KR102204439B1 - Pharmaceutical Composition comprising SGLT-2 inhibitor and DPP-IV inhibitor - Google Patents
Pharmaceutical Composition comprising SGLT-2 inhibitor and DPP-IV inhibitor Download PDFInfo
- Publication number
- KR102204439B1 KR102204439B1 KR1020180055146A KR20180055146A KR102204439B1 KR 102204439 B1 KR102204439 B1 KR 102204439B1 KR 1020180055146 A KR1020180055146 A KR 1020180055146A KR 20180055146 A KR20180055146 A KR 20180055146A KR 102204439 B1 KR102204439 B1 KR 102204439B1
- Authority
- KR
- South Korea
- Prior art keywords
- hydrate
- pharmaceutically acceptable
- acceptable salt
- solvate
- mixture
- Prior art date
- Legal status (The legal status is an assumption and is not a legal conclusion. Google has not performed a legal analysis and makes no representation as to the accuracy of the status listed.)
- Active
Links
Images
Classifications
-
- A—HUMAN NECESSITIES
- A61—MEDICAL OR VETERINARY SCIENCE; HYGIENE
- A61K—PREPARATIONS FOR MEDICAL, DENTAL OR TOILETRY PURPOSES
- A61K9/00—Medicinal preparations characterised by special physical form
- A61K9/20—Pills, tablets, discs, rods
- A61K9/2072—Pills, tablets, discs, rods characterised by shape, structure or size; Tablets with holes, special break lines or identification marks; Partially coated tablets; Disintegrating flat shaped forms
-
- A—HUMAN NECESSITIES
- A61—MEDICAL OR VETERINARY SCIENCE; HYGIENE
- A61K—PREPARATIONS FOR MEDICAL, DENTAL OR TOILETRY PURPOSES
- A61K31/00—Medicinal preparations containing organic active ingredients
- A61K31/33—Heterocyclic compounds
- A61K31/395—Heterocyclic compounds having nitrogen as a ring hetero atom, e.g. guanethidine or rifamycins
- A61K31/495—Heterocyclic compounds having nitrogen as a ring hetero atom, e.g. guanethidine or rifamycins having six-membered rings with two or more nitrogen atoms as the only ring heteroatoms, e.g. piperazine or tetrazines
- A61K31/505—Pyrimidines; Hydrogenated pyrimidines, e.g. trimethoprim
- A61K31/519—Pyrimidines; Hydrogenated pyrimidines, e.g. trimethoprim ortho- or peri-condensed with heterocyclic rings
- A61K31/52—Purines, e.g. adenine
- A61K31/522—Purines, e.g. adenine having oxo groups directly attached to the heterocyclic ring, e.g. hypoxanthine, guanine, acyclovir
-
- A—HUMAN NECESSITIES
- A61—MEDICAL OR VETERINARY SCIENCE; HYGIENE
- A61K—PREPARATIONS FOR MEDICAL, DENTAL OR TOILETRY PURPOSES
- A61K31/00—Medicinal preparations containing organic active ingredients
- A61K31/70—Carbohydrates; Sugars; Derivatives thereof
- A61K31/7028—Compounds having saccharide radicals attached to non-saccharide compounds by glycosidic linkages
- A61K31/7034—Compounds having saccharide radicals attached to non-saccharide compounds by glycosidic linkages attached to a carbocyclic compound, e.g. phloridzin
-
- A—HUMAN NECESSITIES
- A61—MEDICAL OR VETERINARY SCIENCE; HYGIENE
- A61K—PREPARATIONS FOR MEDICAL, DENTAL OR TOILETRY PURPOSES
- A61K9/00—Medicinal preparations characterised by special physical form
-
- A—HUMAN NECESSITIES
- A61—MEDICAL OR VETERINARY SCIENCE; HYGIENE
- A61K—PREPARATIONS FOR MEDICAL, DENTAL OR TOILETRY PURPOSES
- A61K9/00—Medicinal preparations characterised by special physical form
- A61K9/0012—Galenical forms characterised by the site of application
- A61K9/0053—Mouth and digestive tract, i.e. intraoral and peroral administration
-
- A—HUMAN NECESSITIES
- A61—MEDICAL OR VETERINARY SCIENCE; HYGIENE
- A61K—PREPARATIONS FOR MEDICAL, DENTAL OR TOILETRY PURPOSES
- A61K9/00—Medicinal preparations characterised by special physical form
- A61K9/20—Pills, tablets, discs, rods
-
- A—HUMAN NECESSITIES
- A61—MEDICAL OR VETERINARY SCIENCE; HYGIENE
- A61K—PREPARATIONS FOR MEDICAL, DENTAL OR TOILETRY PURPOSES
- A61K9/00—Medicinal preparations characterised by special physical form
- A61K9/20—Pills, tablets, discs, rods
- A61K9/2004—Excipients; Inactive ingredients
- A61K9/2009—Inorganic compounds
-
- A—HUMAN NECESSITIES
- A61—MEDICAL OR VETERINARY SCIENCE; HYGIENE
- A61K—PREPARATIONS FOR MEDICAL, DENTAL OR TOILETRY PURPOSES
- A61K9/00—Medicinal preparations characterised by special physical form
- A61K9/20—Pills, tablets, discs, rods
- A61K9/2004—Excipients; Inactive ingredients
- A61K9/2013—Organic compounds, e.g. phospholipids, fats
- A61K9/2018—Sugars, or sugar alcohols, e.g. lactose, mannitol; Derivatives thereof, e.g. polysorbates
-
- A—HUMAN NECESSITIES
- A61—MEDICAL OR VETERINARY SCIENCE; HYGIENE
- A61K—PREPARATIONS FOR MEDICAL, DENTAL OR TOILETRY PURPOSES
- A61K9/00—Medicinal preparations characterised by special physical form
- A61K9/20—Pills, tablets, discs, rods
- A61K9/2004—Excipients; Inactive ingredients
- A61K9/2022—Organic macromolecular compounds
- A61K9/205—Polysaccharides, e.g. alginate, gums; Cyclodextrin
- A61K9/2054—Cellulose; Cellulose derivatives, e.g. hydroxypropyl methylcellulose
-
- A—HUMAN NECESSITIES
- A61—MEDICAL OR VETERINARY SCIENCE; HYGIENE
- A61P—SPECIFIC THERAPEUTIC ACTIVITY OF CHEMICAL COMPOUNDS OR MEDICINAL PREPARATIONS
- A61P3/00—Drugs for disorders of the metabolism
- A61P3/08—Drugs for disorders of the metabolism for glucose homeostasis
- A61P3/10—Drugs for disorders of the metabolism for glucose homeostasis for hyperglycaemia, e.g. antidiabetics
Landscapes
- Health & Medical Sciences (AREA)
- Life Sciences & Earth Sciences (AREA)
- Chemical & Material Sciences (AREA)
- Medicinal Chemistry (AREA)
- Veterinary Medicine (AREA)
- Public Health (AREA)
- General Health & Medical Sciences (AREA)
- Animal Behavior & Ethology (AREA)
- Pharmacology & Pharmacy (AREA)
- Epidemiology (AREA)
- Diabetes (AREA)
- Molecular Biology (AREA)
- Hematology (AREA)
- Chemical Kinetics & Catalysis (AREA)
- Obesity (AREA)
- General Chemical & Material Sciences (AREA)
- Bioinformatics & Cheminformatics (AREA)
- Engineering & Computer Science (AREA)
- Endocrinology (AREA)
- Emergency Medicine (AREA)
- Nuclear Medicine, Radiotherapy & Molecular Imaging (AREA)
- Organic Chemistry (AREA)
- Biophysics (AREA)
- Nutrition Science (AREA)
- Physiology (AREA)
- Inorganic Chemistry (AREA)
- Pharmaceuticals Containing Other Organic And Inorganic Compounds (AREA)
- Medicinal Preparation (AREA)
- Acyclic And Carbocyclic Compounds In Medicinal Compositions (AREA)
- Medicines That Contain Protein Lipid Enzymes And Other Medicines (AREA)
Abstract
본 발명은 다파글리플로진, 이의 약학적으로 허용 가능한 염, 수화물 또는 용매화물; 리나글립틴, 이의 약학적으로 허용 가능한 염, 수화물 또는 용매화물; 및 부형제를 포함하는 약제학적 조성물 및 이의 제조방법에 대한 것으로, 제2형 당뇨병의 치료 효과를 향상시키고 부작용을 완화시켰으며, 각 단일 성분을 함유하는 제제와 동등한 용출률과 비임상 동등성을 확보하면서도 정제의 크기를 최소화 하고, 제품 품질의 안정성을 향상 시킴으로써 환자 복용 편의성 및 복약 순응도를 향상 시켜 효과적인 제2형 당뇨병 예방 또는 치료제로 유용하게 사용될 수 있는 장점을 나타낸다.The present invention relates to dapagliflozin, a pharmaceutically acceptable salt, hydrate or solvate thereof; Linagliptin, a pharmaceutically acceptable salt, hydrate or solvate thereof; And a pharmaceutical composition comprising an excipient and a method for manufacturing the same, which improved the therapeutic effect of type 2 diabetes and alleviated side effects, and while securing the dissolution rate and nonclinical equivalence equivalent to the formulation containing each single component By minimizing the size of the product and improving the stability of the product quality, it shows the advantage that it can be usefully used as an effective type 2 diabetes prevention or treatment by improving patient convenience and medication compliance.
Description
본 발명은 SGLT-2 억제제 및 DPP-IV 억제제를 포함하는 약제학적 조성물 및 이의 제조방법에 관한 것이다. 보다 구체적으로는 SGLT-2 억제제 또는 이의 약제학적으로 허용 가능한 염, 및 DPP-IV 억제제 또는 이의 약제학적으로 허용 가능한 염을 포함하는 약제학적 조성물로서 정제의 크기를 최소화하고, 약물의 안정성을 향상시켜 환자 복용 편의성 및 복약 순응도를 향상시킨 약제학적 조성물 및 이의 제조방법에 관한 것이다.The present invention relates to a pharmaceutical composition comprising an SGLT-2 inhibitor and a DPP-IV inhibitor, and a method for preparing the same. More specifically, as a pharmaceutical composition comprising an SGLT-2 inhibitor or a pharmaceutically acceptable salt thereof, and a DPP-IV inhibitor or a pharmaceutically acceptable salt thereof, the size of the tablet is minimized and the stability of the drug is improved. The present invention relates to a pharmaceutical composition and a method of manufacturing the same, which improves patient convenience and medication compliance.
제2형 당뇨병(Non-insulin dependent diabetes mellitus, NIDDM)은 높은 빈도의 합병증으로 인해 기대 수명의 현저한 감소를 초래하는 점차 만연하고 있는 질환이다. 전세계 1억 7천 1백만명 이상의 사람들이 제2형 당뇨병을 앓고 있으며, 이는 과도한 간 글루코스 생성 및 말초 인슐린 저항성으로 인한 과혈당증을 특징으로 한다. 고혈당증은 당뇨병 합병증의 발병에 대한 주요 위험 인자인 것으로 고려되고, 진행성 제2형 당뇨병에서 나타나는 인슐린 분비 손상의 직접적 원인이 될 가능성이 있다. 당뇨병-관련 미세혈관 합병증으로 인해, 제2형 당뇨병은 현재 선진국에서 성인-발증형 시력 상실, 신부전 및 절단수술의 가장 빈번한 원인이다. 또한, 제2형 당뇨병의 존재는 심혈관 질환의 위험이 2배 내지 5배 증가 하는 것과 관련이 있다. 그러므로, 제2형 당뇨병 환자에서 혈장 글루코스 수준의 지속적 제어는 진행성 질환에서 나타나는 당뇨병 합병 증 및 베타 세포 기능부전의 발병을 상쇄시킬 수 있다. Non-insulin dependent diabetes mellitus (NIDDM) is an increasingly prevalent disease that results in a significant decrease in life expectancy due to a high frequency of complications. More than 171 million people around the world suffer from
혈장 글루코스는 통상적으로 신장 사구체에서 여과되고, 근위 세관에서 능동적으로 재흡수된다. SGLT-2(Sodium-glucose cotransporter 2)는 이 부위에서 글루코스의 재흡수에 관여하는 주요 수송자라고 여겨진다. 신장에서 나트륨-의존성 글루코스 수송체 SGLT-2의 선택적 억제제는 뇨에서 글루코스의 배출을 증강시키고, 이에 의해 인슐린 감수성을 개선시키고 당뇨병 합병증의 발병을 지연시킴으로써 혈장 글루코스 수준을 정상화시킬 것으로 예상된다.Plasma glucose is typically filtered in the renal glomerulus and is actively reabsorbed in the proximal tubules. SGLT-2 (Sodium-glucose cotransporter 2) is considered to be growing major transportation involved in the reuptake of glucose at this site. Selective inhibitors of the sodium-dependent glucose transporter SGLT-2 in the kidney are expected to normalize plasma glucose levels by enhancing the excretion of glucose in the urine, thereby improving insulin sensitivity and delaying the onset of diabetic complications.
