WO1997044350A1 - Inhibitors of protein farnesyl transferase - Google Patents
Inhibitors of protein farnesyl transferase Download PDFInfo
- Publication number
- WO1997044350A1 WO1997044350A1 PCT/US1997/006591 US9706591W WO9744350A1 WO 1997044350 A1 WO1997044350 A1 WO 1997044350A1 US 9706591 W US9706591 W US 9706591W WO 9744350 A1 WO9744350 A1 WO 9744350A1
- Authority
- WO
- WIPO (PCT)
- Prior art keywords
- methyl
- phenyl
- carbamoyl
- imidazole
- ethyl
- Prior art date
- Legal status (The legal status is an assumption and is not a legal conclusion. Google has not performed a legal analysis and makes no representation as to the accuracy of the status listed.)
- Ceased
Links
- QUKGYYKBILRGFE-UHFFFAOYSA-N CC(OCc1ccccc1)=O Chemical compound CC(OCc1ccccc1)=O QUKGYYKBILRGFE-UHFFFAOYSA-N 0.000 description 1
- ODLMAHJVESYWTB-UHFFFAOYSA-N CCCc1ccccc1 Chemical compound CCCc1ccccc1 ODLMAHJVESYWTB-UHFFFAOYSA-N 0.000 description 1
Classifications
-
- C—CHEMISTRY; METALLURGY
- C07—ORGANIC CHEMISTRY
- C07K—PEPTIDES
- C07K5/00—Peptides containing up to four amino acids in a fully defined sequence; Derivatives thereof
- C07K5/04—Peptides containing up to four amino acids in a fully defined sequence; Derivatives thereof containing only normal peptide links
- C07K5/06—Dipeptides
- C07K5/06191—Dipeptides containing heteroatoms different from O, S, or N
-
- A—HUMAN NECESSITIES
- A61—MEDICAL OR VETERINARY SCIENCE; HYGIENE
- A61P—SPECIFIC THERAPEUTIC ACTIVITY OF CHEMICAL COMPOUNDS OR MEDICINAL PREPARATIONS
- A61P15/00—Drugs for genital or sexual disorders; Contraceptives
-
- A—HUMAN NECESSITIES
- A61—MEDICAL OR VETERINARY SCIENCE; HYGIENE
- A61P—SPECIFIC THERAPEUTIC ACTIVITY OF CHEMICAL COMPOUNDS OR MEDICINAL PREPARATIONS
- A61P15/00—Drugs for genital or sexual disorders; Contraceptives
- A61P15/04—Drugs for genital or sexual disorders; Contraceptives for inducing labour or abortion; Uterotonics
-
- A—HUMAN NECESSITIES
- A61—MEDICAL OR VETERINARY SCIENCE; HYGIENE
- A61P—SPECIFIC THERAPEUTIC ACTIVITY OF CHEMICAL COMPOUNDS OR MEDICINAL PREPARATIONS
- A61P17/00—Drugs for dermatological disorders
-
- A—HUMAN NECESSITIES
- A61—MEDICAL OR VETERINARY SCIENCE; HYGIENE
- A61P—SPECIFIC THERAPEUTIC ACTIVITY OF CHEMICAL COMPOUNDS OR MEDICINAL PREPARATIONS
- A61P17/00—Drugs for dermatological disorders
- A61P17/06—Antipsoriatics
-
- A—HUMAN NECESSITIES
- A61—MEDICAL OR VETERINARY SCIENCE; HYGIENE
- A61P—SPECIFIC THERAPEUTIC ACTIVITY OF CHEMICAL COMPOUNDS OR MEDICINAL PREPARATIONS
- A61P31/00—Antiinfectives, i.e. antibiotics, antiseptics, chemotherapeutics
-
- A—HUMAN NECESSITIES
- A61—MEDICAL OR VETERINARY SCIENCE; HYGIENE
- A61P—SPECIFIC THERAPEUTIC ACTIVITY OF CHEMICAL COMPOUNDS OR MEDICINAL PREPARATIONS
- A61P31/00—Antiinfectives, i.e. antibiotics, antiseptics, chemotherapeutics
- A61P31/12—Antivirals
-
- A—HUMAN NECESSITIES
- A61—MEDICAL OR VETERINARY SCIENCE; HYGIENE
- A61P—SPECIFIC THERAPEUTIC ACTIVITY OF CHEMICAL COMPOUNDS OR MEDICINAL PREPARATIONS
- A61P35/00—Antineoplastic agents
-
- A—HUMAN NECESSITIES
- A61—MEDICAL OR VETERINARY SCIENCE; HYGIENE
- A61P—SPECIFIC THERAPEUTIC ACTIVITY OF CHEMICAL COMPOUNDS OR MEDICINAL PREPARATIONS
- A61P43/00—Drugs for specific purposes, not provided for in groups A61P1/00-A61P41/00
-
- A—HUMAN NECESSITIES
- A61—MEDICAL OR VETERINARY SCIENCE; HYGIENE
- A61P—SPECIFIC THERAPEUTIC ACTIVITY OF CHEMICAL COMPOUNDS OR MEDICINAL PREPARATIONS
- A61P9/00—Drugs for disorders of the cardiovascular system
-
- A—HUMAN NECESSITIES
- A61—MEDICAL OR VETERINARY SCIENCE; HYGIENE
- A61P—SPECIFIC THERAPEUTIC ACTIVITY OF CHEMICAL COMPOUNDS OR MEDICINAL PREPARATIONS
- A61P9/00—Drugs for disorders of the cardiovascular system
- A61P9/10—Drugs for disorders of the cardiovascular system for treating ischaemic or atherosclerotic diseases, e.g. antianginal drugs, coronary vasodilators, drugs for myocardial infarction, retinopathy, cerebrovascula insufficiency, renal arteriosclerosis
-
- C—CHEMISTRY; METALLURGY
- C07—ORGANIC CHEMISTRY
- C07K—PEPTIDES
- C07K5/00—Peptides containing up to four amino acids in a fully defined sequence; Derivatives thereof
- C07K5/04—Peptides containing up to four amino acids in a fully defined sequence; Derivatives thereof containing only normal peptide links
- C07K5/06—Dipeptides
- C07K5/06139—Dipeptides with the first amino acid being heterocyclic
- C07K5/06147—Dipeptides with the first amino acid being heterocyclic and His-amino acid; Derivatives thereof
-
- A—HUMAN NECESSITIES
- A61—MEDICAL OR VETERINARY SCIENCE; HYGIENE
- A61K—PREPARATIONS FOR MEDICAL, DENTAL OR TOILETRY PURPOSES
- A61K38/00—Medicinal preparations containing peptides
Definitions
- the present invention relates to compounds that can be used in the medicinal field to treat, prophylactically or otherwise, uncontrolled or abnormal proliferation of human tissues. Specifically, the present invention relates to compounds that inhibit the famesyl transferase enzyme, which has been determined to activate ras proteins that in turn activate cellular division and are implicated in cancer and restenosis.
- Ras protein (or p21) has been examined extensively because mutant forms are found in 20% of most types of human cancer and greater than 50% of colon and pancreatic carcinomas (Gibbs J.B., £LeJ_L, 1991;65:1, Cartwright T. , et al. , Phim-i ⁇ a . Oggi . t 1992 / 10:26) .
- These mutant ras proteins are deficient in the capability for feedback regulation that is present in native ras, and this deficiency is associated with their oncogenic action since the ability to stimulate normal cell division cannot be controlled by the normal endogenous regulatory cofactors.
- ras proteins are known to be involved in cell division processes makes them a candidate for intervention in many situations where cells are dividing uncontrollably.
- blockade of ras dependant processes has the potential to reduce or eliminate the inappropriate tissue proliferation associated with restenosis, particularly in those instances where normal ras expression and/or function is exaggerated by growth stimulatory factors.
- Ras functioning is dependent upon the modification of the proteins in order to associate with the inner face of plasma membranes.
- ras proteins lack conventional transmembrane or hydrophobic sequences and are initially synthesized in a cytosol soluble form.
- Ras protein membrane association is triggered by a series of post-translational processing steps that are signaled by a carboxyl terminal amino acid consensus sequence that is r cognized by protein famesyl transferase (PFT) .
- his consensus sequence consists of a cysteine residue located four amino acids from the carboxyl terminus, followed by two lipophilic amino acids, and the C-terminal residue.
- the sulfhydryl group of the cysteine residue is alkylated by farnesylpyrophosphate in a reaction that is catalyzed by protein farnesyl transferase. Following prenylation, the C-terminal three amino acids are cleaved by an endoprotease and the newly exposed alpha- carboxyl group of the prenylated cysteine is methylated by a methyl transferase.
- the enzymatic processing of ras proteins that begins with farnesylation enables the protein to associate with the cell membrane. Mutational analysis of oncogenic ras proteins indicate that these post-translational modifications are essential for transforming activity.
- PFTs protein farnesyl transferases
- FPTs farnesyl proteintransferases
- the enzyme was characterized as a heterodimer composed of one alpha- subunit (49kDa) and one beta-subunit (46kDa), both of which are required for catalytic activity.
- High level expression of mammalian PFT in a baculovirus system and purification of the recombinant enzyme in active form has also been accomplished (Chen W.-J., et al. , J. Biol. Chem.. 1993 ;268 :9675) .
- Ras inhibitor agents act by inhibiting farnesyl transferase, the enzyme that anchors the protein product of the ras gene to the cell membrane.
- farnesyl transferase the enzyme that anchors the protein product of the ras gene to the cell membrane.
- the role of the ras mutation in transducing growth signals within cancer cells relies on the protein being in the cell membrane so with farnesyl transferase inhibited, the ras protein will stay in the cytosol and be unable to transmit growth signals: these facts are well-known in the literature.
- a peptidomimetic inhibitor of farnesyl transferase A peptidomimetic inhibitor of farnesyl transferase
- B956 and its methyl ester B1086 at 100 mg/kg have been shown to inhibit tumor growth by EJ-1 human bladder carcinoma, HT1080 human fibrosarcoma and human colon carcinoma xenografts in nude mice (Nagasu, T., et al. , Cancer Res .. 1995;55:5310-5314) . Furthermore, inhibition of tumor growth by B956 has been shown to correlate with inhibition of ras posttranslational processing in the tumor. Other ras farnesyl transferase inhibitors have been shown to specifically prevent ras processing and membrane localization and are effective in reversing the transformed phenotype of mutant ras containing cells (Sepp-Lorenzino L., et al. , Cancer Res .. 1995;55:5302-5309) .
- a ras farnesyl transferase inhibitor FTI276 has been shown to selectively block tumor growth in nude mice of a human lung carcinoma with K-ras mutation and p53 deletion.
- daily administration of a ras farnesyl transferase inhibitor L-744,832 caused tumor regression of mammary and salivary carcinomas in ras transgenic mice (Kohl et al. , Nature Med.. 1995; 1 (8) :792-748) .
- ras farnesyl transferase inhibitors have benefit in certain forms of cancer, particularly those dependent on oncogenic ras for their growth.
- human cancer is often manifested when several mutations in important genes occurs, one or more of which may be responsible for controlling growth and metastases .
- a single mutation may not be enough to sustain growth and only after two of three mutations occur, tumors can develop and grow. It is therefore difficult to determine which of these mutations may be primarily driving the growth in a particular type of cancer.
- ras farnesyl transferase inhibitors can have therapeutic utility in tumors not solely dependent on oncogenic forms of ras for their growth.
- ras FT-inhibitors have antiproliferative effects in vivo against tumor lines with either wild- type or mutant ras (Sepp-Lorenzino, supra.) .
- ras-related proteins that are prenylated. Proteins such as R-Ras2/TC21 are ras- related proteins that are prenylated in vivo by both farnesyl transferase and geranylgeranyl transferase I (Carboni, et al. , Oncogene, 1995;10:1905-1913) . Therefore, ras farnesyl transferase inhibitors could also block the prenylation of the above proteins and therefore would then be useful in inhibiting the growth of tumors driven by other oncogenes .
- the present invention provides compounds having the Formula I
- R R 2211 i s hydrogen or C- ⁇ -Cg alkyl
- alkyl n is 0 or 1;
- A is -C0R a , -C0 2 R a ', -CONHR a' , -CSR a , -C(S)0R a' ,
- R a , R a ', and R a ' ' are independently C- ⁇ -Cg alkyl
- each m is independently 0 to 3 ;
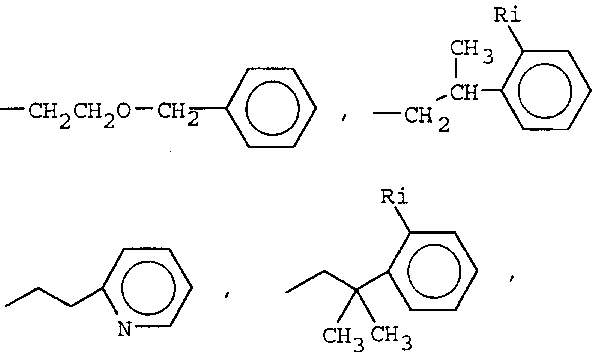
- R 1 , R 2 , and R 4 are independently hydrogen or C- j ⁇ Cg alkyl; ) m -heteroaryl,
- R b is -O-phenyl, -O-benzyl, halogen, C- ⁇ -Cg alkyl, hydrogen, -0-C 1 -C 6 alkyl, -NH 2 , -NHR a , NR a R a ' ,
- R 1 , R g , and R h are independently hydrogen, halogen, -OC 1 -C 6 alkyl, C 1 -Cg alkyl, -CN, -OP0 3 H 2 ,
- R c , R d , R e , and R f are independently C- -Cg alkyl,
- R 1 is hydrogen, R i ⁇ s hydrogen or CH3;
- R 1 is hydrogen
- R 2 is hydrogen
- R 4 is hydrogen
- R 21 is hydrogen or CH3.
- R 6 is -O-benzyl, -NH-benzyl, or -N ?-benzyl;
- R is hydrogen or methyl
- R° is hydrogen, halogen, C ⁇ -Cg alkyl, -O-benzyl,
- R 10 , R 11 , R 13 , and R 14 are independently hydrogen,
- R ⁇ , R , and R are independently hydrogen, halogen, -OC 1 -C 6 alkyl, -C 1 -C 6 alkyl, -NHR a , or NH 2 , and the pharmaceutically acceptable salts, esters, amides, and prodrugs thereof.
- R ⁇ , R , and R are independently hydrogen, halogen, -OC 1 -C 6 alkyl, -C 1 -C 6 alkyl, -NHR a , or NH 2 , and the pharmaceutically acceptable salts, esters, amides, and prodrugs thereof.
- R 11 and R 14 are methyl.
- R° is methyl or methoxy.
