US20140046046A1 - Glucopyranosyl-substituted phenyl derivates, medicaments containing such compounds, their use and process for their manufacture - Google Patents
Glucopyranosyl-substituted phenyl derivates, medicaments containing such compounds, their use and process for their manufacture Download PDFInfo
- Publication number
- US20140046046A1 US20140046046A1 US14/059,860 US201314059860A US2014046046A1 US 20140046046 A1 US20140046046 A1 US 20140046046A1 US 201314059860 A US201314059860 A US 201314059860A US 2014046046 A1 US2014046046 A1 US 2014046046A1
- Authority
- US
- United States
- Prior art keywords
- alkyl
- groups
- group
- benzyl
- aryl
- Prior art date
- Legal status (The legal status is an assumption and is not a legal conclusion. Google has not performed a legal analysis and makes no representation as to the accuracy of the status listed.)
- Abandoned
Links
- 0 *C[C@]([C@]([C@@](*)[C@@]1*#C)*#C)O[C@]1c1cccc(Cc2ccccc2)c1 Chemical compound *C[C@]([C@]([C@@](*)[C@@]1*#C)*#C)O[C@]1c1cccc(Cc2ccccc2)c1 0.000 description 12
- RCEMUTQRSACERZ-SJSRKZJXSA-N C#CC1=CC=C(CC2=C(C(C)C)C=CC([C@@H]3O[C@H](CO)[C@@H](O)[C@H](O)[C@H]3O)=C2)C=C1 Chemical compound C#CC1=CC=C(CC2=C(C(C)C)C=CC([C@@H]3O[C@H](CO)[C@@H](O)[C@H](O)[C@H]3O)=C2)C=C1 RCEMUTQRSACERZ-SJSRKZJXSA-N 0.000 description 2
- ZMHWLQUXQJLKPI-ADAARDCZSA-N C#CC1=CC=C(CC2=C(Cl)C=CC([C@@H]3O[C@H](CO)[C@@H](O)[C@H](O)[C@H]3O)=C2)C=C1 Chemical compound C#CC1=CC=C(CC2=C(Cl)C=CC([C@@H]3O[C@H](CO)[C@@H](O)[C@H](O)[C@H]3O)=C2)C=C1 ZMHWLQUXQJLKPI-ADAARDCZSA-N 0.000 description 2
- YDMDVUOZIGXDQQ-ADAARDCZSA-N C#CC1=CC=C(CC2=CC=CC([C@@H]3O[C@H](CO)[C@@H](O)[C@H](O)[C@H]3O)=C2)C=C1 Chemical compound C#CC1=CC=C(CC2=CC=CC([C@@H]3O[C@H](CO)[C@@H](O)[C@H](O)[C@H]3O)=C2)C=C1 YDMDVUOZIGXDQQ-ADAARDCZSA-N 0.000 description 2
- OSOZCVNCDTXZIO-UHFFFAOYSA-N CC(C)[Si](C#CC1=CC=C(CC2=C(Cl)C=CC(Br)=C2)C=C1)(C(C)C)C(C)C Chemical compound CC(C)[Si](C#CC1=CC=C(CC2=C(Cl)C=CC(Br)=C2)C=C1)(C(C)C)C(C)C OSOZCVNCDTXZIO-UHFFFAOYSA-N 0.000 description 2
- NIEQZZXEZYUFMQ-UHFFFAOYSA-N COC1=CC=C(C(=O)C2=C(Cl)C=CC(Br)=C2)C=C1 Chemical compound COC1=CC=C(C(=O)C2=C(Cl)C=CC(Br)=C2)C=C1 NIEQZZXEZYUFMQ-UHFFFAOYSA-N 0.000 description 2
- HIOFMJWBHHEAFB-BDHVOXNPSA-N C#CC1=C(CC2=CC=C(OC)C=C2)C=C([C@@H]2O[C@H](CO)[C@@H](O)[C@H](O)[C@H]2O)C=C1 Chemical compound C#CC1=C(CC2=CC=C(OC)C=C2)C=C([C@@H]2O[C@H](CO)[C@@H](O)[C@H](O)[C@H]2O)C=C1 HIOFMJWBHHEAFB-BDHVOXNPSA-N 0.000 description 1
- GEWPPLCJBUAXNJ-ZQGJOIPISA-N C#CC1=C(CC2=CC=C(OCC)C=C2)C=C([C@@H]2O[C@H](CO)[C@@H](O)[C@H](O)[C@H]2O)C=C1 Chemical compound C#CC1=C(CC2=CC=C(OCC)C=C2)C=C([C@@H]2O[C@H](CO)[C@@H](O)[C@H](O)[C@H]2O)C=C1 GEWPPLCJBUAXNJ-ZQGJOIPISA-N 0.000 description 1
- IPHDDPGGRCUTSZ-ADAARDCZSA-N C#CC1=CC([C@@H]2O[C@H](CO)[C@@H](O)[C@H](O)[C@H]2O)=CC(CC2=CC=C(OC(F)F)C=C2)=C1 Chemical compound C#CC1=CC([C@@H]2O[C@H](CO)[C@@H](O)[C@H](O)[C@H]2O)=CC(CC2=CC=C(OC(F)F)C=C2)=C1 IPHDDPGGRCUTSZ-ADAARDCZSA-N 0.000 description 1
- WARLOHXZKLPJBT-ADAARDCZSA-N C#CC1=CC=C(CC2=C(Br)C=CC([C@@H]3O[C@H](CO)[C@@H](O)[C@H](O)[C@H]3O)=C2)C=C1 Chemical compound C#CC1=CC=C(CC2=C(Br)C=CC([C@@H]3O[C@H](CO)[C@@H](O)[C@H](O)[C@H]3O)=C2)C=C1 WARLOHXZKLPJBT-ADAARDCZSA-N 0.000 description 1
- BYUZCSJWTNXOJS-BDHVOXNPSA-N C#CC1=CC=C(CC2=C(C)C=CC([C@@H]3O[C@H](CO)[C@@H](O)[C@H](O)[C@H]3O)=C2)C=C1 Chemical compound C#CC1=CC=C(CC2=C(C)C=CC([C@@H]3O[C@H](CO)[C@@H](O)[C@H](O)[C@H]3O)=C2)C=C1 BYUZCSJWTNXOJS-BDHVOXNPSA-N 0.000 description 1
- XLVMJHRWOIGUOX-ZQGJOIPISA-N C#CC1=CC=C(CC2=C(CC)C=CC([C@@H]3O[C@H](CO)[C@@H](O)[C@H](O)[C@H]3O)=C2)C=C1 Chemical compound C#CC1=CC=C(CC2=C(CC)C=CC([C@@H]3O[C@H](CO)[C@@H](O)[C@H](O)[C@H]3O)=C2)C=C1 XLVMJHRWOIGUOX-ZQGJOIPISA-N 0.000 description 1
- WHAJWYIDAZPLPL-ADAARDCZSA-N C#CC1=CC=C(CC2=C(F)C=CC([C@@H]3O[C@H](CO)[C@@H](O)[C@H](O)[C@H]3O)=C2)C=C1 Chemical compound C#CC1=CC=C(CC2=C(F)C=CC([C@@H]3O[C@H](CO)[C@@H](O)[C@H](O)[C@H]3O)=C2)C=C1 WHAJWYIDAZPLPL-ADAARDCZSA-N 0.000 description 1
- QJDYXEVLVDQIJH-BDHVOXNPSA-N C#CC1=CC=C(CC2=C(OC)C=CC([C@@H]3O[C@H](CO)[C@@H](O)[C@H](O)[C@H]3O)=C2)C=C1 Chemical compound C#CC1=CC=C(CC2=C(OC)C=CC([C@@H]3O[C@H](CO)[C@@H](O)[C@H](O)[C@H]3O)=C2)C=C1 QJDYXEVLVDQIJH-BDHVOXNPSA-N 0.000 description 1
- NODISAXAEMWZSW-BDHVOXNPSA-N C#CC1=CC=C(CC2=CC=C(OC)C([C@@H]3O[C@H](CO)[C@@H](O)[C@H](O)[C@H]3O)=C2)C=C1 Chemical compound C#CC1=CC=C(CC2=CC=C(OC)C([C@@H]3O[C@H](CO)[C@@H](O)[C@H](O)[C@H]3O)=C2)C=C1 NODISAXAEMWZSW-BDHVOXNPSA-N 0.000 description 1
- QZWRGEYSQRAXDR-WWJZYZJCSA-N CC(=O)N1CCC(OC2=CC=C(CC3=C(Cl)C=CC([C@@H]4O[C@H](CO)[C@@H](O)[C@H](O)[C@H]4O)=C3)C=C2)C1 Chemical compound CC(=O)N1CCC(OC2=CC=C(CC3=C(Cl)C=CC([C@@H]4O[C@H](CO)[C@@H](O)[C@H](O)[C@H]4O)=C3)C=C2)C1 QZWRGEYSQRAXDR-WWJZYZJCSA-N 0.000 description 1
- RPXKIIIBZJNIQW-RTJMFUJLSA-N CC(=O)N1CCC(OC2=CC=C(CC3=C(Cl)C=CC([C@@H]4O[C@H](CO)[C@@H](O)[C@H](O)[C@H]4O)=C3)C=C2)CC1 Chemical compound CC(=O)N1CCC(OC2=CC=C(CC3=C(Cl)C=CC([C@@H]4O[C@H](CO)[C@@H](O)[C@H](O)[C@H]4O)=C3)C=C2)CC1 RPXKIIIBZJNIQW-RTJMFUJLSA-N 0.000 description 1
- LVAJNVJETUQRDS-LTBFCVEOSA-N CC(=O)OC[C@H]1O[C@@H](C2=CC(CC3=CC=C(C#C[Si](C(C)C)(C(C)C)C(C)C)C=C3)=C(Cl)C=C2)[C@H](OC(C)=O)[C@@H](OC(C)=O)[C@@H]1OC(C)=O Chemical compound CC(=O)OC[C@H]1O[C@@H](C2=CC(CC3=CC=C(C#C[Si](C(C)C)(C(C)C)C(C)C)C=C3)=C(Cl)C=C2)[C@H](OC(C)=O)[C@@H](OC(C)=O)[C@@H]1OC(C)=O LVAJNVJETUQRDS-LTBFCVEOSA-N 0.000 description 1
- FWBJNLPVTQDZCL-LTBFCVEOSA-N CC(=O)OC[C@H]1O[C@@H](C2=CC(CC3=CC=C(C#C[Si](C(C)C)(C(C)C)C(C)C)C=C3)=C(F)C=C2)[C@H](OC(C)=O)[C@@H](OC(C)=O)[C@@H]1OC(C)=O Chemical compound CC(=O)OC[C@H]1O[C@@H](C2=CC(CC3=CC=C(C#C[Si](C(C)C)(C(C)C)C(C)C)C=C3)=C(F)C=C2)[C@H](OC(C)=O)[C@@H](OC(C)=O)[C@@H]1OC(C)=O FWBJNLPVTQDZCL-LTBFCVEOSA-N 0.000 description 1
- SEFACSQWRDLWKR-LTBFCVEOSA-N CC(=O)OC[C@H]1O[C@@H](C2=CC(CC3=CC=C(C#C[Si](C(C)C)(C(C)C)C(C)C)C=C3)=CC=C2)[C@H](OC(C)=O)[C@@H](OC(C)=O)[C@@H]1OC(C)=O Chemical compound CC(=O)OC[C@H]1O[C@@H](C2=CC(CC3=CC=C(C#C[Si](C(C)C)(C(C)C)C(C)C)C=C3)=CC=C2)[C@H](OC(C)=O)[C@@H](OC(C)=O)[C@@H]1OC(C)=O SEFACSQWRDLWKR-LTBFCVEOSA-N 0.000 description 1
- BLQCQUVAFYQBCZ-MFZKTEOVSA-N CC(C)(C)/C=C/C1=CC=C(CC2=C(Cl)C=CC([C@@H]3O[C@H](CO)[C@@H](O)[C@H](O)[C@H]3O)=C2)C=C1 Chemical compound CC(C)(C)/C=C/C1=CC=C(CC2=C(Cl)C=CC([C@@H]3O[C@H](CO)[C@@H](O)[C@H](O)[C@H]3O)=C2)C=C1 BLQCQUVAFYQBCZ-MFZKTEOVSA-N 0.000 description 1
- YKAOYZHLWFFCHE-SJSRKZJXSA-N CC(C)(C)C#CC1=CC=C(CC2=C(Cl)C=CC([C@@H]3O[C@H](CO)[C@@H](O)[C@H](O)[C@H]3O)=C2)C=C1 Chemical compound CC(C)(C)C#CC1=CC=C(CC2=C(Cl)C=CC([C@@H]3O[C@H](CO)[C@@H](O)[C@H](O)[C@H]3O)=C2)C=C1 YKAOYZHLWFFCHE-SJSRKZJXSA-N 0.000 description 1
- GTVBQMCJKMTQTQ-SEFGFODJSA-N CC(C)(C)OC(=O)N1CCC(OC2=CC=C(CC3=C(Cl)C=CC([C@@H]4O[C@H](CO)[C@@H](O)[C@H](O)[C@H]4O)=C3)C=C2)CC1 Chemical compound CC(C)(C)OC(=O)N1CCC(OC2=CC=C(CC3=C(Cl)C=CC([C@@H]4O[C@H](CO)[C@@H](O)[C@H](O)[C@H]4O)=C3)C=C2)CC1 GTVBQMCJKMTQTQ-SEFGFODJSA-N 0.000 description 1
- DGZRKOVWOYLOAW-UHFFFAOYSA-N CC(C)(C)[Si](C)(C)OC1=CC=C(CC2=C(Cl)C=CC(Br)=C2)C=C1 Chemical compound CC(C)(C)[Si](C)(C)OC1=CC=C(CC2=C(Cl)C=CC(Br)=C2)C=C1 DGZRKOVWOYLOAW-UHFFFAOYSA-N 0.000 description 1
- ZIJOZELVDLCIES-ZQGJOIPISA-N CC(C)(O)C#CC1=CC=C(CC2=C(Cl)C=CC([C@@H]3O[C@H](CO)[C@@H](O)[C@H](O)[C@H]3O)=C2)C=C1 Chemical compound CC(C)(O)C#CC1=CC=C(CC2=C(Cl)C=CC([C@@H]3O[C@H](CO)[C@@H](O)[C@H](O)[C@H]3O)=C2)C=C1 ZIJOZELVDLCIES-ZQGJOIPISA-N 0.000 description 1
- AFWCUWGTBCFAKU-UJAKZALTSA-N CC(C)C1=CC([C@@H]2O[C@H](CO)[C@@H](O)[C@H](O)[C@H]2O)=CC(CC2=CC=C(OC3CCOC3)C=C2)=C1 Chemical compound CC(C)C1=CC([C@@H]2O[C@H](CO)[C@@H](O)[C@H](O)[C@H]2O)=CC(CC2=CC=C(OC3CCOC3)C=C2)=C1 AFWCUWGTBCFAKU-UJAKZALTSA-N 0.000 description 1
- AMTWXLBEVJAUIB-UHFFFAOYSA-O CC(C)[SH+](C(C)C)(C(C)C)C#Cc1ccc(C(c2cc(Br)ccc2OC)O)cc1 Chemical compound CC(C)[SH+](C(C)C)(C(C)C)C#Cc1ccc(C(c2cc(Br)ccc2OC)O)cc1 AMTWXLBEVJAUIB-UHFFFAOYSA-O 0.000 description 1
- PTRSRXSVQYRPGE-UHFFFAOYSA-N CC(C)[Si](C#CC1=CC=C(Br)C=C1)(C(C)C)C(C)C Chemical compound CC(C)[Si](C#CC1=CC=C(Br)C=C1)(C(C)C)C(C)C PTRSRXSVQYRPGE-UHFFFAOYSA-N 0.000 description 1
- AZEDCCQGELVALE-UHFFFAOYSA-N CC(C)[Si](C#CC1=CC=C(C(O)C2=C(F)C=CC(Br)=C2)C=C1)(C(C)C)C(C)C Chemical compound CC(C)[Si](C#CC1=CC=C(C(O)C2=C(F)C=CC(Br)=C2)C=C1)(C(C)C)C(C)C AZEDCCQGELVALE-UHFFFAOYSA-N 0.000 description 1
- LRNHVJMOACIKEO-UHFFFAOYSA-N CC(C)[Si](C#CC1=CC=C(C(O)C2=CC=CC(Br)=C2)C=C1)(C(C)C)C(C)C Chemical compound CC(C)[Si](C#CC1=CC=C(C(O)C2=CC=CC(Br)=C2)C=C1)(C(C)C)C(C)C LRNHVJMOACIKEO-UHFFFAOYSA-N 0.000 description 1
- SGISCBGTTJHIMO-UHFFFAOYSA-N CC(C)[Si](C#CC1=CC=C(CC2=C(F)C=CC(Br)=C2)C=C1)(C(C)C)C(C)C Chemical compound CC(C)[Si](C#CC1=CC=C(CC2=C(F)C=CC(Br)=C2)C=C1)(C(C)C)C(C)C SGISCBGTTJHIMO-UHFFFAOYSA-N 0.000 description 1
- BTIYTKKSDVLEHD-UHFFFAOYSA-N CC(C)[Si](C#CC1=CC=C(CC2=CC=CC(Br)=C2)C=C1)(C(C)C)C(C)C Chemical compound CC(C)[Si](C#CC1=CC=C(CC2=CC=CC(Br)=C2)C=C1)(C(C)C)C(C)C BTIYTKKSDVLEHD-UHFFFAOYSA-N 0.000 description 1
- FZVQGNRYSBFWAG-UHFFFAOYSA-N CC(C)[Si](C#CC1=CC=C(I)C=C1)(C(C)C)C(C)C Chemical compound CC(C)[Si](C#CC1=CC=C(I)C=C1)(C(C)C)C(C)C FZVQGNRYSBFWAG-UHFFFAOYSA-N 0.000 description 1
- FNNAVUWVYQJIHF-BYOMOOIQSA-N CC1=C(CC2=CC=C(C#C[Si](C)(C)C)C=C2)C=C([C@@H]2O[C@H](COCC3=CC=CC=C3)[C@@H](OCC3=CC=CC=C3)[C@H](OCC3=CC=CC=C3)[C@H]2OCC2=CC=CC=C2)C=C1 Chemical compound CC1=C(CC2=CC=C(C#C[Si](C)(C)C)C=C2)C=C([C@@H]2O[C@H](COCC3=CC=CC=C3)[C@@H](OCC3=CC=CC=C3)[C@H](OCC3=CC=CC=C3)[C@H]2OCC2=CC=CC=C2)C=C1 FNNAVUWVYQJIHF-BYOMOOIQSA-N 0.000 description 1
- SRRDEOTYRPOBKK-GPEXLQPFSA-N CC1=C(CC2=CC=C(O)C=C2)C=C([C@@H]2O[C@H](COCC3=CC=CC=C3)[C@@H](OCC3=CC=CC=C3)[C@H](OCC3=CC=CC=C3)[C@H]2OCC2=CC=CC=C2)C=C1 Chemical compound CC1=C(CC2=CC=C(O)C=C2)C=C([C@@H]2O[C@H](COCC3=CC=CC=C3)[C@@H](OCC3=CC=CC=C3)[C@H](OCC3=CC=CC=C3)[C@H]2OCC2=CC=CC=C2)C=C1 SRRDEOTYRPOBKK-GPEXLQPFSA-N 0.000 description 1
- MGBVMWLWAXNXRD-ZQGJOIPISA-N CC1=C(CC2=CC=C(OC3CC3)C=C2)C=C([C@@H]2O[C@H](CO)[C@@H](O)[C@H](O)[C@H]2O)C=C1 Chemical compound CC1=C(CC2=CC=C(OC3CC3)C=C2)C=C([C@@H]2O[C@H](CO)[C@@H](O)[C@H](O)[C@H]2O)C=C1 MGBVMWLWAXNXRD-ZQGJOIPISA-N 0.000 description 1
- XWIINKFOYDTAJR-RXFVIIJJSA-N CC1=C(CC2=CC=C(OC3CCCC3)C=C2)C=C([C@@H]2O[C@H](CO)[C@@H](O)[C@H](O)[C@H]2O)C=C1 Chemical compound CC1=C(CC2=CC=C(OC3CCCC3)C=C2)C=C([C@@H]2O[C@H](CO)[C@@H](O)[C@H](O)[C@H]2O)C=C1 XWIINKFOYDTAJR-RXFVIIJJSA-N 0.000 description 1
- GLGHFXKHVNORIQ-VPJAGPTASA-N CC1=C(CC2=CC=C(OC3CCOC3)C=C2)C=C([C@@H]2O[C@H](CO)[C@@H](O)[C@H](O)[C@H]2O)C=C1 Chemical compound CC1=C(CC2=CC=C(OC3CCOC3)C=C2)C=C([C@@H]2O[C@H](CO)[C@@H](O)[C@H](O)[C@H]2O)C=C1 GLGHFXKHVNORIQ-VPJAGPTASA-N 0.000 description 1
- TZWZQAABPCBWNA-HMXUFEFRSA-N CC1=C(CC2=CC=C(OC3CCOC3)C=C2)C=C([C@@H]2O[C@H](COCC3=CC=CC=C3)[C@@H](OCC3=CC=CC=C3)[C@H](OCC3=CC=CC=C3)[C@H]2OCC2=CC=CC=C2)C=C1 Chemical compound CC1=C(CC2=CC=C(OC3CCOC3)C=C2)C=C([C@@H]2O[C@H](COCC3=CC=CC=C3)[C@@H](OCC3=CC=CC=C3)[C@H](OCC3=CC=CC=C3)[C@H]2OCC2=CC=CC=C2)C=C1 TZWZQAABPCBWNA-HMXUFEFRSA-N 0.000 description 1
- JFCYRALGYBYXFV-RXFVIIJJSA-N CC1=C(CC2=CC=C(OC3CCOCC3)C=C2)C=C([C@@H]2O[C@H](CO)[C@@H](O)[C@H](O)[C@H]2O)C=C1 Chemical compound CC1=C(CC2=CC=C(OC3CCOCC3)C=C2)C=C([C@@H]2O[C@H](CO)[C@@H](O)[C@H](O)[C@H]2O)C=C1 JFCYRALGYBYXFV-RXFVIIJJSA-N 0.000 description 1
- MCKWGUMOHGAQRN-SJSRKZJXSA-N CC1=C(CC2=CC=C(OC[Si](C)(C)C)C=C2)C=C([C@@H]2O[C@H](CO)[C@@H](O)[C@H](O)[C@H]2O)C=C1 Chemical compound CC1=C(CC2=CC=C(OC[Si](C)(C)C)C=C2)C=C([C@@H]2O[C@H](CO)[C@@H](O)[C@H](O)[C@H]2O)C=C1 MCKWGUMOHGAQRN-SJSRKZJXSA-N 0.000 description 1
- KRDJWPNHYSDKLQ-GPEXLQPFSA-N CC1=C(CC2=CC=C(OS(=O)(=O)C(F)(F)F)C=C2)C=C([C@@H]2O[C@H](COCC3=CC=CC=C3)[C@@H](OCC3=CC=CC=C3)[C@H](OCC3=CC=CC=C3)[C@H]2OCC2=CC=CC=C2)C=C1 Chemical compound CC1=C(CC2=CC=C(OS(=O)(=O)C(F)(F)F)C=C2)C=C([C@@H]2O[C@H](COCC3=CC=CC=C3)[C@@H](OCC3=CC=CC=C3)[C@H](OCC3=CC=CC=C3)[C@H]2OCC2=CC=CC=C2)C=C1 KRDJWPNHYSDKLQ-GPEXLQPFSA-N 0.000 description 1
- GLGHFXKHVNORIQ-YWIRWFRESA-N CC1=C(CC2=CC=C(O[C@@H]3CCOC3)C=C2)C=C([C@@H]2O[C@H](CO)[C@@H](O)[C@H](O)[C@H]2O)C=C1 Chemical compound CC1=C(CC2=CC=C(O[C@@H]3CCOC3)C=C2)C=C([C@@H]2O[C@H](CO)[C@@H](O)[C@H](O)[C@H]2O)C=C1 GLGHFXKHVNORIQ-YWIRWFRESA-N 0.000 description 1
- GLGHFXKHVNORIQ-GMKBEQEGSA-N CC1=C(CC2=CC=C(O[C@H]3CCOC3)C=C2)C=C([C@@H]2O[C@H](CO)[C@@H](O)[C@H](O)[C@H]2O)C=C1 Chemical compound CC1=C(CC2=CC=C(O[C@H]3CCOC3)C=C2)C=C([C@@H]2O[C@H](CO)[C@@H](O)[C@H](O)[C@H]2O)C=C1 GLGHFXKHVNORIQ-GMKBEQEGSA-N 0.000 description 1
- VIZLWFYEADNGKE-ZQGJOIPISA-N CCC#CC1=CC=C(CC2=C(Cl)C=CC([C@@H]3O[C@H](CO)[C@@H](O)[C@H](O)[C@H]3O)=C2)C=C1 Chemical compound CCC#CC1=CC=C(CC2=C(Cl)C=CC([C@@H]3O[C@H](CO)[C@@H](O)[C@H](O)[C@H]3O)=C2)C=C1 VIZLWFYEADNGKE-ZQGJOIPISA-N 0.000 description 1
- YIHXIDWKQRTDNH-UHFFFAOYSA-N CCOC1=CC=C(C(=O)C2=C(I)C=CC(Br)=C2)C=C1 Chemical compound CCOC1=CC=C(C(=O)C2=C(I)C=CC(Br)=C2)C=C1 YIHXIDWKQRTDNH-UHFFFAOYSA-N 0.000 description 1
- CFHDDXANMINOSB-UHFFFAOYSA-N CCOC1=CC=C(CC2=C(C#C[Si](C(C)C)(C(C)C)C(C)C)C=CC(Br)=C2)C=C1 Chemical compound CCOC1=CC=C(CC2=C(C#C[Si](C(C)C)(C(C)C)C(C)C)C=CC(Br)=C2)C=C1 CFHDDXANMINOSB-UHFFFAOYSA-N 0.000 description 1
- NPRYDTBFJXUORF-WWGFXPMHSA-N CCOC1=CC=C(CC2=C(C#C[Si](C(C)C)(C(C)C)C(C)C)C=CC(C3(OC)O[C@H](COC(C)=O)[C@@H](OC(C)=O)[C@H](OC(C)=O)[C@H]3OC(C)=O)=C2)C=C1 Chemical compound CCOC1=CC=C(CC2=C(C#C[Si](C(C)C)(C(C)C)C(C)C)C=CC(C3(OC)O[C@H](COC(C)=O)[C@@H](OC(C)=O)[C@H](OC(C)=O)[C@H]3OC(C)=O)=C2)C=C1 NPRYDTBFJXUORF-WWGFXPMHSA-N 0.000 description 1
- AQPSGFQHZPCERP-CSISHVCHSA-N CCOC1=CC=C(CC2=C(C#C[Si](C(C)C)(C(C)C)C(C)C)C=CC([C@@H]3O[C@H](COC(C)=O)[C@@H](OC(C)=O)[C@H](OC(C)=O)[C@H]3OC(C)=O)=C2)C=C1 Chemical compound CCOC1=CC=C(CC2=C(C#C[Si](C(C)C)(C(C)C)C(C)C)C=CC([C@@H]3O[C@H](COC(C)=O)[C@@H](OC(C)=O)[C@H](OC(C)=O)[C@H]3OC(C)=O)=C2)C=C1 AQPSGFQHZPCERP-CSISHVCHSA-N 0.000 description 1
- WAKWSKHOIHXHQF-UHFFFAOYSA-N CCOC1=CC=C(CC2=C(I)C=CC(Br)=C2)C=C1 Chemical compound CCOC1=CC=C(CC2=C(I)C=CC(Br)=C2)C=C1 WAKWSKHOIHXHQF-UHFFFAOYSA-N 0.000 description 1
- ZOKLDSYWCSYIQZ-BDHVOXNPSA-N CCOC1=CC=C(CC2=CC(C#N)=CC([C@@H]3O[C@H](CO)[C@@H](O)[C@H](O)[C@H]3O)=C2)C=C1 Chemical compound CCOC1=CC=C(CC2=CC(C#N)=CC([C@@H]3O[C@H](CO)[C@@H](O)[C@H](O)[C@H]3O)=C2)C=C1 ZOKLDSYWCSYIQZ-BDHVOXNPSA-N 0.000 description 1
- GXKKFLSLFLWQDI-BDHVOXNPSA-N CCSC1=CC=C(CC2=C(C#N)C=CC([C@@H]3O[C@H](CO)[C@@H](O)[C@H](O)[C@H]3O)=C2)C=C1 Chemical compound CCSC1=CC=C(CC2=C(C#N)C=CC([C@@H]3O[C@H](CO)[C@@H](O)[C@H](O)[C@H]3O)=C2)C=C1 GXKKFLSLFLWQDI-BDHVOXNPSA-N 0.000 description 1
- QNOAJPXJCOESOU-RXFVIIJJSA-N CN1CCC(OC2=CC=C(CC3=C(Cl)C=CC([C@@H]4O[C@H](CO)[C@@H](O)[C@H](O)[C@H]4O)=C3)C=C2)CC1 Chemical compound CN1CCC(OC2=CC=C(CC3=C(Cl)C=CC([C@@H]4O[C@H](CO)[C@@H](O)[C@H](O)[C@H]4O)=C3)C=C2)CC1 QNOAJPXJCOESOU-RXFVIIJJSA-N 0.000 description 1
- IEDWKEXSKLRXAP-SJSRKZJXSA-N COC(C)(C)C#CC1=CC=C(CC2=C(Cl)C=CC([C@@H]3O[C@H](CO)[C@@H](O)[C@H](O)[C@H]3O)=C2)C=C1 Chemical compound COC(C)(C)C#CC1=CC=C(CC2=C(Cl)C=CC([C@@H]3O[C@H](CO)[C@@H](O)[C@H](O)[C@H]3O)=C2)C=C1 IEDWKEXSKLRXAP-SJSRKZJXSA-N 0.000 description 1
- GDLJSVHELUFPTJ-JCLUOYIWSA-N COC1(C2=CC(CC3=CC=C(C#C[Si](C(C)C)(C(C)C)C(C)C)C=C3)=C(Cl)C=C2)O[C@H](CO)[C@@H](O)[C@H](O)[C@H]1O Chemical compound COC1(C2=CC(CC3=CC=C(C#C[Si](C(C)C)(C(C)C)C(C)C)C=C3)=C(Cl)C=C2)O[C@H](CO)[C@@H](O)[C@H](O)[C@H]1O GDLJSVHELUFPTJ-JCLUOYIWSA-N 0.000 description 1
- VIBHQGIJUHZXHD-JCLUOYIWSA-N COC1(C2=CC(CC3=CC=C(C#C[Si](C(C)C)(C(C)C)C(C)C)C=C3)=C(F)C=C2)O[C@H](CO)[C@@H](O)[C@H](O)[C@H]1O Chemical compound COC1(C2=CC(CC3=CC=C(C#C[Si](C(C)C)(C(C)C)C(C)C)C=C3)=C(F)C=C2)O[C@H](CO)[C@@H](O)[C@H](O)[C@H]1O VIBHQGIJUHZXHD-JCLUOYIWSA-N 0.000 description 1
- VUUOCAHYQYOYTM-WVTZLKINSA-N COC1(C2=CC(CC3=CC=C(C#C[Si](C(C)C)(C(C)C)C(C)C)C=C3)=CC=C2)O[C@H](COC(C)=O)[C@@H](OC(C)=O)[C@H](OC(C)=O)[C@H]1OC(C)=O Chemical compound COC1(C2=CC(CC3=CC=C(C#C[Si](C(C)C)(C(C)C)C(C)C)C=C3)=CC=C2)O[C@H](COC(C)=O)[C@@H](OC(C)=O)[C@H](OC(C)=O)[C@H]1OC(C)=O VUUOCAHYQYOYTM-WVTZLKINSA-N 0.000 description 1
- RGJXEQRYRPYKGS-UHFFFAOYSA-N COC1=C(C(O)C2=CC=C(C#C[Si](C(C)C)(C(C)C)C(C)C)C=C2)C=C(Br)C=C1 Chemical compound COC1=C(C(O)C2=CC=C(C#C[Si](C(C)C)(C(C)C)C(C)C)C=C2)C=C(Br)C=C1 RGJXEQRYRPYKGS-UHFFFAOYSA-N 0.000 description 1
- IFHROYTXZXGIES-UHFFFAOYSA-N COC1=C(CC2=CC=C(C#C[Si](C(C)C)(C(C)C)C(C)C)C=C2)C=C(Br)C=C1 Chemical compound COC1=C(CC2=CC=C(C#C[Si](C(C)C)(C(C)C)C(C)C)C=C2)C=C(Br)C=C1 IFHROYTXZXGIES-UHFFFAOYSA-N 0.000 description 1
- XKKPTVTWCIELAJ-MDKHBBSCSA-N COC1=C(CC2=CC=C(C#C[Si](C(C)C)(C(C)C)C(C)C)C=C2)C=C(C2(OC)O[C@H](CO)[C@@H](O)[C@H](O)[C@H]2O)C=C1 Chemical compound COC1=C(CC2=CC=C(C#C[Si](C(C)C)(C(C)C)C(C)C)C=C2)C=C(C2(OC)O[C@H](CO)[C@@H](O)[C@H](O)[C@H]2O)C=C1 XKKPTVTWCIELAJ-MDKHBBSCSA-N 0.000 description 1
- HAMAHVPWGCOSLY-FGGCTIIKSA-N COC1=C(CC2=CC=C(C#C[Si](C(C)C)(C(C)C)C(C)C)C=C2)C=C([C@@H]2O[C@H](COC(C)=O)[C@@H](OC(C)=O)[C@H](OC(C)=O)[C@H]2OC(C)=O)C=C1 Chemical compound COC1=C(CC2=CC=C(C#C[Si](C(C)C)(C(C)C)C(C)C)C=C2)C=C([C@@H]2O[C@H](COC(C)=O)[C@@H](OC(C)=O)[C@H](OC(C)=O)[C@H]2OC(C)=O)C=C1 HAMAHVPWGCOSLY-FGGCTIIKSA-N 0.000 description 1
- BKQRLAVLTZIFDE-RXFVIIJJSA-N COC1=C(CC2=CC=C(OC3CCCC3)C=C2)C=C([C@@H]2O[C@H](CO)[C@@H](O)[C@H](O)[C@H]2O)C=C1 Chemical compound COC1=C(CC2=CC=C(OC3CCCC3)C=C2)C=C([C@@H]2O[C@H](CO)[C@@H](O)[C@H](O)[C@H]2O)C=C1 BKQRLAVLTZIFDE-RXFVIIJJSA-N 0.000 description 1
- QBMACPLNLMUFGJ-UHFFFAOYSA-N COC1=CC=C(CC2=C(Cl)C=CC(Br)=C2)C=C1 Chemical compound COC1=CC=C(CC2=C(Cl)C=CC(Br)=C2)C=C1 QBMACPLNLMUFGJ-UHFFFAOYSA-N 0.000 description 1
- NGSPZNVILGIELD-ZQGJOIPISA-N COCC#CC1=CC=C(CC2=C(Cl)C=CC([C@@H]3O[C@H](CO)[C@@H](O)[C@H](O)[C@H]3O)=C2)C=C1 Chemical compound COCC#CC1=CC=C(CC2=C(Cl)C=CC([C@@H]3O[C@H](CO)[C@@H](O)[C@H](O)[C@H]3O)=C2)C=C1 NGSPZNVILGIELD-ZQGJOIPISA-N 0.000 description 1
- VNGTZLYNGGLPIZ-WCXIOVBPSA-N C[Si](C)(C)OC[C@H]1OC(=O)[C@H](O[Si](C)(C)C)[C@@H](O[Si](C)(C)C)[C@@H]1O[Si](C)(C)C Chemical compound C[Si](C)(C)OC[C@H]1OC(=O)[C@H](O[Si](C)(C)C)[C@@H](O[Si](C)(C)C)[C@@H]1O[Si](C)(C)C VNGTZLYNGGLPIZ-WCXIOVBPSA-N 0.000 description 1
- LARDKFQCEKGHTB-UHFFFAOYSA-N ClC1=C(CBr)C=C(Br)C=C1 Chemical compound ClC1=C(CBr)C=C(Br)C=C1 LARDKFQCEKGHTB-UHFFFAOYSA-N 0.000 description 1
- NFBXCZKWHMFEDS-UHFFFAOYSA-N ClC1=C(CC2=CC=C(I)C=C2)C=C(Br)C=C1 Chemical compound ClC1=C(CC2=CC=C(I)C=C2)C=C(Br)C=C1 NFBXCZKWHMFEDS-UHFFFAOYSA-N 0.000 description 1
- RSRWDRUMUBWALJ-VPJAGPTASA-N N#CC1=C(CC2=CC=C(OC3CCOC3)C=C2)C=C([C@@H]2O[C@H](CO)[C@@H](O)[C@H](O)[C@H]2O)C=C1 Chemical compound N#CC1=C(CC2=CC=C(OC3CCOC3)C=C2)C=C([C@@H]2O[C@H](CO)[C@@H](O)[C@H](O)[C@H]2O)C=C1 RSRWDRUMUBWALJ-VPJAGPTASA-N 0.000 description 1
- LLBFZOSRFNAQGM-UHFFFAOYSA-N O=C(C1=CC=C(I)C=C1)C1=C(Cl)C=CC(Br)=C1 Chemical compound O=C(C1=CC=C(I)C=C1)C1=C(Cl)C=CC(Br)=C1 LLBFZOSRFNAQGM-UHFFFAOYSA-N 0.000 description 1
- SSCDTBFBWQRKQT-AVGHQTNXSA-N O=C1NCCC1OC1=CC=C(CC2=C(Cl)C=CC([C@@H]3O[C@H](CO)[C@@H](O)[C@H](O)[C@H]3O)=C2)C=C1 Chemical compound O=C1NCCC1OC1=CC=C(CC2=C(Cl)C=CC([C@@H]3O[C@H](CO)[C@@H](O)[C@H](O)[C@H]3O)=C2)C=C1 SSCDTBFBWQRKQT-AVGHQTNXSA-N 0.000 description 1
- WPSNRQHMCHTDQF-AVGHQTNXSA-N O=C1OCCC1OC1=CC=C(CC2=C(Cl)C=CC([C@@H]3O[C@H](CO)[C@@H](O)[C@H](O)[C@H]3O)=C2)C=C1 Chemical compound O=C1OCCC1OC1=CC=C(CC2=C(Cl)C=CC([C@@H]3O[C@H](CO)[C@@H](O)[C@H](O)[C@H]3O)=C2)C=C1 WPSNRQHMCHTDQF-AVGHQTNXSA-N 0.000 description 1
- BUBVLQDEIIUIQG-NXVJRICRSA-N O=C1O[C@H](COCC2=CC=CC=C2)[C@@H](OCC2=CC=CC=C2)[C@H](OCC2=CC=CC=C2)[C@H]1OCC1=CC=CC=C1 Chemical compound O=C1O[C@H](COCC2=CC=CC=C2)[C@@H](OCC2=CC=CC=C2)[C@H](OCC2=CC=CC=C2)[C@H]1OCC1=CC=CC=C1 BUBVLQDEIIUIQG-NXVJRICRSA-N 0.000 description 1
- YESILICFESWAPS-FQBWVUSXSA-N O=S(=O)(OC1=CC=C(CC2=C(Cl)C=CC([C@@H]3O[C@H](CO)[C@@H](O)[C@H](O)[C@H]3O)=C2)C=C1)C(F)(F)F Chemical compound O=S(=O)(OC1=CC=C(CC2=C(Cl)C=CC([C@@H]3O[C@H](CO)[C@@H](O)[C@H](O)[C@H]3O)=C2)C=C1)C(F)(F)F YESILICFESWAPS-FQBWVUSXSA-N 0.000 description 1
- LPGGZFQQHZTFJZ-WLNBBENOSA-N O=S1(=O)CCC(OC2=CC=C(CC3=C(Cl)C=CC([C@@H]4O[C@H](CO)[C@@H](O)[C@H](O)[C@H]4O)=C3)C=C2)C1 Chemical compound O=S1(=O)CCC(OC2=CC=C(CC3=C(Cl)C=CC([C@@H]4O[C@H](CO)[C@@H](O)[C@H](O)[C@H]4O)=C3)C=C2)C1 LPGGZFQQHZTFJZ-WLNBBENOSA-N 0.000 description 1
- CZXZYGGSGBTOAN-SJSRKZJXSA-N O=S1(=O)CCC(OC2=CC=C(CC3=C(Cl)C=CC([C@@H]4O[C@H](CO)[C@@H](O)[C@H](O)[C@H]4O)=C3)C=C2)CC1 Chemical compound O=S1(=O)CCC(OC2=CC=C(CC3=C(Cl)C=CC([C@@H]4O[C@H](CO)[C@@H](O)[C@H](O)[C@H]4O)=C3)C=C2)CC1 CZXZYGGSGBTOAN-SJSRKZJXSA-N 0.000 description 1
- DHDHXVQALSRTEM-BDHVOXNPSA-N OCC#CC1=CC=C(CC2=C(Cl)C=CC([C@@H]3O[C@H](CO)[C@@H](O)[C@H](O)[C@H]3O)=C2)C=C1 Chemical compound OCC#CC1=CC=C(CC2=C(Cl)C=CC([C@@H]3O[C@H](CO)[C@@H](O)[C@H](O)[C@H]3O)=C2)C=C1 DHDHXVQALSRTEM-BDHVOXNPSA-N 0.000 description 1
- RUIZCIGMQBUZJK-UXEWWVMYSA-N OC[C@H]1O[C@@H](C2=CC(CC3=CC(F)=C(OC4CCOC4)C=C3)=C(Cl)C=C2)[C@H](O)[C@@H](O)[C@@H]1O Chemical compound OC[C@H]1O[C@@H](C2=CC(CC3=CC(F)=C(OC4CCOC4)C=C3)=C(Cl)C=C2)[C@H](O)[C@@H](O)[C@@H]1O RUIZCIGMQBUZJK-UXEWWVMYSA-N 0.000 description 1
- ODQAIMBPQWETBE-FQBWVUSXSA-N OC[C@H]1O[C@@H](C2=CC(CC3=CC=C(O)C=C3)=C(Cl)C=C2)[C@H](O)[C@@H](O)[C@@H]1O Chemical compound OC[C@H]1O[C@@H](C2=CC(CC3=CC=C(O)C=C3)=C(Cl)C=C2)[C@H](O)[C@@H](O)[C@@H]1O ODQAIMBPQWETBE-FQBWVUSXSA-N 0.000 description 1
- KLONRHQBSZWFSV-BDHVOXNPSA-N OC[C@H]1O[C@@H](C2=CC(CC3=CC=C(OC4CC4)C=C3)=C(Cl)C=C2)[C@H](O)[C@@H](O)[C@@H]1O Chemical compound OC[C@H]1O[C@@H](C2=CC(CC3=CC=C(OC4CC4)C=C3)=C(Cl)C=C2)[C@H](O)[C@@H](O)[C@@H]1O KLONRHQBSZWFSV-BDHVOXNPSA-N 0.000 description 1
- QVSYTXSTWQFDCC-ZQGJOIPISA-N OC[C@H]1O[C@@H](C2=CC(CC3=CC=C(OC4CCC4)C=C3)=C(Cl)C=C2)[C@H](O)[C@@H](O)[C@@H]1O Chemical compound OC[C@H]1O[C@@H](C2=CC(CC3=CC=C(OC4CCC4)C=C3)=C(Cl)C=C2)[C@H](O)[C@@H](O)[C@@H]1O QVSYTXSTWQFDCC-ZQGJOIPISA-N 0.000 description 1
- SWIDTHQYTQLCOF-SJSRKZJXSA-N OC[C@H]1O[C@@H](C2=CC(CC3=CC=C(OC4CCCC4)C=C3)=C(Br)C=C2)[C@H](O)[C@@H](O)[C@@H]1O Chemical compound OC[C@H]1O[C@@H](C2=CC(CC3=CC=C(OC4CCCC4)C=C3)=C(Br)C=C2)[C@H](O)[C@@H](O)[C@@H]1O SWIDTHQYTQLCOF-SJSRKZJXSA-N 0.000 description 1
- BEFVCLMMBJEVNM-SJSRKZJXSA-N OC[C@H]1O[C@@H](C2=CC(CC3=CC=C(OC4CCCC4)C=C3)=C(Cl)C=C2)[C@H](O)[C@@H](O)[C@@H]1O Chemical compound OC[C@H]1O[C@@H](C2=CC(CC3=CC=C(OC4CCCC4)C=C3)=C(Cl)C=C2)[C@H](O)[C@@H](O)[C@@H]1O BEFVCLMMBJEVNM-SJSRKZJXSA-N 0.000 description 1
- YQMWJDQTJNQLGU-SJSRKZJXSA-N OC[C@H]1O[C@@H](C2=CC(CC3=CC=C(OC4CCCC4)C=C3)=CC(C(F)F)=C2)[C@H](O)[C@@H](O)[C@@H]1O Chemical compound OC[C@H]1O[C@@H](C2=CC(CC3=CC=C(OC4CCCC4)C=C3)=CC(C(F)F)=C2)[C@H](O)[C@@H](O)[C@@H]1O YQMWJDQTJNQLGU-SJSRKZJXSA-N 0.000 description 1
- YSVNGQBTQWWKLU-RXFVIIJJSA-N OC[C@H]1O[C@@H](C2=CC(CC3=CC=C(OC4CCCCC4)C=C3)=C(Cl)C=C2)[C@H](O)[C@@H](O)[C@@H]1O Chemical compound OC[C@H]1O[C@@H](C2=CC(CC3=CC=C(OC4CCCCC4)C=C3)=C(Cl)C=C2)[C@H](O)[C@@H](O)[C@@H]1O YSVNGQBTQWWKLU-RXFVIIJJSA-N 0.000 description 1
- RESNKOPIWBRCBZ-SJSRKZJXSA-N OC[C@H]1O[C@@H](C2=CC(CC3=CC=C(OC4CCNCC4)C=C3)=C(Cl)C=C2)[C@H](O)[C@@H](O)[C@@H]1O Chemical compound OC[C@H]1O[C@@H](C2=CC(CC3=CC=C(OC4CCNCC4)C=C3)=C(Cl)C=C2)[C@H](O)[C@@H](O)[C@@H]1O RESNKOPIWBRCBZ-SJSRKZJXSA-N 0.000 description 1
- VYYIRQZVOULATJ-NWRGTOQLSA-N OC[C@H]1O[C@@H](C2=CC(CC3=CC=C(OC4CCOC4)C=C3)=CC(F)=C2)[C@H](O)[C@@H](O)[C@@H]1O Chemical compound OC[C@H]1O[C@@H](C2=CC(CC3=CC=C(OC4CCOC4)C=C3)=CC(F)=C2)[C@H](O)[C@@H](O)[C@@H]1O VYYIRQZVOULATJ-NWRGTOQLSA-N 0.000 description 1
- GDTVUTHONIGNGY-RMFGLVLUSA-N OC[C@H]1O[C@@H](C2=CC(CC3=CC=C(OC4CCOC4)C=C3)=CC(OC3CCCC3)=C2)[C@H](O)[C@@H](O)[C@@H]1O Chemical compound OC[C@H]1O[C@@H](C2=CC(CC3=CC=C(OC4CCOC4)C=C3)=CC(OC3CCCC3)=C2)[C@H](O)[C@@H](O)[C@@H]1O GDTVUTHONIGNGY-RMFGLVLUSA-N 0.000 description 1
- WTLUIAZIMKCEPE-SJSRKZJXSA-N OC[C@H]1O[C@@H](C2=CC(CC3=CC=C(OC4CCOCC4)C=C3)=C(Cl)C=C2)[C@H](O)[C@@H](O)[C@@H]1O Chemical compound OC[C@H]1O[C@@H](C2=CC(CC3=CC=C(OC4CCOCC4)C=C3)=C(Cl)C=C2)[C@H](O)[C@@H](O)[C@@H]1O WTLUIAZIMKCEPE-SJSRKZJXSA-N 0.000 description 1
- IMRDIKSYZIODAC-WLNBBENOSA-N OC[C@H]1O[C@@H](C2=CC(CC3=CC=C(OC4CCSC4)C=C3)=C(Cl)C=C2)[C@H](O)[C@@H](O)[C@@H]1O Chemical compound OC[C@H]1O[C@@H](C2=CC(CC3=CC=C(OC4CCSC4)C=C3)=C(Cl)C=C2)[C@H](O)[C@@H](O)[C@@H]1O IMRDIKSYZIODAC-WLNBBENOSA-N 0.000 description 1
- KUOKCXMGAYWKKG-SJSRKZJXSA-N OC[C@H]1O[C@@H](C2=CC(CC3=CC=C(OC4CCSCC4)C=C3)=C(Cl)C=C2)[C@H](O)[C@@H](O)[C@@H]1O Chemical compound OC[C@H]1O[C@@H](C2=CC(CC3=CC=C(OC4CCSCC4)C=C3)=C(Cl)C=C2)[C@H](O)[C@@H](O)[C@@H]1O KUOKCXMGAYWKKG-SJSRKZJXSA-N 0.000 description 1
- OBWASQILIWPZMG-VUOLKEHKSA-N OC[C@H]1O[C@@H](C2=CC(CC3=CC=C(O[C@@H]4CCOC4)C=C3)=C(Cl)C=C2)[C@H](O)[C@@H](O)[C@@H]1O Chemical compound OC[C@H]1O[C@@H](C2=CC(CC3=CC=C(O[C@@H]4CCOC4)C=C3)=C(Cl)C=C2)[C@H](O)[C@@H](O)[C@@H]1O OBWASQILIWPZMG-VUOLKEHKSA-N 0.000 description 1
- OBWASQILIWPZMG-QZMOQZSNSA-N OC[C@H]1O[C@@H](C2=CC(CC3=CC=C(O[C@H]4CCOC4)C=C3)=C(Cl)C=C2)[C@H](O)[C@@H](O)[C@@H]1O Chemical compound OC[C@H]1O[C@@H](C2=CC(CC3=CC=C(O[C@H]4CCOC4)C=C3)=C(Cl)C=C2)[C@H](O)[C@@H](O)[C@@H]1O OBWASQILIWPZMG-QZMOQZSNSA-N 0.000 description 1
- VWZRKKNDEPATMY-BDHVOXNPSA-N OC[C@H]1O[C@@H](C2=CC(CC3=CC=C(SC4CC4)C=C3)=C(Cl)C=C2)[C@H](O)[C@@H](O)[C@@H]1O Chemical compound OC[C@H]1O[C@@H](C2=CC(CC3=CC=C(SC4CC4)C=C3)=C(Cl)C=C2)[C@H](O)[C@@H](O)[C@@H]1O VWZRKKNDEPATMY-BDHVOXNPSA-N 0.000 description 1
- GBUPWBPCQFLHSJ-SJSRKZJXSA-N OC[C@H]1O[C@@H](C2=CC(CC3=CC=C(SC4CCCC4)C=C3)=C(Cl)C=C2)[C@H](O)[C@@H](O)[C@@H]1O Chemical compound OC[C@H]1O[C@@H](C2=CC(CC3=CC=C(SC4CCCC4)C=C3)=C(Cl)C=C2)[C@H](O)[C@@H](O)[C@@H]1O GBUPWBPCQFLHSJ-SJSRKZJXSA-N 0.000 description 1
- MCRAZENXSRBVRN-WLNBBENOSA-N OC[C@H]1O[C@@H](C2=CC(CC3=CC=C(SC4CCOC4)C=C3)=C(Cl)C=C2)[C@H](O)[C@@H](O)[C@@H]1O Chemical compound OC[C@H]1O[C@@H](C2=CC(CC3=CC=C(SC4CCOC4)C=C3)=C(Cl)C=C2)[C@H](O)[C@@H](O)[C@@H]1O MCRAZENXSRBVRN-WLNBBENOSA-N 0.000 description 1
- SYDWUNZXGDDWRJ-KUHPJKDZSA-N [H]OC1(C2=CC(CC3=CC=C(O[Si](C)(C)C(C)(C)C)C=C3)=C(C)C=C2)O[C@H](COCC2=CC=CC=C2)[C@@H](OCC2=CC=CC=C2)[C@H](OCC2=CC=CC=C2)[C@H]1OCC1=CC=CC=C1 Chemical compound [H]OC1(C2=CC(CC3=CC=C(O[Si](C)(C)C(C)(C)C)C=C3)=C(C)C=C2)O[C@H](COCC2=CC=CC=C2)[C@@H](OCC2=CC=CC=C2)[C@H](OCC2=CC=CC=C2)[C@H]1OCC1=CC=CC=C1 SYDWUNZXGDDWRJ-KUHPJKDZSA-N 0.000 description 1
- CSQCYSDEAYXXTN-UHFFFAOYSA-N [H]OC1=CC=C(CC2=C(Cl)C=CC(Br)=C2)C=C1 Chemical compound [H]OC1=CC=C(CC2=C(Cl)C=CC(Br)=C2)C=C1 CSQCYSDEAYXXTN-UHFFFAOYSA-N 0.000 description 1
Classifications
-
- C—CHEMISTRY; METALLURGY
- C07—ORGANIC CHEMISTRY
- C07H—SUGARS; DERIVATIVES THEREOF; NUCLEOSIDES; NUCLEOTIDES; NUCLEIC ACIDS
- C07H23/00—Compounds containing boron, silicon or a metal, e.g. chelates or vitamin B12
-
- C—CHEMISTRY; METALLURGY
- C07—ORGANIC CHEMISTRY
- C07H—SUGARS; DERIVATIVES THEREOF; NUCLEOSIDES; NUCLEOTIDES; NUCLEIC ACIDS
- C07H15/00—Compounds containing hydrocarbon or substituted hydrocarbon radicals directly attached to hetero atoms of saccharide radicals
- C07H15/26—Acyclic or carbocyclic radicals, substituted by hetero rings
-
- A—HUMAN NECESSITIES
- A61—MEDICAL OR VETERINARY SCIENCE; HYGIENE
- A61K—PREPARATIONS FOR MEDICAL, DENTAL OR TOILETRY PURPOSES
- A61K9/00—Medicinal preparations characterised by special physical form
- A61K9/0012—Galenical forms characterised by the site of application
- A61K9/0019—Injectable compositions; Intramuscular, intravenous, arterial, subcutaneous administration; Compositions to be administered through the skin in an invasive manner
-
- A—HUMAN NECESSITIES
- A61—MEDICAL OR VETERINARY SCIENCE; HYGIENE
- A61K—PREPARATIONS FOR MEDICAL, DENTAL OR TOILETRY PURPOSES
- A61K9/00—Medicinal preparations characterised by special physical form
- A61K9/02—Suppositories; Bougies; Bases therefor; Ovules
-
- A—HUMAN NECESSITIES
- A61—MEDICAL OR VETERINARY SCIENCE; HYGIENE
- A61K—PREPARATIONS FOR MEDICAL, DENTAL OR TOILETRY PURPOSES
- A61K9/00—Medicinal preparations characterised by special physical form
- A61K9/20—Pills, tablets, discs, rods
- A61K9/2004—Excipients; Inactive ingredients
- A61K9/2013—Organic compounds, e.g. phospholipids, fats
- A61K9/2018—Sugars, or sugar alcohols, e.g. lactose, mannitol; Derivatives thereof, e.g. polysorbates
-
- A—HUMAN NECESSITIES
- A61—MEDICAL OR VETERINARY SCIENCE; HYGIENE
- A61K—PREPARATIONS FOR MEDICAL, DENTAL OR TOILETRY PURPOSES
- A61K9/00—Medicinal preparations characterised by special physical form
- A61K9/48—Preparations in capsules, e.g. of gelatin, of chocolate
- A61K9/4841—Filling excipients; Inactive ingredients
- A61K9/4866—Organic macromolecular compounds
-
- A—HUMAN NECESSITIES
- A61—MEDICAL OR VETERINARY SCIENCE; HYGIENE
- A61P—SPECIFIC THERAPEUTIC ACTIVITY OF CHEMICAL COMPOUNDS OR MEDICINAL PREPARATIONS
- A61P1/00—Drugs for disorders of the alimentary tract or the digestive system
- A61P1/04—Drugs for disorders of the alimentary tract or the digestive system for ulcers, gastritis or reflux esophagitis, e.g. antacids, inhibitors of acid secretion, mucosal protectants
