WO2005026144A1 - デンドリマー化合物及びそれを用いた有機発光素子 - Google Patents
デンドリマー化合物及びそれを用いた有機発光素子 Download PDFInfo
- Publication number
- WO2005026144A1 WO2005026144A1 PCT/JP2004/013585 JP2004013585W WO2005026144A1 WO 2005026144 A1 WO2005026144 A1 WO 2005026144A1 JP 2004013585 W JP2004013585 W JP 2004013585W WO 2005026144 A1 WO2005026144 A1 WO 2005026144A1
- Authority
- WO
- WIPO (PCT)
- Prior art keywords
- group
- formula
- represented
- dendrimer
- ring
- Prior art date
- Legal status (The legal status is an assumption and is not a legal conclusion. Google has not performed a legal analysis and makes no representation as to the accuracy of the status listed.)
- Ceased
Links
Classifications
-
- C—CHEMISTRY; METALLURGY
- C07—ORGANIC CHEMISTRY
- C07D—HETEROCYCLIC COMPOUNDS
- C07D333/00—Heterocyclic compounds containing five-membered rings having one sulfur atom as the only ring hetero atom
- C07D333/50—Heterocyclic compounds containing five-membered rings having one sulfur atom as the only ring hetero atom condensed with carbocyclic rings or ring systems
- C07D333/76—Dibenzothiophenes
-
- H—ELECTRICITY
- H10—SEMICONDUCTOR DEVICES; ELECTRIC SOLID-STATE DEVICES NOT OTHERWISE PROVIDED FOR
- H10K—ORGANIC ELECTRIC SOLID-STATE DEVICES
- H10K85/00—Organic materials used in the body or electrodes of devices covered by this subclass
- H10K85/10—Organic polymers or oligomers
-
- C—CHEMISTRY; METALLURGY
- C07—ORGANIC CHEMISTRY
- C07D—HETEROCYCLIC COMPOUNDS
- C07D409/00—Heterocyclic compounds containing two or more hetero rings, at least one ring having sulfur atoms as the only ring hetero atoms
- C07D409/14—Heterocyclic compounds containing two or more hetero rings, at least one ring having sulfur atoms as the only ring hetero atoms containing three or more hetero rings
-
- C—CHEMISTRY; METALLURGY
- C07—ORGANIC CHEMISTRY
- C07F—ACYCLIC, CARBOCYCLIC OR HETEROCYCLIC COMPOUNDS CONTAINING ELEMENTS OTHER THAN CARBON, HYDROGEN, HALOGEN, OXYGEN, NITROGEN, SULFUR, SELENIUM OR TELLURIUM
- C07F15/00—Compounds containing elements of Groups 8, 9, 10 or 18 of the Periodic Table
-
- C—CHEMISTRY; METALLURGY
- C07—ORGANIC CHEMISTRY
- C07F—ACYCLIC, CARBOCYCLIC OR HETEROCYCLIC COMPOUNDS CONTAINING ELEMENTS OTHER THAN CARBON, HYDROGEN, HALOGEN, OXYGEN, NITROGEN, SULFUR, SELENIUM OR TELLURIUM
- C07F15/00—Compounds containing elements of Groups 8, 9, 10 or 18 of the Periodic Table
- C07F15/0006—Compounds containing elements of Groups 8, 9, 10 or 18 of the Periodic Table compounds of the platinum group
- C07F15/0033—Iridium compounds
-
- C—CHEMISTRY; METALLURGY
- C09—DYES; PAINTS; POLISHES; NATURAL RESINS; ADHESIVES; COMPOSITIONS NOT OTHERWISE PROVIDED FOR; APPLICATIONS OF MATERIALS NOT OTHERWISE PROVIDED FOR
- C09D—COATING COMPOSITIONS, e.g. PAINTS, VARNISHES OR LACQUERS; FILLING PASTES; CHEMICAL PAINT OR INK REMOVERS; INKS; CORRECTING FLUIDS; WOODSTAINS; PASTES OR SOLIDS FOR COLOURING OR PRINTING; USE OF MATERIALS THEREFOR
- C09D11/00—Inks
-
- C—CHEMISTRY; METALLURGY
- C09—DYES; PAINTS; POLISHES; NATURAL RESINS; ADHESIVES; COMPOSITIONS NOT OTHERWISE PROVIDED FOR; APPLICATIONS OF MATERIALS NOT OTHERWISE PROVIDED FOR
- C09K—MATERIALS FOR MISCELLANEOUS APPLICATIONS, NOT PROVIDED FOR ELSEWHERE
- C09K11/00—Luminescent, e.g. electroluminescent, chemiluminescent materials
- C09K11/06—Luminescent, e.g. electroluminescent, chemiluminescent materials containing organic luminescent materials
-
- H—ELECTRICITY
- H05—ELECTRIC TECHNIQUES NOT OTHERWISE PROVIDED FOR
- H05B—ELECTRIC HEATING; ELECTRIC LIGHT SOURCES NOT OTHERWISE PROVIDED FOR; CIRCUIT ARRANGEMENTS FOR ELECTRIC LIGHT SOURCES, IN GENERAL
- H05B33/00—Electroluminescent light sources
- H05B33/12—Light sources with substantially two-dimensional radiating surfaces
- H05B33/14—Light sources with substantially two-dimensional radiating surfaces characterised by the chemical or physical composition or the arrangement of the electroluminescent material, or by the simultaneous addition of the electroluminescent material in or onto the light source
-
- H—ELECTRICITY
- H05—ELECTRIC TECHNIQUES NOT OTHERWISE PROVIDED FOR
- H05B—ELECTRIC HEATING; ELECTRIC LIGHT SOURCES NOT OTHERWISE PROVIDED FOR; CIRCUIT ARRANGEMENTS FOR ELECTRIC LIGHT SOURCES, IN GENERAL
- H05B33/00—Electroluminescent light sources
- H05B33/12—Light sources with substantially two-dimensional radiating surfaces
- H05B33/22—Light sources with substantially two-dimensional radiating surfaces characterised by the chemical or physical composition or the arrangement of auxiliary dielectric or reflective layers
-
- H—ELECTRICITY
- H10—SEMICONDUCTOR DEVICES; ELECTRIC SOLID-STATE DEVICES NOT OTHERWISE PROVIDED FOR
- H10K—ORGANIC ELECTRIC SOLID-STATE DEVICES
- H10K85/00—Organic materials used in the body or electrodes of devices covered by this subclass
- H10K85/30—Coordination compounds
- H10K85/341—Transition metal complexes, e.g. Ru(II)polypyridine complexes
- H10K85/342—Transition metal complexes, e.g. Ru(II)polypyridine complexes comprising iridium
-
- H—ELECTRICITY
- H10—SEMICONDUCTOR DEVICES; ELECTRIC SOLID-STATE DEVICES NOT OTHERWISE PROVIDED FOR
- H10K—ORGANIC ELECTRIC SOLID-STATE DEVICES
- H10K85/00—Organic materials used in the body or electrodes of devices covered by this subclass
- H10K85/30—Coordination compounds
- H10K85/341—Transition metal complexes, e.g. Ru(II)polypyridine complexes
- H10K85/346—Transition metal complexes, e.g. Ru(II)polypyridine complexes comprising platinum
-
- H—ELECTRICITY
- H10—SEMICONDUCTOR DEVICES; ELECTRIC SOLID-STATE DEVICES NOT OTHERWISE PROVIDED FOR
- H10K—ORGANIC ELECTRIC SOLID-STATE DEVICES
- H10K85/00—Organic materials used in the body or electrodes of devices covered by this subclass
- H10K85/30—Coordination compounds
- H10K85/351—Metal complexes comprising lanthanides or actinides, e.g. comprising europium
-
- H—ELECTRICITY
- H10—SEMICONDUCTOR DEVICES; ELECTRIC SOLID-STATE DEVICES NOT OTHERWISE PROVIDED FOR
- H10K—ORGANIC ELECTRIC SOLID-STATE DEVICES
- H10K85/00—Organic materials used in the body or electrodes of devices covered by this subclass
- H10K85/60—Organic compounds having low molecular weight
- H10K85/649—Aromatic compounds comprising a hetero atom
- H10K85/657—Polycyclic condensed heteroaromatic hydrocarbons
- H10K85/6572—Polycyclic condensed heteroaromatic hydrocarbons comprising only nitrogen in the heteroaromatic polycondensed ring system, e.g. phenanthroline or carbazole
-
- H—ELECTRICITY
- H10—SEMICONDUCTOR DEVICES; ELECTRIC SOLID-STATE DEVICES NOT OTHERWISE PROVIDED FOR
- H10K—ORGANIC ELECTRIC SOLID-STATE DEVICES
- H10K85/00—Organic materials used in the body or electrodes of devices covered by this subclass
- H10K85/60—Organic compounds having low molecular weight
- H10K85/649—Aromatic compounds comprising a hetero atom
- H10K85/657—Polycyclic condensed heteroaromatic hydrocarbons
- H10K85/6576—Polycyclic condensed heteroaromatic hydrocarbons comprising only sulfur in the heteroaromatic polycondensed ring system, e.g. benzothiophene
-
- C—CHEMISTRY; METALLURGY
- C09—DYES; PAINTS; POLISHES; NATURAL RESINS; ADHESIVES; COMPOSITIONS NOT OTHERWISE PROVIDED FOR; APPLICATIONS OF MATERIALS NOT OTHERWISE PROVIDED FOR
- C09K—MATERIALS FOR MISCELLANEOUS APPLICATIONS, NOT PROVIDED FOR ELSEWHERE
- C09K2211/00—Chemical nature of organic luminescent or tenebrescent compounds
- C09K2211/10—Non-macromolecular compounds
- C09K2211/1003—Carbocyclic compounds
- C09K2211/1011—Condensed systems
-
- C—CHEMISTRY; METALLURGY
- C09—DYES; PAINTS; POLISHES; NATURAL RESINS; ADHESIVES; COMPOSITIONS NOT OTHERWISE PROVIDED FOR; APPLICATIONS OF MATERIALS NOT OTHERWISE PROVIDED FOR
- C09K—MATERIALS FOR MISCELLANEOUS APPLICATIONS, NOT PROVIDED FOR ELSEWHERE
- C09K2211/00—Chemical nature of organic luminescent or tenebrescent compounds
- C09K2211/10—Non-macromolecular compounds
- C09K2211/1018—Heterocyclic compounds
- C09K2211/1025—Heterocyclic compounds characterised by ligands
- C09K2211/1029—Heterocyclic compounds characterised by ligands containing one nitrogen atom as the heteroatom
-
- C—CHEMISTRY; METALLURGY
- C09—DYES; PAINTS; POLISHES; NATURAL RESINS; ADHESIVES; COMPOSITIONS NOT OTHERWISE PROVIDED FOR; APPLICATIONS OF MATERIALS NOT OTHERWISE PROVIDED FOR
- C09K—MATERIALS FOR MISCELLANEOUS APPLICATIONS, NOT PROVIDED FOR ELSEWHERE
- C09K2211/00—Chemical nature of organic luminescent or tenebrescent compounds
- C09K2211/10—Non-macromolecular compounds
- C09K2211/1018—Heterocyclic compounds
- C09K2211/1025—Heterocyclic compounds characterised by ligands
- C09K2211/1092—Heterocyclic compounds characterised by ligands containing sulfur as the only heteroatom
-
- C—CHEMISTRY; METALLURGY
- C09—DYES; PAINTS; POLISHES; NATURAL RESINS; ADHESIVES; COMPOSITIONS NOT OTHERWISE PROVIDED FOR; APPLICATIONS OF MATERIALS NOT OTHERWISE PROVIDED FOR
- C09K—MATERIALS FOR MISCELLANEOUS APPLICATIONS, NOT PROVIDED FOR ELSEWHERE
- C09K2211/00—Chemical nature of organic luminescent or tenebrescent compounds
- C09K2211/18—Metal complexes
- C09K2211/182—Metal complexes of the rare earth metals, i.e. Sc, Y or lanthanide
-
- C—CHEMISTRY; METALLURGY
- C09—DYES; PAINTS; POLISHES; NATURAL RESINS; ADHESIVES; COMPOSITIONS NOT OTHERWISE PROVIDED FOR; APPLICATIONS OF MATERIALS NOT OTHERWISE PROVIDED FOR
- C09K—MATERIALS FOR MISCELLANEOUS APPLICATIONS, NOT PROVIDED FOR ELSEWHERE
- C09K2211/00—Chemical nature of organic luminescent or tenebrescent compounds
- C09K2211/18—Metal complexes
- C09K2211/185—Metal complexes of the platinum group, i.e. Os, Ir, Pt, Ru, Rh or Pd
-
- Y—GENERAL TAGGING OF NEW TECHNOLOGICAL DEVELOPMENTS; GENERAL TAGGING OF CROSS-SECTIONAL TECHNOLOGIES SPANNING OVER SEVERAL SECTIONS OF THE IPC; TECHNICAL SUBJECTS COVERED BY FORMER USPC CROSS-REFERENCE ART COLLECTIONS [XRACs] AND DIGESTS
- Y10—TECHNICAL SUBJECTS COVERED BY FORMER USPC
- Y10T—TECHNICAL SUBJECTS COVERED BY FORMER US CLASSIFICATION
- Y10T428/00—Stock material or miscellaneous articles
- Y10T428/12—All metal or with adjacent metals
- Y10T428/12493—Composite; i.e., plural, adjacent, spatially distinct metal components [e.g., layers, joint, etc.]
- Y10T428/12771—Transition metal-base component
- Y10T428/12861—Group VIII or IB metal-base component
- Y10T428/12944—Ni-base component
Definitions
- the present invention relates to a dendrimer compound, a conjugate thereof, and an organic light-emitting device (hereinafter sometimes referred to as an organic LED) using the dendrimer compound.
- low molecular weight materials are soluble in solvents and fine.
- a linear polymer is known as a material having a high molecular weight.
- Patent document 1
- Patent Document 2
- Patent Document 3 WO 0 2/0 6 7 3 4 3
- An object of the present invention is to provide a novel dendrimer compound useful as a light emitting material or a charge transport material, a raw material compound thereof, and an organic light emitting device using the dendrimer compound.
- a dendrimer compound having a structure represented by the following formula (5) is useful as a light emitting material, a charge transport material, and the like. completed.
- the present invention is as follows.
- the present invention relates to a polymer compound, wherein the dendrimer is bonded to a constituent atom of a main chain skeleton or a side chain of the polymer compound. .
- a dendrimer compound comprising at least one kind of dendritic structure.
