WO2019084030A1 - (4-hydroxypyrrolidin-2-yl)-hydroxamate compounds and methods of use thereof - Google Patents
(4-hydroxypyrrolidin-2-yl)-hydroxamate compounds and methods of use thereofInfo
- Publication number
- WO2019084030A1 WO2019084030A1 PCT/US2018/057139 US2018057139W WO2019084030A1 WO 2019084030 A1 WO2019084030 A1 WO 2019084030A1 US 2018057139 W US2018057139 W US 2018057139W WO 2019084030 A1 WO2019084030 A1 WO 2019084030A1
- Authority
- WO
- WIPO (PCT)
- Prior art keywords
- substituted
- unsubstituted
- group
- syndrome
- compound
- Prior art date
- Legal status (The legal status is an assumption and is not a legal conclusion. Google has not performed a legal analysis and makes no representation as to the accuracy of the status listed.)
- Ceased
Links
- 0 *C(*I*)C(N(C[C@@](C1)O)[C@@]1C(NO*)=O)=O Chemical compound *C(*I*)C(N(C[C@@](C1)O)[C@@]1C(NO*)=O)=O 0.000 description 30
- QGWCBGOUMCNLQU-UHFFFAOYSA-N CC(C)C(C(OC)=O)c1cc(O)n[o]1 Chemical compound CC(C)C(C(OC)=O)c1cc(O)n[o]1 QGWCBGOUMCNLQU-UHFFFAOYSA-N 0.000 description 2
- NLHILJYLOIUSDD-CMPLNLGQSA-N CC(C)[C@@H](C(N(CCC1)[C@@H]1C(O)=O)=O)c1cc(C)n[o]1 Chemical compound CC(C)[C@@H](C(N(CCC1)[C@@H]1C(O)=O)=O)c1cc(C)n[o]1 NLHILJYLOIUSDD-CMPLNLGQSA-N 0.000 description 2
- KNANMBOFOPTYLB-UHFFFAOYSA-N Bc(cc1)ccc1-c1c(C)nc[o]1 Chemical compound Bc(cc1)ccc1-c1c(C)nc[o]1 KNANMBOFOPTYLB-UHFFFAOYSA-N 0.000 description 1
- KDHLSOFBVDURIS-UHFFFAOYSA-N Bc1ccc(C=O)cc1 Chemical compound Bc1ccc(C=O)cc1 KDHLSOFBVDURIS-UHFFFAOYSA-N 0.000 description 1
- DQQJBEAXSOOCPG-ZETCQYMHSA-N CC(C)(C)OC(N[C@@H]1CNCC1)=O Chemical compound CC(C)(C)OC(N[C@@H]1CNCC1)=O DQQJBEAXSOOCPG-ZETCQYMHSA-N 0.000 description 1
- OWWUMWCLEPYHIB-VHSXEESVSA-N CC(C)(C)[C@@H](C(N(CCC1)[C@@H]1C(O)=O)=O)NC(C)=O Chemical compound CC(C)(C)[C@@H](C(N(CCC1)[C@@H]1C(O)=O)=O)NC(C)=O OWWUMWCLEPYHIB-VHSXEESVSA-N 0.000 description 1
- ZVLFEOUIIOXNMD-BYIRZIQRSA-N CC(C)(C)[C@@H](C(N(C[C@@H](C1)O)[C@@H]1C(NOc(cc1)ccc1-c1c(C)nc[s]1)=O)=O)NC(CCCCCCCCCCNC(C[C@@H](c1nnc(C)[n]1-c1c2c(C)c(C)[s]1)N=C2c(cc1)ccc1Cl)=O)=O Chemical compound CC(C)(C)[C@@H](C(N(C[C@@H](C1)O)[C@@H]1C(NOc(cc1)ccc1-c1c(C)nc[s]1)=O)=O)NC(CCCCCCCCCCNC(C[C@@H](c1nnc(C)[n]1-c1c2c(C)c(C)[s]1)N=C2c(cc1)ccc1Cl)=O)=O ZVLFEOUIIOXNMD-BYIRZIQRSA-N 0.000 description 1
- GLMUQLSIIFRFMR-HYVNUMGLSA-N CC(C)(C)[C@@H](C(N(C[C@@H](C1)O)[C@@H]1C(NOc1ccccc1)=O)=O)NC(OC(C)(C)C)=O Chemical compound CC(C)(C)[C@@H](C(N(C[C@@H](C1)O)[C@@H]1C(NOc1ccccc1)=O)=O)NC(OC(C)(C)C)=O GLMUQLSIIFRFMR-HYVNUMGLSA-N 0.000 description 1
- SSOZKZKABUUFQM-UHFFFAOYSA-N CC(C)(C)c1n[s]c(C)c1 Chemical compound CC(C)(C)c1n[s]c(C)c1 SSOZKZKABUUFQM-UHFFFAOYSA-N 0.000 description 1
- BFSMGDJOXZAERB-UHFFFAOYSA-N CC(C)(C)c1nc(-c(cccc2NS(c(c(F)ccc3)c3F)(=O)=O)c2F)c(-c2ccnc(N)n2)[s]1 Chemical compound CC(C)(C)c1nc(-c(cccc2NS(c(c(F)ccc3)c3F)(=O)=O)c2F)c(-c2ccnc(N)n2)[s]1 BFSMGDJOXZAERB-UHFFFAOYSA-N 0.000 description 1
- KPBPIJVLWKGZJW-NCNUNHDVSA-N CC(C)C(C(N(C[C@@H](C1)O)[C@@H]1C(NOc(cc1)ccc1-c(cccc1)c1F)=O)=O)c1cc(C)n[o]1 Chemical compound CC(C)C(C(N(C[C@@H](C1)O)[C@@H]1C(NOc(cc1)ccc1-c(cccc1)c1F)=O)=O)c1cc(C)n[o]1 KPBPIJVLWKGZJW-NCNUNHDVSA-N 0.000 description 1
- CJTHDPCDKGSPMA-QCLNJZAKSA-O CC(C)C(C(N(C[C@@H](C1)O)[C@@H]1C(N[OH+]c(cc1)ccc1-c(cccc1)c1F)=O)=O)c1cc(OCCCCCNC(c(c(CS(C)(=O)=O)c2)cc(N(Cc3c[nH]c4c33)c(ncc(F)c5)c5F)c2C3=CN(C)C4=O)=O)n[o]1 Chemical compound CC(C)C(C(N(C[C@@H](C1)O)[C@@H]1C(N[OH+]c(cc1)ccc1-c(cccc1)c1F)=O)=O)c1cc(OCCCCCNC(c(c(CS(C)(=O)=O)c2)cc(N(Cc3c[nH]c4c33)c(ncc(F)c5)c5F)c2C3=CN(C)C4=O)=O)n[o]1 CJTHDPCDKGSPMA-QCLNJZAKSA-O 0.000 description 1
- GEHJIZVDWSFPRI-WFCWDVHWSA-N CC(C)C(C(N(C[C@@H](C1)O)[C@@H]1C(O)=O)=O)c1cc(C)n[o]1 Chemical compound CC(C)C(C(N(C[C@@H](C1)O)[C@@H]1C(O)=O)=O)c1cc(C)n[o]1 GEHJIZVDWSFPRI-WFCWDVHWSA-N 0.000 description 1
- AZQKULISZPXKFR-ILWADHIDSA-N CC(C)C(C(N(C[C@@H](C1)O)[C@@H]1C(OC)=O)=O)c1cc(C)n[o]1 Chemical compound CC(C)C(C(N(C[C@@H](C1)O)[C@@H]1C(OC)=O)=O)c1cc(C)n[o]1 AZQKULISZPXKFR-ILWADHIDSA-N 0.000 description 1
- JGCUSDPDALBKQZ-UHFFFAOYSA-N CC(C)C(C(O)=O)c1cc(C)n[o]1 Chemical compound CC(C)C(C(O)=O)c1cc(C)n[o]1 JGCUSDPDALBKQZ-UHFFFAOYSA-N 0.000 description 1
- NCOJBGFXQMDKJA-UHFFFAOYSA-N CC(C)C(C(O)=O)c1cc(O)n[o]1 Chemical compound CC(C)C(C(O)=O)c1cc(O)n[o]1 NCOJBGFXQMDKJA-UHFFFAOYSA-N 0.000 description 1
- QQLDRQAFIXCVFD-UHFFFAOYSA-N CC(C)C(C(O)=O)c1cc(OC)n[o]1 Chemical compound CC(C)C(C(O)=O)c1cc(OC)n[o]1 QQLDRQAFIXCVFD-UHFFFAOYSA-N 0.000 description 1
- MNUJZQUOLLHDDV-UHFFFAOYSA-N CC(C)C(C(OC)=O)c1cc(C)n[o]1 Chemical compound CC(C)C(C(OC)=O)c1cc(C)n[o]1 MNUJZQUOLLHDDV-UHFFFAOYSA-N 0.000 description 1
- OBLVWPLRGVHVTN-UHFFFAOYSA-N CC(C)C(C(OC)=O)c1cc(OCCCCCNC(OC(C)(C)C)=O)n[o]1 Chemical compound CC(C)C(C(OC)=O)c1cc(OCCCCCNC(OC(C)(C)C)=O)n[o]1 OBLVWPLRGVHVTN-UHFFFAOYSA-N 0.000 description 1
- UVENYCLPXVPQFB-MBIQTGHCSA-N CC(C)C(C(OC)=O)c1cc(OCCN(CC2)C[C@H]2NC(OC(C)(C)C)=O)n[o]1 Chemical compound CC(C)C(C(OC)=O)c1cc(OCCN(CC2)C[C@H]2NC(OC(C)(C)C)=O)n[o]1 UVENYCLPXVPQFB-MBIQTGHCSA-N 0.000 description 1
- LIIRMGOIFQNJJQ-UHFFFAOYSA-N CC(C)C(C(OC)=O)c1cc(OCCO)n[o]1 Chemical compound CC(C)C(C(OC)=O)c1cc(OCCO)n[o]1 LIIRMGOIFQNJJQ-UHFFFAOYSA-N 0.000 description 1
- LABGKFAYPCWTDR-UHFFFAOYSA-N CC(C)C(C(OC)=O)c1cc(OCCOC2OCCCC2)n[o]1 Chemical compound CC(C)C(C(OC)=O)c1cc(OCCOC2OCCCC2)n[o]1 LABGKFAYPCWTDR-UHFFFAOYSA-N 0.000 description 1
- CIPNIEJRFIJVFR-UHFFFAOYSA-N CC(C)C(C(OC)=O)c1cc(OCCOS(C)(=O)=O)n[o]1 Chemical compound CC(C)C(C(OC)=O)c1cc(OCCOS(C)(=O)=O)n[o]1 CIPNIEJRFIJVFR-UHFFFAOYSA-N 0.000 description 1
- QYQDMBKFBNOHGZ-UHFFFAOYSA-N CC(C)C1(C)OB(c2ccn[n]2C)OC1(C)C Chemical compound CC(C)C1(C)OB(c2ccn[n]2C)OC1(C)C QYQDMBKFBNOHGZ-UHFFFAOYSA-N 0.000 description 1
- IYDMGGPKSVWQRT-XZWHSSHBSA-N CC(C)Oc(cc(cc1)OC)c1C(N([C@@H]1c(cc2)ccc2Cl)C(N(CC2)CCN2C(C)=O)=O)=N[C@H]1c(cc1)ccc1Cl Chemical compound CC(C)Oc(cc(cc1)OC)c1C(N([C@@H]1c(cc2)ccc2Cl)C(N(CC2)CCN2C(C)=O)=O)=N[C@H]1c(cc1)ccc1Cl IYDMGGPKSVWQRT-XZWHSSHBSA-N 0.000 description 1
- XSHRGACUELWUJN-ZFGGDYGUSA-N CC(C)[C@@H](C(N(C[C@@H](C1)O)[C@@H]1C(NCc(c(OCCN)c1)ccc1-c1c(C)nc[s]1)=O)=O)c1cc(C)n[o]1 Chemical compound CC(C)[C@@H](C(N(C[C@@H](C1)O)[C@@H]1C(NCc(c(OCCN)c1)ccc1-c1c(C)nc[s]1)=O)=O)c1cc(C)n[o]1 XSHRGACUELWUJN-ZFGGDYGUSA-N 0.000 description 1
- QXXTYJAYCUBUOM-SSSAASCHSA-N CC(C)[C@@H](C(N(C[C@@H](C1)O)[C@@H]1C(NCc(c(OCCNC(c1ccc(C2(c(ccc(N(C)C)c3)c3Oc3cc(N(C)C)ccc23)OC2=O)c2c1)O)c1)ccc1-c1c(C)nc[s]1)=O)=O)c1cc(C)n[o]1 Chemical compound CC(C)[C@@H](C(N(C[C@@H](C1)O)[C@@H]1C(NCc(c(OCCNC(c1ccc(C2(c(ccc(N(C)C)c3)c3Oc3cc(N(C)C)ccc23)OC2=O)c2c1)O)c1)ccc1-c1c(C)nc[s]1)=O)=O)c1cc(C)n[o]1 QXXTYJAYCUBUOM-SSSAASCHSA-N 0.000 description 1
- XMPRRTISUFCRBI-MFMILTCTSA-N CC(C)[C@@H](C(N(C[C@@H](C1)O)[C@@H]1C(NOc(cc1)cc(F)c1-c1c(C)nc[s]1)=O)=O)c1cc(C)n[o]1 Chemical compound CC(C)[C@@H](C(N(C[C@@H](C1)O)[C@@H]1C(NOc(cc1)cc(F)c1-c1c(C)nc[s]1)=O)=O)c1cc(C)n[o]1 XMPRRTISUFCRBI-MFMILTCTSA-N 0.000 description 1
- QXBMXKUMATYZQM-UPKQVVFYSA-N CC(C)[C@@H](C(N(C[C@@H](C1)O)[C@@H]1C(NOc(cc1)cc(F)c1-c1ccn[n]1C)=O)=O)c1cc(C)n[o]1 Chemical compound CC(C)[C@@H](C(N(C[C@@H](C1)O)[C@@H]1C(NOc(cc1)cc(F)c1-c1ccn[n]1C)=O)=O)c1cc(C)n[o]1 QXBMXKUMATYZQM-UPKQVVFYSA-N 0.000 description 1
- QYHOFUKASDNZEK-FRGLQRNOSA-N CC(C)[C@@H](C(N(C[C@@H](C1)O)[C@@H]1C(NOc(cc1)ccc1-c(c(F)ccc1)c1F)=O)=O)c1cc(C)n[o]1 Chemical compound CC(C)[C@@H](C(N(C[C@@H](C1)O)[C@@H]1C(NOc(cc1)ccc1-c(c(F)ccc1)c1F)=O)=O)c1cc(C)n[o]1 QYHOFUKASDNZEK-FRGLQRNOSA-N 0.000 description 1
- ZVJHRXHIOTXTBP-LKUPVBHCSA-N CC(C)[C@@H](C(N(C[C@@H](C1)O)[C@@H]1C(NOc(cc1C=CN2C)ccc1C2=O)=O)=O)c1cc(C)n[o]1 Chemical compound CC(C)[C@@H](C(N(C[C@@H](C1)O)[C@@H]1C(NOc(cc1C=CN2C)ccc1C2=O)=O)=O)c1cc(C)n[o]1 ZVJHRXHIOTXTBP-LKUPVBHCSA-N 0.000 description 1
- LVOKFDYVPBWAJG-GTCCEBARSA-N CC(C)[C@@H](C(N(C[C@@H](C1)O)[C@@H]1C(NOc(ccc(-c1ccn[n]1C)c1)c1F)=O)=O)c1cc(C)n[o]1 Chemical compound CC(C)[C@@H](C(N(C[C@@H](C1)O)[C@@H]1C(NOc(ccc(-c1ccn[n]1C)c1)c1F)=O)=O)c1cc(C)n[o]1 LVOKFDYVPBWAJG-GTCCEBARSA-N 0.000 description 1
- PIQSWROWZJIINC-OIZPXSPQSA-O CC(C)[C@H](/C(/O)=C/C(OCCCCCN)=[NH2+])C(N(C[C@@H](C1)O)[C@@H]1C(NOc(cc1)ccc1-c(cccc1)c1F)=O)=[O]=C Chemical compound CC(C)[C@H](/C(/O)=C/C(OCCCCCN)=[NH2+])C(N(C[C@@H](C1)O)[C@@H]1C(NOc(cc1)ccc1-c(cccc1)c1F)=O)=[O]=C PIQSWROWZJIINC-OIZPXSPQSA-O 0.000 description 1
- UMZGOHNDJIQELP-UHFFFAOYSA-N CC(CC=C)ON Chemical compound CC(CC=C)ON UMZGOHNDJIQELP-UHFFFAOYSA-N 0.000 description 1
- GNMSLDIYJOSUSW-LURJTMIESA-N CC(N(CCC1)[C@@H]1C(O)=O)=O Chemical compound CC(N(CCC1)[C@@H]1C(O)=O)=O GNMSLDIYJOSUSW-LURJTMIESA-N 0.000 description 1
- XEXHCQJRVMVJMY-UHFFFAOYSA-N CC(Oc(cc1)ccc1Br)=O Chemical compound CC(Oc(cc1)ccc1Br)=O XEXHCQJRVMVJMY-UHFFFAOYSA-N 0.000 description 1
- VACAGRZJSMEKCD-UHFFFAOYSA-N CC1(C)OB(c(cc2)ccc2-c2c(C)nc[s]2)OC1(C)C Chemical compound CC1(C)OB(c(cc2)ccc2-c2c(C)nc[s]2)OC1(C)C VACAGRZJSMEKCD-UHFFFAOYSA-N 0.000 description 1
- PHHKWHBPRKFKKF-UHFFFAOYSA-N CCNC(NCc(cccc1)c1Sc(cc1)c[n]2c1nnc2C(C)C)=O Chemical compound CCNC(NCc(cccc1)c1Sc(cc1)c[n]2c1nnc2C(C)C)=O PHHKWHBPRKFKKF-UHFFFAOYSA-N 0.000 description 1
- YEKPMJJEOSAZID-UHFFFAOYSA-N CN(C=C(c1c2[nH]cc1C1)c(cc(CS(C)(=O)=O)cc3)c3N1c(ncc(F)c1)c1F)C2=O Chemical compound CN(C=C(c1c2[nH]cc1C1)c(cc(CS(C)(=O)=O)cc3)c3N1c(ncc(F)c1)c1F)C2=O YEKPMJJEOSAZID-UHFFFAOYSA-N 0.000 description 1
- CWRGGUQWCXJBFM-UHFFFAOYSA-N CN(c(c(N1C)c2)cc(C(c3c4[nH]nc3)=CN(C)C4=O)c2Oc(ccc(F)c2)c2F)C1=O Chemical compound CN(c(c(N1C)c2)cc(C(c3c4[nH]nc3)=CN(C)C4=O)c2Oc(ccc(F)c2)c2F)C1=O CWRGGUQWCXJBFM-UHFFFAOYSA-N 0.000 description 1
- GUHZROLTUVESDF-OZRKRLJNSA-N C[C@@H]([C@@H](CC=C)N=CSC1)C1OC(C)=O Chemical compound C[C@@H]([C@@H](CC=C)N=CSC1)C1OC(C)=O GUHZROLTUVESDF-OZRKRLJNSA-N 0.000 description 1
- RTYOJEHILRDOMQ-QUGAMOGWSA-N C[C@H](c(c(N)c1)ccc1Cl)N([C@@H](c(cc1)ccc1Cl)C(N(CCOCCOC)c(c1c2)ccc2I)=O)C1=O Chemical compound C[C@H](c(c(N)c1)ccc1Cl)N([C@@H](c(cc1)ccc1Cl)C(N(CCOCCOC)c(c1c2)ccc2I)=O)C1=O RTYOJEHILRDOMQ-QUGAMOGWSA-N 0.000 description 1
- NSWBSEOSLVOPBL-PZORYLMUSA-N C[C@H](c1ncccc1)N(c1c(cc(c(C2C=[O]N=C2)c2)OC)c2ncc1N1)C1=O Chemical compound C[C@H](c1ncccc1)N(c1c(cc(c(C2C=[O]N=C2)c2)OC)c2ncc1N1)C1=O NSWBSEOSLVOPBL-PZORYLMUSA-N 0.000 description 1
- BJPQFVADQCGEEU-UHFFFAOYSA-N C[n]1nccc1-c(ccc(O)c1)c1F Chemical compound C[n]1nccc1-c(ccc(O)c1)c1F BJPQFVADQCGEEU-UHFFFAOYSA-N 0.000 description 1
- FPDIVCWHNNUBSE-UHFFFAOYSA-N Cc1c(-c(cc2)ccc2Br)[o]cn1 Chemical compound Cc1c(-c(cc2)ccc2Br)[o]cn1 FPDIVCWHNNUBSE-UHFFFAOYSA-N 0.000 description 1
- TUDMTKBXWRFIPU-UHFFFAOYSA-N Cc1c(-c(cc2)ccc2O)[o]cn1 Chemical compound Cc1c(-c(cc2)ccc2O)[o]cn1 TUDMTKBXWRFIPU-UHFFFAOYSA-N 0.000 description 1
- JRYWGSCPZXRJTO-UHFFFAOYSA-N Cc1c(-c(cc2)ccc2ON)[s]cn1 Chemical compound Cc1c(-c(cc2)ccc2ON)[s]cn1 JRYWGSCPZXRJTO-UHFFFAOYSA-N 0.000 description 1
- NSPOJECBSGBKGJ-UHFFFAOYSA-N Cc1c(-c(cc2)ccc2[U]N)[s]cn1 Chemical compound Cc1c(-c(cc2)ccc2[U]N)[s]cn1 NSPOJECBSGBKGJ-UHFFFAOYSA-N 0.000 description 1
- CBHWEUPOGQIGDT-UHFFFAOYSA-N Cc1cc(N(C(c2c3c(C(NC)=O)c[n]2C)c(cc2)ccc2Cl)C3=O)cc2c1NNN2C Chemical compound Cc1cc(N(C(c2c3c(C(NC)=O)c[n]2C)c(cc2)ccc2Cl)C3=O)cc2c1NNN2C CBHWEUPOGQIGDT-UHFFFAOYSA-N 0.000 description 1
- DLRXEPREUKUZQO-UHFFFAOYSA-N Clc1c[s]cn1 Chemical compound Clc1c[s]cn1 DLRXEPREUKUZQO-UHFFFAOYSA-N 0.000 description 1
- SJECIYLGISUNRO-UHFFFAOYSA-N NOP(c1ccccc1)(c1ccccc1)=O Chemical compound NOP(c1ccccc1)(c1ccccc1)=O SJECIYLGISUNRO-UHFFFAOYSA-N 0.000 description 1
- QROIZIAHVDMXRY-UHFFFAOYSA-N NOc(cc1)ccc1-c(c(F)ccc1)c1F Chemical compound NOc(cc1)ccc1-c(c(F)ccc1)c1F QROIZIAHVDMXRY-UHFFFAOYSA-N 0.000 description 1
- OTOUYZZRZXWUHQ-UHFFFAOYSA-N NOc1cc2ccccc2cc1 Chemical compound NOc1cc2ccccc2cc1 OTOUYZZRZXWUHQ-UHFFFAOYSA-N 0.000 description 1
- IFORBTVIRBZFON-UHFFFAOYSA-N O=C(c([nH]c1c2ccc(Cl)c1)c2-c1c(-c2ccccc2)nc[n]1Cc(cc1)ccc1Cl)NCCN1CCOCC1 Chemical compound O=C(c([nH]c1c2ccc(Cl)c1)c2-c1c(-c2ccccc2)nc[n]1Cc(cc1)ccc1Cl)NCCN1CCOCC1 IFORBTVIRBZFON-UHFFFAOYSA-N 0.000 description 1
- AJTMYPQMSAVUFM-UHFFFAOYSA-N O=C(c(cccc1)c1C1=O)N1Oc1cc(cccc2)c2cc1 Chemical compound O=C(c(cccc1)c1C1=O)N1Oc1cc(cccc2)c2cc1 AJTMYPQMSAVUFM-UHFFFAOYSA-N 0.000 description 1
- NPUCCRDDHOGKBR-XTEPFMGCSA-N OC(CCCCN(c1ncn[n]1[C@H]1c(cc2)ccc2Br)C2=C1[C@@H](c(cc1)ccc1Br)Oc1c2cccc1)=O Chemical compound OC(CCCCN(c1ncn[n]1[C@H]1c(cc2)ccc2Br)C2=C1[C@@H](c(cc1)ccc1Br)Oc1c2cccc1)=O NPUCCRDDHOGKBR-XTEPFMGCSA-N 0.000 description 1
- QZJRNGXHRQJBJH-UHFFFAOYSA-N OC(c([nH]c1c2ccc(Cl)c1)c2-c1c(-c2ccccc2)nc[n]1Cc(cc1)ccc1Cl)=O Chemical compound OC(c([nH]c1c2ccc(Cl)c1)c2-c1c(-c2ccccc2)nc[n]1Cc(cc1)ccc1Cl)=O QZJRNGXHRQJBJH-UHFFFAOYSA-N 0.000 description 1
- VAPPHRAUOINSEG-UHFFFAOYSA-N Oc(c(Cl)c1)ccc1-c(cccc1)c1F Chemical compound Oc(c(Cl)c1)ccc1-c(cccc1)c1F VAPPHRAUOINSEG-UHFFFAOYSA-N 0.000 description 1
- VIBJPUXLAKVICD-UHFFFAOYSA-N Oc(c(Cl)c1)ccc1Br Chemical compound Oc(c(Cl)c1)ccc1Br VIBJPUXLAKVICD-UHFFFAOYSA-N 0.000 description 1
- MRQYTJXVULSNIS-UHFFFAOYSA-N Oc(cc1)cc(F)c1Br Chemical compound Oc(cc1)cc(F)c1Br MRQYTJXVULSNIS-UHFFFAOYSA-N 0.000 description 1
Classifications
-
- C—CHEMISTRY; METALLURGY
- C07—ORGANIC CHEMISTRY
- C07D—HETEROCYCLIC COMPOUNDS
- C07D471/00—Heterocyclic compounds containing nitrogen atoms as the only ring hetero atoms in the condensed system, at least one ring being a six-membered ring with one nitrogen atom, not provided for by groups C07D451/00 - C07D463/00
- C07D471/12—Heterocyclic compounds containing nitrogen atoms as the only ring hetero atoms in the condensed system, at least one ring being a six-membered ring with one nitrogen atom, not provided for by groups C07D451/00 - C07D463/00 in which the condensed system contains three hetero rings
- C07D471/16—Peri-condensed systems
-
- A—HUMAN NECESSITIES
- A61—MEDICAL OR VETERINARY SCIENCE; HYGIENE
- A61K—PREPARATIONS FOR MEDICAL, DENTAL OR TOILETRY PURPOSES
- A61K31/00—Medicinal preparations containing organic active ingredients
- A61K31/33—Heterocyclic compounds
- A61K31/395—Heterocyclic compounds having nitrogen as a ring hetero atom, e.g. guanethidine or rifamycins
- A61K31/40—Heterocyclic compounds having nitrogen as a ring hetero atom, e.g. guanethidine or rifamycins having five-membered rings with one nitrogen as the only ring hetero atom, e.g. sulpiride, succinimide, tolmetin, buflomedil
-
- A—HUMAN NECESSITIES
- A61—MEDICAL OR VETERINARY SCIENCE; HYGIENE
- A61K—PREPARATIONS FOR MEDICAL, DENTAL OR TOILETRY PURPOSES
- A61K31/00—Medicinal preparations containing organic active ingredients
- A61K31/33—Heterocyclic compounds
- A61K31/395—Heterocyclic compounds having nitrogen as a ring hetero atom, e.g. guanethidine or rifamycins
- A61K31/41—Heterocyclic compounds having nitrogen as a ring hetero atom, e.g. guanethidine or rifamycins having five-membered rings with two or more ring hetero atoms, at least one of which being nitrogen, e.g. tetrazole
- A61K31/42—Oxazoles
- A61K31/422—Oxazoles not condensed and containing further heterocyclic rings
-
- A—HUMAN NECESSITIES
- A61—MEDICAL OR VETERINARY SCIENCE; HYGIENE
- A61K—PREPARATIONS FOR MEDICAL, DENTAL OR TOILETRY PURPOSES
- A61K31/00—Medicinal preparations containing organic active ingredients
- A61K31/33—Heterocyclic compounds
- A61K31/395—Heterocyclic compounds having nitrogen as a ring hetero atom, e.g. guanethidine or rifamycins
- A61K31/41—Heterocyclic compounds having nitrogen as a ring hetero atom, e.g. guanethidine or rifamycins having five-membered rings with two or more ring hetero atoms, at least one of which being nitrogen, e.g. tetrazole
- A61K31/425—Thiazoles
- A61K31/427—Thiazoles not condensed and containing further heterocyclic rings
-
- A—HUMAN NECESSITIES
- A61—MEDICAL OR VETERINARY SCIENCE; HYGIENE
- A61K—PREPARATIONS FOR MEDICAL, DENTAL OR TOILETRY PURPOSES
- A61K31/00—Medicinal preparations containing organic active ingredients
- A61K31/33—Heterocyclic compounds
- A61K31/395—Heterocyclic compounds having nitrogen as a ring hetero atom, e.g. guanethidine or rifamycins
- A61K31/435—Heterocyclic compounds having nitrogen as a ring hetero atom, e.g. guanethidine or rifamycins having six-membered rings with one nitrogen as the only ring hetero atom
- A61K31/44—Non condensed pyridines; Hydrogenated derivatives thereof
- A61K31/4427—Non condensed pyridines; Hydrogenated derivatives thereof containing further heterocyclic ring systems
- A61K31/4439—Non condensed pyridines; Hydrogenated derivatives thereof containing further heterocyclic ring systems containing a five-membered ring with nitrogen as a ring hetero atom, e.g. omeprazole
-
- A—HUMAN NECESSITIES
- A61—MEDICAL OR VETERINARY SCIENCE; HYGIENE
- A61K—PREPARATIONS FOR MEDICAL, DENTAL OR TOILETRY PURPOSES
- A61K31/00—Medicinal preparations containing organic active ingredients
- A61K31/33—Heterocyclic compounds
- A61K31/395—Heterocyclic compounds having nitrogen as a ring hetero atom, e.g. guanethidine or rifamycins
- A61K31/435—Heterocyclic compounds having nitrogen as a ring hetero atom, e.g. guanethidine or rifamycins having six-membered rings with one nitrogen as the only ring hetero atom
- A61K31/47—Quinolines; Isoquinolines
- A61K31/472—Non-condensed isoquinolines, e.g. papaverine
- A61K31/4725—Non-condensed isoquinolines, e.g. papaverine containing further heterocyclic rings
-
- A—HUMAN NECESSITIES
- A61—MEDICAL OR VETERINARY SCIENCE; HYGIENE
- A61K—PREPARATIONS FOR MEDICAL, DENTAL OR TOILETRY PURPOSES
- A61K45/00—Medicinal preparations containing active ingredients not provided for in groups A61K31/00 - A61K41/00
- A61K45/06—Mixtures of active ingredients without chemical characterisation, e.g. antiphlogistics and cardiaca
-
- A—HUMAN NECESSITIES
- A61—MEDICAL OR VETERINARY SCIENCE; HYGIENE
- A61K—PREPARATIONS FOR MEDICAL, DENTAL OR TOILETRY PURPOSES
- A61K47/00—Medicinal preparations characterised by the non-active ingredients used, e.g. carriers or inert additives; Targeting or modifying agents chemically bound to the active ingredient
- A61K47/50—Medicinal preparations characterised by the non-active ingredients used, e.g. carriers or inert additives; Targeting or modifying agents chemically bound to the active ingredient the non-active ingredient being chemically bound to the active ingredient, e.g. polymer-drug conjugates
- A61K47/51—Medicinal preparations characterised by the non-active ingredients used, e.g. carriers or inert additives; Targeting or modifying agents chemically bound to the active ingredient the non-active ingredient being chemically bound to the active ingredient, e.g. polymer-drug conjugates the non-active ingredient being a modifying agent
- A61K47/54—Medicinal preparations characterised by the non-active ingredients used, e.g. carriers or inert additives; Targeting or modifying agents chemically bound to the active ingredient the non-active ingredient being chemically bound to the active ingredient, e.g. polymer-drug conjugates the non-active ingredient being a modifying agent the modifying agent being an organic compound
- A61K47/55—Medicinal preparations characterised by the non-active ingredients used, e.g. carriers or inert additives; Targeting or modifying agents chemically bound to the active ingredient the non-active ingredient being chemically bound to the active ingredient, e.g. polymer-drug conjugates the non-active ingredient being a modifying agent the modifying agent being an organic compound the modifying agent being also a pharmacologically or therapeutically active agent, i.e. the entire conjugate being a codrug, i.e. a dimer, oligomer or polymer of pharmacologically or therapeutically active compounds
-
- C—CHEMISTRY; METALLURGY
- C07—ORGANIC CHEMISTRY
- C07D—HETEROCYCLIC COMPOUNDS
- C07D207/00—Heterocyclic compounds containing five-membered rings not condensed with other rings, with one nitrogen atom as the only ring hetero atom
- C07D207/02—Heterocyclic compounds containing five-membered rings not condensed with other rings, with one nitrogen atom as the only ring hetero atom with only hydrogen or carbon atoms directly attached to the ring nitrogen atom
- C07D207/04—Heterocyclic compounds containing five-membered rings not condensed with other rings, with one nitrogen atom as the only ring hetero atom with only hydrogen or carbon atoms directly attached to the ring nitrogen atom having no double bonds between ring members or between ring members and non-ring members
- C07D207/10—Heterocyclic compounds containing five-membered rings not condensed with other rings, with one nitrogen atom as the only ring hetero atom with only hydrogen or carbon atoms directly attached to the ring nitrogen atom having no double bonds between ring members or between ring members and non-ring members with hetero atoms or with carbon atoms having three bonds to hetero atoms with at the most one bond to halogen, e.g. ester or nitrile radicals, directly attached to ring carbon atoms
- C07D207/12—Oxygen or sulfur atoms
-
- C—CHEMISTRY; METALLURGY
- C07—ORGANIC CHEMISTRY
- C07D—HETEROCYCLIC COMPOUNDS
- C07D413/00—Heterocyclic compounds containing two or more hetero rings, at least one ring having nitrogen and oxygen atoms as the only ring hetero atoms
- C07D413/02—Heterocyclic compounds containing two or more hetero rings, at least one ring having nitrogen and oxygen atoms as the only ring hetero atoms containing two hetero rings
- C07D413/06—Heterocyclic compounds containing two or more hetero rings, at least one ring having nitrogen and oxygen atoms as the only ring hetero atoms containing two hetero rings linked by a carbon chain containing only aliphatic carbon atoms
-
- C—CHEMISTRY; METALLURGY
- C07—ORGANIC CHEMISTRY
- C07D—HETEROCYCLIC COMPOUNDS
- C07D413/00—Heterocyclic compounds containing two or more hetero rings, at least one ring having nitrogen and oxygen atoms as the only ring hetero atoms
- C07D413/14—Heterocyclic compounds containing two or more hetero rings, at least one ring having nitrogen and oxygen atoms as the only ring hetero atoms containing three or more hetero rings
-
- C—CHEMISTRY; METALLURGY
- C07—ORGANIC CHEMISTRY
- C07D—HETEROCYCLIC COMPOUNDS
- C07D417/00—Heterocyclic compounds containing two or more hetero rings, at least one ring having nitrogen and sulfur atoms as the only ring hetero atoms, not provided for by group C07D415/00
- C07D417/02—Heterocyclic compounds containing two or more hetero rings, at least one ring having nitrogen and sulfur atoms as the only ring hetero atoms, not provided for by group C07D415/00 containing two hetero rings
- C07D417/12—Heterocyclic compounds containing two or more hetero rings, at least one ring having nitrogen and sulfur atoms as the only ring hetero atoms, not provided for by group C07D415/00 containing two hetero rings linked by a chain containing hetero atoms as chain links
-
- C—CHEMISTRY; METALLURGY
- C07—ORGANIC CHEMISTRY
- C07D—HETEROCYCLIC COMPOUNDS
- C07D417/00—Heterocyclic compounds containing two or more hetero rings, at least one ring having nitrogen and sulfur atoms as the only ring hetero atoms, not provided for by group C07D415/00
- C07D417/14—Heterocyclic compounds containing two or more hetero rings, at least one ring having nitrogen and sulfur atoms as the only ring hetero atoms, not provided for by group C07D415/00 containing three or more hetero rings
-
- C—CHEMISTRY; METALLURGY
- C07—ORGANIC CHEMISTRY
- C07D—HETEROCYCLIC COMPOUNDS
- C07D495/00—Heterocyclic compounds containing in the condensed system at least one hetero ring having sulfur atoms as the only ring hetero atoms
- C07D495/12—Heterocyclic compounds containing in the condensed system at least one hetero ring having sulfur atoms as the only ring hetero atoms in which the condensed system contains three hetero rings
- C07D495/16—Peri-condensed systems
Definitions
- the present disclosure relates to bifunctional compounds, which can be used as modulators of targeted ubiquitination.
- the present disclosure is directed to compounds that contain on one end a VHL ligand moiety, which binds to the VHL E3 ubiquitin ligase, and on the other end a moiety that binds a target protein such that degradation of the target protein/polypeptide is effectuated.
- the present disclosure exhibits a broad range of pharmacological activities associated with compounds according to the present disclosure, consistent with the degradation/inhibition of targeted proteins/polypeptides.
- ubiquitin- proteasome system One of the cell's major degradation pathways is known as the ubiquitin- proteasome system.
- a protein is marked for degradation by the proteasome by ubiquitinating the protein.
- the ubiqitinization of the protein is accomplished by an E3 ubiquitin ligase that binds to a protein and adds ubiquitin molecules to the protein.
- the E3 ubiquitin ligase is part of a pathway that includes El and E2 ubiquitin ligases, which make ubiquitin available to the E3 ubiquitin ligase to add to the protein.
- PROTACs bring together an E3 ubiquitin ligase with a protein that is to be targeted for degradation.
- the PROTAC is comprised of a group that binds to an E3 ubiquitin ligase and a group that binds to the protein one wishes to degrade. These groups are typically connected with a linker. This molecular construct can bring the E3 ubiquitin ligase in proximity with the protein so that it is ubiquitinated and marked for degradation.
- VHL von Hippel-Lindau
- VCB the substrate recognition subunit of the E3 ligase complex
- the primary substrate of VHL is Hypoxia Inducible Factor l a (HIF-l a), a transcription factor that upregulates genes such as the pro-angiogenic growth factor VEGF and the red blood cell inducing cytokine erythropoietin in response to low oxygen levels.
- HIF-la is constitutively expressed, its intracellular levels are kept very low under normoxic conditions via its hydroxylation by prolyl hydroxylase domain (PHD) proteins and subsequent VHL-mediated ubiquitination.
- PLD prolyl hydroxylase domain
- VHL Von Hippel Lindau
- VCB an important target in cancer, chronic anemia and ischemia
- the present disclosure is directed to a compound of Formula (I), or a tautomer thereof:
- R 1 is selected from the group consisting of substituted or unsubstituted alkyl, substituted or unsubstituted cycloalkyl, substituted or unsubstituted aryl, substituted or unsubstituted heterocyclyl, and substituted or unsubstituted heteroaryl;
- R 3 is substituted or unsubstituted alkyl, or R 3 is taken together with R 6 , when present, and the atoms to which they are attached, to form a substituted or unsubstituted heterocyclylene;
- Y is selected from the group consisting of substituted or unsubstituted heteroarylene, substituted or unsubstituted heterocyclylene, O, S, -N(R 6 )-, -N(R 6 )-C(0)-, and - N(R 6 )-S0 2 -;
- R 6 is selected from the group consisting of H and substituted
- the present disclosure is directed to a compound of Formula (la), or a tautomer thereof:
- R 1 , R 3 , Y, and D are defined the same as in Formula (I).
- the present disclosure is directed to a pharmaceutical composition
- a pharmaceutical composition comprising a compound of Formula (I) or (la), or a salt (e.g., a pharmaceutically acceptable salt) thereof, and one or more pharmaceutically acceptable excipients.
- the present disclosure is directed to a method of treating a disease or disorder in a human in need thereof, comprising administering to said human an effective amount of a compound of Formula (I) or (la) or a salt (e.g, a pharmaceutically acceptable salt) thereof, or a pharmaceutical composition comprising a compound of Formula (I) or (la).
- the present disclosure is directed to a method of degrading a target protein in a cell comprising exposing the cell to a composition comprising an effective amount of the compound of Formula (I) or (la) or a salt (e.g., a pharmaceutically acceptable salt) thereof, wherein the compound effectuates the degradation of the target protein.
- the present disclosure is directed to a compound of Formula (II), or a tautomer thereof:
- R 1 is selected from the group consisting of substituted or unsubstituted alkyl, substituted or unsubstituted cycloalkyl, substituted or unsubstituted aryl, substituted or unsubstituted heterocyclyl, and substituted or unsubstituted heteroaryl
- R 3 is substituted or unsubstituted alkyl, or R 3 is taken together with R 6 , when present, and the atoms to which they are attached, to form a substituted or unsubstituted heterocyclylene
- Z is selected from the group consisting of substituted or unsubstituted heteroaryl, substituted or unsubstituted heterocyclyl, -N(R 6 )R 6a , -OR 6a , -SR 6a , and -N(R 6 )-S0 2 - R 6b
- R 6 is selected from the group consisting of substituted or unsubstituted alkyl, substituted or unsubstit
- the present disclosure is directed to compounds that bind an E3 ubiquitin ligase protein complex.
- compounds are described that bind to Von Hippel-Lindau (VHL), the substrate recognition subunit of the E3 ligase complex VCB.
- VHL Von Hippel-Lindau
- the description provides bifunctional compounds and associated methods of use for effectuating the ubiquitination and/or degradation of a chosen target protein.
- PROTAC refers to proteoly sis-targeting chimera molecules having generally three components, an E3 ubiquitin ligase binding moiety (E3LB), a linker (L), and a protein binding moiety (PB moiety, also referred to herein as "D").
- E3LB E3 ubiquitin ligase binding moiety
- L linker
- D protein binding moiety
- E3LB E3 ubiquitin ligase binding moiety
- PB moiety protein binding moiety
- the E3LB used herein is a VHL ligand moiety.
- VHL ligand moiety in a PROTAC compound refers to a VHL ligand that is covalently linked to one or more groups such as a linker (L), which itself can be optionally further linked to another chemical component, such as a protein binding moiety (D).
- L linker
- D protein binding moiety
- linker refers to a chemical bond formed by sharing of one or more pairs of electrons.
- linker means a chemical moiety comprising a chain of atoms that covalently attaches a component of a PROTAC to another component of the PROTAC.
- a "patient” or “individual” or “subject” is a mammal. Mammals include, but are not limited to, domesticated animals (e.g., cows, sheep, cats, dogs, and horses), primates (e.g., humans and non-human primates such as monkeys), rabbits, and rodents (e.g., mice and rats).
- the patient, individual, or subject is a human.
- the patient may be a "cancer patient," i.e. one who is suffering or at risk for suffering from one or more symptoms of cancer.
- cancer and “cancerous” refer to or describe the physiological condition in mammals that is typically characterized by unregulated cell growth/proliferation.
- a “tumor” comprises one or more cancerous cells. Examples of cancer are provided elsewhere herein.
- a "chemotherapeutic agent” or “anti-cancer agent” refers to a chemical compound useful in the treatment of cancer.
- chemotherapeutic agents include alkylating agents such as thiotepa and cyclosphosphamide (CYTOXAN®); alkyl sulfonates such as busulfan, improsulfan and piposulfan; aziridines such as benzodopa, carboquone, meturedopa, and uredopa; ethylenimines and methylamelamines including altretamine, triethylenemelamine, triethylenephosphoramide, triethylenethiophosphoramide and trimethylomelamine; acetogenins (especially bullatacin and bullatacinone); delta-9-tetrahydrocannabinol (dronabinol, MARINOL®); beta-lapachone; lapachol; colchicines; betulinic acid; a camptothecin (including the synthetic an
- Chemotherapeutic agents as defined herein include “anti-hormonal agents” or “endocrine therapeutics” which act to regulate, reduce, block, or inhibit the effects of hormones that can promote the growth of cancer. They may be hormones themselves, including, but not limited to: anti-estrogens with mixed agonist/antagonist profile, including, tamoxifen (NOLVADEX®), 4-hydroxytamoxifen, toremifene (FARESTON®), idoxifene, droloxifene, raloxifene (EVISTA®), trioxifene, keoxifene, and selective estrogen receptor modulators (SERMs) such as SERM3; pure anti-estrogens without agonist properties, such as fulvestrant (FASLODEX®), and EM800 (such agents may block estrogen receptor (ER) dimerization, inhibit DNA binding, increase ER turnover, and/or suppress ER levels); aromatase inhibitors, including steroidal aromatase inhibitors
- treatment refers to clinical intervention in an attempt to alter the natural course of the individual being treated, and can be performed either for prophylaxis or during the course of clinical pathology. Desirable effects of treatment include, but are not limited to, preventing occurrence or recurrence of disease, alleviation of symptoms, diminishment of any direct or indirect pathological consequences of the disease, preventing metastasis, decreasing the rate of disease progression, amelioration or palliation of the disease state, and remission or improved prognosis.
- the compounds and compositions of the subject matter described herein are used to delay development of a disease or to slow the progression of a disease.
- treatment is performed for prophylaxis only. In another embodiment, treatment is performed during the course of clinical pathology only (i.e., not for prophylaxis). In another embodiment, treatment is performed both during the course of clinical pathology and for prophylaxis.
- a drug that is administered "concurrently" with one or more other drugs is administered during the same treatment cycle, on the same day of treatment as the one or more other drugs, and, optionally, at the same time as the one or more other drugs. For instance, for cancer therapies given every 3 weeks, the concurrently administered drugs are each administered on day-1 of a 3-week cycle.
- the term "effective" is used to describe an amount of a compound, composition or component which, when used within the context of its intended use, achieves the desired therapeutic or prophylactic result.
- the term effective subsumes other effective amount or effective concentration terms, which are otherwise described or used in the present application.
- the term "therapeutically effective amount” means any amount which, as compared to a corresponding subject who has not received such amount, results in treatment of a disease, disorder, or side effect, or a decrease in the rate of advancement of a disease or disorder.
- therapeutically effective amounts of a PROTAC of the present disclosure, as well as salts thereof, may be administered as the raw chemical. Additionally, the active ingredient may be presented as a pharmaceutical composition.
- the term “optionally” means that the subsequently described event(s) may or may not occur, and includes both event(s) that occur and event(s) that do not occur.
- pharmaceutical formulation or “pharmaceutical composition” refers to a preparation which is in such form as to permit the biological activity of an active ingredient contained therein to be effective, and which contains no additional components which are unacceptably toxic to a subject to which the formulation would be administered.
- a "pharmaceutically acceptable excipient” refers to an ingredient in a pharmaceutical formulation, other than an active ingredient, which is nontoxic to a subject.
- a pharmaceutically acceptable excipient includes, but is not limited to, a buffer, carrier, stabilizer, or preservative.
- salts refers to pharmaceutically acceptable organic or inorganic salts of a molecule.
- Exemplary salts include, but are not limited, to sulfate, citrate, acetate, oxalate, chloride, bromide, iodide, nitrate, bisulfate, phosphate, acid phosphate, isonicotinate, lactate, salicylate, acid citrate, tartrate, oleate, tannate, pantothenate, bitartrate, ascorbate, succinate, maleate, gentisinate, fumarate, gluconate, glucuronate, saccharate, formate, benzoate, glutamate, methanesulfonate, ethanesulfonate, benzenesulfonate, p toluenesulfonate, and pamoate (i.e., ⁇ , ⁇ -methylene bis-(2-hydroxy-3
- a pharmaceutically acceptable salt may involve the inclusion of another molecule such as an acetate ion, a succinate ion or other counterion.
- the counterion may be any organic or inorganic moiety that stabilizes the charge on the parent compound.
- a pharmaceutically acceptable salt may have more than one charged atom in its structure. Instances where multiple charged atoms are part of the pharmaceutically acceptable salt can have multiple counter ions. Hence, a pharmaceutically acceptable salt can have one or more charged atoms and/or one or more counterion.
- salts which are not pharmaceutically acceptable, may be useful in the preparation of compounds described herein and these should be considered to form a further aspect of the subject matter.
- These salts such as oxalic or trifluoroacetate, while not in themselves pharmaceutically acceptable, may be useful in the preparation of salts useful as intermediates in obtaining the compounds described herein and their pharmaceutically acceptable salts.
- a "small molecule” or “small molecular compound” generally refers to an organic molecule that is less than about 5 kilodaltons (Kd) in size. In some embodiments, the small molecule is less than about 4 Kd, 3 Kd, about 2 Kd, or about 1 Kd. In some embodiments, the small molecule is less than about 800 daltons (D), about 600 D, about 500 D, about 400 D, about 300 D, about 200 D, or about 100 D. In some embodiments, a small molecule is less than about 2000 g/mol, less than about 1500 g/mol, less than about 1000 g/mol, less than about 800 g/mol, or less than about 500 g/mol.
- Kd kilodaltons
- small molecules are non- polymeric. Small molecules are not proteins, polypeptides, oligopeptides, peptides, polynucleotides, oligonucleotides, polysaccharides, glycoproteins, proteoglycans, etc.
- a derivative of a small molecule refers to a molecule that shares the same structural core as the original small molecule, but which can be prepared by a series of chemical reactions from the original small molecule.
- alkyl refers to a saturated linear or branched-chain monovalent hydrocarbon radical of any length from one to twelve carbon atoms (C1-C12), wherein the alkyl radical may be optionally substituted independently with one or more substituents described herein.
- an alkyl radical is one to eight carbon atoms (Ci-Cg), or one to six carbon atoms (Ci-Ce), or one to four carbon atoms (C1-C4), or one to three carbon atoms (C1-C3).
- alkyl groups include, but are not limited to, methyl (Me, -CH 3 ), ethyl (Et, -CH 2 CH 3 ), 1 -propyl (n-Pr, n-propyl, -CH 2 CH 2 CH 3 ), 2-propyl (i-Pr, i- propyl, isopropyl, -CH(CH 3 ) 2 ), 1 -butyl (n-Bu, n-butyl, -CH 2 CH 2 CH 2 CH 3 ), 2-methyl-l -propyl (i- Bu, i-butyl, -CH 2 CH(CH 3 ) 2 ), 2-butyl (s-Bu, s-butyl, -CH(CH 3 )CH 2 CH 3 ), 2-methyl-2-propyl (t- Bu, t-butyl, tert-butyl, -C(CH 3 ) 3 ), 1-pentyl (n-pentyl, -CH2
- alkylene refers to a saturated linear or branched-chain divalent hydrocarbon radical of any length from one to twelve carbon atoms (C1-C12), wherein the alkylene radical may be optionally substituted independently with one or more substituents described herein.
- an alkylene radical is one to eight carbon atoms (Ci- Cg), one to six carbon atoms (Ci-Ce), or one to four carbon atoms (C1-C4).
- alkylene groups include, but are not limited to, methylene (-CH 2 -), ethylene (-CH 2 CH 2 -), propylene (- CH2CH2CH2-), and the like.
- alkynyl refers to a linear or branched monovalent hydrocarbon radical of any length from two to twelve carbon atoms (C 2 -C 12 ) with at least one site of unsaturation, i.e., a carbon-carbon, sp triple bond, wherein the alkynyl radical may be optionally substituted independently with one or more substituents described herein. Examples include, but are not limited to, ethynyl (-C ⁇ CH), propynyl (propargyl, -CH 2 C ⁇ CH), and the like.
- alkynylene refers to a linear or branched divalent hydrocarbon radical of any length from two to twelve carbon atoms (C 2 -C 12 ) with at least one site of unsaturation, i.e., a carbon-carbon, sp triple bond, wherein the alkynylene radical may be optionally substituted independently with one or more substituents described herein. Examples include, but are not limited to, ethynylene (-C ⁇ C-), propynylene (propargylene, -CH 2 C ⁇ C-), and the like.
- carrier refers to a monovalent non-aromatic, saturated or partially unsaturated ring having 3 to 12 carbon atoms (C3-C12) as a monocyclic ring or 7 to 12 carbon atoms as a bicyclic ring.
- Bicyclic carbocycles having 7 to 12 atoms can be arranged, for example, as a bicyclo [4,5], [5,5], [5,6] or [6,6] system, and bicyclic carbocycles having 9 or 10 ring atoms can be arranged as a bicyclo [5,6] or [6,6] system, or as bridged systems such as bicyclo[2.2.1]heptane, bicyclo[2.2.2]octane and bicyclo[3.2.2]nonane. Spiro moieties are also included within the scope of this definition.
- Examples of monocyclic carbocycles include, but are not limited to, cyclopropyl, cyclobutyl, cyclopentyl, 1-cyclopent-l-enyl, l-cyclopent-2-enyl, l-cyclopent-3-enyl, cyclohexyl, 1- cyclohex-l-enyl, l-cyclohex-2-enyl, l-cyclohex-3-enyl, cyclohexadienyl, cycloheptyl, cyclooctyl, cyclononyl, cyclodecyl, cycloundecyl, cyclododecyl, and the like.
- Carbocyclyl groups are optionally substituted independently with one or more substituents described herein.
- cycloalkylene refer to a divalent non-aromatic, saturated or partially unsaturated ring having 3 to 12 carbon atoms (C 3 -C 12 ) as a monocyclic ring or 7 to 12 carbon atoms as a bicyclic ring.
- Bicyclic cycloalkylenes having 7 to 12 atoms can be arranged, for example, as a bicyclo [4,5], [5,5], [5,6] or [6,6] system, and bicyclic cycloalkylenes having 9 or 10 ring atoms can be arranged as a bicyclo [5,6] or [6,6] system, or as bridged systems such as bicyclo[2.2.1]heptane, bicyclo[2.2.2]octane and bicyclo[3.2.2]nonane. Spiro moieties are also included within the scope of this definition.
- Examples of monocyclic cycloalkylenes include, but are not limited to, cyclopropylene, cyclobutylene, cyclopentylene, 1-cyclopent-l-enylene, 1- cyclopent-2-enylene, l-cyclopent-3-enylene, cyclohexylene, 1-cyclohex-l-enylene, 1-cyclohex- 2-enylene, l-cyclohex-3-enylene, cyclohexadienylene, cycloheptylene, cyclooctylene, cyclononylene, cyclodecylene, cycloundecylene, cyclododecylene, and the like. Cycloalkylene groups are optionally substituted independently with one or more substituents described herein.
- Aryl means a monovalent aromatic hydrocarbon radical of 6-20 carbon atoms (C6-C2 0 ) derived by the removal of one hydrogen atom from a single carbon atom of a parent aromatic ring system. Some aryl groups are represented in the exemplary structures as "Ar”. Aryl includes bicyclic radicals comprising an aromatic ring fused to a saturated, partially unsaturated ring, or aromatic carbocyclic ring.
- Typical aryl groups include, but are not limited to, radicals derived from benzene (phenyl), substituted benzenes, naphthalene, anthracene, biphenyl, indenyl, indanyl, 1,2-dihydronaphthalene, 1,2,3,4-tetrahydronaphthyl, and the like.
- Aryl groups are optionally substituted independently with one or more substituents described herein.
- Arylene means a divalent aromatic hydrocarbon radical of 6-20 carbon atoms (C6-C2 0 ) derived by the removal of two hydrogen atom from a two carbon atoms of a parent aromatic ring system. Some arylene groups are represented in the exemplary structures as "Ar”. Arylene includes bicyclic radicals comprising an aromatic ring fused to a saturated, partially unsaturated ring, or aromatic carbocyclic ring.
- Typical arylene groups include, but are not limited to, radicals derived from benzene (phenylene), substituted benzenes, naphthalene, anthracene, biphenylene, indenylene, indanylene, 1,2-dihydronaphthalene, 1,2,3,4- tetrahydronaphthyl, and the like.
- Arylene groups are optionally substituted with one or more substituents described herein.
- heterocycle refers to a saturated or a partially unsaturated (i.e., having one or more double and/or triple bonds within the ring) carbocyclic radical of 3 to about 20 ring atoms in which at least one ring atom is a heteroatom selected from nitrogen, oxygen, phosphorus and sulfur, the remaining ring atoms being C, where one or more ring atoms is optionally substituted independently with one or more substituents described herein.
- a heterocycle may be a monocycle having 3 to 7 ring members (2 to 6 carbon atoms and 1 to 4 heteroatoms selected from N, O, P, and S) or a bicycle having 7 to 10 ring members (4 to 9 carbon atoms and 1 to 6 heteroatoms selected from N, O, P, and S), for example: a bicyclo [4,5], [5,5], [5,6], or [6,6] system.
- Heterocycles are described in Paquette, Leo A.; "Principles of Modern Heterocyclic Chemistry" (W.A.
- Heterocyclyl also includes radicals where heterocycle radicals are fused with a saturated, partially unsaturated ring, or aromatic carbocyclic or heterocyclic ring.
- heterocyclic rings include, but are not limited to, morpholin-4-yl, piperidin-l-yl, piperazinyl, piperazin-4-yl-2-one, piperazin-4-yl-3-one, pyrrolidin-l-yl, thiomorpholin-4-yl, S- dioxothiomorpholin-4-yl, azocan-l-yl, azetidin-l-yl, octahydropyrido[l,2-a]pyrazin-2-yl, [l,4]diazepan-l-yl, pyrrolidinyl, tetrahydrofuranyl, dihydrofuranyl, tetrahydrothienyl, tetrahydropyranyl, dihydropyranyl, tetrahydrothiopyranyl, piperidino, morpholino, thiomorpholino, thioxanyl, piperazinyl, homopiperaz
- Spiro moieties are also included within the scope of this definition.
- the heterocycle groups herein are optionally substituted independently with one or more substituents described herein.
- heterocyclylene refers to a divalent saturated or a partially unsaturated (i.e., having one or more double and/or triple bonds within the ring) carbocyclic radical of 3 to about 20 ring atoms in which at least one ring atom is a heteroatom selected from nitrogen, oxygen, phosphorus and sulfur, the remaining ring atoms being C, where one or more ring atoms is optionally substituted independently with one or more substituents described herein.
- a heterocyclylene may be a monocycle having 3 to 7 ring members (2 to 6 carbon atoms and 1 to 4 heteroatoms selected from N, O, P, and S) or a bicycle having 7 to 10 ring members (4 to 9 carbon atoms and 1 to 6 heteroatoms selected from N, O, P, and S), for example: a bicyclo [4,5], [5,5], [5,6], or [6,6] system.
- Heterocycles are described in Paquette, Leo A.; "Principles of Modem Heterocyclic Chemistry" (W.A.
- Heterocyclylene also includes divalent radicals where heterocycle radicals are fused with a saturated, partially unsaturated ring, or aromatic carbocyclic or heterocyclic ring.
- heterocyclylenes include, but are not limited to, morpholin-4- ylene, piperidin-l -ylene, piperazinylene, piperazin-4-ylene-2-one, piperazin-4-ylene-3-one, pyrrolidin-l-ylene, thiomorpholin-4-ylene, S-dioxothiomorpholin-4-ylene, azocan-l -ylene, azetidin-l -ylene, octahydropyrido[l,2-a]pyrazin-2-ylene, [l,4]diazepan-l -ylene, pyrrolidinylene, tetrahydrofuranylene, dihydrofuranylene, tetrahydrothienylene, tetrahydropyranylene, dihydropyranylene, tetrahydrothiopyranylene, piperidino, mo holino, thiomorpholino, thioxanylene, piperid
- Spiro moieties are also included within the scope of this definition.
- the heterocyclylene groups herein are optionally substituted independently with one or more substituents described herein.
- heteroaryl refers to a monovalent aromatic radical of 5-, 6-, or 7- membered rings, and includes fused ring systems (at least one of which is aromatic) of 5-20 atoms, containing one or more heteroatoms independently selected from nitrogen, oxygen, and sulfur.
- heteroaryl groups are pyridinyl (including, for example, 2- hydroxypyridinyl), imidazolyl, imidazopyridinyl, l -methyl-lH-benzo[d]imidazole, [l,2,4]triazolo[l ,5-a]pyridine, pyrimidinyl (including, for example, 4-hydroxypyrimidinyl), pyrazolyl, triazolyl, pyrazinyl, tetrazolyl, furyl, thienyl, isoxazolyl, thiazolyl, oxadiazolyl, oxazolyl, isothiazolyl, pyrrolyl, quinolinyl, isoquinolinyl, tetrahydroisoquinolinyl, indolyl, benzimidazolyl, benzofuranyl, cinnolinyl, indazolyl, indolizinyl, phthalazinyl,
- Heteroaryl groups are optionally substituted independently with one or more substituents described herein.
- heteroarylene refers to a divalent aromatic radical of 5-, 6-, or 7- membered rings, and includes fused ring systems (at least one of which is aromatic) of 5-20 atoms, containing one or more heteroatoms independently selected from nitrogen, oxygen, and sulfur.
- heteroarylene groups are pyridinylene (including, for example, 2- hydroxypyridinylene), imidazolylene, imidazopyridinylene, l-methyl-lH-benzo[d]imidazole, [l,2,4]triazolo[l ,5-a]pyridine, pyrimidinylene (including, for example, 4- hydroxypyrimidinylene), pyrazolylene, triazolylene, pyrazinylene, tetrazolylene, furylene, thienylene, isoxazolylene, thiazolylene, oxadiazolylene, oxazolylene, isothiazolylene, pyrrolylene, quinolinylene, isoquinolinylene, tetrahydroisoquinolinylene, indolylene, benzimidazolylene, benzofuranylene, cinnolinylene, indazolylene, indolizinylene, phthalazinylene
- the heterocycle or heteroaryl groups may be carbon (carbon-linked), or nitrogen (nitrogen-linked) bonded where such is possible.
- carbon bonded heterocycles or heteroaryls are bonded at position 2, 3, 4, 5, or 6 of a pyridine, position 3, 4, 5, or 6 of a pyridazine, position 2, 4, 5, or 6 of a pyrimidine, position 2, 3, 5, or 6 of a pyrazine, position 2, 3, 4, or 5 of a furan, tetrahydrofuran, thiofuran, thiophene, pyrrole or tetrahydropyrrole, position 2, 4, or 5 of an oxazole, imidazole or thiazole, position 3, 4, or 5 of an isoxazole, pyrazole, or isothiazole, position 2 or 3 of an aziridine, position 2, 3, or 4 of an azetidine, position 2, 3, 4, 5, 6, 7, or 8 of a quinoline or position 1
- nitrogen bonded heterocycles or heteroaryls are bonded at position 1 of an aziridine, azetidine, pyrrole, pyrrolidine, 2-pyrroline, 3-pyrroline, imidazole, imidazolidine, 2-imidazoline, 3-imidazoline, pyrazole, pyrazoline, 2- pyrazoline, 3-pyrazoline, piperidine, piperazine, indole, indoline, IH-indazole, position 2 of a isoindole, or isoindoline, position 4 of a morpholine, and position 9 of a carbazole, or ⁇ - carboline.
- acyl refers to both substituted and unsubstituted acyl.
- an “acyl” may be -C(0)-R 16 , wherein R 16 is selected from the group consisting of substituted or unsubstituted alkyl, substituted or unsubstituted alkenyl, substituted or unsubstituted alkynyl, substituted or unsubstituted cycloalkyl, substituted or unsubstituted aryl, substituted or unsubstituted heteroaryl, and substituted or unsubstituted heterocyclyl. In one particular embodiment, it is a substituted C1-C3 alkyl.
- chiral refers to molecules which have the property of non-superimposability of the mirror image partner, while the term “achiral” refers to molecules which are superimposable on their mirror image partner.
- stereoisomers refers to compounds which have identical chemical constitution, but differ with regard to the arrangement of the atoms or groups in space.
- Diastereomer refers to a stereoisomer with two or more centers of chirality and whose molecules are not mirror images of one another. Diastereomers have different physical properties, e.g. melting points, boiling points, spectral properties, and reactivities. Mixtures of diastereomers may separate under high resolution analytical procedures such as electrophoresis and chromatography.
- Enantiomers refer to two stereoisomers of a compound which are non- superimposable mirror images of one another.
- d and 1 or (+) and (-) are employed to designate the sign of rotation of plane-polarized light by the compound, with (-) or 1 meaning that the compound is levorotatory.
- a compound prefixed with (+) or d is dextrorotatory.
- these stereoisomers are identical except that they are mirror images of one another.
- a specific stereoisomer may also be referred to as an enantiomer, and a mixture of such isomers is often called an enantiomeric mixture.
- a 50:50 mixture of enantiomers is referred to as a racemic mixture or a racemate, which may occur where there has been no stereoselection or stereospecificity in a chemical reaction or process.
- racemic mixture and racemate refer to an equimolar mixture of two enantiomeric species, devoid of optical activity.
- co-administration and “co-administering” or “combination therapy” refer to both concurrent administration (administration of two or more therapeutic agents at the same time) and time varied administration (administration of one or more therapeutic agents at a time different from that of the administration of an additional therapeutic agent or agents), as long as the therapeutic agents are present in the patient to some extent, preferably at effective amounts, at the same time.
- one or more of the present compounds described herein are coadministered in combination with at least one additional bioactive agent, especially including an anticancer agent.
- the co-administration of compounds results in synergistic activity and/or therapy, including anticancer activity.
- compound refers to any specific chemical compound disclosed herein and includes tautomers, regioisomers, geometric isomers, and where applicable, stereoisomers, including optical isomers (enantiomers) and other stereoisomers (diastereomers) thereof, as well as pharmaceutically acceptable salts and derivatives (including prodrug forms) thereof where applicable, in context.
- compound generally refers to a single compound, but also may include other compounds such as stereoisomers, regioisomers and/or optical isomers (including racemic mixtures) as well as specific enantiomers or enantiomerically enriched mixtures of disclosed compounds.
- the term also refers, in context to prodrug forms of compounds which have been modified to facilitate the administration and delivery of compounds to a site of activity. It is noted that in describing the present compounds, numerous substituents and variables associated with same, among others, are described. It is understood by those of ordinary skill that molecules which are described herein are stable compounds as generally described hereunder.
- bond ⁇ is shown, both a double bond and single bond are represented within the context of the compound shown.
- a crossed double bond (* ⁇ ) both the E and Z configurations are represented within the context of the compound shown; and the compound may contain the E isomer or the Z isomer or a mixture of both the E and Z isomers.
- VLB E3 Ubiquitin Ligase Von Hippel-Lindau (or VHL) E3 Ubiquitin Ligase
- VHL or “Ubiquitin Ligase”
- VCB E3 is a protein that in combination with an E2 ubiquitin-conjugating enzyme causes the attachment of ubiquitin to a lysine on a target protein; the E3 ubiquitin ligase targets specific protein substrates for degradation by the proteasome.
- E3 ubiquitin ligase alone or in complex with an E2 ubiquitin conjugating enzyme is responsible for the transfer of ubiquitin to targeted proteins.
- the ubiquitin ligase is involved in polyubiquitination such that a second ubiquitin is attached to the first; a third is attached to the second, and so forth. Polyubiquitination marks proteins for degradation by the proteasome.
- ubiquitination events that are limited to mono-ubiquitination, in which only a single ubiquitin is added by the ubiquitin ligase to a substrate molecule.
- Mono-ubiquitinated proteins are not targeted to the proteasome for degradation, but may instead be altered in their cellular location or function, for example, via binding other proteins that have domains capable of binding ubiquitin.
- different lysines on ubiquitin can be targeted by an E3 to make chains. The most common lysine is Lys48 on the ubiquitin chain. This is the lysine used to make polyubiquitin, which is recognized by the proteasome.
- VHL ligand a moiety that binds the E3 VHL ubiquitin ligase or a component thereof, is referred to a VHL ligand.
- PB protein binding moiety
- D protein binding moiety
- Hsp90 inhibitors Hsp90 inhibitors, kinase inhibitors, MDM2 inhibitors, compounds targeting Human BET Bromodomain-containing proteins, HDAC inhibitors, human lysine methyltransferase inhibitors, angiogenesis inhibitors, immunosuppressive compounds, and compounds targeting the aryl hydrocarbon receptor (AHR), among numerous others.
- compositions described herein exemplify some of the members of these and other types of small molecule target proteins.
- VHL ligand By coupling the VHL ligand to a protein binding moiety (PB), the target protein or polypeptide is ubiquitinated and/or degraded by the proteasome.
- PB protein binding moiety
- certain groups e.g., alkyl, alkenyl, alkynyl, cycloalkyl, aryl, heteroaryl or heterocyclyl
- the "substituted" group may be substituted with 1 , 2, 3, 4, 5, or more substituents, as indicated herein.
- alkyl, alkenyl, alkynyl, cycloalkyl, aryl, heteroaryl or heterocyclyl may be substituted with one or more substituents independently selected from, but not limited to, alkyl, alkenyl, alkynyl, cycloalkyl heterocyclyl, aryl, heteroaryl, halo (i.e., halogen), haloalkyl, oxo, OH, CN, -O-alkyl, S-alkyl, NH-alkyl, N(alkyl) 2 , O-cycloalkyl, S-cycloalkyl, NH-cycloalkyl, N(cycloalkyl) 2 , N(cycloalkyl)(alkyl), NH 2 , SH, S0 2 - alkyl, P(0)(0-alkyl)(alkyl), P(0)(0-alkyl) 2 , Si(OH) 3 , Si(alkyl
- transitional phrases such as “comprising,” “including,” “carrying,” “having,” “containing,” “involving,” “holding,” “composed of,” and the like are to be understood to be open-ended, i.e., to mean including but not limited to. Only the transitional phrases “consisting of and “consisting essentially of shall be closed or semi-closed transitional phrases, respectively, as set forth in the United States Patent Office Manual of Patent Examining Procedures, Section 2111.03.
- the phrase "at least one,” in reference to a list of one or more elements, should be understood to mean at least one element selected from anyone or more of the elements in the list of elements, but not necessarily including at least one of each and every element specifically listed within the list of elements and not excluding any combinations of elements in the list of elements.
- This definition also allows that elements may optionally be present other than the elements specifically identified within the list of elements to which the phrase "at least one" refers, whether related or unrelated to those elements specifically identified.
- At least one of A and B can refer, in one embodiment, to at least one, optionally including more than one, A, with no B present (and optionally including elements other than B); in another embodiment, to at least one, optionally including more than one, B, with no A present (and optionally including elements other than A); in yet another embodiment, to at least one, optionally including more than one, A, and at least one, optionally including more than one, B (and optionally including other elements); etc.
- the description relates to a bifunctional PROTAC compound that binds an E3 ubiquitin ligase protein, and specifically VHL, or component thereof and a target protein.
- the E3 ubiquitin ligase protein ubiquitinates the target protein once it and the target protein are placed in proximity by the PROTAC compound. Accordingly, the description provides such compounds that bind to such E3 ubiquitin ligase proteins, as well as bifunctional PROTAC compounds comprising the same.
- E3 ubiquitin ligases confer substrate specificity for ubiquitination. There are known ligands which bind to these ligases.
- An E3 ubiquitin ligase binding group (E3LB) is a peptide or small molecule that can bind an E3 ubiquitin ligase.
- a particular E3 ubiquitin ligase is von Hippel-Lindau (VHL) tumor suppressor, the substrate recognition subunit of the E3 ligase complex VCB, which also consists of elongins B and C, Cul2 and Rbxl.
- VHL Hypoxia Inducible Factor la
- VEGF vascular endothelial growth factor
- cytokine erythropoietin a transcription factor that upregulates genes such as the pro-angiogenic growth factor VEGF and the red blood cell inducing cytokine erythropoietin in response to low oxygen levels.
- the present disclosure is directed to proteolysis-targeting chimera (PROTAC) compounds that are useful for regulating protein activity, and specifically, for facilitating the degradation of target proteins.
- PROTAC compounds of the present disclosure are bifunctional compounds that can be used as modulators of targeted ubiquitination.
- the compounds comprise on one end a VHL ligand moiety, which binds to the VHL E3 ubiquitin ligase, and on the other end a moiety that binds a target protein, such that degradation of the target protein/polypeptide is effectuated.
- the VHL ligand moiety is a small molecule (i.e., not peptide based).
- the VHL ligand moiety is chemically linked, via a bond or through a chemical linker, to a protein binding (PB) moiety (or "D"), wherein the VHL ligand moiety recognizes a VHL E3 ubiquitin ligase and the protein binding moiety recognizes a target protein or polypeptide, and wherein the VHL ligand moiety is coupled to the PB moiety.
- PB protein binding
- the present disclosure is directed to a compound according to the structure: VHLM-L, where L is a linker group and VHLM is a VHL ligand moiety.
- VHL ligand moiety is coupled directly or via a chemical linker to a protein binding (PB) moiety (or "D").
- PB protein binding
- the description provides compounds that comprise a protein binding group according to the general structure: VHLM-L-PB or VHLM-L-D, where VHLM is a VHL ligand moiety, PB or D is a chemical moiety (protein binding moiety), which binds to a target protein or polypeptide, which is ubiquitinated by an ubiquitin ligase, and is chemically linked directly to the VHL ligand moiety or through a linker moiety L, which can be a bond or a chemical linker.
- VHLM is a VHL ligand moiety
- PB or D is a chemical moiety (protein binding moiety), which binds to a target protein or polypeptide, which is ubiquitinated by an ubiquitin ligase, and is chemically linked directly to the VHL ligand moiety or through a linker moiety L, which can be a bond or a chemical linker.
- the PB or D moiety is alternatively also a VHL E3 ubiquitin ligase binding moiety, which may be the same or different than the VHL ligand moiety and is linked to the VHL ligand moiety directly or through a linker or a pharmaceutically acceptable salt, enantiomer, stereoisomer, solvate or polymorph thereof.
- the VHL ligand moiety is coupled to a PB or D moiety directly (via a bond) or via a chemical linker.
- the compound resembles a dimeric compound where both ends of the compound comprise a VHL ubiquitin ligase binding moiety as otherwise described herein.
- the VHL ligand moiety and PB or D moiety may be covalently linked to the linker group through any group which is appropriate and stable to the chemistry of the linker, in certain embodiments, and as detailed further below, the linker may be independently covalently bonded to the VHL ligand moiety and the PB or D moiety through an amide, ester, thioester, keto group, carbamate (urethane), carbon or ether, each of which groups may be inserted anywhere on the VHL ligand moiety and PB or D moiety to provide maximum binding of the VHL ligand moiety on the VHL ubiquitin ligase and the PB or D moiety on the target protein to be degraded.
- the target protein for degradation may be the ubiquitin ligase itself).
- the linker may be linked to an optionally substituted alkyl, alkylene, alkene or alkyne group, an aryl group or a heterocyclic group on the VHL ligand moiety and/or PB or D moiety.
- the present disclosure is directed to a compound (e.g. a PROTAC) of Formula (I), or a tautomer thereof:
- R 1 is selected from the group consisting of substituted or unsubstituted alkyl, substituted or unsubstituted cycloalkyl, substituted or unsubstituted aryl, substituted or unsubstituted heterocyclyl, and substituted or unsubstituted heteroaryl;
- R 3 is substituted or unsubstituted alkyl, or R 3 is taken together with R 6 , when present, and the atoms to which they are attached, to form a substituted or unsubstituted heterocyclylene;
- Y is selected from the group consisting of substituted or unsubstituted heteroarylene, substituted or unsubstituted heterocyclylene, O, S, -N(R 6 )-, -N(R 6 )-C(0)-, and -N(R 6 )- S0 2 -;
- R 6 is selected from the group consisting of H and substituted or unsubstituted alkyl; or R 6 is taken together with R 3 and the atoms to which they are attached to form a substituted or unsubstituted heterocyclylene;
- L is a linker moiety
- D is a protein binding moiety
- the compound e.g. a PROTAC
- a PROTAC is a compound of Formula (la), or a tautomer thereof:
- R 1 is -W-R 7
- W is selected from the group consisting of substituted or unsubstituted arylene, substituted or unsubstituted heteroarylene, substituted or unsubstituted heterocyclylene, and substituted or unsubstituted cycloalkylene
- R 7 is selected from the group consisting of substituted or unsubstituted alkyl, substituted or unsubstituted cycloalkyl, substituted or unsubstituted aryl, substituted or unsubstituted heteroaryl, substituted or unsubstituted heterocyclyl, substituted or unsubstituted alkenyl, substituted or unsubstituted alkynyl, halo, oxo, -CN, -OR , -N(R )R , -C
- R 7 is selected from the group consisting of substituted or unsubstituted alkyl, substituted or unsubstituted cycloalkyl, substituted or unsubstituted aryl, substituted or unsubstituted heteroaryl, substituted or unsubstituted heterocyclyl, substituted or
- 8 8s unsubstituted alkenyl, substituted or unsubstituted alkynyl, halo, oxo, -CN, -OR°, -N(R M )R , and -S0 2 R 8c , wherein R 8 , R 8a , R 8b , and R 8c are as defined above.
- R 7 is selected from the group consisting of substituted or unsubstituted alkyl, substituted or unsubstituted cycloalkyl, substituted or unsubstituted aryl, substituted or unsubstituted heteroaryl, substituted or unsubstituted heterocyclyl, substituted or unsubstituted alkenyl, substituted or unsubstituted alkynyl, halo, oxo, -CN, and -S0 2 R 8c , wherein R 8c is as defined above.
- R 7 is selected from the group consisting of substituted or unsubstituted alkyl, substituted or unsubstituted cycloalkyl, substituted or unsubstituted aryl, substituted or unsubstituted heteroaryl, substituted or unsubstituted heterocyclyl, substituted or unsubstituted alkenyl, substituted or unsubstituted alkynyl, halo, oxo, -CN, -C(0)R 8c , - C(0)N(R 8a )R 8b , -N(R 8a )C(0)R 8c , -S0 2 N(R 8a )R 8b , and -S0 2 R 8c , wherein R 8a , R 8b , and R 8c are as defined above.
- R 7 is a haloalkyl, for example, a -CF 3 .
- R 1 is -W-R 7 ; W is substituted or unsubstituted phenylene; and R 7 is as defined above. In one embodiment, R 1 is substituted or unsubstituted phenyl.
- R 1 is m is 0, 1, 2,3, 4, or 5;
- R 1 is ; R 7 is as defined above; and > «w is the point of attachment to the remaining structure of the compound.
- R 7 is selected from the group consisting of substituted or unsubstituted heteroaryl, substituted or unsubstituted heterocyclyl, and substituted or unsubstituted aryl.
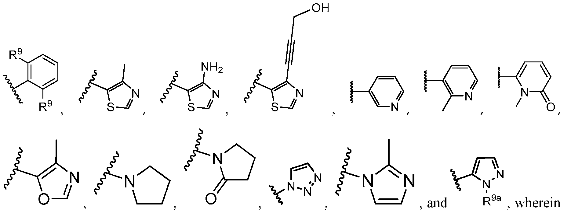
- R 1 is selected from the group consisting of:
- R 7a is halo or -CN; R 7 is as defined above; and is the point of attachment to the remaining structure of the compound.
- R 1 is selected from the group consisting of: 5 5 and ; wherein R 7 is as defined above; and is the point of attachment to the remaining structure of the compound.
- R 7 is selected from the group consisting of substituted or unsubstituted heteroaryl, substituted or unsubstituted heterocyclyl, and substituted or unsubstituted aryl.
- R is as defined above; and is the point of attachment to the remaining structure of the compound.
- n 0,
- R is selected from the group consisting of oxo, alkyl, haloalkyl, cycloalkyl, halo, -CN, -NH 2 , and substituted or unsubstituted alkynyl; ⁇ ) when present, is the point of attachment to the remaining structure of the compound; R a , when present, is selected from the ggrroouupp ccoonnssiissttiinngg ooff HH aanndd RR 99 ;; oo:r R 9a is the point of attachment to the remaining structure of the compound and « ⁇ is absent.
- R 7 include
- R 9a is alkyl, and R 9 is selected from the group consisting of halo and -CN.
- R 7 is chlorophenyl, chloro-thiazolyl or trifluoromethyl-thiazolyl.
- R 7 is ; and R 9 is a substituted or unsubstituted alkynyl.
- the alkynyl is substituted with a substituted or unsubstituted aryl, such as phenyl.
- the aryl is phenyl, and the phenyl is substituted with at least one R 10 , wherein R 10 is halo.
- R 7 is selected from the group consisting of a substituted or unsubstituted 5-membered heteroaryl, and a substituted or unsubstituted 5- membered heterocyclyl.
- R 7 may be, for example, 1 -pyrrolidinyl or 1-pyrrolidonyl.
- R 7 is methylthiazolyl.
- R 1 is -W-R 7
- W is a substituted or unsubstituted aryl or a substituted or unsubstituted heteroaryl
- R 7 is independently selected from the group consisting of halo, -CN, and substituted or unsubstituted alkyl.
- W is a substituted or unsubstituted phenylene.
- R 1 is a substituted or unsubstituted alkyl. In one embodiment, R 1 is a C 1-4 alkyl. In one embodiment, R 1 is tert-butyl.
- R 1 is selected from the group consisting of a substituted or unsubstituted aryl and a substituted or unsubstituted heteroaryl. Additional non-limiting
- R 1 are selected from the group consisting of:
- R 3 is a substituted or unsubstituted Ci-C alkyl. In certain embodiments, R 3 isopropyl or tert-butyl.
- Y is selected from the group consisting of substituted or unsubstituted heteroarylene, substituted or unsubstituted heterocyclylene, O, S, -N(R 6 )-, - N(R 6 )-C(0)-, and -N(R 6 )-S02-.
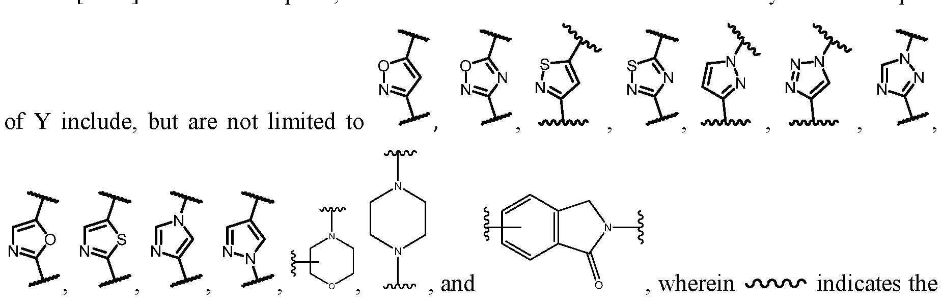
- Y is substituted or unsubstituted heteroarylene, or a substituted or unsubstituted heterocyclylene.
- Y is a substituted or unsubstituted heteroarylene. Examples
- Y is selected from the group consisting of -N(R )-, - N(R 6 )-C(0)-, and -N(R 6 )-S0 2 -; and R 6 is selected from the group consisting of H and substituted or unsubstituted alkyl.
- Y is selected from the group consisting of -N(R 6 )-, - N(R 6 )-C(0)-, and -N(R 6 )-S0 2 -; and R 6 is selected from the group consisting of H and substituted or unsubstituted C1-C6 alkyl.
- Y is -N(R 6 )-C(0)- and R 6 is H.
- Y is -N(R 6 )-C(0)-, R 6 is H, and R 3 is substituted or unsubstituted alkyl. In one particular embodiment, Y is -N(R 6 )-C(0)-, R 6 is H, and R 3 is isopropyl or tert-butyl.
- Y is selected from the group consisting of -N(R 6 )-, - N(R 6 )-C(0)-, and -N(R 6 )-S0 2 -; and R 6 is taken together with R 3 and the atoms to which they are attached to form a substituted or unsubstituted heterocyclylene.
- the heterocyclylene is substituted with -(R n ) p ; wherein p is 0, 1, 2, 3, or 4; R 11 is selected from the group consisting of substituted or unsubstituted C1-C3 alkyl, halo, -CN, and -OR l la ; and each R l la is independently selected from the group consisting of H and substituted or unsubstituted alkyl (e.g., a C1-C3 alkyl). In one embodiment, R 11 is -OR l la , and is selected from the group consisting of -OCH 3 , -OCF 3 , and -OH.
- p is 1 and R 11 is selected from the group consisting of -OCH 3 , -OCF 3 , and -OH.
- R 6 is taken together with R 3 and the atoms to which they are attached to form a substituted or unsubstituted 5- or 6- membered heterocyclylene.
- the 5- or 6-membered heterocyclylene is substituted with an alkyl.
- R 1 is selected from the group consisting of substituted or unsubstituted alkyl, unsubstituted cycloalkyl, substituted or unsubstituted aryl, and substituted or unsubstituted
- R 3 is a C1-C6 alkyl, such as isopropyl or tert-butyl; Y is -N(R 6 )-C(0)- or and R 6 is H.
- R 1 is , 1, 2, 3, 4, or 5; R is a
- C1-C6 alkyl such as isopropyl or tert-butyl
- Y is - N(R°)-C(0)- or
- R 6 is H
- each R 7 is independently selected from the group consisting of -CN, halo, substituted or unsubstituted aryl, and substituted or unsubstituted heteroaryl.
- R 1 is phenyl
- R 3 is a
- Ci-C 6 alkyl such as isopropyl or tert-butyl
- Y is H
- R 7 is substituted or unsubstituted aryl, substituted or unsubstituted heteroaryl, halo, -CN.
- R 1 i is a C1-C6 alkyl, such as
- the present disclosure is directed to a compou Formula (I) or
- R 1 is ; R 3 is tert-butyl; Y is -N(R 6 )-C(0)-; R 6 is H; and R 7 is substituted or unsubstituted heteroaryl or halo.
- R 7 is a substituted or unsubstituted 5- or 6-membered heteroaryl.
- the present disclosure is directed to a compou Formula
- R 3 is isopropyl; Y is ; and R 7 is substituted or unsubstituted heteroaryl or halo. In one such embodiment, R 7 is a substituted or unsubstituted 5- or 6-membered heteroaryl. In one such embodiment, R 7 is halo.
- the PROTAC is a compound of Formula (I) or a tautomer thereof, or a salt (e.g., a pharmaceutically acceptable salt) thereof, and has a structure selected from the group consisting of those structures in Table 1, wherein R 1 , L, and D are as defined herein; p is 0, 1, 2, 3, or 4; R 11 is selected from the group consisting of substituted or unsubstituted C 1-C3 alkyl, halo, -CN, and -OR l la ; and R lla is selected from the group consisting of H and substituted or unsubstituted alkyl.
- the PROTAC is a compound of Formula (I) or a tautomer thereof, or a salt (e.g., a pharmaceutically acceptable salt) thereof, and has a structure selected from the group consisting of those structures in Table 2, wherein R 3 , R 7 , Y, L, and D are as defined herein; R 10 is halo; and m is 0, 1, 2, 3, 4, or 5.
- the PROTAC is a compound of Formula I-B-9 or a salt (e.g., a pharmaceutically acceptable salt) thereof, having the structure
- the PROTAC is a compound of Formula I-B-9a or a salt (e.g., a pharmaceutically acceptable salt) thereof, having the structure
- R 7 is as defined above.
- the PROTAC is a compound of Formula I-B-10 or a salt a pharmaceutically acceptable salt) thereof, having the structure
- R 7 is as defined above.
- the PROTAC is a compound of Formula I-B-10a or a salt a pharmaceutically acceptable salt) thereof, having the structure
- the PROTAC is a compound of Formula I-B-11 or a salt (e.g., a pharmaceutically acceptable salt) thereof, having the structure
- R 7 is as defined above.
- the PROTAC is a compound of Formula I-B-l la or a salt (e.g., a pharmaceutically acceptable salt) thereof, having the structure
- the PROTAC is a compound selected from the group consisting of a compound of Formula I-A-1, a compound of Formula I-A-9, a compound of Formula I-B-9, a compound of Formula I-B-21, a compound of Formula I-B-22, a compound of Formula I-B-23, a compound of Formula I-B-24, a compound of Formula I-B-25, a compound of Formula I-B-26, and a compound of Formula I-B-27, or a salt (e.g., a pharmaceutically acceptable salt) thereof, wherein R 1 , R 3 , R 7 , Y, L, and D are as defined herein, and m is 0, 1, 2, 3, 4, or 5.
- the PROTAC is a compound selected from the group consisting of a compound of Formula I-A-1, a compound of Formula I-A-9, and a compound of Formula I-B-9, or a salt (e.g., a pharmaceutically acceptable salt) thereof, wherein R 1 , R 3 , R 7 , Y, L, and D are as defined herein, and m is 0, 1, 2, 3, 4, or 5.
- the PROTAC is a compound selected from the group consisting of a compound of Formula I-A-1 a, a compound of Formula I-A-9a, a compound of Formula I-B-9a, a compound of Formula I-B-21 a, a compound of Formula I-B-22a, a compound of Formula I-B-23a, a compound of Formula I-B-24a, a compound of Formula I-B-25a, a compound of Formula I-B-26a, and a compound of Formula I-B-27a, or a salt (e.g., a pharmaceutically acceptable salt) thereof, wherein R 1 , R 3 , R 7 , Y, L, and D are as defined herein, and m is 0, 1, 2, 3, 4, or 5.
- a salt e.g., a pharmaceutically acceptable salt
- the PROTAC is a compound selected from the group consisting of a compound of Formula I-A-1 a, a compound of Formula I-A-9a, and a compound of Formula I-B-9a, or a salt (e.g., a pharmaceutically acceptable salt) thereof, wherein R 1 , R 3 , R 7 , Y, L, and D are as defined herein, and m is 0, 1, 2, 3, 4, or 5.
- the PROTAC is a compound of Formula (I) or (la) or a tautomer thereof, or a salt (e.g., a pharmaceutically acceptable salt) thereof, and has a structure selected from the group consisting of those structures in Table 3, wherein L and D are as defined herein. Table 3
- the PROTAC is a compound of Formula (I) or (la) or a tautomer thereof, or a salt (e.g., a pharmaceutically acceptable salt) thereof, and is selected from the group consisting of those compounds in Table 4.
- the PROTAC is a salt (e.g., a pharmaceutically acceptable salt) of a compound in Table 4.
- the PROTAC is a formate salt of any one of compounds 104, 104a, or 104b.
- PROTAC compound or a VHL ligand as described herein, these can exist in solid or liquid form.
- the compound In the solid state, the compound may exist in crystalline or noncrystalline form, or as a mixture thereof.
- pharmaceutically acceptable solvates may be formed for crystalline or non-crystalline compounds.
- solvent molecules are incorporated into the crystalline lattice during crystallization.
- Solvates may involve non-aqueous solvents such as, but not limited to, ethanol, isopropanol, DMSO, acetic acid, ethanolamine, or ethyl acetate, or they may involve water as the solvent that is incorporated into the crystalline lattice.
- Solvates wherein water is the solvent incorporated into the crystalline lattice are typically referred to as "hydrates. " Hydrates include stoichiometric hydrates as well as compositions containing variable amounts of water. The subject matter described herein includes such solvates.
