KR102111248B1 - New Empagliflozin cocrystal - Google Patents
New Empagliflozin cocrystal Download PDFInfo
- Publication number
- KR102111248B1 KR102111248B1 KR1020190178752A KR20190178752A KR102111248B1 KR 102111248 B1 KR102111248 B1 KR 102111248B1 KR 1020190178752 A KR1020190178752 A KR 1020190178752A KR 20190178752 A KR20190178752 A KR 20190178752A KR 102111248 B1 KR102111248 B1 KR 102111248B1
- Authority
- KR
- South Korea
- Prior art keywords
- empagliflozin
- crystal
- acid
- present
- fumaric acid
- Prior art date
- Legal status (The legal status is an assumption and is not a legal conclusion. Google has not performed a legal analysis and makes no representation as to the accuracy of the status listed.)
- Expired - Fee Related
Links
Images
Classifications
-
- C—CHEMISTRY; METALLURGY
- C07—ORGANIC CHEMISTRY
- C07D—HETEROCYCLIC COMPOUNDS
- C07D407/00—Heterocyclic compounds containing two or more hetero rings, at least one ring having oxygen atoms as the only ring hetero atoms, not provided for by group C07D405/00
- C07D407/02—Heterocyclic compounds containing two or more hetero rings, at least one ring having oxygen atoms as the only ring hetero atoms, not provided for by group C07D405/00 containing two hetero rings
- C07D407/12—Heterocyclic compounds containing two or more hetero rings, at least one ring having oxygen atoms as the only ring hetero atoms, not provided for by group C07D405/00 containing two hetero rings linked by a chain containing hetero atoms as chain links
-
- C—CHEMISTRY; METALLURGY
- C07—ORGANIC CHEMISTRY
- C07H—SUGARS; DERIVATIVES THEREOF; NUCLEOSIDES; NUCLEOTIDES; NUCLEIC ACIDS
- C07H15/00—Compounds containing hydrocarbon or substituted hydrocarbon radicals directly attached to hetero atoms of saccharide radicals
- C07H15/26—Acyclic or carbocyclic radicals, substituted by hetero rings
-
- A—HUMAN NECESSITIES
- A61—MEDICAL OR VETERINARY SCIENCE; HYGIENE
- A61K—PREPARATIONS FOR MEDICAL, DENTAL OR TOILETRY PURPOSES
- A61K31/00—Medicinal preparations containing organic active ingredients
- A61K31/33—Heterocyclic compounds
- A61K31/335—Heterocyclic compounds having oxygen as the only ring hetero atom, e.g. fungichromin
- A61K31/35—Heterocyclic compounds having oxygen as the only ring hetero atom, e.g. fungichromin having six-membered rings with one oxygen as the only ring hetero atom
- A61K31/351—Heterocyclic compounds having oxygen as the only ring hetero atom, e.g. fungichromin having six-membered rings with one oxygen as the only ring hetero atom not condensed with another ring
-
- A—HUMAN NECESSITIES
- A61—MEDICAL OR VETERINARY SCIENCE; HYGIENE
- A61K—PREPARATIONS FOR MEDICAL, DENTAL OR TOILETRY PURPOSES
- A61K31/00—Medicinal preparations containing organic active ingredients
- A61K31/70—Carbohydrates; Sugars; Derivatives thereof
- A61K31/7042—Compounds having saccharide radicals and heterocyclic rings
- A61K31/7048—Compounds having saccharide radicals and heterocyclic rings having oxygen as a ring hetero atom, e.g. leucoglucosan, hesperidin, erythromycin, nystatin, digitoxin or digoxin
-
- A—HUMAN NECESSITIES
- A61—MEDICAL OR VETERINARY SCIENCE; HYGIENE
- A61P—SPECIFIC THERAPEUTIC ACTIVITY OF CHEMICAL COMPOUNDS OR MEDICINAL PREPARATIONS
- A61P3/00—Drugs for disorders of the metabolism
- A61P3/08—Drugs for disorders of the metabolism for glucose homeostasis
- A61P3/10—Drugs for disorders of the metabolism for glucose homeostasis for hyperglycaemia, e.g. antidiabetics
-
- C—CHEMISTRY; METALLURGY
- C07—ORGANIC CHEMISTRY
- C07C—ACYCLIC OR CARBOCYCLIC COMPOUNDS
- C07C57/00—Unsaturated compounds having carboxyl groups bound to acyclic carbon atoms
- C07C57/02—Unsaturated compounds having carboxyl groups bound to acyclic carbon atoms with only carbon-to-carbon double bonds as unsaturation
- C07C57/13—Dicarboxylic acids
- C07C57/15—Fumaric acid
-
- C—CHEMISTRY; METALLURGY
- C07—ORGANIC CHEMISTRY
- C07C—ACYCLIC OR CARBOCYCLIC COMPOUNDS
- C07C59/00—Compounds having carboxyl groups bound to acyclic carbon atoms and containing any of the groups OH, O—metal, —CHO, keto, ether, groups, groups, or groups
- C07C59/235—Saturated compounds containing more than one carboxyl group
- C07C59/245—Saturated compounds containing more than one carboxyl group containing hydroxy or O-metal groups
- C07C59/265—Citric acid
-
- C—CHEMISTRY; METALLURGY
- C07—ORGANIC CHEMISTRY
- C07D—HETEROCYCLIC COMPOUNDS
- C07D207/00—Heterocyclic compounds containing five-membered rings not condensed with other rings, with one nitrogen atom as the only ring hetero atom
- C07D207/02—Heterocyclic compounds containing five-membered rings not condensed with other rings, with one nitrogen atom as the only ring hetero atom with only hydrogen or carbon atoms directly attached to the ring nitrogen atom
- C07D207/18—Heterocyclic compounds containing five-membered rings not condensed with other rings, with one nitrogen atom as the only ring hetero atom with only hydrogen or carbon atoms directly attached to the ring nitrogen atom having one double bond between ring members or between a ring member and a non-ring member
- C07D207/22—Heterocyclic compounds containing five-membered rings not condensed with other rings, with one nitrogen atom as the only ring hetero atom with only hydrogen or carbon atoms directly attached to the ring nitrogen atom having one double bond between ring members or between a ring member and a non-ring member with hetero atoms or with carbon atoms having three bonds to hetero atoms with at the most one bond to halogen, e.g. ester or nitrile radicals, directly attached to ring carbon atoms
- C07D207/24—Oxygen or sulfur atoms
- C07D207/26—2-Pyrrolidones
- C07D207/273—2-Pyrrolidones with hetero atoms or with carbon atoms having three bonds to hetero atoms with at the most one bond to halogen, e.g. ester or nitrile radicals, directly attached to other ring carbon atoms
- C07D207/277—Carbon atoms having three bonds to hetero atoms with at the most one bond to halogen, e.g. ester or nitrile radicals
- C07D207/28—2-Pyrrolidone-5- carboxylic acids; Functional derivatives thereof, e.g. esters, nitriles
-
- C—CHEMISTRY; METALLURGY
- C07—ORGANIC CHEMISTRY
- C07B—GENERAL METHODS OF ORGANIC CHEMISTRY; APPARATUS THEREFOR
- C07B2200/00—Indexing scheme relating to specific properties of organic compounds
- C07B2200/13—Crystalline forms, e.g. polymorphs
Landscapes
- Health & Medical Sciences (AREA)
- Chemical & Material Sciences (AREA)
- Organic Chemistry (AREA)
- Life Sciences & Earth Sciences (AREA)
- Diabetes (AREA)
- General Health & Medical Sciences (AREA)
- Veterinary Medicine (AREA)
- Public Health (AREA)
- Animal Behavior & Ethology (AREA)
- Medicinal Chemistry (AREA)
- Pharmacology & Pharmacy (AREA)
- Engineering & Computer Science (AREA)
- Molecular Biology (AREA)
- Hematology (AREA)
- Epidemiology (AREA)
- General Chemical & Material Sciences (AREA)
- Chemical Kinetics & Catalysis (AREA)
- Obesity (AREA)
- Bioinformatics & Cheminformatics (AREA)
- Endocrinology (AREA)
- Nuclear Medicine, Radiotherapy & Molecular Imaging (AREA)
- Emergency Medicine (AREA)
- Biochemistry (AREA)
- Biotechnology (AREA)
- Genetics & Genomics (AREA)
- Pharmaceuticals Containing Other Organic And Inorganic Compounds (AREA)
- Plural Heterocyclic Compounds (AREA)
Abstract
엠파글리플로진의 문제점인 낮은 안정성 및 수용해도를 개선하기 위해 노력한 결과 안정성 및 수용해도가 120배 이상 증가 된 엠파글리플로진 공결정을 개발하였다. 본 발명에 따른 엠파글리플로진 공결정은 공지된 엠파글리플로진 결정형의 안정성 및 수용해도가 극복된 새로운 고체형태로서 약물로서의 활용을 극대화할 수 있는 최적의 원료의약물질로 매우 유용하다.As a result of efforts to improve low stability and water solubility, which is a problem of empagliflozin, we developed an empagliflozin co-crystal whose stability and water solubility increased by more than 120 times. The empagliflozin co-crystal according to the present invention is a new solid form in which the stability and water solubility of the known empagliflozin crystal form is overcome, and is very useful as an optimal raw material pharmaceutical material capable of maximizing utilization as a drug.
Description
본 발명은 엠파글리플로진의 문제점인 안정성 및 수용해도가 개선된 새로운 엠파글리플로진 공결정을 제공하는 것이다.The present invention provides a new empagliflozin co-crystal having improved stability and water solubility, which is a problem of empagliflozin.
공결정(cocrystals)은 O,OH,N등과 같은 수소결합을 이룰 수 있는 작용기가 풍부하거나 pKa 차이가 3이하 차이가 나는 공동분자(coformer)와 수소결합을 통해 규칙적 비율로 결합하여 새로운 결정구조를 갖는 결정성 고체를 의미한다. Cocrystals have new functional crystal structures, such as O, OH, N, etc., which are rich in functional groups that can form hydrogen bonds, or have a pKa difference of 3 or less, and combine them at regular rates through hydrogen bonding with coformers. Means a crystalline solid.
이런 공결정들은 2분자 이상의 화합물을 포함하기 때문에, 복합체 형태로 표현 될 수 있다. Since these co-crystals contain two or more molecules, they can be expressed in a complex form.
이런 공결정의 형성은 2분자 이상의 새로운 수소결합을 통해 결정구조를 이루기 때문에, 약물의 용해도 및 용해속도를 증가시킬 수 있다. 이로 인해 인체 내의 약물의 흡수율을 변화시켜 생체이용률을 변화시킬 수 있다. Since the formation of such a co-crystal forms a crystal structure through new hydrogen bonding of two or more molecules, the solubility and dissolution rate of the drug can be increased. Due to this, it is possible to change the bioavailability by changing the absorption rate of the drug in the human body.
난용성을 극복하기 위한 공결정의 공동분자 선정은 우선 물에 잘 용해되는 물과 친화적인 분자들이어야 한다. 만약 물과 친화적이지 않고 용해도가 좋지 않은 그런 공동분자의 선정은 약물의 난용성을 극복하지 못하고 오히려 용해도가 낮아지는 현상을 야기시킨다. 때문에 공동분자의 선정은 매우 중요한 필요조건이 된다. The co-molecule selection of co-crystals to overcome poor solubility should be water-friendly molecules that are soluble in water. If such a co-molecule is not water-friendly and has poor solubility, it does not overcome the drug's poor solubility, but rather causes a low solubility. Therefore, the selection of co-molecules is a very important requirement.
그리고 공결정들은 무정형 결정다형, 수화물, 용매화물등을 포함한다.And co-crystals include amorphous polymorphs, hydrates, solvates, and the like.
결정(crystals)은 대체적으로 결정화 과정에서 준안정한 결정을 우선적으로 석출 시킨 후 용매 매개 및 고체 상태에서 보다 안정한 결정구조로 전이하여 열역학적 안정성을 유지하려는 특성을 가지고 있기 때문에, 대체적으로 용매 안에서 상전이(phase transformation)를 통해서 분자들을 재배열하여 보다 안정한 결정구조를 이룬다. Crystals usually have a property to maintain thermodynamic stability by preferentially depositing semi-stable crystals during the crystallization process, and then transitioning to a more stable crystal structure in a solvent-borne and solid state, and thus, phase transitions in the solvent are generally used. transformation) to rearrange the molecules to form a more stable crystal structure.
이로 인해 결정다형이 생성 되며, 이를 ostwald의 rule of stage라 한다. This creates crystalline polymorphism, which is called the ostwald's rule of stage.