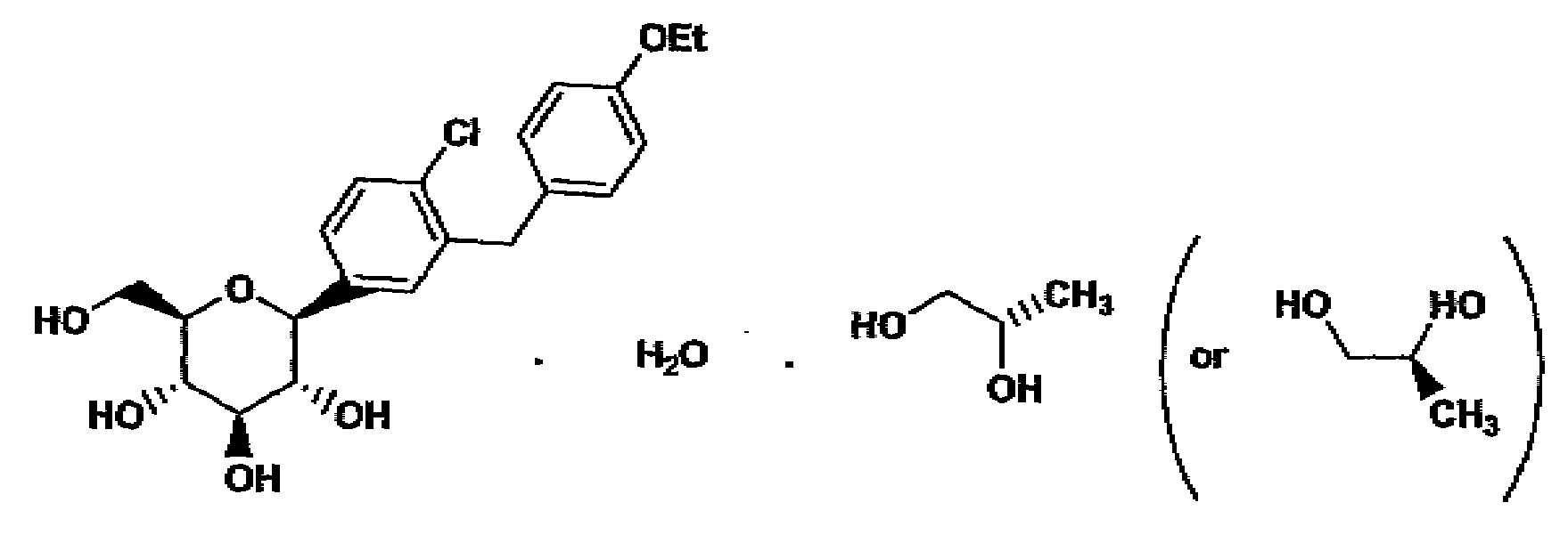
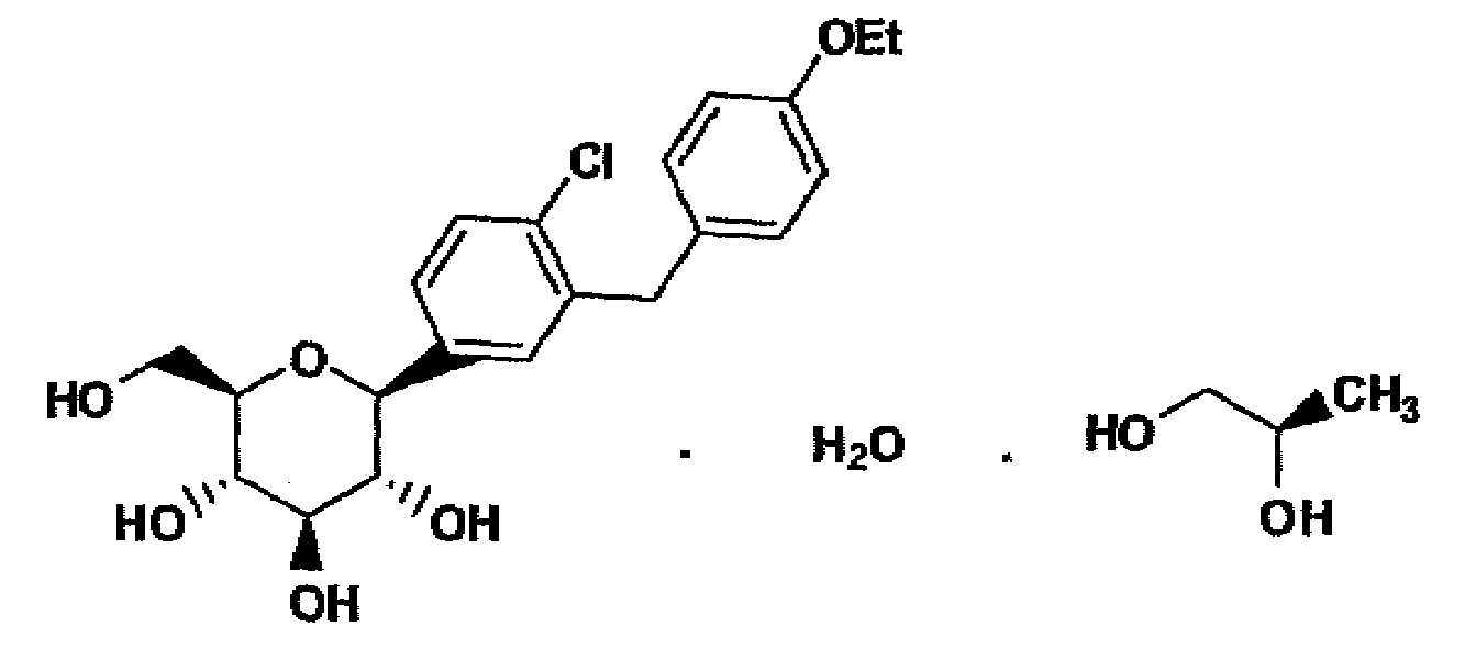
경구 활성 SGLT-2 억제제인 하기 화학식 I의 화합물 또는 그의 제약상 허용되는 염 또는 용매화물 (이하 다파글리플로진)은 미국 특허 제6,515,117호 (그 전문이 본원에 참고로 도입됨)에 개시되어 있다.Orally active SGLT-2 inhibitors, compounds of formula (I), or pharmaceutically acceptable salts or solvates thereof (hereinafter dapagliflozin), are disclosed in U.S. Patent No. 6,515,117 (the entirety of which is incorporated herein by reference). have.
화학식 IFormula I
US 2008-0004336 A1에는 (S)-프로필렌글리콜 ((S)-PG) 수화물 및 (R)-프로필렌 글리콜 ((R)-PG) 수화물 형태의 다파글리플로진이 개시되어 있다.US 2008-0004336 A1 discloses dapagliflozin in the form of (S)-propylene glycol ((S)-PG) hydrate and (R)-propylene glycol ((R)-PG) hydrate.
(S)-프로필렌 글리콜 수화물은 형태 SC-3이라 하고, 하기 화학식 Ia의 구조를 갖는다.(S)-Propylene glycol hydrate is referred to as form SC-3 and has the structure of formula Ia below.
화학식 IaFormula Ia
(R)-프로필렌 글리콜 수화물은 형태 SD-3이라 하고, 하기 화학식 Ib의 구조를 갖는다.(R)-Propylene glycol hydrate is referred to as form SD-3 and has the structure of formula Ib below.
화학식 IbFormula Ib
다파글리플로진의 (S)-PG 수화물 및 (R)-PG 수화물의 제조방법은 US 2008-0004336 A1 (그 전문이 본원에 참고로 도입됨)에서 제공된다.Methods for the preparation of (S)-PG hydrate and (R)-PG hydrate of dapagliflozin are provided in US 2008-0004336 A1 (the entirety of which is incorporated herein by reference).
화합물 리나글립틴은 DPP-IV 억제제이다. CD26으로도 공지되어 있는 효소 DPP-IV(Dipeptidyl Peptidase IV)는 N-말단에 프롤린 또는 알라닌 잔기를 가진 다수의 단백질의 N-말단으로부터 디펩타이드의 절단을 유도하는 것으로 알려진 세린 프로테아제이다. 상기 특성으로 인해, DPP-IV 억제제는 펩타이드 GLP-1을 포함하는 생물활성 펩타이드들의 혈장 농도에 간섭하고, 당뇨병, 특히 제2형 당뇨병의 치료를 위한 유망한 약물인 것으로 사료된다. WO 제2007/128724호에는 리나글립틴을 단독의 활성 약제학적 성분으로서 포함하는 약제학적 조성물이 기술되어 있다.The compound linagliptin is a DPP-IV inhibitor. The enzyme DPP-IV (Dipeptidyl Peptidase IV), also known as CD26, is a serine protease known to induce cleavage of dipeptide from the N-terminus of a number of proteins having a proline or alanine residue at the N-terminus. Due to the above properties, the DPP-IV inhibitor interferes with the plasma concentration of bioactive peptides including the peptide GLP-1, and is considered to be a promising drug for the treatment of diabetes, especially
한편, 당뇨병이이 장기간 지속되는 경우, 대부분의 제2형 당뇨병 환자들은 경구 치료에서 결국 실패하게 되며, 매일 주사와 1일 수회의 당 측정이 필요한 인슐린 의존성이 된다.On the other hand, when diabetes persists for a long time,
종래 경구 치료법(예컨대, 1차 또는 2차, 및/또는 단일 또는 (초기 또는 추가) 병용 치료법)에 통상적으로 사용되는 경구 항당뇨병 약물로는 메트포르민, 설포닐우레아, 티아졸리딘디온, 글리니드 및 글루코시다제 억제제가 알려져 있다.Oral antidiabetic drugs commonly used in conventional oral therapy (e.g., primary or secondary, and/or single or (initial or additional) combination therapy) include metformin, sulfonylurea, thiazolidinedione, glinide and Glucosidase inhibitors are known.
그러나 상기 약물들은 장기간 복용하여도 치료 실패율이 높고, 높은 비율의 제2형 당뇨병 환자에서 장기적 고혈당증-관련 합병증 또는 만성 손상(예컨대, 당뇨병성 신장병증, 망막병증 또는 신경병증과 같은 미세혈관 및 대혈관 합병증, 또는 심혈관 합병증 포함)의 주요 원인이 될 수 있다. However, the treatment failure rate is high even when taken for a long period of time, and long-term hyperglycemia-related complications or chronic damage (e.g., microvascular and macrovascular disease such as diabetic nephropathy, retinopathy or neuropathy) in a high proportion of
따라서, 혈당 조절, 질환-개선 특성, 및 심혈관 발병률 및 사망률에 있어서 양호한 효능을 갖는 동시에, 개선된 안정성 프로파일을 나타내는 방법, 약제 및 약제학적 조성물에 대한 충족되지 않은 의학적 요구가 존재한다.Thus, there is an unmet medical need for methods, medicaments and pharmaceutical compositions that have good efficacy in glycemic control, disease-improving properties, and cardiovascular incidence and mortality, while exhibiting an improved stability profile.
본 발명의 목적은 SGLT-2 억제제와 DPP-IV 억제제의를 포함하는 약제학적 조성물 및 이의 제조방법을 제공하는 것이다.It is an object of the present invention to provide a pharmaceutical composition comprising a SGLT-2 inhibitor and a DPP-IV inhibitor and a method for preparing the same.
