USRE48175E1 - Hydrophobically tagged small molecules as inducers of protein degradation - Google Patents
Hydrophobically tagged small molecules as inducers of protein degradation Download PDFInfo
- Publication number
- USRE48175E1 USRE48175E1 US16/179,833 US201316179833A USRE48175E US RE48175 E1 USRE48175 E1 US RE48175E1 US 201316179833 A US201316179833 A US 201316179833A US RE48175 E USRE48175 E US RE48175E
- Authority
- US
- United States
- Prior art keywords
- substituted
- unsubstituted
- certain embodiments
- group
- alkyl
- Prior art date
- Legal status (The legal status is an assumption and is not a legal conclusion. Google has not performed a legal analysis and makes no representation as to the accuracy of the status listed.)
- Expired - Fee Related
Links
- 0 C[n]1c2ccccc2cc1C(Nc(c(OC)c1)ccc1-c1n[n](C2CCN(CCNC(C(*)CCC3(CC(C4)C5)CC5*C4C3)=O)CC2)c2c1c(N)ncn2)=O Chemical compound C[n]1c2ccccc2cc1C(Nc(c(OC)c1)ccc1-c1n[n](C2CCN(CCNC(C(*)CCC3(CC(C4)C5)CC5*C4C3)=O)CC2)c2c1c(N)ncn2)=O 0.000 description 33
- NGYREGWHSFHMIT-UHFFFAOYSA-N CC(C)C(C1=CC=CC=C1)C1=CC=CC=C1.CC(C)C(C1CCCCC1)C1CCCCC1.CC(C)C12CCC3CCC(CC(C3)C1)C2.CC(C)C1C2=CC=CC=C2C2=C1C=CC=C2.CC(C)CC1=CC=C(C(C)C)C=C1 Chemical compound CC(C)C(C1=CC=CC=C1)C1=CC=CC=C1.CC(C)C(C1CCCCC1)C1CCCCC1.CC(C)C12CCC3CCC(CC(C3)C1)C2.CC(C)C1C2=CC=CC=C2C2=C1C=CC=C2.CC(C)CC1=CC=C(C(C)C)C=C1 NGYREGWHSFHMIT-UHFFFAOYSA-N 0.000 description 6
- XFMKTMKUTMUHCE-UHFFFAOYSA-N CC(C)C(C1=CC=CC=C1)C1=CC=CC=C1.CC(C)C(C1CCCCC1)C1CCCCC1.CC(C)C12CCC3CC(CC(C3)C1)C2.CC(C)C1C2=C(C=CC=C2)C2=C/C=C\C=C\21.CC(C)CC1=CC=C(C(C)C)C=C1 Chemical compound CC(C)C(C1=CC=CC=C1)C1=CC=CC=C1.CC(C)C(C1CCCCC1)C1CCCCC1.CC(C)C12CCC3CC(CC(C3)C1)C2.CC(C)C1C2=C(C=CC=C2)C2=C/C=C\C=C\21.CC(C)CC1=CC=C(C(C)C)C=C1 XFMKTMKUTMUHCE-UHFFFAOYSA-N 0.000 description 4
- USCSRAJGJYMJFZ-UHFFFAOYSA-N C#CC(C)C Chemical compound C#CC(C)C USCSRAJGJYMJFZ-UHFFFAOYSA-N 0.000 description 3
- QJTDTRFQBYGAQU-UHFFFAOYSA-N C=CC(=O)NC1=C(OC2=CC=CC=C2)C=CC(C2=NN(C3CCN(CCOCCNC(=O)CC45CC6CC(CC(C6)C4)C5)CC3)C3=NC=NC(N)=C23)=C1 Chemical compound C=CC(=O)NC1=C(OC2=CC=CC=C2)C=CC(C2=NN(C3CCN(CCOCCNC(=O)CC45CC6CC(CC(C6)C4)C5)CC3)C3=NC=NC(N)=C23)=C1 QJTDTRFQBYGAQU-UHFFFAOYSA-N 0.000 description 3
- XFDUHGKCJWMPLH-UHFFFAOYSA-N CC(C)C#CC(C)C.CC(C)CC1C(=O)N(C)C(=O)C1C(C)C.CC(C)CC1C(=O)N(C)C(=O)C1C(C)C.CC(C)CC1CC(=O)N(C(C)C)C1=O.CC(C)CC1CC(=O)N(C(C)C)C1=O Chemical compound CC(C)C#CC(C)C.CC(C)CC1C(=O)N(C)C(=O)C1C(C)C.CC(C)CC1C(=O)N(C)C(=O)C1C(C)C.CC(C)CC1CC(=O)N(C(C)C)C1=O.CC(C)CC1CC(=O)N(C(C)C)C1=O XFDUHGKCJWMPLH-UHFFFAOYSA-N 0.000 description 3
- CCFOCMWOEBUSRV-UHFFFAOYSA-N CC(C)C1CCC(C(C)(C)CC(=O)C(C)(C)C)CC1 Chemical compound CC(C)C1CCC(C(C)(C)CC(=O)C(C)(C)C)CC1 CCFOCMWOEBUSRV-UHFFFAOYSA-N 0.000 description 3
- BOEDRQMLPOEGCI-UHFFFAOYSA-N CC(C)C1CCC(C(C)(C)COCC(C)(C)CC(=O)C(C)(C)C)CC1 Chemical compound CC(C)C1CCC(C(C)(C)COCC(C)(C)CC(=O)C(C)(C)C)CC1 BOEDRQMLPOEGCI-UHFFFAOYSA-N 0.000 description 3
- XCFUWHOBSCDEMC-UHFFFAOYSA-N CC(C)CC1CC(=O)N(C(C)C)C1=O Chemical compound CC(C)CC1CC(=O)N(C(C)C)C1=O XCFUWHOBSCDEMC-UHFFFAOYSA-N 0.000 description 3
- CGZQYEICAUXOOD-UHFFFAOYSA-N C#CCC(C)C.CC#CC(=[Y])CC(C)C.CC(C)=C(C)C(=[Y])CC(C)C.CC(C)=C(C)S(=O)(=O)CC(C)C.CC(C)CC(=[Y])C(C)C#N.CC(C)CC1[Y]C1C.CC1=C(C)C(C)N(C(C)C)C1=[Y].CC1=C(C)C(C)N(C(C)C)C1=[Y] Chemical compound C#CCC(C)C.CC#CC(=[Y])CC(C)C.CC(C)=C(C)C(=[Y])CC(C)C.CC(C)=C(C)S(=O)(=O)CC(C)C.CC(C)CC(=[Y])C(C)C#N.CC(C)CC1[Y]C1C.CC1=C(C)C(C)N(C(C)C)C1=[Y].CC1=C(C)C(C)N(C(C)C)C1=[Y] CGZQYEICAUXOOD-UHFFFAOYSA-N 0.000 description 2
- CIIDLXOAZNMULT-UHFFFAOYSA-N C.CCC Chemical compound C.CCC CIIDLXOAZNMULT-UHFFFAOYSA-N 0.000 description 2
- SWEDVBLZBVRGQY-XEKJPWRCSA-N C/C(=C(/C)S(C)(=O)=O)C(C)C.C/C(=C(/C)S(C)=O)C(C)C.CC(=[Y])/C(C)=C(\C)C(C)C.CC1=C(C)C(=O)C(C(C)C)=C(C)C1=O.CCS(=O)CC(C)C Chemical compound C/C(=C(/C)S(C)(=O)=O)C(C)C.C/C(=C(/C)S(C)=O)C(C)C.CC(=[Y])/C(C)=C(\C)C(C)C.CC1=C(C)C(=O)C(C(C)C)=C(C)C1=O.CCS(=O)CC(C)C SWEDVBLZBVRGQY-XEKJPWRCSA-N 0.000 description 2
- CNUHBEBUBGYIRE-UHFFFAOYSA-N C1=CC=CC=C1.C1CCCCC1.C1CCOCC1.C1COCCO1.CC.CC.CC.CC.CC.CC.CC.CC(C)C.CC(C)C.CC(C)C.CC(C)C.CC(C)C.CC(C)C.CC(C)C.CC(C)C.CC(C)C.CC(C)C.CC(C)C(=O)C(C)(C)C(C)C.CC(C)C(=O)C(C)(C)C(C)C.CC(C)C(=[W])C(C)C.CC(C)C(C)(C)C(C)C.CC(C)C1CCC(C(C)C)CC1.CC(C)CC(=[W])C(C)C.CC(C)CC(=[W])C(C)C.CC(C)CC(=[W])CC(C)C.CC(C)CCN(C)C(C)C.CC(C)CCN(C)C(C)C.CC(C)CCOC(C)C.CC(C)CCOC(C)C.CC(C)CN(C)CC(C)C.CC(C)COCC(C)C.CC(C)N(C)C(C)(C)C(C)C.CC(C)N1CCCCC1.CC(C)N1CCCCC1.CC(C)OC(C)(C)C(C)C.CC(C)OC(C)(C)C(C)C.CCC.CCCC.CCOC.CCOC.COC.CSC Chemical compound C1=CC=CC=C1.C1CCCCC1.C1CCOCC1.C1COCCO1.CC.CC.CC.CC.CC.CC.CC.CC(C)C.CC(C)C.CC(C)C.CC(C)C.CC(C)C.CC(C)C.CC(C)C.CC(C)C.CC(C)C.CC(C)C.CC(C)C(=O)C(C)(C)C(C)C.CC(C)C(=O)C(C)(C)C(C)C.CC(C)C(=[W])C(C)C.CC(C)C(C)(C)C(C)C.CC(C)C1CCC(C(C)C)CC1.CC(C)CC(=[W])C(C)C.CC(C)CC(=[W])C(C)C.CC(C)CC(=[W])CC(C)C.CC(C)CCN(C)C(C)C.CC(C)CCN(C)C(C)C.CC(C)CCOC(C)C.CC(C)CCOC(C)C.CC(C)CN(C)CC(C)C.CC(C)COCC(C)C.CC(C)N(C)C(C)(C)C(C)C.CC(C)N1CCCCC1.CC(C)N1CCCCC1.CC(C)OC(C)(C)C(C)C.CC(C)OC(C)(C)C(C)C.CCC.CCCC.CCOC.CCOC.COC.CSC CNUHBEBUBGYIRE-UHFFFAOYSA-N 0.000 description 2
- DDEYGJBPWOZAMO-UHFFFAOYSA-N C=C(CC(C)C)OCC.C=C(CC(C)C)SCC.C=S(=O)(CC)CC(C)C.CC(C)=C(C)S(=O)CC(C)C.CC(C)CC(=[Y])C(C)(C)Cl.CC(C)CC(=[Y])C(C)(C)F.CCC(=[Y])CC(C)C Chemical compound C=C(CC(C)C)OCC.C=C(CC(C)C)SCC.C=S(=O)(CC)CC(C)C.CC(C)=C(C)S(=O)CC(C)C.CC(C)CC(=[Y])C(C)(C)Cl.CC(C)CC(=[Y])C(C)(C)F.CCC(=[Y])CC(C)C DDEYGJBPWOZAMO-UHFFFAOYSA-N 0.000 description 2
- CLMUAHFXIQVFKZ-UHFFFAOYSA-N C=CC(=O)NC1=C(OC2=CC=CC=C2)C=CC(C2=NN(C3CCN(C)CC3)C3=NC=NC(N)=C23)=C1 Chemical compound C=CC(=O)NC1=C(OC2=CC=CC=C2)C=CC(C2=NN(C3CCN(C)CC3)C3=NC=NC(N)=C23)=C1 CLMUAHFXIQVFKZ-UHFFFAOYSA-N 0.000 description 2
- XGLUBPZCHITJBZ-UHFFFAOYSA-N CC(=NOC(C)C)C(C)C Chemical compound CC(=NOC(C)C)C(C)C XGLUBPZCHITJBZ-UHFFFAOYSA-N 0.000 description 2
- FNHPRHSSXJIFON-UHFFFAOYSA-N CC(=O)N1CCN(C2CCC(N3/N=C(/C4=CC([N+](=O)[O-])=C(OC5=CC=CC=C5)C=C4)C4=C(N)N=CN=C43)CC2)CC1 Chemical compound CC(=O)N1CCN(C2CCC(N3/N=C(/C4=CC([N+](=O)[O-])=C(OC5=CC=CC=C5)C=C4)C4=C(N)N=CN=C43)CC2)CC1 FNHPRHSSXJIFON-UHFFFAOYSA-N 0.000 description 2
- HTMFWOUWTKJYNW-UHFFFAOYSA-N CC(C)C(C)(C)CC(=O)C(C)(C)C Chemical compound CC(C)C(C)(C)CC(=O)C(C)(C)C HTMFWOUWTKJYNW-UHFFFAOYSA-N 0.000 description 2
- XBTABAXSHATHMF-UHFFFAOYSA-N CC(C)C(C)(C)COCC(C)(C)CC(=O)C(C)(C)C Chemical compound CC(C)C(C)(C)COCC(C)(C)CC(=O)C(C)(C)C XBTABAXSHATHMF-UHFFFAOYSA-N 0.000 description 2
- TWWLIMLVFIKPMH-UHFFFAOYSA-N CC(C)C(C1=CC=CC=C1)C1=CC=CC=C1.CC(C)C(C1CCCCC1)C1CCCCC1.CC(C)C12CC3CC(CC(C3)C1)C2.CC(C)C1C2=CC=CC=C2C2=C1C=CC=C2.CC(C)CC1=CC=C(C(C)C)C=C1 Chemical compound CC(C)C(C1=CC=CC=C1)C1=CC=CC=C1.CC(C)C(C1CCCCC1)C1CCCCC1.CC(C)C12CC3CC(CC(C3)C1)C2.CC(C)C1C2=CC=CC=C2C2=C1C=CC=C2.CC(C)CC1=CC=C(C(C)C)C=C1 TWWLIMLVFIKPMH-UHFFFAOYSA-N 0.000 description 2
- IGZDXYHMGWRJAZ-UHFFFAOYSA-N CC(C)C(NC(C)C)=O Chemical compound CC(C)C(NC(C)C)=O IGZDXYHMGWRJAZ-UHFFFAOYSA-N 0.000 description 2
- GGSBNYUAHSOFOH-UHFFFAOYSA-N CC(C)C1=CC(=O)N(C)C1=O Chemical compound CC(C)C1=CC(=O)N(C)C1=O GGSBNYUAHSOFOH-UHFFFAOYSA-N 0.000 description 2
- VOJXWVNLAGSXBL-UHFFFAOYSA-N CC(C)C1=CN(C(C)C)N=N1 Chemical compound CC(C)C1=CN(C(C)C)N=N1 VOJXWVNLAGSXBL-UHFFFAOYSA-N 0.000 description 2
- DTXHIBIDZVOHPU-UHFFFAOYSA-N CC(C)C1=CN=NN1C(C)C Chemical compound CC(C)C1=CN=NN1C(C)C DTXHIBIDZVOHPU-UHFFFAOYSA-N 0.000 description 2
- RSRGIWVHBUCTIC-UHFFFAOYSA-N CC(C)C=CSC(C)C Chemical compound CC(C)C=CSC(C)C RSRGIWVHBUCTIC-UHFFFAOYSA-N 0.000 description 2
- WLHYKLDRPDMKHM-UHFFFAOYSA-N CC(C)CC(C)C(C)C(=O)C(C)C Chemical compound CC(C)CC(C)C(C)C(=O)C(C)C WLHYKLDRPDMKHM-UHFFFAOYSA-N 0.000 description 2
- XAULRWRYPVSUJX-UHFFFAOYSA-N CC(C)CC1C(=O)N(C)C(=O)C1C(C)C Chemical compound CC(C)CC1C(=O)N(C)C(=O)C1C(C)C XAULRWRYPVSUJX-UHFFFAOYSA-N 0.000 description 2
- NQDOCLXQTQYUDH-UHFFFAOYSA-N CC(C)N1C(=O)C=CC1=O Chemical compound CC(C)N1C(=O)C=CC1=O NQDOCLXQTQYUDH-UHFFFAOYSA-N 0.000 description 2
- QSTOXELLBWDICM-UHFFFAOYSA-N CC.CC.CC.CC.CC(C)N1C2=CC=CC=C2OC2=C1C=CC=C2.CC(C)N1CCCC2=CC=CC=C21 Chemical compound CC.CC.CC.CC.CC(C)N1C2=CC=CC=C2OC2=C1C=CC=C2.CC(C)N1CCCC2=CC=CC=C21 QSTOXELLBWDICM-UHFFFAOYSA-N 0.000 description 2
- MWLINIFGIZBGEE-UHFFFAOYSA-N CCC(=O)NC1=C(OC2=CC=CC=C2)C=CC(C2=NN(C3CCN(CCNC(=O)C(C)CCC45CC6CC(CC(C6)C4)C5)CC3)C3=NC=NC(N)=C23)=C1 Chemical compound CCC(=O)NC1=C(OC2=CC=CC=C2)C=CC(C2=NN(C3CCN(CCNC(=O)C(C)CCC45CC6CC(CC(C6)C4)C5)CC3)C3=NC=NC(N)=C23)=C1 MWLINIFGIZBGEE-UHFFFAOYSA-N 0.000 description 2
- YJXNKODASKGWHM-WLZXCQRNSA-N C[C@@H](CCC1(CC(C2)C3)CC3CC2C1)C(NCCN(CC1)CCN1C(CC1)CCC1[n](c1c2c(N)ncn1)nc2-c(cc1OC)ccc1NC(c1cc(cccc2)c2[n]1C)=O)=O Chemical compound C[C@@H](CCC1(CC(C2)C3)CC3CC2C1)C(NCCN(CC1)CCN1C(CC1)CCC1[n](c1c2c(N)ncn1)nc2-c(cc1OC)ccc1NC(c1cc(cccc2)c2[n]1C)=O)=O YJXNKODASKGWHM-WLZXCQRNSA-N 0.000 description 2
- YJXNKODASKGWHM-QPCXVAHZSA-N C[C@H](CCC1(CC(C2)C3)CC3CC2C1)C(NCCN(CC1)CCN1C(CC1)CCC1[n](c1c2c(N)ncn1)nc2-c(cc1)cc(OC)c1NC(c1cc2ccccc2[n]1C)=O)=O Chemical compound C[C@H](CCC1(CC(C2)C3)CC3CC2C1)C(NCCN(CC1)CCN1C(CC1)CCC1[n](c1c2c(N)ncn1)nc2-c(cc1)cc(OC)c1NC(c1cc2ccccc2[n]1C)=O)=O YJXNKODASKGWHM-QPCXVAHZSA-N 0.000 description 2
- LFOWWKZXSYJPQT-UHFFFAOYSA-N [H]C(C)=C(C)C(=O)C(C)C Chemical compound [H]C(C)=C(C)C(=O)C(C)C LFOWWKZXSYJPQT-UHFFFAOYSA-N 0.000 description 2
- XFZBYAPZDPLTOA-WOWAZJCNSA-N *.C=CC(=O)NC1=C(OC2=CC=CC=C2)C=CC(C2=NN(C3CCN(CCCNC(=O)CC45CC6CC(CC(C6)C4)C5)CC3)C3=NC=NC(N)=C23)=C1.C=CC(=O)NC1=C(OC2=CC=CC=C2)C=CC(C2=NN(C3CCN(CCNC(=O)C(C)CCC45CC6CC(CC(C6)C4)C5)CC3)C3=NC=NC(N)=C23)=C1.C=CC(=O)NC1=C(OC2=CC=CC=C2)C=CC(C2=NN(C3CCN(CCNC(=O)C45CC6CC(CC(C6)C4)C5)CC3)C3=NC=NC(N)=C23)=C1.C=CC(=O)NC1=C(OC2=CC=CC=C2)C=CC(C2=NN(C3CCN(CCNC(=O)[C@@H](C)CCC45CC6CC(CC(C6)C4)C5)CC3)C3=NC=NC(N)=C23)=C1.C=CC(=O)NC1=C(OC2=CC=CC=C2)C=CC(C2=NN(C3CCN(CCNC(=O)[C@H](C)CCC45CC6CC(CC(C6)C4)C5)CC3)C3=NC=NC(N)=C23)=C1.S Chemical compound *.C=CC(=O)NC1=C(OC2=CC=CC=C2)C=CC(C2=NN(C3CCN(CCCNC(=O)CC45CC6CC(CC(C6)C4)C5)CC3)C3=NC=NC(N)=C23)=C1.C=CC(=O)NC1=C(OC2=CC=CC=C2)C=CC(C2=NN(C3CCN(CCNC(=O)C(C)CCC45CC6CC(CC(C6)C4)C5)CC3)C3=NC=NC(N)=C23)=C1.C=CC(=O)NC1=C(OC2=CC=CC=C2)C=CC(C2=NN(C3CCN(CCNC(=O)C45CC6CC(CC(C6)C4)C5)CC3)C3=NC=NC(N)=C23)=C1.C=CC(=O)NC1=C(OC2=CC=CC=C2)C=CC(C2=NN(C3CCN(CCNC(=O)[C@@H](C)CCC45CC6CC(CC(C6)C4)C5)CC3)C3=NC=NC(N)=C23)=C1.C=CC(=O)NC1=C(OC2=CC=CC=C2)C=CC(C2=NN(C3CCN(CCNC(=O)[C@H](C)CCC45CC6CC(CC(C6)C4)C5)CC3)C3=NC=NC(N)=C23)=C1.S XFZBYAPZDPLTOA-WOWAZJCNSA-N 0.000 description 1
- GKJWHLDKQULMHJ-PZMWFESPSA-N *.C=CC(=O)NC1=C(OC2=CC=CC=C2)C=CC(C2=NN(C3CCN(CCNC(=O)[C@H](C)CCC45CC6CC(CC(C6)C4)C5)CC3)C3=NC=NC(N)=C23)=C1 Chemical compound *.C=CC(=O)NC1=C(OC2=CC=CC=C2)C=CC(C2=NN(C3CCN(CCNC(=O)[C@H](C)CCC45CC6CC(CC(C6)C4)C5)CC3)C3=NC=NC(N)=C23)=C1 GKJWHLDKQULMHJ-PZMWFESPSA-N 0.000 description 1
- NRABKTQYXYSMGZ-DYORNHPPSA-N *.CCC(=O)NC1=C(OC2=CC=CC=C2)C=CC(C2=NN(C3CCN(CCNC(=O)C(C)CCC45CC6CC(CC(C6)C4)C5)CC3)C3=NC=NC(N)=C23)=C1.COC1=CC(C2=NN(C3CCN(CCNC(=O)C(C)CCC45CC6CC(CC(C6)C4)C5)CC3)C3=NC=NC(N)=C23)=CC=C1NC(=O)/C1=C/C2=C(C=CC=C2)N1C.COC1=CC(C2=NN(C3CCN(CCNC(=O)[C@@H](C)CCC45CC6CC(CC(C6)C4)C5)CC3)C3=NC=NC(N)=C23)=CC=C1NC(=O)/C1=C/C2=C(C=CC=C2)N1C.COC1=CC(C2=NN(C3CCN(CCNC(=O)[C@H](C)CCC45CC6CC(CC(C6)C4)C5)CC3)C3=NC=NC(N)=C23)=CC=C1NC(=O)/C1=C/C2=C(C=CC=C2)N1C.S Chemical compound *.CCC(=O)NC1=C(OC2=CC=CC=C2)C=CC(C2=NN(C3CCN(CCNC(=O)C(C)CCC45CC6CC(CC(C6)C4)C5)CC3)C3=NC=NC(N)=C23)=C1.COC1=CC(C2=NN(C3CCN(CCNC(=O)C(C)CCC45CC6CC(CC(C6)C4)C5)CC3)C3=NC=NC(N)=C23)=CC=C1NC(=O)/C1=C/C2=C(C=CC=C2)N1C.COC1=CC(C2=NN(C3CCN(CCNC(=O)[C@@H](C)CCC45CC6CC(CC(C6)C4)C5)CC3)C3=NC=NC(N)=C23)=CC=C1NC(=O)/C1=C/C2=C(C=CC=C2)N1C.COC1=CC(C2=NN(C3CCN(CCNC(=O)[C@H](C)CCC45CC6CC(CC(C6)C4)C5)CC3)C3=NC=NC(N)=C23)=CC=C1NC(=O)/C1=C/C2=C(C=CC=C2)N1C.S NRABKTQYXYSMGZ-DYORNHPPSA-N 0.000 description 1
- QHBIDJRTOQMVDI-UKFQYADYSA-N *.CCC(=O)NC1=C(OC2=CC=CC=C2)C=CC(C2=NN(C3CCN(CCNC(=O)[C@@H](C)CCC45CC6CC(CC(C6)C4)C5)CC3)C3=NC=NC(N)=C23)=C1.CCC(=O)NC1=C(OC2=CC=CC=C2)C=CC(C2=NN(C3CCN(CCNC(=O)[C@H](C)CCC45CC6CC(CC(C6)C4)C5)CC3)C3=NC=NC(N)=C23)=C1.S Chemical compound *.CCC(=O)NC1=C(OC2=CC=CC=C2)C=CC(C2=NN(C3CCN(CCNC(=O)[C@@H](C)CCC45CC6CC(CC(C6)C4)C5)CC3)C3=NC=NC(N)=C23)=C1.CCC(=O)NC1=C(OC2=CC=CC=C2)C=CC(C2=NN(C3CCN(CCNC(=O)[C@H](C)CCC45CC6CC(CC(C6)C4)C5)CC3)C3=NC=NC(N)=C23)=C1.S QHBIDJRTOQMVDI-UKFQYADYSA-N 0.000 description 1
- MWLINIFGIZBGEE-PZMWFESPSA-N *.CCC(=O)NC1=C(OC2=CC=CC=C2)C=CC(C2=NN(C3CCN(CCNC(=O)[C@H](C)CCC45CC6CC(CC(C6)C4)C5)CC3)C3=NC=NC(N)=C23)=C1 Chemical compound *.CCC(=O)NC1=C(OC2=CC=CC=C2)C=CC(C2=NN(C3CCN(CCNC(=O)[C@H](C)CCC45CC6CC(CC(C6)C4)C5)CC3)C3=NC=NC(N)=C23)=C1 MWLINIFGIZBGEE-PZMWFESPSA-N 0.000 description 1
- SHMYQOFFNICKIB-KQBXQAMBSA-N *.COC1=CC(C2=NN(C3CCC(N4CCN(CCNC(=O)C(C)CCC56CC7CC(CC(C7)C5)C6)CC4)CC3)C3=NC=NC(N)=C23)=CC=C1NC(=O)/C1=C/C2=C(C=CC=C2)N1C.COC1=CC(C2=NN(C3CCC(N4CCN(CCNC(=O)[C@@H](C)CCC56CC7CC(CC(C7)C5)C6)CC4)CC3)C3=NC=NC(N)=C23)=CC=C1NC(=O)/C1=C/C2=C(C=CC=C2)N1C.COC1=CC(C2=NN(C3CCC(N4CCN(CCNC(=O)[C@H](C)CCC56CC7CC(CC(C7)C5)C6)CC4)CC3)C3=NC=NC(N)=C23)=CC=C1NC(=O)/C1=C/C2=C(C=CC=C2)N1C.S Chemical compound *.COC1=CC(C2=NN(C3CCC(N4CCN(CCNC(=O)C(C)CCC56CC7CC(CC(C7)C5)C6)CC4)CC3)C3=NC=NC(N)=C23)=CC=C1NC(=O)/C1=C/C2=C(C=CC=C2)N1C.COC1=CC(C2=NN(C3CCC(N4CCN(CCNC(=O)[C@@H](C)CCC56CC7CC(CC(C7)C5)C6)CC4)CC3)C3=NC=NC(N)=C23)=CC=C1NC(=O)/C1=C/C2=C(C=CC=C2)N1C.COC1=CC(C2=NN(C3CCC(N4CCN(CCNC(=O)[C@H](C)CCC56CC7CC(CC(C7)C5)C6)CC4)CC3)C3=NC=NC(N)=C23)=CC=C1NC(=O)/C1=C/C2=C(C=CC=C2)N1C.S SHMYQOFFNICKIB-KQBXQAMBSA-N 0.000 description 1
- AQEOVVJAQNDEQQ-MJUNVLJUSA-N *.COC1=CC(C2=NN(C3CCN(CCNC(=O)[C@H](C)CCC45CC6CC(CC(C6)C4)C5)CC3)C3=NC=NC(N)=C23)=CC=C1NC(=O)/C1=C/C2=C(C=CC=C2)N1C Chemical compound *.COC1=CC(C2=NN(C3CCN(CCNC(=O)[C@H](C)CCC45CC6CC(CC(C6)C4)C5)CC3)C3=NC=NC(N)=C23)=CC=C1NC(=O)/C1=C/C2=C(C=CC=C2)N1C AQEOVVJAQNDEQQ-MJUNVLJUSA-N 0.000 description 1
- OQUGRWHEFHQWIR-WATQLLJXSA-N C#CC(C)C.C=CC.CC(C)C1=CC(=O)N(C)C1=O.CC(C)C1CO1.CC(C)N1C(=O)C=CC1=O.[H]/C(C)=C(/C)C(=O)C(C)C.[H]C(C)=C(C)C(C)C Chemical compound C#CC(C)C.C=CC.CC(C)C1=CC(=O)N(C)C1=O.CC(C)C1CO1.CC(C)N1C(=O)C=CC1=O.[H]/C(C)=C(/C)C(=O)C(C)C.[H]C(C)=C(C)C(C)C OQUGRWHEFHQWIR-WATQLLJXSA-N 0.000 description 1
- JDNHJQKJQLLWRU-UHFFFAOYSA-N C#CCC(C)C.C=C1C(C)=C(C)C(=[Y])N1C(C)C.CC#CC(=[Y])CC(C)C.CC(C)=C(C)C(=[Y])CC(C)C.CC(C)=C(C)S(=O)(=O)CC(C)C.CC(C)CC(=[Y])C(C)C#N.CC(C)CC1[Y]C1C.CC1=C(C)C(C)N(C(C)C)C1=[Y] Chemical compound C#CCC(C)C.C=C1C(C)=C(C)C(=[Y])N1C(C)C.CC#CC(=[Y])CC(C)C.CC(C)=C(C)C(=[Y])CC(C)C.CC(C)=C(C)S(=O)(=O)CC(C)C.CC(C)CC(=[Y])C(C)C#N.CC(C)CC1[Y]C1C.CC1=C(C)C(C)N(C(C)C)C1=[Y] JDNHJQKJQLLWRU-UHFFFAOYSA-N 0.000 description 1
- YKIBSYVPLFUSHO-UHFFFAOYSA-N C.CC(C)(C)OC(=O)N1CCN(C2CCC(N3N=C(C4=CC([N+](=O)[O-])=C(F)C=C4)C4=C(N)N=CN=C43)CC2)CC1.CC(C)(C)OC(=O)N1CCN(C2CCC(N3N=C(C4=CC([N+](=O)[O-])=C(OC5=CC=CC=C5)C=C4)C4=C(N)N=CN=C43)CC2)CC1.CC(C)(C)OC(=O)N1CCN(C2CCC(N3N=C(I)C4=C(N)N=CN=C43)CC2)CC1.O=[N+]([O-])C1=C(F)C=CC(B(O)O)=C1.OC1=CC=CC=C1 Chemical compound C.CC(C)(C)OC(=O)N1CCN(C2CCC(N3N=C(C4=CC([N+](=O)[O-])=C(F)C=C4)C4=C(N)N=CN=C43)CC2)CC1.CC(C)(C)OC(=O)N1CCN(C2CCC(N3N=C(C4=CC([N+](=O)[O-])=C(OC5=CC=CC=C5)C=C4)C4=C(N)N=CN=C43)CC2)CC1.CC(C)(C)OC(=O)N1CCN(C2CCC(N3N=C(I)C4=C(N)N=CN=C43)CC2)CC1.O=[N+]([O-])C1=C(F)C=CC(B(O)O)=C1.OC1=CC=CC=C1 YKIBSYVPLFUSHO-UHFFFAOYSA-N 0.000 description 1
- BQOZDFDBQWUXFP-UHFFFAOYSA-N C.CC(C)C(C)(C)CC(=O)C(C)(C)C.CC(C)C(C)(C)COCC(C)(C)CC(=O)C(C)(C)C.CC(C)C1CCC(C(C)(C)CC(=O)C(C)(C)C)CC1.CC(C)C1CCC(C(C)(C)COCC(C)(C)CC(=O)C(C)(C)C)CC1 Chemical compound C.CC(C)C(C)(C)CC(=O)C(C)(C)C.CC(C)C(C)(C)COCC(C)(C)CC(=O)C(C)(C)C.CC(C)C1CCC(C(C)(C)CC(=O)C(C)(C)C)CC1.CC(C)C1CCC(C(C)(C)COCC(C)(C)CC(=O)C(C)(C)C)CC1 BQOZDFDBQWUXFP-UHFFFAOYSA-N 0.000 description 1
- WPCQSOOVLWYPJZ-UHFFFAOYSA-N C.CC.CC.CC.CC.CC(C)N1C2=CC=CC=C2OC2=C1C=CC=C2.CC(C)N1CCCC2=CC=CC=C21 Chemical compound C.CC.CC.CC.CC.CC(C)N1C2=CC=CC=C2OC2=C1C=CC=C2.CC(C)N1CCCC2=CC=CC=C21 WPCQSOOVLWYPJZ-UHFFFAOYSA-N 0.000 description 1
- KJBMKESYZVTRIY-ZDAFRABFSA-N C/C(=C(/C)S(C)(=O)=O)C(C)C.C/C(=C(/C)S(C)=O)C(C)C.CC(=[Y])/C(C)=C(\C)C(C)C Chemical compound C/C(=C(/C)S(C)(=O)=O)C(C)C.C/C(=C(/C)S(C)=O)C(C)C.CC(=[Y])/C(C)=C(\C)C(C)C KJBMKESYZVTRIY-ZDAFRABFSA-N 0.000 description 1
- HCTXOQKWCIQGGL-AIJBPNLCSA-N C/C(=C(/C)S(C)(=O)=O)C(C)C.C/C(=C(/C)S(C)=O)C(C)C.CC(=[Y])/C(C)=C(\C)C(C)C.CC1=C(C)C(=O)C(C(C)C)=C(C)C1=O Chemical compound C/C(=C(/C)S(C)(=O)=O)C(C)C.C/C(=C(/C)S(C)=O)C(C)C.CC(=[Y])/C(C)=C(\C)C(C)C.CC1=C(C)C(=O)C(C(C)C)=C(C)C1=O HCTXOQKWCIQGGL-AIJBPNLCSA-N 0.000 description 1
- GKPFKDSEWDXQAF-CMDGGOBGSA-N C/C(=N\C(C)C)C(C)C Chemical compound C/C(=N\C(C)C)C(C)C GKPFKDSEWDXQAF-CMDGGOBGSA-N 0.000 description 1
- DIRJQXCKBQHWGA-XIZDNBLLSA-N C/C(=N\C(C)C)C(C)C.CC(=NC(C)C)C(C)C.CC(=NN(C)C(C)C)C(C)C.CC(=NN(C)C(C)C)C(C)C.CC(=NOC(C)C)C(C)C.CC(=NOC(C)C)C(C)C.CC(C)CC(=O)C(C)C.CC(C)CC(=O)C(C)C.CC(C)CC(C)C(C)C(=O)C(C)C.CC(C)CC(C)C(C)C(=O)C(C)C.CC(C)CC1C(=O)N(C)C(=O)C1C(C)C.CC(C)CC1C(=O)N(C)C(=O)C1C(C)C.CC(C)CC1CC(=O)N(C(C)C)C1=O.CC(C)CCC(C)C(C)C.CC(C)CCC(C)C(C)C.CC(C)SSC(C)C.CC(CC(C)C)=C(C)C(C)C.CC(CC(C)C)=C(C)C(C)C.CC1=C(C(C)C)N(C(C)C)N=N1.CC1=C(C(C)C)N(C(C)C)N=N1.CC1=C(C(C)C)N=NN1C(C)C.CC1=C(C(C)C)N=NN1C(C)C.CNC.CNNC.CNOC.CNOC.COC.CSC Chemical compound C/C(=N\C(C)C)C(C)C.CC(=NC(C)C)C(C)C.CC(=NN(C)C(C)C)C(C)C.CC(=NN(C)C(C)C)C(C)C.CC(=NOC(C)C)C(C)C.CC(=NOC(C)C)C(C)C.CC(C)CC(=O)C(C)C.CC(C)CC(=O)C(C)C.CC(C)CC(C)C(C)C(=O)C(C)C.CC(C)CC(C)C(C)C(=O)C(C)C.CC(C)CC1C(=O)N(C)C(=O)C1C(C)C.CC(C)CC1C(=O)N(C)C(=O)C1C(C)C.CC(C)CC1CC(=O)N(C(C)C)C1=O.CC(C)CCC(C)C(C)C.CC(C)CCC(C)C(C)C.CC(C)SSC(C)C.CC(CC(C)C)=C(C)C(C)C.CC(CC(C)C)=C(C)C(C)C.CC1=C(C(C)C)N(C(C)C)N=N1.CC1=C(C(C)C)N(C(C)C)N=N1.CC1=C(C(C)C)N=NN1C(C)C.CC1=C(C(C)C)N=NN1C(C)C.CNC.CNNC.CNOC.CNOC.COC.CSC DIRJQXCKBQHWGA-XIZDNBLLSA-N 0.000 description 1
- PUUYGTYQIYNTOQ-MDZDMXLPSA-N C/C(=N\N(C)C(C)C)C(C)C Chemical compound C/C(=N\N(C)C(C)C)C(C)C PUUYGTYQIYNTOQ-MDZDMXLPSA-N 0.000 description 1
- HCNDRDPULZCAFB-AFBQNKFHSA-N C/C(=N\OC(C)C)C(C)C.C/C(=N\OC(C)C)C(C)C Chemical compound C/C(=N\OC(C)C)C(C)C.C/C(=N\OC(C)C)C(C)C HCNDRDPULZCAFB-AFBQNKFHSA-N 0.000 description 1
- AKHNCTTXHNHFJG-KNTZOHLGSA-N C/C(=N\OC(C)C)C(C)C.CC(=C(C)C(C)C)C(C)C.CC(=C(C)C(C)C)C(C)C.CC(=NC(C)C)C(C)C.CC(=NC(C)C)C(C)C.CC(=NN(C)C(C)C)C(C)C.CC(=NN(C)C(C)C)C(C)C.CC(=NOC(C)C)C(C)C.CC(C)C(=O)C(C)(C)N(C)C(C)C.CC(C)C(=O)C(C)(C)N(C)C(C)C.CC(C)CC(=O)C(C)C.CC(C)CC(=O)C(C)C.CC(C)CC(C)C(C)C(=O)C(C)C.CC(C)CC(C)C(C)C(=O)C(C)C.CC(C)CCC(C)C(C)C.CC(C)CCC(C)C(C)C.CC(C)N(C)C(C)(C)C(C)C.CC(C)SSC(C)C.CC(CC(C)C)=C(C)C(C)C.CC(CC(C)C)=C(C)C(C)C.CC1=C(C(C)C)N(C(C)C)N=N1.CC1=C(C(C)C)N(C(C)C)N=N1.CC1=C(C(C)C)N=NN1C(C)C.CC1=C(C(C)C)N=NN1C(C)C Chemical compound C/C(=N\OC(C)C)C(C)C.CC(=C(C)C(C)C)C(C)C.CC(=C(C)C(C)C)C(C)C.CC(=NC(C)C)C(C)C.CC(=NC(C)C)C(C)C.CC(=NN(C)C(C)C)C(C)C.CC(=NN(C)C(C)C)C(C)C.CC(=NOC(C)C)C(C)C.CC(C)C(=O)C(C)(C)N(C)C(C)C.CC(C)C(=O)C(C)(C)N(C)C(C)C.CC(C)CC(=O)C(C)C.CC(C)CC(=O)C(C)C.CC(C)CC(C)C(C)C(=O)C(C)C.CC(C)CC(C)C(C)C(=O)C(C)C.CC(C)CCC(C)C(C)C.CC(C)CCC(C)C(C)C.CC(C)N(C)C(C)(C)C(C)C.CC(C)SSC(C)C.CC(CC(C)C)=C(C)C(C)C.CC(CC(C)C)=C(C)C(C)C.CC1=C(C(C)C)N(C(C)C)N=N1.CC1=C(C(C)C)N(C(C)C)N=N1.CC1=C(C(C)C)N=NN1C(C)C.CC1=C(C(C)C)N=NN1C(C)C AKHNCTTXHNHFJG-KNTZOHLGSA-N 0.000 description 1
- SPQNCXHEAJUOHO-OKQLEIPSSA-N C/C(=N\OC(C)C)C(C)C.CC(=C(C)C(C)C)C(C)C.CC(=C(C)C(C)C)C(C)C.CC(=NC(C)C)C(C)C.CC(=NC(C)C)C(C)C.CC(=NN(C)C(C)C)C(C)C.CC(=NN(C)C(C)C)C(C)C.CC(=NOC(C)C)C(C)C.CC(C)C(=O)C(C)(C)N(C)C(C)C.CC(C)C(=O)C(C)(C)N(C)C(C)C.CC(C)CC(C)C(C)C(=O)C(C)C.CC(C)CC(C)C(C)C(=O)C(C)C.CC(C)CCC(C)C(C)C.CC(C)CCC(C)C(C)C.CC(C)N(C)C(C)(C)C(C)C.CC(C)SSC(C)C.CC(CC(C)C)=C(C)C(C)C.CC(CC(C)C)=C(C)C(C)C.CC1=C(C(C)C)N(C(C)C)N=N1.CC1=C(C(C)C)N(C(C)C)N=N1.CC1=C(C(C)C)N=NN1C(C)C.CC1=C(C(C)C)N=NN1C(C)C Chemical compound C/C(=N\OC(C)C)C(C)C.CC(=C(C)C(C)C)C(C)C.CC(=C(C)C(C)C)C(C)C.CC(=NC(C)C)C(C)C.CC(=NC(C)C)C(C)C.CC(=NN(C)C(C)C)C(C)C.CC(=NN(C)C(C)C)C(C)C.CC(=NOC(C)C)C(C)C.CC(C)C(=O)C(C)(C)N(C)C(C)C.CC(C)C(=O)C(C)(C)N(C)C(C)C.CC(C)CC(C)C(C)C(=O)C(C)C.CC(C)CC(C)C(C)C(=O)C(C)C.CC(C)CCC(C)C(C)C.CC(C)CCC(C)C(C)C.CC(C)N(C)C(C)(C)C(C)C.CC(C)SSC(C)C.CC(CC(C)C)=C(C)C(C)C.CC(CC(C)C)=C(C)C(C)C.CC1=C(C(C)C)N(C(C)C)N=N1.CC1=C(C(C)C)N(C(C)C)N=N1.CC1=C(C(C)C)N=NN1C(C)C.CC1=C(C(C)C)N=NN1C(C)C SPQNCXHEAJUOHO-OKQLEIPSSA-N 0.000 description 1
- SVXTUIACQIPXFN-YFGZYSTASA-N C/C(CC(C)C)=C(/C)C(C)C.C/C(CC(C)C)=C(/C)C(C)C Chemical compound C/C(CC(C)C)=C(/C)C(C)C.C/C(CC(C)C)=C(/C)C(C)C SVXTUIACQIPXFN-YFGZYSTASA-N 0.000 description 1
- NTVKWMFASAMFKS-UHFFFAOYSA-N C1=CC=C2C=CC=CC2=C1.C1CC2CCC(C1)C2.C1CC2CCC1C2.C1CC2CCC1CC2.CC.CC.CC.CC.CC.CC.CC.CC.CC.CC.CC.CC.CC.CC.CC.CC.CC.CC.CC.CC.CC.CC.CC(C)C.CC(C)C.CC(C)C.CC(C)C.CC(C)C.CC(C)C(C1=CC=CC=C1)(C1=CC=CC=C1)C1=CC=CC=C1.CC(C)C(C1=CC=CC=C1)C1=CC=CC=C1.CC(C)C(C1CCCCC1)C1CCCCC1.CC(C)C12CC3CC(CC(C3)C1)C2.CC(C)C1=CC=C(C23CC4CC(CC(C4)C2)C3)C=C1.CC(C)C1=CC=C(C2=CC=CC=C2)C=C1.CC(C)C1=CC=CC=C1.CC(C)C1C2=CC=CC=C2C2=C1C=CC=C2.CC(C)C1CCC2CCCCC2C1.CC(C)C1CCCCC1.O=C1CC2CCC1C2 Chemical compound C1=CC=C2C=CC=CC2=C1.C1CC2CCC(C1)C2.C1CC2CCC1C2.C1CC2CCC1CC2.CC.CC.CC.CC.CC.CC.CC.CC.CC.CC.CC.CC.CC.CC.CC.CC.CC.CC.CC.CC.CC.CC.CC(C)C.CC(C)C.CC(C)C.CC(C)C.CC(C)C.CC(C)C(C1=CC=CC=C1)(C1=CC=CC=C1)C1=CC=CC=C1.CC(C)C(C1=CC=CC=C1)C1=CC=CC=C1.CC(C)C(C1CCCCC1)C1CCCCC1.CC(C)C12CC3CC(CC(C3)C1)C2.CC(C)C1=CC=C(C23CC4CC(CC(C4)C2)C3)C=C1.CC(C)C1=CC=C(C2=CC=CC=C2)C=C1.CC(C)C1=CC=CC=C1.CC(C)C1C2=CC=CC=C2C2=C1C=CC=C2.CC(C)C1CCC2CCCCC2C1.CC(C)C1CCCCC1.O=C1CC2CCC1C2 NTVKWMFASAMFKS-UHFFFAOYSA-N 0.000 description 1
- PGLJUPSBTWLOTL-UHFFFAOYSA-N C1=CC=C2C=CC=CC2=C1.CC.CC.CC.CC.CC.CC.CC(C)C.CC(C)C1=CC=C(C23CC4CC(CC(C4)C2)C3)C=C1.CC(C)C1=CC=C(C2=CC=CC=C2)C=C1.CC(C)C1=CC=CC=C1 Chemical compound C1=CC=C2C=CC=CC2=C1.CC.CC.CC.CC.CC.CC.CC(C)C.CC(C)C1=CC=C(C23CC4CC(CC(C4)C2)C3)C=C1.CC(C)C1=CC=C(C2=CC=CC=C2)C=C1.CC(C)C1=CC=CC=C1 PGLJUPSBTWLOTL-UHFFFAOYSA-N 0.000 description 1
- QHOOWKSERPYUAQ-UHFFFAOYSA-N C1=CC=C2C=CC=CC2=C1.CC.CC.CC.CC.CC.CC.CC.CC.CC.CC.CC.CC(C)C.CC(C)C(C1=CC=CC=C1)(C1=CC=CC=C1)C1=CC=CC=C1.CC(C)C(C1=CC=CC=C1)C1=CC=CC=C1.CC(C)C1=CC=C(C23CC4CC(CC(C4)C2)C3)C=C1.CC(C)C1=CC=C(C2=CC=CC=C2)C=C1.CC(C)C1=CC=CC=C1 Chemical compound C1=CC=C2C=CC=CC2=C1.CC.CC.CC.CC.CC.CC.CC.CC.CC.CC.CC.CC(C)C.CC(C)C(C1=CC=CC=C1)(C1=CC=CC=C1)C1=CC=CC=C1.CC(C)C(C1=CC=CC=C1)C1=CC=CC=C1.CC(C)C1=CC=C(C23CC4CC(CC(C4)C2)C3)C=C1.CC(C)C1=CC=C(C2=CC=CC=C2)C=C1.CC(C)C1=CC=CC=C1 QHOOWKSERPYUAQ-UHFFFAOYSA-N 0.000 description 1
- DDIUEFHCHNYJRA-UHFFFAOYSA-N C1=CC=CC=C1.C1CCCCC1.C1CCOCC1.C1COCCO1.CC.CC.CC.CC.CC.CC.CC.CC(C)C.CC(C)C.CC(C)C.CC(C)C.CC(C)C.CC(C)C.CC(C)C.CC(C)C.CC(C)C.CC(C)C.CC(C)C(=O)C(C)(C)C(C)C.CC(C)C(=O)C(C)(C)C(C)C.CC(C)C(=[W])C(C)C.CC(C)C(C)(C)C(C)C.CC(C)C1CCC(C(C)C)CC1.CC(C)CC(=[W])C(C)C.CC(C)CC(=[W])C(C)C.CC(C)CC(=[W])CC(C)C.CC(C)CCN(C)C(C)C.CC(C)CCN(C)C(C)C.CC(C)CCOC(C)C.CC(C)CCOC(C)C.CC(C)CN(C)CC(C)C.CC(C)COCC(C)C.CC(C)N(C)C(C)(C)C(C)C.CC(C)N1CCCCC1.CC(C)N1CCCCC1.CC(C)OC(C)(C)C(C)C.CC(C)OC(C)(C)C(C)C Chemical compound C1=CC=CC=C1.C1CCCCC1.C1CCOCC1.C1COCCO1.CC.CC.CC.CC.CC.CC.CC.CC(C)C.CC(C)C.CC(C)C.CC(C)C.CC(C)C.CC(C)C.CC(C)C.CC(C)C.CC(C)C.CC(C)C.CC(C)C(=O)C(C)(C)C(C)C.CC(C)C(=O)C(C)(C)C(C)C.CC(C)C(=[W])C(C)C.CC(C)C(C)(C)C(C)C.CC(C)C1CCC(C(C)C)CC1.CC(C)CC(=[W])C(C)C.CC(C)CC(=[W])C(C)C.CC(C)CC(=[W])CC(C)C.CC(C)CCN(C)C(C)C.CC(C)CCN(C)C(C)C.CC(C)CCOC(C)C.CC(C)CCOC(C)C.CC(C)CN(C)CC(C)C.CC(C)COCC(C)C.CC(C)N(C)C(C)(C)C(C)C.CC(C)N1CCCCC1.CC(C)N1CCCCC1.CC(C)OC(C)(C)C(C)C.CC(C)OC(C)(C)C(C)C DDIUEFHCHNYJRA-UHFFFAOYSA-N 0.000 description 1
- NAOYUCGNCBPYGG-UHFFFAOYSA-N C1=CC=CC=C1.C1CCCCC1.C1CCOCC1.C1COCCO1.CC.CC.CC.CC.CC.CC.CC.CC(C)C.CC(C)C.CC(C)C.CC(C)C.CC(C)C.CC(C)C.CC(C)C.CC(C)C.CC(C)C.CC(C)C.CC(C)C1CCC(C(C)C)CC1.CC(C)N1CCCCC1.CC(C)N1CCCCC1 Chemical compound C1=CC=CC=C1.C1CCCCC1.C1CCOCC1.C1COCCO1.CC.CC.CC.CC.CC.CC.CC.CC(C)C.CC(C)C.CC(C)C.CC(C)C.CC(C)C.CC(C)C.CC(C)C.CC(C)C.CC(C)C.CC(C)C.CC(C)C1CCC(C(C)C)CC1.CC(C)N1CCCCC1.CC(C)N1CCCCC1 NAOYUCGNCBPYGG-UHFFFAOYSA-N 0.000 description 1
- MRKDUDAGNHOBEX-UHFFFAOYSA-N C1CC2CCC(C1)C2.C1CC2CCC1C2.C1CC2CCC1CC2.C=C1CC2CCC1C2.CC.CC.CC.CC.CC.CC.CC.CC.CC.CC(C)C.CC(C)C.CC(C)C.CC(C)C.CC(C)C12CC3CC(CC(C3)C1)C2.CC(C)C1C2=CC=CC=C2C2=C1C=CC=C2.CC(C)C1CCC2CCCCC2C1.CC(C)C1CCCCC1 Chemical compound C1CC2CCC(C1)C2.C1CC2CCC1C2.C1CC2CCC1CC2.C=C1CC2CCC1C2.CC.CC.CC.CC.CC.CC.CC.CC.CC.CC(C)C.CC(C)C.CC(C)C.CC(C)C.CC(C)C12CC3CC(CC(C3)C1)C2.CC(C)C1C2=CC=CC=C2C2=C1C=CC=C2.CC(C)C1CCC2CCCCC2C1.CC(C)C1CCCCC1 MRKDUDAGNHOBEX-UHFFFAOYSA-N 0.000 description 1
- DNSXCXMJHDCBSE-UHFFFAOYSA-N C1CC2CCC(C1)C2.C1CC2CCC1C2.C1CC2CCC1CC2.CC.CC.CC.CC.CC.CC.CC.CC.CC.CC.CC.CC(C)C.CC(C)C.CC(C)C.CC(C)C.CC(C)C(C1CCCCC1)C1CCCCC1.CC(C)C12CC3CC(CC(C3)C1)C2.CC(C)C1C2=CC=CC=C2C2=C1C=CC=C2.CC(C)C1CCC2CCCCC2C1.CC(C)C1CCCCC1.O=C1CC2CCC1C2 Chemical compound C1CC2CCC(C1)C2.C1CC2CCC1C2.C1CC2CCC1CC2.CC.CC.CC.CC.CC.CC.CC.CC.CC.CC.CC.CC(C)C.CC(C)C.CC(C)C.CC(C)C.CC(C)C(C1CCCCC1)C1CCCCC1.CC(C)C12CC3CC(CC(C3)C1)C2.CC(C)C1C2=CC=CC=C2C2=C1C=CC=C2.CC(C)C1CCC2CCCCC2C1.CC(C)C1CCCCC1.O=C1CC2CCC1C2 DNSXCXMJHDCBSE-UHFFFAOYSA-N 0.000 description 1
- LKQMJXYYIIWBEZ-UHFFFAOYSA-N C1CCCCC1.CC.CC.CC.CC.CC(=NOC(C)C)C(C)C.CC(=NOC(C)C)C(C)C.CC(C)C.CC(C)C.CC(C)C.CC(C)C.CC(C)C(=O)C(C)(C)C(C)C.CC(C)C(=O)C(C)(C)C(C)C.CC(C)C(=O)C(C)(C)N(C)C(C)C.CC(C)C(=O)C(C)(C)N(C)C(C)C.CC(C)C(C)(C)C(C)C.CC(C)C1CCC(C(C)C)CC1.CC(C)CC(=[W])C(C)C.CC(C)CC(=[W])C(C)C.CC(C)CC(=[W])CC(C)C.CC(C)CCOC(C)C.CC(C)CCOC(C)C.CC(C)COCC(C)C.CC(C)N1CCCCC1.CC(C)N1CCCCC1.CC(C)OC(C)(C)C(C)C.CC(C)OC(C)(C)C(C)C Chemical compound C1CCCCC1.CC.CC.CC.CC.CC(=NOC(C)C)C(C)C.CC(=NOC(C)C)C(C)C.CC(C)C.CC(C)C.CC(C)C.CC(C)C.CC(C)C(=O)C(C)(C)C(C)C.CC(C)C(=O)C(C)(C)C(C)C.CC(C)C(=O)C(C)(C)N(C)C(C)C.CC(C)C(=O)C(C)(C)N(C)C(C)C.CC(C)C(C)(C)C(C)C.CC(C)C1CCC(C(C)C)CC1.CC(C)CC(=[W])C(C)C.CC(C)CC(=[W])C(C)C.CC(C)CC(=[W])CC(C)C.CC(C)CCOC(C)C.CC(C)CCOC(C)C.CC(C)COCC(C)C.CC(C)N1CCCCC1.CC(C)N1CCCCC1.CC(C)OC(C)(C)C(C)C.CC(C)OC(C)(C)C(C)C LKQMJXYYIIWBEZ-UHFFFAOYSA-N 0.000 description 1
- URMXMXVZFVMTBP-UHFFFAOYSA-N C=C(CC(C)C)OCC.C=C(CC(C)C)SCC.C=S(=O)(CC)CC(C)C.CC(C)=C(C)S(=O)CC(C)C.CC(C)CC(=[Y])C(C)(C)Cl.CC(C)CC(=[Y])C(C)(C)F.CCC(=[Y])CC(C)C.CCS(=O)CC(C)C Chemical compound C=C(CC(C)C)OCC.C=C(CC(C)C)SCC.C=S(=O)(CC)CC(C)C.CC(C)=C(C)S(=O)CC(C)C.CC(C)CC(=[Y])C(C)(C)Cl.CC(C)CC(=[Y])C(C)(C)F.CCC(=[Y])CC(C)C.CCS(=O)CC(C)C URMXMXVZFVMTBP-UHFFFAOYSA-N 0.000 description 1
- BKXBNPNLHDFYRI-UHFFFAOYSA-N C=CC(=O)CC1=C(OC2=CC=CC=C2)C=CC(C2=NN(C3CCC(N4CCN(C(C)=O)CC4)CC3)C3=NC=NC(N)=C23)=C1 Chemical compound C=CC(=O)CC1=C(OC2=CC=CC=C2)C=CC(C2=NN(C3CCC(N4CCN(C(C)=O)CC4)CC3)C3=NC=NC(N)=C23)=C1 BKXBNPNLHDFYRI-UHFFFAOYSA-N 0.000 description 1
- LFDSPIBKJRQCCJ-UHFFFAOYSA-N C=CC(=O)CC1=C(OC2=CC=CC=C2)C=CC(C2=NN(C3CCC(N4CCNCC4)CC3)C3=NC=NC(N)=C23)=C1.C=CC(=O)Cl.CC1=C2C(C3=CC(N)=C(OC4=CC=CC=C4)C=C3)=NN(C3CCC(N4CCN(C(=O)OC(C)(C)C)CC4)CC3)C2=NC=N1 Chemical compound C=CC(=O)CC1=C(OC2=CC=CC=C2)C=CC(C2=NN(C3CCC(N4CCNCC4)CC3)C3=NC=NC(N)=C23)=C1.C=CC(=O)Cl.CC1=C2C(C3=CC(N)=C(OC4=CC=CC=C4)C=C3)=NN(C3CCC(N4CCN(C(=O)OC(C)(C)C)CC4)CC3)C2=NC=N1 LFDSPIBKJRQCCJ-UHFFFAOYSA-N 0.000 description 1
- MXYGEIAVTHPGRS-UHFFFAOYSA-N C=CC(=O)CC1=C(OC2=CC=CC=C2)C=CC(C2=NN(C3CCN(C)CC3)C3=NC=NC(N)=C23)=C1 Chemical compound C=CC(=O)CC1=C(OC2=CC=CC=C2)C=CC(C2=NN(C3CCN(C)CC3)C3=NC=NC(N)=C23)=C1 MXYGEIAVTHPGRS-UHFFFAOYSA-N 0.000 description 1
- YYAKNQYYZXESSP-UHFFFAOYSA-N C=CC(=O)CC1=C(OC2=CC=CC=C2)C=CC(C2=NN(C3CCN(CCNC(=O)CC45CC6CC(CC(C6)C4)C5)CC3)C3=NC=NC(N)=C23)=C1 Chemical compound C=CC(=O)CC1=C(OC2=CC=CC=C2)C=CC(C2=NN(C3CCN(CCNC(=O)CC45CC6CC(CC(C6)C4)C5)CC3)C3=NC=NC(N)=C23)=C1 YYAKNQYYZXESSP-UHFFFAOYSA-N 0.000 description 1
- BEIIIWLPKGTUTC-XYBPXKKASA-N C=CC(=O)CC1=C(OC2=CC=CC=C2)C=CC(C2=NN(C3CCN(CCNC(=O)[C@H](C)CCC45CC6CC(CC(C6)C4)C5)CC3)C3=NC=NC(N)=C23)=C1.C=CC(=O)Cl.CC1=C2C(C3=CC(N)=C(OC4=CC=CC=C4)C=C3)=NN(C3CCN(CCNC(=O)[C@H](C)CCC45CC6CC(CC(C6)C4)C5)CC3)C2=NC=N1 Chemical compound C=CC(=O)CC1=C(OC2=CC=CC=C2)C=CC(C2=NN(C3CCN(CCNC(=O)[C@H](C)CCC45CC6CC(CC(C6)C4)C5)CC3)C3=NC=NC(N)=C23)=C1.C=CC(=O)Cl.CC1=C2C(C3=CC(N)=C(OC4=CC=CC=C4)C=C3)=NN(C3CCN(CCNC(=O)[C@H](C)CCC45CC6CC(CC(C6)C4)C5)CC3)C2=NC=N1 BEIIIWLPKGTUTC-XYBPXKKASA-N 0.000 description 1
- AHPJXRFVBGGHSF-UHFFFAOYSA-N C=CC(=O)CC1=C(OC2=CC=CC=C2)C=CC(C2=NN(C3CCN(CCOCCNC(=O)CC45CC6CC(CC(C6)C4)C5)CC3)C3=NC=NC(N)=C23)=C1 Chemical compound C=CC(=O)CC1=C(OC2=CC=CC=C2)C=CC(C2=NN(C3CCN(CCOCCNC(=O)CC45CC6CC(CC(C6)C4)C5)CC3)C3=NC=NC(N)=C23)=C1 AHPJXRFVBGGHSF-UHFFFAOYSA-N 0.000 description 1
- OZDPTCFKPRRATA-UHFFFAOYSA-N C=CC(=O)NC1=C(OC2=CC=CC=C2)C=CC(C2=NN(C3CCC(N4CCN(C(C)=O)CC4)CC3)C3=NC=NC(N)=C23)=C1.COC1=CC(C2=NN(C3CCC(N4CCN(C(C)=O)CC4)CC3)C3=NC=NC(N)=C23)=CC=C1NC(=O)C1=CC2=C(C=CC=C2)N1C Chemical compound C=CC(=O)NC1=C(OC2=CC=CC=C2)C=CC(C2=NN(C3CCC(N4CCN(C(C)=O)CC4)CC3)C3=NC=NC(N)=C23)=C1.COC1=CC(C2=NN(C3CCC(N4CCN(C(C)=O)CC4)CC3)C3=NC=NC(N)=C23)=CC=C1NC(=O)C1=CC2=C(C=CC=C2)N1C OZDPTCFKPRRATA-UHFFFAOYSA-N 0.000 description 1
- QVTXDYQRUQBUGJ-DJVDKVERSA-N C=CC(=O)NC1=C(OC2=CC=CC=C2)C=CC(C2=NN(C3CCC(N4CCN(C/C(C)=N/OCCNC(=O)CC5C6CC7CC(C6)CC5C7)CC4)CC3)C3=NC=NC(N)=C23)=C1.C=CC(=O)NC1=C(OC2=CC=CC=C2)C=CC(C2=NN(C3CCC(N4CCN(CC(C)=O)CC4)CC3)C3=NC=NC(N)=C23)=C1.NOCCNC(=O)CC1C2CC3CC(C2)CC1C3 Chemical compound C=CC(=O)NC1=C(OC2=CC=CC=C2)C=CC(C2=NN(C3CCC(N4CCN(C/C(C)=N/OCCNC(=O)CC5C6CC7CC(C6)CC5C7)CC4)CC3)C3=NC=NC(N)=C23)=C1.C=CC(=O)NC1=C(OC2=CC=CC=C2)C=CC(C2=NN(C3CCC(N4CCN(CC(C)=O)CC4)CC3)C3=NC=NC(N)=C23)=C1.NOCCNC(=O)CC1C2CC3CC(C2)CC1C3 QVTXDYQRUQBUGJ-DJVDKVERSA-N 0.000 description 1
- UPVYVRXPPWLFNN-UHFFFAOYSA-N C=CC(=O)NC1=C(OC2=CC=CC=C2)C=CC(C2=NN(C3CCN(CCCNC(=O)CC45CC6CC(CC(C6)C4)C5)CC3)C3=NC=NC(N)=C23)=C1 Chemical compound C=CC(=O)NC1=C(OC2=CC=CC=C2)C=CC(C2=NN(C3CCN(CCCNC(=O)CC45CC6CC(CC(C6)C4)C5)CC3)C3=NC=NC(N)=C23)=C1 UPVYVRXPPWLFNN-UHFFFAOYSA-N 0.000 description 1
- GKJWHLDKQULMHJ-UHFFFAOYSA-N C=CC(=O)NC1=C(OC2=CC=CC=C2)C=CC(C2=NN(C3CCN(CCNC(=O)C(C)CCC45CC6CC(CC(C6)C4)C5)CC3)C3=NC=NC(N)=C23)=C1 Chemical compound C=CC(=O)NC1=C(OC2=CC=CC=C2)C=CC(C2=NN(C3CCN(CCNC(=O)C(C)CCC45CC6CC(CC(C6)C4)C5)CC3)C3=NC=NC(N)=C23)=C1 GKJWHLDKQULMHJ-UHFFFAOYSA-N 0.000 description 1
- XOPBBGWEGRWWOP-UHFFFAOYSA-N C=CC(=O)NC1=C(OC2=CC=CC=C2)C=CC(C2=NN(C3CCN(CCNC(=O)CC45CC6CC(CC(C6)C4)C5)CC3)C3=NC=NC(N)=C23)=C1 Chemical compound C=CC(=O)NC1=C(OC2=CC=CC=C2)C=CC(C2=NN(C3CCN(CCNC(=O)CC45CC6CC(CC(C6)C4)C5)CC3)C3=NC=NC(N)=C23)=C1 XOPBBGWEGRWWOP-UHFFFAOYSA-N 0.000 description 1
- WDDMIXXAVHKDNF-ZSTPLIBZSA-N C=CC(=O)NC1=C(OC2=CC=CC=C2)C=CC(C2=NN(C3CCN(CCNC(=O)[C@@H](C)CCC45CC6CC(CC(C6)C4)C5)CC3)C3=NC=NC(N)=C23)=C1.S Chemical compound C=CC(=O)NC1=C(OC2=CC=CC=C2)C=CC(C2=NN(C3CCN(CCNC(=O)[C@@H](C)CCC45CC6CC(CC(C6)C4)C5)CC3)C3=NC=NC(N)=C23)=C1.S WDDMIXXAVHKDNF-ZSTPLIBZSA-N 0.000 description 1
- IQTPPYKZGWYBQI-UHFFFAOYSA-N CC#CC(=[Y])CC(C)C.CC(C)=C(C)C(=[Y])CC(C)C.CC1=C(C)C(=O)C(C(C)C)C(C)C1=O Chemical compound CC#CC(=[Y])CC(C)C.CC(C)=C(C)C(=[Y])CC(C)C.CC1=C(C)C(=O)C(C(C)C)C(C)C1=O IQTPPYKZGWYBQI-UHFFFAOYSA-N 0.000 description 1
- AKHNCTTXHNHFJG-UHFFFAOYSA-N CC(=C(C)C(C)C)C(C)C.CC(=C(C)C(C)C)C(C)C.CC(=NC(C)C)C(C)C.CC(=NC(C)C)C(C)C.CC(=NN(C)C(C)C)C(C)C.CC(=NN(C)C(C)C)C(C)C.CC(=NOC(C)C)C(C)C.CC(=NOC(C)C)C(C)C.CC(C)C(=O)C(C)(C)N(C)C(C)C.CC(C)C(=O)C(C)(C)N(C)C(C)C.CC(C)CC(=O)C(C)C.CC(C)CC(=O)C(C)C.CC(C)CC(C)C(C)C(=O)C(C)C.CC(C)CC(C)C(C)C(=O)C(C)C.CC(C)CCC(C)C(C)C.CC(C)CCC(C)C(C)C.CC(C)N(C)C(C)(C)C(C)C.CC(C)SSC(C)C.CC(CC(C)C)=C(C)C(C)C.CC(CC(C)C)=C(C)C(C)C.CC1=C(C(C)C)N(C(C)C)N=N1.CC1=C(C(C)C)N(C(C)C)N=N1.CC1=C(C(C)C)N=NN1C(C)C.CC1=C(C(C)C)N=NN1C(C)C Chemical compound CC(=C(C)C(C)C)C(C)C.CC(=C(C)C(C)C)C(C)C.CC(=NC(C)C)C(C)C.CC(=NC(C)C)C(C)C.CC(=NN(C)C(C)C)C(C)C.CC(=NN(C)C(C)C)C(C)C.CC(=NOC(C)C)C(C)C.CC(=NOC(C)C)C(C)C.CC(C)C(=O)C(C)(C)N(C)C(C)C.CC(C)C(=O)C(C)(C)N(C)C(C)C.CC(C)CC(=O)C(C)C.CC(C)CC(=O)C(C)C.CC(C)CC(C)C(C)C(=O)C(C)C.CC(C)CC(C)C(C)C(=O)C(C)C.CC(C)CCC(C)C(C)C.CC(C)CCC(C)C(C)C.CC(C)N(C)C(C)(C)C(C)C.CC(C)SSC(C)C.CC(CC(C)C)=C(C)C(C)C.CC(CC(C)C)=C(C)C(C)C.CC1=C(C(C)C)N(C(C)C)N=N1.CC1=C(C(C)C)N(C(C)C)N=N1.CC1=C(C(C)C)N=NN1C(C)C.CC1=C(C(C)C)N=NN1C(C)C AKHNCTTXHNHFJG-UHFFFAOYSA-N 0.000 description 1
- GKPFKDSEWDXQAF-UHFFFAOYSA-N CC(=NC(C)C)C(C)C Chemical compound CC(=NC(C)C)C(C)C GKPFKDSEWDXQAF-UHFFFAOYSA-N 0.000 description 1
- ITFOGTNYZNXTJW-UHFFFAOYSA-N CC(=NC(C)C)C(C)C.CC(=NC(C)C)C(C)C Chemical compound CC(=NC(C)C)C(C)C.CC(=NC(C)C)C(C)C ITFOGTNYZNXTJW-UHFFFAOYSA-N 0.000 description 1
- PUUYGTYQIYNTOQ-UHFFFAOYSA-N CC(=NN(C)C(C)C)C(C)C Chemical compound CC(=NN(C)C(C)C)C(C)C PUUYGTYQIYNTOQ-UHFFFAOYSA-N 0.000 description 1
- DRLRXYYFUQBEIP-UHFFFAOYSA-N CC(=NN(C)C(C)C)C(C)C.CC(=NN(C)C(C)C)C(C)C Chemical compound CC(=NN(C)C(C)C)C(C)C.CC(=NN(C)C(C)C)C(C)C DRLRXYYFUQBEIP-UHFFFAOYSA-N 0.000 description 1
- SUQBAQXKMHFVRN-UHFFFAOYSA-N CC(=O)N1CCN(C2CCC(N3/N=C(/C4=CC([N+](=O)[O-])=C(F)C=C4)C4=C(N)N=CN=C43)CC2)CC1 Chemical compound CC(=O)N1CCN(C2CCC(N3/N=C(/C4=CC([N+](=O)[O-])=C(F)C=C4)C4=C(N)N=CN=C43)CC2)CC1 SUQBAQXKMHFVRN-UHFFFAOYSA-N 0.000 description 1
- PIJSLJYTFMEPSL-UHFFFAOYSA-N CC(=O)N1CCN(C2CCC(N3/N=C(/C4=CC([N+](=O)[O-])=C(OC5=CC=CC=C5)C=C4)C4=C(C)N=CN=C43)CC2)CC1 Chemical compound CC(=O)N1CCN(C2CCC(N3/N=C(/C4=CC([N+](=O)[O-])=C(OC5=CC=CC=C5)C=C4)C4=C(C)N=CN=C43)CC2)CC1 PIJSLJYTFMEPSL-UHFFFAOYSA-N 0.000 description 1
- JDTUXUGBUXLXMD-UHFFFAOYSA-N CC(=O)N1CCN(C2CCC(N3/N=C(/I)C4=C3N=CN=C4N)CC2)CC1 Chemical compound CC(=O)N1CCN(C2CCC(N3/N=C(/I)C4=C3N=CN=C4N)CC2)CC1 JDTUXUGBUXLXMD-UHFFFAOYSA-N 0.000 description 1
- DJVKJNVPKDTMTN-UHFFFAOYSA-N CC(=O)N1CCN(C2CCC(N3N=C(C4=CC(N)=C(OC5=CC=CC=C5)C=C4)C4=C(C)N=CN=C43)CC2)CC1 Chemical compound CC(=O)N1CCN(C2CCC(N3N=C(C4=CC(N)=C(OC5=CC=CC=C5)C=C4)C4=C(C)N=CN=C43)CC2)CC1 DJVKJNVPKDTMTN-UHFFFAOYSA-N 0.000 description 1
- LKEDQBZGZUAIBO-UHFFFAOYSA-L CC(C)(C)OC(=O)N1CCC(Br)CC1.CC(C)(C)OC(=O)N1CCC(N2N=C(C3=CC([N+](=O)[O-])=C(F)C=C3)C3=C(N)N=CN=C32)CC1.CC(C)(C)OC(=O)N1CCC(N2N=C(C3=CC([N+](=O)[O-])=C(OC4=CC=CC=C4)C=C3)C3=C(N)N=CN=C32)CC1.CC(C)(C)OC(=O)N1CCC(N2N=C(I)C3=C(N)N=CN=C32)CC1.NC1=C2C(I)=NNC2=NC=N1.O=COO[K].O=COO[K].O=[N+]([O-])C1=C(F)C=CC(B(O)O)=C1.OC1=CC=CC=C1.[KH].[KH] Chemical compound CC(C)(C)OC(=O)N1CCC(Br)CC1.CC(C)(C)OC(=O)N1CCC(N2N=C(C3=CC([N+](=O)[O-])=C(F)C=C3)C3=C(N)N=CN=C32)CC1.CC(C)(C)OC(=O)N1CCC(N2N=C(C3=CC([N+](=O)[O-])=C(OC4=CC=CC=C4)C=C3)C3=C(N)N=CN=C32)CC1.CC(C)(C)OC(=O)N1CCC(N2N=C(I)C3=C(N)N=CN=C32)CC1.NC1=C2C(I)=NNC2=NC=N1.O=COO[K].O=COO[K].O=[N+]([O-])C1=C(F)C=CC(B(O)O)=C1.OC1=CC=CC=C1.[KH].[KH] LKEDQBZGZUAIBO-UHFFFAOYSA-L 0.000 description 1