그러므로 준안정한 결정과 안정한 결정의 물리화학적 특성이 변화 되는 것이다. 따라서 약물로서 가장 중요한 결정의 열역학적 에너지를 나타내는 용해도의 변화를 야기시키는 것이다. Therefore, the physicochemical properties of metastable and stable crystals are changed. Therefore, it is the drug that causes the change in solubility, which represents the thermodynamic energy of the most important crystal.
그리고 공결정의 공동분자들은 대체적으로 용매 안에서 용매 분자들과 대체되는 상전이 현상을 통해 결정구조가 변화 되거나 공결정 자체의 결정다형의 존재를 확인 할 수 있다. In addition, co-molecules of co-crystals can confirm the existence of crystal polymorphs in the crystal structure or the crystal structure is changed through a phase transition phenomenon that is generally replaced with solvent molecules in a solvent.
그러므로 물안에서 공결정은 수화물로서 상전이 될 수 있으며, 이로 인해 공결정의 용해도가 수화물의 용해도로 변화되는 현상을 야기 시킬 수 있다. Therefore, the co-crystal in water can be phase-shifted as a hydrate, and this can cause a phenomenon in which the solubility of the co-crystal changes to the solubility of the hydrate.
난용성 수화물 결정형에서 공결정을 제조하여도 용해도가 개선되지 않는 이유가 바로 공결정이 수화물로 상전이 되었기 때문이다. The reason why the solubility is not improved even when the co-crystal is prepared in the poorly soluble hydrate crystal form is that the co-crystal has been converted into a hydrate.
그래서 공동분자의 선정이 매우 중요하다. 어떤 공동분자를 사용하느냐에 따라 상전이를 억제하거나 촉진 시킬수 있다(Crystal Growth & Design (2011) 11, 887-895, Recrystallization in Materials Processing Intech: Vienna, Austria, 2015; pp. 173-74, Drug Discovery Today (2008) 13, 440-446).Therefore, the selection of co-molecules is very important. Depending on which co-molecule is used, phase transition can be inhibited or promoted (Crystal Growth & Design (2011) 11, 887-895, Recrystallization in Materials Processing Intech: Vienna, Austria, 2015; pp. 173-74, Drug Discovery Today ( 2008) 13, 440-446).
공결정의 형성은 공결정화(cocrystallization)을 통해 이루어진다.The formation of cocrystals is achieved through cocrystallization.
공결정화 방법은 용매증발법(solvent evaporation technique), 반용매법(anti-solvent method), 용매 첨가 분쇄법(solvent drop grinding), 슬러리법(slurry technique), 고체상태 분쇄법(solid state grinfing) 등이 있다(Recrystallization in Materials Processing Intech: Vienna, Austria, 2015; pp. 173-74).Co-crystallization methods include solvent evaporation technique, anti-solvent method, solvent drop grinding, slurry technique, solid state grinfing, etc. There is (Recrystallization in Materials Processing Intech: Vienna, Austria, 2015; pp. 173-74).
무정형(amorphous)은 분자의 상호작용은 존재하지만 결정배열을 이루지 못하는 고체 상태를 의미한다. 때문에 결정형 보다 높은 에너지 준위를 갖고 있어 결정형 보다 용해도가 높다. 그러나 높은 에너지 준위로 인해 열역학적 안정성이 낮아 결정형으로 매우 빠르게 상전이 되는 문제점을 갖고 있다. Amorphous refers to a solid state in which molecular interactions exist but do not form a crystal arrangement. Therefore, it has a higher energy level than that of the crystalline form, so it has higher solubility than the crystalline form. However, due to the high energy level, the thermodynamic stability is low, and thus it has a problem of rapidly reversing to a crystal form.
무정형형태의 공결정(co-amorphous)은 두 분자 이상의 분자간의 새로운 수소결합을 통해 무정형 고체를 이루어 결정형으로 상전이 되는 현상을 억제 하는 효과를 보일 수 있으며, 높은 용해도를 통해 난용성을 극복 할 수 있는 고체 상태이다. Amorphous co-amorphous forms an amorphous solid through a new hydrogen bond between two or more molecules to suppress the phase change to a crystalline form, and can overcome poor solubility through high solubility. It is in a solid state.
이처럼 결정형으로 상전이 되는 현상을 억제 할 수 있는 이유는 무정형 형태의 유리전이 온도가 약물자체의 무정형보다 높기 때문이다(Advanced Drug Delivery Reviews (2016) 100, 116-125). The reason why it is possible to suppress the phenomenon of phase change to a crystalline form is that the glass transition temperature of the amorphous form is higher than that of the drug itself (Advanced Drug Delivery Reviews (2016) 100, 116-125).
그리고 무정형형태의 공결정의 형성은 결정화속도를 매우 빠르게 제어하여 빠른 높은 과포화도를 빠르게 도달 시키는 결정화 방법을 사용하여야 한다. 대표적으로 감압증발 결정화, 초임계 결정화, 액체질소 결정화, 동결 증발 결정화 등의 매우 극단적으로 결정화속도를 빠르게 유도시키는 방법을 사용한다. In addition, the formation of an amorphous co-crystal should use a crystallization method that controls the crystallization rate very quickly and quickly reaches a high degree of supersaturation. Typically, a method for rapidly inducing crystallization rates such as vacuum evaporation crystallization, supercritical crystallization, liquid nitrogen crystallization, and freeze-evaporation crystallization is used.
하지만 공결정의 형성에서 약물분자와 공동분자와의 상호작용에 의한 수소결합은 매우 다양하기 때문에 이런 극단적인 결정화 방법을 사용하더라도 무정형의 설계 및 제어를 하기는 매우 어렵다(From Molecules to Crystallizers An Introduction to Crystallization 2000; pp. 2-14).However, in the formation of co-crystals, hydrogen bonds due to interactions between drug molecules and co-molecules are very diverse, so even with this extreme crystallization method, it is very difficult to design and control amorphous (From Molecules to Crystallizers An Introduction to
또한 무정형 형태의 공결정에서 안정성에 대한 향상을 확인하기 위해서는 온도시차주사 열량(DSC)분석을 통해 유리전이온도(Tg)가 기존 약물의 무정형보다 높은 온도에서 나타나는지 확인하는 것이 필요하다. 그 이유는 무정형 형태가 존재할 수 있는 온도를 나타내는 것이 유리전이온도이기 때문이다(Advanced Drug Delivery Reviews 100 (2016) 116 -125).In addition, in order to confirm the improvement of stability in the amorphous form of the crystal, it is necessary to confirm whether the glass transition temperature (Tg) is higher than the amorphous form of the existing drug through a temperature differential scanning calorimetry (DSC) analysis. The reason is that the glass transition temperature indicates the temperature at which an amorphous form may exist (Advanced Drug Delivery Reviews 100 (2016) 116 -125).
SGLT-2(sodium/glucose cotransporter 2)는 SGLT-1(sodium/glucose cotransporter 1)과 함께 신장에서의 과도한 혈당 재흡수를 담당하고 있는 수송체이며, SGLT-2가 대부분의 역할을 담당하고 있다. 따라서, SGLT-2 저해제가 SGLT-2 수송제를 억제시키면 소변으로 배출되는 혈당이 늘어나게 되며, 결국 혈당이 낮아지고 더 나아가 혈당이 갖고 있는 칼로리가 배출되어 체중감소의 효과가 발생된다. SGLT-2 (sodium / glucose cotransporter 2), along with SGLT-1 (sodium / glucose cotransporter 1), is a transporter responsible for excessive resorption of blood glucose from the kidneys, and SGLT-2 plays the most role. Therefore, when the SGLT-2 inhibitor inhibits the SGLT-2 transporter, the blood sugar discharged to the urine increases, and eventually the blood sugar is lowered, and furthermore, the calories of the blood sugar are discharged, resulting in the effect of weight loss.
이와 같은 효과로 제2형 당뇨병 치료제로서 유용하게 사용될 수 있는 SGLT-2 억제제로 개발된 약물 중 하나가 엠파글리플로진(Empagliflozin)이며, 베링거인겔하임에서 개발하여 현재 자디앙정이라는 상품명으로 전세계에 판매되고 있다.One of the drugs developed as an SGLT-2 inhibitor that can be usefully used as a treatment for
엠파글리플로진은 하기 구조식(화학식 1)로 표시되며 국제공개특허공보 WO 2005/092877호에서 개시되었다.Empagliflozin is represented by the following structural formula (Chemical Formula 1) and was disclosed in WO 2005/092877.
[화학식 1][Formula 1]
엠파글리플로진은 국제공개특허공보 WO 2006/117359호에 엠파글리플로진 결정형과, 국제공개특허공보 WO 2011/039107호에 엠파글리플로진 결정형을 제조하기 위한 결정화 방법이 개시되어 있다.Empagliflozin discloses a crystal form of empagliflozin in WO 2006/117359 and a crystallization method for producing empagliflozin crystal in WO 2011/039107. .
그러나 국제공개특허공보 WO 2006/117359호에 개시된 엠파글리플로진 결정형은 수용해도가 0.11mg/mL 밖에 되지 않으며, 안정성 또한 저조하다는 사실이 보고되어 있다.However, it has been reported that the empagliflozin crystal form disclosed in International Patent Publication No. WO 2006/117359 has a water solubility of only 0.11 mg / mL and poor stability.
또한 엠파글리플로진은 원료의약품으로서 저조한 안정성 때문에 일정한 품질을 유지하기가 어려워 제제학적으로 유용하지 못한 단점이 있다.In addition, empagliflozin is a drug substance, and it has a disadvantage that it is difficult to maintain a certain quality due to poor stability and thus is not useful as a pharmaceutical.
국제공개특허공보 WO 2011/039107호에는 엠파글리플로진 결정형에 대한 제조방법이 개시되어 있는데, 원심분리 및 냉각 램프를 사용하는 결정화방법에 대한 복잡성이 문제되고 있다.International Patent Publication No. WO 2011/039107 discloses a manufacturing method for an empagliflozin crystal form, and the complexity of the crystallization method using a centrifugation and cooling lamp is problematic.
따라서 본 발명에서는 엠파글리플로진의 낮은 수용해도 및 일정한 품질을 유지 시키지 못하는 좋지 않은 안정성을 극복하기 위해 보다 쉽고 생산성이 용이한 결정화 방법을 이용하여, 엠파글리플로진 공결정을 개발하였다.Therefore, in the present invention, an empagliflozin co-crystal was developed using a crystallization method that is easier and more productive to overcome the poor water solubility of empagliflozin and poor stability that does not maintain a constant quality.
본 명세서 전체에 걸쳐 다수의 논문 및 특허문헌이 참조되고 그 인용이 표시되어 있다. 인용된 논문 및 특허문헌의 개시 내용은 그 전체로서 본 명세서에 참조로 삽입되어 본 발명이 속하는 기술 분야의 수준 및 본 발명의 내용이 보다 명확하게 설명된다.Throughout this specification, a number of papers and patent documents are referenced and their citations are indicated. The disclosures of cited papers and patent documents are incorporated by reference into this specification as a whole, and the level of the technical field to which the present invention pertains and the content of the present invention are more clearly described.
엠파글리플로진의 문제점인 낮은 수용해도 및 안정성을 개선하고자 이에 노력한 결과 본 발명자들은 엠파글리플로진/푸마르산 공결정, 엠파글리플로진/시트르산 무정형형태의 공결정, 엠파글리플로진/L-피루글루탐산 공결정을 개발하였다.As a result of their efforts to improve the low water solubility and stability, which are problems of empagliflozin, the present inventors empagliflozin / fumaric acid co-crystal, empagliflozin / citric acid amorphous form co-crystal, empagliflozin / L-pyruglutamic acid co-crystals were developed.
따라서 본 발명의 목적은 신규한 엠파글리플로진/푸마르산, 엠파글리플로진/시트르산, 엠파글리플로진/L-피루글루탐산 공결정을 제공하는데 있다.Accordingly, an object of the present invention is to provide a novel empagliflozin / fumaric acid, empagliflozin / citric acid, empagliflozin / L-pyruglutamic acid co-crystal.
본 발명의 다른 목적은 상술한 본 발명의 신규한 엠파글리플로진/푸마르산, 엠파글리플로진/시트르산, 엠파글리플로진/L-피루글루탐산 공결정의 제조방법을 제공하는데 있다.Another object of the present invention is to provide a method for producing a novel empagliflozin / fumaric acid, empagliflozin / citric acid, empagliflozin / L-pyruglutamic acid co-crystal of the present invention described above.
본 발명의 다른 목적 및 이점은 하기의 발명의 설명, 청구범위 및 도면에 의해 보다 명확하게 된다.Other objects and advantages of the present invention will become more apparent from the following description of the invention, claims and drawings.
