WO2019183523A1 - Hetero-bifunctional degrader compounds and their use as modulators of targeted ubiquination (vhl) - Google Patents
Hetero-bifunctional degrader compounds and their use as modulators of targeted ubiquination (vhl) Download PDFInfo
- Publication number
- WO2019183523A1 WO2019183523A1 PCT/US2019/023656 US2019023656W WO2019183523A1 WO 2019183523 A1 WO2019183523 A1 WO 2019183523A1 US 2019023656 W US2019023656 W US 2019023656W WO 2019183523 A1 WO2019183523 A1 WO 2019183523A1
- Authority
- WO
- WIPO (PCT)
- Prior art keywords
- compound
- syndrome
- group
- disease
- substituted
- Prior art date
- Legal status (The legal status is an assumption and is not a legal conclusion. Google has not performed a legal analysis and makes no representation as to the accuracy of the status listed.)
- Ceased
Links
- 0 C*(*=C)I*C(*)C(N(C[C@@](C1)O)[C@@]1C(NC*)=O)=O Chemical compound C*(*=C)I*C(*)C(N(C[C@@](C1)O)[C@@]1C(NC*)=O)=O 0.000 description 18
- MUFKLYARVNZNLU-GJDVLRBWSA-N CC(C)(C)[C@@H](C(N(C[C@@H](C1)O)[C@@H]1C(NCc(cc1)ccc1-c1c(C)nc[s]1)=O)=O)NC(COCCOCCOCCOCCOCCNC(c(cc1)ccc1-c1cc(C(N(C2)C(C(Nc3ncc[s]3)=O)c(cc(cc3)F)c3O)=O)c2cc1)=O)=O Chemical compound CC(C)(C)[C@@H](C(N(C[C@@H](C1)O)[C@@H]1C(NCc(cc1)ccc1-c1c(C)nc[s]1)=O)=O)NC(COCCOCCOCCOCCOCCNC(c(cc1)ccc1-c1cc(C(N(C2)C(C(Nc3ncc[s]3)=O)c(cc(cc3)F)c3O)=O)c2cc1)=O)=O MUFKLYARVNZNLU-GJDVLRBWSA-N 0.000 description 1
- RDVGQKPLDUWSKE-JWMIBUGYSA-N CC(C)C(C(N(C[C@@H](C1)O)[C@@H]1C(NCc(cc1)ccc1-c1c(C)nc[s]1)=O)=O)c1cc(OCCOCCOCCOCCOCC#Cc2cc(C(N(C3)C(C(Nc4ncc[s]4)=O)c(cc(cc4)F)c4O)=O)c3cc2)n[o]1 Chemical compound CC(C)C(C(N(C[C@@H](C1)O)[C@@H]1C(NCc(cc1)ccc1-c1c(C)nc[s]1)=O)=O)c1cc(OCCOCCOCCOCCOCC#Cc2cc(C(N(C3)C(C(Nc4ncc[s]4)=O)c(cc(cc4)F)c4O)=O)c3cc2)n[o]1 RDVGQKPLDUWSKE-JWMIBUGYSA-N 0.000 description 1
- WTFFSFSGOQOXLI-IMPPBHELSA-N CC(C)C(C(N(C[C@@H](C1)O)[C@@H]1C(NCc(cc1)ccc1-c1c(C)nc[s]1)=O)=O)c1cc(OCCOCCOCCOCCOCCNC(c(cc2)ccc2-c2cc(C(N(C3)C(C(Nc4ncc[s]4)=O)c(cc(cc4)F)c4O)=O)c3cc2)=O)n[o]1 Chemical compound CC(C)C(C(N(C[C@@H](C1)O)[C@@H]1C(NCc(cc1)ccc1-c1c(C)nc[s]1)=O)=O)c1cc(OCCOCCOCCOCCOCCNC(c(cc2)ccc2-c2cc(C(N(C3)C(C(Nc4ncc[s]4)=O)c(cc(cc4)F)c4O)=O)c3cc2)=O)n[o]1 WTFFSFSGOQOXLI-IMPPBHELSA-N 0.000 description 1
- QQLDRQAFIXCVFD-UHFFFAOYSA-N CC(C)C(C(O)=O)c1cc(OC)n[o]1 Chemical compound CC(C)C(C(O)=O)c1cc(OC)n[o]1 QQLDRQAFIXCVFD-UHFFFAOYSA-N 0.000 description 1
- JRVDOLFTBRKNAY-UHFFFAOYSA-N CC(C)C(C(OC)=O)c1cc(Br)n[o]1 Chemical compound CC(C)C(C(OC)=O)c1cc(Br)n[o]1 JRVDOLFTBRKNAY-UHFFFAOYSA-N 0.000 description 1
- QGWCBGOUMCNLQU-UHFFFAOYSA-N CC(C)C(C(OC)=O)c1cc(O)n[o]1 Chemical compound CC(C)C(C(OC)=O)c1cc(O)n[o]1 QGWCBGOUMCNLQU-UHFFFAOYSA-N 0.000 description 1
- RJFSHPQDANPCMZ-UHFFFAOYSA-N CC(C)C(C(OC)=O)c1cc(OCCOCCOCCOCCOCCNC(OC(C)(C)C)=O)n[o]1 Chemical compound CC(C)C(C(OC)=O)c1cc(OCCOCCOCCOCCOCCNC(OC(C)(C)C)=O)n[o]1 RJFSHPQDANPCMZ-UHFFFAOYSA-N 0.000 description 1
- FYXADULNLSGWFZ-UHFFFAOYSA-N CC(C)c1c(C)nc[s]1 Chemical compound CC(C)c1c(C)nc[s]1 FYXADULNLSGWFZ-UHFFFAOYSA-N 0.000 description 1
- BZPSYPFMGLYCSZ-QTUWOBIVSA-N CC(C1)C([C@H]([C@H](C[C@]2(C)Cc3ncc(C(O)=O)[s]3)c3cc(Cl)ccc3)N([C@H](CS(C(C)(C)C)(=O)=O)C3CC3)C2=O)=CC(F)=C1Cl Chemical compound CC(C1)C([C@H]([C@H](C[C@]2(C)Cc3ncc(C(O)=O)[s]3)c3cc(Cl)ccc3)N([C@H](CS(C(C)(C)C)(=O)=O)C3CC3)C2=O)=CC(F)=C1Cl BZPSYPFMGLYCSZ-QTUWOBIVSA-N 0.000 description 1
- TUOSCZDRWRYPRS-UHFFFAOYSA-N CCCC[n]1c2ncnc(N)c2nc1Cc(cc1OC)cc(OC)c1OC Chemical compound CCCC[n]1c2ncnc(N)c2nc1Cc(cc1OC)cc(OC)c1OC TUOSCZDRWRYPRS-UHFFFAOYSA-N 0.000 description 1
- QBGKPEROWUKSBK-QPPIDDCLSA-N CCOc1cc(C(C)(C)C)ccc1C(N([C@]1(C)c(cc2)ccc2Cl)C(N2CCN(CCCS(C)(=O)=O)CC2)=O)=N[C@@]1(C)c(cc1)ccc1Cl Chemical compound CCOc1cc(C(C)(C)C)ccc1C(N([C@]1(C)c(cc2)ccc2Cl)C(N2CCN(CCCS(C)(=O)=O)CC2)=O)=N[C@@]1(C)c(cc1)ccc1Cl QBGKPEROWUKSBK-QPPIDDCLSA-N 0.000 description 1
- QKOYVKQWXLFSPH-AEHIRBQFSA-N COCCOc1ccccc1N(CC1)CCN1C([C@](CCC1)(C(CC=C)N1C(c1c(C(F)(F)F)ccnc1)=O)Oc1ccc(C(F)(F)F)cc1)=O Chemical compound COCCOc1ccccc1N(CC1)CCN1C([C@](CCC1)(C(CC=C)N1C(c1c(C(F)(F)F)ccnc1)=O)Oc1ccc(C(F)(F)F)cc1)=O QKOYVKQWXLFSPH-AEHIRBQFSA-N 0.000 description 1
- PTCXNQUAMPSQNB-UHFFFAOYSA-N COc(cc(c(OC)c1)OC)c1C(Nc1c2[nH]cnc2ncn1)=O Chemical compound COc(cc(c(OC)c1)OC)c1C(Nc1c2[nH]cnc2ncn1)=O PTCXNQUAMPSQNB-UHFFFAOYSA-N 0.000 description 1
- CAFFLYYBQBVROH-XNTDXEJSSA-N COc1ccc(/C=C(\C(N2)=O)/S/C2=N/c2nc3ccccc3[s]2)cc1 Chemical compound COc1ccc(/C=C(\C(N2)=O)/S/C2=N/c2nc3ccccc3[s]2)cc1 CAFFLYYBQBVROH-XNTDXEJSSA-N 0.000 description 1
- SBRJLPKKZHHGCO-CQSZACIVSA-N C[C@H](C1)c2nnc(C)[n]2-c(ccc(-c2ccc(N)nc2)c2)c2N1c(cc1)ccc1Cl Chemical compound C[C@H](C1)c2nnc(C)[n]2-c(ccc(-c2ccc(N)nc2)c2)c2N1c(cc1)ccc1Cl SBRJLPKKZHHGCO-CQSZACIVSA-N 0.000 description 1
- VUVUVNZRUGEAHB-CYBMUJFWSA-N C[C@H](c1ncccc1)N(c1c(cc(c(-c2c(C)[o]nc2C)c2)OC)c2ncc1N1)C1=O Chemical compound C[C@H](c1ncccc1)N(c1c(cc(c(-c2c(C)[o]nc2C)c2)OC)c2ncc1N1)C1=O VUVUVNZRUGEAHB-CYBMUJFWSA-N 0.000 description 1
- DZTGIRNXWSZBIM-QURGRASLSA-N Cc(c(O)c1)cc(/N=N/c(cc2)ccc2S(Nc2ccccn2)(=O)=O)c1N Chemical compound Cc(c(O)c1)cc(/N=N/c(cc2)ccc2S(Nc2ccccn2)(=O)=O)c1N DZTGIRNXWSZBIM-QURGRASLSA-N 0.000 description 1
- NETXMUIMUZJUTB-UHFFFAOYSA-N Cc(cc(cc1C)C(N2)=Nc(cc(cc3OC)OC)c3C2=O)c1OCCO Chemical compound Cc(cc(cc1C)C(N2)=Nc(cc(cc3OC)OC)c3C2=O)c1OCCO NETXMUIMUZJUTB-UHFFFAOYSA-N 0.000 description 1
- CDTZIRGMAPZYPZ-UHFFFAOYSA-N Cc1n[o]c(C)c1-c1cc([n](CC(CC2)CCC2(F)F)cc2-c3ccc(N)nc3)c2nc1 Chemical compound Cc1n[o]c(C)c1-c1cc([n](CC(CC2)CCC2(F)F)cc2-c3ccc(N)nc3)c2nc1 CDTZIRGMAPZYPZ-UHFFFAOYSA-N 0.000 description 1
- YTUFHOKUFOQRDF-UHFFFAOYSA-N Oc(c(C(C(Nc1ncc[s]1)=O)N(Cc1c2cccc1)C2=O)c1)ccc1F Chemical compound Oc(c(C(C(Nc1ncc[s]1)=O)N(Cc1c2cccc1)C2=O)c1)ccc1F YTUFHOKUFOQRDF-UHFFFAOYSA-N 0.000 description 1
Classifications
-
- C—CHEMISTRY; METALLURGY
- C07—ORGANIC CHEMISTRY
- C07D—HETEROCYCLIC COMPOUNDS
- C07D417/00—Heterocyclic compounds containing two or more hetero rings, at least one ring having nitrogen and sulfur atoms as the only ring hetero atoms, not provided for by group C07D415/00
- C07D417/14—Heterocyclic compounds containing two or more hetero rings, at least one ring having nitrogen and sulfur atoms as the only ring hetero atoms, not provided for by group C07D415/00 containing three or more hetero rings
-
- A—HUMAN NECESSITIES
- A61—MEDICAL OR VETERINARY SCIENCE; HYGIENE
- A61P—SPECIFIC THERAPEUTIC ACTIVITY OF CHEMICAL COMPOUNDS OR MEDICINAL PREPARATIONS
- A61P35/00—Antineoplastic agents
Definitions
- the present disclosure relates to bifunctional compounds that can be used as modulators of targeted ubiquitination.
- the present disclosure is directed to compounds that contain on one end a VHL ligand moiety that binds to the VHL ubiquitin protein ligase, E3, and on the other end a moiety that binds a target protein, such as EGFR, such that degradation of the target protein/polypeptide is effectuated.
- the present disclosure exhibits a broad range of pharmacological activities associated with compounds according to the present disclosure, consistent with the degradation/inhibition of targeted proteins/polypeptides.
- protein degradation in a cell can also reduce activity or remove altogether the target protein.
- Utilizing a cell’s protein degradation pathway can, therefore, provide a means for reducing or removing protein activity.
- One of the cell’s major degradation pathways is known as the ubiquitin-proteasome system.
- a protein is marked for degradation by the proteasome by ubiquitinating the protein.
- the ubiquitinization of the protein is accomplished by a ubiquitin protein ligase, E3, that binds to a protein and adds ubiquitin molecules to the protein.
- the ubiquitin ligase (E3) is part of a pathway that includes the ubiquitin activating enzyme El and the ubiquitin-carrier protein E2, which make ubiquitin available to the E3 to add to the protein.
- hetero-bifunctional degrading compounds To harness this degradation pathway, hetero-bifunctional degrading compounds have been developed. Hetero-bifunctional degraders bring together a ubiquitin ligase (E3) with a protein that is to be targeted for degradation. To facilitate a protein for degradation by the proteasome, the hetero-bifunctional degrader is comprised of a group that binds to a ubiquitin ligase (E3) and a group that binds to the protein one wishes to degrade. These groups are typically connected with a linker. This molecular construct can bring the ubiquitin ligase in proximity with the protein so that it is ubiquitinated and marked for degradation.
- VHL von Hippel-Lindau
- VCB the substrate recognition subunit of the E3 ligase complex
- the primary substrate of VHL is Hypoxia Inducible Factor la (HIF-la), a transcription factor that upregulates genes such as the pro-angiogenic growth factor VEGF and the red blood cell inducing cytokine erythropoietin in response to low oxygen levels.
- HIF-la Hypoxia Inducible Factor la
- HIF-la is constitutively expressed, its intracellular levels are kept very low under normoxic conditions via its hydroxylation by prolyl hydroxylase domain (PHD) proteins and subsequent VHL-mediated ubiquitination.
- VHL Von Hippel Lindau
- VCB an important target in cancer, chronic anemia and ischemia
- the present disclosure is directed to a compound of Formula (I):
- R 1 is selected from the group consisting of substituted or unsubstituted alkyl, substituted or unsubstituted cycloalkyl, substituted or unsubstituted aryl, substituted or unsubstituted heterocyclyl, and substituted or unsubstituted heteroaryl;
- R 3 is substituted or unsubstituted alkyl, or R 3 is taken together with R 6 , when present, and the atoms to which they are attached, to form a substituted or unsubstituted heterocyclylene;
- Y is selected from the group consisting of substituted or unsubstituted heteroarylene, substituted or unsubstituted heterocyclylene, O, S, -N(R 6 )-, -N(R 6 )-C(0)-, and - N(R 6 )-S0 2 -;
- R 6 is selected from the group consisting of H and substituted
- D is a protein binding moiety
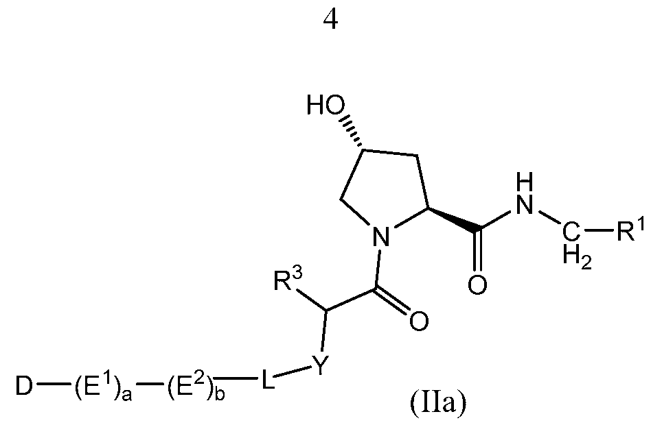
- the present disclosure is directed to a compound of Formula (Ila) or an isomer thereof: or a salt (e.g., a pharmaceutically acceptable salt) thereof, wherein R 1 , R 3 , Y, L, D, E 1 , E 2 , a, and b are defined the same as in Formula (I).
- the present disclosure is directed to a compound of Formula (I), (II), or (Ila), or an isomer thereof, or a salt (e.g., a pharmaceutically acceptable salt) thereof, wherein D is
- the present disclosure is directed to a pharmaceutical composition
- a pharmaceutical composition comprising a compound of Formula (I), (II), or (Ila), or an isomer thereof, or a salt (e.g., a pharmaceutically acceptable salt) thereof, and one or more pharmaceutically acceptable excipients.
- the present disclosure is directed to a method of treating a disease or disorder in a human in need thereof, comprising administering to said human an effective amount of a compound of Formula (I), (II), or (Ila), or an isomer thereof, or a salt (e.g., a pharmaceutically acceptable salt) thereof, or a pharmaceutical composition comprising a compound of Formula (I), (II), or (Ila) or an isomer thereof, or a salt (e.g., a pharmaceutically acceptable salt) thereof.
- a salt e.g., a pharmaceutically acceptable salt
- the present disclosure is directed to a method of degrading a target protein in a cell comprising exposing the cell to a composition comprising an effective amount of a compound of Formula (I), (II), or (Ila), or an isomer thereof, or a salt (e.g., a pharmaceutically acceptable salt) thereof, wherein the compound effectuates the degradation of the target protein.
- a composition comprising an effective amount of a compound of Formula (I), (II), or (Ila), or an isomer thereof, or a salt (e.g., a pharmaceutically acceptable salt) thereof, wherein the compound effectuates the degradation of the target protein.
- Figures 1A-1D show the results of western blot screening of hetero-bifunctional degraders for effects on EGFR protein levels.
- 1A Treatment with various concentrations of degraders (no degrader (-), or 0.001 mM, 0.01 pM, 0.1 pM, 1 pM, or 10 pM of degrader).
- 1B Treatment with no degrader (-) or 1 pM degrader.
- 1C Co-dosing of degrader (no degrader (-) or 1 pM degrader) and MG132 (no MG132 (-) or 1 pM MG132 (+)).
- 1D Co-dosing of degrader produced in Example 1002.4 (no degrader (-) or 100 nM degrader) and free VHL ligand (no free VHL ligand (-) or 0.001 pM, 0.01 pM, 0.1 pM, 1 pM, or 10 pM of free VHL ligand).
- Figures 2A-2C show the results of proliferation assays assessing the effects of hetero-bifunctional degraders on cell viability.
- 2A Graph depicting percent viability of EGFR wildtype cell line (A431) after treatment with degraders at various concentrations during a 3 -day cell viability assay.
- 2B Graph depicting viability of EGFR mutant cell line (NCI-H1975) after treatment with degraders at various concentrations during a 3 -day cell viability assay.
- 2C Depiction of cell density after treatment with no degrader (-) or 0.001 mM, 0.01 pM, 0.1 pM, 1 pM, or 10 pM concentrations of various degraders in a 7-day viability assay.
- the present disclosure is directed to compounds that bind a ubiquitin ligase (E3) protein complex.
- E3 ubiquitin ligase
- compounds are described that bind to Von Hippel-Lindau (VHL), the substrate recognition subunit of the E3 ligase complex VCB.
- VHL Von Hippel-Lindau
- the description provides bifunctional compounds and associated methods of use for effectuating the ubiquitination and/or degradation of a chosen target protein.
- the target protein is EGFR.
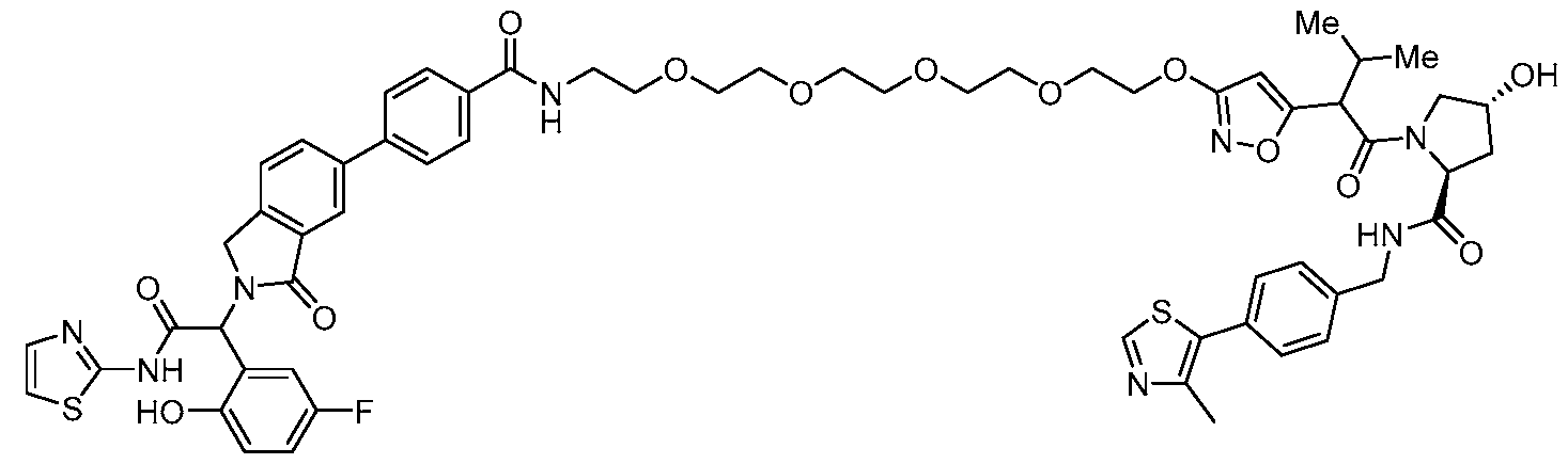
- hetero-bifunctional degrader refers to proteolysis-targeting chimera molecules having generally three components, a ubiquitin ligase (E3) binding moiety (E3LB), at least one linker moiety, and a protein binding moiety (PB moiety, also referred to herein as “D”).
- E3LB ubiquitin ligase
- PB moiety protein binding moiety
- D protein binding moiety
- the E3LB used herein is a VHL ligand moiety.
- a“VHL ligand moiety” in a hetero-bifunctional degrader compound refers to a VHL ligand that is covalently linked to one or more groups such as a first linker moiety (L), which itself can be optionally further linked to another a second linker moiety, which can be optionally further linked to another chemical component, such as a protein binding moiety (D).
- L first linker moiety
- D protein binding moiety
- the term“covalently bound” or“covalently linked” refers to a chemical bond formed by sharing of one or more pairs of electrons.
- the term“linker”,“linker unit”,“linker group”,“linker moiety”, or“link” as used herein means a chemical moiety comprising a chain of atoms that covalently attaches a component of a hetero-bifunctional degrader to another component of the hetero-bifunctional degrader.
- A“patient” or“individual” or“subject” is a mammal. Mammals include, but are not limited to, domesticated animals (e.g., cows, sheep, cats, dogs, and horses), primates (e.g., humans and non-human primates such as monkeys), rabbits, and rodents (e.g., mice and rats).
- the patient, individual, or subject is a human.
- the patient may be a“cancer patient,” i.e. one who is suffering or at risk for suffering from one or more symptoms of cancer.
- cancer and“cancerous” refer to or describe the physiological condition in mammals that is typically characterized by unregulated cell growth/proliferation.
- a “tumor” comprises one or more cancerous cells. Examples of cancer are provided elsewhere herein.
- a "chemotherapeutic agent” or “anti-cancer agent” refers to a chemical compound useful in the treatment of cancer.
- chemotherapeutic agents include alkylating agents such as thiotepa and cyclosphosphamide (CYTOXAN®); alkyl sulfonates such as busulfan, improsulfan and piposulfan; aziridines such as benzodopa, carboquone, meturedopa, and uredopa; ethylenimines and methylamelamines including altretamine, triethylenemelamine, triethylenephosphoramide, triethylenethiophosphoramide and trimethylomelamine; acetogenins (especially bullatacin and bullatacinone); delta-9- tetrahydrocannabinol (dronabinol, MARINOL®); beta-lapachone; lapachol; colchicines; betulinic acid; a camptothecin (including the synthetic
- Chemotherapeutic agents as defined herein include“anti -hormonal agents” or “endocrine therapeutics” which act to regulate, reduce, block, or inhibit the effects of hormones that can promote the growth of cancer. They may be hormones themselves, including, but not limited to: anti-estrogens with mixed agonist/antagonist profile, including, tamoxifen (NOLVADEX®), 4-hydroxytamoxifen, toremifene (FARESTON®), idoxifene, droloxifene, raloxifene (EVISTA®), trioxifene, keoxifene, and selective estrogen receptor modulators (SERMs) such as SERM3; pure anti-estrogens without agonist properties, such as fulvestrant (FASLODEX®), and EM800 (such agents may block estrogen receptor (ER) dimerization, inhibit DNA binding, increase ER turnover, and/or suppress ER levels); aromatase inhibitors, including steroidal aromatase inhibitor
- treatment refers to clinical intervention in an attempt to alter the natural course of the individual being treated, and can be performed either for prophylaxis or during the course of clinical pathology. Desirable effects of treatment include, but are not limited to, preventing occurrence or recurrence of disease, alleviation of symptoms, diminishment of any direct or indirect pathological consequences of the disease, preventing metastasis, decreasing the rate of disease progression, amelioration or palliation of the disease state, and remission or improved prognosis.
- the compounds and compositions of the subject matter described herein are used to delay development of a disease or to slow the progression of a disease.
- treatment is performed for prophylaxis only. In another embodiment, treatment is performed during the course of clinical pathology only (i.e., not for prophylaxis). In another embodiment, treatment is performed both during the course of clinical pathology and for prophylaxis.
- a drug that is administered“concurrently” with one or more other drugs is administered during the same treatment cycle, on the same day of treatment as the one or more other drugs, and, optionally, at the same time as the one or more other drugs.
- the concurrently administered drugs are each administered on day-l of a 3-week cycle.
- the term“effective” is used to describe an amount of a compound, composition or component which, when used within the context of its intended use, achieves the desired therapeutic or prophylactic result.
- the term effective subsumes other effective amount or effective concentration terms, which are otherwise described or used in the present application.
- the term“therapeutically effective amount” means any amount which, as compared to a corresponding subject who has not received such amount, results in treatment of a disease, disorder, or side effect, or a decrease in the rate of advancement of a disease or disorder.
- the term also includes within its scope amounts effective to enhance normal physiological function.
- therapeutically effective amounts of a hetero-bifunctional degrader of the present disclosure, as well as salts thereof may be administered as the raw chemical. Additionally, the active ingredient may be presented as a pharmaceutical composition.
- the term“optionally” means that the subsequently described event(s) may or may not occur, and includes both event(s) that occur and event(s) that do not occur.
- pharmaceutical formulation or“pharmaceutical composition” refers to a preparation which is in such form as to permit the biological activity of an active ingredient contained therein to be effective, and which contains no additional components which are unacceptably toxic to a subject to which the formulation would be administered.
- a “pharmaceutically acceptable excipient” refers to an ingredient in a pharmaceutical formulation, other than an active ingredient, which is nontoxic to a subject.
- a pharmaceutically acceptable excipient includes, but is not limited to, a buffer, carrier, stabilizer, or preservative.
- phrases “pharmaceutically acceptable salt,” as used herein, refers to pharmaceutically acceptable organic or inorganic salts of a molecule.
- Exemplary salts include, but are not limited, to sulfate, citrate, acetate, oxalate, chloride, bromide, iodide, nitrate, bisulfate, phosphate, acid phosphate, isonicotinate, lactate, salicylate, acid citrate, tartrate, oleate, tannate, pantothenate, bitartrate, ascorbate, succinate, maleate, gentisinate, fumarate, gluconate, glucuronate, saccharate, formate, benzoate, glutamate, methanesulfonate, ethanesulfonate, benzenesulfonate, p-toluenesulfonate, and pamoate (i.e., l,l’-methylene-bis-(2-acetate
- a pharmaceutically acceptable salt may involve the inclusion of another molecule such as an acetate ion, a succinate ion or other counter ion.
- the counter ion may be any organic or inorganic moiety that stabilizes the charge on the parent compound.
- a pharmaceutically acceptable salt may have more than one charged atom in its structure. Instances where multiple charged atoms are part of the pharmaceutically acceptable salt can have multiple counter ions. Hence, a pharmaceutically acceptable salt can have one or more charged atoms and/or one or more counter ion.
- salts which are not pharmaceutically acceptable, may be useful in the preparation of compounds described herein and these should be considered to form a further aspect of the subject matter.
- These salts such as oxalic or trifluoroacetate, while not in themselves pharmaceutically acceptable, may be useful in the preparation of salts useful as intermediates in obtaining the compounds described herein and their pharmaceutically acceptable salts.
- A“small molecule” or“small molecular compound” generally refers to an organic molecule that is less than about 5 kilodaltons (Kd) in size. In some embodiments, the small molecule is less than about 4 Kd, 3 Kd, about 2 Kd, or about 1 Kd. In some embodiments, the small molecule is less than about 800 daltons (D), about 600 D, about 500 D, about 400 D, about 300 D, about 200 D, or about 100 D. In some embodiments, a small molecule is less than about 2000 g/mol, less than about 1500 g/mol, less than about 1000 g/mol, less than about 800 g/mol, or less than about 500 g/mol.
- Kd kilodaltons
- small molecules are non- polymeric. Small molecules are not proteins, polypeptides, oligopeptides, peptides, polynucleotides, oligonucleotides, polysaccharides, glycoproteins, proteoglycans, etc.
- a derivative of a small molecule refers to a molecule that shares the same structural core as the original small molecule, but which can be prepared by a series of chemical reactions from the original small molecule.
- alkyl refers to a saturated linear or branched-chain monovalent hydrocarbon radical of any length from one to twelve carbon atoms (C 1 -C 12 ), wherein the alkyl radical may be optionally substituted independently with one or more substituents described herein.
- an alkyl radical is one to eight carbon atoms (Ci-Cg), or one to six carbon atoms (Ci-C 6 ), or one to four carbon atoms (C 1 -C 4 ), or one to three carbon atoms (C 1 -C 3 ).
- alkyl groups include, but are not limited to, methyl (Me, -CH 3 ), ethyl (Et, -CH 2 CH 3 ), 1 -propyl (n-Pr, n-propyl, -CH 2 CH 2 CH 3 ), 2-propyl (i-Pr, i- propyl, isopropyl, -CH(CH 3 ) 2 ), 1 -butyl (n-Bu, n-butyl, -CH 2 CH 2 CH 2 CH 3 ), 2-methyl- 1 -propyl (i- Bu, i-butyl, -CH 2 CH(CH 3 ) 2 ), 2-butyl (s-Bu, s-butyl, -CH(CH 3 )CH 2 CH 3 ), 2-methyl-2-propyl (t- Bu, t-butyl, tert-butyl, -C(CH 3 ) 3 ), 1 -pentyl (n-pentyl, -C
- alkylene refers to a saturated linear or branched- chain divalent hydrocarbon radical of any length from one to twelve carbon atoms (C1-C12), wherein the alkylene radical may be optionally substituted independently with one or more substituents described herein.
- an alkylene radical is one to eight carbon atoms (C' I -C' X ). one to six carbon atoms (CVG,). or one to four carbon atoms (C1-C4).
- alkylene groups include, but are not limited to, methylene (-CH 2 -), ethylene (-CH 2 CH 2 -), propylene (-CH2CH2CH2-), and the like.
- alkynyl refers to a linear or branched monovalent hydrocarbon radical of any length from two to twelve carbon atoms (C 2 -Ci 2 ) with at least one site of unsaturation, i.e., a carbon-carbon, sp triple bond, wherein the alkynyl radical may be optionally substituted independently with one or more substituents described herein. Examples include, but are not limited to, ethynyl (-CoCH), propynyl (propargyl, -CH 2 CoCH), and the like.
- alkynylene refers to a linear or branched divalent hydrocarbon radical of any length from two to twelve carbon atoms (C 2 -Ci 2 ) with at least one site of unsaturation, i.e., a carbon-carbon, sp triple bond, wherein the alkynylene radical may be optionally substituted independently with one or more substituents described herein. Examples include, but are not limited to, ethynylene (-CoC-), propynylene (propargylene, -CH 2 CoC-), and the like.
- the terms“carbocycle”,“carbocyclyl”,“carbocycbc ring” and“cycloalkyl” refer to a monovalent non-aromatic, saturated or partially unsaturated ring having 3 to 12 carbon atoms (C 3 -Ci 2 ) as a monocyclic ring or 7 to 12 carbon atoms as a bicycbc ring.
- Bicycbc carbocycles having 7 to 12 atoms can be arranged, for example, as a bicyclo [4,5], [5,5], [5,6] or
- Examples of monocyclic carbocycles include, but are not limited to, cyclopropyl, cyclobutyl, cyclopentyl, l-cyclopent-l-enyl, l-cyclopent-2-enyl, l-cyclopent-3-enyl, cyclohexyl, 1- cyclohex-l-enyl, l-cyclohex-2-enyl, l-cyclohex-3-enyl, cyclohexadienyl, cycloheptyl, cyclooctyl, cyclononyl, cyclodecyl, cycloundecyl, cyclododecyl, and the like.
- Carbocyclyl groups are optionally substituted independently with one or more substituents described herein.
- cycloalkylene refers to a divalent non-aromatic, saturated or partially unsaturated ring having 3 to 12 carbon atoms (C 3 -Ci 2 ) as a monocyclic ring or 7 to 12 carbon atoms as a bicycbc ring.
- Bicycbc cycloalkylenes having 7 to 12 atoms can be arranged, for example, as a bicyclo [4,5], [5,5], [5,6] or [6,6] system, and bicycbc cycloalkylenes having 9 or 10 ring atoms can be arranged as a bicyclo [5,6] or [6,6] system, or as bridged systems such as bicyclo[2.2.
- cycloalkylenes include, but are not limited to, cyclopropylene, cyclobutylene, cyclopentylene, l-cyclopent-l-enylene, 1- cyclopent-2-enylene, l-cyclopent-3-enylene, cyclohexylene, 1 -cyclohex- l-enylene, 1 -cyclohex- 2-enylene, l-cyclohex-3-enylene, cyclohexadienylene, cycloheptylene, cyclooctylene, cyclononylene, cyclodecylene, cycloundecylene, cyclododecylene, and the like. Cycloalkylene groups are optionally substituted independently with one
- Aryl means a monovalent aromatic hydrocarbon radical of 6-20 carbon atoms (C 6 -C2o) derived by the removal of one hydrogen atom from a single carbon atom of a parent aromatic ring system. Some aryl groups are represented in the exemplary structures as“Ar”. Aryl includes bicyclic radicals comprising an aromatic ring fused to a saturated, partially unsaturated ring, or aromatic carbocycbc ring.
- Typical aryl groups include, but are not limited to, radicals derived from benzene (phenyl), substituted benzenes, naphthalene, anthracene, biphenyl, indenyl, indanyl, l,2-dihydronaphthalene, l,2,3,4-tetrahydronaphthyl, and the like.
- Aryl groups are optionally substituted independently with one or more substituents described herein.
- Arylene means a divalent aromatic hydrocarbon radical of 6-20 carbon atoms (C6-C20) derived by the removal of two hydrogen atom from a two carbon atoms of a parent aromatic ring system. Some arylene groups are represented in the exemplary structures as“Ar”. Arylene includes bicyclic radicals comprising an aromatic ring fused to a saturated, partially unsaturated ring, or aromatic carbocycbc ring.
- Typical arylene groups include, but are not limited to, radicals derived from benzene (phenylene), substituted benzenes, naphthalene, anthracene, biphenylene, indenylene, indanylene, l,2-dihydronaphthalene, 1, 2,3,4- tetrahydronaphthyl, and the like.
- Arylene groups are optionally substituted with one or more substituents described herein.
- heterocycle refers to a saturated or a partially unsaturated (i.e., having one or more double and/or triple bonds within the ring) carbocycbc radical of 3 to about 20 ring atoms in which at least one ring atom is a heteroatom selected from nitrogen, oxygen, phosphorus and sulfur, the remaining ring atoms being C, where one or more ring atoms is optionally substituted independently with one or more substituents described herein.
- a heterocycle may be a monocycle having 3 to 7 ring members (2 to 6 carbon atoms and 1 to 4 heteroatoms selected from N, O, P, and S) or a bicycle having 7 to 10 ring members (4 to 9 carbon atoms and 1 to 6 heteroatoms selected from N, O, P, and S), for example: a bicyclo [4,5], [5,5], [5,6], or [6,6] system.
- Heterocycles are described in Paquette, Leo A.;“Principles of Modem Heterocyclic Chemistry” (W.A.
- Heterocyclyl also includes radicals where heterocycle radicals are fused with a saturated, partially unsaturated ring, or aromatic carbocyclic or heterocyclic ring.
- heterocyclic rings include, but are not limited to, morpholin-4-yl, piperidin-l-yl, piperazinyl, piperazin-4-yl-2-one, piperazin-4-yl-3-one, pyrrolidin-l-yl, thiomorpholin-4-yl, S- dioxothiomorpholin-4-yl, azocan-l-yl, azetidin-l-yl, octahydropyrido[l,2-a]pyrazin-2-yl, [l,4]diazepan-l-yl, pyrrolidinyl, tetrahydrofuranyl, dihydrofuranyl, tetrahydrothienyl, tetrahydropyranyl, dihydropyranyl, tetrahydrothiopyranyl, piperidino, morpholino, thiomorpholino, thioxanyl, piperazinyl, homopiperaz
- l.OJheptanyl azabicyclo[2.2.2]hexanyl, 3H-indolyl quinolizinyl and N-pyridyl ureas.
- Spiro moieties are also included within the scope of this definition.
- the heterocycle groups herein are optionally substituted independently with one or more substituents described herein.
- heterocyclylene refers to a divalent saturated or a partially unsaturated (i.e., having one or more double and/or triple bonds within the ring) carbocyclic radical of 3 to about 20 ring atoms in which at least one ring atom is a heteroatom selected from nitrogen, oxygen, phosphorus and sulfur, the remaining ring atoms being C, where one or more ring atoms is optionally substituted independently with one or more substituents described herein.
- a heterocyclylene may be a monocycle having 3 to 7 ring members (2 to 6 carbon atoms and 1 to 4 heteroatoms selected from N, O, P, and S) or a bicycle having 7 to 10 ring members (4 to 9 carbon atoms and 1 to 6 heteroatoms selected from N, O, P, and S), for example: a bicyclo [4,5], [5,5], [5,6], or [6,6] system.
- Heterocycles are described in Paquette, Leo A.;“Principles of Modem Heterocyclic Chemistry” (W.A.
- Heterocyclylene also includes divalent radicals where heterocycle radicals are fused with a saturated, partially unsaturated ring, or aromatic carbocyclic or heterocyclic ring.
- heterocyclylenes include, but are not limited to, morpholin-4-ylene, piperidin-l-ylene, piperazinylene, piperazin-4-ylene-2- one, piperazin-4-ylene-3-one, pyrrolidin-l-ylene, thiomorpholin-4-ylene, S-dioxothiomorpholin- 4-ylene, azocan- l-ylene, azetidin-l-ylene, octahydropyrido[l,2-a]pyrazin-2-ylene,
- the heterocyclylene groups herein are optionally substituted independently with one or more substituents described herein.
- heteroaryl refers to a monovalent aromatic radical of 5-, 6-, or 7- membered rings, and includes fused ring systems (at least one of which is aromatic) of 5-20 atoms, containing one or more heteroatoms independently selected from nitrogen, oxygen, and sulfur.
- heteroaryl groups are pyridinyl (including, for example, 2- hydroxypyridinyl), imidazolyl, imidazopyridinyl, l-methyl-lH-benzo[d]imidazole,
- heteroarylene refers to a divalent aromatic radical of 5-, 6-, or 7- membered rings, and includes fused ring systems (at least one of which is aromatic) of 5-20 atoms, containing one or more heteroatoms independently selected from nitrogen, oxygen, and sulfur.
- heteroarylene groups are pyridinylene (including, for example, 2- hydroxypyridinylene), imidazolylene, imidazopyridinylene, l-methyl-lH-benzo[d]imidazole, [l,2,4]triazolo[l,5-a]pyridine, pyrimidinylene (including, for example, 4- hydroxypyrimidinylene), pyrazolylene, triazolylene, pyrazinylene, tetrazolylene, furylene, thienylene, isoxazolylene, thiazolylene, oxadiazolylene, oxazolylene, isothiazolylene, pyrrolylene, quinolinylene, isoquinolinylene, tetrahydroisoquinolinylene, indolylene, benzimidazolylene, benzofuranylene, cinnobnylene, indazolylene, indobzinylene, phthalazin
- the heterocycle or heteroaryl groups may be carbon (carbon-linked), or nitrogen (nitrogen-linked) bonded where such is possible.
- carbon bonded heterocycles or heteroaryls are bonded at position 2, 3, 4, 5, or 6 of a pyridine, position 3, 4, 5, or 6 of a pyridazine, position 2, 4, 5, or 6 of a pyrimidine, position 2,
- nitrogen bonded heterocycles or heteroaryls are bonded at position 1 of an aziridine, azetidine, pyrrole, pyrrolidine, 2-pyrrobne, 3-pyrrobne, imidazole, imidazobdine, 2-imidazoline, 3-imidazoline, pyrazole, pyrazobne, 2- pyrazobne, 3 -pyrazobne, piperidine, piperazine, indole, indobne, lH-indazole, position 2 of a isoindole, or isoindobne, position 4 of a morpholine, and position 9 of a carbazole, or b- carbobne.
- an“acyl” refers to both substituted and unsubstituted acyl.
- an“acyl” may be -C(0)-R 16 , wherein R 16 is selected from the group consisting of substituted or unsubstituted alkyl, substituted or unsubstituted alkenyl, substituted or unsubstituted alkynyl, substituted or unsubstituted cycloalkyl, substituted or unsubstituted aryl, substituted or unsubstituted heteroaryl, and substituted or unsubstituted heterocyclyl. In one particular embodiment, it is a substituted C 1 -C 3 alkyl.
- chiral refers to molecules that have the property of non-superimposability of the mirror image partner, while the term“achiral” refers to molecules that are superimposable on their mirror image partner.
- stereoisomers refers to compounds that have identical chemical constitution, but differ with regard to the arrangement of the atoms or groups in space.
- Diastereomer refers to a stereoisomer with two or more centers of chirality and whose molecules are not mirror images of one another. Diastereomers have different physical properties, e.g. melting points, boiling points, spectral properties, and reactivities. Mixtures of diastereomers may separate under high resolution analytical procedures such as electrophoresis and chromatography.
- Enantiomers refer to two stereoisomers of a compound that are non- superimposable mirror images of one another.
- d and 1 or (+) and (-) are employed to designate the sign of rotation of plane-polarized light by the compound, with (-) or 1 meaning that the compound is levorotatory.
- a compound prefixed with (+) or d is dextrorotatory.
- these stereoisomers are identical except that they are mirror images of one another.
- a specific stereoisomer may also be referred to as an enantiomer, and a mixture of such isomers is often called an enantiomeric mixture.
- a 50:50 mixture of enantiomers is referred to as a racemic mixture or a racemate, which may occur where there has been no stereoselection or stereospecificity in a chemical reaction or process.
- racemic mixture and“racemate” refer to an equimolar mixture of two enantiomeric species, devoid of optical activity.
- co-administration and “co-administering” or “combination therapy” refer to both concurrent administration (administration of two or more therapeutic agents at the same time) and time varied administration (administration of one or more therapeutic agents at a time different from that of the administration of an additional therapeutic agent or agents), as long as the therapeutic agents are present in the patient to some extent, preferably at effective amounts, at the same time.
- one or more of the present compounds described herein are coadministered in combination with at least one additional bioactive agent, especially including an anticancer agent.
- the co-administration of compounds results in synergistic activity and/or therapy, including anticancer activity.
- compound refers to any specific chemical compound disclosed herein and includes tautomers, regioisomers, geometric isomers, and where applicable, stereoisomers, including optical isomers (enantiomers) and other stereoisomers (diastereomers) thereof, as well as pharmaceutically acceptable salts and derivatives (including prodrug forms) thereof where applicable, in context.
- compound generally refers to a single compound, but also may include other compounds such as stereoisomers, regioisomers and/or optical isomers (including racemic mixtures) as well as specific enantiomers or enantiomerically enriched mixtures of disclosed compounds.
- the term also refers, in context to prodrug forms of compounds that have been modified to facilitate the administration and delivery of compounds to a site of activity. It is noted that in describing the present compounds, numerous substituents and variables associated with same, among others, are described. It is understood by those of ordinary skill that molecules that are described herein are stable compounds as generally described hereunder. When the bond is shown, both a double bond and single bond are represented within the context of the compound shown. When a crossed double bond is shown, both the E and Z configurations are represented within the context of the compound shown; and the compound may contain the E isomer or the Z isomer or a mixture of both the E and Z isomers.
- VLB E3 Ubiquitin Ligase “Von Hippel-Lindau (or VHL) E3 Ubiquitin Ligase,”“VHL,” or“Ubiquitin Ligase,” which are generally used interchangeably unless the context indicates otherwise, is used to describe a target enzyme(s) binding site of ubiquitin ligase moieties as described herein, e.g., in the bifunctional (chimeric) compounds as described herein.
- VCB E3 is a protein that in combination with an E2 ubiqui tin-conjugating enzyme causes the attachment of ubiquitin to a lysine on a target protein; the ubiquitin ligase (E3) targets specific protein substrates for degradation by the proteasome.
- ubiquitin ligase (E3) alone or in complex with an E2 ubiquitin conjugating enzyme is responsible for the transfer of ubiquitin to targeted proteins.
- the ubiquitin ligase is involved in polyubiquitination such that a second ubiquitin is atached to the first; a third is atached to the second, and so forth. Polyubiquitination marks proteins for degradation by the proteasome.
- ubiquitination events that are limited to mono-ubiquitination, in which only a single ubiquitin is added by the ubiquitin ligase to a substrate molecule.
- Mono-ubiquitinated proteins are not targeted to the proteasome for degradation, but may instead be altered in their cellular location or function, for example, via binding other proteins that have domains capable of binding ubiquitin.
- different lysines on ubiquitin can be targeted by an E3 to make chains. The most common lysine is Lys48 on the ubiquitin chain. This is the lysine used to make polyubiquitin, which is recognized by the proteasome.
- VHL ligand a moiety that binds the VHL ubiquitin ligase or a component thereof, is referred to a VHL ligand.
- PB protein binding moiety
- D protein binding moiety
- Non-limiting examples of small molecule protein binding groups include EGFR inhibitors, Hsp90 inhibitors, kinase inhibitors, MDM2 inhibitors, compounds targeting Human BET Bromodomain-containing proteins, HDAC inhibitors, human lysine methyltransferase inhibitors, angiogenesis inhibitors, immunosuppressive compounds, and compounds targeting the aryl hydrocarbon receptor (AHR), among numerous others.
- the compositions described herein exemplify some of the members of these and other types of small molecule target proteins.
- PB protein binding moiety
- certain groups e.g., alkyl, alkenyl, alkynyl, cycloalkyl, aryl, heteroaryl or heterocyclyl
- the“substituted” group may be substituted with 1, 2, 3, 4, 5, or more substituents, as indicated herein.
- alkyl, alkenyl, alkynyl, cycloalkyl, aryl, heteroaryl or heterocyclyl may be substituted with one or more substituents independently selected from, but not limited to, alkyl, alkenyl, alkynyl, cycloalkyl heterocyclyl, aryl, heteroaryl, halo (i.e., halogen), haloalkyl, oxo, OH, CN, -O-alkyl, S-alkyl, NH-alkyl, N(alkyl) 2 , O-cycloalkyl, S-cycloalkyl, NH-cycloalkyl, N(cycloalkyl) 2 , N(cycloalkyl)(alkyl), NH 2 , SH, S0 2 -alkyl, P(0)(0-alkyl)(alkyl), P(0)(0-alkyl) 2 , Si(OH) 3 , Si(alkyl
- transitional phrases such as “comprising,” “including,” “carrying,” “having,” “containing,” “involving,” “holding,” “composed of,” and the like are to be understood to be open-ended, i.e., to mean including but not limited to. Only the transitional phrases “consisting of’ and “consisting essentially of’ shall be closed or semi-closed transitional phrases, respectively, as set forth in the United States Patent Office Manual of Patent Examining Procedures, Section 2111.03.
- the phrase "at least one,” in reference to a list of one or more elements, should be understood to mean at least one element selected from anyone or more of the elements in the list of elements, but not necessarily including at least one of each and every element specifically listed within the list of elements and not excluding any combinations of elements in the list of elements.
- This definition also allows that elements may optionally be present other than the elements specifically identified within the list of elements to which the phrase "at least one" refers, whether related or unrelated to those elements specifically identified.
- At least one of A and B can refer, in one embodiment, to at least one, optionally including more than one, A, with no B present (and optionally including elements other than B); in another embodiment, to at least one, optionally including more than one, B, with no A present (and optionally including elements other than A); in yet another embodiment, to at least one, optionally including more than one, A, and at least one, optionally including more than one, B (and optionally including other elements); etc.
- the description relates to a hetero-bifunctional degrader compound that binds a ubiquitin ligase (E3) protein, and specifically VHL, or component thereof and a target protein.
- the ubiquitin ligase protein (E3) ubiquitinates the target protein once it and the target protein are placed in proximity by the hetero-bifunctional degrader. Accordingly, the description provides such compounds that bind to such ubiquitin ligase proteins, as well as hetero-bifunctional degrader compounds comprising the same.
- Ubiquitin ligases (E3) (of which over 600 are known in humans) confer substrate specificity for ubiquitination. There are known ligands that bind to these ligases.
- a ubiquitin ligase (E3) binding group (E3LB) is a peptide or small molecule that can bind a ubiquitin ligase (E3).
- a particular E3 is von Hippel-Lindau (VHL) tumor suppressor, the substrate recognition subunit of the E3 ligase complex VCB, which also consists of elongins B and C, Cul2 and Rbxl.
- the primary substrate of VHL is Hypoxia Inducible Factor la (HIF- la), a transcription factor that upregulates genes such as the pro-angiogenic growth factor VEGF and the red blood cell inducing cytokine erythropoietin in response to low oxygen levels.
- HIF- la Hypoxia Inducible Factor la
- the present disclosure is directed to hetero-bifunctional degrader compounds that are useful for regulating protein activity, and specifically, for facilitating the degradation of target proteins.
- the hetero-bifunctional degrader compounds of the present disclosure are bifunctional compounds that can be used as modulators of targeted ubiquitination.
- the compounds comprise on one end a VHL ligand moiety, which binds to the VHL ubiquitin ligase (E3) (also referred to herein as a“VHL ubiquitin ligase binding moiety”), and on the other end a moiety that binds a target protein, such that degradation of the target protein/polypeptide is effectuated.
- E3 VHL ubiquitin ligase
- the VHL ligand moiety is a small molecule (i.e., not peptide based).
- the VHL ligand moiety is chemically linked, via a bond or through a chemical linker, to a protein binding (PB) moiety (or“D”), wherein the VHL ligand moiety recognizes a VHL ubiquitin ligase (E3) and the protein binding moiety recognizes a target protein or polypeptide, and wherein the VHL ligand moiety is coupled to the PB moiety.
- PB protein binding
- E3 VHL ubiquitin ligase
- the present disclosure is directed to a compound according to the structure: VHLM-L-(E 2 ) b -(E 1 ) a , where L is a first linker moiety, (E 2 ) b and (E 1 ) a together form a second linker moiety, and VHLM is a VHL ligand moiety (e.g., a VHL ubiquitin ligase binding moiety).
- VHL ligand moiety is coupled directly or via one or more chemical linker to a protein binding (PB) moiety (or“D”).
- the description provides compounds that comprise a protein binding group according to the general structure: VHLM-L-(E 2 ) b -(E 1 ) a -PB or VHLM-L-(E 2 ) b - (E ⁇ a -D, where VHLM is a VHL ligand moiety (e.g., a VHL ubiquitin ligase binding moiety), PB or D is a chemical moiety (protein binding moiety), which binds to a target protein or polypeptide, which is ubiquitinated by an ubiquitin ligase, and is chemically linked directly to the VHL ligand moiety or through a first linker moiety (L), which can be a bond or a chemical linker, and a second linker moiety ((E 2 ) b -(E 1 ) a ), which is a chemical linker.
- VHLM is a VHL ligand moiety (e.g., a VHL ubiquit
- the VHL ligand moiety and PB or D moiety may be covalently linked to the linker groups (L and/or E 1 and E 2 taken together) through any group which is appropriate and stable to the chemistry of the linker, in certain embodiments, and as detailed further below, the linkers may be independently covalently bonded to the VHL ligand moiety and the PB or D moiety through an amide, ester, thioester, keto group, carbamate (urethane), carbon or ether, each of which groups may be inserted anywhere on the VHL ligand moiety and PB or D moiety to provide maximum binding of the VHL ligand moiety on the VHL ubiquitin ligase and the PB or D moiety on the target protein to be degraded.
- the linkers may be independently covalently bonded to the VHL ligand moiety and the PB or D moiety through an amide, ester, thioester, keto group, carbamate (urethane), carbon or ether, each
- the linkers may be linked to an optionally substituted alkyl, alkylene, alkene or alkyne group, an aryl group or a heterocyclic group on the VHL ligand moiety and/or PB or D moiety.
- the first linker moiety (L) may be independently covalently bonded to the PB or D moiety through the second linker moiety (E 1 and E 2 taken together), as set forth herein.
- the present disclosure is directed to a compound (e.g., a hetero- bifunctional degrader) of Formula (I):
- VHL ubiquitin ligase binding moiety is a VHL ubiquitin ligase binding moiety
- L is a linker moiety
- E 1 is selected from the group consisting of arylene, heteroarylene, alkylene, and alkynylene;
- E 2 is selected from the group consisting of -C(0)-N(H)-, -N(H)-C(0)-, -N(H)-CH 2 -, - N(H)-, and -0-, wherein E 2 may be attached to E 1 (when present) or D and to the remaining structure of the compound in either orientation; a and b are independently 0 or 1, wherein a and b are not both 0; and
- D is a protein binding moiety
- the present disclosure is directed to a compound (e.g. a hetero-bifunctional degrader) of Formula (II): or a salt (e.g., a pharmaceutically acceptable salt) thereof; wherein:
- R 1 is selected from the group consisting of substituted or unsubstituted alkyl, substituted or unsubstituted cycloalkyl, substituted or unsubstituted aryl, substituted or unsubstituted heterocyclyl, and substituted or unsubstituted heteroaryl;
- R 3 is substituted or unsubstituted alkyl, or R 3 is taken together with R 6 , when present, and the atoms to which they are atached, to form a substituted or unsubstituted heterocyclylene;
- Y is selected from the group consisting of substituted or unsubstituted heteroarylene, substituted or unsubstituted heterocyclylene, O, S, -N(R 6 )-, -N(R 6 )-C(0)-, and -N(R 6 )- S0 2 -;
- R 6 is selected from the group consisting of H and substituted or unsubstituted alkyl; or R 6 is taken together with R 3 and the atoms to which they are atached to form a substituted or unsubstituted heterocyclylene;
- L is a linker moiety
- E 1 is selected from the group consisting of arylene, heteroarylene, alkylene, and alkynylene;
- E 2 is selected from the group consisting of -C(0)-N(H)-, -N(H)-C(0)-, -N(H)-CH 2 -, - N(H)-, and -0-, wherein E 2 may be atached to E 1 (when present) or D and to the remaining structure of the compound in either orientation; a and b are independently 0 or 1, wherein a and b are not both 0; and D is a protein binding moiety.
- the compound e.g. a hetero-bifunctional degrader
- the compound is a compound of Formula (Ila), or an isomer thereof:
- each of R 1 , R 3 , Y, L, E 1 , E 2 , a, b, and D are as defined for Formula (II).
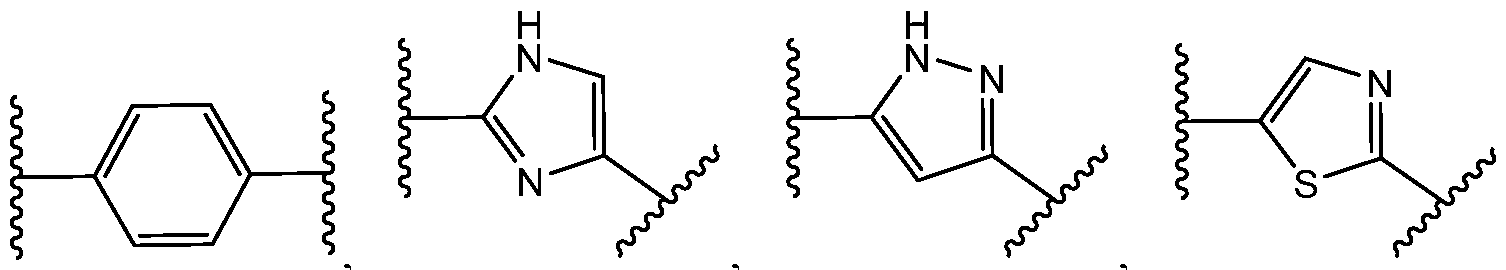
- a is 1, and E 1 is selected from the group consisting of phenylene, imidazolylene, propynylene, pyridylene, methylene, pyrazolylene, and thiazolylene.
- a is 1 and E 1 is selected from the group
- a and b are each 1, and E 1 and E 2 taken together are selected from the group consisting of
- R 1 is -W-R 7
- W is selected from the group consisting of substituted or unsubstituted arylene, substituted or unsubstituted heteroarylene, substituted or unsubstituted heterocyclylene, and substituted or unsubstituted cycloalkylene
- R 7 is selected from the group consisting of substituted or unsubstituted alkyl, substituted or unsubstituted cycloalkyl, substituted or unsubstituted aryl, substituted or unsubstituted heteroaryl, substituted or unsubstituted heterocyclyl, substituted or unsubstituted alkenyl, substituted or unsubstituted alkynyl, halo, -CN, -OR 8 , -N(R 8a )R 8b ,
- R 7 is selected from the group consisting of substituted or unsubstituted alkyl, substituted or unsubstituted cycloalkyl, substituted or unsubstituted aryl, substituted or unsubstituted heteroaryl, substituted or unsubstituted heterocyclyl, substituted or unsubstituted alkenyl, substituted or unsubstituted alkynyl, halo, -CN, -OR 8 , -N(R 8a )R 8b , and -S0 2 R 8c , wherein R , R , R , and R are as defined above.
- R is selected from the group consisting of substituted or unsubstituted alkyl, substituted or unsubstituted cycloalkyl, substituted or unsubstituted aryl, substituted or unsubstituted heteroaryl, substituted or unsubstituted heterocyclyl, substituted or unsubstituted alkenyl, substituted or unsubstituted alkynyl, halo, -CN, and -S0 2 R 8c , wherein R 8c is as defined above.
- R 7 is selected from the group consisting of substituted or unsubstituted alkyl, substituted or unsubstituted cycloalkyl, substituted or unsubstituted aryl, substituted or unsubstituted heteroaryl, substituted or unsubstituted heterocyclyl, substituted or unsubstituted alkenyl, substituted or unsubstituted alkynyl, halo, -CN, -C(0)R 8c , -C(0)N(R 8a )R 8b , -N(R 8a )C(0)R 8c , - S0 2 N(R 8a )R 8b , and -S0 2 R 8c , wherein R 8a , R 8b , and R 8c are as defined above.
- R 7 is a haloalkyl, for example, a -CF 3 .
- R 1 is -W-R 7 ; W is substituted or unsubstituted phenylene; and R 7 is as defined above. In one embodiment, R 1 is substituted or unsubstituted phenyl.
- R 1 is m is 0, 1, 2,3, 4, or 5;
- LLLL is the point of attachment to the remaining structure of the compound.
- R 7 is selected from the group consisting of substituted or unsubstituted heteroaryl, substituted or unsubstituted heterocyclyl, and substituted or unsubstituted aryl.
- R 7 is selected from the group consisting of
- R 9 is selected from the group consisting of oxo, alkyl, haloalkyl, cycloalkyl, halo, -CN, -NH 2 , and substituted or unsubstituted alkynyl; /w r, when present, is the point of attachment to the remaining structure of the compound; R 9a , when present, is selected from the group consisting of H and R 9 ; or R 9a is the point of attachment to the remaining structure of the compound and is absent.
- R 7 include
- R 9a is alkyl and ' ⁇ zw' is the point of attachment to the remaining structure of the compound.
- R 7 is chlorophenyl, chloro-thiazolyl or
- R and R is a substituted or unsubstituted alkynyl.
- the alkynyl is substituted with a substituted or unsubstituted aryl, such as phenyl.
- the aryl is phenyl, and the phenyl is substituted with at least one R 10 , wherein R 10 is halo.
- R 7 is selected from the group consisting of a substituted or unsubstituted 5-membered heteroaryl, and a substituted or unsubstituted 5- membered heterocyclyl.
- R 7 may be, for example, l-pyrrolidinyl or l-pyrrolidonyl.
- R 7 is methylthiazolyl.
- R 3 is a substituted or unsubstituted Ci-C 6 alkyl. In certain embodiments, R 3 isopropyl or tert-butyl.
- Y is selected from the group consisting of substituted or unsubstituted heteroarylene, substituted or unsubstituted heterocyclylene, O, S, -N(R 6 )-, - N(R 6 )-C(0)-, and -N(R 6 )-S0 2 -. In some embodiments, Y is substituted or unsubstituted heteroarylene, or a substituted or unsubstituted heterocyclylene.
- Y is a substituted or unsubstituted heteroarylene.
- Y include, but are not limited to
- ⁇ LL indicates the point of attachment to the remaining structure of the compound or L; and wherein Y may be attached to the remaining structure of the compound and L in either orientation.
- Y is selected from the group consisting of -N(R 6 )-, - N(R 6 )-C(0)-, and -N(R 6 )-S0 2 -; and R 6 is selected from the group consisting of H and substituted or unsubstituted alkyl.
- Y is selected from the group consisting of -N(R 6 )-, -N(R 6 )-C(0)-, and -N(R 6 )-S0 2 -; and R 6 is selected from the group consisting of H and substituted or unsubstituted Ci-C 6 alkyl.
