WO2012016630A1 - Materialien für elektronische vorrichtungen - Google Patents
Materialien für elektronische vorrichtungen Download PDFInfo
- Publication number
- WO2012016630A1 WO2012016630A1 PCT/EP2011/003484 EP2011003484W WO2012016630A1 WO 2012016630 A1 WO2012016630 A1 WO 2012016630A1 EP 2011003484 W EP2011003484 W EP 2011003484W WO 2012016630 A1 WO2012016630 A1 WO 2012016630A1
- Authority
- WO
- WIPO (PCT)
- Prior art keywords
- formula
- groups
- aromatic
- atoms
- radicals
- Prior art date
- Legal status (The legal status is an assumption and is not a legal conclusion. Google has not performed a legal analysis and makes no representation as to the accuracy of the status listed.)
- Ceased
Links
- 0 **1c([o]c2c3-c4nnnnc4*2*)c3-c2c1nnnn2 Chemical compound **1c([o]c2c3-c4nnnnc4*2*)c3-c2c1nnnn2 0.000 description 12
- PRLJGDUFNVQSFR-UHFFFAOYSA-N Brc1c(-c2ccccc2)nc(-c2ccccc2)nc1-c1ccccc1 Chemical compound Brc1c(-c2ccccc2)nc(-c2ccccc2)nc1-c1ccccc1 PRLJGDUFNVQSFR-UHFFFAOYSA-N 0.000 description 1
- MWWLRFONTYFOTO-NHDPSOOVSA-N CC(C(c1cc(-c(c(O)c(c(O)c2O)O)c2O)c(/C(/Cc(c(O)c(c(O)c2O)[O]=C)c2O)=C\c(cc2)c(cc3)c4c2ccc2c4c3ccc2CC(c(c(N)c(c(-c(c(O)c(c(O)c2O)O)c2O)c2)O)c2-c(c(O)c(c(O)c2O)O)c2O)C(C(OC(O)=C2O)=O)=C2O)c(N)c1)C(O)=C1O)(C(O)=C1O)O Chemical compound CC(C(c1cc(-c(c(O)c(c(O)c2O)O)c2O)c(/C(/Cc(c(O)c(c(O)c2O)[O]=C)c2O)=C\c(cc2)c(cc3)c4c2ccc2c4c3ccc2CC(c(c(N)c(c(-c(c(O)c(c(O)c2O)O)c2O)c2)O)c2-c(c(O)c(c(O)c2O)O)c2O)C(C(OC(O)=C2O)=O)=C2O)c(N)c1)C(O)=C1O)(C(O)=C1O)O MWWLRFONTYFOTO-NHDPSOOVSA-N 0.000 description 1
- MMDZLQQJMUKFLH-UHFFFAOYSA-N c(cc1)ccc1-c1nc(-c2ccccc2)nc(-c2ccccc2)c1-[n]1c([s]c2ccccc22)c2c2c1[s]c1ccccc21 Chemical compound c(cc1)ccc1-c1nc(-c2ccccc2)nc(-c2ccccc2)c1-[n]1c([s]c2ccccc22)c2c2c1[s]c1ccccc21 MMDZLQQJMUKFLH-UHFFFAOYSA-N 0.000 description 1
Classifications
-
- C—CHEMISTRY; METALLURGY
- C07—ORGANIC CHEMISTRY
- C07D—HETEROCYCLIC COMPOUNDS
- C07D491/00—Heterocyclic compounds containing in the condensed ring system both one or more rings having oxygen atoms as the only ring hetero atoms and one or more rings having nitrogen atoms as the only ring hetero atoms, not provided for by groups C07D451/00 - C07D459/00, C07D463/00, C07D477/00 or C07D489/00
- C07D491/02—Heterocyclic compounds containing in the condensed ring system both one or more rings having oxygen atoms as the only ring hetero atoms and one or more rings having nitrogen atoms as the only ring hetero atoms, not provided for by groups C07D451/00 - C07D459/00, C07D463/00, C07D477/00 or C07D489/00 in which the condensed system contains two hetero rings
- C07D491/04—Ortho-condensed systems
-
- C—CHEMISTRY; METALLURGY
- C07—ORGANIC CHEMISTRY
- C07D—HETEROCYCLIC COMPOUNDS
- C07D491/00—Heterocyclic compounds containing in the condensed ring system both one or more rings having oxygen atoms as the only ring hetero atoms and one or more rings having nitrogen atoms as the only ring hetero atoms, not provided for by groups C07D451/00 - C07D459/00, C07D463/00, C07D477/00 or C07D489/00
- C07D491/12—Heterocyclic compounds containing in the condensed ring system both one or more rings having oxygen atoms as the only ring hetero atoms and one or more rings having nitrogen atoms as the only ring hetero atoms, not provided for by groups C07D451/00 - C07D459/00, C07D463/00, C07D477/00 or C07D489/00 in which the condensed system contains three hetero rings
- C07D491/14—Ortho-condensed systems
-
- C—CHEMISTRY; METALLURGY
- C07—ORGANIC CHEMISTRY
- C07D—HETEROCYCLIC COMPOUNDS
- C07D495/00—Heterocyclic compounds containing in the condensed system at least one hetero ring having sulfur atoms as the only ring hetero atoms
- C07D495/02—Heterocyclic compounds containing in the condensed system at least one hetero ring having sulfur atoms as the only ring hetero atoms in which the condensed system contains two hetero rings
- C07D495/04—Ortho-condensed systems
-
- C—CHEMISTRY; METALLURGY
- C07—ORGANIC CHEMISTRY
- C07D—HETEROCYCLIC COMPOUNDS
- C07D495/00—Heterocyclic compounds containing in the condensed system at least one hetero ring having sulfur atoms as the only ring hetero atoms
- C07D495/12—Heterocyclic compounds containing in the condensed system at least one hetero ring having sulfur atoms as the only ring hetero atoms in which the condensed system contains three hetero rings
- C07D495/14—Ortho-condensed systems
-
- C—CHEMISTRY; METALLURGY
- C07—ORGANIC CHEMISTRY
- C07F—ACYCLIC, CARBOCYCLIC OR HETEROCYCLIC COMPOUNDS CONTAINING ELEMENTS OTHER THAN CARBON, HYDROGEN, HALOGEN, OXYGEN, NITROGEN, SULFUR, SELENIUM OR TELLURIUM
- C07F15/00—Compounds containing elements of Groups 8, 9, 10 or 18 of the Periodic Table
- C07F15/0006—Compounds containing elements of Groups 8, 9, 10 or 18 of the Periodic Table compounds of the platinum group
- C07F15/0033—Iridium compounds
-
- C—CHEMISTRY; METALLURGY
- C07—ORGANIC CHEMISTRY
- C07F—ACYCLIC, CARBOCYCLIC OR HETEROCYCLIC COMPOUNDS CONTAINING ELEMENTS OTHER THAN CARBON, HYDROGEN, HALOGEN, OXYGEN, NITROGEN, SULFUR, SELENIUM OR TELLURIUM
- C07F15/00—Compounds containing elements of Groups 8, 9, 10 or 18 of the Periodic Table
- C07F15/0006—Compounds containing elements of Groups 8, 9, 10 or 18 of the Periodic Table compounds of the platinum group
- C07F15/0086—Platinum compounds
-
- C—CHEMISTRY; METALLURGY
- C07—ORGANIC CHEMISTRY
- C07F—ACYCLIC, CARBOCYCLIC OR HETEROCYCLIC COMPOUNDS CONTAINING ELEMENTS OTHER THAN CARBON, HYDROGEN, HALOGEN, OXYGEN, NITROGEN, SULFUR, SELENIUM OR TELLURIUM
- C07F9/00—Compounds containing elements of Groups 5 or 15 of the Periodic Table
- C07F9/02—Phosphorus compounds
- C07F9/547—Heterocyclic compounds, e.g. containing phosphorus as a ring hetero atom
- C07F9/6564—Heterocyclic compounds, e.g. containing phosphorus as a ring hetero atom having phosphorus atoms, with or without nitrogen, oxygen, sulfur, selenium or tellurium atoms, as ring hetero atoms
- C07F9/6568—Heterocyclic compounds, e.g. containing phosphorus as a ring hetero atom having phosphorus atoms, with or without nitrogen, oxygen, sulfur, selenium or tellurium atoms, as ring hetero atoms having phosphorus atoms as the only ring hetero atoms
- C07F9/65683—Heterocyclic compounds, e.g. containing phosphorus as a ring hetero atom having phosphorus atoms, with or without nitrogen, oxygen, sulfur, selenium or tellurium atoms, as ring hetero atoms having phosphorus atoms as the only ring hetero atoms the ring phosphorus atom being part of a phosphine
-
- C—CHEMISTRY; METALLURGY
- C07—ORGANIC CHEMISTRY
- C07F—ACYCLIC, CARBOCYCLIC OR HETEROCYCLIC COMPOUNDS CONTAINING ELEMENTS OTHER THAN CARBON, HYDROGEN, HALOGEN, OXYGEN, NITROGEN, SULFUR, SELENIUM OR TELLURIUM
- C07F9/00—Compounds containing elements of Groups 5 or 15 of the Periodic Table
- C07F9/02—Phosphorus compounds
- C07F9/547—Heterocyclic compounds, e.g. containing phosphorus as a ring hetero atom
- C07F9/6564—Heterocyclic compounds, e.g. containing phosphorus as a ring hetero atom having phosphorus atoms, with or without nitrogen, oxygen, sulfur, selenium or tellurium atoms, as ring hetero atoms
- C07F9/6568—Heterocyclic compounds, e.g. containing phosphorus as a ring hetero atom having phosphorus atoms, with or without nitrogen, oxygen, sulfur, selenium or tellurium atoms, as ring hetero atoms having phosphorus atoms as the only ring hetero atoms
- C07F9/65685—Heterocyclic compounds, e.g. containing phosphorus as a ring hetero atom having phosphorus atoms, with or without nitrogen, oxygen, sulfur, selenium or tellurium atoms, as ring hetero atoms having phosphorus atoms as the only ring hetero atoms the ring phosphorus atom being part of a phosphine oxide or thioxide
-
- C—CHEMISTRY; METALLURGY
- C09—DYES; PAINTS; POLISHES; NATURAL RESINS; ADHESIVES; COMPOSITIONS NOT OTHERWISE PROVIDED FOR; APPLICATIONS OF MATERIALS NOT OTHERWISE PROVIDED FOR
- C09K—MATERIALS FOR MISCELLANEOUS APPLICATIONS, NOT PROVIDED FOR ELSEWHERE
- C09K11/00—Luminescent, e.g. electroluminescent, chemiluminescent materials
- C09K11/02—Use of particular materials as binders, particle coatings or suspension media therefor
- C09K11/025—Use of particular materials as binders, particle coatings or suspension media therefor non-luminescent particle coatings or suspension media
-
- H—ELECTRICITY
- H10—SEMICONDUCTOR DEVICES; ELECTRIC SOLID-STATE DEVICES NOT OTHERWISE PROVIDED FOR
- H10K—ORGANIC ELECTRIC SOLID-STATE DEVICES
- H10K85/00—Organic materials used in the body or electrodes of devices covered by this subclass
- H10K85/10—Organic polymers or oligomers
- H10K85/111—Organic polymers or oligomers comprising aromatic, heteroaromatic, or aryl chains, e.g. polyaniline, polyphenylene or polyphenylene vinylene
- H10K85/113—Heteroaromatic compounds comprising sulfur or selene, e.g. polythiophene
-
- H—ELECTRICITY
- H10—SEMICONDUCTOR DEVICES; ELECTRIC SOLID-STATE DEVICES NOT OTHERWISE PROVIDED FOR
- H10K—ORGANIC ELECTRIC SOLID-STATE DEVICES
- H10K85/00—Organic materials used in the body or electrodes of devices covered by this subclass
- H10K85/40—Organosilicon compounds, e.g. TIPS pentacene
-
- H—ELECTRICITY
- H10—SEMICONDUCTOR DEVICES; ELECTRIC SOLID-STATE DEVICES NOT OTHERWISE PROVIDED FOR
- H10K—ORGANIC ELECTRIC SOLID-STATE DEVICES
- H10K85/00—Organic materials used in the body or electrodes of devices covered by this subclass
- H10K85/60—Organic compounds having low molecular weight
- H10K85/649—Aromatic compounds comprising a hetero atom
- H10K85/654—Aromatic compounds comprising a hetero atom comprising only nitrogen as heteroatom
-
- H—ELECTRICITY
- H10—SEMICONDUCTOR DEVICES; ELECTRIC SOLID-STATE DEVICES NOT OTHERWISE PROVIDED FOR
- H10K—ORGANIC ELECTRIC SOLID-STATE DEVICES
- H10K85/00—Organic materials used in the body or electrodes of devices covered by this subclass
- H10K85/60—Organic compounds having low molecular weight
- H10K85/649—Aromatic compounds comprising a hetero atom
- H10K85/657—Polycyclic condensed heteroaromatic hydrocarbons
-
- H—ELECTRICITY
- H10—SEMICONDUCTOR DEVICES; ELECTRIC SOLID-STATE DEVICES NOT OTHERWISE PROVIDED FOR
- H10K—ORGANIC ELECTRIC SOLID-STATE DEVICES
- H10K85/00—Organic materials used in the body or electrodes of devices covered by this subclass
- H10K85/60—Organic compounds having low molecular weight
- H10K85/649—Aromatic compounds comprising a hetero atom
- H10K85/657—Polycyclic condensed heteroaromatic hydrocarbons
- H10K85/6572—Polycyclic condensed heteroaromatic hydrocarbons comprising only nitrogen in the heteroaromatic polycondensed ring system, e.g. phenanthroline or carbazole
-
- H—ELECTRICITY
- H10—SEMICONDUCTOR DEVICES; ELECTRIC SOLID-STATE DEVICES NOT OTHERWISE PROVIDED FOR
- H10K—ORGANIC ELECTRIC SOLID-STATE DEVICES
- H10K85/00—Organic materials used in the body or electrodes of devices covered by this subclass
- H10K85/60—Organic compounds having low molecular weight
- H10K85/649—Aromatic compounds comprising a hetero atom
- H10K85/657—Polycyclic condensed heteroaromatic hydrocarbons
- H10K85/6576—Polycyclic condensed heteroaromatic hydrocarbons comprising only sulfur in the heteroaromatic polycondensed ring system, e.g. benzothiophene