특히, 본 발명의 목적은 제형의 안정성을 향상 시키면서도, 정제의 크기를 최소화하여 환자 복용 편리성 및 복약 순응도를 향상시킨 복합제제를 제공하는 것이다.In particular, it is an object of the present invention to provide a combination formulation that improves the stability of the formulation and minimizes the size of the tablet, thereby improving patient convenience and compliance with medication.
상기 과제를 해결하기 위하여, 본 발명은 다파글리플로진(dapagliflozin), 이의 약학적으로 허용 가능한 염, 이의 수화물, 이의 공결정형 또는 이의 용매화물; 리나글립틴(linagliptin), 이의 약학적으로 허용 가능한 염, 이의 수화물 또는 이의 용매화물; 및 부형제를 포함하는 약제학적 조성물을 제공한다.In order to solve the above problems, the present invention provides dapagliflozin, a pharmaceutically acceptable salt thereof, a hydrate thereof, a co-crystal form thereof, or a solvate thereof; Linagliptin, a pharmaceutically acceptable salt thereof, a hydrate or a solvate thereof; And it provides a pharmaceutical composition comprising an excipient.
본 발명의 약제학적 조성물은 다파글리플로진 단일 제제 및 리나글립틴 단일 제제와 비교하여, 정제인 경구 투여형으로 복합제제화 하였을때의 충분한 약효를 나타내면서 크기를 최소화할 수 있고, 약물의 안정성을 향상시켜 환자의 복용 편리성 및 복약 순응도를 개선한 복합제제를 제공할 수 있다.Compared to the single formulation of dapagliflozin and the single formulation of linagliptin, the pharmaceutical composition of the present invention can minimize the size and minimize the size of the drug while exhibiting sufficient efficacy when formulated into a combined formulation in an oral dosage form as a tablet. By improving it, it is possible to provide a combination formulation with improved patient convenience and medication compliance.
상기 부형제는 만니톨, 전호화 전분, 미결정셀룰로오스, 저치환도히드록시프로필셀룰로오스, 인산칼슘, 탄산칼슘(CaCO3), 규화미결정셀룰로오스 또는 이의 혼합물을 포함한다. The excipients include mannitol, pregelatinized starch, microcrystalline cellulose, low-substituted hydroxypropyl cellulose, calcium phosphate, calcium carbonate (CaCO 3 ), silicified microcrystalline cellulose, or mixtures thereof.
본 발명의 실시예들에 있어서, 상기 인산칼?㎱? 무수인산칼슘, 인산칼슘 수화물 또는 이들의 혼합물일 수 있다. In the embodiments of the present invention, the calcium phosphate? n? It may be anhydrous calcium phosphate, calcium phosphate hydrate, or a mixture thereof.
본 발명의 실시예들에 있어서, 상기 무수인산칼슘은 무수인산삼칼??(Ca3 (PO4)2), 무수인산수소칼슘(CaHPO4), 무수인산이수소칼??(Ca(HPO4)2)일 수 있으며, 구체적으로는 무수인산삼칼??(Ca3 (PO4)2)일 수 있다. In embodiments of the present invention, the anhydrous calcium phosphate is tricalcium phosphate anhydrous?? (Ca 3 (PO 4 ) 2 ), calcium hydrogen phosphate anhydrous (CaHPO 4 ), calcium dihydrogen phosphate anhydrous?? (Ca(HPO) 4 ) 2 ) may be, and specifically, tricalcium phosphate anhydride?? (Ca 3 (PO 4 ) 2 ).
본 발명의 실시예들에 있어서, 상기 인산칼슘수화물은 인산수소칼슘수화물, 인산이수소칼?㏈致?물일 수 있으며, 구체적으로는 인산수소칼?㎱? 수화물일 수 있다. In the embodiments of the present invention, the calcium phosphate hydrate may be calcium hydrogen phosphate hydrate, calcium dihydrogen phosphate?㏈致?water, and specifically, calcium hydrogen phosphate?㎱? It can be a luggage.
예를 들면, 상기 인산칼슘은 무수인산삼칼??, 인산수소칼슘수화물 또는 이의 혼합물일 수 있다. For example, the calcium phosphate may be tricalcium phosphate anhydrous, calcium hydrogen phosphate hydrate, or a mixture thereof.
구체적으로 상기 부형제는, 만니톨, 전호화 전분, 미결정셀룰로오스, 저치환도히드록시프로필셀룰로오스, 인산칼슘, 탄산칼슘(CaCO3) 및 규화미결정셀룰로오스 중에서 선택된상이한 두 종류 이상의 부형제를 포함할 수 있으며, 보다 구체적으로는 만니톨, 전호화 전분, 미결정셀룰로오스, 저치환도히드록시프로필셀룰로오스, 인산칼슘, 탄산칼슘(CaCO3) 및 규화미결정셀룰로오스 중에서 선택된 상이한 세 종류 이상의 부형제를 포함할 수 있으며, 보다 더 구체적으로는 만니톨, 전호화 전분, 미결정셀룰로오스, 저치환도히드록시프로필셀룰로오스, 인산칼슘, 탄산칼슘(CaCO3) 및 규화미결정셀룰로오스 중 선택된 상이한 세 종류의 부형제를 포함할 수 있다. Specifically, the excipient may include two or more different excipients selected from mannitol, pregelatinized starch, microcrystalline cellulose, low-substituted hydroxypropyl cellulose, calcium phosphate, calcium carbonate (CaCO 3 ), and silicified microcrystalline cellulose. Specifically, it may contain three or more different excipients selected from mannitol, pregelatinized starch, microcrystalline cellulose, low-substituted hydroxypropyl cellulose, calcium phosphate, calcium carbonate (CaCO 3 ), and silicified microcrystalline cellulose, and more specifically May contain three different types of excipients selected from mannitol, pregelatinized starch, microcrystalline cellulose, low-substituted hydroxypropyl cellulose, calcium phosphate, calcium carbonate (CaCO 3 ), and silicified microcrystalline cellulose.
본 발명의 실시예들에 있어서, 상기 약제학적 조성물이 만니톨, 전호화 전분, 미결정셀룰로오스, 저치환도히드록시프로필셀룰로오스, 인산칼슘, 탄산칼슘(CaCO3) 및 규화미결정셀룰로오스 중에서 선택된 상이한 세 종류의 부형제를 포함하는 경우, 상기 세 가지의 부형제는 상이한 중량비로 포함되거나 또는 동일한 중량비로 포함될 수 있다. 구체적으로 상기 서로 상이한 세 종류의 부형제는 서로 상이한 중량비로 포함될 수 있으며, 보다 구체적으로는 상기 상이한 세 종류의 부형제의 중량비는 1: 1.5 내지 2.5: 2 내지 3일 수 있다. In embodiments of the present invention, the pharmaceutical composition is selected from mannitol, pregelatinized starch, microcrystalline cellulose, low-substituted hydroxypropyl cellulose, calcium phosphate, calcium carbonate (CaCO 3 ) and silicified microcrystalline cellulose. When the excipient is included, the three excipients may be included in different weight ratios or the same weight ratio. Specifically, the three different types of excipients may be included in different weight ratios, and more specifically, the weight ratio of the three different types of excipients may be 1: 1.5 to 2.5: 2 to 3.
리나글립틴을 포함하는 약제학적 조성물을 제조하기 위한 시도에서, 리나글립틴은전분 글리콜산나트륨, 크로스카멜로오스 나트륨, 타르타르산, 당, 프룩토오스, 사카로오스, 수크로오스, 락토오스, 말토덱스트린과 같은 다수의 통상적 부형제와의 비상용성, 변성(degradation) 문제 또는 추출 문제를 나타내는 것이 관찰되었다. 상기 통상적 부형제들은 그 자체는 매우 안정하지만, 정제 등과 같은 제제 내에 제공된 밀착된 접촉 상태 및 높은 부형제/약물 비율에서는, 고체 투여형에 사용된 다수의 부형제 및 부형제의 불순물들과 반응한다. 리나글립틴은 산화에 의해 부형제의 표면에 형성된 환원 당 및 기타 반응성 카보닐 그룹 및 카복실산 관능 그룹과 반응하는 것으로 나타난다.In an attempt to prepare a pharmaceutical composition comprising linagliptin, linagliptin has a number of such as sodium starch glycolate, croscarmellose sodium, tartaric acid, sugar, fructose, saccharose, sucrose, lactose, maltodextrin. It has been observed to exhibit incompatibility with conventional excipients, problems with degradation or problems with extraction. These conventional excipients themselves are very stable, but in the tight contact condition and high excipient/drug ratio provided in formulations such as tablets, etc., they react with a number of excipients used in solid dosage forms and impurities of excipients. Linagliptin appears to react with reducing sugars and other reactive carbonyl groups and carboxylic acid functional groups formed on the surface of excipients by oxidation.
이러한 예측할 수 없는 문제점은 리나글립틴의 낮은 투여량 범위에 의해 더 악화된다. This unpredictable problem is exacerbated by the low dosage range of linagliptin.
본 발명의 약제학적 조성물은 리나글립틴의 예기치 못한 문제점과 관련한 상기 과제들을 해결할 수 있다. 예를 들면, 본 발명에 따른 상기 약제학적 조성물은 유효성분으로 리나글립틴과 미결정셀룰로오스를 모두 포함하는 경우에도 충분한 안정성을 나타낼 수 있다. The pharmaceutical composition of the present invention can solve the above problems related to the unexpected problem of linagliptin. For example, the pharmaceutical composition according to the present invention may exhibit sufficient stability even when both linagliptin and microcrystalline cellulose are included as active ingredients.
또한, 본 발명의 약제학적 조성물은 환자의 복약 편의성을 현저히 개선할 수 있다. 본 발명의 약제학적 조성물은 두 가지의 상이한 약물을 포함하고 있음에도 불구하고 정제의 크기가 적절하며, 우수한 치료 효과를 나타내고 안정성이 뛰어나 환자의 복약 편의성을 현저히 개선할 수 있다. In addition, the pharmaceutical composition of the present invention can significantly improve the patient's medication convenience. Although the pharmaceutical composition of the present invention contains two different drugs, the size of the tablet is appropriate, exhibits excellent therapeutic effect, and is excellent in stability, so that the patient's medication convenience can be remarkably improved.
이에 더하여 상기 조성물은 안정성이 우수하여 제조공정이 단순하며, 그 결과, 대량생산에 적합하며 경제적이다. 즉, 본 발명에 따른 조성물은 활성성분과 1종 이상의 중합체를 용매에 용해하여 증발시키는 것과 같은 공정이 없으며 그 결과 이를 위한 별도의 제조설비(예시: FBG, 분무건조기)가 필요하지 않아 제조공정이 단순하며 경제적이다. 본 발명에서, 다파글리플로진은 (1S)-1,5-안하이드로-1-[4-클로로-3-(4-에톡시벤질)페닐]-D-글루시톨을 의미한다. In addition, the composition is excellent in stability and the manufacturing process is simple, and as a result, it is suitable for mass production and is economical. In other words, the composition according to the present invention does not have a process such as dissolving an active ingredient and one or more polymers in a solvent and evaporating, and as a result, a separate manufacturing facility (e.g., FBG, spray dryer) is not required for this, so that Simple and economical. In the present invention, dapagliflozin means (1S)-1,5-anhydro-1-[4-chloro-3-(4-ethoxybenzyl)phenyl]-D-glucitol.