-
- A—HUMAN NECESSITIES
- A61—MEDICAL OR VETERINARY SCIENCE; HYGIENE
- A61P—SPECIFIC THERAPEUTIC ACTIVITY OF CHEMICAL COMPOUNDS OR MEDICINAL PREPARATIONS
- A61P1/00—Drugs for disorders of the alimentary tract or the digestive system
- A61P1/18—Drugs for disorders of the alimentary tract or the digestive system for pancreatic disorders, e.g. pancreatic enzymes
-
- A—HUMAN NECESSITIES
- A61—MEDICAL OR VETERINARY SCIENCE; HYGIENE
- A61P—SPECIFIC THERAPEUTIC ACTIVITY OF CHEMICAL COMPOUNDS OR MEDICINAL PREPARATIONS
- A61P13/00—Drugs for disorders of the urinary system
- A61P13/12—Drugs for disorders of the urinary system of the kidneys
-
- A—HUMAN NECESSITIES
- A61—MEDICAL OR VETERINARY SCIENCE; HYGIENE
- A61P—SPECIFIC THERAPEUTIC ACTIVITY OF CHEMICAL COMPOUNDS OR MEDICINAL PREPARATIONS
- A61P19/00—Drugs for skeletal disorders
- A61P19/06—Antigout agents, e.g. antihyperuricemic or uricosuric agents
-
- A—HUMAN NECESSITIES
- A61—MEDICAL OR VETERINARY SCIENCE; HYGIENE
- A61P—SPECIFIC THERAPEUTIC ACTIVITY OF CHEMICAL COMPOUNDS OR MEDICINAL PREPARATIONS
- A61P25/00—Drugs for disorders of the nervous system
-
- A—HUMAN NECESSITIES
- A61—MEDICAL OR VETERINARY SCIENCE; HYGIENE
- A61P—SPECIFIC THERAPEUTIC ACTIVITY OF CHEMICAL COMPOUNDS OR MEDICINAL PREPARATIONS
- A61P3/00—Drugs for disorders of the metabolism
-
- A—HUMAN NECESSITIES
- A61—MEDICAL OR VETERINARY SCIENCE; HYGIENE
- A61P—SPECIFIC THERAPEUTIC ACTIVITY OF CHEMICAL COMPOUNDS OR MEDICINAL PREPARATIONS
- A61P3/00—Drugs for disorders of the metabolism
- A61P3/04—Anorexiants; Antiobesity agents
-
- A—HUMAN NECESSITIES
- A61—MEDICAL OR VETERINARY SCIENCE; HYGIENE
- A61P—SPECIFIC THERAPEUTIC ACTIVITY OF CHEMICAL COMPOUNDS OR MEDICINAL PREPARATIONS
- A61P3/00—Drugs for disorders of the metabolism
- A61P3/06—Antihyperlipidemics
-
- A—HUMAN NECESSITIES
- A61—MEDICAL OR VETERINARY SCIENCE; HYGIENE
- A61P—SPECIFIC THERAPEUTIC ACTIVITY OF CHEMICAL COMPOUNDS OR MEDICINAL PREPARATIONS
- A61P3/00—Drugs for disorders of the metabolism
- A61P3/08—Drugs for disorders of the metabolism for glucose homeostasis
-
- A—HUMAN NECESSITIES
- A61—MEDICAL OR VETERINARY SCIENCE; HYGIENE
- A61P—SPECIFIC THERAPEUTIC ACTIVITY OF CHEMICAL COMPOUNDS OR MEDICINAL PREPARATIONS
- A61P3/00—Drugs for disorders of the metabolism
- A61P3/08—Drugs for disorders of the metabolism for glucose homeostasis
- A61P3/10—Drugs for disorders of the metabolism for glucose homeostasis for hyperglycaemia, e.g. antidiabetics
-
- A—HUMAN NECESSITIES
- A61—MEDICAL OR VETERINARY SCIENCE; HYGIENE
- A61P—SPECIFIC THERAPEUTIC ACTIVITY OF CHEMICAL COMPOUNDS OR MEDICINAL PREPARATIONS
- A61P39/00—General protective or antinoxious agents
- A61P39/02—Antidotes
-
- A—HUMAN NECESSITIES
- A61—MEDICAL OR VETERINARY SCIENCE; HYGIENE
- A61P—SPECIFIC THERAPEUTIC ACTIVITY OF CHEMICAL COMPOUNDS OR MEDICINAL PREPARATIONS
- A61P43/00—Drugs for specific purposes, not provided for in groups A61P1/00-A61P41/00
-
- A—HUMAN NECESSITIES
- A61—MEDICAL OR VETERINARY SCIENCE; HYGIENE
- A61P—SPECIFIC THERAPEUTIC ACTIVITY OF CHEMICAL COMPOUNDS OR MEDICINAL PREPARATIONS
- A61P5/00—Drugs for disorders of the endocrine system
- A61P5/14—Drugs for disorders of the endocrine system of the thyroid hormones, e.g. T3, T4
-
- A—HUMAN NECESSITIES
- A61—MEDICAL OR VETERINARY SCIENCE; HYGIENE
- A61P—SPECIFIC THERAPEUTIC ACTIVITY OF CHEMICAL COMPOUNDS OR MEDICINAL PREPARATIONS
- A61P5/00—Drugs for disorders of the endocrine system
- A61P5/48—Drugs for disorders of the endocrine system of the pancreatic hormones
- A61P5/50—Drugs for disorders of the endocrine system of the pancreatic hormones for increasing or potentiating the activity of insulin
-
- A—HUMAN NECESSITIES
- A61—MEDICAL OR VETERINARY SCIENCE; HYGIENE
- A61P—SPECIFIC THERAPEUTIC ACTIVITY OF CHEMICAL COMPOUNDS OR MEDICINAL PREPARATIONS
- A61P7/00—Drugs for disorders of the blood or the extracellular fluid
-
- A—HUMAN NECESSITIES
- A61—MEDICAL OR VETERINARY SCIENCE; HYGIENE
- A61P—SPECIFIC THERAPEUTIC ACTIVITY OF CHEMICAL COMPOUNDS OR MEDICINAL PREPARATIONS
- A61P7/00—Drugs for disorders of the blood or the extracellular fluid
- A61P7/10—Antioedematous agents; Diuretics
-
- A—HUMAN NECESSITIES
- A61—MEDICAL OR VETERINARY SCIENCE; HYGIENE
- A61P—SPECIFIC THERAPEUTIC ACTIVITY OF CHEMICAL COMPOUNDS OR MEDICINAL PREPARATIONS
- A61P9/00—Drugs for disorders of the cardiovascular system
-
- A—HUMAN NECESSITIES
- A61—MEDICAL OR VETERINARY SCIENCE; HYGIENE
- A61P—SPECIFIC THERAPEUTIC ACTIVITY OF CHEMICAL COMPOUNDS OR MEDICINAL PREPARATIONS
- A61P9/00—Drugs for disorders of the cardiovascular system
- A61P9/04—Inotropic agents, i.e. stimulants of cardiac contraction; Drugs for heart failure
-
- A—HUMAN NECESSITIES
- A61—MEDICAL OR VETERINARY SCIENCE; HYGIENE
- A61P—SPECIFIC THERAPEUTIC ACTIVITY OF CHEMICAL COMPOUNDS OR MEDICINAL PREPARATIONS
- A61P9/00—Drugs for disorders of the cardiovascular system
- A61P9/10—Drugs for disorders of the cardiovascular system for treating ischaemic or atherosclerotic diseases, e.g. antianginal drugs, coronary vasodilators, drugs for myocardial infarction, retinopathy, cerebrovascula insufficiency, renal arteriosclerosis
-
- A—HUMAN NECESSITIES
- A61—MEDICAL OR VETERINARY SCIENCE; HYGIENE
- A61P—SPECIFIC THERAPEUTIC ACTIVITY OF CHEMICAL COMPOUNDS OR MEDICINAL PREPARATIONS
- A61P9/00—Drugs for disorders of the cardiovascular system
- A61P9/12—Antihypertensives
-
- C—CHEMISTRY; METALLURGY
- C07—ORGANIC CHEMISTRY
- C07D—HETEROCYCLIC COMPOUNDS
- C07D309/00—Heterocyclic compounds containing six-membered rings having one oxygen atom as the only ring hetero atom, not condensed with other rings
- C07D309/02—Heterocyclic compounds containing six-membered rings having one oxygen atom as the only ring hetero atom, not condensed with other rings having no double bonds between ring members or between ring members and non-ring members
- C07D309/08—Heterocyclic compounds containing six-membered rings having one oxygen atom as the only ring hetero atom, not condensed with other rings having no double bonds between ring members or between ring members and non-ring members with hetero atoms or with carbon atoms having three bonds to hetero atoms with at the most one bond to halogen, e.g. ester or nitrile radicals, directly attached to ring carbon atoms
- C07D309/10—Oxygen atoms
-
- C—CHEMISTRY; METALLURGY
- C07—ORGANIC CHEMISTRY
- C07H—SUGARS; DERIVATIVES THEREOF; NUCLEOSIDES; NUCLEOTIDES; NUCLEIC ACIDS
- C07H15/00—Compounds containing hydrocarbon or substituted hydrocarbon radicals directly attached to hetero atoms of saccharide radicals
- C07H15/02—Acyclic radicals, not substituted by cyclic structures
- C07H15/04—Acyclic radicals, not substituted by cyclic structures attached to an oxygen atom of the saccharide radical
-
- C—CHEMISTRY; METALLURGY
- C07—ORGANIC CHEMISTRY
- C07H—SUGARS; DERIVATIVES THEREOF; NUCLEOSIDES; NUCLEOTIDES; NUCLEIC ACIDS
- C07H15/00—Compounds containing hydrocarbon or substituted hydrocarbon radicals directly attached to hetero atoms of saccharide radicals
- C07H15/20—Carbocyclic rings
Definitions
- the present invention relates to glucopyranosyl-substituted benzene derivatives of general formula I
- the invention further relates to pharmaceutical compositions containing a compound of formula I according to the invention as well as the use of a compound according to the invention for preparing a pharmaceutical composition for the treatment of metabolic disorders.
- the invention relates to processes for preparing a pharmaceutical composition as well as a compound according to the invention.
- Glucopyranosyloxy-substituted aromatic groups and the preparation thereof and their possible activity as SGLT2 inhibitors are known from published International applications WO 98/31697, WO 01/27128, WO 02/083066, WO 03/099836, WO 2004/063209, WO 2004/080990, WO 2004/013118, WO 2004/052902, WO 2004/052903 and US application US 2003/0114390.
- the aim of the present invention is to find new pyranosyloxy-substituted benzene derivatives, particularly those which are active with regard to the sodium-dependent glucose cotransporter SGLT, particularly SGLT2.
- a further aim of the present invention is to discover pyranosyloxy-substituted benzene derivatives which have an enhanced inhibitory effect on the sodium-dependent glucose cotransporter SGLT2 in vitro and/or in vivo compared with known, structurally similar compounds and/or have better pharmacological or pharmacokinetic properties.
- a further aim of the present invention is to provide new pharmaceutical compositions which are suitable for the prevention and/or treatment of metabolic disorders, particularly diabetes.
- the invention also sets out to provide a process for preparing the compounds according to the invention.
- the present invention relates to glucopyranosyloxy-substituted benzene derivatives of general formula I
- the compounds of general formula I according to the invention and the physiologically acceptable salts thereof have valuable pharmacological properties, particularly an inhibitory effect on the sodium-dependent glucose cotransporter SGLT, particularly SGLT2.
- compounds according to the invention may have an inhibitory effect on the sodium-dependent glucose cotransporter SGLT1.
- the compounds according to the invention preferably inhibit SGLT2 selectively.
- the present invention also relates to the physiologically acceptable salts of the compounds according to the invention with inorganic or organic acids.
- This invention also relates to pharmaceutical compositions, containing at least one compound according to the invention or a physiologically acceptable salt according to the invention, optionally together with one or more inert carriers and/or diluents.
- This invention also relates to the use of at least one compound according to the invention or one of the physiologically acceptable salts thereof for preparing a pharmaceutical composition which is suitable for the treatment or prevention or diseases or conditions which can be influenced by inhibiting the sodium-dependent glucose cotransporter SGLT, particularly SGLT2.
- This invention also relates to the use of at least one compound according to the invention or one of the physiologically acceptable salts thereof for preparing a pharmaceutical composition which is suitable for the treatment of metabolic disorders.
- This invention also relates to the use of at least one compound according to the invention or one of the physiologically acceptable salts thereof for preparing a pharmaceutical composition for inhibiting the sodium-dependent glucose cotransporter SGLT, particularly SGLT2.
- the invention further relates to a process for preparing a pharmaceutical composition according to the invention, characterised in that a compound according to the invention or one of the physiologically acceptable salts thereof is incorporated in one or more inert carriers and/or diluents by a non-chemical method.
- the present invention also relates to a process for preparing the compounds of general formula I according to the invention, characterised in that
- R 8a , R 8b , R 8c , R 8d and R 1 to R 5 are defined as hereinbefore and hereinafter, but at least one of the groups R 8a , R 8b , R 8c , R 8d does not denote hydrogen, is hydrolysed, and if desired a compound of general formula I thus obtained wherein R 6 denotes a hydrogen atom, is converted by acylation into a corresponding acyl compound of general formula I, and/or if necessary any protective group used in the reactions described above is cleaved and/or if desired a compound of general formula I thus obtained is resolved into its stereoisomers and/or if desired a compound of general formula I thus obtained is converted into the salts thereof, particularly for pharmaceutical use into the physiologically acceptable salts thereof.
- This invention further relates to a process for preparing compounds of general formula II
- R 8a , R 8b , R 8c , R 8d are defined as hereinbefore and hereinafter, and then the resulting adduct, is reacted, preferably in situ, with water or an alcohol R′—OH, while R′ denotes optionally substituted C 1-4 -alkyl, in the presence of an acid, such as for example methanesulphonic acid, sulphuric acid, hydrochloric acid, acetic acid or ammonium chloride, and optionally the product obtained in the reaction with water wherein R′ denotes H is converted, in a subsequent reaction, with an acylating agent, such as for example the corresponding acid chloride or anhydride, into the product of formula II wherein R′ denotes (C 1-18 -alkyl)carbonyl, (C 1-18 -alkyl)oxycarbonyl, arylcarbonyl or aryl-(C 1-3 -alkyl)-carbonyl, which may be substituted as specified.
- R′ denote
- R 1 to R 5 , A, B, L1, L2, R N , R 6 , R 7a , R 7b , R 7c , R 8a , R 8b , R 8c , R 8d are defined as above and hereinafter.
- glucopyranosyl-substituted benzene derivatives are those of general formula I
- the group R 3 is preferably in the meta or para position to the —CH 2 bridge, so that compounds according to the following formulae I.1 and I.2, particularly formula I.2, are preferred:
- aryl appearing in the groups L1, R 1 , R 3 , A and B preferably denotes phenyl.
- heteroaryl occurring in the groups L1, R 1 , R 3 , A and B preferably denotes pyridinyl, pyrimidinyl, pyridazinyl, pyrazinyl, triazinyl, imidazolyl, pyrazolyl, triazolyl, tetrazolyl, oxazolyl, oxadiazolyl, thiazolyl or thiadiazolyl.
- the group A preferably denotes C 2-6 -alkyn-1-yl, C 2-6 -alken-1-yl, C 3-7 -cycloalkyl, C 5-7 -cycloalkenyl, C 1-4 -alkylcarbonyl, aminocarbonyl, C 1-4 -alkylaminocarbonyl, di-(C 1-3 -alkyl)aminocarbonyl, pyrrolidin-1-ylcarbonyl, piperidin-1-ylcarbonyl, morpholin-4-ylcarbonyl, piperazin-1-ylcarbonyl, 4-(C 1-4 -alkyl)piperazin-1-ylcarbonyl, C 1-4 -alkoxycarbonyl, amino, C 1-4 -alkylamino, di-(C 1-3 -alkyl)amino, pyrrolidin-1-yl, pyrrolidin-2-on-1-yl, piperidin-1-yl, piperidin-2-on-1-
- the above-mentioned alkynyl and alkenyl groups may be mono- or polysubstituted by fluorine or chlorine, preferably fluorine, and the above-mentioned alkynyl and alkenyl groups may be mono- or disubstituted by identical or different groups L1, and the above-mentioned cycloalkyl and cycloalkenyl rings may be mono- or disubstituted independently of one another by substituents selected from fluorine and C 1-3 -alkyl, and in the above-mentioned cycloalkyl and cycloalkenyl rings one or two methylene groups may be replaced independently of one another by O, S, CO, SO, SO 2 or NR N , preferably O or CO, most particularly preferably by O.
- the group A denotes C 2-6 -alkyn-1-yl, C 2-6 -alken-1-yl, C 3-7 -cycloalkyl, C 5-7 -cycloalkenyl, C 3-7 -cycloalkyloxy, C 5-7 -cycloalkenyloxy, C 1-4 -alkylsulphinyl, C 1-4 -alkylsulphonyl, C 3-7 -cycloalkylsulphanyl, C 3-7 -cycloalkylsulphinyl, C 3-7 -cycloalkylsulphonyl, C 5-7 -cycloalkenylsulphanyl, C 5-7 -cycloalkenylsulphinyl, C 5-7 -cycloalkenylsulphonyl, cyano and nitro,
- alkynyl and alkenyl groups may be mono- or polysubstituted by fluorine or chlorine, preferably fluorine
- the above-mentioned alkynyl and alkenyl groups may be mono- or disubstituted by identical or different groups L1
- the above-mentioned cycloalkyl and cycloalkenyl rings may be mono- or disubstituted independently of one another by substituents selected from fluorine and C 1-3 -alkyl, and in the above-mentioned C 5-6 -cycloalkyl rings a methylene group may be replaced by O.
- the group A denotes C 2-6 -alkyn-1-yl, C 2-6 -alken-1-yl, C 3-7 -cycloalkyl, C 3-7 -cycloalkyloxy, cyano, while in C 5-6 -cycloalkyl groups a methylene unit may be replaced by O.
- Examples of the most particularly preferred definitions of the group A are ethynyl, prop-1-yn-1-yl, but-1-yn-1-yl, cyano, cyclopropyloxy, cyclobutyloxy, cyclopentyloxy, cyclohexyloxy.
- the group B preferably denotes tri-(C 1-4 -alkyl)silyl-C 1-6 -alkyl, C 2-6 -alkyn-1-yl, C 2-6 -alken-1-yl, amino, C 1-3 -alkylamino, di-(C 1-3 -alkyl)amino, pyrrolidin-1-yl, pyrrolidin-2-on-1-yl, piperidin-1-yl, piperidin-2-on-1-yl, morpholin-4-yl, morpholin-3-on-4-yl, piperazin-1-yl, 4-(C 1-3 -alkyl)piperazin-1-yl, nitro, C 3-7 -cycloalkyloxy, C 5-7 -cycloalkenyloxy, C 3-7 -cycloalkylsulphanyl, C 3-7 -cycloalkylsulphinyl, C 3-7 -cycloalkylsulphonyl, C 5-7
- the above-mentioned alkynyl and alkenyl groups may be mono- or polysubstituted by fluorine or chlorine, preferably fluorine, and the above-mentioned alkynyl and alkenyl groups may be mono- or disubstituted by identical or different groups L1;
- the above-mentioned cycloalkyl and cycloalkenyl rings may be mono- or disubstituted independently of one another by substituents selected from fluorine and C 1-3 -alkyl, and in the above-mentioned cycloalkyl and cycloalkenyl rings one or two methylene groups may be replaced independently of one another by O, S, CO, SO, SO 2 or NR N , preferably O, CO, S, SO 2 or NR N , most particularly preferably by O or CO.
- the group B denotes tri-(C 1-4 -alkyl)silyl-C 1-6 -alkyl, C 2-6 -alkyn-1-yl, C 2-6 -alken-1-yl, nitro, C 3-7 -cycloalkyloxy, C 5-7 -cycloalkenyloxy, C 3-7 -cycloalkylsulphanyl, C 3-7 -cycloalkylsulphinyl, C 3-7 -cycloalkylsulphonyl, C 5-7 -cycloalkenylsulphanyl, C 5-7 -cycloalkenylsulphinyl, C 5-7 -cycloalkenylsulphonyl, while the above-mentioned alkynyl and alkenyl groups may be mono- or polysubstituted by fluorine or chlorine, preferably fluorine, and
- the above-mentioned alkynyl and alkenyl groups may be mono- or disubstituted by identical or different groups L1; while the above-mentioned cycloalkyl and cycloalkenyl rings may be mono- or disubstituted independently of one another by substituents selected from fluorine and C 1-3 -alkyl, and in the above-mentioned cycloalkyl and cycloalkenyl rings one or two methylene groups may be replaced independently of one another by O, S, CO, SO, SO 2 or NR N , preferably O, CO, S, SO 2 or NR N , most particularly preferably by O or CO.
- the group B denotes tri-(C 1-4 -alkyl)silyl-C 1-6 -alkyl, C 2-6 -alkyn-1-yl, C 2-6 -alken-1-yl, C 3-7 -cycloalkyloxy, C 5-7 -cycloalkenyloxy, C 3-7 -cycloalkylsulphanyl, C 5-7 -cycloalkenylsulphanyl, while the above-mentioned alkynyl and alkenyl groups may be mono- or polysubstituted by fluorine or monosubstituted by chlorine or the group L1, and in the cycloalkyl and cycloalkenyl groups one or two methylene groups may be replaced independently of one another by O, CO, S, SO 2 or NR N , particularly O or CO.
- Examples of most particularly preferred definitions of the group B are trimethylsilylethyl, ethynyl, 1-propyn-1-yl, 1-butyn-1-yl, tert.-butylethynyl, 2-hydroxyprop-2-ylethynyl, 2-methoxyprop-2-ylethynyl, 3-hydroxy-1-propyn-1-yl, 3-methoxy-1-propyn-1-yl, ethenyl, 1-propenyl, 1-butenyl, tert.-butylethenyl, cyclopropyloxy, cyclobutyloxy, cyclopentyloxy, cyclohexyloxy, tetrahydrofuranyloxy, tetrahydrothiophenyloxy, 1,1-dioxotetrahydrothiophenyloxy, tetrahydropyranyloxy, tetrahydrothiopyranyloxy, 1,1-diox
- Most particularly preferred meanings are trimethylsilylethyl, ethynyl, 2-hydroxyprop-2-ylethynyl, 2-methoxyprop-2-ylethynyl, 3-hydroxy-1-propyn-1-yl, 3-methoxy-1-propyn-1-yl, cyclopropyloxy, cyclobutyloxy, cyclopentyloxy, cyclohexyloxy, tetrahydrofuran-3-yloxy, tetrahydropyran-4-yloxy, piperidin-4-yloxy, N-methylpiperidin-4-yloxy and N-acetylpiperidin-4-yloxy.
- Examples which deserve special mention are ethynyl, trimethylsilylethyl, cyclobutyloxy, cyclopentyloxy, cyclohexyloxy, tetrahydrofuran-3-yloxy and tetrahydropyran-4-yloxy.
- Preferred meanings of the group L1 are selected from among hydroxy, cyano, C 3-6 -cycloalkyl, C 1-4 -alkylcarbonyl, aminocarbonyl, C 1-4 -alkylaminocarbonyl, di-(C 1-3 -alkyl)aminocarbonyl, pyrrolidin-1-ylcarbonyl, piperidin-1-ylcarbonyl, morpholin-4-ylcarbonyl, C 1-4 -alkoxycarbonyl, C 1-4 -alkyloxy, C 1-4 -alkylsulphanyl, C 1-4 -alkylsulphinyl, and C 1-4 -alkylsulphonyl.
- Particularly preferred meanings of the group L1 are selected from among hydroxy, C 1-4 -alkyloxy and C 1-4 -alkylsulphanyl.
- L1 denotes hydroxy
- the hydroxy group is not directly linked to a C atom of a double or triple bond.
- preferred meanings of the group R 1 are hydrogen, fluorine, chlorine, bromine, iodine, C 1-4 -alkyl, C 2-6 -alkynyl, C 1-4 -alkoxy, C 2-4 -alkenyl-C 1-4 -alkoxy, C 2-4 -alkynyl-C 1-4 -alkoxy, methyl substituted by 1 to 3 fluorine atoms, ethyl substituted by 1 to 5 fluorine atoms, methoxy substituted by 1 to 3 fluorine atoms, ethoxy substituted by 1 to 5 fluorine atoms, C 1-4 -alkyl substituted by a hydroxy or C 1-3 -alkoxy group, C 2-4 -alkoxy substituted by a hydroxy or C 1-3 -alkoxy group, C 2-6 -alkenyl, C 3-6 -cycloalkyl, C 3-6 -cycloalkyl-C 1-3 -alkyl, C
- Particularly preferred meanings are hydrogen, fluorine, chlorine, bromine, cyano, methyl, ethyl, isopropyl, difluoromethyl, trifluoromethyl, ethynyl, prop-1-yn-1-yl, but-1-yn-1-yl, hydroxy, methoxy, ethoxy, difluoromethoxy, cyclopropyloxy, cyclobutyloxy, cyclopentyloxy, cyclohexyloxy, particularly methyl and chlorine.
- preferred meanings of the group R 3 are hydrogen, fluorine, chlorine, bromine, hydroxy, cyano, C 1-6 -alkyl, trimethylsilylethyl, C 2-6 -alkenyl, C 2-6 -alkynyl, difluoromethyl, trifluoromethyl, C 3-7 -cycloalkyl, C 5-7 -cycloalkenyl, C 1-6 -alkyloxy, difluoromethoxy, trifluoromethoxy, pentafluorethoxy, C 3-7 -cycloalkyloxy, tetrahydrofuranyloxy, tetrahydrofuranonyloxy, C 1-6 -alkylsulphanyl, cyclopropylidenemethyl, aryl or heteroaryl.
- particularly preferred meanings of the group R 3 are hydrogen, fluorine, chlorine, methyl, ethyl, isopropyl, tert.-butyl, ethynyl, 1-propynyl, trimethylsilylethyl, difluoromethyl, trifluoromethyl, cyclopropyl, cyclobutyl, cyclopentyl, methoxy, ethoxy, isopropoxy, cyclopentyloxy, difluoromethoxy, trifluoromethoxy, pentafluorethoxy, tetrahydrofuran-3-yloxy, tetrahydrofuran-2-on-3-yloxy, methylsulphanyl, ethylsulphanyl, isopropylsulphanyl, cyclopropylidenemethyl, phenyl, fluorophenyl, pyridinyl, pyrimidinyl, pyridazinyl, pyra
- most particularly preferred meanings of the group R 3 are hydrogen, fluorine, chlorine, methyl, ethyl, isopropyl, tert.-butyl, ethynyl, 1-propynyl, trimethylsilylethyl, difluoromethyl, trifluoromethyl, cyclopropyl, cyclobutyl, cyclopentyl, methoxy, ethoxy, isopropoxy, cyclopentyloxy, difluoromethoxy, trifluoromethoxy, pentafluorethoxy, tetrahydrofuran-3-yloxy, tetrahydrofuran-2-on-3-yloxy, methylsulphanyl, ethylsulphanyl, isopropylsulphanyl, cyclopropylidenemethyl.
- Examples of such particularly preferred meanings are methyl, ethyl, methoxy, ethoxy, trimethylsilylethyl, ethynyl, cyclopentyloxy, tetrahydrofuran-3-yloxy, tetrahydrofuran-2-on-3-yloxy, particularly trimethylsilylethyl, ethoxy, cyclopentyloxy and tetrahydrofuran-3-yloxy.
- Preferred meanings of the group R 2 are hydrogen, fluorine, chlorine, bromine, methyl, hydroxy, methoxy, ethoxy, trifluoromethoxy, cyano, nitro and methyl substituted by 1 to 3 fluorine atoms.
- Particularly preferred meanings of the group R 2 are hydrogen, fluorine, hydroxy, methoxy, ethoxy and methyl, particularly hydrogen and methyl.
- Preferred meanings of the group R 4 are hydrogen and fluorine, particularly hydrogen.
- Preferred meanings of the group R 5 are hydrogen and fluorine, particularly hydrogen.
- the group R N preferably denotes H, methyl, ethyl or acetyl.
- the group R 6 preferably denotes according to the invention hydrogen, (C 1-8 -alkyl)oxycarbonyl, C 1-8 -alkylcarbonyl or benzoyl, particularly hydrogen or (C 1-6 -alkyl)oxycarbonyl, C 1-6 -alkylcarbonyl, particularly preferably hydrogen, methylcarbonyl, methoxycarbonyl or ethoxycarbonyl, most particularly preferably hydrogen or methoxycarbonyl.
- R 7a , R 7b , R 7c preferably represent independently of one another hydrogen, (C 1-8 -alkyl)oxycarbonyl, (C 1-18 -alkyl)carbonyl, benzoyl, particularly hydrogen or (C 1-6 -alkyl)oxycarbonyl, (C 1-8 -alkyl)carbonyl, particularly preferably hydrogen, methoxycarbonyl, ethoxycarbonyl, methylcarbonyl or ethylcarbonyl. Most particularly preferably R 7a , R 7b and R 7c represent hydrogen.
- R 6 , R 7a , R 7b and R 7c according to the invention have a meaning other than hydrogen, for example C 1-8 -alkylcarbonyl, are preferably suitable as intermediate products for the synthesis of compounds of formula I wherein R 7a , R 7b and R 7c denote hydrogen.
- Particularly preferred compounds of general formula I are selected from among formulae I.2a to I.2d, particularly I.2c:
- other preferred compounds are those wherein the phenyl group which carries the substituent R 3 has at least one other substituent R 4 and/or R 5 which is different from hydrogen.
- particularly preferred compounds are those which have a substituent R 4 representing fluorine.
- the phenyl group which carries the substituent R 3 is preferably at most monofluorinated.
- Particularly preferred compounds of general formula I are selected from among:
- R 1 , R 2 , R 3 , R 4 and R 5 preferably have the meanings specified hereinbefore as being preferred.
- R′ preferably denotes H, C 1-3 -alkyl or benzyl, particularly H, ethyl or methyl.
- the groups R 8a , R 8b , R 8c and R 8d independently of one another preferably denote H, C 1-4 -alkylcarbonyl or benzyl, particularly H, methylcarbonyl, ethylcarbonyl or benzyl.
- the invention also relates to compounds of general formula IV, particularly of general formula IV′
- Hal denotes chlorine, bromine or iodine and the groups R 1 , R 2 , R 4 and R 5 are as hereinbefore defined and the group R 3 is selected from the group B, as intermediate products or starting materials in the synthesis of the compounds according to the invention.
- the groups R 1 , R 2 , R 3 , R 4 and R 5 have the meanings given after formulae I.2a to I.2d.
- Hal denotes chlorine, bromine or iodine and the groups R 1 , R 2 , R 4 and R 5 have the meanings given after formulae I.2a to I.2d and the group R 3 denotes ethynyl or C 3-6 -1-alkyn-1-yl, while the ethynyl group may be substituted by the group —SiR 3 , while the groups R independently of one another represent C 1-4 -alkyl, C 1-4 -alkoxy or aryl, and the C 3-6 -1-alkyn-1-yl group may be substituted by hydroxy or C 1-3 -alkoxy, particularly hydroxy or methoxy.
- the invention also relates to compounds of general formula II, particularly of general formula II′
- R′, R 8a , R 8b , R 8c , R 8d , R 1 , R 2 , R 3 , R 4 and R 5 are defined as hereinbefore and hereinafter; particularly wherein R′ denotes H, C 1-3 -alkyl or benzyl, particularly H, ethyl or methyl; and the groups R 8a , R 8b , R 8c and R 8d independently of one another represent H, C 1-4 -alkylcarbonyl or benzyl, particularly H, methylcarbonyl, ethylcarbonyl or benzyl and the groups R 1 , R 2 , R 4 and R 5 are as hereinbefore defined and the group R 3 is selected from the group B, as intermediate products or starting materials in the synthesis of the compounds according to the invention. Particularly preferably the groups R 1 , R 2 , R 3 , R 4 and R 5 have the meanings given following formulae I.2a to I.2d.
- halogen denotes an atom selected from the group consisting of F, Cl, Br and I, particularly F, Cl and Br.
- C 1-n -alkyl wherein n may have a value of 1 to 18, denotes a saturated, branched or unbranched hydrocarbon group with 1 to n C atoms.
- groups include methyl, ethyl, n-propyl, iso-propyl, butyl, iso-butyl, sec-butyl, tert-butyl, n-pentyl, iso-pentyl, neo-pentyl, tert-pentyl, n-hexyl, iso-hexyl, etc.
- C 2-n -alkynyl wherein n has a value of 3 to 6, denotes a branched or unbranched hydrocarbon group with 2 to n C atoms and a CC triple bond.
- groups include ethynyl, 1-propynyl, 2-propynyl, 1-butynyl, 2-butynyl, 3-butynyl, 1-pentynyl, 2-pentynyl, 3-pentynyl, 4-pentynyl, 1-hexynyl, 2-hexynyl, 3-hexynyl, 4-hexynyl, 5-hexynyl etc. Unless otherwise stated alkynyl groups are connected to the remainder of the molecule via the C atom in position 1.
- C 1-n -alkoxy denotes a C 1-n -alkyl-O group, wherein C 1-n -alkyl is as hereinbefore defined.
- groups include methoxy, ethoxy, n-propoxy, iso-propoxy, n-butoxy, iso-butoxy, sec-butoxy, tert-butoxy, n-pentoxy, iso-pentoxy, neo-pentoxy, tert-pentoxy, n-hexoxy, iso-hexoxy etc.
- C 1-n -alkylcarbonyl denotes a C 1-n -alkyl-C( ⁇ O) group, wherein C 1-n -alkyl is as hereinbefore defined.