- Y is -N(R 6 )-C(0)- and R 6 is H.
- Y is -N(R 6 )-C(0)-, R 6 is H, and R 3 is substituted or unsubstituted alkyl. In one particular embodiment, Y is -N(R 6 )-C(0)-, R 6 is H, and R 3 is isopropyl or tert-butyl.
- Y is selected from the group consisting of -N(R 6 )-, - N(R 6 )-C(0)-, and -N(R 6 )-S0 2 -; and R 6 is taken together with R 3 and the atoms to which they are attached to form a substituted or unsubstituted heterocyclylene.
- the heterocyclylene is substituted with -(R n ) p ; wherein p is 0, 1, 2, 3, or 4; R 11 is selected from the group consisting of substituted or unsubstituted C 1 -C 3 alkyl, halo, -CN, and - OR lla ; and each R lla is independently selected from the group consisting of H and substituted or unsubstituted alkyl (e.g., a C 1 -C 3 alkyl). In one embodiment, R 11 is -OR lla , and is selected from the group consisting of -OCH 3 , -OCF 3 , and -OH.
- p is 1 and R 11 is selected from the group consisting of -OCH 3 , -OCF 3 , and -OH.
- R 6 is taken together with R 3 and the atoms to which they are attached to form a substituted or unsubstituted 5- or 6-membered heterocyclylene.
- the 5- or 6-membered heterocyclylene is substituted with an alkyl.
- any of the Y moieties detailed herein for the compound of Formula (II) or (Ila) may be combined with any of the R 1 and/or R 3 groups detailed herein, as if each and every combination has been individually described.
- a salt e.g., a
- R 1 is R 3 is a Ci-C 6 alkyl, such as
- R 7 is substituted or unsubstituted heteroaryl.
- the present disclosure is directed to a compound of Formula (II)
- R 3 is tert-butyl; Y is -N(R 6 )-C(0)-; R 6 is H; and R 7 is substituted or unsubstituted heteroaryl or halo. In one such embodiment, R 7 is a substituted or unsubstituted heteroaryl. In one such embodiment, R 7 is a substituted or unsubstituted 5- or 6-membered heteroaryl.
- the present disclosure is directed to a compound of Formula (II) or (Ila), or a salt (e.g., a pharmaceutically acceptable salt) thereof, wherein R 1 is
- R 7 ; R 3 is isopropyl; substituted or unsubstituted heteroaryl or halo. In one such embodiment, R 7 is a substituted or unsubstituted heteroaryl. In one such embodiment, R 7 is a substituted or unsubstituted 5- or 6-membered heteroaryl. In one such embodiment, R 7 is halo.
- the hetero-bifunctional degrader is a compound of Formula (II), or an isomer thereof, or a salt (e.g., a pharmaceutically acceptable salt) thereof, and has a structure selected from the group consisting of those structures in Table 1, wherein R 1 , L, E 1 , E 2 , a, b, and D are as defined herein; p is 0, 1, 2, 3, or 4; R 11 is selected from the group consisting of substituted or unsubstituted C 1 -C 3 alkyl, halo, -CN, and -OR lla ; and R lla is selected from the group consisting of H and substituted or unsubstituted alkyl.
- R 1 , L, E 1 , E 2 , a, b, and D are as defined herein
- p is 0, 1, 2, 3, or 4
- R 11 is selected from the group consisting of substituted or unsubstituted C 1 -C 3 alkyl, halo, -CN
- the hetero-bifunctional degrader is a compound of Formula (II) or an isomer thereof, or a salt (e.g., a pharmaceutically acceptable salt) thereof, and has a structure selected from the group consisting of those structures in Table 2, wherein R 3 , R 7 , Y, L, E 1 , E 2 , a, b, and D are as defined herein; R 10 is halo; and m is 0, 1, 2, 3, 4, or 5.
- the hetero-bifunctional degrader is a compound of Formula I-B-9 or a salt (e.g., a pharmaceutically acceptable salt) thereof, having the structure
- R 7 , R 3 , Y, L, E 1 , E 2 , a, b, and D are as defined above.
- the hetero-bifunctional degrader is a compound of Formula
- the hetero-bifunctional degrader is a compound of Formula I-B-10 or a salt (e.g., a pharmaceutically acceptable salt) thereof, having the structure
- R 7 , R 3 , Y, L, E 1 , E 2 , a, b, and D are as defined above.
- the hetero-bifunctional degrader is a compound of Formula I-B-lOa or a salt (e.g., a pharmaceutically acceptable salt) thereof, having the structure
- R 7 , R 3 , Y, L, E 1 , E 2 , a, b, and D are as defined above.
- the hetero-bifunctional degrader is a compound of Formula I-B-l l or a salt (e.g., a pharmaceutically acceptable salt) thereof, having the structure
- the hetero-bifunctional degrader is a compound of Formula I-B-l la or a salt (e.g., a pharmaceutically acceptable salt) thereof, having the structure
- R 7 , R 3 , Y, L, E 1 , E 2 , a, b, and D are as defined above.
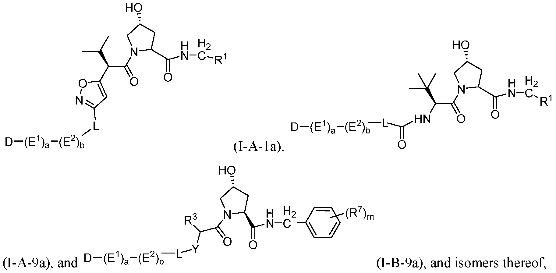
- the hetero-bifunctional degrader is a compound selected from the group consisting of a compound of Formula I-A-l, a compound of Formula I-A-9, and a compound of Formula I-B-9, having the structures:
- the hetero-bifunctional degrader is a compound selected from the group consisting of a compound of Formula I-A-la, a compound of Formula I-A-9a, and a compound of Formula I-B-9a, having the structures:
- R 1 , R 3 , R 7 , Y, L, E 1 , E 2 , a, b, and D are as defined herein, and m is 0, 1, 2, 3, 4, or 5.
- the hetero-bifunctional degrader is a compound of Formula (II) or (Ila) or an isomer thereof, or a salt (e.g., a pharmaceutically acceptable salt) thereof, and has a structure selected from the group consisting of those structures in Table 3, wherein L, E 1 , E 2 , a, b, and D are as defined herein.
- the hetero-bifunctional degrader is a compound selected from the group consisting of a compound of Formula I-C-2, and a compound of Formula I-C-3,
- the hetero-bifunctional degrader is a compound selected from the group consisting of a compound of Formula I-C-2a, a compound of Formula I-C-2b, and a compound of Formula I-C-3a, having the structures:
- the hetero-bifunctional degrader is a compound of Formula (II) or (Ila) or an isomer thereof, or a salt (e.g., a pharmaceutically acceptable salt) thereof, and has a structure selected from the group consisting of those structures in Table 4, wherein R 1 , R 3 , and Y are as defined herein.
- the hetero-bifunctional degrader is a compound selected from the group consisting of a compound of Formula I-D-l, a compound of Formula I-D-2, and a compound of Formula I-D-3, or a salt (e.g., a pharmaceutically acceptable salt) thereof, wherein R 1 , R 3 , and Y are as defined herein.
- the hetero-bifunctional degrader is a compound of Formula (II) or (Ila) or an isomer thereof, or a salt (e.g., a pharmaceutically acceptable salt) thereof, and is selected from the group consisting of those compounds in Table 5.
- the hetero-bifunctional degrader is a salt (e.g., a pharmaceutically acceptable salt) of a compound in Table 5.
- a hetero-bifunctional degrader compound or a VHL ligand as described herein, these can exist in solid or liquid form.
- the compound In the solid state, the compound may exist in crystalline or noncrystalline form, or as a mixture thereof.
- pharmaceutically acceptable solvates may be formed for crystalline or non crystalline compounds.
- solvent molecules are incorporated into the crystalline lattice during crystallization.
- Solvates may involve non-aqueous solvents such as, but not limited to, ethanol, isopropanol, DMSO, acetic acid, ethanolamine, or ethyl acetate, or they may involve water as the solvent that is incorporated into the crystalline lattice.
- Hydrates wherein water is the solvent incorporated into the crystalline lattice are typically referred to as "hydrates.” Hydrates include stoichiometric hydrates as well as compositions containing variable amounts of water. The subject matter described herein includes such solvates.
- polymorphs may exhibit polymorphism (i.e. the capacity to occur in different crystalline structures). These different crystalline forms are typically known as "polymorphs.”
- the subject matter disclosed herein includes such polymorphs. Polymorphs have the same chemical composition but differ in packing, geometrical arrangement, and other descriptive properties of the crystalline solid state. Polymorphs, therefore, may have different physical properties such as shape, density, hardness, deformability, stability, and dissolution properties. Polymorphs typically exhibit different melting points, IR spectra, and X-ray powder diffraction patterns, which may be used for identification.
- polymorphs may be produced, for example, by changing or adjusting the reaction conditions or reagents, used in making the compound. For example, changes in temperature, pressure, or solvent may result in polymorphs. In addition, one polymorph may spontaneously convert to another polymorph under certain conditions.
- Hetero-bifunctional degraders and VHL ligands described herein or a salt thereof may exist in stereoisomeric forms (e.g., it contains one or more asymmetric carbon atoms).
- the individual stereoisomers (enantiomers and diastereomers) and mixtures of these are included within the scope of the subject matter disclosed herein.
- a compound or salt of Formulas (I), (II), or (Ila) may exist in tautomeric forms other than that shown in the formula and these are also included within the scope of the subject matter disclosed herein. It is to be understood that the subject matter disclosed herein includes combinations and subsets of the particular groups described herein.
- the subject matter disclosed herein also includes isotopically-labelled forms of the compounds described herein, but for the fact that one or more atoms are replaced by an atom having an atomic mass or mass number different from the atomic mass or mass number usually found in nature.
- isotopes that can be incorporated into compounds described herein and pharmaceutically acceptable salts thereof include isotopes of hydrogen, carbon, nitrogen, oxygen, phosphorous, sulphur, fluorine, iodine, and chlorine, such as 2 H, 3 H, n C, 13 C, 14 C, 15 N, 17 0, 18 0, 31 P, 32 P, 35 S, 18 F, 36 Cl, 123 I and 125 I.
- Hetero-bifunctional degrader compounds and VHL ligands as disclosed herein and pharmaceutically acceptable salts thereof that contain the aforementioned isotopes and/or other isotopes of other atoms are within the scope of the subject matter disclosed herein.
- Isotopically-labelled compounds are disclosed herein, for example those into which radioactive isotopes such as 3 H, 14 C are incorporated, are useful in drug and/or substrate tissue distribution assays. Tritiated, i.e., 3 H, and carbon-l4, i.e., 14 C, isotopes are commonly used for their ease of preparation and detectability.
- n C and 18 F isotopes are useful in PET (positron emission tomography), and 125 I isotopes are useful in SPECT (single photon emission computerized tomography), all useful in brain imaging.
- substitution with heavier isotopes such as deuterium, i.e., 2 H can afford certain therapeutic advantages resulting from greater metabolic stability, for example increased in vivo half-life or reduced dosage requirements and, hence, may be preferred in some circumstances.
- Isotopically labelled compounds of formula I can generally be prepared by carrying out the procedures disclosed in the Schemes and/or in the Examples below, by substituting a readily available isotopically labelled reagent for a non- isotopically labelled reagent.
- the present disclosure is directed to VHL ligands, and specifically, VHL ligands that bind to a VHL ubiquitin ligase (E3).
- VHL ligands of the present disclosure may be derivatized, e.g., by coupling the VHL ligand directly or via a chemical linker to a protein binding moiety to form a hetero-bifunctional degrader, as discussed elsewhere herein.
- the VHL ligand is a compound of Formula (III):
- R 1 and R 3 are as defined above;
- Z is selected from the group consisting of substituted or unsubstituted heteroaryl, substituted or unsubstituted heterocyclyl, -N(R 6 )R 6a , -OR 6a , -SR 6a , and -N(R 6 )-S0 2 -R 6b ;
- R 6 is selected from the group consisting of H and substituted or unsubstituted alkyl; or R 6 , when present, is taken together with R 3 and the atoms to which they are attached to form a substituted or unsubstituted heterocyclylene;
- R 6a is selected from the group consisting of H, substituted or unsubstituted acyl, and substituted or unsubstituted alkyl;
- R 6b is selected from the group consisting of substituted or unsubstituted alkyl and substituted or unsubstituted aryl.
- the VHL ligand may be a compound of Formula (Ilia) or an isomer thereof:
- R 1 , R 3 , and Z are as defined above.
- R 1 is -W-R 7
- W is selected from the group consisting of substituted or unsubstituted arylene, substituted or unsubstituted heteroarylene, substituted or unsubstituted heterocyclylene, and substituted or unsubstituted cycloalkylene
- R 7 is selected from the group consisting of substituted or unsubstituted alkyl, substituted or unsubstituted cycloalkyl, substituted or unsubstituted aryl, substituted or unsubstituted heteroaryl, substituted or unsubstituted heterocyclyl, substituted or unsubstituted alkenyl, substituted or unsubstituted alkynyl, halo, -CN, -OR 8 , -N(R 8a )R 8b
- R 7 is selected from the group consisting of substituted or unsubstituted alkyl, substituted or unsubstituted cycloalkyl, substituted or unsubstituted aryl, substituted or unsubstituted heteroaryl, substituted or unsubstituted heterocyclyl, substituted or unsubstituted alkenyl, substituted or unsubstituted alkynyl, halo, -CN, -OR 8 , -N(R 8a )R 8b , and -S0 2 R 8c , wherein R , R , R , and R are as defined above.
- R is selected from the group consisting of substituted or unsubstituted alkyl, substituted or unsubstituted cycloalkyl, substituted or unsubstituted aryl, substituted or unsubstituted heteroaryl, substituted or unsubstituted heterocyclyl, substituted or unsubstituted alkenyl, substituted or unsubstituted alkynyl, halo, -CN, and -S0 2 R 8c , wherein R 8c is as defined above.
- R 7 is selected from the group consisting of substituted or unsubstituted alkyl, substituted or unsubstituted cycloalkyl, substituted or unsubstituted aryl, substituted or unsubstituted heteroaryl, substituted or unsubstituted heterocyclyl, substituted or unsubstituted alkenyl, substituted or unsubstituted alkynyl, halo, -CN, -C(0)R 8c , -C(0)N(R 8a )R 8b , -N(R 8a )C(0)R 8c , - S0 2 N(R 8a )R 8b , and -SC R 80 , wherein R 8a , R 8b , and R 8c are as defined above.
- R 7 is a haloalkyl, for example, a -CF 3 .
- R 1 is -W-R 7 ;
- W is substituted or unsubstituted phenylene; and
- R 7 is as defined above.
- R 1 is substituted or unsubstituted phenyl.
- R 1 is m is 0, 1, 2,3, 4, or 5;
- R 7 is selected from the group consisting of substituted or unsubstituted alkyl, substituted or unsubstituted cycloalkyl, substituted or unsubstituted aryl, substituted or unsubstituted heteroaryl, substituted or unsubstituted heterocyclyl, substituted or unsubstituted alkenyl, substituted or unsubstituted alkynyl, halo, -CN, -OR 8 , -N(R 8a )R 8b , -C(0)R 8c , -C(0)N(R 8a )R 8b , -N(R 8a )C(0)R 8c ,
- R 8 , R 8a , and R 8b are independently selected from the group consisting of H and substituted or unsubstituted alkyl; R 8c is selected from the group consisting of substituted or unsubstituted alkyl and substituted or unsubstituted aryl; and «LALG is the point of attachment to the remaining structure of the compound.
- R 8 , R 8a , and R 8b are independently selected from the group consisting of H and substituted or unsubstituted alkyl;
- R 8c is selected from the group consisting of substituted or unsubstituted alkyl and substituted or unsubstituted aryl;
- «LALG is the point of attachment to the remaining structure of the compound.
- ⁇ LL is the point of attachment to the remaining structure of the compound.
- R 7 is selected from the group consisting of substituted or unsubstituted heteroaryl, substituted or unsubstituted heterocyclyl, and substituted or unsubstituted aryl. [0138] In certain aspects, R 7 is selected from the group consisting of
- R 9 is selected from the group consisting of oxo, alkyl, haloalkyl, cycloalkyl, halo, -CN, -NH 2 , and substituted or unsubstituted alkynyl; /vw% when present, is the point of attachment to the remaining structure of the compound; R 9a , when present, is selected from the group consisting of H and R 9 ; or R 9a is the point of attachment to the remaining structure of the compound and LLLL is absent.
- R 7 include
- R 9a wherein R 9a is alkyl.
- R 7 is chlorophenyl, chloro-thiazolyl or
- R 7 is the point of attachment to the remaining structure of the compound.
- R 7 is ; and R 9 is a substituted or unsubstituted alkynyl.
- the alkynyl is substituted with a substituted or unsubstituted aryl, such as phenyl.
- the aryl is phenyl, and the phenyl is substituted with at least one R 10 , wherein R 10 is halo.
- R 7 is selected from the group consisting of a substituted or unsubstituted 5-membered heteroaryl, and a substituted or unsubstituted 5- membered heterocyclyl.
- R 7 may be, for example, l-pyrrolidinyl or l-pyrrolidonyl.
- R 7 is methythiazole.
- R 3 is a substituted or unsubstituted Ci.C 6 alkyl. In certain embodiments, R 3 isopropyl or tert-butyl.
- Z is selected from the group consisting of substituted or unsubstituted heteroaryl, substituted or unsubstituted heterocyclyl, -N(R 6 )R 6a , - OR 6a , -SR 6a , and -N(R 6 )-S0 2 -R 6b , wherein R 6 , R 6a , and R 6b are as defined above.
- Z is substituted or unsubstituted heteroaryl or substituted or unsubstituted heterocyclyl.
- Z may be a substituted or unsubstituted heteroaryl or substituted or unsubstituted heterocyclyl.
- Z include, but are not limited to
- r is 0, 1, or 2. In one embodiment, r is 1. [0146] In some embodiments, R 13 is a C 1 -C 3 alkyl. In one embodiment, r is 1 and R 13 is -CH 3 .
- R 13 is -OR 13a , and R 13a is selected from the group consisting of C 1 -C 3 alkyl and H. In one embodiment, r is 1, R 13 is -OR 13a , and R 13a is -CH 3 or
- Z is a 5- or 6-membered substituted or unsubstituted heteroaryl. In another embodiment, Z is a 5-membered substituted or unsubstituted heteroaryl.
- Examples of Z include, but are not limited
- LLL indicates the point of attachment to the remaining structure of the compound; r is 0 or 1; R 13 is selected from the group consisting of -OR 13a and substituted or unsubstituted alkyl; R 14 is selected from the group consisting of H and substituted or unsubstituted alkyl; and R 13a is selected from the group consisting of H and substituted or unsubstituted alkyl.
- r is 1 and R 13 is a C1-C3 alkyl. In one embodiment, r is 1 and R 13 is -CH 3 . In one embodiment, r is 0.
- r is 1; R 13 is -OR 13a ; and R 13a is selected from the group consisting of C 1 -C 3 alkyl and H. In one embodiment, r is 1, R 13 is -OR 13a , and R 13a is - CH 3 or H.
- Z is , wherein R 13 is selected from the group consisting of -OR 13a and substituted or unsubstituted alkyl; and R 13a is selected from the group consisting of H and substituted or unsubstituted alkyl. More specifically, Z may be , wherein R 13 is selected from the group consisting of-CH 3 and -OR 13a , and R 13a is H or -CH 3 .
- Z is selected from the group consisting of -N(R 6 )R 6a , -OR 6a , - SR 6a , and -N(R 6 )-S0 2 -R 6b ; wherein R 6 is selected from the group consisting of H and substituted or unsubstituted alkyl; or R 6 , when present, is taken together with R 3 and the atoms to which they are attached to form a substituted or unsubstituted heterocyclylene; R 6a is selected from the group consisting of H, substituted or unsubstituted acyl, and substituted or unsubstituted alkyl; and R 6b is selected from the group consisting of substituted or unsubstituted alkyl and substituted or unsubstituted aryl.
- R 6 is selected from the group consisting of H and substituted or unsubstituted Ci-C 6 alkyl and R 6a is selected from the group consisting of H, substituted or unsubstituted Ci-C 6 acyl, and substituted or unsubstituted Ci-C 6 alkyl.
- R 6a is -C(0)-R 16 , wherein R 16 is selected from the group consisting of substituted or unsubstituted alkyl, substituted or unsubstituted alkenyl, substituted or unsubstituted alkynyl, substituted or unsubstituted cycloalkyl, substituted or unsubstituted aryl, substituted or unsubstituted heteroaryl, and substituted or unsubstituted heterocyclyl.
- R 6a is -C(0)-R 16 , wherein R 16 is a substituted Ci-C 3 alkyl.
- Z is -N(R 6 )R 6a , and R 6 and R 6a are as defined above.
- Z is -N(R 6 )R 6a , R 6 is H, and R 6a is a substituted or unsubstituted acyl (e.g., a substituted or unsubstituted Ci-C 6 acyl).
- Z is - N(R 6 )R 6a , R 6 is H, and R 6a is -C(0)CH 3 .
- any of the Z moieties detailed herein for the compound of Formula (III) or (Ilia) may be combined with any of the R 1 and/or R 3 groups detailed herein, as if each and every combination has been individually described.
- a salt e.g., a
- R 1 is or unsubstituted phenyl;
- R 3 is a
- Ci-C 6 alkyl such as isopropyl or tert-butyl; substituted or unsubstituted acyl; R 7 is substituted or unsubstituted heteroaryl or halo; R 13 is selected from the group consisting of -OR 13a and substituted or unsubstituted alkyl (e.g., a Ci-C 6 alkyl); and R 13a is selected from the group consisting of H and substituted or unsubstituted alkyl (e.g., a Ci- C 6 alkyl).
- the present disclosure is directed to a compound of Formula (III)
- R 3 is tert-butyl; Z is -N(R 6 )R 6a ; R 6 is H; R 6a is substituted or unsubstituted Ci-C 6 acyl, and R 7 is substituted or unsubstituted heteroaryl or halo.
- R 7 is a substituted or unsubstituted 5- or 6-membered heteroaryl, and R 6a is - C(0)CH 3 .
- R 1 is unsubstituted phenyl, and R 6a is -C(0)CH 3 .
- the present disclosure is directed to a compound of Formula (III) or (Ilia), or a salt (e.g., a pharmaceutically acceptable salt) thereof, wherein R 1 is p py ; R 7 is substituted or unsubstituted heteroaryl or halo; R 13 is -OR 13a or a Ci-C 6 alkyl; and R 13a is H or a Ci-C 6 alkyl.
- R 7 is a substituted or unsubstituted 5- or 6-membered heteroaryl; R 13 is -CH 3 or -OR 13a ; and R 13a is H or -CH 3 .
- R 7 is halo; R 13 is -CH 3 or -OR 13a ; and R 13a is H or -CH 3 .
- the VHL ligand is a compound of Formula (III) or (Ilia), or a salt (e.g., a pharmaceutically acceptable salt) thereof, and has a structure selected from the group consisting of those structures in Table 6.
- VHL ligands of the present disclosure may be derivatized, e.g., by coupling the VHL ligand directly or via a chemical linker to a protein binding moiety to form a hetero-bifunctional degrader, as discussed elsewhere herein.
- the VHL ligand and PB moiety (“D”) may be covalently linked to one another and/or to the linker moiety (L) through any group that is appropriate and stable to the chemistry of the linker.
- a linker may be independently covalently bonded to the VHL ligand and/or the PB moiety through an amide, ester, thioester, keto group, carbamate (urethane), carbon or ether, among others, each of which groups may be inserted anywhere on the VHL ligand and PB moiety to provide maximum binding of the VHL ligand on the VHL ubiquitin ligase and the PB moiety on the target protein to be degraded.
- the linker may be linked to a substituted or unsubstituted alkyl group, substituted or unsubstituted alkenyl group, substituted or unsubstituted alkynyl group, substituted or unsubstituted aryl group, or to a substituted or unsubstituted heterocyclic group on the VHL ligand and/or PB moiety.
- the linker moiety (L) may be independently covalently bonded to the PB or D moiety through a second linker (e.g., E 1 taken together with E 2 ), as set forth herein.
- a linker moiety (L), an E 1 and/or E 2 moiety, and a PB moiety (“-L-(E 2 ) b -(E 1 ) a -D”) are linked to a VHL ligand of Formula (III) or (Ilia), or a salt (e.g., a pharmaceutically acceptable salt) thereof, through the Z substituent to form a hetero- bifunctional degrader.
- the resulting hetero-bifunctional degrader has a structure of Formula (II) or (Ila) or a pharmaceutically acceptable salt thereof.
- a linker moiety, an E 1 and/or E 2 moiety, and a PB moiety (“-L-(E 2 ) b -(E 1 ) a -D”) are linked to a VHL ligand of Formula (III) or (Ilia), or a salt (e.g., a pharmaceutically acceptable salt) thereof, through the R 1 substituent to form a hetero- bifunctional degrader.
- R 1 may be an alkyl, cycloalkyl, aryl, heterocyclyl, or heteroaryl that is substituted with a substituent suitable for linker attachment.
- VHL ligands of the present disclosure that may be derivatized at the R 1 position to attach a linker moiety (L), an E 1 and/or E 2 moiety, and a PB moiety (“-L-(E 2 ) b -(E 1 ) a -D”) include the following:
- the linker group L may be any linker group as described hereinafter.
- the PB moiety (“D”) may be any protein binding moiety as described hereinafter.
- E 1 , E 2 , a, and b are as defined herein.
- the PB moiety (“D”) is a group that binds to a target protein intended to be degraded.
- the term "protein” includes oligopeptides and polypeptide sequences of sufficient length that they can bind to a PB moiety. Any protein in a eukaryotic system or a microbial system, including a virus, bacteria or fungus, as otherwise described herein, are targets for ubiquitination mediated by the compounds described herein.
- the target protein may be a eukaryotic protein.
- PB moieties include, for example, any moiety which binds to a protein specifically (binds to a target protein) and includes the following non-limiting examples of small molecule target protein moieties: heat shock protein 90 (Hsp90) inhibitors, kinase inhibitors and phosphatase inhibitors, MDM2 inhibitors, compounds targeting Human BET Bromodomain- containing proteins, HDAC inhibitors, human lysine methyltransferase inhibitors, angiogenesis inhibitors, immunosuppressive compounds, RAS inhibitors, EGFR inhibitors, and BRM inhibitors, as well as compounds that bind to the aryl hydrocarbon receptor (AHR), RAF receptor kinase, FKBP, Androgen Receptor (AR), estrogen receptor (ER), thyroid hormone receptor, HIV protease, HIV integrase, HCV protease, acyl-protein thioesterase-l and -2 (APT1 and APT2), USP7, and BRG1, among numerous
- compositions described below exemplify some of the members of these types of small molecule target protein binding moieties.
- small molecule target protein binding moieties also include pharmaceutically acceptable salts, enantiomers, solvates and polymorphs of these compositions, as well as other small molecules that may target a protein of interest.
- These protein binding moieties are linked to the VHL ligand moiety through a linker, in order to present a target protein (to which the protein binding moiety is bound) in proximity to the ubiquitin ligase for ubiquitination and degradation.
- target proteins may include, for example, structural proteins, receptors, enzymes, cell surface proteins, proteins pertinent to the integrated function of a cell, including proteins involved in catalytic activity, proteins involved in aromatase activity, proteins involved in motor activity, proteins involved in helicase activity, proteins involved in metabolic processes (anabolism and catabolism), proteins involved in antioxidant activity, proteins involved in proteolysis, proteins involved in biosynthesis, proteins with kinase activity, proteins with oxidoreductase activity, proteins with transferase activity, proteins with hydrolase activity, proteins with lyase activity, proteins with isomerase activity, proteins with ligase activity, proteins with enzyme regulator activity, proteins with signal transducer activity, proteins with structural molecule activity, proteins with binding activity (protein, lipid carbohydrate), proteins with receptor activity, proteins with cell motility, membrane fusion proteins
- Proteins of interest can include proteins from eukaryotes and prokaryotes including humans as targets for drug therapy, other animals, including domesticated animals, microbials for the determination of targets for antibiotics and other antimicrobials and plants, and even viruses, among numerous others.
- the PB moiety of a hetero-bifunctional degrader may be any peptide or small molecule that bind protein targets such as FoxOl, HDAC, DP-l, E2F, ABL, AMPK, BRK, BRSK I, BRSK2, BTK, CAMKK1, CAMKK alpha, CAMKK beta, Rb, Suv39HI, SCF, pl9INK4D, GSK-3, pi 8 INK4, myc, cyclin E, CDK2, CDK9, CDG4/6, Cycline D, pl6 INK4A, cdc25A, BMI1, Akt, CHK1/2, C 1 delta, CK1 gamma, C 2, CLK2, CSK, DDR2, DYRK1 A/2/3, EF2K, EPH-A2/A4/B1/B2/B3/B4, EIF2A 3, Smad2, Smad3, Smad4, Smad7, p53, p2l Cipl, PAX
- protein targets include Ras proteins, P13K, Ral-GDS, H-Ras, N-Ras, KRas4A, K-Ras4B, BRG1, RAF, BRAF, CRAF, and BET.
- the protein target is selected from the group consisting of EGFR, RAS, BRM, BRG1, MDM2, RAF (BRAF and CRAF), BET, and USP7.
- a number of drug targets for human therapeutics also represent protein targets to which a protein binding moiety may be bound and incorporated into compounds according to the present disclosure. These include proteins which may be used to restore function in numerous polygenic diseases, including for example B7.1 and B7, TINFRlm, TNFR2, NADPH oxidase, BclIBax and other partners in the apotosis pathway, C5a receptor, HMG-CoA reductase, PDE V phosphodiesterase type, PDE IV phosphodiesterase type 4, PDE I, PDEII, PDEIII, squalene cyclase inhibitor, CXCR1, CXCR2, nitric oxide (NO) synthase, cyclo oxygenase 1, cyclo-oxygenase 2, 5HT receptors, dopamine receptors, G Proteins, i.e., Gq, histamine receptors, 5-lipoxygenase, tryptase serine protease, th
- Additional protein targets include, for example, ecdysone 20-monooxygenase, ion channel of the GABA gated chloride channel, acetylcholinesterase, voltage-sensitive sodium channel protein, calcium release channel, and chloride channels. Still further target proteins include Acetyl-CoA carboxylase, adenylosuccinate synthetase, protoporphyrinogen oxidase, and enolpyruvylshikimate-phosphate synthase.
- Haloalkane dehalogenase enzymes are another target of specific compounds according to the present disclosure.
- Compounds according to the present disclosure which contain chloroalkane peptide binding moieties may be used to inhibit and/or degrade haloalkane dehalogenase enzymes which are used in fusion proteins or related diagnostic proteins as described in WO 2012/078559, the contents of which is incorporated by reference herein.
- the PB moiety is a haloalkyl group, wherein said alkyl group generally ranges in size from about 1 or 2 carbons to about 12 carbons in length, often about 2 to 10 carbons in length, often about 3 carbons to about 8 carbons in length, more often about 4 carbons to about 6 carbons in length.
- the haloalkyl groups are generally linear alkyl groups (although branched-chain alkyl groups may also be used) and are end-capped with at least one halogen group, preferably a single halogen group, often a single chloride group.
- Haloalkyl PB moieties for use in the present disclosure may be represented by the chemical structure-(CH 2 ) v -Halo where v is any integer from 2 to about 12, often about 3 to about 8, more often about 4 to about 6.
- Halo may be any halogen, but is preferably Cl or Br, more often Cl.
- the PB moiety (“D”) is an epidermal growth factor receptor (EGFR) inhibitor.
- EGFR family inhibitors used herein include, but are not limited to:
- TKIs EGFR tyrosine kinase inhibitors
- TKIs EGFR tyrosine kinase inhibitors
- the PB moiety (“D”) is:
- LLLG indicates the point of attachment to the remaining structure of the compound.
- PB moiety (“D”) is:
- svw' indicates the point of attachment to the remaining structure of the compound.
- the PB moiety has the structure
- compositions described below exemplify some of the members of these types of small molecule target protein binding moieties.
- Such small molecule target protein binding moieties also include pharmaceutically acceptable salts, enantiomers, solvates and polymorphs of these compositions, as well as other small molecules that may target a protein of interest. References which are cited hereinbelow are incorporated by reference herein in their entirety.
- HSP90 inhibitors as used herein include, but are not limited to:
- linker group L or a -L-(VHL ligand moiety) group is attached via the terminal acetylene group;
- Diarylisoxazole HSP90 Chaperone Inhibitors Potential Therapeutic Agents for the Treatment of Cancer
- J. Med. Chem., Vol: 51, p.: l96 (2008) including the compound 2GJ (5-[2,4- dihydroxy-5-(l-methylethyl)phenyl]-N-ethyl-4-[4-(morpholin-4-ylmethyl)phenyl]isoxazole-3- carobxamide) having the structure:
- Kinase inhibitors as used herein include, but are not limited to:
- R is a linker group L or a -L-(VHL ligand moiety) group attached via the ether group; [0193] 2.
- R is a linker group L or a -L-(VHL ligand moiety) group attached to the pyrrole moiety
- R is a linker group L or a -L-(VHL ligand moiety) group attached to the pyrimidine
- the kinase inhibitor Afatinib (derivatized) (N-[4-[(3-Chloro-4- fluorophenyl)amino]-7-[[(3S)-tetrahydro-3-furanyl]oxy]-6-quinazolinyl]-4(dimethylamino)-2- butenamide) (derivatized where a linker group L or a-L-(VHL ligand moiety) group is attached preferably via the aliphatic amine group);
- the kinase inhibitor Fostamatinib (derivatized) ([6-( ⁇ 5-fluoro-2-[(3,4,5- trimethoxyphenyl)amino]pyrimidin-4-yl ⁇ amino)-2,2-dimethyl-3-oxo-2,3-dihydro-4H- pyrido[3,2-b]-l,4-oxazin-4-yl]methyl disodium phosphate hexahydrate) (derivatized where a linker group L or a -L-(VHL ligand moiety) group is attached preferably via a methoxy group);
- the kinase inhibitor Vandetanib (derivatized) (N-(4-bromo-2- fluorophenyl)-6-methoxy-7-[(l-methylpiperidin-4-yl)methoxy]quinazolin-4-amine) (derivatized where a linker group L or a -L-(VHL ligand moiety) group is attached preferably via the methoxy or hydroxyl group); [0208] 17.
- the kinase inhibitor Vemurafenib (derivatized) (propane- 1 -sulfonic acid
- R is a linker group L or a -L-(VHL ligand moiety) group is attached preferably via the amide group or via the aniline amine group;
- R is a linker group L or a -L-(VHL ligand moiety) group preferably attached to the phenyl moiety or via the aniline amine group;
- R is a linker group L or a -L-(VHL ligand moiety) group attached preferably to the phenyl moiety
- R is a linker group L or a -L-(VHL ligand moiety) group attached preferably to the phenyl moiety or the aniline amine group
- R is a linker group L or a -L-(VHL ligand moiety) group atached to the phenyl moiety or the diazole group
- R is a linker group L or a -L-(VHL ligand moiety) group atached preferably to the phenyl moiety
- MDM2 inhibitors as used herein include, but are not limited to:
- Compounds targeting Human BET Bromodomain-containing proteins include, but are not limited to the compounds associated with the targets as described below, where“R” designates a site for linker group L or a -L-(VHL ligand moiety) group attachment
- “R” designates a site for linker group L or a -L-(VHL ligand moiety) group attachment
- HDAC Inhibitors include, but are not limited to:
- Human Lysine Methyltransferase inhibitors include, but are not limited to:
- Angiogenesis inhibitors include, but are not limited to:
- Estradiol which may be bound to a linker group L or a
- Estradiol, testosterone (derivatized) and related derivatives including but not limited to DHT and derivatives and analogs thereof, having the structure(s) and binding to a linker group L or a -L-(VHL ligand moiety) group as generally described in Sakamoto, et al, “Development of Protacs to target cancer-promoting proteins for ubiquitination and degradation,” Mol Cell Proteomics 2003 Dec; 2(l2): l350-8; and
- Immunosuppressive compounds include, but are not limited to:
- Glucocorticoids e.g., hydrocortisone, prednisone, prednisolone, and methylprednisolone
- Glucocorticoids e.g., hydrocortisone, prednisone, prednisolone, and methylprednisolone
- beclomethasone dipropionate derivatized where a linker group or a -L-(VHL ligand moiety) is bound, e.g. to a proprionate
- Methotrexate (derivatized where a linker group or a-L-(VHL ligand moiety) group can be bound, e.g. to either of the terminal hydroxyls);
- Ciclosporin (derivatized where a linker group or a-L-(VHL ligand moiety) group can be bound, e.g. at any of the butyl groups);
- -L-(VHL ligand moiety) group can be bound, e.g. at one of the methoxy groups
- -L-(VHL ligand moiety) group can be bound, e.g. at one of the isopropyl groups).
- Compounds targeting the aryl hydrocarbon receptor include, but are not limited to:
- Compounds targeting RAF Receptor include, but are not limited to:
- RAF inhibitors described in WO 2015/075483 including but not limited to, the compounds having the structure set forth on page 31 of WO 2015/075483, as defined therein, (derivatized such that a linker group L or a -L-(VHL ligand moiety) is attached); and [0345] 4.
- Compounds targeting FKBP include, but are not limited to:
- R designates a linker group L or a -L-(VHL ligand moiety) group
- R designates a linker group L or a -L-(VHL ligand moiety) group
- R designates a linker group L or a -L-(VHL ligand moiety) group
- R designates a linker group L or a -L-(VHL ligand moiety) group.
- RAS family inhibitors used herein include, but are not limited to: [0365] 1.
- the RAS inhibitors identified in (Spiegel, J. et “Small-molecule modulation of Ras signaling” Nature Chemical Biology 2014, 10, 613-622):
- BRM family inhibitors used herein include, but are not limited to, the BRM tyrosine kinase inhibitors (TKIs) inhibitors identified in Gerstenberger, BS. et al“Identification of a Chemical Probe for Family VIII Bromodomains through Optimization of a Fragment Hit” J. Med. Chem. 2016, 59, 4800-4811, such as:
- BRG/BRG1 family inhibitors used herein include but are not limited to the BRG/BRG1 inhibitors described in WO 2016/138114A1 (e.g., in Formula (I) of WO 2016/138114A1) (derivatized such that a linker group L or a -L-(VHL ligand moiety) group is attached).
- USP7 family inhibitors used herein include but are not limited to the USP7 inhibitors as defined in Formula (I) of US Patent Application No. 2016/0185785A1 (derivatized such that a linker group L or a -L-(VHL ligand moiety) groupis attached).
- target protein is used to describe a protein or polypeptide, which is a target for binding to a compound according to the present disclosure and degradation by ubiquitin ligase hereunder.
- target protein binding moieties also include pharmaceutically acceptable salts, enantiomers, solvates and polymorphs of these compositions, as well as other small molecules that may target a protein of interest.
- binding moieties are linked to VHL ligand moieties through linker moieties (L).
- PB moieties may also be small molecule compounds such as those disclosed in US Patent Application No. 2014/0356322 and US Patent Application No. 2016/0045607.
- Compounds disclosed therein can be classified as Heat Shock Protein 90 (HSP90) inhibitors, Kinase and Phosphatase inhibitors, MDM2 inhibitors, HDAC inhibitors, Human Lysine Methyltransferase Inhibitors, Angiogenesis inhibitors, Immunosuppressive compounds, as well as compounds that bind to: Human BET Bromodomain-containing proteins, the aryl hydrocarbon receptor (AHR), RAF receptor kinase, FKBP, Androgen Receptor (AR), Estrogen receptor (ER), Thyroid Hormone Receptor, HIV Protease, HIV Integrase, HCV Protease, Acyl-protein Thioesterase-l and -2 (APT1 and APT2).
- HSP90 Heat Shock Protein 90
- AHR aryl hydrocarbon receptor
- PB moieties may also be small molecule compounds such as those disclosed in US Patent Application No. 2016/0185785 (USP7 inhibitors) and WO 2016/138114 (BRG1).
- Target proteins and/or PB moieties are also described in: Holderfield, et al, “Targeting RAF kinases for cancer therapy: BRAF mutated melanoma and beyond,” Nat. Rev. Cancer, 2014, 14, 455-467 (RAF); and Filippakoupoulos, et al,“Targeting bromodomains: epigenetic readers of lysine acetylation,” Nature Reviews Drug Discovery, 2014, 13, 337-356 (BET).
- the VHL ligand moiety and PB moiety (D) of hetero-bifunctional degraders as described herein can be connected with one or more linker moieties.
- the PB moiety (D) and the VHL ligand moiety e.g., a VHL ubiquitin ligase binding moiety
- L is a first linker moiety and (E c ) 3 and (E 2 ) b are taken together form a second linker moiety.
- the linker moiety L is a group comprising one or more covalently connected structural units of A, wherein each A unit is a group coupled to at least one of i) a VHL ligand moiety, ii) E 2 (if present) or E 1 (if E 2 is absent), iii) another A unit, or iv) a combination thereof.
- an A unit links a VHL ligand moiety directly to E 2 (if present) or to E 1 (if E 2 is absent).
- an A unit links a VHL ligand moiety indirectly to E 2 (if present) or to E 1 (if E 2 is absent) through one or more different A unit(s).
- one or more covalently connected structural units of A may be coupled to the VHL ligand moiety of the hetero-bifunctional degrader of the present disclosure at substituent Y.
- the linker L may be coupled to Y, E 2 (if present) or to E 1 (if E 2 is absent), or combinations thereof.
- one or more covalently connected structural units of A may be coupled to E 2 (if present) or to E 1 (if E 2 is absent) and also to a VHL ligand of the present disclosure at R 1 , R 2 , or Z, as described herein, to form a hetero-bifunctional degrader.
- the second linker moiety formed from (E c ) 3 and (E 2 ) b taken together, is coupled to the PB moiety (D) through E 1 (when present) or through E 2 (when a is 0 and E 1 is absent), and is coupled to the first linker group (L) through E 2 (when present) or through E 1 (when b is 0 and E 2 is absent).
- E 1 , E 2 , a, and b are as defined herein for Formulas (I), (II), and (Ila).
- Linker moiety (L) is described more fully hereinafter.
- the linker“L” is (A) q , and each A is independently selected from the group consisting of a bond, CR La R Lb , O, S, SO, S0 2 , NR Lc , S0 2 NR Lc ,
- C 3. Cn heterocyclylene, arylene, and heteroarylene wherein the C 3. Cn cycloalkylene, C 3- Cn heteocyclylene, arylene, and heteroarylene are independently either unsubstituted or substituted with 1, 2, 3, 4, 5, or 6 substituents selected from the group consisting of R La , R Lb , and combinations thereof, where R La or R Lb , each independently, can be linked to other A groups to form cycloalkylene and/or heterocyclylene moiety, wherein the cycloalkylene and heterocyclylene moieties are independently unsubstituted or substituted with 1, 2, 3, or 4 R Le groups; wherein R La , R Lb , R Lc , R Ld and R Le are, each independently, selected from the group consisting of H, halogen, R Lf , -OR Lh , -SR Lh , -NHR Lh , -N(R Lh ) , C 3 -Cncy
- q is an integer greater than or equal to 1.
- q is greater than 2.
- q is 2.
- q is an integer from 1 to 100, 1 to 90, 1 to 80, 1 to 70, 1 to 60, 1 to 50, 1 to 40, 1 to 30, 1 to 20, or 1 to 10.
- the linker is selected from the group consisting of:
- the linker (“L”) is selected from the group consisting of:
- the linker moiety (L) is an optionally substituted (poly)ethyleneglycol having between 1 and about 100 ethylene glycol units, between about 1 and about 50 ethylene glycol units, between 1 and about 25 ethylene glycol units, between about 1 and 10 ethylene glycol units, between 1 and about 8 ethylene glycol units and 1 and 6 ethylene glycol units, between 2 and 4 ethylene glycol units, or optionally substituted alkyl groups interdispersed with optionally substituted, O, N, S, P or Si atoms.
- the linker is substituted with an aryl, phenyl, benzyl, alkyl, alkylene, or heterocycle group.
- the linker may be asymmetric or symmetrical.
- the linker moiety (L) may be any suitable moiety as described herein.
- the linker (L) is a substituted or unsubstituted polyethylene glycol group ranging in size from about 1 to about 12 ethylene glycol units, between 1 and about 10 ethylene glycol units, about 2 about 6 ethylene glycol units, between about 2 and 5 ethylene glycol units, between about 2 and 4 ethylene glycol units.
- the VHL ligand moiety and E 2 (if present) or E 1 (if E 2 is absent) may be covalently linked to the linker group through any group which is appropriate and stable to the chemistry of the linker moiety (L).
- the linker moiety (L) is independently covalently bonded to the VHL ligand moiety and E 2 (if present) or E 1 (if E 2 is absent) preferably through an amide, ester, thioester, keto group, carbamate (urethane), carbon or ether, each of which groups may be inserted anywhere on the VHL ligand moiety and E 1 or E 2 to provide maximum binding of the VHL ligand moiety on the ubiquitin ligase and the PB moiety on the target protein to be degraded.
- the linker (L) may be linked to an optionally substituted alkyl, alkylene, alkene or alkyne group, an aryl group or a heterocyclic group on the VHL ligand moiety and/or E 2 (if present) or E 1 (if E 2 is absent).
- a VHL ligand moiety may need to be derivatized to make a chemical functional group that is reactive with a chemical functional group on the linker.
- the linker may need to be derivatized to include a chemical functional group that can react with a functional group found on the VHL ligand moiety and/or E 2 (if present) or E 1 (if E 2 is absent).
- the linker L can also be represented by the formula: where Q 1 is a group which links the VHL ligand moiety to Q 2 ; and Q 2 is a group linking Q 1 to E 2 (if present) or E 1 (if E 2 is absent).
- Q 1 is absent (a bond), -(CH 2 )i-0, -(CHR 15 )i-0, -
- Q 3 Q 4 group wherein Q 3 Q 4 forms an amide group, or a urethane group, ester or thioester group, where, each R 15 is H, or a Ci-C alkyl, an alkanol group or a heterocycle (including a water soluble heterocycle, preferably, a morpholino, piperidine or piperazine group to promote water solubility of the linker group); each U is independently a bond, O, S or N-R 15 ; and each i is independently 0 to 100, 1 to 75, 1 to 60, 1 to 55, 1 to 50, 1 to 45, 1 to 40, 2 to 35, 3 to 30, 1 to 15, 1 to 10, 1 to 8, 1 to 6, 1, 2, 3, 4 or 5.
- Q 2 is a
- j is 1 to 100, 1 to 75, 1 to 60, 1 to 55, 1 to 50, 1 to 45, 1 to 40, 2 to 35, 3 to 30, 1 to 15, 1 to 10, 1 to 8, 1 to 6, 1, 2, 3, 4 or 5;
- k is 1 to 100, 1 to 75, 1 to 60, 1 to 55, 1 to 50, 1 to 45, 1 to 40, 2 to 35, 3 to 30, 1 to 15, 1 to 10, 1 to 8, 1 to 6, 1, 2, 3, 4 or 5; preferably k is 1, 2, 3, 4, or 5;
- m’ is 1 to 100, 1 to 75, 1 to 60, 1 to 55, 1 to 50, 1 to 45, 1 to 40, 2 to 35, 3 to 30, 1 to 15,
- n’ is 1 to 100, 1 to 75, 1 to 60, 1 to 55, 1 to 50, 1 to 45, 1 to 40, 2 to 35, 3 to 30, 1 to 15,
- X 1 is O, S or N-R 15 , preferably O;
- CON is a connector group (which may be a bond) which connects Q 1 to Q 2 , when present in the linker group.
- CON is a bond (absent), a heterocycle including a water soluble heterocycle such as a piperazinyl or other group or a group, where X 2 is cycloalkyl, heterocyclyl, O, S, NR 12 , S(O), S(0) 2 , -S(0) 2 0, -0S(0) 2 , 0P(0)0R 15 , Si(R 15 ) 2 , or 0S(0) 2 0;
- X 3 is O, S, CHR 12 , NR 12 ;
- R 12 is H or a C 1 -C 3 alkyl group optionally substituted with one or two hydroxyl groups, or a pharmaceutically acceptable salt, enantiomer or stereoisomer thereof;
- R 15 is as defined above.
- the linker group is a (poly)ethyleneglycol having between 1 and about 100 ethylene glycol units, between about 1 and about 50 ethylene glycol units, between 1 and about 25 ethylene glycol units, between about 1 and 10 ethylene glycol units, between 1 and about 8 ethylene glycol units and 1 and 6 ethylene glycol units, between 2 and 4 ethylene glycol units.
- the linker is optionally substituted; i.e., comprises chemical groups interdispersed within or on the PEG linker.
- the PEG linker is substituted with an alkyl, alkylene, aromatic group, or aryl group, e.g., phenyl, benzyl, or heterocyclyl group, or amino acid side chain and is optionally interdispersed with optionally substituted O, N, S, P, or Si atoms.
- CON is N-(0,1] n-(0,1] n-[0,1] n-[0,1] n-[0,1] n-[0,1] n-[0,1] n-[0,1] n-[0,1] n-[0,1] n-[0,1] n-[0,1] n-[0,1] n-[0,1]
- the linker may be asymmetrical or symmetrical.
- the VHL ligand moiety and E 2 (if present) or E 1 (if E 2 is absent) may be covalently linked to the linker moiety (L) through any group which is appropriate and stable to the chemistry of the linker, in preferred aspects, the linker moiety (L) is independently covalently bonded to the VHL ligand moiety and E 2 (if present) or E 1 (if E 2 is absent) through an amide, ester, thioester, keto group, carbamate (urethane) or ether, each of which groups may be inserted anywhere on the VHL ligand moiety and E 2 (if present) or E 1 (if E 2 is absent) to allow binding of the VHL ligand moiety to the ubiquitin ligase and the PB moiety to the target protein to be degraded.
- the linker moiety (L) can be designed and connected to VHL ligand moiety and E 2 (if present) or E 1 (if E 2 is absent) to minimize, eliminate, or neutralize any impact its presence might have on the binding of VHL ligand moiety and PB moiety to their respective binding partners.
- the targeted protein for degradation may be an ubiquitin ligase.
- the linker may be linked to an optionally substituted alkyl, alkylene, alkene, or alkyne group, an aryl group, or a heterocyclic group on the VHL ligand moiety and/or E 2 (if present) or E 1 (if E 2 is absent).
- the linker is connected to the VHL ligand moiety through substituent Y.
- compositions comprising an effective amount of at least one of the compounds as described herein, including, e.g., at least one VHL ligand, at least one hetero-bifunctional degrader, and combinations thereof.
- Pharmaceutical compositions comprising an effective amount of at least one bifunctional compound according to the present disclosure, and optionally one or more of the compounds otherwise described herein, in effective amounts, in combination with a pharmaceutically effective amount of a carrier, additive or excipient, and optionally an additional bioactive agent, represents a further aspect of the disclosure.
- the compositions comprise pharmaceutically acceptable salts, in particular, acid or base addition salts of compounds as described herein.
- the acids that are used to prepare the pharmaceutically acceptable acid addition salts of the aforementioned base compounds include those which form non-toxic acid addition salts, i.e., salts containing pharmacologically acceptable anions, such as the hydrochloride, hydrobromide, hydroiodide, nitrate, sulfate, bisulfate, phosphate, acid phosphate, acetate, lactate, citrate, acid citrate, tartrate, bitartrate, succinate, maleate, fumarate, gluconate, saccharate, benzoate, methanesulfonate, ethanesulfonate, benzenesulfonate, p-toluenesulfonate and pamoate [i.e., 1,1'- methylene-bis-(2-hydroxy-3 naphthoate)]salts, among
- Pharmaceutically acceptable base addition salts may also be used to produce pharmaceutically acceptable salt forms of the compounds or derivatives.
- the chemical bases that may be used as reagents to prepare pharmaceutically acceptable base salts of the present compounds that are acidic in nature are those that form non-toxic base salts with such compounds.
- Such non-toxic base salts include, but are not limited to those derived from such pharmacologically acceptable cations such as alkali metal cations (e.g., potassium and sodium) and alkaline earth metal cations (eg, calcium, zinc and magnesium), ammonium or water-soluble amine addition salts such as N-methylglucamine-(meglumine), and the lower alkanolammonium and other base salts of pharmaceutically acceptable organic amines, among others.
- compositions as described herein may in certain embodiments be administered in single or divided unit doses by the oral, parenteral or topical routes.
- Administration of the compounds may range from continuous (intravenous drip) to several oral administrations per day (for example, Q.I.D.) and may include oral, topical, parenteral, intramuscular, intravenous, sub-cutaneous, transdermal (which may include a penetration enhancement agent), buccal, sublingual and suppository administration, by inhalation spray, rectally, vaginally, or via an implanted reservoir, among other routes of administration.
- Enteric coated oral tablets may also be used to enhance bioavailability of the compounds from an oral route of administration.
- the most effective dosage form will depend upon the pharmacokinetics of the particular agent chosen as well as the severity of disease in the patient.
- Administration of compounds according to the present disclosure as sprays, mists, or aerosols for intra-nasal, intra tracheal or pulmonary administration may also be used.
- the present disclosure therefore also is directed to pharmaceutical compositions comprising an effective amount of compound according to the present disclosure, optionally in combination with a pharmaceutically acceptable carrier, additive or excipient.
- Compounds according to the present disclosure may be administered in immediate release, intermediate release or sustained or controlled release forms. Sustained or controlled release forms are preferably administered orally, but may also be administered in suppository and transdermal or other topical forms. Intramuscular injections in liposomal form may also be used to control or sustain the release of compound at an injection site.
- compositions of VHL ligands and/or hetero- bifunctional degraders as described herein can be prepared for parenteral administration with a pharmaceutically acceptable parenteral vehicle and in a unit dosage injectable form.
- parenteral as used herein includes subcutaneous, intravenous, intramuscular, intra-articular, intra-synovial, intrastemal, intrathecal, intrahepatic, intralesional and intracranial injection or infusion techniques.
- the compositions are administered orally, intraperitoneally or intravenously.
- a hetero-bifunctional degrader having the desired degree of purity is optionally mixed with one or more pharmaceutically acceptable excipients (Remington's Pharmaceutical Sciences (1980) l6th edition, Osol, A. Ed.), in the form of a lyophilized formulation for reconstitution or an aqueous solution.
- pharmaceutically acceptable excipients Remington's Pharmaceutical Sciences (1980) l6th edition, Osol, A. Ed.
- compositions of the present disclosure may be formulated in a conventional manner using one or more pharmaceutically acceptable carriers and may also be administered in controlled-release formulations.
- the compounds of the disclosure can be formulated in accordance with standard pharmaceutical practice as a pharmaceutical composition.
- a pharmaceutical composition comprising a hetero-bifunctional degrader or VHL ligand in association with one or more pharmaceutically acceptable excipients.
- a typical formulation is prepared by mixing the compounds of the disclosure with excipients, such as carriers and/or diluents.
- excipients such as carriers and/or diluents.
- Suitable carriers, diluents and other excipients are well known to those skilled in the art and include materials such as carbohydrates, waxes, water soluble and/or swellable polymers, hydrophilic or hydrophobic materials, gelatin, oils, solvents, water and the like.
- the particular carrier, diluent or other excipient used will depend upon the means and purpose for which the compound is being applied.
- compositions include, but are not limited to, ion exchangers, alumina, aluminum stearate, lecithin, serum proteins, such as human serum albumin, buffer substances such as phosphates, glycine, sorbic acid, potassium sorbate, partial glyceride mixtures of saturated vegetable fatty acids, water, salts or electrolytes, such as prolamine sulfate, disodium hydrogen phosphate, potassium hydrogen phosphate, sodium chloride, zinc salts, colloidal silica, magnesium trisilicate, polyvinyl pyrrolidone, cellulose- based substances, polyethylene glycol, sodium carboxymethylcellulose, polyacrylates, waxes, poly ethylene-poly oxypropylene-block polymers, polyethylene glycol and wool fat.
- ion exchangers alumina, aluminum stearate, lecithin
- serum proteins such as human serum albumin
- buffer substances such as phosphates, glycine, sorbic acid, potassium sorbate,
- Solvents are generally selected based on solvents recognized by persons skilled in the art as safe (GRAS) to be administered to a mammal.
- safe solvents are non toxic aqueous solvents such as water and other non-toxic solvents that are soluble or miscible in water.
- Suitable aqueous solvents include water, ethanol, propylene glycol, polyethylene glycols (e.g., PEG 400, PEG 300), etc. and mixtures thereof.
- Acceptable diluents, carriers, excipients and stabilizers are nontoxic to recipients at the dosages and concentrations employed, and include buffers such as phosphate, citrate and other organic acids; antioxidants including ascorbic acid and methionine; preservatives (such as octadecyldimethylbenzyl ammonium chloride; hexamethonium chloride; benzalkonium chloride, benzethonium chloride; phenol, butyl or benzyl alcohol; alkyl parabens such as methyl or propyl paraben; catechol; resorcinol; cyclohexanol; 3-pentanol; and m-cresol); low molecular weight (less than about 10 residues) polypeptides; proteins, such as serum albumin, gelatin, or immunoglobulins; hydrophilic polymers such as polyvinylpyrrolidone; amino acids such as glycine, glutamine, asparagine,
- the formulations may also include one or more buffers, stabilizing agents, surfactants, wetting agents, lubricating agents, emulsifiers, suspending agents, preservatives, antioxidants, opaquing agents, glidants, processing aids, colorants, sweeteners, perfuming agents, flavoring agents and other known additives to provide an elegant presentation of the hetero-bifunctional degraders or aid in the manufacturing of the pharmaceutical product.
- the formulations may be prepared using conventional dissolution and mixing procedures.
- Formulation may be conducted by mixing at ambient temperature at the appropriate pH, and at the desired degree of purity, with physiologically acceptable carriers, i.e., carriers that are non-toxic to recipients at the dosages and concentrations employed.
- physiologically acceptable carriers i.e., carriers that are non-toxic to recipients at the dosages and concentrations employed.
- the pH of the formulation depends mainly on the particular use and the concentration of compound, but may range from about 3 to about 8.
- Formulation in an acetate buffer at pH 5 is a suitable embodiment.
- the pharmaceutical compositions may be in the form of a sterile injectable preparation, such as a sterile injectable aqueous or oleaginous suspension.
- formulations to be used for in vivo administration must be sterile. Such sterilization is readily accomplished by filtration through sterile filtration membranes.
- the sterile injectable preparation may also be a sterile injectable solution or suspension in a non-toxic parenterally acceptable diluent or solvent, such l,3-butanediol.
- the sterile injectable preparation may also be prepared as a lyophilized powder.
- acceptable vehicles and solvents that may be employed are water, Ringer’s solution and isotonic sodium chloride solution.
- sterile fixed oils may conventionally be employed as a solvent or suspending medium. For this purpose any bland fixed oil may be employed including synthetic mono- or diglycerides.
- fatty acids such as oleic acid may likewise be used in the preparation of injectables, as well as natural pharmaceutically-acceptable oils, such as olive oil or castor oil, especially in their polyoxyethylated versions.
- oils such as olive oil or castor oil, especially in their polyoxyethylated versions.
- These oil solutions or suspensions may also contain a long-chain alcohol diluent or dispersant, such as Ph. Helv or similar alcohol.
- Formulations suitable for parenteral administration include aqueous and non- aqueous sterile injection solutions which may contain anti-oxidants, buffers, bacteriostats and solutes which render the formulation isotonic with the blood of the intended recipient; and aqueous and non-aqueous sterile suspensions which may include suspending agents and thickening agents.
- compositions as described herein may be orally administered in any orally acceptable dosage form including, but not limited to, capsules, tablets, aqueous suspensions or solutions.
- carriers which are commonly used include lactose and com starch.
- Lubricating agents such as magnesium stearate, are also typically added.
- useful diluents include lactose and dried com starch.
- aqueous suspensions are required for oral use, the active ingredient is combined with emulsifying and suspending agents. If desired, certain sweetening, flavoring or coloring agents may also be added.
- compositions as described herein may be administered in the form of suppositories for rectal administration.
- suppositories for rectal administration.
- a suitable non-irritating excipient which is solid at room temperature but liquid at rectal temperature and therefore will melt in the rectum to release the drug.
- suitable non-irritating excipient include cocoa butter, beeswax and polyethylene glycols.
- compositions as described herein may also be administered topically. Suitable topical formulations are readily prepared for each of these areas or organs. Topical application for the lower intestinal tract can be effected in a rectal suppository formulation (see above) or in a suitable enema formulation. Topically-acceptable transdermal patches may also be used.
- the pharmaceutical compositions may be formulated in a suitable ointment containing the active component suspended or dissolved in one or more carriers.
- Carriers for topical administration of the compounds of this disclosure include, but are not limited to, mineral oil, liquid petrolatum, white petrolatum, propylene glycol, polyoxyethylene, polyoxypropylene compound, emulsifying wax and water.
- the compounds may be coated onto a stent which is to be surgically implanted into a patient in order to inhibit or reduce the likelihood of occlusion occurring in the stent in the patient.
- the pharmaceutical compositions can be formulated in a suitable lotion or cream containing the active components suspended or dissolved in one or more pharmaceutically acceptable carriers.
- suitable carriers include, but are not limited to, mineral oil, sorbitan monostearate, polysorbate 60, cetyl esters wax, cetearyl alcohol, 2-octyldodecanol, benzyl alcohol and water.
- the pharmaceutical compositions may be formulated as micronized suspensions in isotonic, pH adjusted sterile saline, or, preferably, as solutions in isotonic, pH adjusted sterile saline, either with our without a preservative such as benzylalkonium chloride.
- the pharmaceutical compositions may be formulated in an ointment such as petrolatum.
- compositions of this disclosure may also be administered by nasal aerosol or inhalation.
- Such compositions are prepared according to techniques well- known in the art of pharmaceutical formulation and may be prepared as solutions in saline, employing benzyl alcohol or other suitable preservatives, absorption promoters to enhance bioavailability, fluorocarbons, and/or other conventional solubilizing or dispersing agents.
- the hetero-bifunctional degrader and VHL ligand compositions ordinarily can be stored as a solid composition, a lyophilized formulation or as an aqueous solution.