본 발명의 실시예들에 있어서, 다파글리플로진, 이의 약학적으로 허용 가능한 염, 이의 수화물, 이의 공결정형 또는 이의 용매화물은 구체적으로 다파글리플로진, 다파글리플로진의 공결정형, 다파글리플로진의 수화물, 다파글리플로진의 용매화물일 수 있으며, 보다 구체적으로는 다파글리플로진, 다파글리플로진의 프롤린의 공결정형(몰비=1:2), 다파글리플로진 (S)-프로판디올수화물, 다파글리플로진 (R)-프로판디올수화물 또는 이들의 혼합물, 또는 다파글리프롤진 시트레이트 공결정형일 수 있으며, 보다 더 구체적으로는 다파글리플로진, 다파글리플로진 (S)-프로판디올수화물, 다파글리플로진 (R)-프로판디올수화물 또는 이들의 혼합물, 또는 다파글리플로진 시트레이트 공결정일 수 일 수 있으며, 보다 더 구체적으로는 다파글리플로진 또는 다파글리플로진 시트레이트 공결정일 수 있다. In the embodiments of the present invention, dapagliflozin, a pharmaceutically acceptable salt thereof, a hydrate thereof, a co-crystalline form thereof, or a solvate thereof is specifically dapagliflozin, a co-crystalline form of dapagliflozin, It may be a hydrate of dapagliflozin, a solvate of dapagliflozin, and more specifically, dapagliflozin, a co-crystalline form of proline of dapagliflozin (molar ratio = 1:2), dapagliflozin (S)-propanediol hydrate, dapagliflozin (R)-propanediol hydrate or a mixture thereof, or dapagliprolazine citrate co-crystalline form, more specifically dapagliflozin, dapagliflozin It may be rosin (S)-propanediol hydrate, dapagliflozin (R)-propanediol hydrate or a mixture thereof, or dapagliflozin citrate co-crystal, and more specifically, dapagliflozin Rosin or dapagliflozin citrate co-crystal.
본 발명의 일 실시예에 따르면, 상기 다파글리플로진, 이의 약학적으로 허용 가능한 염, 이의 수화물, 이의 공결정형 또는 이의 용매화물은 결정형일 수 있다. According to an embodiment of the present invention, the dapagliflozin, a pharmaceutically acceptable salt thereof, a hydrate thereof, a co-crystalline form thereof, or a solvate thereof may be a crystalline form.
본 발명에서, 리나글립틴은 8-[(3R)-3-아미노-1-피페리디닐]-7-(2-부티닐)-3,7-디하이드로-3-메틸-1-[(4-메틸-2-퀴나졸리닐)메틸]-1H-푸린-2,6-디온을 의미한다.In the present invention, linagliptin is 8-[(3R)-3-amino-1-piperidinyl]-7-(2-butynyl)-3,7-dihydro-3-methyl-1-[( 4-methyl-2-quinazolinyl)methyl]-1H-purine-2,6-dione.
본 발명에서, 약학적으로 허용 가능한 염은 통상적인 방법에 따라 제조된 염을 의미하며, 이러한 제조방법은 당업자에게 공지되어 있다. 구체적으로, 상기 약제학적으로 허용가능한 염은 약리학적 또는 생리학적으로 허용되는 하기 무기산과 유기산 및 염기로부터 유도된 염을 포함하지만 이것으로 한정되지는 않는다. 적합한 산의 예로는 염산, 브롬산, 브롬화수소산, 황산, 질산, 과염소산, 푸마르산, 말레산, 인산, 글리콜산, 락트산, 살리실산, 숙신산, 톨루엔-p-설폰산, 타르타르산, 아세트산, 시트르산, 메탄설폰산, 포름산, 벤조산, 말론산, 나프탈렌-2-설폰산, 벤젠설폰산 등을 포함할 수 있다. 적합한 염기로부터 유도된 염은 알칼리 금속, 예를 들어, 소듐 또는 포타슘, 알칼리 토금속, 예를 들어, 마그네슘을 포함할 수 있으며 이에 한정되는 것은 아니다.In the present invention, the pharmaceutically acceptable salt refers to a salt prepared according to a conventional method, and such a method of preparation is known to those skilled in the art. Specifically, the pharmaceutically acceptable salt includes, but is not limited to, pharmacologically or physiologically acceptable salts derived from inorganic acids and organic acids and bases below. Examples of suitable acids include hydrochloric acid, bromic acid, hydrobromic acid, sulfuric acid, nitric acid, perchloric acid, fumaric acid, maleic acid, phosphoric acid, glycolic acid, lactic acid, salicylic acid, succinic acid, toluene-p-sulfonic acid, tartaric acid, acetic acid, citric acid, methanesulfur Phonic acid, formic acid, benzoic acid, malonic acid, naphthalene-2-sulfonic acid, benzenesulfonic acid, and the like. Salts derived from suitable bases may include, but are not limited to, alkali metals such as sodium or potassium, alkaline earth metals such as magnesium.
본 발명의 실시예들에 있어서, 상기 리나글립틴(linagliptin), 이의 약학적으로 허용 가능한 염, 이의 수화물 또는 이의 용매화물은 결정형 또는 무정형일 수 있으며, 구체적으로는 결정형일 수 있다. In embodiments of the present invention, the linagliptin, a pharmaceutically acceptable salt thereof, a hydrate thereof, or a solvate thereof may be crystalline or amorphous, and specifically, may be a crystalline form.
본 발명의 실시예들에 있어서, 상기 조성물은 부형제 외에 추가적으로 결합제, 붕해제, 유동화제, 활택제 또는 이의 혼합물과 같은 약제학적으로 허용 가능한 첨가제를 더 포함할 수 있으나, 이에 한정되지 않는다. In embodiments of the present invention, the composition may further include a pharmaceutically acceptable additive such as a binder, a disintegrant, a fluidizing agent, a lubricant, or a mixture thereof in addition to an excipient, but is not limited thereto.
본 발명의 실시예들에 있어서, 상기 결합제는 포비돈, 코포비돈, 에틸셀룰로오스, 히드록시프로필셀룰로오스, 히드록시프로필메틸셀룰로오스, 카르복시메틸셀룰로오스 나트륨, 전분 또는 이의 혼합물일 수 있으며, 이에 제한되지 않는다. 구체적으로 상기 결합제는 포비돈, 코포비돈, 에틸셀룰로오스, 히드록시프로필셀룰로오스, 히드록시프로필메틸셀룰로오스, 카르복시메틸셀룰로오스 나트륨, 전호화 전분 또는 이의 혼합물일 수 있으며, 보다 구체적으로는 코포비돈, 에틸셀룰로오스 또는 이들의 혼합물일 수 있다. In embodiments of the present invention, the binder may be povidone, copovidone, ethyl cellulose, hydroxypropyl cellulose, hydroxypropyl methyl cellulose, sodium carboxymethyl cellulose, starch, or a mixture thereof, but is not limited thereto. Specifically, the binder may be povidone, copovidone, ethylcellulose, hydroxypropylcellulose, hydroxypropylmethylcellulose, carboxymethylcellulose sodium, pregelatinized starch, or a mixture thereof, and more specifically, copovidone, ethylcellulose or these It may be a mixture of.
본 발명의 실시예들에 있어서, 상기 붕해제는 알긴산, 카르복시메틸셀룰로오스 칼슘, 전분, 크로스포비돈, 크로스카르멜로스나트륨, 크로스카르멜로스칼슘, 전분글리콜산 나트륨 또는 이의 혼합물일 수 있으며, 이에 한정되지는 않는다. 구체적으로 상기 붕해제는 알긴산, 카르복시메틸셀룰로오스칼슘, 크로스카르멜로오스 나트륨, 크로스포비돈, 전분 글리콜산 나트륨 또는 이들의 혼합물일 수 있으며, 보다 구체적으로는 크로스포비돈일 수 있다. In embodiments of the present invention, the disintegrant may be alginic acid, carboxymethylcellulose calcium, starch, crospovidone, croscarmellose sodium, croscarmellose calcium, sodium starch glycolate, or a mixture thereof, but is not limited thereto. Does not. Specifically, the disintegrant may be alginic acid, calcium carboxymethylcellulose, croscarmellose sodium, crospovidone, sodium starch glycolate, or a mixture thereof, and more specifically crospovidone.
본 발명의 실시예들에 있어서, 상기 유동화제는 콜로이드성이산화규소, 경질무수규산, 규산알루민산마그네슘, 이산화규소, 폴리비닐알코올, 함수이산화규소 또는 이의 혼합물일 수 있으나, 이에 한정되는 것은 아니다.In the embodiments of the present invention, the fluidizing agent may be colloidal silicon dioxide, light anhydrous silicic acid, magnesium aluminate silicate, silicon dioxide, polyvinyl alcohol, hydrated silicon dioxide, or a mixture thereof, but is not limited thereto.
본 발명의 실시예들에 있어서, 상기 활택제는 스테아르산마그네슘, 스테아르산칼슘, 옥수수 전분, 탈크 및 푸마르산스테아릴나트륨, 경질산화마그네슘 또는 이의 혼합물일 수 있으나, 이에 한정되는 것은 아니며, 구체적으로는 스테아르산마그네슘일 수 있다. In embodiments of the present invention, the lubricant may be magnesium stearate, calcium stearate, corn starch, talc and sodium stearyl fumarate, light magnesium oxide, or a mixture thereof, but is not limited thereto. It may be magnesium stearate.
본 발명의 실시예들에 있어서, 상기 약제학적 조성물은, In embodiments of the present invention, the pharmaceutical composition,
상기 약제학적 조성물 총 중량을 기준으로, 상기 다파글리플로진, 이의 약학적으로 허용 가능한 염, 이의 수화물, 이의 공결정형 또는 이의 용매화물; 및 리나글립틴, 이의 약학적으로 허용 가능한 염, 이의 수화물 또는 이의 용매화물을 합하여 약 1.5 내지 약 10 중량%, 1종 이상의 부형제 10 내지 85 중량%, 1종 이상의 결합제 및 1종 이상의 붕해제 약 0.2 내지 10 중량%로 포함할 수 있다. Based on the total weight of the pharmaceutical composition, the dapagliflozin, a pharmaceutically acceptable salt thereof, a hydrate thereof, a co-crystalline form thereof, or a solvate thereof; And linagliptin, a pharmaceutically acceptable salt thereof, a hydrate thereof or a solvate thereof, in combination of about 1.5 to about 10% by weight, 10 to 85% by weight of at least one excipient, at least one binder, and at least one disintegrant drug. It may contain 0.2 to 10% by weight.
본 발명의 약제학적 조성물에서, 상기 부형제는 구체적으로 약제학적 조성물의 총 중량을 기준으로 10 내지 85 중량%로 포함될 수 있다. In the pharmaceutical composition of the present invention, the excipient may be specifically included in an amount of 10 to 85% by weight based on the total weight of the pharmaceutical composition.
본 발명의 약제학적 조성물에서, 상기 결합제는 구체적으로 약제학적 조성물의 총 중량을 기준으로 0.2 내지 15 중량%로 포함될 수 있다. In the pharmaceutical composition of the present invention, the binder may be specifically included in an amount of 0.2 to 15% by weight based on the total weight of the pharmaceutical composition.
본 발명의 약제학적 조성물에서, 사익 붕해제는 구체적으로 약제학적 조성물의 총 중량을 기준으로 0.2 내지 10 중량%로 포함될 수 있다. In the pharmaceutical composition of the present invention, the disintegrant may be specifically contained in an amount of 0.2 to 10% by weight based on the total weight of the pharmaceutical composition.
본 발명의 실시예들 있어서, 상기 약제학적 조성물은 과립제, 캡슐제 또는 정제 형태일 수 있으며, 구체적으로는 정제 형태일 수 있다.In embodiments of the present invention, the pharmaceutical composition may be in the form of granules, capsules, or tablets, and specifically may be in the form of tablets.
상기 정제는 코팅층이 존재하지 않는 정제, 및 하나 이상의 코팅층이 존재하는 정제를 포함하며, 단일층 또는 다중층일 수 있다. 또한, 상기 정제는 소형(mini) 정제, 용융 정제, 씹어먹는 정제, 발포성 정제 및 구강내 붕해정을 포함할 수 있다. The tablet includes a tablet without a coating layer and a tablet with one or more coating layers, and may be a single layer or multiple layers. Further, the tablets may include mini tablets, melt tablets, chewable tablets, effervescent tablets, and oral disintegrating tablets.
본 발명의 실시예들에 있어서, 상기 약제학적 조성물은 이층정 또는 이중정 또는 단일층 정제일 수 있으며, 구체적으로는 단일층 정제일 수 있으나 이에 한정되지는 않는다.In embodiments of the present invention, the pharmaceutical composition may be a double-layer tablet, a double-layer tablet, or a single-layer tablet, and specifically, may be a single-layer tablet, but is not limited thereto.
본 발명에서, 단일층 정제는 코팅층을 제외하고 정제에 구성이 서로 다른 별도의 층이 존재하지 않는 것을 의미한다. In the present invention, a single-layer tablet means that there are no separate layers having different compositions in the tablet except for the coating layer.