- groups include methylcarbonyl, ethylcarbonyl, n-propylcarbonyl, iso-propylcarbonyl, n-butylcarbonyl, iso-butylcarbonyl, sec-butylcarbonyl, tert-butylcarbonyl, n-pentylcarbonyl, iso-pentylcarbonyl, neo-pentylcarbonyl, tert-pentylcarbonyl, n-hexylcarbonyl, iso-hexylcarbonyl, etc.
- C 3-n -cycloalkyl denotes a saturated mono-, bi-, tri- or spirocarbocyclic group with 3 to n C atoms.
- groups include cyclopropyl, cyclobutyl, cyclopentyl, cyclohexyl, cycloheptyl, cyclooctyl, cyclononyl, cyclododecyl, bicyclo[3.2.1.]octyl, spiro[4.5]decyl, norpinyl, norbonyl, norcaryl, adamantyl, etc.
- C 3-7 -cycloalkyl denotes saturated monocyclic groups.
- C 5-n -cycloalkenyl denotes a C 5-n -cycloalkyl group which is as hereinbefore defined and additionally has at least one unsaturated C ⁇ C double bond.
- C 3-n -cycloalkylcarbonyl denotes a C 3-n -cycloalkyl-C( ⁇ O) group wherein C 3-n -cycloalkyl is as hereinbefore defined.
- tri-(C 1-4 -alkyl)silyl comprises silyl groups which have identical or two or three different alkyl groups.
- di-(C 1-3 -alkyl)amino comprises amino groups which have identical or two different alkyl groups.
- the compounds according to the invention may be obtained using methods of synthesis known in principle.
- the compounds are obtained by the following methods according to the invention which are described in more detail hereinafter.
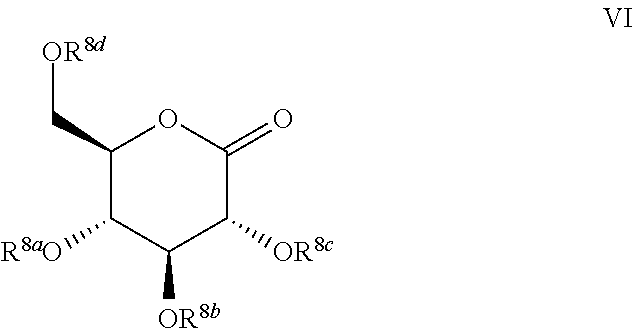
- the glucose derivatives of formula II according to the invention may be synthesised from D-gluconolactone or a derivative thereof by adding the desired benzylbenzene compound in the form of an organometallic compound (Diagram 1).
- the reaction according to Diagram 1 is preferably carried out starting from a halo-benzylbenzene compound of general formula IV, wherein Hal denotes chlorine, bromine or iodine.
- Hal denotes chlorine, bromine or iodine.
- the corresponding organometallic compound (V) may be prepared either by means of a so-called halogen-metal exchange or by inserting the metal into the carbon-halogen bond.
- the halogen-metal exchange with bromine or iodine-substituted aromatic groups may be carried out for example with an organolithium compound such as e.g. n-, sec- or tert-butyllithium and thereby yields the corresponding lithiated aromatic group.
- the analogous magnesium compound may also be generated by a halogen-metal exchange with a suitable Grignard compound such as e.g. isopropylmagnesium bromide or diisopropylmagnesium.
- a suitable Grignard compound such as e.g. isopropylmagnesium bromide or diisopropylmagnesium.
- the reactions are preferably carried out between 0 and ⁇ 100° C., particularly preferably between ⁇ 10 and ⁇ 80° C., in an inert solvent or mixtures thereof, such as for example diethyl ether, tetrahydrofuran, toluene, hexane or methylene chloride.
- the magnesium or lithium compounds thus obtained may optionally be transmetallised with metal salts such as e.g. cerium trichloride, to form additional organometallic compounds (V) suitable for addition.
- the organometallic compound (V) may also be prepared by inserting a metal into the carbon-halogen bond of the haloaromatic compound IV. Metals such as e.g. lithium or magnesium are suitable for this.
- the addition of the organometallic compound V to gluconolactone or derivatives thereof of formula VI is preferably carried out at temperatures between 0 and ⁇ 100° C., particularly preferably at ⁇ 30 to ⁇ 80° C., in an inert solvent or mixtures thereof, to obtain the compound of formula II.
- the lithiation and/or coupling reaction may also be carried out in microreactors and/or micromixers in order to avoid low temperatures; for example analogously to the processes described in WO 2004/076470.
- Suitable solvents are e.g. diethyl ether, toluene, methylene chloride, hexane, tetrahydrofuran or mixtures thereof.
- the reactions may be carried out without any further adjuvants or in the case of unreactive coupling partners in the presence of Lewis acids such as e.g. BF 3 *OEt 2 or Me 3 SiCl (see M. Schlosser, Organometallics in Synthesis, John Wiley & Sons, Chichester/New York/Brisbane/Toronto/Singapore, 1994).
- R 8a , R 8b , R 8c and R 8d are benzyl, substituted benzyl, trialkylsilyl, particularly preferably trimethylsilyl, triisopropylsilyl, 4-methoxybenzyl and benzyl. If two adjacent groups of the group consisting of R 8a , R 8b , R 8c and R 8d are linked together, these two groups are preferably part of a benzylideneacetal, 4-methoxybenzylideneacetal, isopropylketal or constitute a 2,3-dimethoxy-butylene group which is linked via the 2 and 3 positions of the butane with the adjacent oxygen atoms of the pyranose ring.
- the group R′ preferably denotes hydrogen or C 1-4 -alkyl, particularly preferably hydrogen, methyl or ethyl.
- the group R′ is inserted after the addition of the organometallic compound V or a derivative thereof to the gluconolactone VI.
- the reaction solution is treated with an alcohol such as e.g. methanol or ethanol or water in the presence of an acid such as e.g. methanesulphonic acid, toluenesulphonic acid, sulphuric acid or hydrochloric acid.
- haloaromatic compound of formula IV may be carried out using standard transformations in organic chemistry or at least methods known from the specialist literature in organic synthesis (see inter alia J. March, Advanced Organic Reactions, Reactions, Mechanisms, and Structure, 4th Edition, John Wiley & Sons, Chichester/New York/Brisbane/Toronto/Singapore, 1992 and literature cited therein).
- the synthesis strategies described in the following provide a demonstration of this, by way of example.
- Synthesis strategy 1 (Diagram 2) shows the preparation of the haloaromatic compound of formula II starting from a benzoylchloride and a second aromatic group which is converted by Friedel-Crafts acylation into the diphenylketone derivative.
- This classic reaction has a wide substrate breadth and is carried out in the presence of a catalyst which is used in catalytic or stoichiometric amounts, such as e.g. AlCl 3 , FeCl 3 , iodine, iron, ZnCl 2 , sulphuric acid or trifluoromethanesulphonic acid.
- carboxylic acid chloride instead of the carboxylic acid chloride it is also possible to use the carboxylic acid, an anhydride or ester thereof or the corresponding benzonitrile.
- the reactions are preferably carried out in chlorinated hydrocarbons such as e.g. dichloromethane and 1,2-dichloroethane at temperatures from ⁇ 30 to 120° C., preferably at 30 to 100° C.
- chlorinated hydrocarbons such as e.g. dichloromethane and 1,2-dichloroethane
- solvent-free reactions or reactions in a microwave oven are also possible.
- the diphenylketone is reduced to the diphenylmethane. This reaction may be carried out in two steps via the corresponding diphenylmethanol or in one step.
- the ketone is reduced with a reducing agent such as for example a metal hydride such as e.g. NaBH 4 , LiAlH 4 or iBu 2 AlH to form the alcohol.
- a reducing agent such as for example a metal hydride such as e.g. NaBH 4 , LiAlH 4 or iBu 2 AlH to form the alcohol.
- the resulting alcohol can be converted in the presence of a Lewis acid such as for example BF 3 *OEt 2 , trifluoroacetic acid, InCl 3 or AlCl 3 with a reducing agent such as e.g. Et 3 SiH, NaBH 4 , or Ph 2 SiClH to form the desired diphenylmethane.
- the one-step process starting from the ketone to obtain the diphenylmethane may be carried out e.g. with a silane such as e.g.
- a borohydride such as e.g. NaBH 4 or an aluminium hydride such as LiAlH 4 in the presence of a Lewis acid such as for example BF 3 *OEt 2 , tris(pentafluorophenyl)-borane, trifluoroacetic acid, aluminium chloride or InCl 3 .
- the reactions are preferably carried out in solvents such as e.g. halogenated hydrocarbons such as dichloromethane, toluene or acetonitrile at temperatures of ⁇ 30 to 150° C., preferably at 20 to 100° C.
- Reductions with hydrogen in the presence of a transition metal catalyst such as e.g. Pd on charcoal are another possible method of synthesis.
- the ketone is first of all converted with hydrazine or a derivative thereof, such as e.g. 1,2-bis(tert-butyldimethylsilyl)hydrazine, into the hydrazone which breaks down under strongly basic reaction conditions and heating to form the diphenylmethane and nitrogen.
- the reaction may be carried out in one reaction step or after isolation of the hydrazone or a derivative thereof in two separate reaction steps.
- Suitable bases include e.g. KOH, NaOH or KOtBu in solvents such as e.g.
- ethyleneglycol, toluene, DMSO, 2-(2-butoxyethoxy)ethanol or t-butanol; solvent-free reactions are also possible.
- the reactions may be carried out at temperatures between 20 to 250° C., preferably between 80 to 200° C.
- An alternative to the basic conditions of the Wolff-Kishner reduction is the Clemmensen reduction which takes place under acid conditions, which may also be used here.
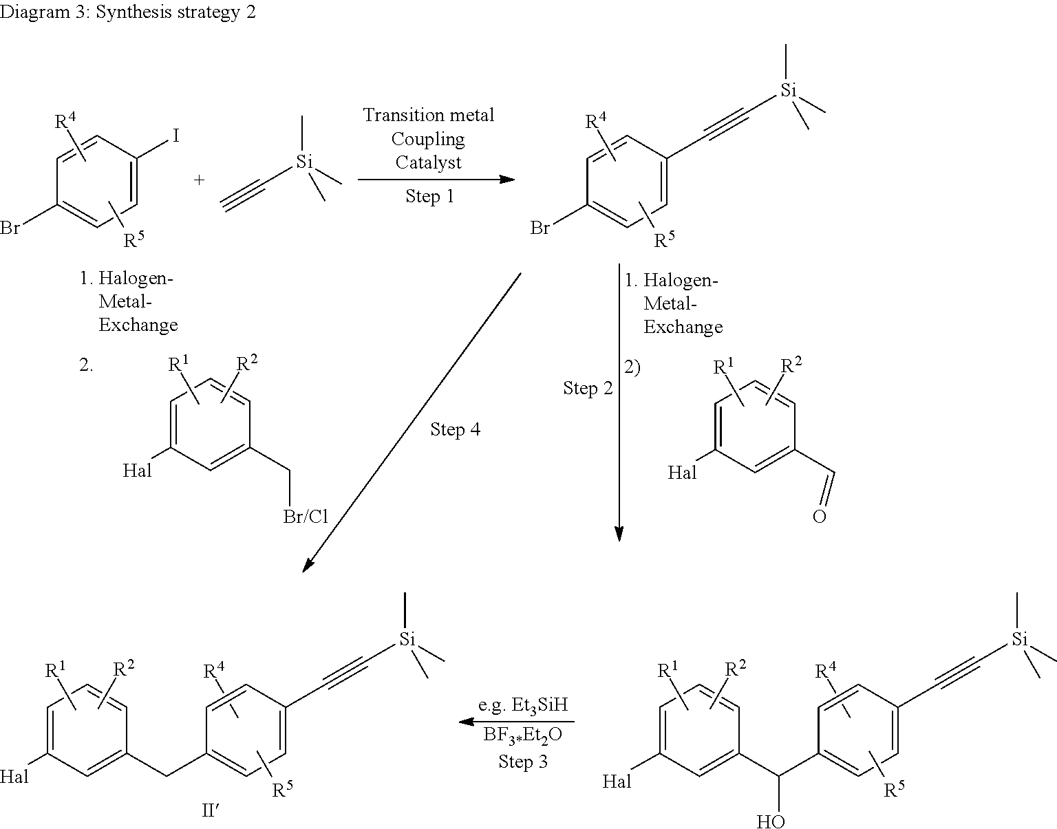
- the second synthesis strategy (Diagram 3) shows another possible way of synthesising the halogen-aromatic groups of formula II′ illustrated by the example of a trimethylsilylacetylene-substituted diphenylmethane.
- an aromatic group which carries two groups selected from among iodine, bromine, chlorine or sulphonate such as e.g. trifluoromethylsulphonate
- an alkyne group is attached via a transition metal-catalysed monocoupling to the more reactive end of the dihaloaromatic compound, the iodine-carbon bond (step 1).
- the catalysts used are for example elemental palladium or nickel or salts or complexes thereof.
- the reactions may be carried out with the alkyne itself or metal acetylidene therefrom. If the alkyne itself is used, coupling may be carried out in the presence of a base such as e.g. NEt 3 and a co-catalyst such as e.g. a copper salt such as CuI (Sonogashira coupling).
- a base such as e.g. NEt 3
- a co-catalyst such as e.g. a copper salt such as CuI (Sonogashira coupling).
- the reactions are not limited to trimethylsilylacetylene, but allow the use of a number of terminal alkynes.
- the reaction is extensively documented with all its variations in the literature (see P. J. Stang, F. Diederich, Metal - Catalyzed Cross - Coupling Reactions, Wiley-VCH, Weinheim, 1997 and Angew. Chem. Int. Ed.
- the other two steps for preparing the diphenylmethane derivatives comprise transfunctionalising the alkyne-substituted aromatic group to obtain a metallised (Mg, Li) aromatic group which may be prepared, for example, by a halogen-metal exchange as described hereinbefore (step 2).
- This metallised aromatic compound which may be used directly or after further transmetallation, is added to a benzaldehyde derivative.
- a benzoic acid derivative such as e.g. a benzoic acid ester, anhydride, chloride or the acid itself or the benzonitrile.
- the corresponding ketone is formed, which may also be obtained by Friedel-Crafts acylation as described above. Further reaction of both the alcohol and the ketone to form the diphenylmethane derivative has already been described above (step 3).
- the trimethylsilylethynylated aromatic halogen compound may however also be converted directly after transmetallation into the desired product (step 4).
- the lithium or magnesium aromatic group obtained after a halogen-metal exchange is reacted with a benzylelectrophil such as e.g. a benzyl bromide or chloride.
- the reaction may be carried out without or, better still, in the presence of a transition metal catalyst, such as e.g.
- the aromatic lithium or magnesium group may however also be transmetallised first, for example, to obtain the corresponding boric acids, boric acid esters, stannanes, silanes or zinc compounds. Then it is attached by means of a transition metal such as e.g. palladium, nickel, rhodium, copper or iron to the benzyl group (see L. Brandsma, S. F. Vasilevsky, H. D. Verkruijsse, Application of Transition Metal Catalysts in Organic Synthesis, Springer-Verlag, Berlin/Heidelberg, 1998).
- a transition metal such as e.g. palladium, nickel, rhodium, copper or iron
- Synthesis strategy 3 shows an alternative form of synthesis strategy 2, which is also illustrated using the example of an aromatic trimethylsilylethynyl group II′, but should not be limited thereto.
- the synthesis starts with an aromatic group which carries both a Hal group, which denotes a halogen atom chlorine, bromine or iodine, or a pseudohalogen group, such as e.g. trifluoromethanesulphonate, and also a metallic centre M, such as e.g. a B(OH) 2 , Si(OAlk) 3 or SnBu 3 group.
- the two centres thus “activated” may be exchanged chemoselectively one after the other.
- Synthesis strategy 3 illustrates this with an example in which first of all the halogen atom Hal is exchanged for an alkyne substituent in a transition metal-catalysed reaction such as e.g. the so-called Sonogashira coupling.
- the metallic centre M is exchanged for a benzyl group which is activated e.g. as the benzyl halide in another transition metal-catalysed coupling, to obtain the desired product (see e.g. Tetrahedron Lett. 2003, 44, 9255-9258 and literature cited therein).
- Both steps may be carried out using transition metals such as e.g. palladium, rhodium, nickel, copper or iron, or complexes thereof.
- R′, R 1 to R 5 are as hereinbefore defined and R 8a , R 8b , R 8c , R 8d are as hereinbefore defined and independently of one another represent for example acetyl, pivaloyl, benzoyl, tert-butoxycarbonyl, benzyloxycarbonyl, trialkylsilyl, benzyl or substituted benzyl or in each case two adjacent groups R 8a , R 8b , R 8c , R 8d form a benzylideneacetal or isopropylideneketal or a 2,3-dimethoxy-butylene group which is linked via position 2 and 3 of the butylene group to the oxygen atoms of the pyranose ring and forms with them a substituted dioxane, which may be obtained as hereinbefore described, is reacted with a reducing agent in the presence of a Lewis or Br ⁇ nsted acid.
- Suitable reducing agents for the reaction include for example silanes, such as triethyl, tripropyl, triisopropyl or diphenylsilane, sodium borohydride, sodium cyanoborohydride, zinc borohydride, boranes, lithium aluminium hydride, diisobutylaluminium hydride or samarium iodide.
- silanes such as triethyl, tripropyl, triisopropyl or diphenylsilane
- sodium borohydride sodium cyanoborohydride, zinc borohydride, boranes, lithium aluminium hydride, diisobutylaluminium hydride or samarium iodide.
- a suitable Br ⁇ nsted acid such as e.g. hydrochloric acid, toluenesulphonic acid, trifluoroacetic acid or acetic acid, or Lewis acid, such as e.g.
- boron trifluoride etherate trimethylsilyltriflate, titanium tetrachloride, tin tetrachloride, scandium triflate or zinc iodide.
- the reaction may be carried out in a solvent, such as for example methylene chloride, chloroform, acetonitrile, toluene, hexane, diethyl ether, tetrahydrofuran, dioxane, ethanol, water or mixtures thereof at temperatures between ⁇ 60° C. and 120° C.
- One particularly suitable combination of reagents consists for example of triethylsilane and boron trifluoride etherate, which is conveniently used in acetonitrile or dichloromethane at temperatures of ⁇ 60° C. and 60° C.
- hydrogen may be used in the presence of a transition metal catalyst, such as e.g. palladium on charcoal or Raney nickel, in solvents such as tetrahydrofuran, ethyl acetate, methanol, ethanol, water or acetic acid, for the transformation described.
- R 1 to R 5 are as hereinbefore defined and R 8a to R 8d denote one of the protective groups defined hereinbefore, such as e.g. an acyl, arylmethyl, acetal, ketal or silyl group, and which may be obtained for example by reduction from the compound of formula II as hereinbefore described, the protective groups are cleaved.
- R 8a to R 8d denote one of the protective groups defined hereinbefore, such as e.g. an acyl, arylmethyl, acetal, ketal or silyl group, and which may be obtained for example by reduction from the compound of formula II as hereinbefore described, the protective groups are cleaved.
- Any acyl protecting group used is cleaved for example hydrolytically in an aqueous solvent, e.g. in water, isopropanol/water, acetic acid/water, tetrahydrofuran/water or dioxane/water, in the presence of an acid such as trifluoroacetic acid, hydrochloric acid or sulphuric acid or in the presence of an alkali metal base such as lithium hydroxide, sodium hydroxide or potassium hydroxide or aprotically, e.g. in the presence of iodotrimethylsilane, at temperatures between 0 and 120° C., preferably at temperatures between 10 and 100° C.
- an aqueous solvent e.g. in water, isopropanol/water, acetic acid/water, tetrahydrofuran/water or dioxane/water, in the presence of an acid such as trifluoroacetic acid, hydrochloric acid or sulphuric acid or in
- a trifluoroacetyl group is preferably cleaved by treating with an acid such as hydrochloric acid, optionally in the presence of a solvent such as acetic acid at temperatures between 50 and 120° C. or by treating with sodium hydroxide solution optionally in the presence of a solvent such as tetrahydrofuran or methanol at temperatures between 0 and 50° C.
- an acid such as hydrochloric acid
- a solvent such as acetic acid
- sodium hydroxide solution optionally in the presence of a solvent such as tetrahydrofuran or methanol at temperatures between 0 and 50° C.
- Any acetal or ketal protecting group used is cleaved for example hydrolytically in an aqueous solvent, e.g. in water, isopropanol/water, acetic acid/water, tetrahydrofuran/water or dioxane/water, in the presence of an acid such as trifluoroacetic acid, hydrochloric acid or sulphuric acid or aprotically, e.g. in the presence of iodotrimethylsilane, at temperatures between 0 and 120° C., preferably at temperatures between 10 and 100° C.
- an aqueous solvent e.g. in water, isopropanol/water, acetic acid/water, tetrahydrofuran/water or dioxane/water
- an acid such as trifluoroacetic acid, hydrochloric acid or sulphuric acid or aprotically, e.g. in the presence of iodotrimethylsilane, at
- a trimethylsilyl group is cleaved for example in water, an aqueous solvent mixture or a lower alcohol such as methanol or ethanol in the presence of a base such as lithium hydroxide, sodium hydroxide, potassium carbonate or sodium methoxide.
- a base such as lithium hydroxide, sodium hydroxide, potassium carbonate or sodium methoxide.
- acids such as e.g. hydrochloric acid, trifluoroacetic acid or acetic acid are also suitable.
- organic solvents such as for example diethyl ether, tetrahydrofuran or dichloromethane
- fluoride reagents such as e.g. tetrabutylammonium fluoride.
- a benzyl, methoxybenzyl or benzyloxycarbonyl group is advantageously cleaved hydrogenolytically, e.g. with hydrogen in the presence of a catalyst such as palladium/charcoal in a suitable solvent such as methanol, ethanol, ethyl acetate or glacial acetic acid, optionally with the addition of an acid such as hydrochloric acid at temperatures between 0 and 100° C., but preferably at ambient temperatures between 20 and 60° C., and at a hydrogen pressure of 1 to 7 bar, but preferably 3 to 5 bar.
- a 2,4-dimethoxybenzyl group is preferably cleaved in trifluoroacetic acid in the presence of anisole.
- a tert.butyl or tert.butyloxycarbonyl group is preferably cleaved by treating with an acid such as trifluoroacetic acid or hydrochloric acid or by treating with iodotrimethylsilane optionally using a solvent such as methylene chloride, dioxane, methanol or diethylether.
- an acid such as trifluoroacetic acid or hydrochloric acid
- iodotrimethylsilane optionally using a solvent such as methylene chloride, dioxane, methanol or diethylether.
- any reactive groups present such as ethynyl, hydroxy, amino, alkylamino or imino groups may be protected during the reaction by conventional protecting groups which are cleaved again after the reaction.
- a protecting group for an ethynyl group may be the trimethylsilyl or triisopropyl group.
- the 2-hydroxisoprop-2-yl group may also be used as a protective group.
- a protecting group for a hydroxy group may be a trimethylsilyl, acetyl, trityl, benzyl or tetrahydropyranyl group.
- Protecting groups for an amino, alkylamino or imino group may be, for example, a formyl, acetyl, trifluoroacetyl, ethoxycarbonyl, tert.butoxycarbonyl, benzyloxycarbonyl, benzyl, methoxybenzyl or 2,4-dimethoxybenzyl group.
- the compounds of general formula I obtained may be resolved into their enantiomers and/or diastereomers, as mentioned hereinbefore.
- cis/trans mixtures may be resolved into their cis and trans isomers, and compounds with at least one optically active carbon atom may be separated into their enantiomers.
- the cis/trans mixtures may be resolved by chromatography into the cis and trans isomers thereof, the compounds of general formula I obtained which occur as racemates may be separated by methods known per se (cf. Allinger N. L. and Eliel E. L. in “Topics in Stereochemistry”, Vol. 6, Wiley Interscience, 1971) into their optical antipodes and compounds of general formula I with at least 2 asymmetric carbon atoms may be resolved into their diastereomers on the basis of their physical-chemical differences using methods known per se, e.g. by chromatography and/or fractional crystallisation, and, if these compounds are obtained in racemic form, they may subsequently be resolved into the enantiomers as mentioned above.
- the enantiomers are preferably separated by column separation on chiral phases or by recrystallisation from an optically active solvent or by reacting with an optically active substance which forms salts or derivatives such as e.g. esters or amides with the racemic compound, particularly acids and the activated derivatives or alcohols thereof, and separating the diastereomeric mixture of salts or derivatives thus obtained, e.g. on the basis of their differences in solubility, whilst the free antipodes may be released from the pure diastereomeric salts or derivatives by the action of suitable agents.
- Optically active acids in common use are e.g.
- An optically active alcohol may be for example (+) or ( ⁇ )-menthol and an optically active acyl group in amides, for example, may be a (+)- or ( ⁇ )-menthyloxycarbonyl.
- the compounds of formula I may be converted into the salts thereof, particularly for pharmaceutical use into the physiologically acceptable salts with inorganic or organic acids.
- Acids which may be used for this purpose include for example hydrochloric acid, hydrobromic acid, sulphuric acid, methanesulphonic acid, phosphoric acid, fumaric acid, succinic acid, lactic acid, citric acid, tartaric acid or maleic acid.
- the compounds obtained may be converted into mixtures, for example 1:1 or 1:2 mixtures with amino acids, particularly with alpha-amino acids such as proline or phenylalanine, which may have particularly favourable properties such as a high crystallinity.
- the compounds of general formula I according to the invention and the physiologically acceptable salts thereof have valuable pharmacological properties, particularly an inhibitory effect on the sodium-dependent glucose cotransporter SGLT, preferably SGLT2.
- the biological properties of the new compounds may be investigated as follows:
- a test set-up in which a CHO-K1 cell line (ATCC No. CCL 61) or alternatively an HEK293 cell line (ATCC No. CRL-1573), which is stably transfected with an expression vector pZeoSV (Invitrogen, EMBL accession number L36849), which contains the cDNA for the coding sequence of the human sodium glucose cotransporter 2 (Genbank Acc. No. NM — 003041) (CHO-hSGLT2 or HEK-hSGLT2).
- pZeoSV Invitrogen, EMBL accession number L36849
- the SGLT-2 assay is carried out as follows:
- CHO-hSGLT2 cells are cultivated in Ham's F12 Medium (BioWhittaker) with 10% foetal calf serum and 250 ⁇ g/ml zeocin (Invitrogen), and HEK293-hSGLT2 cells are cultivated in DMEM medium with 10% foetal calf serum and 250 ⁇ g/ml zeocin (Invitrogen).
- the cells are detached from the culture flasks by washing twice with PBS and subsequently treating with trypsin/EDTA. After the addition of cell culture medium the cells are centrifuged, resuspended in culture medium and counted in a Casy cell counter.
- the reaction is started by adding 5 ⁇ l of 14 C-AMG (0.05 ⁇ Ci) to each well. After 2 hours' incubation at 37° C., 5% CO 2 , the cells are washed again with 250 ⁇ l of PBS (20° C.) and then lysed by the addition of 25 ⁇ l of 0.1 N NaOH (5 min. at 37° C.). 200 ⁇ l of MicroScint20 (Packard) are added to each well and incubation is continued for a further 20 min at 37° C. After this incubation the radioactivity of the 14 C-AMG absorbed is measured in a Topcount (Packard) using a 14 C scintillation program.
- Topcount Packard
- the compounds of general formula I according to the invention may for example have EC50 values below 1000 nM, particularly below 200 nM, most preferably below 50 nM.
- the compounds of general formula I according to the invention and the corresponding pharmaceutically acceptable salts thereof are theoretically suitable for the treatment and/or preventative treatment of all those conditions or diseases which may be affected by the inhibition of the SGLT activity, particularly the SGLT-2 activity. Therefore, compounds according to the invention are particularly suitable for the prevention or treatment of diseases, particularly metabolic disorders, or conditions such as type 1 and type 2 diabetes mellitus, complications of diabetes (such as e.g.
- retinopathy retinopathy, nephropathy or neuropathies, diabetic foot, ulcers, macroangiopathies
- metabolic acidosis or ketosis reactive hypoglycaemia, hyperinsulinaemia, glucose metabolic disorder, insulin resistance, metabolic syndrome, dyslipidaemias of different origins, atherosclerosis and related diseases, obesity, high blood pressure, chronic heart failure, edema and hyperuricaemia.
- beta-cell degeneration such as e.g. apoptosis or necrosis of pancreatic beta cells.
- the substances are also suitable for improving or restoring the functionality of pancreatic cells, and also of increasing the number and size of pancreatic beta cells.
- the compounds according to the invention may also be used as diuretics or antihypertensives and are suitable for the prevention and treatment of acute renal failure.
- the compounds according to the invention are suitable for the prevention or treatment of diabetes, particularly type 1 and type 2 diabetes mellitus, and/or diabetic complications.
- the dosage required to achieve the corresponding activity for treatment or prevention usually depends on the compound which is to be administered, the patient, the nature and gravity of the illness or condition and the method and frequency of administration and is for the patient's doctor to decide.
- the dosage may be from 1 to 100 mg, preferably 1 to 30 mg, by intravenous route, and 1 to 1000 mg, preferably 1 to 100 mg, by oral route, in each case administered 1 to 4 times a day.
- the compounds of formula I prepared according to the invention may be formulated, optionally together with other active substances, together with one or more inert conventional carriers and/or diluents, e.g.
- the compounds according to the invention may also be used in conjunction with other active substances, particularly for the treatment and/or prevention of the diseases and conditions mentioned above.
- Other active substances which are suitable for such combinations include for example those which potentiate the therapeutic effect of an SGLT antagonist according to the invention with respect to one of the indications mentioned and/or which allow the dosage of an SGLT antagonist according to the invention to be reduced.
- Therapeutic agents which are suitable for such a combination include, for example, antidiabetic agents such as metformin, sulphonylureas (e.g. glibenclamide, tolbutamide, glimepiride), nateglinide, repaglinide, thiazolidinediones (e.g.
- PPAR-gamma-agonists e.g. GI 262570
- antagonists PPAR-gamma/alpha modulators (e.g. KRP 297), alpha-glucosidase inhibitors (e.g. acarbose, voglibose), DPPIV inhibitors (e.g. LAF237, MK-431), alpha2-antagonists, insulin and insulin analogues, GLP-1 and GLP-1 analogues (e.g. exendin-4) or amylin.
- the list also includes inhibitors of protein tyrosinephosphatase 1, substances that affect deregulated glucose production in the liver, such as e.g.
- inhibitors of glucose-6-phosphatase, or fructose-1,6-bisphosphatase glycogen phosphorylase, glucagon receptor antagonists and inhibitors of phosphoenol pyruvate carboxykinase, glycogen synthase kinase or pyruvate dehydrokinase, lipid lowering agents such as for example HMG-CoA-reductase inhibitors (e.g. simvastatin, atorvastatin), fibrates (e.g. bezafibrate, fenofibrate), nicotinic acid and the derivatives thereof, PPAR-alpha agonists, PPAR-delta agonists, ACAT inhibitors (e.g.
- avasimibe or cholesterol absorption inhibitors such as, for example, ezetimibe
- bile acid-binding substances such as, for example, cholestyramine, inhibitors of ileac bile acid transport, HDL-raising compounds such as CETP inhibitors or ABC1 regulators or active substances for treating obesity, such as sibutramine or tetrahydrolipostatin, dexfenfluramine, axokine, antagonists of the cannabinoid) receptor, MCH-1 receptor antagonists, MC4 receptor agonists, NPY5 or NPY2 antagonists or B3-agonists such as SB-418790 or AD-9677 and agonists of the 5HT2c receptor.
- bile acid-binding substances such as, for example, cholestyramine, inhibitors of ileac bile acid transport
- HDL-raising compounds such as CETP inhibitors or ABC1 regulators or active substances for treating obesity, such as sibutramine or tetrahydrolipostat
- drugs for influencing high blood pressure, chronic heart failure or atherosclerosis such as e.g. A-II antagonists or ACE inhibitors, ECE inhibitors, diuretics, ⁇ -blockers, Ca-antagonists, centrally acting antihypertensives, antagonists of the alpha-2-adrenergic receptor, inhibitors of neutral endopeptidase, thrombocyte aggregation inhibitors and others or combinations thereof are suitable.
- drugs for influencing high blood pressure, chronic heart failure or atherosclerosis such as e.g. A-II antagonists or ACE inhibitors, ECE inhibitors, diuretics, ⁇ -blockers, Ca-antagonists, centrally acting antihypertensives, antagonists of the alpha-2-adrenergic receptor, inhibitors of neutral endopeptidase, thrombocyte aggregation inhibitors and others or combinations thereof are suitable.
- angiotensin II receptor antagonists examples include candesartan cilexetil, potassium losartan, eprosartan mesylate, valsartan, telmisartan, irbesartan, EXP-3174, L-158809, EXP-3312, olmesartan, medoxomil, tasosartan, KT-3-671, GA-0113, RU-64276, EMD-90423, BR-9701, etc.
- Angiotensin II receptor antagonists are preferably used for the treatment or prevention of high blood pressure and complications of diabetes, often combined with a diuretic such as hydrochlorothiazide.
- a combination with uric acid synthesis inhibitors or uricosurics is suitable for the treatment or prevention of gout.
- a combination with GABA-receptor antagonists, Na-channel blockers, topiramat, protein-kinase C inhibitors, advanced glycation end product inhibitors or aldose reductase inhibitors may be used for the treatment or prevention of complications of diabetes.
- the dosage for the combination partners mentioned above is usefully 1/5 of the lowest dose normally recommended up to 1/1 of the normally recommended dose.
- this invention relates to the use of a compound according to the invention or a physiologically acceptable salt of such a compound combined with at least one of the active substances described above as a combination partner, for preparing a pharmaceutical composition which is suitable for the treatment or prevention of diseases or conditions which can be affected by inhibiting the sodium-dependent glucose cotransporter SGLT.
- diseases or conditions which can be affected by inhibiting the sodium-dependent glucose cotransporter SGLT.
- These are preferably metabolic diseases, particularly one of the diseases or conditions listed above, most particularly diabetes or diabetic complications.
- the use of the compound according to the invention, or a physiologically acceptable salt thereof, in combination with another active substance may take place simultaneously or at staggered times, but particularly within a short space of time. If they are administered simultaneously, the two active substances are given to the patient together; while if they are used at staggered times the two active substances are given to the patient within a period of less than or equal to 12 hours, but particularly less than or equal to 6 hours.
- this invention relates to a pharmaceutical composition which comprises a compound according to the invention or a physiologically acceptable salt of such a compound and at least one of the active substances described above as combination partners, optionally together with one or more inert carriers and/or diluents.
- a pharmaceutical composition according to the invention comprises a combination of a compound of formula I according to the invention or a physiologically acceptable salt of such a compound and at least one angiotensin II receptor antagonist optionally together with one or more inert carriers and/or diluents.
- the compound according to the invention, or a physiologically acceptable salt thereof, and the additional active substance to be combined therewith may both be present together in one formulation, for example a tablet or capsule, or separately in two identical or different formulations, for example as a so-called kit-of-parts.
- the organic phase is separated off and the aqueous phase is extracted another three times with dichloromethane.
- the combined organic phases are washed with aqueous 1 M hydrochloric acid, twice with 1 M sodium hydroxide solution and with saturated sodium chloride solution. Then the organic phase is dried, the solvent is removed and the residue is recrystallised in ethanol.
- a solution of 86.2 g (5-bromo-2-chloro-phenyl)-(4-methoxy-phenyl)-methanone and 101.5 ml triethylsilane in 75 ml dichloromethane and 150 ml acetonitrile is cooled to 10° C.
- 50.8 ml of boron trifluoride etherate are added so that the temperature does not exceed 20° C.
- the solution is stirred for 14 h at ambient temperature, before another 9 ml triethylsilane and 4.4 ml boron trifluoride etherate are added.
- the solution is stirred for a further 3 h at 45-50° C. and then cooled to ambient temperature.
- a solution of 28 g potassium hydroxide in 70 ml of water is added and the mixture is stirred for 2 h. Then the organic phase is separated off and the aqueous phase is extracted another three times with diisopropylether. The combined organic phases are washed twice with 2 M potassium hydroxide solution and once with aqueous sodium chloride solution and then dried over sodium sulphate. After the solvent has been eliminated the residue is stirred in ethanol, separated off again and dried at 60° C.
- a solution of 14.8 g 4-bromo-1-chloro-2-(4-methoxy-benzyl)-benzene in 150 ml dichloromethane is cooled in the ice bath. Then 50 ml of a 1 M solution of boron tribromide in dichloromethane are added, and the solution is stirred for 2 h at ambient temperature. The solution is then cooled in the ice bath again, and saturated potassium carbonate solution is added dropwise. At ambient temperature the mixture is adjusted with aqueous 1 M hydrochloric acid to a pH of 1, the organic phase is separated off and the aqueous phase is extracted another three times with ethyl acetate. The combined organic phases are dried over sodium sulphate, and the solvent is removed completely.
- This compound may also be obtained according to Example X.
- reaction solution is stirred in the ice bath instead of at ambient temperature until the reaction is complete.
- N-bromosuccinimide 4.0 g N-bromosuccinimide are slowly added to a solution of 5.0 g of 4-bromo-1-chloro-2-hydroxymethyl-benzene and 5.9 g triphenylphosphine in 50 ml of tetrahydrofuran chilled to 5° C. After 1 h stirring at ambient temperature the precipitate is filtered off and the solvent is eliminated in vacuo. The residue is purified through silica gel (cyclohexane/ethyl acetate 50:1).
- a solution of 20 g D-glucono-1,5-lactone and 98.5 ml N-methylmorpholine in 200 ml of tetrahydrofuran is cooled to ⁇ 5° C.
- 85 ml trimethylsilylchloride are added dropwise so that the temperature does not exceed 5° C.
- the solution is then stirred for 1 h at ambient temperature, 5 h at 35° C. and again for 14 h at ambient temperature.
- 300 ml of toluene the solution is cooled in the ice bath, and 500 ml of water are added so that the temperature does not exceed 10° C.
- the organic phase is then separated off and washed in each case once with aqueous sodium dihydrogen phosphate solution, water and saturated aqueous sodium chloride solution.
- the solvent is removed, the residue is taken up in 250 ml of toluene and the solvent is again removed completely.
- reaction mixture is mixed with only a small excess of methanesulphonic acid.
- the organic phase is dried over sodium sulphate, the solvent is removed and the residue is taken up in 6 ml dichloromethane. Then 1.2 ml of pyridine, 1.3 ml of acetic anhydride and 8 mg of 4-dimethylaminopyridine are added. The solution is stirred for 1 h at ambient temperature and then combined with water. The mixture is extracted with dichloromethane, the organic phase is washed with 1 M hydrochloric acid and dried over sodium sulphate. After the solvent has been eliminated the residue is chromatographed through silica gel (cyclohexane/ethyl acetate 4:1->1:1).
- Aqueous sodium hydrogen carbonate solution is added to the remaining solution and extracted four times with ethyl acetate. The organic phases are dried over sodium sulphate and evaporated down. The residue is dissolved in 30 ml acetonitrile and 30 ml dichloromethane and the solution is cooled to ⁇ 10° C. After the addition of 4.4 ml triethylsilane 2.6 ml boron trifluoride etherate are added dropwise so that the temperature does not exceed ⁇ 5° C. After the addition has ended the solution is stirred for another 5 h at ⁇ 5 to ⁇ 10° C. and then quenched by the addition of aqueous sodium hydrogen carbonate solution.
- the organic phase is separated off and the aqueous phase is extracted four times with ethyl acetate.
- the combined organic phase are dried over sodium sulphate, the solvent is removed and the residue is purified using silica gel.
- the product then obtained is an approx. 6:1 mixture of ⁇ / ⁇ which can be converted into the pure ⁇ -anomer by total acetylation of the hydroxy groups with acetic anhydride and pyridine in dichloromethane and recrystallising the product in ethanol.
- the product thus obtained is converted into the title compound by reacting in methanol with 4 M potassium hydroxide solution.
- a solution of 0.34 g [4-(5-bromo-2-methyl-benzyl)-phenoxy]-tert-butyl-dimethyl-silane in 3 ml dry tetrahydrofuran is cooled to ⁇ 80° C. under argon.
- 0.54 ml of a 1.6 M solution of n-butyllithium in hexane are added dropwise to the cooled solution, and the solution is stirred for 1.5 h at ⁇ 78° C.
- a solution of 0.43 g 2,3,4,6-tetra-O-benzyl-D-glucopyranone in 2.5 ml of tetrahydrofuran chilled to ⁇ 80° C. is added dropwise to this solution by means of transfer needle.
- the resulting solution is stirred for 5 h at ⁇ 78° C.
- the reaction is quenched with a solution of 0.1 ml acetic acid in 1 ml of tetrahydrofuran and heated to ambient temperature.
- aqueous sodium hydrogen carbonate solution is added and the mixture is extracted four times with ethyl acetate.
- the organic phases are dried over sodium sulphate and evaporated down.
- the residue is purified by chromatography on silica gel (cyclohexane/ethyl acetate 15:1->4:1).
- 0.10 g tetrahydrofuran-3-yl toluene-4-sulphonate are added to a mixture of 0.24 g 1-(2,3,4,6-tetra-O-benzyl- ⁇ -D-glucopyranos-1-yl)-3-(4-hydroxy-benzyl)-4-methyl-benzene and 0.13 g caesium carbonate in 2.5 ml of dimethylformamide.
- the mixture is stirred for 4 h at 65° C., before water is added. It is extracted three times with ethyl acetate, the organic phase is dried over sodium sulphate and the solvent is removed. The residue is purified through silica gel purified (cyclohexane/ethyl acetate 10:1->4:1).
- a solution of 0.62 g 1-(2,3,4,6-tetra-O-benzyl- ⁇ -D-glucopyranos-1-yl)-3-(4-hydroxybenzyl)-4-methyl-benzene in 4.5 ml dry dichloromethane is cooled to ⁇ 10° C. under argon. 0.14 ml of pyridine and a solution of 0.3 g trifluoromethanesulphonic anhydride in 0.5 ml dichloromethane are added to the cooled solution. The solution is stirred for 0.5 h at ⁇ 5 to ⁇ 10° C., before aqueous sodium hydrogen carbonate solution is added.
- 0.16 ml iodocyclopentane are added to a mixture of 0.25 g 1-chloro-4-( ⁇ -D-glucopyranos-1-yl)-2-(4-hydroxybenzyl)-benzene and 0.4 g caesium carbonate in 2.5 ml of dimethylformamide.
- the mixture is stirred for 4 h at 45° C., before another 0.1 g caesium carbonate and 0.05 ml iodocyclopentane are added.
- aqueous sodium chloride solution is added and the mixture is extracted with ethyl acetate. The organic phase is dried over sodium sulphate, the solvent is removed and the residue is purified using silica gel (dichloromethane/methanol 1:0->5:1).
- reaction is carried out with tetrahydrofuran-3-yl (S)-toluene-4-sulphonate as the coupling partner.
- reaction is carried out with tetrahydrofuran-3-yl (R)-toluene-4-sulphonate as the coupling partner.
- the reaction is carried out with 3-bromobutyrolactone as the coupling partner.
- the reaction is carried out with 1-acetyl-4-methylsulphonyloxy-piperidine as the electrophile.
- the reaction is carried out with 1-tert-butyloxycarbonyl-4-methylsulphonyloxy-piperidine as the electrophile.
- This compound may also be obtained according to Example 14.
- 0.33 ml of a 1 M solution of tetrabutylammoniumfluorid in tetrahydrofuran are added to a solution of 0.23 g 1-fluoro-4-(2,3,4,6-tetra-O-acetyl- ⁇ -D-glucopyranos-1-yl)-2-(triisopropylsilylethynyl-benzyl)-benzene in 1.5 ml of tetrahydrofuran.
- the solution is stirred for 1 h at ambient temperature.
- 1 ml of methanol and 1.5 ml of 4 M potassium hydroxide solution are added and the solution is stirred for a further hour at ambient temperature.
- the solution is neutralised with 1 M hydrochloric acid and then the methanol is evaporated off.
- the residue is combined with aqueous sodium chloride solution and extracted with ethyl acetate.
- the organic extracts collected are dried over sodium sulphate, and the solvent is removed.
- the residue is chromatographed through silica gel (dichloromethane/methanol 19:1->2:1).
- the compound according to Example (12) (1-chloro-4-( ⁇ -D-glucopyranos-1-yl)-2-(4-ethynyl-benzyl)-benzene) may also be synthesised analogously to Example 14.
- the intermediate stage, 1-chloro-4-(2,3,4,6-tetra-O-acteyl- ⁇ -D-glucopyranos-1-yl)-2-(4-ethynyl-benzyl)-benzene, which is obtained after desilylation with tetrabutylammonium fluoride, may be purified by recrystallisation from ethanol.
- active substance denotes one or more compounds according to the invention, including the salts thereof.
- active substance also includes the additional active substances.