본 발명의 일 양태에 따르면, 본 발명은 한 분자의 엠파글리플로진과 한 분자의 푸마르산이 결합 된 공결정을 제공한다.According to an aspect of the present invention, the present invention provides a co-crystal in which a molecule of empagliflozin and a molecule of fumaric acid are combined.
본 발명의 일 양태에 따르면, 본 발명은 한 분자의 엠파글리플로진과 한 분자의 시트르산이 결합 된 무정형형태의 공결정을 제공한다.According to an aspect of the present invention, the present invention provides an amorphous form of a co-crystal in which a molecule of empagliflozin and a molecule of citric acid are combined.
본 발명의 일 양태에 따르면, 본 발명은 한 분자의 엠파글리플로진과 한 분자의 L-피루글루탐산이 결합 된 공결정을 제공한다.According to an aspect of the present invention, the present invention provides a co-crystal in which one molecule of empagliflozin and one molecule of L-pyruglutamic acid are combined.
본 발명자들은 염기성 무기염류가 아닌 아미노산 또는 유기산인 푸마르산, 시트르산, L-피루글루탐산을 사용하여 엠파글리플로진/푸마르산 공결정, 엠파글리플로진/시트르산 무정형형태의 공결정, 엠파글리플로진/L-피루글루탐산 공결정을 제조하였다.The present inventors use empagliflozin / fumaric acid co-crystals, empagliflozin / citric acid amorphous form co-crystals, empagliflo using amino acids other than basic inorganic salts or organic acids such as fumaric acid, citric acid and L-pyruglutamic acid. Gin / L-pyruglutamic acid co-crystals were prepared.
따라서 본 발명자들은 엠파글리플로진의 낮은 안정성 그리고 수용해도를 극복하고자 수용해도가 매우 높으며, NH, N, O, OH가 풍부한 L-프롤린, L-아르기닌, L-라이신, 푸마릭산, 옥살산, L-피로글루탐산, 시트르산을 선정하여 공결정 설계 및 제조를 시도하였다.Therefore, the present inventors have very high water solubility to overcome the low stability and water solubility of empagliflozin, and L-proline, L-arginine, L-lysine, fumaric acid, oxalic acid, and L rich in NH, N, O, and OH. -Pyroglutamic acid and citric acid were selected to attempt co-crystal design and manufacture.
그 결과 엠파글리플로진/푸마르산 공결정, 엠파글리플로진/시트르산 무정형형태의 공결정, 엠파글리플로진/L-피루글루탐산 공결정을 개발하였다. As a result, empagliflozin / fumaric acid co-crystal, empagliflozin / citric acid amorphous form co-crystal, empagliflozin / L-pyruglutamic acid cocrystal were developed.
따라서 실험적 최적화를 통해 엠파글리플로진/푸마르산 공결정, 엠파글리플로진/시트르산 무정형형태의 공결정, 엠파글리플로진/L-피루글루탐산 공결정을 재현성 있게 제조하는 방법을 확립하였으며, 이렇게 제조한 엠파글리플로진/푸마르산 공결정, 엠파글리플로진/시트르산 무정형형태의 공결정, 엠파글리플로진/L-피루글루탐산 공결정은 기존 엠파글리플로진 결정형 보다 수용해도 및 소장 pH의 용해도가 약 120배 이상 증가되었으며, 경구제 섭취 시 투입 되는 물의 량 250ml에서 충분히 용해 될 수 있기 때문에, 경구 흡수도를 개선시킬 수 있으며, 흡습성 및 안정성 또한 향상되었다.Therefore, through experimental optimization, we established a method for reproducible empagliflozin / fumaric acid co-crystal, empagliflozin / citric acid amorphous co-crystal, and empagliflozin / L-pyruglutamic acid co-crystal, The thus prepared empagliflozin / fumaric acid co-crystal, empagliflozin / citric acid amorphous form co-crystal, empagliflozin / L-pyruglutamic acid co-crystal are more soluble in water than the conventional empagliflozin crystal form and The solubility of the small intestine pH has been increased by about 120 times or more, and since it can be sufficiently dissolved in 250 ml of the amount of water input when ingesting an oral agent, it is possible to improve oral absorption and improve hygroscopicity and stability.
따라서 본 발명의 엠파글리플로진/푸마르산 공결정, 엠파글리플로진/시트르산 무정형형태의 공결정, 엠파글리플로진/L-피루글루탐산 공결정을 사용하면 엠파글리플로진의 안정성 및 수용해도를 개선 시킨 개량신약으로서의 활용이 적절하다.Therefore, when the empagliflozin / fumaric acid co-crystal, empagliflozin / citric acid amorphous form co-crystal, empagliflozin / L-pyruglutamic acid co-crystal are used, the stability and acceptance of empagliflozin It is appropriate to use it as an improved new drug that improved the chart.
본 발명의 일 구현예에 따르면, 상기 엠파글리플로진/푸마르산 공결정은 다음 화학식 2로 표시되는 화합물이다:According to an embodiment of the present invention, the empagliflozin / fumaric acid co-crystal is a compound represented by the following Chemical Formula 2:
[화학식 2][Formula 2]
화학식 2의 엠파글리플로진/푸마르산 공결정은 수소결합에 의해 한 분자의 엠파글리플로진과 한 분자의 푸마르산이 1:1 비율로 공결정을 형성한다. In the empagliflozin / fumaric acid co-crystal of
이와 같은 높은 수용해도를 갖는 푸마르산이 엠파글리플로진과 수소결합으로 인해 공결정을 형성함으로써, 푸마르산과의 상호작용으로 인해 푸마르산이 용해될 때 엠파글리플로진도 함께 물에서 용해되기 때문에, 수용해도 및 소장 pH 6.8 용해도가 증가되는 것이다.Since fumaric acid having such high water solubility forms a co-crystal due to hydrogen bonding with empagliflozin, empagliflozin also dissolves in water when fumaric acid is dissolved due to interaction with fumaric acid, so that water solubility And intestinal pH 6.8 solubility is increased.
본 발명의 엠파글리플로진/푸마르산 공결정은 어디에도 보고된 바 없는 신규한 고체형태이다.The empagliflozin / fumaric acid co-crystal of the present invention is a novel solid form that has not been reported anywhere.
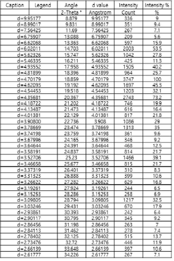
본 발명의 구현예에 따르면, 상기의 엠파글리플로진/푸마르산 공결정은 X선 회절(PXRD)분석에서 2θ 회절각이 14.703±0.2, 15.747± 0.2, 17.958± 0.2, 18.859± 0.2, 19.192± 0.2, 19.518± 0.2, 20.367± 0.2, 25.23± 0.2 및 28.794± 0.2에서 특징적인 피크를 갖는 분말 X선 회절 패턴을 갖는 것을 특징으로 하는 하기 화학식 2로 표기되는 엠파글리플로진/푸마르산 공결정을 제공한다.According to an embodiment of the present invention, the empagliflozin / fumaric acid co-crystal has a 2θ diffraction angle of 14.703 ± 0.2, 15.747 ± 0.2, 17.958 ± 0.2, 18.859 ± 0.2, 19.192 ± in X-ray diffraction (PXRD) analysis. Empagliflozin / fumaric acid co-crystals represented by the following
예컨대 본 발명에 따른 엠파글리플로진/푸마르산 공결정의 일 구현예의 분말 X선 회절의 강도 및 피크 위치는 하기 [표 1]와 같을 수 있다.For example, the intensity and peak position of powder X-ray diffraction of one embodiment of the empagliflozin / fumaric acid co-crystal according to the present invention may be as shown in Table 1 below.
(엠파글리플로진/푸마르산 공결정의 PXRD 강도 및 피크 위치)(PXRD intensity and peak position of empagliflozin / fumaric acid co-crystal)
또한 본 발명은 밀폐 팬을 사용한 온도시차주사 열량(DSC)분석에서 승온속도를 10℃/min으로 하였을 때, 흡열개시온도 145.78℃±3℃에서 나타나고, 흡열온도 148.10℃±3℃에서 나타나는, 그 분자들의 비율이 1:1로 형성된 엠파글리플로진/푸마르산 공결정을 제공한다.In addition, the present invention, when the temperature increase rate is 10 ℃ / min in the temperature differential scanning calorimetry (DSC) analysis using a closed fan, the endothermic initiation temperature appears at 145.78 ℃ ± 3 ℃, endothermic temperature appears at 148.10 ℃ ± 3 ℃, that It provides an empagliflozin / fumaric acid co-crystal with a 1: 1 ratio of molecules.
또한 핵자기공명분광(NMR)분석에서 1H-NMR 스펙트럼이 한분자의 엠파글리플로진과 한분자의 푸마르산이 명확한 그 분자들의 비율이 1:1로 형성된 엠파글리플로진/푸마르산 공결정을 제공한다. In addition, in nuclear magnetic resonance spectroscopy (NMR) analysis, 1 H-NMR spectrum provides an empagliflozin / fumaric acid co-crystal in which the ratio of one molecule of empagliflozin and one molecule of fumaric acid is clearly formed 1: 1. .
본 발명의 일 구현예에 따르면, 상기 무정형형태의 엠파글리플로진/시트르산 공결정은 다음 화학식 3로 표시되는 화합물이다:According to an embodiment of the present invention, the amorphous form of empagliflozin / citric acid co-crystal is a compound represented by the following Chemical Formula 3:
[화학식 3][Formula 3]
화학식 3의 무정형형태의 엠파글리플로진/시트르산 공결정은 수소결합에 의해 한 분자의 엠파글리플로진과 한 분자의 시트르산이 1:1 비율로 공결정을 형성한다. 이와 같은 높은 수용해도를 갖는 시트르산이 엠파글리플로진과 수소결합으로 인해 무정형형태를 이룸으로써 시트르산과의 상호작용으로 인해 시트르산이 용해될 때 엠파글리플로진도 함께 물에서 용해되기 때문에, 수용해도 및 소장 pH 6.8 용해도가 증가 되는 것이다.In the amorphous form of empagliflozin / citric acid in the general formula (3), co-crystals in a 1: 1 ratio of empagliflozin in one molecule and citric acid in one molecule are formed by hydrogen bonding. As citric acid having such a high water solubility forms an amorphous form due to hydrogen bonding with empagliflozin, empagliflozin also dissolves in water when citric acid is dissolved due to interaction with citric acid, so that water solubility and Solubility of the small intestine is increased by 6.8.
본 발명의 무정형형태의 엠파글리플로진/시트르산 공결정은 어디에도 보고된 바 없는 신규한 고체형태이다. The amorphous form of the empagliflozin / citric acid of the present invention is a novel solid form that has not been reported anywhere.
본 발명의 구현예에 따르면, 상기 무정형형태의 엠파글리플로진/시트르산 공결정 또는 복합제는 X선 회절(PXRD)분석에서 2θ 회절각이 무정형형태를 나타내며, 온도시차주사 열량(DSC)분석에서 열량곡선이 무정형형태를 나타내는, 그 분자들의 비율이 1:1로 형성된 무정형형태의 공결정 또는 복합제이다.According to an embodiment of the present invention, the amorphous form of the empagliflozin / citric acid co-crystal or the complex agent exhibits an amorphous form with a 2θ diffraction angle in X-ray diffraction (PXRD) analysis, and a temperature differential scanning calorimetry (DSC) analysis. It is an amorphous form of a co-crystal or a composite agent in which the ratio of the molecules, in which the calorie curve shows an amorphous form, is formed 1: 1.
또한 핵자기공명분광(NMR)분석에서 1H-NMR 스펙트럼이 한분자의 엠파글리플로진과 한분자의 시트르산이 명확한 그 분자들의 비율이 1:1로 형성된 무정형형태의 엠파글리플로진/시트르산 공결정을 제공한다.In addition, in the nuclear magnetic resonance spectroscopy (NMR) analysis, an amorphous empagliflozin / citric acid co-crystal in which 1 H-NMR spectrum is formed by 1: 1 ratio of one molecule of empagliflozin and one molecule of clear citric acid. Gives
본 발명의 일 구현예에 따르면, 상기 엠파글리플로진/L-피루글루탐산 공결정은 다음 화학식 4로 표시되는 화합물이다:According to an embodiment of the present invention, the empagliflozin / L-pyruglutamic acid co-crystal is a compound represented by the following Chemical Formula 4:
[화학식 4][Formula 4]
화학식 4의 엠파글리플로진/L-피루글루탐산 공결정은 수소결합에 의해 한 분자의 엠파글리플로진과 한 분자의 L-피루글루탐산이 1:1 비율로 공결정을 형성한다. 이와 같은 높은 수용해도를 갖는 L-피루글루탐산이 엠파글리플로진과 수소결합으로 인해 공결정을 형성함으로써 L-피루글루탐산과의 상호작용으로 인해 L-피루글루탐산이 용해될 때 엠파글리플로진도 함께 물에서 용해되기 때문에, 수용해도 및 소장 pH 6.8 용해도가 증가 되는 것이다.In the empagliflozin / L-pyruglutamic acid co-crystal of Chemical Formula 4, one molecule of empagliflozin and one molecule of L-pyruglutamic acid form a co-crystal by hydrogen bonding. When L-pyruglutamic acid is dissolved due to the interaction with L-pyruglutamic acid, L-pyruglutamic acid with such high water solubility forms a co-crystal due to hydrogen bonding with empagliflozin, and empagliflozin is also included. Because it is soluble in water, it increases the water solubility and solubility of the small intestine pH 6.8.