상기 이층정 또는 이중정은 코팅층을 제외하고 서로 다른 두 개의 층이 존재하는 정제를 의미하는 것으로 이층정은 코팅을 제외하고 서로 다른 주성분을 포함하는 두 개의 층이 각각 적층되어 있는 것을 의미하며, 상기 이중정은 코팅층을 제외하고 내핵정의 표면을 감싸도록 추가의 층을 내핵정의 표면 상에 형성한 정제를 의미한다. The two-layered tablet or the double-layered tablet refers to a tablet in which two different layers excluding the coating layer exist, and the two-layered tablet means that two layers each containing different main components except for the coating are stacked, and the double-layered tablet is It means a tablet in which an additional layer is formed on the surface of the inner core tablet to cover the surface of the inner core tablet excluding the coating layer.
또한, 상기 코팅층은 유효성분이 존재하지 않으며, 정제의 외부를 둘러싼 층을 의미한다. 상기 코팅층은 코팅층을 제외한 정제 전체의 중량을 기준으로 약 1 중량% 내지 5중량%가 되도록 형성될 수 있으며, 구체적으로는 약 2 중량% 내지 약 4 중량%가 되도록 형성될 수 있다. In addition, the coating layer does not contain an active ingredient and refers to a layer surrounding the outside of the tablet. The coating layer may be formed to be about 1% to 5% by weight based on the total weight of the tablet excluding the coating layer, and specifically may be formed to be about 2% to about 4% by weight.
본 발명의 단일층 정제의 중량은 100 내지 300 mg일 수 있으며, 구체적으로는 180 내지 220 mg일 수 있다.The weight of the single-layer tablet of the present invention may be 100 to 300 mg, specifically 180 to 220 mg.
상기 약제학적 조성물은 유효성분으로 다파글리플로진과 리나글립틴을 모두 포함하고 있음에도 불구하고 단일층의 정제로 제조가능하며, 일정 이하의 크기를 유지할 수 있어, 환자의 복약 편의성을 현저히 개선할 수 있다. Although the pharmaceutical composition contains both dapagliflozin and linagliptin as active ingredients, it can be prepared as a single-layer tablet, and it can maintain a size less than a certain level, thus significantly improving the patient's medication convenience. have.
본 발명의 구체적인 일 실험예에 따르면, 본 발명의 약제학적 조성물은 60℃ 및 80% 상대습도에서 4주 동안 저장되는 경우, 다파글리플로진, 이의 약학적으로 허용 가능한 염, 이의 수화물, 이의 공결정형 또는 이의 용매화물; 및 리나글립틴, 이의 약학적으로 허용 가능한 염, 이의 수화물 또는 이의 용매화물의 분해물은,According to a specific experimental example of the present invention, when the pharmaceutical composition of the present invention is stored for 4 weeks at 60° C. and 80% relative humidity, dapagliflozin, a pharmaceutically acceptable salt thereof, a hydrate thereof, Co-crystalline form or solvate thereof; And a decomposition product of linagliptin, a pharmaceutically acceptable salt thereof, a hydrate thereof or a solvate thereof,
다파글리플로진, 이의 약학적으로 허용 가능한 염, 이의 수화물, 이의 공결정형 또는 이의 용매화물; 리나글립틴, 이의 약학적으로 허용 가능한 염, 이의 수화물 또는 이의 용매화물; 및 이들의 분해물 (다파글리플로진, 이의 약학적으로 허용 가능한 염, 이의 수화물, 이의 공결정형 또는 이의 용매화물의 분해물 및 리나글립틴, 이의 약학적으로 허용 가능한 염, 이의 수화물 또는 이의 용매화물의 분해물) 들의 총량을 기준으로 총 1 % 미만으로 유지될 수 있다. Dapagliflozin, a pharmaceutically acceptable salt thereof, a hydrate thereof, a co-crystalline form thereof, or a solvate thereof; Linagliptin, a pharmaceutically acceptable salt thereof, a hydrate thereof or a solvate thereof; And a decomposition product thereof (dapagliflozin, a pharmaceutically acceptable salt thereof, a hydrate thereof, a co-crystal form thereof, or a decomposition product thereof, and linagliptin, a pharmaceutically acceptable salt thereof, a hydrate or a solvate thereof Decomposition products) can be maintained at less than 1% total based on the total amount.
따라서 본 발명의 약제학적 조성물의 안정성이 우수함을 알 수 있다.Therefore, it can be seen that the stability of the pharmaceutical composition of the present invention is excellent.
본 발명은, 상기 본 발명의 약제학적 조성물을 포함하는 약제학적 경구 투여형 복합제제를 제공한다.The present invention provides a pharmaceutical oral combination formulation comprising the pharmaceutical composition of the present invention.
상기 약제학적 경구 투여형 복합제제는 과립제 형태, 캡슐제 형태 또는 정제 형태일 수 있으며, 바람직하게는 정제 형태이다.The pharmaceutical oral combination formulation may be in the form of granules, capsules, or tablets, preferably in the form of tablets.
또한, 본 발명은 In addition, the present invention
1) 다파글리플로진, 이의 약학적으로 허용 가능한 염, 이의 수화물, 이의 공결정형 또는 이의 용매화물; 리나글립틴, 이의 약학적으로 허용 가능한 염, 이의 수화물 또는 이의 용매화물; 및 부형제를 혼합하여 혼합물을 제조하는 단계;1) Dapagliflozin, a pharmaceutically acceptable salt thereof, a hydrate thereof, a co-crystalline form thereof, or a solvate thereof; Linagliptin, a pharmaceutically acceptable salt thereof, a hydrate thereof or a solvate thereof; And mixing an excipient to prepare a mixture.
2) 상기 혼합물을 습식 과립화 하여 과립을 제조하는 단계; 및2) preparing granules by wet granulating the mixture; And
3) 상기 과립을 건조한 후 메쉬 스크린에 통과시키는 단계3) drying the granules and passing them through a mesh screen
를 포함하는 약제학적 조성물의 제조방법을 제공한다.It provides a method for preparing a pharmaceutical composition comprising a.
상기 제조방법에서 상기 부형제는 만니톨, 전호화 전분, 미결정셀룰로오스, 저치환도히드록시프로필셀룰로오스, 무수인산칼슘, 인산칼슘수화물, 탄산칼슘, 규화미결정셀룰로오스 또는 이의 혼합물을 포함한다.In the above preparation method, the excipients include mannitol, pregelatinized starch, microcrystalline cellulose, low-substituted hydroxypropyl cellulose, anhydrous calcium phosphate, calcium phosphate hydrate, calcium carbonate, silicified microcrystalline cellulose, or mixtures thereof.
상기 다파글리플로진, 이의 약학적으로 허용 가능한 염, 이의 수화물, 이의 공결정형 또는 이의 용매화물; 리나글립틴, 이의 약학적으로 허용 가능한 염, 이의 수화물 또는 이의 용매화물; 및 부형제과 이들의 함량 등은 앞서 상세히 기술한 바와 같다.The dapagliflozin, a pharmaceutically acceptable salt thereof, a hydrate thereof, a co-crystalline form thereof, or a solvate thereof; Linagliptin, a pharmaceutically acceptable salt thereof, a hydrate thereof or a solvate thereof; And excipients and their contents are as described in detail above.
본 발명의 제조방법은 통상적으로 제약회사에서 사용하는 간편한 설비로 우수한 품질을 갖춘 약제학적 조성물 제조법이다. 특히, 별도의 제조설비가 필요하지 않고 공정이 간단하여 제조 생산 비용 절감 효과가 있고, 제형 크기를 획기적으로 줄여 복용 편의성을 향상시켜 복약 순응도를 증대시킬 수 있다.The manufacturing method of the present invention is a method of manufacturing a pharmaceutical composition having excellent quality with a simple facility generally used by pharmaceutical companies. In particular, since a separate manufacturing facility is not required and the process is simple, there is an effect of reducing manufacturing production cost, and by remarkably reducing the size of the dosage form, it is possible to improve the convenience of taking and increase medication compliance.
본 발명의 실시예들에 있어서, 상기 제조방법은 단계 1)에 약제학적으로 허용 가능한 첨가제인 결합제, 붕해제, 유동화제, 활택제 또는 이들의 혼합물추가로 혼합하는 단계를 더 포함할 수 있다. 구체적으로 상기 단계 1)에 약제학적으로 허용 가능한 첨가제중 결합제, 붕해제 또는 이들의 혼합물을 첨가하는 단계가 더 포함될 수 있다. In embodiments of the present invention, the manufacturing method may further include a step of further mixing a binder, a disintegrant, a fluidizing agent, a lubricant, or a mixture thereof, which are pharmaceutically acceptable additives in step 1). Specifically, the step of adding a binder, a disintegrant, or a mixture thereof among pharmaceutically acceptable additives may be further included in step 1).
본 발명의 실시예들에 있어서, 상기 결합제는 용매에 용해된 형태로 첨가될 수 있다. In embodiments of the present invention, the binder may be added in a form dissolved in a solvent.
상기 결합제, 붕해제, 유동화제 및 활택제와 이들의 함량은 앞서 상세히 기술한 바와 같다. The binder, disintegrant, fluidizing agent, and lubricant and their contents are as described in detail above.
본 발명의 실시예들에 있어서, 상기 제조방법은 단계 1), 단계 2) 및 단계 3)에서 다파글리플로진 또는 이의 약학적으로 허용 가능한 염, 이의 수화물, 이의 공결정형 또는 이의 용매화물; 리나글립틴, 이의 약학적으로 허용 가능한 염, 이의 수화물 또는 이의 용매화물; 부형제; 및 약제학적으로 허용 가능한 첨가제의 혼합물의 제조 및 과립화는 동시에 수행되거나 또는 별도로 수행될 있으며, 구체적으로는 각 단계가 별도로 수행될 수 있다. In embodiments of the present invention, the preparation method comprises dapagliflozin or a pharmaceutically acceptable salt thereof, a hydrate thereof, a co-crystalline form thereof, or a solvate thereof in step 1), step 2) and step 3); Linagliptin, a pharmaceutically acceptable salt thereof, a hydrate thereof or a solvate thereof; Excipients; And the preparation and granulation of a mixture of pharmaceutically acceptable additives may be performed simultaneously or separately, and specifically, each step may be performed separately.
본 발명의 실시예들에 있어서, 상기 제조방법은 단계 1) 이전에 다파글리플로진, 이의 약학적으로 허용 가능한 염, 이의 수화물, 이의 공결정형 또는 이의 용매화물; 리나글립틴, 이의 약학적으로 허용 가능한 염, 이의 수화물 또는 이의 용매화물; 부형제 및 약학적으로 허용 가능한 염을 칭량하는 단계를 더 포함할 수 있다. In embodiments of the present invention, the preparation method may include dapagliflozin, a pharmaceutically acceptable salt thereof, a hydrate thereof, a co-crystalline form thereof, or a solvate thereof before step 1); Linagliptin, a pharmaceutically acceptable salt thereof, a hydrate thereof or a solvate thereof; It may further comprise the step of weighing the excipient and the pharmaceutically acceptable salt.
본 발명의 실시예들에 있어서, 상기 과립을 제조하는 단계는, 상기 단계 1)에서 제조된 혼합물에 결합제를 용매에 용해시킨 결합액을 첨가하여 수행될 수 있다. In embodiments of the present invention, the step of preparing the granules may be performed by adding a binder solution obtained by dissolving a binder in a solvent to the mixture prepared in step 1).
본 발명의 실시예들에 있어서, 상기 단계 3)에서 제조된 과립에 유동화제, 활택제 또는 이들의 혼합물을 첨가하여 과립을 함유하는 혼합물을 제조하는 단계를 더 포함할 수 있다. In embodiments of the present invention, the step of preparing a mixture containing granules by adding a fluidizing agent, a lubricant, or a mixture thereof to the granules prepared in step 3) may be further included.
본 발명의 실시예들에 있어서, 상기 단계 3) 이후에 메쉬 스크린에 통과된 과립을 타정하는 단계를 더 포함할 수 있다. 상기 타정은 단층 정제 또는 이층 정제로 제조할 수 있으나, 이에 한정되지는 않는다.In embodiments of the present invention, it may further include the step of tableting the granules passed through the mesh screen after step 3). The tableting may be prepared as a single-layer tablet or a double-layer tablet, but is not limited thereto.