- unit CA, unit CB, unit CC and unit CD each independently represent an aromatic ring, a metal complex structure, a structure represented by the following formula (5), and an aromatic ring, a metal complex structure, Represents a structure in which two or more structures selected from the following formula (5), which may be the same or different, are connected directly or by a divalent group represented by the following (L-1),
- ring A and ring B each independently represent an aromatic ring
- X represents one O—
- one S—, one S ( ⁇ ) one, one S0 2 —
- R have R 2, R 3, R 4 ⁇ Pi 1 5, their respective independently an alkyl group, an alkoxy group, an alkylthio group, Ariru group , Aryloxy, arylthio, arylalkyl, arylalkoxy, arylalkylthio, arylalkenyl, arylalkynyl, amino, 'substituted amino and monovalent heterocyclic groups Represents a substituent selected from ⁇
- R represents a group selected from a hydrogen atom, an alkyl group, an alkoxy group, an aryl group and an aryloxy group. When a plurality of R's are present, they may be the same or different.
- a, b and c each independently represent an integer of 1 to 12.
- d :! Indicates an integer of ⁇ 11.
- Units DA and DB are each independently selected from the group consisting of an aromatic ring, a metal complex structure, a structure represented by the following formula (5), and an aromatic ring, a metal complex structure and a structure represented by the following formula (5). However, they may be different from each other. Further, at least one of the core and the tree structure has a structure represented by the above formula (5).
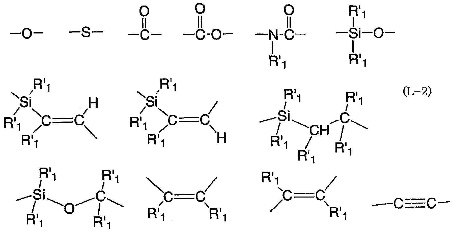
- L represents a direct bond or a linking group selected from the following (L-2).
- a ring, B ring and X have the same definition as above.
- Alpha gamma iota represents a divalent aromatic ring or a divalent metal complex structure.
- Ar 2 represents a trivalent aromatic ring or a trivalent metal complex structure.
- && And 33 each independently represent 0 or 1.
- a ring, B ring and X have the same definition as above.
- Alpha gamma iota represents a divalent aromatic ring or a divalent metal complex structure.
- Ar 2 represents a trivalent aromatic ring or a trivalent metal complex structure.
- & 3 and 1313 each independently represent 0 or 1.
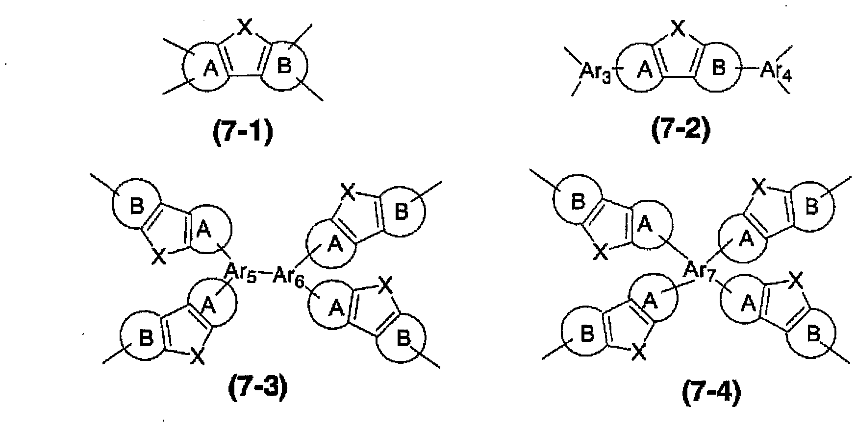
- a ring, B ring and X have the same definition as above.
- Ar 3 , Ar 4 , Ar 5 and Ar 6 each independently represent a trivalent aromatic ring or a trivalent metal complex structure.
- 'A r 7 represents a tetravalent aromatic ring or a tetravalent metal complex structure.
- composition according to (XVii) further comprising at least one material selected from a hole transporting material, an electron transporting material, and a light emitting material.
- (XXIii) An organic light-emitting device characterized by having a layer containing the dendrimer compound or composition according to any one of (i) to (XVii) between electrodes comprising an anode and a cathode.
- (XXV) A planar light source characterized by using the organic light-emitting device according to any one of (xXiii) to (xxiv).
- (XXVi) A segment display device using the organic light-emitting element according to any one of the above (XXIi) to (XXiV).
- a liquid crystal display device comprising, as a backlight, the organic light-emitting element according to any one of (xxiii) to (xxiv).
- the dendrimer compound of the present invention is a novel dendrimer compound useful as a light emitting material, a charge transport material, and the like. ⁇
- the dendrimer compound of the present invention comprises a core represented by the above formula (1-1), (1-2), (1-3) or (1-4), and a core represented by the above formula (3) or (4) It contains at least one kind of tree structure selected from tree structures.
- a dendrimer-compound is a dendritic compound having a chemical structure composed of a core (nucleus) and a branched structure including a branched unit. That is.
- the dendritic structure refers to a branch containing D A or D B and a portion containing three or four branched linking groups. The dendritic structure and its repetition are called dendrons.
- the core that is the most central part refers to a part from the central structure to a part containing one, two, three or four branched linking groups.
- the first generation from the core to the first dendritic structure or branching unit to its end is defined.
- the second tree structure is defined from the next tree structure or branch unit to its end.
- the third generation and subsequent generations are defined as the next generation from the next tree structure or branch tree to the end.
- the preferred number of generations in the dendrimer of the present invention is in the range of 1 to 5, more preferably 1 to 3.
- the structure of the dendrimer compound, one of the following formula 8 with a dendron dendritic structure has a regular repeating structure - 1), Equation 8 - 2), Equation 8 - 3) and the equation (18-4)
- the structure as shown is mentioned.
- L is Dendrimer compounds that vary from generation to generation or dendron are also included.
- the structure of the dendrimer compound depends on the synthesis method, but from the viewpoint of the synthesis simplicity, the above formulas (18-1) and (18-) in which one kind of dendritic structure has a dendron having a regular repeating structure. 2) The two types of structures shown in formulas (18-3) and (18-4), and having the same dendritic structure in one dendron, but differing in the number of branches in one generation.
- a structure represented by the following formula (18-6) having the following dendron is preferable.
- one kind of dendritic structure has a dendron having a regular repeating structure, and is represented by the above formulas (18-1), (18-2), (18-3) and (18-4). The structure is more preferred.
- unit CA, unit CB, unit CC and unit CD each independently represent an aromatic ring, a metal complex structure, a structure represented by the following formula (5), and an aromatic ring, a metal complex structure and the following formula (5) 2)
- Replacement paper (Rule 26) Represents a structure in which the above structure is directly or connected by a divalent group represented by the following (L-1), and the following group in the formula (1-1) is
- CB is a tetravalent group.
- the units DA and DB are each independently the same selected from an aromatic ring, a metal complex structure, a structure represented by the following formula (5), and an aromatic ring, a metal complex structure and a structure represented by the following formula (5). Two or more which may be different are connected.
- DA is a trivalent group, and the following group in the formula (4) is
- Unit DB has the same definition as unit DB, and unit DB and unit DB each represent a different kind of ring.
- aromatic ring examples include an aromatic hydrocarbon ring such as a benzene ring, a naphthalene ring, an anthracene ring, a tetracene ring, a pentacene ring, a pyrene ring, and a phenanthrene ring; a pyridin ring, a phenanthone ring, a quinoline ring, an isoquinoline ring, and thiophene.
- heteroaromatic rings such as ring, furan ring and pyrrole ring.
- the metal complex structure is a metal complex having an organic ligand.
- the organic ligand include 8-quinolinol and its derivatives, benzoquinolinol and its derivatives, 2-phenyipyridine and its derivatives, 2-phenylin-benzothiazonole and its derivatives, and 2-phenyl Rubenzoxazole and its derivatives, porphyrin and its derivatives, acetylacetone and its derivatives, phthalocyanine and its derivatives, salen and its derivatives, 1,10-phenanthroline and its derivatives, 2,6- Di (2-pyridyl) monopyridine and its derivatives.
- the central metal of the complex for example, aluminum, zinc, beryllium, ruthenium, orifice, rhenium, iridium, platinum, gold, europium, terbium and the like can be mentioned.
- metal complex tris (8-quinolinol) aluminum, Illizi ⁇ beam as a central metal Ir (ppy) 3, Btp 2 Ir (acac) s platinum as a central metal PtOEP, the central metal europium And a triplet luminescent complex such as Eu (TTA) 3phen.
- the A ring and the B ring each independently represent an aromatic ring.
- the definition of the ring is the same as above.
- the types of the aromatic rings of the ring A and the ring B may be the same or different.
- the aromatic ring, the metal complex structure and the structure represented by the formula (5) have a substituent Q. You may do it.
- the substituent Q include an alkyl group, an alkoxy group, an alkylthio group, an aryl group, an aryloxy group, an arylthio group, an arylalkyl group, an arylalkoxy group, an arylalkylthio group, an arylalkenyl group, an arylalkynyl group, and an amino group.
- the carbon number of the unsubstituted aromatic ring is usually about 6 to 60, preferably 6 to 20.
- the alkyl group may be linear, branched or cyclic.
- the number of carbon atoms is usually:! To about 20.
- the alkoxy group may be straight-chain, branched or cyclic.
- the number of carbon atoms is usually about 1 to 20.
- the alkyl group may be linear, branched or cyclic.
- the carbon number is usually about 1 to 20.
- a pentylthio group, a hexylthio group, an octylthio group, a 2-ethylhexylthio group, a decylthio group, and a 3,7-dimethyloctylthio group are preferred.
- the aryl group usually has about 6 to 60 carbon atoms.
- ⁇ Ji 2 alkoxy phenylalanine group ( ⁇ indicates the number 1-1 2 carbons. The same applies is less.)
- Examples thereof include a 2-naphthyl group, a 1-anthracenyl group, a 2-anthracenyl group, a 9-anthracenyl group, a pentafluorophenyl group, and the like, and a C 1 to C 12 alkoxyphenyl group, a C 1 to C 12 Alkylphenyl groups are preferred.
- the aryl group is an atomic group obtained by removing one hydrogen atom from an aromatic hydrocarbon.
- the aromatic hydrocarbon include those having a benzene ring or a condensed ring, and those having two or more independent benzene rings or condensed rings bonded directly or via a group such as vinylene.
- C i C alkoxy examples include methoxy, ethoxy, propyloxy, i-propyloxy, butoxy, i-butoxy, t-butoxy, pentinoleoxy, hexinoleoxy, cyclohexyleneoxy, heptinolex, octyloxy, Examples include 2-ethynolehexyloxy, nonyloxy, decyloxy, 3,7-dimethyloxyloxy, lauryloxy, and the like.
- alkyl methyl, ethyl, propyl, i-propynole, pentinole, i-pentinole, t-pentinole, pentyl, hexinole, cyclohexinole heptyl, octyl, 2-ethylhexyl
- alkyl methyl, ethyl, propyl, i-propynole, pentinole, i-pentinole, t-pentinole, pentyl, hexinole, cyclohexinole heptyl, octyl, 2-ethylhexyl
- Examples include nor, decyl, 3,7-dimethyloctyl and lauryl.
- the Ariruokishi groups the carbon number of usually 6-6 0 degree, specifically, phenoxy group, CC alkoxy phenoxyethanol group, C 1 -C 1 2 Arukirufueno alkoxy group, 1 _ Nafuchiruokishi group, 2- Nafuchiruokishi Group, pentafluorophenyl And a C ⁇ alkoxyalkoxy group. ⁇ 12 ⁇ Rukirufuwenokishi group is preferred.
- the Ariruchio group has a carbon number of usually 6 to about 60, specifically, full Eniruchio group, C 1 -C 12 Arukokishifue two thio groups, C 1 -C 12 Arukirufue - thio group, 1 _ Nafuchinorechio group , 2-naphthylthio group, pentaphlenolerophenylthio group and the like, and preferred examples are di-alkoxyphenylthio group and c ⁇ c ⁇ ralkylphenylthio group.
- the arylalkyl group usually has about 7 to 60 carbon atoms, and specifically includes a phenylmethyl group, a phenylethyl group, a phenylbutyl group, a phenylpentyl group, a phenylhexyl group, a phenylheptyl group, and a phenylphenol group.
- phenylene / Leh Ci ⁇ c 12 alkyl groups such as, ci ⁇ ci 2 Arukokishifue two Lou C. ⁇ 2 alkyl group, ⁇ 1 ⁇ 12 ⁇ Honoré Kino Les phenyl _ ⁇ 1 ⁇ Ji 12 Asurekinore group, 1 one Nafuchiru Ji ⁇
- the arylalkoxy group usually has about 7 to 60 carbon atoms.Specifically, it includes a phenolemethoxy group, a phenolenotoxy group, a pheninolebutoxy group, a phenylpentyloxy group, and a phenyl / rehexyloxy group. Phenyl groups such as phenylene heptyloxy group and phenylinoleoctyloxy group.
- reel alkylthio group has a carbon number of usually 7 to about 60, specifically, Fe two Lou C ⁇ C i 2 Arukiruchio group, C -C 12 alkoxy phenylalanine one C ⁇ C, 2 Arukinorechio group , C i to C t 2 alkyl Hue Interview Lou C ⁇ C i 2 alkylthio group, 1 one-naphthyl - C i ⁇ C 2 alkylthio group, 2-naphthyl - such as an alkyl Chio group and the like, c ⁇ c 2 alkoxyphenyl one ci ⁇ ci 2 alkylthio O group, ci ⁇ ci 2 alkylphenyl one ci ⁇ ci 2 alkylthio groups Shi favored.
- the aryl alkenyl group usually has about 8 to 60 carbon atoms, specifically, a C 2 to C 2 alkenyl group, a C 2 to C 2 alkoxy phenyl group, and a C 2 to G 12 alkenyl group.
- C -C i 2 Arukirufue - Lou C 2 -C i 2 alkenyl groups 1 over Na Fuchiru C 2 ⁇ C 12 alkenyl group, 2 one-naphthyl - C 2 -C 12 Aruke - such as Le group and the like, ⁇ 1 ⁇ 12 ⁇ Turkey hydroxyphenyl ten 2 ⁇ 12 Arukeniru group, C a ⁇ c 12 alkylphenyl one c 2 ⁇ Ci 2 alkenyl groups are preferred.
- the arylalkyl group usually has about 8 to 60 carbon atoms, specifically, a C 2 -C 2 acryl-phenol group, a C 2 -C 2 alkoxy phenol C 2 -C 2 alkynyl group, ⁇ 1-0 12 Aruki irreiru - Ji 2 ⁇ 12 Arukiniru group, 1-Na Fuchiru C 2 -C 12 Arukieru group, 2-Nafuchiru C 2 -C 12 alkyl - such as Le group and the like, CC Arukokishifue two Lou c 2 to c 12 alkynyl group, ⁇ ⁇ ci 2 Arukirufue two Lou c 2 ⁇ ci 2 alkynyl group Shi favored.
- substituted amino group examples include an amino group substituted with one or two groups selected from an alkyl group, an aryl group, an arylalkyl group and a monovalent heterocyclic group, and usually have 1 to 60 carbon atoms. It is about.