- compositions comprising a hetero-bifunctional degrader or VHL ligand of the present disclosure can be formulated, dosed and administered in a fashion, i.e., amounts, concentrations, schedules, course, vehicles and route of administration, consistent with good medical practice.
- Factors for consideration in this context include the particular disorder being treated, the particular mammal being treated, the clinical condition of the individual patient, the cause of the disorder, the site of delivery of the agent, the method of administration, the scheduling of administration, and other factors known to medical practitioners.
- The“therapeutically effective amount” of the compound to be administered will be governed by such considerations, and is the minimum amount necessary to prevent, ameliorate, or treat the disorder. Such amount is preferably below the amount that is toxic to the host or renders the host significantly more susceptible to unwanted side effects.
- the hetero-bifunctional degrader can be formulated into pharmaceutical dosage forms to provide an easily controllable dosage of the drug and to enable patient compliance with the prescribed regimen.
- the pharmaceutical composition (or formulation) for application may be packaged in a variety of ways depending upon the method used for administering the drug.
- an article for distribution includes a container having deposited therein the pharmaceutical formulation in an appropriate form. Suitable containers are well known to those skilled in the art and include materials such as bottles (plastic and glass), sachets, ampoules, plastic bags, metal cylinders, and the like.
- the container may also include a tamper-proof assemblage to prevent indiscreet access to the contents of the package.
- the container has deposited thereon a label that describes the contents of the container. The label may also include appropriate warnings.
- the formulations may be packaged in unit-dose or multi-dose containers, for example sealed ampoules and vials, and may be stored in a freeze-dried (lyophilized) condition requiring only the addition of the sterile liquid carrier, for example water, for injection immediately prior to use.
- sterile liquid carrier for example water
- Extemporaneous injection solutions and suspensions are prepared from sterile powders, granules and tablets of the kind previously described.
- Preferred unit dosage formulations are those containing a daily dose or unit daily sub-dose, as herein above recited, or an appropriate fraction thereof, of the active ingredient.
- a specific dosage and treatment regimen for any particular patient will depend upon a variety of factors, including the activity of the specific compound employed, the age, body weight, general health, sex, diet, time of administration, rate of excretion, drug combination, and the judgment of the treating physician and the severity of the particular disease or condition being treated.
- a patient or subject in need of therapy using compounds according to the present disclosure can be treated by administering to the patient (subject) an effective amount of the compound according to the present disclosure including pharmaceutically acceptable salts, solvates or polymorphs, thereof optionally in a pharmaceutically acceptable carrier or diluent, either alone, or in combination with other known erythopoiesis stimulating agents as otherwise identified herein.
- the active compound is included in the pharmaceutically acceptable carrier or diluent in an amount sufficient to deliver to a patient a therapeutically effective amount for the desired indication, without causing serious toxic effects in the patient treated.
- a preferred dose of the active compound for the herein-mentioned conditions is in the range from about 10 ng/kg to 300 mg/kg, preferably 0.1 to 100 mg/kg per day, more generally 0.5 to about 25 mg per kilogram body weight of the recipient/patient per day.
- One typical daily dosage might range from about 1 pg/kg to 100 mg/kg or more, depending on the factors mentioned above.
- a typical topical dosage will range from 0.01-5% wt/wt in a suitable carrier.
- the compound is conveniently administered in any suitable unit dosage form, including but not limited to one containing less than 1 mg, 1 mg to 3000 mg, preferably 5 to 500 mg of active ingredient per unit dosage form.
- An oral dosage of about 25-250 mg is often convenient.
- the active ingredient is preferably administered to achieve peak plasma concentrations of the active compound of about 0.00001-30 mM, preferably about 0.1-30 mM. This may be achieved, for example, by the intravenous injection of a solution or formulation of the active ingredient, optionally in saline, or an aqueous medium or administered as a bolus of the active ingredient. Oral administration is also appropriate to generate effective plasma concentrations of active agent.
- the concentration of active compound in the drug composition will depend on absorption, distribution, inactivation, and excretion rates of the drug as well as other factors known to those of skill in the art. It is to be noted that dosage values will also vary with the severity of the condition to be alleviated. It is to be further understood that for any particular subject, specific dosage regimens should be adjusted over time according to the individual need and the professional judgment of the person administering or supervising the administration of the compositions, and that the concentration ranges set forth herein are exemplary only and are not intended to limit the scope or practice of the claimed composition.
- the active ingredient may be administered at once, or may be divided into a number of smaller doses to be administered at varying intervals of time.
- the active compounds are prepared with carriers that will protect the compound against rapid elimination from the body, such as a controlled release formulation, including implants and microencapsulated delivery systems.
- a controlled release formulation including implants and microencapsulated delivery systems.
- Biodegradable, biocompatible polymers can be used, such as ethylene vinyl acetate, polyanhydrides, polyglycolic acid, collagen, polyorthoesters, and polylactic acid. Methods for preparation of such formulations will be apparent to those skilled in the art.
- Liposomal suspensions may also be pharmaceutically acceptable carriers. These may be prepared according to methods known to those skilled in the art, for example, as described in U.S. Pat. No.4,522,8l l (which is incorporated herein by reference in its entirety).
- liposome formulations may be prepared by dissolving appropriate lipid(s) (such as stearoyl phosphatidyl ethanolamine, stearoyl phosphatidyl choline, arachadoyl phosphatidyl choline, and cholesterol) in an inorganic solvent that is then evaporated, leaving behind a thin film of dried lipid on the surface of the container. An aqueous solution of the active compound are then introduced into the container. The container is then swirled by hand to free lipid material from the sides of the container and to disperse lipid aggregates, thereby forming the liposomal suspension.
- appropriate lipid(s) such as stearoyl phosphatidyl ethanolamine, stearoyl
- pharmaceutically acceptable salt is used throughout the specification to describe, where applicable, a salt form of one or more of the compounds described herein which are presented to increase the solubility of the compound in the gastric juices of the patient's gastrointestinal tract in order to promote dissolution and the bioavailability of the compounds.
- Pharmaceutically acceptable salts include those derived from pharmaceutically acceptable inorganic or organic bases and acids, where applicable. Suitable salts include those derived from alkali metals such as potassium and sodium, alkaline earth metals such as calcium, magnesium and ammonium salts, among numerous other acids and bases well known in the pharmaceutical art. Sodium and potassium salts are particularly preferred as neutralization salts of the phosphates according to the present disclosure.
- pharmaceutically acceptable derivative is used throughout the specification to describe any pharmaceutically acceptable prodrug form (such as an ester, amide other prodrug group), which, upon administration to a patient, provides directly or indirectly the present compound or an active metabolite of the present compound.
- compositions comprising at least one active ingredient as above defined together with a veterinary carrier therefore.
- Veterinary carriers are materials useful for the purpose of administering the composition and may be solid, liquid or gaseous materials which are otherwise inert or acceptable in the veterinary art and are compatible with the active ingredient. These veterinary compositions may be administered parenterally or by any other desired route.
- hetero-bifunctional degraders disclosed herein may be used to treat various diseases or disorders.
- exemplary hyperproliferative disorders include benign or malignant solid tumors and hematological disorders such as leukemia and lymphoid malignancies.
- Others include neuronal, glial, astrocytal, hypothalamic, glandular, macrophagal, epithelial, stromal, blastocoelic, inflammatory, angiogenic and immunologic, including autoimmune, disorders.
- the disease or disorder to be treated is a hyperproliferative disease such as cancer.
- cancer to be treated herein include, but are not limited to, carcinoma, lymphoma, blastoma, sarcoma, and leukemia or lymphoid malignancies. More particular examples of such cancers include squamous cell cancer (e.g.
- lung cancer including small-cell lung cancer, non-small cell lung cancer, adenocarcinoma of the lung and squamous carcinoma of the lung, cancer of the peritoneum, hepatocellular cancer, gastric or stomach cancer including gastrointestinal cancer, pancreatic cancer, glioblastoma, cervical cancer, ovarian cancer, liver cancer, bladder cancer, hepatoma, breast cancer, colon cancer, rectal cancer, colorectal cancer, endometrial or uterine carcinoma, salivary gland carcinoma, kidney or renal cancer, prostate cancer, vulval cancer, thyroid cancer, hepatic carcinoma, anal carcinoma, penile carcinoma, as well as head and neck cancer.
- lung cancer including small-cell lung cancer, non-small cell lung cancer, adenocarcinoma of the lung and squamous carcinoma of the lung, cancer of the peritoneum, hepatocellular cancer, gastric or stomach cancer including gastrointestinal cancer, pancreatic cancer, glioblastoma, cervical cancer, ovarian cancer, liver cancer,
- Autoimmune diseases for which the hetero-bifunctional degrader may be used in treatment include rheumatologic disorders (such as, for example, rheumatoid arthritis, Sjogren's syndrome, scleroderma, lupus such as systemic lupus erythematosus (SLE) and lupus nephritis, polymyositis/dermatomyositis, cryoglobulinemia, anti -phospholipid antibody syndrome, and psoriatic arthritis), osteoarthritis, autoimmune gastrointestinal and liver disorders (such as, for example, inflammatory bowel diseases (e.g., ulcerative colitis and Crohn's disease), autoimmune gastritis and pernicious anemia, autoimmune hepatitis, primary biliary cirrhosis, primary sclerosing cholangitis, and celiac disease), vasculitis (such as, for example, ANCA- associated vasculitis, including Churg
- More preferred such diseases include, for example, rheumatoid arthritis, ulcerative colitis, ANCA-associated vasculitis, lupus, multiple sclerosis, Sjogren's syndrome, Graves’ disease, IDDM, pernicious anemia, thyroiditis, and glomerulonephritis.
- Other disease states or disorders which may be treated using compounds or compositions according to the present disclosure include, for example, asthma, ciliopathies, cleft palate, diabetes, heart disease, hypertension, inflammatory bowel disease, mental retardation, mood disorder, obesity, refractive error, infertility, Angelman syndrome, Canavan disease, Coeliac disease, Charcot-Marie-Tooth disease, Cystic fibrosis, Duchenne muscular dystrophy, Haemochromatosis, Haemophilia, Klinefelter's syndrome, Neurofibromatosis, Phenylketonuria, Polycystic kidney disease (PKD1) or 4 (PKD2) Prader-Willi syndrome, Sickle-cell disease, Tay-Sachs disease, and Turner syndrome.
- PDD1 or 4 Polycystic kidney disease
- Further diseases or disorders which may be treated by compounds or compositions according to the present disclosure include Alzheimer's disease, Amyotrophic lateral sclerosis (Lou Gehrig’s disease), Anorexia nervosa, Anxiety disorder, Atherosclerosis, Attention deficit hyperactivity disorder, Autism, Bipolar disorder, Chronic fatigue syndrome, Chronic obstructive pulmonary disease, Crohn's disease, Coronary heart disease, Dementia, Depression, Diabetes mellitus type 1, Diabetes mellitus type 2, Epilepsy, Guillain-Barre syndrome, Irritable bowel syndrome, Lupus, Metabolic syndrome, Multiple sclerosis, Myocardial infarction, Obesity, Obsessive-compulsive disorder, Panic disorder, Parkinson's disease, Psoriasis, Rheumatoid arthritis, Sarcoidosis, Schizophrenia, Stroke, Thromboangiitis obliterans, Tourette syndrome, Vasculitis.
- Alzheimer's disease Amyotrophic lateral
- Still additional diseases or disorders which can be treated by compounds or compositions according to the present disclosure include acemloplasminemia, Achondrogenesis type H, Acrocephaly, Gaucher disease type 2, acute intermittent porphyria, Adenomatous Polyposis Coli, adenylosuccinate lyase deficiency, Adrenogenital syndrome, Adrenoleukodystrophy, ALA-D porphyria, ALA dehydratase deficiency, Alkaptonuria, Alkaptonuric ochronosis, alpha 1- antitrypsin deficiency, alpha- 1 proteinase inhibitor, emphysema, amyotrophic lateral sclerosis, Alstrom syndrome, Alexander disease, Amelogenesis imperfecta, Anderson-Fabry disease, Anemia, Angiokeratoma Corporis Diffusum, Angiomatosis retinae (von Hippel-Lindau disease) Apert syndrome, Arachnodactyly (Marfan
- cancer is used throughout the specification to refer to the pathological process that results in the formation and growth of a cancerous or malignant neoplasm, i.e., abnormal tissue that grows by cellular proliferation, often more rapidly than normal and continues to grow after the stimuli that initiated the new growth cease.
- malignant neoplasms show partial or complete lack of structural organization and functional coordination with the normal tissue and most invade surrounding tissues, metastasize to several sites, and are likely to recur after attempted removal and to cause the death of the patient unless adequately treated.
- Exemplary cancers which may be treated by the present compounds either alone or in combination with at least one additional anti-cancer agent include squamous-cell carcinoma, basal cell carcinoma, adenocarcinoma, hepatocellular carcinomas, and renal cell carcinomas, cancer of the bladder, bowel, cervix, colon, esophagus, head, kidney, liver, lung, neck, ovary, pancreas, prostate, and stomach; leukemias; benign and malignant lymphomas, particularly Burkitt's lymphoma and Non-Hodgkin's lymphoma; benign and malignant melanomas; myeloproliferative diseases; sarcomas, including Ewing's sarcoma, hemangiosarcoma, Kaposi's sarcoma, liposarcoma, myosarcomas, peripheral neuroepithelioma, synovial sarcoma, gliomas, astrocytomas, oligodendroglio
- Additional cancers which may be treated using compounds according to the present disclosure include, for example, T-lineage Acute lymphoblastic Leukemia (T-ALL), Tlineage lymphoblastic Lymphoma (T-LL), Peripheral T-cell lymphoma, Adult T-cell Leukemia, Pre ⁇ B ALL, Pre- B Lymphomas, Large B— cell Lymphoma, Burkitts Lymphoma, B- -cell ALL Philadelphia chromosome positive ALL and Philadelphia chromosome positive CML.
- T-ALL T-lineage Acute lymphoblastic Leukemia
- T-LL Tlineage lymphoblastic Lymphoma
- Peripheral T-cell lymphoma Peripheral T-cell lymphoma
- Adult T-cell Leukemia Pre ⁇ B ALL
- Pre- B Lymphomas Large B— cell Lymphoma
- Burkitts Lymphoma B- -cell ALL Philadelphia chromosome positive ALL and Philadelphia chromosome positive CML.
- the present disclosure is directed to a method of treating a disease or disorder in a human in need thereof, comprising administering to the human an effective amount of a compound of the present disclosure (e.g., a hetero-bifunctional degrader of Formula (I), (II), or (Ila)), or a salt (e.g., a pharmaceutically acceptable salt) thereof, or a pharmaceutical composition of the present disclosure that comprises said hetero- bifunctional degrader.
- a compound of the present disclosure e.g., a hetero-bifunctional degrader of Formula (I), (II), or (Ila)
- a salt e.g., a pharmaceutically acceptable salt
- a hetero-bifunctional degrader of the present disclosure is used in a method of treating solid tumor, e.g., ovarian.
- a hetero-bifunctional degrader of the present disclosure is used in a method of treating hematological malignancies such as non-Hodgkin's lymphoma (NHL), diffuse large hematopoietic lymphoma, follicular lymphoma, mantle cell lymphoma, chronic lymphocytic leukemia, multiple myeloma, acute myeloid leukemia (AML), and myeloid cell leukemia (MCL), and including B-cell related cancers and proliferative disorders.
- NHL non-Hodgkin's lymphoma
- diffuse large hematopoietic lymphoma follicular lymphoma
- mantle cell lymphoma chronic lymphocytic leukemia
- multiple myeloma multiple myeloma
- acute myeloid leukemia AML
- MCL myeloid cell leukemia
- a hetero-bifunctional degrader of the present disclosure is used in a method of treating ovarian, breast and pancreatic cancers.
- the cancer may be associated with the expression or activity of a MUC16/CA125/0772P polypeptide. See, e.g., WO 2007/001851; US 7,989,595; US 8,449,883; US 7,723,485; Chen et al (2007) Cancer Res. 67(10): 4924-4932; Junutula, et al, (2008) Nature Biotech., 26(8):925-932.
- a hetero-bifunctional degrader of the present disclosure is used in a method of treating cancer, e.g., breast or gastric cancer, more specifically HER2 positive breast or gastric cancer, wherein the method comprises administering such hetero- bifunctional degrader to a patient in need of such treatment.
- cancer e.g., breast or gastric cancer, more specifically HER2 positive breast or gastric cancer
- a hetero-bifunctional degrader of the present disclosure may be administered by any route appropriate to the condition to be treated.
- the hetero-bifunctional degrader will typically be administered parenterally, i.e. infusion, subcutaneous, intramuscular, intravenous, intradermal, intrathecal and epidural.
- a hetero-bifunctional degrader can be used either alone or in combination with other agents in a therapy.
- a hetero-bifunctional degrader may be co-administered with at least one additional therapeutic agent.
- Such combination therapies noted above encompass combined administration (where two or more therapeutic agents are included in the same or separate formulations), and separate administration, in which case, administration of the hetero-bifunctional degrader can occur prior to, simultaneously, and/or following, administration of the additional therapeutic agent and/or adjuvant.
- a hetero-bifunctional degrader can also be used in combination with radiation therapy.
- coadministration shall mean that at least two compounds or compositions are administered to the patient at the same time, such that effective amounts or concentrations of each of the two or more compounds may be found in the patient at a given point in time.
- compounds according to the present disclosure may be co-administered to a patient at the same time, the term embraces both administration of two or more agents at the same time or at different times, provided that effective concentrations of coadministered compounds or compositions are found in the subject at a given time.
- the description provides combination therapies comprising an effective amount of a compound as described herein in combination with an additional bioactive agent.
- bioactive agent is used to describe an agent, other than a compound as described herein, which is used in combination with the present compounds as an agent with biological activity to assist in effecting an intended therapy, inhibition and/or prevention/prophylaxis for which the present compounds are used.
- Preferred bioactive agents for use herein include those agents which have pharmacological activity similar to that for which the present compounds are used or administered and include for example, anti-cancer agents, antiviral agents, especially including anti-HIV agents and anti-HCV agents, antimicrobial agents, antifungal agents, etc.
- the compound as described herein, the additional bioactive agent or both are present in an effective amount or, in certain embodiments, a synergistically effective amount.
- the term“additional anti-cancer agent” is used to describe an anti-cancer agent, which may be combined with compounds according to the present disclosure to treat cancer.
- These agents include, for example, everolimus, trabectedin, abraxane, TLK 286, AV-299, DN- 101, pazopanib, GSK690693, RTA 744, ON 09l0.Na, AZD 6244 (ARRY-142886), AMN-107, TKI-258, GSK461364, AZD 1152, enzastaurin, vandetanib, ARQ-197, MK-0457, MLN8054, PHA-739358, R-763, AT-9263, a FLT-3 inhibitor, a VEGFR inhibitor, an EGFR TK inhibitor, an aurora kinase inhibitor, a PIK-l modulator, a Bcl-2 inhibitor, an HD AC inhbitor, a c-MET inhibitor, a PARP inhibitor,
- anti-HIV agent or “additional anti-HIV agent” includes, for example, nucleoside reverse transcriptase inhibitors (NRTI), other non-nucloeoside reverse transcriptase inhibitors (i.e., those which are not representative of the present disclosure), protease inhibitors, fusion inhibitors, among others, exemplary compounds of which may include, for example, 3TC (Lamivudine), AZT (Zidovudine), (-)-FTC, ddl (Didanosine), ddC (zalcitabine), abacavir (ABC), tenofovir (PMPA), D-D4FC (Reverset), D4T (Stavudine), Racivir, L-FddC, L-FD4C, NVP (Nevirapine), DLV (Delavirdine), EFV (Efavirenz), SQVM (Saquinavir mesylate), RTV (NRTI), other non-n
- NNRTEs i.e., other than the NNRTEs according to the present disclosure
- NNRTEs may be selected from the group consisting of nevirapine (BI-R6-587), delavirdine (U-90152S/T), efavirenz (DMP-266), UC-781 (N-[4- chloro-3-(3-methyl-2-butenyloxy)phenyl]-2methyl3-furancarbothiamide), etravirine (TMC125), Trovirdine (Ly300046.HCl), MKC-442 (emivirine, coactinon), HI-236, HI-240, HI-280, HI- 28!, rilpivirine (TMC-278), MSC-127, HBY 097, DMP266, Baicalin (TJN-151) ADAM-II (Methyl 3’,3’-dich
- a hetero-bifunctional degrader or VHL ligand can be administered by any suitable means, including parenteral, intrapulmonary, and intranasal, and, if desired for local treatment, intralesional administration.
- Parenteral infusions include intramuscular, intravenous, intraarterial, intraperitoneal, or subcutaneous administration. Dosing can be by any suitable route, e.g. by injections, such as intravenous or subcutaneous injections, depending in part on whether the administration is brief or chronic.
- Various dosing schedules including but not limited to single or multiple administrations over various time- points, bolus administration, and pulse infusion are contemplated herein.
- the appropriate dosage of a hetero- bifunctional degrader (when used alone or in combination with one or more other additional therapeutic agents) will depend on the type of disease to be treated, the type of hetero- bifunctional degrader, the severity and course of the disease, whether the hetero-bifunctional degrader is administered for preventive or therapeutic purposes, previous therapy, the patient's clinical history and response to the hetero-bifunctional degrader , and the discretion of the attending physician.
- the hetero-bifunctional degrader is suitably administered to the patient at one time or over a series of treatments. Depending on the type and severity of the disease, about 10 ng/kg to 300 mg/kg (e.g.
- 0.1 mg/kg - 10 mg/kg) of a hetero-bifunctional degrader can be an initial candidate dosage for administration to the patient, whether, for example, by one or more separate administrations, or by continuous infusion.
- One typical daily dosage might range from about 1 pg/kg to 100 mg/kg or more, depending on the factors mentioned above.
- the treatment would generally be sustained until a desired suppression of disease symptoms occurs.
- One exemplary dosage of a hetero-bifunctional degrader would be in the range from about 0.05 mg/kg to about 10 mg/kg.
- one or more doses of about 0.5 mg/kg, 2.0 mg/kg, 4.0 mg/kg or 10 mg/kg (or any combination thereof) may be administered to the patient.
- Such doses may be administered intermittently, e.g. every week or every three weeks (e.g. such that the patient receives from about two to about twenty, or e.g. about six doses).
- An initial higher loading dose, followed by one or more lower doses may be administered.
- other dosage regimens may be useful. The progress of this therapy is easily monitored by conventional techniques and assays.
- present disclosure may be used to treat a number of disease states and/or disorders, including any disease state and/or disorder in which proteins are dysregulated and where a patient would benefit from the degradation of proteins.
- the present disclosure relates to a method for treating a disease state by degrading a protein or polypeptide through which a disease or disorder is modulated comprising administering to said patient or subject an effective amount of at least one compound as described hereinabove, optionally in combination with an additional bioactive agent.
- the method according to the present disclosure may be used to treat a large number of diseases or disorders including cancer, by virtue of the administration of effective amounts of at least one compound described herein.
- the description provides a method of ubiquitinating/degrading a target protein in a cell.
- the method comprises administering a bifunctional compound or a pharmaceutical composition comprising a bifunctional compound that comprises a VHL ligand moiety and a protein binding moiety, preferably linked through a linker moiety, as otherwise described herein, wherein the VHL ligand moiety is coupled to the protein binding moiety and wherein the VHL ligand moiety recognizes a ubiquitin pathway protein (e.g., an ubiquitin ligase, preferably a VHL ubiquitin ligase (E3)) and the protein binding moiety recognizes the target protein such that degradation of the target protein will occur when the target protein is placed in proximity to the ubiquitin ligase, thus resulting in degradation/inhibition of the effects of the target protein and the control of protein levels.
- the control of protein levels afforded by the present disclosure provides treatment of a disease state or condition, which is modulated through the ubiquitin
- the present disclosure is directed to a method of degrading a target protein in a cell comprising exposing the cell to a composition comprising an effective amount of a compound of Formula (I), (II), or (Ila), or a salt (e.g., a pharmaceutically acceptable salt) thereof, wherein the compound effectuates the degradation of the target protein.
- a composition comprising an effective amount of a compound of Formula (I), (II), or (Ila), or a salt (e.g., a pharmaceutically acceptable salt) thereof, wherein the compound effectuates the degradation of the target protein.
- the description provides a method of treating or preventing in a patient in need thereof a disease or disorder modulated through a protein where the degradation of that protein will produce a therapeutic effect in that patient, the method comprising administering to a patient in need an effective amount of a compound according to the present disclosure, optionally in combination with another bioactive agent.
- the disease state or condition may be a disease caused by a microbial agent or other exogenous agent such as a virus, bacteria, fungus, protozoa or other microbe or may be a disease state, which is caused by overexpression of a protein, which leads to a disease state and/or condition.
- kits containing materials useful for the treatment of the diseases and disorders described above.
- the kit comprises a container comprising a hetero-bifunctional degrader of the present disclosure.
- the kit may further comprise a label or package insert, on or associated with the container.
- the term“package insert” is used to refer to instructions customarily included in commercial packages of therapeutic products, that contain information about the indications, usage, dosage, administration, contraindications and/or warnings concerning the use of such therapeutic products.
- Suitable containers include, for example, bottles, vials, syringes, blister pack, etc.
- A“vial” is a container suitable for holding a liquid or lyophilized preparation.
- the vial is a single-use vial, e.g. a 20-cc single-use vial with a stopper.
- the container may be formed from a variety of materials such as glass or plastic.
- the container may hold a hetero-bifunctional degrader or a formulation thereof which is effective for treating the condition and may have a sterile access port (for example, the container may be an intravenous solution bag or a vial having a stopper pierceable by a hypodermic injection needle).
- At least one active agent in the composition is a hetero-bifunctional degrader of the present disclosure.
- the label or package insert indicates that the composition is used for treating the condition of choice, such as cancer.
- the label or package insert may indicate that the patient to be treated is one having a disorder such as a hyperproliferative disorder, neurodegeneration, cardiac hypertrophy, pain, migraine or a neurotraumatic disease or event.
- the label or package inserts indicates that the composition comprising a hetero-bifunctional degrader can be used to treat a disorder resulting from abnormal cell growth.
- the label or package insert may also indicate that the composition can be used to treat other disorders.
- the article of manufacture may further comprise a second container comprising a pharmaceutically acceptable buffer, such as bacteriostatic water for injection (BWFI), phosphate-buffered saline, Ringer’s solution and dextrose solution. It may further include other materials desirable from a commercial and user standpoint, including other buffers, diluents, filters, needles, and syringes.
- BWFI bacteriostatic water for injection
- phosphate-buffered saline such as phosphate-buffered saline, Ringer’s solution and dextrose solution.
- the kit may further comprise directions for the administration of the hetero- bifunctional degrader and, if present, the second pharmaceutical formulation.
- the kit may further comprise directions for the simultaneous, sequential or separate administration of the first and second pharmaceutical compositions to a patient in need thereof.
- kits are suitable for the delivery of solid oral forms of a hetero-bifunctional degrader, such as tablets or capsules.
- a kit preferably includes a number of unit dosages.
- Such kits can include a card having the dosages oriented in the order of their intended use.
- An example of such a kit is a“blister pack”.
- Blister packs are well known in the packaging industry and are widely used for packaging pharmaceutical unit dosage forms.
- a memory aid can be provided, for example in the form of numbers, letters, or other markings or with a calendar insert, designating the days in the treatment schedule in which the dosages can be administered.
- a kit may comprise (a) a first container with a hetero-bifunctional degrader contained therein; and optionally (b) a second container with a second pharmaceutical formulation contained therein, wherein the second pharmaceutical formulation comprises a second compound with anti-hyperproliferative activity.
- the kit may further comprise a third container comprising a pharmaceutically- acceptable buffer, such as bacteriostatic water for injection (BWFI), phosphate-buffered saline, Ringer’s solution and dextrose solution. It may further include other materials desirable from a commercial and user standpoint, including other buffers, diluents, filters, needles, and syringes.
- the kit may comprise a container for containing the separate compositions such as a divided bottle or a divided foil packet; however, the separate compositions may also be contained within a single, undivided container.
- the kit comprises directions for the administration of the separate components.
- the kit form is particularly advantageous when the separate components are preferably administered in different dosage forms (e.g., oral and parenteral), are administered at different dosage intervals, or when titration of the individual components of the combination is desired by the prescribing physician.
- Method B Experiments were performed on an SHIMADZU 2020 HPLC with SHIMADZU MSD mass spectrometer using ESI as ionization source using a Shim-pack XR- ODS C18 50 x 3.0 mm column and a 1.2 ml / minute flow rate.
- the solvent system was a gradient starting with 95% water with 0.05% TFA (solvent A) and 5% acetonitrile with 0.05% TFA (solvent B), ramping up to 100% solvent B over 1.1 minutes. The final solvent system was held constant for a further 0.6 minutes.
- LC column temperature was 40 °C. UV absorbance was collected from 190 nm to 400 nm.
- Method C Experiments were performed on an SHIMADZU 2020 HPLC with SHIMADZU MSD mass spectrometer using ESI as ionization source using an Ascentis Express Cl 8 50 x 2.1 mm column and a 1.0 ml / minute flow rate.
- the solvent system was a gradient starting with 95% water with 0.05% TFA (solvent A) and 5% acetonitrile with 0.05% TFA (solvent B), ramping up to 100% solvent B over 1.1 minutes. The final solvent system was held constant for a further 0.5 minutes.
- LC column temperature was 40 °C. UV absorbance was collected from 190 nm to 400 nm.
- Method D Experiments were performed on an SHIMADZU 2020 HPLC with SHIMADZU MSD mass spectrometer using ESI as ionization source using a Shim-pack XR- ODS 50 x 3.0 mm column and a 1.2 ml / minute flow rate.
- the solvent system was a gradient starting with 95% water with 0.05% TFA (solvent A) and 5% acetonitrile with 0.05% TFA (solvent B), ramping up to 95% solvent B over 2.0 minutes. The final solvent system was held constant for a further 0.7 minutes.
- LC column temperature was 40 °C. UV absorbance was collected from 190 nm to 400 nm.
Landscapes
- Chemical & Material Sciences (AREA)
- Organic Chemistry (AREA)
- Health & Medical Sciences (AREA)
- General Chemical & Material Sciences (AREA)
- Medicinal Chemistry (AREA)
- Nuclear Medicine, Radiotherapy & Molecular Imaging (AREA)
- Chemical Kinetics & Catalysis (AREA)
- Pharmacology & Pharmacy (AREA)
- Life Sciences & Earth Sciences (AREA)
- Animal Behavior & Ethology (AREA)
- General Health & Medical Sciences (AREA)
- Public Health (AREA)
- Veterinary Medicine (AREA)
- Pharmaceuticals Containing Other Organic And Inorganic Compounds (AREA)
Abstract
The present disclosure relates to bifunctional compounds, which can be used as modulators of targeted ubiquitination. In particular, the present disclosure is directed to compounds that contain on one end a VHL ligand moiety, which binds to the VHL ubiquitin ligase (E3), and on the other end a moiety that binds a target protein such that degradation of the target protein/polypeptide is effectuated. The target protein may be EGFR. Also disclosed are VHL ligands.
Description
HETERO-BIFUNCTIONAL DEGRADER COMPOUNDS AND THEIR USE AS MODULATORS OF
TARGETED UBIQUINATION (VHL)
1
HETERO-BIFUNCTIONAL DEGRADER COMPOUNDS
AND METHODS OF USE THEREOF
CROSS-REFERENCE TO RELATED APPLICATIONS
[0001] This application claims priority to PCT/CN2018/080202 filed March 23, 2018, the contents of which are incorporated by reference herein.
FIELD OF THE DISCLOSURE
[0002] The present disclosure relates to bifunctional compounds that can be used as modulators of targeted ubiquitination. In particular, the present disclosure is directed to compounds that contain on one end a VHL ligand moiety that binds to the VHL ubiquitin protein ligase, E3, and on the other end a moiety that binds a target protein, such as EGFR, such that degradation of the target protein/polypeptide is effectuated. The present disclosure exhibits a broad range of pharmacological activities associated with compounds according to the present disclosure, consistent with the degradation/inhibition of targeted proteins/polypeptides.
BACKGROUND OF THE DISCLOSURE
[0003] Cell maintenance and normal function requires controlled degradation of cellular proteins. For example, degradation of regulatory proteins triggers events in the cell cycle, such as DNA replication, chromosome segregation, etc. Accordingly, such degradation of proteins has implications for the cell’s proliferation, differentiation, and death.
[0004] While inhibitors of proteins can block or reduce protein activity in a cell, protein degradation in a cell can also reduce activity or remove altogether the target protein. Utilizing a cell’s protein degradation pathway can, therefore, provide a means for reducing or removing protein activity. One of the cell’s major degradation pathways is known as the ubiquitin-proteasome system. In this system, a protein is marked for degradation by the proteasome by ubiquitinating the protein. The ubiquitinization of the protein is accomplished by a ubiquitin protein ligase, E3, that binds to a protein and adds ubiquitin molecules to the protein. The ubiquitin ligase (E3) is part of a pathway that includes the ubiquitin activating enzyme El and the ubiquitin-carrier protein E2, which make ubiquitin available to the E3 to add to the protein.
[0005] To harness this degradation pathway, hetero-bifunctional degrading compounds have been developed. Hetero-bifunctional degraders bring together a ubiquitin ligase (E3) with a protein that is to be targeted for degradation. To facilitate a protein for degradation by the proteasome, the hetero-bifunctional degrader is comprised of a group that binds to a ubiquitin ligase (E3) and a group that binds to the protein one wishes to degrade. These groups are typically connected with a linker. This molecular construct can bring the ubiquitin ligase in proximity with the protein so that it is ubiquitinated and marked for degradation.
[0006] One E3 ligase with therapeutic potential is the von Hippel-Lindau (VHL) tumor suppressor, the substrate recognition subunit of the E3 ligase complex VCB, which also consists of elongins B and C, Cul2 and Rbxl. The primary substrate of VHL is Hypoxia Inducible Factor la (HIF-la), a transcription factor that upregulates genes such as the pro-angiogenic growth factor VEGF and the red blood cell inducing cytokine erythropoietin in response to low oxygen levels. While HIF-la is constitutively expressed, its intracellular levels are kept very low under normoxic conditions via its hydroxylation by prolyl hydroxylase domain (PHD) proteins and subsequent VHL-mediated ubiquitination.
[0007] The crystal structure of VHL with ligands has been obtained, confirming that a small compound can mimic the binding mode of the transcription factor HIF-la, the major substrate of VHL. Using rational design, the first small molecule ligands of Von Hippel Lindau (VHL) the substrate recognition subunit of the E3 ligase VCB (an important target in cancer, chronic anemia and ischemia) were generated.
[0008] However, an ongoing need exists in the art for effective small molecule therapeutics across disease indications. The present description provides means to recruit proteins to E3 ligases, and specifically VHL, for ubiquitination and degradation, to provide therapies based upon the degradation of targeted proteins.
BRIEF DESCRIPTION OF THE DISCLOSURE
[0009] In one aspect, the present disclosure is directed to a compound of Formula (I):
D— (E1)a-(E2)b
VHL ligan
( VHL ligand) or a salt (e.g., a pharmaceutically acceptable salt) thereof; wherein: - -— is a VHL ubiquitin ligase binding moiety; L is a linker moiety; E1 is selected from the group consisting of arylene, heteroarylene, alkylene, and alkynylene; E2 is selected from the group consisting of - C(0)-N(H)-, -N(H)-C(0)-,-N(H)-CH2-, -N(H)-, and -0-, wherein E2 may be attached to E1 or D and to the remaining structure of the compound in either orientation; a and b are independently 0 or 1, wherein a and b are not both 0; and D is a protein binding moiety.
[0010] In another aspect, the present disclosure is directed to a compound of Formula (II):
or a salt (e.g., a pharmaceutically acceptable salt) thereof; wherein: R1 is selected from the group consisting of substituted or unsubstituted alkyl, substituted or unsubstituted cycloalkyl, substituted or unsubstituted aryl, substituted or unsubstituted heterocyclyl, and substituted or unsubstituted heteroaryl; R3 is substituted or unsubstituted alkyl, or R3 is taken together with R6, when present, and the atoms to which they are attached, to form a substituted or unsubstituted heterocyclylene; Y is selected from the group consisting of substituted or unsubstituted heteroarylene, substituted or unsubstituted heterocyclylene, O, S, -N(R6)-, -N(R6)-C(0)-, and - N(R6)-S02-; R6 is selected from the group consisting of H and substituted or unsubstituted alkyl; or R6 is taken together with R3 and the atoms to which they are attached to form a substituted or unsubstituted heterocyclylene; L is a linker moiety; E1 is selected from the group consisting of arylene, heteroarylene, alkylene, and alkynylene; E2 is selected from the group consisting of - C(0)-N(H)-, -N(H)-C(0)-, -N(H)-CH2-, -N(H)-, and -0-, wherein E2 may be attached to E1 or D and to the remaining structure of the compound in either orientation; a and b are
independently 0 or 1, wherein a and b are not both 0; and D is a protein binding moiety.
[0011] In another aspect, the present disclosure is directed to a compound of Formula (Ila) or an isomer thereof:
or a salt (e.g., a pharmaceutically acceptable salt) thereof, wherein R1, R3, Y, L, D, E1, E2, a, and b are defined the same as in Formula (I).
[0012] In one particular embodiment, the present disclosure is directed to a compound of Formula (I), (II), or (Ila), or an isomer thereof, or a salt (e.g., a pharmaceutically acceptable salt) thereof, wherein D is
[0013] In another aspect, the present disclosure is directed to a pharmaceutical composition comprising a compound of Formula (I), (II), or (Ila), or an isomer thereof, or a salt (e.g., a pharmaceutically acceptable salt) thereof, and one or more pharmaceutically acceptable excipients.
[0014] In another aspect, the present disclosure is directed to a method of treating a disease or disorder in a human in need thereof, comprising administering to said human an effective amount of a compound of Formula (I), (II), or (Ila), or an isomer thereof, or a salt (e.g., a pharmaceutically acceptable salt) thereof, or a pharmaceutical composition comprising a
compound of Formula (I), (II), or (Ila) or an isomer thereof, or a salt (e.g., a pharmaceutically acceptable salt) thereof.
[0015] In another aspect, the present disclosure is directed to a method of degrading a target protein in a cell comprising exposing the cell to a composition comprising an effective amount of a compound of Formula (I), (II), or (Ila), or an isomer thereof, or a salt (e.g., a pharmaceutically acceptable salt) thereof, wherein the compound effectuates the degradation of the target protein.
BRIEF DESCRIPTION OF THE DRAWINGS
[0016] Figures 1A-1D show the results of western blot screening of hetero-bifunctional degraders for effects on EGFR protein levels. 1A: Treatment with various concentrations of degraders (no degrader (-), or 0.001 mM, 0.01 pM, 0.1 pM, 1 pM, or 10 pM of degrader). 1B: Treatment with no degrader (-) or 1 pM degrader. 1C: Co-dosing of degrader (no degrader (-) or 1 pM degrader) and MG132 (no MG132 (-) or 1 pM MG132 (+)). 1D: Co-dosing of degrader produced in Example 1002.4 (no degrader (-) or 100 nM degrader) and free VHL ligand (no free VHL ligand (-) or 0.001 pM, 0.01 pM, 0.1 pM, 1 pM, or 10 pM of free VHL ligand).
[0017] Figures 2A-2C show the results of proliferation assays assessing the effects of hetero-bifunctional degraders on cell viability. 2A: Graph depicting percent viability of EGFR wildtype cell line (A431) after treatment with degraders at various concentrations during a 3 -day cell viability assay. 2B: Graph depicting viability of EGFR mutant cell line (NCI-H1975) after treatment with degraders at various concentrations during a 3 -day cell viability assay. 2C: Depiction of cell density after treatment with no degrader (-) or 0.001 mM, 0.01 pM, 0.1 pM, 1 pM, or 10 pM concentrations of various degraders in a 7-day viability assay.
DETAILED DESCRIPTION OF THE DISCLOSURE
[0018] The present disclosure is directed to compounds that bind a ubiquitin ligase (E3) protein complex. In particular, compounds are described that bind to Von Hippel-Lindau (VHL), the substrate recognition subunit of the E3 ligase complex VCB. In addition, the description provides bifunctional compounds and associated methods of use for effectuating the ubiquitination and/or degradation of a chosen target protein. In one embodiment, the target protein is EGFR.
[0019] The presently disclosed subject matter will now be described more fully hereinafter. However, many modifications and other embodiments of the presently disclosed subject mater set forth herein will come to mind to one skilled in the art to which the presently disclosed subject mater pertains having the benefit of the teachings presented in the foregoing descriptions. Therefore, it is to be understood that the presently disclosed subject mater is not to be limited to the specific embodiments disclosed and that modifications and other embodiments are intended to be included within the scope of the appended claims. In other words, the subject mater described herein covers alternatives, modifications, and equivalents. In the event that one or more of the incorporated literature, patents, and similar materials differs from or contradicts this application, including but not limited to defined terms, term usage, described techniques, or the like, this application controls. Unless otherwise defined, technical and scientific terms used herein have the same meaning as commonly understood by one of ordinary skill in the art to which this disclosure belongs, applying that term in context to its use in describing the present disclosure. The terminology used in the description is for describing particular embodiments only and is not intended to be limiting of the disclosure. All publications, patent applications, patents, and other references mentioned herein are incorporated by reference in their entirety.
I. Definitions
[0020] The term“hetero-bifunctional degrader” refers to proteolysis-targeting chimera molecules having generally three components, a ubiquitin ligase (E3) binding moiety (E3LB), at least one linker moiety, and a protein binding moiety (PB moiety, also referred to herein as “D”). Specifically, the E3LB used herein is a VHL ligand moiety.
[0021] The terms “residue,” “moiety” or “group” refers to a component that is covalently bound or linked to another component. For example a“VHL ligand moiety” in a hetero-bifunctional degrader compound refers to a VHL ligand that is covalently linked to one or more groups such as a first linker moiety (L), which itself can be optionally further linked to another a second linker moiety, which can be optionally further linked to another chemical component, such as a protein binding moiety (D).
[0022] The term“covalently bound” or“covalently linked” refers to a chemical bond formed by sharing of one or more pairs of electrons.
[0023] The term“linker”,“linker unit”,“linker group”,“linker moiety”, or“link” as used herein means a chemical moiety comprising a chain of atoms that covalently attaches a component of a hetero-bifunctional degrader to another component of the hetero-bifunctional degrader.
[0024] A“patient” or“individual” or“subject” is a mammal. Mammals include, but are not limited to, domesticated animals (e.g., cows, sheep, cats, dogs, and horses), primates (e.g., humans and non-human primates such as monkeys), rabbits, and rodents (e.g., mice and rats). In certain embodiments, the patient, individual, or subject is a human. In some embodiments, the patient may be a“cancer patient,” i.e. one who is suffering or at risk for suffering from one or more symptoms of cancer.
[0025] The terms “cancer” and“cancerous” refer to or describe the physiological condition in mammals that is typically characterized by unregulated cell growth/proliferation. A “tumor” comprises one or more cancerous cells. Examples of cancer are provided elsewhere herein.
[0026] A "chemotherapeutic agent" or “anti-cancer agent” refers to a chemical compound useful in the treatment of cancer. Examples of chemotherapeutic agents include alkylating agents such as thiotepa and cyclosphosphamide (CYTOXAN®); alkyl sulfonates such as busulfan, improsulfan and piposulfan; aziridines such as benzodopa, carboquone, meturedopa, and uredopa; ethylenimines and methylamelamines including altretamine, triethylenemelamine, triethylenephosphoramide, triethylenethiophosphoramide and trimethylomelamine; acetogenins (especially bullatacin and bullatacinone); delta-9- tetrahydrocannabinol (dronabinol, MARINOL®); beta-lapachone; lapachol; colchicines; betulinic acid; a camptothecin (including the synthetic analogue topotecan (HYCAMTIN®), CPT-l l (irinotecan, CAMPTOSAR®), acetylcamptothecin, scopolectin, and 9- aminocamptothecin); bryostatin; cally statin; CC-1065 (including its adozelesin, carzelesin and bizelesin synthetic analogues); podophyllotoxin; podophyllinic acid; teniposide; cryptophycins (particularly cryptophycin 1 and cryptophycin 8); dolastatin; duocarmycin (including the synthetic analogues, KW-2189 and CB1-TM1); eleutherobin; pancratistatin; a sarcodictyin; spongistatin; nitrogen mustards such as chlorambucil, chlomaphazine, chlorophosphamide, estramustine, ifosfamide, mechlorethamine, mechlorethamine oxide hydrochloride, melphalan, novembichin, phenesterine, prednimustine, trofosfamide, uracil mustard; nitrosoureas such as carmustine, chlorozotocin, fotemustine, lomustine, nimustine, and ranimnustine; antibiotics such
as the enediyne antibiotics (e.g., calicheamicin, especially calicheamicin gammall and calicheamicin omegall (see, e.g., Nicolaou et al., Angew. Chem Intl. Ed. Engl., 33: 183-186 (1994)); CDP323, an oral alpha-4 integrin inhibitor; dynemicin, including dynemicin A; an esperamicin; as well as neocarzinostatin chromophore and related chromoprotein enediyne antibiotic chromophores), aclacinomysins, actinomycin, authramycin, azaserine, bleomycins, cactinomycin, carabicin, carminomycin, carzinophibn, chromomycins, dactinomycin, daunorubicin, detorubicin, 6-diazo-5-oxo-L-norleucine, doxorubicin (including ADRIAMYCIN®, morpholino-doxorubicin, cyanomorpholino-doxorubicin, 2-pyrrobno- doxorubicin, doxorubicin HC1 liposome injection (DOXIL®), liposomal doxorubicin TLC D-99 (MYOCET®), peglylated liposomal doxorubicin (CAELYX®), and deoxy doxorubicin), epirubicin, esorubicin, idarubicin, marcellomycin, mitomycins such as mitomycin C, mycophenolic acid, nogalamycin, olivomycins, peplomycin, porfrromycin, puromycin, quelamycin, rodorubicin, streptonigrin, streptozocin, tubercidin, ubenimex, zinostatin, zorubicin; anti-metabolites such as methotrexate, gemcitabine (GEMZAR®), tegafur (UFTORAL®), capecitabine (XELODA®), an epothilone, and 5-fluorouracil (5-FU); folic acid analogues such as denopterin, methotrexate, pteropterin, trimetrexate; purine analogs such as fludarabine, 6-mercaptopurine, thiamiprine, thioguanine; pyrimidine analogs such as ancitabine, azacitidine, 6-azauridine, carmofur, cytarabine, dideoxyuridine, doxifluridine, enocitabine, floxuridine; androgens such as calusterone, dromostanolone propionate, epitiostanol, mepitiostane, testolactone; anti-adrenals such as aminoglutethimide, mitotane, trilostane; folic acid replenisher such as frobnic acid; aceglatone; aldophosphamide glycoside; aminolevulinic acid; eniluracil; amsacrine; bestrabucil; bisantrene; edatraxate; defofamine; demecolcine; diaziquone; elfomithine; elbptinium acetate; an epothilone; etoglucid; gallium nitrate; hydroxyurea; lentinan; lonidainine; maytansinoids such as maytansine and ansamitocins; mitoguazone; mitoxantrone; mopidanmol; nitraerine; pentostatin; phenamet; pirarubicin; losoxantrone; 2-ethylhydrazide; procarbazine; PSK® polysaccharide complex (JHS Natural Products, Eugene, OR); razoxane; rhizoxin; sizofiran; spirogermanium; tenuazonic acid; triaziquone; 2,2’,2’-trichlorotriethylamine; trichothecenes (especially T-2 toxin, verracurin A, roridin A and anguidine); urethan; vindesine (ELDISINE®, FILDESIN®); dacarbazine; mannomustine; mitobronitol; mitolactol; pipobroman; gacytosine; arabinoside (“Ara-C”); thiotepa; taxoid, e.g., pacbtaxel (TAXOL®), albumin-engineered nanoparticle formulation of pacbtaxel (ABRAXANETM), and docetaxel (TAXOTERE®); chloranbucil; 6-thioguanine; mercaptopurine; methotrexate; platinum agents such as cisplatin, oxabplatin (e.g.,
ELOXATIN®), and carboplatin; vincas, which prevent tubulin polymerization from forming microtubules, including vinblastine (VELBAN®), vincristine (ONCOVIN®), vindesine (ELDISINE®, FILDESIN®), and vinorelbine (NAVELBINE®); etoposide (VP-16); ifosfamide; mitoxantrone; leucovorin; novantrone; edatrexate; daunomycin; aminopterin; ibandronate; topoisomerase inhibitor RFS 2000; difluoromethylomithine (DMFO); retinoids such as retinoic acid, including bexarotene (TARGRETIN®); bisphosphonates such as clodronate (for example, BONEFOS® or OSTAC®), etidronate (DIDROCAL®), NE-58095, zoledronic acid/zoledronate (ZOMETA®), alendronate (FOSAMAX®), pamidronate (AREDIA®), tiludronate (SKELID®), or risedronate (ACTONEL®); troxacitabine (a l,3-dioxolane nucleoside cytosine analog); antisense oligonucleotides, particularly those that inhibit expression of genes in signaling pathways implicated in aberrant cell proliferation, such as, for example, PKC-alpha, Raf, H-Ras, and epidermal growth factor receptor (EGF-R); vaccines such as THERATOPE® vaccine and gene therapy vaccines, for example, ALLOVECTIN® vaccine, LEUVECTIN® vaccine, and VAXID® vaccine; topoisomerase 1 inhibitor (e.g., LURTOTECAN®); rmRH (e.g., ABARELIX®); BAY439006 (sorafenib; Bayer); SU-11248 (sunitinib, SUTENT®, Pfizer); perifosine, COX-2 inhibitor (e.g., celecoxib or etoricoxib), proteosome inhibitor (e.g., PS341); bortezomib (VELCADE®); CCI-779; tipifamib (R11577); orafenib, ABT510; Bcl-2 inhibitor such as oblimersen sodium (GENASENSE®, an antisence oligonucleotide); pixantrone; EGFR inhibitors (see definition below); tyrosine kinase inhibitors; serine-threonine kinase inhibitors such as rapamycin (sirolimus, RAPAMUNE®); famesyltransferase inhibitors such as lonafamib (SCH 6636, SARASARTM); and pharmaceutically acceptable salts, acids or derivatives of any of the above; as well as combinations of two or more of the above such as CHOP, an abbreviation for a combined therapy of cyclophosphamide, doxorubicin, vincristine, and prednisolone; and FOLFOX, an abbreviation for a treatment regimen with oxaliplatin (ELOXATINTM) combined with 5-FU and leucovorin.
[0027] Chemotherapeutic agents as defined herein include“anti -hormonal agents” or “endocrine therapeutics” which act to regulate, reduce, block, or inhibit the effects of hormones that can promote the growth of cancer. They may be hormones themselves, including, but not limited to: anti-estrogens with mixed agonist/antagonist profile, including, tamoxifen (NOLVADEX®), 4-hydroxytamoxifen, toremifene (FARESTON®), idoxifene, droloxifene, raloxifene (EVISTA®), trioxifene, keoxifene, and selective estrogen receptor modulators (SERMs) such as SERM3; pure anti-estrogens without agonist properties, such as fulvestrant (FASLODEX®), and EM800 (such agents may block estrogen receptor (ER) dimerization,
inhibit DNA binding, increase ER turnover, and/or suppress ER levels); aromatase inhibitors, including steroidal aromatase inhibitors such as formestane and exemestane (AROMASIN®), and nonsteroidal aromatase inhibitors such as anastrazole (ARIMIDEX®), letrozole (FEMARA®) and aminoglutethimide, and other aromatase inhibitors include vorozole (RIVISOR®), megestrol acetate (MEGASE®), fadrozole, and 4(5)-imidazoles; lutenizing hormone-releaseing hormone agonists, including leuprolide (LUPRON® and ELIGARD®), goserelin, buserelin, and tripterelin; sex steroids, including progestines such as megestrol acetate and medroxyprogesterone acetate, estrogens such as diethylstilbestrol and premarin, and androgens/retinoids such as fluoxymesterone, transretionic acid and fenretinide; onapristone; anti-progesterones; estrogen receptor down-regulators (ERDs); anti-androgens such as flutamide, nilutamide and bicalutamide; and pharmaceutically acceptable salts, acids or derivatives of any of the above; as well as combinations of two or more of the above.
[0028] As used herein,“treatment” (and grammatical variations thereof such as“treat” or“treating”) refers to clinical intervention in an attempt to alter the natural course of the individual being treated, and can be performed either for prophylaxis or during the course of clinical pathology. Desirable effects of treatment include, but are not limited to, preventing occurrence or recurrence of disease, alleviation of symptoms, diminishment of any direct or indirect pathological consequences of the disease, preventing metastasis, decreasing the rate of disease progression, amelioration or palliation of the disease state, and remission or improved prognosis. In some embodiments, the compounds and compositions of the subject matter described herein are used to delay development of a disease or to slow the progression of a disease. In one embodiment, treatment is performed for prophylaxis only. In another embodiment, treatment is performed during the course of clinical pathology only (i.e., not for prophylaxis). In another embodiment, treatment is performed both during the course of clinical pathology and for prophylaxis.
[0029] A drug that is administered“concurrently” with one or more other drugs is administered during the same treatment cycle, on the same day of treatment as the one or more other drugs, and, optionally, at the same time as the one or more other drugs. For instance, for cancer therapies given every 3 weeks, the concurrently administered drugs are each administered on day-l of a 3-week cycle.
[0030] The term“effective” is used to describe an amount of a compound, composition or component which, when used within the context of its intended use, achieves the desired
therapeutic or prophylactic result. The term effective subsumes other effective amount or effective concentration terms, which are otherwise described or used in the present application. As used herein, the term“therapeutically effective amount” means any amount which, as compared to a corresponding subject who has not received such amount, results in treatment of a disease, disorder, or side effect, or a decrease in the rate of advancement of a disease or disorder. The term also includes within its scope amounts effective to enhance normal physiological function. For use in therapy, therapeutically effective amounts of a hetero-bifunctional degrader of the present disclosure, as well as salts thereof, may be administered as the raw chemical. Additionally, the active ingredient may be presented as a pharmaceutical composition.
[0031] As used herein, unless defined otherwise in a claim, the term“optionally” means that the subsequently described event(s) may or may not occur, and includes both event(s) that occur and event(s) that do not occur.
[0032] As used herein, unless defined otherwise, the phrase“optionally substituted”, “substituted” or variations thereof denote an optional substitution, including multiple degrees of substitution, with one or more substituent group, for example, one, two, three, four or five. The phrase should not be interpreted as duplicative of the substitutions herein described and depicted.
[0033] The term“pharmaceutical formulation” or“pharmaceutical composition” refers to a preparation which is in such form as to permit the biological activity of an active ingredient contained therein to be effective, and which contains no additional components which are unacceptably toxic to a subject to which the formulation would be administered.
[0034] A “pharmaceutically acceptable excipient” refers to an ingredient in a pharmaceutical formulation, other than an active ingredient, which is nontoxic to a subject. A pharmaceutically acceptable excipient includes, but is not limited to, a buffer, carrier, stabilizer, or preservative.
[0035] The phrase “pharmaceutically acceptable salt,” as used herein, refers to pharmaceutically acceptable organic or inorganic salts of a molecule. Exemplary salts include, but are not limited, to sulfate, citrate, acetate, oxalate, chloride, bromide, iodide, nitrate, bisulfate, phosphate, acid phosphate, isonicotinate, lactate, salicylate, acid citrate, tartrate, oleate, tannate, pantothenate, bitartrate, ascorbate, succinate, maleate, gentisinate, fumarate, gluconate, glucuronate, saccharate, formate, benzoate, glutamate, methanesulfonate,
ethanesulfonate, benzenesulfonate, p-toluenesulfonate, and pamoate (i.e., l,l’-methylene-bis-(2- hydroxy-3-naphthoate)) salts. A pharmaceutically acceptable salt may involve the inclusion of another molecule such as an acetate ion, a succinate ion or other counter ion. The counter ion may be any organic or inorganic moiety that stabilizes the charge on the parent compound. Furthermore, a pharmaceutically acceptable salt may have more than one charged atom in its structure. Instances where multiple charged atoms are part of the pharmaceutically acceptable salt can have multiple counter ions. Hence, a pharmaceutically acceptable salt can have one or more charged atoms and/or one or more counter ion.
[0036] Other salts, which are not pharmaceutically acceptable, may be useful in the preparation of compounds described herein and these should be considered to form a further aspect of the subject matter. These salts, such as oxalic or trifluoroacetate, while not in themselves pharmaceutically acceptable, may be useful in the preparation of salts useful as intermediates in obtaining the compounds described herein and their pharmaceutically acceptable salts.
[0037] A“small molecule” or“small molecular compound” generally refers to an organic molecule that is less than about 5 kilodaltons (Kd) in size. In some embodiments, the small molecule is less than about 4 Kd, 3 Kd, about 2 Kd, or about 1 Kd. In some embodiments, the small molecule is less than about 800 daltons (D), about 600 D, about 500 D, about 400 D, about 300 D, about 200 D, or about 100 D. In some embodiments, a small molecule is less than about 2000 g/mol, less than about 1500 g/mol, less than about 1000 g/mol, less than about 800 g/mol, or less than about 500 g/mol. In some embodiments, small molecules are non- polymeric. Small molecules are not proteins, polypeptides, oligopeptides, peptides, polynucleotides, oligonucleotides, polysaccharides, glycoproteins, proteoglycans, etc. A derivative of a small molecule refers to a molecule that shares the same structural core as the original small molecule, but which can be prepared by a series of chemical reactions from the original small molecule.
[0038] The term“alkyl” as used herein refers to a saturated linear or branched-chain monovalent hydrocarbon radical of any length from one to twelve carbon atoms (C1-C12), wherein the alkyl radical may be optionally substituted independently with one or more substituents described herein. In another embodiment, an alkyl radical is one to eight carbon atoms (Ci-Cg), or one to six carbon atoms (Ci-C6), or one to four carbon atoms (C1-C4), or one to three carbon atoms (C1-C3). Examples of alkyl groups include, but are not limited to, methyl (Me, -CH3), ethyl (Et, -CH2CH3), 1 -propyl (n-Pr, n-propyl, -CH2CH2CH3), 2-propyl (i-Pr, i-
propyl, isopropyl, -CH(CH3)2), 1 -butyl (n-Bu, n-butyl, -CH2CH2CH2CH3), 2-methyl- 1 -propyl (i- Bu, i-butyl, -CH2CH(CH3)2), 2-butyl (s-Bu, s-butyl, -CH(CH3)CH2CH3), 2-methyl-2-propyl (t- Bu, t-butyl, tert-butyl, -C(CH3)3), 1 -pentyl (n-pentyl, -CH2CH2CH2CH2CH3), 2-pentyl (- CH(CH3)CH2CH2CH3), 3-pentyl (-CH(CH2CH3)2), 2-methyl-2-butyl (-C(CH3)2CH2CH3), 3- methyl-2-butyl (-CH(CH3)CH(CH3)2), 3-methyl- 1 -butyl (-CH2CH2CH(CH3)2), 2-methy 1-1 -butyl (-CH2CH(CH3)CH2CH3), 1 -hexyl (-OBOBOBOBOBOB), 2-hexyl (-
CH(CH3)CH2CH2CH2CH3), 3 -hexyl (-CH(CH2CH3)(CH2CH2CH3)), 2-methy l-2-pentyl (- C(CH3)2CH2CH2CH3), 3-methyl-2-pentyl (-CH(CH3)CH(CH3)CH2CH3), 4-methyl-2-pentyl (- CH(CH3)CH2CH(CH3)2), 3-methyl-3-pentyl (-C(CH3)(CH2CH3)2), 2-methyl-3-pentyl (- CH(CH2CH3)CH(CH3)2), 2,3-dimethyl-2-butyl (-C(CH3)2CH(CH3)2), 3,3-dimethyl-2-butyl (- CH(CH3)C(CH3)3, l-heptyl, l-octyl, and the like.
[0039] The term“alkylene” as used herein refers to a saturated linear or branched- chain divalent hydrocarbon radical of any length from one to twelve carbon atoms (C1-C12), wherein the alkylene radical may be optionally substituted independently with one or more substituents described herein. In another embodiment, an alkylene radical is one to eight carbon atoms (C' I -C'X). one to six carbon atoms (CVG,). or one to four carbon atoms (C1-C4). Examples of alkylene groups include, but are not limited to, methylene (-CH2-), ethylene (-CH2CH2-), propylene (-CH2CH2CH2-), and the like.
[0040] The term“alkenyl” refers to linear or branched-chain monovalent hydrocarbon radical of any length from two to twelve carbon atoms (C2-C12) with at least one site of unsaturation, i.e., a carbon-carbon, sp2 double bond, wherein the alkenyl radical may be optionally substituted independently with one or more substituents described herein, and includes radicals having “cis” and “trans” orientations, or alternatively, “E” and “Z” orientations. Examples include, but are not limited to, ethylenyl or vinyl (-CH=CH2), allyl (- CH2CH=CH2), and the like.
[0041] The term“alkenylene” refers to linear or branched-chain divalent hydrocarbon radical of any length from two to twelve carbon atoms (C2-C12) with at least one site of unsaturation, i.e., a carbon-carbon, sp2 double bond, wherein the alkenylene radical may be optionally substituted independently with one or more substituents described herein, and includes radicals having “cis” and “trans” orientations, or alternatively, “E” and “Z” orientations. Examples include, but are not limited to, ethylenylene or vinylene (-CH=CH-), allyl (-CH2CH=CH-), and the like.
[0042] The term“alkynyl” refers to a linear or branched monovalent hydrocarbon radical of any length from two to twelve carbon atoms (C2-Ci2) with at least one site of unsaturation, i.e., a carbon-carbon, sp triple bond, wherein the alkynyl radical may be optionally substituted independently with one or more substituents described herein. Examples include, but are not limited to, ethynyl (-CºCH), propynyl (propargyl, -CH2CºCH), and the like.
[0043] The term“alkynylene” refers to a linear or branched divalent hydrocarbon radical of any length from two to twelve carbon atoms (C2-Ci2) with at least one site of unsaturation, i.e., a carbon-carbon, sp triple bond, wherein the alkynylene radical may be optionally substituted independently with one or more substituents described herein. Examples include, but are not limited to, ethynylene (-CºC-), propynylene (propargylene, -CH2CºC-), and the like.
