WO2011160757A1 - Materialien für elektronische vorrichtungen - Google Patents
Materialien für elektronische vorrichtungen Download PDFInfo
- Publication number
- WO2011160757A1 WO2011160757A1 PCT/EP2011/002668 EP2011002668W WO2011160757A1 WO 2011160757 A1 WO2011160757 A1 WO 2011160757A1 EP 2011002668 W EP2011002668 W EP 2011002668W WO 2011160757 A1 WO2011160757 A1 WO 2011160757A1
- Authority
- WO
- WIPO (PCT)
- Prior art keywords
- group
- atoms
- substituted
- radicals
- groups
- Prior art date
- Legal status (The legal status is an assumption and is not a legal conclusion. Google has not performed a legal analysis and makes no representation as to the accuracy of the status listed.)
- Ceased
Links
- 0 CCC(C)(CC)*1c2nnnnc2C(C)(C)*2c3nnnnc3*=C12 Chemical compound CCC(C)(CC)*1c2nnnnc2C(C)(C)*2c3nnnnc3*=C12 0.000 description 3
- HFCKSQQCWDHABA-UHFFFAOYSA-N Bc(cc12)ccc1N=C(Nc1ccccc11)N1C2=O Chemical compound Bc(cc12)ccc1N=C(Nc1ccccc11)N1C2=O HFCKSQQCWDHABA-UHFFFAOYSA-N 0.000 description 1
Classifications
-
- C—CHEMISTRY; METALLURGY
- C07—ORGANIC CHEMISTRY
- C07D—HETEROCYCLIC COMPOUNDS
- C07D235/00—Heterocyclic compounds containing 1,3-diazole or hydrogenated 1,3-diazole rings, condensed with other rings
-
- B—PERFORMING OPERATIONS; TRANSPORTING
- B32—LAYERED PRODUCTS
- B32B—LAYERED PRODUCTS, i.e. PRODUCTS BUILT-UP OF STRATA OF FLAT OR NON-FLAT, e.g. CELLULAR OR HONEYCOMB, FORM
- B32B9/00—Layered products comprising a layer of a particular substance not covered by groups B32B11/00 - B32B29/00
-
- C—CHEMISTRY; METALLURGY
- C07—ORGANIC CHEMISTRY
- C07D—HETEROCYCLIC COMPOUNDS
- C07D487/00—Heterocyclic compounds containing nitrogen atoms as the only ring hetero atoms in the condensed system, not provided for by groups C07D451/00 - C07D477/00
- C07D487/02—Heterocyclic compounds containing nitrogen atoms as the only ring hetero atoms in the condensed system, not provided for by groups C07D451/00 - C07D477/00 in which the condensed system contains two hetero rings
- C07D487/04—Ortho-condensed systems
-
- C—CHEMISTRY; METALLURGY
- C09—DYES; PAINTS; POLISHES; NATURAL RESINS; ADHESIVES; COMPOSITIONS NOT OTHERWISE PROVIDED FOR; APPLICATIONS OF MATERIALS NOT OTHERWISE PROVIDED FOR
- C09K—MATERIALS FOR MISCELLANEOUS APPLICATIONS, NOT PROVIDED FOR ELSEWHERE
- C09K11/00—Luminescent, e.g. electroluminescent, chemiluminescent materials
- C09K11/06—Luminescent, e.g. electroluminescent, chemiluminescent materials containing organic luminescent materials
-
- H—ELECTRICITY
- H05—ELECTRIC TECHNIQUES NOT OTHERWISE PROVIDED FOR
- H05B—ELECTRIC HEATING; ELECTRIC LIGHT SOURCES NOT OTHERWISE PROVIDED FOR; CIRCUIT ARRANGEMENTS FOR ELECTRIC LIGHT SOURCES, IN GENERAL
- H05B33/00—Electroluminescent light sources
- H05B33/12—Light sources with substantially two-dimensional radiating surfaces
- H05B33/14—Light sources with substantially two-dimensional radiating surfaces characterised by the chemical or physical composition or the arrangement of the electroluminescent material, or by the simultaneous addition of the electroluminescent material in or onto the light source
-
- H—ELECTRICITY
- H10—SEMICONDUCTOR DEVICES; ELECTRIC SOLID-STATE DEVICES NOT OTHERWISE PROVIDED FOR
- H10K—ORGANIC ELECTRIC SOLID-STATE DEVICES
- H10K50/00—Organic light-emitting devices
- H10K50/10—OLEDs or polymer light-emitting diodes [PLED]
- H10K50/11—OLEDs or polymer light-emitting diodes [PLED] characterised by the electroluminescent [EL] layers
-
- H—ELECTRICITY
- H10—SEMICONDUCTOR DEVICES; ELECTRIC SOLID-STATE DEVICES NOT OTHERWISE PROVIDED FOR
- H10K—ORGANIC ELECTRIC SOLID-STATE DEVICES
- H10K50/00—Organic light-emitting devices
- H10K50/10—OLEDs or polymer light-emitting diodes [PLED]
- H10K50/14—Carrier transporting layers
- H10K50/15—Hole transporting layers
-
- H—ELECTRICITY
- H10—SEMICONDUCTOR DEVICES; ELECTRIC SOLID-STATE DEVICES NOT OTHERWISE PROVIDED FOR
- H10K—ORGANIC ELECTRIC SOLID-STATE DEVICES
- H10K85/00—Organic materials used in the body or electrodes of devices covered by this subclass
- H10K85/10—Organic polymers or oligomers
- H10K85/111—Organic polymers or oligomers comprising aromatic, heteroaromatic, or aryl chains, e.g. polyaniline, polyphenylene or polyphenylene vinylene
- H10K85/113—Heteroaromatic compounds comprising sulfur or selene, e.g. polythiophene
-
- H—ELECTRICITY
- H10—SEMICONDUCTOR DEVICES; ELECTRIC SOLID-STATE DEVICES NOT OTHERWISE PROVIDED FOR
- H10K—ORGANIC ELECTRIC SOLID-STATE DEVICES
- H10K85/00—Organic materials used in the body or electrodes of devices covered by this subclass
- H10K85/60—Organic compounds having low molecular weight
- H10K85/631—Amine compounds having at least two aryl rest on at least one amine-nitrogen atom, e.g. triphenylamine
- H10K85/636—Amine compounds having at least two aryl rest on at least one amine-nitrogen atom, e.g. triphenylamine comprising heteroaromatic hydrocarbons as substituents on the nitrogen atom
-
- H—ELECTRICITY
- H10—SEMICONDUCTOR DEVICES; ELECTRIC SOLID-STATE DEVICES NOT OTHERWISE PROVIDED FOR
- H10K—ORGANIC ELECTRIC SOLID-STATE DEVICES
- H10K85/00—Organic materials used in the body or electrodes of devices covered by this subclass
- H10K85/60—Organic compounds having low molecular weight
- H10K85/649—Aromatic compounds comprising a hetero atom
- H10K85/654—Aromatic compounds comprising a hetero atom comprising only nitrogen as heteroatom
-
- H—ELECTRICITY
- H10—SEMICONDUCTOR DEVICES; ELECTRIC SOLID-STATE DEVICES NOT OTHERWISE PROVIDED FOR
- H10K—ORGANIC ELECTRIC SOLID-STATE DEVICES
- H10K85/00—Organic materials used in the body or electrodes of devices covered by this subclass
- H10K85/60—Organic compounds having low molecular weight
- H10K85/649—Aromatic compounds comprising a hetero atom
- H10K85/657—Polycyclic condensed heteroaromatic hydrocarbons
-
- H—ELECTRICITY
- H10—SEMICONDUCTOR DEVICES; ELECTRIC SOLID-STATE DEVICES NOT OTHERWISE PROVIDED FOR
- H10K—ORGANIC ELECTRIC SOLID-STATE DEVICES
- H10K85/00—Organic materials used in the body or electrodes of devices covered by this subclass
- H10K85/60—Organic compounds having low molecular weight
- H10K85/649—Aromatic compounds comprising a hetero atom
- H10K85/657—Polycyclic condensed heteroaromatic hydrocarbons
- H10K85/6572—Polycyclic condensed heteroaromatic hydrocarbons comprising only nitrogen in the heteroaromatic polycondensed ring system, e.g. phenanthroline or carbazole
-
- B—PERFORMING OPERATIONS; TRANSPORTING
- B32—LAYERED PRODUCTS
- B32B—LAYERED PRODUCTS, i.e. PRODUCTS BUILT-UP OF STRATA OF FLAT OR NON-FLAT, e.g. CELLULAR OR HONEYCOMB, FORM
- B32B2457/00—Electrical equipment
- B32B2457/20—Displays, e.g. liquid crystal displays, plasma displays
- B32B2457/202—LCD, i.e. liquid crystal displays
-
- C—CHEMISTRY; METALLURGY
- C09—DYES; PAINTS; POLISHES; NATURAL RESINS; ADHESIVES; COMPOSITIONS NOT OTHERWISE PROVIDED FOR; APPLICATIONS OF MATERIALS NOT OTHERWISE PROVIDED FOR
- C09K—MATERIALS FOR MISCELLANEOUS APPLICATIONS, NOT PROVIDED FOR ELSEWHERE
- C09K2211/00—Chemical nature of organic luminescent or tenebrescent compounds
- C09K2211/10—Non-macromolecular compounds
- C09K2211/1003—Carbocyclic compounds
- C09K2211/1007—Non-condensed systems
-
- C—CHEMISTRY; METALLURGY
- C09—DYES; PAINTS; POLISHES; NATURAL RESINS; ADHESIVES; COMPOSITIONS NOT OTHERWISE PROVIDED FOR; APPLICATIONS OF MATERIALS NOT OTHERWISE PROVIDED FOR
- C09K—MATERIALS FOR MISCELLANEOUS APPLICATIONS, NOT PROVIDED FOR ELSEWHERE
- C09K2211/00—Chemical nature of organic luminescent or tenebrescent compounds
- C09K2211/10—Non-macromolecular compounds
- C09K2211/1003—Carbocyclic compounds
- C09K2211/1011—Condensed systems
-
- C—CHEMISTRY; METALLURGY
- C09—DYES; PAINTS; POLISHES; NATURAL RESINS; ADHESIVES; COMPOSITIONS NOT OTHERWISE PROVIDED FOR; APPLICATIONS OF MATERIALS NOT OTHERWISE PROVIDED FOR
- C09K—MATERIALS FOR MISCELLANEOUS APPLICATIONS, NOT PROVIDED FOR ELSEWHERE
- C09K2211/00—Chemical nature of organic luminescent or tenebrescent compounds
- C09K2211/10—Non-macromolecular compounds
- C09K2211/1003—Carbocyclic compounds
- C09K2211/1014—Carbocyclic compounds bridged by heteroatoms, e.g. N, P, Si or B
-
- C—CHEMISTRY; METALLURGY
- C09—DYES; PAINTS; POLISHES; NATURAL RESINS; ADHESIVES; COMPOSITIONS NOT OTHERWISE PROVIDED FOR; APPLICATIONS OF MATERIALS NOT OTHERWISE PROVIDED FOR
- C09K—MATERIALS FOR MISCELLANEOUS APPLICATIONS, NOT PROVIDED FOR ELSEWHERE
- C09K2211/00—Chemical nature of organic luminescent or tenebrescent compounds
- C09K2211/10—Non-macromolecular compounds
- C09K2211/1018—Heterocyclic compounds
- C09K2211/1025—Heterocyclic compounds characterised by ligands
- C09K2211/1029—Heterocyclic compounds characterised by ligands containing one nitrogen atom as the heteroatom
-
- C—CHEMISTRY; METALLURGY
- C09—DYES; PAINTS; POLISHES; NATURAL RESINS; ADHESIVES; COMPOSITIONS NOT OTHERWISE PROVIDED FOR; APPLICATIONS OF MATERIALS NOT OTHERWISE PROVIDED FOR
- C09K—MATERIALS FOR MISCELLANEOUS APPLICATIONS, NOT PROVIDED FOR ELSEWHERE
- C09K2211/00—Chemical nature of organic luminescent or tenebrescent compounds
- C09K2211/10—Non-macromolecular compounds
- C09K2211/1018—Heterocyclic compounds
- C09K2211/1025—Heterocyclic compounds characterised by ligands
- C09K2211/1044—Heterocyclic compounds characterised by ligands containing two nitrogen atoms as heteroatoms
-
- C—CHEMISTRY; METALLURGY
- C09—DYES; PAINTS; POLISHES; NATURAL RESINS; ADHESIVES; COMPOSITIONS NOT OTHERWISE PROVIDED FOR; APPLICATIONS OF MATERIALS NOT OTHERWISE PROVIDED FOR
- C09K—MATERIALS FOR MISCELLANEOUS APPLICATIONS, NOT PROVIDED FOR ELSEWHERE
- C09K2211/00—Chemical nature of organic luminescent or tenebrescent compounds
- C09K2211/10—Non-macromolecular compounds
- C09K2211/1018—Heterocyclic compounds
- C09K2211/1025—Heterocyclic compounds characterised by ligands
- C09K2211/1059—Heterocyclic compounds characterised by ligands containing three nitrogen atoms as heteroatoms
-
- C—CHEMISTRY; METALLURGY
- C09—DYES; PAINTS; POLISHES; NATURAL RESINS; ADHESIVES; COMPOSITIONS NOT OTHERWISE PROVIDED FOR; APPLICATIONS OF MATERIALS NOT OTHERWISE PROVIDED FOR
- C09K—MATERIALS FOR MISCELLANEOUS APPLICATIONS, NOT PROVIDED FOR ELSEWHERE
- C09K2211/00—Chemical nature of organic luminescent or tenebrescent compounds
- C09K2211/10—Non-macromolecular compounds
- C09K2211/1018—Heterocyclic compounds
- C09K2211/1025—Heterocyclic compounds characterised by ligands
- C09K2211/1088—Heterocyclic compounds characterised by ligands containing oxygen as the only heteroatom
-
- H—ELECTRICITY
- H10—SEMICONDUCTOR DEVICES; ELECTRIC SOLID-STATE DEVICES NOT OTHERWISE PROVIDED FOR
- H10K—ORGANIC ELECTRIC SOLID-STATE DEVICES
- H10K2101/00—Properties of the organic materials covered by group H10K85/00
- H10K2101/10—Triplet emission
-
- H—ELECTRICITY
- H10—SEMICONDUCTOR DEVICES; ELECTRIC SOLID-STATE DEVICES NOT OTHERWISE PROVIDED FOR
- H10K—ORGANIC ELECTRIC SOLID-STATE DEVICES
- H10K50/00—Organic light-emitting devices
- H10K50/10—OLEDs or polymer light-emitting diodes [PLED]
- H10K50/11—OLEDs or polymer light-emitting diodes [PLED] characterised by the electroluminescent [EL] layers
- H10K50/12—OLEDs or polymer light-emitting diodes [PLED] characterised by the electroluminescent [EL] layers comprising dopants
-
- H—ELECTRICITY
- H10—SEMICONDUCTOR DEVICES; ELECTRIC SOLID-STATE DEVICES NOT OTHERWISE PROVIDED FOR
- H10K—ORGANIC ELECTRIC SOLID-STATE DEVICES
- H10K50/00—Organic light-emitting devices
- H10K50/10—OLEDs or polymer light-emitting diodes [PLED]
- H10K50/14—Carrier transporting layers
- H10K50/16—Electron transporting layers
-
- H—ELECTRICITY
- H10—SEMICONDUCTOR DEVICES; ELECTRIC SOLID-STATE DEVICES NOT OTHERWISE PROVIDED FOR
- H10K—ORGANIC ELECTRIC SOLID-STATE DEVICES
- H10K50/00—Organic light-emitting devices
- H10K50/10—OLEDs or polymer light-emitting diodes [PLED]
- H10K50/17—Carrier injection layers
-
- H—ELECTRICITY
- H10—SEMICONDUCTOR DEVICES; ELECTRIC SOLID-STATE DEVICES NOT OTHERWISE PROVIDED FOR
- H10K—ORGANIC ELECTRIC SOLID-STATE DEVICES
- H10K50/00—Organic light-emitting devices
- H10K50/10—OLEDs or polymer light-emitting diodes [PLED]
- H10K50/18—Carrier blocking layers
-
- H—ELECTRICITY
- H10—SEMICONDUCTOR DEVICES; ELECTRIC SOLID-STATE DEVICES NOT OTHERWISE PROVIDED FOR
- H10K—ORGANIC ELECTRIC SOLID-STATE DEVICES
- H10K85/00—Organic materials used in the body or electrodes of devices covered by this subclass
- H10K85/10—Organic polymers or oligomers
- H10K85/111—Organic polymers or oligomers comprising aromatic, heteroaromatic, or aryl chains, e.g. polyaniline, polyphenylene or polyphenylene vinylene
- H10K85/113—Heteroaromatic compounds comprising sulfur or selene, e.g. polythiophene
- H10K85/1135—Polyethylene dioxythiophene [PEDOT]; Derivatives thereof
-
- H—ELECTRICITY
- H10—SEMICONDUCTOR DEVICES; ELECTRIC SOLID-STATE DEVICES NOT OTHERWISE PROVIDED FOR
- H10K—ORGANIC ELECTRIC SOLID-STATE DEVICES
- H10K85/00—Organic materials used in the body or electrodes of devices covered by this subclass
- H10K85/30—Coordination compounds
- H10K85/321—Metal complexes comprising a group IIIA element, e.g. Tris (8-hydroxyquinoline) gallium [Gaq3]
- H10K85/324—Metal complexes comprising a group IIIA element, e.g. Tris (8-hydroxyquinoline) gallium [Gaq3] comprising aluminium, e.g. Alq3
-
- H—ELECTRICITY
- H10—SEMICONDUCTOR DEVICES; ELECTRIC SOLID-STATE DEVICES NOT OTHERWISE PROVIDED FOR
- H10K—ORGANIC ELECTRIC SOLID-STATE DEVICES
- H10K85/00—Organic materials used in the body or electrodes of devices covered by this subclass
- H10K85/30—Coordination compounds
- H10K85/341—Transition metal complexes, e.g. Ru(II)polypyridine complexes
- H10K85/342—Transition metal complexes, e.g. Ru(II)polypyridine complexes comprising iridium
-
- H—ELECTRICITY
- H10—SEMICONDUCTOR DEVICES; ELECTRIC SOLID-STATE DEVICES NOT OTHERWISE PROVIDED FOR
- H10K—ORGANIC ELECTRIC SOLID-STATE DEVICES
- H10K85/00—Organic materials used in the body or electrodes of devices covered by this subclass
- H10K85/40—Organosilicon compounds, e.g. TIPS pentacene
-
- H—ELECTRICITY
- H10—SEMICONDUCTOR DEVICES; ELECTRIC SOLID-STATE DEVICES NOT OTHERWISE PROVIDED FOR
- H10K—ORGANIC ELECTRIC SOLID-STATE DEVICES
- H10K85/00—Organic materials used in the body or electrodes of devices covered by this subclass
- H10K85/60—Organic compounds having low molecular weight
- H10K85/615—Polycyclic condensed aromatic hydrocarbons, e.g. anthracene
- H10K85/624—Polycyclic condensed aromatic hydrocarbons, e.g. anthracene containing six or more rings
-
- H—ELECTRICITY
- H10—SEMICONDUCTOR DEVICES; ELECTRIC SOLID-STATE DEVICES NOT OTHERWISE PROVIDED FOR
- H10K—ORGANIC ELECTRIC SOLID-STATE DEVICES
- H10K85/00—Organic materials used in the body or electrodes of devices covered by this subclass
- H10K85/60—Organic compounds having low molecular weight
- H10K85/615—Polycyclic condensed aromatic hydrocarbons, e.g. anthracene
- H10K85/626—Polycyclic condensed aromatic hydrocarbons, e.g. anthracene containing more than one polycyclic condensed aromatic rings, e.g. bis-anthracene
-
- H—ELECTRICITY
- H10—SEMICONDUCTOR DEVICES; ELECTRIC SOLID-STATE DEVICES NOT OTHERWISE PROVIDED FOR
- H10K—ORGANIC ELECTRIC SOLID-STATE DEVICES
- H10K85/00—Organic materials used in the body or electrodes of devices covered by this subclass
- H10K85/60—Organic compounds having low molecular weight
- H10K85/631—Amine compounds having at least two aryl rest on at least one amine-nitrogen atom, e.g. triphenylamine
- H10K85/633—Amine compounds having at least two aryl rest on at least one amine-nitrogen atom, e.g. triphenylamine comprising polycyclic condensed aromatic hydrocarbons as substituents on the nitrogen atom
-
- Y—GENERAL TAGGING OF NEW TECHNOLOGICAL DEVELOPMENTS; GENERAL TAGGING OF CROSS-SECTIONAL TECHNOLOGIES SPANNING OVER SEVERAL SECTIONS OF THE IPC; TECHNICAL SUBJECTS COVERED BY FORMER USPC CROSS-REFERENCE ART COLLECTIONS [XRACs] AND DIGESTS
- Y02—TECHNOLOGIES OR APPLICATIONS FOR MITIGATION OR ADAPTATION AGAINST CLIMATE CHANGE
- Y02E—REDUCTION OF GREENHOUSE GAS [GHG] EMISSIONS, RELATED TO ENERGY GENERATION, TRANSMISSION OR DISTRIBUTION
- Y02E10/00—Energy generation through renewable energy sources
- Y02E10/50—Photovoltaic [PV] energy
- Y02E10/549—Organic PV cells
Definitions
- the present invention relates to an electronic device
- Electronic devices within the meaning of the present invention are preferably organic electroluminescent devices, but may also represent other electronic devices, as described in more detail below.