- polymorphs may exhibit polymorphism (i.e. the capacity to occur in different crystalline structures). These different crystalline forms are typically known as "polymorphs. " The subject matter disclosed herein includes such polymorphs. Polymorphs have the same chemical composition but differ in packing, geometrical arrangement, and other descriptive properties of the crystalline solid state. Polymorphs, therefore, may have different physical properties such as shape, density, hardness, deformability, stability, and dissolution properties. Polymorphs typically exhibit different melting points, IR spectra, and X-ray powder diffraction patterns, which may be used for identification.
- polymorphs may be produced, for example, by changing or adjusting the reaction conditions or reagents, used in making the compound. For example, changes in temperature, pressure, or solvent may result in polymorphs. In addition, one polymorph may spontaneously convert to another polymorph under certain conditions.
- PROTACs and VHL ligands described herein or a salt thereof may exist in stereoisomeric forms (e.g., it contains one or more asymmetric carbon atoms).
- the individual stereoisomers (enantiomers and diastereomers) and mixtures of these are included within the scope of the subject matter disclosed herein.
- a compound or salt of Formulas (I) or (la) may exist in tautomeric forms other than that shown in the formula and these are also included within the scope of the subject matter disclosed herein. It is to be understood that the subject matter disclosed herein includes combinations and subsets of the particular groups described herein.
- the subject matter disclosed herein also includes isotopically-labelled forms of the compounds described herein, but for the fact that one or more atoms are replaced by an atom having an atomic mass or mass number different from the atomic mass or mass number usually found in nature.
- isotopes that can be incorporated into compounds described herein and pharmaceutically acceptable salts thereof include isotopes of hydrogen, carbon, nitrogen, oxygen, phosphorous, sulphur, fluorine, iodine, and chlorine, such as 2 H, H, n C, 1 C, 14 C, 15 N, 17 0, 18 0, 31 P, 32 P, 35 S, 18 F, 36 C1, 123 I and 125 I.
- PROTAC compounds and VHL ligands as disclosed herein and pharmaceutically acceptable salts thereof that contain the aforementioned isotopes and/or other isotopes of other atoms are within the scope of the subject matter disclosed herein.
- Isotopically- labelled compounds are disclosed herein, for example those into which radioactive isotopes such as H, 14 C are incorporated, are useful in drug and/or substrate tissue distribution assays. Tritiated, i.e., H, and carbon-14, i.e., 14 C, isotopes are commonly used for their ease of preparation and detectability.
- n C and 18 F isotopes are useful in PET (positron emission tomography), and 125 I isotopes are useful in SPECT (single photon emission computerized tomography), all useful in brain imaging.
- substitution with heavier isotopes such as deuterium, i.e., 2 H can afford certain therapeutic advantages resulting from greater metabolic stability, for example increased in vivo half-life or reduced dosage requirements and, hence, may be preferred in some circumstances.
- Isotopically labelled compounds of formula I can generally be prepared by carrying out the procedures disclosed in the Schemes and/or in the Examples below, by substituting a readily available isotopically labelled reagent for a non-isotopically labelled reagent.
- the present disclosure is directed to VHL ligands, and specifically, VHL ligands that bind to a VHL E3 ubiquitin ligase.
- the VHL ligands of the present disclosure may be derivatized, e.g., by coupling the VHL ligand directly or via a chemical linker to a protein binding moiety to form a PROTAC, as discussed elsewhere herein.
- the VHL ligand is a compound of Formula (II) or a tautomer thereof:
- R 1 and R 3 are as defined above;
- Z is selected from the group consisting of substituted or unsubstituted heteroaryl, substituted or unsubstituted heterocyclyl, -N(R 6 )R 6a , -OR 6a , -SR 6a , and -N(R 6 )-S0 2 -R 6b ;
- R 6 is selected from the group consisting of H and substituted or unsubstituted alkyl; or R 6 , when present, is taken together with R 3 and the atoms to which they are attached to form a substituted or unsubstituted heterocyclylene;
- R 6a is selected from the group consisting of H, substituted or unsubstituted acyl, and substituted or unsubstituted alkyl;
- R 6b is selected from the group consisting of substituted or unsubstituted alkyl and substituted or unsubstituted aryl.
- the VHL ligand may be a compound of Formula (Ila) or a tautomer thereof:
- R 1 is -W-R 7
- W is selected from the group consisting of substituted or unsubstituted arylene, substituted or unsubstituted heteroarylene, substituted or unsubstituted heterocyclylene, and substituted or unsubstituted cycloalkylene
- R 7 is selected from the group consisting of substituted or unsubstituted alkyl, substituted or unsubstituted cycloalkyl, substituted or unsubstituted aryl, substituted or unsubstituted heteroaryl, substituted or unsubstituted heterocyclyl, substituted or unsubstituted alkenyl, substituted or unsubstituted alkynyl, halo, oxo, -CN, -OR 8 , -N(R 8a )
- R 7 is selected from the group consisting of substituted or unsubstituted alkyl, substituted or unsubstituted cycloalkyl, substituted or unsubstituted aryl, substituted or unsubstituted heteroaryl, substituted or unsubstituted heterocyclyl, substituted or unsubstituted alkenyl, substituted or unsubstituted alkynyl, halo, oxo, -CN, -OR 8 , -N(R 8a )R 8b , and -S0 2 R 8c , wherein R 8 , R 8a , R 8b , and R 8c are as defined above.
- R 7 is selected from the group consisting of substituted or unsubstituted alkyl, substituted or unsubstituted cycloalkyl, substituted or unsubstituted aryl, substituted or unsubstituted heteroaryl, substituted or unsubstituted heterocyclyl, substituted or unsubstituted alkenyl, substituted or unsubstituted alkynyl, halo, oxo, -CN, and -S0 2 R 8c , wherein R 8c is as defined above.
- R 7 is selected from the group consisting of substituted or unsubstituted alkyl, substituted or unsubstituted cycloalkyl, substituted or unsubstituted aryl, substituted or unsubstituted heteroaryl, substituted or unsubstituted heterocyclyl, substituted or unsubstituted alkenyl, substituted or unsubstituted alkynyl, halo, oxo, -CN, -C(0)R c , - C(0)N(R 8a )R 8b , -N(R 8a )C(0)R 8c , -S0 2 N(R 8a )R 8b , and -S0 2 R 8c , wherein R 8a , R 8b , and R 8c are as defined above.
- R 7 is a haloalkyl, for example, a -CF 3 .
- R 1 is -W-R 7 ;
- W is substituted or unsubstituted phenylene; and
- R 7 is as defined above.
- R 1 is substituted or unsubstituted phenyl.
- R 1 is ; m is 0, 1, 2,3, 4, or 5; R 7 is selected from the group consisting of substituted or unsubstituted alkyl, substituted or unsubstituted cycloalkyl, substituted or unsubstituted aryl, substituted or unsubstituted heteroaryl, substituted or unsubstituted heterocyclyl, substituted or unsubstituted alkenyl, substituted or unsubstituted alkynyl, halo, -CN, -OR 8 , -N(R 8a )R 8b , -C(0)R 8c , -C(0)N(R 8a )R 8b , -N(R 8a )C(0)R 8c , - S0 2 N(R 8a )R 8b , and -S0 2 R 8c ; R 8 , R 8a , and R 8b are independently selected from the group consisting of H and substituted
- R is ; R 7 is as defined above; and w* is the point of attachment to the remaining structure of the compound.
- R 7 is selected from the group consisting of substituted or unsubstituted heteroaryl, substituted or unsubstituted heterocyclyl, and substituted or unsubstituted aryl.
- R 1 is selected from the group consisting of:
- R 7a is halo or -CN; R 7 is as defined above; and - ⁇ is the point of attachment to the remaining structure of the compound.
- R 1 is selected from the group consisting of: , and ; wherein R 7 is as defined above; and > ⁇ is the point of attachment to the remaining structure of the compound.
- R 7 is selected from the group consisting of substituted or unsubstituted heteroaryl, substituted or unsubstituted heterocyclyl, and substituted or unsubstituted aryl.
- R is ; wherein R is as defined above; and is the point of attachment to the remaining structure of the compound.
- R 7 is selected from the group consisting of
- R 9 is selected from the group consisting of oxo, alkyl, haloalkyl, cycloalkyl, halo, -CN, -NH 2 , and substituted or unsubstituted alkynyl; *sw > ⁇ r ⁇ when present, is the point of attachment to the remaining structure of the compound; R 9a , when present, is selected from the group consisting of H and R 9 ; or R 9a is the point of attachment to the remaining structure of the compound and »/v w* is absent.
- R 9 is selected from the group consisting of halo and -CN.
- R 7 chlorophenyl, chloro-thiazolyl or trifluoromethyl-thiazolyl.
- R 7 is ; and R 9 is a substituted or unsubstituted alkynyl.
- the alkynyl is substituted with a substituted or unsubstituted aryl, such as phenyl.
- the aryl is phenyl, and the phenyl is substituted with at least one R 10 , wherein R 10 is halo.
- R 7 is selected from the group consisting of a substituted or unsubstituted 5-membered heteroaryl, and a substituted or unsubstituted 5- membered heterocyclyl.
- R 7 may be, for example, 1 -pyrrolidinyl or 1-pyrrolidonyl.
- R 7 is methythiazole.
- R 1 is -W-R 7
- W is a substituted or unsubstituted aryl or a substituted or unsubstituted heteroaryl
- R 7 is independently selected from the group consisting of halo, -CN, and substituted or unsubstituted alkyl.
- W is a substituted or unsubstituted phenylene.
- R 1 is a substituted or unsubstituted alkyl.
- R 1 is a C 1-4 alkyl.
- R 1 is tert-butyl.
- R 1 is selected from the group consisting of a substituted or unsubstituted aryl and a substituted or unsubstituted heteroaryl. Additional non-limiting
- R 1 are selected from the group consisting of:
- R 3 is a substituted or unsubstituted Ci.Ce alkyl. In certain embodiments, R 3 isopropyl or tert-butyl.
- Z is selected from the group consisting of substituted or unsubstituted heteroaryl, substituted or unsubstituted heterocyclyl, -N(R 6 )R 6a , -OR 6a , -SR 6a , and -N(R 6 )-S0 2 -R 6b , wherein R 6 , R 6a , and R 6b are as defined above.
- Z is substituted or unsubstituted heteroaryl or substituted or unsubstituted heterocyclyl.
- Z may be a substituted or unsubstituted heteroaryl or substituted or unsubstituted heterocyclyl.
- Z include, but are not limited to
- ⁇ indicates the point of attachment to the remaining structure of the compound
- r is 0, 1, 2, or 3
- each R 13 is independently selected from the group consisting of -OR 1 a and substituted or unsubstituted alkyl
- each R 14 is independently selected from the group consisting of H, substituted or unsubstituted alkyl, and the point of attachment to the remaining structure of the compound
- each R a is independently selected from the group consisting of H and substituted or unsubstituted alkyl; wherein when R 14 is the point of attachment to the remaining structure of the compound, « ⁇ is absent.
- r is 0, 1 , or 2. In one embodiment, r is 1.
- R 13 is a C1-C3 alkyl. In one embodiment, r is 1 and R 13 is -CH 3 .
- R 13 is -OR 1 a
- R 1 a is selected from the group consisting of C1-C3 alkyl and H.
- r is 1, R 13 is -OR 1 a , and R 1 a is -CH 3 or H.
- Z is a 5- or 6-membered substituted or unsubstituted heteroaryl. In another embodiment, Z is a 5-membered substituted or unsubstituted heteroaryl.
- R is selected from the group consisting of -OR 1 a and substituted or unsubstituted alkyl; R 14 is selected from the group consisting of H and substituted or unsubstituted alkyl; and R 1 a is selected from the group consisting of H and substituted or unsubstituted alkyl.
- r is 1 and R is a C1-C3 alkyl. In one embodiment, r is 1 and R 13 is -CH 3 . In one embodiment, r is 0.
- r is 1 ; R 13 is -OR 1 a ; and R 1 a is selected from the group consisting of C1-C3 alkyl and H. In one embodiment, r is 1, R 13 is -OR 1 a , and R 1 a is -CH 3 or H. [0156] In one specific embodiment, Z is
- R 1 a is selected from the group
- Z may be wherein R is selected from the group consisting of -CH 3 and -OR a , and R a is H or -CH 3 .
- Z is selected from the group consisting of -N(R 6 )R 6a , -OR 6a , - SR 6a , and -N(R 6 )-S0 2 -R 6b ; wherein R 6 is selected from the group consisting of H and substituted or unsubstituted alkyl; or R 6 , when present, is taken together with R 3 and the atoms to which they are attached to form a substituted or unsubstituted heterocyclylene; R 6a is selected from the group consisting of H, substituted or unsubstituted acyl, and substituted or unsubstituted alkyl; and R 6b is selected from the group consisting of substituted or unsubstituted alkyl and substituted or unsubstituted aryl.
- R 6 is selected from the group consisting of H and substituted or unsubstituted C 1 -C6 alkyl and R 6a is selected from the group consisting of H, substituted or unsubstituted C 1 -C6 acyl, and substituted or unsubstituted C 1 -C6 alkyl.
- R 6a is -C(0)-R 16 , wherein R 16 is selected from the group consisting of substituted or unsubstituted alkyl, substituted or unsubstituted alkenyl, substituted or unsubstituted alkynyl, substituted or unsubstituted cycloalkyl, substituted or unsubstituted aryl, substituted or unsubstituted heteroaryl, and substituted or unsubstituted heterocyclyl.
- R 6a is -C(0)-R 16 , wherein R 16 is a substituted C 1 -C3 alkyl.
- Z is -N(R 6 )R 6a , and R 6 and R 6a are as defined above.
- Z is -N(R 6 )R 6a , R 6 is H, and R 6a is a substituted or unsubstituted acyl (e.g., a substituted or unsubstituted C1-C6 acyl).
- Z is - N(R 6 )R 6a , R 6 is H, and R 6a is -C(0)CH 3 .
- any of the Z moieties detailed herein for the compound of Formula (II) or (Ila) may be combined with any of the R 1 and/or R 3 groups detailed herein, as if each and every combination has been individually described.
- R is nsubstituted phenyl;
- R 3 is a C1-C6 alkyl, such as
- R 6a is substituted or unsubstituted acyl
- R 7 is substituted or unsubstituted heteroaryl or halo
- R 13 is selected from the group consisting of -OR 1 a and substituted or unsubstituted alkyl (e.g., a C1-C6 alkyl); and R 1 a is selected from the group consisting of H and substituted or unsubstituted alkyl (e.g., a C1-C6 alkyl).
- the present disclosure is directed to a compound of Formula (II) or (Ila), or a salt (e.g., a pharmaceutically acceptable salt) thereof, wherein R 1 is selected from the group consisting of substituted or unsubstituted alkyl, unsubstituted cycloalkyl, substituted or unsubstituted aryl, and subs or unsubstituted heteroaryl; R 3 is a C1-C6 alkyl, such as
- R is -OR 1 a or a Ci-C 6 alkyl
- R 1 a is H or a Ci-C 6 alkyl
- the present disclosure is directed to a compound of Formula r a salt (e.g., a pharmaceutically acceptable salt) thereof, wherein R 1 is
- R 3 is a C1-C6 alkyl, such as isopropyl or tert-butyl; Z is ; R 13 is -OR 1 a or a Ci-C 6 alkyl; R 1 a is H or a Ci-C 6 alkyl; and each R 7 is independently selected from the group consisting of -CN, halo, substituted or unsubstituted aryl, and substituted or unsubstituted heteroaryl.
- the present disclosure is directed to a compound of Formula or a salt (e.g., a pharmaceutically acceptable salt) thereof, wherein R 1 is or unsubstituted phenyl; R 3 is a C1-C6 alkyl, such as isopropyl or tert-butyl; Z is ; R 13 is -OR 1 A or a Ci-C 6 alkyl; R 1 A is H or a Ci-C 6 alkyl; and R 7 is substituted or unsubstituted aryl, substituted or unsubstituted heteroaryl, halo, or -CN.
- R 1 is or unsubstituted phenyl
- R 3 is a C1-C6 alkyl, such as isopropyl or tert-butyl
- Z is ;
- R 13 is -OR 1 A or a Ci-C 6 alkyl;
- R 1 A is H or a Ci-C 6 alkyl; and
- R 7 is substitute
- the present disclosure is directed to a compound of Formula or a salt (e.g., a pharmaceutically acceptable salt) thereof, wherein R 1 is or unsubstituted phenyl; R 3 is tert-butyl; Z is -N(R 6 )R 6A ; R 6 is H; R 6A is substituted or unsubstituted C1-C6 acyl, and R 7 is substituted or unsubstituted heteroaryl or halo.
- R 7 is a substituted or unsubstituted 5- or 6-membered heteroaryl, and R 6A is - C(0)CH3.
- R 1 is unsubstituted phenyl, and R 6A is -C(0)CH 3 .
- the present disclosure is directed to a compound of Formula (II) or (Ila), or a salt (e.g., a pharmaceutically acceptable salt) thereof, wherein R 1 is ; R 3 is isopropyl; Z is ; R 7 is substituted or unsubstituted heteroaryl or halo; R 13 is -OR 1 A or a C1-C6 alkyl; and R 1 A is H or a C1-C6 alkyl.
- R 7 is a substituted or unsubstituted 5- or 6-membered heteroaryl; R 13 is -CH 3 or -OR 1 A ; and R 1 A is H or -CH 3 .
- R 7 is halo; R 13 is -CH 3 or -OR 1 A ; and R 1 A is H or -CH 3 .
- the VHL ligand is a compound of Formula (II) or (Ila), or a salt (e.g., a pharmaceutically acceptable salt) thereof, and has a structure selected from the group consisting of those structures in Table 5.
- VHL ligands of the present disclosure may be derivatized, e.g., by coupling the VHL ligand directly or via a chemical linker to a protein binding moiety to form a PROTAC, as discussed elsewhere herein.
- the VHL ligand and PB moiety may be covalently linked to one another and/or to the linker group through any group which is appropriate and stable to the chemistry of the linker.
- the linker may be independently covalently bonded to the VHL ligand and the PB moiety through an amide, ester, thioester, keto group, carbamate (urethane), carbon or ether, among others, each of which groups may be inserted anywhere on the VHL ligand and PB moiety to provide maximum binding of the VHL ligand on the VHL ubiquitin ligase and the PB moiety on the target protein to be degraded.
- the linker may be linked to a substituted or unsubstituted alkyl group, substituted or unsubstituted alkenyl group, substituted or unsubstituted alkynyl group, substituted or unsubstituted aryl group, or to a substituted or unsubstituted heterocyclic group on the VHL ligand and/or PB moiety.
- a linker and PB moiety are linked to a VHL ligand of Formula (II) or (Ila), or a salt (e.g., a pharmaceutically acceptable salt) thereof, through the Z substituent to form a PROTAC.
- the resulting PROTAC has a structure of Formula (I) or (la) or a pharmaceutically acceptable salt thereof.
- a linker and PB moiety are linked to a VHL ligand of Formula (II) or (Ila), or a salt (e.g., a pharmaceutically acceptable salt) thereof, through the R 1 substituent to form a PROTAC.
- R 1 may be an alkyl, cycloalkyl, aryl, heterocyclyl, or heteroaryl that is substituted with a substituent suitable for linker attachment.
- the R 1 substituent may be further modified to introduce a substituent suitable for linker attachment (e.g., introducing a hydroxyl group to a phenyl).
- VHL ligands of the present disclosure that may be derivatized at the R 1 position to attach a linker and PB moiety (“-L-D") include the following: 112
- linker group L may be any linker group as described hereinafter.
- PB moiety (“D") may be any protein binding moiety as described hereinafter.
- the PB moiety is a group which binds to a target protein intended to be degraded.
- the term "protein” includes oligopeptides and polypeptide sequences of sufficient length that they can bind to a PB moiety. Any protein in a eukaryotic system or a microbial system, including a virus, bacteria or fungus, as otherwise described herein, are targets for ubiquitination mediated by the compounds described herein.
- the target protein may be a eukaryotic protein.
- PB moieties include, for example, any moiety which binds to a protein specifically (binds to a target protein) and includes the following non-limiting examples of small molecule target protein moieties: heat shock protein 90 (Hsp90) inhibitors, kinase inhibitors and phosphatase inhibitors, MDM2 inhibitors, compounds targeting Human BET Bromodomain- containing proteins, HDAC inhibitors, human lysine methyltransferase inhibitors, angiogenesis inhibitors, immunosuppressive compounds, RAS inhibitors, EGFR inhibitors, and BRM inhibitors, as well as compounds that bind to the aryl hydrocarbon receptor (AHR), RAF receptor kinase, FKBP, Androgen Receptor (AR), estrogen receptor (ER), thyroid hormone receptor, HIV protease, HIV integrase, HCV protease, acyl-protein thioesterase-1 and -2 (APT1 and APT2), USP7, and BRG1, among numerous others
- compositions described below exemplify some of the members of these types of small molecule target protein binding moieties.
- small molecule target protein binding moieties also include pharmaceutically acceptable salts, enantiomers, solvates and polymorphs of these compositions, as well as other small molecules that may target a protein of interest.
- These protein binding moieties are linked to the VHL ligand moiety through a linker, in order to present a target protein (to which the protein binding moiety is bound) in proximity to the ubiquitin ligase for ubiquitination and degradation.
- target proteins may include, for example, structural proteins, receptors, enzymes, cell surface proteins, proteins pertinent to the integrated function of a cell, including proteins involved in catalytic activity, proteins involved in aromatase activity, proteins involved in motor activity, proteins involved in helicase activity, proteins involved in metabolic processes (anabolism and catabolism), proteins involved in antioxidant activity, proteins involved in proteolysis, proteins involved in biosynthesis, proteins with kinase activity, proteins with oxidoreductase activity, proteins with transferase activity, proteins with hydrolase activity, proteins with lyase activity, proteins with isomerase activity, proteins with ligase activity, proteins with enzyme regulator activity, proteins with signal transducer activity, proteins with structural molecule activity, proteins with binding activity (protein, lipid carbohydrate), proteins with receptor activity, proteins with cell motility, membrane fusion proteins
- Proteins of interest can include proteins from eukaryotes and prokaryotes including humans as targets for drug therapy, other animals, including domesticated animals, microbials for the determination of targets for antibiotics and other antimicrobials and plants, and even viruses, among numerous others.
- the PB moiety of a PROTAC may be any peptide or small molecule that bind protein targets such as FoxOl, HDAC, DP-1, E2F, ABL, AMPK, BRK, BRSK I, BRSK2, BTK, CAMKK1, CAMKK alpha, CAMKK beta, Rb, Suv39HI, SCF, pl9INK4D, GSK-3, pi 8 INK4, myc, cyclin E, CDK2, CDK9, CDG4/6, Cycline D, pl6 INK4A, cdc25A, BMI1, Akt, CHKl/2, C 1 delta, CK1 gamma, C 2, CLK2, CSK, DDR2, DYRK1 A/2/3, EF2K, EPH-A2/A4/B1/B2/B3/B4, EIF2A 3, Smad2, Smad3, Smad4, Smad7, p53, p21 Cipl, PAX, Fyn,
- protein targets include Ras proteins, P13K, Ral- GDS, H-Ras, N-Ras, KRas4A, K-Ras4B, BRG1, RAF, BRAF, CRAF, and BET.
- the protein target is selected from the group consisting of EGRF, RAS, BRM, BRG1, MDM2, RAF (BRAF and CRAF), BET, and USP7.
- a number of drug targets for human therapeutics also represent protein targets to which a protein binding moiety may be bound and incorporated into compounds according to the present disclosure. These include proteins which may be used to restore function in numerous polygenic diseases, including for example B7.1 and B7, TINFRlm, TNFR2, NADPH oxidase, BclIBax and other partners in the apotosis pathway, C5a receptor, HMG-CoA reductase, PDE V phosphodiesterase type, PDE IV phosphodiesterase type 4, PDE I, PDEII, PDEIII, squalene cyclase inhibitor, CXCR1, CXCR2, nitric oxide (NO) synthase, cyclo-oxygenase 1, cyclo- oxygenase 2, 5HT receptors, dopamine receptors, G Proteins, i.e., Gq, histamine receptors, 5- lipoxygenase, tryptase serine protease,
- Additional protein targets include, for example, ecdysone 20-monooxygenase, ion channel of the GABA gated chloride channel, acetylcholinesterase, voltage-sensitive sodium channel protein, calcium release channel, and chloride channels. Still further target proteins include Acetyl-CoA carboxylase, adenylosuccinate synthetase, protoporphyrinogen oxidase, and enolpyruvylshikimate-phosphate synthase.
- Haloalkane dehalogenase enzymes are another target of specific compounds according to the present disclosure.
- Compounds according to the present disclosure which contain chloroalkane peptide binding moieties may be used to inhibit and/or degrade haloalkane dehalogenase enzymes which are used in fusion proteins or related dioagnostic proteins as described in WO 2012/078559, the contents of which is incorporated by reference herein.
- the PB moiety is a haloalkyl group, wherein said alkyl group generally ranges in size from about 1 or 2 carbons to about 12 carbons in length, often about 2 to 10 carbons in length, often about 3 carbons to about 8 carbons in length, more often about 4 carbons to about 6 carbons in length.
- the haloalkyl groups are generally linear alkyl groups (although branched-chain alkyl groups may also be used) and are end-capped with at least one halogen group, preferably a single halogen group, often a single chloride group.
- Haloalkyl PB moieties for use in the present disclosure may be represented by the chemical structure-(CH 2 ) v -Halo where v is any integer from 2 to about 12, often about 3 to about 8, more often about 4 to about 6. Halo may be any halogen, but is preferably CI or Br, more often CI. [0178] In still other embodiments, the PB moiety has the structure
- This group binds selectively to estrogen receptors and is useful for treating diseases which are modulated through estrogen receptors, and in particular cancers, such as breast cancer, endometrial cancer, ovarian cancer and uterine cancer, among others.
- compositions described below exemplify some of the members of these types of small molecule target protein binding moieties.
- Such small molecule target protein binding moieties also include pharmaceutically acceptable salts, enantiomers, solvates and polymorphs of these compositions, as well as other small molecules that may target a protein of interest. References which are cited hereinbelow are incorporated by reference herein in their entirety.
- HSP90 inhibitors as used herein include, but are not limited to:
- linker group L or a -L-(VHL ligand moiety) group is attached via the terminal acetylene group;
- HSP90 inhibitors modified (modified) identified in Wright, et al, "Structure- Activity Relationships in Purine-Based Inhibitor Binding to HSP90 Isoforms," Chem Biol. 2004 Jun; l l(6):775-85, including the HSP90 inhibitor PU3 having the structure: where a linker group L or -L-(VHL ligand moiety) is attached via the butyl group; and
- 17-alkylamino-17-desmethoxy geldanamycin (“ 17- AAG”) or 17-(2-dimethylaminoethyl)amino-17-desmethoxy geldanamycin (“ 17-DMAG”)) (derivatized, where a linker group L or -L-(VHL ligand moiety) group is attached via the amide group).
- Kinase inhibitors as used herein include, but are not limited to:
- R is a linker group L or a -L-(VHL ligand moiety) group attached via the ether group; [0188] 2.
- R is a linker group L or a -L-(VHL ligand moiety) group attached to the phenyl moiety
- R is a linker group L or a -L-(VHL ligand moiety) group attached to the pyrimidine
- the kinase inhibitor Afatinib (derivatized) (N-[4-[(3-Chloro-4- fluorophenyl)amino] -7- [ [(3 S)-tetrahy dro-3-furany 1] oxy ] -6-quinazoliny 1] -4(dimethy lamino)-2- butenamide) (derivatized where a linker group L or a-L-(VHL ligand moiety) group is attached preferably via the aliphatic amine group);
- the kinase inhibitor Fostamatinib (derivatized) ([6-( ⁇ 5-fluoro-2-[(3,4,5- trimethoxyphenyl)amino]pyrirnidin-4-yl ⁇ amino)-2,2-dimethyl-3-oxo-2,3-dihydro-4H- pyrido[3,2-b]-l,4-oxazin-4-yl]methyl disodium phosphate hexahydrate) (derivatized where a linker group L or a -L-(VHL ligand moiety) group is attached preferably via a methoxy group);
- kinase inhibitor Lenvatinib (derivatized) (4-[3-chloro-4- (cyclopropylcarbamoylamino)phenoxy]-7-methoxy-quinoline-6-carboxamide) (derivatized where a linker group L or a -L-(VHL ligand moiety) group is attached preferably via the cyclopropyl group);
- Vandetanib (N-(4-bromo-2-fluorophenyl)- 6-methoxy-7-[(l -methylpiperidin-4-yl)methoxy]quinazolin-4-amine) (derivatized where a linker group L or a -L-(VHL ligand moiety) group is attached preferably via the methoxy or hydroxyl group);
- kinase inhibitor Vemurafenib (derivatized) (propane- 1 -sulfonic acid ⁇ 3- [5-(4-chlorophenyl)-lH-pyrrolo[2,3-b]pyridine-3-carbonyl]-2,4-difluoro-phenyl ⁇ -amide) (derivatized where a linker group L or a -L-(VHL ligand moiety) group is attached preferably via the sulfonyl propyl group);
- R is a linker group L or a -L-(VHL ligand moiety) group preferably attached to the phenyl moiety or via the aniline amine group;
- R is a linker group L or a -L-(VHL ligand moiety) group attached preferably to the phenyl moiety
- R is a linker group L or a -L-(VHL ligand moiety) group attached preferably to the phenyl moiety or the aniline amine group
- R is a linker group L or a -L-(VHL ligand moiety) group attached to the phenyl moiety or the diazole group
- R is a linker group L or a -L-(VHL ligand moiety) group attached preferably to the phenyl moiety
- R is a linker group L or a -L-(VHL ligand moiety) group attached to the phenyl moiety or a hydroxyl or ether group on the quinoline moiety;
- MDM2 inhibitors as used herein include, but are not limited to:
- Compounds targeting Human BET Bromodomain-containing proteins include, but are not limited to the compounds associated with the targets as described below, where "R” designates a site for linker group L or a -L-(VHL ligand moiety) group attachment.
- R designates a site for linker group L or a -L-(VHL ligand moiety) group attachment.
- HDAC Inhibitors include, but are not limited to:
- Human Lysine Methyltransferase inhibitors include, but are not limited to:
- Angiogenesis inhibitors include, but are not limited to:
- Estradiol (derivatized), which may be bound to a linker group L or a -L-(VHL ligand moiety) group as is generally described in Rodriguez-Gonzalez, et al, "Targeting steroid hormone receptors for ubiquitination and degradation in breast and prostate cancer," Oncogene (2008) 27, 7201-7211;
- Estradiol, testosterone (derivatized) and related derivatives including but not limited to DHT and derivatives and analogs thereof, having the structure(s) and binding to a linker group L or a -L-(VHL ligand moiety) group as generally described in Sakamoto, et al, "Development of Protacs to target cancer-promoting proteins for ubiquitination and degradation," Mol Cell Proteomics 2003 Dec; 2(12): 1350-8; and
- Immunosuppressive compounds include, but are not limited to:
- Glucocorticoids e.g., hydrocortisone, prednisone, prednisolone, and methylprednisolone
- Glucocorticoids e.g., hydrocortisone, prednisone, prednisolone, and methylprednisolone
- beclomethasone dipropionate derivatized where a linker group or a -L-(VHL ligand moiety) is bound, e.g. to a proprionate
- Methotrexate (derivatized where a linker group or a-L-(VHL ligand moiety) group can be bound, e.g. to either of the terminal hydroxyls);
- Ciclosporin (derivatized where a linker group or a-L-(VHL ligand moiety) group can be bound, e.g. at any of the butyl groups);
- Compounds targeting the aryl hydrocarbon receptor include, but are not limited to:
- Compounds targeting RAF Receptor include, but are not limited to: [0333] 1. PLX4032
- RAF inhibitors described in WO 2015/075483 including but not limited to, the compounds having the structure set forth on page 31 of WO 2015/075483, as defined therein, (derivatized such that a linker group L or a -L-(VHL ligand moiety) is attached); and
- Compounds targeting FKBP include, but are not limited to:
- R designates a site for a linker group L or a -L-(VHL ligand moiety) group attachment
- R designates a linker group L or a -L-(VHL ligand moiety) group
- R designates a linker group L or a -L-(VHL ligand moiety) group
- R designates a linker group L or a -L-(VHL ligand moiety)
- ER Estrogen Receptor
- R designates a site for linker group L or-L-(VHL ligand moiety) group attachment. See, Angew. Chem. Int. Ed. 2011, 50, 9838- 9842, where L is a linker group as otherwise described herein and said VHL ligand moiety is as otherwise described herein such that -L-(VHL ligand moiety) binds the VHL ligand moiety to a protein binding moiety as otherwise described herein.
- RAS family inhibitors used herein include, but are not limited to:
- EGFR family inhibitors used herein include, but are not limited to:
- TKIs EGFR tyrosine kinase inhibitors identified in Jia et al "Overcoming EGFR(T790M) and EGFR(C797S) resistance with mutant-selective allosteric inhibitors" Nature 2016, 534, 129-132, such as EAI045
- TKIs EGFR tyrosine kinase inhibitors
- BRM family inhibitors used herein include, but are not limited to, the BRM tyrosine kinase inhibitors (TKIs) inhibitors identified in Gerstenberger, BS. et al "Identification of a Chemical Probe for Family VIII Bromodomains through Optimization of a Fragment Hit" J.
- TKIs BRM tyrosine kinase inhibitors
- BRG/BRG1 family inhibitors used herein include but are not limited to the BRG/BRG1 inhibitors described in WO 2016/138114A1 (e.g., in Formula (I) of WO 2016/138114A1) (derivatized such that a linker group L or a -L-(VHL ligand moiety) group is attached).
- USP7 family inhibitors used herein include but are not limited to the USP7 inhibitors as defined in Formula (I) of US Patent Application No. 2016/0185785A1 (derivatized such that a linker group L or a -L-(VHL ligand moiety) groupis attached).
- target protein is used to describe a protein or polypeptide, which is a target for binding to a compound according to the present disclosure and degradation by ubiquitin ligase hereunder.
- target protein binding moieties also include pharmaceutically acceptable salts, enantiomers, solvates and polymorphs of these compositions, as well as other small molecules that may target a protein of interest.
- binding moieties are linked to VHL ligand moieties through linker groups L.
- PB moieties may also be small molecule compounds such as those disclosed in US Patent Application No. 2014/0356322 and US Patent Application No. 2016/0045607.
- Compounds disclosed therein can be classified as Heat Shock Protein 90 (HSP90) inhibitors, Kinase and Phosphatase inhibitors, MDM2 inhibitors, HDAC inhibitors, Human Lysine Methyltransferase Inhibitors, Angiogenesis inhibitors, Immunosuppressive compounds, as well as compounds that bind to: Human BET Bromodomain-containing proteins, the aryl hydrocarbon receptor (AHR), RAF receptor kinase, FKBP, Androgen Receptor (AR), Estrogen receptor (ER), Thyroid Hormone Receptor, HIV Protease, HIV Integrase, HCV Protease, Acyl-protein Thioesterase-1 and -2 (APT1 and APT2).
- Other specific PB moieties may also be small molecule compounds such as those disclosed in US Patent Application No.
- Target proteins and/or PB moieties are also described in: Holderfield, et al, "Targeting RAF kinases for cancer therapy: BRAF mutated melanoma and beyond," Nat. Rev. Cancer, 2014, 14, 455-467 (RAF); and Filippakoupoulos, et al, “Targeting bromodomains: epigenetic readers of lysine acetylation,” Nature Reviews Drug Discovery, 2014, 13, 337-356 (BET). 3.
- the VHL ligand moiety and PB moiety (D) of PROTACs as described herein can be connected with a linker (L).
- the linker group L is a group comprising one or more covalently connected structural units of A, wherein each A unit is a group coupled to at least one of a VHL ligand moiety, a PB moiety, another A unit, or a combination thereof.
- an A unit links a VHL ligand moiety, a PB moiety, or a combination thereof directly to another VHL ligand, PB moiety, or combination thereof.
- an A unit links a VHL ligand moiety, a PB moiety, or a combination thereof indirectly to another VHL ligand moiety, PB moiety, or combination thereof through one or more different A unit(s).
- one or more covalently connected structural units of A may be coupled to the VHL ligand moiety of the PROTAC of the present disclosure at substituent Y.
- the linker L may be coupled to Y, D, or combinations thereof.
- one or more covalently connected structural units of A may be coupled to a PB moiety and also to a VHL ligand of the present disclosure at R 1 , R 2 , or Z, as described herein, to form a PROTAC.
- q is an integer greater than or equal to 1.
- q is greater than 2.
- q is 2.
- A is a group which is connected to a VHL ligand moiety and a PB moiety.
- q is an integer from 1 to 100, 1 to 90, 1 to 80, 1 to 70, 1 to 60, 1 to 50, 1 to 40, 1 to 30, 1 to 20, or 1 to 10.
- the linker is selected from the group consisting of:
- the linker is selected from the group consisting of
- the linker group is an optionally substituted (poly)ethyleneglycol having between 1 and about 100 ethylene glycol units, between about 1 and about 50 ethylene glycol units, between 1 and about 25 ethylene glycol units, between about 1 and 10 ethylene glycol units, between 1 and about 8 ethylene glycol units and 1 and 6 ethylene glycol units, between 2 and 4 ethylene glycol units, or optionally substituted alkyl groups interdispersed with optionally substituted, O, N, S, P or Si atoms.
- the linker is substituted with an aryl, phenyl, benzyl, alkyl, alkylene, or heterocycle group.
- the linker may be asymmetric or symmetrical.
- the linker group may be any suitable moiety as described herein.
- the linker is a substituted or unsubstituted polyethylene glycol group ranging in size from about 1 to about 12 ethylene glycol units, between 1 and about 10 ethylene glycol units, about 2 about 6 ethylene glycol units, between about 2 and 5 ethylene glycol units, between about 2 and 4 ethylene glycol units.
- the VHL ligand moiety and PB moiety may be covalently linked to the linker group through any group which is appropriate and stable to the chemistry of the linker.
- the linker is independently covalently bonded to the VHL ligand moiety and the PB moiety preferably through an amide, ester, thioester, keto group, carbamate (urethane), carbon or ether, each of which groups may be inserted anywhere on the VHL ligand moiety and PB moiety to provide maximum binding of the VHL ligand moiety on the ubiquitin ligase and the PB moiety on the target protein to be degraded.
- the target protein for degradation may be the ubiquitin ligase itself.
- the linker may be linked to an optionally substituted alkyl, alkylene, alkene or alkyne group, an aryl group or a heterocyclic group on the VHL ligand moiety and/or PB moiety. It is noted that a VHL ligand moiety or a PB moiety may need to be derivatized to make a chemical functional group that is reactive with a chemical functional group on the linker. Alternatively, the linker may need to be derivatized to include a chemical functional group that can react with a functional group found on the VHL ligand moiety and/or PB moiety.
- the linker L can also be represented by the formula: where Q 1 is a group which links the VHL ligand moiety to Q 2 ; and Q 2 is a group linking Q 1 to the PB moiety.
- Q 1 is absent (a bond), -(CH 2 )i-0, -(CHR 15 )i-0, - [C(R 15 ) 2 ]i-0, -(CH 2 )i-S, -(CH 2 )i-N-R 15 , -S, -S(O), -S(0) 2 , -OP(0)OR 15 , -Si(R 15 ) 2 , or a (CH 2 ) r Q Q 4 group wherein Q Q 4 forms an amide group, or a urethane group, ester or thioester group, or
- each U is independently a bond, O, S or N-R 15 ; and each i is independently 0 to 100, 1 to 75, 1 to 60, 1 to 55, 1 to 50, 1 to 45, 1 to 40, 2 to 35, 3 to 30, 1 to 15, 1 to 10, 1 to 8, 1 to 6, 1, 2, 3, 4 or 5.
- Q is a
- each V is independently a bond (absent), -(CH 2 )i U C U (CH 2 ) j is 1 to 100, 1 to 75, 1 to 60, 1 to 55, 1 to 50, 1 to 45, 1 to 40, 2 to 35, 3 to 30, 1 to 15, 1 to 10, 1 to 8, 1 to 6, 1, 2, 3, 4 or 5;
- k is 1 to 100, 1 to 75, 1 to 60, 1 to 55, 1 to 50, 1 to 45, 1 to 40, 2 to 35, 3 to 30, 1 to 15, 1 to 10, 1 to 8, 1 to 6, 1, 2, 3, 4 or 5; preferably k is 1, 2, 3, 4, or 5;
- m' is 1 to 100, 1 to 75, 1 to 60, 1 to 55, 1 to 50, 1 to 45, 1 to 40, 2 to 35, 3 to 30, 1 to 15, l to 10, l to 8, l to 6, 1, 2, 3, 4 or 5;
- n' is 1 to 100, 1 to 75, 1 to 60, 1 to 55, 1 to 50, 1 to 45, 1 to 40, 2 to 35, 3 to 30, 1 to 15, 1 to 10, l to 8, l to 6, 1 , 2, 3, 4 or 5;
- X 1 is O, S or N-R 15 , preferably O;
- CON is a connector group (which may be a bond) which connects Q 1 to Q 2 , when present in the linker group.
- CON is a bond (absent), a heterocycle including a water soluble heterocycle such as a piperazinyl or other group or a group,
- X 2 is cycloalkyl, heterocyclyl, O, S, NR 12 , S(O), S(0) 2 , -S(0) 2 0, -OS(0) 2 , OP(0)OR 15 , Si(R 15 ) 2 , or OS(0) 2 0;
- X 3 is O, S, CHR 12 , NR 12 ;
- R 12 is H or a C1-C3 alkyl group optionally substituted with one or two hydroxyl groups, or a pharmaceutically acceptable salt, enantiomer or stereoisomer thereof;
- R 15 is as defined above.
- the linker group is a (poly)ethyleneglycol having between 1 and about 100 ethylene glycol units, between about 1 and about 50 ethylene glycol units, between 1 and about 25 ethylene glycol units, between about 1 and 10 ethylene glycol units, between 1 and about 8 ethylene glycol units and 1 and 6 ethylene glycol units, between 2 and 4 ethylene glycol units.
- the linker is optionally substituted; i.e., comprises chemical groups interdispersed within or on the PEG linker.
- the PEG linker is substituted with an alkyl, alkylene, aromatic group, or aryl group, e.g., phenyl, benzyl, or heterocyclyl group, or amino acid side chain and is optionally interdispersed with optionally substituted O, N, S, P, or Si atoms.
- CON is
- the linker may be asymmetrical or symmetrical.
- the VHL ligand moiety and PB moiety may be covalently linked to the linker group through any group which is appropriate and stable to the chemistry of the linker, in preferred aspects, the linker is independently covalently bonded to the VHL ligand moiety and the PB moiety through an amide, ester, thioester, keto group, carbamate (urethane) or ether, each of which groups may be inserted anywhere on the VHL ligand moiety and PB moiety to allow binding of the VHL ligand moiety to the ubiquitin ligase and the PB moiety to the target protein to be degraded.
- the linker can be designed and connected to VHL ligand moiety and PB moiety to minimize, eliminate, or neutralize any impact its presence might have on the binding of VHL ligand moiety and PB moiety to their respective binding partners.
- the targeted protein for degradation may be an ubiquitin ligase.
- the linker may be linked to an optionally substituted alkyl, alkylene, alkene, or alkyne group, an aryl group, or a heterocyclic group on the VHL ligand moiety and/or PB moiety.
- the linker is connected to the VHL ligand moiety through substituent Y.
- the description provides therapeutic or pharmaceutical compositions comprising an effective amount of at least one of the compounds as described herein, including, e.g., at least one VHL ligand, at least one PROTAC, and combinations thereof.
- Pharmaceutical compositions comprising an effective amount of at least one bifunctional compound according to the present disclosure, and optionally one or more of the compounds otherwise described herein, in effective amounts, in combination with a pharmaceutically effective amount of a carrier, additive or excipient, and optionally an additional bioactive agent, represents a further aspect of the disclosure.
- the compositions comprise pharmaceutically acceptable salts, in particular, acid or base addition salts of compounds as described herein.
- the acids that are used to prepare the pharmaceutically acceptable acid addition salts of the aforementioned base compounds include those which form non-toxic acid addition salts, i.e., salts containing pharmacologically acceptable anions, such as the hydrochloride, hydrobromide, hydroiodide, nitrate, sulfate, bisulfate, phosphate, acid phosphate, acetate, lactate, citrate, acid citrate, tartrate, bitartrate, succinate, maleate, fumarate, gluconate, saccharate, benzoate, methanesulfonate, ethanesulfonate, benzenesulfonate, p-toluenesulfonate and pamoate [i.e., l, l '-methylene-bis-(2- hydroxy-3 naphthoate)] salt
- Pharmaceutically acceptable base addition salts may also be used to produce pharmaceutically acceptable salt forms of the compounds or derivatives.
- the chemical bases that may be used as reagents to prepare pharmaceutically acceptable base salts of the present compounds that are acidic in nature are those that form non-toxic base salts with such compounds.
- Such non-toxic base salts include, but are not limited to those derived from such pharmacologically acceptable cations such as alkali metal cations (e.g., potassium and sodium) and alkaline earth metal cations (eg, calcium, zinc and magnesium), ammonium or water-soluble amine addition salts such as N-methylglucamine-(meglumine), and the lower alkanolammonium and other base salts of pharmaceutically acceptable organic amines, among others.
- compositions as described herein may in certain embodiments be administered in single or divided unit doses by the oral, parenteral or topical routes.
- Administration of the compounds may range from continuous (intravenous drip) to several oral administrations per day (for example, Q.I.D.) and may include oral, topical, parenteral, intramuscular, intravenous, sub-cutaneous, transdermal (which may include a penetration enhancement agent), buccal, sublingual and suppository administration, by inhalation spray, rectally, vaginally, or via an implanted reservoir, among other routes of administration.
- Enteric coated oral tablets may also be used to enhance bioavailability of the compounds from an oral route of administration.
- compositions comprising an effective amount of compound according to the present disclosure, optionally in combination with a pharmaceutically acceptable carrier, additive or excipient.
- Compounds according to the present disclosure may be administered in immediate release, intermediate release or sustained or controlled release forms. Sustained or controlled release forms are preferably administered orally, but may also be administered in suppository and transdermal or other topical forms. Intramuscular injections in liposomal form may also be used to control or sustain the release of compound at an injection site.
- compositions of VHL ligands and/or PROTACs as described herein can be prepared for parenteral administration with a pharmaceutically acceptable parenteral vehicle and in a unit dosage injectable form.
- parenteral as used herein includes subcutaneous, intravenous, intramuscular, intra-articular, intra-synovial, intrastemal, intrathecal, intrahepatic, intralesional and intracranial injection or infusion techniques.
- the compositions are administered orally, intraperitoneally or intravenously.
- a PROTAC having the desired degree of purity is optionally mixed with one or more pharmaceutically acceptable excipients (Remington's Pharmaceutical Sciences (1980) 16th edition, Osol, A. Ed.), in the form of a lyophilized formulation for reconstitution or an aqueous solution.
- compositions of the present disclosure may be formulated in a conventional manner using one or more pharmaceutically acceptable carriers and may also be administered in controlled-release formulations.
- the compounds of the disclosure can be formulated in accordance with standard pharmaceutical practice as a pharmaceutical composition.
- a pharmaceutical composition comprising a PROTAC or VHL ligand in association with one or more pharmaceutically acceptable excipients.
- a typical formulation is prepared by mixing the compounds of the disclosure with excipients, such as carriers and/or diluents.
- excipients such as carriers and/or diluents.
- Suitable carriers, diluents and other excipients are well known to those skilled in the art and include materials such as carbohydrates, waxes, water soluble and/or swellable polymers, hydrophilic or hydrophobic materials, gelatin, oils, solvents, water and the like.
- the particular carrier, diluent or other excipient used will depend upon the means and purpose for which the compound is being applied.
- compositions include, but are not limited to, ion exchangers, alumina, aluminum stearate, lecithin, serum proteins, such as human serum albumin, buffer substances such as phosphates, glycine, sorbic acid, potassium sorbate, partial glyceride mixtures of saturated vegetable fatty acids, water, salts or electrolytes, such as prolamine sulfate, disodium hydrogen phosphate, potassium hydrogen phosphate, sodium chloride, zinc salts, colloidal silica, magnesium trisilicate, polyvinyl pyrrolidone, cellulose-based substances, polyethylene glycol, sodium carboxymethylcellulose, polyacrylates, waxes, polyethylene-polyoxypropylene-block polymers, polyethylene glycol and wool fat.
- ion exchangers alumina, aluminum stearate, lecithin
- serum proteins such as human serum albumin
- buffer substances such as phosphates, glycine, sorbic acid, potassium sorbate, partial g
- Solvents are generally selected based on solvents recognized by persons skilled in the art as safe (GRAS) to be administered to a mammal.
- safe solvents are nontoxic aqueous solvents such as water and other non-toxic solvents that are soluble or miscible in water.
- Suitable aqueous solvents include water, ethanol, propylene glycol, polyethylene glycols (e.g., PEG 400, PEG 300), etc. and mixtures thereof.
- Acceptable diluents, carriers, excipients and stabilizers are nontoxic to recipients at the dosages and concentrations employed, and include buffers such as phosphate, citrate and other organic acids; antioxidants including ascorbic acid and methionine; preservatives (such as octadecyldimethylbenzyl ammonium chloride; hexamethonium chloride; benzalkonium chloride, benzethonium chloride; phenol, butyl or benzyl alcohol; alkyl parabens such as methyl or propyl paraben; catechol; resorcinol; cyclohexanol; 3-pentanol; and m-cresol); low molecular weight (less than about 10 residues) polypeptides; proteins, such as serum albumin, gelatin, or immunoglobulins; hydrophilic polymers such as polyvinylpyrrolidone; amino acids such as glycine, glutamine, asparagine,
- the formulations may also include one or more buffers, stabilizing agents, surfactants, wetting agents, lubricating agents, emulsifiers, suspending agents, preservatives, antioxidants, opaquing agents, glidants, processing aids, colorants, sweeteners, perfuming agents, flavoring agents and other known additives to provide an elegant presentation of the PROTAC or aid in the manufacturing of the pharmaceutical product.
- the formulations may be prepared using conventional dissolution and mixing procedures.
- Formulation may be conducted by mixing at ambient temperature at the appropriate pH, and at the desired degree of purity, with physiologically acceptable carriers, i.e., carriers that are non-toxic to recipients at the dosages and concentrations employed.
- physiologically acceptable carriers i.e., carriers that are non-toxic to recipients at the dosages and concentrations employed.
- the pH of the formulation depends mainly on the particular use and the concentration of compound, but may range from about 3 to about 8.
- Formulation in an acetate buffer at pH 5 is a suitable embodiment.
- the pharmaceutical compositions may be in the form of a sterile injectable preparation, such as a sterile injectable aqueous or oleaginous suspension.
- a sterile injectable preparation such as a sterile injectable aqueous or oleaginous suspension.
- formulations to be used for in vivo administration must be sterile. Such sterilization is readily accomplished by filtration through sterile filtration membranes.
- This suspension may be formulated according to the known art using those suitable dispersing or wetting agents and suspending agents which have been mentioned above.
- the sterile injectable preparation may also be a sterile injectable solution or suspension in a non-toxic parenterally acceptable diluent or solvent, such 1,3-butanediol.
- the sterile injectable preparation may also be prepared as a lyophilized powder.
- Suitable vehicles and solvents that may be employed are water, Ringer's solution and isotonic sodium chloride solution.
- sterile fixed oils may conventionally be employed as a solvent or suspending medium.
- any bland fixed oil may be employed including synthetic mono- or diglycerides.
- fatty acids such as oleic acid may likewise be used in the preparation of injectables, as well as natural pharmaceutically-acceptable oils, such as olive oil or castor oil, especially in their polyoxyethylated versions.
- These oil solutions or suspensions may also contain a long-chain alcohol diluent or dispersant, such as Ph. Helv or similar alcohol.
- Formulations suitable for parenteral administration include aqueous and nonaqueous sterile injection solutions which may contain anti-oxidants, buffers, bacteriostats and solutes which render the formulation isotonic with the blood of the intended recipient; and aqueous and non-aqueous sterile suspensions which may include suspending agents and thickening agents.
- compositions as described herein may be orally administered in any orally acceptable dosage form including, but not limited to, capsules, tablets, aqueous suspensions or solutions.
- carriers which are commonly used include lactose and corn starch.
- Lubricating agents such as magnesium stearate, are also typically added.
- useful diluents include lactose and dried corn starch.
- aqueous suspensions are required for oral use, the active ingredient is combined with emulsifying and suspending agents. If desired, certain sweetening, flavoring or coloring agents may also be added.
- compositions as described herein may be administered in the form of suppositories for rectal administration.
- suppositories for rectal administration.
- a suitable non-irritating excipient which is solid at room temperature but liquid at rectal temperature and therefore will melt in the rectum to release the drug.
- suitable non-irritating excipient include cocoa butter, beeswax and polyethylene glycols.
- compositions as described herein may also be administered topically. Suitable topical formulations are readily prepared for each of these areas or organs. Topical application for the lower intestinal tract can be effected in a rectal suppository formulation (see above) or in a suitable enema formulation. Topically-acceptable transdermal patches may also be used.
- the pharmaceutical compositions may be formulated in a suitable ointment containing the active component suspended or dissolved in one or more carriers.
- Carriers for topical administration of the compounds of this disclosure include, but are not limited to, mineral oil, liquid petrolatum, white petrolatum, propylene glycol, polyoxyethylene, polyoxypropylene compound, emulsifying wax and water.
- the compounds may be coated onto a stent which is to be surgically implanted into a patient in order to inhibit or reduce the likelihood of occlusion occurring in the stent in the patient.
- the pharmaceutical compositions can be formulated in a suitable lotion or cream containing the active components suspended or dissolved in one or more pharmaceutically acceptable carriers.
- suitable carriers include, but are not limited to, mineral oil, sorbitan monostearate, polysorbate 60, cetyl esters wax, cetearyl alcohol, 2-octyldodecanol, benzyl alcohol and water.
- the pharmaceutical compositions may be formulated as micronized suspensions in isotonic, pH adjusted sterile saline, or, preferably, as solutions in isotonic, pH adjusted sterile saline, either with our without a preservative such as benzylalkonium chloride.
- the pharmaceutical compositions may be formulated in an ointment such as petrolatum.
- compositions of this disclosure may also be administered by nasal aerosol or inhalation.
- Such compositions are prepared according to techniques well-known in the art of pharmaceutical formulation and may be prepared as solutions in saline, employing benzyl alcohol or other suitable preservatives, absorption promoters to enhance bioavailability, fluorocarbons, and/or other conventional solubilizing or dispersing agents.
- PROTAC and VHL ligand compositions ordinarily can be stored as a solid composition, a lyophilized formulation or as an aqueous solution.
- compositions comprising a PROTAC or VHL ligand of the present disclosure can be formulated, dosed and administered in a fashion, i.e., amounts, concentrations, schedules, course, vehicles and route of administration, consistent with good medical practice.
- Factors for consideration in this context include the particular disorder being treated, the particular mammal being treated, the clinical condition of the individual patient, the cause of the disorder, the site of delivery of the agent, the method of administration, the scheduling of administration, and other factors known to medical practitioners.
- the "therapeutically effective amount" of the compound to be administered will be governed by such considerations, and is the minimum amount necessary to prevent, ameliorate, or treat the disorder. Such amount is preferably below the amount that is toxic to the host or renders the host significantly more susceptible to unwanted side effects.
- the PROTAC can be formulated into pharmaceutical dosage forms to provide an easily controllable dosage of the drug and to enable patient compliance with the prescribed regimen.
- the pharmaceutical composition (or formulation) for application may be packaged in a variety of ways depending upon the method used for administering the drug.
- an article for distribution includes a container having deposited therein the pharmaceutical formulation in an appropriate form.
- Suitable containers are well known to those skilled in the art and include materials such as bottles (plastic and glass), sachets, ampoules, plastic bags, metal cylinders, and the like.
- the container may also include a tamper-proof assemblage to prevent indiscreet access to the contents of the package.
- the container has deposited thereon a label that describes the contents of the container. The label may also include appropriate warnings.
- the formulations may be packaged in unit-dose or multi-dose containers, for example sealed ampoules and vials, and may be stored in a freeze-dried (lyophilized) condition requiring only the addition of the sterile liquid carrier, for example water, for injection immediately prior to use.
- sterile liquid carrier for example water
- Extemporaneous injection solutions and suspensions are prepared from sterile powders, granules and tablets of the kind previously described.
- Preferred unit dosage formulations are those containing a daily dose or unit daily sub-dose, as herein above recited, or an appropriate fraction thereof, of the active ingredient.
- a specific dosage and treatment regimen for any particular patient will depend upon a variety of factors, including the activity of the specific compound employed, the age, body weight, general health, sex, diet, time of administration, rate of excretion, drug combination, and the judgment of the treating physician and the severity of the particular disease or condition being treated.
- a patient or subject in need of therapy using compounds according to the present disclosure can be treated by administering to the patient (subject) an effective amount of the compound according to the present disclosure including pharmaceutically acceptable salts, solvates or polymorphs, thereof optionally in a pharmaceutically acceptable carrier or diluent, either alone, or in combination with other known erythopoiesis stimulating agents as otherwise identified herein.
- the active compound is included in the pharmaceutically acceptable carrier or diluent in an amount sufficient to deliver to a patient a therapeutically effective amount for the desired indication, without causing serious toxic effects in the patient treated.
- a preferred dose of the active compound for the herein-mentioned conditions is in the range from about 10 ng/kg to 300 mg/kg, preferably 0.1 to 100 mg/kg per day, more generally 0.5 to about 25 mg per kilogram body weight of the recipient/patient per day.
- One typical daily dosage might range from about 1 ⁇ g/kg to 100 mg/kg or more, depending on the factors mentioned above.
- a typical topical dosage will range from 0.01-5% wt/wt in a suitable carrier.
- the compound is conveniently administered in any suitable unit dosage form, including but not limited to one containing less than 1 mg, 1 mg to 3000 mg, preferably 5 to 500 mg of active ingredient per unit dosage form.
- An oral dosage of about 25-250 mg is often convenient.
- the active ingredient is preferably administered to achieve peak plasma concentrations of the active compound of about 0.00001 -30 mM, preferably about 0.1-30 mM. This may be achieved, for example, by the intravenous injection of a solution or formulation of the active ingredient, optionally in saline, or an aqueous medium or administered as a bolus of the active ingredient. Oral administration is also appropriate to generate effective plasma concentrations of active agent.
- the concentration of active compound in the drug composition will depend on absorption, distribution, inactivation, and excretion rates of the drug as well as other factors known to those of skill in the art. It is to be noted that dosage values will also vary with the severity of the condition to be alleviated. It is to be further understood that for any particular subject, specific dosage regimens should be adjusted over time according to the individual need and the professional judgment of the person administering or supervising the administration of the compositions, and that the concentration ranges set forth herein are exemplary only and are not intended to limit the scope or practice of the claimed composition.
- the active ingredient may be administered at once, or may be divided into a number of smaller doses to be administered at varying intervals of time.
- the active compounds are prepared with carriers that will protect the compound against rapid elimination from the body, such as a controlled release formulation, including implants and microencapsulated delivery systems.
- a controlled release formulation including implants and microencapsulated delivery systems.
- Biodegradable, biocompatible polymers can be used, such as ethylene vinyl acetate, polyanhydrides, poly gly colic acid, collagen, polyorthoesters, and polylactic acid. Methods for preparation of such formulations will be apparent to those skilled in the art.
- Liposomal suspensions may also be pharmaceutically acceptable carriers. These may be prepared according to methods known to those skilled in the art, for example, as described in U. S. Pat. No.4,522,81 1 (which is incorporated herein by reference in its entirety).
- liposome formulations may be prepared by dissolving appropriate lipid(s) (such as stearoyl phosphatidyl ethanolamine, stearoyl phosphatidyl choline, arachadoyl phosphatidyl choline, and cholesterol) in an inorganic solvent that is then evaporated, leaving behind a thin film of dried lipid on the surface of the container. An aqueous solution of the active compound are then introduced into the container. The container is then swirled by hand to free lipid material from the sides of the container and to disperse lipid aggregates, thereby forming the liposomal suspension.
- appropriate lipid(s) such as stearoyl phosphatidyl ethanolamine, stearoyl phosphati
- pharmaceutically acceptable salt is used throughout the specification to describe, where applicable, a salt form of one or more of the compounds described herein which are presented to increase the solubility of the compound in the gastric juices of the patient's gastrointestinal tract in order to promote dissolution and the bioavailability of the compounds.
- Pharmaceutically acceptable salts include those derived from pharmaceutically acceptable inorganic or organic bases and acids, where applicable. Suitable salts include those derived from alkali metals such as potassium and sodium, alkaline earth metals such as calcium, magnesium and ammonium salts, among numerous other acids and bases well known in the pharmaceutical art. Sodium and potassium salts are particularly preferred as neutralization salts of the phosphates according to the present disclosure.
- pharmaceutically acceptable derivative is used throughout the specification to describe any pharmaceutically acceptable prodrug form (such as an ester, amide other prodrug group), which, upon administration to a patient, provides directly or indirectly the present compound or an active metabolite of the present compound.
- the subject matter further provides veterinary compositions comprising at least one active ingredient as above defined together with a veterinary carrier therefore.
- Veterinary carriers are materials useful for the purpose of administering the composition and may be solid, liquid or gaseous materials which are otherwise inert or acceptable in the veterinary art and are compatible with the active ingredient. These veterinary compositions may be administered parenterally or by any other desired route.
- PROTACs disclosed herein may be used to treat various diseases or disorders.
- exemplary hyperproliferative disorders include benign or malignant solid tumors and hematological disorders such as leukemia and lymphoid malignancies.
- Others include neuronal, glial, astrocytal, hypothalamic, glandular, macrophagal, epithelial, stromal, blastocoelic, inflammatory, angiogenic and immunologic, including autoimmune, disorders.
- the disease or disorder to be treated is a hyperproliferative disease such as cancer.
- cancer to be treated herein include, but are not limited to, carcinoma, lymphoma, blastoma, sarcoma, and leukemia or lymphoid malignancies. More particular examples of such cancers include squamous cell cancer (e.g.
- lung cancer including small-cell lung cancer, non-small cell lung cancer, adenocarcinoma of the lung and squamous carcinoma of the lung, cancer of the peritoneum, hepatocellular cancer, gastric or stomach cancer including gastrointestinal cancer, pancreatic cancer, glioblastoma, cervical cancer, ovarian cancer, liver cancer, bladder cancer, hepatoma, breast cancer, colon cancer, rectal cancer, colorectal cancer, endometrial or uterine carcinoma, salivary gland carcinoma, kidney or renal cancer, prostate cancer, vulval cancer, thyroid cancer, hepatic carcinoma, anal carcinoma, penile carcinoma, as well as head and neck cancer.
- lung cancer including small-cell lung cancer, non-small cell lung cancer, adenocarcinoma of the lung and squamous carcinoma of the lung, cancer of the peritoneum, hepatocellular cancer, gastric or stomach cancer including gastrointestinal cancer, pancreatic cancer, glioblastoma, cervical cancer, ovarian cancer, liver cancer,
- Autoimmune diseases for which the PROTAC may be used in treatment include rheumatologic disorders (such as, for example, rheumatoid arthritis, Sjogren's syndrome, scleroderma, lupus such as systemic lupus erythematosus (SLE) and lupus nephritis, polymyositis/dermatomyositis, cryoglobulinemia, anti-phospholipid antibody syndrome, and psoriatic arthritis), osteoarthritis, autoimmune gastrointestinal and liver disorders (such as, for example, inflammatory bowel diseases (e.g., ulcerative colitis and Crohn's disease), autoimmune gastritis and pernicious anemia, autoimmune hepatitis, primary biliary cirrhosis, primary sclerosing cholangitis, and celiac disease), vasculitis (such as, for example, ANCA-associated vasculitis, including Churg-Strauss vas
- More preferred such diseases include, for example, rheumatoid arthritis, ulcerative colitis, ANCA-associated vasculitis, lupus, multiple sclerosis, Sjogren's syndrome, Graves' disease, IDDM, pernicious anemia, thyroiditis, and glomerulonephritis.
- Other disease states or disorders which may be treated using compounds or compositions according to the present disclosure include, for example, asthma, ciliopathies, cleft palate, diabetes, heart disease, hypertension, inflammatory bowel disease, mental retardation, mood disorder, obesity, refractive error, infertility, Angelman syndrome, Canavan disease, Coeliac disease, Charcot-Marie-Tooth disease, Cystic fibrosis, Duchenne muscular dystrophy, Haemochromatosis, Haemophilia, Klinefelter's syndrome, Neurofibromatosis, Phenylketonuria, Polycystic kidney disease (PKD1) or 4 (PKD2) Prader-Willi syndrome, Sickle-cell disease, Tay-Sachs disease, and Turner syndrome.
- PDD1 or 4 Polycystic kidney disease
- Further diseases or disorders which may be treated by compounds or compositions according to the present disclosure include Alzheimer's disease, Amyotrophic lateral sclerosis (Lou Gehrig's disease), Anorexia nervosa, Anxiety disorder, Atherosclerosis, Attention deficit hyperactivity disorder, Autism, Bipolar disorder, Chronic fatigue syndrome, Chronic obstructive pulmonary disease, Crohn's disease, Coronary heart disease, Dementia, Depression, Diabetes mellitus type 1, Diabetes mellitus type 2, Epilepsy, Guillain-Barre syndrome, Irritable bowel syndrome, Lupus, Metabolic syndrome, Multiple sclerosis, Myocardial infarction, Obesity, Obsessive-compulsive disorder, Panic disorder, Parkinson's disease, Psoriasis, Rheumatoid arthritis, Sarcoidosis, Schizophrenia, Stroke, Thromboangiitis obliterans, Tourette syndrome, Vasculitis.
- Alzheimer's disease Amyotrophic lateral
- Still additional diseases or disorders which can be treated by compounds or compositions according to the present disclosure include acemloplasminemia, Achondrogenesis type H, Acrocephaly, Gaucher disease type 2, acute intermittent porphyria, Adenomatous Polyposis Coli, adenylosuccinate lyase deficiency, Adrenogenital syndrome, Adrenoleukodystrophy, ALA-D porphyria, ALA dehydratase deficiency, Alkaptonuria, Alkaptonuric ochronosis, alpha 1- antitrypsin deficiency, alpha-1 proteinase inhibitor, emphysema, amyotrophic lateral sclerosis, Alstrom syndrome, Alexander disease, Amelogenesis imperfecta, Anders on-Fabry disease, Anemia, Angiokeratoma Corporis Diffusum, Angiomatosis retinae (von Hippel-Lindau disease) Apert syndrome, Arachnodactyly (Mar
- cancer is used throughout the specification to refer to the pathological process that results in the formation and growth of a cancerous or malignant neoplasm, i.e., abnormal tissue that grows by cellular proliferation, often more rapidly than normal and continues to grow after the stimuli that initiated the new growth cease.
- malignant neoplasms show partial or complete lack of structural organization and functional coordination with the normal tissue and most invade surrounding tissues, metastasize to several sites, and are likely to recur after attempted removal and to cause the death of the patient unless adequately treated.
- Exemplary cancers which may be treated by the present compounds either alone or in combination with at least one additional anti-cancer agent include squamous-cell carcinoma, basal cell carcinoma, adenocarcinoma, hepatocellular carcinomas, and renal cell carcinomas, cancer of the bladder, bowel, cervix, colon, esophagus, head, kidney, liver, lung, neck, ovary, pancreas, prostate, and stomach; leukemias; benign and malignant lymphomas, particularly Burkitt's lymphoma and Non-Hodgkin's lymphoma; benign and malignant melanomas; myeloproliferative diseases; sarcomas, including Ewing's sarcoma, hemangiosarcoma, Kaposi's sarcoma, liposarcoma, myosarcomas, peripheral neuroepithelioma, synovial sarcoma, gliomas, astrocytomas, oligodendroglio
- Additional cancers which may be treated using compounds according to the present disclosure include, for example, T-lineage Acute lymphoblastic Leukemia (T-ALL), Tlineage lymphoblastic Lymphoma (T-LL), Peripheral T-cell lymphoma, Adult T-cell Leukemia, Pre B ALL, Pre- B Lymphomas, Large B ⁇ cell Lymphoma, Burkitts Lymphoma, B ⁇ cell ALL Philadelphia chromosome positive ALL and Philadelphia chromosome positive CML.
- T-ALL T-lineage Acute lymphoblastic Leukemia
- T-LL Tlineage lymphoblastic Lymphoma
- Peripheral T-cell lymphoma Peripheral T-cell lymphoma
- Adult T-cell Leukemia Pre B ALL, Pre- B Lymphomas, Large B ⁇ cell Lymphoma, Burkitts Lymphoma
- B ⁇ cell ALL Philadelphia chromosome positive ALL Philadelphia chromosome positive CML.
- the present disclosure is directed to a method of treating a disease or disorder in a human in need thereof, comprising administering to the human an effective amount of a compound of the present disclosure (e.g., a PROTAC of Formula (I), (la), (II), or (Ila)), or a salt (e.g., a pharmaceutically acceptable salt) thereof, or a pharmaceutical composition of the present disclosure that comprises said PROTAC.
- a compound of the present disclosure e.g., a PROTAC of Formula (I), (la), (II), or (Ila)
- a salt e.g., a pharmaceutically acceptable salt
- a PROTAC of the present disclosure is used in a method of treating solid tumor, e.g., ovarian.
- a PROTAC of the present disclosure is used in a method of treating hematological malignancies such as non-Hodgkin's lymphoma (NHL), diffuse large hematopoietic lymphoma, follicular lymphoma, mantle cell lymphoma, chronic lymphocytic leukemia, multiple myeloma, acute myeloid leukemia (AML), and myeloid cell leukemia (MCL), and including B-cell related cancers and proliferative disorders.
- NHL non-Hodgkin's lymphoma
- diffuse large hematopoietic lymphoma diffuse large hematopoietic lymphoma
- follicular lymphoma mantle cell lymphoma
- chronic lymphocytic leukemia multiple myeloma
- AML acute myeloid leukemia
- MCL myeloid cell leukemia
- a PROTAC of the present disclosure is used in a method of treating ovarian, breast and pancreatic cancers.
- the cancer may be associated with the expression or activity of a MUC16/CA125/0772P polypeptide. See, e.g., WO 2007/001851; US 7,989,595; US 8,449,883; US 7,723,485; Chen et al (2007) Cancer Res. 67(10): 4924-4932; Junutula, et al, (2008) Nature Biotech., 26(8):925-932.
- a PROTAC of the present disclosure is used in a method of treating cancer, e.g., breast or gastric cancer, more specifically HER2 positive breast or gastric cancer, wherein the method comprises administering such PROTAC to a patient in need of such treatment.
- cancer e.g., breast or gastric cancer, more specifically HER2 positive breast or gastric cancer
- a PROTAC of the present disclosure may be administered by any route appropriate to the condition to be treated.
- the PROTAC or VHL will typically be administered parenterally, i.e. infusion, subcutaneous, intramuscular, intravenous, intradermal, intrathecal and epidural.
- a PROTAC can be used either alone or in combination with other agents in a therapy.
- a PROTAC may be co-administered with at least one additional therapeutic agent.
- Such combination therapies noted above encompass combined administration (where two or more therapeutic agents are included in the same or separate formulations), and separate administration, in which case, administration of the PROTAC can occur prior to, simultaneously, and/or following, administration of the additional therapeutic agent and/or adjuvant.
- a PROTAC can also be used in combination with radiation therapy.
- coadministration shall mean that at least two compounds or compositions are administered to the patient at the same time, such that effective amounts or concentrations of each of the two or more compounds may be found in the patient at a given point in time.
- compounds according to the present disclosure may be co-administered to a patient at the same time, the term embraces both administration of two or more agents at the same time or at different times, provided that effective concentrations of coadministered compounds or compositions are found in the subject at a given time.
- the description provides combination therapies comprising an effective amount of a compound as described herein in combination with an additional bioactive agent.
- bioactive agent is used to describe an agent, other than a compound as described herein, which is used in combination with the present compounds as an agent with biological activity to assist in effecting an intended therapy, inhibition and/or prevention/prophylaxis for which the present compounds are used.
- Preferred bioactive agents for use herein include those agents which have pharmacological activity similar to that for which the present compounds are used or administered and include for example, anti-cancer agents, antiviral agents, especially including anti-HIV agents and anti-HCV agents, antimicrobial agents, antifungal agents, etc.
- the compound as described herein, the additional bioactive agent or both are present in an effective amount or, in certain embodiments, a synergistically effective amount.
- additional anti-cancer agent is used to describe an anti-cancer agent, which may be combined with compounds according to the present disclosure to treat cancer.
- these agents include, for example, everolimus, trabectedin, abraxane, TLK 286, AV-299, DN- 101, pazopanib, GSK690693, RTA 744, ON 0910.Na, AZD 6244 (ARRY-142886), AMN-107, TKI-258, GSK461364, AZD 1152, enzastaurin, vandetanib, ARQ-197, MK-0457, MLN8054, PHA-739358, R-763, AT-9263, a FLT-3 inhibitor, a VEGFR inhibitor, an EGFR TK inhibitor, an aurora kinase inhibitor, a PIK-1 modulator, a Bel -2 inhibitor, an HDAC inhbitor, a c-MET inhibitor, a PARP inhibitor, a Cd
- anti-HIV agent or “additional anti-HIV agent” includes, for example, nucleoside reverse transcriptase inhibitors (NRTI), other non-nucloeoside reverse transcriptase inhibitors (i.e., those which are not representative of the present disclosure), protease inhibitors, fusion inhibitors, among others, exemplary compounds of which may include, for example, 3TC (Lamivudine), AZT (Zidovudine), (-)-FTC, ddl (Didanosine), ddC (zalcitabine), abacavir (ABC), tenofovir (PMPA), D-D4FC (Reverset), D4T (Stavudine), Racivir, L-FddC, L-FD4C, NVP (Nevirapine), DLV (Delavirdine), EFV (Efavirenz), SQVM (Saquinavir mesylate), RTV (NRTI), other non-n
- NNRTI's i.e., other than the NNRTI's according to the present disclosure
- NNRTI's may be selected from the group consisting of nevirapine (BI-R6-587), delavirdine (U-90152S/T), efavirenz (DMP-266), UC-781 (N-[4-chloro- 3-(3-methyl-2-butenyloxy)phenyl]-2methyl3-furancarbothiamide), etravirine (TMC125), Trovirdine (Ly300046.HCl), MKC-442 (emivirine, coactinon), HI-236, HI-240, HI-280, HI-281, rilpivirine (TMC-278), MSC-127, HBY 097, DMP266, Baicalin (TJN-151) ADAM-II (Methyl 3',3'-
- a PROTAC or VHL ligand can be administered by any suitable means, including parenteral, intrapulmonary, and intranasal, and, if desired for local treatment, intralesional administration.
- Parenteral infusions include intramuscular, intravenous, intraarterial, intraperitoneal, or subcutaneous administration. Dosing can be by any suitable route, e.g. by injections, such as intravenous or subcutaneous injections, depending in part on whether the administration is brief or chronic.
- Various dosing schedules including but not limited to single or multiple administrations over various time-points, bolus administration, and pulse infusion are contemplated herein.
- the appropriate dosage of a PROTAC (when used alone or in combination with one or more other additional therapeutic agents) will depend on the type of disease to be treated, the type of PROTAC, the severity and course of the disease, whether the PROTAC is administered for preventive or therapeutic purposes, previous therapy, the patient's clinical history and response to the PROTAC, and the discretion of the attending physician.
- the PROTAC is suitably administered to the patient at one time or over a series of treatments. Depending on the type and severity of the disease, about 10 ng/kg to 300 mg/kg (e.g.
- 0.1 mg/kg - 10 mg/kg) of a PROTAC can be an initial candidate dosage for administration to the patient, whether, for example, by one or more separate administrations, or by continuous infusion.
- One typical daily dosage might range from about 1 ⁇ g/kg to 100 mg/kg or more, depending on the factors mentioned above.
- the treatment would generally be sustained until a desired suppression of disease symptoms occurs.
- One exemplary dosage of a PROTAC would be in the range from about 0.05 mg/kg to about 10 mg/kg.
- one or more doses of about 0.5 mg/kg, 2.0 mg/kg, 4.0 mg/kg or 10 mg/kg (or any combination thereof) may be administered to the patient.
- Such doses may be administered intermittently, e.g. every week or every three weeks (e.g. such that the patient receives from about two to about twenty, or e.g. about six doses).
- An initial higher loading dose, followed by one or more lower doses may be administered.
- other dosage regimens may be useful. The progress of this therapy is easily monitored by conventional techniques and assays.
- present disclosure may be used to treat a number of disease states and/or disorders, including any disease state and/or disorder in which proteins are dysregulated and where a patient would benefit from the degradation of proteins.
- the present disclosure relates to a method for treating a disease state by degrading a protein or polypeptide through which a disease or disorder is modulated comprising administering to said patient or subject an effective amount of at least one compound as described hereinabove, optionally in combination with an additional bioactive agent.
- the method according to the present disclosure may be used to treat a large number of diseases or disorders including cancer, by virtue of the administration of effective amounts of at least one compound described herein.
- the description provides a method of ubiquitinating/degrading a target protein in a cell.
- the method comprises administering a bifunctional compound or a pharmaceutical composition comprising a bifunctional compound that comprises a VHL ligand moiety and a protein binding moiety, preferably linked through a linker moiety, as otherwise described herein, wherein the VHL ligand moiety is coupled to the protein binding moiety and wherein the VHL ligand moiety recognizes a ubiquitin pathway protein (e.g., an ubiquitin ligase, preferably a VHL E3 ubiquitin ligase) and the protein binding moiety recognizes the target protein such that degradation of the target protein will occur when the target protein is placed in proximity to the ubiquitin ligase, thus resulting in degradation/inhibition of the effects of the target protein and the control of protein levels.
- the control of protein levels afforded by the present disclosure provides treatment of a disease state or condition, which is modulated through the target
- the present disclosure is directed to a method of degrading a target protein in a cell comprising exposing the cell to a composition comprising an effective amount of a compound Formula (I), (II), (la), or (Ila), or a salt (e.g., a pharmaceutically acceptable salt) thereof, wherein the compound effectuates the degradation of the target protein.
- a composition comprising an effective amount of a compound Formula (I), (II), (la), or (Ila), or a salt (e.g., a pharmaceutically acceptable salt) thereof, wherein the compound effectuates the degradation of the target protein.
- the description provides a method of treating or preventing in a patient in need thereof a disease or disorder modulated through a protein where the degradation of that protein will produce a therapeutic effect in that patient, the method comprising administering to a patient in need an effective amount of a compound according to the present disclosure, optionally in combination with another bioactive agent.
- the disease state or condition may be a disease caused by a microbial agent or other exogenous agent such as a virus, bacteria, fungus, protozoa or other microbe or may be a disease state, which is caused by overexpression of a protein, which leads to a disease state and/or condition.
- kits containing materials useful for the treatment of the diseases and disorders described above.
- the kit comprises a container comprising a PROTAC.
- the kit may further comprise a label or package insert, on or associated with the container.
- package insert is used to refer to instructions customarily included in commercial packages of therapeutic products, that contain information about the indications, usage, dosage, administration, contraindications and/or warnings concerning the use of such therapeutic products.
- Suitable containers include, for example, bottles, vials, syringes, blister pack, etc.
- a "vial” is a container suitable for holding a liquid or lyophilized preparation.
- the vial is a single-use vial, e.g. a 20-cc single-use vial with a stopper.
- the container may be formed from a variety of materials such as glass or plastic.
- the container may hold a PROTAC or a formulation thereof which is effective for treating the condition and may have a sterile access port (for example, the container may be an intravenous solution bag or a vial having a stopper pierceable by a hypodermic injection needle).
- At least one active agent in the composition is a PROTAC of the present disclosure.
- the label or package insert indicates that the composition is used for treating the condition of choice, such as cancer.
- the label or package insert may indicate that the patient to be treated is one having a disorder such as a hyperproliferative disorder, neurodegeneration, cardiac hypertrophy, pain, migraine or a neurotraumatic disease or event.
- the label or package inserts indicates that the composition comprising a PROTAC can be used to treat a disorder resulting from abnormal cell growth.
- the label or package insert may also indicate that the composition can be used to treat other disorders.
- the article of manufacture may further comprise a second container comprising a pharmaceutically acceptable buffer, such as bacteriostatic water for injection (BWFI), phosphate-buffered saline, Ringer's solution and dextrose solution. It may further include other materials desirable from a commercial and user standpoint, including other buffers, diluents, filters, needles, and syringes.
- BWFI bacteriostatic water for injection
- phosphate-buffered saline such as bacteriostatic water for injection (BWFI), phosphate-buffered saline, Ringer's solution and dextrose solution.
- BWFI bacteriostatic water for injection
- phosphate-buffered saline such as phosphate-buffered saline, Ringer's solution and dextrose solution.
- dextrose solution such as bacteriostatic water for injection (BWFI), phosphate-buffered saline, Ringer's solution and dext
- the kit may further comprise directions for the administration of the PROTAC and, if present, the second pharmaceutical formulation.
- the kit may further comprise directions for the simultaneous, sequential or separate administration of the first and second pharmaceutical compositions to a patient in need thereof.
- kits are suitable for the delivery of solid oral forms of a PROTAC, such as tablets or capsules.
- a PROTAC such as tablets or capsules.
- Such a kit preferably includes a number of unit dosages.
- Such kits can include a card having the dosages oriented in the order of their intended use.
- An example of such a kit is a "blister pack".
- Blister packs are well known in the packaging industry and are widely used for packaging pharmaceutical unit dosage forms.
- a memory aid can be provided, for example in the form of numbers, letters, or other markings or with a calendar insert, designating the days in the treatment schedule in which the dosages can be administered.
- a kit may comprise (a) a first container with a PROTAC contained therein; and optionally (b) a second container with a second pharmaceutical formulation contained therein, wherein the second pharmaceutical formulation comprises a second compound with anti-hyperproliferative activity.
- the kit may further comprise a third container comprising a pharmaceutically-acceptable buffer, such as bacteriostatic water for injection (BWFI), phosphate-buffered saline, Ringer's solution and dextrose solution. It may further include other materials desirable from a commercial and user standpoint, including other buffers, diluents, filters, needles, and syringes.
- BWFI bacteriostatic water for injection
- the kit may comprise a container for containing the separate compositions such as a divided bottle or a divided foil packet; however, the separate compositions may also be contained within a single, undivided container.
- the kit comprises directions for the administration of the separate components.
- the kit form is particularly advantageous when the separate components are preferably administered in different dosage forms (e.g., oral and parenteral), are administered at different dosage intervals, or when titration of the individual components of the combination is desired by the prescribing physician.
Landscapes
- Chemical & Material Sciences (AREA)
- Organic Chemistry (AREA)
- Health & Medical Sciences (AREA)
- Epidemiology (AREA)
- Medicinal Chemistry (AREA)
- Pharmacology & Pharmacy (AREA)
- Life Sciences & Earth Sciences (AREA)
- Animal Behavior & Ethology (AREA)
- General Health & Medical Sciences (AREA)
- Public Health (AREA)
- Veterinary Medicine (AREA)
- Engineering & Computer Science (AREA)
- Bioinformatics & Cheminformatics (AREA)
- Pharmaceuticals Containing Other Organic And Inorganic Compounds (AREA)
Abstract
The present disclosure relates to bifunctional compounds, which can be used as modulators of targeted ubiquitination. In particular, the present disclosure is directed to compounds which contain on one end a VHL ligand moiety, which binds to the VHL E3 ubiquitin ligase, and on the other end a moiety that binds a target protein such that degradation of the target protein/polypeptide is effectuated. Also disclosed are VHL ligands.
Description
(4-HYDROXYPYRROLIDIN-2-YL)-HYDROXAMATE COMPOUNDS
AND METHODS OF USE THEREOF
CROSS-REFERENCE TO RELATED APPLICATIONS
[0001] This application claims priority to PCT/CN2018/105403, which was filed on September 13, 2018, and to PCT/CN2017/107447, which was filed on October 24, 2017, both of which are herein incorporated by reference in their entirety.
FIELD OF THE DISCLOSURE
[0002] The present disclosure relates to bifunctional compounds, which can be used as modulators of targeted ubiquitination. In particular, the present disclosure is directed to compounds that contain on one end a VHL ligand moiety, which binds to the VHL E3 ubiquitin ligase, and on the other end a moiety that binds a target protein such that degradation of the target protein/polypeptide is effectuated. The present disclosure exhibits a broad range of pharmacological activities associated with compounds according to the present disclosure, consistent with the degradation/inhibition of targeted proteins/polypeptides.
BACKGROUND OF THE DISCLOSURE
[0003] Cell maintenance and normal function requires controlled degradation of cellular proteins. For example, degradation of regulatory proteins triggers events in the cell cycle, such as DNA replication, chromosome segregation, etc. Accordingly, such degradation of proteins has implications for the cell's proliferation, differentiation, and death.
[0004] While inhibitors of proteins can block or reduce protein activity in a cell, protein degradation in a cell can also reduce activity or remove altogether the target protein. Utilizing a cell's protein degradation pathway can, therefore, provide a means for reducing or removing protein activity. One of the cell's major degradation pathways is known as the ubiquitin- proteasome system. In this system, a protein is marked for degradation by the proteasome by ubiquitinating the protein. The ubiqitinization of the protein is accomplished by an E3 ubiquitin ligase that binds to a protein and adds ubiquitin molecules to the protein. The E3 ubiquitin ligase is part of a pathway that includes El and E2 ubiquitin ligases, which make ubiquitin available to the E3 ubiquitin ligase to add to the protein.
[0005] To harness this degradation pathway, PROTACs have been developed. PROTACs bring together an E3 ubiquitin ligase with a protein that is to be targeted for
degradation. To facilitate a protein for degradation by the proteasome, the PROTAC is comprised of a group that binds to an E3 ubiquitin ligase and a group that binds to the protein one wishes to degrade. These groups are typically connected with a linker. This molecular construct can bring the E3 ubiquitin ligase in proximity with the protein so that it is ubiquitinated and marked for degradation.
[0006] One E3 ligase with therapeutic potential is the von Hippel-Lindau (VHL) tumor suppressor, the substrate recognition subunit of the E3 ligase complex VCB, which also consists of elongins B and C, Cul2 and Rbxl . The primary substrate of VHL is Hypoxia Inducible Factor l a (HIF-l a), a transcription factor that upregulates genes such as the pro-angiogenic growth factor VEGF and the red blood cell inducing cytokine erythropoietin in response to low oxygen levels. While HIF-la is constitutively expressed, its intracellular levels are kept very low under normoxic conditions via its hydroxylation by prolyl hydroxylase domain (PHD) proteins and subsequent VHL-mediated ubiquitination.
[0007] The crystal structure of VHL with ligands has been obtained, confirming that a small compound can mimic the binding mode of the transcription factor HIF-la, the major substrate of VHL. Using rational design, the first small molecule ligands of Von Hippel Lindau (VHL) the substrate recognition subunit of the E3 ligase VCB (an important target in cancer, chronic anemia and ischemia) were generated.
[0008] However, an ongoing need exists in the art for effective small molecule therapeutics across disease indications. The present description provides means to recruit proteins to E3 ligases, and specifically VHL, for ubiquitination and degradation, to provide therapies based upon the degradation of targeted proteins.
BRIEF DESCRIPTION OF THE DISCLOSURE
[0009] In one aspect, the present disclosure is directed to a compound of Formula (I), or a tautomer thereof:
or a salt (e.g., a pharmaceutically acceptable salt) thereof; wherein: R1 is selected from the group consisting of substituted or unsubstituted alkyl, substituted or unsubstituted cycloalkyl, substituted or unsubstituted aryl, substituted or unsubstituted heterocyclyl, and substituted or unsubstituted heteroaryl; R3 is substituted or unsubstituted alkyl, or R3 is taken together with R6, when present, and the atoms to which they are attached, to form a substituted or unsubstituted heterocyclylene; Y is selected from the group consisting of substituted or unsubstituted heteroarylene, substituted or unsubstituted heterocyclylene, O, S, -N(R6)-, -N(R6)-C(0)-, and - N(R6)-S02-; R6 is selected from the group consisting of H and substituted or unsubstituted alkyl; or R6 is taken together with R3 and the atoms to which they are attached to form a substituted or unsubstituted heterocyclylene; L is a linker moiety; and D is a protein binding moiety.
[0010] In another aspect, the present disclosure is directed to a compound of Formula (la), or a tautomer thereof:
or a salt (e.g., a pharmaceutically acceptable salt) thereof, wherein R1, R3, Y, and D are defined the same as in Formula (I).
[0011] In another aspect, the present disclosure is directed to a pharmaceutical composition comprising a compound of Formula (I) or (la), or a salt (e.g., a pharmaceutically acceptable salt) thereof, and one or more pharmaceutically acceptable excipients.
[0012] In another aspect, the present disclosure is directed to a method of treating a disease or disorder in a human in need thereof, comprising administering to said human an effective amount of a compound of Formula (I) or (la) or a salt (e.g, a pharmaceutically acceptable salt) thereof, or a pharmaceutical composition comprising a compound of Formula (I) or (la).
[0013] In another aspect, the present disclosure is directed to a method of degrading a target protein in a cell comprising exposing the cell to a composition comprising an effective amount of the compound of Formula (I) or (la) or a salt (e.g., a pharmaceutically acceptable salt) thereof, wherein the compound effectuates the degradation of the target protein.
[0014] In another aspect, the present disclosure is directed to a compound of Formula (II), or a tautomer thereof:
(Π) or a salt (e.g., a pharmaceutically acceptable salt) thereof; wherein: R1 is selected from the group consisting of substituted or unsubstituted alkyl, substituted or unsubstituted cycloalkyl, substituted or unsubstituted aryl, substituted or unsubstituted heterocyclyl, and substituted or unsubstituted heteroaryl; R3 is substituted or unsubstituted alkyl, or R3 is taken together with R6, when present, and the atoms to which they are attached, to form a substituted or unsubstituted heterocyclylene; Z is selected from the group consisting of substituted or unsubstituted heteroaryl, substituted or unsubstituted heterocyclyl, -N(R6)R6a, -OR6a, -SR6a, and -N(R6)-S02- R6b; R6 is selected from the group consisting of H and substituted or unsubstituted alkyl; or R6 is taken together with R3 and the atoms to which they are attached to form a substituted or unsubstituted heterocyclylene; each R6a is selected from the group consisting of H, substituted or unsubstituted acyl, and substituted or unsubstituted alkyl; and R6b is selected from the group consisting of substituted or unsubstituted alkyl and substituted or unsubstituted aryl.
DETAILED DESCRIPTION OF THE DISCLOSURE
[0015] The present disclosure is directed to compounds that bind an E3 ubiquitin ligase protein complex. In particular, compounds are described that bind to Von Hippel-Lindau (VHL), the substrate recognition subunit of the E3 ligase complex VCB. In addition, the description provides bifunctional compounds and associated methods of use for effectuating the ubiquitination and/or degradation of a chosen target protein.