- DFMYZSLWDMYXNU-UHFFFAOYSA-N CC(C)(C)OC(=O)N1CCCCC1.CC(C)(C)OC(=O)N1CCN(C2CCC(N3N=C(I)C4=C3N=CN=C4N)CC2)CC1.NC1=NC=NC2=C1C(I)=NN2.NC1=NC=NC2=C1C(I)=NN2C1CCC(=O)CC1.NC1=NC=NC2=C1C=NN2.OC1CCC2(CC1)OCCO2.SN=[IH] Chemical compound CC(C)(C)OC(=O)N1CCCCC1.CC(C)(C)OC(=O)N1CCN(C2CCC(N3N=C(I)C4=C3N=CN=C4N)CC2)CC1.NC1=NC=NC2=C1C(I)=NN2.NC1=NC=NC2=C1C(I)=NN2C1CCC(=O)CC1.NC1=NC=NC2=C1C=NN2.OC1CCC2(CC1)OCCO2.SN=[IH] DFMYZSLWDMYXNU-UHFFFAOYSA-N 0.000 description 1
- YTURDIIQDNFHRX-UHFFFAOYSA-N CC(C)(C)OC(=O)N1CCN(C2CCC(N3N=C(C4=CC([N+](=O)[O-])=C(OC5=CC=CC=C5)C=C4)C4=C(N)N=CN=C43)CC2)CC1.CC(C)(C)OC(=O)OC(=O)OC(C)(C)C.CC1=C2C(C3=CC([N+](=O)[O-])=C(OC4=CC=CC=C4)C=C3)=NN(C3CCC(N4CCN(C(=O)OC(C)(C)C)CC4)CC3)C2=NC=N1 Chemical compound CC(C)(C)OC(=O)N1CCN(C2CCC(N3N=C(C4=CC([N+](=O)[O-])=C(OC5=CC=CC=C5)C=C4)C4=C(N)N=CN=C43)CC2)CC1.CC(C)(C)OC(=O)OC(=O)OC(C)(C)C.CC1=C2C(C3=CC([N+](=O)[O-])=C(OC4=CC=CC=C4)C=C3)=NN(C3CCC(N4CCN(C(=O)OC(C)(C)C)CC4)CC3)C2=NC=N1 YTURDIIQDNFHRX-UHFFFAOYSA-N 0.000 description 1
- GBFUOQQJNIOFFZ-UHFFFAOYSA-N CC(C)(C)OC(=O)N1CCN(C2CCC(N3N=C(I)C4=C3N=CN=C4N)CC2)CC1.CC(C)(C)OC(=O)NCCBr.CC(CCC12CC3CC(CC(C3)C1)C2)C(=O)O.COC1=CC(B2OC(C)(C)C(C)(C)O2)=CC=C1NC(=O)/C1=C/C2=C(C=CC=C2)N1C.COC1=CC(C2=NN(C3CCC(N4CCN(C(=O)OC(C)(C)C)CC4)CC3)C3=C2C(N)=NC=N3)=CC=C1NC(=O)C1=CC2=C(C=CC=C2)N1C.COC1=CC(C2=NN(C3CCC(N4CCN(CCNC(=O)C(C)CCC56CC7CC(CC(C7)C5)C6)CC4)CC3)C3=C2C(N)=NC=N3)=CC=C1NC(=O)C1=CC2=C(C=CC=C2)N1C.COC1=CC(C2=NN(C3CCC(N4CCN(CCNC(=O)OC(C)(C)C)CC4)CC3)C3=C2C(N)=NC=N3)=CC=C1NC(=O)C1=CC2=C(C=CC=C2)N1C Chemical compound CC(C)(C)OC(=O)N1CCN(C2CCC(N3N=C(I)C4=C3N=CN=C4N)CC2)CC1.CC(C)(C)OC(=O)NCCBr.CC(CCC12CC3CC(CC(C3)C1)C2)C(=O)O.COC1=CC(B2OC(C)(C)C(C)(C)O2)=CC=C1NC(=O)/C1=C/C2=C(C=CC=C2)N1C.COC1=CC(C2=NN(C3CCC(N4CCN(C(=O)OC(C)(C)C)CC4)CC3)C3=C2C(N)=NC=N3)=CC=C1NC(=O)C1=CC2=C(C=CC=C2)N1C.COC1=CC(C2=NN(C3CCC(N4CCN(CCNC(=O)C(C)CCC56CC7CC(CC(C7)C5)C6)CC4)CC3)C3=C2C(N)=NC=N3)=CC=C1NC(=O)C1=CC2=C(C=CC=C2)N1C.COC1=CC(C2=NN(C3CCC(N4CCN(CCNC(=O)OC(C)(C)C)CC4)CC3)C3=C2C(N)=NC=N3)=CC=C1NC(=O)C1=CC2=C(C=CC=C2)N1C GBFUOQQJNIOFFZ-UHFFFAOYSA-N 0.000 description 1
- AWUUNSWVBNHDEN-FQRGYMLNSA-N CC(C)(C)OC(=O)NCCBr.CC(C)(C)OC(=O)NCCN1CCC(N2N=C(C3=CC([N+](=O)[O-])=C(OC4=CC=CC=C4)C=C3)C3=C(N)N=CN=C32)CC1.C[C@H](CCC12CC3CC(CC(C3)C1)C2)C(=O)O.NC1=C2C(C3=CC([N+](=O)[O-])=C(OC4=CC=CC=C4)C=C3)=NN(C3CCNCC3)C2=NC=N1.NCCN1CCC(N2N=C(C3=CC([N+](=O)[O-])=C(OC4=CC=CC=C4)C=C3)C3=C(N)N=CN=C32)CC1.[2H]C(=O)OOC(F)([K])[K] Chemical compound CC(C)(C)OC(=O)NCCBr.CC(C)(C)OC(=O)NCCN1CCC(N2N=C(C3=CC([N+](=O)[O-])=C(OC4=CC=CC=C4)C=C3)C3=C(N)N=CN=C32)CC1.C[C@H](CCC12CC3CC(CC(C3)C1)C2)C(=O)O.NC1=C2C(C3=CC([N+](=O)[O-])=C(OC4=CC=CC=C4)C=C3)=NN(C3CCNCC3)C2=NC=N1.NCCN1CCC(N2N=C(C3=CC([N+](=O)[O-])=C(OC4=CC=CC=C4)C=C3)C3=C(N)N=CN=C32)CC1.[2H]C(=O)OOC(F)([K])[K] AWUUNSWVBNHDEN-FQRGYMLNSA-N 0.000 description 1
- VQNKDVSVIDWVQV-UHFFFAOYSA-N CC(C)(C)OC(N(C(OC(C)(C)C)=O)c1c(c(-c(cc2N)ccc2Oc2ccccc2)n[n]2C(CC3)CCC3N(CC3)CCN3C(C)=O)c2ncn1)=O Chemical compound CC(C)(C)OC(N(C(OC(C)(C)C)=O)c1c(c(-c(cc2N)ccc2Oc2ccccc2)n[n]2C(CC3)CCC3N(CC3)CCN3C(C)=O)c2ncn1)=O VQNKDVSVIDWVQV-UHFFFAOYSA-N 0.000 description 1
- IMPZXUPMTZMKPV-UHFFFAOYSA-N CC(C)C(=O)C(C)(C)C(C)C.CC(C)C(=O)C(C)(C)C(C)C.CC(C)C(=O)C(C)(C)N(C)C(C)C.CC(C)C(=O)C(C)(C)N(C)C(C)C.CC(C)C(C)(C)C(C)C.CC(C)CCN(C)C(C)C.CC(C)CCN(C)C(C)C.CC(C)CCOC(C)C.CC(C)CCOC(C)C.CC(C)CN(C)CC(C)C.CC(C)COCC(C)C.CC(C)N(C)C(C)(C)C(C)C.CC(C)N(C)C(C)(C)C(C)C.CC(C)OC(C)(C)C(C)C.CC(C)OC(C)(C)C(C)C Chemical compound CC(C)C(=O)C(C)(C)C(C)C.CC(C)C(=O)C(C)(C)C(C)C.CC(C)C(=O)C(C)(C)N(C)C(C)C.CC(C)C(=O)C(C)(C)N(C)C(C)C.CC(C)C(C)(C)C(C)C.CC(C)CCN(C)C(C)C.CC(C)CCN(C)C(C)C.CC(C)CCOC(C)C.CC(C)CCOC(C)C.CC(C)CN(C)CC(C)C.CC(C)COCC(C)C.CC(C)N(C)C(C)(C)C(C)C.CC(C)N(C)C(C)(C)C(C)C.CC(C)OC(C)(C)C(C)C.CC(C)OC(C)(C)C(C)C IMPZXUPMTZMKPV-UHFFFAOYSA-N 0.000 description 1
- QGMICEJUQBIUKB-UHFFFAOYSA-N CC(C)C(=[W])C(C)C.CC(C)CC(=[W])C(C)C.CC(C)CC(=[W])C(C)C.CC(C)CC(=[W])CC(C)C.CC(C)CC(C)C(C)C(=O)C(C)C.CC(C)CC(C)C(C)C(=O)C(C)C.CC(C)CC1C(=O)N(C)C(=O)C1C(C)C.CC(C)CC1C(=O)N(C)C(=O)C1C(C)C.CC(C)CC1CC(=O)N(C(C)C)C1=O.CC(C)CC1CC(=O)N(C(C)C)C1=O.CC(C)CCC(C)C(C)C.CC(C)CCC(C)C(C)C.CC(CC(C)C)=C(C)C(C)C.CC(CC(C)C)=C(C)C(C)C Chemical compound CC(C)C(=[W])C(C)C.CC(C)CC(=[W])C(C)C.CC(C)CC(=[W])C(C)C.CC(C)CC(=[W])CC(C)C.CC(C)CC(C)C(C)C(=O)C(C)C.CC(C)CC(C)C(C)C(=O)C(C)C.CC(C)CC1C(=O)N(C)C(=O)C1C(C)C.CC(C)CC1C(=O)N(C)C(=O)C1C(C)C.CC(C)CC1CC(=O)N(C(C)C)C1=O.CC(C)CC1CC(=O)N(C(C)C)C1=O.CC(C)CCC(C)C(C)C.CC(C)CCC(C)C(C)C.CC(CC(C)C)=C(C)C(C)C.CC(CC(C)C)=C(C)C(C)C QGMICEJUQBIUKB-UHFFFAOYSA-N 0.000 description 1
- ISDSLPMQFWIUPU-UHFFFAOYSA-N CC(C)C12CC3CC(CC(C3)C1)C2 Chemical compound CC(C)C12CC3CC(CC(C3)C1)C2 ISDSLPMQFWIUPU-UHFFFAOYSA-N 0.000 description 1
- UIBQYJMWBSYIIA-UHFFFAOYSA-N CC(C)C1=CC(=O)N(C)C1=O.CC(C)N1C(=O)C=CC1=O Chemical compound CC(C)C1=CC(=O)N(C)C1=O.CC(C)N1C(=O)C=CC1=O UIBQYJMWBSYIIA-UHFFFAOYSA-N 0.000 description 1
- QCJURQKVVQJNEQ-UHFFFAOYSA-N CC(C)C1CCC(CCCC(=O)C(C)(C)C)CC1.CC(C)C1CCC(CCCCC(=O)C(C)(C)C)CC1.CC(C)C1CCC(CCCCCC(=O)C(C)(C)C)CC1.CC(C)C1CCC(CCCCCCC(=O)C(C)(C)C)CC1.CC(C)C1CCC(CCOCCCC(=O)C(C)(C)C)CC1 Chemical compound CC(C)C1CCC(CCCC(=O)C(C)(C)C)CC1.CC(C)C1CCC(CCCCC(=O)C(C)(C)C)CC1.CC(C)C1CCC(CCCCCC(=O)C(C)(C)C)CC1.CC(C)C1CCC(CCCCCCC(=O)C(C)(C)C)CC1.CC(C)C1CCC(CCOCCCC(=O)C(C)(C)C)CC1 QCJURQKVVQJNEQ-UHFFFAOYSA-N 0.000 description 1
- REYZXWIIUPKFTI-UHFFFAOYSA-N CC(C)C1CO1 Chemical compound CC(C)C1CO1 REYZXWIIUPKFTI-UHFFFAOYSA-N 0.000 description 1
- YDMNMEHMQPVGDM-UHFFFAOYSA-N CC(C)CC#N.CC(C)CC(=[Y])C(C)C#N Chemical compound CC(C)CC#N.CC(C)CC(=[Y])C(C)C#N YDMNMEHMQPVGDM-UHFFFAOYSA-N 0.000 description 1
- ZJQUQOCSJNQVFS-UHFFFAOYSA-N CC(C)CC(=O)C(C)C.CC(C)CC(=O)C(C)C Chemical compound CC(C)CC(=O)C(C)C.CC(C)CC(=O)C(C)C ZJQUQOCSJNQVFS-UHFFFAOYSA-N 0.000 description 1
- BJTUORZJWKHJIZ-UHFFFAOYSA-N CC(C)CC(=O)C(C)C.CC(C)NC(=O)C(C)C Chemical compound CC(C)CC(=O)C(C)C.CC(C)NC(=O)C(C)C BJTUORZJWKHJIZ-UHFFFAOYSA-N 0.000 description 1
- HNOIANAWRUSBND-UHFFFAOYSA-N CC(C)CC(=[Y])C(C)(C)Cl.CC(C)CC(=[Y])C(C)(C)F Chemical compound CC(C)CC(=[Y])C(C)(C)Cl.CC(C)CC(=[Y])C(C)(C)F HNOIANAWRUSBND-UHFFFAOYSA-N 0.000 description 1
- HHUMPWDWQOUZOX-UHFFFAOYSA-N CC(C)CC(C)C(C)C(=O)C(C)C.CC(C)CC(C)C(C)C(=O)C(C)C Chemical compound CC(C)CC(C)C(C)C(=O)C(C)C.CC(C)CC(C)C(C)C(=O)C(C)C HHUMPWDWQOUZOX-UHFFFAOYSA-N 0.000 description 1
- FXWBFRMEYJBRIS-UHFFFAOYSA-N CC(C)CC1C(=O)N(C)C(=O)C1C(C)C.CC(C)CC1C(=O)N(C)C(=O)C1C(C)C.CC(C)CC1CC(=O)N(C(C)C)C1=O.CC(C)CC1CC(=O)N(C(C)C)C1=O Chemical compound CC(C)CC1C(=O)N(C)C(=O)C1C(C)C.CC(C)CC1C(=O)N(C)C(=O)C1C(C)C.CC(C)CC1CC(=O)N(C(C)C)C1=O.CC(C)CC1CC(=O)N(C(C)C)C1=O FXWBFRMEYJBRIS-UHFFFAOYSA-N 0.000 description 1
- MWPGCCWSDDSQCR-UHFFFAOYSA-N CC(C)CC1[Y]C1C Chemical compound CC(C)CC1[Y]C1C MWPGCCWSDDSQCR-UHFFFAOYSA-N 0.000 description 1
- DECCWXUGHHVYIB-UHFFFAOYSA-N CC(C)CCC(C)C(C)C.CC(C)CCC(C)C(C)C Chemical compound CC(C)CCC(C)C(C)C.CC(C)CCC(C)C(C)C DECCWXUGHHVYIB-UHFFFAOYSA-N 0.000 description 1
- RRABWTBWRMMDJO-UHFFFAOYSA-N CC(C)CCCC(=O)C(C)(C)C.CC(C)CCCCC(=O)C(C)(C)C.CC(C)CCCCCC(=O)C(C)(C)C.CC(C)CCCCCCC(=O)C(C)(C)C.CC(C)CCOCCCC(=O)C(C)(C)C Chemical compound CC(C)CCCC(=O)C(C)(C)C.CC(C)CCCCC(=O)C(C)(C)C.CC(C)CCCCCC(=O)C(C)(C)C.CC(C)CCCCCCC(=O)C(C)(C)C.CC(C)CCOCCCC(=O)C(C)(C)C RRABWTBWRMMDJO-UHFFFAOYSA-N 0.000 description 1
- ZAOSGEPJQSMXDN-UHFFFAOYSA-N CC(C)CNC(=O)C(C)C.CC(C)NCC(=O)C(C)C Chemical compound CC(C)CNC(=O)C(C)C.CC(C)NCC(=O)C(C)C ZAOSGEPJQSMXDN-UHFFFAOYSA-N 0.000 description 1
- JGPVBOTVVAMNNO-UHFFFAOYSA-N CC(C)OC(=O)C(C)C.CC(C)OC(=O)C(C)C Chemical compound CC(C)OC(=O)C(C)C.CC(C)OC(=O)C(C)C JGPVBOTVVAMNNO-UHFFFAOYSA-N 0.000 description 1
- PJXURBXXJLQISL-UHFFFAOYSA-N CC(C)SC(=O)C(C)C.CC(C)SC(=O)C(C)C Chemical compound CC(C)SC(=O)C(C)C.CC(C)SC(=O)C(C)C PJXURBXXJLQISL-UHFFFAOYSA-N 0.000 description 1
- LZAZXBXPKRULLB-UHFFFAOYSA-N CC(C)SSC(C)C Chemical compound CC(C)SSC(C)C LZAZXBXPKRULLB-UHFFFAOYSA-N 0.000 description 1
- BADHNWWGLYXKMA-UHFFFAOYSA-N CC.CC.CC.CC(C)C(C1CCCCC1)C1CCCCC1.CC(C)CC1CCCCC1 Chemical compound CC.CC.CC.CC(C)C(C1CCCCC1)C1CCCCC1.CC(C)CC1CCCCC1 BADHNWWGLYXKMA-UHFFFAOYSA-N 0.000 description 1
- MFEBUXUDKXSEKQ-UHFFFAOYSA-N CC.CC.CC.CC.CC.CC(C)C(C1=CC=CC=C1)(C1=CC=CC=C1)C1=CC=CC=C1.CC(C)C(C1=CC=CC=C1)C1=CC=CC=C1 Chemical compound CC.CC.CC.CC.CC.CC(C)C(C1=CC=CC=C1)(C1=CC=CC=C1)C1=CC=CC=C1.CC(C)C(C1=CC=CC=C1)C1=CC=CC=C1 MFEBUXUDKXSEKQ-UHFFFAOYSA-N 0.000 description 1
- CDGSTCKJNZHJCS-UHFFFAOYSA-N CC1=C(C(C)C)N(C(C)C)N=N1.CC1=C(C(C)C)N(C(C)C)N=N1.CC1=C(C(C)C)N=NN1C(C)C.CC1=C(C(C)C)N=NN1C(C)C Chemical compound CC1=C(C(C)C)N(C(C)C)N=N1.CC1=C(C(C)C)N(C(C)C)N=N1.CC1=C(C(C)C)N=NN1C(C)C.CC1=C(C(C)C)N=NN1C(C)C CDGSTCKJNZHJCS-UHFFFAOYSA-N 0.000 description 1
- DKEOKHYFOVLNGR-UHFFFAOYSA-N CC1=C(C)C(=[Y])N(C(C)C)C1=[Y].CC1=C(C)C(C)N(C(C)C)C1=[Y] Chemical compound CC1=C(C)C(=[Y])N(C(C)C)C1=[Y].CC1=C(C)C(C)N(C(C)C)C1=[Y] DKEOKHYFOVLNGR-UHFFFAOYSA-N 0.000 description 1
- DJXIWFVJCMCKJO-XYBPXKKASA-N CC1=C2C(C3=CC(N)=C(OC4=CC=CC=C4)C=C3)=NN(C3CCN(CCNC(=O)[C@H](C)CCC45CC6CC(CC(C6)C4)C5)CC3)C2=NC=N1.CCC(=O)CC1=C(OC2=CC=CC=C2)C=CC(C2=NN(C3CCN(CCNC(=O)[C@H](C)CCC45CC6CC(CC(C6)C4)C5)CC3)C3=NC=NC(N)=C23)=C1.CCC(=O)Cl Chemical compound CC1=C2C(C3=CC(N)=C(OC4=CC=CC=C4)C=C3)=NN(C3CCN(CCNC(=O)[C@H](C)CCC45CC6CC(CC(C6)C4)C5)CC3)C2=NC=N1.CCC(=O)CC1=C(OC2=CC=CC=C2)C=CC(C2=NN(C3CCN(CCNC(=O)[C@H](C)CCC45CC6CC(CC(C6)C4)C5)CC3)C3=NC=NC(N)=C23)=C1.CCC(=O)Cl DJXIWFVJCMCKJO-XYBPXKKASA-N 0.000 description 1
- KUNUEMUIOMFSBY-HLRMJNLQSA-N CC1=C2C(C3=CC([N+](=O)[O-])=C(OC4=CC=CC=C4)C=C3)=NN(C3CCN(CCNC(=O)[C@H](C)CCC45CC6CC(CC(C6)C4)C5)CC3)C2=NC=N1.C[C@H](CCC12CC3CC(CC(C3)C1)C2)C(=O)NCCN1CCC(N2N=C(C3=CC([N+](=O)[O-])=C(OC4=CC=CC=C4)C=C3)C3=C(N)N=CN=C32)CC1 Chemical compound CC1=C2C(C3=CC([N+](=O)[O-])=C(OC4=CC=CC=C4)C=C3)=NN(C3CCN(CCNC(=O)[C@H](C)CCC45CC6CC(CC(C6)C4)C5)CC3)C2=NC=N1.C[C@H](CCC12CC3CC(CC(C3)C1)C2)C(=O)NCCN1CCC(N2N=C(C3=CC([N+](=O)[O-])=C(OC4=CC=CC=C4)C=C3)C3=C(N)N=CN=C32)CC1 KUNUEMUIOMFSBY-HLRMJNLQSA-N 0.000 description 1
- ATUOYWHBWRKTHZ-UHFFFAOYSA-N CCC Chemical compound CCC ATUOYWHBWRKTHZ-UHFFFAOYSA-N 0.000 description 1
- OGDCYXYWRYWZBE-LNMGAAKWSA-N CCC(=O)CCCC(C)C.CCC(=O)CCCCC(C)C.CCC(=O)CCCOCCC(C)C.CCCC(=O)CCCC(C)C.CCC[C@@H](C)C(=O)CCCC(C)C.CCC[C@H](C)C(=O)CCCC(C)C Chemical compound CCC(=O)CCCC(C)C.CCC(=O)CCCCC(C)C.CCC(=O)CCCOCCC(C)C.CCCC(=O)CCCC(C)C.CCC[C@@H](C)C(=O)CCCC(C)C.CCC[C@H](C)C(=O)CCCC(C)C OGDCYXYWRYWZBE-LNMGAAKWSA-N 0.000 description 1
- ZJXHSPLZCFLOSO-JVQAJENESA-N CCC(=O)CCCC1CCC(C(C)C)CC1.CCC(=O)CCCCC1CCC(C(C)C)CC1.CCC(=O)CCCOCCC1CCC(C(C)C)CC1.CCCC(=O)CCCC1CCC(C(C)C)CC1.CCC[C@@H](C)C(=O)CCCC1CCC(C(C)C)CC1.CCC[C@H](C)C(=O)CCCC1CCC(C(C)C)CC1 Chemical compound CCC(=O)CCCC1CCC(C(C)C)CC1.CCC(=O)CCCCC1CCC(C(C)C)CC1.CCC(=O)CCCOCCC1CCC(C(C)C)CC1.CCCC(=O)CCCC1CCC(C(C)C)CC1.CCC[C@@H](C)C(=O)CCCC1CCC(C(C)C)CC1.CCC[C@H](C)C(=O)CCCC1CCC(C(C)C)CC1 ZJXHSPLZCFLOSO-JVQAJENESA-N 0.000 description 1
- HZHLRWVQMVTAPM-SDQYGQRDSA-N CCC(=O)CCCCN1CCC(C(C)C)CC1.CCC(=O)CCCN1CCC(C(C)C)CC1.CCC(=O)CCCOCCN1CCC(C(C)C)CC1.CCCC(=O)CCCN1CCC(C(C)C)CC1.CCC[C@@H](C)C(=O)CCCN1CCC(C(C)C)CC1.CCC[C@H](C)C(=O)CCCN1CCC(C(C)C)CC1 Chemical compound CCC(=O)CCCCN1CCC(C(C)C)CC1.CCC(=O)CCCN1CCC(C(C)C)CC1.CCC(=O)CCCOCCN1CCC(C(C)C)CC1.CCCC(=O)CCCN1CCC(C(C)C)CC1.CCC[C@@H](C)C(=O)CCCN1CCC(C(C)C)CC1.CCC[C@H](C)C(=O)CCCN1CCC(C(C)C)CC1 HZHLRWVQMVTAPM-SDQYGQRDSA-N 0.000 description 1
- KSFHJYLTQPAOJP-SDQYGQRDSA-N CCC(=O)CCCCN1CCN(C(C)C)CC1.CCC(=O)CCCN1CCN(C(C)C)CC1.CCC(=O)CCCOCCN1CCN(C(C)C)CC1.CCCC(=O)CCCN1CCN(C(C)C)CC1.CCC[C@@H](C)C(=O)CCCN1CCN(C(C)C)CC1.CCC[C@H](C)C(=O)CCCN1CCN(C(C)C)CC1 Chemical compound CCC(=O)CCCCN1CCN(C(C)C)CC1.CCC(=O)CCCN1CCN(C(C)C)CC1.CCC(=O)CCCOCCN1CCN(C(C)C)CC1.CCCC(=O)CCCN1CCN(C(C)C)CC1.CCC[C@@H](C)C(=O)CCCN1CCN(C(C)C)CC1.CCC[C@H](C)C(=O)CCCN1CCN(C(C)C)CC1 KSFHJYLTQPAOJP-SDQYGQRDSA-N 0.000 description 1
- KZKPEHYRGKBYIM-ZSTPLIBZSA-N CCC(=O)NC1=C(OC2=CC=CC=C2)C=CC(C2=NN(C3CCN(CCNC(=O)[C@@H](C)CCC45CC6CC(CC(C6)C4)C5)CC3)C3=NC=NC(N)=C23)=C1.S Chemical compound CCC(=O)NC1=C(OC2=CC=CC=C2)C=CC(C2=NN(C3CCN(CCNC(=O)[C@@H](C)CCC45CC6CC(CC(C6)C4)C5)CC3)C3=NC=NC(N)=C23)=C1.S KZKPEHYRGKBYIM-ZSTPLIBZSA-N 0.000 description 1
- KWRKEGRHYNZEGP-UHFFFAOYSA-N CCC(=[Y])CC(C)C.CCS(=O)(=O)CC(C)C.CCS(=O)CC(C)C Chemical compound CCC(=[Y])CC(C)C.CCS(=O)(=O)CC(C)C.CCS(=O)CC(C)C KWRKEGRHYNZEGP-UHFFFAOYSA-N 0.000 description 1
- ZYZFSESHAQRDOZ-UHFFFAOYSA-N CCOC(=[Y])CC(C)C.CCSC(=[Y])CC(C)C Chemical compound CCOC(=[Y])CC(C)C.CCSC(=[Y])CC(C)C ZYZFSESHAQRDOZ-UHFFFAOYSA-N 0.000 description 1
- RNEFCGJZTQSHGM-UHFFFAOYSA-N CN1C(C(=O)Cl)=CC2=C1C=CC=C2.CN1C(C(=O)O)=CC2=C1C=CC=C2.COC1=CC(B2OC(C)(C)C(C)(C)O2)=CC=C1N.COC1=CC(B2OC(C)(C)C(C)(C)O2)=CC=C1NC(=O)/C1=C/C2=C(C=CC=C2)N1C.O=C(Cl)C1OCl1 Chemical compound CN1C(C(=O)Cl)=CC2=C1C=CC=C2.CN1C(C(=O)O)=CC2=C1C=CC=C2.COC1=CC(B2OC(C)(C)C(C)(C)O2)=CC=C1N.COC1=CC(B2OC(C)(C)C(C)(C)O2)=CC=C1NC(=O)/C1=C/C2=C(C=CC=C2)N1C.O=C(Cl)C1OCl1 RNEFCGJZTQSHGM-UHFFFAOYSA-N 0.000 description 1
- NANPEAQRYIILSP-UHFFFAOYSA-N CN1CCN(C2CCC(N3/N=C(/I)C4=C3N=CN=C4N)CC2)CC1 Chemical compound CN1CCN(C2CCC(N3/N=C(/I)C4=C3N=CN=C4N)CC2)CC1 NANPEAQRYIILSP-UHFFFAOYSA-N 0.000 description 1
- YJXNKODASKGWHM-UHFFFAOYSA-N COC1=CC(C2=NN(C3CCC(N4CCN(CCNC(=O)C(C)CCC56CC7CC(CC(C7)C5)C6)CC4)CC3)C3=NC=NC(N)=C23)=CC=C1NC(=O)C1=CC2=C(C=CC=C2)N1C Chemical compound COC1=CC(C2=NN(C3CCC(N4CCN(CCNC(=O)C(C)CCC56CC7CC(CC(C7)C5)C6)CC4)CC3)C3=NC=NC(N)=C23)=CC=C1NC(=O)C1=CC2=C(C=CC=C2)N1C YJXNKODASKGWHM-UHFFFAOYSA-N 0.000 description 1
- HJIIPVLJDKSGHZ-LRKHBATLSA-N COC1=CC(C2=NN(C3CCC(N4CCN(CCNC(=O)[C@@H](C)CCC56CC7CC(CC(C7)C5)C6)CC4)CC3)C3=NC=NC(N)=C23)=CC=C1NC(=O)C1=CC2=C(C=CC=C2)N1C.S Chemical compound COC1=CC(C2=NN(C3CCC(N4CCN(CCNC(=O)[C@@H](C)CCC56CC7CC(CC(C7)C5)C6)CC4)CC3)C3=NC=NC(N)=C23)=CC=C1NC(=O)C1=CC2=C(C=CC=C2)N1C.S HJIIPVLJDKSGHZ-LRKHBATLSA-N 0.000 description 1
- AQEOVVJAQNDEQQ-UHFFFAOYSA-N COC1=CC(C2=NN(C3CCN(CCNC(=O)C(C)CCC45CC6CC(CC(C6)C4)C5)CC3)C3=NC=NC(N)=C23)=CC=C1NC(=O)/C1=C/C2=C(C=CC=C2)N1C Chemical compound COC1=CC(C2=NN(C3CCN(CCNC(=O)C(C)CCC45CC6CC(CC(C6)C4)C5)CC3)C3=NC=NC(N)=C23)=CC=C1NC(=O)/C1=C/C2=C(C=CC=C2)N1C AQEOVVJAQNDEQQ-UHFFFAOYSA-N 0.000 description 1
- LGTMMXBLIVQQKX-RFXZFOABSA-N COC1=CC(C2=NN(C3CCN(CCNC(=O)[C@@H](C)CCC45CC6CC(CC(C6)C4)C5)CC3)C3=NC=NC(N)=C23)=CC=C1NC(=O)/C1=C/C2=C(C=CC=C2)N1C.S Chemical compound COC1=CC(C2=NN(C3CCN(CCNC(=O)[C@@H](C)CCC45CC6CC(CC(C6)C4)C5)CC3)C3=NC=NC(N)=C23)=CC=C1NC(=O)/C1=C/C2=C(C=CC=C2)N1C.S LGTMMXBLIVQQKX-RFXZFOABSA-N 0.000 description 1
- AQEOVVJAQNDEQQ-PFIPROFWSA-N C[C@@H](CCC1(CC(C2)C3)CC3CC2C1)C(NCCN(CC1)CCC1[n](c1c2c(N)ncn1)nc2-c(cc1)cc(OC)c1NC(c1cc2ccccc2[n]1C)=O)=O Chemical compound C[C@@H](CCC1(CC(C2)C3)CC3CC2C1)C(NCCN(CC1)CCC1[n](c1c2c(N)ncn1)nc2-c(cc1)cc(OC)c1NC(c1cc2ccccc2[n]1C)=O)=O AQEOVVJAQNDEQQ-PFIPROFWSA-N 0.000 description 1
- GSVMGARQKHXWQD-IXPOKPBGSA-N C[C@H](CCC12CC3CC(CC(C3)C1)C2)C(=O)NCCN1CCC(N2N=C(C3=CC([N+](=O)[O-])=C(OC4=CC=CC=C4)C=C3)C3=C(N)N=CN=C32)CC1 Chemical compound C[C@H](CCC12CC3CC(CC(C3)C1)C2)C(=O)NCCN1CCC(N2N=C(C3=CC([N+](=O)[O-])=C(OC4=CC=CC=C4)C=C3)C3=C(N)N=CN=C32)CC1 GSVMGARQKHXWQD-IXPOKPBGSA-N 0.000 description 1
- IKTNIZXIRAWLRG-UHFFFAOYSA-N NC1=C2C(C3=CC([N+](=O)[O-])=C(OC4=CC=CC=C4)C=C3)=NN(C3CCNCC3)C2=NC=N1 Chemical compound NC1=C2C(C3=CC([N+](=O)[O-])=C(OC4=CC=CC=C4)C=C3)=NN(C3CCNCC3)C2=NC=N1 IKTNIZXIRAWLRG-UHFFFAOYSA-N 0.000 description 1
- LFOWWKZXSYJPQT-FNORWQNLSA-N [H]/C(C)=C(/C)C(=O)C(C)C Chemical compound [H]/C(C)=C(/C)C(=O)C(C)C LFOWWKZXSYJPQT-FNORWQNLSA-N 0.000 description 1
- PPBWEVVDSRKEIK-UHFFFAOYSA-N [H]C(C)=C(C)C(C)C Chemical compound [H]C(C)=C(C)C(C)C PPBWEVVDSRKEIK-UHFFFAOYSA-N 0.000 description 1
Images
Classifications
-
- C—CHEMISTRY; METALLURGY
- C07—ORGANIC CHEMISTRY
- C07D—HETEROCYCLIC COMPOUNDS
- C07D487/00—Heterocyclic compounds containing nitrogen atoms as the only ring hetero atoms in the condensed system, not provided for by groups C07D451/00 - C07D477/00
- C07D487/02—Heterocyclic compounds containing nitrogen atoms as the only ring hetero atoms in the condensed system, not provided for by groups C07D451/00 - C07D477/00 in which the condensed system contains two hetero rings
- C07D487/04—Ortho-condensed systems
-
- A—HUMAN NECESSITIES
- A61—MEDICAL OR VETERINARY SCIENCE; HYGIENE
- A61K—PREPARATIONS FOR MEDICAL, DENTAL OR TOILETRY PURPOSES
- A61K31/00—Medicinal preparations containing organic active ingredients
- A61K31/33—Heterocyclic compounds
- A61K31/395—Heterocyclic compounds having nitrogen as a ring hetero atom, e.g. guanethidine or rifamycins
- A61K31/495—Heterocyclic compounds having nitrogen as a ring hetero atom, e.g. guanethidine or rifamycins having six-membered rings with two or more nitrogen atoms as the only ring heteroatoms, e.g. piperazine or tetrazines
- A61K31/505—Pyrimidines; Hydrogenated pyrimidines, e.g. trimethoprim
- A61K31/519—Pyrimidines; Hydrogenated pyrimidines, e.g. trimethoprim ortho- or peri-condensed with heterocyclic rings
-
- A—HUMAN NECESSITIES
- A61—MEDICAL OR VETERINARY SCIENCE; HYGIENE
- A61P—SPECIFIC THERAPEUTIC ACTIVITY OF CHEMICAL COMPOUNDS OR MEDICINAL PREPARATIONS
- A61P35/00—Antineoplastic agents
Definitions
- hydrophobic tags used to induce protein degradation may eventually be found useful in a variety of applications, such as, for example, tagged therapeutic agents and tagged research tools for inducing protein degradatation in vivo and in vitro.
- hydrophobically tagged agents and tools is underrealized and continues to remain of great interest.
- the present invention is based on the development of bifunctional compounds (i.e., a kinase binding small molecule tagged with a hydrophobic moiety) that can induce the degradation of a kinase of interest.
- bifunctional compounds possess a kinase recognition element that can bind either covalently or noncovalently and a ‘hydrophobic’ tag element that signals to the intracellular protein homeostasis machinery to induce degradation of the targeted kinase.
- these bifunctional compounds are designed to induce the physical elimination of the protein from the cell.
- the protein degradation induced by the bifunctional compounds studied appears to be dependent upon the molecular chaperone protein Hsp90 and/or on the proteasome, the central proteolytic enzyme in the cell.
- M represents a small organic molecule which binds to a kinase
- L 1 represents a linker selected from the group consisting of substituted and unsubstituted alkylene, substituted and unsubstituted alkenylene, substituted and unsubstituted alkynylene, substituted and unsubstituted heteroalkylene, substituted and unsubstituted heteroalkenylene, substituted and unsubstituted heteroalkynylene, substituted and unsubstituted heterocyclylene, substituted and unsubstituted carbocyclylene, substituted and unsubstituted arylene; substituted and unsubstituted heteroarylene, and combinations thereof; and
- R H represents a hydrophobic group selected from the group consisting of substituted and unsubstituted aryl, substituted and unsubstituted heteroaryl, substituted and unsubstituted carbocyclyl, substituted and unsubstituted heterocyclyl, substituted and unsubstituted aralkyl, substituted and unsubstituted heteroarylalkyl, substituted and unsubstituted carbocycylalkyl, and substituted and unsubstituted heterocyclylalkyl.
- Binding of a small molecule M refers to covalent or noncovalent binding to a kinase, e.g., a protein kinase.
- M covalently binds a protein kinase.
- M noncovalently binds a protein kinase.
- Exemplary kinases are listed herein.
- M represents a small organic molecule which covalently or noncovalently binds to Her3 kinase.
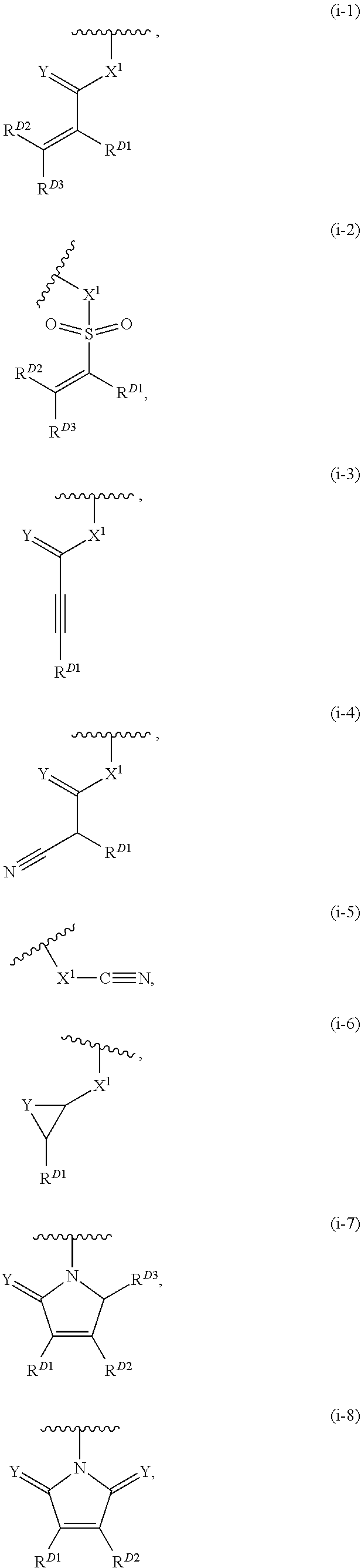
- the small organic molecule M is substituted with a group -L 2 -R D , wherein:
- L 2 represents a bond or a linker selected from the group consisting of substituted and unsubstituted alkylene; substituted and unsubstituted alkenylene; substituted and unsubstituted alkynylene; substituted and unsubstituted heteroalkylene; substituted and unsubstituted heteroalkenylene; substituted and unsubstituted heteroalkynylene; substituted and unsubstituted heterocyclylene; substituted and unsubstituted carbocyclylene; substituted and unsubstituted arylene; substituted and unsubstituted heteroarylene; and combinations thereof; and
- R D is of the formula:
- Y, X 1 , R D1 , R D2 , R D3 , R D4 , and z are as define herein.
- the compound of Formula (I) is a compound of Formula (II):
- Ring A, R B , R C , R D , R H , L 1 , L 2 , a, and b are as defined herein.
- Ring A is substituted or unsubstituted phenyl. In certain embodiments, Ring A is a substituted or unsubstituted 5 to 6-membered heteroaryl ring. In certain embodiments, Ring A is a substituted or unsubstituted C 3-8 carbocyclyl ring. In certain embodiments, Ring A is a substituted or unsubstituted 3 to 8-membered heterocyclyl ring.
- R H is a substituted or unsubstituted hydrophobic group of formula:
- R H1 , R H2 , R H3 , q, and p are as defined herein.
- L 1 represents a linker 4 to 20 consecutive covalently bonded atoms in length, inclusive. In certain embodiments, L 1 represents a linker 5, 6, 7, 8, 9, 10, 11, 12, 13, 14, or 15 consecutive covalently bonded atoms in length.
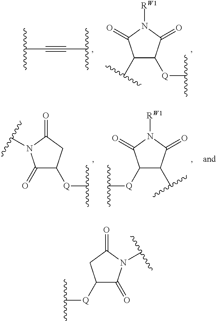
- L 1 represents a linker consisting of a combination of one or more groups of the formulae:
- n, m, Q, W, G 1 , G 2 , R W1 , R W2 , and R W3 are as defined herein.
- the compound of Formula (I) has a molecular weight of between about 200 to about 800 g/mol, inclusive. In certain embodiments, the compound has a c Log P less than 5, e.g., between about 8 to about 4.9 c Log P, inclusive. In certain embodiments, the compound has 0, 1, 2, 3, 4, or 5 hydrogen bond donors. In certain embodiments, the compound has 0, 1, 2, 3, 4, 5, 6, 7, 8, 9, or 10 hydrogen bond acceptors.
- compositions comprising a compound of Formula (I), or a pharmaceutically acceptable salt thereof, and optionally a pharmaceutically acceptable excipient.
- the pharmaceutical composition may be useful in treating proliferative diseases, such as cancer.
- a condition associated with aberrant activity of a kinase e.g., a protein kinase
- the method comprising administering a compound of Formula (I), or a pharmaceutical composition thereof, to a subject in need thereof in an amount sufficient to reduce kinase activity.
- the compound reduces kinase activity by targeted degradation of the protein kinase.
- the compound reduces kinase activity by inducing unfolding of the protein kinase.
- the compound reduces kinase activity by covalently binding to the protein kinase.
- the compound reduces kinase activity by non covalently binding to the protein kinase.
- the condition being treated is a proliferative disorder.
- the proliferative disorder is cancer.
- FIG. 1 depicts the general hydrophobic tagging induced degradation strategy.
- FIG. 2 depicts the results of a Invitrogen LanthaScreenTM Eu kinase binding assay of TX2-112-1, TX2-113-1, TX2-114-1, TX2-120-1, and TX2-121-1 (depicted in Table 1).
- FIG. 3 depicts results of a CellTiterGlo® Luminescent Assay (anti proliferation assay) of TX2-112-1, TX2-113-1, TX2-114-1, TX2-120-1, and TX2-121-1 (depicted in Table 1).
- FIGS. 4A and 4B depict electrophoretic gel image (SDSPAGE) results of compounds TX2-112-1, TX2-113-1, TX2-114-1, TX2-120-1, and TX2-121-1 ( FIG. 4A ) and SML-11-124-1 and TX2-126-1 ( FIG. 4B ) immunoblotted against various antibodies; line 1: ErbB3 antibody; line 2: Phospho-Akt (Ser473) antibody; line 3: p44/42 MAPK (p-Erk1/2) antibody; line 4: T-Akt antibody; and line 5: Phospho-p44/42 MAPK (T-Erk1/2) (Thr202/Thr204) antibody.
- SDSPAGE electrophoretic gel image
- Compounds described herein can comprise one or more asymmetric centers, and thus can exist in various stereoisomeric forms, e.g., enantiomers and/or diastereomers.
- the compounds described herein can be in the form of an individual enantiomer, diastereomer or geometric isomer, or can be in the form of a mixture of stereoisomers, including racemic mixtures and mixtures enriched in one or more stereoisomer.
- Racemic refers to a compound in which the percent by weight of one enantiomer is equal to the percent by weight of the other enantiomer.
- an enantiomerically enriched enantiomer refers to a compound in which the percent by weight of one enantiomer is greater than the amount of that one enantiomer compared to a control mixture of the racemic composition (e.g., greater than 1:1 by weight).
- an enantiomerically enriched enantiomer means a compound having greater than 50% by weight of one enantiomer relative to the other enantiomer, e.g., at least 75% by weight, or at least 80% by weight.
- the enrichment can be much greater than 80% by weight, providing a “substantially enantiomerically enriched,” “substantially enantiomerically pure” or a “substantially nonracemic” compound, which refers to a compound with at least 85% by weight of one enantiomer relative to other enantiomer, e.g., at least 90% by weight, or at least 95% by weight.
- Enantiomers can be isolated from mixtures by methods known to those skilled in the art, including chiral high pressure liquid chromatography (HPLC) and the formation and crystallization of chiral salts; or preferred enantiomers can be prepared by asymmetric syntheses. See, for example, Jacques, et al., Enantiomers, Racemates and Resolutions (Wiley Interscience, New York, 1981); Wilen, S. H., et al., Tetrahedron 33:2725 (1977); Eliel, E. L. Stereochemistry of Carbon Compounds (McGraw-Hill, NY, 1962); and Wilen, S. H. Tables of Resolving Agents and Optical Resolutions p. 268 (E. L. Eliel, Ed., Univ. of Notre Dame Press, Notre Dame, Ind. 1972).
- C 1-6 alkyl is intended to encompass, C 1 , C 2 , C 3 , C 4 , C 5 , C 6 , C 1-6 , C 1-5 , C 1-4 , C 1-3 , C 1-2 , C 2-6 , C 2-5 , C 2-4 , C 2-3 , C 3-6 , C 3-5 , C 3-4 , C 4-6 , C 4-5 , and C 5-6 alkyl.
- alkyl refers to a radical of a straight-chain or branched saturated hydrocarbon group having from 1 to 10 carbon atoms (“C 1-10 alkyl”). In some embodiments, an alkyl group has 1 to 9 carbon atoms (“C 1-9 alkyl”). In some embodiments, an alkyl group has 1 to 8 carbon atoms (“C 1-8 alkyl”). In some embodiments, an alkyl group has 1 to 7 carbon atoms (“C 1-7 alkyl”). In some embodiments, an alkyl group has 1 to 6 carbon atoms (“C 1-6 alkyl”). In some embodiments, an alkyl group has 1 to 5 carbon atoms (“C 1-5 alkyl”).
- an alkyl group has 1 to 4 carbon atoms (“C 1-4 alkyl”). In some embodiments, an alkyl group has 1 to 3 carbon atoms (“C 1-3 alkyl”). In some embodiments, an alkyl group has 1 to 2 carbon atoms (“C 1-2 alkyl”). In some embodiments, an alkyl group has 1 carbon atom (“C 1 alkyl”). In some embodiments, an alkyl group has 2 to 6 carbon atoms (“C 2-6 alkyl”).
- C 1-6 alkyl groups include methyl (C 1 ), ethyl (C 2 ), n-propyl (C 3 ), isopropyl (C 3 ), n-butyl (C 4 ), tert-butyl (C 4 ), sec-butyl (C 4 ), iso-butyl (C 4 ), n-pentyl (C 5 ), 3-pentanyl (C 5 ), amyl (C 5 ), neopentyl (C 5 ), 3-methyl-2-butanyl (C 5 ), tertiary amyl (C 5 ), and n-hexyl (C 6 ).
- alkyl groups include n-heptyl (C 7 ), n-octyl (C 8 ) and the like. Unless otherwise specified, each instance of an alkyl group is independently unsubstituted (an “unsubstituted alkyl”) or substituted (a “substituted alkyl”) with one or more substituents. In certain embodiments, the alkyl group is an unsubstituted C 1-10 alkyl (e.g., —CH 3 ). In certain embodiments, the alkyl group is a substituted C 1-10 alkyl.
- haloalkyl is a substituted alkyl group as defined herein wherein one or more of the hydrogen atoms are independently replaced by a halogen, e.g., fluoro, bromo, chloro, or iodo.
- Perhaloalkyl is a subset of haloalkyl, and refers to an alkyl group wherein all of the hydrogen atoms are independently replaced by a halogen, e.g., fluoro, bromo, chloro, or iodo.
- the haloalkyl moiety has 1 to 8 carbon atoms (“C 1-8 haloalkyl”).
- the haloalkyl moiety has 1 to 6 carbon atoms (“C 1-6 haloalkyl”). In some embodiments, the haloalkyl moiety has 1 to 4 carbon atoms (“C 1-4 haloalkyl”). In some embodiments, the haloalkyl moiety has 1 to 3 carbon atoms (“C 1-3 haloalkyl”). In some embodiments, the haloalkyl moiety has 1 to 2 carbon atoms (“C 1-2 haloalkyl”). In some embodiments, all of the haloalkyl hydrogen atoms are replaced with fluoro to provide a perfluoroalkyl group.
- haloalkyl hydrogen atoms are replaced with chloro to provide a “perchloroalkyl” group.
- haloalkyl groups include CF 3 , CF 2 CF 3 , CF 2 CF 2 CF 3 , CCl 3 , CFCl 2 , CF 2 Cl, and the like.
- heteroalkyl refers to an alkyl group as defined herein which further includes at least one heteroatom (e.g., 1, 2, 3, or 4 heteroatoms) selected from oxygen, nitrogen, or sulfur within (i.e., inserted between adjacent carbon atoms of) and/or placed at one or more terminal position(s) of the parent chain.
- a heteroalkyl group refers to a saturated group having from 1 to 10 carbon atoms and 1, 2, 3, or 4 heteroatoms within the parent chain (“heteroC 1-10 alkyl”).
- a heteroalkyl group is a saturated group having 1 to 9 carbon atoms and 1, 2, 3, or 4 heteroatoms within the parent chain (“heteroC 1-9 alkyl”).
- a heteroalkyl group is a saturated group having 1 to 8 carbon atoms and 1, 2, 3, or 4 heteroatoms within the parent chain (“heteroC 1-8 alkyl”). In some embodiments, a heteroalkyl group is a saturated group having 1 to 7 carbon atoms and 1, 2, 3, or 4 heteroatoms within the parent chain (“heteroC 1-7 alkyl”). In some embodiments, a heteroalkyl group is a saturated group having 1 to 6 carbon atoms and 1, 2, or 3 heteroatoms within the parent chain (“heteroC 1-6 alkyl”).
- a heteroalkyl group is a saturated group having 1 to 5 carbon atoms and 1 or 2 heteroatoms within the parent chain (“heteroC 1-5 alkyl”). In some embodiments, a heteroalkyl group is a saturated group having 1 to 4 carbon atoms and for 2 heteroatoms within the parent chain (“heteroC 1-4 alkyl”). In some embodiments, a heteroalkyl group is a saturated group having 1 to 3 carbon atoms and 1 heteroatom within the parent chain (“heteroC 1-3 alkyl”). In some embodiments, a heteroalkyl group is a saturated group having 1 to 2 carbon atoms and 1 heteroatom within the parent chain (“heteroC 1-2 alkyl”).
- a heteroalkyl group is a saturated group having 1 carbon atom and 1 heteroatom (“heteroC 1 alkyl”). In some embodiments, a heteroalkyl group is a saturated group having 2 to 6 carbon atoms and 1 or 2 heteroatoms within the parent chain (“heteroC 2-6 alkyl”). Unless otherwise specified, each instance of a heteroalkyl group is independently unsubstituted (an “unsubstituted heteroalkyl”) or substituted (a “substituted heteroalkyl”) with one or more substituents. In certain embodiments, the heteroalkyl group is an unsubstituted heteroC 1-10 alkyl. In certain embodiments, the heteroalkyl group is a substituted heteroC 1-10 alkyl.
- alkenyl refers to a radical of a straight-chain or branched hydrocarbon group having from 2 to 10 carbon atoms and one or more double bonds (e.g., 1, 2, 3, or 4 double bonds) and no triple bonds.
- an alkenyl group has 2 to 9 carbon atoms (“C 2-9 alkenyl”).
- an alkenyl group has 2 to 8 carbon atoms (“C 2-8 alkenyl”).
- an alkenyl group has 2 to 7 carbon atoms (“C 2-7 alkenyl”).
- an alkenyl group has 2 to 6 carbon atoms (“C 2-6 alkenyl”).
- an alkenyl group has 2 to 5 carbon atoms (“C 2-5 alkenyl”). In some embodiments, an alkenyl group has 2 to 4 carbon atoms (“C 2-4 alkenyl”). In some embodiments, an alkenyl group has 2 to 3 carbon atoms (“C 2-3 alkenyl”). In some embodiments, an alkenyl group has 2 carbon atoms (“C 2 alkenyl”).
- the one or more carbon-carbon double bonds can be internal (such as in 2-butenyl) or terminal (such as in 1-butenyl).
- Examples of C 2-4 alkenyl groups include ethenyl (C 2 ), 1-propenyl (C 3 ), 2-propenyl (C 3 ), 1-butenyl (C 4 ), 2-butenyl (C 4 ), butadienyl (C 4 ), and the like.
- Examples of C 2-6 alkenyl groups include the aforementioned C 2-4 alkenyl groups as well as pentenyl (C 5 ), pentadienyl (C 5 ), hexenyl (C 6 ), and the like. Additional examples of alkenyl include heptenyl (C 7 ), octenyl (C 8 ), octatrienyl (C 8 ), and the like.
- each instance of an alkenyl group is independently unsubstituted (an “unsubstituted alkenyl”) or substituted (a “substituted alkenyl”) with one or more substituents.
- the alkenyl group is an unsubstituted C 2-10 alkenyl.
- the alkenyl group is a substituted C 2-10 alkenyl.
- heteroalkenyl refers to an alkenyl group as defined herein which further includes at least one heteroatom (e.g., 1, 2, 3, or 4 heteroatoms) selected from oxygen, nitrogen, or sulfur within (i.e., inserted between adjacent carbon atoms of) and/or placed at one or more terminal position(s) of the parent chain.
- a heteroalkenyl group refers to a group having from 2 to 10 carbon atoms, at least one double bond, and 1, 2, 3, or 4 heteroatoms within the parent chain (“heteroC 2-10 alkenyl”).
- a heteroalkenyl group has 2 to 9 carbon atoms at least one double bond, and 1, 2, 3, or 4 heteroatoms within the parent chain (“heteroC 2-9 alkenyl”). In some embodiments, a heteroalkenyl group has 2 to 8 carbon atoms, at least one double bond, and 1, 2, 3, or 4 heteroatoms within the parent chain (“heteroC 2-8 alkenyl”). In some embodiments, a heteroalkenyl group has 2 to 7 carbon atoms, at least one double bond, and 1, 2, 3, or 4 heteroatoms within the parent chain (“heteroC 2-7 alkenyl”).
- a heteroalkenyl group has 2 to 6 carbon atoms, at least one double bond, and 1, 2, or 3 heteroatoms within the parent chain (“heteroC 2-6 alkenyl”). In some embodiments, a heteroalkenyl group has 2 to 5 carbon atoms, at least one double bond, and 1 or 2 heteroatoms within the parent chain (“heteroC 2-5 alkenyl”). In some embodiments, a heteroalkenyl group has 2 to 4 carbon atoms, at least one double bond, and for 2 heteroatoms within the parent chain (“heteroC 2-4 alkenyl”).
