optionally substituted with one to three substituents Rx; or B. hydrogen, halogen, C3-C4cycloalkyl, cyclopropylcarbonyl, C3-C4cycloalkyl-C1-C2alkyl optionally substituted with one to two substituents selected from oxo, halogen, C1-C3alkyl and C1- C3haloalkyl, C1-C3haloalkyl, C1-C3haloalkysulfanyl, C1-C3haloalkysulfonyl, C1-C3alkoxy, C1- C3haloalkoxy, or CN; or C. halogen, C1-C3haloalkyl, C1-C3haloalkylsulfanyl, C1-C3haloalkysulfonyl, or C1-C3haloalkoxy; or D. halogen, C1-C2haloalkyl, C1-C2haloalkylsulfanyl, C1-C2haloalkysulfonyl, or C1-C2haloalkoxy; or E. fluorine, chlorine, bromine, iodine, difluoromethyl, trifluoromethyl, trifluoromethylsulfanyl, trifluoromethylsulfonyl; or F. fluorine, chlorine, bromine, iodine, trifluoromethylsulfanyl, trifluoromethylsulfonyl or trifluoromethyl; or G. chlorine, bromine, iodine, trifluoromethylsulfonyl, or trifluoromethyl; or H. chlorine, bromine, iodine, or trifluoromethyl; or I. chlorine, iodine, or trifluoromethyl; or J. fluorine, chlorine, bromine, iodine, difluoromethylsulfonyl, trifluoromethylsulfonyl or trifluoromethyl; or K. difluoromethylsulfonyl; or L. chlorine or trifluoromethyl, In preferred embodiments of each aspect of the invention, R2b is chlorine, bromine, iodine, or trifluoromethyl, most preferably, R2a is chlorine or trifluoromethyl. In an embodiment of each aspect of the invention, A. R2a and R2b are independently selected from halogen, C1-C3haloalkyl, C1-C3haloalkysulfanyl, C1-C3haloalkysulfonyl, and C1-C3haloalkoxy; or B. R2a and R2b are independently selected from halogen, C1-C3fluoroalkyl, C1-C3fluoroalkysulfanyl, C1-C3fluoroalkysulfonyl, and C1-C3fluoroalkoxy; or C. R2a and R2b are independently selected from chlorine, bromine, iodine, C1-C3fluoroalkyl, C1- C3fluoroalkysulfonyl, and C1-C3fluoroalkoxy; or D. R2a and R2b are independently selected from fluorine, chlorine, bromine, iodine, trifluoromethylsulfanyl, trifluoromethylsulfonyl, and trifluoromethyl; or E. R2a and R2b are independently selected from chlorine, bromine, iodine, trifluoromethylsulfonyl, and trifluoromethyl; or F. R2a and R2b are differently selected from chlorine, bromine, iodine, trifluoromethylsulfonyl, and trifluoromethyl; or
G. R2a and R2b are differently selected from chlorine, bromine, iodine, and trifluoromethyl. In preferred embodiments of each aspect of the invention, R2a and R2b are independently chlorine, bromine, iodine, trifluoromethylsulfonyl, or trifluoromethyl. For instance, R2a and R2b are independently chlorine, bromine, iodine, or trifluoromethyl. For instance, R2a and R2b are independently chlorine, or trifluoromethyl. In an embodiment of each aspect of the invention, R3 is A. C1-C3alkyl or C1-C3haloalkyl; or B. methyl or trifluoromethyl; or C. methyl. In an embodiment of each aspect of the invention, Q is A. Qa; or B. Qb. In an embodiment of each aspect of the invention, Qa is A. selected from Qa-1 to Qa-16; or B. selected from Qa-1, Qa-6, Qa-7, Qa-10, and Qa-15; or C. Qa-1 or Qa-15; or D. Qa-1.
In an embodiment of each aspect of the invention, Qb is
A. selected from Qb-1 to Qb-13; or
In preferred embodiments of each aspect of the invention, Q is Qa-1 or Qb-1.ln other words, R5, R5a and R5b are hydrogen. Preferably, Q is Qa-1 .
As previously mentioned, R4 is or where the staggered line represents the connection of R4 to Qa or Qb.
4
In an embodiment of each aspect of the invention, R is . This is a tautomeric form compounds where R4
of is and R4c is hydrogen. In another embodiment of each aspect of the invention, R4 is where the staggered line represents the connection of R4 to Qa or Qb, and R4c is:
A. hydrogen; C1-C3alkyl optionally substituted with a single substituent selected from cyano, C1- C3alkylsulfanyl, C1-C3alkylsulfinyl, C1-C3alkylsulfonyl, and -C(O)NR4dR4e; C1-C3haloalkyl, allyl, propargyl, C3-C6cycloalkylC1-C4alkyl, C1-C2alkoxyC1-C3alkyl, -C(O)NR4dR4e, -N=CR4fR4g; or benzyl optionally substituted with 1 to 3 substituents independently selected from halogen, cyano, C1-C3alkyl, C1-C3haloalkyl, C1-C3alkoxy, and C3-C4cycloalkyl; or heteroaryl-methyl, wherein said heteroaryl is optionally substituted with 1 to 3 substituents independently selected from halogen, cyano, C1-C3alkyl, C1-C3haloalkyl, C1-C3alkoxy, and C3-C4cycloalkyl; or -C(O)C1-C6alkyl optionally substituted with 1 to 3 substituents independently selected from halogen, cyano, and C1-C3alkoxy; or -C(O)OC1-C6alkyl optionally substituted with 1 to 3 substituents independently selected from halogen, cyano, and C1-C3alkoxy; wherein R4d and R4e are independently hydrogen, or C1-C5alkyl optionally substituted with 1 to 3 substituents independently selected from halogen, cyano, and C1-C3alkoxy; and wherein R4f and R4g are independently C1-C3alkyl, or R4f and R4g form, together with the carbon atom they are attached to, a C4-C6cycloalkyl or a 4- to 6-membered saturated heterocycle containing one oxygen atom; or B. hydrogen; C1-C3alkyl optionally substituted with a single substituent selected from cyano, -SCH3, -S(O)CH3, -SO2CH3 and -C(O)NR4dR4e; C1-C3haloalkyl, allyl, propargyl, C3- C6cycloalkylC1-C4alkyl, C1-C2alkoxyC1-C3alkyl, -C(O)NR4dR4e; isopropylideneamino, 1- methylpropylideneamino, 1-ethylpropylideneamino, cyclobutylideneamino, cyclopentylideneamino, cyclohexylideneamino, oxetan-3-ylideneamino, tetrahydrofuran-3-
ylideneamino, tetrahydropyran-4-ylideneamino; or benzyl optionally substituted with 1 to 3 substituents independently selected from halogen, cyano, C1-C3alkyl, C1-C3haloalkyl, C1- C3alkoxy, and C3-C4cycloalkyl; or heteroaryl-methyl, wherein said heteroaryl is optionally substituted with 1 to 3 substituents independently selected from halogen, cyano, C1-C3alkyl, C1-C3haloalkyl, C1-C3alkoxy, and C3-C4cycloalkyl; or -C(O)C1-C6alkyl optionally substituted with 1 to 3 substituents independently selected from halogen, cyano, and C1-C3alkoxy; or -C(O)OC1-C6alkyl optionally substituted with 1 to 3 substituents independently selected from halogen, cyano, and C1-C3alkoxy; wherein R4d and R4e are independently hydrogen, or C1-C3alkyl optionally substituted with 1 to 3 substituents independently selected from halogen, cyano, methoxy, ethoxy, propoxy, or isopropoxy; or C. C1-C3alkyl optionally substituted with a single substituent selected from cyano, -SCH3, -S(O)CH3, -SO2CH3 and -C(O)NR4dR4e; C1-C3haloalkyl, allyl, propargyl, C3- C6cycloalkylC1-C4alkyl, C1-C2alkoxyC1-C3alkyl, -C(O)NR4dR4e; isopropylideneamino, 1- methylpropylideneamino, 1-ethylpropylideneamino, cyclobutylideneamino, cyclopentylideneamino, cyclohexylideneamino, oxetan-3-ylideneamino, tetrahydrofuran-3- ylideneamino, tetrahydropyran-4-ylideneamino; or benzyl optionally substituted with 1 to 3 substituents independently selected from halogen, cyano, C1-C3alkyl, C1-C3haloalkyl, C1- C3alkoxy, and C3-C4cycloalkyl; or heteroaryl-methyl, wherein said heteroaryl is optionally substituted with 1 to 3 substituents independently selected from halogen, cyano, C1-C3alkyl, C1-C3haloalkyl, C1-C3alkoxy, and C3-C4cycloalkyl; or -C(O)C1-C6alkyl optionally substituted with 1 to 3 substituents independently selected from halogen, cyano, and C1-C3alkoxy; or -C(O)OC1-C6alkyl optionally substituted with 1 to 3 substituents independently selected from halogen, cyano, and C1-C3alkoxy; wherein R4d and R4e are independently hydrogen, or C1-C3alkyl optionally substituted with 1 to 3 substituents independently selected from halogen, cyano, methoxy, ethoxy, propoxy, or isopropoxy; or D. hydrogen, C1-C3alkyl, C1-C3haloalkyl, allyl, propargyl, C3-C4cycloalkylC1-C4alkyl, C1- C2alkoxyC1-C3alkyl, isopropylideneamino, 1-methylpropylideneamino, 1- ethylpropylideneamino, cyclobutylideneamino, cyclopentylideneamino, cyclohexylideneamino, oxetan-3-ylideneamino, tetrahydrofuran-3-ylideneamino, tetrahydropyran-4- ylideneamino, -C(O)NR4dR4e, benzyl optionally substituted with 1 to 3 substituents independently selected from halogen, cyano, C1-C3alkyl, C1-C3haloalkyl, C1-C3alkoxy, and C3- C4cycloalkyl; or heteroaryl-methyl where the heteroaryl is optionally substituted with 1 to 3 substituents independently selected from halogen, cyano, C1-C3alkyl, C1-C3haloalkyl, C1- C3alkoxy, and C3-C4cycloalkyl; -C(O)C1-C6alkyl, or -C(O)OC1-C6alkyl; wherein R4d and R4e are independently hydrogen, or C1-C3alkyl optionally substituted with 1 to 3 substituents independently selected from halogen, cyano, methoxy, ethoxy, propoxy, or isopropoxy; or E. hydrogen, methyl, ethyl, propyl, isopropyl, C1-C3fluoroalkyl, C1-C3chloroalkyl, C3- C4cycloalkylC1-C3alkyl, C1-C2alkoxyC1-C3alkyl, isopropylideneamino, 1- methylpropylideneamino, 1-ethylpropylideneamino, cyclobutylideneamino,
cyclopentylideneamino, cyclohexylideneamino, oxetan-3-ylideneamino, tetrahydrofuran-3- ylideneamino, tetrahydropyran-4-ylideneamino, benzyl optionally substituted with 1 to 3 substituents independently selected from halogen, cyano, C1-C3alkyl, C1-C3haloalkyl, C1- C3alkoxy, and C3-C4cycloalkyl; or heteroaryl-methyl where the heteroaryl group is a pyridyl or a diazinyl cycle, optionally substituted with 1 or 2 substituents independently selected from halogen, cyano, C1-C3alkyl, C1-C3haloalkyl, C1-C3alkoxy, and C3-C4cycloalkyl; or F. hydrogen, C1-C3alkyl, cyano C1-C3alkyl, cyclopropyl-C1-C2alkyl, cyclobutyl-C1-C2alkyl, isopropylideneamino, 1-methylpropylideneamino, 1-ethylpropylideneamino, cyclobutylideneamino, cyclopentylideneamino, cyclohexylideneamino, oxetan-3-ylideneamino, tetrahydrofuran-3-ylideneamino, tetrahydropyran-4-ylideneamino; phenyl-methyl, pyrimidin-2- yl-methyl, 4-pyridinyl-methyl, where the phenyl, pyridyl or pyrimidinyl is optionally substituted with 1 or 2 substituents independently selected from halogen, cyano, C1-C3alkyl, C1-C3haloalkyl, C1-C3alkoxy, and C3-C4cycloalkyl; -C(O)C1-C3alkyl, or -C(O)OC1-C3alkyl; or G. C3-C4cycloalkylC1-C4alkyl, isopropylideneamino, 1-methylpropylideneamino, cyclobutylideneamino, cyclopentylideneamino, oxetan-3-ylideneamino, tetrahydrofuran-3- ylideneamino, pyrimidin-2-yl-methyl, or 4-pyridinyl-methyl; or H. C3-C4cycloalkylC1-C4alkyl, isopropylideneamino, 1-methylpropylideneamino, cyclobutylideneamino, cyclopentylideneamino, oxetan-3-ylideneamino, tetrahydrofuran-3- ylideneamino, pyrimidin-2-yl-methyl, 4-pyridinyl-methyl, or phenyl-methyl, where the phenyl is optionally substituted with a single halo, cyano or methyl; or I. hydrogen, C1-C3alkyl, propargyl, allyl, cyanoC1-C3alkyl, C3-C4cycloalkylmethyl, oxetan-3- ylideneamino, isopropylideneamino, pyrimidin-2-yl-methyl, 4-pyridinyl-methyl, or phenyl-methyl, where the phenyl is optionally substituted with a single halo, cyano or methyl; or J. hydrogen, C1-C3alkyl, propargyl, allyl, cyanoC1-C3alkyl, C3-C4cycloalkylmethyl, oxetan-3- ylideneamino, isopropylideneamino, pyrimidin-2-yl-methyl, 4-pyridinyl-methyl, or phenyl-methyl, where the phenyl is optionally meta- or para-substituted with a single halo, cyano or methyl; or K. hydrogen, methyl, ethyl, propargyl, allyl, cyanoC1-C3alkyl, cyclopropylmethyl, oxetan-3- ylideneamino, isopropylideneamino, pyrimidin-2-yl-methyl, or phenyl-methyl, where the phenyl is optionally meta- or para-substituted with a single fluoro, cyano or methyl; or L. hydrogen, methyl, ethyl, cyclopropylmethyl, oxetan-3-ylideneamino, isopropylideneamino, or pyrimidin-2-ylmethyl; or M. methyl, ethyl, cyclopropylmethyl, oxetan-3-ylideneamino, isopropylideneamino, or pyrimidin-2- ylmethyl; or N. hydrogen, methyl, ethyl, or cyclopropylmethyl; or O. methyl, ethyl, or cyclopropylmethyl; or P. oxetan-3-ylideneamino, isopropylideneamino, or pyrimidin-2-ylmethyl; or Q. 2-cyanoethyl, propargyl, benzyl, allyl, (3-fluorophenyl)methyl, (4-fluorophenyl)methyl, m- tolylmethyl, p-tolylmethyl, (3-cyanophenyl)methyl, or (4-cyanophenyl)methyl; or
R. hydrogen, methyl, ethyl, cyclopropylmethyl, propargyl, benzyl, allyl, m-tolylmethyl, or p- tolylmethyl; or
S. hydrogen, methyl, ethyl, cyclopropylmethyl, oxetan-3-ylideneamino, isopropylideneamino, pyrimidin-2-ylmethyl, 2-cyanoethyl, propargyl, benzyl, allyl, (3-fluorophenyl)methyl, (4- fluorophenyl)methyl, m-tolylmethyl, p-tolylmethyl, (3-cyanophenyl)methyl, or (4- cyanophenyl)methyl; or
T. hydrogen, methyl, ethyl, cyclopropylmethyl, oxetan-3-ylideneamino, isopropylideneamino, pyrimidin-2-ylmethyl, cyanomethyl, 2-cyanoethyl, -CH2C(O)NH2, propargyl, benzyl, allyl, (3- fluorophenyl)methyl, (4-fluorophenyl)methyl, m-tolylmethyl, p-tolylmethyl, (3- cyanophenyl)methyl, or (4-cyanophenyl)methyl.
In preferred embodiments of each aspect of the invention, R4c is methyl or ethyl.
In an embodiment of each aspect of the invention, where R4c is -N=CR4fR4s,
A. R4f and R4g are independently selected from methyl, ethyl, propyl, and isopropyl, or R4f and R4g form, together with the carbon atom they are attached to, a cyclopropyl, cyclobutyl or cyclohexyl group, or a 4- to 6-membered saturated heterocycle containing one oxygen atom; or
B. R4f and R4s are independently selected from methyl, ethyl, and propyl, or R4f and R4s form, together with the carbon atom they are attached to, a cyclopropyl, cyclobutyl, cyclohexyl, oxetan-3-yl, tetrahydrofuran-3-yl, tetrahydropyran-3-yl, tetrahydropyran-4-yl group;
C. R4f and R4s are independently selected from methyl and ethyl, or R4f and R4s form, together with the carbon atom they are attached to, a cyclopropyl, cyclobutyl, cyclohexyl, oxetan-3-yl, tetrahydrofuran-3-yl, tetrahydropyran-4-yl group; or
D. R4f and R4g are independently selected from methyl and ethyl; or
E. R4f and R4g form, together with the carbon atom they are attached to, a cyclopropyl, cyclobutyl, cyclohexyl, oxetan-3-yl, tetra hydrofuran -3-yl, tetrahydropyran-4-yl group; or
F. R4f and R4s are independently selected from methyl and ethyl; or R4f and R4s form, together with the carbon atom they are attached to, a cyclopropyl, cyclobutyl, or cyclohexyl group; or
G. R4f and R4g are independently selected from methyl and ethyl; or R4f and R4g form, together with the carbon atom they are attached to, an oxetan-3-yl, tetrahydrofuran-3-yl, tetrahydropyran-4- yl group; or
H. R4f and R4g form, together with the carbon atom they are attached to, a cyclopropyl, cyclobutyl, or cyclohexyl group; or
I. R4f and R4s form, together with the carbon atom they are attached to, an oxetan-3-yl, tetrahydrofuran-3-yl, tetrahydropyran-4-yl group; or
J. R4f and R4s are methyl; or R4f and R4s form, together with the carbon atom they are attached to, an oxetan-3-yl group.
In an embodiment of each aspect of the invention, R5 is
A. hydrogen, C1-C3alkyl, C1-C3haloalkyl, C3-C4cycloalkyl, C1-C3alkoxy, halogen, C1-C3alkoxy-C1- C3alkyl, C1-C3alkoxy-C1-C3alkoxy-C1-C3alkyl, (C1-C3alkyl)C(O), (C1-C3alkoxy)C(O), HC(O), C1- C3haloalkoxy or a 5-membered heteroaromatic ring wherein the 5-membered heteroaromatic ring can be optionally substituted with one to three substituents selected from C1-C3alkyl, C1- C3haloalkyl, C1-C3alkoxy, C3-C4cycloalkyl, halogen, CN or hydroxy; or B. hydrogen, C1-C3alkyl, C1-C3haloalkyl, C3-C4cycloalkyl, C1-C3alkoxy, halogen, C1-C3alkoxy-C1- C3alkyl, C1-C3alkoxy-C1-C3alkoxy-C1-C3alkyl, (C1-C3alkyl)C(O), (C1-C3alkoxy)C(O), HC(O) or C1-C3haloalkoxy; or C. hydrogen, C1-C3alkyl, C1-C3haloalkyl, C3-C4cycloalkyl, C1-C3alkoxy, halogen, Cl, Br, C1- C3alkoxy-C1-C3alkyl, C1-C3alkoxy-C1-C3alkoxy-C1-C3alkyl, (C1-C3alkyl)C(O), (C1- C3alkoxy)C(O), or C1-C2haloalkoxy; or D. hydrogen, C1-C3alkyl, C1-C3alkoxy, C3-C4cycloalkyl, C1-C3haloalkoxy, halogen, C1-C3alkoxy-C1- C3alkyl, C1-C3alkoxy-C1-C3alkoxy-C1-C3alkyl, (C1-C3alkyl)C(O), HC(O), or (C1-C3alkoxy)C(O); or E. hydrogen, C1-C2alkyl, C1-C2alkoxy, C3-C4cycloalkyl, C1-C2haloalkoxy, halogen, C1-C2alkoxy-C1- C2alkyl, C1-C2alkoxy-C1-C2alkoxy-C1-C2alkyl, (C1-C2alkyl)C(O), HC(O), or (C1-C2alkoxy)C(O); or F. hydrogen, methyl, trifluoromethoxy, methoxy, cyclopropyl, 2,2-difluroroethoxy, 2,2,2- trifluroroethoxy, difluoromethoxy, 2,2,2-trifluroroethyl, chloro, bromo, methoxyethoxy, methylcarbonyl, or methoxycarbonyl; or G. hydrogen. In an embodiment of each aspect of the invention, R5a is A. hydrogen, halogen, CN, C1-C3alkyl, C1-C3haloalkyl, C3-C4cycloalkyl, C1-C3alkoxy or C1- C3haloalkoxy; or B. hydrogen, halogen, CN, C1-C3alkyl, C1-C3haloalkyl, C3-C4cycloalkyl or C1-C3alkoxy; or C. hydrogen, halogen, CN, C1-C3alkyl, C1-C3haloalkyl or C1-C3alkoxy; or D. hydrogen, halogen, CN, C1-C3alkyl or C1-C3alkoxy; or E. hydrogen or halogen; or F. hydrogen. In an embodiment of each aspect of the invention, R5b is A. hydrogen, halogen, CN, C1-C3haloalkyl, C3-C4cycloalkyl, C1-C3alkoxy, or C1-C3haloalkoxy; or B. hydrogen, halogen or C1-C3alkoxy; or C. hydrogen. In an embodiment of each aspect of the invention, R6 is A. phenyl, benzyl, heteroaryl, or C3-C6 cycloalkyl, each of which, independently of each other, is optionally substituted with one substituent selected from Rx; or B. phenyl, benzyl, cyclopropyl or cyclopropyl substituted with one substituent selected from Rx.
In an embodiment of each aspect of the invention, Rx is independently selected from A. halogen, C1-C3haloalkyl, C1-C3alkoxy, C1-C3haloalkoxy or CN; or B. F, Cl, Br, OCF2H, OCH3 or CN. In an embodiment of each aspect of the invention, RZ is independently selected from A. oxo, halogen, C1-C3haloalkyl, C1-C3alkoxy, C1-C3haloalkoxy or CN; or B. oxo, F, Cl, Br, OCF2H, OCH3 or CN. In an embodiment of each aspect of the invention, RY is independently selected from A. hydrogen, C1-C3 alkyl, C1-C3 haloalkyl, C1-C3 alkoxy, C1-C3 haloalkoxy, halogen, CN and cyclopropyl; or B. hydrogen, C1-C3 alkyl, C1-C3 haloalkyl, C1-C3 alkoxy, C1-C3 haloalkoxy, halogen, and cyclopropyl; or C. hydrogen, C1-C3 alkyl, C1-C3 haloalkyl, and C1-C3 alkoxy; or D. hydrogen, methyl, trifluoromethyl, and methoxy; or E. hydrogen. In an embodiment of each aspect of the invention, RYY is independently selected from A. hydrogen, C1-C3 alkyl, C1-C3 haloalkyl, C1-C3 alkoxy, C1-C3 haloalkoxy, halogen, CN and cyclopropyl; or B. hydrogen, C1-C3 alkyl, C1-C3 haloalkyl, C1-C3 alkoxy, C1-C3 haloalkoxy, halogen, and cyclopropyl; or C. hydrogen, C1-C3 alkyl, C1-C3 haloalkyl, and C1-C3 alkoxy; or D. hydrogen, methyl, trifluoromethyl, and methoxy; or E. hydrogen. As one of ordinary skill in the art will appreciate, compounds of formula I contain a stereogenic centre which is indicated with an asterisk in the structure below, where R1, R2a, R2b, R3, Q, A1, A2, A3, A4, and A5 are as defined in the first aspect:
The present invention contemplates both racemates and individual enantiomers. Compounds having preferred stereochemistry are set out below. Particularly preferred compounds of the present invention are compounds of formula I’a, where R1, R2a, R2b, R3, Q, A1, A2, A3, A4, and A5 are as defined
in the first aspect, and stereoisomers, enantiomers, tautomers and N-oxides of the compounds of formula (I’a), and agrochemically acceptable salts thereof.
In addition, as one of ordinary skill in the art will appreciate, when R4c is -N=CR4fR4g, E-Z diastereomerism may occur at the N=C double bond in compounds of formula (I), (I*) and (I’a). The present invention contemplates both E and Z diastereomers. The present invention, accordingly, makes available a compound of formula (I) having the substituents R1, R2a, R2b, R3, Q, A1, A2, A3, A4, and A5 as defined above in all combinations and each permutation. Accordingly, made available, for example, is a compound of formula (I) with A1, A2 and A3 of embodiment C (i.e. A1, A2 and A3 are, independently from each other, N or CH); A4 and A5 of embodiment B (i.e. A4 is CRYY, and A5 is CH); R1 of embodiment B (i.e. R1 is hydrogen, C1-C6alkyl, C1-C6cyanoalkyl, aminocarbonylC1-C6alkyl, hydroxycarbonylC1-C6alkyl, C1-C6nitroalkyl, trimethylsilaneC1-C6alkyl, C1- C3alkoxy-C1-C6alkyl, C1–C6haloalkyl, C2-C6alkenyl, C2-C6haloalkenyl, C2-C6alkynyl, C2-C6haloalkynyl, C3-C4cycloalkylC1-C2alkyl-, benzyloxycarbonyl, or benzyl); R2a of embodiment F (i.e. R2a is hydrogen, halogen, C1-C3alkyl, C1-C3haloalkyl, C1-C3alkoxy, C1-C3haloalkoxy, cyclopropyl, cyclopropyl substituted with one to two substituents independently selected from halogen, methyl, and trifluoromethyl, cyclopropylcarbonyl, cyclopropylmethyl substituted with one to two substituents independently selected from oxo, halogen, and trifluoromethyl, or C1-C2alkylsulfanyl substituted with one to three halogens or C1-C2alkylsulfonyl substituted with one to three halogens); R2b of embodiment B (i.e. R2b is hydrogen, halogen, C3-C4cycloalkyl, cyclopropylcarbonyl, C3-C4cycloalkyl-C1-C2alkyl optionally substituted with one to two substituents selected from oxo, halogen, C1-C3alkyl and C1-C3haloalkyl, C1-C3haloalkyl, C1- C3haloalkysulfanyl, C1-C3haloalkysulfonyl, C1-C3alkoxy, C1-C3haloalkoxy, or CN); R3 of embodiment A (i.e. R3 is C1-C3alkyl or C1-C3haloalkyl); Q of embodiment A or B (i.e. Q is Qa or Qb); Qa of embodiment B (i.e. Qa is selected from Qa-1, Qa-6, Qa-7, Qa-10, and Qa-15); Qb of embodiment B (i.e. Qb is Qb-1); R4c of embodiment B (i.e. R4c is hydrogen; C1-C3alkyl optionally substituted with a single substituent selected from cyano, -SCH3, -S(O)CH3, -SO2CH3 and -C(O)NR4dR4e; C1-C3haloalkyl, allyl, propargyl, C3- C6cycloalkylC1-C4alkyl, C1-C2alkoxyC1-C3alkyl, -C(O)NR4dR4e; isopropylideneamino, 1- methylpropylideneamino, 1-ethylpropylideneamino, cyclobutylideneamino, cyclopentylideneamino, cyclohexylideneamino, oxetan-3-ylideneamino, tetrahydrofuran-3-ylideneamino, tetrahydropyran-4- ylideneamino; or benzyl optionally substituted with 1 to 3 substituents independently selected from halogen, cyano, C1-C3alkyl, C1-C3haloalkyl, C1-C3alkoxy, and C3-C4cycloalkyl; or heteroaryl-methyl, wherein said heteroaryl is optionally substituted with 1 to 3 substituents independently selected from
halogen, cyano, C1-C3alkyl, C1-C3haloalkyl, C1-C3alkoxy, and C3-C4cycloalkyl; or -C(O)C1-C6alkyl optionally substituted with 1 to 3 substituents independently selected from halogen, cyano, and C1- C3alkoxy; or -C(O)OC1-C6alkyl optionally substituted with 1 to 3 substituents independently selected from halogen, cyano, and C1-C3alkoxy; wherein R4d and R4e are independently hydrogen, or C1-C3alkyl optionally substituted with 1 to 3 substituents independently selected from halogen, cyano, methoxy, ethoxy, propoxy, or isopropoxy); RYY of embodiment C (i.e. RYY is independently selected from hydrogen, C1-C3 alkyl, C1-C3 haloalkyl, and C1-C3 alkoxy). Also made available is a compound of formula (I) with A1, A2 and A3 of embodiment D (i.e. A1, A2 and A3 are, independently from each other, N or CH, with the proviso that no more than two out of the three are N); A4 and A5 of embodiment E (i.e. A4 and A5 are both CH); R1 of embodiment F (i.e. R1 is hydrogen, C1-C3alkyl, C1-C3cyanoalkyl, C1-C3alkoxy-C1-C3alkyl, C1–C3haloalkyl, C2-C4alkenyl, C2- C4haloalkenyl, C2-C4alkynyl, C2-C4haloalkynyl, C3-C4cycloalkylC1-C2alkyl-, benzyloxycarbonyl, or benzyl); R2a of embodiment J (i.e. R2a is hydrogen, halogen, C3-C4cycloalkyl, C3-C4cycloalkylcarbonyl, C3-C4cycloalkyl-C1-C2alkyl optionally substituted with one to two substituents selected from oxo, halogen, C1-C3alkyl and C1-C3haloalkyl, C1-C3haloalkyl, C1-C3haloalkylsulfanyl, C1-C3haloalkysulfonyl, C1-C3alkoxy, C1-C3haloalkoxy, or CN); R2b of embodiment F (i.e. R2b is fluorine, chlorine, bromine, iodine, trifluoromethylsulfanyl, trifluoromethylsulfonyl or trifluoromethyl); R3 of embodiment C (i.e. R3 is methyl); Q of embodiment A (i.e. Q is Qa); Qa of embodiment C (i.e. Qa is Qa-1 or Qa-15); R4c of embodiment F (i.e. R4c is hydrogen, C1-C3alkyl, cyclopropyl-C1-C2alkyl, cyclobutyl-C1-C2alkyl, isopropylideneamino, 1-methylpropylideneamino, 1-ethylpropylideneamino, cyclobutylideneamino, cyclopentylideneamino, cyclohexylideneamino, oxetan-3-ylideneamino, tetrahydrofuran-3- ylideneamino, tetrahydropyran-4-ylideneamino, pyrimidin-2-yl-methyl, 4-pyridinyl-methyl, where the pyridyl or pyrimidinyl is optionally substituted with 1 or 2 substituents independently selected from halogen, cyano, C1-C3alkyl, C1-C3haloalkyl, C1-C3alkoxy, and C3-C4cycloalkyl; -C(O)C1-C3alkyl, or -C(O)OC1-C3alkyl). Also made available is a compound of formula (I) with A1, A2 and A3 of embodiment (i.e.); A4 and A5 of embodiment E (i.e. A4 and A5 are both CH); R1 of embodiment J (i.e. R1 is hydrogen, methyl, or cyclopropyl-methyl); R2a of embodiment O (i.e. R2a is chlorine, bromine, iodine, trifluoromethylsulfonyl or trifluoromethyl); R2b of embodiment G (i.e. R2b is chlorine, bromine, iodine, trifluoromethylsulfonyl, or trifluoromethyl); R3 of embodiment C (i.e. R3 is methyl); Q of embodiment A (i.e. Q is Qa); Qa of embodiment C (i.e. Qa is Qa-1 or Qa-15); R4c of embodiment G (i.e. R4c is C3-C4cycloalkylC1-C4alkyl, isopropylideneamino, 1-methylpropylideneamino, cyclobutylideneamino, cyclopentylideneamino, oxetan-3-ylideneamino, tetrahydrofuran-3-ylideneamino, pyrimidin-2-yl-methyl, 4-pyridinyl-methyl). Also made available is a compound of formula (I) with A1, A2 and A3 of embodiment B (i.e. A1 and A3 are N, and A2 is CRY); A4 and A5 of embodiment E (i.e. A4 and A5 are both CH); R1 of embodiment G (i.e. R1 is hydrogen, methyl, ethyl, cyanomethyl, methoxymethyl, cyclopropyl-methyl, allyl, propargyl, benzyloxycarbonyl, or benzyl); R2a of embodiment L (i.e. R2a is halogen, C1-C2fluoroalkyl, C1- C2fluoroalkylsulfanyl, C1-C2fluoroalkysulfonyl, or C1-C2fluoroalkoxy); R2b of embodiment D (i.e. R2b is halogen, C1-C2haloalkyl, C1-C2haloalkylsulfanyl, C1-C2haloalkysulfonyl, or C1-C2haloalkoxy); R3 of
embodiment B (i.e. R3 is methyl or trifluoromethyl); Q of embodiment B (i.e. Q is Qb); Qb of embodiment B (i.e. Qb is Qb-1); R4c of embodiment H (i.e. R4c is hydrogen, methyl, ethyl, cyclopropylmethyl, oxetan- 3-ylideneamino, isopropylideneamino, or pyrimidin-2-ylmethyl); RY of embodiment D (i.e. RY is selected from hydrogen, methyl, trifluoromethyl, and methoxy ).
Also made available is a compound of formula (I) with A1 , A2 and A3 of embodiment G (i.e. A1 and A3 are N, and A2 is CH); A4 and A5 of embodiment E (i.e. A4 and A5 are both CH); R1 of embodiment J (i.e. R1 is hydrogen, methyl, or cyclopropyl-methyl); R2a of embodiment Q (i.e. R2a is chlorine, or trifluoromethyl); R2b of embodiment I (i.e. R2b is chlorine, iodine, or trifluoromethyl); R3 of embodiment C(i.e. R3 is methyl); Q of embodiment A (i.e. Q is Qa); Qa of embodiment D (i.e. Qa is Qa-1); R4c of embodiment H (i.e. R4c is hydrogen, methyl, ethyl, cyclopropylmethyl, oxetan-3-ylideneamino, isopropylideneamino, or pyrimidin-2-ylmethyl).
Also made available is a compound of formula (I) where A1 and A3 are N, A2 is CH; A4 and A5 are both CH; R1 is hydrogen or methyl; R2a is chlorine, bromine, iodine, or trifluoromethyl; R2b is chlorine, bromine, iodine, difluoromethylsulfonyl, trifluoromethylsulfonyl, or trifluoromethyl; R3 is methyl; Q is Qa-1 ;
R4 is ; and R4c is hydrogen, Ci-Csalkyl, propargyl, allyl, cyanoCi-Csalkyl, -CH2C(O)NH2, C3-
C4cycloalkylmethyl, oxetan-3-ylideneamino, isopropylideneamino, pyrimidin-2-yl-methyl, 4-pyridinyl- methyl, or phenyl-methyl, where the phenyl is optionally substituted with a single halo, cyano or methyl.
Also made available is a compound of formula (I) where A1 and A3 are N, A2 is CH; A4 and A5 are both CH; R1 is hydrogen; R2a is chlorine or trifluoromethyl; R2b is chlorine or trifluoromethyl; R3 is
methyl; Q is Qa-1 ; R4 is ; and R4c is hydrogen, methyl, ethyl, propargyl, allyl, cyanomethyl,
2-cyanoethyl, -CH2C(O)NH2, C3-C4cycloalkylmethyl, oxetan-3-ylideneamino, isopropylideneamino, pyrimidin-2-yl-methyl, 4-pyridinyl-methyl, or phenyl-methyl, where the phenyl is optionally substituted with a single halo, cyano or methyl.
Also made available is a compound of formula (I) where A1 and A3 are N, A2 is CH; A4 and A5 are both CH; R1 is hydrogen or methyl; R2a is chlorine, bromine, iodine, or trifluoromethyl; R2b is chlorine,
bromine, iodine, difluoromethylsulfonyl, trifluoromethylsulfonyl, or trifluoromethyl; R3 is methyl; Q is Qa-1 ;
and R4 is
Compounds of formula (I) can be prepared by those skilled in the art following known methods. More specifically compounds of formula (I), compounds of formula (I’), and intermediates therefor, can be prepared as described below in the schemes and examples. Certain stereogenic centers have been left unspecified for the clarity and are not intended to limit the teaching of the schemes in any way.
Compounds of formula (I) can be made, for example, as shown in scheme 1 .
Scheme 1 :
where T is
have the same meaning as given above for compounds of the formula (I), and where the staggered line represents the connection to the remainder of the compounds of the formula (I), (la), (lb), (Ic), (Id), (Id-1), (le), (le-1), (If), (lf-1), (II), (IV), (IVa), (X), (XI), (XVII), (XXV), (XXVI), (XXVI-1) in Schemes 1 to 12.
Compounds of the formula (I) can be made, for example, by reaction of a compound of the formula (II), wherein X1 is a leaving group, such as a halogen or sulfonate, for instance chloride, and wherein T has the meaning given above, with a compound of formula (III), or a salt thereof (such as a hydrohalide salt, preferably a hydrochloride or a hydrobromide salt, or a trifluoroacetic acid salt, or any other equivalent salt), wherein R1, R3 and Q have the same meaning as given above for compounds of the formula (I). Such reactions can be conducted neat or in a solvent, preferably in a solvent, such as an organic solvent, for instance acetonitrile, tetra hydrofuran, 2-methyltetrahydrofuran, ethyl acetate, N,N-dimethylacetamide or N,N-dimethylformamide, in a temperature range of -100 to +300 °C, preferably between ambient temperature and 200 °C, with or without the presence of a catalyst, for instance a metal catalyst, such as a palladium complex, and with or without the addition of a base, such
as an inorganic base, for instance sodium, potassium or cesium carbonate, or an organic base, such as, for example, triethylamine, diisopropylethylamine or pyridine. Compounds of the formula (II) are either known, or can be prepared in analogy to descriptions found for example in WO 2021/083936 and WO 2021/177160, or they can be prepared by methods known to a person skilled in the art.
Ill
Scheme 2
Compounds of formula (III), or a salt thereof, can be made, for example, as shown in scheme 2. Treatment of a compound of the formula (V), wherein R3 and Q have the same meaning as given above for compounds of the formula (I) and X2 is a leaving group, such as a halogen or sulfonate, for instance bromide, with an amine of the formula (XIX), or a salt thereof, wherein R1 has the same meaning as given above for compounds of the formula I, gives compounds of the formula (III), wherein Q, R1 and R3 have the same meaning as given above for compounds of the formula I. The reaction can be conducted neat or in a solvent, preferably in a solvent, such as an organic solvent, for instance acetonitrile, in a temperature range of -100 to +300 °C, preferably between ambient temperature and 200 °C, with or without the addition of a base, such as an inorganic base, for instance potassium carbonate, or an organic base, such as, for example, triethylamine.
Alternatively, treatment of a compound of the formula (VII), wherein R3 and Q have the same meaning as given above for compounds of the formula (I), with an amine of the formula (XIX), or a salt thereof, wherein R1 has the same meaning as given above for compounds of the formula I, gives compounds of the formula (III), wherein Q, R1 and R3 have the same meaning as given above for compounds of the formula I. This reaction is done in the presence of a reducing agent, such as for example hydrogen, or a hydride, such as sodium borohydride, with or without a catalyst, such as a hydrogenation catalyst, for example palladium on carbon, with or without the presence of an acid, such as acetic acid, or a Lewis acid, such as zinc bromide or titanium(IV) isopropoxide, in a solvent or without a solvent, such as, for instance, methanol. The reaction can be conducted in a temperature range of - 100 to +300 °C, preferably between ambient temperature and 200 °C. Such methods, and the range of conditions to perform them, for the alkylation of amines and for the reductive alkylation of amines (e.g. in the presence of NaBH(OAc)3 or NaBHsCN, in a suitable solvent, preferably in acetic acid, at room temperature, analogous to W02002/088073; or alternatively, by the use of a combination of Ti(i-OiPr)4 and NaBH4 as described in Synthesis 2003 (14), 2206) are well known to a person skilled in the art. The amines of formula (XIX), or a salt thereof, wherein R1 has the same meaning as given above for compounds of the formula (I), are either known, or they can be prepared by methods known to a person skilled in the art.
IV if R1 = H a
I
Scheme 3
Alternatively, compounds of formula (I) can be made, for example, by reaction of compound of the formula (IV), wherein T has the same meaning as given above in Scheme 1 , and R1 has the same meaning as given above for compounds of the formula (I), with a compound of the formula (V), wherein R3 and Q have the same meaning as given above for compounds of the formula (I), and X2 is a leaving group, such as a halogen or sulfonate, for instance chloride or bromide. The reaction can be conducted neat or in a solvent, preferably in a solvent, such as an organic solvent, for instance acetonitrile, in a temperature range of -100 to +300 °C, preferably between ambient temperature and 200 °C, with or without the addition of a base, such as an inorganic base, for instance potassium carbonate, or an organic base, such as, for example, triethylamine. Such methods for the alkylation of amines, and the range of conditions to perform them, are well known to a person skilled in the art.
Alternatively, a compound of the formula (I) can be made by reaction of a compound of the formula (IVa), wherein T has the same meaning as given above in Scheme 1 , with a compound of the formula (VII), wherein R3 and Q have the same meaning as given above for compounds of the formula (I). This reaction is done in the presence of a reducing agent, such as for example hydrogen, or a hydride, such as sodium borohydride, with or without a catalyst, such as a hydrogenation catalyst, for example palladium on carbon, with or without the presence of an acid, such as acetic acid, or a Lewis acid, such as zinc bromide, in a solvent or without a solvent, such as, for instance, methanol. The reaction can be conducted in a temperature range of -100 to +300 °C, preferably between ambient temperature and 200 °C. Such methods for the reductive alkylation of amines, and the range of conditions to perform them, are well known to a person skilled in the art.
VIII V VII
Scheme 4
Compounds of formula (V) can be made, for example, as shown in scheme 4. Treatment of a compound of the formula (VIII) with a halogenating agent, such as chlorine or bromine or N- bromosuccinimide, for example, gives compound of the formula (V), wherein the leaving group X2 is a halogen, for instance chloride or bromide. This reaction is done with or without a solvent, preferably in a solvent, with or without an additive, such as a radical starter, such as, for example, benzoyl peroxide
or azoisobutyronitrile. The reaction can be done with or without exposure to visible light, or to UV light, and it can be conducted in a temperature range of -100 to +300 °C, preferably between ambient temperature and 200 °C.
Alternatively, a compound of the formula (VI I) can be treated with a reducing agent, followed by reaction with a sulfonyl chloride, for instance methanesulfonyl chloride, to give a compound of the formula (V), wherein the leaving group X2 is a sulfonate, for instance a mesylate. This reaction can be done in a solvent, or without a solvent, in the presence of a base, such as an inorganic base, for instance potassium carbonate, or an organic base, such as an amine base, for instance trimethylamine, or without a base, and it can be conducted in a temperature range of -100 to +300 °C, preferably between ambient temperature and 200 °C. A suitable reducing agent could be, for example, hydrogen, or a hydride, such as sodium borohydride, with or without a catalyst, such as a hydrogenation catalyst, for example palladium on carbon, with or without the presence of an acid, such as acetic acid, or a Lewis acid, such as zinc bromide, in a solvent or without a solvent, such as, for instance, methanol. The reaction can be conducted in a temperature range of -100 to +300 °C, preferably between ambient temperature and 200 °C. Such methods for the halogenation, the reduction of carbonyl compounds and the sulfonylation of alcohols, and the range of conditions to perform them, are well known to a person skilled in the art. The compounds of the formula (VII) and the compounds of formula (VIII) are either known, or they can be prepared by methods known to a person skilled in the art.
Scheme 5
Alternatively, compounds of formula (lb), wherein T has the same meaning as given above in Scheme 1 , and R1, R3 and Q have the same meaning as given above for compounds of the formula (I), except that R1 is different from hydrogen, can be made, for example, as shown in scheme 5. A compound of the formula (la), wherein T has the same meaning as given above in Scheme 1 , and R3 and Q have the same meaning as given above for compounds of the formula (I), can be reacted with a compound of the formula (VI), wherein R1 has the same meaning as given above for compounds of the formula (I), except that R1 is different from hydrogen, and wherein X3 is a leaving group, such as a halogen or sulfonate, for instance a chloride, bromide, iodide or mesylate, to give a compound of formula (lb). This reaction can be conducted neat or in a solvent, preferably in a solvent, such as an organic solvent, for instance acetonitrile, N,N-dimethylformamide (DMF) or N,N-dimethylacetamide (DMA), or mixtures thereof, in a temperature range of -100 to +300 °C, preferably between ambient temperature and 200 °C, with or without the addition of a base, such as an inorganic base, for instance sodium, potassium or cesium carbonate, or an organic base, such as, for example, triethylamine, diisopropylethylamine or pyridine. Such methods for the alkylation of amines, and the range of conditions to perform them, are well known to a person skilled in the art.
Compounds of the formula (VI), wherein R1 has the same meaning as given above for compounds of the formula (I), except that R1 is different from hydrogen, and wherein X3 is a leaving group, such as a halogen or sulfonate, for instance a chloride, bromide, iodide or mesylate, are either known, or they can be prepared by methods known to a person skilled in the art.
Scheme 6
Compounds of formula (Ic), wherein T has the same meaning as given above in Scheme 1 , and R3 and R4c have the same meaning as given above for compounds of the formula (I), can be made, for example, as shown in scheme 6. Reaction of a compound of the formula (II), wherein T has the same meaning as given above in Scheme 1 and wherein X1 is a leaving group, such as a halogen or sulfonate, for instance chloride, with a compound of the formula (IX), or a salt thereof, wherein R3 has the same meaning as given above for compounds of the formula (I), gives a compound of the formula (X), wherein T has the same meaning as given above in Scheme 1 , and wherein R3 has the same meaning as given above for compounds of the formula (I). The reaction can be conducted neat or in a solvent, preferably in a solvent, such as an organic solvent, for instance acetonitrile, tetrahydrofuran, 2- methyltetrahydrofuran, ethyl acetate, N,N-dimethylacetamide or N,N-dimethylformamide, in a temperature range of -100 to +300 °C, preferably between ambient temperature and 200 °C, with or without the presence of a catalyst, for instance a metal catalyst, such as a palladium complex, and with or without the addition of a base, such as an inorganic base, for instance sodium, potassium or cesium carbonate, or an organic base, such as, for example, triethylamine, diisopropylethylamine or pyridine.
Subsequent treatment of compound of the formula (X), wherein T has the same meaning as given above in Scheme 1 , and wherein R3 has the same meaning as given above for compounds of the formula (I), with the known compound (XIII) (N,N-dimethylformamide dimethyl acetal, DMF-DMA) gives a compound of the formula (XI), wherein T has the same meaning as given above in Scheme 1 , and
wherein R3 has the same meaning as given above for compounds of the formula (I). This reaction can be conducted neat or in a solvent, preferably in a solvent, such as an organic solvent, for instance dichloromethane, tetrahydrofuran or dioxane, in a temperature range of -100 to +300 °C, preferably between ambient temperature and 100 °C, or between ambient temperature and 50 °C, without a base or in the presence of a base, such as an inorganic base, for instance sodium, potassium or cesium carbonate, or an organic base, such as, for example, triethylamine, diisopropylethylamine or pyridine.
Further reaction of compound of the formula (XI), wherein T has the same meaning as given above in Scheme 1 , and wherein R3 has the same meaning as given above for compounds of the formula (I), with a hydrazine compound of the formula (XII) or a tautomer thereof, or a salt thereof, wherein R4c has the same meaning as given above for compounds of the formula (I), gives the compound of the formula (Ic), wherein T has the same meaning as given above in Scheme 1 , and wherein R3 and R4c have the same meaning as given above for compounds of the formula (I). This reaction can be conducted neat or in a solvent, preferably in a solvent, such as an organic solvent, for instance 1 ,4-dioxane, or acetic acid, or a mixture of 1 ,4-dioxane and acetic acid, in a temperature range of -100 to +300 °C, preferably between ambient temperature and 200 °C, or between ambient temperature and 80 °C. Within this sequence of transformations, the intermediate compounds of formula (X) and of formula (XI) can be used as crude products for the subsequent step, or they can be purified, for instance by chromatography, and used in purified form for the next transformation.
Compounds of the formula (IX), or a salt thereof, wherein R3 has the same meaning as given above for compounds of the formula (I), are either known, or they can be prepared by methods known to a person skilled in the art.
Compounds of the formula Ik
can be prepared by the reaction of an amine of the formula 111-1 , or a salt thereof
wherein R1, R3, R4 and R5 are as described in formula (I), with a compound of the formula 11-1
wherein A1, A2, A3, A4, A5, R2a and R2b are as described in formula (I) and X1 is a leaving group, such as a halogen or a sulfonate, for instance chloride, under conditions already described in Scheme 1 .
Compounds of the formula (XII), or a salt thereof (such as a hydrohalide salt, preferably a hydrochloride or a hydrobromide salt, or a trifluoroacetic acid salt, or any other equivalent salt), in which R4c has the same meaning as defined above for compounds of the formula (I), except that R4c is different from hydrogen, can be made (Scheme 7) by treatment of a compound of the formula (XV), in which R4c has the same meaning as defined above for compounds of the formula (I), except that R4c is different from hydrogen, and X4 is a leaving group, such as for example a halogen, a sulfonate, Ci-C4-sulfanyl, Ci-C4-sulfinyl or Ci-C4-sulfonyl, with hydrazine or with hydrazine hydrate, or salts thereof. The reaction can be carried out neat or in a solvent, such as for instance water, or alcohols such as methanol or ethanol, or methoxy cyclopentane, at temperatures between -100 °C and 200 °C, more commonly between 0 °C and 150 °C, such as, for example, at 100 °C, optionally under microwave conditions. Such reactions are known from the literature, for example from Journal of Heterocyclic Chemistry (2013), 50(5), 1 165-1 173.
Many compounds of the formula (XV) are known or even commercially available, or they can be made by known methods. In particular, compound of the formula (XV), in which R4c has the same meaning as defined above for compounds of the formula (I), except that R4c is different from hydrogen, and X4 is a leaving group, such as for example a halogen, a sulfonate, Ci-C4-sulfanyl, Ci-C4-sulfinyl or Ci-C4-sulfonyl, can be made by treatment of compounds of the formula (XIV), in which X4 and X4 are, independently of each other, a leaving group, such as for example a halogen, a sulfonate, C1-C4- sulfanyl, Ci-C4-sulfinyl or Ci-C4-sulfonyl, with a reagent of the formula R4c-OH, or a salt thereof, wherein R4c has the same meaning as defined above for compounds of the formula (I), except that R4c is different from hydrogen. This reaction can be conducted neat or in a solvent, preferably in a solvent, such as an organic solvent, for instance tetra hydrofuran, dioxane, acetonitrile, N,N-dimethylformamide (DMF) or
N,N-dimethylacetamide (DMA), or mixtures thereof, in a temperature range of -100 to +300 C,
preferably between ambient temperature and 200 °C, optionally under microwave conditions, with or without the addition of a base, such as an inorganic base, for instance alkali metal carbonates such as sodium, potassium or cesium carbonate, or alkali metal hydrides such as sodium hydride, or alkali metal hydroxides such as sodium hydroxide and potassium hydroxide, or sodium or potassium tert-butoxide, or an organic base, such as, for example, triethylamine, diisopropylethylamine or pyridine. Such alkoxylation methods, and the range of conditions to perform them, are well known to a person skilled in the art, and described for example in Journal of Heterocyclic Chemistry (2013), 50(5), 1165-1 173.
Examples of salts of the compound of formula R4c-OH include compounds of formula R4c-O-M, wherein R4c has the same meaning as defined above for compounds of the formula (I), except that R4c is different from hydrogen, and wherein M is, for example, sodium or potassium. Alcohols R4c-OH may be used as solvent when preparing compounds of the formula (XV) with such a reagent of the formula R4c-O-M, as described for example in J. Org. Chem. 1995, 60, 748-750.
Compounds of formula R4c-OH, salts thereof of formula R4c-O-M, and compounds of the formula (XIV) are known or even commercially available, or they can be made by known methods.