- OLED organic electroluminescent device
- Electroluminescent devices are known in the art, inter alia arylamine compounds. Such materials based on an indenofluorene backbone are, for example, in
- Metal complexes for example BAIq or bis [2- (2-benzothiazole) phenolate] zinc (II), as matrix materials for phosphorescent dopants
- a mixed-matrix system is understood to mean a system in which two or more different connections
- CBP biscarbazolylbiphenyl
- TCTA triscarbazolyltriphenylamine
- first component As a second component compounds such.
- benzophenone derivatives diazaphospholes (WO 2010/054730) and triazines suitable.
- Electroluminescent devices further improvements
- the present invention provides new organic electroluminescent devices to solve the above technical problem.
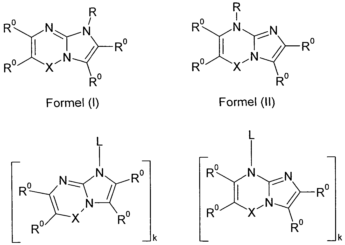
- the invention thus relates to an electronic device comprising anode, cathode and at least one organic layer, characterized in that the organic layer contains at least one compound of the following formulas (I) to (IV)
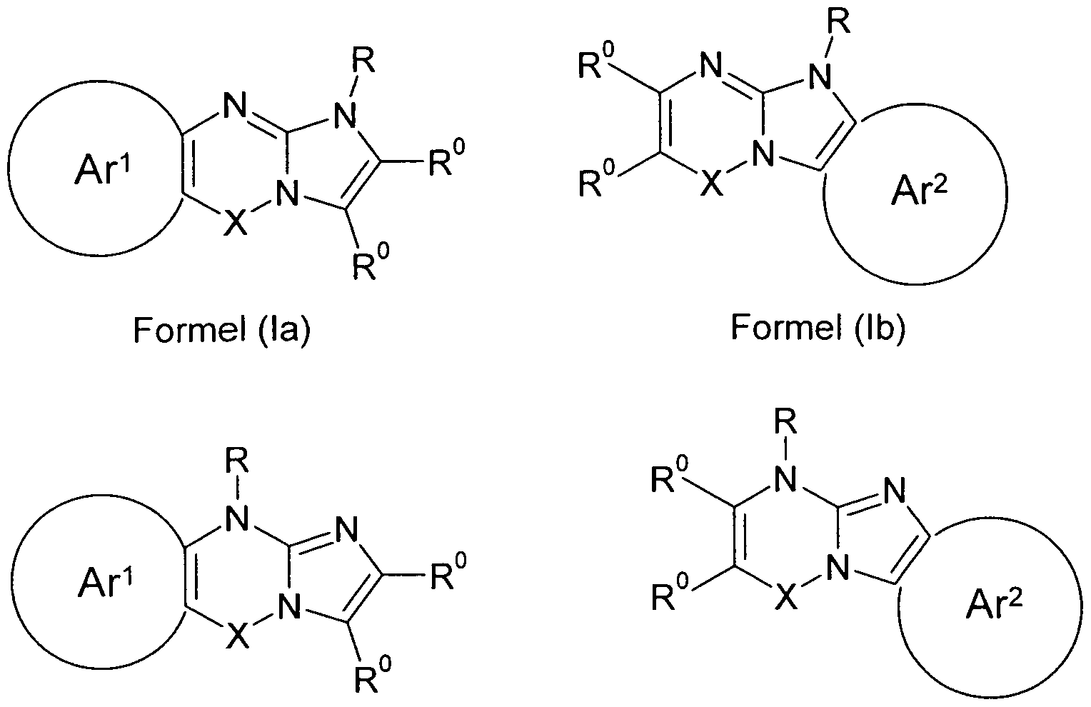
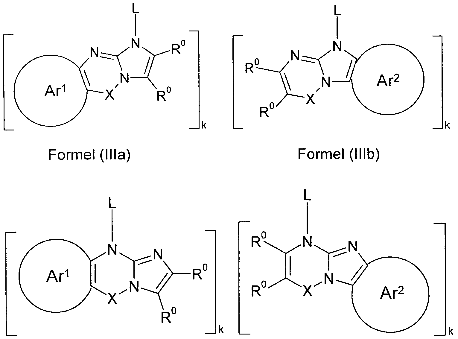
- Preferred embodiments of compounds of the formula (I), (II), (HI) and (IV) are the following compounds of the formula (Ia), (Ib), (IIa), (IIb), (IIIa), (IIIb) , (IVa) and (IVb)
- Ar 1 are identical or different and are an aryl group containing 6 to 60 aromatic ring atoms or a heteroaryl group containing 5 to 60 aromatic ring atoms, which may be substituted by one or more radicals R 1 ; and
- R can analogously to the definition given above with one or more radicals R ° and / or an adjacent group Ar 1 or Ar 2 be linked via a single bond or a divalent group Y.
- Ar 1 , Ar 2 are, identically or differently, an aryl group containing 6 to 60 aromatic ring atoms or a heteroaryl group containing 5 to 60 aromatic ring atoms, which may be substituted by one or more radicals R; and
- R can analogously to the definition given above with a or
- the groups Ar 1 and Ar 2 are identically or differently selected from aryl groups having 6 to 20
- the groups Ar 1 and Ar 2 on each occurrence are identically or differently selected from aryl groups having 6 to 14 aromatic ring atoms, which may be substituted by one or more R 1 groups, and heteroaryl groups having 5 to 14 aromatic ring atoms, which are substituted with a or a plurality of R may be substituted.
- fused aromatic or heteroaromatic rings generally refers to those rings which have at least two adjacent aromatic ring atoms in common with one another.
- a corresponding definition also applies analogously to aliphatic rings.
- a ring is fused to another ring, in the sense of this invention, it is understood that the fused ring has at least two adjacent ring atoms in common with the first ring.
- An aryl group in the sense of this invention contains 6 to 60 C atoms;
- a heteroaryl group contains 1 to 60 C atoms and at least one heteroatom, with the proviso that the sum of C atoms and heteroatoms gives at least 5.
- the heteroatoms are preferably selected from N, P, O and / or S.
- an aryl group or heteroaryl group is either a simple aromatic cycle, ie benzene, or a simple heteroaromatic cycle, for example, pyridine, pyrimidine, thiophene, etc., or a fused (fused) aryl or heteroaryl group, for example, naphthalene, anthracene, phenanthrene, quinoline, isoquinoline, carbazole, etc. understood.
- An aryl or heteroaryl group which may be substituted in each case by the abovementioned radicals R 1 or R 2 and which may be linked via any position on the aromatic or heteroaromatic compounds is understood in particular to mean groups which are derived from benzene, naphthalene, Anthracene, phenanthrene, pyrene, dihydropyrene, chrysene, perylene, fluoranthene, benzanthracene, benzphenanthrene, tetracene, pentacene, benzpyrene, furan, benzofuran, isobenzofuran, dibenzofuran, thiophene, benzothiophene, isobenzothiophene, dibenzothiophene, pyrrole, indole, isoindole, carbazole, Pyridine, quinoline, isoquinoline, acridine, phenanthridine, benzo-5,6-quinoline,
- An aralkyl group in the context of this invention is an alkyl group substituted with an aryl group, the term aryl group being as defined above and alkyl group defined as a non-aromatic organic radical having 1-40 carbon atoms, in which also single H atoms or CH 2 groups may be substituted by the groups mentioned above in the definition of R and R 1 .
- a heteroaralkyl group in the context of this invention is an alkyl group substituted by a heteroaryl group, wherein the term
- Heteroaryl group as defined above and alkyl group as a non-aromatic organic radical having 1-40 C atoms is defined, in which also individual H atoms or CH 2 groups can be substituted by the groups mentioned above in the definition of R and R 1 .
- An aromatic ring system in the sense of this invention contains 6 to 60 carbon atoms in the ring system.
- a heteroaromatic ring system in the context of this invention contains 5 to 60 aromatic ring atoms, at least one of which represents a heteroatom.
- the heteroatoms are preferably selected from N, O and / or S.
- An aromatic or heteroaromatic ring system in the sense of this invention is to be understood as meaning a system which does not necessarily contain only aryl or heteroaryl groups but in which also several aryl or heteroaryl groups a non-aromatic moiety (preferably less than 10% of the atoms other than H), such as e.g. As a C, Si, N or O atom or a carbonyl group may be connected.
- systems such as 9,9'-spirobifluorene, 9,9'-diarylfluorene, triarylamine, diaryl ethers, stilbene, etc. are to be understood as aromatic ring systems in the context of this invention, and also systems in which two or more aryl groups, for example by a linear or cyclic alkyl, alkenyl or alkynyl group or by a
- Silyl group are connected. Furthermore, systems in which two or more aryl or heteroaryl groups via single bonds
- biphenyl, terphenyl or bipyridine are linked together, such as biphenyl, terphenyl or bipyridine are understood as aromatic or heteroaromatic ring systems in the context of this invention.
- An aromatic or heteroaromatic ring system having 5-60 aromatic ring atoms, which may be substituted in each case by radicals as defined above and which may be linked via any position on the aromatic or heteroaromatic, is understood in particular to mean groups derived from benzene , Naphthalene, anthracene, benzanthracene, phenanthrene, benzphenanthrene, pyrene, chrysene, perylene, fluoranthene, naphthacene, pentacene, benzopyrene, biphenyl, biphenylene, terphenyl, terphenylene, fluorene, spirobifluorene, dihydrophenanthrene, dihydropyrene, tetrahydropyrene, cis- or trans-indenofluorene, Truxen, isotruxene, spirotruxene, spiroisotruxene, furan, Benzofuran,
- Thioalkyl group having 1 to 40 carbon atoms are preferably methoxy, trifluoromethoxy, ethoxy, n-propoxy, i-propoxy, n-butoxy, i-butoxy, s-butoxy, t-butoxy, n-pentoxy, s-pentoxy, 2- Methylbutoxy, n-hexoxy, cyclohexyloxy, n-heptoxy, cycloheptyloxy, n-octyloxy, cyclooctyloxy, 2- Ethylhexyloxy, pentafluoroethoxy, 2,2,2-trifluoroethoxy, methylthio, ethylthio, n-propylthio, i-propylthio, n-butylthio, i-butylthio, s-butylthio, t-butylthio, n-pentylthio, s
- Trifluoromethylthio pentafluoroethylthio, 2,2,2-trifluoroethylthio, ethenylthio, propenylthio, butenylthio, pentenylthio, cyclopentenylthio, hexenylthio, cyclohexenylthio, heptenylthio, cycloheptenylthio, octenylthio,
- PR 1 , P ( O) R 1 , O, S, SO and SO 2 ;
- Z is the same or different CR 1 or N for each occurrence, and no more than two adjacent groups Z may simultaneously be equal to N; and the other occurring symbols are as defined above.
- no more than three groups Z in a formula are equal to N, and the remaining groups Z are equal to CR 1 .
- all groups Z in a formula are equal to CR 1 .
- group X represents a group of the formula C (R 1 ) 2 , it represents a preferred embodiment that the two radicals R which bind to the same carbon atom are linked together and one
- group X 1 represents a group of the formula C (R) 2, it represents a preferred embodiment that the two radicals R 1 which bind to the same carbon atom are linked together and one
- R ° is the same or different at each occurrence as H, D, F, Cl, Br, I, N (R 1 ) 2 ,
- aromatic ring atoms which may be substituted by one or more radicals R, or a combination of these systems, furthermore, two or more adjacent radicals R ° may be linked together and form an aliphatic or aromatic ring or it may be a radical R ° with an adjacent radical R may be linked via a single bond or a divalent group Y and form an aliphatic or aromatic ring.
- the radical R is a straight-chain alkyl group having 1 to 10 C atoms or a branched or cyclic alkyl group having 3 to 10 C atoms or an alkenyl or alkynyl group having 2 to 10 C atoms, wherein the above groups each with one or more radicals R 1
- C O
- C NR 1 , P (OO) (R 1 )
- SO SO 2
- NR 1 , -O- , -S-, -COO- or -CONR - may be replaced and wherein one or more H atoms in the abovementioned groups may be replaced by D, F, Cl, Br, I or CN, or an aromatic or heteroaromatic ring system with 5 to 20
- aromatic ring atoms each of which may be substituted by one or more radicals R 1 , or an aralkyl or heteroaralkyl group having 5 to 20 aromatic ring atoms, which may be substituted by one or more radicals R 1 , or a combination of these systems, and wherein the radical R with one of the groups Ar 1 and Ar 2 via a
- Single bond or via a divalent group Y can be linked.
- the radical R is an aryl or heteroaryl group having 5 to 20 aromatic ring atoms, each of which may be substituted by one or more radicals R 1 , or an aralkyl or heteroaralkyl group having 5 to 20 aromatic ring atoms, which by one or more radicals R 1 may be substituted, wherein furthermore the radical R may be linked to one of the groups Ar 1 and Ar 2 via a single bond or via a divalent group Y.
- the radical R is selected from benzene, pyridine, pyrimidine, pyridazine, pyrazine and triazine, it being possible for the abovementioned groups to be substituted by one or more radicals R and the radical R having one of the groups Ar 1 and Ar 2 via a Single bond or via a divalent group Y can be linked.
- Ar 3 , Ar 4 and Ar 5 is the same or different and is an aryl
- k is 2, 3 or 4. Most preferably, k is 2 or 3.