-
- B—PERFORMING OPERATIONS; TRANSPORTING
- B32—LAYERED PRODUCTS
- B32B—LAYERED PRODUCTS, i.e. PRODUCTS BUILT-UP OF STRATA OF FLAT OR NON-FLAT, e.g. CELLULAR OR HONEYCOMB, FORM
- B32B2457/00—Electrical equipment
- B32B2457/20—Displays, e.g. liquid crystal displays, plasma displays
- B32B2457/202—LCD, i.e. liquid crystal displays
-
- H—ELECTRICITY
- H10—SEMICONDUCTOR DEVICES; ELECTRIC SOLID-STATE DEVICES NOT OTHERWISE PROVIDED FOR
- H10K—ORGANIC ELECTRIC SOLID-STATE DEVICES
- H10K2101/00—Properties of the organic materials covered by group H10K85/00
- H10K2101/10—Triplet emission
-
- H—ELECTRICITY
- H10—SEMICONDUCTOR DEVICES; ELECTRIC SOLID-STATE DEVICES NOT OTHERWISE PROVIDED FOR
- H10K—ORGANIC ELECTRIC SOLID-STATE DEVICES
- H10K50/00—Organic light-emitting devices
- H10K50/10—OLEDs or polymer light-emitting diodes [PLED]
- H10K50/11—OLEDs or polymer light-emitting diodes [PLED] characterised by the electroluminescent [EL] layers
-
- H—ELECTRICITY
- H10—SEMICONDUCTOR DEVICES; ELECTRIC SOLID-STATE DEVICES NOT OTHERWISE PROVIDED FOR
- H10K—ORGANIC ELECTRIC SOLID-STATE DEVICES
- H10K50/00—Organic light-emitting devices
- H10K50/10—OLEDs or polymer light-emitting diodes [PLED]
- H10K50/14—Carrier transporting layers
- H10K50/15—Hole transporting layers
-
- H—ELECTRICITY
- H10—SEMICONDUCTOR DEVICES; ELECTRIC SOLID-STATE DEVICES NOT OTHERWISE PROVIDED FOR
- H10K—ORGANIC ELECTRIC SOLID-STATE DEVICES
- H10K50/00—Organic light-emitting devices
- H10K50/10—OLEDs or polymer light-emitting diodes [PLED]
- H10K50/14—Carrier transporting layers
- H10K50/16—Electron transporting layers
-
- H—ELECTRICITY
- H10—SEMICONDUCTOR DEVICES; ELECTRIC SOLID-STATE DEVICES NOT OTHERWISE PROVIDED FOR
- H10K—ORGANIC ELECTRIC SOLID-STATE DEVICES
- H10K50/00—Organic light-emitting devices
- H10K50/10—OLEDs or polymer light-emitting diodes [PLED]
- H10K50/17—Carrier injection layers
-
- H—ELECTRICITY
- H10—SEMICONDUCTOR DEVICES; ELECTRIC SOLID-STATE DEVICES NOT OTHERWISE PROVIDED FOR
- H10K—ORGANIC ELECTRIC SOLID-STATE DEVICES
- H10K50/00—Organic light-emitting devices
- H10K50/10—OLEDs or polymer light-emitting diodes [PLED]
- H10K50/18—Carrier blocking layers
-
- H—ELECTRICITY
- H10—SEMICONDUCTOR DEVICES; ELECTRIC SOLID-STATE DEVICES NOT OTHERWISE PROVIDED FOR
- H10K—ORGANIC ELECTRIC SOLID-STATE DEVICES
- H10K85/00—Organic materials used in the body or electrodes of devices covered by this subclass
- H10K85/60—Organic compounds having low molecular weight
- H10K85/615—Polycyclic condensed aromatic hydrocarbons, e.g. anthracene
- H10K85/624—Polycyclic condensed aromatic hydrocarbons, e.g. anthracene containing six or more rings
-
- H—ELECTRICITY
- H10—SEMICONDUCTOR DEVICES; ELECTRIC SOLID-STATE DEVICES NOT OTHERWISE PROVIDED FOR
- H10K—ORGANIC ELECTRIC SOLID-STATE DEVICES
- H10K85/00—Organic materials used in the body or electrodes of devices covered by this subclass
- H10K85/60—Organic compounds having low molecular weight
- H10K85/615—Polycyclic condensed aromatic hydrocarbons, e.g. anthracene
- H10K85/626—Polycyclic condensed aromatic hydrocarbons, e.g. anthracene containing more than one polycyclic condensed aromatic rings, e.g. bis-anthracene
-
- H—ELECTRICITY
- H10—SEMICONDUCTOR DEVICES; ELECTRIC SOLID-STATE DEVICES NOT OTHERWISE PROVIDED FOR
- H10K—ORGANIC ELECTRIC SOLID-STATE DEVICES
- H10K85/00—Organic materials used in the body or electrodes of devices covered by this subclass
- H10K85/60—Organic compounds having low molecular weight
- H10K85/631—Amine compounds having at least two aryl rest on at least one amine-nitrogen atom, e.g. triphenylamine
- H10K85/633—Amine compounds having at least two aryl rest on at least one amine-nitrogen atom, e.g. triphenylamine comprising polycyclic condensed aromatic hydrocarbons as substituents on the nitrogen atom
-
- Y—GENERAL TAGGING OF NEW TECHNOLOGICAL DEVELOPMENTS; GENERAL TAGGING OF CROSS-SECTIONAL TECHNOLOGIES SPANNING OVER SEVERAL SECTIONS OF THE IPC; TECHNICAL SUBJECTS COVERED BY FORMER USPC CROSS-REFERENCE ART COLLECTIONS [XRACs] AND DIGESTS
- Y02—TECHNOLOGIES OR APPLICATIONS FOR MITIGATION OR ADAPTATION AGAINST CLIMATE CHANGE
- Y02E—REDUCTION OF GREENHOUSE GAS [GHG] EMISSIONS, RELATED TO ENERGY GENERATION, TRANSMISSION OR DISTRIBUTION
- Y02E10/00—Energy generation through renewable energy sources
- Y02E10/50—Photovoltaic [PV] energy
- Y02E10/549—Organic PV cells
Definitions
- the present invention relates to compounds according to formula (I) and the use of compounds of formula (I) in electronic
- the invention relates to electronic
- OLEDs organic electroluminescent devices
- OLEDs organic electroluminescent devices
- organometallic complexes As emitting materials, organometallic complexes (Lett MA Baldo et al. T Appl. Phys., 1999, 75, 4-6) are increasingly being used in this case, the phosphorescence instead of fluorescence. For quantum mechanical reasons is using organometallic
- phosphorescent OLEDs are not only determined by the phosphorescent dopants used. Here are also the other materials used, such as
- Matrix materials, hole blocking materials, electron transport materials, hole transport materials, and electron or exciton blocking materials of particular importance Improvements to these materials can thus also lead to significant improvements of the OLED Properties lead. Even for fluorescent OLEDs there is still room for improvement with these materials.
- Metal complexes for example BAIq or bis [2- (2-benzothiazole) phenolate] zinc (II), as matrix materials for phosphorescent dopants
- Injection materials are among others in the art
- the known hole-transporting materials often have low electron stability, which reduces the lifetime of electronic devices containing these compounds.
- organic electroluminescent devices and the lifetime, especially in the case of blue fluorescent devices, improvements desirable.
- the provision of novel electron transport materials is desirable because the properties of the electron transport material exert a significant influence on the above-mentioned properties of the organic electroluminescent device. Especially There is a need for electron transport materials which at the same time lead to good efficiency, long service life and low operating voltage.
- the operating voltage can be lowered by a better injection.
- the object of the present invention is thus in summary the provision of compounds which are suitable for use in a fluorescent or phosphorescent OLED, in particular a phosphorescent OLED, in particular as a matrix material or as an electron transport or hole blocking material.
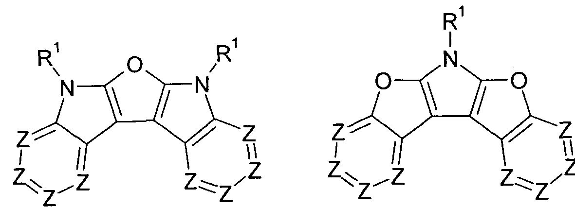
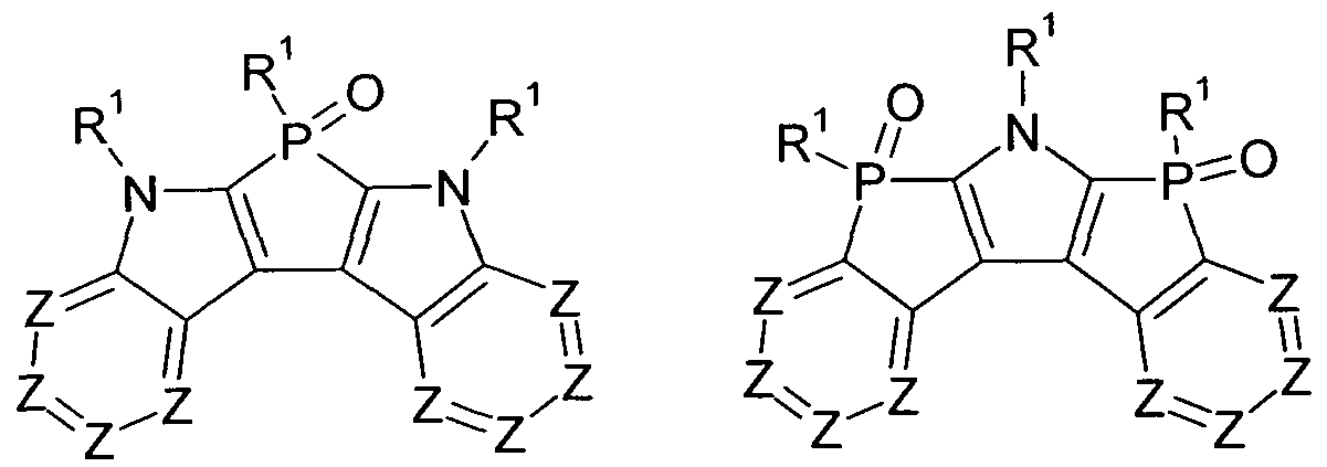
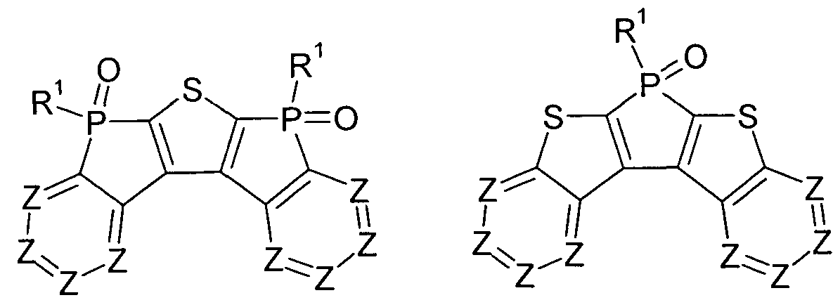
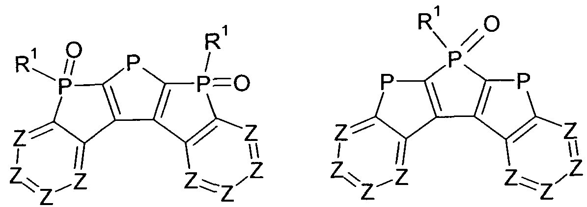
- the present invention thus relates to a compound of the following formula (I)
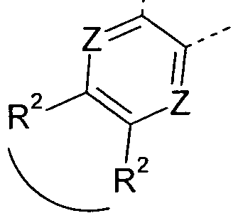
- Z is the same or different CR 2 or N at each occurrence, and no more than two adjacent groups Z may simultaneously be equal to N;
- An aryl group in the sense of this invention contains 6 to 60 C atoms; a heteroaryl group in the context of this invention contains 1 to 60 carbon atoms and at least one heteroatom, with the proviso that the sum of C atoms and heteroatoms gives at least 5.
- the heteroatoms are preferably selected from N, O and / or S.
- an aryl group or heteroaryl group is either a simple aromatic cycle, ie benzene, or a simple heteroaromatic cycle, for example pyridine, pyrimidine, thiophene, etc., or a fused (annelated) aryl or heteroaryl group, for example, naphthalene, anthracene, phenanthrene, quinoline, isoquinoline, carbazole, etc. understood.
- An aryl or heteroaryl group which may be substituted in each case by the abovementioned radicals R 2 or R 3 and which may be linked via any position on the aromatic or heteroaromatic compounds is understood in particular to mean groups which are derived from benzene, naphthalene, Anthracene, phenanthrene, pyrene, dihydropyrene, chrysene, perylene, fluoranthene, benzanthracene, benzphenanthrene, tetracene, pentacene, benzpyrene, furan, benzofuran, isobenzofuran, dibenzofuran, thiophene, benzothiophene, isobenzothiophene, dibenzothiophene, pyrrole, indole, isoindole, carbazole, Pyridine, quinoline, isoquinoline, acridine, phenanthridine, benzo-5,6-quinoline,
- An aromatic ring system in the sense of this invention contains 6 to 60 carbon atoms in the ring system.
- a heteroaromatic ring system in the context of this invention contains 5 to 60 aromatic ring atoms, at least one of which represents a heteroatom.
- the heteroatoms are preferably selected from N, O and / or S.
- Under an aromatic or heteroaromatic ring system in the sense of this invention is to be understood as meaning a system which does not necessarily contain only aryl or heteroaryl groups but in which also several aryl or heteroaryl groups are replaced by a non-aromatic unit (preferably less than 10% of the atoms other than H) , such as B.
- an sp 3 - hybridized C, Si, N or O atom, an sp 2 -hybridized C or N atom or a sp-hybridized carbon atom may be connected.
- systems such as 9,9'-spirobifluorene, 9,9'-diarylfluorene, triarylamine, diaryl ethers, stilbene, etc. are to be understood as aromatic ring systems in the context of this invention, and also systems in which two or more aryl groups, for example by a linear or cyclic alkyl, alkenyl or alkynyl group or by a
- Silyl group are connected. Furthermore, systems in which two or more aryl or heteroaryl groups are linked together via one or more single bonds are understood as aromatic or heteroaromatic ring systems in the context of this invention.
- An aromatic or heteroaromatic ring system having 5-60 aromatic ring atoms, which may be substituted in each case by radicals as defined above and which may be linked via any positions on the aromatic or heteroaromatic compounds, is understood in particular to mean groups derived from benzene, naphthalene , Anthracene, benzanthracene, phenanthrene, benzphenanthrene, pyrene, chrysene, perylene, fluoranthene, naphthacene, pentacene, benzpyrene, biphenyl, biphenylene, terphenyl, terphenyls, fluorene, spirobifluorene, dihydrophenanthrene, dihydropyrene, tetrahydropyrene, cis- or trans-indenofluorene, Truxen, Isotruxene, spirotruxene, spiroisotruxene, furan, be
- alkoxy or thioalkyl group having 1 to 40 carbon atoms methoxy, trifluoromethoxy, ethoxy, n-propoxy, i-propoxy, n-butoxy, i-butoxy, s-butoxy, t-butoxy, n-pentoxy, s Pentoxy, 2-methylbutoxy, n-hexoxy, cyclohexyloxy, n-heptoxy, cycloheptyloxy, n-octyloxy, cyclooctyloxy, 2-ethylhexyloxy, pentafluoroethoxy, 2,2,2-trifluoroethoxy, methylthio, ethylthio, n -propylthio, i -propylthio , n-butylthio, i-butylthio, s-butylthio, t-butylthio, n-pentylthi
- 0, 1 or 2 groups Z per aromatic or heteroaromatic six-membered ring are N.
- heteroaromatic six-membered ring equals N.
- no group Z is N and all groups Z are equal to CR 2 .
- n is 0 or 1.