[0016] The presently disclosed subject matter will now be described more fully hereinafter. However, many modifications and other embodiments of the presently disclosed subject matter set forth herein will come to mind to one skilled in the art to which the presently disclosed subject matter pertains having the benefit of the teachings presented in the foregoing descriptions. Therefore, it is to be understood that the presently disclosed subject matter is not to be limited to the specific embodiments disclosed and that modifications and other embodiments are intended to be included within the scope of the appended claims. In other words, the subject matter described herein covers alternatives, modifications, and equivalents. In the event that one or more of the incorporated literature, patents, and similar materials differs from or contradicts this application, including but not limited to defined terms, term usage, described techniques, or the like, this application controls. Unless otherwise defined, technical and scientific terms used herein have the same meaning as commonly understood by one of ordinary skill in the art to which this disclosure belongs, applying that term in context to its use in describing the present disclosure. The terminology used in the description is for describing particular embodiments only and is not intended to be limiting of the disclosure. All publications, patent applications, patents, and other references mentioned herein are incorporated by reference in their entirety.
I. Definitions
[0017] The term "PROTAC" refers to proteoly sis-targeting chimera molecules having generally three components, an E3 ubiquitin ligase binding moiety (E3LB), a linker (L), and a protein binding moiety (PB moiety, also referred to herein as "D"). Specifically, the E3LB used herein is a VHL ligand moiety.
[0018] The terms "residue," "moiety" or "group" refers to a component that is covalently bound or linked to another component. For example a "VHL ligand moiety" in a PROTAC compound refers to a VHL ligand that is covalently linked to one or more groups such as a linker (L), which itself can be optionally further linked to another chemical component, such as a protein binding moiety (D).
[0019] The term "covalently bound" or "covalently linked" refers to a chemical bond formed by sharing of one or more pairs of electrons.
[0020] The term "linker", "linker unit", "linker group", "linker moiety", or "link" as used herein means a chemical moiety comprising a chain of atoms that covalently attaches a component of a PROTAC to another component of the PROTAC.
[0021] A "patient" or "individual" or "subject" is a mammal. Mammals include, but are not limited to, domesticated animals (e.g., cows, sheep, cats, dogs, and horses), primates (e.g., humans and non-human primates such as monkeys), rabbits, and rodents (e.g., mice and rats). In certain embodiments, the patient, individual, or subject is a human. In some embodiments, the patient may be a "cancer patient," i.e. one who is suffering or at risk for suffering from one or more symptoms of cancer.
[0022] The terms "cancer" and "cancerous" refer to or describe the physiological condition in mammals that is typically characterized by unregulated cell growth/proliferation. A "tumor" comprises one or more cancerous cells. Examples of cancer are provided elsewhere herein.
[0023] A "chemotherapeutic agent" or "anti-cancer agent" refers to a chemical compound useful in the treatment of cancer. Examples of chemotherapeutic agents include alkylating agents such as thiotepa and cyclosphosphamide (CYTOXAN®); alkyl sulfonates such as busulfan, improsulfan and piposulfan; aziridines such as benzodopa, carboquone, meturedopa, and uredopa; ethylenimines and methylamelamines including altretamine, triethylenemelamine, triethylenephosphoramide, triethylenethiophosphoramide and trimethylomelamine; acetogenins (especially bullatacin and bullatacinone); delta-9-tetrahydrocannabinol (dronabinol, MARINOL®); beta-lapachone; lapachol; colchicines; betulinic acid; a camptothecin (including the synthetic analogue topotecan (HYCAMTIN®), CPT-11 (irinotecan, CAMPTOSAR®), acetylcamptothecin, scopolectin, and 9-aminocamptothecin); bryostatin; cally statin; CC-1065 (including its adozelesin, carzelesin and bizelesin synthetic analogues); podophyllotoxin; podophyllinic acid; teniposide; cryptophycins (particularly cryptophycin 1 and cryptophycin 8); dolastatin; duocarmycin (including the synthetic analogues, KW-2189 and CB1-TM1); eleutherobin; pancratistatin; a sarcodictyin; spongistatin; nitrogen mustards such as chlorambucil, chlornaphazine, chlorophosphamide, estramustine, ifosfamide, mechlorethamine, mechlorethamine oxide hydrochloride, melphalan, novembichin, phenesterine, prednimustine, trofosfamide, uracil mustard; nitrosoureas such as carmustine, chlorozotocin, fotemustine, lomustine, nimustine, and ranimnustine; antibiotics such as the enediyne antibiotics (e.g., calicheamicin, especially calicheamicin gammall and calicheamicin omegall (see, e.g.,
Nicolaou et al., Angew. Chem Intl. Ed. Engl, 33: 183-186 (1994)); CDP323, an oral alpha-4 integrin inhibitor; dynemicin, including dynemicin A; an esperamicin; as well as neocarzinostatin chromophore and related chromoprotein enediyne antibiotic chromophores), aclacinomysins, actinomycin, authramycin, azaserine, bleomycins, cactinomycin, carabicin, carminomycin, carzinophilin, chromomycins, dactinomycin, daunorubicin, detorubicin, 6-diazo- 5-oxo-L-norleucine, doxorubicin (including ADRIAMYCIN®, morpholino-doxorubicin, cyanomorpholino-doxorubicin, 2-pyrrolino-doxorubicin, doxorubicin HCl liposome injection (DOXIL®), liposomal doxorubicin TLC D-99 (MYOCET®), peglylated liposomal doxorubicin (CAELYX®), and deoxydoxorubicin), epirubicin, esorubicin, idarubicin, marcellomycin, mitomycins such as mitomycin C, mycophenolic acid, nogalamycin, olivomycins, peplomycin, porfiromycin, puromycin, quelamycin, rodorubicin, streptonigrin, streptozocin, tubercidin, ubenimex, zinostatin, zorubicin; anti-metabolites such as methotrexate, gemcitabine (GEMZAR®), tegafur (UFTORAL®), capecitabine (XELODA®), an epothilone, and 5- fluorouracil (5-FU); folic acid analogues such as denopterin, methotrexate, pteropterin, trimetrexate; purine analogs such as fludarabine, 6-mercaptopurine, thiamiprine, thioguanine; pyrimidine analogs such as ancitabine, azacitidine, 6-azauridine, carmofur, cytarabine, dideoxyuridine, doxifluridine, enocitabine, floxuridine; androgens such as calusterone, dromostanolone propionate, epitiostanol, mepitiostane, testolactone; anti-adrenals such as aminoglutethimide, mitotane, trilostane; folic acid replenisher such as frolinic acid; aceglatone; aldophosphamide glycoside; aminolevulinic acid; eniluracil; amsacrine; bestrabucil; bisantrene; edatraxate; defofamine; demecolcine; diaziquone; elfornithine; elliptinium acetate; an epothilone; etoglucid; gallium nitrate; hydroxyurea; lentinan; lonidainine; maytansinoids such as maytansine and ansamitocins; mitoguazone; mitoxantrone; mopidanmol; nitraerine; pentostatin; phenamet; pirarubicin; losoxantrone; 2-ethylhydrazide; procarbazine; PSK® polysaccharide complex (JHS Natural Products, Eugene, OR); razoxane; rhizoxin; sizofiran; spirogermanium; tenuazonic acid; triaziquone; 2,2',2'-trichlorotriethylamine; trichothecenes (especially T-2 toxin, verracurin A, roridin A and anguidine); urethan; vindesine (ELDISINE®, FILDESIN®); dacarbazine; mannomustine; mitobronitol; mitolactol; pipobroman; gacytosine; arabinoside ("Ara-C"); thiotepa; taxoid, e.g., paclitaxel (TAXOL®), albumin-engineered nanoparticle formulation of paclitaxel (ABRAXANETM), and docetaxel (TAXOTERE®); chloranbucil; 6- thioguanine; mercaptopurine; methotrexate; platinum agents such as cisplatin, oxaliplatin (e.g., ELOXATIN®), and carboplatin; vincas, which prevent tubulin polymerization from forming microtubules, including vinblastine (VELBAN®), vincristine (ONCOVIN®), vindesine
(ELDISINE®, FILDESIN®), and vinorelbine (NAVELBINE®); etoposide (VP- 16); ifosfamide; mitoxantrone; leucovorin; novantrone; edatrexate; daunomycin; aminopterin; ibandronate; topoisomerase inhibitor RFS 2000; difluoromethylornithine (DMFO); retinoids such as retinoic acid, including bexarotene (TARGRETIN®); bisphosphonates such as clodronate (for example, BONEFOS® or OSTAC®), etidronate (DIDROCAL®), NE-58095, zoledronic acid/zoledronate (ZOMETA®), alendronate (FOSAMAX®), pamidronate (AREDIA®), tiludronate (SKELID®), or risedronate (ACTONEL®); troxacitabine (a 1,3-dioxolane nucleoside cytosine analog); antisense oligonucleotides, particularly those that inhibit expression of genes in signaling pathways implicated in aberrant cell proliferation, such as, for example, PKC-alpha, Raf, H-Ras, and epidermal growth factor receptor (EGF-R); vaccines such as THERATOPE® vaccine and gene therapy vaccines, for example, ALLOVECTIN® vaccine, LEUVECTIN® vaccine, and VAXID® vaccine; topoisomerase 1 inhibitor (e.g., LURTOTECAN®); rmRH (e.g., ABARELIX®); BAY439006 (sorafenib; Bayer); SU-11248 (sunitinib, SUTENT®, Pfizer); perifosine, COX-2 inhibitor (e.g., celecoxib or etoricoxib), proteosome inhibitor (e.g., PS341); bortezomib (VELCADE®); CCI-779; tipifarnib (R11577); orafenib, ABT510; Bcl-2 inhibitor such as oblimersen sodium (GENASENSE®, an antisence oligonucleotide); pixantrone; EGFR inhibitors (see definition below); tyrosine kinase inhibitors; serine-threonine kinase inhibitors such as rapamycin (sirolimus, RAPAMU E®); farnesyltransferase inhibitors such as lonafarnib (SCH 6636, SARASARTM); and pharmaceutically acceptable salts, acids or derivatives of any of the above; as well as combinations of two or more of the above such as CHOP, an abbreviation for a combined therapy of cyclophosphamide, doxorubicin, vincristine, and prednisolone; and FOLFOX, an abbreviation for a treatment regimen with oxaliplatin (ELOXATINTM) combined with 5-FU and leucovorin.
[0024] Chemotherapeutic agents as defined herein include "anti-hormonal agents" or "endocrine therapeutics" which act to regulate, reduce, block, or inhibit the effects of hormones that can promote the growth of cancer. They may be hormones themselves, including, but not limited to: anti-estrogens with mixed agonist/antagonist profile, including, tamoxifen (NOLVADEX®), 4-hydroxytamoxifen, toremifene (FARESTON®), idoxifene, droloxifene, raloxifene (EVISTA®), trioxifene, keoxifene, and selective estrogen receptor modulators (SERMs) such as SERM3; pure anti-estrogens without agonist properties, such as fulvestrant (FASLODEX®), and EM800 (such agents may block estrogen receptor (ER) dimerization, inhibit DNA binding, increase ER turnover, and/or suppress ER levels); aromatase inhibitors, including steroidal aromatase inhibitors such as formestane and exemestane (AROMASIN®),
and nonsteroidal aromatase inhibitors such as anastrazole (ARIMIDEX®), letrozole (FEMARA®) and aminoglutethimide, and other aromatase inhibitors include vorozole (RIVISOR®), megestrol acetate (MEGASE®), fadrozole, and 4(5)-imidazoles; lutenizing hormone-releaseing hormone agonists, including leuprolide (LUPRON® and ELIGARD®), goserelin, buserelin, and tripterelin; sex steroids, including progestines such as megestrol acetate and medroxyprogesterone acetate, estrogens such as diethylstilbestrol and premarin, and androgens/retinoids such as fluoxymesterone, transretionic acid and fenretinide; onapristone; anti-progesterones; estrogen receptor down-regulators (ERDs); anti-androgens such as flutamide, nilutamide and bicalutamide; and pharmaceutically acceptable salts, acids or derivatives of any of the above; as well as combinations of two or more of the above.
[0025] As used herein, "treatment" (and grammatical variations thereof such as "treat" or "treating") refers to clinical intervention in an attempt to alter the natural course of the individual being treated, and can be performed either for prophylaxis or during the course of clinical pathology. Desirable effects of treatment include, but are not limited to, preventing occurrence or recurrence of disease, alleviation of symptoms, diminishment of any direct or indirect pathological consequences of the disease, preventing metastasis, decreasing the rate of disease progression, amelioration or palliation of the disease state, and remission or improved prognosis. In some embodiments, the compounds and compositions of the subject matter described herein are used to delay development of a disease or to slow the progression of a disease. In one embodiment, treatment is performed for prophylaxis only. In another embodiment, treatment is performed during the course of clinical pathology only (i.e., not for prophylaxis). In another embodiment, treatment is performed both during the course of clinical pathology and for prophylaxis.
[0026] A drug that is administered "concurrently" with one or more other drugs is administered during the same treatment cycle, on the same day of treatment as the one or more other drugs, and, optionally, at the same time as the one or more other drugs. For instance, for cancer therapies given every 3 weeks, the concurrently administered drugs are each administered on day-1 of a 3-week cycle.
[0027] The term "effective" is used to describe an amount of a compound, composition or component which, when used within the context of its intended use, achieves the desired therapeutic or prophylactic result. The term effective subsumes other effective amount or effective concentration terms, which are otherwise described or used in the present application.
As used herein, the term "therapeutically effective amount" means any amount which, as compared to a corresponding subject who has not received such amount, results in treatment of a disease, disorder, or side effect, or a decrease in the rate of advancement of a disease or disorder. The term also includes within its scope amounts effective to enhance normal physiological function. For use in therapy, therapeutically effective amounts of a PROTAC of the present disclosure, as well as salts thereof, may be administered as the raw chemical. Additionally, the active ingredient may be presented as a pharmaceutical composition.
[0028] As used herein, unless defined otherwise in a claim, the term "optionally" means that the subsequently described event(s) may or may not occur, and includes both event(s) that occur and event(s) that do not occur.
[0029] As used herein, unless defined otherwise, the phrase "optionally substituted", "substituted" or variations thereof denote an optional substitution, including multiple degrees of substitution, with one or more substituent group, for example, one, two, three, four or five. The phrase should not be interpreted as duplicative of the substitutions herein described and depicted.
[0030] The term "pharmaceutical formulation" or "pharmaceutical composition" refers to a preparation which is in such form as to permit the biological activity of an active ingredient contained therein to be effective, and which contains no additional components which are unacceptably toxic to a subject to which the formulation would be administered.
[0031] A "pharmaceutically acceptable excipient" refers to an ingredient in a pharmaceutical formulation, other than an active ingredient, which is nontoxic to a subject. A pharmaceutically acceptable excipient includes, but is not limited to, a buffer, carrier, stabilizer, or preservative.
[0032] The phrase "pharmaceutically acceptable salt," as used herein, refers to pharmaceutically acceptable organic or inorganic salts of a molecule. Exemplary salts include, but are not limited, to sulfate, citrate, acetate, oxalate, chloride, bromide, iodide, nitrate, bisulfate, phosphate, acid phosphate, isonicotinate, lactate, salicylate, acid citrate, tartrate, oleate, tannate, pantothenate, bitartrate, ascorbate, succinate, maleate, gentisinate, fumarate, gluconate, glucuronate, saccharate, formate, benzoate, glutamate, methanesulfonate, ethanesulfonate, benzenesulfonate, p toluenesulfonate, and pamoate (i.e., Ι ,Γ-methylene bis-(2-hydroxy-3- naphthoate)) salts. A pharmaceutically acceptable salt may involve the inclusion of another
molecule such as an acetate ion, a succinate ion or other counterion. The counterion may be any organic or inorganic moiety that stabilizes the charge on the parent compound. Furthermore, a pharmaceutically acceptable salt may have more than one charged atom in its structure. Instances where multiple charged atoms are part of the pharmaceutically acceptable salt can have multiple counter ions. Hence, a pharmaceutically acceptable salt can have one or more charged atoms and/or one or more counterion.
[0033] Other salts, which are not pharmaceutically acceptable, may be useful in the preparation of compounds described herein and these should be considered to form a further aspect of the subject matter. These salts, such as oxalic or trifluoroacetate, while not in themselves pharmaceutically acceptable, may be useful in the preparation of salts useful as intermediates in obtaining the compounds described herein and their pharmaceutically acceptable salts.
[0034] A "small molecule" or "small molecular compound" generally refers to an organic molecule that is less than about 5 kilodaltons (Kd) in size. In some embodiments, the small molecule is less than about 4 Kd, 3 Kd, about 2 Kd, or about 1 Kd. In some embodiments, the small molecule is less than about 800 daltons (D), about 600 D, about 500 D, about 400 D, about 300 D, about 200 D, or about 100 D. In some embodiments, a small molecule is less than about 2000 g/mol, less than about 1500 g/mol, less than about 1000 g/mol, less than about 800 g/mol, or less than about 500 g/mol. In some embodiments, small molecules are non- polymeric. Small molecules are not proteins, polypeptides, oligopeptides, peptides, polynucleotides, oligonucleotides, polysaccharides, glycoproteins, proteoglycans, etc. A derivative of a small molecule refers to a molecule that shares the same structural core as the original small molecule, but which can be prepared by a series of chemical reactions from the original small molecule.
[0035] The term "alkyl" as used herein refers to a saturated linear or branched-chain monovalent hydrocarbon radical of any length from one to twelve carbon atoms (C1-C12), wherein the alkyl radical may be optionally substituted independently with one or more substituents described herein. In another embodiment, an alkyl radical is one to eight carbon atoms (Ci-Cg), or one to six carbon atoms (Ci-Ce), or one to four carbon atoms (C1-C4), or one to three carbon atoms (C1-C3). Examples of alkyl groups include, but are not limited to, methyl (Me, -CH3), ethyl (Et, -CH2CH3), 1 -propyl (n-Pr, n-propyl, -CH2CH2CH3), 2-propyl (i-Pr, i- propyl, isopropyl, -CH(CH3)2), 1 -butyl (n-Bu, n-butyl, -CH2CH2CH2CH3), 2-methyl-l -propyl (i- Bu, i-butyl, -CH2CH(CH3)2), 2-butyl (s-Bu, s-butyl, -CH(CH3)CH2CH3), 2-methyl-2-propyl (t-
Bu, t-butyl, tert-butyl, -C(CH3)3), 1-pentyl (n-pentyl, -CH2CH2CH2CH2CH3), 2-pentyl (- CH(CH3)CH2CH2CH3), 3-pentyl (-CH(CH2CH3)2), 2-methyl-2-but l (-C(CH3)2CH2CH3), 3- methyl-2-butyl (-CH(CH3)CH(CH3)2), 3-methyl-l -butyl (-CH2CH2CH(CH3)2), 2-methy 1-1 -butyl (-CH2CH(CH3)CH2CH3), 1-hexyl (-CH2CH2CH2CH2CH2CH3), 2-hexyl (- CH(CH3)CH2CH2CH2CH3), 3-hexyl (-CH(CH2CH3)(CH2CH2CH3)), 2-methyl-2-pentyl (- C(CH3)2CH2CH2CH3), 3-methyl-2-pentyl (-CH(CH3)CH(CH3)CH2CH3), 4-methyl-2-pent l (- CH(CH3)CH2CH(CH3)2), 3-methyl-3-pentyl (-C(CH3)(CH2CH3)2), 2-methyl-3-pentyl (- CH(CH2CH3)CH(CH3)2), 2,3-dimethyl-2-butyl (-C(CH3)2CH(CH3)2), 3,3-dimethyl-2-butyl (- CH(CH3)C(CH3)3, 1-heptyl, 1-octyl, and the like.
[0036] The term "alkylene" as used herein refers to a saturated linear or branched-chain divalent hydrocarbon radical of any length from one to twelve carbon atoms (C1-C12), wherein the alkylene radical may be optionally substituted independently with one or more substituents described herein. In another embodiment, an alkylene radical is one to eight carbon atoms (Ci- Cg), one to six carbon atoms (Ci-Ce), or one to four carbon atoms (C1-C4). Examples of alkylene groups include, but are not limited to, methylene (-CH2-), ethylene (-CH2CH2-), propylene (- CH2CH2CH2-), and the like.
[0037] The term "alkenyl" refers to linear or branched-chain monovalent hydrocarbon radical of any length from two to twelve carbon atoms (C2-C12) with at least one site of unsaturation, i.e., a carbon-carbon, sp2 double bond, wherein the alkenyl radical may be optionally substituted independently with one or more substituents described herein, and includes radicals having "cis" and "trans" orientations, or alternatively, "E" and "Z" orientations. Examples include, but are not limited to, ethylenyl or vinyl (-CH=CH2), allyl (-CH2CH=CH2), and the like.
[0038] The term "alkenylene" refers to linear or branched-chain divalent hydrocarbon radical of any length from two to twelve carbon atoms (C2-C12) with at least one site of unsaturation, i.e., a carbon-carbon, sp2 double bond, wherein the alkenylene radical may be optionally substituted independently with one or more substituents described herein, and includes radicals having "cis" and "trans" orientations, or alternatively, "E" and "Z" orientations. Examples include, but are not limited to, ethylenylene or vinylene (-CH=CH-), allyl (- CH2CH=CH-), and the like.
[0039] The term "alkynyl" refers to a linear or branched monovalent hydrocarbon radical of any length from two to twelve carbon atoms (C2-C12) with at least one site of unsaturation, i.e., a carbon-carbon, sp triple bond, wherein the alkynyl radical may be optionally substituted independently with one or more substituents described herein. Examples include, but are not limited to, ethynyl (-C≡CH), propynyl (propargyl, -CH2C≡CH), and the like.
[0040] The term "alkynylene" refers to a linear or branched divalent hydrocarbon radical of any length from two to twelve carbon atoms (C2-C12) with at least one site of unsaturation, i.e., a carbon-carbon, sp triple bond, wherein the alkynylene radical may be optionally substituted independently with one or more substituents described herein. Examples include, but are not limited to, ethynylene (-C≡C-), propynylene (propargylene, -CH2C≡C-), and the like.
[0041] The terms "carbocycle", "carbocyclyl", "carbocyclic ring" and "cycloalkyl" refer to a monovalent non-aromatic, saturated or partially unsaturated ring having 3 to 12 carbon atoms (C3-C12) as a monocyclic ring or 7 to 12 carbon atoms as a bicyclic ring. Bicyclic carbocycles having 7 to 12 atoms can be arranged, for example, as a bicyclo [4,5], [5,5], [5,6] or [6,6] system, and bicyclic carbocycles having 9 or 10 ring atoms can be arranged as a bicyclo [5,6] or [6,6] system, or as bridged systems such as bicyclo[2.2.1]heptane, bicyclo[2.2.2]octane and bicyclo[3.2.2]nonane. Spiro moieties are also included within the scope of this definition. Examples of monocyclic carbocycles include, but are not limited to, cyclopropyl, cyclobutyl, cyclopentyl, 1-cyclopent-l-enyl, l-cyclopent-2-enyl, l-cyclopent-3-enyl, cyclohexyl, 1- cyclohex-l-enyl, l-cyclohex-2-enyl, l-cyclohex-3-enyl, cyclohexadienyl, cycloheptyl, cyclooctyl, cyclononyl, cyclodecyl, cycloundecyl, cyclododecyl, and the like. Carbocyclyl groups are optionally substituted independently with one or more substituents described herein.
[0042] The term "cycloalkylene" refer to a divalent non-aromatic, saturated or partially unsaturated ring having 3 to 12 carbon atoms (C3-C12) as a monocyclic ring or 7 to 12 carbon atoms as a bicyclic ring. Bicyclic cycloalkylenes having 7 to 12 atoms can be arranged, for example, as a bicyclo [4,5], [5,5], [5,6] or [6,6] system, and bicyclic cycloalkylenes having 9 or 10 ring atoms can be arranged as a bicyclo [5,6] or [6,6] system, or as bridged systems such as bicyclo[2.2.1]heptane, bicyclo[2.2.2]octane and bicyclo[3.2.2]nonane. Spiro moieties are also included within the scope of this definition. Examples of monocyclic cycloalkylenes include, but are not limited to, cyclopropylene, cyclobutylene, cyclopentylene, 1-cyclopent-l-enylene, 1-
cyclopent-2-enylene, l-cyclopent-3-enylene, cyclohexylene, 1-cyclohex-l-enylene, 1-cyclohex- 2-enylene, l-cyclohex-3-enylene, cyclohexadienylene, cycloheptylene, cyclooctylene, cyclononylene, cyclodecylene, cycloundecylene, cyclododecylene, and the like. Cycloalkylene groups are optionally substituted independently with one or more substituents described herein.
[0043] "Aryl" means a monovalent aromatic hydrocarbon radical of 6-20 carbon atoms (C6-C20) derived by the removal of one hydrogen atom from a single carbon atom of a parent aromatic ring system. Some aryl groups are represented in the exemplary structures as "Ar". Aryl includes bicyclic radicals comprising an aromatic ring fused to a saturated, partially unsaturated ring, or aromatic carbocyclic ring. Typical aryl groups include, but are not limited to, radicals derived from benzene (phenyl), substituted benzenes, naphthalene, anthracene, biphenyl, indenyl, indanyl, 1,2-dihydronaphthalene, 1,2,3,4-tetrahydronaphthyl, and the like. Aryl groups are optionally substituted independently with one or more substituents described herein.
[0044] "Arylene" means a divalent aromatic hydrocarbon radical of 6-20 carbon atoms (C6-C20) derived by the removal of two hydrogen atom from a two carbon atoms of a parent aromatic ring system. Some arylene groups are represented in the exemplary structures as "Ar". Arylene includes bicyclic radicals comprising an aromatic ring fused to a saturated, partially unsaturated ring, or aromatic carbocyclic ring. Typical arylene groups include, but are not limited to, radicals derived from benzene (phenylene), substituted benzenes, naphthalene, anthracene, biphenylene, indenylene, indanylene, 1,2-dihydronaphthalene, 1,2,3,4- tetrahydronaphthyl, and the like. Arylene groups are optionally substituted with one or more substituents described herein.
[0045] The terms "heterocycle," "heterocyclyl" and "heterocyclic ring" are used interchangeably herein and refer to a saturated or a partially unsaturated (i.e., having one or more double and/or triple bonds within the ring) carbocyclic radical of 3 to about 20 ring atoms in which at least one ring atom is a heteroatom selected from nitrogen, oxygen, phosphorus and sulfur, the remaining ring atoms being C, where one or more ring atoms is optionally substituted independently with one or more substituents described herein. A heterocycle may be a monocycle having 3 to 7 ring members (2 to 6 carbon atoms and 1 to 4 heteroatoms selected from N, O, P, and S) or a bicycle having 7 to 10 ring members (4 to 9 carbon atoms and 1 to 6 heteroatoms selected from N, O, P, and S), for example: a bicyclo [4,5], [5,5], [5,6], or [6,6] system. Heterocycles are described in Paquette, Leo A.; "Principles of Modern Heterocyclic
Chemistry" (W.A. Benjamin, New York, 1968), particularly Chapters 1, 3, 4, 6, 7, and 9; "The Chemistry of Heterocyclic Compounds, A series of Monographs" (John Wiley & Sons, New York, 1950 to present), in particular Volumes 13, 14, 16, 19, and 28; and J. Am. Chem. Soc. (1960) 82:5566. "Heterocyclyl" also includes radicals where heterocycle radicals are fused with a saturated, partially unsaturated ring, or aromatic carbocyclic or heterocyclic ring. Examples of heterocyclic rings include, but are not limited to, morpholin-4-yl, piperidin-l-yl, piperazinyl, piperazin-4-yl-2-one, piperazin-4-yl-3-one, pyrrolidin-l-yl, thiomorpholin-4-yl, S- dioxothiomorpholin-4-yl, azocan-l-yl, azetidin-l-yl, octahydropyrido[l,2-a]pyrazin-2-yl, [l,4]diazepan-l-yl, pyrrolidinyl, tetrahydrofuranyl, dihydrofuranyl, tetrahydrothienyl, tetrahydropyranyl, dihydropyranyl, tetrahydrothiopyranyl, piperidino, morpholino, thiomorpholino, thioxanyl, piperazinyl, homopiperazinyl, azetidinyl, oxetanyl, thietanyl, homopiperidinyl, oxepanyl, thiepanyl, oxazepinyl, diazepinyl, thiazepinyl, 2-pyrrolinyl, 3- pyrrolinyl, indolinyl, 2H-pyranyl, 4H-pyranyl, dioxanyl, 1,3-dioxolanyl, pyrazolinyl, dithianyl, dithiolanyl, dihydropyranyl, dihydrothienyl, dihydrofuranyl, pyrazolidinylimidazolinyl, imidazolidinyl, 3-azabicyco[3.1.0]hexanyl, 3-azabicyclo[4.1.0]heptanyl, azabicyclo[2.2.2]hexanyl, 3H-indolyl quinolizinyl and N-pyridyl ureas. Spiro moieties are also included within the scope of this definition. Examples of a heterocyclic group wherein 2 ring atoms are substituted with oxo (=0) moieties are pyrimidinonyl and 1,1-dioxo-thiomorpholinyl. The heterocycle groups herein are optionally substituted independently with one or more substituents described herein.
[0046] The term "heterocyclylene" refers to a divalent saturated or a partially unsaturated (i.e., having one or more double and/or triple bonds within the ring) carbocyclic radical of 3 to about 20 ring atoms in which at least one ring atom is a heteroatom selected from nitrogen, oxygen, phosphorus and sulfur, the remaining ring atoms being C, where one or more ring atoms is optionally substituted independently with one or more substituents described herein. A heterocyclylene may be a monocycle having 3 to 7 ring members (2 to 6 carbon atoms and 1 to 4 heteroatoms selected from N, O, P, and S) or a bicycle having 7 to 10 ring members (4 to 9 carbon atoms and 1 to 6 heteroatoms selected from N, O, P, and S), for example: a bicyclo [4,5], [5,5], [5,6], or [6,6] system. Heterocycles are described in Paquette, Leo A.; "Principles of Modem Heterocyclic Chemistry" (W.A. Benjamin, New York, 1968), particularly Chapters 1, 3, 4, 6, 7, and 9; "The Chemistry of Heterocyclic Compounds, A series of Monographs" (John Wiley & Sons, New York, 1950 to present), in particular Volumes 13, 14, 16, 19, and 28; and J. Am. Chem. Soc. (1960) 82:5566. "Heterocyclylene" also includes divalent radicals where
heterocycle radicals are fused with a saturated, partially unsaturated ring, or aromatic carbocyclic or heterocyclic ring. Examples of heterocyclylenes include, but are not limited to, morpholin-4- ylene, piperidin-l -ylene, piperazinylene, piperazin-4-ylene-2-one, piperazin-4-ylene-3-one, pyrrolidin-l-ylene, thiomorpholin-4-ylene, S-dioxothiomorpholin-4-ylene, azocan-l -ylene, azetidin-l -ylene, octahydropyrido[l,2-a]pyrazin-2-ylene, [l,4]diazepan-l -ylene, pyrrolidinylene, tetrahydrofuranylene, dihydrofuranylene, tetrahydrothienylene, tetrahydropyranylene, dihydropyranylene, tetrahydrothiopyranylene, piperidino, mo holino, thiomorpholino, thioxanylene, piperazinylene, homopiperazinylene, azetidinylene, oxetanylene, thietanylene, homopiperidinylene, oxepanylene, thiepanylene, oxazepinylene, diazepinylene, thiazepinylene, 2-pyrrolinylene, 3-pyrrolinylene, indolinylene, 2H-pyranylene, 4H-pyranylene, dioxanylene, 1 ,3- dioxolanylene, pyrazolinylene, dithianylene, dithiolanylene, dihydropyranylene, dihydrothienylene, dihydrofuranylene, pyrazolidinylimidazolinylene, imidazolidinylene, 3- azabicyco[3.1.0]hexanylene, 3-azabicyclo[4.1.0]heptanylene, azabicyclo[2.2.2]hexanylene, 3H- indolyl quinolizinyl and N-pyridyl ureas. Spiro moieties are also included within the scope of this definition. Examples of a heterocyclylene group wherein 2 ring atoms are substituted with oxo (=0) moieties are pyrimidinonylene and 1 , 1-dioxo-thiomorpholinylene. The heterocyclylene groups herein are optionally substituted independently with one or more substituents described herein.
[0047] The term "heteroaryl" refers to a monovalent aromatic radical of 5-, 6-, or 7- membered rings, and includes fused ring systems (at least one of which is aromatic) of 5-20 atoms, containing one or more heteroatoms independently selected from nitrogen, oxygen, and sulfur. Examples of heteroaryl groups are pyridinyl (including, for example, 2- hydroxypyridinyl), imidazolyl, imidazopyridinyl, l -methyl-lH-benzo[d]imidazole, [l,2,4]triazolo[l ,5-a]pyridine, pyrimidinyl (including, for example, 4-hydroxypyrimidinyl), pyrazolyl, triazolyl, pyrazinyl, tetrazolyl, furyl, thienyl, isoxazolyl, thiazolyl, oxadiazolyl, oxazolyl, isothiazolyl, pyrrolyl, quinolinyl, isoquinolinyl, tetrahydroisoquinolinyl, indolyl, benzimidazolyl, benzofuranyl, cinnolinyl, indazolyl, indolizinyl, phthalazinyl, pyridazinyl, triazinyl, isoindolyl, pteridinyl, purinyl, oxadiazolyl, thiadiazolyl, thiadiazolyl, furazanyl, benzofurazanyl, benzothiophenyl, benzothiazolyl, benzoxazolyl, quinazolinyl, quinoxalinyl, naphthyridinyl, and furopyridinyl. Heteroaryl groups are optionally substituted independently with one or more substituents described herein.
[0048] The term "heteroarylene" refers to a divalent aromatic radical of 5-, 6-, or 7- membered rings, and includes fused ring systems (at least one of which is aromatic) of 5-20 atoms, containing one or more heteroatoms independently selected from nitrogen, oxygen, and sulfur. Examples of heteroarylene groups are pyridinylene (including, for example, 2- hydroxypyridinylene), imidazolylene, imidazopyridinylene, l-methyl-lH-benzo[d]imidazole, [l,2,4]triazolo[l ,5-a]pyridine, pyrimidinylene (including, for example, 4- hydroxypyrimidinylene), pyrazolylene, triazolylene, pyrazinylene, tetrazolylene, furylene, thienylene, isoxazolylene, thiazolylene, oxadiazolylene, oxazolylene, isothiazolylene, pyrrolylene, quinolinylene, isoquinolinylene, tetrahydroisoquinolinylene, indolylene, benzimidazolylene, benzofuranylene, cinnolinylene, indazolylene, indolizinylene, phthalazinylene, pyridazinylene, triazinylene, isoindolylene, pteridinylene, purinylene, oxadiazolylene, thiadiazolylene, thiadiazolylene, furazanylene, benzofurazanylene, benzothiophenylene, benzothiazolylene, benzoxazolylene, quinazolinylene, quinoxalinylene, naphthyridinylene, and furopyridinylene. Heteroarylene groups are optionally substituted independently with one or more substituents described herein.
[0049] The heterocycle or heteroaryl groups may be carbon (carbon-linked), or nitrogen (nitrogen-linked) bonded where such is possible. By way of example and not limitation, carbon bonded heterocycles or heteroaryls are bonded at position 2, 3, 4, 5, or 6 of a pyridine, position 3, 4, 5, or 6 of a pyridazine, position 2, 4, 5, or 6 of a pyrimidine, position 2, 3, 5, or 6 of a pyrazine, position 2, 3, 4, or 5 of a furan, tetrahydrofuran, thiofuran, thiophene, pyrrole or tetrahydropyrrole, position 2, 4, or 5 of an oxazole, imidazole or thiazole, position 3, 4, or 5 of an isoxazole, pyrazole, or isothiazole, position 2 or 3 of an aziridine, position 2, 3, or 4 of an azetidine, position 2, 3, 4, 5, 6, 7, or 8 of a quinoline or position 1 , 3, 4, 5, 6, 7, or 8 of an isoquinoline.
[0050] By way of example and not limitation, nitrogen bonded heterocycles or heteroaryls are bonded at position 1 of an aziridine, azetidine, pyrrole, pyrrolidine, 2-pyrroline, 3-pyrroline, imidazole, imidazolidine, 2-imidazoline, 3-imidazoline, pyrazole, pyrazoline, 2- pyrazoline, 3-pyrazoline, piperidine, piperazine, indole, indoline, IH-indazole, position 2 of a isoindole, or isoindoline, position 4 of a morpholine, and position 9 of a carbazole, or β- carboline.
[0051] The term "acyl" refers to both substituted and unsubstituted acyl. In certain embodiments, an "acyl" may be -C(0)-R16, wherein R16 is selected from the group consisting of
substituted or unsubstituted alkyl, substituted or unsubstituted alkenyl, substituted or unsubstituted alkynyl, substituted or unsubstituted cycloalkyl, substituted or unsubstituted aryl, substituted or unsubstituted heteroaryl, and substituted or unsubstituted heterocyclyl. In one particular embodiment, it is a substituted C1-C3 alkyl.
[0052] The term "oxo" refers to "=0".
[0053] The term "chiral" refers to molecules which have the property of non- superimposability of the mirror image partner, while the term "achiral" refers to molecules which are superimposable on their mirror image partner.
[0054] The term "stereoisomers" refers to compounds which have identical chemical constitution, but differ with regard to the arrangement of the atoms or groups in space.
[0055] "Diastereomer" refers to a stereoisomer with two or more centers of chirality and whose molecules are not mirror images of one another. Diastereomers have different physical properties, e.g. melting points, boiling points, spectral properties, and reactivities. Mixtures of diastereomers may separate under high resolution analytical procedures such as electrophoresis and chromatography.
[0056] "Enantiomers" refer to two stereoisomers of a compound which are non- superimposable mirror images of one another.
[0057] Stereochemical definitions and conventions used herein generally follow S. P. Parker, Ed., McGraw-Hill Dictionary of Chemical Terms (1984) McGraw-Hill Book Company, New York; and Eliel, E. and Wilen, S., Stereochemistry of Organic Compounds (1994) John Wiley & Sons, Inc., New York. Many organic compounds exist in optically active forms, i.e., they have the ability to rotate the plane of plane-polarized light. In describing an optically active compound, the prefixes D and L, or R and S, are used to denote the absolute configuration of the molecule about its chiral center(s). The prefixes d and 1 or (+) and (-) are employed to designate the sign of rotation of plane-polarized light by the compound, with (-) or 1 meaning that the compound is levorotatory. A compound prefixed with (+) or d is dextrorotatory. For a given chemical structure, these stereoisomers are identical except that they are mirror images of one another. A specific stereoisomer may also be referred to as an enantiomer, and a mixture of such isomers is often called an enantiomeric mixture. A 50:50 mixture of enantiomers is referred to as a racemic mixture or a racemate, which may occur where there has been no stereoselection or
stereospecificity in a chemical reaction or process. The terms "racemic mixture" and "racemate" refer to an equimolar mixture of two enantiomeric species, devoid of optical activity.
[0058] The terms "co-administration" and "co-administering" or "combination therapy" refer to both concurrent administration (administration of two or more therapeutic agents at the same time) and time varied administration (administration of one or more therapeutic agents at a time different from that of the administration of an additional therapeutic agent or agents), as long as the therapeutic agents are present in the patient to some extent, preferably at effective amounts, at the same time. In certain preferred aspects, one or more of the present compounds described herein, are coadministered in combination with at least one additional bioactive agent, especially including an anticancer agent. In particularly preferred aspects, the co-administration of compounds results in synergistic activity and/or therapy, including anticancer activity.
[0059] The term "compound", as used herein, unless otherwise indicated, refers to any specific chemical compound disclosed herein and includes tautomers, regioisomers, geometric isomers, and where applicable, stereoisomers, including optical isomers (enantiomers) and other stereoisomers (diastereomers) thereof, as well as pharmaceutically acceptable salts and derivatives (including prodrug forms) thereof where applicable, in context. Within its use in context, the term compound generally refers to a single compound, but also may include other compounds such as stereoisomers, regioisomers and/or optical isomers (including racemic mixtures) as well as specific enantiomers or enantiomerically enriched mixtures of disclosed compounds. The term also refers, in context to prodrug forms of compounds which have been modified to facilitate the administration and delivery of compounds to a site of activity. It is noted that in describing the present compounds, numerous substituents and variables associated with same, among others, are described. It is understood by those of ordinary skill that molecules which are described herein are stable compounds as generally described hereunder. When the bond <^ is shown, both a double bond and single bond are represented within the context of the compound shown. When a crossed double bond (*^) is shown, both the E and Z configurations are represented within the context of the compound shown; and the compound may contain the E isomer or the Z isomer or a mixture of both the E and Z isomers.
[0060] The term "VCB E3 Ubiquitin Ligase," "Von Hippel-Lindau (or VHL) E3 Ubiquitin Ligase," "VHL," or "Ubiquitin Ligase," which are generally used interchangeably unless the context indicates otherwise, is used to describe a target enzyme(s) binding site of
ubiquitin ligase moieties as described herein, e.g., in the bifunctional (chimeric) compounds as described herein. VCB E3 is a protein that in combination with an E2 ubiquitin-conjugating enzyme causes the attachment of ubiquitin to a lysine on a target protein; the E3 ubiquitin ligase targets specific protein substrates for degradation by the proteasome. Thus, E3 ubiquitin ligase alone or in complex with an E2 ubiquitin conjugating enzyme is responsible for the transfer of ubiquitin to targeted proteins. In general, the ubiquitin ligase is involved in polyubiquitination such that a second ubiquitin is attached to the first; a third is attached to the second, and so forth. Polyubiquitination marks proteins for degradation by the proteasome. However, there are some ubiquitination events that are limited to mono-ubiquitination, in which only a single ubiquitin is added by the ubiquitin ligase to a substrate molecule. Mono-ubiquitinated proteins are not targeted to the proteasome for degradation, but may instead be altered in their cellular location or function, for example, via binding other proteins that have domains capable of binding ubiquitin. Further complicating matters, different lysines on ubiquitin can be targeted by an E3 to make chains. The most common lysine is Lys48 on the ubiquitin chain. This is the lysine used to make polyubiquitin, which is recognized by the proteasome.
[0061] As used herein, a moiety that binds the E3 VHL ubiquitin ligase or a component thereof, is referred to a VHL ligand.
[0062] The term "protein binding moiety" ("PB") or "D" is used to describe a small molecule which binds to a target protein or other protein or polypeptide of interest and places/presents that protein or polypeptide in proximity to an ubiquitin ligase such that degradation of the protein or polypeptide by ubiquitin ligase may occur. Non-limiting examples of small molecule protein binding groups include Hsp90 inhibitors, kinase inhibitors, MDM2 inhibitors, compounds targeting Human BET Bromodomain-containing proteins, HDAC inhibitors, human lysine methyltransferase inhibitors, angiogenesis inhibitors, immunosuppressive compounds, and compounds targeting the aryl hydrocarbon receptor (AHR), among numerous others. The compositions described herein exemplify some of the members of these and other types of small molecule target proteins. By coupling the VHL ligand to a protein binding moiety (PB), the target protein or polypeptide is ubiquitinated and/or degraded by the proteasome.
[0063] In certain embodiments disclosed herein, certain groups (e.g., alkyl, alkenyl, alkynyl, cycloalkyl, aryl, heteroaryl or heterocyclyl) are described as "substituted". In some such embodiments, the "substituted" group may be substituted with 1 , 2, 3, 4, 5, or more
substituents, as indicated herein. In certain embodiments, alkyl, alkenyl, alkynyl, cycloalkyl, aryl, heteroaryl or heterocyclyl may be substituted with one or more substituents independently selected from, but not limited to, alkyl, alkenyl, alkynyl, cycloalkyl heterocyclyl, aryl, heteroaryl, halo (i.e., halogen), haloalkyl, oxo, OH, CN, -O-alkyl, S-alkyl, NH-alkyl, N(alkyl)2, O-cycloalkyl, S-cycloalkyl, NH-cycloalkyl, N(cycloalkyl)2, N(cycloalkyl)(alkyl), NH2, SH, S02- alkyl, P(0)(0-alkyl)(alkyl), P(0)(0-alkyl)2, Si(OH)3, Si(alkyl)3, Si(OH)(alkyl)2, CO-alkyl, C02H, N02, SF5, S02NH-alkyl, S02N(alkyl)2, SONH-alkyl, SON(alkyl)2, CONH-alkyl, CON(alkyl)2, N(alkyl)CONH(alkyl), N(alkyl)CON(alkyl)2, NHCONH(alkyl), NHCON(alkyl)2, NHCONH2, N(alkyl)S02NH(alkyl), N(alkyl) S02N(alkyl)2, NHS02NH(alkyl), NHS02N(alkyl)2, and NHS02NH2.
[0064] Still additional definitions and abbreviations are provided elsewhere herein.
[0065] Where a range of values is provided, it is understood that each intervening value, to the tenth of the unit of the lower limit unless the context clearly dictates otherwise (such as in the case of a group containing a number of carbon atoms in which case each carbon atom number falling within the range is provided), between the upper and lower limit of that range and any other stated or intervening value in that stated range is encompassed within the disclosure. The upper and lower limits of these smaller ranges may independently be included in the smaller ranges is also encompassed within the disclosure, subject to any specifically excluded limit in the stated range. Where the stated range includes one or both of the limits, ranges excluding either both of those included limits are also included in the disclosure.
[0066] The articles "a" and "an" as used herein and in the appended claims are used herein to refer to one or to more than one (i.e., to at least one) of the grammatical object of the article unless the context clearly indicates otherwise. By way of example, "an element" means one element or more than one element.
[0067] In the claims, as well as in the specification above, transitional phrases such as "comprising," "including," "carrying," "having," "containing," "involving," "holding," "composed of," and the like are to be understood to be open-ended, i.e., to mean including but not limited to. Only the transitional phrases "consisting of and "consisting essentially of shall be closed or semi-closed transitional phrases, respectively, as set forth in the United States Patent Office Manual of Patent Examining Procedures, Section 2111.03.
[0068] As used herein in the specification and in the claims, the phrase "at least one," in reference to a list of one or more elements, should be understood to mean at least one element selected from anyone or more of the elements in the list of elements, but not necessarily including at least one of each and every element specifically listed within the list of elements and not excluding any combinations of elements in the list of elements. This definition also allows that elements may optionally be present other than the elements specifically identified within the list of elements to which the phrase "at least one" refers, whether related or unrelated to those elements specifically identified. Thus, as a nonlimiting example, "at least one of A and B" (or, equivalently, "at least one of A or B," or, equivalently "at least one of A and/or B") can refer, in one embodiment, to at least one, optionally including more than one, A, with no B present (and optionally including elements other than B); in another embodiment, to at least one, optionally including more than one, B, with no A present (and optionally including elements other than A); in yet another embodiment, to at least one, optionally including more than one, A, and at least one, optionally including more than one, B (and optionally including other elements); etc.
[0069] It should also be understood that, in certain methods described herein that include more than one step or act, the order of the steps or acts of the method is not necessarily limited to the order in which the steps or acts of the method are recited unless the context indicates otherwise.
[0070] As indicated above, the description relates to a bifunctional PROTAC compound that binds an E3 ubiquitin ligase protein, and specifically VHL, or component thereof and a target protein. The E3 ubiquitin ligase protein ubiquitinates the target protein once it and the target protein are placed in proximity by the PROTAC compound. Accordingly, the description provides such compounds that bind to such E3 ubiquitin ligase proteins, as well as bifunctional PROTAC compounds comprising the same.
II. PROTAC Compounds and Compositions
[0071] E3 ubiquitin ligases (of which over 600 are known in humans) confer substrate specificity for ubiquitination. There are known ligands which bind to these ligases. An E3 ubiquitin ligase binding group (E3LB) is a peptide or small molecule that can bind an E3 ubiquitin ligase.
[0072] A particular E3 ubiquitin ligase is von Hippel-Lindau (VHL) tumor suppressor, the substrate recognition subunit of the E3 ligase complex VCB, which also consists of elongins B and C, Cul2 and Rbxl. The primary substrate of VHL is Hypoxia Inducible Factor la (HIF- la), a transcription factor that upregulates genes such as the pro-angiogenic growth factor VEGF and the red blood cell inducing cytokine erythropoietin in response to low oxygen levels.
[0073] In one aspect, the present disclosure is directed to proteolysis-targeting chimera (PROTAC) compounds that are useful for regulating protein activity, and specifically, for facilitating the degradation of target proteins. Specifically, the PROTAC compounds of the present disclosure are bifunctional compounds that can be used as modulators of targeted ubiquitination. The compounds comprise on one end a VHL ligand moiety, which binds to the VHL E3 ubiquitin ligase, and on the other end a moiety that binds a target protein, such that degradation of the target protein/polypeptide is effectuated.
[0074] Preferably the VHL ligand moiety is a small molecule (i.e., not peptide based). In certain aspects and embodiments, the VHL ligand moiety is chemically linked, via a bond or through a chemical linker, to a protein binding (PB) moiety (or "D"), wherein the VHL ligand moiety recognizes a VHL E3 ubiquitin ligase and the protein binding moiety recognizes a target protein or polypeptide, and wherein the VHL ligand moiety is coupled to the PB moiety.
[0075] In an additional aspect, the present disclosure is directed to a compound according to the structure: VHLM-L, where L is a linker group and VHLM is a VHL ligand moiety. In certain embodiments, the VHL ligand moiety is coupled directly or via a chemical linker to a protein binding (PB) moiety (or "D").
[0076] In another aspect, the description provides compounds that comprise a protein binding group according to the general structure: VHLM-L-PB or VHLM-L-D, where VHLM is a VHL ligand moiety, PB or D is a chemical moiety (protein binding moiety), which binds to a target protein or polypeptide, which is ubiquitinated by an ubiquitin ligase, and is chemically linked directly to the VHL ligand moiety or through a linker moiety L, which can be a bond or a chemical linker. In certain embodiments, the PB or D moiety is alternatively also a VHL E3 ubiquitin ligase binding moiety, which may be the same or different than the VHL ligand moiety and is linked to the VHL ligand moiety directly or through a linker or a pharmaceutically acceptable salt, enantiomer, stereoisomer, solvate or polymorph thereof. In certain embodiments,
the VHL ligand moiety is coupled to a PB or D moiety directly (via a bond) or via a chemical linker.
[0077] In certain aspects of the disclosure, where PB or D is a VHL ligand moiety, the compound resembles a dimeric compound where both ends of the compound comprise a VHL ubiquitin ligase binding moiety as otherwise described herein.
[0078] Although the VHL ligand moiety and PB or D moiety may be covalently linked to the linker group through any group which is appropriate and stable to the chemistry of the linker, in certain embodiments, and as detailed further below, the linker may be independently covalently bonded to the VHL ligand moiety and the PB or D moiety through an amide, ester, thioester, keto group, carbamate (urethane), carbon or ether, each of which groups may be inserted anywhere on the VHL ligand moiety and PB or D moiety to provide maximum binding of the VHL ligand moiety on the VHL ubiquitin ligase and the PB or D moiety on the target protein to be degraded. (It is noted that in certain aspects where the PB or D group is a VHL ligand moiety, the target protein for degradation may be the ubiquitin ligase itself). In certain aspects, the linker may be linked to an optionally substituted alkyl, alkylene, alkene or alkyne group, an aryl group or a heterocyclic group on the VHL ligand moiety and/or PB or D moiety.
[0079] In one aspect, the present disclosure is directed to a compound (e.g. a PROTAC) of Formula (I), or a tautomer thereof:
R1 is selected from the group consisting of substituted or unsubstituted alkyl, substituted or unsubstituted cycloalkyl, substituted or unsubstituted aryl, substituted or unsubstituted heterocyclyl, and substituted or unsubstituted heteroaryl;
R3 is substituted or unsubstituted alkyl, or R3 is taken together with R6, when present, and the atoms to which they are attached, to form a substituted or unsubstituted heterocyclylene;
Y is selected from the group consisting of substituted or unsubstituted heteroarylene, substituted or unsubstituted heterocyclylene, O, S, -N(R6)-, -N(R6)-C(0)-, and -N(R6)- S02-;
R6 is selected from the group consisting of H and substituted or unsubstituted alkyl; or R6 is taken together with R3 and the atoms to which they are attached to form a substituted or unsubstituted heterocyclylene;
L is a linker moiety; and
D is a protein binding moiety.
[0080] In another aspect, the compound (e.g. a PROTAC) is a compound of Formula (la), or a tautomer thereof:
or a salt (e.g., a pharmaceutically acceptable salt) thereof, wherein each of X, R1, R3, Y, L, and D are as defined for Formula (I).
[0081] In some embodiments of the compounds of Formula (I) or (la), or a salt (e.g. a pharmaceutically acceptable salt) thereof, R1 is -W-R7, and W is selected from the group consisting of substituted or unsubstituted arylene, substituted or unsubstituted heteroarylene, substituted or unsubstituted heterocyclylene, and substituted or unsubstituted cycloalkylene; R7 is selected from the group consisting of substituted or unsubstituted alkyl, substituted or unsubstituted cycloalkyl, substituted or unsubstituted aryl, substituted or unsubstituted heteroaryl, substituted or unsubstituted heterocyclyl, substituted or unsubstituted alkenyl,
substituted or unsubstituted alkynyl, halo, oxo, -CN, -OR , -N(R )R , -C(0)R , - C(0)N(R8a)R8b, -N(R8a)C(0)R8c, -S02N(R8a)R8b, and -S02R8c; R8, R8a, and R8b are independently selected from the group consisting of H and substituted or unsubstituted alkyl; and R8c is selected from the group consisting of substituted or unsubstituted alkyl and substituted or unsubstituted aryl. In some embodiments, R7 is selected from the group consisting of substituted or unsubstituted alkyl, substituted or unsubstituted cycloalkyl, substituted or unsubstituted aryl, substituted or unsubstituted heteroaryl, substituted or unsubstituted heterocyclyl, substituted or
8 8s. 8b unsubstituted alkenyl, substituted or unsubstituted alkynyl, halo, oxo, -CN, -OR°, -N(RM)R , and -S02R8c, wherein R8, R8a, R8b, and R8c are as defined above. In some embodiments, R7 is selected from the group consisting of substituted or unsubstituted alkyl, substituted or unsubstituted cycloalkyl, substituted or unsubstituted aryl, substituted or unsubstituted heteroaryl, substituted or unsubstituted heterocyclyl, substituted or unsubstituted alkenyl, substituted or unsubstituted alkynyl, halo, oxo, -CN, and -S02R8c, wherein R8c is as defined above. In some embodiments, R7 is selected from the group consisting of substituted or unsubstituted alkyl, substituted or unsubstituted cycloalkyl, substituted or unsubstituted aryl, substituted or unsubstituted heteroaryl, substituted or unsubstituted heterocyclyl, substituted or unsubstituted alkenyl, substituted or unsubstituted alkynyl, halo, oxo, -CN, -C(0)R8c, - C(0)N(R8a)R8b, -N(R8a)C(0)R8c, -S02N(R8a)R8b, and -S02R8c, wherein R8a, R8b, and R8c are as defined above.
[0082] In one embodiment, R7 is a haloalkyl, for example, a -CF3.
[0083] In one aspect, R1 is -W-R7; W is substituted or unsubstituted phenylene; and R7 is as defined above. In one embodiment, R1 is substituted or unsubstituted phenyl.
[0084] In another aspect, R1 is
m is 0, 1, 2,3, 4, or 5; R7 is selected from the group consisting of substituted or unsubstituted alkyl, substituted or unsubstituted cycloalkyl, substituted or unsubstituted aryl, substituted or unsubstituted heteroaryl, substituted or unsubstituted heterocyclyl, substituted or unsubstituted alkenyl, substituted or unsubstituted alkynyl, halo, -CN, -OR8, -N(R8a)R8b, -C(0)R8c, -C(0)N(R8a)R8b, -N(R8a)C(0)R8c, - S02N(R8a)R8b, and -S02R8c; R8, R8a, and R8b are independently selected from the group consisting of H and substituted or unsubstituted alkyl; R8c is selected from the group consisting of substituted or unsubstituted alkyl and substituted or unsubstituted aryl; and >ΛΛΛΛ is the point
the remaining structure of the compound. In one particular embodiment, R1 is
and R7 is as defined above.
[0085] In another aspect, R1 is
; R7 is as defined above; and >«w is the point of attachment to the remaining structure of the compound.
[0086] In one particular embodiment, R7 is selected from the group consisting of substituted or unsubstituted heteroaryl, substituted or unsubstituted heterocyclyl, and substituted or unsubstituted aryl.
and
; wherein R7a is halo or -CN; R7 is as defined above; and is the point of attachment to the remaining structure of the compound.
In another aspect, R1 is selected from the group consisting of:
5 5 and ; wherein R7 is as defined above; and is the point of attachment to the remaining structure of the compound. In one particular embodiment, R7 is selected from the group consisting of substituted or unsubstituted heteroaryl, substituted or unsubstituted heterocyclyl, and substituted or unsubstituted aryl.
[0089] In another aspect, R
is as defined above; and is the point of attachment to the remaining structure of the compound.
1, 2, 3, 4, or 5; R is selected from the group consisting of oxo, alkyl, haloalkyl, cycloalkyl, halo, -CN, -NH2, and substituted or unsubstituted alkynyl; ΛΛΛ ) when present, is the point of attachment to the remaining structure of the compound; R a, when present, is selected from the ggrroouupp ccoonnssiissttiinngg ooff HH aanndd RR99;; oo:r R9a is the point of attachment to the remaining structure of the compound and «ΛΛΛΓ is absent.
R9a is alkyl, and R9 is selected from the group consisting of halo and -CN. In some embodiments, R7 is chlorophenyl, chloro-thiazolyl or trifluoromethyl-thiazolyl.
[0092] In one particular embodiment, R7 is
; and R9 is a substituted or unsubstituted alkynyl. In one embodiment, the alkynyl is substituted with a substituted or
unsubstituted aryl, such as phenyl. In one embodiment, the aryl is phenyl, and the phenyl is substituted with at least one R10, wherein R10 is halo.
[0093] In one particular embodiment, R7 is selected from the group consisting of a substituted or unsubstituted 5-membered heteroaryl, and a substituted or unsubstituted 5- membered heterocyclyl. R7 may be, for example, 1 -pyrrolidinyl or 1-pyrrolidonyl. In one particular embodiment, R7 is methylthiazolyl.
[0094] In another embodiment, R1 is -W-R7, W is a substituted or unsubstituted aryl or a substituted or unsubstituted heteroaryl, and R7 is independently selected from the group consisting of halo, -CN, and substituted or unsubstituted alkyl. In one such embodiment, W is a substituted or unsubstituted phenylene.
[0095] In one embodiment, R1 is a substituted or unsubstituted alkyl. In one embodiment, R1 is a C1-4 alkyl. In one embodiment, R1 is tert-butyl.
[0096] In one embodiment, R1 is selected from the group consisting of a substituted or unsubstituted aryl and a substituted or unsubstituted heteroaryl. Additional non-limiting
[0138] In some embodiments of the compounds of Formula (I) or (la), or a salt (e.g. a pharmaceutically acceptable salt) thereof, R3 is a substituted or unsubstituted Ci-C alkyl. In certain embodiments, R3 isopropyl or tert-butyl.
[0097] In some embodiments of the compounds of Formula (I) or (la), or a salt (e.g. a pharmaceutically acceptable salt) thereof, Y is selected from the group consisting of substituted or unsubstituted heteroarylene, substituted or unsubstituted heterocyclylene, O, S, -N(R6)-, - N(R6)-C(0)-, and -N(R6)-S02-. In some embodiments, Y is substituted or unsubstituted heteroarylene, or a substituted or unsubstituted heterocyclylene.
[0098] In certain aspects, Y is a substituted or unsubstituted heteroarylene. Examples
point of attachment to the remaining structure of the compound or L, and wherein Y may be attached to the compound in either orientation.
[0099] In other embodiments, Y is selected from the group consisting of -N(R )-, - N(R6)-C(0)-, and -N(R6)-S02-; and R6 is selected from the group consisting of H and substituted or unsubstituted alkyl. In one embodiment, Y is selected from the group consisting of -N(R6)-, - N(R6)-C(0)-, and -N(R6)-S02-; and R6 is selected from the group consisting of H and substituted or unsubstituted C1-C6 alkyl. In one embodiment, Y is -N(R6)-C(0)- and R6 is H. In one embodiment, Y is -N(R6)-C(0)-, R6 is H, and R3 is substituted or unsubstituted alkyl. In one particular embodiment, Y is -N(R6)-C(0)-, R6 is H, and R3 is isopropyl or tert-butyl.
[0100] In other embodiments, Y is selected from the group consisting of -N(R6)-, - N(R6)-C(0)-, and -N(R6)-S02-; and R6 is taken together with R3 and the atoms to which they are attached to form a substituted or unsubstituted heterocyclylene. In one particular embodiment, the heterocyclylene is substituted with -(Rn)p; wherein p is 0, 1, 2, 3, or 4; R11 is selected from the group consisting of substituted or unsubstituted C1-C3 alkyl, halo, -CN, and -ORl la; and each Rl la is independently selected from the group consisting of H and substituted or unsubstituted alkyl (e.g., a C1-C3 alkyl). In one embodiment, R11 is -ORl la, and is selected from the group consisting of -OCH3, -OCF3, and -OH. In one embodiment, p is 1 and R11 is selected from the group consisting of -OCH3, -OCF3, and -OH. In another embodiment, R6 is taken together with R3 and the atoms to which they are attached to form a substituted or unsubstituted 5- or 6- membered heterocyclylene. In one embodiment, the 5- or 6-membered heterocyclylene is substituted with an alkyl.
[0101] It is intended and understood that any of the Y moieties detailed herein for the compound of Formula (I) or (la) may be combined with any of the R1 and/or R3 groups detailed herein, as if each and every combination has been individually described. For example, in some
embodiments of the compound of Formula (I) or (la), or a salt (e.g., a pharmaceutically acceptable salt) thereof, R1 is selected from the group consisting of substituted or unsubstituted alkyl, unsubstituted cycloalkyl, substituted or unsubstituted aryl, and substituted or unsubstituted
heteroaryl; R3 is a C1-C6 alkyl, such as isopropyl or tert-butyl; Y is -N(R6)-C(0)- or and R6 is H.
[0102] In another embodiment of the compound of Formula (I) or (la), or a salt (e.g., a
pharmaceutically acceptable salt) thereof, R1 is , 1, 2, 3, 4, or 5; R is a
C1-C6 alkyl, such as isopropyl or tert-butyl; Y is -
N(R°)-C(0)- or ; R6 is H; and each R7 is independently selected from the group consisting of -CN, halo, substituted or unsubstituted aryl, and substituted or unsubstituted heteroaryl.
[0103] In another embodiment of the compound of Formula (I) or (la), or a salt (e.g., a
pharmaceutically acceptable salt) thereof, R1 is phenyl; R3 is a
Ci-C6 alkyl, such as isopropyl or tert-butyl; Y
is H; and R7 is substituted or unsubstituted aryl, substituted or unsubstituted heteroaryl, halo, -CN.
[0104] In some embodiments of the co (I) or (la), or a salt (e.g., a
pharmaceutically acceptable salt) thereof, R1 i is a C1-C6 alkyl, such as
isopropyl or tert-butyl; Y is -N(R )-C(0)- or
; R6 is H; and R7 is substituted or unsubstituted heteroaryl or halo.
[0105] In one aspect, the present disclosure is directed to a compou Formula (I) or
(la), or a salt (e.g., a pharmaceutically acceptable salt) thereof, wherein R1 is
; R3 is tert-butyl; Y is -N(R6)-C(0)-; R6 is H; and R7 is substituted or unsubstituted heteroaryl or halo. In one such embodiment, R7 is a substituted or unsubstituted 5- or 6-membered heteroaryl.
[0106] In another aspect, the present disclosure is directed to a compou Formula
R3 is isopropyl; Y is
; and R7 is substituted or unsubstituted heteroaryl or halo. In one such embodiment, R7 is a substituted or unsubstituted 5- or 6-membered heteroaryl. In one such embodiment, R7 is halo.
[0107] In one embodiment, the PROTAC is a compound of Formula (I) or a tautomer thereof, or a salt (e.g., a pharmaceutically acceptable salt) thereof, and has a structure selected from the group consisting of those structures in Table 1, wherein R1, L, and D are as defined herein; p is 0, 1, 2, 3, or 4; R11 is selected from the group consisting of substituted or unsubstituted C 1-C3 alkyl, halo, -CN, and -ORl la; and Rlla is selected from the group consisting of H and substituted or unsubstituted alkyl.
Table 1
Formula Structure Formula Structure
Number Number
[0108] In one embodiment, the PROTAC is a compound of Formula (I) or a tautomer thereof, or a salt (e.g., a pharmaceutically acceptable salt) thereof, and has a structure selected from the group consisting of those structures in Table 2, wherein R3, R7, Y, L, and D are as defined herein; R10 is halo; and m is 0, 1, 2, 3, 4, or 5.
Table 2
[0109] In one embodiment, the PROTAC is a compound of Formula I-B-9 or a salt (e.g., a pharmaceutically acceptable salt) thereof, having the structure
, wherein R7 is as defined above.
[0110] In one embodiment, the PROTAC is a compound of Formula I-B-9a or a salt (e.g., a pharmaceutically acceptable salt) thereof, having the structure
[0111] In one embodiment, the PROTAC is a compound of Formula I-B-10 or a salt a pharmaceutically acceptable salt) thereof, having the structure
[0112] In one embodiment, the PROTAC is a compound of Formula I-B-10a or a salt a pharmaceutically acceptable salt) thereof, having the structure
[0113] In one embodiment, the PROTAC is a compound of Formula I-B-11 or a salt (e.g., a pharmaceutically acceptable salt) thereof, having the structure
[0114] In one embodiment, the PROTAC is a compound of Formula I-B-l la or a salt (e.g., a pharmaceutically acceptable salt) thereof, having the structure
, wherein R7 is as defined above.
[0115] In one embodiment, the PROTAC is a compound selected from the group consisting of a compound of Formula I-A-1, a compound of Formula I-A-9, a compound of Formula I-B-9, a compound of Formula I-B-21, a compound of Formula I-B-22, a compound of Formula I-B-23, a compound of Formula I-B-24, a compound of Formula I-B-25, a compound of Formula I-B-26, and a compound of Formula I-B-27, or a salt (e.g., a pharmaceutically acceptable salt) thereof, wherein R1, R3, R7, Y, L, and D are as defined herein, and m is 0, 1, 2, 3, 4, or 5.
[0116] In one embodiment, the PROTAC is a compound selected from the group consisting of a compound of Formula I-A-1, a compound of Formula I-A-9, and a compound of Formula I-B-9, or a salt (e.g., a pharmaceutically acceptable salt) thereof, wherein R1, R3, R7, Y, L, and D are as defined herein, and m is 0, 1, 2, 3, 4, or 5.
[0117] In one embodiment, the PROTAC is a compound selected from the group consisting of a compound of Formula I-A-1 a, a compound of Formula I-A-9a, a compound of Formula I-B-9a, a compound of Formula I-B-21 a, a compound of Formula I-B-22a, a compound of Formula I-B-23a, a compound of Formula I-B-24a, a compound of Formula I-B-25a, a compound of Formula I-B-26a, and a compound of Formula I-B-27a, or a salt (e.g., a pharmaceutically acceptable salt) thereof, wherein R1, R3, R7, Y, L, and D are as defined herein, and m is 0, 1, 2, 3, 4, or 5.
[0118] In one embodiment, the PROTAC is a compound selected from the group consisting of a compound of Formula I-A-1 a, a compound of Formula I-A-9a, and a compound of Formula I-B-9a, or a salt (e.g., a pharmaceutically acceptable salt) thereof, wherein R1, R3, R7, Y, L, and D are as defined herein, and m is 0, 1, 2, 3, 4, or 5.
[0119] In one embodiment, the PROTAC is a compound of Formula (I) or (la) or a tautomer thereof, or a salt (e.g., a pharmaceutically acceptable salt) thereof, and has a structure selected from the group consisting of those structures in Table 3, wherein L and D are as defined herein.
Table 3
[0120] In one embodiment, the PROTAC is a compound of Formula (I) or (la) or a tautomer thereof, or a salt (e.g., a pharmaceutically acceptable salt) thereof, and is selected from the group consisting of those compounds in Table 4.
Table 4
Compound Structure/Name 1
No.
1001
7-(3,5-difluoropyridin-2-yl)-N-(5-((5-(l-(4-hydroxy-2-((4-(4-methylthiazol-5- yl)phenoxy)carbamoyl)pyrrolidin-l-yl)-3-methyl-l-oxobutan-2-yl)isoxazol-3- yl)oxy)pentyl)-2-methyl-10-((methylsulfonyl)methyl)-3-oxo-3,4,6,7-tetrahydro-2H- 2,4,7-triazadibenzo[cd,f]azulene-9-carboxamide
Compound Structure/Name 1
No.
1003
l-(2-(l l-(2-(4-(4-chlorophenyl)-2,3,9-trimethyl-6H-thieno[3,2-f|[l,2,4]triazolo[4,3- a][l,4]diazepin-6-yl)acetamido)undecanamido)-3,3-dimethylbutanoyl)-4-hydroxy-N- (4-(4-methylthiazol-5-yl)phenoxy)pyrrolidine-2-carboxamide
1003a
(2S,4R)-l-(2-(l l-(2-(4-(4-chlorophenyl)-2,3,9-trimethyl-6H-thieno[3,2- f|[l,2,4]triazolo[4,3-a][l,4]diazepin-6-yl)acetamido)undecanamido)-3,3- dimethylbutanoyl)-4-hydroxy-N-(4-(4-methylthiazol-5-yl)phenoxy)pyrrolidine-2- carboxamide
1003b
(2S,4R)-l-((S)-2-(l l-(2-((S)-4-(4-chlorophenyl)-2,3,9-trimethyl-6H-thieno[3,2- f|[l,2,4]triazolo[4,3-a][l,4]diazepin-6-yl)acetamido)undecanamido)-3,3- dimethylbutanoyl)-4-hydroxy-N-(4-(4-methylthiazol-5-yl)phenoxy)pyrrolidine-2- carboxamide
Compound Structure/Name 1
No.
1004
4-(3,5-difluoropyridin-2-yl)-N-(l l-((l-(4-hydroxy-2-((4-(4-methylthiazol-5- yl)phenoxy)carbamoyl)pyrrolidin-l -yl)-3,3-dimethyl- 1 -oxobutan-2-yl)amino)- 11 - oxoundecy 1)- 10-methy l-7-((methy Isulfony l)methy 1)- 11 -oxo-3 ,4, 10, 11 -tetrahy dro- 1H- l,4,10-triazadibenzo[cd,f]azulene-6-carboxamide
1004a
4-(3,5-difluoropyridin-2-yl)-N-(l l-((l-((2S,4R)-4-hydroxy-2-((4-(4-methylthiazol-5- yl)phenoxy)carbamoyl)pyrrolidin-l -yl)-3,3-dimethyl- 1 -oxobutan-2-yl)amino)- 11 - oxoundecyl)- 10-methy l-7-((methy Isulfony l)methy 1)- 11 -oxo-3 ,4, 10, 11 -tetrahy dro- 1H- l,4,10-triazadibenzo[cd,f]azulene-6-carboxamide
No.
1006b
1
4 3,5-difluoropyridin-2-yl)-N-(5-((5-((R)-l-((2S,4R)-2-(((2'-fluoro-[l,r-biphenyl]-4- yl)oxy)carbamoyl)-4-hydroxypyrrolidin-l-yl)-3-methyl-l-oxobutan-2-yl)isoxazol-3- y l)oxy )penty 1)- 10-methy l-7-((methy lsulfony l)methy 1)- 11 -oxo-3 ,4, 10, 11 -tetrahy dro- lH-l,4,10-triazadibenzo[cd,f]azulene-6-carboxamide
1006c
4-(3,5-difluoropyridin-2-yl)-N-(5-((5-((S)-l-((2S,4R)-2-(((2'-fluoro-[l,r-biphenyl]-4- yl)oxy)carbamoyl)-4-hydroxypyrrolidin-l-yl)-3-methyl-l-oxobutan-2-yl)isoxazol-3- y l)oxy )penty 1)- 10-methy l-7-((methy lsulfony l)methy 1)- 11 -oxo-3 ,4, 10, 11 -tetrahy dro- lH-l,4,10-triazadibenzo[cd,f]azulene-6-carboxamide
1 Compound names are auto-generated using ChemDraw® software version 15.0.0.106 or
17.0.0.201.
[0121] In one embodiment, the PROTAC is a salt (e.g., a pharmaceutically acceptable salt) of a compound in Table 4. In one particular embodiment, the PROTAC is a formate salt of any one of compounds 104, 104a, or 104b.
[0122] Referring now to a PROTAC compound or a VHL ligand, as described herein, these can exist in solid or liquid form. In the solid state, the compound may exist in crystalline or noncrystalline form, or as a mixture thereof. The skilled artisan will appreciate that
pharmaceutically acceptable solvates may be formed for crystalline or non-crystalline compounds. In crystalline solvates, solvent molecules are incorporated into the crystalline lattice during crystallization. Solvates may involve non-aqueous solvents such as, but not limited to, ethanol, isopropanol, DMSO, acetic acid, ethanolamine, or ethyl acetate, or they may involve water as the solvent that is incorporated into the crystalline lattice. Solvates wherein water is the solvent incorporated into the crystalline lattice are typically referred to as "hydrates. " Hydrates include stoichiometric hydrates as well as compositions containing variable amounts of water. The subject matter described herein includes such solvates.
[0123] The skilled artisan will further appreciate that certain compounds (PROTACs and VHL ligands) described herein that exist in crystalline form, including the various solvates thereof, may exhibit polymorphism (i.e. the capacity to occur in different crystalline structures). These different crystalline forms are typically known as "polymorphs. " The subject matter disclosed herein includes such polymorphs. Polymorphs have the same chemical composition but differ in packing, geometrical arrangement, and other descriptive properties of the crystalline solid state. Polymorphs, therefore, may have different physical properties such as shape, density, hardness, deformability, stability, and dissolution properties. Polymorphs typically exhibit different melting points, IR spectra, and X-ray powder diffraction patterns, which may be used for identification. The skilled artisan will appreciate that different polymorphs may be produced, for example, by changing or adjusting the reaction conditions or reagents, used in making the compound. For example, changes in temperature, pressure, or solvent may result in polymorphs. In addition, one polymorph may spontaneously convert to another polymorph under certain conditions.
[0124] PROTACs and VHL ligands described herein or a salt thereof may exist in stereoisomeric forms (e.g., it contains one or more asymmetric carbon atoms). The individual stereoisomers (enantiomers and diastereomers) and mixtures of these are included within the scope of the subject matter disclosed herein. Likewise, it is understood that a compound or salt of Formulas (I) or (la) may exist in tautomeric forms other than that shown in the formula and these are also included within the scope of the subject matter disclosed herein. It is to be understood that the subject matter disclosed herein includes combinations and subsets of the particular groups described herein. The scope of the subject matter disclosed herein includes mixtures of stereoisomers as well as purified enantiomers or enantiomerically/
diastereomerically enriched mixtures. It is to be understood that the subject matter disclosed herein includes combinations and subsets of the particular groups defined hereinabove.
[0125] The subject matter disclosed herein also includes isotopically-labelled forms of the compounds described herein, but for the fact that one or more atoms are replaced by an atom having an atomic mass or mass number different from the atomic mass or mass number usually found in nature. Examples of isotopes that can be incorporated into compounds described herein and pharmaceutically acceptable salts thereof include isotopes of hydrogen, carbon, nitrogen, oxygen, phosphorous, sulphur, fluorine, iodine, and chlorine, such as 2H, H, nC, 1 C, 14C, 15N, 170, 180, 31P, 32P, 35S, 18F, 36C1, 123I and 125I.
[0126] PROTAC compounds and VHL ligands as disclosed herein and pharmaceutically acceptable salts thereof that contain the aforementioned isotopes and/or other isotopes of other atoms are within the scope of the subject matter disclosed herein. Isotopically- labelled compounds are disclosed herein, for example those into which radioactive isotopes such as H, 14C are incorporated, are useful in drug and/or substrate tissue distribution assays. Tritiated, i.e., H, and carbon-14, i.e., 14C, isotopes are commonly used for their ease of preparation and detectability. nC and 18F isotopes are useful in PET (positron emission tomography), and 125I isotopes are useful in SPECT (single photon emission computerized tomography), all useful in brain imaging. Further, substitution with heavier isotopes such as deuterium, i.e., 2H, can afford certain therapeutic advantages resulting from greater metabolic stability, for example increased in vivo half-life or reduced dosage requirements and, hence, may be preferred in some circumstances. Isotopically labelled compounds of formula I can generally be prepared by carrying out the procedures disclosed in the Schemes and/or in the Examples below, by substituting a readily available isotopically labelled reagent for a non-isotopically labelled reagent.
1. VHL Ligands and VHL Ligand Moieties
[0127] In another aspect, the present disclosure is directed to VHL ligands, and specifically, VHL ligands that bind to a VHL E3 ubiquitin ligase. The VHL ligands of the present disclosure may be derivatized, e.g., by coupling the VHL ligand directly or via a chemical linker to a protein binding moiety to form a PROTAC, as discussed elsewhere herein.
[0128] In one aspect, the VHL ligand is a compound of Formula (II) or a tautomer thereof:
(Π) or a salt (e.g., a pharmaceutically acceptable salt) thereof; wherein:
R1 and R3 are as defined above;
Z is selected from the group consisting of substituted or unsubstituted heteroaryl, substituted or unsubstituted heterocyclyl, -N(R6)R6a, -OR6a, -SR6a, and -N(R6)-S02-R6b;
R6 is selected from the group consisting of H and substituted or unsubstituted alkyl; or R6, when present, is taken together with R3 and the atoms to which they are attached to form a substituted or unsubstituted heterocyclylene;
R6a is selected from the group consisting of H, substituted or unsubstituted acyl, and substituted or unsubstituted alkyl; and
R6b is selected from the group consisting of substituted or unsubstituted alkyl and substituted or unsubstituted aryl.
[0129] In another embodiment, the VHL ligand may be a compound of Formula (Ila) or a tautomer thereof:
(lla) or a salt (e.g., a pharmaceutically acceptable salt) thereof; wherein each of R1, R3, and Z are as defined above.
[0130] In some embodiments of the compounds of Formula (II) or (lla), or a salt (e.g., a pharmaceutically acceptable salt) thereof, R1 is -W-R7, and W is selected from the group consisting of substituted or unsubstituted arylene, substituted or unsubstituted heteroarylene, substituted or unsubstituted heterocyclylene, and substituted or unsubstituted cycloalkylene; R7 is selected from the group consisting of substituted or unsubstituted alkyl, substituted or unsubstituted cycloalkyl, substituted or unsubstituted aryl, substituted or unsubstituted heteroaryl, substituted or unsubstituted heterocyclyl, substituted or unsubstituted alkenyl, substituted or unsubstituted alkynyl, halo, oxo, -CN, -OR8, -N(R8a)R8b, -C(0)R8c, - C(0)N(R8a)R8b, -N(R8a)C(0)R8c, -S02N(R8a)R8b, and -S02R8c; R8, R8a, and R8b are independently selected from the group consisting of H and substituted or unsubstituted alkyl; and R8c is selected from the group consisting of substituted or unsubstituted alkyl and substituted or unsubstituted aryl. In some embodiments, R7 is selected from the group consisting of substituted or unsubstituted alkyl, substituted or unsubstituted cycloalkyl, substituted or unsubstituted aryl, substituted or unsubstituted heteroaryl, substituted or unsubstituted heterocyclyl, substituted or unsubstituted alkenyl, substituted or unsubstituted alkynyl, halo, oxo, -CN, -OR8, -N(R8a)R8b, and -S02R8c, wherein R8, R8a, R8b, and R8c are as defined above. In some embodiments, R7 is selected from the group consisting of substituted or unsubstituted alkyl, substituted or unsubstituted cycloalkyl, substituted or unsubstituted aryl, substituted or unsubstituted heteroaryl, substituted or unsubstituted heterocyclyl, substituted or unsubstituted alkenyl, substituted or unsubstituted alkynyl, halo, oxo, -CN, and -S02R8c, wherein R8c is as defined above. In some embodiments, R7 is selected from the group consisting of substituted or unsubstituted alkyl, substituted or unsubstituted cycloalkyl, substituted or unsubstituted aryl, substituted or unsubstituted heteroaryl, substituted or unsubstituted heterocyclyl, substituted or
unsubstituted alkenyl, substituted or unsubstituted alkynyl, halo, oxo, -CN, -C(0)R c, - C(0)N(R8a)R8b, -N(R8a)C(0)R8c, -S02N(R8a)R8b, and -S02R8c, wherein R8a, R8b, and R8c are as defined above.
[0131] In one embodiment, R7 is a haloalkyl, for example, a -CF3.
[0132] In another aspect, R1 is -W-R7; W is substituted or unsubstituted phenylene; and R7 is as defined above.
[0133] In one embodiment, R1 is substituted or unsubstituted phenyl.
[0134] In another aspect, R1 is
; m is 0, 1, 2,3, 4, or 5; R7 is selected from the group consisting of substituted or unsubstituted alkyl, substituted or unsubstituted cycloalkyl, substituted or unsubstituted aryl, substituted or unsubstituted heteroaryl, substituted or unsubstituted heterocyclyl, substituted or unsubstituted alkenyl, substituted or unsubstituted alkynyl, halo, -CN, -OR8, -N(R8a)R8b, -C(0)R8c, -C(0)N(R8a)R8b, -N(R8a)C(0)R8c, - S02N(R8a)R8b, and -S02R8c; R8, R8a, and R8b are independently selected from the group consisting of H and substituted or unsubstituted alkyl; R8c is selected from the group consisting of substituted or unsubstituted alkyl and substituted or unsubstituted aryl; and >«w is the point the remaining structure of the compound. In one particular embodiment, R1 is
m is 0, 1, 2, or 3; and R7 is as defined above.
[0135] In another aspect, R is
; R7 is as defined above; and w* is the point of attachment to the remaining structure of the compound.
[0136] In one particular embodiment, R7 is selected from the group consisting of substituted or unsubstituted heteroaryl, substituted or unsubstituted heterocyclyl, and substituted or unsubstituted aryl.
0137] In one embodiment, R1 is selected from the group consisting of:
and
; wherein R7a is halo or -CN; R7 is as defined above; and -ΛΛΛΛ is the point of attachment to the remaining structure of the compound.
In another aspect, R1 is selected from the group consisting of:
, and ; wherein R7 is as defined above; and >ΛΛΛ is the point of attachment to the remaining structure of the compound. In one particular embodiment, R7 is selected from the group consisting of substituted or unsubstituted heteroaryl, substituted or unsubstituted heterocyclyl, and substituted or unsubstituted aryl.
[0139] In another aspect, R is
; wherein R is as defined above; and is the point of attachment to the remaining structure of the compound.
[0140] In certain aspects, R7 is selected from the group consisting of
1, 2, 3, 4, or 5; R9 is selected from the group consisting of oxo, alkyl, haloalkyl, cycloalkyl, halo, -CN, -NH2, and substituted or unsubstituted alkynyl; *sw><r ^ when present, is the point of attachment to the remaining structure of the compound; R9a, when present, is selected from the
group consisting of H and R9; or R9a is the point of attachment to the remaining structure of the compound and »/v w* is absent.
alkyl, and R9 is selected from the group consisting of halo and -CN. In some embodiments, R7 chlorophenyl, chloro-thiazolyl or trifluoromethyl-thiazolyl.
[0142] In one particular embodiment, R7 is
; and R9 is a substituted or unsubstituted alkynyl. In one embodiment, the alkynyl is substituted with a substituted or unsubstituted aryl, such as phenyl. In one embodiment, the aryl is phenyl, and the phenyl is substituted with at least one R10, wherein R10 is halo.
[0143] In one particular embodiment, R7 is selected from the group consisting of a substituted or unsubstituted 5-membered heteroaryl, and a substituted or unsubstituted 5- membered heterocyclyl. R7 may be, for example, 1 -pyrrolidinyl or 1-pyrrolidonyl. In one particular example, R7 is methythiazole.
[0144] In another embodiment, R1 is -W-R7, W is a substituted or unsubstituted aryl or a substituted or unsubstituted heteroaryl, and R7 is independently selected from the group consisting of halo, -CN, and substituted or unsubstituted alkyl. In one such embodiment, W is a substituted or unsubstituted phenylene.
[0145] In one embodiment, R1 is a substituted or unsubstituted alkyl. In one embodiment, R1 is a C1-4 alkyl. In one embodiment, R1 is tert-butyl.
[0146] In one embodiment, R1 is selected from the group consisting of a substituted or unsubstituted aryl and a substituted or unsubstituted heteroaryl. Additional non-limiting
[0147] In some embodiments of the compounds of Formula (II) or (Ila), or a salt (e.g., a pharmaceutically acceptable salt) thereof, R3 is a substituted or unsubstituted Ci.Ce alkyl. In certain embodiments, R3 isopropyl or tert-butyl.
[0148] In some embodiments of the compounds of Formula (II) or (Ila), or a salt (e.g., a pharmaceutically acceptable salt) thereof, Z is selected from the group consisting of substituted or unsubstituted heteroaryl, substituted or unsubstituted heterocyclyl, -N(R6)R6a, -OR6a, -SR6a, and -N(R6)-S02-R6b, wherein R6, R6a, and R6b are as defined above. In some embodiments, Z is substituted or unsubstituted heteroaryl or substituted or unsubstituted heterocyclyl.
[0149] In certain aspects, Z may be a substituted or unsubstituted heteroaryl or substituted or unsubstituted heterocyclyl. Examples of Z include, but are not limited to
wherein ^ΛΛΓ indicates the point of attachment to the remaining structure of the compound; r is 0, 1, 2, or 3; each R13 is independently selected from the group consisting of -OR1 a and substituted or unsubstituted alkyl; each R14 is independently selected from the group consisting of H, substituted or unsubstituted alkyl, and the point of attachment to the remaining structure of
the compound; and each R a is independently selected from the group consisting of H and substituted or unsubstituted alkyl; wherein when R14 is the point of attachment to the remaining structure of the compound, «ΛΛΛ^ is absent.
[0150] In some embodiments, r is 0, 1 , or 2. In one embodiment, r is 1.
[0151] In some embodiments, R13 is a C1-C3 alkyl. In one embodiment, r is 1 and R13 is -CH3.
[0152] In some embodiments, R13 is -OR1 a, and R1 a is selected from the group consisting of C1-C3 alkyl and H. In one embodiment, r is 1, R13 is -OR1 a, and R1 a is -CH3 or H.
[0153] In one embodiment, Z is a 5- or 6-membered substituted or unsubstituted heteroaryl. In another embodiment, Z is a 5-membered substituted or unsubstituted heteroaryl.
the remaining structure of the compound; r is 0 or 1 ; R is selected from the group consisting of -OR1 a and substituted or unsubstituted alkyl; R14 is selected from the group consisting of H and substituted or unsubstituted alkyl; and R1 a is selected from the group consisting of H and substituted or unsubstituted alkyl.
[0154] In one embodiment, r is 1 and R is a C1-C3 alkyl. In one embodiment, r is 1 and R13 is -CH3. In one embodiment, r is 0.
[0155] In another embodiment, r is 1 ; R13 is -OR1 a; and R1 a is selected from the group consisting of C1-C3 alkyl and H. In one embodiment, r is 1, R13 is -OR1 a, and R1 a is -CH3 or H.
[0156] In one specific embodiment, Z is
consisting of -OR1 a and substituted or unsubstituted alkyl; and R1 a is selected from the group
consisting of H and substituted or unsubstituted alkyl. More specifically, Z may be
wherein R is selected from the group consisting of -CH3 and -OR a, and R a is H or -CH3.
[0157] In another aspect, Z is selected from the group consisting of -N(R6)R6a, -OR6a, - SR6a, and -N(R6)-S02-R6b; wherein R6 is selected from the group consisting of H and substituted or unsubstituted alkyl; or R6, when present, is taken together with R3 and the atoms to which they are attached to form a substituted or unsubstituted heterocyclylene; R6a is selected from the group consisting of H, substituted or unsubstituted acyl, and substituted or unsubstituted alkyl; and R6b is selected from the group consisting of substituted or unsubstituted alkyl and substituted or unsubstituted aryl. In particular embodiments, R6 is selected from the group consisting of H and substituted or unsubstituted C1-C6 alkyl and R6a is selected from the group consisting of H, substituted or unsubstituted C1-C6 acyl, and substituted or unsubstituted C1-C6 alkyl. In one embodiment, R6a is -C(0)-R16, wherein R16 is selected from the group consisting of substituted or unsubstituted alkyl, substituted or unsubstituted alkenyl, substituted or unsubstituted alkynyl, substituted or unsubstituted cycloalkyl, substituted or unsubstituted aryl, substituted or unsubstituted heteroaryl, and substituted or unsubstituted heterocyclyl. In one particular embodiment, R6a is -C(0)-R16, wherein R16 is a substituted C1-C3 alkyl.
[0158] In one particular embodiment, Z is -N(R6)R6a, and R6 and R6a are as defined above. In another embodiment, Z is -N(R6)R6a, R6 is H, and R6a is a substituted or unsubstituted acyl (e.g., a substituted or unsubstituted C1-C6 acyl). In one specific embodiment, Z is - N(R6)R6a, R6 is H, and R6a is -C(0)CH3.
[0159] It is intended and understood that any of the Z moieties detailed herein for the compound of Formula (II) or (Ila) may be combined with any of the R1 and/or R3 groups detailed herein, as if each and every combination has been individually described. For example, in some embodiments of the compound of Formula (II) or (Ila), or a salt (e.g., a pharmaceutically
acceptable salt) thereof, R is nsubstituted phenyl; R3 is a C1-C6 alkyl, such as
isopropyl or tert-butyl; Z is -N
(R6)R6a or ; R is H; R6a is substituted or unsubstituted acyl; R7 is substituted or unsubstituted heteroaryl or halo; R13 is selected from the group consisting of -OR1 a and substituted or unsubstituted alkyl (e.g., a C1-C6 alkyl); and R1 a is selected from the group consisting of H and substituted or unsubstituted alkyl (e.g., a C1-C6 alkyl).
[0160] In one aspect, the present disclosure is directed to a compound of Formula (II) or (Ila), or a salt (e.g., a pharmaceutically acceptable salt) thereof, wherein R1 is selected from the group consisting of substituted or unsubstituted alkyl, unsubstituted cycloalkyl, substituted or unsubstituted aryl, and subs or unsubstituted heteroaryl; R3 is a C1-C6 alkyl, such as
[0161] In another aspect, the present disclosure is directed to a compound of Formula r a salt (e.g., a pharmaceutically acceptable salt) thereof, wherein R1 is
; m is 0, 1, 2, 3, 4, or 5; R3 is a C1-C6 alkyl, such as isopropyl or tert-butyl; Z is
; R13 is -OR1 a or a Ci-C6 alkyl; R1 a is H or a Ci-C6 alkyl; and each R7 is independently selected from the group consisting of -CN, halo, substituted or unsubstituted aryl, and substituted or unsubstituted heteroaryl.
