WO2024064358A1 - Compounds and compositions for treating conditions associated with sting activity - Google Patents
Compounds and compositions for treating conditions associated with sting activity Download PDFInfo
- Publication number
- WO2024064358A1 WO2024064358A1 PCT/US2023/033511 US2023033511W WO2024064358A1 WO 2024064358 A1 WO2024064358 A1 WO 2024064358A1 US 2023033511 W US2023033511 W US 2023033511W WO 2024064358 A1 WO2024064358 A1 WO 2024064358A1
- Authority
- WO
- WIPO (PCT)
- Prior art keywords
- group
- independently selected
- optionally substituted
- compound
- alkyl
- Prior art date
- Legal status (The legal status is an assumption and is not a legal conclusion. Google has not performed a legal analysis and makes no representation as to the accuracy of the status listed.)
- Ceased
Links
Classifications
-
- C—CHEMISTRY; METALLURGY
- C07—ORGANIC CHEMISTRY
- C07D—HETEROCYCLIC COMPOUNDS
- C07D401/00—Heterocyclic compounds containing two or more hetero rings, having nitrogen atoms as the only ring hetero atoms, at least one ring being a six-membered ring with only one nitrogen atom
- C07D401/14—Heterocyclic compounds containing two or more hetero rings, having nitrogen atoms as the only ring hetero atoms, at least one ring being a six-membered ring with only one nitrogen atom containing three or more hetero rings
-
- A—HUMAN NECESSITIES
- A61—MEDICAL OR VETERINARY SCIENCE; HYGIENE
- A61K—PREPARATIONS FOR MEDICAL, DENTAL OR TOILETRY PURPOSES
- A61K45/00—Medicinal preparations containing active ingredients not provided for in groups A61K31/00 - A61K41/00
- A61K45/06—Mixtures of active ingredients without chemical characterisation, e.g. antiphlogistics and cardiaca
-
- A—HUMAN NECESSITIES
- A61—MEDICAL OR VETERINARY SCIENCE; HYGIENE
- A61K—PREPARATIONS FOR MEDICAL, DENTAL OR TOILETRY PURPOSES
- A61K47/00—Medicinal preparations characterised by the non-active ingredients used, e.g. carriers or inert additives; Targeting or modifying agents chemically bound to the active ingredient
- A61K47/50—Medicinal preparations characterised by the non-active ingredients used, e.g. carriers or inert additives; Targeting or modifying agents chemically bound to the active ingredient the non-active ingredient being chemically bound to the active ingredient, e.g. polymer-drug conjugates
- A61K47/51—Medicinal preparations characterised by the non-active ingredients used, e.g. carriers or inert additives; Targeting or modifying agents chemically bound to the active ingredient the non-active ingredient being chemically bound to the active ingredient, e.g. polymer-drug conjugates the non-active ingredient being a modifying agent
- A61K47/54—Medicinal preparations characterised by the non-active ingredients used, e.g. carriers or inert additives; Targeting or modifying agents chemically bound to the active ingredient the non-active ingredient being chemically bound to the active ingredient, e.g. polymer-drug conjugates the non-active ingredient being a modifying agent the modifying agent being an organic compound
- A61K47/55—Medicinal preparations characterised by the non-active ingredients used, e.g. carriers or inert additives; Targeting or modifying agents chemically bound to the active ingredient the non-active ingredient being chemically bound to the active ingredient, e.g. polymer-drug conjugates the non-active ingredient being a modifying agent the modifying agent being an organic compound the modifying agent being also a pharmacologically or therapeutically active agent, i.e. the entire conjugate being a codrug, i.e. a dimer, oligomer or polymer of pharmacologically or therapeutically active compounds
-
- A—HUMAN NECESSITIES
- A61—MEDICAL OR VETERINARY SCIENCE; HYGIENE
- A61P—SPECIFIC THERAPEUTIC ACTIVITY OF CHEMICAL COMPOUNDS OR MEDICINAL PREPARATIONS
- A61P35/00—Antineoplastic agents
-
- C—CHEMISTRY; METALLURGY
- C07—ORGANIC CHEMISTRY
- C07D—HETEROCYCLIC COMPOUNDS
- C07D221/00—Heterocyclic compounds containing six-membered rings having one nitrogen atom as the only ring hetero atom, not provided for by groups C07D211/00 - C07D219/00
- C07D221/02—Heterocyclic compounds containing six-membered rings having one nitrogen atom as the only ring hetero atom, not provided for by groups C07D211/00 - C07D219/00 condensed with carbocyclic rings or ring systems
- C07D221/04—Ortho- or peri-condensed ring systems
- C07D221/06—Ring systems of three rings
- C07D221/14—Aza-phenalenes, e.g. 1,8-naphthalimide
-
- C—CHEMISTRY; METALLURGY
- C07—ORGANIC CHEMISTRY
- C07D—HETEROCYCLIC COMPOUNDS
- C07D417/00—Heterocyclic compounds containing two or more hetero rings, at least one ring having nitrogen and sulfur atoms as the only ring hetero atoms, not provided for by group C07D415/00
- C07D417/14—Heterocyclic compounds containing two or more hetero rings, at least one ring having nitrogen and sulfur atoms as the only ring hetero atoms, not provided for by group C07D415/00 containing three or more hetero rings
Definitions
- Said chemical entities are useful, e.g., for treating a condition, disease or disorder in which increased (e.g., excessive) STING activation (e.g., STING signaling) contributes to the pathology and/or symptoms and/or progression of the condition, disease or disorder (e.g., cancer) in a subject (e.g., a human).
- STING activation e.g., STING signaling
- a subject e.g., a human
- This disclosure also features compositions containing the same as well as methods of using and making the same.
- BACKGROUND STING also known as transmembrane protein 173 (TMEM173) and MPYS/MITA/ERIS, is a protein that in humans is encoded by the TMEM173 gene. STING has been shown to play a role in innate immunity.
- STING induces type I interferon production when cells are infected with intracellular pathogens, such as viruses, mycobacteria and intracellular parasites.
- Type I interferon mediated by STING, protects infected cells and nearby cells from local infection in an autocrine and paracrine manner.
- the STING pathway is pivotal in mediating the recognition of cytosolic DNA.
- STING a transmembrane protein localized to the endoplasmic reticulum (ER), acts as a second messenger receptor for 2', 3' cyclic GMP-AMP (hereafter cGAMP), which is produced by cGAS after dsDNA binding.
- cGAMP 2', 3' cyclic GMP-AMP
- STING can also function as a primary pattern recognition receptor for bacterial cyclic dinucleotides (CDNs) and small molecule agonists.
- CDNs bacterial cyclic dinucleotides
- STING small molecule agonists.
- the recognition of endogenous or prokaryotic CDNs proceeds through the carboxy-terminal domain of STING, which faces into the cytosol and creates a V-shaped binding pocket formed by a STING homodimer.
- Ligand-induced activation of STING triggers its re-localization to the Golgi, a process essential to promote the interaction of STING with TBK1.
- This protein complex signals through the transcription factors IRF-3 to induce type I interferons (IFNs) and other co-regulated antiviral factors.
- IFNs type I interferons
- STING was shown to trigger NF- ⁇ B and MAP kinase activation. Following the initiation of signal transduction, STING is rapidly degraded, a step considered important in terminating the inflammatory response. Excessive activation of STING is associated with a subset of monogenic autoinflammatory conditions, the so-called type I interferonopathies. Examples of these diseases include a clinical syndrome referred to as STING-associated vasculopathy with onset in infancy (SAVI), which is caused by gain-of-function mutations in TMEM173 (the gene name of STING). Moreover, STING is implicated in the pathogenesis of Aicardi-Goutines Syndrome (AGS) and genetic forms of lupus.
- AGS Aicardi-Goutines Syndrome
- Cereblon interacts with damaged DNA binding protein 1 and forms an E3 ubiquitin ligase complex with Cullin 4 where it functions as a substrate receptor in which the proteins recognized by CRBN might be ubiquitinated and degraded by proteasomes. Proteasome-mediated degradation of unneeded or damaged proteins plays a very important role in maintaining regular cellular functions, such as cell survival, proliferation and growth. More recently, CRBN has been identified as the target of immunomodulatory drugs (IMiDs) like thalidomide and lenalinomide. The principle of induced degradation of protein targets as a potential therapeutic approach has been described by Crews, J. Med, Chem.61(2): 403-404 (2016) and references cited therein.
- IMDs immunomodulatory drugs
- Said chemical entities are useful, e.g., for treating a condition, disease or disorder in which increased (e.g., excessive) STING activation (e.g., STING signaling) contributes to the pathology and/or symptoms and/or progression of the condition, disease or disorder (e.g., cancer) in a subject (e.g., a human).
- STING activation e.g., STING signaling
- This disclosure also features compositions containing the same as well as methods of using and making the same.
- Compounds that induce degradation of a target protein are sometimes referred to as heterobifunctional compounds, PROTACs, or degraders.
- Such compounds generally include a moiety that binds to the target protein and a moiety that binds to a ubiquitin E3 ligase (sometimes referred to as an E3 ligase or simply an E3), these two moieties being optionally separated by a linker.
- a ubiquitin E3 ligase sometimes referred to as an E3 ligase or simply an E3
- heterobifunctional compounds are believed to induce formation of a ternary complex between the target protein, the compound, and an E3 ligase. Formation of the ternary complex is then followed by ubiquitination of the target protein and degradation of the ubiquitinated target protein by a proteosome.
- the cereblon (CRBN) E3 ligase also referred to herein as a CRBN protein is used.
- a degradation approach for a target protein can have potential advantages compared to, e.g., small molecule inhibition of the target protein.
- the duration of effect of a heterobifunctional compound is generally based on the resynthesis rate of the target protein.
- Another potential advantage is that many heterobifunctional compounds are believed to be released from the ubiquitinated target protein-E3 ligase complex and made available for formation of further ternary complexes.
- Degradation can also impair a scaffolding function of a target protein. It is also generally believed that for formation of a ternary complex, high affinity to the target protein is not always required.
- This disclosure features compounds that exhibit induction of degradation of STING. For ease of exposition, said compounds are sometimes referred to herein as “STING degraders”.
- Embodiments includes compounds having Formula (I), (I-a), (I-b), or (I-c).
- methods for inducing degradation of STING are provided herein.
- compounds capable of inducing degradation of STING useful for treating or preventing diseases or disorders in which increased (e.g., excessive) STING activation (e.g., STING signaling) contributes to the pathology and/or symptoms and/or progression of the condition, disease or disorder (e.g., cancer) in a subject (e.g., a human).
- compounds of Formula (I), or a pharmaceutically acceptable salt thereof are featured: in which ring A, L, and LBM can be as defined anywhere herein.
- the disclosure features a compound of Formula (I): Formula (I) or a pharmaceutically acceptable salt thereof, wherein: Rring A is an STING binding moiety capable of binding to STING; L is a bivalent moiety that connects STING to LBM; and LBM is a ligase binding moiety.
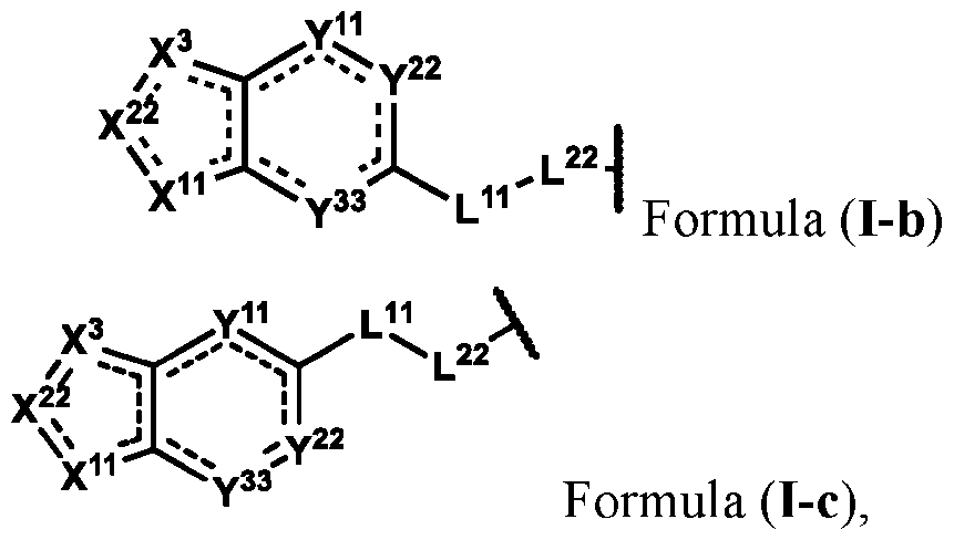
- the disclosure features A compound of formula (I), wherein LBM is a ligase binding moiety; L is a bivalent moiety that connects Ring A to LBM; and Ring A has formula (I-a), formula (I-b), or formula (I-c): wherein: each of X 1 and X 11 is independently selected from the group consisting of O, S, and NR 2 ; each of Y 1 and Y 3 is independently selected from the group consisting of a bond, CR 1 , CR 1a , C(R 3 )2, N, and NR 2 ; provided that only one of Y 1 and Y 3 can be a bond; each of Y 2 and Y 4 is independently selected from the group consisting of CR 1 , CR 1a , C(R 3 )2, N, and NR 2 ; each of Y 11 and Y 33 is selected from the group consisting of a bond, CR 1b , C(R 3 ) 2 , N, and NR 2 ;
- L 10 is selected from the group consisting of: NR ( ) ; wherein the asterisk represents to point of attachment to the ring containing X 1 and X 2 ; and each occurrence of R N is independently H or R d ;
- L 20 is a bond or is independently selected from the group consisting of the formulas defined in (i), (ii), (iii), (iv), (v), (vi), and (vii) below: (i) (formula 103)
- the disclosure features A compound of formula (I), wherein LBM is a ligase binding moiety; L is a bivalent moiety that connects Ring A to LBM; and Ring A has formula (I-a): Formula (I-a) wherein: each of X 1 is independently selected from the group consisting of O, S, and NR 2 ; each of Y 1 and Y 3 is independently selected from the group consisting of a bond, CR 1 , CR 1a , C(R 3 )2, N, and NR 2 ; provided that only one of Y 1 and Y 3 can be a bond; each of Y 2 and Y 4 is independently selected from the group consisting of CR 1 , CR 1a , C(R 3 )2, N, and NR 2 ; each of X 2 is CR 4 ; each is independently a single bond or a double bond, provided that the five-membered ring comprising X 1 and X 2 in Formula (I-a) is heteroaryl;
- L 10 is selected from the group consisting of: wherein the asterisk represents to point of attachment to the ring containing X 1 and X 2 ; and each occurrence of R N is independently H or R d ;
- L 20 is a bond or is independently selected from the group consisting of the formulas defined in (i), (ii), (iii), (iv), (v), (vi), and (vii) below: (i) (formula 103)
- the disclosure features A compound of formula (I), wherein LBM is a ligase binding moiety; L is a bivalent moiety that connects Ring A to LBM; and Ring A has formula (I-b), or formula (I-c): wherein: each of X 11 is independently selected from the group consisting of O, S, and NR 2 ; each of Y 11 and Y 33 is selected from the group consisting of a bond, CR 1b , C(R 3 )2, N, and NR 2 ; provided that only one of Y 11 and Y 33 can be a bond; Y 22 is selected from the group consisting of CR 1b , C(R 3 )2, N, and NR 2 ; each of X 22 is CR 4 ; X 3 is CR 5 ; each is independently a single bond or a double bond, provided that the five-membered ring comprising X 11 , X 22 , and X 3 in Formulas (I-b) and (I-c): where
- L 11 is NR N , wherein R N is independently H or R d ; L 22 is a bond or is selected from the group consisting of the formulas 107, 108, and 109 defined in (i), (ii), and (iii) below: (iv) formula 107: (formula 107) wherein: one of A 3 , A 4 , and A 5 is the point of attachment of the Ring comprising A 3 , A 4 , A 5 to NR N and is independently selected from the group consisting of C and N; and the other two of A 3 , A 4 , and A 5 are each independently selected from the group consisting of: CR 5 , N, N(R 4 ), O, and S; provided that the ring does not contain O-O, S-S, and S-O bonds; A 1 and A 2 are each independently selected from the group consisting of C and N; provided that 1-4 of A 1 , A 2 , A 3 , A 4 , and A 5 is independently selected from the group consisting of: N
- compositions are featured that include a chemical entity described herein (e.g., a compound described generically or specifically herein or a pharmaceutically acceptable salt thereof or compositions containing the same) and one or more pharmaceutically acceptable excipients.
- methods for inducing degradation of STING (and thereby reducing level of activity of (e.g.,inhibiting) STING activity) are featured that include contacting STING with a chemical entity described herein (e.g., a compound described generically or specifically herein or a pharmaceutically acceptable salt thereof or compositions containing the same).
- Methods include in vitro methods, e.g., contacting a sample that includes one or more cells comprising STING (e.g., innate immune cells, e.g., mast cells, macrophages, dendritic cells (DCs), and natural killer cells) with the chemical entity.
- STING e.g., innate immune cells, e.g., mast cells, macrophages, dendritic cells (DCs), and natural killer cells
- Methods can also include in vivo methods; e.g., administering the chemical entity to a subject (e.g., a human) having a disease in which increased (e.g., excessive) STING signaling contributes to the pathology and/or symptoms and/or progression of the disease.
- methods of treating a condition, disease or disorder ameliorated by inducing degradation of STING are featured, e.g., treating a condition, disease or disorder in which increased (e.g., excessive) STING activation (e.g., STING signaling) contributes to the pathology and/or symptoms and/or progression of the condition, disease or disorder (e.g., cancer) in a subject (e.g., a human).
- the methods include administering to a subject in need of such treatment an effective amount of a chemical entity described herein (e.g., a compound described generically or specifically herein or a pharmaceutically acceptable salt thereof or compositions containing the same).
- methods of treating cancer include administering to a subject in need of such treatment an effective amount of a chemical entity described herein (e.g., a compound described generically or specifically herein or a pharmaceutically acceptable salt thereof or compositions containing the same).
- a chemical entity described herein e.g., a compound described generically or specifically herein or a pharmaceutically acceptable salt thereof or compositions containing the same.
- methods of treating other STING-associated conditions are featured, e.g., type I interferonopathies (e.g., STING-associated vasculopathywith onset in infancy (SAVI)), Aicardi-Goutines Syndrome (AGS), genetic forms of lupus, and inflammation-associated disorders such as systemic lupus erythematosus, and rheumatoid arthritis.
- the methods include administering to a subject in need of such treatment an effective amount of a chemical entity described herein (e.g., a compound described generically or specifically herein or a pharmaceutically acceptable salt thereof or compositions containing the same).
- a chemical entity described herein e.g., a compound described generically or specifically herein or a pharmaceutically acceptable salt thereof or compositions containing the same.
- methods of suppressing STING-dependent type I interferon production in a subject in need thereof are featured that include administering to the subject an effective amount of a chemical entity described herein (e.g., a compound described generically or specifically herein or a pharmaceutically acceptable salt thereof or compositions containing the same).
- methods of treating a disease in which increased (e.g., excessive) STING activation e.g., STING signaling
- contributes to the pathology and/or symptoms and/or progression of the disease are featured.
- the methods include administering to a subject in need of such treatment an effective amount of a chemical entity described herein (e.g., a compound described generically or specifically herein or a pharmaceutically acceptable salt thereof or compositions containing the same).
- methods of treatment include administering an effective amount of a chemical entity described herein (e.g., a compound described generically or specifically herein or a pharmaceutically acceptable salt thereof or compositions containing the same) to a subject; wherein the subject has (or is predisposed to have) a disease in which increased (e.g., excessive) STING activation (e.g., STING signaling) contributes to the pathology and/or symptoms and/or progression of the disease.
- STING activation e.g., STING signaling
- methods of treatment that include administering to a subject a chemical entity described herein (e.g., a compound described generically or specifically herein or a pharmaceutically acceptable salt thereof or compositions containing the same), wherein the chemical entity is administered in an amount effective to treat a disease in which increased (e.g., excessive) STING activation (e.g., STING signaling) contributes to the pathology and/or symptoms and/or progression of the disease, thereby treating the disease.
- STING activation e.g., STING signaling
- a compound, or a pharmaceutically acceptable salt or tautomer thereof, described herein for use in the treatment of cancer in another aspect, there is provided a compound, or a pharmaceutically acceptable salt or tautomer thereof, described herein for use in the treatment of cancer.
- a compound, or a pharmaceutically acceptable salt or tautomer thereof, as described herein for use in the treatment of cancer selected from the group consisting of melanoma, cervical cancer, breast cancer, ovarian cancer, prostate cancer, testicular cancer, urothelial carcinoma, bladder cancer, non-small cell lung cancer, small cell lung cancer, sarcoma, colorectal adenocarcinoma, gastrointestinal stromal tumors, gastroesophageal carcinoma, colorectal cancer, pancreatic cancer, kidney cancer, hepatocellular cancer, malignant mesothelioma, leukemia, lymphoma, myelodysplasia syndrome, multiple myeloma, transitional cell carcinoma, neuroblastoma, plasma cell neoplasms, Wilm's tumor, or hepatocellular carcinoma.
- a compound, or a pharmaceutically acceptable salt or tautomer thereof as described herein for use in the treatment of type I interferonopathies.
- a compound, or a pharmaceutically acceptable salt or tautomer thereof, as described herein for use in the treatment of type I interferonopathies selected from STING-associated vasculopathywith onset in infancy (SAVI)), Aicardi-Goutines Syndrome (AGS), genetic forms of lupus, and inflammation-associated disorders such as systemic lupus erythematosus, and rheumatoid arthritis.
- a compound, or a pharmaceutically acceptable salt or tautomer thereof as described herein in the manufacture of a medicament for the treatment of a condition, disease or disorder associated with increased (e.g., excessive) STING activation.
- a compound, or a pharmaceutically acceptable salt or tautomer thereof as described herein in the manufacture of a medicament for the treatment of cancer.
- a compound, or a pharmaceutically acceptable salt or tautomer thereof, as described herein in the manufacture of a medicament for the treatment of cancer selected from the group consisting of melanoma, cervical cancer, breast cancer, ovarian cancer, prostate cancer, testicular cancer, urothelial carcinoma, bladder cancer, non-small cell lung cancer, small cell lung cancer, sarcoma, colorectal adenocarcinoma, gastrointestinal stromal tumors, gastroesophageal carcinoma, colorectal cancer, pancreatic cancer, kidney cancer, hepatocellular cancer, malignant mesothelioma, leukemia, lymphoma, myelodysplasia syndrome, multiple myeloma, transitional cell carcinoma, neuroblastoma, plasma cell neoplasms, Wilm's tumor, or hepatocellular carcinoma.
- a compound, or a pharmaceutically acceptable salt or tautomer thereof as described herein in the manufacture of a medicament for the treatment of type I interferonopathies.
- a compound, or a pharmaceutically acceptable salt or tautomer thereof as described herein for use in the manufacture of a medicament for the treatment of type I interferonopathies selected from STING-associated vasculopathywith onset in infancy (SAVI)), Aicardi-Goutines Syndrome (AGS), genetic forms of lupus, and inflammation-associated disorders such as systemic lupus erythematosus, and rheumatoid arthritis.
- a compound, or a pharmaceutically acceptable salt or tautomer thereof for the treatment of a disease, condition or disorder modulated by STING degradation.
- a compound, or a pharmaceutically acceptable salt or tautomer thereof, as described herein for the treatment of a condition, disease or disorder associated with increased (e.g., excessive) STING activation.
- a compound, or a pharmaceutically acceptable salt or tautomer thereof, as described herein for the treatment of cancer there is provided the use of a compound, or a pharmaceutically acceptable salt or tautomer thereof, as described herein for the treatment of cancer.
- a compound, or a pharmaceutically acceptable salt or tautomer thereof, as described herein for the treatment of cancer selected from the group consisting of melanoma, cervical cancer, breast cancer, ovarian cancer, prostate cancer, testicular cancer, urothelial carcinoma, bladder cancer, non-small cell lung cancer, small cell lung cancer, sarcoma, colorectal adenocarcinoma, gastrointestinal stromal tumors, gastroesophageal carcinoma, colorectal cancer, pancreatic cancer, kidney cancer, hepatocellular cancer, malignant mesothelioma, leukemia, lymphoma, myelodysplasia syndrome, multiple myeloma, transitional cell carcinoma, neuroblastoma, plasma cell neoplasms, Wilm's tumor, or hepatocellular carcinoma.
- a compound, or a pharmaceutically acceptable salt or tautomer thereof as described herein for the treatment of type I interferonopathies.
- a compound, or a pharmaceutically acceptable salt or tautomer thereof as described herein for the treatment of type I interferonopathies selected from STING-associated vasculopathy with onset in infancy (SAVI)), Aicardi-Goutines Syndrome (AGS), genetic forms of lupus, and inflammation-associated disorders such as systemic lupus erythematosus, and rheumatoid arthritis.
- SAVI STING-associated vasculopathy with onset in infancy
- AVS Aicardi-Goutines Syndrome
- genetic forms of lupus and inflammation-associated disorders such as systemic lupus erythematosus, and rheumatoid arthritis.
- Embodiments can include one or more of the following features.
- the chemical entity can be administered in combination with one or more additional therapeutic agents and/or regimens.
- methods can further include administering one or more (e.g., two, three, four, five, six, or more) additional agents.
- the chemical entity can be administered in combination with one or more additional therapeutic agents and/or regimens that are useful for treating other STING-associated conditions, e.g., type I interferonopathies (e.g., STING-associated vasculopathywith onset in infancy (SAVI)), Aicardi-Gout Italian Syndrome (AGS), genetic forms of lupus, and inflammation-associated disorders such as systemic lupus erythematosus, and rheumatoid arthritis.
- STING-associated conditions e.g., type I interferonopathies (e.g., STING-associated vasculopathywith onset in infancy (SAVI)), Aicardi-Goutines Syndrome (AGS), genetic forms of lupus, and inflammation-associated disorders such as systemic
- the chemical entity can be administered in combination with one or more additional cancer therapies (e.g., surgery, radiotherapy, chemotherapy, toxin therapy, immunotherapy, cryotherapy or gene therapy, or a combination thereof; e.g., chemotherapy that includes administering one or more (e.g., two, three, four, five, six, or more) additional chemotherapeutic agents.
- additional cancer therapies e.g., surgery, radiotherapy, chemotherapy, toxin therapy, immunotherapy, cryotherapy or gene therapy, or a combination thereof; e.g., chemotherapy that includes administering one or more (e.g., two, three, four, five, six, or more) additional chemotherapeutic agents.
- Non-limiting examples of additional chemotherapeutic agents is selected from an alkylating agent (e.g., cisplatin, carboplatin, mechlorethamine, cyclophosphamide, chlorambucil, ifosfamide and/or oxaliplatin); an anti-metabolite (e.g.,azathioprine and/or mercaptopurine); a terpenoid (e.g., a vinca alkaloid and/or a taxane; e.g., Vincristine, Vinblastine, Vinorelbine and/or Vindesine Taxol, Pacllitaxel and/or Docetaxel); a topoisomerase (e.g., a type I topoisomerase and/or a type 2 topoisomerase; e.g., camptothecins, such as irinotecan and/or topotecan;.
- an alkylating agent e.g.,
- the subject can have cancer; e.g., the subject has undergone and/or is undergoing and/or will undergo one or more cancer therapies.
- cancer include melanoma, cervical cancer, breast cancer, ovarian cancer, prostate cancer, testicular cancer, urothelial carcinoma, bladder cancer, non-small cell lung cancer, small cell lung cancer, sarcoma, colorectal adenocarcinoma, gastrointestinal stromal tumors, gastroesophageal carcinoma, colorectal cancer, pancreatic cancer, kidney cancer, hepatocellular cancer, malignant mesothelioma, leukemia, lymphoma, myelodysplasia syndrome, multiple myeloma, transitional cell carcinoma, neuroblastoma, plasma cell neoplasms, Wilm's tumor, or hepatocellular carcinoma.
- the cancer can be a refractory cancer.
- the chemical entity can be administered intratumorally.
- the methods can further include identifying the subject.
- Other embodiments include those described in the Detailed Description and/or in the claims. Additional Definitions To facilitate understanding of the disclosure set forth herein, a number of additional terms are defined below. Generally, the nomenclature used herein and the laboratory procedures in organic chemistry, medicinal chemistry, and pharmacology described herein are those well-known and commonly employed in the art. Unless defined otherwise, all technical and scientific terms used herein generally have the same meaning as commonly understood by one of ordinary skill in the art to which this disclosure belongs.
- STING is meant to include, without limitation, nucleic acids, polynucleotides, oligonucleotides, sense and antisense polynucleotide strands, complementary sequences, peptides, polypeptides, proteins, homologous and/or orthologous STING molecules, isoforms, precursors, mutants, variants, derivatives, splice variants, alleles, different species, and active fragments thereof.
- an “effective amount” or “therapeutically effective amount,” as used herein, refer to a sufficient amount of a chemical entity being administered which will relieve to some extent one or more of the symptoms of the disease or condition being treated. The result includes reduction and/or alleviation of the signs, symptoms, or causes of a disease, or any other desired alteration of a biological system.
- an “effective amount” for therapeutic uses is the amount of the composition comprising a compound as disclosed herein required to provide a clinically significant decrease in disease symptoms.
- excipient or “pharmaceutically acceptable excipient” means a pharmaceutically-acceptable material, composition, or vehicle, such as a liquid or solid filler, diluent, carrier, solvent, or encapsulating material.
- each component is “pharmaceutically acceptable” in the sense of being compatible with the other ingredients of a pharmaceutical formulation, and suitable for use in contact with the tissue or organ of humans and animals without excessive toxicity, irritation, allergic response, immunogenicity, or other problems or complications, commensurate with a reasonable benefit/risk ratio.
- pharmaceutically acceptable salts are obtained by reacting a compound described herein, with acids such as hydrochloric acid, hydrobromic acid, sulfuric acid, nitric acid, phosphoric acid, methanesulfonic acid, ethanesulfonic acid, p-toluenesulfonic acid, salicylic acid and the like.
- acids such as hydrochloric acid, hydrobromic acid, sulfuric acid, nitric acid, phosphoric acid, methanesulfonic acid, ethanesulfonic acid, p-toluenesulfonic acid, salicylic acid and the like.
- pharmaceutically acceptable salts are obtained by reacting a compound having acidic group described herein with a base to form a salt such as an ammonium salt, an alkali metal salt, such as a sodium or a potassium salt, an alkaline earth metal salt, such as a calcium or a magnesium salt, a salt of organic bases such as dicyclohexylamine, N-methyl-D-glucamine, tris(hydroxymethyl)methylamine, and salts with amino acids such as arginine, lysine, and the like, or by other methods previously determined.
- a salt such as an ammonium salt, an alkali metal salt, such as a sodium or a potassium salt, an alkaline earth metal salt, such as a calcium or a magnesium salt, a salt of organic bases such as dicyclohexylamine, N-methyl-D-glucamine, tris(hydroxymethyl)methylamine, and salts with amino acids such as arginine, lysine, and the like, or by other methods previously determined.
- Examples of a salt that the compounds described hereinform with a base include the following: salts thereof with inorganic bases such as sodium, potassium, magnesium, calcium, and aluminum; salts thereof with organic bases such as methylamine, ethylamine and ethanolamine; salts thereof with basic amino acids such as lysine and ornithine; and ammonium salt.
- the salts may be acid addition salts, which are specifically exemplified by acid addition salts with the following: mineral acids such as hydrochloric acid, hydrobromic acid, hydroiodic acid, sulfuric acid, nitric acid, and phosphoric acid:organic acids such as formic acid, acetic acid, propionic acid, oxalic acid, malonic acid, succinic acid, fumaric acid, maleic acid, lactic acid, malic acid, tartaric acid, citric acid, methanesulfonic acid, and ethanesulfonic acid; acidic amino acids such as aspartic acid and glutamic acid.
- mineral acids such as hydrochloric acid, hydrobromic acid, hydroiodic acid, sulfuric acid, nitric acid, and phosphoric acid
- organic acids such as formic acid, acetic acid, propionic acid, oxalic acid, malonic acid, succinic acid, fumaric acid, maleic acid, lactic acid, malic acid, tart
- pharmaceutical composition refers to a mixture of a compound described herein with other chemical components (referred to collectively herein as “excipients”), such as carriers, stabilizers, diluents, dispersing agents, suspending agents, and/or thickening agents.
- excipients such as carriers, stabilizers, diluents, dispersing agents, suspending agents, and/or thickening agents.
- the pharmaceutical composition facilitates administration of the compound to an organism. Multiple techniques of administering a compound exist in the art including, but not limited to: rectal, oral, intravenous, aerosol, parenteral, ophthalmic, pulmonary, and topical administration.
- subject refers to an animal, including, but not limited to, a primate (e.g., human), monkey, cow, pig, sheep, goat, horse, dog, cat, rabbit, rat, or mouse.
- subject and “patient” are used interchangeably herein in reference, for example, to a mammalian subject, such as a human.
- the terms “treat,” “treating,” and “treatment,” in the context of treating a disease or disorder, are meant to include alleviating or abrogating a disorder, disease, or condition, or one or more of the symptoms associated with the disorder, disease, or condition; or to slowing the progression, spread or worsening of a disease, disorder or condition or of one or more symptoms thereof.
- the “treatment of cancer”, refers to one or more of the following effects: (1) inhibition, to some extent, of tumor growth, including, (i) slowing down and (ii) complete growth arrest; (2) reduction in the number of tumor cells; (3) maintaining tumor size; (4) reduction in tumor size; (5) inhibition, including (i) reduction, (ii) slowing down or (iii) complete prevention, of tumor cell infiltration into peripheral organs; (6) inhibition, including (i) reduction, (ii) slowing down or (iii) complete prevention, of metastasis; (7) enhancement of anti-tumor immune response, which may result in (i) maintaining tumor size, (ii) reducing tumor size, (iii) slowing the growth of a tumor, (iv) reducing, slowing or preventing invasion and/or (8) relief, to some extent, of the severity or number of one or more symptoms associated with the disorder.
- halo refers to fluoro (F), chloro (Cl), bromo (Br), or iodo (I
- alkyl refers to a saturated acyclic hydrocarbon radical that may be a straight chain or branched chain, containing the indicated number of carbon atoms. For example, C1-10 indicates that the group may have from 1 to 10 (inclusive) carbon atoms in it. Alkyl groups can either be unsubstituted or substituted with one or more substituents. Non-limiting examples include methyl, ethyl, iso-propyl, tert-butyl, n-hexyl.
- saturated as used in this context means only single bonds present between constituent carbon atoms and other available valences occupied by hydrogen and/or other substituents as defined herein.
- haloalkyl refers to an alkyl, in which one or more hydrogen atoms is/are replaced with an independently selected halo.
- alkoxy refers to an -O-alkyl radical (e.g., -OCH 3 ).
- alkylene refers to a divalent alkyl (e.g., -CH2-).
- alkenyl refers to an acyclic hydrocarbon chain that may be a straight chain or branched chain having one or more carbon-carbon double bonds. The alkenyl moiety contains the indicated number of carbon atoms. For example, C2-6 indicates that the group may have from 2 to 6 (inclusive) carbon atoms in it.
- Alkenyl groups can either be unsubstituted or substituted with one or more substituents.
- alkynyl refers to an acyclic hydrocarbon chain that may be a straight chain or branched chain having one or more carbon-carbon triple bonds. The alkynyl moiety contains the indicated number of carbon atoms. For example, C2-6 indicates that the group may have from 2 to 6 (inclusive) carbon atoms in it. Alkynyl groups can either be unsubstituted or substituted with one or more substituents.
- alkynylene refers to a divalent alkynyl group (e.g., .
- aryl refers to a 6-20 carbon mono-, bi-, tri- or polycyclic group wherein at least one ring in the system is aromatic (e.g., 6-carbon monocyclic, 10-carbon bicyclic, or 14-carbon tricyclic aromatic ring system); and wherein 0, 1, 2, 3, or 4 atoms of each ring may be substituted by a substituent.
- aryl groups include phenyl, naphthyl, tetrahydronaphthyl, dihydro- 1H-indenyl and the like.
- cycloalkyl refers to cyclic saturated hydrocarbon groups having, e.g., 3 to 20 ring carbons, preferably 3 to 16 ring carbons, and more preferably 3 to 12 ring carbons or 3-10 ring carbons or 3-6 ring carbons, wherein the cycloalkyl group may be optionally substituted.
- cycloalkyl groups include, without limitation, cyclopropyl, cyclobutyl, cyclopentyl, cyclohexyl, cycloheptyl, and cyclooctyl.
- Cycloalkyl may include multiple fused and/or bridged rings.
- Non-limiting examples of fused/bridged cycloalkyl includes: bicyclo[1.1.0]butanyl, bicyclo[2.1.0]pentanyl, bicyclo[1.1.1]pentanyl, bicyclo[3.1.0]hexanyl, bicyclo[2.1.1]hexanyl, bicyclo[3.2.0]heptanyl, bicyclo[4.1.0]heptanyl, bicyclo[2.2.1]heptanyl, bicyclo[3.1.1]heptanyl, bicyclo[4.2.0]octanyl, bicyclo[3.2.1]octanyl, bicyclo[2.2.2]octanyl, and the like.
- Cycloalkyl also includes spirocyclic rings (e.g., spirocyclic bicycle wherein two rings are connected through just one atom).
- spirocyclic cycloalkyls include spiro[2.2]pentanyl, spiro[2.5]octanyl, spiro[3.5]nonanyl, spiro[3.5]nonanyl, spiro[3.5]nonanyl, spiro[4.4]nonanyl, spiro[2.6]nonanyl, spiro[4.5]decanyl, spiro[3.6]decanyl, spiro[5.5]undecanyl, and the like.
- saturated as used in this context means only single bonds present between constituent carbon atoms.
- cycloalkenyl as used herein means partially unsaturated cyclic hydrocarbon groups having 3 to 20 ring carbons, preferably 3 to 16 ring carbons, and more preferably 3 to 12 ring carbons or 3-10 ring carbons or 3-6 ring carbons, wherein the cycloalkenyl group may be optionally substituted.
- Examples of cycloalkenyl groups include, without limitation, cyclopentenyl, cyclohexenyl, cycloheptenyl, and cyclooctenyl.
- cycloalkenyl groups may have any degree of unsaturation provided that one or more double bonds is present in the ring, none of the rings in the ring system are aromatic, and the cycloalkenyl group is not fully saturated overall.
- Cycloalkenyl may include multiple fused and/or bridged and/or spirocyclic rings.
- heteroaryl means a mono-, bi-, tri- or polycyclic group having 5 to 20 ring atoms, alternatively 5, 6, 9, 10, or 14 ring atoms; and having 6, 10, or 14 pi electrons shared in a cyclic array; wherein at least one ring in the system is aromatic, and at least one ring in the system contains one or more heteroatoms independently selected from the group consisting of N, O, and S (but does not have to be a ring which contains a heteroatom, e.g. tetrahydroisoquinolinyl, e.g., tetrahydroquinolinyl).
- Heteroaryl groups can either be unsubstituted or substituted with one or more substituents.
- heteroaryl include thienyl, pyridinyl, furyl, oxazolyl, oxadiazolyl, pyrrolyl, imidazolyl, triazolyl, thiodiazolyl, pyrazolyl, isoxazolyl, thiadiazolyl, pyranyl, pyrazinyl, pyrimidinyl, pyridazinyl, triazinyl, thiazolyl benzothienyl, benzoxadiazolyl, benzofuranyl, benzimidazolyl, benzotriazolyl, cinnolinyl, indazolyl, indolyl, isoquinolinyl, isothiazolyl, naphthyridinyl, purinyl, thienopyridinyl, pyrido[2,3-d]pyrimi
- the heteroaryl is selected from thienyl, pyridinyl, furyl, pyrazolyl, imidazolyl, isoindolinyl, pyranyl, pyrazinyl, and pyrimidinyl.
- heterocyclyl refers to a mon-, bi-, tri-, or polycyclic saturated ring system with 3-16 ring atoms (e.g., 5-8 membered monocyclic, 8-12 membered bicyclic, or 11-14 membered tricyclic ring system) having 1-3 heteroatoms if monocyclic, 1-6 heteroatoms if bicyclic, or 1-9 heteroatoms if tricyclic or polycyclic, said heteroatoms selected from O, N, or S (e.g., carbon atoms and 1-3, 1-6, or 1-9 heteroatoms of N, O, or S if monocyclic, bicyclic, or tricyclic, respectively), wherein 0, 1, 2 or 3 atoms of each ring may be substituted by a substituent.
- ring atoms e.g., 5-8 membered monocyclic, 8-12 membered bicyclic, or 11-14 membered tricyclic ring system
- heteroatoms selected from O, N, or S (e.g.
- heterocyclyl groups include piperazinyl, pyrrolidinyl, dioxanyl, morpholinyl, tetrahydrofuranyl, and the like.
- Heterocyclyl may include multiple fused and bridged rings.
- Non-limiting examples of fused/bridged heteorocyclyl includes: 2-azabicyclo[1.1.0]butanyl, 2-azabicyclo[2.1.0]pentanyl, 2-azabicyclo[1.1.1]pentanyl, 3-azabicyclo[3.1.0]hexanyl, 5-azabicyclo[2.1.1]hexanyl, 3- azabicyclo[3.2.0]heptanyl, octahydrocyclopenta[c]pyrrolyl, 3-azabicyclo[4.1.0]heptanyl, 7- azabicyclo[2.2.1]heptanyl, 6-azabicyclo[3.1.1]heptanyl, 7-azabicyclo[4.2.0]octanyl, 2- azabicyclo[2.2.2]octanyl, 3-azabicyclo[3.2.1]octanyl, 2-oxabicyclo[1.1.0]butanyl, 2- oxabicyclo[2.1.0]pentanyl, 2-oxabicyclo[1.1.1
- Heterocyclyl also includes spirocyclic rings (e.g., spirocyclic bicycle wherein two rings are connected through just one atom).
- spirocyclic heterocyclyls include 2-azaspiro[2.2]pentanyl, 4- azaspiro[2.5]octanyl, 1-azaspiro[3.5]nonanyl, 2-azaspiro[3.5]nonanyl, 7-azaspiro[3.5]nonanyl, 2- azaspiro[4.4]nonanyl, 6-azaspiro[2.6]nonanyl, 1,7-diazaspiro[4.5]decanyl, 7-azaspiro[4.5]decanyl 2,5-diazaspiro[3.6]decanyl, 3-azaspiro[5.5]undecanyl, 2-oxaspiro[2.2]pentanyl, 4- oxaspiro[2.5]octanyl, 1-oxaspiro[3.5]
- heterocycloalkenyl as used herein means partially unsaturated cyclic ring system with 3-16 ring atoms (e.g., 5-8 membered monocyclic, 8-12 membered bicyclic, or 11-14 membered tricyclic ring system) having 1-3 heteroatoms if monocyclic, 1-6 heteroatoms if bicyclic, or 1-9 heteroatoms if tricyclic or polycyclic, said heteroatoms selected from O, N, or S (e.g., carbon atoms and 1-3, 1-6, or 1-9 heteroatoms of N, O, or S if monocyclic, bicyclic, or tricyclic, respectively), wherein 0, 1, 2 or 3 atoms of each ring may be substituted by a substituent.
- heterocycloalkenyl groups include, without limitation, tetrahydropyridyl, dihydropyrazinyl, dihydropyridyl, dihydropyrrolyl, dihydrofuranyl, dihydrothiophenyl.
- partially unsaturated cyclic groups heterocycloalkenyl groups may have any degree of unsaturation provided that one or more double bonds is present in the ring, none of the rings in the ring system are aromatic, and the heterocycloalkenyl group is not fully saturated overall.
- Heterocycloalkenyl may include multiple fused and/or bridged and/or spirocyclic rings.
- a ring when a ring is described as being “aromatic”, it means said ring has a continuous, delocalized ⁇ -electron system. Typically, the number of out of plane ⁇ -electrons corresponds to the Hückel rule (4n+2). Examples of such rings include: benzene, pyridine, pyrimidine, pyrazine, pyridazine, pyridone, pyrrole, pyrazole, oxazole, thioazole, isoxazole, isothiazole, and the like.
- a ring when a ring is described as being “partially unsaturated”, it means said ring has one or more additional degrees of unsaturation (in addition to the degree of unsaturation attributed to the ring itself; e.g., one or more double or tirple bonds between constituent ring atoms), provided that the ring is not aromatic.
- additional degrees of unsaturation in addition to the degree of unsaturation attributed to the ring itself; e.g., one or more double or tirple bonds between constituent ring atoms
- examples of such rings include: cyclopentene, cyclohexene, cycloheptene, dihydropyridine, tetrahydropyridine, dihydropyrrole, dihydrofuran, dihydrothiophene, and the like.
- rings and cyclic groups e.g., aryl, heteroaryl, heterocyclyl, heterocycloalkenyl, cycloalkenyl, cycloalkyl, and the like described herein
- rings and cyclic groups encompass those having fused rings, including those in which the points of fusion are located (i) on adjacent ring atoms (e.g., [x.x.0] ring systems, in which 0 represents a zero atom , , ystems having all bridge lengths
- atoms making up the compounds of the present embodiments are intended to include all isotopic forms of such atoms.
- Isotopes include those atoms having the same atomic number but different mass numbers.
- isotopes of hydrogen include tritium and deuterium
- isotopes of carbon include 13 C and 14 C.
- the compounds generically or specifically disclosed herein are intended to include all tautomeric forms.
- a compound containing the moiety: encompasses the tautomeric form containing the moiety: .
- a pyridinyl or pyrimidinyl moiety that is described to be optionally substituted with hydroxyl encompasses pyridone or pyrimidone tautomeric forms.
- the phrase “optionally substituted” when used in conjunction with a structural moiety is intended to encompass both the unsubstituted structural moiety (i.e., none of the substitutable hydrogen atoms are replaced with one or more non-hydrogen substituents) and substituted structural moieties substituted with the indicated range of non- hydrogen substituents.
- a structural moiety e.g., alkyl
- C1-C4 alkyl optionally substituted with 1-4 R a is intended to encompass both unsubstituted C1-C4 alkyl and C1-C4 alkyl substituted with 1-4 R a .
- FIG.1 is a graph FIG.1 is a graph plotting AUC total STING versus concentration of compound 104 demonstrating that compound 104 induced degradation of STING protein.
- FIG.2 is a western blot result showing that compound 104 induced the degradation of STING protein.
- This disclosure features chemical entities (e.g., a compound of Formula (I), (I-a), (I-b), or (I-c), or a pharmaceutically acceptable salt thereof) that induce degradation of Stimulator of Interferon Genes (STING).
- Said chemical entities are useful, e.g., for treating a condition, disease or disorder in which increased (e.g., excessive) STING activation (e.g., STING signaling) contributes to the pathology and/or symptoms and/or progression of the condition, disease or disorder (e.g., cancer) in a subject (e.g., a human).
- STING activation e.g., STING signaling
- This disclosure also features compositions containing the same as well as methods of using and making the same.
- Formula I Compounds in one aspect, the disclosure features a compound of Formula (I): Formula (I) or a pharmaceutically acceptable salt thereof, wherein: Rring A is an STING binding moiety capable of binding to STING; L is a bivalent moiety that connects STING to LBM; and LBM is a ligase binding moiety.
- the disclosure features A compound of formula (I), wherein LBM is a ligase binding moiety; L is a bivalent moiety that connects Ring A to LBM; and Ring A has formula (I-a), formula (I-b), or formula (I-c): wherein: each of X 1 and X 11 is independently selected from the group consisting of O, S, and NR 2 ; each of Y 1 and Y 3 is independently selected from the group consisting of a bond, CR 1 , CR 1a , C(R 3 )2, N, and NR 2 ; provided that only one of Y 1 and Y 3 can be a bond; each of Y 2 and Y 4 is independently selected from the group consisting of CR 1 , CR 1a , C(R 3 )2, N, and NR 2 ; each of Y 11 and Y 33 is selected from the group consisting of a bond, CR 1b , C(R 3 )2, N, and NR 2 ; provided that
- LBM is a ligase binding moiety
- L is a bivalent moiety that connects Ring A to LBM
- the disclosure features A compound of formula (I), wherein LBM is a ligase binding moiety; L is a bivalent moiety that connects Ring A to LBM; and Ring A has formula (I-b), or formula (I-c): wherein: each of X 11 is independently selected from the group consisting of O, S, and NR 2 ; each of Y 11 and Y 33 is selected from the group consisting of a bond, CR 1b , C(R 3 )2, N, and NR 2 ; provided that only one of Y 11 and Y 33 can be a bond; Y 22 is selected from the group consisting of CR 1b , C(R 3 )2, N, and NR 2 ; each of X 22 is CR 4 ; X 3 is CR 5 ; each is independently a single bond or a double bond, provided that the five-membered ring comprising X 11 , X 22 , and X 3 in Formulas (I-b) and (I-c): where
- L 11 is NR N , wherein R N is independently H or R d ; L 22 is a bond or is selected from the group consisting of the formulas 107, 108, and 109 defined in (i), (ii), and (iii) below: (x) formula 107: (formula 107) wherein: one of A 3 , A 4 , and A 5 is the point of attachment of the Ring comprising A 3 , A 4 , A 5 to NR N and is independently selected from the group consisting of C and N; and the other two of A 3 , A 4 , and A 5 are each independently selected from the group consisting of: CR 5 , N, N(R 4 ), O, and S; provided that the ring does not contain O-O, S-S, and S-O bonds; A 1 and A 2 are each independently selected from the group consisting of C and N; provided that 1-4 of A 1 , A 2 , A 3 , A 4 , and A 5 is independently selected from the group consisting of: N,
- ring A includes all or a substantial portion of the structural features present in one or small molecules that exhibit activity as STING antagonists.
- Non- limiting examples of such small molecules includes those described in WO 2020/010092, WO 2020/010155, WO 2020/106741, WO 2020/106736, WO 2020/150417, WO 2020/150439, WO 2020/257621, WO 2020/236586, WO 2020/243519, WO 2020/252240, WO 2021/067791, WO 2021/067801, WO 2021/067805, WO 2021/138419, WO 2021/138434, WO 2022/015957, WO 2022/015975, WO 2022/015977, WO 2022/015979, WO 2022/150543, WO 2022/015938, WO 2022/133098, WO 2022/150549, WO 2022/140410, WO 2022/133046, WO 2022/1
- ring A has Formula I-a. In some embodiments, ring A has Formula I-a1: .
- X 1 is NR 2 . In certain embodiments, R 2 is H.
- Y 1 , Y 2 , Y 3 , and Y 4 are each independently selected from the group consisting of CR 1a , CR 1 and N. In some embodiments, Y 1 , Y 2 , Y 3 , and Y 4 are each independently selected from the group consisting of CR 1a and CR 1 .
- Y 1 , Y 2 , Y 3 , and Y 4 is CR 1a , and the other three of Y 1 , Y 2 , Y 3 , and Y 4 are each independently selected from the group consisting of CR 1 and N.
- one of Y 1 , Y 2 , Y 3 , and Y 4 is CR 1a , and the other three of Y 1 , Y 2 , Y 3 , and Y 4 are each an independently selected CR 1 .
- Y 4 is CR 1a .
- R 1a is –L A -Q 1 (formula 101).
- a2 is 1.
- L 2 is straight-chain C1-6 alkylene, straight-chain C2-6 alkenylene, or straight-chain C2-6 alkynylene, each of which is optionally substituted with 1-6 R b ; optionally wherein optionally wherein L 2 is straight-chain C1-6 alkylene, which is optionally substituted with 1-6 R b ; optionally wherein L 2 is straight-chain C1-3 alkylene, which is optionally substituted with 1-3 R b .
- L 2 is selected from the group consisting of: (i) C3-10 cycloalkylene or C3-10 cycloalkenylene, each of which is optionally substituted with 1-3 R c ; and (ii) heterocyclylene or heterocycloalkenylene, each having 4-10 ring atoms wherein 1-3 ring atoms are ring heteroatoms each independently selected from the group consisting of: N, N(H), N(R d ), O, and S(O)0-2, wherein the heterocyclylene or heterocycloalkenylene is optionally substituted with 1-3 R c .
- a1 is 1.
- L 1 is selected from the group consisting of: -O-, -N(H)-, -N(R d )-, and –S-; optionally wherein L 1 is –O-.
- a1 is 0.
- a3 is 1.
- L 3 is selected from the group consisting of: -O-, -N(H)-, -N(R d )-, and –S-; optionally wherein L 3 is –O-.
- a3 is 0.
- a4 is 1.
- a1 and a2 are each 1.
- a1 and a2 are each 1; L 1 is –O-, -N(H)-, or –N(R d )-; and L 2 is selected from the group consisting of: straight-chain C1-3 alkylene, which is optionally substituted with 1-3 R b ; C3-8 cycloalkylene, which is optionally substituted with 1-3 R c ; and heterocyclylene having 4-8 ring atoms wherein 1-3 ring atoms are ring heteroatoms each independently selected from the group consisting of: N, N(H), N(R d ), O, and S(O)0-2, wherein the heterocyclylene is optionally substituted with 1-3 R c .
- a1 and a2 are each 1; L 1 is –O-; and L 2 is straight-chain C1-3 alkylene, which is optionally substituted with 1-3 R b .
- a1 and a2 are each 1; L 1 is –O-; and L 2 is C3-8 cycloalkylene, which is optionally substituted with 1-3 R c ; optionally wherein L 2 is: which is optionally substituted with 1-2 R c , wherein n1 and n2 are independently 0, 1, or 2; Q 2 is CH, CR c , or N; and the asterisk represents the point of attachment to -(L 3 )a3-.
- n1 and n2 are independently 0 or 1, optionally 0; and Q 2 is CH; optionally wherein n1 and n2 are 0 and Q 2 is CH; optionally wherein L 2 is cyclobutane-diyl optionally substituted with 1-2 R c ; optionslly wherein L 2 is cyclobutane-1,3-diyl optionally substituted with 1-2 R c ; optionslly wherein L 2 is unsubstituted cyclobutane-diyl; optionally wherein L 2 is unsubstituted cyclobutane-1,3-diyl.
- a3, a4, and a5 are each 0, optionally wherein L A is –O-CH2CH2- *, or (such as wherein * represents the point of attachment to Q 1 .
- a1 is 0; a2 is 1; optionally wherein L 2 is straight-chain C1-6 alkylene, which is optionally substituted with 1-6 R b , optionally wherein L 2 is straight-chain C1-3 alkylene, which is optionally substituted with 1-3 R b .
- a3 is 1; optionally, wherein L 3 is selected from the group consisting of: is –O-, -N(H)-, and –N(R d )-, optionally wherein L 3 is –O-.
- Q 1 is selected from the group consisting of: (i) heteroaryl of 5-6 ring atoms, wherein 1-4 ring atoms are heteroatoms, each independently selected from the group consisting of N, N(H), N(R d ), O, and S(O)0-2, and wherein the heteroaryl is optionally substituted with 1-3 R c ; and (ii) phenyl optionally substituted with 1-3 R c .
- Q 1 is heterocyclyl or heterocycloalkenyl of 3-12 ring atoms, wherein 1-3 ring atoms are heteroatoms, each independently selected from the group consisting of N, N(H), N(R d ), O, and S(O)0-2, and wherein the heterocyclyl or heterocycloalkenyl is optionally substituted with 1-4 substituents independently selected from the group consisting of oxo and R c .
- m1 and m2 are each independently 0, 1, or 2; and wherein Q 1 is optionally substituted with 1-2 R c ; and optionally wherein each R d present in Q 1 is independently selected from the group consisting of: -C(O)O(C1- 4 alkyl); and C1-6 alkyl optionally substituted with 1-3 independently selected R a .
- Y 1 , Y 2 , Y 3 , and Y 4 are each an independently selected CR 1 .
- R 1 is H.
- one occurrence of R 1 is other than H, and the others are H.
- R 4 is H.
- L 20 is bicyclic or polycyclic heteroarylene of 8-15 ring atoms, wherein 1-6 ring atoms are heteroatoms, each independently selected from the group consisting of N, N(H), N(R d ), O, and S(O)0-2, and wherein the heteroaryl is optionally substituted with 1-4 substituents independently selected from the group consisting of: oxo and R c .
- ring A has formula I-b.
- ring A has formula I-b1: - b1).
- ring A has formula I-c.
- ring A has formula I-c1: - c1).
- each of one of Y 11 , Y 22 , and Y 33 is CH.
- X 1 is NR 2 .
- R 2 is H.
- R 4 is H.
- R 5 is H, F, Cl, or CN; optionally wherein R 5 is H.
- L 11 is NH.
- L 22 is –W-A-.
- R N is H.
- A is -(Y A1 ) n -Y A22 -. In certain embodiments, n is 0.
- Y A22 is heteroarylene of 5-10 ring atoms, wherein 1-4 ring atoms are heteroatoms, each independently selected from the group consisting of N, N(H), N(R d ), O, and S(O)0-2, and wherein the heteroarylene is optionally substituted with 1-6 R Y .
- Y A22 is C6-10 arylene optionally substituted with 1-6 R Y .
- Ring A is selected from , , , , , , , a
- L is a covalent bond or a bivalent, saturated or unsaturated, straight or branched C1-50 alkylene, alkenylene, or alkynylene chain, wherein 0-8 methylene units of L are independently replaced by R g2 , -O-, -NR L -, -S-, -OC(O)-, -C(O)O-, -C(O)-, -S(O)-, -S(O) 2 -, - 92 , R g2 is divalent R g ; R L is selected from H; C1-6 alkyl; C3-6 cycloalkyl; -C(O)(C1-4 alkyl); -C(O)O(C1-4 alkyl); - CONR’R’’; and -S(O)1-2NR’R’; and nl1 is an
- nl is selected from 0, 1, 2, 3, 4 and 5; ml is selected from 0, 1, 2, 3, 4, 5, 6, 7, 8, 9, 10 ; and for each L, one waveline is connected to Ring A, and the other waveline is connected to LBM.
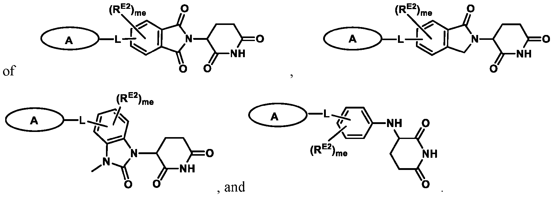
- LBM is selected from the group consisting of a cereblon binding moiety, a VHL binding moiety, an IAP E3 ligase binding moiety, or an MDM2 E3 ligase binding moiety.
- LBM is an E3 ligase binding moeity.
- E3 ligase binding moeities are well known to one of ordinary skill in the art and include those described in M. Toure, C. M. Crews, Angew. Chem. Int.
- Ring E 2 is a ring selected from the group consisting of • C6-10 aryl; • 5 to 7-membered cycloakyl or cycloalkenyl; • 5 to 7-membered saturated or partially saturated heterocyclyl with 1-2 heteroatoms independently selected from nitrogen, oxygen or sulfur; and • 5-6 membered heteroaryl with 1-3 heteroatoms independently selected from nitrogen, oxygen or sulfur; each R E3 is independently selected from the group consisting of: hydrogen, halogen, -OR E , - N(R E )2, and –S(R E ); each R E4 is independenyly selected from the group consisting of: H, C1-6 alkyl; C3-6 cycloalkyl; -C(O)(C1-4 alkyl); -C(O)O(C1-4 alkyl); -CON(R’)(R’’); -S(O)1-2(NR’R’’);
- LBM is selected from the group consisting of . In some embodiments, LBM is selected the group consisting of: In some embodiments, LBM is selected from the group consisting of . In some embodiments, . In some embodiments, . In some embodiments, . In some embodiments, . In some embodiments, LBM is a moiety selected from the group consisting of:
- LBM is selected from the group consisting of:
- LBM is selected from the group consisting of A 3 , G, R 5 , and Z are as defined and described in WO 2017/176958, the entirety of which is herein incorporated by reference.
- LBM is selected from the group consisting of: , , bond or a double bond, and wherein , L, G, R 1 , R 2 , R 3 , R 4 , R 5 , R 6 , R 7 , R 8 , x, and y are as defined and described in WO 2017/161119, the entirety of which is herein incorporated by reference.
- LBM is selected from the group consisting of:
- LBM is a moiety of formula (E2-1), formula (E2-2), formula (E2- 3), formula (E2- 3), wherein each of the variables R 1’ , R 2’ , R 3’ , X, and X’ is as defined and described in US2014/0356322, the entirety of which is herein incorporated by reference.
- LBM is a moiety selected from the group consisting of Formula (E2-9), wherein each of the variables R 1 ’ , R 2 ’, R 3 ’, R 5 , R 6 , R 7 , R 9 , R 10 , R 11 , R 14 , R 15 , R 16 , R 17 , R 23 , R 25 , E, G, ⁇ , X, X’, Y, Z 1 , Z 2 , Z 3 , Z 4 , and o is as defined and described in US 2016/0272639, the entirety of which is herein incorporated by reference.
- Formula (E2-9) wherein each of the variables R 1 ’ , R 2 ’, R 3 ’, R 5 , R 6 , R 7 , R 9 , R 10 , R 11 , R 14 , R 15 , R 16 , R 17 , R 23 , R 25 , E, G, ⁇ , X, X’, Y, Z 1 , Z 2 ,
- LBM is a moiety selected from the group consisting of, , wherein each of the variables R p , R 9 , R 10 , R 11 , R 14a , R14b, R15, R16, W 3 , W 4 , W 5 , X 1 , X 2 , and o is as defined and described in US 2016/0214972, the entirety of which is herein incorporated by reference.
- LBM is selected from the group consisting of: 108
- LBM is selected from the group consisting of: ,
- any non-hydrogen atom e.g., C, N, O, or S
- depiction of brackets around any LBM e.g., brackets in or the LBM moiety at any available modifiable non-hydrogen atom (e.g., carbon, nitrogen, oxygen, or sulfur atom) of the LBM.
- any available modifiable non-hydrogen atom e.g., carbon, nitrogen, oxygen, or sulfur atom
- such available modifiable carbon, nitrogen, oxygen, or sulfur atoms in the LBM moiety are included, but not limited to the structures below, wherein each wavy bond defines the point of attachment to the .