- Formula (IX-3) Formula (X-1), wherein the occurring symbols are as defined above and further that Z is identical or different at each occurrence CR or N, wherein no more than two adjacent groups Z may be equal to N at the same time.
- substituent R, R 1 or R 2 bear at least one group which is selected from electron-poor heteroaryl groups, aromatic or
- heteroaromatic ring systems and of arylamine groups the abovementioned electron-poor heteroaryl groups being preferred
- pyridine pyrimidine
- pyridazine pyrazine
- triazine are selected from pyridine, pyrimidine, pyridazine, pyrazine, triazine and
- Benzimidazole which may be substituted with one or more of the radicals defined above and wherein the above-mentioned aromatic or heteroaromatic ring systems are preferably selected from
- Biphenyl, terphenyl and quaterphenyl which may be substituted with one or more of the radicals defined above, and wherein the abovementioned arylamine compounds are preferably compounds of the following formula (A)
- Ar 3 , Ar 4 , Ar 5 are as defined above, Ar 4 and Ar 5 are represented by a
- Another object of the present invention are compounds according to formula (Ic), (IIc), (Never) or (IVc), in which R is defined as follows:
- R is an aromatic or heteroaromatic ring system having 5 to 20 aromatic ring atoms, each of which may be substituted by one or more radicals R 1 , or an aralkyl or heteroaralkyl group having 5 to 20 aromatic ring atoms, which may be substituted by one or more radicals R 1 can, wherein furthermore the radical R can be linked to an adjacent group Ar 1 or Ar 2 via a single bond or via a divalent group Y.
- R is an aryl or heteroaryl group with 5 to 20 aromatic ring atoms, each of which may be substituted by one or more radicals R 1 .
- the compounds of the invention can according to the expert known synthesis steps, such as. As bromination, Suzuki coupling, Hartwig-Buchwald coupling, etc., are produced.
- 5- or 6-substituted benzimidazo [2,1-b] quinazolin-12 (6H) -ones may be prepared from the parent benzimidazo [2,1-b] quinazolin-12 (6H) -one (CAS
- electrophiles can be a wide range of classes of compounds such as alkyl and Aralkyl halides, sulfonates and sulfates, carboxylic acid esters, anhydrides and halides, silicon-halogen compounds, phosphorus-halogen compounds and halogenated electron-poor heterocycles such as diazines or triazines can be used (Scheme 2).
- Carpenter, et al., J. Org. Chem. 2007, 72, 1, 284) can first be N-functionalized by the methods shown above and then further functionalized by conventional methods for C-C coupling or C-N coupling, respectively (Scheme 4). This method is not limited to the position of C-C coupling or C-N coupling shown in Scheme 4.
- Scheme 4 Through the use of isomeric mono-, di- or oligo-bromides of the benzimidazo [2,1-b] quinazolin-12 (6H) -ones, a variety of derivatives of the compounds shown in Scheme 4 can be prepared, which have a different substitution pattern ,
- the imidazo [1, 2-a] pyrimidin-5 (1 H) -one and the pyrimido [1, 2-a] benzimidazol-4 (10H) -one and their derivatives can be implemented, whereby compounds of the invention based on these frameworks can be made.
- the invention thus further provides a process for the preparation of the compounds according to the invention of the formulas (Ic) to (IVc), which comprises carrying out at least one of the two steps a) and b) given below: a) Deprotonation at the 5-atom or at the 6-N atom of the
- Dendrimers or polymers find use.
- the oligomerization or polymerization is preferably carried out via the halogen functionality or the boronic acid functionality.
- Another object of the invention are therefore oligomers, polymers or dendrimers containing one or more compounds according to
- the compound is part of a side chain of the oligomer or polymer or constituent of the main chain.
- An oligomer in the context of this invention is understood as meaning a compound which is composed of at least three monomer units.
- a polymer in the context of the invention is understood as meaning a compound which is composed of at least ten monomer units.
- Dendrimers may be conjugated, partially conjugated or non-conjugated.
- the oligomers or polymers of the invention may be linear, branched or dendritic.
- the units of the formulas (Ic) to (IVc) can be directly linked to one another or they may be linked together via a divalent group, for example via a substituted or unsubstituted alkylene group, via a heteroatom or via a divalent aromatic or heteroaromatic group.
- three or more units of formula (Ic) to (IVc) may be linked via a trivalent or higher valent group, for example via a trivalent or higher valent aromatic or heteroaromatic group, to a branched or dendritic oligomer or polymer.
- repeat units of the formula (Ic) to (IVc) in oligomers, dendrimers and polymers have the same preferences as described above for compounds of the formulas (Ic) to (IVc).
- the monomers according to the invention are homopolymerized or copolymerized with further monomers.
- Suitable and preferred comonomers are selected from fluorenes (eg according to EP 842208 or WO 2000/22026),
- Spirobifluorenes eg according to EP 707020, EP 894107 or
- WO 2006/061181 paraphenylenes (eg according to WO 1992/18552), carbazoles (eg according to WO 2004/070772 or WO 2004/1 3468), thiophenes (eg according to EP 1028136), dihydrophenanthrenes (For example, according to WO 2005/014689 or WO 2007/006383), cis- and trans-indenofluorenes (eg according to WO 2004/041901 or WO 2004/1 3412), ketones (eg according to WO 2005 No. 040302), phenanthrenes (for example according to WO 2005/104264 or WO 2007/017066) or also several of these units.
- the polymers, oligomers and dendrimers contain
- Vinyltriarylamines for example according to WO 2007/068325
- phosphorescent metal complexes for example according to WO 2006/003000
- charge transport units especially those based on triarylamines.
- the polymers, oligomers and dendrimers according to the invention have advantageous properties, in particular high lifetimes, high efficiencies and good color coordinates.
- the polymers and oligomers according to the invention are generally prepared by polymerization of one or more types of monomer, of which at least one monomer in the polymer leads to repeat units of the formulas (Ic) to (IVc). suitable
- the present invention thus also provides a process for the preparation of the polymers, oligomers and dendrimers according to the invention, which is prepared by polymerization according to SUZUKI, polymerization according to YAMAMOTO, polymerization according to SILENCE or polymerization according to HARTWIG-BUCHWALD.
- the dendrimers according to the invention can be prepared according to methods known to the person skilled in the art or in analogy thereto.
- At least one compound of the formula (Ic) to (IVc) or at least one polymer, oligomer or dendrimer comprising at least one unit of the formula (Ic) to (IVc) and at least one solvent, preferably an organic solvent.
- the formulations of the invention find, for example, in the production of organic electroluminescent devices
- the compounds of the formulas (I) to (IV) are suitable for use in electronic devices, in particular in organic electroluminescent devices (OLEDs). Depending on the substitution, the compounds in different functions and in
- the selection of the group X or X 1 plays a role in the connections.
- such compounds of the invention are particularly suitable for use as hole transport or
- Hole injection materials which are substituted with at least one arylamino group. Further, in compounds for preferred use as hole transport or hole injection materials, it is preferred that X or X 1 represent a group of formula C (R 1 ) 2 or NR 1 .
- Electron transport materials which with at least one
- Another object of the invention is therefore the use of the compounds of formula (I) to (IV) in electronic devices.
- the electronic devices are preferably selected from the group consisting of organic integrated circuits (O-ICs), organic field effect transistors (O-FETs), organic
- O-TFTs Thin-film transistors (O-TFTs), organic light-emitting
- O-LETs organic solar cells
- O-SCs organic solar cells
- O-FQDs organic field quench devices
- LECs light-emitting electrochemical cells
- O-lasers organic laser diodes
- OLEDs organic electroluminescent devices
- the invention further provides, as already mentioned above, an organic electroluminescent device comprising an anode,
- the organic electroluminescent device contains at least one electroluminescent layer.
- the electroluminescent layer may contain a compound of formula (I) to (IV), but the compound of formula (I) to (IV) may also be additionally or exclusively present in another layer of the device, for example a hole or an electron transport layer.
- These other layers are selected, for example, from in each case one or more hole injection layers, hole transport layers, hole blocking layers, electron transport layers, electron injection layers, electron transfer layers. blocking layers, exciton blocking layers, intermediate layers
- the organic electroluminescent device may also include a plurality of emitting layers.
- these emission layers particularly preferably have a total of several emission maxima between 380 nm and 750 nm, so that overall white emission results, ie. H.
- various emitting compounds are used which can fluoresce or phosphoresce and which emit blue and yellow, orange or red light.
- Particular preference is given to systems having three emitting layers, where at least one of these layers contains at least one compound according to formula (I) to (IV) and the three layers show blue, green and orange or red emission (for the basic structure see, for example, US Pat WO 2005/01 1013).
- the compounds of the formula (I) to (IV) can also be present in the hole transport layer or another layer.
- white emission emitters which have broadband emission bands and thereby show white emission.
- Hole transport layer a hole injection layer or in the emitting layer.
- the compound according to formulas (I) to (IV) can also be used according to the invention in an electronic device containing one or more fluorescent dopants.
- phosphorescent dopants are compounds which emit light, preferably in the visible range, with suitable excitation and also at least one atom of atomic number greater than 20, preferably greater than 38 and less than 84, particularly preferably greater than 56 and less than 80 contain.
- phosphorescence emitters as compounds comprising copper, molybdenum, tungsten, rhenium, ruthenium, osmium, rhodium, iridium, palladium, platinum, silver, gold or europium, in particular
- Examples of the emitters described above can be found in applications WO 2000/70655, WO 2001/41512, WO 2002/02714, WO 2002/15645, EP 1191613, EP 1191612, EP 1191614, WO 2005/033244,
- the compounds of the formula (I) to (IV) are used as matrix material in combination with one or more dopants, preferably phosphorescent dopants.
- a dopant is understood to mean the component whose proportion in the mixture is the smaller. Accordingly, under a matrix material in a system comprising a matrix material and a dopant understood that component whose proportion in the mixture is the larger.
- the proportion of the matrix material in the emitting layer is in this case between 50.0 and 99.9% by volume, preferably between 80.0 and 99.5% by volume and particularly preferred for fluorescent emitting layers between 92.0 and 99.5% by volume and for phosphorescent emitting layers between 85.0 and 97.0 vol.%.
- the proportion of the dopant is between 0.1 and
- An emitting layer of an organic electroluminescent device may also contain systems comprising a plurality of matrix materials (mixed-matrix systems) and / or multiple dopants. Also in this case, the dopants are generally those materials whose proportion in the system is smaller and the matrix materials are those materials whose proportion in the system is larger.
- the dopants are generally those materials whose proportion in the system is smaller and the matrix materials are those materials whose proportion in the system is larger.
- the proportion of a single matrix material in the system may be smaller than the proportion of a single dopant.
- the mixed-matrix systems preferably comprise two or three different matrix materials, more preferably two different matrix materials.
- One of the two materials preferably carries a material with hole-transporting properties and the other material a material
- different matrix materials may be present in a ratio of 1: 50 to 1: 1, preferably 1: 20 to 1: 1, more preferably 1:10 to 1: 1 and most preferably 1: 4 to 1: 1.
- the mixed-matrix systems may comprise one or more dopants.
- the dopant compound or the dopant compounds together according to the invention have a proportion of 0.1 to 50.0 vol .-% of the total mixture and preferably a proportion of 0.5 to 20.0 vol .-% of the total mixture. Accordingly, the dopant compound or the dopant compounds together according to the invention have a proportion of 0.1 to 50.0 vol .-% of the total mixture and preferably a proportion of 0.5 to 20.0 vol .-% of the total mixture. Accordingly, the
- Matrix components together account for a proportion of 50.0 to 99.9% by volume of the total mixture and preferably a proportion of 80.0 to 99.5% by volume of the total mixture.
- Suitable matrix materials which can be used in combination with the compounds according to the invention as matrix components of a mixed-matrix system are aromatic ketones, aromatic phosphine oxides or aromatic sulfoxides or sulfones, eg. B. according to WO 2004/013080, WO 2004/093207, WO 2006/005627 or WO 2010/006680, triarylamines, carbazole derivatives, z. CBP (N, N-biscarbazolylbiphenyl) or those disclosed in WO 2005/039246, US 2005/0069729, JP 2004/288381, EP 1205527 or WO 2008/086851
- Carbazole derivatives indolocarbazole derivatives, e.g. B. according to WO 2007/063754 or WO 2008/056746, Azacarbazolderivate, z. B. according to EP 1617710, EP 1617711, EP 1731584, JP 2005/347160, bipolar matrix materials, for. B. according to WO 2007/137725, silanes, z. B. according to WO 2005/111172, azaborole or boronic esters, z. B. according to WO 2006/117052,
- Triazine derivatives e.g. B. according to WO 2010/015306, WO 2007/063754 or WO 2008/056746, zinc complexes, for. B. according to EP 652273 or
- Preferred phosphorescent dopants for use in mixed-matrix systems comprising the compounds according to the invention are the phosphorescent dopants listed in the table above.
- the compounds of the formula (I) to (IV) are used as hole transport material. The compounds are then preferred in one
- a hole injection layer in the sense of this invention is a layer which is directly adjacent to the anode.
- a hole transport layer in the sense of this invention is a layer that lies between the hole injection layer and the emission layer. The hole transport layer can directly to the
- Hole transport material or may be used as hole injection material, it may be preferred if they are doped with electron acceptor compounds, for example with F 4 -TCNQ or with compounds as described in EP 1476881 or EP 1596445.
- a compound according to formula (I) to (IV) is used as hole transport material in combination with a hexaazatriphenylene derivative as described in US 2007/0092755.
- the Hexaazatriphenylenderivat is used in a separate layer.
- Pure material i. in a proportion of 100% in the hole transport layer or it can be used in combination with one or more further compounds in the hole transport layer.
- the compounds of the formula (I) to (IV) are used as fluorescent dopants in an electroluminescent layer. Preference is given to
- Preferred matrix materials for use in combination with the compounds of formulas (I) to (IV) as fluorescent dopants are listed in one of the following sections. In the following, the preferred materials used in the electronic devices according to the invention for the respective functions are listed.
- Preferred emitter emitter materials are selected from the class of monostyrylamines, distyrylamines, tristyrylamines,
- Tetrastyrylamines Tetrastyrylamines, styrylphosphines, styryl ethers and arylamines.
- a monostyrylamine is meant a compound containing a substituted or unsubstituted styryl group and at least one, preferably aromatic, amine.
- a distyrylamine is meant a compound which is two substituted or unsubstituted
- Styryl tendency and at least one, preferably aromatic, amine Styryl weakness and at least one, preferably aromatic, amine.
- a tristyrylamine is understood as meaning a compound which contains three substituted or unsubstituted styryl groups and at least one, preferably aromatic, amine.
- tetrastyrylamine is meant a compound which is four substituted or unsubstituted
- the styryl groups are particularly preferred stilbenes, which may also be further substituted.
- Corresponding styrylphosphines and styryl ethers are defined in analogy to the amines.
- An arylamine or an aromatic amine in the context of this invention is understood as meaning a compound which contains three substituted or unsubstituted aromatic or heteroaromatic ring systems bonded directly to the nitrogen. At least one of these aromatic or heteroaromatic ring systems is preferably a fused ring system, more preferably at least 14 aromatic ring atoms.
- aromatic anthraceneamines aromatic anthracenediamines, aromatic pyrenamines, aromatic pyrenediamines, aromatic chrysenamines or aromatic chrysenediamines.
- aromatic anthracene amine is meant a compound in which a diarylamino group is bonded directly to an anthracene group, preferably in the 9-position.
- aromatic anthracenediamine is meant a compound in which two
- Diarylamino groups are attached directly to an anthracene group, preferably in the 9,10-position.
- Aromatic pyrenamines, pyrendiamines, chrysenamines and chrysenediamines are defined analogously thereto, the Diarylamino groups on the pyrene are preferably bonded in the 1-position or in the 1, 6-position.
- Further preferred emitter materials are selected from indenofluorenamines or -diamines, for example according to
- Examples of emitter materials from the class of styrylamines are substituted or unsubstituted tristilbenamines or the emitter materials described in WO 2006/000388, WO 2006/058737,
- WO 2006/000389, WO 2007/065549 and WO 2007/115610 are described. Further preferred are the condensed hydrocarbons disclosed in WO 2010/012328.
- the compounds of the formula (I) to (IV) are preferably used as fluorescent emitter materials.
- Suitable emitter materials are furthermore the structures depicted in the following table, as well as those described in JP 2006/001973, WO 2004/047499, WO 2006/098080, WO 2007/065678, US 2005/0260442 and US Pat
- WO 2004/092111 disclosed derivatives of these structures.
- Suitable matrix materials are materials of different substance classes. preferred
- Matrix materials are selected from the classes of the oligoarylenes (for example 2,2 ', 7,7'-tetraphenylspirobifluorene according to EP 676461 or US Pat
- oligoarylenes containing condensed aromatic groups in particular the oligoarylenes containing condensed aromatic groups, the oligoarylenevinylenes (eg DPVBi or spiro-DPVBi according to EP 676461), the polypodal metal complexes (eg according to WO 2004/081017), the hole-conducting compounds (e.g. according to WO 2004/05891 1), the electron-conducting compounds, in particular ketones, phosphine oxides, sulfoxides, etc. (for example according to US Pat
- suitable matrix materials are preferably the compounds according to the invention.
- particularly preferred matrix materials are selected from the classes of the oligoarylenes containing naphthalene, anthracene, benzanthracene and / or pyrene or atropisomers of these compounds, the oligoarylenevinylenes, the ketones, the phosphine oxides and the sulphoxides.