- X is NH, 0, or -N(CH 3 ) ;
- R 15 is -O-benzyl, -CF 3 , hydrogen, halogen,
- R 16 is a phenyl, hydrogen, or C2"Cg alkyl, and the pharmaceutically acceptable salts, esters, amides, and prodrugs thereof.
- X is NH, 0, or N(CH 3 ) ;
- R lc is -O-benzyl, -CF 3 , hydrogen, halogen, C 1 -Cg alkyl,
- R lc and R 16 ' are C- ⁇ Cg alkyl; m is 0 to 3; and R 21 is hydrogen or methyl, and the pharmaceutically acceptable salts, esters, amides, and prodrugs thereof.
- the present invention provides a pharmaceutically acceptable composition that comprises a compound of Formula I, II, III, or IV.
- Also provided is a method of treating psoriasis the method comprising administering to a patient having psoriasis a therapeutically effective amount of a compound of Formula I, II, III, or IV.
- a method of treating viral infection the method of comprising administering to a patient having a viral infection a therapeutically effective amount of a compound of Formula I, II, III, or IV.
- the cancer is lung cancer, colon cancer, breast cancer, pancreatic cancer, thyroid cancer, or bladder cancer.
- the compounds of Formula I, II, III, or IV are (S) - [1- [ (4-Benzyloxy-benzyl) - (phenethy1-carbamoyl- methyl) -carbamoyl]-2- (3H-imidazole-4-yl) -ethyl] - carbamic acid benzyl ester;
- the present invention provides a compound having the Formula I
- alkyl alkyl
- n 0 or 1
- A is -COR a , -C0 2 R a ', -CONHR a ', -CSR a , -C(S)OR a ',
- R a , R a ", and R a ' ' are independently C ⁇ -Cg alkyl
- R 1 , R "), and R ⁇ are independently hydrogen or C- ⁇ -Cg alkyl
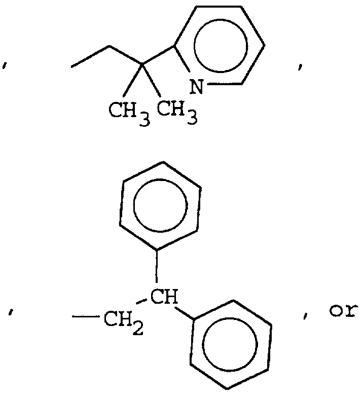
- R 3 is (CH 2 ) (CH 2 ) m -heteroaryl, -(CH 2 ) ⁇ — CH (CH 2 ) t , -(CH 2 ) m -naphthyl,
- R is -O-phenyl, -O-benzyl, halogen, C- ⁇ -Cg alkyl, hydrogen, -O ⁇ -Cg alkyl, -NH 2 , -NHR a , -NR a R a ' ,
- R 1 , R g , and R are independently hydrogen, halogen, -OC 1 -C 6 alkyl, C ⁇ Cg alkyl, -CN, -OP0 3 H 2 , -CH 2 P0 3 H 2 , -O-phenyl, -O-benzyl, -NH 2 , -NHR a ,
- R c , R d , R e , and R f are independently C- j ⁇ Cg alkyl
- R° is -O-benzyl, -NH-benzyl, or -N ⁇ -benzyl; is hydrogen or methyl;
- R is hydrogen or methyl
- R 8 is hydrogen, halogen, C ⁇ -Cg alkyl, -O-benzyl,
- R 10 , R 11 , R 13 , and R 14 are independently hydrogen,
- R J , R , and R are independently hydrogen, halogen,
- X is NH, 0, or -N(CH 3 );
- R 15 is -O-benzyl, -CF 3 , hydrogen, halogen, C- ⁇ -Cg alkyl,
- R 16 is a phenyl, hydrogen, or C ⁇ -Cg alkyl, and the pharmaceutically acceptable salts, esters, amides, and prodrugs thereof. Also provided are compounds having the Formula IV
- X is NH, 0, or -N(CH 3 ) ;
- R 15 is -O-benzyl, -CF 3 , hydrogen, halogen, C 1 -Cg alkyl,
- R 16 and R 16 ' are C- j ⁇ Cg alkyl; m is 0 to 3 ;
- R 9 ⁇ 1* ⁇ is hydrogen or methyl, and the pharmaceutically acceptable salts, esters, amides, and prodrugs thereof.
- alkyl means a straight or branched hydrocarbon having from 1 to 6 carbon atoms and includes, for example, methyl, ethyl, n-propyl, isopropyl, n-butyl, sec-butyl, isobutyl, tert-butyl, n-pentyl, n-hexyl, and the like.
- cycloalkyl means a saturated hydrocarbon ring which contains from 3 to 7 carbon atoms, for example, cyclopropyl, cyclobutyl, cyclopentyl, cyclohexyl, adamantyl, and the like.
- heteroaryl means a heteroaromatic ring which is a 2- or 3-thienyl, 2- or 3-furanyl, 2- or 3-pyrrolyl, 2-, 3-, or 4-pyridyl, imidazolyl, 2-, 3-, 4-, 5-, 6-, or 7-indoxyl group, unsubstituted or substituted by 1 or 2 substituents from the group of substituents described above for aryl.
- the symbol "-" means a bond.
- patient means all animals including humans. Examples of patients include humans, cows, dogs, cats, goats, sheep, and pigs.
- a “therapeutically effective amount” is an amount of a compound of the present invention that when administered to a patient ameliorates a symptom of a viral infection, restenosis, cancer, atherosclerosis, psoriasis, endometriosis, or prevents restenosis or atherosclerosis.
- a therapeutically effective amount of a compound of the present invention can be easily determined by one skilled in the art by administering a quantity of a compound to a patient and observing the result.
- those skilled in the art are familiar with identifying patients having cancer, viral infections, restenosis, atherosclerosis, psoriasis, or endometriosis or who are at risk of having restenosis or atherosclerosis.
- cancer includes, but is not limited to, the following cancers: breast; ovary; cervix; prostate; testis; esophagus; glioblastoma; neuroblastoma; stomach; skin, keratoacanthoma; lung, epidermoid carcinoma, large cell carcinoma, adenocarcinoma; bone; colon, adenocarcinoma, adenoma; pancreas, adenocarcinoma; thyroid, follicular carcinoma, undifferentiated carcinoma, papillary carcinoma; seminoma; melanoma; sarcoma; bladder carcinoma,- liver carcinoma and biliary passages; kidney carcinoma; myeloid disorders; lymphoid disorders, Hodgkins, hairy cells; buccal cavity and pharynx (oral) , lip, tongue, mouth, pharynx; small intestine; colon-rectum, large intestine, rectum; brain and central nervous system; and leukemia .
- salts refers to those carboxylate salts, amino acid addition salts, esters, amides, and prodrugs of the compounds of the present invention which are, within the scope of sound medical judgement, suitable for use in contact with the tissues of patients without undue toxicity, irritation, allergic response, and the like, commensurate with a reasonable benefit/risk ratio, and effective for their intended use, as well as the zwitterionic forms, where possible, of the compounds of the invention.
- salts refers to the relatively non-toxic, inorganic and organic acid addition salts of compounds of the present invention.
- salts can be prepared in si tu during the final isolation and purification of the compounds or by separately reacting the purified compound in its free base form with a suitable organic or inorganic acid and isolating the salt thus formed.
- Representative salts include the hydrobromide, hydrochloride, sulfate, bisulfate, nitrate, acetate, oxalate, valerate, oleate, palmitate, stearate, laureate, borate, benzoate, lactate, phosphate, tosylate, citrate, maleate, fumarate, succinate, tartrate, naphtholate mesylate, glucoheptonate, lactobionate and laurylsulphonate salts, and the like.
- alkali and alkaline earth metals such as sodium, lithium, potassium, calcium, magnesium and the like
- nontoxic ammonium, quaternary ammonium, and amine cations including, but not limited to ammonium, tetramethy1ammonium, tetraethylammonium, methylamine, dimethylamine, trimethylamine, triethylamine, ethylamine, and the like.
- ammonium, tetramethy1ammonium, tetraethylammonium, methylamine, dimethylamine, trimethylamine, triethylamine, ethylamine, and the like See, for example, S.M. Berge, et al. , "Pharmaceutical Salts," J. Pharm. Sci . , 1977;66:1-19 which is incorporated herein by reference. )
- esters of the compounds of this invention examples include C ⁇ -Cg alkyl esters wherein the alkyl group is a straight or branched chain. Acceptable esters also include C ⁇ -C-y cycloalkyl esters as well as arylalkyl esters such as, but not limited to benzyl. C 1 -C 4 alkyl esters are preferred. Esters of the compounds of the present invention may be prepared according to conventional methods .
- Examples of pharmaceutically acceptable, non-toxic amides of the compounds of this invention include amides derived from ammonia, primary C- ⁇ -Cg alkyl amines and secondary C ⁇ -Cg dialkyl amines wherein the alkyl groups are straight or branched chain. In the case of secondary amines the amine may also be in the form of a 5- or 6-membered heterocycle containing one nitrogen atom. Amides derived from ammonia, C ⁇ -C 3 alkyl primary amines and dialkyl secondary amines are preferred. Amides of the compounds of the invention may be prepared according to conventional methods .
- prodrug refers to compounds that are rapidly transformed in vivo to yield the parent compound of the above formulae, for example, by hydrolysis in blood.
- a thorough discussion is provided in T. Higuchi and V. Stella, "Pro-drugs as Novel Delivery Systems," Vol 14 of the A.C.S. Symposium Series, and in Bioreversible Carriers in Drug Design. ed. Edward B. Roche, American Pharmaceutical
- the compounds of the present invention can be administered to a patient alone or as part of a composition that contains other components such as excipients, diluents, and carriers, all of which are well-known in the art.
- the compositions can be administered to humans and animals either orally, rectally, parenterally (intravenously, intramuscularly or subcutaneously) , intracisternally, intravaginally, intraperitoneally, intravesically, locally (powders, ointments or drops), or as a buccal or nasal spray.
- compositions suitable for parenteral injection may comprise physiologically acceptable sterile aqueous or nonaqueous solutions, dispersions, suspensions or emulsions and sterile powders for reconstitution into sterile injectable solutions or dispersions.
- suitable aqueous and nonaqueous carriers, diluents, solvents or vehicles include water, ethanol, polyols (propyleneglycol, polyethyleneglycol, glycerol, and the like) , Cremophor EL (a derivative of castor oil and ethylene oxide; purchased from Sigma Chemical Co., St. Louis, MO) and suitable mixtures thereof, vegetable oils (such as olive oil), and injectable organic esters such as ethyl oleate.
- Proper fluidity can be maintained, for example, by the use of a coating such as lecithin, by the maintenance of the required particle size in the case of dispersions and by the use of surfactants.
- compositions may also contain adjuvants such as preserving, wetting, emulsifying, and dispensing agents.
- adjuvants such as preserving, wetting, emulsifying, and dispensing agents.
- Prevention of the action of microorganisms can be ensured by various antibacterial and antifungal agents, for example, parabens, chlorobutanol, phenol, sorbic acid, and the like.
- isotonic agents for example sugars, sodium chloride, and the like.
- Prolonged absorption of the injectable pharmaceutical form can be brought about by the use of agents delaying absorption, for example, aluminum monostearate and gelatin.
- Solid dosage forms for oral administration include capsules, tablets, pills, powders, and granules.
- the active compound is admixed with at least one inert customary excipient (or carrier) such as sodium citrate or dicalcium phosphate or
- at least one inert customary excipient such as sodium citrate or dicalcium phosphate or
- fillers or extenders as for example, starches, lactose, sucrose, glucose, mannitol, and silicic acid;
- binders as for example, carboxymethy1cellulose, alignates, gelatin, polyvinylpyrrolidone, sucrose, and acacia;
- humectants as for example, glycerol;
- disintegrating agents as for example, agar-agar, calcium carbonate, potato or tapioca starch, alginic acid, certain complex silicates, and sodium carbonate,
- absorption accelerators as for example, quaternary ammonium compounds
- wetting agents as for example, cetyl alcohol and glycerol monostearate
- adsorbents as for example, kaolin and bentonite
- lubricants as for example, talc, calcium stearate, magnesium stearate, solid polyethylene glycols, sodium lauryl sulfate, or mixtures thereof.
- the dosage forms may also comprise buffering agents.
- compositions of a similar type may also be employed as fillers in soft and hard-filled gelatin capsules using such excipients as lactose or milk sugar as well as high molecular weight polyethyleneglycols, and the like.
- Solid dosage forms such as tablets, dragees, capsules, pills, and granules can be prepared with coatings and shells, such as enteric coatings and others well-known in the art. They may contain opacifying agents, and can also be of such composition that they release the active compound or compounds in a certain part of the intestinal tract in a delayed manner. Examples of embedding compositions which can be used are polymeric substances and waxes. The active compounds can also be in micro-encapsulated form, if appropriate, with one or more of the above-mentioned excipients .
- Liquid dosage forms for oral administration include pharmaceutically acceptable emulsions, solutions, suspensions, syrups, and elixirs.
- the liquid dosage forms may contain inert diluents commonly used in the art, such as water or other solvents, solubilizing agents and emulsifiers, as for example, ethyl alcohol, isopropyl alcohol, ethyl carbonate, ethyl acetate, benzyl alcohol, benzyl benzoate, propyleneglycol, 1, 3-butyleneglycol, dimethylformamide, oils, in particular, cottonseed oil, groundnut oil, corn germ oil, olive oil, castor oil and sesame oil, glycerol, tetrahydrofurfuryl alcohol, Cremophor EL (a derivative of castor oil and ethylene oxide; purchased from Sigma Chemical Co., St.
- composition can also include adjuvants, such as wetting agents, emulsifying and suspending agents, sweetening, flavoring and perfuming agents.
- Suspensions in addition to the active compounds, may contain suspending agents, as for example, ethoxylated isostearyl alcohols, polyoxyethylene sorbitol and sorbitan esters, microcrystalline cellulose, aluminum metahydroxide, bentonite, agar-agar and tragacanth, or mixtures of these substances, and the like.
- suspending agents as for example, ethoxylated isostearyl alcohols, polyoxyethylene sorbitol and sorbitan esters, microcrystalline cellulose, aluminum metahydroxide, bentonite, agar-agar and tragacanth, or mixtures of these substances, and the like.
- compositions for rectal administrations are preferably suppositories which can be prepared by mixing the compounds of the present invention with suitable non-irritating excipients or carriers such as cocoa butter, polyethyleneglycol, or a suppository wax, which are solid at ordinary temperatures but liquid at body temperature and therefore, melt in the rectum or vaginal cavity and release the active component.
- suitable non-irritating excipients or carriers such as cocoa butter, polyethyleneglycol, or a suppository wax, which are solid at ordinary temperatures but liquid at body temperature and therefore, melt in the rectum or vaginal cavity and release the active component.
- Dosage forms for topical administration of a compound of this invention include ointments, powders, sprays, and inhalants.