- the compound of formula (I) is selected from the group consisting , In some embodiments, me is 1. In some embodiments, me is 0. In some embodiments, the compound is selected from the group consisting of : . In some embodiments, the compound is selected from the group consisting of : and
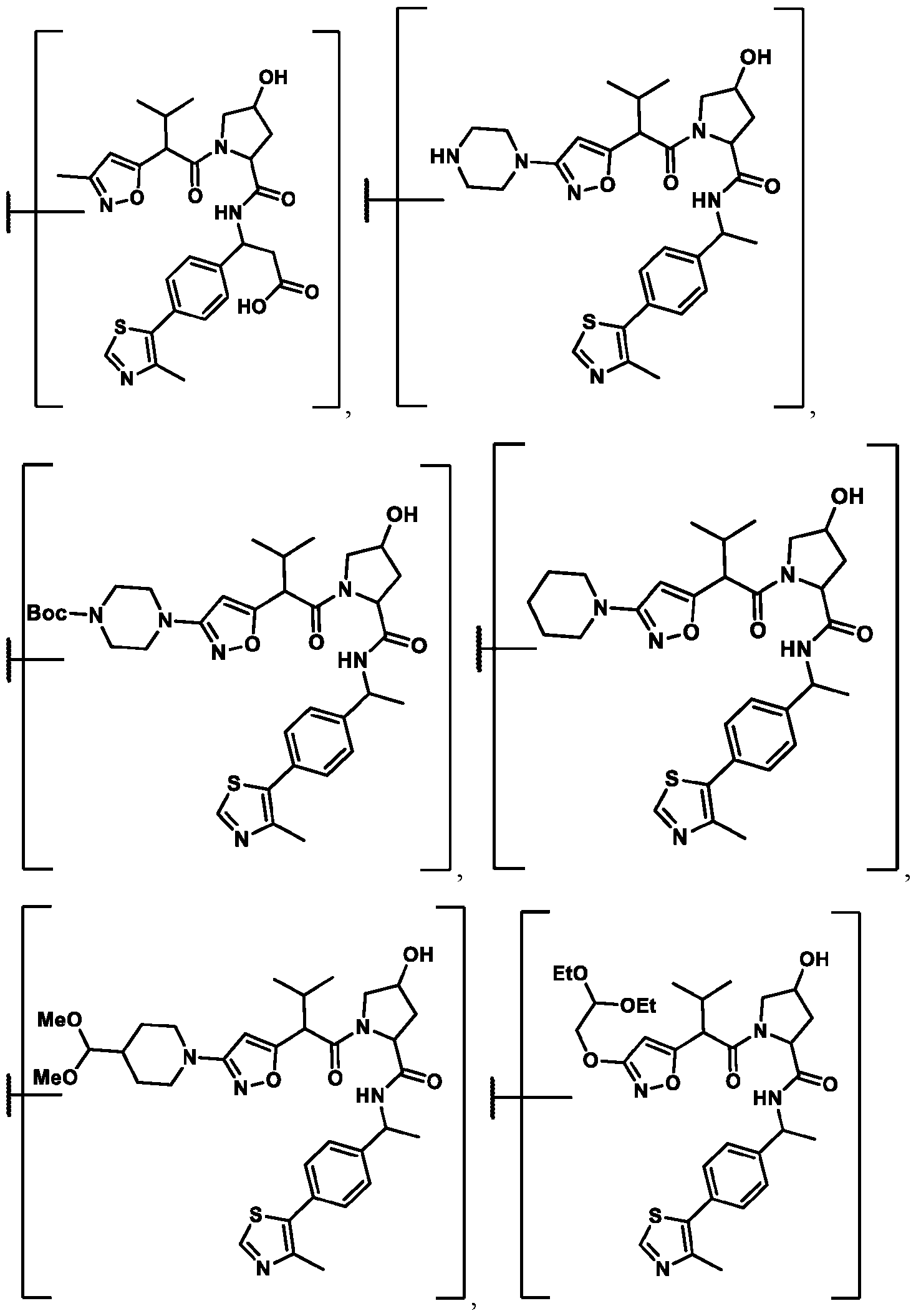
- Non-Limiting Exemplary Compounds the compound is selected from the group consisting of the compounds delineated in Table C1 or a pharmaceutically acceptable salt thereof.
- Table C1 the compounds delineated in Table C1 or a pharmaceutically acceptable salt thereof.
- a chemical entity e.g., a bifunctional compound that modulates (e.g., degrads) STING, or a pharmaceutically acceptable salt, and/or hydrate, and/or cocrystal, and/or drug combination thereof
- a pharmaceutical composition that includes the chemical entity and one or more pharmaceutically acceptable excipients, and optionally one or more additional therapeutic agents as described herein.
- the chemical entities can be administered in combination with one or more conventional pharmaceutical excipients.
- compositions include, but are not limited to, ion exchangers, alumina, aluminum stearate, lecithin, self-emulsifying drug delivery systems (SEDDS) such as d- ⁇ -tocopherol polyethylene glycol 1000 succinate, surfactants used in pharmaceutical dosage forms such as Tweens, poloxamers or other similar polymeric delivery matrices, serum proteins, such as human serum albumin, buffer substances such as phosphates, tris, glycine, sorbic acid, potassium sorbate, partial glyceride mixtures of saturated vegetable fatty acids, water, salts or electrolytes, such as protamine sulfate, disodium hydrogen phosphate, potassium hydrogen phosphate, sodium-chloride, zinc salts, colloidal silica, magnesium trisilicate, polyvinyl pyrrolidone, cellulose-based substances, polyethylene glycol, sodium carboxymethyl cellulose, polyacrylates, waxes, polyethylene-polyoxypropylene-
- Cyclodextrins such as ⁇ -, ⁇ , and ⁇ -cyclodextrin, or chemically modified derivatives such as hydroxyalkylcyclodextrins, including 2- and 3-hydroxypropyl- ⁇ -cyclodextrins, or other solubilized derivatives can also be used to enhance delivery of compounds described herein.
- Dosage forms or compositions containing a chemical entity as described herein in the range of 0.005% to 100% with the balance made up from non-toxic excipient may be prepared.
- the contemplated compositions may contain 0.001%-100% of a chemical entity provided herein, in one embodiment 0.1-95%, in another embodiment 75-85%, in a further embodiment 20-80%.
- Acceptable routes of administration include, but are not limited to, buccal, cutaneous, endocervical, endosinusial, endotracheal, enteral, epidural, interstitial, intra-abdominal, intra-arterial, intrabronchial, intrabursal, intracerebral, intracisternal, intracoronary, intradermal, intraductal, intraduodenal, intradural, intraepidermal, intraesophageal, intragastric, intragingival, intraileal, intralymphatic, intramedullary, intrameningeal, intramuscular, intraovarian, intraperitoneal, intraprostatic, intrapulmonary, intrasinal, intraspinal, intrasynovial, intratesticular, intrathecal, intratubular, intratumoral, intrauterine, intravascular, intravenous, nasal, nasogastric, oral, parenteral, percutaneous, peridural, rectal, respiratory (inhalation), subcutaneous, sublingual, sub
- compositions can be formulated for parenteral administration, e.g., formulated for injection via the intravenous, intramuscular, sub-cutaneous, or even intraperitoneal routes.
- parenteral administration e.g., intratumoral
- Such compositions can be prepared as injectables, either as liquid solutions or suspensions; solid forms suitable for use to prepare solutions or suspensions upon the addition of a liquid prior to injection can also be prepared; and the preparations can also be emulsified.
- injectables either as liquid solutions or suspensions
- solid forms suitable for use to prepare solutions or suspensions upon the addition of a liquid prior to injection can also be prepared; and the preparations can also be emulsified.
- the preparation of such formulations will be known to those of skill in the art in light of the present disclosure.
- the pharmaceutical forms suitable for injectable use include sterile aqueous solutions or dispersions; formulations including sesame oil, peanut oil, or aqueous propylene glycol; and sterile powders for the extemporaneous preparation of sterile injectable solutions or dispersions.
- the form must be sterile and must be fluid to the extent that it may be easily injected. It also should be stable under the conditions of manufacture and storage and must be preserved against the contaminating action of microorganisms, such as bacteria and fungi.
- the carrier also can be a solvent or dispersion medium containing, for example, water, ethanol, polyol (for example, glycerol, propylene glycol, and liquid polyethylene glycol, and the like), suitable mixtures thereof, and vegetable oils.
- the proper fluidity can be maintained, for example, by the use of a coating, such as lecithin, by the maintenance of the required particle size in the case of dispersion, and by the use of surfactants.
- the prevention of the action of microorganisms can be brought about by various antibacterial and antifungal agents, for example, parabens, chlorobutanol, phenol, sorbic acid, thimerosal, and the like.
- isotonic agents for example, sugars or sodium chloride.
- Prolonged absorption of the injectable compositions can be brought about by the use in the compositions of agents delaying absorption, for example, aluminum monostearate and gelatin.
- Sterile injectable solutions are prepared by incorporating the active compounds in the required amount in the appropriate solvent with various of the other ingredients enumerated above, as required, followed by filtered sterilization.
- dispersions are prepared by incorporating the various sterilized active ingredients into a sterile vehicle which contains the basic dispersion medium and the required other ingredients from those enumerated above.
- sterile powders for the preparation of sterile injectable solutions the preferred methods of preparation are vacuum-drying and freeze-drying techniques, which yield a powder of the active ingredient, plus any additional desired ingredient from a previously sterile-filtered solution thereof.
- Intratumoral injections are discussed, e.g., in Lammers, et al., “Effect of Intratumoral Injection on the Biodistribution and the Therapeutic Potential of HPMA Copolymer-Based Drug Delivery Systems” Neoplasia.2006, 10, 788–795.
- Pharmacologically acceptable excipients usable in the rectal composition as a gel, cream, enema, or rectal suppository include, without limitation, any one or more of cocoa butter glycerides, synthetic polymers such as polyvinylpyrrolidone, PEG (like PEG ointments), glycerine, glycerinated gelatin, hydrogenated vegetable oils, poloxamers, mixtures of polyethylene glycols of various molecular weights and fatty acid esters of polyethylene glycol Vaseline, anhydrous lanolin, shark liver oil, sodium saccharinate, menthol, sweet almond oil, sorbitol, sodium benzoate, anoxid SBN, vanilla essential oil, aerosol, parabens in phenoxyethanol, sodium methyl p-oxybenzoate, sodium propyl p-oxybenzoate, diethylamine, carbomers, carbopol, methyloxybenzoate, macrogol cetostearyl ether, cocoyl caprylocap
- suppositories can be prepared by mixing the chemical entities described herein with suitable non-irritating excipients or carriers such as cocoa butter, polyethylene glycol or a suppository wax which are solid at ambient temperature but liquid at body temperature and therefore melt in the rectum and release the active compound.
- suitable non-irritating excipients or carriers such as cocoa butter, polyethylene glycol or a suppository wax which are solid at ambient temperature but liquid at body temperature and therefore melt in the rectum and release the active compound.
- compositions for rectal administration are in the form of an enema.
- the compounds described herein or a pharmaceutical composition thereof are suitable for local delivery to the digestive or GI tract by way of oral administration (e.g., solid or liquid dosage forms.).
- Solid dosage forms for oral administration include capsules, tablets, pills, powders, and granules.
- the chemical entity is mixed with one or more pharmaceutically acceptable excipients, such as sodium citrate or dicalcium phosphate and/or: a) fillers or extenders such as starches, lactose, sucrose, glucose, mannitol, and silicic acid, b) binders such as, for example, carboxymethylcellulose, alginates, gelatin, polyvinylpyrrolidinone, sucrose, and acacia, c) humectants such as glycerol, d) disintegrating agents such as agar-agar, calcium carbonate, potato or tapioca starch, alginic acid, certain silicates, and sodium carbonate, e) solution retarding agents such as paraffin, f) absorption accelerators such as quaternary ammonium compounds, g) wetting agents such as, for example, cetyl alcohol and glycerol monostearate, h) absorbents such as kaolin and bentonite clay, and
- the dosage form may also comprise buffering agents.
- Solid compositions of a similar type may also be employed as fillers in soft and hard-filled gelatin capsules using such excipients as lactose or milk sugar as well as high molecular weight polyethylene glycols and the like.
- the compositions will take the form of a unit dosage form such as a pill or tablet and thus the composition may contain, along with a chemical entity provided herein, a diluent such as lactose, sucrose, dicalcium phosphate, or the like; a lubricant such as magnesium stearate or the like; and a binder such as starch, gum acacia, polyvinylpyrrolidine, gelatin, cellulose, cellulose derivatives or the like.
- a diluent such as lactose, sucrose, dicalcium phosphate, or the like
- a lubricant such as magnesium stearate or the like
- a binder such as starch, gum acacia, polyvinylpyrrolidine, gelatin, cellulose, cellulose derivatives or the like.
- a powder, marume, solution or suspension (e.g., in propylene carbonate, vegetable oils, PEG’s, poloxamer 124 or triglycerides) is encapsulated in a capsule (gelatin or cellulose base capsule).
- Unit dosage forms in which one or more chemical entities provided herein or additional active agents are physically separated are also contemplated; e.g., capsules with granules (or tablets in a capsule) of each drug; two-layer tablets; two-compartment gel caps, etc. Enteric coated or delayed release oral dosage forms are also contemplated.
- physiologically acceptable compounds include wetting agents, emulsifying agents, dispersing agents or preservatives that are particularly useful for preventing the growth or action of microorganisms.
- Various preservatives are well known and include, for example, phenol and ascorbic acid.
- the excipients are sterile and generally free of undesirable matter. These compositions can be sterilized by conventional, well-known sterilization techniques. For various oral dosage form excipients such as tablets and capsules sterility is not required. The USP/NF standard is usually sufficient.
- solid oral dosage forms can further include one or more components that chemically and/or structurally predispose the composition for delivery of the chemical entity to the stomach or the lower GI; e.g., the ascending colon and/or transverse colon and/or distal colon and/or small bowel.
- Exemplary formulation techniques are described in, e.g., Filipski, K.J., et al., Current Topics in Medicinal Chemistry, 2013, 13, 776-802, which is incorporated herein by reference in its entirety. Examples include upper-GI targeting techniques, e.g., Accordion Pill (Intec Pharma), floating capsules, and materials capable of adhering to mucosal walls. Other examples include lower-GI targeting techniques.
- enteric/pH-responsive coatings and excipients are available. These materials are typically polymers that are designed to dissolve or erode at specific pH ranges, selected based upon the GI region of desired drug release. These materials also function to protect acid labile drugs from gastric fluid or limit exposure in cases where the active ingredient may be irritating to the upper GI (e.g., hydroxypropyl methylcellulose phthalate series, Coateric (polyvinyl acetate phthalate), cellulose acetate phthalate, hydroxypropyl methylcellulose acetate succinate, Eudragit series (methacrylic acid–methyl methacrylate copolymers), and Marcoat).
- hydroxypropyl methylcellulose phthalate series Coateric (polyvinyl acetate phthalate), cellulose acetate phthalate, hydroxypropyl methylcellulose acetate succinate, Eudragit series (methacrylic acid–methyl methacrylate copolymers), and Marcoat).
- Ocular compositions can include, without limitation, one or more of any of the following: viscogens (e.g., Carboxymethylcellulose, Glycerin, Polyvinylpyrrolidone, Polyethylene glycol); Stabilizers (e.g., Pluronic (triblock copolymers), Cyclodextrins); Preservatives (e.g., Benzalkonium chloride, ETDA, SofZia (boric acid, propylene glycol, sorbitol, and zinc chloride; Alcon Laboratories, Inc.), Purite (stabilized oxychloro complex; Allergan, Inc.)).
- viscogens e.g., Carboxymethylcellulose, Glycerin, Polyvinylpyrrolidone, Polyethylene glycol
- Stabilizers e.g., Pluronic (triblock copolymers), Cyclodextrins
- Preservatives e.g., Benzalkonium chloride, ETDA, SofZ
- Topical compositions can include ointments and creams.
- Ointments are semisolid preparations that are typically based on petrolatum or other petroleum derivatives.
- Creams containing the selected active agent are typically viscous liquid or semisolid emulsions, often either oil-in-water or water-in-oil.
- Cream bases are typically water-washable, and contain an oil phase, an emulsifier and an aqueous phase.
- the oil phase also sometimes called the “internal” phase, is generally comprised of petrolatum and a fatty alcohol such as cetyl or stearyl alcohol; the aqueous phase usually, although not necessarily, exceeds the oil phase in volume, and generally contains a humectant.
- compositions described herein can include one or more one or more of the following: lipids, interbilayer crosslinked multilamellar vesicles, biodegradeable poly(D,L-lactic-co-glycolic acid) [PLGA]-based or poly anhydride-based nanoparticles or microparticles, and nanoporous particle-supported lipid bilayers.
- the dosages may be varied depending on the requirement of the patient, the severity of the condition being treating and the particular compound being employed. Determination of the proper dosage for a particular situation can be determined by one skilled in the medical arts.
- the total daily dosage may be divided and administered in portions throughout the day or by means providing continuous delivery.
- the compounds described herein are administered at a dosage of from about 0.001 mg/Kg to about 500 mg/Kg (e.g., from about 0.01 mg/Kg to about 100 mg/Kg; from about 0.01 mg/Kg to about 10 mg/Kg; from about 0.01 mg/Kg to about 1 mg/Kg; from from about 0.01 mg/Kg to about 0.1 mg/Kg; from about 0.1 mg/Kg to about 100 mg/Kg; from about 0. 1 mg/Kg to about 10 mg/Kg).
- a dosage of from about 0.001 mg/Kg to about 500 mg/Kg e.g., from about 0.01 mg/Kg to about 100 mg/Kg; from about 0.01 mg/Kg to about 10 mg/Kg; from about 0.01 mg/Kg to about 1 mg/Kg; from about 0.01 mg/Kg to about 0.1 mg/Kg; from about 0.1 mg/Kg to about 100 mg/Kg; from about 0. 1 mg/Kg to about 10 mg/
- the foregoing dosages can be administered on a daily basis (e.g., as a single dose or as two or more divided doses) or non-daily basis (e.g., every other day, every two days, every three days, once weekly, twice weeks, once every two weeks, once a month).
- a daily basis e.g., as a single dose or as two or more divided doses
- non-daily basis e.g., every other day, every two days, every three days, once weekly, twice weeks, once every two weeks, once a month.
- the period of administration of a compound described herein is for 1 day, 2 days, 3 days, 4 days, 5 days, 6 days, 7 days, 8 days, 9 days, 10 days, 11 days, 12 days, 13 days, 14 days, 3 weeks, 4 weeks, 5 weeks, 6 weeks, 7 weeks, 8 weeks, 9 weeks, 10 weeks, 11 weeks, 12 weeks, 4 months, 5 months, 6 months, 7 months, 8 months, 9 months, 10 months, 11 months, 12 months, or more.
- a period of during which administration is stopped is for 1 day, 2 days, 3 days, 4 days, 5 days, 6 days, 7 days, 8 days, 9 days, 10 days, 11 days, 12 days, 13 days, 14 days, 3 weeks, 4 weeks, 5 weeks, 6 weeks, 7 weeks, 8 weeks, 9 weeks, 10 weeks, 11 weeks, 12 weeks, 4 months, 5 months, 6 months, 7 months, 8 months, 9 months, 10 months, 1 1 months, 12 months, or more.
- a therapeutic compound is administered to an individual for a period of time followed by a separate period of time.
- a therapeutic compound is administered for a first period and a second period following the first period, with administration stopped during the second period, followed by a third period where administration of the therapeutic compound is started and then a fourth period following the third period where administration is stopped.
- the period of administration of a therapeutic compound followed by a period where administration is stopped is repeated for a determined or undetermined period of time.
- a period of administration is for 1 day, 2 days, 3 days, 4 days, 5 days, 6 days, 7 days, 8 days, 9 days, 10 days, 11 days, 12 days, 13 days, 14 days, 3 weeks, 4 weeks, 5 weeks, 6 weeks, 7 weeks, 8 weeks, 9 weeks, 10 weeks, 11 weeks, 12 weeks, 4 months, 5 months, 6 months, 7 months, 8 months, 9 months, 10 months, 11 months, 12 months, or more.
- a period of during which administration is stopped is for 1 day, 2 days, 3 days, 4 days, 5 days, 6 days, 7 days, 8 days, 9 days, 10 days, 11 days, 12 days, 13 days, 14 days, 3 weeks, 4 weeks, 5 weeks, 6 weeks, 7 weeks, 8 weeks, 9 weeks, 10 weeks, 11 weeks, 12 weeks, 4 months, 5 months, 6 months, 7 months, 8 months, 9 months, 10 months, 11 months, 12 months, or more.
- methods for treating a subject having condition, disease or disorder in which increased (e.g., excessive)STING activity e.g., , e.g., STING signaling
- the condition, disease or disorder is cancer.
- Non-limiting examples of cancer include melanoma, carcinoma, lymphoma, blastoma, sarcoma, and leukemia or lymphoid malignancies.
- cancers include breast cancer, colon cancer, rectal cancer, colorectal cancer, kidney or renal cancer, clear cell cancer lung cancer including small-cell lung cancer, non- small cell lung cancer, adenocarcinoma of the lung and squamous carcinoma of the lung, squamous cell cancer (e.g.
- epithelial squamous cell cancer cervical cancer, ovarian cancer, prostate cancer, prostatic neoplasms, liver cancer, bladder cancer, cancer of the peritoneum, hepatocellular cancer, gastric or stomach cancer including gastrointestinal cancer, gastrointestinal stromal tumor, pancreatic cancer, head and neck cancer, glioblastoma, retinoblastoma, astrocytoma, thecomas, arrhenoblastomas, hepatoma, hematologic malignancies including non-Hodgkins lymphoma (NHL), multiple myeloma, myelodysplasia disorders, myeloproliferative disorders, chronic myelogenous leukemia, and acute hematologic malignancies, endometrial or uterine carcinoma, endometriosis, endometrial stromal sarcoma, fibrosarcomas, choriocarcinoma, salivary gland carcinoma, vulval cancer, thyroid cancer, es
- the cancer is melanoma.
- the condition, disease or disorder is a neurological disorder, which includes disorders that involve the central nervous system (brain, brainstem and cerebellum), the peripheral nervous system (including cranial nerves), and the autonomic nervous system (parts of which are located in both central and peripheral nervous system).
- Non-limiting examples of neurological disorders include acquired epileptiform aphasia; acute disseminated encephalomyelitis; adrenoleukodystrophy; age-related macular degeneration; agenesis of the corpus callosum; agnosia; Aicardi syndrome; Alexander disease; Alpers' disease; alternating hemiplegia; Alzheimer's disease; Vascular dementia; amyotrophic lateral sclerosis; anencephaly; Angelman syndrome; angiomatosis; anoxia; aphasia; apraxia; arachnoid cysts; arachnoiditis; Anronl-Chiari malformation; arteriovenous malformation; Asperger syndrome; ataxia telegiectasia; attention deficit hyperactivity disorder; autism; autonomic dysfunction; back pain; Batten disease; Behcet's disease; Bell's palsy; benign essential blepharospasm; benign focal; amyotrophy; benign intracranial hypertension;
- the condition, disease or disorder is STING-associated conditions, e.g., type I interferonopathies (e.g., STING-associated vasculopathywith onset in infancy (SAVI)), Aicardi-Goutines Syndrome (AGS), genetic forms of lupus, and inflammation-associated disorders such as systemic lupus erythematosus, and rheumatoid arthritis.
- STING-associated conditions e.g., type I interferonopathies (e.g., STING-associated vasculopathywith onset in infancy (SAVI)), Aicardi-Goutines Syndrome (AGS), genetic forms of lupus, and inflammation-associated disorders such as systemic lupus erythematosus, and rheumatoid arthritis.
- SAVI STING-associated vasculopathywith onset in infancy
- AVS Aicardi-Gout Italian Syndrome
- genetic forms of lupus e.g., systemic lupus
- Non-limiting examples include rheumatoid arthritis, systemic lupus erythematosus, multiple sclerosis, inflammatory bowel diseases (IBDs) comprising Crohn disease (CD) and ulcerative colitis (UC), which are chronic inflammatory conditions with polygenic susceptibility.
- the condition is an inflammatory bowel disease.
- the condition is Crohn’s disease, autoimmune colitis, iatrogenic autoimmune colitis, ulcerative colitis, colitis induced by one or more chemotherapeutic agents, colitis induced by treatment with adoptive cell therapy, colitis associated by one or more alloimmune diseases (such as graft-vs-host disease, e.g., acute graft vs.
- the condition is alloimmune disease (such as graft-vs- host disease, e.g., acute graft vs. host disease and chronic graft vs.
- modulation of the immune system by STING provides for the treatment of diseases, including diseases caused by foreign agents.
- Exemplary infections by foreign agents which may be treated and/or prevented by the method of the present invention include an infection by a bacterium (e.g., a Gram-positive or Gram-negative bacterium), an infection by a fungus, an infection by a parasite, and an infection by a virus.
- the infection is a bacterial infection (e.g., infection by E. coli, Klebsiella pneumoniae, Pseudomonas aeruginosa, Salmonella spp., Staphylococcus aureus, Streptococcus spp., or vancomycin-resistant enterococcus), or sepsis.
- the infection is a fungal infection (e.g.
- the infection is a parasitic infection (e.g., infection by a single-celled or multicellular parasite, including Giardia duodenalis, Cryptosporidium parvum, Cyclospora cayetanensis, and Toxoplasma gondiz).
- a parasitic infection e.g., infection by a single-celled or multicellular parasite, including Giardia duodenalis, Cryptosporidium parvum, Cyclospora cayetanensis, and Toxoplasma gondiz.
- the infection is a viral infection (e.g., infection by a virus associated with AIDS, avian flu, chickenpox, cold sores, common cold, gastroenteritis, glandular fever, influenza, measles, mumps, pharyngitis, pneumonia, rubella, SARS, lower or upper respiratory tract infection (e.g., respiratory syncytial virus), Ebola, Zika, and SARS-CoV-2 (COVID19)).
- the condition, disease or disorder is hepatits B (see, e.g., WO 2015/061294).
- the condition, disease or disorder is selected from cardiovascular diseases (including e.g., myocardial infarction).
- the condition, disease or disorder is age-related macular degeneration.
- the condition, disease or disorder is mucositis, also known as stomatitits, which can occur as a result of chemotherapy or radiation therapy, either alone or in combination as well as damage caused by exposure to radiation outside of the context of radiation therapy.
- the condition, disease or disorder is uveitis, which is inflammation of the uvea (e.g., anterior uveitis, e.g., iridocyclitis or ulceris; intermediate uveitis (also known as pars planitis); posterior uveitis; or chorioretinitis, e.g., pan-uveitis).
- the condition, disease or disorder is selected from the group consisting of a cancer, a neurological disorder, an autoimmune disease, hepatitis B, uvetitis, a cardiovascular disease, age-related macular degeneration, and mucositis.
- the condition, disease or disorder is selected from the group consisting of Familial Chilblain Lupus, RVCL (autosomal dominant retinal vasculopathy with cerebral leukodystrophy), lupus nephritis (LN), Sjogren's Syndrome (SS), lung inflammation, acute lung inflammation, idiopathic pulmonary fibrosis, liver and renal fibrosis, nonalcoholic steatohepatitis (NASH), cirrhosis, endomyocardial fibrosis, acute and chronic kidney injury, APOL1 -associated podocytopathy, acute pancreatitis, chronic obstructive pulmonary disease (COPD), senescence, and aging.
- Familial Chilblain Lupus RVCL (autosomal dominant retinal vasculopathy with cerebral leukodystrophy), lupus nephritis (LN), Sjogren's Syndrome (SS), lung inflammation, acute lung inflammation, idiopathic pulmonary fibrosis, liver and renal
- Combination therapy This disclosure contemplates both monotherapy regimens as well as combination therapy regimens.
- the methods described herein can further include administering one or more additional therapies (e.g., one or more additional therapeutic agents and/or one or more therapeutic regimens) in combination with administration of the compounds described herein.
- the methods described herein can further include administering one or more additional cancer therapies.
- the one or more additional cancer therapies can include, without limitation, surgery, radiotherapy, chemotherapy, toxin therapy, immunotherapy, cryotherapy, cancer vaccines (e.g., HPV vaccine, hepatitis B vaccine, Oncophage, Provenge) and gene therapy, as well as combinations thereof.
- Immunotherapy including, without limitation, adoptive cell therapy, the derivation of stem cells and/or dendritic cells, blood transfusions, lavages, and/or other treatments, including, without limitation, freezing a tumor.
- the one or more additional cancer therapies is chemotherapy, which can include administering one or more additional chemotherapeutic agents.
- the additional chemotherapeutic agent is an immunomodulatory moiety, e.g., an immune checkpoint inhibitor.
- the immune checkpoint inhibitor targets an immune checkpoint receptor selected from the group consisting of CTLA-4, PD-1, PD-L1, PD-1 – PD-L1, PD-1 – PD-L2, interleukin ⁇ 2 (IL ⁇ 2), indoleamine 2,3- dioxygenase (IDO), IL ⁇ 10, transforming growth factor- ⁇ (TGF ⁇ ), T cell immunoglobulin and mucin 3 (TIM3 or HAVCR2), Galectin 9 – TIM3, Phosphatidylserine – TIM3, lymphocyte activation gene 3 protein (LAG3), MHC class II – LAG3, 4 ⁇ 1BB–4 ⁇ 1BB ligand, OX40–OX40 ligand, GITR, GITR ligand – GITR, CD27, CD70-CD27, TNFRSF25, TNFRSF25–TL1A, CD40L, CD40–CD40 ligand, HVEM–LIGHT–L
- the immune checkpoint inhibitor is selected from the group consisting of: Urelumab, PF ⁇ 05082566, MEDI6469, TRX518, Varlilumab, CP ⁇ 870893, Pembrolizumab (PD1), Nivolumab (PD1), Atezolizumab (formerly MPDL3280A) (PDL1), MEDI4736 (PD-L1), Avelumab (PD-L1), PDR001 (PD1), BMS ⁇ 986016, MGA271, Lirilumab, IPH2201, Emactuzumab, INCB024360, Galunisertib, Ulocuplumab, BKT140, Bavituximab, CC ⁇ 90002, Bevacizumab, and MNRP1685A, and MGA271.
- the additional chemotherapeutic agent is an alkylating agent.
- Alkylating agents are so named because of their ability to alkylate many nucleophilic functional groups under conditions present in cells, including, but not limited to cancer cells.
- an alkylating agent includes, but is not limited to, Cisplatin, carboplatin, mechlorethamine, cyclophosphamide, chlorambucil, ifosfamide and/or oxaliplatin.
- alkylating agents can function by impairing cell function by forming covalent bonds with the amino, carboxyl, sulfhydryl, and phosphate groups in biologically important molecules or they can work by modifying a cell's DNA.
- an alkylating agent is a synthetic, semisynthetic or derivative.
- the additional chemotherapeutic agent is an anti-metabolite.
- Anti-metabolites masquerade as purines or pyrimidines, the building-blocks of DNA and in general, prevent these substances from becoming incorporated in to DNA during the "S" phase (of the cell cycle), stopping normal development and division. Anti-metabolites can also affect RNA synthesis.
- an antimetabolite includes, but is not limited to azathioprine and/or mercaptopurine.
- an anti-metabolite is a synthetic, semisynthetic or derivative.
- the additional chemotherapeutic agent is a plant alkaloid and/or terpenoid.
- These alkaloids are derived from plants and block cell division by, in general, preventing microtubule function.
- a plant alkaloid and/or terpenoid is a vinca alkaloid, a podophyllotoxin and/or a taxane.
- Vinca alkaloids in general, bind to specific sites on tubulin, inhibiting the assembly of tubulin into microtubules, generally during the M phase of the cell cycle.
- a vinca alkaloid is derived, without limitation, from the Madagascar periwinkle, Catharanthus roseus (formerly known as Vinca rosea).
- a vinca alkaloid includes, without limitation, Vincristine, Vinblastine, Vinorelbine and/or Vindesine.
- a taxane includes, but is not limited, to Taxol, Paclitaxel and/or Docetaxel.
- a plant alkaloid or terpernoid is a synthetic, semisynthetic or derivative.
- a podophyllotoxin is, without limitation, an etoposide and/or teniposide.
- a taxane is, without limitation, docetaxel and/or ortataxel. [021]
- a cancer therapeutic is a topoisomerase.
- Topoisomerases are essential enzymes that maintain the topology of DNA. Inhibition of type I or type II topoisomerases interferes with both transcription and replication of DNA by upsetting proper DNA supercoiling.
- a topoisomerase is, without limitation, a type I topoisomerase inhibitor or a type II topoisomerase inhibitor.
- a type I topoisomerase inhibitor is, without limitation, a camptothecin.
- a camptothecin is, without limitation, exatecan, irinotecan, lurtotecan, topotecan, BNP 1350, CKD 602, DB 67 (AR67) and/or ST 1481.
- a type II topoisomerase inhibitor is, without limitation, epipodophyllotoxin.
- an epipodophyllotoxin is, without limitation, an amsacrine, etoposid, etoposide phosphate and/or teniposide.
- a topoisomerase is a synthetic, semisynthetic or derivative, including those found in nature such as, without limitation, epipodophyllotoxins, substances naturally occurring in the root of American Mayapple (Podophyllum peltatum).
- the additional chemotherapeutic agent is a stilbenoid.
- a stilbenoid includes, but is not limited to, Resveratrol, Piceatannol, Pinosylvin, Pterostilbene, Alpha-Viniferin, Ampelopsin A, Ampelopsin E, Diptoindonesin C, Diptoindonesin F, Epsilon- Vinferin, Flexuosol A, Gnetin H, Hemsleyanol D, Hopeaphenol, Trans-Diptoindonesin B, Astringin, Piceid and Diptoindonesin A.
- a stilbenoid is a synthetic, semisynthetic or derivative.
- the additional chemotherapeutic agent is a cytotoxic antibiotic.
- a cytotoxic antibiotic is, without limitation, an actinomycin, an anthracenedione, an anthracycline, thalidomide, dichloroacetic acid, nicotinic acid, 2-deoxyglucose and/or chlofazimine.
- an actinomycin is, without limitation, actinomycin D, bacitracin, colistin (polymyxin E) and/or polymyxin B.
- an antracenedione is, without limitation, mitoxantrone and/or pixantrone.
- an anthracycline is, without limitation, bleomycin, doxorubicin (Adriamycin), daunorubicin (daunomycin), epirubicin, idarubicin, mitomycin, plicamycin and/or valrubicin.
- a cytotoxic antibiotic is a synthetic, semisynthetic or derivative.
- the additional chemotherapeutic agent is selected from endostatin, angiogenin, angiostatin, chemokines, angioarrestin, angiostatin (plasminogen fragment), basement-membrane collagen-derived anti-angiogenic factors (tumstatin, canstatin, or arrestin), anti-angiogenic antithrombin III, signal transduction inhibitors, cartilage-derived inhibitor (CDI), CD59 complement fragment, fibronectin fragment, gro-beta, heparinases, heparin hexasaccharide fragment, human chorionic gonadotropin (hCG), interferon alpha/beta/gamma, interferon inducible protein (IP-10), interleukin-12, kringle 5 (plasminogen fragment), metalloproteinase inhibitors (TIMPs), 2-methoxyestradiol, placental ribonuclease inhibitor, plasminogen activator inhibitor, platelet factor-4 (PF4), prol
- the additional chemotherapeutic agent is selected from abiraterone acetate, altretamine, anhydrovinblastine, auristatin, bexarotene, bicalutamide, BMS 184476, 2,3,4,5,6-pentafluoro-N-(3-fluoro-4-methoxyphenyl)benzene sulfonamide, bleomycin, N,N- dimethyl-L-valyl-L-valyl-N-methyl-L-valyl-L-proly-1-Lproline-t-butylamide, cachectin, cemadotin, chlorambucil, cyclophosphamide, 3′,4′-didehydro-4′-deoxy-8′-norvin-caleukoblastine, docetaxol, doxetaxel, cyclophosphamide, carboplatin, carmustine, cisplatin, cryptophycin, cyclo
- the additional chemotherapeutic agent is platinum, cisplatin, carboplatin, oxaliplatin, mechlorethamine, cyclophosphamide, chlorambucil, azathioprine, mercaptopurine, vincristine, vinblastine, vinorelbine, vindesine, etoposide and teniposide, paclitaxel, docetaxel, irinotecan, topotecan, amsacrine, etoposide, etoposide phosphate, teniposide, 5-fluorouracil, leucovorin, methotrexate, gemcitabine, taxane, leucovorin, mitomycin C, tegafur- uracil, idarubicin, fludarabine, mitoxantrone, ifosfamide and doxorubicin.
- Additional agents include inhibitors of mTOR (mammalian target of rapamycin), including but not limited to rapamycin, everolimus, temsirolimus and deforolimus.
- the additional chemotherapeutic agent can be selected from those delineated in U.S. Patent 7,927,613, which is incorporated herein by reference in its entirety.
- the additional therapeutic agent and/or regimen are those that can be used for treating other STING-associated conditions, e.g., type I interferonopathies (e.g., STING-associated vasculopathywith onset in infancy (SAVI)), Aicardi-Gout Italian Syndrome (AGS), genetic forms of lupus, and inflammation-associated disorders such as systemic lupus erythematosus, and rheumatoid arthritis and the like.
- STING-associated conditions e.g., type I interferonopathies (e.g., STING-associated vasculopathywith onset in infancy (SAVI)), Aicardi-Goutines Syndrome (AGS), genetic forms of lupus, and inflammation-associated disorders such as systemic lupus erythematosus, and rheumatoid arthritis and the like.
- STING-associated conditions e.g., type I interferonopathies (e.g., STING-associated vasculopathywith
- Non-limiting examples of additional therapeutic agents and/or regimens for treating rheumatoid arthritis include non-steroidal anti-inflammatory drugs (NSAIDs; e.g., ibuprofen and naproxen), corticosteroids (e.g, prednisone), disease-modifying antirheumatic drugs (DMARDs; e.g., methotrexate (Trexall®, Otrexup®, Rasuvo®, Rheumatrex®), leflunomide (Arava®), hydroxychloroquine (Plaquenil), PF-06650833, iguratimod, tofacitinib (Xeljanz®), ABBV-599, evobrutinib, and sulfasalazine (Azulfidine®)), and biologics (e.g., abatacept (Orencia®), adalimumab (Humira®), anakinra (Kineret®),
- Non-limiting examples of additional therapeutic agents and/or regimens for treating lupus include steroids, topical immunomodulators (e.g., tacrolimus ointment (Protopic®) and pimecrolimus cream (Elidel®)), thalidomide (Thalomid®), non-steroidal anti-inflammatory drugs (NSAIDs; e.g., ibuprofen and naproxen), antimalarial drugs (e.g., Hydroxychloroquine (Plaquenil)), corticosteroids (e.g, prednisone) and immunomodulators (e.g., evobrutinib, iberdomide, voclosporin, cenerimod, azathioprine (Imuran®), cyclophosphamide (Cytoxan®, Neosar®, Endoxan®), and cyclosporine (Neoral, Sandimmune®, Gengraf®), and mycophenolate mofetil) baricitinb
- non-limiting treatments for systemic lupus erythematosus include non-steroidal anti-inflammatory drugs (NSAIDs; e.g., ibuprofen and naproxen), antimalarial drugs (e.g., Hydroxychloroquine (Plaquenil)), corticosteroids (e.g, prednisone) and immunomodulators (e.g., iberdomide, voclosporin, azathioprine (Imuran®), cyclophosphamide (Cytoxan®, Neosar®, Endoxan®), and cyclosporine (Neoral, Sandimmune®, Gengraf®), and mycophenolate mofetil, baricitinb, filogotinib, and PF-06650833), and biologics (e.g., belimumab (Benlysta®), anifrolumab, prezalumab, MEDI0700, vobarilizumab,
- non-limiting examples of treatments for cutaneous lupus include steroids, immunomodulators (e.g., tacrolimus ointment (Protopic®) and pimecrolimus cream (Elidel®)), GS-9876, filogotinib, and thalidomide (Thalomid®).
- agents and regimens for treating drug-induced and/or neonatal lupus can also be administered.
- additional therapeutic agents and/or regimens for treating STING-associated vasculopathy with onset in infancy (SAVI) include JAK inhibitors (e.g., tofacitinib, ruxolitinib, filgotinib, and baricitinib).
- Non-limiting examples of additional therapeutic agents and/or regimens for treating Aicardi-Goutines Syndrome include physiotherapy, treatment for respiratory complications, anticonvulsant therapies for seizures, tube-feeding, nucleoside reverse transcriptase inhibitors (e.g., emtricitabine (e.g., Emtriva®), tenofovir (e.g., Viread®), emtricitabine/tenofovir (e.g., Truvada®), zidovudine, lamivudine, and abacavir), and JAK inhibitors (e.g., tofacitinib, ruxolitinib, filgotinib, and baricitinib).
- nucleoside reverse transcriptase inhibitors e.g., emtricitabine (e.g., Emtriva®), tenofovir (e.g., Viread®), emtricitabine/tenofovir (e.g., Truvada
- Non-limiting examples of additional therapeutic agents and/or regimens for treating IBDs include 6-mercaptopurine, AbGn-168H, ABX464, ABT-494, adalimumab, AJM300, alicaforsen, AMG139, anrukinzumab, apremilast, ATR-107 (PF0530900), autologous CD34-selected peripheral blood stem cells transplant, azathioprine, bertilimumab, BI 655066, BMS-936557, certolizumab pegol (Cimzia®), cobitolimod, corticosteroids (e.g., prednisone, Methylprednisolone, prednisone), CP-690,550, CT-P13, cyclosporine, DIMS0150, E6007, E6011, etrasimod, etrolizumab, fecal microbial transplantation, figlotinib, fingolimod, fi
- Non-limiting examples of additional therapeutic agents and/or regimens for treating irritable bowel syndrome include alosetron, bile acid sequesterants (e.g., cholestyramine, colestipol, colesevelam), chloride channel activators (e.g., lubiprostone), coated peppermint oil capsules, desipramine, dicyclomine, ebastine, eluxadoline, farnesoid X receptor agonist (e.g., obeticholic acid), fecal microbiota transplantation, fluoxetine, gabapentin, guanylate cyclase-C agonists (e.g., linaclotide, plecanatide), ibodutant, imipramine, JCM-16021, loperamide, lubiprostone, nortriptyline, ondansetron, opioids, paroxetine, pinaverium, polyethylene glycol, pregabalin, probiotics, ramosetron,
- Non-limiting examples of additional therapeutic agents and/or regimens for treating scleroderma include non-steroidal anti-inflammatory drugs (NSAIDs; e.g., ibuprofen and naproxen), corticosteroids (e.g, prednisone), immunomodulators (e.g., azathioprine, methotrexate (Trexall®, Otrexup®, Rasuvo®, Rheumatrex®), cyclophosphamide (Cytoxan®, Neosar®, Endoxan®), and cyclosporine (Neoral®, Sandimmune®, Gengraf®), antithymocyte globulin, mycophenolate mofetil, intravenous immunoglobulin, rituximab, sirolimus, and alefacept), calcium channel blockers (e.g., nifedipine), alpha blockers, serotonin receptor antagonists, angiotensin II receptor inhibitors, statins, local
- Non-limiting examples of additional therapeutic agents and/or regimens for treating Crohn’s Disease include adalimumab, autologous CD34-selected peripheral blood stem cells transplant, 6-mercaptopurine, azathioprine, certolizumab pegol (Cimzia®), corticosteroids (e.g., prednisone), etrolizumab, E6011, fecal microbial transplantation, figlotinib, guselkumab, infliximab, IL-2, JAK inhibitors, matrix metalloproteinase 9 (MMP 9) inhibitors (e.g., GS-5745), MEDI2070, mesalamine, methotrexate, natalizumab, ozanimod, RHB-104, rifaximin, risankizumab, SHP647, sulfasalazine, thalidomide, upadacitinib, V
- Non-limiting examples of additional therapeutic agents and/or regimens for treating UC include AbGn-168H, ABT-494, ABX464, apremilast, PF-00547659, PF-06687234, 6- mercaptopurine, adalimumab, azathioprine, bertilimumab, brazikumab (MEDI2070), cobitolimod, certolizumab pegol (Cimzia®), CP-690,550, corticosteroids (e.g., multimax budesonide, Methylprednisolone), cyclosporine, E6007, etrasimod, etrolizumab, fecal microbial transplantation, figlotinib, guselkumab, golimumab, IL-2, IMU-838, infliximab, matrix metalloproteinase 9 (MMP9) inhibitors (e.g., GS-57
- Non-limiting examples of additional therapeutic agents and/or regimens for treating autoimmune colitis include corticosteroids (e.g., budesonide, prednisone, prednisolone, Beclometasone dipropionate), diphenoxylate/atropine, infliximab, loperamide, mesalamine, TIP60 inhibitors (see, e.g., U.S. Patent Application Publication No. 2012/0202848), and vedolizumab.
- Non-limiting examples of additional therapeutic agents and/or regimens for treating iatrogenic autoimmune colitis include corticosteroids (e.g., budesonide, prednisone, prednisolone, Beclometasone dipropionate), diphenoxylate/atropine, infliximab, loperamide, TIP60 inhibitors (see, e.g., U.S. Patent Application Publication No.2012/0202848), and vedolizumab.
- Non-limiting examples of additional therapeutic agents and/or regimens for treating colitis induced by one or more chemotherapeutics agents include corticosteroids (e.g., budesonide, prednisone, prednisolone, beclometasone dipropionate), diphenoxylate/atropine, infliximab, loperamide, mesalamine, TIP60 inhibitors (see, e.g., U.S. Patent Application Publication No. 2012/0202848), and vedolizumab.
- Non-limiting examples of additional therapeutic agents and/or regimens for treating colitis induced by treatment with adoptive cell therapy include corticosteroids (e.g., budesonide, prednisone, prednisolone, beclometasone dipropionate), diphenoxylate/atropine, infliximab, loperamide, TIP60 inhibitors (see, e.g., U.S. Patent Application Publication No.2012/0202848), and vedolizumab.
- Non-limiting examples of additional therapeutic agents and/or regimens for treating colitis associated with one or more alloimmune diseases include corticosteroids (e.g., budesonide, prednisone, prednisolone, beclometasone dipropionate), sulfasalazine, and eicopentaenoic acid.
- corticosteroids e.g., budesonide, prednisone, prednisolone, beclometasone dipropionate
- sulfasalazine eicopentaenoic acid.
- Non-limiting examples of additional therapeutic agents and/or regimens for treating radaiation enteritis include teduglutide, amifostine, angiotensin-converting enzyme (ACE) inhibitors (e.g., benazepril, captopril, enalapril, fosinopril, lisinopril, moexipril, perindopril, quinapril, ramipril, and trandolapril), probiotics, selenium supplementation, statins (e.g., atorvastatin, fluvastatin, lovastatin, pravastatin, rosuvastatin, simvastatin, and pitavastatin), sucralfate, and vitamin E.
- ACE angiotensin-converting enzyme
- Non-limiting examples of additional therapeutic agents and/or regimens for treating collagenous colitis include 6-mercaptopurine, azathaioprine, bismuth subsalicate, Boswellia serrata extract, cholestyramine, colestipol, corticosteroids (e.g., budesonide, prednisone, prednisolone, beclometasone dipropionate), loperamide, mesalamine, methotrexate, probiotics, and sulfasalazine.
- corticosteroids e.g., budesonide, prednisone, prednisolone, beclometasone dipropionate
- loperamide mesalamine, methotrexate, probiotics, and sulfasalazine.
- Non-limiting examples of additional therapeutic agents and/or regimens for treating lyphocytic colitis include 6-mercaptopurine, azathioprine, bismuth subsalicylate, cholestyramine, colestipol, corticosteroids (e.g., budesonide, prednisone, prednisolone, beclometasone dipropionate), loperamide, mesalamine, methotrexate, and sulfasalazine.
- Non-limiting examples of additional therapeutic agents and/or regimens for treating microscopic colitis include 6-mercaptopurine, azathioprine, bismuth subsalicylate, Boswellia serrata extract, cholestyramine, colestipol, corticosteroids (e.g., budesonide, prednisone, prednisolone, beclometasone dipropionate), fecal microbial transplantation, loperamide, mesalamine, methotrexate, probiotics, and sulfasalazine.
- corticosteroids e.g., budesonide, prednisone, prednisolone, beclometasone dipropionate
- corticosteroids e.g., budesonide, prednisone, prednisolone, beclometasone dipropionate
- fecal microbial transplantation loperamide, mesalamine, methot
- Non-limiting examples of additional therapeutic agents and/or regimens for treating alloimmune disease include intrauterine platelet transfusions, intravenous immunoglobin, maternal steroids, abatacept, alemtuzumab, alpha1-antitrypsin, AMG592, antithymocyte globulin, barcitinib, basiliximab, bortezomib, brentuximab, cannabidiol, corticosteroids (e.g., methylprednisone, prednisone), cyclosporine, dacilzumab, defribrotide, denileukin diftitox, glasdegib, ibrutinib, IL-2, infliximab, itacitinib, LBH589, maraviroc, mycophenolate mofetil, natalizumab, neihulizumab, pentostatin, pevonedistat, photobiomodulation,
- Non-limiting examples of additional therapeutic agents and/or regimens for treating multiple sclerosis include alemtuzumab (Lemtrada®), ALKS 8700, amiloride, ATX-MS- 1467, azathioprine, baclofen (Lioresal®), beta interferons (e.g., IFN- ⁇ -1a, IFN- ⁇ -1b), cladribine, corticosteroids (e.g., methylprednisolone), daclizumab, dimethyl fumarate (Tecfidera®), fingolimod (Gilenya®), fluoxetine, glatiramer acetate (Copaxone®), hydroxychloroquine, ibudilast, idebenone, laquinimod, lipoic acid, losartan, masitinib, MD1003 (biotin), mitoxantrone, montelukast, natalizumab (Tysabri®), NeuroVax
- Non-limiting examples of additional therapeutic agents and/or regimens for treating graft- vs-host disease include abatacept, alemtuzumab, alpha1-antitrypsin, AMG592, antithymocyte globulin, barcitinib, basiliximab, bortezomib, brentuximab, cannabidiol, corticosteroids (e.g., methylprednisone, prednisone), cyclosporine, dacilzumab, defribrotide, denileukin diftitox, glasdegib, ibrutinib, IL-2, imatinib, infliximab, itacitinib, LBH589, maraviroc, mycophenolate mofetil, natalizumab, neihulizumab, pentostatin, pevonedistat, photobiomodulation, photopheresis, r
- Non-limiting examples of additional therapeutic agents and/or regimens for treating acute graft-vs-host disease include alemtuzumab, alpha-1 antitrypsin, antithymocyte globulin, basiliximab, brentuximab, corticosteroids (e.g., methylprednisone, prednisone), cyclosporine, dacilzumab, defribrotide, denileukin diftitox, ibrutinib, infliximab, itacitinib, LBH589, mycophenolate mofetil, natalizumab, neihulizumab, pentostatin, photopheresis, ruxolitinib, sirolimus, tacrolimus, and tocilizumab.
- corticosteroids e.g., methylprednisone, prednisone
- cyclosporine e.g., methyl
- Non-limiting examples of additional therapeutic agents and/or regimens for treating chronic graft vs. host disease include abatacept, alemtuzumab, AMG592, antithymocyte globulin, basiliximab, bortezomib, corticosteroids (e.g., methylprednisone, prednisone), cyclosporine, dacilzumab, denileukin diftitox, glasdegib, ibrutinib, IL-2, imatinib, infliximab, mycophenolate mofetil, pentostatin, photobiomodulation, photopheresis, ruxolitinib, sirolimus, sonidegib, tacrolimus, tocilizumab, and vismodegib.
- corticosteroids e.g., methylprednisone, prednisone
- corticosteroids e.g., methylpred
- Non-limiting examples of additional therapeutic agents and/or regimens for treating celiac disease include AMG 714, AMY01, Aspergillus niger prolyl endoprotease, BL-7010, CALY-002, GBR 830, Hu-Mik-Beta-1, IMGX003, KumaMax, Larazotide Acetate, Nexvan2®, pancrelipase, TIMP-GLIA, vedolizumab, and ZED1227.
- Non-limiting examples of additional therapeutic agents and/or regimens for treating psoriasis include topical corticosteroids, topical crisaborole/AN2728, topical SNA-120, topical SAN021, topical tapinarof, topical tocafinib, topical IDP-118, topical M518101, topical calcipotriene and betamethasone dipropionate (e.g., MC2-01 cream and Taclonex®), topical P- 3073, topical LEO 90100 (Enstilar®), topical betamethasone dipropriate (Sernivo®), halobetasol propionate (Ultravate®), vitamin D analogues (e.g., calcipotriene (Dovonex®) and calcitriol (Vectical®)), anthralin (e.g., Dritho-scalp® and Dritho-crème®), topical retinoids (e.g.,
- Non-limiting examples of additional therapeutic agents and/or regimens for treating cutaneous T-cell lymphoma include phototherapy (e.g., exposure to sunlight, UVB phototherapy, narrow band UVB phototherapy, Goeckerman therapy, psoralen plus ultraviolet A (PUVA) therapy, and excimer laser), extracorporeal photopheresis, radiation therapy (e.g., spot radiation and total skin body electron beam therapy), stem cell transplant, corticosteroids, imiquimod, bexarotene gel, topical bis-chloroethyl-nitrourea, mechlorethamine gel, vorinostat (Zolinza®), romidepsin (Istodax®), pralatrexate (Folotyn®) biologics (e.g., alemtuzumab (Campath®), brentuximab vedotin (SGN-35), mogamulizumab, and IPH4102).
- phototherapy e.g., exposure to sunlight
- Non-limiting examples of additional therapeutic agents and/or regimens for treating uveitis include corticosteroids (e.g., intravitreal triamcinolone acetonide injectable suspensions), antibiotics, antivirals (e.g., acyclovir), dexamethasone, immunomodulators (e.g., tacrolimus, leflunomide, cyclophosphamide (Cytoxan®, Neosar®, Endoxan®), and cyclosporine (Neoral®, Sandimmune®, Gengraf®), chlorambucil, azathioprine, methotrexate, and mycophenolate mofetil), biologics (e.g., infliximab (Remicade®), adalimumab (Humira®), etanercept (Enbrel®), golimumab (Simponi®), certolizumab (Cimzia®), rituximab (Rituxan®
- additional therapeutic agents and/or regimens for treating mucositis include AG013, SGX942 (dusquetide), amifostine (Ethyol®), cryotherapy, cepacol lonzenges, capsaicin lozenges, mucoadhesives (e.g., MuGard®) oral diphenhydramine (e.g., Benadry® elixir), oral bioadherents (e.g., polyvinylpyrrolidone-sodium hyaluronate gel (Gelclair®)), oral lubricants (e.g., Oral Balance®), caphosol, chamomilla recutita mouthwash, edible grape plant exosome, antiseptic mouthwash (e.g., chlorhexidine gluconate (e.g., Peridex® or Periogard®), topical pain relievers (e.g., lidocaine, benzocaine, dyclonine hydro
- non-limiting examples of treatments for oral mucositis include AG013, amifostine (Ethyol®), cryotherapy, cepacol lonzenges, mucoadhesives (e.g., MuGard®) oral diphenhydramine (e.g., Benadry® elixir), oral bioadherents (e.g., polyvinylpyrrolidone-sodium hyaluronate gel (Gelclair®)), oral lubricants (e.g., Oral Balance®), caphosol, chamomilla recutita mouthwash, edible grape plant exosome, antiseptic mouthwash (e.g., chlorhexidine gluconate (e.g., Peridex® or Periogard®), topical pain relievers (e.g., lidocaine, benzocaine, dyclonine hydrochloride, xylocaine (e.g., viscous xylocaine
- non-limiting examples of treatments for esophageal mucositis include xylocaine (e.g., gel viscous Xylocaine 2%).
- treatments for intestinal mucositis, treatments to modify intestinal mucositis, and treatments for intestinal mucositis signs and symptoms include gastrointestinal cocktail (an acid reducer such aluminum hydroxide and magnesium hydroxide (e.g., Maalox), an antifungal (e.g., nystatin), and an analgesic (e.g., hurricane liquid)).
- an acid reducer such aluminum hydroxide and magnesium hydroxide (e.g., Maalox)
- an antifungal e.g., nystatin
- an analgesic e.g., hurricane liquid
- the second therapeutic agent or regimen is administered to the subject prior to contacting with or administering the chemical entity (e.g., about one hour prior, or about 6 hours prior, or about 12 hours prior, or about 24 hours prior, or about 48 hours prior, or about 1 week prior, or about 1 month prior).
- the second therapeutic agent or regimen is administered to the subject at about the same time as contacting with or administering the chemical entity.
- the second therapeutic agent or regimen and the chemical entity are provided to the subject simultaneously in the same dosage form.
- the second therapeutic agent or regimen and the chemical entity are provided to the subject concurrently in separate dosage forms.
- the second therapeutic agent or regimen is administered to the subject after contacting with or administering the chemical entity (e.g., about one hour after, or about 6 hours after, or about 12 hours after, or about 24 hours after, or about 48 hours after, or about 1 week after, or about 1 month after).
- the methods described herein further include the step of identifying a subject (e.g., a patient) in need of such treatment (e.g., by way of biopsy, endoscopy, or other conventional method known in the art).
- the STING protein can serve as a biomarker for certain types of cancer, e.g., colon cancer and prostate cancer.
- identifying a subject can include assaying the patient’s tumor microenvironment for the absence of T-cells and/or presence of exhausted T-cells, e.g., patients having one or more cold tumors.
- Such patients can include those that are resistant to treatment with checkpoint inhibitors.
- such patients can be treated with a chemical entity herein, e.g., to recruit T-cells into the tumor, and in some cases, further treated with one or more checkpoint inhibitors, e.g., once the T-cells become exhausted.
- the chemical entities, methods, and compositions described herein can be administered to certain treatment-resistant patient populations (e.g., patients resistant to checkpoint inhibitors; e.g., patients having one or more cold tumors, e.g., tumors lacking T-cells or exhausted T-cells).
- treatment-resistant patient populations e.g., patients resistant to checkpoint inhibitors; e.g., patients having one or more cold tumors, e.g., tumors lacking T-cells or exhausted T-cells.
- Synthetic chemistry transformations and protecting group methodologies (protection and deprotection) useful in synthesizing the compounds described herein are known in the art and include, for example, those such as described in R. Larock, Comprehensive Organic Transformations, VCH Publishers (1989); T. W. Greene and RGM.
- triethylamine can be interchanged with other bases, such as non- nucleophilic bases (e.g. diisopropylamine, 1,8-diazabicycloundec-7-ene, 2,6-di-tert-butylpyridine, or tetrabutylphosphazene).
- bases such as non- nucleophilic bases (e.g. diisopropylamine, 1,8-diazabicycloundec-7-ene, 2,6-di-tert-butylpyridine, or tetrabutylphosphazene).
- non- nucleophilic bases e.g. diisopropylamine, 1,8-diazabicycloundec-7-ene, 2,6-di-tert-butylpyridine, or tetrabutylphosphazene.
- analytical methods that can be used to characterize the compounds described herein, including, for example, NMR, heteronuclear NMR,
- Step 2 Synthesis of tert-butyl (6-((2-(2,6-dioxopiperidin-3-yl)-1,3-dioxoisoindolin-4- yl)amino)hexyl)carbamate
- 2-(2,6-dioxopiperidin-3-yl)-4-fluoroisoindoline-1,3-dione 4.0 g, 14.5 mmol, 1.0 equiv.
- tert-butyl (6-aminohexyl)carbamate 4.7 g, 21.7 mmol, 1.5 equiv.
- DMF 60 mL
- Step 4 Synthesis of tert-butyl (E)-(4-(4-((6-((2-(2,6-dioxopiperidin-3-yl)-1,3-dioxoisoindolin- 4-yl)amino)hexyl)amino)-4-oxobut-2-enamido)phenyl)carbamate
- 4-((6-aminohexyl)amino)-2-(2,6-dioxopiperidin-3-yl)isoindoline-1,3-dione 3.1 g, 8.3 mmol, 1.0 equiv.
- DIEA 3.55 g, 8.3 mmol,
- Step 5 Synthesis of N1-(4-aminophenyl)-N4-(6-((2-(2,6-dioxopiperidin-3-yl)-1,3- dioxoisoindolin-4-yl)amino)hexyl)fumaramide
- EtOAc tert-butyl
- Step 6 Synthesis of 5-chloro-1H-indole-3-carbonyl azide
- TEA 11.6 g, 115.0 mmol, 1.5 equiv.
- DPPA 31.7 g, 115.0 mmol, 1.5 equiv.
- Step 7 Synthesis of N1-(4-(3-(5-chloro-1H-indol-3-yl)ureido)phenyl)-N4-(6-((2-(2,6- dioxopiperidin-3-yl)-1,3-dioxoisoindolin-4-yl)amino)hexyl)fumaramide
- N1-(4-aminophenyl)-N4-(6-((2-(2,6-dioxopiperidin-3-yl)-1,3-dioxo isoindolin-4-yl)amino)hexyl)fumaramide (200.0 mg, 0.4 mmol, 1.0 equiv.) and 5-chloro-1H- indole-3-carbonyl azide (94.5 mg, 0.4 mmol, 1.2 equiv.) in THF (8 mL), was added TEA (36.1 mg, 0.4 mmol, 2.0
- THP1-DualTM KO-IFNAR2 THP1-DualTM KO-IFNAR2 Cells (obtained from InvivoGen) were maintained in RPMI, 10% FCS, 5 ml P/S, 2mM L-glut, 10mM Hepes, and 1 mM sodium pyruvate. Compounds were spotted in empty 384 well tissue culture plates (Greiner 781182) by Echo for a final concentration of 0.0017 - 100 ⁇ M. Cells were plated into the TC plates at 40 ⁇ L per well, 2 ⁇ 10E6 cells/mL.
- 2'3'cGAMP (MW 718.38, obtained from Invivogen), was prepared in Optimem media.
- the following solutions were prepared for each 1 ⁇ 384 plate: o Solution A: 2 mL Optimem with one of the following stimuli: ⁇ 60 ⁇ L of 10 mM 2'3'cGAMP ⁇ 150 ⁇ M stock o Solution B: 2 mL Optimem with 60 ⁇ L Lipofectamine 2000 Incubate 5 min at RT 2 mL of solution A and 2 ml Solution B was mixed and incubated for 20 min at room temperature (RT).20 ⁇ L of transfection solution (A+B) was added on top of the plated cells, with a final 2’3’cGAMP concentration of 15 ⁇ M.
- Luciferase reporter activity was then measured. EC50 values were calculated by using standard methods known in the art.
- Luciferase reporter assay 10 ⁇ L of supernatant from the assay was transferred to white 384-plate with flat bottom and squared wells.
- One pouch of QUANTI-LucTM Plus was dissolved in 25 mL of water.100 ⁇ L of QLC Stabilizer per 25 mL of QUANTI-LucTM Plus solution was added.50 ⁇ L of QUANTI-LucTM Plus/QLC solution per well was then added.
- STING protein degradation activity of Compound 104 Compound 104 or DMSO control was spotted onto 96 well flat bottom tissue culture plates in DMSO in a dose dependent manner.