Compounds of the formula (XII), or a salt thereof, in which R4c has the same meaning as defined above for compounds of the formula (I), may exist in different tautomeric forms, such as (XI la) and/or (Xllb), or a salt thereof, in which R4c has the same meaning as defined above for compounds of the formula (I):
XII Xlla Xllb
XV XVI
Scheme 8
Compounds of the formula (XVI), in which R4c has the same meaning as defined above for compounds of the formula (I), and M1 is a metal-containing substituent, for instance a boron substituent or a tin substituent, such as, for example, tributylstannyl (M1 is -SnBus), borono (M1 is -B(OH)2) or a boronate such as 4,4,5,5-tetramethyl-1 ,3,2-dioxaborolan-2-yl, can be made (Scheme 8) by treatment of
compounds of the formula (XV), in which R4c has the same meaning as defined above for compounds of the formula (I), and X4 is a leaving group, such as for example a halogen or a sulfonate, with tributyl(tributylstannyl)stannane, or with hypoboric acid, or with 4,4,5,5-tetramethyl-2-(4,4,5,5- tetramethyl-1 ,3,2-dioxaborolan-2-yl)-1 ,3,2-dioxaborolane (also known as bis(pinacolato)diboron). The reaction can be done in the presence of a catalyst, such as a metal catalyst, for instance a palladium catalyst, for example palladium acetate, and in the presence of a ligand, such as a phosphine ligand, for example 2-dicyclohexyl-phosphino-2',4',6'-triisopropylbiphenyl (XPhos). The reaction can be done in the presence of a base, such as an alkoxide or a carboxylate base, for instance potassium acetate. The reaction can be done neat or in a solvent, for instance in dioxane or toluene as a solvent, at a temperature between -100 °C and 200 °C, more commonly between 0 °C and 150 °C, such as, for example, at 100 °C. Some compounds of the formula (XVI) are known or even commercially available, or they can be made by known methods.
Compounds of the formula Ig
can be prepared by the reaction of an amine of the formula 111-2, or a salt thereof
wherein R1, R3, R4, R5a and R5b are as described in formula (I) with a compound of the formula 11-1
wherein A1, A2, A3, A4, A5, R2a and R2b are as described in formula (I) and X1 is a leaving group, such as a halogen or a sulfonate, for instance chloride, under analogous conditions already described in Scheme 1 .
Scheme 9
Compounds of the formula (Id), wherein T has the same meaning as given above in Scheme 1 , and wherein R1, R3, R4c, R5a and R5b have the same meaning as given above for compounds of the formula (I), can be made (Scheme 9) from compounds of the formula (XVII), wherein T has the same meaning as given above in Scheme 1 , and wherein R1, R3, R5a and R5b have the same meaning as given above for compounds of the formula (I), and in which X5 is a leaving group such as for example chlorine, bromine or iodine, by reaction with compounds of the formula (XVI), in which R4c has the same meaning as defined above for compounds of the formula (I), and M1 is a metal-containing substituent which has the same meaning as given above in Scheme 8. The reaction can be done in the presence of a catalyst, such as a palladium catalyst, for instance 1 ,1 '-bis(diphenylphosphino)ferrocene]palladium(ll) dichloride (PdChdppf), in the presence of a base, such as a carbonate base, for example cesium carbonate CS2CO3, or such as a carboxylate base, for instance potassium acetate. The reaction can be done neat or in a solvent, for instance in dioxane as a solvent, at a temperature between -100 °C and 200 °C, more commonly between 0 °C and 150 °C, such as, for example, at 85 °C. Such reactions known as Suzuki-Miyaura or Stille cross-coupling reactions are familiar to a person skilled in the art.
Compounds of the formula (XVII), wherein T has the same meaning as given above in Scheme 1 , and wherein R1 , R3, R5a and R5b have the same meaning as given above for compounds of the formula (I), and in which X5 is a leaving group such as for example chlorine, bromine or iodine, can be made by reacting compounds of the formula (XVIIa), or a salt thereof, wherein R1, R3, R5a and R5b have the same meaning as given above for compounds of the formula (I), and in which X5 is a leaving group such as for example chlorine, bromine or iodine, with compounds of the formula (II), wherein T has the same meaning as given above in Scheme 1 , and wherein X1 is a leaving group, such as a halogen or sulfonate, for instance chloride, under analogous conditions already described above in Scheme 1 .
Compounds of the formula (XVIIa), or a salt thereof, wherein R1, R3, R5a and R5b have the same meaning as given above for compounds of the formula (I), and in which X5 is a leaving group such as for example chlorine, bromine or iodine, are known from the literature, for instance from WO2021/170881 , WO2021/037614, WC2020/208036, WC2020/201398 or WC2020/070049, or they can be made in analogy to descriptions found therein.
Scheme 10
Compounds of the formula (XXI-1), wherein R3 and R4c are as defined for compounds of the formula (I), can be made (Scheme 10) from compounds of the formula (XXI), wherein R3 and R4c are as defined for compounds of the formula (I) and X- is an anion, by treatment with a base, such as for example a hydroxide base or a carbonate base, for example sodium hydroxide or potassium carbonate, or an ion exchange resin. Such procedures are well known to a person skilled in the art, and known from the literature and text books. The anion X- is the conjugate base of an acid, such as an inorganic acid, for instance hydrochloric acid, hydrobromic acid, hydrogen fluoride, hydrogen iodide, sulfuric acid, or the like, or of an organic acid, such as a carboxylic acid or a sulfonic acid, for instance trifluoroacetic acid, or methane sulfonic acid, or para-toluene sulfonic acid. A great number of such acids are known to a person skilled in the art.
Compounds of the formula (XXI), wherein R3 and R4c are as defined for compounds of the formula (I) and X- is an anion as defined above, can be made from compounds of the formula (XX), wherein R3 and R4c are as defined for compounds of the formula (I), by treatment with an acid, such as the acids listed above. The reaction can be done neat or in a solvent, for instance an organic solvent, such as in methanol, CPME, tetrahydrofuran, 2-methyltetrahydrofuran, dichloromethane or in dioxane, or in an inorganic solvent, such as in water, or in a mixture of such solvents. The reaction can be done in a temperature range between -100 °C and 200 °C, more commonly between 0 °C and 150 °C, such as, for example, at ambient temperature.
Compounds of the formula (XX), wherein R3 and R4c are as defined for compounds of the formula (I), can be made, for example, from compounds of the formula (XII) or a tautomer thereof, or a salt thereof, in which R4c is as defined for compounds of the formula (I), by treatment with a compound of the formula (XVIII), wherein R3 is as defined for compounds of the formula (I). The reaction can be
done neat, or in a solvent, for instance an organic solvent, or in a mixture of solvents, such as in dioxane and acetic acid as a solvent. The reaction can be performed in the presence or in the absence of a drying agent, such as for example in the presence of molecular sieves, at a temperature between -100 °C and 200 °C, more commonly between 0 °C and 150 °C, such as, for example, at 80 °C. Compounds of the formula (XVIII), wherein R3 is as defined for compounds of the formula (I), are known, for instance from WO2021/083936 or WO2021/165195, or they can be made in analogy to descriptions found therein.
Alternatively, compounds of the formula (XXI), wherein R3 and R4c are as defined for compounds of the formula (I) and X- is an anion as defined above, can be made from compounds of the formula (XXIV) described below, wherein R3 has the same meaning as given above for compounds of the formula (I) and X- is an anion as defined above, and in which X6 is a leaving group, such as a halogen or sulfonate, for instance a chloride, bromide, iodide or mesylate, by reaction with a reagent of the formula R4c-OH, or a salt thereof R4c-O-M, wherein R4c has the same meaning as defined above for compounds of the formula (I) and M has the same meaning as given above in Scheme 7, under analogous conditions already described above in Scheme 7 (transformation XIV into XV).
Scheme 1 1
Compounds of the formula (le), wherein T has the same meaning as given above in Scheme 1 , and wherein R1, R3 and R4c have the same meaning as given above for compounds of the formula (I), except that R1 is different from hydrogen, can be made (Scheme 1 1) from compounds of the formula
(Ic), wherein T has the same meaning as given above in Scheme 1 , and R3 and R4c have the same meaning as given above for compounds of the formula (I), by reaction with a compound of the formula (VI), wherein R1 has the same meaning as given above for compounds of the formula (I), except that R1 is different from hydrogen, and wherein X3 is a leaving group, such as a halogen or sulfonate, for instance a chloride, bromide, iodide or mesylate, under analogous conditions already described above in Scheme 5.
Compounds of the formula (Ic), wherein T has the same meaning as given above in Scheme 1 , and R3 and R4c have the same meaning as given above for compounds of the formula (I), can be made from compounds of the formula (XXV), wherein T has the same meaning as given above in Scheme 1 , and R3 has the same meaning as given above for compounds of the formula (I), and in which X6 is a leaving group, such as a halogen or sulfonate, for instance a chloride, bromide, iodide or mesylate, by reaction with a reagent of the formula R4c-OH, or a salt thereof R4c-O-M, wherein R4c has the same meaning as defined above for compounds of the formula (I) and M has the same meaning as given above in Scheme 7, under analogous conditions already described above in Scheme 7 (transformation XIV into XV).
Alternatively, compounds of the formula (le) may be prepared from compounds of the formula (XXV) by involving the same chemistry as described above, but by changing the order of the steps: i .e. by running the sequence (XXV) + (VI) to (XXVI), wherein T has the same meaning as given above in Scheme 1 , and wherein R1 and R3 have the same meaning as given above for compounds of the formula (I), except that R1 is different from hydrogen, and in which X6 is a leaving group, such as a halogen or sulfonate, for instance a chloride, bromide, iodide or mesylate, followed by reacting (XXVI) with R4c-OH (alternatively R4c-O-M) to form compounds (le).
Compounds of the formula (XXV), wherein T has the same meaning as given above in Scheme 1 , and R3 has the same meaning as given above for compounds of the formula (I), and in which X6 is a leaving group, such as a halogen or sulfonate, for instance a chloride, bromide, iodide or mesylate, can be made by reacting compounds of the formula (XXIV), or a free base thereof, wherein R3 has the same meaning as given above for compounds of the formula (I) and X- is an anion as defined in Scheme 10, and in which X6 is a leaving group, such as a halogen or sulfonate, for instance a chloride, bromide, iodide or mesylate, with compounds of the formula (II), wherein T has the same meaning as given above in Scheme 1 , and wherein X1 is a leaving group, such as a halogen or sulfonate, for instance chloride, under analogous conditions already described above in Scheme 1 .
Compounds of the formula (XXIV), or a free base thereof, wherein R3 has the same meaning as given above for compounds of the formula (I) and X- is an anion as defined in Scheme 10, and in which X6 is a leaving group, such as a halogen or sulfonate, for instance a chloride, bromide, iodide or mesylate, can be made from compounds of the formula (XXIII), wherein R3 has the same meaning as given above for compounds of the formula (I), and in which X6 is a leaving group, such as a halogen or sulfonate, for instance a chloride, bromide, iodide or mesylate, by treatment with an acid under analogous conditions already described above in Scheme 10 (transformation XX into XXI).
Compounds of the formula (XXIII), wherein R3 has the same meaning as given above for compounds of the formula (I), and in which X6 is a leaving group, such as a halogen or sulfonate, for instance a chloride, bromide, iodide or mesylate, can be made by reacting compounds of the formula (XXII) or a tautomer thereof, or a salt thereof, wherein X6 is a leaving group, such as a halogen or sulfonate, for instance a chloride, bromide, iodide or mesylate, with a compound of the formula (XVIII), wherein R3 is as defined for compounds of the formula (I), under analogous conditions already described above in Scheme 10 (transformation XII + XVIII into XX).
Compounds of the formula (XXII) or a tautomer thereof, or a salt thereof, wherein X6 is a leaving group, such as a halogen or sulfonate, for instance a chloride, bromide, iodide or mesylate, are known or even commercially available, or they can be made by known methods.
Scheme 11 a
Alternatively, as shown in Scheme 11 a, compounds of the formula (XX), wherein R3 and R4c are as defined for compounds of the formula (I), can be made from compounds of the formula (XXIII), wherein R3 has the same meaning as given above for compounds of the formula (I), and in which X6 is a leaving group, such as a halogen or sulfonate, for instance a chloride, bromide, iodide or mesylate, by reaction with a reagent of the formula R4c-OH, or a salt thereof R4c-O-M, wherein R4c has the same meaning as defined above for compounds of the formula (I) and M has the same meaning as given above in Scheme 7, under analogous conditions already described above in Scheme 7 (transformation XIV into XV).
Compounds of the formula (XXI-2) or a tautomer thereof, a subset of compounds of formula (XXI) wherein R4c is hydrogen, and wherein R3 is as defined for compounds of the formula (I) and X- is an anion which has the same meaning as given above in Scheme 10, can be made (Scheme 12) from compounds of the formula (XX-1) or a tautomer thereof, a subset of compounds of formula (XX), wherein R3 is as defined for compounds of the formula (I), by treatment with an acid under analogous conditions already described above in Scheme 10 (transformation XX into XXI).
Compounds of the formula (XX-1) or a tautomer thereof, a subset of compounds of formula (XX), wherein R3 is as defined for compounds of the formula (I), can be made by treatment of compounds of the formula (XXIII), wherein R3 has the same meaning as given above for compounds of the formula (I), and in which X6 is a leaving group, such as a halogen, for instance chloride, bromide or iodide, with for example benzaldoxime PhC=NOH, preferably (E)-benzaldehyde oxime, in the presence of a base, such as potassium or cesium carbonate, optionally in the presence of a palladium catalyst such as RockPhos-G3-palladacycle ( [(2-Di-te/Y-butylphosphino-3-methoxy-6-methyl-2',4',6'-triisopropyl-1 ,1 biphenyl)-2-(2-aminobiphenyl)]palladium(ll) methanesulfonate), in an aprotic solvent such as acetonitrile or N,N-dimethylformamide DMF, at temperatures between 0 and 100 °C, preferably between room temperature and 80 °C, as described, for example, in Angew. Chem. Int. Ed. 56 (16), 4478-4482, 2017.
Alternatively, compounds of the formula (XX-1), or a tautomer thereof, may be prepared by hydrolysis of compounds of the formula (XXIII), for example under aqueous basic conditions, such as an aqueous sodium or potassium hydroxide solution, at temperatures between 0 and 100 °C, preferably between room temperature and 80 °C, as described, for example, in Bulletin of the Korean Chemical Society (1989), 10(6), 614-17.
Compounds of the formula (XX-1) or a tautomer thereof, a subset of compounds of formula (XX), wherein R3 is as defined for compounds of the formula (I), can alternatively be prepared by reaction of the compound of formula (XI 1-1 ) or a tautomer thereof, or a salt thereof, a subset of compounds of formula (XII), by reaction with compounds of the formula (XVIII), wherein R3 is as defined for compounds of the formula (I), under similar conditions already described above in Scheme 10 (transformation XII + XVIII into XX). The compound of formula (XII-1), or a tautomer thereof, is known or even commercially available, or it can be made by known methods.
In particular, the compound of formula (XII-1) or a tautomer thereof, or a salt thereof, can be made by reaction of compounds of the formula (XV-1) or a tautomer thereof, a subset of compounds of formula (XV), wherein X4 is a leaving group, such as for example a halogen, for instance chloride, bromide or iodide, with hydrazine or with hydrazine hydrate, or salts thereof, under analogous conditions already described above in Scheme 7 (transformation XV into XII), or alternatively according to descriptions found, for example, in Bulletin of the Korean Chemical Society (1989), 10(6), 614-17.
Compounds of the formula (XV-1) or a tautomer thereof, wherein X4 is a leaving group, such as for example a halogen, for instance chloride, bromide or iodide, may be made by treatment of compounds of the formula (XIV), in which X4 and X4 are, independently of each other, a halogen leaving group, for instance chloride, bromide or iodide, with for example benzaldoxime PhC=NOH, preferably
(E)-benzaldehyde oxime, under analogous conditions already described above in the present Scheme 12 (transformation XXIII into XX-1). Alternatively, compounds of the formula (XV-1), or a tautomer thereof, may be prepared by hydrolysis of compounds of the formula (XIV), under analogous conditions already described above in the present Scheme 12 (transformation XXIII into XX-1).
Compounds of the formula (XXI-2), (XX-1), (XII-1) and (XV-1) (all substituents as defined above under Scheme 12) may exist in a different tautomeric form:
where the staggered line represents the connection to the remainder of said compounds of the formula (XXI-2), (XX-1), (XII-1) and (XV-1). This invention covers all such tautomers and mixtures thereof in all proportions.
Similarly, compounds of the formula (If), a subset of compounds of formula (I) wherein R4c is hydrogen, and wherein T has the same meaning as given above in Scheme 1 , and wherein R1 and R3 have the same meaning as given above for compounds of the formula (I), may exist in a different tautomeric form (lf-1):
This invention covers all such tautomers and mixtures thereof in all proportions.
Similar tautomeric considerations apply with respect to compounds of the formula (Id), respectively formula (Id-1), another subset of compounds of formula (I) wherein R4c is hydrogen, and wherein T has the same meaning as given above in Scheme 1 , and wherein R1, R3, R5a and R5b have the same meaning as given above for compounds of the formula (I).
Scheme 12a
As shown in Scheme 12a, compounds of the formula (If), wherein T has the same meaning as given above in Scheme 1 , and wherein R1 and R3 have the same meaning as given above for compounds of the formula (I), or tautomers (lf-1) thereof, can be prepared by treatment of compounds of the formula (XXVI-1), wherein T has the same meaning as given above in Scheme 1 , and wherein R1 and R3 have the same meaning as given above for compounds of the formula (I), and in which X6 is a leaving group, such as a halogen or sulfonate, for instance a chloride, bromide, iodide or mesylate, with for example benzaldoxime PhC=NOH, preferably (E)-benzaldehyde oxime, under analogous conditions already described above in Scheme 12 (transformation XXIII into XX-1). Alternatively, compounds of the formula (If) may also be prepared by hydrolysis of said compounds of the formula (XXVI-1), under analogous conditions already described above in Scheme 12 (same transformation XXIII into XX-1).
Alternatively, such compounds of the formula (If), or tautomers (lf-1) thereof, can be prepared by treating compounds of the formula (le-1), wherein T has the same meaning as given above in Scheme 1 , and wherein R1 and R3 have the same meaning as given above for compounds of the formula (I), and in which R4c is Ci-Csalkyl, Ci-C2alkoxyCi-C3alkyl or benzyl optionally substituted with methoxy (preferably R4c is methyl or ethyl), by treatment with a mineral acid (alternatively with a Lewis acid or with for example sodium ethanethiolate), such as for example a hydrohalic acid (preferably hydrochloric or hydrobromic acid), in a suitable inert solvent such as for example acetic acid, dioxane or the like, and at temperatures ranging from 0°C to 100°C, for instance between RT and 60°C, under conditions described for example in Chem. Rev. 1954, 54, 4, 615-685 (ether cleavage).
Scheme 13
Compounds of the formula (XXVII), or a salt thereof (such as a hydrohalide salt, preferably a hydrochloride or a hydrobromide salt, or a trifluoroacetic acid salt, or any other equivalent salt), wherein R3, R4c, R5a and R5b have the same meaning as defined above for compounds of the formula (I), can be made (Scheme 13) from compounds of the formula (VII-1), a subset of compounds of formula (VII), wherein R3, R4c, R5a and R5b have the same meaning as defined above for compounds of the formula (I), by a reductive amination reaction under analogous conditions already described above in Scheme 2 (transformation VII into III).
Compounds of the formula (VII-1), a subset of compounds of formula (VII), wherein R3, R4c, R5a and R5b have the same meaning as defined above for compounds of the formula (I), can be made by treatment of compounds of the formula (XXVIII), wherein R3, R5a and R5b have the same meaning as defined above for compounds of the formula (I), and in which X8 is a leaving group, such as a halogen,
for instance a chloride, bromide or iodide, with a compound of the formula (XVI), wherein R4c has the same meaning as defined above for compounds of the formula (I) and M1 is a metal-containing substituent which has the same meaning as given above in Scheme 8, under similar conditions already described above in Scheme 9 (transformation XVII + XVI into Id). Compounds of the formula (XXVIII), wherein R3, R5a and R5b have the same meaning as defined above for compounds of the formula (I), and in which X8 is a leaving group, such as a halogen, for instance a chloride, bromide or iodide, are known or even commercially available, or they can be made by known methods.
Alternatively, compounds of the formula (VI 1-1 ) , a subset of compounds of formula (VII), wherein R3, R4c, R5a and R5b have the same meaning as defined above for compounds of the formula (I), can be made by oxidation of compounds of the formula (XXXI) described below (Scheme 14), wherein R3, R4c, R5a and R5b have the same meaning as defined above for compounds of the formula (I), for example using Dess-Martin periodinane (or similar hypervalent iodine reagents), commonly conducted in chlorinated solvents, such as dichloromethane or chloroform, at temperatures between 0 and 50 °C, preferably around room temperature.
Z3 = -NPhth or Boc2N-
Scheme 14
Alternatively, compounds of the formula (XXVII), or a salt thereof (such as a hydrohalide salt, preferably a hydrochloride or a hydrobromide salt, or a trifluoroacetic acid salt, or any other equivalent salt), wherein R3, R4c, R5a and R5b have the same meaning as defined above for compounds of the formula (I), can be made (Scheme 14) from compounds of the formula (XXX), wherein R3, R4c, R5a and R5b have the same meaning as defined above for compounds of the formula (I) and Z3 is -NPhth (N- phthalimide group) or -NB0C2 (N-bis(tert-butyloxycarbonyl) group), typically by treatment with either hydrazine (preferably hydrazine hydrate or hydrazine monohydrate) in an alcohol solvent such as
ethanol or isopropanol (Z3 is -NPhth), or with an acid such as trifluoroacetic acid or hydrochloric acid in the presence of a suitable solvent such as dichloromethane, tetrahydrofuran or dioxane (Z3 is -NB0C2), under deprotection conditions known to a person skilled in the art, and described in the literature, such as for example in: Protective Groups in Organic Synthesis, 3rd Edition Theodora W. Green (The Rowland Institute for Science) and Peter G. M. Wuts (Pharmacia and Upjohn Company), John Wiley & Sons, Inc., New York, NY. 1999, ISBN 0-471-16019-9.
Compounds of the formula (XXX), wherein R3, R4c, R5a and R5b have the same meaning as defined above for compounds of the formula (I) and Z3 is -NPhth (N-phthalimide group) or -NB0C2 (N- bis(tert-butyloxycarbonyl) group), can be made from compounds of the formula (XXXI), wherein R3, R4c, R5a and R5b have the same meaning as defined above for compounds of the formula (I), by a Mitsunobu reaction. Such a reaction involves treating compounds of the formula (XXXI) with an azodicarboxylate, such as diethyl azodicarboxylate or diisopropyl azodicarboxylate, in the presence of a phosphine, such as triphenylphosphine or tributylphosphine, and of an amine such as phthalimide (HNPhth) or bis(tert- butoxycarbonyl)amine (HNB0C2). Mitsunobu reactions (and conditions to perform them) are known by those skilled in the art and described for instance in Chem. Rev. 2009, 109, 2551-2651 .
Compounds of the formula (XXXI), wherein R3, R4c, R5a and R5b have the same meaning as defined above for compounds of the formula (I), can be made from silyl ether compounds of the formula (XXXII), wherein R3, R4c, R5a and R5b have the same meaning as defined above for compounds of the formula (I), and in which each of the group Ra is independently Ci-C4alkyl, by deprotection, for instance by treatment with fluoride, for example with tetrabutylammonium fluoride, in an inert solvent, such as for example tetrahydrofuran. The reaction can be done in a temperature range of -10°C to 80°C, for instance between 0°C and 30°C. Such deprotection reactions are known to a person skilled in the art, and described in the literature, for instance in: Protective Groups in Organic Synthesis, 3rd Edition Theodora W. Green (The Rowland Institute for Science) and Peter G. M. Wuts (Pharmacia and Upjohn Company). John Wiley & Sons, Inc., New York, NY. 1999, ISBN 0-471-16019-9.
Alternatively, compounds of the formula (XXXI), wherein R3, R4c, R5a and R5b have the same meaning as defined above for compounds of the formula (I), may be made by reduction of compounds of the formula (VII-1) described above (Scheme 13), a subset of compounds of formula (VII), wherein R3, R4c, R5a and R5b have the same meaning as defined above for compounds of the formula (I), for example with sodium borohydride NaBFU, under conditions known known to a person skilled in the art (see for example WO2012/082997, p. 141), preferably in MeOH as solvent.
Compounds of the formula (XXXII), wherein R3, R4c, R5a and R5b have the same meaning as defined above for compounds of the formula (I), except that R4c is different from hydrogen, and in which each of the group Ra is independently Ci-C4alkyl, can be made from silyl ether compounds of the formula (XXXIII), wherein R3, R5a and R5b have the same meaning as defined above for compounds of the formula (I), X9 is a leaving group, such as a halogen, for instance a bromide or iodide, and in which each of the group Ra is independently Ci-C4alkyl, by metalation, such as by treatment with a Turbo Grignard reagent (iPrMgCI- LiCI) or with butyl lithium. Such metalations are known to a person skilled in the art, and described in the literature, for instance in Carey, Francis A. (2007), "Organometallic
compounds of Group I and II metals", Advanced Organic Chemistry: Reaction and Synthesis Pt. B (Kindle ed.), Springer, ISBN 978-0-387-44899-2. The lithium- or magnesium species thus generated can be transmetalated, for instance with a zinc halide, for example zinc chloride, and subsequently coupled with compounds of the formula (XV), wherein R4c has the same meaning as defined above for compounds of the formula (I), except that R4c is different from hydrogen, and X4 is a leaving group, such as a halogen, for example a bromide or iodide, in the presence of a catalyst, for instance a palladium catalyst, for example tris(dibenzylideneacetone)dipalladium(0), and of a ligand, for instance a phosphine ligand, such as for example tri(2-furyl)phosphine, in an inert solvent, such as for example tetrahydrofuran. The reaction can be done in a temperature range of -100°C to 100°C, for instance between -78°C and 80°C. This transformation is known to a person skilled in the art, for instance as Negishi cross-coupling reaction, and described in the literature, for example in: Jie Jack Li, Name Reactions, A Collection of Detailed Mechanisms and Synthetic Applications, Springer, ISBN: 978-3-030- 50865-4. Compounds of the formula (XXXIII), wherein R3, R5a and R5b have the same meaning as defined above for compounds of the formula (I), X9 is a leaving group, such as a halogen, for instance a bromide or iodide, and in which each of the group Ra is independently C1-C4alkyl, can be made from compounds of the formula (XXXIV), wherein R3, R5a and R5b have the same meaning as defined above for compounds of the formula (I), and X9 is a leaving group, such as a halogen, for instance a bromide or iodide, by treatment with a silylating agent of the formula Ra3Si-Xa, wherein Xa is a leaving group, such as for example chloride, bromide, iodide or triflate, and in which each of the group Ra is independently C1-C4alkyl (Ra3Si is trialkylsilyl, for instance dimethyl-tert-butylsilyl; in compounds Ra3Si-Xa, Ra is a straight or branched C1-C4alkyl, such as methyl or tert-butyl), in the presence of a base, such as an amine base, for instance imidazole, in an inert solvent, such as for example tetrahydrofuran. The reaction can be done in a temperature range of 0°C to 100°C, for instance between 10°C and 80°C. Such silylation reactions are known to a person skilled in the art, and described in the literature, such as for example in: Protective Groups in Organic Synthesis, 3rd Edition Theodora W. Green (The Rowland Institute for Science) and Peter G. M. Wuts (Pharmacia and Upjohn Company). John Wiley & Sons, Inc., New York, NY.1999, ISBN 0-471-16019-9. Compounds of the formula (XXXIV), wherein R3, R5a and R5b have the same meaning as defined above for compounds of the formula (I), and X9 is a leaving group, such as a halogen, for instance a bromide or iodide, can be made from compounds of the formula (XXXV), wherein R5a and R5b have the same meaning as defined above for compounds of the formula (I), and X9 is a leaving group, such as a halogen, for instance a bromide or iodide, by treatment with a base, such as a lithium amide base, for instance lithium 2,2,6,6-tetramethylpiperidide, followed by reaction of the lithiated species with aldehyde compounds of the formula (XXXVI), wherein R3 has the same meaning as given above in formula (I). This reaction can be done neat or in a solvent, for instance in an organic solvent, such as for example in tetrahydrofuran as a solvent. The reaction can be done in a temperature range of -100°C to 100°C, for instance between -80°C and 0°C, for example at 0°C or at -78°C. Compounds of the formula (XXXV), wherein R5a and R5b have the same meaning as defined above for compounds of the formula (I), and X9
is a leaving group, such as a halogen, for instance a bromide or iodide, and compounds of the formula (XXXVI), wherein R3 has the same meaning as given above in formula (I), are known or even commercially available, or they can be made by known methods.
Any of the compounds of the formula (XXI), (XXI-1) (substituents as defined in Scheme 10), formula (XXI-2) (substituents as defined in Scheme 12), and formula (XXVII) (substituents as defined in Schemes 13/14), or (where applicable) a salt thereof, or (where applicable) a free base thereof, represent a particular subset of compounds of the formula (III) defined above in Scheme 1 , hence can be used according to descriptions outlined in said Scheme 1 for the preparation of compounds of the formula (I).
Compounds of formula (11-1), wherein R2a, R2b, A1, A2, A3, A4 and A5 are as described in formula (I), and wherein X1 is a leaving group, such as a halogen or sulfonate, for instance chloride, can be prepared by following descriptions found in, for example, WO 2021/083936, WO 2021/148639 and WO 2021/177160.
In particular, compounds of the formula (Ila), a subset of compounds of the formula (11-1), wherein A1 and A3 are N, A2 is CH and X1 is Cl, and in which R2a, R2b, A4 and A5 are as described in formula (I), can be prepared according to reaction Scheme 15.
Scheme 15
Compounds of formula (XXXIX-1), wherein R2a, R2b, A4 and A5 are as described in formula (I), are either known, or they can be prepared by methods known to a person skilled in the art. For example, reacting a compound of formula (XXXIX-3), wherein R2a, R2b, A4 and A5 are as described in formula (I), with an electrophilic halogenating reagent, such as N-chlorosuccinimide (NCS), N- bromosuccinimide (NBS) or N-iodosuccinimide (NIS), in an inert solvent, such as chloroform, carbon tetrachloride, 1 ,2-dichloroethane, acetic acid, ethers, acetonitrile, N,N-dimethylformamide or hexafluoroisopropanol (as described for example in J. Org. Chem. 2018, 83, 930), at temperatures
between 20-200°C, preferably room temperature to 100°C, provides compounds of formula (XXXIX-2), wherein R2a, R2b, A4 and A5 are as described in formula (I), and X08 is Cl, Br or I (preferably Br or I). Cyanation of compounds of formula (XXXIX-2) with, for example, copper(l) cyanide, in a solvent such as N,N-dimethylformamide DMF, at temperatures such as 100 °C, provides compounds of formula (XXXIX-1), wherein R2a, R2b, A4 and A5 are as described in formula (I) (procedure analogous to for instance W02005/100298, page 44).
Treatment of compounds of formula (XXXIX-1) with formic acid and sulfuric acid, at temperatures between 80 and 100 °C, following procedures analogous to for example WO2018/206539, page 80, provides compounds of formula (XXXVIII), wherein R2a, R2b, A4 and A5 are as described in formula (I).
Subsequent conversion of compounds of formula (XXXVIII) to compounds of formula (Ila) is accomplished via methods known to the person skilled in the art, for example by treatment with thionyl chloride (alternatively phosphorus oxychloride), optionally in presence of catalytic N,N- dimethylformamide, at reflux, analogous to descriptions found in, for example, WO2015/54572, page 263.
Compounds of formula (XXXVIII), wherein R2a, A4 and A5 are as described in formula (I) above, and in which R2b is Ci-C4alkylsulfonyl (more particularly methylsulfonyl) substituted with one to three substituents (more particularly two to three substituents) independently selected from Rx, wherein Rx is halogen (more particularly fluorine) can be represented by compounds of formula (XLIIIa), wherein R2a, A4 and A5 are as described in formula (I), and in which Gr is difluoromethyl or trifluoromethyl.
Scheme 16
As shown in Scheme 16, such sulfone compounds of formula (XLIIIa) can be obtained by means of an oxidation reaction of either the corresponding sulfide compounds of formula (XLIIIb) or the sulfoxide compounds of formula (XLIIIb-1) involving reagents such as, for example, m- chloroperoxybenzoic acid (mCPBA), hydrogen peroxide, potassium peroxymonosulfate (oxone ®), sodium periodate, sodium hypochlorite or tert-butyl hypochlorite, amongst other oxidants, and optionally in the presence of a catalyst, such as ruthenium chloride, sodium tungstate or iron-, manganese-, cobalt- and vanadium-based catalysts. This oxidation reaction is generally conducted in the presence of a solvent such as, for example, aliphatic halogenated hydrocarbons (for instance dichloromethane, chloroform or carbon tetrachloride), esters (for instance ethyl acetate), alcohols (for instance methanol or ethanol), acetonitrile, acetic acid or water; or mixtures thereof. Similarly, sulfoxide compounds of formula (XLIIIb-1) may be obtained via oxidation of the sulfide compounds of formula (XLIIIb). The amount of the oxidant to be used in the reaction is generally 1 to 3 moles, preferably 1 to 1 .2 moles, relative to 1 mole of the sulfide compounds (XLIIIb) to produce the sulfoxide compounds (XLIIIb-1), and preferably 2 to 2.2 moles of oxidant, relative to 1 mole of the sulfide compounds (XLIIIb) to produce the sulfone compounds (XLIIIa).
Compounds of the formula (XLIIIb), wherein R2a, A4 and A5 are as described in formula (I) above, and in which Gr is trifluoromethyl, can be prepared by reacting compounds of the formula (XLIIIc), wherein R2a, A4 and A5 are as described in formula (I) above, and in which R2b is iodo or bromo, with a trifluoromethylthiolation reagent “CuS-Gr” such as copper(l) trifluoromethanethiolate (CAS 3872-23-9) or trifluoromethylthiolato(2,2-bipyridine)copper(l) (also known as (bpy)Cu(SCF3), CAS 1413732-47-4), in solvents such as acetonitrile, dioxane, N,N-dimethylformamide or N,N- dimethylacetamide, and at temperatures between 0 and 180°C, preferably between room temperature and 150°C. Such conditions are described in the literature, for example in J. Org. Chem. 1976, 41 , 1644 or Synthesis 1975, 721 (CAS 3872-23-9) and Angew. Chem. Int. Ed. 2013, 52, 1548 or Tetrahedron, 2013, 69, 6046 (CAS 1413732-47-4).
Compounds of the formula (XLIIIb), wherein R2a, A4 and A5 are as described in formula (I) above, and in which Gr is difluoromethyl, may be obtained by treatment of compounds of the formula (XLIIId), wherein R2a, A4 and A5 are as described in formula (I) above, with a :CF2 carbene, generated for example from a difluoroacetate XcCF2COONa or a difluoromethyl(phosphonate) XcCF2P(O)(OEt)2, wherein Xc can be chloro or bromo, in the presence of a base such as for example sodium or potassium carbonate, in an appropriate solvent like for example acetonitrile, N,N-dimethylformamide or N-methyl-2-pyrrolidone (NMP), at temperatures between room temperature and the boiling point of the reaction mixture. Such methods have been described in the literature, e.g. in Org. Lett. 15(19), 5036-5039; 2013, Tet 65(27), 5278-5283; 2009 or Chem. Commun. 53, 5706; 2017.
Alternatively, compounds of formula (XLIIIb) may be obtained by treatment of compounds of formula (XLIIId) with a difluoromethylsulfinate reagent, in the presence of an oxidant, as described for example in J. Fluor. Chem., 193, 113-117; 2017.
Compounds of the formula (XLIIId), wherein R2a, A4 and A5 are as described in formula (I) above, may be obtained by hydrolyzing compounds of the formula (XLIIIe), wherein R2a, A4 and A5 are
as described in formula (I) above, via basic or acidic hydrolysis conditions known to a person skilled in the art (thioacetate hydrolysis, for example by treatment with an aqueous acid solution, such as aqueous HCI).
Compounds of the formula (XLIIIe), wherein R2a, A4 and A5 are as described in formula (I) above, may be obtained by treatment of compounds of the formula (XLIIIc), wherein R2a, A4 and A5 are as described in formula (I), and in which R2b is iodo or bromo, with potassium thioacetate (KSAc) or sodium thioacetate under Ullmann-type cross-coupling copper-mediated reaction conditions, as described for example in J. Org. Chem. 21 , 1 1464; 2017.
Alternatively, compounds of the formula (XLIIId), wherein R2a, A4 and A5 are as described in formula (I) above, may be obtained by treatment of compounds of the formula (XLIIIc), wherein R2a, A4 and A5 are as described in formula (I), and in which R2b is iodo or bromo, with sodium or potassium sulfide, alternatively sodium or potassium hydrosulfide, optionally as a hydrate salt, in an appropriate solvent like for example N,N-dimethylformamide, N-methyl-2-pyrrolidone (NMP) or ethanol, at temperatures between room temperature and the boiling point of the solvent, as described for example in Bioorg. Med. Chem. Lett. 23(13), 3947-3953; 2013 or WO12/088190.
The chemistry shown above (Scheme 16) for the transformation of compounds of the formula (XLIIIc) to compounds of the formula (XLIIId) and then to compounds of the formula (XLIIIb) can be performed with some additional protection/deprotection steps as shown in Scheme 17.
Scheme 17
The chemistry and conditions for the transformation of compounds of the formula (XLIIIf) to compounds of the formula (XLIIIg) and then to compounds of the formula (XLIIIh) (Scheme 17) are analogous to the descriptions above for the transformation (XLIIIc) to (XLIIId) to (XLIIIb), wherein the definitions of the substituents Gr, R2a, R2b, A4 and A5 remains as detailed in Scheme 16, and in which PG1 is a protective group, such as for example a tetra hydro pyranyl (THP) or a tert-butyloxycarbonyl (Boc) group. Protection conditions (transformation XLIIIc to XLIIIf), respectively deprotection conditions (transformation XLIIIh to XLIIIb) are well known to a person skilled in the art, and described in the literature, such as for example in: Protective Groups in Organic Synthesis, 3rd Edition Theodora W. Green (The Rowland Institute for Science) and Peter G. M. Wuts (Pharmacia and Upjohn Company), John Wiley & Sons, Inc., New York, NY. 1999, ISBN 0-471-16019-9. For instance, THP protection of
(XLIIIc) to generate (XLIIIf), wherein PG1 is tetrahydropyranyl (THP), can be achieved by treatment with 3,4-dihydro-2H-pyran, in the presence of a Lewis acid such as trifluoroacetic acid, in an inert solvent such as dimethylsulfoxide, toluene or dioxane, and at temperatures between room temperature and the boiling point of the reaction mixture. Deprotection of (XLIIIh), wherein PG1 is tetrahydropyranyl (THP), can be achieved by treatment with for instance p-methoxybenzenesulfonic acid or p-toluenesulfonic acid (PTSA), optionally as a hydrate salt, in an alcohol solvent such as methanol or ethanol, optionally in the presence of a co-solvent such as tetra hydrofuran, 2- methyltetrahydrofuran or dioxane, and at temperatures between 0 and 80°C, preferably around room temperature.
Scheme 18
Alternatively, as shown in Scheme 18, compounds of the formula (XLIIIa), wherein R2a, A4 and A5 are as described in formula (I), and in which Gr is difluoromethyl or trifluoromethyl, can be obtained through deprotection of compounds of formula (XLIIIi), wherein R2a, A4 and A5 are as described in formula (I), and in which Gr is difluoromethyl or trifluoromethyl and PG1 is a protective group, such as for example a tetra hydro pyranyl (THP) or a tert-butyloxycarbonyl (Boc) group, under conditions already detailed in Scheme 17 (transformation XLIIIh to XLIIIb).
Similarly, compounds of the formula (XLIIIb-1), wherein R2a, A4 and A5 are as described in formula (I), and in which Gr is difluoromethyl or trifluoromethyl, may be obtained through deprotection of compounds of formula (XLIIIi-1), wherein R2a, A4 and A5 are as described in formula (I), and in which Gr is difluoromethyl or trifluoromethyl and PG1 is a protective group, such as for example a tetrahydropyranyl (THP) or a tert-butyloxycarbonyl (Boc) group.
Compounds of formula (XLIIIi), wherein R2a, A4 and A5 are as described in formula (I), and in which Gr is difluoromethyl or trifluoromethyl and PG1 is a protective group, such as for example a tetrahydropyranyl (THP) or a tert-butyloxycarbonyl (Boc) group, can be obtained by means of an oxidation reaction of either the corresponding sulfide compounds of formula (XLIIIh) or the sulfoxide compounds of formula (XLIIIi-1), wherein R2a, A4 and A5 are as described in formula (I), and in which Gr is difluoromethyl or trifluoromethyl and PG1 is a protective group, such as for example a tetrahydropyranyl (THP) or a tert-butyloxycarbonyl (Boc) group, under conditions already detailed in
Scheme 16 (transformation XLIIIb to XLIIIa, respectively XLIIIb-1 to XLIIIa). In analogy, sulfoxide compounds of formula (XLIIIi-1) may be obtained by oxidation of sulfide compounds of formula (XLIIIh) (transformation XLIIIb to XLIIIb-1 in Scheme 16).
Depending on the procedure or the reaction conditions, the reactants can be reacted in the presence of a base. Examples of suitable bases are alkali metal or alkaline earth metal hydroxides, alkali metal or alkaline earth metal hydrides, alkali metal or alkaline earth metal amides, alkali metal or alkaline earth metal alkoxides, alkali metal or alkaline earth metal acetates, alkali metal or alkaline earth metal carbonates, alkali metal or alkaline earth metal dialkylamides or alkali metal or alkaline earth metal alkylsilylamides, alkylamines, alkylenediamines, free or N-alkylated saturated or unsaturated cycloalkylamines, basic heterocycles, ammonium hydroxides and carbocyclic amines. Examples which may be mentioned are sodium hydroxide, sodium hydride, sodium amide, sodium methoxide, sodium acetate, sodium carbonate, potassium tert-butoxide, potassium hydroxide, potassium carbonate, potassium hydride, lithium diisopropylamide, potassium bis(trimethylsilyl)amide, calcium hydride, triethylamine, diisopropylethylamine, triethylenediamine, cyclohexylamine, N-cyclohexyl-N,N- dimethylamine, N,N-diethylaniline, pyridine, 4-(N,N-dimethylamino)pyridine, quinuclidine, N- methylmorpholine, benzyltrimethylammonium hydroxide and 1 ,8-diazabicyclo[5.4.0]undec-7-ene (DBU).
The reactants can be reacted with each other as such, i.e. without adding a solvent or diluent. In most cases, however, it is advantageous to add an inert solvent or diluent or a mixture of these. If the reaction is carried out in the presence of a base, bases which are employed in excess, such as triethylamine, pyridine, N-methylmorpholine or N,N-diethylaniline, may also act as solvents or diluents.
The reactions are advantageously carried out in a temperature range from approximately -80°C to approximately +140°C, preferably from approximately -30°C to approximately +100°C, in many cases in the range between ambient temperature and approximately +80°C.
Depending on the choice of the reaction conditions and starting materials which are suitable in each case, it is possible, for example, in one reaction step only to replace one substituent by another substituent according to the invention, or a plurality of substituents can be replaced by other substituents according to the invention in the same reaction step.
Salts of compounds of formula (I) can be prepared in a manner known perse. Thus, for example, acid addition salts of compounds of formula (I) are obtained by treatment with a suitable acid or a suitable ion exchanger reagent and salts with bases are obtained by treatment with a suitable base or with a suitable ion exchanger reagent.
Salts of compounds of formula (I) can be converted in the customary manner into the free compounds of formula (I), acid addition salts, for example, by treatment with a suitable basic compound or with a suitable ion exchanger reagent and salts with bases, for example, by treatment with a suitable acid or with a suitable ion exchanger reagent.
Salts of compounds of formula (I) can be converted in a manner known per se into other salts of compounds of formula (I), acid addition salts, for example, into other acid addition salts, for example
by treatment of a salt of inorganic acid such as hydrochloride with a suitable metal salt such as a sodium, barium or silver salt, of an acid, for example with silver acetate, in a suitable solvent in which an inorganic salt which forms, for example silver chloride, is insoluble and thus precipitates from the reaction mixture.
Depending on the procedure or the reaction conditions, the compounds of formula (I), which have salt-forming properties can be obtained in free form or in the form of salts.
The compounds of formula (I) and, where appropriate, the tautomers thereof, in each case in free form or in salt form, can be present in the form of one of the isomers which are possible or as a mixture of these, for example in the form of pure isomers, such as antipodes and/or diastereomers, or as isomer mixtures, such as enantiomer mixtures, for example racemates, diastereomer mixtures or racemate mixtures, depending on the number, absolute and relative configuration of asymmetric carbon atoms which occur in the molecule and/or depending on the configuration of non-aromatic double bonds which occur in the molecule; the invention relates to the pure isomers and also to all isomer mixtures which are possible and is to be understood in each case in this sense hereinabove and hereinbelow, even when stereochemical details are not mentioned specifically in each case.
Diastereomer mixtures or racemate mixtures of compounds of formula (I), in free form or in salt form, which can be obtained depending on which starting materials and procedures have been chosen can be separated in a known manner into the pure diastereomers or racemates on the basis of the physicochemical differences of the components, for example by fractional crystallization, distillation and/or chromatography.
Enantiomer mixtures, such as racemates, which can be obtained in a similar manner can be resolved into the optical antipodes by known methods, for example by recrystallization from an optically active solvent, by chromatography on chiral adsorbents, for example high-performance liquid chromatography (HPLC) on acetyl cellulose, with the aid of suitable microorganisms, by cleavage with specific, immobilized enzymes, via the formation of inclusion compounds, for example using chiral crown ethers, where only one enantiomer is complexed, or by conversion into diastereomeric salts, for example by reacting a basic end-product racemate with an optically active acid, such as a carboxylic acid, for example camphor, tartaric or malic acid, or sulfonic acid, for example camphorsulfonic acid, and separating the diastereomer mixture which can be obtained in this manner, for example by fractional crystallization based on their differing solubilities, to give the diastereomers, from which the desired enantiomer can be set free by the action of suitable agents, for example basic agents.
Pure diastereomers or enantiomers can be obtained according to the invention not only by separating suitable isomer mixtures, but also by generally known methods of diastereoselective or enantioselective synthesis, for example by carrying out the process according to the invention with starting materials of a suitable stereochemistry.
N-oxides can be prepared by reacting a compound of the formula (I) with a suitable oxidizing agent, for example the H2<D2/urea adduct in the presence of an acid anhydride, e.g. trifluoroacetic anhydride. Such oxidations are known from the literature, for example from J. Med. Chem., 32 (12), 2561-73, 1989 or WO 2000/15615.
It is advantageous to isolate or synthesize in each case the biologically more effective isomer, for example enantiomer or diastereomer, or isomer mixture, for example enantiomer mixture or diastereomer mixture, if the individual components have a different biological activity.
The compounds of formula (I) and, where appropriate, the tautomers thereof, in each case in free form or in salt form, can, if appropriate, also be obtained in the form of hydrates and/or include other solvents, for example those which may have been used for the crystallization of compounds which are present in solid form.
The compounds of formula (I) according to the following Tables A-1 to A-24 and B-1 to B-24 can be prepared according to the methods described above. The examples which follow are intended to illustrate the invention and show preferred compounds of formula (I), in the form of a compound of formula (l-A) and (l-B).
Tables A-1 to A-24 (formula l-A)
Table A-1 provides 23 compounds A-1 .001 to A-1 .023 of formula l-A wherein R1 is H, R3 is CH3, R4c is H and T are as defined in table Z.
Table A-2 provides 23 compounds A-2.001 to A-2.023 of formula l-A wherein R1 is H, R3 is CH3, R4c is CH3 and T are as defined in table Z.
Table A-3 provides 23 compounds A-3.001 to A-3.023 of formula l-A wherein R1 is H, R3 is CH3, R4c is CH2CH3 and T are as defined in table Z.
Table A-4 provides 23 compounds A-4.001 to A-4.023 of formula l-A wherein R1 is H, R3 is
CH3, R4c is CH2-cyclopropyl and T are as defined in table Z.
Table A-5 provides 23 compounds A-5.001 to A-5.023 of formula l-A wherein R1 is H, R3 is CH3, R4c is isopropylideneamino and T are as defined in table Z.
Table A-6 provides 23 compounds A-6.001 to A-6.023 of formula l-A wherein R1 is H, R3 is CH3, R4c is pyrimidin-2-ylmethyl and T are as defined in table Z.
Table A-7 provides 23 compounds A-7.001 to A-7.023 of formula l-A wherein R1 is CH3, R3 is CH3, R4c is H and T are as defined in table Z.
Table A-8 provides 23 compounds A-8.001 to A-8.023 of formula l-A wherein R1 is CH3, R3 is
CH3, R4c is CH3 and T are as defined in table Z.
Table A-9 provides 23 compounds A-9.001 to A-9.023 of formula l-A wherein R1 is CH3, R3 is CH3, R4c is CH2CH3 and T are as defined in table Z.
Table A-10 provides 23 compounds A-10.001 to A-10.023 of formula l-A wherein R1 is CH3, R3 is CH3, R4c is CH2-cyclopropyl and T are as defined in table Z.
Table A-11 provides 23 compounds A-11 .001 to A-11 .023 of formula l-A wherein R1 is CH3, R3 is CH3, R4c is isopropylideneamino and T are as defined in table Z.
Table A-12 provides 23 compounds A-12.001 to A-12.023 of formula l-A wherein R1 is CH3, R3 is CH3, R4c is pyrimidin-2-ylmethyl and T are as defined in table Z.
Table A-13 provides 23 compounds A-13.001 to A-13.023 of formula l-A wherein R1 is CH2- cyclopropyl, R3 is CH3, R4c is H and T are as defined in table Z.
Table A-14 provides 23 compounds A-14.001 to A-14.023 of formula l-A wherein R1 is CH2- cyclopropyl, R3 is CH3, R4c is CH3 and T are as defined in table Z.
Table A-15 provides 23 compounds A-15.001 to A-15.023 of formula l-A wherein R1 is CH2- cyclopropyl, R3 is CH3, R4c is CH2CH3 and T are as defined in table Z.
Table A-16 provides 23 compounds A-16.001 to A-16.023 of formula l-A wherein R1 is CH2- cyclopropyl, R3 is CH3, R4c is CH2-cyclopropyl and T are as defined in table Z.
Table A-17 provides 23 compounds A-17.001 to A-17.023 of formula l-A wherein R1 is CH2- cyclopropyl, R3 is CH3, R4c is isopropylideneamino and T are as defined in table Z.
Table A-18 provides 23 compounds A-18.001 to A-18.023 of formula l-A wherein R1 is CH2- cyclopropyl, R3 is CH3, R4c is pyrimidin-2-ylmethyl and T are as defined in table Z. For example, compound A-18.014 is
(A-18.014).
Table A-19 provides 23 compounds A-19.001 to A-19.023 of formula l-A wherein R1 is H, R3 is
CH3, R4c is allyl and T are as defined in table Z.
Table A-20 provides 23 compounds A-20.001 to A-20.023 of formula l-A wherein R1 is H, R3 is
CH3, R4c is propargyl and T are as defined in table Z.
Table A-21 provides 23 compounds A-21 .001 to A-21 .023 of formula l-A wherein R1 is H, R3 is CH3, R4c is CH2CN and T are as defined in table Z.
Table A-22 provides 23 compounds A-22.001 to A-22.023 of formula l-A wherein R1 is H, R3 is
CH3, R4c is CH2CH2CN and T are as defined in table Z.
Table A-23 provides 23 compounds A-23.001 to A-23.023 of formula l-A wherein R1 is H, R3 is CH3, R4c is benzyl and T are as defined in table Z.
Table A-24 provides 23 compounds A-24.001 to A-24.023 of formula l-A wherein R1 is H, R3 is CH3, R4c is CH2C(O)NH2 and T are as defined in table Z.
Tables B-1 to B-24 (formula l-B)
Table B-1 provides 23 compounds B-1 .001 to B-1.023 of formula l-B wherein R1 is H, R3 is CH3, R4c is H and T are as defined in table Z.