- 1 tablet contains: active substance 100.0 mg lactose 80.0 mg corn starch 34.0 mg polyvinylpyrrolidone 4.0 mg magnesium stearate 2.0 mg 220.0 mg
- the active substance, lactose and starch are mixed together and uniformly moistened with an aqueous solution of the polyvinylpyrrolidone. After the moist composition has been screened (2.0 mm mesh size) and dried in a rack-type drier at 50° C. it is screened again (1.5 mm mesh size) and the lubricant is added. The finished mixture is compressed to form tablets.
- 1 tablet contains: active substance 150.0 mg powdered lactose 89.0 mg corn starch 40.0 mg colloidal silica 10.0 mg polyvinylpyrrolidone 10.0 mg magnesium stearate 1.0 mg 300.0 mg
- the active substance mixed with lactose, corn starch and silica is moistened with a 20% aqueous polyvinylpyrrolidone solution and passed through a screen with a mesh size of 1.5 mm.
- the granules, dried at 45° C., are passed through the same screen again and mixed with the specified amount of magnesium stearate. Tablets are pressed from the mixture.
- 1 capsule contains: active substance 150.0 mg corn starch (dried) approx. 180.0 mg lactose (powdered) approx. 87.0 mg magnesium stearate 3.0 mg approx. 420.0 mg
- the active substance is mixed with the excipients, passed through a screen with a mesh size of 0.75 mm and homogeneously mixed using a suitable apparatus.
- the finished mixture is packed into size 1 hard gelatine capsules.
- 1 suppository contains: active substance 150.0 mg polyethyleneglycol 1500 550.0 mg polyethyleneglycol 6000 460.0 mg polyoxyethylene sorbitan monostearate 840.0 mg 2,000.0 mg
- the active substance is homogeneously distributed therein and the melt is poured into chilled moulds.
- the active substance is dissolved in the necessary amount of 0.01 N HCl, made isotonic with common salt, filtered sterile and transferred into 2 ml ampoules.
- the active substance is dissolved in the necessary amount of 0.01 N HCl, made isotonic with common salt, filtered sterile and transferred into 10 ml ampoules.
Landscapes
- Health & Medical Sciences (AREA)
- Chemical & Material Sciences (AREA)
- Organic Chemistry (AREA)
- Life Sciences & Earth Sciences (AREA)
- General Health & Medical Sciences (AREA)
- Engineering & Computer Science (AREA)
- Veterinary Medicine (AREA)
- Medicinal Chemistry (AREA)
- Public Health (AREA)
- Pharmacology & Pharmacy (AREA)
- Animal Behavior & Ethology (AREA)
- Bioinformatics & Cheminformatics (AREA)
- General Chemical & Material Sciences (AREA)
- Nuclear Medicine, Radiotherapy & Molecular Imaging (AREA)
- Chemical Kinetics & Catalysis (AREA)
- Diabetes (AREA)
- Molecular Biology (AREA)
- Genetics & Genomics (AREA)
- Biotechnology (AREA)
- Biochemistry (AREA)
- Epidemiology (AREA)
- Hematology (AREA)
- Obesity (AREA)
- Cardiology (AREA)
- Endocrinology (AREA)
- Heart & Thoracic Surgery (AREA)
- Biophysics (AREA)
- Emergency Medicine (AREA)
- Dermatology (AREA)
- Crystallography & Structural Chemistry (AREA)
- Urology & Nephrology (AREA)
- Neurology (AREA)
- Toxicology (AREA)
- Rheumatology (AREA)
- Vascular Medicine (AREA)
- Pain & Pain Management (AREA)
- Neurosurgery (AREA)
- Hospice & Palliative Care (AREA)
- Physical Education & Sports Medicine (AREA)
- Biomedical Technology (AREA)
Abstract
Glucopyranosyl-substituted benzene derivatives of general formula I
where the groups R1 to R6 as well as R7a, R7b, R7c are defined herein and the tautomers, the stereoisomers thereof, the mixtures thereof and the salts thereof. The compounds according to the invention are suitable for the treatment of metabolic disorders.
Description
- This application claims benefit of under 35 U.S.C. 119(e) filed No. 60/560,239 Apr. 7, 2004, from German application number DE1 02004 012676.3 filed Mar. 16, 2004, from German application number DE102004040168.3 filed Aug. 18, 2004, and from German application number DE102004061145.9 filed Dec. 16, 2004, the contents of which are incorporated herein.
- The present invention relates to glucopyranosyl-substituted benzene derivatives of general formula I
- wherein the groups R1 to R6 and R7a, R7b, R7c are as defined hereinafter, including the tautomers, the stereoisomers, the mixtures thereof and the salts thereof. The invention further relates to pharmaceutical compositions containing a compound of formula I according to the invention as well as the use of a compound according to the invention for preparing a pharmaceutical composition for the treatment of metabolic disorders. In addition, the invention relates to processes for preparing a pharmaceutical composition as well as a compound according to the invention.
- In the literature, compounds which have an inhibitory effect on the sodium-dependent glucose cotransporter SGLT2 are proposed for the treatment of diseases, particularly diabetes.
- Glucopyranosyloxy-substituted aromatic groups and the preparation thereof and their possible activity as SGLT2 inhibitors are known from published International applications WO 98/31697, WO 01/27128, WO 02/083066, WO 03/099836, WO 2004/063209, WO 2004/080990, WO 2004/013118, WO 2004/052902, WO 2004/052903 and US application US 2003/0114390.
- The aim of the present invention is to find new pyranosyloxy-substituted benzene derivatives, particularly those which are active with regard to the sodium-dependent glucose cotransporter SGLT, particularly SGLT2. A further aim of the present invention is to discover pyranosyloxy-substituted benzene derivatives which have an enhanced inhibitory effect on the sodium-dependent glucose cotransporter SGLT2 in vitro and/or in vivo compared with known, structurally similar compounds and/or have better pharmacological or pharmacokinetic properties.
- A further aim of the present invention is to provide new pharmaceutical compositions which are suitable for the prevention and/or treatment of metabolic disorders, particularly diabetes.
- The invention also sets out to provide a process for preparing the compounds according to the invention.
- Other aims of the present invention will become apparent to the skilled man directly from the foregoing and following remarks.
- In a first aspect the present invention relates to glucopyranosyloxy-substituted benzene derivatives of general formula I
- wherein
- R1 is selected from the definitions of the group A and
- if R3 is selected from the definitions of the group B, R1 may additionally also be selected from the meanings hydrogen, fluorine, chlorine, bromine, iodine, C1-4-alkyl, C2-4-alkenyl-C1-4-alkyl, C2-4-alkynyl-C1-4-alkyl, C2-4-alkenyl-C1-4-alkoxy, C2-4-alkynyl-C1-4-alkoxy, C3-7-cycloalkyl-C1-4-alkyl, C5-7-cycloalkenyl-C1-4-alkyl, a methyl group substituted by 1 to 3 fluorine atoms, an ethyl group substituted by 1 to 5 fluorine atoms, C1-4-alkoxy, a methoxy group substituted by 1 to 3 fluorine atoms, an ethoxy group substituted by 1 to 5 fluorine atoms, a C1-4-alkyl group substituted by a hydroxy or C1-3-alkoxy group, a C2-4-alkoxy group substituted by a hydroxy or C1-3-alkoxy group, C3-6-cycloalkyl-C1-3-alkoxy or hydroxy,
- while in the above-mentioned cycloalkyl and cycloalkenyl rings one or two methylene groups may be replaced independently of one another by O or CO, and
- R2 denotes hydrogen, fluorine, chlorine, bromine, hydroxy, C1-4-alkyl, C1-4-alkoxy, cyano or nitro, while the alkyl or alkoxy group may be mono- or polysubstituted by fluorine, and
- R3 is selected from the definitions of the group B and
- if R1 is selected from the definitions of the group A, R3 may additionally also be selected from the meanings hydrogen, fluorine, chlorine, bromine, iodine, C1-6-alkyl, C2-4-alkenyl-C1-4-alkyl, C2-4-alkynyl-C1-4-alkyl, C2-4-alkenyl-C1-4-alkoxy, C2-4-alkynyl-C1-4-alkoxy, C3-7-cycloalkyl, C5-7-cycloalkenyl, C3-7-cycloalkyl-C1-4-alkyl, C5-7-cycloalkenyl-C1-4-alkyl, C3-6-cycloalkylidenmethyl, hydroxy, C1-6-alkoxy, C3-6-cycloalkyl-C1-3-alkoxy, aryl, aryl-C1-3-alkyl, heteroaryl, heteroaryl-C1-3-alkyl, aryloxy, aryl-C1-3-alkyl-oxy, a methyl or methoxy group substituted by 1 to 3 fluorine atoms, a C2-4-alkyl or C2-4-alkoxy group substituted by 1 to 5 fluorine atoms, a C1-4-alkyl group substituted by a cyano group, a C1-4-alkyl group substituted by a hydroxy or C1-3-alkyloxy group, cyano, carboxy, C1-3-alkoxycarbonyl, aminocarbonyl, (C1-3-alkylamino)carbonyl, di-(C1-3-alkyl)aminocarbonyl, pyrrolidin-1-ylcarbonyl, piperidin-1-ylcarbonyl, morpholin-4-ylcarbonyl, piperazin-1-yl-carbonyl, 4-(C1-3-alkyl)-piperazin-1-ylcarbonyl, (C1-4-alkyl)carbonylamino, C1-4-alkylsulphonylamino, C1-4-alkylsulphanyl, C1-4-alkylsulphinyl, C1-4-alkylsulphonyl, arylsulphonylamino, aryl-C1-3-alkylsulphonylamino or arylsulphonyl,
- R4, R5 independently of one another denote hydrogen, fluorine, chlorine, bromine, iodine, cyano, nitro, C1-3-alkyl, C1-3-alkoxy, methyl or methoxy substituted by 1 to 3 fluorine atoms,
- A denotes C2-6-alkyn-1-yl, C2-6-alken-1-yl, C3-7-cycloalkyl, C5-7-cycloalkenyl, aryl, heteroaryl, C1-4-alkylcarbonyl, arylcarbonyl, heteroarylcarbonyl, aminocarbonyl, C1-4-alkylaminocarbonyl, di-(C1-3-alkyl)aminocarbonyl, pyrrolidin-1-ylcarbonyl, piperidin-1-ylcarbonyl, morpholin-4-ylcarbonyl, piperazin-1-ylcarbonyl, 4-(C1-4-alkyl)piperazin-1-ylcarbonyl, arylaminocarbonyl, heteroarylaminocarbonyl, C1-4-alkoxycarbonyl, aryl-C1-3-alkoxycarbonyl, heteroaryl-C1-3-alkoxycarbonyl, amino, C1-4-alkylamino, di-(C1-3-alkyl)amino, pyrrolidin-1-yl, pyrrolidin-2-on-1-yl, piperidin-1-yl, piperidin-2-on-1-yl, morpholin-4-yl, morpholin-3-on-4-yl, piperazin-1-yl, 4-(C1-3-alkyl)piperazin-1-yl, C1-4-alkylcarbonylamino, arylcarbonylamino, heteroarylcarbonylamino, C3-7-cycloalkyloxy, C5-7-cycloalkenyloxy, aryloxy, heteroaryloxy, C1-4-alkylsulphinyl, C1-4-alkylsulphonyl, C3-7-cycloalkylsulphanyl, C3-7-cycloalkylsulphinyl, C3-7-cycloalkylsulphonyl, C5-7-cycloalkenylsulphanyl, C5-7-cycloalkenylsulphinyl, C5-7-cycloalkenylsulphonyl, arylsulphanyl, arylsulphinyl, arylsulphonyl, heteroarylsulphanyl, heteroarylsulphinyl, heteroarylsulphonyl, cyano or nitro,
- while the above-mentioned alkynyl and alkenyl groups may be mono- or polysubstituted by fluorine or chlorine, and
- the above-mentioned alkynyl and alkenyl groups may be mono- or disubstituted by identical or different groups L1, and
- the above-mentioned cycloalkyl and cycloalkenylrings independently of one another may be mono- or disubstituted by substituents selected from fluorine and C1-3-alkyl, and
- in the above-mentioned cycloalkyl and cycloalkenyl rings one or two methylene groups may be replaced independently of one another by O, S, CO, SO, SO2 or NRN,
- B denotes tri-(C1-4-alkyl)silyl-C1-6-alkyl, C2-6-alkyn-1-yl, C2-6-alken-1-yl, amino, C1-3-alkylamino, di-(C1-3-alkyl)amino, pyrrolidin-1-yl, pyrrolidin-2-on-1-yl, piperidin-1-yl, piperidin-2-on-1-yl, morpholin-4-yl, morpholin-3-on-4-yl, piperazin-1-yl, 4-(C1-3-alkyl)piperazin-1-yl, arylcarbonylamino, heteroarylcarbonylamino, nitro, C3-10-cycloalkyloxy, C5-10-cycloalkenyloxy, C3-10-cycloalkylsulphanyl, C3-10-cycloalkylsulphinyl, C3-10-cycloalkylsulphonyl, C5-10-cycloalkenylsulphanyl, C5-10-cycloalkenylsulphinyl, C5-10-cycloalkenylsulphonyl, arylsulphanyl, arylsulphinyl, heteroarylsulphanyl or heteroarylsulphinyl,
- while the above-mentioned alkynyl and alkenyl groups may be mono- or polysubstituted by fluorine or chlorine, and
- the above-mentioned alkynyl and alkenyl groups may be mono- or disubstituted by identical or different groups L1;
- while the above-mentioned cycloalkyl and cycloalkenyl rings may be mono- or disubstituted independently of one another by substituents selected from fluorine and C1-3-alkyl, and
- in the above-mentioned cycloalkyl and cycloalkenyl rings one or two methylene groups may be replaced independently of one another by O, S, CO, SO, SO2 or NRN,
- RN denotes H, C1-4-alkyl, C1-4-alkylcarbonyl or C1-4-alkylsulphonyl,
- L1 independently of one another are selected from among hydroxy, cyano, nitro, C3-7-cycloalkyl, aryl, heteroaryl, C1-4-alkylcarbonyl, arylcarbonyl, heteroarylcarbonyl, aminocarbonyl, C1-4-alkylaminocarbonyl, di-(C1-3-alkyl)-aminocarbonyl, pyrrolidin-1-ylcarbonyl, piperidin-1-ylcarbonyl, morpholin-4-ylcarbonyl, arylaminocarbonyl, heteroarylaminocarbonyl, C1-4-alkoxycarbonyl, aryl-C1-3-alkoxycarbonyl, heteroaryl-C1-3-alkoxycarbonyl, C1-4-alkyloxy, aryloxy, heteroaryloxy, C1-4-alkylsulphanyl, arylsulphanyl, heteroarylsulphanyl, C1-4-alkylsulphinyl, arylsulphinyl, heteroarylsulphinyl, C1-4-alkylsulphonyl, arylsulphonyl and heteroarylsulphonyl; and
- L2 independently of one another are selected from among fluorine, chlorine, bromine, iodine, C1-3-alkyl, difluoromethyl, trifluoromethyl, C1-3-alkoxy, difluoromethoxy, trifluoromethoxy and cyano; and
- R6, R7a,
- R7b, R7c independently of one another have a meaning selected from among hydrogen, (C1-18-alkyl)carbonyl, (C1-18-alkyl)oxycarbonyl, arylcarbonyl and aryl-(C1-3-alkyl)-carbonyl,
while by the aryl groups mentioned in the definition of the above groups are meant phenyl or naphthyl groups which may be mono- or disubstituted independently of one another by identical or different groups L2; and
by the heteroaryl groups mentioned in the definition of the above groups are meant a pyrrolyl, furanyl, thienyl, pyridyl, indolyl, benzofuranyl, benzothiophenyl, quinolinyl, isoquinolinyl or tetrazolyl group,
or is meant a pyrrolyl, furanyl, thienyl or pyridyl group, wherein one or two methyne groups are replaced by nitrogen atoms,
or is meant an indolyl, benzofuranyl, benzothiophenyl, quinolinyl or isoquinolinyl group, wherein one to three methyne groups are replaced by nitrogen atoms,
while the above-mentioned heteroaryl groups independently of one another may be mono- or disubstituted by identical or different groups L2;
while, unless otherwise stated, the above-mentioned alkyl groups may be straight-chain or branched,
the tautomers, the stereoisomers thereof, the mixtures thereof and the salts thereof. - The compounds of general formula I according to the invention and the physiologically acceptable salts thereof have valuable pharmacological properties, particularly an inhibitory effect on the sodium-dependent glucose cotransporter SGLT, particularly SGLT2. Moreover compounds according to the invention may have an inhibitory effect on the sodium-dependent glucose cotransporter SGLT1. Compared with a possible inhibitory effect on SGLT1 the compounds according to the invention preferably inhibit SGLT2 selectively.
- The present invention also relates to the physiologically acceptable salts of the compounds according to the invention with inorganic or organic acids.
- This invention also relates to pharmaceutical compositions, containing at least one compound according to the invention or a physiologically acceptable salt according to the invention, optionally together with one or more inert carriers and/or diluents.
- This invention also relates to the use of at least one compound according to the invention or one of the physiologically acceptable salts thereof for preparing a pharmaceutical composition which is suitable for the treatment or prevention or diseases or conditions which can be influenced by inhibiting the sodium-dependent glucose cotransporter SGLT, particularly SGLT2.
- This invention also relates to the use of at least one compound according to the invention or one of the physiologically acceptable salts thereof for preparing a pharmaceutical composition which is suitable for the treatment of metabolic disorders.
- This invention also relates to the use of at least one compound according to the invention or one of the physiologically acceptable salts thereof for preparing a pharmaceutical composition for inhibiting the sodium-dependent glucose cotransporter SGLT, particularly SGLT2.
- The invention further relates to a process for preparing a pharmaceutical composition according to the invention, characterised in that a compound according to the invention or one of the physiologically acceptable salts thereof is incorporated in one or more inert carriers and/or diluents by a non-chemical method.
- The present invention also relates to a process for preparing the compounds of general formula I according to the invention, characterised in that
- a) in order to prepare compounds of general formula I which are defined as hereinbefore and hereinafter,
a compound of general formula II - wherein
- R′ denotes H, C1-4-alkyl, (C1-18-alkyl)carbonyl, (C1-18-alkyl)oxycarbonyl, arylcarbonyl and aryl-(C1-3-alkyl)-carbonyl, wherein the alkyl or aryl groups may be mono- or polysubstituted by halogen;
- R8a, R8b,
- R8c, R8d independently of one another have one of the meanings given hereinbefore and hereinafter for the groups R6, R7a, R7b, R7c, denote a benzyl group or a RaRbRcSi group or a ketal or acetal group, particularly an alkylidene or arylalkylidene ketal or acetal group, while in each case two adjacent groups R8a, R8b, R8c, R8d may form a cyclic ketal or acetal group or a 1,2-di(C1-3-alkoxy)-1,2-di(C1-3-alkyl)-ethylene bridge, while the above-mentioned ethylene bridge forms, together with two oxygen atoms and the two associated carbon atoms of the pyranose ring, a substituted dioxane ring, particularly a 2,3-dimethyl-2,3-di(C1-3-alkoxy)-1,4-dioxane ring, and alkyl, aryl and/or benzyl groups may be mono- or polysubstituted by halogen or C1-3-alkoxy and benzyl groups may also be substituted by a di-(C1-3-alkyl)amino group; and
- Ra, Rb, Rc independently of one another denote C1-4-alkyl, aryl or aryl-C1-3-alkyl, wherein the aryl or alkyl groups may be mono- or polysubstituted by halogen;
while by the aryl groups mentioned in the definition of the above groups are meant phenyl or naphthyl groups, preferably phenyl groups;
and wherein the groups R1 to R5 and R6, R7a, R7b, R7c are defined as hereinbefore and hereinafter;
is reacted with a reducing agent in the presence of a Lewis or Brønsted acid, while the any protective groups present are cleaved simultaneously or subsequently; or
b) in order to prepare compounds of general formula I wherein R6, R7a, R7b and R7c denote hydrogen,
a compound of general formula III - wherein R8a, R8b, R8c, R8d and R1 to R5 are defined as hereinbefore and hereinafter, but at least one of the groups R8a, R8b, R8c, R8d does not denote hydrogen, is hydrolysed, and
if desired a compound of general formula I thus obtained wherein R6 denotes a hydrogen atom, is converted by acylation into a corresponding acyl compound of general formula I, and/or
if necessary any protective group used in the reactions described above is cleaved and/or
if desired a compound of general formula I thus obtained is resolved into its stereoisomers and/or
if desired a compound of general formula I thus obtained is converted into the salts thereof, particularly for pharmaceutical use into the physiologically acceptable salts thereof. - This invention further relates to a process for preparing compounds of general formula II
- wherein
- R′ denotes H, C1-4-alkyl, (C1-18-alkyl)carbonyl, (C1-18-alkyl)oxycarbonyl, arylcarbonyl and aryl-(C1-3-alkyl)-carbonyl, wherein the alkyl or aryl groups may be mono- or polysubstituted by halogen;
- R8a, R8b,
- R8c, R8d independently of one another has one of the meanings given for the groups R6, R7a, R7b, R7c, denote a benzyl group or a RaRbRcSi group or a ketal or acetal group, while in each case two adjacent groups R8a, R8b, R8c, R8d may form a cyclic ketal or acetal group or may form, with two oxygen atoms of the pyranose ring, a substituted 2,3-oxydioxane ring, particularly a 2,3-dimethyl-2,3-di(C1-3-alkoxy)-1,4-dioxane ring, and alkyl, aryl and/or benzyl groups may be mono- or polysubstituted by halogen or C1-3-alkoxy and benzyl groups may also be substituted by a di-(C1-3-alkyl)amino group; and
- Ra, Rb, Rc independently of one another denote C1-4-alkyl, aryl or aryl-C1-3-alkyl, while the alkyl or aryl groups may be mono- or polysubstituted by halogen;
while by the aryl groups mentioned in the definition of the above groups are meant phenyl or naphthyl groups, preferably phenyl groups;
and R1 to R5, R6, R7a, R7b, R7c are defined as hereinbefore and hereinafter,
wherein an organometallic compound (V) which may be obtained by halogen-metal exchange or by inserting a metal in the carbon-halogen bond of a halogen-benzylbenzene compound of general formula IV - wherein Hal denotes Cl, Br and I and R1 to R5 are defined as hereinbefore and hereinafter, and optionally subsequent transmetallation, is added to a gluconolactone of general formula VI
- wherein R8a, R8b, R8c, R8d are defined as hereinbefore and hereinafter, and
then the resulting adduct, is reacted, preferably in situ, with water or an alcohol R′—OH, while R′ denotes optionally substituted C1-4-alkyl, in the presence of an acid, such as for example methanesulphonic acid, sulphuric acid, hydrochloric acid, acetic acid or ammonium chloride, and optionally the product obtained in the reaction with water wherein R′ denotes H is converted, in a subsequent reaction, with an acylating agent, such as for example the corresponding acid chloride or anhydride, into the product of formula II wherein R′ denotes (C1-18-alkyl)carbonyl, (C1-18-alkyl)oxycarbonyl, arylcarbonyl or aryl-(C1-3-alkyl)-carbonyl, which may be substituted as specified. - The intermediate products listed, particularly those of formula IV, formula II and formula III, are also a subject of this invention.
- Unless otherwise stated, the groups, residues and substituents, particularly R1 to R5, A, B, L1, L2, RN, R6, R7a, R7b, R7c, R8a, R8b, R8c, R8d, are defined as above and hereinafter.
- If residues, substituents or groups occur several times in a compound, they may have the same or different meanings.
- According to the invention preferred glucopyranosyl-substituted benzene derivatives are those of general formula I
- wherein
- R1 is selected from the definitions of the group A and
- if R3 is selected from the definitions of the group B, R1 may additionally also be selected from the meanings hydrogen, fluorine, chlorine, bromine, iodine, C1-4-alkyl, C2-4-alkenyl-C1-4-alkyl, C2-4-alkynyl-C1-4-alkyl, C3-7-cycloalkyl-C1-4-alkyl, C5-7-cycloalkenyl-C1-4-alkyl, a methyl group substituted by 1 to 3 fluorine atoms, an ethyl group substituted by 1 to 5 fluorine atoms, C1-4-alkoxy, a methoxy group substituted by 1 to 3 fluorine atoms, an ethoxy group substituted by 1 to 5 fluorine atoms, a C1-4-alkyl group substituted by a hydroxy or C1-3-alkoxy group, a C2-4-alkoxy group substituted by a hydroxy or C1-3-alkoxy group, C3-6-cycloalkyl-C1-3-alkoxy or hydroxy,
- while in the above-mentioned cycloalkyl and cycloalkenyl rings one or two methylene groups may be replaced independently of one another by O or CO, and
- R2 denotes hydrogen, fluorine, chlorine, bromine, hydroxy, C1-4-alkyl, C1-4-alkoxy, cyano or nitro, while the alkyl or alkoxy group may be mono- or polysubstituted by fluorine, and
- R3 is selected from the definitions of the group B and
- if R1 is selected from the definitions of the group A, R3 may additionally also be selected from the meanings hydrogen, fluorine, chlorine, bromine, iodine, C1-6-alkyl, C2-4-alkenyl-C1-4-alkyl, C2-4-alkynyl-C1-4-alkyl, C3-7-cycloalkyl, C5-7-cycloalkenyl, C3-7-cycloalkyl-C1-4-alkyl, C6-7-cycloalkenyl-C1-4-alkyl, C3-6-cycloalkylidenemethyl, hydroxy, C1-6-alkoxy, C3-6-cycloalkyl-C1-3-alkoxy, aryl, aryl-C1-3-alkyl, heteroaryl, heteroaryl-C1-3-alkyl, aryloxy, aryl-C1-3-alkyl-oxy, a methyl or methoxy group substituted by 1 to 3 fluorine atoms, a C2-4-alkyl or C2-4-alkoxy group substituted by 1 to 5 fluorine atoms, a C1-4-alkyl group substituted by a cyano group, a C1-4-alkyl group substituted by a hydroxy or C1-3-alkyloxy group, cyano, carboxy, C1-3-alkoxycarbonyl, aminocarbonyl, (C1-3-alkylamino)carbonyl, di-(C1-3-alkyl)aminocarbonyl, pyrrolidin-1-ylcarbonyl, piperidin-1-ylcarbonyl, morpholin-4-ylcarbonyl, piperazin-1-yl-carbonyl, 4-(C1-3-alkyl)-piperazin-1-ylcarbonyl, (C1-4-alkyl)carbonylamino, C1-4-alkylsulphonylamino, C1-4-alkylsulphanyl, C1-4-alkylsulphinyl, C1-4-alkylsulphonyl, arylsulphonylamino, aryl-C1-3-alkylsulphonylamino or arylsulphonyl,
- R4, R5 independently of one another denote hydrogen, fluorine, chlorine, bromine, iodine, cyano, nitro, C1-3-alkyl, C1-3-alkoxy, methyl or methoxy substituted by 1 to 3 fluorine atoms,
- A denotes C2-6-alkyn-1-yl, C2-6-alken-1-yl, C3-7-cycloalkyl, C5-7-cycloalkenyl, aryl, heteroaryl, C1-4-alkylcarbonyl, arylcarbonyl, heteroarylcarbonyl, aminocarbonyl, C1-4-alkylaminocarbonyl, di-(C1-3-alkyl)aminocarbonyl, pyrrolidin-1-ylcarbonyl, piperidin-1-ylcarbonyl, morpholin-4-ylcarbonyl, piperazin-1-ylcarbonyl, 4-(C1-4-alkyl)piperazin-1-ylcarbonyl, arylaminocarbonyl, heteroarylaminocarbonyl, C1-4-alkoxycarbonyl, aryl-C1-3-alkoxycarbonyl, heteroaryl-C1-3-alkoxycarbonyl, amino, C1-4-alkylamino, di-(C1-3-alkyl)amino, pyrrolidin-1-yl, pyrrolidin-2-on-1-yl, piperidin-1-yl, piperidin-2-on-1-yl, morpholin-4-yl, morpholin-3-on-4-yl, piperazin-1-yl, 4-(C1-3-alkyl)-piperazin-1-yl, C1-4-alkylcarbonylamino, arylcarbonylamino, heteroarylcarbonylamino, C3-7-cycloalkyloxy, C5-7-cycloalkenyloxy, aryloxy, heteroaryloxy, C1-4-alkylsulphinyl, C1-4-alkylsulphonyl, C3-7-cycloalkylsulphanyl, C3-7-cycloalkylsulphinyl, C3-7-cycloalkylsulphonyl, C5-7-cycloalkenylsulphanyl, C5-7-cycloalkenylsulphinyl, C5-7-cycloalkenylsulphonyl, arylsulphanyl, arylsulphinyl, arylsulphonyl, heteroarylsulphanyl, heteroarylsulphinyl, heteroarylsulphonyl, cyano or nitro,
- while the above-mentioned alkynyl- and alkenyl groups may be mono- or polysubstituted by fluorine or chlorine, and
- while the above-mentioned alkynyl and alkenyl groups may be mono- or disubstituted by identical or different groups L1, and
- the above-mentioned cycloalkyl and cycloalkenyl rings may be mono- or disubstituted independently of one another by substituents selected from fluorine and C1-3-alkyl, and
- in the above-mentioned cycloalkyl and cycloalkenyl rings one or two methylene groups may be replaced independently of one another by O, S, CO, SO, SO2 or NRN,
- B denotes tri-(C1-4-alkyl)silyl-C1-6-alkyl, C2-6-alkyn-1-yl, C2-6-alken-1-yl, amino, C1-3-alkylamino, di-(C1-3-alkyl)amino, pyrrolidin-1-yl, pyrrolidin-2-on-1-yl, piperidin-1-yl, piperidin-2-on-1-yl, morpholin-4-yl, morpholin-3-on-4-yl, piperazin-1-yl, 4-(C1-3-alkyl)piperazin-1-yl, arylcarbonylamino, heteroarylcarbonylamino, nitro, C3-7-cycloalkyloxy, C5-7cycloalkenyloxy, C3-7-cycloalkylsulphanyl, C3-7-cycloalkylsulphinyl, C3-7-cycloalkylsulphonyl, C5-7-cycloalkenylsulphanyl, C5-7-cycloalkenylsulphinyl, C5-7-cycloalkenylsulphonyl, arylsulphanyl, arylsulphinyl, heteroarylsulphanyl or heteroarylsulphinyl, while the above-mentioned alkynyl and alkenyl groups may be mono- or polysubstituted by fluorine or chlorine, and
- the above-mentioned alkynyl and alkenyl groups may be mono- or disubstituted by identical or different groups L1;
- the above-mentioned cycloalkyl and cycloalkenyl rings may be mono- or disubstituted independently of one another by substituents selected from fluorine and C1-3-alkyl, and
- in the above-mentioned cycloalkyl and cycloalkenyl rings one or two methylene groups may be replaced independently of one another by O, S, CO, SO, SO2 or NRN,
- RN denotes H or C1-4-alkyl,
- L1 independently of one another are selected from among cyano, nitro, aryl, heteroaryl, C1-4-alkylcarbonyl, arylcarbonyl, heteroarylcarbonyl, aminocarbonyl, C1-4-alkylaminocarbonyl, di-(C1-3-alkyl)aminocarbonyl, pyrrolidin-1-ylcarbonyl, piperidin-1-ylcarbonyl, morpholin-4-ylcarbonyl, arylaminocarbonyl, heteroarylaminocarbonyl, C1-4-alkoxycarbonyl, aryl-C1-3-alkoxycarbonyl, heteroaryl-C1-3-alkoxycarbonyl, C1-4-alkyloxy, aryloxy, heteroaryloxy, C1-4-alkylsulphanyl, arylsulphanyl, heteroarylsulphanyl, C1-4-alkylsulphinyl, arylsulphinyl, heteroarylsulphinyl, C1-4-alkylsulphonyl, arylsulphonyl and heteroarylsulphonyl; and
- L2 independently of one another are selected from among fluorine, chlorine, bromine, iodine, C1-3-alkyl, difluoromethyl, trifluoromethyl, C1-3-alkoxy, difluoromethoxy, trifluoromethoxy and cyano; and
- R6, R7a,
- R7b, R7c independently of one another have a meaning selected from among hydrogen, (C1-18-alkyl)carbonyl, (C1-18-alkyl)oxycarbonyl, arylcarbonyl and aryl-(C1-3-alkyl)-carbonyl,
while by the aryl groups mentioned in the definition of the above groups are meant phenyl or naphthyl groups, which may be mono- or disubstituted independently of one another by identical or different groups L2; and
by the heteroaryl groups mentioned in the definition of the above groups are meant a pyrrolyl, furanyl, thienyl, pyridyl, indolyl, benzofuranyl, benzothiophenyl, quinolinyl or isoquinolinyl group,
or is meant a pyrrolyl, furanyl, thienyl or pyridyl group, wherein one or two methyne groups are replaced by nitrogen atoms,
or is meant an indolyl, benzofuranyl, benzothiophenyl, quinolinyl or isoquinolinyl group, wherein one to three methyne groups are replaced by nitrogen atoms,
while the above-mentioned heteroaryl groups may be mono- or disubstituted independently of one another by identical or different groups L2;
while, unless otherwise stated, the above-mentioned alkyl groups may be straight-chain or branched,
the tautomers, the stereoisomers thereof, the mixtures thereof and the salts thereof. - Some preferred meanings of individual groups and substituents of the compounds according to the invention will be given hereinafter.
- The group R3 is preferably in the meta or para position to the —CH2 bridge, so that compounds according to the following formulae I.1 and I.2, particularly formula I.2, are preferred:
- The term aryl appearing in the groups L1, R1, R3, A and B preferably denotes phenyl.
- The term heteroaryl occurring in the groups L1, R1, R3, A and B preferably denotes pyridinyl, pyrimidinyl, pyridazinyl, pyrazinyl, triazinyl, imidazolyl, pyrazolyl, triazolyl, tetrazolyl, oxazolyl, oxadiazolyl, thiazolyl or thiadiazolyl.
- The group A preferably denotes C2-6-alkyn-1-yl, C2-6-alken-1-yl, C3-7-cycloalkyl, C5-7-cycloalkenyl, C1-4-alkylcarbonyl, aminocarbonyl, C1-4-alkylaminocarbonyl, di-(C1-3-alkyl)aminocarbonyl, pyrrolidin-1-ylcarbonyl, piperidin-1-ylcarbonyl, morpholin-4-ylcarbonyl, piperazin-1-ylcarbonyl, 4-(C1-4-alkyl)piperazin-1-ylcarbonyl, C1-4-alkoxycarbonyl, amino, C1-4-alkylamino, di-(C1-3-alkyl)amino, pyrrolidin-1-yl, pyrrolidin-2-on-1-yl, piperidin-1-yl, piperidin-2-on-1-yl, morpholin-4-yl, morpholin-3-on-4-yl, piperazin-1-yl, 4-(C1-3-alkyl)piperazin-1-yl, C1-4-alkylcarbonylamino, C3-7-cycloalkyloxy, C5-7-cycloalkenyloxy, C1-4-alkylsulphinyl, C1-4-alkylsulphonyl, C3-7-cycloalkylsulphanyl, C3-7-cycloalkylsulphinyl, C3-7-cycloalkylsulphonyl, C5-7-cycloalkenylsulphanyl, C5-7-cycloalkenylsulphinyl, C5-7-cycloalkenylsulphonyl, cyano and nitro,
- while the above-mentioned alkynyl and alkenyl groups may be mono- or polysubstituted by fluorine or chlorine, preferably fluorine, and
the above-mentioned alkynyl and alkenyl groups may be mono- or disubstituted by identical or different groups L1, and
the above-mentioned cycloalkyl and cycloalkenyl rings may be mono- or disubstituted independently of one another by substituents selected from fluorine and C1-3-alkyl, and
in the above-mentioned cycloalkyl and cycloalkenyl rings one or two methylene groups may be replaced independently of one another by O, S, CO, SO, SO2 or NRN, preferably O or CO, most particularly preferably by O. - Particularly preferably, the group A denotes C2-6-alkyn-1-yl, C2-6-alken-1-yl, C3-7-cycloalkyl, C5-7-cycloalkenyl, C3-7-cycloalkyloxy, C5-7-cycloalkenyloxy, C1-4-alkylsulphinyl, C1-4-alkylsulphonyl, C3-7-cycloalkylsulphanyl, C3-7-cycloalkylsulphinyl, C3-7-cycloalkylsulphonyl, C5-7-cycloalkenylsulphanyl, C5-7-cycloalkenylsulphinyl, C5-7-cycloalkenylsulphonyl, cyano and nitro,
- while the above-mentioned alkynyl and alkenyl groups may be mono- or polysubstituted by fluorine or chlorine, preferably fluorine, and
the above-mentioned alkynyl and alkenyl groups may be mono- or disubstituted by identical or different groups L1, and
the above-mentioned cycloalkyl and cycloalkenyl rings may be mono- or disubstituted independently of one another by substituents selected from fluorine and C1-3-alkyl, and
in the above-mentioned C5-6-cycloalkyl rings a methylene group may be replaced by O. - Most particularly preferably, the group A denotes C2-6-alkyn-1-yl, C2-6-alken-1-yl, C3-7-cycloalkyl, C3-7-cycloalkyloxy, cyano, while in C5-6-cycloalkyl groups a methylene unit may be replaced by O.
- Examples of the most particularly preferred definitions of the group A are ethynyl, prop-1-yn-1-yl, but-1-yn-1-yl, cyano, cyclopropyloxy, cyclobutyloxy, cyclopentyloxy, cyclohexyloxy.
- The group B preferably denotes tri-(C1-4-alkyl)silyl-C1-6-alkyl, C2-6-alkyn-1-yl, C2-6-alken-1-yl, amino, C1-3-alkylamino, di-(C1-3-alkyl)amino, pyrrolidin-1-yl, pyrrolidin-2-on-1-yl, piperidin-1-yl, piperidin-2-on-1-yl, morpholin-4-yl, morpholin-3-on-4-yl, piperazin-1-yl, 4-(C1-3-alkyl)piperazin-1-yl, nitro, C3-7-cycloalkyloxy, C5-7-cycloalkenyloxy, C3-7-cycloalkylsulphanyl, C3-7-cycloalkylsulphinyl, C3-7-cycloalkylsulphonyl, C5-7-cycloalkenylsulphanyl, C5-7-cycloalkenylsulphinyl, C5-7-cycloalkenylsulphonyl,
- while the above-mentioned alkynyl and alkenyl groups may be mono- or polysubstituted by fluorine or chlorine, preferably fluorine, and
the above-mentioned alkynyl and alkenyl groups may be mono- or disubstituted by identical or different groups L1;
the above-mentioned cycloalkyl and cycloalkenyl rings may be mono- or disubstituted independently of one another by substituents selected from fluorine and C1-3-alkyl, and
in the above-mentioned cycloalkyl and cycloalkenyl rings one or two methylene groups may be replaced independently of one another by O, S, CO, SO, SO2 or NRN, preferably O, CO, S, SO2 or NRN, most particularly preferably by O or CO. - Particularly preferably the group B denotes tri-(C1-4-alkyl)silyl-C1-6-alkyl, C2-6-alkyn-1-yl, C2-6-alken-1-yl, nitro, C3-7-cycloalkyloxy, C5-7-cycloalkenyloxy, C3-7-cycloalkylsulphanyl, C3-7-cycloalkylsulphinyl, C3-7-cycloalkylsulphonyl, C5-7-cycloalkenylsulphanyl, C5-7-cycloalkenylsulphinyl, C5-7-cycloalkenylsulphonyl, while the above-mentioned alkynyl and alkenyl groups may be mono- or polysubstituted by fluorine or chlorine, preferably fluorine, and
- the above-mentioned alkynyl and alkenyl groups may be mono- or disubstituted by identical or different groups L1;
while the above-mentioned cycloalkyl and cycloalkenyl rings may be mono- or disubstituted independently of one another by substituents selected from fluorine and C1-3-alkyl, and
in the above-mentioned cycloalkyl and cycloalkenyl rings one or two methylene groups may be replaced independently of one another by O, S, CO, SO, SO2 or NRN, preferably O, CO, S, SO2 or NRN, most particularly preferably by O or CO. - Most particularly preferably the group B denotes tri-(C1-4-alkyl)silyl-C1-6-alkyl, C2-6-alkyn-1-yl, C2-6-alken-1-yl, C3-7-cycloalkyloxy, C5-7-cycloalkenyloxy, C3-7-cycloalkylsulphanyl, C5-7-cycloalkenylsulphanyl, while the above-mentioned alkynyl and alkenyl groups may be mono- or polysubstituted by fluorine or monosubstituted by chlorine or the group L1, and in the cycloalkyl and cycloalkenyl groups one or two methylene groups may be replaced independently of one another by O, CO, S, SO2 or NRN, particularly O or CO.
- Examples of most particularly preferred definitions of the group B are trimethylsilylethyl, ethynyl, 1-propyn-1-yl, 1-butyn-1-yl, tert.-butylethynyl, 2-hydroxyprop-2-ylethynyl, 2-methoxyprop-2-ylethynyl, 3-hydroxy-1-propyn-1-yl, 3-methoxy-1-propyn-1-yl, ethenyl, 1-propenyl, 1-butenyl, tert.-butylethenyl, cyclopropyloxy, cyclobutyloxy, cyclopentyloxy, cyclohexyloxy, tetrahydrofuranyloxy, tetrahydrothiophenyloxy, 1,1-dioxotetrahydrothiophenyloxy, tetrahydropyranyloxy, tetrahydrothiopyranyloxy, 1,1-dioxotetrahydrothiopyranyloxy, tetrahydrofuranonyloxy, piperidinyloxy, piperidinonyloxy, pyrrolidin-3-yloxy, pyrrolidinon-3-yloxy, tetrahydrofuranyl-sulphanyl, cyclopropylsulphanyl, cyclobutylsulphanyl, cyclopentylsulphanyl and cyclohexylsulphanyl, while the —NH group in a piperidinyl, piperidinonyl, pyrrolidinyl or pyrrolidinonyl ring may be substituted by RN, particularly C1-3-alkyl or acetyl.
- Most particularly preferred meanings are trimethylsilylethyl, ethynyl, 2-hydroxyprop-2-ylethynyl, 2-methoxyprop-2-ylethynyl, 3-hydroxy-1-propyn-1-yl, 3-methoxy-1-propyn-1-yl, cyclopropyloxy, cyclobutyloxy, cyclopentyloxy, cyclohexyloxy, tetrahydrofuran-3-yloxy, tetrahydropyran-4-yloxy, piperidin-4-yloxy, N-methylpiperidin-4-yloxy and N-acetylpiperidin-4-yloxy. Examples which deserve special mention are ethynyl, trimethylsilylethyl, cyclobutyloxy, cyclopentyloxy, cyclohexyloxy, tetrahydrofuran-3-yloxy and tetrahydropyran-4-yloxy.
- If in the residues or groups A, B, R1 or R3 there are cycloalkyl or cycloalkenyl rings wherein two methylene groups are replaced by O, S or NRN or are replaced by S, NRN, CO, SO or SO2, these methylene groups are preferably not directly connected to one another. If however two methylene groups are replaced by O and CO or by NRN and CO, these may be directly connected to one another, so as to form a —O—CO— or —NRN—CO group.
- Preferred meanings of the group L1 are selected from among hydroxy, cyano, C3-6-cycloalkyl, C1-4-alkylcarbonyl, aminocarbonyl, C1-4-alkylaminocarbonyl, di-(C1-3-alkyl)aminocarbonyl, pyrrolidin-1-ylcarbonyl, piperidin-1-ylcarbonyl, morpholin-4-ylcarbonyl, C1-4-alkoxycarbonyl, C1-4-alkyloxy, C1-4-alkylsulphanyl, C1-4-alkylsulphinyl, and C1-4-alkylsulphonyl.
- Particularly preferred meanings of the group L1 are selected from among hydroxy, C1-4-alkyloxy and C1-4-alkylsulphanyl.
- If L1 denotes hydroxy, the hydroxy group is not directly linked to a C atom of a double or triple bond.
- Compounds according to a first embodiment of this invention may be described by general formula I, particularly formulae I.1 and I.2, particularly preferably formula I.2, wherein
- R3 is selected from one of the definitions of the group B given hereinbefore and
the other groups and substituents are defined as hereinbefore and hereinafter,
including the tautomers, the stereoisomers thereof, the mixtures thereof and the salts thereof. - According to this embodiment preferred meanings of the group R1 are hydrogen, fluorine, chlorine, bromine, iodine, C1-4-alkyl, C2-6-alkynyl, C1-4-alkoxy, C2-4-alkenyl-C1-4-alkoxy, C2-4-alkynyl-C1-4-alkoxy, methyl substituted by 1 to 3 fluorine atoms, ethyl substituted by 1 to 5 fluorine atoms, methoxy substituted by 1 to 3 fluorine atoms, ethoxy substituted by 1 to 5 fluorine atoms, C1-4-alkyl substituted by a hydroxy or C1-3-alkoxy group, C2-4-alkoxy substituted by a hydroxy or C1-3-alkoxy group, C2-6-alkenyl, C3-6-cycloalkyl, C3-6-cycloalkyl-C1-3-alkyl, C3-7-cycloalkyloxy, C3-6-cycloalkyl-C1-3-alkoxy, C5-7-cycloalkenyloxy, hydroxy, amino, nitro or cyano, while in the C5-6-cycloalkyl groups a methylene group may be replaced by 0.
