WO2008144253A1 - Protein kinase inhibitors and methods for using thereof - Google Patents
Protein kinase inhibitors and methods for using thereof Download PDFInfo
- Publication number
- WO2008144253A1 WO2008144253A1 PCT/US2008/063187 US2008063187W WO2008144253A1 WO 2008144253 A1 WO2008144253 A1 WO 2008144253A1 US 2008063187 W US2008063187 W US 2008063187W WO 2008144253 A1 WO2008144253 A1 WO 2008144253A1
- Authority
- WO
- WIPO (PCT)
- Prior art keywords
- pyridine
- carboxamide
- methyl
- pyrrolo
- trifluoromethyl
- Prior art date
- Legal status (The legal status is an assumption and is not a legal conclusion. Google has not performed a legal analysis and makes no representation as to the accuracy of the status listed.)
- Ceased
Links
- 0 *c1ccccc1 Chemical compound *c1ccccc1 0.000 description 2
- HOVDUPXBRBXFBP-UHFFFAOYSA-N CC(C)(C)OC(Nc1cc(N)c(C)cc1)=O Chemical compound CC(C)(C)OC(Nc1cc(N)c(C)cc1)=O HOVDUPXBRBXFBP-UHFFFAOYSA-N 0.000 description 1
- BPEXTIMJLDWDTL-UHFFFAOYSA-N CC(Nc1c(C)cccc1)=O Chemical compound CC(Nc1c(C)cccc1)=O BPEXTIMJLDWDTL-UHFFFAOYSA-N 0.000 description 1
- NEVJGNPIKVWRGX-UHFFFAOYSA-N N#Cc1ncnc2c1cc[nH]2 Chemical compound N#Cc1ncnc2c1cc[nH]2 NEVJGNPIKVWRGX-UHFFFAOYSA-N 0.000 description 1
Classifications
-
- C—CHEMISTRY; METALLURGY
- C07—ORGANIC CHEMISTRY
- C07D—HETEROCYCLIC COMPOUNDS
- C07D471/00—Heterocyclic compounds containing nitrogen atoms as the only ring hetero atoms in the condensed system, at least one ring being a six-membered ring with one nitrogen atom, not provided for by groups C07D451/00 - C07D463/00
- C07D471/02—Heterocyclic compounds containing nitrogen atoms as the only ring hetero atoms in the condensed system, at least one ring being a six-membered ring with one nitrogen atom, not provided for by groups C07D451/00 - C07D463/00 in which the condensed system contains two hetero rings
- C07D471/04—Ortho-condensed systems
-
- A—HUMAN NECESSITIES
- A61—MEDICAL OR VETERINARY SCIENCE; HYGIENE
- A61P—SPECIFIC THERAPEUTIC ACTIVITY OF CHEMICAL COMPOUNDS OR MEDICINAL PREPARATIONS
- A61P35/00—Antineoplastic agents
-
- C—CHEMISTRY; METALLURGY
- C07—ORGANIC CHEMISTRY
- C07D—HETEROCYCLIC COMPOUNDS
- C07D487/00—Heterocyclic compounds containing nitrogen atoms as the only ring hetero atoms in the condensed system, not provided for by groups C07D451/00 - C07D477/00
- C07D487/02—Heterocyclic compounds containing nitrogen atoms as the only ring hetero atoms in the condensed system, not provided for by groups C07D451/00 - C07D477/00 in which the condensed system contains two hetero rings
- C07D487/04—Ortho-condensed systems
Definitions
- the invention relates to protein kinase inhibitors, and methods of using such compounds.
- the protein kinases represent a large family of proteins, which play a central role in the regulation of a wide variety of cellular processes and maintaining control over cellular function.
- a partial, non-limiting, list of these kinases include: receptor tyrosine kinases such as platelet-derived growth factor receptor kinase (PDGFR), the nerve growth factor receptor, TrkB, Met, and the fibroblast growth factor receptor, FGFR-3 ; non-receptor tyrosine kinases such AbI and the fusion kinase Bcr-Abl, Lck, Csk, Fes, Bmx and Src; and serine/threonine kinases such as B-Raf, C-Raf, Sgk, MAP kinases (e.g., MKK4, MKK6, etc.) and SAPK2 ⁇ , SAPK2 ⁇ and SAPK3.
- Aberrant kinase activity has been observed in many disease states including benign and malignant prolife
- the invention provides compounds and pharmaceutical compositions thereof, which may be useful as protein kinase inhibitors.
- the invention provides compounds having Formula (1): P A T E N T
- X 1 and X 2 are independently CR or N; X 3 is CH or N, or C if attached to L 1 or R 4 ; Y is a 5-7 membered aryl or heteroaryl containing N, O or S; L 1 and L 2 are independently NRCO or CONR; R and R 1 are independently H or Ci_ 6 alkyl; R 2 is halo, or an optionally halogenated Ci_ 6 alkyl; R 3 is halo, an optionally halogenated Ci_ 6 alkyl, (CR 2 ) q R 8 or O(CR 2 ) q R 9 ; R 4 is H, halo, NR 6 R 7 , NR 5 (CR 2 ) P NR 6 R 7 , NR 5 CONR 6 R 7 or NR 5 CO 2 R 6 ; R 5 is H or Ci_6 alkyl;
- R 6 and R 7 are independently H, an optionally halogenated Ci_ 6 alkyl, C 2 _ 6 alkenyl or C 2 _ 6 alkynyl; Ci_ 6 alkanol, (CR 2 ) q -R 8 or (CR 2 ) p O(CR 2 ) q R 9 ; or R 6 and R 7 together with N in NR 6 R 7 may form an optionally substituted ring;
- R and R are independently an optionally substituted C 3 _ 7 cycloalkyl, 5-7 membered aryl, heterocyclic or heteroaryl; or R 9 is H; m is 1-4; and n, p and q are independently 0-4.
- Y may be phenyl, thienyl, pyridyl, pyrazolyl or isoxazolyl.
- R 2 is Ci_ 6 alkyl.
- R 3 is halo, an optionally halogenated Ci_ 6 alkyl, (CR 2 ) q R 8 or O(CR 2 ) q R 9 ; and R 8 and R 9 are independently an optionally substituted piperidinyl, morpholinyl, imidazolyl or piperazinyl.
- the invention provides compounds of Formula (2): P A T E N T
- R 10 is halo, an optionally halogenated Ci_ 6 alkyl, or OCi_ 6 alkyl
- R 11 is halo, Ci_ 6 alkyl, (CR 2 ) q R 8 or O(CR 2 ) q R 9 ;
- R 8 and R 9 are independently an optionally substituted C 3 _ 7 cycloalkyl, 5-7 membered aryl, heterocyclic or heteroaryl; or R 9 is H; and k is 0-2.
- R 10 may be CF 3 .
- k is 0 or k is 1 and R 11 is halo, Ci_6 alkyl, (CR 2 ) q R 8 , O(CR 2 ) q R 9 ; and R 8 and R 9 are independently an optionally substituted piperidinyl, morpholinyl, imidazolyl or piperazinyl.
- X 1 and X 2 may each be CH; or one of X 1 or X 2 is N, and the other is CH.
- R 4 may be H, halo, NR 5 (CR 2 ) P NR 6 R 7 or NR 6 R 7 ;
- R 6 and R 7 are independently H, Ci_ 6 alkyl, Ci_ 6 alkanol, or (CR 2 ) q R 8 ; or R 6 and R 7 together with N in NR 6 R 7 form an optionally substituted morpholinyl, piperidinyl or pyrrolidinyl; and
- R 8 is an optionally substituted C 3 - 7 cycloalkyl, pyridyl, phenyl, morpholinyl, furanyl, naphthalenyl, piperazinyl, pyrimidinyl, imidazolyl, triazolyl, isothiazolyl, isoxazolyl, pyrazolyl or pyrazinyl.
- a compound of Formula (1) is selected from: N-(3-(3-(trifluoromethyl)benzamido)phenyl)-lH-pyrrolo[2,3-b]pyridine-4-carboxamide, N-(3- (3-(trifluoromethyl)benzamido)phenyl)-lH-pyrrolo[2,3-b]pyridine-4-carboxamide, N-(2-methyl- 5-(3-(trifluoromethyl)benzamido)phenyl)-lH-pyrrolo[2,3-b]pyridine-4-carboxamide, N-(2- methyl-5-(3-(4-methyl-lH-imidazol-l-yl)-5-(trifluoromethyl)benzamido)phenyl)-lH- pyrrolo[2,3-b]pyridine-4-carboxamide, N-(5-(4-((4-ethylpiperazin-l-yl)methyl)-3- (trifluoro)phenyl)
- the present invention provides pharmaceutical compositions comprising a compound having Formula (1) or (2), and a pharmaceutically acceptable excipient.
- the invention provides methods for inhibiting a kinase, comprising administering to a system or a subject in need thereof, a therapeutically effective amount of a compound of Formula (1) or Formula (3),
- X 1 and X 2 are independently CR or N;
- X 3 is CH or N, or C if attached to L 1 or R 4 ;
- Y is a 5-7 membered aryl or heteroaryl containing N, O or S;
- L 1 and L 2 are independently NRCO or CONR;
- R and R 1 are independently H or C 1-6 alkyl
- R 2 is halo, or an optionally halogenated Ci_ 6 alkyl
- R 3 is halo, an optionally halogenated Ci_ 6 alkyl, (CR 2 ) q R 8 or O(CR 2 ) q R 9 ;
- R 4 is H, halo, NR 6 R 7 , NR 5 (CR 2 ) P NR 6 R 7 , NR 5 CONR 6 R 7 or NR 5 CO 2 R 6 ;
- R 5 is Ci_ 6 alkyl
- R 6 and R 7 are independently H, an optionally halogenated C 1-6 alkyl, C 2 _6 alkenyl or C 2 _6 alkynyl; Ci_ 6 alkanol, (CR 2 ) q -R 8 or (CR 2 ) p O(CR 2 ) q R 9 ; or R 6 and R 7 together with N in NR 6 R 7 may form an optionally substituted ring;
- R 8 and R 9 are independently an optionally substituted C 3 - 7 cycloalkyl, 5-7 membered aryl, heterocyclic or heteroaryl; or R 9 is H;
- R 12 is halo, an optionally halogenated Ci_ 6 alkyl, OCi_ 6 alkyl, NR 6 R 7 , NR 5 (CR 2 ) P NR 6 R 7 , NR 5 CONR 6 R 7 or NR 5 CO 2 R 6 ; P A T E N T
- P1267PC10 m and o are independently 1-4; and n, p and q are independently 0-4; thereby inhibiting said kinase.
- the invention also provides methods for modulating a protein kinase, comprising administering to a system or a subject in need thereof, a therapeutically effective amount of a compound having Formula (1), (2) or (3), or pharmaceutically acceptable salts or pharmaceutical compositions thereof, thereby modulating said protein kinase.
- Examples of protein kinases which may be modulated using the compounds of the invention include but are not limited to AIk, AbI, Aurora-A, B-Raf, C-Raf, Bcr-Abl, BRK, BIk, Bmx, BTK, c-Kit, c-RAF, c-SRC, EphBl, EphB2, EphB4, FLTl, Fms, Flt3, Fyn, FRK3, JAK2, KDR, Lck, Lyn, PDGFR ⁇ , PDGFR ⁇ , PKC ⁇ , p38 (p38 MAP kinase, SAPK2 ⁇ ), Src, SIK, Syk, Tie2 and TrkB kinases. More particularly, the compounds of Formula (1), (2) or (3) may be used for inhibiting B-Raf, Bcr-Abl or Lck or a combination thereof.
- the invention provides methods for ameliorating a condition mediated by a protein kinase, such as a B-Raf, Bcr-Abl or Lck-mediated condition, comprising administering to a system or subject in need of such treatment an effective amount of a compound having Formula (1), (2) or (3) or pharmaceutically acceptable salts or pharmaceutical compositions thereof, and optionally in combination with a second therapeutic agent, thereby treating said condition.
- a protein kinase such as a B-Raf, Bcr-Abl or Lck-mediated condition
- the compounds of the invention may be used to treat a cell proliferative disorder, including but not limited to, melanoma, leukemia, chronic myelogenous leukemia, lymphoma, osteosarcoma, or a tumor of breast, renal, prostate, colorectal, thyroid, ovarian, pancreatic, neuronal, lung, uterine or gastrointestinal tumor.
- a cell proliferative disorder including but not limited to, melanoma, leukemia, chronic myelogenous leukemia, lymphoma, osteosarcoma, or a tumor of breast, renal, prostate, colorectal, thyroid, ovarian, pancreatic, neuronal, lung, uterine or gastrointestinal tumor.
- the compounds of the invention may also be used to treat an autoimmune disorder, including but not limited to systemic lupus erythematosus, inflammatory bowel disease, rheumatoid arthritis, or multiple scleriosis.
- a compound having Formula (1), (2) or (3) may be administered to a system comprising cells or tissues.
- a compound having Formula (1), (2) or (3) may be administered to a human or animal subject.
- the invention also provides for the use of a compound of Formula (1), (2) or (3), or pharmaceutically acceptable salts or pharmaceutical compositions thereof, for treating a condition mediated by a protein kinase.
- the invention also provides for the use of a compound of Formula (1), (2) or (3), or pharmaceutically acceptable salts or pharmaceutical compositions thereof, in the manufacture of a medicament for treating a condition mediated by a protein kinase.
- the protein kinases include, but are not limited to, AIk, AbI, Aurora- A, B-Raf, C-Raf, Bcr-Abl, BRK, BIk, Bmx, BTK, c-Kit, c-RAF, c-SRC, EphBl, EphB2, EphB4, FLTl, Fms, Flt3, Fyn, FRK3, JAK2, KDR, Lck, Lyn, PDGFR ⁇ , PDGFR ⁇ , PKC ⁇ , p38 (p38 MAP kinase, SAPK2 ⁇ ), Src, SIK, Syk, Tie2 and TrkB kinases. More particularly, the protein kinasesare B-Raf, Bcr-Abl or Lck or a combination thereof.
- the condition is a cell proliferative disorder or an autoimmune disorder.
- the cell proliferative disorder include, but are not limited to, melanoma, leukemia, chronic myelogenous leukemia, lymphoma, osteosarcoma, or a tumor of breast, renal, prostate, colorectal, thyroid, ovarian, pancreatic, neuronal, lung, uterine or gastrointestinal tumor.
- the autoimmune disorder include, but are not limited to, systemic lupus erythematosus, inflammatory bowel disease, rheumatoid arthritis, or multiple sclerosis.
- Alkyl refers to a moiety and as a structural element of other groups, for example halo-substituted-alkyl and alkoxy, and may be straight-chained or branched.
- An optionally substituted alkyl, alkenyl or alkynyl as used herein may be optionally halogenated (e.g., CF 3 ), or may have one or more carbons that is substituted or replaced with a heteroatom, such as NR, O or S (e.g., -OCH 2 CH 2 O-, alkylthiol, thioalkoxy, alkylamine, etc).
- Aryl refers to a monocyclic or fused bicyclic aromatic ring containing carbon atoms.
- aryl may be phenyl or naphthyl.
- Arylene means a divalent radical derived from an aryl group.
- Heteroaryl as used herein is as defined for aryl above, where one or more of the ring members are a heteroatom.
- heteroaryls include but are not limited to pyridyl, P A T E N T
- Examples of carbocyclic rings include but are not limited to cyclopropyl, cyclobutyl, cyclopentyl, cyclohexyl, cyclopropylene, cyclohexanone, etc.
- a "heterocyclic ring” as used herein is as defined for a carbocyclic ring above, wherein one or more ring carbons is a heteroatom.
- heterocyclic rings include but are not limited to morpholino, pyrrolidinyl, pyrrolidin-2-one, piperazinyl, piperidinyl, piperidinone, l,4-dioxa-8-aza-spiro[4.5]dec-8-yl, etc.
- co- administration or “combined administration” or the like as used herein are meant to encompass administration of the selected therapeutic agents to a single patient, and are intended to include treatment regimens in which the agents are not necessarily administered by the same route of administration or at the same time.
- the term "pharmaceutical combination” as used herein refers to a product obtained from mixing or combining active ingredients, and includes both fixed and non-fixed combinations of the active ingredients.
- the term "fixed combination” means that the active ingredients, e.g. a compound of Formula (1) and a co-agent, are both administered to a patient simultaneously in the form of a single entity or dosage.
- the term “non-fixed combination” means that the active ingredients, e.g. a compound of Formula (1) and a co-agent, are both administered to a patient as separate entities either simultaneously, concurrently or sequentially with no specific time limits, wherein such administration provides therapeutically effective levels of the active ingredients in the body of the patient.
- cocktail therapy e.g. the administration of three or more active ingredients.
- terapéuticaally effective amount means the amount of the subject compound that will elicit a biological or medical response in a cell, tissue, organ, system, animal or human that is being sought by the researcher, veterinarian, medical doctor or other clinician.
- administering means providing a compound of the invention and prodrugs thereof to a subject in need of treatment.
- Kinase Panel is a list of kinases including but not limited to AbI, Abl(T315I), JAK2, JAK3, ALK, JNKl ⁇ l, ALK4, KDR, Aurora-A, Lck, BIk, MAPKl, Bmx, MAPKAP-K2, BRK, MEKl, CaMKII, Met, CDKl/cyclinB, p70S6K, CHK2, PAK2, CKl, PDGFR ⁇ , CK2, PDKl, c- Kit, Pim-2, C-Raf, PKA, CSK, PKB ⁇ , Src, PKC ⁇ , DYRK2, Plk3, EGFR, ROCK-I, Fes, Ron, FGFR-3, Ros, Flt3, SAPK2 ⁇ , Fms, SGK, Fyn, SIK, GSK3 ⁇ , Syk, IGFR, Tie-2, IKK ⁇ , TrkB, IR, WNK3, IRAK
- the present invention provides compounds and pharmaceutical compositions thereof, which may be useful as protein kinase inhibitors.
- the invention provides compounds having Formula (1):
- X 1 and X 2 are independently CR or N;
- X 3 is CH or N, or C if attached to L 1 or R 4 ;
- Y is a 5-7 membered aryl or heteroaryl containing N, O or S;
- L 1 and L 2 are independently NRCO or CONR;
- R and R 1 are independently H or Ci_ 6 alkyl
- R 2 is halo, or an optionally halogenated C 1-6 alkyl
- R 3 is halo, an optionally halogenated Ci_ 6 alkyl, (CR 2 ) q R 8 or O(CR 2 ) q R 9 ;
- R 4 is H, halo, NR 6 R 7 , NR 5 (CR 2 ) P NR 6 R 7 , NR 5 CONR 6 R 7 or NR 5 CO 2 R 6 ; P A T E N T
- R 5 is d_ 6 alkyl
- R 6 and R 7 are independently H, an optionally halogenated Ci_ 6 alkyl, C 2 - 6 alkenyl or C 2 - 6 alkynyl; Ci_ 6 alkanol, (CR 2 ) q -R 8 or (CR 2 ) p 0(CR 2 ) q R 9 ; or R 6 and R 7 together with N in NR 6 R 7 may form an optionally substituted ring;
- R 8 and R 9 are independently an optionally substituted C 3 - 7 cycloalkyl, 5-7 membered aryl, heterocyclic or heteroaryl; or R 9 is H; m is 1-4; and n, p and q are independently 0-4.
- the invention provides compounds of Formula (2):
- R 10 is halo, an optionally halogenated Ci_ 6 alkyl, or OCi_ 6 alkyl
- R 11 is halo, Ci_ 6 alkyl, (CR 2 ) q R 8 or O(CR 2 ) q R 9 ;
- R 8 and R 9 are independently an optionally substituted C 3 - 7 cycloalkyl, 5-7 membered aryl, heterocyclic or heteroaryl; or R 9 is H; and k is 0-2.
- the invention provides methods for inhibiting a kinase, comprising administering to a system or a subject in need thereof, a therapeutically effective amount of a compound of Formula (1) or Formula (3),
- X 1 and X 2 are independently CR or N;
- X 3 is CH or N, or C if attached to L 1 or R 4 ;
- Y is a 5-7 membered aryl or heteroaryl containing N, O or S;
- L 1 and L 2 are independently NRCO or CONR;
- R and R 1 are independently H or C 1-6 alkyl
- R 2 is halo, or an optionally halogenated C]_ 6 alkyl
- R 3 is halo, an optionally halogenated C 1-6 alkyl, (CR 2 ) q R 8 or O(CR 2 ) q R 9 ;
- R 4 is H, halo, NR 6 R 7 , NR 5 (CR 2 ) P NR 6 R 7 , NR 5 CONR 6 R 7 or NR 5 CO 2 R 6 ;
- R 5 is Ci_ 6 alkyl
- R 6 and R 7 are independently H, an optionally halogenated C 1-6 alkyl, C 2 _6 alkenyl or C 2 _6 alkynyl; Ci_ 6 alkanol, (CR 2 ) q -R 8 or (CR 2 ) p O(CR 2 ) q R 9 ; or R 6 and R 7 together with N in NR 6 R 7 may form an optionally substituted ring;
- R 8 and R 9 are independently an optionally substituted C 3 - 7 cycloalkyl, 5-7 membered aryl, heterocyclic or heteroaryl; or R 9 is H;
- R 12 is halo, an optionally halogenated Ci_ 6 alkyl, OCi_ 6 alkyl, NR 6 R 7 , NR 5 (CR 2 ) P NR 6 R 7 , NR 5 CONR 6 R 7 or NR 5 CO 2 R 6 ; m and 0 are independently 1-4; and n, p and q are independently 0-4; thereby inhibiting said kinase.
- the present invention also includes all suitable isotopic variations of the compounds of the invention, or pharmaceutically acceptable salts thereof.
- GNF Docket No.: P1267PC10 compound of the invention or a pharmaceutically acceptable salt thereof is defined as one in which at least one atom is replaced by an atom having the same atomic number but an atomic mass different from the atomic mass usually found in nature.
- isotopes that may be incorporated into the compounds of the invention and pharmaceutically acceptable salts thereof include but are not limited to isotopes of hydrogen, carbon, nitrogen and oxygen such as as 2 H, 3 H, 11 C, 13 C, 14 C, 15 N, 17 O, 18 0, 35 S, 18 F, 36 Cl and 123 I.
- isotopic variations of the compounds of the invention and pharmaceutically acceptable salts thereof are useful in drug and/or substrate tissue distribution studies.
- 3 H and 14 C isotopes may be used for their ease of preparation and detectability.
- substitution with isotopes such as 2 H may afford certain therapeutic advantages resulting from greater metabolic stability, such as increased in vivo half-life or reduced dosage requirements.
- Isotopic variations of the compounds of the invention or pharmaceutically acceptable salts thereof can generally be prepared by conventional procedures using appropriate isotopic variations of suitable reagents.
- Compounds having Formula (1), (2) and (3) may be useful as protein kinase inhibitors.
- compounds having Formula (1), (2) or (3), and pharmaceutically acceptable salts, solvates, N-oxides, prodrugs and isomers thereof may be used for the treatment of a kinase-mediated condition or disease, such as diseases mediated by AIk, AbI, Aurora- A, B- Raf, C-Raf, Bcr-Abl, BRK, BIk, Bmx, BTK, c-Kit, c-RAF, c-SRC, EphBl, EphB2, EphB4, FLTl, Fms, Flt3, Fyn, JAK2, KDR, Lck, Lyn, PDGFR ⁇ , PDGFR ⁇ , PKC ⁇ , p38 (p38 MAP kinase, SAPK2 ⁇ ), Src, SIK, Syk, Tie2 and TrkB kinases, or a combination thereof.
- the compounds of the invention may also be used in combination with a second therapeutic agent, for ameliorating a condition mediated by a protein kinase, such as a B-Raf, Bcr-Abl or Lck-mediated condition.
- a protein kinase such as a B-Raf, Bcr-Abl or Lck-mediated condition.
- the compounds of the invention may be used in combination with a chemotherapeutic agent to treat a cell proliferative disorder, including but not limited to, lymphoma, osteosarcoma, melanoma, or a tumor of breast, renal, prostate, colorectal, thyroid, ovarian, pancreatic, neuronal, lung, uterine or gastrointestinal tumor.
- chemotherapeutic agents which may be used in the compositions and methods of the invention include but are not limited to anthracyclines, alkylating agents (e.g., mitomycin C), alkyl sulfonates, aziridines, ethylenimines, methylmelamines, nitrogen mustards, nitrosoureas, antibiotics, antimetabolites, folic acid analogs (e.g., dihydrofolate reductase inhibitors such as methotrexate), purine analogs, pyrimidine analogs, enzymes, podophyllotoxins, P A T E N T
- chemotherapeutic agents which may be used in the compositions and methods of the invention include, but are not limited to, busulfan, improsulfan, piposulfan, benzodepa, carboquone, meturedepa, uredepa, altretamine, triethylenemelamine, triethylenephosphoramide, triethylenethiophosphoramide, trimethylolomelamine, chlorambucil, chlornaphazine, cyclophosphamide, estramustine, ifosfamide, mechlorethamine, mechlorethamine oxide hydrochloride, melphalan, novembichin, phenesterine, prednimustine, trofosfamide, uracil mustard, carmustine, chlorozotocin, fotemustine, lomustine, nimustine, ranimustine, dacarbazine,
- Compounds of the invention are screened against the kinase panel (wild type and/or mutation thereof) and may modulate the activity of at least one panel kinase panel member. As such, compounds of the invention may be useful for treating diseases or disorders in which kinases contribute to the pathology and/or symptomology of the disease.