- Very particularly preferred matrix materials are selected from the compounds according to the invention
- an oligoarylene is to be understood as meaning a compound in which at least three aryl or arylene groups are bonded to one another.
- Suitable matrix materials are, for example, the materials depicted in the following table, as well as derivatives of these materials, as described in WO 2004/018587, WO 2008/006449, US Pat. No. 5,935,721, US 2005/0181232, JP 2000/273056, EP 681019, US 2004/0247937 and US 2005/0211958.
- the cathode of the organic electroluminescent device are low work function metals, metal alloys or multilayer structures of various metals, such as
- Alkaline earth metals alkali metals, main group metals or lanthanides (eg Ca, Ba, Mg, Al, In, Mg, Yb, Sm, etc.). Furthermore, are suitable
- an alloy of magnesium and silver In the case of multilayer structures, it is also possible, in addition to the metals mentioned, to use further metals which have a relatively high work function, such as eg. As Ag or Al, which then usually combinations of metals, such as Ca / Ag, Ba / Ag or Mg / Ag are used. It may also be preferred to introduce between a metallic cathode and the organic semiconductor a thin intermediate layer of a material with a high dielectric constant. Suitable examples of these are alkali metal or alkaline earth metal fluorides, but also the corresponding oxides or carbonates (eg LiF, Li 2 O, BaF 2 , MgO, NaF, CsF, Cs 2 CO 3 , etc.). Furthermore, for that
- Lithium quinolinate LiQ
- the layer thickness of this layer is preferably between 0.5 and 5 nm.
- the anode high workfunction materials are preferred.
- the anode has a work function greater than 4.5 eV. Vacuum up.
- metals with a high redox potential such as Ag, Pt or Au, are suitable for this purpose.
- metal / metal oxide electrodes eg Al / Ni / NiO x , Al / PtO x ) may also be preferred. For some applications, at least one of the electrodes must be transparent or
- Preferred anode materials here are conductive mixed metal oxides. Particularly preferred are indium tin oxide (ITO) or indium zinc oxide (IZO). Preference is furthermore given to conductive, doped organic materials, in particular conductive doped polymers.
- the device is structured accordingly (depending on the application), contacted and finally sealed, since the life of the devices according to the invention is shortened in the presence of water and / or air.
- the inventive device is structured accordingly (depending on the application), contacted and finally sealed, since the life of the devices according to the invention is shortened in the presence of water and / or air.
- the inventive device is structured accordingly (depending on the application), contacted and finally sealed, since the life of the devices according to the invention is shortened in the presence of water and / or air.
- the inventive device is structured accordingly (depending on the application), contacted and finally sealed, since the life of the devices according to the invention is shortened in the presence of water and / or air.
- Organic electroluminescent device characterized in that one or more layers are coated by a sublimation process.
- the materials are vacuum deposited in vacuum sublimation at an initial pressure less than 10 "5 mbar, preferably less than 10 " 6 mbar. However, it is also possible that the initial pressure is even lower, for example, less than 0 "7 mbar.
- organic electroluminescent device characterized in that one or more layers with the
- OVPD Organic Vapor Phase Deposition
- carrier gas sublimation a carrier gas sublimation
- the materials are applied at a pressure between 10 ⁇ 5 mbar and 1 bar.
- OVJP Organic Vapor Jet Printing
- the materials are applied directly through a nozzle and thus structured (for example, BMS Arnold et al., Appl. Phys. Lett., 2008, 92, 053301).
- an organic electroluminescent device characterized in that one or more layers of solution, such. B. by spin coating, or with any printing process such.
- any printing process such as screen printing, flexographic printing, nozzle printing or offset printing, but particularly preferably LITI (Light Induced Thermal Imaging,
- organic electroluminescent devices comprising one or more compounds of the formula (I) to (IV) According to the invention are used in displays, as light sources in lighting applications and as light sources in medical and / or cosmetic applications (eg light therapy).
- Matrix materials for phosphorescent emitters can provide high power efficiency and low operating voltage
- Hole transport materials preferably in a hole transport layer, can have a high power efficiency and a low power
- reaction mixture is added dropwise with good stirring with a mixture of 7.6 ml of water and 50 ml of diethylene glycol dimethyl ether, 7.6 ml of NaOH solution (10 wt .-%) and then 23.0 ml of water. It is suctioned off from the salts, washed with 100 ml of diethylene glycol dimethyl ether and removed under vacuum. After five times recrystallization of the solid from NMP is
- Example 16 Production of the OLEDs
- the preparation of inventive OLEDs and OLEDs according to the prior art is carried out by a general process according to WO 04/058911, which is adapted to the conditions described here (layer thickness variation, materials used). in the following Examples 17 to 35 (see Tables 1, 2 and 3) the results of different OLEDs are presented. Glass slides coated with structured ITO (indium tin oxide) 150 nm thick are coated with 20 nm PEDOT (poly (3,4-ethylenedioxy-2,5-thiophene), spun from water for improved processing;
- ITO indium tin oxide
- PEDOT poly (3,4-ethylenedioxy-2,5-thiophene
- the OLEDs have in principle the following layer structure: substrate / hole injection layer (HIL1, with HIL1, 20 nm) / hole transport layer (HTL, with HTM1 (reference) or the HTMs according to the invention, 20 nm) /
- Electron transport layer (ETL, with ETL1, 20 nm) /
- Electron injection layer (EIL, with LiF, 1 nm) and finally a cathode.
- the cathode is formed by a 100 nm thick aluminum layer.
- Table 1 for green-emitting OLEDs and Table 2 for blue-emitting OLEDs remove.
- Table 3 shows the results for the use of compounds of the invention both as matrix materials for phosphorescent emitters and as hole transport materials.
- the materials used to make the OLEDs are listed in Table 4. All materials are thermally evaporated in a vacuum chamber.
- the emission layer always consists of at least one matrix material (host material, host material) and an emitting dopant (dopant, emitter), which is admixed to the matrix material or the matrix materials by co-evaporation in a specific volume fraction.
- the not yet optimized OLEDs are characterized by default. For this the electroluminescence spectra, the current efficiency (measured in cd / A) and the voltage are determined. The efficiencies and voltages given in the tables refer to the corresponding values at an operating brightness of 1000 cd / m 2 .
- the materials according to the invention are particularly suitable for use as matrix materials for phosphorescent emitters and as hole conductors and lead there to high efficiencies and low
Landscapes
- Chemical & Material Sciences (AREA)
- Organic Chemistry (AREA)
- Physics & Mathematics (AREA)
- Engineering & Computer Science (AREA)
- Materials Engineering (AREA)
- Spectroscopy & Molecular Physics (AREA)
- Optics & Photonics (AREA)
- Electroluminescent Light Sources (AREA)
- Photovoltaic Devices (AREA)
- Nitrogen Condensed Heterocyclic Rings (AREA)
- Nitrogen And Oxygen Or Sulfur-Condensed Heterocyclic Ring Systems (AREA)
- Plural Heterocyclic Compounds (AREA)
Abstract
Description
Claims
Priority Applications (5)
| Application Number | Priority Date | Filing Date | Title |
|---|---|---|---|
| JP2013515746A JP5882313B2 (ja) | 2010-06-22 | 2011-05-30 | 電子デバイス用材料 |
| US13/805,927 US9379330B2 (en) | 2010-06-22 | 2011-05-30 | Materials for electronic devices |
| DE112011102109T DE112011102109A5 (de) | 2010-06-22 | 2011-05-30 | Materialien für elektronische Vorrichtungen |
| US15/153,185 US20160260911A1 (en) | 2010-06-22 | 2016-05-12 | Materials for electronic devices |
| US15/633,051 US10135003B2 (en) | 2010-06-22 | 2017-06-26 | Materials for electronic devices |
Applications Claiming Priority (2)
| Application Number | Priority Date | Filing Date | Title |
|---|---|---|---|
| DE102010024542.9 | 2010-06-22 | ||
| DE102010024542A DE102010024542A1 (de) | 2010-06-22 | 2010-06-22 | Materialien für elektronische Vorrichtungen |
Related Child Applications (2)
| Application Number | Title | Priority Date | Filing Date |
|---|---|---|---|
| US13/805,927 A-371-Of-International US9379330B2 (en) | 2010-06-22 | 2011-05-30 | Materials for electronic devices |
| US15/153,185 Continuation US20160260911A1 (en) | 2010-06-22 | 2016-05-12 | Materials for electronic devices |
Publications (1)
| Publication Number | Publication Date |
|---|---|
| WO2011160757A1 true WO2011160757A1 (de) | 2011-12-29 |
Family
ID=44504448
Family Applications (1)
| Application Number | Title | Priority Date | Filing Date |
|---|---|---|---|
| PCT/EP2011/002668 Ceased WO2011160757A1 (de) | 2010-06-22 | 2011-05-30 | Materialien für elektronische vorrichtungen |
Country Status (4)
| Country | Link |
|---|---|
| US (3) | US9379330B2 (de) |
| JP (1) | JP5882313B2 (de) |
| DE (2) | DE102010024542A1 (de) |
| WO (1) | WO2011160757A1 (de) |
Cited By (53)
| Publication number | Priority date | Publication date | Assignee | Title |
|---|---|---|---|---|
| WO2012130709A1 (en) | 2011-03-25 | 2012-10-04 | Basf Se | 4h-imidazo[1,2-a]imidazoles for electronic applications |
| WO2013068376A1 (en) | 2011-11-10 | 2013-05-16 | Basf Se | 4h-imidazo[1,2-a]imidazoles for electronic applications |
| WO2014009317A1 (en) | 2012-07-10 | 2014-01-16 | Basf Se | Benzimidazo[1,2-a]benzimidazole derivatives for electronic applications |
| CN103619986A (zh) * | 2011-06-03 | 2014-03-05 | 默克专利有限公司 | 有机电致发光器件 |
| JP2014045101A (ja) * | 2012-08-28 | 2014-03-13 | Konica Minolta Inc | 有機エレクトロルミネッセンス素子、照明装置および表示装置 |
| JP2014516471A (ja) * | 2011-04-13 | 2014-07-10 | メルク パテント ゲーエムベーハー | 電子素子のための材料 |
| WO2015063046A1 (en) | 2013-10-31 | 2015-05-07 | Basf Se | Azadibenzothiophenes for electronic applications |
| CN104662023A (zh) * | 2012-09-20 | 2015-05-27 | 巴斯夫欧洲公司 | 供电子应用的氮杂二苯并呋喃 |
| WO2016016791A1 (en) | 2014-07-28 | 2016-02-04 | Idemitsu Kosan Co., Ltd (Ikc) | 2,9-functionalized benzimidazolo[1,2-a]benzimidazoles as hosts for organic light emitting diodes (oleds) |
| EP2982676A1 (de) | 2014-08-07 | 2016-02-10 | Idemitsu Kosan Co., Ltd. | Benzimidazo[2,1-b]benzoxazole für elektronische Anwendungen |
| EP2993215A1 (de) | 2014-09-04 | 2016-03-09 | Idemitsu Kosan Co., Ltd. | Azabenzimidazo[2,1-a]benzimidazole für elektronische Anwendungen |
| EP3034506A1 (de) | 2014-12-15 | 2016-06-22 | Idemitsu Kosan Co., Ltd | 4-funktionalisierte Carbazolderivate für elektronische Anwendungen |
| EP3034507A1 (de) | 2014-12-15 | 2016-06-22 | Idemitsu Kosan Co., Ltd | 1-funktionalisierte Dibenzofurane und Dibenzothiophene für organische Leuchtdioden (OLEDS) |
| EP3075737A1 (de) | 2015-03-31 | 2016-10-05 | Idemitsu Kosan Co., Ltd | Benzimidazolo[1,2-a]benzimidazol mit aryl- oder heteroarylnitrilgruppen für organische leuchtdioden |
| EP3150604A1 (de) | 2015-10-01 | 2017-04-05 | Idemitsu Kosan Co., Ltd. | Benzimidazolo[1,2-a]benzimidazol mit benzimidazolo[1,2-a]benzimidazolylgruppen, carbazolylgruppen, benzofurangruppen oder benzothiophengruppen für organische leuchtdioden |
| EP3150606A1 (de) | 2015-10-01 | 2017-04-05 | Idemitsu Kosan Co., Ltd. | Benzimidazolo[1,2-a]benzimidazole mit benzofuran- oder benzothiophen- gruppen für organische licht emittierende dioden. |
| WO2017056053A1 (en) | 2015-10-01 | 2017-04-06 | Idemitsu Kosan Co., Ltd. | Benzimidazolo[1,2-a]benzimidazole carrying benzimidazolo[1,2-a]benzimidazolyl groups, carbazolyl groups, benzofurane groups or benzothiophene groups for organic light emitting diodes |
| WO2017056055A1 (en) | 2015-10-01 | 2017-04-06 | Idemitsu Kosan Co., Ltd. | Benzimidazolo[1,2-a]benzimidazole carrying triazine groups for organic light emitting diodes |
| WO2017093958A1 (en) | 2015-12-04 | 2017-06-08 | Idemitsu Kosan Co., Ltd. | Benzimidazolo[1,2-a]benzimidazole derivatives for organic light emitting diodes |
| JP2017119866A (ja) * | 2015-12-28 | 2017-07-06 | 株式会社半導体エネルギー研究所 | 有機金属錯体、発光素子、発光装置、電子機器及び照明装置 |
| US9806270B2 (en) | 2011-03-25 | 2017-10-31 | Udc Ireland Limited | 4H-imidazo[1,2-a]imidazoles for electronic applications |
| US20190081248A1 (en) * | 2017-09-11 | 2019-03-14 | Universal Display Corporation | Organic electroluminescent materials and devices |
| WO2019170691A1 (en) * | 2018-03-09 | 2019-09-12 | Merck Patent Gmbh | Compounds for electronic devices |
| US10570136B2 (en) | 2015-07-28 | 2020-02-25 | Udc Ireland Limited | Process for the preparation of benzimidazo[1,2-a] benzimidazoles |
| CN110963992A (zh) * | 2018-09-30 | 2020-04-07 | 江苏三月光电科技有限公司 | 一种以喹啉酮衍生物为核心的化合物及其在有机电致发光器件上的应用 |
| CN110964007A (zh) * | 2018-09-30 | 2020-04-07 | 江苏三月光电科技有限公司 | 一种以喹啉酮衍生物为核心的化合物及其在有机电致发光器件上的应用 |
| CN111233868A (zh) * | 2018-11-28 | 2020-06-05 | 环球展览公司 | 用于电致发光装置的主体材料 |
| WO2020148243A1 (en) | 2019-01-16 | 2020-07-23 | Merck Patent Gmbh | Materials for organic electroluminescent devices |