- substituted silyl group examples include a silyl group substituted with 12 or 3 groups selected from an alkyl group, an aryl group, an arylalkyl group and a monovalent heterocyclic group. It is about.
- a trimethylsilyl group a triethylsilyl group, a triprovilsilyl group, a tri-i-propylsilyl group, a dimethyl-1-i-propylsilyl group, a dimethyl-1i-propylsilyl group, a t-butylsilyldimethylsilyl group, a pentyldimethylsilyl group, a hexyl group Dimethylsilyl group, heptyldimethylsilyl group, octyldimethylsilyl group, 2-ethylhexyl-dimethylsilyl group, nonyldimethylsilyl group, decyldimethylsilyl group, 37-dimethyloctyl-dimethylsilyl group, lauryldimethylsilyl Group, phenyl—CC 2 alkylsilyl group, C 1 C 12 alkoxy phenyl-C i C
- the substituted silyloxy group include a silyloxy group substituted with 12 or 3 groups selected from an alkyl group, an aryl group, an arylalkyl group and a monovalent heterocyclic group. It is about 0.
- a trimethylsilyloxy group a triethylsilyloxy group, a trip bilsilyloxy group, a tri-i-propyl silyloxy group, a dimethyl-l-ep bilsilyloxy group, a getyl-i-propyl silyloxy group
- T putildi Methylsilyloxy, pentyldimethylsilyloxy, hexyldimethylsilyloxy, heptyldimethylsilyloxy, octyldimethylsilyloxy, 2-ethylhexyldimethylsilyloxy, nonyl Dimethylsilyloxy group, decyldimethylsilyloxy group, 3,7-dimethyloctyl-dimethylsilyloxy group, lauryldimethylsilyloxy group, feniryl C i C ⁇ alkynolesilinoleoxy group, C ⁇ C
- halogen atom examples include a fluorine atom, a chlorine atom, a bromine atom, and an iodine atom.
- the acryl group usually has about 2 to 20 carbon atoms. Specifically, it is an acetyl group, a pentionyl group, a butyryl group, an isobutyryl group, a pivaloyl group, a benzoyl group, a trifluoroacetyl group, or a pentafluoro group. Orobenzoyl group and the like are exemplified.
- the acyloxy group generally has about 2 to 20 carbon atoms. And a pentafluorobenzoyloxy group.
- examples thereof include aldimines, ketimines, and hydrogen atoms on these Ns are alkyl groups or the like.
- a substituted compound except for one hydrogen atom, and has about 2 to 20 carbon atoms. Specifically, the following groups are examples: Shown.
- the amide group usually has about 1 to 20 carbon atoms.Specifically, it includes a honolemamide group, an acetoamide group, a propioamide group, a petiamide group, a benzamide group, a trifluoroacetamide group, a pentafluorobenzamide group, Examples thereof include a formamide group, a diacetoamide group, a dipropioamide group, a dibutyroamide group, a dibenzamide group, a ditrifluoroacetamide group, and a dipentafluorobenzamide group.
- Examples of the acid imido group include a residue obtained by removing a hydrogen atom bonded to the nitrogen atom from the acid imid.
- the acid imido group has about 4 to 20 carbon atoms. Indicated.
- Me represents a methinole group.
- the monovalent heterocyclic group refers to an atomic group obtained by removing one hydrogen atom from a heterocyclic compound, and the group may have a substituent.
- the carbon number of the unsubstituted monovalent heterocyclic group is usually about 4 to 60, preferably 4 to 20.
- Examples of the monovalent heterocyclic group, Choi - Le group, C ⁇ C 2 alkyl chain group, pyrosulfate Lil group, a furyl group, a pyridyl group, a C i C ⁇ alkyl pyridyl group are exemplified, thienyl group, C i ⁇ C i 2 alkyl chain group, a pyridyl group, Ji-Ji ⁇ alkyl pyridyl group are preferable.
- the substituted carboxyl group usually has about 2 to 60 carbon atoms, and refers to a carboxyl group substituted with an alkyl group, an aryl group, an arylalkyl group or a monovalent heterocyclic group, and a methoxy canoleboninole group.
- Ethoxycanoleboninole propoxycanolepo-nore, i-propoxycarbonyl, butoxycarbonyl, i-butoxycarbinole, t-butoxycarbonyl, pentyloxycarbonyl, hexyloxycarbonyl, Cyclohexyloxycarbonyl, heptyloxycarbonyl, octyloxycarbonyl, 2-ethylhexyloxycarbonyl, nonyloxycarbonyl, desiloxycarbonyl, 3,7-dimethyloctyl Xycarbonyl group, dodecyloxycarbonyl group, trifluoromethoxycarbonyl Pentaphnoleroethoxycarbonyl group, butoxycanolepodinole group, perfluorohexyloxycarbonyl group, perfluorohexyloxycarbonyl group, perfluorooctyloxy carbonyl group, phenoxycarbol group, naphth
- R is a hydrogen atom or, as described above, has the same definition as the aromatic ring, the metal complex structure and the substituent Q that can have the structure represented by the above formula (5).
- at least one of a plurality of scales in one structural formula is other than a hydrogen atom.
- R other than hydrogen is called "surface group" in this study.
- R preferably has a low symmetry in the shape of the repeating unit containing a substituent.
- one or more of in one structural formula is a group containing a cyclic or branched alkyl group.
- a plurality of Rs may be linked to form a ring.
- the alkyl group when R is a substituent containing an alkyl group, the alkyl group may be any of linear, branched or cyclic, or a combination thereof.
- the alkyl group is not linear, for example, _ hexyl group Echiru, 3, 7-dimethyl Okuchiru group, a cyclohexyl group, etc. 4-C i C 2 alkyl cyclohexyl 'groups.
- methyl group / methylene group of the alkyl group of the group containing the alkyl group may be replaced with a hetero atom or a methyl group / methylene group substituted with one or more fluorine atoms.
- hetero atoms include an oxygen atom, a sulfur atom, and a nitrogen atom.
- Specific examples include the following divalent aromatic hydrocarbon ring groups.
- DA Specific examples include the following trivalent aromatic hydrocarbon ring groups ( 6 IV 81-V
- R has the same definition as described above.
- X has the same definition as in the above formula (5).
- Specific examples include the following tetravalent aromatic hydrocarbon ring groups.
- aromatic ring, metal complex structure or the structure represented by the formula (5) may be the same or different.
- R has the same definition as described above.
- X has the same definition as in the above formula (5). .
- the aromatic ring is a benzene ring, a naphthalene ring, an anthracene ring, a pyridine ring, a triazine ring, a quinoline ring, or an isoquinolyl. Rings are preferred.
- the aromatic ring preferably has one or more substituents. The number of the aromatic rings is preferably 1 to 10 in each unit.
- the number of the metal complex structures is preferably 1 to 6, more preferably 1 to 4, in each unit.
- the dendrimer compound of the present invention has, as an essential component, a structure represented by the above formula (5). That is, at least one of the core unit (unit CA, unit CB unit CC or unit CD) and the unit (unit DA and Z or unit DB) in the tree structure has the structure represented by the above formula (5). Having.
- a ring, B ring and X have the same definitions as above.
- Ari represents a divalent group having a divalent aromatic ring or a metal complex.
- Ar 2 , Ar 3 , Ar 4 , Ar 5 and Ar 6 Represents a trivalent group having a trivalent aromatic ring or a metal complex each independently.
- Ar 7 represents a tetravalent group having a tetravalent aromatic ring or a metal complex.
- aa and bb each independently represent 0 or 1. .
- the divalent aromatic ring is an arylene group and a divalent heterocyclic group.
- an arylene group is an atomic group obtained by removing two hydrogen atoms from an aromatic hydrocarbon and having an benzene ring or a condensed ring, and two or more independent benzene rings or condensed rings. Are bonded directly or via a group such as vinylene.
- a divalent heterocyclic group refers to an atomic group obtained by removing two hydrogen atoms from a heterocyclic compound, and the ring usually has about 3 to 60 carbon atoms.
- the divalent group having a metal complex structure refers to the remaining divalent group obtained by removing two hydrogen atoms from the organic ligand of the metal complex having an organic ligand.
- trivalent group having a trivalent aromatic ring and a metal complex and the tetravalent group having a tetravalent aromatic ring and a metal complex are as described above.
- the A ring and the B ring are preferably an aromatic hydrocarbon ring, and more preferably a benzene ring, a naphthalene ring or an anthracene ring. Further, the A ring and the B ring preferably have a substituent.
- a group other than hydrogen is linked to the end of the linking group of the monovalent to tetravalent group, and usually a linking group, a dendritic structure, and a surface group described below are linked.
- R 4 and R 5 have the same definition as above.
- Preferred examples of the above formula (6-1), formula (6-2) and formula (6-3) include A45 to A67, A79 to A85, and the like.
- the dendrimer compound of the present invention preferably has a metal complex structure. That is, the core unit (unit CA, unit CB unit CC or unit CD) and the units in the tree structure (unit DA and Z or unit DB) Has a metal complex structure.
- the core unit (unit CA, unit CB unit CC or unit CD) preferably has a metal complex structure.
- preferred examples include B24, B57 to: B64, and B86 to B89.
- L in the formulas (1), (2), (3) and (4) is a direct bond or a linking group selected from the above (L-2). It is preferably a direct bond or a linking group selected from the divalent groups shown in the following (L-2 '), and more preferably a direct bond.
- the dendrimer compound of the present invention is characterized in that at least one type of branch structure represented by the above formula (3) or (4) is tertiary from the core (core) represented by the formula (1) or (2). It has a chemical structure composed of repeating elements, and its terminal structure (hereinafter sometimes referred to as the surface structure) is a hydrogen atom, or a condensation reaction or a carboxy reaction. The group which forms the connecting group as described is mentioned.
- a halogen atom an alkylsulfonate group, an arylsulfonate group, an alkylalkylsulfonate group, a boric acid group, a borate ester group, a sulfoniummethyl group, a phosphonium methyl group, a phosphonetmethyl / le group And a monohalogenated methyl group, a formyl group, or a group represented by the following (L-3).
- Examples of (L-3) or the terminal structure include groups in which the group represented by (L-3) is further subjected to a condensation reaction or an addition reaction.
- the residue excluding the linking group from the newly formed linking group to the terminal is called a surface group.
- the terminal structure of the dendrimer compound of the present invention preferably has the surface group.
- the surface group include an alkyl group, an aryl group, an alkoxy group, an alkylthio group, an aryloxy group, an arylthio group, an amino group, a silyl group, a substituted silyl group, a monovalent heterocyclic group, and a metal complex.
- Examples include a monovalent group having a structure and a monovalent group having a structure represented by the above formula (5). The following are examples of the monovalent group having a metal complex structure.
- R and X are as defined above. .
- Dendrimer manufacturing methods can be broadly classified into two types. That is, as the first method, a method of three-dimensionally repeating a tree structure including a branch unit around a core can be cited.
- a second method is a chemical structure in which a partial structure that forms a core by a condensation reaction or an addition reaction and a dendron, that is, a chemical structure in which a dendritic structure including a branched tree is repeatedly three-dimensionally. Examples of the method include forming a core between the branched compounds by a condensation reaction or an addition reaction. The first manufacturing method will be specifically described below.
- unit CA, unit CB, unit DA, and unit DB are the same as defined above.
- ⁇ 2 and ⁇ 1 each independently represent a group involved in a condensation reaction or an addition reaction, and satisfy the following conditions.
- Y 1 Y 2 are halogen atom, alkyl sulfonate group, aryl sulfonate group, aryl alkyl sulfonate group, boric acid group, borate ester group, sulfonium methyl group, phosphonium Examples include a methyl group, a phosphonate methyl group, a formyl group, or a group represented by the formula (L-3).
- examples of the alkylsulfonate group include a methanesulfonate group, an ethanesulfonate group, and a trifluoromethanesulfonate group.
- examples of the arylsulfonate group include a benzenesulfonate group and a ⁇ -toluenesulfonate group.
- examples of the norephonate group include a penzinoles / lefonate group.
- Examples of the borate group include groups represented by the following formula.
- Me represents a methyl group
- Et represents an ethyl group.
- Examples of the sulfoniummethyl group include groups represented by the following formula.
- Examples of the phosphonium methyl group include groups represented by the following formula.
- Examples of the phosphonate methyl group include groups represented by the following formula.
- one or more compounds selected from the compounds represented by the following formulas (10-2) and (11-2) are further subjected to a condensation reaction or an addition reaction. By doing so, a second generation dendrimer compound can be produced.
- Y 3 and Y 2 each independently represent a group involved in a condensation reaction or an addition reaction, and satisfy the following conditions. That said Upsilon 2 and Upushiron'upushiron 2 combination, Upsilon 3 and the Upushiron'upushiron union Sedewa, will form the L condensation reaction or addition reaction, the allowed yarn ⁇ the Y 2 and Y 3, the condensation reaction and addition reaction Does not happen. Specific examples of Y 3 ⁇ Pi YY 2 is the same as the above.
- the dendrimer compounds of the third generation and above have the above formulas (10-1) and (11-1)
- One or more compounds selected from the compounds represented by the formulas and one or more compounds selected from the compounds represented by the formulas (10-2) and (11-2) are alternately and sequentially condensed. Alternatively, it can be obtained by an addition reaction.
- the first method is schematically shown below.
- the first-generation dendrimer represented by the following formula (18-1.0) is obtained by subjecting the compound represented by the formula (8) to a condensation reaction or an addition reaction with the compound represented by the formula (10-1).
- a second-generation dendrimer represented by the following formula (18-11) can be obtained by subjecting the compound represented by the formula (10-2) to a condensation reaction or an addition reaction.
- the compound represented by the formula (8) or the formula (9) is subjected to a condensation reaction with one or more compounds selected from the compounds represented by the following formulas (10-3) and (11-3).
- the first generation dendrimer compound can be produced from the addition reaction.
- ring DA and ring DB are the same as defined above. Or, it is the same as the definition of equation (10-1).
- Y 4 is a group that does not directly react with, but is a precursor of a group that undergoes a condensation or addition reaction with YY i. Specifically, when is a hydroxyl group, a precursor of a carboxyl group capable of undergoing a condensation reaction with a formyl group (carboxyl group after oxidation), and a precursor of a borate group capable of undergoing a condensation reaction with Y 4 And a halogen atom (reacted with a base and then reacted with trimethoxyborane).
- a monohalogenmethyl group can be mentioned as a precursor of a sulfoniummethyl group, a phosphoniummethyl group or a phosphonatemethyl group capable of undergoing a condensation reaction with.
- Y 4 is further converted to a group that undergoes a condensation reaction or an addition reaction with YY i, and the above formulas (10-3) and (11-3)
- the second generation dendrimer compound can be obtained by subjecting one or more compounds selected from the compounds represented by the following to a condensation reaction or an addition reaction.
- the third and subsequent generations are also converted into a group that undergoes a condensation reaction or an addition reaction, and one or more compounds selected from the compounds represented by the above formulas (10-3) and (11-3) are subjected to the condensation reaction or It is obtained by performing an addition reaction.