- a heteroalkenyl group has 2 to 3 carbon atoms, at least one double bond, and 1 heteroatom within the parent chain (“heteroC 2-3 alkenyl”). In some embodiments, a heteroalkenyl group has 2 to 6 carbon atoms, at least one double bond, and 1 or 2 heteroatoms within the parent chain (“heteroC 2-6 alkenyl”). Unless otherwise specified, each instance of a heteroalkenyl group is independently unsubstituted (an “unsubstituted heteroalkenyl”) or substituted (a “substituted heteroalkenyl”) with one or more substituents. In certain embodiments, the heteroalkenyl group is an unsubstituted heteroC 2-10 alkenyl. In certain embodiments, the heteroalkenyl group is a substituted heteroC 2-10 alkenyl.
- alkynyl refers to a radical of a straightchain or branched hydrocarbon group having from 2 to 10 carbon atoms and one or more triple bonds (e.g., 1, 2, 3, or 4 triple bonds) and optionally one or more double bonds (e.g., 1, 2, 3, or 4 double bonds) (“C 2-10 alkynyl”).
- An alkynyl group that has one or more triple bonds and one or more double bonds is also referred to as an “ene-yene” group.
- an alkynyl group has 2 to 9 carbon atoms (“C 2-9 alkynyl”).
- an alkynyl group has 2 to 8 carbon atoms (“C 2-8 alkynyl”).
- an alkynyl group has 2 to 7 carbon atoms (“C 2-7 alkynyl”). In some embodiments, an alkynyl group has 2 to 6 carbon atoms (“C 2-6 alkynyl”). In some embodiments, an alkynyl group has 2 to 5 carbon atoms (“C 2-5 alkynyl”). In some embodiments, an alkynyl group has 2 to 4 carbon atoms (“C 2-4 alkynyl”). In some embodiments, an alkynyl group has 2 to 3 carbon atoms (“C 2-3 alkynyl”). In some embodiments, an alkynyl group has 2 carbon atoms (“C 2 alkynyl”).
- the one or more carbon-carbon triple bonds can be internal (such as in 2-butynyl) or terminal (such as in 1
- C 2-4 alkynyl groups include, without limitation, ethynyl (C 2 ), 1 (C 3 ), 2-propynyl (C 3 ), 1-butynyl (C 4 ), 2-butynyl (C 4 ), and the like.
- Examples of C 2-6 alkenyl groups include the aforementioned C 2-4 alkynyl groups as well as pentynyl (C 5 ), hexynyl (C 6 ), and the like.
- alkynyl examples include heptynyl (C 7 ), octynyl (C 8 ), and the like. Unless otherwise specified, each instance of an alkynyl group is independently unsubstituted (an “unsubstituted alkynyl”) or substituted (a “substituted alkynyl”) with one or more substituents. In certain embodiments, the alkynyl group is an unsubstituted C 2-10 alkynyl. In certain embodiments, the alkynyl group is a substituted C 2-10 alkynyl.
- heteroalkynyl refers to an alkynyl group as defined herein which further includes at least one heteroatom (e.g., 1, 2, 3, or 4 heteroatoms) selected from oxygen, nitrogen, or sulfur within (i.e., inserted between adjacent carbon atoms of) and/or placed at one or more terminal position(s) of the parent chain.
- a heteroalkynyl group refers to a group having from 2 to 10 carbon atoms, at least one triple bond, and 1, 2, 3, or 4 heteroatoms within the parent chain (“heteroC 2-10 alkynyl”).
- a heteroalkynyl group has 2 to 9 carbon atoms, at least one triple bond, and 1, 2, 3, or 4 heteroatoms within the parent chain (“heteroC 2-9 alkynyl”). In some embodiments, a heteroalkynyl group has 2 to 8 carbon atoms, at least one triple bond, and 1, 2, 3, or 4 heteroatoms within the parent chain (“heteroC 2-8 alkynyl”). In some embodiments, a heteroalkynyl group has 2 to 7 carbon atoms, at least one triple bond, and 1, 2, 3, or 4 heteroatoms within the parent chain (“heteroC 2-7 alkynyl”).
- a heteroalkynyl group has 2 to 6 carbon atoms, at least one triple bond, and 1, 2, or 3 heteroatoms within the parent chain (“heteroC 2-6 alkynyl”). In some embodiments, a heteroalkynyl group has 2 to 5 carbon atoms, at least one triple bond, and 1 or 2 heteroatoms within the parent chain (“heteroC 2-5 alkynyl”). In some embodiments, a heteroalkynyl group has 2 to 4 carbon atoms, at least one triple bond, and for 2 heteroatoms within the parent chain (“heteroC 2-4 alkynyl”).
- a heteroalkynyl group has 2 to 3 carbon atoms, at least one triple bond, and 1 heteroatom within the parent chain (“heteroC 2-3 alkynyl”). In some embodiments, a heteroalkynyl group has 2 to 6 carbon atoms, at least one triple bond, and 1 or 2 heteroatoms within the parent chain (“heteroC 2-6 alkynyl”). Unless otherwise specified, each instance of a heteroalkynyl group is independently unsubstituted (an “unsubstituted heteroalkynyl”) or substituted (a “substituted heteroalkynyl”) with one or more substituents. In certain embodiments, the heteroalkynyl group is an unsubstituted heteroC 2-10 alkynyl. In certain embodiments, the heteroalkynyl group is a substituted heteroC 2-10 alkynyl.
- “carbocyclyl” or “carbocyclic” refers to a radical of a non aromatic cyclic hydrocarbon group having from 3 to 14 ring carbon atoms (“C 3-14 carbocyclyl”) and zero heteroatoms in the nonaromatic ring system.
- a carbocyclyl group has 3 to 10 ring carbon atoms (“C 3-10 carbocyclyl”).
- a carbocyclyl group has 3 to 9 ring carbon atoms (“C 3-9 carbocyclyl”).
- a carbocyclyl group has 3 to 8 ring carbon atoms (“C 3-8 carbocyclyl”).
- a carbocyclyl group has 3 to 7 ring carbon atoms (“C 3-7 carbocyclyl”). In some embodiments, a carbocyclyl group has 3 to 6 ring carbon atoms (“C 3-6 carbocyclyl”). In some embodiments, a carbocyclyl group has 5 to 10 ring carbon atoms (“C 5-10 carbocyclyl”).
- Exemplary C 3-6 carbocyclyl groups include, without limitation, cyclopropyl (C 3 ), cyclopropenyl (C 3 ), cyclobutyl (C 4 ), cyclobutenyl (C 4 ), cyclopentyl (C 5 ), cyclopentenyl (C 5 ), cyclohexyl (C 6 ), cyclohexenyl (C 6 ), cyclohexadienyl (C 6 ), and the like.
- Exemplary C 3-8 carbocyclyl groups include, without limitation, the aforementioned C 3-6 carbocyclyl groups as well as cycloheptyl (C 7 ), cycloheptenyl (C 7 ), cycloheptadienyl (C 7 ), cycloheptatrienyl (C 7 ), cyclooctyl (C 8 ), cyclooctenyl (C 8 ), bicyclo[2.2.1]heptanyl (C 7 ), bicyclo[2.2.2]octanyl (C 8 ), and the like.
- Exemplary C 3-10 carbocyclyl groups include, without limitation, the aforementioned C 3-8 carbocyclyl groups as well as cyclononyl (C 9 ), cyclononenyl (C 9 ), cyclodecyl (C 10 ), cyclodecenyl (C 10 ), octahydro-1H-indenyl (C 9 ), decahydronaphthalenyl (C 10 ), spiro[4.5]decanyl (C m ), and the like.
- the carbocyclyl group is either monocyclic (“monocyclic carbocyclyl”) or polycyclic (e.g., containing a fused, bridged or spirofused ring system such as a bicyclic system (“bicyclic carbocyclyl”) or tricyclic system (“tricyclic carbocyclyl”)) and can be saturated or can contain one or more carbon carbon double or triple bonds.
- exemplary fused bicyclic systems include, but are not limited to, decalin (cis or trans decalin).
- Exemplary fused tricyclic systems include, but are not limited to, fluorenyl.
- Exemplary spirofused bicyclic systems include, but are not limited to, spiropentane.
- Exemplary bridged bicyclic systems include, but are not limited to, norbornane, norbornene, bicyclo[2.2.2]octane, bicyclo[2.2.2]oct-2-ene, bicyclo[3.2.1]octane, and bicyclo[2.2.1]heptan-2-one.
- Exemplary bridged tricyclic systems include, but are not limited to adamantane.
- “Carbocyclyl” includes ring systems wherein the carbocyclyl ring, as defined above, is fused with one or more aryl or heteroaryl groups wherein the point of attachment is on the carbocyclyl ring, and in such instances, the number of carbons continue to designate the number of carbons in the carbocyclic ring system.
- each instance of a carbocyclyl group is independently unsubstituted (an “unsubstituted carbocyclyl”) or substituted (a “substituted carbocyclyl”) with one or more substituents.
- the carbocyclyl group is an unsubstituted C 3-14 carbocyclyl.
- the carbocyclyl group is a substituted C 3-14 carbocyclyl.
- Carbocyclylalkyl is a subset of “alkyl” and refers to an alkyl group, as defined herein, substituted by an carbocyclyl group, as defined herein, wherein the point of attachment is on the alkyl moiety.
- heterocyclyl or “heterocyclic” refers to a radical of a 3 to 14 nonaromatic ring system having ring carbon atoms and 1 to 4 ring heteroatoms, wherein each heteroatom is independently selected from nitrogen, oxygen, and sulfur (“3-14 membered heterocyclyl”).
- heterocyclyl groups that contain one or more nitrogen atoms, the point of attachment can be a carbon or nitrogen atom, as valency permits.
- a heterocyclyl group can either be monocyclic (“monocyclic heterocyclyl”) or polycyclic (e.g., a fused, bridged or spiro ring system such as a bicyclic system (“bicyclic heterocyclyl”) or tricyclic system (“tricyclic heterocyclyl”)), and can be saturated or can contain one or more carbon carbon double or triple bonds.
- Heterocyclyl polycyclic ring systems can include one or more heteroatoms in one or both rings.
- the heterocyclyl group is either monocyclic (“monocyclic heterocyclyl”) or polycyclic (e.g., containing a fused, bridged or spirofused ring system such as a bicyclic system (“bicyclic heterocyclyl”) or tricyclic system (“tricyclic heterocyclyl”)) and can be saturated or can contain one or more carbon carbon double or triple bonds.
- Heterocyclyl also includes ring systems wherein the heterocyclyl ring, as defined above, is fused with one or more carbocyclyl groups wherein the point of attachment is either on the carbocyclyl or heterocyclyl ring, or ring systems wherein the heterocyclyl ring, as defined above, is fused with one or more aryl or heteroaryl groups, wherein the point of attachment is on the heterocyclyl ring, and in such instances, the number of ring members continue to designate the number of ring members in the heterocyclyl ring system.
- each instance of heterocyclyl is independently unsubstituted (an “unsubstituted heterocyclyl”) or substituted (a “substituted heterocyclyl”) with one or more substituents.
- the heterocyclyl group is an unsubstituted 3-14 membered heterocyclyl. In certain embodiments, the heterocyclyl group is a substituted 3-14 membered heterocyclyl.
- a heterocyclyl group is a 5-10 membered nonaromatic ring system having ring carbon atoms and 1-4 ring heteroatoms, wherein each heteroatom is independently selected from nitrogen, oxygen, and sulfur (“5-10 membered heterocyclyl”).
- a heterocyclyl group is a 5-8 membered nonaromatic ring system having ring carbon atoms and 1-4 ring heteroatoms, wherein each heteroatom is independently selected from nitrogen, oxygen, and sulfur (“5-8 membered heterocyclyl”).
- a heterocyclyl group is a 5-6 membered nonaromatic ring system having ring carbon atoms and 1-4 ring heteroatoms, wherein each heteroatom is independently selected from nitrogen, oxygen, and sulfur (“5-6 membered heterocyclyl”).
- the 5-6 membered heterocyclyl has 1-3 ring heteroatoms selected from nitrogen, oxygen, and sulfur.
- the 5-6 membered heterocyclyl has 1-2 ring heteroatoms selected from nitrogen, oxygen, and sulfur.
- the 5-6 membered heterocyclyl has 1 ring heteroatom selected from nitrogen, oxygen, and sulfur.
- Exemplary 3-membered heterocyclyl groups containing 1 heteroatom include, without limitation, azirdinyl, oxiranyl, thiorenyl.
- Exemplary 4-membered heterocyclyl groups containing 1 heteroatom include, without limitation, azetidinyl, oxetanyl and thietanyl.
- Exemplary 5-membered heterocyclyl groups containing 1 heteroatom include, without limitation, tetrahydrofuranyl, dihydrofuranyl, tetrahydrothiophenyl, dihydrothiophenyl, pyrrolidinyl, dihydropyrrolyl and pyrrolyl-2,5-dione.
- Exemplary 5 heterocyclyl groups containing 2 heteroatoms include, without limitation, dioxolanyl, oxathiolanyl, and dithiolanyl.
- Exemplary 5-membered heterocyclyl groups containing 3 heteroatoms include, without limitation, triazolinyl, oxadiazolinyl, and thiadiazolinyl.
- Exemplary 6-membered heterocyclyl groups containing 1 heteroatom include, without limitation, piperidinyl, tetrahydropyranyl, dihydropyridinyl, and thianyl.
- Exemplary 6-membered heterocyclyl groups containing 2 heteroatoms include, without limitation, piperazinyl, morpholinyl, dithianyl, dioxanyl.
- Exemplary 6-membered heterocyclyl groups containing 2 heteroatoms include, without limitation, triazinanyl.
- Exemplary 7-membered heterocyclyl groups containing 1 heteroatom include, without limitation, azepanyl, oxepanyl and thiepanyl.
- Exemplary 8-membered heterocyclyl groups containing 1 heteroatom include, without limitation, azocanyl, oxecanyl and thiocanyl.
- bicyclic heterocyclyl groups include, without limitation, indolinyl, isoindolinyl, dihydrobenzofuranyl, dihydrobenzothienyl, tetrahydrobenzothienyl, tetrahydrobenzofuranyl, tetrahydroindolyl, tetrahydroquinolinyl, tetrahydroisoquinolinyl, decahydroquinolinyl, decahydroisoquinolinyl, octahydrochromenyl, octahydroisochromenyl, decahydronaphthyridinyl, decahydro-1,8-naphthyridinyl, octahydropyrrolo[3,2-b]pyrrole, indolinyl, phthalimidyl, naphthalimidyl, chromanyl, chromenyl, 1H-benzo[e][1,4-
- Heterocyclylalkyl is a subset of “alkyl” and refers to an alkyl group, as defined herein, substituted by an heterocyclyl group, as defined herein, wherein the point of attachment is on the alkyl moiety.
- aryl refers to a radical of a monocyclic or polycyclic (e.g., bicyclic or tricyclic) 4n+2 aromatic ring system (e.g., having 6, 10, or 14 it electrons shared in a cyclic array) having 6-14 ring carbon atoms and zero heteroatoms provided in the aromatic ring system (“C 6-14 aryl”).
- an aryl group has 6 ring carbon atoms (“C 6 aryl”; e.g., phenyl).
- an aryl group has 10 ring carbon atoms (“C 10 aryl”; e.g., naphthyl such as 1-naphthyl and 2-naphthyl).
- an aryl group has 14 ring carbon atoms (“C 14 aryl”; e.g., anthracenyl).
- Aryl also includes ring systems wherein the aryl ring, as defined above, is fused with one or more carbocyclyl or heterocyclyl groups wherein the radical or point of attachment is on the aryl ring, and in such instances, the number of carbon atoms continue to designate the number of carbon atoms in the aryl ring system.
- each instance of an aryl group is independently unsubstituted (an “unsubstituted aryl”) or substituted (a “substituted aryl”) with one or more substituents.
- the aryl group is an unsubstituted C 6-14 aryl.
- the aryl group is a substituted C 6-14 aryl.
- Alkyl is a subset of “alkyl” and refers to an alkyl group, as defined herein, substituted by an aryl group, as defined herein, wherein the point of attachment is on the alkyl moiety.
- heteroaryl refers to a radical of a 5-14 membered monocyclic or polycyclic (e.g., bicyclic, tricyclic) 4n+2 aromatic ring system (e.g., having 6, 10, or 14 it electrons shared in a cyclic array) having ring carbon atoms and 1-4 ring heteroatoms provided in the aromatic ring system, wherein each heteroatom is independently selected from nitrogen, oxygen and sulfur (“5-14 membered heteroaryl”).
- the point of attachment can be a carbon or nitrogen atom, as valency permits.
- Heteroaryl polycyclic ring systems can include one or more heteroatoms in one or both rings.
- Heteroaryl includes ring systems wherein the heteroaryl ring, as defined above, is fused with one or more carbocyclyl or heterocyclyl groups wherein the point of attachment is on the heteroaryl ring, and in such instances, the number of ring members continue to designate the number of ring members in the heteroaryl ring system. “Heteroaryl” also includes ring systems wherein the heteroaryl ring, as defined above, is fused with one or more aryl groups wherein the point of attachment is either on the aryl or heteroaryl ring, and in such instances, the number of ring members designates the number of ring members in the fused polycyclic (aryl/heteroaryl) ring system.
- Polycyclic heteroaryl groups wherein one ring does not contain a heteroatom e.g., indolyl, quinolinyl, carbazolyl, and the like
- the point of attachment can be on either ring, i.e., either the ring bearing a heteroatom (e.g., 2-indolyl) or the ring that does not contain a heteroatom (e.g., 5-indolyl).
- a heteroaryl group is a 5-10 membered aromatic ring system having ring carbon atoms and 1-4 ring heteroatoms provided in the aromatic ring system, wherein each heteroatom is independently selected from nitrogen, oxygen, and sulfur (“5-10 membered heteroaryl”).
- a heteroaryl group is a 5-8 membered aromatic ring system having ring carbon atoms and 1-4 ring heteroatoms provided in the aromatic ring system, wherein each heteroatom is independently selected from nitrogen, oxygen, and sulfur (“5-8 membered heteroaryl”).
- a heteroaryl group is a 5-6 membered aromatic ring system having ring carbon atoms and 1-4 ring heteroatoms provided in the aromatic ring system, wherein each heteroatom is independently selected from nitrogen, oxygen, and sulfur (“5-6 membered heteroaryl”).
- the 5-6 membered heteroaryl has 1-3 ring heteroatoms selected from nitrogen, oxygen, and sulfur.
- the 5-6 membered heteroaryl has 1-2 ring heteroatoms selected from nitrogen, oxygen, and sulfur.
- the 5-6 membered heteroaryl has 1 ring heteroatom selected from nitrogen, oxygen, and sulfur.
- each instance of a heteroaryl group is independently unsubstituted (an “unsubstituted heteroaryl”) or substituted (a “substituted heteroaryl”) with one or more substituents.
- the heteroaryl group is an unsubstituted 5-14 membered heteroaryl.
- the heteroaryl group is a substituted 5-14 membered heteroaryl.
- Exemplary 5-membered heteroaryl groups containing 1 heteroatom include, without limitation, pyrrolyl, furanyl, and thiophenyl.
- Exemplary 5-membered heteroaryl groups containing 2 heteroatoms include, without limitation, imidazolyl, pyrazolyl, oxazolyl, isoxazolyl, thiazolyl, and isothiazolyl.
- Exemplary 5-membered heteroaryl groups containing 3 heteroatoms include, without limitation, triazolyl, oxadiazolyl, and thiadiazolyl.
- Exemplary 5-membered heteroaryl groups containing 4 heteroatoms include, without limitation, tetrazolyl.
- Exemplary 6-membered heteroaryl groups containing 1 heteroatom include, without limitation, pyridinyl.
- Exemplary 6-membered heteroaryl groups containing 2 heteroatoms include, without limitation, pyridazinyl, pyrimidinyl, and pyrazinyl.
- Exemplary 6-membered heteroaryl groups containing 3 or 4 heteroatoms include, without limitation, triazinyl and tetrazinyl, respectively.
- Exemplary 7-membered heteroaryl groups containing 1 heteroatom include, without limitation, azepinyl, oxepinyl, and thiepinyl.
- Exemplary 5,6-heteroaryl groups include, without limitation, indolyl, isoindolyl, indazolyl, benzotriazolyl, benzothiophenyl, isobenzothiophenyl, benzofuranyl, benzoisofuranyl, benzimidazolyl, benzoxazolyl, benzisoxazolyl, benzoxadiazolyl, benzthiazolyl, benzisothiazolyl, benzthiadiazolyl, indolizinyl, and purinyl.
- Exemplary 6,6-bicyclic heteroaryl groups include, without limitation, naphthyridinyl, pteridinyl, quinolinyl, isoquinolinyl, cinnolinyl, quinoxalinyl, phthalazinyl, and quinazolinyl.
- Exemplary tricyclic heteroaryl groups include, without limitation, phenanthridinyl, dibenzofuranyl, carbazolyl, acridinyl, phenothiazinyl, phenoxazinyl and phenazinyl.
- Heteroaralkyl is a subset of “alkyl” and refers to an alkyl group, as defined herein, substituted by a heteroaryl group, as defined herein, wherein the point of attachment is on the alkyl moiety.
- partially unsaturated refers to a ring moiety that includes at least one double or triple bond.
- partially unsaturated is intended to encompass rings having multiple sites of unsaturation, but is not intended to include aromatic groups (e.g., aryl or heteroaryl moieties) as herein defined.
- saturated refers to a ring moiety that does not contain a double or triple bond, i.e., the ring contains all single bonds.
- alkylene is the divalent moiety of alkyl
- alkenylene is the divalent moiety of alkenyl
- alkynylene is the divalent moiety of alkynyl
- heteroalkylene is the divalent moiety of heteroalkyl
- heteroalkenylene is the divalent moiety of heteroalkenyl
- heteroalkynylene is the divalent moiety of heteroalkynyl
- carbocyclylene is the divalent moiety of carbocyclyl
- heterocyclylene is the divalent moiety of heterocyclyl
- arylene is the divalent moiety of aryl
- heteroarylene is the divalent moiety of heteroaryl.
- alkyl, alkenyl, alkynyl, heteroalkyl, heteroalkenyl, heteroalkynyl, carbocyclyl, heterocyclyl, aryl, and heteroaryl groups, as defined herein, are, in certain embodiments, optionally substituted.
- s ubstituted refers to a group which may be substituted or unsubstituted (e.g., “substituted” or “unsubstituted” alkyl, “substituted” or “unsubstituted” alkenyl, “substituted” or “unsubstituted” alkynyl, “substituted” or “unsubstituted” heteroalkyl, “substituted” or “unsubstituted” heteroalkenyl, “substituted” or “unsubstituted” heteroalkynyl, “substituted” or “unsubstituted” carbocyclyl, “substituted” or “unsubstituted” heterocyclyl, “substituted” or “unsubstituted” aryl or “substituted” or “unsubstituted” heteroaryl group).
- substituted means that at least one hydrogen present on a group (e.g., a carbon or nitrogen atom) is replaced with a permissible substituent, e.g., a substituent which upon substitution results in a stable compound, e.g., a compound which does not spontaneously undergo transformation such as by rearrangement, cyclization, elimination, or other reaction.
- a “substituted” group has a substituent at one or more substitutable positions of the group, and when more than one position in any given structure is substituted, the substituent is either the same or different at each position.
- substituted is contemplated to include substitution with all permissible substituents of organic compounds, any of the substituents described herein that results in the formation of a stable compound.
- the present invention contemplates any and all such combinations in order to arrive at a stable compound.
- heteroatoms such as nitrogen may have hydrogen substituents and/or any suitable substituent as described herein which satisfy the valencies of the heteroatoms and results in the formation of a stable moiety.
- Exemplary carbon atom substituents include, but are not limited to, halogen, —CN, —NO 2 , —N 3 , —SO 2 H, —SO 3 H, —OH, —OR aa , —ON(R bb ) 2 , —N(R bb ) 2 , —N(R bb ) 3 + X ⁇ , —N(OR cc )R bb , —SH, —SR aa , —SSR cc , —C( ⁇ O)R aa , ⁇ CO 2 H, —CHO, ⁇ C(OR cc ) 2 , —CO 2 R aa , —OC( ⁇ O)R aa , —OCO 2 R aa , —C( ⁇ O)N(R bb ) 2 , —OC( ⁇ O)N(R bb ) 2 , —NR bb C
- each instance of R aa is, independently, selected from C 1-10 alkyl, C 1-10 perhaloalkyl, C 2-10 alkenyl, C 2-10 alkynyl, C 1-10 heteroalkyl, C 2-10 heteroalkenyl, C 2-10 heteroalkynyl, C 3-10 carbocyclyl, 3-14 membered heterocyclyl, C 6-14 aryl, and 5-14 membered heteroaryl, or two R aa groups are joined to form a 3-14 membered heterocyclyl or 5-14 membered heteroaryl ring, wherein each alkyl, alkenyl, alkynyl, heteroalkyl, heteroalkenyl, heteroalkynyl, carbocyclyl, heterocyclyl, aryl, and heteroaryl is independently substituted with 0, 1, 2, 3, 4, or 5 R dd groups;
- each instance of R bb is, independently, selected from hydrogen, —OH, —OR aa , —N(R cc ) 2 , —CN, —C( ⁇ O)R aa , —C( ⁇ O)N(R cc ) 2 , —CO 2 R aa , —SO 2 R aa , —C( ⁇ NR cc )OR aa , —C( ⁇ NR cc )N(R cc ) 2 , —SO 2 N(R cc ) 2 , —SO 2 R cc , —SO 2 OR cc , —SOR aa , —C( ⁇ S)N(R cc ) 2 , —C( ⁇ O)SR cc , —C( ⁇ S)SR cc , —P( ⁇ O) 2 R aa , —P( ⁇ O)(R aa ) 2 ,
- each instance of R cc is, independently, selected from hydrogen, C 1-10 alkyl, C 1-10 perhaloalkyl, C 2-10 alkenyl, C 2-10 alkynyl, C 1-10 heteroalkyl, C 2-10 heteroalkenyl, C 2-10 heteroalkynyl, C 3 -10 carbocyclyl, 3-14 membered heterocyclyl, C 6-14 aryl, and 5-14 membered heteroaryl, or two R cc groups are joined to form a 3-14 membered heterocyclyl or 5-14 membered heteroaryl ring, wherein each alkyl, alkenyl, alkynyl, heteroalkyl, heteroalkenyl, heteroalkynyl, carbocyclyl, heterocyclyl, aryl, and heteroaryl is independently substituted with 0, 1, 2, 3, 4, or 5 R dd groups;
- each instance of R dd is, independently, selected from halogen, —CN, —NO 2 , —N 3 , —SO 2 H, —SO 3 H, —OH, —OR ee , —ON(R ff ) 2 , —N(R ff ) 2 , —N(R ff ) 3 + X ⁇ , —N(OR ee )R ff , —SH, —SR ee , —SSR ee , —C( ⁇ O)R ee , —CO 2 H, —CO 2 R ee , —OC( ⁇ O)R ee , —OCO 2 R ee , —C( ⁇ O)N(R ff ) 2 , —OC( ⁇ O)N(R ff ) 2 , —NR ff C( ⁇ O)R ee , —NR ff CO 2 R
- each instance of R ee is, independently, selected from C 1-6 alkyl, C 1-6 perhaloalkyl, C 2-6 alkenyl, C 2-6 alkynyl, C 1-6 heteroalkyl, C 2-6 heteroalkenyl, C 2-6 heteroalkynyl, C 3-10 carbocyclyl, C 6-10 aryl, 3-10 membered heterocyclyl, and 3-10 membered heteroaryl, wherein each alkyl, alkenyl, alkynyl, heteroalkyl, heteroalkenyl, heteroalkynyl, carbocyclyl, heterocyclyl, aryl, and heteroaryl is independently substituted with 0, 1, 2, 3, 4, or 5 R gg groups;
- each instance of R ff is, independently, selected from hydrogen, C 1-6 alkyl, C 1-6 perhaloalkyl, C 2-6 alkenyl, C 2-6 alkynyl, C 1-6 heteroalkyl, C 2-6 heteroalkenyl, C 2-6 heteroalkynyl, C 3-10 carbocyclyl, 3-10 membered heterocyclyl, C 6-10 aryl and 5-10 membered heteroaryl, or two R ff groups are joined to form a 3-14 membered heterocyclyl or 5-14 membered heteroaryl ring, wherein each alkyl, alkenyl, alkynyl, heteroalkyl, heteroalkenyl, heteroalkynyl, carbocyclyl, heterocyclyl, aryl, and heteroaryl is independently substituted with 0, 1, 2, 3, 4, or 5 R gg groups; and
- each instance of R gg is, independently, halogen, —CN, —NO 2 , —N 3 , —SO 2 H, —SO 3 H, —OH, —OC 1-6 alkyl, —ON(C 1-6 alkyl) 2 , —N(C 1-6 alkyl) 2 , —N(C 1-6 alkyl) 3 + X ⁇ , —NH(C 1-6 alkyl) 2 + X ⁇ , —NH 2 (C 1-6 alkyl) + X ⁇ , —NH 3 + X ⁇ , —N(OC 1-6 alkyl)(C 1-6 alkyl), —N(OH)(C 1-6 alkyl), —NH(OH), —SH, —SC 1-6 alkyl, —SS(C 1-6 alkyl), —C( ⁇ O)(C 1-6 alkyl), —CO 2 H, —CO 2 (C 1-6 alkyl), —OC( ⁇ O)
- halo refers to fluorine (fluoro, —F), chlorine (chloro, —Cl), bromine (bromo, —Br), or iodine (iodo, —I).
- a “counterion” is a negatively charged group associated with a positively charged quarternary amine in order to maintain electronic neutrality.
- exemplary counterions include halide ions (e.g., F ⁇ , Cl ⁇ , Br ⁇ , I ⁇ ), NO 3 ⁇ , ClO 4 ⁇ , OH ⁇ , H 2 PO 4 ⁇ , HSO 4 ⁇ , sulfonate ions (e.g., methansulfonate, trifluoromethanesulfonate, p-toluenesulfonate, benzenesulfonate, 10-camphor sulfonate, naphthalene-2-sulfonate, naphthalene-1-sulfonic acid-5-sulfonate, ethan-1-sulfonic acid-2-sulfonate, and the like), and carboxylate ions (e.g., acetate, ethanoate, prop
- hydroxyl refers to the group —OH.
- substituted hydroxyl or “substituted hydroxyl,” by extension, refers to a hydroxyl group wherein the oxygen atom directly attached to the parent molecule is substituted with a group other than hydrogen, and includes groups selected from —OR aa , —ON(R bb ) 2 , —OC( ⁇ O)SR aa , —OC( ⁇ O)R aa , —OCO 2 R aa , —OC( ⁇ O)N(R bb ) 2 , —OC( ⁇ NR bb )R aa , —OC( ⁇ NR bb )OR aa , —OC( ⁇ NR bb )N(R bb ) 2 , —OS( ⁇ O)R aa , —OSO 2 R aa , —OSi(R aa )
- thiol refers to the group —SH.
- substituted thiol or “substituted thio,” by extension, refers to a thiol group wherein the sulfur atom directly attached to the parent molecule is substituted with a group other than hydrogen, and includes groups selected from —SR aa , —S ⁇ SR cc , —SC( ⁇ S)SR aa , —SC( ⁇ O)SR aa , —SC( ⁇ O)OR aa , and —SC( ⁇ O)R aa , wherein R aa and R cc are as defined herein.
- amino refers to the group —NH 2 .
- substituted amino by extension, refers to a monosubstituted amino, a disubstituted amino, or a trisubstituted amino, as defined herein. In certain embodiments, the “substituted amino” is a monosubstituted amino or a disubstituted amino group.
- the term “monosubstituted amino” refers to an amino group wherein the nitrogen atom directly attached to the parent molecule is substituted with one hydrogen and one group other than hydrogen, and includes groups selected from —NH(R bb ), —NHC( ⁇ O)R aa , —NHCO 2 R aa , —NHC( ⁇ O)N(R bb ) 2 , —NHC( ⁇ NR bb )N(R bb ) 2 , —NHSO 2 R aa , —NHP( ⁇ O)(OR cc ) 2 , and —NHP( ⁇ O)(NR bb ) 2 , wherein R aa , R bb and R cc are as defined herein, and wherein R bb of the group —NH(R bb ) is not hydrogen.
- disubstituted amino refers to an amino group wherein the nitrogen atom directly attached to the parent molecule is substituted with two groups other than hydrogen, and includes groups selected from —N(R bb ) 2 , —NR bb C( ⁇ O)R aa , —NR bb CO 2 R aa , —NR bb C( ⁇ O)N(R bb ) 2 , —NR bb C( ⁇ NR bb )N(R bb ) 2 , —NR bb SO 2 R aa , —NR bb P( ⁇ )(OR cc ) 2 , and —NR bb P( ⁇ O)(NR bb ) 2 , wherein R aa , R bb , and R cc are as defined herein, with the proviso that the nitrogen atom directly attached to the parent molecule is not substituted with hydrogen.
- trisubstituted amino refers to an amino group wherein the nitrogen atom directly attached to the parent molecule is substituted with three groups, and includes groups selected from —N(R bb ) 3 and —N(R bb ) 3 + X ⁇ , wherein R bb and X ⁇ are as defined herein.
- oxo refers to the group ⁇ O
- thiooxo refers to the group ⁇ S.
- Nitrogen atoms can be substituted or unsubstituted as valency permits, and include primary, secondary, tertiary, and quarternary nitrogen atoms.
- Exemplary nitrogen atom substitutents include, but are not limited to, hydrogen, —OH, —OR aa , —N(R cc ) 2 , —CN, —C( ⁇ O)R aa , —C( ⁇ O)N(R cc ) 2 , —CO 2 R aa , —SO 2 R aa , —C( ⁇ NR bb )R aa , —C( ⁇ NR cc )OR aa , —C( ⁇ NR cc )N(R cc ) 2 , —SO 2 N(R cc ) 2 , —SO 2 R cc , —SO 2 OR cc , —SOR aa , —C( ⁇ S)N(R
- the substituent present on the nitrogen atom is an nitrogen protecting group (also referred to herein as an “amino protecting group”).
- Nitrogen protecting groups include, but are not limited to, —OH, —OR aa , —N(R cc ) 2 , —C( ⁇ O)R aa , —C( ⁇ O)N(R cc ) 2 , —CO 2 R aa , —SO 2 R aa , —C( ⁇ NR cc )R aa , —C( ⁇ NR cc )OR aa , —C( ⁇ NR cc )N(R cc ) 2 , —SO 2 N(R cc ) 2 , —SO 2 R cc , —SO 2 OR cc , —SOR aa , —C( ⁇ S)N(R cc ) 2 , —C( ⁇ O)SR cc , ,
- Nitrogen protecting groups are well known in the art and include those described in detail in Protecting Groups in Organic Synthesis, T. W. Greene and P. G. M. Wuts, 3 rd edition, John Wiley & Sons, 1999, incorporated herein by reference.
- nitrogen protecting groups such as amide groups (e.g., —C( ⁇ O)R aa ) include, but are not limited to, formamide, acetamide, chloroacetamide, trichloroacetamide, trifluoroacetamide, phenylacetamide, 3-phenylpropanamide, picolinamide, 3-pyridylcarboxamide, N-benzoylphenylalanyl derivative, benzamide, p-phenylbenzamide, o-nitophenylacetamide, o-nitrophenoxyacetamide, acetoacetamide, (N′-dithiobenzyloxyacylamino)acetamide, 3-(p-hydroxyphenyl)propanamide, 3-(o-nitrophenyl)propanamide, 2-methyl-2-(o-nitrophenoxy)propanamide, 2-methyl-2-(o-phenylazophenoxy)propanamide, 4-chlorobutanamide, 3-methyl-3-nitrobutanamide, o-nitro
- Nitrogen protecting groups such as carbamate groups include, but are not limited to, methyl carbamate, ethyl carbamante, 9-fluorenylmethyl carbamate (Fmoc), 9-(2-sulfo)fluorenylmethyl carbamate, 9-(2,7-dibromo)fluoroenylmethyl carbamate, 2,7-di-t-butyl-[9-(10,10-dioxo-10,10,10,10-tetrahydrothioxanthyl)]methyl carbamate (DBD-Tmoc), 4-methoxyphenacyl carbamate (Phenoc), 2,2,2-trichloroethyl carbamate (Troc), 2-trimethylsilylethyl carbamate (Teoc), 2-phenylethyl carbamate (hZ), 1-(1-adamantyl)-1-methylethyl carbamate
- Nitrogen protecting groups such as sulfonamide groups include, but are not limited to, p-toluenesulfonamide (Ts), benzenesulfonamide, 2,3,6,-trimethyl-4-methoxybenzenesulfonamide (Mtr), 2,4,6-trimethoxybenzenesulfonamide (Mtb), 2,6-dimethyl-4-methoxybenzenesulfonamide (Pme), 2,3,5,6-tetramethyl-4-methoxybenzenesulfonamide (Mte), 4-methoxybenzenesulfonamide (Mbs), 2,4,6-trimethylbenzenesulfonamide (Mts), 2,6-dimethoxy-4-methylbenzenesulfonamide (iMds), 2,2,5,7,8-pentamethylchroman-6-sulfonamide (Pmc), methanesulfonamide
- Ts p-toluenesulfonamide
- nitrogen protecting groups include, but are not limited to, phenothiazinyl-(10)-acyl derivative, N′-p-toluenesulfonylaminoacyl derivative, N′-phenylaminothioacyl derivative, N-benzoylphenylalanyl derivative, N-acetylmethionine derivative, 4,5-diphenyl-3-oxazolin-2-one, N-phthalimide, N-dithiasuccinimide (Dts), N-2,3-diphenylmaleimide, N-2,5-dimethylpyrrole, N-1,1,4,4-tetramethyldisilylazacyclopentane adduct (STABASE), 5-substituted 1,3-dimethyl-1,3,5-triazacyclohexan-2-one, 5-substituted 1,3-dibenzyl-1,3,5-triazacyclohexan-2-one, 1-substituted 3,5-dinitro-4
- the substituent present on an oxygen atom is an oxygen protecting group (also referred to herein as an “hydroxyl protecting group”).
- Oxygen protecting groups include, but are not limited to, —R aa , —N(R bb ) 2 , —C( ⁇ O)SR aa , —C( ⁇ O)R aa , —CO 2 R aa , —C( ⁇ O)N(R bb ) 2 , —C( ⁇ NR bb )R aa , —C( ⁇ NR bb )OR aa , —C( ⁇ NR bb )N(R bb ) 2 , —S( ⁇ O)R aa , —SO 2 R aa , —Si(R aa ) 3 , —P(R cc ) 2 , —P(R cc ) 3 , —P( ⁇ O) 2 R aa ,
- Oxygen protecting groups are well known in the art and include those described in detail in Protecting Groups in Organic Synthesis, T. W. Greene and P. G. M. Wuts, 3 rd edition, John Wiley & Sons, 1999, incorporated herein by reference.
- oxygen protecting groups include, but are not limited to, methyl, methoxylmethyl (MOM), methylthiomethyl (MTM), t-butylthiomethyl, (phenyldimethylsilyl)methoxymethyl (SMOM), benzyloxymethyl (BOM), p-methoxybenzyloxymethyl (PMBM), (4-methoxyphenoxy)methyl (p-AOM), guaiacolmethyl (GUM), t-butoxymethyl, 4-pentenyloxymethyl (POM), siloxymethyl, 2-methoxyethoxymethyl (MEM), 2,2,2-trichloroethoxymethyl, bis(2-chloroethoxy)methyl, 2-(trimethylsilyl)ethoxymethyl (SEMOR), tetrahydropyranyl (THP), 3-bromotetrahydropyranyl, tetrahydrothiopyranyl, 1-methoxycyclohexyl, 4-methoxytetrahydropyranyl (MTHP), 4-meth
- the substituent present on an sulfur atom is a sulfur protecting group (also referred to as a “thiol protecting group”).
- Sulfur protecting groups include, but are not limited to, —R aa , —N(R bb ) 2 , —C( ⁇ O)SR aa , —C( ⁇ O)R aa , —CO 2 R aa , —C( ⁇ O)N(R bb ) 2 , —C( ⁇ NR bb )R aa , —C( ⁇ NR bb )OR aa , —C( ⁇ NR bb )N(R bb ) 2 , —S( ⁇ O)R aa , —SO 2 R aa , —Si(R aa ) 3 , —P(R cc ) 2 , —P(R cc ) 3 , —P( ⁇ O) 2 R aa
- Sulfur protecting groups are well known in the art and include those described in detail in Protecting Groups in Organic Synthesis, T. W. Greene and P. G. M. Wuts, 3 rd edition, John Wiley & Sons, 1999, incorporated herein by reference.
- pharmaceutically acceptable salt refers to those salts which are, within the scope of sound medical judgment, suitable for use in contact with the tissues of humans and lower animals without undue toxicity, irritation, allergic response, and the like, and are commensurate with a reasonable benefit/risk ratio.
- Pharmaceutically acceptable salts are well known in the art. For example, Berge et al., describes pharmaceutically acceptable salts in detail in J. Pharmaceutical Sciences (1977) 66:1-19.
- Pharmaceutically acceptable salts of the compounds of this invention include those derived from suitable inorganic and organic acids and bases.
- Examples of pharmaceutically acceptable, nontoxic acid addition salts are salts of an amino group formed with inorganic acids such as hydrochloric acid, hydrobromic acid, phosphoric acid, sulfuric acid and perchloric acid or with organic acids such as acetic acid, oxalic acid, maleic acid, tartaric acid, citric acid, succinic acid or malonic acid or by using other methods used in the art such as ion exchange.
- inorganic acids such as hydrochloric acid, hydrobromic acid, phosphoric acid, sulfuric acid and perchloric acid
- organic acids such as acetic acid, oxalic acid, maleic acid, tartaric acid, citric acid, succinic acid or malonic acid or by using other methods used in the art such as ion exchange.
- salts include adipate, alginate, ascorbate, aspartate, benzenesulfonate, benzoate, bisulfate, borate, butyrate, camphorate, camphorsulfonate, citrate, cyclopentanepropionate, digluconate, dodecylsulfate, ethanesulfonate, formate, fumarate, glucoheptonate, glycerophosphate, gluconate, hemisulfate, heptanoate, hexanoate, hydroiodide, 2-hydroxy-ethanesulfonate, lactobionate, lactate, laurate, lauryl sulfate, malate, maleate, malonate, methanesulfonate, 2-naphthalenesulfonate, nicotinate, nitrate, oleate, oxalate, palmitate, pamoate, pectinate,
- Pharmaceutically acceptable salts derived from appropriate bases include alkali metal, alkaline earth metal, ammonium and N + (C 1-4 alkyl) 4 salts.
- Representative alkali or alkaline earth metal salts include sodium, lithium, potassium, calcium, magnesium, and the like.
- Further pharmaceutically acceptable salts include, when appropriate, nontoxic ammonium, quaternary ammonium, and amine cations formed using counterions such as halide, hydroxide, carboxylate, sulfate, phosphate, nitrate, lower alkyl sulfonate, and aryl sulfonate.
- a “leaving group” is an art-understood term referring to a molecular fragment that departs with a pair of electrons in heterolytic bond cleavage, wherein the molecular fragment is an anion or neutral molecule. See, for example, Smith, March Advanced Organic Chemistry 6th ed. (501-502).
- Exemplary leaving groups include, but are not limited to, halo (e.g., chloro, bromo, iodo) and sulfonyl substituted hydroxyl groups (e.g., tosyl, mesyl, besyl).
- a “subject” to which administration is contemplated includes, but is not limited to, humans (i.e., a male or female of any age group, e.g., a pediatric subject (e.g, infant, child, adolescent) or adult subject (e.g., young adult, middle-aged adult or senior adult)) and/or other non-human animals, for example mammals (e.g., primates (e.g., cynomolgus monkeys, rhesus monkeys); commercially relevant mammals such as cattle, pigs, horses, sheep, goats, cats, and/or dogs), birds (e.g., commercially relevant birds such as chickens, ducks, geese, and/or turkeys), reptiles, amphibians, and fish.
- the non-human animal is a mammal.
- the non-human animal may be a male or female and at any stage of development.
- a non-human animal may be a transgenic animal.
- the terms “treat,” “treating” and “treatment” contemplate an action that occurs while a subject is suffering from the specified disease, disorder or condition, which reduces the severity of the disease, disorder or condition, or retards or slows the progression of the disease, disorder or condition (“therapeutic treatment”), and also contemplates an action that occurs before a subject begins to suffer from the specified disease, disorder or condition (“prophylactic treatment”).
- the “effective amount” of a compound refers to an amount sufficient to elicit the desired biological response.
- the effective amount of a compound of the invention may vary depending on such factors as the desired biological endpoint, the pharmacokinetics of the compound, the disease being treated, the mode of administration, and the age, health, and condition of the subject.
- An effective amount encompasses therapeutic and prophylactic treatment.
- a “therapeutically effective amount” of a compound is an amount sufficient to provide a therapeutic benefit in the treatment of a disease, disorder or condition, or to delay or minimize one or more symptoms associated with the disease, disorder or condition.
- a therapeutically effective amount of a compound means an amount of therapeutic agent, alone or in combination with other therapies, which provides a therapeutic benefit in the treatment of the disease, disorder or condition.
- the term “therapeutically effective amount” can encompass an amount that improves overall therapy, reduces or avoids symptoms or causes of disease or condition, or enhances the therapeutic efficacy of another therapeutic agent.
- a therapeutically effective amount is an amount sufficient to reduce Her3 activity, reduce Her3 protein levels, and/or inhibit cell proliferation.
- a “prophylactically effective amount” of a compound is an amount sufficient to prevent a disease, disorder or condition, or one or more symptoms associated with the disease, disorder or condition, or prevent its recurrence.
- a prophylactically effective amount of a compound means an amount of a therapeutic agent, alone or in combination with other agents, which provides a prophylactic benefit in the prevention of the disease, disorder or condition.
- the term “prophylactically effective amount” can encompass an amount that improves overall prophylaxis or enhances the prophylactic efficacy of another prophylactic agent.
- an “inhibitor” refers to the ability of a compound to reduce (e.g., slow, halt) or prevent activity of a particular biological process (kinase activity) in a cell relative to vehicle.
- At least one instance refers to 1, 2, 3, 4, or more instances, but also encompasses a range, e.g., for example, from 1 to 4, from 1 to 3, from 1 to 2, from 2 to 4, from 2 to 3, or from 3 to 4 instances, inclusive.
- Kinase A kinase is a type of enzyme that transfers phosphate groups from high energy donor molecules, such as ATP, to specific substrates, referred to as phosphorylation.
- Kinases are part of the larger family of phosphotransferases.
- One of the largest groups of kinases are protein kinases, which act on and modify the activity of specific proteins.
- Kinases are used extensively to transmit signals and control complex processes in cells.
- Various other kinases act on small molecules such as lipids, carbohydrates, amino acids, and nucleotides, either for signaling or to prime them for metabolic pathways.
- Kinases are often named after their substrates. More than 500 different protein kinases have been identified in humans.
- exemplary human protein kinases include, but are not limited to, AAK1, ABL, ACK, ACTR2, ACTR2B, AKT1, AKT2, AKT3, ALK, ALK1, ALK2, ALK4, ALK7, AMPKa1, AMPKa2, ANKRD3, ANPa, ANPb, ARAF, ARAFps, ARG, AurA, AurAps1, AurAps2, AurB, AurBps1, AurC, AXL, BARK1, BARK2, BIKE, BLK, BMPR1A, BMPR1Aps1, BMPR1Aps2, BMPR1B, BMPR2, BMX, BRAF, BRAFps, BRK, BRSK1, BRSK2, BTK, BUB1, BUBR1, CaMK1a, CaMK1b, CaMK1d, CaMK1g, CaMK2a, CaMK2b, CaMK2d, CaMK2g,
- hydrophobic in the context of a “hydrophobic” group —R H refers to a group —R H which comprises zero hydrogen bond donors (e.g., zero —NH, —OH, and/or —SH groups) and optionally zero hydrogen bond acceptors (e.g., O, N, and/or S atoms).
- the hydrophobic group —R H comprises zero hydrogen bond donors and zero hydrogen bond acceptors.
- the hydrophobic group —R H is an unsubstituted hydrocarbon (carbocyclylalkyl, carbocyclyl, aralkyl, or aryl) group, i.e., comprising only carbon and hydrogen.
- the hydrophobic group —R H comprises at least 6 carbon atoms, e.g., between 6 and 50 carbon atoms, between 6 and 40 carbon atoms, between 6 and 30 carbon atoms, between 6 and 20 carbon atoms, or between 6 and 15 carbon atoms. In certain embodiments, the hydrophobic group —R H comprises 6, 7, 8, 9, 10, 11, 12, 13, 14, 15, 16, 17, 18, 19, or 20 carbon atoms.
- a “small organic molecule,” (M) as used herein, refers to an alkyl, alkenyl, alknyl, aryl, heteroaryl, carbocyclic, or heterocyclic moiety, as defined herein, comprising carbon and hydrogen, and optionally comprising one or more heteroatoms as a part of the molecule (in the case of heteroaryl and heterocyclic groups) and/or attached to the molecule selected from oxygen, nitrogen, sulfur, phosphorus, boron, silicon, and selenium.
- the molecular weight of said small organic molecule (M), in the absence of the group -L 1 -R H (such that the group -L 1 -R H is replaced with hydrogen to provide M-H), is between about 100 g/mol and about 800 g/mol, inclusive, e.g., between about 100 and about 750 g/mol, between about 100 and about 700 g/mol, between about 100 and about 650 g/mol, between about 100 and about 600 g/mol, between about 100 and about 550 g/mol, between about 100 and about 500 g/mol, between about 100 and about 450 g/mol, between about 100 and about 400 g/mol, between about 100 and about 350 g/mol, between about 100 and about 300 g/mol, between about 100 and about 250 g/mol, between about 100 and about 200 g/mol, between about 100 and about 150 g/mol, between about 200 g/mol to about 800 g/mol, between about 200 g/mol to about 700 g/
- the molecular weight of the group -L 1 -R H is, in certain embodiments, between about 50 g/mol and about 600 g/mol, inclusive, e.g., between about 50 g/mol and about 500 g/mol, between about 100 g/mol and about 500 g/mol, between about 100 g/mol and about 400 g/mol, between about 100 g/mol and about 300 g/mol, between about 100 g/mol and about 200 g/mol, between about 200 g/mol and about 400 g/mol, or between about 200 g/mol and about 300 g/mol, inclusive.
- the molecular weight of the hydrophobic group —R H is, in certain embodiments, between about 100 g/mol and about 300 g/mol, inclusive, e.g., between about 100 g/mol and about 200 g/mol, between about 100 g/mol and about 180 g/mol, between about 110 g/mol and about 180 g/mol, between about 120 g/mol and about 180 g/mol, or between about 130 g/mol and about 180 g/mol, inclusive.
- the total molecular weight of the compound of Formula (I), is the cumulative molecular weight of the small molecule (M) and group -L 1 -R H .
- the total molecular weight of the compound of Formula (I) is between about 200 g/mol to about 1000 g/mol, inclusive, e.g., between about 200 g/mol to about 900 g/mol, between about 200 g/mol to about 800 g/mol, between about 200 g/mol to about 700 g/mol, between about 200 g/mol to about 600 g/mol, between about 200 g/mol to about 500 g/mol, between about 200 g/mol to about 400 g/mol, between about 200 g/mol to about 300 g/mol, between about 300 g/mol to about 800 g/mol, between about 400 g/mol to about 1000 g/mol, between about 400 g/mol to about 900 g/mol, between about 400 g/mol to about 800 g/mol, between about 400 g/
- 251 g/mol is the lowest molecular weight contemplated for this particular formula, wherein a and b are each 0, both instances of R B are hydrogen, and Ring A is unsubstituted cyclopropyl.
- the molecular weight of the small molecule (M-H) of Formula (II′) is between about 251 g/mol to about 800 g/mol, between about 251 g/mol to about 700 g/mol, between about 251 g/mol to about 600 g/mol, between about 251 g/mol to about 500 g/mol, between about 251 g/mol to about 400 g/mol, between about 300 g/mol to about 800 g/mol, between about 300 g/mol to about 700 g/mol, between about 300 g/mol to about 600 g/mol, between about 300 g/mol to about 500 g/mol, between about 300 g/mol to about 400 g/mol, between about 400 g/mol to about 800 g/mol, between about 400 g/mol to about 700 g/mol, between about 400 g/mol to about 600 g/mol, or between about 400 g/mol to about 500 g/mol, inclusive.
- the total molecular weight of a compound of Formula (II), which is the cumulative molecular weight of the small molecule (M) and the group -L 1 -R H is, in certain embodiments, between about 351 g/mol and about 1000 g/mol, inclusive, e.g., between about 400 g/mol to about 1000 g/mol, between about 400 g/mol to about 900 g/mol, between about 400 g/mol to about 800 g/mol, between about 400 g/mol to about 700 g/mol, between about 400 g/mol to about 600 g/mol, between about 400 g/mol to about 500 g/mol, between about 500 g/mol to about 1000 g/mol, between about 500 g/mol to about 900 g/mol, between about 500 g/mol to about 800 g/mol, between about 500 g/mol to about 700 g/mol, or between about 500 g/mol to about 600 g/mol, inclusive.
- the molecular weight of the group -L 1 -R H provided in Formula (II) is between about 50 g/mol and about 400 g/mol, e.g., between about 100 g/mol and about 400 g/mol, between about 100 g/mol and about 300 g/mol, between about 100 g/mol and about 200 g/mol, between about 200 g/mol and about 400 g/mol, or between about 200 g/mol and about 300 g/mol, inclusive.
- the total molecular weight of the compound of Formula (II) is between about 500 g/mol to about 1000 g/mol, inclusive, and the molecular weight of the group -L 1 -R H provided in Formula (II) is between about 100 g/mol and about 400 g/mol, inclusive.
- the total molecular weight of the compound of Formula (II) is between about 500 g/mol to about 1000 g/mol, inclusive, and the molecular weight of the small molecule (M-H) of Formula (II′) is between about 400 g/mol to about 600 g/mol, inclusive.
- the present invention is based on the development of bifunctional compounds (i.e., a kinase binding small molecule tagged with a hydrophobic moiety) that can induce the degradation of a kinase, e.g., a protein kinase, of interest.
- bifunctional compounds possess a kinase recognition element that can bind either covalently or non-covalently and a ‘hydrophobic’ tag element that signals to the intracellular protein homeostasis machinery to induce degradation of the targeted kinase.
- Bifunctional compounds contemplated herein may be generally represented by Formula (I):
- M represents a small organic molecule which binds to a kinase
- L 1 represents a linker selected from the group consisting of substituted and unsubstituted alkylene, substituted and unsubstituted alkenylene, substituted and unsubstituted alkynylene, substituted and unsubstituted heteroalkylene, substituted and unsubstituted heteroalkenylene, substituted and unsubstituted heteroalkynylene, substituted and unsubstituted heterocyclylene, substituted and unsubstituted carbocyclylene, substituted and unsubstituted arylene, substituted and unsubstituted heteroarylene, and combinations thereof; and
- R H represents a hydrophobic group selected from the group consisting of substituted and unsubstituted aryl, substituted and unsubstituted heteroaryl, substituted and unsubstituted carbocyclyl, substituted and unsubstituted heterocyclyl, substituted and unsubstituted aralkyl, substituted and unsubstituted heteroarylalkyl, substituted and unsubstituted carbocycylalkyl, and substituted and unsubstituted heterocyclylalkyl.
- M represents a small organic molecule which binds, covalently or non-covalently, to a particular kinase even when the group -L 1 -R H is absent, i.e., wherein the group -L 1 -R H is replaced, for example, with hydrogen (M-H).
- the small organic molecule (M or M-H) covalently binds the kinase.
- the small organic molecule (M or M-H) non-covalently binds the kinase.
- the non-covalent binding affinity of the small organic molecule (M or M-H) to the kinase is between about 0.1 nanomolar and 1000 nanomolar, inclusive, e.g., between about 1 nanomolar and 1000 nanomolar, between about 10 nanomolar and 1000 nanomolar, between about 100 nanomolar and 1000 nanomolar, between about 500 nanomolar and 1000 nanomolar, between about 0.1 nanomolar and 500 nanomolar, between about 0.1 nanomolar and 100 nanomolar, between about 0.1 nanomolar and 50 nanomolar, inclusive.
- the kinase is a protein kinase. In certain embodiments the kinase is a human protein kinase. In certain embodiments, the human protein kinase is HER3/ErbB3 (“Her3 kinase”).
- L 1 represents a linker selected from the group consisting of substituted and unsubstituted alkylene; substituted and unsubstituted alkenylene; substituted and unsubstituted alkynylene; substituted and unsubstituted heteroalkylene; substituted and unsubstituted heteroalkenylene; substituted and unsubstituted heteroalkynylene; substituted and unsubstituted heterocyclylene; substituted and unsubstituted carbocyclylene; substituted and unsubstituted arylene; substituted and unsubstituted heteroarylene; and combinations thereof.
- linker consisting of a combination refers to a linker comprising 1, 2, 3, 4 or more of the recited moieties.
- the linker may consist of an alkylene attached to a heteroalkylene, which may be further optionally attached to another alkylene.
- at least one instance refers to 1, 2, 3, 4, or more instances of the recited moiety.
- L 1 comprises at least one instance of substituted or unsubstituted alkylene, e.g., substituted or unsubstituted C 1-6 alkylene, substituted or unsubstituted C 1-2 alkylene, substituted or unsubstituted C 2-3 alkylene, substituted or unsubstituted C 3-4 alkylene, substituted or unsubstituted C 4-5 alkylene, substituted or unsubstituted C 5-6 alkylene, substituted or unsubstituted C 3-6 alkylene, or substituted or unsubstituted C 4-6 alkylene.
- substituted or unsubstituted alkylene e.g., substituted or unsubstituted C 1-6 alkylene, substituted or unsubstituted C 1-2 alkylene, substituted or unsubstituted C 2-3 alkylene, substituted or unsubstituted C 3-4 alkylene, substituted or unsubstituted C 4-5 alkylene,
- Exemplary alkylene groups include unsubstituted alkylene groups such as methylene —CH 2 —, ethylene —(CH 2 ) 2 —, n-propylene —(CH 2 ) 3 —, n-butylene —(CH 2 ) 4 —, n-pentylene —(CH 2 ) 5 —, and n-hexylene —(CH 2 ) 6 —.
- L 1 comprises at least one instance of substituted or unsubstituted alkenylene, e.g., substituted or unsubstituted C 2-6 alkenylene, substituted or unsubstituted C 2-3 alkenylene, substituted or unsubstituted C 3-4 alkenylene, substituted or unsubstituted C 4-5 alkenylene, or substituted or unsubstituted C 5-6 alkenylene.
- substituted or unsubstituted alkenylene e.g., substituted or unsubstituted C 2-6 alkenylene, substituted or unsubstituted C 2-3 alkenylene, substituted or unsubstituted C 3-4 alkenylene, substituted or unsubstituted C 4-5 alkenylene, or substituted or unsubstituted C 5-6 alkenylene.
- L 1 comprises at least one instance of substituted or unsubstituted alkynylene, e.g., substituted or unsubstituted C 2-6 alkynylene, substituted or unsubstituted C 2-3 alkynylene, substituted or unsubstituted C 3-4 alkynylene, substituted or unsubstituted C 4-5 alkynylene, or substituted or unsubstituted C 5-6 alkynylene.
- substituted or unsubstituted alkynylene e.g., substituted or unsubstituted C 2-6 alkynylene, substituted or unsubstituted C 2-3 alkynylene, substituted or unsubstituted C 3-4 alkynylene, substituted or unsubstituted C 4-5 alkynylene, or substituted or unsubstituted C 5-6 alkynylene.
- L 1 comprises at least one instance of substituted or unsubstituted heteroalkylene, e.g., substituted or unsubstituted heteroC 1-6 alkylene, substituted or unsubstituted heteroC 1-2 alkylene, substituted or unsubstituted heteroC 2-3 alkylene, substituted or unsubstituted heteroC 3-4 alkylene, substituted or unsubstituted heteroC 4-5 alkylene, or substituted or unsubstituted heteroC 5-6 alkylene.
- substituted or unsubstituted heteroalkylene e.g., substituted or unsubstituted heteroC 1-6 alkylene, substituted or unsubstituted heteroC 1-2 alkylene, substituted or unsubstituted heteroC 2-3 alkylene, substituted or unsubstituted heteroC 3-4 alkylene, substituted or unsubstituted heteroC 4-5 alkylene, or substituted or unsubstituted heteroC 5-6 alkylene.
- heteroalkylene groups include unsubstituted alkylene groups such as —(CH 2 ) 2 —O(CH 2 ) 2 —, —OCH 2 —, —CH 2 O—, —O(CH 2 ) 2 —, —(CH 2 ) 2 O—, —O(CH 2 ) 3 —, —(CH 2 ) 3 O—, —O(CH 2 ) 4 —, —(CH 2 ) 4 O—, —O(CH 2 ) 5 —, —(CH 2 ) 5 O—, —O(CH 2 ) 6 —, and —O(CH 2 ) 6 O—.
- alkylene groups such as —(CH 2 ) 2 —O(CH 2 ) 2 —, —OCH 2 —, —CH 2 O—, —O(CH 2 ) 2 —, —(CH 2 ) 2 O—, —O(CH 2 ) 3 —, —(CH 2
- L 1 comprises at least one instance of substituted or unsubstituted heteroalkenylene, e.g., substituted or unsubstituted heteroC 2-6 alkenylene, substituted or unsubstituted heteroC 2-3 alkenylene, substituted or unsubstituted heteroC 3-4 alkenylene, substituted or unsubstituted heteroC 4-5 alkenylene, or substituted or unsubstituted heteroC 5-6 alkenylene.
- substituted or unsubstituted heteroalkenylene e.g., substituted or unsubstituted heteroC 2-6 alkenylene, substituted or unsubstituted heteroC 2-3 alkenylene, substituted or unsubstituted heteroC 3-4 alkenylene, substituted or unsubstituted heteroC 4-5 alkenylene, or substituted or unsubstituted heteroC 5-6 alkenylene.
- L 1 comprises at least one instance of substituted or unsubstituted heteroalkynylene, e.g., substituted or unsubstituted heteroC 2-6 alkynylene, substituted or unsubstituted heteroC 2-3 alkynylene, substituted or unsubstituted heteroC 3-4 alkynylene, substituted or unsubstituted heteroC 4-5 alkynylene, or substituted or unsubstituted heteroC 5-6 alkynylene.
- substituted or unsubstituted heteroalkynylene e.g., substituted or unsubstituted heteroC 2-6 alkynylene, substituted or unsubstituted heteroC 2-3 alkynylene, substituted or unsubstituted heteroC 3-4 alkynylene, substituted or unsubstituted heteroC 4-5 alkynylene, or substituted or unsubstituted heteroC 5-6 alkynylene.
- L 1 comprises at least one instance of substituted or unsubstituted carbocyclylene, e.g., substituted or unsubstituted C 3-6 carbocyclylene, substituted or unsubstituted C 3-4 carbocyclylene, substituted or unsubstituted C 4-5 carbocyclylene, or substituted or unsubstituted C 5-6 carbocyclylene.
- substituted or unsubstituted carbocyclylene e.g., substituted or unsubstituted C 3-6 carbocyclylene, substituted or unsubstituted C 3-4 carbocyclylene, substituted or unsubstituted C 4-5 carbocyclylene, or substituted or unsubstituted C 5-6 carbocyclylene.
- L 1 comprises at least one instance of substituted or unsubstituted heterocyclylene, e.g., substituted or unsubstituted C 3-6 heterocyclylene, substituted or unsubstituted C 3-4 heterocyclylene, substituted or unsubstituted C 4-5 heterocyclylene, or substituted or unsubstituted C 5-6 heterocyclylene.
- substituted or unsubstituted heterocyclylene e.g., substituted or unsubstituted C 3-6 heterocyclylene, substituted or unsubstituted C 3-4 heterocyclylene, substituted or unsubstituted C 4-5 heterocyclylene, or substituted or unsubstituted C 5-6 heterocyclylene.
- L 1 comprises at least one instance of substituted or unsubstituted arylene, e.g., substituted or unsubstituted phenylene.
- L 1 comprises at least one instance of substituted or unsubstituted heteroarylene, e.g., substituted or unsubstituted 5- to 6-membered heteroarylene.
- L 1 is a linker that contains an asymmetric carbon/stereocenter, i.e., an sp 3 hybridized carbon atom bearing 4 different groups attached thereto.
- the compound comprising such an L 1 group is enantiomerically enriched or substantially enantiomerically enriched, as defined herein.
- the compound comprising such an L 1 group is racemic.