[0044] The terms“carbocycle”,“carbocyclyl”,“carbocycbc ring” and“cycloalkyl” refer to a monovalent non-aromatic, saturated or partially unsaturated ring having 3 to 12 carbon atoms (C3-Ci2) as a monocyclic ring or 7 to 12 carbon atoms as a bicycbc ring. Bicycbc carbocycles having 7 to 12 atoms can be arranged, for example, as a bicyclo [4,5], [5,5], [5,6] or
[6.6] system, and bicycbc carbocycles having 9 or 10 ring atoms can be arranged as a bicyclo
[5.6] or [6,6] system, or as bridged systems such as bicyclo[2.2. l]heptane, bicyclo[2.2.2]octane and bicyclo[3.2.2]nonane. Spiro moieties are also included within the scope of this definition. Examples of monocyclic carbocycles include, but are not limited to, cyclopropyl, cyclobutyl, cyclopentyl, l-cyclopent-l-enyl, l-cyclopent-2-enyl, l-cyclopent-3-enyl, cyclohexyl, 1- cyclohex-l-enyl, l-cyclohex-2-enyl, l-cyclohex-3-enyl, cyclohexadienyl, cycloheptyl, cyclooctyl, cyclononyl, cyclodecyl, cycloundecyl, cyclododecyl, and the like. Carbocyclyl groups are optionally substituted independently with one or more substituents described herein.
[0045] The term“cycloalkylene” refer to a divalent non-aromatic, saturated or partially unsaturated ring having 3 to 12 carbon atoms (C3-Ci2) as a monocyclic ring or 7 to 12 carbon atoms as a bicycbc ring. Bicycbc cycloalkylenes having 7 to 12 atoms can be arranged, for example, as a bicyclo [4,5], [5,5], [5,6] or [6,6] system, and bicycbc cycloalkylenes having 9 or 10 ring atoms can be arranged as a bicyclo [5,6] or [6,6] system, or as bridged systems such as bicyclo[2.2. l]heptane, bicyclo[2.2.2]octane and bicyclo[3.2.2]nonane. Spiro moieties are also included within the scope of this definition. Examples of monocyclic cycloalkylenes include, but are not limited to, cyclopropylene, cyclobutylene, cyclopentylene, l-cyclopent-l-enylene, 1- cyclopent-2-enylene, l-cyclopent-3-enylene, cyclohexylene, 1 -cyclohex- l-enylene, 1 -cyclohex-
2-enylene, l-cyclohex-3-enylene, cyclohexadienylene, cycloheptylene, cyclooctylene, cyclononylene, cyclodecylene, cycloundecylene, cyclododecylene, and the like. Cycloalkylene groups are optionally substituted independently with one or more substituents described herein.
[0046] “Aryl” means a monovalent aromatic hydrocarbon radical of 6-20 carbon atoms (C6-C2o) derived by the removal of one hydrogen atom from a single carbon atom of a parent aromatic ring system. Some aryl groups are represented in the exemplary structures as“Ar”. Aryl includes bicyclic radicals comprising an aromatic ring fused to a saturated, partially unsaturated ring, or aromatic carbocycbc ring. Typical aryl groups include, but are not limited to, radicals derived from benzene (phenyl), substituted benzenes, naphthalene, anthracene, biphenyl, indenyl, indanyl, l,2-dihydronaphthalene, l,2,3,4-tetrahydronaphthyl, and the like. Aryl groups are optionally substituted independently with one or more substituents described herein.
[0047] “Arylene” means a divalent aromatic hydrocarbon radical of 6-20 carbon atoms (C6-C20) derived by the removal of two hydrogen atom from a two carbon atoms of a parent aromatic ring system. Some arylene groups are represented in the exemplary structures as“Ar”. Arylene includes bicyclic radicals comprising an aromatic ring fused to a saturated, partially unsaturated ring, or aromatic carbocycbc ring. Typical arylene groups include, but are not limited to, radicals derived from benzene (phenylene), substituted benzenes, naphthalene, anthracene, biphenylene, indenylene, indanylene, l,2-dihydronaphthalene, 1, 2,3,4- tetrahydronaphthyl, and the like. Arylene groups are optionally substituted with one or more substituents described herein.
[0048] The terms “heterocycle,” “heterocyclyl” and “heterocyclic ring” are used interchangeably herein and refer to a saturated or a partially unsaturated (i.e., having one or more double and/or triple bonds within the ring) carbocycbc radical of 3 to about 20 ring atoms in which at least one ring atom is a heteroatom selected from nitrogen, oxygen, phosphorus and sulfur, the remaining ring atoms being C, where one or more ring atoms is optionally substituted independently with one or more substituents described herein. A heterocycle may be a monocycle having 3 to 7 ring members (2 to 6 carbon atoms and 1 to 4 heteroatoms selected from N, O, P, and S) or a bicycle having 7 to 10 ring members (4 to 9 carbon atoms and 1 to 6 heteroatoms selected from N, O, P, and S), for example: a bicyclo [4,5], [5,5], [5,6], or [6,6] system. Heterocycles are described in Paquette, Leo A.;“Principles of Modem Heterocyclic Chemistry” (W.A. Benjamin, New York, 1968), particularly Chapters 1, 3, 4, 6, 7, and 9;“The
Chemistry of Heterocyclic Compounds, A series of Monographs” (John Wiley & Sons, New York, 1950 to present), in particular Volumes 13, 14, 16, 19, and 28; and J. Am. Chem. Soc. (1960) 82:5566. “Heterocyclyl” also includes radicals where heterocycle radicals are fused with a saturated, partially unsaturated ring, or aromatic carbocyclic or heterocyclic ring. Examples of heterocyclic rings include, but are not limited to, morpholin-4-yl, piperidin-l-yl, piperazinyl, piperazin-4-yl-2-one, piperazin-4-yl-3-one, pyrrolidin-l-yl, thiomorpholin-4-yl, S- dioxothiomorpholin-4-yl, azocan-l-yl, azetidin-l-yl, octahydropyrido[l,2-a]pyrazin-2-yl, [l,4]diazepan-l-yl, pyrrolidinyl, tetrahydrofuranyl, dihydrofuranyl, tetrahydrothienyl, tetrahydropyranyl, dihydropyranyl, tetrahydrothiopyranyl, piperidino, morpholino, thiomorpholino, thioxanyl, piperazinyl, homopiperazinyl, azetidinyl, oxetanyl, thietanyl, homopiperidinyl, oxepanyl, thiepanyl, oxazepinyl, diazepinyl, thiazepinyl, 2-pyrrolinyl, 3- pyrrolinyl, indolinyl, 2H-pyranyl, 4H-pyranyl, dioxanyl, l,3-dioxolanyl, pyrazolinyl, dithianyl, dithiolanyl, dihydropyranyl, dihydrothienyl, dihydrofuranyl, pyrazolidinylimidazolinyl, imidazolidinyl, 3-azabicyco[3.1.OJhexanyl, 3-azabicyclo[4. l.OJheptanyl, azabicyclo[2.2.2]hexanyl, 3H-indolyl quinolizinyl and N-pyridyl ureas. Spiro moieties are also included within the scope of this definition. Examples of a heterocyclic group wherein 2 ring atoms are substituted with oxo (=0) moieties are pyrimidinonyl and l,l-dioxo-thiomorpholinyl. The heterocycle groups herein are optionally substituted independently with one or more substituents described herein.
[0049] The term “heterocyclylene” refers to a divalent saturated or a partially unsaturated (i.e., having one or more double and/or triple bonds within the ring) carbocyclic radical of 3 to about 20 ring atoms in which at least one ring atom is a heteroatom selected from nitrogen, oxygen, phosphorus and sulfur, the remaining ring atoms being C, where one or more ring atoms is optionally substituted independently with one or more substituents described herein. A heterocyclylene may be a monocycle having 3 to 7 ring members (2 to 6 carbon atoms and 1 to 4 heteroatoms selected from N, O, P, and S) or a bicycle having 7 to 10 ring members (4 to 9 carbon atoms and 1 to 6 heteroatoms selected from N, O, P, and S), for example: a bicyclo [4,5], [5,5], [5,6], or [6,6] system. Heterocycles are described in Paquette, Leo A.;“Principles of Modem Heterocyclic Chemistry” (W.A. Benjamin, New York, 1968), particularly Chapters 1, 3, 4, 6, 7, and 9;“The Chemistry of Heterocyclic Compounds, A series of Monographs” (John Wiley & Sons, New York, 1950 to present), in particular Volumes 13, 14, 16, 19, and 28; and J. Am. Chem. Soc. (1960) 82:5566. “Heterocyclylene” also includes divalent radicals where heterocycle radicals are fused with a saturated, partially unsaturated
ring, or aromatic carbocyclic or heterocyclic ring. Examples of heterocyclylenes include, but are not limited to, morpholin-4-ylene, piperidin-l-ylene, piperazinylene, piperazin-4-ylene-2- one, piperazin-4-ylene-3-one, pyrrolidin-l-ylene, thiomorpholin-4-ylene, S-dioxothiomorpholin- 4-ylene, azocan- l-ylene, azetidin-l-ylene, octahydropyrido[l,2-a]pyrazin-2-ylene,
[1.4]diazepan-l-ylene, pyrrolidinylene, tetrahydrofuranylene, dihydrofuranylene, tetrahydrothienylene, tetrahydropyranylene, dihydropyranylene, tetrahydrothiopyranylene, piperidino, morpholino, thiomorpholino, thioxanylene, piperazinylene, homopiperazinylene, azetidinylene, oxetanylene, thietanylene, homopiperidinylene, oxepanylene, thiepanylene, oxazepinylene, diazepinylene, thiazepinylene, 2-pyrrolinylene, 3-pyrrolinylene, indolinylene, 2H-pyranylene, 4H-pyranylene, dioxanylene, l,3-dioxolanylene, pyrazolinylene, dithianylene, dithiolanylene, dihydropyranylene, dihydrothienylene, dihydrofuranylene, pyrazolidinylimidazolinylene, imidazolidinylene, 3-azabicyco[3. l.0]hexanylene, 3- azabicyclo[4. l.0]heptanylene, azabicyclo[2.2.2]hexanylene, 3H-indolyl quinolizinyl and N- pyridyl ureas. Spiro moieties are also included within the scope of this definition. Examples of a heterocyclylene group wherein 2 ring atoms are substituted with oxo (=0) moieties are pyrimidinonylene and l,l-dioxo-thiomorpholinylene. The heterocyclylene groups herein are optionally substituted independently with one or more substituents described herein.
[0050] The term“heteroaryl” refers to a monovalent aromatic radical of 5-, 6-, or 7- membered rings, and includes fused ring systems (at least one of which is aromatic) of 5-20 atoms, containing one or more heteroatoms independently selected from nitrogen, oxygen, and sulfur. Examples of heteroaryl groups are pyridinyl (including, for example, 2- hydroxypyridinyl), imidazolyl, imidazopyridinyl, l-methyl-lH-benzo[d]imidazole,
[1.2.4]triazolo[l,5-a]pyridine, pyrimidinyl (including, for example, 4-hydroxypyrimidinyl), pyrazolyl, triazolyl, pyrazinyl, tetrazolyl, furyl, thienyl, isoxazolyl, thiazolyl, oxadiazolyl, oxazolyl, isothiazolyl, pyrrolyl, quinolinyl, isoquinolinyl, tetrahydroisoquinolinyl, indolyl, benzimidazolyl, benzofuranyl, cinnolinyl, indazolyl, indolizinyl, phthalazinyl, pyridazinyl, triazinyl, isoindolyl, pteridinyl, purinyl, oxadiazolyl, thiadiazolyl, thiadiazolyl, furazanyl, benzofurazanyl, benzothiophenyl, benzothiazolyl, benzoxazolyl, quinazolinyl, quinoxalinyl, naphthyridinyl, and furopyridinyl. Heteroaryl groups are optionally substituted independently with one or more substituents described herein.
[0051] The term“heteroarylene” refers to a divalent aromatic radical of 5-, 6-, or 7- membered rings, and includes fused ring systems (at least one of which is aromatic) of 5-20
atoms, containing one or more heteroatoms independently selected from nitrogen, oxygen, and sulfur. Examples of heteroarylene groups are pyridinylene (including, for example, 2- hydroxypyridinylene), imidazolylene, imidazopyridinylene, l-methyl-lH-benzo[d]imidazole, [l,2,4]triazolo[l,5-a]pyridine, pyrimidinylene (including, for example, 4- hydroxypyrimidinylene), pyrazolylene, triazolylene, pyrazinylene, tetrazolylene, furylene, thienylene, isoxazolylene, thiazolylene, oxadiazolylene, oxazolylene, isothiazolylene, pyrrolylene, quinolinylene, isoquinolinylene, tetrahydroisoquinolinylene, indolylene, benzimidazolylene, benzofuranylene, cinnobnylene, indazolylene, indobzinylene, phthalazinylene, pyridazinylene, triazinylene, isoindolylene, pteridinylene, purinylene, oxadiazolylene, thiadiazolylene, thiadiazolylene, furazanylene, benzofurazanylene, benzothiophenylene, benzothiazolylene, benzoxazolylene, quinazobnylene, quinoxabnylene, naphthyridinylene, and furopyridinylene. Heteroarylene groups are optionally substituted independently with one or more substituents described herein.
[0052] The heterocycle or heteroaryl groups may be carbon (carbon-linked), or nitrogen (nitrogen-linked) bonded where such is possible. By way of example and not limitation, carbon bonded heterocycles or heteroaryls are bonded at position 2, 3, 4, 5, or 6 of a pyridine, position 3, 4, 5, or 6 of a pyridazine, position 2, 4, 5, or 6 of a pyrimidine, position 2,
3, 5, or 6 of a pyrazine, position 2, 3, 4, or 5 of a furan, tetrahydrofuran, thiofuran, thiophene, pyrrole or tetrahydropyrrole, position 2, 4, or 5 of an oxazole, imidazole or thiazole, position 3,
4, or 5 of an isoxazole, pyrazole, or isothiazole, position 2 or 3 of an aziridine, position 2, 3, or 4 of an azetidine, position 2, 3, 4, 5, 6, 7, or 8 of a quinoline or position 1, 3, 4, 5, 6, 7, or 8 of an isoquinobne.
[0053] By way of example and not limitation, nitrogen bonded heterocycles or heteroaryls are bonded at position 1 of an aziridine, azetidine, pyrrole, pyrrolidine, 2-pyrrobne, 3-pyrrobne, imidazole, imidazobdine, 2-imidazoline, 3-imidazoline, pyrazole, pyrazobne, 2- pyrazobne, 3 -pyrazobne, piperidine, piperazine, indole, indobne, lH-indazole, position 2 of a isoindole, or isoindobne, position 4 of a morpholine, and position 9 of a carbazole, or b- carbobne.
[0054] The term“acyl” refers to both substituted and unsubstituted acyl. In certain embodiments, an“acyl” may be -C(0)-R16, wherein R16 is selected from the group consisting of substituted or unsubstituted alkyl, substituted or unsubstituted alkenyl, substituted or unsubstituted alkynyl, substituted or unsubstituted cycloalkyl, substituted or unsubstituted aryl,
substituted or unsubstituted heteroaryl, and substituted or unsubstituted heterocyclyl. In one particular embodiment, it is a substituted C1-C3 alkyl.
[0055] The term “chiral” refers to molecules that have the property of non- superimposability of the mirror image partner, while the term“achiral” refers to molecules that are superimposable on their mirror image partner.
[0056] The term“stereoisomers” refers to compounds that have identical chemical constitution, but differ with regard to the arrangement of the atoms or groups in space.
[0057] “Diastereomer” refers to a stereoisomer with two or more centers of chirality and whose molecules are not mirror images of one another. Diastereomers have different physical properties, e.g. melting points, boiling points, spectral properties, and reactivities. Mixtures of diastereomers may separate under high resolution analytical procedures such as electrophoresis and chromatography.
[0058] “Enantiomers” refer to two stereoisomers of a compound that are non- superimposable mirror images of one another.
[0059] Stereochemical definitions and conventions used herein generally follow S. P. Parker, Ed., McGraw-Hill Dictionary of Chemical Terms (1984) McGraw-Hill Book Company, New York; and Eliel, E. and When, S., Stereochemistry of Organic Compounds (1994) John Wiley & Sons, Inc., New York. Many organic compounds exist in optically active forms, i.e., they have the ability to rotate the plane of plane-polarized light. In describing an optically active compound, the prefixes D and L, or R and S, are used to denote the absolute configuration of the molecule about its chiral center(s). The prefixes d and 1 or (+) and (-) are employed to designate the sign of rotation of plane-polarized light by the compound, with (-) or 1 meaning that the compound is levorotatory. A compound prefixed with (+) or d is dextrorotatory. For a given chemical structure, these stereoisomers are identical except that they are mirror images of one another. A specific stereoisomer may also be referred to as an enantiomer, and a mixture of such isomers is often called an enantiomeric mixture. A 50:50 mixture of enantiomers is referred to as a racemic mixture or a racemate, which may occur where there has been no stereoselection or stereospecificity in a chemical reaction or process. The terms“racemic mixture” and“racemate” refer to an equimolar mixture of two enantiomeric species, devoid of optical activity.
[0060] The terms "co-administration" and "co-administering" or “combination therapy” refer to both concurrent administration (administration of two or more therapeutic agents at the same time) and time varied administration (administration of one or more therapeutic agents at a time different from that of the administration of an additional therapeutic agent or agents), as long as the therapeutic agents are present in the patient to some extent, preferably at effective amounts, at the same time. In certain preferred aspects, one or more of the present compounds described herein, are coadministered in combination with at least one additional bioactive agent, especially including an anticancer agent. In particularly preferred aspects, the co-administration of compounds results in synergistic activity and/or therapy, including anticancer activity.
[0061] The term“compound”, as used herein, unless otherwise indicated, refers to any specific chemical compound disclosed herein and includes tautomers, regioisomers, geometric isomers, and where applicable, stereoisomers, including optical isomers (enantiomers) and other stereoisomers (diastereomers) thereof, as well as pharmaceutically acceptable salts and derivatives (including prodrug forms) thereof where applicable, in context. Within its use in context, the term compound generally refers to a single compound, but also may include other compounds such as stereoisomers, regioisomers and/or optical isomers (including racemic mixtures) as well as specific enantiomers or enantiomerically enriched mixtures of disclosed compounds. The term also refers, in context to prodrug forms of compounds that have been modified to facilitate the administration and delivery of compounds to a site of activity. It is noted that in describing the present compounds, numerous substituents and variables associated with same, among others, are described. It is understood by those of ordinary skill that molecules that are described herein are stable compounds as generally described hereunder. When the bond
is shown, both a double bond and single bond are represented within the context of the compound shown. When a crossed double bond
is shown, both the E and Z configurations are represented within the context of the compound shown; and the compound may contain the E isomer or the Z isomer or a mixture of both the E and Z isomers.
[0062] The term“VCB E3 Ubiquitin Ligase,”“Von Hippel-Lindau (or VHL) E3 Ubiquitin Ligase,”“VHL,” or“Ubiquitin Ligase,” which are generally used interchangeably unless the context indicates otherwise, is used to describe a target enzyme(s) binding site of ubiquitin ligase moieties as described herein, e.g., in the bifunctional (chimeric) compounds as described herein. VCB E3 is a protein that in combination with an E2 ubiqui tin-conjugating
enzyme causes the attachment of ubiquitin to a lysine on a target protein; the ubiquitin ligase (E3) targets specific protein substrates for degradation by the proteasome. Thus, ubiquitin ligase (E3) alone or in complex with an E2 ubiquitin conjugating enzyme is responsible for the transfer of ubiquitin to targeted proteins. In general, the ubiquitin ligase is involved in polyubiquitination such that a second ubiquitin is atached to the first; a third is atached to the second, and so forth. Polyubiquitination marks proteins for degradation by the proteasome. However, there are some ubiquitination events that are limited to mono-ubiquitination, in which only a single ubiquitin is added by the ubiquitin ligase to a substrate molecule. Mono-ubiquitinated proteins are not targeted to the proteasome for degradation, but may instead be altered in their cellular location or function, for example, via binding other proteins that have domains capable of binding ubiquitin. Further complicating maters, different lysines on ubiquitin can be targeted by an E3 to make chains. The most common lysine is Lys48 on the ubiquitin chain. This is the lysine used to make polyubiquitin, which is recognized by the proteasome.
[0063] As used herein, a moiety that binds the VHL ubiquitin ligase or a component thereof, is referred to a VHL ligand.
[0064] The term“protein binding moiety” (“PB”) or“D” is used to describe a small molecule that binds to a target protein or other protein or polypeptide of interest and places/presents that protein or polypeptide in proximity to an ubiquitin ligase such that degradation of the protein or polypeptide by ubiquitin ligase may occur. Non-limiting examples of small molecule protein binding groups include EGFR inhibitors, Hsp90 inhibitors, kinase inhibitors, MDM2 inhibitors, compounds targeting Human BET Bromodomain-containing proteins, HDAC inhibitors, human lysine methyltransferase inhibitors, angiogenesis inhibitors, immunosuppressive compounds, and compounds targeting the aryl hydrocarbon receptor (AHR), among numerous others. The compositions described herein exemplify some of the members of these and other types of small molecule target proteins. By coupling the VHL ligand to a protein binding moiety (PB), the target protein or polypeptide is ubiquitinated and/or degraded by the proteasome.
[0065] In certain embodiments disclosed herein, certain groups (e.g., alkyl, alkenyl, alkynyl, cycloalkyl, aryl, heteroaryl or heterocyclyl) are described as“substituted”. In some such embodiments, the“substituted” group may be substituted with 1, 2, 3, 4, 5, or more substituents, as indicated herein. In certain embodiments, alkyl, alkenyl, alkynyl, cycloalkyl, aryl, heteroaryl or heterocyclyl may be substituted with one or more substituents independently
selected from, but not limited to, alkyl, alkenyl, alkynyl, cycloalkyl heterocyclyl, aryl, heteroaryl, halo (i.e., halogen), haloalkyl, oxo, OH, CN, -O-alkyl, S-alkyl, NH-alkyl, N(alkyl)2, O-cycloalkyl, S-cycloalkyl, NH-cycloalkyl, N(cycloalkyl)2, N(cycloalkyl)(alkyl), NH2, SH, S02-alkyl, P(0)(0-alkyl)(alkyl), P(0)(0-alkyl)2, Si(OH)3, Si(alkyl)3, Si(OH)(alkyl)2, CO-alkyl, C02H, N02, SF5, S02NH-alkyl, S02N(alkyl)2, SONH-alkyl, SON(alkyl)2, CONH-alkyl, CON(alkyl)2, N(alkyl)CONH (alkyl), N(alkyl)CON(alkyl)2, NHCONH(alkyl), NHCON(alkyl)2, NHCONH2, N(alkyl)S02NH(alkyl), N(alkyl) S02N(alkyl)2, NHS02NH(alkyl), NHS02N(alkyl)2, and NHS02NH2.
[0066] Still additional definitions and abbreviations are provided elsewhere herein.
[0067] Where a range of values is provided, it is understood that each intervening value, to the tenth of the unit of the lower limit unless the context clearly dictates otherwise (such as in the case of a group containing a number of carbon atoms in which case each carbon atom number falling within the range is provided), between the upper and lower limit of that range and any other stated or intervening value in that stated range is encompassed within the disclosure. The upper and lower limits of these smaller ranges may independently be included in the smaller ranges is also encompassed within the disclosure, subject to any specifically excluded limit in the stated range. Where the stated range includes one or both of the limits, ranges excluding either both of those included limits are also included in the disclosure.
[0068] The articles "a" and "an" as used herein and in the appended claims are used herein to refer to one or to more than one (i.e., to at least one) of the grammatical object of the article unless the context clearly indicates otherwise. By way of example, "an element" means one element or more than one element.
[0069] In the claims, as well as in the specification above, transitional phrases such as "comprising," "including," "carrying," "having," "containing," "involving," "holding," "composed of," and the like are to be understood to be open-ended, i.e., to mean including but not limited to. Only the transitional phrases "consisting of’ and "consisting essentially of’ shall be closed or semi-closed transitional phrases, respectively, as set forth in the United States Patent Office Manual of Patent Examining Procedures, Section 2111.03.
[0070] As used herein in the specification and in the claims, the phrase "at least one," in reference to a list of one or more elements, should be understood to mean at least one element selected from anyone or more of the elements in the list of elements, but not necessarily
including at least one of each and every element specifically listed within the list of elements and not excluding any combinations of elements in the list of elements. This definition also allows that elements may optionally be present other than the elements specifically identified within the list of elements to which the phrase "at least one" refers, whether related or unrelated to those elements specifically identified. Thus, as a nonlimiting example, "at least one of A and B" (or, equivalently, "at least one of A or B," or, equivalently "at least one of A and/or B") can refer, in one embodiment, to at least one, optionally including more than one, A, with no B present (and optionally including elements other than B); in another embodiment, to at least one, optionally including more than one, B, with no A present (and optionally including elements other than A); in yet another embodiment, to at least one, optionally including more than one, A, and at least one, optionally including more than one, B (and optionally including other elements); etc.
[0071] It should also be understood that, in certain methods described herein that include more than one step or act, the order of the steps or acts of the method is not necessarily limited to the order in which the steps or acts of the method are recited unless the context indicates otherwise.
[0072] As indicated above, the description relates to a hetero-bifunctional degrader compound that binds a ubiquitin ligase (E3) protein, and specifically VHL, or component thereof and a target protein. The ubiquitin ligase protein (E3) ubiquitinates the target protein once it and the target protein are placed in proximity by the hetero-bifunctional degrader. Accordingly, the description provides such compounds that bind to such ubiquitin ligase proteins, as well as hetero-bifunctional degrader compounds comprising the same.
II. Hetero-Bifunctional Degrader Compounds and Compositions
[0073] Ubiquitin ligases (E3) (of which over 600 are known in humans) confer substrate specificity for ubiquitination. There are known ligands that bind to these ligases. A ubiquitin ligase (E3) binding group (E3LB) is a peptide or small molecule that can bind a ubiquitin ligase (E3).
[0074] A particular E3 is von Hippel-Lindau (VHL) tumor suppressor, the substrate recognition subunit of the E3 ligase complex VCB, which also consists of elongins B and C, Cul2 and Rbxl. The primary substrate of VHL is Hypoxia Inducible Factor la (HIF- la), a
transcription factor that upregulates genes such as the pro-angiogenic growth factor VEGF and the red blood cell inducing cytokine erythropoietin in response to low oxygen levels.
[0075] In one aspect, the present disclosure is directed to hetero-bifunctional degrader compounds that are useful for regulating protein activity, and specifically, for facilitating the degradation of target proteins. Specifically, the hetero-bifunctional degrader compounds of the present disclosure are bifunctional compounds that can be used as modulators of targeted ubiquitination. The compounds comprise on one end a VHL ligand moiety, which binds to the VHL ubiquitin ligase (E3) (also referred to herein as a“VHL ubiquitin ligase binding moiety”), and on the other end a moiety that binds a target protein, such that degradation of the target protein/polypeptide is effectuated.
[0076] Preferably, the VHL ligand moiety is a small molecule (i.e., not peptide based). In certain aspects and embodiments, the VHL ligand moiety is chemically linked, via a bond or through a chemical linker, to a protein binding (PB) moiety (or“D”), wherein the VHL ligand moiety recognizes a VHL ubiquitin ligase (E3) and the protein binding moiety recognizes a target protein or polypeptide, and wherein the VHL ligand moiety is coupled to the PB moiety.
[0077] In an additional aspect, the present disclosure is directed to a compound according to the structure: VHLM-L-(E2)b-(E1)a, where L is a first linker moiety, (E2)b and (E 1 )a together form a second linker moiety, and VHLM is a VHL ligand moiety (e.g., a VHL ubiquitin ligase binding moiety). In certain embodiments, the VHL ligand moiety is coupled directly or via one or more chemical linker to a protein binding (PB) moiety (or“D”).
[0078] In another aspect, the description provides compounds that comprise a protein binding group according to the general structure: VHLM-L-(E2)b-(E1)a-PB or VHLM-L-(E2)b- (E^a-D, where VHLM is a VHL ligand moiety (e.g., a VHL ubiquitin ligase binding moiety), PB or D is a chemical moiety (protein binding moiety), which binds to a target protein or polypeptide, which is ubiquitinated by an ubiquitin ligase, and is chemically linked directly to the VHL ligand moiety or through a first linker moiety (L), which can be a bond or a chemical linker, and a second linker moiety ((E2)b-(E1)a), which is a chemical linker.
[0079] Although the VHL ligand moiety and PB or D moiety may be covalently linked to the linker groups (L and/or E1 and E2 taken together) through any group which is appropriate and stable to the chemistry of the linker, in certain embodiments, and as detailed further below, the linkers may be independently covalently bonded to the VHL ligand moiety and the PB or D
moiety through an amide, ester, thioester, keto group, carbamate (urethane), carbon or ether, each of which groups may be inserted anywhere on the VHL ligand moiety and PB or D moiety to provide maximum binding of the VHL ligand moiety on the VHL ubiquitin ligase and the PB or D moiety on the target protein to be degraded. In certain aspects, the linkers may be linked to an optionally substituted alkyl, alkylene, alkene or alkyne group, an aryl group or a heterocyclic group on the VHL ligand moiety and/or PB or D moiety.
[0080] In one aspect, the first linker moiety (L) may be independently covalently bonded to the PB or D moiety through the second linker moiety (E1 and E2 taken together), as set forth herein.
[0081] In one aspect, the present disclosure is directed to a compound (e.g., a hetero- bifunctional degrader) of Formula (I):
D— (E1)a-(E2)— L VH L ligam or a salt (e.g., a pharmaceutically acceptable salt) thereof; wherein:
VHL ligand
is a VHL ubiquitin ligase binding moiety;
L is a linker moiety;
E1 is selected from the group consisting of arylene, heteroarylene, alkylene, and alkynylene;
E2 is selected from the group consisting of -C(0)-N(H)-, -N(H)-C(0)-, -N(H)-CH2-, - N(H)-, and -0-, wherein E2 may be attached to E1 (when present) or D and to the remaining structure of the compound in either orientation; a and b are independently 0 or 1, wherein a and b are not both 0; and
D is a protein binding moiety.
[0082] In another aspect, the present disclosure is directed to a compound (e.g. a hetero-bifunctional degrader) of Formula (II):
or a salt (e.g., a pharmaceutically acceptable salt) thereof; wherein:
R1 is selected from the group consisting of substituted or unsubstituted alkyl, substituted or unsubstituted cycloalkyl, substituted or unsubstituted aryl, substituted or unsubstituted heterocyclyl, and substituted or unsubstituted heteroaryl;
R3 is substituted or unsubstituted alkyl, or R3 is taken together with R6, when present, and the atoms to which they are atached, to form a substituted or unsubstituted heterocyclylene;
Y is selected from the group consisting of substituted or unsubstituted heteroarylene, substituted or unsubstituted heterocyclylene, O, S, -N(R6)-, -N(R6)-C(0)-, and -N(R6)- S02-;
R6 is selected from the group consisting of H and substituted or unsubstituted alkyl; or R6 is taken together with R3 and the atoms to which they are atached to form a substituted or unsubstituted heterocyclylene;
L is a linker moiety;
E1 is selected from the group consisting of arylene, heteroarylene, alkylene, and alkynylene;
E2 is selected from the group consisting of -C(0)-N(H)-, -N(H)-C(0)-, -N(H)-CH2-, - N(H)-, and -0-, wherein E2 may be atached to E1 (when present) or D and to the remaining structure of the compound in either orientation;
a and b are independently 0 or 1, wherein a and b are not both 0; and D is a protein binding moiety.
[0083] In another aspect, the compound (e.g. a hetero-bifunctional degrader) is a compound of Formula (Ila), or an isomer thereof:
or a salt (e.g., a pharmaceutically acceptable salt) thereof, wherein each of R1, R3, Y, L, E1, E2, a, b, and D are as defined for Formula (II).
[0084] In some embodiments of the compounds of Formulas (I), (II), or (Ila), or a salt (e.g. a pharmaceutically acceptable salt) thereof, a is 1, and E1 is selected from the group consisting of phenylene, imidazolylene, propynylene, pyridylene, methylene, pyrazolylene, and thiazolylene.
[0085] In one particular embodiment of the compounds of Formulas (I), (II), or (Ila), or a salt (e.g. a pharmaceutically acceptable salt) thereof, a is 1 and E1 is selected from the group
, , and methylene, wherein indicates the point of attachment to the remaining structure of the compound or D; and wherein E1 may be attached to D and the remaining structure of the compound in either orientation.
[0086] In another embodiment of the compounds of Formulas (I), (II), or (Ila), or a salt (e.g. a pharmaceutically acceptable salt) thereof, a and b are each 1, and E1 and E2 taken
together are selected from the group consisting of
[0087] In another embodiment of the compounds of Formulas (I), (II), or (Ila), or a salt (e.g. a pharmaceutically acceptable salt) thereof, a is 1, b is 0, and E1 is selected from the group
consisting
wherein /wv' indicates the point of attachment to L or D, and wherein E1 may be attached to L and D in either orientation.
[0088] In another embodiment of the compounds of Formulas (I), (II), or (Ila), or a salt (e.g. a pharmaceutically acceptable salt) thereof, a is 0, b is 1, and E2 is -C(0)-N(H)-, wherein E2 may be attached to D and to the remaining structure of the compound in either orientation.
[0089] In some embodiments of the compounds of Formula (II) or (Ila), or a salt (e.g. a pharmaceutically acceptable salt) thereof, R1 is -W-R7, and W is selected from the group consisting of substituted or unsubstituted arylene, substituted or unsubstituted heteroarylene, substituted or unsubstituted heterocyclylene, and substituted or unsubstituted cycloalkylene; R7 is selected from the group consisting of substituted or unsubstituted alkyl, substituted or unsubstituted cycloalkyl, substituted or unsubstituted aryl, substituted or unsubstituted heteroaryl, substituted or unsubstituted heterocyclyl, substituted or unsubstituted alkenyl, substituted or unsubstituted alkynyl, halo, -CN, -OR8, -N(R8a)R8b, -C(0)R8c, -C(0)N(R8a)R8b, - N(R8a)C(0)R8c, -S02N(R8a)R8b, and -S02R8c; R8, R8a, and R8b are independently selected from the group consisting of H and substituted or unsubstituted alkyl; and R8c is selected from the group consisting of substituted or unsubstituted alkyl and substituted or unsubstituted aryl. In some embodiments, R7 is selected from the group consisting of substituted or unsubstituted alkyl, substituted or unsubstituted cycloalkyl, substituted or unsubstituted aryl, substituted or unsubstituted heteroaryl, substituted or unsubstituted heterocyclyl, substituted or unsubstituted alkenyl, substituted or unsubstituted alkynyl, halo, -CN, -OR8, -N(R8a)R8b, and -S02R8c, wherein R , R , R , and R are as defined above. In some embodiments, R is selected from the group consisting of substituted or unsubstituted alkyl, substituted or unsubstituted cycloalkyl, substituted or unsubstituted aryl, substituted or unsubstituted heteroaryl, substituted or unsubstituted heterocyclyl, substituted or unsubstituted alkenyl, substituted or unsubstituted alkynyl, halo, -CN, and -S02R8c, wherein R8c is as defined above. In some embodiments, R7 is selected from the group consisting of substituted or unsubstituted alkyl, substituted or unsubstituted cycloalkyl, substituted or unsubstituted aryl, substituted or unsubstituted heteroaryl, substituted or unsubstituted heterocyclyl, substituted or unsubstituted alkenyl, substituted or unsubstituted alkynyl, halo, -CN, -C(0)R8c, -C(0)N(R8a)R8b, -N(R8a)C(0)R8c, - S02N(R8a)R8b, and -S02R8c, wherein R8a, R8b, and R8c are as defined above.
[0090] In one embodiment, R7 is a haloalkyl, for example, a -CF3.
[0091] In one aspect, R1 is -W-R7; W is substituted or unsubstituted phenylene; and R7 is as defined above. In one embodiment, R1 is substituted or unsubstituted phenyl.
[0092] In another aspect, R1 is
m is 0, 1, 2,3, 4, or 5; R7 is selected from the group consisting of substituted or unsubstituted alkyl, substituted or unsubstituted cycloalkyl, substituted or unsubstituted aryl, substituted or unsubstituted heteroaryl, substituted or unsubstituted heterocyclyl, substituted or unsubstituted alkenyl, substituted or unsubstituted alkynyl, halo, -CN, -OR8, -N(R8a)R8b, -C(0)R8c, -C(0)N(R8a)R8b, -N(R8a)C(0)R8c, - S02N(R8a)R8b, and -SC^R80; R8, R8a, and R8b are independently selected from the group consisting of H and substituted or unsubstituted alkyl; R8c is selected from the group consisting of substituted or unsubstituted alkyl and substituted or unsubstituted aryl; and ΆLL is the point of attachment to the remaining structure of the compound. In one particular embodiment,
[0094] In one particular embodiment, R7 is selected from the group consisting of substituted or unsubstituted heteroaryl, substituted or unsubstituted heterocyclyl, and substituted or unsubstituted aryl.
[0095] In certain aspects, R7 is selected from the group consisting of
0, 1, 2, 3, 4, or 5; R9 is selected from the group consisting of oxo, alkyl, haloalkyl, cycloalkyl, halo, -CN, -NH2, and substituted or unsubstituted alkynyl; /w r, when present, is the point of attachment to the remaining structure of the compound; R9a, when present, is selected from the
group consisting of H and R9; or R9a is the point of attachment to the remaining structure of the compound and is absent.
, wherein R9a is alkyl and'^zw' is the point of attachment to the remaining structure of the compound. In some embodiments, R7 is chlorophenyl, chloro-thiazolyl or
trifluoromethyl-thiazolyl. In one particular embodiment,
, and 'Zvw'is the point of attachment to the remaining structure of the compound.
[0097] In one particular embodiment, R
and R is a substituted or unsubstituted alkynyl. In one embodiment, the alkynyl is substituted with a substituted or unsubstituted aryl, such as phenyl. In one embodiment, the aryl is phenyl, and the phenyl is substituted with at least one R10, wherein R10 is halo.
[0098] In one particular embodiment, R7 is selected from the group consisting of a substituted or unsubstituted 5-membered heteroaryl, and a substituted or unsubstituted 5- membered heterocyclyl. R7 may be, for example, l-pyrrolidinyl or l-pyrrolidonyl. In one particular embodiment, R7 is methylthiazolyl.
[0138] In some embodiments of the compounds of Formula (II) or (Ila), or a salt (e.g. a pharmaceutically acceptable salt) thereof, R3 is a substituted or unsubstituted Ci-C 6 alkyl. In certain embodiments, R3 isopropyl or tert-butyl.
[0099] In some embodiments of the compounds of Formula (II) or (Ila), or a salt (e.g. a pharmaceutically acceptable salt) thereof, Y is selected from the group consisting of substituted or unsubstituted heteroarylene, substituted or unsubstituted heterocyclylene, O, S, -N(R6)-, -
N(R6)-C(0)-, and -N(R6)-S02-. In some embodiments, Y is substituted or unsubstituted heteroarylene, or a substituted or unsubstituted heterocyclylene.
[0100] In certain aspects, Y is a substituted or unsubstituted heteroarylene. Examples
wherein 'LLL indicates the point of attachment to the remaining structure of the compound or L, and wherein Y may be attached to the remaining structure of the compound and L in either orientation. In one
particular embodiment,
wherein ΆLL indicates the point of attachment to the remaining structure of the compound or L; and wherein Y may be attached to the remaining structure of the compound and L in either orientation.
[0101] In other embodiments, Y is selected from the group consisting of -N(R6)-, - N(R6)-C(0)-, and -N(R6)-S02-; and R6 is selected from the group consisting of H and substituted or unsubstituted alkyl. In one embodiment, Y is selected from the group consisting of -N(R6)-, -N(R6)-C(0)-, and -N(R6)-S02-; and R6 is selected from the group consisting of H and substituted or unsubstituted Ci-C6 alkyl. In one embodiment, Y is -N(R6)-C(0)- and R6 is H. In one embodiment, Y is -N(R6)-C(0)-, R6 is H, and R3 is substituted or unsubstituted alkyl. In one particular embodiment, Y is -N(R6)-C(0)-, R6 is H, and R3 is isopropyl or tert-butyl.
[0102] In other embodiments, Y is selected from the group consisting of -N(R6)-, - N(R6)-C(0)-, and -N(R6)-S02-; and R6 is taken together with R3 and the atoms to which they are attached to form a substituted or unsubstituted heterocyclylene. In one particular embodiment, the heterocyclylene is substituted with -(Rn)p; wherein p is 0, 1, 2, 3, or 4; R11 is selected from the group consisting of substituted or unsubstituted C1-C3 alkyl, halo, -CN, and - ORlla; and each Rlla is independently selected from the group consisting of H and substituted or unsubstituted alkyl (e.g., a C1-C3 alkyl). In one embodiment, R11 is -ORlla, and is selected from the group consisting of -OCH3, -OCF3, and -OH. In one embodiment, p is 1 and R11 is selected
from the group consisting of -OCH3, -OCF3, and -OH. In another embodiment, R6 is taken together with R3 and the atoms to which they are attached to form a substituted or unsubstituted 5- or 6-membered heterocyclylene. In one embodiment, the 5- or 6-membered heterocyclylene is substituted with an alkyl.
[0103] It is intended and understood that any of the Y moieties detailed herein for the compound of Formula (II) or (Ila) may be combined with any of the R1 and/or R3 groups detailed herein, as if each and every combination has been individually described. For example, in some embodiments of the compound of Formula (II) or (Ila), or a salt (e.g., a
isopropyl or tert-butyl;
substituted or unsubstituted heteroaryl or halo. In one particular embodiment, R7 is substituted or unsubstituted heteroaryl.
[0104] In one aspect, the present disclosure is directed to a compound of Formula (II)
R3 is tert-butyl; Y is -N(R6)-C(0)-; R6 is H; and R7 is substituted or unsubstituted heteroaryl or halo. In one such embodiment, R7 is a substituted or unsubstituted heteroaryl. In one such embodiment, R7 is a substituted or unsubstituted 5- or 6-membered heteroaryl.
[0105] In another aspect, the present disclosure is directed to a compound of Formula (II) or (Ila), or a salt (e.g., a pharmaceutically acceptable salt) thereof, wherein R1 is
AOL 7
R7 ; R3 is isopropyl;
substituted or unsubstituted heteroaryl or halo. In one such embodiment, R7 is a substituted or unsubstituted heteroaryl. In one such embodiment, R7 is a substituted or unsubstituted 5- or 6-membered heteroaryl. In one such embodiment, R7 is halo.
[0106] In one embodiment, the hetero-bifunctional degrader is a compound of Formula (II), or an isomer thereof, or a salt (e.g., a pharmaceutically acceptable salt) thereof, and has a structure selected from the group consisting of those structures in Table 1, wherein R1, L, E1, E2, a, b, and D are as defined herein; p is 0, 1, 2, 3, or 4; R11 is selected from the group consisting of substituted or unsubstituted C1-C3 alkyl, halo, -CN, and -ORlla; and Rlla is selected from the group consisting of H and substituted or unsubstituted alkyl.
Table 1
[0107] In one embodiment, the hetero-bifunctional degrader is a compound of Formula (II) or an isomer thereof, or a salt (e.g., a pharmaceutically acceptable salt) thereof, and has a structure selected from the group consisting of those structures in Table 2, wherein R3, R7, Y, L, E1, E2, a, b, and D are as defined herein; R10 is halo; and m is 0, 1, 2, 3, 4, or 5.
Table 2
[0108] In one embodiment, the hetero-bifunctional degrader is a compound of Formula I-B-9 or a salt (e.g., a pharmaceutically acceptable salt) thereof, having the structure
[0109] In one embodiment, the hetero-bifunctional degrader is a compound of Formula
I-B-9a or a salt (e.g., a pharmaceutically acceptable salt) thereof, having the structure
, wherein R7, R3, Y, L, E1, E2, a, b, and D are as defined above.
[0110] In one embodiment, the hetero-bifunctional degrader is a compound of Formula I-B-10 or a salt (e.g., a pharmaceutically acceptable salt) thereof, having the structure
[0111] In one embodiment, the hetero-bifunctional degrader is a compound of Formula I-B-lOa or a salt (e.g., a pharmaceutically acceptable salt) thereof, having the structure
[0112] In one embodiment, the hetero-bifunctional degrader is a compound of Formula I-B-l l or a salt (e.g., a pharmaceutically acceptable salt) thereof, having the structure
[0113] In one embodiment, the hetero-bifunctional degrader is a compound of Formula I-B-l la or a salt (e.g., a pharmaceutically acceptable salt) thereof, having the structure
[0114] In one embodiment, the hetero-bifunctional degrader is a compound selected from the group consisting of a compound of Formula I-A-l, a compound of Formula I-A-9, and
a compound of Formula I-B-9, having the structures:
alt (e.g., a pharmaceutically acceptable salt) thereof, wherein R1, R3, R7, Y, L, E1, E2, a, b, and D are as defined herein, and m is 0, 1, 2, 3, 4, or 5.
[0115] In one embodiment, the hetero-bifunctional degrader is a compound selected from the group consisting of a compound of Formula I-A-la, a compound of Formula I-A-9a, and a compound of Formula I-B-9a, having the structures:
or a salt (e.g., a pharmaceutically acceptable salt) thereof, wherein R1, R3, R7, Y, L, E1, E2, a, b, and D are as defined herein, and m is 0, 1, 2, 3, 4, or 5.
[0116] In one embodiment, the hetero-bifunctional degrader is a compound of Formula (II) or (Ila) or an isomer thereof, or a salt (e.g., a pharmaceutically acceptable salt) thereof, and has a structure selected from the group consisting of those structures in Table 3, wherein L, E1, E2, a, b, and D are as defined herein.
Table 3
[0117] In one embodiment, the hetero-bifunctional degrader is a compound selected from the group consisting of a compound of Formula I-C-2, and a compound of Formula I-C-3,
salt (e.g., a pharmaceutically acceptable salt) thereof, wherein L, E1, E2, a, b, and D are as defined herein.
[0118] In one embodiment, the hetero-bifunctional degrader is a compound selected from the group consisting of a compound of Formula I-C-2a, a compound of Formula I-C-2b, and a compound of Formula I-C-3a, having the structures:
,
isomers thereof, or a salt (e.g., a pharmaceutically acceptable salt) thereof, wherein L, E1, E2, a, b, and D are as defined herein.
[0119] In one embodiment, the hetero-bifunctional degrader is a compound of Formula (II) or (Ila) or an isomer thereof, or a salt (e.g., a pharmaceutically acceptable salt) thereof, and has a structure selected from the group consisting of those structures in Table 4, wherein R1, R3, and Y are as defined herein.
Ux
53
[0120] In one embodiment, the hetero-bifunctional degrader is a compound selected from the group consisting of a compound of Formula I-D-l, a compound of Formula I-D-2, and a compound of Formula I-D-3, or a salt (e.g., a pharmaceutically acceptable salt) thereof, wherein R1, R3, and Y are as defined herein.
[0121] In one embodiment, the hetero-bifunctional degrader is a compound of Formula (II) or (Ila) or an isomer thereof, or a salt (e.g., a pharmaceutically acceptable salt) thereof, and is selected from the group consisting of those compounds in Table 5.
O
Table 5 O
00
oo o b o> o
m
o
O
00
n H bn oo o bO o o
o
00
o
O
00
<J\
os o
1 Compound names are auto-generated using ChemDraw® software version 15.0.0.106. bn oo o os os
[0122] In one embodiment, the hetero-bifunctional degrader is a salt (e.g., a pharmaceutically acceptable salt) of a compound in Table 5.
[0123] Referring now to a hetero-bifunctional degrader compound or a VHL ligand, as described herein, these can exist in solid or liquid form. In the solid state, the compound may exist in crystalline or noncrystalline form, or as a mixture thereof. The skilled artisan will appreciate that pharmaceutically acceptable solvates may be formed for crystalline or non crystalline compounds. In crystalline solvates, solvent molecules are incorporated into the crystalline lattice during crystallization. Solvates may involve non-aqueous solvents such as, but not limited to, ethanol, isopropanol, DMSO, acetic acid, ethanolamine, or ethyl acetate, or they may involve water as the solvent that is incorporated into the crystalline lattice. Solvates wherein water is the solvent incorporated into the crystalline lattice are typically referred to as "hydrates." Hydrates include stoichiometric hydrates as well as compositions containing variable amounts of water. The subject matter described herein includes such solvates.
[0124] The skilled artisan will further appreciate that certain compounds (hetero- bifunctional degraders and VHL ligands) described herein that exist in crystalline form, including the various solvates thereof, may exhibit polymorphism (i.e. the capacity to occur in different crystalline structures). These different crystalline forms are typically known as "polymorphs." The subject matter disclosed herein includes such polymorphs. Polymorphs have the same chemical composition but differ in packing, geometrical arrangement, and other descriptive properties of the crystalline solid state. Polymorphs, therefore, may have different physical properties such as shape, density, hardness, deformability, stability, and dissolution properties. Polymorphs typically exhibit different melting points, IR spectra, and X-ray powder diffraction patterns, which may be used for identification. The skilled artisan will appreciate that different polymorphs may be produced, for example, by changing or adjusting the reaction conditions or reagents, used in making the compound. For example, changes in temperature, pressure, or solvent may result in polymorphs. In addition, one polymorph may spontaneously convert to another polymorph under certain conditions.
[0125] Hetero-bifunctional degraders and VHL ligands described herein or a salt thereof may exist in stereoisomeric forms (e.g., it contains one or more asymmetric carbon atoms). The individual stereoisomers (enantiomers and diastereomers) and mixtures of these are included within the scope of the subject matter disclosed herein. Likewise, it is understood that a compound or salt of Formulas (I), (II), or (Ila) may exist in tautomeric forms other than that
shown in the formula and these are also included within the scope of the subject matter disclosed herein. It is to be understood that the subject matter disclosed herein includes combinations and subsets of the particular groups described herein. The scope of the subject matter disclosed herein includes mixtures of stereoisomers as well as purified enantiomers or enantiomerically/ diastereomerically enriched mixtures. It is to be understood that the subject matter disclosed herein includes combinations and subsets of the particular groups defined hereinabove.
[0126] The subject matter disclosed herein also includes isotopically-labelled forms of the compounds described herein, but for the fact that one or more atoms are replaced by an atom having an atomic mass or mass number different from the atomic mass or mass number usually found in nature. Examples of isotopes that can be incorporated into compounds described herein and pharmaceutically acceptable salts thereof include isotopes of hydrogen, carbon, nitrogen, oxygen, phosphorous, sulphur, fluorine, iodine, and chlorine, such as 2H, 3H, nC, 13C, 14C, 15N, 170, 180, 31P, 32P, 35S, 18F, 36Cl, 123I and 125I.
[0127] Hetero-bifunctional degrader compounds and VHL ligands as disclosed herein and pharmaceutically acceptable salts thereof that contain the aforementioned isotopes and/or other isotopes of other atoms are within the scope of the subject matter disclosed herein. Isotopically-labelled compounds are disclosed herein, for example those into which radioactive isotopes such as 3H, 14C are incorporated, are useful in drug and/or substrate tissue distribution assays. Tritiated, i.e., 3H, and carbon-l4, i.e., 14C, isotopes are commonly used for their ease of preparation and detectability. nC and 18F isotopes are useful in PET (positron emission tomography), and 125I isotopes are useful in SPECT (single photon emission computerized tomography), all useful in brain imaging. Further, substitution with heavier isotopes such as deuterium, i.e., 2H, can afford certain therapeutic advantages resulting from greater metabolic stability, for example increased in vivo half-life or reduced dosage requirements and, hence, may be preferred in some circumstances. Isotopically labelled compounds of formula I can generally be prepared by carrying out the procedures disclosed in the Schemes and/or in the Examples below, by substituting a readily available isotopically labelled reagent for a non- isotopically labelled reagent.
1. VHL Ligands and VHL Ligand Moieties
[0128] In another aspect, the present disclosure is directed to VHL ligands, and specifically, VHL ligands that bind to a VHL ubiquitin ligase (E3). The VHL ligands of the present disclosure may be derivatized, e.g., by coupling the VHL ligand directly or via a chemical linker to a protein binding moiety to form a hetero-bifunctional degrader, as discussed elsewhere herein.
[0129] In one aspect, the VHL ligand is a compound of Formula (III):
R1 and R3 are as defined above;
Z is selected from the group consisting of substituted or unsubstituted heteroaryl, substituted or unsubstituted heterocyclyl, -N(R6)R6a, -OR6a, -SR6a, and -N(R6)-S02-R6b;
R6 is selected from the group consisting of H and substituted or unsubstituted alkyl; or R6, when present, is taken together with R3 and the atoms to which they are attached to form a substituted or unsubstituted heterocyclylene;
R6a is selected from the group consisting of H, substituted or unsubstituted acyl, and substituted or unsubstituted alkyl; and
R6b is selected from the group consisting of substituted or unsubstituted alkyl and substituted or unsubstituted aryl.
[0130] In another embodiment, the VHL ligand may be a compound of Formula (Ilia) or an isomer thereof:
or a salt (e.g., a pharmaceutically acceptable salt) thereof; wherein each of R1, R3, and Z are as defined above.
[0131] In some embodiments of the compounds of Formula (III) or (Ilia), or a salt (e.g., a pharmaceutically acceptable salt) thereof, R1 is -W-R7, and W is selected from the group consisting of substituted or unsubstituted arylene, substituted or unsubstituted heteroarylene, substituted or unsubstituted heterocyclylene, and substituted or unsubstituted cycloalkylene; R7 is selected from the group consisting of substituted or unsubstituted alkyl, substituted or unsubstituted cycloalkyl, substituted or unsubstituted aryl, substituted or unsubstituted heteroaryl, substituted or unsubstituted heterocyclyl, substituted or unsubstituted alkenyl, substituted or unsubstituted alkynyl, halo, -CN, -OR8, -N(R8a)R8b, -C(0)R8c, -C(0)N(R8a)R8b, - N(R8a)C(0)R8c, -S02N(R8a)R8b, and -S02R8c; R8, R8a, and R8b are independently selected from the group consisting of H and substituted or unsubstituted alkyl; and R8c is selected from the group consisting of substituted or unsubstituted alkyl and substituted or unsubstituted aryl. In some embodiments, R7 is selected from the group consisting of substituted or unsubstituted alkyl, substituted or unsubstituted cycloalkyl, substituted or unsubstituted aryl, substituted or unsubstituted heteroaryl, substituted or unsubstituted heterocyclyl, substituted or unsubstituted alkenyl, substituted or unsubstituted alkynyl, halo, -CN, -OR8, -N(R8a)R8b, and -S02R8c, wherein R , R , R , and R are as defined above. In some embodiments, R is selected from the group consisting of substituted or unsubstituted alkyl, substituted or unsubstituted cycloalkyl, substituted or unsubstituted aryl, substituted or unsubstituted heteroaryl, substituted or unsubstituted heterocyclyl, substituted or unsubstituted alkenyl, substituted or unsubstituted alkynyl, halo, -CN, and -S02R8c, wherein R8c is as defined above. In some embodiments, R7 is selected from the group consisting of substituted or unsubstituted alkyl, substituted or
unsubstituted cycloalkyl, substituted or unsubstituted aryl, substituted or unsubstituted heteroaryl, substituted or unsubstituted heterocyclyl, substituted or unsubstituted alkenyl, substituted or unsubstituted alkynyl, halo, -CN, -C(0)R8c, -C(0)N(R8a)R8b, -N(R8a)C(0)R8c, - S02N(R8a)R8b, and -SC R80, wherein R8a, R8b, and R8c are as defined above.
[0132] In one embodiment, R7 is a haloalkyl, for example, a -CF3.
[0133] In another aspect, R1 is -W-R7; W is substituted or unsubstituted phenylene; and R7 is as defined above.
[0134] In one embodiment, R1 is substituted or unsubstituted phenyl.
[0135] In another aspect, R1 is
m is 0, 1, 2,3, 4, or 5; R7 is selected from the group consisting of substituted or unsubstituted alkyl, substituted or unsubstituted cycloalkyl, substituted or unsubstituted aryl, substituted or unsubstituted heteroaryl, substituted or unsubstituted heterocyclyl, substituted or unsubstituted alkenyl, substituted or unsubstituted alkynyl, halo, -CN, -OR8, -N(R8a)R8b, -C(0)R8c, -C(0)N(R8a)R8b, -N(R8a)C(0)R8c,
S02N(R8a)R8b, and -SC^R > 88c0;. R8, R8a, and R8b are independently selected from the group consisting of H and substituted or unsubstituted alkyl; R8c is selected from the group consisting of substituted or unsubstituted alkyl and substituted or unsubstituted aryl; and «LALG is the point of attachment to the remaining structure of the compound. In one particular embodiment,
[0137] In one particular embodiment, R7 is selected from the group consisting of substituted or unsubstituted heteroaryl, substituted or unsubstituted heterocyclyl, and substituted or unsubstituted aryl.
[0138] In certain aspects, R7 is selected from the group consisting of
0, 1, 2, 3, 4, or 5; R9 is selected from the group consisting of oxo, alkyl, haloalkyl, cycloalkyl, halo, -CN, -NH2, and substituted or unsubstituted alkynyl; /vw% when present, is the point of attachment to the remaining structure of the compound; R9a, when present, is selected from the group consisting of H and R9; or R9a is the point of attachment to the remaining structure of the compound and LLLL is absent.
R9a , wherein R9a is alkyl. In some embodiments, R7 is chlorophenyl, chloro-thiazolyl or
trifluoromethyl-thiazolyl. In one particular embodiment, R7 is
the point of attachment to the remaining structure of the compound.
R9
[0140] In one particular embodiment, R7 is
; and R9 is a substituted or unsubstituted alkynyl. In one embodiment, the alkynyl is substituted with a substituted or unsubstituted aryl, such as phenyl. In one embodiment, the aryl is phenyl, and the phenyl is substituted with at least one R10, wherein R10 is halo.
[0141] In one particular embodiment, R7 is selected from the group consisting of a substituted or unsubstituted 5-membered heteroaryl, and a substituted or unsubstituted 5- membered heterocyclyl. R7 may be, for example, l-pyrrolidinyl or l-pyrrolidonyl. In one particular example, R7 is methythiazole.
[0142] In some embodiments of the compounds of Formula (III) or (Ilia), or a salt (e.g., a pharmaceutically acceptable salt) thereof, R3 is a substituted or unsubstituted Ci.C6 alkyl. In certain embodiments, R3 isopropyl or tert-butyl.
[0143] In some embodiments of the compounds of Formula (III) or (Ilia), or a salt (e.g., a pharmaceutically acceptable salt) thereof, Z is selected from the group consisting of substituted or unsubstituted heteroaryl, substituted or unsubstituted heterocyclyl, -N(R6)R6a, - OR6a, -SR6a, and -N(R6)-S02-R6b, wherein R6, R6a, and R6b are as defined above. In some embodiments, Z is substituted or unsubstituted heteroaryl or substituted or unsubstituted heterocyclyl.
[0144] In certain aspects, Z may be a substituted or unsubstituted heteroaryl or substituted or unsubstituted heterocyclyl. Examples of Z include, but are not limited to
wherein indicates the point of attachment to the remaining structure of the compound; r is 0, 1, 2, or 3; each R13 is independently selected from the group consisting of -OR13a and substituted or unsubstituted alkyl; each R14 is independently selected from the group consisting of H, substituted or unsubstituted alkyl, and the point of attachment to the remaining structure of the compound; and each R13a is independently selected from the group consisting of H and substituted or unsubstituted alkyl; wherein when R14 is the point of attachment to the remaining structure of the compound, -/w r lS absent.
[0145] In some embodiments, r is 0, 1, or 2. In one embodiment, r is 1.
[0146] In some embodiments, R13 is a C1-C3 alkyl. In one embodiment, r is 1 and R13 is -CH3.
[0147] In some embodiments, R13 is -OR13a, and R13a is selected from the group consisting of C1-C3 alkyl and H. In one embodiment, r is 1, R13 is -OR13a, and R13a is -CH3 or
H.
[0148] In one embodiment, Z is a 5- or 6-membered substituted or unsubstituted heteroaryl. In another embodiment, Z is a 5-membered substituted or unsubstituted heteroaryl.
wherein LLL indicates the point of attachment to the remaining structure of the compound; r is 0 or 1; R13 is selected from the group consisting of -OR13a and substituted or unsubstituted alkyl; R14 is selected from the group consisting of H and substituted or unsubstituted alkyl; and R13a is selected from the group consisting of H and substituted or unsubstituted alkyl.
[0149] In one embodiment, r is 1 and R13 is a C1-C3 alkyl. In one embodiment, r is 1 and R13 is -CH3. In one embodiment, r is 0.
[0150] In another embodiment, r is 1; R13 is -OR13a; and R13a is selected from the group consisting of C1-C3 alkyl and H. In one embodiment, r is 1, R13 is -OR13a, and R13a is - CH3 or H.
[0151] In one specific embodiment, Z is
, wherein R13 is selected from the group consisting of -OR13a and substituted or unsubstituted alkyl; and R13a is selected from the group
consisting of H and substituted or unsubstituted alkyl. More specifically, Z may be
, wherein R13 is selected from the group consisting of-CH3 and -OR13a, and R13a is H or -CH3.
[0152] In another aspect, Z is selected from the group consisting of -N(R6)R6a, -OR6a, - SR6a, and -N(R6)-S02-R6b; wherein R6 is selected from the group consisting of H and substituted or unsubstituted alkyl; or R6, when present, is taken together with R3 and the atoms to which they are attached to form a substituted or unsubstituted heterocyclylene; R6a is selected from the group consisting of H, substituted or unsubstituted acyl, and substituted or unsubstituted alkyl; and R6b is selected from the group consisting of substituted or unsubstituted alkyl and substituted or unsubstituted aryl. In particular embodiments, R6 is selected from the group consisting of H and substituted or unsubstituted Ci-C6 alkyl and R6a is selected from the group consisting of H, substituted or unsubstituted Ci-C6 acyl, and substituted or unsubstituted Ci-C6 alkyl. In one embodiment, R6a is -C(0)-R16, wherein R16 is selected from the group consisting of substituted or unsubstituted alkyl, substituted or unsubstituted alkenyl, substituted or unsubstituted alkynyl, substituted or unsubstituted cycloalkyl, substituted or unsubstituted aryl, substituted or unsubstituted heteroaryl, and substituted or unsubstituted heterocyclyl. In one particular embodiment, R6a is -C(0)-R16, wherein R16 is a substituted Ci-C3 alkyl.