본 발명의 엠파글리플로진/L-피루글루탐산 공결정은 어디에도 보고된 바 없는 신규한 고체형태이다.The empagliflozin / L-pyruglutamic acid co-crystal of the present invention is a novel solid form that has not been reported anywhere.
본 발명의 구현예에 따르면, 상기의 엠파글리플로진/L-피루글루탐산 공결정은 X선 회절(PXRD)분석에서 2θ 회절각이 14.715±0.2, 17.974± 0.2, 18.874± 0.2, 20.373± 0.2, 22.171± 0.2, 23.001± 0.2, 24.845± 0.2, 25.691± 0.2 및 27.273± 0.2에서 특징적인 피크를 갖는 분말 X선 회절 패턴을 갖는 것을 특징으로 하는 화학식 4로 표기되는 엠파글리플로진/L-피루글루탐산 공결정을 제공한다. According to the embodiment of the present invention, the empagliflozin / L-pyruglutamic acid co-crystal has a 2θ diffraction angle of 14.715 ± 0.2, 17.974 ± 0.2, 18.874 ± 0.2, 20.373 ± 0.2 in X-ray diffraction (PXRD) analysis. Empagliflozin / L- represented by Formula 4, characterized by having a powder X-ray diffraction pattern with characteristic peaks at 22.171 ± 0.2, 23.001 ± 0.2, 24.845 ± 0.2, 25.691 ± 0.2 and 27.273 ± 0.2. Provides a pyruglutamic acid co-crystal.
예컨대 본 발명에 따른 엠파글리플로진/L-피루글루탐산 공결정의 일 구현예의 분말 X선 회절의 강도 및 피크 위치는 하기 [표 2]와 같을 수 있다.For example, the intensity and peak position of powder X-ray diffraction of one embodiment of the empagliflozin / L-pyruglutamic acid co-crystal according to the present invention may be as shown in Table 2 below.
(엠파글리플로진/L-피루글루탐산 공결정의 PXRD 강도 및 피크 위치)(PXRD intensity and peak position of empagliflozin / L-pyruglutamic acid co-crystal)
또한 본 발명은 밀폐 팬을 사용한 온도시차주사 열량(DSC)분석에서 승온속도를 10℃/min으로 하였을 때, 흡열개시온도 122.98℃±3℃에서 나타나고, 흡열온도 127.09℃±3℃에서 나타나는, 그 분자들의 비율이 1:1로 형성된 엠파글리플로진/L-피루글루탐산 공결정을 제공한다.In addition, the present invention, when the temperature rise rate in the temperature differential scanning calorimeter (DSC) analysis using a sealed fan is 10 ℃ / min, the endothermic initiation temperature appears at 122.98 ℃ ± 3 ℃, endothermic temperature appears at 127.09 ℃ ± 3 ℃, that It provides an empagliflozin / L-pyruglutamic acid co-crystal formed with a 1: 1 ratio of molecules.
또한 핵자기공명분광(NMR)분석에서 1H-NMR 스펙트럼이 한분자의 엠파글리플로진과 한분자의 L-피루글루탐산이 명확한 그 분자들의 비율이 1:1로 형성된 엠파글리플로진/L-피루글루탐산 공결정을 제공한다.In addition, in nuclear magnetic resonance spectroscopy (NMR) analysis, 1 H-NMR spectrum of empagliflozin / L-pyrule in which the ratio of one molecule of empagliflozin and one molecule of L-pyruglutamic acid is clear is 1: 1. Provide a glutamic acid co-crystal.
본 발명의 다른 양태에 따르면, 본 발명은 다음 단계를 포함하는 엠파글리플로진의 공결정 제조방법을 제공한다. According to another aspect of the present invention, the present invention provides a method for producing a co-crystal of empagliflozin comprising the following steps.
(a) 엠파글리플로진 및 유기용매를 혼합하고 이에 유기산을 각각 첨가하는 단계; (b) 상기 단계 (a)의 결과물을 승온시키고 환류 고반하는 단계; (c) 상기 단계 (b)의 결과물을 냉각하고 교반하는 단계; (d) 상기 단계 (c)의 용매의 1/2를 증발시키는 단계; 및 (e) 상기 단계 (d)의 결과물을 진공건조하고 엠파글리플로진 공결정을 수득하는 단계.(a) mixing empagliflozin and an organic solvent and adding an organic acid to each; (b) heating the resultant of step (a) and refluxing; (c) cooling and stirring the result of step (b); (d) evaporating 1/2 of the solvent of step (c); And (e) vacuum drying the result of step (d) to obtain empagliflozin co-crystal.
본 발명자들은 엠파글리플로진의 약제학적으로 유용한 신규 공결정을 제조함과 더불어 제조과정에서 별도의 염류를 붙였다 떼어 내는 공정을 가하지 않아도 매우 순수한 신규 공결정을 높은 수율로 제조할수 있는 방법을 확립하였다. 이 방법은 공결정화 중 용매 증발법이라 한다.The present inventors have established a method of manufacturing a novel co-crystal of empagliflozin and producing a very pure new co-crystal with high yield without adding a separate salt and removing process in the manufacturing process. . This method is called solvent evaporation during co-crystallization.
본 발명의 방법은 상술한 본 발명의 엠파글리플로진/푸마르산 공결정, 엠파글리플로진/시트르산 무정형형태의 공결정, 엠파글리플로진/L-피루글루탐산 공결정을 제조하는 것이기 때문에, 이들 사이에 공통된 내용은 반복 기재에 따른 명세서의 과도한 복잡성을 피하기 위하여, 그 기재를 생략한다.Since the method of the present invention is to prepare the above-described empagliflozin / fumaric acid co-crystal, empagliflozin / citric acid amorphous form co-crystal, empagliflozin / L-pyruglutamic acid co-crystal , In order to avoid the excessive complexity of the specification according to the repetitive description, the contents common to them are omitted.
이하, 엠파글리플로진/푸마르산 공결정, 엠파글리플로진/시트르산 무정형형태의 공결정, 엠파글리플로진/L-피루글루탐산 공결정을 제조하기 위한 본 발명의 방법을 단계별로 상세하게 설명하면 다음과 같다:Hereinafter, empagliflozin / fumaric acid co-crystal, empagliflozin / citric acid amorphous form co-crystal, empagliflozin / L-pyruglutamic acid co-crystal in detail step by step To explain:
(a) 엠파글리플로진 및 유기용매 혼합 및 유기산의 첨가 (a) Empagliflozin and organic solvent mixing and addition of organic acid
우선, 본 발명의 방법은 고체 분말의 엠파글리플로진 및 유기용매를 혼합하고 이에 유기산을 각각 첨가하는 단계를 포함한다.First, the method of the present invention includes the step of mixing the empagliflozin and the organic solvent of the solid powder and adding the organic acid to each.
본 발명의 일 구현예에 따르면, 상기 단계 (a)의 엠파글리플로진은 유기용매의 부피에 대하여 1-30 (w/v)%로 첨가 되고, 보다 바람직하게는 6-25 (w/v)%이며, 보다 더 바람직하게는 10-20 (w/v)%이다.According to one embodiment of the present invention, the empagliflozin of step (a) is added at 1-30 (w / v)% relative to the volume of the organic solvent, more preferably 6-25 (w / v)%, even more preferably 10-20 (w / v)%.
상기 엠파글리플로진 공결정의 제조 시 높은 수율로 엠파글리플로진 공결정을 생성시키고, 과량으로 사용된 유기산의 제거에도 효과적인 용매로 검증된 유기용매는 바람직하게는 메탄올, 에탄올, 이소프로필알콜, 아세톤, 테트라하이드로퓨란, 디메틸 아세트아미드, 디메틸술폭사이드, 디메틸 포름아미드, 클로로포름, 메틸 에틸케톤, 에틸 아세테이트, 메틸렌클로라이드 및 아세토나이트릴로 구성된 유기용매로부터 최소 1종 이상 선택되고, 즉 단일 용매 또는 이의 혼합 용매가 선택되고, 보다 바람직하게는 메탄올, 에탄올, 이소프로필알콜, 또는 아세톤이며, 가장 바람직하게는 메탄올이다.When producing the empagliflozin co-crystal, the organic solvent proven to be an effective solvent for generating empagliflozin co-crystal with high yield and removal of the organic acid used in excess is preferably methanol, ethanol, isopropyl At least one selected from organic solvents consisting of alcohol, acetone, tetrahydrofuran, dimethyl acetamide, dimethyl sulfoxide, dimethyl formamide, chloroform, methyl ethyl ketone, ethyl acetate, methylene chloride and acetonitrile, i.e. a single solvent or A mixed solvent thereof is selected, more preferably methanol, ethanol, isopropyl alcohol, or acetone, and most preferably methanol.
본 발명의 또 다른 구현예에 따르면, 상기 단계 (a)의 유기산은 엠파글리플로진에 대하여 1 내지 1.5 당량의 몰비로 첨가된다.According to another embodiment of the present invention, the organic acid of step (a) is added in a molar ratio of 1 to 1.5 equivalents relative to empagliflozin.
유기산은 각각 엠파글리플로진에 대하여 1 내지 1.5 당량의 몰비로 첨가되는 것이 바람직하다. 이렇게 하여 얻어진 무정형형태의 엠파글리플로진 신규 공결정 또는 복합제는 엠파글리플로진이 결합 된 무정형형태의 엠파글리플로진/유기산 공결정 또는 복합제가 된다.It is preferable that the organic acids are added in a molar ratio of 1 to 1.5 equivalents with respect to empagliflozin, respectively. The thus-obtained amorphous empagliflozin new co-crystal or composite agent becomes an empagliflozin-bound amorphous empagliflozin / organic acid co-crystal or composite agent.
본 발명의 다른 구현예에 따르면, 상기 단계 (a)의 유기산은 상기 혼합된 엠파글리플로진 및 유기용매에 1/3의 양으로 나누어 첨가된다.According to another embodiment of the present invention, the organic acid of step (a) is added in an amount of 1/3 to the mixed empagliflozin and organic solvent.
이는 상기 엠파글리플로진/유기산 공결정 또는 복합제의 제조 시 고체분말 엠파글리플로진과 유기산을 혼합 시 유기산의 혼합 비율이 엠파글리플로진과 1:1 비율로 형성됨에 있어 중요하기 때문이다. This is because the mixing ratio of the organic acid when mixing the solid powder empagliflozin and the organic acid in the manufacture of the empagliflozin / organic acid co-crystal or the composite agent is important because it is formed in a 1: 1 ratio with the empagliflozin.
이에, 고체 분말 엠파글리플로진과 혼합하는 유기산을 한 번에 첨가하는 것보다 전체 혼합 당량의 1/3씩의 유기산을 나누어서 혼합할 때 가장 효과적으로 형성시킬 수 있다.Thus, it is possible to form the most effective when dividing and mixing the organic acid in 1/3 of the total mixing equivalent weight than adding the organic acid mixed with the solid powder empagliflozin at one time.
보다 바람직하게는, 상기 단계 (a)의 유기산을 상기 혼합된 엠파글리플로진 및 유기용매에 1/3의 양으로 나누어 20분 간격으로 첨가한다.More preferably, the organic acid of step (a) is added to the mixed empagliflozin and the organic solvent in an amount of 1/3 and added at intervals of 20 minutes.
(b) 상기 결과물의 승온 및 환류 교반 (b) heating and reflux stirring of the result
그 다음, 본 발명의 방법은 상기 단계 (a)의 결과물을 승온시키고 환류 교반하는 단계를 거친다.Then, the method of the present invention is subjected to the step of raising the resultant of step (a) and stirring under reflux.