| US10934293B2 (en) | 2017-05-18 | 2021-03-02 | Universal Display Corporation | Organic electroluminescent materials and devices |
| WO2021160898A2 (de) | 2020-05-27 | 2021-08-19 | Merck Patent Gmbh | Materialien für elektronische vorrichtungen |
| WO2021198213A1 (de) * | 2020-04-02 | 2021-10-07 | Merck Patent Gmbh | Materialien für organische elektrolumineszenzvorrichtungen |
| WO2022243403A1 (de) | 2021-05-21 | 2022-11-24 | Merck Patent Gmbh | Verfahren zur kontinuierlichen aufreinigung von mindestens einem funktionalen material und vorrichtung zur kontinuierlichen aufreinigung von mindestens einem funktionalen material |
| US11512093B2 (en) | 2019-03-04 | 2022-11-29 | Universal Display Corporation | Compound used for organic light emitting device (OLED), consumer product and formulation |
| US11621396B2 (en) | 2017-10-06 | 2023-04-04 | Merck Patent Gmbh | Materials for organic electroluminescent devices |
| WO2024033282A1 (en) | 2022-08-09 | 2024-02-15 | Merck Patent Gmbh | Materials for organic electroluminescent devices |
| WO2024121133A1 (de) | 2022-12-08 | 2024-06-13 | Merck Patent Gmbh | Organische elektronische vorrichtung und spezielle materialien für organische elektronische vorrichtungen |
| WO2024132993A1 (de) | 2022-12-19 | 2024-06-27 | Merck Patent Gmbh | Materialien für elektronische vorrichtungen |
| US12077541B2 (en) | 2018-03-09 | 2024-09-03 | Merck Patent Gmbh | Compounds for electronic devices |
| WO2024194264A1 (de) | 2023-03-20 | 2024-09-26 | Merck Patent Gmbh | Materialien für organische elektrolumineszenzvorrichtungen |
| WO2025045816A1 (en) | 2023-08-29 | 2025-03-06 | Merck Patent Gmbh | Materials for organic electroluminescent devices |
| WO2025045843A1 (de) | 2023-08-30 | 2025-03-06 | Merck Patent Gmbh | Materialien für organische lichtemittierende vorrichtungen |
| WO2025045842A1 (de) | 2023-08-30 | 2025-03-06 | Merck Patent Gmbh | Materialien für organische lichtemittierende vorrichtungen |
| WO2025045851A1 (de) | 2023-08-30 | 2025-03-06 | Merck Patent Gmbh | Materialien für organische lichtemittierende vorrichtungen |
| WO2025073675A1 (en) | 2023-10-04 | 2025-04-10 | Merck Patent Gmbh | Materials for organic electroluminescent devices |
| WO2025104058A1 (de) | 2023-11-16 | 2025-05-22 | Merck Patent Gmbh | Materialien für organische elektronische vorrichtungen |
| WO2025119821A1 (en) | 2023-12-05 | 2025-06-12 | Merck Patent Gmbh | Material composition for organic electroluminescent devices |
| WO2025168515A1 (de) | 2024-02-06 | 2025-08-14 | Merck Patent Gmbh | Materialien für organische elektronische vorrichtungen |
| WO2025195961A1 (de) | 2024-03-19 | 2025-09-25 | Merck Patent Gmbh | Organische lichtemittierende vorrichtungen |
| WO2025228800A1 (de) | 2024-04-30 | 2025-11-06 | Merck Patent Gmbh | Materialien für organische elektronische vorrichtungen |
| WO2026017612A1 (en) | 2024-07-15 | 2026-01-22 | Merck Patent Gmbh | Organic light-emitting device |
| WO2026017608A1 (de) | 2024-07-15 | 2026-01-22 | Merck Patent Gmbh | Materialien für organische lichtemittierende vorrichtungen |
| WO2026017607A1 (en) | 2024-07-15 | 2026-01-22 | Merck Patent Gmbh | Organic light-emitting device |
| WO2026017611A1 (en) | 2024-07-15 | 2026-01-22 | Merck Patent Gmbh | Organic light emitting device |
Families Citing this family (14)
| Publication number | Priority date | Publication date | Assignee | Title |
|---|---|---|---|---|
| DE102010024542A1 (de) * | 2010-06-22 | 2011-12-22 | Merck Patent Gmbh | Materialien für elektronische Vorrichtungen |
| WO2015014791A1 (en) * | 2013-07-30 | 2015-02-05 | Basf Se | Benzimidazolo[2,1-b][1,3]benzothiazoles for electronic applications |
| JP2018206785A (ja) * | 2015-09-18 | 2018-12-27 | 出光興産株式会社 | 有機エレクトロルミネッセンス素子 |
| US10593892B2 (en) | 2015-10-01 | 2020-03-17 | Universal Display Corporation | Organic electroluminescent materials and devices |
| CN106565720A (zh) * | 2016-11-14 | 2017-04-19 | 长春海谱润斯科技有限公司 | 一种芳香族胺类衍生物及其制备方法和应用 |
| CN106749274B (zh) * | 2016-12-16 | 2019-01-08 | 江苏三月光电科技有限公司 | 一种母核为喹唑啉酮衍生物的化合物及其在oled上的应用 |
| CN106699763B (zh) * | 2016-12-16 | 2019-01-08 | 江苏三月光电科技有限公司 | 一种以喹唑啉酮衍生物为核心的化合物及其应用 |
| CN106749275B (zh) * | 2016-12-16 | 2019-04-19 | 江苏三月光电科技有限公司 | 一种以喹唑啉酮衍生物为核心的化合物及其在oled上的应用 |
| CN106749273B (zh) * | 2016-12-16 | 2020-05-15 | 中节能万润股份有限公司 | 一种母核为喹唑啉酮衍生物的化合物及其应用 |
| US11289661B2 (en) | 2016-12-29 | 2022-03-29 | Idemitsu Kosan Co., Ltd. | Nitrogen-containing heterocyclic compounds for organic light emitting devices |
| CN106831825B (zh) * | 2017-01-20 | 2019-08-16 | 江苏三月光电科技有限公司 | 一种以含杂原子苯并芴酮为核心的化合物及其在有机电致发光器件上的应用 |
| US11844275B2 (en) * | 2019-10-18 | 2023-12-12 | Lg Display Co., Ltd. | Organic compound, organic light emitting diode and organic light emitting deice including the organic compound |
| EP3865486A1 (de) | 2020-02-13 | 2021-08-18 | Idemitsu Kosan Co., Ltd. | Heterocyclische verbindung und organische elektrolumineszenzvorrichtung mit der heterocyclischen verbindung |
| US12486288B2 (en) | 2020-10-12 | 2025-12-02 | University Of Southern California | Fast phosphors utilizing HP2H ligands |
Citations (96)
| Publication number | Priority date | Publication date | Assignee | Title |
|---|---|---|---|---|
| DE2058185A1 (de) * | 1969-11-24 | 1971-06-03 | Lilly Co Eli | Immunosuppressive Mittel aus Benzimidazo[2,1-b]chinazolin-12(6H)onen und neue Benzimidazo[2,1-b] chinazolin-12(6H)one |
| US4539507A (en) | 1983-03-25 | 1985-09-03 | Eastman Kodak Company | Organic electroluminescent devices having improved power conversion efficiencies |
| SU1182043A1 (ru) | 1983-04-12 | 1985-09-30 | Ростовский Ордена Трудового Красного Знамени Государственный Университет Им.М.А.Суслова | Способ получени 5-замещенных бензимидазо @ 2,1- @ хиназолинонов-12 |
| SU1669913A1 (ru) * | 1989-01-18 | 1991-08-15 | Ростовский-На-Дону Государственный Университет | Способ получени 5-или 6-замещенных 9-бромбензимидазо [2,1-в] хиназолинонов-12(6 или 5Н) |
| US5151629A (en) | 1991-08-01 | 1992-09-29 | Eastman Kodak Company | Blue emitting internal junction organic electroluminescent device (I) |
| WO1992018552A1 (de) | 1991-04-11 | 1992-10-29 | Wacker-Chemie Gmbh | Leiterpolymere mit konjugierten doppelbindungen |
| EP0652273A1 (de) | 1993-11-09 | 1995-05-10 | Shinko Electric Industries Co. Ltd. | Organisches Material für elektrolumineszente Vorrichtung und elektrolumineszente Vorrichtung |
| EP0676461A2 (de) | 1994-04-07 | 1995-10-11 | Hoechst Aktiengesellschaft | Spiroverbindungen und ihre Verwendung als Elektrolumineszenzmaterialien |
| EP0681019A2 (de) | 1994-04-26 | 1995-11-08 | TDK Corporation | Phenylanthracenderivat und organisches EL-Element |
| EP0707020A2 (de) | 1994-10-14 | 1996-04-17 | Hoechst Aktiengesellschaft | Konjugierte Polymere mit Spirozentren und ihre Verwendung als Elektrolumineszenzmaterialien |
| EP0842208A1 (de) | 1995-07-28 | 1998-05-20 | The Dow Chemical Company | 2,7-aryl-9-substituierte fluorene und 9-substituierte fluorenoligomere und polymere |
| WO1998027136A1 (de) | 1996-12-16 | 1998-06-25 | Aventis Research & Technologies Gmbh & Co Kg | ARYLSUBSTITUIERTE POLY(p-ARYLENVINYLENE), VERFAHREN ZUR HERSTELLUNG UND DEREN VERWENDUNG IN ELEKTROLUMINESZENZBAUELEMENTEN |
| EP0894107A1 (de) | 1996-04-17 | 1999-02-03 | Hoechst Research & Technology Deutschland GmbH & Co. KG | Polymere mit spiroatomen und ihre verwendung als elektrolumineszenzmaterialien |
| US5935721A (en) | 1998-03-20 | 1999-08-10 | Eastman Kodak Company | Organic electroluminescent elements for stable electroluminescent |
| WO2000022026A1 (de) | 1998-10-10 | 2000-04-20 | Celanese Ventures Gmbh | Konjugierte polymere, enthaltend spezielle fluoren-bausteine mit verbesserten eigenschaften |
| EP1028136A2 (de) | 1999-02-10 | 2000-08-16 | Carnegie-Mellon University | Ein Verfahren zur Herstellung von Poly(3-substituierten)thiophenen |
| JP2000273056A (ja) | 1999-01-19 | 2000-10-03 | Idemitsu Kosan Co Ltd | アミノ又はスチリル化合物及びそれを用いた有機エレクトロルミネッセンス素子 |
| WO2000070655A2 (en) | 1999-05-13 | 2000-11-23 | The Trustees Of Princeton University | Very high efficiency organic light emitting devices based on electrophosphorescence |
| WO2001041512A1 (en) | 1999-12-01 | 2001-06-07 | The Trustees Of Princeton University | Complexes of form l2mx as phosphorescent dopants for organic leds |
| WO2002002714A2 (en) | 2000-06-30 | 2002-01-10 | E.I. Du Pont De Nemours And Company | Electroluminescent iridium compounds with fluorinated phenylpyridines, phenylpyrimidines, and phenylquinolines and devices made with such compounds |
| WO2002015645A1 (en) | 2000-08-11 | 2002-02-21 | The Trustees Of Princeton University | Organometallic compounds and emission-shifting organic electrophosphorescence |
| EP1191613A2 (de) | 2000-09-26 | 2002-03-27 | Canon Kabushiki Kaisha | Lumineszente Vorrichtung, Bildanzeigevorrichtung und Metallkoordinationsverbindung |
| EP1191614A2 (de) | 2000-09-26 | 2002-03-27 | Canon Kabushiki Kaisha | Lumineszente Vorrichtung und dafür verwendete Metallkoordinationsverbindung |
| EP1191612A2 (de) | 2000-09-26 | 2002-03-27 | Canon Kabushiki Kaisha | Lumineszente Vorrichtung, Bildanzeigevorrichtung und Metallkoordinationsverbindung |
| EP1205527A1 (de) | 2000-03-27 | 2002-05-15 | Idemitsu Kosan Co., Ltd. | Organische elektrolumineszierende vorrichtung |
| WO2002067343A1 (en) | 2001-02-20 | 2002-08-29 | Isis Innovation Limited | Aryl-aryl dendrimers |
| WO2003048225A2 (de) | 2001-12-06 | 2003-06-12 | Covion Organic Semiconductors Gmbh | Prozess zur herstellung von aryl-aryl gekoppelten verbindungen |
| WO2004013080A1 (en) | 2002-08-01 | 2004-02-12 | Covion Organic Semiconductors Gmbh | Spirobifluorene derivatives, their preparation and uses thereof |
| WO2004018587A1 (ja) | 2002-08-23 | 2004-03-04 | Idemitsu Kosan Co., Ltd. | 有機エレクトロルミネッセンス素子及びアントラセン誘導体 |
| WO2004037887A2 (de) | 2002-10-25 | 2004-05-06 | Covion Organic Semiconductors Gmbh | Arylamin-einheiten enthaltende konjugierte polymere, deren darstellung und verwendung |
| WO2004041901A1 (en) | 2002-11-08 | 2004-05-21 | Covion Organic Semiconductors Gmbh | Aryl-substituted polyindenofluorenes for use in organic electroluminiscent devices |
| WO2004047499A1 (ja) | 2002-11-18 | 2004-06-03 | Idemitsu Kosan Co., Ltd. | 有機エレクトロルミネッセンス素子 |
| WO2004058911A2 (de) | 2002-12-23 | 2004-07-15 | Covion Organic Semiconductors Gmbh | Organisches elektrolumineszenzelement |
| WO2004070772A2 (de) | 2003-02-06 | 2004-08-19 | Covion Organic Semiconductors Gmbh | Carbazol-enthaltende konjugierte polymere und blends, deren darstellung und verwendung |
| WO2004081017A1 (de) | 2003-03-11 | 2004-09-23 | Covion Organic Semiconductors Gmbh | Metallkomplexe |
| JP2004288381A (ja) | 2003-03-19 | 2004-10-14 | Konica Minolta Holdings Inc | 有機エレクトロルミネッセンス素子 |
| WO2004093207A2 (de) | 2003-04-15 | 2004-10-28 | Covion Organic Semiconductors Gmbh | Mischungen von organischen zur emission befähigten halbleitern und matrixmaterialien, deren verwendung und elektronikbauteile enthaltend diese mischungen |
| WO2004092111A1 (ja) | 2003-04-10 | 2004-10-28 | Idemitsu Kosan Co., Ltd. | 芳香族アミン誘導体及びそれを用いた有機エレクトロルミネッセンス素子 |
| EP1476881A2 (de) | 2002-02-20 | 2004-11-17 | Novaled GmbH | Dotiertes organisches halbleitermaterial sowie verfahren zu dessen herstellung |
| US20040247937A1 (en) | 2003-06-03 | 2004-12-09 | Chin-Hsin Chen | Organic electroluminescent devices with a doped co-host emitter |
| WO2004113412A2 (en) | 2003-06-23 | 2004-12-29 | Covion Organic Semiconductors Gmbh | Polymer |
| WO2004113468A1 (de) | 2003-06-26 | 2004-12-29 | Covion Organic Semiconductors Gmbh | Neue materialien für die elektrolumineszenz |
| WO2005003253A2 (de) | 2003-07-07 | 2005-01-13 | Covion Organic Semiconductors Gmbh | Mischungen von organischen zur emission befähigten halbleitern und matrixmaterialen, deren verwendung und elektronikbauteile enthaltend diese |
| WO2005011013A1 (de) | 2003-07-21 | 2005-02-03 | Covion Organic Semiconductors Gmbh | Organisches elektrolumineszenzelement |
| WO2005014689A2 (de) | 2003-08-12 | 2005-02-17 | Covion Organic Semiconductors Gmbh | Konjugierte polymere enthaltend dihydrophenanthren-einheiten und deren verwendung |
| WO2005019373A2 (de) | 2003-08-19 | 2005-03-03 | Basf Aktiengesellschaft | Übergangsmetallkomplexe mit carbenliganden als emitter für organische licht-emittierende dioden (oleds) |
| WO2005026144A1 (ja) | 2003-09-12 | 2005-03-24 | Sumitomo Chemical Company, Limited | デンドリマー化合物及びそれを用いた有機発光素子 |
| US20050069729A1 (en) | 2003-09-30 | 2005-03-31 | Konica Minolta Holdings, Inc. | Organic electroluminescent element, illuminator, display and compound |
| WO2005033244A1 (de) | 2003-09-29 | 2005-04-14 | Covion Organic Semiconductors Gmbh | Metallkomplexe |
| WO2005040302A1 (de) | 2003-10-22 | 2005-05-06 | Merck Patent Gmbh | Neue materialien für die elektrolumineszenz und deren verwendung |
| US20050181232A1 (en) | 2004-02-17 | 2005-08-18 | Eastman Kodak Company | Anthracene derivative host having ranges of dopants |
| WO2005084081A1 (de) | 2004-02-20 | 2005-09-09 | Merck Patent Gmbh | Organische elektronische vorrichtungen |
| US20050211958A1 (en) | 2004-03-25 | 2005-09-29 | Eastman Kodak Company | Electroluminescent device with anthracene derivative host |
| WO2005104264A1 (de) | 2004-04-26 | 2005-11-03 | Merck Patent Gmbh | Elektrolumineszierende polymere und deren verwendung |
| EP1596445A1 (de) | 2003-12-04 | 2005-11-16 | Novaled GmbH | Verfahren zur Dotierung von organischen Halbleitern mit Chinonderivaten |