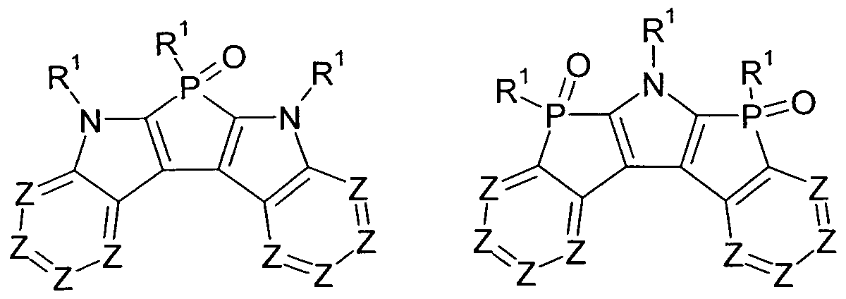
- Preferred embodiments of the compound of the formula (Ia) according to the invention furthermore correspond to the following formulas (Ia (Ia-10)
- Preferred embodiments of the compounds of the formula (Ib) according to the invention furthermore correspond to the following formulas (Ib-1) to
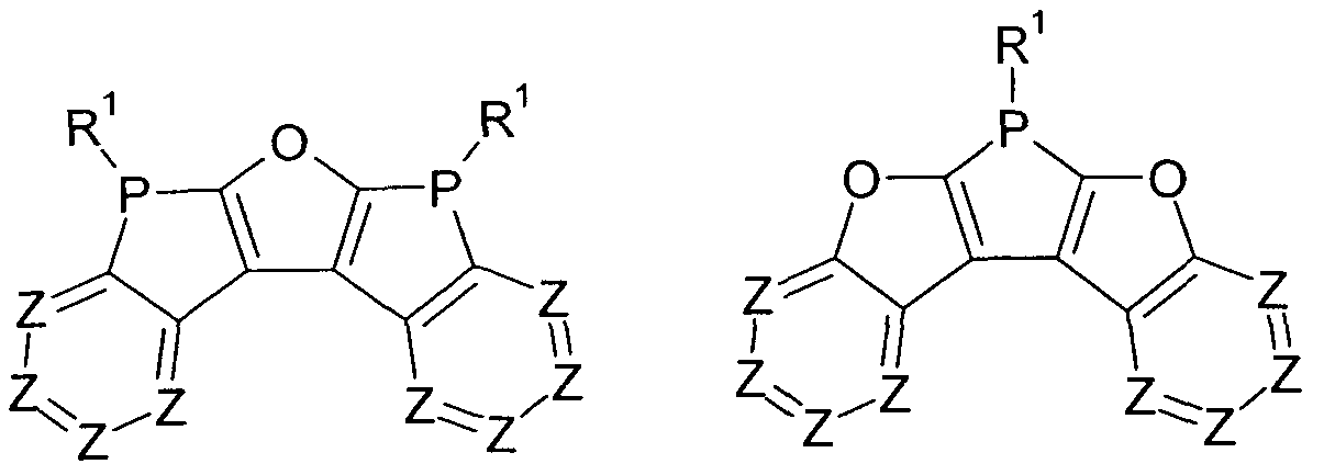
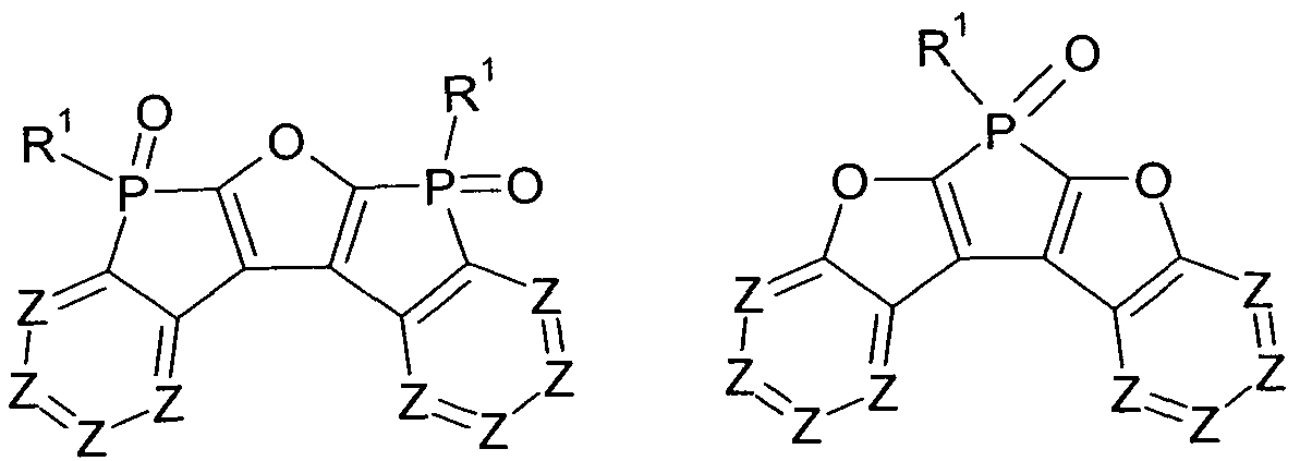
- At least one of the groups X 1 , X 2 and X 3 represents a group NR 1 .
- R 1 is the same or different at each instance and is an aromatic or heteroaromatic ring system having 5 to 30 aromatic ring atoms, each of which may be substituted by one or more R 3 radicals.
- R is an aromatic or heteroaromatic ring system having 5 to 30
- aromatic ring atoms which may each be substituted by one or more radicals R 3 . It is further preferred that the compounds for use in the electroluminescent devices according to the invention as substituent R 1 or R 2 carry at least one group which is selected from electron-poor heteroaryl groups, aromatic or
- the abovementioned electron-poor heteroaryl groups are preferably selected from pyridine, pyrimidine, pyridazine, pyrazine, triazine and benzimidazole, which may be substituted by one or more of the radicals defined above.
- aromatic or heteroaromatic ring systems having 10 to 30 aromatic ring atoms are preferably selected from naphthyl, anthracenyl, phenanthrenyl, benzanthracenyl, pyrenyl,
- Biphenyl, terphenyl and quaterphenyl which may be substituted with one or more of the radicals defined above.
- arylamine groups are preferably groups of the following formula (A) Formula (A), where the symbol * marks the bond to the rest of the compound and continues
- Ar 1 , Ar 2 , Ar 3, identically or differently on each occurrence, represent an aryl or heteroaryl group having 5 to 20 aromatic ring atoms, which may each be substituted by one or more radicals R 3 or R 4 ,
- Ar 2 and Ar 3 may be linked together by a single bond and q is 0, 1, 2, 3, 4 or 5.
- R 2 is identical or different on each occurrence and is H, D, F, C (OO) R 3 , CN, Si (R 3 ) 3 , N (R 3 ) 2, a straight-chain alkyl or alkoxy group having 1 to 10 C atoms or a branched or cyclic alkyl or alkoxy group having 3 to 10 C atoms or an alkenyl or alkynyl group having 2 to 10 C atoms, wherein the abovementioned groups each having one or more radicals R 3 may be substituted and wherein one or more non-adjacent CH 2 groups in the abovementioned groups
- aromatic ring atoms each of which may be substituted by one or more radicals R 3 , or an aryloxy or heteroaryloxy group having 5 to 30 aromatic ring atoms, which may be substituted by one or more radicals R 3 , wherein two or more radicals R 2 linked together may be and form an aliphatic or aromatic ring.
- two or more radicals R 2 are linked together, it is preferred that the two radicals are part of a subgroup
- the compound of the two groups forms a fused aryl or heteroaryl group having 4 to 8 aromatic ring atoms more than the original aryl or heteroaryl group.
- the two radicals R 2 of a group X 1 , X 2 or X 3 which corresponds to C (R 2 ) 2, connected to each other and form an aliphatic or aromatic ring.
- Preferred embodiments thereof include an aliphatic three-membered ring, four-membered ring, five-membered ring or six-membered ring, as shown in the formula below.
- the group X is optionally X 1 , X 2 or X 3 .
- the rings mentioned may be substituted by one or more of the abovementioned radicals and / or be fused to other rings.
- R 3 is identical or different at each instance and is H, D, F, C (OO) R 4 , CN, Si (R 4 ) 3 , N (R 4 > 2, a straight-chain alkyl or alkoxy group having 1 to 10 C atoms or a branched or cyclic alkyl or alkoxy group having 3 to 10 C atoms or an alkenyl or alkynyl group having 2 to 10 C atoms, wherein the abovementioned groups each having one or more radicals R 4 may be substituted and wherein one or more non-adjacent CH 2 groups in the abovementioned groups
- aromatic ring atoms each of which may be substituted by one or more radicals R 4 , or an aryloxy or heteroaryloxy group having 5 to 30 aromatic ring atoms, which may be substituted by one or more radicals R 4 , wherein two or more radicals R 3 linked together may be and form an aliphatic or aromatic ring.
- the compounds of formula (I) according to the invention can be prepared by known organic chemical synthesis methods. These include, for example, u.a. Bromination, Suzuki coupling and Hartwig-Buchwald coupling.
- ⁇ _ leaving group for metal organ. Coupling, eg halide, boronic acid
- Ar aryl or heteroaryl group
- an organometallic coupling reaction preferably a Suzuki reaction, between a benzothiophene derivative or an analogous compound, such as. A benzofuran derivative, and a nitrophenyl derivative.
- a benzothiophene derivative or an analogous compound such as. A benzofuran derivative
- a nitrophenyl derivative such as. A benzofuran derivative
- the nitro group is reduced and a ring-closing reaction occurs in which the second fused-ring heteroaromatic fused ring is formed as a pyrrole ring.
- the nitrogen atom of the pyrrole ring can finally be arylated in a Hartwig-Buchwald coupling.
- Reduction and ring closure provides the backbone of the compounds of the invention with three fused five-membered aromatic rings.
- Ar aryl or heteroaryl group
- Ar aryl or heteroaryl group
- an organometallic coupling reaction preferably a Suzuki coupling
- a second corresponding heteroaryl compound is first carried out with a second corresponding heteroaryl compound.
- a double bromination for example, with elemental bromine, in the both positions in ⁇ position to bond between the two
- Another object of the present invention is thus a
- the compounds according to the invention described above in particular compounds which are substituted by reactive leaving groups, such as bromine, iodine, boronic acid or boronic acid esters, can be used as monomers for producing corresponding oligomers, dendrimers or polymers.
- the oligomerization or polymerization is preferably carried out via the halogen functionality or the boronic acid functionality.
- Another object of the invention are therefore oligomers, polymers or dendrimers containing one or more compounds according to
- Formula (I), wherein the bond (s) to the polymer, oligomer or dendrimer can be located at any, in formula (I) with R 1 or R 2 substituted positions.
- the compound is part of a side chain of the oligomer or polymer or constituent of the main chain.
- An oligomer in the context of this invention is understood as meaning a compound which is composed of at least three monomer units.
- a polymer in the context of the invention is understood as meaning a compound which is composed of at least ten monomer units.
- the polymers, oligomers or dendrimers according to the invention may be conjugated, partially conjugated or non-conjugated.
- the oligomers or polymers of the invention may be linear, branched or dendritic.
- the units of formula (I) may be directly linked together or may be linked together via a divalent group, for example via a substituted or unsubstituted alkylene group, via a heteroatom or via a divalent aromatic or heteroaromatic group.
- branched and dendritic structures can for example, three or more units of the formula (I) via a trivalent or higher valent group, for example via a trivalent or higher valent aromatic or heteroaromatic group, be linked to a branched or dendritic oligomer or polymer.
- the repeat units according to formula (I) in oligomers, dendrimers and polymers the same preferences apply as above for
- the monomers according to the invention are homopolymerized or copolymerized with further monomers.
- Suitable and preferred comonomers are selected from fluorenes (eg according to EP 842208 or WO 00/22026), spirobifluorenes (eg according to EP 707020, EP 894107 or WO 06/06 181), paraphenylenes (e.g. according to WO 92/18552), carbazoles (eg according to
- EP 1028136 dihydrophenanthrenes (for example according to WO 05/014689 or WO 07/006383), cis and trans indenofluorenes (for example according to US Pat
- the polymers, oligomers and dendrimers usually also contain further units, for example emitting (fluorescent or phosphorescent) units, such as.
- emitting (fluorescent or phosphorescent) units such as.
- the polymers, oligomers and dendrimers according to the invention have advantageous properties, in particular high lifetimes, high
- the polymers and oligomers according to the invention are generally prepared by polymerization of one or more types of monomer, of which at least one monomer in the polymer leads to repeat units of the formula (I).
- Suitable polymerization reactions are known in the art and described in the literature.
- Especially suitable and preferred polymerization reactions which lead to C-C or C-N bonds are as follows:
- the present invention thus also provides a process for the preparation of the polymers, oligomers and dendrimers according to the invention, which is prepared by polymerization according to SUZUKI, polymerization according to YAMAMOTO, polymerization according to SILENCE or polymerization according to HARTWIG-BUCHWALD.
- the dendrimers according to the invention can be prepared according to methods known to the person skilled in the art or in analogy thereto. Suitable methods are described in the literature, such as. In Frechet, Jean M.J .; Hawker, Craig J., "Hyperbranched polyphenylenes and hyperbranched polyesters: new soluble, three-dimensional, reactive polymers", Reactive & Functional Polymers (1995), 26 (1-3), 127-36;
- formulations of the compounds according to the invention are required. These formulations may be, for example, solutions, dispersions or miniemulsions. It may be preferred for this mixtures from two or more solvents to use. Suitable and preferred solvents are, for example, toluene, anisole, o-, m- or p-xylene,
- Methyl benzoate dimethylanisole, mesitylene, tetralin, veratrole, THF, methyl THF, THP, chlorobenzene, dioxane or mixtures of these solvents.
- the invention therefore further provides a formulation, in particular a solution, dispersion or miniemulsion comprising at least one compound of the formula (I) or at least one polymer, oligomer or dendrimer comprising at least one unit of the formula (I) and at least one solvent, preferably one organic solvent.
- a formulation in particular a solution, dispersion or miniemulsion comprising at least one compound of the formula (I) or at least one polymer, oligomer or dendrimer comprising at least one unit of the formula (I) and at least one solvent, preferably one organic solvent.
- the compounds of the formula (I) according to the invention are suitable for use in electronic devices, in particular in organic electroluminescent devices (OLEDs). Depending on the substitution, the compounds are used in different functions and layers.
- OLEDs organic electroluminescent devices
- electron-deficient groups such as six-membered heteroaryl groups having one or more nitrogen atoms or five-membered heteroaryl groups containing two or more nitrogen atoms, especially for use as
- Matrix material for phosphorescent dopants as electron transport material or as hole blocking material.
- Arylamino groups are substituted, especially for use as
- Electron transport material in an electron transport layer as
- Hole transport material used in a hole transport layer can also be used in other layers and / or functions, for example as fluorescent dopants in an emitting layer or as hole or electron blocking materials.
- the electronic devices are preferably selected from the group consisting of organic integrated circuits (O-ICs), organic field-effect transistors (O-FETs), organic thin-film transistors (O-TFTs), organic light-emitting transistors (O-LETs), organic solar cells (O-SCs), organic optical detectors, organic photoreceptors, organic field quench devices (O-FQDs), light-emitting electrochemical cells (LECs), organic laser diodes (O-lasers) and more preferably selected from organic electroluminescent devices (OLEDs).
- O-ICs organic integrated circuits
- O-FETs organic field-effect transistors
- OF-TFTs organic thin-film transistors
- O-LETs organic light-emitting transistors
- O-SCs organic solar cells
- organic optical detectors organic photoreceptors
- O-FQDs organic field quench devices
- LECs organic laser diodes
- O-lasers organic laser diodes
- Yet another object of the invention are electronic devices containing at least one compound of formula (I).
- the electronic devices are preferably selected from the above-mentioned devices.
- organic electroluminescent devices comprising the anode, cathode and at least one emitting layer, characterized in that at least one organic layer, which may be an emitting layer, an electron-transport layer or another layer,
- the organic electroluminescent device may contain further layers. These are, for example, selected from in each case one or more hole injection layers, hole transport layers, hole blocking layers, electron transport layers, electron injection layers, electron Blocking Layers, Exciton Blocking Layers, Charge Generation Layers (IDMC 2003, Taiwan, Session 21 OLED (5), T. Matsumoto, T. Nakada, J. Endo, K. Mori, N. Kawamura, A. Yokoi, J. Kido, Multiphoton Organic EL Device Having Charge Generation Layer), outcoupling layers, and / or organic or inorganic p / n junctions. It should be noted, however, that not necessarily each of these layers must be present and the choice of layers always depends on the compounds used and in particular also on the fact that it is a fluorescent or phosphorescent electroluminescent device.
- the organic electroluminescent device may also include a plurality of emitting layers.
- these emission layers particularly preferably have a total of several emission maxima between 380 nm and 750 nm, so that overall white emission results, ie. H.
- various emitting compounds are used which can fluoresce or phosphoresce and which emit blue and yellow, orange or red light.
- Particularly preferred are three-layer systems, ie
- Systems having three emitting layers wherein one or more of these layers may contain a compound according to formula (I) and wherein the three layers show blue, green and orange or red emission (for the basic structure see for example WO 05/011013) , Also suitable in such systems for white emission emitters, which have broadband emission bands and thereby show white emission.