- L 1 represents a linker consisting of a combination of one or more consecutive covalently bonded groups of the formulae:
- n of any of the below formulae is independently an integer between 1 to 10, inclusive, e.g., 1, 2, 3, 4, 5, 6, 7, 8, 9, or 10:
- n is 1, 2, or 3.
- each instance of R W3 is independently hydrogen; halogen; or substituted or unsubstituted alkyl (e.g., methyl).
- n of any of the below formulae is independently 0, 1, or 2
- G 1 and G 2 are independently N or CH:
- m is 0, and R W3 is absent. In certain embodiments, m is 1. In certain embodiments, m is 2. In certain embodiments, G 1 is N. In certain embodiments, G 1 is CH. In certain embodiments, G 2 is N. In certain embodiments, G 2 is CH. In certain embodiments, G 1 is N and G 2 is CH. In certain embodiments, G 1 is CH and G 2 is CH. In certain embodiments, G 1 is N and G 2 is N. In certain embodiments, G 1 is CH and G 2 is N. In certain embodiments, each instance of R W3 is independently hydrogen; halogen; or substituted or unsubstituted alkyl (e.g., methyl).
- each instance of Q of any of the below formulae is independently —NR W1 —; —NR W1 —NR W1 —; —O—NR W1 —; —NR W1 —O—; —S—; or —O—, and each instance of W of any of the below formulae is independently O, S, or NR W1 :
- Q is —NR W1 —. In certain embodiments, Q is —NR W1 —NR W1 —. In certain embodiments, Q is —O—NR W1 —. In certain embodiments, Q is —NR W1 —O—. In certain embodiments, Q is —S—. In certain embodiments, Q is —O—. In certain embodiments, W is O. In certain embodiments, W is S. In certain embodiments, W is NR W1 . In certain embodiments, W is O and Q is independently —S—, —NR W1 —, or —O—. In certain embodiments, R W1 is not hydrogen. In certain embodiments, R W2 is hydrogen or substituted or unsubstituted alkyl (e.g., methyl).
- each instance of R W1 is independently hydrogen; substituted or unsubstituted alkyl; substituted or unsubstituted alkenyl; substituted or unsubstituted alkynyl; substituted or unsubstituted carbocyclyl; substituted or unsubstituted heterocyclyl; substituted or unsubstituted aryl; substituted or unsubstituted heteroaryl; a nitrogen protecting group if attached to a nitrogen atom, or an oxygen protecting group if attached to an oxygen atom.
- each instance of R W1 is independently hydrogen; substituted or unsubstituted alkyl (e.g., methyl); a nitrogen protecting group if attached to a nitrogen atom, or an oxygen protecting group if attached to an oxygen atom.
- each instance of R W2 is independently hydrogen; substituted or unsubstituted alkyl; substituted or unsubstituted alkenyl; substituted or unsubstituted alkynyl; substituted or unsubstituted carbocyclyl; substituted or unsubstituted heterocyclyl; substituted or unsubstituted aryl; substituted or unsubstituted heteroaryl; or two R W2 groups are joined to form a 5-6 membered ring.
- each instance of R W2 is independently hydrogen or substituted or unsubstituted alkyl (e.g., methyl).
- each instance of R W3 is independently hydrogen; halogen; substituted or unsubstituted alkyl; substituted or unsubstituted alkenyl; substituted or unsubstituted alkynyl; substituted or unsubstituted carbocyclyl; substituted or unsubstituted heterocyclyl; substituted or unsubstituted aryl; or substituted or unsubstituted heteroaryl, or two R W3 groups are joined to form a 3-6 membered ring.
- each instance of R W3 is independently hydrogen; halogen; substituted or unsubstituted alkyl (e.g., methyl).
- L 1 represents a linker consisting of a combination of one or more consecutively covalently bonded groups of the formula:
- L 1 represents a linker consisting of a combination of 1 to 20 consecutive covalently bonded groups of the above described formulae, e.g., 2 to 20, 3 to 20, 4 to 20, 5 to 20, 6 to 20, 8 to 20, 9 to 20, 10 to 20, 2 to 10, 2 to 9, 2 to 8, 2 to 7, 2 to 6, or 2 to 5 groups, inclusive.
- L 1 represents a linker consisting of a combination of 1, 2, 3, 4, 5, 6, 7, 8, 9, 10, 11, 12, 13, 14, 15, 16, 17, 18, 19, or 20 consecutive covalently bonded groups of the above described formulae.
- L 1 represents a linker 4 to 20 consecutive covalently bonded atoms in length, inclusive, e.g., 4 to 19, 4 to 18, 4 to 17, 4 to 16, 4 to 15, 4 to 14, 4 to 13, 4 to 12, 4 to 11, 4 to 10, 4 to 9, 4 to 8, 4 to 7, 4 to 6, or 5 to 11 consecutive covalently bonded atoms in length, inclusive.
- L 1 represents a linker 4, 5, 6, 7, 8, 9, 10, 11, 12, 13, 14, 15, 16, 17, 18, 19, or 20 consecutive covalently bonded atoms in length.
- L 1 represents a linker 5, 6, 7, 8, 9, 10, 11, 12, 13, 14, or 15 consecutive covalently bonded atoms in length.
- -L 1 -R H represents a group of the formula:
- n3 and n4 are as defined for variable n, and are each independently an integer between 1 to 10, inclusive, and wherein Q, R W3 and R H are as defined herein. In certain embodiments, n3 is 2 or 3 and n4 is 1, 2, or 3.
- -L 1 -R H represents a group of the formula:
- n1, n2, n3, and n4 are as defined for variable n, and are each independently an integer between 1 to 10, inclusive, and wherein Q, R W3 and R H are as defined herein.
- n1 is 1, n2 is 1 or 2
- n3 is 1, and n4 is 1, 2, or 3.
- -L 1 -R H represents a group of the formula:
- n3 and n4 are as defined for variable n, and are each independently an integer between 1 to 10, inclusive, and wherein G 1 , G 2 , Q, R W3 , and R H are as defined herein. In certain embodiments, n3 is 2 or 3 and n4 is 1, 2, or 3.
- -L 1 -R H represents a group of the formula:
- n1, n2, n3, and n4 are as defined for variable n, and are each independently an integer between 1 to 10, inclusive, and wherein G 1 , G 2 , Q, R W3 and R H are as defined herein.
- n1 is 1, n2 is 1 or 2
- n3 is 1, and n4 is 1, 2, or 3.
- -L 1 -R H represents a group of the formula:
- n is an integer between 1 to 10, inclusive, and wherein R W3 and R H are as defined herein. In certain embodiments, n is 1, 2, or 3.
- -L 1 -R H represents a group of the formula:
- R H is as defined herein.
- -L 1 -R H represents a group of the formula:
- n is an integer between 1 to 10, inclusive, and wherein G 1 , G 2 , Q, R W3 and R H are as defined herein. In certain embodiments, n is 1, 2, or 3.
- -L 1 -R H represents a group of the formula:
- G 1 , G 2 , and R H are as defined herein.
- -L 1 -R H represents a group of the formula:
- R H is as defined herein.
- -L 1 -R H represents a group of the formula:
- R H is as defined herein. Hydrophobic Group R H
- R H represents a hydrophobic group selected from the group consisting of substituted and unsubstituted aryl, substituted and unsubstituted heteroaryl, substituted and unsubstituted carbocyclyl, substituted and unsubstituted heterocyclyl, substituted and unsubstituted aralkyl, substituted and unsubstituted heteroarylalkyl, substituted and unsubstituted carbocycylalkyl, and substituted and unsubstituted heterocyclylalkyl.
- R H is a hydrophobic substituted or unsubstituted aryl or substituted or unsubstituted aralkyl moiety. In certain embodiments, R H is a hydrophobic substituted or unsubstituted aryl moiety, e.g., substituted or unsubstituted phenyl, substituted or unsubstituted biphenyl, substituted or unsubstituted naphthyl, or substituted or unsubstituted anthracenyl.
- R H is a hydrophobic substituted or unsubstituted aralkyl moiety, e.g., substituted or unsubstituted benzyl (—CH 2 -phenyl), substituted or unsubstituted diphenylmethyl, substituted or unsubstituted trityl, substituted or unsubstituted biphenylmethyl, substituted or unsubstituted naphthylmethyl, or substituted or unsubstituted anthracenylmethyl.
- substituted or unsubstituted aralkyl moiety e.g., substituted or unsubstituted benzyl (—CH 2 -phenyl), substituted or unsubstituted diphenylmethyl, substituted or unsubstituted trityl, substituted or unsubstituted biphenylmethyl, substituted or unsubstituted naphthylmethyl, or substituted or unsubstituted anthrac
- R H is a hydrophobic substituted or unsubstituted aryl moiety, e.g., of the formula:
- each occurrence of R H1 and R H2 is independently halogen (e.g., fluoro, bromo, iodo, or chloro), alkyl (e.g., methyl, ethyl, propyl, isopropyl, tertbutyl), haloalkyl (e.g., difluoromethyl, perfluoromethyl), alkoxy (e.g., methoxy, ethoxy, isopropoxy), or dialkylamino (e.g., dimethylamino, diethylamino); and p and q are independently 0, 1, 2, or 3.
- halogen e.g., fluoro, bromo, iodo, or chloro
- alkyl e.g., methyl, ethyl, propyl, isopropyl, tertbutyl
- haloalkyl e.g., difluoromethyl, perfluoromethyl
- alkoxy
- each occurrence of R H1 and R H2 is independently fluoro, bromo, iodo, chloro, methyl, ethyl, propyl, isopropyl, tertbutyl, difluoromethyl, perfluoromethyl, methoxy, ethoxy, isopropoxy, dimethylamino, or diethylamino.
- p is 0 or 1.
- q is 0 or 1.
- p is 0.
- q is 0.
- p is 0, and q is 0.
- R H is a hydrophobic substituted or unsubstituted aralkyl moiety, e.g., of the formula:
- each occurrence of R H1 , R H2 , and R H3 is independently halogen (e.g., fluoro, bromo, iodo, or chloro), alkyl (e.g., methyl, ethyl, propyl, isopropyl, tertbutyl), haloalkyl (e.g., difluoromethyl, perfluoromethyl), alkoxy (e.g., methoxy, ethoxy, isopropoxy), or dialkylamino (e.g., dimethylamino, diethylamino); and p, q, and r are independently 0, 1, 2, or 3.
- halogen e.g., fluoro, bromo, iodo, or chloro
- alkyl e.g., methyl, ethyl, propyl, isopropyl, tertbutyl
- haloalkyl e.g., difluoromethyl
- each occurrence of R H1 , R H2 , and R H3 is independently fluoro, bromo, iodo, chloro, methyl, ethyl, propyl, isopropyl, tertbutyl, difluoromethyl, perfluoromethyl, methoxy, ethoxy, isopropoxy, dimethylamino, or diethylamino.
- p is 0 or 1.
- q is 0 or 1.
- r is 0 or 1.
- p is 0.
- q is 0.
- r is 0.
- q is 0.
- r is 0.
- q is 0.
- r is 0.
- p q is 0.
- r is 0.
- p q is 0, and r is 0.
- R H is a hydrophobic substituted or unsubstituted heteroaryl or substituted or unsubstituted heteroarylalkyl moiety. In certain embodiments, R H is a hydrophobic substituted or unsubstituted heteroaryl moiety, e.g., substituted or unsubstituted 5-membered heteroaryl or substituted or unsubstituted 6-membered heteroaryl. In certain embodiments, R H is a hydrophobic substituted or unsubstituted heteroarylaralkyl moiety, e.g., substituted or unsubstituted 5-membered heteroarylmethyl or substituted or unsubstituted 6-membered heteroarylmethyl.
- R H is a hydrophobic substituted or unsubstituted carbocyclyl or substituted or unsubstituted carbocycylalkyl moiety.
- R H is a hydrophobic substituted or unsubstituted carbocyclyl moiety, e.g., a C 5-14 carbocyclyl moiety which may be monocyclic, bicyclic, or tricyclic and/or fused, bridged, or spiro-fused, e.g., substituted or unsubstituted C 5-13 carbocyclyl, substituted or unsubstituted C 5-12 carbocyclyl, substituted or unsubstituted C 5-13 carbocyclyl, substituted or unsubstituted C 5-10 carbocyclyl, substituted or unsubstituted C 5-9 carbocyclyl, substituted or unsubstituted C 5-8 carbocyclyl, substituted or unsubstituted C
- R H is a hydrophobic substituted or unsubstituted fused bicyclic carbocyclyl, e.g., substituted or unsubstituted cis- or trans-decalin. In certain embodiments, R H is a hydrophobic substituted or unsubstituted fused tricyclic carbocyclyl, e.g., substituted or unsubstituted fluorenyl. In certain embodiments, R H is a hydrophobic substituted or unsubstituted spiro-fused bicyclic carbocyclyl, e.g., substituted or unsubstituted spiropentane.
- R H is a hydrophobic substituted or unsubstituted bridged bicyclic carbocyclyl, e.g., substituted or unsubstituted norbornane, norbornene, bicyclo[2.2.2]octane, bicyclo[2.2.2]oct-2-ene, bicyclo[3.2.1]octane, or bicyclo[2.2.1]heptan-2-one.
- R H is a hydrophobic substituted or unsubstituted bridged tricyclic carbocyclyl moiety, e.g., substituted or unsubstituted adamantane.
- R H is a hydrophobic substituted or unsubstituted carbocycylalkyl moiety, e.g., hydrophobic substituted or unsubstituted carbocycylmethyl.
- R H is a hydrophobic substituted or unsubstituted carbocyclyl moiety, e.g., of the formula:
- each occurrence of R H1 and R H2 is independently halogen (e.g., fluoro, bromo, iodo, or chloro), alkyl (e.g., methyl, ethyl, propyl, isopropyl, tertbutyl), haloalkyl (e.g., difluoromethyl, perfluoromethyl), alkoxy (e.g., methoxy, ethoxy, isopropoxy), or dialkylamino (e.g., dimethylamino, diethylamino); and p and q are independently 0, 1, 2, or 3.
- halogen e.g., fluoro, bromo, iodo, or chloro
- alkyl e.g., methyl, ethyl, propyl, isopropyl, tertbutyl
- haloalkyl e.g., difluoromethyl, perfluoromethyl
- alkoxy
- each occurrence of R H1 and R H2 is independently fluoro, bromo, iodo, chloro, methyl, ethyl, propyl, isopropyl, tertbutyl, difluoromethyl, perfluoromethyl, methoxy, ethoxy, isopropoxy, dimethylamino, or diethylamino.
- p is 0 or 1.
- q is 0 or 1.
- p is 0.
- q is 0.
- p is 0, and q is 0.
- R H is a hydrophobic substituted or unsubstituted carbocyclylalkyl moiety, e.g., of the formula:
- each occurrence of R H1 and R H2 is independently halogen (e.g., fluoro, bromo, iodo, or chloro), alkyl (e.g., methyl, ethyl, propyl, isopropyl, tertbutyl), haloalkyl (e.g., difluoromethyl, perfluoromethyl), alkoxy (e.g., methoxy, ethoxy, isopropoxy), or dialkylamino (e.g., dimethylamino, diethylamino); and p and q are independently 0, 1, 2, or 3.
- halogen e.g., fluoro, bromo, iodo, or chloro
- alkyl e.g., methyl, ethyl, propyl, isopropyl, tertbutyl
- haloalkyl e.g., difluoromethyl, perfluoromethyl
- alkoxy
- each occurrence of R H1 and R H2 is independently fluoro, bromo, iodo, chloro, methyl, ethyl, propyl, isopropyl, tertbutyl, difluoromethyl, perfluoromethyl, methoxy, ethoxy, isopropoxy, dimethylamino, or diethylamino.
- p is 0 or 1.
- q is 0 or 1.
- p is 0.
- q is 0.
- p is 0, and q is 0.
- R H is a hydrophobic substituted or unsubstituted heterocyclyl or substituted or unsubstituted heterocyclylalkyl moiety.
- R H is a hydrophobic substituted or unsubstituted heterocyclyl moiety, e.g., a 5-14-membered heterocyclyl which may be monocyclic, bicyclic, or tricyclic and/or a fused, bridged, or spiro-fused moiety, e.g., substituted or unsubstituted 5-13-membered heterocyclyl, substituted or unsubstituted 5-12-membered heterocyclyl, substituted or unsubstituted 5-11-membered heterocyclyl, substituted or unsubstituted 5-10-membered heterocyclyl, substituted or unsubstituted 5-9-membered heterocyclyl, substituted or unsubstituted 5-8-membered heterocyclyl
- R H is a hydrophobic substituted or unsubstituted fused bicyclic heterocyclyl moiety. In certain embodiments, R H is a hydrophobic substituted or unsubstituted fused tricyclic heterocyclyl moiety. In certain embodiments, R H is a hydrophobic substituted or unsubstituted spiro-fused bicyclic heterocyclyl moiety. In certain embodiments, R H is a hydrophobic substituted or unsubstituted bridged bicyclic heterocyclyl moiety. In certain embodiments, R H is a hydrophobic substituted or unsubstituted bridged tricyclic heterocyclyl moiety.
- R H is a hydrophobic substituted or unsubstituted heterocyclyl alkyl moiety, e.g., hydrophobic substituted or unsubstituted heterocyclylmethyl.
- exemplary heterocylyl groups include, but are not limited to, piperidinyl, tetrahydropyranyl, dihydropyridinyl, and thianyl, piperazinyl, morpholinyl, dithianyl, dioxanyl, and triazinanyl moieties, which may comprise one or more heterocycyl, carbocycyl, aryl or heteroaryl rings fused thereto.
- R H is a hydrophobic substituted or unsubstituted heterocyclyl moiety, e.g., of the formula:
- each occurrence of R H1 and R H2 is independently halogen (e.g., fluoro, bromo, iodo, or chloro), alkyl (e.g., methyl, ethyl, propyl, isopropyl, tertbutyl), haloalkyl (e.g., difluoromethyl, perfluoromethyl), alkoxy (e.g., methoxy, ethoxy, isopropoxy), or dialkylamino (e.g., dimethylamino, diethylamino); and p and q are independently 0, 1, 2, or 3.
- halogen e.g., fluoro, bromo, iodo, or chloro
- alkyl e.g., methyl, ethyl, propyl, isopropyl, tertbutyl
- haloalkyl e.g., difluoromethyl, perfluoromethyl
- alkoxy
- each occurrence of R H1 and R H2 is independently fluoro, bromo, iodo, chloro, methyl, ethyl, propyl, isopropyl, tertbutyl, difluoromethyl, perfluoromethyl, methoxy, ethoxy, isopropoxy, dimethylamino, or diethylamino.
- p is 0 or 1.
- q is 0 or 1.
- p is 0.
- q is 0.
- p is 0, and q is 0.
- R H is a hydrophobic group of the formula:
- R H is a hydrophobic group of the formula:
- M of Formula (I) represents a small organic molecule which covalently or non-covalently binds a kinase, e.g., a protein kinase.
- the small organic molecule M includes and is substituted with a group -L 2 -R D , wherein L 2 is a bond or a linker, and R D is a group that covalently or non-covalently binds to the kinase.
- L 2 is a bond or a linker selected from the group consisting of substituted and unsubstituted alkylene; substituted and unsubstituted alkenylene; substituted and unsubstituted alkynylene; substituted and unsubstituted heteroalkylene; substituted and unsubstituted heteroalkenylene; substituted and unsubstituted heteroalkynylene; substituted and unsubstituted heterocyclylene; substituted and unsubstituted carbocyclylene; substituted and unsubstituted arylene; substituted and unsubstituted heteroarylene; and combinations thereof.
- L 2 is a bond
- L 2 is a linker comprising at least one instance of substituted or unsubstituted alkylene, e.g., substituted or unsubstituted C 1-6 alkylene, substituted or unsubstituted C 2-6 alkylene, substituted or unsubstituted C 3-6 alkylene, substituted or unsubstituted C 4-6 alkylene, substituted or unsubstituted C 5-6 alkylene, substituted or unsubstituted C 2-5 alkylene, substituted or unsubstituted C 2-4 alkylene, substituted or unsubstituted C 2-3 alkylene, substituted or unsubstituted C 1 alkylene, substituted or unsubstituted C 2 alkylene, substituted or unsubstituted C 3 alkylene, substituted or unsubstituted C 4 alkylene, substituted or unsubstituted C 5 alkylene, or substituted or unsubstituted C 6 alkylene
- L 2 is linker comprising at least one instance of substituted or unsubstituted alkenylene, e.g., substituted or unsubstituted C 2-6 alkenylene, substituted or unsubstituted C 3-6 alkenylene, substituted or unsubstituted C 4-6 alkenylene, substituted or unsubstituted C 5-6 alkenylene, substituted or unsubstituted C 2-5 alkenylene, substituted or unsubstituted C 2-4 alkenylene, substituted or unsubstituted C 2-3 alkenylene, substituted or unsubstituted C 2 alkenylene, substituted or unsubstituted C 3 alkenylene, substituted or unsubstituted C 4 alkenylene, substituted or unsubstituted C 5 alkenylene, or substituted or unsubstituted C 6 alkenylene.
- L 2 is substituted or unsubstituted alkenylene, e.g
- L 2 is linker comprising at least one instance of substituted or unsubstituted alkynylene, e.g., substituted or unsubstituted C 2-6 alkynylene, substituted or unsubstituted C 3-6 alkynylene, substituted or unsubstituted C 4-6 alkynylene, substituted or unsubstituted C 5-6 alkynylene, substituted or unsubstituted C 2-5 alkynylene, substituted or unsubstituted C 2-4 alkynylene, substituted or unsubstituted C 2-3 alkynylene, substituted or unsubstituted C 2 alkynylene, substituted or unsubstituted C 3 alkynylene, substituted or unsubstituted C 4 alkynylene, substituted or unsubstituted C 5 alkynylene, or substituted or unsubstituted C 6 alkynylene.
- L 2 is a linker comprising at least one instance of substituted or unsubstituted heteroalkylene, e.g., substituted or unsubstituted heteroC 1-6 alkylene, substituted or unsubstituted heteroC 2-4 alkylene, substituted or unsubstituted heteroC 3-6 alkylene, substituted or unsubstituted heteroC 4-6 alkylene, substituted or unsubstituted heteroC 5-6 alkylene, substituted or unsubstituted heteroC 2-5 alkylene, substituted or unsubstituted heteroC 2-4 alkylene, substituted or unsubstituted heteroC 2-3 alkylene, substituted or unsubstituted heteroC 1 alkylene, substituted or unsubstituted heteroC 2 alkylene, substituted or unsubstituted heteroC 3 alkylene, substituted or unsubstituted heteroC 4 alkylene, substituted or unsubstituted heteroC 5 alkylene, or
- L 2 is a linker comprising at least one instance of substituted or unsubstituted heteroalkenylene, e.g., substituted or unsubstituted heteroC 2-6 alkenylene, substituted or unsubstituted heteroC 3-6 alkenylene, substituted or unsubstituted heteroC 4-6 alkenylene, substituted or unsubstituted heteroC 5-6 alkenylene, substituted or unsubstituted heteroC 2-5 alkenylene, substituted or unsubstituted heteroC 2-4 alkenylene, substituted or unsubstituted heteroC 2-3 alkenylene, substituted or unsubstituted heteroC 2 alkenylene, substituted or unsubstituted heteroC 3 alkenylene, substituted or unsubstituted heteroC 4 alkenylene, substituted or unsubstituted heteroC 5 alkenylene, or substituted or unsubstituted heteroC 6 alkenylene.
- L 2 is a linker comprising at least one instance of substituted or unsubstituted heteroalkynylene, e.g., substituted or unsubstituted heteroC 2-6 alkynylene, substituted or unsubstituted heteroC 3-6 alkynylene, substituted or unsubstituted heteroC 4-6 alkynylene, substituted or unsubstituted heteroC 5-6 alkynylene, substituted or unsubstituted heteroC 2-5 alkynylene, substituted or unsubstituted heteroC 2-4 alkynylene, substituted or unsubstituted heteroC 2-3 alkynylene, substituted or unsubstituted heteroC 2 alkynylene, substituted or unsubstituted heteroC 3 alkynylene, substituted or unsubstituted heteroC 4 alkynylene, substituted or unsubstituted heteroC 5 alkynylene, or substituted or unsubstituted
- L 2 is a linker comprising at least one instance of substituted or unsubstituted heterocyclylene, e.g., substituted or unsubstituted 5- to 8-membered heterocyclylene, substituted or unsubstituted 5- to 7-membered heterocyclylene, substituted or unsubstituted 5- to 6-membered heterocyclylene, substituted or unsubstituted 5-membered heterocyclylene, substituted or unsubstituted 6-membered heterocyclylene, substituted or unsubstituted 7-membered heterocyclylene, or substituted or unsubstituted 8-membered heterocyclylene.
- L 2 is substituted or unsubstituted heterocyclylene.
- L 2 is a linker comprising at least one instance of substituted or unsubstituted carbocyclylene, e.g., substituted or unsubstituted C 3-6 carbocyclylene, substituted or unsubstituted C 3-5 carbocyclylene, substituted or unsubstituted C 3-4 carbocyclylene, substituted or unsubstituted C 3 carbocyclylene, substituted or unsubstituted C 4 carbocyclylene, substituted or unsubstituted C 5 carbocyclylene, or substituted or unsubstituted C 6 carbocyclylene. In certain embodiments, L 2 is substituted or unsubstituted carbocyclylene.
- L 2 is a linker comprising at least one instance of substituted or unsubstituted arylene, e.g., substituted or unsubstituted C 6 arylene (phenylene) or substituted or unsubstituted C 10 arylene (naphthylene). In certain embodiments, L 2 is substituted or unsubstituted arylene.
- L 2 is a linker comprising at least one instance of substituted or unsubstituted heteroarylene, e.g., substituted or unsubstituted 5-membered heteroarylene or substituted or unsubstituted 6-membered heteroarylene. In certain embodiments, L 2 is substituted or unsubstituted heteroarylene.
- R D is an electrophilic group that covalently binds a kinase, e.g., a protein kinase, by reaction with a nucleophilic moiety, e.g., such as a cysteine in the ATP binding pocket of the kinase.
- a nucleophilic moiety e.g., such as a cysteine in the ATP binding pocket of the kinase.
- R D is a group of formula:
- R D1 is hydrogen, halogen, acyl, substituted or unsubstituted alkyl, substituted or unsubstituted alkenyl, substituted or unsubstituted alkynyl, substituted or unsubstituted carbocyclyl, substituted or unsubstituted heterocyclyl, substituted or unsubstituted aryl, substituted or unsubstituted heteroaryl, —CN, —NO 2 , —OR D1a , —N(R D1a ) 2 , —SR D1a , —CH 2 OR D1a , —CH 2 N(R D1a ) 2 , —CH 2 SR D1a , —C( ⁇ O)R D1a , —C( ⁇ O)OR D1a , —C( ⁇ O)SR D1a , —C( ⁇ O)N(R D1a ) 2 , —C( ⁇ S)R D1a
- R D2 is hydrogen, halogen, acyl, substituted or unsubstituted alkyl, substituted or unsubstituted alkenyl, substituted or unsubstituted alkynyl, substituted or unsubstituted carbocyclyl, substituted or unsubstituted heterocyclyl, substituted or unsubstituted aryl, substituted or unsubstituted heteroaryl, —CN, —NO 2 , —OR D2a , —N(R D2a ) 2 , —SR D2a , —CH 2 OR D2a , —CH 2 N(R D2a ) 2 , —CH 2 SR D2a , —C( ⁇ O)R D2a , —C( ⁇ O)OR D2a , —C( ⁇ O)SR D2a , —C( ⁇ O)N(R D2a ) 2 , —C( ⁇ S)R D2a
- R D3 is hydrogen, halogen, acyl, substituted or unsubstituted alkyl, substituted or unsubstituted alkenyl, substituted or unsubstituted alkynyl, substituted or unsubstituted carbocyclyl, substituted or unsubstituted heterocyclyl, substituted or unsubstituted aryl, substituted or unsubstituted heteroaryl, —OR D3a , —N(R D3a ) 2 , —SR D3a , —CH 2 OR D3a , —CH 2 N(R D3a ) 2 , —CH 2 SR D3a , —C( ⁇ O)R D3a , —C( ⁇ O)OR D3a , —C( ⁇ O)SR D3a , —C( ⁇ O)N(R D3a ) 2 , —C( ⁇ S)R D3a , —C( ⁇ S)OR
- R D1 and R D3 , or R D2 and R D3 , or R D1 and R D2 are joined to form an substituted or unsubstituted carbocyclic or substituted or unsubstituted heterocyclic ring;
- R D4 is a leaving group selected from the group consisting of —Br, —Cl, —I, and —OS( ⁇ O) w R D4a , wherein w is 1 or 2, and R D4a is substituted or unsubstituted alkyl, substituted or unsubstituted alkenyl, substituted or unsubstituted alkynyl, substituted or unsubstituted carbocyclyl, substituted or unsubstituted heterocyclyl, substituted or unsubstituted aryl, or substituted or unsubstituted heteroaryl;
- X 1 is a bond or NR D5 , wherein R D5 is hydrogen, C 1-6 alkyl, or a nitrogen protecting group;
- each instance of Y is independently O, S, or NR D6 , wherein R D6 is hydrogen, C 1-6 alkyl, or a nitrogen protecting group;
- z 0, 1, 2, 3, 4, 5, or 6.
- R D is a group of Formula (i-1), (i-3), or (i-20):
- each instance of X 1 is bond or NR D5 , Y is independently O, S, or NR D6 , and R D1 , R D2 , and R D3 are as defined herein.
- X 1 is a bond.
- X 1 is NR D5 .
- Y is O.
- R D1 is hydrogen.
- R D1 is —CN.
- R D2 is hydrogen.
- R D3 is hydrogen.
- R D2 is —CH 2 N(R D2a ) 2
- R D3 is hydrogen.
- R D2 is —CH 2 N(R D3a ) 2
- R D3 is hydrogen.
- R D2 and R D3 are hydrogen.
- R D1 , R D2 and R D3 are hydrogen.
- R D is a group of Formula (i-19), (i-17), or (i-18):
- Y is independently O, S, or NR D6 ; and R D1 , R D2 , and R D3 are as defined herein.
- Y is O.
- R D1 is hydrogen.
- R D2 is hydrogen.
- R D2 is —CN.
- R D3 is substituted or unsubstituted alkyl.
- R D is a group of Formula (i-7) or (i-8):
- Y is independently O, S, or NR D6 ; and R D1 , R D2 , and R D3 are as defined herein.
- Y is O.
- R D is hydrogen.
- R D2 is hydrogen.
- R D3 is hydrogen.
- R D is a group of Formula (i-13) or (i-14):
- each instance of X 1 is bond or NR D5 ; Y is independently O, S, or NR D6 ; and R D1 and R D2 are as defined herein.
- X 1 is a bond.
- X 1 is NR D5 .
- Y is O.
- R D1 is hydrogen.
- R D1 is halogen, e.g., —F or —Cl.
- R D2 is hydrogen.
- R D2 is halogen, e.g., —F or —Cl.
- R D is a group of Formula (i-11) or (i-12):
- each instance of X 1 is bond or NR D5 ; Y is independently O, S, or NR D6 ; z is 0, 1, 2, 3, 4, 5, or 6; and R D1 is as defined herein.
- X 1 is a bond.
- X 1 is NR D5 .
- Y is O.
- z is 0 or 1.
- R D1 is substituted or unsubstituted alkyl.
- R D is a group of Formula (i-10), (i-16), or (i-9):
- each instance of X 1 is bond or NR D5 ; Y is independently O, S, or NR D6 ; z is 0, 1, 2, 3, 4, 5, or 6; and R D is a leaving group selected from the group consisting of —Br, —Cl, —I, and —OS( ⁇ O) w R D4a , wherein w is 1 or 2.
- X 1 is a bond.
- X 1 is NR D5 .
- Y is O.
- z is 0.
- z is 1.
- R D is a group of Formula (i-4) or (i-5):
- each instance of X 1 is bond or NR D5 ; and R D1 is as defined herein.
- X 1 is a bond.
- X 1 is NR D5 .
- R D1 is hydrogen.
- R D is a group of Formula (i-6):
- each instance of X 1 is bond or NR D5 ; Y is independently O, S, or NR D6 ; and R D1 is as defined herein.
- X 1 is a bond.
- X 1 is NR D5
- Y is O.
- R D1 is hydrogen.
- the small organic molecule even in the absence of the hydrophobic moiety -L 1 -R H , covalently or non-covalently binds Her3 protein kinase.
- Her3 is a transmembrane receptor tyrosine protein kinase which is overexpressed and deregulated in many cancers such as breast, ovarian, and non-small cell lung cancers, and specifically Her2 driven breast cancer, 22% of gefitinib-resistant non-small cell lung cancer, and as much as 53% of ovarian cancer. See, e.g., Baselga et al., Nat. Rev. Cancer (2009) 9:463; Lee-Hoeflich et al., Cancer Res. (2008) 68:5878; Hammerman et al., Clin. Cancer Res. (2009) 15:7502; Tanner et al., J. Clin. Oncol. (2006) 24:4317.
- HER3 is unique because it has extremely low protein kinase activity and is considered to be a so-called “pseudo-kinase.” See, e.g., Shi et al., Proc. Natl. Acad. Sci. USA (2010) 107:7692. Despite the lack of protein kinase activity, Her3 is often an essential heterodimerization partner with EGFR and Her2, resulting in recruitment and activation of PI3K to the plasma membrane.
- Her3 has been extensively validated as a promising oncology kinase target using genetic approaches and currently several antibodies directed against the extracellular ligand-binding domain of Her3 are under clinical evaluation. See, e.g., Sergina et al., Nature (2007) 445:437. Due to the weak kinase activity of Her3, there are currently no small molecules reported that can inhibit Her3 function, and the kinase is considered to be an “undruggable target.” For example, many small molecules which covalently or non-covalently bind to the ATP site of Her3, due to the low kinase activity of Her3, neither inhibit Her3-dependent proliferation nor inhibit Her3 signaling.
- the inventors envisioned linking such small molecules to a hydrophobic tag such that the bi-functional molecule may, upon selectively binding Her3, then selectively induce Her3 protein degradation, e.g., by unfolding and subsequent degradation by the proteasome.
- TX1-85-1 possesses an acrylamide which forms a covalent bond with Cys721 in the Her3 ATP binding site (as shown by mass spectrometry).
- TX1-85-1 is a potent binder of Her3, and it can covalently label Her3 in cells.
- the inventors tested this hypothesis by designing a strategy whereby the two halves of TX2-62-1 (TX2-49-1 and TX2-57-1) were brought together inside of a cell via oxime formation. See Scheme 1 below. The inventors discovered that formation of TX2-62-1 via intracellular oxime formation resulted in efficient degradation of Her3, inhibition of Her3-dependent signaling, and loss of viability of Her3-addicted cells. As expected, when TX2-62-1 was washed out, Her3 protein was resynthesized and cell proliferation resumed.
- the linker L 1 joining the small molecule (M) to the hydrophobic tag R H , is long enough in order for the hydrophobic tag R H to be exposed for ligase recognition but short enough that the compound of Formula (I) or (II) will have a low enough molecular weight to be cell permeable, e.g., for example, in certain embodiments, the linker L 1 is 4 to 20 consecutive covalently bonded atoms in length, inclusive. In certain embodiments, the linker L 1 is 4, 5, 6, 7, 8, 9, 10, 11, 12, 13, 14, or 15 consecutive covalently bonded atoms in length.
- the compound of Formula (I) or (II) has a low enough molecular weight, e.g., between about 400 and about 800 g/mol, between about 500 and about 800 g/mol, between about 600 and about 800 g/mol, or between about 700 and about 800 g/mol, in order to ensure sufficient cell penetration.
- the compound of Formula (I) or (II) has a high enough polarity, e.g., as measured by a c log P of less than 5, in order to ensure cell penetration, e.g., between about ⁇ 8 and about 4.9, between about ⁇ 8 and about 4, between about ⁇ 8 and about 3, between about ⁇ 8 and about 2, between about ⁇ 8 and about 1, or between about ⁇ 8 and about 0, inclusive.
- the c log P value of a molecule which is the logarithm of its partition coefficient between n-octanol and water log( coctano/cwater ), is a well-established measure of the molecule's hydrophilicity. Low hydrophilicities and therefore high log P values cause poor absorption or permeation.
- the terminal hydrophobic tag R H has enough hydrophobic character in order to induce the desired protein degradation of the target.
- Hydrophobic character of a particular group may be optimized by first limiting the number of hydrogen bond donors, e.g., to zero donors, and optionally by also limiting the number of hydrogen bond acceptors, e.g., optionally to zero acceptors.
- the compound of Formula (I) or (II) may comprise a number of hydrogen bond donors and acceptors, but in certain embodiments, the overall number of hydrogen bond donors and acceptors present is also limited, for example, to 5 or less hydrogen bond donors, and/or to 10 or less hydrogen bond acceptors.
- the compound of Formula (I) or (II) has 0, 1, 2, 3, 4, or 5 hydrogen bond donors; e.g., for example, 0, 1, 2, 3, 4, or 5 —OH, —SH, or —NH groups.
- the compound of Formula (I) or (II) has 0, 1, 2, 3, 4, 5, 6, 7, 8, 9, or 10 hydrogen bond acceptors, e.g., for example, 0, 1, 2, 3, 4, 5, 6, 7, 8, 9, or 10 O, S, or N atoms which do not comprise a hydrogen attached thereto.
- the compound of Formula (I) or (II) comprises an additional functionality which covalently or non-covalently binds the kinase, e.g., a protein kinase such as a Her3 protein kinase.
- This additional functionality also referred to as a “warhead,” is not attached to the linker or hydrophobic tag, but is appended to another area on the molecule such that the warhead does not interfere with the linker-tag's interaction with the protein kinase.
- the warhead non-covalently binds to the ATP binding site of kinase, e.g., the Her3 protein kinase.
- the warhead covalently binds to the ATP binding site of the kinase, e.g., the Her3 protein kinase. In certain embodiments, the warhead covalently binds to a cysteine residue in the ATP binding site of kinase, e.g., the Her3 protein kinase, e.g., Cys721 of the Her3 protein kinase.
- Compounds of the present invention may comprise one or more of the above characteristics.
- the compound of Formula (I) is a compound of Formula (II):
- L 1 , L 2 , R H , and R D are as defined herein;
- Ring A is substituted or unsubstituted carbocyclylene, substituted or unsubstituted heterocyclylene, substituted or unsubstituted arylene, or substituted or unsubstituted heteroarylene;
- each occurrence of R B is independently selected from the group consisting of hydrogen, acyl, substituted and unsubstituted alkyl, substituted and unsubstituted alkenyl, substituted and unsubstituted alkynyl, substituted and unsubstituted carbocyclyl, substituted and unsubstituted heterocyclyl, substituted and unsubstituted aryl, substituted and unsubstituted heteroaryl, a nitrogen protecting group, or two R B groups are joined to form an substituted or unsubstituted heterocyclic or substituted or unsubstituted heteroaryl ring;
- each instance of R C is independently hydrogen, halogen, substituted or unsubstituted alkyl, substituted or unsubstituted alkenyl, substituted or unsubstituted alkynyl, substituted or unsubstituted carbocyclyl, substituted or unsubstituted heterocyclyl, substituted or unsubstituted aryl, substituted or unsubstituted heteroaryl, —OR C1 , —N(R C1 ) 2 , —SR C1 , —C( ⁇ O)R C1 , —C( ⁇ O)OR C1 , —C( ⁇ O)SR C1 , —C( ⁇ O)N(R C1 ) 2 , —NR C1 C( ⁇ O)R C1 , —NR C1 C( ⁇ O)OR C1 , —NR C1 C( ⁇ O)SR C1 , or —NR C1 C( ⁇ O)N(R C1 ) 2
- a 0, 1, 2, 3, or 4;
- b is 0 or 1.
- each occurrence of R B is independently hydrogen, acyl, substituted or unsubstituted alkyl, substituted or unsubstituted alkenyl, substituted or unsubstituted alkynyl, substituted or unsubstituted carbocyclyl, substituted or unsubstituted heterocyclyl, substituted or unsubstituted aryl, substituted or unsubstituted heteroaryl, a nitrogen protecting group, or two R B groups are joined to form an substituted or unsubstituted heterocyclic or substituted or unsubstituted heteroaryl ring.
- each instance of R B is hydrogen.
- at least one instance of R B is hydrogen, and at least one instance of R B is a non-hydrogen group, i.e., acyl, substituted or unsubstituted alkyl, substituted or unsubstituted alkenyl, substituted or unsubstituted alkynyl, substituted or unsubstituted carbocyclyl, substituted or unsubstituted heterocyclyl, substituted or unsubstituted aryl, substituted or unsubstituted heteroaryl, or a nitrogen protecting group.
- two R B groups are joined to form an substituted or unsubstituted heterocyclic or substituted or unsubstituted heteroaryl ring.
- each instance of R C is independently hydrogen, halogen, substituted or unsubstituted alkyl, substituted or unsubstituted alkenyl, substituted or unsubstituted alkynyl, substituted or unsubstituted carbocyclyl, substituted or unsubstituted heterocyclyl, substituted or unsubstituted aryl, substituted or unsubstituted heteroaryl, —OR C1 , —N(R C1 ) 2 , —SR C1 , —C( ⁇ O)R C1 , —C( ⁇ O)OR C1 , —C( ⁇ O)SR C1 , —C( ⁇ )N(R C1 ) 2 , —NR C1 C( ⁇ )R C1 , —NR C1 C( ⁇ O)OR C1 , —NR C1 C( ⁇ O)SR C1 , or —NR C1 C( ⁇ O)N(R C1 )
- a is 0, and R C is absent. In certain embodiments, a is 1, 2, 3, or 4.
- R C is —OR C1 , —N(R C1 ) 2 , —SR C1 , —C( ⁇ O)R C1 , —C( ⁇ O)OR C1 , —C( ⁇ O)SR C1 , —C( ⁇ O)N(R C1 ) 2 , —NR C1 C( ⁇ O)R C1 , —NR C1 C( ⁇ O)OR C1 , —NR C1 C( ⁇ O)SR C1 , or —NR C1 C( ⁇ O)N(R C1 ) 2 .
- at least one instance of R C is —OR C1 .
- At least one instance of R C is —N(R C1 ) 2 . In certain embodiments, at least one instance of R C is —SR C1 . In certain embodiments, at least one instance of R C is —C( ⁇ O)R C1 . In certain embodiments, at least one instance of R C is —C( ⁇ O)OR C1 . In certain embodiments, at least one instance of R C is —C( ⁇ O)SR C1 . In certain embodiments, at least one instance of R C is —C( ⁇ O)N(R C1 ) 2 . In certain embodiments, at least one instance of R C is —NR C1 C( ⁇ O)R C1 .
- At least one instance of R C is —NR C1 C( ⁇ O)OR C1 . In certain embodiments, at least one instance of R C is —NR C1 C( ⁇ O)SR C1 . In certain embodiments, at least one instance of R C is —NR C1 C( ⁇ O)N(R C1 ) 2 .
- a is 1. In certain embodiments, a is 2.
- a is 1, and b is 1.
- the groups R C and -L 2 -R D are ortho to each other.
- the groups R C and -L 2 -R D are meta to each other.
- the groups R C and -L 2 -R D are para to each other.
- a is 2, and b is 0.
- the two groups R C are ortho to each other.
- the two groups R C are meta to each other.
- the two groups R C are para to each other.
- the compound of Formula (II) reduces protein kinase activity by targeted degradation of Her3. In certain embodiments, the compound of Formula (II) reduces protein kinase activity by inducing unfolding of the protein. In certain embodiments, the compound of Formula (II) reduces protein kinase activity by covalently binding to Her3. In certain embodiments, the compound of Formula (II) reduces protein kinase activity by non-covalently binding to Her3. In certain embodiments, wherein b is 1, and group -L 2 -R D is present, the compound of Formula (II) covalently binds to Her3 protein kinase.
- the compound of Formula (II) non-covalently binds to Her3 protein kinase.
- the reduction of protein kinase activity results in the inhibition of Her3-dependent signaling and/or loss of viability of Her3-addicted cells.
- R C is hydrogen, —OR C1 , —N(R C1 ) 2 , or —SR C1 .
- R C is —OR C1 , wherein R C1 is substituted or unsubstituted alkyl, substituted or unsubstituted carbocyclyl, substituted or unsubstituted heterocyclyl, substituted or unsubstituted aryl, or substituted or unsubstituted heteroaryl.
- R C is —OR C1 , wherein R C1 is substituted or unsubstituted aryl, e.g., substituted or unsubstituted phenyl.
- R C1 is substituted or unsubstituted alkyl, substituted or unsubstituted carbocyclyl, substituted or unsubstituted heterocyclyl, substituted or unsubstituted aryl, or substituted or unsubstituted heteroaryl.
- R C is hydrogen, —OR C1 , —N(R C1 ) 2 , or —SR C1 .
- R C1 is substituted or unsubstituted alkyl, substituted or unsubstituted carbocyclyl, substituted or unsubstituted heterocyclyl, substituted or unsubstituted aryl, or substituted or unsubstituted heteroaryl.
- R C is —OR C1 , wherein R C1 is substituted or unsubstituted alkyl, e.g., methyl.
- one R C is —C( ⁇ O)R C1 , —C( ⁇ O)OR C1 , —C( ⁇ O)SR C1 , —C( ⁇ O)N(R C1 ) 2 , —NR C1 C( ⁇ O)R C1 , —NR C1 C( ⁇ O)OR C1 , —NR C1 C( ⁇ O)SR C1 , or —NR C1 C( ⁇ O)N(R C1 ) 2 .
- one R C is —C( ⁇ O)R C1 , —C( ⁇ O)OR C1 , —C( ⁇ O)SR C1 , —C( ⁇ O)N(R C1 ) 2 , —NHC( ⁇ O)R C1 , —NHC( ⁇ O)OR C1 , —NHC( ⁇ O)SR C1 , or —NHC( ⁇ O)N(R C1 ) 2 .
- one R C is —C( ⁇ O)R C1 , —C( ⁇ O)OR C1 , —C( ⁇ O)SR C1 , —C( ⁇ O)N(R C1 ) 2 , —NHC( ⁇ O)R C1 , —NHC( ⁇ O)OR C1 , —NHC( ⁇ O)SR C1 , or —NHC( ⁇ O)N(R C1 ) 2 , wherein one R C1 is substituted or unsubstituted alkyl, substituted or unsubstituted carbocyclyl, substituted or unsubstituted heterocyclyl, substituted or unsubstituted aryl, or substituted or unsubstituted heteroaryl.
- one R C is —C( ⁇ O)R C1 , —C( ⁇ O)OR C1 , —C( ⁇ O)SR C1 , —C( ⁇ O)N(R C1 ) 2 , —NHC( ⁇ O)R C1 , —NHC( ⁇ O)OR C1 , —NHC( ⁇ O)SR C1 , or —NHC( ⁇ O)N(R C1 ) 2 , wherein one R C1 is substituted or unsubstituted heteroaryl, e.g., a substituted or unsubstituted bicyclic heteroaryl moiety, such as indolyl.
- R C1 is substituted or unsubstituted alkyl, substituted or unsubstituted carbocyclyl, substituted or unsubstituted heterocyclyl, substituted or unsubstituted aryl, or substituted or unsubstituted heteroaryl.
- R C is —C( ⁇ O)R C1 , —C( ⁇ O)OR C1 , —C( ⁇ O)SR C1 , —C( ⁇ O)N(R C1 ) 2 , —NHC( ⁇ O)R C1 , —NHC( ⁇ O)OR C1 , —NHC( ⁇ O)SR C1 , or —NHC( ⁇ O)N(R C1 ) 2 .
- R C is —OR C1 , wherein R C1 is substituted or unsubstituted alkyl, substituted or unsubstituted carbocyclyl, substituted or unsubstituted heterocyclyl, substituted or unsubstituted aryl, or substituted or unsubstituted heteroaryl.
- R C1 of the amide moiety is a substituted or unsubstituted heteroaryl moiety, e.g., a substituted or unsubstituted bicyclic heteroaryl moiety, such as indolyl.
- R C1 of the —OR C1 group is substituted or unsubstituted alkyl, substituted or unsubstituted carbocyclyl, substituted or unsubstituted heterocyclyl, substituted or unsubstituted aryl, or substituted or unsubstituted heteroaryl.
- R C1 of the amide moiety is a substituted or unsubstituted heteroaryl moiety, e.g., a substituted or unsubstituted bicyclic heteroaryl moiety, such as indolyl.
- Ring A is substituted or unsubstituted carbocyclylene, substituted or unsubstituted heterocyclylene, substituted or unsubstituted arylene, or substituted or unsubstituted heteroarylene. It is understood that Ring A is already substituted with the group -L 1 -R H . Thus, “substituted” in the context of Ring A refers to additional substitution(s) on the ring. In certain embodiments, Ring A is not further substituted (unsubstituted Ring A). In certain embodiments, Ring A is additionally substituted (substituted Ring A).
- Ring A is substituted or unsubstituted arylene, e.g., substituted or unsubstituted phenylene or substituted or unsubstituted napthylene.
- each occurrence of R A is, independently, hydrogen, halogen, substituted or unsubstituted alkyl, substituted or unsubstituted alkenyl, substituted or unsubstituted alkynyl, substituted or unsubstituted carbocyclyl, substituted or unsubstituted heterocyclyl, substituted or unsubstituted aryl, substituted or unsubstituted heteroaryl, —OR A1 , —N(R A1 ) 2 , —SR A1 , —C( ⁇ O)R A1 , or —C( ⁇ O)OR A1 wherein each occurrence of R A1 is independently hydrogen, acyl, substituted or unsubstituted alkyl, substituted or unsubstituted alkenyl, substituted or unsubstituted alkynyl, substituted or unsubstituted carbocyclyl, substituted or unsubstituted heterocyclyl, substituted or un
- c 0 or 1.
- c is 0, and R A is absent.
- c is 1, and R A is present, either ortho, meta, or para to the point of attachment of the phenylene group to the pyrazolyl ring.
- the group L 1 -R H is present either ortho, meta, or para to the point of attachment of the phenylene group to the pyrazolyl ring.
- b is 0.
- b is 1, L 2 is a bond, and R D is a group of Formula (i-1).
- each instance of R B is hydrogen.
- L is 5 to 15 consecutive covalently bonded atoms in length.
- R H is a group of formula:
- c is 0, and R A is absent.
- c is 1, and R A is present, either ortho, meta, or para to the point of attachment of the phenylene group to the pyrazolyl ring.
- the group L 1 -R H is present either ortho, meta, or para to the point of attachment of the phenylene group to the pyrazolyl ring.
- b is 0.
- b is 1, L 2 is a bond, and R D is a group of Formula (i-1).
- each instance of R B is hydrogen.
- L 1 is 5 to 15 consecutive covalently bonded atoms in length.
- R H is a group of formula:
- Ring A is substituted or unsubstituted heteroarylene, e.g., a substituted or unsubstituted 5- to 6-membered heteroarylene. In certain embodiments, Ring A is a 6-membered heteroarylene, e.g., pyridinylene.
- Ring A is substituted or unsubstituted pyridinylene
- each occurrence of R A is, independently, hydrogen, halogen, substituted or unsubstituted alkyl, substituted or unsubstituted alkenyl, substituted or unsubstituted alkynyl, substituted or unsubstituted carbocyclyl, substituted or unsubstituted heterocyclyl, substituted or unsubstituted aryl, substituted or unsubstituted heteroaryl, —OR A1 , —N(R A1 ) 2 , —SR A1 , —C( ⁇ O)R A1 , or —C( ⁇ O)OR A1 , wherein each occurrence of R A1 is independently hydrogen, acyl, substituted or unsubstituted alkyl, substituted or unsubstituted alkenyl, substituted or unsubstituted alkynyl, substituted or unsubstituted carbocyclyl, substituted or unsubstituted heterocyclyl, substituted
- c 0 or 1.
- c is 0, and R A is absent.
- c is 1, and R A is present, either ortho, meta, or para to the point of attachment of the pyridinylene group to the pyrazolyl ring.
- the group L 1 -R H is present either ortho, meta, or para to the point of attachment of the pyridinylene group to the pyrazolyl ring.
- b is 0.
- b is 1, L 2 is a bond, and R D is a group of Formula (i-1).
- each instance of R B is hydrogen.
- L1 is 5 to 15 consecutive covalently bonded atoms in length.
- R H is a group of formula:
- Ring A is substituted or unsubstituted carbocyclylene, e.g., a substituted or unsubstituted C 3-8 carbocyclylene.
- Ring A is a substituted or unsubstituted cyclopropylene, substituted or unsubstituted cyclobutylene, substituted or unsubstituted cyclopentylene, substituted or unsubstituted cyclohexylene, substituted or unsubstituted cycloheptylene, or substituted or unsubstituted cyclooctylene.
- Ring A is substituted or unsubstituted C 3-8 carbocyclylene, provided is a compound of Formula (II-e):
- each occurrence of R A is, independently, hydrogen, halogen, substituted or unsubstituted alkyl, substituted or unsubstituted alkenyl, substituted or unsubstituted alkynyl, substituted or unsubstituted carbocyclyl, substituted or unsubstituted heterocyclyl, substituted or unsubstituted aryl, substituted or unsubstituted heteroaryl, —OR A1 , —N(R A1 ) 2 , —SR A1 , —C( ⁇ O)R A1 , or —C( ⁇ O)OR A1 , wherein each occurrence of R A1 is independently hydrogen, acyl, substituted or unsubstituted alkyl, substituted or unsubstituted alkenyl, substituted or unsubstituted alkynyl, substituted or unsubstituted carbocyclyl, substituted or unsubstituted heterocyclyl, substituted
- c is 0 or 1
- d 0, 1, 2, 3, 4, or 5.
- c is 0 and R A is absent. In certain embodiments, c is 1. In certain embodiments, b is 0. In certain embodiments, b is 1, L 2 is a bond, and R D is a group of Formula (i-1). In certain embodiments, each instance of R B is hydrogen. In certain embodiments, L 1 is 5 to 15 consecutive covalently bonded atoms in length. In certain embodiments, R H is a group of formula:
- Ring A is substituted or unsubstituted C 3-8 carbocyclylene
- c is 0, and R A is absent.
- c is 1.
- b is 0.
- b is 1
- L is a bond
- R D is a group of Formula (i-1).
- each instance of R B is hydrogen.
- L 1 is 5 to 15 consecutive covalently bonded atoms in length.
- R H is a group of formula:
- c is 0, and R A is absent.
- c is 1, and R A is present either at the 2 or 3 position from the point of attachment of the cyclopentylene group to the pyrazolyl ring.
- the group L 1 -R H is present either at the 2 or 3 position from the point of attachment of the cyclopentylene group to the pyrazolyl ring.
- b is 0.
- b is 1, L 2 is a bond, and R D is a group of Formula (i-1).
- each instance of R B is hydrogen.
- L 1 is 5 to 15 consecutive covalently bonded atoms in length.
- R H is a group of formula:
- c is 0, and R A is absent.
- c is 1, and R A is present, either at the 2, 3, or 4 position from the point of attachment of the cyclohexylene group to the pyrazolyl ring.
- the group L 1 -R H is present either at the 2, 3, or 4 position from the point of attachment of the cyclohexylene group to the pyrazolyl ring.
- b is 0.
- b is 1, L 2 is a bond, and R D is a group of Formula (i-1).
- each instance of R B is hydrogen.
- L is 5 to 15 consecutive covalently bonded atoms in length.
- R H is a group of formula:
- Ring A is substituted or unsubstituted heterocyclylene, e.g., substituted or unsubstituted 3- to 8-membered heterocyclylene, e.g., substituted or unsubstituted 3-membered heterocyclylene, substituted or unsubstituted 4-membered heterocyclylene, substituted or unsubstituted 5-membered heterocyclylene, substituted or unsubstituted 6-membered heterocyclylene, substituted or unsubstituted 7-membered heterocyclylene, or substituted or unsubstituted 8-membered heterocyclylene.
- Ring A is substituted or unsubstituted 5-membered heterocyclylene, e.g., substituted or unsubstituted pyrrolidinylene.
- Ring A is substituted or unsubstituted 6-membered heterocyclylene, e.g., substituted or unsubstituted morpholinylene, substituted or unsubstituted piperidinylene, or substituted or unsubstituted piperazinylene.
- Ring A is substituted or unsubstituted pyrrolidinylene
- each occurrence of R A is, independently, hydrogen, halogen, substituted or unsubstituted alkyl, substituted or unsubstituted alkenyl, substituted or unsubstituted alkynyl, substituted or unsubstituted carbocyclyl, substituted or unsubstituted heterocyclyl, substituted or unsubstituted aryl, substituted or unsubstituted heteroaryl, —OR A1 , —N(R A1 ) 2 , —SR A1 , —C( ⁇ O)R A1 , or —C( ⁇ O)OR A1 , wherein each occurrence of R A1 is independently hydrogen, acyl, substituted or unsubstituted alkyl, substituted or unsubstituted alkenyl, substituted or unsubstituted alkynyl, substituted or unsubstituted carbocyclyl, substituted or unsubstituted heterocyclyl, substituted
- c 0 or 1.
- c is 0 and R A is absent. In certain embodiments, c is 1, and R A is present, either at the 2 or 3 position from the point of attachment of the pyrrolidinyl group to the pyrazolyl ring. In certain embodiments, the group L 1 -R H is present either at the 2 or 3 position from the point of attachment of the pyrrolidinyl group to the pyrazolyl ring. In certain embodiments, b is 0. In certain embodiments, b is 1, L 2 is a bond, and R D is a group of Formula (i-1). In certain embodiments, each instance of R B is hydrogen. In certain embodiments, L 1 is 5 to 15 consecutive covalently bonded atoms in length. In certain embodiments, R H is a group of formula:
- c is 0 and R A is absent. In certain embodiments, c is 1, and R A is present, either at the 2 or 3 position from the point of attachment of the pyrrolidinyl group to the pyrazolyl ring. In certain embodiments, the group L 1 -R H is present either at the 2 or 3 position from the point of attachment of the pyrrolidinyl group to the pyrazolyl ring. In certain embodiments, b is 0. In certain embodiments, b is 1, L 2 is a bond, and R D is a group of Formula (i-1). In certain embodiments, each instance of R B is hydrogen. In certain embodiments, L 1 is 5 to 15 consecutive covalently bonded atoms in length. In certain embodiments, R H is a group of formula:
- Ring A is substituted or unsubstituted piperidinylene, provided is a compound of Formula (II-g):
- each occurrence of R A is, independently, hydrogen, halogen, substituted or unsubstituted alkyl, substituted or unsubstituted alkenyl, substituted or unsubstituted alkynyl, substituted or unsubstituted carbocyclyl, substituted or unsubstituted heterocyclyl, substituted or unsubstituted aryl, substituted or unsubstituted heteroaryl, —OR A1 , —N(R A1 ) 2 , —SR A1 , —C( ⁇ O)R A1 , or —C( ⁇ O)OR A1 , wherein each occurrence of R A1 is independently hydrogen, acyl, substituted or unsubstituted alkyl, substituted or unsubstituted alkenyl, substituted or unsubstituted alkynyl, substituted or unsubstituted carbocyclyl, substituted or unsubstituted heterocyclyl, substituted
- c 0 or 1.
- c is 0, and R A is absent. In certain embodiments, c is 1 and R A is present, either at the 2, 3, or 4 position from the point of attachment of the piperidinylene group to the pyrazolyl ring. In certain embodiments, the group L 1 -R H is present either at the 2, 3, or 4 position from the point of attachment of the piperidinylene group to the pyrazolyl ring. In certain embodiments, b is 0. In certain embodiments, b is 1, L 2 is a bond, and R D is a group of Formula (i-1). In certain embodiments, each instance of R B is hydrogen. In certain embodiments, L 1 is 5 to 15 consecutive covalently bonded atoms in length. In certain embodiments, R H is a group of formula:
- c is 0, and R A is absent. In certain embodiments, c is 1, and R A is present, either at the 2 or 3 position from the point of attachment of the piperidinylene group to the pyrazolyl ring. In certain embodiments, the group L 1 -R H is present either at the 2 or 3 position from the point of attachment of the piperidinylene group to the pyrazolyl ring. In certain embodiments, b is 0. In certain embodiments, b is 1, L 2 is a bond, and R D is a group of Formula (i-1). In certain embodiments, each instance of R B is hydrogen. In certain embodiments, L 1 is 5 to 15 consecutive covalently bonded atoms in length. In certain embodiments, R H is a group of formula:
- Non-limiting examples of compounds of Formula (I) and (II), and pharmaceutically acceptable salts, thereof are provided below in Table 1.
- the present invention provides a pharmaceutical composition
- a pharmaceutical composition comprising a compound of Formula (I) or (II) or a pharmaceutically acceptable salt thereof and, optionally, a pharmaceutically acceptable excipient.
- the compound is present in an effective amount, e.g., a therapeutically effective amount or a prophylactically effective amount.
- compositions agents include any and all solvents, diluents or other liquid vehicles, dispersion or suspension aids, surface active agents, isotonic agents, thickening or emulsifying agents, preservatives, solid binders, lubricants and the like, as suited to the particular dosage form desired.
- General considerations in the formulation and/or manufacture of pharmaceutical compositions agents can be found, for example, in Remington's Pharmaceutical Sciences, Sixteenth Edition, E. W. Martin (Mack Publishing Co., Easton, Pa., 1980), and Remington: The Science and Practice of Pharmacy, 21 st Edition (Lippincott Williams & Wilkins, 2005).
- compositions described herein can be prepared by any method known in the art of pharmacology.
- preparatory methods include the steps of bringing the compound of Formula (I) or (II) or a pharmaceutically acceptable salt thereof (the “active ingredient”) into association with the excipient and/or one or more other accessory ingredients, and then, if necessary and/or desirable, shaping and/or packaging the product into a desired single- or multi-dose unit.
- compositions can be prepared, packaged, and/or sold in bulk, as a single unit dose, and/or as a plurality of single unit doses.
- a “unit dose” is discrete amount of the pharmaceutical composition comprising a predetermined amount of the active ingredient.
- the amount of the active ingredient is generally equal to the dosage of the active ingredient which would be administered to a subject and/or a convenient fraction of such a dosage such as, for example, one-half or one-third of such a dosage.
- Relative amounts of the active ingredient, the pharmaceutically acceptable carrier, and/or any additional ingredients in a pharmaceutical composition of the invention will vary, depending upon the identity, size, and/or condition of the subject treated and further depending upon the route by which the composition is to be administered.
- the composition may comprise between 0.1% and 100% (w/w) active ingredient.
- compositions used in the manufacture of provided pharmaceutical compositions include inert diluents, dispersing and/or granulating agents, surface active agents and/or emulsifiers, disintegrating agents, binding agents, preservatives, buffering agents, lubricating agents, and/or oils. Excipients such as cocoa butter and suppository waxes, coloring agents, coating agents, sweetening, flavoring, and perfuming agents may also be present in the composition.
- Exemplary diluents include calcium carbonate, sodium carbonate, calcium phosphate, dicalcium phosphate, calcium sulfate, calcium hydrogen phosphate, sodium phosphate lactose, sucrose, cellulose, microcrystalline cellulose, kaolin, mannitol, sorbitol, inositol, sodium chloride, dry starch, cornstarch, powdered sugar, etc., and combinations thereof.
- Exemplary granulating and/or dispersing agents include potato starch, corn starch, tapioca starch, sodium starch glycolate, clays, alginic acid, guar gum, citrus pulp, agar, bentonite, cellulose and wood products, natural sponge, cation-exchange resins, calcium carbonate, silicates, sodium carbonate, cross-linked poly(vinyl-pyrrolidone) (crospovidone), sodium carboxymethyl starch (sodium starch glycolate), carboxymethyl cellulose, cross-linked sodium carboxymethyl cellulose (croscarmellose), methylcellulose, pregelatinized starch (starch 1500), microcrystalline starch, water insoluble starch, calcium carboxymethyl cellulose, magnesium aluminum silicate (Veegum), sodium lauryl sulfate, quaternary ammonium compounds, etc., and combinations thereof.
- cross-linked poly(vinyl-pyrrolidone) crospovidone
- sodium carboxymethyl starch sodium starch glycolate
- Exemplary surface active agents and/or emulsifiers include natural emulsifiers (e.g. acacia, agar, alginic acid, sodium alginate, tragacanth, chondrux, cholesterol, xanthan, pectin, gelatin, egg yolk, casein, wool fat, cholesterol, wax, and lecithin), colloidal clays (e.g. bentonite [aluminum silicate] and Veegum [magnesium aluminum silicate]), long chain amino acid derivatives, high molecular weight alcohols (e.g.