- the active component is admixed under sterile conditions with a physiologically acceptable carrier and any preservatives, buffers, or propellants as may be required.
- Ophthalmic formulations, eye ointments, powders, and solutions are also contemplated as being within the scope of this invention.
- the compounds of the present invention can be administered to a patient at dosage levels in the range of about 0.1 to about 2,000 mg per day.
- a dosage in the range of about 0.01 to about 100 mg per kilogram of body weight per day is preferable.
- the specific dosage used can vary.
- the dosage can depended on a numbers of factors including the requirements of the patient, the severity of the condition being treated, and the pharmacological activity of the compound being used. The determination of optimum dosages for a particular patient is well known to those skilled in the art.
- the compounds of the present invention can exist in different stereoisomeric forms by virtue of the presence of asymmetric centers in the compounds .
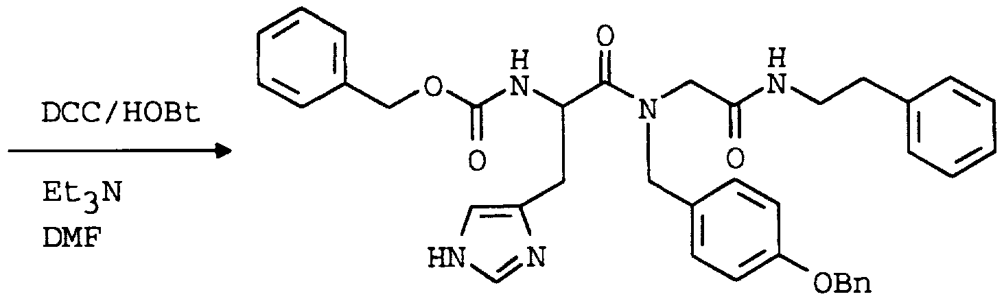
- Scheme 1 shows a general method by which the compounds of the present invention can be prepared, by illustrating the synthesis of [1- [ (4-benzyloxy-benzyl) - (phenethyl-carbamoyl-methyl) -carbamoyl] -2- (3H- imidazole-4-yl) -ethyl] -carbamic acid benzyl ester (Example 2) .
- Reductive amination of 4- benzyloxybenzaldehyde with glycine methyl ester hydrochloride was carried out in methylene chloride with sodium triacetoxyborohydride.
- the (4- benzyloxybenzylamino)acetic acid methyl ester was then coupled to Cbz-His in dimethylformamide with 1- hydroxybenzotriazole (HOBt) and dicyclohexyl- carbodumide (DCC) as coupling agents.
- HOBt 1- hydroxybenzotriazole
- DCC dicyclohexyl- carbodumide
- the resulting product was saponified using lithium hydroxide at 0°C, followed by coupling with phenethylamine hydrochloride in dimethylformamide, with HOBt and DCC as coupling agents, and in the presence of triethylamine.
- Bn is benzyl.
- Scheme 2 shows a method by which compounds of the present invention can be prepared, by illustrating the synthesis of Example 15, [1- ⁇ (4-benzyloxy-benzyl) - [ (2- methyl-2-phenyl-propylcarbamoyl) -methyl] -carbamoyl ⁇ -2- (3H-imidazole-4-yl) -ethyl] -carbamic acid benzyl ester. Reductive amination of 4-benzyloxy-benzaldehyde with glycine methyl ester was carried out in methylene chloride with sodium triacetoxyborohydride.
- the resulting product was saponified using lithium hydroxide at 0°C, followed by coupling with ⁇ , ⁇ -dimethylphenethylamine hydrochloride in methylene chloride, with 1-hydroxybenzotriazole (HOBt) and dicyclohexylcarbodiimide (DCC) as coupling agents, and triethylamine.
- HOBt 1-hydroxybenzotriazole
- DCC dicyclohexylcarbodiimide
- the ⁇ , ⁇ -dimethylphenethylamine hydrochloride was prepared from benzyl cyanide, which was treated with 2 equivalents of sodium hydride in tetrahydrofuran (THF) and 2 equivalents of methyl iodide in THF followed by hydrogenation (H 2 , Pd/C, ammonia) and treatment with HCl to give the HCl salt.
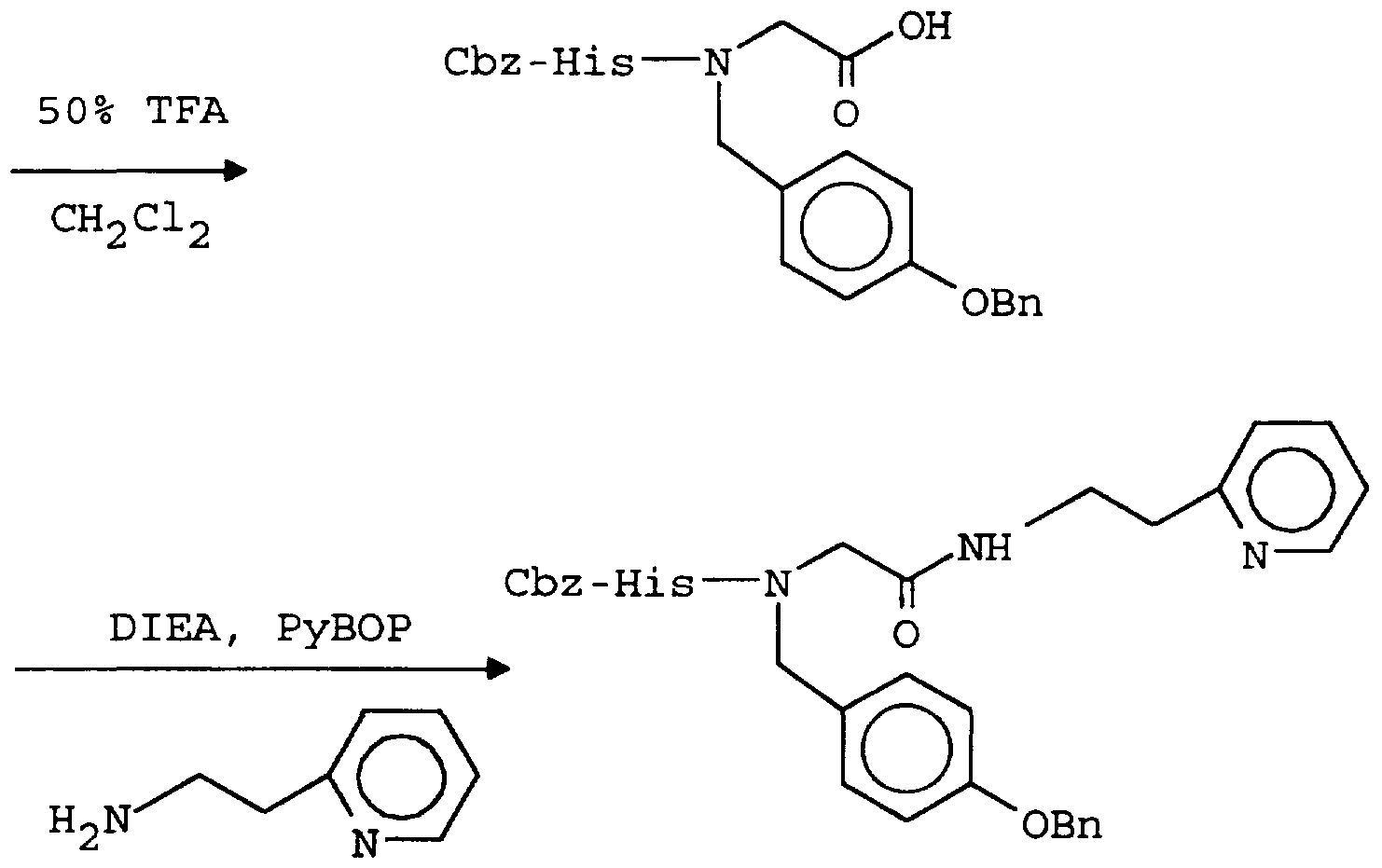
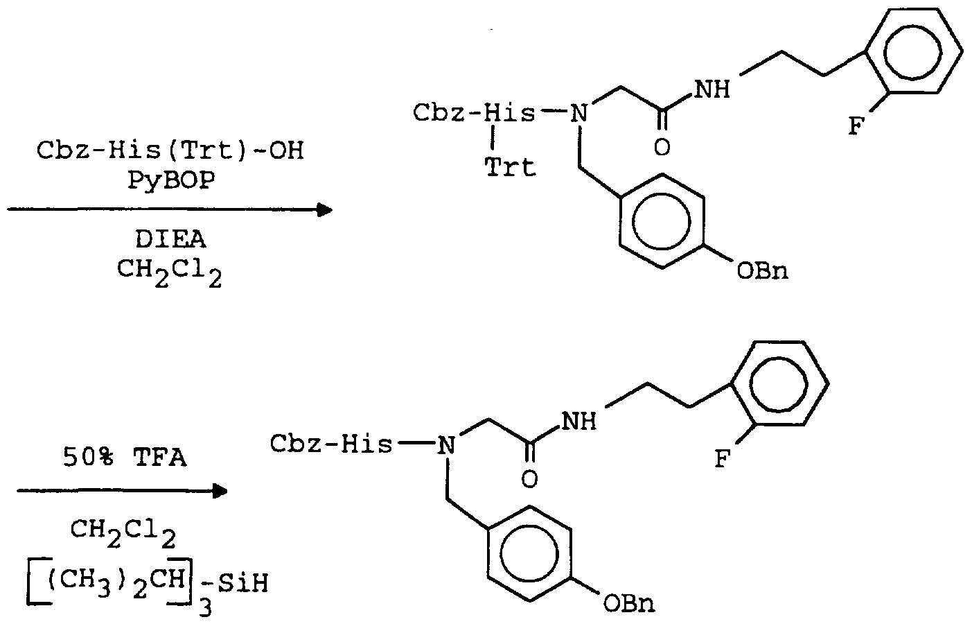
- Scheme 3 shows a method by which the compounds of the present invention can be prepared, by illustrating the synthesis of Example 8, [l- ⁇ (4-Benzyloxy-benzyl) - [ (2-pyridin-2-yl-ethyl-carbamoyl) -methyl] -carbamoyl ⁇ -2- (lH-imidazole-4-yl) -ethyl] -carbamic acid benzyl ester.
- Reductive amination of 4-benzyloxy benzaldehyde with glycine t-butyl ester was carried out in methylene chloride with sodium triacetoxyborohydride.
- the (4-benzyloxybenzylamino)acetic acid t-butyl ester was then coupled to Cbz-histidine- (trityl) in methylene chloride with PyBOP as coupling agent and DIEA as the base.
- the resulting product was deprotected by treatment with 50% trifluoroacetic acid in methylene chloride.
- Coupling with 2-pyridineethaneamine in methylene chloride was carried out with PyBOP as coupling agent, and diisopropylethylamine as the base.
- Scheme 4 shows a method by which the compounds of the present invention can be prepared, by illustrating the synthesis of Example 7, [1- ( (4-Benzyloxy-benzyl) - ⁇ [2- (2-fluoro-phenyl ⁇ -ethylcarbamoyl] -methyl ⁇ - carbamoyl) -2- (lH-imidazole-4-yl) -ethyl] -carbamic acid benzyl ester. Boc-glycine was coupled to 2-fluoro- phenethylamine in tetrahydrofuran (THF) in the presence of isobutylchloroformate as coupling agent and N-methylmorpholine as the base.
- THF tetrahydrofuran
- Boc group was then removed by treatment with 50% TFA in methylene chloride for 30 minutes.
- Reductive amination of 4-benzyloxy- benzaldehyde with N- [2- (2-fluorophenyl) -ethyl] - glycinamide TFA salt was carried out in methylene chloride with sodium triacetoxyborohydride and potassium acetate as the base.
- Scheme 5 shows a method by which the compounds of the present invention can be prepared, by illustrating the synthesis of Example 62, (2- (lH-imidazol-4-yl) - l- ⁇ isobutyl- [ (2-phenyl-propylcarbamoyl) -methyl] - carbamoyl ⁇ -ethyl) -carbamic acid benzyl ester.
- Boc- glycine was coupled to ⁇ -methylphenethylamine in methylene chloride, in the presence of dicyclohexyl- carbodumide (DCC) and 1-hydroxy-benzotriazole (HOBt) as coupling agents and diisopropylethylamine as the base.
- DCC dicyclohexyl- carbodumide
- HOBt 1-hydroxy-benzotriazole
- the boc group was then removed by treatment with 30% TFA in methylene chloride for 2 hours and reductive amination of isobutyraldehyde in methylene chloride with sodium triacetoxyborohydride and sodium acetate as the base was carried out.
- the above product was then coupled to Cbz-histidine-(trityl) in methylene chloride with O- (7-azabenzotriazol-l-yl) -N,N,N' ,N' - tetramethyluronium hexafluorophosphate (HATU) and l-hydroxy-7-azabenzotriazole(HOAt) as coupling agents and diisopropylethylamine as the base.
- the resulting product was deprotected by treatment with 50% trifluoroacetic acid in methylene chloride.
- Step 2 N- TN- ⁇ (Phenylmethoxy)carbonyl1-L-histidyll -
- N- T T4- (phenvImethoxy)phenyl1methyl1glycine methyl ester To a suspension of CBZ-histidine (1.22 g, 4.21 mmol) in DMF (dimethylformamide) (10 mL) was added HOBT (hydroxybenzotriazole) hydrate (0.77 g, 5.05 mmol) and DCC (dicyclohexylcarbodiimide) (1.04 g, 5.05 mmol) . The amine from Step 1 above (1.20 g, 4.21 mmol) was then added, and the mixture was stirred at room temperature overnight.
- DMF dimethylformamide
- Step 3 N- TN- f (Phenylmethoxy)carbonyll -L-histidyll - N- r T4-(phenylmethoxy)phenv!1methyl!giveine
- THF tetrahydrofuran
- Step 4 (S) -N- f (Phenylmethoxy)carbonyll -L-histidyl- N- f2- (phenylmethoxy) - ethyl1-N - ⁇ f4- (phenylmethoxy)phenyllmethyll - glycinamide
- Example 1 Step 1, by substituting 4-chlorobenzaldehyde for 4-benxyloxybenzaldehyde.
- the title compound is obtained as a white solid; ES-MS 604 (m + 1) .
- the title compound can be prepared according to Example 1, Step 2, by substituting benzyl-urea- histidine (Steps 1 and 2) for Cbz-histidine.
- the title compound is obtained as a white solid; ES-MS 659 (m + 1) .
- Step 1 Benzyl-urea-histidine methyl ester
- histidine methyl ester hydrochloride 2.0 g, 4.3 mmol
- benzyl isocyanate 0.58 mL, 0.63 g, 4.7 mmol
- triethylamine 1.32 mL, 9.5 mmol
- the solution was concentrated and the residue taken up in ethyl acetate.