- THP1 cells Three hundred thousand THP1 cells were plated in 120 ⁇ L final volume in RPMI 1640 media with 10% FBS. The cells were incubated with compound 104 for 16 h at 37°C in a humidified tissue culture incubator. After the incubation, the cells were spun at 340 x g for 5min, and 100 uL of the supernatant medium was removed. The cells were lysed in the remaining 20 ⁇ L of medium by addition of 20 uL 2x RIPA buffer with protease inhibitors. After a 10-minute room temperature incubation on a plate vortex mixer (600 rpm), the lysates were spun through a filter at 3000g for 2 minutes.
Landscapes
- Chemical & Material Sciences (AREA)
- Organic Chemistry (AREA)
- Health & Medical Sciences (AREA)
- Veterinary Medicine (AREA)
- General Health & Medical Sciences (AREA)
- Medicinal Chemistry (AREA)
- Public Health (AREA)
- Pharmacology & Pharmacy (AREA)
- Life Sciences & Earth Sciences (AREA)
- Animal Behavior & Ethology (AREA)
- Epidemiology (AREA)
- Engineering & Computer Science (AREA)
- Bioinformatics & Cheminformatics (AREA)
- General Chemical & Material Sciences (AREA)
- Nuclear Medicine, Radiotherapy & Molecular Imaging (AREA)
- Chemical Kinetics & Catalysis (AREA)
- Pharmaceuticals Containing Other Organic And Inorganic Compounds (AREA)
Abstract
This disclosure features chemical entities (e.g., a compound of Formula (I), (I-a), (I-b), or (I-c), or a pharmaceutically acceptable salt thereof) that induce degradation of Stimulator of Interferon Genes (STING). Said chemical entities are useful, e.g., for treating a condition, disease or disorder in which increased (e.g., excessive) STING activation (e.g., STING signaling) contributes to the pathology and/or symptoms and/or progression of the condition, disease or disorder (e.g., cancer) in a subject (e.g., a human). This disclosure also features compositions containing the same as well as methods of using and making the same.
Description
Compounds and Compositions for Treating Conditions Associated with STING Activity CROSS REFERENCE TO RELATED APPLICATIONS This application claims the benefit of U.S. Provisional Application Serial No.63/409,540, filed on September 23, 2022, which is incorporated herein by reference in its entirety. TECHNICAL FIELD This disclosure features chemical entities (e.g., a compound of Formula (I), (I-a), (I-b), or (I-c), or a pharmaceutically acceptable salt thereof) that induce degradation of Stimulator of Interferon Genes (STING). Said chemical entities are useful, e.g., for treating a condition, disease or disorder in which increased (e.g., excessive) STING activation (e.g., STING signaling) contributes to the pathology and/or symptoms and/or progression of the condition, disease or disorder (e.g., cancer) in a subject (e.g., a human). This disclosure also features compositions containing the same as well as methods of using and making the same. BACKGROUND STING, also known as transmembrane protein 173 (TMEM173) and MPYS/MITA/ERIS, is a protein that in humans is encoded by the TMEM173 gene. STING has been shown to play a role in innate immunity. STING induces type I interferon production when cells are infected with intracellular pathogens, such as viruses, mycobacteria and intracellular parasites. Type I interferon, mediated by STING, protects infected cells and nearby cells from local infection in an autocrine and paracrine manner. The STING pathway is pivotal in mediating the recognition of cytosolic DNA. In this context, STING, a transmembrane protein localized to the endoplasmic reticulum (ER), acts as a second messenger receptor for 2', 3' cyclic GMP-AMP (hereafter cGAMP), which is produced by cGAS after dsDNA binding. In addition, STING can also function as a primary pattern recognition receptor for bacterial cyclic dinucleotides (CDNs) and small molecule agonists. The recognition of endogenous or prokaryotic CDNs proceeds through the carboxy-terminal domain of STING, which faces into the cytosol and creates a V-shaped binding pocket formed by a STING
homodimer. Ligand-induced activation of STING triggers its re-localization to the Golgi, a process essential to promote the interaction of STING with TBK1. This protein complex, in turn, signals through the transcription factors IRF-3 to induce type I interferons (IFNs) and other co-regulated antiviral factors. In addition, STING was shown to trigger NF-κB and MAP kinase activation. Following the initiation of signal transduction, STING is rapidly degraded, a step considered important in terminating the inflammatory response. Excessive activation of STING is associated with a subset of monogenic autoinflammatory conditions, the so-called type I interferonopathies. Examples of these diseases include a clinical syndrome referred to as STING-associated vasculopathy with onset in infancy (SAVI), which is caused by gain-of-function mutations in TMEM173 (the gene name of STING). Moreover, STING is implicated in the pathogenesis of Aicardi-Goutières Syndrome (AGS) and genetic forms of lupus. As opposed to SAVI, it is the dysregulation of nucleic acid metabolism that underlies continuous innate immune activation in AGS. Apart from these genetic disorders, emerging evidence points to a more general pathogenic role for STING in a range of inflammation-associated disorders such as systemic lupus erythematosus, rheumatoid arthritis and cancer. The Ubiquitin-Proteasome Pathway (UPP) regulates key regulator proteins and degrades misfolded or abnormal proteins, and if defective or imbalanced, can lead to pathogenesis of a variety of diseases. The covalent attachment of ubiquitin to specific protein substrates is achieved through the action of E3 ubiquitin ligases. Cereblon (CRBN) interacts with damaged DNA binding protein 1 and forms an E3 ubiquitin ligase complex with Cullin 4 where it functions as a substrate receptor in which the proteins recognized by CRBN might be ubiquitinated and degraded by proteasomes. Proteasome-mediated degradation of unneeded or damaged proteins plays a very important role in maintaining regular cellular functions, such as cell survival, proliferation and growth. More recently, CRBN has been identified as the target of immunomodulatory drugs (IMiDs) like thalidomide and lenalinomide. The principle of induced degradation of protein targets as a potential therapeutic approach has been described by Crews, J. Med, Chem.61(2): 403-404 (2018) and references cited therein. The exploitation of cereblon as a mediator in disease treatment has also led to the development of hetero-bifunctional PROTACs (PROteolysis TArgeting Chimera) that recruit
targeted proteins that are themselves disease mediators to one or more E3 ubiquitin ligases, leading to degradation of the targeted protein. See, e.g., Lu el al., Cell Cancer Biol.22/6/755-63 (2015). SUMMARY This disclosure features chemical entities (e.g., a compound of Formula (I), (I-a), (I-b), or (I-c), or a pharmaceutically acceptable salt thereof) that induce degradation of Stimulator of Interferon Genes (STING). Said chemical entities are useful, e.g., for treating a condition, disease or disorder in which increased (e.g., excessive) STING activation (e.g., STING signaling) contributes to the pathology and/or symptoms and/or progression of the condition, disease or disorder (e.g., cancer) in a subject (e.g., a human). This disclosure also features compositions containing the same as well as methods of using and making the same. Compounds that induce degradation of a target protein are sometimes referred to as heterobifunctional compounds, PROTACs, or degraders. Such compounds generally include a moiety that binds to the target protein and a moiety that binds to a ubiquitin E3 ligase (sometimes referred to as an E3 ligase or simply an E3), these two moieties being optionally separated by a linker. To induce degradation, heterobifunctional compounds are believed to induce formation of a ternary complex between the target protein, the compound, and an E3 ligase. Formation of the ternary complex is then followed by ubiquitination of the target protein and degradation of the ubiquitinated target protein by a proteosome. Herein, the cereblon (CRBN) E3 ligase (also referred to herein as a CRBN protein) is used. A degradation approach for a target protein can have potential advantages compared to, e.g., small molecule inhibition of the target protein. For example, the duration of effect of a heterobifunctional compound is generally based on the resynthesis rate of the target protein. Another potential advantage is that many heterobifunctional compounds are believed to be released from the ubiquitinated target protein-E3 ligase complex and made available for formation of further ternary complexes. Degradation can can also impair a scaffolding function of a target protein. It is also generally believed that for formation of a ternary complex, high affinity to the target protein is not always required. This disclosure features compounds that exhibit induction of degradation of STING. For ease of exposition, said compounds are sometimes referred to herein as “STING degraders”. Embodiments includes compounds having Formula (I), (I-a), (I-b), or (I-c). In some
embodiments, a STING degrader exhibits a value of DC50 = 1.3 µM in a STING protein degrading assay. Provided herein are methods for inducing degradation of STING. For example, provided herein are compounds capable of inducing degradation of STING useful for treating or preventing diseases or disorders in which increased (e.g., excessive) STING activation (e.g., STING signaling) contributes to the pathology and/or symptoms and/or progression of the condition, disease or disorder (e.g., cancer) in a subject (e.g., a human). In one aspect, compounds of Formula (I), or a pharmaceutically acceptable salt thereof, are featured:
in which ring A, L, and LBM can be as defined anywhere herein. In one aspect, the disclosure features a compound of Formula (I):
Formula (I) or a pharmaceutically acceptable salt thereof, wherein: Rring A is an STING binding moiety capable of binding to STING; L is a bivalent moiety that connects STING to LBM; and LBM is a ligase binding moiety. In another aspect, the disclosure features A compound of formula (I),
wherein LBM is a ligase binding moiety; L is a bivalent moiety that connects Ring A to LBM; and Ring A has formula (I-a), formula (I-b), or formula (I-c):
wherein: each of X1 and X11 is independently selected from the group consisting of O, S, and NR2; each of Y1 and Y3 is independently selected from the group consisting of a bond, CR1, CR1a, C(R3)2, N, and NR2; provided that only one of Y1 and Y3 can be a bond; each of Y2 and Y4 is independently selected from the group consisting of CR1, CR1a, C(R3)2, N, and NR2; each of Y11 and Y33 is selected from the group consisting of a bond, CR1b, C(R3)2, N, and NR2; provided that only one of Y11 and Y33 can be a bond; Y22 is selected from the group consisting of CR1b, C(R3)2, N, and NR2; each of X2 and X22 is CR4; X3 is CR5; each is independently a single bond or a double bond, provided that the five-membered ring comprising X1 and X2 in Formula (I-a) is heteroaryl; and the five-membered ring comprising X11, X22, and X3 in Formulas (I-b) and (I-c) is heteroaryl; each occurrence of R1 is independently selected from the group consisting of H; halo; cyano; C1-6 alkyl optionally substituted with 1-2 independently selected Ra; C2-6 alkenyl; C2-6 alkynyl; C1-4 haloalkyl; C1-4 alkoxy; C1-4 haloalkoxy; -S(O)1-2(C1-4 alkyl); -NReRf; –OH; -S(O)1- 2(NR’R’’); -C1-4 thioalkoxy; -NO2; -C(=O)(C1-4 alkyl); -C(=O)O(C1-4 alkyl); -C(=O)OH; and - C(=O)N(R’)(R’’);
each occurrence of R1a is independently selected from the group consisting of formula 101 and formula 102, which are delineated and defined in (i) and (ii) below: (
(formula 101), wherein: LA is –(L1)a1-(L2)a2-(L3)a3-(L4)a4-(L5)a5-*, wherein * represents the point of attachment to Q1; a1, a2, a3, a4, and a5 are each independently 0 or 1, provided that a1 + a2 + a3 + a4 + a5 ≥ 1, and each of L1, L3, and L5 is independently selected from the group consisting of: -O-, -N(H)-, -N(Rd)-, S(O)0-2, and –C(=O)-; provided that when one or both of a2 and a4 is 0, then the combinations of L1, L3, and L5 cannot form O-O , N-O, N-N, O-S, S-S, or N-S(O)0 bonds, and each of L2 and L4 is independently selected from the group consisting of: • straight-chain C1-6 alkylene, straight-chain C2-6 alkenylene, or straight-chain C2-6 alkynylene, each of which is optionally substituted with 1-6 Rb; • C3-10 cycloalkylene or C3-10 cycloalkenylene, each of which is optionally substituted with 1-3 Rc provided the C3-10 cycloalkylene or C3-10 cycloalkenylene is not directly connected to the 6-membered ring containing Y1, Y2, Y3, and Y4; and • heterocyclylene or heterocycloalkenylene, each having 4-10 ring atoms wherein 1-3 ring atoms are ring heteroatoms each independently selected from the group consisting of: N, N(H), N(Rd), O, and S(O)0-2, wherein the heterocyclylene or heterocycloalkenylene is optionally substituted with 1-3 Rc, provided the heterocyclylene or heterocycloalkenylene is not directly connected to the 6-membered ring containing Y1, Y2, Y3, and Y4; and Q1 is –Rg; and (ii):
(formula 102), wherein: Q11 is selected from the group consisting of: o C3-12 cycloalkylene or C3-12 cycloalkenylene, each optionally substituted with 1-4 substituents independently selected from the group consisting of oxo and Rc; o heterocyclylene or heterocycloalkenylene of 3-12 ring atoms, wherein 1-3 ring atoms are heteroatoms, each independently selected from the group consisting of N, N(H), N(Rd), O, and S(O)0-2, and wherein the heterocyclylene or heterocycloalkenylene is optionally substituted with 1-4 substituents independently selected from the group consisting of oxo and Rc; o heteroarylene of 5-12 ring atoms, wherein 1-3 ring atoms are heteroatoms, each independently selected from the group consisting of N, N(H), N(Rd), O, and S(O)0-2, and wherein the heteroarylene is optionally substituted with 1-4 independently Rc; and o C6-10 arylene optionally substituted with 1-4 independently selected Rc; each LA11 is independently selected from the group consisting of: C1-3 alkylene optionally substituted with 1-2 Ra; -O-; -NH-; -NRd ; -S(O)0-2; and C(O); a11 is 0, 1, 2, 3, or 4; Q22 is selected from the group consisting of: H; Rg; and Rc; each occurrence of R1b is independently selected from the group consisting of H; halo; cyano; C1-6 alkyl optionally substituted with 1-3 Ra; C2-6 alkenyl; C2-6 alkynyl; C1-4 alkoxy; C1-4 haloalkoxy; -(C0-3 alkylene)-C3-6 cycloalkyl optionally substituted with from 1-4 independently selected Rb; -(C0-3 alkylene)-C6-10 aryl optionally substituted with from 1-4 independently selected Rb; -(C0-3 alkylene)-5-10 membered heteroaryl, wherein from 1-3 ring atoms of the heteroaryl are heteroatoms each independently selected from the group consisting of N, NH, NRd, O, and S, wherein the heteroaryl is optionally substituted with from 1-4 independently selected Rb; -(C0-3 alkylene)-5-10 membered heterocyclyl, wherein from 1-3 ring atoms of the heterocyclyl are heteroatoms each independently selected from the group consisting of N, NH, NRd, O, and S,
wherein the heterocyclyl is optionally substituted with 1-4 independently selected Rb; -S(O)1-2(C1- 4 alkyl); -S(O)(=NH)(C1-4 alkyl); -NReRf; –OH; oxo; -S(O)1-2(NR’R’’); -C1-4 thioalkoxy; -NO2; - C(=O)(C1-4 alkyl); -C(=O)O(C1-4 alkyl); -C(=O)OH; -C(=O)N(R’)(R’’); and SF5; each occurrence of R2 and R4 is independently selected from the group consisting of: H; Rd; Rg; and –(Lg)bg-Rg; each occurrence of R3 is independently selected from the group consisting of H, C1-6 alkyl; –OH; -F; -Cl; -Br; –NReRf; C1-4 alkoxy; C1-4 haloalkoxy; -C(=O)(C1-4 alkyl); -C(=O)O(C1-4 alkyl); -C(=O)OH; -C(=O)N(R’)(R’’); -S(O)1-2(NR’R’’); -S(O)1-2(C1-4 alkyl); cyano; and C3-6 cycloalkyl optionally substituted with from 1-4 independently selected C1-4 alkyl; or two R3 on the same carbon combine to form an oxo; each occurrence of R5 is independently selected from the group consisting of: H; Rc; Rg; and –(Lg)bg-Rg; each occurrence of Ra is independently selected from the group consisting of: –OH; -halo; –NReRf; C1-4 alkoxy; C1-4 haloalkoxy; -C(=O)O(C1-4 alkyl); -C(=O)(C1-4 alkyl); -C(=O)OH; - CONR’R’’; -S(O)1-2NR’R’’; -S(O)1-2(C1-4 alkyl); and cyano; each occurrence of Raa is independently selected from the group consisting of: –OH; -F; - Cl; -Br; –NReRf; C1-4 alkoxy; C1-4 haloalkoxy; -C(=O)O(C1-4 alkyl); -C(=O)(C1-4 alkyl); - C(=O)OH; -CON(R’)(R’’); -S(O)1-2(NR’R’’); -S(O)1-2(C1-4 alkyl); cyano, and C3-6 cycloalkyl optionally substituted with from 1-4 independently selected C1-4 alkyl; each occurrence of Rb is independently selected from the group consisting of: halo; cyano; C1-10 alkyl which is optionally substituted with 1-6 independently selected Ra; C2-6 alkenyl; C2-6 alkynyl; C1-4 alkoxy; C1-4 haloalkoxy; -S(O)1-2(C1-4 alkyl); -S(O)(=NH)(C1-4 alkyl); -NReRf; -NO2; –OH; -S(O)1-2NR’R’’; -C1-4 thioalkoxy; -NO2; -C(=O)(C1-10 alkyl); -C(=O)O(C1-4 alkyl); - C(=O)OH; -C(=O)NR’R’’; and –SF5;
each occurrence of Rc is independently selected from the group consisting of halo; cyano; C1-6 alkyl optionally substituted with 1-6 independently selected Raa; C2-6 alkenyl; C2-6 alkynyl; C1-4 alkoxy optionally substituted with 1-6 independently selected Raa; C1-4 haloalkoxy; -(C0-3 alkylene)-C3-6 cycloalkyl optionally substituted with from 1-4 independently selected Rb; -(C0-3 alkylene)-C6-10 aryl optionally substituted with from 1-4 independently selected Rb; -(C0-3 alkylene)-5-10 membered heteroaryl, wherein from 1-3 ring atoms of the heteroaryl are heteroatoms each independently selected from the group consisting of N, NH, NRd, O, and S, wherein the heteroaryl is optionally substituted with from 1-4 independently selected Rb; -(C0-3 alkylene)-5-10 membered heterocyclyl, wherein from 1-3 ring atoms of the heterocyclyl are heteroatoms each independently selected from the group consisting of N, NH, NRd, O, and S, wherein the heterocyclyl is optionally substituted with 1-4 independently selected Rb; -S(O)1-2(C1- 4 alkyl); -S(O)(=NH)(C1-4 alkyl); -NReRf; –OH; oxo; -S(O)1-2(NR’R’’); -C1-4 thioalkoxy; -NO2; - C(=O)(C1-4 alkyl); -C(=O)O(C1-4 alkyl); -C(=O)OH; -C(=O)N(R’)(R’’); and –SF5; each occurrence of Rd is independently selected from the group consisting of: C1-6 alkyl optionally substituted with 1-6 independently selected Raa; C3-6 cycloalkyl; -C(O)(C1-4 alkyl); - C(O)O(C1-4 alkyl); -CONR’R’’; -S(O)1-2NR’R’’; - S(O)1-2(C1-4 alkyl); -OH; and C1-4 alkoxy; each occurrence of Re and Rf is independently selected from the group consisting of: H; C1-6 alkyl optionally substituted with 1-6 substituents each independently selected from the group consisting of NR’R’’, -OH, halo, C1-4 alkoxy, and C1-4 haloalkoxy; -C(O)(C1-4 alkyl); -C(O)O(C1- 4 alkyl); -CONR’R’’; -S(O)1-2NR’R’’; -S(O)1-2(C1-4 alkyl); -OH; and C1-4 alkoxy; each occurrence of Rg is independently selected from the group consisting of: • C3-12 cycloalkyl or C3-12 cycloalkenyl, each of which is optionally substituted with 1-4 substituents independently selected from the group consisting of oxo and Rc; • heterocyclyl or heterocycloalkenyl of 3-12 ring atoms, wherein 1-3 ring atoms are heteroatoms, each independently selected from the group consisting of N, N(H), N(Rd), O, and S(O)0-2, and wherein the heterocyclyl or heterocycloalkenyl is optionally substituted with 1-4 substituents independently selected from the group consisting of oxo and Rc;
• heteroaryl of 5-12 ring atoms, wherein 1-4 ring atoms are heteroatoms, each independently selected from the group consisting of N, N(H), N(Rd), O, and S(O)0-2, and wherein the heteroaryl is optionally substituted with 1-4 Rc ; and • C6-10 aryl optionally substituted with 1-4 Rc; each occurrence of Lg is independently selected from the group consisting of: -O-, -NH-, - NRd , -S(O)0-2, C(O), and C1-3 alkylene optionally substituted with 1-3 Ra; each occurrence of bg is independently 1, 2, or 3; each occurrence of R’ and R’’ is independently selected from the group consisting of: H; -OH; and C1-4 alkyl. L10 is selected from the group consisting of: NR
( ) ;
wherein the asterisk represents to point of attachment to the ring containing X1 and X2; and each occurrence of RN is independently H or Rd; L20 is a bond or is independently selected from the group consisting of the formulas defined in (i), (ii), (iii), (iv), (v), (vi), and (vii) below: (i)
(formula 103) Ring B1 is a heteroarylene of 5 ring atoms, wherein 1-4 of the ring atoms are heteroatoms each independently selected from the group consisting of: N, NH, N(Rd), O, and S; wherein the heteroarylene of Ring B1 is optionally substituted with 1-2 substituents independently selected from the group consisting of oxo and Rc, provided that Ring B1 is attached to the C(=O)NR6 group via a ring carbon atom; each LAA is independently selected from the group consisting of: C1-3 alkylene optionally substituted with 1-2 Ra; -O-; -NH-; -NRd ; -S(O)0-2; and C(O); aa1 is 0, 1, or 2; Ring C1 is selected from the group consisting of: o C3-12 cycloalkylene or C3-12 cycloalkenylene, each optionally substituted with 1-4 substituents independently selected from the group consisting of oxo and Rc; o heterocyclylene or heterocycloalkenylene of 3-12 ring atoms, wherein 1-3 ring atoms are heteroatoms each independently selected from the group consisting of N, N(H), N(Rd), O, and S(O)0-2, and wherein the heterocyclylene or heterocycloalkenylene is optionally substituted with 1-4 substituents independently selected from the group consisting of oxo and Rc; o heteroarylene of 5-12 ring atoms, wherein 1-3 ring atoms are heteroatoms each independently selected from the group consisting of N, N(H), N(Rd), O, and S(O)0-2, and wherein the heteroarylene is optionally substituted with 1-4 substituents independently selected Rc; and 11
o C6-10 arylene optionally substituted with 1-4 substituents independently selected Rc; R7 is selected from the group consisting of: Rg and –(L7)b7-Rg; each L7 is independently selected from the group consisting of: C1-3 alkylene optionally substituted with 1-2 Ra; -O-; -NH-; -NRd ; -S(O)0-2; and C(O); and b7 is 1, 2, or 3; (ii)
(formula 104) Ring B2 is a heteroarylene of 5 ring atoms, wherein 1-4 of the ring atoms are heteroatoms each independently selected from the group consisting of: N, NH, N(Rd), O, and S, wherein the heteroarylene of Ring B2 is optionally substituted with 1-2 substituents independently selected Rc, provided that Ring B2 is attached to the C(=O)NR6 group via a ring carbon atom; each LAB is independently selected from the group consisting of: C1-3 alkylene optionally substituted with 1-4 Ra; -O-; -NH-; -NRd; -S(O)0-2; and C(O); aa2 is 0, 1, 2, or 3; Ring C2 is selected from the group consisting of: o C3-12 cycloalkyl or C3-12 cycloalkenyl, each optionally substituted with 1-4 substituents independently selected from the group consisting of oxo and Rc; o heterocyclyl or heterocycloalkenyl of 3-12 ring atoms, wherein 1-3 ring atoms are heteroatoms, each independently selected from the group consisting of N, N(H), N(Rd), O, and S(O)0-2, and wherein the heterocyclyl or heterocycloalkenyl is optionally substituted with 1-4 substituents independently selected from the group consisting of oxo and Rc;
o heteroaryl of 5-12 ring atoms, wherein 1-4 ring atoms are heteroatoms, each independently selected from the group consisting of N, N(H), N(Rd), O, and S(O)0-2, and wherein the heteroaryl is optionally substituted with 1-4 Rc; and o C6-10 aryl optionally substituted with 1-4 Rc; (iii) heteroaryl of 5 ring atoms, wherein 1-4 ring atoms are heteroatoms, each independently selected from the group consisting of N, N(H), N(Rd), O, and S(O)0-2, and wherein the heteroaryl is optionally substituted with 1-4 Rc; provided the heteroaryl is attached to the C(=O)NR6 group via a ring carbon atom; (iv)
(formula 105) P1, P2, P3, P4, and P5 are each independently selected from the group consisting of: N, NH, NRd, NR71, CH, CRc, CR71, and C(=O), provided that one of P1, P2, P3, P4, and P5 is of appropriate valence to serve as the point of attachment to L; each occurrence of R71 is independently –(LAC)aa3-R8, wherein: each LAC is independently selected from the group consisting of: C1-3 alkylene optionally substituted with 1-4 Ra; -O-; -NRN; -S(O)0-2; C(O); C(O)O; OC(O); NRNC(O); C(O)NRN; NRNC(O)NRN; NRNC(O)O; and OC(O)NRN; aa3 is 0, 1, 2, or 3; each occurrence of R8 is independently Rg or C1-10 alkyl optionally substituted with 1-6 Ra1; and each occurrence of RN is independently H or Rd; (v) a bicyclic or polycyclic ring system selected from the group consisting of: o bicyclic or polycyclic C5-15 cycloalkylene or C5-15 cycloalkenylene, each optionally substituted with 1-4 substituents independently selected from the group consisting of oxo and Rc;
o bicyclic or polycyclic heterocyclylene or heterocycloalkenylene of 7-15 ring atoms, wherein 1-4 ring atoms are heteroatoms, each independently selected from the group consisting of N, N(H), N(Rd), O, and S(O)0-2, and wherein the heterocyclyl or heterocycloalkenyl is optionally substituted with 1-4 substituents independently selected from the group consisting of oxo and Rc; o bicyclic or polycyclic heteroarylene of 8-15 ring atoms, wherein 1-6 ring atoms are heteroatoms, each independently selected from the group consisting of N, N(H), N(Rd), O, and S(O)0-2, and wherein the heteroaryl is optionally substituted with 1-4 substituents independently selected from the group consisting of: oxo and Rc; and o bicyclic or polycyclic C8-15 arylene optionally substituted with 1-4 substituents independently selected from the group consisting of: oxo and Rc, o provided the bicyclic or polycyclic heterorarylene is attached to the C(=O)NR6 group via a ring carbon atom; (vi)
(formula 106) LAE is selected from the group consisting of: • C1-6 alkylene, C2-6 alkenylene, or C2-6 alkynylene, each of which is optionally substituted with 1-6 Ra; • monocyclic C3-8 cycloalkylene or C3-8 cycloalkenylene, each of which is optionally substituted with 1-4 substituents independently selected from the group consisting of oxo and Rc; and • monocyclic heterocyclylene or heterocycloalkenylene of 3-8 ring atoms, wherein 1-3 ring atoms are heteroatoms, each independently selected from the group consisting of N, N(H), N(Rd), O, and S(O)0-2, and wherein the heterocyclylene or heterocycloalkenylene is optionally substituted with 1-4 substituents independently selected from the group consisting of oxo and Rc, provided that the heterocycloylene or heterocycloalkenylene is attached to the C(=O)NR6 group via a ring carbon atom;
each LAF is independently selected from the group consisting of: C1-3 alkylene optionally substituted with 1-4 Ra1; -O-; -NH-; -NRd; -S(O)0-2; and C(O); aa4 is 0, 1, 2, or 3; and Ring C4 is Rg; (vii) W, wherein group W is selected from the group consisting of: • H; • C1-10 alkyl, C2-10 alkenyl, or C2-10 alkynyl, each of which is optionally substituted with 1-6 Ra2, wherein one or more of the internal optionally substituted methylene group can be replaced by one or more heteroatom selected from O or S, wherein when W is alkenyl or alkynyl, the heteroatom is not directed connected to the sp2 or sp carbon; • monocyclic C3-8 cycloalkyl or C3-8 cycloalkenyl, each of which is optionally substituted with 1-4 substituents independently selected from the group consisting of oxo and Rc; and • monocyclic heterocyclyl or heterocycloalkenyl of 3-8 ring atoms, wherein 1-3 ring atoms are heteroatoms, each independently selected from the group consisting of N, N(H), N(Rd), O, and S(O)0-2, and wherein the heterocyclyl or heterocycloalkenyl is optionally substituted with 1-4 substituents independently selected from the group consisting of oxo and Rc, provided that when W is heterocyclyl or heterocycloalkenyl, it is attached to the L1 group via a ring carbon atom; L11 is NRN, wherein RN is independently H or Rd; L22 is a bond or is selected from the group consisting of the formulas 107, 108, and 109 defined in (i), (ii), and (iii) below:
wherein: one of A3, A4, and A5 is the point of attachment of the Ring comprising A3, A4, A5 to NRN and is independently selected from the group consisting of C and N; and the other two of A3, A4, and A5 are each independently selected from the group consisting of: CR5, N, N(R4), O, and S; provided that the ring does not contain O-O, S-S, and S-O bonds; A1 and A2 are each independently selected from the group consisting of C and N; provided that 1-4 of A1, A2, A3, A4, and A5 is independently selected from the group consisting of: N, N(R4), O, and S; provided that the ring does not contain O-O, S-S, and S-O bonds; Ring B is a partially unsaturated or aromatic ring having 5-10 ring atoms, wherein 0-3 ring atoms are heteroatoms (wherein the 0-3 heteroatoms do not include those that may be presentwhen one or both of A1 and A2 is N) each independently selected from the group consisting of: N, NH, N(Rd), O, and S(O)0-2, wherein Ring B is optionally substituted with 1-4 Rr, wherein each occurrence of Rr is independently selected from the group consisting of: oxo, -(Lbb)b-Rbb, Rbb, and Rc; each occurrence of Rbb is independently selected from the group consisting of: • C3-10 cycloalkyl or C3-10 cycloalkenyl, each of which is optionally substituted with 1-4 Rc; • heterocyclyl or heterocycloalkenyl of 3-10 ring atoms, wherein 1-3 ring atoms are heteroatoms, each independently selected from the group consisting of N, N(H), N(Rd), O, and S(O)0-2, and wherein the heterocyclyl or heterocycloalkenyl is optionally substituted with 1-4 Rc; • heteroaryl of 5-10 ring atoms, wherein 1-3 ring atoms are heteroatoms, each independently selected from the group consisting of N, N(H), N(Rd), O, and S(O)0-2, and wherein the heteroaryl is optionally substituted with 1-4 Rc; and • C6-10 aryl optionally substituted with 1-4 Rc; each occurrence of Lbb is independently selected from the group consisting of: -O-, -NH-, -NRd, -S(O)0-2, C(O), and C1-3 alkylene optionally substituted with 1-3 Ra; each occurrence of b is independently 1, 2, or 3;
(ii) (formula 108), wherein R44 and R55 are defined according to (AA) or (BB): 44
R is selected from the group consisting of: • C1-15 alkyl optionally substituted with 1-6 Ra; and • -(YA1)n-YA2, wherein: o n is 0 or 1; o YA1 is C1-3 alkylene optionally substituted with 1-3 Ra; and o YA2 is selected from the group consisting of: ▪ C3-10 cycloalkyl or C3-10 cycloalkenyl, each of which is optionally substituted with 1-6 RY; ▪ heterocyclyl or heterocycloalkenyl of 3-10 ring atoms, wherein 1-3 ring atoms are heteroatoms, each independently selected from the group consisting of N, N(H), N(Rd), O, and S(O)0-2, and wherein the heterocyclyl or heterocycloalkenyl is optionally substituted with 1-6 RY; ▪ heteroaryl of 5-10 ring atoms, wherein 1-4 ring atoms are heteroatoms, each independently selected from the group consisting of N, N(H), N(Rd), O, and S(O)0-2, and wherein the heteroaryl is optionally substituted with 1-6 RY; and ▪ C6-10 aryl optionally substituted with 1-6 RY, each occurrence of RY is independently selected from the group consisting of: oxo and Rc; provided that when YA2 is phenyl or monocyclic heteroaryl, each of which is optionally substituted with 1-6 RY, then each occurrence of RY is an independently selected Rc; R55 is H or Rd; or
(BB) R44 and R55 taken together with the nitrogen atom to which each is attached forms a saturated, partially unsaturated, or aromatic ring of 4-12 ring atoms, wherein 0-2 ring atoms (in addition to the nitrogen atom attached to R44 and R55) is a ring heteroatom each independently selected from the group consisting of: N, N(H), N(Rd), O, and S(O)0-2, wherein the ring is optionally substituted with 1-4 substituents each independently selected from the group consisting of: oxo and Rc; m is 0, 1, 2, or 3; each occurrence of R66 is an independently selected from the group consisting of: Rc; (iii) –W-A- (formula 109) whrein W-A- is defined according to (A) or (B) below: (A) W is selected from the group consisting of: (a) *C(=O)NRN, *C(=S)NRN, *C(=NRN)NRN (e.g., *C(=NCN)NRN), *C(=CNO2)NRN (b) *S(O)1-2NRN; ( (
(e) *Q12-Q222; wherein the asterisk denotes point of attachment to NRN (L11); Q12 is selected from the group consisting of: (a) phenylene optionally substituted with from 1-2 independently selected Rc; and
(b) heteroarylene including from 5-6 ring atoms, wherein from 1-4 ring atoms are heteroatoms, each independently selected from the group consisting of N, N(H), N(Rd), O, and S(O)0-2, and wherein the heteroarylene ring is optionally substituted with from 1-4 independently selected Rc1; Q222 is selected from the group consisting of: a bond, NRN, -S(O)0-2-, –O-, and –C(=O)-; A is: (i) -(YA1)n-YA22-; or (ii) C1-12 alkylene, which is optionally substituted with from 1-6 independently selected Ra and optionally interrupted with 1-3 heteroatoms independently selected from the group consisting of –N(H)-, -N(Rd)-, -O-, or –S-; YA22 is: o C3-10 cycloalkylene or C3-10 cycloalkenylene, each of which is optionally substituted with 1-6 RY; o heterocyclylene or heterocycloalkenylene of 3-10 ring atoms, wherein 1-3 ring atoms are heteroatoms, each independently selected from the group consisting of N, N(H), N(Rd), O, and S(O)0-2, and wherein the heterocyclylene or heterocycloalkenylene is optionally substituted with 1-6 RY; o heteroarylene of 5-10 ring atoms, wherein 1-4 ring atoms are heteroatoms, each independently selected from the group consisting of N, N(H), N(Rd), O, and S(O)0- 2, and wherein the heteroarylene is optionally substituted with 1-6 RY; and o C6-10 arylene optionally substituted with 1-6 RY, (B) W is selected from the group consisting of: (a) C8-20 bicyclic or polycyclic arylene, which is optionally substituted with from 1-4 Rc; and (b) bicyclic or polycyclic heteroarylene including from 8-20 ring atoms, wherein from 1-4 ring atoms are heteroatoms, each independently selected from the group consisting of N, N(H), N(Rd), O, and S(O)0-2, and wherein the heteroaryl ring is optionally substituted with from 1-4 independently selected Rc; and
A is as defined according to (A), or A is H. In another aspect, the disclosure features A compound of formula (I),
wherein LBM is a ligase binding moiety; L is a bivalent moiety that connects Ring A to LBM; and Ring A has formula (I-a):
Formula (I-a) wherein: each of X1 is independently selected from the group consisting of O, S, and NR2; each of Y1 and Y3 is independently selected from the group consisting of a bond, CR1, CR1a, C(R3)2, N, and NR2; provided that only one of Y1 and Y3 can be a bond; each of Y2 and Y4 is independently selected from the group consisting of CR1, CR1a, C(R3)2, N, and NR2; each of X2 is CR4; each is independently a single bond or a double bond, provided that the five-membered ring comprising X1 and X2 in Formula (I-a) is heteroaryl; each occurrence of R1 is independently selected from the group consisting of H; halo; cyano; C1-6 alkyl optionally substituted with 1-2 independently selected Ra; C2-6 alkenyl; C2-6 alkynyl; C1-4 haloalkyl; C1-4 alkoxy; C1-4 haloalkoxy; -S(O)1-2(C1-4 alkyl); -NReRf; –OH; -S(O)1- 2(NR’R’’); -C1-4 thioalkoxy; -NO2; -C(=O)(C1-4 alkyl); -C(=O)O(C1-4 alkyl); -C(=O)OH; and - C(=O)N(R’)(R’’);
each occurrence of R1a is independently selected from the group consisting of formula 101 and formula 102, which are delineated and defined in (i) and (ii) below: (
(formula 101), wherein: LA is –(L1)a1-(L2)a2-(L3)a3-(L4)a4-(L5)a5-*, wherein * represents the point of attachment to Q1; a1, a2, a3, a4, and a5 are each independently 0 or 1, provided that a1 + a2 + a3 + a4 + a5 ≥ 1, and each of L1, L3, and L5 is independently selected from the group consisting of: -O-, -N(H)-, -N(Rd)-, S(O)0-2, and –C(=O)-; provided that when one or both of a2 and a4 is 0, then the combinations of L1, L3, and L5 cannot form O-O , N-O, N-N, O-S, S-S, or N-S(O)0 bonds, and each of L2 and L4 is independently selected from the group consisting of: • straight-chain C1-6 alkylene, straight-chain C2-6 alkenylene, or straight-chain C2-6 alkynylene, each of which is optionally substituted with 1-6 Rb; • C3-10 cycloalkylene or C3-10 cycloalkenylene, each of which is optionally substituted with 1-3 Rc provided the C3-10 cycloalkylene or C3-10 cycloalkenylene is not directly connected to the 6-membered ring containing Y1, Y2, Y3, and Y4; and • heterocyclylene or heterocycloalkenylene, each having 4-10 ring atoms wherein 1-3 ring atoms are ring heteroatoms each independently selected from the group consisting of: N, N(H), N(Rd), O, and S(O)0-2, wherein the heterocyclylene or heterocycloalkenylene is optionally substituted with 1-3 Rc, provided the heterocyclylene or heterocycloalkenylene is not directly connected to the 6-membered ring containing Y1, Y2, Y3, and Y4; and Q1 is –Rg; and (ii):
(formula 102), wherein: Q11 is selected from the group consisting of: o C3-12 cycloalkylene or C3-12 cycloalkenylene, each optionally substituted with 1-4 substituents independently selected from the group consisting of oxo and Rc; o heterocyclylene or heterocycloalkenylene of 3-12 ring atoms, wherein 1-3 ring atoms are heteroatoms, each independently selected from the group consisting of N, N(H), N(Rd), O, and S(O)0-2, and wherein the heterocyclylene or heterocycloalkenylene is optionally substituted with 1-4 substituents independently selected from the group consisting of oxo and Rc; o heteroarylene of 5-12 ring atoms, wherein 1-3 ring atoms are heteroatoms, each independently selected from the group consisting of N, N(H), N(Rd), O, and S(O)0-2, and wherein the heteroarylene is optionally substituted with 1-4 independently Rc; and o C6-10 arylene optionally substituted with 1-4 independently selected Rc; each LA11 is independently selected from the group consisting of: C1-3 alkylene optionally substituted with 1-2 Ra; -O-; -NH-; -NRd ; -S(O)0-2; and C(O); a11 is 0, 1, 2, 3, or 4; Q22 is selected from the group consisting of: H; Rg; and Rc; each occurrence of R1b is independently selected from the group consisting of H; halo; cyano; C1-6 alkyl optionally substituted with 1-3 Ra; C2-6 alkenyl; C2-6 alkynyl; C1-4 alkoxy; C1-4 haloalkoxy; -(C0-3 alkylene)-C3-6 cycloalkyl optionally substituted with from 1-4 independently selected Rb; -(C0-3 alkylene)-C6-10 aryl optionally substituted with from 1-4 independently selected Rb; -(C0-3 alkylene)-5-10 membered heteroaryl, wherein from 1-3 ring atoms of the heteroaryl are heteroatoms each independently selected from the group consisting of N, NH, NRd, O, and S, wherein the heteroaryl is optionally substituted with from 1-4 independently selected Rb; -(C0-3 alkylene)-5-10 membered heterocyclyl, wherein from 1-3 ring atoms of the heterocyclyl are heteroatoms each independently selected from the group consisting of N, NH, NRd, O, and S,
wherein the heterocyclyl is optionally substituted with 1-4 independently selected Rb; -S(O)1-2(C1- 4 alkyl); -S(O)(=NH)(C1-4 alkyl); -NReRf; –OH; oxo; -S(O)1-2(NR’R’’); -C1-4 thioalkoxy; -NO2; - C(=O)(C1-4 alkyl); -C(=O)O(C1-4 alkyl); -C(=O)OH; -C(=O)N(R’)(R’’); and SF5; each occurrence of R2 and R4 is independently selected from the group consisting of: H; Rd; Rg; and –(Lg)bg-Rg; each occurrence of R3 is independently selected from the group consisting of H, C1-6 alkyl; –OH; -F; -Cl; -Br; –NReRf; C1-4 alkoxy; C1-4 haloalkoxy; -C(=O)(C1-4 alkyl); -C(=O)O(C1-4 alkyl); -C(=O)OH; -C(=O)N(R’)(R’’); -S(O)1-2(NR’R’’); -S(O)1-2(C1-4 alkyl); cyano; and C3-6 cycloalkyl optionally substituted with from 1-4 independently selected C1-4 alkyl; or two R3 on the same carbon combine to form an oxo; each occurrence of R5 is independently selected from the group consisting of: H; Rc; Rg; and –(Lg)bg-Rg; each occurrence of Ra is independently selected from the group consisting of: –OH; -halo; –NReRf; C1-4 alkoxy; C1-4 haloalkoxy; -C(=O)O(C1-4 alkyl); -C(=O)(C1-4 alkyl); -C(=O)OH; - CONR’R’’; -S(O)1-2NR’R’’; -S(O)1-2(C1-4 alkyl); and cyano; each occurrence of Raa is independently selected from the group consisting of: –OH; -F; - Cl; -Br; –NReRf; C1-4 alkoxy; C1-4 haloalkoxy; -C(=O)O(C1-4 alkyl); -C(=O)(C1-4 alkyl); - C(=O)OH; -CON(R’)(R’’); -S(O)1-2(NR’R’’); -S(O)1-2(C1-4 alkyl); cyano, and C3-6 cycloalkyl optionally substituted with from 1-4 independently selected C1-4 alkyl; each occurrence of Rb is independently selected from the group consisting of: halo; cyano; C1-10 alkyl which is optionally substituted with 1-6 independently selected Ra; C2-6 alkenyl; C2-6 alkynyl; C1-4 alkoxy; C1-4 haloalkoxy; -S(O)1-2(C1-4 alkyl); -S(O)(=NH)(C1-4 alkyl); -NReRf; -NO2; –OH; -S(O)1-2NR’R’’; -C1-4 thioalkoxy; -NO2; -C(=O)(C1-10 alkyl); -C(=O)O(C1-4 alkyl); - C(=O)OH; -C(=O)NR’R’’; and –SF5;
each occurrence of Rc is independently selected from the group consisting of halo; cyano; C1-6 alkyl optionally substituted with 1-6 independently selected Raa; C2-6 alkenyl; C2-6 alkynyl; C1-4 alkoxy optionally substituted with 1-6 independently selected Raa; C1-4 haloalkoxy; -(C0-3 alkylene)-C3-6 cycloalkyl optionally substituted with from 1-4 independently selected Rb; -(C0-3 alkylene)-C6-10 aryl optionally substituted with from 1-4 independently selected Rb; -(C0-3 alkylene)-5-10 membered heteroaryl, wherein from 1-3 ring atoms of the heteroaryl are heteroatoms each independently selected from the group consisting of N, NH, NRd, O, and S, wherein the heteroaryl is optionally substituted with from 1-4 independently selected Rb; -(C0-3 alkylene)-5-10 membered heterocyclyl, wherein from 1-3 ring atoms of the heterocyclyl are heteroatoms each independently selected from the group consisting of N, NH, NRd, O, and S, wherein the heterocyclyl is optionally substituted with 1-4 independently selected Rb; -S(O)1-2(C1- 4 alkyl); -S(O)(=NH)(C1-4 alkyl); -NReRf; –OH; oxo; -S(O)1-2(NR’R’’); -C1-4 thioalkoxy; -NO2; - C(=O)(C1-4 alkyl); -C(=O)O(C1-4 alkyl); -C(=O)OH; -C(=O)N(R’)(R’’); and –SF5; each occurrence of Rd is independently selected from the group consisting of: C1-6 alkyl optionally substituted with 1-6 independently selected Raa; C3-6 cycloalkyl; -C(O)(C1-4 alkyl); - C(O)O(C1-4 alkyl); -CONR’R’’; -S(O)1-2NR’R’’; - S(O)1-2(C1-4 alkyl); -OH; and C1-4 alkoxy; each occurrence of Re and Rf is independently selected from the group consisting of: H; C1-6 alkyl optionally substituted with 1-6 substituents each independently selected from the group consisting of NR’R’’, -OH, halo, C1-4 alkoxy, and C1-4 haloalkoxy; -C(O)(C1-4 alkyl); -C(O)O(C1- 4 alkyl); -CONR’R’’; -S(O)1-2NR’R’’; -S(O)1-2(C1-4 alkyl); -OH; and C1-4 alkoxy; each occurrence of Rg is independently selected from the group consisting of: • C3-12 cycloalkyl or C3-12 cycloalkenyl, each of which is optionally substituted with 1-4 substituents independently selected from the group consisting of oxo and Rc; • heterocyclyl or heterocycloalkenyl of 3-12 ring atoms, wherein 1-3 ring atoms are heteroatoms, each independently selected from the group consisting of N, N(H), N(Rd), O, and S(O)0-2, and wherein the heterocyclyl or heterocycloalkenyl is optionally substituted with 1-4 substituents independently selected from the group consisting of oxo and Rc;
• heteroaryl of 5-12 ring atoms, wherein 1-4 ring atoms are heteroatoms, each independently selected from the group consisting of N, N(H), N(Rd), O, and S(O)0-2, and wherein the heteroaryl is optionally substituted with 1-4 Rc ; and • C6-10 aryl optionally substituted with 1-4 Rc; each occurrence of Lg is independently selected from the group consisting of: -O-, -NH-, - NRd , -S(O)0-2, C(O), and C1-3 alkylene optionally substituted with 1-3 Ra; each occurrence of bg is independently 1, 2, or 3; each occurrence of R’ and R’’ is independently selected from the group consisting of: H; -OH; and C1-4 alkyl. L10 is selected from the group consisting of:
wherein the asterisk represents to point of attachment to the ring containing X1 and X2; and each occurrence of RN is independently H or Rd; L20 is a bond or is independently selected from the group consisting of the formulas defined in (i), (ii), (iii), (iv), (v), (vi), and (vii) below: (i)
(formula 103) Ring B1 is a heteroarylene of 5 ring atoms, wherein 1-4 of the ring atoms are heteroatoms each independently selected from the group consisting of: N, NH, N(Rd), O, and S; wherein the heteroarylene of Ring B1 is optionally substituted with 1-2 substituents independently selected from the group consisting of oxo and Rc, provided that Ring B1 is attached to the C(=O)NR6 group via a ring carbon atom; each LAA is independently selected from the group consisting of: C1-3 alkylene optionally substituted with 1-2 Ra; -O-; -NH-; -NRd ; -S(O)0-2; and C(O); aa1 is 0, 1, or 2; Ring C1 is selected from the group consisting of: o C3-12 cycloalkylene or C3-12 cycloalkenylene, each optionally substituted with 1-4 substituents independently selected from the group consisting of oxo and Rc; o heterocyclylene or heterocycloalkenylene of 3-12 ring atoms, wherein 1-3 ring atoms are heteroatoms each independently selected from the group consisting of N, N(H), N(Rd), O, and S(O)0-2, and wherein the heterocyclylene or heterocycloalkenylene is optionally substituted with 1-4 substituents independently selected from the group consisting of oxo and Rc; o heteroarylene of 5-12 ring atoms, wherein 1-3 ring atoms are heteroatoms each independently selected from the group consisting of N, N(H), N(Rd), O, and S(O)0-2, and wherein the heteroarylene is optionally substituted with 1-4 substituents independently selected Rc; and
o C6-10 arylene optionally substituted with 1-4 substituents independently selected Rc; R7 is selected from the group consisting of: Rg and –(L7)b7-Rg; each L7 is independently selected from the group consisting of: C1-3 alkylene optionally substituted with 1-2 Ra; -O-; -NH-; -NRd ; -S(O)0-2; and C(O); and b7 is 1, 2, or 3; (ii)
(formula 104) Ring B2 is a heteroarylene of 5 ring atoms, wherein 1-4 of the ring atoms are heteroatoms each independently selected from the group consisting of: N, NH, N(Rd), O, and S, wherein the heteroarylene of Ring B2 is optionally substituted with 1-2 substituents independently selected Rc, provided that Ring B2 is attached to the C(=O)NR6 group via a ring carbon atom; each LAB is independently selected from the group consisting of: C1-3 alkylene optionally substituted with 1-4 Ra; -O-; -NH-; -NRd; -S(O)0-2; and C(O); aa2 is 0, 1, 2, or 3; Ring C2 is selected from the group consisting of: o C3-12 cycloalkyl or C3-12 cycloalkenyl, each optionally substituted with 1-4 substituents independently selected from the group consisting of oxo and Rc; o heterocyclyl or heterocycloalkenyl of 3-12 ring atoms, wherein 1-3 ring atoms are heteroatoms, each independently selected from the group consisting of N, N(H), N(Rd), O, and S(O)0-2, and wherein the heterocyclyl or heterocycloalkenyl is optionally substituted with 1-4 substituents independently selected from the group consisting of oxo and Rc;
o heteroaryl of 5-12 ring atoms, wherein 1-4 ring atoms are heteroatoms, each independently selected from the group consisting of N, N(H), N(Rd), O, and S(O)0-2, and wherein the heteroaryl is optionally substituted with 1-4 Rc; and o C6-10 aryl optionally substituted with 1-4 Rc; (iii) heteroaryl of 5 ring atoms, wherein 1-4 ring atoms are heteroatoms, each independently selected from the group consisting of N, N(H), N(Rd), O, and S(O)0-2, and wherein the heteroaryl is optionally substituted with 1-4 Rc; provided the heteroaryl is attached to the C(=O)NR6 group via a ring carbon atom; (iv)
(formula 105) P1, P2, P3, P4, and P5 are each independently selected from the group consisting of: N, NH, NRd, NR71, CH, CRc, CR71, and C(=O), provided that one of P1, P2, P3, P4, and P5 is of appropriate valence to serve as the point of attachment to L; each occurrence of R71 is independently –(LAC)aa3-R8, wherein: each LAC is independently selected from the group consisting of: C1-3 alkylene optionally substituted with 1-4 Ra; -O-; -NRN; -S(O)0-2; C(O); C(O)O; OC(O); NRNC(O); C(O)NRN; NRNC(O)NRN; NRNC(O)O; and OC(O)NRN; aa3 is 0, 1, 2, or 3; each occurrence of R8 is independently Rg or C1-10 alkyl optionally substituted with 1-6 Ra1; and each occurrence of RN is independently H or Rd; (v) a bicyclic or polycyclic ring system selected from the group consisting of: o bicyclic or polycyclic C5-15 cycloalkylene or C5-15 cycloalkenylene, each optionally substituted with 1-4 substituents independently selected from the group consisting of oxo and Rc;
o bicyclic or polycyclic heterocyclylene or heterocycloalkenylene of 7-15 ring atoms, wherein 1-4 ring atoms are heteroatoms, each independently selected from the group consisting of N, N(H), N(Rd), O, and S(O)0-2, and wherein the heterocyclyl or heterocycloalkenyl is optionally substituted with 1-4 substituents independently selected from the group consisting of oxo and Rc; o bicyclic or polycyclic heteroarylene of 8-15 ring atoms, wherein 1-6 ring atoms are heteroatoms, each independently selected from the group consisting of N, N(H), N(Rd), O, and S(O)0-2, and wherein the heteroaryl is optionally substituted with 1-4 substituents independently selected from the group consisting of: oxo and Rc; and o bicyclic or polycyclic C8-15 arylene optionally substituted with 1-4 substituents independently selected from the group consisting of: oxo and Rc, o provided the bicyclic or polycyclic heterorarylene is attached to the C(=O)NR6 group via a ring carbon atom; (vi)
(formula 106) LAE is selected from the group consisting of: • C1-6 alkylene, C2-6 alkenylene, or C2-6 alkynylene, each of which is optionally substituted with 1-6 Ra; • monocyclic C3-8 cycloalkylene or C3-8 cycloalkenylene, each of which is optionally substituted with 1-4 substituents independently selected from the group consisting of oxo and Rc; and • monocyclic heterocyclylene or heterocycloalkenylene of 3-8 ring atoms, wherein 1-3 ring atoms are heteroatoms, each independently selected from the group consisting of N, N(H), N(Rd), O, and S(O)0-2, and wherein the heterocyclylene or heterocycloalkenylene is optionally substituted with 1-4 substituents independently selected from the group consisting of oxo and Rc, provided that the heterocycloylene or heterocycloalkenylene is attached to the C(=O)NR6 group via a ring carbon atom;
each LAF is independently selected from the group consisting of: C1-3 alkylene optionally substituted with 1-4 Ra1; -O-; -NH-; -NRd; -S(O)0-2; and C(O); aa4 is 0, 1, 2, or 3; and Ring C4 is Rg; (vii) W, wherein group W is selected from the group consisting of: • H; • C1-10 alkyl, C2-10 alkenyl, or C2-10 alkynyl, each of which is optionally substituted with 1-6 Ra2, wherein one or more of the internal optionally substituted methylene group can be replaced by one or more heteroatom selected from O or S, wherein when W is alkenyl or alkynyl, the heteroatom is not directed connected to the sp2 or sp carbon; • monocyclic C3-8 cycloalkyl or C3-8 cycloalkenyl, each of which is optionally substituted with 1-4 substituents independently selected from the group consisting of oxo and Rc; and • monocyclic heterocyclyl or heterocycloalkenyl of 3-8 ring atoms, wherein 1-3 ring atoms are heteroatoms, each independently selected from the group consisting of N, N(H), N(Rd), O, and S(O)0-2, and wherein the heterocyclyl or heterocycloalkenyl is optionally substituted with 1-4 substituents independently selected from the group consisting of oxo and Rc, provided that when W is heterocyclyl or heterocycloalkenyl, it is attached to the L1 group via a ring carbon atom. In another aspect, the disclosure features A compound of formula (I),
wherein LBM is a ligase binding moiety; L is a bivalent moiety that connects Ring A to LBM; and Ring A has formula (I-b), or formula (I-c):
wherein: each of X11 is independently selected from the group consisting of O, S, and NR2; each of Y11 and Y33 is selected from the group consisting of a bond, CR1b, C(R3)2, N, and NR2; provided that only one of Y11 and Y33 can be a bond; Y22 is selected from the group consisting of CR1b, C(R3)2, N, and NR2; each of X22 is CR4; X3 is CR5; each is independently a single bond or a double bond, provided that the five-membered ring comprising X11, X22, and X3 in Formulas (I-b) and (I-c) is heteroaryl; each occurrence of R1 is independently selected from the group consisting of H; halo; cyano; C1-6 alkyl optionally substituted with 1-2 independently selected Ra; C2-6 alkenyl; C2-6 alkynyl; C1-4 haloalkyl; C1-4 alkoxy; C1-4 haloalkoxy; -S(O)1-2(C1-4 alkyl); -NReRf; –OH; -S(O)1- 2(NR’R’’); -C1-4 thioalkoxy; -NO2; -C(=O)(C1-4 alkyl); -C(=O)O(C1-4 alkyl); -C(=O)OH; and - C(=O)N(R’)(R’’); each occurrence of R1b is independently selected from the group consisting of H; halo; cyano; C1-6 alkyl optionally substituted with 1-3 Ra; C2-6 alkenyl; C2-6 alkynyl; C1-4 alkoxy; C1-4 haloalkoxy; -(C0-3 alkylene)-C3-6 cycloalkyl optionally substituted with from 1-4 independently selected Rb; -(C0-3 alkylene)-C6-10 aryl optionally substituted with from 1-4 independently selected Rb; -(C0-3 alkylene)-5-10 membered heteroaryl, wherein from 1-3 ring atoms of the heteroaryl are heteroatoms each independently selected from the group consisting of N, NH, NRd, O, and S, wherein the heteroaryl is optionally substituted with from 1-4 independently selected Rb; -(C0-3 alkylene)-5-10 membered heterocyclyl, wherein from 1-3 ring atoms of the heterocyclyl are
heteroatoms each independently selected from the group consisting of N, NH, NRd, O, and S, wherein the heterocyclyl is optionally substituted with 1-4 independently selected Rb; -S(O)1-2(C1- 4 alkyl); -S(O)(=NH)(C1-4 alkyl); -NReRf; –OH; oxo; -S(O)1-2(NR’R’’); -C1-4 thioalkoxy; -NO2; - C(=O)(C1-4 alkyl); -C(=O)O(C1-4 alkyl); -C(=O)OH; -C(=O)N(R’)(R’’); and SF5; each occurrence of R2 and R4 is independently selected from the group consisting of: H; Rd; Rg; and –(Lg)bg-Rg; each occurrence of R3 is independently selected from the group consisting of H, C1-6 alkyl; –OH; -F; -Cl; -Br; –NReRf; C1-4 alkoxy; C1-4 haloalkoxy; -C(=O)(C1-4 alkyl); -C(=O)O(C1-4 alkyl); -C(=O)OH; -C(=O)N(R’)(R’’); -S(O)1-2(NR’R’’); -S(O)1-2(C1-4 alkyl); cyano; and C3-6 cycloalkyl optionally substituted with from 1-4 independently selected C1-4 alkyl; or two R3 on the same carbon combine to form an oxo; each occurrence of R5 is independently selected from the group consisting of: H; Rc; Rg; and –(Lg)bg-Rg; each occurrence of Ra is independently selected from the group consisting of: –OH; -halo; –NReRf; C1-4 alkoxy; C1-4 haloalkoxy; -C(=O)O(C1-4 alkyl); -C(=O)(C1-4 alkyl); -C(=O)OH; - CONR’R’’; -S(O)1-2NR’R’’; -S(O)1-2(C1-4 alkyl); and cyano; each occurrence of Raa is independently selected from the group consisting of: –OH; -F; - Cl; -Br; –NReRf; C1-4 alkoxy; C1-4 haloalkoxy; -C(=O)O(C1-4 alkyl); -C(=O)(C1-4 alkyl); - C(=O)OH; -CON(R’)(R’’); -S(O)1-2(NR’R’’); -S(O)1-2(C1-4 alkyl); cyano, and C3-6 cycloalkyl optionally substituted with from 1-4 independently selected C1-4 alkyl; each occurrence of Rb is independently selected from the group consisting of: halo; cyano; C1-10 alkyl which is optionally substituted with 1-6 independently selected Ra; C2-6 alkenyl; C2-6 alkynyl; C1-4 alkoxy; C1-4 haloalkoxy; -S(O)1-2(C1-4 alkyl); -S(O)(=NH)(C1-4 alkyl); -NReRf; -NO2; –OH; -S(O)1-2NR’R’’; -C1-4 thioalkoxy; -NO2; -C(=O)(C1-10 alkyl); -C(=O)O(C1-4 alkyl); - C(=O)OH; -C(=O)NR’R’’; and –SF5; 32
each occurrence of Rc is independently selected from the group consisting of halo; cyano; C1-6 alkyl optionally substituted with 1-6 independently selected Raa; C2-6 alkenyl; C2-6 alkynyl; C1-4 alkoxy optionally substituted with 1-6 independently selected Raa; C1-4 haloalkoxy; -(C0-3 alkylene)-C3-6 cycloalkyl optionally substituted with from 1-4 independently selected Rb; -(C0-3 alkylene)-C6-10 aryl optionally substituted with from 1-4 independently selected Rb; -(C0-3 alkylene)-5-10 membered heteroaryl, wherein from 1-3 ring atoms of the heteroaryl are heteroatoms each independently selected from the group consisting of N, NH, NRd, O, and S, wherein the heteroaryl is optionally substituted with from 1-4 independently selected Rb; -(C0-3 alkylene)-5-10 membered heterocyclyl, wherein from 1-3 ring atoms of the heterocyclyl are heteroatoms each independently selected from the group consisting of N, NH, NRd, O, and S, wherein the heterocyclyl is optionally substituted with 1-4 independently selected Rb; -S(O)1-2(C1- 4 alkyl); -S(O)(=NH)(C1-4 alkyl); -NReRf; –OH; oxo; -S(O)1-2(NR’R’’); -C1-4 thioalkoxy; -NO2; - C(=O)(C1-4 alkyl); -C(=O)O(C1-4 alkyl); -C(=O)OH; -C(=O)N(R’)(R’’); and –SF5; each occurrence of Rd is independently selected from the group consisting of: C1-6 alkyl optionally substituted with 1-6 independently selected Raa; C3-6 cycloalkyl; -C(O)(C1-4 alkyl); - C(O)O(C1-4 alkyl); -CONR’R’’; -S(O)1-2NR’R’’; - S(O)1-2(C1-4 alkyl); -OH; and C1-4 alkoxy; each occurrence of Re and Rf is independently selected from the group consisting of: H; C1-6 alkyl optionally substituted with 1-6 substituents each independently selected from the group consisting of NR’R’’, -OH, halo, C1-4 alkoxy, and C1-4 haloalkoxy; -C(O)(C1-4 alkyl); -C(O)O(C1- 4 alkyl); -CONR’R’’; -S(O)1-2NR’R’’; -S(O)1-2(C1-4 alkyl); -OH; and C1-4 alkoxy; each occurrence of Rg is independently selected from the group consisting of: • C3-12 cycloalkyl or C3-12 cycloalkenyl, each of which is optionally substituted with 1-4 substituents independently selected from the group consisting of oxo and Rc; • heterocyclyl or heterocycloalkenyl of 3-12 ring atoms, wherein 1-3 ring atoms are heteroatoms, each independently selected from the group consisting of N, N(H), N(Rd), O, and S(O)0-2, and wherein the heterocyclyl or heterocycloalkenyl is optionally substituted with 1-4 substituents independently selected from the group consisting of oxo and Rc;
• heteroaryl of 5-12 ring atoms, wherein 1-4 ring atoms are heteroatoms, each independently selected from the group consisting of N, N(H), N(Rd), O, and S(O)0-2, and wherein the heteroaryl is optionally substituted with 1-4 Rc ; and • C6-10 aryl optionally substituted with 1-4 Rc; each occurrence of Lg is independently selected from the group consisting of: -O-, -NH-, - NRd , -S(O)0-2, C(O), and C1-3 alkylene optionally substituted with 1-3 Ra; each occurrence of bg is independently 1, 2, or 3; each occurrence of R’ and R’’ is independently selected from the group consisting of: H; -OH; and C1-4 alkyl. L11 is NRN, wherein RN is independently H or Rd; L22 is a bond or is selected from the group consisting of the formulas 107, 108, and 109 defined in (i), (ii), and (iii) below: (iv) formula 107:
(formula 107) wherein: one of A3, A4, and A5 is the point of attachment of the Ring comprising A3, A4, A5 to NRN and is independently selected from the group consisting of C and N; and the other two of A3, A4, and A5 are each independently selected from the group consisting of: CR5, N, N(R4), O, and S; provided that the ring does not contain O-O, S-S, and S-O bonds; A1 and A2 are each independently selected from the group consisting of C and N; provided that 1-4 of A1, A2, A3, A4, and A5 is independently selected from the group consisting of: N, N(R4), O, and S; provided that the ring does not contain O-O, S-S, and S-O bonds;
Ring B is a partially unsaturated or aromatic ring having 5-10 ring atoms, wherein 0-3 ring atoms are heteroatoms (wherein the 0-3 heteroatoms do not include those that may be presentwhen one or both of A1 and A2 is N) each independently selected from the group consisting of: N, NH, N(Rd), O, and S(O)0-2, wherein Ring B is optionally substituted with 1-4 Rr, wherein each occurrence of Rr is independently selected from the group consisting of: oxo, -(Lbb)b-Rbb, Rbb, and Rc; each occurrence of Rbb is independently selected from the group consisting of: • C3-10 cycloalkyl or C3-10 cycloalkenyl, each of which is optionally substituted with 1-4 Rc; • heterocyclyl or heterocycloalkenyl of 3-10 ring atoms, wherein 1-3 ring atoms are heteroatoms, each independently selected from the group consisting of N, N(H), N(Rd), O, and S(O)0-2, and wherein the heterocyclyl or heterocycloalkenyl is optionally substituted with 1-4 Rc; • heteroaryl of 5-10 ring atoms, wherein 1-3 ring atoms are heteroatoms, each independently selected from the group consisting of N, N(H), N(Rd), O, and S(O)0-2, and wherein the heteroaryl is optionally substituted with 1-4 Rc; and • C6-10 aryl optionally substituted with 1-4 Rc; each occurrence of Lbb is independently selected from the group consisting of: -O-, -NH-, -NRd, -S(O)0-2, C(O), and C1-3 alkylene optionally substituted with 1-3 Ra; each occurrence of b is independently 1, 2, or 3; (v)
(formula 108), wherein R44 and R55 are defined according to (AA) or (BB): (AA) R44 is selected from the group consisting of: • C1-15 alkyl optionally substituted with 1-6 Ra; and • -(YA1)n-YA2, wherein: 35
o n is 0 or 1; o YA1 is C1-3 alkylene optionally substituted with 1-3 Ra; and o YA2 is selected from the group consisting of: ▪ C3-10 cycloalkyl or C3-10 cycloalkenyl, each of which is optionally substituted with 1-6 RY; ▪ heterocyclyl or heterocycloalkenyl of 3-10 ring atoms, wherein 1-3 ring atoms are heteroatoms, each independently selected from the group consisting of N, N(H), N(Rd), O, and S(O)0-2, and wherein the heterocyclyl or heterocycloalkenyl is optionally substituted with 1-6 RY; ▪ heteroaryl of 5-10 ring atoms, wherein 1-4 ring atoms are heteroatoms, each independently selected from the group consisting of N, N(H), N(Rd), O, and S(O)0-2, and wherein the heteroaryl is optionally substituted with 1-6 RY; and ▪ C6-10 aryl optionally substituted with 1-6 RY, each occurrence of RY is independently selected from the group consisting of: oxo and Rc; provided that when YA2 is phenyl or monocyclic heteroaryl, each of which is optionally substituted with 1-6 RY, then each occurrence of RY is an independently selected Rc; R55 is H or Rd; or (BB) R44 and R55 taken together with the nitrogen atom to which each is attached forms a saturated, partially unsaturated, or aromatic ring of 4-12 ring atoms, wherein 0-2 ring atoms (in addition to the nitrogen atom attached to R44 and R55) is a ring heteroatom each independently selected from the group consisting of: N, N(H), N(Rd), O, and S(O)0-2, wherein the ring is optionally substituted with 1-4 substituents each independently selected from the group consisting of: oxo and Rc; m is 0, 1, 2, or 3; each occurrence of R66 is an independently selected from the group consisting of: Rc;
(vi) –W-A- (formula 109) whrein W-A- is defined according to (A) or (B) below:
W is selected from the group consisting of: ( , ( ( ( (
wherein the asterisk denotes point of attachment to NRN (L11); Q12 is selected from the group consisting of: (c) phenylene optionally substituted with from 1-2 independently selected Rc; and (d) heteroarylene including from 5-6 ring atoms, wherein from 1-4 ring atoms are heteroatoms, each independently selected from the group consisting of N, N(H), N(Rd), O, and S(O)0-2, and wherein the heteroarylene ring is optionally substituted with from 1-4 independently selected Rc1; Q222 is selected from the group consisting of: a bond, NRN, -S(O)0-2-, –O-, and –C(=O)-; A is: (i) -(YA1)n-YA22-; or
(ii) C1-12 alkylene, which is optionally substituted with from 1-6 independently selected Ra and optionally interrupted with 1-3 heteroatoms independently selected from the group consisting of –N(H)-, -N(Rd)-, -O-, or –S-; YA22 is: o C3-10 cycloalkylene or C3-10 cycloalkenylene, each of which is optionally substituted with 1-6 RY; o heterocyclylene or heterocycloalkenylene of 3-10 ring atoms, wherein 1-3 ring atoms are heteroatoms, each independently selected from the group consisting of N, N(H), N(Rd), O, and S(O)0-2, and wherein the heterocyclylene or heterocycloalkenylene is optionally substituted with 1-6 RY; o heteroarylene of 5-10 ring atoms, wherein 1-4 ring atoms are heteroatoms, each independently selected from the group consisting of N, N(H), N(Rd), O, and S(O)0- 2, and wherein the heteroarylene is optionally substituted with 1-6 RY; and o C6-10 arylene optionally substituted with 1-6 RY, (B) W is selected from the group consisting of: (a) C8-20 bicyclic or polycyclic arylene, which is optionally substituted with from 1-4 Rc; and (b) bicyclic or polycyclic heteroarylene including from 8-20 ring atoms, wherein from 1-4 ring atoms are heteroatoms, each independently selected from the group consisting of N, N(H), N(Rd), O, and S(O)0-2, and wherein the heteroaryl ring is optionally substituted with from 1-4 independently selected Rc; and A is as defined according to (A), or A is H. In one aspect, pharmaceutical compositions are featured that include a chemical entity described herein (e.g., a compound described generically or specifically herein or a pharmaceutically acceptable salt thereof or compositions containing the same) and one or more pharmaceutically acceptable excipients. In one aspect, methods for inducing degradation of STING (and thereby reducing level of activity of (e.g.,inhibiting) STING activity) are featured that include contacting STING with a chemical entity described herein (e.g., a compound described generically or specifically herein or
a pharmaceutically acceptable salt thereof or compositions containing the same). Methods include in vitro methods, e.g., contacting a sample that includes one or more cells comprising STING (e.g., innate immune cells, e.g., mast cells, macrophages, dendritic cells (DCs), and natural killer cells) with the chemical entity. Methods can also include in vivo methods; e.g., administering the chemical entity to a subject (e.g., a human) having a disease in which increased (e.g., excessive) STING signaling contributes to the pathology and/or symptoms and/or progression of the disease. In one aspect, methods of treating a condition, disease or disorder ameliorated by inducing degradation of STING are featured, e.g., treating a condition, disease or disorder in which increased (e.g., excessive) STING activation (e.g., STING signaling) contributes to the pathology and/or symptoms and/or progression of the condition, disease or disorder (e.g., cancer) in a subject (e.g., a human). The methods include administering to a subject in need of such treatment an effective amount of a chemical entity described herein (e.g., a compound described generically or specifically herein or a pharmaceutically acceptable salt thereof or compositions containing the same). In another aspect, methods of treating cancer are featured that include administering to a subject in need of such treatment an effective amount of a chemical entity described herein (e.g., a compound described generically or specifically herein or a pharmaceutically acceptable salt thereof or compositions containing the same). In a further aspect, methods of treating other STING-associated conditions are featured, e.g., type I interferonopathies (e.g., STING-associated vasculopathywith onset in infancy (SAVI)), Aicardi-Goutières Syndrome (AGS), genetic forms of lupus, and inflammation-associated disorders such as systemic lupus erythematosus, and rheumatoid arthritis. The methods include administering to a subject in need of such treatment an effective amount of a chemical entity described herein (e.g., a compound described generically or specifically herein or a pharmaceutically acceptable salt thereof or compositions containing the same). In another aspect, methods of suppressing STING-dependent type I interferon production in a subject in need thereof are featured that include administering to the subject an effective amount of a chemical entity described herein (e.g., a compound described generically or specifically herein or a pharmaceutically acceptable salt thereof or compositions containing the same).