- stearyl alcohol cetyl alcohol, oleyl alcohol, triacetin monostearate, ethylene glycol distearate, glyceryl monostearate, and propylene glycol monostearate, polyvinyl alcohol), carbomers (e.g. carboxy polymethylene, polyacrylic acid, acrylic acid polymer, and carboxyvinyl polymer), carrageenan, cellulosic derivatives (e.g. carboxymethylcellulose sodium, powdered cellulose, hydroxymethyl cellulose, hydroxypropyl cellulose, hydroxypropyl methylcellulose, methylcellulose), sorbitan fatty acid esters (e.g.
- polyoxyethylene monostearate [Myrj 45], polyoxyethylene hydrogenated castor oil, polyethoxylated castor oil, polyoxymethylene stearate, and Solutol), sucrose fatty acid esters, polyethylene glycol fatty acid esters (e.g., Cremophor), polyoxyethylene ethers, (e.g.
- polyoxyethylene lauryl ether [Brij 30]), poly(vinyl-pyrrolidone), diethylene glycol monolaurate, triethanolamine oleate, sodium oleate, potassium oleate, ethyl oleate, oleic acid, ethyl laurate, sodium lauryl sulfate, Pluronic F 68, Poloxamer 188, cetrimonium bromide, cetylpyridinium chloride, benzalkonium chloride, docusate sodium, etc. and/or combinations thereof.
- Exemplary binding agents include starch (e.g. cornstarch and starch paste), gelatin, sugars (e.g. sucrose, glucose, dextrose, dextrin, molasses, lactose, lactitol, mannitol, etc.), natural and synthetic gums (e.g.
- acacia sodium alginate, extract of Irish moss, panwar gum, ghatti gum, mucilage of isapol husks, carboxymethylcellulose, methylcellulose, ethylcellulose, hydroxyethylcellulose, hydroxypropyl cellulose, hydroxypropyl methylcellulose, microcrystalline cellulose, cellulose acetate, poly(vinyl-pyrrolidone), magnesium aluminum silicate (Veegum), and larch arabogalactan), alginates, polyethylene oxide, polyethylene glycol, inorganic calcium salts, silicic acid, polymethacrylates, waxes, water, alcohol, etc., and/or combinations thereof.
- Exemplary preservatives include antioxidants, chelating agents, antimicrobial preservatives, antifungal preservatives, alcohol preservatives, acidic preservatives, and other preservatives.
- antioxidants include alpha tocopherol, ascorbic acid, acorbyl palmitate, butylated hydroxyanisole, butylated hydroxytoluene, monothioglycerol, potassium metabisulfite, propionic acid, propyl gallate, sodium ascorbate, sodium bisulfite, sodium metabisulfite, and sodium sulfite.
- Exemplary chelating agents include ethylenediaminetetraacetic acid (EDTA) and salts and hydrates thereof (e.g., sodium edetate, disodium edetate, trisodium edetate, calcium disodium edetate, dipotassium edetate, and the like), citric acid and salts and hydrates thereof (e.g., citric acid monohydrate), fumaric acid and salts and hydrates thereof, malic acid and salts and hydrates thereof, phosphoric acid and salts and hydrates thereof, and tartaric acid and salts and hydrates thereof.
- EDTA ethylenediaminetetraacetic acid
- salts and hydrates thereof e.g., sodium edetate, disodium edetate, trisodium edetate, calcium disodium edetate, dipotassium edetate, and the like
- citric acid and salts and hydrates thereof e.g., citric acid mono
- antimicrobial preservatives include benzalkonium chloride, benzethonium chloride, benzyl alcohol, bronopol, cetrimide, cetylpyridinium chloride, chlorhexidine, chlorobutanol, chlorocresol, chloroxylenol, cresol, ethyl alcohol, glycerin, hexetidine, imidurea, phenol, phenoxyethanol, phenylethyl alcohol, phenylmercuric nitrate, propylene glycol, and thimerosal.
- antifungal preservatives include butyl paraben, methyl paraben, ethyl paraben, propyl paraben, benzoic acid, hydroxybenzoic acid, potassium benzoate, potassium sorbate, sodium benzoate, sodium propionate, and sorbic acid.
- Exemplary alcohol preservatives include ethanol, polyethylene glycol, phenol, phenolic compounds, bisphenol, chlorobutanol, hydroxybenzoate, and phenylethyl alcohol.
- Exemplary acidic preservatives include vitamin A, vitamin C, vitamin E, beta-carotene, citric acid, acetic acid, dehydroacetic acid, ascorbic acid, sorbic acid, and phytic acid.
- preservatives include tocopherol, tocopherol acetate, deteroxime mesylate, cetrimide, butylated hydroxyanisol (BHA), butylated hydroxytoluened (BHT), ethylenediamine, sodium lauryl sulfate (SLS), sodium lauryl ether sulfate (SLES), sodium bisulfite, sodium metabisulfite, potassium sulfite, potassium metabisulfite, Glydant Plus, Phenonip, methylparaben, Germall 115, Germaben II, Neolone, Kathon, and Euxyl.
- the preservative is an anti-oxidant.
- the preservative is a chelating agent.
- Exemplary buffering agents include citrate buffer solutions, acetate buffer solutions, phosphate buffer solutions, ammonium chloride, calcium carbonate, calcium chloride, calcium citrate, calcium glubionate, calcium gluceptate, calcium gluconate, D-gluconic acid, calcium glycerophosphate, calcium lactate, propanoic acid, calcium levulinate, pentanoic acid, dibasic calcium phosphate, phosphoric acid, tribasic calcium phosphate, calcium hydroxide phosphate, potassium acetate, potassium chloride, potassium gluconate, potassium mixtures, dibasic potassium phosphate, monobasic potassium phosphate, potassium phosphate mixtures, sodium acetate, sodium bicarbonate, sodium chloride, sodium citrate, sodium lactate, dibasic sodium phosphate, monobasic sodium phosphate, sodium phosphate mixtures, tromethamine, magnesium hydroxide, aluminum hydroxide, alginic acid, pyrogen-free water, isotonic saline, Ringer
- Exemplary lubricating agents include magnesium stearate, calcium stearate, stearic acid, silica, talc, malt, glyceryl behanate, hydrogenated vegetable oils, polyethylene glycol, sodium benzoate, sodium acetate, sodium chloride, leucine, magnesium lauryl sulfate, sodium lauryl sulfate, etc., and combinations thereof.
- Exemplary natural oils include almond, apricot kernel, avocado, babassu, bergamot, black current seed, borage, cade, camomile, canola, caraway, carnauba, castor, cinnamon, cocoa butter, coconut, cod liver, coffee, corn, cotton seed, emu, eucalyptus, evening primrose, fish, flaxseed, geraniol, gourd, grape seed, hazel nut, hyssop, isopropyl myristate, jojoba, kukui nut, lavandin, lavender, lemon, litsea cubeba, macademia nut, mallow, mango seed, meadowfoam seed, mink, nutmeg, olive, orange, orange roughy, palm, palm kernel, peach kernel, peanut, poppy seed, pumpkin seed, rapeseed, rice bran, rosemary, safflower, sandalwood, sasquana, savoury, sea buckt
- Exemplary synthetic oils include, but are not limited to, butyl stearate, caprylic triglyceride, capric triglyceride, cyclomethicone, diethyl sebacate, dimethicone 360, isopropyl myristate, mineral oil, octyldodecanol, oleyl alcohol, silicone oil, and combinations thereof.
- Liquid dosage forms for oral and parenteral administration include pharmaceutically acceptable emulsions, microemulsions, solutions, suspensions, syrups and elixirs.
- the liquid dosage forms may comprise inert diluents commonly used in the art such as, for example, water or other solvents, solubilizing agents and emulsifiers such as ethyl alcohol, isopropyl alcohol, ethyl carbonate, ethyl acetate, benzyl alcohol, benzyl benzoate, propylene glycol, 1,3-butylene glycol, dimethylformamide, oils (e.g., cottonseed, groundnut, corn, germ, olive, castor, and sesame oils), glycerol, tetrahydrofurfuryl alcohol, polyethylene glycols and fatty acid esters of sorbitan, and mixtures thereof.
- inert diluents commonly used in the art such as, for example, water or other solvents, so
- the oral compositions can include adjuvants such as wetting agents, emulsifying and suspending agents, sweetening, flavoring, and perfuming agents.
- adjuvants such as wetting agents, emulsifying and suspending agents, sweetening, flavoring, and perfuming agents.
- the conjugates of the invention are mixed with solubilizing agents such as Cremophor, alcohols, oils, modified oils, glycols, polysorbates, cyclodextrins, polymers, and combinations thereof.
- sterile injectable aqueous or oleaginous suspensions can be formulated according to the known art using suitable dispersing or wetting agents and suspending agents.
- the sterile injectable preparation can be a sterile injectable solution, suspension or emulsion in a nontoxic parenterally acceptable diluent or solvent, for example, as a solution in 1,3-butanediol.
- acceptable vehicles and solvents that can be employed are water, Ringer's solution, U.S.P. and isotonic sodium chloride solution.
- sterile, fixed oils are conventionally employed as a solvent or suspending medium.
- any bland fixed oil can be employed including synthetic mono- or diglycerides.
- fatty acids such as oleic acid are used in the preparation of injectables.
- the injectable formulations can be sterilized, for example, by filtration through a bacterial-retaining filter, or by incorporating sterilizing agents in the form of sterile solid compositions which can be dissolved or dispersed in sterile water or other sterile injectable medium prior to use.
- compositions for rectal or vaginal administration are typically suppositories which can be prepared by mixing the conjugates of this invention with suitable non-irritating excipients or carriers such as cocoa butter, polyethylene glycol or a suppository wax which are solid at ambient temperature but liquid at body temperature and therefore melt in the rectum or vaginal cavity and release the active ingredient.
- suitable non-irritating excipients or carriers such as cocoa butter, polyethylene glycol or a suppository wax which are solid at ambient temperature but liquid at body temperature and therefore melt in the rectum or vaginal cavity and release the active ingredient.
- Solid dosage forms for oral administration include capsules, tablets, pills, powders, and granules.
- the active ingredient is mixed with at least one inert, pharmaceutically acceptable excipient or carrier such as sodium citrate or dicalcium phosphate and/or a) fillers or extenders such as starches, lactose, sucrose, glucose, mannitol, and silicic acid, b) binders such as, for example, carboxymethylcellulose, alginates, gelatin, polyvinylpyrrolidinone, sucrose, and acacia, c) humectants such as glycerol, d) disintegrating agents such as agar, calcium carbonate, potato or tapioca starch, alginic acid, certain silicates, and sodium carbonate, e) solution retarding agents such as paraffin, f) absorption accelerators such as quaternary ammonium compounds, g) wetting agents such as, for example, cetyl alcohol and glycerol mono
- Solid compositions of a similar type can be employed as fillers in soft and hard-filled gelatin capsules using such excipients as lactose or milk sugar as well as high molecular weight polyethylene glycols and the like.
- the solid dosage forms of tablets, dragees, capsules, pills, and granules can be prepared with coatings and shells such as enteric coatings and other coatings well known in the pharmaceutical formulating art. They may optionally comprise opacifying agents and can be of a composition that they release the active ingredient(s) only, or preferentially, in a certain part of the intestinal tract, optionally, in a delayed manner. Examples of embedding compositions which can be used include polymeric substances and waxes.
- Solid compositions of a similar type can be employed as fillers in soft and hard-filled gelatin capsules using such excipients as lactose or milk sugar as well as high molecular weight polethylene glycols and the like.
- the active ingredients can be in micro-encapsulated form with one or more excipients as noted above.
- the solid dosage forms of tablets, dragees, capsules, pills, and granules can be prepared with coatings and shells such as enteric coatings, release controlling coatings and other coatings well known in the pharmaceutical formulating art.
- the active ingredient can be admixed with at least one inert diluent such as sucrose, lactose or starch.
- Such dosage forms may comprise, as is normal practice, additional substances other than inert diluents, e.g., tableting lubricants and other tableting aids such a magnesium stearate and microcrystalline cellulose.
- the dosage forms may comprise buffering agents. They may optionally comprise opacifying agents and can be of a composition that they release the active ingredient(s) only, or preferentially, in a certain part of the intestinal tract, optionally, in a delayed manner.
- opacifying agents include polymeric substances and waxes.
- Dosage forms for topical and/or transdermal administration of a compound of this invention may include ointments, pastes, creams, lotions, gels, powders, solutions, sprays, inhalants and/or patches.
- the active ingredient is admixed under sterile conditions with a pharmaceutically acceptable carrier and/or any needed preservatives and/or buffers as can be required.
- the present invention contemplates the use of transdermal patches, which often have the added advantage of providing controlled delivery of an active ingredient to the body.
- Such dosage forms can be prepared, for example, by dissolving and/or dispensing the active ingredient in the proper medium.
- the rate can be controlled by either providing a rate controlling membrane and/or by dispersing the active ingredient in a polymer matrix and/or gel.
- Suitable devices for use in delivering intradermal pharmaceutical compositions described herein include short needle devices such as those described in U.S. Pat. Nos. 4,886,499; 5,190,521; 5,328,483; 5,527,288; 4,270,537; 5,015,235; 5,141,496; and 5,417,662.
- Intradermal compositions can be administered by devices which limit the effective penetration length of a needle into the skin, such as those described in PCT publication WO 99/34850 and functional equivalents thereof.
- Jet injection devices which deliver liquid vaccines to the dermis via a liquid jet injector and/or via a needle which pierces the stratum corneum and produces a jet which reaches the dermis are suitable.
- Jet injection devices are described, for example, in U.S. Pat. Nos. 5,480,381; 5,599,302; 5,334,144; 5,993,412; 5,649,912; 5,569,189; 5,704,911; 5,383,851; 5,893,397; 5,466,220; 5,339,163; 5,312,335; 5,503,627; 5,064,413; 5,520,639; 4,596,556; 4,790,824; 4,941,880; 4,940,460; and PCT publications WO 97/37705 and WO 97/13537.
- Ballistic powder/particle delivery devices which use compressed gas to accelerate vaccine in powder form through the outer layers of the skin to the dermis are suitable.
- conventional syringes can be used in the classical mantoux method of intradermal administration.
- Formulations suitable for topical administration include, but are not limited to, liquid and/or semi liquid preparations such as liniments, lotions, oil in water and/or water in oil emulsions such as creams, ointments and/or pastes, and/or solutions and/or suspensions.
- Topically-administrable formulations may, for example, comprise from about 1% to about 10% (w/w) active ingredient, although the concentration of the active ingredient can be as high as the solubility limit of the active ingredient in the solvent.
- Formulations for topical administration may further comprise one or more of the additional ingredients described herein.
- a pharmaceutical composition of the invention can be prepared, packaged, and/or sold in a formulation suitable for pulmonary administration via the buccal cavity.
- a formulation may comprise dry particles which comprise the active ingredient and which have a diameter in the range from about 0.5 to about 7 nanometers or from about 1 to about 6 nanometers.
- Such compositions are conveniently in the form of dry powders for administration using a device comprising a dry powder reservoir to which a stream of propellant can be directed to disperse the powder and/or using a self propelling solvent/powder dispensing container such as a device comprising the active ingredient dissolved and/or suspended in a low-boiling propellant in a sealed container.
- Such powders comprise particles wherein at least 98% of the particles by weight have a diameter greater than 0.5 nanometers and at least 95% of the particles by number have a diameter less than 7 nanometers. Alternatively, at least 95% of the particles by weight have a diameter greater than 1 nanometer and at least 90% of the particles by number have a diameter less than 6 nanometers.
- Dry powder compositions may include a solid fine powder diluent such as sugar and are conveniently provided in a unit dose form.
- Low boiling propellants generally include liquid propellants having a boiling point of below 65° F. at atmospheric pressure. Generally the propellant may constitute 50 to 99.9% (w/w) of the composition, and the active ingredient may constitute 0.1 to 20% (w/w) of the composition.
- the propellant may further comprise additional ingredients such as a liquid non-ionic and/or solid anionic surfactant and/or a solid diluent (which may have a particle size of the same order as particles comprising the active ingredient).
- compositions of the invention formulated for pulmonary delivery may provide the active ingredient in the form of droplets of a solution and/or suspension.
- Such formulations can be prepared, packaged, and/or sold as aqueous and/or dilute alcoholic solutions and/or suspensions, optionally sterile, comprising the active ingredient, and may conveniently be administered using any nebulization and/or atomization device.
- Such formulations may further comprise one or more additional ingredients including, but not limited to, a flavoring agent such as saccharin sodium, a volatile oil, a buffering agent, a surface active agent, and/or a preservative such as methylhydroxybenzoate.
- the droplets provided by this route of administration may have an average diameter in the range from about 0.1 to about 200 nanometers.
- formulations described herein as being useful for pulmonary delivery are useful for intranasal delivery of a pharmaceutical composition of the invention.
- Another formulation suitable for intranasal administration is a coarse powder comprising the active ingredient and having an average particle from about 0.2 to 500 micrometers. Such a formulation is administered, by rapid inhalation through the nasal passage from a container of the powder held close to the nares.
- Formulations for nasal administration may, for example, comprise from about as little as 0.1% (w/w) and as much as 100% (w/w) of the active ingredient, and may comprise one or more of the additional ingredients described herein.
- a pharmaceutical composition of the invention can be prepared, packaged, and/or sold in a formulation for buccal administration.
- Such formulations may, for example, be in the form of tablets and/or lozenges made using conventional methods, and may contain, for example, 0.1 to 20% (w/w) active ingredient, the balance comprising an orally dissolvable and/or degradable composition and, optionally, one or more of the additional ingredients described herein.
- formulations for buccal administration may comprise a powder and/or an aerosolized and/or atomized solution and/or suspension comprising the active ingredient.
- Such powdered, aerosolized, and/or aerosolized formulations when dispersed, may have an average particle and/or droplet size in the range from about 0.1 to about 200 nanometers, and may further comprise one or more of the additional ingredients described herein.
- a pharmaceutical composition of the invention can be prepared, packaged, and/or sold in a formulation for ophthalmic administration.
- Such formulations may, for example, be in the form of eye drops including, for example, a 0.1/1.0% (w/w) solution and/or suspension of the active ingredient in an aqueous or oily liquid carrier.
- Such drops may further comprise buffering agents, salts, and/or one or more other of the additional ingredients described herein.
- Other opthalmically administrable formulations which are useful include those which comprise the active ingredient in microcrystalline form and/or in a liposomal preparation. Ear drops and/or eye drops are contemplated as being within the scope of this invention.
- compositions are principally directed to pharmaceutical compositions which are suitable for administration to humans, it will be understood by the skilled artisan that such compositions are generally suitable for administration to animals of all sorts. Modification of pharmaceutical compositions suitable for administration to humans in order to render the compositions suitable for administration to various animals is well understood, and the ordinarily skilled veterinary pharmacologist can design and/or perform such modification with ordinary experimentation. General considerations in the formulation and/or manufacture of pharmaceutical compositions can be found, for example, in Remington: The Science and Practice of Pharmacy 21 st ed., Lippincott Williams & Wilkins, 2005.
- compositions and/or kits may comprise a provided composition and a container (e.g., a vial, ampoule, bottle, syringe, and/or dispenser package, or other suitable container).
- a container e.g., a vial, ampoule, bottle, syringe, and/or dispenser package, or other suitable container.
- provided kits may optionally further include a second container comprising a suitable aqueous carrier for dilution or suspension of the provided composition for preparation of administration to a subject.
- contents of provided formulation container and solvent container combine to form at least one unit dosage form.
- a single container may comprise one or more compartments for containing a provided composition, and/or appropriate aqueous carrier for suspension or dilution.
- a single container can be appropriate for modification such that the container may receive a physical modification so as to allow combination of compartments and/or components of individual compartments.
- a foil or plastic bag may comprise two or more compartments separated by a perforated seal which can be broken so as to allow combination of contents of two individual compartments once the signal to break the seal is generated.
- a pharmaceutical pack or kit may thus comprise such multi-compartment containers including a provided composition and appropriate solvent and/or appropriate aqueous carrier for suspension.
- instructions for use are additionally provided in such kits of the invention.
- Such instructions may provide, generally, for example, instructions for dosage and administration.
- instructions may further provide additional detail relating to specialized instructions for particular containers and/or systems for administration.
- instructions may provide specialized instructions for use in conjunction and/or in combination with additional therapy.
- the present invention also provides methods of using the compounds of Formula (I) or (II) as described herein for treating a condition associated with aberrant activity of a kinase.
- Aberrant activity of a kinase refers to any undesired activity, and includes, but is not limited to, over-activity and/or over-expression of the kinase compared to a normal cell.
- Such methods include therapeutic as well as prophylactic (preventative) methods.
- a method of treating a condition associated with aberrant activity of a kinase comprising administering an effective amount of a compound of Formula (I) or (II), or pharmaceutical composition thereof, to a subject in need thereof in an amount sufficient to reduce kinase activity.
- the compound reduces or prevents kinase activity by targeted degradation of the kinase. In certain embodiments, the compound reduces kinase activity by inducing unfolding of the kinase. In certain embodiments, the compound reduces kinase activity by inducing degradation of the kinase. In certain embodiments, the compound reduces kinase activity by covalently binding to the kinase. In certain embodiments, compound reduces kinase activity by non-covalently binding to the kinase.
- Exemplary conditions associated with aberrant activity of a kinase includes, but are not limited to, proliferative disorders, inflammatory disorders, autoimmune disorders, painful conditions, metabolic disorders, CNS disorders, and viral infections.
- the condition associated with aberrant activity of a kinase is a proliferative disorder.
- proliferative diseases include, but are not limited to, tumors, begnin neoplasms, pre-malignant neoplasms (carcinoma in situ), and malignanat neoplasms (cancers).
- Exemplary cancers include, but are not limited to, acoustic neuroma, adenocarcinoma, adrenal gland cancer, anal cancer, angiosarcoma (e.g., lymphangiosarcoma, lymphangioendotheliosarcoma, hemangiosarcoma), appendix cancer, benign monoclonal gammopathy, biliary cancer (e.g., cholangiocarcinoma), bladder cancer, breast cancer (e.g., adenocarcinoma of the breast, papillary carcinoma of the breast, mammary cancer, medullary carcinoma of the breast), brain cancer (e.g., meningioma; glioma, e.g., astrocytoma, oligodendroglioma; medulloblastoma), bronchus cancer, carcinoid tumor, cervical cancer (e.g., cervical adenocarcinoma), choriocarcinoma, chordo
- HCC hepatocellular cancer
- lung cancer e.g., bronchogenic carcinoma, small cell lung cancer (SCLC), non-small cell lung cancer (NSCLC), adenocarcinoma of the lung
- myelofibrosis MF
- chronic idiopathic myelofibrosis chronic myelocytic leukemia (CML), chronic neutrophilic leukemia (CNL), hypereosinophilic syndrome (HES)
- neuroblastoma e.g., neurofibromatosis (NF) type 1 or type 2, schwannomatosis
- neuroendocrine cancer e.g., gastroenteropancreatic neuroendoctrine tumor (GEP-NET), carcinoid tumor
- osteosarcoma ovarian cancer (e.g., cystadenocarcinoma, ovarian embryonal carcinoma, ovarian adenocarcinoma), papillary adenocarcinoma, pancreatic cancer (e.g., pancreatic andenocarcinoma, intraductal papillary mucinous neoplasm (IPMN), Islet cell tumors), penile cancer (e.g., Paget's disease of the pen
- the condition associated with aberrant activity of a kinase is an inflammatory disorder.
- inflammatory disorder refers to those diseases, disorders or conditions that are characterized by signs of pain (dolor, from the generation of noxious substances and the stimulation of nerves), heat (calor, from vasodilatation), redness (rubor, from vasodilatation and increased blood flow), swelling (tumor, from excessive inflow or restricted outflow of fluid), and/or loss of function (functio laesa, which can be partial or complete, temporary or permanent.
- Inflammation takes on many forms and includes, but is not limited to, acute, adhesive, atrophic, catarrhal, chronic, cirrhotic, diffuse, disseminated, exudative, fibrinous, fibrosing, focal, granulomatous, hyperplastic, hypertrophic, interstitial, metastatic, necrotic, obliterative, parenchymatous, plastic, productive, proliferous, pseudomembranous, purulent, sclerosing, seroplastic, serous, simple, specific, subacute, suppurative, toxic, traumatic, and/or ulcerative inflammation.
- Exemplary inflammatory disorders include, but are not limited to, inflammation associated with acne, anemia (e.g., aplastic anemia, haemolytic autoimmune anaemia), asthma, arteritis (e.g., polyarteritis, temporal arteritis, periarteritis nodosa, Takayasu's arteritis), arthritis (e.g., crystalline arthritis, osteoarthritis, psoriatic arthritis, gouty arthritis, reactive arthritis, rheumatoid arthritis and Reiter's arthritis), ankylosing spondylitis, amylosis, amyotrophic lateral sclerosis, autoimmune diseases, allergies or allergic reactions, atherosclerosis, bronchitis, bursitis, chronic prostatitis, conjunctivitis, Chagas disease, chronic obstructive pulmonary disease, cermatomyositis, diverticulitis, diabetes (e.g., type I diabetes mellitus, type 2 diabetes mell
- the inflammatory disorder is inflammation associated with a proliferative disorder, e.g., inflammation associated with cancer.
- the condition associated with aberrant activity of a kinase is an autoimmune disorder.
- autoimmune disorders include, but are not limited to, arthritis (including rheumatoid arthritis, spondyloarthopathies, gouty arthritis, degenerative joint diseases such as osteoarthritis, systemic lupus erythematosus, Sjogren's syndrome, ankylosing spondylitis, undifferentiated spondylitis, Behcet's disease, haemolytic autoimmune anaemias, multiple sclerosis, amyotrophic lateral sclerosis, amylosis, acute painful shoulder, psoriatic, and juvenile arthritis), asthma, atherosclerosis, osteoporosis, bronchitis, tendonitis, bursitis, skin condition (e.g., psoriasis, eczema, burns, dermatitis, pruritus (itch)), enuresis, eosinophilic disease
- arthritis including
- the condition associated with aberrant activity of a kinase is a painful condition.
- a “painful condition” includes, but is not limited to, neuropathic pain (e.g., peripheral neuropathic pain), central pain, deafferentiation pain, chronic pain (e.g., chronic nociceptive pain, and other forms of chronic pain such as post-operative pain, e.g., pain arising after hip, knee, or other replacement surgery), pre-operative pain, stimulus of nociceptive receptors (nociceptive pain), acute pain (e.g., phantom and transient acute pain), noninflammatory pain, inflammatory pain, pain associated with cancer, wound pain, burn pain, postoperative pain, pain associated with medical procedures, pain resulting from pruritus, painful bladder syndrome, pain associated with premenstrual dysphoric disorder and/or premenstrual syndrome, pain associated with chronic fatigue syndrome, pain associated with pre-term labor, pain associated with withdrawl symptoms from drug addiction, joint pain, arthritic pain (e.g.,
- One or more of the painful conditions contemplated herein can comprise mixtures of various types of pain provided above and herein (e.g. nociceptive pain, inflammatory pain, neuropathic pain, etc.). In some embodiments, a particular pain can dominate. In other embodiments, the painful condition comprises two or more types of pains without one dominating. A skilled clinician can determine the dosage to achieve a therapeutically effective amount for a particular subject based on the painful condition.
- the painful condition is inflammatory pain.
- the painful condition e.g., inflammatory pain
- the painful condition is associated with an inflammatory disorder and/or an autoimmune disorder.
- the condition associated with aberrant activity of a kinase is a metabolic disorder (e.g., a wasting condition, an obesity-related condition or complication thereof).
- the metabolic disorder is a wasting condition.
- the metabolic disorder is an obesity-related condition or a complication thereof.
- an “obesity-related condition” as used herein includes, but is not limited to, obesity, undesired weight gain (e.g., from medication-induced weight gain, from cessation of smoking) and an over-eating disorder (e.g., binge eating, bulimia, compulsive eating, or a lack of appetite control each of which can optionally lead to undesired weight gain or obesity).
- an over-eating disorder e.g., binge eating, bulimia, compulsive eating, or a lack of appetite control each of which can optionally lead to undesired weight gain or obesity.
- “Obesity” and “obese” as used herein refers to class I obesity, class II obesity, class III obesity and pre-obesity (e.g., being “over-weight”) as defined by the World Health Organization.
- the condition associated with aberrant activity of a kinase is a CNS disorder.
- CNS disorders include, but are not limited to, neurotoxicity and/or neurotrauma, stroke, multiple sclerosis, spinal cord injury, epilepsy, a mental disorder, a sleep condition, a movement disorder, nausea and/or emesis, amyotrophic lateral sclerosis, Alzheimer's disease and drug addiction.
- the CNS disorder is neurotoxicity and/or neurotrauma, e.g., for example, as a result of acute neuronal injury (e.g., tramatic brain injury (TBI), stroke, epilepsy) or a chronic neurodegenerative disorder (e.g., multiple sclerosis, Parkinson's disease, Huntington's disease, amyotrophic lateral sclerosis, Alzheimer's disease).
- acute neuronal injury e.g., tramatic brain injury (TBI), stroke, epilepsy
- a chronic neurodegenerative disorder e.g., multiple sclerosis, Parkinson's disease, Huntington's disease, amyotrophic lateral sclerosis, Alzheimer's disease.
- the CNS disorder is a mental disorder, e.g., for example, depression, anxiety or anxiety-related conditions, a learning disability or schizophrenia.
- the CNS disorder is depression.
- “Depression,” as used herein, includes, but is not limited to, depressive disorders or conditions, such as, for example, major depressive disorders (e.g., unipolar depression), dysthymic disorders (e.g., chronic, mild depression), bipolar disorders (e.g., manic-depression), seasonal affective disorder, and/or depression associated with drug addiction (e.g., withdrawal).
- the depression can be clinical or subclinical depression.
- the depression can be associated with or prementrual syndrome and/or premenstrual dysphoric disorder.
- the CNS disorder is anxiety.
- “Anxiety,” as used herein, includes, but is not limited to anxiety and anxiety-related conditions, such as, for example, clinical anxiety, panic disorder, agoraphobia, generalized anxiety disorder, specific phobia, social phobia, obsessive-compulsive disorder, acute stress disorder, post-traumatic stress disorder, adjustment disorders with anxious features, anxiety disorder associated with depression, anxiety disorder due to general medical conditions, and substance-induced anxiety disorders, anxiety associated with drug addiction (e.g., withdrawal, dependence, reinstatement) and anxiety associated with nausea and/or emesis.
- This treatment may also be to induce or promote sleep in a subject (e.g., for example, a subject with anxiety).
- the CNS disorder is a learning disorder (e.g., attention deficit disorder (ADD)).
- ADD attention deficit disorder
- the CNS disorder is Schizophrenia.
- the CNS disorder is a sleep condition.
- sleep conditions include, but are not limited to, insomia, narcolepsy, sleep apnea, restless legs syndrome (RLS), delayed sleep phase syndrome (DSPS), periodic limb movement disorder (PLMD), hypopnea syndrome, rapid eye movement behavior disorder (RBD), shift work sleep condition (SWSD), and sleep problems (e.g., parasomnias) such as nightmares, night terrors, sleep talking, head banging, snoring, and clenched jaw and/or grinding of teeth (bruxism).
- the CNS disorder is a movement disorder, e.g., basal ganglia disorders, such as, for example, Parkinson's disease, levodopa-induced dyskinesia, Huntington's disease, Gilles de Ia Tourette's syndrome, tardive diskinesia and dystonia.
- basal ganglia disorders such as, for example, Parkinson's disease, levodopa-induced dyskinesia, Huntington's disease, Gilles de Ia Tourette's syndrome, tardive diskinesia and dystonia.
- the CNS disorder is Alzheimer's disease.
- the CNS disorder is amyotrophic lateral sclerosis (ALS).
- ALS amyotrophic lateral sclerosis
- the CNS disorder is nausea and/or emesis.
- the CNS disorder is drug addiction (e.g., for instance, addiction to opiates, nicotine, cocaine, psychostimulants or alcohol).
- drug addiction e.g., for instance, addiction to opiates, nicotine, cocaine, psychostimulants or alcohol.
- condition associated with aberrant activity of a kinase is a viral infection.
- the kinase is Her3 protein kinase.
- the condition associated with aberrant activity of Her3 protein kinase is a proliferative disorder.
- the proliferative disorder associated with aberrant activity of Her3 protein kinase is cancer.
- the cancer associated with aberrant activity of Her3 protein kinase is breast cancer, lung cancer, or ovarian cancer.
- the breast cancer associated with aberrant activity of Her3 protein kinase is Her2 driven breast cancer.
- the lung cancer associated with aberrant activity of Her3 protein kinase is gefitinib resistant lung cancer.
- the lung cancer is NSCLC.
- Compounds of Formula (I) or (II) may be formulated in dosage unit form for ease of administration and uniformity of dosage. It will be understood, however, that the total daily usage of the compositions comprising a compound of Formula (I) or (II) will be decided by the attending physician within the scope of sound medical judgment.
- the specific therapeutically effective dose level for any particular subject or organism will depend upon a variety of factors including the disease, disorder, or condition being treated and the severity of the disorder; the activity of the specific active ingredient employed; the specific composition employed; the age, body weight, general health, sex and diet of the subject; the time of administration, route of administration, and rate of excretion of the specific active ingredient employed; the duration of the treatment; drugs used in combination or coincidental with the specific active ingredient employed; and like factors well known in the medical arts.
- the compounds and compositions provided herein can be administered by any route, including enteral (e.g., oral), parenteral, intravenous, intramuscular, intra-arterial, intramedullary, intrathecal, subcutaneous, intraventricular, transdermal, interdermal, rectal, intravaginal, intraperitoneal, topical (as by powders, ointments, creams, and/or drops), mucosal, nasal, bucal, sublingual; by intratracheal instillation, bronchial instillation, and/or inhalation; and/or as an oral spray, nasal spray, and/or aerosol.
- enteral e.g., oral
- parenteral intravenous, intramuscular, intra-arterial, intramedullary
- intrathecal subcutaneous, intraventricular, transdermal, interdermal, rectal, intravaginal, intraperitoneal
- topical as by powders, ointments, creams, and/or drops
- mucosal nasal,
- Specifically contemplated routes are oral administration, intravenous administration (e.g., systemic intravenous injection), regional administration via blood and/or lymph supply, and/or direct administration to an affected site.
- intravenous administration e.g., systemic intravenous injection
- regional administration via blood and/or lymph supply
- direct administration to an affected site.
- the most appropriate route of administration will depend upon a variety of factors including the nature of the agent (e.g., its stability in the environment of the gastrointestinal tract), the condition of the subject (e.g., whether the subject is able to tolerate oral administration).
- the exact amount of a compound required to achieve an effective amount will vary from subject to subject, depending, for example, on species, age, and general condition of a subject, severity of the side effects or disorder, identity of the particular compound(s), mode of administration, and the like.
- the desired dosage can be delivered three times a day, two times a day, once a day, every other day, every third day, every week, every two weeks, every three weeks, or every four weeks.
- the desired dosage can be delivered using multiple administrations (e.g., two, three, four, five, six, seven, eight, nine, ten, eleven, twelve, thirteen, fourteen, or more administrations).
- an effective amount of a compound for administration one or more times a day to a 70 kg adult human may comprise about 0.0001 mg to about 3000 mg, about 0.0001 mg to about 2000 mg, about 0.0001 mg to about 1000 mg, about 0.001 mg to about 1000 mg, about 0.01 mg to about 1000 mg, about 0.1 mg to about 1000 mg, about 1 mg to about 1000 mg, about 1 mg to about 100 mg, about 10 mg to about 1000 mg, or about 100 mg to about 1000 mg, of a compound per unit dosage form.
- the compounds of the invention may be administered orally or parenterally at dosage levels sufficient to deliver from about 0.001 mg/kg to about 100 mg/kg, from about 0.01 mg/kg to about 50 mg/kg, preferably from about 0.1 mg/kg to about 40 mg/kg, preferably from about 0.5 mg/kg to about 30 mg/kg, from about 0.01 mg/kg to about 10 mg/kg, from about 0.1 mg/kg to about 10 mg/kg, and more preferably from about 1 mg/kg to about 25 mg/kg, of subject body weight per day, one or more times a day, to obtain the desired therapeutic effect.
- dose ranges as described herein provide guidance for the administration of provided pharmaceutical compositions to an adult.
- the amount to be administered to, for example, a child or an adolescent can be determined by a medical practitioner or person skilled in the art and can be lower or the same as that administered to an adult.
- a compound or composition, as described herein, can be administered in combination with one or more additional therapeutically active agents.
- the compounds or compositions can be administered in combination with additional therapeutically active agents that improve their bioavailability, reduce and/or modify their metabolism, inhibit their excretion, and/or modify their distribution within the body.
- the therapy employed may achieve a desired effect for the same disorder (for example, a compound can be administered in combination with an anti-inflammatory agent, anti-cancer agent, etc.), and/or it may achieve different effects (e.g., control of adverse side-effects, e.g., emesis controlled by an anti-emetic).
- the compound or composition can be administered concurrently with, prior to, or subsequent to, one or more additional therapeutically active agents.
- each agent will be administered at a dose and/or on a time schedule determined for that agent.
- the additional therapeutically active agent utilized in this combination can be administered together in a single composition or administered separately in different compositions.
- the particular combination to employ in a regimen will take into account compatibility of the inventive compound with the additional therapeutically active agent and/or the desired therapeutic effect to be achieved.
- additional therapeutically active agents utilized in combination be utilized at levels that do not exceed the levels at which they are utilized individually. In some embodiments, the levels utilized in combination will be lower than those utilized individually.
- Additional therapeutically active agents include, but are not limited to, small organic molecules such as drug compounds (e.g., compounds approved by the Food and Drugs Administration as provided in the Code of Federal Regulations (CFR)), peptides, proteins, carbohydrates, monosaccharides, oligosaccharides, polysaccharides, nucleoproteins, mucoproteins, lipoproteins, synthetic polypeptides or proteins, small molecules linked to proteins, glycoproteins, steroids, nucleic acids, DNAs, RNAs, nucleotides, nucleosides, oligonucleotides, antisense oligonucleotides, lipids, hormones, vitamins and cells.
- the additional therapeutically agent is a cancer agent (e.g., a biotherapeutic or chemotherapeutic cancer agent).
- the additional therapeutically active agent is an anti-inflammatory agent.
- Compounds of the present invention may be prepared by coupling a compound substituted with a group -L 3 -X* with a compound of formula Y*-L 4 -R H , wherein X* and Y* react together to form a group A, thus providing a compound substituted with a group of formula -L 3 -A-L 4 -R H .
- group of formula -L 3 -A-L 4 - is encompassed by the group of formula -L 1 - as defined herein.
- the group Y* of the compound of formula Y*-L 4 -R H should be complimentary and reactive with the group X* present on the precursor compound in order to form the compound of Formula (I′′) or (II′′).
- the group Y* is a nucleophilic group
- the group X* must be a electrophilic group.
- the group Y* is an electrophilic group
- the group X* must be a nucleophilic group. While X* and Y* are defined the same in the present invention, it is thus understood that such groups are paired compliments.
- the coupling of a compound substituted with a group -L 3 -X* with a compound of formula Y*-L 4 -R H is via “click chemistry.”
- Click chemistry is a chemical philosophy introduced by Sharpless in 2001 and describes chemistry tailored to generate substances quickly and reliably by joining small units together. See, e.g., Kolb, Finn and Sharpless, Angewandte Chemie International Edition (2001) 40: 2004-2021; Evans, Australian Journal of Chemistry (2007) 60: 384-395.
- Exemplary coupling reactions include, but are not limited to, formation of esters, thioesters, amides (e.g., such as peptide coupling) from activated acids or acyl halides; nucleophilic displacement reactions (e.g., such as nucleophilic displacement of a halide or ring opening of strained ring systems); azide-alkyne Huisgen cycloaddition; thiol-yne addition; imine formation; and Michael additions (e.g., maleimide addition).
- nucleophilic displacement reactions e.g., such as nucleophilic displacement of a halide or ring opening of strained ring systems
- azide-alkyne Huisgen cycloaddition thiol-yne addition
- imine formation e.g., maleimide addition
- L 3 and L 4 represent a bond or a linker selected from the group consisting of substituted and unsubstituted alkylene; substituted and unsubstituted alkenylene; substituted and unsubstituted alkynylene; substituted and unsubstituted heteroalkylene; substituted and unsubstituted heteroalkenylene; substituted and unsubstituted heteroalkynylene; substituted and unsubstituted heterocyclylene; substituted and unsubstituted carbocyclylene; substituted and unsubstituted arylene; substituted and unsubstituted heteroarylene; and combinations thereof.
- Groups of formula A, X*, and Y* are further defined herein.
- X* and Y* independently represent a group —SH, —OH, —NH 2 , —NH—NH 2 , —N 3 , —O—NH 2 , halogen (or other leaving group),
- R X1 is hydrogen, halogen, or —OR 2 , wherein R X2 is hydrogen, substituted or unsubstituted alkyl, substituted or unsubstituted alkyl; substituted or unsubstituted alkenyl; substituted or unsubstituted alkynyl; substituted or unsubstituted heteroalkyl; substituted or unsubstituted heteroalkenyl; substituted or unsubstituted heteroalkynyl; substituted or unsubstituted carbocyclyl; substituted or unsubstituted heterocyclyl; substituted or unsubstituted aryl; substituted or unsubstituted heteroaryl; or an oxygen protecting group;
- W is O, S, or NR W1 ;
- R W1 is hydrogen, substituted or unsubstituted alkyl; substituted or unsubstituted alkenyl; substituted or unsubstituted alkynyl; substituted or unsubstituted carbocyclyl; substituted or unsubstituted heterocyclyl; substituted or unsubstituted aryl; substituted or unsubstituted heteroaryl; or a nitrogen protecting group; and
- R W2 is hydrogen, substituted or unsubstituted alkyl; substituted or unsubstituted alkenyl; substituted or unsubstituted alkynyl; substituted or unsubstituted carbocyclyl; substituted or unsubstituted heterocyclyl; substituted or unsubstituted aryl; or substituted or unsubstituted heteroaryl, or two R W2 groups are joined to form a 5-6 membered ring.
- Y* is —SH. In certain embodiments, X* is —SH.
- Y* is —OH. In certain embodiments, X* is —OH.
- Y* is —NH 2 . In certain embodiments, X* is —NH 2 .
- Y* is —NH—NH 2 . In certain embodiments, X* is —NH—NH 2 .
- Y* is —O—NH 2 . In certain embodiments, X* is —O—NH 2 .
- Y* is —N 3 . In certain embodiments, X* is —N 3 .
- Y* is halogen, e.g., —Cl, —Br, or —I.
- X* is halogen, e.g., —Cl, —Br, or —I.
- Y* is —C( ⁇ O)R X1 , wherein R X1 is hydrogen, i.e., to provide Y* as an aldehyde —CHO.
- X* is —C( ⁇ O)R X1 , wherein R X1 is hydrogen, i.e., to provide X* as an aldehyde —CHO.
- Y* is —C( ⁇ O)R X1 , wherein R X1 is halogen (e.g., “Hal” representing —Cl, —Br, and —I), i.e., to provide Y* as an acyl halide —C( ⁇ O)—Hal.
- R X1 is halogen (e.g., “Hal” representing —Cl, —Br, and —I), i.e., to provide Y* as an acyl halide —C( ⁇ O)—Hal.
- X* is —C( ⁇ O)R X1 , wherein R X1 is halogen (e.g., “Hal” representing —Cl, —Br, and —I), i.e., to provide X* as an acyl halide —C( ⁇ O)—Hal.
- R X1 is halogen (e.g., “Hal” representing —Cl, —Br, and —I), i.e., to provide X* as an acyl halide —C( ⁇ O)—Hal.
- Y* is —C( ⁇ O)R X1 , wherein R X1 is —OR X2 , and wherein R X2 is hydrogen, i.e., to provide Y* as a carboxylic acid —C( ⁇ O)OH.
- X* is —C( ⁇ O)R X1 , wherein R X1 is —OR X2 , and wherein R X2 is hydrogen, i.e., to provide X* as a carboxylic acid —C( ⁇ O)OH.
- Y* is —C( ⁇ O)R X1 , wherein R Z1 is —OR X2 , and wherein R X2 is substituted or unsubstituted alkyl; substituted or unsubstituted alkenyl; substituted or unsubstituted alkynyl; substituted or unsubstituted heteroalkyl; substituted or unsubstituted heteroalkenyl; substituted or unsubstituted heteroalkynyl; substituted or unsubstituted carbocyclyl; substituted or unsubstituted heterocyclyl; substituted or unsubstituted aryl; substituted or unsubstituted heteroaryl; or an oxygen protecting group, i.e., to provide Y* as an ester —C( ⁇ O)OR X2 .
- X* is —C( ⁇ O)R X1 , wherein R Z1 is —OR X2 , and wherein R X2 is substituted or unsubstituted alkyl; substituted or unsubstituted alkenyl; substituted or unsubstituted alkynyl; substituted or unsubstituted heteroalkyl; substituted or unsubstituted heteroalkenyl; substituted or unsubstituted heteroalkynyl; substituted or unsubstituted carbocyclyl; substituted or unsubstituted heterocyclyl; substituted or unsubstituted aryl; substituted or unsubstituted heteroaryl; or an oxygen protecting group, i.e., to provide X* as an ester —C( ⁇ O)OR X2 .
- X* or Y* is an oxiranyl of formula:
- X* or Y* is ethynyl
- X* or Y* is ethenyl
- X* or Y* is an ⁇ , ⁇ -unsaturated carbonyl:
- X* or Y* is a maleimide group:
- X* and Y* may react together to form a group A, wherein A is a group of the formula:
- Q is —NH—, —NH—NH—, —O—NH—, —NH—O—, —S—, —O—;
- W is O, S, or NR W1 ;
- R W1 is hydrogen, substituted or unsubstituted alkyl; substituted or unsubstituted alkenyl; substituted or unsubstituted alkynyl; substituted or unsubstituted carbocyclyl; substituted or unsubstituted heterocyclyl; substituted or unsubstituted aryl; substituted or unsubstituted heteroaryl; a nitrogen protecting group if attached to a nitrogen atom, or an oxygen group if attached to an oxygen atom; and
- R W2 is hydrogen, substituted or unsubstituted alkyl; substituted or unsubstituted alkenyl; substituted or unsubstituted alkynyl; substituted or unsubstituted carbocyclyl; substituted or unsubstituted heterocyclyl; substituted or unsubstituted aryl; substituted or unsubstituted heteroaryl, or two R W2 groups are joined to form a 5-6 membered ring;
- A is —NH—.
- A is —NH—NH—.
- A is —S—.
- A is —O—.
- A is a disulfide group
- A is N-(2-aminoethyl)-2-aminoethyl-N-(2-aminoethyl)-2-aminoethyl-N-(2-aminoethyl)-2-aminoethyl-N-(2-aminoethyl)-2-aminoethyl-N-(2-aminoethyl)-2-aminoethyl-N-phenyl
- Q is —NH—, —NH—NH—, —O—NH—, —NH—O—, —S—, —O—.
- A is an amide group of the formula
- A is an amide hydrazide group of the formula
- A is an thioester group of the formula
- A is an ester group of the formula
- A is N-(2-aminoethyl)-2-aminoethyl-N-(2-aminoethyl)-2-aminoethyl-N-(2-aminoethyl)-2-aminoethyl-N-(2-aminoethyl)-2-aminoethyl-N-(2-aminoethyl)-2-aminoethyl-N-phenyl
- R W2 is alkyl, e.g., methyl.
- A is N-(2-aminoethyl)-2-aminoethyl-N-(2-aminoethyl)-2-aminoethyl-N-(2-aminoethyl)-2-aminoethyl-N-(2-aminoethyl)-2-aminoethyl-N-(2-aminoethyl)-2-aminoethyl-N-phenyl
- R W2 is alkyl, e.g., methyl. In certain embodiments, R W1 is hydrogen.
- A is N-(2-aminoethyl)-2-aminoethyl-N-(2-aminoethyl)-2-aminoethyl-N-(2-aminoethyl)-2-aminoethyl-N-(2-aminoethyl)-2-aminoethyl-N-(2-aminoethyl)-2-aminoethyl-N-phenyl
- R W2 is alkyl, e.g., methyl.
- A is:
- A is:
- R W1 is hydrogen, substituted or unsubstituted alkyl, or an amino protecting group; and Q is —NH—, —NH—NH—, —O—NH—, —NH—O—, —S—, —O—.
- Q is —NH—.
- Q is —NH—NH—.
- Q is —S—.
- Q is —O—.
- A is:
- Q is —NH—, —NH—NH—, —O—NH—, —NH—O—, —S—, or —O—.
- Q is —NH—.
- Q is —NH—NH—.
- Q is —S—.
- Q is —O—.
- A is:
- Q is —NH—, —NH—NH—, —O—NH—, —NH—O—, —S—, or —O—.
- Q is —NH—.
- Q is —NH—NH—.
- Q is —S—.
- Q is —O—.
- A is:
- W is O, S, or NR W1
- R W1 is hydrogen, substituted or unsubstituted alkyl, or an amino protecting group
- Q is —NH—, —NH—NH—, —O—NH—, —NH—O—, —S—, or —O—.
- W is O.
- W is S.
- W is NR W1
- Q is —NH—.
- Q is —NH—NH—.
- Q is —S—.
- Q is —O—.
- a method of preparing a compound of Formula (I′′) or (II′′), or pharmaceutically acceptable salt thereof comprising coupling of a precursor compound of Formula (P-I) or (P-II) or pharmaceutically acceptable salt thereof with a compound of formula Y*-L 4 -R H .
- the method of preparing a compound of Formula (I′′) or (II′′), or pharmaceutically acceptable salt thereof comprises coupling a precursor compound of Formula (P-I) or (P-II), or pharmaceutically acceptable salt thereof, with a compound of formula Y*-L 4 -R H , wherein one of X* and Y* is —C( ⁇ O)R X1 , wherein R X1 is halogen or —OR X2 , and one of X* and Y* is —SH, —OH, —NH 2 , or —NH—NH 2 to provide a compound of Formula (I′′) or (II′′), wherein A is an amide, thioester, or ester group. See, e.g., Table 2.
- the method of preparing a compound of Formula (I′′) or (II′′), or pharmaceutically acceptable salt thereof comprises coupling a precursor compound of Formula (P-I) or (P-II), or pharmaceutically acceptable salt thereof, with a compound of formula Y*-L 4 -R H , wherein one of X* and Y* is halogen or another leaving group, and one of X* and Y* is —SH, —OH, —NH 2 , or —NH—NH 2 to provide a compound of Formula (I′) or (II′), wherein A is, respectively, —S—, —O—, —NH—, or —NH—NH—. See, e.g., Table 3.
- the method of preparing a compound of Formula (I′′) or (II′′), or pharmaceutically acceptable salt thereof comprises coupling (azide-alkyne Huisgen cycloaddition of) a precursor compound of Formula (P-I) or (P-II), or pharmaceutically acceptable salt thereof, with a compound of formula Y*-L 4 -R H , wherein one of X* and Y* is
- X* and Y* is —N 3 . See, e.g., Table 4.
- the method of preparing a compound of Formula (I′′) or (II′′), or pharmaceutically acceptable salt thereof comprises coupling (via thiol-yne addition of) a precursor compound of Formula (P-I) or (P-II), or pharmaceutically acceptable salt thereof, with a compound of formula Y*-L 4 -R H , wherein one of X* and Y* is
- X* and Y* is —SH. See, e.g., Table 5.
- the method of preparing a compound of Formula (I′′) or (II′′), or pharmaceutically acceptable salt thereof comprises coupling a precursor compound of Formula (P-I) or (P-II), or pharmaceutically acceptable salt thereof, with a compound of formula Y*-L 4 -R H , wherein one of X* and Y* is an aldehyde —CHO or ketone, and one of X* and Y* is —NH 2 , —NH—NH 2 , or —O—NH 2 . See, e.g., Table 6.
- the method of preparing a compound of Formula (I′′) or (II′′), or pharmaceutically acceptable salt thereof comprises coupling a precursor compound of Formula (P-I) or (P-II), or pharmaceutically acceptable salt thereof, with a compound of formula Y*-L 4 -R H , wherein one of X* and Y* is an ⁇ , ⁇ -unsaturated carbonyl, and one of X* and Y* is —OH, —SH, —NH 2 , —NHNH 2 , or —O—NH 2 . See, e.g., Table 7.
- the method of preparing a compound of Formula (I′) or (II′) or pharmaceutically acceptable salt thereof comprises coupling a precursor compound of Formula (P-I) or (P-II) or pharmaceutically acceptable salt thereof with a compound of formula Y*-L 4 -R H , wherein one of X* and Y* is a maleimide group, and one of X* and Y* is —OH, —SH, —NH 2 , —NHNH 2 , or —O—NH 2 . See, e.g., Table 8.
- the method of preparing a compound of Formula (I′′) or (II′′), or pharmaceutically acceptable salt thereof comprises coupling a precursor compound of Formula (P-I) or (P-II), or pharmaceutically acceptable salt thereof, with a compound of formula Y*-L 4 -R H , wherein each of X* and Y* is —SH to provide, upon treatment with an oxidant, a compound of Formula (I′) or (II′), or pharmaceutically acceptable salt thereof, wherein A is a disulfide (—S—S—) bond.
- N-(5-(1-(1-(2-(2-((1s,3s)-adamantan-1-yl)acetamido)ethyl)piperidin-4-yl)-4-amino-1H-pyrazolo[3,4-d]pyrimidin-3-yl)-2-phenoxyphenyl)acrylamide (15.8 mg) (TX2-112-1) was purified by preparative reverse-phase HPLC (methanol/water gradient).
- N-(5-(4-amino-1-(1-methylpiperidin-4-yl)-1H-pyrazolo[3,4-d]pyrimidin-3-yl)-2-phenoxyphenyl)acrylamide (5.0 mg) (TX2-120-1) was purified by preparative reverse-phase HPLC (methanol/water gradient).
- the crude product was taken up in dimethylformamide (1.0 mL), and to that solution were added 4-(adamantan-1-yl)-2-methylbutanoic acid (8.5 mg, 0.036 mmol), N-Ethyl-N′-(3-dimethylaminopropyl)carbodiimide hydrochloride (17.3 mg, 0.09 mmol) and 4-(dimethylamino)pyridine (0.4 mg, 0.003 mmol) at ambient temperature in this order. The reaction mixture was stirred at ambient temperature for 3 hr.
- FIG. 2 depicts binding affinity data for exemplary compounds of Formula (II). Binding affinity (IC 50 ) was measured by Invitrogen LanthaScreenTM Eu kinase binding assay which is based on the binding and displacement of Alexa Fluor 647 labeled ATP-competitive kinase inhibitor scaffold (Kinase Tracer 178). Binding of the tracer to the kinase is detected using a europium-labeled anti-tag antibody (anti-GST).
- anti-GST europium-labeled anti-tag antibody
- FIG. 3 depicts anti-proliferation data for exemplary compounds of Formula (II).
- the anti-proliferation assay was carried out by using 96 well white bottom plates. 2000-4000 cells were seeded per well, and the medium volume per well was about 100 ul. Incubate for 3 days after adding and titrating indicated concentration of compounds. The cell viability was test by CellTiter-Glo® Luminescent Assay. In a typical experiment, add 10 ul CellTiter-Glo® reagent per well. Mix and shake the plate for 2 minutes to induce cell lysis at room temperature. Allow the plate to incubate at room temperature for approximately 10 minutes to stabilize luminescent signal. Read plate with Perkin Elmer EnVision. The cell numbers were normalized by the DMSO control. And the EC 50 s were calculated by GraphPad Prism.
- FIGS. 4A and 4B depict electrophoretic gel image (SDS-PAGE) results of compounds TX2-112-1, TX2-113-1, TX2-114-1, TX2-120-1, and TX2-121-1 ( FIG. 4A ) and SML-11-124-1 and TX2-126-1 ( FIG. 4B ) immunoblotted against various antibodies; line 1: ErbB3 antibody; line 2: Phospho-Akt (Ser473) antibody; line 3: p44/42 MAPK (p-Erk1/2) antibody; line 4: T-Akt antibody; and line 5: Phospho-p44/42 MAPK (T-Erk1/2) (Thr202/Thr204) antibody.
- line 1 ErbB3 antibody
- line 2 Phospho-Akt (Ser473) antibody
- line 3 p44/42 MAPK (p-Erk1/2) antibody
- line 4 T-Akt antibody
- line 5 Phospho-p44/42 MAPK (T-Erk1/2) (Thr202/Thr204) antibody.
- PC9 Gefitinib Resistant 4 (GR4) cells were cultured in 60 mm plate with 10% fetal bovine serum (FBS), Roswell Park Memorial Institute medium (RPMI) medium. When the confluence reached 80%, cells were treated with compounds in indicated concentration. After 4 hours, wash cells with medium for three times. Cells were cultured for another 4 hours, followed by 3 times PBS washes. Cells were lysed with lysis buffer (25 mM Tris-HCl pH 7.4, 150 mM NaCl, 1 mM EDTA, 1% NP-40, 5% glycerol, Roche PhosSTOP phosphatase inhibitor cocktail tablets and Roche Complete Protease inhibitor cocktail tablets).
- FBS fetal bovine serum
- RPMI Roswell Park Memorial Institute medium
- the cell lysate was rotated end-to-end for approximately 30 min, centrifuged at 10,000 g for 15 minutes at 4° C. The supernatant was transferred to new tubes.
- the total protein concentration was measure by Pierce BCA protein assay: BCA reagent A and B were mixed with the ration of 20:1. Pipette 1 ml the mixture to each disposal plastic cuvette, add 2 ul lysate. Incubate at 37° C. for approximately 30 minutes. Cool all tubes to room temperature.
- the membrane was immunoblotted with antibodies: ErbB3 antibody, Santa Cruz sc-285; Phospho-Akt (Ser473) antibody, Cell Signaling 4058; Akt antibody, Cell Signaling 4685; Phospho-p44/42 MAPK (Erk1/2) (Thr202/Thr204), Cell Signaling 4377; p44/42 MAPK (Erk1/2), Cell Signaling 4695.
- the invention encompasses all variations, combinations, and permutations in which one or more limitations, elements, clauses, and descriptive terms from one or more of the listed claims is introduced into another claim.
- any claim that is dependent on another claim can be modified to include one or more limitations found in any other claim that is dependent on the same base claim.
- elements are presented as lists, e.g., in Markush group format, each subgroup of the elements is also disclosed, and any element(s) can be removed from the group. It should it be understood that, in general, where the invention, or aspects of the invention, is/are referred to as comprising particular elements and/or features, certain embodiments of the invention or aspects of the invention consist, or consist essentially of, such elements and/or features.
Landscapes
- Chemical & Material Sciences (AREA)
- Health & Medical Sciences (AREA)
- Organic Chemistry (AREA)
- Animal Behavior & Ethology (AREA)
- Life Sciences & Earth Sciences (AREA)
- Pharmacology & Pharmacy (AREA)
- General Health & Medical Sciences (AREA)
- Public Health (AREA)
- Veterinary Medicine (AREA)
- Medicinal Chemistry (AREA)
- Epidemiology (AREA)
- Chemical Kinetics & Catalysis (AREA)
- General Chemical & Material Sciences (AREA)
- Nuclear Medicine, Radiotherapy & Molecular Imaging (AREA)
- Pharmaceuticals Containing Other Organic And Inorganic Compounds (AREA)
Abstract
Description
or a pharmaceutically acceptable salt thereof; wherein Ring A, RB, RC, RD, RH, L1, L2, a, and b are as defined herein.
is between about 251 g/mol and about 800 g/mol, inclusive. 251 g/mol is the lowest molecular weight contemplated for this particular formula, wherein a and b are each 0, both instances of RB are hydrogen, and Ring A is unsubstituted cyclopropyl.
-
- each instance of n is independently an integer between 1 to 10, inclusive;
- each instance of m is independently 0, 1, or 2;
- each instance of Q is independently —NRW1—; —NRW1—NRW1—; —O—NRW1—; —NRW1—O—; —S—; or —O—;
- each instance of W is independently O, S, or NRW1;
- each instance of G1 and G2 are independently N or CH;
- each instance of RW1 is independently hydrogen; substituted or unsubstituted alkyl; substituted or unsubstituted alkenyl; substituted or unsubstituted alkynyl; substituted or unsubstituted carbocyclyl; substituted or unsubstituted heterocyclyl; substituted or unsubstituted aryl; substituted or unsubstituted heteroaryl; a nitrogen protecting group if attached to a nitrogen atom, or an oxygen protecting group if attached to an oxygen atom;
- each instance of RW2 is independently hydrogen; substituted or unsubstituted alkyl; substituted or unsubstituted alkenyl; substituted or unsubstituted alkynyl; substituted or unsubstituted carbocyclyl; substituted or unsubstituted heterocyclyl; substituted or unsubstituted aryl; substituted or unsubstituted heteroaryl; or two RW2 groups are joined to form a 5-6 membered ring; and
- each instance of RW3 is independently hydrogen; halogen; substituted or unsubstituted alkyl; substituted or unsubstituted alkenyl; substituted or unsubstituted alkynyl; substituted or unsubstituted carbocyclyl; substituted or unsubstituted heterocyclyl; substituted or unsubstituted aryl; or substituted or unsubstituted heteroaryl, or two RW3 groups are joined to form a 3-6 membered ring;
- or RW1 and RW3 are joined to form a 5-6 membered heterocyclic ring.
In certain embodiments, n is 1, 2, or 3. In certain embodiments, each instance of RW3 is independently hydrogen; halogen; or substituted or unsubstituted alkyl (e.g., methyl).
In certain embodiments, m is 0, and RW3 is absent. In certain embodiments, m is 1. In certain embodiments, m is 2. In certain embodiments, G1 is N. In certain embodiments, G1 is CH. In certain embodiments, G2 is N. In certain embodiments, G2 is CH. In certain embodiments, G1 is N and G2 is CH. In certain embodiments, G1 is CH and G2 is CH. In certain embodiments, G1 is N and G2 is N. In certain embodiments, G1 is CH and G2 is N. In certain embodiments, each instance of RW3 is independently hydrogen; halogen; or substituted or unsubstituted alkyl (e.g., methyl).