- kinases that may be inhibited by the compounds and compositions described herein and against which the methods described herein may be useful include, but are not limited to AIk, AbI, Aurora-A, B- Raf, C-Raf, Bcr-Abl, BRK, BIk, Bmx, BTK, c-Kit, c-RAF, c-SRC, EphBl, EphB2, EphB4, P A T E N T
- FLTl FLTl, Fms, Flt3, Fyn, FRK3, JAK2, KDR, Lck, Lyn, PDGFR ⁇ , PDGFR ⁇ , PKC ⁇ , p38 (p38 MAP kinase, SAPK2 ⁇ ), Src, SIK, Syk, Tie2 and TrkB kinases, and mutant forms thereof.
- the Ras-Raf- MEK-ERK signaling pathway mediates cellular response to growth signals. Ras is mutated to an oncogenic form in approximately 15% of human cancer.
- the Raf family belongs to the serine/threonine protein kinase and it includes three members, A-Raf, B-Raf and C-Raf (or Raf-1).
- the focus on Raf being a drug target has centered on the relationship of Raf as a downstream effector of Ras.
- B-Raf may have a prominent role in the formation of certain tumors with no requirement for an activated Ras allele (Nature 417:949-954 (2002).
- B-Raf mutations have been detected in a large percentage of malignant melanomas.
- Existing medical treatments for melanoma are limited in their effectiveness, especially for late stage melanomas.
- the compounds of the present invention also inhibit cellular processes involving B-Raf kinase, providing a new therapeutic opportunity for treatment of human cancers, such as melanoma.
- Certain abnormal proliferative conditions are believed to be associated with Raf expression and are, therefore, believed to be responsive to inhibition of Raf expression. Abnormally high levels of expression of the Raf protein are also implicated in transformation and abnormal cell proliferation. These abnormal proliferative conditions are also believed to be responsive to inhibition of Raf expression. For example, expression of the c-Raf protein is believed to play a role in abnormal cell proliferation since it has been reported that 60% of all lung carcinoma cell lines express unusually high levels of c-Raf mRNA and protein.
- abnormal proliferative conditions are hyper-proliferative disorders such as cancers, tumors, hyperplasia, pulmonary fibrosis, angiogenesis, psoriasis, atherosclerosis and smooth muscle cell proliferation in the blood vessels, such as stenosis or restenosis following angioplasty.
- the cellular signaling pathway of which Raf is a part has also been implicated in inflammatory disorders characterized by T-cell proliferation (T-cell activation and growth), such as tissue graft rejection, endotoxin shock, and glomerular nephritis, for example.
- the compounds of the present invention may also inhibit cellular processes involving c-Raf kinase.
- c-Raf is activated by the Ras oncogene, which is mutated in a wide number of human cancers. Therefore inhibition of the kinase activity of c-Raf may provide a way to prevent Ras mediated tumor growth [Campbell, S. L., Oncogene, 17, 1395 (1998)].
- the Src family of kinases is implicated in cancer, immune system dysfunction and bone remodeling diseases.
- Members of the Src family include the following eight kinases in P A T E N T
- Fyn encodes a membrane-associated tyrosine kinase that has been implicated in the control of cell growth.
- Lck plays a role in T-cell signaling. Mice that lack the Lck gene have a poor ability to develop thymocytes. The function of Lck as a positive activator of T-cell signaling suggests that Lck inhibitors may be useful for treating autoimmune disease such as rheumatoid arthritis. Molina et al., Nature, 357, 161 (1992). Hck, Fgr and Lyn have been identified as important mediators of integrin signaling in myeloid leukocytes. Lowell et al., J. Leukoc. Diol., 65, 313 (1999). Inhibition of these kinase mediators may therefore be useful for treating inflammation. Boschelli et al., Drugs of the Future 2000, 25(7), 717.
- Lyn a member of the Src family, plays a role in the regulation of B -cell immune responses. Lyn-deficient mice display disrupted B-cell function, leading to autoimmunity and defective mast cell degranulation. Studies have also suggested that Lyn is a negative regulator of apoptosis in various cell systems. In leukemic cells, Lyn is constitutively activated, and the inhibition of Lyn expression reversed proliferation. In addition, Lyn has been shown to be expressed in colon and PC cells, and that overexpression of a dominant active Lyn in colon cancer cell lines induced chemoresistance. (Goldenberg-Furmanov et al., Cancer Res. 64:1058-1066 (2004)).
- c-Src transmits oncogenic signals of many receptors.
- over- expression of EGFR or HER2/neu in tumors leads to the constitutive activation of c-Src, which is characteristic for the malignant cell but absent from the normal cell.
- mice deficient in the expression of c-Src exhibit an osteopetrotic phenotype, indicating a key participation of c-Src in osteoclast function and a possible involvement in related disorders.
- c-Src tyrosine kinase (CSK) influences the metastatic potential of cancer cells, particularly colon cancer.
- c-Kit has a substantial homology to the PDGF receptor and to the CSF-I receptor (c- Fms). Investigations on various erythroid and myeloid cell lines indicate an expression of the c- Kit gene in early stages of differentiation (Andre et al., Oncogene 4 (1989), 1047-1049). Certain tumors such as glioblastoma cells likewise exhibit a pronounced expression of the c-Kit gene. P A T E N T
- Eph receptors which include EphA and EphB subfamily, consist of the largest group of receptor tyrosine kinases. EphB was found to be overexpressed in several tumors including ovarian tumors, liver tumors, kidney tumors as well as melanomas. Downregulation of EphB signaling has shown to inhibit tumor growth and metastasis. Therefore, EphB may be an important target for anti-tumorigenic therapies. (Clevers et al., Cancer Res. 66:2-5 (2006); Heroult et al., Experimental Cell Res. 312: 642-650 (2006); and Batlle et al., Nature 435:1126- 1130 (2005)).
- KDR Kinase insert domain-containing receptor
- Fms-like tyrosine kinase referred to as "Fltl” hereinafter
- Oncogene, 5: 519 (1990); Science, 255: 989 (1992)] belong to the receptor type tyrosine kinase family.
- VEGF specifically binds to Fit- 1 and KDR at Kd values of 20 pM and 75 pM and that Fltl and KDR are expressed in vascular endothelial cells in a specific manner [Proc. Natl. Acad. Sci. USA, 90: 7533 (1993); Proc. Natl. Acad. Sci. USA, 90: 8915 (1993)].
- FIt-I in various diseases, it has been reported that, in comparison with vascular endothelial cells in normal tissues, expression of FIt-I mRNA increases in tumor vascular endothelial cells of human glioblastoma tissues [Nature, 359: 845 (1992)] and tumor vascular endothelial cells of human digestive organ cancer tissues [Cancer Research, 53: 4727 (1993)]. Additionally, it has been reported that expression of FIt-I mRNA is observed by in situ hybridization in vascular endothelial cells of joints of patients with rheumatoid arthritis [J. Experimental Medicine, 180: 341 (1994)]. Studies also suggest that FIt-I plays an important role in tumor angiogenesis.
- Flt3 is a member of the type III receptor tyrosine kinase (RTK) family.
- Flt3 Flt3 (Fms-like tyrosine kinase) is also known as Flk-2 (fetal liver kinase T).
- Flk-2 fetal liver kinase T.
- Aberrant expression of the Flt3 gene has been documented in both adult and childhood leukemias including acute myeloid leukemia (AML), AML with trilineage myelodysplasia (AML/TMDS), acute lymphoblastic leukemia (ALL), and myelodysplastic syndrome (MDS).
- AML acute myeloid leukemia
- AML/TMDS AML with trilineage myelodysplasia
- ALL acute lymphoblastic leukemia
- MDS myelodysplastic syndrome
- the leukemia cells express a constitutively active form of auto-phosphorylated (p) FLT3 tyrosine kinase on the cell surface.
- the activity of p-FLT3 confers growth and survival advantage on the leukemic cells. Inhibition of p-FLT3 kinase activity induces apoptosis (programmed cell death) of the leukemic cells.
- Abelson tyrosine kinase i.e. AbI, c-Abl
- AbI AbI
- c-Abl Abelson tyrosine kinase
- the AbI protein appears to serve a complex role as a cellular module that integrates signals from various extracellular and intracellular sources and that influences decisions in regard to cell cycle and apoptosis.
- Abelson tyrosine kinase includes sub-types derivatives such as the chimeric fusion (oncoprotein) Bcr-Abl with deregulated tyrosine kinase activity or the v-Abl.
- Bcr-Abl is important in the pathogenesis of 95% of chronic myelogenous leukemia (CML) and 10% of acute lymphocytic leukemia.
- Compounds of the present invention may inhibit AbI kinase, for example, v-Abl kinase.
- the compounds of the present invention may also inhibit wild-type Bcr-Abl kinase and mutations of Bcr-Abl kinase, and thus may be suitable for the treatment of Bcr-Abl-positive cancer and tumor diseases, such as leukemias (e.g., chronic myeloid leukemia and acute lymphoblastic leukemia) and other proliferation disorders related to Bcr-Abl.
- Bcr-Abl-positive cancer and tumor diseases such as leukemias (e.g., chronic myeloid leukemia and acute lymphoblastic leukemia) and other proliferation disorders related to Bcr-Abl.
- Compounds of the present invention may also be effective against leukemic stem cells, and may be potentially useful for the purification of these cells in vitro after removal of said cells (for example, bone marrow removal), and reimplantation of the cells once they have been cleared of cancer cells (for example, reimplantation of purified bone marrow cells).
- Anaplastic lymphoma kinase (ALK), a member of the insulin receptor superfamily of receptor tyrosine kinases, has been implicated in oncogenesis in hematopoietic and non- hematopoietic tumors.
- ALK insulin receptor superfamily of receptor tyrosine kinases
- the aberrant expression of full-length ALK receptor proteins has been reported in neuroblastomas and glioblastomas; and ALK fusion proteins have occurred in anaplastic large cell lymphoma.
- the study of ALK fusion proteins has also raised the possibility of new therapeutic treatments for patients with ALK-positive malignancies. (Pulford et al., Cell. MoI. Life Sci. 61:2939-2953 (2004)).
- Aurora-A a serine/threonine mitotic kinase
- Aurora-A has been reported to be overexpressed in various human cancers, and its overexpression induces aneuploidy, centrosome amplification and tumorigenic transformation in cultured human and rodent cells.
- Bmx/Etk non-receptor tyrosine protein kinase has been implicated in endothelial cell migration and tube formation in vitro.
- Bmx in endothelium and bone marrow has also been reported to play an important role in arteriogenesis and angiogenesis in vivo, suggesting that Bmx P A T E N T
- GNF Docket No.: P1267PC10 may be a novel target for the treatment of vascular diseases such as coronary artery disease and peripheral arterial disease. (He et al., J. Clin. Invest. 116:2344-2355 (2006)).
- Bruton's tyrosine kinase (BTK) gene encodes a cytoplasmic tyrosine kinase that plays an essential role in mediating BCR signaling, (de Weers et al., J. Biol. Chem. 269:23857-23860 (1994); Kurosaki et al., Immunity. 12:1-5 (2000)).
- Defects in the BTK gene cause Agammaglobulinemia, an X- linked immunodeficiency characterized by failure to produce mature B lymphocyte cells and associated with a failure of Ig heavy chain rearrangement.
- Breast tumor kinase (Brk) is a soluble protein-tyrosine kinase overexpressed in the majority of breast cancers and also in normal skin and gut epithelium, but not in normal breast epithelial cells. (Zhang et al., J Biol. Chem. 280:1982-1991 (2005)).
- the Janus kinases are a family of tyrosine kinases consisting of JAKl, JAK2, JAK3 and TYK2.
- the JAKs play an important role in cytokine signaling.
- the down-stream substrates of the JAK family of kinases include the signal transducer and activator of transcription (STAT) proteins.
- STAT signal transducer and activator of transcription
- JAK/STAT signaling has been implicated in the mediation of many abnormal immune responses such as allergies, asthma, autoimmune diseases such as transplant rejection, rheumatoid arthritis, amyotrophic lateral sclerosis and multiple sclerosis, as well as in solid and hematologic malignancies such as leukemias and lymphomas.
- VEGF vascular endothelium growth factor
- VEC vascular endothelial cell
- TC tumor cell
- KDR KDR is the main receptor which gives play to VEGF functions. KDR is highly expressed on the TC and tumor VEC while lowly expressed on the normal tissues.
- MAPKs Mitogen- activated protein kinases
- MKKs mitogen- activated protein kinase kinases
- cytokines including but not limited to TNF ⁇ , IL-6, IL-8 and IL-l ⁇ .
- Peripheral blood monocytes PBMCs
- LPS lipopoly saccharide
- P38 inhibitors efficiently block this effect when PBMCs are pretreated with such compounds prior to stimulation with LPS.
- P38 inhibitors are efficacious in animal models of inflammatory disease. The destructive effects of many disease states are caused by the over production of pro-inflammatory cytokines. The ability of p38 inhibitors to regulate this overproduction makes them useful as disease modifying agents.
- Molecules that block p38's function have been shown to be effective in inhibiting bone resorption, inflammation, and other immune and inflammation-based pathologies.
- a safe and effective p38 inhibitor would provide a means to treat debilitating diseases that can be regulated by modulation of p38 signaling like. Therefore, compounds of the invention that inhibit p38 activity are useful for the treatment of inflammation, osteoarthritis, rheumatoid arthritis, cancer, autoimmune diseases, and for the treatment of other cytokine mediated diseases.
- PDGF Platinum-derived Growth Factor
- PDGFR PDGF receptor
- Compounds of the present invention may be used not only as a tumor-inhibiting substance, for example in small cell lung cancer, but also as an agent to treat non-malignant proliferative disorders, such as atherosclerosis, thrombosis, psoriasis, scleroderma and fibrosis.
- non-malignant proliferative disorders such as atherosclerosis, thrombosis, psoriasis, scleroderma and fibrosis.
- Compounds of the present invention may also be useful for the protection of stem cells, for example to combat the hemotoxic effect of chemotherapeutic agents, such as 5-fluoruracil, and in asthma.
- Compounds of the invention may especially be used for the treatment of diseases, which respond to an inhibition of the PDGF receptor kinase.
- Compounds of the present invention may exhibit useful effects in the treatment of disorders arising as a result of transplantation, for example, allogenic transplantation, especially tissue rejection, such as obliterative bronchiolitis (OB), i.e. a chronic rejection of allogenic lung transplants.
- OB obliterative bronchiolitis
- OB obliterative bronchiolitis
- those with OB often show an elevated PDGF concentration in bronchoalveolar lavage fluids.
- Compounds of the present invention may also be effective against diseases associated with vascular smooth-muscle cell migration and proliferation (where PDGF and PDGFR often also play a role), such as restenosis and atherosclerosis.
- diseases associated with vascular smooth-muscle cell migration and proliferation where PDGF and PDGFR often also play a role
- diseases associated with vascular smooth-muscle cell migration and proliferation such as restenosis and atherosclerosis.
- PKC Protein kinase C
- the stress activated protein kinases are a family of protein kinases that represent the penultimate step in signal transduction pathways that result in activation of the c-Jun transcription factor and expression of genes regulated by c-Jun.
- c-Jun is involved in the transcription of genes that encode proteins involved in the repair of DNA that is damaged due to genotoxic insults. Therefore, agents that inhibit SAPK activity in a cell prevent DNA repair and sensitize the cell to agents that induce DNA damage or inhibit DNA synthesis and induce apoptosis of a cell or that inhibit cell proliferation.
- SNFlLK locus also known as SIK
- Snf Ilk is also expressed in skeletal muscle progenitor cells of the somite beginning at 9.5 dpc, suggesting a more general role for snf Ilk in the earliest stages of muscle growth and/or differentiation.
- Syk is a tyrosine kinase that plays an important role in mast cell degranulation and eosinophil activation. Accordingly, Syk kinase is implicated in various allergic disorders, in particular asthma. It has been shown that Syk binds to the phosphorylated gamma chain of the Fc ⁇ Rl receptor via N-terminal SH 2 domains, and is important for downstream signaling.
- TrkA, TrkB, TrkC The Trk family of neurotrophin receptors promotes the survival, growth and differentiation of the neuronal and non-neuronal tissues.
- the TrkB protein is expressed in neuroendocrine-type cells in the small intestine and colon, in the alpha cells of the pancreas, in the monocytes and macrophages of the lymph nodes and of the spleen, and in the granular layers of the epidermis (Shibayama and Koizumi, 1996). Expression of the TrkB protein has been associated with an unfavorable progression of Wilms tumors and of neuroblastomas. Moreover, TrkB is expressed in cancerous prostate cells but not in normal cells.
- the signaling pathway downstream of the Trk receptors involves the cascade of MAPK activation through the She, activated Ras, ERK-I and ERK-2 genes, and the PLC-gamma transduction pathway (Sugimoto et al., Jpn J. Cancer Res. 2001 Feb; 92(2): 152-60).
- RTKs The class III receptor tyrosine kinases (RTKs), which include c-FMS, c-KIT, FLT3, platelet-derived growth factor receptor ⁇ (PDGFR ⁇ ) and / ⁇ PDGFR/)), have been reported to be associated with the pathogenesis of an increasing number of malignancies. (Blume-Jensen et al., Nature 411:355-565 (2001); Scheijin et al., Oncogene 21:3314-3333 (2002)).
- the present invention further provides a method for preventing or treating any of the diseases or disorders described above in a subject in need of such treatment, which method comprises administering to said subject a therapeutically effective amount of a compound of Formula (1), (2) or (3) or a pharmaceutically acceptable salt thereof.
- a therapeutically effective amount of a compound of Formula (1), (2) or (3) or a pharmaceutically acceptable salt thereof for any of the above uses, the required dosage will vary depending on the mode of administration, the particular condition to be treated and the effect desired. (See, "Administration and Pharmaceutical Compositions," infra) P A T E N T
- compounds of the invention will be administered in therapeutically effective amounts via any of the usual and acceptable modes known in the art, either singly or in combination with one or more therapeutic agents.
- a therapeutically effective amount may vary widely depending on the severity of the disease, the age and relative health of the subject, the potency of the compound used and other factors. In general, satisfactory results are indicated to be obtained systemically at daily dosages of from about 0.03 to 2.5 mg/kg per body weight.
- An indicated daily dosage in the larger mammal, e.g. humans, is in the range from about 0.5 mg to about 100 mg, conveniently administered, e.g. in divided doses up to four times a day or in retard form.
- Suitable unit dosage forms for oral administration comprise from ca. 1 to 50 mg active ingredient.
- Compounds of the invention may be administered as pharmaceutical compositions by any conventional route, in particular enterally, e.g., orally in the form of tablets or capsules; parenterally, e.g., in the form of injectable solutions or suspensions; topically, e.g., in the form of lotions, gels, ointments or creams; or in a nasal or suppository form.
- compositions comprising a compound of the present invention in free form or in a pharmaceutically acceptable salt form in association with at least one pharmaceutically acceptable carrier or diluent may be manufactured in a conventional manner by mixing, granulating or coating methods.
- oral compositions can be tablets or gelatin capsules comprising the active ingredient together with a) diluents, e.g., lactose, dextrose, sucrose, mannitol, sorbitol, cellulose and/or glycine; and/or b) lubricants, e.g., silica, talcum, stearic acid or its magnesium or calcium salt and/or polyethyleneglycol.
- diluents e.g., lactose, dextrose, sucrose, mannitol, sorbitol, cellulose and/or glycine
- lubricants e.g., silica, talcum, stearic acid or its magnesium or calcium salt and
- Tablets may further comprise c) binders, e.g., magnesium aluminum silicate, starch paste, gelatin, tragacanth, methylcellulose, sodium carboxymethylcellulose and or polyvinylpyrrolidone; and if desired, d) disintegrants, e.g., starches, agar, alginic acid or its sodium salt, or effervescent mixtures; and/or e) absorbents, colorants, flavors and sweeteners.
- Injectable compositions can be aqueous isotonic solutions or suspensions, and suppositories can be prepared from fatty emulsions or suspensions.
- compositions may be sterilized and/or contain adjuvants, such as preserving, stabilizing, wetting or emulsifying agents, solution promoters, salts for regulating the osmotic pressure and/or buffers. In addition, they may also contain other therapeutically valuable substances.
- adjuvants such as preserving, stabilizing, wetting or emulsifying agents, solution promoters, salts for regulating the osmotic pressure and/or buffers.
- Suitable formulations for transdermal applications include an effective amount of a compound of the present invention with a carrier.
- a carrier can include absorbable P A T E N T
- transdermal devices are in the form of a bandage comprising a backing member, a reservoir containing the compound optionally with carriers, optionally a rate controlling barrier to deliver the compound to the skin of the host at a controlled and predetermined rate over a prolonged period of time, and means to secure the device to the skin.
- Matrix transdermal formulations may also be used.
- Suitable formulations for topical application, e.g., to the skin and eyes, may be aqueous solutions, ointments, creams or gels well-known in the art. Such may contain solubilizers, stabilizers, tonicity enhancing agents, buffers and preservatives.
- Compounds of the invention may be administered in therapeutically effective amounts in combination with one or more therapeutic agents (pharmaceutical combinations).
- therapeutic agents for example, synergistic effects can occur with other immunomodulatory or anti-inflammatory substances, for example when used in combination with cyclosporin, rapamycin, or ascomycin, or immunosuppressant analogues thereof, for example cyclosporin A (CsA), cyclosporin G, FK-506, rapamycin, or comparable compounds, corticosteroids, cyclophosphamide, azathioprine, methotrexate, brequinar, leflunomide, mizoribine, mycophenolic acid, mycophenolate mofetil, 15-deoxyspergualin, immunosuppressant antibodies, especially monoclonal antibodies for leukocyte receptors, for example MHC, CD2, CD3, CD4, CD7, CD25, CD28, B7, CD45, CD58 or their ligands, or other immunomodulatory compounds, such as CT
- the invention also provides for a pharmaceutical combinations, e.g. a kit, comprising a) a first agent which is a compound of the invention as disclosed herein, in free form or in pharmaceutically acceptable salt form, and b) at least one co-agent.
- a pharmaceutical combination e.g. a kit, comprising a) a first agent which is a compound of the invention as disclosed herein, in free form or in pharmaceutically acceptable salt form, and b) at least one co-agent.
- the kit can comprise instructions for its administration.
- a compound of the invention may be prepared as a pharmaceutically acceptable acid addition salt by reacting the free base form of the compound with a pharmaceutically acceptable inorganic or organic acid.
- a pharmaceutically acceptable base addition salt of a compound of the invention may be prepared by reacting the free acid form of the compound with a pharmaceutically acceptable inorganic or organic base.
- the salt forms of the compounds of the invention may be prepared using salts of the starting materials or intermediates.
- the free acid or free base forms of the compounds of the invention may be prepared from the corresponding base addition salt or acid addition salt from, respectively.
- a compound of the invention in an acid addition salt form may be converted to the corresponding free base by treating with a suitable base (e.g., ammonium hydroxide solution, sodium hydroxide, and the like).
- a suitable base e.g., ammonium hydroxide solution, sodium hydroxide, and the like.
- a compound of the invention in a base addition salt form may be converted to the corresponding free acid by treating with a suitable acid (e.g., hydrochloric acid, etc.).
- Compounds of the invention in unoxidized form may be prepared from N-oxides of compounds of the invention by treating with a reducing agent (e.g., sulfur, sulfur dioxide, triphenyl phosphine, lithium borohydride, sodium borohydride, phosphorus trichloride, tribromide, or the like) in a suitable inert organic solvent (e.g. acetonitrile, ethanol, aqueous dioxane, or the like) at 0 to 8O 0 C.
- a reducing agent e.g., sulfur, sulfur dioxide, triphenyl phosphine, lithium borohydride, sodium borohydride, phosphorus trichloride, tribromide, or the like
- a suitable inert organic solvent e.g. acetonitrile, ethanol, aqueous dioxane, or the like
- Prodrug derivatives of the compounds of the invention may be prepared by methods known to those of ordinary skill in the art (See e.g., Saulnier et al., (1994), Bioorganic and Medicinal Chemistry Letters, Vol. 4, p. 1985).
- appropriate prodrugs may be prepared by reacting a non-derivatized compound of the invention with a suitable carbamylating agent (e.g., 1,1-acyloxyalkylcarbanochloridate, para-nitrophenyl carbonate, or the like).
- Hydrates of compounds of the present invention may be conveniently prepared or formed during the process of the invention, as solvates (e.g., hydrates). Hydrates of compounds of the present invention may be conveniently prepared by recrystallization from an aqueous/organic solvent mixture, using organic solvents such as dioxin, tetrahydrofuran or methanol.
- Compounds of the invention may be prepared as their individual stereoisomers by reacting a racemic mixture of the compound with an optically active resolving agent to form a pair of diastereoisomeric compounds, separating the diastereomers and recovering the optically pure enantiomers.