- At least one kind of a tree structure selected from the tree structures represented by the following formula (12-1) or (12-2) and the formulas (3) and (4) is used.
- a method for synthesizing a dendrimer compound that forms a unit CA or a unit CB by subjecting a hyperbranched compound having a chemical structure composed of three-dimensionally and regularly repeated compounds to a condensation reaction or an addition reaction is formed.
- PC 1 is a partial structure in which one or more types are coordinated to a condensation reaction, an addition reaction, or a metal to form a unit CA or a unit CB.
- the PC 1 is a partial structure in which one or more types are coordinated to a metal to form a unit CA or a unit CB including a metal complex structure.
- a r 8 represents a divalent group having the structure divalent aromatic ring, a divalent group having a metal complex, or the formula (5).
- the second method is schematically shown below.
- the compounds represented by the formulas (10-1) and (10-2) are alternately subjected to a condensation reaction or an addition reaction to obtain the following compound.
- a multi-branched compound represented by the formula (18-13) is obtained.
- the dendrimer compound represented by the above formula (18-12) is obtained by coordinating the hyperbranched compound of the formula (18-13) with a condensation reaction, an addition reaction or a metal.
- the first method the formula (18-1), Equation 8 - 2), Equation 8 - 3), wherein 8 - 4) and the method of manufacturing the dendrimer compound having the structure represented by formula (18-7)
- the second method is suitable for a method for producing a dendrimer compound having a structure represented by the above formula (18-5) or (18-6).
- condensation reaction used in the method for producing a dendrimer compound of the present invention a known condensation reaction can be used depending on the substituent involved in the condensation reaction.
- a method described in JP-A-5-220355 may be used. That is, a Wittig reaction of a compound having a formyl group and a compound having a phosphonium methyl group, or a compound having a formyl group and a phosphonium methyl group, and a compound having a bur group and a compound having a halogen atom.
- Heck reaction sulfonium salt decomposition method for compounds having two or more sulfoniummethyl groups, conversion to two or more formyl groups
- a method such as a McMurry reaction of the compound is exemplified.
- a Heck reaction can be used.
- the group involved in the condensation reaction is a halogen atom, an alkylsulfonate group, an arylsulfonate group or an arylalkylsulfonate group
- the condensation reaction in the presence of an Eckerl zero-valent complex such as a Yamamoto Kappu'ring reaction. Is mentioned.
- One of the groups involved in the condensation reaction is a halogen atom, an alkylsulfonate group or an arylsulfonate group or an arylalkylsulfonate group, and the other is a boric acid group or a borate ester group.
- a condensation reaction using a nickel catalyst or a palladium catalyst such as a Suzuki coupling reaction may be mentioned.
- an esterification reaction an amidation reaction, an etherification reaction between a boric acid group or a boric acid ester group and a hydroxyl group, and the like can be given.
- the compound represented by the formula (5) is an important raw material when producing the dendrimer compound of the present invention, particularly when producing the dendrimer compound by the above-mentioned first production method. It is also useful as a raw material for compounds having a branched structure.
- addition reaction used in the method for producing a dendrimer compound of the present invention a known addition reaction can be used depending on the substituent involved in the condensation reaction.
- one of the groups involved in the addition reaction is a hydrosilyl group and the other is a vinyl group or an acetylene group
- a hydrosilylation reaction using a transition metal catalyst can be mentioned.
- the said compound the following formula (6-4), the formula (6-5), the formula (6-6), the formula (7-5), the formula - 6), wherein - 7) and (7 8)
- ring A, ring B and X have the same definitions as above, and the preferred range is also the same as above.
- Ar 2 , Ar 3 , Ar 4 , 1 " 5 and 1: 6 , Ar 7 , aa and bb also have the same definition as above.
- YY represents a halogen atom, an anolyalkyl sulfonate group, or a A reelsulfonate group, an arylalkylsulfonate group, a boric acid group, a borate ester group, a sulfoniummethyl group, a phosphoniummethyl group, a phosphonatemethyl group, a formyl group, or a group represented by the above (L-3) is there.
- At least one kind of tree structure selected from the tree structures represented by the above formula (12-1) or (12-2) and the above formulas (3) and (4) is three-dimensionally regular. It is an important raw material when producing a multi-branched compound having a chemical structure constituted by repetition, a dendrimer compound according to the present invention, particularly when producing by the above-mentioned second production method. It is also useful as a raw material for branched compounds and compounds having a multi-branched structure. When the dendrimer compound of the present invention is used in an organic LED or the like, the purity of the compound affects the performance of the device such as light emission characteristics. Therefore, the raw material compound is distilled, sublimated, purified, recrystallized, etc.
- the bright dendrimer compound has fluorescence or phosphorescence in a solid state and can be used as a light emitter (light emitting material).
- the dendrimer compound has an excellent charge transporting ability and can be suitably used as a material for a polymer LED or a charge transporting material.
- the organic LED using the dendrimer compound is a high-performance polymer LED that can be driven with low voltage and high efficiency.
- the organic LED can be preferably used for devices such as a backlight of a liquid crystal display, a curved or flat light source for illumination, a segment type display element, and a dot matrix flat panel display.
- the dendrimer compound of the present invention can be used as a material for conductive thin films such as laser dyes, materials for organic solar cells, organic semiconductors for organic transistors, luminescent thin films, conductive thin films, and organic semiconductor thin films.
- the organic LED of the present invention has an organic layer between the anode and the cathode, and the organic layer contains the dendrimer compound of the present invention.
- the organic layer may be any of a light emitting layer, a hole transporting layer, an electron transporting layer, and the like, but the organic layer is preferably a light emitting layer.
- the light-emitting layer refers to a layer having a function of emitting light
- the hole-transport layer refers to a layer having a function of transporting holes
- the electron-transport layer has a function of transporting electrons.
- Layer Note that the electron transport layer and the hole transport layer are collectively called a charge transport layer. Two or more light emitting layers, hole transport layers, and electron transport layers may be used independently.
- the light emitting layer as an organic layer may further contain a hole transporting material, an electron transporting material, or a light emitting material.
- the light-emitting material refers to a material that shows fluorescence and Z or phosphorescence. Further, it may contain a conjugated polymer having an aromatic ring in the main chain.
- the mixing ratio of the hole transport material is 1 wt% to 80 wt%, preferably 5 wt% to 60 wt%.
- the mixing ratio of the electron transporting material to the whole mixture is 1 wt% to 80 wt%, preferably 5 wt% to 60 wt%. . Further, when the dendrimer compound of the present invention and the light emitting material are mixed, the mixing ratio of the light emitting material to the whole mixture is 1 wt% to 80 wt%, preferably 5 wt% to 60 wt%. /. It is.
- the mixing ratio of the light-emitting material to the whole mixture is 1 wt% to 50 wt%, and is preferably Is 5 wt% to 40 wt%, and the total of the hole transport material and the electron transport material is 1 wt% to 50 wt%, preferably 5 wt% to 40 wt%.
- the content of the dendrimer compound is 99 wt% to 20 wt%.
- the mixing ratio is determined so as to obtain the optimum film forming property and the luminescent property.
- the mixing ratio of the molecules is 10 wt% to 99 wt%, preferably 10 wt% to 90 wt%.
- hole transporting material As the hole transporting material, electron transporting material, light emitting material, and conjugated polymer compound to be mixed, known low molecular weight compounds and high molecular weight compounds can be used, but it is preferable to use a high molecular weight compound.
- WO 99,13692, WO 99/481 60, GB 2340304A, WO 00/53656, WO 00/1 9834, WO 00/55927, GB as the hole transporting material, the electron transporting material and the light emitting material of the polymer compound 2348 316, WO 00/46321, WO 00/06665, WO 99/54943 WO 99/54385, US 5777070, WO 98/06773, WO 97/051 84, WO 00/35987, WO 00/53655, WO 01/34 722, WO 99/24526, WO 00/22027 WO 00/22026 WO 98/27136, US 573636, WO
- low molecular compound fluorescent materials examples include naphthalene derivatives, anthracene or derivatives thereof, perylene or derivatives thereof, polymethine, xanthene, coumarin or cyanine dyes, and 8-hydroxyquinoline or derivatives thereof.
- Metal complex, aromatic amine, tetraphenylcyclopentadiene or a derivative thereof, or tetraphenylbutadiene or a derivative thereof can be used.
- the polymer portion is a known polymer compound exemplified above. The same is preferred.
- low molecular compound phosphorescent materials include Ir (ppy) 3, Bt 2 Ir (acac) with iridium as the central metal, PtOEP with platinum as the central metal, and Eu (TTA) 3phen with europium as the central metal. And the like.
- triplet light emitting complex examples include, for example, Nature, (1998), 395, 151, Appl. Phys. Lett. (1999), 75 (1), 4, Proc. SPIE—Int. Soc. Opt. Eng. (2001), 4105 (Organic Light-Emitting Materials and Devices IV), 119, J. Am. Chem. Soc., (2001), 123, 4304, Appl. Phys. Lett., (1997), 71 (18) , 2596, Syn. Met., (1998), 94 (1), 103, Syn. Met., (1999), 99 (2), 1361, Adv. Mater., (1999), 11 (10), 852. Jpn. Appl. Phys., 34, 1883 (1995).
- the structure of the above formula (5) A compound having only a structure in which X is -o-, a compound having only a structure in which X is -S-, or a compound having only a structure in which X is o- and X is S- Is preferred because phosphorescence can be used effectively and the quantum efficiency of light emission can be improved.
- the composition of the present invention contains at least one material selected from a hole transporting material, an electron transporting material and a light emitting material and the dendrimer compound of the present invention, and is used as a light emitting material and a charge transporting material. be able to.
- the composition of the present invention may contain two or more dendrimer compounds of the present invention.
- the content ratio of at least one material selected from the hole transporting material, the electron transporting material, and the light emitting material and the dendrimer compound of the present invention may be determined according to the application. The same content ratio as in the light emitting layer is preferred.
- the optimum value of the thickness of the light emitting layer of the organic LED of the present invention differs depending on the material used, and may be selected so that the drive voltage and the luminous efficiency have appropriate values, for example, from 1 nm to 1 / im. And preferably from 2 nm to 500 nm, and more preferably from 5 nm to 200 nm.
- a method of forming the light emitting layer for example, a method of forming a film from a solution is exemplified.
- Spin coating, casting, microgravure coating, gravure coating, bar coating, roll coating, wire-bar coating, dip coating, spray coating, screen printing, etc. , Flexographic printing, offset printing, ink jet printing and the like can be used.
- Printing methods such as a screen printing method, a flexographic printing method, an offset printing method, and an ink jet printing method are preferable because pattern formation and multi-color coating are easy.
- the ink composition used in the printing method or the like only needs to contain at least one kind of the dendrimer compound of the present invention.
- a hole transport material, an electron transport material, a luminescent material may contain additives such as a solvent and a stabilizer.
- the proportion of the dendrimer compound of the present invention in the ink composition is from 20 wt% to 100 wt% based on the total weight of the composition excluding the solvent. / 0 , preferably 40 wt% to 100 wt%.
- the ratio of the solvent is 1 wt% to 99.9 wt% based on the total weight of the composition. /. , Preferably 60 wt% to 99.5 wt%, and more preferably 80 wt% to 99.0 wt%.
- the viscosity of the ink and the composition varies depending on the printing method.However, when the ink is passed through a discharging device such as an ink jet printing method, the viscosity is reduced in order to prevent clogging and flight bending at the time of discharging. It is preferably in the range of 1 to 2 OmPa ⁇ s at 25 ° C.
- the solvent used as the ink composition is not particularly limited, but a solvent that can dissolve or uniformly disperse materials other than the solvent constituting the ink composition is preferable! /.
- the solvent may be a chlorine-based solvent such as chloroform, methylene chloride or dichloroethane, an ether-based solvent such as tetrahydrofuran, toluene, or xylene. And the like.
- aromatic hydrocarbon solvents such as acetonitrile, ketone solvents such as acetone and methyl ethyl ketone, and ester solvents such as ethyl acetate, butyl acetate, and ethylcellsol acetate.
- the organic LED of the present invention includes an organic LED having an electron transport layer between a cathode and a light emitting layer, an organic LED having a hole transport layer between an anode and a light emitting layer, and a cathode and a light emitting layer.
- the hole transporting material used is a polybuilt force.
- JP-A-63-70257, JP-A-63-175860, JP-A-2-135359, JP-A-135361, JP-A-2-135361 Japanese Patent Application Laid-Open Nos. 209988, 3-37992, and 3-152184 are examples.
- polyvinyl carbazole or a derivative thereof polysilane or a derivative thereof, a polysiloxane derivative having an aromatic amine compound group in a side chain or a main chain, or a polyarene derivative is used.
- Polymeric hole transport materials such as diphosphorus or a derivative thereof, polythiophene or a derivative thereof, poly (p-phenylenevinylene) or a derivative thereof, or poly (2,5-chenylenevinylene) or a derivative thereof
- Preferred and more preferred are polyvinylcarbazole or a derivative thereof, polysilane or a derivative thereof, and a polysiloxane derivative having an aromatic amine in a side chain or a main chain.
- low molecular weight hole transporting material examples include pyrazoline derivatives, arylamine derivatives, stilbene derivatives, and triphenylenediamine derivatives. In the case of a low molecular weight hole transporting material, it is preferable to use it by dispersing it in a polymer binder.
- polymer binder to be mixed those that do not extremely inhibit charge transport are preferable, and those that do not strongly absorb visible light are preferably used.
- the polymer binder include poly (N-vinylcarbazole), polyaniline or a derivative thereof, polythiophene or a derivative thereof, poly (p-phenylenevinylene) or a derivative thereof, and poly (2,5-celenylenevinylene). Or a derivative thereof, polycarbonate, polyacrylate, polymethyl acrylate, polymethyl methacrylate, polystyrene, polyvinyl chloride, polysiloxane and the like.
- Polybutyl rubazole or a derivative thereof can be obtained, for example, from butyl monomer by cation polymerization or radical polymerization.
- examples of polysilanes and derivatives thereof include Chemical 'Review (Chem. Rev.), Vol. 89, pp. 139 (1989), and British Patent GB 2 301 196 published specification.
- Compounds described in this document are exemplified. As the synthesis method, the methods described in these can be used, but the Kipping method is particularly preferably used.
- the siloxane skeleton structure hardly transports holes
- the one having the above-described structure of the low-molecular-weight hole transporting material in the side chain or main chain is preferably used as the siloxane or its derivative.
- those having an aromatic amine for hole transport in the side chain or main chain are exemplified.
- the method of forming the hole transport layer There is no limitation on the method of forming the hole transport layer.
- a method of forming a film from a mixed solution with a polymer binder is exemplified.
- a method of forming a film from a solution is exemplified.
- the solvent used for film formation from a solution is not particularly limited as long as it dissolves the hole transport material.