[0162] In another aspect, the present disclosure is directed to a compound of Formula or a salt (e.g., a pharmaceutically acceptable salt) thereof, wherein R1 is
or unsubstituted phenyl; R3 is a C1-C6 alkyl, such as isopropyl or tert-butyl; Z is
; R13 is -OR1 A or a Ci-C6 alkyl; R1 A is H or a Ci-C6 alkyl; and R7 is substituted or unsubstituted aryl, substituted or unsubstituted heteroaryl, halo, or -CN.
[0163] In another aspect, the present disclosure is directed to a compound of Formula or a salt (e.g., a pharmaceutically acceptable salt) thereof, wherein R1 is
or unsubstituted phenyl; R3 is tert-butyl; Z is -N(R6)R6A; R6 is H; R6A is substituted or unsubstituted C1-C6 acyl, and R7 is substituted or unsubstituted heteroaryl or halo. In one such embodiment, R7 is a substituted or unsubstituted 5- or 6-membered heteroaryl, and R6A is - C(0)CH3. In one embodiment, R1 is unsubstituted phenyl, and R6A is -C(0)CH3.
[0164] In another aspect, the present disclosure is directed to a compound of Formula (II) or (Ila), or a salt (e.g., a pharmaceutically acceptable salt) thereof, wherein R1 is
; R3 is isopropyl; Z is ; R7 is substituted or unsubstituted heteroaryl or halo; R13 is -OR1 A or a C1-C6 alkyl; and R1 A is H or a C1-C6 alkyl. In one such embodiment, R7 is a substituted or unsubstituted 5- or 6-membered heteroaryl; R13 is -CH3 or -OR1 A; and R1 A is H or -CH3. In one such embodiment, R7 is halo; R13 is -CH3 or -OR1 A; and R1 A is H or -CH3.
[0165] In one embodiment, the VHL ligand is a compound of Formula (II) or (Ila), or a salt (e.g., a pharmaceutically acceptable salt) thereof, and has a structure selected from the group consisting of those structures in Table 5.
Table 5: VHL ligands
No.
(2S,4R)-N-(tert-butoxy)-4- hydroxy-l-((S)-3-methyl-2-
113c (3-methylisoxazol-5- yl)butanoyl)pyrrolidine-2- carboxamide
HO
114 N-((6-chloronaphthalen-2- yl)oxy)-4-hydroxy-l-(3- methyl-2-(3- methylisoxazol-5- yl)butanoyl)pyrrolidine-2- N¾/ carboxamide
HO (4R)-N-((6- chloronaphthalen-2- yl)oxy)-4-hydroxy-l-(3-
114a methyl-2-(3- methylisoxazol-5- N¾/ yl)butanoyl)pyrrolidine-2- carboxamide
HO (2S,4R)-N-((6- chloronaphthalen-2- yl)oxy)-4-hydroxy-l-(3-
114b methyl-2-(3- methylisoxazol-5- N¾/ yl)butanoyl)pyrrolidine-2- carboxamide
HO (2R,4R)-N-((6- chloronaphthalen-2- yl)oxy)-4-hydroxy-l-(3-
114c / Q. » methyl-2-(3- methylisoxazol-5-
No.
(2S,4R)-4-hydroxy-N-((2- methy 1- 1 -oxo- 1,2- dihydroisoquinolin-6-
115a yl)oxy)-l-(3-methyl-2-(3- methylisoxazol-5-
A yl)butanoyl)pyrrolidine-2- carboxamide
(2S,4R)-4-hydroxy-N-((2- methy 1- 1 -oxo- 1,2- dihydroisoquinolin-6-
115b yl)oxy)-l-((R)-3-methyl-2-
(2S,4R)-4-hydroxy-N-((2- methy 1- 1 -oxo- 1,2- dihydroisoquinolin-6-
115c yl)oxy)-l-((S)-3-methyl-2-
(3-methylisoxazol-5- yl)butanoyl)pyrrolidine-2- carboxamide
HO
N-((6-fluoronaphthalen-2- yl)oxy)-4-hydroxy-l-(3- methyl-2-(3-
116
methylisoxazol-5- yl)butanoyl)pyrrolidine-2- carboxamide
HO
(2S,4R)-N-((6- fluoronaphthalen-2-yl)oxy)- 4-hydroxy-l -(3-methyl-2-
116a
Compound names were auto-generated using ChemDraw® software version 15.0.0.106 or 17.0.0.206.
[0166] As discussed herein, the VHL ligands of the present disclosure may be derivatized, e.g., by coupling the VHL ligand directly or via a chemical linker to a protein binding moiety to form a PROTAC, as discussed elsewhere herein.
[0167] The VHL ligand and PB moiety ("D") may be covalently linked to one another and/or to the linker group through any group which is appropriate and stable to the chemistry of the linker. In certain embodiments, and as detailed herein, the linker may be independently covalently bonded to the VHL ligand and the PB moiety through an amide, ester, thioester, keto group, carbamate (urethane), carbon or ether, among others, each of which groups may be inserted anywhere on the VHL ligand and PB moiety to provide maximum binding of the VHL ligand on the VHL ubiquitin ligase and the PB moiety on the target protein to be degraded. In certain aspects, the linker may be linked to a substituted or unsubstituted alkyl group, substituted or unsubstituted alkenyl group, substituted or unsubstituted alkynyl group, substituted or unsubstituted aryl group, or to a substituted or unsubstituted heterocyclic group on the VHL ligand and/or PB moiety.
[0168] In one particular embodiment, a linker and PB moiety ("-L-D") are linked to a VHL ligand of Formula (II) or (Ila), or a salt (e.g., a pharmaceutically acceptable salt) thereof, through the Z substituent to form a PROTAC. In one such embodiment, the resulting PROTAC has a structure of Formula (I) or (la) or a pharmaceutically acceptable salt thereof.
[0169] In another embodiment, a linker and PB moiety ("-L-D") are linked to a VHL ligand of Formula (II) or (Ila), or a salt (e.g., a pharmaceutically acceptable salt) thereof, through the R1 substituent to form a PROTAC. For example, R1 may be an alkyl, cycloalkyl, aryl, heterocyclyl, or heteroaryl that is substituted with a substituent suitable for linker attachment. Altematively, the R1 substituent may be further modified to introduce a substituent suitable for linker attachment (e.g., introducing a hydroxyl group to a phenyl). Examples of VHL ligands of the present disclosure that may be derivatized at the R1 position to attach a linker and PB moiety ("-L-D") include the following:
112
and . It is to be understood that these structures are exemplary, and other structures or compounds illustrated in the tables set forth herein that contain a suitable R1 substituent may be linked to a linker and PB moiety ("-L- D") at the R1 position, or alternately, may be modified at the R1 substituent to introduce a substituent suitable for linker attachment.
[0170] In the above embodiments, the linker group L may be any linker group as described hereinafter. In the above embodiments, the PB moiety ("D") may be any protein binding moiety as described hereinafter.
2. Protein Binding (PB) Moiety ("D")
[0171] The PB moiety ("D") is a group which binds to a target protein intended to be degraded. The term "protein" includes oligopeptides and polypeptide sequences of sufficient length that they can bind to a PB moiety. Any protein in a eukaryotic system or a microbial system, including a virus, bacteria or fungus, as otherwise described herein, are targets for ubiquitination mediated by the compounds described herein. In some embodiments, the target protein may be a eukaryotic protein.
[0172] PB moieties include, for example, any moiety which binds to a protein specifically (binds to a target protein) and includes the following non-limiting examples of small molecule target protein moieties: heat shock protein 90 (Hsp90) inhibitors, kinase inhibitors and phosphatase inhibitors, MDM2 inhibitors, compounds targeting Human BET Bromodomain- containing proteins, HDAC inhibitors, human lysine methyltransferase inhibitors, angiogenesis inhibitors, immunosuppressive compounds, RAS inhibitors, EGFR inhibitors, and BRM inhibitors, as well as compounds that bind to the aryl hydrocarbon receptor (AHR), RAF receptor kinase, FKBP, Androgen Receptor (AR), estrogen receptor (ER), thyroid hormone receptor, HIV protease, HIV integrase, HCV protease, acyl-protein thioesterase-1 and -2 (APT1 and APT2), USP7, and BRG1, among numerous others. The compositions described below exemplify some of the members of these types of small molecule target protein binding moieties. Such small molecule target protein binding moieties also include pharmaceutically acceptable salts, enantiomers, solvates and polymorphs of these compositions, as well as other small molecules that may target a protein of interest. These protein binding moieties are linked to the VHL ligand moiety through a linker, in order to present a target protein (to which the protein binding moiety is bound) in proximity to the ubiquitin ligase for ubiquitination and degradation.
[0173] Any protein, which can bind to a PB moiety and can be acted on or degraded by a ubiquitin ligase may be a target protein. In general, target proteins may include, for example, structural proteins, receptors, enzymes, cell surface proteins, proteins pertinent to the integrated function of a cell, including proteins involved in catalytic activity, proteins involved in aromatase activity, proteins involved in motor activity, proteins involved in helicase activity,
proteins involved in metabolic processes (anabolism and catabolism), proteins involved in antioxidant activity, proteins involved in proteolysis, proteins involved in biosynthesis, proteins with kinase activity, proteins with oxidoreductase activity, proteins with transferase activity, proteins with hydrolase activity, proteins with lyase activity, proteins with isomerase activity, proteins with ligase activity, proteins with enzyme regulator activity, proteins with signal transducer activity, proteins with structural molecule activity, proteins with binding activity (protein, lipid carbohydrate), proteins with receptor activity, proteins with cell motility, membrane fusion proteins, cell communication proteins, proteins involved in regulation of biological processes, proteins that regulate development, proteins that regulate cell differentiation, proteins that regulate response to stimulus, behavioral proteins, cell adhesion proteins, proteins involved in cell death, proteins involved in transport (including protein transporter activity, proteins involved in nuclear transport, proteins involved in ion transporter activity, proteins involved in channel transporter activity, proteins involved in carrier activity, proteins involved in permease activity, proteins involved in secretion activity, proteins involved in electron transporter activity, proteins involved in pathogenesis, proteins involved in chaperone regulator activity, proteins involved in nucleic acid binding activity, proteins involved in transcription regulator activity, proteins involved in extracellular organization and biogenesis activity, proteins involved in translation regulator activity, and proteins involved in deubiquitinase activity. Proteins of interest can include proteins from eukaryotes and prokaryotes including humans as targets for drug therapy, other animals, including domesticated animals, microbials for the determination of targets for antibiotics and other antimicrobials and plants, and even viruses, among numerous others.
[0174] Accordingly, the PB moiety of a PROTAC may be any peptide or small molecule that bind protein targets such as FoxOl, HDAC, DP-1, E2F, ABL, AMPK, BRK, BRSK I, BRSK2, BTK, CAMKK1, CAMKK alpha, CAMKK beta, Rb, Suv39HI, SCF, pl9INK4D, GSK-3, pi 8 INK4, myc, cyclin E, CDK2, CDK9, CDG4/6, Cycline D, pl6 INK4A, cdc25A, BMI1, Akt, CHKl/2, C 1 delta, CK1 gamma, C 2, CLK2, CSK, DDR2, DYRK1 A/2/3, EF2K, EPH-A2/A4/B1/B2/B3/B4, EIF2A 3, Smad2, Smad3, Smad4, Smad7, p53, p21 Cipl, PAX, Fyn, CAS, C3G, SOS, Tal, Raptor, RACK-1, CRK, Rapl, Rac, KRas, NRas, HRas, GRB2, FAK, PI3K, spred, Spry, mTOR, MPK, LKB1, PAK 1/2/4/5/6, PDGFRA, PYK2, Src, SRPK1, PLC, PKC, PKA, PKB alpha/beta, PKC alpha/gamma/zeta, PKD, PLK1, PRAK, PRK2, WAVE- 2, TSC2, DAPK1, BAD, IMP, C-TAK1, TAK1, TAOl, TBK1, TESK1, TGFBR1, TIE2, TLK1, TrkA, TSSK1, TTBK1/2, TTK, Tpl2/cotl, MEK1, MEK2, PLDL Erkl, Erk2, Erk5, Erk8,
p90RSK, PEA-15, SRF, p27 KIP1, TIF la, HMGN1, ER81, MKP-3, c-Fos, FGF-R1, GCK, GSK3 beta, HER4, HIPK1/2/3/, IGF-1R, cdc25, UBF, LAMTOR2, Statl, StaO,CREB, JAK, PTEN, NF-kappaB, HECTH9, Bax, HSP70, HSP90, Apaf-1, Cyto c, BCL-2, Bcl-xL, Smac, XIAP, Caspase-9, Caspase-3, Caspase-6, Caspase-7, CDC37, TAB, IKK, TRADD, TRAF2, R1P1, FLIP, JNK1/2/3, Lck, A-Raf, B-Raf, C-Raf, MOS, MLK1/3, MN 1/2, MSK1, MST2/3/4, MPSK1, MEKK1 , ME K4, MEL , ASK1, MINK1 , MKK 1 /2/3/4Λ5/7, NE 2a/6/7, NUAK1, OSR1, SAP , STK33, Syk, Lyn, PDK1, PHK, PIM 1/2/3, Ataxin- 1, mTORCl, MDM2, p21 Wail , Cyclin Dl, Lamln A, Tpl2, Myc, catenin, Wnt, IKK-beta, IKK- gamma, IKK-alpha, IKK- epsilon, ELK, p65RelA, IRAKI, IRA 2, IRAK4, IRR, FADD, TRAF6, TRAF3, MKK3, MKK6, ROCK2, RSK1/2, SGK 1, SmMLCK, SIK2/3, ULK1/2, VEGFR1, WNK 1 , YES1, ZAP70, MAP4K3, MAP4K5, MAPKlb, MAPKAP-K2 K3, p38 alpha beta/delta gamma MAPK, Aurora A, Aurora B, Aurora C, MCAK, Clip, MAPKAPK, MARK 1 /2/3/4, Mucl , SHC, CXCR4, Gap- 1, beta-catenin/TCF, Cbl, BRM, Mcl-1, BRD2, BRD3, BRD4, AR, RAS, ErbB3, EGFR, IRE1, HPKl, RIPK2, and ERa, including variants, mutations, splice variants, indels and fusions of these target proteins listed. Other examples of protein targets include Ras proteins, P13K, Ral- GDS, H-Ras, N-Ras, KRas4A, K-Ras4B, BRG1, RAF, BRAF, CRAF, and BET. In one embodiment, the protein target is selected from the group consisting of EGRF, RAS, BRM, BRG1, MDM2, RAF (BRAF and CRAF), BET, and USP7.
[0175] A number of drug targets for human therapeutics also represent protein targets to which a protein binding moiety may be bound and incorporated into compounds according to the present disclosure. These include proteins which may be used to restore function in numerous polygenic diseases, including for example B7.1 and B7, TINFRlm, TNFR2, NADPH oxidase, BclIBax and other partners in the apotosis pathway, C5a receptor, HMG-CoA reductase, PDE V phosphodiesterase type, PDE IV phosphodiesterase type 4, PDE I, PDEII, PDEIII, squalene cyclase inhibitor, CXCR1, CXCR2, nitric oxide (NO) synthase, cyclo-oxygenase 1, cyclo- oxygenase 2, 5HT receptors, dopamine receptors, G Proteins, i.e., Gq, histamine receptors, 5- lipoxygenase, tryptase serine protease, thymidylate synthase, purine nucleoside phosphorylase, GAPDH trypanosomal, glycogen phosphorylase, Carbonic anhydrase, chemokine receptors, JAW STAT, RXR and similar, HIV 1 protease, HIV 1 integrase, influenza, neuramimidase, hepatitis B reverse transcriptase, sodium channel, multi drug resistance (MDR), protein P- glycoprotein (and MRP), tyrosine kinases, CD23, CD124, tyrosine kinase p56 lck, CD4, CD5, IL-2 receptor, IL-1 receptor, TNF-aR, ICAM1, Cat+ channels, VCAM, VLA-4 integrin, selectins, CD40/CD40L, newokinins and receptors, inosine monophosphate dehydrogenase, p38
MAP Kinase, RaslRaflMEWERK pathway, interleukin-1 converting enzyme, caspase, HCV, NS3 protease, HCV NS3 RNA helicase, glycinamide ribonucleotide formyl transferase, rhinovirus 3C protease, herpes simplex virus-1 (HSV-I), protease, cytomegalovirus (CMV) protease, poly (ADP-ribose) polymerase, cyclin dependent kinases, vascular endothelial growth factor, oxytocin receptor, microsomal transfer protein inhibitor, bile acid transport inhibitor, 5 alpha reductase inhibitors, angiotensin 11, glycine receptor, noradrenaline reuptake receptor, endothelin receptors, neuropeptide Y and receptor, estrogen receptors, androgen receptors, adenosine receptors, adenosine kinase and AMP deaminase, purinergic receptors (P2Y1, P2Y2, P2Y4, P2Y6, P2X1-7), famesyltransferases, geranylgeranyl transferase, TrkA a receptor for NGF, beta-amyloid, tyrosine kinase Flk-IIKDR, vitronectin receptor, integrin receptor, Her-21 neu, telomerase inhibition, cytosolic phospholipaseA2 and EGF receptor tyrosine kinase. Additional protein targets include, for example, ecdysone 20-monooxygenase, ion channel of the GABA gated chloride channel, acetylcholinesterase, voltage-sensitive sodium channel protein, calcium release channel, and chloride channels. Still further target proteins include Acetyl-CoA carboxylase, adenylosuccinate synthetase, protoporphyrinogen oxidase, and enolpyruvylshikimate-phosphate synthase.
[0176] Haloalkane dehalogenase enzymes are another target of specific compounds according to the present disclosure. Compounds according to the present disclosure which contain chloroalkane peptide binding moieties (C1-C12 often about C2-C10 alkyl halo groups) may be used to inhibit and/or degrade haloalkane dehalogenase enzymes which are used in fusion proteins or related dioagnostic proteins as described in WO 2012/078559, the contents of which is incorporated by reference herein.
[0177] In still other embodiments, the PB moiety is a haloalkyl group, wherein said alkyl group generally ranges in size from about 1 or 2 carbons to about 12 carbons in length, often about 2 to 10 carbons in length, often about 3 carbons to about 8 carbons in length, more often about 4 carbons to about 6 carbons in length. The haloalkyl groups are generally linear alkyl groups (although branched-chain alkyl groups may also be used) and are end-capped with at least one halogen group, preferably a single halogen group, often a single chloride group. Haloalkyl PB moieties for use in the present disclosure may be represented by the chemical structure-(CH2)v-Halo where v is any integer from 2 to about 12, often about 3 to about 8, more often about 4 to about 6. Halo may be any halogen, but is preferably CI or Br, more often CI.
[0178] In still other embodiments, the PB moiety has the structure
, where w is 0 to 3, preferably 1 or 2. This group binds selectively to estrogen receptors and is useful for treating diseases which are modulated through estrogen receptors, and in particular cancers, such as breast cancer, endometrial cancer, ovarian cancer and uterine cancer, among others.
[0179] The compositions described below exemplify some of the members of these types of small molecule target protein binding moieties. Such small molecule target protein binding moieties also include pharmaceutically acceptable salts, enantiomers, solvates and polymorphs of these compositions, as well as other small molecules that may target a protein of interest. References which are cited hereinbelow are incorporated by reference herein in their entirety.
Heat Shock Protein 90 (HSP90) Inhibitors
[0180] HSP90 inhibitors as used herein include, but are not limited to:
[0181] 1. The HSP90 inhibitors identified in Vallee, et al, "Tricyclic Series of Heat Shock Protein 90 (HSP90) Inhibitors Part I: Discovery of Tricyclic Imidazo[4,5-C]Pyridines as Potent Inhibitors of the HSP90 Molecular Chaperone (2011) J.Med.Chem., 54: 7206, including YKB:
(N-[4-(3H-imidazo[4,5-C]pyridin-2-yl)-9H-fluoren-9-yl]-succinamide) derivatized where a linker group L or a -L-(VHL ligand moiety) group is attached via the terminal amide group;
[0182] 2. The HSP90 inhibitor p54 (modified):
8-[(2,4-dimethylphenyl)sulfanyl]-3-pent-4-yn-l -yl-3H-purin-6-amine
where a linker group L or a -L-(VHL ligand moiety) group is attached via the terminal acetylene group;
[0183] 3. The HSP90 inhibitors (modified) identified in Brough, et al, "4,5- Diarylisoxazole HSP90 Chaperone Inhibitors: Potential Therapeutic Agents for the Treatment of Cancer", J. Med. Chem., Vol: 51, p. : 196 (2008), including the compound 2GJ (5-[2,4-dihydroxy- 5-(l-methylethyl)phenyl]-N-ethyl-4-[4-(mo holin-4-ylmethyl)phenyl]isoxazole-3-carobxamide) having the structure:
(derivatized, where a linker group L or a -L-(VHL ligand moiety) group is attached via the amide group (at the amine or at the alkyl group on the amine));
[0184] 4. The HSP90 inhibitors (modified) identified in Wright, et al, "Structure- Activity Relationships in Purine-Based Inhibitor Binding to HSP90 Isoforms," Chem Biol. 2004 Jun; l l(6):775-85, including the HSP90 inhibitor PU3 having the structure:
where a linker group L or -L-(VHL ligand moiety) is attached via the butyl group; and
[0185] 5. The HSP90 inhibitor Geldanamycin ((4E, 6Z,8S,9S, ΙΟΕ,12S,13R, S, 16R)- 13-hydroxy-8,14,19-trimethoxy-4,10,12,16-tetramethyl-3,20,22-trioxo-2-azabicyclo[16.3.1] (derivatized) or any of its derivatives (e.g. 17-alkylamino-17-desmethoxy geldanamycin (" 17- AAG") or 17-(2-dimethylaminoethyl)amino-17-desmethoxy geldanamycin (" 17-DMAG")) (derivatized, where a linker group L or -L-(VHL ligand moiety) group is attached via the amide group).
Kinase and Phosphatase Inhibitors
[0186] Kinase inhibitors as used herein include, but are not limited to:
[0187] 1. Erlotinib Derivative Tyrosine Kinase Inhibitor
where R is a linker group L or a -L-(VHL ligand moiety) group attached via the ether group; [0188] 2. The kinase inhibitor Sunitanib (derivatized):
(derivatized where R is a linker group L or a -L-(VHL ligand moiety) group attached to the pyrrole moiety);
[0189] 3. Kinase Inhibitor Sorafenib (derivatized)
(derivatized where R is a linker group L or a -L-(VHL ligand moiety) group attached to the phenyl moiety);
[0190] 4. The kinase inhibitor Desatinib (derivatized)
(derivatized where R is a linker group L or a -L-(VHL ligand moiety) group attached to the pyrimidine);
[0191] 5. The kinase inhibitor Lapatinib (derivatized)
derivatized where a linker group L or a -L-(VHL ligand moiety) group is attached via the terminal methyl of the sulfonyl methyl group;
[0192] 6. The kinase inhibitor U09-CX-5279 (Derivatized)
(derivatized where a linker group L or a -L-(VHL ligand moiety) group is attached via the amine (aniline), carboxylic acid or amine alpha to cyclopropyl group, or cyclopropyl group);
[0193] 7. The kinase inhibitors identified in Millan, et al, "Design and Synthesis of Inhaled P38 Inhibitors for the Treatment of Chronic Obstructive Pulmonary Disease," J. Med. Chem., Vol:54, pag:7797 (2011), including the kinase inhibitors YIW and Y1X (Derivatized) having the structures:
YIX l-ethyl-3-(2- {[3-(l-methylethyl)[l,2,4]triazolo[4,3-a]pyridin-6-yl]sulfanyl}benzyl)urea
(derivatized where a linker group L or a -L-(VHL ligand moiety) group is attached preferably via the propyl group);
YIW
l -(3 ert-butyl-l-phenyl-lH-pyrazol-5-yl)-3 2-{ [3-(l-methylethyl)[l,2,4]triazolol[4,3-a]pyridin-
6-y 1] sulfanyl } benzy l)urea
(derivatized where a linker group L or a -L-(VHL ligand moiety) group is attached preferably via either the propyl group or the butyl group);
[0194] 8. The kinase inhibitors identified in Schenkel, et al, "Discovery of Potent and Highly Selective Thienopyridine Janus Kinase 2 Inhibitors", J. Med. Chem., 2011 , 54 (24), pp 8440-8450, including the compounds 6TP and OTP (derivatized) having the structures:
6TP
4-andno-2-[4-(tert-butylsulfamoyl)phenyl]-N-methylthieno[3,2-c]pyridine-7-carboxamide
Thienopyridine
(derivatized where a linker group L or a -L-(VHL ligand moiety) group is attached preferably via the terminal methyl group bound to amide moiety);
4-amino-N-methyl-2-[4-(morpholin-4-yl)phenyl]thieno[3,2-c]pyridine-7-carboxamide
Thienopyridine
(derivatized where a linker group L or a -L-(VHL ligand moiety) group is attached preferably via the terminal methyl group bound to amide moiety);
[0195] 9. The kinase inhibitors identified in Van Eis, et al., "2,6-Naphthyridines as potent and selective inhibitors of the novel protein kinase C isozymes", Biorg. Med. Chem. Lett., 2011 Dec 15;21(24):7367-72, including the kinase inhibitor 07U having the structure:
07U
2-methyl-N~l~-[3-(pyridin-4-yl)-2,6-naphthyridin-l-yl]propane-l,2-di amine
(derivatized where a linker group L or a -L-(VHL ligand moiety) group is attached preferably via the secondary amine or terminal amino group);
[0196] 10. The kinase inhibitors identified in Lountos, et al, "Structural Characterization of Inhibitor Complexes with Checkpoint Kinase 2 (Chk2), a Drug Target for Cancer Therapy", J. Struct. Biol, Vol: 176, p.:292 (2011), including the kinase inhibitor YCF having the structure:
(derivatized where a linker group L or a -L-(VHL ligand moiety) group is attached preferably via either of the terminal hydroxyl groups);
[0197] 11. The kinase inhibitors identified in Lountos, et al, "Structural Characterization of Inhibitor Complexes with Checkpoint Kinase 2 (Chk2), a Drug Target for Cancer Therapy", J. Struct. Biol , Vol: 176, p. : 292 (2011), including the kinase inhibitors XK9 and NXP (derivatized) having the structures:
XK9
N-(4-[(lE)-N-(K-hydroxycarbamimidoyl)ethanehydrazonoyl]phenyl)-7-nitro-lH-ind
carboxamide
N-(4-[(lE)-N-carbamimidoylethanehydrazonoyl]phenyl)-lH-indole-3-carboxamide
(derivatized where a linker group L or a -L-(VHL ligand moiety) group is attached preferably via the terminal hydroxyl group (XK9) or the hydrazine group (NXP));
[0198] 12. The kinase inhibitor Afatinib (derivatized) (N-[4-[(3-Chloro-4- fluorophenyl)amino] -7- [ [(3 S)-tetrahy dro-3-furany 1] oxy ] -6-quinazoliny 1] -4(dimethy lamino)-2- butenamide) (derivatized where a linker group L or a-L-(VHL ligand moiety) group is attached preferably via the aliphatic amine group);
[0199] 13. The kinase inhibitor Fostamatinib (derivatized) ([6-({5-fluoro-2-[(3,4,5- trimethoxyphenyl)amino]pyrirnidin-4-yl} amino)-2,2-dimethyl-3-oxo-2,3-dihydro-4H- pyrido[3,2-b]-l,4-oxazin-4-yl]methyl disodium phosphate hexahydrate) (derivatized where a linker group L or a -L-(VHL ligand moiety) group is attached preferably via a methoxy group);
[0200] 14. The kinase inhibitor Gefitinib (derivatized) (N-(3-chloro-4-fluoro-phenyl)- 7-methoxy-6-(3-morpholin-4-ylpropoxy)quinazolin-4-amine) (derivatized where a linker group L or a -L-(VHL ligand moiety) group is attached preferably via a methoxy or ether group);
[0201] 15. The kinase inhibitor Lenvatinib (derivatized) (4-[3-chloro-4- (cyclopropylcarbamoylamino)phenoxy]-7-methoxy-quinoline-6-carboxamide) (derivatized where a linker group L or a -L-(VHL ligand moiety) group is attached preferably via the cyclopropyl group);
[0202] 16. The kinase inhibitor Vandetanib (derivatized) (N-(4-bromo-2-fluorophenyl)- 6-methoxy-7-[(l -methylpiperidin-4-yl)methoxy]quinazolin-4-amine) (derivatized where a linker group L or a -L-(VHL ligand moiety) group is attached preferably via the methoxy or hydroxyl group);
[0203] 17. The kinase inhibitor Vemurafenib (derivatized) (propane- 1 -sulfonic acid {3- [5-(4-chlorophenyl)-lH-pyrrolo[2,3-b]pyridine-3-carbonyl]-2,4-difluoro-phenyl} -amide) (derivatized where a linker group L or a -L-(VHL ligand moiety) group is attached preferably via the sulfonyl propyl group);
[0204] 18. The kinase inhibitor Gleevee (derivatized):
(derivatized where R is a linker group L or a -L-(VHL ligand moiety) group is attached preferably via the amide group or via the aniline amine group);
[0205] 19. The kinase inhibitor Pazopanib (derivatized) (VEGFR3 inhibitor):
(derivatized where R is a linker group L or a -L-(VHL ligand moiety) group preferably attached to the phenyl moiety or via the aniline amine group);
[0206] 20. The kinase inhibitor AT-9283 (Derivatized) Aurora Kinase Inhibitor
(where R is a linker group L or a -L-(VHL ligand moiety) group attached preferably to the phenyl moiety);
[0207] 21. The kinase inhibitor TAE684 (derivatized) ALK inhibitor
(where R is a linker group L or a -L-(VHL ligand moiety) group attached preferably to the phenyl moiety);
[0208] 22. The kinase inhibitor Nilotanib (derivatized) Abl inhibitor:
(derivatized where R is a linker group L or a -L-(VHL ligand moiety) group attached preferably to the phenyl moiety or the aniline amine group);
[0209] 23. Kinase Inhibitor NVP-BSK805 (derivatized) JAK2 Inhibitor:
(derivatized where R is a linker group L or a -L-(VHL ligand moiety) group attached to the phenyl moiety or the diazole group);
[0210] 24. Kinase Inhibitor Crizotinib Derivatized Alk Inhibitor:
(derivatized where R is a linker group L or a -L-(VHL ligand moiety) group attached to the phenyl moiety or the diazole group);
[0211 ] 25. Kinase Inhibitor JNJ FMS (derivatized) Inhibitor:
(derivatized where R is a linker group L or a -L-(VHL ligand moiety) group attached preferably to the phenyl moiety);
[0212] 26. The kinase inhibitor Foretinib (derivatized) Met Inhibitor:
(derivatized where R is a linker group L or a -L-(VHL ligand moiety) group attached to the phenyl moiety or a hydroxyl or ether group on the quinoline moiety);
[0213] 27. The allosteric Protein Tyrosine Phosphatase Inhibitor PTP IB (derivatized):
(derivatized where a linker group L or a -L-(VHL ligand moiety) group is preferably attached at R, as indicated);
[0214] 28. The inhibitor of SHP-2 Domain of Tyrosine Phosphatase (derivatized):
(derivatized where a linker group L or a -L-(VHL ligand moiety) group is attached preferably at
R);
[0215] 29. The inhibitor (derivatized) of BRAF (BRAFV600E)/MEK:
(derivatized where a linker group L or a -L-(VHL ligand moiety) group is attached preferably at R); and
[0216] 30. Inhibitor (derivatized) of Tyrosine Kinase ABL:
(derivatized where "R" designates a site for attachment of a linker group L or a -L-(VHL ligand moiety) group on the piperazine moiety).
MDM2 Inhibitors
[0217] MDM2 inhibitors as used herein include, but are not limited to:
[0218] 1. The MDM2 inhibitors identified in Vassilev, et al, "In vivo activation of the p53 pathway by small-molecule antagonists of MDM2," Science, vol:303, p. :844-848 (2004), and Schneekloth, et al, "Targeted intracellular protein degradation induced by a small molecule: En route to chemical proteomics", Bioorg. Med. Chem. Lett., 18 (2008) 5904-5908, including (or additionally) the compounds nutlin-3, nutlin-2, and nutlin-1 (derivatized) as described below, as well as derivatives and analogs thereof:
(derivatized where a linker group L or a -L-(VHL ligand moiety) group is attached preferably at the methoxy group or as a hydroxyl group);
(derivatized where a linker group L or a -L-(VHL ligand moiety) group is attached preferably at the methoxy group or hydroxyl group);
(derivatized where a linker group L or a -L-(VHL ligand moiety) group is attached methoxy group or as a hydroxyl group);
[0219] 2. Trans-4-Iodo-4'-Boranyl-Chalcone
(derivatized where a linker group L or a -L-(VHL ligand moiety) group is attached via a hydroxy group); and
[0220] 3. The MDM2 inhibitors identified in Zhao, Y. "Small-Molecule Inhibitors of the MDM2-p53 Protein-Protein Interaction (MDM2 Inhibitors) in Clinical Trials for Cancer Treatment" J. Med. Chem. 2015, 58, 1038-1052, including but not limited to:
[0221] a. RG71 12
(derivatized such that a linker group L or a -L-(VHL ligand moiety) is attached);
[0222] b. RG7388
(derivatized such that a linker group L or a -L-(VHL ligand moiety) is attached);
[0223] c. MI-77301
(derivatized such that a linker group L or a -L-(VHL ligand moiety) is attached);
[0224] d. AMG 232
(derivatized such that a linker group L or a -L-(VHL ligand moiety) is attached);
[0225] e. PB12WK23
(derivatized such that a linker group L or a -L-(VHL ligand moiety) is attached);
[0226] f. MCL0527-3
(derivatized such that a linker group L or a -L-(VHL ligand moiety) is attached);
[0227] g. AM-8735
(derivatized such that a linker group L or a -L-(VHL ligand moiety) is attached);
[0228] h. R02468
(derivatized such that a linker group L or a -L-(VHL ligand moiety) is attached);
[0229] i. PB1 1
(derivatized such that a linker group L or a -L-(VHL ligand moiety) is attached);
[0230] j . AM-6761
(derivatized such that a linker group L or a -L-(VHL ligand moiety) is attached);
[0231] k. R05353
(derivatized such that a linker group L or a -L-(VHL ligand moiety) is attached);
[0232] R08994
(derivatized such that a linker group L or a -L-(VHL ligand moiety) is attached);
[0233] m.
(derivatized such that a linker group L or a -L-(VHL ligand moiety) is attached);
[0234] n.
(derivatized such that a linker group L or a -L-(VHL ligand moiety) is attached);
[0235] o.
(derivatized such that a linker group L or a -L-(VHL ligand moiety) is attached);
[0236] p.
(derivatized such that a linker group L or a -L-(VHL ligand moiety) is attached);
[0237] q.
(derivatized such that a linker group L or a -L-(VHL ligand moiety) is attached);
[0238] r.
(derivatized such that a linker group L or a -L-(VHL ligand moiety) is attached);
[0239] s.
(derivatized such that a linker group L or a -L-(VHL ligand moiety) is attached);
[0240] t.
(derivatized such that a linker group L or a -L-(VHL ligand moiety) is attached);
(derivatized such that a linker group L or a -L-(VHL ligand moiety) is attached);
[0242] v.
(derivatized such that a linker group L or a -L-(VHL ligand moiety) is attached);
[0243] w.
(derivatized such that a linker group L or a -L-(VHL ligand moiety) is attached); and [0244] x.
(derivatized such that a linker group L or a -L-(VHL ligand moiety) is attached).
Compounds Targeting Human BET Bromodomain-containing proteins
[0245] Compounds targeting Human BET Bromodomain-containing proteins include, but are not limited to the compounds associated with the targets as described below, where "R" designates a site for linker group L or a -L-(VHL ligand moiety) group attachment. For example:
[0246] 1.
JQ l, Filippakopoulos et al. "Selective inhibition of BET bromodomains," Nature (2010), 468, 1067-1073; Romero, et al, J. Med. Chem. 59, 1271-1298 (2016);
[0247] 2.
I-BET, Nicodeme et al, "Supression of Inflammation by a Synthetic Histone Mimic," Nature (2010), 468, 11 19-1 123; Chung et al, "Discovery and Characterization of Small Molecule Inhibitors of the BET Family Bromodomains," J. Med Chem. (201 1), 54, 3827-3838; Romero, et al, J. Med. Chem. 59, 1271-1298 (2016);
[0248] 3.
Hewings et al., "3,5-Dimethylisoxazoles Act as Acetyl-lysine Bromodomain Ligands," J. Med. Chem., (2011), 54, 6761 -6770;
[0249] 4.
I-BET151 , Dawson et al., "Inhibition of BET Recruitment to Chromatin as an Effective Treatment for MLL-fusion Leukemia," Nature (2011) 478, 529-523;
[0250] 5. The BET bromodomain inhibitors identified in Romero, et al, J. Med. Chem. 59, 1271-1298 (2016), including, but not limited to:
[0251] a. I-BET151
(derivatized such that a linker group L or a -L-(VHL ligand moiety) is attached); [0252] b. PFI-1
(derivatized such that a linker group L or a -L-(VHL ligand moiety) is attached); [0253] c. OTX015
(derivatized such that a linker group L or a -L-(VHL ligand moiety) is attached);
[0254] d.
(derivatized such that a linker group L or a -L-(VHL ligand moiety) is attached);
[0255] e.
(derivatized such that a linker group L or a -L-(VHL ligand moiety) is attached);
[0256] f.
(derivatized such that a linker group L or a -L-(VHL ligand moiety) is attached);
[0257] g.
(derivatized such that a linker group L or a -L-(VHL ligand moiety) is attached);
[0258] h.
(derivatized such that a linker group L or a -L-(VHL ligand moiety) is attached);
[0259] i.
(derivatized such that a linker group L or a -L-(VHL ligand moiety) is attached);
[0260] j.
(derivatized such that a linker group L or a -L-(VHL ligand moiety) is attached);
[0261] k.
(derivatized such that a linker group L or a -L-(VHL ligand moiety) is attached);
[0262] 1.
(derivatized such that a linker group L or a -L-(VHL ligand moiety) is attached);
[0263] m.
(derivatized such that a linker group L or a -L-(VHL ligand moiety) is attached);
[0264] n.
(derivatized such that a linker group L or a -L-(VHL ligand moiety) is attached);
[0265] o.
(derivatized such that a linker group L or a -L-(VHL ligand moiety) is attached);
[0266] p.
(derivatized such that a linker group L or a -L-(VHL ligand moiety) is attached);
[0267] q.
(derivatized such that a linker group L or a -L-(VHL ligand moiety) is attached);
[0268] r.
(derivatized such that a linker group L or a -L-(VHL ligand moiety) is attached);
[0269] s.
(derivatized such that a linker group L or a -L-(VHL ligand moiety) is attached);
[0270] t.
(derivatized such that a linker group L or a -L-(VHL ligand moiety) is attached);
[0271] u.
(derivatized such that a linker group L or a -L-(VHL ligand moiety) is attached);
[0272] v.
(derivatized such that a linker group L or a -L-(VHL ligand moiety) is attached);
[0273] w.
(derivatized such that a linker group L or a -L-(VHL ligand moiety) is attached);
[0274] x.
(derivatized such that a linker group L or a -L-(VHL ligand moiety) is attached);
[0275] y.
(derivatized such that a linker group L or a -L-(VHL ligand moiety) is attached);
[0276] z.
(derivatized such that a linker group L or a -L-(VHL ligand moiety) is attached);
[0277] aa.
(derivatized such that a linker group L or a -L-(VHL ligand moiety) is attached);
[0278] bb.
(derivatized such that a linker group L or a -L-(VHL ligand moiety) is attached);
[0279] cc.
(derivatized such that a linker group L or a -L-(VHL ligand moiety) is attached);
[0280] dd.
(derivatized such that a linker group L or a -L-(VHL ligand moiety) is attached);
[0281] ee.
(derivatized such that a linker group L or a -L-(VHL ligand moiety) is attached);
[0282] ff.
(derivatized such that a linker group L or a -L-(VHL ligand moiety) is attached);
[0283] gg.
(derivatized such that a linker group L or a -L-(VHL ligand moiety) is attached);
[0284] hh.
(derivatized such that a linker group L or a -L-(VHL ligand moiety) is attached); [0285] ii.
(derivatized such that a linker group L or a -L-(VHL ligand moiety) is attached);
[0286] jj.
(derivatized such that a linker group L or a -L-(VHL ligand moiety) is attached);
[0287] kk.
(derivatized such that a linker group L or a -L-(VHL ligand moiety) is attached);
[0288] 11.
(derivatized such that a linker group L or a -L-(VHL ligand moiety) is attached);
(derivatized such that a linker group L or a -L-(VHL ligand moiety) is attached);
[0290] nn.
(derivatized such that a linker group L or a -L-(VHL ligand moiety) is attached);
[0291] oo.
(derivatized such that a linker group L or a -L-(VHL ligand moiety) is attached);
[0292] pp. RVX-208
(derivatized such that a linker group L or a -L-(VHL ligand moiety) is attached);
[0293] qq. BI2536
(derivatized such that a linker group L or a -L-(VHL ligand moiety) is attached); [0294] rr. LY294002
(derivatized such that a linker group L or a -L-(VHL ligand moiety) is attached); and [0295] ss. LY303511
(derivatized such that a linker group L or a -L-(VHL ligand moiety) is attached); and
[0296] 6. The BET inhibitors identified in Ghoshal, et al, "BET inhibitors in cancer therapeutics: a patent review," Expert Opinion on Therapeutic Patents, 26:4, 505-522, (2016)) (hereinafter Ghoshal, et al. (2016)), including but not limited to:
[0297] a. TEN010
(derivatized such that a linker group L or a -L-(VHL ligand moiety) is attached);
[0298] b. CPI-0610
(derivatized such that a linker group L or a -L-(VHL ligand moiety) is attached);
[0299] c. Diazepines
(derivatized such that a linker group L or a -L-(VHL ligand moiety) is attached);
[0300] d. Pyrroles and Pyrazoles
(derivatized such that a linker group L or a -L-(VHL ligand moiety) is attached);
[0301] e. Isoxazoles
(derivatized such that a linker group L or a -L-(VHL ligand moiety) is attached);
[0302] f. Quinoline and quinazoline
(derivatized such that a linker group L or a -L-(VHL ligand moiety) is attached);
[0303] g. Oxazine
(derivatized such that a linker group L or a -L-(VHL ligand moiety) is attached);
Benzopiperazine
(derivatized such that a linker group L or a -L-(VHL ligand moiety) is attached);
[0305] i. MS436
(derivatized such that a linker group L or a -L-(VHL ligand moiety) is attached);
[0306] j . CPI-203
(derivatized such that a linker group L or a -L-(VHL ligand moiety) is attached);
[0307] k. Y803
(derivatized such that a linker group L or a -L-(VHL ligand moiety) is attached); and
[0308] 1. Benzodiazepine-based BET inhibitors reported in any one of Figures 1 or 4-27 of Ghoshal, et al. (2016) (derivatized such that a linker group L or a -L-(VHL ligand moiety) is attached).
HDAC Inhibitors
[0309] HDAC Inhibitors (derivatized) include, but are not limited to:
[0310] 1. Compounds as described in Finnin, M.S. et al, "Structures of a histone deacetylase homologue bound to the TSA and SAHA inhibitors," Nature, 401 , 188-193 (1999):
(derivatized where "R" designates a site for attachment of a linker group L or a -L-(VHL ligand moiety) group); and
[0311] 2. Compounds as defined by formula (I) of PCT Application WO 02/22577 ("DEACETYLASE INHIBITORS") (derivatized where a linker group L or a -L-(VHL ligand moiety) group is attached via the hydroxyl group).
Human Lysine Methyltransferase Inhibitors
[0312] Human Lysine Methyltransferase inhibitors include, but are not limited to:
[0313] 1.
(Chang, et al, "Structural basis for G9a-like protein lysine methyltransferase inhibition by BIX- 01294," Nat. Str. Mol. Biol. (2009), vol. 16, pp. 312-7) (derivatized where "R" designates a site for attachment of a linker group L or a -L-(VHL ligand moiety) group);
[0314] 2.
(Liu, et al, "Discovery of a 2,4-diamino-7-aminoalkoxyquinazoline as a potent and selective inhibitor of histone lysine methyltransferase G9a," J. Med. Chem., 2009, Vol. 52(24), pp. 7950- 3) (derivatized where "R" designates a potential site for attachment of a linker group L or a -L-(VHL ligand moiety) group);
[0315] 3. Azacitidine (derivatized) (4-amino-l- -D-ribofuranosyl-l,3,5-triazin-2(lH)- one) (derivatized where a linker group L or a -L-(VHL ligand moiety) group is attached via the hydroxy or amino groups); and
[0316] 4. Decitabine (derivatized) (4-amino-l-(2-deoxy-b-D-erythro- pentofuranosyl)- 1, 3, 5-triazin-2(lH)-one) (derivatized where a linker group L or a -L-(VHL ligand moiety) group is attached via either of the hydroxy groups or at the amino group).
Angiogenesis Inhibitors
[0317] Angiogenesis inhibitors include, but are not limited to:
[0318] 1. GA-1 (derivatized) and derivatives and analogs thereof, having the structure(s) and binding to linkers as described in Sakamoto, et al, "Development of Protacs to target cancer-promoting proteins for ubiquitination and degradation," Mol Cell Proteomics, 2003 Dec;2(12): 1350-8;
[0319] 2. Estradiol (derivatized), which may be bound to a linker group L or a -L-(VHL ligand moiety) group as is generally described in Rodriguez-Gonzalez, et al, "Targeting steroid hormone receptors for ubiquitination and degradation in breast and prostate cancer," Oncogene (2008) 27, 7201-7211;
[0320] 3. Estradiol, testosterone (derivatized) and related derivatives, including but not limited to DHT and derivatives and analogs thereof, having the structure(s) and binding to a linker group L or a -L-(VHL ligand moiety) group as generally described in Sakamoto, et al, "Development of Protacs to target cancer-promoting proteins for ubiquitination and degradation," Mol Cell Proteomics 2003 Dec; 2(12): 1350-8; and
[0321] 4. Ovalicin, fumagillin (derivatized), and derivatives and analogs thereof, having the structure(s) and binding to a linker group L or a -L-(VHL ligand moiety) group as is generally described in Sakamoto, et al, "Protacs: chimeric molecules that target proteins to the Skpl-Cullin-F box complex for ubiquitination and degradation," Proc Natl Acad Sci USA. 2001 Jul 17;98(15):8554-9 and United States Patent No.7,208,157.
Immunosuppressive Compounds
[0322] Immunosuppressive compounds include, but are not limited to:
[0323] 1. AP21998 (derivatized), having the structure(s) and binding to a linker group L or a -L-(VHL ligand moiety) group as is generally described in Schneekloth, et al, "Chemical Genetic Control of Protein Levels: Selective in Vivo Targeted Degradation," J. Am. Chem. Soc. 2004, 126, 3748-3754;
[0324] 2. Glucocorticoids (e.g., hydrocortisone, prednisone, prednisolone, and methylprednisolone) (derivatized where a linker group L or a-L-(VHL ligand moiety) group is
to bound, e.g. to any of the hydroxyls) and beclomethasone dipropionate (derivatized where a linker group or a -L-(VHL ligand moiety) is bound, e.g. to a proprionate);
[0325] 3. Methotrexate (derivatized where a linker group or a-L-(VHL ligand moiety) group can be bound, e.g. to either of the terminal hydroxyls);
[0326] 4. Ciclosporin (derivatized where a linker group or a-L-(VHL ligand moiety) group can be bound, e.g. at any of the butyl groups);
[0327] 5. Tacrolimus (FK-506) and rapamycin (derivatized where a linker group L or a -L-(VHL ligand moiety) group can be bound, e.g. at one of the methoxy groups); and
[0328] 6. Actinomycins (derivatized where a linker group L or a -L-(VHL ligand moiety) group can be bound, e.g. at one of the isopropyl groups).
Compounds targeting the aryl hydrocarbon receptor (AHR)
[0329] Compounds targeting the aryl hydrocarbon receptor (AHR) include, but are not limited to:
[0330] 1. Apigenin (derivatized in a way which binds to a linker group L or a -L-(VHL ligand moiety) group as is generally illustrated in Lee, et al, "Targeted Degradation of the Aryl Hydrocarbon Receptor by the PROTAC Approach: A Useful Chemical Genetic Tool," Chem. BioChem., Volume 8, Issue 17, pages 2058-2062, November 23, 2007); and
[0331] 2. SRI and LGC006 (derivatized such that a linker group L or a -L-(VHL ligand moiety) is bound), as described in Boitano, et al, "Aryl Hydrocarbon Receptor Antagonists Promote the Expansion of Human Hematopoietic Stem Cells," Science 10 September 2010: Vol.329 no.5997 pp.1345-1348.
Compounds targeting RAF Receptor (Kinase)
(derivatized where "R" designates a site for linker group L or -L-(VHL ligand moiety) group attachment);
[0334] 2. The B-Raf inhibitors identified in Huang, T. et al "B-Raf and the inhibitors: from bench to bedside" Journal of Hematology and Oncology 2013, including but not limited to:
[0335] a. Sorafenib
(derivatized such that a linker group L or a -L-(VHL ligand moiety) is attached); [0336] b. RAF265
(derivatized such that a linker group L or a -L-(VHL ligand moiety) is attached);
[0337] c. GDC0879
(derivatized such that a linker group L or a -L-(VHL ligand moiety) is attached); and [0338] d. Dabrafenib
(derivatized such that a linker group L or a -L-(VHL ligand moiety) is attached);
[0339] 3. The RAF inhibitors described in WO 2015/075483, including but not limited to, the compounds having the structure set forth on page 31 of WO 2015/075483, as defined therein, (derivatized such that a linker group L or a -L-(VHL ligand moiety) is attached); and
[0340] 4. The RAF inhibitors described in Nishiguchi, et al., "Design and Discovery of N-(2-methyl-5 '-morpholino-6'-((tetrahydro-2H-pyran-4-yl)oxy)-[3,3 '-bipyridin]-5-yl)-3- (trifluoromethyl)benzamide: A potent, selective and efficacious RAF inhibitor targeting RAS mutant cancers," J. Med. Chem., 2017, 60, 4869-4881, including, but not limited to:
[0341] a. LY3009120
[0342] b. RAF709
(derivatized such that a linker group L or a -L-(VHL ligand moiety) is attached).
Compounds Targeting 1 P
[0343] Compounds targeting FKBP include, but are not limited to:
(derivatized where "R" designates a site for a linker group L or a -L-(VHL ligand moiety) group attachment).
Compounds Targeting Androgen Receptor (AR)
[0344] 1. RU59063 Ligand (derivatized) of Androgen Receptor
(derivatized where "R" designates a site for a linker group L or a -L-(VHL ligand moiety) group attachment):
[0345] 2. SARM Ligand (derivatized) of Androgen Receptor
(derivatized where" R" designates a site for a linker group L or a -L-(VHL ligand moiety) group attachment);
[0346] 3. Androgen Receptor Ligand DHT (derivatized)
(derivatized where "R" designates a site for a linker group L or -L-(VHL ligand moiety) group attachment):
[0347] 4. MDV3100-like Ligand (derivatized)
where R designates a linker group L or a -L-(VHL ligand moiety) group; [0348] 5. ARN-509-like Ligand (derivatized)
where R designates a linker group L or a -L-(VHL ligand moiety) group; [0349] 6. Hexahydrobenzisoxazoles
where R designates a linker group L or a -L-(VHL ligand moiety) group; and [0350] 7. Tetramethylcyclobutanes
where R designates a linker group L or a -L-(VHL ligand moiety) Compounds Targeting Estrogen Receptor (ER) ICI- 182780
[0351 ] 1. Estrogen Receptor Ligand
(derivatized where "R" designates a site for linker group L or -L-(VHL ligand moiety) group attachment).
Compounds Targeting Thyroid Hormone Receptor (TR)
[0352] Thyroid Hormone Receptor Ligand (derivatized)
(derivatized where "R" designates a site for linker group L or -L-(VHL ligand moiety) group attachment and MOMO indicates a methoxymethoxy group).
Compounds targeting HIV Protease
[0353] 1. Inhibitor of HIV Protease (derivatized)
(derivatized where "R" designates a site for linker group L or -L-(VHL ligand moiety) group attachment). See, J. Med. Chem., 2010, 53, 521-538; and
[0354] 2. Inhibitor of HIV Protease
(derivatized where "R" designates a potential site for linker group L or -L-(VHL ligand moiety) group attachment). See, J. Med. Chem. 2010, 53, 521 -538.
Compounds targeting HIV Integrase
[0355] 1. Inhibitor of HIV Integrase (derivatized)
(derivatized where "R" designates a site for linker group L or -L-(VHL ligand moiety) group attachment). See, J. Med. Chem. 2010, 53, 6466; and
[0356] 2. Inhibitor of HIV Integrase (derivatized)
(derivatized where "R" designates a site for linker group L or -L-(VHL ligand moiety) group attachment). See, J. Med. Chem., 2010, 53, 6466.
Compounds targeting HCV Protease
[0357] Inhibitors of HCV Protease (derivatized)
(derivatized where "R" designates a site for linker group L or -L-(VHL ligand moiety) group attachment).
Compounds targeting Acyl-protein Thioesterase-1 and -2 (APT1 and APT2)
[0358] Inhibitor of APT1 and APT2 (derivatized)
(derivatized where" R" designates a site for linker group L or-L-(VHL ligand moiety) group attachment). See, Angew. Chem. Int. Ed. 2011, 50, 9838- 9842, where L is a linker group as otherwise described herein and said VHL ligand moiety is as otherwise described herein such that -L-(VHL ligand moiety) binds the VHL ligand moiety to a protein binding moiety as otherwise described herein.
RAS Family Inhibitors
[0359] RAS family inhibitors used herein include, but are not limited to:
[0360] 1. The RAS inhibitors identified in (Spiegel, J. et al "Small-molecule modulation of Ras signaling" Nature Chemical Biology 2014, 10, 613-622):
[0361] a. SCH53239
(derivatized such that a linker group L or -L-(VHL ligand moiety) is attached);
[0362] b. SCH53239 Sulindac Sulfide
(derivatized such that a linker group L or a-L-(VHL ligand moiety) is attached);
[0363] c. VSA9
(derivatized such that a linker group L or a -L-(VHL ligand moiety) is attached);
[0364] d. AA12
(derivatized such that a linker group L or a -L-(VHL ligand moiety) is attached);
[0365] e. MCP110
(derivatized such that a linker group L or a -L-(VHL ligand moiety) is attached);
[0366] f. Kobe0065
(derivatized such that a linker group L or a -L-(VHL ligand moietv ) is attached); and
[0367] g. Kobe2602
(derivatized such that a linker group L or a -L-(VHL ligand moiety) is attached); and
[0368] 2. The RAS inhibitors disclosed in WO 2014/143659, including the compounds of Formulas (I) and (II) in WO 2014/143659 (derivatized such that a linker group L or a -L-(VHL ligand moiety) is attached).
EGFR Family Inhibitors
[0369] EGFR family inhibitors used herein include, but are not limited to:
[0370] 1. The EGFR tyrosine kinase inhibitors (TKIs) identified in Jia et al "Overcoming EGFR(T790M) and EGFR(C797S) resistance with mutant-selective allosteric inhibitors" Nature 2016, 534, 129-132, such as EAI045
(derivatized such that a linker group L or a -L-(VHL ligand moiety) is attached); and
[0371] 2. The EGFR tyrosine kinase inhibitors (TKIs) inhibitors identified in Wang et. al "Next-generation EGFR/HER tyrosine kinase inhibitors for the treatment of patients with non-small-cell lung cancer harboring EGFR mutations: a review of the evidence" OncoTargets and Therapy, Vol. 9 p. 5461-5473, including but not limited to:
[0372] a. Getfitinib
(derivatized such that a linker group L or a -L-(VHL ligand moiety) is attached);
[0373] b. Erlotinib
[0374] c. Afatinib
(derivatized such that a linker group L or a -L-(VHL ligand moiety) is attached);
[0375] d. Dacomitinib
(derivatized such that a linker group L or a -L-(VHL ligand moiety) is attached);
[0376] e. Neratinib
(derivatized such that a linker group L or a -L-(VHL ligand moiety) is attached);
(derivatized such that a linker group L or a -L-(VHL ligand moiety) is attached); and [0378] g. Rociletinib
(derivatized such that a linker group L or a -L-(VHL ligand moiety) is attached). BRM/BRG Family Inhibitors
[0379] BRM family inhibitors used herein include, but are not limited to, the BRM tyrosine kinase inhibitors (TKIs) inhibitors identified in Gerstenberger, BS. et al "Identification of a Chemical Probe for Family VIII Bromodomains through Optimization of a Fragment Hit" J.
Med. Chem. 2016, 59, 4800-481 1, such as:
[0380]
(derivatized such that a linker group L or a -L-(VHL ligand moiety) group is attached).
[0381] BRG/BRG1 family inhibitors used herein include but are not limited to the BRG/BRG1 inhibitors described in WO 2016/138114A1 (e.g., in Formula (I) of WO 2016/138114A1) (derivatized such that a linker group L or a -L-(VHL ligand moiety) group is attached).
USP7 Family Inhibitors
[0382] USP7 family inhibitors used herein include but are not limited to the USP7 inhibitors as defined in Formula (I) of US Patent Application No. 2016/0185785A1 (derivatized such that a linker group L or a -L-(VHL ligand moiety) groupis attached).
[0383] The term "target protein" is used to describe a protein or polypeptide, which is a target for binding to a compound according to the present disclosure and degradation by ubiquitin ligase hereunder. Such small molecule target protein binding moieties also include pharmaceutically acceptable salts, enantiomers, solvates and polymorphs of these compositions, as well as other small molecules that may target a protein of interest. These binding moieties are linked to VHL ligand moieties through linker groups L.
[0384] Specific PB moieties may also be small molecule compounds such as those disclosed in US Patent Application No. 2014/0356322 and US Patent Application No. 2016/0045607. Compounds disclosed therein can be classified as Heat Shock Protein 90 (HSP90) inhibitors, Kinase and Phosphatase inhibitors, MDM2 inhibitors, HDAC inhibitors, Human Lysine Methyltransferase Inhibitors, Angiogenesis inhibitors, Immunosuppressive compounds, as well as compounds that bind to: Human BET Bromodomain-containing proteins, the aryl hydrocarbon receptor (AHR), RAF receptor kinase, FKBP, Androgen Receptor (AR), Estrogen receptor (ER), Thyroid Hormone Receptor, HIV Protease, HIV Integrase, HCV Protease, Acyl-protein Thioesterase-1 and -2 (APT1 and APT2). Other specific PB moieties may also be small molecule compounds such as those disclosed in US Patent Application No. 2016/0185785 (USP7 inhibitors) and WO 2016/138114 (BRG1).
[0385] Target proteins and/or PB moieties are also described in: Holderfield, et al, "Targeting RAF kinases for cancer therapy: BRAF mutated melanoma and beyond," Nat. Rev. Cancer, 2014, 14, 455-467 (RAF); and Filippakoupoulos, et al, "Targeting bromodomains: epigenetic readers of lysine acetylation," Nature Reviews Drug Discovery, 2014, 13, 337-356 (BET).
3. Linker (L)
[0386] The VHL ligand moiety and PB moiety (D) of PROTACs as described herein can be connected with a linker (L). In certain embodiments, the linker group L is a group comprising one or more covalently connected structural units of A, wherein each A unit is a group coupled to at least one of a VHL ligand moiety, a PB moiety, another A unit, or a combination thereof. In certain embodiments, an A unit links a VHL ligand moiety, a PB moiety, or a combination thereof directly to another VHL ligand, PB moiety, or combination thereof. In other embodiments, an A unit links a VHL ligand moiety, a PB moiety, or a combination thereof indirectly to another VHL ligand moiety, PB moiety, or combination thereof through one or more different A unit(s). In any of the embodiments disclosed herein, one or more covalently connected structural units of A may be coupled to the VHL ligand moiety of the PROTAC of the present disclosure at substituent Y. Thus, in certain embodiments, the linker L may be coupled to Y, D, or combinations thereof. In other embodiments, one or more covalently connected structural units of A may be coupled to a PB moiety and also to a VHL ligand of the present disclosure at R1, R2, or Z, as described herein, to form a PROTAC.
[0387] In certain embodiments, the linker "L" is (A)q, and each A is independently selected from the group consisting of a bond, CRLaRLb, O, S, SO, S02, NRLc, S02NRLc, SONRLc, CONRLc, NRLcCONRLd, NRLcS02NRLd, CO, CRLa=CRLb, C≡C, SiRLaRLb, P(0)RLa, P(0)ORLa, NRLcC(=NCN)NRLd, NRLcC(=NCN), NRLcC(=CN02)NRLd, C3-Cn cycloalkylene, C3-Cn heterocyclylene, arylene, and heteroarylene, wherein the C3.Cn cycloalkylene, C3-C11 heteocyclylene, arylene, and heteroarylene are independently either unsubstituted or substituted with 1, 2, 3, 4, 5, or 6 substituents selected from the group consisting of RLa, RLb, and combinations thereof, where RLa or RLb, each independently, can be linked to other A groups to form cycloalkylene and/or heterocyclylene moiety, wherein the cycloalkylene and heterocyclylene moieties are independently unsubstituted or substituted with 1, 2, 3, or 4 RLe groups; wherein RLa, RLb, RLc, RLd and RLe are, each independently, selected from the group consisting of H, halogen, RLf, -ORLh, -SRLh, -NHRLh, -N(RLh)2, C3.Cncycloalkyl, aryl, heteroaryl, C3.Cnheteroc clyl5 -N(RL )(RLf), -OH, -NH2, -SH, -S02RLf, -P(0)(ORLf)(RLf), - P(0)(ORLf)2, -C≡C— RLf, -C≡CH, -CH=CH(RLf), -C(RLf)=CH(RLf), -C(RLf)=C(RLf)2, -Si(OH)3, -Si(RLf)3, -Si(OH)(RLf)2, -CORLf, -C02H, -halogen, -CN, -CF3, -CHF2, -CH2F, -N02, -SF5, - S02NHRLf, -S02N(RLf)2, -SONHRLf, -SON(RLf)2, -CONHRLf, -CON(RLf)2, -N(RLf)CONH(RLf), -N(RLf)CON(RLf)2, -NHCONH(RLf), -NHCON(RLf)2, -NHCONH2, -N(RLf)S02NH(RLf), -
NCR^SO^CR1^, -NHS02NH(Ru), -NHS02N(RU)2, and -NHS02NH2, wherein RLt is a substituted or unsubstituted Ci-Cg alkyl; RL is a substiuted or unsubsitutted Ci-Cg cycloalkyl; and RLh is RLf or RLg.
[0388] In certain embodiments, q is an integer greater than or equal to 1.
[0389] In certain embodiments, q is greater than 2.
[0390] In certain embodiments q is 2.
[0391] In certain embodiments, e.g., where q is 1 , and A is a group which is connected to a VHL ligand moiety and a PB moiety.
[0392] In additional embodiments, q is an integer from 1 to 100, 1 to 90, 1 to 80, 1 to 70, 1 to 60, 1 to 50, 1 to 40, 1 to 30, 1 to 20, or 1 to 10.
[0393] In certain embodiments, the linker is selected from the group consisting of:
[0394] In one embodiment, the linker is selected from the group consisting of
[0395] In additional embodiments, the linker group is an optionally substituted (poly)ethyleneglycol having between 1 and about 100 ethylene glycol units, between about 1 and about 50 ethylene glycol units, between 1 and about 25 ethylene glycol units, between about 1 and 10 ethylene glycol units, between 1 and about 8 ethylene glycol units and 1 and 6 ethylene glycol units, between 2 and 4 ethylene glycol units, or optionally substituted alkyl groups interdispersed with optionally substituted, O, N, S, P or Si atoms. In certain embodiments, the linker is substituted with an aryl, phenyl, benzyl, alkyl, alkylene, or heterocycle group. In certain embodiments, the linker may be asymmetric or symmetrical.
[0396] In any of the embodiments of the compounds described herein, the linker group may be any suitable moiety as described herein. In one embodiment, the linker is a substituted or unsubstituted polyethylene glycol group ranging in size from about 1 to about 12 ethylene glycol
units, between 1 and about 10 ethylene glycol units, about 2 about 6 ethylene glycol units, between about 2 and 5 ethylene glycol units, between about 2 and 4 ethylene glycol units.
[0397] The VHL ligand moiety and PB moiety may be covalently linked to the linker group through any group which is appropriate and stable to the chemistry of the linker. The linker is independently covalently bonded to the VHL ligand moiety and the PB moiety preferably through an amide, ester, thioester, keto group, carbamate (urethane), carbon or ether, each of which groups may be inserted anywhere on the VHL ligand moiety and PB moiety to provide maximum binding of the VHL ligand moiety on the ubiquitin ligase and the PB moiety on the target protein to be degraded. In certain aspects where the PB moiety is a VHL ligand moiety, the target protein for degradation may be the ubiquitin ligase itself. In certain aspects, the linker may be linked to an optionally substituted alkyl, alkylene, alkene or alkyne group, an aryl group or a heterocyclic group on the VHL ligand moiety and/or PB moiety. It is noted that a VHL ligand moiety or a PB moiety may need to be derivatized to make a chemical functional group that is reactive with a chemical functional group on the linker. Alternatively, the linker may need to be derivatized to include a chemical functional group that can react with a functional group found on the VHL ligand moiety and/or PB moiety.
[0398] The linker L can also be represented by the formula:
where Q1 is a group which links the VHL ligand moiety to Q2; and Q2 is a group linking Q1 to the PB moiety.
[0399] In some embodiments, Q1 is absent (a bond), -(CH2)i-0, -(CHR15)i-0, - [C(R15)2]i-0, -(CH2)i-S, -(CH2)i-N-R15, -S, -S(O), -S(0)2, -OP(0)OR15, -Si(R15)2, or a (CH2)r Q Q4 group wherein Q Q4 forms an amide group, or a urethane group, ester or thioester group, or
alkyl, an alkanol group or a heterocycle (including a water soluble heterocycle, preferably, a morpholino, piperidine or piperazine group to promote water solubility of the linker group); each U is independently a bond, O, S or N-R15; and each i is independently 0 to 100, 1 to 75, 1 to 60, 1 to 55, 1 to 50, 1 to 45, 1 to 40, 2 to 35, 3 to 30, 1 to 15, 1 to 10, 1 to 8, 1 to 6, 1, 2, 3, 4 or 5.
[0400] In embodiments, Q is a
o where each V is independently a bond (absent), -(CH2)i U C U (CH2)
j is 1 to 100, 1 to 75, 1 to 60, 1 to 55, 1 to 50, 1 to 45, 1 to 40, 2 to 35, 3 to 30, 1 to 15, 1 to 10, 1 to 8, 1 to 6, 1, 2, 3, 4 or 5;
k is 1 to 100, 1 to 75, 1 to 60, 1 to 55, 1 to 50, 1 to 45, 1 to 40, 2 to 35, 3 to 30, 1 to 15, 1 to 10, 1 to 8, 1 to 6, 1, 2, 3, 4 or 5; preferably k is 1, 2, 3, 4, or 5;
m' is 1 to 100, 1 to 75, 1 to 60, 1 to 55, 1 to 50, 1 to 45, 1 to 40, 2 to 35, 3 to 30, 1 to 15, l to 10, l to 8, l to 6, 1, 2, 3, 4 or 5;
n' is 1 to 100, 1 to 75, 1 to 60, 1 to 55, 1 to 50, 1 to 45, 1 to 40, 2 to 35, 3 to 30, 1 to 15, 1 to 10, l to 8, l to 6, 1 , 2, 3, 4 or 5;
X1 is O, S or N-R15, preferably O;
U is the same as above;
and CON is a connector group (which may be a bond) which connects Q1 to Q2, when present in the linker group.
[0401] In embodiments, CON is a bond (absent), a heterocycle including a water soluble heterocycle such as a piperazinyl or other group or a group,
where X2 is cycloalkyl, heterocyclyl, O, S, NR12, S(O), S(0)2, -S(0)20, -OS(0)2, OP(0)OR15, Si(R15)2, or OS(0)20;
X3 is O, S, CHR12, NR12;
R12 is H or a C1-C3 alkyl group optionally substituted with one or two hydroxyl groups, or a pharmaceutically acceptable salt, enantiomer or stereoisomer thereof; and
R15 is as defined above.
[0402] In alternative preferred aspects, the linker group is a (poly)ethyleneglycol having between 1 and about 100 ethylene glycol units, between about 1 and about 50 ethylene glycol units, between 1 and about 25 ethylene glycol units, between about 1 and 10 ethylene glycol units, between 1 and about 8 ethylene glycol units and 1 and 6 ethylene glycol units, between 2 and 4 ethylene glycol units. In certain embodiments, the linker is optionally substituted; i.e., comprises chemical groups interdispersed within or on the PEG linker. In certain embodiments, the PEG linker is substituted with an alkyl, alkylene, aromatic group, or aryl group, e.g., phenyl, benzyl, or heterocyclyl group, or amino acid side chain and is optionally interdispersed with optionally substituted O, N, S, P, or Si atoms.
[0403] In embodiments, CON is
[0404] The linker may be asymmetrical or symmetrical.
[0405] Although the VHL ligand moiety and PB moiety may be covalently linked to the linker group through any group which is appropriate and stable to the chemistry of the linker, in preferred aspects, the linker is independently covalently bonded to the VHL ligand moiety and the PB moiety through an amide, ester, thioester, keto group, carbamate (urethane) or ether, each of which groups may be inserted anywhere on the VHL ligand moiety and PB moiety to allow binding of the VHL ligand moiety to the ubiquitin ligase and the PB moiety to the target protein to be degraded. In other words, as shown herein, the linker can be designed and connected to VHL ligand moiety and PB moiety to minimize, eliminate, or neutralize any impact its presence might have on the binding of VHL ligand moiety and PB moiety to their respective binding partners. In certain aspects, the targeted protein for degradation may be an ubiquitin ligase. In some embodiments, the linker may be linked to an optionally substituted alkyl, alkylene, alkene, or alkyne group, an aryl group, or a heterocyclic group on the VHL ligand moiety and/or PB moiety. In one aspect, the linker is connected to the VHL ligand moiety through substituent Y.
[0406] Additional linkers are disclosed in U.S. Patent Application Publication NOs. 2016/0058872, 2016/0045607, 2014/0356322, and 2015/0291562; and in WO2014/063061.
III. Formulations
[0407] In an additional aspect, the description provides therapeutic or pharmaceutical compositions comprising an effective amount of at least one of the compounds as described herein, including, e.g., at least one VHL ligand, at least one PROTAC, and combinations thereof. Pharmaceutical compositions comprising an effective amount of at least one bifunctional compound according to the present disclosure, and optionally one or more of the compounds otherwise described herein, in effective amounts, in combination with a pharmaceutically
effective amount of a carrier, additive or excipient, and optionally an additional bioactive agent, represents a further aspect of the disclosure.
[0408] In certain embodiments, the compositions comprise pharmaceutically acceptable salts, in particular, acid or base addition salts of compounds as described herein. The acids that are used to prepare the pharmaceutically acceptable acid addition salts of the aforementioned base compounds include those which form non-toxic acid addition salts, i.e., salts containing pharmacologically acceptable anions, such as the hydrochloride, hydrobromide, hydroiodide, nitrate, sulfate, bisulfate, phosphate, acid phosphate, acetate, lactate, citrate, acid citrate, tartrate, bitartrate, succinate, maleate, fumarate, gluconate, saccharate, benzoate, methanesulfonate, ethanesulfonate, benzenesulfonate, p-toluenesulfonate and pamoate [i.e., l, l '-methylene-bis-(2- hydroxy-3 naphthoate)] salts, among numerous others.
[0409] Pharmaceutically acceptable base addition salts may also be used to produce pharmaceutically acceptable salt forms of the compounds or derivatives. The chemical bases that may be used as reagents to prepare pharmaceutically acceptable base salts of the present compounds that are acidic in nature are those that form non-toxic base salts with such compounds. Such non-toxic base salts include, but are not limited to those derived from such pharmacologically acceptable cations such as alkali metal cations (e.g., potassium and sodium) and alkaline earth metal cations (eg, calcium, zinc and magnesium), ammonium or water-soluble amine addition salts such as N-methylglucamine-(meglumine), and the lower alkanolammonium and other base salts of pharmaceutically acceptable organic amines, among others.
[0410] The compositions as described herein may in certain embodiments be administered in single or divided unit doses by the oral, parenteral or topical routes. Administration of the compounds may range from continuous (intravenous drip) to several oral administrations per day (for example, Q.I.D.) and may include oral, topical, parenteral, intramuscular, intravenous, sub-cutaneous, transdermal (which may include a penetration enhancement agent), buccal, sublingual and suppository administration, by inhalation spray, rectally, vaginally, or via an implanted reservoir, among other routes of administration. Enteric coated oral tablets may also be used to enhance bioavailability of the compounds from an oral route of administration. The most effective dosage form will depend upon the pharmacokinetics of the particular agent chosen as well as the severity of disease in the patient. Administration of compounds according to the present disclosure as sprays, mists, or aerosols for intra-nasal, intratracheal or pulmonary administration may also be used. The present disclosure therefore also is
directed to pharmaceutical compositions comprising an effective amount of compound according to the present disclosure, optionally in combination with a pharmaceutically acceptable carrier, additive or excipient. Compounds according to the present disclosure may be administered in immediate release, intermediate release or sustained or controlled release forms. Sustained or controlled release forms are preferably administered orally, but may also be administered in suppository and transdermal or other topical forms. Intramuscular injections in liposomal form may also be used to control or sustain the release of compound at an injection site.
[0411] Thus in one aspect, pharmaceutical formulations of VHL ligands and/or PROTACs as described herein can be prepared for parenteral administration with a pharmaceutically acceptable parenteral vehicle and in a unit dosage injectable form. The term "parenteral" as used herein includes subcutaneous, intravenous, intramuscular, intra-articular, intra-synovial, intrastemal, intrathecal, intrahepatic, intralesional and intracranial injection or infusion techniques. Preferably, the compositions are administered orally, intraperitoneally or intravenously. A PROTAC having the desired degree of purity is optionally mixed with one or more pharmaceutically acceptable excipients (Remington's Pharmaceutical Sciences (1980) 16th edition, Osol, A. Ed.), in the form of a lyophilized formulation for reconstitution or an aqueous solution.
[0412] The compositions of the present disclosure may be formulated in a conventional manner using one or more pharmaceutically acceptable carriers and may also be administered in controlled-release formulations. The compounds of the disclosure can be formulated in accordance with standard pharmaceutical practice as a pharmaceutical composition. According to this aspect, there is provided a pharmaceutical composition comprising a PROTAC or VHL ligand in association with one or more pharmaceutically acceptable excipients.
[0413] A typical formulation is prepared by mixing the compounds of the disclosure with excipients, such as carriers and/or diluents. Suitable carriers, diluents and other excipients are well known to those skilled in the art and include materials such as carbohydrates, waxes, water soluble and/or swellable polymers, hydrophilic or hydrophobic materials, gelatin, oils, solvents, water and the like. The particular carrier, diluent or other excipient used will depend upon the means and purpose for which the compound is being applied. Other pharmaceutically acceptable carriers that may be used in these pharmaceutical compositions include, but are not limited to, ion exchangers, alumina, aluminum stearate, lecithin, serum proteins, such as human serum albumin, buffer substances such as phosphates, glycine, sorbic acid, potassium sorbate,
partial glyceride mixtures of saturated vegetable fatty acids, water, salts or electrolytes, such as prolamine sulfate, disodium hydrogen phosphate, potassium hydrogen phosphate, sodium chloride, zinc salts, colloidal silica, magnesium trisilicate, polyvinyl pyrrolidone, cellulose-based substances, polyethylene glycol, sodium carboxymethylcellulose, polyacrylates, waxes, polyethylene-polyoxypropylene-block polymers, polyethylene glycol and wool fat.
[0414] Solvents are generally selected based on solvents recognized by persons skilled in the art as safe (GRAS) to be administered to a mammal. In general, safe solvents are nontoxic aqueous solvents such as water and other non-toxic solvents that are soluble or miscible in water. Suitable aqueous solvents include water, ethanol, propylene glycol, polyethylene glycols (e.g., PEG 400, PEG 300), etc. and mixtures thereof. Acceptable diluents, carriers, excipients and stabilizers are nontoxic to recipients at the dosages and concentrations employed, and include buffers such as phosphate, citrate and other organic acids; antioxidants including ascorbic acid and methionine; preservatives (such as octadecyldimethylbenzyl ammonium chloride; hexamethonium chloride; benzalkonium chloride, benzethonium chloride; phenol, butyl or benzyl alcohol; alkyl parabens such as methyl or propyl paraben; catechol; resorcinol; cyclohexanol; 3-pentanol; and m-cresol); low molecular weight (less than about 10 residues) polypeptides; proteins, such as serum albumin, gelatin, or immunoglobulins; hydrophilic polymers such as polyvinylpyrrolidone; amino acids such as glycine, glutamine, asparagine, histidine, arginine, or lysine; monosaccharides, disaccharides and other carbohydrates including glucose, mannose, or dextrins; chelating agents such as EDTA; sugars such as sucrose, mannitol, trehalose or sorbitol; salt-forming counter-ions such as sodium; metal complexes (e.g., Zn- protein complexes); and/or non-ionic surfactants such as TWEEN™, PLURONICS™ or polyethylene glycol (PEG).
[0415] The formulations may also include one or more buffers, stabilizing agents, surfactants, wetting agents, lubricating agents, emulsifiers, suspending agents, preservatives, antioxidants, opaquing agents, glidants, processing aids, colorants, sweeteners, perfuming agents, flavoring agents and other known additives to provide an elegant presentation of the PROTAC or aid in the manufacturing of the pharmaceutical product. The formulations may be prepared using conventional dissolution and mixing procedures.
[0416] Formulation may be conducted by mixing at ambient temperature at the appropriate pH, and at the desired degree of purity, with physiologically acceptable carriers, i.e., carriers that are non-toxic to recipients at the dosages and concentrations employed. The pH of
the formulation depends mainly on the particular use and the concentration of compound, but may range from about 3 to about 8. Formulation in an acetate buffer at pH 5 is a suitable embodiment.
[0417] The pharmaceutical compositions may be in the form of a sterile injectable preparation, such as a sterile injectable aqueous or oleaginous suspension. In particular, formulations to be used for in vivo administration must be sterile. Such sterilization is readily accomplished by filtration through sterile filtration membranes. This suspension may be formulated according to the known art using those suitable dispersing or wetting agents and suspending agents which have been mentioned above. The sterile injectable preparation may also be a sterile injectable solution or suspension in a non-toxic parenterally acceptable diluent or solvent, such 1,3-butanediol. The sterile injectable preparation may also be prepared as a lyophilized powder. Among the acceptable vehicles and solvents that may be employed are water, Ringer's solution and isotonic sodium chloride solution. In addition, sterile fixed oils may conventionally be employed as a solvent or suspending medium. For this purpose any bland fixed oil may be employed including synthetic mono- or diglycerides. In addition, fatty acids such as oleic acid may likewise be used in the preparation of injectables, as well as natural pharmaceutically-acceptable oils, such as olive oil or castor oil, especially in their polyoxyethylated versions. These oil solutions or suspensions may also contain a long-chain alcohol diluent or dispersant, such as Ph. Helv or similar alcohol.
[0418] Formulations suitable for parenteral administration include aqueous and nonaqueous sterile injection solutions which may contain anti-oxidants, buffers, bacteriostats and solutes which render the formulation isotonic with the blood of the intended recipient; and aqueous and non-aqueous sterile suspensions which may include suspending agents and thickening agents.
[0419] The pharmaceutical compositions as described herein may be orally administered in any orally acceptable dosage form including, but not limited to, capsules, tablets, aqueous suspensions or solutions. In the case of tablets for oral use, carriers which are commonly used include lactose and corn starch. Lubricating agents, such as magnesium stearate, are also typically added. For oral administration in a capsule form, useful diluents include lactose and dried corn starch. When aqueous suspensions are required for oral use, the active ingredient is combined with emulsifying and suspending agents. If desired, certain sweetening, flavoring or coloring agents may also be added.
[0420] Alternatively, the pharmaceutical compositions as described herein may be administered in the form of suppositories for rectal administration. These can be prepared by mixing the agent with a suitable non-irritating excipient, which is solid at room temperature but liquid at rectal temperature and therefore will melt in the rectum to release the drug. Such materials include cocoa butter, beeswax and polyethylene glycols.
[0421] The pharmaceutical compositions as described herein may also be administered topically. Suitable topical formulations are readily prepared for each of these areas or organs. Topical application for the lower intestinal tract can be effected in a rectal suppository formulation (see above) or in a suitable enema formulation. Topically-acceptable transdermal patches may also be used.
[0422] For topical applications, the pharmaceutical compositions may be formulated in a suitable ointment containing the active component suspended or dissolved in one or more carriers. Carriers for topical administration of the compounds of this disclosure include, but are not limited to, mineral oil, liquid petrolatum, white petrolatum, propylene glycol, polyoxyethylene, polyoxypropylene compound, emulsifying wax and water. In certain preferred aspects of the disclosure, the compounds may be coated onto a stent which is to be surgically implanted into a patient in order to inhibit or reduce the likelihood of occlusion occurring in the stent in the patient.
[0423] Alternatively, the pharmaceutical compositions can be formulated in a suitable lotion or cream containing the active components suspended or dissolved in one or more pharmaceutically acceptable carriers. Suitable carriers include, but are not limited to, mineral oil, sorbitan monostearate, polysorbate 60, cetyl esters wax, cetearyl alcohol, 2-octyldodecanol, benzyl alcohol and water.
[0424] For ophthalmic use, the pharmaceutical compositions may be formulated as micronized suspensions in isotonic, pH adjusted sterile saline, or, preferably, as solutions in isotonic, pH adjusted sterile saline, either with our without a preservative such as benzylalkonium chloride. Alternatively, for ophthalmic uses, the pharmaceutical compositions may be formulated in an ointment such as petrolatum.
[0425] The pharmaceutical compositions of this disclosure may also be administered by nasal aerosol or inhalation. Such compositions are prepared according to techniques well-known
in the art of pharmaceutical formulation and may be prepared as solutions in saline, employing benzyl alcohol or other suitable preservatives, absorption promoters to enhance bioavailability, fluorocarbons, and/or other conventional solubilizing or dispersing agents.
[0426] The PROTAC and VHL ligand compositions ordinarily can be stored as a solid composition, a lyophilized formulation or as an aqueous solution.
[0427] The pharmaceutical compositions comprising a PROTAC or VHL ligand of the present disclosure can be formulated, dosed and administered in a fashion, i.e., amounts, concentrations, schedules, course, vehicles and route of administration, consistent with good medical practice. Factors for consideration in this context include the particular disorder being treated, the particular mammal being treated, the clinical condition of the individual patient, the cause of the disorder, the site of delivery of the agent, the method of administration, the scheduling of administration, and other factors known to medical practitioners. The "therapeutically effective amount" of the compound to be administered will be governed by such considerations, and is the minimum amount necessary to prevent, ameliorate, or treat the disorder. Such amount is preferably below the amount that is toxic to the host or renders the host significantly more susceptible to unwanted side effects.
[0428] The PROTAC can be formulated into pharmaceutical dosage forms to provide an easily controllable dosage of the drug and to enable patient compliance with the prescribed regimen. The pharmaceutical composition (or formulation) for application may be packaged in a variety of ways depending upon the method used for administering the drug. Generally, an article for distribution includes a container having deposited therein the pharmaceutical formulation in an appropriate form. Suitable containers are well known to those skilled in the art and include materials such as bottles (plastic and glass), sachets, ampoules, plastic bags, metal cylinders, and the like. The container may also include a tamper-proof assemblage to prevent indiscreet access to the contents of the package. In addition, the container has deposited thereon a label that describes the contents of the container. The label may also include appropriate warnings.
[0429] The formulations may be packaged in unit-dose or multi-dose containers, for example sealed ampoules and vials, and may be stored in a freeze-dried (lyophilized) condition requiring only the addition of the sterile liquid carrier, for example water, for injection immediately prior to use. Extemporaneous injection solutions and suspensions are prepared
from sterile powders, granules and tablets of the kind previously described. Preferred unit dosage formulations are those containing a daily dose or unit daily sub-dose, as herein above recited, or an appropriate fraction thereof, of the active ingredient.
[0430] It should also be understood that a specific dosage and treatment regimen for any particular patient will depend upon a variety of factors, including the activity of the specific compound employed, the age, body weight, general health, sex, diet, time of administration, rate of excretion, drug combination, and the judgment of the treating physician and the severity of the particular disease or condition being treated.
[0431] A patient or subject in need of therapy using compounds according to the present disclosure can be treated by administering to the patient (subject) an effective amount of the compound according to the present disclosure including pharmaceutically acceptable salts, solvates or polymorphs, thereof optionally in a pharmaceutically acceptable carrier or diluent, either alone, or in combination with other known erythopoiesis stimulating agents as otherwise identified herein.
[0432] The active compound is included in the pharmaceutically acceptable carrier or diluent in an amount sufficient to deliver to a patient a therapeutically effective amount for the desired indication, without causing serious toxic effects in the patient treated. A preferred dose of the active compound for the herein-mentioned conditions is in the range from about 10 ng/kg to 300 mg/kg, preferably 0.1 to 100 mg/kg per day, more generally 0.5 to about 25 mg per kilogram body weight of the recipient/patient per day. One typical daily dosage might range from about 1 μg/kg to 100 mg/kg or more, depending on the factors mentioned above. A typical topical dosage will range from 0.01-5% wt/wt in a suitable carrier.
[0433] The compound is conveniently administered in any suitable unit dosage form, including but not limited to one containing less than 1 mg, 1 mg to 3000 mg, preferably 5 to 500 mg of active ingredient per unit dosage form. An oral dosage of about 25-250 mg is often convenient.
[0434] The active ingredient is preferably administered to achieve peak plasma concentrations of the active compound of about 0.00001 -30 mM, preferably about 0.1-30 mM. This may be achieved, for example, by the intravenous injection of a solution or formulation of the active ingredient, optionally in saline, or an aqueous medium or administered as a bolus of
the active ingredient. Oral administration is also appropriate to generate effective plasma concentrations of active agent.
[0435] The concentration of active compound in the drug composition will depend on absorption, distribution, inactivation, and excretion rates of the drug as well as other factors known to those of skill in the art. It is to be noted that dosage values will also vary with the severity of the condition to be alleviated. It is to be further understood that for any particular subject, specific dosage regimens should be adjusted over time according to the individual need and the professional judgment of the person administering or supervising the administration of the compositions, and that the concentration ranges set forth herein are exemplary only and are not intended to limit the scope or practice of the claimed composition. The active ingredient may be administered at once, or may be divided into a number of smaller doses to be administered at varying intervals of time.
[0436] In one embodiment, the active compounds are prepared with carriers that will protect the compound against rapid elimination from the body, such as a controlled release formulation, including implants and microencapsulated delivery systems. Biodegradable, biocompatible polymers can be used, such as ethylene vinyl acetate, polyanhydrides, poly gly colic acid, collagen, polyorthoesters, and polylactic acid. Methods for preparation of such formulations will be apparent to those skilled in the art.
[0437] Liposomal suspensions may also be pharmaceutically acceptable carriers. These may be prepared according to methods known to those skilled in the art, for example, as described in U. S. Pat. No.4,522,81 1 (which is incorporated herein by reference in its entirety). For example, liposome formulations may be prepared by dissolving appropriate lipid(s) (such as stearoyl phosphatidyl ethanolamine, stearoyl phosphatidyl choline, arachadoyl phosphatidyl choline, and cholesterol) in an inorganic solvent that is then evaporated, leaving behind a thin film of dried lipid on the surface of the container. An aqueous solution of the active compound are then introduced into the container. The container is then swirled by hand to free lipid material from the sides of the container and to disperse lipid aggregates, thereby forming the liposomal suspension.
[0438] The term "pharmaceutically acceptable salt" is used throughout the specification to describe, where applicable, a salt form of one or more of the compounds described herein which are presented to increase the solubility of the compound in the gastric juices of the
patient's gastrointestinal tract in order to promote dissolution and the bioavailability of the compounds. Pharmaceutically acceptable salts include those derived from pharmaceutically acceptable inorganic or organic bases and acids, where applicable. Suitable salts include those derived from alkali metals such as potassium and sodium, alkaline earth metals such as calcium, magnesium and ammonium salts, among numerous other acids and bases well known in the pharmaceutical art. Sodium and potassium salts are particularly preferred as neutralization salts of the phosphates according to the present disclosure.
[0439] The term "pharmaceutically acceptable derivative" is used throughout the specification to describe any pharmaceutically acceptable prodrug form (such as an ester, amide other prodrug group), which, upon administration to a patient, provides directly or indirectly the present compound or an active metabolite of the present compound.
[0440] The subject matter further provides veterinary compositions comprising at least one active ingredient as above defined together with a veterinary carrier therefore. Veterinary carriers are materials useful for the purpose of administering the composition and may be solid, liquid or gaseous materials which are otherwise inert or acceptable in the veterinary art and are compatible with the active ingredient. These veterinary compositions may be administered parenterally or by any other desired route.
IV. Indications and Methods of Treatment
[0441] It is contemplated that the PROTACs disclosed herein may be used to treat various diseases or disorders. Exemplary hyperproliferative disorders include benign or malignant solid tumors and hematological disorders such as leukemia and lymphoid malignancies. Others include neuronal, glial, astrocytal, hypothalamic, glandular, macrophagal, epithelial, stromal, blastocoelic, inflammatory, angiogenic and immunologic, including autoimmune, disorders.
[0442] Generally, the disease or disorder to be treated is a hyperproliferative disease such as cancer. Examples of cancer to be treated herein include, but are not limited to, carcinoma, lymphoma, blastoma, sarcoma, and leukemia or lymphoid malignancies. More particular examples of such cancers include squamous cell cancer (e.g. epithelial squamous cell cancer), lung cancer including small-cell lung cancer, non-small cell lung cancer, adenocarcinoma of the lung and squamous carcinoma of the lung, cancer of the peritoneum,
hepatocellular cancer, gastric or stomach cancer including gastrointestinal cancer, pancreatic cancer, glioblastoma, cervical cancer, ovarian cancer, liver cancer, bladder cancer, hepatoma, breast cancer, colon cancer, rectal cancer, colorectal cancer, endometrial or uterine carcinoma, salivary gland carcinoma, kidney or renal cancer, prostate cancer, vulval cancer, thyroid cancer, hepatic carcinoma, anal carcinoma, penile carcinoma, as well as head and neck cancer.