Table B-2 provides 23 compounds B-2.001 to B-2.023 of formula l-B wherein R1 is H, R3 is CH3, R4c is CH3 and T are as defined in table Z.
Table B-3 provides 23 compounds B-3.001 to B-3.023 of formula l-B wherein R1 is H, R3 is
CH3, R4c is CH2CH3 and T are as defined in table Z.
Table B-4 provides 23 compounds B-4.001 to B-4.023 of formula l-B wherein R1 is H, R3 is CH3, R4c is CH2-cyclopropyl and T are as defined in table Z.
Table B-5 provides 23 compounds B-5.001 to B-5.023 of formula l-B wherein R1 is H, R3 is CH3, R4c is isopropylideneamino and T are as defined in table Z.
Table B-6 provides 23 compounds B-6.001 to B-6.023 of formula l-B wherein R1 is H, R3 is CH3, R4c is pyrimidin-2-ylmethyl and T are as defined in table Z.
Table B-7 provides 23 compounds B-7.001 to B-7.023 of formula l-B wherein R1 is CH3, R3 is CH3, R4c is H and T are as defined in table Z.
Table B-8 provides 23 compounds B-8.001 to B-8.023 of formula l-B wherein R1 is CH3, R3 is CH3, R4c is CH3 and T are as defined in table Z.
Table B-9 provides 23 compounds B-9.001 to B-9.023 of formula l-B wherein R1 is CH3, R3 is CH3, R4c is CH2CH3 and T are as defined in table Z.
Table B-10 provides 23 compounds B-10.001 to B-10.023 of formula l-B wherein R1 is CH3, R3 is CH3, R4c is CH2-cyclopropyl and T are as defined in table Z.
Table B-11 provides 23 compounds B-11 .001 to B-11 .023 of formula l-B wherein R1 is CH3, R3 is CH3, R4c is isopropylideneamino and T are as defined in table Z.
Table B-12 provides 23 compounds B-12.001 to B-12.023 of formula l-B wherein R1 is CH3, R3 is CH3, R4c is pyrimidin-2-ylmethyl and T are as defined in table Z.
Table B-13 provides 23 compounds B-13.001 to B-13.023 of formula l-B wherein R1 is CH2- cyclopropyl, R3 is CH3, R4c is H and T are as defined in table Z.
Table B-14 provides 23 compounds B-14.001 to B-14.023 of formula l-B wherein R1 is CH2- cyclopropyl, R3 is CH3, R4c is CH3 and T are as defined in table Z.
Table B-15 provides 23 compounds B-15.001 to B-15.023 of formula l-B wherein R1 is CH2- cyclopropyl, R3 is CH3, R4c is CH2CH3 and T are as defined in table Z.
Table B-16 provides 23 compounds B-16.001 to B-16.023 of formula l-B wherein R1 is CH2- cyclopropyl, R3 is CH3, R4c is CH2-cyclopropyl and T are as defined in table Z.
Table B-17 provides 23 compounds B-17.001 to B-17.023 of formula l-B wherein R1 is CH2- cyclopropyl, R3 is CH3, R4c is isopropylideneamino and T are as defined in table Z.
Table B-18 provides 23 compounds B-18.001 to B-18.023 of formula l-B wherein R1 is CH2- cyclopropyl, R3 is CH3, R4c is pyrimidin-2-ylmethyl and T are as defined in table Z. Table B-19 provides 23 compounds B-19.001 to B-19.023 of formula l-B wherein R1 is H, R3 is
CH3, R4c is allyl and T are as defined in table Z.
Table B-20 provides 23 compounds B-20.001 to B-20.023 of formula l-B wherein R1 is H, R3 is CH3, R4c is propargyl and T are as defined in table Z.
Table B-21 provides 23 compounds B-21 .001 to B-21 .023 of formula l-B wherein R1 is H, R3 is CH3, R4c is CH2CN and T are as defined in table Z.
Table B-22 provides 23 compounds B-22.001 to B-22.023 of formula l-B wherein R1 is H, R3 is CH3, R4c is CH2CH2CN and T are as defined in table Z.
Table B-23 provides 23 compounds B-23.001 to B-23.023 of formula l-B wherein R1 is H, R3 is CH3, R4c is benzyl and T are as defined in table Z. Table B-24 provides 23 compounds B-24.001 to B-24.023 of formula l-B wherein R1 is H, R3 is
CH3, R4c is CH2C(O)NH2 and T are as defined in table Z.
Also made available are certain intermediate compounds of formulae, or other intermediate compounds shown in Schemes 1 to 14, some of which are novel. For example:
• A compound of formula XXVI-1 , wherein T has the same meaning as given above in Scheme 1 , R1 and R3 have the same meaning as given above for compounds of the formula (I), and X6 is a leaving group, such as a halogen or sulfonate, for instance a chlorine, bromine, iodine or mesylate
preferably, where T is as defined in table Z above, R1 is hydrogene or methyl, R3 is methyl, and X6 is chlorine; such as compounds of formula XXVI-1 -13
wherein R1, R2a, R2b, and R3, are as defined for compounds of the formula (I), and X6 is a leaving group, such as a halogen or sulfonate, for instance chlorine, bromine, iodine or mesylate, preferably X6 is chlorine.
• Compounds of formula XXI, XXIH or XXIV, wherein R3 and R4c have the same meaning as given above for compounds of the formula (I), and X6 is a leaving group, such as a halogen or sulfonate, for instance chlorine, bromine, iodine or mesylate; or, where applicable, a salt or a free base thereof:
• Compounds of formula XXVII-1 , wherein R3 and R4c have the same meaning as given above for compounds of the formula (I) ; or, where applicable, a salt or a free base thereof
preferably, where R3 is methyl, and R4 is methyl.
The compounds of formula (I) according to the invention are preventively and/or curatively valuable active ingredients in the field of pest control, even at low rates of application, which have a very favorable biocidal spectrum and are well tolerated by warm-blooded species, fish and plants. The active ingredients according to the invention act against all or individual developmental stages of normally sensitive, but also resistant, animal pests, such as insects or representatives of the order Acarina. The insecticidal or acaricidal activity of the active ingredients according to the invention can manifest itself directly, i.e. in destruction of the pests, which takes place either immediately or only after some time has elapsed, for example during ecdysis, or indirectly, for example in a reduced oviposition and/or hatching rate.
Examples of the above mentioned animal pests are: from the order Acarina, for example,
Acalitus spp, Aculus spp, Acaricalus spp, Aceria spp, Acarus siro, Amblyomma spp., Argas spp., Boophilus spp., Brevipalpus spp., Bryobia spp, Calipitrimerus spp., Chorioptes spp., Dermanyssus gallinae, Dermatophagoides spp, Eotetranychus spp, Eriophyes spp., Hemitarsonemus spp, Hyalomma spp., Ixodes spp., Olygonychus spp, Ornithodoros spp., Polyphagotarsone latus, Panonychus spp., Phyllocoptruta oleivora, Phytonemus spp, Polyphagotarsonemus spp, Psoroptes spp., Rhipicephalus spp., Rhizoglyphus spp., Sarcoptes spp., Steneotarsonemus spp, Tarsonemus spp. and Tetranychus spp.;
from the order Anoplura, for example,
Haematopinus spp., Linognathus spp., Pediculus spp., Pemphigus spp. and Phylloxera spp.; from the order Coleoptera, for example,
Agriotes spp., Amphimallon majale, Anomala orientalis, Anthonomus spp., Aphodius spp, Astylus atromaculatus, Ataenius spp, Atomaria linearis, Chaetocnema tibialis, Cerotoma spp, Conoderus spp, Cosmopolites spp., Cotinis nitida, Curculio spp., Cyclocephala spp, Dermestes spp., Diabrotica spp., Diloboderus abderus, Epilachna spp., Eremnus spp., Heteronychus arator, Hypothenemus hampei, Lagria vilosa, Leptinotarsa decemlineata, Lissorhoptrus spp., Liogenys spp, Maecolaspis spp, Maladera castanea, Megascelis spp, Melighetes aeneus, Melolontha spp., Myochrous armatus, Orycaephilus spp., Otiorhynchus spp., Phyllophaga spp, Phlyctinus spp., Popillia spp., Psylliodes spp., Rhyssomatus aubtilis, Rhizopertha spp., Scarabeidae, Sitophilus spp., Sitotroga spp., Somaticus spp, Sphenophorus spp, Sternechus subsignatus, Tenebrio spp., Tribolium spp. and Trogoderma spp.; from the order Diptera, for example,
Aedes spp., Anopheles spp, Antherigona soccata,Bactrocea oleae, Bibio hortulanus, Bradysia spp, Calliphora erythrocephala, Ceratitis spp., Chrysomyia spp., Culex spp., Cuterebra spp., Dacus spp., Delia spp, Drosophila melanogaster, Fannia spp., Gastrophilus spp., Geomyza tripunctata, Glossina spp., Hypoderma spp., Hyppobosca spp., Liriomyza spp., Lucilia spp., Melanagromyza spp., Musca spp., Oestrus spp., Orseolia spp., Oscinella frit, Pegomyia hyoscyami, Phorbia spp., Rhagoletis spp, Rivelia quadrifasciata, Scatella spp, Sciara spp., Stomoxys spp., Tabanus spp., Tannia spp. and Tipula spp.; from the order Hemiptera, for example,
Acanthocoris scabrator, Acrosternum spp, Adelphocoris lineolatus, Aleurodes spp., Amblypelta nitida, Bathycoelia thalassina, Blissus spp, Cimex spp., Clavigralla tomentosicollis, Creontiades spp, Distantiella theobroma, Dichelops furcatus, Dysdercus spp., Edessa spp, Euchistus spp., Eurydema pulchrum, Eurygaster spp., Halyomorpha halys, Horcias nobilellus, Leptocorisa spp., Lygus spp, Margarodes spp, Murgantia histrionic, Neomegalotomus spp, Nesidiocoris tenuis, Nezara spp., Nysius simulans, Oebalus insularis, Piesma spp., Piezodorus spp, Rhodnius spp., Sahlbergella singulars, Scaptocoris castanea, Scotinophara spp. , Thyanta spp , Triatoma spp., Vatiga illudens;
Acyrthosium pisum, Adalges spp, Agalliana ensigera, Agonoscena targionii, Aleurodicus spp, Aleurocanthus spp, Aleurolobus barodensis, Aleurothrixus floccosus, Aleyrodes brassicae, Amarasca biguttula, Amritodus atkinsoni, Aonidiella spp., Aphididae, Aphis spp., Aspidiotus spp., Aulacorthum solani, Bactericera cockerelli, Bemisia spp, Brachycaudus spp, Brevicoryne brassicae, Cacopsylla spp, Cavariella aegopodii Scop., Ceroplaster spp., Chrysomphalus aonidium, Chrysomphalus dictyospermi, Cicadella spp, Cofana spectra, Cryptomyzus spp, Cicadulina spp, Coccus hesperidum, Dalbulus maidis, Dialeurodes spp, Diaphorina citri, Diuraphis noxia, Dysaphis spp, Empoasca spp., Eriosoma larigerum, Erythroneura spp., Gascardia spp., Glycaspis brimblecombei, Hyadaphis pseudobrassicae, Hyalopterus spp, Hyperomyzus pallidus, Idioscopus clypealis, Jacobiasca lybica, Laodelphax spp., Lecanium corni, Lepidosaphes spp., Lopaphis erysimi, Lyogenys maidis, Macrosiphum spp., Mahanarva spp, Metcalfa
pruinosa, Metopolophium dirhodum, Myndus crudus, Myzus spp., Neotoxoptera sp, Nephotettix spp., Nilaparvata spp., Nippolachnus piri Mats, Odonaspis ruthae, Oregma lanigera Zehnter, Parabemisia myricae, Paratrioza cockerelli, Parlatoria spp., Pemphigus spp., Peregrinus maidis, Perkinsiella spp, Phorodon humuli, Phylloxera spp, Pianococcus spp., Pseudaulacaspis spp., Pseudococcus spp., Pseudatomoscelis seriatus, Psylla spp., Pulvinaria aethiopica, Quadraspidiotus spp., Quesada gigas, Recilia dorsalis, Rhopalosiphum spp., Saissetia spp., Scaphoideus spp., Schizaphis spp., Sitobion spp., Sogatella furcifera, Spissistilus festinus, Tarophagus Proserpina, Toxoptera spp, Trialeurodes spp, Tridiscus sporoboli, Trionymus spp, Trioza erytreae , Unaspis citri, Zygina flammigera, Zyginidia scutellaris, ; from the order Hymenoptera, for example,
Acromyrmex, Arge spp, Atta spp., Cephus spp., Diprion spp., Diprionidae, Gilpinia polytoma, Hoplocampa spp., Lasius spp., Monomorium pharaonis, Neodiprion spp., Pogonomyrmex spp, Slenopsis invicta, Solenopsis spp. and Vespa spp.; from the order Isoptera, for example,
Coptotermes spp, Corniternes cumulans, Incisitermes spp, Macrotermes spp, Mastotermes spp, Microtermes spp, Reticulitermes spp.; Solenopsis geminate from the order Lepidoptera, for example,
Acleris spp., Adoxophyes spp., Aegeria spp., Agrotis spp., Alabama argillaceae, Amylois spp., Anticarsia gemmatalis, Archips spp., Argyresthia spp, Argyrotaenia spp., Autographa spp., Bucculatrix thurberiella, Busseola fusca, Cadra cautella, Carposina nipponensis, Chilo spp., Choristoneura spp., Chrysoteuchia topiaria, Clysia ambiguella, Cnaphalocrocis spp., Cnephasia spp., Cochylis spp., Coleophora spp., Colias lesbia, Cosmophila flava, Crambus spp, Crocidolomia binotalis, Cryptophlebia leucotreta, Cydalima perspectalis, Cydia spp., Diaphania perspectalis, Diatraea spp., Diparopsis castanea, Earias spp., Elasmopalpus lignosellus, Eldana saccharina, Ephestia spp., Epinotia spp, Estigmene acrea, Etiella zinckinella, Eucosma spp., Eupoecilia ambiguella, Euproctis spp., Euxoa spp., Feltia jaculiferia, Grapholita spp., Hedya nubiferana, Heliothis spp., Hellula undalis, Herpetogramma spp, Hyphantria cunea, Keiferia lycopersicella, Lasmopalpus lignosellus, Leucoptera scitella, Lithocollethis spp., Lobesia botrana, Loxostege bifidalis, Lymantria spp., Lyonetia spp., Malacosoma spp., Mamestra brassicae, Manduca sexta, Mythimna spp, Noctua spp, Operophtera spp., Orniodes indica, Ostrinia nubilalis, Pammene spp., Pandemis spp., Panolis flammea, Papaipema nebris, Pectinophora gossypiela, Perileucoptera coffeella, Pseudaletia unipuncta, Phthorimaea operculella, Pieris rapae, Pieris spp., Plutella xylostella, Prays spp., Pseudoplusia spp, Rachiplusia nu, Richia albicosta, Scirpophaga spp., Sesamia spp., Sparganothis spp., Spodoptera spp., Sylepta derogate, Synanthedon spp., Thaumetopoea spp., Tortrix spp., Trichoplusia ni, Tuta absoluta, and Yponomeuta spp.; from the order Mallophaga, for example, Damalinea spp. and Trichodectes spp.; from the order Orthoptera, for example,
Blatta spp., Blattella spp., Gryllotalpa spp., Leucophaea maderae, Locusta spp., Neocurtilla hexadactyla, Periplaneta spp. , Scapteriscus spp, and Schistocerca spp.; from the order Psocoptera, for example,
Liposcelis spp.; from the order Siphonaptera, for example,
Ceratophyllus spp., Ctenocephalides spp. and Xenopsylla cheopis; from the order Thysanoptera, for example,
Calliothrips phaseoli, Frankliniella spp., Heliothrips spp, Hercinothrips spp., Parthenothrips spp, Scirtothrips aurantii, Sericothrips variabilis, Taeniothrips spp., Thrips spp; from the order Thysanura, for example, Lepisma saccharina.
In a further aspect, the invention may also relate to a method of controlling damage to plant and parts thereof by plant parasitic nematodes (Endoparasitic-, Semiendoparasitic- and Ectoparasitic nematodes), especially plant parasitic nematodes such as root knot nematodes, Meloidogyne hapla, Meloidogyne incognita, Meloidogyne javanica, Meloidogyne arenaria and other Meloidogyne species; cyst-forming nematodes, Globodera rostochiensis and other Globodera species; Heterodera avenae, Heterodera glycines, Heterodera schachtii, Heterodera trifolii, and other Heterodera species; Seed gall nematodes, Anguina species; Stem and foliar nematodes, Aphelenchoides species; Sting nematodes, Belonolaimus longicaudatus and other Belonolaimus species; Pine nematodes, Bursaphelenchus xylophilus and other Bursaphelenchus species; Ring nematodes, Criconema species, Criconemella species, Criconemoides species, Mesocriconema species; Stem and bulb nematodes, Ditylenchus destructor, Ditylenchus dipsaci and other Ditylenchus species; Awl nematodes, Dolichodorus species; Spiral nematodes, Heliocotylenchus multicinctus and other Helicotylenchus species; Sheath and sheathoid nematodes, Hemicycliophora species and Hemicriconemoides species; Hirshmanniella species; Lance nematodes, Hoploaimus species; false rootknot nematodes, Nacobbus species; Needle nematodes, Longidorus elongatus and other Longidorus species; Pin nematodes, Pratylenchus species; Lesion nematodes, Pratylenchus neglectus, Pratylenchus penetrans, Pratylenchus curvitatus, Pratylenchus goodeyi and other Pratylenchus species; Burrowing nematodes, Radopholus similis and other Radopholus species; Reniform nematodes, Rotylenchus robustus, Rotylenchus reniformis and other Rotylenchus species; Scutellonema species; Stubby root nematodes, Trichodorus primitivus and other Trichodorus species, Paratrichodorus species; Stunt nematodes, Tylenchorhynchus claytoni, Tylenchorhynchus dubius and other Tylenchorhynchus species; Citrus nematodes, Tylenchulus species; Dagger nematodes, Xiphinema species; and other plant parasitic nematode species, such as Subanguina spp., Hypsoperine spp., Macroposthonia spp., Melinius spp., Punctodera spp., and Quinisulcius spp..
The compounds of the invention may also have activity against the molluscs. Examples of which include, for example, Ampullariidae; Arion (A. ater, A. circumscriptus, A. hortensis, A. rufus); Bradybaenidae (Bradybaena fruticum); Cepaea (C. hortensis, C. Nemoralis); ochlodina; Deroceras (D. agrestis, D. empiricorum, D. laeve, D. reticulatum); Discus (D. rotundatus); Euomphalia; Galba (G. trunculata); Helicelia (H. itala, H. obvia); Helicidae Helicigona arbustorum); Helicodiscus; Helix (H.
aperta); Limax (L. cinereoniger, L. flavus, L. marginatus, L. maximus, L. tenellus); Lymnaea; Milax (M. gagates, M. marginatus, M. sowerbyi); Opeas; Pomacea (P. canaticulata); Vallonia and Zanitoides.
The active ingredients according to the invention can be used for controlling, i.e. containing or destroying, pests of the abovementioned type which occur in particular on plants, especially on useful plants and ornamentals in agriculture, in horticulture and in forests, or on organs, such as fruits, flowers, foliage, stalks, tubers or roots, of such plants, and in some cases even plant organs which are formed at a later point in time remain protected against these pests.
Suitable target crops are, in particular, cereals, such as wheat, barley, rye, oats, rice, maize or sorghum; beet, such as sugar or fodder beet; fruit, for example pomaceous fruit, stone fruit or soft fruit, such as apples, pears, plums, peaches, almonds, cherries or berries, for example strawberries, raspberries or blackberries; leguminous crops, such as beans, lentils, peas or soya; oil crops, such as oilseed rape, mustard, poppies, olives, sunflowers, coconut, castor, cocoa or ground nuts; cucurbits, such as pumpkins, cucumbers or melons; fibre plants, such as cotton, flax, hemp or jute; citrus fruit, such as oranges, lemons, grapefruit or tangerines; vegetables, such as spinach, lettuce, asparagus, cabbages, carrots, onions, tomatoes, potatoes or bell peppers; Lauraceae, such as avocado, Cinnamonium or camphor; and also tobacco, nuts, coffee, eggplants, sugarcane, tea, pepper, grapevines, hops, the plantain family and latex plants.
The compositions and/or methods of the present invention may be also used on any ornamental and/or vegetable crops, including flowers, shrubs, broad-leaved trees and evergreens.
For example the invention may be used on any of the following ornamental species: Ageratum spp., Alonsoa spp., Anemone spp., Anisodontea capsenisis, Anthemis spp., Antirrhinum spp., Aster spp., Begonia spp. (e.g. B. elatior, B. semperflorens, B. tubereux), Bougainvillea spp., Brachycome spp., Brassica spp. (ornamental), Calceolaria spp., Capsicum annuum, Catharanthus roseus, Canna spp., Centa urea spp., Chrysanthemum spp., Cineraria spp. (C. maritime), Coreopsis spp., Crassula coccinea, Cuphea ignea, Dahlia spp., Delphinium spp., Dicentra spectabilis, Dorotheantus spp., Eustoma grandiflorum, Forsythia spp., Fuchsia spp., Geranium gnaphalium, Gerbera spp., Gomphrena globosa, Heliotropium spp., Helianthus spp., Hibiscus spp., Hortensia spp., Hydrangea spp., Hypoestes phyllostachya, Impatiens spp. (/. Walleriana), Iresines spp., Kalanchoe spp., Lantana camara, Lavatera trimestris, Leonotis leonurus, Lilium spp., Mesembryanthemum spp., Mimulus spp., Monarda spp., Nemesia spp., Tagetes spp., Dianthus spp. (carnation), Canna spp., Oxalis spp., Bellis spp., Pelargonium spp. (P. peltatum, P. Zonale), Viola spp. (pansy), Petunia spp., Phlox spp., Plecthranthus spp., Poinsettia spp., Parthenocissus spp. (P. quinquefolia, P. tricuspidata), Primula spp., Ranunculus spp., Rhododendron spp., Rosa spp. (rose), Rudbeckia spp., Saintpaulia spp., Salvia spp., Scaevola aemola, Schizanthus wisetonensis, Sedum spp., Solanum spp., Surfinia spp., Tagetes spp., Nicotinia spp., Verbena spp., Zinnia spp. and other bedding plants.
For example the invention may be used on any of the following vegetable species: Allium spp. (A. sativum, A., cepa, A. oschaninii, A. Porrum, A. ascalonicum, A. fistulosum), Anthriscus cerefolium, Apium graveolus, Asparagus officinalis, Beta vulgarus, Brassica spp. (B. Oleracea, B. Pekinensis, B. rapa), Capsicum annuum, Cicer arietinum, Cichorium endivia, Cichorum spp. (C. intybus, C. endivia),
Citrillus lanatus, Cucumis spp. (C. sativus, C. melo), Cucurbita spp. (C. pepo, C. maxima), Cyanara spp. (C. scolymus, C. cardunculus), Daucus carota, Foeniculum vulgare, Hypericum spp., Lactuca sativa, Lycopersicon spp. (L. esculentum, L. lycopersicum), Mentha spp., Ocimum basilicum, Petroselinum crispum, Phaseolus spp. (P. vulgaris, P. coccineus), Pisum sativum, Raphanus sativus, Rheum rhaponticum, Rosemarinus spp., Salvia spp., Scorzonera hispanica, Solanum melongena, Spinacea oleracea, Valerianella spp. (V. locusta, V. eriocarpa) and Vicia faba.
Preferred ornamental species include African violet, Begonia, Dahlia, Gerbera, Hydrangea, Verbena, Rosa, Kalanchoe, Poinsettia, Aster, Centaurea, Coreopsis, Delphinium, Monarda, Phlox, Rudbeckia, Sedum, Petunia, Viola, Impatiens, Geranium, Chrysanthemum, Ranunculus, Fuchsia, Salvia, Hortensia, rosemary, sage, St. Johnswort, mint, sweet pepper, tomato and cucumber.
The active ingredients according to the invention are especially suitable for controlling Aphis craccivora, Diabrotica balteata, Heliothis virescens, Myzus persicae, Plutella xylostella and Spodoptera littoralis in cotton, vegetable, maize, rice and soya crops. The active ingredients according to the invention are further especially suitable for controlling Mamestra (preferably in vegetables), Cydia pomonella (preferably in apples), Empoasca (preferably in vegetables, vineyards), Leptinotarsa (preferably in potatos) and Chilo supressalis (preferably in rice).
The compounds of formula (I) are particularly suitable for control of
• a pest of the order Hemiptera, for example, one or more of the species Bemisia tabaci, Aphis craccivora, Myzus persicae, Rhopalosiphum padi, Nilaparvata lugens, and Euschistus heros (preferably in vegetables, soybeans, and sugarcane);
• a pest of the order Lepidoptera, for example, one or more of the species Spodoptera littoralis, Spodoptera frugiperda, Plutella xylostella, Cnaphalocrocis medinalis, Cydia pomonella, Chrysodeixis includes, Chilo suppressalis, Elasmopalpus lignosellus, Pseudoplusia includens, and Tuta absoluta (preferably in vegetables and corn);
• a pest of the order Thysanoptera, such as the family Thripidae, for example, one or more of Thrips tabaci and Frankliniella occidentalis (preferably in vegetables); and
• soil pests (such as of the order Coleoptera), for example, the species Diabrotica balteata, Agriotes spp. and Leptinotarsa decemlineata (preferably in vegetables and corn).
The term “crops” is to be understood as including also crop plants which have been so transformed by the use of recombinant DNA techniques that they are capable of synthesising one or more selectively acting toxins, such as are known, for example, from toxin-producing bacteria, especially those of the genus Bacillus.
Toxins that can be expressed by such transgenic plants include, for example, insecticidal proteins, for example insecticidal proteins from Bacillus cereus or Bacillus popilliae; or insecticidal proteins from Bacillus thuringiensis, such as 8-endotoxins, e.g. CrylAb, CrylAc, Cry1 F, Cry1 Fa2, Cry2Ab, Cry3A, Cry3Bb1 or Cry9C, or vegetative insecticidal proteins (Vip), e.g. Vip1 , Vip2, Vip3 or Vip3A; or insecticidal proteins of bacteria colonising nematodes, for example Photorhabdus spp. or Xenorhabdus spp., such as Photorhabdus luminescens, Xenorhabdus nematophilus; toxins produced by animals, such as scorpion toxins, arachnid toxins, wasp toxins and other insect-specific neurotoxins;
toxins produced by fungi, such as Streptomycetes toxins, plant lectins, such as pea lectins, barley lectins or snowdrop lectins; agglutinins; proteinase inhibitors, such as trypsin inhibitors, serine protease inhibitors, patatin, cystatin, papain inhibitors; ribosome-inactivating proteins (RIP), such as ricin, maize- RIP, abrin, luffin, saporin or bryodin; steroid metabolism enzymes, such as 3-hydroxysteroidoxidase, ecdysteroid-UDP-glycosyl-transferase, cholesterol oxidases, ecdysone inhibitors, HMG-COA- reductase, ion channel blockers, such as blockers of sodium or calcium channels, juvenile hormone esterase, diuretic hormone receptors, stilbene synthase, bibenzyl synthase, chitinases and glucanases.
In the context of the present invention there are to be understood by 8-endotoxins, for example CrylAb, CrylAc, Cry1 F, Cry1 Fa2, Cry2Ab, Cry3A, Cry3Bb1 or Cry9C, or vegetative insecticidal proteins (Vip), for example Vip1 , Vip2, Vip3 or Vip3A, expressly also hybrid toxins, truncated toxins and modified toxins. Hybrid toxins are produced recombinantly by a new combination of different domains of those proteins (see, for example, WO 02/15701). Truncated toxins, for example a truncated CrylAb, are known. In the case of modified toxins, one or more amino acids of the naturally occurring toxin are replaced. In such amino acid replacements, preferably non-naturally present protease recognition sequences are inserted into the toxin, such as, for example, in the case of Cry3A055, a cathepsin-G- recognition sequence is inserted into a Cry3A toxin (see WO 03/018810).
Examples of such toxins or transgenic plants capable of synthesising such toxins are disclosed, for example, in EP-A-0 374 753, WO 93/07278, WO 95/34656, EP-A-0 427 529, EP-A-451 878 and WO 03/052073.
The processes for the preparation of such transgenic plants are generally known to the person skilled in the art and are described, for example, in the publications mentioned above. Cryl-type deoxyribonucleic acids and their preparation are known, for example, from WO 95/34656, EP-A-0 367 474, EP-A-0 401 979 and WO 90/13651.
The toxin contained in the transgenic plants imparts to the plants tolerance to harmful insects . Such insects can occur in any taxonomic group of insects, but are especially commonly found in the beetles (Coleoptera), two-winged insects (Diptera) and moths (Lepidoptera).
Transgenic plants containing one or more genes that code for an insecticidal resistance and express one or more toxins are known and some of them are commercially available. Examples of such plants are: YieldGard® (maize variety that expresses a CrylAb toxin); YieldGard Rootworm® (maize variety that expresses a Cry3Bb1 toxin); YieldGard Plus® (maize variety that expresses a CrylAb and a Cry3Bb1 toxin); Starlink® (maize variety that expresses a Cry9C toxin); Herculex I® (maize variety that expresses a Cry1 Fa2 toxin and the enzyme phosphinothricine N-acetyltransferase (PAT) to achieve tolerance to the herbicide glufosinate ammonium); NuCOTN 33B® (cotton variety that expresses a CrylAc toxin); Bollgard I® (cotton variety that expresses a CrylAc toxin); Bollgard II® (cotton variety that expresses a CrylAc and a Cry2Ab toxin); VipCot® (cotton variety that expresses a Vip3A and a CrylAb toxin); NewLeaf® (potato variety that expresses a Cry3A toxin); NatureGard®, Agrisure® GT Advantage (GA21 glyphosate-tolerant trait), Agrisure® CB Advantage (Bt1 1 corn borer (CB) trait) and Protecta®.
Further examples of such transgenic crops are:
1 . Bt11 Maize from Syngenta Seeds SAS, Chemin de I'Hobit 27, F-31 790 St. Sauveur, France, registration number C/FR/96/05/10. Genetically modified Zea mays which has been rendered resistant to attack by the European corn borer (Ostrinia nubilalis and Sesamia nonagrioides) by transgenic expression of a truncated Cry 1 Ab toxin. Bt11 maize also transgenically expresses the enzyme PAT to achieve tolerance to the herbicide glufosinate ammonium.
2. Bt176 Maize from Syngenta Seeds SAS, Chemin de I'Hobit 27, F-31 790 St. Sauveur, France, registration number C/FR/96/05/10. Genetically modified Zea mays which has been rendered resistant to attack by the European corn borer (Ostrinia nubilalis and Sesamia nonagrioides) by transgenic expression of a CrylAb toxin. Bt176 maize also transgenically expresses the enzyme PAT to achieve tolerance to the herbicide glufosinate ammonium.
3. MIR604 Maize from Syngenta Seeds SAS, Chemin de I'Hobit 27, F-31 790 St. Sauveur, France, registration number C/FR/96/05/10. Maize which has been rendered insect-resistant by transgenic expression of a modified Cry3A toxin. This toxin is Cry3A055 modified by insertion of a cathepsin-G-protease recognition sequence. The preparation of such transgenic maize plants is described in WO 03/018810.
4. MON 863 Maize from Monsanto Europe S.A. 270-272 Avenue de Tervuren, B-1150 Brussels, Belgium, registration number C/DE/02/9. MON 863 expresses a Cry3Bb1 toxin and has resistance to certain Coleoptera insects.
5. IPC 531 Cotton from Monsanto Europe S.A. 270-272 Avenue de Tervuren, B-1150 Brussels, Belgium, registration number C/ES/96/02.
6. 1507 Maize from Pioneer Overseas Corporation, Avenue Tedesco, 7 B-1160 Brussels, Belgium, registration number C/NL/00/10. Genetically modified maize for the expression of the protein Cry1 F for achieving resistance to certain Lepidoptera insects and of the PAT protein for achieving tolerance to the herbicide glufosinate ammonium.
7. NK603 x MON 810 Maize from Monsanto Europe S.A. 270-272 Avenue de Tervuren, B-1 150 Brussels, Belgium, registration number C/GB/02/M3/03. Consists of conventionally bred hybrid maize varieties by crossing the genetically modified varieties NK603 and MON 810. NK603 x MON 810 Maize transgenically expresses the protein CP4 EPSPS, obtained from Agrobacterium sp. strain CP4, which imparts tolerance to the herbicide Roundup® (contains glyphosate), and also a CrylAb toxin obtained from Bacillus thuringiensis subsp. kurstaki which brings about tolerance to certain Lepidoptera, include the European corn borer.
Transgenic crops of insect-resistant plants are also described in BATS (Zentrum fur Biosicherheit und Nachhaltigkeit, Zentrum BATS, Clarastrasse 13, 4058 Basel, Switzerland) Report 2003, (http://bats.ch).
The term “crops” is to be understood as including also crop plants which have been so transformed by the use of recombinant DNA techniques that they are capable of synthesising anti pathogenic substances having a selective action, such as, for example, the so-called “pathogenesis- related proteins” (PRPs, see e.g. EP-A-0 392 225). Examples of such antipathogenic substances and
transgenic plants capable of synthesising such antipathogenic substances are known, for example, from EP-A-0 392 225, WO 95/33818 and EP-A-0 353 191 . The methods of producing such transgenic plants are generally known to the person skilled in the art and are described, for example, in the publications mentioned above.
Crops may also be modified for enhanced resistance to fungal (for example Fusarium, Anthracnose, or Phytophthora), bacterial (for example Pseudomonas) or viral (for example potato leafroll virus, tomato spotted wilt virus, cucumber mosaic virus) pathogens.
Crops also include those that have enhanced resistance to nematodes, such as the soybean cyst nematode.
Crops that are tolerance to abiotic stress include those that have enhanced tolerance to drought, high salt, high temperature, chill, frost, or light radiation, for example through expression of NF-YB or other proteins known in the art.
Antipathogenic substances which can be expressed by such transgenic plants include, for example, ion channel blockers, such as blockers for sodium and calcium channels, for example the viral KP1 , KP4 or KP6 toxins; stilbene synthases; bibenzyl synthases; chitinases; glucanases; the so-called “pathogenesis-related proteins” (PRPs; see e.g. EP-A-0 392 225); antipathogenic substances produced by microorganisms, for example peptide antibiotics or heterocyclic antibiotics (see e.g. WO 95/33818) or protein or polypeptide factors involved in plant pathogen defence (so-called “plant disease resistance genes”, as described in WO 03/000906).
Further areas of use of the compositions according to the invention are the protection of stored goods and store rooms and the protection of raw materials, such as wood, textiles, floor coverings or buildings, and also in the hygiene sector, especially the protection of humans, domestic animals and productive livestock against pests of the mentioned type.
The present invention provides a compound of the first aspect for use in therapy. The present invention provides a compound of the first aspect, for use in controlling parasites in or on an animal. The present invention further provides a compound of the first aspect, for use in controlling ectoparasites on an animal. The present invention further provides a compound of the first aspect, for use in preventing and/or treating diseases transmitted by ectoparasites.
The present invention provides the use of a compound of the first aspect, for the manufacture of a medicament for controlling parasites in or on an animal. The present invention further provides the use of a compound of the first aspect, for the manufacture of a medicament for controlling ectoparasites on an animal. The present invention further provides the use of a compound of the first aspect, for the manufacture of a medicament for preventing and/or treating diseases transmitted by ectoparasites.
The present invention provides the use of a compound of the first aspect, in controlling parasites in or on an animal. The present invention further provides the use of a compound of the first aspect , in controlling ectoparasites on an animal.
The term “controlling” when used in context of parasites in or on an animal refers to reducing the number of pests or parasites, eliminating pests or parasites and/or preventing further pest or parasite infestation.
The term “treating” when used in context of parasites in or on an animal refers to restraining, slowing, stopping or reversing the progression or severity of an existing symptom or disease.
The term “preventing” when used in context of parasites in or on an animal refers to the avoidance of a symptom or disease developing in the animal.
The term “animal” when used in context of parasites in or on an animal may refer to a mammal and a non-mammal, such as a bird or fish. In the case of a mammal, it may be a human or non-human mammal. Non-human mammals include, but are not limited to, livestock animals and companion animals. Livestock animals include, but are not limited to, cattle, camelids, pigs, sheep, goats and horses. Companion animals include, but are not limited to, dogs, cats and rabbits.
A “parasite” is a pest which lives in or on the host animal and benefits by deriving nutrients at the host animal's expense. An “endoparasite” is a parasite which lives in the host animal. An “ectoparasite” is a parasite which lives on the host animal. Ectoparasites include, but are not limited to, acari, insects and crustaceans (e.g. sea lice). The Acari (or Acarina) sub-class comprises ticks and mites. Ticks include, but are not limited to, members of the following genera: Rhipicaphalus, for example, Rhipicaphalus (Boophilus) microplus and Rhipicephalus sanguineus; Amblyomrna; Dermacentor; Haemaphysalis; Hyalomma; Ixodes; Rhipicentor; Margaropus; Argas; Otobius; and Ornithodoros. Mites include, but are not limited to, members of the following genera: Chorioptes, for example Chorioptes bovis; Psoroptes, for example Psoroptes ovis; Cheyletiella; Dermanyssus; for example Dermanyssus gallinae; Ortnithonyssus; Demodex, for example Demodex canis; Sarcoptes, for example Sarcoptes scabiei; and Psorergates. Insects include, but are not limited to, members of the orders: Siphonaptera, Diptera, Phthiraptera, Lepidoptera, Coleoptera and Homoptera. Members of the Siphonaptera order include, but are not limited to, Ctenocephalides felis and Ctenocephatides canis. Members of the Diptera order include, but are not limited to, Musca spp.; bot fly, for example Gasterophilus intestinalis and Oestrus ovis; biting flies; horse flies, for example Haematopota spp. and Tabunus spp.; haematobia, for example haematobia irritans; Stomoxys; Lucilia; midges; and mosquitoes. Members of the Phthiraptera class include, but are not limited to, blood sucking lice and chewing lice, for example Bovicola Ovis and Bovicola Bovis.
The term “effective amount” when used in context of parasites in or on an animal refers to the amount or dose of the compound of the invention, or a salt thereof, which, upon single or multiple dose administration to the animal, provides the desired effect in or on the animal. The effective amount can be readily determined by the attending diagnostician, as one skilled in the art, by the use of known techniques and by observing results obtained under analogous circumstances. In determining the effective amount a number of factors are considered by the attending diagnostician, including, but not limited to: the species of mammal; its size, age, and general health; the parasite to be controlled and the degree of infestation; the specific disease or disorder involved; the degree of involvement or the severity of the disease or disorder; the response of the individual; the particular compound administered; the mode of administration; the bioavailability characteristics of the preparation administered; the dose regimen selected; the use of concomitant medication; and other relevant circumstances.
The compounds of the invention may be administered to the animal by any route which has the desired effect including, but not limited to topically, orally, parenterally' and subcutaneously. Topical administration is preferred. Formulations suitable for topical administration include, for example, solutions, emulsions and suspensions and may take the form of a pour-on, spot-on, spray-on, spray race or dip. In the alternative, the compounds of the invention may be administered by means of an ear tag or collar.
Salt forms of the compounds of the invention include both pharmaceutically acceptable salts and veterinary acceptable salts, which can be different to agrochemically acceptable salts. Pharmaceutically and veterinary acceptable salts and common methodology for preparing them are well known in the art. See, for example, Gould, P.L., “Salt selection for basic drugs”, International Journal of Pharmaceutics, 33: 201 -217 (1986); Bastin, R.J., et al. “Salt Selection and Optimization Procedures for Pharmaceutical New Chemical Entities”, Organic Process Research and Development, 4: 427-435 (2000); and Berge, S.M., et al., “Pharmaceutical Salts”, Journal of Pharmaceutical Sciences, 66: 1 -19, (1977). One skilled in the art of synthesis will appreciate that the compounds of the invention are readily converted to and may be isolated as a salt, such as a hydrochloride salt, using techniques and conditions well known to one of ordinary skill in the art. In addition, one skilled in the art of synthesis will appreciate that the compounds of the invention are readily converted to and may be isolated as the corresponding free base from the corresponding salt.
The present invention also provides a method for controlling pests (such as mosquitoes and other disease vectors; see also http://www.who.int/malaria/vector_control/irs/en/). In one embodiment, the method for controlling pests comprises applying the compositions of the invention to the target pests, to their locus or to a surface or substrate by brushing, rolling, spraying, spreading or dipping. By way of example, an IRS (indoor residual spraying) application of a surface such as a wall, ceiling or floor surface is contemplated by the method of the invention. In another embodiment, it is contemplated to apply such compositions to a substrate such as non-woven or a fabric material in the form of (or which can be used in the manufacture of) netting, clothing, bedding, curtains and tents.
In one embodiment, the method for controlling such pests comprises applying a pesticidally effective amount of the compositions of the invention to the target pests, to their locus, or to a surface or substrate so as to provide effective residual pesticidal activity on the surface or substrate. Such application may be made by brushing, rolling, spraying, spreading or dipping the pesticidal composition of the invention. By way of example, an IRS application of a surface such as a wall, ceiling or floor surface is contemplated by the method of the invention so as to provide effective residual pesticidal activity on the surface. In another embodiment, it is contemplated to apply such compositions for residual control of pests on a substrate such as a fabric material in the form of (or which can be used in the manufacture of) netting, clothing, bedding, curtains and tents.
Substrates including non-woven, fabrics or netting to be treated may be made of natural fibres such as cotton, raffia, jute, flax, sisal, hessian, or wool, or synthetic fibres such as polyamide, polyester, polypropylene, polyacrylonitrile or the like. The polyesters are particularly suitable. The methods of
textile treatment are known, e.g. WO 2008/151984, WO 2003/034823, US 5631072, WO 2005/64072, W02006/128870, EP 1724392, WO 2005113886 or WO 2007/090739.
Further areas of use of the compositions according to the invention are the field of tree injection/trunk treatment for all ornamental trees as well all sort of fruit and nut trees. In the field of tree injection/trunk treatment, the compounds according to the present invention are especially suitable against wood-boring insects from the order Lepidoptera as mentioned above and from the order Coleoptera, especially against woodborers listed in the following tables 1 and 2:
Table 2. Examples of native woodborers of economic importance.
The present invention may be also used to control any insect pests that may be present in turfgrass, including for example beetles, caterpillars, fire ants, ground pearls, millipedes, sow bugs, mites, mole crickets, scales, mealybugs, ticks, spittlebugs, southern chinch bugs and white grubs. The present invention may be used to control insect pests at various stages of their life cycle, including eggs, larvae, nymphs and adults.
In particular, the present invention may be used to control insect pests that feed on the roots of turfgrass including white grubs (such as Cyclocephala spp. (e.g. masked chafer, C. lurida), Rhizotrogus spp. (e.g. European chafer, R. majalis), Cotinus spp. (e.g. Green June beetle, C. nitida), Popillia spp. (e.g. Japanese beetle, P. japonica), Phyllophaga spp. (e.g. May/June beetle), Ataenius spp. (e.g. Black turfgrass ataenius, A. spretulus), Maladera spp. (e.g. Asiatic garden beetle, M. castanea) and Tomarus spp.), ground pearls (Margarodes spp.), mole crickets (tawny, southern, and short-winged; Scapteriscus spp., Gryllotalpa africana) and leatherjackets (European crane fly, Tipula spp.).
The present invention may also be used to control insect pests of turfgrass that are thatch dwelling, including armyworms (such as fall armyworm Spodoptera frugiperda, and common armyworm Pseudaletia unipuncta), cutworms, billbugs (Sphenophorus spp., such as S. venatus verstitus and S. parvulus), and sod webworms (such as Crambus spp. and the tropical sod webworm, Herpetogramma phaeopteralis).
The present invention may also be used to control insect pests of turfgrass that live above the ground and feed on the turfgrass leaves, including chinch bugs (such as southern chinch bugs, B/issus insu/aris), Bermudagrass mite (Eriophyes cynodoniensis), rhodesgrass mealybug (Antonina graminis), two-lined spittlebug (Propsapia bicincta), leafhoppers, cutworms (Noctuidae family), and greenbugs.
The present invention may also be used to control other pests of turfgrass such as red imported fire ants (Solenopsis invicta) that create ant mounds in turf.
In the hygiene sector, the compositions according to the invention are active against ectoparasites such as hard ticks, soft ticks, mange mites, harvest mites, flies (biting and licking), parasitic fly larvae, lice, hair lice, bird lice and fleas.
Examples of such parasites are:
Of the order Anoplurida: Haematopinus spp., Linognathus spp., Pediculus spp. and Phtirus spp., Solenopotes spp..
Of the order Mallophagida: Trimenopon spp., Menopon spp., Trinoton spp., Bovicola spp., Werneckiella spp., Lepikentron spp., Damalina spp., Trichodectes spp. and Felicola spp..
Of the order Diptera and the suborders Nematocerina and Brachycerina, for example Aedes spp., Anopheles spp., Culex spp., Simulium spp., Eusimulium spp., Phlebotomus spp., Lutzomyia spp., Culicoides spp., Chrysops spp., Hybomitra spp., Atylotus spp., Tabanus spp., Haematopota spp., Philipomyia spp., Braula spp., Musca spp., Hydrotaea spp., Stomoxys spp., Haematobia spp., Morellia spp., Fannia spp., Glossina spp., Calliphora spp., Lucilia spp., Chrysomyia spp., Wohlfahrtia spp., Sarcophaga spp., Oestrus spp., Hypoderma spp., Gasterophilus spp., Hippobosca spp., Lipoptena spp. and Melophagus spp.,
Of the order Siphonapterida, for example Pulex spp., Ctenocephalides spp., Xenopsylla spp., Ceratophyllus spp.,
Of the order Heteropterida, for example Cimex spp., Triatoma spp., Rhodnius spp., Panstrongylus spp.,
Of the order Blattarida, for example Blatta orientalis, Periplaneta americana, Blattelagermanica and Supella spp..
Of the subclass Acaria (Acarida) and the orders Meta- and Meso-stigmata, for example Argas spp., Ornithodorus spp., Otobius spp., Ixodes spp., Amblyomma spp., Boophilus spp., Dermacentor spp., Haemophysalis spp., Hyalomma spp., Rhipicephalus spp., Dermanyssus spp., Raillietia spp., Pneumonyssus spp., Sternostoma spp. and Varroa spp..
Of the orders Actinedida (Prostigmata) and Acaridida (Astigmata), for example Acarapis spp., Cheyletiella spp., Ornithocheyletia spp., Myobia spp., Psorergatesspp., Demodex spp., Trombicula spp., Listrophorus spp., Acarus spp., Tyrophagus spp., Caloglyphus spp., Hypodectes spp., Pterolichus spp., Psoroptes spp., Chorioptes spp., Otodectes spp., Sarcoptes spp., Notoedres spp., Knemidocoptes spp., Cytodites spp. and Laminosioptes spp.
The compositions according to the invention are also suitable for protecting against insect infestation in the case of materials such as wood, textiles, plastics, adhesives, glues, paints, paper and card, leather, floor coverings and buildings.
The compositions according to the invention can be used, for example, against the following pests: beetles such as Hylotrupes bajulus, Chlorophorus pilosis, Anobium punctatum, Xestobium rufovillosum, Ptilinuspecticornis, Dendrobium pertinex, Ernobius mollis, Priobium carpini, Lyctus brunneus, Lyctus africanus, Lyctus planicollis, Lyctus linearis, Lyctus pubescens, Trogoxylon aequale, Minthesrugicollis, Xyleborus spec.,Tryptodendron spec., Apate monachus, Bostrychus capucins, Heterobostrychus brunneus, Sinoxylon spec, and Dinoderus minutus, and also hymenopterans such as Sirex juvencus, Urocerus gigas, Urocerus gigas taignus and Urocerus augur, and termites such as Kalotermes flavicollis, Cryptotermes brevis, Heterotermes indicola, Reticulitermes flavipes, Reticulitermes santonensis, Reticulitermes lucifugus, Mastotermes darwiniensis, Zootermopsis nevadensis and Coptotermes formosanus, and bristletails such as Lepisma saccharina.
The compounds of formulae (I), and (I’a), or salts thereof, are especially suitable for controlling one or more pests selected from the family: Noctuidae, Plutellidae, Chrysomelidae, Thripidae, Pentatomidae, Tortricidae, Delphacidae, Aphididae, Noctuidae, Crambidae, Meloidogynidae, and Heteroderidae. In a preferred embodiment of each aspect, a compound TX (where the abbreviation “TX” means “one compound selected from the compounds defined in Tables A-1 to A-24 and B-1 to B-24, and Table P”) controls one or more of pests selected from the family: Noctuidae, Plutellidae, Chrysomelidae, Thripidae, Pentatomidae, Tortricidae, Delphacidae, Aphididae, Noctuidae, Crambidae, Meloidogynidae, and Heteroderidae.
The compounds of formulae (I), and (I’a), or salts thereof, are especially suitable for controlling one or more of pests selected from the genus: Spodoptera spp, Plutella spp, Frankliniella spp, Thrips
spp, Euschistus spp, Cydia spp, Nilaparvata spp, Myzus spp, Aphis spp, Diabrotica spp, Rhopalosiphum spp, Pseudoplusia spp and Chilo spp. In a preferred embodiment of each aspect, a compound TX (where the abbreviation “TX” means “one compound selected from the compounds defined in Tables A- 1 to A-24 and B-1 to B-24, and Table P”) controls one or more of pests selected from the genus: Aphis spp., Chilo spp., Cydia spp., Diabrotica spp., Empoasca spp., Euschistus spp., Frankliniella spp., Leptinotarsa spp., Mamestra spp., Myzus spp., Nilaparvata spp., Plutella spp., Pseudoplusia spp., Rhopalosiphum spp., Spodoptera spp., and Thrips spp.
The compounds of formulae (I), and (I’a), or salts thereof, are especially suitable for controlling one or more of Aphis craccivora, Chilo suppressalis, Chrysodeixis includens, Cydia pomonella, Diabrotica balteata, Euschistus heros, Frankliniella occidentalis, Myzus persicae, Nilaparvata lugens, Plutella xylostella, Pseudoplusia includens, Rhopalosiphum padi, Spodoptera littoralis, and Thrips tabaci.
In a preferred embodiment of each aspect, a compound TX (where the abbreviation “TX” means “one compound selected from the compounds defined in Tables A-1 to A-24 and B-1 to B-24, and Table P”) controls one or more of Aphis craccivora, Chilo suppressalis, Chrysodeixis includens, Cydia pomonella, Diabrotica balteata, Euschistus heros, Frankliniella occidentalis, Myzus persicae, Nilaparvata lugens, Plutella xylostella, Pseudoplusia includens, Rhopalosiphum padi, Spodoptera littoralis, and Thrips tabaci; such as Aphis craccivora + TX, Chilo suppressalis + TX, Chrysodeixis includens + TX, Cydia pomonella + TX, Diabrotica balteata + TX, Euschistus heros + TX, Frankliniella occidentalis + TX, Myzus persicae + TX, Nilaparvata lugens + TX, Plutella xylostella + TX, Pseudoplusia includens + TX, Rhopalosiphum padi + TX, Spodoptera littoralis + TX, and Thrips tabaci + TX.
In an embodiment, of each aspect, one compound from Tables A-1 to A-24 and B-1 to B-24, and Table P is suitable for controlling Aphis craccivora, Chilo suppressalis, Chrysodeixis includens, Cydia pomonella, Diabrotica balteata, Euschistus heros, Frankliniella occidentalis, Myzus persicae, Nilaparvata lugens, Plutella xylostella, Pseudoplusia includens, Rhopalosiphum padi, Spodoptera littoralis, and Thrips tabaci, in cotton, vegetable, maize, cereal, rice and soya crops.
In an embodiment, one compound from Tables A-1 to A-24 and B-1 to B-24 and Table P is suitable for controlling Chilo supressalis (preferably in rice), Diabrotica balteata (preferably in vegetables, sucha as cucurbits or beans, soybean, potato, cereals such as maize, rice or wheat), Euschistus heros (preferably in soybean), Frankliniella occidentalis (preferably in vegetable, fruits, soybean, sunflower), Myzus persicae (preferably in potatoe, vegetables), Plutella xylostella (preferably in cotton, vegetables), Pseudoplusia includens (preferably in soy), Spodoptera littoralis (preferably in cotton).