- the compounds according to the invention in such systems may also be present in a hole transport layer or electron transport layer or in another layer.
- the compound according to formula (I) is used in an electronic device containing one or more phosphorescent dopants. It can the
- Electron transport layer a hole transport layer, a
- the compound according to formula (I) can also be used according to the invention in an electronic device containing one or more fluorescent dopants and no phosphorescent dopants.
- Particularly suitable phosphorescent dopants are compounds which, given suitable excitation, emit light, preferably in the visible range, and also contain at least one atom of atomic number greater than 20, preferably greater than 38 and less than 84, particularly preferably greater than 56 and less than 80.
- phosphorescent dopants compounds containing copper, molybdenum, tungsten, rhenium, ruthenium, osmium, rhodium, iridium, palladium, platinum, silver, gold or europium are preferably used, in particular compounds containing iridium, platinum or copper.
- Examples of the phosphorescent dopants described above can be found in applications WO 00/70655, WO 01/41512, WO 02/02714, WO 02/15645, EP 1191613, EP 1191612, EP 1191614, WO 05/033244, WO 05/019373 and US 2005 / 0258742 are taken.
- all phosphorescent complexes which are used according to the prior art for phosphorescent OLEDs and as are known to the person skilled in the art of organic electroluminescent devices are suitable.
- the skilled person without inventive step further phosphorescent complexes in
- the compounds of the formula (I) are used as matrix material in combination with one or more dopants, preferably phosphorescent dopants.
- a dopant in a system comprising a matrix material and a dopant, is understood to mean the component whose proportion in the mixture is the smaller.
- a matrix material in a system containing a matrix material and a dopant is understood to mean the component whose proportion in the mixture is the larger.
- the proportion of the matrix material in the emitting layer is in this case between 50.0 and 99.9% by volume, preferably between 80.0 and 99.5% by volume and particularly preferred for fluorescent emitting layers between 92.0 and 99.5% by volume and for phosphorescent emitting layers between 85.0 and 97.0 vol.%.
- the proportion of the dopant is between 0.1 and
- An emitting layer of an organic electroluminescent device may also contain systems comprising a plurality of matrix materials (mixed-matrix systems) and / or multiple dopants. Also in this case, the dopants are generally those materials whose proportion in the system is smaller and the matrix materials are those materials whose proportion in the system is larger.
- the dopants are generally those materials whose proportion in the system is smaller and the matrix materials are those materials whose proportion in the system is larger.
- the proportion of a single matrix material in the system may be smaller than the proportion of a single dopant.
- the mixed-matrix systems preferably comprise two or three different matrix materials, more preferably two different matrix materials. Preference is given to one of the two Materials a material with hole transporting properties and the other material a material with electron transporting
- the two different matrix materials can in a ratio of 1:50 to 1: 1, preferably 1: 20 to 1: 1, more preferably 1:10 to 1: 1 and most preferably 1: 4 to 1: 1 available.
- the mixed-matrix systems may comprise one or more dopants.
- the dopant compound or the dopant compounds together according to the invention have a proportion of 0.1 to 50.0% by volume of the total mixture and preferably a proportion of 0.5 to 20.0% by volume of the total mixture. Accordingly, the dopant compound or the dopant compounds together according to the invention have a proportion of 0.1 to 50.0% by volume of the total mixture and preferably a proportion of 0.5 to 20.0% by volume of the total mixture. Accordingly, the
- Matrix components together account for a proportion of 50.0 to 99.9% by volume of the total mixture and preferably a proportion of 80.0 to 99.5% by volume of the total mixture.
- Particularly suitable matrix materials which can be used in combination with the compounds according to the invention as matrix components of a mixed-matrix system are aromatic ketones, aromatic phosphine oxides or aromatic sulfoxides or sulfones, eg. Example, according to WO 04/013080, WO 04/093207, WO 06/005627 or WO 10/006680, triarylamines, carbazole derivatives, for.
- Preferred phosphorescent dopants for use in mixed-matrix systems comprising the compounds according to the invention are the phosphorescent dopants listed in the table above.
- the compounds of the formula (I) are used as hole transport material.
- the compounds are then preferably used in a hole transport layer and / or in a hole injection layer.
- a hole injection layer in the sense of this invention is a layer which is directly adjacent to the anode.
- a hole transport layer in the sense of this invention is a layer that lies between the hole injection layer and the emission layer.
- the compounds according to formula (I) are used as hole transport material, it may be preferred if they are doped with electron acceptor compounds, for example with F 4 -TCNQ or with compounds as described in EP 1476881 or EP 1596445.
- a compound according to formula (I) is used as hole transport material in combination with a hexaazatriphenylene derivative as described in US 2007/0092755.
- a Hexaazatriphenylenderivat is used in a separate layer.
- the compound of the formula (I) when used as a hole transporting material in a hole transporting layer, the compound may be used as a pure material, i. in a proportion of 100% in the hole transport layer or it can be used in combination with other compounds in the hole transport layer.
- the compounds of the formula (I) as fluorescent dopants in a used emitting layer are particularly suitable for use as fluorescent dopants when preferred with one or more aromatic systems
- aromatic systems containing 12 to 30 aromatic ring atoms are substituted.
- the compounds of the invention are preferably used as green or blue emitters.
- the proportion of the compound according to formula (I) as dopant in the mixture of the emitting layer in this case is between 0.1 and 50.0% by volume, preferably between 0.5 and 20.0% by volume, particularly preferably between 0.5 and 8.0% by volume. , Accordingly, the share of
- Matrix material between 50.0 and 99.9 vol .-%, preferably between 80.0 and 99.5 vol .-%, particularly preferably between 92.0 and 99.5 vol .-%.
- Preferred matrix materials for use in combination with the compounds of the invention as fluorescent dopants are listed in one of the following sections. They correspond to the preferred matrix materials for fluorescent dopants.
- the electron transport layer may be doped. Suitable dopants are
- Alkali metals or alkali metal compounds such as. B. Liq (lithium quinolinate).
- the electron transport layer is doped in particular when the
- Electron transport material a benzimidazole derivative or a
- Triazine derivative is.
- the preferred dopant is then Liq.
- the compounds of the invention are used as Lochblockiermaterial.
- the compounds are then preferably used in a hole blocking layer, in particular in a phosphorescent OLED.
- a hole blocking layer in the sense of this invention is a layer which is arranged between an emitting layer and an electron transport layer.
- Particularly suitable phosphorescent dopants are the compounds listed in the following table.
- Preferred fluorescent dopants are selected from the class of arylamines.
- An arylamine or an aromatic amine in the context of this invention is understood as meaning a compound which contains three substituted or unsubstituted aromatic or heteroaromatic ring systems bonded directly to the nitrogen. At least one of these aromatic or heteroaromatic ring systems is preferably a fused ring system, more preferably at least 14 aromatic ring atoms.
- Preferred examples of these are aromatic anthracene amines, aromatic anthracenediamines, aromatic pyrenamines, aromatic pyrenediamines, aromatic chrysenamines or aromatic
- an aromatic anthracene amine is meant a compound in which a diarylamino group is bonded directly to an anthracene group, preferably in the 9-position.
- An aromatic anthracenediamine is understood to mean a compound in which two diarylamino groups are bonded directly to an anthracene group, preferably in the 9,10-position.
- Aromatic pyrenamines, pyrenediamines, chrysenamines and chrysenediamines are defined analogously thereto, the diarylamino groups on the pyrene preferably being bonded in the 1-position or in the 1, 6-position.
- Further preferred fluorescent dopants are selected from indenofluorenamines or -diamines, for example according to WO 06/122630, benzoindenofluorenamines or -diamines,
- the compounds of the formula (I) are preferably used as fluorescent dopants.
- Suitable fluorescent dopants are furthermore the structures depicted in the following table, as well as those described in JP 06/001973,
- WO 04/047499, WO 06/098080, WO 07/065678, US 2005/0260442 and WO 04/0921 11 disclosed derivatives of these structures.
- Suitable matrix materials are materials of different substance classes. preferred
- Matrix materials are selected from the classes of oligoarylenes (for example 2 ) 2 ', 7,7'-tetraphenylspirobifluorene according to EP 676461 or US Pat
- the electron-conducting compounds in particular ketones, phosphine oxides, sulfoxides, etc. (for example according to US Pat
- WO 05/084081 and WO 05/084082 are preferably the compounds according to the invention.
- Particularly preferred matrix materials are selected from the classes of oligoarylenes, containing naphthalene, anthracene, Benzanthracene and / or pyrene or atropisomers of these compounds, the oligoarylenevinylenes, the ketones, the phosphine oxides and the sulfoxides.
- Very particularly preferred matrix materials are selected from the classes of oligoarylenes containing anthracene, benzanthracene,
- an oligoarylene is to be understood as meaning a compound in which at least three aryl or arylene groups are bonded to one another.
- Suitable matrix materials are, for example, the materials depicted in the following table, as well as derivatives of these materials, as described in WO 04/018587, WO
- Suitable charge transport materials as used in Lochinjetechnische transport layer or in the electron transport layer of the organic electroluminescent device according to the invention can be used, in addition to the compounds according to
- Formula (I) for example, the compounds disclosed in Y. Shirota et al., Chem. Rev. 2007, 107 (4), 953-1010 or other materials used in these layers according to the prior art.
- low work function metals, metal alloys or multilayer structures of various metals are preferable, such as Alkaline earth metals, alkali metals, main group metals or lanthanides (eg Ca, Ba, Mg, Al, In, Mg, Yb, Sm, etc.). Furthermore, are suitable
- an alloy of magnesium and silver In multilayer structures, it is also possible, in addition to the metals mentioned, to use further metals which have a relatively high work function, such as, for example, As Ag or Al, which then usually combinations of metals, such as Ca / Ag, Ba / Ag or Mg / Ag are used. It may also be preferred to introduce between a metallic cathode and the organic semiconductor a thin intermediate layer of a material with a high dielectric constant. Suitable examples of these are alkali metal or alkaline earth metal fluorides, but also the corresponding oxides or carbonates (eg LiF, Li 2 O, BaF 2 , MgO, NaF, CsF, Cs 2 CO 3 , etc.). Furthermore, for that
- Lithium quinolinate LiQ
- the layer thickness of this layer is preferably between 0.5 and 5 nm.
- the anode high workfunction materials are preferred.
- the anode has a work function greater than 4.5 eV. Vacuum up.
- metals with a high redox potential such as Ag, Pt or Au, are suitable for this purpose.
- metal / metal oxide electrodes eg Al / Ni / ⁇ , Al / PtO x ) may also be preferred. For some applications, at least one of the electrodes must be transparent or
- Preferred anode materials here are conductive mixed metal oxides. Particularly preferred are indium tin oxide (ITO) or indium zinc oxide (IZO). Preference is furthermore given to conductive, doped organic materials, in particular conductive doped polymers.
- the device is structured accordingly (depending on the application), contacted and finally sealed, since the life of the devices according to the invention is shortened in the presence of water and / or air.
- the invention is structured accordingly (depending on the application), contacted and finally sealed, since the life of the devices according to the invention is shortened in the presence of water and / or air.
- the invention is structured accordingly (depending on the application), contacted and finally sealed, since the life of the devices according to the invention is shortened in the presence of water and / or air.
- the invention is structured accordingly (depending on the application), contacted and finally sealed, since the life of the devices according to the invention is shortened in the presence of water and / or air.
- Organic electroluminescent device characterized in that one or more layers are coated by a sublimation process.
- the materials in vacuum sublimation are evaporated at an initial pressure less than 10 -5 mbar, preferably less than 10 "6 mbar. However, it is also possible that the initial pressure is even lower, for example less than 1 fJ 7 mbar.
- an organic electroluminescent device characterized in that one or more layers are coated with the OVPD (Organic Vapor Phase Deposition) method or with the aid of a carrier gas sublimation.
- the materials are applied at a pressure between 10 ⁇ 5 mbar and 1 bar.
- OVJP Organic Vapor Jet Printing
- the materials are applied directly through a nozzle and thus structured (for example, BMS Arnold et al., Appl. Phys. Lett., 2008, 92, 053301).
- an organic electroluminescent device characterized in that one or more layers of solution, such. B. by spin coating, or with any printing process, such.
- any printing process such.
- screen printing flexographic printing, nozzle printing or offset printing, but particularly preferably LITI (Light Induced Thermal Imaging,
- organic electroluminescent devices comprising one or more compounds of the formula (I) can be used according to the invention in displays, as light sources in lighting applications and as Light sources in medical and / or cosmetic applications (eg light therapy) are used.
- the compounds of formula (I) are very well suited for use as matrix materials for phosphorescent dopants and are well suited for use as electron transport materials. When using the compounds of the invention in these functions are good buttereffizienzen, low operating voltages and good
- the compounds of formula (I) are characterized by a high oxidation stability in solution, which is advantageous in the purification and handling of the compounds and in their
- the compounds of formula (I) are temperature stable and can thus be sublimated largely decomposition-free.
- Compounds can be obtained in higher purity, which has a positive effect on the performance of electronic devices containing the materials. In particular, devices with longer operational lifetimes can be produced thereby.
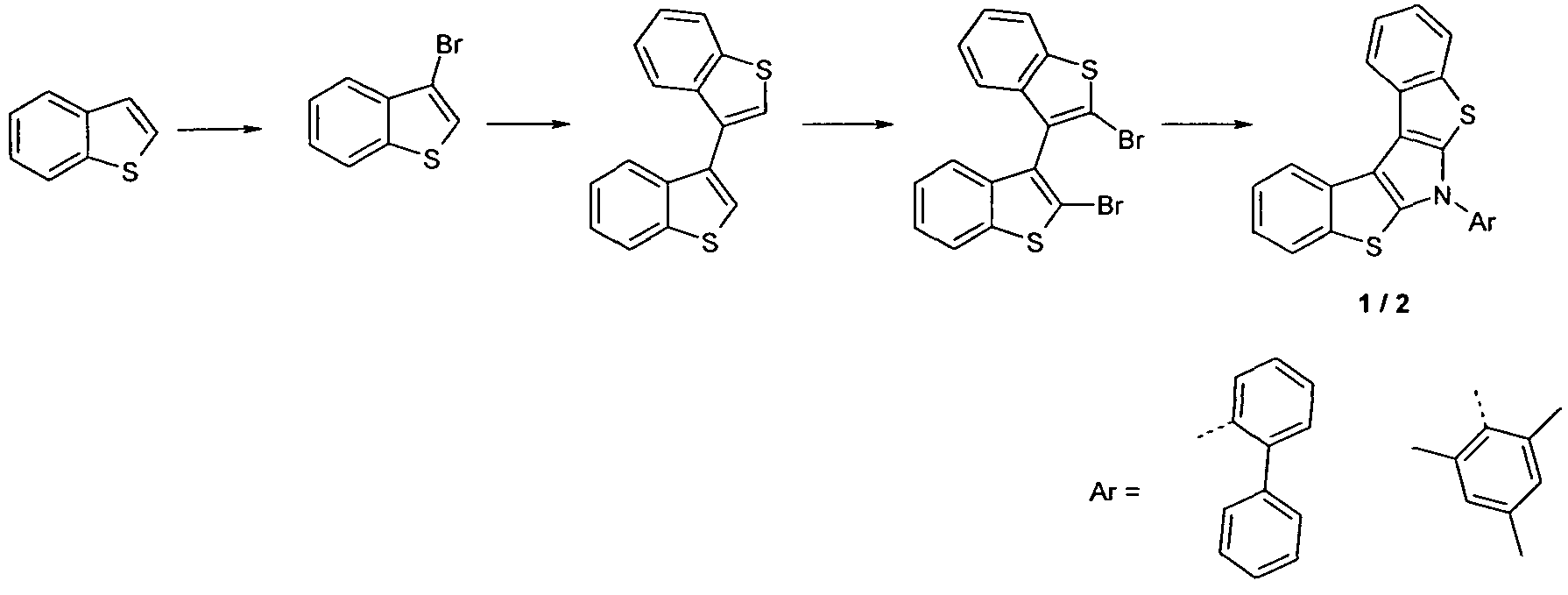
- Verbindun g 1 6-o-biphenyl bisnibenzothienof2.3-b: 3'.2'- dlpyrrol
- Step 1-a 3-Bromo-benzo [b] thiophene
- Step 1-c 2,2'-Dibromo [3,3 '] - bis-benzo [b] thiophenyl
- 21 .2 g (50 mmol) of the compound from Step 1 -c are mixed with 500 ml of toluene, 2.3 g (2.5 mmol) of tris (dibenzylideneacetone) dipalladium, 10 ml of 1 M t-Bu 3 P in toluene and 1 1 .5 g (120 mmol) of sodium tert-butoxide was added.