- Resolution of enantiomers may be carried out using covalent diastereomeric derivatives of the compounds of the invention, or by using dissociable complexes (e.g., crystalline diastereomeric salts).
- Diastereomers have distinct physical properties (e.g., melting P A T E N T
- the diastereomers may be separated by chromatography, or by separation/resolution techniques based upon differences in solubility.
- the optically pure enantiomer is then recovered, along with the resolving agent, by any practical means that would not result in racemization.
- a more detailed description of the techniques applicable to the resolution of stereoisomers of compounds from their racemic mixture can be found in Jean Jacques, Andre Collet, Samuel H. Wilen, "Enantiomers, Racemates and Resolutions", John Wiley And Sons, Inc., 1981.
- Table 1 describes representative compounds obtained by the above procedure.
- Table 2 describes representative compounds obtained by the above procedure.
- Table 3 describes representative compounds obtained by the above procedure.
- the title compound is prepared from 4-methylamino-lH-pyrrolo[2,3-&]pyridine-5- carboxylic acid (5-amino-2-methyl-phenyl)-amide and 3-(4-ethyl-piperazin-l-yl)-5- trifluoromethyl-benzoic acid in a manner similar to that of Example 3 for 1H-Pyrrolo[2,3- &]pyridine-5-carboxylic acid [2-methyl-5-(4-morpholin-4-ylmethyl-3-trifluoromethyl- benzoylamino)-phenyl]-amide.
- Table 6 describes representative compounds obtained by the above procedure.
- Table 7 describes representative compounds obtained by the above procedure.
- Table 8 describes representative compounds obtained by the above procedure.
- Compounds of the present invention may be assayed to measure their capacity to inhibit a kinase panel, including but not limited to AIk, AbI, Aurora-A, B-Raf, C-Raf, Bcr-Abl, BRK, BIk, Bmx, BTK, c-Kit, c-RAF, c-SRC, EphBl, EphB2, EphB4, FLTl, Fms, Flt3, Fyn, FRK3, JAK2, KDR, Lck, Lyn, PDGFR ⁇ , PDGFR ⁇ , PKC ⁇ , p38 (p38 MAP kinase, SAPK2 ⁇ ), Src, SIK, Syk, Tie2 and TrkB kinases.
- Compounds of the invention may be tested for their ability to inhibit the activity of b- Raf.
- the assay is carried out in 384-well MaxiSorp plates (NUNC) with black walls and clear bottom.
- the substrate, I ⁇ B ⁇ is diluted in DPBS (1:750) and 15 ⁇ l is added to each well.
- the plates are incubated at 4 0 C overnight and washed 3 times with TBST (25 mM Tris, pH 8.0, 150 P A T E N T
- Phosph- I ⁇ B ⁇ (Ser32/36) antibody is diluted in Superblock (1:10,000) and 15 ⁇ l is added to each well. The plates are incubated at 4 0 C overnight and washed 6 times with TBST.
- AP-conjugated goat- anti-mouse IgG is diluted in Superblock (1: 1,500) and 15 ⁇ l is added to each well. Plates are incubated at room temperature for 1 hour and washed 6 times with TBST. 15 ⁇ l of fluorescent Attophos AP substrate (Promega) is added to each well and plates are incubated at room temperature for 15 minutes. Plates are read on Acquest or Analyst GT using a Fluorescence Intensity Program (Excitation 455 nm, Emission 580 nm).
- A375 cell line (ATCC) is derived from a human melanoma patient and has a V599E mutation on the B-Raf gene. The levels of phosphorylated MEK are elevated due to the mutation of B-Raf.
- Sub-confluent to confluent A375 cells are incubated with compounds for 2 hours at 37 0 C in serum free medium. Cells are then washed once with cold PBS and lysed with the lysis buffer containing 1% Triton XlOO. After centrifugation, the supernatants are subjected to SDS-PAGE, and then transferred to nitrocellulose membranes.
- the membranes are then subjected to western blotting with anti-phospho-MEK antibody (ser217/221) (Cell Signaling).
- the amount of phosphorylated MEK is monitored by the density of phospho-MEK bands on the nitrocellulose membranes.
- the murine cell line 32D hemopoietic progenitor cell line may be transformed with Bcr-Abl cDNA (32D-p210). These cells are maintained in RPMI/10% fetal calf serum (RPMI/FCS) supplemented with penicillin 50 ⁇ g/mL, streptomycin 50 ⁇ g/mL and L-glutamine 200 mM. Untransformed 32D cells are similarly maintained with the addition of 15% of WEHI conditioned medium as a source of IL3.
- RPMI/10% fetal calf serum RPMI/FCS
- Untransformed 32D cells are similarly maintained with the addition of 15% of WEHI conditioned medium as a source of IL3.
- 50 ⁇ l of a 32D or 32D-p210 cells suspension are plated in Greiner 384 well microplates (black) at a density of 5000 cells per well.
- 50 nl of test compound (1 mM in DMSO stock solution) is added to each well (STI571 is included as a positive control).
- the cells are incubated for 72 hours at 37 °C, 5% CO 2 .
- 10 ⁇ l of a 60% Alamar Blue solution (Tek diagnostics) is added to each well and the cells are incubated for an additional 24 hours.
- the fluorescence intensity (Excitation at 530 nm, Emission at 580 nm) is quantified using the AcquestTM system (Molecular Devices).
- 32D-p210 cells are plated into 96 well TC plates at a density of 15,000 cells per well. 50 ⁇ L of two fold serial dilutions of the test compound (C max is 40 ⁇ M) are added to each well (STI571 is included as a positive control). After incubating the cells for 48 hours at 37 °C, 5% CO 2 , 15 ⁇ L of MTT (Promega) is added to each well and the cells are incubated for an additional 5 hours. The optical density at 570 nm is quantified spectrophotometrically and IC 50 values, the concentration of compound required for 50% inhibition, determined from a dose response curve.
- test compounds of the present invention may demonstrate an apoptotic effect on the 32D-p210 cells but not induce apoptosis in the 32D parental cells.
- Bcr-Abl autophosphorylation is quantified with capture Elisa using a c-Abl specific capture antibody and an antiphosphotyrosine antibody.
- 32D-p210 cells are plated in 96 well TC plates at 2xlO 5 cells per well in 50 ⁇ L of medium. 50 ⁇ L of two fold serial dilutions of test compounds (C max is 10 ⁇ M) are added to each well (STI571 is included as a positive control). The cells are incubated for 90 minutes at 37 °C, 5% CO 2 . The cells are then treated for 1 hour on P A T E N T
- lysis buffer 50 mM Tris-HCl, pH 7.4, 150 mM NaCl, 5 mM EDTA, 1 mM EGTA and 1% NP-40
- 50 ⁇ L of cell lysate is added to 96 well optiplates previously coated with
- test compounds of the invention may inhibit the proliferation of the Bcr-Abl expressing cells, inhibiting the cellular Bcr-Abl autophosphorylation in a dose-dependent manner.
- Compounds of the invention may be tested for their antiproliferative effect on Ba/F3 cells expressing either wild type or the mutant forms of Bcr-Abl (G250E, E255V, T315I, F317L, M351T) that confers resistance or diminished sensitivity to STI571.
- the antiproliferative effect of these compounds on the mutant-Bcr-Abl expressing cells and on the non transformed cells may be tested at 10, 3.3, 1.1 and 0.37 ⁇ M as described above (in media lacking IL3).
- the IC 50 values of the compounds lacking toxicity on the untransformed cells are determined from the dose response curves obtained as described above.
- Kinase activity assay with purified FGFR-3 (Upstate) is carried out in a final volume of 10 ⁇ L containing 0.25 ⁇ g/mL of enzyme in kinase buffer (30 mM Tris-HCl pH7.5, 15 mM MgCl 2 , 4.5 mM MnCl 2 , 15 ⁇ M Na 3 VO 4 and 50 ⁇ g/mL BSA), and substrates (5 ⁇ g/mL biotin- poly-EY(Glu, Tyr) (CIS-US, Inc.) and 3 ⁇ M ATP).
- the first solution of 5 ⁇ l contains the FGFR-3 enzyme in kinase buffer was first dispensed into 384-well format ProxiPlate® (Perkin- Elmer) followed by adding 50 nL of compounds dissolved in DMSO, then 5 ⁇ l of second solution contains the substrate (poly-EY) and ATP in kinase buffer was added to each wells.
- the reactions are incubated at room temperature for one hour, stopped by adding 10 ⁇ L of HTRF detection mixture, which contains 30 mM Tris-HCl pH 7.5, 0.5 M KF, 50 mM ETDA, 0.2 mg/mL BSA, 15 ⁇ g/mL streptavidin-XL665 (CIS-US, Inc.) and 150 ng/mL cryptate conjugated anti-phosphotyrosine antibody (CIS-US, Inc.). After one hour of room temperature P A T E N T
- Compounds of the invention are tested for their ability to inhibit transformed Ba/F3- TEL-FGFR3 cells proliferation, which is dependent on FGFR-3 cellular kinase activity.
- Ba/F3- TEL-FGFR3 are cultured up to 800,000 cells/mL in suspension, with RPMI 1640 supplemented with 10% fetal bovine serum as the culture medium. Cells are dispensed into 384-well format plate at 5000 cell/well in 50 ⁇ L culture medium.
- Compounds of the invention are dissolved and diluted in dimethylsulfoxide (DMSO). Twelve points 1:3 serial dilutions are made into DMSO to create concentrations gradient ranging typically from 10 mM to 0.05 ⁇ M.
- DMSO dimethylsulfoxide
- AlamarBlue® (TREK Diagnostic Systems), which can be used to monitor the reducing environment created by proliferating cells, are added to cells at a final concentration of 10%. After additional four hours of incubation in a 37 0 C cell culture incubator, fluorescence signals from reduced AlamarBlue® (Excitation at 530 nm, Emission at 580 nm) are quantified on Analyst GT (Molecular Devices Corp.). IC 50 values are calculated by linear regression analysis of the percentage inhibition of each compound at 12 concentrations.
- Compounds of the invention may be tested for their ability to inhibit transformed Ba/F3-FLT3-ITD or Ba/F3-Tel-PDGFR ⁇ cells proliferation, which is dependent on FLT3 or PDGFR ⁇ cellular kinase activity.
- Ba/F3-FLT3-ITD or Ba/F3-Tel-PDGFR ⁇ are cultured up to 800,000 cells/mL in suspension, with RPMI 1640 supplemented with 10% fetal bovine serum as the culture medium. Cells are dispensed into 384-well format plate at 5000 cell/well in 50 ⁇ L culture medium.
- Compounds of the invention are dissolved and diluted in dimethylsulfoxide (DMSO). Twelve points 1:3 serial dilutions are made into DMSO to create concentrations gradient ranging typically from 10 mM to 0.05 ⁇ M. Cells are added with 50 nL of diluted P A T E N T
- AlamarBlue® (TREK Diagnostic Systems), which can be used to monitor the reducing environment created by proliferating cells, are added to cells at final concentration of 10%.
- fluorescence signals from reduced AlamarBlue® (Excitation at 530 nm, Emission at 580 nm) are quantified on Analyst GT (Molecular Devices Corp.).
- IC 50 values are calculated by linear regression analysis of the percentage inhibition of each compound at 12 concentrations.
- Compounds of the invention may be assessed for their ability to inhibit individual members of a panel of kinases (a partial, non- limiting list of kinases includes: AIk, AbI, Aurora- A, B-Raf, Bcr-Abl, BRK, BIk, Bmx, c-Kit, c-Raf, cSRC, CSK, EphB, FLTl, Fms, Fyn, JAK2, KDR, Lck, Lyn, PDGFR ⁇ , PDGFR ⁇ , PKC ⁇ , p38 (p38 MAP kinase, SAPK2 ⁇ ), SIK, Src, Syk, Tie2 and TrkB kinases).
- a partial, non- limiting list of kinases includes: AIk, AbI, Aurora- A, B-Raf, Bcr-Abl, BRK, BIk, Bmx, c-Kit, c-Raf, cSRC, CSK,
- the compounds are tested in duplicates at a final concentration of 10 ⁇ M following this generic protocol, using varying kinase buffer composition and substrates for the different kinases included in the "Upstate KinaseProfilerTM panel.
- Kinase buffer 2.5 ⁇ L, 10x - containing MnCl 2 when required
- active kinase 0.001-0.01 Units; 2.5 ⁇ L
- specific or Poly(Glu4-Tyr) peptide 5-500 ⁇ M or .01 mg/ml
- kinase buffer and kinase buffer 50 ⁇ M; 5 ⁇ L
- kinase buffer 50 ⁇ M; 5 ⁇ L
- the reaction mixture is spotted (20 ⁇ L) onto a 2cm x 2cm P81 (phosphocellulose, for positively charged peptide substrates) or Whatman No. 1 (for Poly (Glu4-Tyr) peptide substrate) paper square.
- the assay squares are washed 4 times, for 5 minutes each, with 0.75% phosphoric acid and washed once with acetone for 5 minutes.
- the assay squares are transferred to a scintillation vial, 5 ml scintillation cocktail are added and 32 P P A T E N T
- Compounds of Formula (1), (2) or (3) in free form or in pharmaceutically acceptable salt form may exhibit valuable pharmacological properties, for example, as indicated by the in vitro tests described in this application.
- the IC 50 value in those experiments is given as that concentration of the test compound in question that results in a cell count that is 50 % lower than that obtained using the control without inhibitor.
- compounds of the invention have IC 50 values from 1 nM to 10 ⁇ M against one or more of the following kinases: AIk, AbI, Aurora- A, B-Raf, C-Raf, Bcr-Abl, BRK, BIk, Bmx, BTK, c-Kit, c-RAF, c-SRC, EphBl, EphB2, EphB4, FLTl, Fms, Flt3, Fyn, FRK3, JAK2, KDR, Lck, Lyn, PDGFR ⁇ , PDGFR ⁇ , PKC ⁇ , p38 (p38 MAP kinase, SAPK2 ⁇ ), Src, SIK, Syk, Tie2 and TrkB kinases.
- compounds of the invention have IC 50 values from 0.01 ⁇ M to 5 ⁇ M. In other examples, compounds of the invention have IC 50 values from 0.01 ⁇ M to 1 ⁇ M, or more particularly from 1 nM to 1 ⁇ M. In yet other examples, compounds of the invention have IC 50 values of less than 1 nM or more than 10 ⁇ M.
- Compounds of Formula (1), (2) or (3) may exhibit a percentage inhibition of greater than 50%, or in other embodiments, may exhibit a percentage inhibition greater than about 70%, against one or more of the following kinases at 10 ⁇ M: AIk, AbI, Aurora-A, B-Raf, C-Raf, Bcr- Abl, BRK, BIk, Bmx, BTK, c-Kit, c-RAF, c-SRC, EphBl, EphB2, EphB4, FLTl, Fms, Flt3, Fyn, FRK3, JAK2, KDR, Lck, Lyn, PDGFR ⁇ , PDGFR ⁇ , PKC ⁇ , p38 (p38 MAP kinase, SAPK2 ⁇ ), Src, SIK, Syk, Tie2 and TrkB kinases.
- AIk AbI, Aurora-A, B-Raf, C-Raf, Bcr- Abl, BRK, BIk, B
Landscapes
- Chemical & Material Sciences (AREA)
- Organic Chemistry (AREA)
- Health & Medical Sciences (AREA)
- Chemical Kinetics & Catalysis (AREA)
- General Chemical & Material Sciences (AREA)
- Medicinal Chemistry (AREA)
- Nuclear Medicine, Radiotherapy & Molecular Imaging (AREA)
- Pharmacology & Pharmacy (AREA)
- Life Sciences & Earth Sciences (AREA)
- Animal Behavior & Ethology (AREA)
- General Health & Medical Sciences (AREA)
- Public Health (AREA)
- Veterinary Medicine (AREA)
- Pharmaceuticals Containing Other Organic And Inorganic Compounds (AREA)
- Nitrogen Condensed Heterocyclic Rings (AREA)
Abstract
The invention provides compounds of formula (l) and pharmaceutical compositions thereof, which are useful as protein kinase inhibitors, and methods for using such compounds to treat, ameliorate or prevent a condition associated with abnormal or deregulated kinase activity. In some embodiments, the invention provides methods for using such compounds to treat, ameliorate or prevent diseases or disorders that involve abnormal activation of AIk, AbI, Aurora-A, B-Raf, C-Raf, Bcr-Abl, BRK, BIk, Bmx, BTK, c-Kit, c-RAF, CSK, c-SRC, EphBl, EphB2, EphB4, FLTl, Fms, Flt3, Fyn, FRK3, JAK2, KDR, Lck, Lyn, PDGFRalpha, PDGFRbeta, PKCalpha, SAPK2alpha, Src, SIK, Syk, Tie2 and TrkB kinases.
Description
PROTEIN KINASE INHIBITORS AND METHODS FOR USING THEREOF
Cross-Reference to Related Applications
[0001] This application claims the benefit of U.S. provisional application serial number 60/917,758, filed May 14, 2007, which is incorporated herein by reference in its entirety.
Technical Field
[0002] The invention relates to protein kinase inhibitors, and methods of using such compounds.
Background Art
[0003] The protein kinases represent a large family of proteins, which play a central role in the regulation of a wide variety of cellular processes and maintaining control over cellular function. A partial, non-limiting, list of these kinases include: receptor tyrosine kinases such as platelet-derived growth factor receptor kinase (PDGFR), the nerve growth factor receptor, TrkB, Met, and the fibroblast growth factor receptor, FGFR-3 ; non-receptor tyrosine kinases such AbI and the fusion kinase Bcr-Abl, Lck, Csk, Fes, Bmx and Src; and serine/threonine kinases such as B-Raf, C-Raf, Sgk, MAP kinases (e.g., MKK4, MKK6, etc.) and SAPK2α, SAPK2β and SAPK3. Aberrant kinase activity has been observed in many disease states including benign and malignant proliferative disorders, as well as diseases resulting from inappropriate activation of the immune and nervous systems.
Disclosure of the Invention
[0004] The invention provides compounds and pharmaceutical compositions thereof, which may be useful as protein kinase inhibitors.
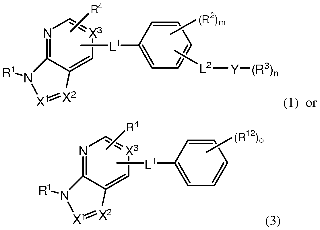
[0005] In one aspect, the invention provides compounds having Formula (1):
P A T E N T
GNF Docket No.: P1267PC10
or pharmaceutically acceptable salts thereof, wherein: X1 and X2 are independently CR or N; X3 is CH or N, or C if attached to L1 or R4; Y is a 5-7 membered aryl or heteroaryl containing N, O or S; L1 and L2 are independently NRCO or CONR; R and R1 are independently H or Ci_6 alkyl; R2 is halo, or an optionally halogenated Ci_6 alkyl; R3 is halo, an optionally halogenated Ci_6 alkyl, (CR2)qR8 or O(CR2)qR9; R4 is H, halo, NR6R7, NR5(CR2)PNR6R7, NR5CONR6R7 or NR5CO2R6; R5 is H or Ci_6 alkyl;
R6 and R7 are independently H, an optionally halogenated Ci_6 alkyl, C2_6 alkenyl or C2_6 alkynyl; Ci_6 alkanol, (CR2)q-R8 or (CR2)pO(CR2)qR9; or R6 and R7 together with N in NR6R7 may form an optionally substituted ring;
R and R are independently an optionally substituted C3_7 cycloalkyl, 5-7 membered aryl, heterocyclic or heteroaryl; or R9 is H; m is 1-4; and n, p and q are independently 0-4.
[0006] In the above Formula (1), Y may be phenyl, thienyl, pyridyl, pyrazolyl or isoxazolyl. In some examples, R2 is Ci_6 alkyl. In other examples, R3 is halo, an optionally halogenated Ci_6 alkyl, (CR2)qR8 or O(CR2)qR9; and R8 and R9 are independently an optionally substituted piperidinyl, morpholinyl, imidazolyl or piperazinyl.
[0007] In one embodiment, the invention provides compounds of Formula (2):
P A T E N T
GNF Docket No.: P1267PC10
wherein R10 is halo, an optionally halogenated Ci_6 alkyl, or OCi_6 alkyl; R11 is halo, Ci_6 alkyl, (CR2)qR8 or O(CR2)qR9; and
R8 and R9 are independently an optionally substituted C3_7 cycloalkyl, 5-7 membered aryl, heterocyclic or heteroaryl; or R9 is H; and k is 0-2.
[0008] In the above Formula (2), R10 may be CF3. In some examples, k is 0 or k is 1 and R11 is halo, Ci_6 alkyl, (CR2)qR8, O(CR2)qR9; and R8 and R9 are independently an optionally substituted piperidinyl, morpholinyl, imidazolyl or piperazinyl.
[0009] In the above Formula (1) and (2), X1 and X2 may each be CH; or one of X1 or X2 is N, and the other is CH.
[0010] In the above Formula (1) and (2), R4 may be H, halo, NR5(CR2)PNR6R7 or NR6R7;
R6 and R7 are independently H, Ci_6 alkyl, Ci_6 alkanol, or (CR2)qR8; or R6 and R7 together with N in NR6R7 form an optionally substituted morpholinyl, piperidinyl or pyrrolidinyl; and
R8 is an optionally substituted C3-7 cycloalkyl, pyridyl, phenyl, morpholinyl, furanyl, naphthalenyl, piperazinyl, pyrimidinyl, imidazolyl, triazolyl, isothiazolyl, isoxazolyl, pyrazolyl or pyrazinyl.