- the solvent include chlorinated solvents such as chloroform, methylene chloride and dichloroethane, ether solvents such as tetrahydrofuran, aromatic hydrocarbon solvents such as toluene and xylene, and ketones such as acetone and methyl ethyl ketone.
- the solvent include ester solvents such as solvent, ethyl acetate, butyl acetate, and ethylcellosolve acetate.
- Methods for film formation from solution include spin coating from solution, casting, microgravure coating, gravure coating, bar coating, low / recoat, wire bar coating, dip coating, and spraying.
- Coating methods such as a coating method, a screen printing method, a flexographic printing method, an offset printing method, and an ink jet printing method can be used.
- the optimal value of the thickness of the hole transport layer varies depending on the material used, and the thickness may be selected so that the driving voltage and the luminous efficiency are at appropriate values, but at least a thickness that does not cause pinholes is necessary. If the thickness is too large, the driving voltage of the device becomes high, which is not preferable. Therefore, the thickness of the hole transport layer is, for example, 1 nm to 1 / xm, preferably 2 ⁇ ! 5500 nm, more preferably 5 nm n200 nm.
- the organic LED of the present invention When the organic LED of the present invention has an electron transporting layer, it is used as an electron transporting material.
- Known compounds such as oxadiazole derivatives, anthraquinodimethane or its derivatives, benzoquinone or its derivatives, naphthoquinone or its derivatives, anthraquinone or its derivatives, tetracyanoanthraquinodimethane or its derivatives, fluorenone Derivatives, difluoro-dicyanodylene or its derivatives, diphenoquinone derivatives, or metal complexes of 8-hydroxyquinoline or its derivatives, polyquinoline or its derivatives, polyquinoxaline or its derivatives, polyfluorene or its derivatives, etc. Is exemplified.
- JP-A-63-70257, JP-A-63-175860, JP-A-2-135359, JP-A-135361, JP-A-209998, and JP-A-3-20935 Examples are those described in JP-A-37992 and JP-A-3-152184.
- oxadiazole derivatives benzoquinone or its derivatives, anthraquinone or its derivatives, or metal complexes of 8-hydroxyquinoline or its derivatives, polyquinolines or their derivatives, polyquinoxalines or their derivatives, and polyfluorenes or their derivatives
- 2- (4-biphenylyl) -1-5- (4-t-butylphenyl) _1,3,4-oxadiazole is 2- (4-biphenylyl) -1-5- (4-t-butylphenyl) _1,3,4-oxadiazole.
- Benzoquinone, anthraquinone, tris (8-quinolinol) aluminum and polyquinoline are more preferred.
- the method for forming the electron transport layer there is no particular limitation on the method for forming the electron transport layer, but for low molecular electron transport materials, a vacuum deposition method from powder or a method by film formation from a solution or molten state is used. A method by film formation from a solution or a molten state is exemplified. When forming a film from a solution or a molten state, the above polymer binder may be used in combination.
- the solvent used for film formation from a solution is not particularly limited as long as it can dissolve the electron transport material and / or the polymer binder.
- the solvent include chlorinated solvents such as chloroform, methylene chloride, and dichloroethane; ether solvents such as tetrahydrofuran; aromatic hydrocarbon solvents such as toluene and xylene; ketone solvents such as acetone and methyl ethyl ketone; and ethyl acetate.
- ester-based solvents such as butyl acetate, ethylcellsol acetate and the like.
- the optimum value of the thickness of the electron transporting layer differs depending on the material used, and may be selected so that the driving voltage and the luminous efficiency are appropriate. However, at least a thickness that does not cause pinholes is necessary. Yes, too thick is not desirable because the driving voltage of the device is high. Accordingly, the thickness of the electron transport layer is, for example, 1 nm to 1 ⁇ m, preferably 2 nm to 500 nm, and more preferably 5 nm to 200 nm.
- charge transport layers provided adjacent to the electrodes, those having the function of improving the charge injection efficiency from the electrodes and having the effect of lowering the driving voltage of the element include the charge injection layer (hole injection layer). Layer, electron injection layer).
- the above-mentioned charge injection layer or an insulating layer having a thickness of 2 nm or less may be provided adjacent to the electrode in order to improve adhesion to the electrode and improve charge injection from the electrode.
- a thin buffer layer may be inserted at the interface between the charge transport layer and the light emitting layer for the purpose of improvement and prevention of mixing.
- the order and number of layers to be laminated and the thickness of each layer can be appropriately used in consideration of luminous efficiency and device life.
- the organic LED provided with a charge injection layer includes an organic LED provided with a charge injection layer adjacent to a cathode, and a charge injection layer provided adjacent to an anode.
- Organic LED includes an organic LED provided with a charge injection layer adjacent to a cathode, and a charge injection layer provided adjacent to an anode.
- Charge injection layer Z cathode Specific examples of the charge injection layer include a layer containing a conductive polymer, a layer containing an anode and a hole transport layer.
- a layer containing a material having an ionization potential of an intermediate value between the anode material and the hole transport material contained in the hole transport layer; a material provided between the cathode and the electron transport layer; a cathode material and an electron Examples include a layer containing a material having an electron affinity of an intermediate value with respect to the electron transporting material contained in the transporting layer.
- the electric conductivity of the conducting polymer is preferably 1 0- ss / cm or more 1 0 3 or less, the leakage current between light emitting pixels to reduce the 1 0, more preferably 2 or less than 1 0- 5 SZ cm, 1 0 one 5 SZ cm or 1 0 1 or less is more preferable.
- the electrical conductivity of the conducting polymer in order to the 1 0 3 inclusive 1 0 one 5 SZ cm, a suitable amount of ions are doped into the conducting polymer.
- the type of ions to be doped is a ion for a hole injection layer and a cation for an electron injection layer.
- cations include polystyrene sulfonic acid ion, alkyl benzene sulfonic acid ion, camphor sulfonic acid ion and the like.
- Examples of cation include lithium ion, sodium ion, potassium ion, tetrabutylammonium. @ Mion etc. are exemplified.
- the thickness of the charge injection layer is, for example, 1 nm to 100 nm, and preferably 2 nm to 50 nm.
- the material used for the charge injection layer may be appropriately selected in relation to the material of the electrode and the adjacent layer.
- the insulating layer having a thickness of 2 nm or less has a function of facilitating charge injection.
- Examples of the material for the insulating layer include metal fluorides, metal oxides, and organic insulating materials.
- Organic LEDs with an insulating layer with a thickness of 2 nm or less include an organic LED with an insulating layer with a thickness of 2 nm or less adjacent to the cathode, and insulation with a thickness of 2 nm or less adjacent to the P-polarity.
- An organic LED provided with a layer is exemplified.
- Anode Z Light-emitting layer Z Electron transport layer / Insulating layer with thickness of 2 nm or less Z cathode
- the substrate for forming the organic LED of the present invention may be any substrate as long as it does not change when an electrode is formed and an organic layer is formed, and examples thereof include glass, plastic, polymer film, and silicon substrate. .
- the opposite electrode is preferably transparent or translucent.
- the anode and the cathode of the organic LED of the present invention is transparent or translucent.
- the anode side is transparent or translucent.
- a conductive metal oxide film, a translucent metal thin film, or the like is used as a material of the anode. Specifically, it was prepared using a conductive glass made of indium oxide, zinc oxide, tin oxide, and a complex thereof, such as indium tin oxide (ITO) and indium zinc oxide. Films (such as NESA), gold, platinum, silver, copper, etc. are used, and ITO, indium zinc oxide, and tin oxide are preferred.
- Examples of the manufacturing method include a vacuum evaporation method, a sputtering method, an ion plating method, and a plating method.
- An organic transparent conductive film such as polyaniline or a derivative thereof, polythiophene or a derivative thereof may be used as the anode.
- the thickness of the anode can be appropriately selected in consideration of light transmittance and electric conductivity, and is, for example, from 10 nm to 10 ⁇ m, and preferably from 20 nm to 1 ⁇ m. And more preferably 50 nm to 500 nm.
- a layer made of a phthalocyanine derivative, a conductive polymer, carbon, or the like, or an average film thickness of 2 nm or less made of a metal oxide, a metal fluoride, an organic insulating material, etc., on the anode to facilitate charge injection. May be provided.
- a material having a small work function is preferable.
- metals such as lithium, sodium, potassium, norebium, cesium, beryllium, magnesium, calcium, fu, trontium, barium, aluminum, scandium, vanadium, zinc, yttrium, indium, cerium, samarium, europium, terbium, ytterbium , And alloys of two or more of them, or one or more of them, and one or more of gold, silver, platinum, copper, manganese, titanium, cobalt, nickel, tungsten, tin, Graphite or a graphite interlayer compound is used.
- alloys include magnesium-silver alloy, magnesium-indium alloy, magnesium-aluminum alloy, indium-silver alloy, lithium-aluminum alloy, lithium-magnesium alloy, lithium-indium alloy, calcium-aluminum alloy, etc.
- the cathode may have a laminated structure of two or more layers.
- the thickness of the cathode can be appropriately selected in consideration of electric conductivity and durability.
- the thickness is from 10 nm to 10 ⁇ , preferably 20 ⁇ ! ⁇ 1 / im, and Preferably it is 50 nm to 500 nm.
- a vacuum evaporation method, a sputtering method, a lamination method of thermocompression bonding a metal thin film, and the like are used.
- a layer made of a conductive polymer or a layer made of a metal oxide, a metal fluoride, an organic insulating material, or the like having an average thickness of 2 nm or less is provided between the cathode and the organic material layer.
- a protective layer for protecting the organic LED may be provided. In order to use the organic LED stably for a long period of time, it is preferable to attach a protective layer and a Z or a protective cover to protect the device from the outside.
- a polymer compound, a metal oxide, a metal fluoride, a metal boride and the like can be used.
- a glass plate, a plastic plate whose surface has been subjected to a low water permeability treatment, or the like can be used, and the cover is bonded to the element substrate with a heat effect resin or a photocurable resin to seal the cover. Is preferably used. If a space is maintained using a spacer, it is easy to prevent the element from being damaged. By enclosing an inert gas such as nitrogen or argon in the space, it is possible to prevent oxidation of the cathode. Further, by installing a drying agent such as barium oxide in the space, the moisture adsorbed in the manufacturing process can be prevented. This makes it easier to prevent the element from damaging the element. It is preferable to take at least one of these measures.
- the organic LED of the present invention can be used as a backlight for a planar light, a segment display device, a dot matrix display device, and a liquid crystal display device.
- a planar anode and a planar cathode may be arranged so as to overlap.
- a method in which a mask having a patterned window is provided on the surface of the planar light emitting element described above, or an extremely thick organic material layer in a non-light emitting portion is formed.
- a method in which no light is emitted a method in which one or both of the anode and the cathode are formed in a pattern.
- both the anode and the cathode may be formed in a stripe shape and arranged orthogonally.
- a method of applying different types of polymer light-emitting materials with different emission colors, a color filter Alternatively, a method using a fluorescence conversion filter enables partial color display and multi-color display. Dot matrix elements can be driven passively, and ⁇
- Active driving may be performed in combination with F T or the like.
- These display elements can be used as display devices for computers, televisions, mobile terminals, mobile phones, car navigation systems, video camera viewfinders, and the like.
- planar light emitting element is a self-luminous thin type and can be suitably used as a planar light source for backlight of a liquid crystal display device or a planar illumination light source.
- a flexible substrate if a flexible substrate is used, it can be used as a curved light source or display device.
- raw material B was synthesized according to the synthesis method described in WO 02/0665 52.
- Compound (F- 1) Compound (F - 2)
- the intermediate member C is, f ac-tri s- (2- (phenyl) pyridinato, N, C 2 ') one general aromatics iridium (III) It brominated by the bromination method of an organic compound, and was obtained.
- a 1.0 wt% chloroform solution of the dendrimer F obtained in Example 1 was prepared.
- a glass substrate on which an ITO film with a thickness of 150 nm is attached by sputtering is spin-coated with a solution of poly '(ethylenedioxythiophene) / polystyrene sulfonic acid (Baytron P) to 50 nm.
- the film was formed with a thickness of 10 mm and dried on a hot plate at 200 for 10 minutes.
- a film was formed at a rotation speed of 1500 rpm by spin coating using the above-prepared black-mouthed form solution. The film thickness was about 80 nm.
- An EL element was fabricated by depositing about 4 nm of LiF as a buffer layer, about 5 nm of calcium as a cathode, and then about 80 nm of aluminum. After the degree of vacuum reached below 1 X 10- 4 P a, vapor deposition of a metal was initiated. When voltage was applied to the obtained device, EL light emission having a peak at 515 nm was obtained.
- the dendrimer F obtained in Example 1 was added to the following compound 2 in an amount of 20 wt%, and a 1.0 wt% chloroform solution was prepared. Using this, an EL device was produced in the same manner as described in Example 2. The spin coating conditions of the solution were 3000 rpm, and the film thickness was about 85 nm. When voltage was applied to the obtained device, EL light emission having a peak at 515 nm was obtained. The element is 100 at 12.4. (1 no 1 11 2
- Example 4 A 1.0 wt% chloroform solution of dendrimer G obtained in Example 4 was prepared. Using this, an EL element was produced in the same manner as described in Example 2. The solution was spin-coated at 3000 rpm and the film thickness was about 100 nm. When voltage was applied to the obtained device, EL light emission having a peak at 400 nm was obtained.