[0443] Autoimmune diseases for which the PROTAC may be used in treatment include rheumatologic disorders (such as, for example, rheumatoid arthritis, Sjogren's syndrome, scleroderma, lupus such as systemic lupus erythematosus (SLE) and lupus nephritis, polymyositis/dermatomyositis, cryoglobulinemia, anti-phospholipid antibody syndrome, and psoriatic arthritis), osteoarthritis, autoimmune gastrointestinal and liver disorders (such as, for example, inflammatory bowel diseases (e.g., ulcerative colitis and Crohn's disease), autoimmune gastritis and pernicious anemia, autoimmune hepatitis, primary biliary cirrhosis, primary sclerosing cholangitis, and celiac disease), vasculitis (such as, for example, ANCA-associated vasculitis, including Churg-Strauss vasculitis, Wegener's granulomatosis, and polyarteriitis), autoimmune neurological disorders (such as, for example, multiple sclerosis, opsoclonus myoclonus syndrome, myasthenia gravis, neuromyelitis optica, Parkinson's disease, Alzheimer's disease, and autoimmune polyneuropathies), renal disorders (such as, for example, glomerulonephritis, Goodpasture's syndrome, and Berger's disease), autoimmune dermatologic disorders (such as, for example, psoriasis, urticaria, hives, pemphigus vulgaris, bullous pemphigoid, and cutaneous lupus erythematosus), hematologic disorders (such as, for example, thrombocytopenic purpura, thrombotic thrombocytopenic purpura, post-transfusion purpura, and autoimmune hemolytic anemia), atherosclerosis, uveitis, autoimmune hearing diseases (such as, for example, inner ear disease and hearing loss), Behcet's disease, Raynaud's syndrome, organ transplant, and autoimmune endocrine disorders (such as, for example, diabetic-related autoimmune diseases such as insulin-dependent diabetes mellitus (IDDM), Addison's disease, and autoimmune thyroid disease (e.g., Graves' disease and thyroiditis)). More preferred such diseases include, for example, rheumatoid arthritis, ulcerative colitis, ANCA-associated vasculitis, lupus, multiple sclerosis, Sjogren's syndrome, Graves' disease, IDDM, pernicious anemia, thyroiditis, and glomerulonephritis.
[0444] Other disease states or disorders which may be treated using compounds or compositions according to the present disclosure include, for example, asthma, ciliopathies, cleft palate, diabetes, heart disease, hypertension, inflammatory bowel disease, mental retardation,
mood disorder, obesity, refractive error, infertility, Angelman syndrome, Canavan disease, Coeliac disease, Charcot-Marie-Tooth disease, Cystic fibrosis, Duchenne muscular dystrophy, Haemochromatosis, Haemophilia, Klinefelter's syndrome, Neurofibromatosis, Phenylketonuria, Polycystic kidney disease (PKD1) or 4 (PKD2) Prader-Willi syndrome, Sickle-cell disease, Tay-Sachs disease, and Turner syndrome.
[0445] Further diseases or disorders which may be treated by compounds or compositions according to the present disclosure include Alzheimer's disease, Amyotrophic lateral sclerosis (Lou Gehrig's disease), Anorexia nervosa, Anxiety disorder, Atherosclerosis, Attention deficit hyperactivity disorder, Autism, Bipolar disorder, Chronic fatigue syndrome, Chronic obstructive pulmonary disease, Crohn's disease, Coronary heart disease, Dementia, Depression, Diabetes mellitus type 1, Diabetes mellitus type 2, Epilepsy, Guillain-Barre syndrome, Irritable bowel syndrome, Lupus, Metabolic syndrome, Multiple sclerosis, Myocardial infarction, Obesity, Obsessive-compulsive disorder, Panic disorder, Parkinson's disease, Psoriasis, Rheumatoid arthritis, Sarcoidosis, Schizophrenia, Stroke, Thromboangiitis obliterans, Tourette syndrome, Vasculitis.
[0446] Still additional diseases or disorders which can be treated by compounds or compositions according to the present disclosure include acemloplasminemia, Achondrogenesis type H, Acrocephaly, Gaucher disease type 2, acute intermittent porphyria, Adenomatous Polyposis Coli, adenylosuccinate lyase deficiency, Adrenogenital syndrome, Adrenoleukodystrophy, ALA-D porphyria, ALA dehydratase deficiency, Alkaptonuria, Alkaptonuric ochronosis, alpha 1- antitrypsin deficiency, alpha-1 proteinase inhibitor, emphysema, amyotrophic lateral sclerosis, Alstrom syndrome, Alexander disease, Amelogenesis imperfecta, Anders on-Fabry disease, Anemia, Angiokeratoma Corporis Diffusum, Angiomatosis retinae (von Hippel-Lindau disease) Apert syndrome, Arachnodactyly (Marfan syndrome), Arthrochalasis multiplex congenital (Ehlers-Danlos syndrome arthrochalasia type), ataxia telangiectasia, Rett syndrome, Sandhoff disease, neurofibromatosis type II, Mediterranean fever, familial, Benjamin syndrome, Bilateral Acoustic Neurofibromatosis (neurofibromatosis type II), factor V Leiden thrombophilia, Bloch-Sulzberger syndrome (incontinentia pigmenti), Bloom syndrome, Bonnevie-Ullrich syndrome (Turner syndrome), Bourneville disease (tuberous sclerosis), Birt-Hogg-Dube syndrome, Brittle bone disease (osteogenesis imperfecta), Broad Thumb -Hallux syndrome (Rubinstein-Taybi syndrome), Bronze Diabetes/Bronzed Cirrhosis (hemochromatosis), Bulbospinal muscular atrophy (Kennedy's disease), Burger-Grutz syndrome
(lipoprotein lipase deficiency), CGD Chronic granulomatous disorder, Campomelic dysplasia, biotinidase deficiency, Cardiomyopathy (Noonan syndrome), Cri du chat CAVD (congenital absence of the vas deferens), Caylor cardiofacial syndrome (CBAVD), CEP (congenital erythropoietic porphyria), congenital hypothyroidism, Chondrodystrophy syndrome (achondroplasia), otospondylomegaepiphyseal dysplasia, Lesch-Nyhan syndrome, galactosemia, Ehlers-Danlos syndrome, Thanatophoric dysplasia, Coffin-Lowry syndrome, Cockayne syndrome, (familial adenomatous polyposis), Congenital erythropoietic porphyria, Congenital heart disease, Methemoglobinemia/Congenital methaemoglobinaemia, achondroplasia, X-linked sideroblastic anemia, Connective tissue disease, Conotruncal anomaly face syndrome, Cooley's Anemia (beta-thalassemia), Copper storage disease (Wilson's disease), Copper transport disease (Menkes disease), hereditary coproporphyria, Cowden syndrome, Craniofacial dysarthrosis (Crouzon syndrome), Creutzfeldt-Jakob disease (prion disease), Cockayne syndrome, Cowden syndrome, Curschmann-Batten-Steinert syndrome (myotonic dystrophy), Beare-Stevenson cutis gyrata syndrome, primary hyperoxaluria, spondyloepimetaphyseal dysplasia (Strudwick type), muscular dystrophy, Duchenne and Becker types (DBMD), Usher syndrome, Degenerative nerve diseases including de Grouchy syndrome and Dejerine- Sottas syndrome, developmental disabilities, distal spinal muscular atrophy, type V, Diffuse Globoid Body Sclerosis (Krabbe disease), Di George's syndrome, Dihydrotestosterone receptor deficiency, Down syndrome, Dwarfism, Erythroid 5-aminolevulinate synthetase deficiency, Erythropoietic porphyria, erythropoietic protoporphyria, erythropoietic uroporphyria, Friedreich's ataxia, familial paroxysmal polyserositis, porphyria cutanea tarda, familial pressure sensitive neuropathy, primary pulmonary hypertension (PPH), Fibrocystic disease of the pancreas, fragile X syndrome, genetic brain disorders, Giant cell hepatitis (Neonatal hemochromatosis), Gronblad-.Strandberg syndrome ( pseudoxanthoma elasticum), Gunther disease (congenital erythropoietic porphyria), haemochromatosis, Hallgren syndrome, sickle cell anemia, hemophilia, hepatoerythropoietic porphyria (HEP), Hippel-Lindau disease (von Hippel—Lindau disease), Huntington's disease, Hutchinson-Gilford progeria syndrome (progeria), Hyperandrogenism, Hypochondroplasia, Hypochromic anemia, Immune system disorders, including X-linked severe combined immunodeficiency, Insley-Astley syndrome, Joubert syndrome, Lesch-Nyhan syndrome, Jackson-Weiss syndrome, Kidney diseases, including hyperoxaluria, Lacunar dementia,Langer- Saldino achondrogenesis, Lynch syndrome, Lysyl-hydroxylase deficiency, Machado-Joseph disease, Metabolic disorders, including Kniest dysplasia, Marfan syndrome, Movement disorders, Mowat-Wilson syndrome, cystic fibrosis, Muenke syndrome, Multiple
neurofibromatosis, Nance—Insley syndrome, Nance-Sweeney chondrodysplasia, Niemann— Pick disease, Noack syndrome (Pfeiffer syndrome), Osier-Weber Rendu disease, Peutz-Jeghers syndrome, Polycystic kidney disease, polyostotic fibrous dysplasia (McCune-Albright syndrome), Prader-Labhart-Willi syndrome, hemochromatosis, primary hyperuricemia, primary pulmonary hypertension, primary senile degenerative dementia, prion disease, progeria (Hutchinson Gilford Progeria Syndrome), progressive chorea, chronic hereditary (Huntington) (Huntington's disease), progressive muscular atrophy, spinal muscular atrophy, propionic acidemia, protoporphyria, proximal myotonic dystrophy, pulmonary arterial hypertension, PXE (pseudoxanthoma elasticum), Rb (retinoblastoma), Recklinghausen disease (neurofibromatosis type I), Recurrent polyserositis, Retinal disorders, Retinoblastoma, RFALS type 3, Ricker syndrome, Riley-Day syndrome, Roussy-Levy syndrome, severe achondroplasia with developmental delay and acanthosis nigricans (SADDAN), Li-Fraumeni syndrome, sarcoma, breast, leukemia, and adrenal gland (SBLA) syndrome, sclerosis tuberose (tuberous sclerosis), SDAT, SED congenital (spondyloepiphyseal dysplasia congenita), SED Strudwick (spondyloepimetaphyseal dysplasia, Strudwick type), SEDc (spondyloepiphyseal dysplasia congenita) SEMD, Strudwick type (spondyloepimetaphyseal dysplasia, Strudwick type), Shprintzen syndrome, Skin pigmentation disorders, Smith-Lemli-Opitz syndrome, South African genetic porphyria (variegate porphyria), infantile-onset ascending hereditary spastic paralysis, Speech and communication disorders, sphingolipidosis, spinocerebellar ataxia, Stickler syndrome, stroke, androgen insensitivity syndrome, tetrahydrobiopterin deficiency, beta- thalassemia, Thyroid disease, Tomaculous neuropathy (hereditary neuropathy with liability to pressure palsies), Treacher Collins syndrome, Triplo X syndrome (triple X syndrome), Trisomy 21 (Down syndrome), Trisomy X, VHL syndrome (von Hippel-Lindau disease), Vision impairment and blindness (Alstrom syndrome), Vrolik disease, Waardenburg syndrome, Warburg Sjo Fledelius Syndrome, Weissenbacher-Zweymiiller syndrome, Wolf—Hirschhorn syndrome, Wolff Periodic disease, and Xeroderma pigmentosum, among others.
[0447] The term "cancer" is used throughout the specification to refer to the pathological process that results in the formation and growth of a cancerous or malignant neoplasm, i.e., abnormal tissue that grows by cellular proliferation, often more rapidly than normal and continues to grow after the stimuli that initiated the new growth cease. Malignant neoplasms show partial or complete lack of structural organization and functional coordination with the normal tissue and most invade surrounding tissues, metastasize to several sites, and are likely to recur after attempted removal and to cause the death of the patient unless adequately
treated. Exemplary cancers which may be treated by the present compounds either alone or in combination with at least one additional anti-cancer agent include squamous-cell carcinoma, basal cell carcinoma, adenocarcinoma, hepatocellular carcinomas, and renal cell carcinomas, cancer of the bladder, bowel, cervix, colon, esophagus, head, kidney, liver, lung, neck, ovary, pancreas, prostate, and stomach; leukemias; benign and malignant lymphomas, particularly Burkitt's lymphoma and Non-Hodgkin's lymphoma; benign and malignant melanomas; myeloproliferative diseases; sarcomas, including Ewing's sarcoma, hemangiosarcoma, Kaposi's sarcoma, liposarcoma, myosarcomas, peripheral neuroepithelioma, synovial sarcoma, gliomas, astrocytomas, oligodendrogliomas, ependymomas, gliobastomas, neuroblastomas, ganglioneuromas, gangliogliomas, medulloblastomas, pineal cell tumors, meningiomas, meningeal sarcomas, neurofibromas, and Schwannomas, Hodgkin's disease, Wilms' tumor and teratocarcinomas. Additional cancers which may be treated using compounds according to the present disclosure include, for example, T-lineage Acute lymphoblastic Leukemia (T-ALL), Tlineage lymphoblastic Lymphoma (T-LL), Peripheral T-cell lymphoma, Adult T-cell Leukemia, Pre B ALL, Pre- B Lymphomas, Large B~cell Lymphoma, Burkitts Lymphoma, B~ cell ALL Philadelphia chromosome positive ALL and Philadelphia chromosome positive CML.
[0448] In certain embodiments, the present disclosure is directed to a method of treating a disease or disorder in a human in need thereof, comprising administering to the human an effective amount of a compound of the present disclosure (e.g., a PROTAC of Formula (I), (la), (II), or (Ila)), or a salt (e.g., a pharmaceutically acceptable salt) thereof, or a pharmaceutical composition of the present disclosure that comprises said PROTAC.
[0449] In certain embodiments, a PROTAC of the present disclosure is used in a method of treating solid tumor, e.g., ovarian.
[0450] In another embodiment, a PROTAC of the present disclosure is used in a method of treating hematological malignancies such as non-Hodgkin's lymphoma (NHL), diffuse large hematopoietic lymphoma, follicular lymphoma, mantle cell lymphoma, chronic lymphocytic leukemia, multiple myeloma, acute myeloid leukemia (AML), and myeloid cell leukemia (MCL), and including B-cell related cancers and proliferative disorders. See, e.g., US 8,226,945; Li et al (2013) Mol. Cancer. Ther. 12(7): 1255-1265; Poison et al (2010) Leukemia 24: 1566-1573; Poison et al (2011) Expert Opin. Investig. Drugs 20(l):75-85.
[0451] In another embodiment, a PROTAC of the present disclosure is used in a method of treating ovarian, breast and pancreatic cancers. The cancer may be associated with the expression or activity of a MUC16/CA125/0772P polypeptide. See, e.g., WO 2007/001851; US 7,989,595; US 8,449,883; US 7,723,485; Chen et al (2007) Cancer Res. 67(10): 4924-4932; Junutula, et al, (2008) Nature Biotech., 26(8):925-932.
[0452] In certain embodiments, a PROTAC of the present disclosure is used in a method of treating cancer, e.g., breast or gastric cancer, more specifically HER2 positive breast or gastric cancer, wherein the method comprises administering such PROTAC to a patient in need of such treatment.
[0453] A PROTAC of the present disclosure may be administered by any route appropriate to the condition to be treated. The PROTAC or VHL will typically be administered parenterally, i.e. infusion, subcutaneous, intramuscular, intravenous, intradermal, intrathecal and epidural.
[0454] A PROTAC can be used either alone or in combination with other agents in a therapy. For instance, a PROTAC may be co-administered with at least one additional therapeutic agent. Such combination therapies noted above encompass combined administration (where two or more therapeutic agents are included in the same or separate formulations), and separate administration, in which case, administration of the PROTAC can occur prior to, simultaneously, and/or following, administration of the additional therapeutic agent and/or adjuvant. A PROTAC can also be used in combination with radiation therapy.
[0455] The term "coadministration" or "combination therapy" shall mean that at least two compounds or compositions are administered to the patient at the same time, such that effective amounts or concentrations of each of the two or more compounds may be found in the patient at a given point in time. Although compounds according to the present disclosure may be co-administered to a patient at the same time, the term embraces both administration of two or more agents at the same time or at different times, provided that effective concentrations of coadministered compounds or compositions are found in the subject at a given time.
[0456] In an additional aspect, the description provides combination therapies comprising an effective amount of a compound as described herein in combination with an additional bioactive agent. The term "bioactive agent" is used to describe an agent, other than a
compound as described herein, which is used in combination with the present compounds as an agent with biological activity to assist in effecting an intended therapy, inhibition and/or prevention/prophylaxis for which the present compounds are used. Preferred bioactive agents for use herein include those agents which have pharmacological activity similar to that for which the present compounds are used or administered and include for example, anti-cancer agents, antiviral agents, especially including anti-HIV agents and anti-HCV agents, antimicrobial agents, antifungal agents, etc. In certain embodiments, the compound as described herein, the additional bioactive agent or both are present in an effective amount or, in certain embodiments, a synergistically effective amount.
[0457] The term "additional anti-cancer agent" is used to describe an anti-cancer agent, which may be combined with compounds according to the present disclosure to treat cancer. These agents include, for example, everolimus, trabectedin, abraxane, TLK 286, AV-299, DN- 101, pazopanib, GSK690693, RTA 744, ON 0910.Na, AZD 6244 (ARRY-142886), AMN-107, TKI-258, GSK461364, AZD 1152, enzastaurin, vandetanib, ARQ-197, MK-0457, MLN8054, PHA-739358, R-763, AT-9263, a FLT-3 inhibitor, a VEGFR inhibitor, an EGFR TK inhibitor, an aurora kinase inhibitor, a PIK-1 modulator, a Bel -2 inhibitor, an HDAC inhbitor, a c-MET inhibitor, a PARP inhibitor, a Cdk inhibitor, an EGFR TK inhibitor, an IGFR-TK inhibitor, an anti-HGF antibody, a PI3 kinase inhibitors, an AKT inhibitor, a JAK/STAT inhibitor, a checkpoint- 1 or 2 inhibitor, a focal adhesion kinase inhibitor, a Map kinase kinase (mek) inhibitor, a VEGF trap antibody, pemetrexed, erlotinib, dasatanib, nilotinib, decatanib, panitumumab, amrubicin, oregovomab, Lep-etu, nolatrexed, azd2171, batabulin, ofatumumab, zanolimumab, edotecarin, tetrandrine, rubitecan, tesmilifene, oblimersen, ticilimumab, ipilimumab, gossypol, Bio 111, 131-I-TM-601, ALT- 110, BIO 140, CC 8490, cilengitide, gimatecan, IL13-PE38QQR, INO 1001, IPdRl KRX-0402, lucanthone, LY317615, neuradiab, vitespan, Rta 744, Sdx 102, talampanel, atrasentan, Xr 311, romidepsin, ADS-100380, sunitinib, 5-fluorouracil, vorinostat, etoposide, gemcitabine, doxorubicin, liposomal doxorubicin, 5'-deoxy- 5-fluorouridine, vincristine, temozolomide, ZK-304709, seliciclib; PD0325901, AZD-6244, capecitabine, L-Glutamic acid, N-[4-[2-(2-amino-4,7-dihydro-4-oxo-l H - pyrrolo[2,3- d]pyrimidin-5-yl)ethyl]benzoyl]-, disodium salt, heptahydrate, camptothecin, PEG-labeled irinotecan, tamoxifen, toremifene citrate, anastrazole, exemestane, letrozole, DES(diethylstilbestrol), estradiol, estrogen, conjugated estrogen, bevacizumab, IMC-1C11, CHIR-258); 3-[5-(methylsulfonylpiperadinemethyl)- indolylj-quinolone, vatalanib, AG-013736, AVE-0005, the acetate salt of [D-Ser(Bul)6,Azgly10] or pyro-Glu-His-T -Ser-Tyr-D-Ser(But)-
Leu-Arg-Pro-Azgly-NH2 acetate [C59H84N18O14 (X^EUC^x where x = 1 to 2.4], goserelin acetate, leuprolide acetate, triptorelin pamoate, medroxyprogesterone acetate, hydroxyprogesterone caproate, megestrol acetate, raloxifene, bicalutamide, fiutamide, nilutamide, megestrol acetate, CP-724714; TAK-165, HKI-272, erlotinib, lapatanib, canertinib, ABX-EGF antibody, erbitux, EKB-569, PKI-166, GW-572016, Ionafamib, BMS-214662, tipifarnib; amifostine, NVP-LAQ824, suberoyl analide hydroxamic acid, valproic acid, trichostatin A, FK-228, SU11248, sorafenib, KRN951, aminoglutethimide, arnsacrine, anagrelide, L-asparaginase, Bacillus Calmette-Guerin (BCG) vaccine, adriamycin, bleomycin, buserelin, busulfan, carboplatin, carmustine, chlorambucil, cisplatin, cladribine, clodronate, cyproterone, cytarabine, dacarbazine, dactinomycin, daunorubicin, diethylstilbestrol, epirubicin, fludarabine, fludrocortisone, fluoxymesterone, flutamide, gleevec, gemcitabine, hydroxyurea, idarubicin, ifosfamide, imatinib, leuprolide, levamisole, lomustine, mechlorethamine, melphalan, 6-mercaptopurine, mesna, methotrexate, mitomycin, mitotane, mitoxantrone, nilutamide, octreotide, oxaliplatin, pamidronate, pentostatin, plicamycin, porfimer, procarbazine, raltitrexed, rituximab, streptozocin, teniposide, testosterone, thalidomide, thioguanine, thiotepa, tretinoin, vindesine, 13-cis-retinoic acid, phenylalanine mustard, uracil mustard, estramustine, altretamine, floxuridine, 5-deooxyuridine, cytosine arabinoside, 6-mecaptopurine, deoxycoformycin, calcitriol, valrubicin, mithramycin, vinblastine, vinorelbine, topotecan, razoxin, marimastat, COL-3, neovastat, BMS-275291 , squalamine, endostatin, SU5416, SU6668, EMD121974, interleukin-12, IM862, angiostatin, vitaxin, droloxifene, idoxyfene, spironolactone, finasteride, cimitidine, trastuzumab, denileukin diftitox,gefitinib, bortezimib, paclitaxel, cremophor-free paclitaxel, docetaxel, epithilone B, BMS- 247550, BMS-310705, droloxifene, 4- hydroxy tamoxifen, pipendoxifene, ERA-923, arzoxifene, fulvestrant, acolbifene, lasofoxifene, idoxifene, TSE-424, HMR- 3339, ZK186619, topotecan, PTK787/ZK 222584, VX-745, PD 184352, rapamycin, 40-O-(2-hydroxyethyl)-rapamycin, temsirolimus, AP-23573, RAD001, ABT-578, BC-210, LY294002, LY292223, LY292696, LY293684, LY293646, wortmannin, ZM336372, L-779,450, PEG-filgrastim, darbepoetin, erythropoietin, granulocyte colony- stimulating factor, zolendronate, prednisone, cetuximab, granulocyte macrophage colony- stimulating factor, histrelin, pegylated interferon alfa-2a, interferon alfa-2a, pegylated interferon alfa-2b, interferon alfa-2b, azacitidine, PEG-L-asparaginase, lenalidomide, gemtuzumab, hydrocortisone, interleukin-11, dexrazoxane, alemtuzumab, all-transretinoic acid, ketoconazole, interleukin-2, megestrol, immune globulin, nitrogen mustard, methylprednisolone, ibritgumomab tiuxetan, androgens, decitabine, hexamethylmelamine, bexarotene, tositumomab, arsenic
trioxide, cortisone, editronate, mitotane, cyclosporine, liposomal daunorubicin, Edwina- asparaginase, strontium 89, casopitant, netupitant, an NK-1 receptor antagonist, palonosetron, aprepitant, diphenhydramine, hydroxyzine, metoclopramide, lorazepam, alprazolam, haloperidol, droperidol, dronabinol, dexamethasone, methylprednisolone, prochlo erazine, granisetron, ondansetron, dolasetron, tropisetron, pegfilgrastim, erythropoietin, epoetin alfa, darbepoetin alfa and mixtures thereof.
[0458] The term "anti-HIV agent" or "additional anti-HIV agent" includes, for example, nucleoside reverse transcriptase inhibitors (NRTI), other non-nucloeoside reverse transcriptase inhibitors (i.e., those which are not representative of the present disclosure), protease inhibitors, fusion inhibitors, among others, exemplary compounds of which may include, for example, 3TC (Lamivudine), AZT (Zidovudine), (-)-FTC, ddl (Didanosine), ddC (zalcitabine), abacavir (ABC), tenofovir (PMPA), D-D4FC (Reverset), D4T (Stavudine), Racivir, L-FddC, L-FD4C, NVP (Nevirapine), DLV (Delavirdine), EFV (Efavirenz), SQVM (Saquinavir mesylate), RTV (Ritonavir), IDV (Indinavir), SQV (Saquinavir), NFV (Nelfinavir), APV (Amprenavir), LPV (Lopinavir), fusion inhibitors such as T20, among others, fuseon and mixtures thereof, including anti-HIV compounds presently in clinical trials or in development.
[0459] Other anti-HIV agents which may be used in coadministration with compounds according to the present disclosure include, for example, other NNRTI's (i.e., other than the NNRTI's according to the present disclosure) may be selected from the group consisting of nevirapine (BI-R6-587), delavirdine (U-90152S/T), efavirenz (DMP-266), UC-781 (N-[4-chloro- 3-(3-methyl-2-butenyloxy)phenyl]-2methyl3-furancarbothiamide), etravirine (TMC125), Trovirdine (Ly300046.HCl), MKC-442 (emivirine, coactinon), HI-236, HI-240, HI-280, HI-281, rilpivirine (TMC-278), MSC-127, HBY 097, DMP266, Baicalin (TJN-151) ADAM-II (Methyl 3',3'-dichloro-4',4"-dimethoxy-5',5"-bis(methoxycarbonyl)-6,6-diphenylhexenoate), Methyl 3- Bromo-5-(l-5-bromo-4-methoxy-3-(methoxycarbonyl)phenyl)hept-l-enyl)-2-methoxybenzoate (Alkenyldiarylmethane analog, Adam analog), 5C13PhS-2IndolCONH2 (5-chloro-3- (phenylsulfinyl)-2'-indolecarboxamide), AAP-BHAP (U- 104489 or PNU- 104489), Capravirine (AG-1549, S-1153), atevirdine (U-87201E), aurin tricarboxylic acid (SD-095345), l-[(6-Cyano- 2-indoyly)carbonyl]-4-[3-(isopropylarnino)-2-pyridinyl]piperazine (piperazinel pyridine 4 indolyl derivative), l-[5-[[N-(methyl)methylsulfonylamino]-2-indolylcarbonyl-4-[3- (isopropylamino)-2-pyridinyl]piperazine (piperazine lpyridine 5 indolyl derivative), l-[3- (Ethylamino)-2-[pyridinyl]-4-[(5-hydroxy-2-indolyl)carbonyl]piperazine, l-[(6-Formyl-2-
indoyly)carbonyl]-4-[3-(isopropylamino)-2-pyridinyl]piperazine, l-[[5-(Methylsulfonyloxy)-2- indoyly)carbonyl]-4-[3-(isopropylamino)-2-pyridinyl]piperazine, U88204E, Bis(2- nitrophenyl)sulfone (NSC 633001), Calanolide A (NSC675451), Calanolide B, 6-Benzyl-5- methyl-2-(cyclohexyloxy)pyrimidin-4-one (DABO-546), DPC 961, E-EBU, E-EBU-dm, E- EPSeU, E-EPU, Foscarnet (Foscavir), HEPT (l-[(2-Hydroxyethoxy)methyl]-6- (phenylthio)thymine), HEPT-M (l-[(2-Hydroxyethoxy)methyl]-6-(3- methylphenyl)thio)thymine), HEPT-S (l-[(2-Hydroxyethoxy)methyl]-6-(phenylthio)-2- thiothymine), Inophyllum P, L-737,126, Michellamine A (NSC650898), Michellamine B (NSC649324), Michellamine F, 6-(3,5-Dimethylbenzyl)-l-[(2-hydroxyethoxy)methyl]-5- isopropyluracil, 6-(3,5-Dimethylbenzyl)-l-(ethyoxymethyl)-5-isopropyluracil, NPPS, E-BPTU (NSC 648400), Oltipraz (4-Methyl-5-(pyrazinyl)-3H-l,2-dithiole-3-thione), N-{2-(2-Chloro-6- fluorophenethyl]-N'-(2-thiazolyl)thiourea (PETT CI, F derivative), N-{2-(2,6- Difluorophenethyl]-N'-[2-(5-bromopyridyl)]thiourea {PETT derivative), N-{2-(2,6- Difluorophenethyl]-N'-[2-(5-methylpyridyl)]hiourea {PETT Pyridyl derivative), N-[2-(3- Fluorofuranyl)ethyl]-N'-[2-(5-chloropyridyl)]thiourea, N-[2-(2-Fluoro-6-ethoxyphenethyl)]-N'- [2-(5-bromopyridyl)]thiourea, N-(2-Phenethyl)-N'-(2-thiazolyl)thiourea (LY-73497), L-697,639, L-697,593, L-697,661, 3-[2-(4,7-Difluorobenzoxazol-2-yl)ethyl}-5-ethyl-6-methyl(pypridin- 2(lH)-thione (2-Pyridinone Derivative), 3-[[(2-Methoxy-5,6-dimethyl-3-pyridyl)methyl]amine]- 5-ethyl-6-methyl(pypridin-2(lH)-thione (2-Pyridinone 3pyrid 3MeNH Derivative), R82150, R82913, R87232, R88703, R89439 (Loviride), R90385, S-2720, Suramin Sodium, TBZ (Thiazolobenzimidazole, NSC 625487), Thiazoloisoindol-5-one, (+)(R)-9b-(3,5- Dimethylphenyl-2,3-dihydrothiazolo[2,3-a]isoindol-5(9bH)-one, Tivirapine (R86183), UC-38 and UC-84, among others.
[0460] A PROTAC or VHL ligand (and any additional therapeutic agent) can be administered by any suitable means, including parenteral, intrapulmonary, and intranasal, and, if desired for local treatment, intralesional administration. Parenteral infusions include intramuscular, intravenous, intraarterial, intraperitoneal, or subcutaneous administration. Dosing can be by any suitable route, e.g. by injections, such as intravenous or subcutaneous injections, depending in part on whether the administration is brief or chronic. Various dosing schedules including but not limited to single or multiple administrations over various time-points, bolus administration, and pulse infusion are contemplated herein.
[0461] For the prevention or treatment of disease, the appropriate dosage of a PROTAC (when used alone or in combination with one or more other additional therapeutic agents) will depend on the type of disease to be treated, the type of PROTAC, the severity and course of the disease, whether the PROTAC is administered for preventive or therapeutic purposes, previous therapy, the patient's clinical history and response to the PROTAC, and the discretion of the attending physician. The PROTAC is suitably administered to the patient at one time or over a series of treatments. Depending on the type and severity of the disease, about 10 ng/kg to 300 mg/kg (e.g. 0.1 mg/kg - 10 mg/kg) of a PROTAC can be an initial candidate dosage for administration to the patient, whether, for example, by one or more separate administrations, or by continuous infusion. One typical daily dosage might range from about 1 μg/kg to 100 mg/kg or more, depending on the factors mentioned above. For repeated administrations over several days or longer, depending on the condition, the treatment would generally be sustained until a desired suppression of disease symptoms occurs. One exemplary dosage of a PROTAC would be in the range from about 0.05 mg/kg to about 10 mg/kg. Thus, one or more doses of about 0.5 mg/kg, 2.0 mg/kg, 4.0 mg/kg or 10 mg/kg (or any combination thereof) may be administered to the patient. Such doses may be administered intermittently, e.g. every week or every three weeks (e.g. such that the patient receives from about two to about twenty, or e.g. about six doses). An initial higher loading dose, followed by one or more lower doses may be administered. However, other dosage regimens may be useful. The progress of this therapy is easily monitored by conventional techniques and assays.
[0462] Thus, in one aspect, present disclosure may be used to treat a number of disease states and/or disorders, including any disease state and/or disorder in which proteins are dysregulated and where a patient would benefit from the degradation of proteins.
[0463] In alternative aspects, the present disclosure relates to a method for treating a disease state by degrading a protein or polypeptide through which a disease or disorder is modulated comprising administering to said patient or subject an effective amount of at least one compound as described hereinabove, optionally in combination with an additional bioactive agent. The method according to the present disclosure may be used to treat a large number of diseases or disorders including cancer, by virtue of the administration of effective amounts of at least one compound described herein.
[0464] In still another aspect, the description provides a method of ubiquitinating/degrading a target protein in a cell. The method comprises administering a
bifunctional compound or a pharmaceutical composition comprising a bifunctional compound that comprises a VHL ligand moiety and a protein binding moiety, preferably linked through a linker moiety, as otherwise described herein, wherein the VHL ligand moiety is coupled to the protein binding moiety and wherein the VHL ligand moiety recognizes a ubiquitin pathway protein (e.g., an ubiquitin ligase, preferably a VHL E3 ubiquitin ligase) and the protein binding moiety recognizes the target protein such that degradation of the target protein will occur when the target protein is placed in proximity to the ubiquitin ligase, thus resulting in degradation/inhibition of the effects of the target protein and the control of protein levels. The control of protein levels afforded by the present disclosure provides treatment of a disease state or condition, which is modulated through the target protein by lowering the level of that protein in the cells of a patient.
[0465] In another aspect, the present disclosure is directed to a method of degrading a target protein in a cell comprising exposing the cell to a composition comprising an effective amount of a compound Formula (I), (II), (la), or (Ila), or a salt (e.g., a pharmaceutically acceptable salt) thereof, wherein the compound effectuates the degradation of the target protein.
[0466] In still another aspect, the description provides a method of treating or preventing in a patient in need thereof a disease or disorder modulated through a protein where the degradation of that protein will produce a therapeutic effect in that patient, the method comprising administering to a patient in need an effective amount of a compound according to the present disclosure, optionally in combination with another bioactive agent. The disease state or condition may be a disease caused by a microbial agent or other exogenous agent such as a virus, bacteria, fungus, protozoa or other microbe or may be a disease state, which is caused by overexpression of a protein, which leads to a disease state and/or condition.
V. Articles of Manufacture
[0467] In another aspect, described herein are articles of manufacture, for example, a "kit", containing materials useful for the treatment of the diseases and disorders described above is provided. The kit comprises a container comprising a PROTAC. The kit may further comprise a label or package insert, on or associated with the container. The term "package insert" is used to refer to instructions customarily included in commercial packages of therapeutic products, that contain information about the indications, usage, dosage, administration, contraindications and/or warnings concerning the use of such therapeutic products.
[0468] Suitable containers include, for example, bottles, vials, syringes, blister pack, etc. A "vial" is a container suitable for holding a liquid or lyophilized preparation. In one embodiment, the vial is a single-use vial, e.g. a 20-cc single-use vial with a stopper. The container may be formed from a variety of materials such as glass or plastic. The container may hold a PROTAC or a formulation thereof which is effective for treating the condition and may have a sterile access port (for example, the container may be an intravenous solution bag or a vial having a stopper pierceable by a hypodermic injection needle).
[0469] At least one active agent in the composition is a PROTAC of the present disclosure. The label or package insert indicates that the composition is used for treating the condition of choice, such as cancer. In addition, the label or package insert may indicate that the patient to be treated is one having a disorder such as a hyperproliferative disorder, neurodegeneration, cardiac hypertrophy, pain, migraine or a neurotraumatic disease or event. In one embodiment, the label or package inserts indicates that the composition comprising a PROTAC can be used to treat a disorder resulting from abnormal cell growth. The label or package insert may also indicate that the composition can be used to treat other disorders. Alternatively, or additionally, the article of manufacture may further comprise a second container comprising a pharmaceutically acceptable buffer, such as bacteriostatic water for injection (BWFI), phosphate-buffered saline, Ringer's solution and dextrose solution. It may further include other materials desirable from a commercial and user standpoint, including other buffers, diluents, filters, needles, and syringes.
[0470] The kit may further comprise directions for the administration of the PROTAC and, if present, the second pharmaceutical formulation. For example, if the kit comprises a first composition comprising a PROTAC, and a second pharmaceutical formulation, the kit may further comprise directions for the simultaneous, sequential or separate administration of the first and second pharmaceutical compositions to a patient in need thereof.
[0471] In another embodiment, the kits are suitable for the delivery of solid oral forms of a PROTAC, such as tablets or capsules. Such a kit preferably includes a number of unit dosages. Such kits can include a card having the dosages oriented in the order of their intended use. An example of such a kit is a "blister pack". Blister packs are well known in the packaging industry and are widely used for packaging pharmaceutical unit dosage forms. If desired, a memory aid can be provided, for example in the form of numbers, letters, or other markings or
with a calendar insert, designating the days in the treatment schedule in which the dosages can be administered.
[0472] According to one embodiment, a kit may comprise (a) a first container with a PROTAC contained therein; and optionally (b) a second container with a second pharmaceutical formulation contained therein, wherein the second pharmaceutical formulation comprises a second compound with anti-hyperproliferative activity. Alternatively, or additionally, the kit may further comprise a third container comprising a pharmaceutically-acceptable buffer, such as bacteriostatic water for injection (BWFI), phosphate-buffered saline, Ringer's solution and dextrose solution. It may further include other materials desirable from a commercial and user standpoint, including other buffers, diluents, filters, needles, and syringes.
[0473] In certain other embodiments wherein the kit comprises a PROTAC and a second therapeutic agent, the kit may comprise a container for containing the separate compositions such as a divided bottle or a divided foil packet; however, the separate compositions may also be contained within a single, undivided container. Typically, the kit comprises directions for the administration of the separate components. The kit form is particularly advantageous when the separate components are preferably administered in different dosage forms (e.g., oral and parenteral), are administered at different dosage intervals, or when titration of the individual components of the combination is desired by the prescribing physician.
VI. Examples
[0474] The following examples are offered by way of illustration and not by way of limitation.
Abbreviations
[0475] The following abbreviations are used in the examples:
[0476] ABPR - automated back pressure regulator
[0477] AC2O - acetic anhydride
[0478] ACN - acetonitrile
[0479] AIBN - 2,2'-Azobis(2-methylpropionitrile)
[0480] BnBr - benzyl bromide
[0481 ] Boc - tert-butyloxycarbonyl
[0482] CDC13 - Deuterochloroform
[0483] DBU - l,8-Diazabicyclo[5.4.0]undec-7-ene
[0484] DCC - N,N'-Dicyclohexylcarbodiimide
[0485] DCE - 1,2-dichloroethane
[0486] DCM - dichloromethane
[0487] DEA - diethanolamine
[0488] DIAD - diisopropyl azodicarboxylate
[0489] DIPEA or DIEA - N,N-diisopropylethylamine
[0490] DMAP - 4-(dimethylamino)pyridine
[0491 ] DMA - dimethylacetamide
[0492] DME - dimethoxyethane
[0493] DMF - dimethylformamide
[0494] DMFA - dimethylforamide dimethyl acetal
[0495] DMSO - dimethyl sulfoxide
[0496] DTT - dithiothreitol
[0497] EDTA - ethylenediaminetetraacetic acid
[0498] ESI - electrospray ionization
[0499] Et - ethyl
[0500] Et3N - trimethylamine
[0501] EtOAc - ethyl acetate
[0502] EtOH - ethanol
[0503] FA - formic acid
[0504] FBS - fetal bovine serum
[0505] GAPDH - Glyceraldehyde 3-phosphate dehydrogenase
[0506] HATU - l-[Bis(dimethylamino)methylene]-lH-l,2,3-triazolo[4,5-b]pyridinium -oxide hexafluorophosphate
[0507] HEPES - 4-(2-Hydroxyethyl)piperazine-l-ethanesulfonic acid
[0508] HFIP - Hexafluoroisopropanol
[0509] HF/pyridine - hydrogen fluoride pyridine
[0510] HO Ac - acetic acid
[0511] HOSu - N-hydroxysuccinimide
[0512] HPLC - high performance liquid chromatography
[0513] i-Prl - 2-iodopropane
[0514] KOAc - potassium acetate
[0515] LC/MS or LCMS - liquid chromatography - mass spectrometry
[0516] LDA - lithium diisopropy lamide
[0517] LiHMDS - lithium bis(trimethylsilyl)amide
[0518] Mel - methyl iodide
[0519] MeOH - methanol
[0520] MeS02Na - sodium methanesulphinate
[0521] MSD - mass selective detector
[0522] MTBE - methyl tert-butyl ether
[0523] NaOAc - sodium acetate
[0524] NBS - N-bromosuccinimide
[0525] NIS— N-iodosuccinimide
[0526] NMM - N-methylmorpholine
[0527] NMR - nuclear magnetic resonance
[0528] OBD - optimum bed density
[0529] PBS - phosphate buffered saline
[0530] PCy3 - trichlorohexylphosphine
[0531] Pd2(dba)3 - Tris(dibenzvlideneacetone)dipalladium(0)
[0532] PdVC - palladium on carbon
[0533] PdCl2(dppf) or Pd(dppf)Cl2- [1, 1 '- Bis(diphenylphosphino)ferrocene]dichloropalladium(II)
[0534] PdCl2(PPh3)2 - Bis(triphenylphosphine)palladium(II) dichloride
[0535] Pd(OAc)2 - palladium(II) acetate
[0536] Pd(PPh3) - Tetrakis(triphenylphosphine)palladium(0)
[0537] Ph3P - triphenylphosphine
[0538] PivOH - pivalic acid
[0539] Py or Pyr - pyridine
[0540] PEG - polyethylene glycol
[0541] SFC - supercritical fluid chromatography
[0542] T3P - Propylphosphonic anhydride
[0543] TAMRA - carboxytetramethylrhodamine [0544] TBAF - tetrabutylammonium fluoride [0545] TBSC1 - tert-Butyldimethylsilyl chloride [0546] t-Bu3PHBF4 - Tri-tert-butylphosphonium Tetrafluoroborate [0547] tBuOK or t-BuOK - potassium tert-butoxide [0548] t-BuXPhos - 2-Di-tert-butylphosphino-2',4',6'-triisopropylbiphenyl [0549] TCEP - Tris(2-carboxyethyl)phosphine [0550] TEA - triethylamine [0551] TFA - trifluoroacetic acid [0552] THF - tetrahydrofuran [0553] TMSI - trimethylsilyl iodide [0554] TLC - thin layer chromatography [0555] TsCl - 4-toluenesulfonyl chloride [0556] UV - ultraviolet LC/MS Methods
[0557] Method A: Experiments performed on an SHIMADZU 2020 HPLC with SHIMADZU MSD mass spectrometer using ESI as ionization source using a Shim-Pack XR- ODS C18 50 x 3.0 mm 2.2 μηι column and a 1.2 ml / minute flow rate. The solvent A was water with 0.05% TFA and solvent B was acetonitrile with 0.05% TFA. The gradient consisted of 20 - 80% solvent B over 3.6 minutes, 80 - 100% solvent B over 0.4 minutes and hold 100% B for 0.5 minutes. LC column temperature was 40 °C. UV absorbance was collected from 190 nm to 400 nm.
[0558] Method B: Experiments performed on an SHIMADZU 2020 HPLC with SHIMADZU MSD mass spectrometer using ESI as ionization source using a Shim-pack XR-
ODS CI 8 50 x 3.0 mm column and a 1.2 ml / minute flow rate. The solvent system was a gradient starting with 95% water with 0.05% TFA (solvent A) and 5% acetonitrile with 0.05% TFA (solvent B), ramping up to 100% solvent B over 1.1 minutes. The final solvent system was held constant for a further 0.6 minutes. LC column temperature is 40 °C. UV absorbance was collected from 190 nm to 400 nm.
[0559] Method C: Experiments performed on an SHIMADZU 2020 HPLC with SHIMADZU MSD mass spectrometer using ESI as ionization source using an Ascentis Express CI 8 50 x 2.1 mm column and a 1.0 ml / minute flow rate. The solvent system was a gradient starting with 95% water with 0.05% TFA (solvent A) and 5% acetonitrile with 0.05% TFA (solvent B), ramping up to 100% solvent B over 1.1 minutes. The final solvent system was held constant for a further 0.5 minutes. LC column temperature is 40 °C. UV absorbance was collected from 190 nm to 400 nm.
[0560] Method D: Experiments performed on an SHIMADZU 2020 HPLC with SHIMADZU MSD mass spectrometer using ESI as ionization source using a Shim-pack XR- ODS 50 x 3.0 mm column and a 1.2 ml / minute flow rate. The solvent system was a gradient starting with 95% water with 0.05% TFA (solvent A) and 5% acetonitrile with 0.05% TFA (solvent B), ramping up to 95% solvent B over 2.0 minutes. The final solvent system was held constant for a further 0.7 minutes. LC column temperature is 40 °C. UV absorbance was collected from 190 nm to 400 nm.
[0561] Method E: Experiments performed on an SHIMADZU 2020 HPLC with SHIMADZU MSD mass spectrometer using ESI as ionization source using a CORTECS C18 50 x 3.1 mm column and a 1.0 ml / minute flow rate. The solvent system was a gradient starting with 95% water with 0.05% TFA (solvent A) and 5% acetonitrile with 0.05% TFA (solvent B), ramping up to 100% solvent B over 1.1 minutes. The final solvent system was held constant for a further 0.5 minutes. LC column temperature is 45 °C. UV absorbance was collected from 190 nm to 400 nm.
[0562] Method F: Experiments performed on a Shimadzu 2020 HPLC with Shimadzu MSD mass spectrometer using ESI as ionization source using a Poroshell HPH-C18 50 x 3.0 mm column and a 1.2 mL/minute flow rate. The solvent A was water with 0.05% NH4HCO3 and solvent B was acetonitrile. The gradient consisted of 10 - 50% solvent B over 3.5 minutes then
50 - 95% solvent B over 0.5 minutes and hold 95% B for 0.7 minutes. LC column temperature was 40 °C. UV absorbance was collected from 190 nm to 400 nm.
[0563] Method G: Experiments performed on an SHIMADZU 2020 HPLC with SHIMADZU MSD mass spectrometer using ESI as ionization source using an XSELECT CSH CI 8 50 x 3.0 mm column and a 1.5 ml / minute flow rate. The solvent system was a gradient starting with 90% water with 0.1% FA (solvent A) and 10% acetonitrile with 0.1% FA (solvent B), ramping up to 100% solvent B over 1.1 minutes. The final solvent system was held constant for a further 0.6 minutes. LC column temperature is 40 °C. UV absorbance was collected from 190 nm to 400 nm.
[0564] Method H: Experiments performed on an SHIMADZU 2020 HPLC with SHIMADZU MSD mass spectrometer using ESI as ionization source using an Accucore C18 50 x 2.1 mm column and a 1.0 ml / minute flow rate. The solvent system was a gradient starting with 90% water with 0.1% FA (solvent A) and 10% acetonitrile with 0.1% FA (solvent B), ramping up to 95% solvent B over 2 minutes. The final solvent system was held constant for a further 0.7 minutes. LC column temperature is 40 °C. UV absorbance was collected from 190 nm to 400 nm.
[0565] Method . Experiments performed on a Shimadzu LCMS-2020 coupled with SHIMADZU MSD mass spectrometer using ESI as ionization source. The LC separation was using a CAPCELL CORE CI 8, 50 x 2.1 mm column with a 1 ml / minute flow rate. Solvent A was water with 0.05% TFA and solvent B was acetonitrile with 0.05% TFA. The gradient consisted of 5 - 95% solvent B over 2.0 minutes and hold 95% B for 0.7 minutes. LC column temperature was 40 °C. UV absorbance was collected from 190 nm to 400 nm.
[0566] Method J: Experiments performed on a Shimadzu LCMS-2020 coupled with SHIMADZU MSD mass spectrometer using ESI as ionization source. The LC separation was using a Shim-pack XR-ODS, 50 x 3.0 mm column with a 1.2 ml / minute flow rate. Solvent A was water with 0.05% TFA and solvent B was acetonitrile with 0.05% TFA. The gradient consisted of 5 - 70% solvent B over 3.7 minutes, 70 - 95% solvent B over 0.2 minutes and hold 95% B for 0.7 minutes. LC column temperature was 40 °C. UV absorbance was collected from 190 nm to 400 nm.
[0567] Method K: Experiments performed on a Shimadzu LCMS-2020. The LC separation was using a Ascentis Express CI 8, 100 x 4.6 mm column with a 1.2 ml / minute flow rate. Solvent A was water with 0.05% TFA and solvent B was methanol. The gradient consisted of 30 - 95% solvent B over 10 minutes and hold 95% B for 2 minutes. LC column temperature was 40 °C. UV absorbance was collected from 190 nm to 400 nm.
[0568] Method L: Experiments performed on a Shimadzu LCMS-2020 coupled with SHIMADZU MSD mass spectrometer using ESI as ionization source. The LC separation was using a Kinetex EVO CI 8, 50 x 2.1 mm column with a 1.0 ml / minute flow rate. Solvent A was water with 0.05% NH4HCO3 and solvent B was acetonitrile. The gradient consisted of 10 - 95% solvent B over 1.1 minutes, and hold 95% B for 0.5 minutes. LC column temperature was 35 °C. UV absorbance was collected from 190 nm to 400 nm.
[0569] Method M: Experiments were performed on a HPLC column coupled with a mass spectrometer using ESI as an ionization source. The LC separation was using MK RP18e, 25 x 2 mm column with a 1.5 mL/minute flow rate. Solvent A was 1.5 mL TFA in 4 L water, and solvent B was 0.75 mL TFA in 4 L acetonitrile. The gradient consisted of 5 - 95 % solvent B over 0.7 minutes, and holding at 95% for 0.4 minutes. LC column temperature was 50°C. UV absorbance was collected from 220 nm to 254 nm.
[0570] Method N: Experiments were performed on a HPLC column coupled with a mass spectrometer using ESI as an ionization source. The LC separation was using MK RP18e, 25 x 2 mm column with a 1.5 mL/minute flow rate. Solvent A was 1.5 mL TFA in 4 L water, and solvent B was 0.75 mL TFA in 4 L acetonitrile. The gradient consisted of 10 - 80% solvent B over 7 minutes, and holding at 95% for 0.4 minutes. LC column temperature was 50°C. UV absorbance was collected from 220 nm to 254 nm.
[0571] Method O: Experiments were performed on a HPLC column coupled with a mass spectrometer using ESI as an ionization source. The LC separation was using MK RP18e, 25 x 2 mm column with a 1.5 mL/minute flow rate. Solvent A was 1.5 mL TFA in 4 L water, and solvent B was 0.75 mL TFA in 4 L acetonitrile. The gradient consisted of 0 - 60% solvent B over 7 minutes, and holding at 95% for 0.4 minutes. LC column temperature was 50°C. UV absorbance was collected from 220 nm to 254 nm.
[0572] Method P: Experiments performed on SHIMADZU 2020 HPLC with SHIMADZU MSD mass spectrometer using ESI as ionization source using Shim-Pack XR-ODS C18 50 x 3.0 mm 2.2μηι column and a 1.2 ml / minute flow rate. The solvent A was water with 0.05% TFA and solvent B was acetonitrile with 0.05% TFA. The gradient consisted of 5 - 95% solvent B over 2.0 minutes, hold 95% B for 0.7 minutes. LC column temperature was 40 °C. UV absorbance was collected from 190 nm to 400 nm.
[0573] Method Q: Experiments performed on SHIMADZU 2020 HPLC with SHIMADZU MSD mass spectrometer using ESI as ionization source using Shim-Pack XR-ODS C18 50 x 3.0 mm 2.2μηι column and a 1.2 ml / minute flow rate. The solvent A was water with 0.05% TFA and solvent B was acetonitrile with 0.05% TFA. The gradient consisted of 5 - 60% solvent B over 3.2 minutes, 60 - 100% solvent B over 0.5 minutes, hold 100% B for 0.8 minutes. LC column temperature was 40 °C. UV absorbance was collected from 190 nm to 400 nm.
[0574] Method R: Experiments performed on SHIMADZU 2020 HPLC with SHIMADZU MSD mass spectrometer using ESI as ionization source using Shim-Pack XR-ODS C18 50 x 3.0 mm 2.2μηι column and a 1.2 ml / minute flow rate. The solvent A was water with 0.05% TFA and solvent B was acetonitrile with 0.05% TFA. The gradient consisted of 20 - 60% solvent B over 3.6 minutes, 60 - 100% solvent B over 0.4 minutes, hold 100% B for 0.5 minutes. LC column temperature was 40 °C. UV absorbance was collected from 190 nm to 400 nm.
[0575] Method S: Experiments performed on Shimadzu LCMS-2020. The LC separation was using Ascentis Express CI 8, 100 x 4.6 mm column with a 1.0 ml / minute flow rate. Solvent A was water with 0.05% TFA and solvent B was ACN/0.05%TFA. The gradient consisted of 5 - 95% solvent B over 8 minutes, hold 95% B for 2.0 minutes. LC column temperature was 60 °C. UV absorbance was collected from 190 nm to 400 nm.
[0576] Method T: Experiments performed on Shimadzu 2020 HPLC with Shimadzu MSD mass spectrometer using ESI as ionization source using Poroshell HPH-C18 50 x 3.0 mm column and a 1.2mL/minute flow rate. The solvent A was water with 0.05% NH4HCO3 and solvent B was acetonitrile. The gradient consisted of 10 - 95% solvent B over 2.0 minutes and hold 95% B for 0.7 minutes. LC column temperature was 40 °C. UV absorbance was collected from 190 nm to 400 nm.
[0577] Method U: Experiments performed on SHIMADZU 2020 HPLC with SHIMADZU MSD mass spectrometer using ESI as ionization source using Accucore CI 8 50 x 2.1 mm column and a 1.0 ml / minute flow rate. The solvent A was water with 0.1% FA and solvent B was acetonitrile with 0.1% FA. The gradient consisted of 10 - 95% solvent B over 3.0 minutes and hold 95% B for 0.7 minutes. LC column temperature was 40 °C. UV absorbance was collected from 190 nm to 400 nm.
[0578] Method V: Experiments performed on SHIMADZU 2020 HPLC with SHIMADZU MSD mass spectrometer using ESI as ionization source using Accucore CI 8 50 x 2.1 mm column and a 1.0 ml / minute flow rate. The solvent A was water with 0.1% FA and solvent B was acetonitrile with 0.1% FA. The gradient consisted of 10 - 50% solvent B over 3.5, 50 - 95% solvent B over 0.5 minutes and hold 95% B for 0.7 minutes. LC column temperature was 40 °C. UV absorbance was collected from 190 nm to 400 nm.
[0579] Method W: Experiments performed on Shimadzu LCMS-2020 coupled with SHIMADZU MSD mass spectrometer using ESI as ionization source. The LC separation was using Shim-pack XR-ODS, 50 x 3.0 mm column with a 1.2 ml / minute flow rate. Solvent A was water with 0.05% TFA and solvent B was acetonitrile with 0.05% TFA. The gradient consisted of 5 - 50% solvent B over 3.5 minutes, 50 - 100% solvent B over 0.2 minutes and hold 100% B for 1.0 minutes. LC column temperature was 40 °C. UV absorbance was collected from 190 nm to 400 nm.
[0580] Method X: Experiments performed on Shimadzu LCMS-2020 coupled with SHIMADZU MSD mass spectrometer using ESI as ionization source. The LC separation was using Shim-pack XR-ODS, 50 x 3.0 mm column with a 1.2 ml / minute flow rate. Solvent A was water with 0.05% TFA and solvent B was acetonitrile with 0.05% TFA. The gradient consisted of 5 - 95% solvent B over 2.0 minutes and hold 95% B for 0.7 minutes. LC column temperature was 40 °C. UV absorbance was collected from 190 nm to 400 nm.
[0581] Method Y: Experiments performed on Shimadzu LCMS-2020 coupled with SHIMADZU MSD mass spectrometer using ESI as ionization source. The LC separation was using Shim-pack XR-ODS, 50 x 3.0 mm column with a 1.2 ml / minute flow rate. Solvent A was water with 0.05% TFA and solvent B was acetonitrile with 0.05% TFA. The gradient consisted of 20 - 60% solvent B over 3.5 minutes, 60 - 100% solvent B over 0.2 minutes and hold 100% B
for 1.0 minutes. LC column temperature was 40 °C. UV absorbance was collected from 190 nm to 400 nm.
[0582] Method Z: Experiments performed on Shimadzu LCMS-2020 coupled with SHIMADZU MSD mass spectrometer using ESI as ionization source. The LC separation was using Shim-pack XR-ODS, 50 x 3.0 mm column with a 1.2 ml / minute flow rate. Solvent A was water with 0.05% TFA and solvent B was acetonitrile with 0.05% TFA. The gradient consisted of 30 - 100% solvent B over 3.1 minutes and hold 100% B for 0.6 minutes. LC column temperature was 40 °C. UV absorbance was collected from 190 nm to 400 nm.
[0583] Method AA: Experiments performed on a SHIMADZU 2020 HPLC with SHIMADZU MSD mass spectrometer using ESI as ionization source using Ascentis Express CI 8 50 x 2.1 mm column and a 1.2 ml / minute flow rate. Solvent A was water with 0.05% TFA and solvent B was MeOH. The gradient consisted of 20 - 95% solvent B over 10 minutes and hold 95% B for 3.2 minutes. LC column temperature was 40 °C. UV absorbance was collected from 190 nm to 400 nm.
[0584] Method BB: Experiments performed on SHIMADZU 2020 HPLC with SHIMADZU MSD mass spectrometer using ESI as ionization source using Ascentis Express CI 8 50 x 2.1 mm column and a 1.2 ml / minute flow rate. Solvent A was water with 0.05% TFA and solvent B was MeOH. The gradient consisted of 30 - 85% solvent B over 10 minutes and hold 80% B for 3.2 minutes. LC column temperature was 40 °C. UV absorbance was collected from 190 nm to 400 nm.
[0585] Method CC: Experiments performed on MK RP18e 25-2 column with mass spectrometer using ESI as ionization source. Solvent A was 1.5 mL / 4 L of TFA in water and solvent B was 0.75 mL / 4 L of TFA in acetonitrile. The gradient consisted of 5 - 95% solvent B over 0.7 minutes, and holding at 95% for 0.4 minutes at a flow rate of 1.5 mL/min. LC column temperature was 50°C. UV absorbance was collected at 220 nm and 254 nm.
[0586] Method DD: Experiments performed on Xtimate CI 8 2.1 *30 mm, 3 μηι column, with mass spectrometer using ESI as ionization source. Solvent A was 1.5 mL / 4 L of TFA in water, and solvent B was 0.75 mL / 4 L of TFA in acetonitrile. The gradient consisted of 10 - 80% solvent B over 6 minutes, holding at 80% for 0.5 minutes at a flow rate of 0.8 mL/min. LC column temperature was 50°C. UV absorbance was collected at 220 nm and 254 nm.
SFC Methods
[0587] Method 1: Column: Chiralcel OD-3 50*4.6 mm I.D., 3 urn; Mobile phase: 40% of ethanol (0.05% DEA) in CO2; Flow rate: 4 mL/minute; Column temperature: 40 °C.
[0588] Method 2: Column: Chiralpak AD-3 150x4.6 mm I.D., 3 urn; Mobile phase: A: C02; B: ethanol (0.05% DEA); Gradient: from 5% to 40% of B in 5 minutes and hold 40% for 2.5 minutes, then 5% of B for 2.5 minutes; Flow rate: 2.5 mL/minute; Column temperature: 35 °C.
[0589] Method 3: Column: Chiralpak AS-3 100x4.6 mm I.D., 3 urn; Mobile phase: A: C02; B: ethanol (0.05% DEA); Gradient: from 5% to 40% of B in 4.5 minutes and hold 40% for 2.5 minutes, then 5% of B for 1 minute; Flow rate: 2.8 mL/minute; Column temperature: 40 °C.
[0590] Method 4: Column: Chiralcel OD-3 150x4.6 mm I.D., 3 urn; Mobile phase: A: C02; B: ethanol (0.05% DEA); Gradient: from 5% to 40% of B in 5 minutes and hold 40% for 2.5 minutes, then 5% of B for 2.5 minutes; Flow rate: 2.5 mL/minute; Column temperature: 35 °C; ABPR: 1500 psi.
[0591] Method 5: Column: Chiralpak AS-3 150x4.6 mm I.D., 3 urn; Mobile phase: A: C02; B: ethanol (0.05% DEA); Gradient: from 5% to 40% of B in 5 minutes and hold 40% for 2.5 minutes, then 5% of B for 2.5 minutes; Flow rate: 2.5 mL/minute; Column temperature: 35 °C.
[0592] Method 6: Column: Chiralcel OJ-3 100x4.6 mm I.D., 3 urn; Mobile phase: A: C02; B: ethanol (0.05% DEA); Gradient: from 5% to 40% of B in 4.5 minutes and hold 40% for 2.5 minutes, then 5% of B for 1 minute; Flow rate: 2.8 mL/minute; Column temperature:40 °C.
Example 1 - Intermediate 1
2-(3-Methoxyisoxazol-5-yl)-3-methylbutanoic acid
[0593] To a stirring solution of but-3-yn-l-ol (28.0 g, 399 mmol) and potassium bicarbonate (30.0 g, 300 mmol) in ethyl acetate/water (200/20 mL) was added a solution of hydroxy carbonimidic dibromide (20.0 g, 98.6 mmol) in ethyl acetate (50 mL) dropwise at room temperature. The resulting solution was stirred at room temperature for 16 hours and then diluted with water. The organic layer was separated, and the aqueous layer was extracted with ethyl acetate. The combined organic layers were washed with brine (150 mL), dried over anhydrous sodium sulfate and concentrated under reduced pressure. The residue was purified by flash chromatography on silica gel column (gradient: 0%-25% ethyl acetate/petroleum ether) to yield 18.5 g (97.7%) of the title compound as a yellow oil. LCMS (ESI): RT (min) = 0.540, [M+H]+ = 192, method = E.
Step 2: 2-(3-Bromoisoxazol-5-yl) acetic acid
[0594] To a stirring solution of 2-(3-bromoisoxazol-5-yl)ethanol (18.5 g, 96.3 mmol) in acetone (220 mL) was added Jones reagent (90 mL) dropwise at 0°C. The resulting solution was stirred at 25°C for 12 hours. The mixture was diluted with water and extracted with ethyl acetate. The combined organic layers were washed with brine, dried over anhydrous sodium sulfate and concentrated under reduced pressure to yield 17.9 g (90.2%) of the title compound as yellow oil. LCMS (ESI): RT (min) = 0.970, [M+H]+ = 206, method = A.
[0595] A solution of 2-(3-bromoisoxazol-5-yl)acetic acid (17.9 g, 86.9 mmol) and concentrated H2SO4 (1.5 mL, 28.1 mmol) in methanol (150 mL) was stirred at 70°C for 2 hours. The resulting solution was concentrated under reduced pressure. The residue was diluted with water, extracted with ethyl acetate. The combined organic layers were washed with brine, dried over anhydrous sodium sulfate and concentrated under reduced pressure. The residue was purified by flash chromatography on silica gel column (gradient: 0%-25% ethyl acetate/petroleum ether) to yield 12.4 g (64.9%) of the title compound as a yellow oil. LCMS (ESI): RT (min) = 1.13, [M+H]+ = 220, method = A.
Step 4: Methyl 2-(3-bromoisoxazol-5-yl)-3-methylbutanoate
[0596] To a stirring solution of methyl 2-(3-bromoisoxazol-5-yl)acetate (12.4 g, 56.3 mmol) and T3uOK (9.17 g, 81.7 mmol) in THF (120 mL) was added 2-iodopropane (12.2 g, 71.7 mmol) dropwise at 0°C. The reaction mixture was stirred at room temperature for 16 hours and
then quenched with water/ice. The resulting solution was extracted with ethyl acetate. The combined organic layers were washed with brine, dried over anhydrous sodium sulfate and concentrated under reduced pressure. The residue was purified by flash chromatography on silica gel (gradient: 0%-20% ethyl acetate/petroleum ether) to yield 8.2 g (55.5%) of the title compound as yellow oil. LCMS (ESI): RT (min) = 1.34, [M+H]+ = 262, method = A.
Step 5: 2-(3-Methoxyisoxazol-5-yl)-3-methylbutanoic acid
[0597] To a stirring solution of methyl 2-(3-bromoisoxazol-5-yl)-3-methylbutanoate (3.0 g, 11.4 mmol) in methanol (22 mL) was added KOH (6.6 g, 115 mmol) at room temperature. The reaction mixture was stirred at reflux for 4 hours, and allowed to cool to room temperature. The resulting solution was acidified to pH ~ 5 with 1 N HC1 aqueous solution and concentrated under reduced pressure. The residue was purified by reverse phase chromatography (gradient: 5%-40% ACN in water (0.1% formic acid)) to yield 1.51 g (66.2%) of the title compound as a colorless thick oil. LCMS (ESI): RT (min) = 1.11, [M+H]+ = 200, method = A.
Example 2 - Intermediate 2
2-(3-Hydroxyisoxazol-5-yl)-3-methylbutanoic acid
[0598] A solution of 2-(3-methoxyisoxazol-5-yl)-3-methylbutanoic acid (Intermediate 1, 500 mg, 2.51 mmol) in HOAc (5mL) and HBr (5 mL, 40% in water) was stirred at 60°C for 16 hours. The resulting mixture was concentrated under reduced pressure. The residue was purified by reverse phase chromatography (gradient: 5%-40% ACN in water (0.1% formic acid)) to yield 348 mg (74.9%) of the title compound as yellow solid. LCMS (ESI): RT (min) = 0.980, [M+H]+ = 186, method = D.
Example 3 - Intermediate 3
Methyl 2-(3-hydroxyisoxazol-5-yl)-3-methylbutanoate
Step 1
[0599] A solution of 2-(3-hydroxyisoxazol-5-yl)-3-methylbutanoic acid (Intermediate 2, 900 mg, 4.86mmol) and SOCI2 (1.5 mL, 21.9 mmol) in methanol (3 mL) was stirred at room temperature for 3 hours. The solvent was removed under reduced pressure. The residue was dilute with water and extracted with ethyl acetate. The combined organic layers were washed with brine, dried over anhydrous sodium sulfate and concentrated under reduced pressure. The residue was purified by flash chromatography on silica gel (gradient: 0-10% MeOH in DCM) to yield 810 mg (83.7%) of the title compound as a yellow oil. LCMS (ESI): RT (min) = 0.779. [M+H]+ = 200, method = I.
Example 4 - Intermediate 4
0-(4-(4-Methylthiazol-5-yl) phenyl) hydroxylamine
Example 4A
100 °C dioxane, 80 °C
Step 1 Step 2
Step 5
[0600] Under nitrogen, a solution of 4-methylthiazole (10.5 g, 106 mmol), 1,4- dibromobenzene (25.0 g, 106 mmol), Pd(OAc)2 (2.30 g, 10.5 mmol) and KOAc (20.7 g, 211 mmol) in DMA (100 mL) was stirred at 100°C for 1 hour. Upon cooling to room temperature, DCM was added and the solids were filtered out. The filtrate was concentrated under reduced pressure. The residue was partitioned between water and DCM. The aqueous phase was extracted with DCM. The combined organic layers were washed with water, brine, dried over Na2SC>4 and concentrated under reduced pressure. The residue was purified by flash chromatography on silica gel (gradient: 0%-40% ethyl acetate/petroleum ether) to yield 3.2 g (12%) of the title compound as a yellow oil. LCMS (ESI): RT (min) = 0.94, [M+H]+ = 254, method = C.
Step 2: 4-Methyl-5-(4-(4,4,5,5-tetramethyl-l,3,2-dioxaborolan-2-yl)phenyl)thiazole
[0601] Under nitrogen, a solution of 5-(4-bromophenyl)-4-methylthiazole (3.20 g, 12.6 mmol), 4,4,4',4',5,5,5',5'-octamethyl-2,2'-bi(l,3,2-dioxaborolane) (3.80 g, 14.9 mmol), Pd(dppf)Cl2.CH2Cl2 (520 mg, 0.63 mmol) and KOAc (2.47 g, 25.2 mmol) in dioxane (50 mL) was stirred at 80°C for 1 hour. The solvent was evaporated and the residue was purified by flash chromatography on silica gel (gradient: 0%-50% ethyl acetate/petroleum ether) to yield 3.50 g (92%) of the title compound as a white solid. LCMS (ESI): RT (min) = 1.03, [M+H]+ = 302, method = C.
[0602] To a solution of 4-methyl-5-(4-(4,4,5,5-tetramethyl-l,3,2-dioxaborolan-2- yl)phenyl)thiazole (3.50 g, 11.6 mmol) in THF (40 mL) and water (15 mL) was added NaI04 (7.50 g, 34.9 mmol) and 10 mL hydrochloric acid (2 M ) at 0°C. The resulting solution was stirred at room temperature for 1 hour. The reaction mixture was diluted with water, extracted with ethyl acetate, and the combined organic layers were dried over Na2SC>4 and concentrated under reduced pressure. The residue was purified by reverse phase flash chromatography (solvent gradient: 5-80% acetonitrile in water (0.05% formic acid)) to yield 2.0 g (78%) of the title compound as a white solid. LCMS (ESI): RT (min) = 0.59, [M+H]+ = 220, method = C.
Step 4: 2-(4-(4-Methylthiazol-5-yl)phenoxy)isoindoline-l,3-dione
[0603] A mixture of 2-hydroxyisoindoline-l,3-dione (700 mg, 4.29 mmol), (4-(4- Methylthiazol-5-yl)phenyl)boronic acid (1.90 g, 8.63 mmol), CuCl (425 mg, 4.29 mmol),
pyridine (373 mg, 4.72 mmol) and 4A molecular sieve (1 g ) in DCE (45 mL) was stirred at room temperature overnight. The recation mixture was concentrated under reduced pressure. The residue was purified by flash chromatography on silica gel (gradient: 0%-60% ethyl acetate/petroleum ether) to yield 510 mg (35%) of the title compound as a white solid. LCMS (ESI): RT (min) = 1.29, [M+H]+ = 337, method = A.
Step 5: 0-(4-(4-Methylthiazol-5-yl) phenyl)hydroxylamine
[0604] To a solution of 2-(4-(4-Methylthiazol-5-yl)phenoxy)isoindoline-l,3-dione (510 mg, 1.52 mmol) in CHCI3 (5 mL) and MeOH (0.5 mL) was added hydrazine hydrate (227 mg, 4.54 mmol) at 0°C and stirred at room temperature for 1 hour. Solids were filtered out and the filtrate was concentrated under reduced pressure. The residue was purified by flash chromatography on silica gel (gradient: 30%-80% ethyl acetate/petroleum ether) to yield 250 mg (80%) of the title compound as a white solid. LCMS (ESI): RT (min) = 1.04, [M+H]+ = 207, method = A.
Example 4B
Step 1 Step 2
Step 1: 4-(4-methylthiazol-5-yl)phenol
[0605] To a solution of 4-bromophenyl (1.00 g, 5.78 mmol) in DMF (15.0 mL) was added 4-methylthiazole (688 mg, 6.94 mmol), Pd(OAc)2 (25.95 mg, 0.1200 mmol), K2C03 (1.198 g, 8.67 mmol), PCy3*HBF4 (85.14 mg, 0.230 mmol) and PivOH (177 mg, 1.73 mmol).
The mixture was stirred at 100 °C for 16 hours. The mixture was concentrated under reduced pressure and purified by chromatography on silica (0-20% EtOAc in petroleum ether, Rf = 0.5) to give 4-(4-methylthiazol-5-yl)phenol (300 mg, 27.1 %) as a yellow solid. l NMR (400 MHz, CDC13) δ 9.71 (s, 1H), 8.88 (s, 1H), 7.25 (d, J = 9.2 Hz, 2H), 6.84 (d, J = 8.8 Hz, 2H), 2.34 (s, 3H).
[0606] To a cooled solution of 4-(4-methylthiazol-5-yl)phenol (220.0 mg, 1.15 mmol) in DMF (20 mL) at 0 °C was added NaH (69.02 mg, 1.73 mmol), the mixture was stirred at 0 °C for 30 min. Then (aminooxy)diphenylphosphine oxide (402 mg, 1.73 mmol) was added. The reaction mixture was stirred at 25 °C for 16 hours. Water (40 mL) was added and the mixture was extracted by EtOAc (30 mL x 3). The organic was dried by Na2S04 and concentrated in vacuo to afford 0-(4-(4-methylthiazol-5-yl)phenyl)hydroxylamine (80 mg, 33.7%) as a red oil without purification. LCMS: RT = 0.617 minutes, [M+H]+ 206.9, Method = M.
Example 5 - Intermediate 5
(2.S',4i?)-4-Hydroxy-A/-(4-(4-methylthiazol-5-yl)phenoxy)pyrrolidine-2-carboxamide hydrochloride
Step 1: tot-Butyl (25',4i?)-4-hydroxy-2-((4-(4-methylthiazol-5- yl)phenoxy)carbamoyl)pyrrolidine-l-carboxylate
[0607] A solution of (2S, 4i?)-l-(to/-butoxycarbonyl)-4-hydroxypyrrolidine-2- carboxylic acid (168 mg, 0.73 mmol), HATU (277 mg, 0.73 mmol) and DIPEA (375 mg, 2.90 mmol) in DMF (2 mL) was stirred at room temperature for 15 mins. Then 0-(4-(4- Methylthiazol-5-yl) phenyl)hydroxylamine (Intermediate 4, 150 mg, 0.73 mmol) was added. The reaction mixture was stirred at room temperature for 1 hour. The resulting solution was purified by reverse phase flash chromatography (solvent gradient: 5-100% acetonitrile in water (0.05% NH4HCO3)) to yield 148 mg (49%) of the title compound as a white solid. LCMS (ESI): RT (min) = 0.86, [M+H]+ = 420, method = F.
Step 2: (2^,4i?)-4-Hydroxy-N-(4-(4-methylthiazol-5-yl)phenoxy)pyrrolidine-2-carboxamide hydrochloride
[0608] A solution of to/-butyl (25',4i?)-4-hydroxy-2-((4-(4-methylthiazol-5- yl)phenoxy)carbamoyl)pyrrolidine-l-carboxylate (148 mg, 0.35 mmol) in DCM (3 mL) and HCl/dioxane solution (1 mL, 4 M) was stirred at room temperature for 1 hour. The reaction mixture was concentrated under reduced pressure to yield 130 mg (crude) of the title compound, which was sufficient for following step without further purification. LCMS (ESI): RT (min) = 0.79, [M+H]+ = 320, method = A.
Example 6 - Intermediate 6
2,5-dioxopyrrolid in- 1-yl (S)-2-(4-(4-chlorophenyl)-2,3,9-trimethyl-6H-thieno [3,2- f] [l,2,4]triazolo[4,3-a] [l,4]diazepin-6-yl)acetate
[0609] To a solution of (S)-2-(4-(4-chlorophenyl)-2,3,9-trimethyl-6H-thieno[3,2- f] [l,2,4]triazolo[4,3-a] [l,4]diazepin-6-yl) acetic acid (100.0 mg, 0.250 mmol), HOSu (31.58 mg, 0.270 mmol) and DIEA (64.48 mg, 0.500 mmol) in THF (8.0 mL) was added DCC (56.62 mg, 0.270 mmol) slowly. The reaction mixture was stirred at 20 °C for 12 hours. LCMS: RT =0.832 minutes, [M+H]+ 498.0, Method = M, showed 89% of desired product. The reaction mixture was filtered and concentrated to give the desired product (100 mg, 80.5%) as a yellow oil, which is used directly in the next step. LCMS: RT = 0.832 minutes, [M+H]+ 498.0, Method = M.
Example 7 - Intermediate 7
7-(3,5-Difluoropyridin-2-yl)-2-methyl-10-((methylsulfonyl)methyl)-3-oxo-3,4,6,7- tetrahydro-2H-2,4,7-triazadibenzo [cdj\ azulene-9-carboxylic acid
Step 1: methyl 2-(bromomethyl)-5-nitro-benzoate
7.1 7.2
[0610] To a solution of methyl 2-methyl-5-nitrobenzoate (compound 7.1, 10.00 g, 51.24 mmol) in 1 ,2-dichloroethane (100 mL) was added NBS (13.678 g, 76.86 mmol) and AIBN (420.68 mg, 2.56 mmol). The reaction mixture was stirred at 80 °C for 1 hour. TLC (15% EtOAc in petroleum ether, Rf = 0.6) showed the starting material consumed, two new spots found. The mixture was concentrated and purified by flash chromatography (0-10% EtOAc in petroleum ether) to afford methyl 2-(bromomethyl)-5-nitro-benzoate (compound 7.2, 8.00 g, 57%) as a yellow solid. ¾ NMR (400 MHz,CDCl3) δ 8.82-8.81 (d, J = 2.8 Hz, 1H), 8.34-8.31 (m, 1H), 7.69-7.67 (d, J = 8.4 Hz, 1H), 4.99 (s, 2H), 4.00 (s, 3H).
Step 2: methyl 2-(methylsulfonylmethyl)-5-nitro-benzoate
7.2 7.3
[0611] To a solution of methyl 2-(bromomethyl)-5-nitro-benzoate (compound 7.2, 8.00 g, 29.19 mmol) in DMF (150 mL) was added MeS02Na (14.899 g, 145.95 mmol). The mixture was stirred at 60 °C for 1 hour. TLC (15% EtOAc in petroleum ether, Rf = 0.5) showed the starting material consumed, two new spots were found. The mixture was quenched with water (100 mL), extracted with EtOAc (100 mL x 2). The organic layer was washed with water (100 mL x 3) and brine (100 mL x 3), dried over Na2S04, concentrated and purified by flash column chromatography (0-35% EtOAc in petroleum ether) to afford methyl 2- (methylsulfonylmethyl)-5-nitro-benzoate (compound 7.3, 7.500 g, 94%) as a yellow solid. Ti NMR (400 MHz, CDC13) δ 8.88 (d, J= 2.8 Hz, 1H), 8.42-8.39 (m, 1H), 7.78-7.76 (d, J= 8.4 Hz, 1H), 5.03 (s, 2H), 4.00 (s, 3H), 2.91 (s, 3H).
Step 3: methyl 5-amin -2-(methylsulfonylmethyl)benzoate
[0612] To a solution of methyl 2-(methylsulfonylmethyl)-5-nitro-benzoate (compound 7.3, 7.500 g, 27.45 mmol) in MeOH (150 mL) and water (20 mL) was added iron (7.664 g, 137.23 mmol) and NH4C1 (7.340 g, 137.23 mmol), and the mixture was stirred at 75 °C for 16 hours. TLC (50% EtOAc in petroleum ether, Rf = 0.4) showed the starting material consumed. The mixture was filtered and washed with MeOH (50 mL x 3). The filtrate was concentrated and purified by flash column chromatography (50-85% EtOAc in petroleum ether, TLC:60% EtOAc in petroleum ether, Rf = 0.5) to give methyl 5-amino-2-(methylsulfonylmethyl)benzoate (compound 7.4, 6.500 g, 97.3%) as a yellow solid. Ti NMR (400 MHz, DMSO-c¾) δ 7.12 (d, J = 8.4 Hz, 1H), 7.07 (d, J = 2.4 Hz, 1H), 6.72-6.69 (m, 1H), 5.54 (s, 2H), 4.67 (s, 2H), 3.75 (s, 3H), 2.75 (s, 3H).
methyl 5-amino-4-iodo-2-(methylsulfonylmethyl)benzoate
[0613] To a solution of methyl 5-amino-2-(methylsulfonylmethyl)benzoate (compound 7.4, 2.500 g, 10.28 mmol) in DMF (30 mL) was added NIS (3.467 g, 15.41 mmol). The reaction mixture was stirred at 22 °C for 16 hours. TLC (50% EtOAc in petroleum ether, Rf = 0.5) showed the starting material consumed. The mixture was quenched with Na2S2C>3 (aq. 20 mL) and NaHCCb (aq. 20 mL). It was extracted with EtOAc (30 mL x 2). The organic layer was washed with water (20 mL x 3) and brine (20 mL x 3), dried over Na2SC>4, concentrated and purified by flash column chromatography (20%-50% EtOAc in petroleum ether, Rf = 0.5) to afford methyl 5-amino-4-iodo-2-(methylsulfonylmethyl)benzoate (compound 7.5, 1.700 g, 44.8%) as a yellow solid. l NMR (400 MHz, CDC13) δ 7.78 (s, 1H), 7.31 (s, 1H), 4.68 (s, 2H), 4.33 (s, 2H), 3.87 (s, 3H), 2.77 (s, 3H).
Step 5: (E)-2-(5-bromo-2-methox -3-nitro-4- rid l - -dimeth l-ethenamine
[0614] To a solution of 5-bromo-2-methoxy-4-methyl-3-nitropyridine (compound 7.6, 33.0 g, 133.58 mmol) and MeOLi (507.19 mg, 13.36 mmol) in DMF (250 mL) was added DMFA (141.96 mL, 1068.6 mmol) at 100 °C, and the reaction mixture was stirred at 100 °C for 16 hours. TLC (15% EtOAc in petroleum ether, Rf = 0.5) showed the starting material consumed. The mixture was cooled to 20 °C, and quenched with water (60 mL) carefully. The resulting precipitate was collected by vacuum filtration, washed with water (50 mL x 3) and dried to afford (E)-2-(5-bromo-2-methoxy-3-nitro-4-pyridyl)-N,N-dimethyl-ethenamine (compound 7.7, 37.0 g, 91.7%) as a red solid. The crude was used in the next step without further purification.
Step 6: 4-bromo-7-methoxy-lH-pyrrolo[2,3-c]pyridine
[0615] To a solution of (E)-2-(5-bromo-2-methoxy-3-nitro-4-pyridyl)-N,N-dimethyl- ethenamine (compound 7.7, 10.0 g, 33.1 mmol) in MeOH (50 niL) and water (10 mL) was added iron (9.24 g, 165.5 mmol) and NH4CI (8.85 g, 165.5 mmol). The mixture was stirred at 75 °C for 16 hours. TLC (20% EtOAc in petroleum ether Rf = 0.5) showed the starting material consumed and the desired product found. The mixture was filtered and washed with MeOH (10 mL x 3), the filtrate was concentrated and purified by flash column chromatography (0-15% EtOAc in petroleum ether) to give 4-bromo-7-methoxy-lH-pyrrolo [2,3 -c] pyridine (compound 7.8, 3.3 g, 43.2%) as a white solid. LCMS: RT (220/254 nm) = 0.598 min, [M+H]+226.9, Method = M.
Step 7: 4-bromo-7-methoxy- -(p-tolylsulfonyl)pyrrolo[2,3-c]pyridine
[0616] To a solution of NaH (858 mg, 21.45 mmol) in DMF (15 mL) was added 4- bromo-7-methoxy-lH-pyrrolo[2,3-c]pyridine (compound 7.8, 3.30 g, 14.3 mmol) at 0 °C, and the mixture was stirred at 0 °C for 10 minutes. Then TsCl (5.452 g, 28.6 mmol) was added portion-wise, and the mixture was stirred at 0 °C under N2 for 16 hours. TLC (30% EtOAc in petroleum ether Rf = 0.6) showed the starting material consumed, and the desired product found. The mixture was quenched with water (10 mL), and the resulting precipitate was collected by vacuum filtration, washed with water (10 mL x 3), and dried to afford 4-bromo-7- methoxy-l-(p-tolylsulfonyl)pyrrolo[2,3-c]pyridine (compound 7.9, 3.30 g, 60%) as a white solid which was used next step without further purification.
Step 8: 4-bromo-l-(p-tolylsulfonyl)-6H-pyrrolo[2,3-c]pyridin-7-one
[0617] To a solution of 4-bromo-7-methoxy-l-(p-tolylsulfonyl)pyrrolo[2,3-c]pyridine (compound 7.9, 3.300 g, 8.65 mmol) in 1,4-dioxane (15 mL) was added a HC1 solution in dioxane (4.0 M, 19.08 mL, 76.33 mmol). The solution was stirred at 40 °C for 16 hours. TLC (20% EtOAc in petroleum ether Rf = 0.4) showed the starting material consumed, and the desired product found. The mixture was concentrated and MTBE (20 mL) was added. The resulting precipitate was collected by vacuum filtration, washed with MTBE (20 mL x 2), and dried to give 4-bromo-l-(p-tolylsulfonyl)-6H-pyrrolo[2,3-c]pyridin-7-one (compound 7.10, 3.00 g, 94%) as a beige solid. LCMS: RT (220/254nm) = 1.016 min, [M+H]+368.9, Method = M.
Step 9: 4-bromo-6-methyl-l- -tolylsulfonyl)pyrrolo[2,3-c]pyridin-7-one
[0618] To a solution of 4-bromo-l-(p-tolylsulfonyl)-6H-pyrrolo[2,3-c]pyridin-7-one (compound 7.10, 3.00 g, 8.17 mmol) in DMF (20 mL) was added Cs2C03 (3.194 g, 9.8 mmol) under N2 at 20 °C, and the mixture was stirred at 20 °C for 30 minutes. Mel (1.80 mL, 28.6 mmol) was added and the solution was stirred at 20 °C for 3 hours. TLC (50% EtOAc in petroleum ether, Rf = 0.5) showed the starting material consumed, and the desired product found. The mixture was quenched with water (50 mL), and the resulting precipitate was collected by vacuum filtration, washed with MTBE (50 mL x 3), and dried to afford 4-bromo- 6-methyl-l-(p-tolylsulfonyl)pyrrolo[2,3-c]pyridin-7-one (compound 7.11, 2.50 g, 80%) as a white solid. LCMS: RT (220/254nm) = 0.95 min, [M+H]+383, Method = M.
Step 10: 6-methyl-l-(p-tolylsulfonyl)-4-(4,4,5,5-tetramethyl-l,3,2-dioxaborolan-2- yl)pyrrolo[2,3-c]pyridin-7-one
7.11 7.12
[0619] A mixture of 4-bromo-6-methyl-l-(p-tolylsulfonyl)pyrrolo[2,3-c]pyridin-7-one (compound 7.11, 2.00 g, 5.25 mmol), bis(pinacolato)diboron (3.330 g, 13.12 mmol), KOAc (1.287 g, 13.12 mmol), Pd(dppf)Cl2 (433.7 mg, 0.520 mmol) in 1 ,4-dioxane (15 mL) was stirred at 90 °C under N2 for 16 hours. TLC (50% EtOAc in petroleum ether, Rf = 0.5) indicated the reaction was completed. The mixture was concentrated and purified by column chromatography (30%-50% EtOAc in petroleum ether) to afford 6-methyl-l -(p-tolylsulfonyl)-4- (4,4,5,5-tetramethyl-l,3,2-dioxaborolan-2-yl)pyrrolo[2,3-c]pyridin-7-one (compound 7.12, 1.320 g, 57.6%) as a yellow oil. LCMS : RT (220/254 nm) = 0.928 minutes, [M+H]+429.0, Method = M.
Step 11: methyl 5-amino-4-[6-methyl-7-oxo-l -(p-tolylsulfonyl)pyrrolo [2,3-c]pyridin-4-yl]-2- (methylsulfonylmethyl)benzoate
[0620] A mixture of 6-methyl-l -(p-tolylsulfonyl)-4-(4,4,5,5-tetramethyl-l ,3,2- dioxaborolan-2-yl)pyrrolo[2,3-c]pyridin-7-one (compound 7.12, 812.12 mg, 1.9 mmol), Pd(dppf)Cl2 (1 15.7 mg, 0.1400 mmol), methyl 5-amino-4-iodo-2- (methylsulfonylmethyl)benzoate (compound 7.5, 500.0 mg, 1.35 mmol), NaHCCb (284.45 mg, 3.39mmol) in 1 ,4-dioxane (2.0 mL) and water (1.0 mL) was stirred at 90 °C under N2 for 1 hour. LCMS showed the starting material consumed, the desired product found. The mixture was concentrated and purified by prep-TLC (5% MeOH in DCM, Rf = 0.5) to afford methyl 5-
amino-4-[6-methyl-7-oxo-l-(p-tolylsulfonyl)pyrrolo [2,3-c]pyridin-4-yl]-2- (methylsulfonylmethyl)benzoate (compound 7.13, 550 mg, 74.7%) as a yellow solid.
Step 12: methyl 5-[(3,5-difluoro-2-pyridyl)amino]-4-[6-methyl-7-oxo-l- (p- tolylsulfonyl)pyrrolo[2,3-c]pyridin-4-yl]-2-(methylsulfonylmethyl)benzoate
[0621] To a solution of methyl 5-amino-4-[6-methyl-7-oxo-l-(p-tolylsulfonyl)pyrrolo [2,3-c]pyridin-4-yl]-2-(methylsulfonylmethyl)benzoate (compound 7.13, 400.0 mg, 0.7400 mmol) in 1,4-dioxane (6.0 mL) was added Cs2C03 (479.49 mg, 1.47 mmol), BrettPhos (197.48 mg, 0.370 mmol), BrettPhos 3G (133.4 mg, 0.1500 mmol) and 2-bromo-3,5-difiuoro-pyridine (428.2 mg, 2.21 mmol). The reaction mixture was purged with N2 and was stirred at 90 °C under N2 for 12 hours. The reaction was filtered and washed with MeOH (10 mL x 3). The filtrate was dried (Na2S04), and the residue was purified by prep-TLC (5% MeOH in DCM, Rf = 0.5) to afford methyl 5-[(3,5-difluoro-2-pyridyl)amino]-4-[6-methyl-7-oxo-l- (p- tolylsulfonyl)pyrrolo[2,3-c]pyridin-4-yl]-2-(methylsulfonylmethyl)benzoate (compound 7.14, 300 mg, 54%) as a yellow solid. LCMS: RT = 0.851 min, [M+H]+656.9, Method = M.
Step 13: methyl 5-[(3,5-difluoro-2-pyridyl)amino]-4-(6-methyl-7-oxo-lH-pyrrolo[2,3-c]pyridin- 4-yl)-2-(methylsulfonylmethyl)benzoate
[0622] To a solution of methyl 5-[(3,5-difluoro-2-pyridyl)amino]-4-[6-methyl-7-oxo-l- (p-tolylsulfonyl)pyrrolo[2,3-c]pyridin-4-yl]-2-(methylsulfonylmethyl)benzoate (compound 7.14,
270.0 mg, 0.360 mmol) in THF (10 mL) was added TBAF (338.6 mg, 1.07 mmol). The mixture was stirred at 60 °C for 2 hours. TLC (5% MeOH in DCM, Rf = 0.4) showed the starting material was consumed, the desired product found. Water (10 mL) was added, and it was extracted with EtOAc (10 mL x 2). The organic layer was washed with brine (10 mL x 3), dried over Na2S04, concentrated and purified by prep-TLC (5% MeOH in DCM) to afford methyl 5- [(3,5-difluoro-2-pyridyl)amino]-4-(6-methyl-7-oxo-lH-pyrrolo[2,3-c]pyridin-4-yl)-2- (methylsulfonylmethyl)benzoate (compound 7.15, 80 mg, 40.1%) as a yellow solid. LCMS: RT (220/254nm) = 0.764 min, [M+Na]+525.0, Method = M.