[0011] In certain embodiments, a compound of Formula (1) is selected from: N-(3-(3-(trifluoromethyl)benzamido)phenyl)-lH-pyrrolo[2,3-b]pyridine-4-carboxamide, N-(3- (3-(trifluoromethyl)benzamido)phenyl)-lH-pyrrolo[2,3-b]pyridine-4-carboxamide, N-(2-methyl- 5-(3-(trifluoromethyl)benzamido)phenyl)-lH-pyrrolo[2,3-b]pyridine-4-carboxamide, N-(2- methyl-5-(3-(4-methyl-lH-imidazol-l-yl)-5-(trifluoromethyl)benzamido)phenyl)-lH- pyrrolo[2,3-b]pyridine-4-carboxamide, N-(5-(4-((4-ethylpiperazin-l-yl)methyl)-3- (trifluoromethyl)phenylcarbamoyl)-2-methylphenyl)-lH-pyrrolo[2,3-b]pyridine-4-carboxamide, N-(2-methyl-5-(4-(morpholinomethyl)-3-(trifluoromethyl)phenylcarbamoyl)phenyl)-lH- pyrrolo[2,3-b]pyridine-4-carboxamide, N-(2-methyl-5-(4-(piperazin-l-ylmethyl)-3- (trifluoromethyl)phenylcarbamoyl)phenyl)-lH-pyrrolo[2,3-b]pyridine-4-carboxamide, N-(2-
P A T E N T
GNF Docket No.: P1267PC10 methyl-5-(4-(morpholinomethyl)-3-(trifluoromethyl)phenylcarbamoyl)phenyl)-lH-pyrrolo[2,3- b]pyridine-5-carboxamide, N-(2-methyl-5-(3-(trifluoromethyl)benzamido)phenyl)-lH- pyrrolo[2,3-b]pyridine-5-carboxamide, N-(2-methyl-5-(3-(4-methyl-lH-imidazol-l-yl)-5- (trifluoromethyl)benzamido)phenyl)-lH-pyrrolo[2,3-b]pyridine-5-carboxamide, N-(5-(4-((4- ethylpiperazin-l-y^methy^-S-Ctrifluoromethy^phenylcarbamoy^^-methylpheny^-lH- pyrrolo[2,3-b]pyridine-5-carboxamide, N-(2-methyl-5-(3-(4-methyl-lH-imidazol-l-yl)-5- (trifluoromethyl)phenylcarbamoyl)phenyl)-lH-pyrrolo[2,3-b]pyridine-5-carboxamide, N-(2- methyl-5-(4-((4-methylpiperazin-l-yl)methyl)-3-(trifluoromethyl)phenylcarbamoyl)phenyl)-lH- pyrrolo[2,3-b]pyridine-5-carboxamide, N-(2-methyl-5-(4-(morpholinomethyl)-3- (trifluoromethyl)benzamido)phenyl)-lH-pyrrolo[2,3-b]pyridine-5-carboxamide, N-(5-(l-tert- butyl-5-methyl-lH-pyrazole-3-carboxamido)-2-methylphenyl)-lH-pyrrolo[2,3-b]pyridine-5- carboxamide, N-(2-methyl-5-(3-(4-methylpiperazin-l-yl)-5-
(trifluoromethyl)benzamido)phenyl)-lH-pyrrolo[2,3-b]pyridine-5-carboxamide, N-(5-(3-(4- ethylpiperazin-l-yl)-5-(trifluoromethyl)benzamido)-2-methylphenyl)-lH-pyrrolo[2,3- b]pyridine-5-carboxamide, N-(5-(3-(4-(2-hydroxyethyl)piperazin-l-yl)-5- (trifluoromethyl)benzamido)-2-methylphenyl)-lH-pyrrolo[2,3-b]pyridine-5-carboxamide, N-(5- (5-tert-butylthiophene-2-carboxamido)-2-methylphenyl)-lH-pyrrolo[2,3-b]pyridine-5- carboxamide, N-(2-methyl-5-(3-(l-methylpiperidin-4-yloxy)-5- (trifluoromethyl)benzamido)phenyl)-lH-pyrrolo[2,3-b]pyridine-5-carboxamide, N-(5-(3-(4-hydroxypiperidin-l-yl)-5-(trifluoromethyl)benzamido)-2-methylphenyl)-lH- pyrrolo[2,3-b]pyridine-5-carboxamide, N-(5-(3-(4-ethylpiperazin-l-yl)-5- (trifluoromethyl)benzamido) -2-methylphenyl) -4- (methylamino) - 1 H-pyrrolo [2,3 -b]pyridine- 5 - carboxamide, N-(2-methyl-5-(3-(trifluoromethyl)benzamido)phenyl)-4-(methylamino)-lH- pyrrolo[2,3-b]pyridine-5-carboxamide, N-(2-methyl-5-(3-(4-methyl-lH-imidazol-l-yl)-5- (trifluoromethyl)benzamido)phenyl)-4-(methylamino)-lH-pyrrolo[2,3-b]pyridine-5- carboxamide, N-(5-(3-(4-ethylpiperazin-l-yl)-5-(trifluoromethyl)benzamido)-2-methylphenyl)- 4-(methylamino)-lH-pyrrolo[2,3-b]pyridine-5-carboxamide, N-(5-(5-tert-butylthiophene-2- carboxamido)-2-methylphenyl)-4-(methylamino)-lH-pyrrolo[2,3-b]pyridine-5-carboxamide, N-(5-(4-((4-ethylpiperazin-l-yl)methyl)-3-(trifluoromethyl)benzamido)-2-methylphenyl)-4- (methylamino)-lH-pyrrolo[2,3-b]pyridine-5-carboxamide, N-(5-(l-tert-butyl-5-methyl-lH- pyrazole-3-carboxamido)-2-methylphenyl)-4-(methylamino)-lH-pyrrolo[2,3-b]pyridine-5- carboxamide, N-(2-methyl-5-(3-methylbenzamido)phenyl)-4-(methylamino)-lH-pyrrolo[2,3-
P A T E N T
GNF Docket No.: P1267PC10 b]pyridine-5-carboxamide, N-(5-(3-methoxybenzamido)-2-methylphenyl)-4-(methylamino)-lH- pyrrolo[2,3-b]pyridine-5-carboxamide, N-(5-(2-tert-butylisonicotinamido)-2-methylphenyl)-4- (methylamino)-lH-pyrrolo[2,3-b]pyridine-5-carboxamide, N-(5-(4-fluoro-3- (trifluoromethyl)benzamido) -2-methylphenyl) -4- (methylamino) - 1 H-pyrrolo [2,3 -b]pyridine- 5 - carboxamide, N-(5-(4-chloro-3-(trifluoromethyl)benzamido)-2-methylphenyl)-4-(methylamino)- lH-pyrrolo[2,3-b]pyridine-5-carboxamide, N-(5-(3-fluoro-5-(trifluoromethyl)benzamido)-2- methylphenyl)-4-(methylamino)-lH-pyrrolo[2,3-b]pyridine-5-carboxamide, N-(5-(3- chlorobenzamido)-2-methylphenyl)-4-(methylamino)-lH-pyrrolo[2,3-b]pyridine-5- carboxamide, N-(5-(3-bromobenzamido)-2-methylphenyl)-4-(methylamino)-lH-pyrrolo[2,3- b]pyridine-5-carboxamide, 3-tert-butyl-N-(4-methyl-3-(4-(methylamino)-lH-pyrrolo[2,3- b]pyridine-5-carboxamido)phenyl)isoxazole-5-carboxamide, N-(2-methyl-5-(2-methyl-3- (trifluoromethyl)benzamido)phenyl)-4-(methylamino)-lH-pyrrolo[2,3-b]pyridine-5- carboxamide, 4-(isobutylamino)-N-(2-methyl-5-(2-methyl-3- (trifluoromethyl)benzamido)phenyl)-lH-pyrrolo[2,3-b]pyridine-5-carboxamide, 3-tert-butyl-N-(3-(4-(isobutylamino)-lH-pyrrolo[2,3-b]pyridine-5-carboxamido)-4- methylphenyl)isoxazole-5-carboxamide, 4-(2-(dimethylamino)ethylamino)-N-(5-(4-((4- ethylpiperazin-l-yl)methyl)-3-(trifluoromethyl)benzamido)-2-methylphenyl)-lH-pyrrolo[2,3- b]pyridine-5-carboxamide, 4-(2-(dimethylamino)ethylamino)-N-(2-methyl-5-(3-(piperidin-4- yloxy)-5-(trifluoromethyl)benzamido)phenyl)-lH-pyrrolo[2,3-b]pyridine-5-carboxamide, N-(2-methyl-5-(2-methyl-3-(trifluoromethyl)benzamido)phenyl)-4-(2-morpholinoethylamino)- lH-pyrrolo[2,3-b]pyridine-5-carboxamide, N-(2-methyl-5-(3-(piperidin-4-yloxy)-5- (trifluoromethyl)benzamido)phenyl)-4-(2-morpholinoethylamino)-lH-pyrrolo[2,3-b]pyridine-5- carboxamide, 4-(ethylamino)-N-(2-methyl-5-(3-(trifluoromethyl)benzamido)phenyl)-lH- pyrrolo[2,3-b]pyridine-5-carboxamide, 4-(2-(dimethylamino)ethylamino)-N-(2-methyl-5-(3- (trifluoromethyl)benzamido)phenyl)-lH-pyrrolo[2,3-b]pyridine-5-carboxamide, N-(2-methyl-5- (3-(trifluoromethyl)benzamido)phenyl)-4-(2-morpholinoethylamino)-lH-pyrrolo[2,3-b]pyridine- 5 -carboxamide, 4-((dimethylamino)methylamino)-N-(2-methyl-5-(3-
(trifluoromethyl)benzamido)phenyl)-lH-pyrrolo[2,3-b]pyridine-5-carboxamide, N-(2-methyl-5- (3-(trifluoromethyl)benzamido)phenyl)-4-(2-(4-methylpiperazin-l-yl)ethylamino)-lH- pyrrolo[2,3-b]pyridine-5-carboxamide, 4-(3-(dimethylamino)propylamino)-N-(2-methyl-5-(3- (trifluoromethyl)benzamido)phenyl)-lH-pyrrolo[2,3-b]pyridine-5-carboxamide, 4-(3- aminopropylamino)-N-(2-methyl-5-(3-(trifluoromethyl)benzamido)phenyl)-lH-pyrrolo[2,3-
P A T E N T
GNF Docket No.: P1267PC10 b]pyridine-5-carboxamide, N-(2-methyl-5-(3-(trifluoromethyl)benzamido)phenyl)-4-(2- (piperidin- 1 -yl)ethylamino) - 1 H-pyrrolo [2,3 -b]pyridine-5 -carboxamide , N- (2-methyl- 5 - (3 - (trifluoromethyl)benzamido)phenyl)-4-(4-methylpiperazin-l-ylamino)-lH-pyrrolo[2,3- b]pyridine-5-carboxamide, 4-(cyclopropylamino)-N-(2-methyl-5-(3- (trifluoromethyl)benzamido)phenyl)-lH-pyrrolo[2,3-b]pyridine-5-carboxamide, 4-(ethylamino)-N-(2-methyl-5-(3-(trifluoromethyl)benzamido)phenyl)-lH-pyrrolo[2,3- b]pyridine-5-carboxamide, 4-(diethylamino)-N-(2-methyl-5-(3- (trifluoromethyl)benzamido)phenyl)-lH-pyrrolo[2,3-b]pyridine-5-carboxamide, N-(2-methyl-5-(3-(trifluoromethyl)benzamido)phenyl)-4-(2-(pyrrolidin-l-yl)ethylamino)-lH- pyrrolo[2,3-b]pyridine-5-carboxamide, N-(2-methyl-5-(3-(trifluoromethyl)benzamido)phenyl)- 4-(piperazin-l-yl)-lH-pyrrolo[2,3-b]pyridine-5-carboxamide, N-(2-methyl-5-(3- (trifluoromethyl)benzamido)phenyl)-4-morpholino-lH-pyrrolo[2,3-b]pyridine-5-carboxamide, N-(2-methyl-5-(3-(trifluoromethyl)benzamido)phenyl)-4-((tetrahydrofuran-2-yl)methylamino)- lH-pyrrolo[2,3-b]pyridine-5-carboxamide, 4-(dimethylamino)-N-(2-methyl-5-(3- (trifluoromethyl)benzamido)phenyl)-lH-pyrrolo[2,3-b]pyridine-5-carboxamide, 4-(2- hydroxyethylamino)-N-(2-methyl-5-(3-(trifluoromethyl)benzamido)phenyl)-lH-pyrrolo[2,3- b]pyridine-5-carboxamide, N-(2-methyl-5-(3-(trifluoromethyl)benzamido)phenyl)-4-(2-(pyridin- 3-yl)ethylamino)-lH-pyrrolo[2,3-b]pyridine-5-carboxamide, N-(2-methyl-5-(3- (trifluoromethyl)benzamido)phenyl)-4- (pyridin- 3 -ylmethylamino) - 1 H-pyrrolo [2,3 -b]pyridine- 5 - carboxamide, 4-(butylamino)-N-(2-methyl-5-(3-(trifluoromethyl)benzamido)phenyl)-lH- pyrrolo[2,3-b]pyridine-5-carboxamide, 4-(benzylamino)-N-(2-methyl-5-(3- (trifluoromethyl)benzamido)phenyl)-lH-pyrrolo[2,3-b]pyridine-5-carboxamide, N-(2-methyl-5- (3-(trifluoromethyl)benzamido)phenyl)-7H-pyrrolo[2,3-d]pyrimidine-4-carboxamide, N-(5-(4- ((4-ethylpiperazin-l-yl)methyl)-3-(trifluoromethyl)phenylcarbamoyl)-2-methylphenyl)-7H- pyrrolo[2,3-d]pyrimidine-4-carboxamide, N-(2-methyl-5-(3-
(trifluoromethyl)benzamido)phenyl)-7H-pyrrolo[2,3-d]pyrimidine-4-carboxamide, N-(2-methyl- 5-(3-(trifluoromethyl)benzamido)phenyl)-lH-pyrazolo[3,4-b]pyridine-5-carboxamide, N-(5-(4- ((4-ethylpiperazin-l-yl)methyl)-3-(trifluoromethyl)phenylcarbamoyl)-2-methylphenyl)-lH- pyrazolo[3,4-b]pyridine-5-carboxamide, 7-chloro-3-(methoxymethyl)-2-methyl-N-(2-methyl-5- (3-(trifluoromethyl)phenylcarbamoyl)phenyl)-3H-imidazo[4,5-b]pyridine-6-carboxamide, and 7- chloro-3-(methoxymethyl)-2-methyl-N-(2-methyl-5-(3-(trifluoromethyl)benzamido)phenyl)-3H- imidazo[4,5-b]pyridine-6-carboxamide.
P A T E N T
GNF Docket No.: P1267PC10
[0012] In another aspect, the present invention provides pharmaceutical compositions comprising a compound having Formula (1) or (2), and a pharmaceutically acceptable excipient.
[0013] In yet another aspect, the invention provides methods for inhibiting a kinase, comprising administering to a system or a subject in need thereof, a therapeutically effective amount of a compound of Formula (1) or Formula (3),
or pharmaceutically acceptable salts or pharmaceutical compositions thereof, wherein:
X1 and X2 are independently CR or N;
X3 is CH or N, or C if attached to L1 or R4;
Y is a 5-7 membered aryl or heteroaryl containing N, O or S;
L1 and L2 are independently NRCO or CONR;
R and R1 are independently H or C1-6 alkyl;
R2 is halo, or an optionally halogenated Ci_6 alkyl;
R3 is halo, an optionally halogenated Ci_6 alkyl, (CR2)qR8 or O(CR2)qR9;
R4 is H, halo, NR6R7, NR5(CR2)PNR6R7, NR5CONR6R7 or NR5CO2R6;
R5 is Ci_6 alkyl;
R6 and R7 are independently H, an optionally halogenated C1-6 alkyl, C2_6 alkenyl or C2_6 alkynyl; Ci_6 alkanol, (CR2)q-R8 or (CR2)pO(CR2)qR9; or R6 and R7 together with N in NR6R7 may form an optionally substituted ring;
R8 and R9 are independently an optionally substituted C3-7 cycloalkyl, 5-7 membered aryl, heterocyclic or heteroaryl; or R9 is H;
R12 is halo, an optionally halogenated Ci_6 alkyl, OCi_6 alkyl, NR6R7, NR5(CR2)PNR6R7, NR5CONR6R7 or NR5CO2R6;
P A T E N T
GNF Docket No.: P1267PC10 m and o are independently 1-4; and n, p and q are independently 0-4; thereby inhibiting said kinase.
[0014] In the above Formula (1), (2) and (3), suitable substituents will be known to those of ordinary skill in the art, including but not limited to halo, optionally halogenated C1-6 alkyl, C2_6 alkenyl, C2-6 alkynyl, cyano, nitro or (CR2)PR13; wherein R13 is O(CR2)qR14, S(CR2)qR14, (CR2)qCOi_2R14, CONR14(CR2)PR14, SO2NR14(CR2)PR14 or NR14(CR2)qR14 or R14; R14 is H, optionally halogenated C1-6 alkyl, or an optionally substituted C3-7 cycloalkyl, 5-7 membered aryl, heterocyclic or heteroaryl.
[0015] The invention also provides methods for modulating a protein kinase, comprising administering to a system or a subject in need thereof, a therapeutically effective amount of a compound having Formula (1), (2) or (3), or pharmaceutically acceptable salts or pharmaceutical compositions thereof, thereby modulating said protein kinase.
[0016] Examples of protein kinases which may be modulated using the compounds of the invention include but are not limited to AIk, AbI, Aurora-A, B-Raf, C-Raf, Bcr-Abl, BRK, BIk, Bmx, BTK, c-Kit, c-RAF, c-SRC, EphBl, EphB2, EphB4, FLTl, Fms, Flt3, Fyn, FRK3, JAK2, KDR, Lck, Lyn, PDGFRα, PDGFRβ, PKCα, p38 (p38 MAP kinase, SAPK2α), Src, SIK, Syk, Tie2 and TrkB kinases. More particularly, the compounds of Formula (1), (2) or (3) may be used for inhibiting B-Raf, Bcr-Abl or Lck or a combination thereof.
[0017] In yet another aspect, the invention provides methods for ameliorating a condition mediated by a protein kinase, such as a B-Raf, Bcr-Abl or Lck-mediated condition, comprising administering to a system or subject in need of such treatment an effective amount of a compound having Formula (1), (2) or (3) or pharmaceutically acceptable salts or pharmaceutical compositions thereof, and optionally in combination with a second therapeutic agent, thereby treating said condition. For example, the compounds of the invention, optionally in combination with a chemotherapeutic agent, may be used to treat a cell proliferative disorder, including but not limited to, melanoma, leukemia, chronic myelogenous leukemia, lymphoma, osteosarcoma, or a tumor of breast, renal, prostate, colorectal, thyroid, ovarian, pancreatic, neuronal, lung, uterine or gastrointestinal tumor. The compounds of the invention may also be used to treat an autoimmune disorder, including but not limited to systemic lupus erythematosus, inflammatory bowel disease, rheumatoid arthritis, or multiple scleriosis.
P A T E N T
GNF Docket No.: P1267PC10
[0018] In the above methods for using the compounds of the invention, a compound having Formula (1), (2) or (3) may be administered to a system comprising cells or tissues. In other embodiments, a compound having Formula (1), (2) or (3) may be administered to a human or animal subject.
[0019] The invention also provides for the use of a compound of Formula (1), (2) or (3), or pharmaceutically acceptable salts or pharmaceutical compositions thereof, for treating a condition mediated by a protein kinase.
[0020] The invention also provides for the use of a compound of Formula (1), (2) or (3), or pharmaceutically acceptable salts or pharmaceutical compositions thereof, in the manufacture of a medicament for treating a condition mediated by a protein kinase.
[0021] In the above uses the protein kinases include, but are not limited to, AIk, AbI, Aurora- A, B-Raf, C-Raf, Bcr-Abl, BRK, BIk, Bmx, BTK, c-Kit, c-RAF, c-SRC, EphBl, EphB2, EphB4, FLTl, Fms, Flt3, Fyn, FRK3, JAK2, KDR, Lck, Lyn, PDGFRα, PDGFRβ, PKCα, p38 (p38 MAP kinase, SAPK2α), Src, SIK, Syk, Tie2 and TrkB kinases. More particularly, the protein kinasesare B-Raf, Bcr-Abl or Lck or a combination thereof.
[0022] In the above uses the condition is a cell proliferative disorder or an autoimmune disorder. The cell proliferative disorder include, but are not limited to, melanoma, leukemia, chronic myelogenous leukemia, lymphoma, osteosarcoma, or a tumor of breast, renal, prostate, colorectal, thyroid, ovarian, pancreatic, neuronal, lung, uterine or gastrointestinal tumor. The autoimmune disorder include, but are not limited to, systemic lupus erythematosus, inflammatory bowel disease, rheumatoid arthritis, or multiple sclerosis.
Definitions
[0023] "Alkyl" refers to a moiety and as a structural element of other groups, for example halo-substituted-alkyl and alkoxy, and may be straight-chained or branched. An optionally substituted alkyl, alkenyl or alkynyl as used herein may be optionally halogenated (e.g., CF3), or may have one or more carbons that is substituted or replaced with a heteroatom, such as NR, O or S (e.g., -OCH2CH2O-, alkylthiol, thioalkoxy, alkylamine, etc).
[0024] "Aryl" refers to a monocyclic or fused bicyclic aromatic ring containing carbon atoms. For example, aryl may be phenyl or naphthyl. "Arylene" means a divalent radical derived from an aryl group.
[0025] "Heteroaryl" as used herein is as defined for aryl above, where one or more of the ring members are a heteroatom. Examples of heteroaryls include but are not limited to pyridyl,
P A T E N T
GNF Docket No.: P1267PC10 indolyl, indazolyl, quinoxalinyl, quinolinyl, benzofuranyl, benzopyranyl, benzothiopyranyl, benzo[l,3]dioxole, imidazolyl, benzoimidazolyl, pyrimidinyl, furanyl, oxazolyl, isoxazolyl, triazolyl, tetrazolyl, pyrazolyl, thienyl, etc.
[0026] A "carbocyclic ring" as used herein refers to a saturated or partially unsaturated, monocyclic, fused bicyclic or bridged polycyclic ring containing carbon atoms, which may optionally be substituted, for example, with =0. Examples of carbocyclic rings include but are not limited to cyclopropyl, cyclobutyl, cyclopentyl, cyclohexyl, cyclopropylene, cyclohexanone, etc.
[0027] A "heterocyclic ring" as used herein is as defined for a carbocyclic ring above, wherein one or more ring carbons is a heteroatom. For example, a heterocyclic ring may contain N, O, S, -N=, -S-, -S(O), -S(O)2-, or -NR- wherein R may be hydrogen, Ci^alkyl or a protecting group. Examples of heterocyclic rings include but are not limited to morpholino, pyrrolidinyl, pyrrolidin-2-one, piperazinyl, piperidinyl, piperidinone, l,4-dioxa-8-aza-spiro[4.5]dec-8-yl, etc.
[0028] The terms "co- administration" or "combined administration" or the like as used herein are meant to encompass administration of the selected therapeutic agents to a single patient, and are intended to include treatment regimens in which the agents are not necessarily administered by the same route of administration or at the same time.
[0029] The term "pharmaceutical combination" as used herein refers to a product obtained from mixing or combining active ingredients, and includes both fixed and non-fixed combinations of the active ingredients. The term "fixed combination" means that the active ingredients, e.g. a compound of Formula (1) and a co-agent, are both administered to a patient simultaneously in the form of a single entity or dosage. The term "non-fixed combination" means that the active ingredients, e.g. a compound of Formula (1) and a co-agent, are both administered to a patient as separate entities either simultaneously, concurrently or sequentially with no specific time limits, wherein such administration provides therapeutically effective levels of the active ingredients in the body of the patient. The latter also applies to cocktail therapy, e.g. the administration of three or more active ingredients.
[0030] The term "therapeutically effective amount" means the amount of the subject compound that will elicit a biological or medical response in a cell, tissue, organ, system, animal or human that is being sought by the researcher, veterinarian, medical doctor or other clinician.
[0031] The term "administration" or "administering" of the subject compound means providing a compound of the invention and prodrugs thereof to a subject in need of treatment.
P A T E N T
GNF Docket No.: P1267PC10
[0032] "Kinase Panel" is a list of kinases including but not limited to AbI, Abl(T315I), JAK2, JAK3, ALK, JNKl αl, ALK4, KDR, Aurora-A, Lck, BIk, MAPKl, Bmx, MAPKAP-K2, BRK, MEKl, CaMKII, Met, CDKl/cyclinB, p70S6K, CHK2, PAK2, CKl, PDGFRα, CK2, PDKl, c- Kit, Pim-2, C-Raf, PKA, CSK, PKBα, Src, PKCα, DYRK2, Plk3, EGFR, ROCK-I, Fes, Ron, FGFR-3, Ros, Flt3, SAPK2α, Fms, SGK, Fyn, SIK, GSK3β, Syk, IGFR, Tie-2, IKKβ, TrkB, IR, WNK3, IRAK4, ZAP-70, ITK, AMPK, LIMKl, Rsk2, AxI, LKBl, SAPK2β, BrSK2, Lyn, SAPK3, BTK, MAPKAP-K3, SAPK4, CaMKIV, MARKl, Snk, CDK2/cyclinA, MINK, SRPKl, CDK3/cyclinE, MKK4, TAKl, CDK5/p25, MKK6, TBKl, CDK6/cyclinD3, MLCK, TrkA, CDK7/cyclinH/MATl, MRCKβ, TSSKl, CHKl, MSKl, Yes, CKId, MST2, ZIPK, c-Kit (D816V), MuSK, DAPK2, NEK2, DDR2, NEK6, DMPK, PAK4, DRAKl, PAR-lBα, EphAl, PDGFRβ, EphA2, Rm-I, EphA5, PKB β, EphB2, PKCβl, EphB4, PKCδ, FGFRl, PKCη, FGFR2, PKCΘ, FGFR4, PKD2, Fgr, PKGlβ, Fltl, PRK2, Hck, PYK2, HIPK2, Ret, IKKα, RIPK2, IRR, ROCK-II, JNK2α2, Rse, JNK3, Rskl(h), PI3 Kγ, PI3 Kδ and PI3-Kβ.
Modes of Carrying Out the Invention
[0033] The present invention provides compounds and pharmaceutical compositions thereof, which may be useful as protein kinase inhibitors.
[0034] In one aspect, the invention provides compounds having Formula (1):
or pharmaceutically acceptable salts thereof, wherein:
X1 and X2 are independently CR or N;
X3 is CH or N, or C if attached to L1 or R4;
Y is a 5-7 membered aryl or heteroaryl containing N, O or S;
L1 and L2 are independently NRCO or CONR;
R and R1 are independently H or Ci_6 alkyl;
R2 is halo, or an optionally halogenated C1-6 alkyl;
R3 is halo, an optionally halogenated Ci_6 alkyl, (CR2)qR8 or O(CR2)qR9;
R4 is H, halo, NR6R7, NR5(CR2)PNR6R7, NR5CONR6R7 or NR5CO2R6;
P A T E N T
GNF Docket No.: P1267PC10
R5 is d_6 alkyl;
R6 and R7 are independently H, an optionally halogenated Ci_6 alkyl, C2-6 alkenyl or C2-6 alkynyl; Ci_6 alkanol, (CR2)q-R8 or (CR2)p0(CR2)qR9; or R6 and R7 together with N in NR6R7 may form an optionally substituted ring;
R8 and R9 are independently an optionally substituted C3-7 cycloalkyl, 5-7 membered aryl, heterocyclic or heteroaryl; or R9 is H; m is 1-4; and n, p and q are independently 0-4.
[0035] In one embodiment, the invention provides compounds of Formula (2):
wherein R10 is halo, an optionally halogenated Ci_6 alkyl, or OCi_6 alkyl; R11 is halo, Ci_6 alkyl, (CR2)qR8 or O(CR2)qR9; and
R8 and R9 are independently an optionally substituted C3-7 cycloalkyl, 5-7 membered aryl, heterocyclic or heteroaryl; or R9 is H; and k is 0-2.
[0036] In some embodiments, the invention further provides compounds having Formula (1) and (2), wherein L1 and L2 may be C(=S)-NR, NR-C(=S), C(=NR)-NR or NR-C(=NR).