In a further aspect, methods of treating a disease in which increased (e.g., excessive) STING activation (e.g., STING signaling) contributes to the pathology and/or symptoms and/or progression of the disease are featured. The methods include administering to a subject in need of such treatment an effective amount of a chemical entity described herein (e.g., a compound described generically or specifically herein or a pharmaceutically acceptable salt thereof or compositions containing the same). In another aspect, methods of treatment are featured that include administering an effective amount of a chemical entity described herein (e.g., a compound described generically or specifically herein or a pharmaceutically acceptable salt thereof or compositions containing the same) to a subject; wherein the subject has (or is predisposed to have) a disease in which increased (e.g., excessive) STING activation (e.g., STING signaling) contributes to the pathology and/or symptoms and/or progression of the disease. In a further aspect, methods of treatment that include administering to a subject a chemical entity described herein (e.g., a compound described generically or specifically herein or a pharmaceutically acceptable salt thereof or compositions containing the same), wherein the chemical entity is administered in an amount effective to treat a disease in which increased (e.g., excessive) STING activation (e.g., STING signaling) contributes to the pathology and/or symptoms and/or progression of the disease, thereby treating the disease. In another aspect, there is provided is a compound, or a pharmaceutically acceptable salt or tautomer thereof, as described herein, for use in the treatment of a disease, condition or disorder modulated by STING degradation. In another aspect, there is provided a compound, or a pharmaceutically acceptable salt or tautomer thereof, as described herein for use in the treatment of a condition, disease or disorder associated with increased (e.g., excessive) STING activation. In another aspect, there is provided a compound, or a pharmaceutically acceptable salt or tautomer thereof, described herein for use in the treatment of cancer. In another aspect, there is provided a compound, or a pharmaceutically acceptable salt or tautomer thereof, as described herein for use in the treatment of cancer selected from the group consisting of melanoma, cervical cancer, breast cancer, ovarian cancer, prostate cancer, testicular cancer, urothelial carcinoma, bladder cancer, non-small cell lung cancer, small cell lung cancer, sarcoma, colorectal adenocarcinoma, gastrointestinal stromal tumors, gastroesophageal
carcinoma, colorectal cancer, pancreatic cancer, kidney cancer, hepatocellular cancer, malignant mesothelioma, leukemia, lymphoma, myelodysplasia syndrome, multiple myeloma, transitional cell carcinoma, neuroblastoma, plasma cell neoplasms, Wilm's tumor, or hepatocellular carcinoma. In another aspect, there is provided a compound, or a pharmaceutically acceptable salt or tautomer thereof, as described herein for use in the treatment of type I interferonopathies. In another aspect, there is provided a compound, or a pharmaceutically acceptable salt or tautomer thereof, as described herein for use in the treatment of type I interferonopathies selected from STING-associated vasculopathywith onset in infancy (SAVI)), Aicardi-Goutières Syndrome (AGS), genetic forms of lupus, and inflammation-associated disorders such as systemic lupus erythematosus, and rheumatoid arthritis. In another aspect, there is provided the use of a compound, or a pharmaceutically acceptable salt or tautomer thereof, as described herein in the manufacture of a medicament for the treatment of a condition, disease or disorder associated with increased (e.g., excessive) STING activation. In another aspect, there is provided the use of a compound, or a pharmaceutically acceptable salt or tautomer thereof, as described herein in the manufacture of a medicament for the treatment of cancer. In another aspect, there is provided the use of a compound, or a pharmaceutically acceptable salt or tautomer thereof, as described herein in the manufacture of a medicament for the treatment of cancer selected from the group consisting of melanoma, cervical cancer, breast cancer, ovarian cancer, prostate cancer, testicular cancer, urothelial carcinoma, bladder cancer, non-small cell lung cancer, small cell lung cancer, sarcoma, colorectal adenocarcinoma, gastrointestinal stromal tumors, gastroesophageal carcinoma, colorectal cancer, pancreatic cancer, kidney cancer, hepatocellular cancer, malignant mesothelioma, leukemia, lymphoma, myelodysplasia syndrome, multiple myeloma, transitional cell carcinoma, neuroblastoma, plasma cell neoplasms, Wilm's tumor, or hepatocellular carcinoma. In another aspect, there is provided the use of a compound, or a pharmaceutically acceptable salt or tautomer thereof, as described herein in the manufacture of a medicament for the treatment of type I interferonopathies.
In another aspect, there is provided the use of a compound, or a pharmaceutically acceptable salt or tautomer thereof, as described herein for use in the manufacture of a medicament for the treatment of type I interferonopathies selected from STING-associated vasculopathywith onset in infancy (SAVI)), Aicardi-Goutières Syndrome (AGS), genetic forms of lupus, and inflammation-associated disorders such as systemic lupus erythematosus, and rheumatoid arthritis. In another aspect, there is provided the use of a compound, or a pharmaceutically acceptable salt or tautomer thereof, as described herein, for the treatment of a disease, condition or disorder modulated by STING degradation. In another aspect, there is provided the use of a compound, or a pharmaceutically acceptable salt or tautomer thereof, as described herein for the treatment of a condition, disease or disorder associated with increased (e.g., excessive) STING activation. In another aspect, there is provided the use of a compound, or a pharmaceutically acceptable salt or tautomer thereof, as described herein for the treatment of cancer. In another aspect, there is provided the use of a compound, or a pharmaceutically acceptable salt or tautomer thereof, as described herein for the treatment of cancer selected from the group consisting of melanoma, cervical cancer, breast cancer, ovarian cancer, prostate cancer, testicular cancer, urothelial carcinoma, bladder cancer, non-small cell lung cancer, small cell lung cancer, sarcoma, colorectal adenocarcinoma, gastrointestinal stromal tumors, gastroesophageal carcinoma, colorectal cancer, pancreatic cancer, kidney cancer, hepatocellular cancer, malignant mesothelioma, leukemia, lymphoma, myelodysplasia syndrome, multiple myeloma, transitional cell carcinoma, neuroblastoma, plasma cell neoplasms, Wilm's tumor, or hepatocellular carcinoma. In another aspect, there is provided the use of a compound, or a pharmaceutically acceptable salt or tautomer thereof, as described herein for the treatment of type I interferonopathies. In another aspect, there is provided the use of a compound, or a pharmaceutically acceptable salt or tautomer thereof, as described herein for the treatment of type I interferonopathies selected from STING-associated vasculopathy with onset in infancy (SAVI)), Aicardi-Goutières Syndrome (AGS), genetic forms of lupus, and inflammation-associated disorders such as systemic lupus erythematosus, and rheumatoid arthritis.
Embodiments can include one or more of the following features. The chemical entity can be administered in combination with one or more additional therapeutic agents and/or regimens. For examples, methods can further include administering one or more (e.g., two, three, four, five, six, or more) additional agents. The chemical entity can be administered in combination with one or more additional therapeutic agents and/or regimens that are useful for treating other STING-associated conditions, e.g., type I interferonopathies (e.g., STING-associated vasculopathywith onset in infancy (SAVI)), Aicardi-Goutières Syndrome (AGS), genetic forms of lupus, and inflammation-associated disorders such as systemic lupus erythematosus, and rheumatoid arthritis. The chemical entity can be administered in combination with one or more additional cancer therapies (e.g., surgery, radiotherapy, chemotherapy, toxin therapy, immunotherapy, cryotherapy or gene therapy, or a combination thereof; e.g., chemotherapy that includes administering one or more (e.g., two, three, four, five, six, or more) additional chemotherapeutic agents. Non-limiting examples of additional chemotherapeutic agents is selected from an alkylating agent (e.g., cisplatin, carboplatin, mechlorethamine, cyclophosphamide, chlorambucil, ifosfamide and/or oxaliplatin); an anti-metabolite (e.g.,azathioprine and/or mercaptopurine); a terpenoid (e.g., a vinca alkaloid and/or a taxane; e.g., Vincristine, Vinblastine, Vinorelbine and/or Vindesine Taxol, Pacllitaxel and/or Docetaxel); a topoisomerase (e.g., a type I topoisomerase and/or a type 2 topoisomerase; e.g., camptothecins, such as irinotecan and/or topotecan;. amsacrine, etoposide, etoposide phosphate and/or teniposide); a cytotoxic antibiotic (e.g., actinomycin, anthracyclines, doxorubicin, daunorubicin, valrubicin, idarubicin, epirubicin, bleomycin, plicamycin and/or mitomycin); a hormone (e.g., a lutenizing hormone releasing hormone agonist; e.g., leuprolidine, goserelin, triptorelin, histrelin, bicalutamide, flutamide and/or nilutamide); an antibody (e.g., Abciximab, Adalimumab, Alemtuzumab, Atlizumab, Basiliximab, Belimumab, Bevacizumab, Bretuximab vedotin, Canakinumab, Cetuximab, Ceertolizumab pegol, Daclizumab, Denosumab, Eculizumab, Efalizumab, Gemtuzumab, Golimumab, Golimumab, Ibritumomab tiuxetan, Infliximab, Ipilimumab, Muromonab-CD3, Natalizumab, Ofatumumab, Omalizumab, Palivizumab, Panitumuab, Ranibizumab, Rituximab, Tocilizumab, Tositumomab and/or Trastuzumab); an anti-angiogenic agent; a cytokine; a thrombotic agent; a growth inhibitory agent; an anti-helminthic agent; and an immune checkpoint inhibitor that targets an immune checkpoint receptor selected from the group consisting of CTLA-4, PD-1, PD-L1, PD-1 – PD-L1, PD-1 – PD-
L2, interleukin‑2 (IL‑2), indoleamine 2,3-dioxygenase (IDO), IL‑10, transforming growth factor- β (TGFβ), T cell immunoglobulin and mucin 3 (TIM3 or HAVCR2), Galectin 9 – TIM3, Phosphatidylserine – TIM3, lymphocyte activation gene 3 protein (LAG3), MHC class II – LAG3, 4‑1BB–4‑1BB ligand, OX40–OX40 ligand, GITR, GITR ligand – GITR, CD27, CD70-CD27, TNFRSF25, TNFRSF25–TL1A, CD40L, CD40–CD40 ligand, HVEM–LIGHT–LTA, HVEM, HVEM – BTLA, HVEM – CD160, HVEM – LIGHT, HVEM–BTLA–CD160, CD80, CD80 – PDL-1, PDL2 – CD80, CD244, CD48 – CD244, CD244, ICOS, ICOS–ICOS ligand, B7‑H3, B7‑H4, VISTA, TMIGD2, HHLA2–TMIGD2, Butyrophilins, including BTNL2, Siglec family, TIGIT and PVR family members, KIRs, ILTs and LIRs, NKG2D and NKG2A, MICA and MICB, CD244, CD28, CD86 – CD28, CD86 – CTLA, CD80 – CD28, CD39, CD73 Adenosine–CD39– CD73, CXCR4–CXCL12, Phosphatidylserine, TIM3, Phosphatidylserine – TIM3, SIRPA–CD47, VEGF, Neuropilin, CD160, CD30, and CD155 (e.g., CTLA-4 or PD1 or PD-L1). The subject can have cancer; e.g., the subject has undergone and/or is undergoing and/or will undergo one or more cancer therapies. Non-limiting examples of cancer include melanoma, cervical cancer, breast cancer, ovarian cancer, prostate cancer, testicular cancer, urothelial carcinoma, bladder cancer, non-small cell lung cancer, small cell lung cancer, sarcoma, colorectal adenocarcinoma, gastrointestinal stromal tumors, gastroesophageal carcinoma, colorectal cancer, pancreatic cancer, kidney cancer, hepatocellular cancer, malignant mesothelioma, leukemia, lymphoma, myelodysplasia syndrome, multiple myeloma, transitional cell carcinoma, neuroblastoma, plasma cell neoplasms, Wilm's tumor, or hepatocellular carcinoma. In certain embodiments, the cancer can be a refractory cancer. The chemical entity can be administered intratumorally. The methods can further include identifying the subject. Other embodiments include those described in the Detailed Description and/or in the claims. Additional Definitions To facilitate understanding of the disclosure set forth herein, a number of additional terms are defined below. Generally, the nomenclature used herein and the laboratory procedures in organic chemistry, medicinal chemistry, and pharmacology described herein are those well-known
and commonly employed in the art. Unless defined otherwise, all technical and scientific terms used herein generally have the same meaning as commonly understood by one of ordinary skill in the art to which this disclosure belongs. Each of the patents, applications, published applications, and other publications that are mentioned throughout the specification and the attached appendices are incorporated herein by reference in their entireties. As used herein, the term “STING” is meant to include, without limitation, nucleic acids, polynucleotides, oligonucleotides, sense and antisense polynucleotide strands, complementary sequences, peptides, polypeptides, proteins, homologous and/or orthologous STING molecules, isoforms, precursors, mutants, variants, derivatives, splice variants, alleles, different species, and active fragments thereof. The term “acceptable” with respect to a formulation, composition or ingredient, as used herein, means having no persistent detrimental effect on the general health of the subject being treated. “API” refers to an active pharmaceutical ingredient. The terms “effective amount” or “therapeutically effective amount,” as used herein, refer to a sufficient amount of a chemical entity being administered which will relieve to some extent one or more of the symptoms of the disease or condition being treated. The result includes reduction and/or alleviation of the signs, symptoms, or causes of a disease, or any other desired alteration of a biological system. For example, an “effective amount” for therapeutic uses is the amount of the composition comprising a compound as disclosed herein required to provide a clinically significant decrease in disease symptoms. An appropriate “effective” amount in any individual case is determined using any suitable technique, such as a dose escalation study. The term “excipient” or “pharmaceutically acceptable excipient” means a pharmaceutically-acceptable material, composition, or vehicle, such as a liquid or solid filler, diluent, carrier, solvent, or encapsulating material. In one embodiment, each component is “pharmaceutically acceptable” in the sense of being compatible with the other ingredients of a pharmaceutical formulation, and suitable for use in contact with the tissue or organ of humans and animals without excessive toxicity, irritation, allergic response, immunogenicity, or other problems or complications, commensurate with a reasonable benefit/risk ratio. See, e.g., Remington: The Science and Practice of Pharmacy, 21st ed.; Lippincott Williams & Wilkins: Philadelphia, PA, 2005; Handbook of Pharmaceutical Excipients, 6th ed.; Rowe et al., Eds.; The
Pharmaceutical Press and the American Pharmaceutical Association: 2009; Handbook of Pharmaceutical Additives, 3rd ed.; Ash and Ash Eds.; Gower Publishing Company: 2007; Pharmaceutical Preformulation and Formulation, 2nd ed.; Gibson Ed.; CRC Press LLC: Boca Raton, FL, 2009. The term “pharmaceutically acceptable salt” refers to a formulation of a compound that does not cause significant irritation to an organism to which it is administered and does not abrogate the biological activity and properties of the compound. In certain instances, pharmaceutically acceptable salts are obtained by reacting a compound described herein, with acids such as hydrochloric acid, hydrobromic acid, sulfuric acid, nitric acid, phosphoric acid, methanesulfonic acid, ethanesulfonic acid, p-toluenesulfonic acid, salicylic acid and the like. In some instances, pharmaceutically acceptable salts are obtained by reacting a compound having acidic group described herein with a base to form a salt such as an ammonium salt, an alkali metal salt, such as a sodium or a potassium salt, an alkaline earth metal salt, such as a calcium or a magnesium salt, a salt of organic bases such as dicyclohexylamine, N-methyl-D-glucamine, tris(hydroxymethyl)methylamine, and salts with amino acids such as arginine, lysine, and the like, or by other methods previously determined. The pharmacologically acceptable salt s not specifically limited as far as it can be used in medicaments. Examples of a salt that the compounds described hereinform with a base include the following: salts thereof with inorganic bases such as sodium, potassium, magnesium, calcium, and aluminum; salts thereof with organic bases such as methylamine, ethylamine and ethanolamine; salts thereof with basic amino acids such as lysine and ornithine; and ammonium salt. The salts may be acid addition salts, which are specifically exemplified by acid addition salts with the following: mineral acids such as hydrochloric acid, hydrobromic acid, hydroiodic acid, sulfuric acid, nitric acid, and phosphoric acid:organic acids such as formic acid, acetic acid, propionic acid, oxalic acid, malonic acid, succinic acid, fumaric acid, maleic acid, lactic acid, malic acid, tartaric acid, citric acid, methanesulfonic acid, and ethanesulfonic acid; acidic amino acids such as aspartic acid and glutamic acid. The term “pharmaceutical composition” refers to a mixture of a compound described herein with other chemical components (referred to collectively herein as “excipients”), such as carriers, stabilizers, diluents, dispersing agents, suspending agents, and/or thickening agents. The pharmaceutical composition facilitates administration of the compound to an organism. Multiple
techniques of administering a compound exist in the art including, but not limited to: rectal, oral, intravenous, aerosol, parenteral, ophthalmic, pulmonary, and topical administration. The term “subject” refers to an animal, including, but not limited to, a primate (e.g., human), monkey, cow, pig, sheep, goat, horse, dog, cat, rabbit, rat, or mouse. The terms “subject” and “patient” are used interchangeably herein in reference, for example, to a mammalian subject, such as a human. The terms “treat,” “treating,” and “treatment,” in the context of treating a disease or disorder, are meant to include alleviating or abrogating a disorder, disease, or condition, or one or more of the symptoms associated with the disorder, disease, or condition; or to slowing the progression, spread or worsening of a disease, disorder or condition or of one or more symptoms thereof. The “treatment of cancer”, refers to one or more of the following effects: (1) inhibition, to some extent, of tumor growth, including, (i) slowing down and (ii) complete growth arrest; (2) reduction in the number of tumor cells; (3) maintaining tumor size; (4) reduction in tumor size; (5) inhibition, including (i) reduction, (ii) slowing down or (iii) complete prevention, of tumor cell infiltration into peripheral organs; (6) inhibition, including (i) reduction, (ii) slowing down or (iii) complete prevention, of metastasis; (7) enhancement of anti-tumor immune response, which may result in (i) maintaining tumor size, (ii) reducing tumor size, (iii) slowing the growth of a tumor, (iv) reducing, slowing or preventing invasion and/or (8) relief, to some extent, of the severity or number of one or more symptoms associated with the disorder.The term "halo" refers to fluoro (F), chloro (Cl), bromo (Br), or iodo (I). The term "alkyl" refers to a saturated acyclic hydrocarbon radical that may be a straight chain or branched chain, containing the indicated number of carbon atoms. For example, C1-10 indicates that the group may have from 1 to 10 (inclusive) carbon atoms in it. Alkyl groups can either be unsubstituted or substituted with one or more substituents. Non-limiting examples include methyl, ethyl, iso-propyl, tert-butyl, n-hexyl. The term “saturated” as used in this context means only single bonds present between constituent carbon atoms and other available valences occupied by hydrogen and/or other substituents as defined herein. The term "haloalkyl" refers to an alkyl, in which one or more hydrogen atoms is/are replaced with an independently selected halo. The term "alkoxy" refers to an -O-alkyl radical (e.g., -OCH3). The term "alkylene" refers to a divalent alkyl (e.g., -CH2-).
The term "alkenyl" refers to an acyclic hydrocarbon chain that may be a straight chain or branched chain having one or more carbon-carbon double bonds. The alkenyl moiety contains the indicated number of carbon atoms. For example, C2-6 indicates that the group may have from 2 to 6 (inclusive) carbon atoms in it. Alkenyl groups can either be unsubstituted or substituted with one or more substituents. The term “Alkenylene” refers to a divalent alkenyl group (e.g., -CH=CH-). The term "alkynyl" refers to an acyclic hydrocarbon chain that may be a straight chain or branched chain having one or more carbon-carbon triple bonds. The alkynyl moiety contains the indicated number of carbon atoms. For example, C2-6 indicates that the group may have from 2 to 6 (inclusive) carbon atoms in it. Alkynyl groups can either be unsubstituted or substituted with one or more substituents. The term “alkynylene” refers to a divalent alkynyl group (e.g.,
. The term "aryl" refers to a 6-20 carbon mono-, bi-, tri- or polycyclic group wherein at least one ring in the system is aromatic (e.g., 6-carbon monocyclic, 10-carbon bicyclic, or 14-carbon tricyclic aromatic ring system); and wherein 0, 1, 2, 3, or 4 atoms of each ring may be substituted by a substituent. Examples of aryl groups include phenyl, naphthyl, tetrahydronaphthyl, dihydro- 1H-indenyl and the like. The term "cycloalkyl" as used herein refers to cyclic saturated hydrocarbon groups having, e.g., 3 to 20 ring carbons, preferably 3 to 16 ring carbons, and more preferably 3 to 12 ring carbons or 3-10 ring carbons or 3-6 ring carbons, wherein the cycloalkyl group may be optionally substituted. Examples of cycloalkyl groups include, without limitation, cyclopropyl, cyclobutyl, cyclopentyl, cyclohexyl, cycloheptyl, and cyclooctyl. Cycloalkyl may include multiple fused and/or bridged rings. Non-limiting examples of fused/bridged cycloalkyl includes: bicyclo[1.1.0]butanyl, bicyclo[2.1.0]pentanyl, bicyclo[1.1.1]pentanyl, bicyclo[3.1.0]hexanyl, bicyclo[2.1.1]hexanyl, bicyclo[3.2.0]heptanyl, bicyclo[4.1.0]heptanyl, bicyclo[2.2.1]heptanyl, bicyclo[3.1.1]heptanyl, bicyclo[4.2.0]octanyl, bicyclo[3.2.1]octanyl, bicyclo[2.2.2]octanyl, and the like. Cycloalkyl also includes spirocyclic rings (e.g., spirocyclic bicycle wherein two rings are connected through just one atom). Non-limiting examples of spirocyclic cycloalkyls include spiro[2.2]pentanyl, spiro[2.5]octanyl, spiro[3.5]nonanyl, spiro[3.5]nonanyl, spiro[3.5]nonanyl, spiro[4.4]nonanyl, spiro[2.6]nonanyl, spiro[4.5]decanyl, spiro[3.6]decanyl, spiro[5.5]undecanyl, and the like. The term “saturated” as used in this context means only single bonds present between constituent carbon atoms.
The term "cycloalkenyl" as used herein means partially unsaturated cyclic hydrocarbon groups having 3 to 20 ring carbons, preferably 3 to 16 ring carbons, and more preferably 3 to 12 ring carbons or 3-10 ring carbons or 3-6 ring carbons, wherein the cycloalkenyl group may be optionally substituted. Examples of cycloalkenyl groups include, without limitation, cyclopentenyl, cyclohexenyl, cycloheptenyl, and cyclooctenyl. As partially unsaturated cyclic hydrocarbon groups, cycloalkenyl groups may have any degree of unsaturation provided that one or more double bonds is present in the ring, none of the rings in the ring system are aromatic, and the cycloalkenyl group is not fully saturated overall. Cycloalkenyl may include multiple fused and/or bridged and/or spirocyclic rings. The term “heteroaryl”, as used herein, means a mono-, bi-, tri- or polycyclic group having 5 to 20 ring atoms, alternatively 5, 6, 9, 10, or 14 ring atoms; and having 6, 10, or 14 pi electrons shared in a cyclic array; wherein at least one ring in the system is aromatic, and at least one ring in the system contains one or more heteroatoms independently selected from the group consisting of N, O, and S (but does not have to be a ring which contains a heteroatom, e.g. tetrahydroisoquinolinyl, e.g., tetrahydroquinolinyl). Heteroaryl groups can either be unsubstituted or substituted with one or more substituents. Examples of heteroaryl include thienyl, pyridinyl, furyl, oxazolyl, oxadiazolyl, pyrrolyl, imidazolyl, triazolyl, thiodiazolyl, pyrazolyl, isoxazolyl, thiadiazolyl, pyranyl, pyrazinyl, pyrimidinyl, pyridazinyl, triazinyl, thiazolyl benzothienyl, benzoxadiazolyl, benzofuranyl, benzimidazolyl, benzotriazolyl, cinnolinyl, indazolyl, indolyl, isoquinolinyl, isothiazolyl, naphthyridinyl, purinyl, thienopyridinyl, pyrido[2,3-d]pyrimidinyl, pyrrolo[2,3-b]pyridinyl, quinazolinyl, quinolinyl, thieno[2,3-c]pyridinyl, pyrazolo[3,4- b]pyridinyl, pyrazolo[3,4-c]pyridinyl, pyrazolo[4,3-c]pyridinyl, pyrazolo[4,3-b]pyridinyl, tetrazolyl, chromanyl, 2,3-dihydrobenzo[b][1,4]dioxinyl, benzo[d][1,3]dioxolyl, 2,3- dihydrobenzofuranyl, tetrahydroquinolinyl, 2,3-dihydrobenzo[b][1,4]oxathiinyl, isoindolinyl, and others. In some embodiments, the heteroaryl is selected from thienyl, pyridinyl, furyl, pyrazolyl, imidazolyl, isoindolinyl, pyranyl, pyrazinyl, and pyrimidinyl. The term "heterocyclyl" refers to a mon-, bi-, tri-, or polycyclic saturated ring system with 3-16 ring atoms (e.g., 5-8 membered monocyclic, 8-12 membered bicyclic, or 11-14 membered tricyclic ring system) having 1-3 heteroatoms if monocyclic, 1-6 heteroatoms if bicyclic, or 1-9 heteroatoms if tricyclic or polycyclic, said heteroatoms selected from O, N, or S (e.g., carbon atoms
and 1-3, 1-6, or 1-9 heteroatoms of N, O, or S if monocyclic, bicyclic, or tricyclic, respectively), wherein 0, 1, 2 or 3 atoms of each ring may be substituted by a substituent. Examples of heterocyclyl groups include piperazinyl, pyrrolidinyl, dioxanyl, morpholinyl, tetrahydrofuranyl, and the like. Heterocyclyl may include multiple fused and bridged rings. Non-limiting examples of fused/bridged heteorocyclyl includes: 2-azabicyclo[1.1.0]butanyl, 2-azabicyclo[2.1.0]pentanyl, 2-azabicyclo[1.1.1]pentanyl, 3-azabicyclo[3.1.0]hexanyl, 5-azabicyclo[2.1.1]hexanyl, 3- azabicyclo[3.2.0]heptanyl, octahydrocyclopenta[c]pyrrolyl, 3-azabicyclo[4.1.0]heptanyl, 7- azabicyclo[2.2.1]heptanyl, 6-azabicyclo[3.1.1]heptanyl, 7-azabicyclo[4.2.0]octanyl, 2- azabicyclo[2.2.2]octanyl, 3-azabicyclo[3.2.1]octanyl, 2-oxabicyclo[1.1.0]butanyl, 2- oxabicyclo[2.1.0]pentanyl, 2-oxabicyclo[1.1.1]pentanyl, 3-oxabicyclo[3.1.0]hexanyl, 5- oxabicyclo[2.1.1]hexanyl, 3-oxabicyclo[3.2.0]heptanyl, 3-oxabicyclo[4.1.0]heptanyl, 7- oxabicyclo[2.2.1]heptanyl, 6-oxabicyclo[3.1.1]heptanyl, 7-oxabicyclo[4.2.0]octanyl, 2- oxabicyclo[2.2.2]octanyl, 3-oxabicyclo[3.2.1]octanyl, and the like. Heterocyclyl also includes spirocyclic rings (e.g., spirocyclic bicycle wherein two rings are connected through just one atom). Non-limiting examples of spirocyclic heterocyclyls include 2-azaspiro[2.2]pentanyl, 4- azaspiro[2.5]octanyl, 1-azaspiro[3.5]nonanyl, 2-azaspiro[3.5]nonanyl, 7-azaspiro[3.5]nonanyl, 2- azaspiro[4.4]nonanyl, 6-azaspiro[2.6]nonanyl, 1,7-diazaspiro[4.5]decanyl, 7-azaspiro[4.5]decanyl 2,5-diazaspiro[3.6]decanyl, 3-azaspiro[5.5]undecanyl, 2-oxaspiro[2.2]pentanyl, 4- oxaspiro[2.5]octanyl, 1-oxaspiro[3.5]nonanyl, 2-oxaspiro[3.5]nonanyl, 7-oxaspiro[3.5]nonanyl, 2-oxaspiro[4.4]nonanyl, 6-oxaspiro[2.6]nonane, 1,7-dioxaspiro[4.5]decanyl, 2,5- dioxaspiro[3.6]decanyl, 1-oxaspiro[5.5]undecanyl, 3-oxaspiro[5.5]undecanyl, 3-oxa-9- azaspiro[5.5]undecanyl and the like. The term “saturated” as used in this context means only single bonds present between constituent ring atoms and other available valences occupied by hydrogen and/or other substituents as defined herein. The term "heterocycloalkenyl" as used herein means partially unsaturated cyclic ring system with 3-16 ring atoms (e.g., 5-8 membered monocyclic, 8-12 membered bicyclic, or 11-14 membered tricyclic ring system) having 1-3 heteroatoms if monocyclic, 1-6 heteroatoms if bicyclic, or 1-9 heteroatoms if tricyclic or polycyclic, said heteroatoms selected from O, N, or S (e.g., carbon atoms and 1-3, 1-6, or 1-9 heteroatoms of N, O, or S if monocyclic, bicyclic, or tricyclic, respectively), wherein 0, 1, 2 or 3 atoms of each ring may be substituted by a substituent. Examples of heterocycloalkenyl groups include, without limitation, tetrahydropyridyl,
dihydropyrazinyl, dihydropyridyl, dihydropyrrolyl, dihydrofuranyl, dihydrothiophenyl. As partially unsaturated cyclic groups, heterocycloalkenyl groups may have any degree of unsaturation provided that one or more double bonds is present in the ring, none of the rings in the ring system are aromatic, and the heterocycloalkenyl group is not fully saturated overall. Heterocycloalkenyl may include multiple fused and/or bridged and/or spirocyclic rings. As used herein, when a ring is described as being “aromatic”, it means said ring has a continuous, delocalized π-electron system. Typically, the number of out of plane π-electrons corresponds to the Hückel rule (4n+2). Examples of such rings include: benzene, pyridine, pyrimidine, pyrazine, pyridazine, pyridone, pyrrole, pyrazole, oxazole, thioazole, isoxazole, isothiazole, and the like. As used herein, when a ring is described as being “partially unsaturated”, it means said ring has one or more additional degrees of unsaturation (in addition to the degree of unsaturation attributed to the ring itself; e.g., one or more double or tirple bonds between constituent ring atoms), provided that the ring is not aromatic. Examples of such rings include: cyclopentene, cyclohexene, cycloheptene, dihydropyridine, tetrahydropyridine, dihydropyrrole, dihydrofuran, dihydrothiophene, and the like. For the avoidance of doubt, and unless otherwise specified, for rings and cyclic groups (e.g., aryl, heteroaryl, heterocyclyl, heterocycloalkenyl, cycloalkenyl, cycloalkyl, and the like described herein) containing a sufficient number of ring atoms to form bicyclic or higher order ring systems (e.g., tricyclic, polycyclic ring systems), it is understood that such rings and cyclic groups encompass those having fused rings, including those in which the points of fusion are located (i) on adjacent ring atoms (e.g., [x.x.0] ring systems, in which 0 represents a zero atom ,
,
ystems having all bridge lengths
In addition, atoms making up the compounds of the present embodiments are intended to include all isotopic forms of such atoms. Isotopes, as used herein, include those atoms having the same atomic number but different mass numbers. By way of general example and without limitation, isotopes of hydrogen include tritium and deuterium, and isotopes of carbon include 13C and 14C. In addition, the compounds generically or specifically disclosed herein are intended to include all tautomeric forms. Thus, by way of example, a compound containing the moiety:
encompasses the tautomeric form containing the moiety:
. Similarly, a pyridinyl or pyrimidinyl moiety that is described to be optionally substituted with hydroxyl encompasses pyridone or pyrimidone tautomeric forms. As used herein, the phrase “optionally substituted” when used in conjunction with a structural moiety (e.g., alkyl) is intended to encompass both the unsubstituted structural moiety (i.e., none of the substitutable hydrogen atoms are replaced with one or more non-hydrogen substituents) and substituted structural moieties substituted with the indicated range of non- hydrogen substituents. For example, “ C1-C4 alkyl optionally substituted with 1-4 Ra” is intended to encompass both unsubstituted C1-C4 alkyl and C1-C4 alkyl substituted with 1-4 Ra. The details of one or more embodiments of the invention are set forth in the accompanying drawings and the description below. Other features and advantages of the invention will be apparent from the description and drawings, and from the claims. BRIEF DESCRIPTION OF THE DRAWINGS FIG.1 is a graph FIG.1 is a graph plotting AUC total STING versus concentration of compound 104 demonstrating that compound 104 induced degradation of STING protein. FIG.2 is a western blot result showing that compound 104 induced the degradation of STING protein.
DETAILED DESCRIPTION This disclosure features chemical entities (e.g., a compound of Formula (I), (I-a), (I-b), or (I-c), or a pharmaceutically acceptable salt thereof) that induce degradation of Stimulator of Interferon Genes (STING). Said chemical entities are useful, e.g., for treating a condition, disease or disorder in which increased (e.g., excessive) STING activation (e.g., STING signaling) contributes to the pathology and/or symptoms and/or progression of the condition, disease or disorder (e.g., cancer) in a subject (e.g., a human). This disclosure also features compositions containing the same as well as methods of using and making the same. Formula I Compounds In one aspect, the disclosure features a compound of Formula (I):
Formula (I) or a pharmaceutically acceptable salt thereof, wherein: Rring A is an STING binding moiety capable of binding to STING; L is a bivalent moiety that connects STING to LBM; and LBM is a ligase binding moiety. In another aspect, the disclosure features A compound of formula (I),
wherein LBM is a ligase binding moiety; L is a bivalent moiety that connects Ring A to LBM; and Ring A has formula (I-a), formula (I-b), or formula (I-c):
wherein: each of X1 and X11 is independently selected from the group consisting of O, S, and NR2; each of Y1 and Y3 is independently selected from the group consisting of a bond, CR1, CR1a, C(R3)2, N, and NR2; provided that only one of Y1 and Y3 can be a bond; each of Y2 and Y4 is independently selected from the group consisting of CR1, CR1a, C(R3)2, N, and NR2; each of Y11 and Y33 is selected from the group consisting of a bond, CR1b, C(R3)2, N, and NR2; provided that only one of Y11 and Y33 can be a bond; Y22 is selected from the group consisting of CR1b, C(R3)2, N, and NR2; each of X2 and X22 is CR4; X3 is CR5; each is independently a single bond or a double bond, provided that the five-membered ring comprising X1 and X2 in Formula (I-a) is heteroaryl; and the five-membered ring comprising X11, X22, and X3 in Formulas (I-b) and (I-c) is heteroaryl; each occurrence of R1 is independently selected from the group consisting of H; halo; cyano; C1-6 alkyl optionally substituted with 1-2 independently selected Ra; C2-6 alkenyl; C2-6 alkynyl; C1-4 haloalkyl; C1-4 alkoxy; C1-4 haloalkoxy; -S(O)1-2(C1-4 alkyl); -NReRf; –OH; -S(O)1- 2(NR’R’’); -C1-4 thioalkoxy; -NO2; -C(=O)(C1-4 alkyl); -C(=O)O(C1-4 alkyl); -C(=O)OH; and - C(=O)N(R’)(R’’); each occurrence of R1a is independently selected from the group consisting of formula 101 and formula 102, which are delineated and defined in (i) and (ii) below: (i):
(formula 101), wherein: LA is –(L1)a1-(L2)a2-(L3)a3-(L4)a4-(L5)a5-*, wherein * represents the point of attachment to Q1; a1, a2, a3, a4, and a5 are each independently 0 or 1, provided that a1 + a2 + a3 + a4 + a5 ≥ 1, and each of L1, L3, and L5 is independently selected from the group consisting of: -O-, -N(H)-, -N(Rd)-, S(O)0-2, and –C(=O)-; provided that when one or both of a2 and a4 is 0, then the combinations of L1, L3, and L5 cannot form O-O , N-O, N-N, O-S, S-S, or N-S(O)0 bonds, and each of L2 and L4 is independently selected from the group consisting of: • straight-chain C1-6 alkylene, straight-chain C2-6 alkenylene, or straight-chain C2-6 alkynylene, each of which is optionally substituted with 1-6 Rb; • C3-10 cycloalkylene or C3-10 cycloalkenylene, each of which is optionally substituted with 1-3 Rc provided the C3-10 cycloalkylene or C3-10 cycloalkenylene is not directly connected to the 6-membered ring containing Y1, Y2, Y3, and Y4; and • heterocyclylene or heterocycloalkenylene, each having 4-10 ring atoms wherein 1-3 ring atoms are ring heteroatoms each independently selected from the group consisting of: N, N(H), N(Rd), O, and S(O)0-2, wherein the heterocyclylene or heterocycloalkenylene is optionally substituted with 1-3 Rc, provided the heterocyclylene or heterocycloalkenylene is not directly connected to the 6-membered ring containing Y1, Y2, Y3, and Y4; and Q1 is –Rg; and
wherein:
Q11 is selected from the group consisting of: o C3-12 cycloalkylene or C3-12 cycloalkenylene, each optionally substituted with 1-4 substituents independently selected from the group consisting of oxo and Rc; o heterocyclylene or heterocycloalkenylene of 3-12 ring atoms, wherein 1-3 ring atoms are heteroatoms, each independently selected from the group consisting of N, N(H), N(Rd), O, and S(O)0-2, and wherein the heterocyclylene or heterocycloalkenylene is optionally substituted with 1-4 substituents independently selected from the group consisting of oxo and Rc; o heteroarylene of 5-12 ring atoms, wherein 1-3 ring atoms are heteroatoms, each independently selected from the group consisting of N, N(H), N(Rd), O, and S(O)0-2, and wherein the heteroarylene is optionally substituted with 1-4 independently Rc; and o C6-10 arylene optionally substituted with 1-4 independently selected Rc; each LA11 is independently selected from the group consisting of: C1-3 alkylene optionally substituted with 1-2 Ra; -O-; -NH-; -NRd ; -S(O)0-2; and C(O); a11 is 0, 1, 2, 3, or 4; Q22 is selected from the group consisting of: H; Rg; and Rc; each occurrence of R1b is independently selected from the group consisting of H; halo; cyano; C1-6 alkyl optionally substituted with 1-3 Ra; C2-6 alkenyl; C2-6 alkynyl; C1-4 alkoxy; C1-4 haloalkoxy; -(C0-3 alkylene)-C3-6 cycloalkyl optionally substituted with from 1-4 independently selected Rb; -(C0-3 alkylene)-C6-10 aryl optionally substituted with from 1-4 independently selected Rb; -(C0-3 alkylene)-5-10 membered heteroaryl, wherein from 1-3 ring atoms of the heteroaryl are heteroatoms each independently selected from the group consisting of N, NH, NRd, O, and S, wherein the heteroaryl is optionally substituted with from 1-4 independently selected Rb; -(C0-3 alkylene)-5-10 membered heterocyclyl, wherein from 1-3 ring atoms of the heterocyclyl are heteroatoms each independently selected from the group consisting of N, NH, NRd, O, and S, wherein the heterocyclyl is optionally substituted with 1-4 independently selected Rb; -S(O)1-2(C1- 4 alkyl); -S(O)(=NH)(C1-4 alkyl); -NReRf; –OH; oxo; -S(O)1-2(NR’R’’); -C1-4 thioalkoxy; -NO2; - C(=O)(C1-4 alkyl); -C(=O)O(C1-4 alkyl); -C(=O)OH; -C(=O)N(R’)(R’’); and SF5;
each occurrence of R2 and R4 is independently selected from the group consisting of: H; Rd; Rg; and –(Lg)bg-Rg; each occurrence of R3 is independently selected from the group consisting of H, C1-6 alkyl; –OH; -F; -Cl; -Br; –NReRf; C1-4 alkoxy; C1-4 haloalkoxy; -C(=O)(C1-4 alkyl); -C(=O)O(C1-4 alkyl); -C(=O)OH; -C(=O)N(R’)(R’’); -S(O)1-2(NR’R’’); -S(O)1-2(C1-4 alkyl); cyano; and C3-6 cycloalkyl optionally substituted with from 1-4 independently selected C1-4 alkyl; or two R3 on the same carbon combine to form an oxo; each occurrence of R5 is independently selected from the group consisting of: H; Rc; Rg; and –(Lg)bg-Rg; each occurrence of Ra is independently selected from the group consisting of: –OH; -halo; –NReRf; C1-4 alkoxy; C1-4 haloalkoxy; -C(=O)O(C1-4 alkyl); -C(=O)(C1-4 alkyl); -C(=O)OH; - CONR’R’’; -S(O)1-2NR’R’’; -S(O)1-2(C1-4 alkyl); and cyano; each occurrence of Raa is independently selected from the group consisting of: –OH; -F; - Cl; -Br; –NReRf; C1-4 alkoxy; C1-4 haloalkoxy; -C(=O)O(C1-4 alkyl); -C(=O)(C1-4 alkyl); - C(=O)OH; -CON(R’)(R’’); -S(O)1-2(NR’R’’); -S(O)1-2(C1-4 alkyl); cyano, and C3-6 cycloalkyl optionally substituted with from 1-4 independently selected C1-4 alkyl; each occurrence of Rb is independently selected from the group consisting of: halo; cyano; C1-10 alkyl which is optionally substituted with 1-6 independently selected Ra; C2-6 alkenyl; C2-6 alkynyl; C1-4 alkoxy; C1-4 haloalkoxy; -S(O)1-2(C1-4 alkyl); -S(O)(=NH)(C1-4 alkyl); -NReRf; -NO2; –OH; -S(O)1-2NR’R’’; -C1-4 thioalkoxy; -NO2; -C(=O)(C1-10 alkyl); -C(=O)O(C1-4 alkyl); - C(=O)OH; -C(=O)NR’R’’; and –SF5; each occurrence of Rc is independently selected from the group consisting of halo; cyano; C1-6 alkyl optionally substituted with 1-6 independently selected Raa; C2-6 alkenyl; C2-6 alkynyl; C1-4 alkoxy optionally substituted with 1-6 independently selected Raa; C1-4 haloalkoxy; -(C0-3 alkylene)-C3-6 cycloalkyl optionally substituted with from 1-4 independently selected Rb; -(C0-3
alkylene)-C6-10 aryl optionally substituted with from 1-4 independently selected Rb; -(C0-3 alkylene)-5-10 membered heteroaryl, wherein from 1-3 ring atoms of the heteroaryl are heteroatoms each independently selected from the group consisting of N, NH, NRd, O, and S, wherein the heteroaryl is optionally substituted with from 1-4 independently selected Rb; -(C0-3 alkylene)-5-10 membered heterocyclyl, wherein from 1-3 ring atoms of the heterocyclyl are heteroatoms each independently selected from the group consisting of N, NH, NRd, O, and S, wherein the heterocyclyl is optionally substituted with 1-4 independently selected Rb; -S(O)1-2(C1- 4 alkyl); -S(O)(=NH)(C1-4 alkyl); -NReRf; –OH; oxo; -S(O)1-2(NR’R’’); -C1-4 thioalkoxy; -NO2; - C(=O)(C1-4 alkyl); -C(=O)O(C1-4 alkyl); -C(=O)OH; -C(=O)N(R’)(R’’); and –SF5; each occurrence of Rd is independently selected from the group consisting of: C1-6 alkyl optionally substituted with 1-6 independently selected Raa; C3-6 cycloalkyl; -C(O)(C1-4 alkyl); - C(O)O(C1-4 alkyl); -CONR’R’’; -S(O)1-2NR’R’’; - S(O)1-2(C1-4 alkyl); -OH; and C1-4 alkoxy; each occurrence of Re and Rf is independently selected from the group consisting of: H; C1-6 alkyl optionally substituted with 1-6 substituents each independently selected from the group consisting of NR’R’’, -OH, halo, C1-4 alkoxy, and C1-4 haloalkoxy; -C(O)(C1-4 alkyl); -C(O)O(C1- 4 alkyl); -CONR’R’’; -S(O)1-2NR’R’’; -S(O)1-2(C1-4 alkyl); -OH; and C1-4 alkoxy; each occurrence of Rg is independently selected from the group consisting of: • C3-12 cycloalkyl or C3-12 cycloalkenyl, each of which is optionally substituted with 1-4 substituents independently selected from the group consisting of oxo and Rc; • heterocyclyl or heterocycloalkenyl of 3-12 ring atoms, wherein 1-3 ring atoms are heteroatoms, each independently selected from the group consisting of N, N(H), N(Rd), O, and S(O)0-2, and wherein the heterocyclyl or heterocycloalkenyl is optionally substituted with 1-4 substituents independently selected from the group consisting of oxo and Rc; • heteroaryl of 5-12 ring atoms, wherein 1-4 ring atoms are heteroatoms, each independently selected from the group consisting of N, N(H), N(Rd), O, and S(O)0-2, and wherein the heteroaryl is optionally substituted with 1-4 Rc ; and • C6-10 aryl optionally substituted with 1-4 Rc;
each occurrence of Lg is independently selected from the group consisting of: -O-, -NH-, - NRd, -S(O)0-2, C(O), and C1-3 alkylene optionally substituted with 1-3 Ra; each occurrence of bg is independently 1, 2, or 3; each occurrence of R’ and R’’ is independently selected from the group consisting of: H; -OH; and C1-4 alkyl. L10 is selected from the group consisting of: o -NRN-; o *-NRNC(=O)-; o *-NRNC(=S)-; o *-NRNC(=NRN)-; o *-NRNC(=NCN)-; o *-NRNC(=NNO2)-; o *-NRNC(=O)-C(=O)NRN-; o *-NRNSO2-; o -*NRNC(=O)NRN-; o -*NRNC(=S)NRN-;
o ; wherein the asterisk represents to point of attachment to the ring containing X1 and X2; and each occurrence of RN is independently H or Rd; L20 is a bond or is independently selected from the group consisting of the formulas defined in (i), (ii), (iii), (iv), (v), (vi), and (vii) below: (i)
(formula 103) Ring B1 is a heteroarylene of 5 ring atoms, wherein 1-4 of the ring atoms are heteroatoms each independently selected from the group consisting of: N, NH, N(Rd), O, and S; wherein the heteroarylene of Ring B1 is optionally substituted with 1-2 substituents independently selected from the group consisting of oxo and Rc, provided that Ring B1 is attached to the C(=O)NR6 group via a ring carbon atom; each LAA is independently selected from the group consisting of: C1-3 alkylene optionally substituted with 1-2 Ra; -O-; -NH-; -NRd ; -S(O)0-2; and C(O); aa1 is 0, 1, or 2; Ring C1 is selected from the group consisting of: o C3-12 cycloalkylene or C3-12 cycloalkenylene, each optionally substituted with 1-4 substituents independently selected from the group consisting of oxo and Rc; o heterocyclylene or heterocycloalkenylene of 3-12 ring atoms, wherein 1-3 ring atoms are heteroatoms each independently selected from the group consisting of N, N(H), N(Rd), O, and S(O)0-2, and wherein the heterocyclylene or heterocycloalkenylene is optionally substituted with 1-4 substituents independently selected from the group consisting of oxo and Rc; o heteroarylene of 5-12 ring atoms, wherein 1-3 ring atoms are heteroatoms each independently selected from the group consisting of N, N(H), N(Rd), O, and S(O)0-2, and wherein the heteroarylene is optionally substituted with 1-4 substituents independently selected Rc; and o C6-10 arylene optionally substituted with 1-4 substituents independently selected Rc; R7 is selected from the group consisting of: Rg and –(L7)b7-Rg; each L7 is independently selected from the group consisting of: C1-3 alkylene optionally substituted with 1-2 Ra; -O-; -NH-; -NRd; -S(O)0-2; and C(O); and b7 is 1, 2, or 3;
(
(formula 104) Ring B2 is a heteroarylene of 5 ring atoms, wherein 1-4 of the ring atoms are heteroatoms each independently selected from the group consisting of: N, NH, N(Rd), O, and S, wherein the heteroarylene of Ring B2 is optionally substituted with 1-2 substituents independently selected Rc, provided that Ring B2 is attached to the C(=O)NR6 group via a ring carbon atom; each LAB is independently selected from the group consisting of: C1-3 alkylene optionally substituted with 1-4 Ra; -O-; -NH-; -NRd; -S(O)0-2; and C(O); aa2 is 0, 1, 2, or 3; Ring C2 is selected from the group consisting of: o C3-12 cycloalkyl or C3-12 cycloalkenyl, each optionally substituted with 1-4 substituents independently selected from the group consisting of oxo and Rc; o heterocyclyl or heterocycloalkenyl of 3-12 ring atoms, wherein 1-3 ring atoms are heteroatoms, each independently selected from the group consisting of N, N(H), N(Rd), O, and S(O)0-2, and wherein the heterocyclyl or heterocycloalkenyl is optionally substituted with 1-4 substituents independently selected from the group consisting of oxo and Rc; o heteroaryl of 5-12 ring atoms, wherein 1-4 ring atoms are heteroatoms, each independently selected from the group consisting of N, N(H), N(Rd), O, and S(O)0-2, and wherein the heteroaryl is optionally substituted with 1-4 Rc; and o C6-10 aryl optionally substituted with 1-4 Rc; (iii) heteroaryl of 5 ring atoms, wherein 1-4 ring atoms are heteroatoms, each independently selected from the group consisting of N, N(H), N(Rd), O, and S(O)0-2, and wherein
the heteroaryl is optionally substituted with 1-4 Rc; provided the heteroaryl is attached to the C(=O)NR6 group via a ring carbon atom; (iv)
(formula 105) P1, P2, P3, P4, and P5 are each independently selected from the group consisting of: N, NH, NRd, NR71, CH, CRc, CR71, and C(=O), provided that one of P1, P2, P3, P4, and P5 is of appropriate valence to serve as the point of attachment to L; each occurrence of R71 is independently –(LAC)aa3-R8, wherein: each LAC is independently selected from the group consisting of: C1-3 alkylene optionally substituted with 1-4 Ra; -O-; -NRN; -S(O)0-2; C(O); C(O)O; OC(O); NRNC(O); C(O)NRN; NRNC(O)NRN; NRNC(O)O; and OC(O)NRN; aa3 is 0, 1, 2, or 3; each occurrence of R8 is independently Rg or C1-10 alkyl optionally substituted with 1-6 Ra1; and each occurrence of RN is independently H or Rd; (v) a bicyclic or polycyclic ring system selected from the group consisting of: o bicyclic or polycyclic C5-15 cycloalkylene or C5-15 cycloalkenylene, each optionally substituted with 1-4 substituents independently selected from the group consisting of oxo and Rc; o bicyclic or polycyclic heterocyclylene or heterocycloalkenylene of 7-15 ring atoms, wherein 1-4 ring atoms are heteroatoms, each independently selected from the group consisting of N, N(H), N(Rd), O, and S(O)0-2, and wherein the heterocyclyl or heterocycloalkenyl is optionally substituted with 1-4 substituents independently selected from the group consisting of oxo and Rc; o bicyclic or polycyclic heteroarylene of 8-15 ring atoms, wherein 1-6 ring atoms are heteroatoms, each independently selected from the group consisting of N, N(H), N(Rd), O, and S(O)0-2, and wherein the heteroaryl is optionally substituted with 1-4 substituents independently selected from the group consisting of: oxo and Rc; and
o bicyclic or polycyclic C8-15 arylene optionally substituted with 1-4 substituents independently selected from the group consisting of: oxo and Rc, o provided the bicyclic or polycyclic heterorarylene is attached to the C(=O)NR6 group via a ring carbon atom; (vi)
(formula 106) LAE is selected from the group consisting of: • C1-6 alkylene, C2-6 alkenylene, or C2-6 alkynylene, each of which is optionally substituted with 1-6 Ra; • monocyclic C3-8 cycloalkylene or C3-8 cycloalkenylene, each of which is optionally substituted with 1-4 substituents independently selected from the group consisting of oxo and Rc; and • monocyclic heterocyclylene or heterocycloalkenylene of 3-8 ring atoms, wherein 1-3 ring atoms are heteroatoms, each independently selected from the group consisting of N, N(H), N(Rd), O, and S(O)0-2, and wherein the heterocyclylene or heterocycloalkenylene is optionally substituted with 1-4 substituents independently selected from the group consisting of oxo and Rc, provided that the heterocycloylene or heterocycloalkenylene is attached to the C(=O)NR6 group via a ring carbon atom; each LAF is independently selected from the group consisting of: C1-3 alkylene optionally substituted with 1-4 Ra1; -O-; -NH-; -NRd; -S(O)0-2; and C(O); aa4 is 0, 1, 2, or 3; and Ring C4 is Rg; (vii) W, wherein group W is selected from the group consisting of:
• H; • C1-10 alkyl, C2-10 alkenyl, or C2-10 alkynyl, each of which is optionally substituted with 1-6 Ra2, wherein one or more of the internal optionally substituted methylene group can be replaced by one or more heteroatom selected from O or S, wherein when W is alkenyl or alkynyl, the heteroatom is not directed connected to the sp2 or sp carbon; • monocyclic C3-8 cycloalkyl or C3-8 cycloalkenyl, each of which is optionally substituted with 1-4 substituents independently selected from the group consisting of oxo and Rc; and • monocyclic heterocyclyl or heterocycloalkenyl of 3-8 ring atoms, wherein 1-3 ring atoms are heteroatoms, each independently selected from the group consisting of N, N(H), N(Rd), O, and S(O)0-2, and wherein the heterocyclyl or heterocycloalkenyl is optionally substituted with 1-4 substituents independently selected from the group consisting of oxo and Rc, provided that when W is heterocyclyl or heterocycloalkenyl, it is attached to the L1 group via a ring carbon atom; L11 is NRN, wherein RN is independently H or Rd; L22 is a bond or is selected from the group consisting of the formulas 107, 108, and 109 defined in (i), (ii), and (iii) below: (vii) formula 107:
(formula 107) wherein: one of A3, A4, and A5 is the point of attachment of the Ring comprising A3, A4, A5 to NRN and is independently selected from the group consisting of C and N; and the other two of A3, A4, and A5 are each independently selected from the group consisting of: CR5, N, N(R4), O, and S; provided that the ring does not contain O-O, S-S, and S-O bonds; A1 and A2 are each independently selected from the group consisting of C and N;