Step 14: methyl 7-(3,5-difluoropyridin-2-yl)-2-methyl-10-((methylsulfonyl)methyl)-3-oxo- 3,4,6,7-tetrahy
[0623] To a solution of methyl 5-[(3,5-difluoro-2-pyridyl)amino]-4-(6-methyl-7-oxo- lH-pyrrolo[2,3-c]pyridin-4-yl)-2-(methylsulfonylmethyl)benzoate (compound 7.15, 20.0 mg, 0.0400 mmol) in acetic acid (2.0 mL) was added paraformaldehyde (3.55 mg, 0.1200 mmol) under N2, and the reaction mixture was stirred at 90°C for 1.5 hours. The mixture was concentrated and purified by prep-HPLC (36-66 water (0.225%FA)-ACN) to afford the desired product (5 mg, 25%) as a white solid. l NMR (400 MHz, OMSO-d6) ^ 11.89 (s, 1H), 8.04 (d, J = 2.0 Hz, 1H), 7.96 (s, 1H), 7.79 (s, 1H), 7.63-7.58 (m, 1H), 7.53 (s, 1H), 7.24 (d, J = 1.6 Hz, 1H) , 5.86 (brs, 1H), 5.06-4.85 (br, 2H), 4.27 (brs, 1H), 3.74 (s, 3H), 3.59 (s, 3H), 2.92 (s, 3H). LCMS: RT (220/254nm) = 0.693 min, [M+Na]+515.0, Method = M.
Step 15: 7-(3,5-Difluoropyridin-2-yl)-2-methyl-10-((methylsulfonyl)methyl)-3-oxo-3,4,6,7- tetrahydro-2H-2,4,7-triazadibenzo[c(i Jazulene-9-carboxylic acid
[0624] A solution of methyl 7-(3,5-difluoropyridin-2-yl)-2-methyl-10- ((methylsulfonyl)methyl)-3-oxo-3,4,6,7-tetrahydro-2H-2,4,7-triazadibenzo[c(i Jazulene-9- carboxylate (compound 7.16, 108 mg, 0.210 mmol) and LiOH.H20 (13.2 mg, 0.310 mmol) in THF (5 mL) and water (5 mL) was stirred at 25°C for 6 hours. The solvent was concentrated under reduced pressure. The residue was purified by reverse phase chromatography (gradient: 5%-40% ACN in water (0.1 % formic acid)) to yield 97 mg (92.3%) of the title compound as a yellow solid. LCMS (ESI): RT (min) = 1.06, [M+H]+ = 501 , method = A.
Example 8 - Intermediate 8
2,5-dioxopyrrolidin-l-yl 4-(3,5-difluoropyridin-2-yl)-10-methyl-7-((methylsulfonyl)methyl)- 1 l-oxo-3,4,10,11-tetrahydro- 1H- 1,4,10- triazadibenzo [cd,f] azulene-6-carboxylate
[0625] To a solution of 7-(3,5-Difluoropyridin-2-yl)-2-methyl-10- ((methylsulfonyl)methyl)-3-oxo-3,4,6,7 etrahydro-2H-2,4,7-triazadibenzo[c(i Jazulene-9- carboxylic acid (Intermediate 7, 25.0 mg, 0.0500 mmol), HOSu (6.32 mg, 0.0500 mmol) and DIEA (12.91 mg, 0.1000 mmol) in THF (5.0 mL) was added DCC (11.34 mg, 0.0500 mmol) slowly. The reaction mixture was stirred at 25 °C for 12 hours. LCMS : RT =0.731 minutes, [M+H]+ 598.0, Method = M, showed 59% of desired Product. The reaction mixture was filtered and concentrated to give the desired product (26 mg, 87.1 %) as a yellow oil, which is used in the next step directly. LCMS: RT = 0.733 minutes, [M+H]+ 598.0, Method = M.
Example 9 - Intermediate 9
(2S,4R)-4-hydroxy-l-((R)-3-methyl-2-(3-methylisoxazol-5-yl)butanoyl)pyrrolidine-2- carboxylic acid (Intermediate 9)
9.1 9.2
[0626] To a solution of 2-(3-methylisoxazol-5-yl)acetic acid (compound 9.1, 15.0 g, 106.29 mmol) in MeOH (150 mL) was added H2S04 (0.28 mL, 5.31 mmol). The reaction was stirred at 70 °C for 2 hours. TLC (33% EtOAc in petroleum ether, R/=0.5) showed the desired product was formed. The solution was concentrated under reduced pressure, and the residue was diluted with saturated NaHC03 solution (50 mL), and extracted with EtOAc (60 mL χ 3). The combined organic layers were dried over Na2S04, filtered, and concentrated in vacuo to afford
methyl 2-(3-methylisoxazol-5-yl)acetate (compound 9.2, 15.0 g, 91%) as light yellow oil. XH NMR (400 MHz, CDC15) δ ppm 6.09 (s, 1 H), 3.77(s, 2 H), 3.73 (s, 3 H), 2.27 (s, 3 H).
Step 2; methyl 3-methyl-2-(3-methylisoxazol-5-yl)butanoate
[0627] To a solution of methyl 2-(3-methylisoxazol-5-yl)acetate (compound 9.2, 17.0 g, 109.57 mmol) in anhydrous THF (100 mL) was added LiHMDS (1.0 M, 131.49 mL, 131.49 mmol) in THF at -78 °C. The mixture was stirred at -78 °C for 30 minutes, then 2-iodopropane (21.87 mL, 219.14 mmol) was added dropwise. The reaction mixture was stirred at -78 °C to 15 °C for 16 hours. TLC (33% EtOAc in petroleum ether, R/=0.6) showed desired product was formed. LCMS: RT =0.810min, [M+H]+ 197.9, Method = M, showed 58% of desired product. The mixture was quenched with saturated NH4C1 solution (60 mL), and extracted with EtOAc (80 mL χ 3). The combined organic layers were dried over Na2SC>4, filtered, and concentrated. The residue was purified by chromatography on silica (solvent gradient: 0 - 15 % EtOAc in petroleum ether) to afford methyl 3-methyl-2-(3-methylisoxazol-5-yl)butanoate (compound 9.3, 15.0 g, 60.4%) as a pale yellow oil. LCMS: RT (220/254 nm) = 0.810 minutes,
[M+Na]+197.9, Method = M. XH NMR (400 MHz, CDC13) δ 6.09 (s, 1H), 3.72 (s, 3H), 3.59 (d, J = 8.8 Hz, 1H), 2.39 - 2.33 (m, 1H), 2.28 (s, 3H), 0.99 (d, J = 6.8 Hz, 3H), 0.89 (d, J = 6.4 Hz,
3H).
Step 3: 3-methyl-2-(3-methylisoxazol-5-yl)butanoic acid
[0628] To a solution of methyl 3-methyl-2-(3-methylisoxazol-5-yl)butanoate (compound 9.3, 15.0 g, 76.05 mmol) in MeOH (50 mL) / water (25 mL) was added LiOH H20 (9.57 g, 228.2 mmol). The reaction mixture was stirred at 15 °C for 16 hours. LCMS (Method = M) showed the reaction was completed. The mixture was concentrated in vacuo to remove most of MeOH, diluted with H20 (40 mL), and extracted with EtOAc (30 mL) to remove byproduct. Then the aqueous phase was adjusted to pH 2.0 by a concentrated HCl solution, and extracted
with EtOAc/MeOH (10: 1 , 50 mL χ 6). The combined organic layers were dried over Na2SC>4, filtered, and concentrated in vacuo to afford 3-methyl-2-(3-methylisoxazol-5-yl)butanoic acid (compound 9.4, 13 g, 93.3%) as a white solid. LCMS : RT (220/254 nm) = 0.738 minutes, [M+Na]+183.9, Method = M.
Step 4: methyl (2S,4R)-4-hydroxy-l -(3-methyl-2-(3-methylisoxazol-5-yl)butanoyl)pyrrolidine- 2-carboxylate
[0629] To a solution of 3-methyl-2-(3-methylisoxazol-5-yl)butanoic acid (comound 9.4, 3.00 g, 16.38 mmol) in anhydrous DCM (50 mL) was added HATU (8.094 g, 21.29 mmol) and DIEA (6.349 g, 49.13 mmol). The mixture was stirred at 15 °C for 15 minutes, then methyl (2S,4R)-4-hydroxypyrrolidine-2-carboxylate hydrochloride (compound 9.5, 3.866 g, 21.29 mmol) was added. The resulting reaction mixture was stirred at 15 °C for 16 hours. LCMS: RT = 0.706 min, [M+H]+ 31 1.0, Method = M, showed 92 % of desired product. The mixture was diluted with DCM (50 mL), washed with sat. citric acid solution (40 mL), satd. NaHCC solution (40 mL), and brine (40 mL). It was dried over Na2SC>4, filtered, and concentrated. The residue was purified by prep-HPLC (Phenomenex luna C 18 250*50mm* 10 urn, acetonitrile 10-40/0.1 % TFA in water) to afford methyl (2S,4R)-4-hydroxy-l-(3-methyl-2- (3-methylisoxazol-5-yl)butanoyl)pyrrolidine-2-carboxylate (compound 9.6, 4.20 g, 82.6%) as sandy beige oil. LCMS : peak 1 , RT = 2.378 min, [M+H]+ 310.9, Method = O, showed 46 % of desired mass; peak 2, RT = 2.543 minutes, [M+H]+ 310.9 showed 53 % of desired mass.
Step 5: (2S,4R)-4-hydroxy-l-(3-methyl-2-(3-methylisoxazol-5-yl)butanoyl)pyrrolidine-2- carboxylic acid
[0630] To a solution of methyl (2S,4R)-4-hydroxy-l-(3-methyl-2-(3-methylisoxazol-5- yl)butanoyl)pyrrolidine-2-carboxylate (compound 9.6, 2.1 g, 6.77 mmol) in MeOH (15 mL)/water (5 mL) was added LiOH H20 (851.77 mg, 20.3 mmol). The reaction was stirred at 15 °C for 12 hours. LCMS (Method = M) showed the reaction was completed. The solution was concentrated under reduced pressure. The residue was diluted with H20 (40 mL), and extracted with EtOAc (30 mL χ 3) to remove the byproduct. Then the aq. phase was adjusted to pH 2.0 by concentrated HC1, and extracted with EtOAc/MeOH (10: 1, 50 mL χ 4). The combined organic layers were dried over Na2SC>4, filtered, and concentrated in vacuo to afford (2S,4R)-4-hydroxy- l-(3-methyl-2-(3-methylisoxazol-5-yl)butanoyl)pyrrolidine-2-carboxylic acid (compound 9.7, 1.9 g, 92.9 %) as a white solid. LCMS: RT (220/254 nm) = 0.635 minutes, [M+H]+297.1, Method = M. SFC: peak 1, Rt=2.402 minutes, 45.59%; peak 2, Rt=2.699 minutes, 54.41%.
Step 6: (2S,4R)-4-hydroxy-l-((R)-3-methyl-2-(3-methylisoxazol-5-yl)butanoyl)pyrrolidine-2- carboxylic acid
[0631] (2S,4R)-4-hydroxy-l-(3-methyl-2-(3-methylisoxazol-5-yl)butanoyl)pyrrolidine- 2-carboxylic acid (compound 9.7, 300 g, 10.12 mmol) was separated by chiral SFC (SFC13; Chiralpak AD 250 χ 30 mm I.D. ΙΟμιη; Supercritical CO2/MeOH-0.1 %NH3H20 = 15 %; 50 ml/minute) to afford (2S,4R)-4-hydroxy-l -((S)-3-methyl-2-(3-methylisoxazol-5- yl)butanoyl)pyrrolidine-2-carboxylic acid (compound 9.8, 1.300 g, 42.5%) and (2S,4R)-4- hydroxy-l-((R)-3-methyl-2-(3-methylisoxazol-5-yl)butanoyl)pyrrolidine-2-carboxylic acid (crude) (Intermediate 9, 1.400 g, 46.7%) both as thick colorless oils. SFC (GNEWX-535-125- 2A_G1) showed 89 % of ee. Then 700 mg of Intermediate 9 (crude) was purified again by chiral SFC (SFC13; Chiralpak AD 250 χ 30 mm I.D. ΙΟμιη; Supercritical C02/MeOH- 0.1%NH3H2O = 15 %; 50 ml/min) to afford the pure product (Intermediate 9, 620 mg, 88.6 %) as thick colorless oil (99 % ee ). LCMS: RT = 0.632 minutes, [M+H]+ 296.9, Method = M. lH NMR (400 MHz, MeOD) δ 6.22 (d, J = 16.4 Hz, 1H), 4.54 - 4.37 (m, 2H), 3.90 - 3.59 (m, 3H), 2.41 - 1.96 (m, 6H), 1.10 - 1.03 (m, 3H), 0.85 (d, J= 6.4 Hz, 3H).
Example 10 - Intermediate 10 (2S,4R)-l-((S)-2-acetamido-3,3-dimethylbutanoyl)-4-hydroxypyrrolidine-2-carboxylic
10.6 Intermediate 10
Step 1: benzyl (2S,4R)-4-hydroxypyrrolidine-2-carboxylate hydrochloride
[0632] A mixture of 2-benzyl 1 -(tert-butyl) (2S,4R)-4-hydroxypyrrolidine-l,2- dicarboxylate (compound 10.1, 32.00 g, 99.57mmol) and HCI (4.0 M, 250.mL, 1000 mmol) in EtOAc was stirred at 20 °C for 3 hours. TLC (50 % EtOAc in petroleum ether, R/= 0) indicated the reaction was completed. The mixture was concentrated in vacuo to afford crude benzyl (2S,4R)-4-hydroxypyrrolidine-2-carboxylate hydrochloride (compound 10.2, 25.60 g, 99.34 mmol, 99.8% yield) as a white solid. lH NMR (400 MHz, MeOD) δ 7.42 - 7.37 (m, 5H), 5.34 - 5.26 (m, 2H), 4.66 - 4.62 (m, 1H), 4.58 (t, J = 3.6 Hz, 1H), 3.45 - 3.41 (m, 1H), 3.31 - 3.29 (m, 1H), 2.42 - 2.40 (m, 1H), 2.21 - 2.15 (m, 1H).
Step 2: benzyl (2S,4R)-l-((S)-2-((tert-butoxycarbonyl)amino)-3,3-dimethylbutanoyl)-4- hydroxypyrrolidine-2-carboxylate
1 0.2 1 0.4
[0633] To a solution of (S)-2-((tert-butoxycarbonyl)amino)-3,3-dimethylbutanoic acid (compound 10.3, 24.0 g, 103.77 mmol) in anhydrous DCM (250 mL) was added Et3N (31.5 g, 311.3 mmol) and HATU (47.35 g, 124.52 mmol). The mixture was stirred at 20 °C for 15 minutes, then benzyl (2S,4R)-4-hydroxypyrrolidine-2-carboxylate hydrochloride (compound 10.2, 25.6 g, 99.34 mmol) was added. The mixture was stirred at 20 °C for 2 hours. LCMS : RT = 0.884 minutes, [M+Na]+ 457.4, Method = M, showed 94% of desired product. TLC (50 % EtOAc in petroleum ether, R = 0.5, 12 dyeing) showed desired product was formed. The mixture was washed with sat. citric acid solution (100 mL), sat. NaHCC solution (100 mL), and water (100 mL). The DCM layer was dried over Na2SC>4, filtered, and concentrated. The residue was purified by chromatography on silica (solvent gradient: 10 - 50 % EtOAc in petroleum ether) to afford benzyl (2S,4R)-l-((S)-2-((tert-butoxycarbonyl)amino)-3,3-dimethylbutanoyl)-4- hydroxypyrrolidine-2-carboxylate (compound 10.4, 37g, 81.2%) as a colorless oil. LCMS: RT = 0.888 minutes, [M+Na]+ 457.1, Method = M. XH NMR (400 MHz, CDC15) δ 7.36 - 7.26 (m, 5H), 5.29 (d, J= 9.6 Hz, 1H), 5.21 - 5.12 (m, 2H), 4.73 (t, J= 8.4 Hz, 1H), 4.48 (s, 1H), 4.17 (d, J = 9.2 Hz, 1H), 4.10 (d, J= 11.2 Hz, 1H), 3.70 - 3.66 (m, 1H), 3.05 - 3.01 (m, 1H), 2.37 - 2.32 (m, 1H), 2.00 -1.94 (m, 1H), 1.39 (s, 9H), 0.98 (s, 9H).
Step 3: benzyl (2S,4R)-l-((S)-2-amino-3,3-dimethylbutanoyl)-4-hydroxypyrrolidine-2- carboxylate hydrochloride
10.4 10.5
[0634] A mixture of benzyl (2S,4R)-l-((S)-2-((tert-butoxycarbonyl)amino)-3,3- dimethylbutanoyl)-4-hydroxypyrrolidine-2-carboxylate (compound 10.4, 45. Og, 103.56mmol) in HCl (4.0 M, 250 mL, 1000 mmol) in EtOAc was stirred at 20 °C for 3 hours. TLC (50 % EtOAc in petroleum ether, R = 0) indicated the reaction was completed. LCMS: RT = 0.618 minutes, [M+H]+ 335.0, Method = M, showed 92 % of desired product. The mixture was concentrated in vacuo to afford crude benzyl (2S,4R)-l-((S)-2-amino-3,3-dimethylbutanoyl)-4- hydroxypyrrolidine-2-carboxylate hydrochloride (compound 10.5, 38.38 g, 99.9%) as a white solid. LCMS: RT = 0.618 minutes, [M+H]+ 335.0, Method = M.
[0635] To a mixture of benzyl (2S,4R)-l -((S)-2-amino-3,3-dimethylbutanoyl)-4- hydroxypyrrolidine-2-carboxylate hydrochloride (compound 10.5, 38.38 g, 103.49 mmol) in THF (150 mL) / sat. NaHC03 (26.08 g, 310.46 mmol) in water (200 mL) was added Ac20 (12.68 g, 124.18 mmol) slowly at 0 °C. The reaction mixture was stirred at 0 °C for 0.5 hours. LCMS: RT = 0.745 minutes, [M+Na]+ 399.0, Method = M, showed 90 % of desired product. TLC (10 % MeOH in DCM, R = 0.5) showed desired product was formed. The mixture was extracted with EtOAc (150 mL χ 3). The combined organic layers were dried over Na2S04, filtered, and concentrated. The residue was purified by chromatography on silica (solvent gradient: 0 - 8 % MeOH in DCM) to afford benzyl (2S,4R)-l-((S)-2-acetamido-3,3- dimethylbutanoyl)-4-hydroxypyrrolidine-2-carboxylate (comound 10.6, 32.3 g, 79.6%) as a colorless oil. LCMS: RT = 0.745 min, [M+Na]+ 399.0, Method = M.
Step 5: (2S,4R)-1 -((S)-2-acetamido-3,3-dimethylbutanoyl)-4-hydroxypyrrolidine-2-carboxylic acid
10.6 Intermediate 10
[0636] To a solution of benzyl (2S,4R)-l-((S)-2-acetamido-3,3-dimethylbutanoyl)-4- hydroxypyrrolidine-2-carboxylate (compound 10.6, 32.0 g, 85 mmol) in MeOH (200 mL) was added wet Pd/C (9.23 g, 8.67 mmol). The reaction mixture was stirred at 20 °C under H2 (15 psi) for 6 hours. TLC (10 % MeOH in DCM, R =0.4) indicated the reaction was completed. The mixture was filtered, and the filtrate was concentrated in vacuo to afford (2S,4R)-l -((S)-2- acetamido-3,3-dimethylbutanoyl)-4-hydroxypyrrolidine-2-carboxylic acid (Intermediate 10, 24 g, 97.6%) as a white solid. LCMS: RT = 0.369 minutes, [M+Na]+ 308.9, Method = M. lH NMR (400 MHz, D20) δ 4.50 (s, 1H), 4.44 - 4.40 (m, 2H), 3.88 - 3.85 (m, 1H), 3.78 - 3.74 (m, 1H), 2.32 - 2.27 (m, 1H), 2.08 - 2.0 (m, 1H), 1.94 (s, 3H), 0.93 (s, 9H).
Example 11 - Intermediate 11 tert-butyl (ll-(((S)-l-((2S,4R)-4-hydroxy-2-((4-(4-methylthiazol-5- enoxy)carbamoyl)pyrrolidin-l-yl)-3,3-dimethyl-l-oxobutan-2-yl)amino) oxoundecyl)carb amate
Step 1: benzyl (2S,4R)-4-hydroxypyrrolidine-2-carboxylate hydrochloride
[0637] A mixture of 2-benzyl 1 -(tert-butyl) (2S,4R)-4-hydroxypyrrolidine-l,2- dicarboxylate (compound 11.1, 32.00 g, 99.57 mmol) and HCl (4.0 M, 250 mL) in EtOAc was
stirred at 20 °C for 3 hours. TLC (50 % EtOAc in petroleum ether, R = 0) indicated the reaction was completed. The mixture was concentrated to afford benzyl (2S,4R)-4-hydroxypyrrolidine-2- carboxylate hydrochloride (compound 11.2, 25.60 g, 99.8%) as a white solid. l NMR (400 MHz, MeOD) δ 7.42 - 7.37 (m, 5H), 5.34 - 5.26 (m, 2H), 4.66 - 4.62 (m, 1H), 4.58 (t, J = 3.6 Hz, 1H), 3.45 - 3.41 (m, 1H), 3.31 - 3.29 (m, 1H), 2.42 - 2.40 (m, 1H), 2.21 - 2.15 (m, 1H).
Step 2: benzyl (2S,4R)-l-((S)-2-((((9H-fluoren-9-yl)methoxy)carbonyl)amino)-3,3- dimethylbutanoyl)-4-hydroxypyrrolidine-2-carboxylate
[0638] A mixture of (S)-2-((((9H-fluoren-9-yl)methoxy)carbonyl)amino)-3,3- dimethylbutanoic acid (compound 11.3, 6.70 g, 18.96 mmol), HATU (12.72 g, 33.45 mmol), and DIEA (8.65 g, 66.89 mmol) in DCM was stirred for 10 minutes. Then benzyl (2S,4R)-4- hydroxypyrrolidine-2-carboxylate hydrochloride (compound 11.2, 3.70 g, 14.40 mmol) was added, and the reaction mixture was stirred for 3 hours. The residue was diluted with EtOAc (200 mL) and washed with H20 (50 mL χ 3). The solvent was removed and the residue was purified by flash chromatography on silica gel (0-50% EtOAc in petroleum ether) to give the desired product (compound 11.4, 5.10 g, 64%) as a yellow oil. LCMS: RT (220/254 nm) = 0.958 minutes, [M+Na]+579.1, Method = M.
Step 3: (2S,4R)-1 -((S)-2-((((9H-fluoren-9-yl)methoxy)carbonyl)amino)-3,3-dimethylbutanoyl)- 4-hydroxypyrroli
11.4 11.5
[0639] A mixture of Pd/C (0.26 g, 2.44 mmol), benzyl (2S,4R)-l-((S)-2-((((9H-fluoren- 9-yl)methoxy)carbonyl)amino)-3,3-dimethylbutanoyl)-4-hydroxypyrrolidine-2-carboxylate
(compound 11.4, 2.60 g, 4.67 mmol) in MeOH (50 mL) was stirred under H2 (15 psi) at 25 °C for 10 hours. TLC (50% EtOAc in petroleum ether Rf=0.2) showed starting material consumed. The mixture was filtered and the solvent was removed to afford the desired product (2S,4R)-l-((S)-2-((((9H-fluoren-9-yl)methoxy)carbonyl)amino)-3,3-dimethylbutanoyl)-4-
hydroxypyrrolidine-2-carboxylic acid (compound 11.5, 1.50 g, 68.8%) as a yellow oil which was used for next step without further purification. LCMS: RT (220/254 nm) = 0.835 minutes, [M+Na]+489.1, Method = M. lH NMR (400 MHz, DMSO-c¾) δ 7.88 (d, J = 7.6 Hz, 2H), 7.80- 7.77 (m, 2H), 7.47-7.45 (m, 1H), (d, 7.43-7.39 (m, 2H), 7.34-7.31 (m, 2H), 4.32-4.18 (m, 7H), 3.68-3.61 (m, 3H), 2.12-2.06 (m, 1H), 1.92-1.88 (m, H), 0.99 (s, 9H).
Step 4: (9H-fluoren-9-yl)methyl ((S)-l-((2S,4R)-4-hydroxy-2-((4-(4-methylthiazol-5- yl)phenoxy)carbamoyl)pyrrolidin-l-yl)-3,3-dimethyl-l-oxobutan-2-yl)carbamate
[0640] To a solution of (2S,4R)-l-((S)-2-((((9H-fluoren-9- yl)methoxy)carbonyl)amino)-3,3-dimethylbutanoyl)-4-hydroxypyrrolidine-2-carboxylic acid (compound 11.5, 300.0 mg, 0.6400 mmol), HATU (293.41 mg, 0.7700 mmol) and DIEA (0.21 mL, 1.29 mmol) in DMF (10 mL) was added 0-(4-(4-methylthiazol-5-yl) phenyl) hydroxylamine (Intermediate 4, 172.4 mg, 0.840 mmol) at 0 °C. The reaction mixture was stirred at 25 °C for 4 hours. LCMS: RT = 0.875 minutes, [M+H]+ 655.1, Method = M, showed 68.4% of desired product. The mixture was concentrated and purified by prep-HPLC (acetonitrile 50-80% / 0.225% FA in water) to afford the desired product (200 mg, 46.8%) as a yellow solid. LCMS: RT = 0.870 minutes, [M+H]+ 655.5, Method = M.
Step 5: (2S,4R)-l-((S)-2-anTino-3,3-dimethylbutanoyl)-4-hydroxy-N-(4-(4-methylthiazol-5- yl)phenoxy)pyrrolidine-2-carboxamide
[0641] A mixture of (9H-fluoren-9-yl)methyl ((S)-l-((2S,4R)-4-hydroxy-2-((4-(4- methylthiazol-5-yl)phenoxy)carbamoyl)pyrrolidin-l-yl)-3,3-dimethyl-l-oxobutan-2- yl)carbamate (compound 11.6, 150.0 mg, 0.230 mmol) and LiOH (27.43 mg, 1.15 mmol) in THF (8.0 mL) and water (2.0 mL) was stirred at 20 °C for 2 hours. TLC (10 % MeOH in DCM, Rf = 0.2) indicated the reaction was completed. The mixture was concentrated and purified by prep-TLC (10 % MeOH in DCM, Rf = 0.1) to afford (2S,4R)-l-((S)-2-amino-3,3- dimethylbutanoyl)-4-hydroxy-N-(4-(4-methylthiazol-5-yl)phenoxy)pyrrolidine-2-carboxamide (compound 11.7, 60 mg, 60.6%) as a colorless oil. LCMS: RT = 0.641 minutes, [M+Na]+ 455.1, Method = M.
Step 6: fert-butyl (l l-(((S)-l-((2S,4R)-4-hydroxy-2-((4-(4-methylthiazol-5- y l)phenoxy )carbamoy l)py rrolidin- 1 -y l)-3,3-dimethy 1- 1 -oxobutan-2-y l)amino)- 11- oxoundecyl)carbamate
[0642] To a solution of l l-((tert-butoxycarbonyl)amino)undecanoic acid (compound 11.8, 41.81 mg, 0.1400 mmol) in DMF (3.0 mL) was added HATU (52.74 mg, 0.1400 mmol), (2S,4R)-l-((S)-2-amino-3,3-dimethylbutanoyl)-4-hydroxy-N-(4-(4-methylthiazol-5- yl)phenoxy)pyrrolidine-2-carboxamide (compound 11.7, 40.0 mg, 0.0900 mmol) and DIEA (0.11 mL, 0.6100 mmol), and the reaction solution was stirred at 20 °C for 1 hour. LCMS: RT =0.892 minutes, [M+Na]+738.2, Method = M, showed 51% of desired product. The mixture was concentrated and purified by prep-TLC (10% MeOH in DCM, Rf = 0.5) to afford fert-butyl (11- (((S)-l-((2S,4R)-4-hydroxy-2-((4-(4-methylthiazol-5-yl)phenoxy)carbamoyl)pyrrolidin-l-yl)- 3, 3 -dimethyl- l-oxobutan-2-yl)amino)-l l-oxoundecyl)carbamate (Intermediate 11, 80 mg, 0.110 mmol) as a white solid. LCMS: RT = 0.897 minutes, [M+Na]+ 738.3, Method = M.
Example 12 - Intermediate 12
3-Methyl-2-(3-methylisoxazol-5-yl) butanoic acid (Intermediate 12)
12.1 12.2
[0643] To a stirred solution of (3-methyl-5-isoxazolyl) acetic acid (compound 12.1, 5.64 g, 40.0 mmol) in methanol (30 mL) was added thionyl chloride (5.71 g, 48.0 mmol) dropwise at 0°C. The resulting solution was stirred at 0°C for 3 hours. Then the solvent was removed under reduced pressure. The residue was purified by flash chromatography on silica gel (gradient: 0%-20% ethyl acetate/petroleum ether) to yield 5.6 g (90% yield) of compound 12.2 as a colorless oil. LCMS (ESI): [M+H]+ = 156.
Step 2: methyl 3-methyl-2-(3-methylisoxazol-5-yl)butanoate
[0644] To a stirred solution of methyl 2-(3-methylisoxazol-5-yl) acetate (compound 12.2, 5.60 g, 36.0 mmol) and t-BuOK (8.20 g, 73.1 mmol) in THF (100 mL) was added 2- iodopropane (8.59 g, 50.5 mmol) dropwise at 0°C. The resulting solution was stirred for 16 hours at 25°C and then quenched with water/ice (400 mL). The mixture was extracted with ethyl acetate. The combine organic layers were washed with brine, dried over anhydrous sodium sulfate and concentrated reduced procedure. The residue was purified by flash chromatography on silica gel (gradient: 0%-20% ethyl acetate/petroleum ether) to yield 5.7 g (80% yield) of compound 12.3 as yellow oil. LCMS (ESI): [M+H]+ = 198.
Step 3: 3-methyl-2- -methylisoxazol-5-yl)butanoic acid
[0645] To a stirred solution of methyl 3-methyl-2-(3-methylisoxazol-5-yl) butanoate (compound 12.3, 5.70 g, 28.9 mmol) in THF (20 mL) and water (20 mL) was added LiOH.H20 (3.64 g, 86.7 mmol) at 0°C. The resulting solution was stirred at 0°C for 5 hours and then
neutralized by addition of 1 N HCl aqueous solution until pH~7. The resulting solution was concentrated under reduced pressure to dryness. The residue was purified by reverse phase flash chromatography (gradient: 5%-40% acetonitrile/water (0.1% formic acid)) to yield 5.1 g (96% yield) of Intermediate 12 as a white solid. LCMS (ESI): [M+H]+ = 156. XH NMR (300 MHz, DMSO-i¾) δ 12.89 (br, 1H), 6.25 (s, 1H), 3.56 (d, J = 8.7 Hz, 1H), 2.35 - 2.22 (m, 1H), 2.20 (s, 3H), 0.95 (d, J= 6.7 Hz, 3H), 0.81 (d, J= 6.7 Hz, 3H).
Example 13 - Intermediate 13
Methyl (2S,4R)-4-hydroxy-l-(3-methyl-2-(3-methylisoxazol-5-yl) butanoyl) pyrrolidine-2- carboxylate (Intermediate 13)
Intermediate 12 Intermediate 13
[0646] To a stirred solution of methyl (2S,4R)-4-hydroxypyrrolidine-2-carboxylate (compound 13.1, 800 mg, 5.51mmol) in DMF (20 mL) was added 3-methyl-2-(3- methylisoxazol-5-yl) butanoic acid (Intermediate 12, 1.01 g, 5.51mmol), HATU (2.52 g, 6.63 mmol) and DIPEA (2.14g, 16.6 mmol). The resulting solution was stirred at room temperature for 1 hour. The reaction mixture was loaded directly onto a pre-packed C18 column (120 g, CI 8, 40-60μιη, 60A, Agela Technologies) eluting with acetonitrile/water (0.1% FA) (5-100%), appropriate fractions were collected and concentrated under reduced pressure to afford the title compound 1.30 g (76% yield) as a colorless oil. LCMS (ESI): [M+H]+ = 311.
Example 14 - Intermediate 14
0-(2'-Fluoro-[l,l'-biphenyl]-4-yl) hydroxylamine (Intermediate 14)
Step 2 Intermediate 14
Step 1: 2'-Fluoro-[l,l'-biphenyl]
Step 1
14.3
[0647] Under nitrogen, a solution of 4-(4,4,5,5-tetramethyl-l,3,2-dioxaborolan-2- yl)phenol (compound 14.1, 952 mg, 4.33 mmol), 1 -bromo-2-fiuorobenzene (compound 14.2, 1000.0 mg, 5.71 mmol), Pd(PPh3)4 (168 mg, 0.150 mmol) and Na2C03 (400 mg, 5.71mmol) in THF (lOmL) and water (2.5mL) was stirred for 3 hours at 100°C. The resulting solution was diluted with water, extracted with ethyl acetate. The combined organic layers were dried over anhydrous sodium sulfate and concentrated under vacuum. The residue was purified by flash chromatography on silica gel (gradient: 0%-20% ethyl acetate /petroleum ether) to afford the title compound 706 mg (66% yield) as a yellow solid. XH NMR (400 MHz, DMSO-i¾) δ 9.61 (s, 1H), 7.46 (td, J = 7.8, 1.7 Hz, 1H), 7.42 - 7.33 (m, 2H), 7.37 - 7.29 (m, 1H), 7.29 - 7.20 (m, 2H), 6.90 - 6.81 (m, 2H).
Step 2: 0-(2'-Fluoro-[l,l'-biphenyl]-4-yl) hydroxylamine (Intermediate 14)
14.3 Step 2 Intermediate 14
[0648] Under nitrogen, a solution of 2'-fluoro-[l, -biphenyl]-4-ol (compound 14.3, 400 mg, 2.13mmol) and t-BuOK (232 mg, 2.07mmol) in methyl alcohol (6 mL) was stirred for 10 minutes at 0°C. The solvent was concentrated under vacuum, and then the residue was dissolved in DMF (6 mL). The (aminooxy) diphenylphosphine oxide (compound 14.4, 488 mg, 2.09 mmol) was added into the DMF solution and stirred at 0°C for 30 mininutes. The reaction system was quenched with water, extracted with ethyl acetate. The combined organic layers were
washed with brine, dried over anhydrous sodium sulfate and concentrated under vacuum. The crude product was purified by chromatography on silica gel (gradient: 0%-30% ethyl acetate /petroleum ether) to afford the title compound 207 mg (48% yield) as a green solid. LCMS (ESI): [M+H]+ = 204.
Examples 15-25 - Intermediates 15-25
[0649] Intermediates 15-25, depicted in Table 6 were prepared using methods analogous to those described above for Intermediate 14.
Table 6: Intermediates 15-25
Intermediate No. Structure LCMS (ESI): [M+H]+
Intermediate 15 H2N /=\ 190
/
Intermediate 16 210
Intermediate 17 201
Intermediate 19 H2N /=v /=\ 186
Intermediate 20 135
Intermediate 21 H2 144
α/-\^ DMF N dioxane N
26.1 step 1 26 2 ste 2 Intermediate 26
Step 1: Ethyl N-((5-chloropyridin-2-yl) oxy) acetimidate
26.1 Step 1 26 2
[0650] Under nitrogen, a solution of ethyl N-hydroxyacetimidate (1.00 g, 9.70 mmol) and t-BuOK (1.08 g, 10.7 mmol) in DMF (lOmL) was stirred at room temperature. After 30 minutes, 5-chloro-2-fluoropyridine (compound 26.1, 1.40 g, 10.7 mmol) was added and the reaction mixture was stirred at 80°C for 1.5 hours. The reaction system was diluted with water, extracted with ethyl acetate. The combined organic layers were washed with brine, dried over Na2SC>4 and concentrated under reduced pressure. The residue was purified by chromatographed on silica gel (gradient: 0%-20% ethyl acetate /petroleum ether) to afford compound 26.2 1.50 g (72% yield) as a white solid. LCMS (ESI): [M+H]+ = 215.
Step 2: 0-(5-Chloropyridin-2-yl) hydroxy lamine (Intermediate 26)
26.2 Step 2 Intermediate 26
[0651] To a solution of ethyl N-((5-chloropyridin-2-yl) oxy) acetimidate (compound 26.2, 800 mg, 3.73 mmol) in 1,4-dioxane (10 mL) was added HC104 (2.00 niL, 3.73mmol) dropwised at 0°C. The resulting solution was stirred for 8 h at room temperature. The reaction was diluted with ice-water, adjust the pH to 13 with aqueous NaOH. The aqueous was extracted with ethyl acetate. The combined organic layers were washed with brine, dried over Na2SC>4 and concentrated under vacuum. The residue was purified by chromatography on silica gel (gradient: 0%-30% ethyl acetate /petroleum ether) to afford Intermediate 26 300 mg (56% yield). LCMS (ESI): [M+H]+ = 145.
Example 27 - Intermediate 27
0-(Naphthalen-2-yl) hydroxylamine (Intermediate 27)
Step 1: 2-(Naphthalen-2-yloxy) isoindoline-l,3-dione
Step 1
[0652] Under oxygen, a solution of naphthalen-2-ylboronic acid (compound 27.2, 250 mg, 1.45mmol), 2-hydroxyisoindoline-l,3-dione (compound 27.1, 119 mg, 0.730 mmol), copper(I) chloride (73.0 mg, 0.737 mmol), pyridine (0.07mL, 0.810 mmol) and 4A molecular sieves (182 mg) in DCM (5 mL) was stirred for 16 hours at 30°C. The solvent was evaporated under vacuum and the crude product was purified by flash chromatography on silica gel (gradient: 0%-50% ethyl acetate /petroleum ether) to afford compound 27.3 60.0 mg (14% yield) as a yellow solid. LCMS (ESI): [M+H]+ = 290. XH NMR (400 MHz, DMSO-i¾) δ 8.05 - 7.91 (m, 6H), 7.89 - 7.81 (m, 1H), 7.76 (d, 2.7 Hz, 1H), 7.55 - 7.40 (m, 3H).
Step 2: 0-(Naphthalen-2-yl) hydroxylamine (Intermediate 27)
Intermediate 27
Step 2
[0653] To a stirred solution of 2-(naphthalen-2-yloxy) isoindoline-l,3-dione (compound 27.3, 60.0 mg, 0.210 mmol) in methyl alcohol (0.2 mL) and chloroform (1.8 mL) was added hydrazine hydrate (0.03mL, 80% aqueous). The resulting solution was stirred at 25°C for 1 hour. The resulting solution was diluted with water, extracted with ethyl acetate. The combined organic layers were washed with brine, dried over anhydrous sodium sulfate and concentrated under vacuum to afford Intermediate 27 26.0 mg (crude) as a yellow oil. The crude product was used for next step without further purification. LCMS (ESI): [M+H]+ = 160.
Example 28 - Intermediate 28
0-(4-(4-Methyloxazol-5-yl) phenyl) hydroxylamine
Intermediate 28
Step 1: 5-(4-Bromophenyl)-4-methyloxazole
28.1
Step 1 28.3
[0654] A solution of 4-bromobenzaldehyde (compound 28.1, 2.20 g, 11.9 mmol), 1- ((1-isocyanoethyl) sulfonyl)-4-methylbenzene (compound 28.2, 3.00 g, 14.3 mmol) and K2CO3 (4.10 g, 29.7mmol) in methyl alcohol (150 mL) was stirred at 70°C for 2 hours. The solvent was concentrated under vacuum. The residue was purified by flash chromatography on silica gel (gradient: 0%-10% ethyl acetate /petroleum ether) to afford compound 28.3, 2.70 g (95% yield) as white solid. LCMS (ESI): [M+H]+ = 238/240. *H NMR (400 MHz, OMSO-d6) δ 8.36 (s, 1H), 7.73 - 7.65 (m, 2H), 7.61 - 7.53 (m, 2H), 2.36 (s, 3H).
Step 2: 4-(4-Methyloxazol-5-yl) phenol
28.4
28.3 Step 2
[0655] Under nitrogen, a solution of 5-(4-bromophenyl)-4-methyl-oxazole (compound 28.3, 1.20 g, 5.04 mmol), Pd2(dba)3 (923 mg, l.Olmmol), t-BuXPhos (428 mg, 1.01 mmol) and KOH (564 mg, 10.1 mmol) in 1,4-dioxane (15 mL) and water (3 mL) was stirred at 100°C for 2 hours. The solvent was concentrated under vacuum. The residue was purified by flash chromatography on silica gel (gradient: 0%-50% ethyl acetate /petroleum ether) to afford the title compound 750 mg (85% yield) as a light green solid. LCMS (ESI): [M+H]+ = 176.
Step 3: 0-(4-(4-Methyloxazol-5-yl) phenyl) hydroxylamine (Intermediate 28)
Intermediate 28
[0656] Intermediate 28 was generated from 4-(4-methyloxazol-5-yl) phenol (compound 28.4) following procedures analogous to those set forth in Step 2 of the preparation of Intermediate 14.
Example 29 - Intermediate 29
0-(4-(4-(3-((Tetrahydro-2H-pyran-2-yl) oxy) prop-l-yn-l-yl) thiazol-5-yl) phenyl)
Step 1 29.2 teP 2
Step 3 Intermediate 29
Step 1: 4-Bromophenyl acetate
Step 1 29.2
[0657] A solution of 4-bromophenol (compound 29.1, 1.00 g, 5.78 mmol) and NaOAc (474 mg, 5.78 mmol) in acetic anhydride (4 mL) was refluxed for 2.5 hours. The solvent was concentrated under vacuum. The residue was purified by flash chromatography on silica gel (gradient: 0%-15% ethyl acetate /petroleum ether) to afford compound 29.2, 1.22 g (98% yield) as a yellow oil. LCMS (ESI): [M+H]+ = 215/217. lH NMR (300 MHz, DMSO-i¾) δ 7.64 - 7.53 (m, 2H), 7.16 - 7.04 (m, 2H), 2.25 (s, 3H).
Step 2: 4-(4-Chlorothiazol-5-yl) phenyl acetate
29.2 Step 2
[0658] Under nitrogen, a solution of 4-bromophenyl acetate (compound 29.2, 1.08 g, 5.02 mmol), 4-chlorothiazole (compound 29.3, 600 mg, 5.02 mmol), Pd(OAc)2 (114 mg, 0.500 mmol), K2C03 (1.06 g, 7.53mmol), PivOH (0.17mL, 1.51mmol) and PCy3.HBF4 (369 mg, 1.00 mmol) in DMA (3mL) was stirred at 100°C for 2 hours. The resulting solution was diluted with water, extracted with ethyl acetate. The combined organic layers were washed with brine, dried over Na2SC>4 and concentrated under vacuum. The residue was purified by flash chromatography on silica gel (gradient: 0%-20% ethyl acetate /petroleum ether) to afford compound 29.4, 380 mg (30% yield) as a light yellow solid. LCMS (ESI): [M+H]+ = 254. XH NMR (300 MHz, DMSO-i¾) δ 9.18 (s, 1H), 7.78 - 7.67 (m, 2H), 7.36 - 7.25 (m, 2H), 2.32 (s, 3H).
Step 3: 4-(4-(3-((Tetrahydro-2H-pyran-2-yl) oxy) prop-l -yn-l -yl) thiazol-5-yl) phenol
[0659] Under nitrogen, a solution of 4-(4-chlorothiazol-5-yl) phenyl acetate (compound 29.4, 380 mg, 1.50 mmol), 2-(prop-2-yn-l-yloxy) tetrahydro-2H-pyran (compound 29.5, 420 mg, 3.00 mmol), PdCl2(PPh3)2 (52.7 mg, 0.070 mmol), t-Bu3PHBF4 (43.3 mg, 0.150 mmol), DBU (0.02 mL, 0.150 mmol) and Cs2C03 (638 mg, 1.95 mmol) in DMF (2.5 mL) was stirred under microwave for 15 min at 150°C. The resulting solution was diluted with water, extracted with ethyl acetate. The combined organic layers were washed with brine, dried over anhydrous sodium sulfate and concentrated under vacuum. The residue was purified by flash chromatography on silica gel (gradient: 0%-55% ethyl acetate /petroleum ether) to afford Intermediate 29, 192 mg (41% yield) as a brown solid. LCMS (ESI): [M+H]+ = 316.
Example 30 - Intermediate 30
(2S,4R)-N-((2'-fluoro-[l,l'-biphenyl]-4-yl)oxy)-4-hydroxypyrrolidine-2-carboxamide
Intermediate 30
Step 1: tert-butyl (2S,4R)-2 ((2'-fluoro-[l,l'-biphenyl]-4-yl)oxy)carbamoyl)-4- hy droxypyrrolidine- 1 -carboxylate
Step 1
[0660] To a solution of (2S,4R)-l-(tert-butoxycarbonyl)-4-hydroxypyrrolidine-2- carboxylic acid (443.81 mg, 1.92 mmol) in DMF (10 mL) was added HATU (842.0 mg, 2.21 mmol), DIEA (572.39 mg, 4.43 mmol) and 0-(2'-fluoro-[l,r-biphenyl]-4-yl)hydroxylamine (prepared in Step 2 of Example 127.1) (300.0 mg, 1.48 mmol). The reaction mixture was stirred at 25 °C for 12 hours. The reaction was concentrated, diluted with EtOAc (60 mL), and washed with brine (10 mL x 2). The organic layer was dried over Na2SC>4, concentrated, and purified by flash chromatography on silica (1-15 % MeOH in DCM, Rf = 0.4) to give tert-butyl (2S,4R)-2- (((2'-fluoro-[ 1 , 1 '-bipheny 1] -4-y l)oxy )carbamoy l)-4-hy droxypyrrolidine- 1 -carboxylate (430 mg, 70%) as a colorless oil. LCMS (Method = CC): RT = 0.921min, m/z = 439.0 [M+23]+.
Step 2: (2S,4R)-N-((2'-fluoro-[l, -biphenyl]-4-yl)oxy)-4-hydroxypyrrolidine-2-carboxamide
Intermediate 30
[0661] A solution of tert-butyl (2S,4R)-2-(((2'-fluoro-[l,l'-biphenyi]-4- yl)oxy)carbamoyl)-4-hydroxypyrrolidine-l-carboxylate (430.0 mg, 1.03 mmol) in TFA/HFIP (5%, 4 mL) was stirred at 25 °C for 1 hour. The mixture was concentrated, the residue was diluted with DCM (15 mL), and concentrated in vacuo (which was repeated 3 times) to afford crude Intermediate 30 with TFA salt (444 mg, 99.9%) as a white solid which was used in the next step directly. LCMS (Method = CC): RT = 0.800 min, m/z = 317.0 [M+l]+.
Example 91 - FP probe
(2S,4R)-N-(2-(2-(3',6'-bis(dimethylamino)-3-oxo-3H-spiro[isobenzofuran-l,9'-xanthene]-5- carboxamido)ethoxy)-4-(4-methylthiazol-5-yl)benzyl)-4-hydroxy-l-((R)-3-methyl-2-(3- methylisoxazol-5-yl)butanoyl)pyrrolidine-2-carboxamide (FP probe)
Step 1: tert-butyl (2-(2-(((benzyloxy)carbonyl)amino)ethoxy)-4-(4-methylthiazol-5- yl)benzyl)carbamate
[0662] To a stirred solution of benzyl 2-hydroxyethylcarbamate (182.8 mg, 0.940 mmol), tert-butyl (2-hydroxy-4-(4-methylthiazol-5-yl)benzyl)carbamate (compound 91.1, 200.0 mg, 0.6200 mmol) and Ph3P (245.58 mg, 0.940 mmol) in THF (10 mL) was added DIAD (189.3 mg, 0.940 mmol), at 20 °C. After the mixture was stirred for 12 hours, TLC (10% MeOH in DCM , R/= 0.5) indicated the reaction was completed and the starting materials were consumed. The reaction solvent was removed under reduced pressure and the residue was purified by flash chromatography on silica gel (0-10% MeOH in DCM) to give tert-butyl (2-(2- (((benzyloxy)carbonyl)amino)ethoxy)-4-(4-methylthiazol-5-yl)benzyl)carbamate (compound 91.2, 200 mg, 64%) as a yellow oil. LCMS: RT (220/254 nm) = 0.909 minutes, [M+Na]+520.0, Method = M.
Step 2: TFA salt of benzyl (2-(2-(aminomethyl)-5-(4-methylthiazol-5- yl)phenoxy)ethyl)carbamate
[0663] To a solution of tert-butyl (2-(2-(((benzyloxy)carbonyl)amino)ethoxy)-4-(4- methylthiazol-5-yl)benzyl)carbamate (compound 91.2, 200.0 mg, 0.4000 mmol) in DCM (4.0 mL) was added TFA (1.0 mL, 13.46 mmol). The reaction solution was stirred at 20 °C for 2 hours. LCMS: RT = 0.755 min, [M+H]+ 398.1, Method = M, showed 54 % of desired product. The solution was concentrated in vacuo to remove the solvent, the residue was purified by prep- HPLC (Xtimate C18 150*25mm*5um, acetonitrile 18-48/0.225% FA in water) to afford the TFA salt of benzyl (2-(2-(aminomethyl)-5-(4-methylthiazol-5-yl)phenoxy)ethyl)carbamate (compound 91.3, 60 mg, 29.2%) as a white solid. LCMS: RT (220/254 nm) = 0.768 minutes, [M+H]+398.1, Method = M.
Step 3: benzyl (2-(2-(((2S,4R)-4-hydroxy-l-((R)-3-methyl-2-(3-methylisoxazol-5- yl)butanoyl)pyiTolidine-2-carboxarnido)methyl)-5-(4-methylthiazol-5- yl)phenoxy)ethyl)carbamate
[0664] To a solution of (2S,4R)-4-hydroxy-l-((R)-3-methyl-2-(3-methylisoxazol-5- yl)butanoyl)pyrrolidine-2-carboxylic acid (compound 91.4, 30.12 mg, 0.1000 mmol) in anhydrous DMF (5.0 mL) was added DIEA (30.32 mg, 0.2300 mmol) and HATU (59.47 mg, 0.1600 mmol). After the solution was stirred at 20 °C for 15 minutes, then the TFA salt of benzyl (2-(2-(aminomethyl)-5-(4-methylthiazol-5-yl)phenoxy)ethyl)carbamate (compound 91.3, 40.0
mg, 0.0800 mmol) was added. The resulting reaction solution was stirred at 20 °C for 16 hours. LCMS: RT = 0.873 min, [M+H]+ 676.2, Method = M, showed 71% of desired product. The mixture was purified by prep-HPLC (Xtimate C18 150*25ιτιιη*5μιη, acetonitrile 20- 50/0.225% FA in water) to afford benzyl (2-(2-(((2S,4R)-4-hydroxy-l-((R)-3-methyl-2-(3- methylisoxazol-5-yl)butanoyl)pyrrolidine-2-carboxamido)methyl)-5-(4-methylthiazol-5- yl)phenoxy)ethyl)carbamate (compound 91.5, 33 mg, 61.8%) as a white solid. LCMS: RT (220/254 nm) = 0.828 minutes, [M+Na]+698.1, Method = M.
Step 4: (2S,4R)-N-(2-(2-aminoethoxy)-4-(4-methylthiazol-5-yl)benzyl)-4-hydroxy-l-((R)-3- methyl-2-(3-methylisoxazol-5-yl)butanoyl)pyrrolidine-2-carboxarnide
[0665] To a solution of benzyl (2-(2-(((2S,4R)-4-hydroxy-l-((R)-3-methyl-2-(3- methylisoxazol-5-yl)butanoyl)pyrrolidine-2-carboxamido)methyl)-5-(4-methylthiazol-5- yl)phenoxy)ethyl)carbamate (compound 91.5, 25.0 mg, 0.0400 mmol) in anhydrous DCM (4 mL) was added TMSI (74.02 mg, 0.3700 mmol). The reaction mixture was stirred at 20 °C for 2 hours. LCMS: RT = 0.682 min, [M+Na]+ 564.0, Method = M, showed 54 % of desired product. MeOH (4.0 mL) was added to quench the reaction, and the mixture was stirred at 20 °C for another 0.5 hours. The solvent was removed in vacuo, and the residue was diluted with EtOAc (15 mL) and aq. NaHC03 solution (10 mL), and extracted with EtOAc/MeOH (15 mL χ 5). The combined organic layers were dried over Na2SC>4, filtered, and concentrated in vacuo to afford (2S,4R)-N-(2-(2-arninoethoxy)-4-(4-methylthiazol-5-yl)benzyl)-4-hydroxy-l-((R)-3- methyl-2-(3-methylisoxazol-5-yl)butanoyl)pyrrolidine-2-carboxamide (compound 91.6, 20 mg, 44.9%) as a brown oil. LCMS: RT (220/254 nm) = 0.695 minutes, [M+Na]+564.1, Method = M.
Step 5: (2S,4R)-N-(2-(2-(3',6'-bis(dimethylamino)-3-oxo-3H-spiro[isobenzofuran-l,9'- xanthene]-5-carboxamido)ethoxy)-4-(4-methylthiazol-5-yl)benzyl)-4-hydroxy-l-((R)-3-methyl- 2-(3-methylisoxazol-5-yl)butanoyl)pyrrolidine-2-carboxarnide (FP probe)
[0666] To a solution of 3',6'-bis(dimethylamino)-3-oxo-spiro[isobenzofuran-l,9'- xanthene]-5-carboxylic acid (9.54 mg, 0.020 mmol) in anhydrous DCM (5 mL) was added DIEA (9.54 mg, 0.0700 mmol) and HATU (10.53 mg, 0.0300 mmol). The mixture was stirred at 20 °C for 15 minutes, then (2S,4R)-N-(2-(2-aminoethoxy)-4-(4-methylthiazol-5-yl)benzyl)-4-hydroxy- l-((R)-3-methyl-2-(3-methylisoxazol-5-yl)butanoyl)pyrrolidine-2-carboxamide (compound 91.6, 10.0 mg, 0.0200 mmol) was added. The reaction mixture was stirred at 20 °C for 2 hours. LCMS: RT = 3.061 min, [M+H]+ 953.9, Method = N, showed 43 % of desired product. The mixture was concentrated and purified by prep-TLC (9% MeOH in DCM, R/=0.2) to afford the crude product, which was purified again by prep-HPLC (Xtimate C18 150*25mm*5um, acetonitrile 30-60/0.225% FA in water) to afford (2S,4R)-N-(2-(2-(3',6'-bis(dimethylamino)-3- oxo-3H-spiro[isobenzofuran-l,9'-xanthene]-5-carboxamido)ethoxy)-4-(4-methylthiazol-5- yl)benzyl)-4-hydroxy-l-((R)-3-methyl-2-(3-methylisoxazol-5-yl)butanoyl)pyrrolidine-2- carboxamide (4.2 mg, 23.4%) as a purple solid. LCMS: RT (220/254 nm) = 0.845 minutes, [M+H]+955.3, Method = M.
Example 101.1
Step 1: fert-butyl ((S)-l-((2S,4R)-4-hydroxy-2-(phenoxycarbamoyl)pyrrolidin-l-yl)-3,3- dimethy 1- 1 -oxobutan-2-y l)carbamate
[0667] To a solution of (2S,4R)-l-((S)-2-((tert-butoxycarbonyl)amino)-3,3- dimethylbutanoyl)-4-hydroxypyrrolidine-2-carboxylic acid (909 mg, 2.64 mmol) and NN- Diisopropylethylamine (255.8 mg, 1.98 mmol) in DMF (5.0 mL) were added HATU (752 mg, 1.98 mmol) and O-phenylhydroxylamine (144.0 mg, 1.32 mmol). The mixture was stirred at 25 °C for 3 hours. Then the mixture was filtered and solvent was removed in vacuo and the residue was purified by flash column (10% MeOH in DCM) to afford fert-butyl ((S)-l-((2S,4R)-4- hy droxy-2-(phenoxy carbamoyl)pyrrolidin- 1 -yl)-3,3-dimethyl- 1 -oxobutan-2-yl)carbamate (80 mg, 13.9%) as a yellow oil which was used for the next step without further purification. LCMS: RT = 0.701 minutes, [M+Na]+ 458.1, Method = M.
Step 2: (2S,4R)-l-((S)-2-acetamido-3,3-dimethylbutanoyl)-4-hydroxy-N-phenoxypyrrolidine-2- carboxamide (Example 101.1)
[0668] To a solution of fert-butyl ((S)-l-((2S,4R)-4-hydroxy-2- (phenoxycarbamoyl)pyrrolidin-l-yl)-3,3-dimethyl-l-oxobutan-2-yl)carbamate (80.0 mg, 0.180 mmol) in DCM (5.0 mL) was added TFA (1.0 mL). The mixture was stirring at 25 °C for 2 hours, TLC (50% EtOAc in petroleum ether, Rf=0.4) showed the starting material consumed, and a new spot was found. The solvent was removed in vacuum to afford crude product (60 mg, 97.4%) as a yellow oil, which was used for the next step without further purification. LCMS: RT = 0.520 minutes, [M+H]+ 336.0, Method = M. To the above product (60.0 mg, 0.180 mmol) in DCM (5.0 mL) was added Ac20 (28.0 mg, 0.25 mmol) and Et3N (27.2 mg, 0.27 mmol). Then the mixture was stirred at 25 °C for 3 hours. LCMS showed the starting material consumed and a new spot was found. It was concentrated and purified by prep-HPLC (acetonitrile 23-43% / 0.225% FA in water) to afford the desired product (6.5 mg, 9.4%) as a white solid. l NMR (400 MHz, CDC13) δ 10.52 (s, 1H), 7.27-7.23 (m, 1H), 7.09 (d, J = 8.4 Hz, 1H), 7.03-6.99 (m, 2H), 6.19 (d, J = 8.4 Hz, 1H), 4.66 (br, 1H), 4.55 (br, 1H) , 4.47 (d, J = 8.4 Hz, 1H), 4.14-4.11 (m, 1H), 3.68-3.64 (m, 1H), 2.48 (br,lH), 2.24-2.18 (m, 1H), 1.99 (s, 3H), 1.01 (s, 9H). LCMS: RT = 0.753 minutes, [M+Na]+ 400.1, Method = M.
Example 102.1
(2S,4R)-l-((S)-2-acetamido-3,3-dimethylbutanoyl)-4-hydroxy-N-(4-(4-methylthiazol-5- ixy)pyrrolidine-2-carboxamide
[0669] To a solution of (2S,4R)-l-((S)-2-acetamido-3,3-dimethylbutanoyl)-4- hydroxypyrrolidine-2-carboxylic acid (Intermediate 10, 30.0 mg, 0.100 mmol), HATU (43.82 mg, 0.1200 mmol) and DIEA (0.09 mL, 0.520 mmol) in DMF (5.0 mL) was added 0-(4-(4- methylthiazol-5-yl)phenyl)hydroxylamine (Intermediate 4, 32.42 mg, 0.1600 mmol). The reaction mixture was stirred at 25 °C for 4 hours. The solution was concentrated in vacuo, and the residue was purified by prep-HPLC (acetonitrile 15-45/0.1% TFA in water) to afford (2S,4R)-l-((S)-2-acetarnido-3,3-dimethylbutanoyl)-4-hydroxy-N-(4-(4-methylthiazol-5- yl)phenoxy)pyrrolidine-2-carboxamide (Example 102.1, 13.24 mg, 26.6%) as a pale yellow solid. : RT = 0.683 minutes, [M+Na]+ 497.0, Method = M.
[0670] lH NMR (400 MHz, CDC13) δ 8.89 (s, 1H), 7.31 (d, J = 8.4 Hz, 2H), 7.19 (d, J = 8.4 Hz, 2H), 6.29 (br, 1H), 4.70 (br, 1H), 4.59 (s, 1H), 4.47 (d, J = 8.4 Hz, 1H), 3.71-3.68 (m, 1H), 2.49 (s, 4H), 2.28-2.23 (m, 1H), 2.04 (s, 3H), 1.05 (s, 9H).
Example 103.1
(l^ ^^-Hydroxy-l-ii iJ-S-methyl-l-iS-methylisoxazol-S-yl) butanoyl)-ZV-(4-(4- methylthiazol-5-yl)phenoxy)pyrrolidine-2-carboxamide
[0671] Under nitrogen, to a solution of (2S,4i?)-4-hydroxy-l-((i?)-3-methyl-2-(3- methylisoxazol-5-yl)butanoyl)pyrrolidine-2-carboxylic acid (Intermediate 9, 50.0 mg, 0.170 mmol) and N-methylmorpholine (20.4 mg, 0.20 mmol) in THF (1.5 mL) was added isobutyl chloroformate (25.4 mg, 0.19 mmol) at 0°C. The resulting mixture was stirred at 0°C for 1 hour. The solids were filtered off and the filtrate was added into a solution of 0-(4-(4-methylthiazol-5- yl)phenyl)hydroxylamine (Intermediate 4, 41.8 mg, 0.20 mmol) in methanol (0.5 mL) at 0°C.
The resulting solution was warmed up to room temperature and stirred for 2 hours. The solvent was removed under reduced pressure and the residue was purified by Prep-HPLC (Column: XBridge Shield RP18 OBD Column, 5μιη, 19* 150mm; Mobile Phase A:Water(10 mmol/L NH4HCO3), Mobile Phase B: ACN; 254/220 nm; RT: 6.23 min) to yield 18.0 mg (22%) of the title compound as a white solid. LCMS (ESI): RT (min) = 2.21, [M+H]+ = 485, method = J. l NMR (300 MHz, DMSO-i¾) δ 11.73 (s, 1H), 8.96 (s, 1H), 7.46 - 7.29 (m, 2H), 7.24 - 7.03 (m, 2H), 6.26 (s, 1H), 5.18 (d, J = 3.6 Hz, 1H), 4.38 (br, 1H), 4.28 (t, J = 8.0 Hz, 1H), 3.76 (d, J = 9.8 Hz, 2H), 3.47 (d, J = 10.8 Hz, 1H), 2.42 (s, 3H), 2.35 - 2.24 (m, 1H), 2.21 (s, 3H), 2.17 - 2.05 (m, 1H), 2.05 - 1.92 (m, 1H), 0.91 (d, J= 6.5 Hz, 3H), 0.76 (d, J= 6.7 Hz, 3H).
Examples 104.1 and 104.2
(2,S',4i?)-4-Hydroxy-l-(2-(3-methoxyisoxazol-5-yl)-3-methylbutanoyl)-iV-(4-(4- methylthiazol-5-yl)phenoxy)pyrrolidine-2-carboxamide (two single stereoisomers)
[0672] A solution of 2-(3-methoxyisoxazol-5-yl)-3-methyl-butanoic acid (Intermediate 1, 28.0 mg, 0.140 mmol), (25',4i?)-4-hydroxy-N-(4-(4-methylthiazol-5- yl)phenoxy)pyrrolidine-2-carboxamide hydrochloride (Intermediate 5, 50.0 mg, 0.14 mmol), HATU (53.0 mg, 0.14 mmol) and DIPEA (73.0 mg, 0.56 mmol) in DMSO (2 mL) was stirred at room temperature for 1 hour. The resulting solution was purified by Prep-HPLC (Column: SunFire Prep C18 OBD Column 19x 150mm 5um lOnm; Mobile Phase A:Water(0.1%FA), Mobile Phase B: ACN; Flow rate: 25 mL/min; Gradient: 24% B to 40% B in 9 min; 254/220 nm; RT: 8.03/8.6 min) to yield 12.0 mg (17%) of Example 104.1 (faster peak on Prep-HPLC) and 7.7 mg (11%) of Example 104.2 (slower peak on Prep-HPLC) as white solids.
[0673] Example 104.1: LCMS (ESI): RT (min) = 2.20, [M+H]+ = 501, method = A. lH NMR (300 MHz, DMSO-i¾) δ 12.20 (s, 1H), 8.97 (s, 1H), 7.54 - 7.36 (m, 2H), 7.21-7.15 (m, 2H), 6.05 (s, 1H), 5.22 (br, 1H), 4.46 - 4.34 (m, 2H), 3.90-3.78 (m, 4H), 3.65 (d, J = 10.8 Hz,
IH), 3.55 (dd, J = 10.6, 4.0 Hz, IH), 2.44 (s, 3H), 2.35-2.22 (m, IH), 2.20-2.06 (m, IH), 2.05- 1.90 (m, IH), 0.99 (d, J= 6.6 Hz, 3H), 0.85 (d, J= 6.8 Hz, 3H).
[0674] Example 104.2: LCMS (ESI): RT (min) = 1.54, [M+H]+ = 501, method A. lH NMR (300 MHz, DMSO-i¾) 12.23 (s, IH), 8.98 (s, IH), 7.48 - 7.38 (m, 2H), 7.30-7.10 (m, 2H), 6.14 (s, IH), 4.40 (br, IH), 4.32 (t, J = 7.9 Hz, 2H), 3.88 (s, 3H), 3.87 - 3.72 (m, IH), 3.71 (d, J = 9.7 Hz, IH), 3.50 (d, J = 10.9 Hz, IH), 2.44 (s, 3H), 2.35-2.25 (m, IH), 2.18 - 2.08 (m, IH), 2.07 - 1.92 (m, IH), 0.93 (d, J= 6.5 Hz, 3H), 0.81 (d, J = 6.7 Hz, 3H).
Examples 105.1 and 105.2
(2S,4R)-N-((2'-Fluoro-[l,l'-biphenyl]-4-yl) oxy)-4-hydroxy-l-(3-methyl-2-(3- methylisoxazol-5-yl) butanoyl) pyrrolidine-2-carboxamide (two single stereoisomers)
Intermediate 13
Step 2
Step 1: (2S,4R)-4-Hydroxy-l-(3-methyl-2-(3-methylisoxazol-5-yl) butanoyl) pyrrolidine-2- carboxylic acid
Intermediate 13
[0675] To a stirred solution of methyl (2S,4R)-4-hydroxy-l-(3-methyl-2-(3- methylisoxazol-5-yl) butanoyl) pyrrolidine-2-carboxylate (Intermediate 13, 2.30 g, 7.41 mmol) in THF (10 mL) and water (5 mL) was added LiOH.H20 (373 mg, 8.89 mmol) at 0°C. The resulting solution was stirred at room temperature for 5 hours. The solution was evaporated under vacuum to afford the title compound (2.00 g, crude) as a white solid. The crude was used for the next step without further purification. LCMS (ESI): [M+H]+ = 297.
Step 2: (2S,4R)-N-((2'-Fluoro-[l,r-biphenyl]-4-yl) oxy)-4-hydroxy-l-(3-methyl-2-(3- methylisoxazol-5-yl) butanoyl) pyrrolidine-2-carboxamide (two single unknown stereoisomers)
Step 2
[0676] Under nitrogen, to a stirred solution of (25',4i?)-4-hydroxy-l-(3-methyl-2-(3- methylisoxazol-5-yl) butanoyl) pyrrolidine-2-carboxylic acid (120 mg, 0.400 mmol) and 4- methylmorpholine (0.05 mL, 0.490 mmol) in THF (5mL) was added isobutyl carbonochloridate (0.060 mL, 0.480 mmol) at 0°C. After stirred for 30 minutes at 0°C, a solution of 0-(2'-fluoro- [l,l'-biphenyl]-4-yl) hydroxylamine (Intermediate 14, 81.2 mg, 0.400 mmol) in methyl alcohol (5 mL) was added and stirred at 0°C for 3 hours. The resulting solution was concentrated under vacuum. The residue was purified by flash chromatography on silica gel column (gradient: 0%- 10% MeOH/DCM) to afford the mixture of two diastereoisomers. The two diastereoisomers
were separated by Chiral-Prep-HPLC with the following conditions (Column: CHIRALPAK IA, 2*25 cm, 5 μηι; Mobile Phase A: Hex~HPLC, Mobile Phase B: EtOH--HPLC; Flow rate: 17 mL/min; Gradient: 50 B to 50 B in 12 min; 220/254 nm; RT1 : 5.731; RT2: 9.09) to afford Example 105.1 (25.4 mg, 13.2% yield) and Example 105.2 (34.8 mg, 18.1% yield) as white solids.
[0677] Example 105.1: LCMS (ESI): RT (min) = 7.59, [M+H]+ = 482.1, method = AA. XH NMR (400 MHz, OMSO-d6) δ 12.13 (s, 1H), 7.60 -7.50 (m, 3H), 7.43 - 7.34 (m, 1H), 7.33 - 7.22 (m, 2H), 7.14 (d, J = 8.6 Hz, 2H), 6.22 (s, 1H), 5.19 (s, 1H), 4.50 -4.40 (m, 2H), 3.87 (d, J = 8.7 Hz, 1H), 3.64 (d, J = 10.7 Hz, 1H), 3.53 (dd, J = 10.5, 4.2 Hz, 1H), 2.36 - 2.20 (m, 1H), 2.14 (s, 4H), 2.00-1.90 (m, 1H), 0.99 (d, J= 6.6 Hz, 3H), 0.82 (d, J= 6.8 Hz, 3H).
[0678] Example 105.2: LCMS (ESI): RT (min) = 8.48, [M+H]+ = 482.1, method = BB. ¾ NMR (400 MHz, DMSO-c¾) δ 12.17 (s, 1H), 7.60 - 7.50 (m, 3H), 7.44 - 7.34 (m, 1H), 7.33 - 7.25 (m, 2H), 7.21 (d, J = 8.7 Hz, 2H), 6.26 (s, 1H), 5.17 (s, 1H), 4.45 - 4.35 (m, 1H), 4.32 (t, J = 8.1 Hz, 1H), 3.85-3.75 (m, 2H), 3.49 (d, J = 10.8 Hz, 1H), 2.35 - 2.25 (m, 1H), 2.21 (s, 3H), 2.17 - 2.05 (m, 1H), 2.00 - 1.90 (m, 1H), 0.94 (d, J= 6.5 Hz, 3H), 0.79 (d, J = 6.7 Hz, 3H).
Examples 106.1-122.2
[0679] The examples listed in Table 7 were prepared following procedures analogous to that described above for Examples 105.1 and 105.2. The corresponding intermediate used to prepare each example is listed in the table.
[0680] In the following table, when two examples have the same structure and compound name (e.g., Examples 106.1 and 106.2), the examples are directed to single unknown stereoisomers of the presented structure.
Table 7; Examples 106.1-122.2
meo,
Elampex
Elampex
meo,
00
Example 123.1
(2S,4R)-N-((2-fluoro-[l,l'-biphenyl]-4-yl)oxy)-4-hydroxy-l-((R)-3-methyl-2-(3- methylisoxazol-5-yl)butanoyl)pyrrolidine-2-carboxamide
Step 1: 2-fluoro-[l,r-biphenyl]
[0681] To a solution of phenylboronic acid (274.9 mg, 2.25 mmol) in DME/H20 (8 mL 12 mL) was added 4-bromo-3-fluorophenol (300.0 mg, 1.73 mmol), K2C03 (718.97 mg, 5.2 mmol) and Pd(dppf)Cl2 (127.05 mg, 0.1700 mmol). The mixture was stirred at 90 °C for 16 hours under N2. The reaction mixture was diluted with H20 (30 mL) and acidified with HC1 (1.0 M, 20 mL) and extracted with DCM (30 mL x 3). The organic phase was dried, concentrated, and purified by flash chromatography (0-10% EtOAc in petroleum ether) to afford 2-fluoro-[l,l'-
biphenyl]-4-ol (290 mg, 90%) as a yellow solid. XH NMR (400 MHz, DMSO) δ 10.03 (s, 1 H), 7.47-7.40 (m, 4 H), 7.35-7.30 (m, 2H), 6.72-6.64 (m, 2 H).
Step 2: 0-(2-fluoro-[l,l'-biphenyl]-4-yl)hydroxylamine
[0682] To the solution of 2-fluoro-[l,l'-biphenyl]-4-ol (290.0 mg, 1.54 mmol) in DMF (10 mL) was added NaH (60% in mineral oil, 92.45 mg, 2.31 mmol) at 0 °C. After the mixture was stirred at 20 °C for 30 minutes, (aminooxy)diphenylphosphine oxide (539.01 mg, 2.31 mmol) was added, and the mixture was stirred at 20 °C for 18 hours. The mixture was extracted with EtOAc (20 mL x 3), dried over Na2S04, filtered and concentrated to give the crude product which was purified by prep-HPLC (ACN 52-82/0.225% FA in water) to afford 0-(2-fluoro-[l,l'- biphenyl]-4-yl)hydroxylamine (132 mg, 42%) as a white solid. XH NMR (400 MHz, DMSO-c 6) δ 7.50-7.34 (m, 6H), 7.12 (s, 2 H), 7.07-7.03 (m, 1 H), 6.98-6.96 (m, 1 H).
Step 3: (2S,4R)-N-((2-fluoro-[l,r-biphenyl]-4-yl)oxy)-4-hydroxy-l-((R)-3-methyl-2-(3- methylisoxazol-5-yl)butanoyl)pyrrolidine-2-carboxamide (Example 123.1)
[0683] To a solution of Intermediate 9 (195.69 mg, 0.66 mmol), 0-(2-fluoro-[l,l'- biphenyl]-4-yl)hydroxylamine (122.0 mg, 0.60 mmol) and HATU (342.4 mg, 0.90 mmol) in anhydrous DMF (4 mL) was added DIEA (232.8 mg, 1.80 mmol). After the mixture was stirred at 80 °C for 2 hours, it was purified by prep-HPLC (ACN 44-74%/0.225% FA in water) to give the desired product (28.4 mg, 10%) as a white solid. XH NMR (400 MHz, CD3OD) δ 7.47-7.45 (m, 2 H), 7.42-7.37 (m, 3 H), 7.32-7.29 (m, 1 H), 7.10-7.04 (m, 2 H), 6.24 (s, 1H), 4.52-4.44 (m, 2 H), 3.89-3.86 (m, 1 H), 3.77 (d, J = 10.0 Hz, 1H), 3.64 (d, J = 11.2 Hz, 1 H), 2.44-2.40 (m, 1 H), 2.21 (s, 3H), 2.18-2.14 (m, 2 H), 1.01 (d, J = 6.8 Hz, 3H), 0.84 (d, J = 6.8 Hz, 3H). LCMS
(Method = CC): RT = 0.749 min, m/z = 482.0 [M+H] . SFC: Method 2, RT= 5.936 min, ee = 94.9%.
(2S,4R)-N-((2'-chloro-[l,l'-biphenyl]-4-yl)oxy)-4-hydroxy-l-((R)-3-methyl-2-(3- methylisoxazol-5-yl)butanoyl)pyrrolidine-2-carboxamide
Step 1: 2'-chloro-[l, l'-biphenyl]
Step 1
[0684] To a solution of (2-chlorophenyl)boronic acid (352.49 mg, 2.250 mmol) in a mixture of water (5.0 mL) and 1,4-dioxane (25 mL) was added 4-bromophenol (300.0 mg, 1.73
mmol), K2C03 (718.97 mg, 5.2 mmol) and Pd(dppf)Cl2 (127.05 mg, 0.1700 mmol). The mixture was stirred at 90 °C for 12 hours under N2. The reaction was quenched with water (20 mL), extracted with EtOAc (15 mL x 3). The aqueous layer was acidified with HC1 (1.0 M) to pH = 3, then extracted with EtOAc (15 mL x 3). The organic layer was dried over Na2SC>4, concentrated, and purified by a flash column chromatography (0-10% of EtOAc in petroleum ether) to give 2'- chloro-[l,r-biphenyl]-4-ol (280 mg, 79%) as a light yellow oil. XH NMR (400MHz, CDC13) δ 7.47 . 7.41 (m, 1H), 7.35 - 7.27 (m, 5H), 6.89 (d, J= 4.0 Hz, 2H).
Step 2: 0-(2'-chloro-[l, -biphenyl]-4-yl)hydroxylamine
Step 2
[0685] To the solution of 2'-chloro-[l,l'-biphenyl]-4-ol (140.0 mg, 0.680 mmol) in DMF (20 mL) was added NaH (60% in mineral oil, 41.05 mg, 1.03 mmol) at 0 °C. The mixture was stirred at 20 °C for 30 minutes, then (aminooxy)diphenylphosphine oxide (239.3 mg, 1.03 mmol) was added, and the mixture was stirred at 20 °C for 18 hours. The reaction was quenched with water (30 mL), extracted with EtOAc (25 mL x 3). The aqueous layer was basified with a NaHC03 solution to pH = 9.0, then extracted with EtOAc (25 mL x 3). The organic layer was dried over Na2S04, concentrated, and purified by prep-HPLC (52-82 ACN (0.225%FA) - water) to give 0-(2'-chloro-[l, -biphenyl]-4-yl)hydroxylamine (144 mg, 94%) as a brown oil. lH NMR (400MHz, DMSO-c¾) δ 7.54 - 7.52 (m, 1H), 7.38 - 7.31 (m, 5H), 7.14 (d, J = 4.0 Hz, 2H), 6.98 (s, 2H). LCMS (Method = CC): RT = 0.771 min, m/z = 219.8[M+1]+.
Step 3: (2S,4R)-N-((2'-chloro-[l,r-biphenyl]-4-yl)oxy)-4-hydroxy-l-((R)-3-methyl-2-(3- methylisoxazol-5-yl)butanoyl)pyrrolidine-2-carboxamide (Example 124.1)
[0686] To a solution of Intermediate 9 (20.0 mg, 0.0700 mmol) in DMF (10 mL) was added HATU (38.5 mg, 0.1000 mmol) and DIEA (16.73 mg, 0.1300 mmol). 0-(2'-chloro-[l,l'- biphenyl]-4-yl)hydroxylamine (17.79 mg, 0.0800 mmol) was added, and the reaction mixture was stirred at 50 °C for 12 hours. The reaction was concentrated and purified by prep-HPLC (46- 76 ACN(0.225%FA)-water) to give Example 124.1 (5.5 mg, 16%) as a white solid. Ti NMR (400MHz, DMSO-c/6) ^ 12.19 (s, 1H), 7.55 (d, J = 7.2 Hz, 1H), 7.40 - 7.36 (m, 5H), 7.19 (d, J = 8.4 Hz, 2H), 6.26 (s, 1H), 4.40 (s, 1H), 4.31 (t, J = 7.6 Hz, 1H), 3.78 (d, J = 10.0 Hz, 2H), 3.51- 3.48 (m, 1H), 2.31 - 2.24 (m, 1H), 2.21 (s, 3H), 2.16 - 2.05 (m, 2H), 2.03 - 1.97 (m, 1H), 0.93 (d, J = 6.4 Hz, 3H), 0.77 (d, J = 6.4 Hz, 3H). LCMS (Method = CC): RT = 0.767min, m/z=520.0 [M+23]+. SFC: Method 3: RT =2.936 min, ee = 93%.
Example 125.1
(2S,4R)-N-(3-fluoro-4-(4-methylthiazol-5-yl)phenoxy)-4-hydroxy-l-((R)-3-methyl-2-(3- methylisoxazol-5-yl)butanoyl)pyrrolidine-2-carboxamide
Step 1
[0687] To a solution of 4-bromo-3-fluorophenol (1.000 g, 5.24 mmol), K2C03 (1.085 g, 7.85 mmol), PivOH (160.4 mg, 1.57 mmol), PCy3HBF4 (76.91 mg, 0.21 mmol), and 4- methylthiazole (622.9 mg, 6.28 mmol) in DMAc (20 mL) was added Pd(OAc)2 (23.51 mg, 0.10 mmol). The mixture was stirred at 100 °C for 16 hours under N2. The mixture was filtered, concentrated, and diluted with water (50 mL). The resulting solution was extracted with EtOAc (50 mL x 3). The organic layer was dried over Na2SC>4, concentrated, and purified by flash chromatography on silica gel (0-50% EtOAc in petroleum ether, Rf = 0.4) to afford 3-fluoro-4- (4-methylthiazol-5-yl)phenol (228 mg, 21%) as gray solid. XH NMR (400 MHz, CDC13) δ 10.25 (s, 1 H), 9.04 (s, 1 H), 7.30 - 7.25 (m, 1 H), 6.73 - 6.72 (m, 1 H), 6.71 - 6.69 (m, 1 H), 2.29 (s, 3 H).
Step 2: 0-(3-fluoro-4-(4-methylthiazol-5-yl)phenyl)hydroxylamine
Step 2
[0688] To the solution of 3-fluoro-4-(4-methylthiazol-5-yl)phenol (228.0 mg, 1.09 mmol) in DMF (10 mL) was added NaH (60% in mineral oil, 65.38 mg, 1.63 mmol) at 0 °C. The mixture was stirred at 20 °C for 30 min, then (aminooxy)diphenylphosphine oxide (381.16 mg, 1.63 mmol) was added, and the mixture was stirred at 20 °C for 18 hours. The mixture was extracted with EtOAc (20 mL x 3), dried over Na2S04, filtered, concentrated, and purified by prep-HPLC (ACN 33-63/0.225% FA in water) to afford 0-(3-fluoro-4-(4-methylthiazol-5- yl)phenyl)hydroxylamine (86 mg, 35%) as a white solid. XH NMR (400 MHz, CDC13) δ 8.75 (s, 1 H), 7.25 - 7.23 (m, 1 H), 7.11-7.07 (m, 1 H), 6.97-6.94 (m, 1 H), 5.95 (br, 2H), 2.42 (s, 3 H).
Step 3: (2S,4R)-N-(3-fluoro-4-(4-methylthiazol-5-yl)phenoxy)-4-hydroxy-l -((R)-3-methyl-2- (3-methylisoxazol-5-yl)butanoyl)pyrrolidine-2-carboxamide (Example 125.1)
Intermediate 9
[0689] To a solution of Intermediate 9 (116.3 mg, 0.390 mmol) and 0-(3-fluoro-4-(4- methylthiazol-5-yl)phenyl)hydroxylamine (80.0 mg, 0.36 mmol) and HATU (149.21 mg, 0.39 mmol) in anhydrous DMF (8.0 mL) was added DIEA (138.32 mg, 1.07 mmol). The reaction mixture was stirred at 50 °C for 2 hours. The mixture was purified by prep-HPLC (ACN 34- 44%/0.225% FA in water) to give Example 125.1 (19.2 mg, 10.3%) as a white solid. Ti NMR (400 MHz, DMSO-c¾) δ 12.43 (brs, 1 H), 9.10 (s, 1 H),7.43 (t, J = 8.4 Hz, 1H), 7.28 (d, J = 12 Hz, 1H), 7.06 (d, J = 8.8 Hz, 2H), 6.26 (s, 1 H), 4.40 (brs, 1 H), 4.30 (t, J = 8.4 Hz, 1 H), 3.80- 3.77 (m, 2 H), 3.53-3.50 (m, 2 H), 2.29 (s, 3 H), 2.26-2.25 (m, 1 H), 2.21 (s, 3 H), 2.14-2.10 (m, 1 H), 2.06-1.98 (m, 1 H), 0.91 (d, J = 6.4 Hz, 3 H), 0.77 (d, J = 6.8 Hz, 3H). LCMS (Method = CC): RT = 0.799 min, m/z = 503.1 [M+1]+. SFC: Method 5, RT= 3.572 min, ee = 96.46%.
Example 126.1
(2S,4R)-N-((2',6'-difluoro-[l,l'-biphenyl]-4-yl)oxy)-4-hydroxy-l-((R)-3-methyl-2-(3- methylisoxazol-5-yl)butanoyl)pyrrolidine-2-carboxamide
Step 1: 2',6,-difluoro-[l, l'-bipheityl]-4-ol
Step 1
[0690] To a solution of (2,6-difluorophenyl)boronic acid (355.96 mg, 2.25 mmol) in water (3.0 mL) and 1 ,4-dioxane (15.0 mL) was added 4-bromophenol (300.0 mg, 1.73 mmol), K2C03 (718.97 mg, 5.2 mmol) and Pd(dppf)Cl2 (127.05 mg, 0.1700 mmol). The mixture was stirred at 90 °C under N2 for 12 hours. The reaction was quenched with water (20 mL), extracted with EtOAc (15 mL x 3). The aqueous layer was acidified with HC1 (1.0 M) to pH = 3.0, extracted with EtOAc (15 mL x 3). The organic layer was dried over Na2SC>4, concentrated, and purified by chromatography on silica (0-5% EtOAc in petroleum ether, Rf = 0.3) to afford 2', 6'- difluoro-[l, r-biphenyl]-4-ol (66 mg, 19%) as a brown oil. XH NMR (400MHz, CDC13) δ 7.51 - 7.1 1 (m, 4H), 6.93 - 6.81 (m, 2H), 6.68 - 6.63 (m, 1H), 5.16 (s, 1H).
Step 2: 0-(2',6'-difluoro-[l, -biphenyl]-4-yl)hydroxylamine
Step 2
[0691] To the solution of 2',6'-difluoro-[l,r-biphenyl]-4-ol (66.0 mg, 0.320 mmol) in DMF (15 mL) was added NaH (60% in mineral oil, 19.21 mg, 0.4800 mmol) at 0 °C. The mixture was stirred at 20 °C for 30 min, then (aminooxy)diphenylphosphine oxide (111.97 mg, 0.4800 mmol) was added, and the mixture was stirred at 20 °C for 18 hours. The reaction was quenched with water (30 mL), extracted with EtOAc (25 mL x 3). The aqueous layer was basified with a NaHCC solution to pH = 9.0, then extracted with EtOAc (25 mL x 3). The organic layer was dried over Na2SC>4, concentrated, and purified by prep-HPLC (49-79 ACN (0.225%FA)-water) to give 0-(2',6'-difluoro-[l,r-biphenyl]-4-yl)hydroxylamine (20 mg, 27%) as a white solid. XH NMR (400MHz, DMSO-c 6) δ 7.44 - 7.38 (m, 1H), 7.33 (d, J = 8.0 Hz, 2H), 7.22 - 7.17 (m, 4H), 7.00 (s, 2H). LCMS (Method = CC): RT = 0.750 min, m/z=221.8[M+l]+.
Step 3: (2S,4R)-N-((2',6'-difluoro-[l,r-biphenyl]-4-yl)oxy)-4-hydroxy-l-((R)-3-methyl-2-(3- methylisoxazol-5-yl)butanoyl)pyrrolidine-2-carboxamide (Example 126.1)
[0692] To a solution of Intermediate 9 (33.0 mg, 0.1100 mmol), HATU (50.81 mg, 0.1300 mmol) and DIEA (27.6mg, 0.210 mmol) in DMF (10 mL) was added 0-(2',6'-difluoro- [l, -biphenyl]-4-yl)hydroxylamine (36.95 mg, 0.1700 mmol). The reaction mixture was stirred at 50 °C for 12 hours. The reaction was concentrated, and purified by prep-HPLC (42-72 ACN (0.225%FA)- water) to give Example 126.1 (8.65 mg, 16%) as a white solid. l NMR (400MHz, DMSO-c/6) δ 12.23 (s, 1H), 7.61 (t, J = 8.0 Hz, 1H), 7.47 - 7.38 (m, 3H), 7.24 - 7.21 (m, 3H), 6.27 (s, 1H), 5.21 (s, 1H), 4.40 (s, 1H), 3.86 - 3.73 (m, 2H), 3.51-3.48 (m, 1H), 2.33 - 2.27 (m, 1H), 2.21 (s, 3H), 2.17 - 2.05 (m, 2H), 2.01-1.99 (m, 1H), 0.92 (d, J = 6.4 Hz, 3H), 0.77
(d, J = 6.4 Hz, 3H). LCMS (Method = CC): RT = 0.741min, m/z=522.1 [M+23] . SFC: Method 6: RT =2.470 min, ee = 94%.
Example 127.1
(2S,4R)- l-((S)-2-acetamido-3,3-dimethylbutanoyl)-N-((2'-fluoro- [ 1,1 '-biphenyl] -4-yl)oxy)-4- hydroxypyrrolidine-2-carboxamide
Step 1: 2'-fluoro-[l,r-biphenyl]
[0693] To a solution of 4-bromophenol (1.000 g, 5.78 mmol), (2-fluorophenyl)boronic acid (1.051 g, 7.51 mmol) and K2C03 (2.396 g, 17.34 mmol) in 1,4-dioxane (40 mL) and water (8.0 mL) was added Pd(dppf)Cl2 (423.5 mg, 0.580 mmol). The mixture was stirred under N2 at
90 °C for 12 hours. The reaction was quenched with water (20 mL), extracted with EtOAc (15 mL x 3). The aqueous layer was acidified with HC1 (1.0 M) to pH = 3.0, and extracted with EtOAc (15 mL x 3). The organic layer was dried over Na2SC>4, concentrated, and purified by chromatography on silica (0-8% EtOAc in petroleum ether, Rf = 0.5) to afford 2'-fluoro-[l, - biphenyl]-4-ol (910 mg, 83.7%) as a brown oil. XH NMR (400MHz, CDC13) δ 7.45-7.39 (m, 3 H), 7.30 - 7.23 (m, 1 H), 7.21 - 7.07 (m, 2 H), 6.95 - 6.84 (m, 6.8 Hz, 2 H), 4.81 (s, 1H).
Step 2: 0-(2'-fluoro-[l, -biphenyl]-4-yl)hydroxylamine
[0694] To the solution of 2'-fluoro-[l,r-biphenyl]-4-ol (910.0 mg, 4.84 mmol) in DMF (50 mL) was added NaH (60% in mineral oil, 290.12 mg, 7.25 mmol) at 0 °C. The mixture was stirred at 20 °C for 30 minutes, then (aminooxy)diphenylphosphine oxide (1691.38 mg, 7.25 mmol) was added, and the mixture was stirred at 20 °C for 18 hours. The reaction was quenched with water (50 mL), extracted with EtOAc (25 mL x 3). The aqueous layer was basified with NaHC03 to pH = 9.0, then extracted with EtOAc (25 mL x 3). The organic layer was dried over Na2S04, concentrated, and purified by chromatography on silica (0-8% EtOAc in petroleum ether, Rf = 0.5) to afford 0-(2'-fluoro-[l,r-biphenyl]-4-yl)hydroxylamine (980 mg, 95%) as a white solid. XH NMR (400MHz, DMSO-c 6) δ 7.48 - 7.44 (m, 3 H), 7.40 - 7.31 (m, 1H), 7.29 - 7.24 (m, 2 H), 7.18 (d, J = 8.8 Hz, 2H), 6.99 (s, 2 H). LCMS (Method = CC): RT = 0.753 min, m/z = 203.8 [M+l]+.
Step 3: (2S,4R)-l-((S)-2-acetamido-3,3-dimethylbutanoyl)-N-((2'-fluoro-[l,r-biphenyl]-4- yl)oxy)-4-hydroxypyrrolidine-2-carboxamide (Example 127.1)
Intermediate 10
[0695] To a solution of Intermediate 10 (50.0 mg, 0.1700 mmol), HATU (79.68 mg, 0.2100 mmol) and DIEA (43.28 mg, 0.3300 mmol) in DMF (10 mL) was added 0-(2'-fluoro- [l,l'-biphenyl]-4-yl)hydroxylamine (53.23 mg, 0.2600 mmol). The reaction mixture was stirred at 25 °C for 2 hours. The mixture was concentrated and purified by prep-HPLC (41-51 ACN (0.225% FA) -water) to give Example 127.1 (29.2 mg, 36%) as a white solid. l NMR (400MHz, DMSO-c/6) δ 12.29 (s, 1 H), 8.05 (d, J = 8.0 Hz, 1 H), 7.48 - 7.23 (m, 8 H), 4.55 (d, J = 8.0 Hz, 1 H), 4.39 - 4.34 (m, 2 H), 3.71 - 3.63 (m, 3 H), 2.15 - 2.05 (m, 1 H), 2.03 - 1.94 (m, 1 H), 1.90 (s, 3 H), 0.93 (s, 9 H). LCMS (Method = CC): RT = 0.702 min, m/z = 494.1 [M+Na]+. SFC: Method 3: RT = 3.500 min, ee = 99%.