- Particularly preferred meanings are hydrogen, fluorine, chlorine, bromine, cyano, methyl, ethyl, isopropyl, difluoromethyl, trifluoromethyl, ethynyl, prop-1-yn-1-yl, but-1-yn-1-yl, hydroxy, methoxy, ethoxy, difluoromethoxy, cyclopropyloxy, cyclobutyloxy, cyclopentyloxy, cyclohexyloxy, particularly methyl and chlorine.
- Compounds according to a second embodiment of this invention may be described by general formula I, particularly formulae I.1 and I.2, particularly preferably formula I.2, wherein
- R1 is selected from the definitions of the group A given hereinbefore and
the other groups and substituents are defined as hereinbefore and hereinafter,
including the tautomers, the stereoisomers thereof, the mixtures thereof and the salts thereof. - According to this second embodiment preferred meanings of the group R3 are hydrogen, fluorine, chlorine, bromine, hydroxy, cyano, C1-6-alkyl, trimethylsilylethyl, C2-6-alkenyl, C2-6-alkynyl, difluoromethyl, trifluoromethyl, C3-7-cycloalkyl, C5-7-cycloalkenyl, C1-6-alkyloxy, difluoromethoxy, trifluoromethoxy, pentafluorethoxy, C3-7-cycloalkyloxy, tetrahydrofuranyloxy, tetrahydrofuranonyloxy, C1-6-alkylsulphanyl, cyclopropylidenemethyl, aryl or heteroaryl.
- According to this second embodiment particularly preferred meanings of the group R3 are hydrogen, fluorine, chlorine, methyl, ethyl, isopropyl, tert.-butyl, ethynyl, 1-propynyl, trimethylsilylethyl, difluoromethyl, trifluoromethyl, cyclopropyl, cyclobutyl, cyclopentyl, methoxy, ethoxy, isopropoxy, cyclopentyloxy, difluoromethoxy, trifluoromethoxy, pentafluorethoxy, tetrahydrofuran-3-yloxy, tetrahydrofuran-2-on-3-yloxy, methylsulphanyl, ethylsulphanyl, isopropylsulphanyl, cyclopropylidenemethyl, phenyl, fluorophenyl, pyridinyl, pyrimidinyl, pyridazinyl, pyrazinyl, imidazolyl, pyrazolyl, triazolyl, tetrazolyl, oxazolyl, oxadiazolyl, thiazolyl or thiadiazolyl.
- According to this second embodiment most particularly preferred meanings of the group R3 are hydrogen, fluorine, chlorine, methyl, ethyl, isopropyl, tert.-butyl, ethynyl, 1-propynyl, trimethylsilylethyl, difluoromethyl, trifluoromethyl, cyclopropyl, cyclobutyl, cyclopentyl, methoxy, ethoxy, isopropoxy, cyclopentyloxy, difluoromethoxy, trifluoromethoxy, pentafluorethoxy, tetrahydrofuran-3-yloxy, tetrahydrofuran-2-on-3-yloxy, methylsulphanyl, ethylsulphanyl, isopropylsulphanyl, cyclopropylidenemethyl. Examples of such particularly preferred meanings are methyl, ethyl, methoxy, ethoxy, trimethylsilylethyl, ethynyl, cyclopentyloxy, tetrahydrofuran-3-yloxy, tetrahydrofuran-2-on-3-yloxy, particularly trimethylsilylethyl, ethoxy, cyclopentyloxy and tetrahydrofuran-3-yloxy.
- Meanings of other groups and substituents will now be given which are to be regarded as preferred according to general formula I, formulae I.1 and I.2 and also according to the embodiments described hereinbefore:
- Preferred meanings of the group R2 are hydrogen, fluorine, chlorine, bromine, methyl, hydroxy, methoxy, ethoxy, trifluoromethoxy, cyano, nitro and methyl substituted by 1 to 3 fluorine atoms.
- Particularly preferred meanings of the group R2 are hydrogen, fluorine, hydroxy, methoxy, ethoxy and methyl, particularly hydrogen and methyl.
- Preferred meanings of the group R4 are hydrogen and fluorine, particularly hydrogen.
- Preferred meanings of the group R5 are hydrogen and fluorine, particularly hydrogen. The group RN preferably denotes H, methyl, ethyl or acetyl.
- The group R6 preferably denotes according to the invention hydrogen, (C1-8-alkyl)oxycarbonyl, C1-8-alkylcarbonyl or benzoyl, particularly hydrogen or (C1-6-alkyl)oxycarbonyl, C1-6-alkylcarbonyl, particularly preferably hydrogen, methylcarbonyl, methoxycarbonyl or ethoxycarbonyl, most particularly preferably hydrogen or methoxycarbonyl.
- The substituents R7a, R7b, R7c preferably represent independently of one another hydrogen, (C1-8-alkyl)oxycarbonyl, (C1-18-alkyl)carbonyl, benzoyl, particularly hydrogen or (C1-6-alkyl)oxycarbonyl, (C1-8-alkyl)carbonyl, particularly preferably hydrogen, methoxycarbonyl, ethoxycarbonyl, methylcarbonyl or ethylcarbonyl. Most particularly preferably R7a, R7b and R7c represent hydrogen.
- The compounds of formula I wherein R6, R7a, R7b and R7c according to the invention have a meaning other than hydrogen, for example C1-8-alkylcarbonyl, are preferably suitable as intermediate products for the synthesis of compounds of formula I wherein R7a, R7b and R7c denote hydrogen.
- Particularly preferred compounds of general formula I are selected from among formulae I.2a to I.2d, particularly I.2c:
- while the groups R1 to R6 and R7a, R7b, R7c have one of the meanings given previously, particularly have one of the meanings given specified as being preferred; and particularly
- R1 denotes hydrogen, fluorine, chlorine, bromine, iodine, C1-4-alkyl, C2-6-alkynyl, C1-4-alkoxy, C2-4-alkenyl-C1-4-alkoxy, C2-4-alkynyl-C1-4-alkoxy, methyl substituted by 1 to 3 fluorine atoms, ethyl substituted by 1 to 5 fluorine atoms, methoxy substituted by 1 to 3 fluorine atoms, ethoxy substituted by 1 to 5 fluorine atoms, C1-4-alkyl substituted by a hydroxy or C1-3-alkoxy group, C2-4-alkoxy substituted by a hydroxy or C1-3-alkoxy group, C2-6-alkenyl, C3-6-cycloalkyl, C3-6-cycloalkyl-C1-3-alkyl, C3-7-cycloalkyloxy, C3-6-cycloalkyl-C1-3-alkoxy, C5-7-cycloalkenyloxy, hydroxy, amino, nitro or cyano, while in the C5-6-cycloalkyl groups a methylene group may be replaced by O; particularly preferably denotes hydrogen, fluorine, chlorine, bromine, cyano, methyl, ethyl, isopropyl, difluoromethyl, trifluoromethyl, ethynyl, prop-1-yn-1-yl, but-1-yn-1-yl, hydroxy, methoxy, ethoxy, difluoromethoxy, cyclopropyloxy, cyclobutyloxy, cyclopentyloxy or cyclohexyloxy; and
- R2 denotes hydrogen, fluorine, hydroxy, methoxy, ethoxy or methyl, particularly hydrogen or methyl; and
- R3 is selected from the group B consisting of trimethylsilylethyl, ethynyl, 1-propyn-1-yl, 1-butyn-1-yl, tert.-butylethynyl, 2-hydroxyprop-2-ylethynyl, 2-methoxyprop-2-ylethynyl, 3-hydroxy-1-propyn-1-yl, 3-methoxy-1-propyn-1-yl, ethenyl, 1-propenyl, 1-butenyl, tert.-butylethenyl, cyclopropyloxy, cyclobutyloxy, cyclopentyloxy, cyclohexyloxy, tetrahydrofuranyloxy, tetrahydrothiophenyloxy, 1,1-dioxotetrahydrothiophenyloxy, tetrahydropyranyloxy, tetrahydrothiopyranyloxy, 1,1-dioxotetrahydrothiopyranyloxy, tetrahydrofuranonyloxy, piperidinyloxy, piperidinonyloxy, pyrrolidin-3-yloxy, pyrrolidinone-3-yloxy, tetrahydrofuranyl-sulphanyl, cyclopropylsulphanyl, cyclobutylsulphanyl, cyclopentylsulphanyl and cyclohexylsulphanyl, while the —NH group in a piperidinyl, piperidinonyl, pyrrolidinyl or pyrrolidinonyl ring may be substituted by RN, particularly C1-3-alkyl or acetyl; is particularly preferably selected from trimethylsilylethyl, ethynyl, 2-hydroxyprop-2-ylethynyl, 2-methoxyprop-2-ylethynyl, 3-hydroxy-1-propyn-1-yl, 3-methoxy-1-propyn-1-yl, cyclopropyloxy, cyclobutyloxy, cyclopentyloxy, cyclohexyloxy, tetrahydrofuran-3-yloxy, tetrahydropyran-4-yloxy, piperidin-4-yloxy, N-methylpiperidin-4-yloxy and N-acetylpiperidin-4-yloxy; and
- R4 denotes hydrogen or fluorine, particularly hydrogen; and
- R5 denotes hydrogen or fluorine, particularly hydrogen; and
- R6 denotes hydrogen, (C1-6-alkyl)oxycarbonyl, (C1-6-alkyl)carbonyl or benzoyl, particularly hydrogen, methylcarbonyl, methoxycarbonyl or ethoxycarbonyl, most particularly preferably hydrogen; and
- R7a, R7b, R7c independently of one another represent hydrogen, (C1-6-alkyl)oxycarbonyl, (C1-8-alkyl)carbonyl or benzoyl, particularly hydrogen, methoxycarbonyl, ethoxycarbonyl, methylcarbonyl or ethylcarbonyl, particularly preferably hydrogen;
including the tautomers, the stereoisomers, the mixtures thereof and the salts thereof. - According to a variant of the embodiments given hereinbefore, other preferred compounds are those wherein the phenyl group which carries the substituent R3 has at least one other substituent R4 and/or R5 which is different from hydrogen. According to this variant, particularly preferred compounds are those which have a substituent R4 representing fluorine.
- The phenyl group which carries the substituent R3 is preferably at most monofluorinated.
- The compounds of general formula I specified in the experimental section that follows, and the derivatives thereof, wherein R6 has a meaning according to the invention other than hydrogen, particularly wherein R6 denotes ethoxycarbonyl or methoxycarbonyl, including the tautomers, the stereoisomers thereof and the mixtures thereof, are preferred according to the invention.
- Particularly preferred compounds of general formula I are selected from among:
- (1) 1-chloro-2-(4-cyclopentyloxybenzyl)-4-(β-D-glucopyranos-1-yl)-benzene
- (2) 1-chloro-4-(β-D-glucopyranos-1-yl)-2-[4-((R)-tetrahydrofuran-3-yloxy)-benzyl]-benzene
- (3) 1-chloro-4-(β-D-glucopyranos-1-yl)-2-[4-((S)-tetrahydrofuran-3-yloxy)-benzyl]-benzene
- (4) 1-chloro-4-(β-D-glucopyranos-1-yl)-2-[4-(tetrahydrofuran-2-on-3-yloxy)-benzyl]-benzene
- (5) 1-chloro-4-(β-D-glucopyranos-1-yl)-2-(4-cyclobutyloxy-benzyl)-benzene
- (6) 1-chloro-4-(β-D-glucopyranos-1-yl)-2-(4-cyclohexyloxy-benzyl)-benzene
- (7) 1-chloro-4-(β-D-glucopyranos-1-yl)-2-[4-(tetrahydropyran-4-yloxy)-benzyl]-benzene
- (8) 1-chloro-4-(β-D-glucopyranos-1-yl)-2-[4-(1-acetyl-piperidin-4-yloxy)-benzyl]-benzene
- (10) 1-(β-D-Glucopyranos-1-yl)-4-methyl-3-[4-(tetrahydrofuran-3-yloxy)-benzyl]-benzene
- (11) 1-(β-D-Glucopyranos-1-yl)-4-methyl-3-[4-(2-trimethylsilyl-ethyl)-benzyl]-benzene
- (12) 1-chloro-4-(β-D-glucopyranos-1-yl)-2-(4-ethynyl-benzyl)-benzene
- (13) 1-chloro-4-(β-D-glucopyranos-1-yl)-2-[4-(piperidin-4-yloxy)-benzyl]-benzene
- (14) 1-fluoro-4-(β-D-glucopyranos-1-yl)-2-(4-ethynyl-benzyl)-benzene
- (15) 1-(β-D-glucopyranos-1-yl)-3-(4-ethynyl-benzyl)-benzene
- (16) 1-ethynyl-4-(β-D-glucopyranos-1-yl)-2-(4-ethoxy-benzyl)-benzene
- (17) 1-methoxy-4-(β-D-glucopyranos-1-yl)-2-(4-ethynyl-benzyl)-benzene
and the derivatives thereof wherein R6 has a meaning according to the invention other than hydrogen, particularly wherein R6 denotes ethoxycarbonyl or methoxycarbonyl,
including the tautomers, the stereoisomers thereof and the mixtures thereof. - In the processes according to the invention the groups R1, R2, R3, R4 and R5 preferably have the meanings specified hereinbefore as being preferred. Moreover R′ preferably denotes H, C1-3-alkyl or benzyl, particularly H, ethyl or methyl. The groups R8a, R8b, R8c and R8d independently of one another preferably denote H, C1-4-alkylcarbonyl or benzyl, particularly H, methylcarbonyl, ethylcarbonyl or benzyl.
- The invention also relates to compounds of general formula IV, particularly of general formula IV′
- wherein Hal denotes chlorine, bromine or iodine and the groups R1, R2, R4 and R5 are as hereinbefore defined and the group R3 is selected from the group B, as intermediate products or starting materials in the synthesis of the compounds according to the invention. Particularly preferably, the groups R1, R2, R3, R4 and R5 have the meanings given after formulae I.2a to I.2d. Most particularly preferred are compounds of general formula IV′, wherein Hal denotes chlorine, bromine or iodine and the groups R1, R2, R4 and R5 have the meanings given after formulae I.2a to I.2d and the group R3 denotes ethynyl or C3-6-1-alkyn-1-yl, while the ethynyl group may be substituted by the group —SiR3, while the groups R independently of one another represent C1-4-alkyl, C1-4-alkoxy or aryl, and the C3-6-1-alkyn-1-yl group may be substituted by hydroxy or C1-3-alkoxy, particularly hydroxy or methoxy.
- The invention also relates to compounds of general formula II, particularly of general formula II′
- wherein R′, R8a, R8b, R8c, R8d, R1, R2, R3, R4 and R5 are defined as hereinbefore and hereinafter; particularly wherein R′ denotes H, C1-3-alkyl or benzyl, particularly H, ethyl or methyl; and the groups R8a, R8b, R8c and R8d independently of one another represent H, C1-4-alkylcarbonyl or benzyl, particularly H, methylcarbonyl, ethylcarbonyl or benzyl and the groups R1, R2, R4 and R5 are as hereinbefore defined and the group R3 is selected from the group B, as intermediate products or starting materials in the synthesis of the compounds according to the invention. Particularly preferably the groups R1, R2, R3, R4 and R5 have the meanings given following formulae I.2a to I.2d.
- Some terms used above and hereinafter to describe the compounds according to the invention will now be defined more closely.
- The term halogen denotes an atom selected from the group consisting of F, Cl, Br and I, particularly F, Cl and Br.
- The term C1-n-alkyl, wherein n may have a value of 1 to 18, denotes a saturated, branched or unbranched hydrocarbon group with 1 to n C atoms. Examples of such groups include methyl, ethyl, n-propyl, iso-propyl, butyl, iso-butyl, sec-butyl, tert-butyl, n-pentyl, iso-pentyl, neo-pentyl, tert-pentyl, n-hexyl, iso-hexyl, etc.
- The term C2-n-alkynyl, wherein n has a value of 3 to 6, denotes a branched or unbranched hydrocarbon group with 2 to n C atoms and a CC triple bond. Examples of such groups include ethynyl, 1-propynyl, 2-propynyl, 1-butynyl, 2-butynyl, 3-butynyl, 1-pentynyl, 2-pentynyl, 3-pentynyl, 4-pentynyl, 1-hexynyl, 2-hexynyl, 3-hexynyl, 4-hexynyl, 5-hexynyl etc. Unless otherwise stated alkynyl groups are connected to the remainder of the molecule via the C atom in position 1.
- Therefore terms such as 1-propynyl, 2-propynyl, 1-butynyl, etc. are equivalent to the terms 1-propyn-1-yl, 2-propyn-1-yl, 1-butyn-1-yl, etc. This also applies analogously to C2-n-alkenyl groups.
- The term C1-n-alkoxy denotes a C1-n-alkyl-O group, wherein C1-n-alkyl is as hereinbefore defined. Examples of such groups include methoxy, ethoxy, n-propoxy, iso-propoxy, n-butoxy, iso-butoxy, sec-butoxy, tert-butoxy, n-pentoxy, iso-pentoxy, neo-pentoxy, tert-pentoxy, n-hexoxy, iso-hexoxy etc.
- The term C1-n-alkylcarbonyl denotes a C1-n-alkyl-C(═O) group, wherein C1-n-alkyl is as hereinbefore defined. Examples of such groups include methylcarbonyl, ethylcarbonyl, n-propylcarbonyl, iso-propylcarbonyl, n-butylcarbonyl, iso-butylcarbonyl, sec-butylcarbonyl, tert-butylcarbonyl, n-pentylcarbonyl, iso-pentylcarbonyl, neo-pentylcarbonyl, tert-pentylcarbonyl, n-hexylcarbonyl, iso-hexylcarbonyl, etc.
- The term C3-n-cycloalkyl denotes a saturated mono-, bi-, tri- or spirocarbocyclic group with 3 to n C atoms. Examples of such groups include cyclopropyl, cyclobutyl, cyclopentyl, cyclohexyl, cycloheptyl, cyclooctyl, cyclononyl, cyclododecyl, bicyclo[3.2.1.]octyl, spiro[4.5]decyl, norpinyl, norbonyl, norcaryl, adamantyl, etc. Preferably the term C3-7-cycloalkyl denotes saturated monocyclic groups.
- The term C5-n-cycloalkenyl denotes a C5-n-cycloalkyl group which is as hereinbefore defined and additionally has at least one unsaturated C═C double bond.
- The term C3-n-cycloalkylcarbonyl denotes a C3-n-cycloalkyl-C(═O) group wherein C3-n-cycloalkyl is as hereinbefore defined.
- The term tri-(C1-4-alkyl)silylcomprises silyl groups which have identical or two or three different alkyl groups.
- The term di-(C1-3-alkyl)amino comprises amino groups which have identical or two different alkyl groups.
- The style used above and hereinafter, in which a bond of a substituent in a phenyl group is shown towards the centre of the phenyl ring, denotes, unless otherwise stated, that this substituent may be bound to any free position of the phenyl ring bearing an H atom.
- The compounds according to the invention may be obtained using methods of synthesis known in principle. Preferably the compounds are obtained by the following methods according to the invention which are described in more detail hereinafter.
- The glucose derivatives of formula II according to the invention may be synthesised from D-gluconolactone or a derivative thereof by adding the desired benzylbenzene compound in the form of an organometallic compound (Diagram 1).
- The reaction according to Diagram 1 is preferably carried out starting from a halo-benzylbenzene compound of general formula IV, wherein Hal denotes chlorine, bromine or iodine. Starting from the haloaromatic compound IV the corresponding organometallic compound (V) may be prepared either by means of a so-called halogen-metal exchange or by inserting the metal into the carbon-halogen bond. The halogen-metal exchange with bromine or iodine-substituted aromatic groups may be carried out for example with an organolithium compound such as e.g. n-, sec- or tert-butyllithium and thereby yields the corresponding lithiated aromatic group. The analogous magnesium compound may also be generated by a halogen-metal exchange with a suitable Grignard compound such as e.g. isopropylmagnesium bromide or diisopropylmagnesium. The reactions are preferably carried out between 0 and −100° C., particularly preferably between −10 and −80° C., in an inert solvent or mixtures thereof, such as for example diethyl ether, tetrahydrofuran, toluene, hexane or methylene chloride. The magnesium or lithium compounds thus obtained may optionally be transmetallised with metal salts such as e.g. cerium trichloride, to form additional organometallic compounds (V) suitable for addition. Alternatively the organometallic compound (V) may also be prepared by inserting a metal into the carbon-halogen bond of the haloaromatic compound IV. Metals such as e.g. lithium or magnesium are suitable for this. The addition of the organometallic compound V to gluconolactone or derivatives thereof of formula VI is preferably carried out at temperatures between 0 and −100° C., particularly preferably at −30 to −80° C., in an inert solvent or mixtures thereof, to obtain the compound of formula II. The lithiation and/or coupling reaction may also be carried out in microreactors and/or micromixers in order to avoid low temperatures; for example analogously to the processes described in WO 2004/076470.
- Suitable solvents are e.g. diethyl ether, toluene, methylene chloride, hexane, tetrahydrofuran or mixtures thereof. The reactions may be carried out without any further adjuvants or in the case of unreactive coupling partners in the presence of Lewis acids such as e.g. BF3*OEt2 or Me3SiCl (see M. Schlosser, Organometallics in Synthesis, John Wiley & Sons, Chichester/New York/Brisbane/Toronto/Singapore, 1994). Preferred definitions of the groups R8a, R8b, R8c and R8d are benzyl, substituted benzyl, trialkylsilyl, particularly preferably trimethylsilyl, triisopropylsilyl, 4-methoxybenzyl and benzyl. If two adjacent groups of the group consisting of R8a, R8b, R8c and R8d are linked together, these two groups are preferably part of a benzylideneacetal, 4-methoxybenzylideneacetal, isopropylketal or constitute a 2,3-dimethoxy-butylene group which is linked via the 2 and 3 positions of the butane with the adjacent oxygen atoms of the pyranose ring. The group R′ preferably denotes hydrogen or C1-4-alkyl, particularly preferably hydrogen, methyl or ethyl. The group R′ is inserted after the addition of the organometallic compound V or a derivative thereof to the gluconolactone VI. For this purpose the reaction solution is treated with an alcohol such as e.g. methanol or ethanol or water in the presence of an acid such as e.g. methanesulphonic acid, toluenesulphonic acid, sulphuric acid or hydrochloric acid.
- The synthesis of haloaromatic compound of formula IV may be carried out using standard transformations in organic chemistry or at least methods known from the specialist literature in organic synthesis (see inter alia J. March, Advanced Organic Reactions, Reactions, Mechanisms, and Structure, 4th Edition, John Wiley & Sons, Chichester/New York/Brisbane/Toronto/Singapore, 1992 and literature cited therein). The synthesis strategies described in the following provide a demonstration of this, by way of example.
- Synthesis strategy 1 (Diagram 2) shows the preparation of the haloaromatic compound of formula II starting from a benzoylchloride and a second aromatic group which is converted by Friedel-Crafts acylation into the diphenylketone derivative. This classic reaction has a wide substrate breadth and is carried out in the presence of a catalyst which is used in catalytic or stoichiometric amounts, such as e.g. AlCl3, FeCl3, iodine, iron, ZnCl2, sulphuric acid or trifluoromethanesulphonic acid. Instead of the carboxylic acid chloride it is also possible to use the carboxylic acid, an anhydride or ester thereof or the corresponding benzonitrile. The reactions are preferably carried out in chlorinated hydrocarbons such as e.g. dichloromethane and 1,2-dichloroethane at temperatures from −30 to 120° C., preferably at 30 to 100° C. However, solvent-free reactions or reactions in a microwave oven are also possible. In a second reaction step the diphenylketone is reduced to the diphenylmethane. This reaction may be carried out in two steps via the corresponding diphenylmethanol or in one step. In the two-step variant the ketone is reduced with a reducing agent such as for example a metal hydride such as e.g. NaBH4, LiAlH4 or iBu2AlH to form the alcohol. The resulting alcohol can be converted in the presence of a Lewis acid such as for example BF3*OEt2, trifluoroacetic acid, InCl3 or AlCl3 with a reducing agent such as e.g. Et3SiH, NaBH4, or Ph2SiClH to form the desired diphenylmethane. The one-step process starting from the ketone to obtain the diphenylmethane may be carried out e.g. with a silane such as e.g. Et3SiH, a borohydride such as e.g. NaBH4 or an aluminium hydride such as LiAlH4 in the presence of a Lewis acid such as for example BF3*OEt2, tris(pentafluorophenyl)-borane, trifluoroacetic acid, aluminium chloride or InCl3. The reactions are preferably carried out in solvents such as e.g. halogenated hydrocarbons such as dichloromethane, toluene or acetonitrile at temperatures of −30 to 150° C., preferably at 20 to 100° C. Reductions with hydrogen in the presence of a transition metal catalyst such as e.g. Pd on charcoal are another possible method of synthesis. Reductions according to Wolff-Kishner or variants thereof are also possible. The ketone is first of all converted with hydrazine or a derivative thereof, such as e.g. 1,2-bis(tert-butyldimethylsilyl)hydrazine, into the hydrazone which breaks down under strongly basic reaction conditions and heating to form the diphenylmethane and nitrogen. The reaction may be carried out in one reaction step or after isolation of the hydrazone or a derivative thereof in two separate reaction steps. Suitable bases include e.g. KOH, NaOH or KOtBu in solvents such as e.g. ethyleneglycol, toluene, DMSO, 2-(2-butoxyethoxy)ethanol or t-butanol; solvent-free reactions are also possible. The reactions may be carried out at temperatures between 20 to 250° C., preferably between 80 to 200° C. An alternative to the basic conditions of the Wolff-Kishner reduction is the Clemmensen reduction which takes place under acid conditions, which may also be used here.
- The second synthesis strategy (Diagram 3) shows another possible way of synthesising the halogen-aromatic groups of formula II′ illustrated by the example of a trimethylsilylacetylene-substituted diphenylmethane. Starting from an aromatic group which carries two groups selected from among iodine, bromine, chlorine or sulphonate such as e.g. trifluoromethylsulphonate, an alkyne group is attached via a transition metal-catalysed monocoupling to the more reactive end of the dihaloaromatic compound, the iodine-carbon bond (step 1). The catalysts used are for example elemental palladium or nickel or salts or complexes thereof. The reactions may be carried out with the alkyne itself or metal acetylidene therefrom. If the alkyne itself is used, coupling may be carried out in the presence of a base such as e.g. NEt3 and a co-catalyst such as e.g. a copper salt such as CuI (Sonogashira coupling). The reactions are not limited to trimethylsilylacetylene, but allow the use of a number of terminal alkynes. The reaction is extensively documented with all its variations in the literature (see P. J. Stang, F. Diederich, Metal-Catalyzed Cross-Coupling Reactions, Wiley-VCH, Weinheim, 1997 and Angew. Chem. Int. Ed. 2003, 42, 1566-1568 and literature cited therein). The other two steps for preparing the diphenylmethane derivatives comprise transfunctionalising the alkyne-substituted aromatic group to obtain a metallised (Mg, Li) aromatic group which may be prepared, for example, by a halogen-metal exchange as described hereinbefore (step 2). This metallised aromatic compound which may be used directly or after further transmetallation, is added to a benzaldehyde derivative. This forms the diphenylmethanol shown in the diagram. Alternatively it is also possible to use a benzoic acid derivative such as e.g. a benzoic acid ester, anhydride, chloride or the acid itself or the benzonitrile. Instead of the alcohol the corresponding ketone is formed, which may also be obtained by Friedel-Crafts acylation as described above. Further reaction of both the alcohol and the ketone to form the diphenylmethane derivative has already been described above (step 3). The trimethylsilylethynylated aromatic halogen compound may however also be converted directly after transmetallation into the desired product (step 4). For this, the lithium or magnesium aromatic group obtained after a halogen-metal exchange is reacted with a benzylelectrophil such as e.g. a benzyl bromide or chloride. The reaction may be carried out without or, better still, in the presence of a transition metal catalyst, such as e.g. a copper salt or a palladium complex (see e.g. Org. Lett. 2001, 3, 2871-2874 and literature cited therein). The aromatic lithium or magnesium group may however also be transmetallised first, for example, to obtain the corresponding boric acids, boric acid esters, stannanes, silanes or zinc compounds. Then it is attached by means of a transition metal such as e.g. palladium, nickel, rhodium, copper or iron to the benzyl group (see L. Brandsma, S. F. Vasilevsky, H. D. Verkruijsse, Application of Transition Metal Catalysts in Organic Synthesis, Springer-Verlag, Berlin/Heidelberg, 1998). The reactions of the alkyne-substituted aromatic group to the intermediate product of formula II′ according to steps 2 and 3 or step 4, which are illustrated by way of example here for R3 denoting ethynyl or trimethylsilylethynyl, may also be carried out analogously with other R3-substituted aromatic groups.
- Synthesis strategy 3 (Diagram 4) shows an alternative form of synthesis strategy 2, which is also illustrated using the example of an aromatic trimethylsilylethynyl group II′, but should not be limited thereto. The synthesis starts with an aromatic group which carries both a Hal group, which denotes a halogen atom chlorine, bromine or iodine, or a pseudohalogen group, such as e.g. trifluoromethanesulphonate, and also a metallic centre M, such as e.g. a B(OH)2, Si(OAlk)3 or SnBu3 group. The two centres thus “activated” may be exchanged chemoselectively one after the other. Synthesis strategy 3 illustrates this with an example in which first of all the halogen atom Hal is exchanged for an alkyne substituent in a transition metal-catalysed reaction such as e.g. the so-called Sonogashira coupling. In the second step the metallic centre M is exchanged for a benzyl group which is activated e.g. as the benzyl halide in another transition metal-catalysed coupling, to obtain the desired product (see e.g. Tetrahedron Lett. 2003, 44, 9255-9258 and literature cited therein). Both steps may be carried out using transition metals such as e.g. palladium, rhodium, nickel, copper or iron, or complexes thereof. Both types of reaction are described in detail in the literature. The method is not restricted to that shown here but may also involve reversing the sequence of the two reaction steps. In this case, the metallic centre M is first linked to the benzyl group and then the halogen or pseudohalogen group Hal is exchanged for the alkyne.
- In order to prepare compounds of general formula I, in process a) according to the invention, a compound of general formula II
- wherein R′, R1 to R5 are as hereinbefore defined and
R8a, R8b, R8c, R8d are as hereinbefore defined and independently of one another represent for example acetyl, pivaloyl, benzoyl, tert-butoxycarbonyl, benzyloxycarbonyl, trialkylsilyl, benzyl or substituted benzyl or in each case two adjacent groups R8a, R8b, R8c, R8d form a benzylideneacetal or isopropylideneketal or a 2,3-dimethoxy-butylene group which is linked via position 2 and 3 of the butylene group to the oxygen atoms of the pyranose ring and forms with them a substituted dioxane,
which may be obtained as hereinbefore described, is reacted with a reducing agent in the presence of a Lewis or Brønsted acid. - Suitable reducing agents for the reaction include for example silanes, such as triethyl, tripropyl, triisopropyl or diphenylsilane, sodium borohydride, sodium cyanoborohydride, zinc borohydride, boranes, lithium aluminium hydride, diisobutylaluminium hydride or samarium iodide. The reductions are carried out without or in the presence of a suitable Brønsted acid, such as e.g. hydrochloric acid, toluenesulphonic acid, trifluoroacetic acid or acetic acid, or Lewis acid, such as e.g. boron trifluoride etherate, trimethylsilyltriflate, titanium tetrachloride, tin tetrachloride, scandium triflate or zinc iodide. Depending on the reducing agent and the acid the reaction may be carried out in a solvent, such as for example methylene chloride, chloroform, acetonitrile, toluene, hexane, diethyl ether, tetrahydrofuran, dioxane, ethanol, water or mixtures thereof at temperatures between −60° C. and 120° C. One particularly suitable combination of reagents consists for example of triethylsilane and boron trifluoride etherate, which is conveniently used in acetonitrile or dichloromethane at temperatures of −60° C. and 60° C. Moreover, hydrogen may be used in the presence of a transition metal catalyst, such as e.g. palladium on charcoal or Raney nickel, in solvents such as tetrahydrofuran, ethyl acetate, methanol, ethanol, water or acetic acid, for the transformation described.
- Alternatively, in order to prepare compounds of general formula I according to process b) according to the invention, in a compound of general formula III
- wherein R1 to R5 are as hereinbefore defined and
R8a to R8d denote one of the protective groups defined hereinbefore, such as e.g. an acyl, arylmethyl, acetal, ketal or silyl group, and which may be obtained for example by reduction from the compound of formula II as hereinbefore described, the protective groups are cleaved. - Any acyl protecting group used is cleaved for example hydrolytically in an aqueous solvent, e.g. in water, isopropanol/water, acetic acid/water, tetrahydrofuran/water or dioxane/water, in the presence of an acid such as trifluoroacetic acid, hydrochloric acid or sulphuric acid or in the presence of an alkali metal base such as lithium hydroxide, sodium hydroxide or potassium hydroxide or aprotically, e.g. in the presence of iodotrimethylsilane, at temperatures between 0 and 120° C., preferably at temperatures between 10 and 100° C. A trifluoroacetyl group is preferably cleaved by treating with an acid such as hydrochloric acid, optionally in the presence of a solvent such as acetic acid at temperatures between 50 and 120° C. or by treating with sodium hydroxide solution optionally in the presence of a solvent such as tetrahydrofuran or methanol at temperatures between 0 and 50° C.
- Any acetal or ketal protecting group used is cleaved for example hydrolytically in an aqueous solvent, e.g. in water, isopropanol/water, acetic acid/water, tetrahydrofuran/water or dioxane/water, in the presence of an acid such as trifluoroacetic acid, hydrochloric acid or sulphuric acid or aprotically, e.g. in the presence of iodotrimethylsilane, at temperatures between 0 and 120° C., preferably at temperatures between 10 and 100° C.
- A trimethylsilyl group is cleaved for example in water, an aqueous solvent mixture or a lower alcohol such as methanol or ethanol in the presence of a base such as lithium hydroxide, sodium hydroxide, potassium carbonate or sodium methoxide. In aqueous or alcoholic solvents, acids such as e.g. hydrochloric acid, trifluoroacetic acid or acetic acid are also suitable. For cleaving in organic solvents, such as for example diethyl ether, tetrahydrofuran or dichloromethane, it is also suitable to use fluoride reagents, such as e.g. tetrabutylammonium fluoride.
- A benzyl, methoxybenzyl or benzyloxycarbonyl group is advantageously cleaved hydrogenolytically, e.g. with hydrogen in the presence of a catalyst such as palladium/charcoal in a suitable solvent such as methanol, ethanol, ethyl acetate or glacial acetic acid, optionally with the addition of an acid such as hydrochloric acid at temperatures between 0 and 100° C., but preferably at ambient temperatures between 20 and 60° C., and at a hydrogen pressure of 1 to 7 bar, but preferably 3 to 5 bar. A 2,4-dimethoxybenzyl group, however, is preferably cleaved in trifluoroacetic acid in the presence of anisole.
- A tert.butyl or tert.butyloxycarbonyl group is preferably cleaved by treating with an acid such as trifluoroacetic acid or hydrochloric acid or by treating with iodotrimethylsilane optionally using a solvent such as methylene chloride, dioxane, methanol or diethylether.
- In the reactions described hereinbefore, any reactive groups present such as ethynyl, hydroxy, amino, alkylamino or imino groups may be protected during the reaction by conventional protecting groups which are cleaved again after the reaction.
- For example, a protecting group for an ethynyl group may be the trimethylsilyl or triisopropyl group. The 2-hydroxisoprop-2-yl group may also be used as a protective group.
- For example, a protecting group for a hydroxy group may be a trimethylsilyl, acetyl, trityl, benzyl or tetrahydropyranyl group.
- Protecting groups for an amino, alkylamino or imino group may be, for example, a formyl, acetyl, trifluoroacetyl, ethoxycarbonyl, tert.butoxycarbonyl, benzyloxycarbonyl, benzyl, methoxybenzyl or 2,4-dimethoxybenzyl group.
- Moreover, the compounds of general formula I obtained may be resolved into their enantiomers and/or diastereomers, as mentioned hereinbefore. Thus, for example, cis/trans mixtures may be resolved into their cis and trans isomers, and compounds with at least one optically active carbon atom may be separated into their enantiomers.
- Thus, for example, the cis/trans mixtures may be resolved by chromatography into the cis and trans isomers thereof, the compounds of general formula I obtained which occur as racemates may be separated by methods known per se (cf. Allinger N. L. and Eliel E. L. in “Topics in Stereochemistry”, Vol. 6, Wiley Interscience, 1971) into their optical antipodes and compounds of general formula I with at least 2 asymmetric carbon atoms may be resolved into their diastereomers on the basis of their physical-chemical differences using methods known per se, e.g. by chromatography and/or fractional crystallisation, and, if these compounds are obtained in racemic form, they may subsequently be resolved into the enantiomers as mentioned above.
- The enantiomers are preferably separated by column separation on chiral phases or by recrystallisation from an optically active solvent or by reacting with an optically active substance which forms salts or derivatives such as e.g. esters or amides with the racemic compound, particularly acids and the activated derivatives or alcohols thereof, and separating the diastereomeric mixture of salts or derivatives thus obtained, e.g. on the basis of their differences in solubility, whilst the free antipodes may be released from the pure diastereomeric salts or derivatives by the action of suitable agents. Optically active acids in common use are e.g. the D- and L-forms of tartaric acid or dibenzoyltartaric acid, di-o-tolyltartaric acid, malic acid, mandelic acid, camphorsulphonic acid, glutamic acid, aspartic acid or quinic acid. An optically active alcohol may be for example (+) or (−)-menthol and an optically active acyl group in amides, for example, may be a (+)- or (−)-menthyloxycarbonyl.
- Furthermore, the compounds of formula I may be converted into the salts thereof, particularly for pharmaceutical use into the physiologically acceptable salts with inorganic or organic acids. Acids which may be used for this purpose include for example hydrochloric acid, hydrobromic acid, sulphuric acid, methanesulphonic acid, phosphoric acid, fumaric acid, succinic acid, lactic acid, citric acid, tartaric acid or maleic acid.
- Moreover, the compounds obtained may be converted into mixtures, for example 1:1 or 1:2 mixtures with amino acids, particularly with alpha-amino acids such as proline or phenylalanine, which may have particularly favourable properties such as a high crystallinity.
- The compounds according to the invention are advantageously also obtainable using the methods described in the examples that follow, which may also be combined for this purpose with methods known to the skilled man from the literature, for example, particularly the methods described in WO 98/31697, WO 01/27128, WO 02/083066, WO 03/099836 and WO 2004/063209.
- As already mentioned, the compounds of general formula I according to the invention and the physiologically acceptable salts thereof have valuable pharmacological properties, particularly an inhibitory effect on the sodium-dependent glucose cotransporter SGLT, preferably SGLT2.
- The biological properties of the new compounds may be investigated as follows:
- The ability of the substances to inhibit the SGLT-2 activity may be demonstrated in a test set-up in which a CHO-K1 cell line (ATCC No. CCL 61) or alternatively an HEK293 cell line (ATCC No. CRL-1573), which is stably transfected with an expression vector pZeoSV (Invitrogen, EMBL accession number L36849), which contains the cDNA for the coding sequence of the human sodium glucose cotransporter 2 (Genbank Acc. No. NM—003041) (CHO-hSGLT2 or HEK-hSGLT2). These cell lines transport 14C-labelled alpha-methyl-glucopyranoside (14C-AMG, Amersham) into the interior of the cell in sodium-dependent manner.
- The SGLT-2 assay is carried out as follows:
- CHO-hSGLT2 cells are cultivated in Ham's F12 Medium (BioWhittaker) with 10% foetal calf serum and 250 μg/ml zeocin (Invitrogen), and HEK293-hSGLT2 cells are cultivated in DMEM medium with 10% foetal calf serum and 250 μg/ml zeocin (Invitrogen). The cells are detached from the culture flasks by washing twice with PBS and subsequently treating with trypsin/EDTA. After the addition of cell culture medium the cells are centrifuged, resuspended in culture medium and counted in a Casy cell counter. Then 40,000 cells per well are seeded into a white, 96-well plate coated with poly-D-lysine and incubated overnight at 37° C., 5% CO2. The cells are washed twice with 250 μl of assay buffer (Hanks Balanced Salt Solution, 137 mM NaCl, 5.4 mM KCl, 2.8 mM CaCl2, 1.2 mM MgSO4 and 10 mM HEPES (pH7.4), 50 μg/ml of gentamycin). 250 μl of assay buffer and 5 μl of test compound are then added to each well and the plate is incubated for a further 15 minutes in the incubator. 5 μl of 10% DMSO are used as the negative control. The reaction is started by adding 5 μl of 14C-AMG (0.05 μCi) to each well. After 2 hours' incubation at 37° C., 5% CO2, the cells are washed again with 250 μl of PBS (20° C.) and then lysed by the addition of 25 μl of 0.1 N NaOH (5 min. at 37° C.). 200 μl of MicroScint20 (Packard) are added to each well and incubation is continued for a further 20 min at 37° C. After this incubation the radioactivity of the 14C-AMG absorbed is measured in a Topcount (Packard) using a 14C scintillation program.
- To determine the selectivity with respect to human SGLT1 an analogous test is set up in which the cDNA for hSGLT1 (Genbank Acc. No. NM000343) instead of hSGLT2 cDNA is expressed in CHO-K1 or HEK293 cells.
- The compounds of general formula I according to the invention may for example have EC50 values below 1000 nM, particularly below 200 nM, most preferably below 50 nM.
- In view of their ability to inhibit the SGLT activity, the compounds of general formula I according to the invention and the corresponding pharmaceutically acceptable salts thereof are theoretically suitable for the treatment and/or preventative treatment of all those conditions or diseases which may be affected by the inhibition of the SGLT activity, particularly the SGLT-2 activity. Therefore, compounds according to the invention are particularly suitable for the prevention or treatment of diseases, particularly metabolic disorders, or conditions such as type 1 and type 2 diabetes mellitus, complications of diabetes (such as e.g. retinopathy, nephropathy or neuropathies, diabetic foot, ulcers, macroangiopathies), metabolic acidosis or ketosis, reactive hypoglycaemia, hyperinsulinaemia, glucose metabolic disorder, insulin resistance, metabolic syndrome, dyslipidaemias of different origins, atherosclerosis and related diseases, obesity, high blood pressure, chronic heart failure, edema and hyperuricaemia. These substances are also suitable for preventing beta-cell degeneration such as e.g. apoptosis or necrosis of pancreatic beta cells. The substances are also suitable for improving or restoring the functionality of pancreatic cells, and also of increasing the number and size of pancreatic beta cells. The compounds according to the invention may also be used as diuretics or antihypertensives and are suitable for the prevention and treatment of acute renal failure.
- In particular, the compounds according to the invention, including the physiologically acceptable salts thereof, are suitable for the prevention or treatment of diabetes, particularly type 1 and type 2 diabetes mellitus, and/or diabetic complications.
- The dosage required to achieve the corresponding activity for treatment or prevention usually depends on the compound which is to be administered, the patient, the nature and gravity of the illness or condition and the method and frequency of administration and is for the patient's doctor to decide. Expediently, the dosage may be from 1 to 100 mg, preferably 1 to 30 mg, by intravenous route, and 1 to 1000 mg, preferably 1 to 100 mg, by oral route, in each case administered 1 to 4 times a day. For this purpose, the compounds of formula I prepared according to the invention may be formulated, optionally together with other active substances, together with one or more inert conventional carriers and/or diluents, e.g. with corn starch, lactose, glucose, microcrystalline cellulose, magnesium stearate, polyvinylpyrrolidone, citric acid, tartaric acid, water, water/ethanol, water/glycerol, water/sorbitol, water/polyethylene glycol, propylene glycol, cetylstearyl alcohol, carboxymethylcellulose or fatty substances such as hard fat or suitable mixtures thereof, to produce conventional galenic preparations such as plain or coated tablets, capsules, powders, suspensions or suppositories.