In certain embodiments, Q is —NRW1—. In certain embodiments, Q is —NRW1—NRW1—. In certain embodiments, Q is —O—NRW1—. In certain embodiments, Q is —NRW1—O—. In certain embodiments, Q is —S—. In certain embodiments, Q is —O—. In certain embodiments, W is O. In certain embodiments, W is S. In certain embodiments, W is NRW1. In certain embodiments, W is O and Q is independently —S—, —NRW1—, or —O—. In certain embodiments, RW1 is not hydrogen. In certain embodiments, RW2 is hydrogen or substituted or unsubstituted alkyl (e.g., methyl).
wherein n3 and n4 are as defined for variable n, and are each independently an integer between 1 to 10, inclusive, and wherein Q, RW3 and RH are as defined herein. In certain embodiments, n3 is 2 or 3 and n4 is 1, 2, or 3.
wherein n1, n2, n3, and n4 are as defined for variable n, and are each independently an integer between 1 to 10, inclusive, and wherein Q, RW3 and RH are as defined herein. In certain embodiments, n1 is 1, n2 is 1 or 2, n3 is 1, and n4 is 1, 2, or 3.
wherein n3 and n4 are as defined for variable n, and are each independently an integer between 1 to 10, inclusive, and wherein G1, G2, Q, RW3, and RH are as defined herein. In certain embodiments, n3 is 2 or 3 and n4 is 1, 2, or 3.
wherein n1, n2, n3, and n4 are as defined for variable n, and are each independently an integer between 1 to 10, inclusive, and wherein G1, G2, Q, RW3 and RH are as defined herein. In certain embodiments, n1 is 1, n2 is 1 or 2, n3 is 1, and n4 is 1, 2, or 3.
wherein n is an integer between 1 to 10, inclusive, and wherein RW3 and RH are as defined herein. In certain embodiments, n is 1, 2, or 3.
wherein n is an integer between 1 to 10, inclusive, and wherein G1, G2, Q, RW3 and RH are as defined herein. In certain embodiments, n is 1, 2, or 3.
wherein each occurrence of RH1 and RH2 is independently halogen (e.g., fluoro, bromo, iodo, or chloro), alkyl (e.g., methyl, ethyl, propyl, isopropyl, tertbutyl), haloalkyl (e.g., difluoromethyl, perfluoromethyl), alkoxy (e.g., methoxy, ethoxy, isopropoxy), or dialkylamino (e.g., dimethylamino, diethylamino); and p and q are independently 0, 1, 2, or 3. In certain embodiments, each occurrence of RH1 and RH2 is independently fluoro, bromo, iodo, chloro, methyl, ethyl, propyl, isopropyl, tertbutyl, difluoromethyl, perfluoromethyl, methoxy, ethoxy, isopropoxy, dimethylamino, or diethylamino. In certain embodiments, p is 0 or 1. In certain embodiments, q is 0 or 1. In certain embodiments, p is 0. In certain embodiments, q is 0. In certain embodiments, p is 0, and q is 0.
wherein each occurrence of RH1, RH2, and RH3 is independently halogen (e.g., fluoro, bromo, iodo, or chloro), alkyl (e.g., methyl, ethyl, propyl, isopropyl, tertbutyl), haloalkyl (e.g., difluoromethyl, perfluoromethyl), alkoxy (e.g., methoxy, ethoxy, isopropoxy), or dialkylamino (e.g., dimethylamino, diethylamino); and p, q, and r are independently 0, 1, 2, or 3. In certain embodiments, each occurrence of RH1, RH2, and RH3 is independently fluoro, bromo, iodo, chloro, methyl, ethyl, propyl, isopropyl, tertbutyl, difluoromethyl, perfluoromethyl, methoxy, ethoxy, isopropoxy, dimethylamino, or diethylamino. In certain embodiments, p is 0 or 1. In certain embodiments, q is 0 or 1. In certain embodiments, r is 0 or 1. In certain embodiments, p is 0. In certain embodiments, q is 0. In certain embodiments, r is 0. In certain embodiments, p is 0, q is 0, and r is 0.
wherein each occurrence of RH1 and RH2 is independently halogen (e.g., fluoro, bromo, iodo, or chloro), alkyl (e.g., methyl, ethyl, propyl, isopropyl, tertbutyl), haloalkyl (e.g., difluoromethyl, perfluoromethyl), alkoxy (e.g., methoxy, ethoxy, isopropoxy), or dialkylamino (e.g., dimethylamino, diethylamino); and p and q are independently 0, 1, 2, or 3. In certain embodiments, each occurrence of RH1 and RH2 is independently fluoro, bromo, iodo, chloro, methyl, ethyl, propyl, isopropyl, tertbutyl, difluoromethyl, perfluoromethyl, methoxy, ethoxy, isopropoxy, dimethylamino, or diethylamino. In certain embodiments, p is 0 or 1. In certain embodiments, q is 0 or 1. In certain embodiments, p is 0. In certain embodiments, q is 0. In certain embodiments, p is 0, and q is 0.
wherein each occurrence of RH1 and RH2 is independently halogen (e.g., fluoro, bromo, iodo, or chloro), alkyl (e.g., methyl, ethyl, propyl, isopropyl, tertbutyl), haloalkyl (e.g., difluoromethyl, perfluoromethyl), alkoxy (e.g., methoxy, ethoxy, isopropoxy), or dialkylamino (e.g., dimethylamino, diethylamino); and p and q are independently 0, 1, 2, or 3. In certain embodiments, each occurrence of RH1 and RH2 is independently fluoro, bromo, iodo, chloro, methyl, ethyl, propyl, isopropyl, tertbutyl, difluoromethyl, perfluoromethyl, methoxy, ethoxy, isopropoxy, dimethylamino, or diethylamino. In certain embodiments, p is 0 or 1. In certain embodiments, q is 0 or 1. In certain embodiments, p is 0. In certain embodiments, q is 0. In certain embodiments, p is 0, and q is 0.
wherein each occurrence of RH1 and RH2 is independently halogen (e.g., fluoro, bromo, iodo, or chloro), alkyl (e.g., methyl, ethyl, propyl, isopropyl, tertbutyl), haloalkyl (e.g., difluoromethyl, perfluoromethyl), alkoxy (e.g., methoxy, ethoxy, isopropoxy), or dialkylamino (e.g., dimethylamino, diethylamino); and p and q are independently 0, 1, 2, or 3. In certain embodiments, each occurrence of RH1 and RH2 is independently fluoro, bromo, iodo, chloro, methyl, ethyl, propyl, isopropyl, tertbutyl, difluoromethyl, perfluoromethyl, methoxy, ethoxy, isopropoxy, dimethylamino, or diethylamino. In certain embodiments, p is 0 or 1. In certain embodiments, q is 0 or 1. In certain embodiments, p is 0. In certain embodiments, q is 0. In certain embodiments, p is 0, and q is 0.
wherein each instance of X1 is bond or NRD5, Y is independently O, S, or NRD6, and RD1, RD2, and RD3 are as defined herein. In certain embodiments, X1 is a bond. In certain embodiments, X1 is NRD5. In certain embodiments, Y is O. In certain embodiments, RD1 is hydrogen. In certain embodiments, RD1 is —CN. In certain embodiments, RD2 is hydrogen. In certain embodiments, RD3 is hydrogen. In certain embodiments, RD2 is —CH2N(RD2a)2, and RD3 is hydrogen. In certain embodiments, RD2 is —CH2N(RD3a)2, and RD3 is hydrogen. In certain embodiments, RD2 and RD3 are hydrogen. In certain embodiments, RD1, RD2 and RD3 are hydrogen.
wherein Y is independently O, S, or NRD6; and RD1, RD2, and RD3 are as defined herein. In certain embodiments, Y is O. In certain embodiments, RD1 is hydrogen. In certain embodiments, RD2 is hydrogen. In certain embodiments, RD2 is —CN. In certain embodiments, RD3 is substituted or unsubstituted alkyl.
wherein Y is independently O, S, or NRD6; and RD1, RD2, and RD3 are as defined herein. In certain embodiments, Y is O. In certain embodiments, RD is hydrogen. In certain embodiments, RD2 is hydrogen. In certain embodiments, RD3 is hydrogen.
wherein each instance of X1 is bond or NRD5; Y is independently O, S, or NRD6; and RD1 and RD2 are as defined herein. In certain embodiments, X1 is a bond. In certain embodiments, X1 is NRD5. In certain embodiments, Y is O. In certain embodiments, RD1 is hydrogen. In certain embodiments, RD1 is halogen, e.g., —F or —Cl. In certain embodiments, RD2 is hydrogen. In certain embodiments, RD2 is halogen, e.g., —F or —Cl.
wherein each instance of X1 is bond or NRD5; Y is independently O, S, or NRD6; z is 0, 1, 2, 3, 4, 5, or 6; and RD1 is as defined herein. In certain embodiments, X1 is a bond. In certain embodiments, X1 is NRD5. In certain embodiments, Y is O. In certain embodiments z is 0 or 1. In certain embodiments, RD1 is substituted or unsubstituted alkyl.
wherein each instance of X1 is bond or NRD5; Y is independently O, S, or NRD6; z is 0, 1, 2, 3, 4, 5, or 6; and RD is a leaving group selected from the group consisting of —Br, —Cl, —I, and —OS(═O)wRD4a, wherein w is 1 or 2. In certain embodiments, X1 is a bond. In certain embodiments, X1 is NRD5. In certain embodiments, Y is O. In certain embodiments, z is 0. In certain embodiments, z is 1.
wherein each instance of X1 is bond or NRD5; and RD1 is as defined herein. In certain embodiments, X1 is a bond. In certain embodiments, X1 is NRD5. In certain embodiments, RD1 is hydrogen.
wherein each instance of X1 is bond or NRD5; Y is independently O, S, or NRD6; and RD1 is as defined herein. In certain embodiments, X1 is a bond. In certain embodiments, X1 is NRD5 In certain embodiments, Y is O. In certain embodiments, RD1 is hydrogen.
Her3 Protein Kinase
or a pharmaceutically acceptable salt thereof; wherein RC is as defined herein. In certain embodiments, RC is hydrogen, —ORC1, —N(RC1)2, or —SRC1. In certain embodiments, RC is —ORC1, wherein RC1 is substituted or unsubstituted alkyl, substituted or unsubstituted carbocyclyl, substituted or unsubstituted heterocyclyl, substituted or unsubstituted aryl, or substituted or unsubstituted heteroaryl. In certain embodiments, RC is —ORC1, wherein RC1 is substituted or unsubstituted aryl, e.g., substituted or unsubstituted phenyl.
or a pharmaceutically acceptable salt thereof. In certain embodiments, RC1 is substituted or unsubstituted alkyl, substituted or unsubstituted carbocyclyl, substituted or unsubstituted heterocyclyl, substituted or unsubstituted aryl, or substituted or unsubstituted heteroaryl.
or a pharmaceutically acceptable salt thereof; wherein each instance of RC is as defined herein. In certain embodiments, one instance of RC is hydrogen, —ORC1, —N(RC1)2, or —SRC1. In certain embodiments, one instance of RC is —ORC1, wherein RC1 is substituted or unsubstituted alkyl, substituted or unsubstituted carbocyclyl, substituted or unsubstituted heterocyclyl, substituted or unsubstituted aryl, or substituted or unsubstituted heteroaryl. In certain embodiments, RC is —ORC1, wherein RC1 is substituted or unsubstituted alkyl, e.g., methyl. In certain embodiments, one RC is —C(═O)RC1, —C(═O)ORC1, —C(═O)SRC1, —C(═O)N(RC1)2, —NRC1C(═O)RC1, —NRC1C(═O)ORC1, —NRC1C(═O)SRC1, or —NRC1C(═O)N(RC1)2. In certain embodiments, one RC is —C(═O)RC1, —C(═O)ORC1, —C(═O)SRC1, —C(═O)N(RC1)2, —NHC(═O)RC1, —NHC(═O)ORC1, —NHC(═O)SRC1, or —NHC(═O)N(RC1)2. In certain embodiments, one RC is —C(═O)RC1, —C(═O)ORC1, —C(═O)SRC1, —C(═O)N(RC1)2, —NHC(═O)RC1, —NHC(═O)ORC1, —NHC(═O)SRC1, or —NHC(═O)N(RC1)2, wherein one RC1 is substituted or unsubstituted alkyl, substituted or unsubstituted carbocyclyl, substituted or unsubstituted heterocyclyl, substituted or unsubstituted aryl, or substituted or unsubstituted heteroaryl. In certain embodiments, one RC is —C(═O)RC1, —C(═O)ORC1, —C(═O)SRC1, —C(═O)N(RC1)2, —NHC(═O)RC1, —NHC(═O)ORC1, —NHC(═O)SRC1, or —NHC(═O)N(RC1)2, wherein one RC1 is substituted or unsubstituted heteroaryl, e.g., a substituted or unsubstituted bicyclic heteroaryl moiety, such as indolyl.
or a pharmaceutically acceptable salt thereof. In certain embodiments, RC1 is substituted or unsubstituted alkyl, substituted or unsubstituted carbocyclyl, substituted or unsubstituted heterocyclyl, substituted or unsubstituted aryl, or substituted or unsubstituted heteroaryl. In certain embodiments, RC is —C(═O)RC1, —C(═O)ORC1, —C(═O)SRC1, —C(═O)N(RC1)2, —NHC(═O)RC1, —NHC(═O)ORC1, —NHC(═O)SRC1, or —NHC(═O)N(RC1)2.
or a pharmaceutically acceptable salt thereof. In certain embodiments, RC is —ORC1, wherein RC1 is substituted or unsubstituted alkyl, substituted or unsubstituted carbocyclyl, substituted or unsubstituted heterocyclyl, substituted or unsubstituted aryl, or substituted or unsubstituted heteroaryl. In certain embodiments, RC1 of the amide moiety is a substituted or unsubstituted heteroaryl moiety, e.g., a substituted or unsubstituted bicyclic heteroaryl moiety, such as indolyl.
or a pharmaceutically acceptable salt thereof. In certain embodiments, RC1 of the —ORC1 group is substituted or unsubstituted alkyl, substituted or unsubstituted carbocyclyl, substituted or unsubstituted heterocyclyl, substituted or unsubstituted aryl, or substituted or unsubstituted heteroaryl. In certain embodiments, RC1 of the amide moiety is a substituted or unsubstituted heteroaryl moiety, e.g., a substituted or unsubstituted bicyclic heteroaryl moiety, such as indolyl.
or a pharmaceutically acceptable salt thereof. In certain embodiments of Formula (II-c1), c is 0, and RA is absent. In certain embodiments, c is 1, and RA is present, either ortho, meta, or para to the point of attachment of the phenylene group to the pyrazolyl ring. In certain embodiments, the group L1-RH is present either ortho, meta, or para to the point of attachment of the phenylene group to the pyrazolyl ring. In certain embodiments, b is 0. In certain embodiments, b is 1, L2 is a bond, and RD is a group of Formula (i-1). In certain embodiments, each instance of RB is hydrogen. In certain embodiments, L1 is 5 to 15 consecutive covalently bonded atoms in length. In certain embodiments, RH is a group of formula:
or a pharmaceutically acceptable salt thereof. In certain embodiments of Formula (II-e3) or (II-e3a), c is 0, and RA is absent. In certain embodiments, c is 1, and RA is present either at the 2 or 3 position from the point of attachment of the cyclopentylene group to the pyrazolyl ring. In certain embodiments, the group L1-RH is present either at the 2 or 3 position from the point of attachment of the cyclopentylene group to the pyrazolyl ring. In certain embodiments, b is 0. In certain embodiments, b is 1, L2 is a bond, and RD is a group of Formula (i-1). In certain embodiments, each instance of RB is hydrogen. In certain embodiments, L1 is 5 to 15 consecutive covalently bonded atoms in length. In certain embodiments, RH is a group of formula:
or a pharmaceutically acceptable salt thereof. In certain embodiments of Formula (II-e4) or (II-e4a), c is 0, and RA is absent. In certain embodiments, c is 1, and RA is present, either at the 2, 3, or 4 position from the point of attachment of the cyclohexylene group to the pyrazolyl ring. In certain embodiments, the group L1-RH is present either at the 2, 3, or 4 position from the point of attachment of the cyclohexylene group to the pyrazolyl ring. In certain embodiments, b is 0. In certain embodiments, b is 1, L2 is a bond, and RD is a group of Formula (i-1). In certain embodiments, each instance of RB is hydrogen. In certain embodiments, L is 5 to 15 consecutive covalently bonded atoms in length. In certain embodiments, RH is a group of formula:
or a pharmaceutically acceptable salt thereof. In certain embodiments of Formula (II-f1), c is 0 and RA is absent. In certain embodiments, c is 1, and RA is present, either at the 2 or 3 position from the point of attachment of the pyrrolidinyl group to the pyrazolyl ring. In certain embodiments, the group L1-RH is present either at the 2 or 3 position from the point of attachment of the pyrrolidinyl group to the pyrazolyl ring. In certain embodiments, b is 0. In certain embodiments, b is 1, L2 is a bond, and RD is a group of Formula (i-1). In certain embodiments, each instance of RB is hydrogen. In certain embodiments, L1 is 5 to 15 consecutive covalently bonded atoms in length. In certain embodiments, RH is a group of formula:
or a pharmaceutically acceptable salt thereof. In certain embodiments of Formula (II-g1), c is 0, and RA is absent. In certain embodiments, c is 1, and RA is present, either at the 2 or 3 position from the point of attachment of the piperidinylene group to the pyrazolyl ring. In certain embodiments, the group L1-RH is present either at the 2 or 3 position from the point of attachment of the piperidinylene group to the pyrazolyl ring. In certain embodiments, b is 0. In certain embodiments, b is 1, L2 is a bond, and RD is a group of Formula (i-1). In certain embodiments, each instance of RB is hydrogen. In certain embodiments, L1 is 5 to 15 consecutive covalently bonded atoms in length. In certain embodiments, RH is a group of formula:
| TABLE 1 | ||
| Structure | ||
| | TX2-120-1 |
| | TX2-112-1 MWtotal = 674 g/mol MW(—L1—RH) = 220 g/mol MW(M—H) = 455 g/mol L1 = 5 atoms long |
| | TX2-126-1 MWtotal = 757 g/mol MW(—L1—RH) = 262 g/mol MW(M—H) = 496 g/mol L1 = 7 atoms |
| | (R)-TX2-126-1 |
| | (S)-TX2-126-1 |
| | TX2-113-1 MWtotal = 688 g/mol MW(—L1—RH) = 234 g/mol MW(M—H) = 455 g/mol L1 = 6 atoms long |
| | TX2-121-1 MWtotal = 716 g/mol MW(—L1—RH) = 262 g/mol MW(M—H) = 455 g/mol L1 = 7 atoms long |
| | (R)-TX2-121-1 |
| | (S)-TX2-121-1 |
| | TX2-121-3 MWtotal = 718 g/mol MW(—L1—RH) = 262 g/mol MW(M—H) = 457 g/mol L1 = 7 atoms long |
| | (R)-TX2-121-3 |
| | (S)-TX2-121-3 |
| | TX2-114-1 MWtotal = 718 g/mol MW(—L1—RH) = 264 g/mol MW(M—H) = 455 g/mol L1 = 8 atoms long |
| | SML-11-124-1 MWtotal = 841 g/mol MW(—L1—RH) = 346 g/mol MW(M—H) = 495 g/mol L1 = 11 atoms long |
| | (R)-SML-11-124-1 |
| | (S)-SML-11-124-1 |
Pharmaceutical Compositions
wherein Q is —NH—, —NH—NH—, —O—NH—, —NH—O—, —S—, —O—. For example, in certain embodiments, wherein Q is —NH—, A is an amide group of the formula
wherein RW1 is hydrogen, substituted or unsubstituted alkyl, or an amino protecting group; and Q is —NH—, —NH—NH—, —O—NH—, —NH—O—, —S—, —O—. In certain embodiments, Q is —NH—. In certain embodiments, Q is —NH—NH—. In certain embodiments, Q is —S—. In certain embodiments, Q is —O—.
wherein Q is —NH—, —NH—NH—, —O—NH—, —NH—O—, —S—, or —O—. In certain embodiments, Q is —NH—. In certain embodiments, Q is —NH—NH—. In certain embodiments, Q is —S—. In certain embodiments, Q is —O—.
wherein Q is —NH—, —NH—NH—, —O—NH—, —NH—O—, —S—, or —O—. In certain embodiments, Q is —NH—. In certain embodiments, Q is —NH—NH—. In certain embodiments, Q is —S—. In certain embodiments, Q is —O—.
wherein W is O, S, or NRW1, RW1 is hydrogen, substituted or unsubstituted alkyl, or an amino protecting group; and Q is —NH—, —NH—NH—, —O—NH—, —NH—O—, —S—, or —O—. In certain embodiments, W is O. In certain embodiments, W is S. In certain embodiments, W is NRW1 In certain embodiments, Q is —NH—. In certain embodiments, Q is —NH—NH—. In certain embodiments, Q is —S—. In certain embodiments, Q is —O—.
| TABLE 2 | |||
| A | |||
| —C(═O)Q—, | |||
| RX1 | Y* | X* | —QC(═O)— |
| halogen or —ORX2 | —SH | —C(═O)S— | |
| —SH | —SC(═O)— | ||
| —OH | —C(═O)O— | ||
| —OH | —OC(═O)— | ||
| —NH2 | —C(═O)NH— | ||
| —NH2 | —NHC(═O)— | ||
| —NH—NH2 | —C(═O)NHNH— | ||
| —NH—NH2 | —NHNHC(═O)— | ||
| TABLE 3 | ||
| Y* | X* | A |
| Hal or other leaving group | —SH | —S— |
| —OH | —O— | |
| —NH2 | —NH— | |
| —NH—NH2 | —NH—NH— | |
| —O—NH2 | —O—NH— | |
| —SH | Hal or other leaving group | —S— |
| —OH | —O— | |
| —NH2 | —NH— | |
| —NH—NH2 | —NH—NH— | |
| —O—NH2 | —NH—O— | |
| TABLE 8 | ||
| X* | Y* | A |
|
|
—OH, —SH, —NH2, —NHNH2, —O—NH2 |
|
|
|
—OH, —SH, —NH2, —NHNH2, —O—NH2 |
|
| —OH, —SH, —NH2, —NHNH2, —O—NH2 |
|
|
| —OH, —SH, —NH2, —NHNH2, —O—NH2 |
|
|
-
- (1) Purified ErbB3(667-1053) protein was obtained from Invitrogen at a concentration of 1.19 mg/ml. The buffer is 50 mM Tris (pH 7.5), 150 mM NaCl, 0.5 mM EDTA, 0.02% Triton® X-100, 2 mM DTT, 50% Glycerol. Dilute to 30 nM with Kinase Buffer A (50 mM HEPES ph 7.5, 10 mM MgCl2, 1 mM EGTA, 0.01% Brij-35).
- (2) 1 to 1 mix ErbB3 protein with 12 nM LanthaScreen™ Eu-anti-GST antibody solution which was also dilute in Kinase Buffer A. Prior to use, the antibody tube should be thawed and centrifuged at approximately 10,000 g for 5 minutes, and the solution needed for the assay should be aspirated from the top of the solution. This centrifugation step will eliminate spurious data points that can arise on occasion due to any particulates in the product.
- (3) Add 5 ul the mixture of ErbB3 protein and Eu-anti-GST to 5 ul test compound solution per well in coming 384 plates.
- (4) Add 5 ul tracer 178 at concentration of 39 nM per well.
- (5) Incubate for 3 hours at 4° C. and read plate with Perkin Elmer EnVision.
CellTiter-Glo® Luminescent Assay
Claims (25)
Priority Applications (1)
| Application Number | Priority Date | Filing Date | Title |
|---|---|---|---|
| US16/179,833 USRE48175E1 (en) | 2012-10-19 | 2013-10-18 | Hydrophobically tagged small molecules as inducers of protein degradation |
Applications Claiming Priority (4)
| Application Number | Priority Date | Filing Date | Title |
|---|---|---|---|
| US201261716305P | 2012-10-19 | 2012-10-19 | |
| PCT/US2013/065698 WO2014063061A1 (en) | 2012-10-19 | 2013-10-18 | Hydrophobically tagged small molecules as inducers of protein degradation |
| US16/179,833 USRE48175E1 (en) | 2012-10-19 | 2013-10-18 | Hydrophobically tagged small molecules as inducers of protein degradation |
| US14/436,657 US9758522B2 (en) | 2012-10-19 | 2013-10-18 | Hydrophobically tagged small molecules as inducers of protein degradation |
Publications (1)
| Publication Number | Publication Date |
|---|---|
| USRE48175E1 true USRE48175E1 (en) | 2020-08-25 |
Family
ID=50488791
Family Applications (3)
| Application Number | Title | Priority Date | Filing Date |
|---|---|---|---|
| US16/179,833 Expired - Fee Related USRE48175E1 (en) | 2012-10-19 | 2013-10-18 | Hydrophobically tagged small molecules as inducers of protein degradation |
| US14/436,657 Ceased US9758522B2 (en) | 2012-10-19 | 2013-10-18 | Hydrophobically tagged small molecules as inducers of protein degradation |
| US15/699,948 Abandoned US20180354954A9 (en) | 2012-10-19 | 2017-09-08 | Hydrophobically tagged small molecules as inducers of protein degradation |
Family Applications After (2)
| Application Number | Title | Priority Date | Filing Date |
|---|---|---|---|
| US14/436,657 Ceased US9758522B2 (en) | 2012-10-19 | 2013-10-18 | Hydrophobically tagged small molecules as inducers of protein degradation |
| US15/699,948 Abandoned US20180354954A9 (en) | 2012-10-19 | 2017-09-08 | Hydrophobically tagged small molecules as inducers of protein degradation |
Country Status (2)
| Country | Link |
|---|---|
| US (3) | USRE48175E1 (en) |
| WO (1) | WO2014063061A1 (en) |
Cited By (7)
| Publication number | Priority date | Publication date | Assignee | Title |
|---|---|---|---|---|
| US11142507B2 (en) | 2015-09-09 | 2021-10-12 | Dana-Farber Cancer Institute, Inc. | Inhibitors of cyclin-dependent kinases |
| US11325910B2 (en) | 2015-03-27 | 2022-05-10 | Dana-Farber Cancer Institute, Inc. | Inhibitors of cyclin-dependent kinases |
| US20230058545A1 (en) * | 2019-10-08 | 2023-02-23 | Dana-Farber Cancer Institute, Inc. | Hck as a therapeutic target in myd88 mutated diseases |
| US11826365B2 (en) | 2009-12-29 | 2023-11-28 | Dana-Farber Cancer Institute, Inc. | Type II raf kinase inhibitors |
| US12168663B2 (en) | 2014-12-23 | 2024-12-17 | Dana-Farber Cancer Institute, Inc. | Inhibitors of cyclin-dependent kinase 7 (CDK7) |
| US12187701B2 (en) | 2018-06-25 | 2025-01-07 | Dana-Farber Cancer Institute, Inc. | Taire family kinase inhibitors and uses thereof |
| US12281126B2 (en) | 2018-12-28 | 2025-04-22 | Dana-Farber Cancer Institute, Inc. | Inhibitors of cyclin-dependent kinase 7 and uses thereof |
Families Citing this family (89)
| Publication number | Priority date | Publication date | Assignee | Title |
|---|---|---|---|---|
| US8765747B2 (en) | 2009-06-12 | 2014-07-01 | Dana-Farber Cancer Institute, Inc. | Fused 2-aminothiazole compounds |
| US9382239B2 (en) | 2011-11-17 | 2016-07-05 | Dana-Farber Cancer Institute, Inc. | Inhibitors of c-Jun-N-terminal kinase (JNK) |
| EP2909194A1 (en) | 2012-10-18 | 2015-08-26 | Dana-Farber Cancer Institute, Inc. | Inhibitors of cyclin-dependent kinase 7 (cdk7) |
| WO2014063061A1 (en) | 2012-10-19 | 2014-04-24 | Dana-Farber Cancer Institute, Inc. | Hydrophobically tagged small molecules as inducers of protein degradation |
| US10000483B2 (en) | 2012-10-19 | 2018-06-19 | Dana-Farber Cancer Institute, Inc. | Bone marrow on X chromosome kinase (BMX) inhibitors and uses thereof |
| WO2015058126A1 (en) | 2013-10-18 | 2015-04-23 | Syros Pharmaceuticals, Inc. | Heteroaromatic compounds useful for the treatment of prolferative diseases |
| AU2014337044A1 (en) | 2013-10-18 | 2016-05-05 | Dana-Farber Cancer Institute, Inc. | Polycyclic inhibitors of cyclin-dependent kinase 7 (CDK7) |
| US10017477B2 (en) | 2014-04-23 | 2018-07-10 | Dana-Farber Cancer Institute, Inc. | Janus kinase inhibitors and uses thereof |
| WO2015164604A1 (en) * | 2014-04-23 | 2015-10-29 | Dana-Farber Cancer Institute, Inc. | Hydrophobically tagged janus kinase inhibitors and uses thereof |
| WO2016004010A1 (en) * | 2014-07-01 | 2016-01-07 | Board Of Regents, The University Of Texas System | Regulated gene expression from viral vectors |
| US9694084B2 (en) | 2014-12-23 | 2017-07-04 | Dana-Farber Cancer Institute, Inc. | Methods to induce targeted protein degradation through bifunctional molecules |
| JP6815318B2 (en) | 2014-12-23 | 2021-01-20 | ダナ−ファーバー キャンサー インスティテュート,インコーポレイテッド | How to Induce Targeted Proteolysis by Bifunctional Molecules |
| US10702527B2 (en) | 2015-06-12 | 2020-07-07 | Dana-Farber Cancer Institute, Inc. | Combination therapy of transcription inhibitors and kinase inhibitors |
| WO2017007612A1 (en) | 2015-07-07 | 2017-01-12 | Dana-Farber Cancer Institute, Inc. | Methods to induce targeted protein degradation through bifunctional molecules |
| US20200216454A1 (en) * | 2015-12-30 | 2020-07-09 | Dana-Farber Cancer Institute, Inc. | Bifunctional molecules for her3 degradation and methods of use |
| EP3445357B1 (en) | 2016-04-22 | 2021-05-26 | Dana-Farber Cancer Institute, Inc. | Bifunctional molecules for degradation of egfr and methods of use |
| CN109790143A (en) | 2016-05-10 | 2019-05-21 | C4医药公司 | The C of amine connection for target protein degradation3Glutarimide degron body |
| EP3455218A4 (en) | 2016-05-10 | 2019-12-18 | C4 Therapeutics, Inc. | CARBON-BONDED GLUTARIMIDE-TYPE DEGRONIMERS FOR THE DEGRADATION OF TARGET PROTEINS |
| CN109562107A (en) | 2016-05-10 | 2019-04-02 | C4医药公司 | Heterocycle degron body for target protein degradation |
| EP4483875A3 (en) | 2016-05-10 | 2025-04-02 | C4 Therapeutics, Inc. | Spirocyclic degronimers for target protein degradation |
| JP2019522633A (en) | 2016-05-20 | 2019-08-15 | ジェネンテック, インコーポレイテッド | PROTAC antibody conjugates and methods of use |
| GB201610156D0 (en) | 2016-06-10 | 2016-07-27 | Otsuka Pharma Co Ltd | Cliptac compositions |
| WO2018064589A1 (en) | 2016-09-29 | 2018-04-05 | Dana-Farber Cancer Institute, Inc. | Targeted protein degradation using a mutant e3 ubiquitin ligase |
| SG11201903483VA (en) | 2016-10-28 | 2019-05-30 | Icahn School Med Mount Sinai | Compositions and methods for treating ezh2-mediated cancer |
| CN110267659A (en) * | 2016-12-08 | 2019-09-20 | 西奈山伊坎医学院 | For treating the composition and method of the cancer of CDK4/6 mediation |
| KR102742339B1 (en) | 2017-04-21 | 2024-12-13 | 유니버시티 오브 타스마니아 | Therapeutic compounds and methods |
| CN118440096A (en) | 2017-06-20 | 2024-08-06 | C4医药公司 | Degradation stator and degradation determinant for N/O-ligation of protein degradation |
| EP3679027A1 (en) | 2017-09-04 | 2020-07-15 | C4 Therapeutics, Inc. | Dihydrobenzimidazolones |
| WO2019043208A1 (en) | 2017-09-04 | 2019-03-07 | F. Hoffmann-La Roche Ag | Dihydroquinolinones |
| CN118108706A (en) | 2017-09-04 | 2024-05-31 | C4医药公司 | Glutarimide |
| CN109516989B (en) * | 2017-09-17 | 2021-12-31 | 上海美志医药科技有限公司 | CDK (CDK kinase) inhibiting and degrading compound |
| IL273432B (en) | 2017-09-22 | 2022-09-01 | Kymera Therapeutics Inc | Protein degraders and uses thereof |
| US11358948B2 (en) | 2017-09-22 | 2022-06-14 | Kymera Therapeutics, Inc. | CRBN ligands and uses thereof |
| WO2019084026A1 (en) | 2017-10-24 | 2019-05-02 | Genentech, Inc. | (4-hydroxypyrrolidin-2-yl)-heterocyclic compounds and methods of use thereof |
| WO2019084030A1 (en) | 2017-10-24 | 2019-05-02 | Genentech, Inc. | (4-hydroxypyrrolidin-2-yl)-hydroxamate compounds and methods of use thereof |
| WO2019099868A2 (en) | 2017-11-16 | 2019-05-23 | C4 Therapeutics, Inc. | Degraders and degrons for targeted protein degradation |
| IL315310A (en) | 2017-12-26 | 2024-10-01 | Kymera Therapeutics Inc | IRAK joints and used in them |
| EP3737675A4 (en) | 2018-01-12 | 2022-01-05 | Kymera Therapeutics, Inc. | CRBN LIGANDS AND USES THEREOF |
| WO2019140380A1 (en) | 2018-01-12 | 2019-07-18 | Kymera Therapeutics, Inc. | Protein degraders and uses thereof |
| AU2019231689A1 (en) | 2018-03-06 | 2020-09-24 | Icahn School Of Medicine At Mount Sinai | Serine threonine kinase (AKT) degradation / disruption compounds and methods of use |
| WO2019183523A1 (en) | 2018-03-23 | 2019-09-26 | Genentech, Inc. | Hetero-bifunctional degrader compounds and their use as modulators of targeted ubiquination (vhl) |
| CN111902141A (en) | 2018-03-26 | 2020-11-06 | C4医药公司 | Glucocerebroside binders for IKAROS degradation |
| EP3781156A4 (en) | 2018-04-16 | 2022-05-18 | C4 Therapeutics, Inc. | SPIROCYCLIC COMPOUNDS |
| EP3578561A1 (en) | 2018-06-04 | 2019-12-11 | F. Hoffmann-La Roche AG | Spiro compounds |
| WO2019246570A1 (en) | 2018-06-21 | 2019-12-26 | Icahn School Of Medicine At Mount Sinai | Wd40 repeat domain protein 5 (wdr5) degradation / disruption compounds and methods of use |
| WO2020010177A1 (en) | 2018-07-06 | 2020-01-09 | Kymera Therapeutics, Inc. | Tricyclic crbn ligands and uses thereof |
| EP3817822A4 (en) | 2018-07-06 | 2022-07-27 | Kymera Therapeutics, Inc. | PROTEIN DEGRADING AGENTS AND THEIR USES |
| CN110835345A (en) * | 2018-08-17 | 2020-02-25 | 中国科学院上海药物研究所 | Degradation agent of cell cycle dependent kinase, preparation method thereof, pharmaceutical composition and application thereof |
| US11969472B2 (en) | 2018-08-22 | 2024-04-30 | Cullgen (Shanghai), Inc. | Tropomyosin receptor kinase (TRK) degradation compounds and methods of use |
| AU2019323446B2 (en) | 2018-08-22 | 2025-01-30 | Cullgen (Shanghai), Inc. | Tropomyosin receptor kinase (TRK) degradation compounds and methods of use |
| AU2019365238A1 (en) | 2018-10-24 | 2021-05-13 | F. Hoffmann-La Roche Ag | Conjugated chemical inducers of degradation and methods of use |
| CA3119773A1 (en) | 2018-11-30 | 2020-06-04 | Kymera Therapeutics, Inc. | Irak degraders and uses thereof |
| WO2020132016A1 (en) | 2018-12-19 | 2020-06-25 | Celgene Corporation | Substituted 3-((3-aminophenyl)amino)piperidine-2,6-dione compounds, compositions thereof, and methods of treatment therewith |
| KR20250144505A (en) | 2018-12-19 | 2025-10-10 | 셀진 코포레이션 | Substituted 3-((3-aminophenyl)amino)piperidine-2,6-dione compounds, compositions thereof, and methods of treatment therewith |
| CN113453679B (en) | 2018-12-20 | 2025-07-08 | C4医药公司 | Targeted protein degradation |
| WO2020181232A1 (en) | 2019-03-06 | 2020-09-10 | C4 Therapeutics, Inc. | Heterocyclic compounds for medical treatment |
| SG11202109587TA (en) | 2019-03-21 | 2021-10-28 | Codiak Biosciences Inc | Extracellular vesicle conjugates and uses thereof |
| US12233356B2 (en) | 2019-03-21 | 2025-02-25 | Lonza Sales Ag | Process for preparing extracellular vesicles |
| CN120574283A (en) | 2019-04-05 | 2025-09-02 | 凯麦拉医疗公司 | STAT degraders and their uses |
| CN114423463B (en) | 2019-05-06 | 2025-09-26 | 西奈山伊坎医学院 | Heterobifunctional compounds as degraders of HPK1 |
| WO2020251972A1 (en) | 2019-06-10 | 2020-12-17 | Kymera Therapeutics, Inc. | Smarca degraders and uses thereof |
| AU2020301399B2 (en) * | 2019-06-24 | 2025-12-18 | Dana-Farber Cancer Institute, Inc. | HCK degraders and uses thereof |
| AU2020302118A1 (en) | 2019-06-28 | 2022-02-24 | Kymera Therapeutics, Inc. | IRAK degraders and uses thereof |
| CA3148504A1 (en) | 2019-08-08 | 2021-02-11 | Institute For Cancer Research D/B/A/ The Research Institute Of Fox Chase Cancer Center | Combination therapy for treatment of cancer |
| JP2023509366A (en) | 2019-12-17 | 2023-03-08 | カイメラ セラピューティクス, インコーポレイテッド | IRAK dissolving agents and their uses |
| EP4076524A4 (en) | 2019-12-17 | 2023-11-29 | Kymera Therapeutics, Inc. | IRAQ DEGRADATION AGENTS AND THEIR USES |
| CN115297931A (en) | 2019-12-23 | 2022-11-04 | 凯麦拉医疗公司 | SMARCA degrading agents and uses thereof |
| WO2023205701A1 (en) | 2022-04-20 | 2023-10-26 | Kumquat Biosciences Inc. | Macrocyclic heterocycles and uses thereof |
| WO2021170109A1 (en) | 2020-02-26 | 2021-09-02 | Cullgen (Shanghai) , Inc. | Tropomyosin receptor kinase (trk) degradation compounds and methods of use |
| AU2020436612A1 (en) | 2020-03-16 | 2022-09-01 | Flash Therapeutics, Llc | Compounds for treating or inhibiting recurrence of acute myeloid leukemia |
| US12528785B2 (en) | 2020-03-19 | 2026-01-20 | Kymera Therapeutics, Inc. | MDM2 degraders and uses thereof |
| WO2021237100A1 (en) | 2020-05-21 | 2021-11-25 | Codiak Biosciences, Inc. | Methods of targeting extracellular vesicles to lung |
| US12103924B2 (en) | 2020-06-01 | 2024-10-01 | Icahn School Of Medicine At Mount Sinai | Mitogen-activated protein kinase kinase (MEK) degradation compounds and methods of use |
| TW202210483A (en) | 2020-06-03 | 2022-03-16 | 美商凱麥拉醫療公司 | Crystalline forms of irak degraders |
| WO2022066928A2 (en) | 2020-09-23 | 2022-03-31 | Codiak Biosciences, Inc. | Process for preparing extracellular vesicles |
| WO2022120355A1 (en) | 2020-12-02 | 2022-06-09 | Ikena Oncology, Inc. | Tead degraders and uses thereof |
| TW202241891A (en) | 2020-12-30 | 2022-11-01 | 美商凱麥拉醫療公司 | Irak degraders and uses thereof |
| US12171768B2 (en) | 2021-02-15 | 2024-12-24 | Kymera Therapeutics, Inc. | IRAK4 degraders and uses thereof |
| IL308314A (en) | 2021-05-07 | 2024-01-01 | Kymera Therapeutics Inc | Cdk2 degraders and uses thereof |
| WO2023076161A1 (en) | 2021-10-25 | 2023-05-04 | Kymera Therapeutics, Inc. | Tyk2 degraders and uses thereof |
| AR127505A1 (en) | 2021-10-29 | 2024-01-31 | Kymera Therapeutics Inc | IRAQ-4 DEGRADERS AND SYNTHESIS THEREOF |
| WO2023147594A2 (en) | 2022-01-31 | 2023-08-03 | Kymera Therapeutics, Inc. | Irak degraders and uses thereof |
| IL316803A (en) | 2022-06-06 | 2025-01-01 | C4 Therapeutics Inc | Bicyclic-substituted glutarimide cereblon binders |
| WO2024050016A1 (en) | 2022-08-31 | 2024-03-07 | Oerth Bio Llc | Compositions and methods for targeted inhibition and degradation of proteins in an insect cell |
| WO2024064358A1 (en) | 2022-09-23 | 2024-03-28 | Ifm Due, Inc. | Compounds and compositions for treating conditions associated with sting activity |
| TW202500126A (en) | 2023-05-24 | 2025-01-01 | 美商金橘生物科技公司 | Heterocyclic compounds and uses thereof |
| TW202502779A (en) | 2023-06-30 | 2025-01-16 | 美商金橘生物科技公司 | Substituted heteroaromatic amines and uses thereof |
| WO2025049555A1 (en) | 2023-08-31 | 2025-03-06 | Oerth Bio Llc | Compositions and methods for targeted inhibition and degradation of proteins in an insect cell |
| WO2025096855A1 (en) | 2023-11-02 | 2025-05-08 | Kumquat Biosciences Inc. | Degraders and uses thereof |
Citations (251)
| Publication number | Priority date | Publication date | Assignee | Title |
|---|---|---|---|---|
| GB796524A (en) | 1956-03-21 | 1958-06-11 | Hickson & Welch Ltd | Improvements in or relating to optical whitening agents |
| US4231938A (en) | 1979-06-15 | 1980-11-04 | Merck & Co., Inc. | Hypocholesteremic fermentation products and process of preparation |
| US4270537A (en) | 1979-11-19 | 1981-06-02 | Romaine Richard A | Automatic hypodermic syringe |
| WO1984002131A1 (en) | 1982-11-22 | 1984-06-07 | Sandoz Ag | Analogs of mevalolactone and derivatives thereof, processes for their production, pharmaceutical compositions containing them and their use as pharmaceuticals |
| US4596556A (en) | 1985-03-25 | 1986-06-24 | Bioject, Inc. | Hypodermic injection apparatus |
| US4782084A (en) | 1987-06-29 | 1988-11-01 | Merck & Co., Inc. | HMG-COA reductase inhibitors |
| US4790824A (en) | 1987-06-19 | 1988-12-13 | Bioject, Inc. | Non-invasive hypodermic injection device |
| US4885314A (en) | 1987-06-29 | 1989-12-05 | Merck & Co., Inc. | Novel HMG-CoA reductase inhibitors |
| US4886499A (en) | 1986-12-18 | 1989-12-12 | Hoffmann-La Roche Inc. | Portable injection appliance |
| US4940460A (en) | 1987-06-19 | 1990-07-10 | Bioject, Inc. | Patient-fillable and non-invasive hypodermic injection device assembly |
| US4941880A (en) | 1987-06-19 | 1990-07-17 | Bioject, Inc. | Pre-filled ampule and non-invasive hypodermic injection device assembly |
| US5015235A (en) | 1987-02-20 | 1991-05-14 | National Carpet Equipment, Inc. | Syringe needle combination |
| US5064413A (en) | 1989-11-09 | 1991-11-12 | Bioject, Inc. | Needleless hypodermic injection device |
| US5141496A (en) | 1988-11-03 | 1992-08-25 | Tino Dalto | Spring impelled syringe guide with skin penetration depth adjustment |
| US5190521A (en) | 1990-08-22 | 1993-03-02 | Tecnol Medical Products, Inc. | Apparatus and method for raising a skin wheal and anesthetizing skin |
| US5312335A (en) | 1989-11-09 | 1994-05-17 | Bioject Inc. | Needleless hypodermic injection device |
| EP0604181A1 (en) | 1992-12-21 | 1994-06-29 | Eli Lilly And Company | Antitumor compositions and method of treatment |
| US5328483A (en) | 1992-02-27 | 1994-07-12 | Jacoby Richard M | Intradermal injection device with medication and needle guard |
| US5334144A (en) | 1992-10-30 | 1994-08-02 | Becton, Dickinson And Company | Single use disposable needleless injector |
| US5339163A (en) | 1988-03-16 | 1994-08-16 | Canon Kabushiki Kaisha | Automatic exposure control device using plural image plane detection areas |
| WO1994019357A1 (en) | 1993-02-23 | 1994-09-01 | Merrell Dow Pharmaceuticals Inc. | Farnesyl:protein transferase inhibitors as anticancer agents |
| EP0618221A2 (en) | 1993-04-02 | 1994-10-05 | Bristol-Myers Squibb Company | Heterocyclic inhibitors of farnesyl protein transferase |
| US5383851A (en) | 1992-07-24 | 1995-01-24 | Bioject Inc. | Needleless hypodermic injection device |
| WO1995008542A1 (en) | 1993-09-22 | 1995-03-30 | Kyowa Hakko Kogyo Co., Ltd. | Farnesyltransferase inhibitor |
| WO1995010515A1 (en) | 1993-10-15 | 1995-04-20 | Schering Corporation | Tricyclic carbamate compounds useful for inhibition of g-protein function and for treatment of proliferative diseases |
| WO1995010516A1 (en) | 1993-10-15 | 1995-04-20 | Schering Corporation | Tricyclic amide and urea compounds useful for inhibition of g-protein function and for treatment of proliferative diseases |
| WO1995010514A1 (en) | 1993-10-15 | 1995-04-20 | Schering Corporation | Tricyclic sulfonamide compounds useful for inhibition of g-protein function and for treatment of proliferative diseases |
| WO1995011917A1 (en) | 1993-10-25 | 1995-05-04 | Parke, Davis & Company | Substituted tetra- and pentapeptide inhibitors of protein:farnesyl transferase |
| WO1995012612A1 (en) | 1993-11-05 | 1995-05-11 | Warner-Lambert Company | Substituted di- and tripeptide inhibitors of protein:farnesyl transferase |
| WO1995012572A1 (en) | 1993-11-04 | 1995-05-11 | Abbott Laboratories | Cyclobutane derivatives as inhibitors of squalene synthetase and protein farnesyltransferase |
| US5417662A (en) | 1991-09-13 | 1995-05-23 | Pharmacia Ab | Injection needle arrangement |
| US5420245A (en) | 1990-04-18 | 1995-05-30 | Board Of Regents, The University Of Texas | Tetrapeptide-based inhibitors of farnesyl transferase |
| WO1995024612A1 (en) | 1994-03-07 | 1995-09-14 | International Business Machines Corporation | Fast process and device for interpolating intermediate values from periodic phase-shifted signals and for detecting rotary body defects |
| WO1995025086A1 (en) | 1994-03-15 | 1995-09-21 | Eisai Co., Ltd. | Isoprenyl transferase inhibitors |
| EP0675112A1 (en) | 1994-03-31 | 1995-10-04 | Bristol-Myers Squibb Company | Imidazole-containing inhibitors of farnesyl protein transferase |
| WO1995026412A1 (en) | 1994-03-28 | 1995-10-05 | The Uab Research Foundation | Ligands added to adenovirus fiber |
| US5466220A (en) | 1994-03-08 | 1995-11-14 | Bioject, Inc. | Drug vial mixing and transfer device |
| WO1995032987A1 (en) | 1994-05-31 | 1995-12-07 | Isis Pharmaceuticals, Inc. | ANTISENSE OLIGONUCLEOTIDE MODULATION OF raf GENE EXPRESSION |
| WO1995034535A1 (en) | 1994-06-10 | 1995-12-21 | Rhone-Poulenc Rorer S.A. | Novel farnesyl transferase inhibitors, their preparation and pharmaceutical compositions containing same |
| US5480381A (en) | 1991-08-23 | 1996-01-02 | Weston Medical Limited | Needle-less injector |
| WO1996000736A1 (en) | 1994-06-30 | 1996-01-11 | Warner-Lambert Company | Histidine and homohistidine derivatives as inhibitors of protein farnesyltransferase |
| US5484596A (en) | 1984-01-31 | 1996-01-16 | Akzo N.V. | Active specific immunotherapy |
| EP0696593A2 (en) | 1994-08-11 | 1996-02-14 | Bristol-Myers Squibb Company | Inhibitors of farnesyl protein transferase |
| WO1996005169A1 (en) | 1994-08-12 | 1996-02-22 | Banyu Pharmaceutical Co., Ltd. | N,n-disubstituted amic acid derivative |
| WO1996005529A1 (en) | 1994-08-09 | 1996-02-22 | Micron Optics, Inc. | Temperature compensated fiber fabry-perot filters |
| WO1996005168A1 (en) | 1994-08-11 | 1996-02-22 | Banyu Pharmaceutical Co., Ltd. | Substituted amide derivative |
| WO1996006193A1 (en) | 1994-08-20 | 1996-02-29 | Anton More | Converters and method of refining metal melts, in particular refining pig iron to steel |
| WO1996006138A1 (en) | 1994-08-19 | 1996-02-29 | Skw Trostberg Aktiengesellschaft | Method of extracting natural carotinoid dyes |
| US5510510A (en) | 1994-05-10 | 1996-04-23 | Bristol-Meyers Squibb Company | Inhibitors of farnesyl protein transferase |
| WO1996016443A1 (en) | 1994-11-22 | 1996-05-30 | Philips Electronics N.V. | Semiconductor device with a carrier body on which a substrate with a semiconductor element is fastened by means of a glue layer and on which a pattern of conductor tracks is fastened |
| US5523430A (en) | 1994-04-14 | 1996-06-04 | Bristol-Myers Squibb Company | Protein farnesyl transferase inhibitors |
| WO1996017861A1 (en) | 1994-12-09 | 1996-06-13 | Warner-Lambert Company | Substituted tetra- and pentapeptide inhibitors of protein:farnesyl transferase |
| US5527288A (en) | 1990-12-13 | 1996-06-18 | Elan Medical Technologies Limited | Intradermal drug delivery device and method for intradermal delivery of drugs |
| US5532359A (en) | 1993-05-14 | 1996-07-02 | Genentech, Inc. | Ras farnesyl transferase inhibitors |
| WO1996021701A2 (en) | 1995-01-09 | 1996-07-18 | Magla International Ltd. | Wear resistant image printing on latex surfaces |
| WO1996021456A1 (en) | 1995-01-12 | 1996-07-18 | University Of Pittsburgh | Inhibitors of prenyl transferases |
| WO1996022278A1 (en) | 1995-01-18 | 1996-07-25 | Rhone-Poulenc Rorer S.A. | Novel farnesyl transferase inhibitors, preparation thereof and pharmaceutical compositions containing same |
| WO1996024611A1 (en) | 1995-02-09 | 1996-08-15 | Rhone-Poulenc Rorer S.A. | Novel farnesyl transferase inhibitors, preparation thereof, and pharmaceutical compositions containing same |
| WO1996024612A1 (en) | 1995-02-09 | 1996-08-15 | Rhone-Poulenc Rorer S.A. | Novel farnesyl transferase inhibitors, preparation thereof, and pharmaceutical compositions containing same |
| WO1996030018A1 (en) | 1995-03-24 | 1996-10-03 | Schering Corporation | Tricyclic carbamate compounds useful for inhibition of g-protein function and for treatment of proliferative diseases |
| WO1996030017A1 (en) | 1995-03-24 | 1996-10-03 | Schering Corporation | Tricyclic compounds useful for inhibition of g-protein function and for treatment of proliferative diseases |
| WO1996030363A1 (en) | 1995-03-24 | 1996-10-03 | Schering Corporation | Tricyclic amide and urea compounds useful for inhibition of g-protein function and for treatment of proliferative diseases |
| WO1996030362A1 (en) | 1995-03-24 | 1996-10-03 | Schering Corporation | Tricyclic amide and urea compounds useful for inhibition of g-protein function and for treatment of proliferative diseases |
| WO1996030343A1 (en) | 1995-03-29 | 1996-10-03 | Merck & Co., Inc. | Inhibitors of farnesyl-protein transferase |
| WO1996031478A1 (en) | 1995-04-07 | 1996-10-10 | Schering Corporation | Tricyclic compounds useful for inhibition of g-protein function and for treatment of proliferative diseases |
| WO1996031111A1 (en) | 1995-04-07 | 1996-10-10 | Schering Corporation | Tricyclic compounds useful in the treatment of cell proliferative disorders |
| WO1996031501A1 (en) | 1995-04-07 | 1996-10-10 | Schering Corporation | Carbonyl-piperazinyl and piperidinil compounds which inhibit farnesyl protein transferase |
| WO1996031477A1 (en) | 1995-04-07 | 1996-10-10 | Schering Corporation | Tricyclic compounds useful for inhibition of farnesyl protein transferase |
| WO1996033159A1 (en) | 1995-04-21 | 1996-10-24 | Abbott Laboratories | Cyclobutane derivatives as inhibitors of squalene synthase and protein farnesyltransferase |
| US5569189A (en) | 1992-09-28 | 1996-10-29 | Equidyne Systems, Inc. | hypodermic jet injector |
| WO1996034850A1 (en) | 1995-05-03 | 1996-11-07 | Abbott Laboratories | Cyclobutane derivatives and their use as inhibitors of protein farnesyltransferase |
| WO1996034851A1 (en) | 1995-05-03 | 1996-11-07 | Abbott Laboratories | Benzene, pyridine, naphtalene or benzophenone derivatives as inhibitors of squalene synthetase and protein farnesyltransferase |
| US5589485A (en) | 1993-12-09 | 1996-12-31 | Abbott Laboratories | Dorrigocin antitumor agents |
| WO1997000252A1 (en) | 1995-06-16 | 1997-01-03 | Warner-Lambert Company | Tricyclic inhibitors of protein farnesyltransferase |
| WO1997003047A1 (en) | 1995-07-12 | 1997-01-30 | Rhône-Poulenc Rorer S.A. | Novel farnesyl transferase inhibitors, preparation thereof and pharmaceutical compositions containing said inhibitors |
| WO1997002920A1 (en) | 1995-07-11 | 1997-01-30 | Datacon Schweitzer & Zeindl Gmbh | System for automated hermetic sealing of casings |
| WO1997003050A1 (en) | 1995-07-10 | 1997-01-30 | Rhone-Poulenc Rorer S.A. | 4,9-ethano-benzo(f)isoindole derivatives as farnesyl transferase inhibitors |
| US5599302A (en) | 1995-01-09 | 1997-02-04 | Medi-Ject Corporation | Medical injection system and method, gas spring thereof and launching device using gas spring |
| US5602098A (en) | 1993-05-18 | 1997-02-11 | University Of Pittsburgh | Inhibition of farnesyltransferase |
| WO1997004785A1 (en) | 1995-07-28 | 1997-02-13 | Symphar S.A. | Use of phenol substituted diphosphonates as antineoplastic agents |
| WO1997013537A1 (en) | 1995-10-10 | 1997-04-17 | Visionary Medical Products Corporation | Gas pressured needle-less injection device |
| WO1997017070A1 (en) | 1995-11-06 | 1997-05-15 | University Of Pittsburgh | Inhibitors of protein isoprenyl transferases |
| WO1997018813A1 (en) | 1995-11-22 | 1997-05-29 | Merck & Co., Inc. | Inhibitors of farnesyl-protein transferase |
| WO1997021701A1 (en) | 1995-12-08 | 1997-06-19 | Janssen Pharmaceutica N.V. | Farnesyl protein transferase inhibiting (imidazol-5-yl)methyl-2-quinolinone derivatives |
| WO1997023478A1 (en) | 1995-12-22 | 1997-07-03 | Schering Corporation | Tricyclic amides useful for inhibition of g-protein function and for treatment of proliferative diseases |
| US5649912A (en) | 1994-03-07 | 1997-07-22 | Bioject, Inc. | Ampule filling device |
| WO1997026246A1 (en) | 1996-01-16 | 1997-07-24 | Warner-Lambert Company | Substituted histidine inhibitors of protein farnesyltransferase |
| WO1997030053A1 (en) | 1996-02-16 | 1997-08-21 | Biomeasure Incorporated | Farnesyl transferase inhibitors |
| US5661152A (en) | 1993-10-15 | 1997-08-26 | Schering Corporation | Tricyclic sulfonamide compounds useful for inhibition of G-protein function and for treatment of proliferative diseases |
| WO1997037705A1 (en) | 1996-04-11 | 1997-10-16 | Weston Medical Limited | Spring-powered dispensing device for medical purposes |
| WO1997038665A2 (en) | 1996-04-03 | 1997-10-23 | Merck & Co., Inc. | Inhibitors of farnesyl-protein transferase |
| WO1997044350A1 (en) | 1996-05-22 | 1997-11-27 | Warner-Lambert Company | Inhibitors of protein farnesyl transferase |
| WO1998002436A1 (en) | 1996-07-15 | 1998-01-22 | Bristol-Myers Squibb Company | Thiadioxobenzodiazepine inhibitors of farnesyl protein transferase |
| US5756466A (en) | 1994-06-17 | 1998-05-26 | Vertex Pharmaceuticals, Inc. | Inhibitors of interleukin-1β converting enzyme |
| WO1998028980A1 (en) | 1996-12-30 | 1998-07-09 | Merck & Co., Inc. | Inhibitors of farnesyl-protein transferase |
| WO1998029119A1 (en) | 1996-12-30 | 1998-07-09 | Merck & Co., Inc. | Inhibitors of farnesyl-protein transferase |
| US5893397A (en) | 1996-01-12 | 1999-04-13 | Bioject Inc. | Medication vial/syringe liquid-transfer apparatus |
| WO1999034850A1 (en) | 1998-01-08 | 1999-07-15 | Fiderm S.R.L. | Device for controlling the penetration depth of a needle, for application to an injection syringe |
| US5993412A (en) | 1997-05-19 | 1999-11-30 | Bioject, Inc. | Injection apparatus |
| US6069134A (en) | 1991-03-06 | 2000-05-30 | Board Of Regents, The University Of Texas System | Methods and compositions comprising DNA damaging agents and p53 |
| WO2000044777A1 (en) | 1999-01-29 | 2000-08-03 | Imclone Systems Incorporated | Antibodies specific to kdr and uses thereof |
| WO2000050032A1 (en) | 1999-02-25 | 2000-08-31 | Pharmacia & Upjohn S.P.A. | Antitumour synergistic composition |
| WO2000061186A1 (en) | 1999-04-08 | 2000-10-19 | Arch Development Corporation | Use of anti-vegf antibody to enhance radiation in cancer therapy |
| WO2001002369A2 (en) | 1999-07-02 | 2001-01-11 | Agouron Pharmaceuticals, Inc. | Indazole compounds and pharmaceutical compositions for inhibiting protein kinases, and methods for their use |
| WO2001019829A2 (en) | 1999-09-17 | 2001-03-22 | Basf Aktiengesellschaft | Pyrazolopyrimidines as therapeutic agents |
| US6214852B1 (en) | 1998-10-21 | 2001-04-10 | Bristol-Myers Squibb Company | N-[5-[[[5-alkyl-2-oxazolyl]methyl]thio]-2-thiazolyl]-carboxamide inhibitors of cyclin dependent kinases |
| WO2002076986A1 (en) | 2001-03-22 | 2002-10-03 | Abbott Gmbh & Co. Kg | Pyrazolopyrimidines as therapeutic agents |
| WO2002079197A1 (en) | 2001-03-29 | 2002-10-10 | Vertex Pharmaceuticals Incorporated | Inhibitors of c-jun n-terminal kinases (jnk) and other protein kinases |
| WO2002080926A1 (en) | 2001-03-22 | 2002-10-17 | Abbott Gmbh & Co. Kg | Pyrazolopyrimidines as therapeutic agents |
| WO2002083653A1 (en) | 2001-04-11 | 2002-10-24 | Amgen Inc. | Triazinyl acrylamide derivatives as kinase inhibitors |
| WO2002096905A1 (en) | 2001-06-01 | 2002-12-05 | Vertex Pharmaceuticals Incorporated | Thiazole compounds useful as inhibitors of protein kinases |
| WO2002102800A1 (en) | 2001-06-15 | 2002-12-27 | Vertex Pharmaceuticals Incorporated | 5-(2-aminopyrimidin-4-yl) benzisoxazoles as protein kinase inhibitors |
| WO2003018022A1 (en) | 2001-08-22 | 2003-03-06 | Amgen Inc. | 2-amino-4-heteroarylaminopyrimidine derivatives for use in the treatment of cancer |
| WO2003018021A1 (en) | 2001-08-22 | 2003-03-06 | Amgen Inc. | 2,4-disubstituted pyrimidinyl derivatives for use as anticancer agents |
| WO2003026664A1 (en) | 2001-09-26 | 2003-04-03 | Bayer Corporation | 2-phenylamino-4- (5-pyrazolylamino) -pyramidine derivatives as kinase inhibitors, in particular, src kinase inhibitors |
| WO2003051847A1 (en) | 2001-12-19 | 2003-06-26 | Smithkline Beecham P.L.C. | (1-h-indazol-3-yl) -amide derivatives as gsk-3 inhibitors |
| WO2003078403A2 (en) | 2002-03-11 | 2003-09-25 | Aventis Pharma S.A. | Derives d’aminoindazoles comme inhibiteurs de proteine-kinase |
| WO2003097610A1 (en) | 2002-05-17 | 2003-11-27 | Pharmacia Italia S.P.A. | Aminoindazole derivatives active as kinase inhibitors, process for their preparation and pharmaceutical compositions comprising them |
| WO2004005283A1 (en) | 2002-07-09 | 2004-01-15 | Vertex Pharmaceuticals Incorporated | Imidazoles, oxazoles and thiazoles with protein kinase inhibiting activities |
| WO2004009601A1 (en) | 2002-07-19 | 2004-01-29 | Bristol-Myers Squibb Company | Azaindole kinase inhibitors |
| WO2004010995A1 (en) | 2002-07-31 | 2004-02-05 | Smithkline Beecham Corporation | Fused heteroaryl derivatives for use as p38 kinase inhibitors in the treatment of i.a. rheumatoid arthristis |
| JP2004505977A (en) | 2000-08-10 | 2004-02-26 | フアルマシア・イタリア・エツセ・ピー・アー | Bicyclic pyrazoles as kinase inhibitors, methods for preparing them and pharmaceutical compositions containing them |
| WO2004022561A1 (en) | 2002-09-04 | 2004-03-18 | Schering Corporation | Pyrazolopyrimidines as cyclin-dependent kinase inhibitors |
| WO2004026229A2 (en) | 2002-09-04 | 2004-04-01 | Schering Corporation | Pyrazolo[1,5-a]pyrimidines compounds as cyclin dependent kinase inhibitors |
| WO2004039796A1 (en) | 2002-10-28 | 2004-05-13 | Bayer Healthcare Ag | Heteroaryloxy-substituted phenylaminopyrimidines as rho-kinase inhibitors |
| US20040106634A1 (en) | 2000-12-06 | 2004-06-03 | Yoshitaka Satoh | Methods for treating or preventing an inflammatory or metabolic condition or inhibiting JNK |
| WO2004046118A2 (en) | 2002-05-06 | 2004-06-03 | Bayer Pharmaceuticals Corporation | 2-4-(di-phenyl-amino)-pyrimidine derivatives useful for treating hyper-proliferative disorders |