- the solution was washed with water, saturated NaHC0 3 , brine, dried over MgS0 4 , and concentrated.
- the product was obtained as a white foam (1.09 g, 84%) .
- Step 2 Benzyl-urea-histidine
- Example 1 by substituting benzyl-urea- histidine- (trityl) (Steps 1 and 2) for Cbz-histidine and Step 4, by substituting ⁇ -methylphenethylamine for 2-benzyloxyethylamine hydrochloride.
- the title compound is obtained as a white solid; ES-MS 659 (m + 1) .
- Step 1 Benzyl-urea-histidine-trityl methyl ester
- histidine-trityl methyl ester hydrochloride 2.0 g, 4.3 mmol
- benzyl isocyanate 0.58 mL, 0.63 g, 4.7 mmol
- triethylamine 1.32 mL, 9.5 mmol
- the solution was concentrated and the residue taken up in ethyl acetate.
- the solution was washed with water, saturated NaHC0 3 , brine, dried over MgS0 4 , and concentrated.
- the product was obtained as a white foam (1.95 g, 83%) .
- Boc-glycine (1.75 g, 10 mmol) in THF (50 mL) at 0°C was added isobutylchloroformate (1.3 mL, 10 mmol), followed by N-methylmorpholine (1.1 mL, 10 mmol) .
- the resulting suspension was stirred for 5 minutes at 0°C, then treated with 2- [(2- fluorophenyl) -ethyl] -amine (10 mmol) .
- the suspension was stirred at room temperature overnight.
- the reaction was treated with IN HCl and was extracted with diethyl ether (2 x 50 mL) .
- Step 2 N- ⁇ 2-(2-Fluorophenyl)-ethyl1 -glycinamide trifluoroacetic acid salt To a solution of the compound from Step 1 above (1.92 g, 6.48 mmol) in methylene chloride (20 mL) was added trifluoroacetic acid (20 mL) . The solution was stirred for 30 minutes, then concentrated. The residue was dissolved in methylene chloride and reconcentrated to give the title compound as an oil. This was used in the next reaction without characterization.
- Step 3 N- ⁇ 2- (2-Fluorophenyl) -ethyl!
- Step 4 T1-( (Benzyloxy-benzyl) -f f2- (2-fluorophenyl) - ethyl-carbamoyl!-methyl ⁇ -carbamoyl) -2- (1- trityl-lH-imidazole-4-yl) -ethyl! -carbamic acid benzyl ester
- (S) - (2-benzyloxycarbonylamino- 3- (1-trityl) -lH-imidazole-4-yl) -propionic acid Cbz- histidine- (trityl)
- Step 5 Tl- ( (4-Benzyloxy-benzyl) -f ⁇ 2- (2-fluoro ⁇ phenyl) -ethylcarbamoyl! -methyl ⁇ -carbamoyl) -2- (lH-imidazole-4-yl) -ethyl! -carbamic acid benzyl ester
- Step 1 (4-Benzyloxybenzylamino) acetic acid t-butyl ester
- glycine t-butyl ester hydrochloride (0.84 g, 5 mmol)
- 4-benzyloxy- benzaldehyde (0.53 g, 2.5 mmol)
- CH 2 C1 2 25 mL
- sodium triacetoxyborohydride (0.81 g, 3.8 mmol)
- the mixture was allowed to warm to room temperature and stirred overnight.
- Aqueous NaHC0 3 was added, and the mixture was stirred for 30 minutes.
- the aqueous layer was extracted 3 times with CH2CI2.
- the combined organic extracts were washed with brine, dried over MgS0 4 , and concentrated. Flash chromatography (ethyl acetate) gave 0.38 g (59%) of the title compound as a white solid.
- Step 2 N- TN- ⁇ (Phenylmethoxy)carbonyll -L-histidyl- trityll -N- ⁇ ⁇ 4- (phenylmethoxy)phenyl!methyl! - glycine t-butyl ester
- Cbz-histidine- (trityl) (0.89 g
- Step 3 N- TN- ⁇ (Phenylmethoxy)carbonyll -L-histidyl! -N- f f4- (phenvImethoxy)phenyl!methyl!glvcine
- methylene chloride 25 mL
- the reaction was stirred at room temperature for 3 hours.
- the solution was concentrated in vacuo.
- Cold diethyl ether was added to the residue, and the solution was left at 4°C overnight. A white precipitate was obtained, filtered, and dried; 0.33 g (80%) .
- Step 4 ri-f (4-Benzyloxy-benzyl) - ⁇ (2-pyridin-2-yl- ethylcarbamoyl) -methyl!-carbamoyl!-2- (1H- imidazole-4-yl) -ethyl! -carbamic acid benzyl ester
- PyBOP PyBOP
- diisopropylethylamine 0.23 mL, 1.3 mmol
- 2-pyridineethaneamine hydrochloride 0.082 g, 0.67 mmol
- the title compound can be prepared according to Example 8, Step 4, by substituting 2-bromo- phenethylamine (Steps 1 and 2) for 2-pyridineethane ⁇ amine-HCl.
- the title compound is obtained as a white foam (10%); ES-MS 725 (m + 1) .
- Step 1 o-Bromo-nitrostyrene To a solution of o-bromo-benzaldehyde (4 g,
- Example 15 by substituting L-amphetamine for ⁇ , ⁇ -dimethylphenethylamine hydrochloride.
- the title compound is obtained as a white foam (90%); ES-MS 660 (m + 1) .
- Example 15 by substituting D-amphetamine for ⁇ , ⁇ -dimethylphenethylamine hydrochloride.
- the title compound is obtained as a white foam; ES-MS 660 (m + 1) .
- Example 8 by substituting 2-[ ⁇ - (aminomethyl) - benzyl]pyridine hydrochloride (Step 1) for 2-pyridineethane-amine-HCl.
- the title compound is obtained as a white foam (64%); ES-MS 723 (m + 1) .
- Step 1 2- foe- (Aminomethyl)benzyl!pyridine hydrochloride ⁇ - (2-Pyridyl)-phenylacetonitrile (97.1 g, 0.5 mol) was reduced with Raney cobalt (25 g) and triethylamine (25 mL) in toluene (500 mL) . The solution was filtered, and the filtrate was concentrated. The residue was dissolved in diethyl ether, and HCl was bubbled in. The hydrochloride salt precipitated out of the solution.
- Example 8 by substituting ⁇ -methyl- phenethylamine for 2-pyridineethane-amine • HCl and in Step 1, by substituting p-chloro-benzaldehyde for 4-benzyloxy-benzaldehyde.
- the title compound is obtained as a white foam (17%) ; ES-MS 588 (m + 1) .
- the title compound can be prepared according to Example 15, Step 5, by substituting 2-amino-l- phenylethanol for ⁇ , ⁇ -dimethylphenethylamine hydrochloride.
- the title compound is obtained as a white foam (47%); ES-MS 662 (m + 1) .
- Step 2 N- TN- r (Phenylmethoxy)carbonyll -L-histidyl- trityl! -N- T T4- (phenylmethoxy)phenyl!methyl! - glycine methyl ester
- Step 3 N- fN- ⁇ (Phenylmethoxy)carbonyll -L-histidyl- trityll-N- f T-4— (phenylmethoxy)phenyl! -methyl1 - giveine
- LiOH hydrate (0.14 g, 3.30 mmol)
- the solution was concentrated, the residue taken up in H2O, and the pH was adjusted to 4-5 with IN HCl.
- the resulting mixture was concentrated and dried in vacuo to afford 1.65 g of the title compound as a white solid; FAB-MS 543 (m + 1) .
- Step 4 ⁇ . ⁇ -Dimethylphenethylamine hydrochloride
- Step 5 n-f (4-Benzyloxy-benzyl) - r (2-methyl-2-phenyl- propylcarbamoyl) -methyl!-carbamoyl)-2-
- Example 15 by substituting ⁇ -ethylbenzene- ethamine hydrochloride (Step 1) for ⁇ , ⁇ -dimethyl ⁇ phenethylamine hydrochloride.
- the title compound is obtained as a white foam (55%); ES-MS 674 (m + 1) .
- Step 1 ⁇ -Ethylbenzeneethamine hydrochloride This compound is synthesized by catalytic reduction of 2-phenylbutyronitrile as exemplified in B.K. Trivedi, et al. , J. Med. Chem. , 1993;36:3300-3307.
- the title compound can be prepared according to Example 15, Step 2, by substituting phenylpropionyl- histidine- (trityl) (Steps 1 and 2) for Cbz-histidine- (trityl) and Step 5 by substituting ⁇ -methyl- phenethylamine for ⁇ , ⁇ -dimethylphenethylamine hydrochloride.
- the title compound is obtained as a white foam (45%); ES-MS 658 (m + 1) .
- Step 1 Phenylpropionyl-histidine- (trityl) methyl ester
- histidine- (trityl) methyl ester hydrochloride 2.0 g, 4.2 mmol
- methyl piperidine 1.07 mL, 8.8 mmol
- 3-phenylpropionyl chloride (0.62 mL, 4.2 mmol)
- Ethyl acetate was added and washed twice with water, saturated NaHC0 3 , brine, dried over
- Step 2 Phenylpropionyl-histidine- (trityl) To a solution of the ester from Step 1 (2.0 g,
- the title compound can be prepared according to Example 8, Step 4, by substituting ⁇ -methyl- phenethylamine for 2-pyridineethaneamine•HCl and in Step 1, by substituting p-fluoro-benzaldehyde for 4-benzyloxy-benzaldehyde.
- the title compound is obtained as a white foam (78%) ; ES-MS 572 (m + 1) .
- Example 8 by substituting ⁇ -methyl- phenethylamine for 2-pyridineethaneamine • HCl and in Step 1, by substituting p-methyl-benzaldehyde for 4-benzyloxy-benzaldehyde.
- the title compound is obtained as a white foam (66%); ES-MS 568 (m + 1) .
- the title compound can be prepared according to Example 8, Step 4, by substituting 2-amino- ⁇ - methylphenethylamine (Step 1) for 2-pyridineethane ⁇ amine-HCl.
- the title compound is obtained as a- white foam (33%); ES-MS 675 (m + 1) .
- the title compound can be prepared according to Example 15, Step 1, by substituting p-fluoro- benzaldehyde for 4-benzyloxy benzaldehyde.
- the title compound is obtained as a white foam (87%); ES-MS 586 (m + 1) .
- the title compound can be prepared according to Example 8, Step 4, by substituting ⁇ -methyl- phenethylamine for 2-pyridineethaneamine-HCl and in Step 1, by substituting benzaldehyde for 4-benzyloxy- benzaldehyde.
- the title compound is obtained as a white foam (57%); ES-MS 554 (m + 1) .
- the title compound can be prepared according to Example 8, Step 4, by substituting o-chloro- ⁇ -phenyl- phenethylamine hydrochloride (Steps 1 and 2) for 2-pyridineethaneamine-HCl.
- the title compound is obtained as a white foam (37%) ; ES-MS 756 (m + 1) .
- Step 1 2-Phenyl-3- (2-chloro-phenyl) cvanide
- Step 2 o-Chloro- ⁇ -phenyl-phenethylamine hydrochloride Reduction of the product from Step 1 was carried out in the presence of Raney nickel, in methanol/NH 3 . The catalyst was removed and washed with methanol. The filtrate was concentrated and ethanol (100 mL) was added to the residue. Concentrated HCl was added slowly until pH 3. The volume of ethanol was reduced in vacuo to about 5 mL, and the HCl salt was precipitated by the addition of diethyl ether; 1.84 g (68%) .
- the title compound can be prepared according to Example 15, Step 5, by substituting ⁇ , ⁇ -diethylbenzene- ethaneamine hydrochloride (Step 1) for ⁇ , ⁇ -dimethyl ⁇ phenethylamine hydrochloride.
- the title compound is obtained as a white foam (52%); ES-MS 702 (m + 1) .
- Step 1 ⁇ , ⁇ -Diethylbenzeneethaneamine hydrochloride
- This compound is synthesized by diethylating phenylacetonitrile followed by catalytic reduction as exemplified in B.K. Trivedi, et al. , J. Med. Chem.. 1993;36:3300-3307.
- the title compound can be prepared according to Example 15, Step 2, by substituting benzyl-urea- histidine- (trityl) (Steps 1 and 2, Example 6) for Cbz- histidine- (trityl) , and Step 5, by substituting ⁇ -methyl-phenethylamine hydrochloride for ⁇ , ⁇ -dimethyl ⁇ phenethylamine hydrochloride.
- the title compound is obtained as a white foam (64%); ES-MS 659 (m + 1) .
- Example 15 by substituting benzyl-urea- histidine- (trityl) -HCl (Steps 1 and 2, Example 6) for Cbz-histidine- (trityl) , and Step 5, by substituting ⁇ -ethylbenzeneethamine hydrochloride (Step 1, Example 16) for ⁇ , ⁇ -dimethylphenethylamine hydrochloride.
- the title compound is obtained as a white foam (93%); ES-MS 673 (m + 1) .
- the title compound can be prepared according to Example 8, Step 4, by substituting ⁇ -methyl- phenethylamine for 2-pyridineethaneamine-HCl and in Step 1, by substituting o-chloro-benzaldehyde for 4-benzyloxy-benzaldehyde.
- the title compound is obtained as a white foam (40%) ; ES-MS 588 (m + 1) .
- the title compound can be prepared according to Example 8, Step 4, by substituting ⁇ -methyl- phenethylamine for 2-pyridineethaneamine-HCl and in Step 1, by substituting p-bromo-benzaldehyde for 4-benzyloxy-benzaldehyde.
- the title compound is obtained as a white foam (91%); ES-MS 633 (m + 1).
- EXAMPLE 30 (S)-f1-f (3-Chloro-benzyl) - ⁇ (2-phenyl-propylcarbamoyl) - methyl! -carbamoyl)-2- (lH-imidazole-4-yl) -ethyl! - carbamic acid benzyl ester
- the title compound can be prepared according to
- Example 8 by substituting ⁇ -methyl- phenethylamine for 2-pyridineethaneamine•HCl and in Step 1, by substituting m-chloro-benzaldehyde for 4-benzyloxy-benzaldehyde.
- the title compound is obtained as a white foam (10%) ; ES-MS 588 (m + 1) .
- the title compound can be prepared according to Example 15, Step 1, by substituting p-chloro- benzaldehyde for 4-benzyloxy-benzaldehyde.
- the title compound is obtained as a white foam (33%) ; ES-MS 602 (m + 1) .
- the title compound can be prepared according to Example 8, Step 4, by substituting o-chloro- ⁇ -methyl- phenethylamine hydrochloride (Steps 1 and 2) for 2-pyridineethaneamine-HCl.
- the title compound is obtained as a white foam (41%); ES-MS 694 (m + 1).