[0037] In another aspect, the invention provides methods for inhibiting a kinase, comprising administering to a system or a subject in need thereof, a therapeutically effective amount of a compound of Formula (1) or Formula (3),
P A T E N T
GNF Docket No.: P1267PC10
or pharmaceutically acceptable salts or pharmaceutical compositions thereof, wherein:
X1 and X2 are independently CR or N;
X3 is CH or N, or C if attached to L1 or R4;
Y is a 5-7 membered aryl or heteroaryl containing N, O or S;
L1 and L2 are independently NRCO or CONR;
R and R1 are independently H or C1-6 alkyl;
R2 is halo, or an optionally halogenated C]_6 alkyl;
R3 is halo, an optionally halogenated C1-6 alkyl, (CR2)qR8 or O(CR2)qR9;
R4 is H, halo, NR6R7, NR5(CR2)PNR6R7, NR5CONR6R7 or NR5CO2R6;
R5 is Ci_6 alkyl;
R6 and R7 are independently H, an optionally halogenated C1-6 alkyl, C2_6 alkenyl or C2_6 alkynyl; Ci_6 alkanol, (CR2)q-R8 or (CR2)pO(CR2)qR9; or R6 and R7 together with N in NR6R7 may form an optionally substituted ring;
R8 and R9 are independently an optionally substituted C3-7 cycloalkyl, 5-7 membered aryl, heterocyclic or heteroaryl; or R9 is H;
R12 is halo, an optionally halogenated Ci_6 alkyl, OCi_6 alkyl, NR6R7, NR5(CR2)PNR6R7, NR5CONR6R7 or NR5CO2R6; m and 0 are independently 1-4; and n, p and q are independently 0-4; thereby inhibiting said kinase.
[0038] The present invention also includes all suitable isotopic variations of the compounds of the invention, or pharmaceutically acceptable salts thereof. An isotopic variation of a
P A T E N T
GNF Docket No.: P1267PC10 compound of the invention or a pharmaceutically acceptable salt thereof is defined as one in which at least one atom is replaced by an atom having the same atomic number but an atomic mass different from the atomic mass usually found in nature. Examples of isotopes that may be incorporated into the compounds of the invention and pharmaceutically acceptable salts thereof include but are not limited to isotopes of hydrogen, carbon, nitrogen and oxygen such as as 2H, 3H, 11C, 13C, 14C, 15N, 17O, 180, 35S, 18F, 36Cl and 123I. Certain isotopic variations of the compounds of the invention and pharmaceutically acceptable salts thereof, for example, those in which a radioactive isotope such as 3H or 14C is incorporated, are useful in drug and/or substrate tissue distribution studies. In particular examples, 3H and 14C isotopes may be used for their ease of preparation and detectability. In other examples, substitution with isotopes such as 2H may afford certain therapeutic advantages resulting from greater metabolic stability, such as increased in vivo half-life or reduced dosage requirements. Isotopic variations of the compounds of the invention or pharmaceutically acceptable salts thereof can generally be prepared by conventional procedures using appropriate isotopic variations of suitable reagents.
[0039] Compounds having Formula (1), (2) and (3) may be useful as protein kinase inhibitors. For example, compounds having Formula (1), (2) or (3), and pharmaceutically acceptable salts, solvates, N-oxides, prodrugs and isomers thereof, may be used for the treatment of a kinase-mediated condition or disease, such as diseases mediated by AIk, AbI, Aurora- A, B- Raf, C-Raf, Bcr-Abl, BRK, BIk, Bmx, BTK, c-Kit, c-RAF, c-SRC, EphBl, EphB2, EphB4, FLTl, Fms, Flt3, Fyn, JAK2, KDR, Lck, Lyn, PDGFRα, PDGFRβ, PKCα, p38 (p38 MAP kinase, SAPK2α), Src, SIK, Syk, Tie2 and TrkB kinases, or a combination thereof.
[0040] The compounds of the invention may also be used in combination with a second therapeutic agent, for ameliorating a condition mediated by a protein kinase, such as a B-Raf, Bcr-Abl or Lck-mediated condition. For example, the compounds of the invention may be used in combination with a chemotherapeutic agent to treat a cell proliferative disorder, including but not limited to, lymphoma, osteosarcoma, melanoma, or a tumor of breast, renal, prostate, colorectal, thyroid, ovarian, pancreatic, neuronal, lung, uterine or gastrointestinal tumor.
[0041] Examples of chemotherapeutic agents which may be used in the compositions and methods of the invention include but are not limited to anthracyclines, alkylating agents (e.g., mitomycin C), alkyl sulfonates, aziridines, ethylenimines, methylmelamines, nitrogen mustards, nitrosoureas, antibiotics, antimetabolites, folic acid analogs (e.g., dihydrofolate reductase inhibitors such as methotrexate), purine analogs, pyrimidine analogs, enzymes, podophyllotoxins,
P A T E N T
GNF Docket No.: P1267PC10 platinum-containing agents, interferons, and interleukins. Particular examples of known chemotherapeutic agents which may be used in the compositions and methods of the invention include, but are not limited to, busulfan, improsulfan, piposulfan, benzodepa, carboquone, meturedepa, uredepa, altretamine, triethylenemelamine, triethylenephosphoramide, triethylenethiophosphoramide, trimethylolomelamine, chlorambucil, chlornaphazine, cyclophosphamide, estramustine, ifosfamide, mechlorethamine, mechlorethamine oxide hydrochloride, melphalan, novembichin, phenesterine, prednimustine, trofosfamide, uracil mustard, carmustine, chlorozotocin, fotemustine, lomustine, nimustine, ranimustine, dacarbazine, mannomustine, mitobronitol, mitolactol, pipobroman, aclacinomycins, actinomycin F(I), anthramycin, azaserine, bleomycin, cactinomycin, carubicin, carzinophilin, chromomycin, dactinomycin, daunorubicin, daunomycin, 6-diazo-5-oxo-l-norleucine, doxorubicin, epirubicin, mitomycin C, mycophenolic acid, nogalamycin, olivomycin, peplomycin, plicamycin, porfiromycin, puromycin, streptonigrin, streptozocin, tubercidin, ubenimex, zinostatin, zorubicin, denopterin, methotrexate, pteropterin, trimetrexate, fludarabine, 6-mercaptopurine, thiamiprine, thioguanine, ancitabine, azacitidine, 6-azauridine, carmofur, cytarabine, dideoxyuridine, doxifluridine, enocitabine, floxuridine, fluorouracil, tegafur, L-asparaginase, pulmozyme, aceglatone, aldophosphamide glycoside, aminolevulinic acid, amsacrine, bestrabucil, bisantrene, carboplatin, cisplatin, defofamide, demecolcine, diaziquone, elfornithine, elliptinium acetate, etoglucid, etoposide, flutamide, gallium nitrate, hydroxyurea, interferon-alpha, interferon-beta, interferon-gamma, interleukin-2, lentinan, lonidamine, mitoguazone, mitoxantrone, mopidamol, nitracrine, pentostatin, phenamet, pirarubicin, podophyllinic acid, 2-ethylhydrazide, procarbazine, razoxane, sizofiran, spirogermanium, paclitaxel, tamoxifen, teniposide, tenuazonic acid, triaziquone, 2,2',2"-trichlorotriethylamine, urethane, vinblastine, vincristine, and vindesine.
Pharmacology and Utility
[0042] Compounds of the invention are screened against the kinase panel (wild type and/or mutation thereof) and may modulate the activity of at least one panel kinase panel member. As such, compounds of the invention may be useful for treating diseases or disorders in which kinases contribute to the pathology and/or symptomology of the disease. Examples of kinases that may be inhibited by the compounds and compositions described herein and against which the methods described herein may be useful include, but are not limited to AIk, AbI, Aurora-A, B- Raf, C-Raf, Bcr-Abl, BRK, BIk, Bmx, BTK, c-Kit, c-RAF, c-SRC, EphBl, EphB2, EphB4,
P A T E N T
GNF Docket No.: P1267PC10
FLTl, Fms, Flt3, Fyn, FRK3, JAK2, KDR, Lck, Lyn, PDGFRα, PDGFRβ, PKCα, p38 (p38 MAP kinase, SAPK2α), Src, SIK, Syk, Tie2 and TrkB kinases, and mutant forms thereof.
[0043] The Ras-Raf- MEK-ERK signaling pathway mediates cellular response to growth signals. Ras is mutated to an oncogenic form in approximately 15% of human cancer. The Raf family belongs to the serine/threonine protein kinase and it includes three members, A-Raf, B-Raf and C-Raf (or Raf-1). The focus on Raf being a drug target has centered on the relationship of Raf as a downstream effector of Ras. However, B-Raf may have a prominent role in the formation of certain tumors with no requirement for an activated Ras allele (Nature 417:949-954 (2002). In particular, B-Raf mutations have been detected in a large percentage of malignant melanomas. Existing medical treatments for melanoma are limited in their effectiveness, especially for late stage melanomas. The compounds of the present invention also inhibit cellular processes involving B-Raf kinase, providing a new therapeutic opportunity for treatment of human cancers, such as melanoma.
[0044] Certain abnormal proliferative conditions are believed to be associated with Raf expression and are, therefore, believed to be responsive to inhibition of Raf expression. Abnormally high levels of expression of the Raf protein are also implicated in transformation and abnormal cell proliferation. These abnormal proliferative conditions are also believed to be responsive to inhibition of Raf expression. For example, expression of the c-Raf protein is believed to play a role in abnormal cell proliferation since it has been reported that 60% of all lung carcinoma cell lines express unusually high levels of c-Raf mRNA and protein. Further examples of abnormal proliferative conditions are hyper-proliferative disorders such as cancers, tumors, hyperplasia, pulmonary fibrosis, angiogenesis, psoriasis, atherosclerosis and smooth muscle cell proliferation in the blood vessels, such as stenosis or restenosis following angioplasty. The cellular signaling pathway of which Raf is a part has also been implicated in inflammatory disorders characterized by T-cell proliferation (T-cell activation and growth), such as tissue graft rejection, endotoxin shock, and glomerular nephritis, for example.
[0045] The compounds of the present invention may also inhibit cellular processes involving c-Raf kinase. c-Raf is activated by the Ras oncogene, which is mutated in a wide number of human cancers. Therefore inhibition of the kinase activity of c-Raf may provide a way to prevent Ras mediated tumor growth [Campbell, S. L., Oncogene, 17, 1395 (1998)].
[0046] The Src family of kinases is implicated in cancer, immune system dysfunction and bone remodeling diseases. Members of the Src family include the following eight kinases in
P A T E N T
GNF Docket No.: P1267PC10 mammals: Src, Fyn, Yes, Fgr, Lyn, Hck, Lck, and BIk. For general reviews, see Thomas and Brugge, Annu. Rev. Cell Dev. Biol. (1997) 13, 513; Lawrence and Niu, Pharmacol. Ther. (1998) 77, 81; Tatosyan and Mizenina, Biochemistry (Moscow) (2000) 65, 49; Boschelli et al., Drugs of the Future 2000, 25(7), 717.
[0047] Fyn encodes a membrane-associated tyrosine kinase that has been implicated in the control of cell growth.
[0048] Lck plays a role in T-cell signaling. Mice that lack the Lck gene have a poor ability to develop thymocytes. The function of Lck as a positive activator of T-cell signaling suggests that Lck inhibitors may be useful for treating autoimmune disease such as rheumatoid arthritis. Molina et al., Nature, 357, 161 (1992). Hck, Fgr and Lyn have been identified as important mediators of integrin signaling in myeloid leukocytes. Lowell et al., J. Leukoc. Diol., 65, 313 (1999). Inhibition of these kinase mediators may therefore be useful for treating inflammation. Boschelli et al., Drugs of the Future 2000, 25(7), 717.
[0049] Lyn, a member of the Src family, plays a role in the regulation of B -cell immune responses. Lyn-deficient mice display disrupted B-cell function, leading to autoimmunity and defective mast cell degranulation. Studies have also suggested that Lyn is a negative regulator of apoptosis in various cell systems. In leukemic cells, Lyn is constitutively activated, and the inhibition of Lyn expression reversed proliferation. In addition, Lyn has been shown to be expressed in colon and PC cells, and that overexpression of a dominant active Lyn in colon cancer cell lines induced chemoresistance. (Goldenberg-Furmanov et al., Cancer Res. 64:1058-1066 (2004)).
[0050] The kinase, c-Src transmits oncogenic signals of many receptors. For example, over- expression of EGFR or HER2/neu in tumors leads to the constitutive activation of c-Src, which is characteristic for the malignant cell but absent from the normal cell. On the other hand, mice deficient in the expression of c-Src exhibit an osteopetrotic phenotype, indicating a key participation of c-Src in osteoclast function and a possible involvement in related disorders. c-Src tyrosine kinase (CSK) influences the metastatic potential of cancer cells, particularly colon cancer.
[0051] c-Kit has a substantial homology to the PDGF receptor and to the CSF-I receptor (c- Fms). Investigations on various erythroid and myeloid cell lines indicate an expression of the c- Kit gene in early stages of differentiation (Andre et al., Oncogene 4 (1989), 1047-1049). Certain tumors such as glioblastoma cells likewise exhibit a pronounced expression of the c-Kit gene.
P A T E N T
GNF Docket No.: P1267PC10
[0052] Eph receptors, which include EphA and EphB subfamily, consist of the largest group of receptor tyrosine kinases. EphB was found to be overexpressed in several tumors including ovarian tumors, liver tumors, kidney tumors as well as melanomas. Downregulation of EphB signaling has shown to inhibit tumor growth and metastasis. Therefore, EphB may be an important target for anti-tumorigenic therapies. (Clevers et al., Cancer Res. 66:2-5 (2006); Heroult et al., Experimental Cell Res. 312: 642-650 (2006); and Batlle et al., Nature 435:1126- 1130 (2005)).
[0053] Kinase insert domain-containing receptor (referred to as "KDR" hereinafter) [WO 92/14748; Proc. Natl. Acad. Sci. USA, 88: 9026 (1991)]; Biochem. Biophys. Res. Comm., 187: 1579 (1992); WO 94/11499) and Fms-like tyrosine kinase (referred to as "Fltl" hereinafter) [Oncogene, 5: 519 (1990); Science, 255: 989 (1992)] belong to the receptor type tyrosine kinase family. It has been reported that VEGF specifically binds to Fit- 1 and KDR at Kd values of 20 pM and 75 pM and that Fltl and KDR are expressed in vascular endothelial cells in a specific manner [Proc. Natl. Acad. Sci. USA, 90: 7533 (1993); Proc. Natl. Acad. Sci. USA, 90: 8915 (1993)]. With regard to FIt-I in various diseases, it has been reported that, in comparison with vascular endothelial cells in normal tissues, expression of FIt-I mRNA increases in tumor vascular endothelial cells of human glioblastoma tissues [Nature, 359: 845 (1992)] and tumor vascular endothelial cells of human digestive organ cancer tissues [Cancer Research, 53: 4727 (1993)]. Additionally, it has been reported that expression of FIt-I mRNA is observed by in situ hybridization in vascular endothelial cells of joints of patients with rheumatoid arthritis [J. Experimental Medicine, 180: 341 (1994)]. Studies also suggest that FIt-I plays an important role in tumor angiogenesis.
[0054] Flt3 is a member of the type III receptor tyrosine kinase (RTK) family. Flt3 (Fms-like tyrosine kinase) is also known as Flk-2 (fetal liver kinase T). Aberrant expression of the Flt3 gene has been documented in both adult and childhood leukemias including acute myeloid leukemia (AML), AML with trilineage myelodysplasia (AML/TMDS), acute lymphoblastic leukemia (ALL), and myelodysplastic syndrome (MDS). In approximately 25% of AML, the leukemia cells express a constitutively active form of auto-phosphorylated (p) FLT3 tyrosine kinase on the cell surface. The activity of p-FLT3 confers growth and survival advantage on the leukemic cells. Inhibition of p-FLT3 kinase activity induces apoptosis (programmed cell death) of the leukemic cells.
P A T E N T
GNF Docket No.: P1267PC10
[0055] Abelson tyrosine kinase (i.e. AbI, c-Abl) is involved in the regulation of the cell cycle, in the cellular response to geno toxic stress, and in the transmission of information about the cellular environment through integrin signaling. The AbI protein appears to serve a complex role as a cellular module that integrates signals from various extracellular and intracellular sources and that influences decisions in regard to cell cycle and apoptosis. Abelson tyrosine kinase includes sub-types derivatives such as the chimeric fusion (oncoprotein) Bcr-Abl with deregulated tyrosine kinase activity or the v-Abl. Bcr-Abl is important in the pathogenesis of 95% of chronic myelogenous leukemia (CML) and 10% of acute lymphocytic leukemia.
[0056] Compounds of the present invention may inhibit AbI kinase, for example, v-Abl kinase. The compounds of the present invention may also inhibit wild-type Bcr-Abl kinase and mutations of Bcr-Abl kinase, and thus may be suitable for the treatment of Bcr-Abl-positive cancer and tumor diseases, such as leukemias (e.g., chronic myeloid leukemia and acute lymphoblastic leukemia) and other proliferation disorders related to Bcr-Abl. Compounds of the present invention may also be effective against leukemic stem cells, and may be potentially useful for the purification of these cells in vitro after removal of said cells (for example, bone marrow removal), and reimplantation of the cells once they have been cleared of cancer cells (for example, reimplantation of purified bone marrow cells).
[0057] Anaplastic lymphoma kinase (ALK), a member of the insulin receptor superfamily of receptor tyrosine kinases, has been implicated in oncogenesis in hematopoietic and non- hematopoietic tumors. The aberrant expression of full-length ALK receptor proteins has been reported in neuroblastomas and glioblastomas; and ALK fusion proteins have occurred in anaplastic large cell lymphoma. The study of ALK fusion proteins has also raised the possibility of new therapeutic treatments for patients with ALK-positive malignancies. (Pulford et al., Cell. MoI. Life Sci. 61:2939-2953 (2004)).
[0058] Aurora-A, a serine/threonine mitotic kinase, has been reported to be overexpressed in various human cancers, and its overexpression induces aneuploidy, centrosome amplification and tumorigenic transformation in cultured human and rodent cells. (Zhang et al., Oncogene 23:8720-30 (2004)).
[0059] Bmx/Etk non-receptor tyrosine protein kinase has been implicated in endothelial cell migration and tube formation in vitro. Bmx in endothelium and bone marrow has also been reported to play an important role in arteriogenesis and angiogenesis in vivo, suggesting that Bmx
P A T E N T
GNF Docket No.: P1267PC10 may be a novel target for the treatment of vascular diseases such as coronary artery disease and peripheral arterial disease. (He et al., J. Clin. Invest. 116:2344-2355 (2006)).
[0060] Bruton's tyrosine kinase (BTK) gene encodes a cytoplasmic tyrosine kinase that plays an essential role in mediating BCR signaling, (de Weers et al., J. Biol. Chem. 269:23857-23860 (1994); Kurosaki et al., Immunity. 12:1-5 (2000)). Defects in the BTK gene cause Agammaglobulinemia, an X- linked immunodeficiency characterized by failure to produce mature B lymphocyte cells and associated with a failure of Ig heavy chain rearrangement.
[0061] Breast tumor kinase (Brk) is a soluble protein-tyrosine kinase overexpressed in the majority of breast cancers and also in normal skin and gut epithelium, but not in normal breast epithelial cells. (Zhang et al., J Biol. Chem. 280:1982-1991 (2005)).
[0062] The Janus kinases (JAK) are a family of tyrosine kinases consisting of JAKl, JAK2, JAK3 and TYK2. The JAKs play an important role in cytokine signaling. The down-stream substrates of the JAK family of kinases include the signal transducer and activator of transcription (STAT) proteins. JAK/STAT signaling has been implicated in the mediation of many abnormal immune responses such as allergies, asthma, autoimmune diseases such as transplant rejection, rheumatoid arthritis, amyotrophic lateral sclerosis and multiple sclerosis, as well as in solid and hematologic malignancies such as leukemias and lymphomas.
[0063] An important factor in the tumor angiogenesis is vascular endothelium growth factor(VEGF). VEGF can promote and maintain the establishment of tumor vascular system, and can also promote the tumor growth directly. VEGF can induce the mitogenesis and chemotaxis of vascular endothelial cell(VEC) and tumor cell (TC). Almost all types of TC and tumor VEC can secret VEGF, but the expression of VEGF in the normal tissue is very low. In the four VEGF receptors, KDR is the main receptor which gives play to VEGF functions. KDR is highly expressed on the TC and tumor VEC while lowly expressed on the normal tissues. (Ren et al., World J. Gastroentrol. 8:596-601 (2002)).
[0064] Mitogen- activated protein kinases (MAPKs) are members of conserved signal transduction pathways that activate transcription factors, translation factors and other target molecules in response to a variety of extracellular signals. MAPKs are activated by phosphorylation at a dual phosphorylation motif having the sequence Thr-X-Tyr by mitogen- activated protein kinase kinases (MKKs). In higher eukaryotes, the physiological role of MAPK signaling has been correlated with cellular events such as proliferation, oncogenesis, development and differentiation. Accordingly, the ability to regulate signal transduction via these pathways
P A T E N T
GNF Docket No.: P1267PC10
(particularly via MKK4 and MKK6) could lead to the development of treatments and preventive therapies for human diseases associated with MAPK signaling, such as inflammatory diseases, autoimmune diseases and cancer.
[0065] Multiple forms of p38 MAPK (α, β, γ, δ), each encoded by a separate gene, form part of a kinase cascade involved in the response of cells to a variety of stimuli, including osmotic stress, UV light and cytokine mediated events. These four isoforms of p38 are thought to regulate different aspects of intracellular signaling. Its activation is part of a cascade of signaling events that lead to the synthesis and production of pro-inflammatory cytokines like TNFα. P38 functions by phosphorylating downstream substrates that include other kinases and transcription factors. Agents that inhibit p38 kinase have been shown to block the production of cytokines, including but not limited to TNFα, IL-6, IL-8 and IL-lβ. Peripheral blood monocytes (PBMCs) have been shown to express and secrete pro-inflammatory cytokines when stimulated with lipopoly saccharide (LPS) in vitro. P38 inhibitors efficiently block this effect when PBMCs are pretreated with such compounds prior to stimulation with LPS. P38 inhibitors are efficacious in animal models of inflammatory disease. The destructive effects of many disease states are caused by the over production of pro-inflammatory cytokines. The ability of p38 inhibitors to regulate this overproduction makes them useful as disease modifying agents.
[0066] Molecules that block p38's function have been shown to be effective in inhibiting bone resorption, inflammation, and other immune and inflammation-based pathologies. Thus, a safe and effective p38 inhibitor would provide a means to treat debilitating diseases that can be regulated by modulation of p38 signaling like. Therefore, compounds of the invention that inhibit p38 activity are useful for the treatment of inflammation, osteoarthritis, rheumatoid arthritis, cancer, autoimmune diseases, and for the treatment of other cytokine mediated diseases.
[0067] PDGF (Platelet-derived Growth Factor) is a commonly occurring growth factor, which plays an important role both in normal growth and also in pathological cell proliferation, such as is seen in carcinogenesis and in diseases of the smooth-muscle cells of blood vessels, for example in atherosclerosis and thrombosis. Compounds of the invention may inhibit PDGF receptor (PDGFR) activity, and may therefore be suitable for the treatment of tumor diseases, such as gliomas, sarcomas, prostate tumors, and tumors of the colon, breast, and ovary.
[0068] Compounds of the present invention, may be used not only as a tumor-inhibiting substance, for example in small cell lung cancer, but also as an agent to treat non-malignant proliferative disorders, such as atherosclerosis, thrombosis, psoriasis, scleroderma and fibrosis.
P A T E N T
GNF Docket No.: P1267PC10
Compounds of the present invention may also be useful for the protection of stem cells, for example to combat the hemotoxic effect of chemotherapeutic agents, such as 5-fluoruracil, and in asthma. Compounds of the invention may especially be used for the treatment of diseases, which respond to an inhibition of the PDGF receptor kinase.
[0069] Compounds of the present invention may exhibit useful effects in the treatment of disorders arising as a result of transplantation, for example, allogenic transplantation, especially tissue rejection, such as obliterative bronchiolitis (OB), i.e. a chronic rejection of allogenic lung transplants. In contrast to patients without OB, those with OB often show an elevated PDGF concentration in bronchoalveolar lavage fluids.
[0070] Compounds of the present invention may also be effective against diseases associated with vascular smooth-muscle cell migration and proliferation (where PDGF and PDGFR often also play a role), such as restenosis and atherosclerosis. These effects and the consequences thereof for the proliferation or migration of vascular smooth-muscle cells in vitro and in vivo may be demonstrated by administration of the compounds of the present invention, and also by investigating its effect on the thickening of the vascular intima following mechanical injury in vivo.
[0071] Protein kinase C (PKC) functions in processes relevant to carcinogenesis, tumor cell metastasis, and apoptosis. PKCα is associated with a diverse range of cancers, and is previously shown to be overexpressed in three out of four antiestrogen resistant breast cancer cell lines. (Frankel et al., Breast Cancer Res Treat. 2006 Oct. 24 (ePub)).
[0072] The stress activated protein kinases (SAPKs) are a family of protein kinases that represent the penultimate step in signal transduction pathways that result in activation of the c-Jun transcription factor and expression of genes regulated by c-Jun. In particular, c-Jun is involved in the transcription of genes that encode proteins involved in the repair of DNA that is damaged due to genotoxic insults. Therefore, agents that inhibit SAPK activity in a cell prevent DNA repair and sensitize the cell to agents that induce DNA damage or inhibit DNA synthesis and induce apoptosis of a cell or that inhibit cell proliferation.