Example 128.1
(2S,4R)-N-((3-chloro-2'-fluoro-[l,l'-biphenyl]-4-yl)oxy)-4-hydroxy-l-((R)-3-methyl-2-(3- methylisoxazol-5-yl)butanoyl)pyrrolidine-2-carboxamide
Step 1
Step 1
[0696] To a solution of 4-bromo-2-chlorophenol (500 mg, 2.41 mmol), (2- fluorophenyl)boronic acid (438.41 mg, 3.13 mmol) and K2CO3 (999.35mg, 7.23mmol) in a mixture of 1,4-dioxane and H20 (15 mL/ 3 mL) was added Pd(dppf)Cl2 (176.6 mg, 0.2400 mmol). The mixture was stirred at 90 °C for 12 hours under N2. The mixture was quenched with water (20 mL), extracted with EtOAc (15 mL x 2). The aqueous layer was acidified with HC1 (1.0 M) to pH = 3.0, then extracted with EtOAc (15 mL x 2). The organic layer was dried over Na2SC>4, concentrated, and purified by chromatography on silica (0-10% EtOAc in petroleum ether) to afford 3-chloro-2'-fluoro-[l,l'-biphenyl]-4-ol (510 mg, 95%) as yellow oil. l NMR (400 MHz, DMSO-c/6) δ 10.45 (s, 1 H), 7.52-7.47 (m, 2 H), 7.40-7.32 (m, 2 H), 7.31-7.23 (m, 2 H), 7.06 (d, J = 8.30 Hz, 1 H).
Step 2: 0-(3-chloro-2'-fluoro-[l, -biphenyl]-4-yl)hydroxylamine
CI ep
[0697] To a solution of 3-chloro-2'-fiuoro-[l,r-biphenyl]-4-ol (510 mg, 2.29 mmol) in DMF (20 mL) was added NaH (60% in mineral oil, 37.44 mg, 3.44 mmol) at 0 °C. The reaction mixture was stirred at 20 °C for 30 minutes, and (aminooxy)diphenylphosphine oxide (801.28 mg, 3.44 mmol) was added. After the mixture was stirred at 20 °C for 12 hours, it was quenched with water (20 mL), and extracted with EtOAc (30 mL x 2). The organic layer was brine (30 mL x 2), dried over Na2S04, filtered and concentrated. It was purified by prep-HPLC (45-65 water (0.225%FA)-ACN) to give 0-(3-chloro-2'-fluoro-[l,r-biphenyl]-4-yl)hydroxylamine (300 mg, 55%) as a white solid. lH NMR (400 MHz, DMSO-c 6) δ 7.61 (d, J = 8.80 Hz, 1 H), 7.56-7.52
(m, 2 H), 7.51-7.49 (m, 1 H), 7.49-7.46 (m, 1 H), 7.43-7.38 (m, 1 H), 7.35-7.30 (m, 1 H), 7.29 (s, 3 H).
Step 3: (2S,4R)-N-((3-chloro-2'-fluoro-[l,r-biphenyl]-4-yl)oxy)-4-hydroxy-l-((R)-3-methyl-2- (3-methylisoxazol-5-yl)butanoyl)pyrrolidine-2-carboxamide (Example 128.1)
[0698] To a solution of Intermediate 9 (149.62 mg, 0.500 mmol) in DMF (5.0 mL) was added HATU (191.99 mg, 0.5000 mmol) and DIEA (163.14 mg, 1.26 mmol). The mixture was stirred for 10 minutes at 20 °C, then 0-(3-chloro-2'-fluoro-[l, -biphenyl]-4- yl)hydroxylamine (100.0 mg, 0.4200 mmol) was added. The resulting mixture was stirred for 16 hours at 20 °C. The mixture was concentrated and purified by prep-TLC (65% EtOAc in petroleum ether, Rf = 0.3) to afford Example 128.1 (15 mg, 7%) as a white solid. XH NMR (400 MHz, DMSO-c/6) δ 7.62 (s, 1 H), 7.55-7.49 (m, 2 H), 7.48 - 7.46 (m, 2 H), 7.33 - 7.27 (m, 3 H), 6.27 (s, 1 H), 5.19 (brs, 1 H), 4.41 (s, 1 H), 4.33 (brs, 1H), 3.78 (d, J = 9.6 Hz, 2 H) 3.50-3.47 (m, 1 H), 2.21 (s, 3 H), 2.08-2.05 (m, 2 H), 2.04-2.02 (m, 1 H), 0.93 (d, J = 6.80 Hz, 3 H), 0.78 (d, J= 6.80 Hz, 3 H). LCMS (Method = CC): RT = 0.967 min, m/z = 516.1 [M+H]+.
Example 129.1
(2S,4R)-N-(2-fluoro-4-(l-methyl-lH-pyrazol-5-yl)phenoxy)-4-hydroxy-l-((R)-3-methyl-2- (3-methylisoxazol-5-yl)butanoyl)pyrrolidine-2-carboxamide
Step 1: 2-fluoro-4-(l-methyl-lH-pyrazol-5-yl)phenol
Step 1
[0699] To a mixture of 4-bromo-2-fluorophenol (500.0 mg, 2.62 mmol) and 1-methyl- 5-(4,4,5,5-tetramethyl-l,3,2-dioxaborolan-2-yl)-lH-pyrazole (708.1 mg, 3.40 mmol), K2C03 (1.085 g, 7.85 mmol) in DME (6.0 mL) and H20 (1.0 mL) was added Pd(dppf)Cl2 (191.54 mg, 0.26 mmol). The mixture was stirred at 100 °C for 12 hours under N2. The mixture was filtrated, concentrated, diluted with water (20 mL), and extracted with EtOAc (20 mL x 3). The organic layer was dried over Na2S04, filtered and concentrated to give the crude product which was purified by chromatography on silica gel (0-40% EtOAc in petroleum ether, Rf = 0.5) to afford 2-fluoro-4-(l -methyl- lH-pyrazol-5-yl)phenol (271 mg, 54%) as a yellow solid. l NMR (400 MHz, CD3OD) δ ppm 7.44 (d, J = 2.0 Hz, 1 H), 7.19 (dd, J = 2.0 Hz, 11.6 Hz, 1 H), 7.11 - 7.08 (m, 1 H), 7.03 - 6.98 (m, 1 H), 6.28 (d, J = 2.0 Hz, 1 H), 3.83 (s, 3 H). LCMS (Method = CC): RT = 0.763 min, m/z = 192.9 [M+l]+.
Step 2: 0-(2-fluoro-4-(l-methyl-lH-pyrazol-5-yl)phenyl)hydroxylamine
Step 2
[0700] To the solution of 2-fluoro-4-(l-methyl-lH-pyrazol-5-yl)phenol (271.0 mg, 1.41 mmol) in DMF (5.0 mL) was added NaH (60% in mineral oil, 84.6 mg, 2.12 mmol) at 0 °C. The mixture was stirred at 20 °C for 30 minutes, then (aminooxy)diphenylphosphine oxide (493.24 mg, 2.12 mmol) was added. The resulting mixture was stirred at 20 °C for 18 hours. The reaction was quenched with H20 (20 mL) and extracted with EtOAc (20 mL x 3). The organic layer was dried over Na2SC>4, filtered and concentrated to give the crude product which was purified by reverse phase chromatography (ACN 25-55/0.225% FA in water) to afford 0-(2-fluoro-4-(l- methyl-lH-pyrazol-5-yl)phenyl)hydroxylamine (110 mg, 38%) as a white solid. XH NMR (400 MHz, CDC13) δ 7.58 (t, J = 8.4 Hz, 1 H), 7.43 (d, J = 4.0 Hz, 1 H), 7.38 (dd, J= 2.0 Hz, 12.8 Hz, 1 H), 7.29-1.26 (m, 1 H), 7.26 (s, 2 H), 6.36 (d, J = 2.0 Hz, 1 H), 3.83 (s, 3 H). LCMS (Method = CC): RT = 0.589 min, m/z = 207.9 [M+H]+.
Step 3: (2S,4R)-N-(2-fluoro-4-(l-methyl-lH-pyrazol-5-yl)phenoxy)-4-hydroxy-l-((R)-3- methyl-2-(3-methylisoxazol-5-yl)butanoyl)pyrrolidine-2-carboxarnide (Example 129.1)
[0701] To a solution of 0-(2-fluoro-4-(l-methyl-lH-pyrazol-5- yl)phenyl)hydroxylamine (173.04 mg, 0.58 mmol), Intermediate 9 (110.0 mg, 0.53 mmol) and HATU (302.79 mg, 0.80 mmol) in DMF (6.0 mL) was added DIEA (205.84 mg, 1.59 mmol). The resulting mixture was stirred at 50 °C for 2 hours. The mixture was purified by prep-HPLC (ACN 35-55/0.225% FA in water) to give Example 129.1 (5.5 mg, 2.1%) as white solid. XH
NMR (400 MHz, CDC13) δ 7.48 (d, J = 2.0 Hz, 1 H), 7.39 - 7.35 (m, 1 H), 7.12 - 7.07 (m, 2 H), 6.23 (d, J = 2.0 Hz, 1 H), 6.10 (s, 1 H), 4.62 (brs, 2 H), 3.84 (s, 3 H), 3.71 (d, J = 10.4 Hz, 1 H), 3.61 (d, J = 10.0 Hz, 1 H), 2.47 - 2.41 (m, 2 H), 2.27 (s, 3 H), 2.23 - 2.21 (m, 1 H), 1.03 (d, J = 6.4 Hz, 3 H), 0.88 (d, J = 6.4 Hz, 3 H). LCMS (Method = CC): RT = 0.707 min, m/z 486.0 [M+l]+. SFC: Method 4, RT= 3.618 min, ee = 100%.
Example 130.1
(2S,4R)-N-(3-fluoro-4-(l-methyl-lH-pyrazol-5-yl)phenoxy)-4-hydroxy-l-((R)-3-methyl-2- (3-methylisoxazol-5-yl)butanoyl)pyrrolidine-2-carboxamide
Step 1: 3-fluoro-4-(l-methyl-lH-pyrazol-5-yl)phenol
Step 1
[0702] To a mixture of 4-bromo-3-fluorophenol (0.800 g, 4.19 mmol) and l-methyl-5- (4,4,5,5-tetramethyl-l,3,2-dioxaborolan-2-yl)-lH-pyrazole (1.133 g, 5.45 mmol), K2C03 (1.736 g, 12.57 mmol) in DME (6.0 mL) / H20 (1.0 mL) was added pd(dppf)Cl2 (306.5 mg, 0.420 mmol). Then the mixture was stirred at 100 °C for 16 hours under N2. The mixture was filtrated and the organic layer was concentrated. Water (40 mL) was added, and it was extracted with EtOAc (30 mL x 3). The organic layers were combined, dried over Na2S04, filtered and concentrated. It was purified by chromatography on silica (0-30% EtOAc in petroleum ether, Rf = 0.5) to afford 3-fluoro-4-(l-methyl-lH-pyrazol-5-yl)phenol (557 mg, 69%) as yellow solid. XH NMR (400 MHz, DMSO-c¾) δ 10.25 (br s, 1 H), 7.46 (d, J = 2.0 Hz, 1 H), 7.27-7.23 (m, 1 H), 6.74-6.69 (m, 2 H), 6.28 (d, J= 2.0 Hz, 1 H), 3.68 (s, 3 H). LCMS (Method = CC): RT = 0.655 min, m/z = 192.8 [M+l]+.
Step 2: 0-(3-fluoro-4-(l-methyl-lH-pyrazol-5-yl)phenyl)hydroxylamine
Step 2
[0703] To the solution of 3-fluoro-4-(l-methyl-lH-pyrazol-5-yl)phenol (249.0 mg, 1.3 mmol) in DMF (60 mL) was added NaH (60% in mineral oil, 77.74 mg, 1.94 mmol) at 0 °C. After the mixture was stirred at 20 °C for 30 minutes, (aminooxy)diphenylphosphine oxide (453.2 mg, 1.94 mmol) was added, and the mixture was stirred at 20 °C for 18 hours. The reaction was quenched with water (20 mL) and extracted with EtOAc (20 mL x 3). The organic layer was dried with Na2S04, filtered , and concentrated to give the crude product 0-(3-fiuoro-4- (l-methyl-lH-pyrazol-5-yl)phenyl)hydroxylamine (150 mg, 56%) as a white solid, which was used in the next step directly. XH NMR (400 MHz, DMSO-c 6) δ 7.50-7.48 (m, 1 H), 7.38-7.26 (m, 1 H), 7.20-7.16 (m, 2 H), 7.05-7.01 (m, 1 H), 6.74-6.65 (m, 1 H), 6.33-6.28 (m, 1 H), 3.71- .366 (m, 3 H). LCMS (Method = CC): RT = 0.671 min, m/z = 207.8 [M+l]+.
Step 3: (2S,4R)-N-(3-fluoro-4-(l-methyl-lH-pyrazol-5-yl)phenoxy)-4-hydroxy-l-((R)-3- methyl-2-(3-methylisoxazol-5-yl)butanoyl)pyrrolidine-2-carboxamide (Example 130.1)
Intermediate 9
[0704] To a solution of 0-(3-fluoro-4-(l-methyl-lH-pyrazol-5- yl)phenyl)hydroxylamine (94.39 mg, 0.32 mmol), Intermediate 9 (60.0 mg, 0.29 mmol) and HATU (165.16 mg, 0.43 mmol) in anhydrous DMF (8.0 mL) was added DIEA (112.27 mg, 0.87 mmol). After the resulted mixture was stirred at 80 °C for 2 hours, it was purified by prep-HPLC (ACN 32-62/0.225% FA in water to give Example 130.1 (11.7 mg, 8%) as a white solid. XH NMR (400 MHz, CDC13) δ 10.61 (s, 1 H), 7.54 (s, 1 H), 7.25-7.21 (m, 1 H), 7.00 - 6.97 (m, 2 H), 6.27 (s, 1 H), 6.11 (s, 1 H), 4.67 (brs, 2 H), 3.85 - 3.81 (m, 1 H), 3.77 (s, 3 H), 3.71 (d, J = 11.2 Hz, 1 H), 3.62 (d, J = 9.6 Hz, 1 H), 2.48 - 2.45 (m, 1 H), 2.29 (s, 3 H), 2.21-2.16 (m, 1 H), 1.04 (d, J = 6.8 Hz, 3 H), 0.91 (d, J = 6.4 Hz, 3 H). LCMS (Method = CC): RT = 0.710 min, m/z = 486.1 [M+l]+ SFC: Method 2, RT = 2.357 min, ee = 98.32%.
Example 131.1
(2S,4R)-N-((3-cyano-2'-fluoro-[l,l'-biphenyl]-4-yl)oxy)-4-hydroxy-l-((R)-3-methyl-2-(3- methylisoxazol-5-yl)butanoyl)pyrrolidine-2-carboxamide
Step 1: benzyl (2S,4R)-4-hydroxy-l-((R)-3-methyl-2-(3-methylisoxazol-5- yl)butanoyl)pyrrolidine-2-carboxylate
Interme ate
[0705] A mixture of Intermediate 9 (200.0 mg, 0.670 mmol), BnBr (230.9 mg, 1.35 mmol) and K2C03 (279.85mg, 2.02 mmol) in DMF (10.0 mL) was stirred at 40 °C for 2 hours. Water (20 mL) was added and it was extracted with EtOAc (20 mL x 3), and washed with brine (20 mL x 3). The organics were then separated, dried over Na2SC>4, and concentrated. The residue was purified by flash column chromatography (10-50% EtOAc in petroleum ether, Rf = 0.4) to give benzyl (2S,4R)-4-hydroxy-l-((R)-3-methyl-2-(3-methylisoxazol-5- yl)butanoyl)pyrrolidine-2-carboxylate (220 mg, 84%) as a colorless oil. LCMS (Method = CC): RT =0.897 min, m/z =387.1 [M+l]+.
Step 2: benzyl (2S,4R)-4-((tert-butyldimethylsilyl)oxy)-l-((R)-3-methyl-2-(3-methylisoxazol-5- yl)butanoyl)pyrrolidine-2-carboxylate
[0706] A mixture of benzyl (2S,4R)-4-hydroxy-l-((R)-3-methyl-2-(3-methylisoxazol- 5-yl)butanoyl)pyrrolidine-2-carboxylate (200.0 mg, 0.520 mmol), imidazole (105.7 mg, 1.55 mmol) and TBSC1 (171.61 mg, 1.14 mmol) in DMF (10 mL) was stirred at 20 °C for 3 hours. Water (20 mL) was added and it was extracted with EtOAc (30 mL x 3). The organic layer was washed with brine (20 mL x 3), dried over Na2SC>4, and concentrated. The residue was purified by flash column chromatography (10-40% EtOAc in petroleum ether, Rf = 0.5) to give benzyl (2S,4R)-4-((tert-butyldimethylsilyl)oxy)-l-((R)-3-methyl-2-(3-methylisoxazol-5- yl)butanoyl)pyrrolidine-2-carboxylate (0.23 g, 89%) as a colorless oil. LCMS (Method = CC): RT =1.182 min, m/z =501.1 [M+l]+.
Step 3: (2S,4R)-4-((tert-butyldimethylsilyl)oxy)-l-((R)-3-methyl-2-(3-methylisoxazol-5- yl)butanoyl)pyrrolidine-2-carboxylic acid
[0707] A mixture of benzyl (2S,4R)-4-((tert-butyldimethylsilyl)oxy)-l-((R)-3-methyl- 2-(3-methylisoxazol-5-yl)butanoyl)pyrrolidine-2-carboxylate (210.0 mg, 0.4200 mmol) in MeOH (5.0 mL) and THF (5.0 mL) was added 10% Pd/C (85.02 mg) at 20 °C under H2. The mixture was stirred under H2 (15 psi) for 1 hour. The mixture was filtrated, and the filtrate was concentrated to give (2S,4R)-4-((tert-butyldimethylsilyl)oxy)-l-((R)-3-methyl-2-(3- methylisoxazol-5-yl)butanoyl)pyrrolidine-2-carboxylic acid (160 mg, 93%) as a light-colored
oil, which was used in next step directly. LCMS (Method = CC): RT =1.01 min, m/z =411.2 [M+l]+.
Step 4: (2S,4R)-4-((tert-butyldimethylsilyl)oxy)-N-((3-cyano-2'-fluoro-[l,r-biphenyl]-4- yl)oxy)-l-((R)-3-methyl-2-(3-methylisoxazol-5-yl)butanoyl)pyrrolidine-2-carboxamide
[0708] To a solution of (2S,4R)-4-((tert-butyldimethylsilyl)oxy)-l-((R)-3-methyl-2-(3- methylisoxazol-5-yl)butanoyl)pyrrolidine-2-carboxylic acid (53.97 mg, 0.1300 mmol) and 4- (aminooxy)-2'-fluoro-[l,r-biphenyl]-3-carbonitrile (prepared using a procedure analogous to that used in Example 14) (25.0 mg, 0.1100 mmol) in pyridine (3.0 mL) was added T3P in EtOAc (0.10 mL, 0.2300 mmol) at 20 °C. After the mixture was stirred at 20 °C for 12 hours, it was quenched with water (10 mL). The mixture was extracted with EtOAc (20 mL x 2), washed with brine (20 mL). The organic layer was dried, concentrated, and purified by prep-TLC (30% EtOAc in petroleum ether, Rf = 0.4) to give (2S,4R)-4-((tert-butyldimethylsilyl)oxy)-N-((3- cyano-2'-fluoro-[l,r-biphenyl]-4-yl)oxy)-l-((R)-3-methyl-2-(3-methylisoxazol-5- yl)butanoyl)pyrrolidine-2-carboxamide (35 mg, 52%) as light yellow oil. LCMS (Method = CC): RT =1.185 min, m/z =621.3 [M+l]+.
Step 5: (2S,4R)-N-((3-cyano-2'-fluoro-[l,r-biphenyl]-4-yl)oxy)-4-hydroxy-l-((R)-3-methyl-2- (3-methylisoxazol-5-yl)butanoyl)pyrrolidine-2-carboxamide (Example 131.1)
[0709] A mixture of (2S,4R)-4-((tert-butyldimethylsilyl)oxy)-N-((3-cyano-2'-fluoro- [l,l'-biphenyl]-4-yl)oxy)-l-((R)-3-methyl-2-(3-methylisoxazol-5-yl)butanoyl)pyrrolidine-2- carboxamide (30.0 mg, 0.0500 mmol) in CH3CN (3.0 mL) was added HF/pyridine (0.60 mL) at 20 °C. The mixture was stirred at 20 °C for 1 hour. The mixture was concentrated and purified by prep-HPLC (acetonitrile 45-75/0.225% FA in water) to afford Example 131.1 (12 mg, 49%) as an off white solid. XH NMR (400MHz, CD3OD) δ 8.20 (s, 1H), 7.81 (d, J= 8.8 Hz, 1 H), 7.66 (d, J= 8.0 Hz, 1H), 7.57 - 7.49 (m, 1 H), 7.45 - 7.38 (m, 1 H), 7.29 - 7.22 (m, 2H), 6.22 (s, 1H), 4.75 - 4.72 (m, 1 H), 4.57 - 4.52 (m, 1H), 3.96 (dd, J= 3.6, 10.8 Hz, 1 H), 3.81 (d, J= 10.0 Hz, 1 H), 3.69 (d, J= 11.2 Hz, 1 H), 2.38 - 2.35 (m, 2 H), 2.25 (s, 3 H), 2.22 - 2.18 (m, 1 H), 1.03 (d, J = 6.8 Hz, 3 H), 0.85 (d, J = 6.8 Hz, 3 H) LCMS (Method = CC): RT =0.942 min, m/z =507.2 [M+l]+.
Examples 1001.1 and 1001.2
7-(3,5-Difluoropyridin-2-yl)-^-(5-((5-(l-((2.S',4i?)-4-hydroxy-2-((4-(4-methylthiazol-5- yl)phenoxy)carbamoyl)pyrrolidin-l-yl)-3-methyl-l-oxobutan-2-yl)isoxazol-3- yl)oxy)pentyl)-2-methyl-10-((methylsulfonyl)methyl)-3-oxo-3,4,6,7-tetrahydro-2H-2,4,7- triazadibenzo azulene-9-carboxamide (two single stereoisomers)
Step 1: 5-(teri-Butoxycarbonylamino)pentyl 4-methylbenzenesulfonate
[0710] Under nitrogen, to a stirring solution of fert-butyl 5-hydroxypentylcarbamate (4.00 g, 19.7 mmol), DMAP (0.24 g, 1.99 mmol) and Et3N (5.51 mL, 39.5 mmol) in DCM (70 mL) was added TsCl (5.68 g, 29.8 mmol) portionwise at 0°C. The resulting solution was stirred at 25°C for 12 hours. The reaction mixture was diluted with water. The organic layers were separated, and the aqueous phase was extracted with DCM. The combined organic layers were
dried over Na2SC>4 and concentrated under reduced pressure. The residue was purified by flash chromatography on silica gel (gradient: 0-30% ethyl acetate/petroleum ether) to yield 6.4 g (91%) of the title compound as a colorless oil. LCMS (ESI): RT (min) = 1.38. [M+H]+ = 358, method A.
Step 2: Methyl 2-(3-((5-((/er/-butoxycarbonyl) amino)pentyl)oxy)isoxazol-5-yl)-3- methylbutanoate
[0711] A mixture of methyl 2-(3-hydroxyisoxazol-5-yl)-3-methylbutanoate (Intermediate 3, 78.0 mg, 0.390 mmol), 5-((tert-butoxycarbonyl) amino) pentyl 4- methylbenzenesulfonate (154 mg, 0.430 mmol,) and K2C03 (108 mg, 0.780 mmol) in DMF (1 mL) was stirred at 50°C for 2 hours. The resulting mixture was purified by reverse phase chromatography (gradient: 5-80% acetonitrile in water (0.1% FA)) to yield 96 mg (64%) of the title compound as a colorless oil. LCMS (ESI): RT (min) = 1.30. [M+H]+ = 385, method = J.
Step 3: Methyl 2-(3-((5-aminopentyl) oxy) isoxazol-5-yl)-3-methylbutanoate hydrogen chloride
HCI
[0712] To a stirring solution of methyl 2-(3-(5-(tert-butoxycarbonylamino) pentyloxy)isoxazol-5-yl)-3-methylbutanoate (30.0 mg, 0.080 mmol) in DCM (4 mL) was added HCl/dioxane (1 mL, 4 M) dropwise at room temperature. The resulting solution was stirred at room temperature for 3 hours and concentrated under reduced pressure. The crude product was used for following step without further purification. LCMS (ESI): RT (min) = 1.06. [M+H]+ = 285, method = A.
Step 4: Methyl 2-(3-((5-(7-(3,5-difluoropyridin-2-yl)-2-methyl-10-((methylsulfonyl)methyl)-3- oxo-3 ,4,6,7-tetrahy dro-2H-2,4,7-triazadibenzo[c<i Jazulene-9-carboxamido)pentyl)oxy)isoxazol- 5-yl)-3-methylbutanoate
[0713] To a stirred solution of 7-(3,5-difluoropyridin-2-yl)-2-methyl-10- ((methylsulfonyl)methyl)-3-oxo-3,4,6,7-tetrahydro-2H-2,4,7-triazadibenzo[c(i Jazulene-9- carboxylic acid (Intermediate 7, 39.0 mg, 0.080 mmol) and methyl 2-(3-(5- aminopentyloxy)isoxazol-5-yl)-3-methylbutanoate hydrochloride (25.0 mg, 0.080 mmol) in DMF (2 mL) was added HATU (32.6 mg, 0.090 mmol) and the resulting solution was stirred at room temperature for 5 minutes. Then DIPEA (0.04 mL, 0.23 mmol) was added and the resulting solution was stirred at room temperature for 3 hours. The reaction solution was purified by reverse phase chromatography (gradient: 5-40% acetonitrile in water (0.1% FA)) to yield 57 mg (95.4%) of the title compound as a yellow solid. LCMS (ESI): RT (min) = 1.34. [M+H]+ = 767, method = A.
Step 5: 2-(3-((5-(7-(3,5-Difluoropyridin-2-yl)-2-methyl-10-((methylsulfonyl)methyl)-3-oxo- 3,4,6,7-tetrahydro-2H-2,4,7-triazadibenzo[c(i Jazulene-9-carboxamido)pentyl)oxy)isoxazol-5- yl)-3-methylbutanoic acid
[0714] To a stirring solution of methyl 2-(3-((5-(7-(3,5-difluoropyridin-2-yl)-2-methyl- 10-((methylsulfonyl)methyl)-3-oxo-3,4,6,7-tetrahydro-2H-2,4,7-triazadibenzo[c(i Jazulene-9- carboxamido)pentyl)oxy)isoxazol-5-yl)-3-methylbutanoate (57.0 mg, 0.070 mmol) in THF (1 mL) and water (1 mL) was added LiOH.H20 (9.36 mg, 0.220 mmol) at 0°C. The resulting solution was stirred at room temperature for 6 hours. And then the solvent was removed under reduced pressure. The residue was purified by reverse phase chromatography (gradient: 5-40% acetonitrile in water (0.1 % FA)) to yield 55 mg (98.3%) of the title compound as a yellow solid. LCMS (ESI): RT (min) = 0.79. [M+H]+ = 753, method = H.
Step 6: 7-(3,5-Difluoropyridin-2-yl)-N-(5-((5-(l-((2^,4i?)-4-hydroxy-2-((4-(4-methylthiazol-5- yl)phenoxy)carbamoyl)pyrrolidin-l -yl)-3-methyl-l -oxobutan-2-yl)isoxazol-3-yl)oxy)pentyl)-2- methyl-10-((methylsulfonyl)methyl)-3-oxo-3,4,6,7-tetrahydro-2H-2,4,7- triazadibenzo[c(i Jazulene-9-carboxamide (two single unknown stereoisomers: Example 1001.1 and Example 1001.2)
[0715] A solution of 2-(3-((5-(7-(3,5-difluoropyridin-2-yl)-2-methyl-10- ((methylsulfonyl)methyl)-3-oxo-3,4,6,7-tetrahydro-2H-2,4,7-triazadibenzo[c(i, ]azulene-9- carboxamido)pentyl)oxy)isoxazol-5-yl)-3-methylbutanoic acid (80.0 mg, 0.110 mmol), (2S,4R)- 4-hydroxy-N-(4-(4-methylthiazol-5-yl)phenoxy)pyrrolidine-2-carboxamide hydrochloride (Intermediate 5, 45.3 mg, 0.130 mmol), HATU (40.0 mg, 0.1 1 mmol) and DIPEA (69.0 mg, 0.53 mmol) in DMSO ( 2 mL) was stirred at room temperature for 1 hour. The resulting solution was purified by Prep-HPLC (Column: SunFire Prep C18 OBD Column 19x 150mm 5um 10nm;Mobile Phase A:Water(0.1 %FA), Mobile Phase B: ACN; Flow rate: 25 mL/min; Gradient: 32% B to 46% B in 10 min; 254/220 nm; RT: 9.38/10.43 min) to yield 27 mg (24%) of Example 1001.1 (faster peak on Prep-HPLC) and 10.2 mg (9%) of Example 1001.2 (slower peak on Prep- HPLC) as white solids.
[0716] Example 1001.1: LCMS (ESI): RT (min) = 1.16, [M+H]+ = 1054, method= B. lH NMR (300 MHz, DMSO-i¾) δ 12.19 (s, 1H), 11.93 (d, J = 2.7 Hz, 1H), 8.94 (s, 1H), 8.41 (t,
J = 5.5 Hz, IH), 8.05 (d, J = 2.6 Hz, IH), 7.91 (s, IH), 7.75 (s, IH), 7.63 - 7.53 (m, IH), 7.43 - 7.35 (m, 2H), 7.31 - 7.24 (m, 2H), 7.20 - 7.10 (m, 2H), 6.03 (s, IH), 5.93 (br, IH), 5.34 - 5.07 (m, 2H), 4.60 (br, IH), 4.44 - 4.35 (m, 2H), 4.25 (br, IH), 4.03 (t, J = 6.5 Hz, 2H), 3.78 (d, J = 8.9 Hz, IH), 3.69-3.59 (m, 4H), 3.54 (dd, J = 10.7, 4.1 Hz, IH), 3.14 (br, 2H), 2.90 (s, 3H), 2.42 (s, 3H), 2.34 - 2.23 (m, IH), 2.17 - 2.08 (m, IH), 2.03 - 1.92 (m, IH), 1.65 - 1.52 (m, 2H), 1.50
- 1.40 (m, 2H), 1.35-1.21 (m, 2H), 0.98 (d, J = 6.6 Hz, 3H), 0.84 (d, J= 6.6 Hz, 3H).
[0717] Example 1001.2: LCMS (ESI): RT (min) = 1.17, [M+H]+ = 1054, method = B. lH NMR (300 MHz, DMSO-i¾) 512.21 (s, IH), 11.93 (s, IH), 8.96 (s, IH), 8.43 (t, J = 5.7 Hz, IH), 8.07 (d, J = 2.6 Hz, IH), 7.92 (s, IH), 7.76 (s, IH), 7.63-7.53 (m, IH), 7.46 - 7.39 (m, 2H), 7.33 - 7.24 (m, 2H), 7.24-7.16 (m, 2H), 6.11 (s, IH), 5.95 (br, IH), 5.39 - 5.10 (m, 2H), 4.61 (br, IH), 4.40 (br, IH), 4.31 (t, J = 8.1 Hz, IH), 4.27 (br, IH), 4.12 (t, J = 6.5 Hz, 2H), 3.77 (dd, J = 10.4, 4.0 Hz, IH), 3.69 (d, J = 9.7 Hz, IH), 3.62 (s, 3H), 3.50 (d, J = 10.7 Hz, IH), 3.17 (br, 2H), 2.92 (s, 3H), 2.43 (s, 3H), 2.35-2.25 (m, IH), 2.16 - 2.08 (m, IH), 2.04 - 1.93 (m, IH), 1.75
- 1.65 (m, 2H), 1.55 - 1.45 (m, 2H), 1.44 - 1.33 (m, 2H), 0.92 (d, J = 6.5 Hz, 3H), 0.80 (d, J = 6.7 Hz, 3H).
Examples 1002.1 and 1002.2
7-(3,5-Difluoropyridin-2-yl)-^-((3S)-l-(2-((5-(l-((2.S',4i?)-4-hydroxy-2-((4-(4-methylthiazol- 5-yl)phenoxy)carbamoyl)pyrrolidin-l-yl)-3-methyl-l-oxobutan-2-yl)isoxazol-3- yl)oxy)ethyl)pyrrolidin-3-yl)-2-methyl-10-((methylsulfonyl)methyl)-3-oxo-3,4,6,7- tetrahydro-2H-2,4,7-triazadibenzo[c</ |azulene-9-carboxamide formate (two single stereoisomers)
Step 1: Methyl 3-methyl-2-(3-(2-((tetrahydro-2H-pyran-2-yl) oxy)ethoxy)isoxazol-5- yl)butanoate
[0718] A mixture of methyl 2-(3-hydroxyisoxazol-5-yl)-3-methyl-butanoate (Intermediate 3, 300mg, 1.51mmol), 2-(2-bromoethoxy) tetrahydro-2H-pyran (787 mg, 3.77 mmol) and K2C03 (623 mg, 4.52mmol) in DMF (3mL) was stirred at 50°C for 1 hour. The reaction solution was portioned between ethyl acetate and water. Phases were separated. The organic phase was dried over anhydrous sodium sulfate and the concentrated under reduced
pressure. The residue was purified by flash chromatography on silica gel (gradient: 0%-80% ethyl acetate/petroleum ether) to yield 299 mg (60%) of the title compound as a colorless oil. LCMS (ESI): RT (min) = 1.03, [M+H]+ = 328, method = I.
Step 2: Methyl 2-(3-(2-hydroxyethoxy) isoxazol-5-yl)-3-methylbutanoate
[0719] A solution of methyl 3-methyl-2-(3-(2-((tetrahydro-2H-pyran-2- yl)oxy)ethoxy)isoxazol-5-yl)butanoate (299 mg, 0.910 mmol) in methanol (3 mL) and aqueous hydrochloric acid (0.3 mL, 1 M) was stirred at 50°C for 1 hour. The resulting mixture was concentrated under reduced pressure to yield 222 mg (crude) of the title compound as colorless oil, which was sufficient for next step without further purification. LCMS (ESI): RT (min) = 1.10, [M+H]+ = 244, method = J.
Step 3: Methyl 3-methyl-2-(3-(2-((methylsulfonyl) oxy) ethoxy) isoxazol-5-yl) butanoate
[0720] A solution of methyl 2-(3-(2-hydroxyethoxy)isoxazol-5-yl)-3-methylbutanoate (222 mg, 0.910 mmol), methanesulfonic anhydride (317 mg, 1.83 mmol) and DIPEA (588mg, 4.56 mmol) in DCM (5 mL) was stirred at room temperature for 3 hours. The resulting solution was diluted with DCM and washed with water. The organic layer was dried over anhydrous sodium sulfate and concentrated under reduced pressure to yield 330 mg (crude) of the title compound as yellow oil. LCMS (ESI): RT (min) = 1.22, [M+H]+ = 322, method = J.
Step 4: Methyl 2-(3-(2-((5)-3-((teri-butoxycarbonyl)amino)pyrrolidin-l-yl)ethoxy)isoxazol-5- yl)-3-methylbutanoate
[0721] Under nitrogen, a solution of methyl 3-methyl-2-(3-(2- ((methylsulfonyl)oxy)ethoxy)isoxazol-5-yl)butanoate (235 mg, 0.730 mmol) and tert-butyl (S)- pyrrolidin-3-ylcarbamate (408 mg, 2.19 mmol) in DMF (3mL) was stirred at 80°C for 3 hours. The reaction mixture was partitioned between ethyl acetate, and water. Phases were separated. The organic layer was dried over anhydrous sodium sulfate and concentrated under reduced pressure. The residue was purified by flash chromatography on silica gel (gradient: 0%-80% ethyl acetate/petroleum ether) to yield 172 mg (57%) of the title compound as yellow oil. LCMS (ESI): RT (min) = 1.07, [M+H]+ = 412, method = J.
Step 5: Methyl 2-(3-(2-((5 -3-aminopyrrolidin-l-yl) ethoxy) isoxazol-5-yl)-3-methylbutanoate hydrochloride
[0722] A solution of methyl 2-(3-(2-((<S)-3-((tert-butoxycarbonyl) amino) pyrrolidin-1- yl) ethoxy)isoxazol-5-yl)-3-methylbutanoate (172 mg, 0.420 mmol) in DCM (1.5 mL) and HCl/dioxane (1.5 mL, 4 M) was stirred at room temperature for 0.5 hours. The resulting mixture was concentrated under reduced pressure to yield 140 mg (crude) of the title compound as a yellow solid. LCMS (ESI): RT (min) = 0.74, [M+H]+ = 312, method = L.
Step 6: Methyl 2-(3-(2-((5 -3-(7-(3,5-difluoropyridin-2-yl)-2-methyl-10-
((methylsulfonyl)methyl)-3-oxo-3,4,6,7-tetrahydro-2H-2,4,7-triazadibenzo[c(i, ]azulene-9- carboxarnido)pyrrolidin-l-yl)ethoxy)isoxazol-5-yl)-3-methylbutanoate
[0723] A solution of methyl 2-(3-(2-((5)-3-aminopyrrolidin-l-yl)ethoxy)isoxazol-5-yl)- 3-methylbutanoate hydrochloride (130 mg, 0.420 mmol), 7-(3,5-difluoropyridin-2-yl)-2-methyl- 10-((methylsulfonyl)methyl)-3-oxo-3,4,6,7-tetrahydro-2H-2,4,7-triazadibenzo[c(i, |azulene-9- carboxylic acid (Intermediate 7, 208 mg, 0.42 mmol), HATU (174 mg, 0.46 mmol) and DIPEA (215 mg, 1.67 mmol) in DMF (10 mL) was stirred at room temperature for 0.5 hours. The reaction solution was purified by reverse phase flash chromatography (solvent gradient: 5-80% acetonitrile in water (0.05% NH4HCO3)) to yield 152 mg (46%) of the title compound as a yellow solid. LCMS (ESI): RT (min) = 1.05, [M+H]+ = 794, method = J.
Step 7: 2-(3-(2-((5 -3-(7-(3,5-Difluoropyridin-2-yl)-2-methyl-10-((methylsulfonyl)methyl)-3- oxo-3 ,4,6,7-tetrahy dro-2H-2,4,7-triazadibenzo[c(i, |azulene-9-carboxamido)pyrrolidin-l - yl)ethoxy)isoxazol-5-yl)-3-methylbutanoic acid
[0724] A solution of methyl 2-(3-(2-((5 -3-(7-(3,5-difluoropyridin-2-yl)-2-methyl-10- ((methylsulfonyl)methyl)-3-oxo-3,4,6,7-tetrahydro-2H-2,4,7-triazadibenzo[c(i, ]azulene-9- carboxarnido)pyrrolidin-l -yl)ethoxy)isoxazol-5-yl)-3-methylbutanoate (152 mg, 0.190 mmol) and LiOH.FLO (16.0 mg, 0.380 mmol) in tetrahydrofuran (1.5 mL) and water (1.5 mL) was stirred at room temperature for 1 hour. The resulting mixture was concentrated under reduced pressure to yield 145 mg (crude) of the title compound as a yellow solid. LCMS (ESI): RT (min) = 1.00, [M+H]+ = 780, method = J.
Step 8: 7-(3,5-Difluoropyridin-2-yl)-N-((3S)-l-(2-((5-(l-((2^,4i?)-4-hydroxy-2-((4-(4- methylthiazol-5-yl)phenoxy)carbamoyl)pyrrolidin-l-yl)-3-methyl-l-oxobutan-2-yl)isoxazol-3- yl)oxy)ethyl)pyrrolidin-3-yl)-2-methyl-10-((methylsulfonyl)methyl)-3-oxo-3,4,6,7 etrahydro^ 2H-2,4,7-triazadibenzo[c(i, |azulene-9-carboxamide formate (two single unknown stereoisomers: Example 1002.1 and Example 1002.2)
[0725] A solution of 2-(3-(2-((5 -3-(7-(3,5-difluoropyridin-2-yl)-2-methyl-10- ((methylsulfonyl)methyl)-3-oxo-3,4,6,7-tetrahydro-2H-2,4,7-triazadibenzo[c(i, ]azulene-9- carboxarnido)pyrrolidin-l-yl)ethoxy)isoxazol-5-yl)-3-methylbutanoic acid (70.0 mg, 0.09 mmol), (2^,4i?)-4-hydroxy-N-(4-(4-methylthiazol-5-yl)phenoxy)pyrrolidine-2-carboxarnide hydrochloride (Intermediate 5, 38.3 mg, 0.110 mmol), HATU (37.5 mg, 0.100 mmol) and DIPEA (57.9 mg, 0.450 mmol) in DMSO (2 mL) was stirred at room temperature for 1 hour. The reaction mixture was diluted with water, extracted with EtOAc. The organic layer was dried over anhydrous sodium sulfate and concentrated under reduced pressure. The residue was purified by prep-HPLC (Column: SunFire Prep CI 8 OBD Column 19 150mm 5um lOnm; Mobile Phase A:Water(0.1%FA), Mobile Phase B: ACN; Flow rate: 25 mL/min; Gradient: 10% B to 26% B in 12 min; 254/220 nm; Rt: 10.7/11.8 min) to yield 12.7 mg (13%) of Example 1002.1 (faster peak on Prep-HPLC) as a white solid and 6.0 mg (6%) of Example 1002.2 (slower peak on Prep- HPLC) as a white solid.
[0726] Example 1002.1: LCMS (ESI): RT (min) = 2.36, [M+H]+ = 1081, method = A. ¾ NMR (400 MHz, OMSO-d6) δ 12.21 (br, 1H), 11.94 (d, J= 2.7 Hz, 1H), 8.94 (s, 1H), 8.55 (d, J = 7.1 Hz, 1H), 8.22 (s, 0.4 H, formic acid), 8.03 (d, J = 2.6 Hz, 1H), 7.90 (s, 1H), 7.75 (s, 1H), 7.65-7.50 (m, 1H), 7.47 - 7.34 (m, 2H), 7.33 - 7.21 (m, 2H), 7.20 - 7.12 (m, 2H), 6.04 (s, 1H), 5.94 (br, 1H), 5.22 (br, 2H), 4.59 (br, 1H), 4.44 - 4.35 (m, 2H), 4.33 - 4.18 (m, 2H), 4.13 (t, J = 5.6 Hz, 2H), 3.79 (d, J = 8.9 Hz, 1H), 3.68 - 3.60 (m, 4H), 3.60 - 3.52 (m, 1H), 2.92 (s, 3H), 2.78 - 2.58 (m, 4H), 2.45 - 2.38 (m, 4H), 2.33 - 2.23 (m, 1H), 2.20 - 1.90 (m, 4H), 1.76 - 1.54 (m, 1H), 0.98 (d, J = 6.6 Hz, 3H), 0.84 (d, J= 6.7 Hz, 3H).
[0727] Example 1002.2: LCMS (ESI): RT (min) = 1.35, [M+H] = 1081, method = J. ¾ NMR (400 MHz, OMSO-d6) δ 12.24 (s, 1H), 11.94 (d, J = 2.7 Hz, 1H), 8.97 (s, 1H), 8.56 (d, J = 7.0 Hz, 1H), 8.26 (s, 0.4H, formic acid), 8.05 (d, J = 2.5 Hz, 1H), 7.91 (s, 1H), 7.76 (s, 1H), 7.68-7.50 (m, 1H), 7.47 - 7.33 (m, 2H), 7.33 - 7.26 (m, 2H), 7.25 - 7.17 (m, 2H), 6.14 (s, 1H), 5.95 (br, 1H), 5.22 (br, 2H), 4.59 (br, 1H), 4.40 (s, 1H), 4.32-4.10 (m, 5H), 3.78 (dd, J = 10.8, 4.3 Hz, 1H), 3.70 (d, J = 9.7 Hz, 1H), 3.63 (s, 3H), 3.51 (d, J = 10.7 Hz, 1H), 2.93 (s, 3H), 2.88- 2.70 (m, 3H), 2.67-2.57 (m, 1H), 2.50-2.35 (m, 4H), 2.34 - 2.25 (m, 1H), 2.27-2.17 (m, 2H), 2.15-1.90 (m, 2H), 1.80-1.60 (m, 1H), 0.92 (d, J= 6.5 Hz, 3H), 0.80 (d, J= 6.7 Hz, 3H).
Example 1003.1
(2S,4R)-l-((S)-2-(H-(2-((S)-4-(4-chlorophenyl)-2,3,9-trimethyl-6H-thieno[3,2- f| [l,2,4]triazolo[4,3-a] [l,4]diazepin-6-yl)acetamido)undecanamido)-3,3-dimethylbutanoyl)- 4-hydroxy-N-(4-(4-methylthiazol-5-yl)phenoxy)pyrrolidine-2-carboxamide
Step 1: (2S,4R)-l-((S)-2-(l l-aniinoundecanamido)-3,3-dimethylbutanoyl)-4-hydroxy-N-(4-(4- methylthiazol-5-yl)phenoxy)pyrrolidine-2-carboxamide
[0728] To a solution of tert-butyl (l l-(((S)-l-((2S,4R)-4-hydroxy-2-((4-(4- methylthiazol-5-yl)phenoxy)carbamoyl)pyrrolidin-l-yl)-3,3-dimethyl-l-oxobutan-2-yl)aniino)- 11 -oxoundecyl)carbamate (Intermediate 11, 16.0 mg, 0.0200 mmol) in DCM (2.5 mL) was added TFA (0.5 mL) and stirred at 20 °C for 1 hour. LCMS: RT = 0.707min, [M+H]+616.01, Method = M, showed 75% of desired product. The mixture was concentrated to afford the desired product as a TFA salt (16 mg, 98.1%) as a yellow oil. LCMS: RT = 0.714 minutes, [M+H]+ 616.2, Method = M.
Step 2:(2S,4R)-l-((S)-2-(l l-(2-((S)-4-(4-chlorophenyl)-2,3,9-trimethyl-6H-thieno[3,2- f][l,2,4]triazolo[4,3-a][l,4]diazepin-6-yl)acetainido)un^
hydroxy -N-(4-(4-methylthiazol-5-yl)phenoxy)pyrrolidine-2-carboxamide (Example 1003.1)
[0729] A mixture of Et3N (6.65 mg, 0.0700 mmol), 2,5-dioxopyrrolidin-l-yl (S)-2-(4- (4-chlorophenyl)-2,3,94rimethyl-6H4hieno[3,2-f][l,2,4]triazolo[4,3-a][l,4]diazepin-6-yl)acetate (Intermediate 6, 13.1 mg, 0.0300 mmol), and (2S,4R)-l-((S)-2-(l l-aminoundecanamido)-3,3- dimethylbutanoyl)-4-hydroxy-N-(4-(4-methylthiazol-5-yl)phenoxy)pyrrolidine-2-carboxamide (16.0 mg, 0.0200 mmol, TFA salt) in DMF (3.0 mL) was stirred at 25 °C for 1 hour. LCMS: RT
(220/254nm) = 0.874 minutes, [M+H]+998.3, Method = M, showed 58% of the desired product. The mixture was purified by pre-HPLC (42-72 water 10 mM NH4HC03)-ACN) to give the desired product (2.52 mg, 11.3%) as an off white solid. LCMS: RT = 0.874 minutes, [M+H]+ 1020.4, Method = M.
Example 1004.1
4-(3,5-difluoropyridin-2-yl)-N-(ll-(((S)-l-((2S,4R)-4-hydroxy-2-((4-(4-methylthiazol-5- yl)phenoxy)carbamoyl)pyrrolidin-l-yl)-3,3-dimethyl-l-oxobutan-2-yl)amino)-ll- oxoundecyl)-10-methyl-7-((methylsulfonyl)methyl)-ll-oxo-3,4,10,ll-tetrahydro-lH-l,4,10- triazadibenzo [cd,f] azulene-6-carboxamide
Step l:(2S,4R)-l-((S)-2-(l l-aminoundecanamido)-3,3-dimethylbutanoyl)-4-hydroxy-N-(4-(4- methylthiazol-5-yl)phenoxy)pyrrolidine-2-carboxamide
[0730] To a solution of fert-butyl (l l-(((S)-l-((2S,4R)-4-hydroxy-2-((4-(4- methylthiazol-5-yl)phenoxy)carbamoyl)pyrrolidin-l-yl)-3,3-dimethyl-l-oxobutan-2-yl)amino)- 11 -oxoundecyl)carbamate (Intermediate 11, 18.0 mg, 0.0300 mmol) in DCM (2.5 mL) was added TFA (0.5 mL) and stirred at 25 °C for 1 hour. LCMS: RT = 0.713 minutes, [M+HJ+616.4, Method = M, showed 100% of desired product. The mixture was concentrated to afford the crude product as a TFA salt (18 mg, 98.1%) as a yellow oil. The crude product was
used in next step without further purification. LCMS: RT = 0.713 minutes, [M+Na] 638.3, Method = M.
Step 2: 4-(3,5-difluoropyridin-2-yl)-N-(l l-(((S)-l-((2S,4R)-4-hydroxy-2-((4-(4-methylthiazol- 5-yl)phenoxy)carbamoyl)pyrrolidin- 1 -yl)-3,3-dimethyl-l -oxobutan-2-yl)amino)- 11 - oxoundecy 1)- 10-methy l-7-((methy lsulfony l)methy 1)- 11 -oxo-3,4, 10, 11 -tetrahy dro- 1H- 1,4,10- triazadibenzo[cd,f]azulene-6-carboxamide (Example 1004.1)
[0731] A mixture of Et3N (5.76 mg, 0.060 mmol), 2,5-dioxopyrrolidin-l-yl 4-(3,5- difluoropy ridin-2-y 1)- 10-methy l-7-((methy lsulfony l)methy 1)- 11 -oxo-3 ,4, 10,11 -tetrahy dro- 1H- l,4,10-triazadibenzo[cd,f]azulene-6-carboxylate (Intermediate 8, 14.74 mg, 0.0200 mmol), and (2S,4R)-l-((S)-2-(l l-aminoundecanamido)-3,3-dimethylbutanoyl)-4-hydroxy-N-(4-(4- methylthiazol-5-yl)phenoxy)pyrrolidine-2-carboxamide (18.0 mg, 0.0200 mmol, TFA salt) in DMF (2.0 mL) was stirred at 25 °C for 12 hours. LCMS: RT = 0.837 minutes, [M+H]+1098.3, Method = M, showed 93% of desired product. The reaction mixture was concentrated and purified by prep-HPLC (36-66 water (10 mM NH4HC03)-ACN) to afford the desired product (10.2 mg, 36.2%) as a white solid. LCMS: RT = 0.899 minutes, [M/2+H]+ 550.1, Method = M.
Example 1005.1
4-(3,5-difluoropyridin-2-yl)-N-(ll-(((S)-l-((2S,4R)-2-(((2'-fluoro-[l,l'-biphenyl]-4- yl)oxy)carbamoyl)-4-hydroxypyrrolidin-l-yl)-3,3-dimethyl-l-oxobutan-2-yl)amino)-ll- oxoundecyl)-10-methyl-7-((methylsulfonyl)methyl)-ll-oxo-3,4,10,ll-tetrahydro-lH-l,4,10- triazadibenzo [cd,f] azulene-6-carboxamide
Step 1: (9H-fluoren-9-yl)methyl ((S)-l-((2S,4R)-2-(((2'-fluoro-[l,r-biphenyl]-4- yl)oxy)carbamoyl)-4-hydroxypyrrolidin-l-yl)-3,3-dimethyl-l-oxobutan-2-yl)carbamate
[0732] To a solution of (2S,4R)-l-((S)-2-((((9H-fluoren-9- yl)methoxy)carbonyl)amino)-3,3-dimethylbutanoyl)-4-hydroxypyrrolidine-2-carboxylic acid (compound 11.5, 252.5 mg, 0.540 mmol), HATU (205.8 mg, 0.540 mmol) and DIEA (190.8 mg, 1.48 mmol) in DMF (15 mL) was added 0-(2'-fluoro-[l, -biphenyl]-4-yl)hydroxylamine (100.0 mg, 0.490 mmol, synthesis similar to that of 0-(2'-chloro-[l,l'-biphenyl]-4- yl)hydroxylamine in Step 2 of Example 124.1). After the reaction mixture was stirred at 25 °C for 12 hours, it was concentrated and purified by column chromatography on silica gel (0 - 5 % MeOH in DCM, Rf = 0.3) to give (9H-fluoren-9-yl)methyl ((S)-l-((2S,4R)-2-(((2'-fluoro- [l, -biphenyl]-4-yl)oxy)carbamoyl)-4-hydroxypyrrolidin-l-yl)-3,3-dimethyl-l-oxobutan-2- yl)carbamate (220 mg, 52%) as a yellow solid. LCMS (Method = CC): RT = 0.877 min, m/z = 652.1 [M+1]+.
Step 2: (2S,4R)-l (S)-2-amino-3,3-dimethylbutanoyl)-N-((2'-fluoro-[l,r-biphenyl]-4-yl)oxy)- 4-hydroxypyrrolidine-2-carboxamide
[0733] To a solution of (9H-fluoren-9-yl)methyl ((S)-l-((2S,4R)-2-(((2'-fluoro-[l,r- biphenyl]-4-yl)oxy)carbamoyl)-4-hydroxypyrrolidin-l-yl)-3,3-dimethyl-l-oxobutan-2- yl)carbamate (220.0 mg, 0.340 mmol) in DMF (8.0 mL) was added piperidine (143.7 mg, 1.69 mmol). After the mixture was stirred at 25 °C for 1 hour, it was concentrated and washed with MTBE (10 mL x 3) to give the crude product (2S,4R)-l-((S)-2-amino-3,3-dimethylbutanoyl)-N- ((2'-fluoro-[l, -biphenyl]-4-yl)oxy)-4-hydroxypyiTolidine-2-carboxamide (140 mg, 97%) as a yellow solid, which was used next step directly.
Step 3: tert-butyl (l l-(((S)-l-((2S,4R)-2-(((2'-fluoro-[l,r-biphenyl]-4-yl)oxy)carbamoyl)-4- hydroxypyrrolidin-l-yl)-3,3-dimethyl-l-oxobutan-2-yl)amino)-l l-oxoundecyl)carbamate
[0734] To a solution of l l-((tert-butoxycarbonyl)amino)undecanoic acid (147.4 mg, 0.490 mmol) in DMF (10.0 mL) was added HATU (198.31 mg, 0.5200 mmol) and DIEA (0.27 mL, 1.63 mmol) at 25 °C. After the reaction mixture was stirred at 25 °C for 10 minutes, (2S,4R)-l-((S)-2-amino-3,3-dimethylbutanoyl)-N-((2'-fluoro-[l,r-biphenyl]-4-yl)oxy)-4- hydroxypyrrolidine-2-carboxamide (140.0 mg, 0.330 mmol) was added. The reaction mixture was stirred at 25 °C for 1 hour. The reaction was concentrated and purified by prep-TLC (10% MeOH in DCM, Rf = 0.6) to afford tert-butyl (l l-(((S)-l-((2S,4R)-2-(((2'-fluoro-[l,r-biphenyl]- 4-yl)oxy)carbamoyl)-4-hy droxypyrrolidin-1 -yl)-3,3-dimethyl- 1 -oxobutan-2-yl)amino)- 11 - oxoundecyl)carbamate (77 mg, 30%) as a colorless oil. LCMS (Method = CC): RT = 0.954min, m/z = 713.3 [M+l]+.
Step 4: (2S,4R)-l-((S)-2-(l l-aminoundecanamido)-3,3-dimethylbutanoyl)-N-((2'-fluoro-[l,r- biphenyl]-4-yl)oxy)-4-hydroxypyrrolidine-2-carboxamide
[0735] A solution of tert-butyl (l l-(((S)-l-((2S,4R)-2-(((2'-fluoro-[l,r-biphenyl]-4- yl)oxy)carbamoyl)-4-hydroxypyrrolidin-l-yl)-3,3-dimethyl-l-oxobutan-2-yl)amino)-l l- oxoundecyl)carbamate (77.0 mg, 0.110 mmol) in HFIP (6.0 mL) and TFA (0.20 mL) was stirred at 25 °C for 1 hour. The mixture was concentrated to give (2S,4R)-l-((S)-2-(ll- aminoundecanamido)-3,3-dimethylbutanoyl)-N-((2'-fluoro-[l, -biphenyl]-4-yl)oxy)-4- hydroxypyrrolidine-2-carboxamide TFA salt (75 mg, 96%) as a yellow solid, which was used directly the next step without further purification. LCMS (Method = CC): RT = 0.744min, m/z = 613.2 [M+l]+.
Step 5: 4-(3,5-difluoropyridin-2-yl)-N-(l l-(((S)-l-((2S,4R)-2-(((2'-fluoro-[l,r-biphenyl]-4- yl)oxy)carbamoyl)-4-hydroxypyiTolidin-l-yl)-3,3-dimethyl-l-oxobutan-2-yl)amino)-l l- oxoundecy 1)- 10-methy l-7-((methy lsulfony l)methy 1)- 11 -oxo-3 ,4, 10,11 -tetrahy dro- 1H- 1,4,10- triazadibenzo[cd,f]azulene-6-carboxamide (Example 1005.1)
[0736] A solution of Intermediate 7 (40.0 mg, 0.0800 mmol) HATU (33.43 mg, 0.090 mmol) and DIEA (31.0 mg, 0.240 mmol) in anhydrous DMF (3.0 mL) was stirred at 25 °C for 50 minutes, and (2S,4R)-l-((S)-2-(ll-aminoundecanamido)-3,3-dimethylbutanoyl)-N-((2'- fluoro-[l, -biphenyl]-4-yl)oxy)-4-hydroxypyrrolidine-2-carboxarnide (69.71 mg, 0.1000 mmol) was added. After the resulted mixture was stirred at 25 °C for 2 hours, it was concentrated and purified by prep-HPLC (52-82 water (0.225%FA)-ACN) to give Example 1005.1 (11.2 mg, 13%) as a white solid. ¾ NMR (400MHz, DMSO-c¾) δ 12.26 (s, 1H), 11.93 (brs, 1H), 8.41 (t, J = 5.6 Hz, 1H), 8.07 (d, J = 2.4 Hz, 1H), 7.95 - 7.91 (m, 2H), 7.75 (s, 1H), 7.64 - 7.58 (m, 1H), 7.50 - 7.47 (m, 1H), 7.46 - 7.42 (m, 2H), 7.39 - 7.35 (m, 1H), 7.32 - 7.25 (m, 6H), 5.94 (brs, 1H), 5.23 (brs, 1H), 4.54 (d, J = 9.6 Hz, 2H), 4.37 - 4.33 (m, 3H), 3.68 (s, 2H), 3.62 (s, 3H), 3.14 (brs, 2H), 2.90 (s, 3H), 2.34 - 2.23 (m, 1H), 2.11 - 2.06 (m, 2H), 2.01 - 1.94 (m, 2H), 1.44 (brs, 4H), 1.22 (s, 12H), 0.92 (s, 9H). LCMS (Method = CC): RT = 0.875 min, m/z = 1095.6 [M+H]+. SFC: Method 3: RT = 2.007 min, ee = 94%.
Examples 1006.1 and 1006.2
4-(3,5-difluoropyridin-2-yl)-N-(5-((5-(l-((2S,4R)-2-(((2'-fluoro-[l,l'-biphenyl]-4- yl)oxy)carbamoyl)-4-hydroxypyrrolidin-l-yl)-3-methyl-l-oxobutan-2-yl)isoxazol-3- yl)oxy)pentyl)-10-methyl-7-((methylsulfonyl)methyl)-ll-oxo-3,4,10,ll-tetrahydro-lH- l,4,10-triazadibenzo[cd,f]azulene-6-carboxamide (two single stereoisomers)
Step l
[0737] To a stirred mixture of K2CO3 (50.22 g, 363.4 mmol) and 5-methylisoxazol-3- ol (18.0 g, 181.65 mmol) in NMP (200 mL) was added BnBr (27 mL, 221.01 mmol) in NMP (50 mL) dropwise at 60 °C over 4 hours. The mixture was stirred at 60 °C for 0.5 hours. The mixture was diluted with EtOAc (500 mL), washed with water (500 mL x 2) and brine (300 ml x 3). The organic layer was dried over Na2SC>4 and concentrated. The residue was purified by flash chromatography on silica (0 - 20% EtOAc in petroleum ether) to afford 3-(benzyloxy)-5- methylisoxazole (17.8 g, 52%) as a colorless oil. XH NMR (400 MHz, CDC13) δ 7.46 - 7.34 (m, 5
H), 5.66 (s, 1 H), 5.26 (s, 2 H), 2.34 (s, 3 H). LCMS (Method = CC): RT = 0.850 min, m/z = 190.1 [M+l]+.
Step 2: ethyl 2-(3-(benzyloxy)isoxazol-5-yl)acetate
Step 2
[0738] To a mixture of 3-(benzyloxy)-5-methylisoxazole (17.8 g, 94.08 mmol) in THF (200 mL) was added LDA (4.6 mL, 9.2 mmol, 2.0 M in hexane) dropwise under N2 at -78 °C. The mixture was stirred at -78 °C for 0.5 hours, followed by addition of diethyl carbonate (18.0 g, 152.37 mmol) in THF (100 mL) dropwise. The mixture was stirred -78 °C for another 1 hour. The reaction was quenched with sat. NH4C1 (50 mL), diluted with EtOAc (500 mL), washed with water (200 mL x 2) and brine (300 mL). The organic layer was dried over Na2SC>4, concentrated, and purified by chromatography on silica (0 - 20% EtOAc in petroleum ether) to afford ethyl 2-(3-(benzyloxy)isoxazol-5-yl)acetate (6.00 g, 24%) as a white solid. XH NMR (400 MHz, CDC13) δ 7.46 - 7.27 (m, 5 H), 5.95 (s, 1 H), 5.27 (s, 2 H), 4.25-4.19 (m, 2 H), 3.72 (s, 2 H), 1.30 (t, J= 7.2 Hz, 3 H). LCMS (Method = CC): RT = 0.881 min, m/z = 262.1 [M+l]+.
Step 3: ethyl 2-(3-(benzyloxy)isoxazol-5-yl)-3-methylbutanoate
Step 3
[0739] To a solution of ethyl 2-(3-(benzyloxy)isoxazol-5-yl)acetate (6.00 g, 22.96 mmol) and i-Prl (4.63 mL, 46.29 mmol) in DMF (20 mL) was added t-BuOK (3.87 g, 34.45 mmol). The mixture was stirred at 10 °C for 16 hours. The mixture was diluted with EtOAc (100 mL), quenched with water (5.0 mL), washed with water (20 mL x 2) and brine (30 mL). The organic layer was dried over Na2S04, concentrated, and purified by chromatography on silica (0 - 15% EtOAc in petroleum ether) to afford ethyl 2-(3-(benzyloxy)isoxazol-5-yl)-3- methylbutanoate (4.2 g, 60%) as a yellow solid. l NMR (400 MHz, CDC13) δ 7.46 - 7.36 (s, 5 H), 5.94 (s, 1 H), 5.26 (s, 2 H), 4.24 - 4.16 (m, 2 H), 3.48 (d, J = 8.8 Hz, 1 H), 2.40 - 2.33 (m, 1
H), 1.28 (t, J= 7.2 Hz, 3 H), 1.02 (d, J = 6.4 Hz, 3 H), 0.94 (d, J = 6.8 Hz, 6 H). LCMS (Method = CC): RT = 0.997 min, m/z = 304.1 [M+H]+.
Step 4: ethyl 2-(3-hydroxyisoxazol-5-yl)-3-methylbutanoate
[0740] To a mixture of ethyl 2-(3-(benzyloxy)isoxazol-5-yl)-3-methylbutanoate (2.00 g, 6.59 mmol) in MeOH (20 mL) was added 10% Pd/C (701.63 mg) at 25 °C. After the mixture was stirred at 25 °C for 2 h under H2 (15 psi), it was filtrated. The filtrate was concentrated and purified by prep-HPLC (acetonitrile 5-60/0.225% FA in water) to afford ethyl 2-(3- hydroxyisoxazol-5-yl)-3-methylbutanoate (250 mg, 18%) as a colorless oil. LCMS (Method = CC): RT = 0.845 min, m/z 214.0 [M+l]+.
2-(3-((5-((tert-butoxycarbonyl)amino)pentyl)oxy)isoxazol-5-yl)-3-
Step 5
[0741] To a stirred solution of ethyl 2-(3-hydroxyisoxazol-5-yl)-3-methylbutanoate, tert-butyl (5-hydroxypentyl)carbamate (309.8 mg, 1.52 mmol) and Pl^P (369.0 mg, 1.41 mmol) in THF (10 mL) was added DIAD (284.5 mg, 1.41 mmol) slowly at 0 °C. The mixture was stirred for 12 hours at 25 °C. Water (15 mL) was added and the mixture was extracted with EtOAc (25 mL x 3). The organic layer was washed with brine (20 mL x 2), dried over Na2SC>4, concentrated to give crude product, which was purified with column chromatography (0 - 20 % EtOAc in petroleum ether, Rf = 0.6) to afford ethyl 2-(3-((5-((tert- butoxycarbonyl)amino)pentyl)oxy)isoxazol-5-yl)-3-methylbutanoate (0.32 g, 69%) as a yellow oil. LCMS (Method = CC): RT =1.061 min, m/z = 299.1 [M+l-100]+.
Step 6: 2-(3-((5-((tert-butoxycarbonyl)amino)pentyl)oxy)isoxazol-5-yl)-3-methylbutanoic acid
[0742] A mixture of ethyl 2-(3-((5-((tert-butoxycarbonyl)amino)pentyl)oxy)isoxazol-5- yl)-3-methylbutanoate (320.0 mg, 0.800 mmol) and LiOH H20 (337.0 mg, 8.03 mmol) in water (2.0 mL) and THF (10 mL) was stirred at 20 °C for 12 hours. The mixture was extracted with EtOAc (20 mL x 3), and the aqueous phase was adjusted to pH = 5.0 with HC1 (1.0 M). The mixture was extracted with EtOAc (20 mL x 3), and the organic layer was dried over Na2SC>4 filtered and concentrated to give 2-(3-((5-((tert-butoxycarbonyl)amino)pentyl)oxy)isoxazol-5- yl)-3-methylbutanoic acid (230 mg, 77%) as a yellow oil, which was used in next step without further purification. LCMS (Method = CC): RT =0.971 min, m/z = 393.0 [M+23]+.
Step 7:
Isomer A1 and B1
[0743] To a solution of HOSu (78.6 mg, 0.680 mmol) and 2-(3-((5-((tert- butoxycarbonyl)amino)pentyl)oxy)isoxazol-5-yl)-3-methylbutanoic acid (230.0 mg, 0.620 mmol) in THF (16 mL) was added DCC (140.9 mg, 0.680 mmol). The mixture was stirred at 25 °C for 16 hours. The reaction mixture was filtered and filtrate was concentrated to afford the activated ester of 2-(3-((5-((tert-butoxycarbonyl)amino)pentyl)oxy)isoxazol-5-yl)-3- methylbutanoic acid (290 mg) as a yellow oil. 2-(3-((5-((tert- butoxycarbonyl)amino)pentyl)oxy)isoxazol-5-yl)-3-methylbutanoic acid was dissolved in DMF (33 mL), and Intermediate 30 (320.3 mg, 0.740 mmol) and DIEA (240.51 mg, 1.86 mmol) was added. After the mixture was stirred for 2 hours at 25 °C, it was concentrated and extracted with EtOAc (20 mL x 3), washed with brine (10 mL x 2). The organic layer was dried over anhydrous sodium sulfate, concentrated, and purified by flash chromatography on silica (1-5% MeOH in
DCM, Rf = 0.4) to give the desired product. It was separated by SFC (Method 2) to give isomer Al (100 mg, 24%) and isomer Bl (43 mg, 10%) as white solids.
[0744] Al: LCMS (Method = DD): RT = 4.195 min, m/z = 569.3 [M+l]+. SFC: Method 2, RT = 5.380 min;
[0745] Bl: LCMS (Method = DD): RT =4.302 min, m/z = 569.3 [M+l]+. SFC: Method 2, 6.455 min.
Step 8: 4-(3 ,5 -difluoropy ridin-2-yl)-N-(5 -((5 -(1 -((2S ,4R)-2-(((2'-fluoro- [1,1 '-bipheny 1] -4- yl)oxy)carbamoyl)-4-hydroxypyrrolidin-l-yl)-3-methyl-l-oxobutan-2-yl)isoxazol-3- y l)oxy )penty 1)- 10-methy l-7-((methylsulfony l)methy 1)- 11 -oxo-3,4, 10, 11 -tetrahy dro- 1H- 1,4,10- triazadibenzo[cd,f]azulene-6-carboxamide (two single stereoisomers) (Examples 1006.1 and
1006.2)
[0746] A solution of Al (70.0 mg, 0.100 mmol) in a TFA solution in HFIP (5%, 4.0 mL) was stirred at 25 °C for 1 hour. The mixture was concentrated, and the residue was diluted with DCM (15 mL), and concentrated again to afford compound A2 TFA salt (70 mg, 98% yield) as a yellow solid. LCMS (Method = CC): RT = 0.837 min, m/z = 569.1 [M+l]+.
[0747] A solution of HATU (46.79 mg, 0.1200 mmol), DIEA (53.01 mg, 0.4100 mmol) and Intermediate 7 (61.58 mg, 0.1200 mmol) in DMF (3.0 mL) was stirred at 20 °C for 30 min,
then compound A2 (70.0 mg, 0.1000 mmol) was added and the reaction was stirred for 2 hours at 20 °C. The mixture was purified by prep-HPLC (acetonitrile 41-71/0.1% TFA in water) to give Example 1006.1 (65 mg, 57%) as a white solid. LCMS (Method = CC): RT = 0.802 min, m/z = 1051.8 [M+l]+. XH NMR (400 MHz, CDC13) δ 10.74 (brs, 1 H), 7.84 (s, 2 H), 7.44 - 7.40 (m, 3 H), 7.33 - 7.27(m, 3 H), 7.15 - 6.94 (m, 6 H), 6.78 (brs, 1 H), 5.91 (s, 1 H), 4.76 - 4.61 (m, 4 H), 4.16 (brs, 2 H), 3.72 - 3.66 (m, 3 H), 3.59 - 3.55 (m, 2 H), 3.33 - 3.31 (m, 2 H), 3.01 - 2.95 (m, 8 H), 2.50 - 2.39 (m, 2 H), 2.12-2.06 (brs, 1 H), 1.70 (brs, 2 H), 1.56 - 1.52 (m, 2 H), 1.45- 1.40 (m, 2 H), 1.02 (d, J = 6.4 Hz, 3 H) 0.91 (d, J = 6.4 Hz, 3 H). SFC: Method 1, RT=0.893 min, de = 99.5%.
[0748] Isomer Bl (43.0 mg, 0.0600 mmol) was converted to compound B2 TFA salt (43 mg, 98%) as a colorless oil with procedure similar to Al. LCMS (Method = CC): RT = 0.868 min, m/z = 569.1 [M+l]+.
[0749] Compound B2 (43.0 mg, 0.0600 mmol) was converted to Example 1006.2 (29 mg, 40%) as a colorless oil, with procedure similar to Compound A2. XH NMR (400 MHz, CDCI3) δ 10.78 (brs, 1 H), 10.01 (brs, 1 H), 7.80 (d, J = 4.8 Hz, 2 H), 7.41 (d, J= 7.6 Hz, 2 H), 7.32 - 7.27 (m, 3 H), 7.19 - 7.11(m, 4 H), 7.04- 6.99 (m, 1 H), 6.98 - 6.65 (m, 2 H), 5.85 (s, 1 H), 5.30 (s, 1 H), 4.98 - 4.56 (m, 4 H), 4.17 (brs, 3 H), 3.83 - 3.79 (m, 2 H), 3.63 - 3.28(m, 6 H), 2.94 (s, 3 H), 2.45 - 2.41 (m, 2 H), 2.15 (brs, 1 H), 1.58 (brs, 3 H), 1.46 - 1.45 (m, 3 H), 1.25 (s, 2 H), 1.01(d, J = 6.4 Hz, 3 H), 0.88 (d, J= 6.8 Hz, 3 H). LCMS (Method = CC): RT = 0.830 min, m/z = 1051.4 [M+l]+. SFC: Method 1, RT=1.038 min, de = 100%.
Biological Assays
Example A; Fluorescence Polarization (FP) VHL Binding Assay
[0750] The binding of test compounds to the VHL Elongin B/C complex was measured using a fluorescence polarization tracer competition assay. The VHL / Elongin B/C protein complex used in the assay was generated as follows. The coding region for amino acids E55- D213 of human VHL with N-terminal His6 tag with a TEV -protease cleavage site was co- expressed with Elongin B (residues M1-Q118) and Elongin C (ResiduesM17-C112) in E. coli. The VHL / Elongin B/C complex was purified using an affinity nickel column, anion exchange HiTrap QP HP column chromatography, and gel filtration using a Superdex 75 26/60 column. The purified VHL / Elongin B/C complex was dialyzed into formulation buffer: 20mM Bis-Tris pH7.0, 150mM NaCl, 1 mM DTT. A VHL fluorescence polarization probe (prepared in Example 91), consisted of a VHL ligand coupled to carboxytetramethylrhodamine (TAMRA); (2S,4R)-N- (2-(2-(3',6'-bis(dimethylamino)-3-oxo-3H-spiro[isobenzofuran-l,9'-xanthene]-5- carboxamido)ethoxy)-4-(4-methylthiazol-5-yl)benzyl)-4-hydroxy-l-((R)-3-methyl-2-(3- methylisoxazol-5-yl)butanoyl)pyrrolidine-2-carboxamide. The Kd of the VHL fluorescence polarization probe binding to VHL / Elongin B/C was 18.2 nM. Compounds were prepared as a serial dilution in DMSO at a concentration 25-fold higher than the final desired concentration and acoustically dispensed (400 nl) into a ProxiPlate-384 Plus F, Black 384-shallow well Microplate (Part Number 6008260). DMSO was dispensed into wells designated for "VHL control" (without compound) wells. The "Assay Buffer" consisted of 50 mM Tris pH 8.0, 120 mM NaCl, 0.005% Nonidet P-40, and 1% DMSO (v/v). Assay Buffer containing 5.28 μΜ VHL Elongin B/C complex was prepared and 5μ1 dispensed using a BioRapTR (Beckman Coulter) into each well of the assay plate. Assay Buffer was also dispensed into "no VHL control" wells using the same method. A "pre-assay" fluorescence measurement was made using an Infinite® M1000 (Tecan) plate reader (Excitation 530 nm, Emission 574 nm, Bandwidth 10 nm). Assay Buffer containing 3.34 nM of the VHL FP probe was prepared in Assay Buffer and 5μ1 dispensed into each well of the assay plate using a BioRapTR (Beckman Coulter). The final VHL / Elongin B/C protein concentration is 2.64 nM and the final probe concentration is 1.67 nM. Assay plates were briefly centrifuged and incubated for 1 hour at room temperature. "Post- assay" fluorescence polarization measurements were made as described for the "pre-assay" fluorescence measurement. Fluorescence polarization was calculated for each sample; taking into account the "pre-assay" fluorescence measurements and subtracting the fluorescence signal of
the compound/VHL only ("pre-assay") measurements from the "post-assay" fluorescence polarization measurements, for each plane of polarization. The data were analyzed using Genedata Screener software and normalized to the "no VHL control" and "VHL control" (without compound). IC50 values were calculated using a four parameter curve fit (Robust method).
Example B; Surface Plasmon Resonance Assay
[0751] Using a Biacore T200, Avidin tagged VHL co-expressed with Elongins B and C were immobilized to a Biacore SA chip in running buffer without DMSO. Compounds were tested individually at varying concentrations in running buffer (50 mM HEPES pH 7.2, 150 mM NaCl, 0.5 mM TCEP, 0.001% Tween 20, 0.2% PEG3350, 2% DMSO) at 20°C. Sensorgrams were run in order from low to high concentration using a flow rate of 80 μΙ7ιηιη. Association and disassociation times were varied depending on the estimated potency of the compound tested. All sensor chips were monitored for loss of activity with the injection of a control compound ((2S,4R)-l-((S)-2-acetamido-3,3-dimethylbutanoyl)-4-hydroxy-N-(4-(4- methylthiazol-5-yl)benzyl)pyrrolidine-2-carboxamide, which is Compound 7 in C. Galdeano et al, J. Med. Chem. 2014, 57, 8657-8663, herein incorporated by reference) which retained greater than 75% of the activity over the course of the run. Analysis of the binding curves and determination of the kinetic parameters were done using evaluation software (Version 2.0, Biacore).
Example C; VHL HEK-293 BRET Assay
[0752] The VHL NanoBRET™ Target Engagement Assay analyzes the apparent affinity of test compounds for VHL in cells by competitive displacement of a VHL NanoBRET™ tracer reversibly bound to a NanoLuc® VHL fusion protein stably expressed in the cells.
[0753] Test compounds were transferred to the assay plate (384 Well White Non- Binding Coming Assay Plates (Corning-3574)) using an Echo 555 Liquid Handler (Labcyte) in 2.5 nL increments and, as appropriate, intermediate stock concentrations of compounds, in order to prepare a titration series. 50 nL of control compound (lOmM; parental unlabeled VHL antagonist; see structure below) and 50 nL of DMSO (negative control) were dispensed into the appropriate control wells. DMSO was backfilled to a final volume of 50 nL as required. 50nl per well of 1 mM VHL NanoBRET Tracer in DMSO (NanoBRET™ Tracer-PEG2-590 (see
structure below)) was transferred into each well using an Echo 555 (ultimately yielding a final concentration of luM). HEK 293 RT VHL-NanoLuc® stable cells were cultured in DMEM High Glucose with Pyruvate, 10% fetal bovine serum, 2 mg/mL of Geneticin Selective Antibiotic (50 mg/ml) and 2 mM HEPES (1 M). Cells were seeded in Opti-MEM (Life Technologies- 11058- 021), 1.7 x 105 cells/mL, 40 μΐ per well into the assay plate, centrifuged at 500 rpm for 30 seconds and incubated for 2 hours. Max Signal control wells consisted of DMSO only treated wells. Minimum Signal control wells contained of 10 uM parental unlabeled VHL antagonist (control compound - see structure below). 3X Complete Substrate plus Inhibitor Solution was prepared in Opti-MEM (consists of a 1 : 166 dilution of NanoBRET™ Nano-Glo® Substrate plus a 1 :500 dilution of Extracellular NanoLuc® Inhibitor in Opti-MEM), and 20 ul was dispensed into each well of the 384-well plate and centrifuged at 1000 rpm for 1 minute, then incubated for 2 minutes at room temperature. Background Signal control wells were prepared without tracer for background correction steps.
[0754] Plates were read using a PerkinElmer Envision Reader (model 2104-0020) equipped with Luminescence option (Mirror: BRET2 Enh (PE Barcode 659), Emission Filter: Omega 610LP (Barcode 504), 2nd Emission Filter: Umbelliferone 460 (Barcode 207), Measurement height: 6.5 mm, Measurement time: Is). The raw BRET ratio values were calculated by dividing the acceptor emission value (610 nm) by the donor emission value (460nm) for each sample. To correct for background, the BRET ratio in the absence of tracer (average of no-tracer control samples) was subtracted from the BRET ratio of each sample. Raw BRET units were converted to milliBRET units (mBU) by multiplying each raw BRET value by 1,000. The normalized NanoBRET signal was calculated relative to the Max Signal control wells (DMSO treated control wells) and the Minimum Signal control wells. Percentage inhibition was calculated relative to the Minimum Signal control and Maximum Signal control wells. IC50 values were derived by four parameter curve fitting using the Robust method.
NanoBRETTM Tracer-PEG2-590:
Parental unlabeled VHL antagonist (control compound):
[0755] The results for VHL binding IC50 values from the FP assay and the HEK-293 BRET assay, and Kj values measured in the SPR assay are shown in Table 8. Where more than one measurement was performed for the same assay, the value reported is the geometric mean of all values.
Table 8: VHL inhibition data (IC50, μΜ) for the FP assay and HEK-293 BRET assay, and SPR measured VHL affinity
Example IC50 (μΜ) Kd (μΜ) IC50 (μΜ)
Number (FP) (SPR) (HEK-293)
101.1 — 56.8
102.1 3.34 0.262
Example IC50 (μΜ) Kd (μΜ) IC50 (μΜ) Number (FP) (SPR) (HEK-293)
103.1 0.462 —
104.1 87.4 —
104.2 0.665 —
105.1 73.7 22 100
105.2 0.136 0.0356 0.153
106.1 118 50 100
106.2 0.234 0.063 2.23
107.1 1.87 0.548 2.54
107.2 1.39 0.366 1.37
108.1 400 150 100
108.2 1.41 0.587 2.06
109.1 47.8 13.7 100
109.2 0.205 0.0385 1.8
110.1 400 150 100
110.2 6.88 2.23 17
111.1 400 150 100
111.2 7.54 1.75 3.15
112.1 400 150 100
112.2 12.9 5.53 7.99
113.1 400 150 100
113.2 22.7 5.62 12.6
114.1 145 49.1 100
114.2 0.525 0.0566 0.247
Example IC50 (μΜ) Kd (μΜ) IC50 (μΜ) Number (FP) (SPR) (HEK-293)
115.1 400 150 100
115.2 12.7 2.2 45
116.1 115 38.4 100
116.2 1.5 0.237 0.409
117.1 400 150 100
117.2 9.18 3.72 5.43
118.1 39.6 14.3 12.4
118.2 0.334 0.0625 0.324
119.1 400 114 100
119.2 19.6 6.53 14.6
120.1 71.6 35.8 100
120.2 0.374 0.0778 8.37
121.1 223 29.9 100
121.2 0.984 0.0677 0.339
122.1 127 23.2 100
122.2 0.55 0.128 1.43
123.1 0.941 — 0.553
124.1 0.111 — 0.18
125.1 0.6 — 1.21
126.1 0.31 — 0.335
127.1 1.1 - 1.44
128.1 1.13 — 2.17
129.1 2.46 — 10.9
Example IC50 (μΜ) Kd (μΜ) IC50 (μΜ)
Number (FP) (SPR) (HEK-293)
131.1 6.63 — 0.366
1001.1 >25 — —
1001.2 1.23 — —
1004.1 1.85 0.0801 —
1005.1 21.7 — 42.1
Example D; Inhibition of MYC expression
[0756] Pharmacologic inhibition of MYC is achievable through targeting BET bromodomains through small molecule binder or degrader mechanisms. Such inhibitors may have clinical utility given the widespread pathogenetic role of MYC in cancer. See, e.g., Mertz J, et al, "Targeting MYC dependence in cancer by inhibiting BET bromodomains," (2011) Proc. Natl. Acad. Sci. USA, Vol. 108 (40), pp. 16669-16674.
[0757] To determine the inhibition of MYC expression, MV-4-11 cells (ATCC) were plated at 10,000 cells per well in 96-well plates in RPMI1640 media supplemented with 10% fetal bovine serum and 2 mM L-glutamine. Test compounds diluted in DMSO were transferred to the cell plates, keeping final DMSO concentration consistent at 0.1%, and incubated for 4 hours at 37 °C. Lysis and analysis for MYC expression were carried out using QuantiGene 2.0 reagents (Affymetrix/eBioscience, probe set cat # SA-50182) and following the vendor's instructions. Luminescence was read using an EnVision plate reader (PerkinElmer) and IC50S generated in Genedata Screener using a 4-parameter non-linear regression fit.
[0758] Bromobinder molecules that potently inhibit, but do not degrade, the target will block up to 80% of the endogenous MYC expression in the MV-4-11 cells. Effective degraders will surpass this and inhibit >95% of MYC, thus following the maximum inhibition within this assay provides valuable SAR. Where more than one measurement was performed for the same assay, the value reported is the geometric mean of all values.
[0759] The results are set forth in Table 9.
Example E; BRD4 degradation assay in PC3 (Steap-1) prostate cancer cells and EOL-1 cells, High Content Fluorescence Imaging Assays
[0760] PC3 (Steap-1) prostate cancer cells: PC3 (Steap-1) prostate cancer cells (PC3 cells overexpressing the surface protein Steap-1) were seeded on day 1 at a density of 200,000 cells/mL in 45 μΐ/well in cell plates in a 384 well Greiner/Perkin Elmer Cell Carrier TC Treated plate (part # 6007430) in Assay Medium (RPMI, 10% FBS, 2mM Glutamax). Cells were incubated overnight at 37°C degrees. On day 2, compounds were serially diluted 3-fold in DMSO spanning the concentrations 10 mM to 8.6 nM, in 384 well clear polypropylene plates (Greiner Cat # 781201). DMSO and lOmM of a control PROTAC (dBETl, as described in WO 2017/024317, p. 235, structure below) (control compound) were added to designated wells. Compounds and controls were diluted 50-fold (2 μΐ of DMSO stock into 98 μΐ) into Assay Medium. 5 μΐ of the diluted compounds were transferred to the cell plates. The final top concentration of the test compounds in the cell plates was 20 μΜ. Cell plates were incubated at 37°C, for 4 hours. Fixation and permeabilization were carried out using a Biotek EL406 plate washer and dispenser as follows. Cells were fixed by addition of 15 μΐ. of 16% paraformaldehyde (Electron Microscopy Sciences #15710-S) directly to the 50 μΐ. cell culture medium in each well using the peristaltic pump 5 μΐ. cassette on a Biotek EL406 (final concentration of formaldehyde was 3.7%w/v). Samples were incubated 30 minutes. Well contents was aspirated and 50 μΕΛ βΙΙ of Phosphate Buffered Saline (PBS) containing 0.5% w/v bovine serum albumen, 0.5% v/v Triton X-100 (Antibody Dilution Buffer) was added to each well. Samples were incubated for 30 minutes. Well contents were aspirated and washed 3 times with 100 μΕΛ βΙΙ of PBS.
[0761] Immunofluorescence staining of BRD4 was carried out using a Biotek EL406 plate washer and dispenser as follows. The well supernatant was aspirated from the wells and 25 μΙ,ΛνβΙΙ of rabbit mAb Anti-BRD4 [EPR5150(2)] abeam 128874 diluted 1 :500 in Antibody Dilution Buffer was dispensed. Samples were incubated for 2 hours at room temperature. Samples were washed 4 times with 100 μΕΛ βΙΙ of PBS. 25 μΕΛ βΙΙ of secondary antibody solution (Goat Anti-Rabbit IgG, DyLight 488 Conjugated Highly Cross-adsorbed #35553 1 : 1000) diluted 1 : 1000 and Hoechst 33342 ^g/ml diluted in Antibody Dilution Buffer) were dispensed into each well. 16 wells of the plate, which were designated as 'no primary antibody" wells, received only Antibody Dilution Buffer (without anti-BRD4 antibody). Samples were incubated for 2 hours at room temperature. Samples were washed 3 times with 100 μΕΛ βΙΙ of
PBS using a Biotek EL406. Quantitative fluorescence imaging of BRD4 was carried out using a Phenix (Perkin Elmer). Fluorescence images of the samples (Channel 1 : Hoechst33342 (DNA stain); Channel 2: 488nm (BRD4 stain)) were acquired. Channel 1 (DNA stain) was used to define the "Region of Interest" (ROI) nuclear region. Measurements of BRD4 average immunofluorescence intensity within the ROI (nuclear region), were made on a per cell basis and averaged over all the measured cells. Data analysis was carried out using Genedata Screener Software, with DMSO and "no primary antibody" samples being used to define the 0% and 100% changes in BRD4. The "Robust Fit" method was used to define the inflexion point of curve (EC50) and the plateau of the maximal effect (Sinf). The SM value reports degradation as percent change in protein level, so complete loss of the protein target is -100%. Sinf is the maximum degradation achieved, obtained by determining the bottom of a dose-response (where the S -shaped curve levels out).
control compound
[0762] EOL-1 cells: The BRD4 degradation assay is performed on EOL-1 cells using the same procedure as described above for PC3 (Steap-1) prostate cancer cells, except EOL-1 cells are seeded at 1,000,000 cells/mL and following aspiration and washing of the well contents with 100 μΕΛ βΙΙ of PBS, 40 PBS plus 10% normal goat serum is added per well for 20 minutes at room temperature.
[0763] The results are set forth in Table 9.
Table 9: Inhibition of MYC expression in MV-4-11 cells and degradation of BRD4 in PC3 (Steapl) cells
[0764] Examples Fl and F2; Protein Degradation Assays
[0765] The following assays may be used to measure protein degradation. These assays are amenable for measuring degradation of all protein types. Protocol 1 (Westem blot) is based on assays for an RTK (membrane) protein. Protocol 2 is based on assays for BRD4 (nuclear and cytosolic) protein.
1. Protocol 1 : Westem blot (Example Fl)
[0766] New PROTAC compounds may be initially screened by a cell viability assay (CTG). Compounds that impact cell viability are subjected to a Western blot to determine if reduced cell growth is a result of targeted protein degradation by the PROTAC.
[0767] To begin, cell lines are treated with a dose titration of selected compounds (PROTAC and parent ligands). At the desired time point, the media and compound is aspirated,
and the cells are rinsed in PBS. Lysis buffer is added to the cells, and the cells are lifted using a cell scraper and lysed on ice for 20 minutes in NP40 lysis buffer (lOmM Tris pH 7.4, 50mM NaCl, ImM EDTA, 0.5% NP-40) supplemented with protease (Roche #058927910001) and phosphatase inhibitors (Thermo #78426). The lysates are centrifuged at 15,000 rpm for 10 minutes and the protein concentration is determined using BCA reagent (Thermo # 23227).
[0768] Equal amounts of protein are subjected to SDS-PAGE (NuPAGE, 4-12% Bis- Tris Gel, #WG-1403, Novex) and transferred to a nitrocellulose membrane (BioRad, #170 - 4159). The membranes are blocked for 30 minutes in blocking buffer (#927-40000, Li-Cor) and incubated overnight at 4°C on a rocking platform with the appropriate primary antibodies diluted in blocking buffer.
[0769] The membranes are washed in TBST for 40-60 minutes, while changing the buffer every 10-15 minutes, followed by incubation with the appropriate secondary antibodies (#926-68050, goat anti-mouse, #926-32211, goat anti-rabbit, Li-Cor) for 40-60 minutes. The antibodies are diluted in blocking buffer. The membranes are washed again as described above, followed by visualization on LiCor Odyssey CLx Scanner (LiCor) to assess the expression of protein.