Compounds according to the invention may possess any number of benefits including, inter alia, advantageous levels of biological activity for protecting plants against insects or superior properties for use as agrochemical active ingredients (for example, greater biological activity, an advantageous spectrum of activity, an increased safety profile (against non-target organisms above and below ground (such as fish, birds and bees), improved physico-chemical properties, or increased biodegradability). In particular, it has been surprisingly found that certain compounds of formula (I) may show an
advantageous safety profile with respect to non-target arthropods, in particular pollinators such as honey bees, solitary bees, and bumble bees. Most particularly, Apis mellifera.
The compounds according to the invention can be used as pesticidal agents in unmodified form, but they are generally formulated into compositions in various ways using formulation adjuvants, such as carriers, solvents and surface-active substances. The formulations can be in various physical forms, e.g. in the form of dusting powders, gels, wettable powders, water-dispersible granules, water- dispersible tablets, effervescent pellets, emulsifiable concentrates, micro-emulsifiable concentrates, oil- in-water emulsions, oil-flowables, aqueous dispersions, oily dispersions, suspo-emulsions, capsule suspensions, emulsifiable granules, soluble liquids, water-soluble concentrates (with water or a water- miscible organic solvent as carrier), impregnated polymer films or in other forms known e.g. from the Manual on Development and Use of FAO and WHO Specifications for Pesticides, United Nations, First Edition, Second Revision (2010). Such formulations can either be used directly or diluted prior to use. The dilutions can be made, for example, with water, liquid fertilisers, micronutrients, biological organisms, oil or solvents.
The formulations can be prepared e.g. by mixing the active ingredient with the formulation adjuvants in order to obtain compositions in the form of finely divided solids, granules, solutions, dispersions or emulsions. The active ingredients can also be formulated with other adjuvants, such as finely divided solids, mineral oils, oils of vegetable or animal origin, modified oils of vegetable or animal origin, organic solvents, water, surface-active substances or combinations thereof.
The active ingredients can also be contained in very fine microcapsules. Microcapsules contain the active ingredients in a porous carrier. This enables the active ingredients to be released into the environment in controlled amounts (e.g. slow-release). Microcapsules usually have a diameter of from 0.1 to 500 microns. They contain active ingredients in an amount of about from 25 to 95 % by weight of the capsule weight. The active ingredients can be in the form of a monolithic solid, in the form of fine particles in solid or liquid dispersion or in the form of a suitable solution. The encapsulating membranes can comprise, for example, natural or synthetic rubbers, cellulose, styrene/butadiene copolymers, polyacrylonitrile, polyacrylate, polyesters, polyamides, polyureas, polyurethane or chemically modified polymers and starch xanthates or other polymers that are known to the person skilled in the art. Alternatively, very fine microcapsules can be formed in which the active ingredient is contained in the form of finely divided particles in a solid matrix of base substance, but the microcapsules are not themselves encapsulated.
The formulation adjuvants that are suitable for the preparation of the compositions according to the invention are known per se. As liquid carriers there may be used: water, toluene, xylene, petroleum ether, vegetable oils, acetone, methyl ethyl ketone, cyclohexanone, acid anhydrides, acetonitrile, acetophenone, amyl acetate, 2-butanone, butylene carbonate, chlorobenzene, cyclohexane, cyclohexanol, alkyl esters of acetic acid, diacetone alcohol, 1 ,2-dichloropropane, diethanolamine, p- diethylbenzene, diethylene glycol, diethylene glycol abietate, diethylene glycol butyl ether, diethylene glycol ethyl ether, diethylene glycol methyl ether, A/,A/-dimethylformamide, dimethyl sulfoxide, 1 ,4- dioxane, dipropylene glycol, dipropylene glycol methyl ether, dipropylene glycol dibenzoate, diproxitol,
alkylpyrrolidone, ethyl acetate, 2-ethylhexanol, ethylene carbonate, 1 ,1 ,1 -trichloroethane, 2-heptanone, alpha-pinene, d-limonene, ethyl lactate, ethylene glycol, ethylene glycol butyl ether, ethylene glycol methyl ether, gamma-butyrolactone, glycerol, glycerol acetate, glycerol diacetate, glycerol triacetate, hexadecane, hexylene glycol, isoamyl acetate, isobornyl acetate, isooctane, isophorone, isopropylbenzene, isopropyl myristate, lactic acid, laurylamine, mesityl oxide, methoxypropanol, methyl isoamyl ketone, methyl isobutyl ketone, methyl laurate, methyl octanoate, methyl oleate, methylene chloride, m-xylene, n-hexane, n-octylamine, octadecanoic acid, octylamine acetate, oleic acid, oleylamine, o-xylene, phenol, polyethylene glycol, propionic acid, propyl lactate, propylene carbonate, propylene glycol, propylene glycol methyl ether, p-xylene, toluene, triethyl phosphate, triethylene glycol, xylenesulfonic acid, paraffin, mineral oil, trichloroethylene, perchloroethylene, ethyl acetate, amyl acetate, butyl acetate, propylene glycol methyl ether, diethylene glycol methyl ether, methanol, ethanol, isopropanol, and alcohols of higher molecular weight, such as amyl alcohol, tetra hydrofurfury I alcohol, hexanol, octanol, ethylene glycol, propylene glycol, glycerol, A/-methyl-2-pyrrolidone and the like.
Suitable solid carriers are, for example, talc, titanium dioxide, pyrophyllite clay, silica, attapulgite clay, kieselguhr, limestone, calcium carbonate, bentonite, calcium montmorillonite, cottonseed husks, wheat flour, soybean flour, pumice, wood flour, ground walnut shells, lignin and similar substances.
A large number of surface-active substances can advantageously be used in both solid and liquid formulations, especially in those formulations which can be diluted with a carrier prior to use. Surface-active substances may be anionic, cationic, non-ionic or polymeric and they can be used as emulsifiers, wetting agents or suspending agents or for other purposes. Typical surface-active substances include, for example, salts of alkyl sulfates, such as diethanolammonium lauryl sulfate; salts of alkylarylsulfonates, such as calcium dodecylbenzenesulfonate; alkylphenol/alkylene oxide addition products, such as nonylphenol ethoxylate; alcohol/alkylene oxide addition products, such as tridecylalcohol ethoxylate; soaps, such as sodium stearate; salts of alkylnaphthalenesulfonates, such as sodium dibutylnaphthalenesulfonate; dialkyl esters of sulfosuccinate salts, such as sodium di(2- ethylhexyl)sulfosuccinate; sorbitol esters, such as sorbitol oleate; quaternary amines, such as lauryltrimethylammonium chloride, polyethylene glycol esters of fatty acids, such as polyethylene glycol stearate; block copolymers of ethylene oxide and propylene oxide; and salts of mono- and di- alkylphosphate esters; and also further substances described e.g. in McCutcheon's Detergents and Emulsifiers Annual, MC Publishing Corp., Ridgewood New Jersey (1981).
Further adjuvants that can be used in pesticidal formulations include crystallisation inhibitors, viscosity modifiers, suspending agents, dyes, anti-oxidants, foaming agents, light absorbers, mixing auxiliaries, antifoams, complexing agents, neutralising or pH-modifying substances and buffers, corrosion inhibitors, fragrances, wetting agents, take-up enhancers, micronutrients, plasticisers, glidants, lubricants, dispersants, thickeners, antifreezes, microbicides, and liquid and solid fertilisers.
The compositions according to the invention can include an additive comprising an oil of vegetable or animal origin, a mineral oil, alkyl esters of such oils or mixtures of such oils and oil derivatives. The amount of oil additive in the composition according to the invention is generally from 0.01 to 10 %, based on the mixture to be applied. For example, the oil additive can be added to a spray
tank in the desired concentration after a spray mixture has been prepared. Preferred oil additives comprise mineral oils or an oil of vegetable origin, for example rapeseed oil, olive oil or sunflower oil, emulsified vegetable oil, alkyl esters of oils of vegetable origin, for example the methyl derivatives, or an oil of animal origin, such as fish oil or beef tallow. Preferred oil additives comprise alkyl esters of C8-C22 fatty acids, especially the methyl derivatives of C12-C18 fatty acids, for example the methyl esters of lauric acid, palmitic acid and oleic acid (methyl laurate, methyl palmitate and methyl oleate, respectively). Many oil derivatives are known from the Compendium of Herbicide Adjuvants, 10th Edition, Southern Illinois University, 2010.
The inventive compositions generally comprise from 0.1 to 99 % by weight, especially from 0.1 to 95 % by weight, of compounds of the present invention and from 1 to 99.9 % by weight of a formulation adjuvant which preferably includes from 0 to 25 % by weight of a surface-active substance. Whereas commercial products may preferably be formulated as concentrates, the end user will normally employ dilute formulations.
The rates of application vary within wide limits and depend on the nature of the soil, the method of application, the crop plant, the pest to be controlled, the prevailing climatic conditions, and other factors governed by the method of application, the time of application and the target crop. As a general guideline compounds may be applied at a rate of from 1 to 2000 l/ha, especially from 10 to 1000 l/ha.
Formulation types include an emulsion concentrate (EC), a suspension concentrate (SC), a suspo-emulsion (SE), a capsule suspension (CS), a water dispersible granule (WG), an emulsifiable granule (EG), an emulsion, water in oil (EG), an emulsion, oil in water (EW), a micro-emulsion (ME), an oil dispersion (OD), an oil miscible flowable (OF), an oil miscible liquid (OL), a soluble concentrate (SL), an ultra-low volume suspension (SU), an ultra-low volume liquid (UL), a technical concentrate (TK), a dispersible concentrate (DC), a wettable powder (WP), a soluble granule (SG) or any technically feasible formulation in combination with agriculturally acceptable adjuvants.
Preferred formulations can have the following compositions (weight %):
Emulsifiable concentrates: active ingredient: 1 to 95 %, preferably 60 to 90 % surface-active agent: 1 to 30 %, preferably 5 to 20 % liquid carrier: 1 to 80 %, preferably 1 to 35 %
Dusts: active ingredient: 0.1 to 10 %, preferably 0.1 to 5 % solid carrier: 99.9 to 90 %, preferably 99.9 to 99 %
Suspension concentrates: active ingredient: 5 to 75 %, preferably 10 to 50 % water: 94 to 24 %, preferably 88 to 30 % surface-active agent: 1 to 40 %, preferably 2 to 30 %
Wettable powders: active ingredient: 0.5 to 90 %, preferably 1 to 80 % surface-active agent: 0.5 to 20 %, preferably 1 to 15 %
solid carrier: 5 to 95 %, preferably 15 to 90 %
Granules: active ingredient: 0.1 to 30 %, preferably 0.1 to 15 % solid carrier: 99.5 to 70 %, preferably 97 to 85 %
The following combinations of a compound of formula I with another active substance in a weight ratio of 1 :1 are preferred (where the abbreviation “TX” means “one compound selected from the compounds defined in the Tables A-1 to A-24 and B-1 to B-24 and Table P”):
The references in brackets behind the active ingredients, e.g. [3878-19-1] refer to the Chemical Abstracts Registry number. The above described mixing partners are known. Where the active ingredients are included in “The Pesticide Manual” [The Pesticide Manual - A World Compendium; Thirteenth Edition; Editor: C. D. S. TomLin; The British Crop Protection Council], they are described therein under the entry number given in round brackets hereinabove for the particular compound; for example, the compound “abamectin” is described under entry number (1). Where “[CCN]” is added hereinabove to the particular compound, the compound in question is included in the “Compendium of Pesticide Common Names”, which is accessible on the internet [A. Wood; Compendium of Pesticide Common Names, Copyright © 1995-2004]; for example, the compound “acetoprole” is described under the internet address http://www.alanwood.net/pesticides/acetoprole.html.
Most of the active ingredients described above are referred to hereinabove by a so-called “common name”, the relevant “ISO common name” or another “common name” being used in individual cases. If the designation is not a “common name”, the nature of the designation used instead is given in round brackets for the particular compound; in that case, the IUPAC name, the lUPAC/Chemical Abstracts name, a “chemical name”, a “traditional name”, a “compound name” or a “development code” is used or, if neither one of those designations nor a “common name” is used, an “alternative name” is employed. “CAS Reg. No” means the Chemical Abstracts Registry Number.
(7E,9Z)-dodeca-7,9-dien-1-yl acetate + TX, (9Z,11 E)-tetradeca-9,11-dien-1-yl acetate + TX, (9Z,12E)-tetradeca-9,12-dien-1-yl acetate + TX, (E)-6-methylhept-2-en-4-ol + TX, (E)-dec-5-en-1-yl acetate with (E)-dec-5-en-1-ol + TX, (E)-tridec-4-en-1-yl acetate + TX, (E,Z)-tetradeca-4,10-dien-1-yl acetate + TX, (Z)-dodec-7-en-1-yl acetate + TX, (Z)-hexadec-l 1-en-1-yl acetate + TX, (Z)-hexadec- 11-enal + TX, (Z)-hexadec-13-en-1 1-yn-1-yl acetate + TX, (Z)-icos-13-en-10-one + TX, (Z)-tetradec- 7-en-1-al + TX, (Z)-tetradec-9-en-1-ol + TX, (Z)-tetradec-9-en-1-yl acetate + TX, 1 ,2-dibromo-3- chloropropane + TX, 1 ,2-dichloropropane + TX, 1 ,2-dichloropropane with 1 ,3-dichloropropene + TX, 1 ,3-dichloropropene + TX, 14-methyloctadec-1-ene + TX, 1 -hydroxy-1 H-pyridine-2-thione + TX, 2- (octylthio)ethanol + TX, 2-chlorophenyl N-methylcarbamate (CPMC) + TX, 3-(4-chlorophenyl)-5- methylrhodanine + TX, 3,4-dichlorotetrahydrothiophene 1 ,1-dioxide + TX, 4-(quinoxalin-2- ylamino)benzenesulfonamide + TX, 4-methylnonan-5-ol with 4-methylnonan-5-one + TX, 5-methyl-6- thioxo-1 ,3,5-thiadiazinan-3-ylacetic acid + TX, 6-isopentenylaminopurine + TX, 8-hydroxyquinoline sulfate + TX, abamectin + TX, acequinocyl + TX, acetamiprid + TX, acetoprole + TX, acrinathrin + TX,
acynonapyr + TX, Adoxophyes orana GV + TX, afidopyropen + TX, afoxalaner + TX, Agrobacterium radiobacter + TX, AKD-3088 + TX, alanycarb + TX, aldicarb + TX, aldoxycarb + TX, allethrin + TX, alpha-cypermethrin + TX, alphamethrin + TX, alpha-multistriatin + TX, Amblyseius spp. + TX, amidoflumet + TX, amino acids + TX, aminocarb + TX, Anagrapha falcifera NPV + TX, Anagrus atomus + TX, Aphelinus abdominalis + TX, Aphidius colemani + TX, Aphidoletes aphidimyza + TX, apholate + TX, Autographa californica NPV + TX, AZ 60541 + TX, azadirachtin + TX, azocyclotin + TX, Bacillus aizawai + TX, Bacillus chitinosporus AQ746 (NRRL Accession No B-21 618) + TX, Bacillus firmus + TX, Bacillus kurstaki + TX, Bacillus mycoides AQ726 (NRRL Accession No. B- 21664) + TX, Bacillus pumilus (NRRL Accession No B-30087) + TX, Bacillus pumilus AQ717 (NRRL Accession No. B-21662) + TX, Bacillus sp. AQ175 (ATCC Accession No. 55608) + TX, Bacillus sp. AQ177 (ATCC Accession No. 55609) + TX, Bacillus sp. AQ178 (ATCC Accession No. 53522) + TX, Bacillus sphaericus Neide + TX, Bacillus subtilis AQ153 (ATCC Accession No. 55614) + TX, Bacillus subtilis AQ30002 (NRRL Accession No. B-50421) + TX, Bacillus subtilis AQ30004 (NRRL Accession No. B- 50455) + TX, Bacillus subtilis AQ713 (NRRL Accession No. B-21661) + TX, Bacillus subtilis AQ743 (NRRL Accession No. B-21665) + TX, Bacillus subtilis unspecified + TX, Bacillus thuringiensis AQ52 (NRRL Accession No. B-21619) + TX, Bacillus thuringiensis BD#32 (NRRL Accession No B- 21530) + TX, Bacillus thuringiensis Berliner + TX, Bacillus thuringiensis subsp. Aizawai + TX, Bacillus thuringiensis subsp. Israelensis + TX, Bacillus thuringiensis subsp. Japonensis + TX, Bacillus thuringiensis subsp. Kurstaki + TX, Bacillus thuringiensis subsp. Tenebrionis + TX, Bacillus thuringiensis subspec. kurstaki BMP 123 + TX, Beauveria bassiana + TX, Beauveria brongniartii + TX, benclothiaz + TX, benomyl + TX, bensultap + TX, benzoximate + TX, benzpyrimoxan + TX, betacyfluthrin + TX, beta-cypermethrin + TX, bethoxazin + TX, bifenazate + TX, bifenthrin + TX, binapacryl + TX, bioallethrin + TX, bioresmethrin + TX, bis(tributyltin) oxide + TX, bisazir + TX, bistrifluron + TX, brevicomin + TX, broflanilide + TX, brofluthrinate + TX, bromoacetamide + TX, bromophos-ethyl + TX, bronopol + TX, buprofezine + TX, busulfan + TX, butocarboxim + TX, butopyronoxyl + TX, butoxy(polypropylene glycol) + TX, butylpyridaben + TX, cadusafos + TX, calcium arsenate + TX, carbaryl + TX, carbofuran + TX, carbon disulfide + TX, carbosulfan + TX, cartap + TX, CAS number: 1594624-87-9 + TX, CAS number: 1922957-47-8 + TX, CAS number: 1255091 -74-7 + TX, CAS number: 1365070-72-9 + TX, CAS number: 1445683-71-5 + TX, CAS number: 1445684-82-1 + TX, CAS number: 1594626-19-3 + TX, CAS number: 1594637-65-6 + TX, CAS number: 1632218-00-8 + TX, CAS number: 1808115-49-2 + TX, CAS number: 1922957-45-6 + TX, CAS number: 1922957-46-7 + TX, CAS number: 1922957-48-9 + TX, CAS number: 1956329-03- 5 + TX, CAS number: 1990457-52-7 + TX, CAS number: 1990457-55-0 + TX, CAS number: 1990457- 57-2 + TX, CAS number: 1990457-66-3 + TX, CAS number: 1990457-77-6 + TX, CAS number: 1990457-85-6 + TX, CAS number: 2032403-97-5 + TX, CAS number: 2044701 -44-0 + TX, CAS number: 2095470-94-1 + TX, CAS number: 2128706-05-6 + TX, CAS number: 2133042-31-4 + TX, CAS number: 2133042-44-9 + TX, CAS number: 2171099-09-3 + TX, CAS number: 2220132-55-6 + TX, CAS number: 2368920-61-8 + TX, CAS number: 2377084-09-6 + TX, CAS number: 2396747-83- 2 + TX, CAS number: 2408220-91-5 + TX, CAS number: 2408220-94-8 + TX, CAS number: 2415706-
16-8 + TX, CAS number: 2615135-05-0 + TX, CAS number: 2719848-60-7 + TX, CAS number: RNA (Leptinotarsa decemlineata-specific recombinant double-stranded interfering GS2) + TX, chlorantraniliprole + TX, chlordane + TX, chlorfenapyr + TX, chloropicrin + TX, chloroprallethrin + TX, chlorpyrifos + TX, chromafenozide + TX, Chrysoperla carnea + TX, clenpirin + TX, cloethocarb + TX, clothianidin + TX, codlelure + TX, codlemone + TX, copper acetoarsenite + TX, copper dioctanoate + TX, copper hydroxide + TX, copper sulfate + TX, cresol + TX, crufomate + TX, Cryptolaemus montrouzieri + TX, cuelure + TX, cyanofenphos + TX, cyantraniliprole + TX, cybutryne + TX, cyclaniliprole + TX, cyclobutrifluram + TX, cycloprothrin + TX, cycloxaprid + TX, Cydia pomonella GV + TX, cyenopyrafen + TX, cyetpyrafen + TX, cyflumetofen + TX, cyfluthrin + TX, cyhalodiamide + TX, cylohalothrin + TX, cypermethrin + TX, cyphenothrin + TX, cyproflanilide + TX, cyromazine + TX, cytokinins + TX, Dacnusa sibirica + TX, dazomet + TX, DBCP + TX, DCIP + TX, deltamethrin + TX, diafenthiuron + TX, dialifos + TX, diamidafos + TX, dibrom + TX, dibutyl adipate + TX, dibutyl phthalate + TX, dibutyl succinate + TX, dichlofenthion + TX, dichlone + TX, dichlorophen + TX, dicliphos + TX, dicloromezotiaz + TX, diethyltoluamide + TX, diflubenzuron + TX, Diglyphus isaea + TX, dimatif + TX, dimethoate + TX, dimethyl carbate + TX, dimethyl phthalate + TX, dimpropyridaz + TX, dinactin + TX, dinocap + TX, dinotefuran + TX, dioxabenzofos + TX, dipyrithione + TX, disparlure + TX, D-limonene + TX, dodec-8-en-1-yl acetate + TX, dodec-9-en-1-yl acetate + TX, dodeca-8,10-dien-1-yl acetate + TX, dodicin + TX, dominicalure + TX, doramectin + TX, emamectin + TX, emamectin benzoate + TX, empenthrin + TX, Encarsia formosa + TX, endothal + TX, endrin + TX, eprinomectin + TX, epsilon - momfluorothrin + TX, epsilon-metofluthrin + TX, Eretmocerus eremicus + TX, esfenvalerate + TX, ethion + TX, ethiprole + TX, ethoprophos + TX, ethyl 4-methyloctanoate + TX, ethyl hexanediol + TX, ethylene dibromide + TX, etofenprox + TX, etoxazole + TX, etpyrafen + TX, eugenol + TX, Extract of seaweed and fermentation product derived from melasse + TX, Extract of seaweed and fermentation product derived from melasse comprising urea + TX, Extract of seaweed and fermented plant products + TX, Extract of seaweed and fermented plant products comprising phytohormones + TX, vitamins + TX, EDTA-chelated copper + TX, zinc + TX, and iron + TX, famphur + TX, fenaminosulf + TX, fenamiphos + TX, fenazaquin + TX, fenfluthrin + TX, fenitrothion + TX, fenmezoditiaz + TX, fenobucarb + TX, fenothiocarb + TX, fenoxycarb + TX, fenpropathrin + TX, fenpyrad + TX, fenpyroximate + TX, fensulfothion + TX, fenthion + TX, fentin + TX, fentinacetate + TX, fenvalerate + TX, ferric phosphate + TX, fipronil + TX, flometoquin + TX, flonicamid + TX, fluacrypyrim + TX, fluazaindolizine + TX, fluazuron + TX, flubendiamide + TX, flubenzimine + TX, fluchlordiniliprole + TX, flucitrinate + TX, flucycloxuron + TX, flucythrinate + TX, fluensulfone + TX, fluensulfone [318290-98- 1] + TX, flufenerim + TX, flufenprox + TX, flufiprole + TX, fluhexafon + TX, flumethrin + TX, fluopyram + TX, flupentiofenox flupyradifurone + TX, flupyrimin + TX, flupyroxystrobin + TX, fluralaner + TX, fluvalinate + TX, fluxametamide + TX, formaldehyde + TX, fosthiazate + TX, fosthietan + TX, frontalin + TX, furfural + TX, gamma-cyhalothrin + TX, Gossyplure® (1 :1 mixture of the (Z,E) and (Z,Z) isomers of hexadeca-7,11-dien-1-yl-acetate) + TX, grandlure + TX, grandlure I + TX, grandlure II + TX, grandlure III + TX, grandlure IV + TX, Granulovirus + TX, guadipyr + TX, GY-81 + TX, halfenprox + TX, halofenozide + TX, Harpin + TX, Helicoverpa armigera Nucleopolyhedrovirus + TX, Helicoverpa
zea NPV + TX, Helicoverpa zea Nucleopolyhedrovirus + TX, Heliothis punctigera Nucleopolyhedrovirus + TX, Heliothis virescens Nucleopolyhedrovirus + TX, hemel + TX, hempa + TX, heptafluthrin + TX, heterophos + TX, Heterorhabditis bacteriophora and H. megidis + TX, hexalure + TX, hexamide + TX, hexythiazox + TX, Hippodamia convergens + TX, hydramethylnon + TX, hydrargaphen + TX, hydrated lime + TX, imicyafos + TX, imidacloprid + TX, imiprothrin + TX, Indazapyroxamet + TX, indoxacarb + TX, iodomethane + TX, iprodione + TX, ipsdienol + TX, ipsenol + TX, isamidofos + TX, isazofos + TX, isocycloseram + TX, Isoflualanam (CAS number: 2892524-05- 7) + TX, isothioate + TX, ivermectin + TX, japonilure + TX, kappa-bifenthrin + TX, kappa-tefluthrin + TX, kasugamycin + TX, kasugamycin hydrochloride hydrate + TX, kinetin + TX, lambda-cyhalothrin + TX, ledprona + TX, lepimectin + TX, Leptomastix dactylopii + TX, lineatin + TX, litlure + TX, looplure + TX, lotilaner + TX, lufenuron + TX, Macrolophus caliginosus + TX, Mamestra brassicae NPV + TX, mecarphon + TX, medlure + TX, megatomoic acid + TX, metaflumizone + TX, metaldehyde + TX, metam + TX, metam-potassium + TX, metam-sodium + TX, Metaphycus helvolus + TX, Metarhizium anisopliae var. acridum + TX, Metarhizium anisopliae var. anisopliae + TX, Metarhizium spp. + TX, metepa + TX, methiocarb + TX, methiotepa + TX, methomyl + TX, methoquin-butyl + TX, methoxyfenozide + TX, methyl apholate + TX, methyl bromide + TX, methyl eugenol + TX, methyl isothiocyanate + TX, methylneodecanamide + TX, metofluthrin + TX, metolcarb + TX, mexacarbate + TX, milbemectin + TX, milbemycin oxime + TX, momfluorothrin + TX, morzid + TX, moxidectin + TX, muscalure + TX, Muscodor albus 620 (NRRL Accession No. 30547) + TX, Muscodor roseus A3- 5 (NRRL Accession No. 30548) + TX, Myrothecium verrucaria composition + TX, nabam + TX, NC- 184 + TX, Neem tree based products + TX, Neodiprion sertifer NPV and N. lecontei NPV + TX, nickel bis(dimethyldithiocarbamate) + TX, niclosamide + TX, niclosamide-olamine + TX, nicofluprole + TX, nitenpyram + TX, nithiazine + TX, nitrapyrin + TX, octadeca-2,13-dien-1-yl acetate + TX, octadeca- 3, 13-dien-1 -yl acetate + TX, octhilinone + TX, omethoate + TX, orfralure + TX, Orius spp. + TX, oryctalure + TX, ostramone + TX, oxamate + TX, oxamyl + TX, oxazosulfyl + TX, oxolinic acid + TX, oxytetracycline + TX, Paecilomyces fumosoroseus + TX, Paecilomyces lilacinus + TX, parathion-ethyl + TX, Pasteuria nishizawae + TX, Pasteuria penetrans + TX, Pasteuria ramosa + TX, Pasteuria thornei + TX, Pasteuria usgae + TX, P-cymene + TX, penfluron + TX, pentachlorophenol + TX, permethrin + TX, phenothrin + TX, phorate + TX, phosphamidon + TX, phosphocarb + TX, Phytoseiulus persimilis + TX, picaridin + TX, piperazine + TX, piperonylbutoxide + TX, pirimicarb + TX, pirimiphos-ethyl + TX, pirimiphos-methyl + TX, Plutella xylostella Granulosis virus + TX, Plutella xylostella Nucleopolyhedrovirus + TX, Polyhedrosis virus + TX, potassium and molybdenum and EDTA-chelated manganese + TX, potassium ethylxanthate + TX, potassium hydroxyquinoline sulfate + TX, prallethrin + TX, probenazole + TX, profenofos + TX, profluthrin + TX, propargite + TX, propetamphos + TX, propoxur + TX, prothiophos + TX, protrifenbute + TX, pyflubumide + TX, pymetrozine + TX, pyraclofos + TX, pyrafluprole + TX, pyrethrum + TX, pyridaben + TX, pyridalyl + TX, pyridin-4-amine + TX, pyrifluquinazon + TX, pyrimidifen + TX, pyriminostrobin + TX, pyriprole + TX, pyriprole [394730-71-3] + TX, pyriproxyfen + TX, QRD 420 (a terpenoid blend) + TX, QRD 452 (a terpenoid blend) + TX, QRD 460 (a terpenoid blend) + TX, Quillaja saponaria + TX, quinoclamine
+ TX, quinonamid + TX, resmethrin + TX, Rhodococcus globerulus AQ719 (NRRL Accession No B- 21663) + TX, sarolaner + TX, S-bioallethrin + TX, sebufos + TX, selamectin + TX, siglure + TX, silafluofen + TX, simazine + TX, sodium pentachlorophenoxide + TX, sordidin + TX, spidoxamat + TX, spinetoram + TX, spinosad + TX, spirobudifen + TX, spirodiclofen + TX, spiromesifen + TX, spiropidion + TX, spirotetramat + TX, Spodoptera exigua multicapsid nuclear polyhedrosis virus + TX, Spodoptera frugiperda Nucleopolyhedrovirus + TX, Steinernema bibionis + TX, Steinernema carpocapsae + TX, Steinernema feltiae + TX, Steinernema glaseri + TX, Steinernema riobrave + TX, Steinernema riobravis + TX, Steinernema scapterisci + TX, Steinernema spp. + TX, Streptomyces galbus (NRRL Accession No. 30232) + TX, Streptomyces sp. (NRRL Accession No. B-30145) + TX, streptomycin + TX, streptomycin sesquisulfate + TX, strychnine + TX, sulcatol + TX, sulfoxaflor + TX, tazimcarb + TX, tebufenozide + TX, tebufenpyrad + TX, tebupirimiphos + TX, tecloftalam + TX, tefluthrin + TX, temephos + TX, tepa + TX, terbam + TX, terbufos + TX, terpenoid blend + TX, tetrachlorantraniliprole + TX, tetrachlorothiophene + TX, tetradec-11 -en-1 -yl acetate + TX, tetradiphon + TX, tetramethrin + TX, tetramethylfluthrin + TX, tetranactin + TX, tetraniliprole + TX, theta- cypermethrin + TX, thiacloprid + TX, thiafenox + TX, thiamethoxam + TX, thiocyclam + TX, thiodicarb + TX, thiofanox + TX, thiohempa + TX, thiomersal + TX, thiometon + TX, thionazin + TX, thiophanate + TX, thiosultap + TX, thiotepa + TX, tigolaner + TX, tiorantraniliprole + TX, tioxazafen + TX, tolfenpyrad + TX, toxaphene + TX, tralomethrin + TX, transfluthrin + TX, tretamine + TX, triazamate + TX, triazophos + TX, triazuron + TX, tributyltin oxide + TX, trichlorfon + TX, trichloronate + TX, trichlorphon + TX, Trichogramma spp. + TX, trifenmorph + TX, trifluenfuronate + TX, triflumezopyrim + TX, trimedlure + TX, trimedlure A + TX, trimedlure B1 + TX, trimedlure B2 + TX, trimedlure C + TX, trimethacarb + TX, triphenyltin acetate + TX, triphenyltin hydroxide + TX, trunc-call + TX, tyclopyrazoflor + TX, Typhlodromus occidentalis + TX, uredepa + TX, Verticillium lecanii + TX, Verticillium spp. + TX, xylenols + TX, YI-5302 + TX, zeatin + TX, zeta-Cypermethrin + TX;
N-[(1 R)-1-benzyl-3-chloro-1 -methyl-but-3-enyl]-8-fluoro-quinoline-3-carboxamide + TX, N- [(1 S)-1-benzyl-3-chloro-1-methyl-but-3-enyl]-8-fluoro-quinoline-3-carboxamide + TX, N-ethyl-N’-[5- methoxy-2-methyl-4-[(2-trifuoromethyl)tetrahydrofuran-2-yl]phenyl]-N-methyl-formamidine (these compounds may be prepared from the methods described in WO2019/110427) + TX, (3',4',5'-trifluoro- biphenyl-2-yl)-amide + TX, (3-methylisoxazol-5-yl)-[4-[5-(trifluoromethyl)-1 ,2,4-oxadiazol-3- yl]phenyl]methanone (these compounds may be prepared from the methods described in WO 2017/220485) + TX, (4-phenoxyphenyl)methyl 2-amino-6-methyl-pyridine-3-carboxylate (this compound may be prepared from the methods described in WO 2014/006945) + TX, (5-methyl-2- pyridyl)-[4-[5-(trifluoromethyl)-1 ,2,4-oxadiazol-3-yl]phenyl]methanone + TX, (7E,9Z)-dodeca-7,9- dien-1-yl acetate + TX, (9Z,11 E)-tetradeca-9,11-dien-1-yl acetate + TX, (9Z,12E)-tetradeca-9,12- dien-1-yl acetate + TX, (E)-6-methylhept-2-en-4-ol + TX, (E)-dec-5-en-1-yl acetate with (E)-dec-5-en- 1-ol + TX, (E)-tridec-4-en-1-yl acetate + TX, (E,Z)-tetradeca-4,10-dien-1-yl acetate + TX, + TX, (R)- 3-(difluoromethyl)-1-methyl-N-[1 ,1 ,3-trimethylindan-4-yl]pyrazole-4-carboxamide + TX, (Z)-dodec-7- en-1-yl acetate + TX, (Z)-hexadec-l 1-en-1-yl acetate + TX, (Z)-hexadec-l l-enal + TX, (Z)-hexadec- 13-en-1 1 -yn-1 -yl acetate + TX, (Z)-icos-13-en-10-one + TX, (Z)-tetradec-7-en-1-al + TX, (Z)-tetradec-
9-en-1-ol + TX, (Z)-tetradec-9-en-1-yl acetate + TX, (Z,2E)-5-[1-(2,4-dichlorophenyl)pyrazol-3-yl]oxy- 2-methoxyimino-N,3-dimethyl-pent-3-enamide (this compound may be prepared from the methods described in WO 2018/153707) + TX, (Z,2E)-5-[1-(4-chlorophenyl)pyrazol-3-yl]oxy-2-methoxyimino- N,3-dimethyl-pent-3-enamide + TX, + TX, [2-[3-[2-[1-[2-[3,5-bis(difluoromethyl)pyrazol-1-yl]acetyl]-4- piperidyl]thiazol-4-yl]-4,5-dihydroisoxazol-5-yl]-3-chloro-phenyl] methanesulfonate + TX, 1-(4,5- dimethylbenzimidazol-1-yl)-4,4,5-trifluoro-3,3-dimethyl-isoquinoline + TX, 1-(4,5- dimethylbenzimidazol-1-yl)-4,4-difluoro-3,3-dimethyl-isoquinoline + TX, 1-(6,7-dimethylpyrazolo[1 ,5- a]pyridin-3-yl)-4,4,5-trifluoro-3,3-dimethyl-isoquinoline + TX, 1 -(6,7-dimethylpyrazolo[1 ,5-a]pyridin-3- yl)-4,4,6-trifluoro-3,3-dimethyl-isoquinoline + TX, 1 -(6-chloro-7-methyl-pyrazolo[1 ,5-a]pyridin-3-yl)- 4,4-difluoro-3,3-dimethyl-isoquinoline (these compounds may be prepared from the methods described in WO2017/025510) + TX, 1 ,1 -bis(4-chlorophenyl)-2-ethoxyethanol + TX, 1 , 1 -dichloro-2,2- bis(4-ethylphenyl)ethane + TX, 1 ,2-dibromo-3-chloropropane + TX, 1 ,2-dichloropropane with 1 ,3- dichloropropene + TX, 1 ,3-dichloropropene + TX, 1 ,3-dimethoxy-1-[[4-[5-(trifluoromethyl)-1 ,2,4- oxadiazol-3-yl]phenyl]methyl]urea + TX, 1 -[2-[[1-(4-chlorophenyl)pyrazol-3-yl]oxymethyl]-3-methyl- phenyl]-4-methyl-tetrazol-5-one + TX, 10-dien-1-yl acetate + TX, 14-methyloctadec-1-ene + TX, 1- bromo-2-chloroethane + TX, 1 -dichloro-1 -nitroethane + TX, 1 -hydroxy-1 H-pyridine-2-thione + TX, 1- methoxy-3-methyl-1-[[4-[5-(trifluoromethyl)-1 ,2,4-oxadiazol-3-yl]phenyl]methyl]urea + TX, 1 -methyl- 4-[3-methyl-2-[[2-methyl-4-(3,4,5-trimethylpyrazol-1-yl)phenoxy]methyl]phenyl]tetrazol-5-one + TX, 2- (difluoromethyl) - N- ((3R) - 1 + TX, 1 + TX, 3- trimethylindan- 4- yl) pyridine- 3- carboxamide + TX, 2- (difluoromethyl) - N- ((3R) - 1 + TX, 1 + TX, 3- trimethylindan- 4-yl) pyridine- 3- carboxamide + TX,
2-(1 ,3-dithiolan-2-y l)pheny I dimethylcarbamate + TX, 2-(2-butoxyethoxy)ethyl piperonylate + TX, 2- (2-butoxyethoxy)ethyl thiocyanate + TX, 2-(4,5-dimethyl-1 ,3-dioxolan-2-yl)phenyl methylcarbamate + TX, 2-(4-chloro-3,5-xylyloxy)ethanol + TX, 2-(difluoromethyl)-N-(3-ethyl-1 ,1-dimethyl-indan-4- yl)pyridine-3-carboxamide + TX, 2-(difluoromethyl)-N-[(3R)-3-ethyl-1 ,1-dimethyl-indan-4-yl]pyridine-
3-carboxamide + TX, 2-(difluoromethyl)-N-[(3S)-3-ethyl-1 ,1-dimethyl-indan-4-yl]pyridine-3- carboxamide (this compound may be prepared from the methods described in WO 2014/095675) + TX, 2-(difluoromethyl)-N-[3-ethyl-1 ,1-dimethyl-indan-4-yl]pyridine-3-carboxamide + TX, 2-(octylthio)- ethanol + TX, 2,2,2-trichloro-1-(3,4-dichlorophenyl)ethyl acetate + TX, 2,2-dichlorovinyl 2- ethylsulfinylethyl methyl phosphate + TX, 2,2-difluoro-N-methyl-2-[4-[5-(trifluoromethyl)-1 ,2,4- oxadiazol-3-yl]phenyl]acetamide + TX, 2,4-dichlorophenyl benzenesulfonate + TX, 2,6-Dimethyl- 1 H,5H-[1 ,4]dithiino[2,3-c:5,6-c']dipyrrole-1 ,3,5,7(2H,6H)-tetrone (this compound may be prepared from the methods described in WO 2011/138281) + TX, 2-[2-fluoro-6-[(8-fluoro-2-methyl-3- quinolyl)oxy]phenyl]propan-2-ol + TX, 2-[6-(4-bromophenoxy)-2-(trifluoromethyl)-3-pyridyl]-1-(1 ,2,4- triazol-1-yl)propan-2-ol (this compound may be prepared from the methods described in WO 2017/029179) + TX, 2-[6-(4-chlorophenoxy)-2-(trifluoromethyl)-3-pyridyl]-1-(1 ,2,4-triazol-1-yl)propan- 2-ol (this compound may be prepared from the methods described in WO 2017/029179) + TX, 2- chlorovinyl diethyl phosphate + TX, 2-fluoro-N-methyl-N-1 -naphthylacetamide + TX, 2-imidazolidone + TX, 2-isovalerylindan-1 ,3-dione + TX, 2-methyl(prop-2-ynyl)aminophenyl methylcarbamate + TX, 2- oxo-N-propyl-2-[4-[5-(trifluoromethyl)-1 ,2,4-oxadiazol-3-yl]phenyl]acetamide (this compound may be
prepared from the methods described in WO 2018/065414) + TX, 2-thiocyanatoethyl laurate + TX, 3- (4,4-difluoro-3,3-dimethyl-1-isoquinolyl)-7,8-dihydro-6H-cyclopenta[e]benzimidazole (these compounds may be prepared from the methods described in WO2016/156085) + TX, 3-(4,4-difluoro-
3.4-dihydro-3,3-dimethylisoquinolin-1-yl)quinolone + TX, 3-(4-chlorophenyl)-5-methylrhodanine + TX,
3-(difluoromethyl)-1-methyl-N-[1 ,1 ,3-trimethylindan-4-yl]pyrazole-4-carboxamide + TX, 3,4- dichlorotetrahydrothiophene 1 ,1-dioxide + TX, 3-[2-(1-chlorocyclopropyl)-3-(2-fluorophenyl)-2- hydroxy-propyl]imidazole-4-carbonitrile (this compound may be prepared from the methods described in WO 2016/156290) + TX, 3-[2-(1-chlorocyclopropyl)-3-(3-chloro-2-fluoro-phenyl)-2-hydroxy- propyl]imidazole-4-carbonitrile (this compound may be prepared from the methods described in WO 2016/156290) + TX, 3-bromo-1 -chloroprop-1 -ene + TX, 3-chloro-6-methyl-5-phenyl-4-(2,4,6- trifluorophenyl)pyridazine + TX, 3-difluoromethyl-1-methyl-1 H-pyrazole-4-carboxylic acid + TX, 3- ethyl-1-methoxy-1-[[4-[5-(trifluoromethyl)-1 ,2,4-oxadiazol-3-yl]phenyl]methyl]urea + TX, 3-methyl-1 - phenylpyrazol-5-yl dimethylcarbamate + TX, 4- (2- bromo- 4- fluorophenyl) - N- (2- chloro- 6- fluorophenyl) - 1 + TX, 3- dimethyl- 1 H- pyrazol- 5- amine + TX, 4-(2,6-difluorophenyl)-6-methyl-5- phenyl-pyridazine-3-carbonitrile + TX, 4-(2-bromo-4-fluoro-phenyl)-N-(2-chloro-6-fluoro-phenyl)-2,5- dimethyl-pyrazol-3-amine + TX, 4-(quinoxalin-2-ylamino)benzenesulfonamide + TX, 4,4-difluoro-1-(5- fluoro-4-methyl-benzimidazol-1-yl)-3,3-dimethyl-isoquinoline + TX, 4,4-difluoro-3,3-dimethyl-1-(6- methylpyrazolo[1 ,5-a]pyridin-3-yl)isoquinoline + TX, 4,4-difluoro-3,3-dimethyl-1-(7- methylpyrazolo[1 ,5-a]pyridin-3-yl)isoquinoline + TX, 4,4-dimethyl-2-[[4-[5-(trifluoromethyl)-1 ,2,4- oxadiazol-3-yl]phenyl]methyl]isoxazolidin-3-one + TX, 4-[[6-[2-(2,4-difluorophenyl)-1 , 1 -difluoro-2- hydroxy-3-(1 ,2,4-triazol-1-yl)propyl]-3-pyridyl]oxy] benzonitrile + TX, 4-[[6-[2-(2,4-difluorophenyl)-1 ,1 - difluoro-2-hydroxy-3-(5-sulfanyl-1 ,2,4-triazol-1-yl)propyl]-3-pyridyl]oxy] benzonitrile + TX, 4-[[6-[2- (2,4-difluorophenyl)-1 ,1-difluoro-2-hydroxy-3-(5-thioxo-4H-1 ,2,4-triazol-1-yl)propyl]-3-pyridyl]oxy] benzonitrile + TX, 4-chloro-2-(2-chloro-2-methyl-propyl)-5-[(6-iodo-3-pyridyl)methoxy]pyridazin-3-one + TX, 4-chlorophenyl phenyl sulfone + TX, 4-methyl(prop-2-ynyl)amino-3,5-xylyl methylcarbamate + TX, 4-methylnonan-5-ol with 4-methylnonan-5-one + TX, 5-(1 ,3-benzodioxol-5-yl)-3-hexylcyclohex-2- enone + TX, 5,5-dimethyl-2-[[4-[5-(trifluoromethyl)-1 ,2,4-oxadiazol-3-yl]phenyl]methyl]isoxazolidin-3- one + TX, 5,5-dimethyl-3-oxocyclohex-1-enyl dimethylcarbamate + TX, 5-amino-1 ,3,4-thiadiazole-2- thiol zinc salt (2:1) + TX, 5-methyl-6-thioxo-1 ,3,5-thiadiazinan-3-ylacetic acid + TX, 6-chloro-3-(3- cyclopropyl-2-fluoro-phenoxy)-N-[2-(2,4-dimethylphenyl)-2,2-difluoro-ethyl]-5-methyl-pyridazine-4- carboxamide (may be prepared from the methods described in WO 2020/109391) + TX, 6-chloro-3- (3-cyclopropyl-2-fluoro-phenoxy)-N-[2-(3,4-dimethylphenyl)-2,2-difluoro-ethyl]-5-methyl-pyridazine-
4-carboxamide (may be prepared from the methods described in WO 2020/109391) + TX, 6-chloro-
4.4-difluoro-3,3-dimethyl-1-(4-methylbenzimidazol-1-yl)isoquinoline + TX, 6-chloro-N-[2-(2-chloro-4- methyl-phenyl)-2,2-difluoro-ethyl]-3-(3-cyclopropyl-2-fluoro-phenoxy)-5-methyl-pyridazine-4- carboxamide (may be prepared from the methods described in WO 2020/109391) + TX, 6-ethyl-5,7- dioxo-pyrrolo[4,5][1 ,4]dithiino[1 ,2-c]isothiazole-3-carbonitrile + TX, 6-isopentenylaminopurine + TX, 8-fluoro-N-[(1 R)-1-[(3-fluorophenyl)methyl]-1 ,3-dimethyl-butyl]quinoline-3-carboxamide + TX, 8- fluoro-N-[(1 S)-1-[(3-fluorophenyl)methyl]-1 ,3-dimethyl-butyl]quinoline-3-carboxamide + TX, 8-
hydroxyquinoline sulfate + TX, acethion + TX, acetoprole + TX, acibenzolar + TX, acibenzolar-S- methyl + TX, acrylonitrile + TX, Adoxophyes orana GV + TX, Agrobacterium radiobacter + TX, aldoxycarb + TX, aldrin + TX, allosamidin + TX, allyxycarb + TX, alpha-chlorohydrin + TX, alphaecdysone + TX, alpha-multistriatin + TX, aluminium phosphide + TX, Amblyseius spp. + TX, amectotractin + TX, ametoctradin + TX, amidithion + TX, amidothioate + TX, aminocarb + TX, aminopyrifen + TX, amisulbrom + TX, amiton + TX, amiton hydrogen oxalate + TX, amitraz + TX, anabasine + TX, Anagrapha falcifera NPV + TX, Anagrus atomus + TX, ancymidol + TX, anilazine + TX, anisiflupurin + TX, anthraquinone + TX, antu + TX, Aphelinus abdominalis + TX, Aphidius colemani + TX, Aphidoletes aphidimyza + TX, apholate + TX, aramite + TX, arsenous oxide + TX, athidathion + TX, Autographa californica NPV + TX, azaconazole + TX, azamethiphos + TX, azobenzene + TX, azothoate + TX, azoxystrobin + TX, Bacillus sphaericus Neide + TX, Bacillus thuringiensis delta endotoxins + TX, barium carbonate + TX, barium hexafluorosilicate + TX, barium polysulfide + TX, barthrin + TX, Bayer 22/190 + TX, Bayer 22408 + TX, Beauveria brongniartii + TX, benalaxyl + TX, benclothiaz + TX, benomyl + TX, benoxafos + TX, benthiavalicarb + TX, benzothiostrobin + TX, benzovindiflupyr + TX, benzyl benzoate + TX, beta-cyfluthrin + TX, beta- cypermethrin + TX, bethoxazin + TX, bioethanomethrin + TX, biopermethrin + TX, bis(2-chloroethyl) ether + TX, bis(tributy Itin) oxide + TX, bisazir + TX, bisthiosemi + TX, bitertanol + TX, bixafen + TX, blasticidin-S + TX, borax + TX, bordeaux mixture + TX, boscalid + TX, brevicomin + TX, brodifacoum + TX, brofenvalerate + TX, bromadiolone + TX, bromethalin + TX, bromfenvinfos + TX, bromoacetamide + TX, bromocyclen + TX, bromo-DDT + TX, bromophos + TX, bromopropylate + TX, bromuconazole + TX, bronopol + TX, bufencarb + TX, bupirimate + TX, buprofezin + TX, busulfan + TX, but-3-ynyl N-[6-[[(Z)-[(1 -methyltetrazol-5-yl)-phenyl-methy lene]amino]oxymethyl]-2- pyridyl]carbamate + TX, butacarb + TX, butathiofos + TX, butocarboxim + TX, butonate + TX, butopyronoxyl + TX, butoxy(polypropylene glycol) + TX, butoxycarboxim + TX, butylpyridaben + TX, calcium arsenate + TX, calcium cyanide + TX, calcium polysulfide + TX, camphechlor + TX, captafol + TX, captan + TX, carbanolate + TX, carbendazim + TX, carbon disulfide + TX, carbon tetrachloride + TX, carbophenothion + TX, carboxin + TX, cartap hydrochloride + TX, cevadine + TX, chino- methionat + TX, chloralose + TX, chlorbenside + TX, chlorbicyclen + TX, chlordane + TX, chlordecone + TX, chlordimeform + TX, chlordimeform hydrochloride + TX, chlorfenethol + TX, chlorfenson + TX, chlorfensulfide + TX, chlorobenzilate + TX, chloroform + TX, chloroinconazide + TX, chloromebuform + TX, chloromethiuron + TX, chloroneb + TX, chlorophacinone + TX, chloropicrin + TX, chloropropylate + TX, chlorothalonil + TX, chlorphoxim + TX, chlorprazophos + TX, chlorthiophos + TX, chlozolinate + TX, cholecalciferol + TX, Chrysoperla carnea + TX, cinerin I + TX, cinerin II + TX, cinerins + TX, cismethrin + TX, cis-resmethrin + TX, clocythrin + TX, closantel + TX, codlelure + TX, codlemone + TX, copper acetoarsenite + TX, copper arsenate + TX, copper dioctanoate + TX, copper hydroxide + TX, copper naphthenate + TX, copper oleate + TX, copper oxide + TX, copper oxychloride + TX, copper sulfate + TX, coumachlor + TX, coumafuryl + TX, coumaphos + TX, coumatetralyl + TX, coumethoxystrobin (jiaxiangjunzhi) + TX, coumithoate + TX, coumoxystrobin + TX, cresol + TX, crimidine + TX, crotamiton + TX, crotoxyphos + TX, crufomate + TX, cryolite + TX, Cryptolaemus