provided that 1-4 of A1, A2, A3, A4, and A5 is independently selected from the group consisting of: N, N(R4), O, and S; provided that the ring does not contain O-O, S-S, and S-O bonds; Ring B is a partially unsaturated or aromatic ring having 5-10 ring atoms, wherein 0-3 ring atoms are heteroatoms (wherein the 0-3 heteroatoms do not include those that may be presentwhen one or both of A1 and A2 is N) each independently selected from the group consisting of: N, NH, N(Rd), O, and S(O)0-2, wherein Ring B is optionally substituted with 1-4 Rr, wherein each occurrence of Rr is independently selected from the group consisting of: oxo, -(Lbb)b-Rbb, Rbb, and Rc; each occurrence of Rbb is independently selected from the group consisting of: • C3-10 cycloalkyl or C3-10 cycloalkenyl, each of which is optionally substituted with 1-4 Rc; • heterocyclyl or heterocycloalkenyl of 3-10 ring atoms, wherein 1-3 ring atoms are heteroatoms, each independently selected from the group consisting of N, N(H), N(Rd), O, and S(O)0-2, and wherein the heterocyclyl or heterocycloalkenyl is optionally substituted with 1-4 Rc; • heteroaryl of 5-10 ring atoms, wherein 1-3 ring atoms are heteroatoms, each independently selected from the group consisting of N, N(H), N(Rd), O, and S(O)0-2, and wherein the heteroaryl is optionally substituted with 1-4 Rc; and • C6-10 aryl optionally substituted with 1-4 Rc; each occurrence of Lbb is independently selected from the group consisting of: -O-, -NH-, -NRd, -S(O)0-2, C(O), and C1-3 alkylene optionally substituted with 1-3 Ra; each occurrence of b is independently 1, 2, or 3; (viii)
(formula 108), wherein R44 and R55 are defined according to (AA) or (BB):
(AA) R44 is selected from the group consisting of: • C1-15 alkyl optionally substituted with 1-6 Ra; and • -(YA1)n-YA2, wherein: o n is 0 or 1; o YA1 is C1-3 alkylene optionally substituted with 1-3 Ra; and o YA2 is selected from the group consisting of: ▪ C3-10 cycloalkyl or C3-10 cycloalkenyl, each of which is optionally substituted with 1-6 RY; ▪ heterocyclyl or heterocycloalkenyl of 3-10 ring atoms, wherein 1-3 ring atoms are heteroatoms, each independently selected from the group consisting of N, N(H), N(Rd), O, and S(O)0-2, and wherein the heterocyclyl or heterocycloalkenyl is optionally substituted with 1-6 RY; ▪ heteroaryl of 5-10 ring atoms, wherein 1-4 ring atoms are heteroatoms, each independently selected from the group consisting of N, N(H), N(Rd), O, and S(O)0-2, and wherein the heteroaryl is optionally substituted with 1-6 RY; and ▪ C6-10 aryl optionally substituted with 1-6 RY, each occurrence of RY is independently selected from the group consisting of: oxo and Rc; provided that when YA2 is phenyl or monocyclic heteroaryl, each of which is optionally substituted with 1-6 RY, then each occurrence of RY is an independently selected Rc; R55 is H or Rd; or (BB) R44 and R55 taken together with the nitrogen atom to which each is attached forms a saturated, partially unsaturated, or aromatic ring of 4-12 ring atoms, wherein 0-2 ring atoms (in addition to the nitrogen atom attached to R44 and R55) is a ring heteroatom each independently selected from the group consisting of: N, N(H), N(Rd), O, and S(O)0-2, wherein the ring is
optionally substituted with 1-4 substituents each independently selected from the group consisting of: oxo and Rc; m is 0, 1, 2, or 3; each occurrence of R66 is an independently selected from the group consisting of: Rc; (ix) –W-A- (formula 109) whrein W-A- is defined according to (A) or (B) below: (A) W is selected from the group consisting of: (k) *C(=O)NRN, *C(=S)NRN, *C(=NRN)NRN (e.g., *C(=NCN)NRN), *C(=CNO2)NRN (l) *S(O)1-2NRN; ( ( (
wherein the asterisk denotes point of attachment to NRN (L11); Q12 is selected from the group consisting of: (e) phenylene optionally substituted with from 1-2 independently selected Rc; and (f) heteroarylene including from 5-6 ring atoms, wherein from 1-4 ring atoms are heteroatoms, each independently selected from the group consisting of N, N(H), N(Rd), O, and S(O)0-2, and wherein the heteroarylene ring is optionally substituted with from 1-4 independently selected Rc1; Q222 is selected from the group consisting of: a bond, NRN, -S(O)0-2-, –O-, and –C(=O)-;
A is: (i) -(YA1)n-YA22-; or (ii) C1-12 alkylene, which is optionally substituted with from 1-6 independently selected Ra and optionally interrupted with 1-3 heteroatoms independently selected from the group consisting of –N(H)-, -N(Rd)-, -O-, or –S-; YA22 is: o C3-10 cycloalkylene or C3-10 cycloalkenylene, each of which is optionally substituted with 1-6 RY; o heterocyclylene or heterocycloalkenylene of 3-10 ring atoms, wherein 1-3 ring atoms are heteroatoms, each independently selected from the group consisting of N, N(H), N(Rd), O, and S(O)0-2, and wherein the heterocyclylene or heterocycloalkenylene is optionally substituted with 1-6 RY; o heteroarylene of 5-10 ring atoms, wherein 1-4 ring atoms are heteroatoms, each independently selected from the group consisting of N, N(H), N(Rd), O, and S(O)0- 2, and wherein the heteroarylene is optionally substituted with 1-6 RY; and o C6-10 arylene optionally substituted with 1-6 RY, (B) W is selected from the group consisting of: (a) C8-20 bicyclic or polycyclic arylene, which is optionally substituted with from 1-4 Rc; and (b) bicyclic or polycyclic heteroarylene including from 8-20 ring atoms, wherein from 1-4 ring atoms are heteroatoms, each independently selected from the group consisting of N, N(H), N(Rd), O, and S(O)0-2, and wherein the heteroaryl ring is optionally substituted with from 1-4 independently selected Rc; and A is as defined according to (A), or A is H. In another aspect, the disclosure features A compound of formula (I),
LBM is a ligase binding moiety; L is a bivalent moiety that connects Ring A to LBM; and Ring A has formula (I-a):
Formula (I-a) wherein: each of X1 is independently selected from the group consisting of O, S, and NR2; each of Y1 and Y3 is independently selected from the group consisting of a bond, CR1, CR1a, C(R3)2, N, and NR2; provided that only one of Y1 and Y3 can be a bond; each of Y2 and Y4 is independently selected from the group consisting of CR1, CR1a, C(R3)2, N, and NR2; each of X2 is CR4; each is independently a single bond or a double bond, provided that the five-membered ring comprising X1 and X2 in Formula (I-a) is heteroaryl; each occurrence of R1 is independently selected from the group consisting of H; halo; cyano; C1-6 alkyl optionally substituted with 1-2 independently selected Ra; C2-6 alkenyl; C2-6 alkynyl; C1-4 haloalkyl; C1-4 alkoxy; C1-4 haloalkoxy; -S(O)1-2(C1-4 alkyl); -NReRf; –OH; -S(O)1- 2(NR’R’’); -C1-4 thioalkoxy; -NO2; -C(=O)(C1-4 alkyl); -C(=O)O(C1-4 alkyl); -C(=O)OH; and - C(=O)N(R’)(R’’); each occurrence of R1a is independently selected from the group consisting of formula 101 and formula 102, which are delineated and defined in (i) and (ii) below:
wherein:
LA is –(L1)a1-(L2)a2-(L3)a3-(L4)a4-(L5)a5-*, wherein * represents the point of attachment to Q1; a1, a2, a3, a4, and a5 are each independently 0 or 1, provided that a1 + a2 + a3 + a4 + a5 ≥ 1, and each of L1, L3, and L5 is independently selected from the group consisting of: -O-, -N(H)-, -N(Rd)-, S(O)0-2, and –C(=O)-; provided that when one or both of a2 and a4 is 0, then the combinations of L1, L3, and L5 cannot form O-O , N-O, N-N, O-S, S-S, or N-S(O)0 bonds, and each of L2 and L4 is independently selected from the group consisting of: • straight-chain C1-6 alkylene, straight-chain C2-6 alkenylene, or straight-chain C2-6 alkynylene, each of which is optionally substituted with 1-6 Rb; • C3-10 cycloalkylene or C3-10 cycloalkenylene, each of which is optionally substituted with 1-3 Rc provided the C3-10 cycloalkylene or C3-10 cycloalkenylene is not directly connected to the 6-membered ring containing Y1, Y2, Y3, and Y4; and • heterocyclylene or heterocycloalkenylene, each having 4-10 ring atoms wherein 1-3 ring atoms are ring heteroatoms each independently selected from the group consisting of: N, N(H), N(Rd), O, and S(O)0-2, wherein the heterocyclylene or heterocycloalkenylene is optionally substituted with 1-3 Rc, provided the heterocyclylene or heterocycloalkenylene is not directly connected to the 6-membered ring containing Y1, Y2, Y3, and Y4; and Q1 is –Rg; and (ii):
(formula 102), wherein: Q11 is selected from the group consisting of: o C3-12 cycloalkylene or C3-12 cycloalkenylene, each optionally substituted with 1-4 substituents independently selected from the group consisting of oxo and Rc;
o heterocyclylene or heterocycloalkenylene of 3-12 ring atoms, wherein 1-3 ring atoms are heteroatoms, each independently selected from the group consisting of N, N(H), N(Rd), O, and S(O)0-2, and wherein the heterocyclylene or heterocycloalkenylene is optionally substituted with 1-4 substituents independently selected from the group consisting of oxo and Rc; o heteroarylene of 5-12 ring atoms, wherein 1-3 ring atoms are heteroatoms, each independently selected from the group consisting of N, N(H), N(Rd), O, and S(O)0-2, and wherein the heteroarylene is optionally substituted with 1-4 independently Rc; and o C6-10 arylene optionally substituted with 1-4 independently selected Rc; each LA11 is independently selected from the group consisting of: C1-3 alkylene optionally substituted with 1-2 Ra; -O-; -NH-; -NRd ; -S(O)0-2; and C(O); a11 is 0, 1, 2, 3, or 4; Q22 is selected from the group consisting of: H; Rg; and Rc; each occurrence of R1b is independently selected from the group consisting of H; halo; cyano; C1-6 alkyl optionally substituted with 1-3 Ra; C2-6 alkenyl; C2-6 alkynyl; C1-4 alkoxy; C1-4 haloalkoxy; -(C0-3 alkylene)-C3-6 cycloalkyl optionally substituted with from 1-4 independently selected Rb; -(C0-3 alkylene)-C6-10 aryl optionally substituted with from 1-4 independently selected Rb; -(C0-3 alkylene)-5-10 membered heteroaryl, wherein from 1-3 ring atoms of the heteroaryl are heteroatoms each independently selected from the group consisting of N, NH, NRd, O, and S, wherein the heteroaryl is optionally substituted with from 1-4 independently selected Rb; -(C0-3 alkylene)-5-10 membered heterocyclyl, wherein from 1-3 ring atoms of the heterocyclyl are heteroatoms each independently selected from the group consisting of N, NH, NRd, O, and S, wherein the heterocyclyl is optionally substituted with 1-4 independently selected Rb; -S(O)1-2(C1- 4 alkyl); -S(O)(=NH)(C1-4 alkyl); -NReRf; –OH; oxo; -S(O)1-2(NR’R’’); -C1-4 thioalkoxy; -NO2; - C(=O)(C1-4 alkyl); -C(=O)O(C1-4 alkyl); -C(=O)OH; -C(=O)N(R’)(R’’); and SF5; each occurrence of R2 and R4 is independently selected from the group consisting of: H; Rd; Rg; and –(Lg)bg-Rg;
each occurrence of R3 is independently selected from the group consisting of H, C1-6 alkyl; –OH; -F; -Cl; -Br; –NReRf; C1-4 alkoxy; C1-4 haloalkoxy; -C(=O)(C1-4 alkyl); -C(=O)O(C1-4 alkyl); -C(=O)OH; -C(=O)N(R’)(R’’); -S(O)1-2(NR’R’’); -S(O)1-2(C1-4 alkyl); cyano; and C3-6 cycloalkyl optionally substituted with from 1-4 independently selected C1-4 alkyl; or two R3 on the same carbon combine to form an oxo; each occurrence of R5 is independently selected from the group consisting of: H; Rc; Rg; and –(Lg)bg-Rg; each occurrence of Ra is independently selected from the group consisting of: –OH; -halo; –NReRf; C1-4 alkoxy; C1-4 haloalkoxy; -C(=O)O(C1-4 alkyl); -C(=O)(C1-4 alkyl); -C(=O)OH; - CONR’R’’; -S(O)1-2NR’R’’; -S(O)1-2(C1-4 alkyl); and cyano; each occurrence of Raa is independently selected from the group consisting of: –OH; -F; - Cl; -Br; –NReRf; C1-4 alkoxy; C1-4 haloalkoxy; -C(=O)O(C1-4 alkyl); -C(=O)(C1-4 alkyl); - C(=O)OH; -CON(R’)(R’’); -S(O)1-2(NR’R’’); -S(O)1-2(C1-4 alkyl); cyano, and C3-6 cycloalkyl optionally substituted with from 1-4 independently selected C1-4 alkyl; each occurrence of Rb is independently selected from the group consisting of: halo; cyano; C1-10 alkyl which is optionally substituted with 1-6 independently selected Ra; C2-6 alkenyl; C2-6 alkynyl; C1-4 alkoxy; C1-4 haloalkoxy; -S(O)1-2(C1-4 alkyl); -S(O)(=NH)(C1-4 alkyl); -NReRf; -NO2; –OH; -S(O)1-2NR’R’’; -C1-4 thioalkoxy; -NO2; -C(=O)(C1-10 alkyl); -C(=O)O(C1-4 alkyl); - C(=O)OH; -C(=O)NR’R’’; and –SF5; each occurrence of Rc is independently selected from the group consisting of halo; cyano; C1-6 alkyl optionally substituted with 1-6 independently selected Raa; C2-6 alkenyl; C2-6 alkynyl; C1-4 alkoxy optionally substituted with 1-6 independently selected Raa; C1-4 haloalkoxy; -(C0-3 alkylene)-C3-6 cycloalkyl optionally substituted with from 1-4 independently selected Rb; -(C0-3 alkylene)-C6-10 aryl optionally substituted with from 1-4 independently selected Rb; -(C0-3 alkylene)-5-10 membered heteroaryl, wherein from 1-3 ring atoms of the heteroaryl are heteroatoms each independently selected from the group consisting of N, NH, NRd, O, and S, 72
wherein the heteroaryl is optionally substituted with from 1-4 independently selected Rb; -(C0-3 alkylene)-5-10 membered heterocyclyl, wherein from 1-3 ring atoms of the heterocyclyl are heteroatoms each independently selected from the group consisting of N, NH, NRd, O, and S, wherein the heterocyclyl is optionally substituted with 1-4 independently selected Rb; -S(O)1-2(C1- 4 alkyl); -S(O)(=NH)(C1-4 alkyl); -NReRf; –OH; oxo; -S(O)1-2(NR’R’’); -C1-4 thioalkoxy; -NO2; - C(=O)(C1-4 alkyl); -C(=O)O(C1-4 alkyl); -C(=O)OH; -C(=O)N(R’)(R’’); and –SF5; each occurrence of Rd is independently selected from the group consisting of: C1-6 alkyl optionally substituted with 1-6 independently selected Raa; C3-6 cycloalkyl; -C(O)(C1-4 alkyl); - C(O)O(C1-4 alkyl); -CONR’R’’; -S(O)1-2NR’R’’; - S(O)1-2(C1-4 alkyl); -OH; and C1-4 alkoxy; each occurrence of Re and Rf is independently selected from the group consisting of: H; C1-6 alkyl optionally substituted with 1-6 substituents each independently selected from the group consisting of NR’R’’, -OH, halo, C1-4 alkoxy, and C1-4 haloalkoxy; -C(O)(C1-4 alkyl); -C(O)O(C1- 4 alkyl); -CONR’R’’; -S(O)1-2NR’R’’; -S(O)1-2(C1-4 alkyl); -OH; and C1-4 alkoxy; each occurrence of Rg is independently selected from the group consisting of: • C3-12 cycloalkyl or C3-12 cycloalkenyl, each of which is optionally substituted with 1-4 substituents independently selected from the group consisting of oxo and Rc; • heterocyclyl or heterocycloalkenyl of 3-12 ring atoms, wherein 1-3 ring atoms are heteroatoms, each independently selected from the group consisting of N, N(H), N(Rd), O, and S(O)0-2, and wherein the heterocyclyl or heterocycloalkenyl is optionally substituted with 1-4 substituents independently selected from the group consisting of oxo and Rc; • heteroaryl of 5-12 ring atoms, wherein 1-4 ring atoms are heteroatoms, each independently selected from the group consisting of N, N(H), N(Rd), O, and S(O)0-2, and wherein the heteroaryl is optionally substituted with 1-4 Rc ; and • C6-10 aryl optionally substituted with 1-4 Rc; each occurrence of Lg is independently selected from the group consisting of: -O-, -NH-, - NRd, -S(O)0-2, C(O), and C1-3 alkylene optionally substituted with 1-3 Ra; each occurrence of bg is independently 1 2 or 3;
each occurrence of R’ and R’’ is independently selected from the group consisting of: H; -OH; and C1-4 alkyl. L10 is selected from the group consisting of: o -NRN-; o *-NRNC(=O)-; o *-NRNC(=S)-; o *-NRNC(=NRN)-; o *-NRNC(=NCN)-; o *-NRNC(=NNO2)-; o *-NRNC(=O)-C(=O)NRN-; o *-NRNSO2-; o -*NRNC(=O)NRN-; o -*NRNC(=S)NRN-;
o ; wherein the asterisk represents to point of attachment to the ring containing X1 and X2; and each occurrence of RN is independently H or Rd; L20 is a bond or is independently selected from the group consisting of the formulas defined in (i), (ii), (iii), (iv), (v), (vi), and (vii) below: (i)
(formula 103) Ring B1 is a heteroarylene of 5 ring atoms, wherein 1-4 of the ring atoms are heteroatoms each independently selected from the group consisting of: N, NH, N(Rd), O, and S; wherein the heteroarylene of Ring B1 is optionally substituted with 1-2 substituents independently selected from the group consisting of oxo and Rc, provided that Ring B1 is attached to the C(=O)NR6 group via a ring carbon atom; each LAA is independently selected from the group consisting of: C1-3 alkylene optionally substituted with 1-2 Ra; -O-; -NH-; -NRd ; -S(O)0-2; and C(O); aa1 is 0, 1, or 2; Ring C1 is selected from the group consisting of: o C3-12 cycloalkylene or C3-12 cycloalkenylene, each optionally substituted with 1-4 substituents independently selected from the group consisting of oxo and Rc; o heterocyclylene or heterocycloalkenylene of 3-12 ring atoms, wherein 1-3 ring atoms are heteroatoms each independently selected from the group consisting of N, N(H), N(Rd), O, and S(O)0-2, and wherein the heterocyclylene or heterocycloalkenylene is optionally substituted with 1-4 substituents independently selected from the group consisting of oxo and Rc; o heteroarylene of 5-12 ring atoms, wherein 1-3 ring atoms are heteroatoms each independently selected from the group consisting of N, N(H), N(Rd), O, and S(O)0-2, and wherein the heteroarylene is optionally substituted with 1-4 substituents independently selected Rc; and o C6-10 arylene optionally substituted with 1-4 substituents independently selected Rc; R7 is selected from the group consisting of: Rg and –(L7)b7-Rg; each L7 is independently selected from the group consisting of: C1-3 alkylene optionally substituted with 1-2 Ra; -O-; -NH-; -NRd; -S(O)0-2; and C(O); and b7 is 1, 2, or 3;
(
(formula 104) Ring B2 is a heteroarylene of 5 ring atoms, wherein 1-4 of the ring atoms are heteroatoms each independently selected from the group consisting of: N, NH, N(Rd), O, and S, wherein the heteroarylene of Ring B2 is optionally substituted with 1-2 substituents independently selected Rc, provided that Ring B2 is attached to the C(=O)NR6 group via a ring carbon atom; each LAB is independently selected from the group consisting of: C1-3 alkylene optionally substituted with 1-4 Ra; -O-; -NH-; -NRd; -S(O)0-2; and C(O); aa2 is 0, 1, 2, or 3; Ring C2 is selected from the group consisting of: o C3-12 cycloalkyl or C3-12 cycloalkenyl, each optionally substituted with 1-4 substituents independently selected from the group consisting of oxo and Rc; o heterocyclyl or heterocycloalkenyl of 3-12 ring atoms, wherein 1-3 ring atoms are heteroatoms, each independently selected from the group consisting of N, N(H), N(Rd), O, and S(O)0-2, and wherein the heterocyclyl or heterocycloalkenyl is optionally substituted with 1-4 substituents independently selected from the group consisting of oxo and Rc; o heteroaryl of 5-12 ring atoms, wherein 1-4 ring atoms are heteroatoms, each independently selected from the group consisting of N, N(H), N(Rd), O, and S(O)0-2, and wherein the heteroaryl is optionally substituted with 1-4 Rc; and o C6-10 aryl optionally substituted with 1-4 Rc; (iii) heteroaryl of 5 ring atoms, wherein 1-4 ring atoms are heteroatoms, each independently selected from the group consisting of N, N(H), N(Rd), O, and S(O)0-2, and wherein
the heteroaryl is optionally substituted with 1-4 Rc; provided the heteroaryl is attached to the C(=O)NR6 group via a ring carbon atom; (iv)
(formula 105) P1, P2, P3, P4, and P5 are each independently selected from the group consisting of: N, NH, NRd, NR71, CH, CRc, CR71, and C(=O), provided that one of P1, P2, P3, P4, and P5 is of appropriate valence to serve as the point of attachment to L; each occurrence of R71 is independently –(LAC)aa3-R8, wherein: each LAC is independently selected from the group consisting of: C1-3 alkylene optionally substituted with 1-4 Ra; -O-; -NRN; -S(O)0-2; C(O); C(O)O; OC(O); NRNC(O); C(O)NRN; NRNC(O)NRN; NRNC(O)O; and OC(O)NRN; aa3 is 0, 1, 2, or 3; each occurrence of R8 is independently Rg or C1-10 alkyl optionally substituted with 1-6 Ra1; and each occurrence of RN is independently H or Rd; (v) a bicyclic or polycyclic ring system selected from the group consisting of: o bicyclic or polycyclic C5-15 cycloalkylene or C5-15 cycloalkenylene, each optionally substituted with 1-4 substituents independently selected from the group consisting of oxo and Rc; o bicyclic or polycyclic heterocyclylene or heterocycloalkenylene of 7-15 ring atoms, wherein 1-4 ring atoms are heteroatoms, each independently selected from the group consisting of N, N(H), N(Rd), O, and S(O)0-2, and wherein the heterocyclyl or heterocycloalkenyl is optionally substituted with 1-4 substituents independently selected from the group consisting of oxo and Rc; o bicyclic or polycyclic heteroarylene of 8-15 ring atoms, wherein 1-6 ring atoms are heteroatoms, each independently selected from the group consisting of N, N(H), N(Rd), O, and S(O)0-2, and wherein the heteroaryl is optionally substituted with 1-4 substituents independently selected from the group consisting of: oxo and Rc; and
o bicyclic or polycyclic C8-15 arylene optionally substituted with 1-4 substituents independently selected from the group consisting of: oxo and Rc, o provided the bicyclic or polycyclic heterorarylene is attached to the C(=O)NR6 group via a ring carbon atom; (vi)
(formula 106) LAE is selected from the group consisting of: • C1-6 alkylene, C2-6 alkenylene, or C2-6 alkynylene, each of which is optionally substituted with 1-6 Ra; • monocyclic C3-8 cycloalkylene or C3-8 cycloalkenylene, each of which is optionally substituted with 1-4 substituents independently selected from the group consisting of oxo and Rc; and • monocyclic heterocyclylene or heterocycloalkenylene of 3-8 ring atoms, wherein 1-3 ring atoms are heteroatoms, each independently selected from the group consisting of N, N(H), N(Rd), O, and S(O)0-2, and wherein the heterocyclylene or heterocycloalkenylene is optionally substituted with 1-4 substituents independently selected from the group consisting of oxo and Rc, provided that the heterocycloylene or heterocycloalkenylene is attached to the C(=O)NR6 group via a ring carbon atom; each LAF is independently selected from the group consisting of: C1-3 alkylene optionally substituted with 1-4 Ra1; -O-; -NH-; -NRd; -S(O)0-2; and C(O); aa4 is 0, 1, 2, or 3; and Ring C4 is Rg; (vii) W, wherein group W is selected from the group consisting of:
• H; • C1-10 alkyl, C2-10 alkenyl, or C2-10 alkynyl, each of which is optionally substituted with 1-6 Ra2, wherein one or more of the internal optionally substituted methylene group can be replaced by one or more heteroatom selected from O or S, wherein when W is alkenyl or alkynyl, the heteroatom is not directed connected to the sp2 or sp carbon; • monocyclic C3-8 cycloalkyl or C3-8 cycloalkenyl, each of which is optionally substituted with 1-4 substituents independently selected from the group consisting of oxo and Rc; and • monocyclic heterocyclyl or heterocycloalkenyl of 3-8 ring atoms, wherein 1-3 ring atoms are heteroatoms, each independently selected from the group consisting of N, N(H), N(Rd), O, and S(O)0-2, and wherein the heterocyclyl or heterocycloalkenyl is optionally substituted with 1-4 substituents independently selected from the group consisting of oxo and Rc, provided that when W is heterocyclyl or heterocycloalkenyl, it is attached to the L1 group via a ring carbon atom. In another aspect, the disclosure features A compound of formula (I),
wherein LBM is a ligase binding moiety; L is a bivalent moiety that connects Ring A to LBM; and Ring A has formula (I-b), or formula (I-c):
wherein: each of X11 is independently selected from the group consisting of O, S, and NR2; each of Y11 and Y33 is selected from the group consisting of a bond, CR1b, C(R3)2, N, and NR2; provided that only one of Y11 and Y33 can be a bond;
Y22 is selected from the group consisting of CR1b, C(R3)2, N, and NR2; each of X22 is CR4; X3 is CR5; each is independently a single bond or a double bond, provided that the five-membered ring comprising X11, X22, and X3 in Formulas (I-b) and (I-c) is heteroaryl; each occurrence of R1 is independently selected from the group consisting of H; halo; cyano; C1-6 alkyl optionally substituted with 1-2 independently selected Ra; C2-6 alkenyl; C2-6 alkynyl; C1-4 haloalkyl; C1-4 alkoxy; C1-4 haloalkoxy; -S(O)1-2(C1-4 alkyl); -NReRf; –OH; -S(O)1- 2(NR’R’’); -C1-4 thioalkoxy; -NO2; -C(=O)(C1-4 alkyl); -C(=O)O(C1-4 alkyl); -C(=O)OH; and - C(=O)N(R’)(R’’); each occurrence of R1b is independently selected from the group consisting of H; halo; cyano; C1-6 alkyl optionally substituted with 1-3 Ra; C2-6 alkenyl; C2-6 alkynyl; C1-4 alkoxy; C1-4 haloalkoxy; -(C0-3 alkylene)-C3-6 cycloalkyl optionally substituted with from 1-4 independently selected Rb; -(C0-3 alkylene)-C6-10 aryl optionally substituted with from 1-4 independently selected Rb; -(C0-3 alkylene)-5-10 membered heteroaryl, wherein from 1-3 ring atoms of the heteroaryl are heteroatoms each independently selected from the group consisting of N, NH, NRd, O, and S, wherein the heteroaryl is optionally substituted with from 1-4 independently selected Rb; -(C0-3 alkylene)-5-10 membered heterocyclyl, wherein from 1-3 ring atoms of the heterocyclyl are heteroatoms each independently selected from the group consisting of N, NH, NRd, O, and S, wherein the heterocyclyl is optionally substituted with 1-4 independently selected Rb; -S(O)1-2(C1- 4 alkyl); -S(O)(=NH)(C1-4 alkyl); -NReRf; –OH; oxo; -S(O)1-2(NR’R’’); -C1-4 thioalkoxy; -NO2; - C(=O)(C1-4 alkyl); -C(=O)O(C1-4 alkyl); -C(=O)OH; -C(=O)N(R’)(R’’); and SF5; each occurrence of R2 and R4 is independently selected from the group consisting of: H; Rd; Rg; and –(Lg)bg-Rg; each occurrence of R3 is independently selected from the group consisting of H, C1-6 alkyl; –OH; -F; -Cl; -Br; –NReRf; C1-4 alkoxy; C1-4 haloalkoxy; -C(=O)(C1-4 alkyl); -C(=O)O(C1-4 alkyl);
-C(=O)OH; -C(=O)N(R’)(R’’); -S(O)1-2(NR’R’’); -S(O)1-2(C1-4 alkyl); cyano; and C3-6 cycloalkyl optionally substituted with from 1-4 independently selected C1-4 alkyl; or two R3 on the same carbon combine to form an oxo; each occurrence of R5 is independently selected from the group consisting of: H; Rc; Rg; and –(Lg)bg-Rg; each occurrence of Ra is independently selected from the group consisting of: –OH; -halo; –NReRf; C1-4 alkoxy; C1-4 haloalkoxy; -C(=O)O(C1-4 alkyl); -C(=O)(C1-4 alkyl); -C(=O)OH; - CONR’R’’; -S(O)1-2NR’R’’; -S(O)1-2(C1-4 alkyl); and cyano; each occurrence of Raa is independently selected from the group consisting of: –OH; -F; - Cl; -Br; –NReRf; C1-4 alkoxy; C1-4 haloalkoxy; -C(=O)O(C1-4 alkyl); -C(=O)(C1-4 alkyl); - C(=O)OH; -CON(R’)(R’’); -S(O)1-2(NR’R’’); -S(O)1-2(C1-4 alkyl); cyano, and C3-6 cycloalkyl optionally substituted with from 1-4 independently selected C1-4 alkyl; each occurrence of Rb is independently selected from the group consisting of: halo; cyano; C1-10 alkyl which is optionally substituted with 1-6 independently selected Ra; C2-6 alkenyl; C2-6 alkynyl; C1-4 alkoxy; C1-4 haloalkoxy; -S(O)1-2(C1-4 alkyl); -S(O)(=NH)(C1-4 alkyl); -NReRf; -NO2; –OH; -S(O)1-2NR’R’’; -C1-4 thioalkoxy; -NO2; -C(=O)(C1-10 alkyl); -C(=O)O(C1-4 alkyl); - C(=O)OH; -C(=O)NR’R’’; and –SF5; each occurrence of Rc is independently selected from the group consisting of halo; cyano; C1-6 alkyl optionally substituted with 1-6 independently selected Raa; C2-6 alkenyl; C2-6 alkynyl; C1-4 alkoxy optionally substituted with 1-6 independently selected Raa; C1-4 haloalkoxy; -(C0-3 alkylene)-C3-6 cycloalkyl optionally substituted with from 1-4 independently selected Rb; -(C0-3 alkylene)-C6-10 aryl optionally substituted with from 1-4 independently selected Rb; -(C0-3 alkylene)-5-10 membered heteroaryl, wherein from 1-3 ring atoms of the heteroaryl are heteroatoms each independently selected from the group consisting of N, NH, NRd, O, and S, wherein the heteroaryl is optionally substituted with from 1-4 independently selected Rb; -(C0-3 alkylene)-5-10 membered heterocyclyl, wherein from 1-3 ring atoms of the heterocyclyl are
heteroatoms each independently selected from the group consisting of N, NH, NRd, O, and S, wherein the heterocyclyl is optionally substituted with 1-4 independently selected Rb; -S(O)1-2(C1- 4 alkyl); -S(O)(=NH)(C1-4 alkyl); -NReRf; –OH; oxo; -S(O)1-2(NR’R’’); -C1-4 thioalkoxy; -NO2; - C(=O)(C1-4 alkyl); -C(=O)O(C1-4 alkyl); -C(=O)OH; -C(=O)N(R’)(R’’); and –SF5; each occurrence of Rd is independently selected from the group consisting of: C1-6 alkyl optionally substituted with 1-6 independently selected Raa; C3-6 cycloalkyl; -C(O)(C1-4 alkyl); - C(O)O(C1-4 alkyl); -CONR’R’’; -S(O)1-2NR’R’’; - S(O)1-2(C1-4 alkyl); -OH; and C1-4 alkoxy; each occurrence of Re and Rf is independently selected from the group consisting of: H; C1-6 alkyl optionally substituted with 1-6 substituents each independently selected from the group consisting of NR’R’’, -OH, halo, C1-4 alkoxy, and C1-4 haloalkoxy; -C(O)(C1-4 alkyl); -C(O)O(C1- 4 alkyl); -CONR’R’’; -S(O)1-2NR’R’’; -S(O)1-2(C1-4 alkyl); -OH; and C1-4 alkoxy; each occurrence of Rg is independently selected from the group consisting of: • C3-12 cycloalkyl or C3-12 cycloalkenyl, each of which is optionally substituted with 1-4 substituents independently selected from the group consisting of oxo and Rc; • heterocyclyl or heterocycloalkenyl of 3-12 ring atoms, wherein 1-3 ring atoms are heteroatoms, each independently selected from the group consisting of N, N(H), N(Rd), O, and S(O)0-2, and wherein the heterocyclyl or heterocycloalkenyl is optionally substituted with 1-4 substituents independently selected from the group consisting of oxo and Rc; • heteroaryl of 5-12 ring atoms, wherein 1-4 ring atoms are heteroatoms, each independently selected from the group consisting of N, N(H), N(Rd), O, and S(O)0-2, and wherein the heteroaryl is optionally substituted with 1-4 Rc ; and • C6-10 aryl optionally substituted with 1-4 Rc; each occurrence of Lg is independently selected from the group consisting of: -O-, -NH-, - NRd, -S(O)0-2, C(O), and C1-3 alkylene optionally substituted with 1-3 Ra; each occurrence of bg is independently 1, 2, or 3;
each occurrence of R’ and R’’ is independently selected from the group consisting of: H; -OH; and C1-4 alkyl. L11 is NRN, wherein RN is independently H or Rd; L22 is a bond or is selected from the group consisting of the formulas 107, 108, and 109 defined in (i), (ii), and (iii) below: (x) formula 107:
(formula 107) wherein: one of A3, A4, and A5 is the point of attachment of the Ring comprising A3, A4, A5 to NRN and is independently selected from the group consisting of C and N; and the other two of A3, A4, and A5 are each independently selected from the group consisting of: CR5, N, N(R4), O, and S; provided that the ring does not contain O-O, S-S, and S-O bonds; A1 and A2 are each independently selected from the group consisting of C and N; provided that 1-4 of A1, A2, A3, A4, and A5 is independently selected from the group consisting of: N, N(R4), O, and S; provided that the ring does not contain O-O, S-S, and S-O bonds; Ring B is a partially unsaturated or aromatic ring having 5-10 ring atoms, wherein 0-3 ring atoms are heteroatoms (wherein the 0-3 heteroatoms do not include those that may be presentwhen one or both of A1 and A2 is N) each independently selected from the group consisting of: N, NH, N(Rd), O, and S(O)0-2, wherein Ring B is optionally substituted with 1-4 Rr, wherein each occurrence of Rr is independently selected from the group consisting of: oxo, -(Lbb)b-Rbb, Rbb, and Rc; each occurrence of Rbb is independently selected from the group consisting of: • C3-10 cycloalkyl or C3-10 cycloalkenyl, each of which is optionally substituted with 1-4 Rc;
• heterocyclyl or heterocycloalkenyl of 3-10 ring atoms, wherein 1-3 ring atoms are heteroatoms, each independently selected from the group consisting of N, N(H), N(Rd), O, and S(O)0-2, and wherein the heterocyclyl or heterocycloalkenyl is optionally substituted with 1-4 Rc; • heteroaryl of 5-10 ring atoms, wherein 1-3 ring atoms are heteroatoms, each independently selected from the group consisting of N, N(H), N(Rd), O, and S(O)0-2, and wherein the heteroaryl is optionally substituted with 1-4 Rc; and • C6-10 aryl optionally substituted with 1-4 Rc; each occurrence of Lbb is independently selected from the group consisting of: -O-, -NH-, -NRd , -S(O)0-2, C(O), and C1-3 alkylene optionally substituted with 1-3 Ra; each occurrence of b is independently 1, 2, or 3; (xi)
(formula 108), wherein R44 and R55 are defined according to (AA) or (BB): (AA) R44 is selected from the group consisting of: • C1-15 alkyl optionally substituted with 1-6 Ra; and • -(YA1)n-YA2, wherein: o n is 0 or 1; o YA1 is C1-3 alkylene optionally substituted with 1-3 Ra; and o YA2 is selected from the group consisting of: ▪ C3-10 cycloalkyl or C3-10 cycloalkenyl, each of which is optionally substituted with 1-6 RY; ▪ heterocyclyl or heterocycloalkenyl of 3-10 ring atoms, wherein 1-3 ring atoms are heteroatoms, each independently selected from the group consisting of N, N(H), N(Rd), O, and S(O)0-2, and wherein the heterocyclyl or heterocycloalkenyl is optionally substituted with 1-6 RY;
▪ heteroaryl of 5-10 ring atoms, wherein 1-4 ring atoms are heteroatoms, each independently selected from the group consisting of N, N(H), N(Rd), O, and S(O)0-2, and wherein the heteroaryl is optionally substituted with 1-6 RY; and ▪ C6-10 aryl optionally substituted with 1-6 RY, each occurrence of RY is independently selected from the group consisting of: oxo and Rc; provided that when YA2 is phenyl or monocyclic heteroaryl, each of which is optionally substituted with 1-6 RY, then each occurrence of RY is an independently selected Rc; R55 is H or Rd; or (BB) R44 and R55 taken together with the nitrogen atom to which each is attached forms a saturated, partially unsaturated, or aromatic ring of 4-12 ring atoms, wherein 0-2 ring atoms (in addition to the nitrogen atom attached to R44 and R55) is a ring heteroatom each independently selected from the group consisting of: N, N(H), N(Rd), O, and S(O)0-2, wherein the ring is optionally substituted with 1-4 substituents each independently selected from the group consisting of: oxo and Rc; m is 0, 1, 2, or 3; each occurrence of R66 is an independently selected from the group consisting of: Rc; (xii) –W-A- (formula 109) whrein W-A- is defined according to (A) or (B) below: (A) W is selected from the group consisting of: (p) *C(=O)NRN, *C(=S)NRN, *C(=NRN)NRN (e.g., *C(=NCN)NRN), *C(=CNO2)NRN (q) *S(O)1-2NRN; (
( (
wherein the asterisk denotes point of attachment to NRN (L11); Q12 is selected from the group consisting of: (g) phenylene optionally substituted with from 1-2 independently selected Rc; and (h) heteroarylene including from 5-6 ring atoms, wherein from 1-4 ring atoms are heteroatoms, each independently selected from the group consisting of N, N(H), N(Rd), O, and S(O)0-2, and wherein the heteroarylene ring is optionally substituted with from 1-4 independently selected Rc1; Q222 is selected from the group consisting of: a bond, NRN, -S(O)0-2-, –O-, and –C(=O)-; A is: (i) -(YA1)n-YA22-; or (ii) C1-12 alkylene, which is optionally substituted with from 1-6 independently selected Ra and optionally interrupted with 1-3 heteroatoms independently selected from the group consisting of –N(H)-, -N(Rd)-, -O-, or –S-; YA22 is: o C3-10 cycloalkylene or C3-10 cycloalkenylene, each of which is optionally substituted with 1-6 RY; o heterocyclylene or heterocycloalkenylene of 3-10 ring atoms, wherein 1-3 ring atoms are heteroatoms, each independently selected from the group consisting of N, N(H), N(Rd), O, and S(O)0-2, and wherein the heterocyclylene or heterocycloalkenylene is optionally substituted with 1-6 RY; o heteroarylene of 5-10 ring atoms, wherein 1-4 ring atoms are heteroatoms, each independently selected from the group consisting of N, N(H), N(Rd), O, and S(O)0- 2, and wherein the heteroarylene is optionally substituted with 1-6 RY; and
o C6-10 arylene optionally substituted with 1-6 RY, (B) W is selected from the group consisting of: (a) C8-20 bicyclic or polycyclic arylene, which is optionally substituted with from 1-4 5 Rc; and (b) bicyclic or polycyclic heteroarylene including from 8-20 ring atoms, wherein from 1-4 ring atoms are heteroatoms, each independently selected from the group consisting of N, N(H), N(Rd), O, and S(O)0-2, and wherein the heteroaryl ring is optionally substituted with from 1-4 independently selected Rc; and A is as defined according to (A), or A is H. In some embodiments, ring A includes all or a substantial portion of the structural features present in one or small molecules that exhibit activity as STING antagonists. Non- limiting examples of such small molecules includes those described in WO 2020/010092, WO 2020/010155, WO 2020/106741, WO 2020/106736, WO 2020/150417, WO 2020/150439, WO 2020/257621, WO 2020/236586, WO 2020/243519, WO 2020/252240, WO 2021/067791, WO 2021/067801, WO 2021/067805, WO 2021/138419, WO 2021/138434, WO 2022/015957, WO 2022/015975, WO 2022/015977, WO 2022/015979, WO 2022/150543, WO 2022/015938, WO 2022/133098, WO 2022/150549, WO 2022/140410, WO 2022/133046, WO 2022/140403, WO 2022/140397, WO 2022/140387, WO 2022/150585, WO 2022/150560, US20220024919, and US20220024906, each of which is incorporated by reference in its entirety. In some embodiments, ring A has Formula I-a. In some embodiments, ring A has Formula I-a1:
. In certain embodiments, X1 is NR2. In certain embodiments, R2 is H. In some embodiments, Y1, Y2, Y3, and Y4 are each independently selected from the group consisting of CR1a, CR1 and N.
In some embodiments, Y1, Y2, Y3, and Y4 are each independently selected from the group consisting of CR1a and CR1. In some embodiments, Y1, Y2, Y3, and Y4 is CR1a, and the other three of Y1, Y2, Y3, and Y4 are each independently selected from the group consisting of CR1 and N. In some embodiments, one of Y1, Y2, Y3, and Y4 is CR1a, and the other three of Y1, Y2, Y3, and Y4 are each an independently selected CR1. In some embodiments, Y4 is CR1a. In some embodiments, R1a is –LA-Q1 (formula 101). In some embodiments, a2 is 1. In some embodiments, L2 is straight-chain C1-6 alkylene, straight-chain C2-6 alkenylene, or straight-chain C2-6 alkynylene, each of which is optionally substituted with 1-6 Rb; optionally wherein optionally wherein L2 is straight-chain C1-6 alkylene, which is optionally substituted with 1-6 Rb; optionally wherein L2 is straight-chain C1-3 alkylene, which is optionally substituted with 1-3 Rb. In some embodiments, L2 is selected from the group consisting of: (i) C3-10 cycloalkylene or C3-10 cycloalkenylene, each of which is optionally substituted with 1-3 Rc; and (ii) heterocyclylene or heterocycloalkenylene, each having 4-10 ring atoms wherein 1-3 ring atoms are ring heteroatoms each independently selected from the group consisting of: N, N(H), N(Rd), O, and S(O)0-2, wherein the heterocyclylene or heterocycloalkenylene is optionally substituted with 1-3 Rc. In some embodiments, a1 is 1. In some embodiments, L1 is selected from the group consisting of: -O-, -N(H)-, -N(Rd)-, and –S-; optionally wherein L1 is –O-. In some embodiments, a1 is 0. In some embodiments, a3 is 1. In some embodients, L3 is selected from the group consisting of: -O-, -N(H)-, -N(Rd)-, and –S-; optionally wherein L3 is –O-. In some embodiments, a3 is 0. In some embodiments, a4 is 1. In some embodiments, a1 and a2 are each 1.
In certain embodiments, a1 and a2 are each 1; L1 is –O-, -N(H)-, or –N(Rd)-; and L2 is selected from the group consisting of: straight-chain C1-3 alkylene, which is optionally substituted with 1-3 Rb; C3-8 cycloalkylene, which is optionally substituted with 1-3 Rc; and heterocyclylene having 4-8 ring atoms wherein 1-3 ring atoms are ring heteroatoms each independently selected from the group consisting of: N, N(H), N(Rd), O, and S(O)0-2, wherein the heterocyclylene is optionally substituted with 1-3 Rc. In certain embodiments, a1 and a2 are each 1; L1 is –O-; and L2 is straight-chain C1-3 alkylene, which is optionally substituted with 1-3 Rb. In certain embodiments, a1 and a2 are each 1; L1 is –O-; and L2 is C3-8 cycloalkylene, which is optionally substituted with 1-3 Rc; optionally wherein L2 is:
which is optionally substituted with 1-2 Rc, wherein n1 and n2 are independently 0, 1, or 2; Q2 is CH, CRc, or N; and the asterisk represents the point of attachment to -(L3)a3-. In certain embodiments, n1 and n2 are independently 0 or 1, optionally 0; and Q2 is CH; optionally wherein n1 and n2 are 0 and Q2 is CH; optionally wherein L2 is cyclobutane-diyl optionally substituted with 1-2 Rc; optionslly wherein L2 is cyclobutane-1,3-diyl optionally substituted with 1-2 Rc; optionslly wherein L2 is unsubstituted cyclobutane-diyl; optionally wherein L2 is unsubstituted cyclobutane-1,3-diyl. In certain embodiments,a3, a4, and a5 are each 0, optionally wherein LA is –O-CH2CH2- *, or
(such as
wherein * represents the point of attachment to Q1. In certain embodiments, a1 is 0; a2 is 1; optionally wherein L2 is straight-chain C1-6 alkylene, which is optionally substituted with 1-6 Rb, optionally wherein L2 is straight-chain C1-3 alkylene, which is optionally substituted with 1-3 Rb. In some embodiments, a3 is 1; optionally, wherein L3 is selected from the group consisting of: is –O-, -N(H)-, and –N(Rd)-, optionally wherein L3 is –O-. In some embodiments, a4 is 0; and a5 is 0. In some embodiments, Q1 is selected from the group consisting of: (i) heteroaryl of 5-6 ring atoms, wherein 1-4 ring atoms are heteroatoms, each independently selected from the group
consisting of N, N(H), N(Rd), O, and S(O)0-2, and wherein the heteroaryl is optionally substituted with 1-3 Rc ; and (ii) phenyl optionally substituted with 1-3 Rc. In some embodiments, Q1 is heterocyclyl or heterocycloalkenyl of 3-12 ring atoms, wherein 1-3 ring atoms are heteroatoms, each independently selected from the group consisting of N, N(H), N(Rd), O, and S(O)0-2, and wherein the heterocyclyl or heterocycloalkenyl is optionally substituted with 1-4 substituents independently selected from the group consisting of oxo and Rc. In some embodiments,
, wherein m1 and m2 are each independently 0, 1, or 2; and wherein Q1 is optionally substituted with 1-2 Rc; and optionally wherein each Rd present in Q1 is independently selected from the group consisting of: -C(O)O(C1- 4 alkyl); and C1-6 alkyl optionally substituted with 1-3 independently selected Ra. In some embodiments, Y1, Y2, Y3, and Y4 are each an independently selected CR1. In certain embodiments, R1 is H. In certain embodiments, one occurrence of R1 is other than H, and the others are H. In some embodiments, R4 is H. In some embodiments, L10 is -*NRNC(=O)NRN-. In some embodiments, L10 is -NRN-. In certain embodiments, RN, or each occurrence of RN, is H. In some embodiments, L20 has the formula:
(formula 105). In some embodiments, L20 is optionally substituted phenylene or optionally substituted pyridylene. In some embodiments, L20 is bicyclic or polycyclic heteroarylene of 8-15 ring atoms, wherein 1-6 ring atoms are heteroatoms, each independently selected from the group consisting of N, N(H), N(Rd), O, and S(O)0-2, and wherein the heteroaryl is optionally substituted with 1-4 substituents independently selected from the group consisting of: oxo and Rc. In some embodiments, ring A has formula I-b.
In some embodiments, ring A has formula I-b1:
- b1). In some embodiments, ring A has formula I-c. In some embodients, ring A has formula I-c1:
- c1). In some embodiments, each of one of Y11, Y22, and Y33 is CH. In some embodiments, X1 is NR2. In certain embodiments, wherein R2 is H. In some embodiments, R4 is H. In some embodiments, R5 is H, F, Cl, or CN; optionally wherein R5 is H. In some embodiments, L11 is NH. In some embodiments, L22 is –W-A-. In some embodiments, W is *-C(=O)NRN-. In some embodiments, RN is H. In some embodiments, A is -(YA1)n-YA22-. In certain embodiments, n is 0. In some embodiments, YA22 is heteroarylene of 5-10 ring atoms, wherein 1-4 ring atoms are heteroatoms, each independently selected from the group consisting of N, N(H), N(Rd), O, and S(O)0-2, and wherein the heteroarylene is optionally substituted with 1-6 RY. In some embodiments, YA22 is C6-10 arylene optionally substituted with 1-6 RY. In some embodiments, Ring A is selected from
,
, , ,
, , , , a
In some embodiments, L is a covalent bond or a bivalent, saturated or unsaturated, straight or branched C1-50 alkylene, alkenylene, or alkynylene chain, wherein 0-8 methylene units of L are independently replaced by Rg2, -O-, -NRL-, -S-, -OC(O)-, -C(O)O-, -C(O)-, -S(O)-, -S(O)2-, - 92
,
Rg2 is divalent Rg; RL is selected from H; C1-6 alkyl; C3-6 cycloalkyl; -C(O)(C1-4 alkyl); -C(O)O(C1-4 alkyl); - CONR’R’’; and -S(O)1-2NR’R’’; and nl1 is an integer selected from 1-8. In some embodiments, L is selected the group consisting of:
94
,
nl is selected from 0, 1, 2, 3, 4 and 5; ml is selected from 0, 1, 2, 3, 4, 5, 6, 7, 8, 9, 10 ; and for each L, one waveline is connected to Ring A, and the other waveline is connected to LBM. In some embodiments, LBM is selected from the group consisting of a cereblon binding moiety, a VHL binding moiety, an IAP E3 ligase binding moiety, or an MDM2 E3 ligase binding moiety. In some embodiments, LBM is an E3 ligase binding moeity. Such E3 ligase binding moeities are well known to one of ordinary skill in the art and include those described in M. Toure, C. M. Crews, Angew. Chem. Int. Ed.2016, 55, 1966, T. Uehara et al. Nature Chemical Biology 2017, 13, 675, Journal of Medicinal Chemistry, 2018, 61, 583, Neoplasia, 2020, 22, 111, WO 2017/176708, US 2017/0281784, WO2017/161119, WO 2017/176957, WO 2017/176958, WO 2015/160845, US 2015/0291562, WO 2016/197032, WO 2016/105518, US 2018/0009779, WO 2017/007612, US 2018/0134684, WO 2013/106643, US 2014/0356322, WO 2002/020740, US 2002/0068063, WO 2012/078559, US 2014/0302523, WO 2012/003281, US 2013/0190340, US 2016/0022642, WO 2014/063061, US 2015/0274738, WO 2016/118666, US 2016/0214972, WO 2016/149668, US 2016/0272639, WO 2016/169989, US 2018/0118733, WO 2016/197114, US 2018/0147202, WO 2017/011371, US 2017/0008904, WO 2017/011590, US 2017/0037004, WO 2017/079267, US 2017/0121321, WO 2017/117473, WO 2017/117474, WO 2013/106646, WO 2014/108452, WO 2017/197036, WO 2017/197046, WO 2017/197051, WO 2017/197055, WO 2017/197056, US 2020/0129627, US 2020/0038378, WO 2019/207538, WO2020/078933, WO 2019/40274, WO2018/140809, WO 2011/50962, WO 2017/197056, WO 2020/165833, US 2021/147383, US 2020/369679, US 2020/0199107, WO 2020/160192, US 20200361930, US 2020/0140456, US 2020/264499, the entirety of each of which is herein incorporated by reference.
In some embodiments, the LBM is moiety of formula (E1),
Formula (E1) wherein XE1 is a bivalent moiety selected from a covalent bond, -CH2-, -C(=O)-, -C(=S)-, or
; XE2 is a carbon atom or silicon atom; XE3 is a bivalent moiety selected from -CH2- or -Si(RE)2-; each RE1 is independently selected from the group consisting of hydrogen, deuterium, halogen, -CN, -ORE, -SRE, -S(O)RE, -S(O)2RE, -N(RE)2, -Si(RE)3, C1-10 alkyl which is optionally substituted with from 1-6 independently selected RE; C2-6 alkenyl and C2-6 alkynyl; LE1 is selected from a bond, or C1-4 alkyl wherein 0-3 methylene units of LE1 are independently replaced by Rg2, -O-, -NRE-, -S-, -OC(O)-, -C(O)O-, -C(O)-, -S(O)-, -S(O)2-, -NRES(O)2-, - S(O)2NRE-, -NREC(O)-, -C(O)NRE-, -OC(O)NRE-, or -NREC(O)O-; each RE2 is independently selected from the group consisting of hydrogen, -RE6, halogen, -CN, -NO2, -ORE, -SRE, -N(RE)2, -S(O)2RE, -S(O)2N(RE)2, -S(O)RE, -C(O)RE, -C(O)ORE, - C(O)N(RE)2, -C(O)N(RE)ORE, -OC(O)RE, -OC(O)N(RE)2, -N(RE)C(O)ORE, -N(RE)C(O)RE, - N(RE)C(O)N(RE)2, and -N(RE)S(O)2RE;
is a ring system selected from the group consisting
,
, , ,
a
the asterisk represents the point of attachment to L; Ring E2 is a ring selected from the group consisting of • C6-10 aryl; • 5 to 7-membered cycloakyl or cycloalkenyl; • 5 to 7-membered saturated or partially saturated heterocyclyl with 1-2 heteroatoms independently selected from nitrogen, oxygen or sulfur; and • 5-6 membered heteroaryl with 1-3 heteroatoms independently selected from nitrogen, oxygen or sulfur; each RE3 is independently selected from the group consisting of: hydrogen, halogen, -ORE, - N(RE)2, and –S(RE); each RE4 is independenyly selected from the group consisting of: H, C1-6 alkyl; C3-6 cycloalkyl; -C(O)(C1-4 alkyl); -C(O)O(C1-4 alkyl); -CON(R’)(R’’); -S(O)1-2(NR’R’’); - S(O)1-2(C1-4 alkyl); - OH; C1-4 alkoxy; and CN; each RE5 is independenyly selected from the group consisting of: hydrogen, C1-10 alkyl which is optionally substituted with from 1-6 independently selected RE; C2-6 alkenyl and C2-6 alkynyl each me is independently 0, 1, 2, 3 or 4; each RE is independently selected from the group consisting of: • hydrogen, –OH; -F; -Cl; -Br; –NReRf; C1-4 alkoxy; C1-4 haloalkoxy; -C(=O)O(C1-4 alkyl); -C(=O)(C1-4 alkyl); -C(=O)OH; -CON(R’)(R’’); -OCON(R’)(R’’); -S(O)1- 2(NR’R’’); -S(O)1-2(C1-4 alkyl); cyano; • phenyl;
• 4-7 membered saturated or partially unsaturated heterocyclic having 1-2 heteroatoms independently selected from nitrogen, oxygen, and sulfur; • 5-6 membered heteroaryl ring having 1-4 heteroatoms independently selected from nitrogen, oxygen, and sulfur, or: two RE groups on the same nitrogen are optionally taken together with their intervening atoms to form a 4-7 membered saturated, partially unsaturated cycloalkyl, or heteroaryl ring having 0-3 heteroatoms, in addition to the nitrogen, independently selected from nitrogen, oxygen, and sulfur. In some embodiments,
. In some embodiments,
. In some embodiments, LBM is selected from the group consisting of
. In some embodiments, LBM is selected the group consisting of:
In some embodiments, LBM is selected from the group consisting of .
In some embodiments,
. In some embodiments,
. In some embodiments,
. In some embodiments,
. In some embodiments, LBM is a moiety selected from the group consisting of:
, 102
) wherein each of the variables , X, X1, X2, Y, R1, R3, R3’, R4, R5, t, m and n is as defined and described in WO 2017/007612 and US 2018/0134684, the entirety of which is herein incorporated by reference. In some embodiments, LBM is selected from the group consisting of:
defined and described in WO 2016/197114 and US 2018/0147202, the entirety of each of which is herein incorporated by reference. In some embodiments, LBM is selected from the group consisting of
A3, G, R5, and Z are as defined and described in WO 2017/176958, the entirety of which is herein incorporated by reference.
In some embodiments, LBM is selected from the group consisting of: , ,
bond or a double bond, and wherein
, L, G, R1, R2, R3, R4, R5, R6, R7, R8, x, and y are as defined and described in WO 2017/161119, the entirety of which is herein incorporated by reference. In some embodiments, LBM is selected from the group consisting of:
In some embodiments, LBM is a moiety of formula (E2-1), formula (E2-2), formula (E2- 3),
formula (E2- 3), wherein each of the variables R1’, R2’, R3’, X, and X’ is as defined and described in US2014/0356322, the entirety of which is herein incorporated by reference. In some embodiments, LBM is a moiety selected from the group consisting of
Formula (E2-9), wherein each of the variables R1 ’, R2’, R3’, R5, R6, R7, R9, R10, R11, R14, R15, R16, R17, R23, R25, E, G, Μ, X, X’, Y, Z1, Z2, Z3, Z4, and o is as defined and described in US 2016/0272639, the entirety of which is herein incorporated by reference.
In some embodiments, LBM is a moiety selected from the group consisting of,
, wherein each of the variables Rp, R9, R10, R11, R14a, R14b, R15, R16, W3, W4, W5, X1, X2, and o is as defined and described in US 2016/0214972, the entirety of which is herein incorporated by reference. In some embodiments, LBM is selected from the group consisting of:
108
,
non-hydrogen atom (e.g., C, N, O, or S) of the VHL binding moiety. In some embodiments, LBM is selected from the group consisting of:
,
, wherein the VHL binding moiety is attached to L through any non-hydrogen atom (e.g., C, N, O, or S) of the VHL binding moiety. As used herein, depiction of brackets around any LBM (e.g., brackets in
or
the LBM moiety at any available modifiable non-hydrogen atom (e.g., carbon, nitrogen, oxygen, or sulfur atom) of the LBM.
For purposes of clarity and by way of example, such available modifiable carbon, nitrogen, oxygen, or sulfur atoms in the LBM moiety
are included, but not limited to the structures below, wherein each wavy bond defines the point of attachment to the
. In some embodiments, the compound of formula (I) is selected from the group consisting ,
In some embodiments, me is 1. In some embodiments, me is 0.