[0153] In one particular embodiment, Z is -N(R6)R6a, and R6 and R6a are as defined above. In another embodiment, Z is -N(R6)R6a, R6 is H, and R6a is a substituted or unsubstituted acyl (e.g., a substituted or unsubstituted Ci-C6 acyl). In one specific embodiment, Z is - N(R6)R6a, R6 is H, and R6a is -C(0)CH3.
[0154] It is intended and understood that any of the Z moieties detailed herein for the compound of Formula (III) or (Ilia) may be combined with any of the R1 and/or R3 groups detailed herein, as if each and every combination has been individually described. For example, in some embodiments of the compound of Formula (III) or (Ilia), or a salt (e.g., a
Ci-C6 alkyl, such as isopropyl or tert-butyl;
substituted
or unsubstituted acyl; R7 is substituted or unsubstituted heteroaryl or halo; R13 is selected from the group consisting of -OR13a and substituted or unsubstituted alkyl (e.g., a Ci-C6 alkyl); and R13a is selected from the group consisting of H and substituted or unsubstituted alkyl (e.g., a Ci- C6 alkyl).
[0155] In one aspect, the present disclosure is directed to a compound of Formula (III)
or unsubstituted phenyl; R3 is tert-butyl; Z is -N(R6)R6a; R6 is H; R6a is substituted or unsubstituted Ci-C6 acyl, and R7 is substituted or unsubstituted heteroaryl or halo. In one such embodiment, R7 is a substituted or unsubstituted 5- or 6-membered heteroaryl, and R6a is - C(0)CH3. In one embodiment, R1 is unsubstituted phenyl, and R6a is -C(0)CH3.
[0156] In another aspect, the present disclosure is directed to a compound of Formula (III) or (Ilia), or a salt (e.g., a pharmaceutically acceptable salt) thereof, wherein R1 is
p py ; R7 is substituted or unsubstituted heteroaryl or halo; R13 is -OR13a or a Ci-C6 alkyl; and R13a is H or a Ci-C6 alkyl. In one such embodiment, R7 is a substituted or unsubstituted 5- or 6-membered heteroaryl; R13 is -CH3 or -OR13a; and R13a is H or -CH3. In one such embodiment, R7 is halo; R13 is -CH3 or -OR13a; and R13a is H or -CH3.
[0157] In one embodiment, the VHL ligand is a compound of Formula (III) or (Ilia), or a salt (e.g., a pharmaceutically acceptable salt) thereof, and has a structure selected from the group consisting of those structures in Table 6.
Table 6: VHL ligands
Compound names were auto-generated using ChemDraw® software version 15.0.0.106.
[0158] As discussed herein, the VHL ligands of the present disclosure may be derivatized, e.g., by coupling the VHL ligand directly or via a chemical linker to a protein binding moiety to form a hetero-bifunctional degrader, as discussed elsewhere herein.
[0159] The VHL ligand and PB moiety (“D”) may be covalently linked to one another and/or to the linker moiety (L) through any group that is appropriate and stable to the chemistry of the linker. In certain embodiments, and as detailed herein, a linker may be independently covalently bonded to the VHL ligand and/or the PB moiety through an amide, ester, thioester, keto group, carbamate (urethane), carbon or ether, among others, each of which groups may be inserted anywhere on the VHL ligand and PB moiety to provide maximum binding of the VHL ligand on the VHL ubiquitin ligase and the PB moiety on the target protein to be degraded. In certain aspects, the linker may be linked to a substituted or unsubstituted alkyl group, substituted
or unsubstituted alkenyl group, substituted or unsubstituted alkynyl group, substituted or unsubstituted aryl group, or to a substituted or unsubstituted heterocyclic group on the VHL ligand and/or PB moiety.
[0160] In one aspect, the linker moiety (L) may be independently covalently bonded to the PB or D moiety through a second linker (e.g., E1 taken together with E2), as set forth herein.
[0161] In one particular embodiment, a linker moiety (L), an E1 and/or E2 moiety, and a PB moiety (“-L-(E2)b-(E1)a-D”) are linked to a VHL ligand of Formula (III) or (Ilia), or a salt (e.g., a pharmaceutically acceptable salt) thereof, through the Z substituent to form a hetero- bifunctional degrader. In one such embodiment, the resulting hetero-bifunctional degrader has a structure of Formula (II) or (Ila) or a pharmaceutically acceptable salt thereof.
[0162] In another embodiment, a linker moiety, an E1 and/or E2 moiety, and a PB moiety (“-L-(E2)b-(E1)a-D”) are linked to a VHL ligand of Formula (III) or (Ilia), or a salt (e.g., a pharmaceutically acceptable salt) thereof, through the R1 substituent to form a hetero- bifunctional degrader. For example, R1 may be an alkyl, cycloalkyl, aryl, heterocyclyl, or heteroaryl that is substituted with a substituent suitable for linker attachment. Examples of VHL ligands of the present disclosure that may be derivatized at the R1 position to attach a linker moiety (L), an E1 and/or E2 moiety, and a PB moiety (“-L-(E2)b-(E1)a-D”) include the following:
[0163] In the above embodiments, the linker group L may be any linker group as described hereinafter. In the above embodiments, the PB moiety (“D”) may be any protein binding moiety as described hereinafter. In the above embodiments, E1, E2, a, and b are as defined herein.
2. Protein Binding (PB) Moiety (“D”)
[0164] The PB moiety (“D”) is a group that binds to a target protein intended to be degraded. The term "protein" includes oligopeptides and polypeptide sequences of sufficient length that they can bind to a PB moiety. Any protein in a eukaryotic system or a microbial system, including a virus, bacteria or fungus, as otherwise described herein, are targets for ubiquitination mediated by the compounds described herein. In some embodiments, the target protein may be a eukaryotic protein.
[0165] PB moieties include, for example, any moiety which binds to a protein specifically (binds to a target protein) and includes the following non-limiting examples of small molecule target protein moieties: heat shock protein 90 (Hsp90) inhibitors, kinase inhibitors and phosphatase inhibitors, MDM2 inhibitors, compounds targeting Human BET Bromodomain- containing proteins, HDAC inhibitors, human lysine methyltransferase inhibitors, angiogenesis inhibitors, immunosuppressive compounds, RAS inhibitors, EGFR inhibitors, and BRM inhibitors, as well as compounds that bind to the aryl hydrocarbon receptor (AHR), RAF receptor kinase, FKBP, Androgen Receptor (AR), estrogen receptor (ER), thyroid hormone receptor, HIV protease, HIV integrase, HCV protease, acyl-protein thioesterase-l and -2 (APT1 and APT2), USP7, and BRG1, among numerous others. The compositions described below exemplify some of the members of these types of small molecule target protein binding moieties. Such small molecule target protein binding moieties also include pharmaceutically
acceptable salts, enantiomers, solvates and polymorphs of these compositions, as well as other small molecules that may target a protein of interest. These protein binding moieties are linked to the VHL ligand moiety through a linker, in order to present a target protein (to which the protein binding moiety is bound) in proximity to the ubiquitin ligase for ubiquitination and degradation.
[0166] Any protein, which can bind to a PB moiety and can be acted on or degraded by a ubiquitin ligase may be a target protein. In general, target proteins may include, for example, structural proteins, receptors, enzymes, cell surface proteins, proteins pertinent to the integrated function of a cell, including proteins involved in catalytic activity, proteins involved in aromatase activity, proteins involved in motor activity, proteins involved in helicase activity, proteins involved in metabolic processes (anabolism and catabolism), proteins involved in antioxidant activity, proteins involved in proteolysis, proteins involved in biosynthesis, proteins with kinase activity, proteins with oxidoreductase activity, proteins with transferase activity, proteins with hydrolase activity, proteins with lyase activity, proteins with isomerase activity, proteins with ligase activity, proteins with enzyme regulator activity, proteins with signal transducer activity, proteins with structural molecule activity, proteins with binding activity (protein, lipid carbohydrate), proteins with receptor activity, proteins with cell motility, membrane fusion proteins, cell communication proteins, proteins involved in regulation of biological processes, proteins that regulate development, proteins that regulate cell differentiation, proteins that regulate response to stimulus, behavioral proteins, cell adhesion proteins, proteins involved in cell death, proteins involved in transport (including protein transporter activity, proteins involved in nuclear transport, proteins involved in ion transporter activity, proteins involved in channel transporter activity, proteins involved in carrier activity, proteins involved in permease activity, proteins involved in secretion activity, proteins involved in electron transporter activity, proteins involved in pathogenesis, proteins involved in chaperone regulator activity, proteins involved in nucleic acid binding activity, proteins involved in transcription regulator activity, proteins involved in extracellular organization and biogenesis activity, proteins involved in translation regulator activity, and proteins involved in deubiquitinase activity. Proteins of interest can include proteins from eukaryotes and prokaryotes including humans as targets for drug therapy, other animals, including domesticated animals, microbials for the determination of targets for antibiotics and other antimicrobials and plants, and even viruses, among numerous others.
[0167] Accordingly, the PB moiety of a hetero-bifunctional degrader may be any peptide or small molecule that bind protein targets such as FoxOl, HDAC, DP-l, E2F, ABL, AMPK, BRK, BRSK I, BRSK2, BTK, CAMKK1, CAMKK alpha, CAMKK beta, Rb, Suv39HI, SCF, pl9INK4D, GSK-3, pi 8 INK4, myc, cyclin E, CDK2, CDK9, CDG4/6, Cycline D, pl6 INK4A, cdc25A, BMI1, Akt, CHK1/2, C 1 delta, CK1 gamma, C 2, CLK2, CSK, DDR2, DYRK1 A/2/3, EF2K, EPH-A2/A4/B1/B2/B3/B4, EIF2A 3, Smad2, Smad3, Smad4, Smad7, p53, p2l Cipl, PAX, Fyn, CAS, C3G, SOS, Tal, Raptor, RACK-l, CRK, Rapl, Rac, KRas, NRas, HRas, GRB2, FAK, PI3K, spred, Spry, mTOR, MPK, LKB1, PAK 1/2/4/5/6, PDGFRA, PYK2, Src, SRPK1, PLC, PKC, PKA, PKB alpha/beta, PKC alpha/gamma/zeta, PKD, PLK1, PRAK, PRK2, WAVE-2, TSC2, DAPK1, BAD, IMP, C-TAK1, TAK1, TAOl, TBK1, TESK1, TGFBR1, TIE2, TLK1, TrkA, TSSK1, TTBK1/2, TTK, Tpl2/cotl, MEK1, MEK2, PLDL Erkl, Erk2, Erk5, Erk8, p90RSK, PEA-15, SRF, p27 KIP1, TIF la, HMGN1, ER81, MKP-3, c-Fos, FGF-R1, GCK, GSK3 beta, HER4, HIPK1/2/3/, IGF-1R, cdc25, UBF, LAMTOR2, Statl, StaO,CREB, JAK, PTEN, NF-kappaB, HECTH9, Bax, HSP70, HSP90, Apaf-l, Cyto c, BCL-2, Bcl-xL, Smac, XIAP, Caspase-9, Caspase-3, Caspase-6, Caspase-7, CDC37, TAB, IKK, TRADD, TRAF2, R1P1, FLIP, JNK1/2/3, Lck, A-Raf, B-Raf, C-Raf, MOS, MLK1/3, MN 1/2, MSK1, MST2/3/4, MPSK1, MEKK1 , ME K4, MEL , ASK1, MINK1 , MKK 1 /2/3/4L5/7, NE 2a/6/7, NUAK1, OSR1, SAP , STK33, Syk, Lyn, PDK1, PHK, PIM 1/2/3, Ataxin- 1, mTORCl, MDM2, p2l Wafl , Cyclin Dl, Lamln A, Tpl2, Myc, catenin, Wnt, IKK-beta, IKK- gamma, IKK-alpha, IKK-epsilon, ELK, p65RelA, IRAKI, IRA 2, IRAK4, IRR, FADD, TRAF6, TRAF3, MKK3, MKK6, ROCK2, RSK1/2, SGK 1, SmMLCK, SIK2/3, ULK1/2, VEGFR1, WNK 1 , YES1, ZAP70, MAP4K3, MAP4K5, MAPKlb, MAPKAP-K2 K3, p38 alpha/beta/delta/gamma MAPK, Aurora A, Aurora B, Aurora C, MCAK, Clip, MAPKAPK, MARK 1 /2/3/4, Mucl , SHC, CXCR4, Gap-l, beta-catenin/TCF, Cbl, BRM, Mcl-l, BRD2, BRD3, BRD4, AR, RAS, ErbB3, EGFR, IRE1, HPK1, RIPK2, and ERa, including variants, mutations, splice variants, indels and fusions of these target proteins listed. Other examples of protein targets include Ras proteins, P13K, Ral-GDS, H-Ras, N-Ras, KRas4A, K-Ras4B, BRG1, RAF, BRAF, CRAF, and BET. In one embodiment, the protein target is selected from the group consisting of EGFR, RAS, BRM, BRG1, MDM2, RAF (BRAF and CRAF), BET, and USP7.
[0168] A number of drug targets for human therapeutics also represent protein targets to which a protein binding moiety may be bound and incorporated into compounds according to the present disclosure. These include proteins which may be used to restore function in numerous polygenic diseases, including for example B7.1 and B7, TINFRlm, TNFR2, NADPH
oxidase, BclIBax and other partners in the apotosis pathway, C5a receptor, HMG-CoA reductase, PDE V phosphodiesterase type, PDE IV phosphodiesterase type 4, PDE I, PDEII, PDEIII, squalene cyclase inhibitor, CXCR1, CXCR2, nitric oxide (NO) synthase, cyclo oxygenase 1, cyclo-oxygenase 2, 5HT receptors, dopamine receptors, G Proteins, i.e., Gq, histamine receptors, 5-lipoxygenase, tryptase serine protease, thymidylate synthase, purine nucleoside phosphorylase, GAPDH trypanosomal, glycogen phosphorylase, Carbonic anhydrase, chemokine receptors, JAW STAT, RXR and similar, HIV 1 protease, HIV 1 integrase, influenza, neuramimidase, hepatitis B reverse transcriptase, sodium channel, multi drug resistance (MDR), protein P-glycoprotein (and MRP), tyrosine kinases, CD23, CD124, tyrosine kinase p56 lck, CD4, CD5, IL-2 receptor, IL-l receptor, TNF-aR, ICAM1, Cat+ channels, VC AM, VLA-4 integrin, selectins, CD40/CD40L, newokinins and receptors, inosine monophosphate dehydrogenase, p38 MAP Kinase, RaslRaflMEWERK pathway, interleukin-l converting enzyme, caspase, HCV, NS3 protease, HCV NS3 RNA helicase, glycinamide ribonucleotide formyl transferase, rhinovirus 3C protease, herpes simplex virus-l (HSV-I), protease, cytomegalovirus (CMV) protease, poly (ADP-ribose) polymerase, cyclin dependent kinases, vascular endothelial growth factor, oxytocin receptor, microsomal transfer protein inhibitor, bile acid transport inhibitor, 5 alpha reductase inhibitors, angiotensin 11, glycine receptor, noradrenaline reuptake receptor, endothelin receptors, neuropeptide Y and receptor, estrogen receptors, androgen receptors, adenosine receptors, adenosine kinase and AMP deaminase, purinergic receptors (P2Y1, P2Y2, P2Y4, P2Y6, P2X1-7), famesyltransferases, geranylgeranyl transferase, TrkA a receptor for NGF, beta-amyloid, tyrosine kinase Flk-IIKDR, vitronectin receptor, integrin receptor, Her-2l neu, telomerase inhibition, cytosolic phospholipaseA2 and EGF receptor tyrosine kinase. Additional protein targets include, for example, ecdysone 20-monooxygenase, ion channel of the GABA gated chloride channel, acetylcholinesterase, voltage-sensitive sodium channel protein, calcium release channel, and chloride channels. Still further target proteins include Acetyl-CoA carboxylase, adenylosuccinate synthetase, protoporphyrinogen oxidase, and enolpyruvylshikimate-phosphate synthase.
[0169] Haloalkane dehalogenase enzymes are another target of specific compounds according to the present disclosure. Compounds according to the present disclosure which contain chloroalkane peptide binding moieties (C1-C12 often about C2-C10 alkyl halo groups) may be used to inhibit and/or degrade haloalkane dehalogenase enzymes which are used in
fusion proteins or related diagnostic proteins as described in WO 2012/078559, the contents of which is incorporated by reference herein.
[0170] In still other embodiments, the PB moiety is a haloalkyl group, wherein said alkyl group generally ranges in size from about 1 or 2 carbons to about 12 carbons in length, often about 2 to 10 carbons in length, often about 3 carbons to about 8 carbons in length, more often about 4 carbons to about 6 carbons in length. The haloalkyl groups are generally linear alkyl groups (although branched-chain alkyl groups may also be used) and are end-capped with at least one halogen group, preferably a single halogen group, often a single chloride group. Haloalkyl PB moieties for use in the present disclosure may be represented by the chemical structure-(CH2)v-Halo where v is any integer from 2 to about 12, often about 3 to about 8, more often about 4 to about 6. Halo may be any halogen, but is preferably Cl or Br, more often Cl.
[0171] In one particular embodiment, the PB moiety (“D”) is an epidermal growth factor receptor (EGFR) inhibitor. EGFR family inhibitors used herein include, but are not limited to:
[0172] 1. The EGFR tyrosine kinase inhibitors (TKIs) identified in Jia et al
“Overcoming EGFR(T790M) and EGFR(C797S) resistance with mutant-selective allosteric inhibitors” Nature 2016, 534, 129-132, such as EAI045
(derivatized such that a linker group L or a -L-(VHL ligand moiety) is attached); and
[0173] 2. The EGFR tyrosine kinase inhibitors (TKIs) inhibitors identified in Wang et. al “Next-generation EGFR/HER tyrosine kinase inhibitors for the treatment of patients with non-small-cell lung cancer harboring EGFR mutations: a review of the evidence” OncoTargets and Therapy, Vol. 9 p. 5461-5473, including but not limited to:
[0174] a. Getfitinib
(derivatized such that a linker group L or a -L-(VHL ligand moiety) is attached);
(derivatized such that a linker group L or a -L-(VHL ligand moiety) is attached);
[0176] c. Afatinib
(derivatized such that a linker group L or a -L-(VHL ligand moiety) is attached);
[0177] d. Dacomitinib
(derivatized such that a linker group L or a -L-(VHL ligand moiety) is attached);
[0178] e. Neratinib
(derivatized such that a linker group L or a -L-(VHL ligand moiety) is attached);
[0179] f. Osimeritinib
(derivatized such that a linker group L or a -L-(VHL ligand moiety) is attached); and
[0180] g. Rociletinib
(derivatized such that a linker group L or a -L-(VHL ligand moiety) is attached).
[0181] In one particular embodiment, the PB moiety (“D”) is:
[0182] In another embodiment, the PB moiety (“D”) is:
or an isomer thereof, wherein svw' indicates the point of attachment to the remaining structure of the compound.
[0183] In still other embodiments, the PB moiety has the structure
, where w is 0 to 3, preferably 1 or 2. This group binds selectively to estrogen receptors and is useful for treating diseases which are modulated through estrogen receptors, and in particular cancers, such as breast cancer, endometrial cancer, ovarian cancer and uterine cancer, among others.
[0184] The compositions described below exemplify some of the members of these types of small molecule target protein binding moieties. Such small molecule target protein binding moieties also include pharmaceutically acceptable salts, enantiomers, solvates and polymorphs of these compositions, as well as other small molecules that may target a protein of interest. References which are cited hereinbelow are incorporated by reference herein in their entirety.
Heat Shock Protein 90 Inhibitors
[0185] HSP90 inhibitors as used herein include, but are not limited to:
[0186] 1. The HSP90 inhibitors identified in Vallee, et al, "Tricyclic Series of Heat
Shock Protein 90 (HSP90) Inhibitors Part I: Discovery of Tricyclic Imidazo[4,5-C]Pyridines as Potent Inhibitors of the HSP90 Molecular Chaperone (2011) J.Med.Chem., 54: 7206, including YKB:
(N-[4-(3H-imidazo[4,5-C]pyridin-2-yl)-9H-fluoren-9-yl]-succinamide) derivatized where a linker group L or a -L-(VHL ligand moiety) group is attached via the terminal amide group;
[0187] 2. The HSP90 inhibitor p54 (modified):
8- [(2,4-dimethy lpheny l)sulfany 1] -3-pent-4-yn- 1 -yl-3H-purin-6-amine
where a linker group L or a -L-(VHL ligand moiety) group is attached via the terminal acetylene group;
[0188] 3. The HSP90 inhibitors (modified) identified in Brough, et al, "4,5-
Diarylisoxazole HSP90 Chaperone Inhibitors: Potential Therapeutic Agents for the Treatment of Cancer", J. Med. Chem., Vol: 51, p.: l96 (2008), including the compound 2GJ (5-[2,4- dihydroxy-5-(l-methylethyl)phenyl]-N-ethyl-4-[4-(morpholin-4-ylmethyl)phenyl]isoxazole-3- carobxamide) having the structure:
(derivatized, where a linker group L or a -L-(VHL ligand moiety) group is attached via the amide group (at the amine or at the alkyl group on the amine));
[0189] 4. The HSP90 inhibitors (modified) identified in Wright, et al.,“Structure-
Activity Relationships in Purine-Based Inhibitor Binding to HSP90 Isoforms,” Chem Biol. 2004 Jun;l l(6):775-85, including the HSP90 inhibitor PU3 having the structure:
[0190] 5. The HSP90 inhibitor Geldanamycin ((4L'.6Z.8L'.9L'.10/212S.13/ri 14L'.16//)-
13-hy droxy-8, 14, 19-trimethoxy-4, 10, 12, 16-tetramethyl-3,20,22-trioxo-2-azabicy clo[ 16.3.1] (derivatized) or any of its derivatives (e.g. l7-alkylamino-l7-desmethoxy geldanamycin ("17- AAG") or l7-(2-dimethylaminoethyl)amino-l7-desmethoxygeldanamycin ("17-DMAG"))
(derivatized, where a linker group L or -L-(VHL ligand moiety) group is attached via the amide group).
Kinase and Phosphatase Inhibitors
[0191] Kinase inhibitors as used herein include, but are not limited to:
[0192] 1. Erlotinib Derivative Tyrosine Kinase Inhibitor
where R is a linker group L or a -L-(VHL ligand moiety) group attached via the ether group; [0193] 2. The kinase inhibitor Sunitanib (derivatized):
(derivatized where R is a linker group L or a -L-(VHL ligand moiety) group attached to the pyrrole moiety);
[0194] 3. Kinase Inhibitor Sorafenib (derivatized)
(derivatized where R is a linker group L or a -L-(VHL ligand moiety) group attached to the phenyl moiety);
[0195] 4. The kinase inhibitor Desatinib (derivatized)
(derivatized where R is a linker group L or a -L-(VHL ligand moiety) group attached to the pyrimidine);
[0196] 5. The kinase inhibitor Lapatinib (derivatized)
derivatized where a linker group L or a -L-(VHL ligand moiety) group is attached via the terminal methyl of the sulfonyl methyl group;
[0197] 6. The kinase inhibitor U09-CX-5279 (Derivatized)
(derivatized where a linker group L or a -L-(VHL ligand moiety) group is attached via the amine (aniline), carboxylic acid or amine alpha to cyclopropyl group, or cyclopropyl group);
[0198] 7. The kinase inhibitors identified in Millan, et al,“Design and Synthesis of
Inhaled P38 Inhibitors for the Treatment of Chronic Obstructive Pulmonary Disease,” J. Med.
Chem., Vol:54, pag:7797 (2011), including the kinase inhibitors Y1W and Y1X (Derivatized) having the structures:
(derivatized where a linker group L or a -L-(VHL ligand moiety) group is attached preferably via the propyl group);
l-(3-tert-butyl-l-phenyl-lH-pyrazol-5-yl)-3-(2-{[3-(l-methylethyl)[l,2,4]triazolol[4,3- a]pyridin-6-yl]sulfanyl}benzyl)urea
(derivatized where a linker group L or a -L-(VHL ligand moiety) group is attached preferably via either the propyl group or the butyl group);
[0199] 8. The kinase inhibitors identified in Schenkel, et al,“Discovery of Potent and
Highly Selective Thienopyridine Janus Kinase 2 Inhibitors”, J. Med. Chem., 2011, 54 (24), pp 8440-8450, including the compounds 6TP and OTP (derivatized) having the structures:
6TP
4-amino-2-[4-(tert-butylsulfamoyl)phenyl]-N-methylthieno[3,2-c]pyridine-7-carboxamide
Thienopyridine
(derivatized where a linker group L or a -L-(VHL ligand moiety) group is attached preferably via the terminal methyl group bound to amide moiety);
4-amino-N-methyl-2-[4-(morpholin-4-yl)phenyl]thieno[3,2-c]pyridine-7-carboxamide
Thienopyridine
(derivatized where a linker group L or a -L-(VHL ligand moiety) group is attached preferably via the terminal methyl group bound to amide moiety);
[0200] 9. The kinase inhibitors identified in Van Eis, et al, "2,6-Naphthyridines as potent and selective inhibitors of the novel protein kinase C isozymes”, Biorg. Med. Chem. Lett., 2011 Dec 15;21(24):7367-72, including the kinase inhibitor 07U having the structure:
2-methy l-N~ 1— [3 -(py ridin-4-y l)-2,6-naphthy ridin- 1 -y l]propane- 1 ,2-diamine
(derivatized where a linker group L or a -L-(VHL ligand moiety) group is attached preferably via the secondary amine or terminal amino group);
[0201] 10. The kinase inhibitors identified in Lountos, et al, "Structural
Characterization of Inhibitor Complexes with Checkpoint Kinase 2 (Chk2), a Drug Target for Cancer Therapy", J. Struct. Biol., Vol: l76, p.:292 (2011), including the kinase inhibitor YCF having the structure:
(derivatized where a linker group L or a -L-(VHL ligand moiety) group is attached preferably via either of the terminal hydroxyl groups);
[0202] 11. The kinase inhibitors identified in Lountos, et al, "Structural
Characterization of Inhibitor Complexes with Checkpoint Kinase 2 (Chk2), a Drug Target for Cancer Therapy", J. Struct. Biol., Vol: l76, p.:292 (2011), including the kinase inhibitors XK9 and NXP (derivatized) having the structures:
N-(4-[(lE)-N-(N-hydroxycarbamimidoyl)ethanehydrazonoyl]phenyl)-7-nitro-lH-indole-2- carboxamide
(derivatized where a linker group L or a -L-(VHL ligand moiety) group is attached preferably via the terminal hydroxyl group (XK9) or the hydrazine group (NXP));
[0203] 12. The kinase inhibitor Afatinib (derivatized) (N-[4-[(3-Chloro-4- fluorophenyl)amino]-7-[[(3S)-tetrahydro-3-furanyl]oxy]-6-quinazolinyl]-4(dimethylamino)-2- butenamide) (derivatized where a linker group L or a-L-(VHL ligand moiety) group is attached preferably via the aliphatic amine group);
[0204] 13. The kinase inhibitor Fostamatinib (derivatized) ([6-({5-fluoro-2-[(3,4,5- trimethoxyphenyl)amino]pyrimidin-4-yl}amino)-2,2-dimethyl-3-oxo-2,3-dihydro-4H- pyrido[3,2-b]-l,4-oxazin-4-yl]methyl disodium phosphate hexahydrate) (derivatized where a linker group L or a -L-(VHL ligand moiety) group is attached preferably via a methoxy group);
[0205] 14. The kinase inhibitor Gefitinib (derivatized) (N-(3-chloro-4-fluoro- phenyl)-7-methoxy-6-(3-morpholin-4-ylpropoxy)quinazolin-4-amine) (derivatized where a linker group L or a -L-(VHL ligand moiety) group is attached preferably via a methoxy or ether group);
[0206] 15. The kinase inhibitor Lenvatinib (derivatized) (4-[3-chloro-4-
(cyclopropylcarbamoylamino)phenoxy]-7-methoxy-quinoline-6-carboxamide) (derivatized where a linker group L or a -L-(VHL ligand moiety) group is attached preferably via the cyclopropyl group);
[0207] 16. The kinase inhibitor Vandetanib (derivatized) (N-(4-bromo-2- fluorophenyl)-6-methoxy-7-[(l-methylpiperidin-4-yl)methoxy]quinazolin-4-amine) (derivatized where a linker group L or a -L-(VHL ligand moiety) group is attached preferably via the methoxy or hydroxyl group);
[0208] 17. The kinase inhibitor Vemurafenib (derivatized) (propane- 1 -sulfonic acid
{3-[5-(4-chlorophenyl)-lH-pyrrolo[2,3-b]pyridine-3-carbonyl]-2,4-difluoro-phenyl}-amide) (derivatized where a linker group L or a -L-(VHL ligand moiety) group is attached preferably via the sulfonyl propyl group);
[0209] 18. The kinase inhibitor Gleevee (derivatized):
(derivatized where R is a linker group L or a -L-(VHL ligand moiety) group is attached preferably via the amide group or via the aniline amine group);
[0210] 19. The kinase inhibitor Pazopanib (derivatized) (VEGFR3 inhibitor):
(derivatized where R is a linker group L or a -L-(VHL ligand moiety) group preferably attached to the phenyl moiety or via the aniline amine group);
[0211] 20. The kinase inhibitor AT-9283 (Derivatized) Aurora Kinase Inhibitor
(where R is a linker group L or a -L-(VHL ligand moiety) group attached preferably to the phenyl moiety);
[0212] 21. The kinase inhibitor TAE684 (derivatized) ALK inhibitor
(where R is a linker group L or a -L-(VHL ligand moiety) group attached preferably to the phenyl moiety);
[0213] 22. The kinase inhibitor Nilotanib (derivatized) Abl inhibitor:
(derivatized where R is a linker group L or a -L-(VHL ligand moiety) group attached preferably to the phenyl moiety or the aniline amine group);
[0214] 23. Kinase Inhibitor NVP-BSK805 (derivatized) JAK2 Inhibitor:
(derivatized where R is a linker group L or a -L-(VHL ligand moiety) group attached to the phenyl moiety or the diazole group);
[0215] 24. Kinase Inhibitor Crizotinib Derivatized Alk Inhibitor:
(derivatized where R is a linker group L or a -L-(VHL ligand moiety) group atached to the phenyl moiety or the diazole group);
[0216] 25. Kinase Inhibitor JNJ FMS (derivatized) Inhibitor:
(derivatized where R is a linker group L or a -L-(VHL ligand moiety) group atached preferably to the phenyl moiety);
[0217] 26. The kinase inhibitor Foretinib (derivatized) Met Inhibitor:
(derivatized where R is a linker group L or a -L-(VHL ligand moiety) group atached to the phenyl moiety or a hydroxyl or ether group on the quinoline moiety);
[0218] 27. The allosteric Protein Tyrosine Phosphatase Inhibitor PTP1B (derivatized):
(derivatized where a linker group L or a -L-(VHL ligand moiety) group is preferably attached at R, as indicated);
[0219] 28. The inhibitor of SHP-2 Domain of Tyrosine Phosphatase (derivatized):
(derivatized where a linker group L or a -L-(VHL ligand moiety) group is attached preferably at
R);
[0220] 29. The inhibitor (derivatized) of BRAF (BRAFV600E)/MEK:
(derivatized where a linker group L or a -L-(VHL ligand moiety) group is attached preferably at R); and
[0221] 30. Inhibitor (derivatized) of Tyrosine Kinase ABL:
(derivatized where “R” designates a site for attachment of a linker group L or a -L-(VHL ligand moiety) group on the piperazine moiety).
MDM2 Inhibitors
[0222] MDM2 inhibitors as used herein include, but are not limited to:
[0223] 1. The MDM2 inhibitors identified in Vassilev, et al,“In vivo activation of the p53 pathway by small-molecule antagonists of MDM2,” Science, vol:303, p.:844-848 (2004), and Schneekloth, et al,“Targeted intracellular protein degradation induced by a small molecule: En route to chemical proteomics”, Bioorg. Med. Chem. Lett., 18 (2008) 5904-5908, including (or additionally) the compounds nutlin-3, nutlin-2, and nutlin-l (derivatized) as described below, as well as derivatives and analogs thereof:
(derivatized where a linker group L or a -L-(VHL ligand moiety) group is attached preferably at the methoxy group or as a hydroxyl group);
(derivatized where a linker group L or a -L-(VHL ligand moiety) group is attached preferably at the methoxy group or hydroxyl group);
(derivatized where a linker group L or a -L-(VHL ligand moiety) group is attached via the methoxy group or as a hydroxyl group);
[0224] 2. Trans-4-Iodo-4'-Boranyl-Chalcone
(derivatized where a linker group L or a -L-(VHL ligand moiety) group is attached via a hydroxy group); and
[0225] 3. The MDM2 inhibitors identified in Zhao, Y.“Small-Molecule Inhibitors of the MDM2-p53 Protein-Protein Interaction (MDM2 Inhibitors) in Clinical Trials for Cancer Treatment” J. Med. Chem. 2015, 58, 1038-1052, including but not limited to:
[0226] a. RG7112
(derivatized such that a linker group L or a -L-(VHL ligand moiety) is attached);
[0227] b. RG7388
(derivatized such that a linker group L or a -L-(VHL ligand moiety) is attached);
[0228] c. MI-77301
(derivatized such that a linker group L or a -L-(VHL ligand moiety) is attached);
[0229] d. AMG 232
(derivatized such that a linker group L or a -L-(VHL ligand moiety) is attached);
[0230] e. PB12WK23
(derivatized such that a linker group L or a -L-(VHL ligand moiety) is attached);
[0231] f. MCL0527-3
(derivatized such that a linker group L or a -L-(VHL ligand moiety) is attached);
[0232] g. AM-8735
(derivatized such that a linker group L or a -L-(VHL ligand moiety) is attached);
[0233] h. R02468
(derivatized such that a linker group L or a -L-(VHL ligand moiety) is attached);
[0234] i. PB11
(derivatized such that a linker group L or a -L-(VHL ligand moiety) is attached);
[0235] j. AM-6761
(derivatized such that a linker group L or a -L-(VHL ligand moiety) is attached);
[0236] k. R05353
(derivatized such that a linker group L or a -L-(VHL ligand moiety) is attached);
[0237] 1. R08994
(derivatized such that a linker group L or a -L-(VHL ligand moiety) is attached);
[0238] m.
(derivatized such that a linker group L or a -L-(VHL ligand moiety) is attached);
[0239] n.
(derivatized such that a linker group L or a -L-(VHL ligand moiety) is attached);
[0240] o.
(derivatized such that a linker group L or a -L-(VHL ligand moiety) is attached);
[0241] p.
(derivatized such that a linker group L or a -L-(VHL ligand moiety) is attached);
[0242] q.
(derivatized such that a linker group L or a -L-(VHL ligand moiety) is attached);
[0243] r.
(derivatized such that a linker group L or a -L-(VHL ligand moiety) is attached);
[0244] s.
(derivatized such that a linker group L or a -L-(VHL ligand moiety) is attached);
[0245] t.
(derivatized such that a linker group L or a -L-(VHL ligand moiety) is attached);
(derivatized such that a linker group L or a -L-(VHL ligand moiety) is attached);
[0247] v.
(derivatized such that a linker group L or a -L-(VHL ligand moiety) is attached);
[0248] w.
(derivatized such that a linker group L or a -L-(VHL ligand moiety) is attached); and
[0249] x.
(derivatized such that a linker group L or a -L-(VHL ligand moiety) is attached).
Compounds Targeting Human BET Bromodomain-containing proteins
[0250] Compounds targeting Human BET Bromodomain-containing proteins include, but are not limited to the compounds associated with the targets as described below, where“R”
designates a site for linker group L or a -L-(VHL ligand moiety) group attachment For example:
[0251] 1.
JQ1, Filippakopoulos et al.“Selective inhibition of BET bromodomains,” Nature (2010), 468, 1067-1073; Romero, et al, J Meet. Chem. 59, 1271-1298 (2016);
[0252] 2.
I-BET, Nicodeme et al,“Supression of Inflammation by a Synthetic Histone Mimic,” Nature (2010), 468, 1119-1123; Chung et al,“Discovery and Characterization of Small Molecule Inhibitors of the BET Family Bromodomains,” J. Med Chem. (2011), 54, 3827-3838; Romero, et al., J Med. Chem. 59, 1271-1298 (2016);
[0253] 3.
Hewings et al,“3,5-Dimethylisoxazoles Act as Acetyl-lysine Bromodomain Ligands,” J. Med. Chem., (2011), 54, 6761-6770;
[0254] 4.
I-BET151, Dawson et al, “Inhibition of BET Recruitment to Chromatin as an Effective Treatment for MLL-fusion Leukemia,” Nature (2011) 478, 529-523;
[0255] 5. The BET bromodomain inhibitors identified in Romero, et al., J. Med.
Chem. 59, 1271-1298 (2016), including, but not limited to:
[0256] a. I-BET151
(derivatized such that a linker group L or a -L-(VHL ligand moiety) is attached);
[0257] b. PFI-l
(derivatized such that a linker group L or a -L-(VHL ligand moiety) is attached);
[0258] c. OTX015
(derivatized such that a linker group L or a -L-(VHL ligand moiety) is attached);
[0259] d.
(derivatized such that a linker group L or a -L-(VHL ligand moiety) is attached);
[0260] e.
(derivatized such that a linker group L or a -L-(VHL ligand moiety) is attached);
[0261] f.
(derivatized such that a linker group L or a -L-(VHL ligand moiety) is attached);
[0262] g.
(derivatized such that a linker group L or a -L-(VHL ligand moiety) is attached);
[0263] h.
(derivatized such that a linker group L or a -L-(VHL ligand moiety) is attached);
[0264] i.
(derivatized such that a linker group L or a -L-(VHL ligand moiety) is attached);
[0265] j.
(derivatized such that a linker group L or a -L-(VHL ligand moiety) is attached);
[0266] k.
(derivatized such that a linker group L or a -L-(VHL ligand moiety) is attached);
[0267] 1.
(derivatized such that a linker group L or a -L-(VHL ligand moiety) is attached);
[0268] m.
(derivatized such that a linker group L or a -L-(VHL ligand moiety) is attached);
[0269] n.
(derivatized such that a linker group L or a -L-(VHL ligand moiety) is attached);
[0270] o.
(derivatized such that a linker group L or a -L-(VHL ligand moiety) is attached);
[0271] p.
(derivatized such that a linker group L or a -L-(VHL ligand moiety) is attached);
[0272] q.
(derivatized such that a linker group L or a -L-(VHL ligand moiety) is attached);
[0273] r.
(derivatized such that a linker group L or a -L-(VHL ligand moiety) is attached);
[0274] s.
(derivatized such that a linker group L or a -L-(VHL ligand moiety) is attached);
[0275] t.
(derivatized such that a linker group L or a -L-(VHL ligand moiety) is attached);
[0276] u.
(derivatized such that a linker group L or a -L-(VHL ligand moiety) is attached);
[0277] v.
(derivatized such that a linker group L or a -L-(VHL ligand moiety) is attached);
[0278] w.
(derivatized such that a linker group L or a -L-(VHL ligand moiety) is attached);
[0279] x.
(derivatized such that a linker group L or a -L-(VHL ligand moiety) is attached);
[0280] y.
(derivatized such that a linker group L or a -L-(VHL ligand moiety) is attached);
[0281] z.
(derivatized such that a linker group L or a -L-(VHL ligand moiety) is attached);
[0282] aa.
(derivatized such that a linker group L or a -L-(VHL ligand moiety) is attached);
[0283] bb.
(derivatized such that a linker group L or a -L-(VHL ligand moiety) is attached);
[0284] cc.
(derivatized such that a linker group L or a -L-(VHL ligand moiety) is attached);
[0285] dd.
(derivatized such that a linker group L or a -L-(VHL ligand moiety) is attached);
[0286] ee.
(derivatized such that a linker group L or a -L-(VHL ligand moiety) is attached);
[0287] ff.
(derivatized such that a linker group L or a -L-(VHL ligand moiety) is attached);
[0288] gg.
(derivatized such that a linker group L or a -L-(VHL ligand moiety) is attached);
[0289] hh.
(derivatized such that a linker group L or a -L-(VHL ligand moiety) is attached);
[0290] ii.
(derivatized such that a linker group L or a -L-(VHL ligand moiety) is attached);
[0291] jj.
(derivatized such that a linker group L or a -L-(VHL ligand moiety) is attached);
[0292] kk.
(derivatized such that a linker group L or a -L-(VHL ligand moiety) is attached);
[0293] 11.
(derivatized such that a linker group L or a -L-(VHL ligand moiety) is attached);
[0295] nn.
(derivatized such that a linker group L or a -L-(VHL ligand moiety) is attached);
[0296] oo.
(derivatized such that a linker group L or a -L-(VHL ligand moiety) is attached);
[0297] pp. RVX-208
(derivatized such that a linker group L or a -L-(VHL ligand moiety) is attached);
[0298] qq. BI2536
(derivatized such that a linker group L or a -L-(VHL ligand moiety) is attached);
[0299] rr. LY294002
(derivatized such that a linker group L or a -L-(VHL ligand moiety) is attached); and
[0300] ss. LY303511
(derivatized such that a linker group L or a -L-(VHL ligand moiety) is attached); and
[0301] 6. The BET inhibitors identified in Ghoshal, et al,“BET inhibitors in cancer therapeutics: a patent review,” Expert Opinion on Therapeutic Patents, 26:4, 505-522, (2016)) (hereinafter Ghoshal, et al. (2016)), including but not limited to:
[0302] a. TEN010
(derivatized such that a linker group L or a -L-(VHL ligand moiety) is attached);
[0303] b. CPI-0610
(derivatized such that a linker group L or a -L-(VHL ligand moiety) is attached);
[0304] c. Diazepines
(derivatized such that a linker group L or a -L-(VHL ligand moiety) is attached);
[0305] d. Pyrroles and Pyrazoles
(derivatized such that a linker group L or a -L-(VHL ligand moiety) is attached);
[0306] e. Isoxazoles
(derivatized such that a linker group L or a -L-(VHL ligand moiety) is attached);
[0307] f. Quinoline and quinazoline
(derivatized such that a linker group L or a -L-(VHL ligand moiety) is attached);
[0308] g. Oxazine
(derivatized such that a linker group L or a -L-(VHL ligand moiety) is attached);
[0309] h. Benzopiperazine
(derivatized such that a linker group L or a -L-(VHL ligand moiety) is attached);
[0310] i. MS436
(derivatized such that a linker group L or a -L-(VHL ligand moiety) is attached);
[0311] j. CPI-203
(derivatized such that a linker group L or a -L-(VHL ligand moiety) is attached);
[0312] k. Y803
(derivatized such that a linker group L or a -L-(VHL ligand moiety) is attached); and
[0313] 1. Benzodiazepine-based BET inhibitors reported in any one of Figures 1 or
4-27 of Ghoshal, et al. (2016) (derivatized such that a linker group L or a -L-(VHL ligand moiety) is attached).
HDAC Inhibitors
[0314] HDAC Inhibitors (derivatized) include, but are not limited to:
[0315] 1. Compounds as described in Finnin, M.S. et al,“Structures of a histone deacetylase homologue bound to the TSA and SAHA inhibitors,” Nature, 401, 188-193 (1999):
(derivatized where “R” designates a site for attachment of a linker group L or a -L-(VHL ligand moiety) group); and
[0316] 2. Compounds as defined by formula (I) of PCT Application WO 02/22577
(“DEACETYLASE INHIBITORS”) (derivatized where a linker group L or a -L-(VHL ligand moiety) group is attached via the hydroxyl group).
Human Lysine Methyltransferase Inhibitors
[0317] Human Lysine Methyltransferase inhibitors include, but are not limited to:
[0318] 1.
(Chang, et al.,“Structural basis for G9a-like protein lysine methyltransferase inhibition by BIX- 01294,” Nat. Str. Mol. Biol. (2009), vol. 16, pp. 312-7) (derivatized where“R” designates a site for attachment of a linker group L or a -L-(VHL ligand moiety) group);
[0319] 2.
(Liu, et al,“Discovery of a 2,4-diamino-7-aminoalkoxyquinazoline as a potent and selective inhibitor of histone lysine methyltransferase G9a. ./ Med. Chem., 2009, Vol. 52(24), pp. 7950- 3) (derivatized where“R” designates a potential site for attachment of a linker group L or a -L-(VHL ligand moiety) group);
[0320] 3. Azacitidine (derivatized) (4-amino- 1 -b-D-ribofuranosyl- 1 3.5-triazin-2( 1 H)- one) (derivatized where a linker group L or a -L-(VHL ligand moiety) group is attached via the hydroxy or amino groups); and
[0321] 4. Decitabine (derivatized) (4-amino-l-(2-deoxy-b-D-erythro- pentofuranosyl)-
1, 3, 5-triazin-2(lH)-one) (derivatized where a linker group L or a -L-(VHL ligand moiety) group is attached via either of the hydroxy groups or at the amino group).
Angiogenesis Inhibitors
[0322] Angiogenesis inhibitors include, but are not limited to:
[0323] 1. GA-l (derivatized) and derivatives and analogs thereof, having the structure(s) and binding to linkers as described in Sakamoto, et al,“Development of Protacs to target cancer-promoting proteins for ubiquitination and degradation,” Mol Cell Proteomics, 2003 Dec;2(l2): 1350-8;
[0324] 2. Estradiol (derivatized), which may be bound to a linker group L or a
-L-(VHL ligand moiety) group as is generally described in Rodriguez-Gonzalez, et al., “Targeting steroid hormone receptors for ubiquitination and degradation in breast and prostate cancer,” Oncogene (2008) 27, 7201-7211;
[0325] 3. Estradiol, testosterone (derivatized) and related derivatives, including but not limited to DHT and derivatives and analogs thereof, having the structure(s) and binding to a linker group L or a -L-(VHL ligand moiety) group as generally described in Sakamoto, et al, “Development of Protacs to target cancer-promoting proteins for ubiquitination and degradation,” Mol Cell Proteomics 2003 Dec; 2(l2): l350-8; and
[0326] 4. Ovalicin, fumagillin (derivatized), and derivatives and analogs thereof, having the structure(s) and binding to a linker group L or a -L-(VHL ligand moiety) group as is generally described in Sakamoto, et al,“Protacs: chimeric molecules that target proteins to the
Skpl-Cullin-F box complex for ubiquitination and degradation,” Proc Natl Acad Sci USA. 2001 Jul 17;98(15):8554-9 and United States Patent No.7, 208, 157.
Immunosuppressive Compounds
[0327] Immunosuppressive compounds include, but are not limited to:
[0328] 1. AP21998 (derivatized), having the structure(s) and binding to a linker group
L or a -L-(VHL ligand moiety) group as is generally described in Schneekloth, et al, “Chemical Genetic Control of Protein Levels: Selective in Vivo Targeted Degradation,” J. Am. Chem. Soc. 2004, 126, 3748-3754;
[0329] 2. Glucocorticoids (e.g., hydrocortisone, prednisone, prednisolone, and methylprednisolone) (derivatized where a linker group L or a-L-(VHL ligand moiety) group is to bound, e.g. to any of the hydroxyls) and beclomethasone dipropionate (derivatized where a linker group or a -L-(VHL ligand moiety) is bound, e.g. to a proprionate);
[0330] 3. Methotrexate (derivatized where a linker group or a-L-(VHL ligand moiety) group can be bound, e.g. to either of the terminal hydroxyls);
[0331] 4. Ciclosporin (derivatized where a linker group or a-L-(VHL ligand moiety) group can be bound, e.g. at any of the butyl groups);
[0332] 5. Tacrolimus (FK-506) and rapamycin (derivatized where a linker group L or a
-L-(VHL ligand moiety) group can be bound, e.g. at one of the methoxy groups); and
[0333] 6. Actinomycins (derivatized where a linker group L or a
-L-(VHL ligand moiety) group can be bound, e.g. at one of the isopropyl groups).
Compounds targeting the aryl hydrocarbon receptor (AHR)
[0334] Compounds targeting the aryl hydrocarbon receptor (AHR) include, but are not limited to:
[0335] 1. Apigenin (derivatized in a way which binds to a linker group L or a
-L-(VHL ligand moiety) group as is generally illustrated in Lee, et al,“Targeted Degradation of the Aryl Hydrocarbon Receptor by the PROTAC Approach: A Useful Chemical Genetic Tool,” Chem. BioChem., Volume 8, Issue 17, pages 2058-2062, November 23, 2007); and
[0336] 2. SR1 and LGC006 (derivatized such that a linker group L or a
-L-(VHL ligand moiety) is bound), as described in Boitano, et al,“Aryl Hydrocarbon Receptor Antagonists Promote the Expansion of Human Hematopoietic Stem Cells,” Science 10 September 2010: Vol.329 no.5997 pp.1345-1348.
Compounds targeting RAF Receptor (Kinase)
[0337] Compounds targeting RAF Receptor (kinase) include, but are not limited to:
[0338] 1. PLX4032
(derivatized where“R” designates a site for linker group L or -L-(VHL ligand moiety) group attachment);
[0339] 2. The B-Raf inhibitors identified in Huang, T. et al “B-Raf and the inhibitors: from bench to bedside” Journal of Hematology and Oncology 2013, including but not limited to:
[0340] a. Sorafenib
(derivatized such that a linker group L or a -L-(VHL ligand moiety) is attached);
[0341] b. RAF265
(derivatized such that a linker group L or a -L-(VHL ligand moiety) is attached); [0342] c. GDC0879
(derivatized such that a linker group L or a -L-(VHL ligand moiety) is attached); and
[0343] d. Dabrafenib
(derivatized such that a linker group L or a -L-(VHL ligand moiety) is attached);
[0344] 3. The RAF inhibitors described in WO 2015/075483, including but not limited to, the compounds having the structure set forth on page 31 of WO 2015/075483, as defined therein, (derivatized such that a linker group L or a -L-(VHL ligand moiety) is attached); and
[0345] 4. The RAF inhibitors described in Nishiguchi, et al, “Design and
Discovery of N-(2-methyl-5’-morpholino-6’-((tetrahydro-2H-pyran-4-yl)oxy)-[3,3’-bipyridin]- 5-yl)-3-(trifluoromethyl)benzamide: A potent, selective and efficacious RAF inhibitor targeting RAS mutant cancers,” J. Med. Chem., 2017, 60, 4869-4881, including, but not limited to:
[0346] a. LY3009120
(derivatized such that a linker group L or a -L-(VHL ligand moiety) is attached); and [0347] b. RAF709
(derivatized such that a linker group L or a -L-(VHL ligand moiety) is attached).
Compounds Targeting FKBP
[0348] Compounds targeting FKBP include, but are not limited to:
(derivatized where“R” designates a site for a linker group L or a -L-(VHL ligand moiety) group attachment).
Compounds Targeting Androgen Receptor (AR)
[0349] 1. RU59063 Ligand (derivatized) of Androgen Receptor
(derivatized where“R” designates a site for a linker group L or a -L-(VHL ligand moiety) group attachment):
[0350] 2. SARM Ligand (derivatized) of Androgen Receptor
(derivatized where“ R” designates a site for a linker group L or a -L-(VHL ligand moiety) group attachment);
[0351] 3. Androgen Receptor Ligand DHT (derivatized)
(derivatized where“R” designates a site for a linker group L or -L-(VHL ligand moiety) group attachment):
[0352] 4. MDV3 lOO-like Ligand (derivatized)
where R designates a linker group L or a -L-(VHL ligand moiety) group;
where R designates a linker group L or a -L-(VHL ligand moiety) group;
where R designates a linker group L or a -L-(VHL ligand moiety) group; and
where R designates a linker group L or a -L-(VHL ligand moiety) group.
Compounds Targeting Estrogen Receptor ICI-182780
[0356] 1. Estrogen Receptor Ligand
(derivatized where“R” designates a site for linker group L or -L-(VHL ligand moiety) group attachment).
Compounds Targeting Thyroid Hormone Receptor ( R)
[0357] Thyroid Hormone Receptor Ligand (derivatized)
(derivatized where“R” designates a site for linker group L or -L-(VHL ligand moiety) group attachment and MOMO indicates a methoxymethoxy group).
Compounds targeting HIV Protease
[0358] 1. Inhibitor of HIV Protease (derivatized)
(derivatized where“R” designates a site for linker group L or -L-(VHL ligand moiety) group attachment). See, J. Med. Chem., 2010, 53, 521-538; and
[0359] 2. Inhibitor of HIV Protease
(derivatized where“R” designates a potential site for linker group L or -L-(VHL ligand moiety) group attachment). See, J. Med. Chem. 2010, 53, 521-538.
Compounds targeting HIV Integrase
[0360] 1. Inhibitor of HIV Integrase (derivatized)
(derivatized where“R” designates a site for linker group L or -L-(VHL ligand moiety) group attachment). See, J. Med. Chem. 2010, 53, 6466; and
[0361] 2. Inhibitor of HIV Integrase (derivatized)
(derivatized where“R” designates a site for linker group L or -L-(VHL ligand moiety) group attachment). See, J. Med. Chem., 2010, 53, 6466.
Compounds targeting HCV Protease
[0362] Inhibitors of HCV Protease (derivatized)
(derivatized where“R” designates a site for linker group L or -L-(VHL ligand moiety) group attachment).
Compounds targeting Acyl-protein Thioesterase-1 and -2 (APT1 and APT2)
[0363] Inhibitor of APT1 and APT2 (derivatized)
(derivatized where“ R” designates a site for linker group L or-L-(VHL ligand moiety) group attachment). See, Angew. Chem. Int. Ed. 2011, 50, 9838- 9842, where L is a linker group as otherwise described herein and said VHL ligand moiety is as otherwise described herein such that -L-(VHL ligand moiety) binds the VHL ligand moiety to a protein binding moiety as otherwise described herein.
RAS Family Inhibitors
[0364] RAS family inhibitors used herein include, but are not limited to:
[0365] 1. The RAS inhibitors identified in (Spiegel, J. et
“Small-molecule modulation of Ras signaling” Nature Chemical Biology 2014, 10, 613-622):
[0366] a. SCH53239
(derivatized such that a linker group L or -L-(VHL ligand moiety) is attached);
[0367] b. SCH53239 Sulindac Sulfide
(derivatized such that a linker group L or a-L-(VHL ligand moiety) is attached);
(derivatized such that a linker group L or a -L-(VHL ligand moiety) is attached);
(derivatized such that a linker group L or a -L-(VHL ligand moiety) is attached);
[0370] e. MCP110
(derivatized such that a linker group L or a -L-(VHL ligand moiety) is attached); [0371] f. Kobe0065
(derivatized such that a linker group L or a -L-(VHL ligand moiety) is attached); and [0372] g. Kobe2602
(derivatized such that a linker group L or a -L-(VHL ligand moiety) is attached); and
[0373] 2. The RAS inhibitors disclosed in WO 2014/143659, including the compounds of Formulas (I) and (II) in WO 2014/143659 (derivatized such that a linker group L or a -L-(VHL ligand moiety) is attached).
BRM/BRG Family Inhibitors
[0374] BRM family inhibitors used herein include, but are not limited to, the BRM tyrosine kinase inhibitors (TKIs) inhibitors identified in Gerstenberger, BS. et al“Identification of a Chemical Probe for Family VIII Bromodomains through Optimization of a Fragment Hit” J. Med. Chem. 2016, 59, 4800-4811, such as:
(derivatized such that a linker group L or a -L-(VHL ligand moiety) group is attached).
[0375] BRG/BRG1 family inhibitors used herein include but are not limited to the BRG/BRG1 inhibitors described in WO 2016/138114A1 (e.g., in Formula (I) of WO 2016/138114A1) (derivatized such that a linker group L or a -L-(VHL ligand moiety) group is attached).
USP7 Family Inhibitors
[0376] USP7 family inhibitors used herein include but are not limited to the USP7 inhibitors as defined in Formula (I) of US Patent Application No. 2016/0185785A1 (derivatized such that a linker group L or a -L-(VHL ligand moiety) groupis attached).
[0377] The term“target protein” is used to describe a protein or polypeptide, which is a target for binding to a compound according to the present disclosure and degradation by ubiquitin ligase hereunder. Such small molecule target protein binding moieties also include pharmaceutically acceptable salts, enantiomers, solvates and polymorphs of these compositions, as well as other small molecules that may target a protein of interest. These binding moieties are linked to VHL ligand moieties through linker moieties (L).
[0378] Specific PB moieties may also be small molecule compounds such as those disclosed in US Patent Application No. 2014/0356322 and US Patent Application No. 2016/0045607. Compounds disclosed therein can be classified as Heat Shock Protein 90 (HSP90) inhibitors, Kinase and Phosphatase inhibitors, MDM2 inhibitors, HDAC inhibitors, Human Lysine Methyltransferase Inhibitors, Angiogenesis inhibitors, Immunosuppressive compounds, as well as compounds that bind to: Human BET Bromodomain-containing proteins, the aryl hydrocarbon receptor (AHR), RAF receptor kinase, FKBP, Androgen Receptor (AR), Estrogen receptor (ER), Thyroid Hormone Receptor, HIV Protease, HIV Integrase, HCV Protease, Acyl-protein Thioesterase-l and -2 (APT1 and APT2). Other specific PB moieties may also be small molecule compounds such as those disclosed in US Patent Application No. 2016/0185785 (USP7 inhibitors) and WO 2016/138114 (BRG1).
[0379] Target proteins and/or PB moieties are also described in: Holderfield, et al, “Targeting RAF kinases for cancer therapy: BRAF mutated melanoma and beyond,” Nat. Rev. Cancer, 2014, 14, 455-467 (RAF); and Filippakoupoulos, et al,“Targeting bromodomains: epigenetic readers of lysine acetylation,” Nature Reviews Drug Discovery, 2014, 13, 337-356 (BET).
3. Linker (L)
[0380] The VHL ligand moiety and PB moiety (D) of hetero-bifunctional degraders as described herein can be connected with one or more linker moieties. In one aspect, the PB moiety (D) and the VHL ligand moiety (e.g., a VHL ubiquitin ligase binding moiety) are connected through a linker according to the structure: -(E1)a-(E2)b-L-, wherein L is a first linker moiety and (Ec)3 and (E2)b are taken together form a second linker moiety. In certain embodiments, the linker moiety L is a group comprising one or more covalently connected structural units of A, wherein each A unit is a group coupled to at least one of i) a VHL ligand moiety, ii) E2 (if present) or E1 (if E2 is absent), iii) another A unit, or iv) a combination thereof. In certain embodiments, an A unit links a VHL ligand moiety directly to E2 (if present) or to E1 (if E2 is absent). In other embodiments, an A unit links a VHL ligand moiety indirectly to E2 (if present) or to E1 (if E2 is absent) through one or more different A unit(s). In any of the embodiments disclosed herein, one or more covalently connected structural units of A may be coupled to the VHL ligand moiety of the hetero-bifunctional degrader of the present disclosure at substituent Y. Thus, in certain embodiments, the linker L may be coupled to Y, E2 (if present) or to E1 (if E2 is absent), or combinations thereof. In other embodiments, one or more covalently connected structural units of A may be coupled to E2 (if present) or to E1 (if E2 is absent) and also to a VHL ligand of the present disclosure at R1, R2, or Z, as described herein, to form a hetero-bifunctional degrader. The second linker moiety, formed from (Ec)3 and (E2)b taken together, is coupled to the PB moiety (D) through E1 (when present) or through E2 (when a is 0 and E1 is absent), and is coupled to the first linker group (L) through E2 (when present) or through E1 (when b is 0 and E2 is absent).
[0381] E1, E2, a, and b are as defined herein for Formulas (I), (II), and (Ila). Linker moiety (L) is described more fully hereinafter.
[0382] In certain embodiments, the linker“L” is (A)q, and each A is independently selected from the group consisting of a bond, CRLaRLb, O, S, SO, S02, NRLc, S02NRLc,
C3.Cn heterocyclylene, arylene, and heteroarylene, wherein the C3.Cn cycloalkylene, C3-Cn heteocyclylene, arylene, and heteroarylene are independently either unsubstituted or substituted with 1, 2, 3, 4, 5, or 6 substituents selected from the group consisting of RLa, RLb, and combinations thereof, where RLa or RLb, each independently, can be linked to other A groups to form cycloalkylene and/or heterocyclylene moiety, wherein the cycloalkylene and heterocyclylene moieties are independently unsubstituted or substituted with 1, 2, 3, or 4 RLe groups; wherein RLa, RLb, RLc, RLd and RLe are, each independently, selected from the group consisting of H, halogen, RLf, -ORLh, -SRLh, -NHRLh, -N(RLh) , C3-Cncycloalkyl, aryl, heteroaryl, C3-Cnheterocyclyl, -N(RLg)(RLf), -OH, -NH2, -SH, -S02RLf, -P(0)(0RLf)(RLf), - P(0)(0RLf)2, -CºC— RLf, -CºCH, -CH=CH(RLf), -C(RLf)=CH(RLf), -C(RLf)=C(RLf)2, -Si(OH)3, -Si(RLf)3, -Si(OH)(RLf)2, -CORLf, -C02H, -halogen, -CN, -CF3, -CHF2, -CH2F, -N02, -SFs, - S02NHRLf, -S02N(RLf)2, -SONHRLf, -SON(RLf)2, -CONHRLf, -CON(RLf)2, -N(RLf)CONH(RLf), -N(RLf)CON(RLf)2, -NHCONH(RLf), -NHCON(RLf)2, -NHCONH2, -N(RLf)S02NH(RLf), - N(RLf)S02N(RLf)2, -NHS02NH(RLf), -NHS02N(RLf)2, and -NHS02NH2, wherein RLf is a substituted or unsubstituted Ci-C8 alkyl; RLg is a substiuted or unsubsitutted Ci-Cg cycloalkyl; and RLh is RLf or RLg.
[0383] In certain embodiments, q is an integer greater than or equal to 1.
[0384] In certain embodiments, q is greater than 2.
[0385] In certain embodiments q is 2.
[0386] In certain embodiments, e.g., where q is 1, and A is a group which is connected to a VHL ligand moiety and E2 (if present) or E1 (if E2 is absent).
[0387] In additional embodiments, q is an integer from 1 to 100, 1 to 90, 1 to 80, 1 to 70, 1 to 60, 1 to 50, 1 to 40, 1 to 30, 1 to 20, or 1 to 10.
wherein indicates the point of attachment to the remaining structure of the compound (e.g., to the VHL ubiquitin ligase binding moiety) or E1 or E2; wherein L may be attached to the remaining structure of the compound (e.g., to the VHL ubiquitin ligase binding moiety) and E1 or E2 in either orientation.