montrouzieri + TX, CS 708 + TX, cuelure + TX, cufraneb + TX, cyanofenphos + TX, cyanophos + TX, cyanthoate + TX, cyazofamid + TX, cybutryne + TX, cyclethrin + TX, cyclobutrifluram + TX, Cydia pomonella GV + TX, cyflufenamid + TX, cymiazole + TX, cymoxanil + TX, cyproconazole + TX, cyprodinil + TX, cythioate + TX, cytokinins + TX, Dacnusa sibirica + TX, DAEP + TX, dazomet + TX, DCIP + TX, DCPM + TX, DDT + TX, debacarb + TX, decarbofuran + TX, demephion + TX, demephion- O + TX, demephion-S + TX, demeton-methyl + TX, demeton-0 + TX, demeton-O-methyl + TX, demeton-S + TX, demeton-S-methyl + TX, demeton-S-methylsulfon + TX, diamidafos + TX, dibutyl adipate + TX, dibutyl phthalate + TX, dibutyl succinate + TX, dicapthon + TX, dichlobentiazox + TX, dichlofenthion + TX, dichlofluanid + TX, dichlone + TX, dichlorophen + TX, dichlorvos + TX, dichlozoline + TX, dicliphos + TX, diclocymet + TX, diclomezine + TX, dicloran + TX, dicresyl + TX, dicyclanil + TX, dicyclopentadiene + TX, dieldrin + TX, dienochlor + TX, diethofencarb + TX, diethyl 5-methylpyrazol-3-yl phosphate + TX, diethyltoluamide + TX, difenacoum + TX, difenoconazole + TX, difethialone + TX, diflovidazin + TX, Diglyphus isaea + TX, dilor + TX, dimatif + TX, dimefluthrin + TX, dimefox + TX, dimetan + TX, dimethirimol + TX, dimethomorph + TX, dimethrin + TX, dimethyl carbate + TX, dimethyl phthalate + TX, dimethylvinphos + TX, dimetilan + TX, dimoxystrobin + TX, dinex + TX, dinex-diclexine + TX, diniconazole + TX, dinocap-4 + TX, dinocap-6 + TX, dinocton + TX, dinopenton + TX, dinoprop + TX, dinosam + TX, dinoseb + TX, dinosulfon + TX, dinoterbon + TX, diofenolan + TX, dioxabenzofos + TX, dioxathion + TX, diphacinone + TX, diphenyl sulfone + TX, dipymetitrone + TX, dipyrithione + TX, disparlure + TX, disulfiram + TX, dithianon + TX, dithicrofos + TX, DNOC + TX, dodec-8-en-1-yl acetate + TX, dodec-9-en-1-yl acetate + TX, dodeca-8 + TX, dodemorph + TX, dodicin + TX, dodine + TX, dofenapyn + TX, dominicalure + TX, doramectin + TX, DSP + TX, d-tetramethrin + TX, ecdysterone + TX, edifenphos + TX, El 1642 + TX, EMPC + TX, Encarsia formosa + TX, endothal + TX, endothion + TX, enestroburin + TX, enoxastrobin + TX, EPBP + TX, epoxiconazole + TX, eprinomectin + TX, Eretmocerus eremicus + TX, ergocalciferol + TX, etaphos + TX, ethaboxam + TX, ethiofencarb + TX, ethirimol + TX, ethoate-methyl + TX, ethyl 1 -[[4- [(Z)-2-ethoxy-3,3,3-trifluoro-prop-1-enoxy]phenyl]methyl]pyrazole-3-carboxylate (may be prepared from the methods described in WO 2020/056090) + TX, ethyl 1-[[4-[[2-(trifluoromethyl)-1 ,3-dioxolan- 2-yl]methoxy]phenyl]methyl]pyrazole-3-carboxylate (may be prepared from the methods described in WO 2020/056090) + TX, ethyl 1 -[[4-[5-(trifluoromethyl)-1 ,2,4-oxadiazol-3-yl]phenyl]methyl]pyrazole- 4-carboxylate + TX, ethyl 1-[[5-[5-(trifluoromethyl)-1 ,2,4-oxadiazol-3-yl]-2-thienyl]methyl]pyrazole-4- carboxylate (this compound may be prepared from the methods described in WO 2018/158365) + TX, ethyl 4-methyloctanoate + TX, ethyl formate + TX, ethyl hexanediol + TX, ethylene dibromide + TX, ethylene dichloride + TX, ethylene oxide + TX, etridiazole + TX, etrimfos + TX, eugenol + TX, EXD + TX, famoxadone + TX, farnesol + TX, farnesol with nerolidol + TX, fenamidone + TX, fenaminosulf + TX, fenaminstrobin + TX, fenarimol + TX, fenazaflor + TX, fenbuconazole + TX, fenbutatin oxide + TX, fenchlorphos + TX, fenethacarb + TX, fenfuram + TX, fenhexamid + TX, fenitrothion + TX, fenothiocarb + TX, fenoxacrim + TX, fenoxanil + TX, fenpiclonil + TX, fenpicoxamid + TX, fenpirithrin + TX, fenpropidin + TX, fenpropimorph + TX, fenpyrad + TX, fenpyrazamine + TX, fenpyroximate + TX, fenson + TX, fensulfothion + TX, fenthion + TX, fenthion-ethyl + TX, fentin + TX,
fentrifanil + TX, ferbam + TX, ferimzone + TX, ferric phosphate + TX, flocoumafen + TX, florylpicoxamid + TX, fluazinam + TX, flubeneteram + TX, flubenzimine + TX, flucofuron + TX, flucycloxuron + TX, fludioxonil + TX, fluenetil + TX, flufenoxadiazam + TX, flufenoxystrobin + TX, fluindapyr + TX, flumetylsulforim + TX, flumorph + TX, fluopicolide + TX, fluopimomide + TX, fluopyram + TX, fluorbenside + TX, fluoroacetamide + TX, fluoroimide + TX, fluoxapiprolin + TX, fluoxastrobin + TX, fluoxytioconazole + TX, flupropadine + TX, flupropadine hydrochloride + TX, fluquinconazole + TX, flusilazole + TX, flusulfamide + TX, flutianil + TX, flutolanil + TX, flutriafol + TX, fluxapyroxad + TX, FMC 1137 + TX, folpet + TX, formaldehyde + TX, formetanate + TX, formetanate hydrochloride + TX, formparanate + TX, fosetyl-aluminium + TX, fosmethilan + TX, fospirate + TX, fosthietan + TX, frontalin + TX, fuberidazole + TX, furalaxyl + TX, furametpyr + TX, furathiocarb + TX, furethrin + TX, furfural + TX, gamma-HCH + TX, glyodin + TX, grandlure + TX, grandlure I + TX, grandlure II + TX, grandlure III + TX, grandlure IV + TX, guazatine + TX, guazatine acetates + TX, halfenprox + TX, HCH + TX, hemel + TX, hempa + TX, HEOD + TX, heptachlor + TX, heterophos + TX, Heterorhabditis bacteriophora and H. megidis + TX, hexaconazole + TX, hexadecyl cyclopropanecarboxylate + TX, hexalure + TX, hexamide + TX, HHDN + TX, Hippodamia convergens + TX, hydrargaphen + TX, hydrated lime + TX, hydrogen cyanide + TX, hymexazol + TX, hyquincarb + TX, imanin + TX, imazalil + TX, imibenconazole + TX, iminoctadine + TX, inpyrfluxam + TX, ipconazole + TX, ipfentrifluconazole + TX, ipflufenoquin + TX, iprobenphos + TX, iprodione + TX, iprovalicarb + TX, ipsdienol + TX, ipsenol + TX, IPSP + TX, isamidofos + TX, isazofos + TX, isobenzan + TX, isocarbophos + TX, isodrin + TX, isofenphos + TX, isofetamid + TX, isoflucypram + TX, isolane + TX, isoprothiolane + TX, isopyrazam + TX, isotianil + TX, isoxathion + TX, japonilure + TX, jasmolin I + TX, jasmolin II + TX, jodfenphos + TX, juvenile hormone I + TX, juvenile hormone II + TX, juvenile hormone III + TX, kadethrin + TX, kasugamycin + TX, kasugamycin hydrochloride hydrate + TX, kelevan + TX, kinetin + TX, kinoprene + TX, kresoxim-methyl + TX, lead arsenate + TX, Leptomastix dactylopii + TX, leptophos + TX, lindane + TX, lineatin + TX, lirimfos + TX, litlure + TX, looplure + TX, Ivbenmixianan + TX, lythidathion + TX, Macrolophus caliginosus + TX, magnesium phosphide + TX, malonoben + TX, Mamestra brassicae NPV + TX, mancopper + TX, mancozeb + TX, mandestrobin + TX, mandipropamid + TX, maneb + TX, mazidox + TX, m-cumenyl methylcarbamate + TX, mecarbam + TX, mecarphon + TX, medlure + TX, mefentrifluconazole + TX, megatomoic acid + TX, menazon + TX, mepanipyrim + TX, meperfluthrin + TX, mephosfolan + TX, mepronil + TX, mercuric oxide + TX, mercurous chloride + TX, mesulfen + TX, mesulfenfos + TX, metalaxyl + TX, metam + TX, metam-potassium + TX, metam-sodium + TX, Metaphycus helvolus + TX, Metarhizium anisopliae var. acridum + TX, Metarhizium anisopliae var. anisopliae + TX, metarylpicoxamid + TX, metconazole + TX, metepa + TX, methacrifos + TX, methanesulfonyl fluoride + TX, methasulfocarb + TX, methiotepa + TX, methocrotophos + TX, methoprene + TX, methoquin-butyl + TX, methothrin + TX, methoxychlor + TX, methyl (Z)-2-(5-cyclohexyl-2-methyl-phenoxy)-3-methoxy-prop-2-enoate + TX, methyl (Z)-2-(5-cyclopentyl-2-methyl-phenoxy)-3-methoxy-prop-2-enoate (these compounds may be prepared from the methods described in W02020/193387) + TX, methyl (Z)-2-[5-(3-isopropylpyrazol- 1-yl)-2-methyl-phenoxy]-3-methoxy-prop-2-enoate + TX, methyl (Z)-3-methoxy-2-[2-methyl-5-(3-
propylpyrazol-1-yl)phenoxy]prop-2-enoate + TX, methyl (Z)-3-methoxy-2-[2-methyl-5-(4-propyltriazol- 2-yl)phenoxy]prop-2-enoate + TX, methyl (Z)-3-methoxy-2-[2-methyl-5-[3-(trifluoromethyl)pyrazol-1- yl]phenoxy]prop-2-enoate (these compounds may be prepared from the methods described in W02020/079111) + TX, methyl (Z)-3-methoxy-2-[2-methyl-5-[4-(trifluoromethyl)triazol-2- yl]phenoxy]prop-2-enoate + TX, methyl apholate + TX, methyl bromide + TX, methyl eugenol + TX, methyl isothiocyanate + TX, methyl N-[[4-[1-(2,6-difluoro-4-isopropyl-phenyl)pyrazol-4-yl]-2-methyl- phenyl]methyl]carbamate (may be prepared from the methods described in WO 2020/097012) + TX, methyl N-[[4-[1-(4-cyclopropyl-2,6-difluoro-phenyl)pyrazol-4-yl]-2-methyl-phenyl]methyl]carbamate (may be prepared from the methods described in WO 2020/097012) + TX, methyl N-[[5-[4-(2,4- dimethylphenyl)triazol-2-yl]-2-methyl-phenyl]methyl]carbamate + TX, methylchloroform + TX, methylene chloride + TX, methylneodecanamide + TX, metiram + TX, metolcarb + TX, metomi- nostrobin + TX, metoxadiazone + TX, metrafenone + TX, metyltetraprole + TX, MGK 264 + TX, milbemycin oxime + TX, mipafox + TX, mirex + TX, monocrotophos + TX, morphothion + TX, morzid + TX, moxidectin + TX, muscalure + TX, myclobutanil + TX, myclozoline + TX, Myrothecium verrucaria composition + TX, N-((1 R)-1 -benzyl-3-chloro-1 -methyl-but-3-eny l)-8-fluoro-quinoline-3-carboxamide (these compounds may be prepared from the methods described in WO2017/153380) + TX, N-((1 S)- 1-benzyl-3-chloro-1-methyl-but-3-enyl)-8-fluoro-quinoline-3-carboxamide (these compounds may be prepared from the methods described in WO2017/153380) + TX, N'-(2,5-dimethyl-4-phenoxy-phenyl)- N-ethyl-N-methyl-formamidine + TX, N'-(2-chloro-5-methyl-4-phenoxy-phenyl)-N-ethyl-N-methyl- formamidine + TX, N,2-dimethoxy-N-[[4-[5-(trifluoromethyl)-1 ,2,4-oxadiazol-3- yl]phenyl]methyl]propanamide + TX, N,N-dimethyl-1-[[4-[5-(trifluoromethyl)-1 ,2,4-oxadiazol-3- yl]phenyl]methyl]-1 ,2,4-triazol-3-amine (THESE COMPOUNDS may be prepared from the methods described in WO 2017/055473 + TX, WO 2017/055469 + TX, WO 2017/093348 and WO 2017/118689) + TX, N-[(1 R)-1-benzyl-1 ,3-dimethyl-butyl]-7,8-difluoro-quinoline-3-carboxamide + TX, N-[(1 R)-1 -benzyl-1 ,3-dimethyl-butyl]-8-fluoro-quinoline-3-carboxamide + TX, N-[(1 R)-1 -benzyl-3,3,3- trifluoro-1-methyl-propyl]-8-fluoro-quinoline-3-carboxamide + TX, N-[(1 S)-1 -benzyl-1 ,3-dimethyl- butyl]-7,8-difluoro-quinoline-3-carboxamide + TX, N-[(1 S)-1 -benzyl-1 ,3-dimethyl-butyl]-8-fluoro- quinoline-3-carboxamide + TX, N-[(1 S)-1-benzyl-3,3,3-trifluoro-1-methyl-propyl]-8-fluoro-quinoline-3- carboxamide + TX, N-[(E)-methoxyiminomethyl]-4-[5-(trifluoromethyl)-1 ,2,4-oxadiazol-3- yl]benzamide + TX, N-[(Z)-methoxyiminomethyl]-4-[5-(trifluoromethyl)-1 ,2,4-oxadiazol-3- yl]benzamide + TX, N-[[4-[5-(trifluoromethyl)-1 ,2,4-oxadiazol-3-yl]phenyl]methyl]propanamide + TX, N-[2-[2,4-dichloro-phenoxy]phenyl]-3-(difluoromethyl)-1 -methyl-pyrazole-4-carboxamide + TX, N-[2- [2-chloro-4-(trifluoromethyl)phenoxy]phenyl]-3-(difluoromethyl)-1-methyl-pyrazole-4-carboxamide + TX, N'-[2-chloro-4-(2-fluorophenoxy)-5-methyl-phenyl]-N-ethyl-N-methyl-formamidine (this compound may be prepared from the methods described in WO 2016/202742) + TX, N'-[4-(4,5- dichlorothiazol-2-yl)oxy-2,5-dimethyl-phenyl]-N-ethyl-N-methyl-formamidine + TX, N'-[5-bromo-2- methyl-6-(1 -methyl-2-propoxy-ethoxy)-3-pyridyl]-N-ethyl-N-methyl-formamidine + TX, N'-[5-bromo-2- methyl-6-(1-methyl-2-propoxy-ethoxy)-3-pyridyl]-N-isopropyl-N-methyl-formamidine (these compounds may be prepared from the methods described in WO2015/155075) + TX, N'-[5-bromo-2-
methyl-6-(2-propoxypropoxy)-3-pyridyl]-N-ethyl-N-methyl-formamidine (this compound may be prepared from the methods described in IPCOM000249876D) + TX, N'-[5-bromo-2-methyl-6-[(1 R)-1 - methyl-2-propoxy-ethoxy]-3-pyridyl]-N-ethyl-N-methyl-formamidine + TX, N'-[5-bromo-2-methyl-6- [(1 S)-1-methyl-2-propoxy-ethoxy]-3-pyridyl]-N-ethyl-N-methyl-formamidine + TX, N'-[5-chloro-2- methyl-6-(1 -methyl-2-propoxy-ethoxy)-3-pyridyl]-N-ethyl-N-methyl-formamidine + TX, N-[N-methoxy- C-methyl-carbonimidoyl]-4-[5-(trifluoromethyl)-1 ,2,4-oxadiazol-3-yl]benzamide (these compounds may be prepared from the methods described in WO 2018/202428) + TX, N’-[4-(1-cyclopropyl-2,2,2- trifluoro-1-hydroxy-ethyl)-5-methoxy-2-methyl-phenyl]-N-isopropyl-N-methyl-formamidine (these compounds may be prepared from the methods described in WO2018/228896) + TX, nabam + TX, naftalofos + TX, naled + TX, naphthalene + TX, NC-170 + TX, Neodiprion sertifer NPV and N. lecontei NPV + TX, nerolidol + TX, N-ethyl-2-methyl-N-[[4-[5-(trifluoromethyl)-1 ,2,4-oxadiazol-3- yl]phenyl]methyl]propanamide + TX, N-ethyl-N’-[5-methoxy-2-methyl-4-[(2-trifluoromethyl)oxetan-2- yl]phenyl]-N-methyl-formamidine + TX, nickel bis(dimethyldithiocarbamate) + TX, niclosamide- olamine + TX, nicotine + TX, nicotine sulfate + TX, nifluridide + TX, nikkomycins + TX, N-isopropyl- N’-[5-methoxy-2-methyl-4-(2, 2, 2-trifluoro-1 -hydroxy-1 -phenyl-ethyl)phenyl]-N-methyl-formamidine + TX, nithiazine + TX, nitrapyrin + TX, nitrilacarb + TX, nitrilacarb 1 :1 zinc chloride complex + TX, nitrothal-isopropyl + TX, N-methoxy-N-[[4-[5-(trifluoromethyl)-1 ,2,4-oxadiazol-3- yl]phenyl]methyl]cyclopropanecarboxamide + TX, N-methyl-4-[5-(trifluoromethyl)-1 ,2,4-oxadiazol-3- yl]benzamide + TX, N-methyl-4-[5-(trifluoromethyl)-1 ,2,4-oxadiazol-3-yl]benzenecarbothioamide + TX, norbormide + TX, nuarimol + TX, O,O,O',O'-tetrapropyl dithiopyrophosphate + TX, octadeca-2,13- dien-1-yl acetate + TX, octadeca-3,13-dien-1-yl acetate + TX, octhilinone + TX, ofurace + TX, oleic acid + TX, omethoate + TX, orfralure + TX, Orius spp. + TX, oryctalure + TX, orysastrobin + TX, ostramone + TX, oxadixyl + TX, oxamate + TX, oxathiapiprolin + TX, oxine-copper + TX, oxolinic acid + TX, oxycarboxin + TX, oxydeprofos + TX, oxydisulfoton + TX, oxytetracycline + TX, paclobutrazole + TX, Paecilomyces fumosoroseus + TX, para-dichlorobenzene + TX, parathion + TX, parathion- methyl + TX, pefurazoate + TX, penconazole + TX, pencycuron + TX, penflufen + TX, penfluron + TX, pentachlorophenol + TX, pentachlorophenyl laurate + TX, penthiopyrad + TX, permethrin + TX, PH 60-38 + TX, phenamacril + TX, phenkapton + TX, phosacetim + TX, phosalone + TX, phosdiphen + TX, phosfolan + TX, phosglycin + TX, phosnichlor + TX, phosphamidon + TX, phosphine + TX, phosphorus + TX, phoxim-methyl + TX, phthalide + TX, Phytoseiulus persimilis + TX, picarbutrazox + TX, picaridin + TX, picoxystrobin + TX, pindone + TX, piperazine + TX, piperonyl butoxide + TX, piprotal + TX, pirimetaphos + TX, polychlorodicyclopentadiene isomers + TX, polychloroterpenes + TX, polynactins + TX, polyoxins + TX, potassium arsenite + TX, potassium ethylxanthate + TX, potassium hydroxyquinoline sulfate + TX, potassium thiocyanate + TX, pp'-DDT + TX, precocene I + TX, precocene II + TX, precocene III + TX, primidophos + TX, probenazole + TX, prochloraz + TX, proclonol + TX, procymidone + TX, profluthrin + TX, promacyl + TX, promecarb + TX, propamocarb + TX, propiconazole + TX, propineb + TX, propoxur + TX, propyl isomer + TX, proquinazid + TX, prothidathion + TX, prothioconazole + TX, prothiofos + TX, prothoate + TX, pydiflumetofen + TX, pyraclostrobin + TX, pyrametostrobin + TX, pyraoxystrobin + TX, pyrapropoyne + TX, pyraziflumid +
TX, pyrazophos + TX, pyresmethrin + TX, pyrethrin I + TX, pyrethrin II + TX, pyrethrins + TX, pyribencarb + TX, pyridachlometyl + TX, pyridaphenthion + TX, pyridin-4-amine + TX, pyrifenox + TX, pyrimethanil + TX, pyrimitate + TX, pyrimorph + TX, pyrinuron + TX, pyriofenone + TX, pyrisoxazole + TX, pyroquilon + TX, quassia + TX, quinalphos + TX, quinalphos-methyl + TX, quinoclamine + TX, quinofumelin + TX, quinonamid + TX, quinothion + TX, quinoxyfen + TX, quintiofos + TX, quintozene + TX, R-1492 + TX, rafoxanide + TX, resmethrin + TX, Reynoutria sachalinensis extract + TX, ribavirin + TX, R-metalaxyl + TX, rotenone + TX, ryania + TX, ryanodine + TX, S421 + TX, sabadilla + TX, schradan + TX, scilliroside + TX, seboctylamine + TX, sebufos + TX, sedaxane + TX, selamectin + TX, sesamex + TX, sesasmolin + TX, SI-0009 + TX, siglure + TX, simazine + TX, simeconazole + TX, sodium arsenite + TX, sodium cyanide + TX, sodium fluoride + TX, sodium fluoroacetate + TX, sodium hexafluorosilicate + TX, sodium pentachlorophenoxide + TX, sodium selenate + TX, sodium tetrathiocarbonate + TX, sodium thiocyanate + TX, sophamide + TX, sordidin + TX, spiroxamine + TX, SSI-121 + TX, Steinernema bibionis + TX, Steinernema carpocapsae + TX, Steinernema feltiae + TX, Steinernema glaseri + TX, Steinernema riobrave + TX, Steinernema riobravis + TX, Steinernema scapterisci + TX, Steinernema spp. + TX, streptomycin + TX, streptomycin sesquisulfate + TX, strychnine + TX, sulcatol + TX, sulcofuron + TX, sulcofuron-sodium + TX, sulfiram + TX, sulfluramid + TX, sulfotep + TX, sulfoxide + TX, sulfur + TX, sulfuryl fluoride + TX, sulprofos + TX, tar oils + TX, tau-fluvalinate + TX, tazimcarb + TX, TDE + TX, tebuconazole + TX, tebufloquin + TX, tebupirimfos + TX, tecloftalam + TX, temephos + TX, tepa + TX, TEPP + TX, terallethrin + TX, terbam + TX, tert-butyl N-[6-[[[(1-methyltetrazol-5-yl)-phenyl-methylene]amino]oxymethyl]-2- pyridyl]carbamate + TX, tetrachloroethane + TX, tetrachlorothiophene + TX, tetraconazole + TX, tetradec-1 1-en-1-yl acetate + TX, tetradifon + TX, tetramethylfluthrin + TX, tetrasul + TX, thallium sulfate + TX, thiabendazole + TX, thiafenox + TX, thiapronil + TX, thicrofos + TX, thifluzamide + TX, thiocarboxime + TX, thiocyclam + TX, thiocyclam hydrogen oxalate + TX, thiodiazole copper + TX, thiofanox + TX, thiohempa + TX, thiomersal + TX, thiometon + TX, thionazin + TX, thiophanate + TX, thiophanate-methyl + TX, thioquinox + TX, thiosultap + TX, thiosultap-sodium + TX, thiotepa + TX, thiram + TX, thuringiensin + TX, tiadinil + TX, tolclofos-methyl + TX, tolprocarb + TX, tolylfluanid + TX, tralomethrin + TX, transpermethrin + TX, tretamine + TX, triadimefon + TX, triadimenol + TX, triamiphos + TX, triarathene + TX, triazamate + TX, triazophos + TX, triazoxide + TX, triazuron + TX, tributyltin oxide + TX, trichlormetaphos-3 + TX, trichloronat + TX, Trichogramma spp. + TX, triclopyricarb + TX, tricyclazole + TX, tridemorph + TX, trifenmorph + TX, trifenofos + TX, trifloxystrobin + TX, triflumizole + TX, triforine + TX, trimedlure + TX, trimedlure A + TX, trimedlure B1 + TX, trimedlure B2 + TX, trimedlure C + TX, trimethacarb + TX, trinactin + TX, trinexapac + TX, triphenyltin acetate + TX, triphenyltin hydroxide + TX, triprene + TX, triticonazole + TX, trunc-call + TX, Typhlodromus occidentalis + TX, uredepa + TX, validamycin + TX, valifenalate + TX, vamidothion + TX, vaniliprole + TX, veratridine + TX, veratrine + TX, verbutin + TX, Verticillium lecanii + TX, vinclozoline + TX, warfarin + TX, XMC + TX, xylenols + TX, zeatin + TX, zetamethrin + TX, zhongshengmycin + TX, zinc naphthenate + TX, zinc phosphide + TX, zinc thiazole + TX, zineb + TX,
ziram + TX, zolaprofos + TX, zoxamide + TX, a- (1 + TX, 1- dimethylethyl) - a- [4 - (trifluoromethoxy) [1 + TX, T- biphenyl] - 4- yl] -5- pyrimidinemethanol + TX;
Typhula phacorrhiza strain 94670 + TX, Acinetobacter Iwoffii + TX, Acremonium alternatum + TX, Acremonium cephalosporium + TX, Acremonium diospyri + TX, Acremonium obclavatum + TX, Adoxophyes orana granulovirus (AdoxGV) (Capex®) + TX, Agrobacterium radiobacter strain K84 (Galltrol-A®) + TX, Alternaria alternate + TX, Alternaria cassia + TX, Alternaria destruens (Smolder®) + TX, Ampelomyces quisqualis (AQ10®) + TX, Aspergillus flavus AF36 (AF36®) + TX, Aspergillus flavus NRRL 21882 (Aflaguard®) + TX, Aspergillus spp. + TX, Aureobasidium pullulans + TX, Azospirillum (MicroAZ® + TX, TAZO B®) + TX, Azotobacter + TX, Azotobacter chroocuccum (Azotomeal®) + TX, Azotobacter cysts (Bionatural Blooming Blossoms®) + TX, Bacillus amyloliquefaciens + TX, Bacillus cereus + TX, Bacillus chitinosporus strain AQ746 + TX, Bacillus chitinosporus strain CM-1 + TX, Bacillus circulans + TX, Bacillus firmus (BioSafe® + TX, BioNem- WP®) in particular strain CNMC 1-1582 (e.g. VOTIVO® from BASF SE) + TX, Bacillus licheniformis strain 3086 (EcoGuard® + TX, Green Releaf®) + TX, Bacillus licheniformis strain HB-2 (Biostart™ formerly Rhizoboost®) + TX, Bacillus macerans + TX, Bacillus marismortui + TX, Bacillus megaterium + TX, Bacillus mycoides strain AQ726 + TX, Bacillus papillae (Milky Spore Powder®) + TX, Bacillus pumilus spp. + TX, Bacillus pumilus strain AQ717 + TX, Bacillus pumilus strain GB34 (Yield Shield®) + TX, Bacillus pumilus strain QST 2808 (Sonata® + TX, Ballad Plus®) + TX, Bacillus sphaericus (VectoLex®) + TX, Bacillus spp. + TX, Bacillus spp. strain AQ175 + TX, Bacillus spp. strain AQ177 + TX, Bacillus spp. strain AQ178 + TX, Bacillus subtilis strain AQ153 + TX, Bacillus subtilis strain AQ743 + TX, Bacillus subtilis strain QST 713 (CEASE® + TX, Serenade® + TX, Rhapsody®) + TX, Bacillus subtilis strain QST 714 (JAZZ®) + TX, Bacillus subtilis strain QST3002 + TX, Bacillus subtilis strain QST3004 + TX, Bacillus subtilis var. amyloliquefaciens strain FZB24 (Taegro® + TX, Rhizopro®) + TX, Bacillus thuringiensis aizawai GC 91 (Agree®) + TX, Bacillus thuringiensis Cry 2Ae + TX, Bacillus thuringiensis Cry1 Ab + TX, Bacillus thuringiensis israelensis (BMP123® + TX, Aquabac® + TX, VectoBac®) + TX, Bacillus thuringiensis kurstaki (Javelin® + TX, Deliver® + TX, CryMax® + TX, Bonide® + TX, Scutella WP® + TX, Turilav WP ® + TX, Astuto® + TX, Dipel WP® + TX, Biobit® + TX, Foray®) + TX, Bacillus thuringiensis kurstaki BMP 123 (Baritone®) + TX, Bacillus thuringiensis kurstaki HD-1 (Bioprotec-CAF 13P®) + TX, Bacillus thuringiensis strain AQ52 + TX, Bacillus thuringiensis strain BD#32 + TX, Bacillus thuringiensis tenebrionis (Novodor® + TX, BtBooster) + TX, Bacillus thuringiensis var. aizawai (XenTari® + TX, DiPei®) + TX, bacteria spp. (GROWMEND® + TX, GROWSWEET® + TX, Shootup®) + TX, bacteriophage of Clavipacter michiganensis (AgriPhage® + TX, Bakflor®) + TX, Beauveria bassiana (Beaugenic® + TX, Brocaril WP®) + TX, Beauveria bassiana GHA (Mycotrol ES® + TX, Mycotrol O® + TX, BotaniGuard®) + TX, Beauveria brongniartii (Engerlingspilz® + TX, Schweizer Beauveria® + TX, Melocont®) + TX, Beauveria spp. + TX, Botrytis cineria + TX, Bradyrhizobium japonicum (TerraMax®) + TX, Brevibacillus brevis + TX, Burkholderia cepacia (Deny® + TX, Intercept® + TX, Blue Circle®) + TX, Burkholderia gladii + TX, Burkholderia gladioli + TX, Burkholderia spp. + TX, Canadian thistle fungus (CBH Canadian Bioherbicide®) + TX, Candida
butyri + TX, Candida famata + TX, Candida fructus + TX, Candida glabrata + TX, Candida guilliermondii + TX, Candida melibiosica + TX, Candida oleophila strain O + TX, Candida parapsilosis + TX, Candida pelliculosa + TX, Candida pulcherrima + TX, Candida reukaufii + TX, Candida saitoana (Bio-Coat® + TX, Biocure®) + TX, Candida sake + TX, Candida spp. + TX, Candida tenius + TX, Cedecea davisae + TX, Cellulomonas flavigena + TX, Chaetomium cochliodes (Nova-Cide®) + TX, Chaetomium globosum (Nova-Cide®) + TX, Chromobacterium subtsugae strain PRAA4-1T (Grandevo®) + TX, Cladosporium chlorocephalum + TX, Cladosporium cladosporioides + TX, Cladosporium oxysporum + TX, Cladosporium spp. + TX, Cladosporium tenuissimum + TX, Clonostachys rosea (EndoFine®) + TX, Colletotrichum acutatum + TX, Coniothyrium minitans (Cotans WG®) + TX, Coniothyrium spp. + TX, Cryptococcus albidus (YIELDPLUS®) + TX, Cryptococcus humicola + TX, Cryptococcus infirmo-miniatus + TX, Cryptococcus laurentii + TX, Cryptophlebia leucotreta granulovirus (Cryptex®) + TX, Cupriavidus campinensis + TX, Cydia pomonella granulovirus (CYD-X® + TX, Madex® + TX, Madex® Plus + TX, Madex Max + TX, Carpovirusine® + TX, Cylindrobasidium laeve (Stumpout®) + TX, Cylindrocladium + TX, Debaryomyces hansenii + TX, Drechslera hawaiinensis + TX, Enterobacter cloacae + TX, Enterobacteriaceae + TX, Entomophtora virulenta (Vektor®) + TX, Epicoccum nigrum + TX, Epicoccum purpurascens + TX, Epicoccum spp. + TX, Filobasidium floriforme + TX, Fusarium acuminatum + TX, Fusarium chlamydosporum + TX, Fusarium oxysporum (Fusaclean® + TX, Biofox C®) + TX, Fusarium proliferatum + TX, Fusarium spp. + TX, Galactomyces geotrichum + TX, Gliocladium catenulatum (Primastop® + TX, Prestop®) + TX, Gliocladium roseum + TX, Gliocladium spp. (SoilGard®) + TX, Gliocladium virens (Soilgard®) + TX, Granulovirus (Granupom®) + TX, Halobacillus halophilus + TX, Halobacillus litoralis + TX, Halobacillus trueperi + TX, Halomonas spp. + TX, Halomonas subglaciescola + TX, Halovibrio variabilis + TX, Hanseniaspora uvarum + TX, Helicoverpa armigera nucleopolyhedrovirus (Helicovex®) + TX, Helicoverpa zea nuclear polyhedrosis virus (Gemstar®) + TX, Isaria fumosorosea (previously known as Paecilomyces fumosoroseus strain + TX, PFR-97® + TX, PreFeRal®) + TX, Isoflavone formononetin (Myconate®) + TX, Kloeckera apiculata + TX, Kloeckera spp. + TX, Lagenidium giganteum (Laginex®) + TX, Lecanicillium lecanii (formerly known as Vertici Ilium lecanii (Mycotal®) conidia of strain KV01 (e.g. Vertalec® by Koppert/Arysta) + TX, Lecanicillium longisporum (Vertiblast®) + TX, Lecanicillium muscarium (Vertikil®) + TX, Lymantria Dispar nucleopolyhedrosis virus (Disparvirus®) + TX, Marinococcus halophilus + TX, Meira geulakonigii + TX, Metarhizium anisopliae (Destruxin WP®) + TX, Metarhizium anisopliae (Met52®) + TX, Metschnikowia fruticola (Shemer®) + TX, Metschnikowia pulcherrima + TX, Microdochium dimerum (Antibot®) + TX, Micromonospora coerulea + TX, Microsphaeropsis ochracea + TX, Muscodor albus 620 (Muscudor®) + TX, Muscodor roseus in particular strain A3-5 (Accession No. NRRL 30548) + TX, Mycorrhizae spp. (AMykor® + TX, Root Maximizer®) + TX, Myrothecium verrucaria strain AARC- 0255 (DiTera® + TX, BROS PLUS®) + TX, Ophiostoma piliferum strain D97 (Sylvanex®) + TX, Paecilomyces farinosus + TX, Paecilomyces lilacinus strain 251 (MeloCon WG®) + TX, Paecilomyces linacinus (Biostat WP®) + TX, Paenibacillus polymyxa + TX, Pantoea agglomerans
(BlightBan C9-1®) + TX, Pantoea spp. + TX, Pasteuria nishizawae in particular strain Pn1 (CLARIVA from Syngenta/ChemChina) + TX; + TX, Pasteuria spp. (Econem®) + TX, Penicillium aurantiogriseum + TX, Penicillium billai (Jumpstart® + TX, TagTeam®) + TX, Penicillium brevicompactum + TX, Penicillium frequentans + TX, Penicillium griseofulvum + TX, Penicillium purpurogenum + TX, Penicillium spp. + TX, Penicillium viridicatum + TX, Phlebiopsis gigantean (Rotstop®) + TX, phosphate solubilizing bacteria (Phosphomeal®) + TX, Phytophthora cryptogea + TX, Phytophthora palmivora (Devine®) + TX, Pichia anomala + TX, Pichia guilliermondii + TX, Pichia membranaefaciens + TX, Pichia onychis + TX, Pichia stipites + TX, Pseudomonas aeruginosa + TX, Pseudomonas aureofasciens (Spot-Less Biofungicide®) + TX, Pseudomonas cepacia + TX, Pseudomonas chlororaphis (AtEze®) + TX, Pseudomonas corrugate + TX, Pseudomonas fluorescens strain A506 (BlightBan A506®) + TX, Pseudomonas putida + TX, Pseudomonas reactans + TX, Pseudomonas spp. + TX, Pseudomonas syringae (Bio-Save®) + TX, Pseudomonas viridiflava + TX, Pseudomonas fluorescens (Zequanox®) + TX, Pseudozyma flocculosa strain PF-A22 UL (Sporodex L®) + TX, Puccinia canaliculata + TX, Puccinia thlaspeos (Wood Warrior®) + TX, Pythium paroecandrum + TX, Pythium oligandrum (Polygandron® + TX, Polyversum®) + TX, Pythium periplocum + TX, Rhanella aquatilis + TX, Rhanella spp. + TX, Rhizobia (Dormal® + TX, Vault®) + TX, Rhizoctonia + TX, Rhodococcus globerulus strain AQ719 + TX, Rhodosporidium diobovatum + TX, Rhodosporidium toruloides + TX, Rhodotorula glutinis + TX, Rhodotorula graminis + TX, Rhodotorula mucilagnosa + TX, Rhodotorula rubra + TX, Rhodotorula spp. + TX, Saccharomyces cerevisiae + TX, Salinococcus roseus + TX, Sclerotinia minor + TX, Sclerotinia minor (SARRITOR®) + TX, Scytalidium spp. + TX, Scytalidium uredinicola + TX, Serratia marcescens + TX, Serratia plymuthica + TX, Serratia spp. + TX, Sordaria fimicola + TX, Spodoptera exigua nuclear polyhedrosis virus (Spod-X® + TX, Spexit®) + TX, Spodoptera littoralis nucleopolyhedrovirus (Littovir®) + TX, Sporobolomyces roseus + TX, Stenotrophomonas maltophilia + TX, Streptomyces hygroscopicus + TX, Streptomyces albaduncus + TX, Streptomyces exfoliates + TX, Streptomyces galbus + TX, Streptomyces griseoplanus + TX, Streptomyces griseoviridis (Mycostop®) + TX, Streptomyces lydicus (Actinovate®) + TX, Streptomyces lydicus WYEC-108 (ActinoGrow®) + TX, Streptomyces violaceus + TX, Tilletiopsis minor + TX, Tilletiopsis spp. + TX, Trichoderma asperellum (T34 Biocontrol®) + TX, Trichoderma atroviride (Plantmate®) + TX, Trichoderma gamsii (Tenet®) + TX, Trichoderma hamatum TH 382 + TX, Trichoderma harzianum rifai (Mycostar®) + TX, Trichoderma harzianum T-22 (Trianum-P® + TX, Plantshield HC® + TX, RootShield® + TX, Trianum-G® + TX, Trichoderma harzianum T-39 (Trichodex®) + TX, Trichoderma inhamatum + TX, Trichoderma koningii + TX, Trichoderma lignorum + TX, Trichoderma longibrachiatum + TX, Trichoderma polysporum (Binab T®) + TX, Trichoderma spp. LC 52 (Sentinel®) + TX, Trichoderma taxi + TX, Trichoderma virens + TX, Trichoderma virens (formerly Gliocladium virens GL-21) (SoilGuard®) + TX, Trichoderma viride + TX, Trichoderma viride strain ICC 080 (Remedier®) + TX, Trichosporon pullulans + TX, Trichosporon spp. + TX, Trichothecium roseum + TX, Trichothecium spp. + TX, Typhula phacorrhiza strain 94671 + TX, Ulocladium atrum + TX, Ulocladium oudemansii (Botry-Zen®) + TX, Ustilago maydis + TX, various
bacteria and supplementary micronutrients (Natural II®) + TX, various fungi (Millennium Microbes®) + TX, Vertici Ilium chlamydosporium + TX, Vip3Aa20 (VIPtera®) + TX, Virgibaclillus marismortui + TX, Xanthomonas campestris pv. Poae (Camperico®) + TX, Xenorhabdus bovienii + TX, Xenorhabdus nematophilus + TX; azadirachtin (Plasma Neem Oil® + TX, AzaGuard® + TX, MeemAzal® + TX, Molt-X® e.g. AZATIN XL from Certis, US) + TX, Botanical IGR (Neemazad® + TX, Neemix®) + TX, canola oil (Lilly Miller Vegol®) + TX, Chenopodium ambrosioides near ambrosioides (Requiem®) + TX, Chrysanthemum extract (Crisant®) + TX, essentials oils of Labiatae (Botania®) + TX, extract of neem oil (Trilogy®) + TX, extracts of clove rosemary peppermint and thyme oil (Garden insect killer®) + TX, garlic + TX, Glycinebetaine (Greenstim®) + TX, kaolin (Screen®) + TX, lemongrass oil (GreenMatch®) + TX, Melaleuca alternifolia extract (also called tea tree oil) (Timorex Gold®) + TX, mixture of clove pepermint garlic oil and mint (Soil Shot®) + TX, mixture of clove rosemary and peppermint extract (EF 400®) + TX, mixture of rosemary sesame pepermint thyme and cinnamon extracts (EF 300®) + TX, neem oil + TX, Nepeta cataria (Catnip oil) + TX, Nepeta catarina + TX, nicotine + TX, oregano oil (MossBuster®) + TX, Pedaliaceae oil (Nematon®) + TX, pine oil (Retenol®) + TX, pyrethrum + TX, Quillaja saponaria (NemaQ®) + TX, Reynoutria sachalinensis (Regalia® + TX, Sakalia®) + TX, rotenone (Eco Roten®) + TX, Rutaceae plant extract (Soleo®) + TX, soybean oil (Ortho ecosense®) + TX, storage glucam of brown algae (Laminarin®) + TX, thyme oil (AGNIQUE® MMF + TX, BugOil®+ TX) + TX;
(E,Z)-7,9-Dodecadien-1-yl acetate + TX, (E,Z,Z)-3,8,11 Tetradecatrienyl acetate + TX, (Z,Z,E)-7,11 ,13-Hexadecatrienal + TX, 2-Methyl-1 -butanol + TX, Biolure® + TX, blackheaded fireworm pheromone (3M Sprayable Blackheaded Fireworm Pheromone®) + TX, Calcium acetate + TX, Check-Mate® + TX, Codling Moth Pheromone (Paramount dispenser-(CM)/ Isomate C-Plus®) + TX, Entostat powder (extract from palm tree) (Exosex CM®) + TX, Grape Berry Moth Pheromone (3M MEC-GBM Sprayable Pheromone®) + TX, Lavandulyl senecioate + TX, Leafroller pheromone (3M MEC - LR Sprayable Pheromone®) + TX, Muscamone (Snip7 Fly Bait® + TX, Oriental Fruit Moth Pheromone (3M oriental fruit moth sprayable pheromone®) + TX, Peachtree Borer Pheromone (Isomate-P®) + TX, Scenturion® + TX, Starbar Premium Fly Bait®) + TX, Tomato Pinworm Pheromone (3M Sprayable pheromone®) + TX;
Fopius arisanus + TX, Acerophagus papaya + TX, Adalia bipunctata (Adalia-System®) + TX, Adalia bipunctata (Adaline®) + TX, Adalia bipunctata (Aphidalia®) + TX, Ageniaspis citricola + TX, Ageniaspis fuscicollis + TX, Amblyseius andersoni (Anderline®, or Andersoni-System®) + TX, Amblyseius californicus (Amblyline® , or Spical®) + TX, Amblyseius cucumeris (Thripex®, or Bugline cucumeris®) + TX, Amblyseius fallacis (Fallacis®) +TX, Amblyseius swirskii (Bugline swirskii®, or Swirskii -Mite®) + TX, Amblyseius womersleyi (WomerMite®) + TX, Amitus hesperidum + TX, Anagrus atomus + TX, Anagyrus fusciventris + TX, Anagyrus kamali + TX, Anagyrus loecki + TX, Anagyrus pseudococci (Citripar®) + TX, Anicetus benefices + TX, Anisopteromalus calandrae + TX, Anthocoris nemoralis (Anthocoris-System®) + TX, Aphelinus abdominalis (Apheline® + TX, Aphiline®) + TX, + TX, Aphelinus asychis + TX, Aphidius colemani (Aphipar®) + TX, Aphidius ervi
(Aphelinus-System®) + TX, Aphidius ervi (Ervipar®) + TX, Aphidius gifuensis + TX, Aphidius matricariae (Aphipar-M®) + TX, Aphidoletes aphidimyza (Aphidend® + TX, Aphidoline®) + TX, Aphytis lingnanensis + TX, Aphytis melinus + TX, Aprostocetus hagenowii + TX, Atheta coriaria (Staphyline®) + TX, Bombus spp. + TX, Bombus terrestris (Beeline® + TX, Tripol®) + TX, Bombus terrestris (Natupol Beehive®) + TX, Cephalonomia stephanoderis + TX, Chilocorus nigritus + TX, Chrysoperla carnea (Chrysoline® + TX, Chrysopa®) + TX, Chrysoperla rufilabris + TX, Cirrospilus ingenuus + TX, Cirrospilus quadristriatus + TX, Citrostichus phyllocnistoides + TX, Closterocerus Chamaeleon + TX, Closterocerus spp. + TX, Coccidoxenoides perminutus (Pianopar®) + TX, Coccophagus cowperi + TX, Coccophagus lycimnia + TX, Cotesia flavipes + TX, Cotesia plutellae + TX, Cryptolaemus montrouzieri (Cryptobug® + TX, Cryptoline®) + TX, Cybocephalus nipponicus + TX, Dacnusa sibirica (Minusa® + TX, DacDigline® + TX, Minex®) + TX, Delphastus catalinae (Delphastus®) + TX, Delphastus pusillus + TX, Diachasmimorpha krausii + TX, Diachasmimorpha longicaudata + TX, Diaparsis jucunda + TX, Diaphorencyrtus aligarhensis + TX, Diglyphus isaea (Diminex® + TX, Miglyphus® + TX, Digline®) + TX, Diversinervus spp. + TX, Encarsia citrina + TX, Encarsia formosa (Encarsia max® + TX, Encarline® + TX, En-Strip®) + TX, Encarsia guadeloupae + TX, Encarsia haitiensis + TX, Episyrphus balteatus (Syrphidend®) + TX, Eretmoceris siphonini + TX, Eretmocerus californicus + TX, Eretmocerus eremicus (Enermix® + TX, Ercal® + TX, Eretline e® + TX, Bemimix®) + TX, Eretmocerus hayati + TX, Eretmocerus mundus (Bemipar® + TX, Eretline m®) + TX, Eretmocerus siphonini + TX, Exochomus quadripustulatus + TX, Feltiella acarisuga (Feltiline®) + TX, Feltiella acarisuga (Spidend®) + TX, Fopius ceratitivorus + TX, Formononetin (Wirless Beehome®) + TX, Franklinothrips vespiformis (Vespop®) + TX, Galendromus occidentalis + TX, Goniozus legneri + TX, Habrobracon hebetor + TX, Harmonia axyridis (HarmoBeetle®) + TX, Heterorhabditis bacteriophora (NemaShield HB® + TX, Nemaseek® + TX, Terranem-Nam® + TX, Terranem® + TX, Larvanem® + TX, B-Green® + TX, NemAttack ® + TX, Nematop®) + TX, Heterorhabditis megidis (Nemasys H® + TX, BioNem H® + TX, Exhibitline hm® + TX, Larvanem-M®) + TX, Heterorhabditis spp. (Lawn Patrol®) + TX, Hippodamia convergens + TX, Hypoaspis aculeifer (Aculeifer-System® + TX, Entomite-A®) + TX, Hypoaspis miles (Hypoline m® + TX, Entomite-M®) + TX, Lbalia leucospoides + TX, Lecanoideus floccissimus + TX, Lemophagus errabundus + TX, Leptomastidea abnormis + TX, Leptomastix dactylopii (Leptopar®) + TX, Leptomastix epona + TX, Lindorus lophanthae + TX, Lipolexis oregmae + TX, Lucilia caesar (Natufly®) + TX, Lysiphlebus testaceipes + TX, Macrolophus caliginosus (Mirical-N® + TX, Macroline c® + TX, Mirical®) + TX, Mesoseiulus longipes + TX, Metaphycus flavus + TX, Metaphycus lounsburyi + TX, Micromus angulatus (Milacewing®) + TX, Microterys flavus + TX, Muscidifurax raptorellus and Spalangia cameroni (Biopar®) + TX, Neodryinus typhlocybae + TX, Neoseiulus californicus + TX, Neoseiulus cucumeris (THRYPEX®) + TX, Neoseiulus fallacis + TX, Nesideocoris tenuis (NesidioBug® + TX, Nesibug®) + TX, Ophyra aenescens (Biofly®) + TX, Orius insidiosus (Thripor-I® + TX, Online i®) + TX, Orius laevigatus (Thripor-L® + TX, Online I®) + TX, Orius majusculus (Online m®) + TX, Orius strigicollis (Thripor-S®) + TX, Pauesia juniperorum + TX, Pediobius foveolatus + TX, Phasmarhabditis hermaphrodita (Nemaslug®) + TX, Phymastichus
coffea + TX, Phytoseiulus macropilus + TX, Phytoseiulus persimilis (Spidex® + TX, Phytoline p®) + TX, Podisus maculiventris (Podisus®) + TX, Pseudacteon curvatus + TX, Pseudacteon obtusus + TX, Pseudacteon tricuspis + TX, Pseudaphycus maculipennis + TX, Pseud leptomastix mexicana + TX, Psyllaephagus pilosus + TX, Psyttalia concolor (complex) + TX, Quadrastichus spp. + TX, Rhyzobius lophanthae + TX, Rodolia cardinalis + TX, Rumina decollate + TX, Semielacher petiolatus + TX, Sitobion avenae (Ervibank®) + TX, Steinernema carpocapsae (Nematac C® + TX, Millenium® + TX, BioNem C® + TX, NemAttack® + TX, Nemastar® + TX, Capsanem®) + TX, Steinernema feltiae (NemaShield® + TX, Nemasys F® + TX, BioNem F® + TX, Steinernema- System® + TX, NemAttack® + TX, Nemaplus® + TX, Exhibitline st® + TX, Scia-rid® + TX, Entonem®) + TX, Steinernema kraussei (Nemasys L® + TX, BioNem L® + TX, Exhibitline srb®) + TX, Steinernema riobrave (BioVector® + TX, BioVektor®) + TX, Steinernema scapterisci (Nematac S®) + TX, Steinernema spp. + TX, Steinernematid spp. (Guardian Nematodes®) + TX, Stethorus punctillum (Stethorus®) + TX, Tamarixia radiate + TX, Tetrastichus setifer + TX, Thripobius semiluteus + TX, Torymus sinensis + TX, Trichogramma brassicae (Tricholine b®) + TX, Trichogramma brassicae (Tricho-Strip®) + TX, Trichogramma evanescens + TX, Trichogramma minutum + TX, Trichogramma ostriniae + TX, Trichogramma platneri + TX, Trichogramma pretiosum + TX, Xanthopimpla stemmator + TX; abscisic acid + TX, Aminomite® + TX, BioGain® + TX, bioSea® + TX, Chondrostereum purpureum (Chontrol Paste®) + TX, Colletotrichum gloeosporioides (Collego®) + TX, Copper Octanoate (Cueva®) + TX, Delta traps (Trapline d®) + TX, Erwinia amylovora (Harpin) (ProAct® + TX, Ni-HI BIT Gold CST®) + TX, fatty acids derived from a natural by-product of extra virgin olive oil (FLIPPER®) + TX, Ferri-phosphate (Ferramol®) + TX, Funnel traps (Trapline y®) + TX, Gallex® + TX, Grower's Secret® + TX, Homo-brassonolide + TX, Iron Phosphate (Lilly Miller Worry Free Ferramol Slug & Snail Bait®) + TX, MCP hail trap (Trapline f®) + TX, Microctonus hyperodae + TX, Mycoleptodiscus terrestris (Des-X®) + TX, Nosema locustae (Semaspore Organic Grasshopper Control®) + TX, Pheromone trap (Thripline ams®) + TX, potassium bicarbonate (MilStop®) + TX, potassium iodide + potassiumthiocyanate (Enzicur®) + TX, potassium salts of fatty acids (Sanova®) + TX, potassium silicate solution (Sil-Matrix®) + TX, Spider venom + TX, Sticky traps (Trapline YF® + TX, Rebell Amarillo®) + TX, SuffOil-X® + TX, Traps (Takitrapline y + b®) + TX, Zenox® + TX;
Bacillus mojavensis strain R3B (Accession No. NCAIM (P) B001389) (WO 2013/034938) from Certis USA LLC + TX, Bacillus pumilus, in particular strain BU F-33, having NRRL Accession No. 50185 (CARTISSA® from BASF, EPA Reg. No. 71840-19) + TX, Bacillus subtilis CX-9060 from Certis USA LLC + TX, Bacillus sp., in particular strain D747 (available as DOUBLE NICKEL® from Kumiai Chemical Industry Co, Ltd.), having Accession No. FERM BP-8234, (U.S. Patent No. 7,094,592) + TX, Bacillus subtilis strain BU1814 (VELONDIS® PLUS, VELONDIS® FLEX and VELONDIS® EXTRA from BASF SE) + TX, Bacillus subtilis var. amyloliquefaciens strain FZB24 having Accession No. DSM 10271 (available from Novozymes as TAEGRO® or TAEGRO® ECO (EPA Registration No. 70127-5)) + TX, Bacillus subtilis, in particular strain QST713/AQ713 (having NRRL Accession No. B-21661 and described in U.S. Patent No. 6,060,051 , available as
SERENADE® OPTI or SERENADE® ASO from Bayer CropScience LP, US) + TX, Paenibacillus polymyxa, in particular strain AC-1 (e.g. TOPSEED® from Green Biotech Company Ltd.) + TX, Paenibacillus sp. strain having Accession No. NRRL B-50972 or Accession No. NRRL B-67129 + TX, WO 2016/154297 + TX, Pantoea agglomerans, in particular strain E325 (Accession No. NRRL B-21856) (available as BLOOMTIME BIOLOGICAL™ FD BIOPESTICIDE from Northwest Agri Products) + TX, Pseudomonas proradix (e.g. PRORADIX® from Sourcon Padena) + TX;
Aureobasidium pullulans, in particular blastospores of strain DSM14940 + TX, blastospores of strain DSM 14941 or mixtures of blastospores of strains DSM14940 and DSM14941 (e.g., BOTECTOR® and BLOSSOM PROTECT® from bio-ferm, CH) + TX, Pseudozyma aphidis (as disclosed in WO2011/151819 by Yissum Research Development Company of the Hebrew University of Jerusalem) + TX, Saccharomyces cerevisiae, in particular strains from Lesaffre et Compagnie (e..g CNCM No. 1-393, CNCM No. 1-3937, CNCM No. 1-3938 or CNCM No. 1-3939 (WO 2010/086790) + TX; bacteria including Agrobacterium radiobacter strain K84 (e.g. GALLTROL-A® from AgBioChem, CA) + TX, Bacillus amyloliquefaciens isolate B246 (e.g. AVOGREEN™ from University of Pretoria) + TX, Bacillus amyloliquefaciens strain F727 (also known as strain MBI110) (NRRL Accession No. B-50768 + TX, WO 2014/028521) (STARGUS® from Marrone Bio Innovations) + TX, Bacillus amyloliquefaciens strain FZB42 + TX, Accession No. DSM 23117 (available as RHIZOVITAL® from ABiTEP, DE) + TX, Bacillus amyloliquefaciens, in particular strain D747 (available as Double Nickel™ from Kumiai Chemical Industry Co., Ltd., having accession number FERM BP-8234, US Patent No. 7,094,592) + TX, Bacillus licheniformis FMCH001 and Bacillus subtilis FMCH002 (QUARTZO® (WG) and PRESENCE® (WP) from FMC Corporation) + TX, Bacillus licheniformis, in particular strain SB3086, having Accession No. ATCC 55406, WO 2003/000051 (available as ECOGUARD® Biofungicide and GREEN RELEAF™ from Novozymes) + TX, Bacillus methylotrophicus strain BAC-9912 (from Chinese Academy of Sciences’ Institute of Applied Ecology) + TX, Bacillus mycoides + TX, isolate + TX, having Accession No. B-30890 (available as BMJ TGAI® or WG and LifeGard™ from Certis USA LLC) + TX, Bacillus pumilus, in particular strain GB34 (available as Yield Shield® from Bayer AG, DE) + TX, Bacillus pumilus, in particular strain QST2808 (available as SONATA® from Bayer CropScience LP, US, having Accession No. NRRL B-30087 and described in U.S. Patent No. 6,245,551) + TX, Bacillus subtilis CX-9060 from Certis USA LLC + TX, Bacillus subtilis IAB/BS03 (AVIV™ from STK Bio-Ag Technologies + TX, PORTENTO® from Idai Nature) + TX, Bacillus subtilis KTSB strain (FOLIACTIVE® from Donaghys) + TX, Bacillus subtilis strain BU1814 + TX, (available as VELONDIS® PLUS + TX, VELONDIS® FLEX and VELONDIS® EXTRA from BASF SE) + TX, Bacillus subtilis strain GB03 (available as Kodiak® from Bayer AG, DE) + TX, Bacillus subtilis strain MBI 600 (available as SUBTILEX from BASF SE) + TX, having Accession Number NRRL B-50595 + TX, U.S. Patent No. 5,061 ,495 + TX, Bacillus subtilis strain Y1336 (available as BIOBAC® WP from Bion-Tech + TX, Taiwan + TX, registered as a biological fungicide in Taiwan under Registration Nos. 4764 + TX, 5454 + TX, 5096 and 5277) + TX, Bacillus subtilis var.