상기 단계 (a)의 결과물의 승온 시간은 환류 온도에 도달하기 까지 1시간 이상의 시간이 소요되도록 온도의 조절이 팔요하며, 환류 온도에서의 교반시간은 세 시간이 넘지 않도록 하여야 한다.The temperature rise time of the result of the step (a) requires adjustment of the temperature so that it takes more than 1 hour to reach the reflux temperature, and the stirring time at the reflux temperature should not exceed 3 hours.
본 발명의 또 다른 구현예에 따르면, 상기 단계 (b)의 승온은 1시간 내지 3시간 동안 실시한다.According to another embodiment of the present invention, the temperature rise in step (b) is performed for 1 hour to 3 hours.
본 발명의 다른 구현예에 따르면, 상기 단계 (b)의 환류 교반은 1시간 내지 3시간 동안 실시하고, 보다 바람직하게는 30분 내지 2시간 동안 실시하며, 보다 더 바람직하게는 30분 내지 1시간 동안 실시한다.According to another embodiment of the present invention, the reflux stirring in step (b) is performed for 1 hour to 3 hours, more preferably 30 minutes to 2 hours, and even more preferably 30 minutes to 1 hour While conducting.
(c) 상기 결과물의 냉각 및 교반 (c) Cooling and stirring of the result
그 다음, 본 발명의 방법은 상기 단계 (b)의 결과물, 즉 환류한 반응액을 냉각하고 교반하는 단계를 포함한다.Then, the method of the present invention includes cooling and stirring the result of step (b), that is, the refluxed reaction solution.
본 발명의 또 다른 구현예에 따르면, 상기 단계 (c)의 냉각은 15-40℃에서 실시하고, 보다 바람직하게는 온도 15-30℃에서 실시하며, 가장 바람직하게는 15-20℃에서 실시한다.According to another embodiment of the invention, the cooling of step (c) is carried out at 15-40 ℃, more preferably at a temperature of 15-30 ℃, most preferably at 15-20 ℃ .
본 발명의 다른 구현예에 따르면, 상기 단계 (c)의 교반은 1-12시간 동안 실시하고, 보다 바람직하게는 1시간 내지 8시간 동안 실시하며, 보다 더 바람직하게는 3시간 내지 5시간 동안 실시한다.According to another embodiment of the invention, the stirring in step (c) is carried out for 1-12 hours, more preferably 1 hour to 8 hours, even more preferably 3 hours to 5 hours do.
(d) 상기 결과물을 증발 및 교반 (d) Evaporating and stirring the resulting product
그 다음 본 발명의 방법은 상기 단계 (c)의 결과물, 즉 냉각된 반응액의 용매의 1/2 증발시키면서 교반하는 단계를 포함한다.The method of the present invention then comprises stirring the product of step (c) above, ie half evaporating the solvent of the cooled reaction solution.
본 발명의 또 다른 구현예에 따르면, 상기 단계 (d)의 증발은 30-60℃에서 실시하고, 보다 바람직하게는 온도 30-50℃에서 실시하며, 가장 바람직하게는 30-40℃에서 실시한다. According to another embodiment of the present invention, the evaporation of step (d) is performed at 30-60 ° C, more preferably at a temperature of 30-50 ° C, most preferably at 30-40 ° C. .
본 발명의 다른 구현예에 따르면, 상기 단계 (d)의 교반은 1-12시간 동안 실시하고, 보다 바람직하게는 1시간 내지 8시간 동안 실시하며, 보다 더 바람직하게는 3시간 내지 5시간 동안 실시한다.According to another embodiment of the invention, the stirring in step (d) is carried out for 1-12 hours, more preferably for 1 hour to 8 hours, even more preferably for 3 hours to 5 hours do.
본 발명의 또 다른 구현예에 따르면, 상기 단계 (d)이후에 (d-1) 상기 단계 (d)의 결과물을 감압 여과 후 유기용매로 세척하는 단계를 추가적으로 포함한다.According to another embodiment of the present invention, after the step (d) (d-1) further comprises the step of washing the resultant of the step (d) with an organic solvent after filtering under reduced pressure.
본 발명의 다른 구현예에 따르면, 상기 단계 (d-1)의 유기용매는 메탄올, 에탄올, 이소프로필알콜, 아세톤, 테트라하이드로퓨란, 디메틸 아세트아미드, 디메틸술폭사이드, 디메틸 포름아미드, 클로로포름, 메틸 에틸케톤, 에틸 아세테이트, 메틸렌클로라이드 및 아세토나이트릴로 구성된 유기용매로부터 최소 1종 이상 선택되고, 즉 단일 용매 또는 이의 혼합 용매가 선택되고, 보다 바람직하게는 메탄올, 에탄올, 이소프로필알콜 또는 아세톤이며, 가장 바람직하게는 아세톤이다.According to another embodiment of the present invention, the organic solvent of step (d-1) is methanol, ethanol, isopropyl alcohol, acetone, tetrahydrofuran, dimethyl acetamide, dimethyl sulfoxide, dimethyl formamide, chloroform, methyl ethyl At least one is selected from organic solvents composed of ketone, ethyl acetate, methylene chloride and acetonitrile, i.e., a single solvent or a mixed solvent thereof is selected, more preferably methanol, ethanol, isopropyl alcohol or acetone, most preferred It is acetone.
본 발명의 또 다른 구현예에 따르면, 상기 단계 (c-1)의 유기용매는 상기 단계 (a)의 유기용매의 부피에 대하여 1-30 (v/v)%로 첨가되고, 보다 바람직하게는 1-10 (v/v)%, 보다 더 바람직하게는 2-5 (v/v)%이다.According to another embodiment of the present invention, the organic solvent of step (c-1) is added at 1-30 (v / v)% relative to the volume of the organic solvent of step (a), more preferably 1-10 (v / v)%, even more preferably 2-5 (v / v)%.
(e) 상기 결과물의 진공건조 엠파글리플로진 공결정의 수득 (e) Obtaining the vacuum-dried empagliflozin co-crystal of the result
마지막으로, 본 발명의 방법은 상기 단계 (e)의 결과물을 진공 건조하고 엠파글리플로진 공결정을 수득 하는 단계를 거친다.Finally, the method of the present invention is subjected to a step of vacuum drying the product of step (e) and obtaining an empagliflozin cocrystal.
본 발명의 다른 구현예에 따르면, 상기 단계 (e)의 진공 건조는 온도 30-65℃에서 8시간 내지 12시간 동안 실시한다.According to another embodiment of the invention, the vacuum drying in step (e) is carried out for 8 to 12 hours at a temperature of 30-65 ℃.
보다 바람직하게는 상기 진공 건조는 온도 40-55℃에서 실시하고, 보다 더 바람직하게는 온도 45-50℃에서 실시한다.More preferably, the vacuum drying is performed at a temperature of 40-55 ° C, and even more preferably at a temperature of 45-50 ° C.
상기 온도 및 시간 동안 진공 건조를 실시하여 수득한 무정형형태의 엠파글리플로진 공결정 수분 함량이 1% 이하이며 순도는 HPLC로써 99.5% 이상이다.Amorphous empagliflozin co-crystal water content obtained by performing vacuum drying for the above temperature and time is 1% or less and purity is 99.5% or more by HPLC.
이러한 방법으로 SGLT-2 억제제로서 신장에서 혈당의 재흡수를 억제시켜 혈당을 소변으로 배출하도록 하여 혈당을 조절하는 제2형 당뇨병의 치료제로서 이용 가능한 엠파글리플로진 1당량에 1당량의 유기산이 결합된 엠파글리플로진 공결정을 제조할 수 있다.In this way, as an SGLT-2 inhibitor, 1 equivalent of organic acid to 1 equivalent of empagliflozin, which can be used as a therapeutic agent for
본 발명의 특징 및 이점을 요약하면 다음과 같다;The features and advantages of the present invention are summarized as follows;
(a) 본 발명은 한 분자의 엠파글리플로진과 한 분자의 유기산이 결합된 엠파글리플로진/푸마르산 공결정, 엠파글리플로진/시트르산 무정형형태의 공결정, 엠파글리플로진/L-피루글루탐산 공결정 및 이의 제조 방법을 제공한다.(a) The present invention is an empagliflozin / fumaric acid co-crystal in which one molecule of empagliflozin and one molecule of organic acid are combined, empagliflozin / citric acid amorphous form co-crystal, empagliflozin / Provided is a co-crystal of L-pyruglutamic acid and a method for preparing the same.
(b) 본 발명의 엠파글리플로진/푸마르산 공결정, 엠파글리플로진/시트르산 무정형형태의 공결정, 엠파글리플로진/L-피루글루탐산 공결정은 그 제조에 있어 공결정화를 통한 특수한 용매 환경에 유기산의 당량, 교반 용매의 증발량, 용매의 증발 온도 및 시간을 조절함으로써. 최적 비율의 신규한 공결정을 우수한 순도 및 수율로 수득할 수 있다.(b) Empagliflozin / fumaric acid co-crystal of the present invention, empagliflozin / citric acid amorphous form co-crystal, empagliflozin / L-pyruglutamic acid co-crystal through co-crystallization in its preparation By controlling the equivalent of organic acid, the amount of evaporation of the stirred solvent, and the temperature and time of evaporation of the solvent in a special solvent environment. An optimum ratio of new co-crystals can be obtained with excellent purity and yield.
(c) 본 발명의 엠파글리플로진/푸마르산 공결정, 엠파글리플로진/시트르산 무정형형태의 공결정, 엠파글리플로진/L-피루글루탐산 공결정은 매우 낮은 엠파글리플로진의 안정성 및 수용해도를 본 발명의 공결정으로 인해 엠파글리플로진의 수용해도 및 소장 pH 6.8의 용해도가 120배 증가시켰으며, 안정성 또한 향상되어 엠파글리플로진 원료의약품으로서 매우 유용하다.(c) Empagliflozin / fumaric acid co-crystal of the present invention, empagliflozin / citric acid amorphous form co-crystal, empagliflozin / L-pyruglutamic acid cocrystal are very low empagliflozin stability And the water solubility of empagliflozin and the solubility of small intestine pH 6.8 was increased by 120 times due to the co-crystal of the present invention, and stability was also improved, which is very useful as an empagliflozin drug.
도 1은 본 발명의 실시예에 따라 제조된 엠파글리플로진/푸마르산 공결정의 분말 X선 회절(PXRD)패턴 결과를 보여준다.
도 2은 본 발명의 실시예에 따라 제조된 무정형형태의 엠파글리플로진/시트르산 공결정의 분말 X선 회절(PXRD)패턴 결과를 보여준다.
도 3은 본 발명의 실시예에 따라 제조된 엠파글리플로진/L-피루글루탐산 공결정의 분말 X선 회절(PXRD)패턴 결과를 보여준다.
도 4은 국제공개특허공보 WO 2006/117359호의 실시예에 따라 제조된 엠파글리플로진 결정형의 분말 X선 회절(PXRD)패턴 결과를 보여준다.
도 5는 본 발명의 실시예에 따라 제조된 엠파글리플로진/푸마르산 공결정의 온도시차주사열량(DSC)의 열량곡선 결과를 보여준다.
도 6는 국제공개특허공보 WO 2006/117359호의 실시예에 따라 제조된 엠파글리플로진 결정형의 온도시차주사열량(DSC)의 열량곡선 결과를 보여준다.
도 7는 본 발명의 실시예에 따라 제조된 무정형형태의 엠파글리플로진/시트르산 공결정의 온도시차주사열량(DSC)의 열량곡선 결과를 보여준다.
도 8은 본 발명의 실시예에 따라 제조된 무정형형태의 엠파글리플로진/시트르산 공결정, 시트르산, 엠파글리플로진 결정형의 온도시차주사열량(DSC)의 열량곡선 결과를 보여준다.
도 9는 본 발명의 실시예에 따라 제조된 엠파글리플로진/L-피루글루탐산 공결정의 온도시차주사열량(DSC)의 열량곡선 결과를 보여준다.
도 10은 본 발명의 실시예에 따라 제조된 엠파글리플로진/L-피루글루탐산 공결정, L-피루글루탐산, 엠파글리플로진 결정형의 온도시차주사열량(DSC)의 열량곡선 결과를 보여준다.
도 11은 본 발명의 실시예에 따라 제조된 엠파글리플로진/푸마르산 공결정의 핵자기공명분광(NMR) 1H-NMR 스펙트럼 결과를 보여주는데, 이 결과에서 엠파글리플로진/푸마르산의 화학양론적 비율이 1:1로 정확하게 그 피크가 적분 되어 나타난다.
도 12은 본 발명의 실시예에 따라 제조된 무정형형태의 엠파글리플로진/시트르산 공결정의 핵자기공명분광(NMR) 1H-NMR 스펙트럼 결과를 보여주는데, 이 결과에서 엠파글리플로진/푸마르산의 화학양론적 비율이 1:1로 정확하게 그 피크가 적분 되어 나타난다.