In some embodiments, the compound is selected from the group consisting of :
. In some embodiments, the compound is selected from the group consisting of : and
. Non-Limiting Exemplary Compounds In some embodiments, the compound is selected from the group consisting of the compounds delineated in Table C1 or a pharmaceutically acceptable salt thereof. Table C1
122
125
127
Pharmaceutical Compositions and Administration General
In some embodiments, a chemical entity (e.g., a bifunctional compound that modulates (e.g., degrads) STING, or a pharmaceutically acceptable salt, and/or hydrate, and/or cocrystal, and/or drug combination thereof) is administered as a pharmaceutical composition that includes the chemical entity and one or more pharmaceutically acceptable excipients, and optionally one or more additional therapeutic agents as described herein. In some embodiments, the chemical entities can be administered in combination with one or more conventional pharmaceutical excipients. Pharmaceutically acceptable excipients include, but are not limited to, ion exchangers, alumina, aluminum stearate, lecithin, self-emulsifying drug delivery systems (SEDDS) such as d-α-tocopherol polyethylene glycol 1000 succinate, surfactants used in pharmaceutical dosage forms such as Tweens, poloxamers or other similar polymeric delivery matrices, serum proteins, such as human serum albumin, buffer substances such as phosphates, tris, glycine, sorbic acid, potassium sorbate, partial glyceride mixtures of saturated vegetable fatty acids, water, salts or electrolytes, such as protamine sulfate, disodium hydrogen phosphate, potassium hydrogen phosphate, sodium-chloride, zinc salts, colloidal silica, magnesium trisilicate, polyvinyl pyrrolidone, cellulose-based substances, polyethylene glycol, sodium carboxymethyl cellulose, polyacrylates, waxes, polyethylene-polyoxypropylene-block polymers, and wool fat. Cyclodextrins such as α-, ^, and γ-cyclodextrin, or chemically modified derivatives such as hydroxyalkylcyclodextrins, including 2- and 3-hydroxypropyl-β-cyclodextrins, or other solubilized derivatives can also be used to enhance delivery of compounds described herein. Dosage forms or compositions containing a chemical entity as described herein in the range of 0.005% to 100% with the balance made up from non-toxic excipient may be prepared. The contemplated compositions may contain 0.001%-100% of a chemical entity provided herein, in one embodiment 0.1-95%, in another embodiment 75-85%, in a further embodiment 20-80%. Actual methods of preparing such dosage forms are known, or will be apparent, to those skilled in this art; for example, see Remington: The Science and Practice of Pharmacy, 22nd Edition (Pharmaceutical Press, London, UK.2012). Routes of Administration and Composition Components In some embodiments, the chemical entities described herein or a pharmaceutical composition thereof can be administered to subject in need thereof by any accepted route of administration. Acceptable routes of administration include, but are not limited to, buccal,
cutaneous, endocervical, endosinusial, endotracheal, enteral, epidural, interstitial, intra-abdominal, intra-arterial, intrabronchial, intrabursal, intracerebral, intracisternal, intracoronary, intradermal, intraductal, intraduodenal, intradural, intraepidermal, intraesophageal, intragastric, intragingival, intraileal, intralymphatic, intramedullary, intrameningeal, intramuscular, intraovarian, intraperitoneal, intraprostatic, intrapulmonary, intrasinal, intraspinal, intrasynovial, intratesticular, intrathecal, intratubular, intratumoral, intrauterine, intravascular, intravenous, nasal, nasogastric, oral, parenteral, percutaneous, peridural, rectal, respiratory (inhalation), subcutaneous, sublingual, submucosal, topical, transdermal, transmucosal, transtracheal, ureteral, urethral and vaginal. In certain embodiments, a preferred route of administration is parenteral (e.g., intratumoral). Compositions can be formulated for parenteral administration, e.g., formulated for injection via the intravenous, intramuscular, sub-cutaneous, or even intraperitoneal routes. Typically, such compositions can be prepared as injectables, either as liquid solutions or suspensions; solid forms suitable for use to prepare solutions or suspensions upon the addition of a liquid prior to injection can also be prepared; and the preparations can also be emulsified. The preparation of such formulations will be known to those of skill in the art in light of the present disclosure. The pharmaceutical forms suitable for injectable use include sterile aqueous solutions or dispersions; formulations including sesame oil, peanut oil, or aqueous propylene glycol; and sterile powders for the extemporaneous preparation of sterile injectable solutions or dispersions. In all cases the form must be sterile and must be fluid to the extent that it may be easily injected. It also should be stable under the conditions of manufacture and storage and must be preserved against the contaminating action of microorganisms, such as bacteria and fungi. The carrier also can be a solvent or dispersion medium containing, for example, water, ethanol, polyol (for example, glycerol, propylene glycol, and liquid polyethylene glycol, and the like), suitable mixtures thereof, and vegetable oils. The proper fluidity can be maintained, for example, by the use of a coating, such as lecithin, by the maintenance of the required particle size in the case of dispersion, and by the use of surfactants. The prevention of the action of microorganisms can be brought about by various antibacterial and antifungal agents, for example, parabens, chlorobutanol, phenol, sorbic acid, thimerosal, and the like. In many cases, it will be preferable to include isotonic agents, for example, sugars or sodium chloride. Prolonged absorption
of the injectable compositions can be brought about by the use in the compositions of agents delaying absorption, for example, aluminum monostearate and gelatin. Sterile injectable solutions are prepared by incorporating the active compounds in the required amount in the appropriate solvent with various of the other ingredients enumerated above, as required, followed by filtered sterilization. Generally, dispersions are prepared by incorporating the various sterilized active ingredients into a sterile vehicle which contains the basic dispersion medium and the required other ingredients from those enumerated above. In the case of sterile powders for the preparation of sterile injectable solutions, the preferred methods of preparation are vacuum-drying and freeze-drying techniques, which yield a powder of the active ingredient, plus any additional desired ingredient from a previously sterile-filtered solution thereof. Intratumoral injections are discussed, e.g., in Lammers, et al., “Effect of Intratumoral Injection on the Biodistribution and the Therapeutic Potential of HPMA Copolymer-Based Drug Delivery Systems” Neoplasia.2006, 10, 788–795. Pharmacologically acceptable excipients usable in the rectal composition as a gel, cream, enema, or rectal suppository, include, without limitation, any one or more of cocoa butter glycerides, synthetic polymers such as polyvinylpyrrolidone, PEG (like PEG ointments), glycerine, glycerinated gelatin, hydrogenated vegetable oils, poloxamers, mixtures of polyethylene glycols of various molecular weights and fatty acid esters of polyethylene glycol Vaseline, anhydrous lanolin, shark liver oil, sodium saccharinate, menthol, sweet almond oil, sorbitol, sodium benzoate, anoxid SBN, vanilla essential oil, aerosol, parabens in phenoxyethanol, sodium methyl p-oxybenzoate, sodium propyl p-oxybenzoate, diethylamine, carbomers, carbopol, methyloxybenzoate, macrogol cetostearyl ether, cocoyl caprylocaprate, isopropyl alcohol, propylene glycol, liquid paraffin, xanthan gum, carboxy-metabisulfite, sodium edetate, sodium benzoate, potassium metabisulfite, grapefruit seed extract, methyl sulfonyl methane (MSM) , lactic acid, glycine, vitamins, such as vitamin A and E and potassium acetate. In certain embodiments, suppositories can be prepared by mixing the chemical entities described herein with suitable non-irritating excipients or carriers such as cocoa butter, polyethylene glycol or a suppository wax which are solid at ambient temperature but liquid at body temperature and therefore melt in the rectum and release the active compound. In other embodiments, compositions for rectal administration are in the form of an enema.
In other embodiments, the compounds described herein or a pharmaceutical composition thereof are suitable for local delivery to the digestive or GI tract by way of oral administration (e.g., solid or liquid dosage forms.). Solid dosage forms for oral administration include capsules, tablets, pills, powders, and granules. In such solid dosage forms, the chemical entity is mixed with one or more pharmaceutically acceptable excipients, such as sodium citrate or dicalcium phosphate and/or: a) fillers or extenders such as starches, lactose, sucrose, glucose, mannitol, and silicic acid, b) binders such as, for example, carboxymethylcellulose, alginates, gelatin, polyvinylpyrrolidinone, sucrose, and acacia, c) humectants such as glycerol, d) disintegrating agents such as agar-agar, calcium carbonate, potato or tapioca starch, alginic acid, certain silicates, and sodium carbonate, e) solution retarding agents such as paraffin, f) absorption accelerators such as quaternary ammonium compounds, g) wetting agents such as, for example, cetyl alcohol and glycerol monostearate, h) absorbents such as kaolin and bentonite clay, and i) lubricants such as talc, calcium stearate, magnesium stearate, solid polyethylene glycols, sodium lauryl sulfate, and mixtures thereof. In the case of capsules, tablets and pills, the dosage form may also comprise buffering agents. Solid compositions of a similar type may also be employed as fillers in soft and hard-filled gelatin capsules using such excipients as lactose or milk sugar as well as high molecular weight polyethylene glycols and the like. In one embodiment, the compositions will take the form of a unit dosage form such as a pill or tablet and thus the composition may contain, along with a chemical entity provided herein, a diluent such as lactose, sucrose, dicalcium phosphate, or the like; a lubricant such as magnesium stearate or the like; and a binder such as starch, gum acacia, polyvinylpyrrolidine, gelatin, cellulose, cellulose derivatives or the like. In another solid dosage form, a powder, marume, solution or suspension (e.g., in propylene carbonate, vegetable oils, PEG’s, poloxamer 124 or triglycerides) is encapsulated in a capsule (gelatin or cellulose base capsule). Unit dosage forms in which one or more chemical entities provided herein or additional active agents are physically separated are also contemplated; e.g., capsules with granules (or tablets in a capsule) of each drug; two-layer tablets; two-compartment gel caps, etc. Enteric coated or delayed release oral dosage forms are also contemplated. Other physiologically acceptable compounds include wetting agents, emulsifying agents, dispersing agents or preservatives that are particularly useful for preventing the growth or action
of microorganisms. Various preservatives are well known and include, for example, phenol and ascorbic acid. In certain embodiments the excipients are sterile and generally free of undesirable matter. These compositions can be sterilized by conventional, well-known sterilization techniques. For various oral dosage form excipients such as tablets and capsules sterility is not required. The USP/NF standard is usually sufficient. In certain embodiments, solid oral dosage forms can further include one or more components that chemically and/or structurally predispose the composition for delivery of the chemical entity to the stomach or the lower GI; e.g., the ascending colon and/or transverse colon and/or distal colon and/or small bowel. Exemplary formulation techniques are described in, e.g., Filipski, K.J., et al., Current Topics in Medicinal Chemistry, 2013, 13, 776-802, which is incorporated herein by reference in its entirety. Examples include upper-GI targeting techniques, e.g., Accordion Pill (Intec Pharma), floating capsules, and materials capable of adhering to mucosal walls. Other examples include lower-GI targeting techniques. For targeting various regions in the intestinal tract, several enteric/pH-responsive coatings and excipients are available. These materials are typically polymers that are designed to dissolve or erode at specific pH ranges, selected based upon the GI region of desired drug release. These materials also function to protect acid labile drugs from gastric fluid or limit exposure in cases where the active ingredient may be irritating to the upper GI (e.g., hydroxypropyl methylcellulose phthalate series, Coateric (polyvinyl acetate phthalate), cellulose acetate phthalate, hydroxypropyl methylcellulose acetate succinate, Eudragit series (methacrylic acid–methyl methacrylate copolymers), and Marcoat). Other techniques include dosage forms that respond to local flora in the GI tract, Pressure-controlled colon delivery capsule, and Pulsincap. Ocular compositions can include, without limitation, one or more of any of the following: viscogens (e.g., Carboxymethylcellulose, Glycerin, Polyvinylpyrrolidone, Polyethylene glycol); Stabilizers (e.g., Pluronic (triblock copolymers), Cyclodextrins); Preservatives (e.g., Benzalkonium chloride, ETDA, SofZia (boric acid, propylene glycol, sorbitol, and zinc chloride; Alcon Laboratories, Inc.), Purite (stabilized oxychloro complex; Allergan, Inc.)). Topical compositions can include ointments and creams. Ointments are semisolid preparations that are typically based on petrolatum or other petroleum derivatives. Creams
containing the selected active agent are typically viscous liquid or semisolid emulsions, often either oil-in-water or water-in-oil. Cream bases are typically water-washable, and contain an oil phase, an emulsifier and an aqueous phase. The oil phase, also sometimes called the “internal” phase, is generally comprised of petrolatum and a fatty alcohol such as cetyl or stearyl alcohol; the aqueous phase usually, although not necessarily, exceeds the oil phase in volume, and generally contains a humectant. The emulsifier in a cream formulation is generally a nonionic, anionic, cationic or amphoteric surfactant. As with other carriers or vehicles, an ointment base should be inert, stable, nonirritating and non-sensitizing. In any of the foregoing embodiments, pharmaceutical compositions described herein can include one or more one or more of the following: lipids, interbilayer crosslinked multilamellar vesicles, biodegradeable poly(D,L-lactic-co-glycolic acid) [PLGA]-based or poly anhydride-based nanoparticles or microparticles, and nanoporous particle-supported lipid bilayers. Dosages The dosages may be varied depending on the requirement of the patient, the severity of the condition being treating and the particular compound being employed. Determination of the proper dosage for a particular situation can be determined by one skilled in the medical arts. The total daily dosage may be divided and administered in portions throughout the day or by means providing continuous delivery. In some embodiments, the compounds described herein are administered at a dosage of from about 0.001 mg/Kg to about 500 mg/Kg (e.g., from about 0.01 mg/Kg to about 100 mg/Kg; from about 0.01 mg/Kg to about 10 mg/Kg; from about 0.01 mg/Kg to about 1 mg/Kg; from from about 0.01 mg/Kg to about 0.1 mg/Kg; from about 0.1 mg/Kg to about 100 mg/Kg; from about 0. 1 mg/Kg to about 10 mg/Kg). Regimens The foregoing dosages can be administered on a daily basis (e.g., as a single dose or as two or more divided doses) or non-daily basis (e.g., every other day, every two days, every three days, once weekly, twice weeks, once every two weeks, once a month). In some embodiments, the period of administration of a compound described herein is for 1 day, 2 days, 3 days, 4 days, 5 days, 6 days, 7 days, 8 days, 9 days, 10 days, 11 days, 12 days, 13
days, 14 days, 3 weeks, 4 weeks, 5 weeks, 6 weeks, 7 weeks, 8 weeks, 9 weeks, 10 weeks, 11 weeks, 12 weeks, 4 months, 5 months, 6 months, 7 months, 8 months, 9 months, 10 months, 11 months, 12 months, or more. In a further embodiment, a period of during which administration is stopped is for 1 day, 2 days, 3 days, 4 days, 5 days, 6 days, 7 days, 8 days, 9 days, 10 days, 11 days, 12 days, 13 days, 14 days, 3 weeks, 4 weeks, 5 weeks, 6 weeks, 7 weeks, 8 weeks, 9 weeks, 10 weeks, 11 weeks, 12 weeks, 4 months, 5 months, 6 months, 7 months, 8 months, 9 months, 10 months, 1 1 months, 12 months, or more. In an embodiment, a therapeutic compound is administered to an individual for a period of time followed by a separate period of time. In another embodiment, a therapeutic compound is administered for a first period and a second period following the first period, with administration stopped during the second period, followed by a third period where administration of the therapeutic compound is started and then a fourth period following the third period where administration is stopped. In an aspect of this embodiment, the period of administration of a therapeutic compound followed by a period where administration is stopped is repeated for a determined or undetermined period of time. In a further embodiment, a period of administration is for 1 day, 2 days, 3 days, 4 days, 5 days, 6 days, 7 days, 8 days, 9 days, 10 days, 11 days, 12 days, 13 days, 14 days, 3 weeks, 4 weeks, 5 weeks, 6 weeks, 7 weeks, 8 weeks, 9 weeks, 10 weeks, 11 weeks, 12 weeks, 4 months, 5 months, 6 months, 7 months, 8 months, 9 months, 10 months, 11 months, 12 months, or more. In a further embodiment, a period of during which administration is stopped is for 1 day, 2 days, 3 days, 4 days, 5 days, 6 days, 7 days, 8 days, 9 days, 10 days, 11 days, 12 days, 13 days, 14 days, 3 weeks, 4 weeks, 5 weeks, 6 weeks, 7 weeks, 8 weeks, 9 weeks, 10 weeks, 11 weeks, 12 weeks, 4 months, 5 months, 6 months, 7 months, 8 months, 9 months, 10 months, 11 months, 12 months, or more. Methods of Treatment In some embodiments, methods for treating a subject having condition, disease or disorder in which increased (e.g., excessive)STING activity (e.g., , e.g., STING signaling) contributes to the pathology and/or symptoms and/or progression of the condition, disease or disorder (e.g., immune disorders, cancer) are provided. Indications
In some embodiments, the condition, disease or disorder is cancer. Non-limiting examples of cancer include melanoma, carcinoma, lymphoma, blastoma, sarcoma, and leukemia or lymphoid malignancies. More particular examples of such cancers include breast cancer, colon cancer, rectal cancer, colorectal cancer, kidney or renal cancer, clear cell cancer lung cancer including small-cell lung cancer, non- small cell lung cancer, adenocarcinoma of the lung and squamous carcinoma of the lung, squamous cell cancer (e.g. epithelial squamous cell cancer), cervical cancer, ovarian cancer, prostate cancer, prostatic neoplasms, liver cancer, bladder cancer, cancer of the peritoneum, hepatocellular cancer, gastric or stomach cancer including gastrointestinal cancer, gastrointestinal stromal tumor, pancreatic cancer, head and neck cancer, glioblastoma, retinoblastoma, astrocytoma, thecomas, arrhenoblastomas, hepatoma, hematologic malignancies including non-Hodgkins lymphoma (NHL), multiple myeloma, myelodysplasia disorders, myeloproliferative disorders, chronic myelogenous leukemia, and acute hematologic malignancies, endometrial or uterine carcinoma, endometriosis, endometrial stromal sarcoma, fibrosarcomas, choriocarcinoma, salivary gland carcinoma, vulval cancer, thyroid cancer, esophageal carcinomas, hepatic carcinoma, anal carcinoma, penile carcinoma, nasopharyngeal carcinoma, laryngeal carcinomas, Kaposi's sarcoma, mast cell sarcoma, ovarian sarcoma, uterine sarcoma, melanoma, malignant mesothelioma, skin carcinomas, Schwannoma, oligodendroglioma, neuroblastomas, neuroectodermal tumor, rhabdomyosarcoma, osteogenic sarcoma, leiomyosarcomas, Ewing Sarcoma, peripheral primitive neuroectodermal tumor, urinary tract carcinomas, thyroid carcinomas, Wilm's tumor, as well as abnormal vascular proliferation associated with phakomatoses, edema (such as that associated with brain tumors), and Meigs' syndrome. In some cases, the cancer is melanoma. In some embodiments, the condition, disease or disorder is a neurological disorder, which includes disorders that involve the central nervous system (brain, brainstem and cerebellum), the peripheral nervous system (including cranial nerves), and the autonomic nervous system (parts of which are located in both central and peripheral nervous system). Non-limiting examples of neurological disorders include acquired epileptiform aphasia; acute disseminated encephalomyelitis; adrenoleukodystrophy; age-related macular degeneration; agenesis of the corpus callosum; agnosia; Aicardi syndrome; Alexander disease; Alpers' disease; alternating hemiplegia; Alzheimer's disease; Vascular dementia; amyotrophic lateral sclerosis; anencephaly; Angelman syndrome; angiomatosis; anoxia; aphasia; apraxia; arachnoid cysts; arachnoiditis;
Anronl-Chiari malformation; arteriovenous malformation; Asperger syndrome; ataxia telegiectasia; attention deficit hyperactivity disorder; autism; autonomic dysfunction; back pain; Batten disease; Behcet's disease; Bell's palsy; benign essential blepharospasm; benign focal; amyotrophy; benign intracranial hypertension; Binswanger's disease; blepharospasm; Bloch Sulzberger syndrome; brachial plexus injury; brain abscess; brain injury; brain tumors (including glioblastoma multiforme); spinal tumor; Brown-Sequard syndrome; Canavan disease; carpal tunnel syndrome; causalgia; central pain syndrome; central pontine myelinolysis; cephalic disorder; cerebral aneurysm; cerebral arteriosclerosis; cerebral atrophy; cerebral gigantism; cerebral palsy; Charcot-Marie-Tooth disease; chemotherapy-induced neuropathy and neuropathic pain; Chiari malformation; chorea; chronic inflammatory demyelinating polyneuropathy; chronic pain; chronic regional pain syndrome; Coffin Lowry syndrome; coma, including persistent vegetative state; congenital facial diplegia; corticobasal degeneration; cranial arteritis; craniosynostosis; Creutzfeldt-Jakob disease; cumulative trauma disorders; Cushing's syndrome; cytomegalic inclusion body disease; cytomegalovirus infection; dancing eyes-dancing feet syndrome; Dandy-Walker syndrome; Dawson disease; De Morsier's syndrome; Dejerine-Klumke palsy; dementia; dermatomyositis; diabetic neuropathy; diffuse sclerosis; dysautonomia; dysgraphia; dyslexia; dystonias; early infantile epileptic encephalopathy; empty sella syndrome; encephalitis; encephaloceles; encephalotrigeminal angiomatosis; epilepsy; Erb's palsy; essential tremor; Fabry's disease; Fahr's syndrome; fainting; familial spastic paralysis; febrile seizures; Fisher syndrome; Friedreich's ataxia; fronto-temporal dementia and other “tauopathies”; Gaucher's disease; Gerstmann's syndrome; giant cell arteritis; giant cell inclusion disease; globoid cell leukodystrophy; Guillain-Barre syndrome; HTLV-1-associated myelopathy; Hallervorden-Spatz disease; head injury; headache; hemifacial spasm; hereditary spastic paraplegia; heredopathia atactica polyneuritiformis; herpes zoster oticus; herpes zoster; Hirayama syndrome; HIV- associated dementia and neuropathy (also neurological manifestations of AIDS); holoprosencephaly; Huntington's disease and other polyglutamine repeat diseases; hydranencephaly; hydrocephalus; hypercortisolism; hypoxia; immune-mediated encephalomyelitis; inclusion body myositis; incontinentia pigmenti; infantile phytanic acid storage disease; infantile refsum disease; infantile spasms; inflammatory myopathy; intracranial cyst; intracranial hypertension; Joubert syndrome; Kearns-Sayre syndrome; Kennedy disease Kinsbourne syndrome; Klippel Feil syndrome; Krabbe disease; Kugelberg-Welander disease;
kuru; Lafora disease; Lambert-Eaton myasthenic syndrome; Landau-Kleffner syndrome; lateral medullary (Wallenberg) syndrome; learning disabilities; Leigh's disease; Lennox-Gustaut syndrome; Lesch-Nyhan syndrome; leukodystrophy; Lewy body dementia; Lissencephaly; locked-in syndrome; Lou Gehrig's disease (i.e., motor neuron disease or amyotrophic lateral sclerosis); lumbar disc disease; Lyme disease—neurological sequelae; Machado-Joseph disease; macrencephaly; megalencephaly; Melkersson-Rosenthal syndrome; Menieres disease; meningitis; Menkes disease; metachromatic leukodystrophy; microcephaly; migraine; Miller Fisher syndrome; mini-strokes; mitochondrial myopathies; Mobius syndrome; monomelic amyotrophy; motor neuron disease; Moyamoya disease; mucopolysaccharidoses; milti-infarct dementia; multifocal motor neuropathy; multiple sclerosis and other demyelinating disorders; multiple system atrophy with postural hypotension; p muscular dystrophy; myasthenia gravis; myelinoclastic diffuse sclerosis; myoclonic encephalopathy of infants; myoclonus; myopathy; myotonia congenital; narcolepsy; neurofibromatosis; neuroleptic malignant syndrome; neurological manifestations of AIDS; neurological sequelae of lupus; neuromyotonia; neuronal ceroid lipofuscinosis; neuronal migration disorders; Niemann-Pick disease; O'Sullivan-McLeod syndrome; occipital neuralgia; occult spinal dysraphism sequence; Ohtahara syndrome; olivopontocerebellar atrophy; opsoclonus myoclonus; optic neuritis; orthostatic hypotension; overuse syndrome; paresthesia; Parkinson's disease; paramyotonia congenital; paraneoplastic diseases; paroxysmal attacks; Parry Romberg syndrome; Pelizaeus-Merzbacher disease; periodic paralyses; peripheral neuropathy; painful neuropathy and neuropathic pain; persistent vegetative state; pervasive developmental disorders; photic sneeze reflex; phytanic acid storage disease; Pick's disease; pinched nerve; pituitary tumors; polymyositis; porencephaly; post-polio syndrome; postherpetic neuralgia; postinfectious encephalomyelitis; postural hypotension; Prader-Willi syndrome; primary lateral sclerosis; prion diseases; progressive hemifacial atrophy; progressive multifocal leukoencephalopathy; progressive sclerosing poliodystrophy; progressive supranuclear palsy; pseudotumor cerebri; Ramsay-Hunt syndrome (types I and II); Rasmussen's encephalitis; reflex sympathetic dystrophy syndrome; Refsum disease; repetitive motion disorders; repetitive stress injuries; restless legs syndrome; retrovirus-associated myelopathy; Rett syndrome; Reye's syndrome; Saint Vitus dance; Sandhoff disease; Schilder's disease; schizencephaly; septo-optic dysplasia; shaken baby syndrome; shingles; Shy-Drager syndrome; Sjögren's syndrome; sleep apnea; Soto's syndrome; spasticity; spina bifida; spinal cord injury; spinal cord tumors; spinal
muscular atrophy; Stiff-Person syndrome; stroke; Sturge-Weber syndrome; subacute sclerosing panencephalitis; subcortical arteriosclerotic encephalopathy; Sydenham chorea; syncope; syringomyelia; tardive dyskinesia; Tay-Sachs disease; temporal arteritis; tethered spinal cord syndrome; Thomsen disease; thoracic outlet syndrome; Tic Douloureux; Todd's paralysis; Tourette syndrome; transient ischemic attack; transmissible spongiform encephalopathies; transverse myelitis; traumatic brain injury; tremor; trigeminal neuralgia; tropical spastic paraparesis; tuberous sclerosis; vascular dementia (multi-infarct dementia); vasculitis including temporal arteritis; Von Hippel-Lindau disease; Wallenberg's syndrome; Werdnig-Hoffman disease; West syndrome; whiplash; Williams syndrome; Wildon's disease; amyotrophe lateral sclerosis and Zellweger syndrome. In some embodiments, the condition, disease or disorder is STING-associated conditions, e.g., type I interferonopathies (e.g., STING-associated vasculopathywith onset in infancy (SAVI)), Aicardi-Goutières Syndrome (AGS), genetic forms of lupus, and inflammation-associated disorders such as systemic lupus erythematosus, and rheumatoid arthritis. In certain embodiments, the condition, disease or disorder is an autoimmune disease (e.g., a cytosolic DNA-triggered autoinflammatory disease). Non-limiting examples include rheumatoid arthritis, systemic lupus erythematosus, multiple sclerosis, inflammatory bowel diseases (IBDs) comprising Crohn disease (CD) and ulcerative colitis (UC), which are chronic inflammatory conditions with polygenic susceptibility. In certain embodiments, the condition is an inflammatory bowel disease. In certain embodiments, the condition is Crohn’s disease, autoimmune colitis, iatrogenic autoimmune colitis, ulcerative colitis, colitis induced by one or more chemotherapeutic agents, colitis induced by treatment with adoptive cell therapy, colitis associated by one or more alloimmune diseases (such as graft-vs-host disease, e.g., acute graft vs. host disease and chronic graft vs. host disease), radiation enteritis, collagenous colitis, lymphocytic colitis, microscopic colitis, and radiation enteritis. In certain of these embodiments, the condition is alloimmune disease (such as graft-vs- host disease, e.g., acute graft vs. host disease and chronic graft vs. host disease), celiac disease, irritable bowel syndrome, rheumatoid arthritis, lupus, scleroderma, psoriasis, cutaneous T-cell lymphoma, uveitis, and mucositis (e.g., oral mucositis, esophageal mucositis or intestinal mucositis). In some embodiments, modulation of the immune system by STING provides for the treatment of diseases, including diseases caused by foreign agents. Exemplary infections by
foreign agents which may be treated and/or prevented by the method of the present invention include an infection by a bacterium (e.g., a Gram-positive or Gram-negative bacterium), an infection by a fungus, an infection by a parasite, and an infection by a virus. In one embodiment of the present invention, the infection is a bacterial infection (e.g., infection by E. coli, Klebsiella pneumoniae, Pseudomonas aeruginosa, Salmonella spp., Staphylococcus aureus, Streptococcus spp., or vancomycin-resistant enterococcus), or sepsis. In another embodiment, the infection is a fungal infection (e.g. infection by a mould, a yeast, or a higher fungus). In still another embodiment, the infection is a parasitic infection (e.g., infection by a single-celled or multicellular parasite, including Giardia duodenalis, Cryptosporidium parvum, Cyclospora cayetanensis, and Toxoplasma gondiz). In yet another embodiment, the infection is a viral infection (e.g., infection by a virus associated with AIDS, avian flu, chickenpox, cold sores, common cold, gastroenteritis, glandular fever, influenza, measles, mumps, pharyngitis, pneumonia, rubella, SARS, lower or upper respiratory tract infection (e.g., respiratory syncytial virus), Ebola, Zika, and SARS-CoV-2 (COVID19)). In some embodiments, the condition, disease or disorder is hepatits B (see, e.g., WO 2015/061294). In some embodiments, the condition, disease or disorder is selected from cardiovascular diseases (including e.g., myocardial infarction). In some embodiemnts, the condition, disease or disorder is age-related macular degeneration. In some embodiments, the condition, disease or disorder is mucositis, also known as stomatitits, which can occur as a result of chemotherapy or radiation therapy, either alone or in combination as well as damage caused by exposure to radiation outside of the context of radiation therapy. In some embodiments, the condition, disease or disorder is uveitis, which is inflammation of the uvea (e.g., anterior uveitis, e.g., iridocyclitis or iritis; intermediate uveitis (also known as pars planitis); posterior uveitis; or chorioretinitis, e.g., pan-uveitis). In some embodiments, the condition, disease or disorder is selected from the group consisting of a cancer, a neurological disorder, an autoimmune disease, hepatitis B, uvetitis, a cardiovascular disease, age-related macular degeneration, and mucositis.
In some embodiments, the condition, disease or disorder is selected from the group consisting of Familial Chilblain Lupus, RVCL (autosomal dominant retinal vasculopathy with cerebral leukodystrophy), lupus nephritis (LN), Sjogren's Syndrome (SS), lung inflammation, acute lung inflammation, idiopathic pulmonary fibrosis, liver and renal fibrosis, nonalcoholic steatohepatitis (NASH), cirrhosis, endomyocardial fibrosis, acute and chronic kidney injury, APOL1 -associated podocytopathy, acute pancreatitis, chronic obstructive pulmonary disease (COPD), senescence, and aging. Still other examples can include those indications discussed herein and below in contemplated combination therapy regimens. Combination therapy This disclosure contemplates both monotherapy regimens as well as combination therapy regimens. In some embodiments, the methods described herein can further include administering one or more additional therapies (e.g., one or more additional therapeutic agents and/or one or more therapeutic regimens) in combination with administration of the compounds described herein. In certain embodiments, the methods described herein can further include administering one or more additional cancer therapies. The one or more additional cancer therapies can include, without limitation, surgery, radiotherapy, chemotherapy, toxin therapy, immunotherapy, cryotherapy, cancer vaccines (e.g., HPV vaccine, hepatitis B vaccine, Oncophage, Provenge) and gene therapy, as well as combinations thereof. Immunotherapy, including, without limitation, adoptive cell therapy, the derivation of stem cells and/or dendritic cells, blood transfusions, lavages, and/or other treatments, including, without limitation, freezing a tumor. In some embodiments, the one or more additional cancer therapies is chemotherapy, which can include administering one or more additional chemotherapeutic agents. In certain embodiments, the additional chemotherapeutic agent is an immunomodulatory moiety, e.g., an immune checkpoint inhibitor. In certain of these embodiments, the immune checkpoint inhibitor targets an immune checkpoint receptor selected from the group consisting of CTLA-4, PD-1, PD-L1, PD-1 – PD-L1, PD-1 – PD-L2, interleukin‑2 (IL‑2), indoleamine 2,3- dioxygenase (IDO), IL‑10, transforming growth factor-β (TGFβ), T cell immunoglobulin and
mucin 3 (TIM3 or HAVCR2), Galectin 9 – TIM3, Phosphatidylserine – TIM3, lymphocyte activation gene 3 protein (LAG3), MHC class II – LAG3, 4‑1BB–4‑1BB ligand, OX40–OX40 ligand, GITR, GITR ligand – GITR, CD27, CD70-CD27, TNFRSF25, TNFRSF25–TL1A, CD40L, CD40–CD40 ligand, HVEM–LIGHT–LTA, HVEM, HVEM – BTLA, HVEM – CD160, HVEM – LIGHT, HVEM–BTLA–CD160, CD80, CD80 – PDL-1, PDL2 – CD80, CD244, CD48 – CD244, CD244, ICOS, ICOS–ICOS ligand, B7‑H3, B7‑H4, VISTA, TMIGD2, HHLA2– TMIGD2, Butyrophilins, including BTNL2, Siglec family, TIGIT and PVR family members, KIRs, ILTs and LIRs, NKG2D and NKG2A, MICA and MICB, CD244, CD28, CD86 – CD28, CD86 – CTLA, CD80 – CD28, CD39, CD73 Adenosine–CD39–CD73, CXCR4–CXCL12, Phosphatidylserine, TIM3, Phosphatidylserine – TIM3, SIRPA–CD47, VEGF, Neuropilin, CD160, CD30, and CD155; e.g., CTLA-4 or PD1 or PD-L1). See, e.g., Postow, M. J. Clin. Oncol. 2015, 33, 1. In certain of these embodiments, the immune checkpoint inhibitor is selected from the group consisting of: Urelumab, PF‑05082566, MEDI6469, TRX518, Varlilumab, CP‑870893, Pembrolizumab (PD1), Nivolumab (PD1), Atezolizumab (formerly MPDL3280A) (PDL1), MEDI4736 (PD-L1), Avelumab (PD-L1), PDR001 (PD1), BMS‑986016, MGA271, Lirilumab, IPH2201, Emactuzumab, INCB024360, Galunisertib, Ulocuplumab, BKT140, Bavituximab, CC‑90002, Bevacizumab, and MNRP1685A, and MGA271. In certain embodiments, the additional chemotherapeutic agent is an alkylating agent. Alkylating agents are so named because of their ability to alkylate many nucleophilic functional groups under conditions present in cells, including, but not limited to cancer cells. In a further embodiment, an alkylating agent includes, but is not limited to, Cisplatin, carboplatin, mechlorethamine, cyclophosphamide, chlorambucil, ifosfamide and/or oxaliplatin. In an embodiment, alkylating agents can function by impairing cell function by forming covalent bonds with the amino, carboxyl, sulfhydryl, and phosphate groups in biologically important molecules or they can work by modifying a cell's DNA. In a further embodiment an alkylating agent is a synthetic, semisynthetic or derivative. In certain embodiments, the additional chemotherapeutic agent is an anti-metabolite. Anti- metabolites masquerade as purines or pyrimidines, the building-blocks of DNA and in general,
prevent these substances from becoming incorporated in to DNA during the "S" phase (of the cell cycle), stopping normal development and division. Anti-metabolites can also affect RNA synthesis. In an embodiment, an antimetabolite includes, but is not limited to azathioprine and/or mercaptopurine. In a further embodiment an anti-metabolite is a synthetic, semisynthetic or derivative. In certain embodiments, the additional chemotherapeutic agent is a plant alkaloid and/or terpenoid. These alkaloids are derived from plants and block cell division by, in general, preventing microtubule function. In an embodiment, a plant alkaloid and/or terpenoid is a vinca alkaloid, a podophyllotoxin and/or a taxane. Vinca alkaloids, in general, bind to specific sites on tubulin, inhibiting the assembly of tubulin into microtubules, generally during the M phase of the cell cycle. In an embodiment, a vinca alkaloid is derived, without limitation, from the Madagascar periwinkle, Catharanthus roseus (formerly known as Vinca rosea). In an embodiment, a vinca alkaloid includes, without limitation, Vincristine, Vinblastine, Vinorelbine and/or Vindesine. In an embodiment, a taxane includes, but is not limited, to Taxol, Paclitaxel and/or Docetaxel. In a further embodiment a plant alkaloid or terpernoid is a synthetic, semisynthetic or derivative. In a further embodiment, a podophyllotoxin is, without limitation, an etoposide and/or teniposide. In an embodiment, a taxane is, without limitation, docetaxel and/or ortataxel. [021] In an embodiment, a cancer therapeutic is a topoisomerase. Topoisomerases are essential enzymes that maintain the topology of DNA. Inhibition of type I or type II topoisomerases interferes with both transcription and replication of DNA by upsetting proper DNA supercoiling. In a further embodiment, a topoisomerase is, without limitation, a type I topoisomerase inhibitor or a type II topoisomerase inhibitor. In an embodiment a type I topoisomerase inhibitor is, without limitation, a camptothecin. In another embodiment, a camptothecin is, without limitation, exatecan, irinotecan, lurtotecan, topotecan, BNP 1350, CKD 602, DB 67 (AR67) and/or ST 1481. In an embodiment, a type II topoisomerase inhibitor is, without limitation, epipodophyllotoxin. In a further embodiment an epipodophyllotoxin is, without limitation, an amsacrine, etoposid, etoposide phosphate and/or teniposide. In a further embodiment a topoisomerase is a synthetic, semisynthetic or derivative, including those found in nature such as, without limitation, epipodophyllotoxins, substances naturally occurring in the root of American Mayapple (Podophyllum peltatum).
In certain embodiments, the additional chemotherapeutic agent is a stilbenoid. In a further embodiment, a stilbenoid includes, but is not limited to, Resveratrol, Piceatannol, Pinosylvin, Pterostilbene, Alpha-Viniferin, Ampelopsin A, Ampelopsin E, Diptoindonesin C, Diptoindonesin F, Epsilon- Vinferin, Flexuosol A, Gnetin H, Hemsleyanol D, Hopeaphenol, Trans-Diptoindonesin B, Astringin, Piceid and Diptoindonesin A. In a further embodiment a stilbenoid is a synthetic, semisynthetic or derivative. In certain embodiments, the additional chemotherapeutic agent is a cytotoxic antibiotic. In an embodiment, a cytotoxic antibiotic is, without limitation, an actinomycin, an anthracenedione, an anthracycline, thalidomide, dichloroacetic acid, nicotinic acid, 2-deoxyglucose and/or chlofazimine. In an embodiment, an actinomycin is, without limitation, actinomycin D, bacitracin, colistin (polymyxin E) and/or polymyxin B. In another embodiment, an antracenedione is, without limitation, mitoxantrone and/or pixantrone. In a further embodiment, an anthracycline is, without limitation, bleomycin, doxorubicin (Adriamycin), daunorubicin (daunomycin), epirubicin, idarubicin, mitomycin, plicamycin and/or valrubicin. In a further embodiment a cytotoxic antibiotic is a synthetic, semisynthetic or derivative. In certain embodiments, the additional chemotherapeutic agent is selected from endostatin, angiogenin, angiostatin, chemokines, angioarrestin, angiostatin (plasminogen fragment), basement-membrane collagen-derived anti-angiogenic factors (tumstatin, canstatin, or arrestin), anti-angiogenic antithrombin III, signal transduction inhibitors, cartilage-derived inhibitor (CDI), CD59 complement fragment, fibronectin fragment, gro-beta, heparinases, heparin hexasaccharide fragment, human chorionic gonadotropin (hCG), interferon alpha/beta/gamma, interferon inducible protein (IP-10), interleukin-12, kringle 5 (plasminogen fragment), metalloproteinase inhibitors (TIMPs), 2-methoxyestradiol, placental ribonuclease inhibitor, plasminogen activator inhibitor, platelet factor-4 (PF4), prolactin 16 kD fragment, proliferin-related protein (PRP), various retinoids, tetrahydrocortisol-S, thrombospondin-1 (TSP-1), transforming growth factor- beta (TGF-β), vasculostatin, vasostatin (calreticulin fragment) and the like. In certain embodiments, the additional chemotherapeutic agent is selected from abiraterone acetate, altretamine, anhydrovinblastine, auristatin, bexarotene, bicalutamide, BMS 184476, 2,3,4,5,6-pentafluoro-N-(3-fluoro-4-methoxyphenyl)benzene sulfonamide, bleomycin, N,N- dimethyl-L-valyl-L-valyl-N-methyl-L-valyl-L-proly-1-Lproline-t-butylamide, cachectin, cemadotin, chlorambucil, cyclophosphamide, 3′,4′-didehydro-4′-deoxy-8′-norvin-caleukoblastine,
docetaxol, doxetaxel, cyclophosphamide, carboplatin, carmustine, cisplatin, cryptophycin, cyclophosphamide, cytarabine, dacarbazine (DTIC), dactinomycin, daunorubicin, decitabine dolastatin, doxorubicin (adriamycin), etoposide, 5-fluorouracil, finasteride, flutamide, hydroxyurea and hydroxyureataxanes, ifosfamide, liarozole, lonidamine, lomustine (CCNU), MDV3100, mechlorethamine (nitrogen mustard), melphalan, mivobulin isethionate, rhizoxin, sertenef, streptozocin, mitomycin, methotrexate, taxanes, nilutamide, onapristone, paclitaxel, prednimustine, procarbazine, RPR109881, stramustine phosphate, tamoxifen, tasonermin, taxol, tretinoin, vinblastine, vincristine, vindesine sulfate, and vinflunine. In certain embodiments, the additional chemotherapeutic agent is platinum, cisplatin, carboplatin, oxaliplatin, mechlorethamine, cyclophosphamide, chlorambucil, azathioprine, mercaptopurine, vincristine, vinblastine, vinorelbine, vindesine, etoposide and teniposide, paclitaxel, docetaxel, irinotecan, topotecan, amsacrine, etoposide, etoposide phosphate, teniposide, 5-fluorouracil, leucovorin, methotrexate, gemcitabine, taxane, leucovorin, mitomycin C, tegafur- uracil, idarubicin, fludarabine, mitoxantrone, ifosfamide and doxorubicin. Additional agents include inhibitors of mTOR (mammalian target of rapamycin), including but not limited to rapamycin, everolimus, temsirolimus and deforolimus. In still other embodiments, the additional chemotherapeutic agent can be selected from those delineated in U.S. Patent 7,927,613, which is incorporated herein by reference in its entirety. In some embodiments, the additional therapeutic agent and/or regimen are those that can be used for treating other STING-associated conditions, e.g., type I interferonopathies (e.g., STING-associated vasculopathywith onset in infancy (SAVI)), Aicardi-Goutières Syndrome (AGS), genetic forms of lupus, and inflammation-associated disorders such as systemic lupus erythematosus, and rheumatoid arthritis and the like. Non-limiting examples of additional therapeutic agents and/or regimens for treating rheumatoid arthritis include non-steroidal anti-inflammatory drugs (NSAIDs; e.g., ibuprofen and naproxen), corticosteroids (e.g, prednisone), disease-modifying antirheumatic drugs (DMARDs; e.g., methotrexate (Trexall®, Otrexup®, Rasuvo®, Rheumatrex®), leflunomide (Arava®), hydroxychloroquine (Plaquenil), PF-06650833, iguratimod, tofacitinib (Xeljanz®), ABBV-599, evobrutinib, and sulfasalazine (Azulfidine®)), and biologics (e.g., abatacept (Orencia®), adalimumab (Humira®), anakinra (Kineret®), certolizumab (Cimzia®), etanercept (Enbrel®), golimumab (Simponi®), infliximab (Remicade®), rituximab (Rituxan®), tocilizumab
(Actemra®), vobarilizumab, sarilumab (Kevzara®), secukinumab, ABP 501, CHS-0214, ABC- 3373, and tocilizumab (ACTEMRA®)). Non-limiting examples of additional therapeutic agents and/or regimens for treating lupus include steroids, topical immunomodulators (e.g., tacrolimus ointment (Protopic®) and pimecrolimus cream (Elidel®)), thalidomide (Thalomid®), non-steroidal anti-inflammatory drugs (NSAIDs; e.g., ibuprofen and naproxen), antimalarial drugs (e.g., Hydroxychloroquine (Plaquenil)), corticosteroids (e.g, prednisone) and immunomodulators (e.g., evobrutinib, iberdomide, voclosporin, cenerimod, azathioprine (Imuran®), cyclophosphamide (Cytoxan®, Neosar®, Endoxan®), and cyclosporine (Neoral, Sandimmune®, Gengraf®), and mycophenolate mofetil) baricitinb, iguratimod, filogotinib, GS-9876, rapamycin, and PF-06650833), and biologics (e.g., belimumab (Benlysta®), anifrolumab, prezalumab, MEDI0700, obinutuzumab, vobarilizumab, lulizumab, atacicept, PF-06823859, and lupizor, rituximab, BT063, BI655064, BIIB059, aldesleukin (Proleukin®), dapirolizumab, edratide, IFN-α-kinoid, OMS721, RC18, RSLV-132, theralizumab, XmAb5871, and ustekinumab (Stelara®)). For example, non-limiting treatments for systemic lupus erythematosus include non-steroidal anti-inflammatory drugs (NSAIDs; e.g., ibuprofen and naproxen), antimalarial drugs (e.g., Hydroxychloroquine (Plaquenil)), corticosteroids (e.g, prednisone) and immunomodulators (e.g., iberdomide, voclosporin, azathioprine (Imuran®), cyclophosphamide (Cytoxan®, Neosar®, Endoxan®), and cyclosporine (Neoral, Sandimmune®, Gengraf®), and mycophenolate mofetil, baricitinb, filogotinib, and PF-06650833), and biologics (e.g., belimumab (Benlysta®), anifrolumab, prezalumab, MEDI0700, vobarilizumab, lulizumab, atacicept, PF-06823859, lupizor, rituximab, BT063, BI655064, BIIB059, aldesleukin (Proleukin®), dapirolizumab, edratide, IFN-α-kinoid, RC18, RSLV-132, theralizumab, XmAb5871, and ustekinumab (Stelara®)). As another example, non-limiting examples of treatments for cutaneous lupus include steroids, immunomodulators (e.g., tacrolimus ointment (Protopic®) and pimecrolimus cream (Elidel®)), GS-9876, filogotinib, and thalidomide (Thalomid®). Agents and regimens for treating drug-induced and/or neonatal lupus can also be administered. Non-limiting examples of additional therapeutic agents and/or regimens for treating STING-associated vasculopathy with onset in infancy (SAVI) include JAK inhibitors (e.g., tofacitinib, ruxolitinib, filgotinib, and baricitinib).
Non-limiting examples of additional therapeutic agents and/or regimens for treating Aicardi-Goutières Syndrome (AGS) include physiotherapy, treatment for respiratory complications, anticonvulsant therapies for seizures, tube-feeding, nucleoside reverse transcriptase inhibitors (e.g., emtricitabine (e.g., Emtriva®), tenofovir (e.g., Viread®), emtricitabine/tenofovir (e.g., Truvada®), zidovudine, lamivudine, and abacavir), and JAK inhibitors (e.g., tofacitinib, ruxolitinib, filgotinib, and baricitinib). Non-limiting examples of additional therapeutic agents and/or regimens for treating IBDs include 6-mercaptopurine, AbGn-168H, ABX464, ABT-494, adalimumab, AJM300, alicaforsen, AMG139, anrukinzumab, apremilast, ATR-107 (PF0530900), autologous CD34-selected peripheral blood stem cells transplant, azathioprine, bertilimumab, BI 655066, BMS-936557, certolizumab pegol (Cimzia®), cobitolimod, corticosteroids (e.g., prednisone, Methylprednisolone, prednisone), CP-690,550, CT-P13, cyclosporine, DIMS0150, E6007, E6011, etrasimod, etrolizumab, fecal microbial transplantation, figlotinib, fingolimod, firategrast (SB- 683699) (formerly T-0047), GED0301, GLPG0634, GLPG0974, guselkumab, golimumab, GSK1399686, HMPL-004 (Andrographis paniculata extract), IMU-838, infliximab, Interleukin 2 (IL-2), Janus kinase (JAK) inhibitors, laquinimod, masitinib (AB1010), matrix metalloproteinase 9 (MMP 9) inhibitors (e.g., GS-5745), MEDI2070, mesalamine, methotrexate, mirikizumab (LY3074828), natalizumab, NNC 0142-0000-0002, NNC0114-0006, ozanimod, peficitinib (JNJ- 54781532), PF-00547659, PF-04236921, PF-06687234, QAX576, RHB-104, rifaximin, risankizumab, RPC1063, SB012, SHP647, sulfasalazine, TD-1473, thalidomide, tildrakizumab (MK 3222), TJ301, TNF-Kinoid®, tofacitinib, tralokinumab, TRK-170, upadacitinib, ustekinumab, UTTR1147A, V565, vatelizumab, VB-201, vedolizumab, and vidofludimus. Non-limiting examples of additional therapeutic agents and/or regimens for treating irritable bowel syndrome include alosetron, bile acid sequesterants (e.g., cholestyramine, colestipol, colesevelam), chloride channel activators (e.g., lubiprostone), coated peppermint oil capsules, desipramine, dicyclomine, ebastine, eluxadoline, farnesoid X receptor agonist (e.g., obeticholic acid), fecal microbiota transplantation, fluoxetine, gabapentin, guanylate cyclase-C agonists (e.g., linaclotide, plecanatide), ibodutant, imipramine, JCM-16021, loperamide, lubiprostone, nortriptyline, ondansetron, opioids, paroxetine, pinaverium, polyethylene glycol, pregabalin, probiotics, ramosetron, rifaximin, and tanpanor.
Non-limiting examples of additional therapeutic agents and/or regimens for treating scleroderma include non-steroidal anti-inflammatory drugs (NSAIDs; e.g., ibuprofen and naproxen), corticosteroids (e.g, prednisone), immunomodulators (e.g., azathioprine, methotrexate (Trexall®, Otrexup®, Rasuvo®, Rheumatrex®), cyclophosphamide (Cytoxan®, Neosar®, Endoxan®), and cyclosporine (Neoral®, Sandimmune®, Gengraf®), antithymocyte globulin, mycophenolate mofetil, intravenous immunoglobulin, rituximab, sirolimus, and alefacept), calcium channel blockers (e.g., nifedipine), alpha blockers, serotonin receptor antagonists, angiotensin II receptor inhibitors, statins, local nitrates, iloprost, phosphodiesterase 5 inhibitors (e.g., sildenafil), bosentan, tetracycline antibiotics, endothelin receptor antagonists, prostanoids, and tyrosine kinase inhibitors (e.g., imatinib, nilotinib and dasatinib). Non-limiting examples of additional therapeutic agents and/or regimens for treating Crohn’s Disease (CD) include adalimumab, autologous CD34-selected peripheral blood stem cells transplant, 6-mercaptopurine, azathioprine, certolizumab pegol (Cimzia®), corticosteroids (e.g., prednisone), etrolizumab, E6011, fecal microbial transplantation, figlotinib, guselkumab, infliximab, IL-2, JAK inhibitors, matrix metalloproteinase 9 (MMP 9) inhibitors (e.g., GS-5745), MEDI2070, mesalamine, methotrexate, natalizumab, ozanimod, RHB-104, rifaximin, risankizumab, SHP647, sulfasalazine, thalidomide, upadacitinib, V565, and vedolizumab. Non-limiting examples of additional therapeutic agents and/or regimens for treating UC include AbGn-168H, ABT-494, ABX464, apremilast, PF-00547659, PF-06687234, 6- mercaptopurine, adalimumab, azathioprine, bertilimumab, brazikumab (MEDI2070), cobitolimod, certolizumab pegol (Cimzia®), CP-690,550, corticosteroids (e.g., multimax budesonide, Methylprednisolone), cyclosporine, E6007, etrasimod, etrolizumab, fecal microbial transplantation, figlotinib, guselkumab, golimumab, IL-2, IMU-838, infliximab, matrix metalloproteinase 9 (MMP9) inhibitors (e.g., GS-5745), mesalamine, mesalamine, mirikizumab (LY3074828), RPC1063, risankizumab (BI 6555066), SHP647, sulfasalazine, TD-1473, TJ301, tildrakizumab (MK 3222), tofacitinib, tofacitinib, ustekinumab, UTTR1147A, and vedolizumab. Non-limiting examples of additional therapeutic agents and/or regimens for treating autoimmune colitis include corticosteroids (e.g., budesonide, prednisone, prednisolone, Beclometasone dipropionate), diphenoxylate/atropine, infliximab, loperamide, mesalamine, TIP60 inhibitors (see, e.g., U.S. Patent Application Publication No. 2012/0202848), and vedolizumab.
Non-limiting examples of additional therapeutic agents and/or regimens for treating iatrogenic autoimmune colitis include corticosteroids (e.g., budesonide, prednisone, prednisolone, Beclometasone dipropionate), diphenoxylate/atropine, infliximab, loperamide, TIP60 inhibitors (see, e.g., U.S. Patent Application Publication No.2012/0202848), and vedolizumab. Non-limiting examples of additional therapeutic agents and/or regimens for treating colitis induced by one or more chemotherapeutics agents include corticosteroids (e.g., budesonide, prednisone, prednisolone, beclometasone dipropionate), diphenoxylate/atropine, infliximab, loperamide, mesalamine, TIP60 inhibitors (see, e.g., U.S. Patent Application Publication No. 2012/0202848), and vedolizumab. Non-limiting examples of additional therapeutic agents and/or regimens for treating colitis induced by treatment with adoptive cell therapy include corticosteroids (e.g., budesonide, prednisone, prednisolone, beclometasone dipropionate), diphenoxylate/atropine, infliximab, loperamide, TIP60 inhibitors (see, e.g., U.S. Patent Application Publication No.2012/0202848), and vedolizumab. Non-limiting examples of additional therapeutic agents and/or regimens for treating colitis associated with one or more alloimmune diseases include corticosteroids (e.g., budesonide, prednisone, prednisolone, beclometasone dipropionate), sulfasalazine, and eicopentaenoic acid. Non-limiting examples of additional therapeutic agents and/or regimens for treating radaiation enteritis include teduglutide, amifostine, angiotensin-converting enzyme (ACE) inhibitors (e.g., benazepril, captopril, enalapril, fosinopril, lisinopril, moexipril, perindopril, quinapril, ramipril, and trandolapril), probiotics, selenium supplementation, statins (e.g., atorvastatin, fluvastatin, lovastatin, pravastatin, rosuvastatin, simvastatin, and pitavastatin), sucralfate, and vitamin E. Non-limiting examples of additional therapeutic agents and/or regimens for treating collagenous colitis include 6-mercaptopurine, azathaioprine, bismuth subsalicate, Boswellia serrata extract, cholestyramine, colestipol, corticosteroids (e.g., budesonide, prednisone, prednisolone, beclometasone dipropionate), loperamide, mesalamine, methotrexate, probiotics, and sulfasalazine. Non-limiting examples of additional therapeutic agents and/or regimens for treating lyphocytic colitis include 6-mercaptopurine, azathioprine, bismuth subsalicylate, cholestyramine,
colestipol, corticosteroids (e.g., budesonide, prednisone, prednisolone, beclometasone dipropionate), loperamide, mesalamine, methotrexate, and sulfasalazine. Non-limiting examples of additional therapeutic agents and/or regimens for treating microscopic colitis include 6-mercaptopurine, azathioprine, bismuth subsalicylate, Boswellia serrata extract, cholestyramine, colestipol, corticosteroids (e.g., budesonide, prednisone, prednisolone, beclometasone dipropionate), fecal microbial transplantation, loperamide, mesalamine, methotrexate, probiotics, and sulfasalazine. Non-limiting examples of additional therapeutic agents and/or regimens for treating alloimmune disease include intrauterine platelet transfusions, intravenous immunoglobin, maternal steroids, abatacept, alemtuzumab, alpha1-antitrypsin, AMG592, antithymocyte globulin, barcitinib, basiliximab, bortezomib, brentuximab, cannabidiol, corticosteroids (e.g., methylprednisone, prednisone), cyclosporine, dacilzumab, defribrotide, denileukin diftitox, glasdegib, ibrutinib, IL-2, infliximab, itacitinib, LBH589, maraviroc, mycophenolate mofetil, natalizumab, neihulizumab, pentostatin, pevonedistat, photobiomodulation, photopheresis, ruxolitinib, sirolimus, sonidegib, tacrolimus, tocilizumab, and vismodegib. Non-limiting examples of additional therapeutic agents and/or regimens for treating multiple sclerosis (MS) include alemtuzumab (Lemtrada®), ALKS 8700, amiloride, ATX-MS- 1467, azathioprine, baclofen (Lioresal®), beta interferons (e.g., IFN-β-1a, IFN-β-1b), cladribine, corticosteroids (e.g., methylprednisolone), daclizumab, dimethyl fumarate (Tecfidera®), fingolimod (Gilenya®), fluoxetine, glatiramer acetate (Copaxone®), hydroxychloroquine, ibudilast, idebenone, laquinimod, lipoic acid, losartan, masitinib, MD1003 (biotin), mitoxantrone, montelukast, natalizumab (Tysabri®), NeuroVaxTM, ocrelizumab, ofatumumab, pioglitazone, and RPC1063. Non-limiting examples of additional therapeutic agents and/or regimens for treating graft- vs-host disease include abatacept, alemtuzumab, alpha1-antitrypsin, AMG592, antithymocyte globulin, barcitinib, basiliximab, bortezomib, brentuximab, cannabidiol, corticosteroids (e.g., methylprednisone, prednisone), cyclosporine, dacilzumab, defribrotide, denileukin diftitox, glasdegib, ibrutinib, IL-2, imatinib, infliximab, itacitinib, LBH589, maraviroc, mycophenolate mofetil, natalizumab, neihulizumab, pentostatin, pevonedistat, photobiomodulation, photopheresis, ruxolitinib, sirolimus, sonidegib, tacrolimus, tocilizumab, and vismodegib.
Non-limiting examples of additional therapeutic agents and/or regimens for treating acute graft-vs-host disease include alemtuzumab, alpha-1 antitrypsin, antithymocyte globulin, basiliximab, brentuximab, corticosteroids (e.g., methylprednisone, prednisone), cyclosporine, dacilzumab, defribrotide, denileukin diftitox, ibrutinib, infliximab, itacitinib, LBH589, mycophenolate mofetil, natalizumab, neihulizumab, pentostatin, photopheresis, ruxolitinib, sirolimus, tacrolimus, and tocilizumab. Non-limiting examples of additional therapeutic agents and/or regimens for treating chronic graft vs. host disease include abatacept, alemtuzumab, AMG592, antithymocyte globulin, basiliximab, bortezomib, corticosteroids (e.g., methylprednisone, prednisone), cyclosporine, dacilzumab, denileukin diftitox, glasdegib, ibrutinib, IL-2, imatinib, infliximab, mycophenolate mofetil, pentostatin, photobiomodulation, photopheresis, ruxolitinib, sirolimus, sonidegib, tacrolimus, tocilizumab, and vismodegib. Non-limiting examples of additional therapeutic agents and/or regimens for treating celiac disease include AMG 714, AMY01, Aspergillus niger prolyl endoprotease, BL-7010, CALY-002, GBR 830, Hu-Mik-Beta-1, IMGX003, KumaMax, Larazotide Acetate, Nexvan2®, pancrelipase, TIMP-GLIA, vedolizumab, and ZED1227. Non-limiting examples of additional therapeutic agents and/or regimens for treating psoriasis include topical corticosteroids, topical crisaborole/AN2728, topical SNA-120, topical SAN021, topical tapinarof, topical tocafinib, topical IDP-118, topical M518101, topical calcipotriene and betamethasone dipropionate (e.g., MC2-01 cream and Taclonex®), topical P- 3073, topical LEO 90100 (Enstilar®), topical betamethasone dipropriate (Sernivo®), halobetasol propionate (Ultravate®), vitamin D analogues (e.g., calcipotriene (Dovonex®) and calcitriol (Vectical®)), anthralin (e.g., Dritho-scalp® and Dritho-crème®), topical retinoids (e.g., tazarotene (e.g., Tazorac® and Avage®)), calcineurin inhibitors (e.g., tacrolimus (Prograf®) and pimecrolimus (Elidel®)), salicylic acid, coal tar, moisturizers, phototherapy (e.g., exposure to sunlight, UVB phototherapy, narrow band UVB phototherapy, Goeckerman therapy, psoralen plus ultraviolet A (PUVA) therapy, and excimer laser), retinoids (e.g., acitretin (Soriatane®)), methotrexate (Trexall®, Otrexup®, Rasuvo®, Rheumatrex®), Apo805K1, baricitinib, FP187, KD025, prurisol, VTP-43742, XP23829, ZPL-389, CF101 (piclidenoson), LAS41008, VPD-737 (serlopitant), upadacitinib (ABT-494), aprmilast, tofacitibin, cyclosporine (Neoral®,
Sandimmune®, Gengraf®), biologics (e.g., etanercept (Enbrel®), entanercept-szzs (Elrezi®), infliximab (Remicade®), adalimumab (Humira®), adalimumab-adbm (Cyltezo®), ustekinumab (Stelara®), golimumab (Simponi®), apremilast (Otezla®), secukinumab (Cosentyx®), certolixumab pegol, secukinumab, tildrakizumab-asmn, infliximab-dyyb, abatacept, ixekizumab (Taltz®), ABP 710, BCD-057, BI695501, bimekizumab (UCB4940), CHS-1420, GP2017, guselkumab (CNTO 1959), HD203, M923, MSB11022, Mirikizumab (LY3074828), PF- 06410293, PF-06438179, risankizumab (BI655066), SB2, SB4, SB5, siliq (brodalumab), namilumab (MT203, tildrakizumab (MK-3222), and ixekizumab (Taltz®)), thioguanine, and hydroxyurea (e.g., Droxia® and Hydrea®). Non-limiting examples of additional therapeutic agents and/or regimens for treating cutaneous T-cell lymphoma include phototherapy (e.g., exposure to sunlight, UVB phototherapy, narrow band UVB phototherapy, Goeckerman therapy, psoralen plus ultraviolet A (PUVA) therapy, and excimer laser), extracorporeal photopheresis, radiation therapy (e.g., spot radiation and total skin body electron beam therapy), stem cell transplant, corticosteroids, imiquimod, bexarotene gel, topical bis-chloroethyl-nitrourea, mechlorethamine gel, vorinostat (Zolinza®), romidepsin (Istodax®), pralatrexate (Folotyn®) biologics (e.g., alemtuzumab (Campath®), brentuximab vedotin (SGN-35), mogamulizumab, and IPH4102). Non-limiting examples of additional therapeutic agents and/or regimens for treating uveitis include corticosteroids (e.g., intravitreal triamcinolone acetonide injectable suspensions), antibiotics, antivirals (e.g., acyclovir), dexamethasone, immunomodulators (e.g., tacrolimus, leflunomide, cyclophosphamide (Cytoxan®, Neosar®, Endoxan®), and cyclosporine (Neoral®, Sandimmune®, Gengraf®), chlorambucil, azathioprine, methotrexate, and mycophenolate mofetil), biologics (e.g., infliximab (Remicade®), adalimumab (Humira®), etanercept (Enbrel®), golimumab (Simponi®), certolizumab (Cimzia®), rituximab (Rituxan®), abatacept (Orencia®), basiliximab (Simulect®), anakinra (Kineret®), canakinumab (Ilaris®), gevokixumab (XOMA052), tocilizumab (Actemra®), alemtuzumab (Campath®), efalizumab (Raptiva®), LFG316, sirolimus (Santen®), abatacept, sarilumab (Kevzara®), and daclizumab (Zenapax®)), cytotoxic drugs, surgical implant (e.g., fluocinolone insert), and vitrectomy. on-limiting examples of additional therapeutic agents and/or regimens for treating mucositis include AG013, SGX942 (dusquetide), amifostine (Ethyol®), cryotherapy, cepacol
lonzenges, capsaicin lozenges, mucoadhesives (e.g., MuGard®) oral diphenhydramine (e.g., Benadry® elixir), oral bioadherents (e.g., polyvinylpyrrolidone-sodium hyaluronate gel (Gelclair®)), oral lubricants (e.g., Oral Balance®), caphosol, chamomilla recutita mouthwash, edible grape plant exosome, antiseptic mouthwash (e.g., chlorhexidine gluconate (e.g., Peridex® or Periogard®), topical pain relievers (e.g., lidocaine, benzocaine, dyclonine hydrochloride, xylocaine (e.g., viscous xylocaine 2%), and Ulcerease® (0.6% phenol)), corticosteroids (e.g., prednisone), pain killers (e.g., ibuprofen, naproxen, acetaminophen, and opioids), GC4419, palifermin (keratinocyte growth factor; Kepivance®), ATL-104, clonidine lauriad, IZN-6N4, SGX942, rebamipide, nepidermin, soluble β-1,3/1,6 glucan, P276, LP-0004-09, CR-3294, ALD- 518, IZN-6N4, quercetin, granules comprising vaccinium myrtillus extract, macleaya cordata alkaloids and echinacea angustifolia extract (e.g., SAMITAL®), and gastrointestinal cocktail (an acid reducer such aluminum hydroxide and magnesium hydroxide (e.g., Maalox), an antifungal (e.g., nystatin), and an analgesic (e.g., hurricane liquid)). For example, non-limiting examples of treatments for oral mucositis include AG013, amifostine (Ethyol®), cryotherapy, cepacol lonzenges, mucoadhesives (e.g., MuGard®) oral diphenhydramine (e.g., Benadry® elixir), oral bioadherents (e.g., polyvinylpyrrolidone-sodium hyaluronate gel (Gelclair®)), oral lubricants (e.g., Oral Balance®), caphosol, chamomilla recutita mouthwash, edible grape plant exosome, antiseptic mouthwash (e.g., chlorhexidine gluconate (e.g., Peridex® or Periogard®), topical pain relievers (e.g., lidocaine, benzocaine, dyclonine hydrochloride, xylocaine (e.g., viscous xylocaine 2%), and Ulcerease® (0.6% phenol)), corticosteroids (e.g., prednisone), pain killers (e.g., ibuprofen, naproxen, acetaminophen, and opioids), GC4419, palifermin (keratinocyte growth factor; Kepivance®), ATL-104, clonidine lauriad, IZN-6N4, SGX942, rebamipide, nepidermin, soluble β-1,3/1,6 glucan, P276, LP-0004-09, CR-3294, ALD-518, IZN-6N4, quercetin, and gastrointestinal cocktail (an acid reducer such aluminum hydroxide and magnesium hydroxide (e.g., Maalox), an antifungal (e.g., nystatin), and an analgesic (e.g., hurricane liquid)). As another example, non-limiting examples of treatments for esophageal mucositis include xylocaine (e.g., gel viscous Xylocaine 2%). As another example, treatments for intestinal mucositis, treatments to modify intestinal mucositis, and treatments for intestinal mucositis signs and symptoms include gastrointestinal cocktail (an acid reducer such aluminum hydroxide and magnesium hydroxide (e.g., Maalox), an antifungal (e.g., nystatin), and an analgesic (e.g., hurricane liquid)).