| WO2005111172A2 (de) | 2004-05-11 | 2005-11-24 | Merck Patent Gmbh | Neue materialmischungen für die elektrolumineszenz |
| US20050260442A1 (en) | 2004-05-24 | 2005-11-24 | Chen-Ping Yu | Anthracene compound for organic electroluminescent device |
| US20050258742A1 (en) | 2004-05-18 | 2005-11-24 | Yui-Yi Tsai | Carbene containing metal complexes as OLEDs |
| JP2005347160A (ja) | 2004-06-04 | 2005-12-15 | Konica Minolta Holdings Inc | 有機エレクトロルミネッセンス素子、照明装置及び表示装置 |
| JP2006001973A (ja) | 2004-06-15 | 2006-01-05 | Fujitsu Ltd | ポリ乳酸樹脂組成物、並びに、成型体及びその製造方法、及びoa機器 |
| WO2006000388A1 (de) | 2004-06-26 | 2006-01-05 | Merck Patent Gmbh | Organische elektrolumineszenzvorrichtung |
| WO2006000389A1 (de) | 2004-06-26 | 2006-01-05 | Merck Patent Gmbh | Verbindungen für organische elektronische vorrichtungen |
| WO2006003000A1 (de) | 2004-07-06 | 2006-01-12 | Merck Patent Gmbh | Elektrolumineszierende polymere |
| EP1617710A1 (de) | 2003-04-23 | 2006-01-18 | Konica Minolta Holdings, Inc. | Material für ein organisches elektrolumineszenzgerät, organisches elektrolumineszenzgerät, beleuchtungsvorrichtung und anzeige |
| WO2006005627A1 (en) | 2004-07-15 | 2006-01-19 | Merck Patent Gmbh | Oligomeric derivatives of spirobifluorene, their preparation and use |
| WO2006048268A1 (de) | 2004-11-06 | 2006-05-11 | Merck Patent Gmbh | Organische elektrolumineszenzvorrichtung |
| WO2006058737A1 (de) | 2004-12-01 | 2006-06-08 | Merck Patent Gmbh | Verbindungen für organische elektronische vorrichtungen |
| WO2006061181A1 (de) | 2004-12-06 | 2006-06-15 | Merck Patent Gmbh | Teilkonjugierte polymere, deren darstellung und verwendung |
| WO2006098080A1 (ja) | 2005-03-15 | 2006-09-21 | Idemitsu Kosan Co., Ltd. | 芳香族アミン誘導体及びそれを用いた有機エレクトロルミネッセンス素子 |
| WO2006100896A1 (ja) | 2005-03-18 | 2006-09-28 | Idemitsu Kosan Co., Ltd. | 芳香族アミン誘導体及びそれを用いた有機エレクトロルミネッセンス素子 |
| WO2006117052A1 (de) | 2005-05-03 | 2006-11-09 | Merck Patent Gmbh | Organische elektrolumineszenzvorrichtung und in deren herstellung verwendete boronsäure- und borinsäure-derivate |
| WO2006122630A1 (de) | 2005-05-20 | 2006-11-23 | Merck Patent Gmbh | Verbindungen für organische elektronische vorrichtungen |
| EP1731584A1 (de) | 2004-03-31 | 2006-12-13 | Konica Minolta Holdings, Inc. | Organischer elektrolumineszenzvorrichtungsstoff, organische elektrolumineszenzvorrichtung, display und beleuchtungsvorrichtung |
| WO2007006383A2 (en) | 2005-07-08 | 2007-01-18 | Unilever N.V. | Food product and process for preparing it |
| WO2007017066A1 (de) | 2005-08-10 | 2007-02-15 | Merck Patent Gmbh | Elektrolumineszierende polymere und ihre verwendung |
| US20070092755A1 (en) | 2005-10-26 | 2007-04-26 | Eastman Kodak Company | Organic element for low voltage electroluminescent devices |
| WO2007063754A1 (ja) | 2005-12-01 | 2007-06-07 | Nippon Steel Chemical Co., Ltd. | 有機電界発光素子用化合物及び有機電界発光素子 |
| WO2007065549A1 (de) | 2005-12-08 | 2007-06-14 | Merck Patent Gmbh | Organische elektrolumineszenzvorrichtungen |
| WO2007065678A1 (de) | 2005-12-08 | 2007-06-14 | Merck Patent Gmbh | Neue materialien für organische elektroluminieszenzvorrichtungen |
| WO2007068325A1 (de) | 2005-12-17 | 2007-06-21 | Merck Patent Gmbh | Konjugierte polymere enthaltend triarylamin-arylvinylen-einheiten, deren darstellung und verwendung |
| WO2007115610A1 (de) | 2006-04-01 | 2007-10-18 | Merck Patent Gmbh | Materialen für organische elektrolumineszenzvorrichtungen |
| WO2007137725A1 (de) | 2006-05-31 | 2007-12-06 | Merck Patent Gmbh | Neue materialien für organische elektrolumineszenzvorrichtungen |
| WO2007140847A1 (de) | 2006-06-02 | 2007-12-13 | Merck Patent Gmbh | Materialien für organische elektrolumineszenzvorrichtungen |
| WO2008006449A1 (de) | 2006-07-11 | 2008-01-17 | Merck Patent Gmbh | Neue materialien für organische elektrolumineszenzvorrichtungen |
| WO2008056746A1 (en) | 2006-11-09 | 2008-05-15 | Nippon Steel Chemical Co., Ltd. | Compound for organic electroluminescent device and organic electroluminescent device |
| WO2008086851A1 (de) | 2007-01-18 | 2008-07-24 | Merck Patent Gmbh | Carbazol-derivate für organische elektrolumineszenzvorrichtungen |
| WO2008142635A2 (en) * | 2007-05-18 | 2008-11-27 | Crysoptix Kk | Compensated in-plane switching mode liquid crystal display |
| WO2008145239A2 (de) | 2007-05-29 | 2008-12-04 | Merck Patent Gmbh | Benzanthracen-derivate für organische elektrolumineszenzvorrichtungen |
| WO2009062578A1 (de) | 2007-11-12 | 2009-05-22 | Merck Patent Gmbh | Organische elektrolumineszenzvorrichtungen enthaltend azomethin-metall-komplexe |
| WO2010006680A1 (de) | 2008-07-18 | 2010-01-21 | Merck Patent Gmbh | Materialien für organische elektrolumineszenzvorrichtungen |
| WO2010012328A1 (de) | 2008-07-29 | 2010-02-04 | Merck Patent Gmbh | Verbindungen für elektronische vorrichtungen |
| WO2010015306A1 (de) | 2008-08-08 | 2010-02-11 | Merck Patent Gmbh, | Organische elektrolumineszenzvorrichtung |
| WO2010054729A2 (de) | 2008-11-11 | 2010-05-20 | Merck Patent Gmbh | Materialien für organische elektrolumineszenzvorrichtungen |
| WO2010054730A1 (de) | 2008-11-11 | 2010-05-20 | Merck Patent Gmbh | Organische elektrolumineszenzvorrichtungen |
| WO2010108579A1 (de) | 2009-03-23 | 2010-09-30 | Merck Patent Gmbh | Organische elektrolumineszenzvorrichtung |
| WO2010136109A1 (de) | 2009-05-29 | 2010-12-02 | Merck Patent Gmbh | Materialien für organische elektrolumineszenzvorrichtungen |
Family Cites Families (7)
| Publication number | Priority date | Publication date | Assignee | Title |
|---|---|---|---|---|
| DE3220438A1 (de) | 1982-05-29 | 1983-12-01 | Troponwerke GmbH & Co KG, 5000 Köln | Chinazolinonderivate, verfahren zu ihrer herstellung und ihre verwendung inn arzneimitteln |
| JPH05107705A (ja) | 1991-10-17 | 1993-04-30 | Konica Corp | 新規な写真用カプラー |
| JPH061973A (ja) | 1992-06-18 | 1994-01-11 | Konica Corp | 有機エレクトロルミネッセンス素子 |
| JP3907142B2 (ja) * | 1998-08-18 | 2007-04-18 | 富士フイルム株式会社 | 有機エレクトロルミネツセンス素子材料およびそれを使用した有機エレクトロルミネツセンス素子 |
| JP3968966B2 (ja) | 1999-07-05 | 2007-08-29 | コニカミノルタホールディングス株式会社 | 有機エレクトロルミネッセンス素子 |
| JP2001160488A (ja) | 1999-12-01 | 2001-06-12 | Konica Corp | 有機エレクトロルミネッセンス素子 |
| DE102010024542A1 (de) * | 2010-06-22 | 2011-12-22 | Merck Patent Gmbh | Materialien für elektronische Vorrichtungen |
-
2010
- 2010-06-22 DE DE102010024542A patent/DE102010024542A1/de not_active Withdrawn
-
2011
- 2011-05-30 WO PCT/EP2011/002668 patent/WO2011160757A1/de not_active Ceased
- 2011-05-30 DE DE112011102109T patent/DE112011102109A5/de active Pending
- 2011-05-30 JP JP2013515746A patent/JP5882313B2/ja active Active
- 2011-05-30 US US13/805,927 patent/US9379330B2/en active Active
-
2016
- 2016-05-12 US US15/153,185 patent/US20160260911A1/en not_active Abandoned
-
2017
- 2017-06-26 US US15/633,051 patent/US10135003B2/en active Active
Patent Citations (99)
| Publication number | Priority date | Publication date | Assignee | Title |
|---|---|---|---|---|
| DE2058185A1 (de) * | 1969-11-24 | 1971-06-03 | Lilly Co Eli | Immunosuppressive Mittel aus Benzimidazo[2,1-b]chinazolin-12(6H)onen und neue Benzimidazo[2,1-b] chinazolin-12(6H)one |
| US4539507A (en) | 1983-03-25 | 1985-09-03 | Eastman Kodak Company | Organic electroluminescent devices having improved power conversion efficiencies |
| SU1182043A1 (ru) | 1983-04-12 | 1985-09-30 | Ростовский Ордена Трудового Красного Знамени Государственный Университет Им.М.А.Суслова | Способ получени 5-замещенных бензимидазо @ 2,1- @ хиназолинонов-12 |
| SU1669913A1 (ru) * | 1989-01-18 | 1991-08-15 | Ростовский-На-Дону Государственный Университет | Способ получени 5-или 6-замещенных 9-бромбензимидазо [2,1-в] хиназолинонов-12(6 или 5Н) |
| WO1992018552A1 (de) | 1991-04-11 | 1992-10-29 | Wacker-Chemie Gmbh | Leiterpolymere mit konjugierten doppelbindungen |
| US5151629A (en) | 1991-08-01 | 1992-09-29 | Eastman Kodak Company | Blue emitting internal junction organic electroluminescent device (I) |
| EP0652273A1 (de) | 1993-11-09 | 1995-05-10 | Shinko Electric Industries Co. Ltd. | Organisches Material für elektrolumineszente Vorrichtung und elektrolumineszente Vorrichtung |
| EP0676461A2 (de) | 1994-04-07 | 1995-10-11 | Hoechst Aktiengesellschaft | Spiroverbindungen und ihre Verwendung als Elektrolumineszenzmaterialien |
| EP0681019A2 (de) | 1994-04-26 | 1995-11-08 | TDK Corporation | Phenylanthracenderivat und organisches EL-Element |
| EP0707020A2 (de) | 1994-10-14 | 1996-04-17 | Hoechst Aktiengesellschaft | Konjugierte Polymere mit Spirozentren und ihre Verwendung als Elektrolumineszenzmaterialien |
| EP0842208A1 (de) | 1995-07-28 | 1998-05-20 | The Dow Chemical Company | 2,7-aryl-9-substituierte fluorene und 9-substituierte fluorenoligomere und polymere |
| EP0894107A1 (de) | 1996-04-17 | 1999-02-03 | Hoechst Research & Technology Deutschland GmbH & Co. KG | Polymere mit spiroatomen und ihre verwendung als elektrolumineszenzmaterialien |
| WO1998027136A1 (de) | 1996-12-16 | 1998-06-25 | Aventis Research & Technologies Gmbh & Co Kg | ARYLSUBSTITUIERTE POLY(p-ARYLENVINYLENE), VERFAHREN ZUR HERSTELLUNG UND DEREN VERWENDUNG IN ELEKTROLUMINESZENZBAUELEMENTEN |
| US5935721A (en) | 1998-03-20 | 1999-08-10 | Eastman Kodak Company | Organic electroluminescent elements for stable electroluminescent |
| WO2000022026A1 (de) | 1998-10-10 | 2000-04-20 | Celanese Ventures Gmbh | Konjugierte polymere, enthaltend spezielle fluoren-bausteine mit verbesserten eigenschaften |
| JP2000273056A (ja) | 1999-01-19 | 2000-10-03 | Idemitsu Kosan Co Ltd | アミノ又はスチリル化合物及びそれを用いた有機エレクトロルミネッセンス素子 |
| EP1028136A2 (de) | 1999-02-10 | 2000-08-16 | Carnegie-Mellon University | Ein Verfahren zur Herstellung von Poly(3-substituierten)thiophenen |
| WO2000070655A2 (en) | 1999-05-13 | 2000-11-23 | The Trustees Of Princeton University | Very high efficiency organic light emitting devices based on electrophosphorescence |
| WO2001041512A1 (en) | 1999-12-01 | 2001-06-07 | The Trustees Of Princeton University | Complexes of form l2mx as phosphorescent dopants for organic leds |
| EP1205527A1 (de) | 2000-03-27 | 2002-05-15 | Idemitsu Kosan Co., Ltd. | Organische elektrolumineszierende vorrichtung |
| WO2002002714A2 (en) | 2000-06-30 | 2002-01-10 | E.I. Du Pont De Nemours And Company | Electroluminescent iridium compounds with fluorinated phenylpyridines, phenylpyrimidines, and phenylquinolines and devices made with such compounds |
| WO2002015645A1 (en) | 2000-08-11 | 2002-02-21 | The Trustees Of Princeton University | Organometallic compounds and emission-shifting organic electrophosphorescence |
| EP1191612A2 (de) | 2000-09-26 | 2002-03-27 | Canon Kabushiki Kaisha | Lumineszente Vorrichtung, Bildanzeigevorrichtung und Metallkoordinationsverbindung |
| EP1191613A2 (de) | 2000-09-26 | 2002-03-27 | Canon Kabushiki Kaisha | Lumineszente Vorrichtung, Bildanzeigevorrichtung und Metallkoordinationsverbindung |
| EP1191614A2 (de) | 2000-09-26 | 2002-03-27 | Canon Kabushiki Kaisha | Lumineszente Vorrichtung und dafür verwendete Metallkoordinationsverbindung |
| WO2002067343A1 (en) | 2001-02-20 | 2002-08-29 | Isis Innovation Limited | Aryl-aryl dendrimers |
| WO2003048225A2 (de) | 2001-12-06 | 2003-06-12 | Covion Organic Semiconductors Gmbh | Prozess zur herstellung von aryl-aryl gekoppelten verbindungen |
| EP1476881A2 (de) | 2002-02-20 | 2004-11-17 | Novaled GmbH | Dotiertes organisches halbleitermaterial sowie verfahren zu dessen herstellung |
| WO2004013080A1 (en) | 2002-08-01 | 2004-02-12 | Covion Organic Semiconductors Gmbh | Spirobifluorene derivatives, their preparation and uses thereof |
| WO2004018587A1 (ja) | 2002-08-23 | 2004-03-04 | Idemitsu Kosan Co., Ltd. | 有機エレクトロルミネッセンス素子及びアントラセン誘導体 |
| WO2004037887A2 (de) | 2002-10-25 | 2004-05-06 | Covion Organic Semiconductors Gmbh | Arylamin-einheiten enthaltende konjugierte polymere, deren darstellung und verwendung |
| WO2004041901A1 (en) | 2002-11-08 | 2004-05-21 | Covion Organic Semiconductors Gmbh | Aryl-substituted polyindenofluorenes for use in organic electroluminiscent devices |
| WO2004047499A1 (ja) | 2002-11-18 | 2004-06-03 | Idemitsu Kosan Co., Ltd. | 有機エレクトロルミネッセンス素子 |
| WO2004058911A2 (de) | 2002-12-23 | 2004-07-15 | Covion Organic Semiconductors Gmbh | Organisches elektrolumineszenzelement |
| WO2004070772A2 (de) | 2003-02-06 | 2004-08-19 | Covion Organic Semiconductors Gmbh | Carbazol-enthaltende konjugierte polymere und blends, deren darstellung und verwendung |
| WO2004081017A1 (de) | 2003-03-11 | 2004-09-23 | Covion Organic Semiconductors Gmbh | Metallkomplexe |
| JP2004288381A (ja) | 2003-03-19 | 2004-10-14 | Konica Minolta Holdings Inc | 有機エレクトロルミネッセンス素子 |
| WO2004092111A1 (ja) | 2003-04-10 | 2004-10-28 | Idemitsu Kosan Co., Ltd. | 芳香族アミン誘導体及びそれを用いた有機エレクトロルミネッセンス素子 |
| WO2004093207A2 (de) | 2003-04-15 | 2004-10-28 | Covion Organic Semiconductors Gmbh | Mischungen von organischen zur emission befähigten halbleitern und matrixmaterialien, deren verwendung und elektronikbauteile enthaltend diese mischungen |
| EP1617710A1 (de) | 2003-04-23 | 2006-01-18 | Konica Minolta Holdings, Inc. | Material für ein organisches elektrolumineszenzgerät, organisches elektrolumineszenzgerät, beleuchtungsvorrichtung und anzeige |
| EP1617711A1 (de) | 2003-04-23 | 2006-01-18 | Konica Minolta Holdings, Inc. | Organisches elektrolumineszenzbauelement und anzeige |
| US20040247937A1 (en) | 2003-06-03 | 2004-12-09 | Chin-Hsin Chen | Organic electroluminescent devices with a doped co-host emitter |