도 13은 본 발명의 실시예에 따라 제조된 엠파글리플로진/L-피루글루탐산 공결정의 핵자기공명분광(NMR) 1H-NMR 스펙트럼 결과를 보여주는데, 이 결과에서 엠파글리플로진/푸마르산의 화학양론적 비율이 1:1로 정확하게 그 피크가 적분 되어 나타난다.
도 14는 국제공개특허공보 WO 2006/117359호의 실시예에 따라 제조된 엠파글리플로진 결정형의 핵자기공명분광(NMR) 1H-NMR 스펙트럼 결과를 보여준다.
도 15는 본 발명의 실시예에 따라 제조된 엠파글리플로진/푸마르산 공결정, 엠파글리플로진/시트르산 무정형형태의 공결정, 엠파글리플로진/L-피루글루탐산 공결정 그리고 엠파글리플로진 결정형의 1mg/mL의 농도의 수용해성을 비교 시험한 결과이다. 이때 본 발명의 엠파글리플로진 공결정들은 모두 용해가 되었지만 엠파글리플로진 결정형은 용해도가 낮아서 용해되지 않는다.1 shows the powder X-ray diffraction (PXRD) pattern results of the empagliflozin / fumaric acid co-crystal prepared according to an embodiment of the present invention.
Figure 2 shows the powder X-ray diffraction (PXRD) pattern results of the amorphous form of empagliflozin / citric acid co-crystal prepared according to an embodiment of the present invention.
Figure 3 shows the powder X-ray diffraction (PXRD) pattern results of the empagliflozin / L-pyruglutamic acid co-crystal prepared according to an embodiment of the present invention.
Figure 4 shows the results of the powder X-ray diffraction (PXRD) pattern of the empagliflozin crystal form prepared according to the embodiment of International Publication No. WO 2006/117359.
Figure 5 shows the results of the temperature curve of the temperature differential scanning calorimetry (DSC) of the empagliflozin / fumaric acid co-crystal prepared according to an embodiment of the present invention.
FIG. 6 shows the result of a thermal curve of the temperature differential scanning calorimetry (DSC) of the empagliflozin crystal form prepared according to the embodiment of International Publication No. WO 2006/117359.
FIG. 7 shows the results of a thermal curve of the temperature differential scanning calorimetry (DSC) of the amorphous form of empagliflozin / citric acid co-crystal prepared according to an embodiment of the present invention.
Figure 8 shows the calorific curve results of the temperature differential scanning calorimetry (DSC) of the amorphous form of empagliflozin / citric acid co-crystal, citric acid, empagliflozin crystal form prepared according to an embodiment of the present invention.
Figure 9 shows the calorific curve results of the temperature differential scanning calorimetry (DSC) of the empagliflozin / L-pyruglutamic acid cocrystal prepared according to an embodiment of the present invention.
Figure 10 shows the calorific curve results of the temperature differential scanning calorimetry (DSC) of empagliflozin / L-pyruglutamic acid co-crystal, L-pyruglutamic acid, empagliflozin crystal form prepared according to an embodiment of the present invention .
Figure 11 shows the nuclear magnetic resonance spectroscopy (NMR) 1 H-NMR spectrum results of empagliflozin / fumaric acid co-crystal prepared according to an embodiment of the present invention, in which the chemistry of empagliflozin / fumaric acid The peak is shown by integrating the peak accurately with a stoichiometric ratio of 1: 1.
12 shows nuclear magnetic resonance spectroscopy (NMR) 1 H-NMR spectral results of an amorphous form of empagliflozin / citric acid co-crystal prepared according to an embodiment of the present invention, in which empagliflozin / The peak is integrated with a precise stoichiometric ratio of fumaric acid at 1: 1.
FIG. 13 shows nuclear magnetic resonance spectroscopy (NMR) 1 H-NMR spectrum results of empagliflozin / L-pyruglutamic acid cocrystal prepared according to an embodiment of the present invention, in which empagliflozin / The peak is integrated with a precise stoichiometric ratio of fumaric acid at 1: 1.
14 shows the results of nuclear magnetic resonance spectroscopy (NMR) 1 H-NMR spectrum of the empagliflozin crystal form prepared according to the example of International Publication No. WO 2006/117359.
15 is an empagliflozin / fumaric acid co-crystal, empagliflozin / citric acid amorphous form co-crystal, empagliflozin / L-pyruglutamic acid co-crystal and empagle prepared according to an embodiment of the present invention. It is the result of comparing and testing the water solubility of the concentration of 1 mg / mL of the crystalline form of Riflozin. At this time, all of the empagliflozin co-crystals of the present invention were dissolved, but the empagliflozin crystal form was not dissolved due to low solubility.
이하 실시예를 통하여 본 발명을 더욱 상세히 설명하고자 한다. 이들 실시예는 오로지 본 발명을 보다 구체적으로 설명하기 위한 것으로, 본 발명의 요지에 따라 본 발명의 범위가 이들 실시예에 의해 제한되지 않는다는 것은 당업계에서 통상의 지식을 가진 자에 있어서 자명할 것이다.The present invention will be described in more detail through the following examples. These examples are only intended to illustrate the present invention more specifically, it will be apparent to those skilled in the art that the scope of the present invention is not limited by these examples according to the gist of the present invention. .
[실시예 1] 엠파글리플로진/푸마르산 공결정 제조[Example 1] Preparation of empagliflozin / fumaric acid co-crystal
엠파글리플로진 10g과 메탄올 100ml를 넣은 후 상온에서 20분간 교반한다. 그 후 푸마르산 1.2 당량을 1/3씩 투입하고 온도를 1시간 동안 서서히 올려 환류온도까지 도달한 후 30분간 더 교반하였다. 서서히 15℃-20℃까지 냉각한 후 3시간 동안 교반 하였다. 그 후 온도를 30℃-40℃ 3시간 동안 교반 하면서 메탄올을 70ml 증발시켜 결정을 석출시켰다. 석출된 결정을 감압 여과 후 아세톤 10ml로 세척하고 45℃에서 16시간이상 진공 건조하여 신규한 엠파글리플로진/푸마르산 공결정을 90% 수율로 얻었다.10 g of empagliflozin and 100 ml of methanol were added, followed by stirring at room temperature for 20 minutes. Thereafter, one-third of equivalents of fumaric acid were added, and the temperature was gradually raised for 1 hour to reach reflux temperature, followed by stirring for another 30 minutes. Slowly cooled to 15 ° C-20 ° C and stirred for 3 hours. Thereafter, while stirring the temperature at 30 ° C-40 ° C for 3 hours, 70 ml of methanol was evaporated to precipitate crystals. The precipitated crystals were filtered under reduced pressure, washed with 10 ml of acetone, and vacuum dried at 45 ° C. for 16 hours or more to obtain a new empagliflozin / fumaric acid co-crystal in 90% yield.
[실시예 2] 엠파글리플로진/시트르산 공결정 제조[Example 2] Preparation of empagliflozin / citric acid co-crystal
엠파글리플로진 10g과 메탄올 100mL를 넣은 후 상온에서 20분간 교반한다. 그 후 시트르산 1.2 당량을 투입한 후 1시간 동안 교반하였다. 그 후 온도를 30℃-40℃ 3시간 동안 교반 하면서 메탄올을 80mL 증발시켜 결정을 석출시켰다. 그 후 에틸아세테이트 50mL를 투입한 후 20분간 교반하였다. 그리고 석출된 결정을 감압 여과 후 에틸아세테이트 10ml로 세척하고 45℃에서 16시간이상 진공 건조하여 신규한 엠파글리플로진/시트르산 공결정을 85% 수율로 얻었다.10 g of empagliflozin and 100 mL of methanol were added, followed by stirring at room temperature for 20 minutes. Then, after adding 1.2 equivalents of citric acid, the mixture was stirred for 1 hour. Thereafter, the temperature was stirred for 30 hours at 30 ° C to 40 ° C, and 80 mL of methanol was evaporated to precipitate crystals. Thereafter, 50 mL of ethyl acetate was added, followed by stirring for 20 minutes. Then, the precipitated crystals were filtered under reduced pressure, washed with 10 ml of ethyl acetate, and vacuum dried at 45 ° C. for 16 hours or more to obtain a new empagliflozin / citric acid co-crystal in 85% yield.
[실시예 3] 엠파글리플로진/L-피루글루탐산 공결정 제조[Example 3] Preparation of empagliflozin / L-pyruglutamic acid co-crystal
엠파글리플로진 10g과 메탄올 100ml를 넣은 후 상온에서 20분간 교반한다. 그 후 L-피루글루탐산 1.2 당량을 1/3씩 투입하고 온도를 1시간 동안 서서히 올려 환류온도까지 도달한 후 30분간 더 교반하였다. 서서히 15℃-20℃까지 냉각한 후 3시간 동안 교반 하였다. 그 후 온도를 30℃-40℃ 3시간 동안 교반 하면서 메탄올을 60ml 증발시켜 결정을 석출시켰다. 석출된 결정을 감압 여과 후 에틸아세테이트 10ml로 세척하고 45℃에서 16시간이상 진공 건조하여 신규한 엠파글리플로진/L-피루글루탐산 공결정을 82% 수율로 얻었다.10 g of empagliflozin and 100 ml of methanol were added, followed by stirring at room temperature for 20 minutes. Thereafter, 1.2 equivalents of L-pyruglutamic acid were added in 1/3 increments, and the temperature was gradually raised for 1 hour to reach reflux temperature, followed by stirring for 30 minutes. Slowly cooled to 15 ° C-20 ° C and stirred for 3 hours. Thereafter, the temperature was stirred for 30 hours at 30 ° C to 40 ° C, and 60 ml of methanol was evaporated to precipitate crystals. The precipitated crystals were filtered under reduced pressure, washed with 10 ml of ethyl acetate, and vacuum dried at 45 ° C. for 16 hours or more to obtain a new empagliflozin / L-pyruglutamic acid co-crystal in 82% yield.
[실시예 4] 엠파글리플로진/푸마르산 공결정 제조[Example 4] Preparation of empagliflozin / fumaric acid co-crystal
엠파글리플로진 10g과 메탄올 300ml를 넣은 후 상온에서 20분간 교반하여 용해 하였다. 그 후 푸마르산 1.2 당량을 투입하여 30분간 교반 하면서 용해하였다. 그 후 농축기를 이용하여 결정이 석출 될 때까지 메탄올을 모두 증발시겼다. 그리고 에틸아세테이트 50mL를 투입하여 20분간 교반한 후 감압 여과 하여 에틸아세테이트 10ml로 세척하고 45℃에서 16시간이상 진공 건조하여 신규한 엠파글리플로진/푸마르산 공결정을 88% 수율로 얻었다.10 g of empagliflozin and 300 ml of methanol were added, followed by stirring at room temperature for 20 minutes to dissolve. Thereafter, 1.2 equivalents of fumaric acid were added and dissolved while stirring for 30 minutes. After that, all of the methanol was evaporated until crystals were precipitated using a concentrator. Then, 50 mL of ethyl acetate was added, stirred for 20 minutes, filtered under reduced pressure, washed with 10 ml of ethyl acetate, and vacuum dried at 45 ° C. for 16 hours or more to obtain a new empagliflozin / fumaric acid co-crystal in 88% yield.
[실시예 5] 엠파글리플로진/L-피루글루탐산 공결정 제조[Example 5] Preparation of empagliflozin / L-pyruglutamic acid co-crystal
엠파글리플로진 10g과 메탄올 300ml를 넣은 후 상온에서 20분간 교반하여 용해 하였다. 그 후 L-피루글루탐산 1.2 당량을 투입하여 30분간 교반 하면서 용해하였다. 그 후 농축기를 이용하여 결정이 석출 될 때까지 메탄올을 모두 증발시겼다. 그리고 에틸아세테이트 50mL를 투입하여 20분간 교반한 후 감압 여과 하여 에틸아세테이트 10ml로 세척하고 45℃에서 16시간 이상 진공 건조하여 신규한 엠파글리플로진/L-피루글루탐산 공결정을 83% 수율로 얻었다.10 g of empagliflozin and 300 ml of methanol were added, followed by stirring at room temperature for 20 minutes to dissolve. Thereafter, 1.2 equivalents of L-pyruglutamic acid was added and dissolved while stirring for 30 minutes. After that, all of the methanol was evaporated until crystals were precipitated using a concentrator. Then, 50 mL of ethyl acetate was added, stirred for 20 minutes, filtered under reduced pressure, washed with 10 ml of ethyl acetate, and vacuum dried at 45 ° C for 16 hours or more to obtain a new empagliflozin / L-pyruglutamic acid co-crystal in 83% yield. .