In one particular embodiment, the linker (“L”) is selected from the group consisting of:
, p attachment to the remaining structure of the compound (e.g., to the VHL ubiquitin ligase binding moiety) or E1 or E2; wherein L may be attached to the remaining structure of the compound (e.g., to the VHL ubiquitin ligase binding moiety) and E1 or E2 in either orientation.
[0389] In additional embodiments, the linker moiety (L) is an optionally substituted (poly)ethyleneglycol having between 1 and about 100 ethylene glycol units, between about 1 and about 50 ethylene glycol units, between 1 and about 25 ethylene glycol units, between about 1 and 10 ethylene glycol units, between 1 and about 8 ethylene glycol units and 1 and 6 ethylene glycol units, between 2 and 4 ethylene glycol units, or optionally substituted alkyl groups interdispersed with optionally substituted, O, N, S, P or Si atoms. In certain embodiments, the linker is substituted with an aryl, phenyl, benzyl, alkyl, alkylene, or heterocycle group. In certain embodiments, the linker may be asymmetric or symmetrical.
[0390] In any of the embodiments of the compounds described herein, the linker moiety (L) may be any suitable moiety as described herein. In one embodiment, the linker (L) is a substituted or unsubstituted polyethylene glycol group ranging in size from about 1 to about 12 ethylene glycol units, between 1 and about 10 ethylene glycol units, about 2 about 6 ethylene glycol units, between about 2 and 5 ethylene glycol units, between about 2 and 4 ethylene glycol units.
[0391] The VHL ligand moiety and E2 (if present) or E1 (if E2 is absent) may be covalently linked to the linker group through any group which is appropriate and stable to the chemistry of the linker moiety (L). The linker moiety (L) is independently covalently bonded to the VHL ligand moiety and E2 (if present) or E1 (if E2 is absent) preferably through an amide, ester, thioester, keto group, carbamate (urethane), carbon or ether, each of which groups may be inserted anywhere on the VHL ligand moiety and E1 or E2 to provide maximum binding of the VHL ligand moiety on the ubiquitin ligase and the PB moiety on the target protein to be degraded. In certain aspects, the linker (L) may be linked to an optionally substituted alkyl, alkylene, alkene or alkyne group, an aryl group or a heterocyclic group on the VHL ligand moiety and/or E2 (if present) or E1 (if E2 is absent). It is noted that a VHL ligand moiety may need to be derivatized to make a chemical functional group that is reactive with a chemical functional group on the linker. Alternatively, the linker may need to be derivatized to include a chemical functional group that can react with a functional group found on the VHL ligand moiety and/or E2 (if present) or E1 (if E2 is absent).
[0392] The linker L can also be represented by the formula:
where Q1 is a group which links the VHL ligand moiety to Q2; and Q2 is a group linking Q1 to E2 (if present) or E1 (if E2 is absent).
Q3Q4 group wherein Q3Q4 forms an amide group, or a urethane group, ester or thioester group,
where, each R15 is H, or a Ci-C
alkyl, an alkanol group or a heterocycle (including a water soluble heterocycle, preferably, a morpholino, piperidine or piperazine group to promote water solubility of the linker group); each U is independently a bond, O, S or N-R15; and each i is independently 0 to 100, 1 to 75, 1 to 60, 1 to 55, 1 to 50, 1 to 45, 1 to 40, 2 to 35, 3 to 30, 1 to 15, 1 to 10, 1 to 8, 1 to 6, 1, 2, 3, 4 or 5.
[0394] In embodiments, Q2 is a
j is 1 to 100, 1 to 75, 1 to 60, 1 to 55, 1 to 50, 1 to 45, 1 to 40, 2 to 35, 3 to 30, 1 to 15, 1 to 10, 1 to 8, 1 to 6, 1, 2, 3, 4 or 5;
k is 1 to 100, 1 to 75, 1 to 60, 1 to 55, 1 to 50, 1 to 45, 1 to 40, 2 to 35, 3 to 30, 1 to 15, 1 to 10, 1 to 8, 1 to 6, 1, 2, 3, 4 or 5; preferably k is 1, 2, 3, 4, or 5;
m’ is 1 to 100, 1 to 75, 1 to 60, 1 to 55, 1 to 50, 1 to 45, 1 to 40, 2 to 35, 3 to 30, 1 to 15,
1 to 10, 1 to 8, 1 to 6, 1, 2, 3, 4 or 5;
n’ is 1 to 100, 1 to 75, 1 to 60, 1 to 55, 1 to 50, 1 to 45, 1 to 40, 2 to 35, 3 to 30, 1 to 15,
1 to 10, 1 to 8, 1 to 6, 1 , 2, 3, 4 or 5;
X1 is O, S or N-R15, preferably O;
U is the same as above;
and CON is a connector group (which may be a bond) which connects Q1 to Q2, when present in the linker group.
[0395] In embodiments, CON is a bond (absent), a heterocycle including a water soluble heterocycle such as a piperazinyl or other group or a group,
where X2 is cycloalkyl, heterocyclyl, O, S, NR12, S(O), S(0)2, -S(0)20, -0S(0)2, 0P(0)0R15, Si(R15)2, or 0S(0)20;
X3 is O, S, CHR12, NR12;
R12 is H or a C1-C3 alkyl group optionally substituted with one or two hydroxyl groups, or a pharmaceutically acceptable salt, enantiomer or stereoisomer thereof; and
R15 is as defined above.
[0396] In alternative preferred aspects, the linker group is a (poly)ethyleneglycol having between 1 and about 100 ethylene glycol units, between about 1 and about 50 ethylene glycol units, between 1 and about 25 ethylene glycol units, between about 1 and 10 ethylene glycol units, between 1 and about 8 ethylene glycol units and 1 and 6 ethylene glycol units, between 2 and 4 ethylene glycol units. In certain embodiments, the linker is optionally substituted; i.e., comprises chemical groups interdispersed within or on the PEG linker. In certain embodiments, the PEG linker is substituted with an alkyl, alkylene, aromatic group, or aryl group, e.g., phenyl, benzyl, or heterocyclyl group, or amino acid side chain and is optionally interdispersed with optionally substituted O, N, S, P, or Si atoms.
[0397] In embodiments, CON is
[0398] The linker may be asymmetrical or symmetrical.
[0399] Although the VHL ligand moiety and E2 (if present) or E1 (if E2 is absent) may be covalently linked to the linker moiety (L) through any group which is appropriate and stable to the chemistry of the linker, in preferred aspects, the linker moiety (L) is independently covalently bonded to the VHL ligand moiety and E2 (if present) or E1 (if E2 is absent) through an amide, ester, thioester, keto group, carbamate (urethane) or ether, each of which groups may be inserted anywhere on the VHL ligand moiety and E2 (if present) or E1 (if E2 is absent) to allow binding of the VHL ligand moiety to the ubiquitin ligase and the PB moiety to the target protein to be degraded. In other words, as shown herein, the linker moiety (L) can be designed and connected to VHL ligand moiety and E2 (if present) or E1 (if E2 is absent) to minimize, eliminate, or neutralize any impact its presence might have on the binding of VHL ligand moiety and PB moiety to their respective binding partners. In certain aspects, the targeted protein for degradation may be an ubiquitin ligase. In some embodiments, the linker may be linked to an optionally substituted alkyl, alkylene, alkene, or alkyne group, an aryl group, or a heterocyclic group on the VHL ligand moiety and/or E2 (if present) or E1 (if E2 is absent). In one aspect, the linker is connected to the VHL ligand moiety through substituent Y.
[0400] Additional linkers are disclosed in U.S. Patent Application Publication NOs. 2016/0058872, 2016/0045607, 2014/0356322, and 2015/0291562; and in W02014/063061.
III. Formulations
[0401] In an additional aspect, the description provides therapeutic or pharmaceutical compositions comprising an effective amount of at least one of the compounds as described herein, including, e.g., at least one VHL ligand, at least one hetero-bifunctional degrader, and combinations thereof. Pharmaceutical compositions comprising an effective amount of at least one bifunctional compound according to the present disclosure, and optionally one or more of the compounds otherwise described herein, in effective amounts, in combination with a pharmaceutically effective amount of a carrier, additive or excipient, and optionally an additional bioactive agent, represents a further aspect of the disclosure.
[0402] In certain embodiments, the compositions comprise pharmaceutically acceptable salts, in particular, acid or base addition salts of compounds as described herein. The acids that are used to prepare the pharmaceutically acceptable acid addition salts of the
aforementioned base compounds include those which form non-toxic acid addition salts, i.e., salts containing pharmacologically acceptable anions, such as the hydrochloride, hydrobromide, hydroiodide, nitrate, sulfate, bisulfate, phosphate, acid phosphate, acetate, lactate, citrate, acid citrate, tartrate, bitartrate, succinate, maleate, fumarate, gluconate, saccharate, benzoate, methanesulfonate, ethanesulfonate, benzenesulfonate, p-toluenesulfonate and pamoate [i.e., 1,1'- methylene-bis-(2-hydroxy-3 naphthoate)]salts, among numerous others.
[0403] Pharmaceutically acceptable base addition salts may also be used to produce pharmaceutically acceptable salt forms of the compounds or derivatives. The chemical bases that may be used as reagents to prepare pharmaceutically acceptable base salts of the present compounds that are acidic in nature are those that form non-toxic base salts with such compounds. Such non-toxic base salts include, but are not limited to those derived from such pharmacologically acceptable cations such as alkali metal cations (e.g., potassium and sodium) and alkaline earth metal cations (eg, calcium, zinc and magnesium), ammonium or water-soluble amine addition salts such as N-methylglucamine-(meglumine), and the lower alkanolammonium and other base salts of pharmaceutically acceptable organic amines, among others.
[0404] The compositions as described herein may in certain embodiments be administered in single or divided unit doses by the oral, parenteral or topical routes. Administration of the compounds may range from continuous (intravenous drip) to several oral administrations per day (for example, Q.I.D.) and may include oral, topical, parenteral, intramuscular, intravenous, sub-cutaneous, transdermal (which may include a penetration enhancement agent), buccal, sublingual and suppository administration, by inhalation spray, rectally, vaginally, or via an implanted reservoir, among other routes of administration. Enteric coated oral tablets may also be used to enhance bioavailability of the compounds from an oral route of administration. The most effective dosage form will depend upon the pharmacokinetics of the particular agent chosen as well as the severity of disease in the patient. Administration of compounds according to the present disclosure as sprays, mists, or aerosols for intra-nasal, intra tracheal or pulmonary administration may also be used. The present disclosure therefore also is directed to pharmaceutical compositions comprising an effective amount of compound according to the present disclosure, optionally in combination with a pharmaceutically acceptable carrier, additive or excipient. Compounds according to the present disclosure may be administered in immediate release, intermediate release or sustained or controlled release forms. Sustained or controlled release forms are preferably administered orally, but may also be
administered in suppository and transdermal or other topical forms. Intramuscular injections in liposomal form may also be used to control or sustain the release of compound at an injection site.
[0405] Thus in one aspect, pharmaceutical formulations of VHL ligands and/or hetero- bifunctional degraders as described herein can be prepared for parenteral administration with a pharmaceutically acceptable parenteral vehicle and in a unit dosage injectable form. The term "parenteral" as used herein includes subcutaneous, intravenous, intramuscular, intra-articular, intra-synovial, intrastemal, intrathecal, intrahepatic, intralesional and intracranial injection or infusion techniques. Preferably, the compositions are administered orally, intraperitoneally or intravenously. A hetero-bifunctional degrader having the desired degree of purity is optionally mixed with one or more pharmaceutically acceptable excipients (Remington's Pharmaceutical Sciences (1980) l6th edition, Osol, A. Ed.), in the form of a lyophilized formulation for reconstitution or an aqueous solution.
[0406] The compositions of the present disclosure may be formulated in a conventional manner using one or more pharmaceutically acceptable carriers and may also be administered in controlled-release formulations. The compounds of the disclosure can be formulated in accordance with standard pharmaceutical practice as a pharmaceutical composition. According to this aspect, there is provided a pharmaceutical composition comprising a hetero-bifunctional degrader or VHL ligand in association with one or more pharmaceutically acceptable excipients.
[0407] A typical formulation is prepared by mixing the compounds of the disclosure with excipients, such as carriers and/or diluents. Suitable carriers, diluents and other excipients are well known to those skilled in the art and include materials such as carbohydrates, waxes, water soluble and/or swellable polymers, hydrophilic or hydrophobic materials, gelatin, oils, solvents, water and the like. The particular carrier, diluent or other excipient used will depend upon the means and purpose for which the compound is being applied. Other pharmaceutically acceptable carriers that may be used in these pharmaceutical compositions include, but are not limited to, ion exchangers, alumina, aluminum stearate, lecithin, serum proteins, such as human serum albumin, buffer substances such as phosphates, glycine, sorbic acid, potassium sorbate, partial glyceride mixtures of saturated vegetable fatty acids, water, salts or electrolytes, such as prolamine sulfate, disodium hydrogen phosphate, potassium hydrogen phosphate, sodium chloride, zinc salts, colloidal silica, magnesium trisilicate, polyvinyl pyrrolidone, cellulose-
based substances, polyethylene glycol, sodium carboxymethylcellulose, polyacrylates, waxes, poly ethylene-poly oxypropylene-block polymers, polyethylene glycol and wool fat.
[0408] Solvents are generally selected based on solvents recognized by persons skilled in the art as safe (GRAS) to be administered to a mammal. In general, safe solvents are non toxic aqueous solvents such as water and other non-toxic solvents that are soluble or miscible in water. Suitable aqueous solvents include water, ethanol, propylene glycol, polyethylene glycols (e.g., PEG 400, PEG 300), etc. and mixtures thereof. Acceptable diluents, carriers, excipients and stabilizers are nontoxic to recipients at the dosages and concentrations employed, and include buffers such as phosphate, citrate and other organic acids; antioxidants including ascorbic acid and methionine; preservatives (such as octadecyldimethylbenzyl ammonium chloride; hexamethonium chloride; benzalkonium chloride, benzethonium chloride; phenol, butyl or benzyl alcohol; alkyl parabens such as methyl or propyl paraben; catechol; resorcinol; cyclohexanol; 3-pentanol; and m-cresol); low molecular weight (less than about 10 residues) polypeptides; proteins, such as serum albumin, gelatin, or immunoglobulins; hydrophilic polymers such as polyvinylpyrrolidone; amino acids such as glycine, glutamine, asparagine, histidine, arginine, or lysine; monosaccharides, disaccharides and other carbohydrates including glucose, mannose, or dextrins; chelating agents such as EDTA; sugars such as sucrose, mannitol, trehalose or sorbitol; salt-forming counter-ions such as sodium; metal complexes (e.g., Zn-protein complexes); and/or non-ionic surfactants such as TWEEN™, PLURONICS™ or polyethylene glycol (PEG).
[0409] The formulations may also include one or more buffers, stabilizing agents, surfactants, wetting agents, lubricating agents, emulsifiers, suspending agents, preservatives, antioxidants, opaquing agents, glidants, processing aids, colorants, sweeteners, perfuming agents, flavoring agents and other known additives to provide an elegant presentation of the hetero-bifunctional degraders or aid in the manufacturing of the pharmaceutical product. The formulations may be prepared using conventional dissolution and mixing procedures.
[0410] Formulation may be conducted by mixing at ambient temperature at the appropriate pH, and at the desired degree of purity, with physiologically acceptable carriers, i.e., carriers that are non-toxic to recipients at the dosages and concentrations employed. The pH of the formulation depends mainly on the particular use and the concentration of compound, but may range from about 3 to about 8. Formulation in an acetate buffer at pH 5 is a suitable embodiment.
[0411] The pharmaceutical compositions may be in the form of a sterile injectable preparation, such as a sterile injectable aqueous or oleaginous suspension. In particular, formulations to be used for in vivo administration must be sterile. Such sterilization is readily accomplished by filtration through sterile filtration membranes. This suspension may be formulated according to the known art using those suitable dispersing or wetting agents and suspending agents which have been mentioned above. The sterile injectable preparation may also be a sterile injectable solution or suspension in a non-toxic parenterally acceptable diluent or solvent, such l,3-butanediol. The sterile injectable preparation may also be prepared as a lyophilized powder. Among the acceptable vehicles and solvents that may be employed are water, Ringer’s solution and isotonic sodium chloride solution. In addition, sterile fixed oils may conventionally be employed as a solvent or suspending medium. For this purpose any bland fixed oil may be employed including synthetic mono- or diglycerides. In addition, fatty acids such as oleic acid may likewise be used in the preparation of injectables, as well as natural pharmaceutically-acceptable oils, such as olive oil or castor oil, especially in their polyoxyethylated versions. These oil solutions or suspensions may also contain a long-chain alcohol diluent or dispersant, such as Ph. Helv or similar alcohol.
[0412] Formulations suitable for parenteral administration include aqueous and non- aqueous sterile injection solutions which may contain anti-oxidants, buffers, bacteriostats and solutes which render the formulation isotonic with the blood of the intended recipient; and aqueous and non-aqueous sterile suspensions which may include suspending agents and thickening agents.
[0413] The pharmaceutical compositions as described herein may be orally administered in any orally acceptable dosage form including, but not limited to, capsules, tablets, aqueous suspensions or solutions. In the case of tablets for oral use, carriers which are commonly used include lactose and com starch. Lubricating agents, such as magnesium stearate, are also typically added. For oral administration in a capsule form, useful diluents include lactose and dried com starch. When aqueous suspensions are required for oral use, the active ingredient is combined with emulsifying and suspending agents. If desired, certain sweetening, flavoring or coloring agents may also be added.
[0414] Alternatively, the pharmaceutical compositions as described herein may be administered in the form of suppositories for rectal administration. These can be prepared by mixing the agent with a suitable non-irritating excipient, which is solid at room temperature but
liquid at rectal temperature and therefore will melt in the rectum to release the drug. Such materials include cocoa butter, beeswax and polyethylene glycols.
[0415] The pharmaceutical compositions as described herein may also be administered topically. Suitable topical formulations are readily prepared for each of these areas or organs. Topical application for the lower intestinal tract can be effected in a rectal suppository formulation (see above) or in a suitable enema formulation. Topically-acceptable transdermal patches may also be used.
[0416] For topical applications, the pharmaceutical compositions may be formulated in a suitable ointment containing the active component suspended or dissolved in one or more carriers. Carriers for topical administration of the compounds of this disclosure include, but are not limited to, mineral oil, liquid petrolatum, white petrolatum, propylene glycol, polyoxyethylene, polyoxypropylene compound, emulsifying wax and water. In certain preferred aspects of the disclosure, the compounds may be coated onto a stent which is to be surgically implanted into a patient in order to inhibit or reduce the likelihood of occlusion occurring in the stent in the patient.
[0417] Alternatively, the pharmaceutical compositions can be formulated in a suitable lotion or cream containing the active components suspended or dissolved in one or more pharmaceutically acceptable carriers. Suitable carriers include, but are not limited to, mineral oil, sorbitan monostearate, polysorbate 60, cetyl esters wax, cetearyl alcohol, 2-octyldodecanol, benzyl alcohol and water.
[0418] For ophthalmic use, the pharmaceutical compositions may be formulated as micronized suspensions in isotonic, pH adjusted sterile saline, or, preferably, as solutions in isotonic, pH adjusted sterile saline, either with our without a preservative such as benzylalkonium chloride. Alternatively, for ophthalmic uses, the pharmaceutical compositions may be formulated in an ointment such as petrolatum.
[0419] The pharmaceutical compositions of this disclosure may also be administered by nasal aerosol or inhalation. Such compositions are prepared according to techniques well- known in the art of pharmaceutical formulation and may be prepared as solutions in saline, employing benzyl alcohol or other suitable preservatives, absorption promoters to enhance bioavailability, fluorocarbons, and/or other conventional solubilizing or dispersing agents.
[0420] The hetero-bifunctional degrader and VHL ligand compositions ordinarily can be stored as a solid composition, a lyophilized formulation or as an aqueous solution.
[0421] The pharmaceutical compositions comprising a hetero-bifunctional degrader or VHL ligand of the present disclosure can be formulated, dosed and administered in a fashion, i.e., amounts, concentrations, schedules, course, vehicles and route of administration, consistent with good medical practice. Factors for consideration in this context include the particular disorder being treated, the particular mammal being treated, the clinical condition of the individual patient, the cause of the disorder, the site of delivery of the agent, the method of administration, the scheduling of administration, and other factors known to medical practitioners. The“therapeutically effective amount” of the compound to be administered will be governed by such considerations, and is the minimum amount necessary to prevent, ameliorate, or treat the disorder. Such amount is preferably below the amount that is toxic to the host or renders the host significantly more susceptible to unwanted side effects.
[0422] The hetero-bifunctional degrader can be formulated into pharmaceutical dosage forms to provide an easily controllable dosage of the drug and to enable patient compliance with the prescribed regimen. The pharmaceutical composition (or formulation) for application may be packaged in a variety of ways depending upon the method used for administering the drug. Generally, an article for distribution includes a container having deposited therein the pharmaceutical formulation in an appropriate form. Suitable containers are well known to those skilled in the art and include materials such as bottles (plastic and glass), sachets, ampoules, plastic bags, metal cylinders, and the like. The container may also include a tamper-proof assemblage to prevent indiscreet access to the contents of the package. In addition, the container has deposited thereon a label that describes the contents of the container. The label may also include appropriate warnings.
[0423] The formulations may be packaged in unit-dose or multi-dose containers, for example sealed ampoules and vials, and may be stored in a freeze-dried (lyophilized) condition requiring only the addition of the sterile liquid carrier, for example water, for injection immediately prior to use. Extemporaneous injection solutions and suspensions are prepared from sterile powders, granules and tablets of the kind previously described. Preferred unit dosage formulations are those containing a daily dose or unit daily sub-dose, as herein above recited, or an appropriate fraction thereof, of the active ingredient.
[0424] It should also be understood that a specific dosage and treatment regimen for any particular patient will depend upon a variety of factors, including the activity of the specific compound employed, the age, body weight, general health, sex, diet, time of administration, rate of excretion, drug combination, and the judgment of the treating physician and the severity of the particular disease or condition being treated.
[0425] A patient or subject in need of therapy using compounds according to the present disclosure can be treated by administering to the patient (subject) an effective amount of the compound according to the present disclosure including pharmaceutically acceptable salts, solvates or polymorphs, thereof optionally in a pharmaceutically acceptable carrier or diluent, either alone, or in combination with other known erythopoiesis stimulating agents as otherwise identified herein.
[0426] The active compound is included in the pharmaceutically acceptable carrier or diluent in an amount sufficient to deliver to a patient a therapeutically effective amount for the desired indication, without causing serious toxic effects in the patient treated. A preferred dose of the active compound for the herein-mentioned conditions is in the range from about 10 ng/kg to 300 mg/kg, preferably 0.1 to 100 mg/kg per day, more generally 0.5 to about 25 mg per kilogram body weight of the recipient/patient per day. One typical daily dosage might range from about 1 pg/kg to 100 mg/kg or more, depending on the factors mentioned above. A typical topical dosage will range from 0.01-5% wt/wt in a suitable carrier.
[0427] The compound is conveniently administered in any suitable unit dosage form, including but not limited to one containing less than 1 mg, 1 mg to 3000 mg, preferably 5 to 500 mg of active ingredient per unit dosage form. An oral dosage of about 25-250 mg is often convenient.
[0428] The active ingredient is preferably administered to achieve peak plasma concentrations of the active compound of about 0.00001-30 mM, preferably about 0.1-30 mM. This may be achieved, for example, by the intravenous injection of a solution or formulation of the active ingredient, optionally in saline, or an aqueous medium or administered as a bolus of the active ingredient. Oral administration is also appropriate to generate effective plasma concentrations of active agent.
[0429] The concentration of active compound in the drug composition will depend on absorption, distribution, inactivation, and excretion rates of the drug as well as other factors
known to those of skill in the art. It is to be noted that dosage values will also vary with the severity of the condition to be alleviated. It is to be further understood that for any particular subject, specific dosage regimens should be adjusted over time according to the individual need and the professional judgment of the person administering or supervising the administration of the compositions, and that the concentration ranges set forth herein are exemplary only and are not intended to limit the scope or practice of the claimed composition. The active ingredient may be administered at once, or may be divided into a number of smaller doses to be administered at varying intervals of time.
[0430] In one embodiment, the active compounds are prepared with carriers that will protect the compound against rapid elimination from the body, such as a controlled release formulation, including implants and microencapsulated delivery systems. Biodegradable, biocompatible polymers can be used, such as ethylene vinyl acetate, polyanhydrides, polyglycolic acid, collagen, polyorthoesters, and polylactic acid. Methods for preparation of such formulations will be apparent to those skilled in the art.
[0431] Liposomal suspensions may also be pharmaceutically acceptable carriers. These may be prepared according to methods known to those skilled in the art, for example, as described in U.S. Pat. No.4,522,8l l (which is incorporated herein by reference in its entirety). For example, liposome formulations may be prepared by dissolving appropriate lipid(s) (such as stearoyl phosphatidyl ethanolamine, stearoyl phosphatidyl choline, arachadoyl phosphatidyl choline, and cholesterol) in an inorganic solvent that is then evaporated, leaving behind a thin film of dried lipid on the surface of the container. An aqueous solution of the active compound are then introduced into the container. The container is then swirled by hand to free lipid material from the sides of the container and to disperse lipid aggregates, thereby forming the liposomal suspension.
[0432] The term "pharmaceutically acceptable salt" is used throughout the specification to describe, where applicable, a salt form of one or more of the compounds described herein which are presented to increase the solubility of the compound in the gastric juices of the patient's gastrointestinal tract in order to promote dissolution and the bioavailability of the compounds. Pharmaceutically acceptable salts include those derived from pharmaceutically acceptable inorganic or organic bases and acids, where applicable. Suitable salts include those derived from alkali metals such as potassium and sodium, alkaline earth metals such as calcium, magnesium and ammonium salts, among numerous other acids and
bases well known in the pharmaceutical art. Sodium and potassium salts are particularly preferred as neutralization salts of the phosphates according to the present disclosure.
[0433] The term "pharmaceutically acceptable derivative" is used throughout the specification to describe any pharmaceutically acceptable prodrug form (such as an ester, amide other prodrug group), which, upon administration to a patient, provides directly or indirectly the present compound or an active metabolite of the present compound.
[0434] The subject matter further provides veterinary compositions comprising at least one active ingredient as above defined together with a veterinary carrier therefore. Veterinary carriers are materials useful for the purpose of administering the composition and may be solid, liquid or gaseous materials which are otherwise inert or acceptable in the veterinary art and are compatible with the active ingredient. These veterinary compositions may be administered parenterally or by any other desired route.
IV. Indications and Methods of Treatment
[0435] It is contemplated that the hetero-bifunctional degraders disclosed herein may be used to treat various diseases or disorders. Exemplary hyperproliferative disorders include benign or malignant solid tumors and hematological disorders such as leukemia and lymphoid malignancies. Others include neuronal, glial, astrocytal, hypothalamic, glandular, macrophagal, epithelial, stromal, blastocoelic, inflammatory, angiogenic and immunologic, including autoimmune, disorders.
[0436] Generally, the disease or disorder to be treated is a hyperproliferative disease such as cancer. Examples of cancer to be treated herein include, but are not limited to, carcinoma, lymphoma, blastoma, sarcoma, and leukemia or lymphoid malignancies. More particular examples of such cancers include squamous cell cancer (e.g. epithelial squamous cell cancer), lung cancer including small-cell lung cancer, non-small cell lung cancer, adenocarcinoma of the lung and squamous carcinoma of the lung, cancer of the peritoneum, hepatocellular cancer, gastric or stomach cancer including gastrointestinal cancer, pancreatic cancer, glioblastoma, cervical cancer, ovarian cancer, liver cancer, bladder cancer, hepatoma, breast cancer, colon cancer, rectal cancer, colorectal cancer, endometrial or uterine carcinoma, salivary gland carcinoma, kidney or renal cancer, prostate cancer, vulval cancer, thyroid cancer, hepatic carcinoma, anal carcinoma, penile carcinoma, as well as head and neck cancer.
[0437] Autoimmune diseases for which the hetero-bifunctional degrader may be used in treatment include rheumatologic disorders (such as, for example, rheumatoid arthritis, Sjogren's syndrome, scleroderma, lupus such as systemic lupus erythematosus (SLE) and lupus nephritis, polymyositis/dermatomyositis, cryoglobulinemia, anti -phospholipid antibody syndrome, and psoriatic arthritis), osteoarthritis, autoimmune gastrointestinal and liver disorders (such as, for example, inflammatory bowel diseases (e.g., ulcerative colitis and Crohn's disease), autoimmune gastritis and pernicious anemia, autoimmune hepatitis, primary biliary cirrhosis, primary sclerosing cholangitis, and celiac disease), vasculitis (such as, for example, ANCA- associated vasculitis, including Churg-Strauss vasculitis, Wegener's granulomatosis, and polyarteriitis), autoimmune neurological disorders (such as, for example, multiple sclerosis, opsoclonus myoclonus syndrome, myasthenia gravis, neuromyelitis optica, Parkinson’s disease, Alzheimer’s disease, and autoimmune polyneuropathies), renal disorders (such as, for example, glomerulonephritis, Goodpasture’s syndrome, and Berger’s disease), autoimmune dermatologic disorders (such as, for example, psoriasis, urticaria, hives, pemphigus vulgaris, bullous pemphigoid, and cutaneous lupus erythematosus), hematologic disorders (such as, for example, thrombocytopenic purpura, thrombotic thrombocytopenic purpura, post-transfusion purpura, and autoimmune hemolytic anemia), atherosclerosis, uveitis, autoimmune hearing diseases (such as, for example, inner ear disease and hearing loss), Behcet's disease, Raynaud's syndrome, organ transplant, and autoimmune endocrine disorders (such as, for example, diabetic-related autoimmune diseases such as insulin-dependent diabetes mellitus (IDDM), Addison’s disease, and autoimmune thyroid disease (e.g., Graves’ disease and thyroiditis)). More preferred such diseases include, for example, rheumatoid arthritis, ulcerative colitis, ANCA-associated vasculitis, lupus, multiple sclerosis, Sjogren's syndrome, Graves’ disease, IDDM, pernicious anemia, thyroiditis, and glomerulonephritis.
[0438] Other disease states or disorders which may be treated using compounds or compositions according to the present disclosure include, for example, asthma, ciliopathies, cleft palate, diabetes, heart disease, hypertension, inflammatory bowel disease, mental retardation, mood disorder, obesity, refractive error, infertility, Angelman syndrome, Canavan disease, Coeliac disease, Charcot-Marie-Tooth disease, Cystic fibrosis, Duchenne muscular dystrophy, Haemochromatosis, Haemophilia, Klinefelter's syndrome, Neurofibromatosis, Phenylketonuria, Polycystic kidney disease (PKD1) or 4 (PKD2) Prader-Willi syndrome, Sickle-cell disease, Tay-Sachs disease, and Turner syndrome.
[0439] Further diseases or disorders which may be treated by compounds or compositions according to the present disclosure include Alzheimer's disease, Amyotrophic lateral sclerosis (Lou Gehrig’s disease), Anorexia nervosa, Anxiety disorder, Atherosclerosis, Attention deficit hyperactivity disorder, Autism, Bipolar disorder, Chronic fatigue syndrome, Chronic obstructive pulmonary disease, Crohn's disease, Coronary heart disease, Dementia, Depression, Diabetes mellitus type 1, Diabetes mellitus type 2, Epilepsy, Guillain-Barre syndrome, Irritable bowel syndrome, Lupus, Metabolic syndrome, Multiple sclerosis, Myocardial infarction, Obesity, Obsessive-compulsive disorder, Panic disorder, Parkinson's disease, Psoriasis, Rheumatoid arthritis, Sarcoidosis, Schizophrenia, Stroke, Thromboangiitis obliterans, Tourette syndrome, Vasculitis.
[0440] Still additional diseases or disorders which can be treated by compounds or compositions according to the present disclosure include acemloplasminemia, Achondrogenesis type H, Acrocephaly, Gaucher disease type 2, acute intermittent porphyria, Adenomatous Polyposis Coli, adenylosuccinate lyase deficiency, Adrenogenital syndrome, Adrenoleukodystrophy, ALA-D porphyria, ALA dehydratase deficiency, Alkaptonuria, Alkaptonuric ochronosis, alpha 1- antitrypsin deficiency, alpha- 1 proteinase inhibitor, emphysema, amyotrophic lateral sclerosis, Alstrom syndrome, Alexander disease, Amelogenesis imperfecta, Anderson-Fabry disease, Anemia, Angiokeratoma Corporis Diffusum, Angiomatosis retinae (von Hippel-Lindau disease) Apert syndrome, Arachnodactyly (Marfan syndrome), Arthrochalasis multiplex congenital (Ehlers-Danlos syndrome arthrochalasia type), ataxia telangiectasia, Rett syndrome, Sandhoff disease, neurofibromatosis type II, Mediterranean fever, familial, Benjamin syndrome, Bilateral Acoustic Neurofibromatosis (neurofibromatosis type II), factor V Leiden thrombophilia, Bloch-Sulzberger syndrome (incontinentia pigmenti), Bloom syndrome, Bonnevie-Ullrich syndrome (Turner syndrome), Boumeville disease (tuberous sclerosis), Birt-Hogg-Dube syndrome, Brittle bone disease (osteogenesis imperfecta), Broad Thumb -Hallux syndrome (Rubinstein-Taybi syndrome), Bronze Diabetes/Bronzed Cirrhosis (hemochromatosis), Bulbospinal muscular atrophy (Kennedy's disease), Burger-Grutz syndrome (lipoprotein lipase deficiency), CGD Chronic granulomatous disorder, Campomelic dysplasia, biotinidase deficiency, Cardiomyopathy (Noonan syndrome), Cri du chat CAVD (congenital absence of the vas deferens), Caylor cardiofacial syndrome (CBAVD), CEP (congenital erythropoietic porphyria), congenital hypothyroidism, Chondrodystrophy syndrome (achondroplasia), otospondylomegaepiphyseal dysplasia, Lesch-Nyhan syndrome, galactosemia, Ehlers-Danlos syndrome, Thanatophoric dysplasia, Coffm-Lowry syndrome, Cockayne
syndrome, (familial adenomatous polyposis), Congenital erythropoietic porphyria, Congenital heart disease, Methemoglobinemia/Congenital methaemoglobinaemia, achondroplasia, X-linked sideroblastic anemia, Connective tissue disease, Conotruncal anomaly face syndrome, Cooley's Anemia (beta-thalassemia), Copper storage disease (Wilson's disease), Copper transport disease (Menkes disease), hereditary coproporphyria, Cowden syndrome, Craniofacial dysarthrosis (Crouzon syndrome), Creutzfeldt-Jakob disease (prion disease), Cockayne syndrome, Cowden syndrome, Curschmann-Batten-Steinert syndrome (myotonic dystrophy), Beare-Stevenson cutis gyrata syndrome, primary hyperoxaluria, spondyloepimetaphyseal dysplasia (Strudwick type), muscular dystrophy, Duchenne and Becker types (DBMD), Usher syndrome, Degenerative nerve diseases including de Grouchy syndrome and Dejerine- Sottas syndrome, developmental disabilities, distal spinal muscular atrophy, type V, Diffuse Globoid Body Sclerosis (Krabbe disease), Di George's syndrome, Dihydrotestosterone receptor deficiency, Down syndrome, Dwarfism, Erythroid 5-aminolevulinate synthetase deficiency, Erythropoietic porphyria, erythropoietic protoporphyria, erythropoietic uroporphyria, Friedreich's ataxia, familial paroxysmal polyserositis, porphyria cutanea tarda, familial pressure sensitive neuropathy, primary pulmonary hypertension (PPH), Fibrocystic disease of the pancreas, fragile X syndrome, genetic brain disorders, Giant cell hepatitis (Neonatal hemochromatosis), Gronblad- .Strandberg syndrome ( pseudoxanthoma elasticum), Gunther disease (congenital erythropoietic porphyria), haemochromatosis, Hallgren syndrome, sickle cell anemia, hemophilia, hepatoerythropoietic porphyria (HEP), Hippel-Lindau disease (von Hippel— Lindau disease), Huntington's disease, Hutchinson-Gilford progeria syndrome (progeria), Hyperandrogenism, Hypochondroplasia, Hypochromic anemia, Immune system disorders, including X-linked severe combined immunodeficiency, Insley-Astley syndrome, Joubert syndrome, Lesch-Nyhan syndrome, Jackson-Weiss syndrome, Kidney diseases, including hyperoxaluria, Lacunar dementia, Langer-Saldino achondrogenesis, Lynch syndrome, Lysyl-hydroxylase deficiency, Machado-Joseph disease, Metabolic disorders, including Kniest dysplasia, Marfan syndrome, Movement disorders, Mowat-Wilson syndrome, cystic fibrosis, Muenke syndrome, Multiple neurofibromatosis, Nance— Insley syndrome, Nance-Sweeney chondrodysplasia, Niemann— Pick disease, Noack syndrome (Pfeiffer syndrome), Osler-Weber Rendu disease, Peutz-Jeghers syndrome, Polycystic kidney disease, polyostotic fibrous dysplasia (McCune-Albright syndrome), Prader-Labhart-Willi syndrome, hemochromatosis, primary hyperuricemia, primary pulmonary hypertension, primary senile degenerative dementia, prion disease, progeria (Hutchinson Gilford Progeria Syndrome), progressive chorea, chronic hereditary (Huntington)
(Huntington's disease), progressive muscular atrophy, spinal muscular atrophy, propionic acidemia, protoporphyria, proximal myotonic dystrophy, pulmonary arterial hypertension, PXE (pseudoxanthoma elasticum), Rb (retinoblastoma), Recklinghausen disease (neurofibromatosis type I), Recurrent polyserositis, Retinal disorders, Retinoblastoma, RFALS type 3, Ricker syndrome, Riley— Day syndrome, Roussy-Levy syndrome, severe achondroplasia with developmental delay and acanthosis nigricans (SADDAN), Li-Fraumeni syndrome, sarcoma, breast, leukemia, and adrenal gland (SBLA) syndrome, sclerosis tuberose (tuberous sclerosis), SDAT, SED congenital (spondyloepiphyseal dysplasia congenita), SED Strudwick (spondyloepimetaphyseal dysplasia, Strudwick type), SEDc (spondyloepiphyseal dysplasia congenita) SEMD, Strudwick type (spondyloepimetaphyseal dysplasia, Strudwick type), Shprintzen syndrome, Skin pigmentation disorders, Smith-Lemli-Opitz syndrome, South African genetic porphyria (variegate porphyria), infantile-onset ascending hereditary spastic paralysis, Speech and communication disorders, sphingolipidosis, spinocerebellar ataxia, Stickler syndrome, stroke, androgen insensitivity syndrome, tetrahydrobiopterin deficiency, beta-thalassemia, Thyroid disease, Tomaculous neuropathy (hereditary neuropathy with liability to pressure palsies), Treacher Collins syndrome, Triplo X syndrome (triple X syndrome), Trisomy 21 (Down syndrome), Trisomy X, VHL syndrome (von Hippel-Lindau disease), Vision impairment and blindness (Alstrom syndrome), Vrolik disease, Waardenburg syndrome, Warburg Sjo Fledelius Syndrome, Weissenbacher-Zweymuller syndrome, Wolf— Hirschhom syndrome, Wolff Periodic disease, and Xeroderma pigmentosum, among others.
[0441] The term "cancer" is used throughout the specification to refer to the pathological process that results in the formation and growth of a cancerous or malignant neoplasm, i.e., abnormal tissue that grows by cellular proliferation, often more rapidly than normal and continues to grow after the stimuli that initiated the new growth cease. Malignant neoplasms show partial or complete lack of structural organization and functional coordination with the normal tissue and most invade surrounding tissues, metastasize to several sites, and are likely to recur after attempted removal and to cause the death of the patient unless adequately treated. Exemplary cancers which may be treated by the present compounds either alone or in combination with at least one additional anti-cancer agent include squamous-cell carcinoma, basal cell carcinoma, adenocarcinoma, hepatocellular carcinomas, and renal cell carcinomas, cancer of the bladder, bowel, cervix, colon, esophagus, head, kidney, liver, lung, neck, ovary, pancreas, prostate, and stomach; leukemias; benign and malignant lymphomas, particularly Burkitt's lymphoma and Non-Hodgkin's lymphoma; benign and malignant melanomas;
myeloproliferative diseases; sarcomas, including Ewing's sarcoma, hemangiosarcoma, Kaposi's sarcoma, liposarcoma, myosarcomas, peripheral neuroepithelioma, synovial sarcoma, gliomas, astrocytomas, oligodendrogliomas, ependymomas, gliobastomas, neuroblastomas, ganglioneuromas, gangliogliomas, medulloblastomas, pineal cell tumors, meningiomas, meningeal sarcomas, neurofibromas, and Schwannomas, Hodgkin's disease, Wilms' tumor and teratocarcinomas. Additional cancers which may be treated using compounds according to the present disclosure include, for example, T-lineage Acute lymphoblastic Leukemia (T-ALL), Tlineage lymphoblastic Lymphoma (T-LL), Peripheral T-cell lymphoma, Adult T-cell Leukemia, Pre· B ALL, Pre- B Lymphomas, Large B— cell Lymphoma, Burkitts Lymphoma, B- -cell ALL Philadelphia chromosome positive ALL and Philadelphia chromosome positive CML.
[0442] In certain embodiments, the present disclosure is directed to a method of treating a disease or disorder in a human in need thereof, comprising administering to the human an effective amount of a compound of the present disclosure (e.g., a hetero-bifunctional degrader of Formula (I), (II), or (Ila)), or a salt (e.g., a pharmaceutically acceptable salt) thereof, or a pharmaceutical composition of the present disclosure that comprises said hetero- bifunctional degrader.
[0443] In certain embodiments, a hetero-bifunctional degrader of the present disclosure is used in a method of treating solid tumor, e.g., ovarian.
[0444] In another embodiment, a hetero-bifunctional degrader of the present disclosure is used in a method of treating hematological malignancies such as non-Hodgkin's lymphoma (NHL), diffuse large hematopoietic lymphoma, follicular lymphoma, mantle cell lymphoma, chronic lymphocytic leukemia, multiple myeloma, acute myeloid leukemia (AML), and myeloid cell leukemia (MCL), and including B-cell related cancers and proliferative disorders. See, e.g., US 8,226,945; Li et al (2013) Mol. Cancer. Ther. 12(7): 1255-1265; Polson et al (2010) Leukemia 24: 1566-1573; Polson et al (2011) Expert Opin. Investig. Drugs 20(l):75-85.
[0445] In another embodiment, a hetero-bifunctional degrader of the present disclosure is used in a method of treating ovarian, breast and pancreatic cancers. The cancer may be associated with the expression or activity of a MUC16/CA125/0772P polypeptide. See, e.g., WO 2007/001851; US 7,989,595; US 8,449,883; US 7,723,485; Chen et al (2007) Cancer Res. 67(10): 4924-4932; Junutula, et al, (2008) Nature Biotech., 26(8):925-932.
[0446] In certain embodiments, a hetero-bifunctional degrader of the present disclosure is used in a method of treating cancer, e.g., breast or gastric cancer, more specifically HER2 positive breast or gastric cancer, wherein the method comprises administering such hetero- bifunctional degrader to a patient in need of such treatment.
[0447] A hetero-bifunctional degrader of the present disclosure may be administered by any route appropriate to the condition to be treated. The hetero-bifunctional degrader will typically be administered parenterally, i.e. infusion, subcutaneous, intramuscular, intravenous, intradermal, intrathecal and epidural.
[0448] A hetero-bifunctional degrader can be used either alone or in combination with other agents in a therapy. For instance, a hetero-bifunctional degrader may be co-administered with at least one additional therapeutic agent. Such combination therapies noted above encompass combined administration (where two or more therapeutic agents are included in the same or separate formulations), and separate administration, in which case, administration of the hetero-bifunctional degrader can occur prior to, simultaneously, and/or following, administration of the additional therapeutic agent and/or adjuvant. A hetero-bifunctional degrader can also be used in combination with radiation therapy.
[0449] The term“coadministration” or“combination therapy” shall mean that at least two compounds or compositions are administered to the patient at the same time, such that effective amounts or concentrations of each of the two or more compounds may be found in the patient at a given point in time. Although compounds according to the present disclosure may be co-administered to a patient at the same time, the term embraces both administration of two or more agents at the same time or at different times, provided that effective concentrations of coadministered compounds or compositions are found in the subject at a given time.
[0450] In an additional aspect, the description provides combination therapies comprising an effective amount of a compound as described herein in combination with an additional bioactive agent. The term“bioactive agent” is used to describe an agent, other than a compound as described herein, which is used in combination with the present compounds as an agent with biological activity to assist in effecting an intended therapy, inhibition and/or prevention/prophylaxis for which the present compounds are used. Preferred bioactive agents for use herein include those agents which have pharmacological activity similar to that for which the present compounds are used or administered and include for example, anti-cancer
agents, antiviral agents, especially including anti-HIV agents and anti-HCV agents, antimicrobial agents, antifungal agents, etc. In certain embodiments, the compound as described herein, the additional bioactive agent or both are present in an effective amount or, in certain embodiments, a synergistically effective amount.
[0451] The term“additional anti-cancer agent” is used to describe an anti-cancer agent, which may be combined with compounds according to the present disclosure to treat cancer. These agents include, for example, everolimus, trabectedin, abraxane, TLK 286, AV-299, DN- 101, pazopanib, GSK690693, RTA 744, ON 09l0.Na, AZD 6244 (ARRY-142886), AMN-107, TKI-258, GSK461364, AZD 1152, enzastaurin, vandetanib, ARQ-197, MK-0457, MLN8054, PHA-739358, R-763, AT-9263, a FLT-3 inhibitor, a VEGFR inhibitor, an EGFR TK inhibitor, an aurora kinase inhibitor, a PIK-l modulator, a Bcl-2 inhibitor, an HD AC inhbitor, a c-MET inhibitor, a PARP inhibitor, a Cdk inhibitor, an EGFR TK inhibitor, an IGFR-TK inhibitor, an anti-HGF antibody, a PI3 kinase inhibitors, an AKT inhibitor, a JAK/STAT inhibitor, a checkpoint- 1 or 2 inhibitor, a focal adhesion kinase inhibitor, a Map kinase (mek) inhibitor, a VEGF trap antibody, pemetrexed, erlotinib, dasatanib, nilotinib, decatanib, panitumumab, amrubicin, oregovomab, Lep-etu, nolatrexed, azd2l7l, batabulin, ofatumumab, zanolimumab, edotecarin, tetrandrine, rubitecan, tesmilifene, oblimersen, ticilimumab, ipilimumab, gossypol, Bio 111, 131-I-TM-601, ALT-110, BIO 140, CC 8490, cilengitide, gimatecan, IL13-PE38QQR, INO 1001, IPdRl KRX-0402, lucanthone, LY317615, neuradiab, vitespan, Rta 744, Sdx 102, talampanel, atrasentan, Xr 311, romidepsin, ADS-100380, sunitinib, 5-fluorouracil, vorinostat, etoposide, gemcitabine, doxorubicin, liposomal doxorubicin, 5'-deoxy-5-fluorouridine, vincristine, temozolomide, ZK-304709, seliciclib; PD0325901, AZD-6244, capecitabine, L- Glutamic acid, N-[4-[2-(2-amino-4,7-dihydro-4-oxo-l H - pyrrolo[2,3- d]pyrimidin-5- yl)ethyl] benzoyl]-, disodium salt, heptahydrate, camptothecin, PEG-labeled irinotecan, tamoxifen, toremifene citrate, anastrazole, exemestane, letrozole, DES(diethylstilbestrol), estradiol, estrogen, conjugated estrogen, bevacizumab, IMC-1C11, CHIR-258); 3-[5- (methylsulfonylpiperadinemethyl)- indolylj-quinolone, vatalanib, AG-013736, AVE-0005, the acetate salt of [D-Ser(Bul)6,Azgly10] or pyro-Glu-His-Trp-Ser-Tyr-D-SeKBu j-Leu-Arg-Pro- Azgly-NH2 acetate [CSCH^NISOM (G^H^jx where x = 1 to 2.4], goserelin acetate, leuprolide acetate, triptorelin pamoate, medroxyprogesterone acetate, hydroxyprogesterone caproate, megestrol acetate, raloxifene, bicalutamide, flutamide, nilutamide, megestrol acetate, CP- 724714; TAK-165, HKI-272, erlotinib, lapatanib, canertinib, ABX-EGF antibody, erbitux, EKB-569, PKI-166, GW-572016, Ionafamib, BMS-214662, tipifamib; amifostine, NVP-
LAQ824, suberoyl analide hydroxamic acid, valproic acid, trichostatin A, FK-228, SU11248, sorafenib, KRN951, aminoglutethimide, amsacrine, anagrelide, L-asparaginase, Bacillus Calmette-Guerin (BCG) vaccine, adriamycin, bleomycin, buserelin, busulfan, carboplatin, carmustine, chlorambucil, cisplatin, cladribine, clodronate, cyproterone, cytarabine, dacarbazine, dactinomycin, daunorubicin, diethylstilbestrol, epirubicin, fludarabine, fludrocortisone, fluoxymesterone, flutamide, gleevec, gemcitabine, hydroxyurea, idarubicin, ifosfamide, imatinib, leuprolide, levamisole, lomustine, mechlorethamine, melphalan, 6-mercaptopurine, mesna, methotrexate, mitomycin, mitotane, mitoxantrone, nilutamide, octreotide, oxaliplatin, pamidronate, pentostatin, plicamycin, porfimer, procarbazine, raltitrexed, rituximab, streptozocin, teniposide, testosterone, thalidomide, thioguanine, thiotepa, tretinoin, vindesine, l3-cis-retinoic acid, phenylalanine mustard, uracil mustard, estramustine, altretamine, floxuridine, 5-deooxyuridine, cytosine arabinoside, 6-mecaptopurine, deoxycoformycin, calcitriol, valrubicin, mithramycin, vinblastine, vinorelbine, topotecan, razoxin, marimastat, COL-3, neovastat, BMS-275291, squalamine, endostatin, SU5416, SU6668, EMD121974, interleukin- 12, IM862, angiostatin, vitaxin, droloxifene, idoxyfene, spironolactone, finasteride, cimitidine, trastuzumab, denileukin, diftitox, gefitinib, bortezimib, paclitaxel, cremophor-free paclitaxel, docetaxel, epithilone B, BMS- 247550, BMS-310705, droloxifene, 4- hy dr oxy tamoxifen, pipendoxifene, ERA-923, arzoxifene, fulvestrant, acolbifene, lasofoxifene, idoxifene, TSE-424, HMR- 3339, ZK186619, topotecan, PTK787/ZK 222584, VX-745, PD 184352, rapamycin, 40-O-(2-hydroxyethyl)-rapamycin, temsirolimus, AP -23573, RAD001, ABT-578, BC-210, LY294002, LY292223, LY292696, LY293684, LY293646, wortmannin, ZM336372, L-779,450, PEG-filgrastim, darbepoetin, erythropoietin, granulocyte colony- stimulating factor, zolendronate, prednisone, cetuximab, granulocyte macrophage colony- stimulating factor, histrelin, pegylated interferon alfa-2a, interferon alfa-2a, pegylated interferon alfa-2b, interferon alfa-2b, azacitidine, PEG-L-asparaginase, lenalidomide, gemtuzumab, hydrocortisone, interleukin-l l, dexrazoxane, alemtuzumab, all-transretinoic acid, ketoconazole, interleukin-2, megestrol, immune globulin, nitrogen mustard, methylprednisolone, ibritgumomab tiuxetan, androgens, decitabine, hexamethylmelamine, bexarotene, tositumomab, arsenic trioxide, cortisone, editronate, mitotane, cyclosporine, liposomal daunorubicin, Edwina- asparaginase, strontium 89, casopitant, netupitant, an NK-l receptor antagonist, palonosetron, aprepitant, diphenhydramine, hydroxyzine, metoclopramide, lorazepam, alprazolam, haloperidol, droperidol, dronabinol, dexamethasone, methylprednisolone, prochlorperazine,
granisetron, ondansetron, dolasetron, tropisetron, pegfilgrastim, erythropoietin, epoetin alfa, darbepoetin alfa and mixtures thereof.
[0452] The term “anti-HIV agent” or “additional anti-HIV agent” includes, for example, nucleoside reverse transcriptase inhibitors (NRTI), other non-nucloeoside reverse transcriptase inhibitors (i.e., those which are not representative of the present disclosure), protease inhibitors, fusion inhibitors, among others, exemplary compounds of which may include, for example, 3TC (Lamivudine), AZT (Zidovudine), (-)-FTC, ddl (Didanosine), ddC (zalcitabine), abacavir (ABC), tenofovir (PMPA), D-D4FC (Reverset), D4T (Stavudine), Racivir, L-FddC, L-FD4C, NVP (Nevirapine), DLV (Delavirdine), EFV (Efavirenz), SQVM (Saquinavir mesylate), RTV (Ritonavir), IDV (Indinavir), SQV (Saquinavir), NFV (Nelfmavir), APV (Amprenavir), LPV (Lopinavir), fusion inhibitors such as T20, among others, fuseon and mixtures thereof, including anti-HIV compounds presently in clinical trials or in development.
[0453] Other anti-HIV agents which may be used in coadministration with compounds according to the present disclosure include, for example, other NNRTEs (i.e., other than the NNRTEs according to the present disclosure) may be selected from the group consisting of nevirapine (BI-R6-587), delavirdine (U-90152S/T), efavirenz (DMP-266), UC-781 (N-[4- chloro-3-(3-methyl-2-butenyloxy)phenyl]-2methyl3-furancarbothiamide), etravirine (TMC125), Trovirdine (Ly300046.HCl), MKC-442 (emivirine, coactinon), HI-236, HI-240, HI-280, HI- 28!, rilpivirine (TMC-278), MSC-127, HBY 097, DMP266, Baicalin (TJN-151) ADAM-II (Methyl 3’,3’-dichloro-4’,4”-dimethoxy-5’,5”-bis(methoxycarbonyl)-6,6-diphenylhexenoate), Methyl 3-Bromo-5-(l -5-bromo-4-methoxy-3-(methoxycarbonyl)phenyl)hept-l -enyl)-2- methoxybenzoate (Alkenyldiarylmethane analog, Adam analog), 5Cl3PhS-2IndolCONH2 (5- chloro-3-(phenylsulfinyl)-2’-indolecarboxamide), AAP-BHAP (U-104489 or PNU-104489), Capravirine (AG-1549, S-l 153), atevirdine (U-87201E), aurin tricarboxylic acid (SD-095345), l-[(6-Cyano-2-indoyly)carbonyl]-4-[3-(isopropylamino)-2-pyridinyl]piperazine (piperazinel pyridine 4 indolyl derivative), l-[5-[[N-(methyl)methylsulfonylamino]-2-indolylcarbonyl-4-[3- (isopropylamino)-2-pyridinyl]piperazine (piperazine lpyridine 5 indolyl derivative), l-[3- (Ethylamino)-2-[pyridinyl]-4-[(5-hydroxy-2-indolyl)carbonyl]piperazine, l-[(6-Formyl-2- indoyly)carbonyl]-4-[3-(isopropylamino)-2-pyridinyl]piperazine, l-[[5-(Methylsulfonyloxy)-2- indoyly)carbonyl] -4- [3 -(isopropylamino)-2-pyridinyl] piperazine, U88204E, Bis(2- nitrophenyl)sulfone (NSC 633001), Calanolide A (NSC675451), Calanolide B, 6-Benzyl-5- methyl-2-(cyclohexyloxy)pyrimidin-4-one (D ABO-546), DPC 961, E-EBU, E-EBU-dm, E-
EPSeU, E-EPU, Foscamet (Foscavir), HEPT (l-[(2-Hydroxyethoxy)methyl]-6- (phenylthio)thymine), HEPT-M (1 -[(2-Hydroxy ethoxy )methyl]-6-(3- methylphenyl)thio)thymine), HEPT-S (l-[(2 -Hydroxy ethoxy )methyl]-6-(phenylthio)-2- thiothymine), Inophyllum P, L-737,l26, Michellamine A (NSC650898), Michellamine B (NSC649324), Michellamine F, 6-(3,5-Dimethylbenzyl)-l-[(2-hydroxyethoxy)methyl]-5- isopropyluracil, 6-(3,5-Dimethylbenzyl)-l-(ethyoxymethyl)-5-isopropyluracil, NPPS, E-BPTU (NSC 648400), Oltipraz (4-Methyl-5-(pyrazinyl)-3H-l,2-dithiole-3-thione), N-{2-(2-Chloro-6- fluorophenethyl]-N’-(2-thiazolyl)thiourea (PETT Cl, F derivative), N-{2-(2,6- Difluorophenethyl]-N’-[2-(5-bromopyridyl)]thiourea {PETT derivative), N-{2-(2,6- Difluorophenethyl]-N’-[2-(5-methylpyridyl)]hiourea {PETT Pyridyl derivative), N-[2-(3- Fluorofuranyl)ethyl]-N’-[2-(5-chloropyridyl)]thiourea, N-[2-(2-Fluoro-6-ethoxyphenethyl)]-N’- [2-(5-bromopyridyl)]thiourea, N-(2-Phenethyl)-N'-(2-thiazolyl)thiourea (LY-73497), L-697,639, L-697,593, L-697,66l, 3-[2-(4,7-Difluorobenzoxazol-2-yl)ethyl}-5-ethyl-6-methyl(pypridin-
2(lH)-thione (2-Pyridinone Derivative), 3-[[(2-Methoxy-5,6-dimethyl-3-pyridyl)methyl]amine]- 5-ethyl-6-methyl(pypridin-2(lH)-thione (2-Pyridinone 3pyrid 3MeNH Derivative), R82150, R82913, R87232, R88703, R89439 (Loviride), R90385, S-2720, Suramin Sodium, TBZ (Thiazolobenzimidazole, NSC 625487), Thiazoloisoindol-5-one, (+)(R)-9b-(3,5- Dimethylphenyl-2,3-dihydrothiazolo[2,3-a]isoindol-5(9bH)-one, Tivirapine (R86183), UC-38 and UC-84, among others.
[0454] A hetero-bifunctional degrader or VHL ligand (and any additional therapeutic agent) can be administered by any suitable means, including parenteral, intrapulmonary, and intranasal, and, if desired for local treatment, intralesional administration. Parenteral infusions include intramuscular, intravenous, intraarterial, intraperitoneal, or subcutaneous administration. Dosing can be by any suitable route, e.g. by injections, such as intravenous or subcutaneous injections, depending in part on whether the administration is brief or chronic. Various dosing schedules including but not limited to single or multiple administrations over various time- points, bolus administration, and pulse infusion are contemplated herein.
[0455] For the prevention or treatment of disease, the appropriate dosage of a hetero- bifunctional degrader (when used alone or in combination with one or more other additional therapeutic agents) will depend on the type of disease to be treated, the type of hetero- bifunctional degrader, the severity and course of the disease, whether the hetero-bifunctional degrader is administered for preventive or therapeutic purposes, previous therapy, the patient's
clinical history and response to the hetero-bifunctional degrader , and the discretion of the attending physician. The hetero-bifunctional degrader is suitably administered to the patient at one time or over a series of treatments. Depending on the type and severity of the disease, about 10 ng/kg to 300 mg/kg (e.g. 0.1 mg/kg - 10 mg/kg) of a hetero-bifunctional degrader can be an initial candidate dosage for administration to the patient, whether, for example, by one or more separate administrations, or by continuous infusion. One typical daily dosage might range from about 1 pg/kg to 100 mg/kg or more, depending on the factors mentioned above. For repeated administrations over several days or longer, depending on the condition, the treatment would generally be sustained until a desired suppression of disease symptoms occurs. One exemplary dosage of a hetero-bifunctional degrader would be in the range from about 0.05 mg/kg to about 10 mg/kg. Thus, one or more doses of about 0.5 mg/kg, 2.0 mg/kg, 4.0 mg/kg or 10 mg/kg (or any combination thereof) may be administered to the patient. Such doses may be administered intermittently, e.g. every week or every three weeks (e.g. such that the patient receives from about two to about twenty, or e.g. about six doses). An initial higher loading dose, followed by one or more lower doses may be administered. However, other dosage regimens may be useful. The progress of this therapy is easily monitored by conventional techniques and assays.
[0456] Thus, in one aspect, present disclosure may be used to treat a number of disease states and/or disorders, including any disease state and/or disorder in which proteins are dysregulated and where a patient would benefit from the degradation of proteins.
[0457] In alternative aspects, the present disclosure relates to a method for treating a disease state by degrading a protein or polypeptide through which a disease or disorder is modulated comprising administering to said patient or subject an effective amount of at least one compound as described hereinabove, optionally in combination with an additional bioactive agent. The method according to the present disclosure may be used to treat a large number of diseases or disorders including cancer, by virtue of the administration of effective amounts of at least one compound described herein.
[0458] In still another aspect, the description provides a method of ubiquitinating/degrading a target protein in a cell. The method comprises administering a bifunctional compound or a pharmaceutical composition comprising a bifunctional compound that comprises a VHL ligand moiety and a protein binding moiety, preferably linked through a linker moiety, as otherwise described herein, wherein the VHL ligand moiety is coupled to the protein binding moiety and wherein the VHL ligand moiety recognizes a ubiquitin pathway
protein (e.g., an ubiquitin ligase, preferably a VHL ubiquitin ligase (E3)) and the protein binding moiety recognizes the target protein such that degradation of the target protein will occur when the target protein is placed in proximity to the ubiquitin ligase, thus resulting in degradation/inhibition of the effects of the target protein and the control of protein levels. The control of protein levels afforded by the present disclosure provides treatment of a disease state or condition, which is modulated through the target protein by lowering the level of that protein in the cells of a patient.
[0459] In another aspect, the present disclosure is directed to a method of degrading a target protein in a cell comprising exposing the cell to a composition comprising an effective amount of a compound of Formula (I), (II), or (Ila), or a salt (e.g., a pharmaceutically acceptable salt) thereof, wherein the compound effectuates the degradation of the target protein.
[0460] In still another aspect, the description provides a method of treating or preventing in a patient in need thereof a disease or disorder modulated through a protein where the degradation of that protein will produce a therapeutic effect in that patient, the method comprising administering to a patient in need an effective amount of a compound according to the present disclosure, optionally in combination with another bioactive agent. The disease state or condition may be a disease caused by a microbial agent or other exogenous agent such as a virus, bacteria, fungus, protozoa or other microbe or may be a disease state, which is caused by overexpression of a protein, which leads to a disease state and/or condition.