[0770] Reduced expression of the desired protein by a PROTAC (but not by parent ligands) without a change in expression of loading control protein (actin, GAPDH, etc.) suggests degradation by the PROTAC.
[0771] Observations may be confirmed by further experiments (e.g., VHL ligand competition assay, rescue by proteasome inhibitors, etc.).
2. Protocol 2: Measuring loss of protein expression (Example F2)
[0772] Cell lysates are extracted by boiling in 6M Urea buffer (6 M Urea, 20 mM Tris pH 7.5,12.5 mM NaCl, 2.5 mM MgCl2, and 0.1% Triton X-100), supplemented with HALT protease and phosphatase inhibitor cocktail. Protein quantification is performed using a Pierce™ BCA Protein Assay Kit, and equal amounts of protein lysate are loaded onto the NuPAGE Bis- Tris Gel. Immunodetection and quantification of proteins is performed by a Quantitative Western Blot method using LI-COR® Odyssey. Protein expression is normalized to an internal loading control to accurately determine the loss of protein expression.
[0773] In a typical experiment, the concentration dependent influence of compound treated cells on protein levels is determined in comparison to DMSO alone treated cells. From this experiment a DC50 (concentration in which -50% of protein is depleted) and Dmax (concentration and %-amount of protein remaining where maximal effect is observed) is determined.
[0774] Additional description of protein degradation assays can be found in Zengerle, M., et al, "Selective Small Molecule Induced Degradation of the BET Bromodomain Protein BRD4," ACS Chem Biol. 2015, Vol. 10, p. 1770; and Raina, K., et al, "PROTAC-induced BET protein degradation as a therapy for castration-resistant prostate cancer," Proc. Natl. Acad. Sci. U. S. A., 2016, Vol. 113, pp. 7124-7129.
[0775] This written description uses examples to disclose the invention, including the best mode, and also to enable any person skilled in the art to practice the invention, including making and using any devices or systems and performing any incorporated methods. The patentable scope of the invention is defined by the claims, and may include other examples that occur to those skilled in the art. Such other examples are intended to be within the scope of the claims if they have structural elements that do not differ from the literal language of the claims, or if they include equivalent structural elements with insubstantial differences from the literal languages of the claims.
Claims
WHAT IS CLAIMED IS:
1. A compound of Formula (I), or a tautomer thereof:
R1 is selected from the group consisting of substituted or unsubstituted alkyl, substituted or unsubstituted cycloalkyl, substituted or unsubstituted aryl, substituted or unsubstituted heterocyclyl, and substituted or unsubstituted heteroaryl;
R3 is substituted or unsubstituted alkyl, or R3 is taken together with R6, when present, and the atoms to which they are attached, to form a substituted or unsubstituted heterocyclylene;
Y is selected from the group consisting of substituted or unsubstituted heteroarylene, substituted or unsubstituted heterocyclylene, O, S, -N(R6)-, -N(R6)-C(0)-, and -N(R6)-S02-;
R6 is selected from the group consisting of H and substituted or unsubstituted alkyl; or R6 is taken together with R3 and the atoms to which they are attached to form a substituted or unsubstituted heterocyclylene;
L is a linker moiety; and
D is a protein binding moiety.
2. The compound of claim 1, or a pharmaceutically acceptable salt thereof, wherein the compound is of Formula (la) or a tautomer thereof:
3. The compound of any one of claims 1-2, or a pharmaceutically acceptable salt thereof, wherein R1 is substituted or unsubstituted phenyl.
4. The compound of any one of claims 1-2, or a pharmaceutically acceptable salt thereof, wherein:
R1 is -W-R7;
W is selected from the group consisting of substituted or unsubstituted arylene, substituted or unsubstituted heteroarylene, substituted or unsubstituted heterocyclylene, and substituted or unsubstituted cycloalkylene;
R7 is selected from the group consisting of substituted or unsubstituted alkyl, substituted or unsubstituted cycloalkyl, substituted or unsubstituted aryl, substituted or unsubstituted heteroaryl, substituted or unsubstituted heterocyclyl, substituted or unsubstituted alkenyl, substituted or unsubstituted alkynyl, halo,, oxo, -CN, -OR8, -N(R8a)R8b, -C(0)R8c, - C(0)N(R8a)R8b, -N(R8a)C(0)R8c, -S02N(R8a)R8b, and -S02R8c;
R8, R8a, and R8b are independently selected from the group consisting of H and substituted or unsubstituted alkyl; and
R8c is selected from the group consisting of substituted or unsubstituted alkyl and substituted or unsubstituted aryl.
5. The compound of claim 4, or a pharmaceutically acceptable salt thereof, where W is substituted or unsubstituted phenylene.
6. The compound of claim 4 or 5, or a pharmaceutically acceptable salt thereof, wherein:
m is 0, 1, 2, 3, 4, or 5; each R7 is independently selected from the group consisting of substituted or unsubstituted alkyl, substituted or unsubstituted cycloalkyl, substituted or unsubstituted aryl, substituted or unsubstituted heteroaryl, substituted or unsubstituted heterocyclyl, substituted or unsubstituted alkenyl, substituted or unsubstituted alkynyl, halo, -CN, -OR8, -N(R8a)R8b, - C(0)R8c, -C(0)N(R8a)R8b, -N(R8a)C(0)R8c, -S02N(R8a)R8b, and -S02R8c;
8 8s. 8b
R°, R , and Rou are independently selected from the group consisting of H and substituted or unsubstituted alkyl;
R8c is selected from the group consisting of substituted or unsubstituted alkyl and substituted or unsubstituted aryl; and /w r is the point of attachment to the remaining structure of the compound.
7. The compound of claim 6, or a pharmaceutically acceptable salt thereof, wherein m is 0, 1, 2, or 3. ompound of claim 6, or a pharmaceutically acceptable salt thereof, wherein
9. The compound of claim 6, or a pharmaceutically acceptable salt thereof, wherein R1 is selected from the group consisting of:
wherein R a is halo or -CN.
10. The compound of claim 6, or a pharmaceutically acceptable salt thereof, wherein R1 is selected from the group consisting of:
11. The compound of claim 4 or 5, or a pharmaceutically acceptable salt thereof,
12. The compound of any one of claims 4 to 11, or a pharmaceutically acceptable salt thereof, wherein R7 is selected from the group consisting of substituted or unsubstituted heteroaryl, substituted or unsubstituted heterocyclyl, and substituted or unsubstituted aryl.
13. The compound of claim 12, or a pharmaceutically acceptable salt thereof, wherein
; n is 0, 1, 2, 3, 4, or 5; R9 is selected from the group consisting of oxo, alkyl, haloalkyl, cycloalkyl, halo, -CN, -NH2, and substituted or unsubstituted alkynyl;
when
» 9a present, is the point of attachment to the remaining structure of the compound; R , when present, is selected from the group consisting of H and R9; or R9a is the point of attachment to the remaining structure of the compound and vA wr 1S absent.
The compound of claim 13, or a harmaceutically acceptable salt thereof, wherein
selected from the group consisting of
, wherein R9a is alkyl, and R9 is selected from the group consisting of halo and -CN.
15. The compound of any one of claims 4 to 1 1, or a pharmaceutically acceptable salt thereof, wherein R7 is selected from the group consisting of a substituted or unsubstituted 5- membered heteroaryl, and a substituted or unsubstituted 5-membered heterocyclyl.
16. The compound of any one of claims 4 to 1 1, or a pharmaceutically acceptable salt thereof, wherein R7 is methylthiazolyl.
17. The compound of claim 1 or 2, or a pharmaceutically acceptable salt thereof,
18. The compound of any one of claims 1 to 17, or a pharmaceutically acceptable salt thereof, wherein R3 is isopropyl or tert-butyl.
19. The compound of any one of claims 1 to 18, or a pharmaceutically acceptable salt thereof, wherein Y is a substituted or unsubstituted heteroarylene.
The compound of claim 19, or
Y is selected from the group consisting of
and wherein v/v wr indicates the point of attachment to the remaining structure of the compound or L; wherein Y may be attached to the compound in either orientation.
21. The compound of claim 1 or 2, or a pharmaceutically acceptable salt thereof, wherein Y is -N(R6)-C(0)-, R3 is substituted or unsubstituted alkyl, and R6 is H.
22. The compound of claim 21, or a pharmaceutically acceptable salt thereof, wherein R3 is isopropyl or tert-butyl.
23. The compound of claim 1 or 2, or a pharmaceutically acceptable salt thereof, wherein:
R1 is selected from the group consisting of substituted or unsubstituted alkyl, unsubstituted cycloalkyl, substituted or unsubstituted aryl, and substituted or unsubstituted heteroaryl;
R3 is isopropyl or tert-butyl;
Y is -N(R6)-C(0)- or " ; and R6 is H.
24. The compound of claim 1 or 2, or a pharmaceutically acceptable salt thereof, wherein:
R6 is H; and each R7 is independently selected from the group consisting of -CN, halo, substituted or unsubstituted aryl, and substituted or unsubstituted heteroaryl.
25. The compound of claim 1 or 2, or a pharmaceutically acceptable salt thereof, wherein:
R3 is isopropyl or tert-butyl;
R7 is substituted or unsubstituted aryl, substituted or unsubstituted heteroaryl, halo, or -
CN.
26. The compound of claim 25, or a pharmaceutically acceptable salt thereof, wherein R7 is substituted or unsubstituted heteroaryl or halo.
27. The compound of any one of claims 23 to 26, or a pharmaceutically acceptable salt thereof, wherein Y is -N(R6)-C(0)-; R3 is tert-butyl; and R6 is H.
28. The comp f any one of claims 23 to 26, or a pharmaceutically acceptable
29. The compound of claim 1, or a pharmaceutically acceptable salt thereof, having a structure selected from the group consisting of
wherein m is 0, 1, 2, 3, 4, or 5; R7 is selected from the group consisting of substituted or unsubstituted alkyl, substituted or unsubstituted cycloalkyl, substituted or unsubstituted aryl,
substituted or unsubstituted heteroaryl, substituted or unsubstituted heterocyclyl, substituted or unsubstituted alkenyl, substituted or unsubstituted alkynyl, halo, -CN, -OR8, -N(R8a)R8b, - C(0)R8c, -C(0)N(R8a)R8b, -N(R8a)C(0)R8c, -S02N(R8a)R8b, and S02R8c; wherein R8, R8a, and R are independently selected from the group consisting of H and substituted or unsubstituted alkyl; R8c is selected from the group consisting of substituted or unsubstituted alkyl and substituted or unsubstituted aryl; R10 is halo; R11 is selected from the group consisting of substituted or unsubstituted C1-C3 alkyl, halo, -CN, and -ORl la; Rl la is selected from the group consisting of H and substituted or unsubstituted alkyl; and p is 0, 1, 2, 3, or 4.
30. The compound of claim 29, or a pharmaceutically acceptable salt thereof, having a structure selected from the group consisting of
tautomers thereof, wherein m is 0, 1, 2, 3, 4, or 5; R7 is selected from the group consisting of substituted or unsubstituted alkyl, substituted or unsubstituted cycloalkyl, substituted or unsubstituted aryl, substituted or unsubstituted heteroaryl, substituted or unsubstituted heterocyclyl, substituted or unsubstituted alkenyl, substituted or unsubstituted alkynyl, halo, -CN, -OR8, -N(R8a)R8b, - C(0)R8c, -C(0)N(R8a)R8b, -N(R8a)C(0)R8c, -S02N(R8a)R8b, and S02R8c; wherein R8, R8a, and
R are independently selected from the group consisting of H and substituted or unsubstituted alkyl; R8c is selected from the group consisting of substituted or unsubstituted alkyl and substituted or unsubstituted aryl; R10 is halo; R11 is selected from the group consisting of substituted or unsubstituted C1-C3 alkyl, halo, -CN, and -ORl la; Rl la is selected from the group consisting of H and substituted or unsubstituted alkyl; and p is 0, 1, 2, 3, or 4.
31. The compound of claim 1, or a pharmaceutically acceptable salt thereof, having a structure selected from the group consisting of
thereof, wherein m is 0, 1, 2, 3, 4, or 5; R7 is selected from the group consisting of substituted or unsubstituted alkyl, substituted or unsubstituted cycloalkyl, substituted or unsubstituted aryl, substituted or unsubstituted heteroaryl, substituted or unsubstituted heterocyclyl, substituted or unsubstituted alkenyl, substituted or unsubstituted alkynyl, halo, -CN, -OR8, -N(R a)R , - C(0)R8c, -C(0)N(R8a)R8b, -N(R8a)C(0)R8c, -S02N(R8a)R8b, and S02R8c; wherein R8, R8a, and R8b are independently selected from the group consisting of H and substituted or unsubstituted
alkyl; R c is selected from the group consisting of substituted or unsubstituted alkyl and substituted or unsubstituted aryl; R10 is halo; R11 is selected from the group consisting of substituted or unsubstituted C1-C3 alkyl, halo, -CN, and -Rl la; Rl la is selected from the group consisting of H and substituted or unsubstituted alkyl; and p is 0, 1, 2, 3, or 4.
32. The compound of claim 1, or a pharmaceutically acceptable salt thereof, having a structure selected from the group consisting of
tautomers thereof.
33. The compound of claim 1, or a pharmaceutically acceptable salt thereof, having a structure selected from the group consisting of
366
34. The compound of any of claims 1 to 33. or a pharmaceutically acceptable salt thereof, wherein L is (Aq), wherein: q is an integer greater than or equal to 1; each A is independently selected from the group consisting of a bond, CRLaRLb, O, S, SO. S02, NRLc, S02NRLc, SONRLc, CONRLc, NRLcCONRLd, NRLcS02NRLd, CO, CRLa=CRLb, C≡C, SlRLaRLb p(0)RLa p(0)ORLa, NRLcC(=NCN)NRLd, NRLcC(=NCN), NRLcC(=CN02)NRLd, C3.
Ciicycloalkylene, C3.Cn heteocyclylene, arylene, and heteroarylene, wherein the C3-C11 cycloalkylene, C3.C heteocyclylene, arylene, and heteroarylene are independently either unsubstituted or substituted with 1, 2, 3, 4, 5, or 6 substituents selected from the group consisting of RLa, RLb, and combinations thereof, and wherein RLa or RLb, each independently, can be linked to other A groups to form a cycloalkylene or heterocyclylene moiety, wherein the cycloalkylene or heterocyclylene moieties are independently unsubstituted or substituted with 1, 2, 3, or 4 RLe groups; and
RLa, RLb, RLc, RLd and RLe are, each independently, selected from the group consisting of H, halogen, RLf, -ORLh, -SRLh, -NHRLh, -N(RLh)2, C3-Cn cycloalkyl, aryl, heteroaryl, C3-C11 heterocyclyl, -N(RL )(RLf), -OH, -NH2, -SH, -S02RLf, -P(0)(ORLf)( RLf), -P(0)(ORLf)2, -C≡C- RLf, -C≡CH, CH=CH(RLf), -C(RLf)=CH(RLf), -C(RLf)=C(RLf)2, -Si(OH)3, -Si(RLf)3, - Si(OH)(RLf)2, -CORLf, -C02H, -CN, -N02, -SF5, -S02NHRLf, -S02N(RLf)2, -SONHRLf, - SON(RLf)2, -CONHRLf, -CON(RLf)2, -N(RLf)CONH(RLf), -N(RLf)CON(RLf)2, -NHCONH(RLf), - NHCON(RLf)2, -NHCONH2, -N(RLf)S02NH(RLf), -N(RLf)S02N(RLf)2, -NHS 02NH(RLf), - NHS02N(RLf)2, -NHS02NH2, wherein RLf is a substituted or unsubstituted Ci-Cg alkyl; RL is a substituted or unsubstituted Ci-Cg cycloalkyl; and RLh is RLf or RL .
35. The compound of claim 34, or a pharmaceutically acceptable salt thereof, wherein q is an integer from 1 to 20.
36. The compound of any of claims 1 to 33, or a pharmaceutically acceptable thereof, wherein L is selected from the group consisting of:
, wherein /w r indicates the point of attachment to the remaining structure of the compound or D; wherein L may be attached to the compound in either orientation.
37. The compound of any of claims 1 to 34, or a pharmaceutically acceptable thereof, wherein L is selected from the group consisting of:
/ wr indicates the point of attachment to the remaining structure of the compound or D; wherein L may be attached to the compound in either orientation.
38. The compound of any one of claims 1 to 37, or a pharmaceutically acceptable salt thereof, wherein D binds to a target protein, wherein said target protein is selected from the group consisting of structural proteins, receptors, enzymes, cell surface proteins, proteins pertinent to the integrated function of a cell, proteins involved in catalytic activity, proteins involved in aromatase activity, proteins involved in motor activity, proteins involved in helicase activity, proteins involved in metabolic processes, proteins involved in antioxidant activity, proteins involved in proteolysis, proteins involved in biosynthesis, proteins with kinase activity, proteins with oxidoreductase activity, proteins with transferase activity, proteins with hydrolase activity, proteins with lyase activity, proteins with isomerase activity, proteins with ligase activity, proteins with enzyme regulator activity, proteins with signal transducer activity, proteins with structural molecule activity, proteins with binding activity, proteins with receptor activity, proteins with cell motility, membrane fusion proteins, cell communication proteins, proteins that regulate biological processes, proteins that regulate development, proteins that regulate cell differentiation, proteins that regulate response to stimulus, behavioral proteins, cell adhesion proteins, proteins involved in cell death, proteins involved in transport, proteins involved in protein transporter activity, proteins involved in nuclear transport, proteins involved in ion transporter activity, proteins involved in channel transporter activity, proteins involved in carrier activity, proteins involved in permease activity, proteins involved in secretion activity, proteins involved in electron transporter activity, proteins involved in pathogenesis, proteins involved in chaperone regulator activity, proteins involved in nucleic acid binding activity, proteins involved in transcription regulator activity, proteins involved in extracellular organization, proteins involved in biogenesis activity, proteins involved in translation regulator activity, and proteins involved in deubiquitinase activity.
39. The compound of any one of claims 1 to 30, or a pharmaceutically acceptable salt thereof, wherein D binds to a target protein, wherein said target protein is selected from the group consisting of B7.1 and B7, TINFRlm, TNFR2, NADPH oxidase, BclIBax and other partners in the apotosis pathway, C5a receptor, HMG-CoA reductase, PDE V phosphodiesterase type, PDE IV phosphodiesterase type 4, PDE I, PDEII, PDEIII, squalene cyclase inhibitor, CXCR1, CXCR2, nitric oxide (NO) synthase, cyclo-oxygenase 1, cyclo-oxygenase 2, 5HT receptors, dopamine receptors, G Proteins, Gq, histamine receptors, 5-lipoxygenase, tryptase
serine protease, thymidylate synthase, purine nucleoside phosphorylase, GAPDH trypanosomal, glycogen phosphorylase, Carbonic anhydrase, chemokine receptors, JAW STAT, RXR and similar, HIV 1 protease, HIV 1 integrase, influenza, neuramimidase, hepatitis B reverse transcriptase, sodium channel, multi drug resistance (MDR), protein P -glycoprotein (and MRP), tyrosine kinases, CD23, CD124, tyrosine kinase p56 lck, CD4, CD5, IL-2 receptor, IL-1 receptor, TNF-aR, ICAM1, Cat+ channels, VCAM, VLA-4 integrin, selectins, CD40/CD40L, newokinins and receptors, inosine monophosphate dehydrogenase, p38 MAP Kinase, RaslRaflMEWERK pathway, interleukin-1 converting enzyme, caspase, HCV, NS3 protease, HCV NS3 RNA helicase, glycinamide ribonucleotide formyl transferase, rhinovirus 3C protease, herpes simplex virus-1 (HSV-I), protease, cytomegalovirus (CMV) protease, poly (ADP-ribose) polymerase, cyclin dependent kinases, vascular endothelial growth factor, oxytocin receptor, microsomal transfer protein inhibitor, bile acid transport inhibitor, 5 alpha reductase inhibitors, angiotensin 11, glycine receptor, noradrenaline reuptake receptor, endothelin receptors, neuropeptide Y and receptor, estrogen receptors, androgen receptors, adenosine receptors, adenosine kinase and AMP deaminase, purinergic receptors,P2Yl, P2Y2, P2Y4, P2Y6, P2X1-7, farnesyltransferases, geranylgeranyl transferase, TrkA a receptor for NGF, beta-amyloid, tyrosine kinase Flk-IIKDR, vitronectin receptor, integrin receptor, Her-21 neu, telomerase inhibition, cytosolic phospholipaseA2, EGF receptor tyrosine kinase, ecdysone 20- monooxygenase, ion channel of the GABA gated chloride channel, acetylcholinesterase, voltage- sensitive sodium channel protein, calcium release channel, and chloride channels, Acetyl-CoA carboxylase, adenylosuccinate synthetase, protoporphyrinogen oxidase, and enolpyruvylshikimate-phosphate synthase.
40. The compound according to any one of claims 1 to 37, or a pharmaceutically acceptable salt thereof, wherein D binds to a target protein, wherein said target protein is selected from the group consisting of FoxOl, HDAC, DP-1, E2F, ABL, AMPK, BRK, BRSK I, BRSK2, BTK, CAMKK1, CAMKK alpha, CAMKK beta, Rb, Suv39HI, SCF, pl9INK4D, GSK-3, pi 8 INK4, myc, cyclin E, CDK2, CDK9, CDG4/6, Cycline D, pl6 INK4A, cdc25A, BMI1, Akt, CHKl/2, C 1 delta, CK1 gamma, C 2, CLK2, CSK, DDR2, DYRKlA/2/3, EF2K, EPH- A2/A4/B1/B2/B3/B4, EIF2A 3, Smad2, Smad3, Smad4, Smad7, p53, p21 Cipl, PAX, Fyn, CAS, C3G, SOS, Tal, Raptor, RACK-1, CRK, Rapl, Rac, KRas, NRas, HRas, GRB2, FAK, PI3K, spred, Spry, mTOR, MPK, LKB1, PAK 1/2/4/5/6, PDGFRA, PYK2, Src, SRPK1, PLC, PKC, PKA, PKB alpha/beta, PKC alpha/gamma/zeta, PKD, PLK1, PRAK, PRK2, WAVE-2, TSC2, DAPK1, BAD, IMP, C-TAK1, TAK1, TAOl, TBK1, TESK1, TGFBR1, TIE2, TLK1, TrkA,
TSSK1, TTBK1/2, TTK, Tpl2/cotl, MEK1, MEK2, PLDL Erkl, Erk2, Erk5, Erk8, p90RSK, PEA-15, SRF, p27 KIP1, TIF la, HMGN1, ER81, MKP-3, c-Fos, FGF-R1, GCK, GSK3 beta, HER4, HIPK1/2/3/, IGF-1R, cdc25, UBF, LAMTOR2, Statl, StaO,CREB, JAK, PTEN, NF- kappaB, HECTH9, Bax, HSP70, HSP90, Apaf-1, Cyto c, BCL-2, Bcl-xL, Smac, XIAP, Caspase- 9, Caspase-3, Caspase-6, Caspase-7, CDC37, TAB, IKK, TRADD, TRAF2, R1P1, FLIP, JNK1/2/3, Lck, A-Raf, B-Raf, C-Raf, MOS, MLK1/3, MN 1/2, MSK1, MST2/3/4, MPSK1, MEKK1 , ME K4, MEL , ASK1, MINK1 , MKK 1 /2/3/4Λ5/7, NE 2a/6/7, NUAK1, OSR1, SAP , STK33, Syk, Lyn, PDK1, PHK, PIM 1/2/3, Ataxin- 1, mTORCl, MDM2, p21 Wafl , Cyclin Dl, Lamln A, Tpl2, Myc, catenin, Wnt, IKK-beta, IKK- gamma, IKK-alpha, IKK-epsilon, ELK, p65RelA, IRAKI, IRA 2, IRAK4, IRR, FADD, TRAF6, TRAF3, MKK3, MKK6, ROCK2, RSK1/2, SGK 1, SmMLCK, SIK2/3, ULK1/2, VEGFR1, WNK 1 , YES1, ZAP70, MAP4K3, MAP4K5, MAPKlb, MAPKAP-K2 K3, p38 alpha/beta/delta/gamma MAPK, Aurora A, Aurora B, Aurora C, MCAK, Clip, MAPKAPK, MARK 1 /2/3/4, Mucl, SHC, CXCR4, Gap-1, beta- catenin/TCF, Cbl, BRM, Mcl-1, BRD2, BRD3, BRD4, AR, RAS, ErbB3, EGFR, IRE1, HPK1, RIPK2, and ERa, P13K, Ral-GDS, H-Ras, N-Ras, KRas4A, K-Ras4B, BRG1, RAF, BRAF, CRAF, BET, and USP7 including variants, mutations, splice variants, indels and fusions thereof.
41. The compound according to any one of claims 1 to 37, or a pharmaceutically acceptable salt thereof, wherein D is selected from the group consisting of a heat shock protein 90 (HSP90) inhibitor, a kinase inhibitor, a phosphatase inhibitor, a MDM2 inhibitor, a HDAC inhibitor, a human lysine methyltransferase inhibitor, an angiogenesis inhibitor, an immunosuppressive compound, RAS inhibitors, EGFR inhibitors, BRM inhibitors, a compound that binds to human BET bromodomain-containing proteins, a compound that binds to an aryl hydrocarbon receptor (AHR), a compound that binds to RAF receptor kinase, a compound that binds to FKBP, a compound that binds to androgen receptor (AR), a compound that binds to estrogen receptor (ER), a compound that binds to thyroid hormone receptor, a compound that binds to HIV protease, a compound that binds to HIV integrase, a compound that binds to HCV protease, a compound that binds to acyl-protein thioesterase-1 (APT1), a compound that binds to acyl-protein thioesterase-2 (APT2), a compound that binds to USP7, and a compound that binds to BRG1.
42. The compound of claim 1, or a pharmaceutically acceptable salt thereof, having a structure selected from the group consisting of
tautomers thereof.
43. A pharmaceutical composition comprising a compound any one of claims 1 to 42 or a pharmaceutically acceptable salt thereof, and one or more pharmaceutically acceptable excipients.
44. The pharmaceutical composition of claim 43, further comprising an additional bioactive agent.
45. A method of treating a disease or disorder in a human in need thereof, comprising administering to said human an effective amount of a compound of any one of claims 1 to 42 or a pharmaceutically acceptable salt thereof, or a composition of claim 43 or 44.
46. The method of claim 45, wherein said disease is a cancer selected from the group consisting of carcinoma, lymphoma, blastoma, sarcoma, leukemia or lymphoid malignancies, squamous cell cancer, lung cancer including small-cell lung cancer, non-small cell lung cancer, adenocarcinoma of the lung and squamous carcinoma of the lung, cancer of the peritoneum, hepatocellular cancer, gastric or stomach cancer including gastrointestinal cancer, pancreatic cancer, glioblastoma, cervical cancer, ovarian cancer, liver cancer, bladder cancer, hepatoma, breast cancer, colon cancer, rectal cancer, colorectal cancer, endometrial or uterine carcinoma, salivary gland carcinoma, kidney or renal cancer, prostate cancer, vulval cancer, thyroid cancer, hepatic carcinoma, anal carcinoma, penile carcinoma, and head and neck cancer.
47. The method of claim 45, wherein said disease is an autoimmune disease selected from the group consisting of rheumatologic disorders, rheumatoid arthritis, Sjogren's syndrome, scleroderma, lupus such as systemic lupus erythematosus (SLE), lupus nephritis, polymyositis/dermatomyositis, cryoglobulinemia, anti-phospholipid antibody syndrome, psoriatic arthritis, osteoarthritis, autoimmune gastrointestinal and liver disorders, inflammatory bowel diseases, ulcerative colitis, Crohn's disease, autoimmune gastritis and pernicious anemia, autoimmune hepatitis, primary biliary cirrhosis, primary sclerosing cholangitis, celiac disease, vasculitis, ANCA-associated vasculitis, Churg-Strauss vasculitis, Wegener's granulomatosis, polyarteriitis, autoimmune neurological disorders, multiple sclerosis, opsoclonus myoclonus syndrome, myasthenia gravis, neuromyelitis optica, Parkinson's disease, Alzheimer's disease, autoimmune polyneuropathies, renal disorders, glomerulonephritis, Goodpasture's syndrome, Berger's disease, autoimmune dermatologic disorders, psoriasis, urticaria, hives, pemphigus vulgaris, bullous pemphigoid, cutaneous lupus erythematosus, hematologic disorders, thrombocytopenic purpura, thrombotic thrombocytopenic purpura, post-transfusion purpura, autoimmune hemolytic anemia, atherosclerosis, uveitis, autoimmune hearing diseases, inner ear disease and hearing loss, Behcet's disease, Raynaud's syndrome, organ transplant, autoimmune endocrine disorders, diabetic-related autoimmune diseases, insulin-dependent diabetes mellitus (IDDM), Addison's disease, autoimmune thyroid disease , Graves' disease and thyroiditis.
48. The method of claim 45, wherein the disease or disorder is at least one of asthma, multiple sclerosis, cancer, ciliopathies, cleft palate, diabetes, heart disease, hypertension,
inflammatory bowel disease, mental retardation, mood disorder, obesity, refractive error, infertility, Angelman syndrome, Canavan disease, Coeliac disease, Charcot-Marie-Tooth disease, Cystic fibrosis, Duchenne muscular dystrophy, Haemochromatosis, Haemophilia, Klinefelter's syndrome, Neurofibromatosis, Phenylketonuria, Polycystic kidney disease, (PKD1) or 4 (PKD2) Prader-Willi syndrome, Sickle-cell disease, Tay-Sachs disease, Turner syndrome, Alzheimer's disease, Amyotrophic lateral sclerosis (Lou Gehrig's disease), Anorexia nervosa, Anxiety disorder, Atherosclerosis, Attention deficit hyperactivity disorder, Autism, Bipolar disorder, Chronic fatigue syndrome, Chronic obstructive pulmonary disease, Crohn's disease, Coronary heart disease, Dementia, Depression, Diabetes mellitus type 1, Diabetes mellitus type 2, Epilepsy, Guillain-Barre syndrome, Irritable bowel syndrome, Lupus, Metabolic syndrome, Multiple sclerosis, Myocardial infarction, Obesity, Obsessive-compulsive disorder, Panic disorder, Parkinson's disease, Psoriasis, Rheumatoid arthritis, Sarcoidosis, Schizophrenia, Stroke, Thromboangiitis obliterans, Tourette syndrome, Vasculitis, acemloplasminemia, Achondrogenesis type H, Acrocephaly, Gaucher disease type 2, acute intermittent porphyria, Adenomatous Polyposis Coli, adenylosuccinate lyase deficiency, Adrenogenital syndrome, Adrenoleukodystrophy, ALA-D porphyria, ALA dehydratase deficiency, Alkaptonuria, Alkaptonuric ochronosis, alpha 1- antitrypsin deficiency, alpha-1 proteinase inhibitor, emphysema, amyotrophic lateral sclerosis, Alstrom syndrome, Alexander disease, Amelogenesis imperfecta, Anders on-Fabry disease, Anemia, Angiokeratoma Corporis Diffusum, Angiomatosis retinae (von Hippel-Lindau disease) Apert syndrome, Arachnodactyly (Marfan syndrome), Arthrochalasis multiplex congenital (Ehlers-Danlos syndrome arthrochalasia type), ataxia telangiectasia, Rett syndrome, Sandhoff disease, neurofibromatosis type II, Mediterranean fever, familial, Benjamin syndrome, Bilateral Acoustic Neurofibromatosis (neurofibromatosis type II), factor V Leiden thrombophilia, Bloch-Sulzberger syndrome (incontinentia pigmenti), Bloom syndrome, Bonnevie-Ullrich syndrome (Turner syndrome), Bourneville disease (tuberous sclerosis), Birt-Hogg-Dube syndrome, Brittle bone disease (osteogenesis imperfecta), Broad Thumb -Hallux syndrome (Rubinstein-Taybi syndrome), Bronze Diabetes/Bronzed Cirrhosis (hemochromatosis), Bulbospinal muscular atrophy (Kennedy's disease), Burger-Grutz syndrome (lipoprotein lipase deficiency), CGD Chronic granulomatous disorder, Campomelic dysplasia, biotinidase deficiency, Cardiomyopathy (Noonan syndrome), Cri du chat CAVD (congenital absence of the vas deferens), Caylor cardiofacial syndrome (CBAVD), CEP (congenital erythropoietic porphyria), congenital hypothyroidism, Chondrodystrophy syndrome (achondroplasia), otospondylomegaepiphyseal dysplasia, Lesch-Nyhan syndrome, galactosemia,
Ehlers-Danlos syndrome, Thanatophoric dysplasia, Coffin-Lowry syndrome, Cockayne syndrome, (familial adenomatous polyposis), Congenital erythropoietic porphyria, Congenital heart disease, Methemoglobinemia/Congenital methaemoglobinaemia, achondroplasia, X-linked sideroblastic anemia, Connective tissue disease, Conotruncal anomaly face syndrome, Cooley's Anemia (beta-thalassemia), Copper storage disease (Wilson's disease), Copper transport disease (Menkes disease), hereditary coproporphyria, Cowden syndrome, Craniofacial dysarthrosis (Crouzon syndrome), Creutzfeldt-Jakob disease (prion disease), Cockayne syndrome, Cowden syndrome, Curschmann-Batten-Steinert syndrome (myotonic dystrophy), Beare-Stevenson cutis gyrata syndrome, primary hyperoxaluria, spondyloepimetaphyseal dysplasia (Strudwick type), muscular dystrophy, Duchenne and Becker types (DBMD), Usher syndrome, Degenerative nerve diseases including de Grouchy syndrome and Dejerine- Sottas syndrome, developmental disabilities, distal spinal muscular atrophy, type V, Diffuse Globoid Body Sclerosis (Krabbe disease), Di George's syndrome, Dihydrotestosterone receptor deficiency, Down syndrome, Dwarfism, Erythroid 5-aminolevulinate synthetase deficiency, Erythropoietic porphyria, erythropoietic protoporphyria, erythropoietic uroporphyria, Friedreich's ataxia, familial paroxysmal polyserositis, porphyria cutanea tarda, familial pressure sensitive neuropathy, primary pulmonary hypertension (PPH), Fibrocystic disease of the pancreas, fragile X syndrome, genetic brain disorders, Giant cell hepatitis (Neonatal hemochromatosis), Gronblad-.Strandberg syndrome ( pseudoxanthoma elasticum), Gunther disease (congenital erythropoietic porphyria), haemochromatosis, Hallgren syndrome, sickle cell anemia, hemophilia, hepatoerythropoietic porphyria (HEP), Hippel-Lindau disease (von Hippel—Lindau disease), Huntington's disease, Hutchinson-Gilford progeria syndrome (progeria), Hyperandrogenism, Hypochondroplasia, Hypochromic anemia, Immune system disorders, including X-linked severe combined immunodeficiency, Insley-Astley syndrome, Joubert syndrome, Lesch-Nyhan syndrome, Jackson-Weiss syndrome, Kidney diseases, including hyperoxaluria, Lacunar dementia,Langer- Saldino achondrogenesis, Lynch syndrome, Lysyl-hydroxylase deficiency, Machado-Joseph disease, Metabolic disorders, including Kniest dysplasia, Marfan syndrome, Movement disorders, Mowat-Wilson syndrome, cystic fibrosis, Muenke syndrome, Multiple neurofibromatosis, Nance—Insley syndrome, Nance-Sweeney chondrodysplasia, Niemann— Pick disease, Noack syndrome (Pfeiffer syndrome), Osier-Weber Rendu disease, Peutz-Jeghers syndrome, Polycystic kidney disease, polyostotic fibrous dysplasia (McCune-Albright syndrome), Prader-Labhart- Willi syndrome, hemochromatosis, primary hyperuricemia, primary pulmonary hypertension, primary senile degenerative dementia, prion disease, progeria
(Hutchinson Gilford Progeria Syndrome), progressive chorea, chronic hereditary (Huntington) (Huntington's disease), progressive muscular atrophy, spinal muscular atrophy, propionic acidemia, protoporphyria, proximal myotonic dystrophy, pulmonary arterial hypertension, PXE (pseudoxanthoma elasticum), Rb (retinoblastoma), Recklinghausen disease (neurofibromatosis type I), Recurrent polyserositis, Retinal disorders, Retinoblastoma, RFALS type 3, Ricker syndrome, Riley-Day syndrome, Roussy-Levy syndrome, severe achondroplasia with developmental delay and acanthosis nigricans (SADDAN), Li-Fraumeni syndrome, sarcoma, breast, leukemia, and adrenal gland (SBLA) syndrome, sclerosis tuberose (tuberous sclerosis), SDAT, SED congenital (spondyloepiphyseal dysplasia congenita), SED Strudwick (spondyloepimetaphyseal dysplasia, Strudwick type), SEDc (spondyloepiphyseal dysplasia congenita) SEMD, Strudwick type (spondyloepimetaphyseal dysplasia, Strudwick type), Shprintzen syndrome, Skin pigmentation disorders, Smith-Lemli-Opitz syndrome, South African genetic porphyria (variegate porphyria), infantile-onset ascending hereditary spastic paralysis, Speech and communication disorders, sphingolipidosis, spinocerebellar ataxia, Stickler syndrome, stroke, androgen insensitivity syndrome, tetrahydrobiopterin deficiency, beta- thalassemia, Thyroid disease, Tomaculous neuropathy (hereditary neuropathy with liability to pressure palsies), Treacher Collins syndrome, Triplo X syndrome (triple X syndrome), Trisomy 21 (Down syndrome), Trisomy X, VHL syndrome (von Hippel-Lindau disease), Vision impairment and blindness (Alstrom syndrome), Vrolik disease, Waardenburg syndrome, Warburg Sjo Fledelius Syndrome, Weissenbacher-Zweymiiller syndrome, Wolf-Hirschhorn syndrome, Wolff Periodic disease, and Xeroderma pigmentosum.
49. A method of degrading a target protein in a cell comprising exposing the cell to a composition comprising an effective amount of the compound according to any of claims 1 to 42 or a pharmaceutically acceptable salt thereof, wherein the compound effectuates the degradation of the target protein.
(Π) or a pharmaceutically acceptable salt thereof; wherein:
R1 is selected from the group consisting of substituted or unsubstituted alkyl, substituted or unsubstituted cycloalkyl, substituted or unsubstituted aryl, substituted or unsubstituted heterocyclyl, and substituted or unsubstituted heteroaryl;
R3 is substituted or unsubstituted alkyl, or R3 is taken together with R6, when present, and the atoms to which they are attached, to form a substituted or unsubstituted heterocyclylene;
Z is selected from the group consisting of substituted or unsubstituted heteroaryl, substituted or unsubstituted heterocyclyl, -N(R6)R6a, -OR6a, -SR6a, and -N(R6)-S02-R6b;
R6 is selected from the group consisting of H and substituted or unsubstituted alkyl; or R6 is taken together with R3 and the atoms to which they are attached to form a substituted or unsubstituted heterocyclylene; each R6a is selected from the group consisting of H, substituted or unsubstituted acyl, and substituted or unsubstituted alkyl; and
R6b is selected from the group consisting of substituted or unsubstituted alkyl and substituted or unsubstituted aryl.
51. The compound of claim 50, or a pharmaceutically acceptable salt thereof, wherein the compound is selected from the group consisting of:
383
and tautomers thereof.
Applications Claiming Priority (4)
| Application Number | Priority Date | Filing Date | Title |
|---|---|---|---|
| CN2017107447 | 2017-10-24 | ||
| CNPCT/CN2017/107447 | 2017-10-24 | ||
| CNPCT/CN2018/105403 | 2018-09-13 | ||
| CN2018105403 | 2018-09-13 |
Publications (1)
| Publication Number | Publication Date |
|---|---|
| WO2019084030A1 true WO2019084030A1 (en) | 2019-05-02 |
Family
ID=64184249
Family Applications (1)
| Application Number | Title | Priority Date | Filing Date |
|---|---|---|---|
| PCT/US2018/057139 Ceased WO2019084030A1 (en) | 2017-10-24 | 2018-10-23 | (4-hydroxypyrrolidin-2-yl)-hydroxamate compounds and methods of use thereof |
Country Status (1)
| Country | Link |
|---|---|
| WO (1) | WO2019084030A1 (en) |
Cited By (69)
| Publication number | Priority date | Publication date | Assignee | Title |
|---|---|---|---|---|
| WO2020027225A1 (en) | 2018-07-31 | 2020-02-06 | ファイメクス株式会社 | Heterocyclic compound |
| WO2020113233A1 (en) | 2018-11-30 | 2020-06-04 | Kymera Therapeutics, Inc. | Irak degraders and uses thereof |
| WO2020227325A1 (en) | 2019-05-06 | 2020-11-12 | Icahn School Of Medicine At Mount Sinai | Heterobifunctional compounds as degraders of hpk1 |
| US10874743B2 (en) | 2017-12-26 | 2020-12-29 | Kymera Therapeutics, Inc. | IRAK degraders and uses thereof |
| WO2020264499A1 (en) | 2019-06-28 | 2020-12-30 | Kymera Therapeutics, Inc. | Irak degraders and uses thereof |
| WO2020263830A1 (en) | 2019-06-25 | 2020-12-30 | Gilead Sciences, Inc. | Flt3l-fc fusion proteins and methods of use |
| WO2021133920A1 (en) | 2019-12-23 | 2021-07-01 | Kymera Therapeutics, Inc. | Smarca degraders and uses thereof |
| WO2021163064A2 (en) | 2020-02-14 | 2021-08-19 | Jounce Therapeutics, Inc. | Antibodies and fusion proteins that bind to ccr8 and uses thereof |
| EP3875456A1 (en) * | 2020-03-02 | 2021-09-08 | Technische Universität Darmstadt | Hetero-bifunctional proteolysis-targeting chimeras (protacs) for the selective degradation of fk506-binding proteins (fkbps) |
| WO2021252666A1 (en) | 2020-06-09 | 2021-12-16 | Prelude Therapeutics, Incorporated | Brm targeting compounds and associated methods of use |
| US11292792B2 (en) | 2018-07-06 | 2022-04-05 | Kymera Therapeutics, Inc. | Tricyclic CRBN ligands and uses thereof |
| WO2022099117A1 (en) | 2020-11-06 | 2022-05-12 | Prelude Therapeutics Incorporated | Brm targeting compounds and associated methods of use |
| WO2022115879A1 (en) * | 2020-11-30 | 2022-06-02 | Genentech, Inc. | Pyrrolidine derivatives and methods of use |
| WO2022120355A1 (en) | 2020-12-02 | 2022-06-09 | Ikena Oncology, Inc. | Tead degraders and uses thereof |
| US11358948B2 (en) | 2017-09-22 | 2022-06-14 | Kymera Therapeutics, Inc. | CRBN ligands and uses thereof |
| US11485743B2 (en) | 2018-01-12 | 2022-11-01 | Kymera Therapeutics, Inc. | Protein degraders and uses thereof |
| US11485750B1 (en) | 2019-04-05 | 2022-11-01 | Kymera Therapeutics, Inc. | STAT degraders and uses thereof |
| WO2022245671A1 (en) | 2021-05-18 | 2022-11-24 | Gilead Sciences, Inc. | Methods of using flt3l-fc fusion proteins |
| US11512080B2 (en) | 2018-01-12 | 2022-11-29 | Kymera Therapeutics, Inc. | CRBN ligands and uses thereof |
| US11548951B1 (en) | 2020-10-14 | 2023-01-10 | Viridian Therapeutics, Inc. | Compositions and methods for treatment of thyroid eye disease |
| WO2023287787A1 (en) | 2021-07-13 | 2023-01-19 | Prelude Therapeutics, Incorporated | Brm targeting compounds and associated methods of use |
| US11591332B2 (en) | 2019-12-17 | 2023-02-28 | Kymera Therapeutics, Inc. | IRAK degraders and uses thereof |
| US11623932B2 (en) | 2017-09-22 | 2023-04-11 | Kymera Therapeutics, Inc. | Protein degraders and uses thereof |
| WO2023077030A1 (en) | 2021-10-29 | 2023-05-04 | Gilead Sciences, Inc. | Cd73 compounds |
| WO2023076983A1 (en) | 2021-10-28 | 2023-05-04 | Gilead Sciences, Inc. | Pyridizin-3(2h)-one derivatives |
| US11685750B2 (en) | 2020-06-03 | 2023-06-27 | Kymera Therapeutics, Inc. | Crystalline forms of IRAK degraders |
| WO2023122615A1 (en) | 2021-12-22 | 2023-06-29 | Gilead Sciences, Inc. | Ikaros zinc finger family degraders and uses thereof |
| WO2023122581A2 (en) | 2021-12-22 | 2023-06-29 | Gilead Sciences, Inc. | Ikaros zinc finger family degraders and uses thereof |
| US11707457B2 (en) | 2019-12-17 | 2023-07-25 | Kymera Therapeutics, Inc. | IRAK degraders and uses thereof |
| WO2023147418A1 (en) | 2022-01-28 | 2023-08-03 | Gilead Sciences, Inc. | Parp7 inhibitors |
| EP4245756A1 (en) | 2022-03-17 | 2023-09-20 | Gilead Sciences, Inc. | Ikaros zinc finger family degraders and uses thereof |
| WO2023205719A1 (en) | 2022-04-21 | 2023-10-26 | Gilead Sciences, Inc. | Kras g12d modulating compounds |
| WO2023245150A1 (en) | 2022-06-16 | 2023-12-21 | Prelude Therapeutics Incorporated | Kat6 targeting compounds with ubiquitin ligase binding moiety |
| WO2024006929A1 (en) | 2022-07-01 | 2024-01-04 | Gilead Sciences, Inc. | Cd73 compounds |
| US11912699B2 (en) | 2019-07-17 | 2024-02-27 | Arvinas Operations, Inc. | Tau-protein targeting compounds and associated |
| US11932624B2 (en) | 2020-03-19 | 2024-03-19 | Kymera Therapeutics, Inc. | MDM2 degraders and uses thereof |
| US11986532B2 (en) | 2021-04-16 | 2024-05-21 | Arvinas Operations, Inc. | Modulators of BCL6 proteolysis and associated methods of use |
| EP4144722A4 (en) * | 2020-04-27 | 2024-05-22 | Autotac Inc. | COMPOUND AS UBR-BOX DOMAIN LIGAND |
| WO2024107711A1 (en) | 2022-11-15 | 2024-05-23 | Prelude Therapeutics Incorporated | Brm targeting compounds and associated methods of use |
| WO2024137852A1 (en) | 2022-12-22 | 2024-06-27 | Gilead Sciences, Inc. | Prmt5 inhibitors and uses thereof |
| US12091411B2 (en) | 2022-01-31 | 2024-09-17 | Kymera Therapeutics, Inc. | IRAK degraders and uses thereof |
| US12097261B2 (en) | 2021-05-07 | 2024-09-24 | Kymera Therapeutics, Inc. | CDK2 degraders and uses thereof |
| US12103924B2 (en) | 2020-06-01 | 2024-10-01 | Icahn School Of Medicine At Mount Sinai | Mitogen-activated protein kinase kinase (MEK) degradation compounds and methods of use |
| US12110295B2 (en) | 2018-06-21 | 2024-10-08 | Icahn School Of Medicine At Mount Sinai | WD40 repeat domain protein 5 (WDR5) degradation/disruption compounds and methods of use |
| WO2024215754A1 (en) | 2023-04-11 | 2024-10-17 | Gilead Sciences, Inc. | Kras modulating compounds |
| WO2024220917A1 (en) | 2023-04-21 | 2024-10-24 | Gilead Sciences, Inc. | Prmt5 inhibitors and uses thereof |
| US12150995B2 (en) | 2020-12-30 | 2024-11-26 | Kymera Therapeutics, Inc. | IRAK degraders and uses thereof |
| US12172992B2 (en) | 2022-03-22 | 2024-12-24 | Abbvie Inc. | Pyrimidines for degrading Bruton's tyrosine kinase |
| US12171768B2 (en) | 2021-02-15 | 2024-12-24 | Kymera Therapeutics, Inc. | IRAK4 degraders and uses thereof |
| WO2025006720A1 (en) | 2023-06-30 | 2025-01-02 | Gilead Sciences, Inc. | Kras modulating compounds |
| US12187744B2 (en) | 2021-10-29 | 2025-01-07 | Kymera Therapeutics, Inc. | IRAK4 degraders and synthesis thereof |
| WO2025024663A1 (en) | 2023-07-26 | 2025-01-30 | Gilead Sciences, Inc. | Parp7 inhibitors |
| WO2025024811A1 (en) | 2023-07-26 | 2025-01-30 | Gilead Sciences, Inc. | Parp7 inhibitors |
| WO2025054530A1 (en) | 2023-09-08 | 2025-03-13 | Gilead Sciences, Inc. | Pyrimidine-containing polycyclic derivatives as kras g12d modulating compounds |
| WO2025054347A1 (en) | 2023-09-08 | 2025-03-13 | Gilead Sciences, Inc. | Kras g12d modulating compounds |
| US12274697B2 (en) | 2016-10-28 | 2025-04-15 | Icahn School Of Medicine At Mount Sinai | Compositions and methods for treating EZH2-mediated cancer |
| WO2025082069A1 (en) * | 2023-10-16 | 2025-04-24 | 中国海洋大学 | Compound binding to crbn protein and degradation agent of protein |
| WO2025096589A1 (en) | 2023-11-03 | 2025-05-08 | Gilead Sciences, Inc. | Prmt5 inhibitors and uses thereof |
| WO2025101942A1 (en) | 2023-11-10 | 2025-05-15 | Prelude Therapeutics Incorporated | Kat6 targeting compounds |
| US12310975B2 (en) | 2019-10-17 | 2025-05-27 | Arvinas Operations, Inc. | Modulators of BCL6 proteolysis and associated methods of use |
| WO2025137640A1 (en) | 2023-12-22 | 2025-06-26 | Gilead Sciences, Inc. | Azaspiro wrn inhibitors |
| US12404337B2 (en) | 2021-08-10 | 2025-09-02 | Viridian Therapeutics, Inc. | Compositions, doses, and methods for treatment of thyroid eye disease |
| WO2025193454A1 (en) | 2024-03-01 | 2025-09-18 | Prelude Therapeutics Incorporated | Brm and brg1 targeting antibody-drug conjugates and methods of use thereof |
| US12454520B2 (en) | 2018-07-06 | 2025-10-28 | Kymera Therapeutics, Inc. | Protein degraders and uses thereof |
| WO2025245003A1 (en) | 2024-05-21 | 2025-11-27 | Gilead Sciences, Inc. | Prmt5 inhibitors and uses thereof |
| WO2025248090A1 (en) | 2024-05-31 | 2025-12-04 | Tubulis Gmbh | Novel brd4 binders |
| TWI908931B (en) | 2020-11-30 | 2025-12-21 | 美商建南德克公司 | Compounds and methods of use thereof |
| US12521438B2 (en) | 2019-06-10 | 2026-01-13 | Kymera Therapeutics, Inc. | SMARCA degraders and uses thereof |
| US12539292B2 (en) | 2018-04-01 | 2026-02-03 | Arvinas Operations, Inc. | BRM targeting compounds and associated methods of use |
Citations (16)
| Publication number | Priority date | Publication date | Assignee | Title |
|---|---|---|---|---|
| US4522811A (en) | 1982-07-08 | 1985-06-11 | Syntex (U.S.A.) Inc. | Serial injection of muramyldipeptides and liposomes enhances the anti-infective activity of muramyldipeptides |
| WO2002022577A2 (en) | 2000-09-01 | 2002-03-21 | Novartis Ag | Hydroxamate derivatives useful as deacetylase inhibitors |
| WO2007001851A2 (en) | 2005-06-20 | 2007-01-04 | Genentech, Inc. | Compositions and methods for the diagnosis and treatment of tumor |
| US7208157B2 (en) | 2000-09-08 | 2007-04-24 | California Institute Of Technology | Proteolysis targeting chimeric pharmaceutical |
| US7723485B2 (en) | 2007-05-08 | 2010-05-25 | Genentech, Inc. | Cysteine engineered anti-MUC16 antibodies and antibody drug conjugates |
| WO2012078559A2 (en) | 2010-12-07 | 2012-06-14 | Yale University | Small-molecule hydrophobic tagging of fusion proteins and induced degradation of same |
| US8226945B2 (en) | 2006-05-30 | 2012-07-24 | Genentech, Inc. | Antibodies and immunoconjugates and uses therefor |
| WO2014063061A1 (en) | 2012-10-19 | 2014-04-24 | Dana-Farber Cancer Institute, Inc. | Hydrophobically tagged small molecules as inducers of protein degradation |
| WO2014143659A1 (en) | 2013-03-15 | 2014-09-18 | Araxes Pharma Llc | Irreversible covalent inhibitors of the gtpase k-ras g12c |
| US20140356322A1 (en) | 2012-01-12 | 2014-12-04 | Yale University | Compounds & Methods for the Enhanced Degradation of Targeted Proteins & Other Polypeptides by an E3 Ubiquitin Ligase |
| WO2015075483A1 (en) | 2013-11-25 | 2015-05-28 | Cancer Research Technology Limited | 1 -(5-tert-butyl-2-aryl-pyrazol-3-yl)-3-[2-fluoro-4-[(3-oxo-4h-pyrido[2, 3-b]pyrazin-8-yl)oxy]phenyl]urea derivatives as raf inhibitors for the treatment of cancer |
| US20150291562A1 (en) | 2014-04-14 | 2015-10-15 | Arvinas, Inc. | Imide-based modulators of proteolysis and associated methods of use |
| US20160045607A1 (en) | 2014-08-11 | 2016-02-18 | Yale University | Estrogen-related receptor alpha based protac compounds and associated methods of use |
| US20160058872A1 (en) | 2014-04-14 | 2016-03-03 | Arvinas, Inc. | Imide-based modulators of proteolysis and associated methods of use |
| US20160185785A1 (en) | 2014-12-30 | 2016-06-30 | Forma Therapeutics, Inc. | Pyrrolo and pyrazolopyrimidines as ubiquitin-specific protease 7 inhibitors |
| WO2016138114A1 (en) | 2015-02-25 | 2016-09-01 | Genentech, Inc. | Therapeutic pyridazine compounds and uses thereof |
-
2018
- 2018-10-23 WO PCT/US2018/057139 patent/WO2019084030A1/en not_active Ceased
Patent Citations (18)
| Publication number | Priority date | Publication date | Assignee | Title |
|---|---|---|---|---|
| US4522811A (en) | 1982-07-08 | 1985-06-11 | Syntex (U.S.A.) Inc. | Serial injection of muramyldipeptides and liposomes enhances the anti-infective activity of muramyldipeptides |
| WO2002022577A2 (en) | 2000-09-01 | 2002-03-21 | Novartis Ag | Hydroxamate derivatives useful as deacetylase inhibitors |
| US7208157B2 (en) | 2000-09-08 | 2007-04-24 | California Institute Of Technology | Proteolysis targeting chimeric pharmaceutical |
| WO2007001851A2 (en) | 2005-06-20 | 2007-01-04 | Genentech, Inc. | Compositions and methods for the diagnosis and treatment of tumor |
| US7989595B2 (en) | 2005-06-20 | 2011-08-02 | Genentech, Inc. | Compositions and methods for the diagnosis and treatment of tumor |
| US8449883B2 (en) | 2005-06-20 | 2013-05-28 | Genentech, Inc. | Compositions and methods for the diagnosis and treatment of tumor |
| US8226945B2 (en) | 2006-05-30 | 2012-07-24 | Genentech, Inc. | Antibodies and immunoconjugates and uses therefor |
| US7723485B2 (en) | 2007-05-08 | 2010-05-25 | Genentech, Inc. | Cysteine engineered anti-MUC16 antibodies and antibody drug conjugates |
| WO2012078559A2 (en) | 2010-12-07 | 2012-06-14 | Yale University | Small-molecule hydrophobic tagging of fusion proteins and induced degradation of same |
| US20140356322A1 (en) | 2012-01-12 | 2014-12-04 | Yale University | Compounds & Methods for the Enhanced Degradation of Targeted Proteins & Other Polypeptides by an E3 Ubiquitin Ligase |
| WO2014063061A1 (en) | 2012-10-19 | 2014-04-24 | Dana-Farber Cancer Institute, Inc. | Hydrophobically tagged small molecules as inducers of protein degradation |
| WO2014143659A1 (en) | 2013-03-15 | 2014-09-18 | Araxes Pharma Llc | Irreversible covalent inhibitors of the gtpase k-ras g12c |
| WO2015075483A1 (en) | 2013-11-25 | 2015-05-28 | Cancer Research Technology Limited | 1 -(5-tert-butyl-2-aryl-pyrazol-3-yl)-3-[2-fluoro-4-[(3-oxo-4h-pyrido[2, 3-b]pyrazin-8-yl)oxy]phenyl]urea derivatives as raf inhibitors for the treatment of cancer |
| US20150291562A1 (en) | 2014-04-14 | 2015-10-15 | Arvinas, Inc. | Imide-based modulators of proteolysis and associated methods of use |
| US20160058872A1 (en) | 2014-04-14 | 2016-03-03 | Arvinas, Inc. | Imide-based modulators of proteolysis and associated methods of use |
| US20160045607A1 (en) | 2014-08-11 | 2016-02-18 | Yale University | Estrogen-related receptor alpha based protac compounds and associated methods of use |
| US20160185785A1 (en) | 2014-12-30 | 2016-06-30 | Forma Therapeutics, Inc. | Pyrrolo and pyrazolopyrimidines as ubiquitin-specific protease 7 inhibitors |
| WO2016138114A1 (en) | 2015-02-25 | 2016-09-01 | Genentech, Inc. | Therapeutic pyridazine compounds and uses thereof |
Non-Patent Citations (55)
| Title |
|---|
| "McGraw-Hill Dictionary of Chemical Terms", 1984, MCGRAW-HILL BOOK COMPANY |
| "Remington's Pharmaceutical Sciences", 1980 |
| "Resistance to Proteasome Inhibitors in Cancer", 1 January 2014, SPRINGER INTERNATIONAL PUBLISHING, Cham, ISBN: 978-3-319-06752-0, ISSN: 2196-5501, article MICHAEL R. MATTERN ET AL: "Proteasome Inhibitors Versus E3 Ligase Inhibitors for Cancer Therapy", pages: 291 - 316, XP055531349, DOI: 10.1007/978-3-319-06752-0_12 * |
| "The Chemistry of Heterocyclic Compounds, A series of Monographs", vol. 13, 14,, 1950, JOHN WILEY & SONS |
| ANGEW. CHEM. INT. ED., vol. 50, 2011, pages 9838 - 9842 |
| BOITANO ET AL.: "Aryl Hydrocarbon Receptor Antagonists Promote the Expansion of Human Hematopoietic Stem Cells", SCIENCE, vol. 329, no. 5997, 10 September 2010 (2010-09-10), pages 1345 - 1348, XP055056853, DOI: doi:10.1126/science.1191536 |
| BROUGH ET AL.: "4,5-Diarylisoxazole HSP90 Chaperone Inhibitors: Potential Therapeutic Agents for the Treatment of Cancer", J. MED. CHEM., vol. 51, 2008, pages 196 |
| CHANG ET AL.: "Structural basis for G9a-like protein lysine methyltransferase inhibition by BIX-01294", NAT. STR. MOL. BIOL., vol. 16, 2009, pages 312 - 7 |
| CHEN ET AL., CANCER RES., vol. 67, no. 10, 2007, pages 4924 - 4932 |
| CHUNG ET AL.: "Discovery and Characterization of Small Molecule Inhibitors of the BET Family Bromodomains", J. MED CHEM., vol. 54, 2011, pages 3827 - 3838, XP008164769, DOI: doi:10.1021/jm200108t |
| DAWSON ET AL.: "Inhibition of BET Recruitment to Chromatin as an Effective Treatment for MLL-fusion Leukemia", NATURE, vol. 478, 2011, pages 529 - 523 |
| DENNIS L. BUCKLEY ET AL: "Targeting the von Hippel-Lindau E3 Ubiquitin Ligase Using Small Molecules To Disrupt the VHL/HIF-1[alpha] Interaction", JOURNAL OF THE AMERICAN CHEMICAL SOCIETY, vol. 134, no. 10, 27 February 2012 (2012-02-27), pages 4465 - 4468, XP055531166, ISSN: 0002-7863, DOI: 10.1021/ja209924v * |
| ELIEL, E.; WILEN, S.: "Stereochemistry of Organic Compounds", 1994, JOHN WILEY & SONS, INC. |
| FILIPPAKOPOULOS ET AL.: "Selective inhibition of BET bromodomains", NATURE, vol. 468, 2010, pages 1067 - 1073, XP055467443, DOI: doi:10.1038/nature09504 |
| FILIPPAKOUPOULOS ET AL.: "Targeting bromodomains: epigenetic readers of lysine acetylation", NATURE REVIEWS DRUG DISCOVERY, vol. 13, 2014, pages 337 - 356, XP055214318, DOI: doi:10.1038/nrd4286 |
| FINNIN, M.S. ET AL.: "Structures of a histone deacetylase homologue bound to the TSA and SAHA inhibitors", NATURE, vol. 401, 1999, pages 188 - 193, XP002266214, DOI: doi:10.1038/43710 |
| GERSTENBERGER, BS. ET AL., J. MED. CHEM., vol. 59, 2016, pages 4800 - 4811 |
| GHOSHAL ET AL.: "BET inhibitors in cancer therapeutics: a patent review", EXPERT OPINION ON THERAPEUTIC PATENTS, vol. 26, no. 4, 2016, pages 505 - 522, XP055266260, DOI: doi:10.1517/13543776.2016.1159299 |
| HEWINGS ET AL.: "3,5-Dimethylisoxazoles Act as Acetyl-lysine Bromodomain Ligands", J. MED. CHEM., vol. 54, 2011, pages 6761 - 6770, XP002689396, DOI: doi:10.1021/jm200640v |
| HOLDERFIELD ET AL.: "Targeting RAF kinases for cancer therapy: BRAF mutated melanoma and beyond", NAT. REV. CANCER, vol. 14, 2014, pages 455 - 467 |
| HUANG, T. ET AL.: "B-Raf and the inhibitors: from bench to bedside", JOURNAL OF HEMATOLOGY AND ONCOLOGY, 2013 |
| IAN COLLINS ET AL: "Chemical approaches to targeted protein degradation through modulation of the ubiquitin-proteasome pathway", BIOCHEMICAL JOURNAL, vol. 474, no. 7, 15 March 2017 (2017-03-15), GB, pages 1127 - 1147, XP055531205, ISSN: 0264-6021, DOI: 10.1042/BCJ20160762 * |
| J. AM. CHEM. SOC., vol. 82, 1960, pages 5566 |
| J. MED. CHEM., vol. 53, 2010, pages 521 - 538 |
| J. MED. CHEM., vol. 53, 2010, pages 6466 |
| JIA ET AL.: "Overcoming EGFR(T790M) and EGFR(C797S) resistance with mutant-selective allosteric inhibitors", NATURE, vol. 534, 2016, pages 129 - 132, XP055342543, DOI: doi:10.1038/nature17960 |
| JULIANTY FROST ET AL: "Potent and selective chemical probe of hypoxic signalling downstream of HIF-[alpha] hydroxylation via VHL inhibition", NATURE COMMUNICATIONS, vol. 7, no. 1, 1 December 2016 (2016-12-01), GB, XP055531345, ISSN: 2041-1723, DOI: 10.1038/ncomms13312 * |
| JUNUTULA ET AL., NATURE BIOTECH., vol. 26, no. 8, 2008, pages 925 - 932 |
| LEE ET AL.: "Targeted Degradation of the Aryl Hydrocarbon Receptor by the PROTAC Approach: A Useful Chemical Genetic Tool", CHEM. BIOCHEM., vol. 8, no. 17, 23 November 2007 (2007-11-23), pages 2058 - 2062 |
| LI ET AL., MOL. CANCER. THER., vol. 12, no. 7, 2013, pages 1255 - 1265 |
| LIU ET AL.: "Discovery of a 2,4-diamino-7-aminoalkoxyquinazoline as a potent and selective inhibitor of histone lysine methyltransferase G9a", J MED. CHEM., vol. 52, no. 24, 2009, pages 7950 - 3, XP002702501, DOI: doi:10.1021/jm901543m |
| LOUNTOS ET AL.: "Structural Characterization of Inhibitor Complexes with Checkpoint Kinase 2 (Chk2), a Drug Target for Cancer Therapy", J. STRUCT. BIOL., vol. 176, 2011, pages 292, XP028104277, DOI: doi:10.1016/j.jsb.2011.09.008 |
| MILLAN ET AL.: "Design and Synthesis of Inhaled P38 Inhibitors for the Treatment of Chronic Obstructive Pulmonary Disease", J. MED. CHEM., vol. 54, 2011, pages 7797, XP055150024, DOI: doi:10.1021/jm200677b |
| NICODEME ET AL.: "Supression of Inflammation by a Synthetic Histone Mimic", NATURE, vol. 468, 2010, pages 1119 - 1123, XP008164770, DOI: doi:10.1038/nature09589 |
| NICOLAOU ET AL., ANGEW. CHEM INTL. ED. ENGL., vol. 33, 1994, pages 183 - 186 |
| NISHIGUCHI ET AL.: "Design and Discovery of N-(2-methyl-5'-morpholino-6'-((tetrahydro-2H-pyran-4-yl)oxy)-[3,3'-bipyridin]-5-yl)-3-(trifluoromethyl)benzamide: A potent, selective and efficacious RAF inhibitor targeting RAS mutant cancers", J. MED. CHEM., vol. 60, 2017, pages 4869 - 4881 |
| PAQUETTE, LEO A.: "Principles of Modern Heterocyclic Chemistry", 1968 |
| PEDRO SOARES ET AL: "Group-Based Optimization of Potent and Cell-Active Inhibitors of the von Hippel-Lindau (VHL) E3 Ubiquitin Ligase: Structure-Activity Relationships Leading to the Chemical Probe (2 S ,4 R )-1-(( S )-2-(1-Cyanocyclopropanecarboxamido)-3,3-dimethylbutanoyl)-4-hydroxy- N -(4-(4-methylthiazol-5-yl)benzyl", JOURNAL OF MEDICINAL CHEMISTRY, vol. 61, no. 2, 18 September 2017 (2017-09-18), pages 599 - 618, XP055531171, ISSN: 0022-2623, DOI: 10.1021/acs.jmedchem.7b00675 * |
| POISON ET AL., EXPERT OPIN. INVESTIG. DRUGS, vol. 20, no. 1, 2011, pages 75 - 85 |
| POISON ET AL., LEUKEMIA, vol. 24, 2010, pages 1566 - 1573 |
| RODRIGUEZ-GONZALEZ ET AL.: "Targeting steroid hormone receptors for ubiquitination and degradation in breast and prostate cancer", ONCOGENE, vol. 27, 2008, pages 7201 - 7211, XP055001566, DOI: doi:10.1038/onc.2008.320 |
| ROMERO ET AL., J. MED. CHEM., vol. 59, 2016, pages 1271 - 1298 |
| ROMERO, J MED. CHEM., vol. 59, 2016, pages 1271 - 1298 |
| SAKAMOTO ET AL.: "Development of Protacs to target cancer-promoting proteins for ubiquitination and degradation", MOL CELL PROTEOMICS, vol. 2, no. 12, December 2003 (2003-12-01), pages 1350 - 8, XP055039869, DOI: doi:10.1074/mcp.T300009-MCP200 |
| SAKAMOTO ET AL.: "Protacs: chimeric molecules that target proteins to the Skpl-Cullin-F box complex for ubiquitination and degradation", PROC NATL ACAD SCI USA., vol. 98, no. 15, 17 July 2001 (2001-07-17), pages 8554 - 9 |
| SCHENKEL ET AL.: "Discovery of Potent and Highly Selective Thienopyridine Janus Kinase 2 Inhibitors", J. MED. CHEM., vol. 54, no. 24, 2011, pages 8440 - 8450, XP055043479, DOI: doi:10.1021/jm200911r |
| SCHNEEKLOTH ET AL.: "Chemical Genetic Control of Protein Levels: Selective in Vivo Targeted Degradation", J. AM. CHEM. SOC., vol. 126, 2004, pages 3748 - 3754, XP008141514, DOI: doi:10.1021/ja039025z |
| SCHNEEKLOTH ET AL.: "Targeted intracellular protein degradation induced by a small molecule: En route to chemical proteomics", BIOORG. MED. CHEM. LETT., vol. 18, 2008, pages 5904 - 5908, XP025627166, DOI: doi:10.1016/j.bmcl.2008.07.114 |
| SPIEGEL, J. ET AL.: "Small-molecule modulation of Ras signaling", NATURE CHEMICAL BIOLOGY, vol. 10, 2014, pages 613 - 622, XP055231387, DOI: doi:10.1038/nchembio.1560 |
| VALLEE ET AL.: "Tricyclic Series of Heat Shock Protein 90 (HSP90) Inhibitors Part I: Discovery of Tricyclic Imidazo[4,5-C]Pyridines as Potent Inhibitors of the HSP90 Molecular Chaperone", J.MED.CHEM., vol. 54, 2011, pages 7206, XP055240728, DOI: doi:10.1021/jm200784m |
| VAN EIS ET AL.: "2,6-Naphthyridines as potent and selective inhibitors of the novel protein kinase C isozymes", BIORG. MED. CHEM. LETT., vol. 21, no. 24, 15 December 2011 (2011-12-15), pages 7367 - 72, XP028113889, DOI: doi:10.1016/j.bmcl.2011.10.025 |
| VASSILEV ET AL.: "In vivo activation of the p53 pathway by small-molecule antagonists of MDM2", SCIENCE, vol. 303, 2004, pages 844 - 848, XP002338500, DOI: doi:10.1126/science.1092472 |
| WANG: "Next-generation EGFR/HER tyrosine kinase inhibitors for the treatment of patients with non-small-cell lung cancer harboring EGFR mutations: a review of the evidence", ONCOTARGETS AND THERAPY, vol. 9, pages 5461 - 5473 |
| WRIGHT ET AL.: "Structure-Activity Relationships in Purine-Based Inhibitor Binding to HSP90 Isoforms", CHEM BIOL., vol. l 1, no. 6, June 2004 (2004-06-01), pages 775 - 85, XP025940200, DOI: doi:10.1016/j.chembiol.2004.03.033 |
| ZHAO, Y.: "Small-Molecule Inhibitors of the MDM2-p53 Protein-Protein Interaction (MDM2 Inhibitors) in Clinical Trials for Cancer Treatment", J. MED. CHEM., vol. 58, 2015, pages 1038 - 1052, XP055314174, DOI: doi:10.1021/jm501092z |
Cited By (103)
| Publication number | Priority date | Publication date | Assignee | Title |
|---|---|---|---|---|
| US12274697B2 (en) | 2016-10-28 | 2025-04-15 | Icahn School Of Medicine At Mount Sinai | Compositions and methods for treating EZH2-mediated cancer |
| US11623932B2 (en) | 2017-09-22 | 2023-04-11 | Kymera Therapeutics, Inc. | Protein degraders and uses thereof |
| US12540127B2 (en) | 2017-09-22 | 2026-02-03 | Kymera Therapeutics, Inc. | CRBN ligands and uses thereof |
| US11358948B2 (en) | 2017-09-22 | 2022-06-14 | Kymera Therapeutics, Inc. | CRBN ligands and uses thereof |
| US11318205B1 (en) | 2017-12-26 | 2022-05-03 | Kymera Therapeutics, Inc. | IRAK degraders and uses thereof |
| US11723980B2 (en) | 2017-12-26 | 2023-08-15 | Kymera Therapeutics, Inc. | IRAK degraders and uses thereof |
| US10874743B2 (en) | 2017-12-26 | 2020-12-29 | Kymera Therapeutics, Inc. | IRAK degraders and uses thereof |
| US12168057B2 (en) | 2017-12-26 | 2024-12-17 | Kymera Therapeutics, Inc. | IRAK degraders and uses thereof |
| US11512080B2 (en) | 2018-01-12 | 2022-11-29 | Kymera Therapeutics, Inc. | CRBN ligands and uses thereof |
| US11485743B2 (en) | 2018-01-12 | 2022-11-01 | Kymera Therapeutics, Inc. | Protein degraders and uses thereof |
| US11932635B2 (en) | 2018-01-12 | 2024-03-19 | Kymera Therapeutics, Inc. | CRBN ligands and uses thereof |
| US12006329B2 (en) | 2018-01-12 | 2024-06-11 | Kymera Therapeutics, Inc. | Protein degraders and uses thereof |
| US12516068B2 (en) | 2018-01-12 | 2026-01-06 | Kymera Therapeutics, Inc. | Protein degraders and uses thereof |
| US12539292B2 (en) | 2018-04-01 | 2026-02-03 | Arvinas Operations, Inc. | BRM targeting compounds and associated methods of use |
| US12110295B2 (en) | 2018-06-21 | 2024-10-08 | Icahn School Of Medicine At Mount Sinai | WD40 repeat domain protein 5 (WDR5) degradation/disruption compounds and methods of use |
| US11897882B2 (en) | 2018-07-06 | 2024-02-13 | Kymera Therapeutics, Inc. | Tricyclic crbn ligands and uses thereof |
| US11292792B2 (en) | 2018-07-06 | 2022-04-05 | Kymera Therapeutics, Inc. | Tricyclic CRBN ligands and uses thereof |
| US12454520B2 (en) | 2018-07-06 | 2025-10-28 | Kymera Therapeutics, Inc. | Protein degraders and uses thereof |
| WO2020027225A1 (en) | 2018-07-31 | 2020-02-06 | ファイメクス株式会社 | Heterocyclic compound |
| US12202829B2 (en) | 2018-07-31 | 2025-01-21 | Fimecs, Inc. | Heterocyclic compound |
| US11639354B2 (en) | 2018-07-31 | 2023-05-02 | Fimecs, Inc. | Heterocyclic compound |
| US11352350B2 (en) | 2018-11-30 | 2022-06-07 | Kymera Therapeutics, Inc. | IRAK degraders and uses thereof |
| US12258341B2 (en) | 2018-11-30 | 2025-03-25 | Kymera Therapeutics, Inc. | IRAK degraders and uses thereof |
| US11117889B1 (en) | 2018-11-30 | 2021-09-14 | Kymera Therapeutics, Inc. | IRAK degraders and uses thereof |
| US11807636B2 (en) | 2018-11-30 | 2023-11-07 | Kymera Therapeutics, Inc. | IRAK degraders and uses thereof |
| WO2020113233A1 (en) | 2018-11-30 | 2020-06-04 | Kymera Therapeutics, Inc. | Irak degraders and uses thereof |
| US11485750B1 (en) | 2019-04-05 | 2022-11-01 | Kymera Therapeutics, Inc. | STAT degraders and uses thereof |
| US12077555B2 (en) | 2019-04-05 | 2024-09-03 | Kymera Therapeutics, Inc. | STAT degraders and uses thereof |
| US11746120B2 (en) | 2019-04-05 | 2023-09-05 | Kymera Therapeutics, Inc. | Stat degraders and uses thereof |
| EP3965824A4 (en) * | 2019-05-06 | 2023-01-25 | Icahn School of Medicine at Mount Sinai | HETEROBIFUNCTIONAL COMPOUNDS AS HPK1 DEGRADATION AGENTS |
| EP4524137A3 (en) * | 2019-05-06 | 2025-04-30 | Icahn School of Medicine at Mount Sinai | Heterobifunctional compounds as degraders of hpk1 |
| US12465648B2 (en) | 2019-05-06 | 2025-11-11 | Icahn School Of Medicine At Mount Sinai | Heterobifunctional compounds as degraders of HPK1 |
| WO2020227325A1 (en) | 2019-05-06 | 2020-11-12 | Icahn School Of Medicine At Mount Sinai | Heterobifunctional compounds as degraders of hpk1 |
| US12521438B2 (en) | 2019-06-10 | 2026-01-13 | Kymera Therapeutics, Inc. | SMARCA degraders and uses thereof |
| WO2020263830A1 (en) | 2019-06-25 | 2020-12-30 | Gilead Sciences, Inc. | Flt3l-fc fusion proteins and methods of use |
| WO2020264499A1 (en) | 2019-06-28 | 2020-12-30 | Kymera Therapeutics, Inc. | Irak degraders and uses thereof |
| US11912699B2 (en) | 2019-07-17 | 2024-02-27 | Arvinas Operations, Inc. | Tau-protein targeting compounds and associated |
| US12310975B2 (en) | 2019-10-17 | 2025-05-27 | Arvinas Operations, Inc. | Modulators of BCL6 proteolysis and associated methods of use |
| US11591332B2 (en) | 2019-12-17 | 2023-02-28 | Kymera Therapeutics, Inc. | IRAK degraders and uses thereof |
| US11707457B2 (en) | 2019-12-17 | 2023-07-25 | Kymera Therapeutics, Inc. | IRAK degraders and uses thereof |
| US12539295B2 (en) | 2019-12-17 | 2026-02-03 | Kymera Therapeutics, Inc. | IRAK degraders and uses thereof |
| US11779578B2 (en) | 2019-12-17 | 2023-10-10 | Kymera Therapeutics, Inc. | IRAK degraders and uses thereof |
| US11679109B2 (en) | 2019-12-23 | 2023-06-20 | Kymera Therapeutics, Inc. | SMARCA degraders and uses thereof |
| WO2021133920A1 (en) | 2019-12-23 | 2021-07-01 | Kymera Therapeutics, Inc. | Smarca degraders and uses thereof |
| WO2021163064A2 (en) | 2020-02-14 | 2021-08-19 | Jounce Therapeutics, Inc. | Antibodies and fusion proteins that bind to ccr8 and uses thereof |
| US11692038B2 (en) | 2020-02-14 | 2023-07-04 | Gilead Sciences, Inc. | Antibodies that bind chemokine (C-C motif) receptor 8 (CCR8) |
| US12297282B2 (en) | 2020-02-14 | 2025-05-13 | Gilead Sciences, Inc. | Nucleic acids encoding, and methods of producing, antibodies that bind human chemokine (C—C motif) receptor 8 (CCR8) |
| EP3875456A1 (en) * | 2020-03-02 | 2021-09-08 | Technische Universität Darmstadt | Hetero-bifunctional proteolysis-targeting chimeras (protacs) for the selective degradation of fk506-binding proteins (fkbps) |
| US11932624B2 (en) | 2020-03-19 | 2024-03-19 | Kymera Therapeutics, Inc. | MDM2 degraders and uses thereof |
| US12528785B2 (en) | 2020-03-19 | 2026-01-20 | Kymera Therapeutics, Inc. | MDM2 degraders and uses thereof |
| EP4144722A4 (en) * | 2020-04-27 | 2024-05-22 | Autotac Inc. | COMPOUND AS UBR-BOX DOMAIN LIGAND |
| US12509420B2 (en) | 2020-04-27 | 2025-12-30 | Autotac Inc. | Compound as a UBR box domain ligand |
| US12103924B2 (en) | 2020-06-01 | 2024-10-01 | Icahn School Of Medicine At Mount Sinai | Mitogen-activated protein kinase kinase (MEK) degradation compounds and methods of use |
| US11685750B2 (en) | 2020-06-03 | 2023-06-27 | Kymera Therapeutics, Inc. | Crystalline forms of IRAK degraders |
| EP4570319A2 (en) | 2020-06-09 | 2025-06-18 | Prelude Therapeutics Incorporated | Brm targeting compounds and associated methods of use |
| WO2021252666A1 (en) | 2020-06-09 | 2021-12-16 | Prelude Therapeutics, Incorporated | Brm targeting compounds and associated methods of use |
| US12545659B2 (en) | 2020-06-29 | 2026-02-10 | Kymera Therapeutics, Inc. | IRAK degraders and uses thereof |
| US12404335B2 (en) | 2020-10-14 | 2025-09-02 | Viridian Therapeutics, Inc. | Compositions and methods for treatment of thyroid eye disease |
| US11548951B1 (en) | 2020-10-14 | 2023-01-10 | Viridian Therapeutics, Inc. | Compositions and methods for treatment of thyroid eye disease |
| WO2022099117A1 (en) | 2020-11-06 | 2022-05-12 | Prelude Therapeutics Incorporated | Brm targeting compounds and associated methods of use |
| US12448389B2 (en) | 2020-11-06 | 2025-10-21 | Prelude Therapeutics Incorporated | BRM targeting compounds and associated methods of use |
| WO2022115879A1 (en) * | 2020-11-30 | 2022-06-02 | Genentech, Inc. | Pyrrolidine derivatives and methods of use |
| TWI908931B (en) | 2020-11-30 | 2025-12-21 | 美商建南德克公司 | Compounds and methods of use thereof |
| JP2023551290A (en) * | 2020-11-30 | 2023-12-07 | ジェネンテック, インコーポレイテッド | Pyrrolidine derivatives and usage methods |
| WO2022120355A1 (en) | 2020-12-02 | 2022-06-09 | Ikena Oncology, Inc. | Tead degraders and uses thereof |
| US12150995B2 (en) | 2020-12-30 | 2024-11-26 | Kymera Therapeutics, Inc. | IRAK degraders and uses thereof |
| US12171768B2 (en) | 2021-02-15 | 2024-12-24 | Kymera Therapeutics, Inc. | IRAK4 degraders and uses thereof |
| US11986532B2 (en) | 2021-04-16 | 2024-05-21 | Arvinas Operations, Inc. | Modulators of BCL6 proteolysis and associated methods of use |
| US12097261B2 (en) | 2021-05-07 | 2024-09-24 | Kymera Therapeutics, Inc. | CDK2 degraders and uses thereof |
| WO2022245671A1 (en) | 2021-05-18 | 2022-11-24 | Gilead Sciences, Inc. | Methods of using flt3l-fc fusion proteins |
| WO2023287787A1 (en) | 2021-07-13 | 2023-01-19 | Prelude Therapeutics, Incorporated | Brm targeting compounds and associated methods of use |
| US12404337B2 (en) | 2021-08-10 | 2025-09-02 | Viridian Therapeutics, Inc. | Compositions, doses, and methods for treatment of thyroid eye disease |
| WO2023076983A1 (en) | 2021-10-28 | 2023-05-04 | Gilead Sciences, Inc. | Pyridizin-3(2h)-one derivatives |
| US12187744B2 (en) | 2021-10-29 | 2025-01-07 | Kymera Therapeutics, Inc. | IRAK4 degraders and synthesis thereof |
| WO2023077030A1 (en) | 2021-10-29 | 2023-05-04 | Gilead Sciences, Inc. | Cd73 compounds |
| WO2023122615A1 (en) | 2021-12-22 | 2023-06-29 | Gilead Sciences, Inc. | Ikaros zinc finger family degraders and uses thereof |
| WO2023122581A2 (en) | 2021-12-22 | 2023-06-29 | Gilead Sciences, Inc. | Ikaros zinc finger family degraders and uses thereof |
| EP4667056A1 (en) | 2021-12-22 | 2025-12-24 | Gilead Sciences, Inc. | Ikaros zinc finger family degraders and uses thereof |
| WO2023147418A1 (en) | 2022-01-28 | 2023-08-03 | Gilead Sciences, Inc. | Parp7 inhibitors |
| US12091411B2 (en) | 2022-01-31 | 2024-09-17 | Kymera Therapeutics, Inc. | IRAK degraders and uses thereof |
| EP4245756A1 (en) | 2022-03-17 | 2023-09-20 | Gilead Sciences, Inc. | Ikaros zinc finger family degraders and uses thereof |
| WO2023178181A1 (en) | 2022-03-17 | 2023-09-21 | Gilead Sciences, Inc. | Ikaros zinc finger family degraders and uses thereof |
| EP4464703A2 (en) | 2022-03-17 | 2024-11-20 | Gilead Sciences, Inc. | Ikaros zinc finger family degraders and uses thereof |
| US12172992B2 (en) | 2022-03-22 | 2024-12-24 | Abbvie Inc. | Pyrimidines for degrading Bruton's tyrosine kinase |
| WO2023205719A1 (en) | 2022-04-21 | 2023-10-26 | Gilead Sciences, Inc. | Kras g12d modulating compounds |
| WO2023245150A1 (en) | 2022-06-16 | 2023-12-21 | Prelude Therapeutics Incorporated | Kat6 targeting compounds with ubiquitin ligase binding moiety |
| WO2024006929A1 (en) | 2022-07-01 | 2024-01-04 | Gilead Sciences, Inc. | Cd73 compounds |
| WO2024107711A1 (en) | 2022-11-15 | 2024-05-23 | Prelude Therapeutics Incorporated | Brm targeting compounds and associated methods of use |
| WO2024137852A1 (en) | 2022-12-22 | 2024-06-27 | Gilead Sciences, Inc. | Prmt5 inhibitors and uses thereof |
| WO2024215754A1 (en) | 2023-04-11 | 2024-10-17 | Gilead Sciences, Inc. | Kras modulating compounds |
| WO2024220917A1 (en) | 2023-04-21 | 2024-10-24 | Gilead Sciences, Inc. | Prmt5 inhibitors and uses thereof |
| WO2025006720A1 (en) | 2023-06-30 | 2025-01-02 | Gilead Sciences, Inc. | Kras modulating compounds |
| WO2025024663A1 (en) | 2023-07-26 | 2025-01-30 | Gilead Sciences, Inc. | Parp7 inhibitors |
| WO2025024811A1 (en) | 2023-07-26 | 2025-01-30 | Gilead Sciences, Inc. | Parp7 inhibitors |
| WO2025054530A1 (en) | 2023-09-08 | 2025-03-13 | Gilead Sciences, Inc. | Pyrimidine-containing polycyclic derivatives as kras g12d modulating compounds |
| WO2025054347A1 (en) | 2023-09-08 | 2025-03-13 | Gilead Sciences, Inc. | Kras g12d modulating compounds |
| WO2025082069A1 (en) * | 2023-10-16 | 2025-04-24 | 中国海洋大学 | Compound binding to crbn protein and degradation agent of protein |
| WO2025096589A1 (en) | 2023-11-03 | 2025-05-08 | Gilead Sciences, Inc. | Prmt5 inhibitors and uses thereof |
| WO2025101942A1 (en) | 2023-11-10 | 2025-05-15 | Prelude Therapeutics Incorporated | Kat6 targeting compounds |
| WO2025137640A1 (en) | 2023-12-22 | 2025-06-26 | Gilead Sciences, Inc. | Azaspiro wrn inhibitors |
| WO2025193454A1 (en) | 2024-03-01 | 2025-09-18 | Prelude Therapeutics Incorporated | Brm and brg1 targeting antibody-drug conjugates and methods of use thereof |
| WO2025245003A1 (en) | 2024-05-21 | 2025-11-27 | Gilead Sciences, Inc. | Prmt5 inhibitors and uses thereof |
| WO2025248090A1 (en) | 2024-05-31 | 2025-12-04 | Tubulis Gmbh | Novel brd4 binders |
Similar Documents
| Publication | Publication Date | Title |
|---|---|---|
| US11242344B2 (en) | (4-hydroxypyrrolidin-2-yl)-heterocyclic compounds and methods of use thereof | |
| WO2019084030A1 (en) | (4-hydroxypyrrolidin-2-yl)-hydroxamate compounds and methods of use thereof | |
| WO2019183523A1 (en) | Hetero-bifunctional degrader compounds and their use as modulators of targeted ubiquination (vhl) | |
| AU2022271368B2 (en) | Compounds and methods for the enhanced degradation of targeted proteins | |
| US12239711B2 (en) | Cereblon ligands and bifunctional compounds comprising the same | |
| US20220162163A1 (en) | Alanine-based modulators of proteolysis and associated methods of use | |
| US12048747B2 (en) | Substituted piperidine Degronimers for Target Protein degradation | |
| AU2019240589B2 (en) | Imide-based modulators of proteolysis and associated methods of use | |
| AU2018201554B2 (en) | Compounds and methods for the enhanced degradation of targeted proteins and other polypeptides by an e3 ubiquitin ligase | |
| WO2018226542A1 (en) | Modulators of proteolysis and associated methods of use | |
| US9376452B2 (en) | Rab7 GTPase inhibitors and related methods of treatment | |
| US20250084096A1 (en) | Tert-butyl (s)-2-(4-(phenyl)-6h-thieno[3, 2-f][1, 2, 4]triazolo[4, 3-a] [1,4]diazepin-6-yl) acetate derivatives and related compounds as bromodomain brd4 inhibitors for treating cancer | |
| HK40107897A (en) | Compounds and methods for the enhanced degradation of targeted proteins | |
| HK40044938A (en) | Tert-butyl (s)-2-(4-(phenyl)-6h-thieno[3,2-f][1,2,4]triazolo[4,3-a] [1,4]diazepin-6-yl) acetate derivatives and related compounds as bromodomain brd4 inhibitors for treating cancer | |
| CA3199926A1 (en) | 1-(2-(4-cyclopropyl-1h-1,2,3-triazol-1-yl)acetyl)-4-hydroxypyrrolidine-2-carboxa|mide derivatives as vhl inhibitors for the treatment of anemia | |
| BR112017019751B1 (en) | BIFUNCTIONAL COMPOUND, PHARMACEUTICAL COMPOSITION, AND, USE OF A COMPOUND TO PREPARE A MEDICATION | |
| BR122021002241B1 (en) | BIFUNCTIONAL COMPOUND, COMPOUND, PHARMACEUTICAL COMPOSITION, AND, USE OF A COMPOUND TO PREPARE A MEDICINE |
Legal Events
| Date | Code | Title | Description |
|---|---|---|---|
| 121 | Ep: the epo has been informed by wipo that ep was designated in this application |
Ref document number: 18799979 Country of ref document: EP Kind code of ref document: A1 |
|
| NENP | Non-entry into the national phase |
Ref country code: DE |
|
| 122 | Ep: pct application non-entry in european phase |
Ref document number: 18799979 Country of ref document: EP Kind code of ref document: A1 |































































































































































































































































































































































































































































































































































