[실험예 1] 분말 X-선 회절 (PXRD)[Experimental Example 1] Powder X-ray diffraction (PXRD)
PXRD 분석(도 1에서 도 4 참조)을 Cu Kα 방사선을 사용하여 (D8 Advance) X-선 분말 회절계 상에서 수행하였다. 기구에는 관 동력이 장치되어 있고, 전류량은 45 kV 및 40 mA 로 설정하였다. 발산 및 산란 슬릿은 1°로 설정하였고, 수광 슬릿은 0.2 mm 로 설정하였다. 5 에서 35° 2θ까지 3°/분 (0.4 초/0.02°간격) 의 θ-2θ 연속 스캔을 사용하였다. PXRD analysis (see FIG. 1 to FIG. 4) was performed on an X-ray powder diffractometer using Cu Kα radiation (D8 Advance). The instrument was equipped with tube power, and the amount of current was set to 45 kV and 40 mA. The divergence and scattering slits were set at 1 °, and the light receiving slits were set at 0.2 mm. A θ-2θ continuous scan of 3 ° / min (0.4 sec / 0.02 ° intervals) from 5 to 35 ° 2θ was used.
[실험예 2] 온도 시차주사 열량법(DSC)[Experimental Example 2] Temperature Differential Scanning Calorimetry (DSC)
TA사로부터 입수한 DSC Q20을 사용하여, 질소 정화 하에 20℃ 에서 300℃까지 10℃/min 스캔속도로, 밀폐 팬에서 DSC 측정(도 5에서 도 10 참조)을 수행하였다.DSC measurement (see FIG. 5 to FIG. 10) was performed in a closed pan at a scanning rate of 10 ° C./min from 20 ° C. to 300 ° C. under nitrogen purification using DSC Q20 obtained from TA.
[실험예 3] 엠파글리플로진 공결정의 용해도 평가 [Experimental Example 3] Evaluation of solubility of empagliflozin co-crystal
엠파글리플로진은 0.111mg/ml의 수용해도를 갖는 난용성이기 때문에 그에 따라 수용해도가 높은 푸마르산, 시트르산, L-피루글루탐산과 결합시켜 새로운 공결정을 제조하여 엠파글리플로진의 수용해도 및 위장관 pH 용해도를 개선시키고자 하였다. 그 결과를 아래 표 3에 정리하였다.Because empagliflozin is poorly soluble with a water solubility of 0.111 mg / ml, it is combined with fumaric acid, citric acid, and L-pyruglutamic acid, which have high water solubility, to prepare new co-crystals, solubility of empagliflozin and gastrointestinal tract It was intended to improve the pH solubility. The results are summarized in Table 3 below.
(엠파글리플로진 공결정과 엠파글리플로진 결정형의 용해도)(Solubility of empagliflozin co-crystal and empagliflozin crystal form)
상기 표 3에서 보는 바와 같이 공지된 엠파글리플로진 결정형에 비해 본 발명의 엠파글리플로진/푸마르산 공결정의 수용해도 및 소장 pH 6.8에서의 용해도가 약 18배 증가하였고, 무정형형태의 엠파글리플로진/시트르산 공결정의 수용해도 및 소장 pH 6.8에서의 용해도가 약 120배 이상 증가 되었으며, 엠파글리플로진/L-피루글루탐산 공결정의 수용해도 및 소장 pH 6.8에서의 용해도가 약 24배 증가 되었다는 것이 확인되었다.As shown in Table 3 above, the water solubility and solubility in the small intestine pH 6.8 of the present invention empagliflozin / fumaric acid co-crystal compared to the known empagliflozin crystal form was increased by about 18 times, and the amorphous form empa The water solubility of the gliflozin / citric acid co-crystal and the solubility in the small intestine pH 6.8 was increased by about 120 times or more, the water solubility of the empagliflozin / L-pyruglutamic acid co-crystal and the solubility in the small intestine pH 6.8 was approximately It was confirmed that the increase was 24 times.
따라서 본 발명의 엠파글리플로진 공결정이 공지된 엠파글리플로진 결정형에 비해 수용해도가 약 120배까지 증가 될수 있다는 것이 확인되었다.Therefore, it was confirmed that the water solubility of the empagliflozin co-crystal of the present invention can be increased to about 120 times compared to the known empagliflozin crystal form.
따라서 본 발명의 엠파글리플로진 공결정은 엠파글리플로진 결정형의 문제점인 낮은 수용해도를 극복할 수 있는 신규한 결정형태이며, 이는 엠파글리플로진의 약효를 극대화시킬 수 있음이 예측되었다. Therefore, the empagliflozin co-crystal of the present invention is a novel crystal form capable of overcoming the low water solubility, which is a problem of the empagliflozin crystal form, which was predicted to maximize the efficacy of empagliflozin. .
[실험예 4] 엠파글리플로진 공결정과 엠파글리플로진 결정형의 가속, 가혹 안정성비교 평가 [Experimental Example 4] Accelerated and severe stability comparison evaluation of empagliflozin co-crystal and empagliflozin crystal form
의약품의 안정성 시험이라 함은 의약품등의 저장방법 및 사용기간을 설정하기 위하여, 적절한 규격을 설정한 후 정해진 시험법에 근거하여 유의적인 변화를 판단하여 유효기간을 설정하게 되므로, 약물의 적정한 안정성 확보는 약물의 제품화에 있어 대단히 중요한 요소 중 하나이다.In order to establish the storage method and period of use of medicines, the stability test of a drug is determined by determining a significant change based on the determined test method, and then setting the expiration date. Is one of the most important factors in the commercialization of drugs.
따라서 본 발명의 엠파글리플로진/푸마르산 공결정, 무정형형태의 엠파글리플로진/시트르산 공결정, 엠파글리플로진/L-피루글루탐산 공결정의 제품화 가능성을 확인하기 위해 국제공개특허공보 WO 2006/117359호에 공지된 엠파글리플로진 결정형을 대조군으로 하여 ICH 가이드라인에 따라 가속 및 가혹 안정성을 실시하고 미국 약전(USP)에 기재되어 있는 액체크로마토그래피(HPLC) 분석법을 이용하여 분석한 후 그 결과를 표 4와 5에 나타내었다.Therefore, in order to confirm the commercialization potential of the empagliflozin / fumaric acid co-crystal of the present invention, the amorphous form of empagliflozin / citric acid co-crystal, and empagliflozin / L-pyruglutamic acid co-crystal, The empagliflozin crystalline form known in WO 2006/117359 was used as a control to accelerate and severe stability according to ICH guidelines and analyzed using liquid chromatography (HPLC) analysis described in the United States Pharmacopeia (USP). Then, the results are shown in Tables 4 and 5.
푸마르산 Empagliflozin /
Fumaric acid
시트르산Empagliflozin /
Citric acid
L-피루글루탐산Empagliflozin /
L-pyruglutamic acid
(엠파글리플로진 공결정과 엠파글리플로진 결정형의 가속 안정성 결과, 40℃± 2℃, RH 75%)(Acceleration stability result of empagliflozin co-crystal and empagliflozin crystal form, 40 ℃ ± 2 ℃, RH 75%)
푸마르산 Empagliflozin /
Fumaric acid
시트르산Empagliflozin /
Citric acid
L-피루글루탐산Empagliflozin /
L-pyruglutamic acid
(엠파글리플로진 공결정과 엠파글리플로진의 가혹 안정성 평가 결과, 60℃± 2℃, RH 75%)(Empagliflozin co-crystal and empagliflozin severe stability evaluation results, 60 ℃ ± 2 ℃, RH 75%)
실시예에 의해 제조된 엠파글리플로진 공결정과 엠파글리플로진 결정형의 가속, 가혹조건의 안정성 시험을 실시하였다. 그 결과 표 4와 5에서 나타난 것 같이 엠파글리플로진 공결정들은 순도의 영향 없이 안정하게 유지 되었지만, 엠파글리플로진 결정형은 순도가 낮아지면서 안정성이 좋지 않다는 것이 확인되었다.Acceleration of the empagliflozin co-crystal and empagliflozin crystal form prepared by Examples were carried out to test stability under severe conditions. As a result, as shown in Tables 4 and 5, the empagliflozin co-crystals remained stable without the effect of purity, but it was confirmed that the empagliflozin crystal form had poor purity and poor stability.
따라서 엠파글리플로진 공결정의 가속, 가혹 조건에서의 안정성은 엠파글리플로진 결정형 보다 개선되었다는 것이 확인되었다.Therefore, it was confirmed that the acceleration of the empagliflozin co-crystal and the stability under severe conditions were improved over the empagliflozin crystal form.
[실험예 5] 엠파글리플로진 공결정과 엠파글리플로진 결정형의 수용해성 비교시험[Experimental Example 5] Comparison of water solubility of empagliflozin crystal and empagliflozin crystal form
체내 흡수율을 증가시키기 위해서는 수용해성이 어느 정도는 증가 되어야 한다. 따라서 본 발명의 엠파글리플로진 공결정과 공지된 엠파글리플로진 결정형의 수용해성을 1mg/mL의 농도로 하여 비교평가 하였다.To increase the absorption rate in the body, water solubility must be increased to some extent. Therefore, the water solubility of the empagliflozin co-crystal of the present invention and the known empagliflozin crystal form was comparatively evaluated at a concentration of 1 mg / mL.
그 결과 엠파글리플로진 결정형은 용해되지 않아 현탁액 상태로 존재하는 반면 본 발명의 엠파글리플로진 공결정들은 모두 용해되어 수용해성이 증가 되었음을 확인하였다. 따라서 본 발명의 공결정들은 수용해도를 개선시켜, 엠파글리플로진의 난용성을 극복할 수 있는 새로운 원료의약품으로서의 가치를 입증하였다[도 15].As a result, it was confirmed that the empagliflozin crystal form was not dissolved and existed in a suspension state, whereas the empagliflozin co-crystals of the present invention were all dissolved to increase water solubility. Therefore, the co-crystals of the present invention have improved water solubility and proved the value as a new drug substance that can overcome the poor solubility of empagliflozin [Fig. 15].
그러므로 본 발명 엠파글리플로진 공결정은 엠파글리플로진의 문제점인 낮은 안정성 및 수용해도를 극복한 새로운 원료의약품으로서의 가능성을 기대한다.Therefore, the present invention empagliflozin co-crystal expects the potential as a new drug substance overcome the low stability and water solubility of the problem of empagliflozin.
이상으로 본 발명의 특정한 부분을 상세히 기술하였는 바, 당업계의 통상의 지식을 가진 자에게 있어서 이러한 구체적인 기술은 단지 바람직한 구현예일 뿐이며, 이에 본 발명의 범위가 제한되는 것이 아닌 점은 명백하다. 따라서, 본 발명의 실질적인 범위는 첨부된 청구항과 그의 등가물에 의하여 정의된다고 할 것이다.Since the specific parts of the present invention have been described in detail above, it is clear that for those skilled in the art, this specific technology is only a preferred embodiment, and the scope of the present invention is not limited thereto. Accordingly, the substantial scope of the present invention will be defined by the appended claims and their equivalents.