| US20040126359A1 (en) | 2001-04-09 | 2004-07-01 | Lamb Jonathan Robert | Hedgehog |
| WO2004074283A1 (en) | 2003-02-21 | 2004-09-02 | Pfizer Inc. | N-heterocyclyl-substituted amino-thiazole derivatives as protein kinase inhibitors |
| WO2004076458A1 (en) | 2003-02-28 | 2004-09-10 | Teijin Pharma Limited | Pyrazolo[1,5-a]pyrimidine derivatives |
| WO2004078757A2 (en) | 2003-03-06 | 2004-09-16 | Eisai Co., Ltd. | Synthesis of 5-substituted 7-azaindoles and 7-azaidonines |
| WO2004081013A1 (en) | 2003-03-11 | 2004-09-23 | Teijin Pharma Limited | Protein kinase inhibitors |
| WO2004087699A2 (en) | 2003-03-25 | 2004-10-14 | Vertex Pharmaceuticals Incorporated | Thiazoles useful as inhibitors of protein kinases |
| WO2004087707A1 (en) | 2003-03-31 | 2004-10-14 | Vernalis (Cambridge) Limited | Pyrazolopyrimidine compounds and their use in medicine |
| US20040209878A1 (en) | 2002-09-04 | 2004-10-21 | Schering Corporation And Pharmacopeia, Inc. | Novel pyrazolopyrimidines as cyclin dependent kinase inhibitors |
| US20040235892A1 (en) | 2003-05-22 | 2004-11-25 | Yujia Dai | Indazole and benzisoxazole kinase inhibitors |
| WO2004100868A2 (en) | 2003-04-23 | 2004-11-25 | Abbott Laboratories | Method of treating transplant rejection |
| CA2526430A1 (en) | 2003-05-22 | 2004-12-29 | Abbott Laboratories | Indazole, benzisoxazole, and benzisothiazole kinase inhibitors |
| WO2004113303A1 (en) | 2003-06-26 | 2004-12-29 | Astrazeneca Ab | INDAZOLE/PYRZOLO[4,3-c]PYRIDIN DERIVATIVES AS JNK INHIBITORS, COMPOSITIONS AND METHODS RELATED THERETO AS WELL AS INTERMEDIATE THEREOF |
| US20050026914A1 (en) | 2003-07-24 | 2005-02-03 | Amgen Inc. | Substituted heterocyclic compounds and methods of use |
| WO2005011597A2 (en) | 2003-07-29 | 2005-02-10 | Irm Llc | Compounds and compositions as protein kinase inhibitors |
| CA2550128A1 (en) | 2003-12-09 | 2005-06-30 | Bayer Healthcare Ag | Pyrrolopyridine-substituted benzol derivatives for treating cardiovascular diseases |
| CA2563212A1 (en) | 2004-04-08 | 2005-10-20 | Bayer Healthcare Ag | Hetaryloxy-substituted phenylamino pyrimidines as rho kinase inhibitors |
| US20050250837A1 (en) | 2002-10-18 | 2005-11-10 | D Mello Santosh R | Use of C-Raf inhibitors for the treatment of neurodegenerative diseases |
| WO2005108397A1 (en) | 2004-04-27 | 2005-11-17 | Bayer Healthcare Ag | Substituted phenylamino-pyrimidines |
| WO2005116025A2 (en) | 2004-05-26 | 2005-12-08 | Cyclacel Limited | 2-substituted-4-heteroaryl-pyrimidines useful for the treatment of proliferative disorders |
| WO2006003276A1 (en) | 2004-06-04 | 2006-01-12 | Aventis Pharma S.A. | Substituted indazoles, compositions containing same, preparation and use |
| CN1735614A (en) | 2002-09-04 | 2006-02-15 | 先灵公司 | Pyrazolopyrimidines as Cyclin-Dependent Kinase Inhibitors |
| WO2006024834A1 (en) | 2004-08-31 | 2006-03-09 | Astrazeneca Ab | Quinazolinone derivatives and their use as b-raf inhibitors |
| WO2006031806A2 (en) | 2004-09-10 | 2006-03-23 | Atherogenics, Inc. | 2-thiopyrimidinones as therapeutic agents |
| WO2006034341A2 (en) | 2004-09-20 | 2006-03-30 | Xenon Pharmaceuticals Inc. | Pyridazine derivatives for inhibiting human stearoyl-coa-desaturase |
| WO2006040568A1 (en) | 2004-10-15 | 2006-04-20 | Astrazeneca Ab | Quinoxalines as b raf inhibitors |
| JP2006514026A (en) | 2002-12-19 | 2006-04-27 | ファルマシア・イタリア・エス・ピー・エー | Pyrrolo-pyrazole substituted derivatives as kinase inhibitors |
| US20060106083A1 (en) | 2004-11-17 | 2006-05-18 | Pharmacia Italia S.P.A. | Aminoindazole derivatives active as kinase inhibitors, process for their preparation and pharmaceutical compositions comprising them |
| US20060189627A1 (en) | 2005-02-04 | 2006-08-24 | Ellen Laird | RAF inhibitor compounds and methods |
| WO2007002325A1 (en) | 2005-06-22 | 2007-01-04 | Plexxikon, Inc. | Pyrrolo[2,3-b] pyridine derivatives as protein kinase inhibitors |
| WO2007024680A1 (en) | 2005-08-22 | 2007-03-01 | Amgen Inc. | Pyrazolopyridine and pyrazolopyrimidine compounds useful as kinase enzymes modulators |
| US20070060546A1 (en) | 2003-01-22 | 2007-03-15 | Centre National De La Recherche Scientif | Novel use of mifepristone and derivatives therefor as hedgehog protein signaling pathway modulators and applications of same |
| WO2007035428A1 (en) | 2005-09-15 | 2007-03-29 | Bristol-Myers Squibb Company | Met kinase inhibitors |
| WO2007044420A1 (en) | 2005-10-06 | 2007-04-19 | Schering Corporation | Pyrazolopyrimidines as cyclin dependent kinase inhibitors for the treatment of cancer |
| WO2007042786A2 (en) | 2005-10-14 | 2007-04-19 | Cyclacel Limited | 4 -heteroaryl pyrimidine derivatives and use thereof as protein kinase inhibitors |
| US20070093537A1 (en) | 2003-02-06 | 2007-04-26 | Bristol-Myers Squibb Company | Thiazolyl-based compounds useful as kinase inhibitors |
| WO2007048070A2 (en) | 2005-10-21 | 2007-04-26 | Amgen Inc. | Pyrrolo-pyridine derivatives for the treatment of cancer diseases |
| WO2007075869A2 (en) | 2005-12-23 | 2007-07-05 | Ariad Pharmaceuticals, Inc. | Bicyclic heteroaryl compounds |
| US20070225286A1 (en) | 2004-06-10 | 2007-09-27 | Pingda Ren | Compounds and Compositions as Protein Kinase Inhibitors |
| WO2007129195A2 (en) | 2006-05-04 | 2007-11-15 | Pfizer Products Inc. | 4-pyrimidine-5-amino-pyrazole compounds |
| US20070275963A1 (en) | 2006-05-22 | 2007-11-29 | Schering Corporation | PYRAZOLO[1,5-a]PYRIMIDINES |
| US20070281907A1 (en) | 2003-12-22 | 2007-12-06 | Watkins William J | Kinase Inhibitor Phosphonate Conjugates |
| WO2007138277A1 (en) | 2006-05-26 | 2007-12-06 | Astrazeneca Ab | 2-carbocycloamino-4-imidaz0lylpyrimidines as agents for the inhbition of cell proliferation |
| US7312225B2 (en) | 2002-08-21 | 2007-12-25 | Bayer Schering Pharma Ag | Macrocyclic pyrimidines, their production and use as pharmaceutical agents |
| JP2008502610A (en) | 2004-06-15 | 2008-01-31 | メルク パテント ゲゼルシャフト ミット ベシュレンクテル ハフトング | 3-aminoindazole |
| US20080039629A1 (en) | 2003-10-17 | 2008-02-14 | Rigel Pharmaceuticals, Inc. | Benzothniazole compositions and their use as ubiquition ligation inhibitors |
| US20080090849A1 (en) | 2000-12-26 | 2008-04-17 | Aventis Pharma S.A. | Novel purine derivatives, preparation method and use as medicines |
| US20080103167A1 (en) | 2004-04-02 | 2008-05-01 | Gregory Raymond Bebernitz | Sulfonamide-Thiazolpyridine Derivatives As Glucokinase Activators Useful The Treatment Of Type 2 Diabetes |
| WO2008049856A2 (en) | 2006-10-25 | 2008-05-02 | Ingenium Pharmaceuticals Gmbh | Methods of treating pain using cdk inhibitors |
| WO2008063888A2 (en) | 2006-11-22 | 2008-05-29 | Plexxikon, Inc. | Compounds modulating c-fms and/or c-kit activity and uses therefor |
| WO2008068171A1 (en) | 2006-12-08 | 2008-06-12 | F. Hoffmann-La Roche Ag | Substituted pyrimidines and their use as jnk modulators |
| EP1935890A1 (en) | 2005-09-30 | 2008-06-25 | Banyu Pharmaceutical Co., Ltd. | 2-heteroaryl-substituted indole derivative |
| WO2008074749A1 (en) | 2006-12-20 | 2008-06-26 | Nerviano Medical Sciences S.R.L. | Indazole derivatives as kinase inhibitors for the treatment of cancer |
| WO2008080015A2 (en) | 2006-12-21 | 2008-07-03 | Plexxikon, Inc. | Compounds and methods for kinase modulation, and indications therefor |
| US20080214501A1 (en) | 2006-11-03 | 2008-09-04 | Pharmacyclics, Inc. | Bruton's tyrosine kinase activity probe and method of using |
| WO2008112913A1 (en) | 2007-03-14 | 2008-09-18 | Exelixis, Inc. | Inhibitors of the hedgehog pathway |
| US20080249079A1 (en) | 2004-12-30 | 2008-10-09 | Exelixis, Inc. | Pyrimidine Derivatives As Kinase Modulators and Method of Use |
| WO2008124393A1 (en) | 2007-04-04 | 2008-10-16 | Irm Llc | Benzothiazole derivatives and their use as protein kinase inhibitors |
| WO2008144253A1 (en) | 2007-05-14 | 2008-11-27 | Irm Llc | Protein kinase inhibitors and methods for using thereof |
| US20080300267A1 (en) | 2005-05-16 | 2008-12-04 | Barun Okram | Compounds and Compositions as Protein Kinase Inhibitors |
| WO2008151304A1 (en) | 2007-06-05 | 2008-12-11 | Emory University | Selective inhibitors for cyclin-dependent kinases |
| WO2008151183A1 (en) | 2007-06-04 | 2008-12-11 | Avila Therapeutics, Inc. | Heterocyclic compounds and uses thereof |
| WO2009017822A2 (en) | 2007-08-02 | 2009-02-05 | Amgen Inc. | Pi3 kinase modulators and methods of use |
| US20090054392A1 (en) | 2007-08-20 | 2009-02-26 | Wyeth | Naphthylpyrimidine, naphthylpyrazine and naphthylpyridazine analogs and their use as agonists of the wnt-beta-catenin cellular messaging system |
| WO2009028655A1 (en) | 2007-08-30 | 2009-03-05 | Takeda Pharmaceutical Company Limited | Heterocyclic compound and use thereof |
| JP2009510110A (en) | 2005-09-30 | 2009-03-12 | ノバルティス アクチエンゲゼルシャフト | 3-cyclyl-2- (4-sulfamoyl-phenyl) -N-cyclyl-propionamide derivatives useful for the treatment of impaired glucose tolerance and diabetes |
| WO2009032694A1 (en) | 2007-08-28 | 2009-03-12 | Dana Farber Cancer Institute | Amino substituted pyrimidine, pyrollopyridine and pyrazolopyrimidine derivatives useful as kinase inhibitors and in treating proliferative disorders and diseases associated with angiogenesis |
| US20090105250A1 (en) | 2005-01-26 | 2009-04-23 | Irm Llc | Compounds and compositions as protein kinase inhibitors |
| CN100482665C (en) | 2003-02-28 | 2009-04-29 | 帝人制药株式会社 | Pyrazolo [1, 5-a ] pyrimidine derivatives |
| JP2009520805A (en) | 2005-12-21 | 2009-05-28 | ファイザー・プロダクツ・インク | Carbonylaminopyrrolopyrazole, an effective kinase inhibitor |
| WO2009145360A1 (en) | 2008-05-30 | 2009-12-03 | R-Tech Ueno, Ltd. | Benzene or thiophene derivative and use thereof as vap-1 inhibitor |
| WO2009152027A1 (en) | 2008-06-12 | 2009-12-17 | Merck & Co., Inc. | 5,7-dihydro-6h-pyrrolo[2,3-d]pyrimidin-6-one derivatives for mark inhibition |
| WO2009155017A2 (en) | 2008-05-30 | 2009-12-23 | Merck & Co., Inc. | Novel substituted azabenzoxazoles |
| WO2010008847A2 (en) | 2008-06-24 | 2010-01-21 | Takeda Pharmaceutical Company Limited | Pi3k/m tor inhibitors |
| JP2010505905A (en) | 2006-10-11 | 2010-02-25 | ネルビアーノ・メデイカル・サイエンシーズ・エツセ・エルレ・エルレ | Substituted pyrrolo-pyrazole derivatives as kinase inhibitors |
| US20100056524A1 (en) | 2008-04-02 | 2010-03-04 | Mciver Edward Giles | Compound |
| WO2010044885A2 (en) | 2008-10-17 | 2010-04-22 | Whitehead Institute For Biomedical Research | Soluble mtor complexes and modulators thereof |
| WO2010051781A1 (en) | 2008-10-27 | 2010-05-14 | Shanghai Genomics, Inc. | Kinase inhibitors and their use as pharmaceutical agents |
| JP2010518069A (en) | 2007-02-07 | 2010-05-27 | ファイザー・インク | 3-Amino-pyrrolo [3,4-c] pyrazole-5 (1H, 4H, 6H) carbaldehyde derivatives as PKC inhibitors |
| JP2010523643A (en) | 2007-04-12 | 2010-07-15 | ファイザー・インク | Novel 3-amido-pyrrolo [3,4-c] pyrazole-5 (1H, 4H, 6H) carbaldehyde derivatives |
| US20100197688A1 (en) | 2008-05-29 | 2010-08-05 | Nantermet Philippe G | Epha4 rtk inhibitors for treatment of neurological and neurodegenerative disorders and cancer |
| US20100254905A1 (en) * | 2006-09-22 | 2010-10-07 | Lee Honigberg | Inhibitors of bruton's tyrosine kinase |
| WO2010125799A1 (en) | 2009-04-27 | 2010-11-04 | 塩野義製薬株式会社 | Urea derivative having pi3k inhibitory activity |
| WO2010144909A1 (en) | 2009-06-12 | 2010-12-16 | Novartis Ag | Fused heterocyclic compounds and their uses |
| US20110086858A1 (en) | 2009-10-14 | 2011-04-14 | Bristol-Myers Squibb Company | Compounds for the Treatment of Hepatitis C |
| US20110098280A1 (en) | 2003-08-15 | 2011-04-28 | Novartis Ag | 2,4-pyrimidinediamines useful in the treatment of neoplastic diseases, inflammatory and immune system disorders |
| JP2011516533A (en) | 2008-04-09 | 2011-05-26 | メキシケム、アマンコ、ホールディング、ソシエダッド、アノニマ、デ、カピタル、バリアブレ | process |
| US20110207711A1 (en) | 2008-08-05 | 2011-08-25 | Jason Katz | Therapeutic Compounds |
| US20110212053A1 (en) | 2008-06-19 | 2011-09-01 | Dapeng Qian | Phosphatidylinositol 3 kinase inhibitors |
| WO2011115725A2 (en) | 2010-03-16 | 2011-09-22 | Dana-Farber Cancer Institute, Inc. | Indazole compounds and their uses |
| US20120094999A1 (en) | 2009-05-05 | 2012-04-19 | Dana-Farber Cancer Institute, Inc. | Egfr inhibitors and methods of treating disorders |
| US20120165309A1 (en) | 2009-02-12 | 2012-06-28 | Astellas Pharma Inc. | Hetero ring derivative |
| US20120196865A1 (en) | 2009-07-24 | 2012-08-02 | Universite De Strasbourg | Acyl Guanidine Derivatives Modulating The Hedgehog Protein Signaling Pathway |
| US20120329771A1 (en) | 2010-11-18 | 2012-12-27 | Boehringer Ingelheim International Gmbh | Benzylic oxindole pyrimidines |
| WO2013014162A1 (en) | 2011-07-28 | 2013-01-31 | Cellzome Limited | Heterocyclyl pyrimidine analogues as jak inhibitors |
| US20130040949A1 (en) | 2009-12-29 | 2013-02-14 | Dana-Farber Cancer Institute, Inc. | Type ii raf kinase inhibitors |
| WO2013040436A2 (en) | 2011-09-16 | 2013-03-21 | The Regents Of The University Of Michgian | Esx-mediated transcription modulators and related methods |
| WO2013074986A1 (en) | 2011-11-17 | 2013-05-23 | Dana-Farber Cancer Institute, Inc. | Inhibitors of c-jun-n-terminal kinase (jnk) |
| US20130184264A1 (en) | 2010-05-14 | 2013-07-18 | James Elliott Bradner | Compositions And Methods For Treating Neoplasia, Inflammatory Disease And Other Disorders |
| WO2013136070A1 (en) | 2012-03-13 | 2013-09-19 | University Court Of The University Of Dundee | A sik inhibitor for use in a method of treating an inflammatory and/or immune disorder |
| WO2013154778A1 (en) | 2012-04-11 | 2013-10-17 | Dana-Farber Cancer Institute, Inc. | Host targeted inhibitors of dengue virus and other viruses |
| WO2014063061A1 (en) | 2012-10-19 | 2014-04-24 | Dana-Farber Cancer Institute, Inc. | Hydrophobically tagged small molecules as inducers of protein degradation |
| WO2014063054A1 (en) | 2012-10-19 | 2014-04-24 | Dana-Farber Cancer Institute, Inc. | Bone marrow on x chromosome kinase (bmx) inhibitors and uses thereof |
| WO2014063068A1 (en) | 2012-10-18 | 2014-04-24 | Dana-Farber Cancer Institute, Inc. | Inhibitors of cyclin-dependent kinase 7 (cdk7) |
| US20140303112A1 (en) | 2013-04-09 | 2014-10-09 | Han-min Chen | Method for treating disease or condition susceptible to amelioration by AMPK activators and compounds of formula which are useful to activate AMP-activated protein kinase (AMPK) |
| WO2015013635A2 (en) | 2013-07-25 | 2015-01-29 | Dana-Farber Cancer Institute, Inc. | Inhibitors of transcription factors and uses thereof |
| WO2015058140A1 (en) | 2013-10-18 | 2015-04-23 | Dana-Farber Cancer Institute, Inc. | Polycyclic inhibitors of cyclin-dependent kinase 7 (cdk7) |
| WO2015058126A1 (en) | 2013-10-18 | 2015-04-23 | Syros Pharmaceuticals, Inc. | Heteroaromatic compounds useful for the treatment of prolferative diseases |
| WO2015117087A1 (en) | 2014-01-31 | 2015-08-06 | Dana-Farber Cancer Institute, Inc. | Uses of diazepane derivatives |
| US20150274728A1 (en) | 2012-10-19 | 2015-10-01 | 2Y-Chem, Ltd. | Method for preparing an important intermediate of linagliptin |
| WO2015154022A1 (en) | 2014-04-05 | 2015-10-08 | Syros Pharmaceuticals, Inc. | Inhibitors of cyclin-dependent kinase 7 (cdk7) |
| WO2015164614A1 (en) | 2014-04-23 | 2015-10-29 | Dana-Farber Cancer Institute, Inc. | Janus kinase inhibitors and uses thereof |
| WO2015164604A1 (en) | 2014-04-23 | 2015-10-29 | Dana-Farber Cancer Institute, Inc. | Hydrophobically tagged janus kinase inhibitors and uses thereof |
| WO2016014542A1 (en) | 2014-07-21 | 2016-01-28 | Dana-Farber Cancer Institute, Inc. | Imidazolyl kinase inhibitors and uses thereof |
| WO2016014551A1 (en) | 2014-07-21 | 2016-01-28 | Dana-Farber Cancer Institute, Inc. | Macrocyclic kinase inhibitors and uses thereof |
| WO2016023014A2 (en) | 2014-08-08 | 2016-02-11 | Dana-Farber Cancer Institute, Inc. | Uses of salt-inducible kinase (sik) inhibitors |
| WO2016105528A2 (en) | 2014-12-23 | 2016-06-30 | Dana-Farber Cancer Institute, Inc. | Inhibitors of cyclin-dependent kinase 7 (cdk7) |
| MX2016009974A (en) | 2014-01-31 | 2016-10-31 | Dana Farber Cancer Inst Inc | Diaminopyrimidine benzenesulfone derivatives and uses thereof. |
| MX2016009975A (en) | 2014-01-31 | 2016-10-31 | Dana Farber Cancer Inst Inc | Dihydropteridinone derivatives and uses thereof. |
| MX2016009976A (en) | 2014-01-31 | 2016-11-15 | Dana Farber Cancer Inst Inc | Diazepane derivatives and uses thereof. |
| WO2017037576A1 (en) | 2015-08-28 | 2017-03-09 | Novartis Ag | Pharmaceutical combinations comprising (a) the cyclin dependent kinase 4/6 (cdk4/6) inhibitor lee011 (=ribociclib), and (b) the epidermal growth factor receptor (egfr) inhibitor erlotinib, for the treatment or prevention of cancer |
| US9814709B2 (en) | 2014-06-20 | 2017-11-14 | Hefei Institutes Of Physical Science, Chinese Academy Of Sciences | Bruton's tyrosine kinase inhibitor |
| US20180169097A1 (en) | 2015-06-12 | 2018-06-21 | Dana-Farber Cancer Institute, Inc. | Combination therapy of transcription inhibitors and kinase inhibitors |
| US20180319801A1 (en) | 2015-03-27 | 2018-11-08 | Dana-Farber Cancer Institute, Inc. | Inhibitors of cyclin-dependent kinases |
| US20180362483A1 (en) | 2015-09-09 | 2018-12-20 | Dana-Farber Cancer Institute, Inc. | Inhibitors of cyclin-dependent kinases |
Family Cites Families (1)
| Publication number | Priority date | Publication date | Assignee | Title |
|---|---|---|---|---|
| US461699A (en) * | 1891-10-20 | Bicycle |
-
2013
- 2013-10-18 WO PCT/US2013/065698 patent/WO2014063061A1/en not_active Ceased
- 2013-10-18 US US16/179,833 patent/USRE48175E1/en not_active Expired - Fee Related
- 2013-10-18 US US14/436,657 patent/US9758522B2/en not_active Ceased
-
2017
- 2017-09-08 US US15/699,948 patent/US20180354954A9/en not_active Abandoned
Patent Citations (343)
| Publication number | Priority date | Publication date | Assignee | Title |
|---|---|---|---|---|
| GB796524A (en) | 1956-03-21 | 1958-06-11 | Hickson & Welch Ltd | Improvements in or relating to optical whitening agents |
| US4231938A (en) | 1979-06-15 | 1980-11-04 | Merck & Co., Inc. | Hypocholesteremic fermentation products and process of preparation |
| US4270537A (en) | 1979-11-19 | 1981-06-02 | Romaine Richard A | Automatic hypodermic syringe |
| WO1984002131A1 (en) | 1982-11-22 | 1984-06-07 | Sandoz Ag | Analogs of mevalolactone and derivatives thereof, processes for their production, pharmaceutical compositions containing them and their use as pharmaceuticals |
| US5484596A (en) | 1984-01-31 | 1996-01-16 | Akzo N.V. | Active specific immunotherapy |
| US4596556A (en) | 1985-03-25 | 1986-06-24 | Bioject, Inc. | Hypodermic injection apparatus |
| US4886499A (en) | 1986-12-18 | 1989-12-12 | Hoffmann-La Roche Inc. | Portable injection appliance |
| US5015235A (en) | 1987-02-20 | 1991-05-14 | National Carpet Equipment, Inc. | Syringe needle combination |
| US4790824A (en) | 1987-06-19 | 1988-12-13 | Bioject, Inc. | Non-invasive hypodermic injection device |
| US4940460A (en) | 1987-06-19 | 1990-07-10 | Bioject, Inc. | Patient-fillable and non-invasive hypodermic injection device assembly |
| US4941880A (en) | 1987-06-19 | 1990-07-17 | Bioject, Inc. | Pre-filled ampule and non-invasive hypodermic injection device assembly |
| US4782084A (en) | 1987-06-29 | 1988-11-01 | Merck & Co., Inc. | HMG-COA reductase inhibitors |
| US4885314A (en) | 1987-06-29 | 1989-12-05 | Merck & Co., Inc. | Novel HMG-CoA reductase inhibitors |
| US5339163A (en) | 1988-03-16 | 1994-08-16 | Canon Kabushiki Kaisha | Automatic exposure control device using plural image plane detection areas |
| US5141496A (en) | 1988-11-03 | 1992-08-25 | Tino Dalto | Spring impelled syringe guide with skin penetration depth adjustment |
| US5064413A (en) | 1989-11-09 | 1991-11-12 | Bioject, Inc. | Needleless hypodermic injection device |
| US5312335A (en) | 1989-11-09 | 1994-05-17 | Bioject Inc. | Needleless hypodermic injection device |
| US5503627A (en) | 1989-11-09 | 1996-04-02 | Bioject, Inc. | Ampule for needleless injection |
| US5420245A (en) | 1990-04-18 | 1995-05-30 | Board Of Regents, The University Of Texas | Tetrapeptide-based inhibitors of farnesyl transferase |
| US5190521A (en) | 1990-08-22 | 1993-03-02 | Tecnol Medical Products, Inc. | Apparatus and method for raising a skin wheal and anesthetizing skin |
| US5527288A (en) | 1990-12-13 | 1996-06-18 | Elan Medical Technologies Limited | Intradermal drug delivery device and method for intradermal delivery of drugs |
| US6069134A (en) | 1991-03-06 | 2000-05-30 | Board Of Regents, The University Of Texas System | Methods and compositions comprising DNA damaging agents and p53 |
| US5480381A (en) | 1991-08-23 | 1996-01-02 | Weston Medical Limited | Needle-less injector |
| US5417662A (en) | 1991-09-13 | 1995-05-23 | Pharmacia Ab | Injection needle arrangement |
| US5328483A (en) | 1992-02-27 | 1994-07-12 | Jacoby Richard M | Intradermal injection device with medication and needle guard |
| US5520639A (en) | 1992-07-24 | 1996-05-28 | Bioject, Inc. | Needleless hypodermic injection methods and device |
| US5383851A (en) | 1992-07-24 | 1995-01-24 | Bioject Inc. | Needleless hypodermic injection device |
| US5704911A (en) | 1992-09-28 | 1998-01-06 | Equidyne Systems, Inc. | Needleless hypodermic jet injector |
| US5569189A (en) | 1992-09-28 | 1996-10-29 | Equidyne Systems, Inc. | hypodermic jet injector |
| US5334144A (en) | 1992-10-30 | 1994-08-02 | Becton, Dickinson And Company | Single use disposable needleless injector |
| EP0604181A1 (en) | 1992-12-21 | 1994-06-29 | Eli Lilly And Company | Antitumor compositions and method of treatment |
| WO1994019357A1 (en) | 1993-02-23 | 1994-09-01 | Merrell Dow Pharmaceuticals Inc. | Farnesyl:protein transferase inhibitors as anticancer agents |
| EP0618221A2 (en) | 1993-04-02 | 1994-10-05 | Bristol-Myers Squibb Company | Heterocyclic inhibitors of farnesyl protein transferase |
| US5532359A (en) | 1993-05-14 | 1996-07-02 | Genentech, Inc. | Ras farnesyl transferase inhibitors |
| US5602098A (en) | 1993-05-18 | 1997-02-11 | University Of Pittsburgh | Inhibition of farnesyltransferase |
| US5925641A (en) | 1993-09-22 | 1999-07-20 | Kyowa Hakko Kogyo Co., Ltd. | Farnesyltransferase inhibitor |
| WO1995008542A1 (en) | 1993-09-22 | 1995-03-30 | Kyowa Hakko Kogyo Co., Ltd. | Farnesyltransferase inhibitor |
| US5661152A (en) | 1993-10-15 | 1997-08-26 | Schering Corporation | Tricyclic sulfonamide compounds useful for inhibition of G-protein function and for treatment of proliferative diseases |
| WO1995010515A1 (en) | 1993-10-15 | 1995-04-20 | Schering Corporation | Tricyclic carbamate compounds useful for inhibition of g-protein function and for treatment of proliferative diseases |
| WO1995010516A1 (en) | 1993-10-15 | 1995-04-20 | Schering Corporation | Tricyclic amide and urea compounds useful for inhibition of g-protein function and for treatment of proliferative diseases |
| WO1995010514A1 (en) | 1993-10-15 | 1995-04-20 | Schering Corporation | Tricyclic sulfonamide compounds useful for inhibition of g-protein function and for treatment of proliferative diseases |
| WO1995011917A1 (en) | 1993-10-25 | 1995-05-04 | Parke, Davis & Company | Substituted tetra- and pentapeptide inhibitors of protein:farnesyl transferase |
| WO1995012572A1 (en) | 1993-11-04 | 1995-05-11 | Abbott Laboratories | Cyclobutane derivatives as inhibitors of squalene synthetase and protein farnesyltransferase |
| WO1995012612A1 (en) | 1993-11-05 | 1995-05-11 | Warner-Lambert Company | Substituted di- and tripeptide inhibitors of protein:farnesyl transferase |
| US5589485A (en) | 1993-12-09 | 1996-12-31 | Abbott Laboratories | Dorrigocin antitumor agents |
| WO1995024612A1 (en) | 1994-03-07 | 1995-09-14 | International Business Machines Corporation | Fast process and device for interpolating intermediate values from periodic phase-shifted signals and for detecting rotary body defects |
| US5649912A (en) | 1994-03-07 | 1997-07-22 | Bioject, Inc. | Ampule filling device |
| US5466220A (en) | 1994-03-08 | 1995-11-14 | Bioject, Inc. | Drug vial mixing and transfer device |
| WO1995025086A1 (en) | 1994-03-15 | 1995-09-21 | Eisai Co., Ltd. | Isoprenyl transferase inhibitors |
| WO1995026412A1 (en) | 1994-03-28 | 1995-10-05 | The Uab Research Foundation | Ligands added to adenovirus fiber |
| EP0675112A1 (en) | 1994-03-31 | 1995-10-04 | Bristol-Myers Squibb Company | Imidazole-containing inhibitors of farnesyl protein transferase |
| US5523430A (en) | 1994-04-14 | 1996-06-04 | Bristol-Myers Squibb Company | Protein farnesyl transferase inhibitors |
| US5510510A (en) | 1994-05-10 | 1996-04-23 | Bristol-Meyers Squibb Company | Inhibitors of farnesyl protein transferase |
| WO1995032987A1 (en) | 1994-05-31 | 1995-12-07 | Isis Pharmaceuticals, Inc. | ANTISENSE OLIGONUCLEOTIDE MODULATION OF raf GENE EXPRESSION |
| WO1995034535A1 (en) | 1994-06-10 | 1995-12-21 | Rhone-Poulenc Rorer S.A. | Novel farnesyl transferase inhibitors, their preparation and pharmaceutical compositions containing same |
| US5756466A (en) | 1994-06-17 | 1998-05-26 | Vertex Pharmaceuticals, Inc. | Inhibitors of interleukin-1β converting enzyme |
| WO1996000736A1 (en) | 1994-06-30 | 1996-01-11 | Warner-Lambert Company | Histidine and homohistidine derivatives as inhibitors of protein farnesyltransferase |
| US5571792A (en) | 1994-06-30 | 1996-11-05 | Warner-Lambert Company | Histidine and homohistidine derivatives as inhibitors of protein farnesyltransferase |
| WO1996005529A1 (en) | 1994-08-09 | 1996-02-22 | Micron Optics, Inc. | Temperature compensated fiber fabry-perot filters |
| EP0696593A2 (en) | 1994-08-11 | 1996-02-14 | Bristol-Myers Squibb Company | Inhibitors of farnesyl protein transferase |
| US5643958A (en) | 1994-08-11 | 1997-07-01 | Banyu Pharmaceutical Co., Ltd. | Substituted amide derivatives |
| WO1996005168A1 (en) | 1994-08-11 | 1996-02-22 | Banyu Pharmaceutical Co., Ltd. | Substituted amide derivative |
| WO1996005169A1 (en) | 1994-08-12 | 1996-02-22 | Banyu Pharmaceutical Co., Ltd. | N,n-disubstituted amic acid derivative |
| WO1996006138A1 (en) | 1994-08-19 | 1996-02-29 | Skw Trostberg Aktiengesellschaft | Method of extracting natural carotinoid dyes |
| WO1996006193A1 (en) | 1994-08-20 | 1996-02-29 | Anton More | Converters and method of refining metal melts, in particular refining pig iron to steel |
| WO1996016443A1 (en) | 1994-11-22 | 1996-05-30 | Philips Electronics N.V. | Semiconductor device with a carrier body on which a substrate with a semiconductor element is fastened by means of a glue layer and on which a pattern of conductor tracks is fastened |
| WO1996017861A1 (en) | 1994-12-09 | 1996-06-13 | Warner-Lambert Company | Substituted tetra- and pentapeptide inhibitors of protein:farnesyl transferase |
| US5599302A (en) | 1995-01-09 | 1997-02-04 | Medi-Ject Corporation | Medical injection system and method, gas spring thereof and launching device using gas spring |
| WO1996021701A2 (en) | 1995-01-09 | 1996-07-18 | Magla International Ltd. | Wear resistant image printing on latex surfaces |
| WO1996021456A1 (en) | 1995-01-12 | 1996-07-18 | University Of Pittsburgh | Inhibitors of prenyl transferases |
| WO1996022278A1 (en) | 1995-01-18 | 1996-07-25 | Rhone-Poulenc Rorer S.A. | Novel farnesyl transferase inhibitors, preparation thereof and pharmaceutical compositions containing same |
| US5750567A (en) | 1995-01-18 | 1998-05-12 | Phone-Poulenc Rorer Sa. | Farnesyl transferase inhibitors, preparation thereof and pharmaceutical compositions containing same |
| WO1996024612A1 (en) | 1995-02-09 | 1996-08-15 | Rhone-Poulenc Rorer S.A. | Novel farnesyl transferase inhibitors, preparation thereof, and pharmaceutical compositions containing same |
| US5856439A (en) | 1995-02-09 | 1999-01-05 | Rhone-Poulenc Rorer S.A. | Farnesyl transferase inhibitors, preparation thereof, and pharmaceutical compositions containing same |
| WO1996024611A1 (en) | 1995-02-09 | 1996-08-15 | Rhone-Poulenc Rorer S.A. | Novel farnesyl transferase inhibitors, preparation thereof, and pharmaceutical compositions containing same |
| WO1996030018A1 (en) | 1995-03-24 | 1996-10-03 | Schering Corporation | Tricyclic carbamate compounds useful for inhibition of g-protein function and for treatment of proliferative diseases |
| WO1996030017A1 (en) | 1995-03-24 | 1996-10-03 | Schering Corporation | Tricyclic compounds useful for inhibition of g-protein function and for treatment of proliferative diseases |
| WO1996030363A1 (en) | 1995-03-24 | 1996-10-03 | Schering Corporation | Tricyclic amide and urea compounds useful for inhibition of g-protein function and for treatment of proliferative diseases |
| WO1996030362A1 (en) | 1995-03-24 | 1996-10-03 | Schering Corporation | Tricyclic amide and urea compounds useful for inhibition of g-protein function and for treatment of proliferative diseases |
| WO1996030343A1 (en) | 1995-03-29 | 1996-10-03 | Merck & Co., Inc. | Inhibitors of farnesyl-protein transferase |
| WO1996031478A1 (en) | 1995-04-07 | 1996-10-10 | Schering Corporation | Tricyclic compounds useful for inhibition of g-protein function and for treatment of proliferative diseases |
| WO1996031111A1 (en) | 1995-04-07 | 1996-10-10 | Schering Corporation | Tricyclic compounds useful in the treatment of cell proliferative disorders |
| WO1996031501A1 (en) | 1995-04-07 | 1996-10-10 | Schering Corporation | Carbonyl-piperazinyl and piperidinil compounds which inhibit farnesyl protein transferase |
| WO1996031477A1 (en) | 1995-04-07 | 1996-10-10 | Schering Corporation | Tricyclic compounds useful for inhibition of farnesyl protein transferase |
| WO1996033159A1 (en) | 1995-04-21 | 1996-10-24 | Abbott Laboratories | Cyclobutane derivatives as inhibitors of squalene synthase and protein farnesyltransferase |
| WO1996034850A1 (en) | 1995-05-03 | 1996-11-07 | Abbott Laboratories | Cyclobutane derivatives and their use as inhibitors of protein farnesyltransferase |
| WO1996034851A1 (en) | 1995-05-03 | 1996-11-07 | Abbott Laboratories | Benzene, pyridine, naphtalene or benzophenone derivatives as inhibitors of squalene synthetase and protein farnesyltransferase |
| WO1997000252A1 (en) | 1995-06-16 | 1997-01-03 | Warner-Lambert Company | Tricyclic inhibitors of protein farnesyltransferase |
| WO1997003050A1 (en) | 1995-07-10 | 1997-01-30 | Rhone-Poulenc Rorer S.A. | 4,9-ethano-benzo(f)isoindole derivatives as farnesyl transferase inhibitors |
| US5936097A (en) | 1995-07-10 | 1999-08-10 | Rhone-Poulenc Rorer, S.A. | 4,9-ethano-benzo(F)isoindole derivatives as farnesyl transferase inhibitors |
| WO1997002920A1 (en) | 1995-07-11 | 1997-01-30 | Datacon Schweitzer & Zeindl Gmbh | System for automated hermetic sealing of casings |
| WO1997003047A1 (en) | 1995-07-12 | 1997-01-30 | Rhône-Poulenc Rorer S.A. | Novel farnesyl transferase inhibitors, preparation thereof and pharmaceutical compositions containing said inhibitors |
| US5889053A (en) | 1995-07-12 | 1999-03-30 | Rhone-Poulenc Rorer S.A. | Farnesyl transferase inhibitors, preparation thereof and pharmaceuticals compositions containing said inhibitors |
| WO1997004785A1 (en) | 1995-07-28 | 1997-02-13 | Symphar S.A. | Use of phenol substituted diphosphonates as antineoplastic agents |
| WO1997013537A1 (en) | 1995-10-10 | 1997-04-17 | Visionary Medical Products Corporation | Gas pressured needle-less injection device |
| WO1997017070A1 (en) | 1995-11-06 | 1997-05-15 | University Of Pittsburgh | Inhibitors of protein isoprenyl transferases |
| WO1997018813A1 (en) | 1995-11-22 | 1997-05-29 | Merck & Co., Inc. | Inhibitors of farnesyl-protein transferase |
| WO1997021701A1 (en) | 1995-12-08 | 1997-06-19 | Janssen Pharmaceutica N.V. | Farnesyl protein transferase inhibiting (imidazol-5-yl)methyl-2-quinolinone derivatives |
| WO1997023478A1 (en) | 1995-12-22 | 1997-07-03 | Schering Corporation | Tricyclic amides useful for inhibition of g-protein function and for treatment of proliferative diseases |
| US5893397A (en) | 1996-01-12 | 1999-04-13 | Bioject Inc. | Medication vial/syringe liquid-transfer apparatus |
| WO1997026246A1 (en) | 1996-01-16 | 1997-07-24 | Warner-Lambert Company | Substituted histidine inhibitors of protein farnesyltransferase |
| WO1997030053A1 (en) | 1996-02-16 | 1997-08-21 | Biomeasure Incorporated | Farnesyl transferase inhibitors |
| WO1997038665A2 (en) | 1996-04-03 | 1997-10-23 | Merck & Co., Inc. | Inhibitors of farnesyl-protein transferase |
| WO1997037705A1 (en) | 1996-04-11 | 1997-10-16 | Weston Medical Limited | Spring-powered dispensing device for medical purposes |
| WO1997044350A1 (en) | 1996-05-22 | 1997-11-27 | Warner-Lambert Company | Inhibitors of protein farnesyl transferase |
| WO1998002436A1 (en) | 1996-07-15 | 1998-01-22 | Bristol-Myers Squibb Company | Thiadioxobenzodiazepine inhibitors of farnesyl protein transferase |
| WO1998028980A1 (en) | 1996-12-30 | 1998-07-09 | Merck & Co., Inc. | Inhibitors of farnesyl-protein transferase |
| WO1998029119A1 (en) | 1996-12-30 | 1998-07-09 | Merck & Co., Inc. | Inhibitors of farnesyl-protein transferase |
| US5993412A (en) | 1997-05-19 | 1999-11-30 | Bioject, Inc. | Injection apparatus |
| WO1999034850A1 (en) | 1998-01-08 | 1999-07-15 | Fiderm S.R.L. | Device for controlling the penetration depth of a needle, for application to an injection syringe |
| US6214852B1 (en) | 1998-10-21 | 2001-04-10 | Bristol-Myers Squibb Company | N-[5-[[[5-alkyl-2-oxazolyl]methyl]thio]-2-thiazolyl]-carboxamide inhibitors of cyclin dependent kinases |
| WO2000044777A1 (en) | 1999-01-29 | 2000-08-03 | Imclone Systems Incorporated | Antibodies specific to kdr and uses thereof |
| WO2000050032A1 (en) | 1999-02-25 | 2000-08-31 | Pharmacia & Upjohn S.P.A. | Antitumour synergistic composition |
| WO2000061186A1 (en) | 1999-04-08 | 2000-10-19 | Arch Development Corporation | Use of anti-vegf antibody to enhance radiation in cancer therapy |
| WO2001002369A2 (en) | 1999-07-02 | 2001-01-11 | Agouron Pharmaceuticals, Inc. | Indazole compounds and pharmaceutical compositions for inhibiting protein kinases, and methods for their use |
| JP2003503481A (en) | 1999-07-02 | 2003-01-28 | アゴウロン・ファーマスーティカルス・インコーポレーテッド | Indazole and its use for protein kinase inhibition |
| WO2001019829A2 (en) | 1999-09-17 | 2001-03-22 | Basf Aktiengesellschaft | Pyrazolopyrimidines as therapeutic agents |
| US6921763B2 (en) * | 1999-09-17 | 2005-07-26 | Abbott Laboratories | Pyrazolopyrimidines as therapeutic agents |
| US8273765B2 (en) | 2000-08-10 | 2012-09-25 | Pfizer Italia S.R.L. | Bicyclo-pyrazoles and pharmaceutical compositions comprising them |
| JP2004505977A (en) | 2000-08-10 | 2004-02-26 | フアルマシア・イタリア・エツセ・ピー・アー | Bicyclic pyrazoles as kinase inhibitors, methods for preparing them and pharmaceutical compositions containing them |
| US20040106634A1 (en) | 2000-12-06 | 2004-06-03 | Yoshitaka Satoh | Methods for treating or preventing an inflammatory or metabolic condition or inhibiting JNK |
| US20080090849A1 (en) | 2000-12-26 | 2008-04-17 | Aventis Pharma S.A. | Novel purine derivatives, preparation method and use as medicines |
| WO2002080926A1 (en) | 2001-03-22 | 2002-10-17 | Abbott Gmbh & Co. Kg | Pyrazolopyrimidines as therapeutic agents |
| WO2002076986A1 (en) | 2001-03-22 | 2002-10-03 | Abbott Gmbh & Co. Kg | Pyrazolopyrimidines as therapeutic agents |
| JP2004529140A (en) | 2001-03-29 | 2004-09-24 | バーテックス ファーマシューティカルズ インコーポレイテッド | Inhibitors of C-JUNN-terminal kinase (JNK) and other protein kinases |
| WO2002079197A1 (en) | 2001-03-29 | 2002-10-10 | Vertex Pharmaceuticals Incorporated | Inhibitors of c-jun n-terminal kinases (jnk) and other protein kinases |
| US20040126359A1 (en) | 2001-04-09 | 2004-07-01 | Lamb Jonathan Robert | Hedgehog |
| WO2002083653A1 (en) | 2001-04-11 | 2002-10-24 | Amgen Inc. | Triazinyl acrylamide derivatives as kinase inhibitors |
| US20030139416A1 (en) | 2001-04-11 | 2003-07-24 | Buchanan John L. | Substituted triazinyl acrylamide derivatives and methods of use |
| WO2002096905A1 (en) | 2001-06-01 | 2002-12-05 | Vertex Pharmaceuticals Incorporated | Thiazole compounds useful as inhibitors of protein kinases |
| WO2002102800A1 (en) | 2001-06-15 | 2002-12-27 | Vertex Pharmaceuticals Incorporated | 5-(2-aminopyrimidin-4-yl) benzisoxazoles as protein kinase inhibitors |
| WO2003018021A1 (en) | 2001-08-22 | 2003-03-06 | Amgen Inc. | 2,4-disubstituted pyrimidinyl derivatives for use as anticancer agents |
| US6939874B2 (en) | 2001-08-22 | 2005-09-06 | Amgen Inc. | Substituted pyrimidinyl derivatives and methods of use |
| JP2005505535A (en) | 2001-08-22 | 2005-02-24 | アムジエン・インコーポレーテツド | 2,4-Disubstituted pyrimidinyl derivatives for use as anticancer agents |
| JP2005501860A (en) | 2001-08-22 | 2005-01-20 | アムジエン・インコーポレーテツド | 2-Amino-4-heteroarylaminopyrimidine derivatives for cancer treatment |
| US7115617B2 (en) | 2001-08-22 | 2006-10-03 | Amgen Inc. | Amino-substituted pyrimidinyl derivatives and methods of use |
| WO2003018022A1 (en) | 2001-08-22 | 2003-03-06 | Amgen Inc. | 2-amino-4-heteroarylaminopyrimidine derivatives for use in the treatment of cancer |
| WO2003026664A1 (en) | 2001-09-26 | 2003-04-03 | Bayer Corporation | 2-phenylamino-4- (5-pyrazolylamino) -pyramidine derivatives as kinase inhibitors, in particular, src kinase inhibitors |
| WO2003051847A1 (en) | 2001-12-19 | 2003-06-26 | Smithkline Beecham P.L.C. | (1-h-indazol-3-yl) -amide derivatives as gsk-3 inhibitors |
| JP2005530711A (en) | 2002-03-11 | 2005-10-13 | アベンティス・ファーマ・ソシエテ・アノニム | Aminoindazole derivatives, process for their preparation, use of intermediates of said process as medicaments and pharmaceutical compositions comprising said derivatives |
| WO2003078403A2 (en) | 2002-03-11 | 2003-09-25 | Aventis Pharma S.A. | Derives d’aminoindazoles comme inhibiteurs de proteine-kinase |
| WO2004046118A2 (en) | 2002-05-06 | 2004-06-03 | Bayer Pharmaceuticals Corporation | 2-4-(di-phenyl-amino)-pyrimidine derivatives useful for treating hyper-proliferative disorders |
| JP2005534635A (en) | 2002-05-17 | 2005-11-17 | ファルマシア・イタリア・エス・ピー・エー | Aminoindazole derivatives active as kinase inhibitors, methods for their preparation, and pharmaceutical compositions containing them |
| CA2486101A1 (en) | 2002-05-17 | 2003-11-27 | Pharmacia Italia S.P.A. | Aminoindazole derivatives active as kinase inhibitors, process for their preparation and pharmaceutical compositions comprising them |
| WO2003097610A1 (en) | 2002-05-17 | 2003-11-27 | Pharmacia Italia S.P.A. | Aminoindazole derivatives active as kinase inhibitors, process for their preparation and pharmaceutical compositions comprising them |
| WO2004005283A1 (en) | 2002-07-09 | 2004-01-15 | Vertex Pharmaceuticals Incorporated | Imidazoles, oxazoles and thiazoles with protein kinase inhibiting activities |
| WO2004009601A1 (en) | 2002-07-19 | 2004-01-29 | Bristol-Myers Squibb Company | Azaindole kinase inhibitors |
| JP2005538100A (en) | 2002-07-31 | 2005-12-15 | スミスクライン ビーチャム コーポレーション | I. A. Fused Heteroaryl Derivatives for Use as p38 Kinase Inhibitors in the Treatment of Rheumatoid Arthritis |
| WO2004010995A1 (en) | 2002-07-31 | 2004-02-05 | Smithkline Beecham Corporation | Fused heteroaryl derivatives for use as p38 kinase inhibitors in the treatment of i.a. rheumatoid arthristis |
| US7312225B2 (en) | 2002-08-21 | 2007-12-25 | Bayer Schering Pharma Ag | Macrocyclic pyrimidines, their production and use as pharmaceutical agents |
| CN1701073A (en) | 2002-09-04 | 2005-11-23 | 先灵公司 | Pyrazolo[1,5-A]pyrimidines as inhibitors of cyclin-dependent kinases |
| WO2004026229A2 (en) | 2002-09-04 | 2004-04-01 | Schering Corporation | Pyrazolo[1,5-a]pyrimidines compounds as cyclin dependent kinase inhibitors |
| US20040209878A1 (en) | 2002-09-04 | 2004-10-21 | Schering Corporation And Pharmacopeia, Inc. | Novel pyrazolopyrimidines as cyclin dependent kinase inhibitors |
| WO2004022561A1 (en) | 2002-09-04 | 2004-03-18 | Schering Corporation | Pyrazolopyrimidines as cyclin-dependent kinase inhibitors |
| CN1735614A (en) | 2002-09-04 | 2006-02-15 | 先灵公司 | Pyrazolopyrimidines as Cyclin-Dependent Kinase Inhibitors |
| US20050250837A1 (en) | 2002-10-18 | 2005-11-10 | D Mello Santosh R | Use of C-Raf inhibitors for the treatment of neurodegenerative diseases |
| WO2004039796A1 (en) | 2002-10-28 | 2004-05-13 | Bayer Healthcare Ag | Heteroaryloxy-substituted phenylaminopyrimidines as rho-kinase inhibitors |
| CA2503646A1 (en) | 2002-10-28 | 2004-05-13 | Bayer Healthcare Ag | Heteroaryloxy-substituted phenylaminopyrimidines as rho-kinase inhibitors |
| US20090082346A1 (en) | 2002-12-19 | 2009-03-26 | Pfizer Italia S.R.L. | Substituted Pyrrolo-Pyrazole Derivatives as Kinase Inhibitors |
| JP2006514026A (en) | 2002-12-19 | 2006-04-27 | ファルマシア・イタリア・エス・ピー・エー | Pyrrolo-pyrazole substituted derivatives as kinase inhibitors |
| US20070060546A1 (en) | 2003-01-22 | 2007-03-15 | Centre National De La Recherche Scientif | Novel use of mifepristone and derivatives therefor as hedgehog protein signaling pathway modulators and applications of same |
| US20070093537A1 (en) | 2003-02-06 | 2007-04-26 | Bristol-Myers Squibb Company | Thiazolyl-based compounds useful as kinase inhibitors |
| WO2004074283A1 (en) | 2003-02-21 | 2004-09-02 | Pfizer Inc. | N-heterocyclyl-substituted amino-thiazole derivatives as protein kinase inhibitors |
| CN100482665C (en) | 2003-02-28 | 2009-04-29 | 帝人制药株式会社 | Pyrazolo [1, 5-a ] pyrimidine derivatives |
| WO2004076458A1 (en) | 2003-02-28 | 2004-09-10 | Teijin Pharma Limited | Pyrazolo[1,5-a]pyrimidine derivatives |
| WO2004078757A2 (en) | 2003-03-06 | 2004-09-16 | Eisai Co., Ltd. | Synthesis of 5-substituted 7-azaindoles and 7-azaidonines |
| WO2004081013A1 (en) | 2003-03-11 | 2004-09-23 | Teijin Pharma Limited | Protein kinase inhibitors |
| CN1784410A (en) | 2003-03-11 | 2006-06-07 | 帝人制药株式会社 | Protein kinase inhibitors |
| JP2006521394A (en) | 2003-03-24 | 2006-09-21 | シグナル ファーマシューティカルズ,エルエルシー | Method of treating or preventing inflammation or metabolic symptoms by inhibiting JNK |
| WO2004087699A2 (en) | 2003-03-25 | 2004-10-14 | Vertex Pharmaceuticals Incorporated | Thiazoles useful as inhibitors of protein kinases |
| WO2004087707A1 (en) | 2003-03-31 | 2004-10-14 | Vernalis (Cambridge) Limited | Pyrazolopyrimidine compounds and their use in medicine |
| WO2004100868A2 (en) | 2003-04-23 | 2004-11-25 | Abbott Laboratories | Method of treating transplant rejection |
| US20040235892A1 (en) | 2003-05-22 | 2004-11-25 | Yujia Dai | Indazole and benzisoxazole kinase inhibitors |
| JP2007500226A (en) | 2003-05-22 | 2007-01-11 | アボット・ラボラトリーズ | Indazole, benzisoxazole and benzisothiazole kinase inhibitors |
| WO2004113304A1 (en) | 2003-05-22 | 2004-12-29 | Abbott Laboratories | Indazole, benzisoxazole, and benzisothiazole kinase inhibitors |
| CA2526430A1 (en) | 2003-05-22 | 2004-12-29 | Abbott Laboratories | Indazole, benzisoxazole, and benzisothiazole kinase inhibitors |
| WO2004113303A1 (en) | 2003-06-26 | 2004-12-29 | Astrazeneca Ab | INDAZOLE/PYRZOLO[4,3-c]PYRIDIN DERIVATIVES AS JNK INHIBITORS, COMPOSITIONS AND METHODS RELATED THERETO AS WELL AS INTERMEDIATE THEREOF |
| US20050026914A1 (en) | 2003-07-24 | 2005-02-03 | Amgen Inc. | Substituted heterocyclic compounds and methods of use |
| JP2007500725A (en) | 2003-07-29 | 2007-01-18 | アイアールエム・リミテッド・ライアビリティ・カンパニー | Compounds and compositions as protein kinase inhibitors |
| WO2005011597A2 (en) | 2003-07-29 | 2005-02-10 | Irm Llc | Compounds and compositions as protein kinase inhibitors |
| US20110098280A1 (en) | 2003-08-15 | 2011-04-28 | Novartis Ag | 2,4-pyrimidinediamines useful in the treatment of neoplastic diseases, inflammatory and immune system disorders |
| US20080039629A1 (en) | 2003-10-17 | 2008-02-14 | Rigel Pharmaceuticals, Inc. | Benzothniazole compositions and their use as ubiquition ligation inhibitors |
| WO2005058891A1 (en) | 2003-12-09 | 2005-06-30 | Bayer Healthcare Ag | Pyrrolopyridine-substituted benzol derivatives for treating cardiovascular diseases |
| CA2550128A1 (en) | 2003-12-09 | 2005-06-30 | Bayer Healthcare Ag | Pyrrolopyridine-substituted benzol derivatives for treating cardiovascular diseases |
| US20070281907A1 (en) | 2003-12-22 | 2007-12-06 | Watkins William J | Kinase Inhibitor Phosphonate Conjugates |
| US20080103167A1 (en) | 2004-04-02 | 2008-05-01 | Gregory Raymond Bebernitz | Sulfonamide-Thiazolpyridine Derivatives As Glucokinase Activators Useful The Treatment Of Type 2 Diabetes |
| CA2563212A1 (en) | 2004-04-08 | 2005-10-20 | Bayer Healthcare Ag | Hetaryloxy-substituted phenylamino pyrimidines as rho kinase inhibitors |
| WO2005097790A1 (en) | 2004-04-08 | 2005-10-20 | Bayer Healthcare Ag | Hetaryloxy-substituted phenylamino pyrimidines as rho kinase inhibitors |
| WO2005108397A1 (en) | 2004-04-27 | 2005-11-17 | Bayer Healthcare Ag | Substituted phenylamino-pyrimidines |
| WO2005116025A2 (en) | 2004-05-26 | 2005-12-08 | Cyclacel Limited | 2-substituted-4-heteroaryl-pyrimidines useful for the treatment of proliferative disorders |
| JP2008500320A (en) | 2004-05-26 | 2008-01-10 | サイクラセル リミテッド | 2-Substituted-4-heteroaryl-pyrimidines useful for the treatment of proliferative disorders |
| WO2006003276A1 (en) | 2004-06-04 | 2006-01-12 | Aventis Pharma S.A. | Substituted indazoles, compositions containing same, preparation and use |
| JP2008501669A (en) | 2004-06-04 | 2008-01-24 | アバンテイス・フアルマ・エス・アー | Substituted indazoles, compositions containing them, their preparation and their use |
| US20070225286A1 (en) | 2004-06-10 | 2007-09-27 | Pingda Ren | Compounds and Compositions as Protein Kinase Inhibitors |
| JP2008502610A (en) | 2004-06-15 | 2008-01-31 | メルク パテント ゲゼルシャフト ミット ベシュレンクテル ハフトング | 3-aminoindazole |
| WO2006024834A1 (en) | 2004-08-31 | 2006-03-09 | Astrazeneca Ab | Quinazolinone derivatives and their use as b-raf inhibitors |
| WO2006031806A2 (en) | 2004-09-10 | 2006-03-23 | Atherogenics, Inc. | 2-thiopyrimidinones as therapeutic agents |
| WO2006034341A2 (en) | 2004-09-20 | 2006-03-30 | Xenon Pharmaceuticals Inc. | Pyridazine derivatives for inhibiting human stearoyl-coa-desaturase |
| WO2006040568A1 (en) | 2004-10-15 | 2006-04-20 | Astrazeneca Ab | Quinoxalines as b raf inhibitors |
| US20060106083A1 (en) | 2004-11-17 | 2006-05-18 | Pharmacia Italia S.P.A. | Aminoindazole derivatives active as kinase inhibitors, process for their preparation and pharmaceutical compositions comprising them |
| US20080249079A1 (en) | 2004-12-30 | 2008-10-09 | Exelixis, Inc. | Pyrimidine Derivatives As Kinase Modulators and Method of Use |
| US20090105250A1 (en) | 2005-01-26 | 2009-04-23 | Irm Llc | Compounds and compositions as protein kinase inhibitors |
| US20060189627A1 (en) | 2005-02-04 | 2006-08-24 | Ellen Laird | RAF inhibitor compounds and methods |
| US20080300267A1 (en) | 2005-05-16 | 2008-12-04 | Barun Okram | Compounds and Compositions as Protein Kinase Inhibitors |
| WO2007002325A1 (en) | 2005-06-22 | 2007-01-04 | Plexxikon, Inc. | Pyrrolo[2,3-b] pyridine derivatives as protein kinase inhibitors |
| WO2007002433A1 (en) | 2005-06-22 | 2007-01-04 | Plexxikon, Inc. | Pyrrolo [2, 3-b] pyridine derivatives as protein kinase inhibitors |
| WO2007024680A1 (en) | 2005-08-22 | 2007-03-01 | Amgen Inc. | Pyrazolopyridine and pyrazolopyrimidine compounds useful as kinase enzymes modulators |
| WO2007035428A1 (en) | 2005-09-15 | 2007-03-29 | Bristol-Myers Squibb Company | Met kinase inhibitors |
| EP1935890A1 (en) | 2005-09-30 | 2008-06-25 | Banyu Pharmaceutical Co., Ltd. | 2-heteroaryl-substituted indole derivative |
| JP2009510110A (en) | 2005-09-30 | 2009-03-12 | ノバルティス アクチエンゲゼルシャフト | 3-cyclyl-2- (4-sulfamoyl-phenyl) -N-cyclyl-propionamide derivatives useful for the treatment of impaired glucose tolerance and diabetes |
| WO2007044420A1 (en) | 2005-10-06 | 2007-04-19 | Schering Corporation | Pyrazolopyrimidines as cyclin dependent kinase inhibitors for the treatment of cancer |
| WO2007042786A2 (en) | 2005-10-14 | 2007-04-19 | Cyclacel Limited | 4 -heteroaryl pyrimidine derivatives and use thereof as protein kinase inhibitors |
| WO2007048070A2 (en) | 2005-10-21 | 2007-04-26 | Amgen Inc. | Pyrrolo-pyridine derivatives for the treatment of cancer diseases |
| US20070185171A1 (en) | 2005-10-21 | 2007-08-09 | Julie Germain | Compounds and methods of use |
| JP2009520805A (en) | 2005-12-21 | 2009-05-28 | ファイザー・プロダクツ・インク | Carbonylaminopyrrolopyrazole, an effective kinase inhibitor |
| US7884117B2 (en) | 2005-12-21 | 2011-02-08 | Pfizer Inc. | Carbonylamino pyrrolopyrazoles, potent kinase inhibitors |
| WO2007075869A2 (en) | 2005-12-23 | 2007-07-05 | Ariad Pharmaceuticals, Inc. | Bicyclic heteroaryl compounds |
| WO2007129195A2 (en) | 2006-05-04 | 2007-11-15 | Pfizer Products Inc. | 4-pyrimidine-5-amino-pyrazole compounds |
| US20070275963A1 (en) | 2006-05-22 | 2007-11-29 | Schering Corporation | PYRAZOLO[1,5-a]PYRIMIDINES |
| WO2007138277A1 (en) | 2006-05-26 | 2007-12-06 | Astrazeneca Ab | 2-carbocycloamino-4-imidaz0lylpyrimidines as agents for the inhbition of cell proliferation |
| US8088781B2 (en) | 2006-09-22 | 2012-01-03 | Pharmacyclics, Inc. | Inhibitors of brutons tyrosine kinase |
| US20100254905A1 (en) * | 2006-09-22 | 2010-10-07 | Lee Honigberg | Inhibitors of bruton's tyrosine kinase |
| US20120277248A1 (en) | 2006-10-11 | 2012-11-01 | Nerviano Medical Sciences S.R.L. | Substituted pyrrolo-pyrazole derivatives as kinase inhibitors |
| JP2010505905A (en) | 2006-10-11 | 2010-02-25 | ネルビアーノ・メデイカル・サイエンシーズ・エツセ・エルレ・エルレ | Substituted pyrrolo-pyrazole derivatives as kinase inhibitors |
| WO2008049856A2 (en) | 2006-10-25 | 2008-05-02 | Ingenium Pharmaceuticals Gmbh | Methods of treating pain using cdk inhibitors |
| US20080214501A1 (en) | 2006-11-03 | 2008-09-04 | Pharmacyclics, Inc. | Bruton's tyrosine kinase activity probe and method of using |
| WO2008063888A2 (en) | 2006-11-22 | 2008-05-29 | Plexxikon, Inc. | Compounds modulating c-fms and/or c-kit activity and uses therefor |
| JP2010511655A (en) | 2006-12-08 | 2010-04-15 | エフ.ホフマン−ラ ロシュ アーゲー | Substituted pyrimidines and their use as JNK modulators |
| WO2008068171A1 (en) | 2006-12-08 | 2008-06-12 | F. Hoffmann-La Roche Ag | Substituted pyrimidines and their use as jnk modulators |
| WO2008074749A1 (en) | 2006-12-20 | 2008-06-26 | Nerviano Medical Sciences S.R.L. | Indazole derivatives as kinase inhibitors for the treatment of cancer |
| WO2008080015A2 (en) | 2006-12-21 | 2008-07-03 | Plexxikon, Inc. | Compounds and methods for kinase modulation, and indications therefor |
| JP2010518069A (en) | 2007-02-07 | 2010-05-27 | ファイザー・インク | 3-Amino-pyrrolo [3,4-c] pyrazole-5 (1H, 4H, 6H) carbaldehyde derivatives as PKC inhibitors |
| US20120202809A1 (en) | 2007-02-07 | 2012-08-09 | Pfizer Inc. | Novel n-pyrimidin-4-yl-3-amino-pyrrolo[3,4-c]pyrazole derivatives as pkc kinase inhibitors |
| JP2010521487A (en) | 2007-03-14 | 2010-06-24 | エクセリクシス, インク. | Inhibitors of the hedgehog pathway |
| WO2008112913A1 (en) | 2007-03-14 | 2008-09-18 | Exelixis, Inc. | Inhibitors of the hedgehog pathway |
| WO2008124393A1 (en) | 2007-04-04 | 2008-10-16 | Irm Llc | Benzothiazole derivatives and their use as protein kinase inhibitors |
| JP2010523643A (en) | 2007-04-12 | 2010-07-15 | ファイザー・インク | Novel 3-amido-pyrrolo [3,4-c] pyrazole-5 (1H, 4H, 6H) carbaldehyde derivatives |
| WO2008144253A1 (en) | 2007-05-14 | 2008-11-27 | Irm Llc | Protein kinase inhibitors and methods for using thereof |
| WO2008151183A1 (en) | 2007-06-04 | 2008-12-11 | Avila Therapeutics, Inc. | Heterocyclic compounds and uses thereof |
| WO2008151304A1 (en) | 2007-06-05 | 2008-12-11 | Emory University | Selective inhibitors for cyclin-dependent kinases |
| WO2009017822A2 (en) | 2007-08-02 | 2009-02-05 | Amgen Inc. | Pi3 kinase modulators and methods of use |
| US7928140B2 (en) | 2007-08-02 | 2011-04-19 | Amgen Inc. | Benzothiazole PI3 kinase modulators for cancer treatment |
| US20090054405A1 (en) | 2007-08-02 | 2009-02-26 | Amgen Inc. | PI3 kinase modulators and methods of use |
| US20090054392A1 (en) | 2007-08-20 | 2009-02-26 | Wyeth | Naphthylpyrimidine, naphthylpyrazine and naphthylpyridazine analogs and their use as agonists of the wnt-beta-catenin cellular messaging system |
| WO2009032694A1 (en) | 2007-08-28 | 2009-03-12 | Dana Farber Cancer Institute | Amino substituted pyrimidine, pyrollopyridine and pyrazolopyrimidine derivatives useful as kinase inhibitors and in treating proliferative disorders and diseases associated with angiogenesis |
| WO2009028655A1 (en) | 2007-08-30 | 2009-03-05 | Takeda Pharmaceutical Company Limited | Heterocyclic compound and use thereof |
| US20100056524A1 (en) | 2008-04-02 | 2010-03-04 | Mciver Edward Giles | Compound |
| JP2011516533A (en) | 2008-04-09 | 2011-05-26 | メキシケム、アマンコ、ホールディング、ソシエダッド、アノニマ、デ、カピタル、バリアブレ | process |
| US20100197688A1 (en) | 2008-05-29 | 2010-08-05 | Nantermet Philippe G | Epha4 rtk inhibitors for treatment of neurological and neurodegenerative disorders and cancer |