Landscapes
- Chemical & Material Sciences (AREA)
- Organic Chemistry (AREA)
- Engineering & Computer Science (AREA)
- Materials Engineering (AREA)
- Inorganic Chemistry (AREA)
- Crystallography & Structural Chemistry (AREA)
- Physics & Mathematics (AREA)
- Spectroscopy & Molecular Physics (AREA)
- Wood Science & Technology (AREA)
- Life Sciences & Earth Sciences (AREA)
- Electroluminescent Light Sources (AREA)
- Organic Low-Molecular-Weight Compounds And Preparation Thereof (AREA)
- Inks, Pencil-Leads, Or Crayons (AREA)
- Plural Heterocyclic Compounds (AREA)
- Polyoxymethylene Polymers And Polymers With Carbon-To-Carbon Bonds (AREA)
Description
Claims
Priority Applications (8)
| Application Number | Priority Date | Filing Date | Title |
|---|---|---|---|
| GB0607373A GB2424222B (en) | 2003-09-12 | 2004-09-10 | Dendrimer compound and organic luminescent device employing the same |
| US10/571,568 US8728631B2 (en) | 2003-09-12 | 2004-09-10 | Dendrimer compound and organic luminescent device employing the same |
| JP2005513974A JPWO2005026144A1 (ja) | 2003-09-12 | 2004-09-10 | デンドリマー化合物及びそれを用いた有機発光素子 |
| DE112004001675T DE112004001675T5 (de) | 2003-09-12 | 2004-09-10 | Dendrimerverbindung und diese verwendendes organisches lumineszierendes Element |
| CN200480026255XA CN1849314B (zh) | 2003-09-12 | 2004-09-10 | 树枝状高分子化合物以及使用它的有机发光元件 |
| KR1020067004926A KR101211848B1 (ko) | 2003-09-12 | 2006-03-10 | 덴드리머 화합물 및 그것을 사용한 유기 발광 소자 |
| US14/249,094 US9966532B2 (en) | 2003-09-12 | 2014-04-09 | Dendrimer compound and organic luminescent device employing the same |
| US15/868,155 US10854818B2 (en) | 2003-09-12 | 2018-01-11 | Dendrimer compound and organic luminescent device employing the same |
Applications Claiming Priority (2)
| Application Number | Priority Date | Filing Date | Title |
|---|---|---|---|
| JP2003-321522 | 2003-09-12 | ||
| JP2003321522 | 2003-09-12 |
Related Child Applications (2)
| Application Number | Title | Priority Date | Filing Date |
|---|---|---|---|
| US10/571,568 A-371-Of-International US8728631B2 (en) | 2003-09-12 | 2004-09-10 | Dendrimer compound and organic luminescent device employing the same |
| US14/249,094 Division US9966532B2 (en) | 2003-09-12 | 2014-04-09 | Dendrimer compound and organic luminescent device employing the same |
Publications (1)
| Publication Number | Publication Date |
|---|---|
| WO2005026144A1 true WO2005026144A1 (ja) | 2005-03-24 |
Family
ID=34308639
Family Applications (1)
| Application Number | Title | Priority Date | Filing Date |
|---|---|---|---|
| PCT/JP2004/013585 Ceased WO2005026144A1 (ja) | 2003-09-12 | 2004-09-10 | デンドリマー化合物及びそれを用いた有機発光素子 |
Country Status (8)
| Country | Link |
|---|---|
| US (3) | US8728631B2 (ja) |
| JP (1) | JPWO2005026144A1 (ja) |
| KR (3) | KR20110112474A (ja) |
| CN (1) | CN1849314B (ja) |
| DE (1) | DE112004001675T5 (ja) |
| GB (1) | GB2424222B (ja) |
| TW (1) | TW200510509A (ja) |
| WO (1) | WO2005026144A1 (ja) |
Cited By (64)
| Publication number | Priority date | Publication date | Assignee | Title |
|---|---|---|---|---|
| JP2005093098A (ja) * | 2003-09-12 | 2005-04-07 | Konica Minolta Holdings Inc | 有機エレクトロルミネッセンス素子、表示装置および照明装置 |
| JP2006188673A (ja) * | 2004-12-07 | 2006-07-20 | Sumitomo Chemical Co Ltd | 高分子材料およびそれを用いた素子 |
| WO2007006380A1 (de) * | 2005-07-08 | 2007-01-18 | Merck Patent Gmbh | Metallkomplexe |
| JP2009004797A (ja) * | 2001-02-20 | 2009-01-08 | Isis Innovation Ltd | アリール−アリールデンドリマー |
| DE102008044868A1 (de) | 2008-08-29 | 2010-03-04 | Merck Patent Gmbh | Elektrolumineszierende Polymere, Verfahren zu ihrer Herstellung sowie ihre Verwendung |
| JP2010513611A (ja) * | 2006-12-22 | 2010-04-30 | メルク パテント ゲゼルシャフト ミット ベシュレンクテル ハフツング | 縮合したセレノフェンを含むポリマー |
| DE102009005746A1 (de) | 2009-01-23 | 2010-07-29 | Merck Patent Gmbh | Materialien für organische Elektrolumineszenzvorrichtungen |
| WO2010097155A1 (de) | 2009-02-27 | 2010-09-02 | Merck Patent Gmbh | Polymer mit aldehydgruppen, umsetzung sowie vernetzung dieses polymers, vernetztes polymer sowie elektrolumineszenzvorrichtung enthaltend dieses polymer |
| DE102009010713A1 (de) | 2009-02-27 | 2010-09-02 | Merck Patent Gmbh | Polymer mit Aldehydgruppen, Umsetzung sowie Vernetzung dieses Polymers, vernetztes Polymer sowie Elektrolumineszenzvorrichtung enthaltend dieses Polymer |
| US7799875B2 (en) | 2005-12-17 | 2010-09-21 | Merck Patent Gmbh | Triarylamine-arylvinylene moiety-containing conjugated polymers, their production and use |
| WO2010136110A2 (de) | 2009-05-29 | 2010-12-02 | Merck Patent Gmbh | Polymere, die substituierte indenofluorenderivate als struktureinheit enthalten, verfahren zu deren herstellung sowie deren verwendung |
| DE102009034194A1 (de) | 2009-07-22 | 2011-01-27 | Merck Patent Gmbh | Materialien für elektronische Vorrichtungen |
| DE102009053191A1 (de) | 2009-11-06 | 2011-05-12 | Merck Patent Gmbh | Materialien für elektronische Vorrichtungen |
| DE102009052428A1 (de) | 2009-11-10 | 2011-05-12 | Merck Patent Gmbh | Verbindung für elektronische Vorrichtungen |
| DE102009023154A1 (de) | 2009-05-29 | 2011-06-16 | Merck Patent Gmbh | Zusammensetzung, enthaltend mindestens eine Emitterverbindung und mindestens ein Polymer mit konjugationsunterbrechenden Einheiten |
| DE102009059985A1 (de) | 2009-12-22 | 2011-07-07 | Merck Patent GmbH, 64293 | Polymer mit Aldehydgruppen, Umsetzung sowie Vernetzung dieses Polymers, vernetztes Polymer sowie Elektrolumineszenzvorrichtung enthaltend dieses Polymer |
| WO2011088877A1 (de) | 2010-01-25 | 2011-07-28 | Merck Patent Gmbh | Verbindungen für elektronische vorrichtungen |
| WO2011098205A1 (de) | 2010-02-12 | 2011-08-18 | Merck Patent Gmbh | Elektrolumineszierende polymere, verfahren zu ihrer herstellung sowie ihre verwendung |
| DE102010009903A1 (de) | 2010-03-02 | 2011-09-08 | Merck Patent Gmbh | Verbindungen für elektronische Vorrichtungen |
| DE102010014933A1 (de) | 2010-04-14 | 2011-10-20 | Merck Patent Gmbh | Materialien für elektronische Vorrichtungen |
| DE102010024542A1 (de) | 2010-06-22 | 2011-12-22 | Merck Patent Gmbh | Materialien für elektronische Vorrichtungen |
| DE102010024335A1 (de) | 2010-06-18 | 2011-12-22 | Merck Patent Gmbh | Verbindungen für elektronische Vorrichtungen |
| JP2012021156A (ja) * | 2010-07-16 | 2012-02-02 | Samsung Mobile Display Co Ltd | デンドリマー及びこれを用いた有機発光素子 |
| DE102010033080A1 (de) | 2010-08-02 | 2012-02-02 | Merck Patent Gmbh | Polymere mit Struktureinheiten, die Elektronen-Transport-Eigenschaften aufweisen |
| WO2012016630A1 (de) | 2010-08-05 | 2012-02-09 | Merck Patent Gmbh | Materialien für elektronische vorrichtungen |
| DE102010045369A1 (de) | 2010-09-14 | 2012-03-15 | Merck Patent Gmbh | Materialien für organische Elektrolumineszenzvorrichtungen |
| DE102010048607A1 (de) | 2010-10-15 | 2012-04-19 | Merck Patent Gmbh | Verbindungen für elektronische Vorrichtungen |
| WO2012048778A1 (de) | 2010-10-14 | 2012-04-19 | Merck Patent Gmbh | Materialien für organische elektrolumineszenzvorrichtungen |
| DE102010056151A1 (de) | 2010-12-28 | 2012-06-28 | Merck Patent Gmbh | Materiallen für organische Elektrolumineszenzvorrichtungen |
| WO2012110182A1 (de) | 2011-02-17 | 2012-08-23 | Merck Patent Gmbh | Verbindungen für elektronische vorrichtungen |
| WO2012139692A1 (de) | 2011-04-13 | 2012-10-18 | Merck Patent Gmbh | Materialien für elektronische vorrichtungen |
| WO2012139693A1 (de) | 2011-04-13 | 2012-10-18 | Merck Patent Gmbh | Verbindungen für elektronische vorrichtungen |
| WO2012143079A1 (de) | 2011-04-18 | 2012-10-26 | Merck Patent Gmbh | Verbindungen für elektronische vorrichtungen |
| WO2012149999A1 (de) | 2011-05-05 | 2012-11-08 | Merck Patent Gmbh | Verbindungen für elektronische vorrichtungen |
| WO2012150001A1 (de) | 2011-05-05 | 2012-11-08 | Merck Patent Gmbh | Verbindungen für elektronische vorrichtungen |
| WO2012171609A1 (de) | 2011-06-17 | 2012-12-20 | Merck Patent Gmbh | Materialien für organische elektrolumineszenzvorrichtungen |
| WO2013017189A1 (de) | 2011-07-29 | 2013-02-07 | Merck Patent Gmbh | Verbindungen für elektronische vorrichtungen |
| WO2013017192A1 (de) | 2011-08-03 | 2013-02-07 | Merck Patent Gmbh | Materialien für elektronische vorrichtungen |
| WO2013060418A1 (en) | 2011-10-27 | 2013-05-02 | Merck Patent Gmbh | Materials for electronic devices |
| WO2013087142A1 (de) | 2011-12-12 | 2013-06-20 | Merck Patent Gmbh | Verbindungen für elektronische vorrichtungen |
| DE102012022880A1 (de) | 2011-12-22 | 2013-06-27 | Merck Patent Gmbh | Elektronische Vorrichtungen enthaltend organische Schichten |
| WO2013120577A1 (en) | 2012-02-14 | 2013-08-22 | Merck Patent Gmbh | Spirobifluorene compounds for organic electroluminescent devices |
| WO2013124029A2 (de) | 2012-02-22 | 2013-08-29 | Merck Patent Gmbh | Polymere enthaltend dibenzocycloheptan-struktureinheiten |
| WO2013156125A1 (de) | 2012-04-17 | 2013-10-24 | Merck Patent Gmbh | Vernetzbare sowie vernetzte polymere, verfahren zu deren herstellung sowie deren verwendung |
| DE102012011335A1 (de) | 2012-06-06 | 2013-12-12 | Merck Patent Gmbh | Verbindungen für Organische Elekronische Vorrichtungen |
| WO2014000860A1 (de) | 2012-06-29 | 2014-01-03 | Merck Patent Gmbh | Polymere enthaltend 2,7-pyren-struktureinheiten |
| WO2014015937A1 (de) | 2012-07-23 | 2014-01-30 | Merck Patent Gmbh | Verbindungen und organische elektrolumineszierende vorrichtungen |
| WO2014015935A2 (de) | 2012-07-23 | 2014-01-30 | Merck Patent Gmbh | Verbindungen und organische elektronische vorrichtungen |
| WO2014015938A1 (de) | 2012-07-23 | 2014-01-30 | Merck Patent Gmbh | Derivate von 2-diarylaminofluoren und diese enthaltnde organische elektronische verbindungen |
| WO2014106522A1 (de) | 2013-01-03 | 2014-07-10 | Merck Patent Gmbh | Materialien für elektronische vorrichtungen |
| WO2014106524A2 (de) | 2013-01-03 | 2014-07-10 | Merck Patent Gmbh | Materialien für elektronische vorrichtungen |
| US8968591B2 (en) | 2009-05-25 | 2015-03-03 | Konica Minolta Medical & Graphic, Inc. | Organic piezoelectric material, ultrasound transducer, ultrasound probe, and ultrasound medical diagnostic imaging system |
| JP2015081248A (ja) * | 2013-10-24 | 2015-04-27 | メルクパフォーマンスマテリアルズマニュファクチャリング合同会社 | レジスト下層膜形成組成物 |
| WO2015086108A1 (de) | 2013-12-12 | 2015-06-18 | Merck Patent Gmbh | Materialien für elektronische vorrichtungen |
| WO2016074755A1 (de) | 2014-11-11 | 2016-05-19 | Merck Patent Gmbh | Materialien für organische elektrolumineszenzvorrichtungen |
| WO2016119992A1 (en) | 2015-01-30 | 2016-08-04 | Merck Patent Gmbh | Materials for electronic devices |
| WO2017012694A1 (en) | 2015-07-23 | 2017-01-26 | Merck Patent Gmbh | Phenyl derivatives substituted with at least two electron acceptors and at least two electron donors for use in organic electronic devices |
| WO2017012687A1 (en) | 2015-07-22 | 2017-01-26 | Merck Patent Gmbh | Materials for organic electroluminescent devices |
| WO2017028940A1 (en) | 2015-08-14 | 2017-02-23 | Merck Patent Gmbh | Phenoxazine derivatives for organic electroluminescent devices |
| WO2017207596A1 (en) | 2016-06-03 | 2017-12-07 | Merck Patent Gmbh | Materials for organic electroluminescent devices |
| WO2018087020A1 (en) | 2016-11-08 | 2018-05-17 | Merck Patent Gmbh | Compounds for electronic devices |
| EP3345984A1 (de) | 2013-12-06 | 2018-07-11 | Merck Patent GmbH | Verbindungen und organische elektronische vorrichtungen |
| WO2019121483A1 (en) | 2017-12-20 | 2019-06-27 | Merck Patent Gmbh | Heteroaromatic compounds |