V. Articles of Manufacture
[0461] In another aspect, described herein are articles of manufacture, for example, a “kit”, containing materials useful for the treatment of the diseases and disorders described above is provided. The kit comprises a container comprising a hetero-bifunctional degrader of the present disclosure. The kit may further comprise a label or package insert, on or associated with the container. The term“package insert” is used to refer to instructions customarily included in commercial packages of therapeutic products, that contain information about the indications, usage, dosage, administration, contraindications and/or warnings concerning the use of such therapeutic products.
[0462] Suitable containers include, for example, bottles, vials, syringes, blister pack, etc. A“vial” is a container suitable for holding a liquid or lyophilized preparation. In one embodiment, the vial is a single-use vial, e.g. a 20-cc single-use vial with a stopper. The
container may be formed from a variety of materials such as glass or plastic. The container may hold a hetero-bifunctional degrader or a formulation thereof which is effective for treating the condition and may have a sterile access port (for example, the container may be an intravenous solution bag or a vial having a stopper pierceable by a hypodermic injection needle).
[0463] At least one active agent in the composition is a hetero-bifunctional degrader of the present disclosure. The label or package insert indicates that the composition is used for treating the condition of choice, such as cancer. In addition, the label or package insert may indicate that the patient to be treated is one having a disorder such as a hyperproliferative disorder, neurodegeneration, cardiac hypertrophy, pain, migraine or a neurotraumatic disease or event. In one embodiment, the label or package inserts indicates that the composition comprising a hetero-bifunctional degrader can be used to treat a disorder resulting from abnormal cell growth. The label or package insert may also indicate that the composition can be used to treat other disorders. Alternatively, or additionally, the article of manufacture may further comprise a second container comprising a pharmaceutically acceptable buffer, such as bacteriostatic water for injection (BWFI), phosphate-buffered saline, Ringer’s solution and dextrose solution. It may further include other materials desirable from a commercial and user standpoint, including other buffers, diluents, filters, needles, and syringes.
[0464] The kit may further comprise directions for the administration of the hetero- bifunctional degrader and, if present, the second pharmaceutical formulation. For example, if the kit comprises a first composition comprising a hetero-bifunctional degrader, and a second pharmaceutical formulation, the kit may further comprise directions for the simultaneous, sequential or separate administration of the first and second pharmaceutical compositions to a patient in need thereof.
[0465] In another embodiment, the kits are suitable for the delivery of solid oral forms of a hetero-bifunctional degrader, such as tablets or capsules. Such a kit preferably includes a number of unit dosages. Such kits can include a card having the dosages oriented in the order of their intended use. An example of such a kit is a“blister pack”. Blister packs are well known in the packaging industry and are widely used for packaging pharmaceutical unit dosage forms. If desired, a memory aid can be provided, for example in the form of numbers, letters, or other markings or with a calendar insert, designating the days in the treatment schedule in which the dosages can be administered.
[0466] According to one embodiment, a kit may comprise (a) a first container with a hetero-bifunctional degrader contained therein; and optionally (b) a second container with a second pharmaceutical formulation contained therein, wherein the second pharmaceutical formulation comprises a second compound with anti-hyperproliferative activity. Alternatively, or additionally, the kit may further comprise a third container comprising a pharmaceutically- acceptable buffer, such as bacteriostatic water for injection (BWFI), phosphate-buffered saline, Ringer’s solution and dextrose solution. It may further include other materials desirable from a commercial and user standpoint, including other buffers, diluents, filters, needles, and syringes.
[0467] In certain other embodiments wherein the kit comprises a hetero-bifunctional degrader and a second therapeutic agent, the kit may comprise a container for containing the separate compositions such as a divided bottle or a divided foil packet; however, the separate compositions may also be contained within a single, undivided container. Typically, the kit comprises directions for the administration of the separate components. The kit form is particularly advantageous when the separate components are preferably administered in different dosage forms (e.g., oral and parenteral), are administered at different dosage intervals, or when titration of the individual components of the combination is desired by the prescribing physician.
VI. Examples
[0468] The following examples are offered by way of illustration and not by way of limitation. Some of the compounds prepared in the following examples are undetermined stereoisomers. Although the illustrations of these compounds provided below depict only a single stereochemical configuration, these illustrations should not be viewed in a limiting sense, but rather, with the understanding that the individual stereoisomers have been prepared, but stereochemistry not determined.
Abbreviations
[0469] The following abbreviations are used in the examples:
[0470] AcOH - acetic acid
[0471] ACN - acetonitrile
[0472] DBU - l,8-diazabicyclo[5.4.0]undec-7-ene
[0473] DCM - dichloromethane
[0474] DIPEA - N,N-diisopropylethylamine
[0475] DMF - dimethylformamide
[0476] DMSO - dimethyl sulfoxide
[0477] EDTA - ethylenediaminetetraacetic acid
[0478] ESI - electrospray ionization
[0479] EtOAc - ethyl acetate
[0480] FA - formic acid
[0481] FBS - fetal bovine serum
[0482] GAPDH - Glyceraldehyde 3-phosphate dehydrogenase
[0483] HATU - l-[Bis(dimethylamino)methylene]-lH-l,2,3-triazolo[4,5-b]pyridinium-oxide hexafluorophosphate
[0484] HOAc - acetic acid
[0485] HPLC - high performance liquid chromatography [0486] IR - infrared radiation
[0487] LC/MS or LCMS - liquid chromatography - mass spectrometry
[0488] MeOH - methanol
[0489] MOM - (methoxy)methyl
[0490] MOMBr - bromo(methoxy)methane
[0491] MSD - mass selective detector
[0492] MTBE - methyl tert-butyl ether
[0493] NMR - nuclear magnetic resonance
[0494] OBD - optimum bed density [0495] PBS - phosphate buffered saline
[0496] Pd(dppf)Cl2- [l,r-Bis(diphenylphosphino)ferrocene]dichloropalladium(II) [0497] Pd(PPh3)2Cl2 - bis(triphenylphosphine)palladium(II) dichloride [0498] PEG - polyethylene glycol
[0499] SDS-PAGE - sodium dodecyl sulfate polyacrylamide gel electrophoresis [0500] tBuOK - potassium tert-butoxide
[0501] (t-Bu)3PH.HBF4 -tri-tert-butylphosponium tetrafluoroborate [0502] TEA - triethylamine [0503] TFA - trifluoroacetic acid [0504] THF - tetrahydrofuran [0505] TLC - thin layer chromatography [0506] UV - ultraviolet LC/MS Methods
[0507] Method A\ Experiments were performed on an SHIMADZU 2020 HPLC with SHIMADZU MSD mass spectrometer using ESI as ionization source using a Shim-Pack XR- ODS C18 50 x 3.0 mm 2.2pm column and a 1.2 ml / minute flow rate. The solvent A was water with 0.05% TFA and solvent B was acetonitrile with 0.05% TFA, The gradient consisted with 20 - 80% solvent B over 3.6 minutes, 80 - 100% solvent B over 0.4 minutes and hold 100% B for 0.5 minutes. LC column temperature was 40 °C. UV absorbance was collected from 190 nm to 400 nm.
[0508] Method B: Experiments were performed on an SHIMADZU 2020 HPLC with SHIMADZU MSD mass spectrometer using ESI as ionization source using a Shim-pack XR- ODS C18 50 x 3.0 mm column and a 1.2 ml / minute flow rate. The solvent system was a gradient starting with 95% water with 0.05% TFA (solvent A) and 5% acetonitrile with 0.05%
TFA (solvent B), ramping up to 100% solvent B over 1.1 minutes. The final solvent system was held constant for a further 0.6 minutes. LC column temperature was 40 °C. UV absorbance was collected from 190 nm to 400 nm.
[0509] Method C: Experiments were performed on an SHIMADZU 2020 HPLC with SHIMADZU MSD mass spectrometer using ESI as ionization source using an Ascentis Express Cl 8 50 x 2.1 mm column and a 1.0 ml / minute flow rate. The solvent system was a gradient starting with 95% water with 0.05% TFA (solvent A) and 5% acetonitrile with 0.05% TFA (solvent B), ramping up to 100% solvent B over 1.1 minutes. The final solvent system was held constant for a further 0.5 minutes. LC column temperature was 40 °C. UV absorbance was collected from 190 nm to 400 nm.
[0510] Method D: Experiments were performed on an SHIMADZU 2020 HPLC with SHIMADZU MSD mass spectrometer using ESI as ionization source using a Shim-pack XR- ODS 50 x 3.0 mm column and a 1.2 ml / minute flow rate. The solvent system was a gradient starting with 95% water with 0.05% TFA (solvent A) and 5% acetonitrile with 0.05% TFA (solvent B), ramping up to 95% solvent B over 2.0 minutes. The final solvent system was held constant for a further 0.7 minutes. LC column temperature was 40 °C. UV absorbance was collected from 190 nm to 400 nm.
[0511] Method E: Experiments were performed on an SHIMADZU 2020 HPLC with SHIMADZU MSD mass spectrometer using ESI as ionization source using a CORTECS Cl 8 50 x 3.1 mm column and a 1.0 ml / minute flow rate. The solvent system was a gradient starting with 95% water with 0.05% TFA (solvent A) and 5% acetonitrile with 0.05% TFA (solvent B), ramping up to 100% solvent B over 1.1 minutes. The final solvent system was held constant for a further 0.5 minutes. LC column temperature was 45 °C. UV absorbance was collected from 190 nm to 400 nm.
[0512] Method F : Experiments were performed on a Shimadzu 2020 HPLC with Shimadzu MSD mass spectrometer using ESI as ionization source using a Poroshell HPH-C18 50 x 3.0 mm column and a 1.2 mL/minute flow rate. The solvent A was water with 0.05% NH4HCO3 and solvent B was acetonitrile. The gradient consisted with 10 - 50% solvent B over 3.5 minutes then 50 - 95% solvent B over 0.5 minutes and hold 95% B for 0.7 minutes. LC column temperature was 40 °C. UV absorbance was collected from 190 nm to 400 nm.
[0513] Method G: Experiments were performed on an SHIMADZU 2020 HPLC with SHIMADZU MSD mass spectrometer using ESI as ionization source using an XSELECT CSH Cl 8 50 x 3.0 mm column and a 1.5 ml / minute flow rate. The solvent system was a gradient starting with 90% water with 0.1% FA (solvent A) and 10% acetonitrile with 0.1% FA (solvent B), ramping up to 100% solvent B over 1.1 minutes. The final solvent system was held constant for a further 0.6 minutes. LC column temperature was 40 °C. UV absorbance was collected from 190 nm to 400 nm.
[0514] Method H: Experiments were performed on an SHIMADZU 2020 HPLC with SHIMADZU MSD mass spectrometer using ESI as ionization source using an Accucore C18 50 x 2.1 mm column and a 1.0 ml / minute flow rate. The solvent system was a gradient starting with 90% water with 0.1% FA (solvent A) and 10% acetonitrile with 0.1% FA (solvent B), ramping up to 95% solvent B over 2 minutes. The final solvent system was held constant for a further 0.7 minutes. LC column temperature was 40 °C. UV absorbance was collected from 190 nm to 400 nm.
[0515] Method /: Experiments were performed on a Shimadzu LCMS-2020 coupled with SHIMADZU MSD mass spectrometer using ESI as ionization source. The LC separation was using a CAPCELL CORE Cl 8, 50 x 2.1 mm column with a 1 ml / minute flow rate. Solvent A was water with 0.05% TFA and solvent B was acetonitrile with 0.05% TFA. The gradient consisted with 5 - 95% solvent B over 2.0 minutes and hold 95% B for 0.7 minutes. LC column temperature was 40 °C. UV absorbance was collected from 190 nm to 400 nm.
[0516] Method J. Experiments were performed on a Shimadzu LCMS-2020 coupled with SHIMADZU MSD mass spectrometer using ESI as ionization source. The LC separation was using a Shim-pack XR-ODS, 50 x 3.0 mm column with a 1.2 ml / minute flow rate. Solvent A was water with 0.05% TFA and solvent B was acetonitrile with 0.05% TFA. The gradient consisted with 5 - 70% solvent B over 3.7 minutes, 70 - 95% solvent B over 0.2 minutes and hold 95% B for 0.7 minutes. LC column temperature was 40 °C. UV absorbance was collected from 190 nm to 400 nm.
[0517] Method K: Experiments were performed on a Shimadzu LCMS-2020. The LC separation was using a Ascentis Express Cl 8, 100 x 4.6 mm column with a 1.2 ml / minute flow rate. Solvent A was water with 0.05% TFA and solvent B was methanol. The gradient consisted
with 30 - 95% solvent B over 10 minutes and hold 95% B for 2 minutes. LC column temperature was 40 °C. UV absorbance was collected from 190 nm to 400 nm.
[0518] Method L: Experiments were performed on a Shimadzu LCMS-2020 coupled with SHIMADZU MSD mass spectrometer using ESI as ionization source. The LC separation was using a Kinetex EVO C18, 50 x 2.1 mm column with a 1.0 ml / minute flow rate. Solvent A was water with 0.05% NH4HCO3 and solvent B was acetonitrile. The gradient consisted with 10
- 95% solvent B over 1.1 minutes, and hold 95% B for 0.5 minutes. LC column temperature was 35 °C. UV absorbance was collected from 190 nm to 400 nm.
[0519] Method M: Experiments were performed on an Shimadzu LCMS-2020 coupled with SHIMADZU MSD mass spectrometer using ESI as ionization source. The LC separation was using a Poroshell HPH-C18, 50 x 3.0 mm column with a 1.2 ml / minute flow rate. Solvent A was water with 0.04% NH4OH and solvent B was acetonitrile. The gradient consisted with 10
- 60% solvent B over 3.7 minutes, and 60 - 95% solvent B over 0.5 minutes and hold 95% B for 0.5 minutes. LC column temperature was 40 °C. UV absorbance was collected from 190 nm to 400 nm.
Example 1 - Intermediate 1
Methyl 2-(3-hydroxyisoxazol-5-yl)-3-methylbutanoate
N'0H
X Acetone, Jones reagent
Step 1 Step 2
Intermediate 1
[0520] To a mixture of but-3-yn-l-ol (28.0 g, 399 mmol) and potassium bicarbonate (30.0 g, 300 mmol) in ethyl acetate/water (200/20 mL) under stirring was added dropwise a solution of hydroxycarbonimidic dibromide (20.0 g, 98.6 mmol) in ethyl acetate (50 mL) at room temperature. The resulting solution was stirred at room temperature for 16 hours and then diluted with water. The organic layer was separated, and the aqueous layer was extracted with ethyl acetate. The combined organic layers were washed with brine (150 mL), dried over anhydrous sodium sulfate, and concentrated under reduced pressure. The residue was purified
by flash chromatography on silica gel column (gradient: 0%-25% ethyl acetate/petroleum ether) to yield 18.5 g (97.7%) of the title compound as a yellow oil. LCMS (ESI): RT (min) = 0.540, [M+H]+ = 192, method = E.
[0521] To a stirring solution of 2-(3-bromoisoxazol-5-yl)ethanol (18.5 g, 96.3 mmol) in acetone (220 mL) was added Jones reagent (90 mL) dropwise at 0°C. The resulting solution was stirred at 25°C for 12 hours. The mixture was diluted with water and extracted with ethyl acetate. The combined organic layers were washed with brine, dried over anhydrous sodium sulfate and concentrated under reduced pressure to yield 17.9 g (90.2%) of the title compound as yellow oil. LCMS (ESI): RT(min) = 0.970, [M+H]+ = 206, method = A.
[0522] A solution of 2-(3-bromoisoxazol-5-yl)acetic acid (17.9 g, 86.9 mmol) and concentrated H2SO4 (1.5 mL, 28.1 mmol) in methanol (150 mL) was stirred at 70°C for 2 hours. The resulting solution was concentrated under reduced pressure. The residue was diluted with water, extracted with ethyl acetate. The combined organic layers were washed with brine, dried over anhydrous sodium sulfate and concentrated under reduced pressure. The residue was purified by flash chromatography on silica gel column (gradient: 0%-25% ethyl acetate/petroleum ether) to yield 12.4 g (64.9%) of the title compound as a yellow oil. LCMS (ESI): RT (min) = 1.13, [M+H]+ = 220, method = A.
[0523] To a stirring solution of methyl 2-(3-bromoisoxazol-5-yl)acetate (12.4 g, 56.3 mmol) and ^BuOK (9.17 g, 81.7 mmol) in THF (120 mL) was added 2-iodopropane (12.2 g, 71.7 mmol) dropwise at 0°C. The reaction mixture was stirred at room temperature for 16 hours and
then quenched with water/ice. The resulting solution was extracted with ethyl acetate. The combined organic layers were washed with brine, dried over anhydrous sodium sulfate and concentrated under reduced pressure. The residue was purified by flash chromatography on silica gel (gradient: 0%-20% ethyl acetate/petroleum ether) to yield 8.2 g (55.5%) of the title compound as yellow oil. LCMS (ESI): RT (min) = 1.34, [M+H]+ = 262, method = A.
[0524] To a stirring solution of methyl 2-(3-bromoisoxazol-5-yl)-3-methylbutanoate (3.0 g, 11.4 mmol) in methanol (22 mL) was added KOH (6.6 g, 115 mmol) at room temperature. The reaction mixture was stirred at reflux for 4 hours, and allowed to cool to room temperature. The resulting solution was acidified to pH ~ 5 with 1 N HC1 aqueous solution and concentrated under reduced pressure. The residue was purified by reverse phase flash chromatography (gradient: 5%-40% ACN in water (0.1% formic acid)) to yield 1.51 g (66.2%) of the title compound as a colorless thick oil. LCMS (ESI): RT (min) = 1.11, [M+H]+ = 200, method = A.
[0525] A solution of 2-(3-methoxyisoxazol-5-yl)-3-methylbutanoic acid (500 mg, 2.51 mmol) in HO Ac (5mL) and HBr (5 mL, 40% in water) was stirred at 60°C for 16 hours. The resulting mixture was concentrated under reduced pressure. The residue was purified by reverse phase chromatography (gradient: 5%-40% ACN in water (0.1% formic acid)) to yield 348 mg (74.9%) of the title compound as yellow solid. LCMS (ESI): RT (min) = 0.980, [M+H]+ = 186, method = D.
Step 7: Methyl 2-(3-hydroxyisoxazol-5-yl)-3-methylbutanoate (Intermediate 1)
[0526] A solution of 2-(3-hydroxyisoxazol-5-yl)-3-methylbutanoic acid (900 mg, 4.86mmol) and SOCI2 (1.5 mL, 21.9 mmol) in methanol (3 mL) was stirred at room temperature for 3 hours. The solvent was removed under reduced pressure. The residue was dilute with water and extracted with ethyl acetate. The combined organic layers were washed with brine, dried over anhydrous sodium sulfate and concentrated under reduced pressure. The residue was purified by flash chromatography on silica gel (gradient: 0-10% MeOH in DCM) to yield 810 mg (83.7%) of the title compound as a yellow oil. LCMS (ESI): RT (min) = 0.779. [M+H]+ = 200, method = I.
Examnle 2 - Intermediate 2
2-(6-Bromo-l-oxoisoindolin-2-yl)-2-(5-fluoro-2-(methoxymethoxy)phenyl)-iV-(thiazol-2- yl)acetamide
Intermediate 2
Step 1: Methyl 2-amino-2-(5-fluoro-2-hydroxyphenyl)acetate hydrochloride
[0527] To a stirring solution of 2-amino-2-(5-fluoro-2-hydroxy-phenyl)acetic acid (4.00 g, 21.6 mmol) in methanol (60 mL) was added SOCI2 (10.3 g, 86.4 mmol) dropwise at 0°C. The resulting solution was allowed to warm to room temperature and stirred overnight. The solvent was removed under reduced pressure to yield 4.40 g (crude) of the title compound as a white solid. The crude product was used for next step without further purification. LCMS (ESI): RT (min) = 0.67, [M+H]+ = 200, method = M.
Step 2: Methyl 2-(6-bromo-l-oxoisoindolin-2-yl)-2-(5-fluoro-2-hydroxyphenyl)acetate
[0528] A solution of methyl 2-amino-2-(5-fluoro-2-hydroxyphenyl)acetate hydrochloride (4.40 g, 18.7 mmol), methyl 5-bromo-2-(bromomethyl)benzoate (6.32 g, 20.5 mmol) and DIPEA (9.64 g, 74.7 mmol) in DMF (20 mL) was stirred at 80°C overnight. The reaction mixture was cooled to room temperature and diluted with water, extracted with EtOAc (2x). The combined organic layers were dried over anhydrous sodium sulfate and concentrated under reduced pressure. The residue was purified by flash chromatography on silica gel (gradient: 0-30% EtOAc in petroleum ether) to yield 3.39 g (46%) of the title compound as a yellow solid. LCMS (ESI): RT (min) = 1.27, [M+H]+ = 394, method = A.
Step 3: Methyl 2-(6-bromo-l-oxoisoindolin-2-yl)-2-(5-fluoro-2- (methoxymethoxy)phenyl)acetate
[0529] To a stirring solution of methyl 2-(6-bromo-l-oxoisoindolin-2-yl)-2-(5-fluoro- 2-hydroxyphenyl)acetate (3.39 g, 8.60 mmol) and DIPEA (6.66 g, 51.6 mmol) in DCM (25 mL) was added bromo(methoxy)methane (3.76 g, 30.1 mmol). The resulting solution was stirred at room temperature for 1 hour. The solvent was removed under reduced pressure and the residue was purified by flash chromatography on silica gel (gradient: 0-30% EtOAc in petroleum ether) to yield 2.70 g (72%) of the title compound as a white solid. LCMS (ESI): RT (min) = 1.37, [M+H]+ = 438, method = A.
Step 4: 2-(6-bromo-l-oxoisoindolin-2-yl)-2-(5-fluoro-2-(methoxymethoxy)phenyl)acetic acid
[0530] A solution of methyl 2-(6-bromo-l-oxoisoindolin-2-yl)-2-(5-fluoro-2- (methoxymethoxy)phenyl)acetate (2.70 g, 6.16 mmol) and LiOH (222 mg, 9.24 mmol) in THF (30 mL) and water (30 mL) was stirred at room temperature for 1 hour. The solvent was removed under reduced pressure to yield 2.75 g (crude) of the title compound as a white solid.
The crude product was used for next step without further purification. LCMS (ESI): RT (min) = 0.82, [M+H]+ = 424, method = H.
Step 5: 2-(6-bromo-l -oxoisoindolin-2-yl)-2-(5-fluoro-2-(methoxymethoxy)phenyl)-/V-(thiazol- 2-yl)acetamide (Intermediate 2)
[0531] A solution of 2-(6-bromo-l-oxoisoindolin-2-yl)-2-(5-fluoro-2- (methoxymethoxy)phenyl)acetic acid (2.75 g, 6.48 mmol), l,3-thiazol-2-amine (844 mg, 8.42 mmol), HATU (2.46 g, 6.48 mmol) and DIPEA (3.34 g, 25.9 mmol) in DMF (30 mL) was stirred at room temperature for 1 hour. The precipitated solids were collected by filtration to yield 1.7 g (crude) of the title compound as a white solid. The crude product was used for next step without further purification. LCMS (ESI): RT (min) = 0.94, [M+H]+ = 506, method = C.
Example 3 - Intermediate 3
4-(2-(l-(5-fluoro-2-hydroxyphenyl)-2-oxo-2-(thiazol-2-ylamino)ethyl)-3-oxoisoindolin-5- yl)benzoic acid
Intermediate 3
Step 1: /e/V-butyl 4-(2-(l-(5-fluoro-2-(methoxymethoxy)phenyl)-2-oxo-2-(thiazol-2- ylamino)ethyl)-3-oxoisoindolin-5-yl)benzoate
[0532] Under nitrogen, a solution of 2-(6-bromo-l-oxoisoindolin-2-yl)-2-(5-fluoro-2- (methoxy methoxy [phenyl )-iV-(thia/ol-2-yl [acetamide (Intermediate 2, 200 mg, 0.390 mmol), tert-butyl 4-(4,4,5,5-tetramethyl-l,3,2-dioxaborolan-2-yl)benzoate (180 mg, 0.590 mmol), Pd(dppf[Cl .CH Cl (33.0 mg, 0.04 mmol) and Na CC (84.0 mg, 0.790 mmol) in dioxane (3 mL) and water (0.6 mL) was stirred at l00°C for 4 hours. The solvent was removed under reduced pressure and the residue was purified by flash chromatography on silica gel (gradient: 0-30% EtOAc in petroleum ether) to yield 166 mg (70%) of the title compound as a white solid. LCMS (ESI): RT (min) = 1.50, [M+H]+ = 604, method = A.
Step 2: 4-(2-(l-(5-fluoro-2-hydroxyphenyl)-2-oxo-2-(thiazol-2-ylarnino)ethyl)-3-oxoisoindolin- 5-yl)benzoic acid (Intermediate 3)
[0533] A solution of /e/7-butyl 4-(2-(l-(5-fluoro-2-(methoxymethoxy)phenyl)-2-oxo-2- (thiazol-2-ylamino)ethyl)-3-oxoisoindolin-5-yl)benzoate (160 mg, 0.260 mmol) in TFA (1 mL) and DCM (2 mL) was stirred at room temperature for 1 hour. The solvent was removed under reduced pressure to yield 160 mg (crude) of the title compound as a white solid. The crude product was used for next step without further purification. LCMS (ESI): RT (min) = 0.85, [M+H]+ = 504, method = E.
Examples 1001.1, 1001.2, 1001.3, and 1001.4
(2A,4i?)-l-(2-(3-((l-(4-(2-(l-(5-fluoro-2-hydroxyphenyl)-2-oxo-2-(thiazol-2-ylamino)ethyl)- 3-oxoisoindolin-5-yl)phenyl)- l-oxo-5,8,11, 14-tetraoxa-2-azahexadecan-16-yl)oxy)isoxazol- 5-yl)-3-methylbutanoyl)-4-hydroxy-iV-(4-(4-methylthiazol-5-yl)benzyl)pyrrolidine-2- carboxamide (four single unknown stereoisomers)
[0534] To a stirring solution of te/7-butyl (l4-hydroxy-3,6,9,l2- tetraoxatetradecyl)carbamate (200 mg, 0.590 mmol) and DIPEA (382.3 mg, 2.96 mmol) in dichloromethane (3 mL) was added methanesulfonic anhydride (206 mg, 1.19 mmol) at 0°C. The resulting solution was stirred at room temperature for 1 hour. The reaction was quenched with water and extracted with DCM. The combined organic layers were dried over anhydrous sodium sulfate and concentrated under reduced pressure to afford 266 mg (crude) of the title
compound as yellow oil. The crude product was used for next step without further purification. LCMS (ESI): RT (min) = 0.94, [M+H]+ = 416, method = F.
Step 2: Methyl 2-(3-((2,2-dimethyl-4-oxo-3,8,l l,l4,l7-pentaoxa-5-azanonadecan-l9- yl)oxy)isoxazol-5-yl)-3-methylbutanoate
[0535] A solution of 2,2-dimethyl-4-oxo-3,8,l l,l4,l7-pentaoxa-5-azanonadecan-l9-yl methanesulfonate (250 mg, 0.600 mmol), methyl 2-(3-hydroxyisoxazol-5-yl)-3-methyl- butanoate (Intermediate 1, 99.8 mg, 0.50 mmol) and K CO (138 mg, 1.00 mmol) in DMF (3 mL) was stirred at room temperature for 16 hours. The resulting solution was diluted with water and extracted with EtOAc. The combined organic layers were dried over anhydrous sodium sulfate and concentrated under reduced pressure. The residue was purified by flash chromatography on silica gel (gradient: 0-20% EtOAc in petroleum ether) to afford 181 mg (69%) of the title compound as a colorless oil. LCMS (ESI): RT (min) = 1.32, [M+H]+ = 519, method = J.
Step 3: 2-(3-((2, 2-dimethyl-4-oxo-3, 8,11,14, l7-pentaoxa-5-azanonadecan-l9-yl)oxy)isoxazol- 5-yl)-3-methylbutanoic acid
[0536] A solution of methyl 2-(3-((2,2-dimethyl-4-oxo-3,8,l l,l4,l7-pentaoxa-5- azanonadecan-l9-yl)oxy)isoxazol-5-yl)-3-methylbutanoate (170 mg, 0.330 mmol) and LiOH (11.8 mg, 0.490 mmol) in THF (1.5 mL) and water (1.5 mL) was stirred at room temperature for 1.5 hours. The solvent was removed under reduced pressure to afford 170 mg (crude) of the title compound as a white solid. The crude product was used for next step without further purification. LCMS (ESI): RT (min) = 1.21, MS (ESI): [M+H]+ = 505, method = J.
Step 4: /e/7-butyK 14-((5-( l -((2V 4R)-4-hydroxy-2-((4-(4-methylthiazol-
5y l)benzy l)carbamoy l)pyrrolidin- 1 -y l)-3-methy 1- 1 -oxobutan-2-y l)isoxazol-3 -y l)oxy )-3,6,9, 12- tetraoxatetradecyl)carbamate
[0537] A solution of 2-(3-((2,2-dimethyl-4-oxo-3,8,l l,l4,l7-pentaoxa-5- azanonadecan-l9-yl)oxy)isoxazol-5-yl)-3-methylbutanoic acid (160 mg, 0.320 mmol), (2SAR)- 4-hydroxy-iV-(4-(4-methylthiazol-5-yl)benzyl)pyrrolidine-2-carboxamide hydrochloride
(prepared as described in paragraphs 272-275 on pages 43-44 of US Patent Application No. 2016/0045607, herein incorporated by reference) (146 mg, 0.410 mmol), HATU (133 mg, 0.350 mmol) and DIPEA (163.6 mg, 1.27 mmol) in DMF (3 mL) was stirred at room temperature for 40 minutes. The reaction solution was purified by reverse phase chromatography (gradient: 5%- 40% ACN in water (0.05% NH4HCO3)) to afford 174 mg (68%) of the title compound as white solid. LCMS (ESI): RT (min) = 1.04, [M+H]+ = 804, method = M.
Step 5: (2S 4R)- 1 -(2-(3-(( 14-amino-3.6.9. 12-tetraoxatetradecyl)oxy)isoxazol-5-yl)-3- methylbutanoyl)-4-hydroxy-iV-(4-(4-methylthiazol-5-yl)benzyl)pyrrolidine-2-carboxamide hydrochloride
[0538] To a stirring solution of /6T/-butyl( 14-((5-((//)- 1 -((2S 4//)-4-hydroxy-2-((4-(4- methylthiazol-5yl)benzyl)carbamoyl)pyrrolidin-l-yl)-3-methyl-l-oxobutan-2-yl)isoxazol-3- yl)oxy)-3,6,9,l2-tetraoxatetradecyl)carbamate (174 mg, 0.220 mmol) in dichloromethane (1.5 mL) was added HCl/dioxane (1.5 mL, 4 M). The solution was stirred at room temperature for 1 hour. The solvent was removed under reduced pressure to afford 160 mg (crude) of the title
compound as a white solid. The crude product was used for next step without further purification. LCMS (ESI): RT (min) = 0.95, [M+H]+ = 704, method = J.
Step 6: (2ri',4i?)-l-(2-(3-((l-(4-(2-(l-(5-fluoro-2-hydroxyphenyl)-2-oxo-2-(thiazol-2- y lamino)ethy l)-3-oxoisoindolin-5 -y l)pheny 1)- 1 -oxo-5, 8, 11,14-tetraoxa-2-azahexadecan- 16- yl)oxy)isoxazol-5-yl)-3-methylbutanoyl)-4-hydroxy-/V-(4-(4-methylthiazol-5- yl)benzyl)pyrrolidine-2-carboxamide (four single unknown stereoisomers)
[0539] A solution of 4-(2-(l-(5-fluoro-2-hydroxyphenyl)-2-oxo-2-(thiazol-2- ylamino)ethyl)-3-oxoisoindolin-5-yl)benzoic acid (Intermediate 3, 115 mg, 0.230 mmol) and (2L',-//ί)- l -((/i)-2-(3-(( 14-ami no-3.6.9.12-tetraoxatetradecyl)oxy)isoxazol-5-yl)-3- methylbutanoyl)-4-hydroxy-iV-(4-(4-methylthiazol-5-yl)benzyl)pyrrolidine-2-carboxamide hydrochloride (160 mg, 0.216 mmol), HATU (95.1 mg, 0.250 mmol) and DIPEA (117 mg, 0.910 mmol) in DMF (2 mL) was stirred at room temperature for 30 minutes. The resulting solution was purified by reverse phase chromatography (gradient: 5%-40% ACN in water (0.1% FA)) to afford 145 mg of the mixture of four isomers. The isomers were separated by Chiral- Prep-HPLC with the following conditions: Column, CHIRALPAK IG-3; mobile phase: MTBE: MeOH=50:50; Detector, UV 254 nm to yield three peaks: first peak (Example 1001.1, 8.3 mg), second peak (mixture of Example 1001.2 and Example 1001.3, 40.0 mg) and the third peak (Example 1001.4, 21.0 mg). The above second peak was separated again by Chiral-Prep-HPLC with the following conditions: Column, CHIRALPAK IC; mobile phase: MTBE : MeOH = 10:90; Detector, UV 254 nm to yield Example 1001.2 (18.0 mg, the faster peak) and Example 1001.3 (14.9 mg, the slower peak).
[0540] Example 1001.1: LCMS (ESI): RT (min) = 1.66, [M+H]+ = 1189, method = J. XH NMR (300 MHz, DMSO-r¾) d 12.61 (s, 1H), 9.95 (s, 1H), 8.96 (s, 1H), 8.57 (t, J = 5.5 Hz, 1H), 8.45 (t, J = 6.0 Hz, 1H), 8.03 - 7.90 (m, 4H), 7.83 (d, J= 8.2 Hz, 2H), 7.67 (d, J = 8.0 Hz, 1H), 7.50 - 7.30 (m, 5H), 7.25 (d, J= 3.6 Hz, 1H), 7.20-7.09 (m, 1H), 6.95 - 6.80 (m, 2H), 6.33 (s, 1H), 6.06 (s, 1H), 5.10 (s, 1H), 4.66 (d, J = 17.7 Hz, 1H), 4.41 (t, .7= 7.7 Hz, 1H), 4.33 - 4.12 (m, 5H), 4.03 (d, J = 17.7 Hz, 1H), 3.74 (d, J = 8.5 Hz, 1H), 3.70 - 3.61 (m, 2H), 3.60 - 3.39
(m, 18H), 2.42 (d, J= 3.9 Hz, 3H), 2.29-2.15 (m, 1H), 2.10 - 1.99 (m, 1H), 1.92 - 1.82 (m, 1H), 0.95 (0.64) (d, J= 6.3 Hz, 3H), 0.82 (0.55) (d, J= 6.3 Hz, 3H).
[0541] Example 1001.2: LCMS (ESI): RT (min) = 1.66, [M+H]+ = 1189, method = J. 1H NMR (300 MHz, DMSO-c¾) d 12.61 (s, 1H), 9.95 (s, 1H),d 8.96 (s, 1H), 8.58 (t, J = 5.5 Hz, 1H), 8.46 (t, J = 6.0 Hz, 1H), 8.03 - 7.90 (m, 4H), 7.83 (d, J= 8.3 Hz, 2H), 7.67 (d, J = 7.9 Hz, 1H), 7.46 (d, J = 3.7 Hz, 1H), 7.43 - 7.27 (m, 4H), 7.23 (s, 1H), 7.20-7.05 (m, 1H), 6.97-6.80 (m, 2H), 6.31 (s, 1H), 6.06 (s, 1H), 5.12 (br, 1H), 4.68 (d, J= 17.9 Hz, 1H), 4.50-4.40 (m, 1H),
4.40 - 4.10 (m, 5H), 4.06 (d, J = 18.0 Hz, 1H), 3.74 (d, J = 8.6 Hz, 1H), 3.70 - 3.59 (m, 2H), 3.60 - 3.33 (m, 18H), 2.44(2.42) (s, 3H), 2.29-2.13 (m, 1H), 2.07 - 1.97 (m, 1H), 1.94 - 1.79 (m, 1H), 0.94(0.80) (d, J= 6.6 Hz, 3H), 0.64(0.55) (d, J= 6.6 Hz, 3H).
[0542] Example 1001.3: LCMS (ESI): RT (min) = 1.69, [M+H]+ = 1189, method = J. XH NMR (300 MHz, DMSO-c¾) d 8.97 (s, 1H), 8.60 (t, J= 5.4 Hz, 1H), 8.53 (t, J= 5.8 Hz, 1H), 8.03 - 7.90 (m, 4H), 7.88 - 7.78 (m, 2H), 7.67 (d, J= 8.0 Hz, 1H), 7.48 - 7.28 (m, 5H), 7.19 (s, 1H), 7.14 - 7.01 (m, 1H), 6.93 - 6.80 (m, 2H), 6.28 (s, 1H), 6.09 (s, 1H), 4.72 (d, J = 18.1 Hz, 1H), 4.49 - 4.06 (m, 7H), 3.80 - 3.59 (m, 4H), 3.58 - 3.37 (m, 17H), 2.42 (d, J = 5.7 Hz, 3H), 2.30-2.13 (m, 1H), 2.12-1.97 (m, 1H), 1.97-1.80 (m, 1H), 0.92 (d, J = 6.5 Hz, 3H), 0.77 (d, J = 6.8, 3H).
[0543] Example 1001.4: LCMS (ESI): RT (min) = 2.24, [M+H]+ = 1189, method = J. XH NMR (400 MHz, DMSO-c¾) d 8.98 (s, 1H), 8.60 (t, J= 5.6 Hz, 1H), 8.53 (t, J= 5.9 Hz, 1H), 8.04 - 7.93 (m, 4H), 7.89 - 7.81 (m, 2H), 7.69 (d, J= 8.0 Hz, 1H), 7.50 - 7.31 (m, 5H), 7.24 (s, 1H), 7.15-7.05 (m, 1H), 6.95-6.85(m, 2H), 6.32 (s, 1H), 6.11 (s, 1H), 4.70 (d, J = 18.1 Hz, 1H),
4.41 - 4.17 (m, 6H), 4.08 (d , J = 17.8 Hz, 1H), 3.81 - 3.63 (m, 4H), 3.59 - 3.35 (m, 17H), 2.44 (2.42) (s, 3H), 2.30-2.18 (m, 1H), 2.08-1.95 (m, 1H), 1.92-1.85 (m, 1H), 0.94 (d, J = 6.6 Hz, 3H), 0.79 (d, J = 6.8, 3H).
(2L',4/?)- 1-(2-(3-(( 15-(2-( 1-(5-ί1iioΐ'q-2-1igί1ΐ'qcgr1ΐ6hg1)-2-oco-2-(11iΐ3zo1-2-gΐ8ΐhiho)6ΐ1ig1)-3- oxoisoindolin-5-yl)-3,6,9,12-tetraoxapentadec-14-yn-l-yl)oxy)isoxazol-5-yl)-3- methylbutanoyl)-4-hydroxy-iV-(4-(4-methylthiazol-5-yl)benzyl)pyi olidine-2-carboxamide
(four single unknown stereoisomers)
[0544] Under nitrogen, to a stirring solution of 3,6,9,l2-tetraoxapentadec-l4-yn-l-ol (500 mg, 2.15 mmol) and triethylamine (0.360 mL, 2.58 mmol) in dichloromethane (8 mL) was added MsCl (493.0 mg, 4.31 mmol) at 0°C. The resulting solution was warmed to room temperature and stirred further 3 hours. The reaction mixture was quenched with water, and partitioned between water and DCM. The aqueous phase was extracted with DCM. The combined organic layers were washed with aqueous NaHCCL, dried over anhydrous sodium sulfate and concentrated under reduced pressure to afford 654 mg (crude) of the title compound as yellow oil. The crude product was used for next step without further purification. LCMS (ESI): RT (min) = 1.02, [M+H]+ = 311, method = A.
[0545] A solution of 3,6,9,l2-tetraoxapentadec-l4-yn-l-yl methanesulfonate (393 mg, 1.27 mmol), methyl 2-(3-hydroxyisoxazol-5-yl)-3-methyl-butanoate (Intermediate 1, 210 mg, 1.05 mmol) and K2CO3 (296 mg, 2.11 mmol) in DMF (4 mL) was stirred at room temperature for 20 hours. The resulting solution was purified by reverse phase chromatography (gradient: 5%-75% ACN in water (0.05% NH4HCO3)) to afford 310 mg (71%) of the title compound as a light yellow oil. LCMS (ESI): RT (min) = 1.28, [M+H]+ = 414, method = A.
[0546] A solution of methyl 2-(3-((3,6,9,l2-tetraoxapentadec-l4-yn-l-yl)oxy)isoxazol- 5-yl)-3-methylbutanoate (260 mg, 0.630 mmol) and LiOH (79.4 mg, 3.30 mmol) in THF (4.5 mL) and water (1.5 mL) was stirred at room temperature for 1.5 hours. The reaction mixture was
adjusted pH to 4-5 with citric acid aqueous solution. The resulting solution was extracted with DCM. The combined organic layers were washed with water, dried over anhydrous sodium sulfate and concentrated under reduced pressure to afford 238 mg (crude) of the title compound as yellow oil. The crude product was used for next step without further purification. LCMS (ESI): RT (min) = 1.15, [M+H]+ = 400, method = A.
Step 4: (2S 4R)- 1 -(2-(3-((3.6.9.12-tetraoxapentadec- 14-yn- 1 -yl)o\y)iso\a/ol-5-yl)-3- methylbutanoyl)-4-hydroxy-iV-(4-(4-methylthia/ol-5-yl)benzyl)pyrrolidine-2-carboxamide
[0547] A solution of 2-(3-((3,6,9,l2-tetraoxapentadec-l4-yn-l-yl)oxy)isoxazol-5-yl)- 3-methylbutanoic acid (238 mg, 0.600 mmol), (25'.4//)-4-hydroxy-iV-(4-(4-methylthia/ol-5- yl)benzyl)pyrrolidine-2-carboxamide hydrochloride (prepared as described in paragraphs 272- 275 on pages 43-44 of US Patent Application No. 2016/0045607, herein incorporated by reference) (211 mg, 0.600 mmol), HATU (227 mg, 0.600 mmol) and DIPEA (0.360 mL, 2.09 mmol) in DMF (4 mL) was stirred at room temperature for 30 minutes. The resulting solution was purified by reverse phase chromatography (gradient: 5%-60% ACN in water (0.05% NH4HCO3)) to afford 361 mg (86%) as a yellow oil. LCMS (ESI): RT (min) = 0.81, [M+H]+ = 699, method = I.
Step 5: (2S.4R)- 1 -(2-(3-(( 15-(2-( 1 -(5-Fluoro-2-(methoxymethoxy)phenyl)-2-oxo-2-(thia/ol-2- ylamino)ethyl)-3-oxoisoindolin-5-yl)-3,6,9,l2-tetraoxapentadec-l4-yn-l-yl)oxy)isoxazol-5-yl)-
[0548] Under nitrogen, a solution of 2-(6-bromo-l-oxoisoindolin-2-yl)-2-(5-fluoro-2- (methoxy methoxy [phenyl )-/V-(thiazol-2-yl [acetamide (Intermediate 2, l75mg, 0.350 mmol), (2S, 4R)- 1 -(2-(3 -((3,6,9, 12-tetraoxapentadec- 14-yn- 1 -y l)oxy )isoxazol-5-y l)-3 -methy lbutanoy 1)- 4-hydroxy-iV-(4-(4-methylthia/ol-5-yl[benzyl[pyrrolidine-2-carboxamide (363 mg, 0.520 mmol), Pd(PPh3)2Cl2 (12.2 mg, 0.02 mmol), (t-Bu)3PH.HBF4 (9.90 mg, 0.03 mmol), DBU (4.6 mg, 0.03 mmol) and cesium carbonate (147 mg, 0.450 mmol) in DMF (4 mL) was stirred for 1 hour at 100 °C under microwave irradiation. The resulting solution was purified by reverse phase chromatography (gradient: 5%-65% ACN in water (0.1% FA)) to afford 365 mg (93%) of the title compound as a yellow solid. LCMS (ESI): RT (min) = 1.25, [M+H]+ = 1124, method = A.
Step 6: (2SAR)- 1 -(2-(3-(( 15-(2-( 1 -(5-fluoro-2-hydrox> phenyl)-2-oxo-2-(thiazol-2- ylamino)ethyl)-3-oxoisoindolin-5-yl)-3,6,9,l2-tetraoxapentadec-l4-yn-l-yl)oxy)isoxazol-5-yl)- 3-methy lbutanoy l)-4-hydroxy-iV-(4-(4-methylthiazol-5-yl)benzyl)pyrrolidine-2-carboxamide (four single unknown stereoisomers)
(methoxymethoxy)phenyl)-2-oxo-2-(thiazol-2-ylamino)ethyl)-3-oxoisoindolin-5-yl)-3,6,9,l2- tetraoxapentadec-l4-yn-l-yl)oxy)isoxazol-5-yl)-3-methylbutanoyl)-4-hydroxy-/V-(4-(4- methylthiazol-5-yl)benzyl)pyrrolidine-2-carboxamide (300 mg, 0.270 mmol) and HCl/dioxane (3 mL, 4 M) in dichloromethane (5 mL) was stirred at room temperature for 1 hour. The solvent was concentrated under reduced pressure to afford the mixture of four isomers. The isomers were separated by Prep-Chiral HPLC (conditions: Column: CHIRALPAK IE, 2*25cm,5um;Mobile Phase A:MTBE, Mobile Phase B: MeOH; Flow rate: 20 mL/minute; Gradient: 30% B to 30% B in 28 minutes; 220/254 nm) to afford Example 1002.1 (23.9 mg, first peak) as a white solid, Example 1002.2 (29.0 mg, second peak) as a white solid, Example 1002.3 (30.7 mg, third peak) as a light grey solid and Example 1002.4 (27.2 mg, fourth peak) as a white solid.
[0550] Example 1002.1: LCMS (ESI): RT (min) = 2.28, [M+H]+ = 1080, method = A. 1H NMR (300 MHz, DMSO-r¾) d 12.73 (s, 1H), 10.04 (s, 1H), 9.00 (s, 1H), 8.49 (s, 1H), 7.87 - 7.58 (m, 3H), 7.58 - 7.23 (m, 6H), 7.20-7.02 (m, 1H), 6.97-6.80 (m, 2H), 6.32 (s, 1H), 6.10 (s, 1H), 5.15 (br, 1H), 4.66 (d, J = 17.8 Hz, 1H), 4.58 - 4.13 (m, 8H), 4.03 (d, J = 18.1 Hz, 1H), 3.85-3.45 (m, 17H), 2.47 (s, 3H), 2.32-2.21 (m, 1H), 2.10-2.00 (m, 1H), 1.97-1.83 (m, 1H), 1.09 - 0.40 (m, 6H).
[0551] Example 1002.2: LCMS (ESI): RT (min) = 2.35, [M+H]+ = 1080, method = A. 1H NMR (300 MHz, DMSO-r¾) d 12.62 (s, 1H), 9.98 (s, 1H), 9.00 (s, 1H), 8.68 (br, 1H), 7.80- 7.65 (m, 2H), 7.61 (d, J= 7.9 Hz, 1H), 7.54 - 7.36 (m, 5H), 7.28 (d, J= 3.6 Hz, 1H), 7.25 - 7.07 (m, 1H), 6.90 (m, 2H), 6.32 (s, 1H), 6.12 (s, 1H), 5.08 (s, 1H), 4.65 (d, J= 17.9 Hz, 1H), 4.54 - 4.20 (m, 8H), 4.02 (d , J= 18.1 Hz, 1H), 3.87 - 3.43 (m, 17H), 2.46 (s, 3H), 2.28 (m, 1H), 2.18 - 1.85 (m, 2H), 0.95 (d, J= 6.5 Hz, 3H), 0.81 (d, J= 6.6 Hz, 3H).
[0552] Example 1002.3: LCMS (ESI): RT (min) = 2.23, [M+H]+ = 1080, method = A. XH NMR (300 MHz, DMSO-r¾) d 12.70 (br, 1H), 9.95 (br, 1H), 8.99 (s, 1H), 8.47 (t, J= 5.9 Hz, 1H), 7.91 - 7.67 (m, 2H), 7.60 (d, J = 7.9 Hz, 1H), 7.49 (d, J = 3.6 Hz, 1H), 7.47 - 7.39 (m, 2H), 7.39 - 7.20 (m, 3H), 7.19-7.09 (m, 1H), 6.98-6.80 (m, 2H), 6.31 (s, 1H), 6.09 (s, 1H), 5.14 (br, 1H), 4.66 (d, J = 18.0 Hz, 1H), 4.58 - 4.38 (m, 3H), 4.38 - 4.13 (m, 5H), 4.03 (d , J = 18.0 Hz, 1H), 3.77 (d, J = 8.5 Hz, 1H), 3.73-3.65 (m, 4H), 3.65 - 3.47 (m, 11H), 3.20-3.08 (m, 1H), 2.45 (s, 3H), 2.32-2.20 (m, 1H), 2.13 - 2.00 (m, 1H), 1.98-1.81 (m, 1H), 1.09 - 0.54 (m, 6H).
[0553] Example 1002.4: LCMS (ESI): RT (min) = 2.30, [M+H]+ = 1080, method = A. XH NMR (300 MHz, DMSO-c¾) d 9.00 (s, 1H), 8.47 (t, J= 5.4 Hz, 1H), 7.82 - 7.32 (m, 8H), 7.25 (d, J= 3.6 Hz, 1H), 7.18-7.01 (m, 1H), 6.99 - 6.80 (m, 2H), 6.30 (s, 1H), 6.12 (s, 1H), 4.68 (d, J = 17.9 Hz, 1H), 4.53 - 4.19 (m, 8H), 4.05 (d, J = 18.1 Hz, 1H), 3.81-3.62 (m, 5H), 3.61- 3.50 (m, 10H), 3.50-3.40 (m, 2H), 2.46 (s, 3H), 2.30-2.20 (m, 1H), 2.11-1.98 (m, 1H), 1.98-1.80 (m, 1H), 0.94 (d, J= 6.1 Hz, 3H), 0.79 (d, J = 6.1 Hz, 3H).
Examples 1003.1 and 1003.2
(2A,4/?)-l-((2EV)-21-(fe/'Z-butyl)-l-(4-(2-(l-(5-fluoro-2-hydroxyphenyl)-2-oxo-2-(thiazol-2- ylamino)ethyl)-3-oxoisoindolin-5-yl)phenyl)-l,19-dioxo-5,8,ll,14,17-pentaoxa-2,20- diazadocosan-22-oyl)-4-hydroxy-iV-(4-(4-methylthiazol-5-yl)benzyl)pyi olidine-2- carboxamide (two single unknown stereoisomers)
Step 1: tert- butyl ((5 -l9-((25',4i?)-4-hydroxy-2-((4-(4-methylthiazol-5- yl)benzyl)carbamoyl)pyrrolidine-l-carbonyl)-20, 20-dimethyl-l 7-oxo-3,6,9,l2, l5-pentaoxa-l 8- azahenicosyl)carbamate
[0554] A solution of 2,2-dimethyl-4-oxo-3,8,l l,l4,l7,20-hexaoxa-5-azadocosan-22- oic acid (110 mg, 0.280 mmol), (2<S',4i?)-l-((»S)-2-amino-3,3-dimethylbutanoyl)-4-hydroxy-/V-(4- (4-methylthia/ol-5-yl)benzyl)pyrrolidine-2-carboxamide (prepared as described in paragraphs 279-280 on page 44 of US Patent Application No. 2016/0045607, herein incorporated by reference) (120 mg, 0.280 mmol), HATU (116.0 mg, 0.3100 mmol) and DIPEA (0.15 mL, 0.840mmol) in DMF (5mL) was stirred at 25 °C for 1 hour. The solution was purified by reverse phase chromatography (gradient: 5%-40% ACN in water (0.1% FA)) to afford the title compound (147 mg, 65 % yield) as a yellow oil. LCMS (ESI): RT (min) = 0.85. [M+H]+ = 808, method = I.
Step 2: (2ri',4i?)-l-((ri -20-amino-2-(ter/-butyl)-4-oxo-6,9,l2,l5,l 8-pentaoxa-3-azaicosanoyl)-4- hydroxy-iV-(4-(4-methylthia/ol-5-yl)benzyl)pyrrolidine-2-carboxamide hydrochloride
[0555] To a stirring solution of te/7-butyl ((S)- 19-((25'.4//)-4-hydroxy-2-((4-(4- methylthiazol-5-yl)benzyl)carbamoyl)pyrrolidine-l-carbonyl)-20, 20-dimethyl- 17-OXO- 3,6,9,l2,l5-pentaoxa-l 8-azahenicosyl)carbamate (200 mg, 0.250 mmol) in DCM (5 mL) was added HCl/dioxane(2 mL, 4 M) at 0 °C. The resulting solution was stirred for 30 minutes, and then concentrated under reduced pressure to afford the title compound (crude) as reddish
brown oil. The crude product was used for nest step without further purification. LCMS (ESI): RT (min) = 0.93. [M+H]+ = 708, method = A.
Step 3: (25',4i?)-l-((2l5)-2l-(te/T-Butyl)-l-(4-(2-(l-(5-fluoro-2-hydroxyphenyl)-2-oxo-2- (thiazol-2-ylamino)ethyl)-3-oxoisoindolin-5-yl)phenyl)-l,l9-dioxo-5,8,l l,l4,l7-pentaoxa-2,20- diazadocosan-22-oyl)-4-hydroxy-/V-(4-(4-methylthiazol-5-yl)benzyl)pyrrolidine-2-carboxamide (two single unknown stereoisomers)
[0556] A solution of 4-(2-(l-(5-fluoro-2-hydroxyphenyl)-2-oxo-2-(thiazol-2- ylamino)ethyl)-3-oxoisoindolin-5-yl)benzoic acid (Intermediate 3, 143 mg, 0.280 mmol), (2S,4R)- 1 -((<S)-20-amino-2-(/e/7-butyl)-4-oxo-6,9, 12, 15, 18-pentaoxa-3-azaicosanoyl)-4- hydroxy-/V-(4-(4-methylthiazol-5-yl)benzyl)pyrrolidine-2-carboxamide hydrochloride (200 mg, 0.280 mmol), HATU (108 mg, 0.280 mmol) and DIPEA (0.25 mL, 1.42 mmol) in DMF (6 mL) was stirred at 25 °C for 1 hour. The reaction solution was purified by reverse phase flash chromatography (gradient: 5%-40% ACN in water (0.1% FA)) to afford the crude product. The crude product was purified again by Prep-HPLC with the following conditions: Column: XBridge Prep OBD C18 Column 30x150 mm 5pm; Mobile Phase A: Water(lOMMOL/L NH4HCO3), Mobile Phase B: ACN; Flow rate: 60 mL/min; Gradient: 30% B to 52% B in 7 min; 254/220 nm; Rt: 6.52 min, which afforded a mixture of two isomers. The two isomers were separated by Chiral -Prep-HPLC with the following conditions: Column: Chiralpak ID-2, 2*25cm,5um; Mobile Phase A:MTBE(0. l%FA)— HPLC, Mobile Phase B: MeOH-HPLC; Flow rate: 16 mL/min; Gradient: 50 B to 50 B in 35 min; 220/254 nm; RT1 : 19.482; RT2:30.354 to afford Example 1003.1 (29.3 mg, the first peak) and Example 1003.2 (26.1 mg, the second peak) as white solids.
[0557] Example 1003.1: LCMS (ESI): RT(min) = 2.50. [M+H]+ = 1193, method = H. XH NMR (400 MHz, DMSO-c¾) d 12.63 (br, 1H), 9.98 (br, 1H), 8.98 (s, 1H), 8.58 (d, J = 6.8 Hz, 2H), 8.03 - 7.93 (m, 4H), 7.85 (d , J= 8.5 Hz, 2H), 7.68 (d, J= 8.0 Hz, 1H), 7.49 (d, J= 3.6
Hz, 1H), 7.40 (d, J = 4.6 Hz, 5H), 7.26 (d, J = 3.6 Hz, 1H), 7.12 (td, J = 8.5, 3.1 Hz, 1H), 6.89 (ddd, J = 14.3, 9.0, 4.0 Hz, 2H), 6.34 (s, 1H), 5.15 (s, 1H), 4.68 (d, J = 17.7 Hz, 1H), 4.56 (d, J = 9.6 Hz, 1H), 4.46 - 4.33 (m, 3H), 4.24 (dd, J = 15.7, 5.6 Hz, 1H), 4.06 (d , J = 17.7 Hz, 1H), 3.96 (s, 2H), 3.69 - 3.40 (m, 22H), 2.43 (s, 3H), 2.05 (m, 1H), 1.90 (m, 1H), 0.94 (s, 9H).
[0558] Example 1003.2: LCMS (ESI): RT (min) = 2.55. [M+H]+ = 1193, method = H. XH NMR (400 MHz, DMSO-r¾) d 12.63 (br, 1H), 10.00 (br, 1H), 8.98 (s, 1H), 8.58 (d, J = 6.2 Hz, 2H), 8.03 - 7.93 (m, 4H), 7.85 (d , J= 8.4 Hz, 2H), 7.69 (d, J= 8.0 Hz, 1H), 7.48 (d, J= 3.6 Hz, 1H), 7.40 (d, J = 4.9 Hz, 5H), 7.26 (d, J = 3.6 Hz, 1H), 7.12 (td, J = 8.6, 3.1 Hz, 1H), 6.89 (ddd, J = 14.3, 9.1, 3.9 Hz, 2H), 6.34 (s, 1H), 5.15 (s, 1H), 4.68 (d, J = 17.8 Hz, 1H), 4.56 (d, J = 9.6 Hz, 1H), 4.47 - 4.33 (m, 3H), 4.24 (dd, J = 15.8, 5.6 Hz, 1H), 4.06 (d , J = 17.8 Hz, 1H), 3.96 (s, 2H), 3.70 - 3.39 (m, 22H), 2.43 (s, 3H), 2.09 - 2.02 (m, 1H), 1.93 - 1.86 (m, 1H), 0.94 (s, 9H).
Biological Assays
Example A: Western Blot Analysis of EGFR Protein Levels
[0559] Hetero-bifunctional degraders were screened by western blot for effects on EGFR protein levels. NCI-H1975 cells were maintained in RPMI media supplemented with 10% FBS (Sigma F2442), IX GlutaMAX (Gibco 35050-061), and IX Pen Strep (Gibco 15140- 122). Cells were treated with the indicated concentration (see Figures 1A and 1B) of hetero- bifunctional degrader for 24 hours. To assess the requirement of the Ubiquitin Proteasome System (UPS), 1 mM MG132 (Sigma M7449) was co-dosed with the indicated hetero- bifunctional degraders for 24 hours (see Figure 1C). To assess the requirement on VHL, free VHL ligand was co-dosed with the indicated hetero-bifunctional degrader for 24 hours (see Figure 1D). Cells were lysed in 50 mM Tris pH 8, l50mM NaCl, 5mM EDTA, 1% NP-40 buffer supplemented with IX EDTA-free protease inhibitors (Roche), and IX HALT phosphatase inhibitors (Thermo). Equal amounts of protein were resolved by SDS-PAGE, transferred to nitrocellulose membranes, and detected using a Li-Cor CLX scanner. The following primary antibodies were used for detection: anti-EGFR (MBL International MI-12-1) and anti- -Actin (Cell Signaling 4970). The following were IR-conjugated secondary antibodies used for detection: Goat anti-Rabbit 800CW (Li-Cor 926-32211) and Goat anti-Mouse 680LT (Li-Cor 926-68020).
[0560] The results are set forth in Figures 1A-1D.
Proliferation Assays to Assess Effects on Cell Viability
[0561] For 3-day cell viability assays, seeding density was optimized in 96 well plates for NCI-H1975 and A431 (also maintained in complete RPMI media) to obtain confluency after 4 days. Cells were seeded on day 1, hetero-bifunctional degrader was added on day 2 (normalizing DMSO in all wells to 0.1%), and the cell viability was determined using CellTiter- glo (Promega). For 7-day clonogenic viability assays, seeding density was optimized in 6 well plates for NCI-H1975 to obtain confluency after 8 days. Cells were seeded on day 1, hetero- bifunctional degrader was added on day 2 (normalizing DMSO in all wells to 0.1%), fresh media and hetero-bifunctional degrader was added on day 5, and cell density was visualized by crystal violet staining.
[0562] The results are shown in Figures 2A-2C.
Discussion
[0563] Evaluation of a panel of hetero-bifunctional degrader compounds composed of an EGFR-exosite ligand linked to a VHL binding moiety has identified several molecules capable of decreasing EGFR protein levels. While effects on EGFR protein levels were consistently observed in the 0.1-1mM range for all molecules (see Figure 1A), the most potent molecules exemplified by the compounds of Examples 1002.2 and 1002.4 have a DC50 around 100 nM. This effect on EGFR levels is dependent upon both VHL and the proteasome showing that this activity is through the desired mechanism of VHL-mediated protein degradation. Importantly, EGFR degradation by these molecules resulted in decreased viability specifically for the EGFR-mutant cell line (H1975) (see Figure 2B) and not an EGFR-wildtype cell line (A431) (see Figure 2A). These effects were also observed and perhaps enhanced in longer-term viability assays, showing that EGFR-degradation can result in sustained viability suppression.
[0564] This written description uses examples to disclose the invention, including the best mode, and also to enable any person skilled in the art to practice the invention, including making and using any devices or systems and performing any incorporated methods. The patentable scope of the invention is defined by the claims, and may include other examples that occur to those skilled in the art. Such other examples are intended to be within the scope of the claims if they have structural elements that do not differ from the literal language of the claims, or if they include equivalent structural elements with insubstantial differences from the literal languages of the claims
Claims
WHAT IS CLAIMED IS:
1. A compound of Formula (I):
D— (E1)a-(E2)— L VHL ligan or a pharmaceutically acceptable salt thereof;
wherein:
VHL ligand
is a VHL ubiquitin ligase binding moiety;
L is a linker moiety;
E1 is selected from the group consisting of arylene, heteroarylene, alkylene, and alkynylene;
E2 is selected from the group consisting of -C(0)-N(H)-, -N(H)-C(0)-, -N(H)-CH2-, - N(H)-, and -0-, wherein E2 may be attached to E1 or D and to the remaining structure of the compound in either orientation;
a and b are independently 0 or 1, wherein a and b are not both 0; and
D is a protein binding moiety
2 The compound of claim 1, or a pharmaceutically acceptable salt thereof, wherein a is 1 and E1 is selected from the group consisting of phenylene, imidazolylene, propynylene, pyridylene, methylene, pyrazolylene, and thiazolylene.