[0073] The region encompassing the SNFlLK locus (also known as SIK) has been implicated in congenital heart defects often observed in patients with Down syndrome. Snf Ilk is also expressed in skeletal muscle progenitor cells of the somite beginning at 9.5 dpc, suggesting a more general role for snf Ilk in the earliest stages of muscle growth and/or differentiation. (Genomics 83:1105-15 (2004)).
P A T E N T
GNF Docket No.: P1267PC10
[0074] Syk is a tyrosine kinase that plays an important role in mast cell degranulation and eosinophil activation. Accordingly, Syk kinase is implicated in various allergic disorders, in particular asthma. It has been shown that Syk binds to the phosphorylated gamma chain of the FcεRl receptor via N-terminal SH2 domains, and is important for downstream signaling.
[0075] An inhibition of tumor growth and vascularization, and a decrease in lung metastases during adenoviral infections or during injections of the extracellular domain of Tie-2 (Tek)have been shown in breast tumor and melanoma xenograft models. Lin et al., J. Clin. Invest. 100, 8: 2072-2078 (1997) and P. Lin, PNAS 95, 8829-8834, (1998). Tie2 inhibitors can be used in situations where neovascularization takes place inappropriately (i.e. in diabetic retinopathy, chronic inflammation, psoriasis, Kaposi's sarcoma, chronic neovascularization due to macular degeneration, rheumatoid arthritis, infantile haemangioma and cancers).
[0076] The Trk family of neurotrophin receptors (TrkA, TrkB, TrkC) promotes the survival, growth and differentiation of the neuronal and non-neuronal tissues. The TrkB protein is expressed in neuroendocrine-type cells in the small intestine and colon, in the alpha cells of the pancreas, in the monocytes and macrophages of the lymph nodes and of the spleen, and in the granular layers of the epidermis (Shibayama and Koizumi, 1996). Expression of the TrkB protein has been associated with an unfavorable progression of Wilms tumors and of neuroblastomas. Moreover, TrkB is expressed in cancerous prostate cells but not in normal cells. The signaling pathway downstream of the Trk receptors involves the cascade of MAPK activation through the She, activated Ras, ERK-I and ERK-2 genes, and the PLC-gamma transduction pathway (Sugimoto et al., Jpn J. Cancer Res. 2001 Feb; 92(2): 152-60).
[0077] The class III receptor tyrosine kinases (RTKs), which include c-FMS, c-KIT, FLT3, platelet-derived growth factor receptor α(PDGFRα) and /^PDGFR/)), have been reported to be associated with the pathogenesis of an increasing number of malignancies. (Blume-Jensen et al., Nature 411:355-565 (2001); Scheijin et al., Oncogene 21:3314-3333 (2002)).
[0078] In accordance with the foregoing, the present invention further provides a method for preventing or treating any of the diseases or disorders described above in a subject in need of such treatment, which method comprises administering to said subject a therapeutically effective amount of a compound of Formula (1), (2) or (3) or a pharmaceutically acceptable salt thereof. For any of the above uses, the required dosage will vary depending on the mode of administration, the particular condition to be treated and the effect desired. (See, "Administration and Pharmaceutical Compositions," infra)
P A T E N T
GNF Docket No.: P1267PC10
Administration and Pharmaceutical Compositions
[0079] In general, compounds of the invention will be administered in therapeutically effective amounts via any of the usual and acceptable modes known in the art, either singly or in combination with one or more therapeutic agents. A therapeutically effective amount may vary widely depending on the severity of the disease, the age and relative health of the subject, the potency of the compound used and other factors. In general, satisfactory results are indicated to be obtained systemically at daily dosages of from about 0.03 to 2.5 mg/kg per body weight. An indicated daily dosage in the larger mammal, e.g. humans, is in the range from about 0.5 mg to about 100 mg, conveniently administered, e.g. in divided doses up to four times a day or in retard form. Suitable unit dosage forms for oral administration comprise from ca. 1 to 50 mg active ingredient.
[0080] Compounds of the invention may be administered as pharmaceutical compositions by any conventional route, in particular enterally, e.g., orally in the form of tablets or capsules; parenterally, e.g., in the form of injectable solutions or suspensions; topically, e.g., in the form of lotions, gels, ointments or creams; or in a nasal or suppository form.
[0081] Pharmaceutical compositions comprising a compound of the present invention in free form or in a pharmaceutically acceptable salt form in association with at least one pharmaceutically acceptable carrier or diluent may be manufactured in a conventional manner by mixing, granulating or coating methods. For example, oral compositions can be tablets or gelatin capsules comprising the active ingredient together with a) diluents, e.g., lactose, dextrose, sucrose, mannitol, sorbitol, cellulose and/or glycine; and/or b) lubricants, e.g., silica, talcum, stearic acid or its magnesium or calcium salt and/or polyethyleneglycol. Tablets may further comprise c) binders, e.g., magnesium aluminum silicate, starch paste, gelatin, tragacanth, methylcellulose, sodium carboxymethylcellulose and or polyvinylpyrrolidone; and if desired, d) disintegrants, e.g., starches, agar, alginic acid or its sodium salt, or effervescent mixtures; and/or e) absorbents, colorants, flavors and sweeteners. Injectable compositions can be aqueous isotonic solutions or suspensions, and suppositories can be prepared from fatty emulsions or suspensions.
[0082] The compositions may be sterilized and/or contain adjuvants, such as preserving, stabilizing, wetting or emulsifying agents, solution promoters, salts for regulating the osmotic pressure and/or buffers. In addition, they may also contain other therapeutically valuable substances. Suitable formulations for transdermal applications include an effective amount of a compound of the present invention with a carrier. A carrier can include absorbable
P A T E N T
GNF Docket No.: P1267PC10 pharmacologically acceptable solvents to assist passage through the skin of the host. For example, transdermal devices are in the form of a bandage comprising a backing member, a reservoir containing the compound optionally with carriers, optionally a rate controlling barrier to deliver the compound to the skin of the host at a controlled and predetermined rate over a prolonged period of time, and means to secure the device to the skin. Matrix transdermal formulations may also be used. Suitable formulations for topical application, e.g., to the skin and eyes, may be aqueous solutions, ointments, creams or gels well-known in the art. Such may contain solubilizers, stabilizers, tonicity enhancing agents, buffers and preservatives.
[0083] Compounds of the invention may be administered in therapeutically effective amounts in combination with one or more therapeutic agents (pharmaceutical combinations). For example, synergistic effects can occur with other immunomodulatory or anti-inflammatory substances, for example when used in combination with cyclosporin, rapamycin, or ascomycin, or immunosuppressant analogues thereof, for example cyclosporin A (CsA), cyclosporin G, FK-506, rapamycin, or comparable compounds, corticosteroids, cyclophosphamide, azathioprine, methotrexate, brequinar, leflunomide, mizoribine, mycophenolic acid, mycophenolate mofetil, 15-deoxyspergualin, immunosuppressant antibodies, especially monoclonal antibodies for leukocyte receptors, for example MHC, CD2, CD3, CD4, CD7, CD25, CD28, B7, CD45, CD58 or their ligands, or other immunomodulatory compounds, such as CTLA41g. Where the compounds of the invention are administered in conjunction with other therapies, dosages of the co-administered compounds will of course vary depending on the type of co-drug employed, on the specific drug employed, on the condition being treated and so forth.
[0084] The invention also provides for a pharmaceutical combinations, e.g. a kit, comprising a) a first agent which is a compound of the invention as disclosed herein, in free form or in pharmaceutically acceptable salt form, and b) at least one co-agent. The kit can comprise instructions for its administration.
Processes for Making Compounds of the Invention
[0085] General procedures for preparing compounds of the invention are described in the Examples, infra. In the reactions described, reactive functional groups, for example hydroxy, amino, imino, thio or carboxy groups, where these are desired in the final product, may be protected to avoid their unwanted participation in the reactions. Conventional protecting groups may be used in accordance with standard practice (see e.g., T. W. Greene and P. G. M. Wuts in "Protective Groups in Organic Chemistry", John Wiley and Sons, 1991).
P A T E N T
GNF Docket No.: P1267PC10
[0086] A compound of the invention may be prepared as a pharmaceutically acceptable acid addition salt by reacting the free base form of the compound with a pharmaceutically acceptable inorganic or organic acid. Alternatively, a pharmaceutically acceptable base addition salt of a compound of the invention may be prepared by reacting the free acid form of the compound with a pharmaceutically acceptable inorganic or organic base. Alternatively, the salt forms of the compounds of the invention may be prepared using salts of the starting materials or intermediates.
[0087] The free acid or free base forms of the compounds of the invention may be prepared from the corresponding base addition salt or acid addition salt from, respectively. For example, a compound of the invention in an acid addition salt form may be converted to the corresponding free base by treating with a suitable base (e.g., ammonium hydroxide solution, sodium hydroxide, and the like). A compound of the invention in a base addition salt form may be converted to the corresponding free acid by treating with a suitable acid (e.g., hydrochloric acid, etc.).
[0088] Compounds of the invention in unoxidized form may be prepared from N-oxides of compounds of the invention by treating with a reducing agent (e.g., sulfur, sulfur dioxide, triphenyl phosphine, lithium borohydride, sodium borohydride, phosphorus trichloride, tribromide, or the like) in a suitable inert organic solvent (e.g. acetonitrile, ethanol, aqueous dioxane, or the like) at 0 to 8O0C.
[0089] Prodrug derivatives of the compounds of the invention may be prepared by methods known to those of ordinary skill in the art (See e.g., Saulnier et al., (1994), Bioorganic and Medicinal Chemistry Letters, Vol. 4, p. 1985). For example, appropriate prodrugs may be prepared by reacting a non-derivatized compound of the invention with a suitable carbamylating agent (e.g., 1,1-acyloxyalkylcarbanochloridate, para-nitrophenyl carbonate, or the like).
[0090] Compounds of the present invention may be conveniently prepared or formed during the process of the invention, as solvates (e.g., hydrates). Hydrates of compounds of the present invention may be conveniently prepared by recrystallization from an aqueous/organic solvent mixture, using organic solvents such as dioxin, tetrahydrofuran or methanol.
[0091] Compounds of the invention may be prepared as their individual stereoisomers by reacting a racemic mixture of the compound with an optically active resolving agent to form a pair of diastereoisomeric compounds, separating the diastereomers and recovering the optically pure enantiomers. Resolution of enantiomers may be carried out using covalent diastereomeric derivatives of the compounds of the invention, or by using dissociable complexes (e.g., crystalline diastereomeric salts). Diastereomers have distinct physical properties (e.g., melting
P A T E N T
GNF Docket No.: P1267PC10 points, boiling points, solubility, reactivity, etc.), and may be readily separated by taking advantage of these dissimilarities. The diastereomers may be separated by chromatography, or by separation/resolution techniques based upon differences in solubility. The optically pure enantiomer is then recovered, along with the resolving agent, by any practical means that would not result in racemization. A more detailed description of the techniques applicable to the resolution of stereoisomers of compounds from their racemic mixture can be found in Jean Jacques, Andre Collet, Samuel H. Wilen, "Enantiomers, Racemates and Resolutions", John Wiley And Sons, Inc., 1981.
[0092] In summary, compounds having Formula (1), (2) or (3) may be made by a process as described in the Examples; and
(a) optionally converting a compound of the invention into a pharmaceutically acceptable salt;
(b) optionally converting a salt form of a compound of the invention to a non-salt form;
(c) optionally converting an unoxidized form of a compound of the invention into a pharmaceutically acceptable N-oxide;
(d) optionally converting an N-oxide form of a compound of the invention to its unoxidized form;
(e) optionally resolving an individual isomer of a compound of the invention from a mixture of isomers;
(f) optionally converting a non-derivatized compound of the invention into a pharmaceutically acceptable prodrug derivative; and
(g) optionally converting a prodrug derivative of a compound of the invention to its non- derivatized form.
[0093] Insofar as the production of the starting materials is not particularly described, the compounds are known or may be prepared analogously to methods known in the art or as disclosed in the Examples hereinafter. One of skill in the art will appreciate that the above transformations are only representative of methods for preparation of the compounds of the present invention, and that other well known methods can similarly be used.
[0094] The following examples are offered to illustrate but not to limit the invention.
P A T E N T
GNF Docket No.: P1267PC10
Example 1 lH-pyrrolor2,3-blpyridine-4-carboxylic acid r3-(3-trifluoromethyl-benzoylamino)-phenyll- amide
[0095] To a solution of 4-bromo-lH-pyrrolo[2,3-£]pyridine (490 mg, 2.49 mmol) in dry TΗF (15 mL) at -78 0C is added n-BuLi (1.6 M in hexanes) in 10 min. After stirring 45 min at that temperature, crushed dry ice is added. The cold bath is removed and the reaction is allowed to warm up to rt. The solvent is evaporated, and the light yellow solid is dissolved in water (20 mL) and extracted with EtOAc (2x25 mL). The aqueous is acidified with IN HCl to pΗ = 4; and the white precipitate is collected by filtration, washed with water, and dried in vacuo. MS m/z 163.3 (M + 1).
lH-Pyrrolor2,3-^lpyridine-4-carboxylic acid r3-(3-trifluoromethyl-benzoylamino)- phenyll -amide
[0096] To a solution of lH-pyrrolo[2,3-&]pyridine-4-carboxylic acid (59mg, 0.364 mmol) and ΗATU (274 mg, 0.721 mmol) in dry DMF (3 mL) is added DIEA (189 μL, 1.09 mmol). After stirring at rt for 10 min, 1/6 portion of the reaction is added to a vial containing N-(3-amino- phenyl)-3-trifluoromethyl-benzamide (25 mg, 0.089 mmol). After stirring for 2.5 h, sodium hydroxide solution (IN, 0.1 mL) is added and reaction is stirred at 60 0C for 4 hr. An additional 0.25 mL INNaOH is added, and the reaction mixture is stirred for 30 min. The reaction is neutralized with IN HCl (0.35 mL), and purified by ΗPLC to give an off-white powder as trifluoroacetic acid salt. 1H ΝMR 400 MHz (DMSO-J6) δ 11.89 (s, IH), 10.50 (s, IH), 10.45 (s,
P A T E N T
GNF Docket No.: P1267PC10
IH), 8.32 (m, 2H), 8.26 (s, IH), 8.23(d, J = 8.0 Hz, IH), 7.91(d, J = 7.6Hz, IH), 7.73 (t, J = 8.0 Hz, IH), 7.57 (t, J = 6.8 Hz, IH), 7.51(m, IH), 7.47-7.43 (m, 2H), 7.30(t, J = 8.0, IH), 6.71 (dd, J = 2.0, 3.2 Hz, IH); MS m/z 425.2 (M + 1).
[0097] Table 1 describes representative compounds obtained by the above procedure.
Table 1
P A T E N T
GNF Docket No.: P1267PC10
Example 2 lH-Pyrrolor2,3-blpyridine-5-carboxylic acid r2-methyl-5-(4-morpholin-4-ylmethyl-3- trifluoromethyl-phenylcarbamovD-phenyll-amide
1) HATU/DIEA
4-Chloro- 1-triisopropylsilanyl- lH-pyrrolor2,3-frlpyridine
[0098] To a solution of 4-chloro-lH-pyrrolo[2,3-£]pyridine (3.21 g, 21 mmol) in TΗF (60 mL), cooled at -78 0C, is slowly added n-BuLi (1.6 M in hexane, 13.8 mL, 22 mmol). After stirring for 30 minutes, TIPSOTf (5.77 mL, 21.4 mmol) is added. The mixture is allowed to rise to room temperature and quenched with water. The mixture is partitioned between hexanes (200 mL) and brine. The organic extracts are washed with brine, dried over Na2SO4, filtered and concentrated. The residue is purified by column chromatography (silica gel, eluting with hexanes) to afford the title compound. 1H NMR 600 MHz (acetone-J6) δ 8.19 (d, IH, J = 5.4 Hz), 7.57 (J, IH, J = 3.0 Hz), 7.18 (J, IH, J = 5.4 Hz), 6.69 (d, IH, J = 3.0 Hz), 1.92 (sept, 3H, J = 7.2 Hz ), 1.12 (J, 18H, J = 7.2 Hz); MS m/z 309.2 (M + 1).
P A T E N T
GNF Docket No.: P1267PC10
4-Chloro- 1-triisopropylsilanyl- lH-pyrrolor2,3-£lpyridine-5-carboxyric acid
[0099] To a solution of 4-chloro- 1-triisopropylsilanyl- lH-pyrrolo[2,3-&]pyridine (3.18g, 10.3 mmol) in TΗF (30 mL) at -78 0C is added sec-BuLi (1.4M, 13.2 mL). After stirring for 45 min., dry ice is added to the reaction. The cold bath is removed and the reaction is stirred for two hours. The reaction is quenched with IN HCl (20 mL, pΗ = 2), extracted with EtOAc, washed with brine, dried over Na2SO4 and evaporated.
1-Triisopropylsilanyl- lH-pyrrolor2,3-^lpyridine-5-carboxylic acid
[0010O] A suspension of 4-chloro- 1-triisopropylsilanyl- lH-pyrrolo[2,3-&]pyridine (355 mg, 1 mmol), triethylamine (0.4 mL) and Pd catalyst (10% on wet carbon, 50 mg) in EtOH (20 mL) is stirred under hydrogen atmosphere (1 atm). After 14 hr., additional 60 mg Pd catalyst is added and the reaction continued for additional 29 hr. The reaction mixture is filtered through a pad of celite. The filtrate is evaporated. Water (10 mL) is added and the reaction is acidified to pΗ = 4 with 1NΗC1. The aqueous is extracted with EtOAc (2x50 mL). EtOAc is washed with brine (10 mL), dried over MgSO4, and evaporated to give a white solid. MS m/z 319.2 (M + 1).
lH-Pyrrolor2,3-£1pyridine-5-carboxyric acid r2-methyl-5-(4-morpholin-4-ylmethyl-3- trifluoromethyl-phenylcarbamovD-phenyll-amide
[0010I] To a solution of l-triisopropylsilanyl-lH-pyrrolo[2,3-&]pyridine-5-carboxylic acid (21 mg, 0.066 mmol) and ΗATU (24 mg, 63 mmol) in anhydrous DMF (0.5 mL) is added DIEA (34 μL, 0.196 mmol). After stirring at rt for two min., the aniline 3-amino-4-methyl-N-(4-morpholin-
P A T E N T
GNF Docket No.: P1267PC10
4-ylmethyl-3-trifluoromethyl-phenyl)-benzamide (24 mg, 0.061 mmol) is added. The reaction is stirred at rt for one week. NaOH solution (IN, 0.1 mL) is added and the reaction is stirred at 50 0C for 30 min. The reaction is purified by HPLC to afford the product as a white powder. MS m/z 538.2 (M + 1).
[00102] Table 2 describes representative compounds obtained by the above procedure.
Table 2
GNF Docket No.: P1267PC10
Example 3 lH-pyrrolor2,3-blpyridine-5-carboxylic acid r2-methyl-5-(4-morpholin-4-ylmethyl-3- trifluoromethyl-benzoylamino)-phenyll-amide
P A T E N T
GNF Docket No.: P1267PC10
(3-Amino-4-methyl-phenyl)-carbamic acid tert-butyl ester
[00103] To the solution of 4-Me-3-nitroaniline (3.02 g, 20 mmol) in THF (25 ml) is added di- tert-butyl dicarbonate (5.16 g, 1.2 eq.). The reaction is refluxed for 8 hours, and 1.0 g of άi-tert- butyl dicarbonate is added and reaction is further refluxed for 4 hours. The reaction mixture is concentrated under reduced pressure and purified by flash chromatography.
[00104] Into a solution of (4-methyl-3-nitro-phenyl)-carbamic acid tert-butyl ester (1.0 g, 3.96 mmol, 1.0 eq.) in MeOH (25 ml) is added Pd-C (0.1 g, 10 wt %). The suspension is stirred under hydrogen atmosphere in a Parr shaker (60 psi) for 24 hours. The reaction mixture is then filtered over celite and the filtrate is concentrated under reduced pressure to give the desired product. IH
P A T E N T
GNF Docket No.: P1267PC10
NMR δ 7.19 (s, IH), 6.93 (s, IH), 6.87 (d, IH, J = 8.0 Hz), 6.52 (d, IH, J =8.0 Hz), 6.32 (s, IH). MS m/z 223.1(M + 1).
{3-r(4-Chloro-lH-pyrrolor2,3-^lpyridine-5-carbonyl)-aminol-4-methyl-phenyll- carbamic acid tert-butyl ester
[00105] To a solution of 4-chloro-l-triisopropylsilanyl-lH-pyrrolo[2,3-&]pyridine-5- carboxylic acid (355 mg, 1.006 mmol) in CH2Cl2 (10 niL) at 0 0C is added oxalyl chloride (2M in CH2Cl2, 1 mL, 2 mmol) and DMF (50 μL). The ice bath is removed after addition. After stirring at rt for Ih, the solvent is removed to give a white residue.
[0100] To a suspension of acyl chloride in CH2Cl2 (20 mL) at 0 0C is added (3-amino-4- methyl-phenyl)-carbamic acid tert-butyl ester (232 mg, 1.04 mmol), followed by slow addition of DIEA (1.05 mL). The yellow solution is warmed up slowly and stirred at rt overnight. EtOAc (100 mL) and water (20 mL) are added. The aqueous layer is separated. EtOAc is washed with brine (10 mL), dried over MgSO4, and evaporated to give a light amber colored residue.
[0101] The above crude is dissolved in methanol (20 mL). NaOH solution (IN, 1.0 mL) is added. After stirring at rt for 4 h, EtOAc (100 mL) and water (10 mL) are added. The aqueous layer is separated; and EtOAc is dried over MgSO4, and evaporated to give a white solid. The solid is suspended in methanol (10 mL) and stirred for several hours. The suspension is filtered to give an off white solid product. MS m/z 401.1 (M + 1).
lH-Pyrrolor2,3-£1pyridine-5-carboxyric acid (5-amino-2-methyl-phenyl)-amide
[0102] A suspension of {3-[(4-chloro-lH-pyrrolo[2,3-&]pyridine-5-carbonyl)-amino]-4- methyl-phenyl}-carbamic acid tert-butyl ester (520 mg, 1.30 mmol) and Pd/C (10% wet, 280 mg) in EtOΗ/TΗF (3:1) is stirred under 1 atm H2 atmosphere overnight. The reaction is filtered
P A T E N T
GNF Docket No.: P1267PC10 through celite, washed with EtOH/THF (3:1), and concentrated. The crude is purified by column chromatography (SiO2, EtOAc:hexanes/20-100%) to give the product. MS m/z 267.1 (M + 1).
[0103] To a solution of the above product in MeOH (20 niL) and THF (20 niL) is added IN HCl (10 mL). The reaction is stirred at 60 0C for 4 hours, then 50 0C overnight. The solvent is evaporated. The residue is basified with saturated Νa2Cθ3, and extracted with EtOAc (2x50 mL). The EtOAc is dried, evaporated and the crude is purified by column chromatography to give the desired product.
lH-Pyrrolor2,3-frlpyridine-5-carboxyric acid r2-methyl-5-(4-morpholin-4-ylmethyl-3- trifluoromethyl-benzoylamino)-phenvH-amide
[0104] To a solution of 4-morpholin-4-ylmethyl-3-trifluoromethyl-benzoic acid (17 mg, 0.052 mmol) and HATU (19 mg, 0.050 mmol) in anhydrous DMF (0.5 mL) is added DIEA (45 μL, 0.26 mmol) at rt. The reaction is stirred for two min, then a solution of iH-pyrrolo[2,3- &]pyridine-5-carboxylic acid (5-amino-2-methyl-phenyl)-amide (12.5 mg, 0.047 mmol) in 0.5 mL DMF is added. After stirring at rt overnight, the reaction is purified by ΗPLC to give an off-white solid as TFA salt. MS m/z 538.2 (M + 1).
[0105] Table 3 describes representative compounds obtained by the above procedure.
Table 3
GNF Docket No.: P1267PC10
PATENT
GNF Docket No.: P1267PC10
Example 4 -methylamino-lH-pyrrolor2,3-blpyridine-5-carboxylic acid { 5-r3-(4-ethyl-piperazin-l-yl)-5- trifluoromethyl-benzoylaminol-2-methyl-phenyll -amide
GNF Docket No.: P1267PC10
4-Methylamino- lH-pyrrolor2,3-£lpyridine-5-carboxyric acid (5-amino-2-methyl- phenvD-amide
[0106] To a solution of the {3-[(4-chloro-lH-pyrrolo[2,3-&]pyridine-5-carbonyl)-amino]-4- methyl-phenyl}-carbamic acid tert-butyl ester (173 mg, 0.43 mmol) in 2-methoxy-ethanol (2 mL) is added methylamine (40% in water, 2mL). The reaction is heated in a microwave reactor for 30 min at 130 0C, and evaporated to give a white solid. MS m/z 396.2 (M + 1).