amyloliquefaciens strain FZB24 having Accession No. DSM 10271 (available from Novozymes as TAEGRO® or TAEGRO® ECO (EPA Registration No. 70127-5)) + TX, Bacillus subtilis Y1336 (available as BIOBAC® WP from Bion-Tech + TX, Taiwan + TX, registered as a biological fungicide in Taiwan under Registration Nos. 4764 + TX, 5454 + TX, 5096 and 5277) + TX, Paenibacillus epiphyticus (WO 2016/020371) from BASF SE + TX, Paenibacillus polymyxa ssp. plantarum (WO 2016/020371) from BASF SE + TX, Paenibacillus sp. strain having Accession No. NRRL B-50972 or Accession No. NRRL B-67129 + TX, WO 2016/154297 + TX, Pseudomonas chlororaphis strain AFS009 + TX, having Accession No. NRRL B-50897 + TX, WO 2017/019448 (e.g., HOWLER™ and ZIO® from AgBiome Innovations, US) + TX, Pseudomonas chlororaphis, in particular strain MA342 (e.g. CEDOMON® , CERALL®, and CEDRESS® by Bioagri and Koppert) + TX, Pseudomonas fluorescens strain A506 (e.g. BLIGHTBAN® A506 by NuFarm) + TX, Pseudomonas proradix (e.g. PRORADIX® from Sourcon Padena) + TX, Streptomyces griseoviridis strain K61 (also known as Streptomyces galbus strain K61) (Accession No. DSM 7206) (MYCOSTOP® from Verdera, PREFENCE® from BioWorks, cf. Crop Protection 2006, 25, 468-475) + TX, Streptomyces lydicus strain WYEC108 (also known as Streptomyces lydicus strain WYCD108US) (ACTINO-IRON® and ACTI NOVATE® from Novozymes) + TX;
Trichoderma atroviride strain T11 (I Ml 352941 / CECT20498) + TX, Ampelomyces quisqualis strain AQ10, having Accession No. CNCM 1-807 (e.g. AQ 10® by IntrachemBio, Italia) + TX, Ampelomyces quisqualis, in particular strain AQ 10 (e.g. AQ 10® by IntrachemBio Italia) + TX, Aspergillus flavus strain NRRL 21882 (products known as AFLA-GUARD® from Syngenta/ChemChina) + TX, Aureobasidium pullulans, in particular blastospores of strain DSM 14941 + TX, Aureobasidium pullulans, in particular blastospores of strain DSM14940 + TX, Aureobasidium pullulan, in particular mixtures of blastospores of strains DSM14940 and DSM 14941 (e.g. Botector® by bio-ferm, CH) + TX, Chaetomium cupreum (Accession No. CABI 353812) (e.g. BIOKUPRUM™ by AgriLife) + TX, Chaetomium globosum (available as RIVADIOM® by Rivale) + TX, Cladosporium cladosporioides, strain H39, having Accession No. CBS122244, US 2010/0291039 (by Stichting Dienst Landbouwkundig Onderzoek) + TX, Coniothyrium minitans, in particular strain CON/M/91-8 (Accession No. DSM9660, e.g. Contans ® from Bayer CropScience Biologies GmbH) + TX, Cryptococcus flavescens, strain 3C (NRRL Y-50378) + TX, Dactylaria Candida + TX, Dilophosphora alopecuri (available as TWIST FUNGUS®) + TX, Fusarium oxysporum, strain Fo47 (available as FUSACLEAN® by Natural Plant Protection) + TX, Gliocladium catenulatum (Synonym: Clonostachys rosea f. catenulate) strain J1446 (e.g. Prestop ® by Lallemand) + TX, Gliocladium roseum (also known as Clonostachys rosea f rosea) strain IK726 (Jensen DF, et al. Development of a biocontrol agent for plant disease control with special emphasis on the near commercial fungal antagonist Clonostachys rosea strain ’IK726, Australasian Plant Pathol. 2007,36(2):95-101) + TX, Gliocladium roseum (also known as Clonostachys rosea f rosea), in particular strain 321 U from Adjuvants Plus, strain ACM941 as disclosed in Xue A.G. (Efficacy of Clonostachys rosea strain ACM941 and fungicide seed treatments for controlling the root tot complex of field pea, Can Jour Plant Sci 2003 + TX, 83(3): 519-524) + TX, Metschnikowia
fructicola, in particular strain NRRL Y-30752 + TX, Microsphaeropsis ochracea + TX, Penicillium steckii (DSM 27859 + TX, WO 2015/067800) from BASF SE + TX, mixtures of Trichoderma asperellum strain ICC 012 (also known as Trichoderma harzianum ICC012) + TX, having Accession No. CABI CC IMI 392716 and Trichoderma gamsii (formerly T. viride) strain ICC 080 + TX, having Accession No. IMI 392151 (e.g., BIO-TAM™ from Isagro USA, Inc. or BIODERMA® by Agrobiosol de Mexico, S.A. de C.V.) + TX, Penicillium vermiculatum + TX, Phlebiopsis gigantea strain VRA 1992 (ROTSTOP® C from Danstar Ferment) + TX, Pseudozyma flocculosa, strain PF-A22 UL (available as SPORODEX® L by Plant Products Co., CA) + TX, Saccharomyces cerevisiae strain LAS117 cell walls (CEREVISANE® from Lesaffre, ROMEO® from BASF SE) + TX, Saccharomyces cerevisiae strain from Lesaffre et Compagnie, FR (e.g. CNCM No. 1-3936, CNCM No. 1-3937, CNCM No. 1-3938, or CNCM No. 1-3939 (WO 2010/086790)) + TX, Saccharomyces cerevisiae, in particular strain LASO2 (from Agro-Levures et Derives) + TX, Simplicillium lanosoniveum strain T34 ((e.g. T34 Biocontrol by Biocontrol Technologies S.L., ES) or strain ICC 012 from Isagro, or strain WRL-076 (NRRL Y-30842), U.S. Patent No. 7,579,183) + TX, Talaromyces flavus, strain V117b + TX, Trichoderma asperelloides JM41 R (Accession No. NRRL B-50759) (TRICHO PLUS® from BASF SE) + TX, Trichoderma asperellum, in particular strain SKT-1 , having Accession No. FERM P-16510 (e.g. ECO-HOPE® from Kumiai Chemical Industry) + TX, Trichoderma asperellum, in particular strain kd (e.g. T-Gro from Andermatt Biocontrol) + TX, Trichoderma atroviride strain 77B (T77 from Andermatt Biocontrol) + TX, Trichoderma atroviride strain ATCC 20476 (IMI 206040) + TX, Trichoderma atroviride strain LC52 (e.g. Tenet by Agrimm Technologies Limited) + TX, Trichoderma atroviride strain LU132 (e.g. Sentinel from Agrimm Technologies Limited) + TX, Trichoderma atroviride strain NMI no. V08/002388 + TX, Trichoderma atroviride strain NMI no. V08/002389 + TX, Trichoderma atroviride strain NMI no. V08/002390 + TX, Trichoderma atroviride strain no. V08/002387 + TX, Trichoderma atroviride strain SKT-1 (FERM P-16510) + TX, JP Patent Publication (Kokai) 11-253151 A + TX, Trichoderma atroviride strain SKT-2 (FERM P-16511) + TX, JP Patent Publication (Kokai) 11-253151 A + TX, Trichoderma atroviride strain SKT-3 (FERM P- 17021) + TX, JP Patent Publication (Kokai) 11-253151 A + TX, Trichoderma atroviride, in particular strain SC1 (Accession No. CBS 122089, WO 2009/116106 and U.S. Patent No. 8,431 ,120 (from Bi- PA)) + TX, Trichoderma atroviride, strain CNCM 1-1237 (e.g. Esquive® WP from Agrauxine + TX) + TX, Trichoderma fertile (e.g. product TrichoPlus from BASF) + TX, Trichoderma gamsii (formerly T. viride) + TX, Trichoderma gamsii (formerly T. viride) strain ICC 080 (IMI CC 392151 CABI) (available as BIODERMA® by AGROBIOSOL DE MEXICO, S.A. DE C.V.) + TX, + TX, Trichoderma gamsii strain ICC080 (IMI CC 392151 CABI + TX, e.g. BioDerma by AGROBIOSOL DE MEXICO, S.A. DE C.V.) + TX, + TX, Trichoderma harmatum + TX, Trichoderma harmatum + TX, having Accession No. ATCC 28012 + TX, Trichoderma harzianum + TX, Trichoderma harzianum rifai T39 (e.g. Trichodex® from Makhteshim, US) + TX, Trichoderma harzianum strain Cepa SimbT5 (from Simbiose Agro) + TX, + TX, Trichoderma harzianum strain DB 103 (available as T-GRO® 7456 by Dagutat Biolab) + TX, Trichoderma harzianum strain ITEM 908 (e.g. Trianum- P from Koppert) + TX, Trichoderma harzianum strain T-22 (e.g. Trianum-P from Andermatt
Biocontrol or Koppert) + TX, Trichoderma harzianum strain TH35 (e.g. Root-Pro by Mycontrol) + TX, Trichoderma polysporum strain IMI 206039 (e.g. Binab TF WP by BINAB Bio-Innovation AB + TX, Sweden) + TX, Trichoderma stromaticum having Accession No. Ts3550 (e.g. Tricovab by CEPLAC, Brazil) + TX, Trichoderma virens (also known as Gliocladium virens) in particular strain GL-21 (e.g. SoilGard by Certis, US) + TX, Trichoderma virens strain G-41 + TX, formerly known as Gliocladium virens (Accession No. ATCC 20906) (e.g., ROOTSHIELD® PLUS WP and TURFSHIELD® PLUS WP from BioWorks, US) + TX, Trichoderma viride in particular strain B35 (Pietr et al. + TX, 1993 + TX, Zesz. Nauk. A R w Szczecinie 161 : 125-137) + TX, Trichoderma viride strain TV1 (e.g. Trianum-P by Koppert) + TX, Ulocladium oudemansii strain U3, having Accession No. NM 99/06216 (e.g., BOTRY-ZEN® by Botry-Zen Ltd, New Zealand and BOTRYSTOP® from BioWorks, Inc.) + TX, Vertici Ilium albo-atrum (formerly V. dahliae) strain WCS850 having Accession No. WCS850, deposited at the Central Bureau for Fungi Cultures (e.g., DUTCH TRIG® by Tree Care Innovations) + TX, Vertici Ilium chlamydosporium + TX; bacteria including a mixture of Azotobacter vinelandii and Clostridium pasteurianum (available as INVIGORATE® from Agrinos) + TX, a mixture of Bacillus licheniformis FMCH001 and Bacillus subtilis FMCH002 (available as QUARTZO® (WG), PRESENCE® (WP) from FMC Corporation), Azorhizobium caulinodans, in particular strain ZB-SK-5 + TX, Azospirillum brasilense (e.g., VIGOR® from KALO, Inc.) + TX, Azospirillum lipoferum (e.g., VERTEX-IF™ from TerraMax, Inc.) + TX, Azotobacter chroococcum, in particular strain H23 + TX, Azotobacter vinelandii, in particular strain ATCC 12837 + TX, Bacillus amyloliquefaciens BS27 (Accession No. NRRL B-5015) + TX, Bacillus amyloliquefaciens in particular strain FZB42 (e.g. RHIZOVITAL® from ABiTEP, DE) + TX, Bacillus amyloliquefaciens in particular strain IN937a + TX, Bacillus amyloliquefaciens pm414 (LOLI-PEPTA® from Biofilm Crop Protection) + TX, Bacillus amyloliquefaciens SB3281 (ATCC # PTA-7542 + TX, WO 2017/205258) + TX, Bacillus amyloliquefaciens TJ1000 (available as QUIKROOTS® from Novozymes) + TX, Bacillus cereus family member EE128 (NRRL No. B-50917) + TX, Bacillus cereus family member EE349 (NRRL No. B-50928) + TX, Bacillus cereus in particular strain BP01 (ATCC 55675 + TX, e.g. MEPICHLOR® from Arysta Lifescience, US) + TX, Bacillus mycoides BT155 (NRRL No. B-50921) + TX, Bacillus mycoides BT46-3 (NRRL No. B-50922) + TX, Bacillus mycoides EE118 (NRRL No. B-50918) + TX, Bacillus mycoides EE141 (NRRL No. B- 50916) + TX, Bacillus pumilus in particular strain GB34 (e.g. YIELD SHIELD® from Bayer Crop Science, DE) + TX, Bacillus pumilus in particular strain QST2808 (Accession No. NRRL No. B- 30087) + TX, Bacillus siamensis in particular strain KCTC 13613T + TX, Bacillus subtilis in particular strain AQ30002 (Accession No. NRRL No. B-50421 and described in U.S. Patent Application No. 13/330,576) + TX, Bacillus subtilis in particular strain AQ30004 (NRRL No. B-50455 and described in U.S. Patent Application No. 13/330,576) + TX, Bacillus subtilis in particular strain MBI 600 (e.g. SUBTILEX® from BASF SE) + TX, Bacillus subtilis rm303 (RHIZOMAX® from Biofilm Crop Protection) + TX, Bacillus subtilis strain BU1814 (available as TEQUALIS® from BASF SE) + TX, Bacillus tequilensis in particular strain NII-0943 + TX, Bacillus thuringiensis BT013A (NRRL No. B-50924) also known as Bacillus thuringiensis 4Q7 + TX, Bradyrhizobium japonicum (e.g.
OPTIMIZE® from Novozymes) + TX, Delftia acidovorans in particular strain RAY209 (e.g.
BIOBOOST® from Brett Young Seeds) + TX, Lactobacillus sp. (e.g. LACTOPLANT® from LactoPAFI) + TX, Mesorhizobium cicer (e.g., NODULATOR from BASF SE) + TX, Paenibacillus polymyxa in particular strain AC-1 (e.g. TOPSEED® from Green Biotech Company Ltd.) + TX, Pseudomonas aeruginosa in particular strain PN1 + TX, Pseudomonas proradix (e.g. PRORADIX® from Sourcon Padena) + TX, Rhizobium leguminosarium biovar viciae (e.g., NODULATOR from BASF SE) + TX, Rhizobium leguminosarum in particular bv. viceae strain Z25 (Accession No.
CECT 4585) + TX, Serratia marcescens in particular strain SRM (Accession No. MTCC 8708) + TX, + TX, Sinorhizobium meliloti strain NRG-185-1 (NITRAGIN® GOLD from Bayer CropScience) + TX, Thiobacillus sp. (e.g. CROPAID® from Cropaid Ltd UK) + TX;
Myrothecium verrucaria strain AARC-0255 (e.g. DiTera™ from Valent Biosciences) + TX, Penicillium bilaii strain ATCC 22348 (e.g. JumpStart® from Acceleron BioAg) + TX, Penicillium bilaii strain ATCC ATCC20851 + TX, Purpureocillium lilacinum (previously known as Paecilomyces lilacinus) strain 251 (AGAL 89/030550 + TX, e.g. BioAct from Bayer CropScience Biologies GmbH) + TX, Pythium oligandrum strain DV74 + TX, Pythium oligandrum strain M1 (ATCC 38472 e.g. Polyversum from Bioprepraty, CZ) + TX, Rhizopogon amylopogon (Myco-Sol from Agri-Enterprise, LLC, formerly Helena Chemical Company) + TX, Rhizopogon fulvigleba (e.g. Myco-Sol from AgriEnterprise, LLC, formerly Helena Chemical Company) + TX, Talaromyces flavus strain V1 17b + TX, Trichoderma asperellum strain (Eco-T from Plant Health Products + TX, ZA) + TX; mercuric oxide + TX, octhilinone + TX, thiophanate-methyl + TX;
MGK 264 + TX, 2-(2-butoxyethoxy)ethyl piperonylate + TX, 2-isovalerylindan-1 ,3-dione + TX, 4-(quinoxalin-2-ylamino)benzenesulfonamide + TX, 5-(1 ,3-benzodioxol-5-yl)-3-hexylcyclohex-2- enone + TX, acibenzolar + TX, acibenzolar-S-methyl + TX, alpha-bromadiolone + TX, alphachlorohydrin + TX, aluminium phosphide + TX, anthraquinone + TX, antu + TX, arsenous oxide + TX, barium carbonate + TX, benoxacor + TX, bisthiosemi + TX, brodifacoum + TX, bromadiolone + TX, bromethalin + TX, calcium cyanide + TX, chloralose + TX, chlorophacinone + TX, cholecalciferol + TX, cloquintocet (including cloquintocet-mexyl) + TX, copper naphthenate + TX, copper oxychloride + TX, coumachlor + TX, coumafuryl + TX, coumatetralyl + TX, crimidine + TX, cyprosulfamide + TX, diazinon + TX, dichlormid + TX, dicyclopentadiene + TX, difenacoum + TX, difethialone + TX, diphacinone + TX, ergocalciferol + TX, farnesol + TX, farnesol with nerolidol + TX, fenchlorazole (including fenchlorazole-ethyl) + TX, fenclorim + TX, flocoumafen + TX, fluoroacetamide + TX, flupropadine + TX, flupropadine hydrochloride + TX, fluxofenim + TX, furilazole + TX, gamma-HCH + TX, guazatine + TX, guazatine acetates + TX, HCH + TX, hydrogen cyanide + TX, imanin + TX, iodomethane + TX, isoxadifen (including isoxadifen-ethyl) + TX, lindane + TX, magnesium phosphide + TX, MB-599 + TX, mefenpyr (including mefenpyr-diethyl) + TX, metcamifen + TX, methiocarb + TX, methyl bromide + TX, nerolidol + TX, norbormide + TX, petroleum oils + TX, phosacetim + TX, phosphine + TX, phosphorus + TX, pindone + TX, piperonyl butoxide + TX, piprotal + TX, potassium arsenite + TX, probenazole + TX, propyl isomer + TX, pyridin-4-amine + TX, pyrinuron + TX, Reynoutria sachalinensis extract + TX, ribavirin + TX, S421 + TX, scilliroside + TX, sesamex + TX,
sesasmolin + TX, sodium arsenite + TX, sodium cyanide + TX, sodium fluoroacetate + TX, strychnine + TX, sulfoxide + TX, thallium sulfate + TX, thiram + TX, trimethacarb + TX, warfarin + TX, zinc naphthenate + TX, zinc phosphide + TX, ziram + TX;
The active ingredient mixture of the compounds of formula (I) selected from the compounds defined in the Tables A-1 to A-24 and B-1 to B-24, and Table P, with active ingredients described above comprises a compound selected from one compound defined in the Tables A-1 to A-24 and B-1 to B- 24, and Table P, and an active ingredient as described above preferably in a mixing ratio of from 100:1 to 1 :6000, especially from 50:1 to 1 :50, more especially in a ratio of from 20:1 to 1 :20, even more especially from 10:1 to 1 :10, very especially from 5:1 to 1 :5, special preference being given to a ratio of from 2:1 to 1 :2, and a ratio of from 4:1 to 2:1 being likewise preferred, above all in a ratio of 1 :1 , or 5:1 , or 5:2, or 5:3, or 5:4, or 4:1 , or 4:2, or 4:3, or 3:1 , or 3:2, or 2:1 , or 1 :5, or 2:5, or 3:5, or 4:5, or 1 :4, or 2:4, or 3:4, or 1 :3, or 2:3, or 1 :2, or 1 :600, or 1 :300, or 1 :150, or 1 :35, or 2:35, or 4:35, or 1 :75, or 2:75, or 4:75, or 1 :6000, or 1 :3000, or 1 :1500, or 1 :350, or 2:350, or 4:350, or 1 :750, or 2:750, or 4:750. Those mixing ratios are by weight.
The compounds and mixtures as described above can be used in a method for controlling pests, which comprises applying a composition comprising a compound or mixture respectively as described above to the pests or their environment, with the exception of a method for treatment of the human or animal body by surgery or therapy and diagnostic methods practised on the human or animal body.
The mixtures comprising a compound of formula (I) selected from the compounds defined in the Tables A-1 to A-24 and B-1 to B-24, and Table P, and one or more active ingredients as described above can be applied, for example, in a single “ready-mix” form, in a combined spray mixture composed from separate formulations of the single active ingredient components, such as a “tank-mix”, and in a combined use of the single active ingredients when applied in a sequential manner, i.e. one after the other with a reasonably short period, such as a few hours or days. The order of applying the compounds of formula (I) and the active ingredients as described above is not essential for working the present invention.
The compositions according to the invention can also comprise further solid or liquid auxiliaries, such as stabilizers, for example unepoxidized or epoxidized vegetable oils (for example epoxidized coconut oil, rapeseed oil or soya oil), antifoams, for example silicone oil, preservatives, viscosity regulators, binders and/or tackifiers, fertilizers or other active ingredients for achieving specific effects, for example bactericides, fungicides, nematocides, plant activators, molluscicides or herbicides.
The compositions according to the invention are prepared in a manner known per se, in the absence of auxiliaries for example by grinding, screening and/or compressing a solid active ingredient and in the presence of at least one auxiliary for example by intimately mixing and/or grinding the active ingredient with the auxiliary (auxiliaries). These processes for the preparation of the compositions and the use of the compounds I for the preparation of these compositions are also a subject of the invention.
The application methods for the compositions, that is the methods of controlling pests of the abovementioned type, such as spraying, atomizing, dusting, brushing on, dressing, scattering or pouring
- which are to be selected to suit the intended aims of the prevailing circumstances - and the use of the compositions for controlling pests of the abovementioned type are other subjects of the invention . Typical rates of concentration are between 0.1 and 1000 ppm, preferably between 0.1 and 500 ppm, of active ingredient. The rate of application per hectare is generally 1 to 2000 g of active ingredient per hectare, in particular 10 to 1000 g/ha, preferably 10 to 600 g/ha.
A preferred method of application in the field of crop protection is application to the foliage of the plants (foliar application), it being possible to select frequency and rate of application to match the danger of infestation with the pest in question. Alternatively, the active ingredient can reach the plants via the root system (systemic action), by drenching the locus of the plants with a liquid composition or by incorporating the active ingredient in solid form into the locus of the plants, for example into the soil, for example in the form of granules (soil application). In the case of paddy rice crops, such granules can be metered into the flooded paddy-field.
The compounds of formula (I) of the invention and compositions thereof are also suitable for the protection of plant propagation material, for example seeds, such as fruit, tubers or kernels, or nursery plants, against pests of the abovementioned type. The propagation material can be treated with the compound prior to planting, for example seed can be treated prior to sowing. Alternatively, the compound can be applied to seed kernels (coating), either by soaking the kernels in a liquid composition or by applying a layer of a solid composition. It is also possible to apply the compositions when the propagation material is planted to the site of application, for example into the seed furrow during drilling . These treatment methods for plant propagation material and the plant propagation material thus treated are further subjects of the invention. Typical treatment rates would depend on the plant and pest/fungi to be controlled and are generally between 1 to 200 grams per 100 kg of seeds, preferably between 5 to 150 grams per 100 kg of seeds, such as between 10 to 100 grams per 100 kg of seeds.
The term seed embraces seeds and plant propagules of all kinds including but not limited to true seeds, seed pieces, suckers, corns, bulbs, fruit, tubers, grains, rhizomes, cuttings, cut shoots and the like and means in a preferred embodiment true seeds.
The present invention also comprises seeds coated or treated with or containing a compound of formula (I). The term “coated or treated with and/or containing” generally signifies that the active ingredient is for the most part on the surface of the seed at the time of application, although a greater or lesser part of the ingredient may penetrate into the seed material, depending on the method of application. When the said seed product is (re)planted, it may absorb the active ingredient. In an embodiment, the present invention makes available a plant propagation material adhered thereto with a compound of formula (I). Further, it is hereby made available, a composition comprising a plant propagation material treated with a compound of formula (I).
Seed treatment comprises all suitable seed treatment techniques known in the art, such as seed dressing, seed coating, seed dusting, seed soaking and seed pelleting. The seed treatment application of the compound formula (I) can be carried out by any known methods, such as spraying or by dusting the seeds before sowing or during the sowing/planting of the seeds.
The compounds of the invention can be distinguished from other similar compounds by virtue of greater efficacy at low application rates and/or different pest control, which can be verified by the person skilled in the art using the experimental procedures, using lower concentrations if necessary, for example 10 ppm, 5 ppm, 2 ppm, 1 ppm or 0.2 ppm; or lower application rates, such as 300, 200 or 100, mg of Al per m2. The greater efficacy can be observed by an increased safety profile (against non-target organisms above and below ground (such as fish, birds and bees), improved physico-chemical properties, or increased biodegradability).
In each aspect and embodiment of the invention, “consisting essentially” and inflections thereof are a preferred embodiment of “comprising” and its inflections, and “consisting of’ and inflections thereof are a preferred embodiment of “consisting essentially of’ and its inflections.
The disclosure in the present application makes available each and every combination of embodiments disclosed herein.
It should be noted that the disclosure herein in respect of a compound of formula I applies equally in respect of a compound of each of formulae I*, I’a, laa, lab, lac, lad, lae, I’aa, I’ab, I’ac, I’ad, ‘lae, and Tables A-1 to A-24 and B-1 to B-24.
EXAMPLES
Formulation examples
The following Examples further illustrate, but do not limit, the invention.
Wettable powders a) b) c) active ingredients 25 % 50 % 75 % sodium lignosulfonate 5 % 5 % sodium lauryl sulfate 3 % - 5 % sodium diisobutylnaphthalenesulfonate - 6 % 10 % phenol polyethylene glycol ether (7-8 mol of ethylene oxide) - 2 % highly dispersed silicic acid 5 % 10 % 10 % kaolin 62 % 27 %
The combination is thoroughly mixed with the adjuvants and the mixture is thoroughly ground in a suitable mill, affording wettable powders that can be diluted with water to give suspensions of the desired concentration.
Powders for dry seed treatment a) b) c) active ingredients 25 % 50 % 75 % light mineral oil 5 % 5 % 5 % highly dispersed silicic acid 5 % 5 %
Powders for dry seed treatment a) b) c) kaolin 65 % 40 % talcum - 20 %
The combination is thoroughly mixed with the adjuvants and the mixture is thoroughly ground in a suitable mill, affording powders that can be used directly for seed treatment.
Emulsifiable concentrate active ingredients 10 % octylphenol polyethylene glycol ether (4-5 mol of ethylene oxide) 3 % calcium dodecylbenzenesulfonate 3 % castor oil polyglycol ether (35 mol of ethylene oxide) 4 % cyclohexanone 30 % xylene mixture 50 %
Emulsions of any required dilution, which can be used in plant protection, can be obtained from this concentrate by dilution with water.
Dusts a) b) c) active ingredients 5 % 6 % 4 % talcum 95 % kaolin - 94 % mineral filler - - 96 %
Ready-for-use dusts are obtained by mixing the combination with the carrier and grinding the mixture in a suitable mill. Such powders can also be used for dry dressings for seed.
Extruder granules active ingredients 15 % sodium lignosulfonate 2 % carboxymethylcellulose 1 % kaolin 82 % The combination is mixed and ground with the adjuvants, and the mixture is moistened with water. The mixture is extruded and then dried in a stream of air.
Coated granules active ingredients 8 % polyethylene glycol (mol. wt. 200) 3 % kaolin 89 %
The finely ground combination is uniformly applied, in a mixer, to the kaolin moistened with polyethylene glycol. Non-dusty coated granules are obtained in this manner.
Suspension concentrate active ingredients 40 % propylene glycol 10 % nonylphenol polyethylene glycol ether (15 mol of ethylene oxide) 6 % sodium lignosulfonate 10 % carboxymethylcellulose 1 % silicone oil (in the form of a 75 % emulsion in water) 1 % water 32 %
The finely ground combination is intimately mixed with the adjuvants, giving a suspension concentrate from which suspensions of any desired dilution can be obtained by dilution with water. Using such dilutions, living plants as well as plant propagation material can be treated and protected against infestation by microorganisms, by spraying, pouring or immersion.
Flowable concentrate for seed treatment active ingredients 40 % propylene glycol 5 % copolymer butanol PO/EO 2 % tristyrenephenole with 10-20 moles EO 2 %
1 ,2-benzisothiazolin-3-one (in the form of a 20% solution in water) 0.5 % monoazo-pigment calcium salt 5 % silicone oil (in the form of a 75 % emulsion in water) 0.2 % water 45.3 %
The finely ground combination is intimately mixed with the adjuvants, giving a suspension concentrate from which suspensions of any desired dilution can be obtained by dilution with water. Using such dilutions, living plants as well as plant propagation material can be treated and protected against infestation by microorganisms, by spraying, pouring or immersion.
Slow Release Capsule Suspension
28 parts of the combination are mixed with 2 parts of an aromatic solvent and 7 parts of toluene diisocyanate/polymethylene-polyphenylisocyanate-mixture (8:1). This mixture is emulsified in a mixture of 1 .2 parts of polyvinylalcohol, 0.05 parts of a defoamer and 51 .6 parts of water until the desired particle size is achieved. To this emulsion a mixture of 2.8 parts 1 ,6-diaminohexane in 5.3 parts of water is added. The mixture is agitated until the polymerization reaction is completed. The obtained capsule suspension is stabilized by adding 0.25 parts of a thickener and 3 parts of a dispersing agent. The capsule suspension formulation contains 28% of the active ingredients. The medium capsule diameter is 8-15 microns. The resulting formulation is applied to seeds as an aqueous suspension in an apparatus suitable for that purpose.
Preparation examples
The following examples further illustrate, but do not limit, the invention. Those skilled in the art will promptly recognize appropriate variations from the procedures both as to reactants and as to reaction conditions and techniques. Throughout this description, temperatures are given in degrees Celsius (°C). “Mp” means melting point in °C. Unless indicated otherwise, 1H NMR spectra are recorded at 400 MHz and 19F NMR spectra are recorded at 377 MHz. Chemical shifts are recorded in ppm relevant to a TMS standard. The following abbreviations are used: s = singlet; br s = broad singlet; d = doublet; br d = broad doublet; dd = double doublet; dt = double triplet; t = triplet, ft = triple triplet, q = quartet, quin = quintuplet, sept = septet; m = multiplet.
Either one of the LCMS methods below was used to characterize the compounds. The characteristic LCMS values obtained for each compound were the retention time (“Rt”, recorded in minutes) and the measured molecular ion (M+H)+ or (M-H)-.
LCMS Methods:
Method 1 :
Spectra were recorded on a mass spectrometer from Agilent Technologies (6410 Triple Quadrupole mass spectrometer) equipped with an equipped with an electrospray source (Polarity: positive or negative ions, MS2 Scan, Capillary: 7.00 kV, Fragmentor: 120 V, Desolvatation Temperature: 350°C, Gas Flow: 1 1 L/min, Nebulizer Gas: 40 psi, Mass range: 110 to 650 Da) and a 1200 Series HPLC from Agilent: quaternary pump, heated column compartment and diode-array detector. Column: KINETEX EVO C18, 2.6 pm, 50 x 4.6 mm, Temp: 40 °C, DAD Wavelength (nm): 254, Solvent Gradient: A = water + 5% Acetonitrile + 0.1 % HCOOH, B= Acetonitrile + 0.1 % HCOOH, gradient: 0 min 10% B, 90% A; 0.9-1 .8 min 100% B; 1.8-2.2 min 100-10% B; 2.2-2.5 min 10% B; Flow (mL/min) 1.8.
Method 2:
Spectra were recorded on a mass spectrometer from Waters (SQD, SQDII Single quadrupole mass spectrometer) equipped with an electrospray source (Polarity: positive and negative ions, Capillary: 3.00 kV, Cone range: 41 V, Extractor: 2.00 V, Source Temperature: 150°C, Desolvatation Temperature: 5000°C, Cone Gas Flow: 50 L/h, Desolvatation Gas Flow: 1000 L/h, Mass range: 110 to 800 Da) and an Acquity UPLC from Waters: Binary pump, heated column compartment, diode-array detector and ELSD detector. Column: Waters UPLC HSS T3, 1.8 pm, 30 x 2.1 mm, Temp: 40 °C, PDA Wavelength range (nm): 200 to 400, Solvent Gradient: A = water + 5% Acetonitrile + 0.1 % HCOOH, B = Acetonitrile + 0.05 % HCOOH, gradient: 10-100% B in 1.3 min; Flow (mL/min) 0.6.
Method 3:
Spectra were recorded on a mass spectrometer from Waters (SQD, SQDII or QDA Single quadrupole mass spectrometer) equipped with an electrospray source (Polarity: positive and negative ions), Capillary: 0.8-3.00 kV, Cone: 5-30 V, Source Temperature: 120-150°C, Desolvation Temperature: 350- 600°C, Cone Gas Flow: 50-150 l/h, Desolvation Gas Flow: 650-1000 l/h, Mass range: 50 to 900 Da and an Acquity UPLC from Waters Corporation: Binary pump, heated column compartment , diode-array detector and ELSD. Column: Waters UPLC HSS T3, 1.8 pm, 30 x 2.1 mm, Temp: 60°C, DAD
Wavelength range (nm): 210 to 400, Runtime: 1.5 min; Solvents: A = water + 5% MeOH + 0.05 % HCOOH, B= Acetonitrile + 0.05 % HCOOH; Flow (ml/min) 0.85, Gradient: 10% B isocratic for 0.2 min, then 10-100% B in 1.0 min, 100% B isocratic for 0.2min, 100-10% B in 0.05min, 10% B isocratic for 0.05 min.
Method 4:
Spectra were recorded on a Mass Spectrometer from Waters (SQD2 or QDA Single quadrupole mass spectrometer) equipped with an electrospray source (Polarity: Positive and Negative Polarity Switch), Capillary: 0.8-3.00 kV, Cone range: 25 Source Temperature: 120-150°C, Desolvation Temperature: 500-600°C, Cone Gas Flow: 50 L/h, Desolvation Gas Flow: 1000 L/h, Mass range: 110 to 850 Da) and an Acquity UPLC from Waters: Quaternary solvent manager, heated column compartment , diode-array detector. Column: Acquity UPLC HSS T3 C18, 1.8 pm, 30 x 2.1 mm, Temp: 40 °C, DAD Wavelength range (nm): 200 to 400, Solvent Gradient: A = water + 5% Acetonitrile + 0.1 % HCOOH, B= Acetonitrile + 0.05 % HCOOH: gradient: 0 min 10% B; 0.-0.2 min 10-50% B; 0.2-0.6 min 50-100% B; 0.6-1 .3 min 100% B; 1 .3-1 .4 min 100-10% B; 1.4-1 .6 min 10% B; Flow (mL/min) 0.6.
Method 5:
Spectra were recorded on a Mass Spectrometer from Waters (SQD2 or QDA Single quadrupole mass spectrometer) equipped with an electrospray source (Polarity: Positive and Negative Polarity Switch), Capillary: 0.8-3.00 kV, Cone range: 25 Source Temperature: 120-150°C, Desolvation Temperature: 500-600°C, Cone Gas Flow: 50 L/h, Desolvation Gas Flow: 1000 L/h, Mass range: 110 to 850 Da) and an Acquity UPLC from Waters: Quaternary solvent manager, heated column compartment , diodearray detector. Column: Acquity UPLC HSS T3 C18, 1 .8 pm, 30 x 2.1 mm, Temp: 40 °C, DAD Wavelength range (nm): 200 to 400, Solvent Gradient: A = water + 5% Acetonitrile + 0.1 % HCOOH, B= Acetonitrile + 0.05 % HCOOH: gradient: 0 min 10% B; 0.0-0.5 min 10% B; 0.5-2 min 100% B; 2-3 min 100% B; 3-3.5 min 10% B; 3.5-4 min 10% B; Flow (mL/min) 0.6.
Example 1 : Preparation of 6-chloro-N-[(1 S)-1-[2-[6-(isopropylideneamino)oxypyridazin-3-yl]-1 ,2,4- triazol-3-yl]ethyl]-8-(trifluoromethyl)quinazolin-4-amine (compound P2)
Preparation of tert-butyl N-[(1 S)-1 -[2-(6-chloropyridazin-3-yl)-1 ,2,4-triazol-3-yl]ethyl]carbamate
(1-1)
To a stirred solution of tert-butyl N-[(1 S)-2-[(E)-dimethylaminomethyleneamino]-1-methyl-2-oxo- ethyl]carbamate (CAS 2641011 -39-2, prepared as described for example in WO21/083936) (5 g, 20.55 mmol) in 1 ,4-dioxane (50 mL) was added 3-chloro-6-hydrazinopyridazine (CAS 17284-97-8) (3.27 g, 22.61 mmol), followed by acetic acid (50 mL). The reaction mixture was heated to 80°C for 2 hours, then cooled to RT and concentrated in vacuo. The residue was diluted with water and the product extracted with EtOAc. The combined organic layers were washed with a saturated aqueous sodium bicarbonate solution, water and brine, dried over sodium sulfate and concentrated under reduced pressure. The crude was purified by combiflash (gradient ethyl acetate in cyclohexane) to afford tert-butyl N-[(1 S)-1- [2-(6-chloropyridazin-3-yl)-1 ,2,4-triazol-3-yl]ethyl]carbamate (1-1).
LCMS (method 2): retention time 0.98 min, m/z 269/271 [M+H-tBu]+, 225/227 [M+H-Boc]+. triazol-3-yl]ethyl]ammonium;chloride
A mixture of tert-butyl N-[(1 S)-1-[2-(6-chloropyridazin-3-yl)-1 ,2,4-triazol-3-yl]ethyl]carbamate (1-1) (2.5 g, 7.7 mmol) and hydrochloric acid (4M in dioxane) (29 mL, 120 mmol) was stirred at RT for 16 h. The reaction mixture was concentrated to dryness in vacuo, the obtained residue stirred with cyclohexane and TBME, and the resulted solid filtered and dried to afford [(1 S)-1-[2-(6-chloropyridazin-3-yl)-1 ,2,4- triazol-3 yl]ethyl]ammonium;chloride (I-2) as white solid.
LCMS (method 1): retention time 0.30 min, m/z 225/227 [M+H]+ of the free base.
1H NMR (400 MHz, DMSO-cfe) 6 ppm 8.92 (br s, 3H), 8.49 (s, 1 H), 8.31 (d, 1 H), 8.26 (d, 1 H), 5.31 (m, 1 H), 1.66 (d, 3H).
Preparation of 6-chloro-N-[(1 S)-1-[2-(6-chloropyridazin-3-yl)-1 ,2,4-triazol-3-yl]ethyl]-8-
(trifluoromethyl)quinazolin-4-amine (I-3)
(I-3) To a mixture of 4,6-dichloro-8-(trifluoromethyl)quinazoline (CAS 1565368-05-9) (1.1 g, 4.1 mmol) and [(1S)-1-[2-(6-chloropyridazin-3-yl)-1,2,4-triazol-3-yl]ethyl]ammonium;chloride (I-2) (1.3 g, 4.9 mmol) in a microwave vial was added tetrahydrofuran (17 mL), followed by triethylamine (2.9 mL, 21 mmol). The vial was sealed and heated in the microwave at 100°C for 1 h. The reaction mixture was concentrated to dryness in vacuo, the obtained residue redissolved in minimum quantity of ethanol and the product precipitated by addition of water under stirring. The solid was filtered and dried in vacuo to afford 6- chloro-N-[(1S)-1-[2-(6-chloropyridazin-3-yl)-1,2,4-triazol-3-yl]ethyl]-8-(trifluoromethyl)quinazolin-4- amine (I-3) as a solid. LCMS (method 1): retention time 1.50 min, m/z 455/457 [M+H]+. Step D: Preparation of 6-chloro-N-[(1S)-1-[2-[6-(isopropylideneamino)oxypyridazin-3-yl]-1,2,4-triazol-3- yl]ethyl]-8-(trifluoromethyl)quinazolin-4-amine (compound P2)
To a solution of 6-chloro-N-[1-[2-(6-chloropyridazin-3-yl)-1,2,4-triazol-3-yl]ethyl]-8-(trifluoro- methyl)quinazolin-4-amine (I-3) (60 mg, 0.132 mmol) in N,N-dimethylformamide (1.2 mL) were added cesium carbonate (64 mg, 0.197 mmol) and propan-2-one oxime (14 mg, 0.197 mmol). The reaction mixture was heated at 60°C for 16 h, cooled to room temperature and diluted with water. The product was extracted with EtOAc, the organic layer washed well with water and brine, dried over sodium sulfate, filtered and concentrated in vacuo. The residue was purified by combiflash (gradient ethyl acetate in cyclohexane) to afford 6-chloro-N-[(1S)-1-[2-[6-(isopropylideneamino)oxypyridazin-3-yl]-1,2,4-triazol-3- yl]ethyl]-8-(trifluoromethyl)quinazolin-4-amine (compound P2) as an off-white solid. LCMS (method 3): retention time 1.07 min, m/z 492/494 [M+H]+. 1H NMR (400 MHz, CDCl3) δ ppm 8.50 (m, 1H), 8.44 (s, 1H), 8.21 (d, 1H), 8.14 (s, 1H), 7.92 (m, 1H), 7.80 (d, 1H), 7.77 (m, 1H), 6.41 (quin, 1H), 2.24 (s, 3H), 2.15 (s, 3H), 1.94 (d, 3H).
Example 2: Preparation of 6-chloro-N-[(1S)-1-[2-[6-(pyrimidin-2-ylmethoxy)pyridazin-3-yl]-1,2,4-triazol- 3-yl]ethyl]-8-(trifluoromethyl)quinazolin-4-amine (compound P6)
To a stirred solution of pyrimidin-2-ylmethanol (73 mg, 0.65 mmol) in tetrahydrofuran (3.75 mL) was added sodium hydride (60 mass% in oil, 33 mg, 0.83 mmol) at RT, followed by 6-chloro-N-[(1S)-1-[2- (6-chloropyridazin-3-yl)-1,2,4-triazol-3-yl]ethyl]-8-(trifluoromethyl)quinazolin-4-amine (I-3) (250 mg, 0.55 mmol). The reaction mixture was stirred at RT for 2 h, then quenched carefully with water. The product was extracted with EtOAc, the combined organic layers washed with water and brine, dried over sodium sulfate and concentrated in vacuo. The residue was purified by combiflash (gradient ethyl acetate in cyclohexane) to afford of 6-chloro-N-[(1S)-1-[2-[6-(pyrimidin-2-ylmethoxy)pyridazin-3-yl]-1,2,4-triazol-3- yl]ethyl]-8-(trifluoromethyl)quinazolin-4-amine (compound P6) as an off-white solid. LCMS (method 1): retention time 1.41 min, m/z 529/531 [M+H]+. 1H NMR (400 MHz, CDCl3) δ ppm 8.80 (d, 2H), 8.72 (m, 1H), 8.48 (s, 1H), 8.21 (d, 1H), 8.16 (s, 1H), 7.92 (m, 1H), 7.78 (m, 1H), 7.54 (d, 1H), 7.31 (t, 1H), 6.40 (quin, 1H), 5.95 (s, 2H), 1.92 (d, 3H). Example 3: Preparation of 6-chloro-N-[(1S)-1-[2-(6-ethoxypyridazin-3-yl)-1,2,4-triazol-3-yl]ethyl]-8- (trifluoromethyl)quinazolin-4-amine (compound P4)
To a solution of 6-chloro-N-[(1S)-1-[2-(6-chloropyridazin-3-yl)-1,2,4-triazol-3-yl]ethyl]-8- (trifluoromethyl)quinazolin-4-amine (I-3) (250 mg, 0.55 mmol) in ethanol (2.5 mL) was added potassium carbonate (230 mg, 1.648 mmol). The reaction mixture was heated at 60°C for 16 h, then evaporated to dryness in vacuo. Water was added to the residue, the obtained solid filtered and dried. The crude was purified by reverse phase column chromatography (gradient acetonitrile in water) to afford 6-chloro- N-[(1S)-1-[2-(6-ethoxypyridazin-3-yl)-1,2,4-triazol-3-yl]ethyl]-8-(trifluoromethyl)-quinazolin-4-amine (compound P4) as a white solid.
LCMS (method 1): retention time 1.62 min, m/z 465/467 [M+H]+. 1H NMR (400 MHz, CDCl3) δ ppm 8.66 (m, 1H), 8.48 (s, 1H), 8.13 (s, 1H), 8.12 (d, 1H), 7.94 (m, 1H), 7.81 (m, 1H), 7.28 (d, 1H), 6.41 (quin, 1H), 4.70 (q, 2H), 1.92 (d, 3H), 1.54 (t, 3H). Example 4: Preparation of 6-chloro-8-iodo-N-[(1S)-1-[2-(6-methoxypyridazin-3-yl)-1,2,4-triazol-3- yl]ethyl]quinazolin-4-amine (compound P8) (P8) Step A: Preparation of tert-butyl N-[(1S)-1-[2-(6-methoxypyridazin-3-yl)-1,2,4-triazol-3- yl]ethyl]carbamate (I-4) (I-4) To a solution of tert-butyl N-[(1S)-1-[2-(6-chloropyridazin-3-yl)-1,2,4-triazol-3-yl]ethyl]carbamate (I-1) (1.0 g, 2.93 mmol ) in methanol (10 mL) was added potassium carbonate (1.021 g, 7.31 mmol) and the reaction mixture was heated at 60°C for 16 h. The solvent was evaporated under reduced pressure, water added to the residue and the product extracted with ethyl acetate (3x). The combined organic layers were washed with water and brine, dried over sodium sulfate, filtered and concentrated in vacuo. The residue was purified by combiflash (gradient EtOAc in cyclohexane) to afford tert-butyl N-[(1S)-1- [2-(6-methoxypyridazin-3-yl)-1,2,4-triazol-3-yl]ethyl]carbamate (I-4) as a as solid. LCMS (method 2): retention time 1.05 min, m/z 321 [M+H]+. 1H NMR (400 MHz, CDCl3) δ ppm 7.99 (s, 1H), 7.98 (d, 1H), 7.18 (d, 1H), 5.73 (quin, 1H), 5.54 (br s, 1H), 4.20 (s, 3H), 1.66 (d, 3H), 1.39 (br s, 9H). Step B: Preparation of [(1S)-1-[2-(6-methoxypyridazin-3-yl)-1,2,4-triazol-3-yl]ethyl]ammonium; 2,2,2- trifluoroacetate (I-5)
(I-5) A mixture of tert-butyl N-[(1S)-1-[2-(6-methoxypyridazin-3-yl)-1,2,4-triazol-3-yl]ethyl]carbamate (I-4) (200 mg, 0.56 mmol) in 2,2,2-trifluoroacetic acid (2.5 mL) was stirred at room temperature for 3 h, then concentrated to dryness in vacuo. The residue was stirred in TBME, the resulted solid filtered and dried under reduced pressure to afford [(1S)-1-[2-(6-methoxypyridazin-3-yl)-1,2,4-triazol-3- yl]ethyl]ammonium; 2,2,2-trifluoroacetate (I-5) as a white solid. LCMS (method 3): retention time 0.14 min, m/z 221 [M+H]+ of the free base. 1H NMR (400 MHz, DMSO-d6) δ ppm 8.61 (br s, 3H), 8.43 (s, 1H), 8.14 (d, 1H), 7.59 (d, 1H), 5.27 (m, 1H), 4.12 (s, 3H), 1.63 (d, 3H). Step C: Preparation of 6-chloro-8-iodo-N-[(1S)-1-[2-(6-methoxypyridazin-3-yl)-1,2,4-triazol-3- yl]ethyl]quinazolin-4-amine (compound P8) (P8) To a mixture of 4,6-dichloro-8-iodo-quinazoline (CAS 100949-33-5) (130 mg, 0.36 mmol, 90 mass%) and [(1S)-1-[2-(6-methoxypyridazin-3-yl)-1,2,4-triazol-3-yl]ethyl]ammonium; 2,2,2-trifluoroacetate (I-5) (120 mg, 0.36 mmol) in a microwave vial was added tetrahydrofuran (1.95 mL), followed by triethylamine (0.252 mL, 1.8 mmol). The vial was sealed and heated in the microwave at 100°C for 1 h. The reaction mixture was concentrated to dryness in vacuo and the semi solid residue purified by combiflash (gradient EtOAc in cyclohexane) to afford 6-chloro-8-iodo-N-[(1S)-1-[2-(6-methoxypyridazin-3-yl)-1,2,4-triazol-3- yl]ethyl]quinazolin-4-amine (compound P8) as a white solid. LCMS (method 2): retention time 1.05 min, m/z 509/511 [M+H]+. 1H NMR (400 MHz, DMSO-d6) δ ppm 8.91 (d, 1H), 8.59 (m, 1H), 8.39 (m, 1H), 8.22 (s, 1H), 8.16 (s, 1H), 8.01 (d, 1H), 7.49 (d, 1H), 6.03 (quin, 1H), 4.05 (s, 3H), 1.76 (d, 3H). Example 5: Preparation of 6-[5-[(1S)-1-[[8-chloro-6-(trifluoromethyl)quinazolin-4-yl]amino]ethyl]-1,2,4- triazol-1-yl]pyridazin-3-ol (compound P9)
To a mixture of [(1S)-1-[2-(6-oxo-1H-pyridazin-3-yl)-1,2,4-triazol-3-yl]ethyl]ammonium;chloride (I-7) (140 mg, 0.576 mmol) and 4,8-dichloro-6-(trifluoromethyl)quinazoline (prepared in analogy to descriptions found in WO 2021/083936) (169 mg, 0.634 mmol) in a microwave vial was added tetrahydrofuran (2.8 mL), followed by triethylamine (0.404 mL, 2.884 mmol). The vial was sealed and heated in the microwave at 100°C for 1 h. The reaction mixture was concentrated to dryness in vacuo and the gummy residue purified by combiflash (gradient EtOAc in cyclohexane) to afford of 6-[5-[(1S)- 1-[[8-chloro-6-(trifluoromethyl)quinazolin-4-yl]amino]ethyl]-1,2,4-triazol-1-yl]pyridazin-3-ol (compound P9) as a white solid. LCMS (method 2): retention time 0.99 min, m/z 437/439 [M+H]+. 1H NMR (400 MHz, DMSO-d6) δ ppm 13.25 (s, 1H), 9.29 (d, 1H), 8.89 (m, 1H), 8.45 (s, 1H), 8.30 (m, 1H), 8.17 (s, 1H), 7.78 (d, 1H), 7.10 (d, 1H), 5.90 (quin, 1H),1.72 (d, 3H). Example 6: Preparation of 3-[5-[(1S)-1-[(6-chloro-8-iodo-quinazolin-4-yl)amino]ethyl]-1,2,4-triazol-1- yl]-1H-pyridazin-6-one (compound P11)
6-Chloro-8-iodo-N-[(1S)-1-[2-(6-methoxypyridazin-3-yl)-1,2,4-triazol-3-yl]ethyl]quinazolin-4-amine (P8) (250 mg, 0.47 mmol) was dissolved in hydrochloric acid (4M in dioxane) (2.334 mL, 9.34 mmol) at RT. The reaction mixture was stirred at 60°C for 4 h, cooled to room temperature and neutralized by addition of an aqueous saturated solution of sodium hydrogen carbonate. The mixture was stirred for 30 min, the formed precipitate filtered and the solid washed with water, then dried in vacuo to afford 3- [5-[(1S)-1-[(6-chloro-8-iodo-quinazolin-4-yl)amino]ethyl]-1,2,4-triazol-1-yl]-1H-pyridazin-6-one (P11) as white solid. LCMS (method 4): retention time 0.97 min, m/z 495/497 [M+H]+. 1H NMR (400 MHz, DMSO-d6) δ ppm 13.25 (br s, 1H), 8.92 (d, 1H), 8.60 (d, 1H), 8.39 (d, 1H), 8.31 (s, 1H), 8.14 (s, 1H), 7.77 (d, 1H), 7.11 (d, 1H), 5.84 (quin, 1H), 1.69 (d, 3H).