| WO2009145360A1 (en) | 2008-05-30 | 2009-12-03 | R-Tech Ueno, Ltd. | Benzene or thiophene derivative and use thereof as vap-1 inhibitor |
| WO2009155017A2 (en) | 2008-05-30 | 2009-12-23 | Merck & Co., Inc. | Novel substituted azabenzoxazoles |
| WO2009152027A1 (en) | 2008-06-12 | 2009-12-17 | Merck & Co., Inc. | 5,7-dihydro-6h-pyrrolo[2,3-d]pyrimidin-6-one derivatives for mark inhibition |
| US20110212053A1 (en) | 2008-06-19 | 2011-09-01 | Dapeng Qian | Phosphatidylinositol 3 kinase inhibitors |
| EP2311842A2 (en) | 2008-06-24 | 2011-04-20 | Takeda Pharmaceutical Company Limited | PI3K/M TOR inhibitors |
| WO2010008847A2 (en) | 2008-06-24 | 2010-01-21 | Takeda Pharmaceutical Company Limited | Pi3k/m tor inhibitors |
| US20110178070A1 (en) | 2008-06-24 | 2011-07-21 | Takeda Pharmaceutical Company Limited | PI3K/mTOR INHIBITORS |
| US20110207711A1 (en) | 2008-08-05 | 2011-08-25 | Jason Katz | Therapeutic Compounds |
| WO2010044885A2 (en) | 2008-10-17 | 2010-04-22 | Whitehead Institute For Biomedical Research | Soluble mtor complexes and modulators thereof |
| US8394818B2 (en) | 2008-10-17 | 2013-03-12 | Dana-Farber Cancer Institute, Inc. | Soluble mTOR complexes and modulators thereof |
| US8889706B2 (en) | 2008-10-17 | 2014-11-18 | Whitehead Institute For Biomedical Research | Soluble mTOR complexes and modulators thereof |
| WO2010051781A1 (en) | 2008-10-27 | 2010-05-14 | Shanghai Genomics, Inc. | Kinase inhibitors and their use as pharmaceutical agents |
| US20120165309A1 (en) | 2009-02-12 | 2012-06-28 | Astellas Pharma Inc. | Hetero ring derivative |
| WO2010125799A1 (en) | 2009-04-27 | 2010-11-04 | 塩野義製薬株式会社 | Urea derivative having pi3k inhibitory activity |
| US20120094999A1 (en) | 2009-05-05 | 2012-04-19 | Dana-Farber Cancer Institute, Inc. | Egfr inhibitors and methods of treating disorders |
| US20150094315A1 (en) | 2009-06-12 | 2015-04-02 | Dana-Farber Cancer Institute, Inc. | Fused 2-aminothiazole compounds |
| US20120088766A1 (en) | 2009-06-12 | 2012-04-12 | Dana-Farber Cancer Institute, Inc. | Fused heterocyclic compounds and their uses |
| WO2010144909A1 (en) | 2009-06-12 | 2010-12-16 | Novartis Ag | Fused heterocyclic compounds and their uses |
| JP2012530071A (en) | 2009-06-12 | 2012-11-29 | デイナ ファーバー キャンサー インスティチュート,インコーポレイテッド | Fused heterocyclic compounds and their use |
| US8765747B2 (en) | 2009-06-12 | 2014-07-01 | Dana-Farber Cancer Institute, Inc. | Fused 2-aminothiazole compounds |
| US9505784B2 (en) | 2009-06-12 | 2016-11-29 | Dana-Farber Cancer Institute, Inc. | Fused 2-aminothiazole compounds |
| US20120196865A1 (en) | 2009-07-24 | 2012-08-02 | Universite De Strasbourg | Acyl Guanidine Derivatives Modulating The Hedgehog Protein Signaling Pathway |
| US20110086858A1 (en) | 2009-10-14 | 2011-04-14 | Bristol-Myers Squibb Company | Compounds for the Treatment of Hepatitis C |
| US20150157629A1 (en) | 2009-12-29 | 2015-06-11 | Dana-Farber Cancer Institute, Inc. | Type ii raf kinase inhibitors |
| US9358231B2 (en) | 2009-12-29 | 2016-06-07 | Dana-Farber Cancer Institute, Inc. | Type II RAF kinase inhibitors |
| US9180127B2 (en) | 2009-12-29 | 2015-11-10 | Dana-Farber Cancer Institute, Inc. | Type II Raf kinase inhibitors |
| US20130040949A1 (en) | 2009-12-29 | 2013-02-14 | Dana-Farber Cancer Institute, Inc. | Type ii raf kinase inhibitors |
| US20160046636A1 (en) | 2009-12-29 | 2016-02-18 | Dana-Farber Cancer Institute, Inc. | Type ii raf kinase inhibitors |
| US8987275B2 (en) | 2010-03-16 | 2015-03-24 | Dana-Farber Cancer Institute, Inc. | Indazole compounds and their uses |
| US20130184287A1 (en) | 2010-03-16 | 2013-07-18 | Dana-Farber Cancer Institute, Inc. | Indazole compounds and their uses |
| WO2011115725A2 (en) | 2010-03-16 | 2011-09-22 | Dana-Farber Cancer Institute, Inc. | Indazole compounds and their uses |
| US20130184264A1 (en) | 2010-05-14 | 2013-07-18 | James Elliott Bradner | Compositions And Methods For Treating Neoplasia, Inflammatory Disease And Other Disorders |
| US20120329771A1 (en) | 2010-11-18 | 2012-12-27 | Boehringer Ingelheim International Gmbh | Benzylic oxindole pyrimidines |
| WO2013014162A1 (en) | 2011-07-28 | 2013-01-31 | Cellzome Limited | Heterocyclyl pyrimidine analogues as jak inhibitors |
| WO2013040436A2 (en) | 2011-09-16 | 2013-03-21 | The Regents Of The University Of Michgian | Esx-mediated transcription modulators and related methods |
| US20140309249A1 (en) | 2011-11-17 | 2014-10-16 | Dana-Farber Cancer Intitute, Inc. | Inhibitors of c-jun-n-terminal kinase (jnk) |
| US20160368910A1 (en) | 2011-11-17 | 2016-12-22 | Dana-Farber Cancer Institute, Inc. | Inhibitors of c-jun-n-terminal kinase (jnk) |
| WO2013074986A1 (en) | 2011-11-17 | 2013-05-23 | Dana-Farber Cancer Institute, Inc. | Inhibitors of c-jun-n-terminal kinase (jnk) |
| US9382239B2 (en) | 2011-11-17 | 2016-07-05 | Dana-Farber Cancer Institute, Inc. | Inhibitors of c-Jun-N-terminal kinase (JNK) |
| US20190248778A1 (en) | 2011-11-17 | 2019-08-15 | Dana-Farber Cancer Institute, Inc. | Inhibitors of c-jun-n-terminal kinase (jnk) |
| US10144730B2 (en) | 2011-11-17 | 2018-12-04 | Dana-Farber Cancer Institute, Inc. | Inhibitors of c-Jun-N-terminal kinase (JNK) |
| WO2013136070A1 (en) | 2012-03-13 | 2013-09-19 | University Court Of The University Of Dundee | A sik inhibitor for use in a method of treating an inflammatory and/or immune disorder |
| US9670165B2 (en) | 2012-03-13 | 2017-06-06 | Dana-Farber Cancer Institute, Inc. | SIK inhibitor for use in a method of treating an inflammatory and/or immune disorder |
| WO2013154778A1 (en) | 2012-04-11 | 2013-10-17 | Dana-Farber Cancer Institute, Inc. | Host targeted inhibitors of dengue virus and other viruses |
| US20150166532A1 (en) | 2012-04-11 | 2015-06-18 | President And Fellows Of Harvard College | Host targeted inhibitors of dengue virus and other viruses |
| US9879003B2 (en) | 2012-04-11 | 2018-01-30 | Dana-Farber Cancer Institute, Inc. | Host targeted inhibitors of dengue virus and other viruses |
| US20160122323A1 (en) | 2012-10-18 | 2016-05-05 | Dana-Farber Cancer Institute, Inc. | Inhibitors of cyclin-dependent kinase 7 (cdk7) |
| US10112927B2 (en) | 2012-10-18 | 2018-10-30 | Dana-Farber Cancer Institute, Inc. | Inhibitors of cyclin-dependent kinase 7 (CDK7) |
| WO2014063068A1 (en) | 2012-10-18 | 2014-04-24 | Dana-Farber Cancer Institute, Inc. | Inhibitors of cyclin-dependent kinase 7 (cdk7) |
| US20200017475A9 (en) | 2012-10-18 | 2020-01-16 | Dana-Farber Cancer Institute, Inc. | Inhibitors of cyclin-dependent kinase 7 (cdk7) |
| US20150274728A1 (en) | 2012-10-19 | 2015-10-01 | 2Y-Chem, Ltd. | Method for preparing an important intermediate of linagliptin |
| WO2014063061A1 (en) | 2012-10-19 | 2014-04-24 | Dana-Farber Cancer Institute, Inc. | Hydrophobically tagged small molecules as inducers of protein degradation |
| WO2014063054A1 (en) | 2012-10-19 | 2014-04-24 | Dana-Farber Cancer Institute, Inc. | Bone marrow on x chromosome kinase (bmx) inhibitors and uses thereof |
| US20150246913A1 (en) | 2012-10-19 | 2015-09-03 | Dana-Farber Cancer Institute, Inc. | Bone marrow on x chromosome kinase (bmx) inhibitors and uses thereof |
| US10000483B2 (en) | 2012-10-19 | 2018-06-19 | Dana-Farber Cancer Institute, Inc. | Bone marrow on X chromosome kinase (BMX) inhibitors and uses thereof |
| US20180093990A1 (en) | 2012-10-19 | 2018-04-05 | Dana-Farber Cancer Institute, Inc. | Hydrophobically tagged small molecules as inducers of protein degradation |
| US20200024271A9 (en) | 2012-10-19 | 2020-01-23 | Dana-Farber Cancer Institute, Inc. | Bone marrow on x chromosome kinase (bmx) inhibitors and uses thereof |
| US9758522B2 (en) | 2012-10-19 | 2017-09-12 | Dana-Farber Cancer Institute, Inc. | Hydrophobically tagged small molecules as inducers of protein degradation |
| WO2014063054A8 (en) | 2012-10-19 | 2014-06-19 | Dana-Farber Cancer Institute, Inc. | Bone marrow on x chromosome kinase (bmx) inhibitors and uses thereof |
| US20140303112A1 (en) | 2013-04-09 | 2014-10-09 | Han-min Chen | Method for treating disease or condition susceptible to amelioration by AMPK activators and compounds of formula which are useful to activate AMP-activated protein kinase (AMPK) |
| WO2015013635A2 (en) | 2013-07-25 | 2015-01-29 | Dana-Farber Cancer Institute, Inc. | Inhibitors of transcription factors and uses thereof |
| US10047070B2 (en) | 2013-10-18 | 2018-08-14 | Dana-Farber Cancer Institute, Inc. | Polycyclic inhibitors of cyclin-dependent kinase 7 (CDK7) |
| US20190241541A1 (en) | 2013-10-18 | 2019-08-08 | Syros Pharmaceuticals, Inc. | Heteroaromatic compounds useful for the treatment of proliferative diseases |
| WO2015058140A1 (en) | 2013-10-18 | 2015-04-23 | Dana-Farber Cancer Institute, Inc. | Polycyclic inhibitors of cyclin-dependent kinase 7 (cdk7) |
| US20160264554A1 (en) | 2013-10-18 | 2016-09-15 | Dana-Farber Cancer Institute, Inc. | Polycyclic inhibitors of cyclin-dependent kinase 7 (cdk7) |
| JP2016533379A (en) | 2013-10-18 | 2016-10-27 | デイナ ファーバー キャンサー インスティチュート,インコーポレイテッド | Polycyclic inhibitors of cyclin-dependent kinase 7 (CDK7) |
| US20160264551A1 (en) | 2013-10-18 | 2016-09-15 | Syros Pharmaceuticals, Inc. | Heteroaromatic compounds useful for the treatment of prolferative diseases |
| US20190031642A1 (en) | 2013-10-18 | 2019-01-31 | Dana-Farber Cancer Institute, Inc. | Polycyclic inhibitors of cyclin-dependent kinase 7 (cdk7) |
| WO2015058126A1 (en) | 2013-10-18 | 2015-04-23 | Syros Pharmaceuticals, Inc. | Heteroaromatic compounds useful for the treatment of prolferative diseases |
| JP2017504651A (en) | 2014-01-31 | 2017-02-09 | ダナ−ファーバー キャンサー インスティテュート, インコーポレイテッド | Use of diazepan derivatives |
| MX2016009976A (en) | 2014-01-31 | 2016-11-15 | Dana Farber Cancer Inst Inc | Diazepane derivatives and uses thereof. |
| MX2016009975A (en) | 2014-01-31 | 2016-10-31 | Dana Farber Cancer Inst Inc | Dihydropteridinone derivatives and uses thereof. |
| MX2016009974A (en) | 2014-01-31 | 2016-10-31 | Dana Farber Cancer Inst Inc | Diaminopyrimidine benzenesulfone derivatives and uses thereof. |
| WO2015117087A1 (en) | 2014-01-31 | 2015-08-06 | Dana-Farber Cancer Institute, Inc. | Uses of diazepane derivatives |
| WO2015154022A1 (en) | 2014-04-05 | 2015-10-08 | Syros Pharmaceuticals, Inc. | Inhibitors of cyclin-dependent kinase 7 (cdk7) |
| US20170044112A1 (en) | 2014-04-23 | 2017-02-16 | Dana-Farber Cancer Institute, Inc. | Hydrophobically tagged janus kinase inhibitors and uses thereof |
| WO2015164604A1 (en) | 2014-04-23 | 2015-10-29 | Dana-Farber Cancer Institute, Inc. | Hydrophobically tagged janus kinase inhibitors and uses thereof |
| US9862688B2 (en) | 2014-04-23 | 2018-01-09 | Dana-Farber Cancer Institute, Inc. | Hydrophobically tagged janus kinase inhibitors and uses thereof |
| US20170044111A1 (en) | 2014-04-23 | 2017-02-16 | Dana-Farber Cancer Institute, Inc. | Janus kinase inhibitors and uses thereof |
| US10017477B2 (en) | 2014-04-23 | 2018-07-10 | Dana-Farber Cancer Institute, Inc. | Janus kinase inhibitors and uses thereof |
| WO2015164614A1 (en) | 2014-04-23 | 2015-10-29 | Dana-Farber Cancer Institute, Inc. | Janus kinase inhibitors and uses thereof |
| US9814709B2 (en) | 2014-06-20 | 2017-11-14 | Hefei Institutes Of Physical Science, Chinese Academy Of Sciences | Bruton's tyrosine kinase inhibitor |
| WO2016014551A1 (en) | 2014-07-21 | 2016-01-28 | Dana-Farber Cancer Institute, Inc. | Macrocyclic kinase inhibitors and uses thereof |
| WO2016014542A1 (en) | 2014-07-21 | 2016-01-28 | Dana-Farber Cancer Institute, Inc. | Imidazolyl kinase inhibitors and uses thereof |
| WO2016023014A2 (en) | 2014-08-08 | 2016-02-11 | Dana-Farber Cancer Institute, Inc. | Uses of salt-inducible kinase (sik) inhibitors |
| WO2016105528A2 (en) | 2014-12-23 | 2016-06-30 | Dana-Farber Cancer Institute, Inc. | Inhibitors of cyclin-dependent kinase 7 (cdk7) |
| US20190055248A1 (en) | 2014-12-23 | 2019-02-21 | Dana-Farber Cancer Institute, Inc. | Inhibitors of cyclindependent kinase 7 (cdk7) |
| US20180319801A1 (en) | 2015-03-27 | 2018-11-08 | Dana-Farber Cancer Institute, Inc. | Inhibitors of cyclin-dependent kinases |
| US10550121B2 (en) | 2015-03-27 | 2020-02-04 | Dana-Farber Cancer Institute, Inc. | Inhibitors of cyclin-dependent kinases |
| US20190315747A9 (en) | 2015-03-27 | 2019-10-17 | Dana-Farber Cancer Institute, Inc. | Inhibitors of cyclin-dependent kinases |
| US20180169097A1 (en) | 2015-06-12 | 2018-06-21 | Dana-Farber Cancer Institute, Inc. | Combination therapy of transcription inhibitors and kinase inhibitors |
| US20190015411A9 (en) | 2015-06-12 | 2019-01-17 | Dana-Farber Cancer Institute, Inc. | Combination therapy of transcription inhibitors and kinase inhibitors |
| WO2017037576A1 (en) | 2015-08-28 | 2017-03-09 | Novartis Ag | Pharmaceutical combinations comprising (a) the cyclin dependent kinase 4/6 (cdk4/6) inhibitor lee011 (=ribociclib), and (b) the epidermal growth factor receptor (egfr) inhibitor erlotinib, for the treatment or prevention of cancer |
| US20180362483A1 (en) | 2015-09-09 | 2018-12-20 | Dana-Farber Cancer Institute, Inc. | Inhibitors of cyclin-dependent kinases |
Non-Patent Citations (233)
| Title |
|---|
| Akhtar et al., TFIIH kinase places bivalent marks on the carboxy-terminal domain of RNA polymerase II. Mol Cell. May 15, 2009;34(3):387-93. doi: 10.1016/j.molce1.2009.04.016. |
| Akhtar et al., TFIIH kinase places bivalent marks on the carboxy-terminal domain of RNA polymerase II. Mol Cell. May 15, 2009;34(3):387-93. doi: 10.1016/j.molcel.2009.04.016. |
| Akira et al., Toll-like receptor signalling. Nat Rev Immunol. Jul. 2004;4(7):499-511. |
| Attoub et al., The c-kit tyrosine kinase inhibitor STI571 for colorectal cancer therapy. Cancer Res. Sep. 1, 2002;62(17):4879-83. |
| Bai et al., Design, synthesis and anticancer activity of 1-acy1-3-amino-1,4,5,6-tetrahydropyrrolo[3,4-c]pyrazole derivatives. Bioorg Med Chem Lett. Nov. 15, 2012;22(22):6947-51. Suppl. Info, 46 pages doi: 10.1016/j.bmc1.2012.08.117. Epub Sep. 8, 2012. |
| Bajrami et al., Genome-wide profiling of genetic synthetic lethality identifies CDK12 as a novel determinant of PARP1/2 inhibitor sensitivity. Cancer Res. Jan. 1, 2014;74(1):287-97. doi: 10.1158/0008-5472.CAN-13-2541. Epub Nov. 15, 2013. |
| Bartkowiak et al., CDK12 is a transcription elongation-associated CTD kinase, the metazoan ortholog of yeast Ctk1. Genes Dev. Oct. 15, 2010;24(20):2303-16. doi: 10.1101/gad.1968210. |
| Beeler et al., Role of the JNK-interacting protein 1/islet brain 1 in cell degeneration in Alzheimer disease and diabetes. Brain Res Bull. Oct. 28, 2009;80(4-5):274-81. doi: 10.1016/j.brainresbull.2009.07.006. Epub Jul. 16, 2009. |
| Bell et al., Integrated genomic analyses of ovarian carcinoma. Nature. Jun. 29, 2011;474(7353):609-15. doi: 10.1038/nature10166. |
| Ben-Av et al., Induction of vascular endothelial growth factor expression in synovial fibroblasts by prostaglandin E and interleukin-1: a potential mechanism for inflammatory angiogenesis. FEBS Letters 1995;372:83-7. |
| Benezra et al., In vivo angiogenic activity of interleukins. Archives of Opthamology 1990;108:573. |
| Berge et al., Pharmaceutical salts. J Pharm Sci. Jan. 1977;66(1):1-19. |
| Blachly et al., Emerging drug profile: cyclin-dependent kinase inhibitors. Leuk Lymphoma. Oct. 2013;54(10):2133-43. doi: 10.3109/10428194.2013.783911. Epub Jul. 29, 2013. Author manuscript. |
| Blazek et al., The Cyclin K/Cdk12 complex maintains genomic stability via regulation of expression of DNA damage response genes. Genes Dev. Oct. 15, 2011;25(20):2158-72. doi: 10.1101/gad.16962311. |
| Blazek et al., The cyclin K/Cdk12 complex: an emerging new player in the maintenance of genome stability. Cell Cycle. Mar. 15, 2012;11(6):1049-50. doi: 10.4161/cc.11.6.19678. Epub Mar. 15, 2012. |
| Bloom et al., The requirement for Phr1 in CNS axon tract formation reveals the corticostriatal boundary as a choice point for cortical axons. Genes Dev. Oct. 15, 2007;21(20):2593-606. Epub Sep. 27, 2007. |
| Bogoyevitch et al., c-Jun N-terminal kinase (JNK) signaling: recent advances and challenges. Biochim Biophys Acta. Mar. 2010;1804(3):463-75. doi: 10.1016/j.bbapap.2009.11.002. Epub Nov. 10, 2009. |
| Bosken et al., The structure and substrate specificity of human Cdk12/Cyclin K. Nat Commun. Mar. 24, 2014;5:3505. doi: 10.1038/ncomms4505. |
| Brasca et al., 6-Substituted pyrrolo[3,4-c]pyrazoles: an improved class of CDK2 inhibitors. ChemMedChem. Jun. 2007;2(6):841-52. |
| Brower et al., Tumor Angiogenesis: New drugs on the block. Nature Biotechnology 1999;17:963-8. |
| Brunton et al., eds., Chemotherapy of Neoplastic Diseases. In Goodman & Gilman's the Pharmacological Basis of Therapeutics. 2008; 11th edition:853-908. |
| Cai et al., Discovery of orally active pyrrolopyridine- and aminopyridine-based Met kinase inhibitors. Bioorg Med Chem Lett. Jun. 1, 2008; 18(11):3224-9. doi: 10.1016/j.bmc1.2008.04.047. Epub Apr. 25, 2008. |
| Cappuzzo et al., Increased MET gene copy number negatively affects survival of surgically resected non-small-cell lung cancer patients. J Clin Oncol. Apr. 1, 2009;27(10):1667-74. doi: 10.1200/JCO.2008.19.1635. Epub Mar. 2, 2009. |
| Carvajal et al., KIT as a therapeutic target in metastatic melanoma. J. Amer. Med. Assoc. Jun. 8, 2011;305(22):2327-34. doi: 10.1001/jama.2011.746. |
| CAS Registry No. 1334419-59-8, STN Entry Date Dec. 30, 2013. |
| CAS Registry No. 769961-42-4, STN Entry Date Oct. 27, 2004. |
| CAS Registry No. 769961-59-3, STN Entry Date Oct. 27, 2004. |
| CAS Registry No. 916173-61-0, STN Entry Date Dec. 21, 2006. |
| Castillo et al., suzuki reaction on pyridinium N-haloheteroarylaminides: regioselective synthesis of 3,5-disubstituted 2-aminopyrazines. Available Online Nov. 22, 2007; 2008; 64(7);1351-1370. |
| Chakraborty et al., Developmental expression of the cyclo-oxygenase-1 and cyclooxygenase-2 genes in the peri-implantation mouse uterus and their differential regulation by the blastocyst and ovarian steroids. Journal of Molecular Endocrinology 1996;16:107-122. |
| Chen et al., Antiapoptotic and trophic effects of dominant-negative forms of dual leucine zipper kinase in dopamine neurons of the substantia nigra in vivo. J Neurosci. Jan. 16, 2008;28(3):672-80. doi: 10.1523/JNEUROSCI.2132-07.2008. |
| Chen et al., Cdk12 and Cdk13 regulate axonal elongation through a common signaling pathway that modulates Cdk5 expression. Exp Neurol. Nov. 2014;261:10-21. doi: 10.1016/j.expneuro1.2014.06.024. Epub Jul. 3, 2014. |
| Chen et al., Cdk12 and Cdk13 regulate axonal elongation through a common signaling pathway that modulates Cdk5 expression. Exp Neurol. Nov. 2014;261:10-21. doi: 10.1016/j.expneurol.2014.06.024. Epub Jul. 3, 2014. |
| Chène, Challenges in design of biochemical assays for the identification of small molecules to target multiple conformations of protein kinases. Drug Discov Today. Jun. 2008;13(11-12):522-9. doi: 10.1016/j.drudis.2008.03.023. Epub May 5, 2008. |
| Chiarugi et al., Cox-2, iNOS and p53 as play-makers of tumor angiogenesis. International Journal of Molecular Medicine 1998;2:715-9. |
| Choi et al., Development of ‘DFG-out’ inhibitors of gatekeeper mutant kinases. Bioorg Med Chem Lett. Aug. 15, 2012;22(16):5297-302. doi: 10.1016/j.bmc1.2012.06.036. Epub Jun. 23, 2012. |
| Choi et al., Discovery and structural analysis of Eph receptor tyrosine kinase inhibitors. Bioorg Med Chem Lett. Aug. 1, 2009;19(15):4467-70. doi: 10.1016/j.bmc1.2009.05.029. Epub May 13, 2009 Supplementary Materials. |
| Choi et al., Discovery and structural analysis of Eph receptor tyrosine kinase inhibitors. Bioorg Med Chem Lett. Aug. 1, 2009;19(15):4467-70. doi: 10.1016/j.bmcl.2009.05.029. Epub May 13, 2009. |
| Chong et al., Positive and negative regulation of Raf kinase activity and function by phosphorylation EMBO J. Jul. 16, 2001;20(14):3716-27. |
| Christensen et al., Cytoreductive antitumor activity of PF-2341066, a novel inhibitor of anaplastic lymphoma kinase and c-Met, in experimental models of anaplastic large-cell lymphoma. Mol Cancer Ther. Dec. 2007;6(12 Pt 1):3314-22. |
| Christensen et al., Targeting transcriptional addictions in small cell lung cancer with a covalent CDK7 inhibitor. Cancer Cell. Dec. 8, 2014;26(6):909-22. |
| Christian et al., Flavopiridol in chronic lymphocytic leukemia: a concise review. Clin Lymphoma Myeloma. 2009;9 Suppl 3:S179-85. doi: 10.3816/CLM.2009.s.009. |
| Database Registry [Online] Retrieved from STN, 2011124, search date: Oct. 7, 2019; RN 1350102-23-6, 1349782-05-3, 1349471-31-3, 1349357-86-3, 1349106-33-7, 1348397-56-7, 1348192-23-3, 1348088-42-5. |
| Davies et al., Mutations of the BRAF gene in human cancer Nature. Jun. 27, 2002;417(6892):949-54. Epub Jun. 9, 2002. |
| Davis et al., Comprehensive analysis of kinase inhibitor selectivity. Nat Biotechnol. Oct. 30, 2011;29(11):1046-51. doi: 10.1038/nbt.1990. |
| Dent et al. Synergistic combinations of signaling pathway inhibitors: mechanisms for improved cancer therapy. Drug Resist Updat. Jun. 2009;12(3):65-73. doi: 10.1016/j.drup.2009.03.001. |
| Desai et al., Effects of phosphorylation by CAK on cyclin binding by CDC2 and CDK2. Mol Cell Biol. Jan. 1995;15(1):345-50. |
| Diaz-Flores et al., Intense vascular sprouting from rat femoral vein induced by prostaglandins E1 and E2. Anatomical Record 1994;238:68-76. |
| Downward, Targeting RAS signalling pathways in cancer therapy Nat Rev Cancer. Jan. 2003;3(1):11-22. |
| Drapkin et al., Human cyclin-dependent kinase-activating kinase exists in three distinct complexes. Proc Natl Acad Sci U S A. Jun. 25, 1996;93(13):6488-93. |
| Ercan et al., Reactivation of ERK signaling causes resistance to EGFR kinase inhibitors. Cancer Discov. Oct. 2012;2(10):934-47. |
| Even et al., CDC2L5, a Cdk-like kinase with RS domain, interacts with the ASF/SF2-associated protein p32 and affects splicing in vivo. J Cell Biochem. Oct. 15, 2006;99(3):890-904. |
| Extended European Search Report for EP 10786967.9, dated Oct. 23, 2012. |
| Extended European Search Report for EP 10844280.7, dated Apr. 17, 2013. |
| Extended European Search Report for EP 15160591.2, dated Nov. 2, 2015. |
| Extended European Search Report for EP 15160591.2, mailed Nov. 2, 2015. |
| Extended European Search Report for EP 16773870.7 dated Oct. 17, 2018. |
| Fan et al., Dual leucine zipper-bearing kinase (DLK) activates p46SAPK and p38mapk but not ERK2. J Biol Chem. Oct. 4, 1996;271(40):24788-93. |
| Fancelli et al. , Potent and selective Aurora inhibitors identified by the expansion of a novel scaffold for protein kinase inhibition. J Med Chem. Apr. 21, 2005;48(8):3080-4. |
| Fernandes et al., JNK2 and JNK3 are major regulators of axonal injury-induced retinal ganglion cell death. Neurobiol Dis. May 2012 ;46(2):393-401. doi: 10.1016/j.nbd.2012.02.003. Epub Feb. 14, 2012. |
| Fernandez et al., Neovascularization produced by angiotensin I.Journal of Laboratory and Clinical Medicine 1985;105(2):141-5. |
| Filippakopoulos et al., Selective inhibition of BET bromodomains. Nature. Dec. 23, 2010;468(7327):1067-73. |
| Finn et al., Dasatinib, an orally active small molecule inhibitor of both the src and abl kinases, selectively inhibits growth of basal-type/"triple-negative" breast cancer cell lines growing in vitro. Breast Cancer Res Treat. Nov. 2007;105(3):319-26. Epub Feb. 1, 2007. |
| Fiskus et al. , BET protein antagonist JQ1 is synergistically lethal with FLT3 tyrosine kinase inhibitor (TKI) and overcomes resistance to FLT3-TKI in AML cells expressing FLT-ITD. Mol Cancer Ther. Oct. 2014; 13(10): 2315-2327. Published online Jul. 22, 2014. doi: 10.1158/1535-7163.MCT-14-0258. |
| Fizazi, The role of Src in prostate cancer. Ann Oncol. Nov. 2007;18(11):1765-73. Epub Apr. 10, 2007. |
| Fleisher et al., Improved oral drug delivery: solubility limitations overcome by the use of prodrugs. Advanced Drug Delivery Reviews 1996;19:115-30. |
| Fleming et al. , Synergistic inhibition of ErbB signaling by combined treatment with seliciclib and ErbB-targeting agents. Clin Cancer Res. Jul. 1, 2008;14(13):4326-35. doi: 10.1158/1078-0432.CCR-07-4633. |
| Fraser et al., Dasatinib inhibits the secretion of TNF-alpha following TLR stimulation in vitro and in vivo. Exp Hematol. Dec. 2009;37(12):1435-44. doi: 10.1016/j.exphem.2009.09.007. Epub Sep. 26, 2009. |
| Fry et al., Specific inhibition of cyclin-dependent kinase 4/6 by PD 0332991 and associated antitumor activity in human tumor xenografts. Mol Cancer Ther. Nov. 2004;3(11):1427-37. |
| Fry et al., Specific inhibition of cyclin-dependent kinase 4/6 by PD 0332991 and associated antitumor activity in human tumor xenografts. Mol Cancer Ther. Nov. 2004;3(11):1427-38. |
| Garnett et al., Guilty as charged: B-RAF is a human oncogene Cancer Cell. Oct. 2004;6(4):313-9. |
| GenBank Accession No. M80629. Lapidot-Lifson et al., Dec. 31, 1994. 2 pages. |
| GenBank Accession No. NP_001790. Yang et al., Oct. 6, 2016. 4 pages. |
| Girotti et al. , No longer an untreatable disease: How targeted and immunotherapies have changed the management of melanoma patients. Mol Oncol. Sep. 2014; 8(6): 1140-1158. Published online Aug. 15, 2014. doi: 10.1016/j.molonc.2014.07.027. |
| Glover-Cutter et al., TFIIH-associated Cdk7 kinase functions in phosphorylation of C-terminal domain Ser7 residues, promoter-proximal pausing, and termination by RNA polymerase II. Mol Cell Biol. Oct. 2009;29(20):5455-64. doi: 10.1128/MCB.00637-09. Epub Aug. 10, 2009. |
| Gojo et al., The cyclin-dependent kinase inhibitor flavopiridol induces apoptosis in multiple myeloma cells through transcriptional repression and down-regulation of Mcl-1. Clin Cancer Res. Nov. 2002;8(11):3527-38. |
| Gu et al., Effect of novel CAAX peptidomimetic farnesyltransferase inhibitor on angiogenesis in vitro and in vivo. European Journal of Cancer 1999;35(9):1394-1401. |
| Harada et al., Expression and regulation of vascular endothelial growth factor in osteoblasts. Clinical Orthopedics 1995;313:76-80. |
| Hart et al., SB1518, a novel macrocyclic pyrimidine-based JAK2 inhibitor for the treatment of myeloid and lymphoid malignancies. Leukemia. Nov. 2011;25(11):1751-9. doi: 10.1038/leu.2011.148. Epub Jun. 21, 2011. |
| Hirai et al., The c-Jun N-terminal kinase activator dual leucine zipper kinase regulates axon growth and neuronal migration in the developing cerebral cortex. J Neurosci. Nov. 15, 2006;26(46):11992-2002. |
| Hla et al., Human cyclooxygenase-2 cDNA. Proceedings of the National Academy of Sciences 1992;89(16):7384-8. |
| Hur et al., Clinical stage EGFR inhibitors irreversibly alkylate Bmx kinase. Bioorg Med Chem Lett. Nov. 15, 2008;18(22):5916-9. doi: 10.1016/j.bmc1.2008.07.062. Epub Jul. 18, 2008. |
| International Preliminary Report on Patentability for PCT/US/2016/037086, dated Dec. 21, 2017. |
| International Preliminary Report on Patentability for PCT/US2010/038518, dated Dec. 22, 2011. |
| International Preliminary Report on Patentability for PCT/US2010/062310, dated Jul. 12, 2012. |
| International Preliminary Report on Patentability for PCT/US2011/025423, dated Nov. 29, 2012. |
| International Preliminary Report on Patentability for PCT/US2012/065618, dated May 30, 2014. |
| International Preliminary Report on Patentability for PCT/US2013/065689, dated Apr. 30, 2015. |
| International Preliminary Report on Patentability for PCT/US2013/065698, dated Apr. 30, 2015. |
| International Preliminary Report on Patentability for PCT/US2013/065708, dated Apr. 30, 2015. |
| International Preliminary Report on Patentability for PCT/US2015/027294, mailed Nov. 3, 2016. |
| International Preliminary Report on Patentability for PCT/US2015/027312, dated Nov. 3, 2016. |
| International Preliminary Report on Patentability for PCT/US2015/027312, mailed Nov. 3, 2016. |
| International Preliminary Report on Patentability for PCT/US2016/024345, dated Oct. 12, 2017. |
| International Preliminary Report on Patentability for PCT/US2016/051118, dated Mar. 22, 2018. |
| International Preliminary Report on Patentability PCT/US2011/025423, mailed Nov. 20, 2012. |
| International Preliminary Report on Patentability PCT/US2015/000297, dated Jul. 6, 2017. |
| International Search Report and Written Opinion for PCT/US2010/038518, dated Aug. 6, 2010. |
| International Search Report and Written Opinion for PCT/US2010/062310, dated Oct. 4, 2011. |
| International Search Report and Written Opinion for PCT/US2012/065618, dated Mar. 19, 2013. |
| International Search Report and Written Opinion for PCT/US2013/065689, dated Mar. 4, 2014. |
| International Search Report and Written Opinion for PCT/US2013/065698, dated Feb. 20, 2014. |
| International Search Report and Written Opinion for PCT/US2013/065708, dated Feb. 4, 2014. |
| International Search Report and Written Opinion for PCT/US2014/061232, dated Dec. 23, 2014. |
| International Search Report and Written Opinion for PCT/US2015/000297, dated Mar. 4, 2016. |
| International Search Report and Written Opinion for PCT/US2015/000297, mailed Mar. 4, 2016. |
| International Search Report and Written Opinion for PCT/US2015/027294, dated Jul. 10, 2015. |
| International Search Report and Written Opinion for PCT/US2015/027312, dated Jul. 10, 2015. |
| International Search Report and Written Opinion for PCT/US2015/041360 mailed Dec. 15, 2015. |
| International Search Report and Written Opinion for PCT/US2015/044387, mailed Mar. 25, 2016. |
| International Search Report and Written Opinion for PCT/US2015/41348, mailed Oct. 28, 2015. |
| International Search Report and Written Opinion for PCT/US2015/41360, mailed Dec. 15, 2015. |
| International Search Report and Written Opinion for PCT/US2016/024345, dated Oct. 6, 2016. |
| International Search Report and Written Opinion for PCT/US2016/024345, mailed Oct. 6, 2016. |
| International Search Report and Written Opinion for PCT/US2016/037086, dated Sep. 2, 2016. |
| International Search Report and Written Opinion for PCT/US2016/037086, mailed Sep. 2, 2016. |
| International Search Report and Written Opinion for PCT/US2016/051118, dated Mar. 13, 2017. |
| International Search Report and Written Opinion for PCT/US2016/051118, mailed Mar. 13, 2017. |
| International Search Report and Written Opinion from PCT/US2011/025423, dated Nov. 5, 2012. |
| Invitation to Pay Additional Fees for PCT/US2011/025423, dated May 31, 2011. |
| Invitation to Pay Additional Fees for PCT/US2011/025423, mailed May 31, 2011. |
| Invitation to Pay Additional Fees for PCT/US2015/041360, mailed Sep. 24, 2015. |
| Invitation to Pay Additional Fees for PCT/US2015/044387, mailed Jan. 28, 2016. |
| Invitation to Pay Additional Fees for PCT/US2016/024345, dated Aug. 9, 2016. |
| Invitation to Pay Additional Fees for PCT/US2016/024345, mailed Aug. 9, 2016. |
| Invitation to Pay Additional Fees for PCT/US2016/051118, dated Dec. 1, 2016. |
| Invitation to Pay Additional Fees for PCT/US2016/051118, mailed Dec. 1, 2016. |
| Iorns et al., CRK7 modifies the MAPK pathway and influences the response to endocrine therapy. Carcinogenesis. Oct. 2009;30(10):1696-701. doi: 10.1093/carcin/bgp187. Epub Aug. 3, 2009. |
| Itoh et al., Impaired regenerative response of primary sensory neurons in ZPK/DLK gene-trap mice. Biochem Biophys Res Commun. May 29, 2009;383(2):258-62. doi: 10.1016/j.bbrc.2009.04.009. Epub Apr. 7, 2009. |
| Janne et al., Factors underlying sensitivity of cancers to small-molecule kinase inhibitors. Nat Rev Drug Discov. Sep. 2009;8(9):709-23. doi: 10.1038/nrd2871. Epub Jul. 24, 2009. |
| Joh et al., Ginsenoside Rb1 and its metabolite compound K inhibit IRAK-1 activation—the key step of inflammation. Biochem Pharmacol. Aug. 1, 2011;82(3):278-86. doi: 10.1016/j.bcp.2011.05.003. Epub May 12, 2011. |
| Joshi et al., Ovarian cancer-associated mutations disable catalytic activity of CDK12, a kinase that promotes homologous recombination repair and resistance to cisplatin and poly(ADP-ribose) polymerase inhibitors. J Biol Chem. Mar. 28, 2014;289(13):9247-53. doi: 10.1074/jbc.M114.551143. Epub Feb. 19, 2014. |
| Jouve et al., Oxidative cyclization of n-methyl- and n-benzoylpyridylthioureas. Preparation of new thiazolo[4,5-b] and [5,4-b] pyridine derivatives. J Heterocyclic Chemistry. 2003;40(2):261-68. |
| Kaldis et al., Analysis of CAK activities from human cells. Eur J Biochem. Jul. 2000;267(13):4213-21. |
| Kanakaraj et al., Interleukin (IL)-1 receptor-associated kinase (IRAK) requirement for optimal induction of multiple IL-1 signaling pathways and IL-6 production. J Exp Med. Jun. 15, 1998;187(12):2073-9. |
| Kantarjian et al., Dasatinib versus imatinib in newly diagnosed chronic-phase chronic myeloid leukemia. N Engl J Med. Jun. 17, 2010;362(24):2260-70. |
| Katt et al. , Dissemination from a Solid Tumor: Examining the Multiple Parallel Pathways. Trends Cancer. Jan. 2018;4(1):20-37. doi: 10.1016/j.trecan.2017.12.002. Epub Jan. 10, 2018. Author manuscript. |
| Kauraniemi et al., New amplified and highly expressed genes discovered in the ERBB2 amplicon in breast cancer by cDNA microarrays. Cancer Res. Nov. 15, 2001;61(22):8235-40. |
| Kim et al., Discovery of pyrrolopyridine-pyridone based inhibitors of Met kinase: synthesis, X-ray crystallographic analysis, and biological activities. J Med Chem. Sep. 11, 2008;51(17):5330-41. doi: 10.1021/jm800476q. Epub Aug. 9, 2008. |
| Kim et al., Inhibition of vascular endothelial growth factor-induced angiogenesis suppresses tumour growth in vivo. Nature 1993;362:841. |
| King et al., Demonstration of a genetic therapeutic index for tumors expressing oncogenic BRAF by the kinase inhibitor SB-590885. Cancer Res. Dec. 1, 2006;66(23):11100-5. |
| Ko et al., CrkRS: a novel conserved Cdc2-related protein kinase that colocalises with SC35 speckles. J Cell Sci. Jul. 2001;114(Pt 14):2591-603. |
| Koivunen et al., EML4-ALK fusion gene and efficacy of an ALK kinase inhibitor in lung cancer. Clin Cancer Res. Jul. 1, 2008;14(13):4275-83. doi: 10.1158/1078-0432.CCR-08-0168. |
| Konig et al., The novel cyclin-dependent kinase inhibitor flavopiridol downregulates Bc1-2 and induces growth arrest and apoptosis in chronic B-cell leukemia lines. Blood. Dec. 1, 1997;90(11):4307-12. |
| Konig et al., The novel cyclin-dependent kinase inhibitor flavopiridol downregulates Bcl-2 and induces growth arrest and apoptosis in chronic B-cell leukemia lines. Blood. Dec. 1, 1997;90(11):4307-12. |
| Kooistra et al. , Kinase-Centric Computational Drug Development, In 50 Annual Reports in Medicinal Chemistry. 2017;197-236. |
| Kwiatkowski et al., Targeting transcription regulation in cancer with a covalent CDK7 inhibitor. Nature. Jul. 31, 2014;511(7511):616-20. |
| Kwong et al., Targeted therapy for melanoma: rational combinatorial approaches. Oncogene. Jan. 2, 2014;33(1):1-9. doi: 10.1038/onc.2013.34. Epub Feb. 18, 2013. |
| Larochelle et al., Requirements for Cdk7 in the assembly of Cdk1/cyclin B and activation of Cdk2 revealed by chemical genetics in human cells. Mol Cell. Mar. 23, 2007;25(6):839-50. |
| Larochelle et al., Requirements for Cdk7 in the assembly of Cdkl/cyclin B and activation of Cdk2 revealed by chemical genetics in human cells. Mol Cell. Mar. 23, 2007;25(6):839-50. |
| Lavis et al., Bright ideas for chemical biology. ACS Chem Biol. Mar. 20, 2008;3(3):142-55. doi: 10.1021/cb700248m. |
| Lee et al., BRAF mutations in non-Hodgkin's lymphoma. Br J Cancer. Nov. 17, 2003;89(10):1958-60. |
| Li et al. , Identification of novel pyrrolopyrazoles as protein kinase C βII inhibitors. Bioorg Med Chem Lett. Jan. 1, 2011;21(1):584-7. doi: 10.1016/j.bmc1.2010.10.032. Epub Oct. 13, 2010. |
| Lin et al., Phase II study of flavopiridol in relapsed chronic lymphocytic leukemia demonstrating high response rates in genetically high-risk disease. J Clin Oncol. Dec. 10, 2009;27(35):6012-8. |
| Liu et al., Discovery and optimization of potent and selective benzonaphthyridinone analogs as small molecule mTOR inhibitors with improved mouse microsome stability. Bioorg Med Chem Lett. Jul. 1, 2011;21(13):4036-40. doi: 10.1016/j.bmc1.2011.04.129. Epub May 7, 2011. |
| Liu et al., Discovery of 1-(4-(4-propionylpiperazin-1-yl)-3-(trifluoromethyl)pheny1)-9-(quinolin-3-yl)benzo[h][1,6]naphthyridin-2(1H)-one as a highly potent, selective mammalian target of rapamycin (mTOR) inhibitor for the treatment of cancer. J Med Chem. Oct. 14, 2010;53(19):7146-55. doi: 10.1021/jm101144f. |
| Liu et al., Discovery of 1-(4-(4-propionylpiperazin-1-yl)-3-(trifluoromethyl)phenyl)-9-(quinolin-3- -yl)benzo[h][1,6]naphthyridin-2(1H)-one as a highly potent, selective mammalian target of rapamycin (mTOR) inhibitor for the treatment of cancer. J Med Chem. Oct. 14, 2010;53(19):7146-55. doi: 10.1021/jm101144f. |
| Liu et al., Salt-inducible kinase is involved in the regulation of corticotropin-releasing hormone transcription in hypothalamic neurons in rats. Endocrinology. Jan. 2012;153(1):223-33. doi: 10.1210/en.2011-1404. Epub Nov. 22, 2011. |
| Liu et al., Two cyclin-dependent kinases promote RNA polymerase II transcription and formation of the scaffold complex. Mol Cell Biol. Feb. 2004;24(4):1721-35. |
| Llambi et al., Apoptosis and oncogenesis: give and take in the BCL-2 family. Curr Opin Genet Dev. Feb. 2011;21(1):12-20. doi: 10.1016/j.gde.2010.12.001. Epub Jan. 13, 2011. |
| Lorenzo et al., Expression of proto-oncogene c-kit in high risk prostate cancer. Eur J Surg Oncol. Nov. 2004;30(9):987-92. |
| Lyne et al., Identification of amidoheteroaryls as potent inhibitors of mutant (V600E) B-Raf kinase with in vivo activity. Bioorg Med Chem Lett. Feb. 1, 2009;19(3):1026-9. doi: 10.1016/j.bmc1.2008.10.053. Epub Oct. 15, 2008. |
| Majima et al., Significant Roles of Inducible Cyclooxygenase (COX)-2 in Angiogenesis in Rat Sponge Implants. Japanese Journal of Pharmacology 1997;75;105-14. |
| Mallinson et al., Macrocycles in new drug discovery. Future Med Chem. Jul. 2012;4(11):1409-38. doi: 10.4155/fmc.12.93. |
| Mallison et al., Macrocycles in new drug discovery. Future Med Chem. Jul. 2012;4(11):1409-38. doi: 10.4155/fmc.12.93. |
| Marelli et al., Tumor targeting via integrin ligands. Front. Oncol., Aug. 30, 2013. https://doi.org/10.3389/fonc.2013.00222. |
| Marques et al., A new subfamily of high molecular mass CDC2-related kinases with PITAI/VRE motifs. Biochem Biophys Res Commun. Dec. 29, 2000;279(3):832-7. |
| Matsuyama et al., Activation of Discoidin Domain Receptor 1 Isoform b with Collagen Up-Regulates Chemokine Production in Human Macrophages: Role of p38 Mitogen-Activated Protein Kinase and NF-κB. J Immunol Feb. 15, 2004, 172 (4) 2332-2340; DOI: https://doi.org/10.4049/jimmunol.172.4.2332. |
| McAuley et al. , CARMA3 Is a Critical Mediator of G Protein-Coupled Receptor and Receptor Tyrosine Kinase-Driven Solid Tumor Pathogenesis. Front Immunol. Aug. 15, 2018;9:1887. doi: 10.3389/fimmu.2018.01887. eCollection 2018. |
| Mukaiyama et al., The unexpected and the unpredictable in organic synthesis. Tetrahedron Jul. 1999;55(29):8609-70. |
| Neklesa et al., Small-molecule hydrophobic tagging-induced degradation of HaloTag fusion proteins. Nat Chem Biol. Jul. 3, 2011;7(8):538-43. doi: 10.1038/nchembio.597. |
| Obenauf et al., Therapy-induced tumour secretomes promote resistance and tumour progression. Nature. Apr. 16, 2015;520(7547):368-72. doi: 10.1038/nature14336. Epub Mar. 25, 2015. |
| Ochiana et al. , The human Aurora kinase inhibitor danusertib is a lead compound for anti-trypanosomal drug discovery via target repurposing. Eur J Med Chem. Apr. 2013;62:777-84. doi: 10.1016/j.ejmech.2012.07.038. Epub Jul. 31, 2012. |
| Odingo et al., Synthesis and evaluation of the 2,4-diaminoquinazoline series as anti-tubercular agents. Bioorg Med Chem. Dec. 15, 2014;22(24):6965-79. doi: 10.1016/j.bmc.2014.10.007. Epub Oct. 22, 2014. |
| Orzaez et al. , Intrinsic caspase-8 activation mediates sensitization of erlotinib-resistant tumor cells to erlotinib/cell-cycle inhibitors combination treatment. Cell Death Dis. Oct. 25, 2012;3:e415. doi: 10.1038/cddis.2012.155. |
| Ou et al., Activity of crizotinib (PF02341066), a dual mesenchymal-epithelial transition (MET) and anaplastic lymphoma kinase (ALK) inhibitor, in a non-small cell lung cancer patient with de novo MET amplification. J Thorac Oncol. May 2011;6(5):942-6. doi: 10.1097/JT0.0b013e31821528d3. |
| Ou et al., Activity of crizotinib (PF02341066), a dual mesenchymal-epithelial transition (MET) and anaplastic lymphoma kinase (ALK) inhibitor, in a non-small cell lung cancer patient with de novo MET amplification. J Thorac Oncol. May 2011;6(5):942-6. doi: 10.1097/JTO.0b013e31821528d3. |
| Partial European Search Report for EP 15160591.2, dated Jul. 1, 2015. |
| Partial European Search Report for EP 15160591.2, dated Jul. 14, 2015. |
| Partial European Search Report for EP 16773870.7, dated Jul. 12, 2018. |
| Patel et al. , Discovery of dual leucine zipper kinase (DLK, MAP3K12) inhibitors with activity in neurodegeneration models. J Med Chem. Jan. 8, 2015;58(1):401-18. doi: 10.1021/jm5013984. Epub Oct. 23, 2014. |
| Peifer et al., Small-molecule inhibitors of PDK1. ChemMedChem. Dec. 2008;3(12):1810-38. doi: 10.1002/cmdc.200800195. |
| Pevarello et al. , 3-Amino-1,4,5,6-tetrahydropyrrolo[3,4-c]pyrazoles: A new class of CDK2 inhibitors. Bioorg Med Chem Lett. Feb. 15, 2006;16(4):1084-90. |
| Powers et al., Discovery and initial SAR of inhibitors of interleukin-1 receptor-associated kinase-4. Bioorg Med Chem Lett. Jun. 1, 2006;16(11):2842-5. Epub Mar. 24, 2006. |
| PubChem-CID-68365059. Available at https://pubchem.ncbi.nlm.nih.gov/compound/68365059. Accessed Jun. 17, 2016. |
| Roberts et al., Antiangiogenic and antitumor activity of a selective PDGFR tyrosine kinase inhibitor, CP-673,451. Cancer Res. Feb. 1, 2005;65(3):957-66. |
| Robinson et al., Discovery of the hemifumarate and (alpha-L-alanyloxy)methyl ether as prod rugs of an anti rheumatic oxindole: prod rugs for the enolic OH group. J. Med. Chem. 1996;39:10-8. |
| Rubin et al., KIT activation is a ubiquitous feature of gastrointestinal stromal tumors. Cancer Res. Nov. 15, 2001;61(22):8118-21. |
| Sánchez-Martinez et al. , Cyclin dependent kinase (CDK) inhibitors as anticancer drugs. Bioorg Med Chem Lett. Sep. 1, 2015;25(17):3420-35. doi: 10.1016/j.bmc1.2015.05.100. Epub Jun. 6, 2015. |
| Schroeder et al., Discovery of N-(4-(2-amino-3-chloropyridin-4-yloxy)-3-fluorophenyl)-4-ethoxy-1-(4-fluorophenyl)-2-oxo-1,2-dihydropyridine-3-carboxamide (BMS-777607), a selective and orally efficacious inhibitor of the Met kinase superfamily. J Med Chem. Mar. 12, 2009;52(5):1251-4. doi: 10.1021/jm801586s. |
| Seed et al., The Inhibition of colon-26 Adenocarcinoma Development and Angiogenesis by Topical Diclofenac in 2.5% Hyaluronan. Cancer Research 1997;57:1625-9. |
| Sengupta et al., DLK induces developmental neuronal degeneration via selective regulation of proapoptotic JNK activity. Journal of Cell Biology 2011;194(5):751-764. DOI https://doi.org/10.1083/jcb.201103153. |
| Serizawa et al., Association of Cdk-activating kinase subunits with transcription factor TFIIH. Nature. Mar. 16, 1995;374(6519):280-2. |
| Sharma et al., A chromatin-mediated reversible drug-tolerant state in cancer cell subpopulations. Cell. Apr. 2, 2010;141(1):69-80. |
| Shiekhattar et al., Cdk-activating kinase complex is a component of human transcription factor TFIIH. Nature. Mar. 16, 1995;374(6519):283-7. |
| Shin et al., Dual leucine zipper kinase is required for retrograde injury signaling and axonal regeneration. Neuron. Jun. 21, 2012;74(6):1015-22. doi: 10.1016/j.neuron.2012.04.028. |
| Sidow et al. , Concepts in solid tumor evolution. Trends Genet. Apr. 2015;31(4):208-14. doi: 10.1016/j.tig.2015.02.001. Epub Feb. 27, 2015. Author manuscript. |
| Smith et al., Recent advances in the research and development of RAF kinase inhibitors. Curr. Top Med. Chem. 2006; 6(11):1071-89. |
| Smith et al., The effect of the nature of the amine leaving group on the nature of the E2 transition state for the reaction of 1-phenylethylammonium ions sodium ethoxide in ethanol. Can J Chem. Mar. 28, 1989;67:1457-67. |
| Srivastava et al., Augmentation of therapeutic responses in melanoma by inhibition of IRAK-1,-4. Cancer Res. Dec. 1, 2012;72(23):6209-16. doi: 10.1158/0008-5472.CAN--12-0337. Epub Oct. 4, 2012. |
| Stachlewitz et al., A-770041, a novel and selective small-molecule inhibitor of Lck, prevents heart allograft rejection. J Pharmacol Exp Ther. Oct. 2005;315(1):36-41. Epub Jul. 12, 2005. |
| Stanovnik et al., The Tautomerism of Heterocycles: Substituent Tautomerism of Six-Membered Ring Heterocycles. Advances in Heterocyclic Chemistry. 2006;91:1-134. |
| Stuhlmiller et al., Inhibition of Lapatinib-Induced Kinome Reprogramming in ERBB2-Positive Breast Cancer by Targeting BET Family Bromodomains. Cell Rep. Apr. 21, 2015;11(3):390-404. |
| Takemori et al., Inactivation of HDAC5 by SIK1 in AICAR-treated C2C12 myoblasts. Endocr J. 2009;56(1):121-30. Epub Oct. 22, 2008. |
| Terai et al., Activation of the FGF2-FGFR1 autocrine pathway: a novel mechanism of acquired resistance to gefitinib in NSCLC. Mol Cancer Res. Jul. 2013;11(7):759-67. |
| Tian et al. , mTOR Signaling in Cancer and mTOR Inhibitors in Solid Tumor Targeting Therapy. Int J Mol Sci. Feb. 11, 2019;20(3). pii: E755. doi: 10.3390/ijms20030755. |
| Tsai et al., Discovery of a selective inhibitor of oncogenic B-Raf kinase with potent antimelanoma activity. Proc Natl Acad Sci U S A. Feb. 26, 2008;105(8):3041-6. doi: 10.1073/pnas.0711741105. Epub Feb. 19, 2008. |
| Tsujii et al., Cyclooxygenase regulates angiogenesis induced by colon cancer cells. Cell. May 29, 1998;93(5):705-16. |
| U.S. Appl. No. 14/552,229, filed Nov. 24, 2014, Gray et al. |
| U.S. Appl. No. 14/921,894, filed Oct. 23, 2015, Gray et al. |
| U.S. Appl. No. 15/188,545, filed Jun. 21, 2016, Gray et al. |
| U.S. Appl. No. 15/305,801, filed Oct. 21, 2016, Gray et al. |
| U.S. Appl. No. 15/305,845, filed Oct. 21, 2016, Gray et al. |
| Uniprot No. Q9NYV4. Last modified Mar. 15, 2017. 14 pages. |
| Vora et al. , CDK 4/6 inhibitors sensitize PIK3CA Mutant Breast Cancer to PI3K inhibitors. Cancer Cell. Jul. 14, 2014;26(1):136-149. Published online Jul. 4, 2014 doi: 10.1016/j.ccr.2014.05.020. |
| Wang et al., IRAK-4 inhibitors for inflammation. Curr Top Med Chem. 2009;9(8):724-37. |
| Wang et al., Ligand-associated ERBB2/3 activation confers acquired resistance to FGFR inhibition in FGFR3-dependent cancer cells. Oncogene. Apr. 23, 2015;34(17):2167-77. doi: 10.1038/onc.2014.161. Epub Jun. 9, 2014. |
| Wang et al., Mathematical modeling in cancer drug discovery. Drug Discov Today. Feb. 2014;19(2):145-50. doi: 10.1016/j.drudis.2013.06.015. Epub Jul. 4, 2013. |
| Wang et al., Pharmacophore and structure-activity relationships of integrase inhibition within a dual inhibitor scaffold of HIV reverse transcriptase and integrase. Bioorg Med Chem. Jun. 15, 2010;18(12):4202-11. doi: 10.1016/j.bmc.2010.05.004. Epub May 7, 2010. |
| Wellbrock et al., The RAF proteins take centre stage Nat Rev Mol Cell Biol. Nov. 2004;5(11):875-85. |
| Wietek et al., IRAK-4: a new drug target in inflammation, sepsis, and autoimmunity. Mol Interv. Jul. 2002;2(4):212-5. |
| Williamson et al., Structure-guided design of pyrazolo[1,5-a]pyrimidines as inhibitors of human cyclin-dependent kinase 2. Bioorg Med Chem Lett. Feb. 15, 2005;15(4):863-7. |
| Wu et al. , FDA-approved small-molecule kinase inhibitors. Trends Pharmacol Sci. Jul. 2015;36(7):422-39. doi: 10.1016/j.tips.2015.04.005. Epub May 12, 2015. |
| Xin et al., Peroxisome proliferator-activated receptor gamma ligands are potent inhibitors of angiogenesis in vitro and in vivo. Journal of Biological Chemistry 1996;274(13):9116-21. |
| Yalpani, Cholesterol Lowering Drugs. Chemistry and Industry Feb. 1996;3:85-89. |
| Yasuda et al., The stem cell factor/c-kit receptor pathway enhances proliferation and invasion of pancreatic cancer cells. Mol Cancer. Oct. 18, 2006;5:46. |
| Zambon et al., Small molecule inhibitors of BRAF in clinical trials. Bioorg Med Chem Lett. Jan. 15, 2012;22(2):789-92. doi: 10.1016/j.bmc1.2011.11.060. Epub Dec. 3, 2011. |
| Zambon et al., Small molecule inhibitors of BRAF in clinical trials. Bioorg Med Chem Lett. Jan. 15, 2012;22(2):789-92. doi: 10.1016/j.bmcl.2011.11.060. Epub Dec. 3, 2011. |
| Zang et al., Genetic and structural variation in the gastric cancer kinome revealed through targeted deep sequencing. Cancer Res. Jan. 1, 2011;71(1):29-39. doi: 10.1158/0008-5472.CAN-10-1749. Epub Nov. 19, 2010. |
| Zebisch et al., Back to the roots: the remarkable RAF oncogene story Cell Mol Life Sci. Jun. 2006;63(11):1314-30. |
| Zhang et al., Discovery of potent and selective covalent inhibitors of JNK. Chem Biol. Jan. 27, 2012;19(1):140-54. doi: 10.1016/j.chembio1.2011.11.010. |
| Zhou et al., Novel mutant-selective EGFR kinase inhibitors against EGFR T790M. Nature. Dec. 24, 2009;462(7276):1070-4. |
| Ziche et al., Role of prostaglandin E1 and copper in angiogenesis. Journal of the National Cancer Institute 1982;69(2):475. |
Cited By (9)
| Publication number | Priority date | Publication date | Assignee | Title |
|---|---|---|---|---|
| US11826365B2 (en) | 2009-12-29 | 2023-11-28 | Dana-Farber Cancer Institute, Inc. | Type II raf kinase inhibitors |
| US12168663B2 (en) | 2014-12-23 | 2024-12-17 | Dana-Farber Cancer Institute, Inc. | Inhibitors of cyclin-dependent kinase 7 (CDK7) |
| US11325910B2 (en) | 2015-03-27 | 2022-05-10 | Dana-Farber Cancer Institute, Inc. | Inhibitors of cyclin-dependent kinases |
| US12098154B2 (en) | 2015-03-27 | 2024-09-24 | Dana-Farber Cancer Institute, Inc. | Inhibitors of cyclin-dependent kinases |
| USRE50776E1 (en) | 2015-03-27 | 2026-02-03 | Dana-Farber Cancer Institute, Inc. | Inhibitors of cyclin-dependent kinases |
| US11142507B2 (en) | 2015-09-09 | 2021-10-12 | Dana-Farber Cancer Institute, Inc. | Inhibitors of cyclin-dependent kinases |
| US12187701B2 (en) | 2018-06-25 | 2025-01-07 | Dana-Farber Cancer Institute, Inc. | Taire family kinase inhibitors and uses thereof |
| US12281126B2 (en) | 2018-12-28 | 2025-04-22 | Dana-Farber Cancer Institute, Inc. | Inhibitors of cyclin-dependent kinase 7 and uses thereof |
| US20230058545A1 (en) * | 2019-10-08 | 2023-02-23 | Dana-Farber Cancer Institute, Inc. | Hck as a therapeutic target in myd88 mutated diseases |
Also Published As
| Publication number | Publication date |
|---|---|
| US9758522B2 (en) | 2017-09-12 |
| WO2014063061A1 (en) | 2014-04-24 |
| US20180093990A1 (en) | 2018-04-05 |
| US20150274738A1 (en) | 2015-10-01 |
| US20180354954A9 (en) | 2018-12-13 |
Similar Documents
| Publication | Publication Date | Title |
|---|---|---|
| USRE48175E1 (en) | Hydrophobically tagged small molecules as inducers of protein degradation | |
| US12168663B2 (en) | Inhibitors of cyclin-dependent kinase 7 (CDK7) | |
| US9862688B2 (en) | Hydrophobically tagged janus kinase inhibitors and uses thereof | |
| US10017477B2 (en) | Janus kinase inhibitors and uses thereof | |
| US12209076B2 (en) | Imidazolyl kinase inhibitors and uses thereof | |
| US20220242865A1 (en) | Inhibitors of cyclin-dependent kinases | |
| US20220055998A1 (en) | Inhibitors of cyclin-dependent kinases | |
| US10793571B2 (en) | Uses of diazepane derivatives | |
| US9695172B2 (en) | Diazepane derivatives and uses thereof | |
| US10342798B2 (en) | Fused bicyclic pyrimidine derivatives and uses thereof | |
| US20160347750A1 (en) | Dihydropteridinone derivatives and uses thereof | |
| US12281126B2 (en) | Inhibitors of cyclin-dependent kinase 7 and uses thereof | |
| US10844077B2 (en) | Thiazolyl-containing compounds for treating proliferative diseases | |
| WO2024097228A1 (en) | Compounds targeting cdk11 and methods of using the same |
Legal Events
| Date | Code | Title | Description |
|---|---|---|---|
| FEPP | Fee payment procedure |
Free format text: ENTITY STATUS SET TO UNDISCOUNTED (ORIGINAL EVENT CODE: BIG.); ENTITY STATUS OF PATENT OWNER: SMALL ENTITY |
|
| FEPP | Fee payment procedure |
Free format text: ENTITY STATUS SET TO SMALL (ORIGINAL EVENT CODE: SMAL); ENTITY STATUS OF PATENT OWNER: SMALL ENTITY |
|
| AS | Assignment |
Owner name: DANA-FARBER CANCER INSTITUTE, INC., MASSACHUSETTS Free format text: ASSIGNMENT OF ASSIGNORS INTEREST;ASSIGNORS:GRAY, NATHANAEL;XIE, TING;LIM, SANG MIN;AND OTHERS;SIGNING DATES FROM 20140107 TO 20140124;REEL/FRAME:052853/0753 Owner name: YALE UNIVERSITY, CONNECTICUT Free format text: ASSIGNMENT OF ASSIGNORS INTEREST;ASSIGNOR:CREWS, CRAIG M.;REEL/FRAME:052854/0209 Effective date: 20140117 |
|
| FEPP | Fee payment procedure |
Free format text: MAINTENANCE FEE REMINDER MAILED (ORIGINAL EVENT CODE: REM.); ENTITY STATUS OF PATENT OWNER: SMALL ENTITY |
|
| LAPS | Lapse for failure to pay maintenance fees |
Free format text: PATENT EXPIRED FOR FAILURE TO PAY MAINTENANCE FEES (ORIGINAL EVENT CODE: EXP.); ENTITY STATUS OF PATENT OWNER: SMALL ENTITY |



























































































































































