[0107] To a suspension of the above crude in CH2Cl2 (10 mL) is slowly added TFA (2 mL). After stirring at rt for one hr. the solvent is evaporated. The residue is dissolved in water (10 mL), and basified with IN NaOH. The off-white product is collected by filtration. MS m/z 296.1 (M + 1).
4-Methylamino- lH-pyrrolor2,3-£lpyridine-5-carboxyric acid { 5-r3-(4-ethyl-piperazin- 1- yl)-5-trifluoromethyl-benzoylaminol-2-methyl-phenyl| -amide
[0108] The title compound is prepared from 4-methylamino-lH-pyrrolo[2,3-&]pyridine-5- carboxylic acid (5-amino-2-methyl-phenyl)-amide and 3-(4-ethyl-piperazin-l-yl)-5- trifluoromethyl-benzoic acid in a manner similar to that of Example 3 for 1H-Pyrrolo[2,3- &]pyridine-5-carboxylic acid [2-methyl-5-(4-morpholin-4-ylmethyl-3-trifluoromethyl- benzoylamino)-phenyl]-amide.
[0109] Table 4 describes representative compounds obtained by the above procedure.
PATENT
GNF Docket No.: P1267PC10
Table 4
GNF Docket No.: P1267PC10
δ 1)
P A T E N T
GNF Docket No.: P1267PC10
Example 5
4-(ethylamino)-N-(2-methyl-5-(3-(trifluoromethyl)benzamido)phenyl)-lH-pyrrolor2,3- bl pyridine-5 -c arboxamide
[0110] Tert-butyl-3-(4-chloro-lH-pyrrolo[2,3-b]pyridine-5-carboxamido)-4- methylphenylcarbamate (1) is suspended in CH2Cl2 (20.0 mL), and TFA (10.0 mL) is added slowly to the solution. After stirring at rt for 6 hours, the solvent is removed to offer crude salt, which is neutralized by saturated Na2CC^ solution, and then extracted with ethyl acetate. The organic layer is washed with brine and dried over Na2SO4, filtered and concentrated. N-(5-amino- 2-methylphenyl)-4-chloro-lH-pyrrolo[2,3-b]pyridine-5-carboxamide (2) is obtained as a crude product, and used without purification.
[0111] Intermediate 2 is dissolved in DMF (5.OmL), to which is added 3- (trifluoromethyl)benzoic acid (166 mg, 0.875 mmol), HATU (332 mg, 0.875 mmol) and DIEA (113 mg, 0.875 mmol). After the mixture is stirred 5 h, the solution is diluted with ethyl acetate (150 mL), washed with Na2CC^ solution and water, dried, and evaporated to offer crude 4-chloro- N-(2-methyl-5-(3-(trifluoromethyl)benzamido)phenyl)-lH-pyrrolo[2,3-b]pyridine-5-carboxamide (3), which is used without purification. To the mixture of EtOH/EtNH2 (3:1, 2mL), intermediate 3 (15 mg, 0.0317 mmol) is added and heated at 1000C for 14 h. The solvent is removed and product purified by LC-MS preparation to give the desired product 4.
[0112] Table 5 describes representative compounds obtained by the above procedure using intermediate 3 as starting material.
PATENT
GNF Docket No.: P1267PC10
Table 5
GNF Docket No.: P1267PC10 (d,
GNF Docket No.: P1267PC10 J
GNF Docket No.: P1267PC10
Example 6
7H-pyrrolor2,3-dlpyrimidine-4-carboxylic acid r2-methyl-5-(3-trifluoromethyl- phenylcarbamovD-phenyll-amide
7H-Pyrrolor2,3-<ilpyrimidine-4-carbonitrile
[0113] To a solution of 6-Cl-7-deazapurine (0.3 g, 1.96 mmol) in DMSO (6.0 niL) is added KCN (0.64 g, 5.0 eq.). The reaction is heated to 15O0C for a period of 8 h. The mixture is partitioned between ethyl acetate (20 mL) and water. The organic extracts are washed with brine, dried over Na2SO4, filtered and concentrated. The residue is purified by column chromatography (silica gel, eluting with hexanes/ ethyl acetate) to afford the title compound. MS m/z 145.1 (M + I)-
7-(Toluene-4-sulfonyl)-7H-pyrrolor2,3-dlpyrimidine-4-carbonitrile
[0114] Into a solution of 7H-Pyrrolo[2,3-<f|pyrimidine-4-carbonitrile (0.15 g, 1.04 mmol, 1.0 eq.) in dichloromethane (3.0 ml) is added triethylamine (0.15 ml, 1.1 eq.) and a catalytic amount
P A T E N T
GNF Docket No.: P1267PC10 of 4-dimethylamino pyridine. Tosyl chloride (0.204 g, 1.03 eq.) is added in portions into the reaction mixture, which is further equilibrated for 60 minutes. The reaction mixture is then partitioned between dichloromethane and water. The organic layer is separated and the aqueous layer is extracted with dichloromethane. The combined organic extracts are washed with water, dried over Na2SO4, filtered and concentrated to afford the title product. The title compound is used in the next step without further purification.
7-(Toluene-4-sulfonyl)-7H-pyrrolor2,3-Jlpyrimidine-4-carboxylic acid
[0115] 7-(Toluene-4-sulfonyl)-7H-pyrrolo[2,3-J]pyrimidine-4-carbonitrile (100 mg, 0.33 mmol) is dissolved in 10 ml of 12 N HCl. The mixture is heated at 100 0C for 1.5 h. The reaction is evaporated, the residue is washed with H2O, and dried to give the title compound as a grey solid. MS m/z 318.1 (M + 1).
7-(Toluene-4-sulfonyl)-7H-pyrrolor2,3-<ilpyrimidine-4-carboxylic acid r2-methyl-5-(3- trifluoromethyl-phenylcarbamovD-phenvH-amide
[0116] 7-(Toluene-4-sulfonyl)-7H-pyrrolo[2,3-J]pyrimidine-4-carboxylic acid (0.05 g, 0.15 mmol) dissolved in dichloromethane is treated with oxalyl chloride (0.157 ml; 2.0 M in CH2Cl2). The reaction is stirred at room temperature overnight. The reaction mixture is concentrated under reduced pressure to yield crude acid chloride.
[0117] The crude acid chloride is added dropwise to a mixture of 3-amino-4-methyl-N-(3- trifluoromethyl-phenyl)-benzamide (0.046 g, 1.0 eq.) and DIEA (0.135 ml, 5.0 eq.) in dichloromethane. The reaction is stirred at ambient temperature for 15 minutes. The reaction mixture is then partitioned between dichloromethane and water. The organic layer is separated and the aqueous layer is extracted with dichloromethane. The combined organic extracts are
P A T E N T
GNF Docket No.: P1267PC10 washed with water, dried over Na2SO4, filtered and concentrated to afford the title product. The title compound is used in the next step without further purification. MS m/z 594.1 (M + 1).
7H-Pyrrolor2,3-Jlpyrimidine-4-carboxylic acid r2-methyl-5-(3-trifluoromethyl- phenylcarbamovD-phenyll-amide
[0118] The tosylated amide [(7-(Toluene-4-sulfonyl)-7Η-pyrrolo[2,3-d]pyrimidine-4- carboxylic acid [2-methyl-5-(3-trifluoromethyl-phenylcarbamoyl)-phenyl]-amide) (0.1 g, 0.168 mmol, 1.0 eq.) is dissolved in THF (2 ml), and Na-Hg (0.077 g, 2.0 eq based on Na) is added followed by addition of trifluoroethanol (24.7 uL, 4.0 mmol, 2.0 eq.) The reaction is stirred for 15 minutes after which reaction mixture is decanted to remove mercury salts, and the supernatant liquid is concentrated under reduced pressure. The crude product is purified by preparative HPLC. 1H NMR 400 MHz (DMSO-J6) δ 10.54(s, IH), 10.44 (s, IH), 8.92 (s, IH), 8.42(m, IH), 8.30 (m, 2H), 7. 98 (d, IH, J = 8.4), 7.82 (m, 2H), 7.65 (m, IH), 7.29 (d, IH, J =8.8 Hz), 7.12 (m, IH), 2.35 (s, 3H,). MS m/z 440.1(M + 1).
[0119] Table 6 describes representative compounds obtained by the above procedure.
Table 6
GNF Docket No.: P1267PC10
Example 7 lH-PyrazolorSΛ-blpyridine-S-carboxylic acid r2-methyl-5-(3-trifluoromethyl-benzoylamino)- phenyll- amide
GNF Docket No.: P1267PC10
2-1 ri-(4-Methoxy-benzyl)-lH-pyrrol-2-ylaminol-methylene|-malonic acid diethyl ester
[0120] Acrylonitrile (7.5 g, 141 mmol) is dissolved in THF (75 mL) and cooled at 00C, and hydrazine monohydrate (7.41g, 148 mmol) is added at the same temperature. The reaction mixture is brought to room temperature and stirred for 2 h. p-Anisaldehyde (20.1 g, 148 mmol) is added drop-wise and stirred at room temperature for 1O h. The above reaction mixture is concentrated to give a red oil, followed by drop- wise addition of n-BuONa in 80 mL n-BuOH at 00C. The reaction mixture is brought to room temperature, then heated at 120 0C for 3.5 h. After cooling, the reaction mixture is poured onto 300 mL of cold water and extracted with 2 X 200 mL of Et2O. The ether layer is collected and washed with 3 X 100 mL of IN HCl. The combined acidic layer is collected and neutralized with 50 % NaOH. The mixture is again extracted with 200 mL Of Et2O, washed with water, dried over Na2SO4, and concentrated to give l-(4-Methoxy- benzyl)-lH-pyrazol-2-ylamine as red oil. MS m/z 204.1 (M + 1). A mixture of l-(4-methoxy- benzyl)-lH-pyrazol-2-ylamine (1 g, 5.0 mmol) and diethylethoxymethylene- malonate (1 mL, 5.0 mmol) is heated at 1200C for 5 h, cooled and isolated by silica gel column chromatography. MS m/z 374.2 (M + 1).
4-Chloro-l-(4-methoxy-benzyl)-lH-pyrazolor3,4-^lpyridine-5-carboxylic acid ethyl ester
[0121] 2-{[l-(4-Methoxy-benzyl)-lΗ-pyrrol-2-ylamino]-methylene}-malonic acid diethyl ester (1.5 g, 4.0 mmol) is irradiated by MW at 200 0C for 45 min. When 20 mL of Et2O is added, the cyclized compound 4-hydroxy-l-(4-methoxy-benzyl)-lH-pyrazolo[3,4-&]pyridine-5- carboxylic acid ethyl ester is crystallized out as a white crystal. 1H NMR 400 MHz φMSO-dβ) δ 12.10 (s, IH), 10.32(s, IH), 8.81 (s, IH), 8.31(s, IH), 7.21 (d, IH, J = 8.8 Hz), 6.86 (d, IH, J = 8.8), 4.39 (m, 2H), 4.26 (m, 2H), 3.72 (s, 3H), 1.35 (t, 3H, J = 7.2 Hz). MS m/z 328.2 (M + 1). The above compound is heated with POCI3 (2 mL) in a sealed tube at 80° C for 10 h. The reaction
P A T E N T
GNF Docket No.: P1267PC10 mixture is cooled and poured onto 10 mL of ice. The solid appeared, collected by filtration and washed with 2X5 mL of water to give the title compound as white solid. MS m/z 346.2 (M + 1).
l-(4-Methoxy-benzyl)-lH-pyrazolor3,4-£lpyridine-5-carboxylic acid ethyl ester
[0122] 4-Chloro-l-(4-methoxy-benzyl)-lΗ-pyrazolo[3,4-b]pyridine-5-carboxylic acid ethyl ester (150 mg, 0.43 mmol) is suspended in ethanol. Et3N (100 uL) is added and followed by the addition of Pd-C (450 mg, wt. 5%). The reaction mixture is stirred at room temperature under H2 balloon for 6 h. It is then filtered, washed (EtOH) and concentrated to give crude dechlorinated compound as white solid. MS m/z 312.1 (M + 1).
1 -(4-Methoxy-benzyl)- 1 H-pyrazolo [3 ,4-fclpyridine-5 -carboxylic acid
[0123] l-(4-Methoxy-benzyl)-lH-pyrazolo[3,4-&]pyridine-5-carboxylic acid ethyl ester (100 mg, 0.31 mmol) is dissolved in 10 ml of TΗF:Η2O (2:1) and LiOH (37 mg, 1.55 mmol) is added. The mixture is heated at 9O0C for 5h. THF is evaporated, and the reaction mixture is neutralized with IN HCl. The residue is collected by filtration, washed with H2O and dried to give the title compound as a white solid. MS m/z 284.1 (M + 1).
l-(4-Methoxy-benzyl)-lH-pyrazolor3,4-£1pyridine-5-carboxyric acid [2-methyl-5-(3- trifluoromethyl-benzoylamino)-phenvH-amide
GNF Docket No.: P1267PC10
[0124] To a solution of l-(4-Methoxy-benzyl)-lH-pyrazolo[3,4-b]pyridine-5-carboxylic acid [2-methyl-5-(3-trifluoromethyl-benzoylamino)-phenyl]-amide (40 mg, 0.13 mmol) in DMF is added DIEA (300 uL, 0.19 mmol) and HATU (74 mg, 0.14 mmol). The reaction mixture is stirred for 20 min at room temperature. N-(3-Amino-4-methyl-phenyl)-3-trifluoromethyl- benzamide (40 mg, 0.14 mmol) is then added and stirred for another couple of hours. The solvent is removed by rotary evaporation. The crude product is purified by reverse phase HPLC to give the title compound as white solid. MS m/z 560.1 (M + 1).
lH-Pyrazolor3,4-fclpyridine-5-carboxyric acid r2-methyl-5-(3-trifluoromethyl- benzoylamino)-phenyll -amide
[0125] The above PMB protected compound is deprotected by heating in TFA (100 uL) at 70 0C for 4 h. The crude product is purified by reverse phase ΗPLC to give the title compound as white solid. 1H NMR 400 MHz (DMSO-J6) δ 10.51 (s, IH), 10.13 (s, IH), 9.11 (d, IH, J = 2 Hz), 8.87 (J, 1 H, J = 2 Hz), 8.35 (5,1 H), 8.32 (s, IH), 8.28 (d, IH, J = 7.6 Hz), 7.97 (d, IH, J = 7.6 Hz), 7.90 (d, IH, J = 2 Hz), 7.79 (t, IH, J = 8Hz), 7.63 (dd, IH, J = 8 Hz, 2 Hz), 7.29 (d, IH, J = 8.4 Hz), 2.27 (5, 3H) MS m/z 440.1 (M + 1).
[0126] Table 7 describes representative compounds obtained by the above procedure.
PATENT
GNF Docket No.: P1267PC10
Table 7
P A T E N T
GNF Docket No.: P1267PC10
Example 8
7-chloro-3-(methoxymethyl)-2-methyl-N-(2-methyl-5-(3-(trifluoromethyl)benzamido)phenyl)-
3H-imidazor4,5-blpyridine-6-carboxamide (16) and 7-chloro-3-(methoxymethyl)-2-methyl-N-
(2-methyl-5-(3-(trifluoromethyl)phenylcarbamoyl)phenyl)-3H-imidazor4,5-blpyridine-6- carboxamide (18) OH Sn(II)CI2, HCI heat EtOH, 750C
[0127] Intermediates 6 and 7 are prepared following reported synthetic procedures. (Synthetic Communication, 27(5), 861-870, 1997; Cai et al., J. Med. Chem. 40: 3679-3686 (1997)). Intermediate 7 (2.31 g, 13.31 mmol) is suspended in EtOH (20.OmL), to which is added a solution of SnCl2 (6.31 g, 33.27 mmol) in HCl (con. 6.0 mL), and the reaction mixture is heated at 75°C for half h. The solution is diluted with ethyl acetate (250 mL), washed with K2CO3 solution and brine, dried and evaporated to give crude 4-chloropyridine-2,3-diamine (8), which is
P A T E N T
GNF Docket No.: P1267PC10 used without purification. 1H NMR 400 MHz (CDCl3) δ 7.26 (d, J= 5.4 Hz, IH), 6.55 (d, J= 5.4 Hz, IH), 5.86 (s, 2H), 4.97 (s, 2H); MS m/z 144.00 (M + 1).
[0128] Intermediate 8 (700mg, 4.876 mmol), polyphosphoric acid (5 g) and HOAc (442 mg, 7.31 mmol) are heated at 1500C for one hour. The reaction is dissolved in water, then NaOH is added until the pH is adjusted to pH=13. The solution is extracted with ethyl acetate (2x150 mL), washed with K2CO3 solution and brine, dried, and evaporated to give crude 7-chloro-2-methyl- 3H-imidazo[4,5-b]pyridine (9), which is used without purification. 1H NMR 400 MHz (CDCl3) δ 8.14 (s, IH), 6.55 (m, 2H), 2.69 (s, 3H); MS m/z 168.00 (M + 1).
[0129] To a solution of 7-chloro-2-methyl-3H-imidazo[4,5-b]pyridine (9) (665 mg, 3.97 mmol) in DMF (15 mL) is added Cs2CO3 (2.58 g, 7.94 mmol) and MOMCl (415 mg, 5.153 mmol), and the reaction mixture is stirred at 500C for 2 h. The solution is diluted with ethyl acetate (200 mL), washed with K2CO3 solution and brine, dried, and evaporated to offer crude 7- chloro-3-(methoxymethyl)-2-methyl-3H-imidazo[4,5-b]pyridine (10), which is purified by flash chromatography (EtOAc/Hexane, 1:1). 1H NMR 400 MHz (CDC13) δ 8.14 (d, J= 5.2 Hz, IH), 7.18 (d, J= 5.2 Hz, IH), 5.55 (s, 2H), 3.27 (s, 3H), 2.67 (s, 3H); MS m/z 212.00 (M + 1).
[0130] To a solution of 7-chloro-3-methoxymethyl-2-methyl-3H-imidazo[4,5-b]pyridine (10) (500 mg, 2.36 mmol) in HOAc/H2O (1: 1, 10 mL) is added Br2 (378 mg, 2.36 mmol) dropwise, and the reaction mixture is stirred at rt for two days. The solution is diluted with ethyl acetate (200 mL), washed with K2CO3 solution and brine, dried, and evaporated to offer crude 6- bromo-7-chloro-3-methoxymethyl-2-methyl-3H-imidazo[4,5-b]pyridine (11), which is purified by flash chromatography (EtOAc/Hexane, 1:1). 1H NMR 400 MHz (CDC13) δ 8.43 (s, IH), 5.59 (s, 2H), 3.33 (s, 3H), 2.73 (s, 3H); MS m/z 289.90 (M + 1).
[0131] To a solution of 6-bromo-7-chloro-3-methoxymethyl-2-methyl-3H-imidazo[4,5- b]pyridine (11) (150 mg, 0.516 mmol) in DMF (6 mL), is added tributyl-vinyl-stannane (196.45 mg, 0.62 mmol), LiCl (65.6 mg, 1.55 mmol) and PdCl2(PPh3)2 (36.2mg, 0.052mmol). The mixture is purged with N2 and heated to 1400C for 10 min under microwave condition. The reaction is diluted with ethyl acetate (100 mL), washed with sat. NaHCO3 solution and brine, dried, and evaporated to offer crude 7-chloro-3-methoxymethyl-2-methyl-6-vinyl-3H- imidazo[4,5-b]pyridine (12), which is purified by flash chromatography (EtOAc/Hexane, 4:6). 1H NMR 400 MHz (CDC13) δ 8.42 (s, IH), 7.08 (q, IH), 5.77 (d, IH), 5.53 (s, 2H), 5.40 (d, IH), 3.27 (s, 3H), 2.65 (s, 3H); MS m/z 238.00 (M + 1).
P A T E N T
GNF Docket No.: P1267PC10
[0132] Ozonolysis is carried out to the solution of 7-chloro-3-methoxymethyl-2-methyl-6- vinyl-3H-imidazo[4,5-b]pyridine (12) (2.6 g, 10.93 mmol) in DCM/MeOH (4:1, 10 niL). The solution is diluted with ethyl acetate (200 mL), washed with K2CO3 solution and brine, dried, and evaporated to offer crude 7-chloro-3-methoxymethyl-2-methyl-3H-imidazo[4,5-b]pyridine-6- carbaldehyde (13), which is purified by the flash chromatography (EtOAc/Hexane, 1:1). 1H NMR 400 MHz (CDC13) δ 10.57 (s, IH), 8.85(s, IH), 5.64 (s, 2H), 3.35 (s, 3H), 2.76 (s, 3H); MS m/z 239.90 (M + 1).
[0133] 7-Chloro-3-(methoxymethyl)-2-methyl-3H-imidazo[4,5-b]pyridine-6-carbaldehyde
(13) (3.0 g, 16.6 mmol) is stirred in a mixture of t-BuOH/THF (12 mL, 1: 1), to which is added 2- methyl-2-butene (2.0 ml, 18.8 mmol). Phosphate (1.7 g, 12.5 mmol) is stirred in water (4.0 mL) until it is dissolved, then added to above mixture. Finally, solid NaClO2 (80 %, 1.22 g, 10.8 mmol) is added, and the mixture is stirred overnight. The organic layer is extracted with ethyl acetate, and the combined organic layers are dried and evaporated to offer crude 7-chloro-3- (methoxymethyl)-2-methyl-3H-imidazo[4,5-b]pyridine-6-carboxylic acid (14). MS m/z 256.00 (M + 1).
[0134] 7-Chloro-3-(methoxymethyl)-2-methyl-3H-imidazo[4,5-b]pyridine-6-carboxylic acid
(14) (50 mg, 0.196 mmol) is dissolved in DMF (2.5 mL), followed by addition of intermediate 15 (57.5 mg, 0.196 mmol), HATU (74.4 mg, 0.196 mmol) and DIEA (25.3 mg, 0.196 mmol). After the reaction mixture is stirred for 3 h, the solution is diluted with ethyl acetate (100 mL), washed with Na2CO3 solution and water, dried, and evaporated to offer crude 7-chloro-3- (methoxymethyl)-2-methyl-N-(2-methyl-5-(3-(trifluoromethyl)benzamido)phenyl)-3H- imidazo[4,5-b]pyridine-6-carboxamide (16), which is purified by the flash chromatography. 1H NMR 400 MHz (CD3OD) δ 8.49 (s, IH), 8.17 (s, IH), 8.11(d, J= 58.0 Hz, IH), 7.86 (d, J= 2.0 Hz, IH), 7.79 (d, J= 8.0 Hz, IH), 7.64 (t, J= 5.6 Hz, IH), 7.50 (dd, J= 2.0 Hz, J= 8.0 Hz, IH), 7.22 (d, J= 8.0 Hz, IH), 5.63 (s, 2H), 3.27 (s, 3H), 2.66 (s, 3H), 2.29 (s, 3H); MS m/z 532.10 (M + 1).
[0135] 7-chloro-3-(methoxymethyl)-2-methyl-N-(2-methyl-5-(3-(trifluoromethyl)phenyl- carbamoyl)phenyl)-3H-imidazo[4,5-b]pyridine-6-carboxamide (18) is prepared with the same procedure, and characterized by NMR and MS.
P A T E N T
GNF Docket No.: P1267PC10
Example 9 2,6-dichloro-3,5-dimethoxy-N-(lH-pyrrolor2,3-blpyridin-5-yl)benzamide
Benzyl lH-pyrrolor2,3-blpyridin-5-ylcarbamate
[0136] A mixture of l-(tert-butyldimethylsilyl)-lH-pyrrolo[2,3-b]pyridine-5-carboxylic acid (1.65g, 6 mmol), DPPA (1.66 g, 7.6 mmol), triethylamine (1.8 ml, 12 mmol) and benzyl alcohol (3 ml, 30 mmol) in 20 ml toluene is heated to 110 0C for 4 hours. The reaction mixture is cooled down to room temperature and the solvent is removed by rotary evaporation. The residue is reconstituted in 200 ml ethyl acetate and washed with saturated sodium bicarbonate (3x) and brine (Ix). The organic phase is dried over sodium sulfate and dried by rotary evaporation to give the title compound as light yellowish oil. MS m/z 268.1 (M + 1).
[0137] To a solution of benzyl lH-pyrrolo[2,3-b]pyridin-5-ylcarbamate (1.38 g, 5.2 mmol) in 80 ml ethanol is added 150 mg Pd(OH)2. The mixture is stirred at room temperature for 6 hours with a hydrogen balloon attached. The reaction mixture is flushed with nitrogen and
P A T E N T
GNF Docket No.: P1267PC10 filtered through a celite pad to remove the Pd(OH)2. The filtrate is evaporated and dried to give the title compound as light brown oil. MS m/z 134.1 (M + 1).
2,6-dichloro-3,5-dimethoxy-N-(lH-pyrrolor2,3-blpyridin-5-yl)benzamide
[0138] A mixture of lH-pyrrolo[2,3-b]pyridin-5-amine (28 mg, 0.2 mmol), 2,6-dichloro-3,5- dimethoxybenzoic acid (50 mg, 0.2 mmol), HATU (76 mg, 0.2 mmol), DIEA (77 mg, 0.6 mmol) in 1 ml DMF is stirred for 2 hours at room temperature. The reaction mixture is neutralized with acetic acid and purified by reverse phase HPLC to give the title compound as light gray solid. 1H NMR 600 MHz (DMSO-J6) δ 11.61 (s, IH), 10.61 (s, IH), 8.30 (d, 1 H, J = 2.0 Hz), 8.27 (d, 1 H, J = 2.0 Hz), 7.43 (U H, J = 2.8 Hz), 6.95(5, IH), 6.41 (m, IH), 3.90 (s, 6H); MS m/z 366.1 (M + 1).