| EP4236652A2 (en) | 2015-07-29 | 2023-08-30 | Merck Patent GmbH | Materials for organic electroluminescent devices |
Families Citing this family (3)
| Publication number | Priority date | Publication date | Assignee | Title |
|---|---|---|---|---|
| KR100892021B1 (ko) * | 2007-03-26 | 2009-04-07 | 고려대학교 산학협력단 | 광굴절 덴드론 화합물, 광굴절 덴드리머 화합물 및 그의 제조방법, 상기 화합물을 이용한 광굴절 소자 및 상기 소자의 제조방법 |
| CN103193760B (zh) * | 2013-05-06 | 2015-07-01 | 深圳市华星光电技术有限公司 | 含砜基的化合物、采用含砜基的化合物的有机电致发光器件及其制备方法 |
| KR102595869B1 (ko) | 2018-04-23 | 2023-10-30 | 삼성디스플레이 주식회사 | 열분해성 그룹을 포함하는 아릴아민계 화합물, 이를 포함한 유기 발광 소자 |
Citations (6)
| Publication number | Priority date | Publication date | Assignee | Title |
|---|---|---|---|---|
| JPH11140180A (ja) * | 1997-11-04 | 1999-05-25 | Toyo Ink Mfg Co Ltd | 多分枝化合物 |
| WO2003044877A2 (en) * | 2001-11-16 | 2003-05-30 | Cdt Oxford Limited | Light emitting device and compounds for use therein |
| JP2003231741A (ja) * | 2001-12-07 | 2003-08-19 | Sumitomo Chem Co Ltd | 新規ポリマーおよびそれを用いた高分子発光素子 |
| JP2004002703A (ja) * | 2002-03-15 | 2004-01-08 | Sumitomo Chem Co Ltd | 高分子化合物およびそれを用いた高分子発光素子 |
| JP2004043544A (ja) * | 2002-07-09 | 2004-02-12 | Sumitomo Chem Co Ltd | 高分子薄膜およびそれを用いた高分子薄膜素子 |
| JP2004315679A (ja) * | 2003-04-17 | 2004-11-11 | Sumitomo Chem Co Ltd | 高分子蛍光体組成物 |
Family Cites Families (14)
| Publication number | Priority date | Publication date | Assignee | Title |
|---|---|---|---|---|
| US5041516A (en) * | 1989-06-21 | 1991-08-20 | Cornell Research Foundation, Inc. | Dendritic molecules and method of production |
| JPH1140871A (ja) | 1997-07-22 | 1999-02-12 | Mitsubishi Chem Corp | 光電変換素子 |
| JP4092391B2 (ja) | 1997-12-09 | 2008-05-28 | 独立行政法人産業技術総合研究所 | ベンジルエーテル系デンドリマー化合物 |
| FR2801594B1 (fr) | 1999-11-25 | 2003-08-15 | Hoechst Marion Roussel Inc | Polyphenoxydendrimeres colores, nouveaux supports solubles, leur procede de preparation et leur utilisation en synthese organique |
| US6630578B2 (en) * | 2000-11-24 | 2003-10-07 | Communications Research Laboratory, Independent Administrative Institution | Thioether derivatives, their method for production and use |
| GB0104177D0 (en) | 2001-02-20 | 2001-04-11 | Isis Innovation | Aryl-aryl dendrimers |
| CN1277872C (zh) | 2001-02-20 | 2006-10-04 | 安德鲁斯街大学管理处 | 含金属的树状物 |
| JP4307000B2 (ja) * | 2001-03-08 | 2009-08-05 | キヤノン株式会社 | 金属配位化合物、電界発光素子及び表示装置 |
| CN1209662C (zh) * | 2001-12-17 | 2005-07-06 | 精工爱普生株式会社 | 显示装置及电子机器 |
| EP2192632B1 (en) * | 2002-04-12 | 2014-09-03 | Konica Corporation | Organic Electroluminescence Element |
| JP4321110B2 (ja) | 2002-06-05 | 2009-08-26 | 住友化学株式会社 | 高分子化合物およびそれを用いた高分子発光素子 |
| JP4277948B2 (ja) | 2002-07-18 | 2009-06-10 | 東洋合成工業株式会社 | デンドリマーの製造方法及び化合物 |
| GB0219987D0 (en) | 2002-08-28 | 2002-10-09 | Isis Innovation | Intramolecular interactions in organometallics |
| EP1437395B2 (en) | 2002-12-24 | 2015-08-26 | LG Display Co., Ltd. | Organic electroluminescent device |
-
2004
- 2004-09-10 WO PCT/JP2004/013585 patent/WO2005026144A1/ja not_active Ceased
- 2004-09-10 CN CN200480026255XA patent/CN1849314B/zh not_active Expired - Fee Related
- 2004-09-10 JP JP2005513974A patent/JPWO2005026144A1/ja active Pending
- 2004-09-10 GB GB0607373A patent/GB2424222B/en not_active Expired - Fee Related
- 2004-09-10 TW TW093127396A patent/TW200510509A/zh unknown
- 2004-09-10 KR KR1020117020686A patent/KR20110112474A/ko not_active Ceased
- 2004-09-10 KR KR1020117020689A patent/KR20110112475A/ko not_active Abandoned
- 2004-09-10 US US10/571,568 patent/US8728631B2/en active Active
- 2004-09-10 DE DE112004001675T patent/DE112004001675T5/de not_active Withdrawn
-
2006
- 2006-03-10 KR KR1020067004926A patent/KR101211848B1/ko not_active Expired - Fee Related
-
2014
- 2014-04-09 US US14/249,094 patent/US9966532B2/en active Active
-
2018
- 2018-01-11 US US15/868,155 patent/US10854818B2/en not_active Expired - Fee Related
Patent Citations (6)
| Publication number | Priority date | Publication date | Assignee | Title |
|---|---|---|---|---|
| JPH11140180A (ja) * | 1997-11-04 | 1999-05-25 | Toyo Ink Mfg Co Ltd | 多分枝化合物 |
| WO2003044877A2 (en) * | 2001-11-16 | 2003-05-30 | Cdt Oxford Limited | Light emitting device and compounds for use therein |
| JP2003231741A (ja) * | 2001-12-07 | 2003-08-19 | Sumitomo Chem Co Ltd | 新規ポリマーおよびそれを用いた高分子発光素子 |
| JP2004002703A (ja) * | 2002-03-15 | 2004-01-08 | Sumitomo Chem Co Ltd | 高分子化合物およびそれを用いた高分子発光素子 |
| JP2004043544A (ja) * | 2002-07-09 | 2004-02-12 | Sumitomo Chem Co Ltd | 高分子薄膜およびそれを用いた高分子薄膜素子 |
| JP2004315679A (ja) * | 2003-04-17 | 2004-11-11 | Sumitomo Chem Co Ltd | 高分子蛍光体組成物 |
Non-Patent Citations (2)
| Title |
|---|
| KIMURA M. ET AL.: "Construction of regulated nanospace around a porphyrin core", J. AM. CHEM. SOC., vol. 123, 2001, pages 5636 - 5642, XP002983497 * |
| KIMURA M. ET AL.: "Energy transfer within ruthenium-cored rigid metallodendrimers", TETRAHEDRON LETT., vol. 41, 2000, pages 6809 - 6813, XP004213954 * |
Cited By (103)
| Publication number | Priority date | Publication date | Assignee | Title |
|---|---|---|---|---|
| JP2009004797A (ja) * | 2001-02-20 | 2009-01-08 | Isis Innovation Ltd | アリール−アリールデンドリマー |
| JP2005093098A (ja) * | 2003-09-12 | 2005-04-07 | Konica Minolta Holdings Inc | 有機エレクトロルミネッセンス素子、表示装置および照明装置 |
| JP2006188673A (ja) * | 2004-12-07 | 2006-07-20 | Sumitomo Chemical Co Ltd | 高分子材料およびそれを用いた素子 |
| WO2007006380A1 (de) * | 2005-07-08 | 2007-01-18 | Merck Patent Gmbh | Metallkomplexe |
| JP2009500360A (ja) * | 2005-07-08 | 2009-01-08 | メルク パテント ゲーエムベーハー | 金属錯体 |
| JP2013155177A (ja) * | 2005-07-08 | 2013-08-15 | Merck Patent Gmbh | 金属錯体 |
| US9000166B2 (en) | 2005-07-08 | 2015-04-07 | Merck Patent Gmbh | Metal complexes |
| EP2273512A2 (de) | 2005-12-17 | 2011-01-12 | Merck Patent GmbH | Konjugierte Polymere enthaltend Triarylamin-arylvinylen-einheiten, deren Darstellung und Verwendung |
| US7799875B2 (en) | 2005-12-17 | 2010-09-21 | Merck Patent Gmbh | Triarylamine-arylvinylene moiety-containing conjugated polymers, their production and use |
| JP2010513611A (ja) * | 2006-12-22 | 2010-04-30 | メルク パテント ゲゼルシャフト ミット ベシュレンクテル ハフツング | 縮合したセレノフェンを含むポリマー |
| DE102008044868A1 (de) | 2008-08-29 | 2010-03-04 | Merck Patent Gmbh | Elektrolumineszierende Polymere, Verfahren zu ihrer Herstellung sowie ihre Verwendung |
| US8580395B2 (en) | 2008-08-29 | 2013-11-12 | Merck Patent Gmbh | Electroluminescent polymers, method for the production thereof, and use thereof |
| US9006503B2 (en) | 2009-01-23 | 2015-04-14 | Merck Patent Gmbh | Organic electroluminescence devices containing substituted benzo[C]phenanthrenes |
| WO2010083869A2 (de) | 2009-01-23 | 2010-07-29 | Merck Patent Gmbh | Materialien für organische elektrolumineszenzvorrichtungen |
| US8710284B2 (en) | 2009-01-23 | 2014-04-29 | Merck Patent Gmbh | Materials for organic electroluminescent devices containing substituted 10-benzo[c]phenanthrenes |
| DE102009005746A1 (de) | 2009-01-23 | 2010-07-29 | Merck Patent Gmbh | Materialien für organische Elektrolumineszenzvorrichtungen |
| US9728724B2 (en) | 2009-02-27 | 2017-08-08 | Merck Patent Gmbh | Polymer containing aldehyde groups, reaction and crosslinking of this polymer, crosslinked polymer, and electroluminescent device comprising this polymer |
| DE102009010713A1 (de) | 2009-02-27 | 2010-09-02 | Merck Patent Gmbh | Polymer mit Aldehydgruppen, Umsetzung sowie Vernetzung dieses Polymers, vernetztes Polymer sowie Elektrolumineszenzvorrichtung enthaltend dieses Polymer |
| US9156939B2 (en) | 2009-02-27 | 2015-10-13 | Merck Patent Gmbh | Polymer containing aldehyde groups, reaction and crosslinking of this polymer, crosslinked polymer, and electroluminescent device comprising this polymer |
| WO2010097155A1 (de) | 2009-02-27 | 2010-09-02 | Merck Patent Gmbh | Polymer mit aldehydgruppen, umsetzung sowie vernetzung dieses polymers, vernetztes polymer sowie elektrolumineszenzvorrichtung enthaltend dieses polymer |
| US8968591B2 (en) | 2009-05-25 | 2015-03-03 | Konica Minolta Medical & Graphic, Inc. | Organic piezoelectric material, ultrasound transducer, ultrasound probe, and ultrasound medical diagnostic imaging system |
| DE102009023156A1 (de) | 2009-05-29 | 2010-12-02 | Merck Patent Gmbh | Polymere, die substituierte Indenofluorenderivate als Struktureinheit enthalten, Verfahren zu deren Herstellung sowie deren Verwendung |
| WO2010136110A2 (de) | 2009-05-29 | 2010-12-02 | Merck Patent Gmbh | Polymere, die substituierte indenofluorenderivate als struktureinheit enthalten, verfahren zu deren herstellung sowie deren verwendung |
| DE102009023154A1 (de) | 2009-05-29 | 2011-06-16 | Merck Patent Gmbh | Zusammensetzung, enthaltend mindestens eine Emitterverbindung und mindestens ein Polymer mit konjugationsunterbrechenden Einheiten |
| WO2011009522A2 (de) | 2009-07-22 | 2011-01-27 | Merck Patent Gmbh | Materialien für elektronische vorrichtungen |
| DE102009034194A1 (de) | 2009-07-22 | 2011-01-27 | Merck Patent Gmbh | Materialien für elektronische Vorrichtungen |
| WO2011054442A2 (de) | 2009-11-06 | 2011-05-12 | Merck Patent Gmbh | Materialien für elektronische vorrichtungen |
| DE102009053191A1 (de) | 2009-11-06 | 2011-05-12 | Merck Patent Gmbh | Materialien für elektronische Vorrichtungen |
| WO2011057701A1 (de) | 2009-11-10 | 2011-05-19 | Merck Patent Gmbh | Organische verbindungen für elektroluminiszenz vorrichtungen |
| DE102009052428A1 (de) | 2009-11-10 | 2011-05-12 | Merck Patent Gmbh | Verbindung für elektronische Vorrichtungen |
| DE102009059985A1 (de) | 2009-12-22 | 2011-07-07 | Merck Patent GmbH, 64293 | Polymer mit Aldehydgruppen, Umsetzung sowie Vernetzung dieses Polymers, vernetztes Polymer sowie Elektrolumineszenzvorrichtung enthaltend dieses Polymer |
| DE102010005697A1 (de) | 2010-01-25 | 2011-07-28 | Merck Patent GmbH, 64293 | Verbindungen für elektronische Vorrichtungen |
| WO2011088877A1 (de) | 2010-01-25 | 2011-07-28 | Merck Patent Gmbh | Verbindungen für elektronische vorrichtungen |
| WO2011098205A1 (de) | 2010-02-12 | 2011-08-18 | Merck Patent Gmbh | Elektrolumineszierende polymere, verfahren zu ihrer herstellung sowie ihre verwendung |
| DE102010007938A1 (de) | 2010-02-12 | 2011-10-06 | Merck Patent Gmbh | Elektrolumineszierende Polymere, Verfahren zu ihrer Herstellung sowie ihre Verwendung |
| WO2011107186A2 (de) | 2010-03-02 | 2011-09-09 | Merck Patent Gmbh | Verbindungen für elektronische vorrichtungen |
| DE102010009903A1 (de) | 2010-03-02 | 2011-09-08 | Merck Patent Gmbh | Verbindungen für elektronische Vorrichtungen |
| WO2011128017A1 (de) | 2010-04-14 | 2011-10-20 | Merck Patent Gmbh | Überbrückte triarylamine und -phosphine als materialien für elektronische vorrichtungen |
| DE102010014933A1 (de) | 2010-04-14 | 2011-10-20 | Merck Patent Gmbh | Materialien für elektronische Vorrichtungen |
| DE102010024335A1 (de) | 2010-06-18 | 2011-12-22 | Merck Patent Gmbh | Verbindungen für elektronische Vorrichtungen |
| WO2011157346A1 (de) | 2010-06-18 | 2011-12-22 | Merck Patent Gmbh | Verbindungen für elektronische vorrichtungen |
| DE102010024542A1 (de) | 2010-06-22 | 2011-12-22 | Merck Patent Gmbh | Materialien für elektronische Vorrichtungen |
| WO2011160757A1 (de) | 2010-06-22 | 2011-12-29 | Merck Patent Gmbh | Materialien für elektronische vorrichtungen |
| JP2012021156A (ja) * | 2010-07-16 | 2012-02-02 | Samsung Mobile Display Co Ltd | デンドリマー及びこれを用いた有機発光素子 |
| DE102010033080A1 (de) | 2010-08-02 | 2012-02-02 | Merck Patent Gmbh | Polymere mit Struktureinheiten, die Elektronen-Transport-Eigenschaften aufweisen |
| WO2012016627A2 (de) | 2010-08-02 | 2012-02-09 | Merck Patent Gmbh | Polymere mit struktureinheiten, die elektronen-transport-eigenschaften aufweisen |