본 발명의 실시예들에 있어서, 상기 제조방법은 선택적으로 타정한 이후에 코팅하는 단계를 더 포함할 수 있다.In embodiments of the present invention, the manufacturing method may further include a step of selectively coating after tableting.
본 발명의 다파글리플로진, 이의 약학적으로 허용 가능한 염, 이의 수화물, 이의 공결정형 또는 이의 용매화물; 및 리나글립틴, 이의 약학적으로 허용 가능한 염, 이의 수화물 또는 이의 용매화물을 활성 성분으로 하는 복합제제는 각각의 단일 성분을 함유하는 제제와 동등한 용출률과 비임상 동등성을 확보하면서도 제품 품질의 안정성을 향상시킬 뿐만 아니라, 정제의 크기를 최소화 함으로써 환자 복용 편의성 및 복약 순응도를 향상 시켜 효과적인 제2형 당뇨병 예방 또는 치료제로 유용하게 사용될 수 있는 장점을 나타낸다.Dapagliflozin of the present invention, a pharmaceutically acceptable salt thereof, a hydrate thereof, a co-crystalline form thereof, or a solvate thereof; And linagliptin, a pharmaceutically acceptable salt thereof, a hydrate thereof or a solvate thereof as an active ingredient, while securing the dissolution rate and nonclinical equivalence equivalent to the formulations containing each single component, stability of product quality It not only improves, but also minimizes the size of the tablet, thereby improving the patient's ease of use and medication compliance, thereby showing the advantage of being useful as an
본 발명의 약제학적 조성물은 제2형 당뇨병의 치료 효과를 향상시키고 부작용을 완화시키며, 다파글리플로진 또는 리나글립틴 각각의 단일 성분을 함유하는 제제와 동등한 용출률과 비임상 동등성을 확보하면서도 정제의 크기를 획기적으로 감소시킬 뿐만 아니라, 제품 품질의 안정성을 향상 시킴으로써 환자 복용 편의성 및 복약 순응도를 향상 시킨 복합제제를 제공할 수 있다.The pharmaceutical composition of the present invention improves the therapeutic effect of
또한, 본 발명의 제조방법은 별도의 제조설비가 필요하지 않고 공정이 간단하여 제조 생산 비용 절감 효과가 있고, 제형 크기를 획기적으로 줄여 복용 편의성을 향상시켜 복약 순응도를 증대시킬 수 있다.In addition, the manufacturing method of the present invention does not require a separate manufacturing facility and the process is simple, thereby reducing manufacturing production cost, and significantly reducing the size of the formulation to improve ease of use, thereby increasing medication compliance.
도 1은, 비교예 1과 비교예 2의 병용투여와 본 발명의 약제학적 조성물의 투여에 대한 다파글리플로진 성분의 비임상 시험 결과를 나타낸 그래프이다.
도 2는, 비교예 1과 비교예 2의 병용투여와 본 발명의 약제학적 조성물의 투여에 대한 리나글립틴 성분의 비임상 시험 결과를 나타낸 그래프이다.
도 3은, 비교예 1, 비교예 2 및 본 발명의 실시예의 중량과 크기에 대한 비교 도표이다.1 is a graph showing the results of a nonclinical test of a dapagliflozin component for the combination administration of Comparative Example 1 and Comparative Example 2 and administration of the pharmaceutical composition of the present invention.
FIG. 2 is a graph showing the results of a nonclinical test of linagliptin components for the combination administration of Comparative Example 1 and Comparative Example 2 and administration of the pharmaceutical composition of the present invention.
3 is a comparison chart of weights and sizes of Comparative Examples 1, 2, and Examples of the present invention.
이하, 실시예를 통하여 본 발명의 구성 및 효과를 더욱 상세히 설명하고자 한다. 이들 실시예는 오로지 본 발명을 예시하기 위한 것일 뿐 본 발명의 범위가 이들 실시예에 의해 제한되는 것은 아니다. 상기 실시예 및 비교예에서 사용된 각 성분들은 모두 공지된 성분으로 구입하여 사용하였다.Hereinafter, the configuration and effects of the present invention will be described in more detail through examples. These examples are for illustrative purposes only, and the scope of the present invention is not limited by these examples. Each of the components used in the above Examples and Comparative Examples were purchased and used as known components.
[실시예][Example]
실시예 1 내지 8: 본 발명에 따른 약제학적 조성물의 제조Examples 1 to 8: Preparation of pharmaceutical compositions according to the invention
하기 표 1의 성분 및 함량에 따라 정제를 제조하였다. 표 1의 함량은 1정 (코팅층 미포함)당 함량을 나타낸다. 이때, 상기 코팅층은 코팅이 되지 않은 정제 중량의 4.0 중량%가 되도록 형성되었다. Tablets were prepared according to the ingredients and contents in Table 1 below. The content in Table 1 represents the content per tablet (not including the coating layer). At this time, the coating layer was formed to be 4.0% by weight of the uncoated tablet weight.
[표 1] 실시예 1 내지 8 성분 및 함량[Table 1] Examples 1 to 8 components and contents
본 발명의 복합제제 제조방법은 상기 표 1에 따라 칭량한 후, 정제수에 결합제를 첨가하여 결합액을 제조한 후, 주성분, 부형제, 유동화제 및 붕해제와 혼합한 후 연합하여 과립을 만들었다. 이후 과립을 건조한 후 메쉬 스크린에 통과시켜 정립한 후, 활택제를 첨가하여 최종 혼합물을 제조하였다. 그리고 최종 혼합물을 타정하여 단일층의 정제를 제조하였다.In the method for preparing a composite formulation of the present invention, after weighing according to Table 1 above, a binder was added to purified water to prepare a binder solution, and then mixed with the main ingredient, excipient, fluidizing agent, and disintegrant, and then combined to form granules. Thereafter, the granules were dried, passed through a mesh screen, and sized, and a lubricant was added to prepare a final mixture. And the final mixture was tableted to prepare a single layer tablet.
비교예 1: SGLT-2 억제제 단일 제제의 준비Comparative Example 1: Preparation of SGLT-2 inhibitor single agent
다파글리플로진 단일 제제로서 다파글리플로진으로서 10mg을 함유하는 포시가®정(한국아스트라제네카)을 사용하였으며, 1정 당 중량은 260mg 이다.As a single formulation of dapagliflozin, Posiga® tablet (AstraZeneca Korea) containing 10mg as dapagliflozin was used, and the weight per tablet is 260mg.
비교예 2: DPP-IV 억제제 단일 제제의 준비Comparative Example 2: Preparation of DPP-IV inhibitor single agent
리나글립틴 단일 제제로서 리나글립틴 5mg을 함유하는 트라젠타®정(한국베링거인겔하임㈜)을 사용하였으며, 1정 당 중량은 185mg 이다.As a single formulation of linagliptin, Tragenta® tablet (Boehringer Ingelheim Korea) containing 5 mg of linagliptin was used, and the weight per tablet is 185 mg.
실험예 1: 안정성 시험Experimental Example 1: Stability test
본 발명의 약제학적 조성물의 안정성을 확인하기 위해 안정성 시험을 실시하였다. 구체적으로 표 2와 같이 복합제제 실시예 1 과비교예 1 및 2 를 가혹 조건(60℃, 80% 상대습도)에서 4주간 저장한 후, 평가하였다.A stability test was conducted to confirm the stability of the pharmaceutical composition of the present invention. Specifically, as shown in Table 2, the composite formulation Example 1 and Comparative Examples 1 and 2 were stored for 4 weeks under severe conditions (60° C., 80% relative humidity), and then evaluated.
[표 2] 복합제제와 비교예 총 유연물질 비교[Table 2] Comparison of total related substances in combination formulation and comparative example
상기 결과에서, 비교예 1, 2 는 가혹 4주 에서 3.5 % 의 총 유연물질을 나타내었지만, 본 발명의 가혹 4주 에서는 0.7 % 의 총 유연물질을 나타내었다. 이는 시판된 제품인 비교예 1, 2 보다 본 발명에서 품질적으로 향상 되었음을 보였다.In the above results, Comparative Examples 1 and 2 showed 3.5% of total related substances in 4 weeks of severe severity, but 0.7% of total related materials in 4 weeks of harshness of the present invention. It was shown that the quality was improved in the present invention than in Comparative Examples 1 and 2, which are commercially available products.
실험예 2: 실시예 1 내지 8과 비교예 1의 용출 시험Experimental Example 2: Dissolution test of Examples 1 to 8 and Comparative Example 1
실시예 1 내지 8의 복합제제와 비교예 1의 단일 제제, USP II 법으로 용출시험 제 1액(pH 1.2)에서 다파글리플로진에 대한 비교용출을 수행하였다.Comparative dissolution of dapagliflozin was performed in the first solution (pH 1.2) of the dissolution test using the combined formulation of Examples 1 to 8 and the single formulation of Comparative Example 1, USP II method.
상기 용출시험 결과는 하기 표 3에 나타내었다.The dissolution test results are shown in Table 3 below.
[표 3] 비교예 1과 실시예 1 내지 8의 용출률 차이[Table 3] Differences in dissolution rates between Comparative Example 1 and Examples 1 to 8
상기의 비교예 1과 실시예 1 내지 8 용출시험 결과와 같이, 부형제를 만니톨, 규화미결정셀룰로오스, 전호화전분, 저치환도히드록시프로필셀룰로오스, 무수인산칼슘, 인산수소칼슘수화물, 탄산칼슘 등으로 제조하였을 시, 비교용출 동등성을 확보할 수 있다.As in the dissolution test results of Comparative Example 1 and Examples 1 to 8 above, excipients were used as mannitol, silicified microcrystalline cellulose, pregelatinized starch, low-substituted hydroxypropyl cellulose, anhydrous calcium phosphate, calcium hydrogen phosphate hydrate, calcium carbonate, etc. When prepared, comparative dissolution equivalence can be secured.
실험예 3: 실시예 1 내지 8과 비교예 2의 용출 시험Experimental Example 3: Dissolution test of Examples 1 to 8 and Comparative Example 2
실시예 1 내지 8의 복합제제와 비교예 2의 단일 제제, USP II 법으로 용출시험 제 1액(pH 1.2)에서 리나글립틴에 대하여 비교용출을 수행하였다.Comparative dissolution was performed for linagliptin in the first solution (pH 1.2) of the dissolution test by the combined formulation of Examples 1 to 8 and the single formulation of Comparative Example 2, USP II method.
상기 용출시험 결과는 하기 표 4에 나타내었다.The dissolution test results are shown in Table 4 below.
[표 4] 비교예 2와 실시예 1 내지 8의 용출률 차이[Table 4] Differences in dissolution rates between Comparative Example 2 and Examples 1 to 8
상기의 비교예 2과 실시예 1 내지 8 용출시험 결과와 같이, 첨가제를 만니톨, 규화미결정셀룰로오스, 전호화전분, 저치환도히드록시프로필셀룰로오스, 무수인산칼슘, 인산수소칼슘수화물, 탄산칼슘 등으로 제조하였을 시, 비교용출 동등성을 확보할 수 있다.As in the dissolution test results of Comparative Example 2 and Examples 1 to 8 above, additives were used as mannitol, silicified microcrystalline cellulose, pregelatinized starch, low-substituted hydroxypropyl cellulose, anhydrous calcium phosphate, calcium hydrogen phosphate hydrate, calcium carbonate, etc. When prepared, comparative dissolution equivalence can be secured.
실험예 4: 비임상 시험Experimental Example 4: Non-clinical test
수컷 비글견을 이용하여 상기 비교예 1과 비교예 2의 병용 투여와 실시예 1의 약물의 체내동태를 비교 평가 하였다. 하기 시험은 절식한 비글견(수컷)에서 경구투여하였으며, Cross-over design을 적용하여 2주의 휴약 기간을 두고 2기에 걸쳐 투여한다.Using a male beagle dog, the combination administration of Comparative Example 1 and Comparative Example 2 and the in vivo kinetics of the drug of Example 1 were compared and evaluated. The following test was orally administered to a fasted beagle dog (male), and administered over two periods with a two-week withdrawal period by applying a cross-over design.