- Step 2 o-Chloro- ⁇ -methyl phenethylamine hydrochloride Reduction of the product from Step 1 was carried out in the presence of Raney nickel, in methanol/NH 3 . The catalyst was removed and washed with methanol. The filtrate was concentrated and diethyl ether (100 mL) was added to the residue. Concentrated HCl was added dropwise to precipitate the compound; 1.06 g (44%) .
- the title compound can be prepared according to Example 8, Step 4, by substituting ⁇ -methyl- phenethylamine for 2-pyridineethaneamine-HCl and in Step 1, by substituting o-methoxy-benzaldehyde for 4-benzyloxy-benzaldehyde.
- the title compound is obtained as a white foam (15%); ES-MS 584 (m + 1) .
- the title compound can be prepared according to Example 15, Step 1, by substituting 4- [ (4-pyridyl) - methyloxy]-benzaldehyde (Step 1) for 4-benzyloxy- benzaldehyde and Step 5 by substituting ⁇ -methylphenethylamine for ⁇ , ⁇ -dimethylphenethylamine hydrochloride.
- the title compound is obtained as a white foam (67%); ES-MS 661 (m + 1) .
- Step 1 4- r (4-Pyridyl) -methyloxy! -benzaldehyde This compound is synthesized as exemplified in
- the title compound can be prepared according to Example 8, Step 4, by substituting ⁇ -methyl ⁇ phenethylamine for 2-pyridineethaneamine-HCl and in Step 1, by substituting m-methoxy-benzaldehyde for 4-benzyloxy-benzaldehyde.
- the title compound is obtained as a white foam (14%); ES-MS 584 ⁇ m + 1) .
- Step 1 4- ⁇ (3-Pyridyl) -methyloxy! benzaldehyde
- Example 15 Step 1, by substituting 1-naphthalene- carboxaldehyde for 4-benzyloxy-benzaldehyde and Step 5 by substituting ⁇ -methylphenethylamine for ⁇ , ⁇ -dimethylphenethylamine hydrochloride.
- the title compound is obtained as a white foam (15%) ; ES-MS 604 (m + 1) .
- the title compound can be prepared according to Example 8, Step 4, by substituting ⁇ -methyl ⁇ phenethylamine for 2-pyridineethaneamine•HCl and in Step 1, by substituting p-trifluoromethyl-benzaldehyde for 4-benzyloxy-benzaldehyde.
- the title compound is obtained as a white foam (13%); ES-MS 622 (m + 1) .
- the title compound can be prepared according to Example 15, Step 1 by substituting 3-pyridin-aldehyde for 4-benzyloxy-benzaldehyde.
- the title compound is obtained as a white foam (84%); ES-MS 569 (m + 1) .
- Step 1 4- ⁇ (2-Pyridyl) -methyloxy! -benzaldehyde
- Example 15 by substituting N-methyl-N-benzyl- urea-histidine- (trityl) (Steps 1 and 2) for Cbz- histidine- (trityl) .
- the title compound is obtained as a white foam (79%); ES-MS 687 (m + 1) .
- Step 1 N-methyl-N-benzyl-urea-histidine- (trityl) methyl ester Histidine- (trityl) methyl ester hydrochloride (2.0 g, 4.2 mmol) was suspended in methylene chloride (20 mL, ) and the solution was washed twice with saturated NaHC0 3 , and brine, dried over MgS0 4 , and cooled to 0°C. Triethylamine (0.65 mL, 8.8 mmol) and 4-nitrophenyl chloroformate (0.93 g, 4.7 mmol) was added. The reaction was stirred at 0°C under nitrogen for 1.5 hours. N-benzyl-N-methylamine (1.14 mL,
- Step 2 N-methyl-N- benzyl-urea-histidine- (trityl)
- the methyl ester from Step 1 (1.19 g, 2.1 mmol) was dissolved in THF:methanol (10 mL of each) .
- IN NaOH (6 mL, 6.3 mmol) was added, and the reaction was stirred overnight. The solvent was removed.
- IN HCl (6.3 mL) was added and extracted with ethyl acetate. The organic solution was then washed twice with brine, dried over MgS0 4 , and concentrated to give a white foam; 1.4 g.
- the title compound can be prepared according to Example 8, Step 4, by substituting ⁇ , ⁇ -dimethyl- phenethylamine hydrochloride for 2-pyridineethane ⁇ amine-HCl and in Step 1, by substituting benzaldehyde for 4-benzyloxy-benzaldehyde.
- the title compound is obtained as a white foam (42%) ; ES-MS 568 (m + 1) .
- Example 8 by substituting ⁇ , ⁇ -dimethyl ⁇ phenethylamine hydrochloride for 2-pyridineethane ⁇ amine-HCl and in Step 1, by substituting p-methoxy- benzaldehyde for 4-benzyloxy-benzaldehyde.
- the title compound is obtained as a white foam (16%); ES-MS 598 (m + 1) .
- the title compound can be prepared according to Example 15, Step 5, by substituting ⁇ -cyano- phenethylamine hydrochloride (Step 1) for ⁇ , ⁇ -dimethyl- phenethylamine hydrochloride.
- the title compound is obtained as a white foam (47%) ; ES-MS 671 (m + 1) .
- Step 1 f (2-Pyridyl) -methylamino) 1 -acetic acid methyl ester
- 2-aminomethylpyridine 5.0 g, 46.2 mmol
- acetonitrile 100 mL
- methyl bromoacetate 4.3 mL, 46.2 mmol
- triethylamine 6.5 mL, 46.2 mmol
- the solution was heated at reflux overnight.
- the solution was diluted with ethyl acetate and washed with saturated NaHC0 3 , water, and brine, dried over MgS0 4 , and concentrated.
- the title compound can be prepared according to Example 8, Step 4, by substituting ⁇ -methyl- phenethylamine for 2-pyridineethaneamine ⁇ HCl and in Step 1, by substituting m-methy1-benzaldehyde for 4-benzyloxy-benzaldehyde.
- the title compound is obtained as a white foam (52%); ES-MS 568 (m + 1) .
- Step 1 4- f (4-Pyridyl) -methyloxy! -benzaldehyde
- Step 1 4- f (3-Pyridyl) -methyloxy! -benzaldehyde
- the title compound can be prepared according to Example 15, Step 1, by substituting p-phenyl- benzaldehyde for 4-benzyloxy-benzaldehyde and in Step 5, by substituting ⁇ -methyl-phenethylamine hydrochloride for ⁇ , ⁇ -dimethylphenethylamine hydrochloride.
- the title compound was obtained as a white foam (33%); ES-MS 630 (m + 1) .
- the title compound can be prepared according to Example 15, Step 1, by substituting p-phenyl- benzaldehyde for 4-benzyloxy-benzaldehyde.
- the title compound was obtained as a white foam (32%) ; ES-MS 644 (m + 1) .
- the title compound can be prepared according to Example 7, Step 1, by substituting 2-chloro- phenethylamine for 2- [ (2-fluorophenyl) -ethyl] -amine.
- the title compound is obtained as a white foam (89%) ;
- Step 1 3-Thiophenemethyloxycarbonyl-histidine- (trityl) methyl ester 3-Thiophene methanol (0.43 mL, 4.6 mmol), triethylamine (0.64 mL, 4.6 mmol), and 4-nitrophenyl chloroformate (0.92 g, 4.6 mmol) were dissolved in methylene chloride (20 mL) and cooled to 0°C under nitrogen. After 1 hour, histidine- (trityl) methyl ester hydrochloride (2 g, 4.2 mmol) and triethylamine (1.28 mL, 9.2 mmol) in methylene chloride (10 mL) were added. The reaction was stirred overnight.
- Step 2 3-Thiophenemethyloxycarbonyl-histidine- (trityl) To a solution of the ester from Step 1 (1.15 g,
- the title compound can be prepared according to Example 15, Step 1, by substituting alanine methyl ester hydrochloride for glycine methyl ester hydrochloride and in Step 2 by substituting l-hydroxy-7-azabenzotriazole (HOAt) and O- (7-azabenzotriazol-l-yl) -1,1,3, 3-tetramethyluronium hexafluorophosphate (HATU) for PyBOB.
- the title compound is obtained as a white foam (78%) ; ES-MS 617 (m + 1) .
- the title compound can be prepared according to Example 15, Step 1, by substituting 4-methyl- benzaldehyde for 4-benzyloxy-benzaldehyde.
- the title compound is obtained as a white foam (74%) ; ES-MS 582 (m + 1) .
- the title compound can be prepared according to Example 8, Step 1, by substituting 2-methoxy- benzaldehyde for 4-benzyloxy-benzaldehyde and in Step 4, by substituting ⁇ , ⁇ -dimethylphenethylamine (Example 15, Step 4) for 2-pyridine-ethaneamine hydrochloride.
- the title compound is obtained as a white foam (11%) ; ES-MS 598 (m + 1).
- the title compound can be prepared according to Example 15, Step 1, by substituting 4-chloro- benzaldehyde for 4-benzyloxy-benzaldehyde and in Step 2, by substituting N-methyl-N-benzyl-urea- histidine- (trityl) (Example 41, Steps 1 and 2) for Cbz-histidine- (trityl) .
- the title compound is obtained as a white foam (72%); ES-MS 616 (m + 1) .
- the title compound can be prepared according to Example 8, Step 1, by substituting 3-methoxy- benzaldehyde for 4-benzyloxy-benzaldehyde and in Step 4, by substituting ⁇ , ⁇ -dimethylphenethylamine (Example 15, Step 4) for 2-pyridine-ethaneamine hydrochloride.
- the title compound is obtained as a white foam (5%); ES-MS 598 (m + 1) .
- Step 1 2- f (4-Pyridyl)-methyloxy! -benzaldehyde
- the title compound can be prepared according to Example 8, Step 1, by substituting cyclohexane- carboxaldehyde for 4-benzyloxy-benzaldehyde and in Step 4, by substituting ⁇ -methyl-phenethyl-amine for 2-pyridineethaneamine HCl.
- the title compound is obtained as a white foam (16%); MS-ES 559 (M + H) .
- Step 1 r ⁇ -Boc-N- ⁇ (2-phenyl-propylcarbamoyl) -methyl! - glycinamide
- Step 2 N-f (2-phenyl-propylcarbamoyl) -methyl! - glycinamide trifluoroacetic acid salt
- Step 3 N- f (2-phenyl-propylcarbamoyl)-methyl1-N ⁇ - (4-benzyloxy-benzyl)-glycinamide hydrochloride salt
- isobutyraldehyde 0.274 mL, 3 mmol
- sodium acetate 0.59 g, 7.25 mmol
- methylene chloride 25 mL
- the reaction was treated with a saturated aqueous NaHC0 3 solution, and the layers were separated.
- the aqueous layer was extracted with methylene chloride (2 x 20 mL) .
- the organic layers were combined and washed 3 times with brine, dried over MgS0 4 , and concentrated.
- Step 4 (2- (l-trityl-lH-imidazole-4-yl) -1-fisobutyl- [ (2-phenyl-propylcarbamoyl) -methyl!
- reaction solution was concentrated and the residue dissolved in ethyl acetate (25 mL) .
- the organic solution was washed 3 times with 5% citric acid, 5% NaHC0 3 and brine, dried over MgS0 4 , and concentrate.
- the product was used without further purification in the next step.
- Step 5 (S) - (2- (lH-imidazole-4-yl) -1-fisobutyl- T (2-phenyl-propylcarbamolv) -methyl1- carbamoyl)-ethyl)-carbamic acid benzyl ester
- PFT protein:farnesyl transferase
- FPT farnesyl protein transferase
- reaction was terminated by diluting the reaction 2.5-fold with a stop buffer containing 1.5 M magnesium acetate, 0.2 M H 3 P0 4 , 0.5% BSA (bovine serum albumin), and strepavidin beads (Amersham) at a concentration of 1.3 mg/mL.
- BSA bovine serum albumin
- the farnesylation inhibitor is added at varying concentrations. Following an 18-hour incubation period, cells are lysed in phosphate-buffered saline containing 1% Triton X-100, 0.5% sodium deoxycholate, and 0.1% SDS (sodium dodecyl sulfate), pH 7.4 in the presence of several protease inhibitors (PMSF (phenylmethylsulfonylfluoride) , antipain, leupeptin, pepstatin A, and aprotinin all at 1 ⁇ g/mL) .
- PMSF protease inhibitors
- Ras protein is immunoprecipitated from the supernatants by the addition of 3 ⁇ g v-H-ras Ab-2 (Y13-259 antibody from Oncogene Science) . After overnight immunoprecipitation, 30 ⁇ L of a 50% protein G-Sepharose slurry (Pharmacia) is added followed by 45-minute incubation. Pellets are resuspended in 2X tris-glycine loading buffer (Novex) containing 5% ⁇ -mercaptoethanol and then denatured by 5 minutes boiling prior to electrophoresis on 14% Tris-glycine SDS gels. Using Western transfer techniques, proteins are transferred to nitrocellulose membranes followed by blocking in blocking buffer.
- H61 Cells are fibroblasts transformed to a malignant state by transfection with an activated mutant form of human h-ras.
- Ten to 30 mg fragments of H61 tumors were inoculated SC (subcutaneously) in the axial region into female nude mice with a trocar needle on day zero of the experiment.
- the mice were randomized to treatment groups and were then given SC injections of the compound described in Example 15 suspended in 10% cremofor/10% ethanol/80% water twice each day on Days 3-17 of the experiment.
- the median control tumor burden was 1958 mg as assessed by caliper measurements .
- the median tumor burden for animals treated with the compound described in Example 15 at 125 mg/kg/injection was 106 mg, indicating a 95% inhibition of tumor growth.
- the treatment regimen induced a tumor growth delay also consistent with significant inhibition of tumor growth at the 125 and 78 mg/kg/injection dose levels. These dose levels were well-tolerated with minimal or no host toxicity.