In certain embodiments, the second therapeutic agent or regimen is administered to the subject prior to contacting with or administering the chemical entity (e.g., about one hour prior, or about 6 hours prior, or about 12 hours prior, or about 24 hours prior, or about 48 hours prior, or about 1 week prior, or about 1 month prior). In other embodiments, the second therapeutic agent or regimen is administered to the subject at about the same time as contacting with or administering the chemical entity. By way of example, the second therapeutic agent or regimen and the chemical entity are provided to the subject simultaneously in the same dosage form. As another example, the second therapeutic agent or regimen and the chemical entity are provided to the subject concurrently in separate dosage forms. In still other embodiments, the second therapeutic agent or regimen is administered to the subject after contacting with or administering the chemical entity (e.g., about one hour after, or about 6 hours after, or about 12 hours after, or about 24 hours after, or about 48 hours after, or about 1 week after, or about 1 month after). Patient Selection In some embodiments, the methods described herein further include the step of identifying a subject (e.g., a patient) in need of such treatment (e.g., by way of biopsy, endoscopy, or other conventional method known in the art). In certain embodiments, the STING protein can serve as a biomarker for certain types of cancer, e.g., colon cancer and prostate cancer. In other embodiments, identifying a subject can include assaying the patient’s tumor microenvironment for the absence of T-cells and/or presence of exhausted T-cells, e.g., patients having one or more cold tumors. Such patients can include those that are resistant to treatment with checkpoint inhibitors. In certain embodiments, such patients can be treated with a chemical entity herein, e.g., to recruit T-cells into the tumor, and in some cases, further treated with one or more checkpoint inhibitors, e.g., once the T-cells become exhausted. In some embodiments, the chemical entities, methods, and compositions described herein can be administered to certain treatment-resistant patient populations (e.g., patients resistant to checkpoint inhibitors; e.g., patients having one or more cold tumors, e.g., tumors lacking T-cells or exhausted T-cells).
Compound Preparation As can be appreciated by the skilled artisan, methods of synthesizing the compounds of the formulae herein will be evident to those of ordinary skill in the art. Synthetic chemistry transformations and protecting group methodologies (protection and deprotection) useful in synthesizing the compounds described herein are known in the art and include, for example, those such as described in R. Larock, Comprehensive Organic Transformations, VCH Publishers (1989); T. W. Greene and RGM. Wuts, Protective Groups in Organic Synthesis, 2d. Ed., John Wiley and Sons (1991); L. Fieser and M. Fieser, Fieser and Fieser's Reagents for Organic Synthesis, John Wiley and Sons (1994); and L. Paquette, ed., Encyclopedia of Reagents for Organic Synthesis, John Wiley and Sons (1995), and subsequent editions thereof. The starting materials used in preparing the compounds of the invention are known, made by known methods, or are commercially available. The skilled artisan will also recognize that conditions and reagents described herein that can be interchanged with alternative art-recognized equivalents. For example, in many reactions, triethylamine can be interchanged with other bases, such as non- nucleophilic bases (e.g. diisopropylamine, 1,8-diazabicycloundec-7-ene, 2,6-di-tert-butylpyridine, or tetrabutylphosphazene). The skilled artisan will recognize a variety of analytical methods that can be used to characterize the compounds described herein, including, for example,
NMR, heteronuclear NMR, mass spectrometry, liquid chromatography, and infrared spectroscopy. The foregoing list is a subset of characterization methods available to a skilled artisan and is not intended to be limiting. To further illustrate the foregoing, the following non-limiting, exemplary synthetic schemes are included. Variations of these examples within the scope of the claims are within the purview of one skilled in the art and are considered to fall within the scope of the invention as described, and claimed herein. The reader will recognize that the skilled artisan, provided with the present disclosure, and skill in the art is able to prepare and use the invention without exhaustive examples. Examples
Example 1. Synthesis of N1-(4-(3-(5-chloro-1H-indol-3-yl)ureido)phenyl)-N4-(6-((2-(2,6- dioxopiperidin-3-yl)-1,3-dioxoisoindolin-4-yl)amino)hexyl)fumaramide (compound 104)
Step 1: Synthesis of (E)-4-((4-((tert-butoxycarbonyl)amino)phenyl)amino)-4-oxobut-2-enoic
acid To a solution of tert-butyl (4-aminophenyl)carbamate (2.0 g, 9.6 mmol, 1.0 equiv.) and furan-2,5-dione(0.94 g, 9.6 mmol, 1.0 equiv.) in THF (30 mL), was added DIEA (1.5 g, 11.5 mmol, 1.2 equiv.). The reaction mixture was stirred for 3 hours at 70 °C, then cooled to room temperature and concentrated under vacuum. The residue was diluted with water and adjusted to pH 3 with HCl aqueous (4 M). The precipitated solids were collected by filtration, washed with water and dried to afford (2E)-3-({4-[(tert-butoxycarbonyl)amino]phenyl} carbamoyl)prop-2-enoic acid (2.8 g) as a yellow solid. LCMS Method A: [M+H]- = 305. Step 2: Synthesis of tert-butyl (6-((2-(2,6-dioxopiperidin-3-yl)-1,3-dioxoisoindolin-4- yl)amino)hexyl)carbamate To a solution of 2-(2,6-dioxopiperidin-3-yl)-4-fluoroisoindoline-1,3-dione (4.0 g, 14.5 mmol, 1.0 equiv.) and tert-butyl (6-aminohexyl)carbamate (4.7 g, 21.7 mmol, 1.5 equiv.) in DMF (60 mL), was added DIEA (2.8 g, 21.7 mmol, 1.5 equiv.). The reaction mixture was stirred overnight at 90 °C, then cooled to room temperature and quenched by the addition of water. The resulting solution was extracted with EtOAc, washed with brine, dried over anhydrous Na2SO4 and concentrated under vacuum. The residue was purified by silica gel column chromatography, eluting with petroleum ether/EtOAc (1:2) to afford the crude product (4 g) as a yellow solid, which was further purified by reversed-phase flash chromatography with the following conditions: column, C18 silica gel; mobile phase, MeCN in Water (0.1% FA), 10% to 70% gradient in 30 min; detector, UV 254 nm to afford tert-butyl N-(6-{[2-(2,6-dioxopiperidin-3-yl)-1,3-dioxoisoindol-4- yl]amino}hexyl)carbamate (3.1 g) as a yellow solid. LCMS Method A: [M+H]- = 471. Step 3: Synthesis of 4-((6-aminohexyl)amino)-2-(2,6-dioxopiperidin-3-yl)isoindoline-1,3- dione To a solution of tert-butyl (6-((2-(2,6-dioxopiperidin-3-yl)-1,3-dioxoisoindolin-4-yl)amino)hexyl) carbamate (4.0 g, 8.5 mmol, 1.0 equiv.) in EtOAc (40 mL), was added HCl in 1,4-dioxane (40 mL, 4 mol/L). The resulting mixture was stirred for 2 hours at room temperature and then concentrated under vacuum to afford 4-((6-aminohexyl)amino)-2-(2,6-dioxopiperidin-3-yl)isoindoline-1,3- dione (3.1 g) as a yellow solid. LCMS Method A: [M+H]- = 371. Step 4: Synthesis of tert-butyl (E)-(4-(4-((6-((2-(2,6-dioxopiperidin-3-yl)-1,3-dioxoisoindolin-
4-yl)amino)hexyl)amino)-4-oxobut-2-enamido)phenyl)carbamate To a solution of 4-((6-aminohexyl)amino)-2-(2,6-dioxopiperidin-3-yl)isoindoline-1,3-dione (3.1 g, 8.3 mmol, 1.0 equiv.) and (2E)-3-({4-[(tert-butoxycarbonyl)amino]phenyl}carbamoyl) prop-2-enoic acid (2.55 g, 8.3 mmol, 1.0 equiv.) in DMF (50 mL), were added DIEA (3.2 g, 25.0 mmol, 3.0 equiv.) and HATU (4.8 g, 12.5 mmol, 1.5 equiv.). The resulting mixture was stirred overnight at room temperature and then quenched by the addition of water. The resulting solution was extracted with EtOAc, washed with brine, dried over anhydrous Na2SO4 and concentrated under vacuum. The residue was purified by reversed-phase flash chromatography with the following conditions: column, C18 silica gel; mobile phase, MeCN in Water (0.1% FA), 10% to 70% gradient in 30 min; detector, UV 254 nm. This gave tert-butyl (E)-(4-(4-((6-((2-(2,6- dioxopiperidin-3-yl)-1,3-dioxoisoindolin-4-yl)amino)hexyl)amino)-4-oxobut-2- enamido)phenyl)carbamate (1.6 g) as a yellow solid. LCMS Method A: [M+H]+ = 661. Step 5: Synthesis of N1-(4-aminophenyl)-N4-(6-((2-(2,6-dioxopiperidin-3-yl)-1,3- dioxoisoindolin-4-yl)amino)hexyl)fumaramide To a solution of tert-butyl (E)-(4-(4-((6-((2-(2,6-dioxopiperidin-3-yl)-1,3-dioxoisoindolin-4- yl)amino)hexyl)amino)-4-oxobut-2-enamido)phenyl)carbamate (1.6 g, 2.4 mmol, 1.0 equiv.) in EtOAc (15 mL), was added HCl in 1,4-dioxane (30 mL, 4 mol/L) at room temperature. The resulting mixture was stirred for 4 h at room temperature and then concentrated under vacuum to afford N1-(4-aminophenyl)-N4-(6-((2-(2,6-dioxopiperidin-3-yl)-1,3-dioxoisoindolin-4-yl)amino) hexyl)fumaramide (1.34 g) as a yellow solid. LCMS Method A: [M+H]+ = 561. Step 6: Synthesis of 5-chloro-1H-indole-3-carbonyl azide To a solution of 5-chloro-1H-indole-3-carboxylic acid (15.0 g, 76.7 mmol, 1.0 equiv.) in THF (200 mL), were added TEA (11.6 g, 115.0 mmol, 1.5 equiv.) and DPPA (31.7 g, 115.0 mmol, 1.5 equiv.). The resulting mixture was stirred for 16 hours at room temperature and then concentrated under vacuum. The residue was diluted with of H2O and the resulting solution was extracted with ethyl acetate, washed with brine, dried over anhydrous sodium sulfate and concentrated under vacuum to afford 5-chloro-1H-indole-3-carbonyl azide (17.0 g) as a white solid. LCMS Method A: [M-H]- = 229. Step 7: Synthesis of N1-(4-(3-(5-chloro-1H-indol-3-yl)ureido)phenyl)-N4-(6-((2-(2,6- dioxopiperidin-3-yl)-1,3-dioxoisoindolin-4-yl)amino)hexyl)fumaramide
To a solution of N1-(4-aminophenyl)-N4-(6-((2-(2,6-dioxopiperidin-3-yl)-1,3-dioxo isoindolin-4-yl)amino)hexyl)fumaramide (200.0 mg, 0.4 mmol, 1.0 equiv.) and 5-chloro-1H- indole-3-carbonyl azide (94.5 mg, 0.4 mmol, 1.2 equiv.) in THF (8 mL), was added TEA (36.1 mg, 0.4 mmol, 2.0 equiv.). The resulting mixture was stirred overnight at 70°C, then cooled to room temperature and concentrated under vacuum. The residue was purified by reversed-phase flash chromatography with the following conditions: column, C18 silica gel; mobile phase, MeCN in Water (0.1% FA), 10% to 80% gradient in 30 min; detector, UV 254 nm. The crude product was further purified by Prep-HPLC with the following conditions: Column: SunFire Prep C18 OBD Column, 19*150 mm, 5μm; Mobile Phase A: Water (0.05%TFA ), Mobile Phase B: ACN; Flow rate: 25 mL/min; Gradient: 30% B to 50% B in 5.3 min; Wave Length: 210/254 nm; RT1(min): 5.3. This gave (2E)-N'-(4-{[(5-chloro-1H-indol-3-yl)carbamoyl]amino}phenyl)-N-(6- {[2-(2,6-dioxopiperidin-3-yl)-1,3-dioxoisoindol-4-yl]amino}hexyl)but-2-enediamide (34.6 mg, 23.07%) as a yellow solid. LCMS Method A: [M+H]+ = 753.1H NMR (400 MHz, DMSO-d6) δ 11.34 (s, 1H), 11.10 (s, 1H), 10.96 (s, 1H), 8.80–8.78 (m, 1H), 8.52 (s, 2H), 7.59–7.52 (m, 5H), 7.44–7.35 (m, 3H), 7.10–7.00 (m, 3H), 6.55 (s, 1H), 6.24 (s, 2H), 5.07–5.03 (m, 1H), 3.35–3.33 (m, 2H), 3.15 (d, J = 6.0 Hz, 2H), 2.93–2.83 (m, 1H), 2.62–2.60 (m, 1H), 2.42–2.41 (m, 1H), 2.06– 2.02 (m, 1H), 1.63–1.45 (m, 4H), 1.36 (s, 4H). Biological Assays Example A. STING pathway activation by the compounds described herein was measured using THP1-Dual™ cells (KO-IFNAR2). THP1-Dual™ KO-IFNAR2 Cells (obtained from InvivoGen) were maintained in RPMI, 10% FCS, 5 ml P/S, 2mM L-glut, 10mM Hepes, and 1 mM sodium pyruvate. Compounds were spotted in empty 384 well tissue culture plates (Greiner 781182) by Echo for a final concentration of 0.0017 - 100 µM. Cells were plated into the TC plates at 40 μL per well, 2×10E6 cells/mL. For activation with STING ligand, 2'3'cGAMP (MW 718.38, obtained from Invivogen), was prepared in Optimem media. The following solutions were prepared for each 1×384 plate: o Solution A: 2 mL Optimem with one of the following stimuli: ▪ 60 µL of 10 mM 2'3'cGAMP → 150 μM stock
o Solution B: 2 mL Optimem with 60 μL Lipofectamine 2000
Incubate 5 min at RT 2 mL of solution A and 2 ml Solution B was mixed and incubated for 20 min at room temperature (RT).20 µL of transfection solution (A+B) was added on top of the plated cells, with a final 2’3’cGAMP concentration of 15 μM. The plates were then centrifuged immediately at 340 g for 1 minute, after which they were incubated at 37 oC, 5% CO2, >98% humidity for 24h. Luciferase reporter activity was then measured. EC50 values were calculated by using standard methods known in the art. Luciferase reporter assay: 10 µL of supernatant from the assay was transferred to white 384-plate with flat bottom and squared wells. One pouch of QUANTI-Luc™ Plus was dissolved in 25 mL of water.100 µL of QLC Stabilizer per 25 mL of QUANTI-Luc™ Plus solution was added.50 µL of QUANTI-Luc™ Plus/QLC solution per well was then added. Luminescence was measured on a Platereader (e.g., Spectramax I3X (Molecular Devices GF3637001)). Luciferase reporter activity was then measured. EC50 values were calculated by using standard methods known in the art. Table BA shows the activity of compounds in STING reporter assay: <0.008 µM = “++++++”; ≥0.008 and <0.04 µM = “+++++”; ≥0.04 and <0.2 µM = “++++”; ≥0.2 and <1 µM = “
” “ ” “ ” Table BA
Example B. STING protein degradation activity of Compound 104 Compound 104 or DMSO control was spotted onto 96 well flat bottom tissue culture plates in DMSO in a dose dependent manner. Three hundred thousand THP1 cells were plated in 120 μL final volume in RPMI 1640 media with 10% FBS. The cells were incubated with compound 104 for 16 h at 37°C in a humidified tissue culture incubator. After the incubation, the cells were spun at 340 x g for 5min, and 100 uL of the supernatant medium was removed. The cells were lysed in the remaining 20 μL of medium by addition of 20 uL 2x RIPA buffer with protease inhibitors. After a 10-minute room temperature incubation on a plate vortex mixer (600 rpm), the lysates were spun through a filter at 3000g for 2 minutes. Total STING or β-Tubulin were detected on the WES (Protein Simple) using anti-total STING antibody (clone D2P2F) or anti-beta Tubulin (9F3). The results were included in FIG.1 and FIG.2.
Claims
WHAT IS CLAIMED IS: 1. A compound of formula (I)
Formula (I) or a pharmaceutically acceptable salt thereof, wherein: LBM is a ligase binding moiety; L is a bivalent moiety that connects Ring A to LBM ; and Ring A is an STING binding moiety capable of binding to STING. 2. A compound of formula (I),
wherein LBM is a ligase binding moiety; L is a bivalent moiety that connects Ring A to LBM; and Ring A has formula (I-a), formula (I-b), or formula (I-c):
, wherein: each of X1 and X11 is independently selected from the group consisting of O, S, and NR2; each of Y1 and Y3 is independently selected from the group consisting of a bond, CR1, CR1a, C(R3)2, N, and NR2; provided that only one of Y1 and Y3 can be a bond;
each of Y2 and Y4 is independently selected from the group consisting of CR1, CR1a, C(R3)2, N, and NR2; each of Y11 and Y33 is selected from the group consisting of a bond, CR1b, C(R3)2, N, and NR2; provided that only one of Y11 and Y33 can be a bond; Y22 is selected from the group consisting of CR1b, C(R3)2, N, and NR2; each of X2 and X22 is CR4; X3 is CR5; each is independently a single bond or a double bond, provided that the five-membered ring comprising X1 and X2 in Formula (I-a) is heteroaryl; and the five-membered ring comprising X11, X22, and X3 in Formulas (I-b) and (I-c) is heteroaryl; each occurrence of R1 is independently selected from the group consisting of H; halo; cyano; C1-6 alkyl optionally substituted with 1-2 independently selected Ra; C2-6 alkenyl; C2-6 alkynyl; C1-4 haloalkyl; C1-4 alkoxy; C1-4 haloalkoxy; -S(O)1-2(C1-4 alkyl); -NReRf; –OH; -S(O)1- 2(NR’R’’); -C1-4 thioalkoxy; -NO2; -C(=O)(C1-4 alkyl); -C(=O)O(C1-4 alkyl); -C(=O)OH; and - C(=O)N(R’)(R’’); each occurrence of R1a is independently selected from the group consisting of formula 101 and formula 102, which are delineated and defined in (i) and (ii) below: (
(formula 101), wherein: LA is –(L1)a1-(L2)a2-(L3)a3-(L4)a4-(L5)a5-*, wherein * represents the point of attachment to Q1; a1, a2, a3, a4, and a5 are each independently 0 or 1, provided that a1 + a2 + a3 + a4 + a5 ≥ 1, and each of L1, L3, and L5 is independently selected from the group consisting of: -O-, -N(H)-, -N(Rd)-, S(O)0-2, and –C(=O)-; provided that when one or both of a2 and a4 is 0, then the combinations of L1, L3, and L5 cannot form O-O , N-O, N-N, O-S, S-S, or N-S(O)0 bonds, and
each of L2 and L4 is independently selected from the group consisting of: • straight-chain C1-6 alkylene, straight-chain C2-6 alkenylene, or straight-chain C2-6 alkynylene, each of which is optionally substituted with 1-6 Rb; • C3-10 cycloalkylene or C3-10 cycloalkenylene, each of which is optionally substituted with 1-3 Rc provided the C3-10 cycloalkylene or C3-10 cycloalkenylene is not directly connected to the 6-membered ring containing Y1, Y2, Y3, and Y4; and • heterocyclylene or heterocycloalkenylene, each having 4-10 ring atoms wherein 1-3 ring atoms are ring heteroatoms each independently selected from the group consisting of: N, N(H), N(Rd), O, and S(O)0-2, wherein the heterocyclylene or heterocycloalkenylene is optionally substituted with 1-3 Rc, provided the heterocyclylene or heterocycloalkenylene is not directly connected to the 6-membered ring containing Y1, Y2, Y3, and Y4; and Q1 is –Rg; and (ii):
(formula 102), wherein: Q11 is selected from the group consisting of: o C3-12 cycloalkylene or C3-12 cycloalkenylene, each optionally substituted with 1-4 substituents independently selected from the group consisting of oxo and Rc; o heterocyclylene or heterocycloalkenylene of 3-12 ring atoms, wherein 1-3 ring atoms are heteroatoms, each independently selected from the group consisting of N, N(H), N(Rd), O, and S(O)0-2, and wherein the heterocyclylene or heterocycloalkenylene is optionally substituted with 1-4 substituents independently selected from the group consisting of oxo and Rc;
o heteroarylene of 5-12 ring atoms, wherein 1-3 ring atoms are heteroatoms, each independently selected from the group consisting of N, N(H), N(Rd), O, and S(O)0-2, and wherein the heteroarylene is optionally substituted with 1-4 independently Rc; and o C6-10 arylene optionally substituted with 1-4 independently selected Rc; each LA11 is independently selected from the group consisting of: C1-3 alkylene optionally substituted with 1-2 Ra; -O-; -NH-; -NRd; -S(O)0-2; and C(O); a11 is 0, 1, 2, 3, or 4; Q22 is selected from the group consisting of: H; Rg; and Rc; each occurrence of R1b is independently selected from the group consisting of H; halo; cyano; C1-6 alkyl optionally substituted with 1-3 Ra; C2-6 alkenyl; C2-6 alkynyl; C1-4 alkoxy; C1-4 haloalkoxy; -(C0-3 alkylene)-C3-6 cycloalkyl optionally substituted with from 1-4 independently selected Rb; -(C0-3 alkylene)-C6-10 aryl optionally substituted with from 1-4 independently selected Rb; -(C0-3 alkylene)-5-10 membered heteroaryl, wherein from 1-3 ring atoms of the heteroaryl are heteroatoms each independently selected from the group consisting of N, NH, NRd, O, and S, wherein the heteroaryl is optionally substituted with from 1-4 independently selected Rb; -(C0-3 alkylene)-5-10 membered heterocyclyl, wherein from 1-3 ring atoms of the heterocyclyl are heteroatoms each independently selected from the group consisting of N, NH, NRd, O, and S, wherein the heterocyclyl is optionally substituted with 1-4 independently selected Rb; -S(O)1-2(C1- 4 alkyl); -S(O)(=NH)(C1-4 alkyl); -NReRf; –OH; oxo; -S(O)1-2(NR’R’’); -C1-4 thioalkoxy; -NO2; - C(=O)(C1-4 alkyl); -C(=O)O(C1-4 alkyl); -C(=O)OH; -C(=O)N(R’)(R’’); and SF5; each occurrence of R2 and R4 is independently selected from the group consisting of: H; Rd; Rg; and –(Lg)bg-Rg; each occurrence of R3 is independently selected from the group consisting of H, C1-6 alkyl; –OH; -F; -Cl; -Br; –NReRf; C1-4 alkoxy; C1-4 haloalkoxy; -C(=O)(C1-4 alkyl); -C(=O)O(C1-4 alkyl); -C(=O)OH; -C(=O)N(R’)(R’’); -S(O)1-2(NR’R’’); -S(O)1-2(C1-4 alkyl); cyano; and C3-6 cycloalkyl optionally substituted with from 1-4 independently selected C1-4 alkyl; or two R3 on the same carbon combine to form an oxo;
each occurrence of R5 is independently selected from the group consisting of: H; Rc; Rg; and –(Lg)bg-Rg; each occurrence of Ra is independently selected from the group consisting of: –OH; -halo; –NReRf; C1-4 alkoxy; C1-4 haloalkoxy; -C(=O)O(C1-4 alkyl); -C(=O)(C1-4 alkyl); -C(=O)OH; - CONR’R’’; -S(O)1-2NR’R’’; -S(O)1-2(C1-4 alkyl); and cyano; each occurrence of Raa is independently selected from the group consisting of: –OH; -F; - Cl; -Br; –NReRf; C1-4 alkoxy; C1-4 haloalkoxy; -C(=O)O(C1-4 alkyl); -C(=O)(C1-4 alkyl); - C(=O)OH; -CON(R’)(R’’); -S(O)1-2(NR’R’’); -S(O)1-2(C1-4 alkyl); cyano, and C3-6 cycloalkyl optionally substituted with from 1-4 independently selected C1-4 alkyl; each occurrence of Rb is independently selected from the group consisting of: halo; cyano; C1-10 alkyl which is optionally substituted with 1-6 independently selected Ra; C2-6 alkenyl; C2-6 alkynyl; C1-4 alkoxy; C1-4 haloalkoxy; -S(O)1-2(C1-4 alkyl); -S(O)(=NH)(C1-4 alkyl); -NReRf; -NO2; –OH; -S(O)1-2NR’R’’; -C1-4 thioalkoxy; -NO2; -C(=O)(C1-10 alkyl); -C(=O)O(C1-4 alkyl); - C(=O)OH; -C(=O)NR’R’’; and –SF5; each occurrence of Rc is independently selected from the group consisting of halo; cyano; C1-6 alkyl optionally substituted with 1-6 independently selected Raa; C2-6 alkenyl; C2-6 alkynyl; C1-4 alkoxy optionally substituted with 1-6 independently selected Raa; C1-4 haloalkoxy; -(C0-3 alkylene)-C3-6 cycloalkyl optionally substituted with from 1-4 independently selected Rb; -(C0-3 alkylene)-C6-10 aryl optionally substituted with from 1-4 independently selected Rb; -(C0-3 alkylene)-5-10 membered heteroaryl, wherein from 1-3 ring atoms of the heteroaryl are heteroatoms each independently selected from the group consisting of N, NH, NRd, O, and S, wherein the heteroaryl is optionally substituted with from 1-4 independently selected Rb; -(C0-3 alkylene)-5-10 membered heterocyclyl, wherein from 1-3 ring atoms of the heterocyclyl are heteroatoms each independently selected from the group consisting of N, NH, NRd, O, and S, wherein the heterocyclyl is optionally substituted with 1-4 independently selected Rb; -S(O)1-2(C1- 4 alkyl); -S(O)(=NH)(C1-4 alkyl); -NReRf; –OH; oxo; -S(O)1-2(NR’R’’); -C1-4 thioalkoxy; -NO2; - C(=O)(C1-4 alkyl); -C(=O)O(C1-4 alkyl); -C(=O)OH; -C(=O)N(R’)(R’’); and –SF5;
each occurrence of Rd is independently selected from the group consisting of: C1-6 alkyl optionally substituted with 1-6 independently selected Raa; C3-6 cycloalkyl; -C(O)(C1-4 alkyl); - C(O)O(C1-4 alkyl); -CONR’R’’; -S(O)1-2NR’R’’; - S(O)1-2(C1-4 alkyl); -OH; and C1-4 alkoxy; each occurrence of Re and Rf is independently selected from the group consisting of: H; C1-6 alkyl optionally substituted with 1-6 substituents each independently selected from the group consisting of NR’R’’, -OH, halo, C1-4 alkoxy, and C1-4 haloalkoxy; -C(O)(C1-4 alkyl); -C(O)O(C1- 4 alkyl); -CONR’R’’; -S(O)1-2NR’R’’; -S(O)1-2(C1-4 alkyl); -OH; and C1-4 alkoxy; each occurrence of Rg is independently selected from the group consisting of: • C3-12 cycloalkyl or C3-12 cycloalkenyl, each of which is optionally substituted with 1-4 substituents independently selected from the group consisting of oxo and Rc; • heterocyclyl or heterocycloalkenyl of 3-12 ring atoms, wherein 1-3 ring atoms are heteroatoms, each independently selected from the group consisting of N, N(H), N(Rd), O, and S(O)0-2, and wherein the heterocyclyl or heterocycloalkenyl is optionally substituted with 1-4 substituents independently selected from the group consisting of oxo and Rc; • heteroaryl of 5-12 ring atoms, wherein 1-4 ring atoms are heteroatoms, each independently selected from the group consisting of N, N(H), N(Rd), O, and S(O)0-2, and wherein the heteroaryl is optionally substituted with 1-4 Rc ; and • C6-10 aryl optionally substituted with 1-4 Rc; each occurrence of Lg is independently selected from the group consisting of: -O-, -NH-, - NRd, -S(O)0-2, C(O), and C1-3 alkylene optionally substituted with 1-3 Ra; each occurrence of bg is independently 1, 2, or 3; each occurrence of R’ and R’’ is independently selected from the group consisting of: H; -OH; and C1-4 alkyl. L10 is selected from the group consisting of: o -NRN-;
o *-NRNC(=O)-; o *-NRNC(=S)-; o *-NRNC(=NRN)-; o *-NRNC(=NCN)-; o *-NRNC(=NNO2)-; o *-NRNC(=O)-C(=O)NRN-; o *-NRNSO2-; o -*NRNC(=O)NRN-; o -*NRNC(=S)NRN-;
o ; wherein the asterisk represents to point of attachment to the ring containing X1 and X2; and each occurrence of RN is independently H or Rd; L20 is a bond or is independently selected from the group consisting of the formulas defined in (i), (ii), (iii), (iv), (v), (vi), and (vii) below: (i)
(formula 103) Ring B1 is a heteroarylene of 5 ring atoms, wherein 1-4 of the ring atoms are heteroatoms each independently selected from the group consisting of: N, NH, N(Rd), O, and S; wherein the heteroarylene of Ring B1 is optionally substituted with 1-2 substituents independently selected
from the group consisting of oxo and Rc, provided that Ring B1 is attached to the C(=O)NR6 group via a ring carbon atom; each LAA is independently selected from the group consisting of: C1-3 alkylene optionally substituted with 1-2 Ra; -O-; -NH-; -NRd ; -S(O)0-2; and C(O); aa1 is 0, 1, or 2; Ring C1 is selected from the group consisting of: o C3-12 cycloalkylene or C3-12 cycloalkenylene, each optionally substituted with 1-4 substituents independently selected from the group consisting of oxo and Rc; o heterocyclylene or heterocycloalkenylene of 3-12 ring atoms, wherein 1-3 ring atoms are heteroatoms each independently selected from the group consisting of N, N(H), N(Rd), O, and S(O)0-2, and wherein the heterocyclylene or heterocycloalkenylene is optionally substituted with 1-4 substituents independently selected from the group consisting of oxo and Rc; o heteroarylene of 5-12 ring atoms, wherein 1-3 ring atoms are heteroatoms each independently selected from the group consisting of N, N(H), N(Rd), O, and S(O)0-2, and wherein the heteroarylene is optionally substituted with 1-4 substituents independently selected Rc; and o C6-10 arylene optionally substituted with 1-4 substituents independently selected Rc; R7 is selected from the group consisting of: Rg and –(L7)b7-Rg; each L7 is independently selected from the group consisting of: C1-3 alkylene optionally substituted with 1-2 Ra; -O-; -NH-; -NRd; -S(O)0-2; and C(O); and b7 is 1, 2, or 3; (ii)
Ring B2 is a heteroarylene of 5 ring atoms, wherein 1-4 of the ring atoms are heteroatoms each independently selected from the group consisting of: N, NH, N(Rd), O, and S, wherein the heteroarylene of Ring B2 is optionally substituted with 1-2 substituents independently selected Rc, provided that Ring B2 is attached to the C(=O)NR6 group via a ring carbon atom; each LAB is independently selected from the group consisting of: C1-3 alkylene optionally substituted with 1-4 Ra; -O-; -NH-; -NRd ; -S(O)0-2; and C(O); aa2 is 0, 1, 2, or 3; Ring C2 is selected from the group consisting of: o C3-12 cycloalkyl or C3-12 cycloalkenyl, each optionally substituted with 1-4 substituents independently selected from the group consisting of oxo and Rc; o heterocyclyl or heterocycloalkenyl of 3-12 ring atoms, wherein 1-3 ring atoms are heteroatoms, each independently selected from the group consisting of N, N(H), N(Rd), O, and S(O)0-2, and wherein the heterocyclyl or heterocycloalkenyl is optionally substituted with 1-4 substituents independently selected from the group consisting of oxo and Rc; o heteroaryl of 5-12 ring atoms, wherein 1-4 ring atoms are heteroatoms, each independently selected from the group consisting of N, N(H), N(Rd), O, and S(O)0-2, and wherein the heteroaryl is optionally substituted with 1-4 Rc; and o C6-10 aryl optionally substituted with 1-4 Rc; (iii) heteroaryl of 5 ring atoms, wherein 1-4 ring atoms are heteroatoms, each independently selected from the group consisting of N, N(H), N(Rd), O, and S(O)0-2, and wherein the heteroaryl is optionally substituted with 1-4 Rc; provided the heteroaryl is attached to the C(=O)NR6 group via a ring carbon atom; (iv)
(formula 105)
P1, P2, P3, P4, and P5 are each independently selected from the group consisting of: N, NH, NRd, NR71, CH, CRc, CR71, and C(=O), provided that one of P1, P2, P3, P4, and P5 is of appropriate valence to serve as the point of attachment to L; each occurrence of R71 is independently –(LAC)aa3-R8, wherein: each LAC is independently selected from the group consisting of: C1-3 alkylene optionally substituted with 1-4 Ra; -O-; -NRN; -S(O)0-2; C(O); C(O)O; OC(O); NRNC(O); C(O)NRN; NRNC(O)NRN; NRNC(O)O; and OC(O)NRN; aa3 is 0, 1, 2, or 3; each occurrence of R8 is independently Rg or C1-10 alkyl optionally substituted with 1-6 Ra1; and each occurrence of RN is independently H or Rd; (v) a bicyclic or polycyclic ring system selected from the group consisting of: o bicyclic or polycyclic C5-15 cycloalkylene or C5-15 cycloalkenylene, each optionally substituted with 1-4 substituents independently selected from the group consisting of oxo and Rc; o bicyclic or polycyclic heterocyclylene or heterocycloalkenylene of 7-15 ring atoms, wherein 1-4 ring atoms are heteroatoms, each independently selected from the group consisting of N, N(H), N(Rd), O, and S(O)0-2, and wherein the heterocyclyl or heterocycloalkenyl is optionally substituted with 1-4 substituents independently selected from the group consisting of oxo and Rc; o bicyclic or polycyclic heteroarylene of 8-15 ring atoms, wherein 1-6 ring atoms are heteroatoms, each independently selected from the group consisting of N, N(H), N(Rd), O, and S(O)0-2, and wherein the heteroaryl is optionally substituted with 1-4 substituents independently selected from the group consisting of: oxo and Rc; and o bicyclic or polycyclic C8-15 arylene optionally substituted with 1-4 substituents independently selected from the group consisting of: oxo and Rc, o provided the bicyclic or polycyclic heterorarylene is attached to the C(=O)NR6 group via a ring carbon atom; (vi)
(formula 106) LAE is selected from the group consisting of: • C1-6 alkylene, C2-6 alkenylene, or C2-6 alkynylene, each of which is optionally substituted with 1-6 Ra; • monocyclic C3-8 cycloalkylene or C3-8 cycloalkenylene, each of which is optionally substituted with 1-4 substituents independently selected from the group consisting of oxo and Rc; and • monocyclic heterocyclylene or heterocycloalkenylene of 3-8 ring atoms, wherein 1-3 ring atoms are heteroatoms, each independently selected from the group consisting of N, N(H), N(Rd), O, and S(O)0-2, and wherein the heterocyclylene or heterocycloalkenylene is optionally substituted with 1-4 substituents independently selected from the group consisting of oxo and Rc, provided that the heterocycloylene or heterocycloalkenylene is attached to the C(=O)NR6 group via a ring carbon atom; each LAF is independently selected from the group consisting of: C1-3 alkylene optionally substituted with 1-4 Ra1; -O-; -NH-; -NRd; -S(O)0-2; and C(O); aa4 is 0, 1, 2, or 3; and Ring C4 is Rg; (vii) W, wherein group W is selected from the group consisting of: • H; • C1-10 alkyl, C2-10 alkenyl, or C2-10 alkynyl, each of which is optionally substituted with 1-6 Ra2, wherein one or more of the internal optionally substituted methylene group can be replaced by one or more heteroatom selected from O or S, wherein when W is alkenyl or alkynyl, the heteroatom is not directed connected to the sp2 or sp carbon;
• monocyclic C3-8 cycloalkyl or C3-8 cycloalkenyl, each of which is optionally substituted with 1-4 substituents independently selected from the group consisting of oxo and Rc; and • monocyclic heterocyclyl or heterocycloalkenyl of 3-8 ring atoms, wherein 1-3 ring atoms are heteroatoms, each independently selected from the group consisting of N, N(H), N(Rd), O, and S(O)0-2, and wherein the heterocyclyl or heterocycloalkenyl is optionally substituted with 1-4 substituents independently selected from the group consisting of oxo and Rc, provided that when W is heterocyclyl or heterocycloalkenyl, it is attached to the L1 group via a ring carbon atom; L11 is NRN, wherein RN is independently H or Rd; L22 is a bond or is selected from the group consisting of the formulas 107, 108, and 109 defined in (i), (ii), and (iii) below: (
(formula 107) wherein: one of A3, A4, and A5 is the point of attachment of the Ring comprising A3, A4, A5 to NRN and is independently selected from the group consisting of C and N; and the other two of A3, A4, and A5 are each independently selected from the group consisting of: CR5, N, N(R4), O, and S; provided that the ring does not contain O-O, S-S, and S-O bonds; A1 and A2 are each independently selected from the group consisting of C and N; provided that 1-4 of A1, A2, A3, A4, and A5 is independently selected from the group consisting of: N, N(R4), O, and S; provided that the ring does not contain O-O, S-S, and S-O bonds; Ring B is a partially unsaturated or aromatic ring having 5-10 ring atoms, wherein 0-3 ring atoms are heteroatoms (wherein the 0-3 heteroatoms do not include those that may be presentwhen one or both of A1 and A2 is N) each independently selected from the group consisting of: N, NH,
N(Rd), O, and S(O)0-2, wherein Ring B is optionally substituted with 1-4 Rr, wherein each occurrence of Rr is independently selected from the group consisting of: oxo, -(Lbb)b-Rbb, Rbb, and Rc; each occurrence of Rbb is independently selected from the group consisting of: • C3-10 cycloalkyl or C3-10 cycloalkenyl, each of which is optionally substituted with 1-4 Rc; • heterocyclyl or heterocycloalkenyl of 3-10 ring atoms, wherein 1-3 ring atoms are heteroatoms, each independently selected from the group consisting of N, N(H), N(Rd), O, and S(O)0-2, and wherein the heterocyclyl or heterocycloalkenyl is optionally substituted with 1-4 Rc; • heteroaryl of 5-10 ring atoms, wherein 1-3 ring atoms are heteroatoms, each independently selected from the group consisting of N, N(H), N(Rd), O, and S(O)0-2, and wherein the heteroaryl is optionally substituted with 1-4 Rc; and • C6-10 aryl optionally substituted with 1-4 Rc; each occurrence of Lbb is independently selected from the group consisting of: -O-, -NH-, -NRd, -S(O)0-2, C(O), and C1-3 alkylene optionally substituted with 1-3 Ra; each occurrence of b is independently 1, 2, or 3; (ii)
(formula 108), wherein R44 and R55 are defined according to (AA) or (BB):
R44 is selected from the group consisting of: • C1-15 alkyl optionally substituted with 1-6 Ra; and • -(YA1)n-YA2, wherein: o n is 0 or 1; o YA1 is C1-3 alkylene optionally substituted with 1-3 Ra; and o YA2 is selected from the group consisting of:
▪ C3-10 cycloalkyl or C3-10 cycloalkenyl, each of which is optionally substituted with 1-6 RY; ▪ heterocyclyl or heterocycloalkenyl of 3-10 ring atoms, wherein 1-3 ring atoms are heteroatoms, each independently selected from the group consisting of N, N(H), N(Rd), O, and S(O)0-2, and wherein the heterocyclyl or heterocycloalkenyl is optionally substituted with 1-6 RY; ▪ heteroaryl of 5-10 ring atoms, wherein 1-4 ring atoms are heteroatoms, each independently selected from the group consisting of N, N(H), N(Rd), O, and S(O)0-2, and wherein the heteroaryl is optionally substituted with 1-6 RY; and ▪ C6-10 aryl optionally substituted with 1-6 RY, each occurrence of RY is independently selected from the group consisting of: oxo and Rc; provided that when YA2 is phenyl or monocyclic heteroaryl, each of which is optionally substituted with 1-6 RY, then each occurrence of RY is an independently selected Rc; R55 is H or Rd; or (BB) R44 and R55 taken together with the nitrogen atom to which each is attached forms a saturated, partially unsaturated, or aromatic ring of 4-12 ring atoms, wherein 0-2 ring atoms (in addition to the nitrogen atom attached to R44 and R55) is a ring heteroatom each independently selected from the group consisting of: N, N(H), N(Rd), O, and S(O)0-2, wherein the ring is optionally substituted with 1-4 substituents each independently selected from the group consisting of: oxo and Rc; m is 0, 1, 2, or 3; each occurrence of R66 is an independently selected from the group consisting of: Rc; (iii) –W-A- (formula 109) whrein W-A- is defined according to (A) or (B) below: (A)
W is selected from the group consisting of: (a) *C(=O)NRN, *C(=S)NRN, *C(=NRN)NRN (e.g., *C(=NCN)NRN), *C(=CNO2)NRN (b) *S(O)1-2NRN; ( ( (
wherein the asterisk denotes point of attachment to NRN (L11); Q12 is selected from the group consisting of: (a) phenylene optionally substituted with from 1-2 independently selected Rc; and (b) heteroarylene including from 5-6 ring atoms, wherein from 1-4 ring atoms are heteroatoms, each independently selected from the group consisting of N, N(H), N(Rd), O, and S(O)0-2, and wherein the heteroarylene ring is optionally substituted with from 1-4 independently selected Rc1; Q222 is selected from the group consisting of: a bond, NRN, -S(O)0-2-, –O-, and –C(=O)-; A is: (i) -(YA1)n-YA22-; or (ii) C1-12 alkylene, which is optionally substituted with from 1-6 independently selected Ra and optionally interrupted with 1-3 heteroatoms independently selected from the group consisting of –N(H)-, -N(Rd)-, -O-, or –S-; YA22 is:
o C3-10 cycloalkylene or C3-10 cycloalkenylene, each of which is optionally substituted with 1-6 RY; o heterocyclylene or heterocycloalkenylene of 3-10 ring atoms, wherein 1-3 ring atoms are heteroatoms, each independently selected from the group consisting of N, N(H), N(Rd), O, and S(O)0-2, and wherein the heterocyclylene or heterocycloalkenylene is optionally substituted with 1-6 RY; o heteroarylene of 5-10 ring atoms, wherein 1-4 ring atoms are heteroatoms, each independently selected from the group consisting of N, N(H), N(Rd), O, and S(O)0- 2, and wherein the heteroarylene is optionally substituted with 1-6 RY; and o C6-10 arylene optionally substituted with 1-6 RY,
W is selected from the group consisting of: (a) C8-20 bicyclic or polycyclic arylene, which is optionally substituted with from 1-4 Rc; and (b) bicyclic or polycyclic heteroarylene including from 8-20 ring atoms, wherein from 1-4 ring atoms are heteroatoms, each independently selected from the group consisting of N, N(H), N(Rd), O, and S(O)0-2, and wherein the heteroaryl ring is optionally substituted with from 1-4 independently selected Rc; and A is as defined according to (A), or A is H. 3. The compound of claim 2, wherein ring A has Formula I-a. 4. The compound of claim 2 or 3, wherein ring A has Formula I-a1:
. 5. The compound of any one of claims 2-4, wherein X1 is NR2. 6. The compound of any one of claims 2-5, wherein R2 is H. 7. The compound of any one of claims 2-6, wherein Y1, Y2, Y3, and Y4 are each independently selected from the group consisting of CR1a, CR1 and N.
8. The compound of any one of claims 2-7, wherein Y1, Y2, Y3, and Y4 are each independently selected from the group consisting of CR1a and CR1. 9. The compound of any one of claims 2-7, wherein one of Y1, Y2, Y3, and Y4 is CR1a, and the other three of Y1, Y2, Y3, and Y4 are each independently selected from the group consisting of CR1 and N. 10. The compound of any one of claims 2-7 and 9, wherein one of Y1, Y2, Y3, and Y4 is CR1a, and the other three of Y1, Y2, Y3, and Y4 are each an independently selected CR1. 11. The compound of any one of claims 2-10, wherein Y4 is CR1a. 12. The compound of any one of claims 2-11, wherein R1a is –LA-Q1 (formula 101). 13. The compound of claim 12, wherein a2 is 1. 14. The compound of claim 12 or 13, wherein L2 is straight-chain C1-6 alkylene, straight-chain C2-6 alkenylene, or straight-chain C2-6 alkynylene, each of which is optionally substituted with 1-6 Rb; optionally wherein optionally wherein L2 is straight-chain C1-6 alkylene, which is optionally substituted with 1-6 Rb; optionally wherein L2 is straight-chain C1-3 alkylene, which is optionally substituted with 1-3 Rb. 15. The compound of claim 12 or 13, wherein L2 is selected from the group consisting of: (i) C3-10 cycloalkylene or C3-10 cycloalkenylene, each of which is optionally substituted with 1-3 Rc; and (ii) heterocyclylene or heterocycloalkenylene, each having 4-10 ring atoms wherein 1-3 ring atoms are ring heteroatoms each independently selected from the group consisting of: N, N(H), N(Rd), O, and S(O)0-2, wherein the heterocyclylene or heterocycloalkenylene is optionally substituted with 1-3 Rc. 16. The compound of any one of claims 12-15, wherein a1 is 1. 17. The compound of any one of claims 12-16, wherein L1 is selected from the group consisting of: -O-, -N(H)-, -N(Rd)-, and –S-; optionally wherein L1 is –O-. 18. The compound of any one of claims 12-15, wherein a1 is 0. 19. The compound of any one of claims 12-18, wherein a3 is 1. 20. The compound of any one of claims 12-19, wherein L3 is selected from the group consisting of: -O-, -N(H)-, -N(Rd)-, and –S-; optionally wherein L3 is –O-. 21. The compound of any one of claims 12-18, wherein a3 is 0. 22. The compound of any one of claims 12-21, wherein a4 is 1. 23. The compound of claim 12, wherein a1 and a2 are each 1.
24. The compound of claim 12 or 23, wherein: a1 and a2 are each 1; L1 is –O-, - N(H)-, or –N(Rd)-; and L2 is selected from the group consisting of: straight-chain C1-3 alkylene, which is optionally substituted with 1-3 Rb; C3-8 cycloalkylene, which is optionally substituted with 1-3 Rc; and heterocyclylene having 4-8 ring atoms wherein 1-3 ring atoms are ring heteroatoms each independently selected from the group consisting of: N, N(H), N(Rd), O, and S(O)0-2, wherein the heterocyclylene is optionally substituted with 1-3 Rc. 25. The compound of any one of claims 12 and 23-24, wherein a1 and a2 are each 1; L1 is –O-; and L2 is straight-chain C1-3 alkylene, which is optionally substituted with 1-3 Rb. 26. The compound of claim 12 or 23, wherein a1 and a2 are each 1; L1 is –O-; and L2 is C3-8 cycloalkylene, which is optionally substituted with 1-3 Rc; optionally wherein L2 is:
which is optionally substituted with 1-2 Rc, wherein n1 and n2 are independently 0, 1, or 2; Q2 is CH, CRc, or N; and the asterisk represents the point of attachment to -(L3)a3-. 27. The compound of claim 26, wherein n1 and n2 are independently 0 or 1, optionally 0; and Q2 is CH; optionally wherein n1 and n2 are 0 and Q2 is CH; optionally wherein L2 is cyclobutane-diyl optionally substituted with 1-2 Rc; optionslly wherein L2 is cyclobutane- 1,3-diyl optionally substituted with 1-2 Rc; optionslly wherein L2 is unsubstituted cyclobutane- diyl; optionally wherein L2 is unsubstituted cyclobutane-1,3-diyl. 28. The compound of any one of claims 12-27, wherein a3, a4, and a5 are each 0, optionally wherein LA is –O-CH2CH2-*, or
(such as or
wherein * represents the point of attachment to Q1. 29. The compound of claim 12, wherein a1 is 0; a2 is 1; optionally wherein L2 is straight-chain C1-6 alkylene, which is optionally substituted with 1-6 Rb, optionally wherein L2 is straight-chain C1-3 alkylene, which is optionally substituted with 1-3 Rb. 30. The compound of claim 29, wherein a3 is 1; optionally, wherein L3 is selected from the group consisting of: is –O-, -N(H)-, and –N(Rd)-, optionally wherein L3 is –O-. 31. The compound of claims 29 or 30, wherein a4 is 0; and a5 is 0. 32. The compound of any one of claims 12-31, wherein Q1 is selected from the group consisting of: (i) heteroaryl of 5-6 ring atoms, wherein 1-4 ring atoms are heteroatoms, each
independently selected from the group consisting of N, N(H), N(Rd), O, and S(O)0-2, and wherein the heteroaryl is optionally substituted with 1-3 Rc ; and (ii) phenyl optionally substituted with 1- 3 Rc. 33. The compound of any one of claims 12-31, wherein Q1 is heterocyclyl or heterocycloalkenyl of 3-12 ring atoms, wherein 1-3 ring atoms are heteroatoms, each independently selected from the group consisting of N, N(H), N(Rd), O, and S(O)0-2, and wherein the heterocyclyl or heterocycloalkenyl is optionally substituted with 1-4 substituents independently selected from the group consisting of oxo and Rc. 34. The compound of claim 33, wherein
, wherein m1 and m2 are each independently 0, 1, or 2; and wherein Q1 is optionally substituted with 1-2 Rc; and optionally wherein each Rd present in Q1 is independently selected from the group consisting of: -C(O)O(C1-4 alkyl); and C1-6 alkyl optionally substituted with 1-3 independently selected Ra. 35. The compound of any one of claims 2-8, wherein Y1, Y2, Y3, and Y4 are each an independently selected CR1. 36. The compound of claim 35, wherein each occurrence of R1 is H. 37. The compound of claim 35, wherein one occurrence of R1 is other than H, and the others are H. 38. The compound of any one of claims 2-37, wherein R4 is H. 39. The compound of any one of claims 2-38, wherein L10 is -*NRNC(=O)NRN-. 40. The compound of any one of claims 2-38, wherein L10 is -NRN-. 41. The compound of claim 39 or 40, wherein RN, or each occurrence of RN, is H. 42. The compound of any one of claims 2-41, wherein L20 has the formula:
(formula 105). 43. The compound of claim 42, wherein L20 is optionally substituted phenylene or optionally substituted pyridylene.
44. The compound of any one of claims 2-41, wherein L20 is bicyclic or polycyclic heteroarylene of 8-15 ring atoms, wherein 1-6 ring atoms are heteroatoms, each independently selected from the group consisting of N, N(H), N(Rd), O, and S(O)0-2, and wherein the heteroaryl is optionally substituted with 1-4 substituents independently selected from the group consisting of: oxo and Rc. 45. The compound of claim 2, wherein ring A has formula I-b. 46. The compound of claim 45, wherein ring A has formula I-b1:
(formula I-b1). 47. The compound of claim 2, wherein ring A has formula I-c. 48. The compound of claim 47, wherein ring A has formula I-c1:
(formula I-c1). 49. The compound of any one of claims 45-48, wherein each of one of Y11, Y22, and Y33 is CH. 50. The compound of any one of claims 45-49, wherein X1 is NR2. 51. The compound of any one of claims 45-50, wherein R2 is H. 52. The compound of any one of claims 45-51, wherein R4 is H. 53. The compound of any one of claims 45-52, wherein R5 is H, F, Cl, or CN; optionally wherein R5 is H. 54. The compound of any one of claims 45-53, wherein L11 is NH. 55. The compound of any one of claims 45-53, wherein L22 is –W-A-. 56. The compound of claim 55, wherein W is *-C(=O)NRN-. 57. The compound of claim 56, wherein RN is H. 58. The compound of any one of claims 55-57, wherein A is -(YA1)n-YA22-. 59. The compound of claim 58, wherein n is 0. 60. The compound of claim 58 or 59, wherein YA22 is heteroarylene of 5-10 ring atoms, wherein 1-4 ring atoms are heteroatoms, each independently selected from the group
consisting of N, N(H), N(Rd), O, and S(O)0-2, and wherein the heteroarylene is optionally substituted with 1-6 RY. 61. The compound of claim 58 or 59, wherein YA22 is C6-10 arylene optionally substituted with 1-6 RY. ,
. 63. The compound of claim 1, 2 or 62, wherein Ring A is selected from
,
64. The compound of any one of claims 1-63, wherein L is a covalent bond or a bivalent, saturated or unsaturated, straight or branched C1-50 alkylene, alkenylene, or alkynylene chain, wherein 0-8 methylene units of L are independently replaced by Rg2, -O-, -NRL-, -S-, - OC(O)-, -C(O)O-, -C(O)-, -S(O)-, -S(O)2-, -NRLS(O)2-, -S(O)2NRL-, -NRLC(O)-, -C(O)NRL-, - r
, Rg2 is divalent Rg; RL is selected from H; C1-6 alkyl; C3-6 cycloalkyl; -C(O)(C1-4 alkyl); -C(O)O(C1-4 alkyl); - CONR’R’’; and -S(O)1-2NR’R’’; and nl1 is an integer selected from 1-8. 65. The compound of any claims 1-64, wherein L is selected the group consisting of:
,
,
nl is selected from 0, 1, 2, 3, 4 and 5; ml is selected from 0, 1, 2, 3, 4, 5, 6, 7, 8, 9, 10 ; and for each L, one waveline is connected to Ring A, and the other waveline is connected to LBM. 66. The compound of any claims 1-65, wherein LBM is an E3 ligase binder. 67. The compound of claims 1-66, wherein LBM is selected from the group consisting of a cereblon binding moiety, a VHL binding moiety, an IAP E3 ligase binding moiety, or an MDM2 E3 ligase binding moiety. 68. The compound of any one of claims 1-67, wherein the LBM is moiety of formula (E1),
Formula (E1) wherein
XE1 is a bivalent moiety selected from a covalent bond, -CH2-, -C(=O)-, -C(=S)-, or
XE2 is a carbon atom or silicon atom; XE3 is a bivalent moiety selected from -CH2- or -Si(RE)2-; each RE1 is independently selected from the group consisting of hydrogen, deuterium, halogen, -CN, -ORE, -SRE, -S(O)RE, -S(O)2RE, -N(RE)2, -Si(RE)3, C1-10 alkyl which is optionally substituted with from 1-6 independently selected RE; C2-6 alkenyl and C2-6 alkynyl; LE1 is selected from a bond, or C1-4 alkyl wherein 0-3 methylene units of LE1 are independently replaced by Rg2, -O-, -NRE-, -S-, -OC(O)-, -C(O)O-, -C(O)-, -S(O)-, -S(O)2-, - NRES(O)2-, -S(O)2NRE-, -NREC(O)-, -C(O)NRE-, -OC(O)NRE-, or -NREC(O)O-; each RE2 is independently selected from the group consisting of hydrogen, -RE6, halogen, -CN, -NO2, -ORE, -SRE, -N(RE)2, -S(O)2RE, -S(O)2N(RE)2, -S(O)RE, -C(O)RE, -C(O)ORE, - C(O)N(RE)2, -C(O)N(RE)ORE, -OC(O)RE, -OC(O)N(RE)2, -N(RE)C(O)ORE, -N(RE)C(O)RE, - N(RE)C(O)N(RE)2, and -N(RE)S(O)2RE;
is a ring system selected from the group consisting of:
, , , , , , , , ,
,
the asterisk represents the point of attachment to L; Ring E2 is a fused ring selected from the group consisting of • C6-10 aryl; • 5 to 7-membered cycloakyl or cycloalkenyl; • 5 to 7-membered saturated or partially saturated heterocyclyl with 1-2 heteroatoms independently selected from nitrogen, oxygen or sulfur; and • 5-6 membered heteroaryl with 1-3 heteroatoms independently selected from nitrogen, oxygen or sulfur; each RE3 is independently selected from the group consisting of: hydrogen, halogen, -ORE, - N(RE)2, and –S(RE); each RE4 is independenyly selected from the group consisting of: H, C1-6 alkyl; C3-6 cycloalkyl; - C(O)(C1-4 alkyl); -C(O)O(C1-4 alkyl); -CON(R’)(R’’); -S(O)1-2(NR’R’’); - S(O)1-2(C1-4 alkyl); - OH; C1-4 alkoxy; and CN; each RE5 is independenyly selected from the group consisting of: hydrogen, C1-10 alkyl which is optionally substituted with from 1-6 independently selected RE; C2-6 alkenyl and C2-6 alkynyl each me is independently 0, 1, 2, 3 or 4; each RE is independently selected from the group consisting of: • hydrogen, –OH; -F; -Cl; -Br; –NReRf; C1-4 alkoxy; C1-4 haloalkoxy; -C(=O)O(C1-4 alkyl); -C(=O)(C1-4 alkyl); -C(=O)OH; -CON(R’)(R’’); -OCON(R’)(R’’); -S(O)1-2(NR’R’’); -S(O)1- 2(C1-4 alkyl); cyano;
• phenyl; • 4-7 membered saturated or partially unsaturated heterocyclic having 1-2 heteroatoms independently selected from nitrogen, oxygen, and sulfur; • 5-6 membered heteroaryl ring having 1-4 heteroatoms independently selected from nitrogen, oxygen, and sulfur, or: two RE groups on the same nitrogen are optionally taken together with their intervening atoms to form a 4-7 membered saturated, partially unsaturated cycloalkyl, or heteroaryl ring having 0-3 heteroatoms, in addition to the nitrogen, independently selected from nitrogen, oxygen, and sulfur. 69. The compound of any one of claims 1-68, wherein LBM is
. 70. The compound of any one of claims 1-69, wherein LBM is
. 71. The compound of any one of claims 1-70, wherein LBM is selected from the group c
.
72. The compound of any one of claims 1-68, wherein LBM is selected the group consisting
. 73. The compound of any one of claims 1-68 or 72, wherein LBM is selected from the group c .
. 76. The compound of any oneo f claims 1-68 or 75, wherein
.
77. The compound of any one of claims 1-68 or 75-76, wherein LBM is
. 78. The compound of claim 1-67, wherein LBM is a moiety selected from the group consisting of:
wherein each of the variables
, X, X1, X2, Y, R1, R3, R3’, R4, R5, t, m and n is as defined and described in WO 2017/007612 and US 2018/0134684, the entirety of which is herein incorporated by reference. 79. The compound of any one of claims 1-67, wherein LBM is selected from the group consisting of:
defined and described in WO 2016/197114 and US 2018/0147202, the entirety of each of which is herein incorporated by reference. 80. The compound of any one of claims 1-67, wherein LBM is selected from the group consisting of
A1, A2, A3, G, R5, and Z are as defined and described in WO 2017/176958, the entirety of which is herein incorporated by reference. 81. The compound of any one of claims 1-67, wherein LBM is selected from the group c ,
single bond or a double bond, and wherein
, L, G, R1, R2, R3, R4, R5, R6, R7, R8, x, and y
are as defined and described in WO 2017/161119, the entirety of which is herein incorporated by reference. 82. The compound of any one of claims 1-68 , wherein LBM is selected from the group c
84. The compound of any one of claims 1-67 or 83, wherein LBM is selected from
. 85. The compound of any one claims 1-67, wherein the LBM is a moiety of formula (E2-1), formula (E2-2), formula (E2-3),
(E2-3), wherein each of the variables R1’, R2’, R3’, X, and X’ is as defined and described in US2014/0356322, the entirety of which is herein incorporated by reference. 86. The compound of any one of claims 1-67 or 85, wherein the LBM is a moiety selected from the group consisting of
199
Formula (E2-7) Form
, R16, R17, R23, R25, E, G, Μ, X, X’, Y, Z1, Z2, Z3, Z4, and o is as defined and described in US 2016/0272639, the entirety of which is herein incorporated by reference. 87. The compound of any one of claims 1-67, wherein LBM is a moiety selected from the group consisting of,
, wherein each of the variables Rp, R9, R10, R11, R14a, R14b, R15, R16, W3, W4, W5, X1, X2, and o is as defined and described in US 2016/0214972, the entirety of which is herein incorporated by reference. 88. The compound of any one of claims 1-67, wherein LBM is selected from the group
, wherein the VHL binding moiety is attached to L through any non-hydrogen atom (e.g., C, N, O, or S) of the VHL binding moiety. 89. The compound of any one of claims 1-67 or 88, wherein LBM is selected from the group
, 203
,
wherein the VHL binding moiety is attached to L through any modiafiable non-hydrogen atom (e.g., C, N, O, or S) of the VHL binding moiety. 90. The compound of any one of claims 1-67, wherein the compound is selected from the
91. The compound of claim 90, wherein me is 1. 92. The compound of claim 90, wherein me is 0. 93. The compound of any one of claims 1-67, wtherein the compound is selected from the g p consisting of : , , , and . 94. The compound of claim 93, wherein the compound is selected from the group consisting of :
. 95. The compound of claim 1, wherein the compound is selected from the group consisting of compounds delineated in Table C1, and a pharmaceutically acceptable salt thereof. 96. A pharmaceutical composition comprising a compound of claims 1-95 and one or more pharmaceutically acceptable excipients. 97. A method for modulating STING activity, the method comprising contacting STING with a compound or a pharmaceutically acceptable salt thereof as defined in any one of claims 1-95; or a pharmaceutical composition as defined in claim 96. 98. The method of claim 97, wherein the modulating comprises degrading STING. 99. The method of any one of claims 97-98, which is carried out in vitro. 100. The method of claims 99, wherein the method comprises contacting a sample comprising one or more cells comprising STING with the compound. 101. The method of claims 99 or 100, wherein the one or more cells are one or more cancer cells. 102. The method of claims 100 or 101, wherein the sample further comprises one or more cancer cells, wherein the cancer is selected from the group consisting of melanoma, cervical cancer, breast cancer, ovarian cancer, prostate cancer, testicular cancer, urothelial
carcinoma, bladder cancer, non-small cell lung cancer, small cell lung cancer, sarcoma, colorectal adenocarcinoma, gastrointestinal stromal tumors, gastroesophageal carcinoma, colorectal cancer, pancreatic cancer, kidney cancer, hepatocellular cancer, malignant mesothelioma, leukemia, lymphoma, myelodysplasia syndrome, multiple myeloma, transitional cell carcinoma, neuroblastoma, plasma cell neoplasms, Wilm's tumor, or hepatocellular carcinoma. 103. The method of claims 97 or 98, which is carried out in vivo. 104. The method of claim 103, wherein the method comprises administering the compound to a subject having a disease in which increased (e.g., excessive) STING signaling contributes to the pathology and/or symptoms and/or progression of the disease. 105. The method of claim 104, wherein the subject is a human. 106. The method of claim 105, wherein the disease is cancer. 107. The method of claim 106, wherein the cancer is selected from the group consisting of melanoma, cervical cancer, breast cancer, ovarian cancer, prostate cancer, testicular cancer, urothelial carcinoma, bladder cancer, non-small cell lung cancer, small cell lung cancer, sarcoma, colorectal adenocarcinoma, gastrointestinal stromal tumors, gastroesophageal carcinoma, colorectal cancer, pancreatic cancer, kidney cancer, hepatocellular cancer, malignant mesothelioma, leukemia, lymphoma, myelodysplasia syndrome, multiple myeloma, transitional cell carcinoma, neuroblastoma, plasma cell neoplasms, Wilm's tumor, or hepatocellular carcinoma. 108. The method of claims 106 or 107, wherein the cancer is a refractory cancer. 109. The method of claim 104, wherein the compound is administered in combination with one or more additional cancer therapies.