- Essigester extracted then the combined organic phases are dried over sodium sulfate and concentrated under reduced pressure. The residue is recrystallized from toluene and from heptane / methanol and finally sublimed under high vacuum. The purity is 99.9%. The yield is 1.5 g (29 mmol), corresponding to 58% of theory.
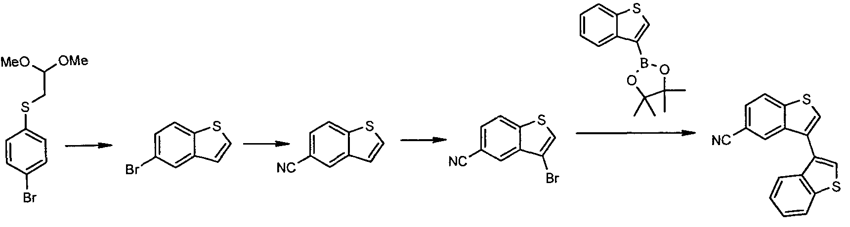
- tripotassium phosphate (1.345 mol) of tripotassium phosphate are suspended in 700 ml of toluene, 700 ml of dioxane and 700 ml of water. To this suspension are added 0.684 g (2.25 mmol) of tri-o-tolylphosphine and then 2.53 g (11.2 mmol)
- Reaction mixture is heated under reflux for 24 h. After cooling, the organic phase is separated off, washed three times with 200 ml of water and then concentrated to dryness. The residue is extracted with hot toluene and recrystallized three times from toluene and finally sublimed under high vacuum. There are obtained 5.6 g (9.7 mmol) corresponding to 41% of theory, the purity is 99.9%.
- the resulting carboxylic acid (3.1 g, 7.8 mmol) is treated with thionyl chloride (50 mL). The reaction mixture is heated to 80 ° C and heated under reflux for 2 h. Then the solvent is removed in vacuo. The carboxylic acid chloride is obtained in a yield of 2.9 g (7.7 mmol, 98% of theory).
- Carboxylic acid chloride, 0.18 ml (2.3 mmol) of thionyl chloride and 1.6 ml (15.8 mmol) of benzonitrile are dissolved in 80 ml of 1, 2-dichlorobenzene.
- the mixture is first heated to 110 ° C and then treated with 0.8 g (15.2 mmol) of ammonium chloride.
- the mixture is then heated for 20 h at 110 ° C, then cooled to room temperature and 100 ml of methanol are added.
- the solid is filtered off with suction and washed with ethanol.
- the residue is chromatographed on silica gel, extracted hot with toluene, recrystallised three times from toluene and finally sublimed under high vacuum. 2.2 g (3.9 mmol), corresponding to 29% of theory, are obtained.
- the purity is 99.9%.
- ITO indium tin oxide
- PEDOT poly (3,4-ethylenedioxy-2,5-thiophene), spin-on from water
- the OLEDs have in principle the following layer structure: substrate / hole transport layer (HTL) / intermediate layer (IL) /
- EBL Electron Blocker Layer
- Emission Layer Emission Layer
- HBL Optional Hole Blocking Layer
- ETL Electron Transport Layer
- cathode is formed by a 100 nm thick aluminum layer.
- Table 1 The exact structure of the OLEDs is shown in Table 1. The materials needed to make the OLEDs are shown in Table 3.
- the emission layer always consists of at least one matrix material (host material, host material) and an emitting dopant (dopant, emitter), which is admixed to the matrix material or the matrix materials by co-evaporation in a certain volume fraction.
- the electron transport layer may consist of a mixture of two materials.
- the OLEDs are characterized by default.
- the electroluminescence spectra are determined at a luminance of 1000 cd / m 2 and from this the CIE 1931 x and y color coordinates are calculated.
- the indication U1000 in Table 2 indicates the voltage required for a luminance of 1000 cd / m 2 .
- SE1000 and LE1000 indicate the power efficiency achieved at 1000 cd / m 2 .
- EQE1000 is the external quantum efficiency at an operating luminance of 1000 cd / m 2 .
- the lifetime LD is defined as the time after which the luminance has fallen from the start luminance L0 to a certain amount L1 in a constant-current operation.
- An indication of L0
- the values for the lifetime can be converted to an indication for other starting luminous densities with the aid of conversion formulas known to the person skilled in the art.
- conversion formulas known to the person skilled in the art.
- Examples V1 and V2 are comparative examples according to the prior art, examples E1 to E8 show data from OLEDs
- the materials HTM3 and HTM4 according to the invention are used as the second component in a mixed matrix, good efficiency, service life and also stress are obtained (eg E3, E4).
- the triazine- or pyrimidine-substituted compounds M2-M4 according to the invention can also be employed as individual matrix materials, once again obtaining good efficiencies, lifetimes and operating voltages (Examples E5 to E8).
Landscapes
- Chemical & Material Sciences (AREA)
- Organic Chemistry (AREA)
- Engineering & Computer Science (AREA)
- Materials Engineering (AREA)
- Physics & Mathematics (AREA)
- Spectroscopy & Molecular Physics (AREA)
- Health & Medical Sciences (AREA)
- Life Sciences & Earth Sciences (AREA)
- Biochemistry (AREA)
- General Health & Medical Sciences (AREA)
- Molecular Biology (AREA)
- Electroluminescent Light Sources (AREA)
- Heterocyclic Carbon Compounds Containing A Hetero Ring Having Oxygen Or Sulfur (AREA)
- Photovoltaic Devices (AREA)
- Plural Heterocyclic Compounds (AREA)
Abstract
Description
Claims
Priority Applications (4)
| Application Number | Priority Date | Filing Date | Title |
|---|---|---|---|
| DE112011102619T DE112011102619A5 (de) | 2010-08-05 | 2011-07-12 | Materialien für elektronische Vorrichtungen |
| US13/813,162 US9893297B2 (en) | 2010-08-05 | 2011-07-12 | Materials for electronic devices |
| JP2013522121A JP5940534B2 (ja) | 2010-08-05 | 2011-07-12 | 電子デバイス用の材料 |
| US15/386,119 US10749117B2 (en) | 2010-08-05 | 2016-12-21 | Materials for electronic devices |
Applications Claiming Priority (2)
| Application Number | Priority Date | Filing Date | Title |
|---|---|---|---|
| DE102010033548A DE102010033548A1 (de) | 2010-08-05 | 2010-08-05 | Materialien für elektronische Vorrichtungen |
| DE102010033548.7 | 2010-08-05 |
Related Child Applications (2)
| Application Number | Title | Priority Date | Filing Date |
|---|---|---|---|
| US13/813,162 A-371-Of-International US9893297B2 (en) | 2010-08-05 | 2011-07-12 | Materials for electronic devices |
| US15/386,119 Division US10749117B2 (en) | 2010-08-05 | 2016-12-21 | Materials for electronic devices |
Publications (1)
| Publication Number | Publication Date |
|---|---|
| WO2012016630A1 true WO2012016630A1 (de) | 2012-02-09 |
Family
ID=44677825
Family Applications (1)
| Application Number | Title | Priority Date | Filing Date |
|---|---|---|---|
| PCT/EP2011/003484 Ceased WO2012016630A1 (de) | 2010-08-05 | 2011-07-12 | Materialien für elektronische vorrichtungen |
Country Status (4)
| Country | Link |
|---|---|
| US (2) | US9893297B2 (de) |
| JP (1) | JP5940534B2 (de) |
| DE (2) | DE102010033548A1 (de) |
| WO (1) | WO2012016630A1 (de) |
Cited By (16)
| Publication number | Priority date | Publication date | Assignee | Title |
|---|---|---|---|---|
| KR20130139916A (ko) * | 2010-09-13 | 2013-12-23 | 신닛테츠 수미킨 가가쿠 가부시키가이샤 | 함질소 방향족 화합물, 유기 반도체 재료 및 유기 전자 디바이스 |
| JPWO2012050002A1 (ja) * | 2010-10-13 | 2014-02-24 | 新日鉄住金化学株式会社 | 含窒素芳香族化合物、有機半導体材料及び有機電子デバイス |
| JP2014084286A (ja) * | 2012-10-22 | 2014-05-12 | Tosoh Corp | アミン化合物、その製造方法及び用途、並びにその製造中間体及び製造中間体の製造方法 |
| JP2014111548A (ja) * | 2011-11-11 | 2014-06-19 | Tosoh Corp | 含窒素縮環芳香族基を有する環状アジン化合物とその製造方法、及びそれらを構成成分とする有機電界発光素子 |
| WO2014104797A1 (ko) * | 2012-12-28 | 2014-07-03 | 주식회사 동진쎄미켐 | 신규한 유기 화합물 및 이를 포함하는 유기발광소자 |
| WO2014193153A1 (ko) * | 2013-05-28 | 2014-12-04 | 주식회사 동진쎄미켐 | 신규한 유기 화합물 및 이를 포함하는 유기발광소자 |
| KR20140139972A (ko) * | 2013-05-28 | 2014-12-08 | 주식회사 동진쎄미켐 | 신규한 유기 화합물 및 이를 포함하는 유기발광소자 |
| WO2015076600A1 (ko) * | 2013-11-20 | 2015-05-28 | 주식회사 동진쎄미켐 | 신규한 발광 화합물 및 이를 포함하는 유기발광소자 |
| WO2015076599A1 (ko) * | 2013-11-20 | 2015-05-28 | 주식회사 동진쎄미켐 | 신규한 발광 화합물 및 이를 포함하는 유기발광소자 |
| WO2015084032A1 (ko) * | 2013-12-03 | 2015-06-11 | 주식회사 동진쎄미켐 | 신규한 정공주입·정공수송 화합물 및 이를 포함하는 유기발광소자 |
| CN104870424A (zh) * | 2012-12-28 | 2015-08-26 | 东进世美肯株式会社 | 新颖的有机化合物及包含该有机化合物的有机发光元件 |
| CN105765030A (zh) * | 2013-11-20 | 2016-07-13 | 东进世美肯株式会社 | 新型发光化合物以及包含其的有机发光元件 |
| CN105934496A (zh) * | 2013-12-03 | 2016-09-07 | 东进世美肯株式会社 | 新型空穴注入·空穴传输化合物以及包含其的有机发光元件 |
| US10032985B2 (en) | 2013-10-01 | 2018-07-24 | Samsung Electronics Co., Ltd. | Condensed cyclic compound and organic light-emitting device including the same |
| CN110818717A (zh) * | 2018-08-10 | 2020-02-21 | 三星显示有限公司 | 有机电致发光装置及用于有机电致发光装置的稠合环状化合物 |
| US11168093B2 (en) | 2018-12-21 | 2021-11-09 | Celgene Corporation | Thienopyridine inhibitors of RIPK2 |
Families Citing this family (12)
| Publication number | Priority date | Publication date | Assignee | Title |
|---|---|---|---|---|
| DE102011011539A1 (de) | 2011-02-17 | 2012-08-23 | Merck Patent Gmbh | Verbindungen für elektronische Vorrichtungen |
| JP5741373B2 (ja) * | 2011-10-25 | 2015-07-01 | コニカミノルタ株式会社 | 有機エレクトロルミネッセンス素子材料、有機エレクトロルミネッセンス素子、表示装置、並びに照明装置 |
| KR20150058082A (ko) * | 2013-11-20 | 2015-05-28 | 주식회사 동진쎄미켐 | 신규한 발광 화합물 및 이를 포함하는 유기발광소자 |
| WO2015174791A1 (ko) * | 2014-05-16 | 2015-11-19 | 주식회사 동진쎄미켐 | 신규한 화합물 및 이를 포함하는 유기발광소자 |
| KR102437956B1 (ko) * | 2014-05-16 | 2022-09-01 | 주식회사 동진쎄미켐 | 신규한 화합물 및 이를 포함하는 유기발광소자 |
| JP6070756B2 (ja) * | 2015-04-15 | 2017-02-01 | コニカミノルタ株式会社 | 有機エレクトロルミネッセンス素子材料、有機エレクトロルミネッセンス素子、有機エレクトロルミネッセンス素子の製造方法、表示装置、並びに照明装置 |
| JP6657895B2 (ja) * | 2015-12-10 | 2020-03-04 | コニカミノルタ株式会社 | 有機エレクトロルミネッセンス素子、表示装置及び照明装置 |
| KR102462420B1 (ko) * | 2017-12-06 | 2022-11-03 | 삼성디스플레이 주식회사 | 축합환 화합물 및 이를 포함한 유기 발광 소자 |
| CN111303174B (zh) * | 2018-12-11 | 2023-08-22 | 北京鼎材科技有限公司 | 一种有机电致发光材料及其应用 |
| KR102649286B1 (ko) * | 2019-05-03 | 2024-03-19 | 덕산네오룩스 주식회사 | 유기전기 소자용 화합물, 이를 이용한 유기전기소자 및 그 전자 장치 |
| KR102344801B1 (ko) * | 2019-07-15 | 2021-12-29 | 덕산네오룩스 주식회사 | 유기전기 소자용 화합물, 이를 이용한 유기전기소자 및 그 전자 장치 |
| KR102761854B1 (ko) * | 2019-08-21 | 2025-02-05 | 엘티소재주식회사 | 헤테로고리 화합물 및 이를 포함하는 유기 발광 소자 |
Citations (97)
| Publication number | Priority date | Publication date | Assignee | Title |
|---|---|---|---|---|
| US4539507A (en) | 1983-03-25 | 1985-09-03 | Eastman Kodak Company | Organic electroluminescent devices having improved power conversion efficiencies |
| US5151629A (en) | 1991-08-01 | 1992-09-29 | Eastman Kodak Company | Blue emitting internal junction organic electroluminescent device (I) |
| WO1992018552A1 (de) | 1991-04-11 | 1992-10-29 | Wacker-Chemie Gmbh | Leiterpolymere mit konjugierten doppelbindungen |
| JPH061973A (ja) | 1992-06-18 | 1994-01-11 | Konica Corp | 有機エレクトロルミネッセンス素子 |
| EP0652273A1 (de) | 1993-11-09 | 1995-05-10 | Shinko Electric Industries Co. Ltd. | Organisches Material für elektrolumineszente Vorrichtung und elektrolumineszente Vorrichtung |
| EP0676461A2 (de) | 1994-04-07 | 1995-10-11 | Hoechst Aktiengesellschaft | Spiroverbindungen und ihre Verwendung als Elektrolumineszenzmaterialien |
| EP0681019A2 (de) | 1994-04-26 | 1995-11-08 | TDK Corporation | Phenylanthracenderivat und organisches EL-Element |
| EP0707020A2 (de) | 1994-10-14 | 1996-04-17 | Hoechst Aktiengesellschaft | Konjugierte Polymere mit Spirozentren und ihre Verwendung als Elektrolumineszenzmaterialien |
| EP0842208A1 (de) | 1995-07-28 | 1998-05-20 | The Dow Chemical Company | 2,7-aryl-9-substituierte fluorene und 9-substituierte fluorenoligomere und polymere |
| WO1998027136A1 (de) | 1996-12-16 | 1998-06-25 | Aventis Research & Technologies Gmbh & Co Kg | ARYLSUBSTITUIERTE POLY(p-ARYLENVINYLENE), VERFAHREN ZUR HERSTELLUNG UND DEREN VERWENDUNG IN ELEKTROLUMINESZENZBAUELEMENTEN |
| EP0894107A1 (de) | 1996-04-17 | 1999-02-03 | Hoechst Research & Technology Deutschland GmbH & Co. KG | Polymere mit spiroatomen und ihre verwendung als elektrolumineszenzmaterialien |
| US5935721A (en) | 1998-03-20 | 1999-08-10 | Eastman Kodak Company | Organic electroluminescent elements for stable electroluminescent |
| WO1999045081A1 (en) * | 1998-03-03 | 1999-09-10 | Gentex Corporation | Near infrared-absorbing electrochromic compounds and devices comprising same |