- The compounds according to the invention may also be used in conjunction with other active substances, particularly for the treatment and/or prevention of the diseases and conditions mentioned above. Other active substances which are suitable for such combinations include for example those which potentiate the therapeutic effect of an SGLT antagonist according to the invention with respect to one of the indications mentioned and/or which allow the dosage of an SGLT antagonist according to the invention to be reduced. Therapeutic agents which are suitable for such a combination include, for example, antidiabetic agents such as metformin, sulphonylureas (e.g. glibenclamide, tolbutamide, glimepiride), nateglinide, repaglinide, thiazolidinediones (e.g. rosiglitazone, pioglitazone), PPAR-gamma-agonists (e.g. GI 262570) and antagonists, PPAR-gamma/alpha modulators (e.g. KRP 297), alpha-glucosidase inhibitors (e.g. acarbose, voglibose), DPPIV inhibitors (e.g. LAF237, MK-431), alpha2-antagonists, insulin and insulin analogues, GLP-1 and GLP-1 analogues (e.g. exendin-4) or amylin. The list also includes inhibitors of protein tyrosinephosphatase 1, substances that affect deregulated glucose production in the liver, such as e.g. inhibitors of glucose-6-phosphatase, or fructose-1,6-bisphosphatase, glycogen phosphorylase, glucagon receptor antagonists and inhibitors of phosphoenol pyruvate carboxykinase, glycogen synthase kinase or pyruvate dehydrokinase, lipid lowering agents such as for example HMG-CoA-reductase inhibitors (e.g. simvastatin, atorvastatin), fibrates (e.g. bezafibrate, fenofibrate), nicotinic acid and the derivatives thereof, PPAR-alpha agonists, PPAR-delta agonists, ACAT inhibitors (e.g. avasimibe) or cholesterol absorption inhibitors such as, for example, ezetimibe, bile acid-binding substances such as, for example, cholestyramine, inhibitors of ileac bile acid transport, HDL-raising compounds such as CETP inhibitors or ABC1 regulators or active substances for treating obesity, such as sibutramine or tetrahydrolipostatin, dexfenfluramine, axokine, antagonists of the cannabinoid) receptor, MCH-1 receptor antagonists, MC4 receptor agonists, NPY5 or NPY2 antagonists or B3-agonists such as SB-418790 or AD-9677 and agonists of the 5HT2c receptor.
- Moreover, combinations with drugs for influencing high blood pressure, chronic heart failure or atherosclerosis such as e.g. A-II antagonists or ACE inhibitors, ECE inhibitors, diuretics, β-blockers, Ca-antagonists, centrally acting antihypertensives, antagonists of the alpha-2-adrenergic receptor, inhibitors of neutral endopeptidase, thrombocyte aggregation inhibitors and others or combinations thereof are suitable. Examples of angiotensin II receptor antagonists are candesartan cilexetil, potassium losartan, eprosartan mesylate, valsartan, telmisartan, irbesartan, EXP-3174, L-158809, EXP-3312, olmesartan, medoxomil, tasosartan, KT-3-671, GA-0113, RU-64276, EMD-90423, BR-9701, etc. Angiotensin II receptor antagonists are preferably used for the treatment or prevention of high blood pressure and complications of diabetes, often combined with a diuretic such as hydrochlorothiazide.
- A combination with uric acid synthesis inhibitors or uricosurics is suitable for the treatment or prevention of gout.
- A combination with GABA-receptor antagonists, Na-channel blockers, topiramat, protein-kinase C inhibitors, advanced glycation end product inhibitors or aldose reductase inhibitors may be used for the treatment or prevention of complications of diabetes.
- The dosage for the combination partners mentioned above is usefully 1/5 of the lowest dose normally recommended up to 1/1 of the normally recommended dose.
- Therefore, in another aspect, this invention relates to the use of a compound according to the invention or a physiologically acceptable salt of such a compound combined with at least one of the active substances described above as a combination partner, for preparing a pharmaceutical composition which is suitable for the treatment or prevention of diseases or conditions which can be affected by inhibiting the sodium-dependent glucose cotransporter SGLT. These are preferably metabolic diseases, particularly one of the diseases or conditions listed above, most particularly diabetes or diabetic complications.
- The use of the compound according to the invention, or a physiologically acceptable salt thereof, in combination with another active substance may take place simultaneously or at staggered times, but particularly within a short space of time. If they are administered simultaneously, the two active substances are given to the patient together; while if they are used at staggered times the two active substances are given to the patient within a period of less than or equal to 12 hours, but particularly less than or equal to 6 hours.
- Consequently, in another aspect, this invention relates to a pharmaceutical composition which comprises a compound according to the invention or a physiologically acceptable salt of such a compound and at least one of the active substances described above as combination partners, optionally together with one or more inert carriers and/or diluents.
- Thus, for example, a pharmaceutical composition according to the invention comprises a combination of a compound of formula I according to the invention or a physiologically acceptable salt of such a compound and at least one angiotensin II receptor antagonist optionally together with one or more inert carriers and/or diluents.
- The compound according to the invention, or a physiologically acceptable salt thereof, and the additional active substance to be combined therewith may both be present together in one formulation, for example a tablet or capsule, or separately in two identical or different formulations, for example as a so-called kit-of-parts.
- In the foregoing and following text, H atoms of hydroxyl groups are not explicitly shown in every case in structural formulae. The Examples that follow are intended to illustrate the present invention without restricting it:
-
- 38.3 ml oxalyl chloride and 0.8 ml of dimethylformamide are added to a mixture of 100 g of 5-bromo-2-chloro-benzoic acid in 500 ml dichloromethane. The reaction mixture is stirred for 14 h, then filtered and separated from all volatile constituents in the rotary evaporator. The residue is dissolved in 150 ml dichloromethane, the solution is cooled to −5° C., and 46.5 g of anisole are added. Then 51.5 g of aluminium trichloride are added batchwise so that the temperature does not exceed 5° C. The solution is stirred for another 1 h at 1-5° C. and then poured onto ice. The organic phase is separated off and the aqueous phase is extracted another three times with dichloromethane. The combined organic phases are washed with aqueous 1 M hydrochloric acid, twice with 1 M sodium hydroxide solution and with saturated sodium chloride solution. Then the organic phase is dried, the solvent is removed and the residue is recrystallised in ethanol.
- Yield: 86.3 g (64% of theory)
- Mass spectrum (ESI+): m/z=325/327/329 (Br+Cl) [M+H]+
- The following compounds are obtained analogously to Example I:
-
- Mass spectrum (ESI+): m/z=431/433 (Br) [M+H]+
-
-
- A solution of 86.2 g (5-bromo-2-chloro-phenyl)-(4-methoxy-phenyl)-methanone and 101.5 ml triethylsilane in 75 ml dichloromethane and 150 ml acetonitrile is cooled to 10° C. Then with stirring 50.8 ml of boron trifluoride etherate are added so that the temperature does not exceed 20° C. The solution is stirred for 14 h at ambient temperature, before another 9 ml triethylsilane and 4.4 ml boron trifluoride etherate are added. The solution is stirred for a further 3 h at 45-50° C. and then cooled to ambient temperature. A solution of 28 g potassium hydroxide in 70 ml of water is added and the mixture is stirred for 2 h. Then the organic phase is separated off and the aqueous phase is extracted another three times with diisopropylether. The combined organic phases are washed twice with 2 M potassium hydroxide solution and once with aqueous sodium chloride solution and then dried over sodium sulphate. After the solvent has been eliminated the residue is stirred in ethanol, separated off again and dried at 60° C.
- Yield: 50.0 g (61% of theory)
- Mass spectrum (ESI+): m/z=310/312/314 (Br+Cl) [M+H]+
- The following compounds are obtained analogously to Example II:
-
- Mass spectrum (ESI+): m/z=434/436 [M+NH4]+
-
-
- A solution of 14.8 g 4-bromo-1-chloro-2-(4-methoxy-benzyl)-benzene in 150 ml dichloromethane is cooled in the ice bath. Then 50 ml of a 1 M solution of boron tribromide in dichloromethane are added, and the solution is stirred for 2 h at ambient temperature. The solution is then cooled in the ice bath again, and saturated potassium carbonate solution is added dropwise. At ambient temperature the mixture is adjusted with aqueous 1 M hydrochloric acid to a pH of 1, the organic phase is separated off and the aqueous phase is extracted another three times with ethyl acetate. The combined organic phases are dried over sodium sulphate, and the solvent is removed completely.
- Yield: 13.9 g (98% of theory)
- Mass spectrum (ESI−): m/z=295/297/299 (Br+Cl) [M−H]−
-
- A solution of 13.9 g 4-(5-bromo-2-chloro-benzyl)-phenol in 140 ml dichloromethane is cooled in the ice bath. Then 7.54 g tert-butyldimethylsilylchlorid in 20 ml dichloromethane are added followed by 9.8 ml triethylamine and 0.5 g dimethylaminopyridine. The solution is stirred for 16 h at ambient temperature and then diluted with 100 ml dichloromethane. The organic phase is washed twice with aqueous 1 M hydrochloric acid and once with aqueous sodium hydrogen carbonate solution and then dried over sodium sulphate. After the solvent has been eliminated the residue is filtered through silica gel (cyclohexane/ethyl acetate 100:1).
- Yield: 16.8 g (87% of theory)
- Mass spectrum (EI): m/z=410/412/414 (Br+Cl) [M]+
- Under argon 11.6 ml triisopropylacetylen and 14.4 ml triethylamine followed by 0.2 g copper iodide and 0.73 g bis-(triphenylphosphine)-palladium dichloride are added to an oxygen-free solution of 15.0 g 1-bromo-4-iodo-benzene in 150 ml dry tetrahydrofuran. The solution is stirred for 16 h at ambient temperature and then filtered through Celite and evaporated down. The residue is chromatographed through silica gel (cyclohexane).
- Yield: 17.4 g (100% of theory)
- Mass spectrum (ESI+): m/z=336/338 (Br) [M]+
- The following compounds are obtained analogously to Example V:
- 4-bromo-1-iodo-2-(4-ethoxy-benzyl)-benzene is used as the starting material for the coupling reaction described hereinbefore.
- Mass spectrum (ESI+): m/z=471/473 (Br) [M+H]+
- 4-bromo-1-chloro-2-(4-iodo-benzyl)-benzene is used as starting material.
- This compound may also be obtained according to Example X.
-
- 33.8 ml of a 1.6 M solution of n-butyllithium in hexane are added dropwise under argon to a solution of 17.4 g 1-bromo-4-triisopropylsilylethynyl-benzene in 120 ml dry tetrahydrofuran chilled to −78° C. The solution is stirred for 1 h at −70° C. Then 10.8 g 5-bromo-2-fluoro-benzaldehyde dissolved in 30 ml of tetrahydrofuran are added dropwise over 15 min. The resulting solution is left in the cooling bath to warm up overnight to ambient temperature. Then water is added and the mixture is extracted with ethyl acetate. The combined organic phase are dried over sodium sulphate, and the solvent is removed. The residue is purified through silica gel (cyclohexane/ethyl acetate 4:1).
- Yield: 14.3 g (60% of theory)
- Mass spectrum (ESI+): m/z=461/463 (Br) [M+H]+
- The following compounds are obtained analogously to Example VI:
-
- Mass spectrum (ESI−): m/z=487/489 (Br) [M+HCOO]−
-
- Mass spectrum (ESI+): m/z=473/475 (Br) [M+H]+
-
- A solution of 5.6 g (5-bromo-2-fluoro-phenyl)-{4-[(triisopropylsilyl)-ethynyl]-phenyl}-methanol and 4.1 ml triethylsilane in 50 ml dichloromethane is cooled in the ice bath. Then 4.7 ml trifluoroacetic acid are slowly added dropwise, and the solution is stirred for 4 h at ambient temperature. The solution is diluted with dichloromethane and washed with aqueous sodium hydrogen carbonate solution. After drying over sodium sulphate the solvent is removed and the residue is purified using silica gel (cyclohexane).
- Yield: 2.6 g (48% of theory)
- Mass spectrum (EI): m/z=445/447 (Br) [M]+
- The following compounds are obtained analogously to Example VII:
-
- Mass spectrum (ESI+): m/z=427/429 (Br) [M+H]+
- In a departure from the process described hereinbefore the reaction solution is stirred in the ice bath instead of at ambient temperature until the reaction is complete.
- Mass spectrum (ESI+): m/z=457/459 (Br) [M+H]+
-
- 4.0 g N-bromosuccinimide are slowly added to a solution of 5.0 g of 4-bromo-1-chloro-2-hydroxymethyl-benzene and 5.9 g triphenylphosphine in 50 ml of tetrahydrofuran chilled to 5° C. After 1 h stirring at ambient temperature the precipitate is filtered off and the solvent is eliminated in vacuo. The residue is purified through silica gel (cyclohexane/ethyl acetate 50:1).
- Yield: 4.9 g (76% of theory)
- Mass spectrum (EI): m/z=282/284/286 (Br+Cl) [M]+
-
- Under argon 18.0 g sodium iodide (dry), 0.6 g copper iodide and 0.8 g N,N′-dimethyl-cyclohexane-1,2-diamine are added to a solution of 20.0 g (4-bromo-phenylethynyl)-triisopropyl-silane. The solution is refluxed with stirring for 24 h and then cooled to ambient temperature. 1% ammonia solution (100 ml) is added and the mixture is extracted with ethyl acetate. After drying over sodium sulphate the solvent is removed and the residue is purified using silica gel (cyclohexane).
- Yield: 21.0 g (92% of theory)
- Mass spectrum (EI): m/z=384 [M]+
-
- Under argon 0.66 ml of a 2 M solution of isopropylmagnesium chloride in tetrahydrofuran are added dropwise to a solution of 0.50 g (4-iodo-phenylethynyl)-triisopropyl-silane in 2.2 ml dry tetrahydrofuran chilled to −25° C. The solution is stirred for 30 min at −25° C. and then combined with 0.26 ml of a 1 M solution of CuCN*2 LiCl in tetrahydrofuran (prepared by dissolving CuCN and LiCl in the ratio 1:2). Shortly afterwards, 0.35 g 4-bromo-2-bromomethyl-1-chlorbenzene are added and the reaction mixture is brought up to −5° C. in the cooling bath. After 6 h stirring at −5° C. the solution is heated to ambient temperature and stirred overnight. Then a mixture of saturated ammonium chloride solution and 25% ammonia solution (9:1) is added and the resulting mixture is added to water. The organic phase is separated off and the aqueous phase is extracted with ethyl acetate, the combined organic phases are dried over sodium sulphate, and the solvent is removed. The residue is purified through silica gel (cyclohexane).
- Yield: 0.28 g (50% of theory)
- Mass spectrum (EI): m/z=461/463/465 (Br+Cl) [M+H]+
-
- A solution of 20 g D-glucono-1,5-lactone and 98.5 ml N-methylmorpholine in 200 ml of tetrahydrofuran is cooled to −5° C. Then 85 ml trimethylsilylchloride are added dropwise so that the temperature does not exceed 5° C. The solution is then stirred for 1 h at ambient temperature, 5 h at 35° C. and again for 14 h at ambient temperature. After the addition of 300 ml of toluene the solution is cooled in the ice bath, and 500 ml of water are added so that the temperature does not exceed 10° C. The organic phase is then separated off and washed in each case once with aqueous sodium dihydrogen phosphate solution, water and saturated aqueous sodium chloride solution. The solvent is removed, the residue is taken up in 250 ml of toluene and the solvent is again removed completely.
- Yield: 52.5 g (approx. 90% pure)
- Mass spectrum (ESI+): m/z=467 [M+H]+
-
- A solution of 4.46 g [4-(5-bromo-2-fluoro-benzyl)-phenylethynyl]-triisopropyl-silane in 30 ml dry diethyl ether is cooled to −80° C. under argon. 11.8 ml of a 1.7 M solution of tert-butyllithium in pentane are slowly added dropwise to the cooled solution, and then the solution is stirred for 45 min at −80° C. Then a solution of 5.19 g of 2,3,4,6-tetrakis-O-(trimethylsilyl)-D-glucopyranone in 50 ml diethyl ether, chilled to −80° C., is added dropwise to this solution through a transfer needle. The resulting solution is stirred for 3 h at −78° C. Then a solution of 1.7 ml methanesulphonic acid in 50 ml of methanol is added, the cooling bath is removed and the solution is stirred for 16 h at ambient temperature. The solution is then neutralised with ethyldiisopropylamine and evaporated down to dryness. The residue is purified through silica gel (dichloromethane/methanol 50:1->4:1).
- Yield: 2.8 g (50% of theory)
- Mass spectrum (ESI+): m/z=576 [M+NH4]+
- The following compounds are obtained analogously to Example XII:
- Advantageously the reaction mixture is mixed with only a small excess of methanesulphonic acid.
- Mass spectrum (ESI+): m/z=588 [M+NH4]+
-
- Mass spectrum (ESI+): m/z=592/594 (Cl) [M+NH4]+
-
- A solution of 0.8 g 1-fluoro-4-(1-methoxy-D-glucopyranos-1-yl)-2-(4-triisopropylsilylethynyl-benzyl)-benzene and 0.5 ml triethylsilane in 6 ml dichloromethane and 10 ml acetonitrile is cooled to −10° C. 0.27 ml boron trifluoride etherate are added dropwise to the cooled solution. The solution is then stirred for 3 h in the ice bath. Aqueous sodium hydrogen carbonate solution is added to the solution and then the mixture is extracted with ethyl acetate. The organic phase is dried over sodium sulphate, the solvent is removed and the residue is taken up in 6 ml dichloromethane. Then 1.2 ml of pyridine, 1.3 ml of acetic anhydride and 8 mg of 4-dimethylaminopyridine are added. The solution is stirred for 1 h at ambient temperature and then combined with water. The mixture is extracted with dichloromethane, the organic phase is washed with 1 M hydrochloric acid and dried over sodium sulphate. After the solvent has been eliminated the residue is chromatographed through silica gel (cyclohexane/ethyl acetate 4:1->1:1).
- Yield: 0.23 g (23% of theory)
- Mass spectrum (ESI+): m/z=714 [M+NH4]+
- The following compounds are obtained analogously to Example XIII:
-
- Mass spectrum (ESI+): m/z=726 [M+NH4]+
-
- Mass spectrum (ESI+): m/z=730/732 (Cl) [M+NH4]+
-
- A solution of 2.6 g [4-(3-bromo-benzyl)-phenylethynyl]-triisopropyl-silane in 20 ml dry diethyl ether is cooled to −80° C. under argon. 7.9 ml of a 1.7 M solution of tert-butyllithium in pentane are slowly added dropwise to the cooled solution, and then the solution is stirred for 30 min at −80° C. A solution of 3.2 g 2,3,4,6-tetrakis-β-(trimethylsilyl)-D-glucopyranone in 30 ml diethyl ether chilled to −80° C. is then added dropwise to this solution through a transfer needle. The resulting solution is stirred for 2 h at −78° C. and then another solution of 1.0 g 2,3,4,6-tetrakis-O-(trimethylsilyl)-D-glucopyranone in 10 ml diethyl ether chilled to −80° C. is added dropwise. After another hour's stirring at −78° C. a solution of 2 ml methanesulphonic acid in 20 ml of methanol is added, the cooling bath is removed and the solution is stirred for 16 h at ambient temperature. The solution is then neutralised with ethyldiisopropylamine, the solvent is removed completely and the residue is taken up in 50 ml of toluene. 8.5 ml ethyldiisopropylamine are added, and the solution is cooled in the ice bath. Then 4.3 ml acetic anhydride and 0.15 g 4-dimethylaminopyridine are added. The solution is stirred for 2 h at ambient temperature and then combined with aqueous sodium hydrogen carbonate solution. It is extracted with ethyl acetate, the organic phases are dried over sodium sulphate, and the solvent is removed. The residue is chromatographed through silica gel (cyclohexane/ethyl acetate 4:1->1:3).
- Yield: 2.0 g (46% of theory)
- Mass spectrum (ESI+): m/z=726 [M+NH4]+
- The following compound is obtained analogously to Example XIV:
-
- Mass spectrum (ESI+): m/z=770 [M+NH4]+
-
- 1.2 ml triethylsilane and 0.36 ml boron trifluoride etherate are added dropwise to an ice-cooled solution of 1.0 g 1-(2,3,4,6-tetra-O-acetyl-1-methoxy-D-glucopyranos-1-yl)-3-(4-triisopropylsilylethynyl-benzyl)-benzene and 25 μl water in 10 ml acetonitrile. The solution is then stirred for 3 h in the ice bath and for 1 h at ambient temperature. Then the solution is again cooled in the ice bath, and another 1.2 ml triethylsilane and 0.36 ml boron trifluoride etherate are added. The solution is stirred for a further 0.5 h in the ice bath and 2 h at ambient temperature. Aqueous sodium hydrogen carbonate solution is then added to the solution, and the resulting solution is extracted with ethyl acetate. The organic phase is dried over sodium sulphate and the solvent is removed.
- Yield: 0.78 g (81% of theory)
- Mass spectrum (ESI+): m/z=696 [M+NH4]+
- The following compound is obtained analogously to Example XV:
-
-
- A solution of 4.0 g [4-(5-bromo-2-chloro-benzyl)-phenoxy]-tert-butyl-dimethyl-silane in 42 ml dry diethyl ether is cooled to −80° C. under argon. 11.6 ml of a 1.7 M solution of tert-butyllithium in pentane are slowly added dropwise to the cooled solution, and then the solution is stirred for 30 min at −80° C. This solution is then added dropwise through a transfer needle, which is cooled with dry ice, to a solution of 4.78 g 2,3,4,6-tetrakis-O-(trimethylsilyl)-D-glucopyranone in 38 ml diethyl ether chilled to −80° C. The resulting solution is stirred for 3 h at −78° C. Then a solution of 1.1 ml methanesulphonic acid in 35 ml of methanol is added and the solution is stirred for 16 h at ambient temperature. The solution is then neutralised with solid sodium hydrogen carbonate, ethyl acetate is added and the methanol is removed together with the ether. Aqueous sodium hydrogen carbonate solution is added to the remaining solution and extracted four times with ethyl acetate. The organic phases are dried over sodium sulphate and evaporated down. The residue is dissolved in 30 ml acetonitrile and 30 ml dichloromethane and the solution is cooled to −10° C. After the addition of 4.4 ml triethylsilane 2.6 ml boron trifluoride etherate are added dropwise so that the temperature does not exceed −5° C. After the addition has ended the solution is stirred for another 5 h at −5 to −10° C. and then quenched by the addition of aqueous sodium hydrogen carbonate solution. The organic phase is separated off and the aqueous phase is extracted four times with ethyl acetate. The combined organic phase are dried over sodium sulphate, the solvent is removed and the residue is purified using silica gel. The product then obtained is an approx. 6:1 mixture of β/α which can be converted into the pure β-anomer by total acetylation of the hydroxy groups with acetic anhydride and pyridine in dichloromethane and recrystallising the product in ethanol. The product thus obtained is converted into the title compound by reacting in methanol with 4 M potassium hydroxide solution.
- Yield: 1.6 g (46% of theory)
- Mass spectrum (ESI+): m/z=398/400 (Cl) [M+H]+
-
- 10 mg 4-dimethylaminopyridine are added to a solution of 0.38 g 1-chloro-4-(β-D-glucopyranos-1-yl)-2-(4-hydroxybenzyl)-benzene, 0.21 ml triethylamine and 0.39 g N,N-bis-(trifluoromethanesulphonyl)-aniline in 10 ml dry dichloromethane. The solution is stirred for 4 h at ambient temperature and then combined with aqueous sodium chloride solution. It is extracted with ethyl acetate, the organic extracts are dried over sodium sulphate, and the solvent is removed. The residue is chromatographed through silica gel (dichloromethane/methanol 1:0->4:1).
- Yield: 0.33 g (64% of theory)
- Mass spectrum (ESI+): m/z=530/532 (Cl) [M+NH4]+
-
- 4 g freshly activated molecular sieve 4 Å and 3.3 g N-methylmorpholine-N-oxide are added to a solution of 10.0 g 2,3,4,6-tetra-O-benzyl-α-D-glucopyranose in 140 ml dichloromethane. The solution is stirred for 20 min at ambient temperature, before adding 0.3 g of tetrapropylammonium perruthenate. After 2 h stirring at ambient temperature the solution is diluted with dichloromethane and filtered through Celite. The filtrate is washed with aqueous sodium thiosulphate solution and water and then dried over sodium sulphate. After the solvent has been eliminated the residue is chromatographed through silica gel (cyclohexane/ethyl acetate 4:1).
- Yield: 8.2 g (82% of theory)
- Mass spectrum (ESI+): m/z=539 [M+H]+
-
- A solution of 0.34 g [4-(5-bromo-2-methyl-benzyl)-phenoxy]-tert-butyl-dimethyl-silane in 3 ml dry tetrahydrofuran is cooled to −80° C. under argon. 0.54 ml of a 1.6 M solution of n-butyllithium in hexane are added dropwise to the cooled solution, and the solution is stirred for 1.5 h at −78° C. A solution of 0.43 g 2,3,4,6-tetra-O-benzyl-D-glucopyranone in 2.5 ml of tetrahydrofuran chilled to −80° C. is added dropwise to this solution by means of transfer needle. The resulting solution is stirred for 5 h at −78° C. The reaction is quenched with a solution of 0.1 ml acetic acid in 1 ml of tetrahydrofuran and heated to ambient temperature. Then aqueous sodium hydrogen carbonate solution is added and the mixture is extracted four times with ethyl acetate. The organic phases are dried over sodium sulphate and evaporated down. The residue is purified by chromatography on silica gel (cyclohexane/ethyl acetate 15:1->4:1).
- Yield: 0.48 g (approx. 88% pure)
- Mass spectrum (ESI+): m/z=868 [M+H]+
-
- A solution of 0.48 g (approx. 88% pure) 1-(2,3,4,6-tetra-O-benzyl-1-hydroxy-D-glucopyranosyl)-3-[4-(tert-butyl-dimethyl-silyloxy)-benzyl]-4-methyl-benzene in 3.5 ml dry acetonitrile is cooled to −40° C. under argon. 0.13 ml triisopropylsilane and 0.08 ml boron trifluoride etherate are added dropwise to the cooled solution. The solution is stirred for 3 h at −35° C., before another 0.02 ml of triisopropylsilane and 0.01 ml of boron trifluoride etherate are added. After a further 2 h at −40° C. aqueous potassium carbonate is added and the solution is stirred for 1 h at ambient temperature. Then it is diluted with water and extracted four times with ethyl acetate. The organic phase is dried over sodium sulphate, concentrated and chromatographed through silica gel (cyclohexane/ethyl acetate 10:1->4:1).
- Yield: 0.24 g (68% of theory). Mass spectrum (ESI+): m/z=738 [M+NH4]+
-
- 0.10 g tetrahydrofuran-3-yl toluene-4-sulphonate are added to a mixture of 0.24 g 1-(2,3,4,6-tetra-O-benzyl-β-D-glucopyranos-1-yl)-3-(4-hydroxy-benzyl)-4-methyl-benzene and 0.13 g caesium carbonate in 2.5 ml of dimethylformamide. The mixture is stirred for 4 h at 65° C., before water is added. It is extracted three times with ethyl acetate, the organic phase is dried over sodium sulphate and the solvent is removed. The residue is purified through silica gel purified (cyclohexane/ethyl acetate 10:1->4:1).
- Yield: 0.23 g (78% of theory). Mass spectrum (ESI+): m/z=808 [M+H]+
-
- A solution of 0.62 g 1-(2,3,4,6-tetra-O-benzyl-β-D-glucopyranos-1-yl)-3-(4-hydroxybenzyl)-4-methyl-benzene in 4.5 ml dry dichloromethane is cooled to −10° C. under argon. 0.14 ml of pyridine and a solution of 0.3 g trifluoromethanesulphonic anhydride in 0.5 ml dichloromethane are added to the cooled solution. The solution is stirred for 0.5 h at −5 to −10° C., before aqueous sodium hydrogen carbonate solution is added. The mixture is extracted three times with dichloromethane, the combined organic phases are washed with aqueous 1 M hydrochloric acid and dried over sodium sulphate. After the solvent has been eliminated the residue is chromatographed through silica gel (cyclohexane/ethyl acetate 15:1->7:1).
- Yield: 0.62 g (84% of theory)
- Mass spectrum (ESI+): m/z=853 [M+H]+
-
- Under argon, 27 mg copper iodide, 49 mg bis-(triphenylphosphine)-palladium dichloride, 0.30 ml triethylamine and finally 0.14 ml of trimethylsilylacetylene are added to a solution of 0.60 g 1-(2,3,4,6-tetra-O-benzyl-β-D-glucopyranos-1-yl)-3-[4-(trifluoromethylsulphonyloxy)-benzyl]-4-methyl-benzene in 3 ml of dimethylformamide. The flask is tightly sealed and stirred for 4 h at 90° C. Then another 20 mg of bis-(triphenylphosphine)-palladium dichloride and 0.6 ml trimethylsilylacetylene are added, and the solution is stirred for a further 4 h at 90° C. Then aqueous sodium hydrogen carbonate solution is added, the mixture is extracted three times with ethyl acetate, and the combined organic phases are dried over sodium sulphate. After the solvent has been eliminated the residue is chromatographed through silica gel (cyclohexane/ethyl acetate 40:1->10:1).
- Yield: 0.45 g (80% of theory)
- Mass spectrum (ESI+): m/z=818 [M+NH4]+
-
- 0.16 ml iodocyclopentane are added to a mixture of 0.25 g 1-chloro-4-(β-D-glucopyranos-1-yl)-2-(4-hydroxybenzyl)-benzene and 0.4 g caesium carbonate in 2.5 ml of dimethylformamide. The mixture is stirred for 4 h at 45° C., before another 0.1 g caesium carbonate and 0.05 ml iodocyclopentane are added. After another 14 h stirring at 45° C. aqueous sodium chloride solution is added and the mixture is extracted with ethyl acetate. The organic phase is dried over sodium sulphate, the solvent is removed and the residue is purified using silica gel (dichloromethane/methanol 1:0->5:1).
- Yield: 0.23 g (78% of theory)
- Mass spectrum (ESI+): m/z=466/468 (Cl) [M+NH4]+
- The following compounds are obtained analogously to Example 1:
- The reaction is carried out with tetrahydrofuran-3-yl (S)-toluene-4-sulphonate as the coupling partner.
- Mass spectrum (ESI+): m/z=451/453 (Cl) [M+H]+
- The reaction is carried out with tetrahydrofuran-3-yl (R)-toluene-4-sulphonate as the coupling partner.
- Mass spectrum (ESI+): m/z=451/453 (Cl) [M+H]+
- The reaction is carried out with 3-bromobutyrolactone as the coupling partner.
- Mass spectrum (ESI+): m/z=465/467 (Cl) [M+H]+
-
- Mass spectrum (ESI+): m/z=452/454 (Cl) [M+NH4]+
-
- Mass spectrum (ESI+): m/z=480/482 (Cl) [M+NH4]+
-
- Mass spectrum (ESI+): m/z=487/489 (Cl) [M+Na]+
- The reaction is carried out with 1-acetyl-4-methylsulphonyloxy-piperidine as the electrophile.
- Mass spectrum (ESI+): m/z=506/508 (Cl) [M+H]+
- The reaction is carried out with 1-tert-butyloxycarbonyl-4-methylsulphonyloxy-piperidine as the electrophile.
- Mass spectrum (ESI+): m/z=586/588 (Cl) [M+Na]+
-
- A mixture of 0.21 g 1-(2,3,4,6-tetra-O-benzyl-β-D-glucopyranos-1-yl)-3-[4-(tetrahydrofuran-3-ylox)-benzyl]-4-methyl-benzene and 0.1 g of 10% palladium hydroxide on charcoal in 3 ml of ethyl acetate is shaken for 24 h at ambient temperature under a hydrogen pressure of 1 atm. Then the same amount of catalyst is added again and the mixture is shaken for a further 24 h under a hydrogen atmosphere. Then the catalyst is filtered off, the filtrate is evaporated down and the residue is chromatographed through silica gel (dichloromethane/methanol 1:0->5:1).
- Yield: 0.06 g (49% of theory)
- Mass spectrum (ESI+): m/z=448 [M+NH4]+
-
- A mixture of 0.29 g 1-(2,3,4,6-tetra-O-benzyl-β-D-glucopyranos-1-yl)-4-methyl-3-[4-(trimethylsilylethynyl)-benzyl]-benzene and 0.25 g of 10% palladium hydroxide on charcoal in 3 ml of ethyl acetate is shaken for 24 h at ambient temperature under a hydrogen pressure of 1 atm. Then another 0.2 g of catalyst are added and the solution is shaken for a further 20 h under a hydrogen atmosphere. Then the catalyst is filtered off, the filtrate is evaporated down and the residue is chromatographed through silica gel (dichloromethane/methanol 1:0->5:1).
- Yield: 0.08 g (51% of theory)
- Mass spectrum (ESI+): m/z=462 [M+NH4]+
-
- 25 mg of copper iodide, 44 mg of bis-(triphenylphosphine)-palladium dichloride, 0.30 ml triethylamine and finally 0.14 ml of trimethylsilylacetylene are added under argon to a solution of 0.32 g 1-chloro-4-(β-D-glucopyranos-1-yl)-2-[4-(trifluoromethylsulphonyloxy)-benzyl]-benzene in 3 ml of dimethylformamide. The flask is tightly sealed and stirred for 8 h at 90° C. Then another 25 mg of bis-(triphenylphosphine)-palladium dichloride and 0.1 ml trimethylsilylacetylene are added, and the solution is stirred for a further 10 h at 90° C. Then aqueous sodium hydrogen carbonate solution is added, the mixture is extracted three times with ethyl acetate, and the combined organic phases are dried over sodium sulphate. After the solvent has been eliminated the residue is dissolved in 5 ml of methanol and combined with 0.12 g potassium carbonate. The mixture is stirred for 1 h at ambient temperature and then neutralised with 1 M hydrochloric acid. Then the methanol is evaporated off, the residue is combined with aqueous sodium chloride solution and extracted with ethyl acetate. The organic extracts collected are dried over sodium sulphate, and the solvent is removed. The residue is chromatographed through silica gel (dichloromethane/methanol 1:0->5:1).
- Yield: 0.095 g (40% of theory)
- Mass spectrum (ESI+): m/z=406/408 (Cl) [M+NH4]+
- This compound may also be obtained according to Example 14.
- 2 ml trifluoroacetic acid are added to a solution of 0.19 g 1-chloro-4-(β-D-glucopyranos-1-yl)-2-[4-(1-tert-butlyoxycarbonylpiperidin-4-yloxy)-benzyl]-benzene in 4 ml dichloromethane. The solution is stirred for 1.5 h at ambient temperature and then diluted with ethyl acetate and made basic with aqueous potassium carbonate solution. The organic phase is separated off and the aqueous phase is extracted with ethyl acetate. The combined organic phases are dried over sodium sulphate and the solvent is eliminated entirely.
- Yield: 0.060 g (38% of theory)
- Mass spectrum (ESI+): m/z=464/466 (Cl) [M+H]+
-
- 0.33 ml of a 1 M solution of tetrabutylammoniumfluorid in tetrahydrofuran are added to a solution of 0.23 g 1-fluoro-4-(2,3,4,6-tetra-O-acetyl-β-D-glucopyranos-1-yl)-2-(triisopropylsilylethynyl-benzyl)-benzene in 1.5 ml of tetrahydrofuran. The solution is stirred for 1 h at ambient temperature. Then 1 ml of methanol and 1.5 ml of 4 M potassium hydroxide solution are added and the solution is stirred for a further hour at ambient temperature. The solution is neutralised with 1 M hydrochloric acid and then the methanol is evaporated off. The residue is combined with aqueous sodium chloride solution and extracted with ethyl acetate. The organic extracts collected are dried over sodium sulphate, and the solvent is removed. The residue is chromatographed through silica gel (dichloromethane/methanol 19:1->2:1).
- Yield: 0.060 g (49% of theory)
- Mass spectrum (ESI+): m/z=390 [M+NH4]+
- The following compounds are obtained analogously to Example 14:
-
- Mass spectrum (ESI+): m/z=372 [M+NH4]+
-
- Mass spectrum (ESI+): m/z=416 [M+NH4]+
-
- Mass spectrum (ESI+): m/z=402 [M+NH4]+
- The compound according to Example (12) (1-chloro-4-(β-D-glucopyranos-1-yl)-2-(4-ethynyl-benzyl)-benzene) may also be synthesised analogously to Example 14. Optionally, the intermediate stage, 1-chloro-4-(2,3,4,6-tetra-O-acteyl-β-D-glucopyranos-1-yl)-2-(4-ethynyl-benzyl)-benzene, which is obtained after desilylation with tetrabutylammonium fluoride, may be purified by recrystallisation from ethanol.
- Mass spectrum (ESI+): m/z=406/408 (Cl) [M+NH4]+
- The following compounds are also prepared analogously to the above-mentioned Examples and other methods known from the literature:
- Some examples of formulations will now be described in which the term “active substance” denotes one or more compounds according to the invention, including the salts thereof. In the case of one of the combinations with one or additional active substances as described previously, the term “active substance” also includes the additional active substances.
-
-
1 tablet contains: active substance 100.0 mg lactose 80.0 mg corn starch 34.0 mg polyvinylpyrrolidone 4.0 mg magnesium stearate 2.0 mg 220.0 mg - The active substance, lactose and starch are mixed together and uniformly moistened with an aqueous solution of the polyvinylpyrrolidone. After the moist composition has been screened (2.0 mm mesh size) and dried in a rack-type drier at 50° C. it is screened again (1.5 mm mesh size) and the lubricant is added. The finished mixture is compressed to form tablets.
-
- Weight of tablet: 220 mg
- Diameter: 10 mm, biplanar, facetted on both sides and notched on one side.
-
-
1 tablet contains: active substance 150.0 mg powdered lactose 89.0 mg corn starch 40.0 mg colloidal silica 10.0 mg polyvinylpyrrolidone 10.0 mg magnesium stearate 1.0 mg 300.0 mg - The active substance mixed with lactose, corn starch and silica is moistened with a 20% aqueous polyvinylpyrrolidone solution and passed through a screen with a mesh size of 1.5 mm. The granules, dried at 45° C., are passed through the same screen again and mixed with the specified amount of magnesium stearate. Tablets are pressed from the mixture.
-
Weight of tablet: 300 mg die: 10 mm, flat -
-
1 capsule contains: active substance 150.0 mg corn starch (dried) approx. 180.0 mg lactose (powdered) approx. 87.0 mg magnesium stearate 3.0 mg approx. 420.0 mg - The active substance is mixed with the excipients, passed through a screen with a mesh size of 0.75 mm and homogeneously mixed using a suitable apparatus. The finished mixture is packed into size 1 hard gelatine capsules.
-
- Capsule filling: approx. 320 mg
- Capsule shell: size 1 hard gelatine capsule.
-
-
1 suppository contains: active substance 150.0 mg polyethyleneglycol 1500 550.0 mg polyethyleneglycol 6000 460.0 mg polyoxyethylene sorbitan monostearate 840.0 mg 2,000.0 mg - After the suppository mass has been melted the active substance is homogeneously distributed therein and the melt is poured into chilled moulds.
-
-
active substance 10.0 mg 0.01 N hydrochloric acid q.s. double-distilled water ad 2.0 ml - The active substance is dissolved in the necessary amount of 0.01 N HCl, made isotonic with common salt, filtered sterile and transferred into 2 ml ampoules.
-
-
active substance 50.0 mg 0.01 N hydrochloric acid q.s. double-distilled water ad 10.0 ml - The active substance is dissolved in the necessary amount of 0.01 N HCl, made isotonic with common salt, filtered sterile and transferred into 10 ml ampoules.
Claims (7)
1.-22. (canceled)
23. Process for preparing compounds of general formula II
wherein
R′ denotes H, C1-4-alkyl, (C1-18-alkyl)carbonyl, (C1-18-alkyl)oxycarbonyl, arylcarbonyl and aryl-(C1-3-alkyl)-carbonyl, wherein the alkyl or aryl groups may be mono- or polysubstituted by halogen;
R8a, R8b,
R8c, R8d independently of one another have one of the meanings given for the groups R6, R7a, R7b, R7c, denote a benzyl group or a RaRbRcSi group or a ketal or acetal group, while in each case two adjacent groups R8a, R8b, R8c, R8d may form a cyclic ketal or acetal group or a 1,2-di(C1-3-alkoxy)-1,2-di(C1-3-alkyl)-ethylene bridge, while the above-mentioned ethylene bridge forms, together with two oxygen atoms and the two associated carbon atoms of the pyranose ring, a substituted dioxane ring, and alkyl, aryl and/or benzyl groups may be mono- or polysubstituted by halogen or C1-3-alkoxy and benzyl groups may also be substituted by a di-(C1-3-alkyl)amino group; and
Ra, Rb, Rc independently of one another denote C1-4-alkyl, aryl or aryl-C1-3-alkyl, wherein the aryl or alkyl groups may be mono- or polysubstituted by halogen;
while by the aryl groups mentioned in the definition of the above groups are meant phenyl or naphthyl groups, preferably phenyl groups;
and R1 to R5 and R6, R7a, R7b, R7c have the meanings given in claims 1,
wherein an organometallic compound (V) which may be obtained by halogen-metal exchange or by the insertion of a metal in the carbon-halogen bond of a halogen-benzylbenzene compound of general formula IV
wherein Hal denotes Cl, Br and I and R1 to R5 are as hereinbefore defined, and optionally subsequent transmetallation, is added to a gluconolactone of general formula VI
wherein R8a, R8b, R8c, R8d are as hereinbefore defined,
and
then reacting the adduct obtained with water or an alcohol R′—OH, where R′ denotes optionally substituted C1-4-alkyl, in the presence of an acid and optionally the product obtained in the reaction with water wherein R′ denotes H is converted in a subsequent reaction with an acylating agent into the product of formula II wherein R′ denotes (C1-18-alkyl)carbonyl, (C1-18-alkyl)oxycarbonyl, arylcarbonyl or aryl-(C1-3-alkyl)-carbonyl, which may be substituted as specified.
24. Process according to claim 23 , wherein the organometallic compound (V) is a lithium or magnesium compound.
25. (canceled)
28. Compound of general formula II
wherein
R′ denotes H, C1-4-alkyl, (C1-18-alkyl)carbonyl, (C1-18-alkyl)oxycarbonyl, arylcarbonyl and aryl-(C1-3-alkyl)-carbonyl, wherein the alkyl or aryl groups may be mono- or polysubstituted by halogen;
R8a, R8b,
R8c, R8d independently of one another have one of the meanings given for the groups R6, R7a, R7b, R7c, or denote a benzyl group or a RaRbRcSi group or a ketal or acetal group, while in each case two adjacent groups R8a, R8b, R8c, R8d may form a cyclic ketal or acetal group or a 1,2-di(C1-3-alkoxy)-1,2-di(C1-3-alkyl)-ethylene bridge, while the above-mentioned ethylene bridge forms, together with two oxygen atoms and the two associated carbon atoms of the pyranose ring, a substituted dioxane ring, and alkyl, aryl and/or benzyl groups may be mono- or polysubstituted by halogen or C1-3-alkoxy and benzyl groups may also be substituted by a di-(C1-3-alkyl)amino group; and
Ra, Rb, Rc independently of one another denote C1-4-alkyl, aryl or aryl-C1-3-alkyl, while the alkyl or aryl groups may be mono- or polysubstituted by halogen;
while by the aryl groups mentioned in the definition of the above groups are meant phenyl or naphthyl groups, preferably phenyl groups;
and R1 to R5 are defined as in one or more of claim 1.