Claims (17)
Priority Applications (4)
| Application Number | Priority Date | Filing Date | Title |
|---|---|---|---|
| KR1020190178752A KR102111248B1 (en) | 2019-12-30 | 2019-12-30 | New Empagliflozin cocrystal |
| CN202080006768.3A CN113544127A (en) | 2019-12-30 | 2020-06-29 | Novel co-crystals of engagliflozin |
| JP2021515504A JP2023509242A (en) | 2019-12-30 | 2020-06-29 | Co-crystals of novel empagliflozin |
| PCT/KR2020/008488 WO2021137369A1 (en) | 2019-12-30 | 2020-06-29 | Novel cocrystal of empagliflozin |
Applications Claiming Priority (1)
| Application Number | Priority Date | Filing Date | Title |
|---|---|---|---|
| KR1020190178752A KR102111248B1 (en) | 2019-12-30 | 2019-12-30 | New Empagliflozin cocrystal |
Related Child Applications (1)
| Application Number | Title | Priority Date | Filing Date |
|---|---|---|---|
| KR1020200035304A Division KR102207319B1 (en) | 2020-03-23 | 2020-03-23 | New Empagliflozin cocrystal |
Publications (1)
| Publication Number | Publication Date |
|---|---|
| KR102111248B1 true KR102111248B1 (en) | 2020-05-14 |
Family
ID=70736930
Family Applications (1)
| Application Number | Title | Priority Date | Filing Date |
|---|---|---|---|
| KR1020190178752A Expired - Fee Related KR102111248B1 (en) | 2019-12-30 | 2019-12-30 | New Empagliflozin cocrystal |
Country Status (4)
| Country | Link |
|---|---|
| JP (1) | JP2023509242A (en) |
| KR (1) | KR102111248B1 (en) |
| CN (1) | CN113544127A (en) |
| WO (1) | WO2021137369A1 (en) |
Cited By (4)
| Publication number | Priority date | Publication date | Assignee | Title |
|---|---|---|---|---|
| WO2021137369A1 (en) * | 2019-12-30 | 2021-07-08 | 유니셀랩 주식회사 | Novel cocrystal of empagliflozin |
| WO2022065895A1 (en) * | 2020-09-24 | 2022-03-31 | 동아에스티 주식회사 | Novel salt of empagliflozin derivative, which is sglt-2 inhibitor, and hydrate of salt |
| WO2022124749A1 (en) * | 2020-12-08 | 2022-06-16 | Chong Kun Dang Pharmaceutical Corp. | Pharmaceutical composition comprising empagliflozin co-crystal |
| KR102915259B1 (en) * | 2022-10-12 | 2026-01-19 | 경희대학교 산학협력단 | Co-amorphous drug particles and manufacturing method thereof |
Citations (6)
| Publication number | Priority date | Publication date | Assignee | Title |
|---|---|---|---|---|
| WO2005092877A1 (en) | 2004-03-16 | 2005-10-06 | Boehringer Ingelheim International Gmbh | Glucopyranosyl-substituted benzol derivatives, drugs containing said compounds, the use thereof and method for the production thereof |
| WO2006117359A1 (en) | 2005-05-03 | 2006-11-09 | Boehringer Ingelheim International Gmbh | CRYSTALLINE FORM OF 1-CHLORO-4-(ß-D-GLUCOPYRANOS-1-YL)-2-[4-((S)-TETRAHYDROFURAN-3-YLOXY)-BENZYL]-BENZENE, A METHOD FOR ITS PREPARATION AND THE USE THEREOF FOR PREPARING MEDICAMENTS |
| WO2011039107A1 (en) | 2009-09-30 | 2011-04-07 | Boehringer Ingelheim International Gmbh | Method for the preparation of a crystalline form of 1-chloro-4- (beta-d-glucopyranos-1-yl)-2-(4-((s)-tetrahydrofuran-3-yloxy)benzyl)benzene |
| CN105524033A (en) * | 2014-09-28 | 2016-04-27 | 上海阳帆医药科技有限公司 | Fumaric acid eutectic of dapagliflozin, and preparation method and pharmaceutical composition thereof |
| US20170158659A1 (en) * | 2014-06-23 | 2017-06-08 | Sun Pharmaceutical Industries Limited | Co-crystal of dapagliflozin with citric acid |
| US20180362514A1 (en) * | 2015-09-15 | 2018-12-20 | Laurus Labs Ltd. | Co-crystals of sglt2 inhibitors, process for their preparation and pharmaceutical compositions thereof |
Family Cites Families (1)
| Publication number | Priority date | Publication date | Assignee | Title |
|---|---|---|---|---|
| KR102111248B1 (en) * | 2019-12-30 | 2020-05-14 | 유니셀랩 주식회사 | New Empagliflozin cocrystal |
-
2019
- 2019-12-30 KR KR1020190178752A patent/KR102111248B1/en not_active Expired - Fee Related
-
2020
- 2020-06-29 JP JP2021515504A patent/JP2023509242A/en active Pending
- 2020-06-29 WO PCT/KR2020/008488 patent/WO2021137369A1/en not_active Ceased
- 2020-06-29 CN CN202080006768.3A patent/CN113544127A/en active Pending
Patent Citations (7)
| Publication number | Priority date | Publication date | Assignee | Title |
|---|---|---|---|---|
| WO2005092877A1 (en) | 2004-03-16 | 2005-10-06 | Boehringer Ingelheim International Gmbh | Glucopyranosyl-substituted benzol derivatives, drugs containing said compounds, the use thereof and method for the production thereof |
| WO2006117359A1 (en) | 2005-05-03 | 2006-11-09 | Boehringer Ingelheim International Gmbh | CRYSTALLINE FORM OF 1-CHLORO-4-(ß-D-GLUCOPYRANOS-1-YL)-2-[4-((S)-TETRAHYDROFURAN-3-YLOXY)-BENZYL]-BENZENE, A METHOD FOR ITS PREPARATION AND THE USE THEREOF FOR PREPARING MEDICAMENTS |
| WO2011039107A1 (en) | 2009-09-30 | 2011-04-07 | Boehringer Ingelheim International Gmbh | Method for the preparation of a crystalline form of 1-chloro-4- (beta-d-glucopyranos-1-yl)-2-(4-((s)-tetrahydrofuran-3-yloxy)benzyl)benzene |
| KR101811997B1 (en) * | 2009-09-30 | 2017-12-26 | 베링거 인겔하임 인터내셔날 게엠베하 | Method for the preparation of a crystalline form of 1-chloro-4-(beta-D-glucopyranos-1-yl)-2-(4-((S)-tetrahydrofuran-3-yloxy)benzyl)benzene |
| US20170158659A1 (en) * | 2014-06-23 | 2017-06-08 | Sun Pharmaceutical Industries Limited | Co-crystal of dapagliflozin with citric acid |
| CN105524033A (en) * | 2014-09-28 | 2016-04-27 | 上海阳帆医药科技有限公司 | Fumaric acid eutectic of dapagliflozin, and preparation method and pharmaceutical composition thereof |
| US20180362514A1 (en) * | 2015-09-15 | 2018-12-20 | Laurus Labs Ltd. | Co-crystals of sglt2 inhibitors, process for their preparation and pharmaceutical compositions thereof |
Cited By (7)
| Publication number | Priority date | Publication date | Assignee | Title |
|---|---|---|---|---|
| WO2021137369A1 (en) * | 2019-12-30 | 2021-07-08 | 유니셀랩 주식회사 | Novel cocrystal of empagliflozin |
| WO2022065895A1 (en) * | 2020-09-24 | 2022-03-31 | 동아에스티 주식회사 | Novel salt of empagliflozin derivative, which is sglt-2 inhibitor, and hydrate of salt |
| WO2022124749A1 (en) * | 2020-12-08 | 2022-06-16 | Chong Kun Dang Pharmaceutical Corp. | Pharmaceutical composition comprising empagliflozin co-crystal |
| CN116648263A (en) * | 2020-12-08 | 2023-08-25 | 株式会社钟根堂 | Pharmaceutical composition comprising empagliflozin co-crystal |
| JP2023552817A (en) * | 2020-12-08 | 2023-12-19 | チョン クン ダン ファーマシューティカル コーポレーション | Pharmaceutical composition containing empagliflozin cocrystals |
| JP7614354B2 (en) | 2020-12-08 | 2025-01-15 | チョン クン ダン ファーマシューティカル コーポレーション | Pharmaceutical compositions containing empagliflozin cocrystals |
| KR102915259B1 (en) * | 2022-10-12 | 2026-01-19 | 경희대학교 산학협력단 | Co-amorphous drug particles and manufacturing method thereof |
Also Published As
| Publication number | Publication date |
|---|---|
| JP2023509242A (en) | 2023-03-08 |
| WO2021137369A1 (en) | 2021-07-08 |
| CN113544127A (en) | 2021-10-22 |
Similar Documents
| Publication | Publication Date | Title |
|---|---|---|
| JP2007302658A (en) | POLYMORPHIC FORM AND NEW CRYSTAL FORM AND AMORPHOUS FORM OF IMATINIB MESYLATE, AND METHOD FOR PREPARING FORMalpha | |
| KR102111248B1 (en) | New Empagliflozin cocrystal | |
| US20090298947A1 (en) | Polymorphic and amorphous forms of lacosamide and amorphous compositions | |
| BG65027B1 (en) | Telmisartan polymorphs, methods for producing same and their use in the preparation of a medicament | |
| AU661483B2 (en) | Crystalline tiagabine hydrochloride monohydrate, its preparation and use | |
| CN118696040A (en) | A dipeptidyl peptidase 1 inhibitor polymorph and its preparation method and use | |
| KR102149126B1 (en) | A novel cocrystal of sacubitril calcium / valsartan | |
| CA2573784A1 (en) | Crystalline mycophenolate sodium | |
| CN114026085A (en) | (E) Solid forms of (E) -3- [2- (2-thienyl) vinyl ] -1H-pyrazole | |
| ZA200300129B (en) | Novel form of (R)-N-[5-methyl-8-(4-methylpiperazin-1-yl)-1,2,3,4-tetrahydro-2-naphthyl]-4-morpholinobenzamide. | |
| KR102111247B1 (en) | Amorphous state of New dapagliflozin cocrystal or complex | |
| KR102150825B1 (en) | Novel sglt-2 inhibitors cocrystal | |
| KR102207319B1 (en) | New Empagliflozin cocrystal | |
| RU2228931C2 (en) | Crystalline forms of 3-(2,4-dichlorobenzyl)-2-methyl-n- (pentylsulfonyl)-3h-benzimidazole-5-carboxamide | |
| US20040225007A1 (en) | Modifications of the trometamol salt of R-thioctic acid as well as a process for their production | |
| KR102155474B1 (en) | A novel co-amorphous of sacubitril/valsartan | |
| RU2753335C9 (en) | Long-acting DPP-IV inhibitor crystal and its salts | |
| CA2452253C (en) | Novel crystal of arylethenesulfonamide derivative and preparation process thereof | |
| EP4355737A1 (en) | Polymorphs of 2-(3,5-dichlorophenyl)-l,3-benzoxazole-6-carboxylic acid | |
| KR102215623B1 (en) | Novel cocrystal of sacubitril calcium/valsartan and sacubitril/valsartan | |
| KR102130572B1 (en) | New Ursolic acid cocrystal or complex with improved water solubility | |
| CN114591260B (en) | A kind of organic acid salt of mosapride | |
| EP4660195A1 (en) | Crystalline forms of avatrombopag maleate and preparation thereof | |
| JP4707115B2 (en) | New crystals of triterpene derivatives | |
| TW202333694A (en) | Crystal form of fused ring derivative and preparation method and application thereof |
Legal Events
| Date | Code | Title | Description |
|---|---|---|---|
| PA0109 | Patent application |
St.27 status event code: A-0-1-A10-A12-nap-PA0109 |
|
| PA0201 | Request for examination |
St.27 status event code: A-1-2-D10-D11-exm-PA0201 |
|
| PA0302 | Request for accelerated examination |
St.27 status event code: A-1-2-D10-D17-exm-PA0302 St.27 status event code: A-1-2-D10-D16-exm-PA0302 |
|
| D13-X000 | Search requested |
St.27 status event code: A-1-2-D10-D13-srh-X000 |
|
| D14-X000 | Search report completed |
St.27 status event code: A-1-2-D10-D14-srh-X000 |
|
| A107 | Divisional application of patent | ||
| E13-X000 | Pre-grant limitation requested |
St.27 status event code: A-2-3-E10-E13-lim-X000 |
|
| P11-X000 | Amendment of application requested |
St.27 status event code: A-2-2-P10-P11-nap-X000 |
|
| P13-X000 | Application amended |
St.27 status event code: A-2-2-P10-P13-nap-X000 |
|
| PA0107 | Divisional application |
St.27 status event code: A-0-1-A10-A18-div-PA0107 St.27 status event code: A-0-1-A10-A16-div-PA0107 |
|
| E701 | Decision to grant or registration of patent right | ||
| PE0701 | Decision of registration |
St.27 status event code: A-1-2-D10-D22-exm-PE0701 |
|
| GRNT | Written decision to grant | ||
| PR0701 | Registration of establishment |
St.27 status event code: A-2-4-F10-F11-exm-PR0701 |
|
| PR1002 | Payment of registration fee |
St.27 status event code: A-2-2-U10-U11-oth-PR1002 Fee payment year number: 1 |
|
| PG1601 | Publication of registration |
St.27 status event code: A-4-4-Q10-Q13-nap-PG1601 |
|
| R18-X000 | Changes to party contact information recorded |
St.27 status event code: A-5-5-R10-R18-oth-X000 |
|
| PC1903 | Unpaid annual fee |
St.27 status event code: A-4-4-U10-U13-oth-PC1903 Not in force date: 20230510 Payment event data comment text: Termination Category : DEFAULT_OF_REGISTRATION_FEE |
|
| PC1903 | Unpaid annual fee |
St.27 status event code: N-4-6-H10-H13-oth-PC1903 Ip right cessation event data comment text: Termination Category : DEFAULT_OF_REGISTRATION_FEE Not in force date: 20230510 |