| WO2000022026A1 (de) | 1998-10-10 | 2000-04-20 | Celanese Ventures Gmbh | Konjugierte polymere, enthaltend spezielle fluoren-bausteine mit verbesserten eigenschaften |
| EP1028136A2 (de) | 1999-02-10 | 2000-08-16 | Carnegie-Mellon University | Ein Verfahren zur Herstellung von Poly(3-substituierten)thiophenen |
| JP2000273056A (ja) | 1999-01-19 | 2000-10-03 | Idemitsu Kosan Co Ltd | アミノ又はスチリル化合物及びそれを用いた有機エレクトロルミネッセンス素子 |
| WO2000070655A2 (en) | 1999-05-13 | 2000-11-23 | The Trustees Of Princeton University | Very high efficiency organic light emitting devices based on electrophosphorescence |
| WO2001041512A1 (en) | 1999-12-01 | 2001-06-07 | The Trustees Of Princeton University | Complexes of form l2mx as phosphorescent dopants for organic leds |
| WO2002002714A2 (en) | 2000-06-30 | 2002-01-10 | E.I. Du Pont De Nemours And Company | Electroluminescent iridium compounds with fluorinated phenylpyridines, phenylpyrimidines, and phenylquinolines and devices made with such compounds |
| WO2002015645A1 (en) | 2000-08-11 | 2002-02-21 | The Trustees Of Princeton University | Organometallic compounds and emission-shifting organic electrophosphorescence |
| EP1191614A2 (de) | 2000-09-26 | 2002-03-27 | Canon Kabushiki Kaisha | Lumineszente Vorrichtung und dafür verwendete Metallkoordinationsverbindung |
| EP1191612A2 (de) | 2000-09-26 | 2002-03-27 | Canon Kabushiki Kaisha | Lumineszente Vorrichtung, Bildanzeigevorrichtung und Metallkoordinationsverbindung |
| EP1191613A2 (de) | 2000-09-26 | 2002-03-27 | Canon Kabushiki Kaisha | Lumineszente Vorrichtung, Bildanzeigevorrichtung und Metallkoordinationsverbindung |
| EP1205527A1 (de) | 2000-03-27 | 2002-05-15 | Idemitsu Kosan Co., Ltd. | Organische elektrolumineszierende vorrichtung |
| WO2002067343A1 (en) | 2001-02-20 | 2002-08-29 | Isis Innovation Limited | Aryl-aryl dendrimers |
| WO2002072714A1 (de) | 2001-03-10 | 2002-09-19 | Covion Organic Semiconductors Gmbh | Lösung und dispersionen organischer halbleiter |
| WO2003019694A2 (de) | 2001-08-24 | 2003-03-06 | Covion Organic Semiconductors Gmbh | Lösungen polymerer halbleiter |
| WO2003048225A2 (de) | 2001-12-06 | 2003-06-12 | Covion Organic Semiconductors Gmbh | Prozess zur herstellung von aryl-aryl gekoppelten verbindungen |
| WO2004013080A1 (en) | 2002-08-01 | 2004-02-12 | Covion Organic Semiconductors Gmbh | Spirobifluorene derivatives, their preparation and uses thereof |
| WO2004018587A1 (ja) | 2002-08-23 | 2004-03-04 | Idemitsu Kosan Co., Ltd. | 有機エレクトロルミネッセンス素子及びアントラセン誘導体 |
| WO2004037887A2 (de) | 2002-10-25 | 2004-05-06 | Covion Organic Semiconductors Gmbh | Arylamin-einheiten enthaltende konjugierte polymere, deren darstellung und verwendung |
| WO2004041901A1 (en) | 2002-11-08 | 2004-05-21 | Covion Organic Semiconductors Gmbh | Aryl-substituted polyindenofluorenes for use in organic electroluminiscent devices |
| WO2004047499A1 (ja) | 2002-11-18 | 2004-06-03 | Idemitsu Kosan Co., Ltd. | 有機エレクトロルミネッセンス素子 |
| WO2004058911A2 (de) | 2002-12-23 | 2004-07-15 | Covion Organic Semiconductors Gmbh | Organisches elektrolumineszenzelement |
| WO2004070772A2 (de) | 2003-02-06 | 2004-08-19 | Covion Organic Semiconductors Gmbh | Carbazol-enthaltende konjugierte polymere und blends, deren darstellung und verwendung |
| WO2004081017A1 (de) | 2003-03-11 | 2004-09-23 | Covion Organic Semiconductors Gmbh | Metallkomplexe |
| JP2004288381A (ja) | 2003-03-19 | 2004-10-14 | Konica Minolta Holdings Inc | 有機エレクトロルミネッセンス素子 |
| WO2004092111A1 (ja) | 2003-04-10 | 2004-10-28 | Idemitsu Kosan Co., Ltd. | 芳香族アミン誘導体及びそれを用いた有機エレクトロルミネッセンス素子 |
| WO2004093207A2 (de) | 2003-04-15 | 2004-10-28 | Covion Organic Semiconductors Gmbh | Mischungen von organischen zur emission befähigten halbleitern und matrixmaterialien, deren verwendung und elektronikbauteile enthaltend diese mischungen |
| EP1476881A2 (de) | 2002-02-20 | 2004-11-17 | Novaled GmbH | Dotiertes organisches halbleitermaterial sowie verfahren zu dessen herstellung |
| US20040247937A1 (en) | 2003-06-03 | 2004-12-09 | Chin-Hsin Chen | Organic electroluminescent devices with a doped co-host emitter |
| WO2004113412A2 (en) | 2003-06-23 | 2004-12-29 | Covion Organic Semiconductors Gmbh | Polymer |
| WO2004113468A1 (de) | 2003-06-26 | 2004-12-29 | Covion Organic Semiconductors Gmbh | Neue materialien für die elektrolumineszenz |
| WO2005003253A2 (de) | 2003-07-07 | 2005-01-13 | Covion Organic Semiconductors Gmbh | Mischungen von organischen zur emission befähigten halbleitern und matrixmaterialen, deren verwendung und elektronikbauteile enthaltend diese |
| WO2005011013A1 (de) | 2003-07-21 | 2005-02-03 | Covion Organic Semiconductors Gmbh | Organisches elektrolumineszenzelement |
| WO2005014689A2 (de) | 2003-08-12 | 2005-02-17 | Covion Organic Semiconductors Gmbh | Konjugierte polymere enthaltend dihydrophenanthren-einheiten und deren verwendung |
| WO2005019373A2 (de) | 2003-08-19 | 2005-03-03 | Basf Aktiengesellschaft | Übergangsmetallkomplexe mit carbenliganden als emitter für organische licht-emittierende dioden (oleds) |
| WO2005026144A1 (ja) | 2003-09-12 | 2005-03-24 | Sumitomo Chemical Company, Limited | デンドリマー化合物及びそれを用いた有機発光素子 |
| US20050069729A1 (en) | 2003-09-30 | 2005-03-31 | Konica Minolta Holdings, Inc. | Organic electroluminescent element, illuminator, display and compound |
| WO2005033244A1 (de) | 2003-09-29 | 2005-04-14 | Covion Organic Semiconductors Gmbh | Metallkomplexe |
| WO2005040302A1 (de) | 2003-10-22 | 2005-05-06 | Merck Patent Gmbh | Neue materialien für die elektrolumineszenz und deren verwendung |
| US20050181232A1 (en) | 2004-02-17 | 2005-08-18 | Eastman Kodak Company | Anthracene derivative host having ranges of dopants |
| WO2005084081A1 (de) | 2004-02-20 | 2005-09-09 | Merck Patent Gmbh | Organische elektronische vorrichtungen |
| US20050211958A1 (en) | 2004-03-25 | 2005-09-29 | Eastman Kodak Company | Electroluminescent device with anthracene derivative host |
| WO2005104264A1 (de) | 2004-04-26 | 2005-11-03 | Merck Patent Gmbh | Elektrolumineszierende polymere und deren verwendung |
| EP1596445A1 (de) | 2003-12-04 | 2005-11-16 | Novaled GmbH | Verfahren zur Dotierung von organischen Halbleitern mit Chinonderivaten |
| WO2005111172A2 (de) | 2004-05-11 | 2005-11-24 | Merck Patent Gmbh | Neue materialmischungen für die elektrolumineszenz |
| US20050260442A1 (en) | 2004-05-24 | 2005-11-24 | Chen-Ping Yu | Anthracene compound for organic electroluminescent device |
| US20050258742A1 (en) | 2004-05-18 | 2005-11-24 | Yui-Yi Tsai | Carbene containing metal complexes as OLEDs |
| JP2005347160A (ja) | 2004-06-04 | 2005-12-15 | Konica Minolta Holdings Inc | 有機エレクトロルミネッセンス素子、照明装置及び表示装置 |
| WO2006000389A1 (de) | 2004-06-26 | 2006-01-05 | Merck Patent Gmbh | Verbindungen für organische elektronische vorrichtungen |
| WO2006000388A1 (de) | 2004-06-26 | 2006-01-05 | Merck Patent Gmbh | Organische elektrolumineszenzvorrichtung |
| WO2006003000A1 (de) | 2004-07-06 | 2006-01-12 | Merck Patent Gmbh | Elektrolumineszierende polymere |
| EP1617710A1 (de) | 2003-04-23 | 2006-01-18 | Konica Minolta Holdings, Inc. | Material für ein organisches elektrolumineszenzgerät, organisches elektrolumineszenzgerät, beleuchtungsvorrichtung und anzeige |
| WO2006005627A1 (en) | 2004-07-15 | 2006-01-19 | Merck Patent Gmbh | Oligomeric derivatives of spirobifluorene, their preparation and use |
| WO2006048268A1 (de) | 2004-11-06 | 2006-05-11 | Merck Patent Gmbh | Organische elektrolumineszenzvorrichtung |
| WO2006058737A1 (de) | 2004-12-01 | 2006-06-08 | Merck Patent Gmbh | Verbindungen für organische elektronische vorrichtungen |
| WO2006061181A1 (de) | 2004-12-06 | 2006-06-15 | Merck Patent Gmbh | Teilkonjugierte polymere, deren darstellung und verwendung |
| WO2006098080A1 (ja) | 2005-03-15 | 2006-09-21 | Idemitsu Kosan Co., Ltd. | 芳香族アミン誘導体及びそれを用いた有機エレクトロルミネッセンス素子 |
| WO2006100896A1 (ja) | 2005-03-18 | 2006-09-28 | Idemitsu Kosan Co., Ltd. | 芳香族アミン誘導体及びそれを用いた有機エレクトロルミネッセンス素子 |
| WO2006117052A1 (de) | 2005-05-03 | 2006-11-09 | Merck Patent Gmbh | Organische elektrolumineszenzvorrichtung und in deren herstellung verwendete boronsäure- und borinsäure-derivate |
| WO2006122630A1 (de) | 2005-05-20 | 2006-11-23 | Merck Patent Gmbh | Verbindungen für organische elektronische vorrichtungen |
| EP1731584A1 (de) | 2004-03-31 | 2006-12-13 | Konica Minolta Holdings, Inc. | Organischer elektrolumineszenzvorrichtungsstoff, organische elektrolumineszenzvorrichtung, display und beleuchtungsvorrichtung |
| WO2007006383A2 (en) | 2005-07-08 | 2007-01-18 | Unilever N.V. | Food product and process for preparing it |
| WO2007017066A1 (de) | 2005-08-10 | 2007-02-15 | Merck Patent Gmbh | Elektrolumineszierende polymere und ihre verwendung |
| US20070092755A1 (en) | 2005-10-26 | 2007-04-26 | Eastman Kodak Company | Organic element for low voltage electroluminescent devices |
| WO2007063754A1 (ja) | 2005-12-01 | 2007-06-07 | Nippon Steel Chemical Co., Ltd. | 有機電界発光素子用化合物及び有機電界発光素子 |
| WO2007065549A1 (de) | 2005-12-08 | 2007-06-14 | Merck Patent Gmbh | Organische elektrolumineszenzvorrichtungen |
| WO2007065678A1 (de) | 2005-12-08 | 2007-06-14 | Merck Patent Gmbh | Neue materialien für organische elektroluminieszenzvorrichtungen |
| WO2007068325A1 (de) | 2005-12-17 | 2007-06-21 | Merck Patent Gmbh | Konjugierte polymere enthaltend triarylamin-arylvinylen-einheiten, deren darstellung und verwendung |
| WO2007115610A1 (de) | 2006-04-01 | 2007-10-18 | Merck Patent Gmbh | Materialen für organische elektrolumineszenzvorrichtungen |
| WO2007137725A1 (de) | 2006-05-31 | 2007-12-06 | Merck Patent Gmbh | Neue materialien für organische elektrolumineszenzvorrichtungen |
| WO2007140847A1 (de) | 2006-06-02 | 2007-12-13 | Merck Patent Gmbh | Materialien für organische elektrolumineszenzvorrichtungen |
| WO2008006449A1 (de) | 2006-07-11 | 2008-01-17 | Merck Patent Gmbh | Neue materialien für organische elektrolumineszenzvorrichtungen |
| WO2008056746A1 (en) | 2006-11-09 | 2008-05-15 | Nippon Steel Chemical Co., Ltd. | Compound for organic electroluminescent device and organic electroluminescent device |
| WO2008086851A1 (de) | 2007-01-18 | 2008-07-24 | Merck Patent Gmbh | Carbazol-derivate für organische elektrolumineszenzvorrichtungen |
| WO2008145239A2 (de) | 2007-05-29 | 2008-12-04 | Merck Patent Gmbh | Benzanthracen-derivate für organische elektrolumineszenzvorrichtungen |
| WO2009062578A1 (de) | 2007-11-12 | 2009-05-22 | Merck Patent Gmbh | Organische elektrolumineszenzvorrichtungen enthaltend azomethin-metall-komplexe |
| WO2010006680A1 (de) | 2008-07-18 | 2010-01-21 | Merck Patent Gmbh | Materialien für organische elektrolumineszenzvorrichtungen |
| DE102008035413A1 (de) | 2008-07-29 | 2010-02-04 | Merck Patent Gmbh | Verbindungen für organische elektronische Vorrichtungen |
| WO2010015306A1 (de) | 2008-08-08 | 2010-02-11 | Merck Patent Gmbh, | Organische elektrolumineszenzvorrichtung |
| WO2010054730A1 (de) | 2008-11-11 | 2010-05-20 | Merck Patent Gmbh | Organische elektrolumineszenzvorrichtungen |
| WO2010054729A2 (de) | 2008-11-11 | 2010-05-20 | Merck Patent Gmbh | Materialien für organische elektrolumineszenzvorrichtungen |
| WO2010136109A1 (de) | 2009-05-29 | 2010-12-02 | Merck Patent Gmbh | Materialien für organische elektrolumineszenzvorrichtungen |
| WO2011000455A1 (de) | 2009-06-30 | 2011-01-06 | Merck Patent Gmbh | Materialien für organische elektrolumineszenzvorrichtungen |
| DE102010005697A1 (de) | 2010-01-25 | 2011-07-28 | Merck Patent GmbH, 64293 | Verbindungen für elektronische Vorrichtungen |