Landscapes
- Health & Medical Sciences (AREA)
- Chemical & Material Sciences (AREA)
- Organic Chemistry (AREA)
- Life Sciences & Earth Sciences (AREA)
- General Health & Medical Sciences (AREA)
- Medicinal Chemistry (AREA)
- Veterinary Medicine (AREA)
- Animal Behavior & Ethology (AREA)
- Chemical Kinetics & Catalysis (AREA)
- General Chemical & Material Sciences (AREA)
- Nuclear Medicine, Radiotherapy & Molecular Imaging (AREA)
- Public Health (AREA)
- Pharmacology & Pharmacy (AREA)
- Engineering & Computer Science (AREA)
- Bioinformatics & Cheminformatics (AREA)
- Proteomics, Peptides & Aminoacids (AREA)
- Heart & Thoracic Surgery (AREA)
- Biochemistry (AREA)
- Cardiology (AREA)
- Communicable Diseases (AREA)
- Oncology (AREA)
- Molecular Biology (AREA)
- Dermatology (AREA)
- Endocrinology (AREA)
- Reproductive Health (AREA)
- Genetics & Genomics (AREA)
- Biophysics (AREA)
- Urology & Nephrology (AREA)
- Pregnancy & Childbirth (AREA)
- Gynecology & Obstetrics (AREA)
- Virology (AREA)
- Vascular Medicine (AREA)
- Pharmaceuticals Containing Other Organic And Inorganic Compounds (AREA)
- Plural Heterocyclic Compounds (AREA)
- Medicines That Contain Protein Lipid Enzymes And Other Medicines (AREA)
- Enzymes And Modification Thereof (AREA)
- Medicines Containing Plant Substances (AREA)
- Peptides Or Proteins (AREA)
Abstract
Description
Claims
Priority Applications (11)
| Application Number | Priority Date | Filing Date | Title |
|---|---|---|---|
| JP09542369A JP2000511527A (en) | 1996-05-22 | 1997-04-29 | Inhibition of protein farnesyltransferase |
| EP97922365A EP0938494A1 (en) | 1996-05-22 | 1997-04-29 | Inhibitors of protein farnesyl transferase |
| IL12683397A IL126833A0 (en) | 1996-05-22 | 1997-04-29 | Inhibitors of protein farnesyl transferase |
| SK1610-98A SK161098A3 (en) | 1996-05-22 | 1997-04-29 | Inhibitors of protein farnesyl transferase |
| EA199801031A EA199801031A1 (en) | 1996-05-22 | 1997-04-29 | PROTEINFARNESILTRANSFERASE INHIBITORS |
| AU28058/97A AU728477B2 (en) | 1996-05-22 | 1997-04-29 | Inhibitors of protein farnesyltransferase |
| EE9800408A EE9800408A (en) | 1996-05-22 | 1997-04-29 | Protein farnesyl transferase inhibitors |
| BR9709354A BR9709354A (en) | 1996-05-22 | 1997-04-29 | Farnesyl transferase protein inhibitors |
| US09/180,241 US6300501B1 (en) | 1996-05-22 | 1997-04-29 | Histidine-(N-benzyl glycinamide) inhibitors of protein farnesyl transferase |
| BG102936A BG102936A (en) | 1996-05-22 | 1998-11-19 | Inhibitors of protein farnesyl transferase |
| NO985405A NO985405L (en) | 1996-05-22 | 1998-11-20 | Inhibitors of protein farnesyl transferase |
Applications Claiming Priority (4)
| Application Number | Priority Date | Filing Date | Title |
|---|---|---|---|
| US1611096P | 1996-05-22 | 1996-05-22 | |
| US60/016,110 | 1996-05-22 | ||
| US3366296P | 1996-12-17 | 1996-12-17 | |
| US60/033,662 | 1996-12-17 |
Publications (1)
| Publication Number | Publication Date |
|---|---|
| WO1997044350A1 true WO1997044350A1 (en) | 1997-11-27 |
Family
ID=26688183
Family Applications (1)
| Application Number | Title | Priority Date | Filing Date |
|---|---|---|---|
| PCT/US1997/006591 Ceased WO1997044350A1 (en) | 1996-05-22 | 1997-04-29 | Inhibitors of protein farnesyl transferase |
Country Status (18)
| Country | Link |
|---|---|
| EP (1) | EP0938494A1 (en) |
| JP (1) | JP2000511527A (en) |
| CN (1) | CN1219174A (en) |
| AU (1) | AU728477B2 (en) |
| BG (1) | BG102936A (en) |
| BR (1) | BR9709354A (en) |
| CA (1) | CA2253934A1 (en) |
| CO (1) | CO4960642A1 (en) |
| CZ (1) | CZ376498A3 (en) |
| EA (1) | EA199801031A1 (en) |
| EE (1) | EE9800408A (en) |
| GE (1) | GEP20012500B (en) |
| IL (1) | IL126833A0 (en) |
| NO (1) | NO985405L (en) |
| NZ (1) | NZ332712A (en) |
| PL (1) | PL330120A1 (en) |
| SK (1) | SK161098A3 (en) |
| WO (1) | WO1997044350A1 (en) |
Cited By (73)
| Publication number | Priority date | Publication date | Assignee | Title |
|---|---|---|---|---|
| WO1998046625A1 (en) * | 1997-04-11 | 1998-10-22 | Warner-Lambert Company | Dipeptide inhibitors of protein farnesyltransferase |
| US5914341A (en) * | 1996-01-30 | 1999-06-22 | Merck & Co., Inc. | Inhibitors of farnesyl-protein transferase |
| US5968965A (en) * | 1996-01-30 | 1999-10-19 | Merck & Co., Inc. | Inhibitors of farnesyl-protein transferase |
| WO1999055725A1 (en) * | 1998-04-27 | 1999-11-04 | Warner-Lambert Company | Functionalized alkyl and alkenyl side chain derivatives of glycinamides as farnesyl transferase inhibitors |
| US5981562A (en) * | 1996-01-30 | 1999-11-09 | Merck & Co., Inc. | Inhibitors of farnesyl-protein transferase |
| US6028201A (en) * | 1996-01-30 | 2000-02-22 | Merck & Co., Inc. | Inhibitors of farnesyl-protein transferase |
| US6066738A (en) * | 1996-01-30 | 2000-05-23 | Merck & Co., Inc. | Inhibitors of farnesyl-protein transferase |
| US6284755B1 (en) | 1998-12-08 | 2001-09-04 | Merck & Co., Inc. | Inhibitors of prenyl-protein transferase |
| US6300501B1 (en) | 1996-05-22 | 2001-10-09 | Warner-Lambert Company | Histidine-(N-benzyl glycinamide) inhibitors of protein farnesyl transferase |
| US6316436B1 (en) | 1998-12-08 | 2001-11-13 | Merck & Co., Inc. | Inhibitors of prenyl-protein transferase |
| US6632818B2 (en) | 2000-01-12 | 2003-10-14 | Merck & Co., Inc. | Inhibitors of prenyl-protein transferase |
| US6737410B1 (en) | 1997-04-11 | 2004-05-18 | Warner-Lambert Company | Inhibitors of protein farnesyl transferase |
| WO2005049589A3 (en) * | 2003-10-14 | 2005-09-15 | Cadila Healthcare Ltd | Heterocyclic compounds for the treatment of hyperlipidemia, diabetes, obesity and similar diseases |
| WO2006123182A2 (en) | 2005-05-17 | 2006-11-23 | Merck Sharp & Dohme Limited | Cyclohexyl sulphones for treatment of cancer |
| WO2007093827A1 (en) | 2006-02-15 | 2007-08-23 | Istituto Di Ricerche Di Biologia Molecolare P. Angeletti Spa | Thiophene and thiazole substituted trifluoroethanone derivatives as histone deacetylase (hdac) inhibitors |
| WO2008106692A1 (en) | 2007-03-01 | 2008-09-04 | Novartis Vaccines And Diagnostics, Inc. | Pim kinase inhibitors and methods of their use |
| WO2008144062A1 (en) | 2007-05-21 | 2008-11-27 | Novartis Ag | Csf-1r inhibitors, compositions, and methods of use |
| WO2009002495A1 (en) | 2007-06-27 | 2008-12-31 | Merck & Co., Inc. | 4-carboxybenzylamino derivatives as histone deacetylase inhibitors |
| US7479488B2 (en) | 2004-03-29 | 2009-01-20 | Boehringer Ingelheim International Gmbh | Selected CGRP—antagonists, process for preparing them and their use as pharmaceutical compositions |
| US7482367B2 (en) | 2005-08-30 | 2009-01-27 | Novartis Vaccines And Diagnostics, Inc. | Substituted benzimidazoles and methods of their use |
| US7498325B2 (en) | 1997-09-08 | 2009-03-03 | Karl Thomas Gmbh | Modified amino acids, pharmaceuticals containing these compounds and method for their production |
| US7553854B2 (en) | 2006-04-19 | 2009-06-30 | Novartis Vaccines And Diagnostics, Inc. | 6-O-substituted benzoxazole and benzothiazole compounds and methods of inhibiting CSF-1R signaling |
| US7595312B2 (en) | 2002-10-25 | 2009-09-29 | Boehringer Ingelheim Pharma Gmbh & Co. Kg | Selected CGRP antagonists, processes for preparing them and their use as pharmaceutical compositions |
| WO2010114780A1 (en) | 2009-04-01 | 2010-10-07 | Merck Sharp & Dohme Corp. | Inhibitors of akt activity |
| WO2011046771A1 (en) | 2009-10-14 | 2011-04-21 | Schering Corporation | SUBSTITUTED PIPERIDINES THAT INCREASE p53 ACTIVITY AND THE USES THEREOF |
| EP2336120A1 (en) | 2007-01-10 | 2011-06-22 | Istituto di ricerche di Biologia Molecolare P. Angeletti S.R.L. | Combinations containing amide substituted indazoles as poly(ADP-ribose)polymerase (PARP) inhibitors |
| WO2011115725A2 (en) | 2010-03-16 | 2011-09-22 | Dana-Farber Cancer Institute, Inc. | Indazole compounds and their uses |
| WO2011163330A1 (en) | 2010-06-24 | 2011-12-29 | Merck Sharp & Dohme Corp. | Novel heterocyclic compounds as erk inhibitors |
| WO2012018754A2 (en) | 2010-08-02 | 2012-02-09 | Merck Sharp & Dohme Corp. | RNA INTERFERENCE MEDIATED INHIBITION OF CATENIN (CADHERIN-ASSOCIATED PROTEIN), BETA 1 (CTNNB1) GENE EXPRESSION USING SHORT INTERFERING NUCLEIC ACID (siNA) |
| WO2012024170A2 (en) | 2010-08-17 | 2012-02-23 | Merck Sharp & Dohme Corp. | RNA INTERFERENCE MEDIATED INHIBITION OF HEPATITIS B VIRUS (HBV) GENE EXPRESSION USING SHORT INTERFERING NUCLEIC ACID (siNA) |
| WO2012027236A1 (en) | 2010-08-23 | 2012-03-01 | Schering Corporation | NOVEL PYRAZOLO[1,5-a]PYRIMIDINE DERIVATIVES AS mTOR INHIBITORS |
| WO2012030685A2 (en) | 2010-09-01 | 2012-03-08 | Schering Corporation | Indazole derivatives useful as erk inhibitors |
| WO2012036997A1 (en) | 2010-09-16 | 2012-03-22 | Schering Corporation | Fused pyrazole derivatives as novel erk inhibitors |
| WO2012058210A1 (en) | 2010-10-29 | 2012-05-03 | Merck Sharp & Dohme Corp. | RNA INTERFERENCE MEDIATED INHIBITION OF GENE EXPRESSION USING SHORT INTERFERING NUCLEIC ACIDS (siNA) |
| WO2012087772A1 (en) | 2010-12-21 | 2012-06-28 | Schering Corporation | Indazole derivatives useful as erk inhibitors |
| WO2012145471A1 (en) | 2011-04-21 | 2012-10-26 | Merck Sharp & Dohme Corp. | Insulin-like growth factor-1 receptor inhibitors |
| WO2013063214A1 (en) | 2011-10-27 | 2013-05-02 | Merck Sharp & Dohme Corp. | Novel compounds that are erk inhibitors |
| WO2013165816A2 (en) | 2012-05-02 | 2013-11-07 | Merck Sharp & Dohme Corp. | SHORT INTERFERING NUCLEIC ACID (siNA) COMPOSITIONS |
| EP2698157A1 (en) | 2006-09-22 | 2014-02-19 | Merck Sharp & Dohme Corp. | Method of treatment using fatty acid synthesis inhibitors |
| WO2014052563A2 (en) | 2012-09-28 | 2014-04-03 | Merck Sharp & Dohme Corp. | Novel compounds that are erk inhibitors |
| WO2014085216A1 (en) | 2012-11-28 | 2014-06-05 | Merck Sharp & Dohme Corp. | Compositions and methods for treating cancer |
| WO2014100065A1 (en) | 2012-12-20 | 2014-06-26 | Merck Sharp & Dohme Corp. | Substituted imidazopyridines as hdm2 inhibitors |
| US8765747B2 (en) | 2009-06-12 | 2014-07-01 | Dana-Farber Cancer Institute, Inc. | Fused 2-aminothiazole compounds |
| WO2014120748A1 (en) | 2013-01-30 | 2014-08-07 | Merck Sharp & Dohme Corp. | 2,6,7,8 substituted purines as hdm2 inhibitors |
| WO2015034925A1 (en) | 2013-09-03 | 2015-03-12 | Moderna Therapeutics, Inc. | Circular polynucleotides |
| WO2016020864A1 (en) | 2014-08-06 | 2016-02-11 | Novartis Ag | Protein kinase c inhibitors and methods of their use |
| US9758522B2 (en) | 2012-10-19 | 2017-09-12 | Dana-Farber Cancer Institute, Inc. | Hydrophobically tagged small molecules as inducers of protein degradation |
| US9862688B2 (en) | 2014-04-23 | 2018-01-09 | Dana-Farber Cancer Institute, Inc. | Hydrophobically tagged janus kinase inhibitors and uses thereof |
| WO2018058022A1 (en) | 2016-09-26 | 2018-03-29 | Merck Sharp & Dohme Corp. | Anti-cd27 antibodies |
| WO2018071283A1 (en) | 2016-10-12 | 2018-04-19 | Merck Sharp & Dohme Corp. | Kdm5 inhibitors |
| US10000483B2 (en) | 2012-10-19 | 2018-06-19 | Dana-Farber Cancer Institute, Inc. | Bone marrow on X chromosome kinase (BMX) inhibitors and uses thereof |
| US10017477B2 (en) | 2014-04-23 | 2018-07-10 | Dana-Farber Cancer Institute, Inc. | Janus kinase inhibitors and uses thereof |
| WO2018190719A2 (en) | 2017-04-13 | 2018-10-18 | Aduro Biotech Holdings, Europe B.V. | Anti-sirp alpha antibodies |
| US10112927B2 (en) | 2012-10-18 | 2018-10-30 | Dana-Farber Cancer Institute, Inc. | Inhibitors of cyclin-dependent kinase 7 (CDK7) |
| US10144730B2 (en) | 2011-11-17 | 2018-12-04 | Dana-Farber Cancer Institute, Inc. | Inhibitors of c-Jun-N-terminal kinase (JNK) |
| WO2019094311A1 (en) | 2017-11-08 | 2019-05-16 | Merck Sharp & Dohme Corp. | Prmt5 inhibitors |
| WO2019094312A1 (en) | 2017-11-08 | 2019-05-16 | Merck Sharp & Dohme Corp. | Prmt5 inhibitors |