| WO2004113412A2 (en) | 2003-06-23 | 2004-12-29 | Covion Organic Semiconductors Gmbh | Polymer |
| WO2004113468A1 (de) | 2003-06-26 | 2004-12-29 | Covion Organic Semiconductors Gmbh | Neue materialien für die elektrolumineszenz |
| WO2005003253A2 (de) | 2003-07-07 | 2005-01-13 | Covion Organic Semiconductors Gmbh | Mischungen von organischen zur emission befähigten halbleitern und matrixmaterialen, deren verwendung und elektronikbauteile enthaltend diese |
| WO2005011013A1 (de) | 2003-07-21 | 2005-02-03 | Covion Organic Semiconductors Gmbh | Organisches elektrolumineszenzelement |
| WO2005014689A2 (de) | 2003-08-12 | 2005-02-17 | Covion Organic Semiconductors Gmbh | Konjugierte polymere enthaltend dihydrophenanthren-einheiten und deren verwendung |
| WO2005019373A2 (de) | 2003-08-19 | 2005-03-03 | Basf Aktiengesellschaft | Übergangsmetallkomplexe mit carbenliganden als emitter für organische licht-emittierende dioden (oleds) |
| WO2005026144A1 (ja) | 2003-09-12 | 2005-03-24 | Sumitomo Chemical Company, Limited | デンドリマー化合物及びそれを用いた有機発光素子 |
| WO2005033244A1 (de) | 2003-09-29 | 2005-04-14 | Covion Organic Semiconductors Gmbh | Metallkomplexe |
| US20050069729A1 (en) | 2003-09-30 | 2005-03-31 | Konica Minolta Holdings, Inc. | Organic electroluminescent element, illuminator, display and compound |
| WO2005039246A1 (ja) | 2003-09-30 | 2005-04-28 | Konica Minolta Holdings, Inc. | 有機エレクトロルミネッセンス素子、照明装置、表示装置 |
| WO2005040302A1 (de) | 2003-10-22 | 2005-05-06 | Merck Patent Gmbh | Neue materialien für die elektrolumineszenz und deren verwendung |
| EP1596445A1 (de) | 2003-12-04 | 2005-11-16 | Novaled GmbH | Verfahren zur Dotierung von organischen Halbleitern mit Chinonderivaten |
| US20050181232A1 (en) | 2004-02-17 | 2005-08-18 | Eastman Kodak Company | Anthracene derivative host having ranges of dopants |
| WO2005084081A1 (de) | 2004-02-20 | 2005-09-09 | Merck Patent Gmbh | Organische elektronische vorrichtungen |
| WO2005084082A1 (de) | 2004-02-20 | 2005-09-09 | Merck Patent Gmbh | Organische elektronische vorrichtungen |
| US20050211958A1 (en) | 2004-03-25 | 2005-09-29 | Eastman Kodak Company | Electroluminescent device with anthracene derivative host |
| EP1731584A1 (de) | 2004-03-31 | 2006-12-13 | Konica Minolta Holdings, Inc. | Organischer elektrolumineszenzvorrichtungsstoff, organische elektrolumineszenzvorrichtung, display und beleuchtungsvorrichtung |
| WO2005104264A1 (de) | 2004-04-26 | 2005-11-03 | Merck Patent Gmbh | Elektrolumineszierende polymere und deren verwendung |
| WO2005111172A2 (de) | 2004-05-11 | 2005-11-24 | Merck Patent Gmbh | Neue materialmischungen für die elektrolumineszenz |
| US20050258742A1 (en) | 2004-05-18 | 2005-11-24 | Yui-Yi Tsai | Carbene containing metal complexes as OLEDs |
| US20050260442A1 (en) | 2004-05-24 | 2005-11-24 | Chen-Ping Yu | Anthracene compound for organic electroluminescent device |
| JP2005347160A (ja) | 2004-06-04 | 2005-12-15 | Konica Minolta Holdings Inc | 有機エレクトロルミネッセンス素子、照明装置及び表示装置 |
| JP2006001973A (ja) | 2004-06-15 | 2006-01-05 | Fujitsu Ltd | ポリ乳酸樹脂組成物、並びに、成型体及びその製造方法、及びoa機器 |
| WO2006000389A1 (de) | 2004-06-26 | 2006-01-05 | Merck Patent Gmbh | Verbindungen für organische elektronische vorrichtungen |
| WO2006000388A1 (de) | 2004-06-26 | 2006-01-05 | Merck Patent Gmbh | Organische elektrolumineszenzvorrichtung |
| WO2006003000A1 (de) | 2004-07-06 | 2006-01-12 | Merck Patent Gmbh | Elektrolumineszierende polymere |
| WO2006005627A1 (en) | 2004-07-15 | 2006-01-19 | Merck Patent Gmbh | Oligomeric derivatives of spirobifluorene, their preparation and use |
| WO2006048268A1 (de) | 2004-11-06 | 2006-05-11 | Merck Patent Gmbh | Organische elektrolumineszenzvorrichtung |
| WO2006058737A1 (de) | 2004-12-01 | 2006-06-08 | Merck Patent Gmbh | Verbindungen für organische elektronische vorrichtungen |
| WO2006061181A1 (de) | 2004-12-06 | 2006-06-15 | Merck Patent Gmbh | Teilkonjugierte polymere, deren darstellung und verwendung |
| WO2006098080A1 (ja) | 2005-03-15 | 2006-09-21 | Idemitsu Kosan Co., Ltd. | 芳香族アミン誘導体及びそれを用いた有機エレクトロルミネッセンス素子 |
| WO2006100896A1 (ja) | 2005-03-18 | 2006-09-28 | Idemitsu Kosan Co., Ltd. | 芳香族アミン誘導体及びそれを用いた有機エレクトロルミネッセンス素子 |
| WO2006117052A1 (de) | 2005-05-03 | 2006-11-09 | Merck Patent Gmbh | Organische elektrolumineszenzvorrichtung und in deren herstellung verwendete boronsäure- und borinsäure-derivate |
| WO2006122630A1 (de) | 2005-05-20 | 2006-11-23 | Merck Patent Gmbh | Verbindungen für organische elektronische vorrichtungen |
| WO2007006383A2 (en) | 2005-07-08 | 2007-01-18 | Unilever N.V. | Food product and process for preparing it |
| WO2007017066A1 (de) | 2005-08-10 | 2007-02-15 | Merck Patent Gmbh | Elektrolumineszierende polymere und ihre verwendung |
| US20070092755A1 (en) | 2005-10-26 | 2007-04-26 | Eastman Kodak Company | Organic element for low voltage electroluminescent devices |
| WO2007063754A1 (ja) | 2005-12-01 | 2007-06-07 | Nippon Steel Chemical Co., Ltd. | 有機電界発光素子用化合物及び有機電界発光素子 |
| WO2007065549A1 (de) | 2005-12-08 | 2007-06-14 | Merck Patent Gmbh | Organische elektrolumineszenzvorrichtungen |
| WO2007065678A1 (de) | 2005-12-08 | 2007-06-14 | Merck Patent Gmbh | Neue materialien für organische elektroluminieszenzvorrichtungen |
| WO2007068325A1 (de) | 2005-12-17 | 2007-06-21 | Merck Patent Gmbh | Konjugierte polymere enthaltend triarylamin-arylvinylen-einheiten, deren darstellung und verwendung |
| WO2007115610A1 (de) | 2006-04-01 | 2007-10-18 | Merck Patent Gmbh | Materialen für organische elektrolumineszenzvorrichtungen |
| WO2007137725A1 (de) | 2006-05-31 | 2007-12-06 | Merck Patent Gmbh | Neue materialien für organische elektrolumineszenzvorrichtungen |
| WO2007140847A1 (de) | 2006-06-02 | 2007-12-13 | Merck Patent Gmbh | Materialien für organische elektrolumineszenzvorrichtungen |
| WO2008006449A1 (de) | 2006-07-11 | 2008-01-17 | Merck Patent Gmbh | Neue materialien für organische elektrolumineszenzvorrichtungen |
| WO2008056746A1 (en) | 2006-11-09 | 2008-05-15 | Nippon Steel Chemical Co., Ltd. | Compound for organic electroluminescent device and organic electroluminescent device |
| WO2008086851A1 (de) | 2007-01-18 | 2008-07-24 | Merck Patent Gmbh | Carbazol-derivate für organische elektrolumineszenzvorrichtungen |
| WO2008142635A2 (en) * | 2007-05-18 | 2008-11-27 | Crysoptix Kk | Compensated in-plane switching mode liquid crystal display |
| WO2008145239A2 (de) | 2007-05-29 | 2008-12-04 | Merck Patent Gmbh | Benzanthracen-derivate für organische elektrolumineszenzvorrichtungen |
| WO2009062578A1 (de) | 2007-11-12 | 2009-05-22 | Merck Patent Gmbh | Organische elektrolumineszenzvorrichtungen enthaltend azomethin-metall-komplexe |
| WO2010006680A1 (de) | 2008-07-18 | 2010-01-21 | Merck Patent Gmbh | Materialien für organische elektrolumineszenzvorrichtungen |
| WO2010012328A1 (de) | 2008-07-29 | 2010-02-04 | Merck Patent Gmbh | Verbindungen für elektronische vorrichtungen |
| WO2010015306A1 (de) | 2008-08-08 | 2010-02-11 | Merck Patent Gmbh, | Organische elektrolumineszenzvorrichtung |
| WO2010054729A2 (de) | 2008-11-11 | 2010-05-20 | Merck Patent Gmbh | Materialien für organische elektrolumineszenzvorrichtungen |
| WO2010054730A1 (de) | 2008-11-11 | 2010-05-20 | Merck Patent Gmbh | Organische elektrolumineszenzvorrichtungen |
| WO2010108579A1 (de) | 2009-03-23 | 2010-09-30 | Merck Patent Gmbh | Organische elektrolumineszenzvorrichtung |
| WO2010136109A1 (de) | 2009-05-29 | 2010-12-02 | Merck Patent Gmbh | Materialien für organische elektrolumineszenzvorrichtungen |
Non-Patent Citations (11)
| Title |
|---|
| A. REDDOUANE ET AL., BULL, SOC. CHIM. BELGES, vol. 96, no. 10, 1987, pages 787 |
| FRECHET, JEAN M. J., HAWKER, CRAIG J.: "Hyperbranched polyphenylene and hyperbranched polyesters: new soluble, three-dimensional, reactive polymers", REACTIVE & FUNCTIONAL POLYMERS, vol. 26, no. 1-3, 1995, pages 127 - 36, XP004052617, DOI: doi:10.1016/1381-5148(95)00010-D |
| JANSSEN, H. M., MEIJER, E. W.: "The synthesis and characterization of dendritic molecules", MATERIALS SCIENCE AND TECHNOLOGY, vol. 20, 1999, pages 403 - 458 |
| LISA DALLA VIA ET.AL.: "Synthesis, in vitro antiproliferative activity and DNA-interaction of benzimidazoquinazoline derivatives as püotential anti-tumor agents", IL FARMACO, vol. 56, 1 January 2001 (2001-01-01), pages 159 - 167, XP055006220 * |
| M. S. ARNOLD ET AL., APPL. PHYS. LETT., vol. 92, 2008, pages 053301 |
| R. D. CARPENTER ET AL., J. ORG. CHEM., vol. 72, no. 1, 2007, pages 284 |
| T. MATSUMOTO, T. NAKADA, J. ENDO, K. MORI, N. KAWAMURA, A. YOKOI, J. KIDO: "Multiphoton Organic EL Device Having Charge Generation Layer", IDMC 2003, TAIWAN, 2003 |
| TOMALIA, DONALD A.: "Dendrimer molecules", SCIENTIFIC AMERICAN, vol. 272, no. 5, 1995, pages 62 - 6, XP009105348 |
| W. H. W. LUMM ET AL., J. ORG. CHEM., vol. 37, no. 4, 1972, pages 607 |
| W. H. W. LUNN, J. ORG. CHEM., vol. 37, no. 4, 1972, pages 607 |
| Y. SHIROTA ET AL., CHEM. REV., vol. 107, no. 4, 2007, pages 953 - 1010 |
Cited By (115)
| Publication number | Priority date | Publication date | Assignee | Title |
|---|---|---|---|---|
| EP3034508A1 (de) | 2011-03-25 | 2016-06-22 | Basf Se | 4h-imidazo[1,2-a]imidazole für elektronische anwendungen |
| US9806270B2 (en) | 2011-03-25 | 2017-10-31 | Udc Ireland Limited | 4H-imidazo[1,2-a]imidazoles for electronic applications |
| KR20200060780A (ko) * | 2011-03-25 | 2020-06-01 | 유디씨 아일랜드 리미티드 | 전자장치 응용을 위한 4h-이미다조[1,2-a]이미다졸 |
| JP2019070039A (ja) * | 2011-03-25 | 2019-05-09 | ユー・ディー・シー アイルランド リミテッド | エレクトロニクス用途のための4H−イミダゾ[1,2−a]イミダゾール |
| EP3640252A1 (de) | 2011-03-25 | 2020-04-22 | UDC Ireland Limited | 4h-imidazo[1,2-a]imidazole für elektronische anwendungen |
| KR102266455B1 (ko) | 2011-03-25 | 2021-06-21 | 유디씨 아일랜드 리미티드 | 전자장치 응용을 위한 4h-이미다조[1,2-a]이미다졸 |
| JP2014515014A (ja) * | 2011-03-25 | 2014-06-26 | ビーエーエスエフ ソシエタス・ヨーロピア | エレクトロニクス用途のための4H−イミダゾ[1,2−a]イミダゾール |
| WO2012130709A1 (en) | 2011-03-25 | 2012-10-04 | Basf Se | 4h-imidazo[1,2-a]imidazoles for electronic applications |
| JP2017071641A (ja) * | 2011-03-25 | 2017-04-13 | ユー・ディー・シー アイルランド リミテッド | エレクトロニクス用途のための4H−イミダゾ[1,2−a]イミダゾール |
| US12538704B2 (en) | 2011-03-25 | 2026-01-27 | Udc Ireland Limited | 4H-imidazo[1,2-a]imidazoles for electronic applications |
| US11450812B2 (en) | 2011-03-25 | 2022-09-20 | Udc Ireland Limited | 4H-imidazo[1,2-a]imidazoles for electronic applications |
| US10431750B2 (en) | 2011-03-25 | 2019-10-01 | Udc Ireland Limited | 4H-imidazo[1,2-a]imidazoles for electronic applications |
| JP2014516471A (ja) * | 2011-04-13 | 2014-07-10 | メルク パテント ゲーエムベーハー | 電子素子のための材料 |
| US9876171B2 (en) | 2011-04-13 | 2018-01-23 | Merck Patent Gmbh | Materials for electronic devices |
| JP2018056569A (ja) * | 2011-04-13 | 2018-04-05 | メルク パテント ゲーエムベーハー | 電子素子のための材料 |
| US9118022B2 (en) * | 2011-06-03 | 2015-08-25 | Merck Patent Gmbh | Organic electroluminescent device |
| US20140088305A1 (en) * | 2011-06-03 | 2014-03-27 | Merck Patent Gmbh | Organic electroluminescent device |
| CN103619986A (zh) * | 2011-06-03 | 2014-03-05 | 默克专利有限公司 | 有机电致发光器件 |
| US9502664B2 (en) | 2011-11-10 | 2016-11-22 | Udc Ireland Limited | 4H-imidazo[1,2-a]imidazoles for electronic applications |
| CN108299439A (zh) * | 2011-11-10 | 2018-07-20 | Udc 爱尔兰有限责任公司 | 用于电子应用的4H-咪唑并[1,2-a]咪唑 |
| CN108440531A (zh) * | 2011-11-10 | 2018-08-24 | Udc 爱尔兰有限责任公司 | 用于电子应用的4H-咪唑并[1,2-a]咪唑 |
| KR102021099B1 (ko) | 2011-11-10 | 2019-09-16 | 유디씨 아일랜드 리미티드 | 전자장치 응용을 위한 4h-이미다조[1,2-a]이미다졸 |
| CN108440531B (zh) * | 2011-11-10 | 2021-11-02 | Udc 爱尔兰有限责任公司 | 用于电子应用的4H-咪唑并[1,2-a]咪唑 |
| WO2013068376A1 (en) | 2011-11-10 | 2013-05-16 | Basf Se | 4h-imidazo[1,2-a]imidazoles for electronic applications |
| CN108299439B (zh) * | 2011-11-10 | 2021-02-09 | Udc 爱尔兰有限责任公司 | 用于电子应用的4H-咪唑并[1,2-a]咪唑 |
| JP2015504422A (ja) * | 2011-11-10 | 2015-02-12 | ビーエーエスエフ ソシエタス・ヨーロピアBasf Se | エレクトロニクス用途のための4H−イミダゾ[1,2−a]イミダゾール |
| KR20140097299A (ko) * | 2011-11-10 | 2014-08-06 | 바스프 에스이 | 전자장치 응용을 위한 4h-이미다조[1,2-a]이미다졸 |
| KR20220137803A (ko) * | 2012-07-10 | 2022-10-12 | 유디씨 아일랜드 리미티드 | 전자 응용을 위한 벤즈이미다조[1,2-a]벤즈이미다졸 유도체 |
| CN108191870A (zh) * | 2012-07-10 | 2018-06-22 | Udc 爱尔兰有限责任公司 | 用于电子应用的苯并咪唑并[1,2-a]苯并咪唑衍生物 |
| US10862051B2 (en) | 2012-07-10 | 2020-12-08 | Udc Ireland Limited | Benzimidazo[1,2-a]benzimidazole derivatives for electronic applications |
| US9620724B2 (en) | 2012-07-10 | 2017-04-11 | Udc Ireland Limited | Benzimidazo[1,2-A]benzimidazole derivatives for electronic applications |
| US11744152B2 (en) | 2012-07-10 | 2023-08-29 | Udc Ireland Limited | Benzimidazo[1,2-a]benzimidazole derivatives for electronic applications |
| KR102451454B1 (ko) * | 2012-07-10 | 2022-10-06 | 유디씨 아일랜드 리미티드 | 전자 응용을 위한 벤즈이미다조[1,2-a]벤즈이미다졸 유도체 |
| WO2014009317A1 (en) | 2012-07-10 | 2014-01-16 | Basf Se | Benzimidazo[1,2-a]benzimidazole derivatives for electronic applications |
| CN104395316A (zh) * | 2012-07-10 | 2015-03-04 | 巴斯夫欧洲公司 | 用于电子应用的苯并咪唑并[1,2-a]苯并咪唑衍生物 |
| US20170244051A1 (en) * | 2012-07-10 | 2017-08-24 | Udc Ireland Limited | Benzimidazo[1,2-a]Benzimidazole Derivatives for Electronic Applications |
| EP3232485A1 (de) | 2012-07-10 | 2017-10-18 | UDC Ireland Limited | Benzimidazo[1,2-a]benzimidazol-derivate für elektronische anwendungen |
| TWI673270B (zh) * | 2012-07-10 | 2019-10-01 | 愛爾蘭商Udc愛爾蘭責任有限公司 | 供電子應用之苯并咪唑并[1,2-a]苯并咪唑衍生物 |
| CN107353289A (zh) * | 2012-07-10 | 2017-11-17 | Udc 爱尔兰有限责任公司 | 用于电子应用的苯并咪唑并[1,2‑a]苯并咪唑衍生物 |