상기 비임상 시험 결과는 하기 표 5과 도 1, 2에 나타내었다.The non-clinical test results are shown in Table 5 below and FIGS. 1 and 2.
[표 5] 본 발명과 비교예의 비임상 결과[Table 5] Non-clinical results of the present invention and comparative examples
(a) SGLT-2 (다파글리플로진)(a) SGLT-2 (dapagliflozin)
(b) DPP-IV (리나글립틴)(b) DPP-IV (linagliptin)
상기의 비교예 1, 2와 본 발명 비임상 시험 결과와 같이, 비임상 동등성을 확보하였다.As shown in Comparative Examples 1 and 2 and the nonclinical test results of the present invention, nonclinical equivalence was secured.
실험예 5: 외관의 관찰Experimental Example 5: Observation of appearance
비교예 1, 2 및 본 발명의 실시예 1의 외관의 사진을 찍어 모양을 관찰하고, 장축, 단축, 두께 및 중량을 측정하였다. Pictures of the appearances of Comparative Examples 1 and 2 and Example 1 of the present invention were taken to observe the shape, and the major axis, minor axis, thickness and weight were measured.
그 결과는 도 3에 나타내었으며, 본 발명의 실시예 1의 복합제제가 비교예 1 및 2의 조합 대비 중량이 약 46.7 % (445mg(260mg+185mg)→208mg) 감소한 것이 확인되었다.The results are shown in Fig. 3, and it was confirmed that the weight of the combination formulation of Example 1 of the present invention decreased by about 46.7% (445mg (260mg+185mg) → 208mg) compared to the combination of Comparative Examples 1 and 2.
Claims (14)
리나글립틴, 이의 약학적으로 허용 가능한 염, 이의 수화물 또는 이의 용매화물; 및
부형제를 포함하며,
상기 부형제는 만니톨, 전호화 전분, 미결정셀룰로오스, 저치환도히드록시프로필셀룰로오스, 인산칼슘, 탄산칼슘 및 규화미결정셀룰로오스로 이루어진 군에서 선택되는 3개 이상을 포함하며, 상기 3개 이상의 부형제는 서로 상이한 것인 경구 투여용 제제.Dapagliflozin, a pharmaceutically acceptable salt thereof, a hydrate thereof, a co-crystalline form thereof, or a solvate thereof;
Linagliptin, a pharmaceutically acceptable salt thereof, a hydrate thereof or a solvate thereof; And
Contains excipients,
The excipients include three or more selected from the group consisting of mannitol, pregelatinized starch, microcrystalline cellulose, low-substituted hydroxypropyl cellulose, calcium phosphate, calcium carbonate, and silicified microcrystalline cellulose, and the three or more excipients are different from each other. The formulation for oral administration.
다파글리플로진, 이의 약학적으로 허용 가능한 염, 이의 수화물, 이의 공결정형 또는 이의 용매화물; 및 리나글립틴, 이의 약학적으로 허용 가능한 염, 이의 수화물 또는 이의 용매화물을 합하여 1.5 내지 10.0 중량%,
3개 이상의 부형제 10 내지 85 중량 %,
1종 이상의 결합제 0.2 내지 15 중량 %, 및
1종 이상의 붕해제 0.2 내지 10 중량 %
를 포함하는 경구 투여용 제제.The method of claim 2, based on the total weight of the pharmaceutical composition
Dapagliflozin, a pharmaceutically acceptable salt thereof, a hydrate thereof, a co-crystalline form thereof, or a solvate thereof; And linagliptin, a pharmaceutically acceptable salt thereof, a hydrate thereof, or a solvate thereof in 1.5 to 10.0% by weight,
10 to 85% by weight of three or more excipients,
0.2 to 15% by weight of at least one binder, and
0.2 to 10% by weight of one or more disintegrants
Formulation for oral administration comprising a.
다파글리플로진, 이의 약학적으로 허용 가능한 염, 이의 수화물, 이의 공결정형 또는 이의 용매화물; 및 리나글립틴, 이의 약학적으로 허용 가능한 염, 이의 수화물 또는 이의 용매화물; 및 이들의 분해물 총량을 기준으로
1 % 미만으로 유지되는 경구 투여용 제제.According to claim 1, When stored for 4 weeks at 60 ℃ and 80% relative humidity, dapagliflozin, a pharmaceutically acceptable salt thereof, a hydrate thereof, a co-crystal form or a solvate thereof; And the amount of the decomposition product of linagliptin, a pharmaceutically acceptable salt thereof, a hydrate thereof or a solvate thereof,
Dapagliflozin, a pharmaceutically acceptable salt thereof, a hydrate thereof, a co-crystalline form thereof, or a solvate thereof; And linagliptin, a pharmaceutically acceptable salt thereof, a hydrate thereof, or a solvate thereof; And based on the total amount of their decomposition products
Formulations for oral administration that remain below 1%.
2) 상기 혼합물을 습식 과립화하여 과립을 제조하는 단계; 및
3) 상기 과립을 건조한 후 메쉬 스크린에 통과시키는 단계
를 포함하는 제 1항의 경구 투여용 제제의 제조방법.1) Dapagliflozin, a pharmaceutically acceptable salt thereof, a hydrate thereof, a co-crystalline form thereof, or a solvate thereof; Linagliptin, a pharmaceutically acceptable salt thereof, a hydrate thereof or a solvate thereof; And mixing an excipient to prepare a mixture.
2) preparing granules by wet granulating the mixture; And
3) drying the granules and passing them through a mesh screen
A method for producing a formulation for oral administration of claim 1 comprising a.
결합제 및, 붕해제로 이루어진 군으로부터 선택된 적어도 하나를 첨가하여 혼합하는 단계를 더 포함하는 것인 제조방법.
The method of claim 11, wherein preparing the mixture,
The manufacturing method further comprises the step of adding and mixing at least one selected from the group consisting of a binder and a disintegrant.
상기 무수인산칼슘은 무수인산삼칼슘(Ca3(PO4)2), 무수인산수소칼슘(CaHPO4) 및 무수인산이수소칼슘(Ca(HPO4)2)으로 이루어진 군으로부터 선택된 적어도 하나이며,
상기 인산칼슘 수화물은 인산수소칼슘수화물 및 인산이수소칼슘수화물로 이루어진 군으로부터 선택된 적어도 하나인 것인, 경구 투여용 제제.The method of claim 1, wherein the calcium phosphate is anhydrous calcium phosphate, calcium phosphate hydrate or a mixture thereof,
The anhydrous calcium phosphate is at least one selected from the group consisting of anhydrous tricalcium phosphate (Ca3(PO4)2), anhydrous calcium hydrogen phosphate (CaHPO4), and anhydrous calcium dihydrogen phosphate (Ca(HPO4)2),
The calcium phosphate hydrate is at least one selected from the group consisting of calcium hydrogen phosphate hydrate and calcium dihydrogen phosphate hydrate, a formulation for oral administration.
Priority Applications (4)
| Application Number | Priority Date | Filing Date | Title |
|---|---|---|---|
| KR1020180055146A KR102204439B1 (en) | 2018-05-14 | 2018-05-14 | Pharmaceutical Composition comprising SGLT-2 inhibitor and DPP-IV inhibitor |
| MYPI2020005974A MY207397A (en) | 2018-05-14 | 2019-05-13 | Pharmaceutical composition comprising sglt-2 inhibitor and dpp-iv inhibitor |
| PCT/KR2019/005753 WO2019221473A1 (en) | 2018-05-14 | 2019-05-13 | Pharmaceutical composition comprising sglt-2 inhibitor and dpp-iv inhibitor |
| PH12020551939A PH12020551939A1 (en) | 2018-05-14 | 2020-11-13 | Pharmaceutical composition comprising sglt-2 inhibitor and dpp-iv inhibitor |
Applications Claiming Priority (1)
| Application Number | Priority Date | Filing Date | Title |
|---|---|---|---|
| KR1020180055146A KR102204439B1 (en) | 2018-05-14 | 2018-05-14 | Pharmaceutical Composition comprising SGLT-2 inhibitor and DPP-IV inhibitor |
Publications (2)
| Publication Number | Publication Date |
|---|---|
| KR20190130432A KR20190130432A (en) | 2019-11-22 |
| KR102204439B1 true KR102204439B1 (en) | 2021-01-18 |
Family
ID=68540482
Family Applications (1)
| Application Number | Title | Priority Date | Filing Date |
|---|---|---|---|
| KR1020180055146A Active KR102204439B1 (en) | 2018-05-14 | 2018-05-14 | Pharmaceutical Composition comprising SGLT-2 inhibitor and DPP-IV inhibitor |
Country Status (4)
| Country | Link |
|---|---|
| KR (1) | KR102204439B1 (en) |
| MY (1) | MY207397A (en) |
| PH (1) | PH12020551939A1 (en) |
| WO (1) | WO2019221473A1 (en) |
Cited By (1)
| Publication number | Priority date | Publication date | Assignee | Title |
|---|---|---|---|---|
| WO2023055116A1 (en) * | 2021-09-30 | 2023-04-06 | 주식회사 대웅제약 | Pharmaceutical composition comprising enavogliflozin |
Families Citing this family (7)
| Publication number | Priority date | Publication date | Assignee | Title |
|---|---|---|---|---|
| EP4082532A4 (en) * | 2019-12-24 | 2024-03-13 | Hanmi Pharm. Co., Ltd. | COMPLEX FORMULATION WITH SITAGLITIN AND DAPAGLIFLOZIN AND METHOD FOR THE PRODUCTION THEREOF |
| KR102856843B1 (en) * | 2020-03-30 | 2025-09-08 | 한미약품 주식회사 | A composite tablet containing sitagliptin, dapagliflozin, metformin |
| KR102838283B1 (en) * | 2020-07-10 | 2025-07-25 | 한미약품 주식회사 | Composite formulation comprising sitagliptin and dapagliflozin and a process for the preparation thereof |
| PH12023550900A1 (en) | 2020-10-13 | 2024-03-04 | Lg Chemical Ltd | Oral combined formulation including gemigliptin and dapagliflozin and preparation method therefor |
| WO2022119543A1 (en) * | 2020-12-03 | 2022-06-09 | Sanovel Ilac Sanayi Ve Ticaret Anonim Sirketi | A process for tablet formulations comprising amorphous dapagliflozin and metformin hydrochloride |
| US20250082641A1 (en) * | 2021-07-26 | 2025-03-13 | Unison Pharmaceuticals Pvt. Ltd. | A pharmaceutical composition comprising combination of sglt2 inhibitor and dpp-iv inhibitor |
| KR20250154775A (en) * | 2024-04-22 | 2025-10-29 | 제이피바이오 주식회사 | Pharmaceutical formulation with improved stability comprising Dapagliflozin, Linagliptin and Metaformin |
Citations (1)
| Publication number | Priority date | Publication date | Assignee | Title |
|---|---|---|---|---|
| KR101694136B1 (en) * | 2009-02-13 | 2017-01-09 | 베링거 인겔하임 인터내셔날 게엠베하 | Pharmaceutical composition comprising a SGLT2 inhibitor, a DPP-IV inhibitor and optionally a further antidiabetic agent and uses thereof |
Family Cites Families (22)
| Publication number | Priority date | Publication date | Assignee | Title |
|---|---|---|---|---|
| PH12000002657B1 (en) | 1999-10-12 | 2006-02-21 | Bristol Myers Squibb Co | C-aryl glucoside SGLT2 inhibitors |
| US6515117B2 (en) | 1999-10-12 | 2003-02-04 | Bristol-Myers Squibb Company | C-aryl glucoside SGLT2 inhibitors and method |
| JP4181605B2 (en) | 2004-03-16 | 2008-11-19 | ベーリンガー インゲルハイム インターナショナル ゲゼルシャフト ミット ベシュレンクテル ハフツング | Glucopyranosyl-substituted phenyl derivatives, pharmaceuticals containing the compounds, and uses and production methods thereof |
| AR051446A1 (en) | 2004-09-23 | 2007-01-17 | Bristol Myers Squibb Co | C-ARYL GLUCOSIDS AS SELECTIVE INHIBITORS OF GLUCOSE CONVEYORS (SGLT2) |
| JP2008524162A (en) | 2004-12-16 | 2008-07-10 | ベーリンガー インゲルハイム インターナショナル ゲゼルシャフト ミット ベシュレンクテル ハフツング | Glucopyranosyl-substituted benzene derivative, drug containing the compound, use thereof and production method thereof |