3. The compound of claim 2, or a pharmaceutically acceptable salt thereof, wherein
a is 1 and E1 is selected from the group consisting
methylene, wherein ΆLL indicates the point of attachment to the remaining structure of the compound or D; and wherein E1 may be attached to D and the remaining structure of the compound in either orientation.
4. The compound of any one of claims 1 to 3, or a pharmaceutically acceptable salt thereof, wherein a and b are each 1, and E1 and E2 taken together are selected from the group
wherein /w indicates the point of attachment to L or D.
5. The compound of any one of claims 1 to 3, or a pharmaceutically acceptable salt
, wherein LLL indicates the point of attachment to L or D, and wherein E1 may be attached to L and D in either orientation.
6. The compound of claim 1, or a pharmaceutically acceptable salt thereof, wherein a is 0, b is 1, and E2 is -C(0)-N(H)-, wherein E2 may be attached to D and to the remaining structure of the compound in either orientation.
7. The compound of any of claims 1 to 6, or a pharmaceutically acceptable salt thereof, wherein L is selected from the group consisting of:
VHL ligand VHL ligand attachment to or E1 or E2; wherein L may be attached to and E1 or E in either orientation.
8. The compound of claim 7, or a pharmaceutically acceptable salt thereof, wherein L is selected from the group consisting of
attachment to ^ - -— ^ or E or E ; wherein L may be attached to - and E or E in either orientation.
9. The compound of any one of claims 1 to 8, or a pharmaceutically acceptable salt thereof, wherein D is an EGFR inhibitor.
10. The compound of any one of claims 1 to 9, or a pharmaceutically acceptable salt thereof, wherein D is
and wherein ^ w indicates the point of attachment to the remaining structure of the compound.
11. The compound of claim 10, or a pharmaceutically acceptable salt thereof, or an isomer thereof, wherein D is selected from the group consisting of
and wherein /w indicates the point of attachment to the remaining structure of the compound.
12. The compound of any one of claims 1 to 10, or a pharmaceutically acceptable salt thereof, having a structure selected from the group consisting of
or a pharmaceutically acceptable salt thereof;
wherein:
R1 is selected from the group consisting of substituted or unsubstituted alkyl, substituted or unsubstituted cycloalkyl, substituted or unsubstituted aryl, substituted or unsubstituted heterocyclyl, and substituted or unsubstituted heteroaryl;
R3 is substituted or unsubstituted alkyl, or R3 is taken together with R6, when present, and the atoms to which they are attached, to form a substituted or unsubstituted heterocyclylene;
Y is selected from the group consisting of substituted or unsubstituted heteroarylene, substituted or unsubstituted heterocyclylene, O, S, -N(R6)-, -N(R6)-C(0)-, and -N(R6)-S02-;
R6 is selected from the group consisting of H and substituted or unsubstituted alkyl; or R6 is taken together with R3 and the atoms to which they are attached to form a substituted or unsubstituted heterocyclylene;
L is a linker moiety;
E1 is selected from the group consisting of arylene, heteroarylene, alkylene, and alkynylene;
E2 is selected from the group consisting of -C(0)-N(H)-, -N(H)-C(0)-, -N(H)-CH2-, - N(H)-, and -0-, wherein E2 may be attached to E1 or D and to the remaining structure of the compound in either orientation;
a and b are independently 0 or 1, wherein a and b are not both 0; and
D is a protein binding moiety.
14. The compound of claim 13, or a pharmaceutically acceptable salt thereof, wherein the compound is of Formula (Ila) or an isomer thereof:
R7 is selected from the group consisting of substituted or unsubstituted heteroaryl, substituted or unsubstituted heterocyclyl, and substituted or unsubstituted aryl, and
LLL is the point of attachment to the remaining structure of the compound.
16. The compound of claim 15, or a pharmaceutically acceptable salt thereof,
R9a , wherein R9ais alkyl, and /W S the point of attachment to the remaining structure of the compound.
17. The compound of claim 16, or a pharmaceutically acceptable salt thereof,
18. The compound of any one of claims 13 to 17, or a pharmaceutically acceptable salt thereof, wherein R3 is isopropyl or tert-butyl.
19. The compound of any one of claims 13 to 18, or a pharmaceutically acceptable salt thereof, wherein Y is a substituted or unsubstituted heteroarylene.
20. The compound of claim 19, or a pharmaceutically acceptable salt thereof,
whereinLALL indicates the point of attachment to the remaining structure of the compound or L; wherein Y may be attached to the remaining structure of the compound and L in either orientation.
21. The compound of claim 20, or a pharmaceutically acceptable salt thereof,
wherein Y is
, wherein indicates the point of attachment to the remaining structure of the compound or L; and wherein Y may be attached to the remaining structure of the compound and L in either orientation.
22. The compound of claim 13 or 14, or a pharmaceutically acceptable salt thereof, wherein Y is -N(R6)-C(0)-, and R6 is H.
R3 is isopropyl or tert-butyl;
R7 is substituted or unsubstituted heteroaryl.
24. The compound of claim 23, or a pharmaceutically acceptable salt thereof, wherein Y is -N(R6)-C(0)-; R3 is tert-butyl; and R6 is H.
25. The compound of claim 23, or a pharmaceutically acceptable salt thereof,
wherein Y is
and R3 is isopropyl, wherein indicates the point of attachment to the remaining structure of the compound or L; wherein Y may be attached to the remaining structure of the compound and L in either orientation.
26. The compound of any one of claims 13 to 25, or a pharmaceutically acceptable salt thereof, wherein a is 1 and E1 is selected from the group consisting of phenylene, imidazolylene, propynylene, pyridylene, methylene, pyrazolylene, and thiazolylene.
27. The compound of claim 26, or a pharmaceutically acceptable salt thereof,
and methylene, wherein indicates the point of attachment to the remaining structure of the compound or D; wherein E1 may be attached to the remaining structure of the compound and D in either orientation.
28. The compound of any one of claims 13 to 27, or a pharmaceutically acceptable salt thereof, wherein a and b are each 1, and E1 and E2 taken together are selected from the
wherein indicates the point of attachment to L or D.
29. The compound of any one of claims 13 to 27, or a pharmaceutically acceptable salt thereof, wherein a is 1, b is 0, and E1 is selected from the group consisting of
, wherein /w r indicates the point of attachment to L or D, and wherein E1 may be attached to L and D in either orientation.
30. The compound of any one of claims 13 to 25, or a pharmaceutically acceptable salt thereof, wherein a is 0, b is 1, and E2 is -C(0)-N(H)-, wherein E2 may be attached to D and to the remaining structure of the compound in either orientation.
31. The compound of claim 13, or a pharmaceutically acceptable salt thereof, having a structure selected from the group consisting of
wherein m is 0, 1, 2, 3, 4, or 5; R7 is selected from the group consisting of substituted or unsubstituted alkyl, substituted or unsubstituted cycloalkyl, substituted or unsubstituted aryl, substituted or unsubstituted heteroaryl, substituted or unsubstituted heterocyclyl, substituted or unsubstituted alkenyl, substituted or unsubstituted alkynyl, halo, -CN, -OR8, -N(R8a)R8b, - C(0)R8c, -C(0)N(R8a)R8b, -N(R8a)C(0)R8c, -S02N(R8a)R8b, and S02R8c; wherein R8, R8a, and R are independently selected from the group consisting of H and substituted or unsubstituted alkyl; and R8c is selected from the group consisting of substituted or unsubstituted alkyl and substituted or unsubstituted aryl.
32. The compound of claim 13, or a pharmaceutically acceptable salt thereof, having a structure selected from the group consisting of
, , , , , , ed from the group consisting of substituted or unsubstituted alkyl, substituted or unsubstituted cycloalkyl, substituted or unsubstituted aryl, substituted or unsubstituted heteroaryl, substituted or unsubstituted heterocyclyl, substituted or unsubstituted alkenyl, substituted or unsubstituted alkynyl, halo, -CN, -OR8, -N(R8a)R8b, -C(0)R8c, -C(0)N(R8a)R8b, -N(R8a)C(0)R8c, - S02N(R8a)R8b, and S02R8c; wherein R8, R8a, and R8b are independently selected from the group consisting of H and substituted or unsubstituted alkyl; and R8c is selected from the group consisting of substituted or unsubstituted alkyl and substituted or unsubstituted aryl.
33. The compound of claim 13, or a pharmaceutically acceptable salt thereof, having a structure selected from the group consisting of
34. The compound of claim 13 or 14, or a pharmaceutically acceptable salt thereof, having a structure selected from the group consisting of
35. The compound of any of claims 13 to 34, or a pharmaceutically acceptable salt thereof, wherein L is selected from the group consisting of:
25
AL^ indicates the point of attachment to E1 or E2, or the remaining structure of the compound; wherein L may be attached to the remaining structure of the compound and E1 or E2 in either orientation.
36. The compound of claim 35, or a pharmaceutically acceptable salt thereof, wherein L is selected from the group consisting of
w r indicates the point of attachment to E1 or E2, or the remaining structure of the compound; wherein L may be attached to the remaining structure of the compound and E1 or E2 in either orientation.
37. The compound of any one of claims 13 to 36, or a pharmaceutically acceptable salt thereof, wherein D binds to a target protein, wherein said target protein is selected from the group consisting of structural proteins, receptors, enzymes, cell surface proteins, proteins pertinent to the integrated function of a cell, proteins involved in catalytic activity, proteins involved in aromatase activity, proteins involved in motor activity, proteins involved in helicase activity, proteins involved in metabolic processes, proteins involved in antioxidant activity, proteins involved in proteolysis, proteins involved in biosynthesis, proteins with kinase activity, proteins with oxidoreductase activity, proteins with transferase activity, proteins with hydrolase activity, proteins with lyase activity, proteins with isomerase activity, proteins with ligase activity, proteins with enzyme regulator activity, proteins with signal transducer activity, proteins with structural molecule activity, proteins with binding activity, proteins with receptor activity, proteins with cell motility, membrane fusion proteins, cell communication proteins, proteins that regulate biological processes, proteins that regulate development, proteins that regulate cell differentiation, proteins that regulate response to stimulus, behavioral proteins, cell
adhesion proteins, proteins involved in cell death, proteins involved in transport, proteins involved in protein transporter activity, proteins involved in nuclear transport, proteins involved in ion transporter activity, proteins involved in channel transporter activity, proteins involved in carrier activity, proteins involved in permease activity, proteins involved in secretion activity, proteins involved in electron transporter activity, proteins involved in pathogenesis, proteins involved in chaperone regulator activity, proteins involved in nucleic acid binding activity, proteins involved in transcription regulator activity, proteins involved in extracellular organization, proteins involved in biogenesis activity, proteins involved in translation regulator activity, and proteins involved in deubiquitinase activity.
38. The compound of any one of claims 13 to 36, or a pharmaceutically acceptable salt thereof, wherein D binds to a target protein, wherein said target protein is selected from the group consisting of B7.1 and B7, TINFRlm, TNFR2, NADPH oxidase, BclIBax and other partners in the apoptosis pathway, C5a receptor, HMG-CoA reductase, PDE V
phosphodiesterase type, PDE IV phosphodiesterase type 4, PDE I, PDEII, PDEIII, squalene cyclase inhibitor, CXCR1, CXCR2, nitric oxide (NO) synthase, cyclo-oxygenase 1, cyclo oxygenase 2, 5HT receptors, dopamine receptors, G Proteins, Gq, histamine receptors, 5- lipoxygenase, tryptase serine protease, thymidylate synthase, purine nucleoside phosphorylase, GAPDH trypanosomal, glycogen phosphorylase, Carbonic anhydrase, chemokine receptors, JAW STAT, RXR and similar, HIV 1 protease, HIV 1 integrase, influenza, neuramimidase, hepatitis B reverse transcriptase, sodium channel, multi drug resistance (MDR), protein P- gly coprotein (and MRP), tyrosine kinases, CD23, CD 124, tyrosine kinase p56 lck, CD4, CD5, IL-2 receptor, IL-l receptor, TNF-aR, ICAM1, Cat+ channels, VCAM, VLA-4 integral, selectins, CD40/CD40L, newokinins and receptors, inosine monophosphate dehydrogenase, p38 MAP Kinase, RaslRaflMEWERK pathway, interleukin- 1 converting enzyme, caspase, HCV, NS3 protease, HCV NS3 RNA helicase, glycinamide ribonucleotide formyl transferase, rhino virus 3C protease, herpes simplex virus- 1 (HSV-I), protease, cytomegalovirus (CMV) protease, poly (ADP-ribose) polymerase, cyclin dependent kinases, vascular endothelial growth factor, oxytocin receptor, microsomal transfer protein inhibitor, bile acid transport inhibitor, 5 alpha reductase inhibitors, angiotensin 11, glycine receptor, noradrenaline reuptake receptor, endothelin receptors, neuropeptide Y and receptor, estrogen receptors, androgen receptors, adenosine receptors, adenosine kinase and AMP deaminase, purinergic receptors,P2Yl, P2Y2, P2Y4, P2Y6, P2X1-7, famesyltransferases, geranylgeranyl transferase, TrkA a receptor for NGF, beta-amyloid, tyrosine kinase Flk-IIKDR, vitronectin receptor, integrin receptor, Her-2l
neu, telomerase inhibition, cytosolic phospholipaseA2, EGF receptor tyrosine kinase, ecdysone 20-monooxygenase, ion channel of the GABA gated chloride channel, acetylcholinesterase, voltage-sensitive sodium channel protein, calcium release channel, and chloride channels, Acetyl-CoA carboxylase, adenylosuccinate synthetase, protoporphyrinogen oxidase, and enolpyruvylshikimate-phosphate synthase.
39. The compound of any one of claims 13 to 36, or a pharmaceutically acceptable salt thereof, wherein D binds to a target protein, wherein said target protein is selected from the group consisting of FoxOl, HD AC, DP-l, E2F, ABL, AMPK, BRK, BRSK I, BRSK2, BTK, CAMKK1, CAMKK alpha, CAMKK beta, Rb, Suv39HI, SCF, pl9INK4D, GSK-3, pi 8 INK4, myc, cyclin E, CDK2, CDK9, CDG4/6, Cycline D, pl6 INK4A, cdc25A, BMI1, Akt, CHK1/2, C 1 delta, CK1 gamma, C 2, CLK2, CSK, DDR2, DYRK1A/2/3, EF2K, EPH- A2/A4/B1/B2/B3/B4, EIF2A 3, Smad2, Smad3, Smad4, Smad7, p53, p2l Cipl, PAX, Fyn,
CAS, C3G, SOS, Tal, Raptor, RACK-l, CRK, Rapl, Rac, KRas, NRas, HRas, GRB2, FAK, PI3K, spred, Spry, mTOR, MPK, LKB1, PAK 1/2/4/5/6, PDGFRA, PYK2, Src, SRPK1, PLC, PKC, PKA, PKB alpha/beta, PKC alpha/gamma/zeta, PKD, PLK1, PRAK, PRK2, WAVE-2, TSC2, DAPK1, BAD, IMP, C-TAK1, TAK1, TAOl, TBK1, TESK1, TGFBR1, TIE2, TLK1, TrkA, TSSK1, TTBK1/2, TTK, Tpl2/cotl, MEK1, MEK2, PLDL Erkl, Erk2, Erk5, Erk8, p90RSK, PEA- 15, SRF, p27 KIP1, TIF la, HMGN1, ER81, MKP-3, c-Fos, FGF-R1, GCK, GSK3 beta, HER4, HIPK1/2/3/, IGF-1R, cdc25, UBF, LAMTOR2, Statl, StaO,CREB, JAK, PTEN, NF-kappaB, HECTH9, Bax, HSP70, HSP90, Apaf-l, Cyto c, BCL-2, Bcl-xL, Smac, XIAP, Caspase-9, Caspase-3, Caspase-6, Caspase-7, CDC37, TAB, IKK, TRADD, TRAF2, R1P1, FLIP, JNK1/2/3, Lck, A-Raf, B-Raf, C-Raf, MOS, MLK1/3, MN 1/2, MSK1, MST2/3/4, MPSK1, MEKK1 , ME K4, MEL , ASK1, MINK1 , MKK 1 /2/3/4/6/7, NE 2a/6/7, NUAK1, OSR1, SAP , STK33, Syk, Lyn, PDK1, PHK, PIM 1/2/3, Ataxin- 1, mTORCl, MDM2, p2l Wafl , Cyclin Dl, Lamln A, Tpl2, Myc, catenin, Wnt, IKK-beta, IKK- gamma, IKK-alpha, IKK- epsilon, ELK, p65RelA, IRAKI, IRA 2, IRAK4, IRR, FADD, TRAF6, TRAF3, MKK3, MKK6, ROCK2, RSK1/2, SGK 1, SmMLCK, SIK2/3, ULK1/2, VEGFR1, WNK 1 , YES1, ZAP70, MAP4K3, MAP4K5, MAPKlb, MAPKAP-K2 K3, p38 alpha/beta/delta/gamma MAPK, Aurora A, Aurora B, Aurora C, MCAK, Clip, MAPKAPK, MARK 1 /2/3/4, Mucl, SHC, CXCR4, Gap- 1, beta-catenin/TCF, Cbl, BRM, Mcl-l, BRD2, BRD3, BRD4, AR, RAS, ErbB3, EGFR, IRE1, HPK1, RIPK2, and ERa, P13K, Ral-GDS, H-Ras, N-Ras, KRas4A, K-Ras4B, BRG1, RAF, BRAF, CRAF, BET, and USP7 including variants, mutations, splice variants, indels and fusions thereof.
40. The compound of any one of claims 13 to 36, or a pharmaceutically acceptable salt thereof, wherein D is selected from the group consisting of a heat shock protein 90 (HSP90) inhibitor, a kinase inhibitor, a phosphatase inhibitor, a MDM2 inhibitor, a HD AC inhibitor, a human lysine methyltransferase inhibitor, an angiogenesis inhibitor, an immunosuppressive compound, RAS inhibitors, EGFR inhibitors, BRM inhibitors, a compound that binds to human BET bromodomain-containing proteins, a compound that binds to an aryl hydrocarbon receptor (AHR), a compound that binds to RAF receptor kinase, a compound that binds to FKBP, a compound that binds to androgen receptor (AR), a compound that binds to estrogen receptor (ER), a compound that binds to thyroid hormone receptor, a compound that binds to HIV protease, a compound that binds to HIV integrase, a compound that binds to HCV protease, a compound that binds to acyl-protein thioesterase-l (APT1), a compound that binds to acyl- protein thioesterase-2 (APT2), a compound that binds to USP7, and a compound that binds to
BRG1.
41. The compound of any one of claims 13 to 36, or a pharmaceutically acceptable salt thereof, wherein D is
and wherein /w r indicates the point of attachment to the remaining structure of the compound.
42. The compound of claim 41, or a pharmaceutically acceptable salt thereof, or an isomer thereof, wherein D is selected from the group consisting of:
and wherein -LLLG indicates the point of attachment to the remaining structure of the compound.
43. The compound of claim 13, or a pharmaceutically acceptable salt thereof, having a structure selected from the group consisting of
44. The compound of claim 13, or a pharmaceutically acceptable salt thereof, having a structure selected from the group consisting of
and isomers thereof.
45. A pharmaceutical composition comprising a compound any one of claims 1 to 44 or a pharmaceutically acceptable salt thereof, and one or more pharmaceutically acceptable excipients.
46. The pharmaceutical composition of claim 45, further comprising an additional bioactive agent.
47. A method of treating a disease or disorder in a human in need thereof, comprising administering to said human an effective amount of a compound of any one of claims 1 to 44 or a pharmaceutically acceptable salt thereof, or a composition of claim 45 or 46.
48. The method of claim 47, wherein said disease is a cancer selected from the group consisting of carcinoma, lymphoma, blastoma, sarcoma, leukemia or lymphoid malignancies, squamous cell cancer, lung cancer including small-cell lung cancer, non-small cell lung cancer, adenocarcinoma of the lung and squamous carcinoma of the lung, cancer of the peritoneum, hepatocellular cancer, gastric or stomach cancer including gastrointestinal cancer, pancreatic cancer, glioblastoma, cervical cancer, ovarian cancer, liver cancer, bladder cancer, hepatoma, breast cancer, colon cancer, rectal cancer, colorectal cancer, endometrial or uterine carcinoma, salivary gland carcinoma, kidney or renal cancer, prostate cancer, vulval cancer, thyroid cancer, hepatic carcinoma, anal carcinoma, penile carcinoma, and head and neck cancer.
49. The method of claim 47, wherein said disease is an autoimmune disease selected from the group consisting of rheumatologic disorders, rheumatoid arthritis, Sjogren's syndrome, scleroderma, lupus such as systemic lupus erythematosus (SLE), lupus nephritis,
polymyositis/dermatomyositis, cryoglobulinemia, anti-phospholipid antibody syndrome, psoriatic arthritis, osteoarthritis, autoimmune gastrointestinal and liver disorders, inflammatory bowel diseases, ulcerative colitis, Crohn's disease, autoimmune gastritis and pernicious anemia, autoimmune hepatitis, primary biliary cirrhosis, primary sclerosing cholangitis, celiac disease, vasculitis, ANCA-associated vasculitis, Churg-Strauss vasculitis, Wegener's granulomatosis, polyarteriitis, autoimmune neurological disorders, multiple sclerosis, opsoclonus myoclonus syndrome, myasthenia gravis, neuromyelitis optica, Parkinson’s disease, Alzheimer’s disease, autoimmune polyneuropathies, renal disorders, glomerulonephritis, Goodpasture’s syndrome, Berger’s disease, autoimmune dermatologic disorders, psoriasis, urticaria, hives, pemphigus vulgaris, bullous pemphigoid, cutaneous lupus erythematosus, hematologic disorders, thrombocytopenic purpura, thrombotic thrombocytopenic purpura, post-transfusion purpura, autoimmune hemolytic anemia, atherosclerosis, uveitis, autoimmune hearing diseases, inner ear disease and hearing loss, Behcet's disease, Raynaud's syndrome, organ transplant, autoimmune endocrine disorders, diabetic-related autoimmune diseases, insulin-dependent diabetes mellitus (IDDM), Addison’s disease, autoimmune thyroid disease , Graves’ disease and thyroiditis.
50. The method of claim 47, wherein the disease or disorder is at least one of asthma, multiple sclerosis, cancer, ciliopathies, cleft palate, diabetes, heart disease, hypertension, inflammatory bowel disease, mental retardation, mood disorder, obesity, refractive error, infertility, Angelman syndrome, Canavan disease, Coeliac disease, Charcot-Marie-Tooth disease, Cystic fibrosis, Duchenne muscular dystrophy, Haemochromatosis, Haemophilia, Klinefelter's syndrome, Neurofibromatosis, Phenylketonuria, Polycystic kidney disease, (PKD1) or 4 (PKD2) Prader-Willi syndrome, Sickle-cell disease, Tay-Sachs disease, Turner syndrome, Alzheimer's disease, Amyotrophic lateral sclerosis (Lou Gehrig’s disease), Anorexia nervosa, Anxiety disorder, Atherosclerosis, Attention deficit hyperactivity disorder, Autism, Bipolar disorder, Chronic fatigue syndrome, Chronic obstructive pulmonary disease, Crohn's disease, Coronary heart disease, Dementia, Depression, Diabetes mellitus type 1, Diabetes mellitus type 2, Epilepsy, Guillain-Barre syndrome, Irritable bowel syndrome, Lupus, Metabolic syndrome, Multiple sclerosis, Myocardial infarction, Obesity, Obsessive-compulsive disorder, Panic disorder, Parkinson's disease, Psoriasis, Rheumatoid arthritis, Sarcoidosis, Schizophrenia,
Stroke, Thromboangiitis obliterans, Tourette syndrome, Vasculitis, acemloplasminemia, Achondrogenesis type H, Acrocephaly, Gaucher disease type 2, acute intermittent porphyria, Adenomatous Polyposis Coli, adenylosuccinate lyase deficiency, Adrenogenital syndrome, Adrenoleukodystrophy, ALA-D porphyria, ALA dehydratase deficiency, Alkaptonuria, Alkaptonuric ochronosis, alpha 1- antitrypsin deficiency, alpha- 1 proteinase inhibitor, emphysema, amyotrophic lateral sclerosis, Alstrom syndrome, Alexander disease, Amelogenesis imperfecta, Anderson-Fabry disease, Anemia, Angiokeratoma Corporis Diffusum, Angiomatosis retinae (von Hippel-Lindau disease) Apert syndrome, Arachnodactyly (Marfan syndrome), Arthrochalasis multiplex congenital (Ehlers-Danlos syndrome arthrochalasia type), ataxia telangiectasia, Rett syndrome, Sandhoff disease, neurofibromatosis type II, Mediterranean fever, familial, Benjamin syndrome, Bilateral Acoustic Neurofibromatosis (neurofibromatosis type II), factor V Leiden thrombophilia, Bloch-Sulzberger syndrome (incontinentia pigmenti), Bloom syndrome, Bonnevie-Ullrich syndrome (Turner syndrome), Boumeville disease (tuberous sclerosis), Birt-Hogg-Dube syndrome, Brittle bone disease (osteogenesis imperfecta), Broad Thumb -Hallux syndrome (Rubinstein-Taybi syndrome), Bronze Diabetes/Bronzed Cirrhosis (hemochromatosis), Bulbospinal muscular atrophy (Kennedy's disease), Burger-Grutz syndrome (lipoprotein lipase deficiency), CGD Chronic granulomatous disorder, Campomelic dysplasia, biotinidase deficiency, Cardiomyopathy (Noonan syndrome), Cri du chat CAVD (congenital absence of the vas deferens), Caylor cardiofacial syndrome (CBAVD), CEP (congenital
erythropoietic porphyria), congenital hypothyroidism, Chondrodystrophy syndrome
(achondroplasia), otospondylomegaepiphyseal dysplasia, Lesch-Nyhan syndrome, galactosemia, Ehlers-Danlos syndrome, Thanatophoric dysplasia, Coffm-Lowry syndrome, Cockayne syndrome, (familial adenomatous polyposis), Congenital erythropoietic porphyria, Congenital heart disease, Methemoglobinemia/Congenital methaemoglobinaemia, achondroplasia, X-linked sideroblastic anemia, Connective tissue disease, Conotruncal anomaly face syndrome, Cooley's Anemia (beta-thalassemia), Copper storage disease (Wilson's disease), Copper transport disease (Menkes disease), hereditary coproporphyria, Cowden syndrome, Craniofacial dysarthrosis (Crouzon syndrome), Creutzfeldt-Jakob disease (prion disease), Cockayne syndrome, Cowden syndrome, Curschmann-Batten-Steinert syndrome (myotonic dystrophy), Beare-Stevenson cutis gyrata syndrome, primary hyperoxaluria, spondyloepimetaphyseal dysplasia (Strudwick type), muscular dystrophy, Duchenne and Becker types (DBMD), Usher syndrome, Degenerative nerve diseases including de Grouchy syndrome and Dejerine-Sottas syndrome, developmental disabilities, distal spinal muscular atrophy, type V, Diffuse Globoid Body Sclerosis (Krabbe disease), Di George's syndrome, Dihydrotestosterone receptor deficiency, Down syndrome, Dwarfism, Erythroid 5-aminolevulinate synthetase deficiency, Erythropoietic porphyria, erythropoietic protoporphyria, erythropoietic uroporphyria, Friedreich's ataxia, familial paroxysmal polyserositis, porphyria cutanea tarda, familial pressure sensitive neuropathy, primary pulmonary hypertension (PPH), Fibrocystic disease of the pancreas, fragile X syndrome, genetic brain disorders, Giant cell hepatitis (Neonatal hemochromatosis), Gronblad- .Strandberg syndrome ( pseudoxanthoma elasticum), Gunther disease (congenital erythropoietic porphyria), haemochromatosis, Hallgren syndrome, sickle cell anemia, hemophilia,
hepatoerythropoietic porphyria (HEP), Hippel-Lindau disease (von Hippel— Lindau disease), Huntington's disease, Hutchins on-Gilford progeria syndrome (progeria), Hyperandrogenism, Hypochondroplasia, Hypochromic anemia, Immune system disorders, including X-linked severe combined immunodeficiency, Insley-Astley syndrome, Joubert syndrome, Lesch-Nyhan syndrome, Jackson-Weiss syndrome, Kidney diseases, including hyperoxaluria, Lacunar dementia, Langer-Saldino achondrogenesis, Lynch syndrome, Lysyl-hydroxylase deficiency, Machado-Joseph disease, Metabolic disorders, including Kniest dysplasia, Marfan syndrome, Movement disorders, Mowat-Wilson syndrome, cystic fibrosis, Muenke syndrome, Multiple neurofibromatosis, Nance-Insley syndrome, Nance-Sweeney chondrodysplasia, Niemann— Pick disease, Noack syndrome (Pfeiffer syndrome), Osler-Weber Rendu disease, Peutz-Jeghers syndrome, Polycystic kidney disease, polyostotic fibrous dysplasia (McCune-Albright
syndrome), Prader-Labhart-Willi syndrome, hemochromatosis, primary hyperuricemia, primary pulmonary hypertension, primary senile degenerative dementia, prion disease, progeria (Hutchinson Gilford Progeria Syndrome), progressive chorea, chronic hereditary (Huntington) (Huntington's disease), progressive muscular atrophy, spinal muscular atrophy, propionic acidemia, protoporphyria, proximal myotonic dystrophy, pulmonary arterial hypertension, PXE (pseudoxanthoma elasticum), Rb (retinoblastoma), Recklinghausen disease (neurofibromatosis type I), Recurrent polyserositis, Retinal disorders, Retinoblastoma, REALS type 3, Ricker syndrome, Riley-Day syndrome, Roussy-Levy syndrome, severe achondroplasia with developmental delay and acanthosis nigricans (SADDAN), Li-Fraumeni syndrome, sarcoma, breast, leukemia, and adrenal gland (SBLA) syndrome, sclerosis tuberose (tuberous sclerosis), SDAT, SED congenital (spondyloepiphyseal dysplasia congenita), SED Strudwick
(spondyloepimetaphyseal dysplasia, Strudwick type), SEDc (spondyloepiphyseal dysplasia congenita) SEMD, Strudwick type (spondyloepimetaphyseal dysplasia, Strudwick type), Shprintzen syndrome, Skin pigmentation disorders, Smith-Lemli-Opitz syndrome, South African genetic porphyria (variegate porphyria), infantile-onset ascending hereditary spastic paralysis, Speech and communication disorders, sphingolipidosis, spinocerebellar ataxia,
Stickler syndrome, stroke, androgen insensitivity syndrome, tetrahydrobiopterin deficiency, beta-thalassemia, Thyroid disease, Tomaculous neuropathy (hereditary neuropathy with liability to pressure palsies), Treacher Collins syndrome, Triplo X syndrome (triple X syndrome),
Trisomy 21 (Down syndrome), Trisomy X, VHL syndrome (von Hippel-Lindau disease), Vision impairment and blindness (Alstrom syndrome), Vrolik disease, Waardenburg syndrome, Warburg Sjo Fledelius Syndrome, Weissenbacher-Zweymiiller syndrome, Wolf— Hirschhom syndrome, Wolff Periodic disease, and Xeroderma pigmentosum.
51. A method of degrading a target protein in a cell comprising exposing the cell to a composition comprising an effective amount of the compound of any of claims 1 to 44 or a pharmaceutically acceptable salt thereof, wherein the compound effectuates the degradation of the target protein.
Applications Claiming Priority (2)
| Application Number | Priority Date | Filing Date | Title |
|---|---|---|---|
| CNPCT/CN2018/080202 | 2018-03-23 | ||
| CN2018080202 | 2018-03-23 |
Publications (1)
| Publication Number | Publication Date |
|---|---|
| WO2019183523A1 true WO2019183523A1 (en) | 2019-09-26 |
Family
ID=66041785
Family Applications (1)
| Application Number | Title | Priority Date | Filing Date |
|---|---|---|---|
| PCT/US2019/023656 Ceased WO2019183523A1 (en) | 2018-03-23 | 2019-03-22 | Hetero-bifunctional degrader compounds and their use as modulators of targeted ubiquination (vhl) |
Country Status (1)
| Country | Link |
|---|---|
| WO (1) | WO2019183523A1 (en) |
Cited By (18)
| Publication number | Priority date | Publication date | Assignee | Title |
|---|---|---|---|---|
| WO2021092174A1 (en) * | 2019-11-06 | 2021-05-14 | Dana-Farber Cancer Institute, Inc. | Selective histone deacetylase (hdac) degraders and methods of use thereof |
| WO2021127561A1 (en) | 2019-12-20 | 2021-06-24 | C4 Therapeutics, Inc. | Isoindolinone and indazole compounds for the degradation of egfr |
| WO2021142351A1 (en) * | 2020-01-08 | 2021-07-15 | The Broad Institute, Inc. | Multi-functional chimeric molecules |
| CN113321700A (en) * | 2020-06-02 | 2021-08-31 | 泰比瑞医药科技(石家庄)有限公司 | Bifunctional compound for degrading target protein and application thereof |
| EP3875456A1 (en) * | 2020-03-02 | 2021-09-08 | Technische Universität Darmstadt | Hetero-bifunctional proteolysis-targeting chimeras (protacs) for the selective degradation of fk506-binding proteins (fkbps) |
| CN114867531A (en) * | 2019-12-20 | 2022-08-05 | 豪夫迈·罗氏有限公司 | EGFR inhibitors |
| US11548951B1 (en) | 2020-10-14 | 2023-01-10 | Viridian Therapeutics, Inc. | Compositions and methods for treatment of thyroid eye disease |
| WO2023283130A1 (en) | 2021-07-04 | 2023-01-12 | Newave Pharmaceutical Inc. | Isoquinoline derivatives as mutant egfr modulators and uses thereof |
| WO2024036333A3 (en) * | 2022-08-12 | 2024-03-21 | Epibiologics, Inc. | Degradation of egfr using a bispecific binding agent |
| WO2024097355A1 (en) * | 2022-11-02 | 2024-05-10 | Vicinitas Therapeutics, Inc. | Deubiquitinase-targeting chimeras and related methods |
| WO2024102970A1 (en) * | 2022-11-11 | 2024-05-16 | Kronos Bio, Inc. | Compounds for modulating syk activity and e3 ubiquitin ligase activity |
| WO2024229393A1 (en) * | 2023-05-03 | 2024-11-07 | Nimbus Saturn, Inc. | Hpk1 degraders and uses thereof |
| CN119019427A (en) * | 2024-08-14 | 2024-11-26 | 泰诺瑞(天津)生物科技有限责任公司 | A tricyclic compound and its application |
| WO2024246838A1 (en) | 2023-05-31 | 2024-12-05 | Beigene Switzerland Gmbh | Compounds for the degradation of egfr kinase |
| US12172992B2 (en) | 2022-03-22 | 2024-12-24 | Abbvie Inc. | Pyrimidines for degrading Bruton's tyrosine kinase |
| WO2025162250A1 (en) * | 2024-02-04 | 2025-08-07 | 贝达药业股份有限公司 | Substituted tricyclic compound and use thereof |
| US12404337B2 (en) | 2021-08-10 | 2025-09-02 | Viridian Therapeutics, Inc. | Compositions, doses, and methods for treatment of thyroid eye disease |
| WO2025249944A1 (en) * | 2024-05-29 | 2025-12-04 | 주식회사 매직불릿테라퓨틱스 | Thermal shock protein-regulating conjugate and use thereof |
Citations (20)
| Publication number | Priority date | Publication date | Assignee | Title |
|---|---|---|---|---|
| US4522811A (en) | 1982-07-08 | 1985-06-11 | Syntex (U.S.A.) Inc. | Serial injection of muramyldipeptides and liposomes enhances the anti-infective activity of muramyldipeptides |
| WO2002022577A2 (en) | 2000-09-01 | 2002-03-21 | Novartis Ag | Hydroxamate derivatives useful as deacetylase inhibitors |
| WO2007001851A2 (en) | 2005-06-20 | 2007-01-04 | Genentech, Inc. | Compositions and methods for the diagnosis and treatment of tumor |
| US7208157B2 (en) | 2000-09-08 | 2007-04-24 | California Institute Of Technology | Proteolysis targeting chimeric pharmaceutical |
| US7723485B2 (en) | 2007-05-08 | 2010-05-25 | Genentech, Inc. | Cysteine engineered anti-MUC16 antibodies and antibody drug conjugates |
| WO2012078559A2 (en) | 2010-12-07 | 2012-06-14 | Yale University | Small-molecule hydrophobic tagging of fusion proteins and induced degradation of same |
| US8226945B2 (en) | 2006-05-30 | 2012-07-24 | Genentech, Inc. | Antibodies and immunoconjugates and uses therefor |
| WO2014063061A1 (en) | 2012-10-19 | 2014-04-24 | Dana-Farber Cancer Institute, Inc. | Hydrophobically tagged small molecules as inducers of protein degradation |
| WO2014143659A1 (en) | 2013-03-15 | 2014-09-18 | Araxes Pharma Llc | Irreversible covalent inhibitors of the gtpase k-ras g12c |
| US20140356322A1 (en) | 2012-01-12 | 2014-12-04 | Yale University | Compounds & Methods for the Enhanced Degradation of Targeted Proteins & Other Polypeptides by an E3 Ubiquitin Ligase |
| WO2015075483A1 (en) | 2013-11-25 | 2015-05-28 | Cancer Research Technology Limited | 1 -(5-tert-butyl-2-aryl-pyrazol-3-yl)-3-[2-fluoro-4-[(3-oxo-4h-pyrido[2, 3-b]pyrazin-8-yl)oxy]phenyl]urea derivatives as raf inhibitors for the treatment of cancer |
| US20150291562A1 (en) | 2014-04-14 | 2015-10-15 | Arvinas, Inc. | Imide-based modulators of proteolysis and associated methods of use |
| US20160045607A1 (en) | 2014-08-11 | 2016-02-18 | Yale University | Estrogen-related receptor alpha based protac compounds and associated methods of use |
| US20160058872A1 (en) | 2014-04-14 | 2016-03-03 | Arvinas, Inc. | Imide-based modulators of proteolysis and associated methods of use |
| US20160185785A1 (en) | 2014-12-30 | 2016-06-30 | Forma Therapeutics, Inc. | Pyrrolo and pyrazolopyrimidines as ubiquitin-specific protease 7 inhibitors |
| WO2016138114A1 (en) | 2015-02-25 | 2016-09-01 | Genentech, Inc. | Therapeutic pyridazine compounds and uses thereof |
| WO2017004383A1 (en) * | 2015-06-30 | 2017-01-05 | Dana-Farber Cancer Institute, Inc. | Inhibitors of egfr and methods of use thereof |
| WO2017185036A1 (en) * | 2016-04-22 | 2017-10-26 | Dana Farber Cancer Institute, Inc. | Bifunctional molecules for degradation of egfr and methods of use |
| WO2018051107A1 (en) * | 2016-09-14 | 2018-03-22 | University Of Dundee | Fluorohydroxyproline derivatives useful in the preparation of proteolysis targeted chimeras |
| WO2018119441A1 (en) * | 2016-12-23 | 2018-06-28 | Arvinas, Inc. | Egfr proteolysis targeting chimeric molecules and associated methods of use |
-
2019
- 2019-03-22 WO PCT/US2019/023656 patent/WO2019183523A1/en not_active Ceased
Patent Citations (22)
| Publication number | Priority date | Publication date | Assignee | Title |
|---|---|---|---|---|
| US4522811A (en) | 1982-07-08 | 1985-06-11 | Syntex (U.S.A.) Inc. | Serial injection of muramyldipeptides and liposomes enhances the anti-infective activity of muramyldipeptides |
| WO2002022577A2 (en) | 2000-09-01 | 2002-03-21 | Novartis Ag | Hydroxamate derivatives useful as deacetylase inhibitors |
| US7208157B2 (en) | 2000-09-08 | 2007-04-24 | California Institute Of Technology | Proteolysis targeting chimeric pharmaceutical |
| WO2007001851A2 (en) | 2005-06-20 | 2007-01-04 | Genentech, Inc. | Compositions and methods for the diagnosis and treatment of tumor |
| US7989595B2 (en) | 2005-06-20 | 2011-08-02 | Genentech, Inc. | Compositions and methods for the diagnosis and treatment of tumor |
| US8449883B2 (en) | 2005-06-20 | 2013-05-28 | Genentech, Inc. | Compositions and methods for the diagnosis and treatment of tumor |
| US8226945B2 (en) | 2006-05-30 | 2012-07-24 | Genentech, Inc. | Antibodies and immunoconjugates and uses therefor |
| US7723485B2 (en) | 2007-05-08 | 2010-05-25 | Genentech, Inc. | Cysteine engineered anti-MUC16 antibodies and antibody drug conjugates |
| WO2012078559A2 (en) | 2010-12-07 | 2012-06-14 | Yale University | Small-molecule hydrophobic tagging of fusion proteins and induced degradation of same |
| US20140356322A1 (en) | 2012-01-12 | 2014-12-04 | Yale University | Compounds & Methods for the Enhanced Degradation of Targeted Proteins & Other Polypeptides by an E3 Ubiquitin Ligase |
| WO2014063061A1 (en) | 2012-10-19 | 2014-04-24 | Dana-Farber Cancer Institute, Inc. | Hydrophobically tagged small molecules as inducers of protein degradation |
| WO2014143659A1 (en) | 2013-03-15 | 2014-09-18 | Araxes Pharma Llc | Irreversible covalent inhibitors of the gtpase k-ras g12c |
| WO2015075483A1 (en) | 2013-11-25 | 2015-05-28 | Cancer Research Technology Limited | 1 -(5-tert-butyl-2-aryl-pyrazol-3-yl)-3-[2-fluoro-4-[(3-oxo-4h-pyrido[2, 3-b]pyrazin-8-yl)oxy]phenyl]urea derivatives as raf inhibitors for the treatment of cancer |
| US20150291562A1 (en) | 2014-04-14 | 2015-10-15 | Arvinas, Inc. | Imide-based modulators of proteolysis and associated methods of use |
| US20160058872A1 (en) | 2014-04-14 | 2016-03-03 | Arvinas, Inc. | Imide-based modulators of proteolysis and associated methods of use |
| US20160045607A1 (en) | 2014-08-11 | 2016-02-18 | Yale University | Estrogen-related receptor alpha based protac compounds and associated methods of use |
| US20160185785A1 (en) | 2014-12-30 | 2016-06-30 | Forma Therapeutics, Inc. | Pyrrolo and pyrazolopyrimidines as ubiquitin-specific protease 7 inhibitors |
| WO2016138114A1 (en) | 2015-02-25 | 2016-09-01 | Genentech, Inc. | Therapeutic pyridazine compounds and uses thereof |
| WO2017004383A1 (en) * | 2015-06-30 | 2017-01-05 | Dana-Farber Cancer Institute, Inc. | Inhibitors of egfr and methods of use thereof |
| WO2017185036A1 (en) * | 2016-04-22 | 2017-10-26 | Dana Farber Cancer Institute, Inc. | Bifunctional molecules for degradation of egfr and methods of use |
| WO2018051107A1 (en) * | 2016-09-14 | 2018-03-22 | University Of Dundee | Fluorohydroxyproline derivatives useful in the preparation of proteolysis targeted chimeras |
| WO2018119441A1 (en) * | 2016-12-23 | 2018-06-28 | Arvinas, Inc. | Egfr proteolysis targeting chimeric molecules and associated methods of use |
Non-Patent Citations (53)
| Title |
|---|
| "McGraw-Hill Dictionary of Chemical Terms", 1984, MCGRAW-HILL BOOK COMPANY |
| "Remington's Pharmaceutical Sciences", 1980 |
| "The Chemistry of Heterocyclic Compounds, A series of Monographs", 1950, JOHN WILEY & SONS |
| "The Chemistry of Heterocyclic Compounds, A series of Monographs", vol. 13, 14,, 1950, JOHN WILEY & SONS |
| ANGEW. CHEM. INT. ED., vol. 50, 2011, pages 9838 - 9842 |
| BOITANO ET AL.: "Aryl Hydrocarbon Receptor Antagonists Promote the Expansion of Human Hematopoietic Stem Cells", SCIENCE, vol. 329, no. 5997, 10 September 2010 (2010-09-10), pages 1345 - 1348, XP055545288, DOI: doi:10.1126/science.1191536 |
| BROUGH ET AL.: "4,5-Diarylisoxazole HSP90 Chaperone Inhibitors: Potential Therapeutic Agents for the Treatment of Cancer", J. MED. CHEM., vol. 51, 2008, pages 196 |
| BS. ET AL.: "Identification of a Chemical Probe for Family VIII Bromodomains through Optimization of a Fragment Hit", J. MED. CHEM., vol. 59, 2016, pages 4800 - 4811, XP055575046, DOI: doi:10.1021/acs.jmedchem.6b00012 |
| CHANG ET AL.: "Structural basis for G9a-like protein lysine methyltransferase inhibition by BIX-01294", NAT. STR. MOL. BIOL., vol. 16, 2009, pages 312 - 7 |
| CHEN ET AL., CANCER RES., vol. 67, no. 10, 2007, pages 4924 - 4932 |
| CHUNG ET AL.: "Discovery and Characterization of Small Molecule Inhibitors of the BET Family Bromodomains", J. MED CHEM., vol. 54, 2011, pages 3827 - 3838, XP008164769, DOI: doi:10.1021/jm200108t |
| DAWSON ET AL.: "Inhibition of BET Recruitment to Chromatin as an Effective Treatment for MLL-fusion Leukemia", NATURE, vol. 478, 2011, pages 529 - 523 |
| ELIEL, E.; WILEN, S.: "Stereochemistry of Organic Compounds", 1994, JOHN WILEY & SONS, INC. |
| FILIPPAKOPOULOS ET AL.: "Selective inhibition of BET bromodomains", NATURE, vol. 468, 2010, pages 1067 - 1073, XP055467443, DOI: doi:10.1038/nature09504 |
| FILIPPAKOUPOULOS ET AL.: "Targeting bromodomains: epigenetic readers of lysine acetylation", NATURE REVIEWS DRUG DISCOVERY, vol. 13, 2014, pages 337 - 356, XP055214318, DOI: doi:10.1038/nrd4286 |
| FINNIN, M.S. ET AL.: "Structures of a histone deacetylase homologue bound to the TSA and SAHA inhibitors", NATURE, vol. 401, 1999, pages 188 - 193, XP002266214, DOI: doi:10.1038/43710 |
| GHOSHAL ET AL.: "BET inhibitors in cancer therapeutics: a patent review", EXPERT OPINION ON THERAPEUTIC PATENTS, vol. 26, no. 4, 2016, pages 505 - 522, XP055266260, DOI: doi:10.1517/13543776.2016.1159299 |
| HEWINGS ET AL.: "3,5-Dimethylisoxazoles Act as Acetyl-lysine Bromodomain Ligands", J. MED. CHEM., vol. 54, 2011, pages 6761 - 6770, XP002689396, DOI: doi:10.1021/jm200640v |
| HOLDERFIELD ET AL.: "Targeting RAF kinases for cancer therapy: BRAF mutated melanoma and beyond", NAT. REV. CANCER, vol. 14, 2014, pages 455 - 467 |
| HUANG, T. ET AL.: "B-Raf and the inhibitors: from bench to bedside", JOURNAL OF HEMATOLOGY AND ONCOLOGY, 2013 |
| J. AM. CHEM. SOC., vol. 82, 1960, pages 5566 |
| J. MED. CHEM., vol. 53, 2010, pages 521 - 538 |
| J. MED. CHEM., vol. 53, 2010, pages 6466 |
| JIA ET AL.: "Overcoming EGFR(T790M) and EGFR(C797S) resistance with mutant-selective allosteric inhibitors", NATURE, vol. 534, 2016, pages 129 - 132, XP055342543, DOI: doi:10.1038/nature17960 |
| JUNUTULA ET AL., NATURE BIOTECH., vol. 26, no. 8, 2008, pages 925 - 932 |
| LEE ET AL.: "Targeted Degradation of the Aryl Hydrocarbon Receptor by the PROTAC Approach: A Useful Chemical Genetic Tool", CHEM. BIOCHEM., vol. 8, no. 17, 23 November 2007 (2007-11-23), pages 2058 - 2062 |
| LI ET AL., MOL. CANCER. THER., vol. 12, no. 7, 2013, pages 1255 - 1265 |
| LIU ET AL.: "Discovery of a 2,4-diamino-7-aminoalkoxyquinazoline as a potent and selective inhibitor of histone lysine methyltransferase G9a", J MED. CHEM., vol. 52, no. 24, 2009, pages 7950 - 3, XP002702501, DOI: doi:10.1021/jm901543m |
| LOUNTOS ET AL.: "Structural Characterization of Inhibitor Complexes with Checkpoint Kinase 2 (Chk2), a Drug Target for Cancer Therapy", J. STRUCT. BIOL., vol. 176, 2011, pages 292, XP028104277, DOI: doi:10.1016/j.jsb.2011.09.008 |
| MILLAN ET AL.: "Design and Synthesis of Inhaled P38 Inhibitors for the Treatment of Chronic Obstructive Pulmonary Disease", J. MED. CHEM., vol. 54, 2011, pages 7797, XP055150024, DOI: doi:10.1021/jm200677b |
| NICODEME ET AL.: "Supression of Inflammation by a Synthetic Histone Mimic", NATURE, vol. 468, 2010, pages 1119 - 1123, XP008164770, DOI: doi:10.1038/nature09589 |
| NICOLAOU ET AL., ANGEW. CHEM INTL. ED. ENGL., vol. 33, 1994, pages 183 - 186 |
| NISHIGUCHI ET AL.: "Design and Discovery of N-(2-methyl-5'-morpholino-6'-((tetrahydro-2H-pyran-4-yl)oxy)-[3,3'-bipyridin]-5-yl)-3-(trifluoromethyl)benzamide: A potent, selective and efficacious RAF inhibitor targeting RAS mutant cancers", J. MED. CHEM., vol. 60, 2017, pages 4869 - 4881 |
| PAQUETTE; LEO A.: "Principles of Modern Heterocyclic Chemistry", 1968 |
| PAQUETTE; LEO A.: "Principles of Modern Heterocyclic Chemistry", vol. 1, 3, 4,, 1968 |
| POISON ET AL., EXPERT OPIN. INVESTIG. DRUGS, vol. 20, no. 1, 2011, pages 75 - 85 |
| POISON ET AL., LEUKEMIA, vol. 24, 2010, pages 1566 - 1573 |
| RODRIGUEZ-GONZALEZ ET AL.: "Targeting steroid hormone receptors for ubiquitination and degradation in breast and prostate cancer", ONCOGENE, vol. 27, 2008, pages 7201 - 7211, XP055001566, DOI: doi:10.1038/onc.2008.320 |
| ROMERO ET AL., J MED. CHEM., vol. 59, 2016, pages 1271 - 1298 |
| ROMERO ET AL., J. MED. CHEM., vol. 59, 2016, pages 1271 - 1298 |
| ROMERO, J MED. CHEM., vol. 59, 2016, pages 1271 - 1298 |
| SAKAMOTO ET AL.: "Development of Protacs to target cancer-promoting proteins for ubiquitination and degradation", MOL CELL PROTEOMICS, vol. 2, no. 12, December 2003 (2003-12-01), pages 1350 - 8, XP055039869, DOI: doi:10.1074/mcp.T300009-MCP200 |
| SAKAMOTO ET AL.: "Protacs: chimeric molecules that target proteins to the Skpl-Cullin-F box complex for ubiquitination and degradation", PROC NATL ACAD SCI USA., vol. 98, no. 15, 17 July 2001 (2001-07-17), pages 8554 - 9 |
| SCHENKEL ET AL.: "Discovery of Potent and Highly Selective Thienopyridine Janus Kinase 2 Inhibitors", J. MED. CHEM., vol. 54, no. 24, 2011, pages 8440 - 8450, XP055043479, DOI: doi:10.1021/jm200911r |
| SCHNEEKLOTH ET AL.: "Chemical Genetic Control of Protein Levels: Selective in Vivo Targeted Degradation", J. AM. CHEM. SOC., vol. 126, 2004, pages 3748 - 3754, XP008141514, DOI: doi:10.1021/ja039025z |
| SCHNEEKLOTH ET AL.: "Targeted intracellular protein degradation induced by a small molecule: En route to chemical proteomics", BIOORG. MED. CHEM. LETT., vol. 18, 2008, pages 5904 - 5908, XP025627166, DOI: doi:10.1016/j.bmcl.2008.07.114 |
| SPIEGEL, J. ET AL.: "Small-molecule modulation of Ras signaling", NATURE CHEMICAL BIOLOGY, vol. 10, 2014, pages 613 - 622, XP055231387, DOI: doi:10.1038/nchembio.1560 |
| VALLEE ET AL.: "Tricyclic Series of Heat Shock Protein 90 (HSP90) Inhibitors Part I: Discovery of Tricyclic Imidazo[4,5-C]Pyridines as Potent Inhibitors of the HSP90 Molecular Chaperone", J.MED.CHEM., vol. 54, 2011, pages 7206, XP055240728, DOI: doi:10.1021/jm200784m |
| VAN EIS ET AL.: "2,6-Naphthyridines as potent and selective inhibitors of the novel protein kinase C isozymes", BIORG. MED. CHEM. LETT., vol. 21, no. 24, 15 December 2011 (2011-12-15), pages 7367 - 72, XP028113889, DOI: doi:10.1016/j.bmcl.2011.10.025 |
| VASSILEV ET AL.: "In vivo activation of the p53 pathway by small-molecule antagonists of MDM2", SCIENCE, vol. 303, 2004, pages 844 - 848, XP002338500, DOI: doi:10.1126/science.1092472 |
| WANG: "Next-generation EGFR/HER tyrosine kinase inhibitors for the treatment of patients with non-small-cell lung cancer harboring EGFR mutations: a review of the evidence", ONCOTARGETS AND THERAPY, vol. 9, pages 5461 - 5473 |
| WRIGHT ET AL.: "Structure-Activity Relationships in Purine-Based Inhibitor Binding to HSP90 Isoforms", CHEM BIOL., vol. l 1, no. 6, June 2004 (2004-06-01), pages 775 - 85, XP025940200, DOI: doi:10.1016/j.chembiol.2004.03.033 |
| ZHAO, Y.: "Small-Molecule Inhibitors of the MDM2-p53 Protein-Protein Interaction (MDM2 Inhibitors) in Clinical Trials for Cancer Treatment", J. MED. CHEM., vol. 58, 2015, pages 1038 - 1052, XP055314174, DOI: doi:10.1021/jm501092z |
Cited By (23)
| Publication number | Priority date | Publication date | Assignee | Title |
|---|---|---|---|---|
| WO2021092174A1 (en) * | 2019-11-06 | 2021-05-14 | Dana-Farber Cancer Institute, Inc. | Selective histone deacetylase (hdac) degraders and methods of use thereof |
| CN114867531A (en) * | 2019-12-20 | 2022-08-05 | 豪夫迈·罗氏有限公司 | EGFR inhibitors |
| WO2021127561A1 (en) | 2019-12-20 | 2021-06-24 | C4 Therapeutics, Inc. | Isoindolinone and indazole compounds for the degradation of egfr |
| EP4681715A2 (en) | 2019-12-20 | 2026-01-21 | C4 Therapeutics, Inc. | Isoindolinone and indazole compounds for the degradation of egfr |
| CN114867531B (en) * | 2019-12-20 | 2024-03-22 | 豪夫迈·罗氏有限公司 | EGFR inhibitors |
| EP4087848A4 (en) * | 2020-01-08 | 2023-11-15 | The Broad Institute, Inc. | MULTIFUNCTIONAL CHIMERIC MOLECULES |
| WO2021142351A1 (en) * | 2020-01-08 | 2021-07-15 | The Broad Institute, Inc. | Multi-functional chimeric molecules |
| EP3875456A1 (en) * | 2020-03-02 | 2021-09-08 | Technische Universität Darmstadt | Hetero-bifunctional proteolysis-targeting chimeras (protacs) for the selective degradation of fk506-binding proteins (fkbps) |
| CN113321700B (en) * | 2020-06-02 | 2022-07-01 | 泰比瑞医药科技(石家庄)有限公司 | Bifunctional compound for degrading target protein and application thereof |
| CN113321700A (en) * | 2020-06-02 | 2021-08-31 | 泰比瑞医药科技(石家庄)有限公司 | Bifunctional compound for degrading target protein and application thereof |
| US11548951B1 (en) | 2020-10-14 | 2023-01-10 | Viridian Therapeutics, Inc. | Compositions and methods for treatment of thyroid eye disease |
| US12404335B2 (en) | 2020-10-14 | 2025-09-02 | Viridian Therapeutics, Inc. | Compositions and methods for treatment of thyroid eye disease |
| WO2023283130A1 (en) | 2021-07-04 | 2023-01-12 | Newave Pharmaceutical Inc. | Isoquinoline derivatives as mutant egfr modulators and uses thereof |
| US12404337B2 (en) | 2021-08-10 | 2025-09-02 | Viridian Therapeutics, Inc. | Compositions, doses, and methods for treatment of thyroid eye disease |
| US12172992B2 (en) | 2022-03-22 | 2024-12-24 | Abbvie Inc. | Pyrimidines for degrading Bruton's tyrosine kinase |
| WO2024036333A3 (en) * | 2022-08-12 | 2024-03-21 | Epibiologics, Inc. | Degradation of egfr using a bispecific binding agent |
| WO2024097355A1 (en) * | 2022-11-02 | 2024-05-10 | Vicinitas Therapeutics, Inc. | Deubiquitinase-targeting chimeras and related methods |
| WO2024102970A1 (en) * | 2022-11-11 | 2024-05-16 | Kronos Bio, Inc. | Compounds for modulating syk activity and e3 ubiquitin ligase activity |
| WO2024229393A1 (en) * | 2023-05-03 | 2024-11-07 | Nimbus Saturn, Inc. | Hpk1 degraders and uses thereof |
| WO2024246838A1 (en) | 2023-05-31 | 2024-12-05 | Beigene Switzerland Gmbh | Compounds for the degradation of egfr kinase |
| WO2025162250A1 (en) * | 2024-02-04 | 2025-08-07 | 贝达药业股份有限公司 | Substituted tricyclic compound and use thereof |
| WO2025249944A1 (en) * | 2024-05-29 | 2025-12-04 | 주식회사 매직불릿테라퓨틱스 | Thermal shock protein-regulating conjugate and use thereof |
| CN119019427A (en) * | 2024-08-14 | 2024-11-26 | 泰诺瑞(天津)生物科技有限责任公司 | A tricyclic compound and its application |
Similar Documents
| Publication | Publication Date | Title |
|---|---|---|
| US11242344B2 (en) | (4-hydroxypyrrolidin-2-yl)-heterocyclic compounds and methods of use thereof | |
| WO2019183523A1 (en) | Hetero-bifunctional degrader compounds and their use as modulators of targeted ubiquination (vhl) | |
| WO2019084030A1 (en) | (4-hydroxypyrrolidin-2-yl)-hydroxamate compounds and methods of use thereof | |
| US12048747B2 (en) | Substituted piperidine Degronimers for Target Protein degradation | |
| US20260015338A1 (en) | Targeted protein degradation | |
| KR102616762B1 (en) | Compounds and methods for enhanced degradation of targeted proteins | |
| EP3634960A1 (en) | Modulators of proteolysis and associated methods of use | |
| WO2018237026A1 (en) | N/o-linked degrons and degronimers for protein degradation | |
| AU2016294450A1 (en) | Alanine-based modulators of proteolysis and associated methods of use | |
| BR112019015484A2 (en) | cereblon ligands and bifunctional compounds comprising the same | |
| EP3902805A1 (en) | Cyclin-dependent kinase inhibitors | |
| US9376452B2 (en) | Rab7 GTPase inhibitors and related methods of treatment | |
| US20250084096A1 (en) | Tert-butyl (s)-2-(4-(phenyl)-6h-thieno[3, 2-f][1, 2, 4]triazolo[4, 3-a] [1,4]diazepin-6-yl) acetate derivatives and related compounds as bromodomain brd4 inhibitors for treating cancer | |
| HK40107897A (en) | Compounds and methods for the enhanced degradation of targeted proteins | |
| HK40044938A (en) | Tert-butyl (s)-2-(4-(phenyl)-6h-thieno[3,2-f][1,2,4]triazolo[4,3-a] [1,4]diazepin-6-yl) acetate derivatives and related compounds as bromodomain brd4 inhibitors for treating cancer | |
| BR112017019751B1 (en) | BIFUNCTIONAL COMPOUND, PHARMACEUTICAL COMPOSITION, AND, USE OF A COMPOUND TO PREPARE A MEDICATION | |
| BR122021002241B1 (en) | BIFUNCTIONAL COMPOUND, COMPOUND, PHARMACEUTICAL COMPOSITION, AND, USE OF A COMPOUND TO PREPARE A MEDICINE |
Legal Events
| Date | Code | Title | Description |
|---|---|---|---|
| 121 | Ep: the epo has been informed by wipo that ep was designated in this application |
Ref document number: 19715762 Country of ref document: EP Kind code of ref document: A1 |
|
| NENP | Non-entry into the national phase |
Ref country code: DE |
|
| WWE | Wipo information: entry into national phase |
Ref document number: 2019715762 Country of ref document: EP |
|
| 122 | Ep: pct application non-entry in european phase |
Ref document number: 19715762 Country of ref document: EP Kind code of ref document: A1 |


























































































































































































































































































































