Example 7: Preparation of 6-chloro-N-[(1S)-1-[2-(6-ethoxypyridazin-3-yl)-1,2,4-triazol-3-yl]ethyl]-N- methyl-8-(trifluoromethyl)quinazolin-4-amine (compound P20)
A mixture of 6-chloro-N-[(1S)-1-[2-(6-ethoxypyridazin-3-yl)-1,2,4-triazol-3-yl]ethyl]-8- (trifluoromethyl)quinazolin-4-amine (P4) (250 mg, 0.48 mmol), methyl iodide (217 mg, 1.45 mmol) and cesium carbonate (498 mg, 1.45 mmol) in acetonitrile (2.5 mL) was stirred at room temperature for 16 hours. The reaction mixture was diluted with water and the product extracted twice with ethyl acetate. The combined organic layers were washed with brine, dried over sodium sulfate, filtered and concentrated under reduced pressure. The residue was purified by combiflash (EtOAc in cyclohexane) to afford 6-chloro-N-[(1S)-1-[2-(6-ethoxypyridazin-3-yl)-1,2,4-triazol-3-yl]ethyl]-N-methyl-8-(trifluoro- methyl)quinazolin-4-amine (P20) as a white solid. LCMS (method 4): retention time 1.19 min, m/z 479/481 [M+H]+. 1H NMR (400 MHz, DMSO-d6) δ ppm 8.47 (s, 1H), 8.30 (s, 1H), 8.22 (d, 1H), 8.00 (d, 1H), 7.90 (d, 1H), 7.34 (d, 1H), 6.48 (q, 1H), 4.18 (dq, 1H), 4.04 (dq, 1H), 3.13 (s, 3H), 1.86 (d, 3H), 1.16 (t, 3H). Example 8: Preparation of 3-[5-[(1S)-1-[[6-chloro-8-(trifluoromethyl)quinazolin-4-yl]-methyl- amino]ethyl]-1,2,4-triazol-1-yl]-1H-pyridazin-6-one (compound P27)
6-Chloro-N-[(1S)-1-[2-(6-methoxypyridazin-3-yl)-1,2,4-triazol-3-yl]ethyl]-N-methyl-8-(trifluoro- methyl)quinazolin-4-amine (P19) (100 mg, 0.20 mmol) was dissolved in hydrochloric acid (4M in dioxane) (1.02 mL, 4.09 mmol) at RT. The reaction mixture was stirred at RT for 16 h, then at 60°C for 2 h, cooled to room temperature and neutralized by addition of an aqueous saturated solution of sodium hydrogen carbonate. The mixture was stirred for 30 min, the formed precipitate filtered and the solid washed with water, then dried in vacuo to afford 3-[5-[(1S)-1-[[6-chloro-8-(trifluoro- methyl)quinazolin-4-yl]-methyl-amino]ethyl]-1,2,4-triazol-1-yl]-1H-pyridazin-6-one (P27) as a white solid. LCMS (method 4): retention time 1.04 min, m/z 451/453 [M+H]+.
1H NMR (400 MHz, DMSO-d6) δ ppm 13.05 (s, 1H), 8.49 (s, 1H), 8.26 (s, 1H), 8.22 (d, 1H), 8.20 (d, 1H), 7.84 (d, 1H), 7.05 (d, 1H), 6.32 (q, 1H), 3.28 (s, 3H), 1.74 (d, 3H). Example 9: Preparation of 6-[5-[(1S)-1-[[6-chloro-8-(trifluoromethyl)quinazolin-4-yl]amino]ethyl]-1,2,4- triazol-1-yl]pyridazin-3-ol (compound P7) (P7) To a solution of 6-chloro-N-[(1S)-1-[2-(6-chloropyridazin-3-yl)-1,2,4-triazol-3-yl]ethyl]-8- (trifluoromethyl)quinazolin-4-amine (I-3) (500 mg, 1.09 mmol) and (E)-benzaldehyde oxime (205 mg, 1.64 mmol) in acetonitrile (10 mL) was added potassium carbonate (383 mg, 2.74 mmol) at room temperature. The reaction mixture was stirred at 80°C for 4 hours, cooled to room temperature, diluted with water, acidified using an aqueous 2N HCl solution and the product extracted twice with ethyl acetate. The combined organic layers were washed with water and brine, dried over anhydrous sodium sulfate, filtered and concentrated under reduced pressure. The residue was purified by combiflash (EtOAc in cyclohexane) to afford 6-[5-[(1S)-1-[[6-chloro-8-(trifluoromethyl)quinazolin-4- yl]amino]ethyl]-1,2,4-triazol-1-yl]pyridazin-3-ol (P7) as an off-white solid. LCMS (method 3): retention time 0.96 min, m/z 437/439 [M+H]+. 1H NMR (400 MHz, DMSO-d6) δ ppm 13.28 (s, 1H), 9.07 (d, 1H), 8.87 (d, 1H), 8.37 (s, 1H), 8.21 (d, 1H), 8.15 (s, 1H), 7.79 (d, 1H), 7.12 (d, 1H), 5.85 (quin, 1H), 1.70 (d, 3H). Example 10: Preparation of 3-[5-[(1S)-1-[(8-chloro-6-iodo-quinazolin-4-yl)-methyl-amino]ethyl]-1,2,4- triazol-1-yl]-1H-pyridazin-6-one (compound P25) (P25) Step A: Preparation of 8-chloro-N-[(1S)-1-[2-(6-chloropyridazin-3-yl)-1,2,4-triazol-3-yl]ethyl]-6-iodo-N- methyl-quinazolin-4-amine (intermediate I-20)
A mixture of 8-chloro-N-[(1S)-1-[2-(6-chloropyridazin-3-yl)-1,2,4-triazol-3-yl]ethyl]-6-iodo-quinazolin-4- amine (I-15) (310 mg, 0.604 mmol), iodomethane (1.81 mmol) and cesium carbonate (1.81 mmol) in acetonitrile (3 mL) was stirred at room temperature for 16 hours. The reaction mixture was diluted with water and the product extracted twice with ethyl acetate. The combined organic layers were washed with brine, dried over anhydrous sodium sulfate, filtered and concentrated under reduced pressure. The residue was purified by combiflash (EtOAc in cyclohexane) to afford 8-chloro-N-[(1S)-1-[2-(6- chloropyridazin-3-yl)-1,2,4-triazol-3-yl]ethyl]-6-iodo-N-methyl-quinazolin-4-amine (I-20) as a white solid. LCMS (method 5): retention time 2.06 min, m/z 527/529 [M+H]+. 1H NMR (400 MHz, DMSO-d6) δ ppm 8.39 (s, 1H), 8.37 (s, 1H), 8.26 (d, 1H), 8.24 (d, 1H), 8.13 (d, 1H), 7.91 (d, 1H), 6.46 (q, 1H), 3.19 (s, 3H), 1.83 (d, 3H). Step B: Preparation of 3-[5-[(1S)-1-[(8-chloro-6-iodo-quinazolin-4-yl)-methyl-amino]ethyl]-1,2,4-triazol- 1-yl]-1H-pyridazin-6-one (compound P25)
To a mixture of 8-chloro-N-[(1S)-1-[2-(6-chloropyridazin-3-yl)-1,2,4-triazol-3-yl]ethyl]-6-iodo-N-methyl- quinazolin-4-amine (intermediate I-20) (100 mg, 0.171 mmol) and (E)-benzaldehyde oxime (32 mg, 0.256 mmol) in acetonitrile (2 mL) was added potassium carbonate (0.427 mmol) at room temperature. The reaction mixture was heated and stirred at 60°C for 16 hours, cooled to room temperature, diluted with water and extracted with ethyl acetate. The aqueous layer was acidified with an aqueous 2N HCl solution, the mixture stirred for 15 minutes, the precipitated solid filtered, then dried in vacuo to afford 3-[5-[(1S)-1-[(8-chloro-6-iodo-quinazolin-4-yl)-methyl-amino]ethyl]-1,2,4-triazol-1-yl]-1H-pyridazin-6- one (P25) as an off-white solid. LCMS (method 4): retention time 1.00 min, m/z 509/511 [M+H]+. 1H NMR (400 MHz, DMSO-d6) δ ppm 12.98 (s, 1H), 8.47 (s, 1H), 8.25 (m, 2H), 8.10 (d, 1H), 7.82 (d, 1H), 7.03 (d, 1H), 6.25 (q, 1H), 3.21 (s, 3H), 1.74 (d, 3H).
Example 11: Preparation of 6-chloro-8-iodo-N-[(1S)-1-[2-(6-methoxypyridazin-3-yl)-1,2,4-triazol-3- yl]ethyl]-N-methyl-quinazolin-4-amine (compound P26)
To a mixture of 6-chloro-N-[(1S)-1-[2-(6-chloropyridazin-3-yl)-1,2,4-triazol-3-yl]ethyl]-8-iodo-N-methyl- quinazolin-4-amine (I-19) (175 mg, 0.315 mmol) in methanol (1.75 mL) was added potassium carbonate (0.788 mmol). The reaction mixture was heated at 60°C for 16 hours, then concentrated under reduced pressure and water was added to the residue. The mixture was stirred for 30 minutes, the formed precipitate filtered and the solid washed with water, then dried in vacuo to afford 6-chloro- 8-iodo-N-[(1S)-1-[2-(6-methoxypyridazin-3-yl)-1,2,4-triazol-3-yl]ethyl]-N-methyl-quinazolin-4-amine (P26) as an off-white solid. LCMS (method 4): retention time 1.18 min, m/z 523/525 [M+H]+. 1H NMR (400 MHz, DMSO-d6) δ ppm 8.42 (d, 1H), 8.36 (s, 1H), 8.28 (s, 1H), 7.96 (d, 1H), 7.71 (d, 1H), 7.36 (d, 1H), 6.39 (q, 1H), 3.81 (s, 3H), 3.10 (s, 3H), 1.87 (d, 3H). Example 12: Preparation of 6-chloro-N-[1-[3-(6-methoxypyridazin-3-yl)pyrazin-2-yl]ethyl]-8- (trifluoromethyl)quinazolin-4-amine (compound P39)
To a mixture of 4,6-dichloro-8-(trifluoromethyl)quinazoline (CAS 1565368-05-9) (580 mg, 2.17 mmol) and 1-[3-(6-methoxypyridazin-3-yl)pyrazin-2-yl]ethanamine (I-11) (553 mg, 2.39 mmol) in acetonitrile (11.6 mL) was added triethylamine (0.510 mL, 442 mg, 4.34 mmol). The reaction mixture was heated at 90°C for 1 h, cooled to RT, diluted with ice cold water (50mL) and the product extracted with ethyl acetate (5x 60mL). The combined organic layers were dried over Na2SO4, filtered and concentrated under reduced pressure. The residue was purified by combiflash (gradient EtOAc in cyclohexane) to afford 6-chloro-N-[1-[3-(6-methoxypyridazin-3-yl)pyrazin-2-yl]ethyl]-8-(trifluoromethyl)quinazolin-4- amine (P39) as a solid. LCMS (method 4): retention time 1.22 min, m/z 462/464 [M+H]+. 1H NMR (400 MHz, DMSO-d6) δ ppm 9.03 (d, 1H), 8.94 (d, 1H), 8.69 (d, 1H), 8.65 (d, 1H), 8.14-8.18 (m, 3H), 7.43 (d, 1H), 5.94 (quin, 1H), 4.11 (s, 3H), 1.79 (d, 3H).
Example 13: Preparation of 6-chloro-N-[(1S)-1-[2-(6-methoxypyridazin-3-yl)-1,2,4-triazol-3-yl]ethyl]-8- (trifluoromethylsulfonyl)quinazolin-4-amine (compound P43)
Step 1: Preparation of 6-chloro-8-(trifluoromethylsulfanyl)quinazolin-4-ol (I-27)
To a solution of 6-chloro-8-iodo-quinazolin-4-ol (CAS 101581-08-2) (4 g, 13.05 mmol) in degassed N,N-dimethylacetamide (40 mL) was added copper(I) trifluoromethanethiolate (4.94 g, 30.02 mmol) at room temperature. The reaction mixture was heated at 90°C for 48 hours. After cooling, the mixture was diluted with aqueous 2N HCl (100 mL) and water (300 mL). The precipitated solid was filtered, the solid re-dissolved in ethyl acetate and the solution passed though a celite bed. The filtrate was dried over sodium sulfate, filtered and concentrated in vacuo. The residue was purified by combiflash (ethyl acetate in cyclohexane) to afford 6-chloro-8-(trifluoromethylsulfanyl)quinazolin-4-ol (I-27) as a pale brown solid. LCMS (method 4): retention time 1.11 min, m/z 279/281 [M-H]-. 1H NMR (DMSO-d6) δ: 12.79 (br s, 1H), 8.31 (s, 1H), 8.20 (s, 1H), 8.13 (s, 1H). Step 2: Preparation of 6-chloro-8-(trifluoromethylsulfonyl)quinazolin-4-ol (I-22)
To a solution of 6-chloro-8-(trifluoromethylsulfanyl)quinazolin-4-ol (I-27) (0.65 g, 2.32 mmol) in acetonitrile (6.5 mL), carbon tetrachloride (6.5 mL) and water (13 mL) was added ruthenium(III) chloride (0.048 g, 0.23 mmol), followed by sodium periodate (1.05 g, 4.86 mmol) at room temperature. After addition, the reaction mixture was stirred at room temperature for 2 hours, then diluted with an aqueous solution of sodium metabisulfite and the product extracted twice with EtOAc. The combined organic layers were washed with brine, dried over sodium sulfate, filtered and concentrated in vacuo. The residue was purified by combiflash (ethyl acetate in cyclohexane) to afford 6-chloro-8-
(trifluoromethylsulfonyl)quinazolin-4-ol (I-22) as white solid. LCMS (method 4): retention time 1.08 min, m/z 313/315 [M+H]+.1H NMR (DMSO-d6) δ: 13.05 (br s, 1H), 8.60 (d, 1H), 8.53 (d, 1H), 8.43 (s, 1H). Step 3: Preparation of 4,6-dichloro-8-(trifluoromethylsulfonyl)quinazoline (I-28)
A mixture of 6-chloro-8-(trifluoromethylsulfonyl)quinazolin-4-ol (I-22) (0.43 g, 1.37 mmol), thionyl chloride (117.9 mmol) and N,N-dimethylformamide (0.068 mmol) was heated at 100°C for 8 hours. The reaction mixture was concentrated under reduced pressure to afford crude 4,6-dichloro-8- (trifluoromethylsulfonyl)quinazoline (I-28) (460 mg) as pale yellow solid, which was used in the next step immediately.1H NMR (CDCl3) δ: 9.30 (s, 1H), 8.81 (d, 1H), 8.72 (d, 1H). Similarly, 4,6-dichloro-8-(difluoromethylsulfonyl)quinazoline (I-29) can be obtained from 6-chloro-8- (difluoromethylsulfonyl)quinazolin-4-ol (I-21) with above protocol. 1H NMR (400 MHz, DMSO-d6) δ ppm 8.58 (s, 1H), 8.07 (d, 1H), 7.96 (d, 1H), 7.89 (t, 1H). Preparation of 6-chloro-N-[(1S)-1-[2-(6-methoxypyridazin-3-yl)-1,2,4-triazol-3-yl]ethyl]-8- (trifluoromethylsulfonyl)quinazolin-4-amine (compound P43)
To a mixture of 4,6-dichloro-8-(trifluoromethylsulfonyl)quinazoline (I-28) (0.800 g, 2.17 mmol, 90%) and [(1S)-1-[2-(6-methoxypyridazin-3-yl)-1,2,4-triazol-3-yl]ethyl]ammonium;chloride (I-5b) (0.930 g, 3.26 mmol, 90%) in tetrahydrofuran (8.00 mL) was added triethylamine (0.667 g, 0.918 mL, 6.52 mmol) dropwise at room temperature. After addition, the reaction mixture was heated at 45°C for 1 h, then quenched with water and the product extracted twice with ethyl acetate. The combined organic layers were washed with an aqueous saturated solution of NaHCO3 and brine, dried over anhydrous sodium sulfate, filtered and concentrated under reduced pressure. The residue was adsorbed on celite and purified by reverse phase column chromatography (C18 (40-60µm), elution with water:ACN) to afford 6-chloro-N-[(1S)-1-[2-(6-methoxypyridazin-3-yl)-1,2,4-triazol-3-yl]ethyl]-8-(trifluoromethyl- sulfonyl)quinazolin-4-amine (compound P43) as white solid. LCMS (method 4): retention time 1.14
min, m/z 515/517 [M+H]+.1H NMR (400 MHz, DMSO-d6) δ ppm 9.34 (br d, 1H), 9.14 (d, 1H), 8.53 (d, 1H), 8.34 (s, 1H), 8.19 (s, 1H), 8.04 (d, 1H), 7.51 (d, 1H), 6.07 (quint, 1H), 4.04 (s, 3H), 1.78 (d, 3H). Example 14: Preparation of 2-[6-[5-[(1S)-1-[[6-chloro-8-(trifluoromethyl)quinazolin-4-yl]amino]ethyl]- 1,2,4-triazol-1-yl]pyridazin-3-yl]oxyacetonitrile (compound P47)
To a solution of 2-[6-[5-[(1S)-1-[[6-chloro-8-(trifluoromethyl)quinazolin-4-yl]amino]ethyl]-1,2,4-triazol-1- yl]pyridazin-3-yl]oxyacetamide (P49) (0.32 g, 0.58 mmol) in tetrahydrofuran (6.4 mL) were added trifluoroacetic anhydride (0.21 mL, 1.46 mmol) and triethylamine (0.214 mL, 1.46 mmol) at 0°C. The reaction mixture was stirred at room temperature for 2 h, then cooled to 0°C, quenched with an aqueous saturated sodium bicarbonate solution and the product extracted with ethyl acetate. The organic layer was dried over anhydrous sodium sulfate, filtered and concentrated under reduced pressure. The residue was purified by combiflash (ethyl acetate in cyclohexane) to afford 2-[6-[5-[(1S)- 1-[[6-chloro-8-(trifluoromethyl)quinazolin-4-yl]amino]ethyl]-1,2,4-triazol-1-yl]pyridazin-3- yl]oxyacetonitrile (P47) as an off-white solid. LCMS (method 4): retention time 1.10 min, m/z 476/478 [M+H]+. 1H NMR (400 MHz, DMSO-d6) δ ppm 9.13 (br d, 1H), 8.92 (d, 1H), 8.25 (s, 1H), 8.20 (m, 3H), 7.74 (d, 1H), 6.10 (quint, 1H), 5.48 (s, 2H), 1.79 (d, 3H). Table P: Physical data of compounds of formula (I)
Preparation of intermediates
Example PI-1 : Preparation of [(1 S)-1-[2-(6-oxo-1 H-pyridazin-3-yl)-1 ,2,4-triazol-3- yl]ethyl]ammonium;chloride (compound i-7)
(I-7)
Step A: Preparation of tert-butyl N-[(1S)-1-[2-(6-oxo-1 H-pyridazin-3-yl)-1 ,2,4-triazol-3- yl]ethyl]carbamate (I-6)
(I-6) To a solution of tert-butyl N-[(1S)-1-[2-(6-chloropyridazin-3-yl)-1,2,4-triazol-3-yl]ethyl]carbamate (I-1) (4.0 g, 12.32 mmol) and (E)-benzaldehyde oxime (1.99 g, 16.01 mmol) in N,N-dimethylformamide (40 mL) was added cesium carbonate (10.03 g, 30.79 mmol). The reaction mixture was stirred at 100°C for 2 h, cooled to room temperature and diluted with water. The product was extracted thoroughly with 60% ACN in EtOAc, the combined organic layers washed with brine, dried over sodium sulfate, filtered and concentrated in vacuo. The residue was purified by combiflash (EtOAc) to afford tert-butyl N-[(1S)-1-[2- (6-oxo-1H-pyridazin-3-yl)-1,2,4-triazol-3-yl]ethyl]carbamate (I-6) as a gum. LCMS (method 2): retention time 0.84 min, m/z 305 [M-H]-. 1H NMR (400 MHz, DMSO-d6) δ ppm 13.29 (s, 1H), 8.14 (s, 1H), 7.73 (d, 1H), 7.49 (d, 1H), 7.13 (d, 1H), 5.19 (quin, 1H), 1.42 (d, 3H), 1.30 (s, 9H). Preparation of [(1S)-1-[2-(6-oxo-1H-pyridazin-3-yl)-1,2,4-triazol-3-yl]ethyl]ammonium;chloride (compound I-7)
To a solution of tert-butyl N-[(1S)-1-[2-(6-oxo-1H-pyridazin-3-yl)-1,2,4-triazol-3-yl]ethyl]carbamate (I-6) (2 g, 5.88 mmol, 90 mass%) in CPME (20 mL) was added hydrochloric acid (4M in dioxane) (2.7 mL) at room temperature and the reaction mixture was stirred for 12 h. After further addition of hydrochloric acid (4M in dioxane) (3.6 mL) stirring was continued for another 12 h. The mixture was concentrated in vacuo and dried to afford [(1S)-1-[2-(6-oxo-1H-pyridazin-3-yl)-1,2,4-triazol-3-l]ethyl]ammonium;chloride (I-7) as a white solid. 1H NMR (400 MHz, DMSO-d6) δ ppm 13.33 (br s, 1H), 8.78 (br s, 3H), 8.37 (s, 1H), 7.88 (d, 1H), 7.17 (d, 1H), 4.99 (quin, 1H), 1.59 (d, 3H).
Preparation of 1-[3-(6-methoxypyridazin-3-yl)pyrazin-2-yl]ethanamine (compound I-11)
(I-11) Preparation of 1-(3-iodopyrazin-2-yl)ethanol (Int-A)
(Int-A) Under an argon atmosphere THF (35 mL) was cooled to 0°C. Then 2,2,6,6-tetramethylpiperidine (5.4 mL, 30.9 mmol, 1.34 equiv.) was added at 0°C followed by a dropwise addition of 2.5M n-BuLi (12 mL, 29.98 mmol, 1.3 equiv.). The reaction mixture was cooled to -78°C, then a solution of 2-iodopyrazine (5.0 g, 23.06 mmol, 1.0 equiv.) in THF (5 mL) was added dropwise. After stirring for 1 hour, acetaldehyde (12 mL, 210 mmol, 9.2 equiv.) was added dropwise at -78°C. After addition, the reaction mixture was allowed to warm up to room temperature before it was quenched with saturated aqueous ammonium chloride solution. The reaction mixture was diluted with water and a mixture of TBME and ethyl acetate. The aqueous layer was acidified with 1M HCl to pH 1-2. The phases were separated and the organic layer was washed with brine, dried over sodium sulfate, filtered and concentrated in vacuo. The crude extract was purified by flash chromatography (0-10% ethyl acetate in cyclohexane) to afford 1-(3- iodopyrazin-2-yl)ethanol. LCMS (method 3): retention time 0.54 min, m/z 251 [M+H]+. 1H NMR (400 MHz, CDCl3) δ ppm 8.47 (d, 1H), 8.31 (d, 1H), 5.10 (dd, 1H), 3.66-3.73 (m, 1H), 1.52 (d, 3H). Step B: Preparation of tert-butyl-[1-(3-iodopyrazin-2-yl)ethoxy]-dimethyl-silane (Int-B)
(Int-B) To a solution of 1-(3-iodopyrazin-2-yl)ethanol (Int-A) (1.20 g, 4.80 mmol, 1.0 equiv.) in THF (10 mL) was added imidazole (660 mg, 9.60 mmol, 2.0 equiv.) followed by tert-butyldimethylchlorosilane (1.1 mL, 5.76 mmol, 1.2 equiv.). The resulting reaction mixture was heated to 50°C and was stirred at this temperature for 2 hours before it was allowed to cool down to room temperature. The reaction mixture was filtered. The filtration cake was washed with TBME and the filtrate way concentrated in vacuo. The crude extract was purified by flash chromatography (0-3% ethyl acetate in cyclohexane) to afford tert- butyl-[1-(3-iodopyrazin-2-yl)ethoxy]-dimethyl-silane.
LCMS (method 3): retention time 1.30 min, m/z 365 [M+H]+. 1H NMR (400 MHz, CDCl3) δ ppm 8.52 (d, 1H), 8.24 (d, 1H), 5.31 (q, 1H), 1.51 (d, 3H), 0.88 (s, 9H), 0.07 (s, 3H), 0.05 (s, 3H). Step C: Preparation of tert-butyl-[1-[3-(6-methoxypyridazin-3-yl)pyrazin-2-yl]ethoxy]-dimethyl-silane (I- 8)
(I-8) To a degassed solution of tert-butyl-[1-(3-iodopyrazin-2-yl)ethoxy]-dimethyl-silane (Int-B) (500 mg, 1.37 mmol) in THF (8.9 mL) under argon at 0°C was added isopropylmagnesium chloride (2.0M in THF, 0.89 mL, 1.78 mmol) dropwise. After aging for 30 minutes, zinc chloride (1.9M in 2-methyl-tetrahydrofuran, 0,72 mL, 1.37 mmol) was added dropwise at 0°C and the mixture stirred at 0°C for 40 minutes, then allowed to warm to room temperature. A degassed solution of 3-bromo-6-methoxy-pyridazine (CAS 17321-29-8) (311 mg, 1.65 mmol) in a mixture of THF (0.75 mL) and toluene (0.75 mL) was added at room temperature, followed by a degassed solution of (2-dicyclohexylphosphino-2′,6′- dimethoxybiphenyl) [2-(2′-amino-1,1′-biphenyl)]palladium(II) methanesulfonate (SPhos Pd G3, 52 mg, 0.065 mmol) in a mixture of THF (0.75 mL) and toluene (0.75 mL). The reaction mixture was stirred at 60°C overnight, cooled, quenched carefully with a saturated aqueous ammonium chloride solution, and diluted with water and EtOAc. The layers were separated and the aqueous phase extracted once with EtOAc, the combined organic layer washed with brine, dried over magnesium sulfate, filtered and concentrated under reduced pressure. The residue was purified by flash column chromatography (gradient ethyl acetate in cyclohexane) to afford tert-butyl-[1-[3-(6-methoxypyridazin-3-yl)pyrazin-2- yl]ethoxy]-dimethyl-silane (I-8) as an oil. LCMS (method 3): retention time 1.24 min, m/z 347 [M+H]+. 1H NMR (400 MHz, CDCl3) δ ppm 8.72 (d, 1H), 8.58 (d, 1H), 8.06 (d, 1H), 7.15 (d, 1H), 5.83 (q, 1H), 4.26 (s, 3H), 1.75 (d, 3H), 0.73 (s, 9H), -0.17 (s, 3H), -0.22 (s, 3H). Preparation of 1-[3-(6-methoxypyridazin-3-yl)pyrazin-2-yl]ethanol (I-9)
(I-9)
To a solution under argon of tert-butyl-[1-[3-(6-methoxypyridazin-3-yl)pyrazin-2-yl]ethoxy]-dimethyl- silane (I-8) (548 mg, 1.58 mmol) in THF (15.8 mL) at 0°C was added tetrabutylammonium fluoride (1M solution in THF, 2.4 mL, 2.4 mmol). The reaction mixture was stirred at room temperature for 3 hours, then diluted with brine and ethyl acetate. The phases were separated and the aqueous layer basified with aqueous sodium hydrogen carbonate until pH 8 and extracted with ethyl acetate. The combined organic layers were dried over magnesium sulfate, filtered and concentrated under reduced pressure. The residue was purified by flash column chromatography (ethyl acetate/ethanol in cyclohexane) to afford 1-[3-(6-methoxypyridazin-3-yl)pyrazin-2-yl]ethanol (I-9), as a white solid. LCMS (method 3): retention time 0.60 min, m/z 233 [M+H]+. 1H NMR (400 MHz, CDCl3) δ ppm 8.66 (d, 1H), 8.62 (d, 1H), 8.28 (d, 1H), 7.20 (d, 1H), 5.42 (quin, 1H), 5.30 (d, 1H), 4.25 (s, 3H), 1.66 (d, 3H). Step E: Preparation of 2-[1-[3-(6-methoxypyridazin-3-yl)pyrazin-2-yl]ethyl]isoindoline-1,3-dione (I-10)
(I-10) To a solution under argon of 1-[3-(6-methoxypyridazin-3-yl)pyrazin-2-yl]ethanol (I-9) (330 mg, 1.42 mmol), phthalimide (232 mg, 1.56 mmol) and triphenylphosphine (452 mg, 1.71 mmol) in THF (4.3 mL) at 0°C was added diisopropyl azodicarboxylate (0.376 mL, 383 mg, 1.71 mmol). The reaction mixture was stirred at 0°C for 20 minutes, then at room temperature for 1.7 hours. The mixture was diluted with water and ethyl acetate, the layers were separated and the aqueous phase extracted once with ethyl acetate. The combined organic layers were dried over sodium sulfate, filtered and concentrated in vacuo. The residue was purified by flash column chromatography (gradient ethyl acetate in cyclohexane) to afford 2-[1-[3-(6-methoxypyridazin-3-yl)pyrazin-2-yl]ethyl]isoindoline-1,3-dione (I-10), as a white solid. LCMS (method 3): retention time 0.86 min, m/z 362 [M+H]+. 1H NMR (400 MHz, CDCl3) δ ppm 8.60 (d, 1H), 8.57 (d, 1H), 8.09 (d, 1H), 7.79 (m, 2H), 7.69 (m, 2H), 7.08 (d, 1H), 6.60 (q, 1H), 4.24 (s, 3H), 2.07 (d, 3H). Step F: Preparation of 1-[3-(6-methoxypyridazin-3-yl)pyrazin-2-yl]ethanamine (compound I-11)
(I-11) To a suspension of 2-[1-[3-(6-methoxypyridazin-3-yl)pyrazin-2-yl]ethyl]isoindoline-1,3-dione (I-10) (420 mg, 1.16 mmol) in EtOH (11.6 mL) was added hydrazine monohydrate (0.068 mL, 1.40 mmol). The reaction mixture was heated at 80°C for 6 hours, then cooled to 20°C and diluted with EtOAC and water. The mixture was acidified with aqueous 2M HCl and the organic layer separated and discarded. The aqueous layer was basified with aqueous 4N NaOH and extracted once each with EtOAc, Me-THF and EtOAc/EtOH (4:1). The combined organic layers were dried over magnesium sulfate, filtered and concentrated under reduced pressure to afford 1-[3-(6-methoxypyridazin-3-yl)pyrazin-2-yl]ethanamine (compound I-11) as light brown solid, which was used without further purification. LCMS (method 3): retention time 0.27 min, m/z 232 [M+H]+. 1H NMR (400 MHz, CDCl3) δ ppm 8.64 (d, 1H), 8.54 (d, 1H), 8.10 (d, 1H), 7.15 (d, 1H), 4.91 (br q, 1H), 4.24 (s, 3H), 2.22 (br s, 2H), 1.54 (d, 3H). Example PI-3: Preparation of (1S)-1-[2-(6-methoxypyridazin-3-yl)-1,2,4-triazol-3-yl]ethanamine (I-5a)
To a solution of [(1S)-1-[2-(6-chloropyridazin-3-yl)-1,2,4-triazol-3-yl]ethyl]ammonium;chloride (I-2) (600 mg, 2.30 mmol) in methanol (5.74 mL) was added potassium carbonate (953 mg, 6.89 mmol). The reaction mixture was stirred at 60°C for 1 h, cooled to room temperature and diluted with water and EtOAc. The layers were separated, brine was added to the aqueous phase and the product thoroughly extracted with EtOAc (4x). The combined organic layers were dried over magnesium sulfate, filtered and concentrated under reduce pressure to afford (1S)-1-[2-(6-methoxypyridazin-3-yl)-1,2,4-triazol-3- yl]ethanamine (I-5a) as an oil. LCMS (method 3): retention time 0.19 min, m/z 221 [M+H]+. 1H NMR (400 MHz, CDCl3) δ ppm 8.02 (d, 1H), 8.00 (s, 1H), 7.22 (d, 1H), 4.91 (q, 1H), 4.22 (s, 3H), 1.63 (d, 3H).
Preparation of 6-chloro-8-(difluoromethylsulfonyl)quinazolin-4-ol (I-21)
Preparation of 6-chloro-8-iodo-4-tetrahydropyran-2-yloxy-quinazoline (I-23)
To 6-chloro-8-iodo-quinazolin-4-ol (CAS 101581-08-2) (95%, 1.00 g, 3.10 mmol) in toluene (40 mL) under argon were added 3,4-dihydro-2H-pyran (2.60 g, 31.0 mmol) and trifluoroacetic acid (0.25 mL, 3.2 mmol) at room temperature. The reaction mixture was heated to 110°C for 5 h, then cooled to room temperature, poured in ice cold water and the product extracted with EtOAc (2x 50 mL). The combined organic layers were dried over sodium sulfate, filtered and concentrated under reduced pressure. The residue was purified by combiflash (gradient EtOAc in hexane) to afford 6-chloro-8-iodo- 4-tetrahydropyran-2-yloxy-quinazoline (I-23) as an off-white solid. 1H NMR (400 MHz, CDCl3) δ ppm 8.40 (s, 1H), 8.27 (d, 1H), 8.24 (d, 1H), 5.87 (m, 1H), 4.22 (m, 1H), 3.73 (m, 1H), 2.03 (m, 2H), 1.49-1.88 (br m, 4H). Step 2: Preparation of 6-chloro-4-tetrahydropyran-2-yloxy-quinazoline-8-thiol (I-24)
(I-24) To 6-chloro-8-iodo-4-tetrahydropyran-2-yloxy-quinazoline (I-23) (90%, 500 mg, 1.15 mmol) in N- methyl-2-pyrrolidone (5 mL) under argon was added sodium sulfide hydrate (180 mg, 2.30 mmol). The reaction mixture was heated to 110°C for 6 h, then cooled to room temperature, poured in ice cold water and the product extracted with EtOAc (2x 30 mL). The combined organic layers were dried over sodium sulfate, filtered and concentrated under reduced pressure. The residue was purified by combiflash (gradient EtOAc in hexane) to afford 6-chloro-4-tetrahydropyran-2-yloxy-quinazoline-8-thiol (I-24) as an off-white solid.1H NMR (400 MHz, DMSO-d6) δ ppm 8.52 (s, 1H), 8.01 (d, 1H), 7.79 (d, 1H), 5.81 (m, 1H and s, 1H; overlapping signals), 4.09 (m, 1H), 3.68 (m, 1H), 1.94 (m, 1H), 1.85 (m, 2H), 1.38-1.79 (br m, 3H). Step 3: Preparation of 6-chloro-8-(difluoromethylsulfanyl)-4-tetrahydropyran-2-yloxy-quinazoline (I-25)
(I-25) To 6-chloro-4-tetrahydropyran-2-yloxy-quinazoline-8-thiol (I-24) (estimated 70.0 %, 1.00 g, 2.36 mmol) in N-methyl-2-pyrrolidone (10 mL) under argon were added potassium carbonate (1.30 g, 9.43 mmol) and sodium chlorodifluoroacetate (CAS 1895-39-2) (539 mg, 3.54 mmol) at room temperature. The reaction mixture was heated to 110°C for 1 h, then cooled to room temperature, poured in ice cold water and the product extracted with EtOAc (2x 50 mL). The combined organic layers were dried over sodium sulfate, filtered and concentrated under reduced pressure. The residue was purified by combiflash (gradient EtOAc in hexane) to afford 6-chloro-8-(difluoromethylsulfanyl)-4-tetrahydropyran- 2-yloxy-quinazoline (I-25) as an off-white solid.1H NMR (400 MHz, DMSO-d6) δ ppm 8.58 (s, 1H), 8.08 (d, 1H), 7.97 (d, 1H), 7.89 (t, 1H), 5.82 (m, 1H), 4.10 (m, 1H), 3.69 (m, 1H), 1.98-1.81 (br m, 3H), 1.50- 1.80 (br m, 3H). Preparation of 6-chloro-8-(difluoromethylsulfonyl)-4-tetrahydropyran-2-yloxy-quinazoline (I-26)
(I-26) To 6-chloro-8-(difluoromethylsulfanyl)-4-tetrahydropyran-2-yloxy-quinazoline (I-25) (90%, 300 mg, 0.779 mmol) in dichloromethane (6 mL) under argon was added meta-chloroperoxybenzoic acid (mCPBA, 60%, 560 mg, 1.95 mmol) at 0°C. The reaction mixture was stirred at room temperature for 12 h, then diluted with an aqueous saturated sodium hydrogencarbonate solution and stirred for 10 min. The layers were separated, the aqueous phase extracted with dichloromethane (2x 30 mL), the combined organic layers washed twice with an aqueous saturated sodium hydrogencarbonate solution, dried over sodium sulfate, filtered and concentrated under reduced pressure. The residue was purified by combiflash (gradient EtOAc in hexane) to afford 6-chloro-8-(difluoromethylsulfonyl)-4- tetrahydropyran-2-yloxy-quinazoline (I-26) as an off-white solid. 1H NMR (400 MHz, DMSO-d6) δ ppm 8.67 (s, 1H), 8.55 (d, 1H), 8.44 (d, 1H), 7.60 (t, 1H), 5.83 (m, 1H), 4.11 (m, 1H), 3.72 (m, 1H), 1.99-1.51 (br m, 6H). Preparation of 6-chloro-8-(difluoromethylsulfonyl)quinazolin-4-ol (I-21)
To 6-chloro-8-(difluoromethylsulfonyl)-4-tetrahydropyran-2-yloxy-quinazoline (I-26) (90%, 200 mg, 0.475 mmol) in a mixture of methanol (5 mL) and tetrahydrofuran (1 mL) under argon was added p- toluenesulfonic acid hydrate (18.1 mg, 0.095 mmol) at room temperature. The reaction mixture was stirred at room temperature for 12 h, then concentrated under reduced pressure. The residue was purified by combiflash (gradient EtOAc in hexane) to afford 6-chloro-8-(difluoromethyl- sulfonyl)quinazolin-4-ol (I-21) as an off-white solid.1H NMR (400 MHz, DMSO-d6) δ ppm 13.00 (br s, 1H), 8.51 (d, 1H), 8.42 (d, 1H), 8.35 (s, 1H), 7.59 (t, 1H). Table PI: Examples of intermediates
Intermediates I-7and I-21 characterized via 1H NMR measurements: I-7: 1H NMR (400 MHz, DMSO-d6) δ ppm 13.33 (br s, 1H), 8.78 (br s, 3H), 8.37 (s, 1H), 7.88 (d, 1H), 7.17 (d, 1H), 4.99 (quin, 1H), 1.59 (d, 3H). I-21: 1H NMR (400 MHz, DMSO-d6) δ ppm 13.00 (br s, 1H), 8.51 (d, 1H), 8.42 (d, 1H), 8.35 (s, 1H), 7.59 (t, 1H). Abbreviations used in synthesis schemes and preparatory examples: ACN acetonitrile Boc tert-butyloxycarbonyl CPME cyclopentyl methyl ether (or methoxy cyclopentane) DCM dichloromethane DMF dimethylformamide DMSO dimethylsulfoxide DMSO-d6 deuterated dimethylsulfoxide Et3N triethylamine EtOAc ethyl acetate EtOH ethanol HCl hydrochloric acid MeCN acetonitrile
MeOH methanol
NaHCOs sodium hydrogen carbonate
NPhth phthalimide-1 -yl
PdChdppf 1 ,1 '-bis(diphenylphosphino)ferrocene]palladium(ll) dichloride TBME methyl tertiary-buty I ether
THF tetrahydrofuran
XPhos 2-dicyclohexylphosphino-2',4',6'-triisopropylbiphenyl aq. aqueous
°C degrees Celsius equiv. equivalent h hour(s)
LCMS Liquid Chromatography Mass Spectrometry (description of the apparatus and the methods used for LCMS analysis are given above) M molar
MHz megahertz min minutes mp or M.P. melting point ppm parts per million
RT room temperature
Rt retention time
RBF round-bottom flask
TLC thin layer chromatography
Biological examples
The Examples which follow serve to illustrate the invention. Certain compounds of the invention can be distinguished from known compounds by virtue of greater efficacy at low application rates, which can be verified by the person skilled in the art using the experimental procedures outlined in the Examples, using lower application rates if necessary, for example 50 ppm, 24 ppm, 12.5 ppm, 6 ppm, 3 ppm, 1 .5 ppm, 0.8 ppm or 0.2 ppm.
Example B1 : Activity against Chilo suppressalis (Striped rice stemborer)
24-well microtiter plates with artificial diet were treated with aqueous test solutions prepared from 10'000 ppm DMSO stock solutions by pipetting. After drying, the plates were infested with L2 larvae (6-8 per well). The samples were assessed for mortality, anti-feeding effect, and growth inhibition in comparison to untreated samples 6 days after infestation. Control of Chilo suppressalis by a test sample is given when at least one of the categories mortality, anti-feedant effect, and growth inhibition is higher than the untreated sample.
The following compounds resulted in at least 80% control in at least one of the three categories (mortality, anti-feedant effect, or growth inhibition) at an application rate of 200 ppm: P1, P2, P3, P4, P5, P6, P7, P8, P9, P10, P11, P12, P13, P14, P15, P16, P17, P18, P19, P20, P21, P22, P23, P24, P25, P26, P27, P28, P29, P30, P31, P32, P33, P34, P35, P36, P37, P38, P39, P40, P41, P42, P43, P44, P45, P46, P47, P48, P50, P51, P52. Example B2: Activity against Diabrotica balteata (Corn root worm) Maize sprouts placed onto an agar layer in 24-well microtiter plates were treated with aqueous test solutions prepared from 10'000 ppm DMSO stock solutions by spraying. After drying, the plates were infested with L2 larvae (6 to 10 per well). The samples were assessed for mortality and growth inhibition in comparison to untreated samples 4 days after infestation. The following compounds gave an effect of at least 80% control in at least one of the two categories (mortality or growth inhibition) at an application rate of 200 ppm: P1, P2, P3, P4, P5, P6, P7, P8, P9, P10, P11, P12, P13, P14, P15, P16, P17, P18, P19, P20, P21, P22, P24, P25, P26, P27, P28, P29, P30, P31, P32, P33, P34, P35, P36, P37, P38, P39, P40, P41, P42, P43, P44, P45, P46, P47, P48, P50, P51, P52, P53. Example B3: Activity against Euschistus heros (Neotropical Brown Stink Bug) Soybean leaves on agar in 24-well microtiter plates were sprayed with aqueous test solutions prepared from 10'000 ppm DMSO stock solutions. After drying the leaves were infested with N2 nymphs. The samples were assessed for mortality and growth inhibition in comparison to untreated samples 5 days after infestation. The following compounds gave an effect of at least 80% in at least one of the two categories (mortality or growth inhibition) at an application rate of 200 ppm: P1, P4, P6, P7, P9, P10, P11, P12, P20, P27, P29, P30, P34, P35, P36, P41, P42, P43, P45, P46, P47, P48, P51, P52, P53. Example B4: Activity against Myzus persicae (Green peach aphid). Feeding/Contact activity Sunflower leaf discs were placed onto agar in a 24-well microtiter plate and sprayed with aqueous test solutions prepared from 10'000 ppm DMSO stock solutions. After drying, the leaf discs were infested with an aphid population of mixed ages. The samples were assessed for mortality 6 days after infestation. The following compounds resulted in at least 80% mortality at an application rate of 200 ppm: P1, P2, P7, P9, P11, P12, P14, P15, P20, P21, P23. Example B5: Activity against Myzus persicae (Green peach aphid). Intrinsic activity
Test compounds prepared from 10’000 ppm DMSO stock solutions were applied by pipette into 24-well microtiter plates and mixed with sucrose solution. The plates were closed with a stretched Parafilm. A plastic stencil with 24 holes was placed onto the plate and infested pea seedlings were placed directly on the Parafilm. The infested plate was closed with a gel blotting paper and another plastic stencil and then turned upside down. The samples were assessed for mortality 5 days after infestation.
The following compounds resulted in at least 80% mortality at a test rate of 12 ppm:
P1 , P2, P3, P4, P5, P6, P7, P8, P9, P10, P11 , P12, P13, P17, P18, P19, P20, P22, P24, P25, P26, P27, P28, P29, P30, P31 , P34, P36, P37, P39, P40, P41 , P42, P44, P45, P46, P47, P48, P50, P51 , P52, P53.
Example B6: Activity against Plutella xylostella (Diamond back moth)
24-well microtiter plates with artificial diet were treated with aqueous test solutions prepared from 10'000 ppm DMSO stock solutions by pipetting. After drying, Plutella eggs were pipetted through a plastic stencil onto a gel blotting paper and the plate was closed with it. The samples were assessed for mortality and growth inhibition in comparison to untreated samples 8 days after infestation.
The following compounds gave an effect of at least 80% control in at least one of the two categories (mortality or growth inhibition) at an application rate of 200 ppm:
P1 , P2, P3, P4, P5, P6, P7, P8, P9, P10, P11 , P12, P13, P14, P15, P16, P17, P18, P19, P20, P21 , P22, P23, P24, P25, P26, P27, P28, P29, P30, P31 , P32, P33, P34, P35, P36, P37, P38, P39, P40, P41 , P42, P43, P44, P45, P46, P47, P48, P50, P51 , P52, P53.
Example B8: Activity against Spodoptera littoralis (Egyptian cotton leaf worm)
Cotton leaf discs were placed onto agar in 24-well microtiter plates and sprayed with aqueous test solutions prepared from 10'000 ppm DMSO stock solutions. After drying the leaf discs were infested with five L1 larvae. The samples were assessed for mortality, anti-feeding effect, and growth inhibition in comparison to untreated samples 3 days after infestation. Control of Spodoptera littoralis by a test sample is given when at least one of the categories mortality, anti-feedant effect, and growth inhibition is higher than the untreated sample.
The following compounds resulted in at least 80% control in at least one of the three categories (mortality, anti-feedant effect, or growth inhibition) at an application rate of 200 ppm:
P1 , P2, P3, P4, P5, P6, P7, P8, P9, P10, P11 , P12, P13, P15, P17, P18, P19, P20, P21 , P22, P24, P25, P26, P30, P31 , P34, P36, P37, P38, P39, P40, P41 , P43, P44, P45, P47, P48, P50, P52.
Example B9: Activity against Myzus persicae (Green peach aphid). Feedinq/Contact activity
Eggplant leaf discs were placed onto agar in a 24-well microtiter plate and sprayed with aqueous test solutions prepared from 10'000 ppm DMSO stock solutions. After drying, the leaf discs were infested
with an aphid population of mixed ages. The samples were assessed for mortality 6 days after infestation. The following compounds resulted in at least 80% growth inhibition at an application rate of 200 ppm: P28, P29, P30, P31, P37, P42, P45, P46, P47, P48, P49, P50, P53. Example B10: Activity against Pseudoplusia includens (Soybean looper). Larvicide, feeding/contact Soybean plants were treated in a spray chamber, cut off and placed into petri dishes containing wet filter paper.1d after application leaves were infested with 5 L2 larvae and covered with a fabric filter and plastic lids.5 days after infestation the samples were assessed for mortality and growth inhibition. The following compounds gave an effect of at least 80% in at least one of the two categories (mortality or growth inhibition) at an application rate of 50 ppm: P4, P5, P6, P7, P8, P13, P19, P20, P36, P37, P41. Example B11: Activity against Frankliniella occidentalis (Western flower thrips) Feeding/contact activity Sunflower leaf discs were placed on agar in 24-well microtiter plates and sprayed with aqueous test solutions prepared from 10'000 DMSO stock solutions. After drying the leaf discs were infested with a Frankliniella population of mixed ages. The samples were assessed for mortality 7 days after infestation. The following compounds resulted in at least 80% mortality at an application rate of 200 ppm: P25. Example B12: Activity against Frankliniella occidentalis (Western flower thrips) Feeding/contact activity Bean leaf discs were placed on agar in 24-well microtiter plates and sprayed with aqueous test solutions prepared from 10'000 DMSO stock solutions. After drying the leaf discs were infested with a Frankliniella population of mixed ages. The samples were assessed for mortality 4 days after infestation. The following compounds resulted in at least 80% mortality at an application rate of 200 ppm: P53.