110. The method of claim 109, wherein the one or more additional cancer therapies comprises surgery, radiotherapy, chemotherapy, toxin therapy, immunotherapy, cryotherapy or gene therapy, or a combination thereof. 111. The method of claim 110, wherein chemotherapy comprises administering one or more additional chemotherapeutic agents. 112. The method of claim 111, wherein the one or more additional chemotherapeutic agents is selected from an alkylating agent (e.g., cisplatin, carboplatin, mechlorethamine, cyclophosphamide, chlorambucil, ifosfamide and/or oxaliplatin); an anti-metabolite (e.g.,azathioprine and/or mercaptopurine); a terpenoid (e.g., a vinca alkaloid and/or a taxane; e.g., Vincristine, Vinblastine, Vinorelbine and/or Vindesine Taxol, Pacllitaxel and/or Docetaxel); a topoisomerase (e.g., a type I topoisomerase and/or a type 2 topoisomerase; e.g., camptothecins, such as irinotecan and/or topotecan;. amsacrine, etoposide, etoposide phosphate and/or teniposide); a cytotoxic antibiotic (e.g., actinomycin, anthracyclines, doxorubicin, daunorubicin, valrubicin, idarubicin, epirubicin, bleomycin, plicamycin and/or mitomycin); a hormone (e.g., a lutenizing hormone releasing hormone agonist; e.g., leuprolidine, goserelin, triptorelin, histrelin, bicalutamide, flutamide and/or nilutamide); an antibody (e.g., Abciximab, Adalimumab, Alemtuzumab, Atlizumab, Basiliximab, Belimumab, Bevacizumab, Bretuximab vedotin, Canakinumab, Cetuximab, Ceertolizumab pegol, Daclizumab, Denosumab, Eculizumab, Efalizumab, Gemtuzumab, Golimumab, Golimumab, Ibritumomab tiuxetan, Infliximab, Ipilimumab, Muromonab-CD3, Natalizumab, Ofatumumab, Omalizumab, Palivizumab, Panitumuab, Ranibizumab, Rituximab, Tocilizumab, Tositumomab and/or Trastuzumab); an anti-angiogenic agent; a cytokine; a thrombotic agent; a growth inhibitory agent; an anti- helminthic agent; and an immune checkpoint inhibitor that targets an immune checkpoint receptor selected from the group consisting of CTLA-4, PD-1, PD-L1, PD-1 – PD-L1, PD-1 – PD-L2, interleukin‑2 (IL‑2), indoleamine 2,3-dioxygenase (IDO), IL‑10, transforming growth factor-β (TGFβ), T cell immunoglobulin and mucin 3 (TIM3 or HAVCR2), Galectin 9 – TIM3, Phosphatidylserine – TIM3, lymphocyte activation gene 3 protein (LAG3), MHC class II – LAG3, 4‑1BB–4‑1BB ligand, OX40–OX40 ligand, GITR, GITR ligand – GITR, CD27, CD70- CD27, TNFRSF25, TNFRSF25–TL1A, CD40L, CD40–CD40 ligand, HVEM–LIGHT–LTA, 209
HVEM, HVEM – BTLA, HVEM – CD160, HVEM – LIGHT, HVEM–BTLA–CD160, CD80, CD80 – PDL-1, PDL2 – CD80, CD244, CD48 – CD244, CD244, ICOS, ICOS–ICOS ligand, B7‑H3, B7‑H4, VISTA, TMIGD2, HHLA2–TMIGD2, Butyrophilins, including BTNL2, Siglec family, TIGIT and PVR family members, KIRs, ILTs and LIRs, NKG2D and NKG2A, MICA and MICB, CD244, CD28, CD86 – CD28, CD86 – CTLA, CD80 – CD28, CD39, CD73 Adenosine–CD39–CD73, CXCR4–CXCL12, Phosphatidylserine, TIM3, Phosphatidylserine – TIM3, SIRPA–CD47, VEGF, Neuropilin, CD160, CD30, and CD155 (e.g., CTLA-4 or PD1 or PD-L1). 113. The method of any one of claims 104-112, wherein the compound is administered intratumorally. 114. A method of treating cancer, comprising administering to a subject in need of such treatment an effective amount of a compound as defined in any one of claims 1-95, or a pharmaceutical composition as defined in claim 96. 115. The method of claim 114, wherein the cancer is selected from the group consisting of melanoma, cervical cancer, breast cancer, ovarian cancer, prostate cancer, testicular cancer, urothelial carcinoma, bladder cancer, non-small cell lung cancer, small cell lung cancer, sarcoma, colorectal adenocarcinoma, gastrointestinal stromal tumors, gastroesophageal carcinoma, colorectal cancer, pancreatic cancer, kidney cancer, hepatocellular cancer, malignant mesothelioma, leukemia, lymphoma, myelodysplasia syndrome, multiple myeloma, transitional cell carcinoma, neuroblastoma, plasma cell neoplasms, Wilm's tumor, or hepatocellular carcinoma. 116. The method of claim 114 or 115, wherein the cancer is a refractory cancer. 117. The method of claim 114, wherein the compound is administered in combination with one or more additional cancer therapies.
118. The method of claim 117, wherein the one or more additional cancer therapies comprises surgery, radiotherapy, chemotherapy, toxin therapy, immunotherapy, cryotherapy or gene therapy, or a combination thereof. 119. The method of claim 118, wherein chemotherapy comprises administering one or more additional chemotherapeutic agents. 120. The method of claim 118, wherein the one or more additional chemotherapeutic agents is selected from an alkylating agent (e.g., cisplatin, carboplatin, mechlorethamine, cyclophosphamide, chlorambucil, ifosfamide and/or oxaliplatin); an anti-metabolite (e.g.,azathioprine and/or mercaptopurine); a terpenoid (e.g., a vinca alkaloid and/or a taxane; e.g., Vincristine, Vinblastine, Vinorelbine and/or Vindesine Taxol, Pacllitaxel and/or Docetaxel); a topoisomerase (e.g., a type I topoisomerase and/or a type 2 topoisomerase; e.g., camptothecins, such as irinotecan and/or topotecan;. amsacrine, etoposide, etoposide phosphate and/or teniposide); a cytotoxic antibiotic (e.g., actinomycin, anthracyclines, doxorubicin, daunorubicin, valrubicin, idarubicin, epirubicin, bleomycin, plicamycin and/or mitomycin); a hormone (e.g., a lutenizing hormone releasing hormone agonist; e.g., leuprolidine, goserelin, triptorelin, histrelin, bicalutamide, flutamide and/or nilutamide); an antibody (e.g., Abciximab, Adalimumab, Alemtuzumab, Atlizumab, Basiliximab, Belimumab, Bevacizumab, Bretuximab vedotin, Canakinumab, Cetuximab, Ceertolizumab pegol, Daclizumab, Denosumab, Eculizumab, Efalizumab, Gemtuzumab, Golimumab, Golimumab, Ibritumomab tiuxetan, Infliximab, Ipilimumab, Muromonab-CD3, Natalizumab, Ofatumumab, Omalizumab, Palivizumab, Panitumuab, Ranibizumab, Rituximab, Tocilizumab, Tositumomab and/or Trastuzumab); an anti-angiogenic agent; a cytokine; a thrombotic agent; a growth inhibitory agent; an anti- helminthic agent; and an immune checkpoint inhibitor that targets an immune checkpoint receptor selected from the group consisting of CTLA-4, PD-1, PD-L1, PD-1 – PD-L1, PD-1 – PD-L2, interleukin‑2 (IL‑2), indoleamine 2,3-dioxygenase (IDO), IL‑10, transforming growth factor-β (TGFβ), T cell immunoglobulin and mucin 3 (TIM3 or HAVCR2), Galectin 9 – TIM3, Phosphatidylserine – TIM3, lymphocyte activation gene 3 protein (LAG3), MHC class II – LAG3, 4‑1BB–4‑1BB ligand, OX40–OX40 ligand, GITR, GITR ligand – GITR, CD27, CD70- CD27, TNFRSF25, TNFRSF25–TL1A, CD40L, CD40–CD40 ligand, HVEM–LIGHT–LTA,
HVEM, HVEM – BTLA, HVEM – CD160, HVEM – LIGHT, HVEM–BTLA–CD160, CD80, CD80 – PDL-1, PDL2 – CD80, CD244, CD48 – CD244, CD244, ICOS, ICOS–ICOS ligand, B7‑H3, B7‑H4, VISTA, TMIGD2, HHLA2–TMIGD2, Butyrophilins, including BTNL2, Siglec family, TIGIT and PVR family members, KIRs, ILTs and LIRs, NKG2D and NKG2A, MICA and MICB, CD244, CD28, CD86 – CD28, CD86 – CTLA, CD80 – CD28, CD39, CD73 Adenosine–CD39–CD73, CXCR4–CXCL12, Phosphatidylserine, TIM3, Phosphatidylserine – TIM3, SIRPA–CD47, VEGF, Neuropilin, CD160, CD30, and CD155 (e.g., CTLA-4 or PD1 or PD-L1). 121. The method of any one of claims 114-120, wherein the compound is administered intratumorally. 122. A method of inducing an immune response in a subject in need thereof, the method comprising administering to the subject an effective amount of a compound as defined in any one of claims 1-95, or a pharmaceutical composition as defined in claim 96. 123. The method of claim 122, wherein the subject has cancer. 124. The method of claim 123, wherein the subject has undergone and/or is undergoing and/or will undergo one or more cancer therapies. 125. The method of claim 123, wherein the cancer selected from the group consisting of melanoma, cervical cancer, breast cancer, ovarian cancer, prostate cancer, testicular cancer, urothelial carcinoma, bladder cancer, non-small cell lung cancer, small cell lung cancer, sarcoma, colorectal adenocarcinoma, gastrointestinal stromal tumors, gastroesophageal carcinoma, colorectal cancer, pancreatic cancer, kidney cancer, hepatocellular cancer, malignant mesothelioma, leukemia, lymphoma, myelodysplasia syndrome, multiple myeloma, transitional cell carcinoma, neuroblastoma, plasma cell neoplasms, Wilm's tumor, or hepatocellular carcinoma.
126. The method of claim any one of claims 123-125, wherein the cancer is a refractory cancer. 127. The method of claim 125, wherein the immune response is an innate immune response. 128. The method of claim 127, wherein the at least one or more cancer therapies comprises surgery, radiotherapy, chemotherapy, toxin therapy, immunotherapy, cryotherapy or gene therapy, or a combination thereof. 129. The method of claim 128, wherein chemotherapy comprises administering one or more additional chemotherapeutic agents. 130. The method of claim 129, wherein the one or more additional chemotherapeutic agents is selected from alkylating agent (e.g., cisplatin, carboplatin, mechlorethamine, cyclophosphamide, chlorambucil, ifosfamide and/or oxaliplatin); an anti-metabolite (e.g.,azathioprine and/or mercaptopurine); a terpenoid (e.g., a vinca alkaloid and/or a taxane; e.g., Vincristine, Vinblastine, Vinorelbine and/or Vindesine Taxol, Pacllitaxel and/or Docetaxel); a topoisomerase (e.g., a type I topoisomerase and/or a type 2 topoisomerase; e.g., camptothecins, such as irinotecan and/or topotecan;. amsacrine, etoposide, etoposide phosphate and/or teniposide); a cytotoxic antibiotic (e.g., actinomycin, anthracyclines, doxorubicin, daunorubicin, valrubicin, idarubicin, epirubicin, bleomycin, plicamycin and/or mitomycin); a hormone (e.g., a lutenizing hormone releasing hormone agonist; e.g., leuprolidine, goserelin, triptorelin, histrelin, bicalutamide, flutamide and/or nilutamide); an antibody (e.g., Abciximab, Adalimumab, Alemtuzumab, Atlizumab, Basiliximab, Belimumab, Bevacizumab, Bretuximab vedotin, Canakinumab, Cetuximab, Ceertolizumab pegol, Daclizumab, Denosumab, Eculizumab, Efalizumab, Gemtuzumab, Golimumab, Golimumab, Ibritumomab tiuxetan, Infliximab, Ipilimumab, Muromonab-CD3, Natalizumab, Ofatumumab, Omalizumab, Palivizumab, Panitumuab, Ranibizumab, Rituximab, Tocilizumab, Tositumomab and/or Trastuzumab); an anti-angiogenic agent; a cytokine; a thrombotic agent; a growth inhibitory agent; an anti- helminthic agent; and an immune checkpoint inhibitor that targets an immune checkpoint
receptor selected from the group consisting of CTLA-4, PD-1, PD-L1, PD-1 – PD-L1, PD-1 – PD-L2, interleukin‑2 (IL‑2), indoleamine 2,3-dioxygenase (IDO), IL‑10, transforming growth factor-β (TGFβ), T cell immunoglobulin and mucin 3 (TIM3 or HAVCR2), Galectin 9 – TIM3, Phosphatidylserine – TIM3, lymphocyte activation gene 3 protein (LAG3), MHC class II – LAG3, 4‑1BB–4‑1BB ligand, OX40–OX40 ligand, GITR, GITR ligand – GITR, CD27, CD70- CD27, TNFRSF25, TNFRSF25–TL1A, CD40L, CD40–CD40 ligand, HVEM–LIGHT–LTA, HVEM, HVEM – BTLA, HVEM – CD160, HVEM – LIGHT, HVEM–BTLA–CD160, CD80, CD80 – PDL-1, PDL2 – CD80, CD244, CD48 – CD244, CD244, ICOS, ICOS–ICOS ligand, B7‑H3, B7‑H4, VISTA, TMIGD2, HHLA2–TMIGD2, Butyrophilins, including BTNL2, Siglec family, TIGIT and PVR family members, KIRs, ILTs and LIRs, NKG2D and NKG2A, MICA and MICB, CD244, CD28, CD86 – CD28, CD86 – CTLA, CD80 – CD28, CD39, CD73 Adenosine–CD39–CD73, CXCR4–CXCL12, Phosphatidylserine, TIM3, Phosphatidylserine – TIM3, SIRPA–CD47, VEGF, Neuropilin, CD160, CD30, and CD155 (e.g., CTLA-4 or PD1 or PD-L1). 131. A method of treatment of a disease in which increased (e.g., excessive) STING signaling contributes to the pathology and/or symptoms and/or progression of the disease, comprising administering to a subject in need of such treatment an effective amount of a compound as defined in any one of claims 1-95, or a pharmaceutical composition as defined in claim 96. 132. A method of treatment comprising administering to a subject having a disease in which increased (e.g., excessive) STING signaling contributes to the pathology and/or symptoms and/or progression of the disease an effective amount of a compound as defined in any one of claims 1-95, or a pharmaceutical composition as defined in claim 96. 133. A method of treatment comprising administering to a subject a compound as defined in any one of claims 1-95, or a pharmaceutical composition as defined in claim 96, wherein the compound or composition is administered in an amount effective to treat a disease in which increased (e.g., excessive) STING signaling contributes to the pathology and/or symptoms and/or progression of the disease, thereby treating the disease.
134. The method of any one of claims 131-133, wherein the disease is cancer. 135. The method of claim 134, wherein the cancer is selected from the group consisting of melanoma, cervical cancer, breast cancer, ovarian cancer, prostate cancer, testicular cancer, urothelial carcinoma, bladder cancer, non-small cell lung cancer, small cell lung cancer, sarcoma, colorectal adenocarcinoma, gastrointestinal stromal tumors, gastroesophageal carcinoma, colorectal cancer, pancreatic cancer, kidney cancer, hepatocellular cancer, malignant mesothelioma, leukemia, lymphoma, myelodysplasia syndrome, multiple myeloma, transitional cell carcinoma, neuroblastoma, plasma cell neoplasms, Wilm's tumor, or hepatocellular carcinoma. 136. The method of claim 134-135, wherein the cancer is a refractory cancer. 137. The method of any one of claims 134-136, wherein the compound is administered in combination with one or more additional cancer therapies. 138. The method of claim 137, wherein the one or more additional cancer therapies comprises surgery, radiotherapy, chemotherapy, toxin therapy, immunotherapy, cryotherapy or gene therapy, or a combination thereof. 139. The method of claim 138, wherein chemotherapy comprises administering one or more additional chemotherapeutic agents. 140. The method of claim 139, wherein the one or more additional chemotherapeutic agents is selected from an alkylating agent (e.g., cisplatin, carboplatin, mechlorethamine, cyclophosphamide, chlorambucil, ifosfamide and/or oxaliplatin); an anti-metabolite (e.g.,azathioprine and/or mercaptopurine); a terpenoid (e.g., a vinca alkaloid and/or a taxane; e.g., Vincristine, Vinblastine, Vinorelbine and/or Vindesine Taxol, Pacllitaxel and/or Docetaxel); a topoisomerase (e.g., a type I topoisomerase and/or a type 2 topoisomerase; e.g., camptothecins, such as irinotecan and/or topotecan;. amsacrine, etoposide, etoposide phosphate and/or
teniposide); a cytotoxic antibiotic (e.g., actinomycin, anthracyclines, doxorubicin, daunorubicin, valrubicin, idarubicin, epirubicin, bleomycin, plicamycin and/or mitomycin); a hormone (e.g., a lutenizing hormone releasing hormone agonist; e.g., leuprolidine, goserelin, triptorelin, histrelin, bicalutamide, flutamide and/or nilutamide); an antibody (e.g., Abciximab, Adalimumab, Alemtuzumab, Atlizumab, Basiliximab, Belimumab, Bevacizumab, Bretuximab vedotin, Canakinumab, Cetuximab, Ceertolizumab pegol, Daclizumab, Denosumab, Eculizumab, Efalizumab, Gemtuzumab, Golimumab, Golimumab, Ibritumomab tiuxetan, Infliximab, Ipilimumab, Muromonab-CD3, Natalizumab, Ofatumumab, Omalizumab, Palivizumab, Panitumuab, Ranibizumab, Rituximab, Tocilizumab, Tositumomab and/or Trastuzumab); an anti-angiogenic agent; a cytokine; a thrombotic agent; a growth inhibitory agent; an anti- helminthic agent; and an immune checkpoint inhibitor that targets an immune checkpoint receptor selected from the group consisting of CTLA-4, PD-1, PD-L1, PD-1 – PD-L1, PD-1 – PD-L2, interleukin‑2 (IL‑2), indoleamine 2,3-dioxygenase (IDO), IL‑10, transforming growth factor-β (TGFβ), T cell immunoglobulin and mucin 3 (TIM3 or HAVCR2), Galectin 9 – TIM3, Phosphatidylserine – TIM3, lymphocyte activation gene 3 protein (LAG3), MHC class II – LAG3, 4‑1BB–4‑1BB ligand, OX40–OX40 ligand, GITR, GITR ligand – GITR, CD27, CD70- CD27, TNFRSF25, TNFRSF25–TL1A, CD40L, CD40–CD40 ligand, HVEM–LIGHT–LTA, HVEM, HVEM – BTLA, HVEM – CD160, HVEM – LIGHT, HVEM–BTLA–CD160, CD80, CD80 – PDL-1, PDL2 – CD80, CD244, CD48 – CD244, CD244, ICOS, ICOS–ICOS ligand, B7‑H3, B7‑H4, VISTA, TMIGD2, HHLA2–TMIGD2, Butyrophilins, including BTNL2, Siglec family, TIGIT and PVR family members, KIRs, ILTs and LIRs, NKG2D and NKG2A, MICA and MICB, CD244, CD28, CD86 – CD28, CD86 – CTLA, CD80 – CD28, CD39, CD73 Adenosine–CD39–CD73, CXCR4–CXCL12, Phosphatidylserine, TIM3, Phosphatidylserine – TIM3, SIRPA–CD47, VEGF, Neuropilin, CD160, CD30, and CD155 (e.g., CTLA-4 or PD1 or PD-L1). 141. The method of any one of claims 131-140, wherein the compound is administered intratumorally. 142. A method of treatment of a disease, disorder, or condition associated with STING, comprising administering to a subject in need of such treatment an effective amount of a
compound as defined in any one of claims 1-95, or a pharmaceutical composition as defined in claim 96. 143. The method of claim 142, wherein the disease, disorder, or condition is selected from type I interferonopathies, Aicardi-Goutières Syndrome (AGS), genetic forms of lupus, inflammation-associated disorders, and rheumatoid arthritis. 144. The method of claim 143, wherein the disease, disorder, or condition is a type I interferonopathy (e.g., STING-associated vasculopathywith onset in infancy (SAVI)). 145. The method of claim 144, wherein the type I interferonopathy is STING- associated vasculopathy with onset in infancy (SAVI)). 146. The method of claim 143, wherein the disease, disorder, or condition is Aicardi- Goutières Syndrome (AGS). 147. The method of claim 143, wherein the disease, disorder, or condition is a genetic form of lupus. 148. The method of claim 143, wherein the disease, disorder, or condition is inflammation-associated disorder. 149. The method of claim 148, wherein the inflammation-associated disorder is systemic lupus erythematosus. 150. The method of any one of claims 97-149, wherein the method further comprises identifying the subject. 151. A combination comprising a compounds defined in any one of claims 1-95 or a pharmaceutically acceptable salt or tautomer thereof, and one or more therapeutically active agents.
152. A compound defined in any one of claims 1-95 or a pharmaceutically acceptable salt or tautomer thereof, or a pharmaceutical composition defined in claim 96, for use as a medicament. 153. A compound defined in any one of claims 1-95 or a pharmaceutically acceptable salt or tautomer thereof, or a pharmaceutical composition defined in claim 96, for use in the treatment of a disease, condition or disorder modulated by STING degradation. 154. A compound defined in any one of claims 1-95 or a pharmaceutically acceptable salt or tautomer thereof, or the pharmaceutical composition defined in claim 96, for use in the treatment of a disease mentioned in any one of claims 97-150. 155. Use of a compound defined in any one of claims 1-95 or a pharmaceutically acceptable salt or tautomer thereof, or a pharmaceutical composition defined in claim 96, in the manufacture of a medicament for the treatment of a disease mentioned in in any one of claims 97-150.
Applications Claiming Priority (2)
| Application Number | Priority Date | Filing Date | Title |
|---|---|---|---|
| US202263409540P | 2022-09-23 | 2022-09-23 | |
| US63/409,540 | 2022-09-23 |
Publications (1)
| Publication Number | Publication Date |
|---|---|
| WO2024064358A1 true WO2024064358A1 (en) | 2024-03-28 |
Family
ID=88413977
Family Applications (1)
| Application Number | Title | Priority Date | Filing Date |
|---|---|---|---|
| PCT/US2023/033511 Ceased WO2024064358A1 (en) | 2022-09-23 | 2023-09-22 | Compounds and compositions for treating conditions associated with sting activity |
Country Status (1)
| Country | Link |
|---|---|
| WO (1) | WO2024064358A1 (en) |
Cited By (3)
| Publication number | Priority date | Publication date | Assignee | Title |
|---|---|---|---|---|
| CN119707938A (en) * | 2024-12-23 | 2025-03-28 | 重庆医科大学 | E3 ligase GID4 ligand compound and application thereof |
| CN119930591A (en) * | 2025-03-10 | 2025-05-06 | 海南大学 | A nitrogen-containing ring derivative as a STING degrader linker and its synthesis method and use |
| US12503436B2 (en) | 2021-08-10 | 2025-12-23 | Novartis Pharma Ag | Compounds and compositions for treating conditions associated with STING activity |
Citations (84)
| Publication number | Priority date | Publication date | Assignee | Title |
|---|---|---|---|---|
| WO2002020740A2 (en) | 2000-09-08 | 2002-03-14 | California Institute Of Technology | Proteolysis targeting chimeric pharmaceutical |
| US7927613B2 (en) | 2002-02-15 | 2011-04-19 | University Of South Florida | Pharmaceutical co-crystal compositions |
| WO2011050962A1 (en) | 2009-10-29 | 2011-05-05 | Ratiopharm Gmbh | Acid addition salts of lenalidomide |
| WO2012003281A2 (en) | 2010-06-30 | 2012-01-05 | Brandeis University | Small-molecule-targeted protein degradation |
| WO2012078559A2 (en) | 2010-12-07 | 2012-06-14 | Yale University | Small-molecule hydrophobic tagging of fusion proteins and induced degradation of same |
| US20120202848A1 (en) | 2010-12-03 | 2012-08-09 | The Trustees Of The University Of Pennsylvania | Therapy of autoimmune colitis using a tip60 inhibitor |
| WO2013106646A2 (en) | 2012-01-12 | 2013-07-18 | Yale University | Compounds and methods for the inhibition of vcb e3 ubiquitin ligase |
| WO2013106643A2 (en) | 2012-01-12 | 2013-07-18 | Yale University | Compounds & methods for the enhanced degradation of targeted proteins & other polypeptides by an e3 ubiquitin ligase |
| WO2014063061A1 (en) | 2012-10-19 | 2014-04-24 | Dana-Farber Cancer Institute, Inc. | Hydrophobically tagged small molecules as inducers of protein degradation |
| WO2014108452A1 (en) | 2013-01-11 | 2014-07-17 | Glaxosmithkline Intellectual Property Development Limited | Proteolysis targeting chimeras (protacs) directed to the modulation of the estrogen receptor |
| WO2015061294A2 (en) | 2013-10-21 | 2015-04-30 | Philadelphia Health & Education Corporation D/B/A/ | Use of sting agonists to treat chronic hepatitis b virus infection |
| US20150291562A1 (en) | 2014-04-14 | 2015-10-15 | Arvinas, Inc. | Imide-based modulators of proteolysis and associated methods of use |
| US20160022642A1 (en) | 2014-07-25 | 2016-01-28 | Yale University | Compounds Useful for Promoting Protein Degradation and Methods Using Same |
| WO2016105518A1 (en) | 2014-12-23 | 2016-06-30 | Dana-Farber Cancer Institute, Inc. | Methods to induce targeted protein degradation through bifunctional molecules |
| US20160214972A1 (en) | 2015-01-20 | 2016-07-28 | Arvinas, Inc. | Compounds and methods for the targeted degradation of androgen receptor |
| US20160272639A1 (en) | 2015-03-18 | 2016-09-22 | Arvinas, Inc. | Compounds and methods for the enhanced degradation of targeted proteins |
| WO2016169989A1 (en) | 2015-04-22 | 2016-10-27 | Glaxosmithkline Intellectual Property Development Limited | Iap e3 ligase directed proteolysis targeting chimeric molecules |
| WO2016197114A1 (en) | 2015-06-05 | 2016-12-08 | Arvinas, Inc. | Tank-binding kinase-1 protacs and associated methods of use |
| WO2016197032A1 (en) | 2015-06-04 | 2016-12-08 | Arvinas, Inc. | Imide-based modulators of proteolysis and associated methods of use |
| WO2017007612A1 (en) | 2015-07-07 | 2017-01-12 | Dana-Farber Cancer Institute, Inc. | Methods to induce targeted protein degradation through bifunctional molecules |
| US20170008904A1 (en) | 2015-07-10 | 2017-01-12 | Arvinas, Inc. | Mdm2-based modulators of proteolysis and associated methods of use |
| WO2017011590A1 (en) | 2015-07-13 | 2017-01-19 | Arvinas, Inc. | Alanine-based modulators of proteolysis and associated methods of use |
| US20170121321A1 (en) | 2015-11-02 | 2017-05-04 | Yale University | Proteolysis Targeting Chimera Compounds and Methods of Preparing and Using Same |
| WO2017117473A1 (en) | 2015-12-30 | 2017-07-06 | Dana-Farber Cancer Institute, Inc. | Bifunctional molescules for her3 degradation and methods of use |
| WO2017117474A1 (en) | 2015-12-30 | 2017-07-06 | Dana-Farber Cancer Institute, Inc. | Bifunctional compounds for her3 degradation and methods of use |
| WO2017161119A1 (en) | 2016-03-16 | 2017-09-21 | H. Lee Moffitt Cancer Center & Research Institute, Inc. | Small molecules against cereblon to enhance effector t cell function |
| US20170281784A1 (en) | 2016-04-05 | 2017-10-05 | Arvinas, Inc. | Protein-protein interaction inducing technology |
| WO2017176958A1 (en) | 2016-04-06 | 2017-10-12 | The Regents Of The University Of Michigan | Monofunctional intermediates for ligand-dependent target protein degradation |
| WO2017176957A1 (en) | 2016-04-06 | 2017-10-12 | The Regents Of The University Of Michigan | Mdm2 protein degraders |
| WO2017197056A1 (en) | 2016-05-10 | 2017-11-16 | C4 Therapeutics, Inc. | Bromodomain targeting degronimers for target protein degradation |
| WO2017197046A1 (en) | 2016-05-10 | 2017-11-16 | C4 Therapeutics, Inc. | C3-carbon linked glutarimide degronimers for target protein degradation |
| WO2017197051A1 (en) | 2016-05-10 | 2017-11-16 | C4 Therapeutics, Inc. | Amine-linked c3-glutarimide degronimers for target protein degradation |
| WO2017197036A1 (en) | 2016-05-10 | 2017-11-16 | C4 Therapeutics, Inc. | Spirocyclic degronimers for target protein degradation |
| WO2017197055A1 (en) | 2016-05-10 | 2017-11-16 | C4 Therapeutics, Inc. | Heterocyclic degronimers for target protein degradation |
| WO2018140809A1 (en) | 2017-01-26 | 2018-08-02 | Arvinas, Inc. | Modulators of estrogen receptor proteolysis and associated methods of use |
| WO2019040274A1 (en) | 2017-08-25 | 2019-02-28 | Biotheryx, Inc. | Ether compounds and uses thereof |
| WO2019207538A1 (en) | 2018-04-26 | 2019-10-31 | Aurigene Discovery Technologies Limited | Pyridazine derivatives as smarca2/4 degraders |
| WO2020010155A1 (en) | 2018-07-03 | 2020-01-09 | Ifm Due, Inc. | Compounds and compositions for treating conditions associated with sting activity |
| WO2020010092A1 (en) | 2018-07-03 | 2020-01-09 | Ifm Due, Inc. | Compounds and compositions for treating conditions associated with sting activity |
| US20200038378A1 (en) | 2018-04-01 | 2020-02-06 | Arvinas Operations, Inc. | Brm targeting compounds and associated methods of use |
| WO2020078933A1 (en) | 2018-10-16 | 2020-04-23 | Boehringer Ingelheim International Gmbh | Proteolysis targeting chimera (protacs) as degraders of smarca2 and/or smarca4 |
| US20200129627A1 (en) | 2016-12-23 | 2020-04-30 | Arvinas Operations, Inc. | Compounds and methods for the targeted degradation of rapidly accelerated fibrosarcoma polypeptides |
| US20200140456A1 (en) | 2017-06-20 | 2020-05-07 | C4 Therapeutics, Inc. | N/o-linked degrons and degronimers for protein degradation |
| WO2020092907A1 (en) * | 2018-11-02 | 2020-05-07 | Dana-Farber Cancer Institute, Inc. | Acetylation writer inhibitor development and uses thereof |
| WO2020106736A1 (en) | 2018-11-19 | 2020-05-28 | Ifm Due, Inc. | Compounds and compositions for treating conditions associated with sting activity |
| WO2020106741A1 (en) | 2018-11-19 | 2020-05-28 | Ifm Due, Inc. | Compounds and compositions for treating conditions associated with sting activity |
| WO2020150439A1 (en) | 2019-01-17 | 2020-07-23 | Ifm Due, Inc. | Compounds and compositions for treating conditions associated with sting activity |
| WO2020150417A2 (en) | 2019-01-17 | 2020-07-23 | Ifm Due, Inc. | Compounds and compositions for treating conditions associated with sting activity |
| WO2020160192A1 (en) | 2019-01-29 | 2020-08-06 | Foghorn Therapeutics Inc. | Compounds and uses thereof |
| WO2020165833A1 (en) | 2019-02-15 | 2020-08-20 | Novartis Ag | 3-(1-oxo-5-(piperidin-4-yl)isoindolin-2-yl)piperidine-2,6-dione derivatives and uses thereof |
| US20200264499A1 (en) | 2019-02-19 | 2020-08-20 | Seiko Epson Corporation | Phosphor, wavelength conversion element, light source device, and projector |
| US20200361930A1 (en) | 2018-02-05 | 2020-11-19 | Hoffmann-La Roche Inc. | Bifunctional molecules that degrade egfr |
| WO2020236586A1 (en) | 2019-05-17 | 2020-11-26 | Ifm Due, Inc. | N-hetaryl-squaramide compounds for treating conditions associated with sting activity |
| US20200369679A1 (en) | 2019-05-24 | 2020-11-26 | Biotheryx, Inc. | Protein-targeting compounds and pharmaceutical compositions thereof, and their therapeutic applications |
| WO2020243519A1 (en) | 2019-05-29 | 2020-12-03 | Ifm Due, Inc. | Compounds and compositions for treating conditions associated with sting activity |
| WO2020252240A1 (en) | 2019-06-14 | 2020-12-17 | Ifm Due, Inc. | Compounds and compositions for treating conditions associated with sting activity |
| WO2020257621A1 (en) | 2019-06-21 | 2020-12-24 | Ifm Due, Inc. | Methods of treating cancer |
| WO2021067801A1 (en) | 2019-10-03 | 2021-04-08 | Ifm Due, Inc. | Compounds and compositions for treating conditions associated with sting activity |
| WO2021067791A1 (en) | 2019-10-03 | 2021-04-08 | Ifm Due, Inc. | Oxalamide compounds and compositions for treating conditions associated with sting activity |
| WO2021067805A1 (en) | 2019-10-03 | 2021-04-08 | Ifm Due, Inc. | Oxalamide heterobycyclic compounds and compositions for treating conditions associated with sting activity |
| US20210147383A1 (en) | 2019-11-19 | 2021-05-20 | Bristol-Myers Squibb Company | Compounds useful as inhibitors of helios protein |
| WO2021138419A1 (en) | 2019-12-31 | 2021-07-08 | Ifm Due, Inc, | Compounds and compositions for treating conditions associated with sting activity |
| WO2021138434A1 (en) | 2019-12-31 | 2021-07-08 | Ifm Due, Inc. | Compounds and compositions for treating conditions associated with sting activity |
| WO2021161230A1 (en) * | 2020-02-12 | 2021-08-19 | Curadev Pharma Pvt. Ltd. | Small molecule sting antagonists |
| WO2022015979A1 (en) | 2020-07-15 | 2022-01-20 | Ifm Due, Inc. | Compounds and compositions for treating conditions associated with sting activity |
| WO2022015975A1 (en) | 2020-07-15 | 2022-01-20 | Ifm Due, Inc. | Compounds and compositions for treating conditions associated with sting activity |
| WO2022015977A1 (en) | 2020-07-15 | 2022-01-20 | Ifm Due, Inc. | Compounds and compositions for treating conditions associated with sting activity |
| WO2022015957A1 (en) | 2020-07-15 | 2022-01-20 | Ifm Due, Inc. | Compounds and compositions for treating conditions associated with sting activity |
| WO2022015938A1 (en) | 2020-07-15 | 2022-01-20 | Ifm Due, Inc. | Compounds and compositions for treating conditions associated with sting activity |
| US20220024919A1 (en) | 2020-07-15 | 2022-01-27 | Ifm Due, Inc. | Compounds and compositions for treating conditions associated with sting activity |
| US20220024906A1 (en) | 2020-07-15 | 2022-01-27 | Ifm Due, Inc. | Compounds and compositions for treating conditions associated with sting activity |
| CN114085215A (en) * | 2021-11-15 | 2022-02-25 | 南方医科大学 | A kind of fumaric acid amide compound or its pharmaceutically acceptable salt and its preparation method and application |
| US20220143002A1 (en) * | 2019-02-25 | 2022-05-12 | Shanghaitech University | Sulfur-containing compound based on glutarimide skeleton and application thereof |
| WO2022133046A2 (en) | 2020-12-16 | 2022-06-23 | Ifm Due, Inc. | Compounds and compositions for treating conditions associated with sting activity |
| WO2022133098A2 (en) | 2020-12-16 | 2022-06-23 | Ifm Due, Inc. | Compounds and compositions for treating conditions associated with sting activity |
| WO2022140410A1 (en) | 2020-12-22 | 2022-06-30 | Ifm Due, Inc. | Methods of treating cancer |
| WO2022140397A1 (en) | 2020-12-22 | 2022-06-30 | Ifm Due, Inc. | Methods of treating cancer |
| WO2022140387A1 (en) | 2020-12-22 | 2022-06-30 | Ifm Due, Inc. | Methods of treating cancer |
| WO2022140403A1 (en) | 2020-12-22 | 2022-06-30 | Ifm Due, Inc. | Methods of treating cancer |
| WO2022150549A1 (en) | 2021-01-08 | 2022-07-14 | Ifm Due, Inc. | Oxalamide compounds and compositions for treating conditions associated with sting activity |
| WO2022150560A1 (en) | 2021-01-08 | 2022-07-14 | Ifm Due, Inc. | Compounds and compositions for treating conditions associated with sting activity |
| WO2022150543A1 (en) | 2021-01-08 | 2022-07-14 | Ifm Due, Inc. | Compounds and compositions for treating conditions associated with sting activity |
| WO2022150585A1 (en) | 2021-01-08 | 2022-07-14 | Ifm Due, Inc. | Heterobicyclic compounds having an urea or analogue and their compositions for treating conditions associated with sting activity |
| WO2022220625A1 (en) * | 2021-04-14 | 2022-10-20 | 주식회사 레고켐바이오사이언스 | Protein degrader conjugates and use thereof |
-
2023
- 2023-09-22 WO PCT/US2023/033511 patent/WO2024064358A1/en not_active Ceased
Patent Citations (101)
| Publication number | Priority date | Publication date | Assignee | Title |
|---|---|---|---|---|
| US20020068063A1 (en) | 2000-09-08 | 2002-06-06 | Deshaies Raymond J. | Proteolysis targeting chimeric pharmaceutical |
| WO2002020740A2 (en) | 2000-09-08 | 2002-03-14 | California Institute Of Technology | Proteolysis targeting chimeric pharmaceutical |
| US7927613B2 (en) | 2002-02-15 | 2011-04-19 | University Of South Florida | Pharmaceutical co-crystal compositions |
| WO2011050962A1 (en) | 2009-10-29 | 2011-05-05 | Ratiopharm Gmbh | Acid addition salts of lenalidomide |
| US20130190340A1 (en) | 2010-06-30 | 2013-07-25 | Brandeis University | Small-Molecule-Targeted Protein Degradation |
| WO2012003281A2 (en) | 2010-06-30 | 2012-01-05 | Brandeis University | Small-molecule-targeted protein degradation |
| US20120202848A1 (en) | 2010-12-03 | 2012-08-09 | The Trustees Of The University Of Pennsylvania | Therapy of autoimmune colitis using a tip60 inhibitor |
| US20140302523A1 (en) | 2010-12-07 | 2014-10-09 | Yale University | Small-Molecule Hydrophobic Tagging of Fusion Proteins and Induced Degradation of Same |
| WO2012078559A2 (en) | 2010-12-07 | 2012-06-14 | Yale University | Small-molecule hydrophobic tagging of fusion proteins and induced degradation of same |
| WO2013106646A2 (en) | 2012-01-12 | 2013-07-18 | Yale University | Compounds and methods for the inhibition of vcb e3 ubiquitin ligase |
| WO2013106643A2 (en) | 2012-01-12 | 2013-07-18 | Yale University | Compounds & methods for the enhanced degradation of targeted proteins & other polypeptides by an e3 ubiquitin ligase |
| US20140356322A1 (en) | 2012-01-12 | 2014-12-04 | Yale University | Compounds & Methods for the Enhanced Degradation of Targeted Proteins & Other Polypeptides by an E3 Ubiquitin Ligase |
| WO2014063061A1 (en) | 2012-10-19 | 2014-04-24 | Dana-Farber Cancer Institute, Inc. | Hydrophobically tagged small molecules as inducers of protein degradation |
| US20150274738A1 (en) | 2012-10-19 | 2015-10-01 | Dana-Farber Cancer, Institute, Inc. | Hydrophobically tagged small molecules as inducers of protein degradation |
| WO2014108452A1 (en) | 2013-01-11 | 2014-07-17 | Glaxosmithkline Intellectual Property Development Limited | Proteolysis targeting chimeras (protacs) directed to the modulation of the estrogen receptor |
| WO2015061294A2 (en) | 2013-10-21 | 2015-04-30 | Philadelphia Health & Education Corporation D/B/A/ | Use of sting agonists to treat chronic hepatitis b virus infection |
| US20150291562A1 (en) | 2014-04-14 | 2015-10-15 | Arvinas, Inc. | Imide-based modulators of proteolysis and associated methods of use |
| WO2015160845A2 (en) | 2014-04-14 | 2015-10-22 | Arvinas, Inc. | Imide-based modulators of proteolysis and associated methods of use |
| US20160022642A1 (en) | 2014-07-25 | 2016-01-28 | Yale University | Compounds Useful for Promoting Protein Degradation and Methods Using Same |
| US20180009779A1 (en) | 2014-12-23 | 2018-01-11 | Dana-Farber Cancer Institute, Inc. | Methods to induce targeted protein degradation through bifunctional molecules |
| WO2016105518A1 (en) | 2014-12-23 | 2016-06-30 | Dana-Farber Cancer Institute, Inc. | Methods to induce targeted protein degradation through bifunctional molecules |
| US20160214972A1 (en) | 2015-01-20 | 2016-07-28 | Arvinas, Inc. | Compounds and methods for the targeted degradation of androgen receptor |
| WO2016118666A1 (en) | 2015-01-20 | 2016-07-28 | Arvinas, Inc. | Compounds and methods for the targeted degradation of the androgen receptor |
| US20160272639A1 (en) | 2015-03-18 | 2016-09-22 | Arvinas, Inc. | Compounds and methods for the enhanced degradation of targeted proteins |
| WO2016149668A1 (en) | 2015-03-18 | 2016-09-22 | Arvinas, Inc. | Compounds and methods for the enhanced degradation of targeted proteins |
| WO2016169989A1 (en) | 2015-04-22 | 2016-10-27 | Glaxosmithkline Intellectual Property Development Limited | Iap e3 ligase directed proteolysis targeting chimeric molecules |
| US20180118733A1 (en) | 2015-04-22 | 2018-05-03 | Glaxosmithkline Intellectual Property Development Limited | lAP E3 LIGASE DIRECTED PROTEOLYSIS TARGETING CHIMERIC MOLECULES |
| WO2016197032A1 (en) | 2015-06-04 | 2016-12-08 | Arvinas, Inc. | Imide-based modulators of proteolysis and associated methods of use |
| WO2016197114A1 (en) | 2015-06-05 | 2016-12-08 | Arvinas, Inc. | Tank-binding kinase-1 protacs and associated methods of use |
| US20180147202A1 (en) | 2015-06-05 | 2018-05-31 | Arvinas, Inc. | TANK-BINDING KINASE-1 PROTACs AND ASSOCIATED METHODS OF USE |
| WO2017007612A1 (en) | 2015-07-07 | 2017-01-12 | Dana-Farber Cancer Institute, Inc. | Methods to induce targeted protein degradation through bifunctional molecules |
| US20180134684A1 (en) | 2015-07-07 | 2018-05-17 | Dana-Farber Cancer Institute, Inc. | Methods to induce targeted protein degradation through bifunctional molecules |
| WO2017011371A1 (en) | 2015-07-10 | 2017-01-19 | Arvinas, Inc | Mdm2-based modulators of proteolysis and associated methods of use |
| US20170008904A1 (en) | 2015-07-10 | 2017-01-12 | Arvinas, Inc. | Mdm2-based modulators of proteolysis and associated methods of use |
| US20170037004A1 (en) | 2015-07-13 | 2017-02-09 | Arvinas, Inc. | Alanine-based modulators of proteolysis and associated methods of use |
| WO2017011590A1 (en) | 2015-07-13 | 2017-01-19 | Arvinas, Inc. | Alanine-based modulators of proteolysis and associated methods of use |
| WO2017079267A1 (en) | 2015-11-02 | 2017-05-11 | Yale University | Proteolysis targeting chimera compounds and methods of preparing and using same |
| US20170121321A1 (en) | 2015-11-02 | 2017-05-04 | Yale University | Proteolysis Targeting Chimera Compounds and Methods of Preparing and Using Same |
| WO2017117473A1 (en) | 2015-12-30 | 2017-07-06 | Dana-Farber Cancer Institute, Inc. | Bifunctional molescules for her3 degradation and methods of use |
| WO2017117474A1 (en) | 2015-12-30 | 2017-07-06 | Dana-Farber Cancer Institute, Inc. | Bifunctional compounds for her3 degradation and methods of use |
| WO2017161119A1 (en) | 2016-03-16 | 2017-09-21 | H. Lee Moffitt Cancer Center & Research Institute, Inc. | Small molecules against cereblon to enhance effector t cell function |
| US20170281784A1 (en) | 2016-04-05 | 2017-10-05 | Arvinas, Inc. | Protein-protein interaction inducing technology |
| WO2017176708A1 (en) | 2016-04-05 | 2017-10-12 | Arvinas, Inc. | Protein-protein interaction inducing technology |
| WO2017176958A1 (en) | 2016-04-06 | 2017-10-12 | The Regents Of The University Of Michigan | Monofunctional intermediates for ligand-dependent target protein degradation |
| WO2017176957A1 (en) | 2016-04-06 | 2017-10-12 | The Regents Of The University Of Michigan | Mdm2 protein degraders |
| WO2017197036A1 (en) | 2016-05-10 | 2017-11-16 | C4 Therapeutics, Inc. | Spirocyclic degronimers for target protein degradation |
| WO2017197055A1 (en) | 2016-05-10 | 2017-11-16 | C4 Therapeutics, Inc. | Heterocyclic degronimers for target protein degradation |
| WO2017197051A1 (en) | 2016-05-10 | 2017-11-16 | C4 Therapeutics, Inc. | Amine-linked c3-glutarimide degronimers for target protein degradation |
| WO2017197046A1 (en) | 2016-05-10 | 2017-11-16 | C4 Therapeutics, Inc. | C3-carbon linked glutarimide degronimers for target protein degradation |
| WO2017197056A1 (en) | 2016-05-10 | 2017-11-16 | C4 Therapeutics, Inc. | Bromodomain targeting degronimers for target protein degradation |
| US20200129627A1 (en) | 2016-12-23 | 2020-04-30 | Arvinas Operations, Inc. | Compounds and methods for the targeted degradation of rapidly accelerated fibrosarcoma polypeptides |
| WO2018140809A1 (en) | 2017-01-26 | 2018-08-02 | Arvinas, Inc. | Modulators of estrogen receptor proteolysis and associated methods of use |
| US20200199107A1 (en) | 2017-01-26 | 2020-06-25 | Arvinas Operations, Inc. | Modulators of estrogen receptor proteolysis and associated methods of use |
| US20200140456A1 (en) | 2017-06-20 | 2020-05-07 | C4 Therapeutics, Inc. | N/o-linked degrons and degronimers for protein degradation |
| WO2019040274A1 (en) | 2017-08-25 | 2019-02-28 | Biotheryx, Inc. | Ether compounds and uses thereof |
| US20200361930A1 (en) | 2018-02-05 | 2020-11-19 | Hoffmann-La Roche Inc. | Bifunctional molecules that degrade egfr |
| US20200038378A1 (en) | 2018-04-01 | 2020-02-06 | Arvinas Operations, Inc. | Brm targeting compounds and associated methods of use |
| WO2019207538A1 (en) | 2018-04-26 | 2019-10-31 | Aurigene Discovery Technologies Limited | Pyridazine derivatives as smarca2/4 degraders |
| WO2020010092A1 (en) | 2018-07-03 | 2020-01-09 | Ifm Due, Inc. | Compounds and compositions for treating conditions associated with sting activity |
| WO2020010155A1 (en) | 2018-07-03 | 2020-01-09 | Ifm Due, Inc. | Compounds and compositions for treating conditions associated with sting activity |
| WO2020078933A1 (en) | 2018-10-16 | 2020-04-23 | Boehringer Ingelheim International Gmbh | Proteolysis targeting chimera (protacs) as degraders of smarca2 and/or smarca4 |
| WO2020092907A1 (en) * | 2018-11-02 | 2020-05-07 | Dana-Farber Cancer Institute, Inc. | Acetylation writer inhibitor development and uses thereof |
| WO2020106736A1 (en) | 2018-11-19 | 2020-05-28 | Ifm Due, Inc. | Compounds and compositions for treating conditions associated with sting activity |
| WO2020106741A1 (en) | 2018-11-19 | 2020-05-28 | Ifm Due, Inc. | Compounds and compositions for treating conditions associated with sting activity |
| WO2020150439A1 (en) | 2019-01-17 | 2020-07-23 | Ifm Due, Inc. | Compounds and compositions for treating conditions associated with sting activity |
| WO2020150417A2 (en) | 2019-01-17 | 2020-07-23 | Ifm Due, Inc. | Compounds and compositions for treating conditions associated with sting activity |
| WO2020160192A1 (en) | 2019-01-29 | 2020-08-06 | Foghorn Therapeutics Inc. | Compounds and uses thereof |
| WO2020165833A1 (en) | 2019-02-15 | 2020-08-20 | Novartis Ag | 3-(1-oxo-5-(piperidin-4-yl)isoindolin-2-yl)piperidine-2,6-dione derivatives and uses thereof |
| US20200264499A1 (en) | 2019-02-19 | 2020-08-20 | Seiko Epson Corporation | Phosphor, wavelength conversion element, light source device, and projector |
| US20220143002A1 (en) * | 2019-02-25 | 2022-05-12 | Shanghaitech University | Sulfur-containing compound based on glutarimide skeleton and application thereof |
| WO2020236586A1 (en) | 2019-05-17 | 2020-11-26 | Ifm Due, Inc. | N-hetaryl-squaramide compounds for treating conditions associated with sting activity |
| US20200369679A1 (en) | 2019-05-24 | 2020-11-26 | Biotheryx, Inc. | Protein-targeting compounds and pharmaceutical compositions thereof, and their therapeutic applications |
| WO2020243519A1 (en) | 2019-05-29 | 2020-12-03 | Ifm Due, Inc. | Compounds and compositions for treating conditions associated with sting activity |
| WO2020252240A1 (en) | 2019-06-14 | 2020-12-17 | Ifm Due, Inc. | Compounds and compositions for treating conditions associated with sting activity |
| WO2020257621A1 (en) | 2019-06-21 | 2020-12-24 | Ifm Due, Inc. | Methods of treating cancer |
| WO2021067805A1 (en) | 2019-10-03 | 2021-04-08 | Ifm Due, Inc. | Oxalamide heterobycyclic compounds and compositions for treating conditions associated with sting activity |
| WO2021067791A1 (en) | 2019-10-03 | 2021-04-08 | Ifm Due, Inc. | Oxalamide compounds and compositions for treating conditions associated with sting activity |
| WO2021067801A1 (en) | 2019-10-03 | 2021-04-08 | Ifm Due, Inc. | Compounds and compositions for treating conditions associated with sting activity |
| US20210147383A1 (en) | 2019-11-19 | 2021-05-20 | Bristol-Myers Squibb Company | Compounds useful as inhibitors of helios protein |
| WO2021138419A1 (en) | 2019-12-31 | 2021-07-08 | Ifm Due, Inc, | Compounds and compositions for treating conditions associated with sting activity |
| WO2021138434A1 (en) | 2019-12-31 | 2021-07-08 | Ifm Due, Inc. | Compounds and compositions for treating conditions associated with sting activity |
| WO2021161230A1 (en) * | 2020-02-12 | 2021-08-19 | Curadev Pharma Pvt. Ltd. | Small molecule sting antagonists |
| WO2022015975A1 (en) | 2020-07-15 | 2022-01-20 | Ifm Due, Inc. | Compounds and compositions for treating conditions associated with sting activity |
| WO2022015977A1 (en) | 2020-07-15 | 2022-01-20 | Ifm Due, Inc. | Compounds and compositions for treating conditions associated with sting activity |
| WO2022015957A1 (en) | 2020-07-15 | 2022-01-20 | Ifm Due, Inc. | Compounds and compositions for treating conditions associated with sting activity |
| WO2022015938A1 (en) | 2020-07-15 | 2022-01-20 | Ifm Due, Inc. | Compounds and compositions for treating conditions associated with sting activity |
| US20220024919A1 (en) | 2020-07-15 | 2022-01-27 | Ifm Due, Inc. | Compounds and compositions for treating conditions associated with sting activity |
| US20220024906A1 (en) | 2020-07-15 | 2022-01-27 | Ifm Due, Inc. | Compounds and compositions for treating conditions associated with sting activity |
| WO2022015979A1 (en) | 2020-07-15 | 2022-01-20 | Ifm Due, Inc. | Compounds and compositions for treating conditions associated with sting activity |
| WO2022133098A2 (en) | 2020-12-16 | 2022-06-23 | Ifm Due, Inc. | Compounds and compositions for treating conditions associated with sting activity |
| WO2022133046A2 (en) | 2020-12-16 | 2022-06-23 | Ifm Due, Inc. | Compounds and compositions for treating conditions associated with sting activity |
| WO2022140387A1 (en) | 2020-12-22 | 2022-06-30 | Ifm Due, Inc. | Methods of treating cancer |
| WO2022140410A1 (en) | 2020-12-22 | 2022-06-30 | Ifm Due, Inc. | Methods of treating cancer |
| WO2022140397A1 (en) | 2020-12-22 | 2022-06-30 | Ifm Due, Inc. | Methods of treating cancer |
| WO2022140403A1 (en) | 2020-12-22 | 2022-06-30 | Ifm Due, Inc. | Methods of treating cancer |
| WO2022150549A1 (en) | 2021-01-08 | 2022-07-14 | Ifm Due, Inc. | Oxalamide compounds and compositions for treating conditions associated with sting activity |
| WO2022150560A1 (en) | 2021-01-08 | 2022-07-14 | Ifm Due, Inc. | Compounds and compositions for treating conditions associated with sting activity |
| WO2022150543A1 (en) | 2021-01-08 | 2022-07-14 | Ifm Due, Inc. | Compounds and compositions for treating conditions associated with sting activity |
| WO2022150585A1 (en) | 2021-01-08 | 2022-07-14 | Ifm Due, Inc. | Heterobicyclic compounds having an urea or analogue and their compositions for treating conditions associated with sting activity |
| WO2022220625A1 (en) * | 2021-04-14 | 2022-10-20 | 주식회사 레고켐바이오사이언스 | Protein degrader conjugates and use thereof |
| CN114085215A (en) * | 2021-11-15 | 2022-02-25 | 南方医科大学 | A kind of fumaric acid amide compound or its pharmaceutically acceptable salt and its preparation method and application |
Non-Patent Citations (15)
| Title |
|---|
| "Encyclopedia of Reagents for Organic Synthesis", 1995, JOHN WILEY AND SONS |
| "Handbook of Pharmaceutical Additives", 2007, GOWER PUBLISHING COMPANY |
| "Pharmaceutical Preformulation and Formulation", 2009, PHARMACEUTICAL PRESS AND THE AMERICAN PHARMACEUTICAL ASSOCIATION |
| "Remington: The Science and Practice of Pharmacy", 2012, LIPPINCOTT WILLIAMS & WILKINS |
| CREWS, J. MED, CHEM, vol. 61, no. 2, 2018, pages 403 - 404 |
| FILIPSKI, K.J ET AL., CURRENT TOPICS IN MEDICINAL CHEMISTRY, vol. 13, 2013, pages 776 - 802 |
| JOURNAL OF MEDICINAL CHEMISTRY, vol. 61, 2018, pages 583 |
| L. FIESERM. FIESER: "Fieser and Fieser's Reagents for Organic Synthesis", 1994, JOHN WILEY AND SONS |
| LAMMERS ET AL.: "Effect of Intratumoral Injection on the Biodi tribution and the Therapeutic Potential of HPMA Copolymer-Based Drug Delivery Systems", NEOPLASIA, vol. 10, 2006, pages 788 - 795 |
| M. TOUREC. M. CREWS: "Angew. Chem. Int. Ed.", vol. 55, 2016, pages: 1966 |
| NEOPLASIA, vol. 22, 2020, pages 111 |
| POSTOW, M. J, CLIN. ONCOL, vol. 33, 2015, pages 1 |
| R. LAROCK: "Comprehensive Organic Transformations", 1989, VCH PUBLISHERS |
| T. UEHARA ET AL., NATURE CHEMICAL BIOLOGY, vol. 13, 2017, pages 675 |
| T. W. GREENERGM. WUTS: "Protective Groups in Organic Synthesis", 1991, JOHN WILEY AND SONS |
Cited By (3)
| Publication number | Priority date | Publication date | Assignee | Title |
|---|---|---|---|---|
| US12503436B2 (en) | 2021-08-10 | 2025-12-23 | Novartis Pharma Ag | Compounds and compositions for treating conditions associated with STING activity |
| CN119707938A (en) * | 2024-12-23 | 2025-03-28 | 重庆医科大学 | E3 ligase GID4 ligand compound and application thereof |
| CN119930591A (en) * | 2025-03-10 | 2025-05-06 | 海南大学 | A nitrogen-containing ring derivative as a STING degrader linker and its synthesis method and use |
Similar Documents
| Publication | Publication Date | Title |
|---|---|---|
| WO2020150417A2 (en) | Compounds and compositions for treating conditions associated with sting activity | |
| EP3983383A1 (en) | Compounds and compositions for treating conditions associated with sting activity | |
| WO2020010092A1 (en) | Compounds and compositions for treating conditions associated with sting activity | |
| EP3818044A1 (en) | Compounds and compositions for treating conditions associated with sting activity | |
| WO2021067801A1 (en) | Compounds and compositions for treating conditions associated with sting activity | |
| WO2020106741A1 (en) | Compounds and compositions for treating conditions associated with sting activity | |
| WO2021067791A1 (en) | Oxalamide compounds and compositions for treating conditions associated with sting activity | |
| EP3911314A1 (en) | Compounds and compositions for treating conditions associated with sting activity | |
| WO2021067805A1 (en) | Oxalamide heterobycyclic compounds and compositions for treating conditions associated with sting activity | |
| WO2022015957A1 (en) | Compounds and compositions for treating conditions associated with sting activity | |
| WO2020236586A1 (en) | N-hetaryl-squaramide compounds for treating conditions associated with sting activity | |
| WO2022150585A1 (en) | Heterobicyclic compounds having an urea or analogue and their compositions for treating conditions associated with sting activity | |
| WO2022150543A1 (en) | Compounds and compositions for treating conditions associated with sting activity | |
| WO2022015979A1 (en) | Compounds and compositions for treating conditions associated with sting activity | |
| WO2024064358A1 (en) | Compounds and compositions for treating conditions associated with sting activity | |
| EP4274660A1 (en) | Compounds and compositions for treating conditions associated with sting activity | |
| US20250136597A1 (en) | Compounds and compositions for treating conditions associated with sting activity | |
| WO2022015938A1 (en) | Compounds and compositions for treating conditions associated with sting activity | |
| WO2023137034A1 (en) | Compounds and compositions for treating conditions associated with sting activity | |
| EP4274826A1 (en) | Oxalamide compounds and compositions for treating conditions associated with sting activity | |
| EP4263531A2 (en) | Compounds and compositions for treating conditions associated with sting activity | |
| WO2023137041A1 (en) | Compounds and compositions for treating conditions associated with sting activity | |
| WO2025079045A1 (en) | Compounds and compositions for treating conditions associated with sting activity | |
| WO2025068950A1 (en) | Compounds and compositions for treating conditions associated with sting activity |
Legal Events
| Date | Code | Title | Description |
|---|---|---|---|
| 121 | Ep: the epo has been informed by wipo that ep was designated in this application |
Ref document number: 23790154 Country of ref document: EP Kind code of ref document: A1 |
|
| NENP | Non-entry into the national phase |
Ref country code: DE |
|
| 32PN | Ep: public notification in the ep bulletin as address of the adressee cannot be established |
Free format text: NOTING OF LOSS OF RIGHTS PURSUANT TO RULE 112(1) EPC (EPO FORM 1205A DATED 07/08/2025) |



























































































































































