| JP2015529639A (ja) * | 2012-07-10 | 2015-10-08 | ビーエーエスエフ ソシエタス・ヨーロピアBasf Se | 電子用途のためのベンズイミダゾ[1,2−a]ベンズイミダゾール誘導体 |
| CN104395316B (zh) * | 2012-07-10 | 2018-01-19 | Udc 爱尔兰有限责任公司 | 用于电子应用的苯并咪唑并[1,2‑a]苯并咪唑衍生物 |
| KR20210157412A (ko) * | 2012-07-10 | 2021-12-28 | 유디씨 아일랜드 리미티드 | 전자 응용을 위한 벤즈이미다조[1,2-a]벤즈이미다졸 유도체 |
| US10243150B2 (en) | 2012-07-10 | 2019-03-26 | Udc Ireland Limited | Benzimidazo[1,2-a]benzimidazole derivatives for electronic applications |
| KR102563117B1 (ko) * | 2012-07-10 | 2023-08-04 | 유디씨 아일랜드 리미티드 | 전자 응용을 위한 벤즈이미다조[1,2-a]벤즈이미다졸 유도체 |
| JP2014045101A (ja) * | 2012-08-28 | 2014-03-13 | Konica Minolta Inc | 有機エレクトロルミネッセンス素子、照明装置および表示装置 |
| CN104662023A (zh) * | 2012-09-20 | 2015-05-27 | 巴斯夫欧洲公司 | 供电子应用的氮杂二苯并呋喃 |
| CN113943306A (zh) * | 2012-09-20 | 2022-01-18 | Udc 爱尔兰有限责任公司 | 供电子应用的氮杂二苯并呋喃和包含氮杂二苯并呋喃的电子器件 |
| EP3318566A1 (de) | 2012-09-20 | 2018-05-09 | UDC Ireland Limited | Azadibenzofurane für elektronische anwendungen |
| US10249827B2 (en) | 2012-09-20 | 2019-04-02 | Udc Ireland Limited | Azadibenzofurans for electronic applications |
| CN104662023B (zh) * | 2012-09-20 | 2017-08-18 | Udc 爱尔兰有限责任公司 | 供电子应用的氮杂二苯并呋喃 |
| CN107573363A (zh) * | 2012-09-20 | 2018-01-12 | Udc 爱尔兰有限责任公司 | 供电子应用的氮杂二苯并呋喃和包含氮杂二苯并呋喃的电子器件 |
| WO2015063046A1 (en) | 2013-10-31 | 2015-05-07 | Basf Se | Azadibenzothiophenes for electronic applications |
| WO2016016791A1 (en) | 2014-07-28 | 2016-02-04 | Idemitsu Kosan Co., Ltd (Ikc) | 2,9-functionalized benzimidazolo[1,2-a]benzimidazoles as hosts for organic light emitting diodes (oleds) |
| EP2982676A1 (de) | 2014-08-07 | 2016-02-10 | Idemitsu Kosan Co., Ltd. | Benzimidazo[2,1-b]benzoxazole für elektronische Anwendungen |
| EP2993215A1 (de) | 2014-09-04 | 2016-03-09 | Idemitsu Kosan Co., Ltd. | Azabenzimidazo[2,1-a]benzimidazole für elektronische Anwendungen |
| EP3034507A1 (de) | 2014-12-15 | 2016-06-22 | Idemitsu Kosan Co., Ltd | 1-funktionalisierte Dibenzofurane und Dibenzothiophene für organische Leuchtdioden (OLEDS) |
| US10584126B2 (en) | 2014-12-15 | 2020-03-10 | Idemitsu Kosan Co., Ltd. | 1-functionalized dibenzofurans and dibenzothiophenes for organic light emitting diodes (OLEDs) |
| WO2016097983A1 (en) | 2014-12-15 | 2016-06-23 | Idemitsu Kosan Co., Ltd. | 1-functionalized dibenzofurans and dibenzothiophenes for organic light emitting diodes (oleds) |
| EP3034506A1 (de) | 2014-12-15 | 2016-06-22 | Idemitsu Kosan Co., Ltd | 4-funktionalisierte Carbazolderivate für elektronische Anwendungen |
| EP3075737A1 (de) | 2015-03-31 | 2016-10-05 | Idemitsu Kosan Co., Ltd | Benzimidazolo[1,2-a]benzimidazol mit aryl- oder heteroarylnitrilgruppen für organische leuchtdioden |
| WO2016157113A1 (en) | 2015-03-31 | 2016-10-06 | Idemitsu Kosan Co., Ltd. | Benzimidazolo[1,2-a]benzimidazole carrying aryl- or heteroarylnitril groups for organic light emitting diodes |
| US10689385B2 (en) | 2015-03-31 | 2020-06-23 | Idemitsu Kosan Co., Ltd. | Benzimidazolo[1,2-A]benzimidazole carrying aryl- or arylnitril groups for organic light emitting diodes |
| US10570136B2 (en) | 2015-07-28 | 2020-02-25 | Udc Ireland Limited | Process for the preparation of benzimidazo[1,2-a] benzimidazoles |
| WO2017056052A1 (en) | 2015-10-01 | 2017-04-06 | Idemitsu Kosan Co., Ltd. | Benzimidazolo[1,2-a]benzimidazole carrying benzimidazolo[1,2-a]benzimidazolyl groups, carbazolyl groups, benzofurane groups or benzothiophene groups for organic light emitting diodes |
| WO2017056053A1 (en) | 2015-10-01 | 2017-04-06 | Idemitsu Kosan Co., Ltd. | Benzimidazolo[1,2-a]benzimidazole carrying benzimidazolo[1,2-a]benzimidazolyl groups, carbazolyl groups, benzofurane groups or benzothiophene groups for organic light emitting diodes |
| EP3150606A1 (de) | 2015-10-01 | 2017-04-05 | Idemitsu Kosan Co., Ltd. | Benzimidazolo[1,2-a]benzimidazole mit benzofuran- oder benzothiophen- gruppen für organische licht emittierende dioden. |
| EP3150604A1 (de) | 2015-10-01 | 2017-04-05 | Idemitsu Kosan Co., Ltd. | Benzimidazolo[1,2-a]benzimidazol mit benzimidazolo[1,2-a]benzimidazolylgruppen, carbazolylgruppen, benzofurangruppen oder benzothiophengruppen für organische leuchtdioden |
| WO2017056055A1 (en) | 2015-10-01 | 2017-04-06 | Idemitsu Kosan Co., Ltd. | Benzimidazolo[1,2-a]benzimidazole carrying triazine groups for organic light emitting diodes |
| US11174258B2 (en) | 2015-12-04 | 2021-11-16 | Idemitsu Kosan Co., Ltd. | Benzimidazolo[1,2-a]benzimidazole derivatives for organic light emitting diodes |
| WO2017093958A1 (en) | 2015-12-04 | 2017-06-08 | Idemitsu Kosan Co., Ltd. | Benzimidazolo[1,2-a]benzimidazole derivatives for organic light emitting diodes |
| JP2023015131A (ja) * | 2015-12-28 | 2023-01-31 | 株式会社半導体エネルギー研究所 | 発光材料及び発光素子 |
| JP2017119866A (ja) * | 2015-12-28 | 2017-07-06 | 株式会社半導体エネルギー研究所 | 有機金属錯体、発光素子、発光装置、電子機器及び照明装置 |
| US10934293B2 (en) | 2017-05-18 | 2021-03-02 | Universal Display Corporation | Organic electroluminescent materials and devices |
| US10608188B2 (en) * | 2017-09-11 | 2020-03-31 | Universal Display Corporation | Organic electroluminescent materials and devices |
| US20190081248A1 (en) * | 2017-09-11 | 2019-03-14 | Universal Display Corporation | Organic electroluminescent materials and devices |
| US10964895B2 (en) | 2017-09-11 | 2021-03-30 | Universal Display Corporation | Organic electroluminescent materials and devices |
| US11621396B2 (en) | 2017-10-06 | 2023-04-04 | Merck Patent Gmbh | Materials for organic electroluminescent devices |
| US12077541B2 (en) | 2018-03-09 | 2024-09-03 | Merck Patent Gmbh | Compounds for electronic devices |
| KR102847462B1 (ko) | 2018-03-09 | 2025-08-18 | 메르크 파텐트 게엠베하 | 전자 디바이스용 화합물 |
| WO2019170691A1 (en) * | 2018-03-09 | 2019-09-12 | Merck Patent Gmbh | Compounds for electronic devices |
| KR20200130838A (ko) * | 2018-03-09 | 2020-11-20 | 메르크 파텐트 게엠베하 | 전자 디바이스용 화합물 |
| CN111819180A (zh) * | 2018-03-09 | 2020-10-23 | 默克专利有限公司 | 用于电子器件的化合物 |
| CN110964007B (zh) * | 2018-09-30 | 2021-10-22 | 江苏三月科技股份有限公司 | 一种以喹啉酮衍生物为核心的化合物及其在有机电致发光器件上的应用 |
| CN110963992A (zh) * | 2018-09-30 | 2020-04-07 | 江苏三月光电科技有限公司 | 一种以喹啉酮衍生物为核心的化合物及其在有机电致发光器件上的应用 |
| CN110964007A (zh) * | 2018-09-30 | 2020-04-07 | 江苏三月光电科技有限公司 | 一种以喹啉酮衍生物为核心的化合物及其在有机电致发光器件上的应用 |
| US11706980B2 (en) | 2018-11-28 | 2023-07-18 | Universal Display Corporation | Host materials for electroluminescent devices |
| US11515489B2 (en) | 2018-11-28 | 2022-11-29 | Universal Display Corporation | Host materials for electroluminescent devices |
| CN111233868A (zh) * | 2018-11-28 | 2020-06-05 | 环球展览公司 | 用于电致发光装置的主体材料 |
| US12048246B2 (en) | 2018-11-28 | 2024-07-23 | Universal Display Corporation | Host materials for electroluminescent devices |
| US12139500B2 (en) | 2019-01-16 | 2024-11-12 | Merck Patent Gmbh | Materials for organic electroluminescent devices |
| WO2020148243A1 (en) | 2019-01-16 | 2020-07-23 | Merck Patent Gmbh | Materials for organic electroluminescent devices |
| US11512093B2 (en) | 2019-03-04 | 2022-11-29 | Universal Display Corporation | Compound used for organic light emitting device (OLED), consumer product and formulation |
| US20230151026A1 (en) * | 2020-04-02 | 2023-05-18 | Merck Patent Gmbh | Multi-layer body for diffuse transillumination |
| CN115335382A (zh) * | 2020-04-02 | 2022-11-11 | 默克专利有限公司 | 用于有机电致发光器件的材料 |
| WO2021198213A1 (de) * | 2020-04-02 | 2021-10-07 | Merck Patent Gmbh | Materialien für organische elektrolumineszenzvorrichtungen |
| WO2021160898A2 (de) | 2020-05-27 | 2021-08-19 | Merck Patent Gmbh | Materialien für elektronische vorrichtungen |
| WO2022243403A1 (de) | 2021-05-21 | 2022-11-24 | Merck Patent Gmbh | Verfahren zur kontinuierlichen aufreinigung von mindestens einem funktionalen material und vorrichtung zur kontinuierlichen aufreinigung von mindestens einem funktionalen material |
| WO2024033282A1 (en) | 2022-08-09 | 2024-02-15 | Merck Patent Gmbh | Materials for organic electroluminescent devices |
| WO2024121133A1 (de) | 2022-12-08 | 2024-06-13 | Merck Patent Gmbh | Organische elektronische vorrichtung und spezielle materialien für organische elektronische vorrichtungen |
| WO2024132993A1 (de) | 2022-12-19 | 2024-06-27 | Merck Patent Gmbh | Materialien für elektronische vorrichtungen |
| WO2024194264A1 (de) | 2023-03-20 | 2024-09-26 | Merck Patent Gmbh | Materialien für organische elektrolumineszenzvorrichtungen |
| WO2025045816A1 (en) | 2023-08-29 | 2025-03-06 | Merck Patent Gmbh | Materials for organic electroluminescent devices |
| WO2025045843A1 (de) | 2023-08-30 | 2025-03-06 | Merck Patent Gmbh | Materialien für organische lichtemittierende vorrichtungen |
| WO2025045842A1 (de) | 2023-08-30 | 2025-03-06 | Merck Patent Gmbh | Materialien für organische lichtemittierende vorrichtungen |
| WO2025045851A1 (de) | 2023-08-30 | 2025-03-06 | Merck Patent Gmbh | Materialien für organische lichtemittierende vorrichtungen |
| WO2025073675A1 (en) | 2023-10-04 | 2025-04-10 | Merck Patent Gmbh | Materials for organic electroluminescent devices |
| WO2025104058A1 (de) | 2023-11-16 | 2025-05-22 | Merck Patent Gmbh | Materialien für organische elektronische vorrichtungen |
| WO2025119821A1 (en) | 2023-12-05 | 2025-06-12 | Merck Patent Gmbh | Material composition for organic electroluminescent devices |
| WO2025168515A1 (de) | 2024-02-06 | 2025-08-14 | Merck Patent Gmbh | Materialien für organische elektronische vorrichtungen |
| WO2025195961A1 (de) | 2024-03-19 | 2025-09-25 | Merck Patent Gmbh | Organische lichtemittierende vorrichtungen |
| WO2025228800A1 (de) | 2024-04-30 | 2025-11-06 | Merck Patent Gmbh | Materialien für organische elektronische vorrichtungen |
| WO2026017612A1 (en) | 2024-07-15 | 2026-01-22 | Merck Patent Gmbh | Organic light-emitting device |
| WO2026017608A1 (de) | 2024-07-15 | 2026-01-22 | Merck Patent Gmbh | Materialien für organische lichtemittierende vorrichtungen |
| WO2026017607A1 (en) | 2024-07-15 | 2026-01-22 | Merck Patent Gmbh | Organic light-emitting device |
| WO2026017611A1 (en) | 2024-07-15 | 2026-01-22 | Merck Patent Gmbh | Organic light emitting device |
Also Published As
| Publication number | Publication date |
|---|---|
| DE102010024542A1 (de) | 2011-12-22 |
| US9379330B2 (en) | 2016-06-28 |
| DE112011102109A5 (de) | 2013-03-28 |
| US20130092922A1 (en) | 2013-04-18 |
| JP5882313B2 (ja) | 2016-03-09 |
| JP2013536567A (ja) | 2013-09-19 |
| US10135003B2 (en) | 2018-11-20 |
| US20160260911A1 (en) | 2016-09-08 |
| US20170309834A1 (en) | 2017-10-26 |
Similar Documents
| Publication | Publication Date | Title |
|---|---|---|
| EP3027707B1 (de) | Materialien für elektronische vorrichtungen | |
| EP2875699B1 (de) | Derivate von 2-diarylaminofluoren und diese enthaltnde organische elektronische verbindungen | |
| DE112011101314B4 (de) | Materialien für elektronische Vorrichtungen | |
| EP2705552B1 (de) | Verbindungen für elektronische vorrichtungen | |
| EP2344609B1 (de) | Materialien für organische elektrolumineszenzvorrichtungen | |
| EP2699641B1 (de) | Verbindungen für elektronische vorrichtungen | |
| WO2011160757A1 (de) | Materialien für elektronische vorrichtungen | |
| EP3052477B1 (de) | Triarylamin-substituierte benzo[h]chinolin-derivate als materialien für elektronische vorrichtungen | |
| DE112011103412B4 (de) | Materialien für elektronische Vorrichtungen | |
| DE102010048607A1 (de) | Verbindungen für elektronische Vorrichtungen | |
| DE102010009903A1 (de) | Verbindungen für elektronische Vorrichtungen | |
| EP2737554A1 (de) | Verbindungen für elektronische vorrichtungen | |
| DE102010005697A1 (de) | Verbindungen für elektronische Vorrichtungen | |
| DE112011102056B4 (de) | Verbindungen für elektronische Vorrichtungen | |
| EP2941472A1 (de) | Materialien für elektronische vorrichtungen | |
| DE102010019306A1 (de) | Organische Elektrolumineszenzvorrichtungen | |
| EP2705550A1 (de) | Verbindungen für elektronische vorrichtungen | |
| DE102009022858A1 (de) | Organische Elektrolumineszenzvorrichtungen | |
| DE102009052428A1 (de) | Verbindung für elektronische Vorrichtungen | |
| DE102010033548A1 (de) | Materialien für elektronische Vorrichtungen | |
| EP2697225B1 (de) | Materialien für elektronische vorrichtungen | |
| EP2926385A1 (de) | Elektronische vorrichtung | |
| EP2697226B1 (de) | Verbindungen für elektronische vorrichtungen | |
| WO2011160758A1 (de) | Materialien für organische elektrolumineszenzvorrichtungen |
Legal Events
| Date | Code | Title | Description |
|---|---|---|---|
| 121 | Ep: the epo has been informed by wipo that ep was designated in this application |
Ref document number: 11724551 Country of ref document: EP Kind code of ref document: A1 |
|
| ENP | Entry into the national phase |
Ref document number: 2013515746 Country of ref document: JP Kind code of ref document: A |
|
| WWE | Wipo information: entry into national phase |
Ref document number: 13805927 Country of ref document: US |
|
| WWE | Wipo information: entry into national phase |
Ref document number: 1120111021097 Country of ref document: DE Ref document number: 112011102109 Country of ref document: DE |
|
| REG | Reference to national code |
Ref country code: DE Ref legal event code: R225 Ref document number: 112011102109 Country of ref document: DE Effective date: 20130328 |
|
| 122 | Ep: pct application non-entry in european phase |
Ref document number: 11724551 Country of ref document: EP Kind code of ref document: A1 |



















































