| WO2019152642A1 (en) | 2018-02-01 | 2019-08-08 | Merck Sharp & Dohme Corp. | Anti-pd-1/lag3 bispecific antibodies |
| US10550121B2 (en) | 2015-03-27 | 2020-02-04 | Dana-Farber Cancer Institute, Inc. | Inhibitors of cyclin-dependent kinases |
| WO2020033282A1 (en) | 2018-08-07 | 2020-02-13 | Merck Sharp & Dohme Corp. | Prmt5 inhibitors |
| WO2020033284A1 (en) | 2018-08-07 | 2020-02-13 | Merck Sharp & Dohme Corp. | Prmt5 inhibitors |
| WO2020033288A1 (en) | 2018-08-07 | 2020-02-13 | Merck Sharp & Dohme Corp. | Prmt5 inhibitors |
| US10702527B2 (en) | 2015-06-12 | 2020-07-07 | Dana-Farber Cancer Institute, Inc. | Combination therapy of transcription inhibitors and kinase inhibitors |
| US10870651B2 (en) | 2014-12-23 | 2020-12-22 | Dana-Farber Cancer Institute, Inc. | Inhibitors of cyclin-dependent kinase 7 (CDK7) |
| US10906889B2 (en) | 2013-10-18 | 2021-02-02 | Dana-Farber Cancer Institute, Inc. | Polycyclic inhibitors of cyclin-dependent kinase 7 (CDK7) |
| US11040957B2 (en) | 2013-10-18 | 2021-06-22 | Dana-Farber Cancer Institute, Inc. | Heteroaromatic compounds useful for the treatment of proliferative diseases |
| US11096950B2 (en) | 2006-11-01 | 2021-08-24 | Barbara Brooke Jennings | Compounds, methods, and treatments for abnormal signaling pathways for prenatal and postnatal development |
| US11142507B2 (en) | 2015-09-09 | 2021-10-12 | Dana-Farber Cancer Institute, Inc. | Inhibitors of cyclin-dependent kinases |
| US11826365B2 (en) | 2009-12-29 | 2023-11-28 | Dana-Farber Cancer Institute, Inc. | Type II raf kinase inhibitors |
| WO2024180169A1 (en) | 2023-03-02 | 2024-09-06 | Carcimun Biotech Gmbh | Means and methods for diagnosing cancer and/or an acute inflammatory disease |
| US12187701B2 (en) | 2018-06-25 | 2025-01-07 | Dana-Farber Cancer Institute, Inc. | Taire family kinase inhibitors and uses thereof |
| US12281126B2 (en) | 2018-12-28 | 2025-04-22 | Dana-Farber Cancer Institute, Inc. | Inhibitors of cyclin-dependent kinase 7 and uses thereof |
| US12441730B2 (en) | 2019-12-17 | 2025-10-14 | Merck Sharp & Dohme Llc | PRMT5 inhibitors |
Families Citing this family (1)
| Publication number | Priority date | Publication date | Assignee | Title |
|---|---|---|---|---|
| JP2002188646A (en) * | 2000-12-20 | 2002-07-05 | Nsk Ltd | Rolling bearing and bearing device |
Citations (4)
| Publication number | Priority date | Publication date | Assignee | Title |
|---|---|---|---|---|
| WO1994000419A1 (en) * | 1992-06-26 | 1994-01-06 | Merck & Co., Inc. | Inhibitors of farnesyl protein transferase |
| WO1995009001A1 (en) * | 1993-09-30 | 1995-04-06 | Merck & Co., Inc. | Inhibitors of farnesyl-protein transferase |
| WO1995012612A1 (en) * | 1993-11-05 | 1995-05-11 | Warner-Lambert Company | Substituted di- and tripeptide inhibitors of protein:farnesyl transferase |
| WO1996000736A1 (en) * | 1994-06-30 | 1996-01-11 | Warner-Lambert Company | Histidine and homohistidine derivatives as inhibitors of protein farnesyltransferase |
-
1997
- 1997-04-29 CZ CZ983764A patent/CZ376498A3/en unknown
- 1997-04-29 JP JP09542369A patent/JP2000511527A/en not_active Abandoned
- 1997-04-29 IL IL12683397A patent/IL126833A0/en unknown
- 1997-04-29 WO PCT/US1997/006591 patent/WO1997044350A1/en not_active Ceased
- 1997-04-29 SK SK1610-98A patent/SK161098A3/en unknown
- 1997-04-29 CA CA002253934A patent/CA2253934A1/en not_active Abandoned
- 1997-04-29 BR BR9709354A patent/BR9709354A/en not_active Application Discontinuation
- 1997-04-29 EP EP97922365A patent/EP0938494A1/en not_active Withdrawn
- 1997-04-29 EE EE9800408A patent/EE9800408A/en unknown
- 1997-04-29 GE GEAP19974612A patent/GEP20012500B/en unknown
- 1997-04-29 EA EA199801031A patent/EA199801031A1/en unknown
- 1997-04-29 PL PL97330120A patent/PL330120A1/en unknown
- 1997-04-29 CN CN97194835A patent/CN1219174A/en active Pending
- 1997-04-29 AU AU28058/97A patent/AU728477B2/en not_active Ceased
- 1997-04-29 NZ NZ332712A patent/NZ332712A/en unknown
- 1997-05-26 CO CO97028769A patent/CO4960642A1/en unknown
-
1998
- 1998-11-19 BG BG102936A patent/BG102936A/en unknown
- 1998-11-20 NO NO985405A patent/NO985405L/en not_active Application Discontinuation
Patent Citations (4)
| Publication number | Priority date | Publication date | Assignee | Title |
|---|---|---|---|---|
| WO1994000419A1 (en) * | 1992-06-26 | 1994-01-06 | Merck & Co., Inc. | Inhibitors of farnesyl protein transferase |
| WO1995009001A1 (en) * | 1993-09-30 | 1995-04-06 | Merck & Co., Inc. | Inhibitors of farnesyl-protein transferase |
| WO1995012612A1 (en) * | 1993-11-05 | 1995-05-11 | Warner-Lambert Company | Substituted di- and tripeptide inhibitors of protein:farnesyl transferase |
| WO1996000736A1 (en) * | 1994-06-30 | 1996-01-11 | Warner-Lambert Company | Histidine and homohistidine derivatives as inhibitors of protein farnesyltransferase |
Cited By (99)
| Publication number | Priority date | Publication date | Assignee | Title |
|---|---|---|---|---|
| US5914341A (en) * | 1996-01-30 | 1999-06-22 | Merck & Co., Inc. | Inhibitors of farnesyl-protein transferase |
| US5968965A (en) * | 1996-01-30 | 1999-10-19 | Merck & Co., Inc. | Inhibitors of farnesyl-protein transferase |
| US5981562A (en) * | 1996-01-30 | 1999-11-09 | Merck & Co., Inc. | Inhibitors of farnesyl-protein transferase |
| US6028201A (en) * | 1996-01-30 | 2000-02-22 | Merck & Co., Inc. | Inhibitors of farnesyl-protein transferase |
| US6066738A (en) * | 1996-01-30 | 2000-05-23 | Merck & Co., Inc. | Inhibitors of farnesyl-protein transferase |
| US6090948A (en) * | 1996-01-30 | 2000-07-18 | Merck & Co., Inc. | Inhibitors of farnesyl-protein transferase |
| US6300501B1 (en) | 1996-05-22 | 2001-10-09 | Warner-Lambert Company | Histidine-(N-benzyl glycinamide) inhibitors of protein farnesyl transferase |
| WO1998046625A1 (en) * | 1997-04-11 | 1998-10-22 | Warner-Lambert Company | Dipeptide inhibitors of protein farnesyltransferase |
| US6265382B1 (en) * | 1997-04-11 | 2001-07-24 | Warner-Lambert Company | Dipeptide inhibitors of protein farnesyltransferase |
| US6737410B1 (en) | 1997-04-11 | 2004-05-18 | Warner-Lambert Company | Inhibitors of protein farnesyl transferase |
| US7498325B2 (en) | 1997-09-08 | 2009-03-03 | Karl Thomas Gmbh | Modified amino acids, pharmaceuticals containing these compounds and method for their production |
| US6369034B1 (en) | 1998-04-27 | 2002-04-09 | Warner-Lambert Company | Functionalized alkyl and alenyl side chain derivatives of glycinamides as farnesyl transferase inhibitors |
| AU759492B2 (en) * | 1998-04-27 | 2003-04-17 | Warner-Lambert Company | Functionalized alkyl and alkenyl side chain derivatives of glycinamides as farnesyl transferase inhibitors |
| WO1999055725A1 (en) * | 1998-04-27 | 1999-11-04 | Warner-Lambert Company | Functionalized alkyl and alkenyl side chain derivatives of glycinamides as farnesyl transferase inhibitors |
| US6284755B1 (en) | 1998-12-08 | 2001-09-04 | Merck & Co., Inc. | Inhibitors of prenyl-protein transferase |
| US6316436B1 (en) | 1998-12-08 | 2001-11-13 | Merck & Co., Inc. | Inhibitors of prenyl-protein transferase |
| US6632818B2 (en) | 2000-01-12 | 2003-10-14 | Merck & Co., Inc. | Inhibitors of prenyl-protein transferase |
| US7595312B2 (en) | 2002-10-25 | 2009-09-29 | Boehringer Ingelheim Pharma Gmbh & Co. Kg | Selected CGRP antagonists, processes for preparing them and their use as pharmaceutical compositions |
| WO2005049589A3 (en) * | 2003-10-14 | 2005-09-15 | Cadila Healthcare Ltd | Heterocyclic compounds for the treatment of hyperlipidemia, diabetes, obesity and similar diseases |
| US7479488B2 (en) | 2004-03-29 | 2009-01-20 | Boehringer Ingelheim International Gmbh | Selected CGRP—antagonists, process for preparing them and their use as pharmaceutical compositions |
| US7700598B2 (en) | 2004-03-29 | 2010-04-20 | Boehringer Ingelheim International Gmbh | Selected CGRP-antagonists, process for preparing them and their use as pharmaceutical compositions |
| WO2006123182A2 (en) | 2005-05-17 | 2006-11-23 | Merck Sharp & Dohme Limited | Cyclohexyl sulphones for treatment of cancer |
| US7482367B2 (en) | 2005-08-30 | 2009-01-27 | Novartis Vaccines And Diagnostics, Inc. | Substituted benzimidazoles and methods of their use |
| WO2007093827A1 (en) | 2006-02-15 | 2007-08-23 | Istituto Di Ricerche Di Biologia Molecolare P. Angeletti Spa | Thiophene and thiazole substituted trifluoroethanone derivatives as histone deacetylase (hdac) inhibitors |
| US7553854B2 (en) | 2006-04-19 | 2009-06-30 | Novartis Vaccines And Diagnostics, Inc. | 6-O-substituted benzoxazole and benzothiazole compounds and methods of inhibiting CSF-1R signaling |
| EP2698157A1 (en) | 2006-09-22 | 2014-02-19 | Merck Sharp & Dohme Corp. | Method of treatment using fatty acid synthesis inhibitors |
| EP2946778A1 (en) | 2006-09-22 | 2015-11-25 | Merck Sharp & Dohme Corp. | Method of treatment using fatty acid synthesis inhibitors |
| US11096950B2 (en) | 2006-11-01 | 2021-08-24 | Barbara Brooke Jennings | Compounds, methods, and treatments for abnormal signaling pathways for prenatal and postnatal development |
| EP2336120A1 (en) | 2007-01-10 | 2011-06-22 | Istituto di ricerche di Biologia Molecolare P. Angeletti S.R.L. | Combinations containing amide substituted indazoles as poly(ADP-ribose)polymerase (PARP) inhibitors |
| EP2805945A1 (en) | 2007-01-10 | 2014-11-26 | MSD Italia S.r.l. | Amide substituted indazoles as poly(ADP-ribose)polymerase (PARP) inhibitors |
| WO2008106692A1 (en) | 2007-03-01 | 2008-09-04 | Novartis Vaccines And Diagnostics, Inc. | Pim kinase inhibitors and methods of their use |
| WO2008144062A1 (en) | 2007-05-21 | 2008-11-27 | Novartis Ag | Csf-1r inhibitors, compositions, and methods of use |
| WO2009002495A1 (en) | 2007-06-27 | 2008-12-31 | Merck & Co., Inc. | 4-carboxybenzylamino derivatives as histone deacetylase inhibitors |
| EP3103791A1 (en) | 2007-06-27 | 2016-12-14 | Merck Sharp & Dohme Corp. | 4-carboxybenzylamino derivatives as histone deacetylase inhibitors |
| WO2010114780A1 (en) | 2009-04-01 | 2010-10-07 | Merck Sharp & Dohme Corp. | Inhibitors of akt activity |
| US8765747B2 (en) | 2009-06-12 | 2014-07-01 | Dana-Farber Cancer Institute, Inc. | Fused 2-aminothiazole compounds |
| US9505784B2 (en) | 2009-06-12 | 2016-11-29 | Dana-Farber Cancer Institute, Inc. | Fused 2-aminothiazole compounds |
| WO2011046771A1 (en) | 2009-10-14 | 2011-04-21 | Schering Corporation | SUBSTITUTED PIPERIDINES THAT INCREASE p53 ACTIVITY AND THE USES THEREOF |
| US11826365B2 (en) | 2009-12-29 | 2023-11-28 | Dana-Farber Cancer Institute, Inc. | Type II raf kinase inhibitors |
| WO2011115725A2 (en) | 2010-03-16 | 2011-09-22 | Dana-Farber Cancer Institute, Inc. | Indazole compounds and their uses |
| US8987275B2 (en) | 2010-03-16 | 2015-03-24 | Dana-Farber Cancer Institute, Inc. | Indazole compounds and their uses |
| WO2011163330A1 (en) | 2010-06-24 | 2011-12-29 | Merck Sharp & Dohme Corp. | Novel heterocyclic compounds as erk inhibitors |
| EP3330377A1 (en) | 2010-08-02 | 2018-06-06 | Sirna Therapeutics, Inc. | Rna interference mediated inhibition of catenin (cadherin-associated protein), beta 1 (ctnnb1) gene expression using short interfering nucleic acid (sina) |
| WO2012018754A2 (en) | 2010-08-02 | 2012-02-09 | Merck Sharp & Dohme Corp. | RNA INTERFERENCE MEDIATED INHIBITION OF CATENIN (CADHERIN-ASSOCIATED PROTEIN), BETA 1 (CTNNB1) GENE EXPRESSION USING SHORT INTERFERING NUCLEIC ACID (siNA) |
| EP4079856A1 (en) | 2010-08-17 | 2022-10-26 | Sirna Therapeutics, Inc. | Rna interference mediated inhibition of hepatitis b virus (hbv) gene expression using short interfering nucleic acid (sina) |
| WO2012024170A2 (en) | 2010-08-17 | 2012-02-23 | Merck Sharp & Dohme Corp. | RNA INTERFERENCE MEDIATED INHIBITION OF HEPATITIS B VIRUS (HBV) GENE EXPRESSION USING SHORT INTERFERING NUCLEIC ACID (siNA) |