| DE102010014933A1 (de) | 2010-04-14 | 2011-10-20 | Merck Patent Gmbh | Materialien für elektronische Vorrichtungen |
Family Cites Families (11)
| Publication number | Priority date | Publication date | Assignee | Title |
|---|---|---|---|---|
| JP2951434B2 (ja) * | 1991-04-18 | 1999-09-20 | 三菱製紙株式会社 | 電子写真感光体 |
| JPH04329547A (ja) * | 1991-04-30 | 1992-11-18 | Mitsubishi Paper Mills Ltd | 電子写真感光体 |
| CA2277127A1 (en) * | 1997-11-12 | 1999-05-20 | Montell Technology Company B.V. | Metallocenes and catalysts for olefin-polymerisation |
| US6710906B2 (en) * | 1999-12-03 | 2004-03-23 | Gentex Corporation | Controlled diffusion coefficient electrochromic materials for use in electrochromic mediums and associated electrochromic devices |
| JP4329547B2 (ja) | 2004-01-19 | 2009-09-09 | 三菱樹脂株式会社 | 架橋エチレン系樹脂管の製造方法 |
| JP4319958B2 (ja) | 2004-09-15 | 2009-08-26 | 株式会社グリーンセイジュ | 蒸留水製造システム |
| JP2006219393A (ja) | 2005-02-09 | 2006-08-24 | Canon Inc | 化合物、発光素子及び画像表示装置 |
| FR2904474B1 (fr) * | 2006-07-27 | 2008-10-24 | Commissariat Energie Atomique | Diodes organiques electroluminescentes blanches a base de molecules derivees du phosphole |
| JP5498795B2 (ja) | 2007-11-12 | 2014-05-21 | 山本化成株式会社 | 有機トランジスタ |
| JP5621187B2 (ja) * | 2008-08-06 | 2014-11-05 | コニカミノルタ株式会社 | 有機エレクトロルミネッセンス素子、表示装置、照明装置 |
| WO2010046259A1 (en) * | 2008-10-21 | 2010-04-29 | Basf Se | Polycyclic compounds for electronic applications |
-
2010
- 2010-08-05 DE DE102010033548A patent/DE102010033548A1/de not_active Withdrawn
-
2011
- 2011-07-12 DE DE112011102619T patent/DE112011102619A5/de not_active Ceased
- 2011-07-12 JP JP2013522121A patent/JP5940534B2/ja not_active Expired - Fee Related
- 2011-07-12 US US13/813,162 patent/US9893297B2/en active Active
- 2011-07-12 WO PCT/EP2011/003484 patent/WO2012016630A1/de not_active Ceased
-
2016
- 2016-12-21 US US15/386,119 patent/US10749117B2/en active Active
Patent Citations (100)
| Publication number | Priority date | Publication date | Assignee | Title |
|---|---|---|---|---|
| US4539507A (en) | 1983-03-25 | 1985-09-03 | Eastman Kodak Company | Organic electroluminescent devices having improved power conversion efficiencies |
| WO1992018552A1 (de) | 1991-04-11 | 1992-10-29 | Wacker-Chemie Gmbh | Leiterpolymere mit konjugierten doppelbindungen |
| US5151629A (en) | 1991-08-01 | 1992-09-29 | Eastman Kodak Company | Blue emitting internal junction organic electroluminescent device (I) |
| JPH061973A (ja) | 1992-06-18 | 1994-01-11 | Konica Corp | 有機エレクトロルミネッセンス素子 |
| EP0652273A1 (de) | 1993-11-09 | 1995-05-10 | Shinko Electric Industries Co. Ltd. | Organisches Material für elektrolumineszente Vorrichtung und elektrolumineszente Vorrichtung |
| EP0676461A2 (de) | 1994-04-07 | 1995-10-11 | Hoechst Aktiengesellschaft | Spiroverbindungen und ihre Verwendung als Elektrolumineszenzmaterialien |
| EP0681019A2 (de) | 1994-04-26 | 1995-11-08 | TDK Corporation | Phenylanthracenderivat und organisches EL-Element |
| EP0707020A2 (de) | 1994-10-14 | 1996-04-17 | Hoechst Aktiengesellschaft | Konjugierte Polymere mit Spirozentren und ihre Verwendung als Elektrolumineszenzmaterialien |
| EP0842208A1 (de) | 1995-07-28 | 1998-05-20 | The Dow Chemical Company | 2,7-aryl-9-substituierte fluorene und 9-substituierte fluorenoligomere und polymere |
| EP0894107A1 (de) | 1996-04-17 | 1999-02-03 | Hoechst Research & Technology Deutschland GmbH & Co. KG | Polymere mit spiroatomen und ihre verwendung als elektrolumineszenzmaterialien |
| WO1998027136A1 (de) | 1996-12-16 | 1998-06-25 | Aventis Research & Technologies Gmbh & Co Kg | ARYLSUBSTITUIERTE POLY(p-ARYLENVINYLENE), VERFAHREN ZUR HERSTELLUNG UND DEREN VERWENDUNG IN ELEKTROLUMINESZENZBAUELEMENTEN |
| WO1999045081A1 (en) * | 1998-03-03 | 1999-09-10 | Gentex Corporation | Near infrared-absorbing electrochromic compounds and devices comprising same |
| US5935721A (en) | 1998-03-20 | 1999-08-10 | Eastman Kodak Company | Organic electroluminescent elements for stable electroluminescent |
| WO2000022026A1 (de) | 1998-10-10 | 2000-04-20 | Celanese Ventures Gmbh | Konjugierte polymere, enthaltend spezielle fluoren-bausteine mit verbesserten eigenschaften |
| JP2000273056A (ja) | 1999-01-19 | 2000-10-03 | Idemitsu Kosan Co Ltd | アミノ又はスチリル化合物及びそれを用いた有機エレクトロルミネッセンス素子 |
| EP1028136A2 (de) | 1999-02-10 | 2000-08-16 | Carnegie-Mellon University | Ein Verfahren zur Herstellung von Poly(3-substituierten)thiophenen |
| WO2000070655A2 (en) | 1999-05-13 | 2000-11-23 | The Trustees Of Princeton University | Very high efficiency organic light emitting devices based on electrophosphorescence |
| WO2001041512A1 (en) | 1999-12-01 | 2001-06-07 | The Trustees Of Princeton University | Complexes of form l2mx as phosphorescent dopants for organic leds |
| EP1205527A1 (de) | 2000-03-27 | 2002-05-15 | Idemitsu Kosan Co., Ltd. | Organische elektrolumineszierende vorrichtung |
| WO2002002714A2 (en) | 2000-06-30 | 2002-01-10 | E.I. Du Pont De Nemours And Company | Electroluminescent iridium compounds with fluorinated phenylpyridines, phenylpyrimidines, and phenylquinolines and devices made with such compounds |
| WO2002015645A1 (en) | 2000-08-11 | 2002-02-21 | The Trustees Of Princeton University | Organometallic compounds and emission-shifting organic electrophosphorescence |
| EP1191614A2 (de) | 2000-09-26 | 2002-03-27 | Canon Kabushiki Kaisha | Lumineszente Vorrichtung und dafür verwendete Metallkoordinationsverbindung |
| EP1191612A2 (de) | 2000-09-26 | 2002-03-27 | Canon Kabushiki Kaisha | Lumineszente Vorrichtung, Bildanzeigevorrichtung und Metallkoordinationsverbindung |
| EP1191613A2 (de) | 2000-09-26 | 2002-03-27 | Canon Kabushiki Kaisha | Lumineszente Vorrichtung, Bildanzeigevorrichtung und Metallkoordinationsverbindung |
| WO2002067343A1 (en) | 2001-02-20 | 2002-08-29 | Isis Innovation Limited | Aryl-aryl dendrimers |
| WO2002072714A1 (de) | 2001-03-10 | 2002-09-19 | Covion Organic Semiconductors Gmbh | Lösung und dispersionen organischer halbleiter |
| WO2003019694A2 (de) | 2001-08-24 | 2003-03-06 | Covion Organic Semiconductors Gmbh | Lösungen polymerer halbleiter |
| WO2003048225A2 (de) | 2001-12-06 | 2003-06-12 | Covion Organic Semiconductors Gmbh | Prozess zur herstellung von aryl-aryl gekoppelten verbindungen |
| EP1476881A2 (de) | 2002-02-20 | 2004-11-17 | Novaled GmbH | Dotiertes organisches halbleitermaterial sowie verfahren zu dessen herstellung |
| WO2004013080A1 (en) | 2002-08-01 | 2004-02-12 | Covion Organic Semiconductors Gmbh | Spirobifluorene derivatives, their preparation and uses thereof |
| WO2004018587A1 (ja) | 2002-08-23 | 2004-03-04 | Idemitsu Kosan Co., Ltd. | 有機エレクトロルミネッセンス素子及びアントラセン誘導体 |
| WO2004037887A2 (de) | 2002-10-25 | 2004-05-06 | Covion Organic Semiconductors Gmbh | Arylamin-einheiten enthaltende konjugierte polymere, deren darstellung und verwendung |
| WO2004041901A1 (en) | 2002-11-08 | 2004-05-21 | Covion Organic Semiconductors Gmbh | Aryl-substituted polyindenofluorenes for use in organic electroluminiscent devices |
| WO2004047499A1 (ja) | 2002-11-18 | 2004-06-03 | Idemitsu Kosan Co., Ltd. | 有機エレクトロルミネッセンス素子 |
| WO2004058911A2 (de) | 2002-12-23 | 2004-07-15 | Covion Organic Semiconductors Gmbh | Organisches elektrolumineszenzelement |
| WO2004070772A2 (de) | 2003-02-06 | 2004-08-19 | Covion Organic Semiconductors Gmbh | Carbazol-enthaltende konjugierte polymere und blends, deren darstellung und verwendung |
| WO2004081017A1 (de) | 2003-03-11 | 2004-09-23 | Covion Organic Semiconductors Gmbh | Metallkomplexe |
| JP2004288381A (ja) | 2003-03-19 | 2004-10-14 | Konica Minolta Holdings Inc | 有機エレクトロルミネッセンス素子 |
| WO2004092111A1 (ja) | 2003-04-10 | 2004-10-28 | Idemitsu Kosan Co., Ltd. | 芳香族アミン誘導体及びそれを用いた有機エレクトロルミネッセンス素子 |
| WO2004093207A2 (de) | 2003-04-15 | 2004-10-28 | Covion Organic Semiconductors Gmbh | Mischungen von organischen zur emission befähigten halbleitern und matrixmaterialien, deren verwendung und elektronikbauteile enthaltend diese mischungen |
| EP1617711A1 (de) | 2003-04-23 | 2006-01-18 | Konica Minolta Holdings, Inc. | Organisches elektrolumineszenzbauelement und anzeige |
| EP1617710A1 (de) | 2003-04-23 | 2006-01-18 | Konica Minolta Holdings, Inc. | Material für ein organisches elektrolumineszenzgerät, organisches elektrolumineszenzgerät, beleuchtungsvorrichtung und anzeige |
| US20040247937A1 (en) | 2003-06-03 | 2004-12-09 | Chin-Hsin Chen | Organic electroluminescent devices with a doped co-host emitter |
| WO2004113412A2 (en) | 2003-06-23 | 2004-12-29 | Covion Organic Semiconductors Gmbh | Polymer |
| WO2004113468A1 (de) | 2003-06-26 | 2004-12-29 | Covion Organic Semiconductors Gmbh | Neue materialien für die elektrolumineszenz |
| WO2005003253A2 (de) | 2003-07-07 | 2005-01-13 | Covion Organic Semiconductors Gmbh | Mischungen von organischen zur emission befähigten halbleitern und matrixmaterialen, deren verwendung und elektronikbauteile enthaltend diese |
| WO2005011013A1 (de) | 2003-07-21 | 2005-02-03 | Covion Organic Semiconductors Gmbh | Organisches elektrolumineszenzelement |
| WO2005014689A2 (de) | 2003-08-12 | 2005-02-17 | Covion Organic Semiconductors Gmbh | Konjugierte polymere enthaltend dihydrophenanthren-einheiten und deren verwendung |
| WO2005019373A2 (de) | 2003-08-19 | 2005-03-03 | Basf Aktiengesellschaft | Übergangsmetallkomplexe mit carbenliganden als emitter für organische licht-emittierende dioden (oleds) |
| WO2005026144A1 (ja) | 2003-09-12 | 2005-03-24 | Sumitomo Chemical Company, Limited | デンドリマー化合物及びそれを用いた有機発光素子 |
| WO2005033244A1 (de) | 2003-09-29 | 2005-04-14 | Covion Organic Semiconductors Gmbh | Metallkomplexe |
| WO2005039246A1 (ja) | 2003-09-30 | 2005-04-28 | Konica Minolta Holdings, Inc. | 有機エレクトロルミネッセンス素子、照明装置、表示装置 |
| US20050069729A1 (en) | 2003-09-30 | 2005-03-31 | Konica Minolta Holdings, Inc. | Organic electroluminescent element, illuminator, display and compound |
| WO2005040302A1 (de) | 2003-10-22 | 2005-05-06 | Merck Patent Gmbh | Neue materialien für die elektrolumineszenz und deren verwendung |
| EP1596445A1 (de) | 2003-12-04 | 2005-11-16 | Novaled GmbH | Verfahren zur Dotierung von organischen Halbleitern mit Chinonderivaten |
| US20050181232A1 (en) | 2004-02-17 | 2005-08-18 | Eastman Kodak Company | Anthracene derivative host having ranges of dopants |
| WO2005084081A1 (de) | 2004-02-20 | 2005-09-09 | Merck Patent Gmbh | Organische elektronische vorrichtungen |
| WO2005084082A1 (de) | 2004-02-20 | 2005-09-09 | Merck Patent Gmbh | Organische elektronische vorrichtungen |
| US20050211958A1 (en) | 2004-03-25 | 2005-09-29 | Eastman Kodak Company | Electroluminescent device with anthracene derivative host |
| EP1731584A1 (de) | 2004-03-31 | 2006-12-13 | Konica Minolta Holdings, Inc. | Organischer elektrolumineszenzvorrichtungsstoff, organische elektrolumineszenzvorrichtung, display und beleuchtungsvorrichtung |
| WO2005104264A1 (de) | 2004-04-26 | 2005-11-03 | Merck Patent Gmbh | Elektrolumineszierende polymere und deren verwendung |
| WO2005111172A2 (de) | 2004-05-11 | 2005-11-24 | Merck Patent Gmbh | Neue materialmischungen für die elektrolumineszenz |
| US20050258742A1 (en) | 2004-05-18 | 2005-11-24 | Yui-Yi Tsai | Carbene containing metal complexes as OLEDs |
| US20050260442A1 (en) | 2004-05-24 | 2005-11-24 | Chen-Ping Yu | Anthracene compound for organic electroluminescent device |
| JP2005347160A (ja) | 2004-06-04 | 2005-12-15 | Konica Minolta Holdings Inc | 有機エレクトロルミネッセンス素子、照明装置及び表示装置 |
| WO2006000389A1 (de) | 2004-06-26 | 2006-01-05 | Merck Patent Gmbh | Verbindungen für organische elektronische vorrichtungen |
| WO2006000388A1 (de) | 2004-06-26 | 2006-01-05 | Merck Patent Gmbh | Organische elektrolumineszenzvorrichtung |