Claims
CLAIMS 1. A compound of the formula (I)
or an agrochemically acceptable salt, stereoisomer, enantiomer, tautomer or N-oxide thereof, wherein: A1, A2 and A3 are, independently from each other, N or CRY; or A1=A2-A3, taken together, are NR-C(=O)-N; A4 and A5 are, independently from each other, N or CRYY;
Q is
, where the staggered line represents the connection of Q to the rest of compound of the formula (I); R is hydrogen, C1-C3alkyl, C1-C3haloalkyl, C1-C3alkoxy, or C1-C3haloalkoxy; R1 is hydrogen, C1-C6alkyl, C1-C6cyanoalkyl, aminocarbonylC1-C6alkyl, hydroxycarbonylC1- C6alkyl, C1-C6nitroalkyl, trimethylsilaneC1-C6alkyl, C1-C3alkoxy-C1-C6alkyl, C1-C6haloalkyl, C2-C6alkenyl, C2-C6haloalkenyl, C2-C6alkynyl, C2-C6haloalkynyl, C3-C4cycloalkyl-C1-C2alkyl, C3-C4cycloalkyl-C1- C2alkyl wherein the C3-C4cycloalkyl group is substituted with 1 or 2 halogen atoms, oxetan-3-yl-CH2-, C1-C6alkylcarbonyl, C1-C6alkoxycarbonyl, phenyloxycarbonyl, benzyloxycarbonyl, benzyl, or benzyl substituted with 1 to 3 substituents independently selected from halogen, C1-C6alkoxy and C1-C6haloalkyl; R2a and R2b are independently selected from hydrogen, C1-C3alkyl, C1-C3haloalkyl, C1C3haloalkylsulfanyl, C1-C3alkoxy, C1-C3haloalkoxy, halogen, NO2, SF5, CN, C(O)NH2, C(O)OH, C(S)NH2, C3-C6cycloalkyl, C3-C6cycloalkyl substituted with one to three substituents independently selected from RX; C3-C6cycloalkylcarbonyl, phenyl, phenyl substituted with one to three substituents independently selected from RX; heteroaryl, heteroaryl substituted with one to three substituents independently selected from RX; OR6, piperidin-2-one-1-yl, piperidin-2-one-1-yl substituted with one to two substituents independently selected from RX; pyridin-2-one-1-yl, pyridin-2-one-1-yl substituted with one to two substituents independently selected from RX; azetidin-1-yl, azetidin-1-yl substituted with one to two substituents independently selected from RX; pyrrolidin-1-yl, pyrrolidin-1-yl substituted with one
to two substituents independently selected from RX; C3-C6cycloalkyl-C1C4alkyl, C3-C6cycloalkyl-C1- C4alkyl substituted with one to two substituents independently selected from RZ; C3-C6cycloalkyl-C1- C3alkoxy, C3-C6cycloalkyl-C1-C3alkoxy substituted with one to two substituents independently selected from RX; C1-C5cyanoalkyl, C1-C5cyanoalkoxy, C1-C4alkylsulfanyl, C1-C4alkylsulfanyl substituted with one to three substituents independently selected from RX; C1C4alkylsulfonyl, C1-C4alkylsulfonyl substituted with one to three substituents independently selected from RX; C1-C4alkylsulfinyl, and C1-C4alkylsulfinyl substituted with one to three substituents independently selected from RX; R3 is C1-C3alkyl or C1-C3haloalkyl; 4
R is
, where the staggered line represents the connection of R4 to Qa or Qb; R4c is hydrogen, C1-C3alkyl optionally substituted with a single substituent selected from cyano, C1-C3alkylsulfanyl, C1-C3alkylsulfinyl, C1-C3alkylsulfonyl, and -C(O)NR4dR4e; C1-C3haloalkyl, allyl, propargyl, C3-C6cycloalkylC1-C4alkyl, C1-C2alkoxyC1-C3alkyl, -C(O)NR4dR4e, -N=CR4fR4g, or benzyl optionally substituted with 1 to 3 substituents independently selected from halogen, cyano, C1-C3alkyl, C1-C3haloalkyl, C1-C3alkoxy, and C3-C4cycloalkyl; or R4c is heteroaryl-methyl, where said heteroaryl group is optionally substituted with 1 to 3 substituents independently selected from halogen, cyano, C1-C3alkyl, C1-C3haloalkyl, C1-C3alkoxy, and C3-C4cycloalkyl; or R4c is -C(O)C1-C6alkyl, or -C(O)OC1-C6alkyl, each optionally substituted with 1 to 3 substituents independently selected from halogen, cyano, and C1-C3alkoxy; R4d and R4e are independently hydrogen, or C1-C5alkyl optionally substituted with 1 to 3 substituents independently selected from halogen, cyano, and C1-C3alkoxy; R4f and R4g are independently C1-C3alkyl, or R4f and R4g form, together with the carbon atom they are attached to, a C4-C6cycloalkyl or a 4- to 6-membered saturated heterocycle containing one oxygen atom; R5 is hydrogen, C1-C3alkyl, C1-C3haloalkyl, C3-C4cycloalkyl, C1-C3alkoxy, C3-C4alkoxyC(O)-, (C1-C3alkoxy)2CH-, halogen, -CN, NH2C(O)-, amino (i.e. -NH2), (C1-C3alkyl)amino, di(C1-C3alkyl)amino, hydroxy, C3-C4halocycloalkyl, C3-C4cyanocycloalkyl, C2-C6alkenyl, C2-C6haloalkenyl, C2-C6alkynyl, C2-C6haloalkynyl, C1-C4haloalkylsulfanyl, C1-C4haloalkylsulfinyl, C1-C4haloalkylsulfonyl, C1- C4alkylsulfanyl, C1-C4alkylsulfinyl, C1-C4alkylsulfonyl, C1-C3alkoxy-C1-C3alkyl, C1-C3alkoxy-C1- C3alkoxy-C1-C3alkyl, (C1-C3alkyl)sulfonylamino, (C1-C3alkyl)sulfonyl(C1-C3alkyl)amino, (C1- C3alkyl)NHC(O)-, (C1-C3alkyl)2NC(O)-, (C3-C4cycloalkyl)NHC(O)-, (C3-C4cycloalkyl)(C1-C3alkyl)NC(O)-, (C1-C3alkyl)C(O)(C1-C3alkyl)N-, (C1-C3alkyl)C(O)NH-, (C1-C3alkyl)C(O)-, (C1-C3alkoxy)C(O)-, HC(O)-, diphenylmethanimine, C1-C3haloalkoxy, phenyl, or a 5-membered heteroaromatic ring; or
R5 is phenyl substituted with one to three substituents selected from C1-C3alkyl, C1-C3haloalkyl, C1-C3alkoxy, C3-C4cycloalkyl, halogen, -CN and hydroxyl; or R5 is a 5-membered heteroaromatic ring substituted with one to three substituents selected from C1-C3alkyl, C1-C3haloalkyl, C1-C3alkoxy, C3-C4cycloalkyl, halogen, -CN and hydroxyl; R5a and R5b are, independently of each other, selected from hydrogen, halogen, -CN, C1-C3alkyl, C1-C3haloalkyl, C3-C4cycloalkyl, C1-C3alkoxy, and C1-C3haloalkoxy; R6 is phenyl, benzyl, heteroaryl, or C3-C6cycloalkyl; or R6 is phenyl, benzyl, heteroaryl, or C3-C6cycloalkyl, each of which, independently of each other, is substituted with one to three substituents independently selected from RX; RX is independently selected from halogen, C1-C3alkyl, C1-C3haloalkyl, C1-C3alkoxy, C1-C3haloalkoxy, NO2, SF5, CN, -C(O)NH2, -C(S)NH2, C1-C4haloalkylsulfanyl, C1-C4haloalkylsulfinyl, C1-C4haloalkylsulfonyl, C1-C4alkylsulfanyl, C1-C4alkylsulfinyl and C1-C4alkylsulfonyl; RY is selected from hydrogen, C1-C3 alkyl, C1-C3haloalkyl, hydroxy, C1-C3alkoxy, C1-C3haloalkoxy, halogen, -CN and cyclopropyl; RYY is selected from hydrogen, C1-C3 alkyl, C1-C3 haloalkyl, hydroxy, C1-C3 alkoxy, C1-C3 haloalkoxy, halogen, CN and cyclopropyl; and RZ is selected from oxo, halogen, C1-C3alkyl, C1-C3haloalkyl, C1-C3alkoxy, C1-C3haloalkoxy and CN.
2. The compound according to claim 1, wherein A1 and A3 are N, and A2 is CH; or A1 is N, and A2 and A3 are CH; or A1 and A2 are CH, and A3 is N; and wherein A4 and A5 are both CH; or A4 is CH, and A5 is N; or A4 is N, and A5 is CH..
3. The compound according to claim 1 or 2, wherein A1 and A3 are N, and A2, A4 and A5 are CH.
4. The compound according to any one of claims 1 to 3, wherein R1 is hydrogen, methyl, propargyl or cyclopropyl-methyl, preferably R1 is hydrogen or methyl.
5. The compound according to any one of claims 1 to 4, wherein R2a and R2b are independently chlorine, bromine, iodine, trifluoromethylsulfonyl, trifluoromethyl, or difluoromethylsulfonyl.
6. The compound according to any one of claims 1 to 5, wherein R3 is methyl.
7. The compound according to any one of claims 1 to 6, wherein Q is Qa and R5 is hydrogen, methyl, trifluoromethoxy, methoxy, cyclopropyl, 2,2-difluroroethoxy, 2,2,2-trifluroroethoxy, difluoromethoxy, 2,2,2-trifluroroethyl, chloro, bromo, methoxyethoxy, methylcarbonyl, or methoxycarbonyl; preferably R5 is hydrogen.
8. The compound according to any one of claims 1 to 6, wherein Q is Qb, R5a is hydrogen, halogen, CN, C1-C3alkyl or C1-C3alkoxy, and R5b is hydrogen, halogen or C1-C3alkoxy; preferably R5a and R5b are hydrogen.
9. The compound according to any one of claims 1 to 8, wherein R4c is hydrogen; C1-C3alkyl optionally substituted with a single substituent selected from cyano, -SCH3, -S(O)CH3, -SO2CH3 and -C(O)NR4dR4e; C1-C3haloalkyl, allyl, propargyl, C3-C6cycloalkylC1-C4alkyl, C1-C2alkoxyC1- C3alkyl, -C(O)NR4dR4e; isopropylideneamino, 1-methylpropylideneamino, 1-ethylpropylideneamino, cyclobutylideneamino, cyclopentylideneamino, cyclohexylideneamino, oxetan-3-ylideneamino, tetrahydrofuran-3-ylideneamino, tetrahydropyran-4-ylideneamino; or benzyl optionally substituted with 1 to 3 substituents independently selected from halogen, cyano, C1-C3alkyl, C1-C3haloalkyl, C1- C3alkoxy, and C3-C4cycloalkyl; or heteroaryl-methyl, wherein said heteroaryl is optionally substituted with 1 to 3 substituents independently selected from halogen, cyano, C1-C3alkyl, C1-C3haloalkyl, C1- C3alkoxy, and C3-C4cycloalkyl; or -C(O)C1-C6alkyl optionally substituted with 1 to 3 substituents independently selected from halogen, cyano, and C1-C3alkoxy; or -C(O)OC1-C6alkyl optionally substituted with 1 to 3 substituents independently selected from halogen, cyano, and C1-C3alkoxy; and wherein R4d and R4e are independently hydrogen, or C1-C3alkyl optionally substituted with 1 to 3 substituents independently selected from halogen, cyano, methoxy, ethoxy, propoxy, or isopropoxy; or R4c is hydrogen, C1-C3alkyl, propargyl, allyl, cyanoC1-C3alkyl, -CH2C(O)NH2, C3- C4cycloalkylmethyl, oxetan-3-ylideneamino, isopropylideneamino, pyrimidin-2-yl-methyl, 4-pyridinyl- methyl, or phenyl-methyl, where the phenyl is optionally substituted with a single halo, cyano or methyl; or R4c is methyl or ethyl.
10. The compound according to any one of claims 1 to 9, wherein
R4 is and R4c is hydrogen, methyl, ethyl, cyclopropylmethyl, oxetan-3-ylideneamino, isopropylideneamino, pyrimidin-2-ylmethyl, cyanomethyl, 2-cyanoethyl, -CH2C(O)NH2, propargyl, benzyl, allyl, (3-fluorophenyl)methyl, (4-fluorophenyl)methyl, m-tolylmethyl, p-tolylmethyl, (3- cyanophenyl)methyl, or (4-cyanophenyl)methyl; preferably, R4c is methyl or ethyl; or
4
wherein R is .
11. The compound according to any one of claims 1 to 10, wherein A1 and A3 are N, and A2 is CH; and A4 and A5 are CH;
a Q is Q ; and R5 is hydrogen; R1 is hydrogen or methyl; R2a is chlorine, bromine, iodine, or trifluoromethyl ; R2b is chlorine, bromine, iodine, difluoromethylsulfonyl, trifluoromethylsulfonyl, or trifluoromethyl; R3 is methyl;
R4 is ; and R4c is hydrogen, C1-C3alkyl, propargyl, allyl, cyanoC1- C3alkyl, -CH2C(O)NH2, C3-C4cycloalkylmethyl, oxetan-3-ylideneamino, isopropylideneamino, pyrimidin- 2-yl-methyl, 4-pyridinyl-methyl, or phenyl-methyl, where the phenyl is optionally substituted with a single halo, cyano or methyl; or 4
R is .
12. A composition comprising a compound as defined in any one of claims 1 to 11, one or more auxiliaries and diluent, and optionally one or more other active ingredient.
13. A method
(i) of combating and controlling insects, acarines, nematodes or molluscs which comprises applying to a pest, to a locus of a pest, or to a plant susceptible to attack by a pest an insecticidally, acaricidally, nematicidally or molluscicidally effective amount of a compound as defined in any one of claims 1 to 11 , or a composition as defined in claim 12; or
(ii) for the protection of plant propagation material from the attack by insects, acarines, nematodes or molluscs, which comprises treating the propagation material or the site, where the propagation material is planted, with an effective amount of a compound as defined in any one of claims 1 to 11 , or a composition as defined in claim 12; or
(iii) of controlling parasites in or on an animal in need thereof comprising administering an effective amount of a compound as defined in any one of claims 1 to 11 , or a composition as defined in claim 12.
14. A plant propagation material, such as a seed, comprising, or treated with or adhered thereto, a compound as defined in any one of claims 1 to 1 1 , or a composition as defined in claim 12.
16. A compound of formula XXI, XXIH, XXIV, or XXVII-1 , or, where applicable, a salt or a free base thereof:
Applications Claiming Priority (4)
| Application Number | Priority Date | Filing Date | Title |
|---|---|---|---|
| IN202211067347 | 2022-11-23 | ||
| IN202211067347 | 2022-11-23 | ||
| EP23191138.9 | 2023-08-11 | ||
| EP23191138 | 2023-08-11 |
Publications (1)
| Publication Number | Publication Date |
|---|---|
| WO2024110554A1 true WO2024110554A1 (en) | 2024-05-30 |
Family
ID=88863501
Family Applications (1)
| Application Number | Title | Priority Date | Filing Date |
|---|---|---|---|
| PCT/EP2023/082750 Ceased WO2024110554A1 (en) | 2022-11-23 | 2023-11-22 | N-[(1 -[2-[6-(pyridazin-3-yl]-1,2,4-triazol-3-yl]ethyl]-quinazolin-4-amine and n-[1-[3-(6-(pyridazin-3-yl)pyrazin-2-yl]ethyl]-8-quinazolin-4-amine derivatives as pesticides |
Country Status (1)
| Country | Link |
|---|---|
| WO (1) | WO2024110554A1 (en) |
Cited By (5)
| Publication number | Priority date | Publication date | Assignee | Title |
|---|---|---|---|---|
| WO2025022007A1 (en) | 2023-07-27 | 2025-01-30 | Syngenta Crop Protection Ag | Pesticidally active quinazoline compounds |
| WO2025022008A1 (en) | 2023-07-27 | 2025-01-30 | Syngenta Crop Protection Ag | Pesticidally active quinazoline compounds |
| WO2025045837A1 (en) | 2023-08-31 | 2025-03-06 | Syngenta Crop Protection Ag | Pesticidally active indazole compounds |
| WO2025045838A2 (en) | 2023-08-31 | 2025-03-06 | Syngenta Crop Protection Ag | Pesticidally active benzisothiazole compounds |
| WO2025045835A1 (en) | 2023-08-30 | 2025-03-06 | Syngenta Crop Protection Ag | Pesticidally active oxoindole compounds |
Citations (81)
| Publication number | Priority date | Publication date | Assignee | Title |
|---|---|---|---|---|
| EP0353191A2 (en) | 1988-07-29 | 1990-01-31 | Ciba-Geigy Ag | DNA sequences encoding polypeptides having beta-1,3-glucanase activity |
| EP0367474A1 (en) | 1988-11-01 | 1990-05-09 | Mycogen Corporation | Novel bacillus thuringiensis isolate denoted b.t. ps81gg, active against lepidopteran pests, and a gene encoding a lepidopteran-active toxin |
| EP0374753A2 (en) | 1988-12-19 | 1990-06-27 | American Cyanamid Company | Insecticidal toxines, genes coding therefor, antibodies binding them, transgenic plant cells and plants expressing these toxines |
| EP0392225A2 (en) | 1989-03-24 | 1990-10-17 | Ciba-Geigy Ag | Disease-resistant transgenic plants |
| WO1990013651A1 (en) | 1989-05-09 | 1990-11-15 | Imperial Chemical Industries Plc | Bacterial genes |
| EP0401979A2 (en) | 1989-05-18 | 1990-12-12 | Mycogen Corporation | Novel bacillus thuringiensis isolates active against lepidopteran pests, and genes encoding novel lepidopteran-active toxins |
| EP0427529A1 (en) | 1989-11-07 | 1991-05-15 | Pioneer Hi-Bred International, Inc. | Larvicidal lectins and plant insect resistance based thereon |
| EP0451878A1 (en) | 1985-01-18 | 1991-10-16 | Plant Genetic Systems, N.V. | Modifying plants by genetic engineering to combat or control insects |
| US5061495A (en) | 1988-03-07 | 1991-10-29 | Agricultural Genetics Company Limited | Antibiotic derived from b. subtilis |
| WO1993007278A1 (en) | 1991-10-04 | 1993-04-15 | Ciba-Geigy Ag | Synthetic dna sequence having enhanced insecticidal activity in maize |
| WO1995033818A2 (en) | 1994-06-08 | 1995-12-14 | Ciba-Geigy Ag | Genes for the synthesis of antipathogenic substances |
| WO1995034656A1 (en) | 1994-06-10 | 1995-12-21 | Ciba-Geigy Ag | Novel bacillus thuringiensis genes coding toxins active against lepidopteran pests |
| US5631072A (en) | 1995-03-10 | 1997-05-20 | Avondale Incorporated | Method and means for increasing efficacy and wash durability of insecticide treated fabric |
| JPH11253151A (en) | 1997-11-13 | 1999-09-21 | Kumiai Chem Ind Co Ltd | Rice seedling raising disease control agent |
| WO2000015615A1 (en) | 1998-09-15 | 2000-03-23 | Syngenta Participations Ag | Pyridine ketones useful as herbicides |
| US6060051A (en) | 1997-05-09 | 2000-05-09 | Agraquest, Inc. | Strain of bacillus for controlling plant diseases and corn rootworm |
| US6245551B1 (en) | 1999-03-30 | 2001-06-12 | Agraquest, Inc. | Strain of Bacillus pumilus for controlling plant diseases caused by fungi |
| WO2002015701A2 (en) | 2000-08-25 | 2002-02-28 | Syngenta Participations Ag | Bacillus thuringiensis crystal protein hybrids |
| WO2002088073A1 (en) | 2001-04-28 | 2002-11-07 | Aventis Pharma Deutschland Gmbh | Anthranilic acid amides, method for the production thereof, their use as antiarrhythmia agents, and pharmaceutical preparations thereof |
| WO2003000051A2 (en) | 2001-06-22 | 2003-01-03 | Drahos David J | Novel biofungicide |
| WO2003000906A2 (en) | 2001-06-22 | 2003-01-03 | Syngenta Participations Ag | Plant disease resistance genes |
| WO2003018810A2 (en) | 2001-08-31 | 2003-03-06 | Syngenta Participations Ag | Modified cry3a toxins and nucleic acid sequences coding therefor |
| WO2003034823A1 (en) | 2001-10-25 | 2003-05-01 | Siamdutch Mosquito Netting Company Limited | Treatment of fabric materials with an insecticide |
| WO2003052073A2 (en) | 2001-12-17 | 2003-06-26 | Syngenta Participations Ag | Novel corn event |
| WO2005064072A2 (en) | 2003-12-22 | 2005-07-14 | Basf Aktiengesellschaft | Composition for the impregnation of fibers, fabrics and nettings imparting a protective activity against pests |
| WO2005100298A1 (en) | 2004-04-13 | 2005-10-27 | Merck & Co., Inc. | Cetp inhibitors |
| WO2005113886A1 (en) | 2004-05-12 | 2005-12-01 | Basf Aktiengesellschaft | Method for the treatment of flexible substrates |
| US7094592B2 (en) | 2001-11-26 | 2006-08-22 | Kumiai Chemical Industry Co., Ltd. | Bacillus sp. D747 strain, plant disease controlling agents and insect pest controlling agents using the same and control method using the agents |
| EP1724392A2 (en) | 2005-05-04 | 2006-11-22 | Fritz Blanke Gmbh & Co. Kg | Process for the microbicidal finishing of textile surfaces |
| WO2006128870A2 (en) | 2005-06-03 | 2006-12-07 | Basf Aktiengesellschaft | Composition for the impregnation of fibers, fabrics and nettings imparting a protective activity against pests |
| WO2007090739A1 (en) | 2006-02-03 | 2007-08-16 | Basf Se | Process for treating substrates |
| WO2008151984A1 (en) | 2007-06-12 | 2008-12-18 | Basf Se | Aqueous formulation and process for the impregnation of non-living-materials imparting a protective activity against pests |
| US7579183B1 (en) | 2006-12-01 | 2009-08-25 | The United States Of America As Represented By The Secretary Of Agriculture | Saprophytic yeast, Pichia anomala |
| WO2009116106A1 (en) | 2008-03-21 | 2009-09-24 | Trentino Sviluppo S.P.A. | Trichoderma atroviride sc1 for biocontrol of fungal diseases in plants |
| WO2010086790A1 (en) | 2009-01-27 | 2010-08-05 | Lesaffre Et Compagnie | Saccharomyces cerevisiae strains with phytosanitary capabilities |
| US20100291039A1 (en) | 2007-12-14 | 2010-11-18 | Kohl Jurgen Anton | Novel micro-organisms controlling plant pathogens |
| WO2011138281A2 (en) | 2010-05-06 | 2011-11-10 | Bayer Cropscience Ag | Process for the preparation of dithiine tetracarboxydiimides |
| WO2011151819A2 (en) | 2010-06-01 | 2011-12-08 | Yissum Research Development Company Of The Hebrew University Of Jerusalem Ltd. | Pseudozyma aphidis as a biocontrol agent against various plant pathogens |
| WO2012082997A1 (en) | 2010-12-16 | 2012-06-21 | F. Hoffmann-La-Roche Ag | Tricyclic pi3k inhibitor compounds and methods of use |
| WO2012088190A1 (en) | 2010-12-20 | 2012-06-28 | E. I. Du Pont De Nemours And Company | 2,4,5-triaminothiophenols and related compounds |
| WO2013034938A2 (en) | 2011-09-08 | 2013-03-14 | Szegedi Tudományegyetem | A copper resistant, fengycin-producing bacillus mojavensis strain for controlling vegetable pathogens, its use and compositions containing it |
| WO2014006945A1 (en) | 2012-07-04 | 2014-01-09 | アグロカネショウ株式会社 | 2-aminonicotinic acid ester derivative and bactericide containing same as active ingredient |
| WO2014028521A1 (en) | 2012-08-14 | 2014-02-20 | Marrone Bio Innovations, Inc. | Bacillus sp. strain with antifungal, antibacterial and growth promotion activity |
| WO2014095675A1 (en) | 2012-12-19 | 2014-06-26 | Bayer Cropscience Ag | Difluoromethyl-nicotinic-indanyl carboxamides as fungicides |
| WO2015054572A1 (en) | 2013-10-10 | 2015-04-16 | Araxes Pharma Llc | Inhibitors of kras g12c |
| WO2015067800A1 (en) | 2013-11-11 | 2015-05-14 | Basf Se | Antifungal penicillium strains, fungicidal extrolites thereof, and their use |
| WO2015155075A1 (en) | 2014-04-11 | 2015-10-15 | Syngenta Participations Ag | Fungicidal n'-[2-methyl-6-[2-alkoxy-ethoxy]-3-pyridyl]-n-alkyl-formamidine derivatives for use in agriculture |
| WO2016020371A1 (en) | 2014-08-04 | 2016-02-11 | Basf Se | Antifungal paenibacillus strains, fusaricidin-type compounds, and their use |
| WO2016156085A1 (en) | 2015-03-27 | 2016-10-06 | Syngenta Participations Ag | Microbiocidal heterobicyclic derivatives |
| WO2016156290A1 (en) | 2015-04-02 | 2016-10-06 | Bayer Cropscience Aktiengesellschaft | Novel 5-substituted imidazole derivatives |
| WO2016202742A1 (en) | 2015-06-15 | 2016-12-22 | Bayer Cropscience Aktiengesellschaft | Halogen-substituted phenoxyphenylamidines and the use thereof as fungicides |
| WO2017019448A1 (en) | 2015-07-24 | 2017-02-02 | AgBiome, Inc. | Modified biological control agents and their uses |
| WO2017025510A1 (en) | 2015-08-12 | 2017-02-16 | Syngenta Participations Ag | Microbiocidal heterobicyclic derivatives |
| WO2017029179A1 (en) | 2015-08-14 | 2017-02-23 | Bayer Cropscience Aktiengesellschaft | Triazole derivatives, intermediates thereof and their use as fungicides |
| WO2017093348A1 (en) | 2015-12-02 | 2017-06-08 | Syngenta Participations Ag | Microbiocidal oxadiazole derivatives |
| WO2017118689A1 (en) | 2016-01-08 | 2017-07-13 | Syngenta Participations Ag | Microbiocidal oxadiazole derivatives |
| WO2017153380A1 (en) | 2016-03-10 | 2017-09-14 | Syngenta Participations Ag | Microbiocidal quinoline (thio)carboxamide derivatives |
| WO2017205258A1 (en) | 2016-05-26 | 2017-11-30 | Novozymes Bioag A/S | Bacillus and lipochitooligosaccharide for improving plant growth |
| WO2017220485A1 (en) | 2016-06-21 | 2017-12-28 | Syngenta Participations Ag | Microbiocidal oxadiazole derivatives |
| WO2018065414A1 (en) | 2016-10-06 | 2018-04-12 | Syngenta Participations Ag | Microbiocidal oxadiazole derivatives |
| WO2018153707A1 (en) | 2017-02-22 | 2018-08-30 | Basf Se | Crystalline forms of a strobilurin type compound for combating phytopathogenic fungi |
| WO2018158365A1 (en) | 2017-03-03 | 2018-09-07 | Syngenta Participations Ag | Microbiocidal oxadiazole derivatives |
| WO2018202428A1 (en) | 2017-05-02 | 2018-11-08 | Basf Se | Fungicidal mixture comprising substituted 3-phenyl-5-(trifluoromethyl)-1,2,4-oxadiazoles |
| WO2018206539A1 (en) | 2017-05-11 | 2018-11-15 | Astrazeneca Ab | Heteroaryl compounds that inhibit g12c mutant ras proteins |
| WO2018228896A1 (en) | 2017-06-14 | 2018-12-20 | Syngenta Participations Ag | Fungicidal compositions |
| WO2019110427A1 (en) | 2017-12-04 | 2019-06-13 | Syngenta Participations Ag | Microbiocidal phenylamidine derivatives |
| WO2020056090A1 (en) | 2018-09-14 | 2020-03-19 | Fmc Corporation | Fungicidal halomethyl ketones and hydrates |
| WO2020070049A1 (en) | 2018-10-02 | 2020-04-09 | Syngenta Participations Ag | Pesticidally active benzene- and azine-amide compounds |
| WO2020079111A1 (en) | 2018-10-18 | 2020-04-23 | Syngenta Crop Protection Ag | Microbiocidal compounds |
| WO2020097012A1 (en) | 2018-11-06 | 2020-05-14 | Fmc Corporation | Substituted tolyl as fungicides |
| WO2020109391A1 (en) | 2018-11-28 | 2020-06-04 | Bayer Aktiengesellschaft | Pyridazine (thio)amides as fungicidal compounds |
| WO2020193387A1 (en) | 2019-03-22 | 2020-10-01 | Syngenta Crop Protection Ag | Fungicidal compounds |
| WO2020201398A1 (en) | 2019-04-05 | 2020-10-08 | Syngenta Crop Protection Ag | Pesticidally active diazine-amide compounds |
| WO2020208036A1 (en) | 2019-04-11 | 2020-10-15 | Syngenta Crop Protection Ag | Pesticidally active diazine-amide compounds |
| WO2021037614A1 (en) | 2019-08-23 | 2021-03-04 | Syngenta Crop Protection Ag | Pesticidally active pyrazine-amide compounds |
| WO2021083936A1 (en) | 2019-11-01 | 2021-05-06 | Syngenta Crop Protection Ag | Pesticidally active fused bicyclic heteroaromatic compounds |
| WO2021148639A1 (en) | 2020-01-24 | 2021-07-29 | Syngenta Crop Protection Ag | Pesticidally active fused bicyclic heteroaromatic compounds |
| WO2021165195A1 (en) | 2020-02-18 | 2021-08-26 | Bayer Aktiengesellschaft | Heteroaryl-triazole compounds as pesticides |
| WO2021170881A1 (en) | 2020-02-27 | 2021-09-02 | Syngenta Crop Protection Ag | Pesticidally active diazine-bisamide compounds |
| WO2021177160A1 (en) | 2020-03-04 | 2021-09-10 | 日本曹達株式会社 | Azinyl azole compound and pest control agent |
| WO2023104714A1 (en) | 2021-12-10 | 2023-06-15 | Syngenta Crop Protection Ag | Pesticidally active pyridazinone compounds |
-
2023
- 2023-11-22 WO PCT/EP2023/082750 patent/WO2024110554A1/en not_active Ceased
Patent Citations (82)
| Publication number | Priority date | Publication date | Assignee | Title |
|---|---|---|---|---|
| EP0451878A1 (en) | 1985-01-18 | 1991-10-16 | Plant Genetic Systems, N.V. | Modifying plants by genetic engineering to combat or control insects |
| US5061495A (en) | 1988-03-07 | 1991-10-29 | Agricultural Genetics Company Limited | Antibiotic derived from b. subtilis |
| EP0353191A2 (en) | 1988-07-29 | 1990-01-31 | Ciba-Geigy Ag | DNA sequences encoding polypeptides having beta-1,3-glucanase activity |
| EP0367474A1 (en) | 1988-11-01 | 1990-05-09 | Mycogen Corporation | Novel bacillus thuringiensis isolate denoted b.t. ps81gg, active against lepidopteran pests, and a gene encoding a lepidopteran-active toxin |
| EP0374753A2 (en) | 1988-12-19 | 1990-06-27 | American Cyanamid Company | Insecticidal toxines, genes coding therefor, antibodies binding them, transgenic plant cells and plants expressing these toxines |
| EP0392225A2 (en) | 1989-03-24 | 1990-10-17 | Ciba-Geigy Ag | Disease-resistant transgenic plants |
| WO1990013651A1 (en) | 1989-05-09 | 1990-11-15 | Imperial Chemical Industries Plc | Bacterial genes |
| EP0401979A2 (en) | 1989-05-18 | 1990-12-12 | Mycogen Corporation | Novel bacillus thuringiensis isolates active against lepidopteran pests, and genes encoding novel lepidopteran-active toxins |
| EP0427529A1 (en) | 1989-11-07 | 1991-05-15 | Pioneer Hi-Bred International, Inc. | Larvicidal lectins and plant insect resistance based thereon |
| WO1993007278A1 (en) | 1991-10-04 | 1993-04-15 | Ciba-Geigy Ag | Synthetic dna sequence having enhanced insecticidal activity in maize |
| WO1995033818A2 (en) | 1994-06-08 | 1995-12-14 | Ciba-Geigy Ag | Genes for the synthesis of antipathogenic substances |
| WO1995034656A1 (en) | 1994-06-10 | 1995-12-21 | Ciba-Geigy Ag | Novel bacillus thuringiensis genes coding toxins active against lepidopteran pests |
| US5631072A (en) | 1995-03-10 | 1997-05-20 | Avondale Incorporated | Method and means for increasing efficacy and wash durability of insecticide treated fabric |
| US6060051A (en) | 1997-05-09 | 2000-05-09 | Agraquest, Inc. | Strain of bacillus for controlling plant diseases and corn rootworm |
| JPH11253151A (en) | 1997-11-13 | 1999-09-21 | Kumiai Chem Ind Co Ltd | Rice seedling raising disease control agent |
| WO2000015615A1 (en) | 1998-09-15 | 2000-03-23 | Syngenta Participations Ag | Pyridine ketones useful as herbicides |
| US6245551B1 (en) | 1999-03-30 | 2001-06-12 | Agraquest, Inc. | Strain of Bacillus pumilus for controlling plant diseases caused by fungi |
| WO2002015701A2 (en) | 2000-08-25 | 2002-02-28 | Syngenta Participations Ag | Bacillus thuringiensis crystal protein hybrids |
| WO2002088073A1 (en) | 2001-04-28 | 2002-11-07 | Aventis Pharma Deutschland Gmbh | Anthranilic acid amides, method for the production thereof, their use as antiarrhythmia agents, and pharmaceutical preparations thereof |
| WO2003000906A2 (en) | 2001-06-22 | 2003-01-03 | Syngenta Participations Ag | Plant disease resistance genes |
| WO2003000051A2 (en) | 2001-06-22 | 2003-01-03 | Drahos David J | Novel biofungicide |
| WO2003018810A2 (en) | 2001-08-31 | 2003-03-06 | Syngenta Participations Ag | Modified cry3a toxins and nucleic acid sequences coding therefor |
| WO2003034823A1 (en) | 2001-10-25 | 2003-05-01 | Siamdutch Mosquito Netting Company Limited | Treatment of fabric materials with an insecticide |
| US7094592B2 (en) | 2001-11-26 | 2006-08-22 | Kumiai Chemical Industry Co., Ltd. | Bacillus sp. D747 strain, plant disease controlling agents and insect pest controlling agents using the same and control method using the agents |
| WO2003052073A2 (en) | 2001-12-17 | 2003-06-26 | Syngenta Participations Ag | Novel corn event |
| WO2005064072A2 (en) | 2003-12-22 | 2005-07-14 | Basf Aktiengesellschaft | Composition for the impregnation of fibers, fabrics and nettings imparting a protective activity against pests |
| WO2005100298A1 (en) | 2004-04-13 | 2005-10-27 | Merck & Co., Inc. | Cetp inhibitors |
| WO2005113886A1 (en) | 2004-05-12 | 2005-12-01 | Basf Aktiengesellschaft | Method for the treatment of flexible substrates |
| EP1724392A2 (en) | 2005-05-04 | 2006-11-22 | Fritz Blanke Gmbh & Co. Kg | Process for the microbicidal finishing of textile surfaces |
| WO2006128870A2 (en) | 2005-06-03 | 2006-12-07 | Basf Aktiengesellschaft | Composition for the impregnation of fibers, fabrics and nettings imparting a protective activity against pests |
| WO2007090739A1 (en) | 2006-02-03 | 2007-08-16 | Basf Se | Process for treating substrates |
| US7579183B1 (en) | 2006-12-01 | 2009-08-25 | The United States Of America As Represented By The Secretary Of Agriculture | Saprophytic yeast, Pichia anomala |
| WO2008151984A1 (en) | 2007-06-12 | 2008-12-18 | Basf Se | Aqueous formulation and process for the impregnation of non-living-materials imparting a protective activity against pests |
| US20100291039A1 (en) | 2007-12-14 | 2010-11-18 | Kohl Jurgen Anton | Novel micro-organisms controlling plant pathogens |
| WO2009116106A1 (en) | 2008-03-21 | 2009-09-24 | Trentino Sviluppo S.P.A. | Trichoderma atroviride sc1 for biocontrol of fungal diseases in plants |
| US8431120B2 (en) | 2008-03-21 | 2013-04-30 | Trentino Sviluppo S.P.A. | Trichoderma atroviride SC1 for biocontrol of fungal diseases in plants |
| WO2010086790A1 (en) | 2009-01-27 | 2010-08-05 | Lesaffre Et Compagnie | Saccharomyces cerevisiae strains with phytosanitary capabilities |
| WO2011138281A2 (en) | 2010-05-06 | 2011-11-10 | Bayer Cropscience Ag | Process for the preparation of dithiine tetracarboxydiimides |
| WO2011151819A2 (en) | 2010-06-01 | 2011-12-08 | Yissum Research Development Company Of The Hebrew University Of Jerusalem Ltd. | Pseudozyma aphidis as a biocontrol agent against various plant pathogens |
| WO2012082997A1 (en) | 2010-12-16 | 2012-06-21 | F. Hoffmann-La-Roche Ag | Tricyclic pi3k inhibitor compounds and methods of use |
| WO2012088190A1 (en) | 2010-12-20 | 2012-06-28 | E. I. Du Pont De Nemours And Company | 2,4,5-triaminothiophenols and related compounds |
| WO2013034938A2 (en) | 2011-09-08 | 2013-03-14 | Szegedi Tudományegyetem | A copper resistant, fengycin-producing bacillus mojavensis strain for controlling vegetable pathogens, its use and compositions containing it |
| WO2014006945A1 (en) | 2012-07-04 | 2014-01-09 | アグロカネショウ株式会社 | 2-aminonicotinic acid ester derivative and bactericide containing same as active ingredient |
| WO2014028521A1 (en) | 2012-08-14 | 2014-02-20 | Marrone Bio Innovations, Inc. | Bacillus sp. strain with antifungal, antibacterial and growth promotion activity |
| WO2014095675A1 (en) | 2012-12-19 | 2014-06-26 | Bayer Cropscience Ag | Difluoromethyl-nicotinic-indanyl carboxamides as fungicides |
| WO2015054572A1 (en) | 2013-10-10 | 2015-04-16 | Araxes Pharma Llc | Inhibitors of kras g12c |
| WO2015067800A1 (en) | 2013-11-11 | 2015-05-14 | Basf Se | Antifungal penicillium strains, fungicidal extrolites thereof, and their use |
| WO2015155075A1 (en) | 2014-04-11 | 2015-10-15 | Syngenta Participations Ag | Fungicidal n'-[2-methyl-6-[2-alkoxy-ethoxy]-3-pyridyl]-n-alkyl-formamidine derivatives for use in agriculture |
| WO2016020371A1 (en) | 2014-08-04 | 2016-02-11 | Basf Se | Antifungal paenibacillus strains, fusaricidin-type compounds, and their use |
| WO2016156085A1 (en) | 2015-03-27 | 2016-10-06 | Syngenta Participations Ag | Microbiocidal heterobicyclic derivatives |
| WO2016156290A1 (en) | 2015-04-02 | 2016-10-06 | Bayer Cropscience Aktiengesellschaft | Novel 5-substituted imidazole derivatives |
| WO2016202742A1 (en) | 2015-06-15 | 2016-12-22 | Bayer Cropscience Aktiengesellschaft | Halogen-substituted phenoxyphenylamidines and the use thereof as fungicides |
| WO2017019448A1 (en) | 2015-07-24 | 2017-02-02 | AgBiome, Inc. | Modified biological control agents and their uses |
| WO2017025510A1 (en) | 2015-08-12 | 2017-02-16 | Syngenta Participations Ag | Microbiocidal heterobicyclic derivatives |
| WO2017029179A1 (en) | 2015-08-14 | 2017-02-23 | Bayer Cropscience Aktiengesellschaft | Triazole derivatives, intermediates thereof and their use as fungicides |
| WO2017093348A1 (en) | 2015-12-02 | 2017-06-08 | Syngenta Participations Ag | Microbiocidal oxadiazole derivatives |
| WO2017118689A1 (en) | 2016-01-08 | 2017-07-13 | Syngenta Participations Ag | Microbiocidal oxadiazole derivatives |
| WO2017153380A1 (en) | 2016-03-10 | 2017-09-14 | Syngenta Participations Ag | Microbiocidal quinoline (thio)carboxamide derivatives |
| WO2017205258A1 (en) | 2016-05-26 | 2017-11-30 | Novozymes Bioag A/S | Bacillus and lipochitooligosaccharide for improving plant growth |
| WO2017220485A1 (en) | 2016-06-21 | 2017-12-28 | Syngenta Participations Ag | Microbiocidal oxadiazole derivatives |
| WO2018065414A1 (en) | 2016-10-06 | 2018-04-12 | Syngenta Participations Ag | Microbiocidal oxadiazole derivatives |
| WO2018153707A1 (en) | 2017-02-22 | 2018-08-30 | Basf Se | Crystalline forms of a strobilurin type compound for combating phytopathogenic fungi |
| WO2018158365A1 (en) | 2017-03-03 | 2018-09-07 | Syngenta Participations Ag | Microbiocidal oxadiazole derivatives |
| WO2018202428A1 (en) | 2017-05-02 | 2018-11-08 | Basf Se | Fungicidal mixture comprising substituted 3-phenyl-5-(trifluoromethyl)-1,2,4-oxadiazoles |
| WO2018206539A1 (en) | 2017-05-11 | 2018-11-15 | Astrazeneca Ab | Heteroaryl compounds that inhibit g12c mutant ras proteins |
| WO2018228896A1 (en) | 2017-06-14 | 2018-12-20 | Syngenta Participations Ag | Fungicidal compositions |
| WO2019110427A1 (en) | 2017-12-04 | 2019-06-13 | Syngenta Participations Ag | Microbiocidal phenylamidine derivatives |
| WO2020056090A1 (en) | 2018-09-14 | 2020-03-19 | Fmc Corporation | Fungicidal halomethyl ketones and hydrates |
| WO2020070049A1 (en) | 2018-10-02 | 2020-04-09 | Syngenta Participations Ag | Pesticidally active benzene- and azine-amide compounds |
| WO2020079111A1 (en) | 2018-10-18 | 2020-04-23 | Syngenta Crop Protection Ag | Microbiocidal compounds |
| WO2020097012A1 (en) | 2018-11-06 | 2020-05-14 | Fmc Corporation | Substituted tolyl as fungicides |
| WO2020109391A1 (en) | 2018-11-28 | 2020-06-04 | Bayer Aktiengesellschaft | Pyridazine (thio)amides as fungicidal compounds |
| WO2020193387A1 (en) | 2019-03-22 | 2020-10-01 | Syngenta Crop Protection Ag | Fungicidal compounds |
| WO2020201398A1 (en) | 2019-04-05 | 2020-10-08 | Syngenta Crop Protection Ag | Pesticidally active diazine-amide compounds |
| WO2020208036A1 (en) | 2019-04-11 | 2020-10-15 | Syngenta Crop Protection Ag | Pesticidally active diazine-amide compounds |
| WO2021037614A1 (en) | 2019-08-23 | 2021-03-04 | Syngenta Crop Protection Ag | Pesticidally active pyrazine-amide compounds |
| WO2021083936A1 (en) | 2019-11-01 | 2021-05-06 | Syngenta Crop Protection Ag | Pesticidally active fused bicyclic heteroaromatic compounds |
| WO2021148639A1 (en) | 2020-01-24 | 2021-07-29 | Syngenta Crop Protection Ag | Pesticidally active fused bicyclic heteroaromatic compounds |
| WO2021165195A1 (en) | 2020-02-18 | 2021-08-26 | Bayer Aktiengesellschaft | Heteroaryl-triazole compounds as pesticides |
| WO2021170881A1 (en) | 2020-02-27 | 2021-09-02 | Syngenta Crop Protection Ag | Pesticidally active diazine-bisamide compounds |
| WO2021177160A1 (en) | 2020-03-04 | 2021-09-10 | 日本曹達株式会社 | Azinyl azole compound and pest control agent |
| WO2023104714A1 (en) | 2021-12-10 | 2023-06-15 | Syngenta Crop Protection Ag | Pesticidally active pyridazinone compounds |
Non-Patent Citations (33)
| Title |
|---|
| "Compendium of Herbicide Adjuvants", 2010, SOUTHERN ILLINOIS UNIVERSITY |
| "Efficacy of Clonostachys rosea strain ACM941 and fungicide seed treatments for controlling the root tot complex of field pea", CAN JOUR PLANT SCI, vol. 83, no. 3, 2003, pages 519 - 524 |
| "McCutcheon's Detergents and Emulsifiers Annual", 1981, MC PUBLISHING CORP. |
| "Protective Groups in Organic Synthesis", 1999, JOHN WILEY & SONS, INC. |
| "The Pesticide Manual - A World Compendium", THE BRITISH CROP PROTECTION COUNCIL, article "The Pesticide Manual" |
| ANGEW. CHEM. INT. ED., vol. 52, 2013, pages 1548 |
| ANGEW. CHEM. INT. ED., vol. 56, no. 16, 2017, pages 4478 - 4482 |
| BASTIN, R.J. ET AL.: "Salt Selection and Optimization Procedures for Pharmaceutical New Chemical Entities", ORGANIC PROCESS RESEARCH AND DEVELOPMENT, vol. 4, 2000, pages 427 - 435 |
| BERGE, S.M. ET AL.: "Pharmaceutical Salts", JOURNAL OF PHARMACEUTICAL SCIENCES, vol. 66, 1977, pages 1 - 19, XP002675560, DOI: 10.1002/jps.2600660104 |
| BIOORG. MED. CHEM. LETT., vol. 23, no. 13, 2013, pages 3947 - 3953 |
| BULLETIN OF THE KOREAN CHEMICAL SOCIETY, vol. 10, no. 6, 1989, pages 614 - 17 |
| CAREY, FRANCIS A: "Advanced Organic Chemistry: Reaction and Synthesis", 2007, SPRINGER, article "Organometallic compounds of Group I and II metals" |
| CAS , no. 2719848-60-7 |
| CAS, no. 2044701-44-0 |
| CAS, no. 2415706- 16-8 |
| CHEM. COMMUN., vol. 53, 2017, pages 5706 |
| CHEM. REV., vol. 109, 2009, pages 2551 - 2651 |
| CHEM. REV., vol. 54, no. 4, 1954, pages 615 - 685 |
| GOULD, P.L.: "Salt selection for basic drugs", INTERNATIONAL JOURNAL OF PHARMACEUTICS, vol. 33, 1986, pages 201 - 217, XP025813036, DOI: 10.1016/0378-5173(86)90055-4 |
| J. FLUOR. CHEM., vol. 193, 2017, pages 113 - 117 |
| J. MED. CHEM., vol. 32, no. 12, 1989, pages 2561 - 73 |
| J. ORG. CHEM., vol. 21, 2017, pages 11464 |
| J. ORG. CHEM., vol. 41, 1976, pages 1644 |
| J. ORG. CHEM., vol. 60, 1995, pages 748 - 750 |
| J. ORG. CHEM., vol. 83, 2018, pages 930 |
| JENSEN DF ET AL.: "Development of a biocontrol agent for plant disease control with special emphasis on the near commercial fungal antagonist Clonostachys rosea strain 'IK726", AUSTRALASIAN PLANT PATHOL., vol. 36, no. 2, 2007, pages 95 - 101 |
| JOURNAL OF HETEROCYCLIC CHEMISTRY, vol. 50, no. 5, 2013, pages 1165 - 1173 |
| ORG. LETT., vol. 15, no. 19, 2013, pages 5036 - 5039 |
| SYNTHESIS, 1975, pages 721 |
| TET, vol. 65, no. 27, 2009, pages 5278 - 5283 |
| TETRAHEDRON, vol. 69, 2013, pages 6046 |
| VERDERA: "PREFENCE@ from BioWorks", CROP PROTECTION, vol. 25, 2006, pages 468 - 475 |
| ZESZ. NAUK. A R, SZCZECINIE, vol. 161, pages 125 - 137 |
Cited By (5)
| Publication number | Priority date | Publication date | Assignee | Title |
|---|---|---|---|---|
| WO2025022007A1 (en) | 2023-07-27 | 2025-01-30 | Syngenta Crop Protection Ag | Pesticidally active quinazoline compounds |
| WO2025022008A1 (en) | 2023-07-27 | 2025-01-30 | Syngenta Crop Protection Ag | Pesticidally active quinazoline compounds |
| WO2025045835A1 (en) | 2023-08-30 | 2025-03-06 | Syngenta Crop Protection Ag | Pesticidally active oxoindole compounds |
| WO2025045837A1 (en) | 2023-08-31 | 2025-03-06 | Syngenta Crop Protection Ag | Pesticidally active indazole compounds |
| WO2025045838A2 (en) | 2023-08-31 | 2025-03-06 | Syngenta Crop Protection Ag | Pesticidally active benzisothiazole compounds |
Similar Documents
| Publication | Publication Date | Title |
|---|---|---|
| EP4444712A1 (en) | Pesticidally active pyridazinone compounds | |
| WO2023247360A1 (en) | Pesticidally active fused bicyclic heteroaromatic compounds | |
| EP4352050A1 (en) | Pesticidally active diazine-amide compounds | |
| EP4423077A1 (en) | Pesticidally active pyridazinone compounds | |
| WO2024110554A1 (en) | N-[(1 -[2-[6-(pyridazin-3-yl]-1,2,4-triazol-3-yl]ethyl]-quinazolin-4-amine and n-[1-[3-(6-(pyridazin-3-yl)pyrazin-2-yl]ethyl]-8-quinazolin-4-amine derivatives as pesticides | |
| WO2023072945A1 (en) | Pesticidally active heterocyclic derivatives with sulfur containing substituents | |
| WO2025045835A1 (en) | Pesticidally active oxoindole compounds | |
| WO2025045837A1 (en) | Pesticidally active indazole compounds | |
| WO2025045838A2 (en) | Pesticidally active benzisothiazole compounds | |
| US20240122182A1 (en) | Pesticidally active heterocyclic derivatives with sulfur containing substituents | |
| EP4197333A1 (en) | Method for controlling diamide resistant pests & compounds therefor | |
| EP4622969A1 (en) | Pesticidally active cyclic amine compounds | |
| WO2024022910A1 (en) | 1-[1-[2-(pyrimidin-4-yl)-1,2,4-triazol-3-yl]ethyl]-3-[2,4-dichloro-5-phenyl]urea derivatives and similar compounds as pesticides | |
| WO2023017094A1 (en) | 2,2-difluoro-5h-[1,3]dioxolo[4,5-f]isoindol-7-one derivatives as pesticides | |
| WO2024133551A1 (en) | Pesticidally active pyridazine compounds | |
| WO2025132349A1 (en) | Pesticidally active quinazoline compounds | |
| WO2025132758A1 (en) | Pesticidally active quinazoline compounds | |
| WO2025252655A1 (en) | Pesticidally active pyridopyrimidone compounds | |
| WO2025022008A1 (en) | Pesticidally active quinazoline compounds | |
| AU2022318251A1 (en) | Pesticidally active fused bicyclic heteroaromatic compounds | |
| WO2025132754A1 (en) | Pesticidally active quinazoline compounds | |
| WO2024126650A1 (en) | Novel bicyclic-carboxamide compounds useful as pesticides | |
| WO2024089216A1 (en) | Novel sulfur-containing heteroaryl carboxamide compounds | |
| WO2025022007A1 (en) | Pesticidally active quinazoline compounds | |
| WO2025248032A1 (en) | Pesticidally active indazole compounds |
Legal Events
| Date | Code | Title | Description |
|---|---|---|---|
| 121 | Ep: the epo has been informed by wipo that ep was designated in this application |
Ref document number: 23809258 Country of ref document: EP Kind code of ref document: A1 |
|
| NENP | Non-entry into the national phase |
Ref country code: DE |
|
| 122 | Ep: pct application non-entry in european phase |
Ref document number: 23809258 Country of ref document: EP Kind code of ref document: A1 |



























































































