| WO2012027236A1 (en) | 2010-08-23 | 2012-03-01 | Schering Corporation | NOVEL PYRAZOLO[1,5-a]PYRIMIDINE DERIVATIVES AS mTOR INHIBITORS |
| WO2012030685A2 (en) | 2010-09-01 | 2012-03-08 | Schering Corporation | Indazole derivatives useful as erk inhibitors |
| WO2012036997A1 (en) | 2010-09-16 | 2012-03-22 | Schering Corporation | Fused pyrazole derivatives as novel erk inhibitors |
| EP3327125A1 (en) | 2010-10-29 | 2018-05-30 | Sirna Therapeutics, Inc. | Rna interference mediated inhibition of gene expression using short interfering nucleic acids (sina) |
| WO2012058210A1 (en) | 2010-10-29 | 2012-05-03 | Merck Sharp & Dohme Corp. | RNA INTERFERENCE MEDIATED INHIBITION OF GENE EXPRESSION USING SHORT INTERFERING NUCLEIC ACIDS (siNA) |
| EP3766975A1 (en) | 2010-10-29 | 2021-01-20 | Sirna Therapeutics, Inc. | Rna interference mediated inhibition of gene expression using short interfering nucleic acid (sina) |
| WO2012087772A1 (en) | 2010-12-21 | 2012-06-28 | Schering Corporation | Indazole derivatives useful as erk inhibitors |
| WO2012145471A1 (en) | 2011-04-21 | 2012-10-26 | Merck Sharp & Dohme Corp. | Insulin-like growth factor-1 receptor inhibitors |
| WO2013063214A1 (en) | 2011-10-27 | 2013-05-02 | Merck Sharp & Dohme Corp. | Novel compounds that are erk inhibitors |
| US10144730B2 (en) | 2011-11-17 | 2018-12-04 | Dana-Farber Cancer Institute, Inc. | Inhibitors of c-Jun-N-terminal kinase (JNK) |
| WO2013165816A2 (en) | 2012-05-02 | 2013-11-07 | Merck Sharp & Dohme Corp. | SHORT INTERFERING NUCLEIC ACID (siNA) COMPOSITIONS |
| EP3919620A1 (en) | 2012-05-02 | 2021-12-08 | Sirna Therapeutics, Inc. | Short interfering nucleic acid (sina) compositions |
| WO2014052563A2 (en) | 2012-09-28 | 2014-04-03 | Merck Sharp & Dohme Corp. | Novel compounds that are erk inhibitors |
| US10112927B2 (en) | 2012-10-18 | 2018-10-30 | Dana-Farber Cancer Institute, Inc. | Inhibitors of cyclin-dependent kinase 7 (CDK7) |
| US10787436B2 (en) | 2012-10-18 | 2020-09-29 | Dana-Farber Cancer Institute, Inc. | Inhibitors of cyclin-dependent kinase 7 (CDK7) |
| USRE48175E1 (en) | 2012-10-19 | 2020-08-25 | Dana-Farber Cancer Institute, Inc. | Hydrophobically tagged small molecules as inducers of protein degradation |
| US10000483B2 (en) | 2012-10-19 | 2018-06-19 | Dana-Farber Cancer Institute, Inc. | Bone marrow on X chromosome kinase (BMX) inhibitors and uses thereof |
| US9758522B2 (en) | 2012-10-19 | 2017-09-12 | Dana-Farber Cancer Institute, Inc. | Hydrophobically tagged small molecules as inducers of protein degradation |
| WO2014085216A1 (en) | 2012-11-28 | 2014-06-05 | Merck Sharp & Dohme Corp. | Compositions and methods for treating cancer |
| WO2014100065A1 (en) | 2012-12-20 | 2014-06-26 | Merck Sharp & Dohme Corp. | Substituted imidazopyridines as hdm2 inhibitors |
| WO2014120748A1 (en) | 2013-01-30 | 2014-08-07 | Merck Sharp & Dohme Corp. | 2,6,7,8 substituted purines as hdm2 inhibitors |
| WO2015034925A1 (en) | 2013-09-03 | 2015-03-12 | Moderna Therapeutics, Inc. | Circular polynucleotides |
| US11040957B2 (en) | 2013-10-18 | 2021-06-22 | Dana-Farber Cancer Institute, Inc. | Heteroaromatic compounds useful for the treatment of proliferative diseases |
| US10906889B2 (en) | 2013-10-18 | 2021-02-02 | Dana-Farber Cancer Institute, Inc. | Polycyclic inhibitors of cyclin-dependent kinase 7 (CDK7) |
| US10017477B2 (en) | 2014-04-23 | 2018-07-10 | Dana-Farber Cancer Institute, Inc. | Janus kinase inhibitors and uses thereof |
| US9862688B2 (en) | 2014-04-23 | 2018-01-09 | Dana-Farber Cancer Institute, Inc. | Hydrophobically tagged janus kinase inhibitors and uses thereof |
| EP3514151A1 (en) | 2014-08-06 | 2019-07-24 | Novartis AG | Protein kinase c inhibitors and methods of their use |
| EP4552697A2 (en) | 2014-08-06 | 2025-05-14 | Novartis AG | Protein kinase c inhibitors and methods of their use |
| WO2016020864A1 (en) | 2014-08-06 | 2016-02-11 | Novartis Ag | Protein kinase c inhibitors and methods of their use |
| US10870651B2 (en) | 2014-12-23 | 2020-12-22 | Dana-Farber Cancer Institute, Inc. | Inhibitors of cyclin-dependent kinase 7 (CDK7) |
| US12168663B2 (en) | 2014-12-23 | 2024-12-17 | Dana-Farber Cancer Institute, Inc. | Inhibitors of cyclin-dependent kinase 7 (CDK7) |
| US11325910B2 (en) | 2015-03-27 | 2022-05-10 | Dana-Farber Cancer Institute, Inc. | Inhibitors of cyclin-dependent kinases |
| US12098154B2 (en) | 2015-03-27 | 2024-09-24 | Dana-Farber Cancer Institute, Inc. | Inhibitors of cyclin-dependent kinases |
| USRE50776E1 (en) | 2015-03-27 | 2026-02-03 | Dana-Farber Cancer Institute, Inc. | Inhibitors of cyclin-dependent kinases |
| US10550121B2 (en) | 2015-03-27 | 2020-02-04 | Dana-Farber Cancer Institute, Inc. | Inhibitors of cyclin-dependent kinases |
| US10702527B2 (en) | 2015-06-12 | 2020-07-07 | Dana-Farber Cancer Institute, Inc. | Combination therapy of transcription inhibitors and kinase inhibitors |
| US11142507B2 (en) | 2015-09-09 | 2021-10-12 | Dana-Farber Cancer Institute, Inc. | Inhibitors of cyclin-dependent kinases |
| WO2018058022A1 (en) | 2016-09-26 | 2018-03-29 | Merck Sharp & Dohme Corp. | Anti-cd27 antibodies |
| WO2018071283A1 (en) | 2016-10-12 | 2018-04-19 | Merck Sharp & Dohme Corp. | Kdm5 inhibitors |
| WO2018190719A2 (en) | 2017-04-13 | 2018-10-18 | Aduro Biotech Holdings, Europe B.V. | Anti-sirp alpha antibodies |
| WO2019094312A1 (en) | 2017-11-08 | 2019-05-16 | Merck Sharp & Dohme Corp. | Prmt5 inhibitors |
| WO2019094311A1 (en) | 2017-11-08 | 2019-05-16 | Merck Sharp & Dohme Corp. | Prmt5 inhibitors |
| WO2019152642A1 (en) | 2018-02-01 | 2019-08-08 | Merck Sharp & Dohme Corp. | Anti-pd-1/lag3 bispecific antibodies |
| US12187701B2 (en) | 2018-06-25 | 2025-01-07 | Dana-Farber Cancer Institute, Inc. | Taire family kinase inhibitors and uses thereof |
| US11981701B2 (en) | 2018-08-07 | 2024-05-14 | Merck Sharp & Dohme Llc | PRMT5 inhibitors |
| US11993602B2 (en) | 2018-08-07 | 2024-05-28 | Merck Sharp & Dohme Llc | PRMT5 inhibitors |
| US12173026B2 (en) | 2018-08-07 | 2024-12-24 | Merck Sharp & Dohme Llc | PRMT5 inhibitors |
| WO2020033284A1 (en) | 2018-08-07 | 2020-02-13 | Merck Sharp & Dohme Corp. | Prmt5 inhibitors |
| WO2020033288A1 (en) | 2018-08-07 | 2020-02-13 | Merck Sharp & Dohme Corp. | Prmt5 inhibitors |
| WO2020033282A1 (en) | 2018-08-07 | 2020-02-13 | Merck Sharp & Dohme Corp. | Prmt5 inhibitors |
| US12281126B2 (en) | 2018-12-28 | 2025-04-22 | Dana-Farber Cancer Institute, Inc. | Inhibitors of cyclin-dependent kinase 7 and uses thereof |
| US12441730B2 (en) | 2019-12-17 | 2025-10-14 | Merck Sharp & Dohme Llc | PRMT5 inhibitors |
| WO2024180169A1 (en) | 2023-03-02 | 2024-09-06 | Carcimun Biotech Gmbh | Means and methods for diagnosing cancer and/or an acute inflammatory disease |
Also Published As
| Publication number | Publication date |
|---|---|
| BR9709354A (en) | 1999-08-10 |
| CZ376498A3 (en) | 1999-02-17 |
| CO4960642A1 (en) | 2000-09-25 |
| NZ332712A (en) | 2000-07-28 |
| NO985405D0 (en) | 1998-11-20 |
| EA199801031A1 (en) | 1999-06-24 |
| PL330120A1 (en) | 1999-04-26 |
| CN1219174A (en) | 1999-06-09 |
| JP2000511527A (en) | 2000-09-05 |
| NO985405L (en) | 1999-01-19 |
| AU728477B2 (en) | 2001-01-11 |
| GEP20012500B (en) | 2001-07-25 |
| IL126833A0 (en) | 1999-08-17 |
| AU2805897A (en) | 1997-12-09 |
| BG102936A (en) | 1999-09-30 |
| SK161098A3 (en) | 2000-06-12 |
| EP0938494A1 (en) | 1999-09-01 |
| EE9800408A (en) | 1999-06-15 |
| CA2253934A1 (en) | 1997-11-27 |
Similar Documents
| Publication | Publication Date | Title |
|---|---|---|
| US6300501B1 (en) | Histidine-(N-benzyl glycinamide) inhibitors of protein farnesyl transferase | |
| WO1997044350A1 (en) | Inhibitors of protein farnesyl transferase | |
| EP1076663B1 (en) | Functionalized alkyl and alkenyl side chain derivatives of glycinamides as farnesyl transferase inhibitors | |
| US6265382B1 (en) | Dipeptide inhibitors of protein farnesyltransferase | |
| US5574016A (en) | Peptide compound and a process for the preparation thereof | |
| AU758891B2 (en) | Combinations of protein farnesyltransferase and HMG CoA reductase inhibitors and their use to treat cancer | |
| EP0951471B1 (en) | Cycloalkyl inhibitors of protein farnesyltransferase | |
| US6737410B1 (en) | Inhibitors of protein farnesyl transferase | |
| WO1989010751A1 (en) | Functionalized peptidyl aminodiols and -triols | |
| MXPA00009613A (en) | Functionalized alkyl and alkenyl side chain derivatives of glycinamides as farnesyl transferase inhibitors | |
| KR20000015892A (en) | Inhibitors of protein farnesyl transferase | |
| MXPA99001592A (en) | Cycloalkyl inhibitors of protein farnesyltransferase | |
| HUP9903221A2 (en) | Compounds that inhibit the protein farnelylase transferase enzyme | |
| MXPA00011113A (en) | Combinations of protein farnesyltransferase and hmg coa reductase inhibitors and their use to treat cancer | |
| ZA200006491B (en) | Combinations of protein farnesyltransferase and HMG CoA reductase inhibitors and their use to treat cancer. |
Legal Events
| Date | Code | Title | Description |
|---|---|---|---|
| WWE | Wipo information: entry into national phase |
Ref document number: 97194835.6 Country of ref document: CN |
|
| AK | Designated states |
Kind code of ref document: A1 Designated state(s): AL AU BA BB BG BR CA CN CZ EE GE GH HU IL IS JP KR LC LK LR LT LV MG MK MN MX NO NZ PL RO SG SI SK TR TT UA US UZ VN YU AM AZ BY KG KZ MD RU TJ TM |
|
| AL | Designated countries for regional patents |
Kind code of ref document: A1 Designated state(s): GH KE LS MW SD SZ UG AT BE CH DE DK ES FI FR GB GR IE IT LU MC NL PT SE BF BJ CF CG CI CM GA GN ML MR NE SN TD TG |
|
| DFPE | Request for preliminary examination filed prior to expiration of 19th month from priority date (pct application filed before 20040101) | ||
| 121 | Ep: the epo has been informed by wipo that ep was designated in this application | ||
| WWE | Wipo information: entry into national phase |
Ref document number: 09180241 Country of ref document: US |
|
| WWE | Wipo information: entry into national phase |
Ref document number: 1997922365 Country of ref document: EP |
|
| ENP | Entry into the national phase |
Ref document number: 2253934 Country of ref document: CA Ref document number: 2253934 Country of ref document: CA Kind code of ref document: A |
|
| WWE | Wipo information: entry into national phase |
Ref document number: 332712 Country of ref document: NZ Ref document number: PA/A/1998/009404 Country of ref document: MX |
|
| WWE | Wipo information: entry into national phase |
Ref document number: PV1998-3764 Country of ref document: CZ Ref document number: 98-01600 Country of ref document: RO |
|
| WWE | Wipo information: entry into national phase |
Ref document number: 161098 Country of ref document: SK |
|
| WWE | Wipo information: entry into national phase |
Ref document number: 1019980709443 Country of ref document: KR |
|
| WWE | Wipo information: entry into national phase |
Ref document number: 199801031 Country of ref document: EA |
|
| WWP | Wipo information: published in national office |
Ref document number: PV1998-3764 Country of ref document: CZ |
|
| WWP | Wipo information: published in national office |
Ref document number: 1997922365 Country of ref document: EP |
|
| WWP | Wipo information: published in national office |
Ref document number: 1019980709443 Country of ref document: KR |
|
| WWR | Wipo information: refused in national office |
Ref document number: 1019980709443 Country of ref document: KR |
|
| WWR | Wipo information: refused in national office |
Ref document number: PV1998-3764 Country of ref document: CZ |
|
| WWW | Wipo information: withdrawn in national office |
Ref document number: 1997922365 Country of ref document: EP |
















