| UA91546C2 (en) | 2005-05-03 | 2010-08-10 | Бьорінгер Інгельхайм Інтернаціональ Гмбх | Crystalline form of 1-chloro-4-(я-d-glucopyranos-1-yl)-2-[4-((s)-tetrahydrofuran-3-yloxy)-benzyl]-benzene, a method for its preparation and the use thereof for preparing medicaments |
| US7723309B2 (en) | 2005-05-03 | 2010-05-25 | Boehringer Ingelheim International Gmbh | Crystalline forms of 1-chloro-4-(β-D-glucopyranos-1-yl)-2-[4-((R)-tetrahydrofuran-3-yloxy)-benzyl]-benzene, a method for its preparation and the use thereof for preparing medicaments |
| JP5175191B2 (en) | 2005-08-30 | 2013-04-03 | ベーリンガー インゲルハイム インターナショナル ゲゼルシャフト ミット ベシュレンクテル ハフツング | Glycopyranosyl-substituted benzylbenzene derivative, pharmaceutical containing the compound, and use and production method thereof |
| TW200745075A (en) | 2005-09-08 | 2007-12-16 | Boehringer Ingelheim Int | Crystalline forms of 1-chloro-4-(β-D-glucopyranos-1-yl)-2-(4-ethynyl-benzyl)-benzene, methods for its preparation and the use thereof for preparing medicaments |
| AR056195A1 (en) | 2005-09-15 | 2007-09-26 | Boehringer Ingelheim Int | PROCEDURES TO PREPARE DERIVATIVES OF (ETINIL-BENCIL) -BENZENE REPLACED GLUCOPYRANOSIL AND INTERMEDIATE COMPOUNDS OF THE SAME |
| US7745414B2 (en) | 2006-02-15 | 2010-06-29 | Boehringer Ingelheim International Gmbh | Glucopyranosyl-substituted benzonitrile derivatives, pharmaceutical compositions containing such compounds, their use and process for their manufacture |
| PE20080697A1 (en) | 2006-05-03 | 2008-08-05 | Boehringer Ingelheim Int | BENZONITRILE DERIVATIVES SUBSTITUTED WITH GLUCOPYRANOSIL, PHARMACEUTICAL COMPOSITIONS CONTAINING COMPOUNDS OF THIS TYPE, THEIR USE AND PROCEDURE FOR THEIR MANUFACTURE |
| US7919598B2 (en) | 2006-06-28 | 2011-04-05 | Bristol-Myers Squibb Company | Crystal structures of SGLT2 inhibitors and processes for preparing same |
| EP2086991A1 (en) | 2006-10-27 | 2009-08-12 | Boehringer Ingelheim International GmbH | CRYSTALLINE FORM OF 4-(ß-D-GLUCOPYRANOS-1-YL)-1-METHYL-2-[4-((S)-TETRAHYDROFURAN-3-YLOXY)-BENZYL]-BENZENE, A METHOD FOR ITS PREPARATION AND THE USE THEREOF FOR PREPARING MEDICAMENTS |
| US7879806B2 (en) | 2006-11-06 | 2011-02-01 | Boehringer Ingelheim International Gmbh | Glucopyranosyl-substituted benzyl-benzonitrile derivates, medicaments containing such compounds, their use and process for their manufacture |
| AR063627A1 (en) | 2006-11-09 | 2009-02-04 | Boehringer Ingelheim Int | COMBINED THERAPY WITH SGL INHIBITORS T-2 AND ITS PHARMACEUTICAL COMPOSITIONS |
| PE20090603A1 (en) * | 2007-08-16 | 2009-06-11 | Boehringer Ingelheim Int | PHARMACEUTICAL COMPOSITION INCLUDING A SGLT2 INHIBITOR AND A DPP IV INHIBITOR |
| CL2008003653A1 (en) * | 2008-01-17 | 2010-03-05 | Mitsubishi Tanabe Pharma Corp | Use of a glucopyranosyl-derived sglt inhibitor and a selected dppiv inhibitor to treat diabetes; and pharmaceutical composition. |
| UY32427A (en) | 2009-02-13 | 2010-09-30 | Boheringer Ingelheim Internat Gmbh | PHARMACEUTICAL COMPOSITION, PHARMACEUTICAL FORM, PROCEDURE FOR PREPARATION, METHODS OF TREATMENT AND USES OF THE SAME |
| TW201636015A (en) * | 2013-07-05 | 2016-10-16 | 卡地拉保健有限公司 | Synergistic compositions |
| AU2014295137B2 (en) | 2013-07-22 | 2019-01-17 | Sandoz Ag | Formulations containing amorphous dapagliflozin |
| US10792280B2 (en) * | 2016-08-12 | 2020-10-06 | Novmetapharma Co., Ltd. | Pharmaceutical composition comprising amodiaquine and anti-diabetes drug as effective ingredient for prevention or treatment of diabetes |
-
2018
- 2018-05-14 KR KR1020180055146A patent/KR102204439B1/en active Active
-
2019
- 2019-05-13 WO PCT/KR2019/005753 patent/WO2019221473A1/en not_active Ceased
- 2019-05-13 MY MYPI2020005974A patent/MY207397A/en unknown
-
2020
- 2020-11-13 PH PH12020551939A patent/PH12020551939A1/en unknown
Patent Citations (1)
| Publication number | Priority date | Publication date | Assignee | Title |
|---|---|---|---|---|
| KR101694136B1 (en) * | 2009-02-13 | 2017-01-09 | 베링거 인겔하임 인터내셔날 게엠베하 | Pharmaceutical composition comprising a SGLT2 inhibitor, a DPP-IV inhibitor and optionally a further antidiabetic agent and uses thereof |
Cited By (1)
| Publication number | Priority date | Publication date | Assignee | Title |
|---|---|---|---|---|
| WO2023055116A1 (en) * | 2021-09-30 | 2023-04-06 | 주식회사 대웅제약 | Pharmaceutical composition comprising enavogliflozin |
Also Published As
| Publication number | Publication date |
|---|---|
| KR20190130432A (en) | 2019-11-22 |
| MY207397A (en) | 2025-02-25 |
| PH12020551939A1 (en) | 2021-06-28 |
| WO2019221473A1 (en) | 2019-11-21 |
Similar Documents
| Publication | Publication Date | Title |
|---|---|---|
| KR102204439B1 (en) | Pharmaceutical Composition comprising SGLT-2 inhibitor and DPP-IV inhibitor | |
| CN1138529C (en) | Fizzy formulation | |
| CN103751192A (en) | Pharmaceutical composition comprising linagliptin and optional SGLT2 inhibitor and uses thereof | |
| KR20230001000A (en) | Empagliflozin and Metformin Combination Formulation with Improved Drug-Release Properties | |
| KR101302883B1 (en) | Pharmaceutical composition comprising telmisartan with improved stability and preparation method thereof | |
| KR20210084053A (en) | Pharmaceutical composite formulation comprising empagliflozin and metformin and method for manufacturing the same | |
| KR101272470B1 (en) | Immediate-release and sustained-release pharmaceutical composition comprising levodropropizine | |
| KR101526825B1 (en) | Pharmaceutical Compositions for The Treatment of Diabetes | |
| WO2019203771A2 (en) | Solid oral pharmaceutical compositions comprising sitagliptin | |
| WO2014034842A1 (en) | Combination of sglt2 inhibitor and anti-hypertension drug | |
| KR101512386B1 (en) | METHYLGENIDID AND METHORPHIN COMPOSITION AND PROCESS FOR PRODUCING THE SAME | |
| WO2013062902A2 (en) | Pharmaceutical compositions of combinations of dipeptidyl peptidase-4 inhibitors with atorvastatin | |
| EP2867199B1 (en) | Stable compositions of fesoterodine | |
| CA3185535A1 (en) | The process for the preparation of a film coated tablet comprising linagliptin and metformin | |
| KR102760956B1 (en) | Oral combination preparation comprising gemigliptin and dapagliflozin, and method for preparing thereof | |
| KR102330597B1 (en) | Novel Pharmaceutical Formulation with Improved Stability Comprising Amorphous Empagliflozin | |
| KR102022694B1 (en) | Pharmaceutical composition | |
| EP4025194A1 (en) | A combination comprising vildagliptin and metformin | |
| KR101920996B1 (en) | A Complex Formulation Comprising HMG-CoA Reductase Inhibitor and Calcium Channel Blocker | |
| KR102531045B1 (en) | Pharmaceutical combination preparation comprising proton pump inhibitor and antacid | |
| WO2022119540A2 (en) | A process for formulations of dapagliflozin and metformin hydrochloride | |
| EP3781261B1 (en) | Oral pharmaceutical compositions comprising dpp-4 inhibitor | |
| EP4454641A1 (en) | Method for preparing oral composite tablet containing proton pump inhibitor and antacid and oral composite tablet prepared thereby | |
| KR102882732B1 (en) | Combined pharmaceutical composition for treating hypertension | |
| RU2827705C1 (en) | Oral combined preparation containing hemigliptin and dapagliflozin, and method for preparation thereof |
Legal Events
| Date | Code | Title | Description |
|---|---|---|---|
| A201 | Request for examination | ||
| PA0109 | Patent application |
St.27 status event code: A-0-1-A10-A12-nap-PA0109 |
|
| PA0201 | Request for examination |
St.27 status event code: A-1-2-D10-D11-exm-PA0201 |
|
| R18-X000 | Changes to party contact information recorded |
St.27 status event code: A-3-3-R10-R18-oth-X000 |
|
| D13-X000 | Search requested |
St.27 status event code: A-1-2-D10-D13-srh-X000 |
|
| D14-X000 | Search report completed |
St.27 status event code: A-1-2-D10-D14-srh-X000 |
|
| E902 | Notification of reason for refusal | ||
| PE0902 | Notice of grounds for rejection |
St.27 status event code: A-1-2-D10-D21-exm-PE0902 |
|
| PG1501 | Laying open of application |
St.27 status event code: A-1-1-Q10-Q12-nap-PG1501 |
|
| T11-X000 | Administrative time limit extension requested |
St.27 status event code: U-3-3-T10-T11-oth-X000 |
|
| T11-X000 | Administrative time limit extension requested |
St.27 status event code: U-3-3-T10-T11-oth-X000 |
|
| R18-X000 | Changes to party contact information recorded |
St.27 status event code: A-3-3-R10-R18-oth-X000 |
|
| E13-X000 | Pre-grant limitation requested |
St.27 status event code: A-2-3-E10-E13-lim-X000 |
|
| P11-X000 | Amendment of application requested |
St.27 status event code: A-2-2-P10-P11-nap-X000 |
|
| P13-X000 | Application amended |
St.27 status event code: A-2-2-P10-P13-nap-X000 |
|
| E701 | Decision to grant or registration of patent right | ||
| PE0701 | Decision of registration |
St.27 status event code: A-1-2-D10-D22-exm-PE0701 |
|
| GRNT | Written decision to grant | ||
| PR0701 | Registration of establishment |
St.27 status event code: A-2-4-F10-F11-exm-PR0701 |
|
| PR1002 | Payment of registration fee |
St.27 status event code: A-2-2-U10-U11-oth-PR1002 Fee payment year number: 1 |
|
| PG1601 | Publication of registration |
St.27 status event code: A-4-4-Q10-Q13-nap-PG1601 |
|
| R18-X000 | Changes to party contact information recorded |
St.27 status event code: A-5-5-R10-R18-oth-X000 |
|
| R18-X000 | Changes to party contact information recorded |
St.27 status event code: A-5-5-R10-R18-oth-X000 |
|
| PR1001 | Payment of annual fee |
St.27 status event code: A-4-4-U10-U11-oth-PR1001 Fee payment year number: 4 |
|
| PR1001 | Payment of annual fee |
St.27 status event code: A-4-4-U10-U11-oth-PR1001 Fee payment year number: 5 |
|
| U11 | Full renewal or maintenance fee paid |
Free format text: ST27 STATUS EVENT CODE: A-4-4-U10-U11-OTH-PR1001 (AS PROVIDED BY THE NATIONAL OFFICE) Year of fee payment: 5 |