Priority Applications (1)
| Application Number | Priority Date | Filing Date | Title |
|---|---|---|---|
| US14/059,860 US20140046046A1 (en) | 2004-03-16 | 2013-10-22 | Glucopyranosyl-substituted phenyl derivates, medicaments containing such compounds, their use and process for their manufacture |
Applications Claiming Priority (13)
| Application Number | Priority Date | Filing Date | Title |
|---|---|---|---|
| DE102004012676A DE102004012676A1 (en) | 2004-03-16 | 2004-03-16 | New glucopyranosyl-substituted benzene derivatives are sodium-dependent glucose cotransporter inhibitors, useful for treating e.g. metabolic disorders (type 1 and type 2 diabetes mellitus or metabolic acidosis) |
| DE102004012676.3 | 2004-03-16 | ||
| US56023904P | 2004-04-07 | 2004-04-07 | |
| DE102004040168.3 | 2004-08-18 | ||
| DE102004040168A DE102004040168A1 (en) | 2004-08-18 | 2004-08-18 | New glucopyranosyl-substituted benzene derivatives are sodium-dependent glucose cotransporter inhibitors, useful for treating e.g. metabolic disorders (type 1 and type 2 diabetes mellitus or metabolic acidosis) |
| DE102004061145.9 | 2004-12-16 | ||
| DE102004061145A DE102004061145A1 (en) | 2004-12-16 | 2004-12-16 | New glucopyranosyl-substituted benzene derivatives are sodium-dependent glucose cotransporter inhibitors, useful for treating e.g. metabolic disorders (type 1 and type 2 diabetes mellitus or metabolic acidosis) |
| EP05002628 | 2005-02-09 | ||
| EP05002628.5 | 2005-02-09 | ||
| US11/080,150 US7579449B2 (en) | 2004-03-16 | 2005-03-15 | Glucopyranosyl-substituted phenyl derivatives, medicaments containing such compounds, their use and process for their manufacture |
| US12/545,175 US20090326215A1 (en) | 2004-03-16 | 2009-08-21 | Glucopyranosyl-substituted phenyl derivatives, medicaments containing such compounds, their use and process for their manufacture |
| US13/560,245 US20120296080A1 (en) | 2004-03-16 | 2012-07-27 | Glucopyranosyl-substituted phenyl derivatives, medicaments containing such compounds, their use and process for their manufacture |
| US14/059,860 US20140046046A1 (en) | 2004-03-16 | 2013-10-22 | Glucopyranosyl-substituted phenyl derivates, medicaments containing such compounds, their use and process for their manufacture |
Related Parent Applications (1)
| Application Number | Title | Priority Date | Filing Date |
|---|---|---|---|
| US13/560,245 Continuation US20120296080A1 (en) | 2004-03-16 | 2012-07-27 | Glucopyranosyl-substituted phenyl derivatives, medicaments containing such compounds, their use and process for their manufacture |
Publications (1)
| Publication Number | Publication Date |
|---|---|
| US20140046046A1 true US20140046046A1 (en) | 2014-02-13 |
Family
ID=34962236
Family Applications (6)
| Application Number | Title | Priority Date | Filing Date |
|---|---|---|---|
| US11/080,150 Active 2028-07-03 US7579449B2 (en) | 2004-03-16 | 2005-03-15 | Glucopyranosyl-substituted phenyl derivatives, medicaments containing such compounds, their use and process for their manufacture |
| US12/207,722 Abandoned US20090023913A1 (en) | 2004-03-16 | 2008-09-10 | Glucopyranosyl-substituted phenyl derivates, medicaments containing such compounds, their use and process for their manufacture |
| US12/545,175 Abandoned US20090326215A1 (en) | 2004-03-16 | 2009-08-21 | Glucopyranosyl-substituted phenyl derivatives, medicaments containing such compounds, their use and process for their manufacture |
| US13/079,424 Abandoned US20110178033A1 (en) | 2004-03-16 | 2011-04-04 | Glucopyranosyl-substituted phenyl derivatives, medicaments containing such compounds, their use and process for their manufacture |
| US13/560,245 Abandoned US20120296080A1 (en) | 2004-03-16 | 2012-07-27 | Glucopyranosyl-substituted phenyl derivatives, medicaments containing such compounds, their use and process for their manufacture |
| US14/059,860 Abandoned US20140046046A1 (en) | 2004-03-16 | 2013-10-22 | Glucopyranosyl-substituted phenyl derivates, medicaments containing such compounds, their use and process for their manufacture |
Family Applications Before (5)
| Application Number | Title | Priority Date | Filing Date |
|---|---|---|---|
| US11/080,150 Active 2028-07-03 US7579449B2 (en) | 2004-03-16 | 2005-03-15 | Glucopyranosyl-substituted phenyl derivatives, medicaments containing such compounds, their use and process for their manufacture |
| US12/207,722 Abandoned US20090023913A1 (en) | 2004-03-16 | 2008-09-10 | Glucopyranosyl-substituted phenyl derivates, medicaments containing such compounds, their use and process for their manufacture |
| US12/545,175 Abandoned US20090326215A1 (en) | 2004-03-16 | 2009-08-21 | Glucopyranosyl-substituted phenyl derivatives, medicaments containing such compounds, their use and process for their manufacture |
| US13/079,424 Abandoned US20110178033A1 (en) | 2004-03-16 | 2011-04-04 | Glucopyranosyl-substituted phenyl derivatives, medicaments containing such compounds, their use and process for their manufacture |
| US13/560,245 Abandoned US20120296080A1 (en) | 2004-03-16 | 2012-07-27 | Glucopyranosyl-substituted phenyl derivatives, medicaments containing such compounds, their use and process for their manufacture |
Country Status (33)
| Country | Link |
|---|---|
| US (6) | US7579449B2 (en) |
| EP (4) | EP2360165A3 (en) |
| JP (3) | JP4181605B2 (en) |
| KR (2) | KR20120007088A (en) |
| CN (4) | CN103450129B (en) |
| AR (3) | AR048041A1 (en) |
| AT (1) | ATE557013T1 (en) |
| AU (1) | AU2005225511C1 (en) |
| BE (1) | BE2014C064I2 (en) |
| BR (1) | BRPI0508830B8 (en) |
| CA (1) | CA2557801C (en) |
| CY (2) | CY1112948T1 (en) |
| DK (1) | DK1730131T3 (en) |
| EA (1) | EA011158B1 (en) |
| EC (1) | ECSP066855A (en) |
| ES (1) | ES2387881T3 (en) |
| FR (1) | FR14C0074I2 (en) |
| HR (1) | HRP20120627T1 (en) |
| HU (1) | HUS1400056I1 (en) |
| IL (2) | IL218714A (en) |
| LT (1) | LTC1730131I2 (en) |
| LU (1) | LU92555I2 (en) |
| ME (1) | ME01422B (en) |
| MY (1) | MY151336A (en) |
| NO (3) | NO335264B1 (en) |
| NZ (1) | NZ550464A (en) |
| PL (1) | PL1730131T3 (en) |
| PT (1) | PT1730131E (en) |
| RS (1) | RS52365B (en) |
| SG (1) | SG151271A1 (en) |
| SI (1) | SI1730131T1 (en) |
| TW (1) | TWI323264B (en) |
| WO (1) | WO2005092877A1 (en) |
Cited By (16)
| Publication number | Priority date | Publication date | Assignee | Title |
|---|---|---|---|---|
| US8802842B2 (en) | 2009-09-30 | 2014-08-12 | Boehringer Ingelheim International Gmbh | Method for the preparation of a crystalline form |
| US9024010B2 (en) | 2009-09-30 | 2015-05-05 | Boehringer Ingelheim International Gmbh | Processes for preparing of glucopyranosyl-substituted benzyl-benzene derivatives |
| US9127034B2 (en) | 2005-05-10 | 2015-09-08 | Boehringer Ingelheim International Gmbh | Processes for preparing of glucopyranosyl-substituted benzyl-benzene derivates and intermediates therein |
| US9192617B2 (en) | 2012-03-20 | 2015-11-24 | Boehringer Ingelheim International Gmbh | Pharmaceutical composition, methods for treating and uses thereof |
| US9555001B2 (en) | 2012-03-07 | 2017-01-31 | Boehringer Ingelheim International Gmbh | Pharmaceutical composition and uses thereof |
| US9902751B2 (en) | 2013-12-30 | 2018-02-27 | Mylan Laboratories Limited | Process for the preparation of empagliflozin |
| US9949998B2 (en) | 2013-04-05 | 2018-04-24 | Boehringer Ingelheim International Gmbh | Pharmaceutical composition, methods for treating and uses thereof |
| US9949997B2 (en) | 2013-04-05 | 2018-04-24 | Boehringer Ingelheim International Gmbh | Pharmaceutical composition, methods for treating and uses thereof |
| US20180185291A1 (en) | 2011-03-07 | 2018-07-05 | Boehringer Ingelheim International Gmbh | Pharmaceutical compositions |
| US10406172B2 (en) | 2009-02-13 | 2019-09-10 | Boehringer Ingelheim International Gmbh | Pharmaceutical composition, methods for treating and uses thereof |
| US10610489B2 (en) | 2009-10-02 | 2020-04-07 | Boehringer Ingelheim International Gmbh | Pharmaceutical composition, pharmaceutical dosage form, process for their preparation, methods for treating and uses thereof |
| US11666590B2 (en) | 2013-04-18 | 2023-06-06 | Boehringer Ingelheim International Gmbh | Pharmaceutical composition, methods for treating and uses thereof |
| US11813275B2 (en) | 2013-04-05 | 2023-11-14 | Boehringer Ingelheim International Gmbh | Pharmaceutical composition, methods for treating and uses thereof |
| US12263153B2 (en) | 2016-11-10 | 2025-04-01 | Boehringer Ingelheim International Gmbh | Pharmaceutical composition, methods for treating and uses thereof |
| US12433906B2 (en) | 2013-04-05 | 2025-10-07 | Boehringer Ingelheim International Gmbh | Pharmaceutical composition, methods for treating and uses thereof |
| US12527810B2 (en) | 2009-02-13 | 2026-01-20 | Boehringer Ingelheim International Gmbh | Pharmaceutical composition, methods for treating and uses thereof |
Families Citing this family (237)
| Publication number | Priority date | Publication date | Assignee | Title |
|---|---|---|---|---|
| US7407955B2 (en) | 2002-08-21 | 2008-08-05 | Boehringer Ingelheim Pharma Gmbh & Co., Kg | 8-[3-amino-piperidin-1-yl]-xanthines, the preparation thereof and their use as pharmaceutical compositions |
| US7501426B2 (en) | 2004-02-18 | 2009-03-10 | Boehringer Ingelheim International Gmbh | 8-[3-amino-piperidin-1-yl]-xanthines, their preparation and their use as pharmaceutical compositions |
| JP4181605B2 (en) * | 2004-03-16 | 2008-11-19 | ベーリンガー インゲルハイム インターナショナル ゲゼルシャフト ミット ベシュレンクテル ハフツング | Glucopyranosyl-substituted phenyl derivatives, pharmaceuticals containing the compounds, and uses and production methods thereof |
| US7393836B2 (en) * | 2004-07-06 | 2008-07-01 | Boehringer Ingelheim International Gmbh | D-xylopyranosyl-substituted phenyl derivatives, medicaments containing such compounds, their use and process for their manufacture |
| EP1773800A1 (en) * | 2004-07-27 | 2007-04-18 | Boehringer Ingelheim International GmbH | D-glucopyranosyl phenyl-substituted cyclene, medicaments containing these compounds, their use, and method for the production thereof |
| DE102004048388A1 (en) * | 2004-10-01 | 2006-04-06 | Boehringer Ingelheim Pharma Gmbh & Co. Kg | D-pyranosyl-substituted phenyls, pharmaceutical compositions containing them, their use and processes for their preparation |
| DE102004054054A1 (en) | 2004-11-05 | 2006-05-11 | Boehringer Ingelheim Pharma Gmbh & Co. Kg | Process for preparing chiral 8- (3-amino-piperidin-1-yl) -xanthines |
| JP2008524162A (en) * | 2004-12-16 | 2008-07-10 | ベーリンガー インゲルハイム インターナショナル ゲゼルシャフト ミット ベシュレンクテル ハフツング | Glucopyranosyl-substituted benzene derivative, drug containing the compound, use thereof and production method thereof |
| TW200637869A (en) | 2005-01-28 | 2006-11-01 | Chugai Pharmaceutical Co Ltd | The spiroketal derivatives and the use as therapeutical agent for diabetes of the same |
| ATE445608T1 (en) * | 2005-02-23 | 2009-10-15 | Boehringer Ingelheim Int | GLUCOPYRANOSYL-SUBSTITUTED ((HETERO)ARYLETHYNYL-BENZYL)-BENZENE DERIVATIVES AND THEIR USE AS INHIBITORS OF THE SODIUM-DEPENDENT GLUCOSE CO-TRANSPORTER TYPE 2 (SGLT2) |
| ATE453656T1 (en) | 2005-04-15 | 2010-01-15 | Boehringer Ingelheim Int | GLUCOPYRANOSYL-SUBSTITUTED (HETEROARYLOXY-BENZYL)-BENZENE DERIVATIVES AS SGLT INHIBITORS |
| US7723309B2 (en) | 2005-05-03 | 2010-05-25 | Boehringer Ingelheim International Gmbh | Crystalline forms of 1-chloro-4-(β-D-glucopyranos-1-yl)-2-[4-((R)-tetrahydrofuran-3-yloxy)-benzyl]-benzene, a method for its preparation and the use thereof for preparing medicaments |
| UA91546C2 (en) * | 2005-05-03 | 2010-08-10 | Бьорінгер Інгельхайм Інтернаціональ Гмбх | Crystalline form of 1-chloro-4-(я-d-glucopyranos-1-yl)-2-[4-((s)-tetrahydrofuran-3-yloxy)-benzyl]-benzene, a method for its preparation and the use thereof for preparing medicaments |
| TW200726755A (en) * | 2005-07-07 | 2007-07-16 | Astellas Pharma Inc | A crystalline choline salt of an azulene derivative |
| AR054871A1 (en) | 2005-07-27 | 2007-07-25 | Boehringer Ingelheim Int | DERIVATIVES OF (HETERO) CICLOALQUILETINIL-BENCIL) -BENZENE REPLACED WITH GLUCOPIRANOSIL, MEDICINES CONTAINING SUCH COMPOUNDS, ITS USE AND PROCESS FOR MANUFACTURING |
| DE102005035891A1 (en) | 2005-07-30 | 2007-02-08 | Boehringer Ingelheim Pharma Gmbh & Co. Kg | 8- (3-amino-piperidin-1-yl) -xanthines, their preparation and their use as pharmaceuticals |
| JP5175191B2 (en) * | 2005-08-30 | 2013-04-03 | ベーリンガー インゲルハイム インターナショナル ゲゼルシャフト ミット ベシュレンクテル ハフツング | Glycopyranosyl-substituted benzylbenzene derivative, pharmaceutical containing the compound, and use and production method thereof |
| TW200745075A (en) | 2005-09-08 | 2007-12-16 | Boehringer Ingelheim Int | Crystalline forms of 1-chloro-4-(β-D-glucopyranos-1-yl)-2-(4-ethynyl-benzyl)-benzene, methods for its preparation and the use thereof for preparing medicaments |
| AR056195A1 (en) * | 2005-09-15 | 2007-09-26 | Boehringer Ingelheim Int | PROCEDURES TO PREPARE DERIVATIVES OF (ETINIL-BENCIL) -BENZENE REPLACED GLUCOPYRANOSIL AND INTERMEDIATE COMPOUNDS OF THE SAME |
| US7745414B2 (en) * | 2006-02-15 | 2010-06-29 | Boehringer Ingelheim International Gmbh | Glucopyranosyl-substituted benzonitrile derivatives, pharmaceutical compositions containing such compounds, their use and process for their manufacture |
| ES2369016T3 (en) * | 2006-02-15 | 2011-11-24 | Boehringer Ingelheim International Gmbh | BENZONITRILE DERIVATIVES REPLACED BY GLUCOPIRANOSIL, PHARMACEUTICAL COMPOSITIONS CONTAINING SUCH TYPES OF COMPOUNDS, THEIR USE AND PROCEDURE FOR MANUFACTURING. |
| PE20080697A1 (en) * | 2006-05-03 | 2008-08-05 | Boehringer Ingelheim Int | BENZONITRILE DERIVATIVES SUBSTITUTED WITH GLUCOPYRANOSIL, PHARMACEUTICAL COMPOSITIONS CONTAINING COMPOUNDS OF THIS TYPE, THEIR USE AND PROCEDURE FOR THEIR MANUFACTURE |
| PE20080251A1 (en) | 2006-05-04 | 2008-04-25 | Boehringer Ingelheim Int | USES OF DPP IV INHIBITORS |
| EP1852108A1 (en) | 2006-05-04 | 2007-11-07 | Boehringer Ingelheim Pharma GmbH & Co.KG | DPP IV inhibitor formulations |
| KR101452915B1 (en) | 2006-05-04 | 2014-10-21 | 베링거 인겔하임 인터내셔날 게엠베하 | Polymorphism |
| US7973012B2 (en) * | 2006-05-19 | 2011-07-05 | Taisho Pharmaceutical Co., Ltd | C-phenyl glycitol compound |
| EP2019679B1 (en) * | 2006-05-23 | 2018-06-20 | Theracos, Inc. | Glucose transport inhibitors and methods of use |
| TWI403516B (en) | 2006-07-27 | 2013-08-01 | Chugai Pharmaceutical Co Ltd | To replace spirocyclic alcohol derivatives, and its use as a therapeutic agent for diabetes |
| TWI432446B (en) | 2006-07-27 | 2014-04-01 | Chugai Pharmaceutical Co Ltd | Fused ring spiroketal derivative and use thereof as anti-diabetic drug |
| US8039441B2 (en) | 2006-08-15 | 2011-10-18 | Boehringer Ingelheim International Gmbh | Glucopyranosyl-substituted cyclopropylbenzene derivatives, pharmaceutical compositions containing such compounds, their use as SGLT inhibitors and process for their manufacture |
| US8956625B2 (en) | 2006-09-07 | 2015-02-17 | Glaxosmithkline Biologicals, S.A. | Inactivated polio vaccines |
| US9308198B2 (en) | 2006-09-08 | 2016-04-12 | Rhode Island Hospital | Treatment, prevention, and reversal of alcohol-induced brain disease |
| JP5372759B2 (en) * | 2006-09-21 | 2013-12-18 | ベーリンガー インゲルハイム インターナショナル ゲゼルシャフト ミット ベシュレンクテル ハフツング | Glucopyranosyl-substituted difluorobenzyl-benzene derivatives, pharmaceuticals containing the compounds and methods of use and preparation thereof |
| TWI499414B (en) | 2006-09-29 | 2015-09-11 | Lexicon Pharmaceuticals Inc | Inhibitors of sodium glucose co-transporter 2 and methods of their use |
| MX2009003927A (en) * | 2006-10-13 | 2009-04-23 | Chugai Pharmaceutical Co Ltd | Thioglucose spiroketal derivative and use thereof as therapeutic agent for diabetes. |
| EP2086991A1 (en) | 2006-10-27 | 2009-08-12 | Boehringer Ingelheim International GmbH | CRYSTALLINE FORM OF 4-(ß-D-GLUCOPYRANOS-1-YL)-1-METHYL-2-[4-((S)-TETRAHYDROFURAN-3-YLOXY)-BENZYL]-BENZENE, A METHOD FOR ITS PREPARATION AND THE USE THEREOF FOR PREPARING MEDICAMENTS |
| US7879806B2 (en) | 2006-11-06 | 2011-02-01 | Boehringer Ingelheim International Gmbh | Glucopyranosyl-substituted benzyl-benzonitrile derivates, medicaments containing such compounds, their use and process for their manufacture |
| AR063627A1 (en) | 2006-11-09 | 2009-02-04 | Boehringer Ingelheim Int | COMBINED THERAPY WITH SGL INHIBITORS T-2 AND ITS PHARMACEUTICAL COMPOSITIONS |
| JPWO2008075736A1 (en) | 2006-12-21 | 2010-04-15 | アステラス製薬株式会社 | Method for producing C-glycoside derivative and synthetic intermediate thereof |
| US7795228B2 (en) * | 2006-12-28 | 2010-09-14 | Theracos, Inc. | Spiroheterocyclic glycosides and methods of use |
| WO2008090210A1 (en) * | 2007-01-26 | 2008-07-31 | Boehringer Ingelheim International Gmbh | Methods for preventing and treating neurodegenerative disorders |
| WO2008101938A1 (en) * | 2007-02-21 | 2008-08-28 | Boehringer Ingelheim International Gmbh | Glucopyranosyl-substituted benzyl-benzonitrile derivatives, medicaments containing such compounds, their use and process for their manufacture |
| WO2008101939A1 (en) * | 2007-02-21 | 2008-08-28 | Boehringer Ingelheim International Gmbh | Tetrasubstituted glucopyranosylated benzene derivatives, medicaments containing such compounds, their use and process for their manufacture |
| WO2008109591A1 (en) * | 2007-03-08 | 2008-09-12 | Lexicon Pharmaceuticals, Inc. | Phlorizin analogs as inhibitors of sodium glucose co-transporter 2 |
| EP2064222B1 (en) * | 2007-04-02 | 2014-05-07 | Theracos, Inc. | Benzylic glycoside derivatives and methods of use |
| CL2008002427A1 (en) * | 2007-08-16 | 2009-09-11 | Boehringer Ingelheim Int | Pharmaceutical composition comprising 1-chloro-4- (bd-glucopyranos-1-yl) -2- [4 - ((s) -tetrahydrofuran-3-yloxy) benzyl] -benzene combined with 1 - [(4-methylquinazolin- 2-yl) methyl] -3-methyl-7- (2-butyn-1-yl) -8- (3- (r) -aminopiperidin-1-yl) xanthine; and its use to treat type 2 diabetes mellitus. |
| BRPI0815708B8 (en) * | 2007-08-23 | 2021-05-25 | Theracos Sub Llc | compound, prodrug ester, pharmaceutical composition, and, method of treating a disease or condition |
| CN101801371B (en) * | 2007-09-10 | 2012-11-28 | 詹森药业有限公司 | Process for the preparation of compounds useful as SGLT inhibitors |
| CA2706018C (en) * | 2007-11-30 | 2015-11-24 | Boehringer Ingelheim International Gmbh | 1, 5-dihydro-pyrazolo [3,4-d]pyrimidin-4-one derivatives and their use as pde9a modulators for the treatment of cns disorders |
| UA101004C2 (en) * | 2007-12-13 | 2013-02-25 | Теракос, Инк. | Derivatives of benzylphenylcyclohexane and use thereof |
| CL2008003653A1 (en) | 2008-01-17 | 2010-03-05 | Mitsubishi Tanabe Pharma Corp | Use of a glucopyranosyl-derived sglt inhibitor and a selected dppiv inhibitor to treat diabetes; and pharmaceutical composition. |
| KR101516677B1 (en) * | 2008-01-31 | 2015-05-04 | 고토부키 세이야쿠 가부시키가이샤 | Pharmaceutical composition for treatment of fatty liver diseases |
| UA105362C2 (en) | 2008-04-02 | 2014-05-12 | Бьорингер Ингельхайм Интернациональ Гмбх | 1-heterocyclyl-1, 5-dihydro-pyrazolo [3, 4-d] pyrimidin-4-one derivatives and their use as pde9a modulators |
| PE20140960A1 (en) | 2008-04-03 | 2014-08-15 | Boehringer Ingelheim Int | FORMULATIONS INVOLVING A DPP4 INHIBITOR |
| ES2526930T3 (en) | 2008-05-22 | 2015-01-16 | Astrazeneca Ab | Method for the treatment of hyperuricemia using an SGLT2 inhibitor and composition containing the same |
| RU2509773C2 (en) | 2008-07-15 | 2014-03-20 | Теракос, Инк. | Deuterated benzyl benzene derivates and methods for use |
| UY32030A (en) | 2008-08-06 | 2010-03-26 | Boehringer Ingelheim Int | "TREATMENT FOR DIABETES IN INAPPROPRIATE PATIENTS FOR THERAPY WITH METFORMIN" |
| KR20190016601A (en) | 2008-08-06 | 2019-02-18 | 베링거 인겔하임 인터내셔날 게엠베하 | Treatment for diabetes in patients inappropriate for metformin therapy |
| DK2324002T3 (en) | 2008-08-22 | 2016-12-19 | Theracos Sub Llc | Methods of making of sglt2 inhibitors |
| EP2334687B9 (en) * | 2008-08-28 | 2012-08-08 | Pfizer Inc. | Dioxa-bicyclo[3.2.1.]octane-2,3,4-triol derivatives |
| NZ590788A (en) | 2008-09-08 | 2012-11-30 | Boehringer Ingelheim Int | Pyrazolopyrimidines and their use for the treatment of cns disorders |
| MX2011002558A (en) | 2008-09-10 | 2011-04-26 | Boehringer Ingelheim Int | Combination therapy for the treatment of diabetes and related conditions. |
| US20200155558A1 (en) | 2018-11-20 | 2020-05-21 | Boehringer Ingelheim International Gmbh | Treatment for diabetes in patients with insufficient glycemic control despite therapy with an oral antidiabetic drug |
| US9056850B2 (en) * | 2008-10-17 | 2015-06-16 | Janssen Pharmaceutica N.V. | Process for the preparation of compounds useful as inhibitors of SGLT |
| AU2009331471B2 (en) | 2008-12-23 | 2015-09-03 | Boehringer Ingelheim International Gmbh | Salt forms of organic compound |
| AR074990A1 (en) | 2009-01-07 | 2011-03-02 | Boehringer Ingelheim Int | TREATMENT OF DIABETES IN PATIENTS WITH AN INAPPROPRIATE GLUCEMIC CONTROL THROUGH METFORMIN THERAPY |
| UY32427A (en) | 2009-02-13 | 2010-09-30 | Boheringer Ingelheim Internat Gmbh | PHARMACEUTICAL COMPOSITION, PHARMACEUTICAL FORM, PROCEDURE FOR PREPARATION, METHODS OF TREATMENT AND USES OF THE SAME |
| DK2395968T3 (en) | 2009-02-13 | 2024-03-04 | Boehringer Ingelheim Int | PHARMACEUTICAL COMPOSITION COMPRISING GLUCOPYRANOSYL DIPHENYLMETHANE DERIVATIVES, PHARMACEUTICAL DOSAGE FORM THEREOF, PROCEDURE FOR THEIR PREPARATION AND USES THEREOF FOR IMPROVING GLYCEMIC CONTROL IN A PATIENT |
| CA2757231A1 (en) * | 2009-03-31 | 2010-10-07 | Boehringer Ingelheim International Gmbh | 1-heterocyclyl-1,5-dihydro-pyrazolo [3,4-d] pyrimidin-4-one derivatives and their use as pde9a modulators |
| US20110009347A1 (en) | 2009-07-08 | 2011-01-13 | Yin Liang | Combination therapy for the treatment of diabetes |
| DK2451797T3 (en) | 2009-07-10 | 2013-06-24 | Janssen Pharmaceutica Nv | Crystallization Process for 1- (b-D-GLUCOPYRANOSYL) -4-METHYL-3- [5- (4-fluorophenyl) -2-thienylmethyl] benzene |
| AR077859A1 (en) * | 2009-08-12 | 2011-09-28 | Boehringer Ingelheim Int | COMPOUNDS FOR THE TREATMENT OF CNS DISORDERS |
| CN102596979B (en) | 2009-09-21 | 2014-12-10 | 吉里德科学公司 | Processes and intermediates for the preparation of 1'-substituted carba-nucleoside analogs |
| RS55909B1 (en) * | 2009-10-14 | 2017-09-29 | Janssen Pharmaceutica Nv | PROCESS FOR PREPARING UNITS USEFUL AS SGLT2 INHIBITORS |
| KR101426180B1 (en) | 2009-11-02 | 2014-07-31 | 화이자 인코포레이티드 | Dioxa-bicyclo[3.2.1]octane-2,3,4-triol derivatives |
| KR20120107080A (en) | 2009-11-27 | 2012-09-28 | 베링거 인겔하임 인터내셔날 게엠베하 | Treatment of genotyped diabetic patients with dpp-iv inhibitors such as linagliptin |
| EP2368552A1 (en) | 2010-03-25 | 2011-09-28 | Boehringer Ingelheim Vetmedica GmbH | 1-[(3-cyano-pyridin-2-yl)methyl]-3-methyl-7-(2-butyn-1-yl)-8-[3-(r)-amino-piperidin-1-yl]-xanthine for the treatment of a metabolic disorder of a predominantly carnivorous non-human animal |
| WO2011120923A1 (en) | 2010-03-30 | 2011-10-06 | Boehringer Ingelheim International Gmbh | Pharmaceutical composition comprising an sglt2 inhibitor and a ppar- gamma agonist and uses thereof |
| JP2013523819A (en) | 2010-04-06 | 2013-06-17 | アリーナ ファーマシューティカルズ, インコーポレイテッド | GPR119 receptor modulators and treatment of disorders related thereto |
| KR101927068B1 (en) | 2010-05-05 | 2018-12-10 | 베링거 인겔하임 인터내셔날 게엠베하 | Sequential Combination Therapy by the Weight Reducing Treatment Followed by the DPP-4 Inhibitor |
| NZ703128A (en) | 2010-05-11 | 2016-04-29 | Janssen Pharmaceutica Nv | Pharmaceutical formulations comprising 1 - (beta-d-glucopyranosyl) - 2 -thienylmethylbenzene derivatives as inhibitors of sglt |
| WO2011153712A1 (en) | 2010-06-12 | 2011-12-15 | Theracos, Inc. | Crystalline form of benzylbenzene sglt2 inhibitor |
| KR20220025926A (en) | 2010-06-24 | 2022-03-03 | 베링거 인겔하임 인터내셔날 게엠베하 | Diabetes therapy |
| BR112013001553B1 (en) | 2010-07-22 | 2021-01-12 | Gilead Sciences, Inc. | antiviral compounds for the treatment of paramyxoviridae infections and pharmaceutical compositions comprising them |
| GEP20156217B (en) | 2010-08-12 | 2015-01-12 | Boehringer Ingelheim Int | 6-cycloalkyl-1, 5-dihydro-pyrazolo [3, 4-d] pyrimidin-4-one derivatives and their use as pde9a inhibitors |
| WO2012025857A1 (en) | 2010-08-23 | 2012-03-01 | Hetero Research Foundation | Cycloalkyl methoxybenzyl phenyl pyran derivatives as sodium dependent glucose co transporter (sglt2) inhibitors |
| EP2619198A1 (en) | 2010-09-22 | 2013-07-31 | Arena Pharmaceuticals, Inc. | Modulators of the gpr119 receptor and the treatment of disorders related thereto |
| WO2012041898A1 (en) | 2010-09-29 | 2012-04-05 | Celon Pharma Sp. Z O.O. | Combination of sglt2 inhibitor and a sugar compound for the treatment of diabetes |
| CN102453026A (en) * | 2010-10-27 | 2012-05-16 | 上海艾力斯医药科技有限公司 | C-aryl glucoside derivative, preparation method and application thereof |
| EA201300522A1 (en) | 2010-11-02 | 2013-11-29 | Бёрингер Ингельхайм Интернациональ Гмбх | PHARMACEUTICAL COMBINATIONS FOR THE TREATMENT OF METABOLIC DISORDERS |
| US20120283169A1 (en) | 2010-11-08 | 2012-11-08 | Boehringer Ingelheim International Gmbh | Pharmaceutical composition, methods for treating and uses thereof |
| AR083878A1 (en) | 2010-11-15 | 2013-03-27 | Boehringer Ingelheim Int | VASOPROTECTORA AND CARDIOPROTECTORA ANTIDIABETIC THERAPY, LINAGLIPTINA, TREATMENT METHOD |
| US20130035281A1 (en) | 2011-02-09 | 2013-02-07 | Boehringer Ingelheim International Gmbh | Pharmaceutical composition, methods for treating and uses thereof |
| US8809345B2 (en) | 2011-02-15 | 2014-08-19 | Boehringer Ingelheim International Gmbh | 6-cycloalkyl-pyrazolopyrimidinones for the treatment of CNS disorders |
| CN103965176B (en) * | 2011-02-18 | 2016-03-16 | 凯惠药业(上海)有限公司 | A kind of aryl glycoside compounds and its preparation method and application |
| US20140018371A1 (en) | 2011-04-01 | 2014-01-16 | Arena Pharmaceuticals, Inc. | Modulators Of The GPR119 Receptor And The Treatment Of Disorders Related Thereto |
| EP2697218B1 (en) | 2011-04-13 | 2016-05-25 | Janssen Pharmaceutica NV | Process for the preparation of compounds useful as inhibitors of sglt2 |
| US20140066369A1 (en) | 2011-04-19 | 2014-03-06 | Arena Pharmaceuticals, Inc. | Modulators Of The GPR119 Receptor And The Treatment Of Disorders Related Thereto |
| WO2012145603A1 (en) | 2011-04-22 | 2012-10-26 | Arena Pharmaceuticals, Inc. | Modulators of the gpr119 receptor and the treatment of disorders related thereto |
| US20140051714A1 (en) | 2011-04-22 | 2014-02-20 | Arena Pharmaceuticals, Inc. | Modulators Of The GPR119 Receptor And The Treatment Of Disorders Related Thereto |
| US9035044B2 (en) | 2011-05-09 | 2015-05-19 | Janssen Pharmaceutica Nv | L-proline and citric acid co-crystals of (2S, 3R, 4R, 5S,6R)-2-(3-((5-(4-fluorophenyl)thiopen-2-yl)methyl)4-methylphenyl)-6-(hydroxymethyl)tetrahydro-2H-pyran-3,4,5-triol |
| WO2012163990A1 (en) * | 2011-06-03 | 2012-12-06 | Boehringer Ingelheim International Gmbh | Sglt-2 inhibitors for treating metabolic disorders in patients treated with neuroleptic agents |
| WO2012170702A1 (en) | 2011-06-08 | 2012-12-13 | Arena Pharmaceuticals, Inc. | Modulators of the gpr119 receptor and the treatment of disorders related thereto |
| KR101719758B1 (en) * | 2011-06-25 | 2017-03-24 | 수안주 파마 코포레이션 리미티드 | C-glucoside derivative |
| US20130035298A1 (en) | 2011-07-08 | 2013-02-07 | Boehringer Ingelheim International Gmbh | Pharmaceutical composition, methods for treating and uses thereof |
| CN103781788B (en) | 2011-07-15 | 2016-08-17 | 勃林格殷格翰国际有限公司 | Quinazoline, its preparation and the purposes in pharmaceutical composition thereof being substituted |
| WO2013055910A1 (en) | 2011-10-12 | 2013-04-18 | Arena Pharmaceuticals, Inc. | Modulators of the gpr119 receptor and the treatment of disorders related thereto |
| RU2500407C2 (en) * | 2012-02-20 | 2013-12-10 | Государственное бюджетное образовательное учреждение высшего профессионального образования "Алтайский государственный медицинский университет" Министерства здравоохранения и социального развития Российской Федерации | Diuretic agent |
| RU2517091C2 (en) * | 2012-02-20 | 2014-05-27 | Государственное бюджетное образовательное учреждение высшего профессионального образования "Алтайский государственный медицинский университет" Министерства здравоохранения и социального развития Российской Федерации) | Medication, possessing diuretic action |
| US9193751B2 (en) | 2012-04-10 | 2015-11-24 | Theracos, Inc. | Process for the preparation of benzylbenzene SGLT2 inhibitors |
| IN2014DN08582A (en) | 2012-05-09 | 2015-05-22 | Boehringer Ingelheim Int | |
| WO2013171166A1 (en) | 2012-05-14 | 2013-11-21 | Boehringer Ingelheim International Gmbh | A xanthine derivative as dpp-4 inhibitor for use in the treatment of sirs and/or sepsis |
| JP6224084B2 (en) | 2012-05-14 | 2017-11-01 | ベーリンガー インゲルハイム インターナショナル ゲゼルシャフト ミット ベシュレンクテル ハフツング | Xanthine derivatives as DPP-4 inhibitors for the treatment of glomerular epithelial cell related disorders and / or nephrotic syndrome |
| WO2013174767A1 (en) | 2012-05-24 | 2013-11-28 | Boehringer Ingelheim International Gmbh | A xanthine derivative as dpp -4 inhibitor for use in modifying food intake and regulating food preference |
| US9145434B2 (en) * | 2012-07-26 | 2015-09-29 | Boehringer Ingelheim International Gmbh | Crystalline complex of 1-cyano-2-(4-cyclopropyl-benzyl)-4-(ss-d-glucopyranos-1-yl)-benzene, methods for its preparation and the use thereof for preparing medicaments |
| WO2014074668A1 (en) | 2012-11-08 | 2014-05-15 | Arena Pharmaceuticals, Inc. | Modulators of gpr119 and the treatment of disorders related thereto |
| CN103864737B (en) * | 2012-12-17 | 2016-08-17 | 天津药物研究院 | Phenyl C-glucoside derivative containing deoxyglucose structure and its production and use |
| CN103910769B (en) | 2012-12-31 | 2018-10-02 | 上海璎黎药业有限公司 | The compound of glucosan derivative and proline, crystal, preparation method and application |
| PT3466431T (en) * | 2013-03-14 | 2024-01-26 | Msd Int Gmbh | Crystalline forms and methods for preparing sglt2 inhibitors |
| PT2981269T (en) | 2013-04-04 | 2023-10-10 | Boehringer Ingelheim Vetmedica Gmbh | Treatment of metabolic disorders in equine animals |
| CN104250272B (en) * | 2013-06-27 | 2018-10-09 | 上海方楠生物科技有限公司 | A method of it is prepared using microreactor and arranges net class pharmaceutical intermediate |
| CN105611920B (en) * | 2013-10-12 | 2021-07-16 | 泰拉科斯萨普有限责任公司 | Preparation of hydroxy-diphenylmethane derivatives |
| EP3063116A1 (en) * | 2013-10-31 | 2016-09-07 | Sun Pharmaceutical Industries Ltd | Process for the preparation of 4-bromo-1-chloro-2-(4-ethoxybenzyl)benzene |
| CN111494357A (en) | 2013-12-17 | 2020-08-07 | 勃林格殷格翰动物保健有限公司 | Treatment of metabolic disorders in felines |
| CN104761522B (en) * | 2014-01-03 | 2017-02-15 | 山东轩竹医药科技有限公司 | C-Glycoside Derivatives of Optically Pure Benzyl-4-Chlorophenyl |
| US9315438B2 (en) | 2014-01-03 | 2016-04-19 | Xuanzhu Pharma Co., Ltd | Optically pure benzyl-4-chlorophenyl-C-glucoside derivative |
| ES2593050T3 (en) | 2014-01-03 | 2016-12-05 | Xuanzhu Pharma Co., Ltd. | Optically pure benzyl-4-chlorophenyl-C-glycoside derivatives as inhibitors of SGLT (diabetes mellitus) |
| CN103739581B (en) * | 2014-01-23 | 2016-11-23 | 中国药科大学 | C-aryl glucoside SGLT2 inhibitor |
| ES2712860T3 (en) * | 2014-01-23 | 2019-05-16 | Boehringer Ingelheim Vetmedica Gmbh | Treatment of metabolic disorders in canine animals |
| CN104861002A (en) * | 2014-02-26 | 2015-08-26 | 天津药物研究院 | 3,6-anhydroglucose structure-containing phenyl C-glucoside derivatives and their preparation method and use |
| JP6615109B2 (en) | 2014-02-28 | 2019-12-04 | ベーリンガー インゲルハイム インターナショナル ゲゼルシャフト ミット ベシュレンクテル ハフツング | Medical use of DPP-4 inhibitors |
| FI3721882T3 (en) | 2014-04-01 | 2024-09-24 | Boehringer Ingelheim Vetmedica Gmbh | Treatment of pituitary pars intermedia dysfunction in equine animals |
| CN105001213B (en) | 2014-04-14 | 2020-08-28 | 上海迪诺医药科技有限公司 | C-aryl glycoside derivative, pharmaceutical composition, preparation method and application thereof |
| EP3197429B1 (en) | 2014-09-25 | 2024-05-22 | Boehringer Ingelheim Vetmedica GmbH | Combination treatment of sglt2 inhibitors and dopamine agonists for preventing metabolic disorders in equine animals |
| TWI698444B (en) | 2014-10-29 | 2020-07-11 | 美商基利科學股份有限公司 | Methods for the preparation of ribosides |
| DE102014018230B4 (en) * | 2014-12-04 | 2016-10-27 | Mann + Hummel Gmbh | Accumulator arrangement for a vehicle |
| WO2016128995A1 (en) * | 2015-02-09 | 2016-08-18 | Indoco Remedies Limited | Process for the preparation of sglt inhibitor compounds |
| CZ2015110A3 (en) | 2015-02-18 | 2016-08-31 | Zentiva, K.S. | Empagliflozin solid forms |
| EP3267994A4 (en) | 2015-03-09 | 2018-10-31 | Intekrin Therapeutics, Inc. | Methods for the treatment of nonalcoholic fatty liver disease and/or lipodystrophy |
| CZ2015279A3 (en) | 2015-04-24 | 2016-11-02 | Zentiva, K.S. | Amorphous empagliflozin solid forms |
| EP3288561B1 (en) | 2015-04-30 | 2021-03-31 | Boehringer Ingelheim International GmbH | Methods and pharmaceutical compositions comprising a sglt2 inhibitor for treating or improving erectile dysfunction |
| CN106336403A (en) * | 2015-07-14 | 2017-01-18 | 江苏豪森药业集团有限公司 | Industrial preparation method for empagliflozin |
| BR112018003749B1 (en) | 2015-08-27 | 2023-10-31 | Boehringer Ingelheim Vetmedica Gmbh | LIQUID PHARMACEUTICAL COMPOSITIONS COMPRISING SGLT-2 INHIBITORS, KIT OF PARTS AND PROCESS FOR PRODUCING THE LIQUID PHARMACEUTICAL COMPOSITION |
| US20170071970A1 (en) | 2015-09-15 | 2017-03-16 | Janssen Pharmaceutica Nv | Co-therapy comprising canagliflozin and phentermine for the treatment of obesity and obesity related disorders |
| EP3349762B1 (en) | 2015-09-15 | 2021-08-25 | Laurus Labs Limited | Co-crystals of sglt2 inhibitors, process for their preparation and pharmaceutical compositions thereof |
| ES2918585T3 (en) | 2015-09-16 | 2022-07-19 | Gilead Sciences Inc | Methods for treating Arenaviridae virus infections |
| EP3362055B1 (en) | 2015-10-15 | 2023-01-18 | Boehringer Ingelheim International GmbH | Sglt-2 inhibitor for use in the treatment of a metabolic myopathy |
| RU2614142C1 (en) * | 2016-01-14 | 2017-03-23 | Федеральное государственное автономное образовательное учреждение высшего образования "Национальный исследовательский Томский политехнический университет" | Method for production of meta-chlorobenzhydrylamine - semi-product in synthesis of anticonvulsant preparation galodif |
| US10913762B2 (en) * | 2016-01-27 | 2021-02-09 | Msn Laboratories Private Limited | Process for the preparation of D-glucitol, 1,5-anhydro-1-C-[4-chloro-3-[[4-[[(3S)-tetrahydro-3-furanyl] oxy]phenyl] methyl] phenyl]-, (1S) and its crystalline forms thereof |
| WO2017141202A1 (en) * | 2016-02-17 | 2017-08-24 | Lupin Limited | Complex of sglt2 inhibitor and process for preparation thereof |
| MX390363B (en) | 2016-06-10 | 2025-03-20 | Boehringer Ingelheim Int | Combinations of linagliptin and metformin |
| CN107641139A (en) * | 2016-07-22 | 2018-01-30 | 江苏豪森药业集团有限公司 | Crystal formation of Dapagliflozin intermediate and preparation method thereof |
| WO2018069243A1 (en) | 2016-10-13 | 2018-04-19 | Boehringer Ingelheim International Gmbh | Process for preparing glucopyranosyl-substituted benzyl-benzene derivatives |
| EA201990951A1 (en) | 2016-10-19 | 2019-11-29 | COMBINATIONS CONTAINING SSAO / VAP-1 INHIBITOR AND SGLT2 INHIBITOR, AND THEIR APPLICATION | |
| CN108285439B (en) * | 2017-01-09 | 2023-05-02 | 江苏天士力帝益药业有限公司 | Carbonoside sodium glucose transport protein body 2 inhibitor |
| US20200017483A1 (en) * | 2017-03-10 | 2020-01-16 | Msn Laboratories Private Limited, R&D Center | A process for the preparation of d-glucitol, 1,5-anhydro-1-c-[4-chloro-3-[[4- [[(3s)-tetrahydro-3-furanyl]oxy]phenyl]methyl]phenyl]-, ( 1 s) |
| CN110869028B (en) | 2017-03-14 | 2023-01-20 | 吉利德科学公司 | Method of treating feline coronavirus infection |
| SG11201909046XA (en) | 2017-04-03 | 2019-10-30 | Coherus Biosciences Inc | PPARγ AGONIST FOR TREATMENT OF PROGRESSIVE SUPRANUCLEAR PALSY |
| AU2018262501B2 (en) | 2017-05-01 | 2020-12-10 | Gilead Sciences, Inc. | Crystalline forms of (S) 2 ethylbutyl 2 (((S) (((2R,3S,4R,5R) 5 (4 aminopyrrolo[2,1-f] [1,2,4]triazin-7-yl)-5-cyano-3,4-dihydroxytetrahydrofuran-2 yl)methoxy)(phenoxy) phosphoryl)amino)propanoate |
| US11198703B2 (en) | 2017-05-09 | 2021-12-14 | Piramal Enterprises Limited | Process for the preparation of SGLT2 inhibitors and intermediates thereof |
| US11046676B2 (en) | 2017-06-05 | 2021-06-29 | Laurus Labs Limited | Process for preparation of empagliflozin or its co-crystals, solvates and their polymorphs thereof |
| CN107163092B (en) * | 2017-06-13 | 2020-05-19 | 杭州科巢生物科技有限公司 | Preparation method of SGLT-2 diabetes inhibitor and intermediate thereof |
| EP3649142A4 (en) * | 2017-07-04 | 2021-09-01 | Intocell, Inc. | COMPOUNDS INCLUDING A CLIVABLE LOCATION AND THEIR USES |
| CA3077489A1 (en) | 2017-07-11 | 2019-01-17 | Gilead Sciences, Inc. | Compositions comprising an rna polymerase inhibitor and cyclodextrin for treating viral infections |
| IL274943B2 (en) | 2017-11-30 | 2025-04-01 | Idorsia Pharmaceuticals Ltd | Combination of a 4-pyrimidinesulfamide derivative with an sglt-2 inhibitor for the treatment of endothelin related diseases |
| US20210017174A1 (en) | 2018-03-07 | 2021-01-21 | Bayer Aktiengesellschaft | Identification and use of erk5 inhibitor |
| CN111989103A (en) | 2018-04-17 | 2020-11-24 | 勃林格殷格翰国际有限公司 | Pharmaceutical compositions, methods of treatment and uses thereof |