| EP2889320A2 (de) | 2010-08-02 | 2015-07-01 | Merck Patent GmbH | Polymers mit Struktureinheiten, die Elektronen-Transport-Eigenschaften aufweisen |
| DE102010033548A1 (de) | 2010-08-05 | 2012-02-09 | Merck Patent Gmbh | Materialien für elektronische Vorrichtungen |
| WO2012016630A1 (de) | 2010-08-05 | 2012-02-09 | Merck Patent Gmbh | Materialien für elektronische vorrichtungen |
| WO2012034626A1 (de) | 2010-09-14 | 2012-03-22 | Merck Patent Gmbh | Materialien für organische elektrolumineszenzvorrichtungen |
| DE102010045369A1 (de) | 2010-09-14 | 2012-03-15 | Merck Patent Gmbh | Materialien für organische Elektrolumineszenzvorrichtungen |
| DE102010048498A1 (de) | 2010-10-14 | 2012-04-19 | Merck Patent Gmbh | Materialien für organische Elektrolumineszenzvorrichtungen |
| WO2012048778A1 (de) | 2010-10-14 | 2012-04-19 | Merck Patent Gmbh | Materialien für organische elektrolumineszenzvorrichtungen |
| WO2012048780A1 (de) | 2010-10-15 | 2012-04-19 | Merck Patent Gmbh | Verbindungen für elektronische vorrichtungen |
| DE102010048607A1 (de) | 2010-10-15 | 2012-04-19 | Merck Patent Gmbh | Verbindungen für elektronische Vorrichtungen |
| WO2012089294A1 (de) | 2010-12-28 | 2012-07-05 | Merck Patent Gmbh | Materialien für organische elektrolumineszenzvorrichtungen |
| DE102010056151A1 (de) | 2010-12-28 | 2012-06-28 | Merck Patent Gmbh | Materiallen für organische Elektrolumineszenzvorrichtungen |
| DE102011011539A1 (de) | 2011-02-17 | 2012-08-23 | Merck Patent Gmbh | Verbindungen für elektronische Vorrichtungen |
| WO2012110182A1 (de) | 2011-02-17 | 2012-08-23 | Merck Patent Gmbh | Verbindungen für elektronische vorrichtungen |
| WO2012139692A1 (de) | 2011-04-13 | 2012-10-18 | Merck Patent Gmbh | Materialien für elektronische vorrichtungen |
| WO2012139693A1 (de) | 2011-04-13 | 2012-10-18 | Merck Patent Gmbh | Verbindungen für elektronische vorrichtungen |
| WO2012143079A1 (de) | 2011-04-18 | 2012-10-26 | Merck Patent Gmbh | Verbindungen für elektronische vorrichtungen |
| WO2012150001A1 (de) | 2011-05-05 | 2012-11-08 | Merck Patent Gmbh | Verbindungen für elektronische vorrichtungen |
| WO2012149999A1 (de) | 2011-05-05 | 2012-11-08 | Merck Patent Gmbh | Verbindungen für elektronische vorrichtungen |
| WO2012171609A1 (de) | 2011-06-17 | 2012-12-20 | Merck Patent Gmbh | Materialien für organische elektrolumineszenzvorrichtungen |
| DE102011104745A1 (de) | 2011-06-17 | 2012-12-20 | Merck Patent Gmbh | Materialien für organische Elektrolumineszenzvorrichtungen |
| WO2013017189A1 (de) | 2011-07-29 | 2013-02-07 | Merck Patent Gmbh | Verbindungen für elektronische vorrichtungen |
| WO2013017192A1 (de) | 2011-08-03 | 2013-02-07 | Merck Patent Gmbh | Materialien für elektronische vorrichtungen |
| EP3439065A1 (de) | 2011-08-03 | 2019-02-06 | Merck Patent GmbH | Materialien für elektronische vorrichtungen |
| WO2013060418A1 (en) | 2011-10-27 | 2013-05-02 | Merck Patent Gmbh | Materials for electronic devices |
| WO2013087142A1 (de) | 2011-12-12 | 2013-06-20 | Merck Patent Gmbh | Verbindungen für elektronische vorrichtungen |
| DE102012022880A1 (de) | 2011-12-22 | 2013-06-27 | Merck Patent Gmbh | Elektronische Vorrichtungen enthaltend organische Schichten |
| EP3101088A1 (en) | 2012-02-14 | 2016-12-07 | Merck Patent GmbH | Materials for organic electroluminescent devices |
| EP3235892A1 (en) | 2012-02-14 | 2017-10-25 | Merck Patent GmbH | Materials for organic electroluminescent devices |
| WO2013120577A1 (en) | 2012-02-14 | 2013-08-22 | Merck Patent Gmbh | Spirobifluorene compounds for organic electroluminescent devices |
| WO2013124029A2 (de) | 2012-02-22 | 2013-08-29 | Merck Patent Gmbh | Polymere enthaltend dibenzocycloheptan-struktureinheiten |
| WO2013156125A1 (de) | 2012-04-17 | 2013-10-24 | Merck Patent Gmbh | Vernetzbare sowie vernetzte polymere, verfahren zu deren herstellung sowie deren verwendung |
| WO2013182263A1 (de) | 2012-06-06 | 2013-12-12 | Merck Patent Gmbh | Phenanthrenverbindungen für organische elektronische vorrichtungen |
| DE102012011335A1 (de) | 2012-06-06 | 2013-12-12 | Merck Patent Gmbh | Verbindungen für Organische Elekronische Vorrichtungen |
| WO2014000860A1 (de) | 2012-06-29 | 2014-01-03 | Merck Patent Gmbh | Polymere enthaltend 2,7-pyren-struktureinheiten |
| WO2014015937A1 (de) | 2012-07-23 | 2014-01-30 | Merck Patent Gmbh | Verbindungen und organische elektrolumineszierende vorrichtungen |
| EP3424907A2 (de) | 2012-07-23 | 2019-01-09 | Merck Patent GmbH | Verbindungen und organische elektronische vorrichtungen |
| WO2014015935A2 (de) | 2012-07-23 | 2014-01-30 | Merck Patent Gmbh | Verbindungen und organische elektronische vorrichtungen |
| WO2014015938A1 (de) | 2012-07-23 | 2014-01-30 | Merck Patent Gmbh | Derivate von 2-diarylaminofluoren und diese enthaltnde organische elektronische verbindungen |
| DE202013012401U1 (de) | 2012-07-23 | 2016-10-12 | Merck Patent Gmbh | Verbindungen und Organische Elektronische Vorrichtungen |
| WO2014106524A2 (de) | 2013-01-03 | 2014-07-10 | Merck Patent Gmbh | Materialien für elektronische vorrichtungen |
| WO2014106522A1 (de) | 2013-01-03 | 2014-07-10 | Merck Patent Gmbh | Materialien für elektronische vorrichtungen |
| JP2015081248A (ja) * | 2013-10-24 | 2015-04-27 | メルクパフォーマンスマテリアルズマニュファクチャリング合同会社 | レジスト下層膜形成組成物 |
| TWI626257B (zh) * | 2013-10-24 | 2018-06-11 | Az電子材料盧森堡有限公司 | Forming a composition of the photoresist underlayer film |
| EP3693437A1 (de) | 2013-12-06 | 2020-08-12 | Merck Patent GmbH | Verbindungen und organische elektronische vorrichtungen |
| EP3345984A1 (de) | 2013-12-06 | 2018-07-11 | Merck Patent GmbH | Verbindungen und organische elektronische vorrichtungen |
| WO2015086108A1 (de) | 2013-12-12 | 2015-06-18 | Merck Patent Gmbh | Materialien für elektronische vorrichtungen |
| WO2016074755A1 (de) | 2014-11-11 | 2016-05-19 | Merck Patent Gmbh | Materialien für organische elektrolumineszenzvorrichtungen |
| WO2016119992A1 (en) | 2015-01-30 | 2016-08-04 | Merck Patent Gmbh | Materials for electronic devices |
| WO2017012687A1 (en) | 2015-07-22 | 2017-01-26 | Merck Patent Gmbh | Materials for organic electroluminescent devices |
| WO2017012694A1 (en) | 2015-07-23 | 2017-01-26 | Merck Patent Gmbh | Phenyl derivatives substituted with at least two electron acceptors and at least two electron donors for use in organic electronic devices |
| EP4236652A2 (en) | 2015-07-29 | 2023-08-30 | Merck Patent GmbH | Materials for organic electroluminescent devices |
| WO2017028940A1 (en) | 2015-08-14 | 2017-02-23 | Merck Patent Gmbh | Phenoxazine derivatives for organic electroluminescent devices |
| EP3978477A2 (en) | 2016-06-03 | 2022-04-06 | Merck Patent GmbH | Materials for organic electroluminescent devices |
| WO2017207596A1 (en) | 2016-06-03 | 2017-12-07 | Merck Patent Gmbh | Materials for organic electroluminescent devices |
| WO2018087020A1 (en) | 2016-11-08 | 2018-05-17 | Merck Patent Gmbh | Compounds for electronic devices |
| WO2019121483A1 (en) | 2017-12-20 | 2019-06-27 | Merck Patent Gmbh | Heteroaromatic compounds |
| EP4451832A2 (en) | 2017-12-20 | 2024-10-23 | Merck Patent GmbH | Heteroaromatic compounds |
Also Published As
| Publication number | Publication date |
|---|---|
| GB0607373D0 (en) | 2006-05-24 |
| TW200510509A (en) | 2005-03-16 |
| CN1849314A (zh) | 2006-10-18 |
| US20180138413A1 (en) | 2018-05-17 |
| JPWO2005026144A1 (ja) | 2006-11-16 |
| US20140231775A1 (en) | 2014-08-21 |
| DE112004001675T5 (de) | 2006-07-06 |
| US10854818B2 (en) | 2020-12-01 |
| KR20060121869A (ko) | 2006-11-29 |
| CN1849314B (zh) | 2011-07-20 |
| KR20110112474A (ko) | 2011-10-12 |
| KR20110112475A (ko) | 2011-10-12 |
| US9966532B2 (en) | 2018-05-08 |
| GB2424222B (en) | 2009-05-06 |
| US8728631B2 (en) | 2014-05-20 |
| GB2424222A (en) | 2006-09-20 |
| KR101211848B1 (ko) | 2012-12-12 |
| US20070154732A1 (en) | 2007-07-05 |
Similar Documents
| Publication | Publication Date | Title |
|---|---|---|
| WO2005026144A1 (ja) | デンドリマー化合物及びそれを用いた有機発光素子 | |
| CN1863838B (zh) | 聚合物发光材料和聚合物发光器件 | |
| JP5677836B2 (ja) | フェノチアジン−s−オキシドまたはフェノチアジン−s,s−ジオキシド基を含有するシラン、およびoledにおけるその使用 | |
| KR101482284B1 (ko) | 금속 착체, 고분자 화합물 및 이들을 포함하는 소자 | |
| JP5673432B2 (ja) | 高分子発光体およびそれを用いた高分子発光素子 | |
| CN1847248B (zh) | 甲硅烷基取代的环金属化过渡金属络合物及利用它的有机电致发光器件 | |
| JP5410657B2 (ja) | 高分子化合物およびそれを利用した有機電界発光素子 | |
| WO2003084973A1 (en) | Metal complexes and organic electroluminescent devices | |
| KR101110012B1 (ko) | 환상 실록산 화합물, 유기 전계 발광 소자 및 그의 용도 | |
| KR20090115720A (ko) | 벤조트리아졸 화합물 함유 조성물 및 상기 조성물을 사용하여 이루어지는 발광 소자 | |
| WO2006070896A1 (ja) | 高分子化合物およびそれを用いた素子 | |
| CN1849356B (zh) | 聚合物配位化合物和使用其的聚合物发光器件 | |
| JP4525187B2 (ja) | 金属配位化合物、ポリマー組成物、およびこれらを用いた有機エレクトロルミネセンス素子 | |
| KR20090125055A (ko) | 인다졸 화합물 함유 조성물 및 상기 조성물을 사용하여 이루어지는 발광 소자 | |
| WO2004003053A1 (ja) | 高分子化合物及びそれを用いた高分子発光素子 | |
| WO2004101682A1 (ja) | 組成物および高分子発光素子 | |
| US8642762B2 (en) | Methods for producing materials with photo- and electroluminescence properties and systems using such materials | |
| WO2009157425A1 (ja) | 組成物及び該組成物を用いてなる発光素子 | |
| JP4271489B2 (ja) | N−フェニルカルバゾール誘導体ポリマー、有機発光素子および、有機発光装置 | |
| JP4882261B2 (ja) | 高分子錯体化合物およびそれを用いた高分子発光素子 | |
| JP4639728B2 (ja) | 高分子発光材料および高分子発光素子 | |
| JP4915769B2 (ja) | 光学活性高分子化合物および高分子発光素子 | |
| EP2423214A1 (en) | Light emitting materials for Electronics | |
| KR100786471B1 (ko) | 유기 금속 화합물, 이를 이용한 유기 전계 발광 소자 및그의 제조방법 | |
| WO2005030829A1 (ja) | 高分子錯体化合物およびそれを用いた高分子発光素子 |
Legal Events
| Date | Code | Title | Description |
|---|---|---|---|
| WWE | Wipo information: entry into national phase |
Ref document number: 200480026255.X Country of ref document: CN |
|
| AK | Designated states |
Kind code of ref document: A1 Designated state(s): AE AG AL AM AT AU AZ BA BB BG BW BY BZ CA CH CN CO CR CU CZ DK DM DZ EC EE EG ES FI GB GD GE GM HR HU ID IL IN IS JP KE KG KP KZ LC LK LR LS LT LU LV MA MD MK MN MW MX MZ NA NI NO NZ PG PH PL PT RO RU SC SD SE SG SK SY TJ TM TN TR TT TZ UA UG US UZ VN YU ZA ZM |
|
| AL | Designated countries for regional patents |
Kind code of ref document: A1 Designated state(s): BW GH GM KE LS MW MZ NA SD SZ TZ UG ZM ZW AM AZ BY KG MD RU TJ TM AT BE BG CH CY DE DK EE ES FI FR GB GR HU IE IT MC NL PL PT RO SE SI SK TR BF CF CG CI CM GA GN GQ GW ML MR SN TD TG |
|
| 121 | Ep: the epo has been informed by wipo that ep was designated in this application | ||
| WWE | Wipo information: entry into national phase |
Ref document number: 2005513974 Country of ref document: JP |
|
| WWE | Wipo information: entry into national phase |
Ref document number: 1020067004926 Country of ref document: KR |
|
| WWE | Wipo information: entry into national phase |
Ref document number: 1120040016754 Country of ref document: DE |
|
| WWE | Wipo information: entry into national phase |
Ref document number: 0607373.8 Country of ref document: GB Ref document number: 0607373 Country of ref document: GB |
|
| WWE | Wipo information: entry into national phase |
Ref document number: 10571568 Country of ref document: US |
|
| 122 | Ep: pct application non-entry in european phase | ||
| WWP | Wipo information: published in national office |
Ref document number: 1020067004926 Country of ref document: KR |
|
| WWP | Wipo information: published in national office |
Ref document number: 10571568 Country of ref document: US |








































































































































