| WO2006003000A1 (de) | 2004-07-06 | 2006-01-12 | Merck Patent Gmbh | Elektrolumineszierende polymere |
| WO2006005627A1 (en) | 2004-07-15 | 2006-01-19 | Merck Patent Gmbh | Oligomeric derivatives of spirobifluorene, their preparation and use |
| WO2006048268A1 (de) | 2004-11-06 | 2006-05-11 | Merck Patent Gmbh | Organische elektrolumineszenzvorrichtung |
| WO2006058737A1 (de) | 2004-12-01 | 2006-06-08 | Merck Patent Gmbh | Verbindungen für organische elektronische vorrichtungen |
| WO2006061181A1 (de) | 2004-12-06 | 2006-06-15 | Merck Patent Gmbh | Teilkonjugierte polymere, deren darstellung und verwendung |
| WO2006098080A1 (ja) | 2005-03-15 | 2006-09-21 | Idemitsu Kosan Co., Ltd. | 芳香族アミン誘導体及びそれを用いた有機エレクトロルミネッセンス素子 |
| WO2006100896A1 (ja) | 2005-03-18 | 2006-09-28 | Idemitsu Kosan Co., Ltd. | 芳香族アミン誘導体及びそれを用いた有機エレクトロルミネッセンス素子 |
| WO2006117052A1 (de) | 2005-05-03 | 2006-11-09 | Merck Patent Gmbh | Organische elektrolumineszenzvorrichtung und in deren herstellung verwendete boronsäure- und borinsäure-derivate |
| WO2006122630A1 (de) | 2005-05-20 | 2006-11-23 | Merck Patent Gmbh | Verbindungen für organische elektronische vorrichtungen |
| WO2007006383A2 (en) | 2005-07-08 | 2007-01-18 | Unilever N.V. | Food product and process for preparing it |
| WO2007017066A1 (de) | 2005-08-10 | 2007-02-15 | Merck Patent Gmbh | Elektrolumineszierende polymere und ihre verwendung |
| US20070092755A1 (en) | 2005-10-26 | 2007-04-26 | Eastman Kodak Company | Organic element for low voltage electroluminescent devices |
| WO2007063754A1 (ja) | 2005-12-01 | 2007-06-07 | Nippon Steel Chemical Co., Ltd. | 有機電界発光素子用化合物及び有機電界発光素子 |
| WO2007065549A1 (de) | 2005-12-08 | 2007-06-14 | Merck Patent Gmbh | Organische elektrolumineszenzvorrichtungen |
| WO2007065678A1 (de) | 2005-12-08 | 2007-06-14 | Merck Patent Gmbh | Neue materialien für organische elektroluminieszenzvorrichtungen |
| WO2007068325A1 (de) | 2005-12-17 | 2007-06-21 | Merck Patent Gmbh | Konjugierte polymere enthaltend triarylamin-arylvinylen-einheiten, deren darstellung und verwendung |
| WO2007115610A1 (de) | 2006-04-01 | 2007-10-18 | Merck Patent Gmbh | Materialen für organische elektrolumineszenzvorrichtungen |
| WO2007137725A1 (de) | 2006-05-31 | 2007-12-06 | Merck Patent Gmbh | Neue materialien für organische elektrolumineszenzvorrichtungen |
| WO2007140847A1 (de) | 2006-06-02 | 2007-12-13 | Merck Patent Gmbh | Materialien für organische elektrolumineszenzvorrichtungen |
| WO2008006449A1 (de) | 2006-07-11 | 2008-01-17 | Merck Patent Gmbh | Neue materialien für organische elektrolumineszenzvorrichtungen |
| WO2008056746A1 (en) | 2006-11-09 | 2008-05-15 | Nippon Steel Chemical Co., Ltd. | Compound for organic electroluminescent device and organic electroluminescent device |
| WO2008086851A1 (de) | 2007-01-18 | 2008-07-24 | Merck Patent Gmbh | Carbazol-derivate für organische elektrolumineszenzvorrichtungen |
| WO2008145239A2 (de) | 2007-05-29 | 2008-12-04 | Merck Patent Gmbh | Benzanthracen-derivate für organische elektrolumineszenzvorrichtungen |
| WO2009062578A1 (de) | 2007-11-12 | 2009-05-22 | Merck Patent Gmbh | Organische elektrolumineszenzvorrichtungen enthaltend azomethin-metall-komplexe |
| WO2010006680A1 (de) | 2008-07-18 | 2010-01-21 | Merck Patent Gmbh | Materialien für organische elektrolumineszenzvorrichtungen |
| DE102008035413A1 (de) | 2008-07-29 | 2010-02-04 | Merck Patent Gmbh | Verbindungen für organische elektronische Vorrichtungen |
| WO2010015306A1 (de) | 2008-08-08 | 2010-02-11 | Merck Patent Gmbh, | Organische elektrolumineszenzvorrichtung |
| WO2010054730A1 (de) | 2008-11-11 | 2010-05-20 | Merck Patent Gmbh | Organische elektrolumineszenzvorrichtungen |
| WO2010054729A2 (de) | 2008-11-11 | 2010-05-20 | Merck Patent Gmbh | Materialien für organische elektrolumineszenzvorrichtungen |
| WO2010136109A1 (de) | 2009-05-29 | 2010-12-02 | Merck Patent Gmbh | Materialien für organische elektrolumineszenzvorrichtungen |
| WO2011000455A1 (de) | 2009-06-30 | 2011-01-06 | Merck Patent Gmbh | Materialien für organische elektrolumineszenzvorrichtungen |
| DE102010005697A1 (de) | 2010-01-25 | 2011-07-28 | Merck Patent GmbH, 64293 | Verbindungen für elektronische Vorrichtungen |
| DE102010014933A1 (de) | 2010-04-14 | 2011-10-20 | Merck Patent Gmbh | Materialien für elektronische Vorrichtungen |
Non-Patent Citations (8)
| Title |
|---|
| FRECHET, JEAN M. J., HAWKER, CRAIG J.: "Hyperbranched polyphenylene and hyperbranched polyesters: new soluble, three-dimensional, reactive polymers", REACTIVE & FUNCTIONAL POLYMERS, vol. 26, no. 1-3, 1995, pages 127 - 36, XP004052617, DOI: doi:10.1016/1381-5148(95)00010-D |
| JANSSEN, H. M., MEIJER, E. W.: "The synthesis and characterization of dendritic molecules", MATERIALS SCIENCE AND TECHNOLOGY, vol. 20, 1999, pages 403 - 458 |
| LEVY ET AL., BULL. SOC. CHIM. FR., vol. 1, 1987, pages 193 - 198 |
| M. A. BALDO ET AL., APPL. PHYS. LETT., vol. 75, 1999, pages 4 - 6 |
| M. S. ARNOLD ET AL., APPL. PHYS. LETT., vol. 92, 2008, pages 053301 |
| T. MATSUMOTO, T. NAKADA, J. ENDO, K. MORI, N. KAWAMURA, A. YOKOI, J. KIDO, MULTIPHOTON ORGANIC EL DEVICE HAVING CHARGE GENERATION LAYER |
| TOMALIA, DONALD A.: "Dendrimer molecules", SCIENTIFIC AMERICAN, vol. 272, no. 5, 1995, pages 62 - 6, XP009105348 |
| Y. SHIROTA ET AL., CHEM. REV., vol. 107, no. 4, 2007, pages 953 - 1010 |
Cited By (25)
| Publication number | Priority date | Publication date | Assignee | Title |
|---|---|---|---|---|
| JP5750112B2 (ja) * | 2010-09-13 | 2015-07-15 | 新日鉄住金化学株式会社 | 含窒素芳香族化合物、有機半導体材料及び有機電子デバイス |
| KR101864120B1 (ko) | 2010-09-13 | 2018-06-04 | 신닛테츠 수미킨 가가쿠 가부시키가이샤 | 함질소 방향족 화합물, 유기 반도체 재료 및 유기 전자 디바이스 |
| KR20130139916A (ko) * | 2010-09-13 | 2013-12-23 | 신닛테츠 수미킨 가가쿠 가부시키가이샤 | 함질소 방향족 화합물, 유기 반도체 재료 및 유기 전자 디바이스 |
| JPWO2012050002A1 (ja) * | 2010-10-13 | 2014-02-24 | 新日鉄住金化学株式会社 | 含窒素芳香族化合物、有機半導体材料及び有機電子デバイス |
| JP2014111548A (ja) * | 2011-11-11 | 2014-06-19 | Tosoh Corp | 含窒素縮環芳香族基を有する環状アジン化合物とその製造方法、及びそれらを構成成分とする有機電界発光素子 |
| JP2014084286A (ja) * | 2012-10-22 | 2014-05-12 | Tosoh Corp | アミン化合物、その製造方法及び用途、並びにその製造中間体及び製造中間体の製造方法 |
| WO2014104797A1 (ko) * | 2012-12-28 | 2014-07-03 | 주식회사 동진쎄미켐 | 신규한 유기 화합물 및 이를 포함하는 유기발광소자 |
| CN104870424A (zh) * | 2012-12-28 | 2015-08-26 | 东进世美肯株式会社 | 新颖的有机化合物及包含该有机化合物的有机发光元件 |
| CN105473594A (zh) * | 2013-05-28 | 2016-04-06 | 东进世美肯株式会社 | 新颖的有机化合物及包含该有机化合物的有机发光元件 |
| WO2014193153A1 (ko) * | 2013-05-28 | 2014-12-04 | 주식회사 동진쎄미켐 | 신규한 유기 화합물 및 이를 포함하는 유기발광소자 |
| KR102245921B1 (ko) * | 2013-05-28 | 2021-04-29 | 주식회사 동진쎄미켐 | 신규한 유기 화합물 및 이를 포함하는 유기발광소자 |
| CN105473594B (zh) * | 2013-05-28 | 2018-11-30 | 东进世美肯株式会社 | 新颖的有机化合物及包含该有机化合物的有机发光元件 |
| KR20140139972A (ko) * | 2013-05-28 | 2014-12-08 | 주식회사 동진쎄미켐 | 신규한 유기 화합물 및 이를 포함하는 유기발광소자 |
| US10032985B2 (en) | 2013-10-01 | 2018-07-24 | Samsung Electronics Co., Ltd. | Condensed cyclic compound and organic light-emitting device including the same |
| CN105765030A (zh) * | 2013-11-20 | 2016-07-13 | 东进世美肯株式会社 | 新型发光化合物以及包含其的有机发光元件 |
| CN105765030B (zh) * | 2013-11-20 | 2018-07-17 | 东进世美肯株式会社 | 新型发光化合物以及包含其的有机发光元件 |
| WO2015076600A1 (ko) * | 2013-11-20 | 2015-05-28 | 주식회사 동진쎄미켐 | 신규한 발광 화합물 및 이를 포함하는 유기발광소자 |
| WO2015076599A1 (ko) * | 2013-11-20 | 2015-05-28 | 주식회사 동진쎄미켐 | 신규한 발광 화합물 및 이를 포함하는 유기발광소자 |
| CN105934496A (zh) * | 2013-12-03 | 2016-09-07 | 东进世美肯株式会社 | 新型空穴注入·空穴传输化合物以及包含其的有机发光元件 |
| WO2015084032A1 (ko) * | 2013-12-03 | 2015-06-11 | 주식회사 동진쎄미켐 | 신규한 정공주입·정공수송 화합물 및 이를 포함하는 유기발광소자 |
| CN105934496B (zh) * | 2013-12-03 | 2018-10-26 | 东进世美肯株式会社 | 新型空穴注入·空穴传输化合物以及包含其的有机发光元件 |
| CN110818717A (zh) * | 2018-08-10 | 2020-02-21 | 三星显示有限公司 | 有机电致发光装置及用于有机电致发光装置的稠合环状化合物 |
| CN110818717B (zh) * | 2018-08-10 | 2024-03-26 | 三星显示有限公司 | 有机电致发光装置及用于有机电致发光装置的稠合环状化合物 |
| US12144251B2 (en) | 2018-08-10 | 2024-11-12 | Samsung Display Co., Ltd. | Organic electroluminescence device and condensed cyclic compound for organic electroluminescence device |
| US11168093B2 (en) | 2018-12-21 | 2021-11-09 | Celgene Corporation | Thienopyridine inhibitors of RIPK2 |
Also Published As
| Publication number | Publication date |
|---|---|
| US10749117B2 (en) | 2020-08-18 |
| US9893297B2 (en) | 2018-02-13 |
| JP2013535476A (ja) | 2013-09-12 |
| DE112011102619A5 (de) | 2013-05-16 |
| DE102010033548A1 (de) | 2012-02-09 |
| US20130126792A1 (en) | 2013-05-23 |
| US20170104165A1 (en) | 2017-04-13 |
| JP5940534B2 (ja) | 2016-06-29 |
Similar Documents
| Publication | Publication Date | Title |
|---|---|---|
| DE102010019306B4 (de) | Organische Elektrolumineszenzvorrichtungen | |
| EP3341349B1 (de) | 6,9,15,18-tetrahydro-s-indaceno[1,2-b:5,6-b']difluoren- derivate und ihre verwendung in elektronischen vorrichtungen | |
| DE112010004381B4 (de) | Materialien für elektronische Vorrichtungen | |
| WO2012016630A1 (de) | Materialien für elektronische vorrichtungen | |
| EP3016952B1 (de) | Spirokondensierte lactamverbindungen für organische elektrolumineszenzvorrichtungen | |
| DE102009053836A1 (de) | Materialien für organische Elektrolumineszenzvorrichtungen | |
| EP2737554A1 (de) | Verbindungen für elektronische vorrichtungen | |
| EP2780325A1 (de) | Spiro -dihydroacridinderivate und ihre verwendung als materialien für organische elektrolumineszenzvorrichtungen | |
| DE102009048791A1 (de) | Materialien für organische Elektrolumineszenzvorrichtungen | |
| WO2011057701A1 (de) | Organische verbindungen für elektroluminiszenz vorrichtungen | |
| WO2011116865A1 (de) | Materialien für organische elektrolumineszenzvorrichtungen | |
| EP2705552A1 (de) | Verbindungen für elektronische vorrichtungen | |
| WO2013056776A1 (de) | Materialien für organische elektrolumineszenzvorrichtungen | |
| WO2011107186A2 (de) | Verbindungen für elektronische vorrichtungen | |
| WO2012048780A1 (de) | Verbindungen für elektronische vorrichtungen | |
| WO2011160757A1 (de) | Materialien für elektronische vorrichtungen | |
| EP2828266A1 (de) | 9,9'-spirobixanthenderivate für elektrolumineszenzvorrichtungen | |
| EP2697225B1 (de) | Materialien für elektronische vorrichtungen | |
| DE112011102056B4 (de) | Verbindungen für elektronische Vorrichtungen | |
| EP3898605A2 (de) | Materialien für elektronische vorrichtungen | |
| WO2019048458A1 (de) | Materialien für elektronische vorrichtungen | |
| WO2011085781A1 (de) | Materialien für organische elektrolumineszenzvorrichtungen | |
| EP2697226B1 (de) | Verbindungen für elektronische vorrichtungen | |
| WO2011160758A1 (de) | Materialien für organische elektrolumineszenzvorrichtungen |
Legal Events
| Date | Code | Title | Description |
|---|---|---|---|
| 121 | Ep: the epo has been informed by wipo that ep was designated in this application |
Ref document number: 11760989 Country of ref document: EP Kind code of ref document: A1 |
|
| WWE | Wipo information: entry into national phase |
Ref document number: 13813162 Country of ref document: US |
|
| ENP | Entry into the national phase |
Ref document number: 2013522121 Country of ref document: JP Kind code of ref document: A |
|
| WWE | Wipo information: entry into national phase |
Ref document number: 112011102619 Country of ref document: DE Ref document number: 1120111026196 Country of ref document: DE |
|
| REG | Reference to national code |
Ref country code: DE Ref legal event code: R225 Ref document number: 112011102619 Country of ref document: DE Effective date: 20130516 |
|
| 122 | Ep: pct application non-entry in european phase |
Ref document number: 11760989 Country of ref document: EP Kind code of ref document: A1 |


































































