| CZ2018188A3 (en) | 2018-04-18 | 2019-10-30 | Zentiva, K.S. | Amorphous empagliflozin particles, process for preparing them and pharmaceutical preparation |
| CN108610385A (en) * | 2018-04-23 | 2018-10-02 | 中国科学院成都生物研究所 | A kind of medicinal usage of white 1 inhibitor of sodium glucose co-transporter 2 |
| CN110117300A (en) * | 2018-04-23 | 2019-08-13 | 中国科学院成都生物研究所 | Medicinal usage comprising white 1 inhibitor of sodium glucose co-transporter 2 |
| KR102204439B1 (en) | 2018-05-14 | 2021-01-18 | 에이치케이이노엔 주식회사 | Pharmaceutical Composition comprising SGLT-2 inhibitor and DPP-IV inhibitor |
| CN108774275A (en) * | 2018-07-16 | 2018-11-09 | 西北大学 | The method of the full acetyl group-α-O- benzyls sugar of one-step synthesis |
| PE20210644A1 (en) | 2018-07-19 | 2021-03-23 | Astrazeneca Ab | METHODS OF TREATMENT OF HFpEF USING DAPAGLIFLOZIN AND COMPOSITIONS INCLUDING THE SAME |
| US20210275558A1 (en) | 2018-07-25 | 2021-09-09 | Boehringer Ingelheim International Gmbh | Methods for treating, pharmaceutical compositions and uses thereof |
| WO2020039394A1 (en) | 2018-08-24 | 2020-02-27 | Novartis Ag | New drug combinations |
| TW202024046A (en) * | 2018-09-06 | 2020-07-01 | 日商德山股份有限公司 | Production method for [beta]-C-aryl glycoside derivative |
| US20210388016A1 (en) * | 2018-10-26 | 2021-12-16 | Janssen Pharmaceutica Nv | Glucopyranose derivatives useful as sglt2 inhibitors |
| US12178809B2 (en) | 2018-10-29 | 2024-12-31 | Boehringer Ingelheim International Gmbh | Pyridinyl sulfonamide derivatives, pharmaceutical compositions and uses thereof |
| US12213970B2 (en) | 2018-10-29 | 2025-02-04 | Boehringer Ingelheim International Gmbh | Pyridinyl sulfonamide derivatives, pharmaceutical compositions and uses thereof |
| WO2020242253A1 (en) * | 2019-05-30 | 2020-12-03 | 동아에스티 주식회사 | Novel empagliflozin derivative which is sglt-2 inhibitor |
| CN112047915B (en) * | 2019-06-05 | 2023-02-17 | 北京惠之衡生物科技有限公司 | Novel preparation process of C-glycoside derivatives |
| WO2021004388A1 (en) * | 2019-07-05 | 2021-01-14 | 山东丹红制药有限公司 | Crystal form of sglt inhibitor and application thereof |
| CN114585358B (en) * | 2019-07-26 | 2023-11-10 | 东宝紫星(杭州)生物医药有限公司 | SGLTs/DPP4 inhibitor and application thereof |
| AU2020394498A1 (en) | 2019-11-28 | 2022-06-09 | Boehringer Ingelheim Vetmedica Gmbh | Use of SGLT-2 inhibitors in the drying-off of non-human mammals |
| WO2021123165A1 (en) | 2019-12-19 | 2021-06-24 | Krka, D.D., Novo Mesto | Dosage form comprising amorphous solid solution of empagliflozin with polymer |
| KR102111248B1 (en) | 2019-12-30 | 2020-05-14 | 유니셀랩 주식회사 | New Empagliflozin cocrystal |
| JP2023512656A (en) | 2020-01-27 | 2023-03-28 | ギリアード サイエンシーズ, インコーポレイテッド | Methods for treating SARS CoV-2 infection |
| KR20220143732A (en) | 2020-02-17 | 2022-10-25 | 베링거잉겔하임베트메디카게엠베하 | Use of SGLT-2 inhibitors to prevent and/or treat heart disease in felines |
| JP7776430B2 (en) | 2020-03-06 | 2025-11-26 | バーテックス ファーマシューティカルズ インコーポレイテッド | Methods for treating APOL-1 dependent focal segmental glomerulosclerosis |
| AU2021234308C1 (en) | 2020-03-12 | 2024-02-22 | Gilead Sciences, Inc. | Methods of preparing 1'-cyano nucleosides |
| KR102207319B1 (en) | 2020-03-23 | 2021-01-25 | 유니셀랩 주식회사 | New Empagliflozin cocrystal |
| JP7482250B2 (en) | 2020-04-06 | 2024-05-13 | ギリアード サイエンシーズ, インコーポレイテッド | Inhalation formulations of 1'-cyano substituted carbanucleoside analogs |
| KR102150825B1 (en) | 2020-04-06 | 2020-09-03 | 유니셀랩 주식회사 | Novel sglt-2 inhibitors cocrystal |
| US20230110193A1 (en) | 2020-04-07 | 2023-04-13 | Boehringer Ingelheim International Gmbh | Methods for the treatment of headache disorders |
| CN115916197A (en) | 2020-04-22 | 2023-04-04 | 拜耳公司 | Combination of finerenone and an SGLT2 inhibitor for the treatment and/or prevention of cardiovascular and/or renal disease |
| PL4157272T3 (en) | 2020-05-29 | 2025-10-20 | Gilead Sciences, Inc. | Remdesivir for the treatment of viral infections |
| WO2021250565A1 (en) * | 2020-06-10 | 2021-12-16 | Hikal Limited | An improved process for preparation of empagliflozin and its crystalline polymorph |
| TWI819321B (en) | 2020-06-24 | 2023-10-21 | 美商基利科學股份有限公司 | 1'-cyano nucleoside analogs and uses thereof |
| US11786540B2 (en) * | 2020-07-10 | 2023-10-17 | Rosalind Franklin University Of Medicine And Science | Gliflozins and a method for their delivery during resuscitation from cardiac arrest to improve survival outcomes |
| TW202220672A (en) | 2020-07-27 | 2022-06-01 | 瑞典商阿斯特捷利康公司 | Methods of treating chronic kidney disease with dapagliflozin |
| JP2023536009A (en) | 2020-07-27 | 2023-08-23 | アストラゼネカ・アクチエボラーグ | Methods of treating chronic kidney disease with dapagliflozin |
| WO2022047065A2 (en) | 2020-08-27 | 2022-03-03 | Gilead Sciences, Inc. | Compounds and methods for treatment of viral infections |
| WO2022051316A1 (en) | 2020-09-03 | 2022-03-10 | Coherus Biosciences, Inc. | Fixed dose combinations of chs-131 and a sglt-2 inhibitor |
| KR20220068805A (en) | 2020-11-19 | 2022-05-26 | 한미약품 주식회사 | Novel glucose derivatives |
| EP4023644A1 (en) | 2020-12-30 | 2022-07-06 | Zaklady Farmaceutyczne Polpharma SA | Process for the preparation of a pharmaceutical agent |
| WO2022160737A1 (en) * | 2021-01-26 | 2022-08-04 | 东宝紫星(杭州)生物医药有限公司 | Crystal form of tetrahydropyran ring compound and preparation method therefor |
| AU2022251165A1 (en) | 2021-04-01 | 2023-11-09 | Astrazeneca Uk Limited | Systems and methods for managing prediabetes with a gliflozin sodium-glucose cotransport 2 inhibitor pharmaceutical composition |
| JP2024525981A (en) | 2021-07-28 | 2024-07-12 | ベーリンガー インゲルハイム フェトメディカ ゲーエムベーハー | Use of SGLT-2 inhibitors for the prevention and/or treatment of renal disease in non-human mammals - Patents.com |
| AU2022319909A1 (en) | 2021-07-28 | 2024-02-22 | Boehringer Ingelheim Vetmedica Gmbh | Use of sglt-2 inhibitors for the prevention and/or treatment of cardiac diseases in non-human mammals excluding felines, in particular canines |
| WO2023006745A1 (en) | 2021-07-28 | 2023-02-02 | Boehringer Ingelheim Vetmedica Gmbh | Use of sglt-2 inhibitors for the prevention and/or treatment of hypertension in non-human mammals |
| CN113773194B (en) | 2021-08-16 | 2023-05-02 | 浙江奥翔药业股份有限公司 | Preparation method of 5-bromo-2-chloro-benzoic acid as synthesis raw material of hypoglycemic agent |
| EP4456872A1 (en) | 2021-12-30 | 2024-11-06 | NewAmsterdam Pharma B.V. | Obicetrapib and sglt2 inhibitor combination |
| JP2025503136A (en) | 2022-01-26 | 2025-01-30 | アストラゼネカ・アクチエボラーグ | Dapagliflozin for use in treating prediabetes or reducing the risk of developing type 2 diabetes |
| TWI867455B (en) | 2022-03-02 | 2024-12-21 | 美商基利科學股份有限公司 | Compounds and methods for treatment of viral infections |
| JP2025514985A (en) | 2022-05-04 | 2025-05-13 | ソシエテ・デ・プロデュイ・ネスレ・エス・アー | AMPK Activators (CBDA) and SGLT2 Inhibitors for Metabolic Health |
| US20250320199A1 (en) | 2022-05-12 | 2025-10-16 | Zhejiang Huahai Pharmaceutical Co., Ltd. | Method for preparing glucopyranosyl-containing compound |
| US20230381101A1 (en) | 2022-05-25 | 2023-11-30 | Boehringer Ingelheim Vetmedica Gmbh | Aqueous pharmaceutical compositions comprising sglt-2 inhibitors |
| WO2024033288A1 (en) | 2022-08-12 | 2024-02-15 | Société des Produits Nestlé S.A. | Salicin derivatives as inhibitors of sglt2 |
| WO2024033287A1 (en) | 2022-08-12 | 2024-02-15 | Société des Produits Nestlé S.A. | Hydroxycholest-5-ene glycosides as inhibitors of sglt2 |
| WO2024038011A1 (en) | 2022-08-18 | 2024-02-22 | Société des Produits Nestlé S.A. | Methylated phloretin analogs as inhibitors of sglt2 |
| WO2024056498A1 (en) | 2022-09-12 | 2024-03-21 | Société des Produits Nestlé S.A. | Oxindole alkaloid derivatives as inhibitors of sglt2 |
| WO2024068511A1 (en) | 2022-09-28 | 2024-04-04 | Société des Produits Nestlé S.A. | Diterpenoid derivatives as inhibitors of sglt2 |
| US12357577B1 (en) | 2024-02-02 | 2025-07-15 | Gilead Sciences, Inc. | Pharmaceutical formulations and uses thereof |
| EP4378455A1 (en) | 2022-11-29 | 2024-06-05 | Sanovel Ilac Sanayi Ve Ticaret A.S. | A pharmaceutical formulation comprising empagliflozin |
| CN115772163B (en) * | 2022-12-09 | 2025-07-22 | 中国科学院成都生物研究所 | Indole glycoside compound and pyrrole glycoside compound, and synthesis method and application thereof |
| EP4420658A1 (en) | 2023-02-24 | 2024-08-28 | Sanovel Ilac Sanayi Ve Ticaret A.S. | A film coated tablet comprising empagliflozin |
| TW202500160A (en) | 2023-03-06 | 2025-01-01 | 德商百靈佳殷格翰維美迪加股份有限公司 | Systems and methods for delivery of liquid pharmaceutical compositions in particular comprising one or more sglt-2 inhibitor(s) |
| EP4442254A1 (en) | 2023-04-04 | 2024-10-09 | Sanovel Ilac Sanayi Ve Ticaret A.S. | Film coated tablets comprising empagliflozin |
| EP4442252A1 (en) | 2023-04-04 | 2024-10-09 | Sanovel Ilac Sanayi Ve Ticaret A.S. | A tablet formulation of a solid dispersion comprising empagliflozin |
| EP4442253A1 (en) | 2023-04-04 | 2024-10-09 | Sanovel Ilac Sanayi Ve Ticaret A.S. | A film coated tablet comprising empagliflozin and surfactant |
| TW202446389A (en) | 2023-04-24 | 2024-12-01 | 荷蘭商新阿姆斯特丹製藥公司 | Amorphous obicetrapib and sglt2 inhibitor combination |
| TW202508455A (en) | 2023-05-24 | 2025-03-01 | 德商百靈佳殷格翰維美迪加股份有限公司 | Combination treatment and/or prevention of renal diseases and/or hypertension in non-human mammals comprising one or more sglt-2 inhibitors and telmisartan |
| WO2024240632A1 (en) | 2023-05-24 | 2024-11-28 | Boehringer Ingelheim Vetmedica Gmbh | Combination treatment and/or prevention of cardiac diseases in non-human mammals comprising one or more sglt-2 inhibitors and pimobendan and/or telmisartan |
| KR20250007816A (en) | 2023-07-06 | 2025-01-14 | 주식회사 경보제약 | Novel Crystalline form of Empagliflozin 2L-proline and methods of preparing thereof |
| TW202525278A (en) | 2023-12-15 | 2025-07-01 | 愛爾蘭商阿斯特捷利康愛爾蘭有限公司 | Methods of treating chronic kidney disease and hypertension |
| WO2025191117A1 (en) | 2024-03-15 | 2025-09-18 | Inventiva | Prevention of blood disorders in patient treated with a ppar agonist |
| WO2025224069A1 (en) | 2024-04-23 | 2025-10-30 | Bayer Aktiengesellschaft | Co-crystals of finerenone, pecavaptan, and sglt2 inhibitors |
Citations (13)
| Publication number | Priority date | Publication date | Assignee | Title |
|---|---|---|---|---|
| WO2001027128A1 (en) * | 1999-10-12 | 2001-04-19 | Bristol-Myers Squibb Company | C-aryl glucoside sglt2 inhibitors |
| US6936590B2 (en) * | 2001-03-13 | 2005-08-30 | Bristol Myers Squibb Company | C-aryl glucoside SGLT2 inhibitors and method |
| US7662790B2 (en) * | 2005-04-15 | 2010-02-16 | Boehringer Ingelheim International Gmbh | Glucopyranosyl-substituted (heteroaryloxy-benzyl)-benzene derivatives, medicaments containing such compounds, their use and process for their manufacture |
| US7683160B2 (en) * | 2005-08-30 | 2010-03-23 | Boehringer Ingelheim International Gmbh | Glucopyranosyl-substituted benzyl-benzene derivatives, medicaments containing such compounds, their use and process for their manufacture |
| US7745414B2 (en) * | 2006-02-15 | 2010-06-29 | Boehringer Ingelheim International Gmbh | Glucopyranosyl-substituted benzonitrile derivatives, pharmaceutical compositions containing such compounds, their use and process for their manufacture |
| US7772191B2 (en) * | 2005-05-10 | 2010-08-10 | Boehringer Ingelheim International Gmbh | Processes for preparing of glucopyranosyl-substituted benzyl-benzene derivatives and intermediates therein |
| US7772378B2 (en) * | 2005-02-23 | 2010-08-10 | Boehringer Ingelheim International Gmbh | Glucopyranosyl-substituted ((hetero)arylethynyl-benzyl)-benzene derivatives, medicaments containing such compounds, their use and process for their manufacture |
| US7776830B2 (en) * | 2006-05-03 | 2010-08-17 | Boehringer Ingelheim International Gmbh | Glucopyranosyl-substituted benzonitrile derivatives, pharmaceutical compositions containing such compounds, their use and process for their manufacture |
| US7847074B2 (en) * | 2005-09-15 | 2010-12-07 | Boehringer Ingelheim International Gmbh | Processes for preparing of glucopyranosyl-substituted (ethynyl-benzyl)-benzene derivatives and intermediates thereof |
| US7851602B2 (en) * | 2005-07-27 | 2010-12-14 | Boehringer Ingelheim International Gmbh | Glucopyranosyl-substituted ((hetero)cycloalkylethynyl-benzyl)-benzene derivatives, medicaments containing such compounds, their use and process for their manufacture |
| US7858587B2 (en) * | 2006-09-21 | 2010-12-28 | Boehringer Ingelheim International Gmbh | Glucopyranosyl-substituted difluorobenzyl-benzene derivates, medicaments containing such compounds, their use and process for their manufacture |
| US7879806B2 (en) * | 2006-11-06 | 2011-02-01 | Boehringer Ingelheim International Gmbh | Glucopyranosyl-substituted benzyl-benzonitrile derivates, medicaments containing such compounds, their use and process for their manufacture |
| US7879807B2 (en) * | 2007-02-21 | 2011-02-01 | Boehringer Ingelheim International Gmbh | Tetrasubstituted glucopyranosylated benzene derivatives, medicaments containing such compounds, their use and process for their manufacture |
Family Cites Families (59)
| Publication number | Priority date | Publication date | Assignee | Title |
|---|---|---|---|---|
| NL167151C (en) * | 1971-04-09 | 1981-11-16 | Acf Chemiefarma Nv | PROCESS FOR THE PREPARATION OF MEDICINAL PRODUCTS WITH ANTI-PARASITARY ACTION ON THE BASIS OF HALOGEN CONTAINING THE 2,2'-METHYLENE DIFENOL DERIVATIVES, AND METHOD FOR PREPARING THESE MEDICINAL COMPOUNDS. |
| JPS5639056A (en) * | 1980-07-16 | 1981-04-14 | Kanebo Ltd | Preparation of n,n,n',n'-tetraacylated nucleus halogenated aromatic diamine |
| JPS58164502A (en) | 1982-03-26 | 1983-09-29 | Chugai Pharmaceut Co Ltd | Herbicidal composition |
| US4602023A (en) | 1985-06-03 | 1986-07-22 | Warner-Lambert Company | Diphenic acid monoamides |
| US4786755A (en) * | 1985-06-03 | 1988-11-22 | Warner-Lambert Company | Diphenic acid monoamides |
| US4786023A (en) * | 1987-08-19 | 1988-11-22 | Harris Leverett D | Drafting implement holder |
| AU6024998A (en) | 1997-01-15 | 1998-08-07 | Glycomed Incorporated | Aryl c-glycoside compounds and sulfated esters thereof |
| HN1998000086A (en) * | 1997-06-11 | 1999-03-08 | Pfizer Prod Inc | DERIVATIVES OF 9 - DESOFO - 9 AZA - 9A - HOMOERITROMICINA A - C - 4 SUBSTITUTED. |
| JPH11124392A (en) | 1997-10-21 | 1999-05-11 | Sankyo Co Ltd | C-glycosylated aryltin compound |
| US6515117B2 (en) | 1999-10-12 | 2003-02-04 | Bristol-Myers Squibb Company | C-aryl glucoside SGLT2 inhibitors and method |
| US6627611B2 (en) * | 2000-02-02 | 2003-09-30 | Kotobuki Pharmaceutical Co Ltd | C-glycosides and preparation of thereof as antidiabetic agents |
| JP4456768B2 (en) | 2000-02-02 | 2010-04-28 | 壽製薬株式会社 | Drug containing C-glycoside |
| EP1270584B1 (en) * | 2000-03-17 | 2005-12-07 | Kissei Pharmaceutical Co., Ltd. | Glucopyranosyloxy benzylbenzene derivatives, medicinal compositions containing the same and intermediates for the preparation of the derivatives |
| US6683056B2 (en) | 2000-03-30 | 2004-01-27 | Bristol-Myers Squibb Company | O-aryl glucoside SGLT2 inhibitors and method |
| EA005994B1 (en) | 2000-09-29 | 2005-08-25 | Киссеи Фармасьютикал Ко., Лтд. | Glucopyranosyloxybenzylbenzene derivatives and medical compositions containing the same |
| US7053060B2 (en) | 2000-11-30 | 2006-05-30 | Kissei Pharmaceutical Co., Ltd. | Glucopyranosyloxybenzylbenzene derivatives, medicinal compositions containing the same and intermediates in the production thereof |
| TWI255817B (en) * | 2001-02-14 | 2006-06-01 | Kissei Pharmaceutical | Glucopyranosyloxybenzylbenzene derivatives and medicinal use thereof |
| DE60209343T2 (en) * | 2001-04-11 | 2006-10-26 | Bristol-Myers Squibb Co. | AMINO ACID COMPLEXES OF C-ARYL GLYCOSIDES FOR THE TREATMENT OF DIABETES AND METHODS |
| WO2003031458A1 (en) * | 2001-10-12 | 2003-04-17 | Dana-Farber Cancer Institute | Methods for synthesis of diarylmethanes |
| US6908939B2 (en) * | 2001-12-21 | 2005-06-21 | Galderma Research & Development S.N.C. | Biaromatic ligand activators of PPARγ receptors |
| TWI254635B (en) | 2002-08-05 | 2006-05-11 | Yamanouchi Pharma Co Ltd | Azulene derivative and salt thereof |
| JP3567162B1 (en) * | 2002-11-20 | 2004-09-22 | 日本たばこ産業株式会社 | 4-oxoquinoline compounds and their use as HIV integrase inhibitors |
| DE10258008B4 (en) | 2002-12-12 | 2006-02-02 | Sanofi-Aventis Deutschland Gmbh | Heterocyclic fluoroglycoside derivatives, medicaments containing these compounds and methods of making these medicaments |
| DE10258007B4 (en) | 2002-12-12 | 2006-02-09 | Sanofi-Aventis Deutschland Gmbh | Aromatic fluoroglycoside derivatives, medicaments containing these compounds and methods for the preparation of these medicaments |
| BR0317929A (en) | 2003-01-03 | 2006-04-11 | Bristol Myers Squibb Co | methods of producing c-aryl glycoside sglt2 inhibitors |
| US7164015B2 (en) | 2003-02-27 | 2007-01-16 | Bristol-Myers Squibb Company | Non-cryogenic process for forming glycosides |
| WO2004080990A1 (en) * | 2003-03-14 | 2004-09-23 | Astellas Pharma Inc. | C-glycoside derivatives and salts thereof |
| CN1835962A (en) * | 2003-06-03 | 2006-09-20 | 加利福尼亚大学董事会 | Compositions and methods for treatment of disease with acetylated disaccharides |
| JP2004359630A (en) | 2003-06-06 | 2004-12-24 | Yamanouchi Pharmaceut Co Ltd | Difluorodiphenylmethane derivative and its salt |
| CA2549015A1 (en) | 2003-08-01 | 2005-02-10 | Janssen Pharmaceutica N.V. | Substituted fused heterocyclic c-glycosides |
| EA015104B1 (en) | 2003-08-01 | 2011-06-30 | Мицубиси Танабе Фарма Корпорейшн | Novel compounds having inhibitory activity against sodium-dependant transporter |
| US7375090B2 (en) * | 2003-08-26 | 2008-05-20 | Boehringer Ingelheim International Gmbh | Glucopyranosyloxy-pyrazoles, pharmaceutical compositions containing these compounds, the use thereof and processed for the preparation thereof |
| US7371732B2 (en) * | 2003-12-22 | 2008-05-13 | Boehringer Ingelheim International Gmbh | Glucopyranosyloxy-substituted aromatic compounds, medicaments containing such compounds, their use and process for their manufacture |
| WO2005085265A1 (en) | 2004-03-04 | 2005-09-15 | Kissei Pharmaceutical Co., Ltd. | Fused heterocycle derivative, medicinal composition containing the same, and medicinal use thereof |
| BRPI0508259A (en) | 2004-03-04 | 2007-07-31 | Kissei Pharmaceutical | fused heterocyclic derivative, medicinal composition containing same, and medicinal use thereof |
| JP4181605B2 (en) * | 2004-03-16 | 2008-11-19 | ベーリンガー インゲルハイム インターナショナル ゲゼルシャフト ミット ベシュレンクテル ハフツング | Glucopyranosyl-substituted phenyl derivatives, pharmaceuticals containing the compounds, and uses and production methods thereof |
| US7393836B2 (en) * | 2004-07-06 | 2008-07-01 | Boehringer Ingelheim International Gmbh | D-xylopyranosyl-substituted phenyl derivatives, medicaments containing such compounds, their use and process for their manufacture |
| DE102004034690A1 (en) * | 2004-07-17 | 2006-02-02 | Boehringer Ingelheim Pharma Gmbh & Co. Kg | Methylidene-D-xylopyranosyl and oxo-D-xylopyranosyl-substituted phenyls, medicaments containing these compounds, their use and processes for their preparation |
| TW200606129A (en) | 2004-07-26 | 2006-02-16 | Chugai Pharmaceutical Co Ltd | Novel cyclohexane derivative, its prodrug, its salt and diabetic therapeutic agent containing the same |
| EP1773800A1 (en) * | 2004-07-27 | 2007-04-18 | Boehringer Ingelheim International GmbH | D-glucopyranosyl phenyl-substituted cyclene, medicaments containing these compounds, their use, and method for the production thereof |
| WO2006018150A1 (en) * | 2004-08-11 | 2006-02-23 | Boehringer Ingelheim International Gmbh | D-xylopyranosyl-phenyl-substituited cyclene, medicaments containing said compounds, use thereof and method for the production thereof |
| AR051446A1 (en) | 2004-09-23 | 2007-01-17 | Bristol Myers Squibb Co | C-ARYL GLUCOSIDS AS SELECTIVE INHIBITORS OF GLUCOSE CONVEYORS (SGLT2) |
| DE102004048388A1 (en) * | 2004-10-01 | 2006-04-06 | Boehringer Ingelheim Pharma Gmbh & Co. Kg | D-pyranosyl-substituted phenyls, pharmaceutical compositions containing them, their use and processes for their preparation |
| JP2008524162A (en) * | 2004-12-16 | 2008-07-10 | ベーリンガー インゲルハイム インターナショナル ゲゼルシャフト ミット ベシュレンクテル ハフツング | Glucopyranosyl-substituted benzene derivative, drug containing the compound, use thereof and production method thereof |
| US7723309B2 (en) * | 2005-05-03 | 2010-05-25 | Boehringer Ingelheim International Gmbh | Crystalline forms of 1-chloro-4-(β-D-glucopyranos-1-yl)-2-[4-((R)-tetrahydrofuran-3-yloxy)-benzyl]-benzene, a method for its preparation and the use thereof for preparing medicaments |
| UA91546C2 (en) * | 2005-05-03 | 2010-08-10 | Бьорінгер Інгельхайм Інтернаціональ Гмбх | Crystalline form of 1-chloro-4-(я-d-glucopyranos-1-yl)-2-[4-((s)-tetrahydrofuran-3-yloxy)-benzyl]-benzene, a method for its preparation and the use thereof for preparing medicaments |
| WO2007000445A1 (en) * | 2005-06-29 | 2007-01-04 | Boehringer Ingelheim International Gmbh | Glucopyranosyl-substituted benzyl-benzene derivatives, medicaments containing such compounds, their use and process for their manufacture |
| TW200745075A (en) * | 2005-09-08 | 2007-12-16 | Boehringer Ingelheim Int | Crystalline forms of 1-chloro-4-(β-D-glucopyranos-1-yl)-2-(4-ethynyl-benzyl)-benzene, methods for its preparation and the use thereof for preparing medicaments |
| US8039441B2 (en) * | 2006-08-15 | 2011-10-18 | Boehringer Ingelheim International Gmbh | Glucopyranosyl-substituted cyclopropylbenzene derivatives, pharmaceutical compositions containing such compounds, their use as SGLT inhibitors and process for their manufacture |
| EP2086991A1 (en) * | 2006-10-27 | 2009-08-12 | Boehringer Ingelheim International GmbH | CRYSTALLINE FORM OF 4-(ß-D-GLUCOPYRANOS-1-YL)-1-METHYL-2-[4-((S)-TETRAHYDROFURAN-3-YLOXY)-BENZYL]-BENZENE, A METHOD FOR ITS PREPARATION AND THE USE THEREOF FOR PREPARING MEDICAMENTS |
| AR063627A1 (en) * | 2006-11-09 | 2009-02-04 | Boehringer Ingelheim Int | COMBINED THERAPY WITH SGL INHIBITORS T-2 AND ITS PHARMACEUTICAL COMPOSITIONS |
| WO2008090210A1 (en) * | 2007-01-26 | 2008-07-31 | Boehringer Ingelheim International Gmbh | Methods for preventing and treating neurodegenerative disorders |
| CL2008002427A1 (en) * | 2007-08-16 | 2009-09-11 | Boehringer Ingelheim Int | Pharmaceutical composition comprising 1-chloro-4- (bd-glucopyranos-1-yl) -2- [4 - ((s) -tetrahydrofuran-3-yloxy) benzyl] -benzene combined with 1 - [(4-methylquinazolin- 2-yl) methyl] -3-methyl-7- (2-butyn-1-yl) -8- (3- (r) -aminopiperidin-1-yl) xanthine; and its use to treat type 2 diabetes mellitus. |
| US8511945B2 (en) * | 2008-03-28 | 2013-08-20 | Quanser Consulting Inc. | Drill assembly and method to reduce drill bit plunge |
| DK2395968T3 (en) * | 2009-02-13 | 2024-03-04 | Boehringer Ingelheim Int | PHARMACEUTICAL COMPOSITION COMPRISING GLUCOPYRANOSYL DIPHENYLMETHANE DERIVATIVES, PHARMACEUTICAL DOSAGE FORM THEREOF, PROCEDURE FOR THEIR PREPARATION AND USES THEREOF FOR IMPROVING GLYCEMIC CONTROL IN A PATIENT |
| UY32427A (en) * | 2009-02-13 | 2010-09-30 | Boheringer Ingelheim Internat Gmbh | PHARMACEUTICAL COMPOSITION, PHARMACEUTICAL FORM, PROCEDURE FOR PREPARATION, METHODS OF TREATMENT AND USES OF THE SAME |
| CN102316875A (en) * | 2009-02-13 | 2012-01-11 | 贝林格尔.英格海姆国际有限公司 | SGLT-2 inhibitors for the treatment of type 1 diabetes, type 2 diabetes, impaired glucose tolerance or hyperglycemia |
| PT2395983T (en) * | 2009-02-13 | 2020-07-03 | Boehringer Ingelheim Int | Pharmaceutical composition comprising a sglt2 inhibitor, a dpp-iv inhibitor and optionally a further antidiabetic agent and uses thereof |
| ES2546762T3 (en) * | 2009-09-30 | 2015-09-28 | Boehringer Ingelheim International Gmbh | Procedures for preparing glucopyranosyl substituted benzyl benzene derivatives |
-
2005
- 2005-03-11 JP JP2006551829A patent/JP4181605B2/en not_active Expired - Lifetime
- 2005-03-11 SI SI200531544T patent/SI1730131T1/en unknown
- 2005-03-11 EP EP10179231A patent/EP2360165A3/en not_active Withdrawn
- 2005-03-11 AT AT05715979T patent/ATE557013T1/en active
- 2005-03-11 CN CN201310414119.9A patent/CN103450129B/en not_active Ceased
- 2005-03-11 NZ NZ550464A patent/NZ550464A/en not_active IP Right Cessation
- 2005-03-11 PT PT05715979T patent/PT1730131E/en unknown
- 2005-03-11 KR KR1020127000036A patent/KR20120007088A/en not_active Ceased
- 2005-03-11 IL IL218714A patent/IL218714A/en active Protection Beyond IP Right Term
- 2005-03-11 CN CN201310368328.4A patent/CN103467423B/en not_active Ceased
- 2005-03-11 ME MEP-2012-72A patent/ME01422B/en unknown
- 2005-03-11 EP EP20100183906 patent/EP2295422A3/en not_active Withdrawn
- 2005-03-11 ES ES05715979T patent/ES2387881T3/en not_active Expired - Lifetime
- 2005-03-11 EA EA200601584A patent/EA011158B1/en active Protection Beyond IP Right Term
- 2005-03-11 EP EP05715979A patent/EP1730131B1/en not_active Expired - Lifetime
- 2005-03-11 BR BRPI0508830A patent/BRPI0508830B8/en active IP Right Grant
- 2005-03-11 PL PL05715979T patent/PL1730131T3/en unknown
- 2005-03-11 SG SG200901788-0A patent/SG151271A1/en unknown
- 2005-03-11 AU AU2005225511A patent/AU2005225511C1/en active Active
- 2005-03-11 CN CN201310379906.4A patent/CN103435581B/en not_active Ceased
- 2005-03-11 CA CA2557801A patent/CA2557801C/en not_active Expired - Lifetime
- 2005-03-11 DK DK05715979.0T patent/DK1730131T3/en active
- 2005-03-11 EP EP10179228A patent/EP2360164A3/en not_active Withdrawn
- 2005-03-11 WO PCT/EP2005/002618 patent/WO2005092877A1/en not_active Ceased
- 2005-03-11 RS RS20120245A patent/RS52365B/en unknown
- 2005-03-11 CN CN2012105151009A patent/CN103030617A/en active Pending
- 2005-03-11 HR HRP20120627TT patent/HRP20120627T1/en unknown
- 2005-03-14 MY MYPI20051061 patent/MY151336A/en unknown
- 2005-03-15 US US11/080,150 patent/US7579449B2/en active Active
- 2005-03-15 TW TW094107864A patent/TWI323264B/en active
- 2005-03-16 AR ARP050101020A patent/AR048041A1/en active IP Right Grant
-
2006
- 2006-07-24 IL IL177043A patent/IL177043A/en active IP Right Grant
- 2006-09-15 NO NO20064201A patent/NO335264B1/en active Protection Beyond IP Right Term
- 2006-09-15 EC EC2006006855A patent/ECSP066855A/en unknown
- 2006-10-16 KR KR1020067021459A patent/KR101174726B1/en not_active Expired - Lifetime
-
2007
- 2007-07-02 JP JP2007174512A patent/JP5147314B2/en not_active Expired - Lifetime
-
2008
- 2008-03-11 JP JP2008060706A patent/JP5147469B2/en not_active Expired - Lifetime
- 2008-09-10 US US12/207,722 patent/US20090023913A1/en not_active Abandoned
-
2009
- 2009-08-21 US US12/545,175 patent/US20090326215A1/en not_active Abandoned
-
2010
- 2010-07-30 AR ARP100102779A patent/AR077513A2/en not_active Application Discontinuation
- 2010-07-30 AR ARP100102778A patent/AR077512A2/en unknown
-
2011
- 2011-04-04 US US13/079,424 patent/US20110178033A1/en not_active Abandoned
-
2012
- 2012-07-27 US US13/560,245 patent/US20120296080A1/en not_active Abandoned
- 2012-08-03 CY CY20121100691T patent/CY1112948T1/en unknown
-
2013
- 2013-10-22 US US14/059,860 patent/US20140046046A1/en not_active Abandoned
-
2014
- 2014-02-04 NO NO20140127A patent/NO20140127L/en not_active Application Discontinuation
- 2014-09-24 FR FR14C0074C patent/FR14C0074I2/en active Active
- 2014-09-24 LU LU92555C patent/LU92555I2/en unknown
- 2014-09-25 CY CY2014042C patent/CY2014042I2/en unknown
- 2014-09-25 LT LTPA2014035C patent/LTC1730131I2/en unknown
- 2014-10-02 BE BE2014C064C patent/BE2014C064I2/fr unknown
- 2014-10-21 HU HUS1400056C patent/HUS1400056I1/en unknown
- 2014-11-03 NO NO2014028C patent/NO2014028I2/en not_active Application Discontinuation
Patent Citations (14)
| Publication number | Priority date | Publication date | Assignee | Title |
|---|---|---|---|---|
| WO2001027128A1 (en) * | 1999-10-12 | 2001-04-19 | Bristol-Myers Squibb Company | C-aryl glucoside sglt2 inhibitors |
| US6936590B2 (en) * | 2001-03-13 | 2005-08-30 | Bristol Myers Squibb Company | C-aryl glucoside SGLT2 inhibitors and method |
| US7772378B2 (en) * | 2005-02-23 | 2010-08-10 | Boehringer Ingelheim International Gmbh | Glucopyranosyl-substituted ((hetero)arylethynyl-benzyl)-benzene derivatives, medicaments containing such compounds, their use and process for their manufacture |
| US7662790B2 (en) * | 2005-04-15 | 2010-02-16 | Boehringer Ingelheim International Gmbh | Glucopyranosyl-substituted (heteroaryloxy-benzyl)-benzene derivatives, medicaments containing such compounds, their use and process for their manufacture |
| US20100240879A1 (en) * | 2005-05-10 | 2010-09-23 | Boehringer Ingelheim International Gmbh | Processes for preparing of glucopyranosyl-substituted benzyl-benzene derivates and intermediates therein |
| US7772191B2 (en) * | 2005-05-10 | 2010-08-10 | Boehringer Ingelheim International Gmbh | Processes for preparing of glucopyranosyl-substituted benzyl-benzene derivatives and intermediates therein |
| US7851602B2 (en) * | 2005-07-27 | 2010-12-14 | Boehringer Ingelheim International Gmbh | Glucopyranosyl-substituted ((hetero)cycloalkylethynyl-benzyl)-benzene derivatives, medicaments containing such compounds, their use and process for their manufacture |
| US7683160B2 (en) * | 2005-08-30 | 2010-03-23 | Boehringer Ingelheim International Gmbh | Glucopyranosyl-substituted benzyl-benzene derivatives, medicaments containing such compounds, their use and process for their manufacture |
| US7847074B2 (en) * | 2005-09-15 | 2010-12-07 | Boehringer Ingelheim International Gmbh | Processes for preparing of glucopyranosyl-substituted (ethynyl-benzyl)-benzene derivatives and intermediates thereof |
| US7745414B2 (en) * | 2006-02-15 | 2010-06-29 | Boehringer Ingelheim International Gmbh | Glucopyranosyl-substituted benzonitrile derivatives, pharmaceutical compositions containing such compounds, their use and process for their manufacture |
| US7776830B2 (en) * | 2006-05-03 | 2010-08-17 | Boehringer Ingelheim International Gmbh | Glucopyranosyl-substituted benzonitrile derivatives, pharmaceutical compositions containing such compounds, their use and process for their manufacture |
| US7858587B2 (en) * | 2006-09-21 | 2010-12-28 | Boehringer Ingelheim International Gmbh | Glucopyranosyl-substituted difluorobenzyl-benzene derivates, medicaments containing such compounds, their use and process for their manufacture |
| US7879806B2 (en) * | 2006-11-06 | 2011-02-01 | Boehringer Ingelheim International Gmbh | Glucopyranosyl-substituted benzyl-benzonitrile derivates, medicaments containing such compounds, their use and process for their manufacture |
| US7879807B2 (en) * | 2007-02-21 | 2011-02-01 | Boehringer Ingelheim International Gmbh | Tetrasubstituted glucopyranosylated benzene derivatives, medicaments containing such compounds, their use and process for their manufacture |
Cited By (26)
| Publication number | Priority date | Publication date | Assignee | Title |
|---|---|---|---|---|
| US9127034B2 (en) | 2005-05-10 | 2015-09-08 | Boehringer Ingelheim International Gmbh | Processes for preparing of glucopyranosyl-substituted benzyl-benzene derivates and intermediates therein |
| US10442795B2 (en) | 2005-05-10 | 2019-10-15 | Boehringer Ingelheim International Gmbh | Processes for preparing of glucopyranosyl-substituted benzyl-benzene derivatives and intermediates therein |
| US10406172B2 (en) | 2009-02-13 | 2019-09-10 | Boehringer Ingelheim International Gmbh | Pharmaceutical composition, methods for treating and uses thereof |
| US12527810B2 (en) | 2009-02-13 | 2026-01-20 | Boehringer Ingelheim International Gmbh | Pharmaceutical composition, methods for treating and uses thereof |
| US12115179B2 (en) | 2009-02-13 | 2024-10-15 | Boehringer Ingelheim International Gmbh | Pharmaceutical composition, methods for treating and uses thereof |
| US9024010B2 (en) | 2009-09-30 | 2015-05-05 | Boehringer Ingelheim International Gmbh | Processes for preparing of glucopyranosyl-substituted benzyl-benzene derivatives |
| US9873714B2 (en) | 2009-09-30 | 2018-01-23 | Boehringer Ingelheim International Gmbh | Processes for preparing of glucopyranosyl-substituted benzyl-benzene derivatives |
| US8802842B2 (en) | 2009-09-30 | 2014-08-12 | Boehringer Ingelheim International Gmbh | Method for the preparation of a crystalline form |
| US10610489B2 (en) | 2009-10-02 | 2020-04-07 | Boehringer Ingelheim International Gmbh | Pharmaceutical composition, pharmaceutical dosage form, process for their preparation, methods for treating and uses thereof |
| US20180185291A1 (en) | 2011-03-07 | 2018-07-05 | Boehringer Ingelheim International Gmbh | Pharmaceutical compositions |
| US11564886B2 (en) | 2011-03-07 | 2023-01-31 | Boehringer Ingelheim International Gmbh | Pharmaceutical compositions |
| US10596120B2 (en) | 2011-03-07 | 2020-03-24 | Boehringer Ingelheim International Gmbh | Pharmaceutical compositions |
| US9555001B2 (en) | 2012-03-07 | 2017-01-31 | Boehringer Ingelheim International Gmbh | Pharmaceutical composition and uses thereof |
| US9192617B2 (en) | 2012-03-20 | 2015-11-24 | Boehringer Ingelheim International Gmbh | Pharmaceutical composition, methods for treating and uses thereof |
| US11813275B2 (en) | 2013-04-05 | 2023-11-14 | Boehringer Ingelheim International Gmbh | Pharmaceutical composition, methods for treating and uses thereof |
| US11090323B2 (en) | 2013-04-05 | 2021-08-17 | Boehringer Ingelheim International Gmbh | Pharmaceutical composition, methods for treating and uses thereof |
| US10258637B2 (en) | 2013-04-05 | 2019-04-16 | Boehringer Ingelheim International Gmbh | Pharmaceutical composition, methods for treating and uses thereof |
| US9949997B2 (en) | 2013-04-05 | 2018-04-24 | Boehringer Ingelheim International Gmbh | Pharmaceutical composition, methods for treating and uses thereof |
| US11833166B2 (en) | 2013-04-05 | 2023-12-05 | Boehringer Ingelheim International Gmbh | Pharmaceutical composition, methods for treating and uses thereof |
| US11918596B2 (en) | 2013-04-05 | 2024-03-05 | Boehringer Ingelheim International Gmbh | Pharmaceutical composition, methods for treating and uses thereof |
| US9949998B2 (en) | 2013-04-05 | 2018-04-24 | Boehringer Ingelheim International Gmbh | Pharmaceutical composition, methods for treating and uses thereof |
| US12433906B2 (en) | 2013-04-05 | 2025-10-07 | Boehringer Ingelheim International Gmbh | Pharmaceutical composition, methods for treating and uses thereof |
| US11666590B2 (en) | 2013-04-18 | 2023-06-06 | Boehringer Ingelheim International Gmbh | Pharmaceutical composition, methods for treating and uses thereof |
| US12427162B2 (en) | 2013-04-18 | 2025-09-30 | Boehringer Ingelheim International Gmbh | Pharmaceutical composition, methods for treating and uses thereof |
| US9902751B2 (en) | 2013-12-30 | 2018-02-27 | Mylan Laboratories Limited | Process for the preparation of empagliflozin |
| US12263153B2 (en) | 2016-11-10 | 2025-04-01 | Boehringer Ingelheim International Gmbh | Pharmaceutical composition, methods for treating and uses thereof |
Also Published As
Similar Documents
| Publication | Publication Date | Title |
|---|---|---|
| US7579449B2 (en) | Glucopyranosyl-substituted phenyl derivatives, medicaments containing such compounds, their use and process for their manufacture | |
| US7772378B2 (en) | Glucopyranosyl-substituted ((hetero)arylethynyl-benzyl)-benzene derivatives, medicaments containing such compounds, their use and process for their manufacture | |
| US7851602B2 (en) | Glucopyranosyl-substituted ((hetero)cycloalkylethynyl-benzyl)-benzene derivatives, medicaments containing such compounds, their use and process for their manufacture | |
| US7662790B2 (en) | Glucopyranosyl-substituted (heteroaryloxy-benzyl)-benzene derivatives, medicaments containing such compounds, their use and process for their manufacture | |
| US7683160B2 (en) | Glucopyranosyl-substituted benzyl-benzene derivatives, medicaments containing such compounds, their use and process for their manufacture | |
| US7858587B2 (en) | Glucopyranosyl-substituted difluorobenzyl-benzene derivates, medicaments containing such compounds, their use and process for their manufacture | |
| US7879807B2 (en) | Tetrasubstituted glucopyranosylated benzene derivatives, medicaments containing such compounds, their use and process for their manufacture | |
| US7879806B2 (en) | Glucopyranosyl-substituted benzyl-benzonitrile derivates, medicaments containing such compounds, their use and process for their manufacture | |
| US20070004648A1 (en) | Glucopyranosyl-substituted benzyl-benzene derivatives, medicaments containing such compounds, their use and process for their manufacture | |
| US20050187168A1 (en) | Glucopyranosyloxy-substituted aromatic compounds, medicaments containing such compounds, their use and process for their manufacture | |
| HK1179969A (en) | Glucopyranosyl-substituted benzol derivatives, drugs containing said compounds, the use thereof and method for the production thereof | |
| HK1188775B (en) | Glucopyranosyl-substituted benzol derivatives, drugs containing said compounds, the use thereof and method for the production thereof |
Legal Events
| Date | Code | Title | Description |
|---|---|---|---|
| STCB | Information on status: application discontinuation |
Free format text: ABANDONED -- FAILURE TO RESPOND TO AN OFFICE ACTION |
























































































