[0139] Table 8 describes representative compounds obtained by the above procedure.
Table 8
GNF Docket No.: P1267PC10
Assays
[0140] Compounds of the present invention may be assayed to measure their capacity to inhibit a kinase panel, including but not limited to AIk, AbI, Aurora-A, B-Raf, C-Raf, Bcr-Abl, BRK, BIk, Bmx, BTK, c-Kit, c-RAF, c-SRC, EphBl, EphB2, EphB4, FLTl, Fms, Flt3, Fyn, FRK3, JAK2, KDR, Lck, Lyn, PDGFRα, PDGFRβ, PKCα, p38 (p38 MAP kinase, SAPK2α), Src, SIK, Syk, Tie2 and TrkB kinases.
B-Raf (Enzymatic assay)
[0141] Compounds of the invention may be tested for their ability to inhibit the activity of b- Raf. The assay is carried out in 384-well MaxiSorp plates (NUNC) with black walls and clear bottom. The substrate, IκBα is diluted in DPBS (1:750) and 15 μl is added to each well. The plates are incubated at 4 0C overnight and washed 3 times with TBST (25 mM Tris, pH 8.0, 150
P A T E N T
GNF Docket No.: P1267PC10 mM NaCl and 0.05% Tween-20) using the EMBLA plate washer. Plates are blocked by Superblock (15 μl/well) for 3 hours at room temperature, washed 3 times with TBST and pat- dried. Assay buffer containing 20 μM ATP (10 μl) is added to each well followed by 100 nl or 500 nl of compound. B-Raf is diluted in the assay buffer (1 μl into 25 μl) and 10 μl of diluted b- Raf is added to each well (0.4 μg/well). The plates are incubated at room temperature for 2.5 hours. The kinase reaction is stopped by washing the plates 6 times with TBST. Phosph- IκBα (Ser32/36) antibody is diluted in Superblock (1:10,000) and 15 μl is added to each well. The plates are incubated at 4 0C overnight and washed 6 times with TBST. AP-conjugated goat- anti-mouse IgG is diluted in Superblock (1: 1,500) and 15 μl is added to each well. Plates are incubated at room temperature for 1 hour and washed 6 times with TBST. 15 μl of fluorescent Attophos AP substrate (Promega) is added to each well and plates are incubated at room temperature for 15 minutes. Plates are read on Acquest or Analyst GT using a Fluorescence Intensity Program (Excitation 455 nm, Emission 580 nm).
B-Raf (Cellular Assay)
[0142] Compounds of the invention are tested in A375 cells for their ability to inhibit phosphorylation of MEK. A375 cell line (ATCC) is derived from a human melanoma patient and has a V599E mutation on the B-Raf gene. The levels of phosphorylated MEK are elevated due to the mutation of B-Raf. Sub-confluent to confluent A375 cells are incubated with compounds for 2 hours at 370C in serum free medium. Cells are then washed once with cold PBS and lysed with the lysis buffer containing 1% Triton XlOO. After centrifugation, the supernatants are subjected to SDS-PAGE, and then transferred to nitrocellulose membranes. The membranes are then subjected to western blotting with anti-phospho-MEK antibody (ser217/221) (Cell Signaling). The amount of phosphorylated MEK is monitored by the density of phospho-MEK bands on the nitrocellulose membranes.
Inhibition of cellular Bcr-Abl dependent proliferation (High Throughput method) [0143] The murine cell line 32D hemopoietic progenitor cell line may be transformed with Bcr-Abl cDNA (32D-p210). These cells are maintained in RPMI/10% fetal calf serum (RPMI/FCS) supplemented with penicillin 50 μg/mL, streptomycin 50 μg/mL and L-glutamine 200 mM. Untransformed 32D cells are similarly maintained with the addition of 15% of WEHI conditioned medium as a source of IL3.
P A T E N T
GNF Docket No.: P1267PC10
[0144] 50 μl of a 32D or 32D-p210 cells suspension are plated in Greiner 384 well microplates (black) at a density of 5000 cells per well. 50 nl of test compound (1 mM in DMSO stock solution) is added to each well (STI571 is included as a positive control). The cells are incubated for 72 hours at 37 °C, 5% CO2. 10 μl of a 60% Alamar Blue solution (Tek diagnostics) is added to each well and the cells are incubated for an additional 24 hours. The fluorescence intensity (Excitation at 530 nm, Emission at 580 nm) is quantified using the Acquest™ system (Molecular Devices).
Inhibition of cellular Bcr-Abl dependent proliferation
[0145] 32D-p210 cells are plated into 96 well TC plates at a density of 15,000 cells per well. 50 μL of two fold serial dilutions of the test compound (Cmax is 40 μM) are added to each well (STI571 is included as a positive control). After incubating the cells for 48 hours at 37 °C, 5% CO2, 15 μL of MTT (Promega) is added to each well and the cells are incubated for an additional 5 hours. The optical density at 570 nm is quantified spectrophotometrically and IC50 values, the concentration of compound required for 50% inhibition, determined from a dose response curve.
Effect on cell cycle distribution
[0146] 32D and 32D-p210 cells are plated into 6 well TC plates at 2.5xlO6 cells per well in 5 ml of medium and test compound at 1 or 10 μM is added (STI571 is included as a control). The cells are then incubated for 24 or 48 hours at 37 °C, 5% CO2. 2 ml of cell suspension is washed with PBS, fixed in 70% EtOH for 1 hour and treated with PBS/EDTA/RNase A for 30 minutes. Propidium iodide (Cf=IO μg/ml) is added and the fluorescence intensity is quantified by flow cytometry on the FACScalibur™ system (BD Biosciences). In some embodiments, test compounds of the present invention may demonstrate an apoptotic effect on the 32D-p210 cells but not induce apoptosis in the 32D parental cells.
Effect on Cellular Bcr-Abl Autophosphorylation
[0147] Bcr-Abl autophosphorylation is quantified with capture Elisa using a c-Abl specific capture antibody and an antiphosphotyrosine antibody. 32D-p210 cells are plated in 96 well TC plates at 2xlO5 cells per well in 50 μL of medium. 50 μL of two fold serial dilutions of test compounds (Cmax is 10 μM) are added to each well (STI571 is included as a positive control). The cells are incubated for 90 minutes at 37 °C, 5% CO2. The cells are then treated for 1 hour on
P A T E N T
GNF Docket No.: P1267PC10 ice with 150 μL of lysis buffer (50 mM Tris-HCl, pH 7.4, 150 mM NaCl, 5 mM EDTA, 1 mM EGTA and 1% NP-40) containing protease and phosphatase inhibitors. 50 μL of cell lysate is added to 96 well optiplates previously coated with anti-Abl specific antibody and blocked. The plates are incubated for 4 hours at 4 °C. After washing with TBS-Tween 20 buffer, 50 μL of alkaline -phosphatase conjugated anti-phosphotyrosine antibody is added and the plate is further incubated overnight at 4 °C. After washing with TBS-Tween 20 buffer, 90 μL of a luminescent substrate are added and the luminescence is quantified using the Acquest™ system (Molecular Devices). In some embodiments, test compounds of the invention may inhibit the proliferation of the Bcr-Abl expressing cells, inhibiting the cellular Bcr-Abl autophosphorylation in a dose-dependent manner.
Effect on proliferation of cells expressing mutant forms of Bcr-Abl
[0148] Compounds of the invention may be tested for their antiproliferative effect on Ba/F3 cells expressing either wild type or the mutant forms of Bcr-Abl (G250E, E255V, T315I, F317L, M351T) that confers resistance or diminished sensitivity to STI571. The antiproliferative effect of these compounds on the mutant-Bcr-Abl expressing cells and on the non transformed cells may be tested at 10, 3.3, 1.1 and 0.37 μM as described above (in media lacking IL3). The IC50 values of the compounds lacking toxicity on the untransformed cells are determined from the dose response curves obtained as described above.
FGFR-3 (Enzymatic Assay)
[0149] Kinase activity assay with purified FGFR-3 (Upstate) is carried out in a final volume of 10 μL containing 0.25 μg/mL of enzyme in kinase buffer (30 mM Tris-HCl pH7.5, 15 mM MgCl2, 4.5 mM MnCl2, 15 μM Na3VO4 and 50 μg/mL BSA), and substrates (5 μg/mL biotin- poly-EY(Glu, Tyr) (CIS-US, Inc.) and 3μM ATP). Two solutions are made: the first solution of 5 μl contains the FGFR-3 enzyme in kinase buffer was first dispensed into 384-well format ProxiPlate® (Perkin- Elmer) followed by adding 50 nL of compounds dissolved in DMSO, then 5 μl of second solution contains the substrate (poly-EY) and ATP in kinase buffer was added to each wells. The reactions are incubated at room temperature for one hour, stopped by adding 10 μL of HTRF detection mixture, which contains 30 mM Tris-HCl pH 7.5, 0.5 M KF, 50 mM ETDA, 0.2 mg/mL BSA, 15 μg/mL streptavidin-XL665 (CIS-US, Inc.) and 150 ng/mL cryptate conjugated anti-phosphotyrosine antibody (CIS-US, Inc.). After one hour of room temperature
P A T E N T
GNF Docket No.: P1267PC10 incubation to allow for streptavidin-biotin interaction, time resolved florescent signals are read on Analyst GT (Molecular Devices Corp.)- IC50 values are calculated by linear regression analysis of the percentage inhibition of each compound at 12 concentrations (1:3 dilution from 50 μM to 0.28 nM). In this assay, compounds of the invention have an IC50 in the range of 10 nM to 2 μM.
FGFR-3 (Cellular Assay)
[0150] Compounds of the invention are tested for their ability to inhibit transformed Ba/F3- TEL-FGFR3 cells proliferation, which is dependent on FGFR-3 cellular kinase activity. Ba/F3- TEL-FGFR3 are cultured up to 800,000 cells/mL in suspension, with RPMI 1640 supplemented with 10% fetal bovine serum as the culture medium. Cells are dispensed into 384-well format plate at 5000 cell/well in 50 μL culture medium. Compounds of the invention are dissolved and diluted in dimethylsulfoxide (DMSO). Twelve points 1:3 serial dilutions are made into DMSO to create concentrations gradient ranging typically from 10 mM to 0.05 μM. Cells are added with 50 nL of diluted compounds and incubated for 48 hours in cell culture incubator. AlamarBlue® (TREK Diagnostic Systems), which can be used to monitor the reducing environment created by proliferating cells, are added to cells at a final concentration of 10%. After additional four hours of incubation in a 37 0C cell culture incubator, fluorescence signals from reduced AlamarBlue® (Excitation at 530 nm, Emission at 580 nm) are quantified on Analyst GT (Molecular Devices Corp.). IC50 values are calculated by linear regression analysis of the percentage inhibition of each compound at 12 concentrations.
FLT3 and PDGFRβ
[0151] The effects of compounds of the invention on the cellular activity of FLT3 and PDGFRβ may be conducted following identical methods as described above for FGFR3 cellular activity, using Ba/F3-FLT3-ITD and Ba/F3-Tel-PDGFRβ.
[0152] Compounds of the invention may be tested for their ability to inhibit transformed Ba/F3-FLT3-ITD or Ba/F3-Tel-PDGFRβ cells proliferation, which is dependent on FLT3 or PDGFRβ cellular kinase activity. Ba/F3-FLT3-ITD or Ba/F3-Tel-PDGFRβ are cultured up to 800,000 cells/mL in suspension, with RPMI 1640 supplemented with 10% fetal bovine serum as the culture medium. Cells are dispensed into 384-well format plate at 5000 cell/well in 50 μL culture medium. Compounds of the invention are dissolved and diluted in dimethylsulfoxide (DMSO). Twelve points 1:3 serial dilutions are made into DMSO to create concentrations gradient ranging typically from 10 mM to 0.05 μM. Cells are added with 50 nL of diluted
P A T E N T
GNF Docket No.: P1267PC10 compounds and incubated for 48 hours in cell culture incubator. AlamarBlue® (TREK Diagnostic Systems), which can be used to monitor the reducing environment created by proliferating cells, are added to cells at final concentration of 10%. After additional four hours of incubation in a 37 0C cell culture incubator, fluorescence signals from reduced AlamarBlue® (Excitation at 530 nm, Emission at 580 nm) are quantified on Analyst GT (Molecular Devices Corp.). IC50 values are calculated by linear regression analysis of the percentage inhibition of each compound at 12 concentrations.
c-Kit
[0153] Compounds of the invention may be tested for inhibition of SCF dependent proliferation using Mo7e cells which endogenously express c-Kit in a 96-well format. Briefly, two-fold serially diluted test compounds (Cmax = 10 μM) are evaluated for their antiproliferative activity on Mo7e cells stimulated with human recombinant SCF. After 48 hour incubation at 37 0C, cell viability is measured by using a MTT colorimetric assay from Promega.
Upstate KinaseProfiler™ - Radio-enzymatic filter binding assay
[0154] Compounds of the invention may be assessed for their ability to inhibit individual members of a panel of kinases (a partial, non- limiting list of kinases includes: AIk, AbI, Aurora- A, B-Raf, Bcr-Abl, BRK, BIk, Bmx, c-Kit, c-Raf, cSRC, CSK, EphB, FLTl, Fms, Fyn, JAK2, KDR, Lck, Lyn, PDGFRα, PDGFRβ, PKCα, p38 (p38 MAP kinase, SAPK2α), SIK, Src, Syk, Tie2 and TrkB kinases). The compounds are tested in duplicates at a final concentration of 10 μM following this generic protocol, using varying kinase buffer composition and substrates for the different kinases included in the "Upstate KinaseProfiler™ panel. Kinase buffer (2.5 μL, 10x - containing MnCl2 when required), active kinase (0.001-0.01 Units; 2.5 μL), specific or Poly(Glu4-Tyr) peptide (5-500 μM or .01 mg/ml) in kinase buffer and kinase buffer (50 μM; 5 μL) are mixed in an eppendorf on ice. A Mg/ATP mix (10 μL; 67.5 (or 33.75) mM MgCl2, 450 (or 225) μM ATP and 1 μCi/μl [γ-32P]-ATP (3000Ci/mmol)) is added and the reaction is incubated at about 30 0C for about 10 minutes. The reaction mixture is spotted (20 μL) onto a 2cm x 2cm P81 (phosphocellulose, for positively charged peptide substrates) or Whatman No. 1 (for Poly (Glu4-Tyr) peptide substrate) paper square. The assay squares are washed 4 times, for 5 minutes each, with 0.75% phosphoric acid and washed once with acetone for 5 minutes. The assay squares are transferred to a scintillation vial, 5 ml scintillation cocktail are added and 32P
P A T E N T
GNF Docket No.: P1267PC10 incorporation (cpm) to the peptide substrate is quantified with a Beckman scintillation counter. Percentage inhibition is calculated for each reaction.
[0155] Compounds of Formula (1), (2) or (3) in free form or in pharmaceutically acceptable salt form, may exhibit valuable pharmacological properties, for example, as indicated by the in vitro tests described in this application. The IC50 value in those experiments is given as that concentration of the test compound in question that results in a cell count that is 50 % lower than that obtained using the control without inhibitor. In general, compounds of the invention have IC50 values from 1 nM to 10 μM against one or more of the following kinases: AIk, AbI, Aurora- A, B-Raf, C-Raf, Bcr-Abl, BRK, BIk, Bmx, BTK, c-Kit, c-RAF, c-SRC, EphBl, EphB2, EphB4, FLTl, Fms, Flt3, Fyn, FRK3, JAK2, KDR, Lck, Lyn, PDGFRα, PDGFRβ, PKCα, p38 (p38 MAP kinase, SAPK2α), Src, SIK, Syk, Tie2 and TrkB kinases.
[0156] In some examples, compounds of the invention have IC50 values from 0.01 μM to 5 μM. In other examples, compounds of the invention have IC50 values from 0.01 μM to 1 μM, or more particularly from 1 nM to 1 μM. In yet other examples, compounds of the invention have IC50 values of less than 1 nM or more than 10 μM.
[0157] Compounds of Formula (1), (2) or (3) may exhibit a percentage inhibition of greater than 50%, or in other embodiments, may exhibit a percentage inhibition greater than about 70%, against one or more of the following kinases at 10 μM: AIk, AbI, Aurora-A, B-Raf, C-Raf, Bcr- Abl, BRK, BIk, Bmx, BTK, c-Kit, c-RAF, c-SRC, EphBl, EphB2, EphB4, FLTl, Fms, Flt3, Fyn, FRK3, JAK2, KDR, Lck, Lyn, PDGFRα, PDGFRβ, PKCα, p38 (p38 MAP kinase, SAPK2α), Src, SIK, Syk, Tie2 and TrkB kinases.
[0158] It is understood that the examples and embodiments described herein are for illustrative purposes only and that various modifications or changes in light thereof will be suggested to persons skilled in the art and are to be included within the spirit and purview of this application and scope of the appended claims. All publications, patents, and patent applications cited herein are hereby incorporated by reference for all purposes.
Claims
1. A compound of Formula ( 1) :
or pharmaceutically acceptable salts thereof, wherein:
X1 and X2 are independently CR or N;
X3 is CH or N, or C if attached to L1 or R4;
Y is a 5-7 membered aryl or heteroaryl containing N, O or S;
L1 and L2 are independently NRCO or CONR;
R and R1 are independently H or Ci_6 alkyl;
R is halo, or an optionally halogenated Ci_6 alkyl;
R3 is halo, an optionally halogenated Ci_6 alkyl, (CR2)qR8 or O(CR2)qR9;
R4 is H, halo, NR6R7, NR5(CR2)PNR6R7, NR5CONR6R7 or NR5CO2R6;
R5 is Ci_6 alkyl;
R6 and R7 are independently H, an optionally halogenated C]_6 alkyl, C2-6 alkenyl or C2_6 alkynyl; Ci-6 alkanol, (CR2)q-R8 or (CR2)pO(CR2)qR9; or R6 and R7 together with N in NR6R7 may form an optionally substituted ring;
R and R are independently an optionally substituted C3_7 cycloalkyl, 5-7 membered aryl, heterocyclic or heteroaryl; or R9 is H; m is 1-4; and n, p and q are independently 0-4.
2. The compound of claim 1, wherein X1 and X2 are each CH; or one of X1 or X2 is N, and the other is CH.
3. The compound of claim 1, wherein Y is phenyl, thienyl, pyridyl, pyrazolyl or isoxazolyl. P A T E N T
GNF Docket No.: P1267PC10
4. The compound of claim 1, wherein R is C]_6 alkyl.
5. The compound of claim 1, wherein R3 is halo, an optionally halogenated Ci_6 alkyl, (CR2)qR8 or O(CR2)qR9; and
R8 and R9 are independently an optionally substituted piperidinyl, morpholinyl, imidazolyl or piperazinyl.
6. The compound of claim 1 , wherein R4 is H, halo, NR5(CR2)PNR6R7 or NR6R7; R6 and R7 are independently H, Ci_6 alkyl, Ci_6 alkanol, or (CR2)qR8; or R6 and R7 together with N in NR R7 form an optionally substituted morpholinyl, piperidinyl or pyrrolidinyl; and
R8 is an optionally substituted C3_7 cycloalkyl, pyridyl, phenyl, morpholinyl, furanyl, naphthalenyl, piperazinyl, pyrimidinyl, imidazolyl, triazolyl, isothiazolyl, isoxazolyl, pyrazolyl or pyrazinyl.
7. The compound of claim 1, wherein said compound is of Formula (2):
wherein R10 is halo, an optionally halogenated Ci_6 alkyl, or OCi_6 alkyl; R11 is halo, Ci_6 alkyl, (CR2)qR8 or O(CR2)qR9; and
R8 and R9 are independently an optionally substituted C3_7 cycloalkyl, 5-7 membered aryl, heterocyclic or heteroaryl; or R9 is H; and k is 0-2.
8. The compound of claim 7, wherein X1 and X2 are each CH; or one of X1 or X2 is N, and the other is CH.
9. The compound of claim 7, wherein R10 is CF3. P A T E N T
GNF Docket No.: P1267PC10
10. The compound of claim 7, wherein k is 0, or k is 1 and R11 is halo, C]_6 alkyl, (CR2)qR8, O(CR2)qR9; and R8 and R9 are independently an optionally substituted piperidinyl, morpholinyl, imidazolyl or piperazinyl.
11. The compound of claim 7, wherein R4 is H, halo, NR5(CR2)PNR6R7 or NR6R7; R6 and R7 are independently H, Ci_6 alkyl, Ci_6 alkanol, or (CR2)qR8; or R6 and R7 together with N in NR6R7 form an optionally substituted morpholinyl, piperidinyl or pyrrolidinyl; and
R8 is an optionally substituted C3_7 cycloalkyl, pyridyl, phenyl, morpholinyl, furanyl, naphthalenyl, piperazinyl, pyrimidinyl, imidazolyl, triazolyl, isothiazolyl, isoxazolyl, pyrazolyl or pyrazinyl.
12. The compound of claim 1, selected from:
N-(3-(3-(trifluoromethyl)benzamido)phenyl)-lH-pyrrolo[2,3-b]pyridine-4-carboxamide, N-(3-(3-(trifluoromethyl)benzamido)phenyl)-lH-pyrrolo[2,3-b]pyridine-4-carboxamide, N-(2-methyl-5-(3-(trifluoromethyl)benzamido)phenyl)-lH-pyrrolo[2,3-b]pyridine-4- carboxamide,
N-(2-methyl-5-(3-(4-methyl-lH-imidazol-l-yl)-5-(trifluoromethyl)benzamido)phenyl)-lH- pyrrolo[2,3-b]pyridine-4-carboxamide,
N-(5-(4-((4-ethylpiperazin-l-yl)methyl)-3-(trifluoromethyl)phenylcarbamoyl)-2-methylphenyl)- lH-pyrrolo[2,3-b]pyridine-4-carboxamide,
N-(2-methyl-5-(4-(morpholinomethyl)-3-(trifluoromethyl)phenylcarbamoyl)phenyl)-lH- pyrrolo[2,3-b]pyridine-4-carboxamide,
N-(2-methyl-5-(4-(piperazin-l-ylmethyl)-3-(trifluoromethyl)phenylcarbamoyl)phenyl)-lH- pyrrolo[2,3-b]pyridine-4-carboxamide,
N-(2-methyl-5-(4-(morpholinomethyl)-3-(trifluoromethyl)phenylcarbamoyl)phenyl)-lH- pyrrolo[2,3-b]pyridine-5-carboxamide,
N- (2-methy 1-5 - (3 -(trifluoromethyl)benzamido)phenyl) - 1 H-pyrrolo [2,3 -b]pyridine- 5 - carboxamide,
N-(2-methyl-5-(3-(4-methyl-lH-imidazol-l-yl)-5-(trifluoromethyl)benzamido)phenyl)-lH- pyrrolo[2,3-b]pyridine-5-carboxamide, P A T E N T
GNF Docket No.: P1267PC10
N-(5-(4-((4-ethylpiperazin-l-yl)methyl)-3-(trifluoromethyl)phenylcarbamoyl)-2-methylphenyl)- lH-pyrrolo[2,3-b]pyridine-5-carboxamide,
N-(2-methyl-5-(3-(4-methyl-lH-imidazol-l-yl)-5-(trifluoromethyl)phenylcarbamoyl)phenyl)- lH-pyrrolo[2,3-b]pyridine-5-carboxamide,
N-(2-methyl-5-(4-((4-methylpiperazin-l-yl)methyl)-3-
(trifluoromethyl)phenylcarbamoyl)phenyl)-lH-pyrrolo[2,3-b]pyridine-5-carboxamide,
N-(2-methyl-5-(4-(morpholinomethyl)-3-(trifluoromethyl)benzamido)phenyl)-lH-pyrrolo[2,3- b]pyridine-5-carboxamide,
N-(5-(l-tert-butyl-5-methyl-lH-pyrazole-3-carboxamido)-2-methylphenyl)-lH-pyrrolo[2,3- b]pyridine-5-carboxamide,
N-(2-methyl-5-(3-(4-methylpiperazin-l-yl)-5-(trifluoromethyl)benzamido)phenyl)-lH- pyrrolo[2,3-b]pyridine-5-carboxamide,
N-(5-(3-(4-ethylpiperazin-l-yl)-5-(trifluoromethyl)benzamido)-2-methylphenyl)-lH- pyrrolo[2,3-b]pyridine-5-carboxamide,
N-(5-(3-(4-(2-hydroxyethyl)piperazin-l-yl)-5-(trifluoromethyl)benzamido)-2-methylphenyl)- lH-pyrrolo[2,3-b]pyridine-5-carboxamide,
N-(5-(5-tert-butylthiophene-2-carboxamido)-2-methylphenyl)-lH-pyrrolo[2,3-b]pyridine-5- carboxamide,
N-(2-methyl-5-(3-(l-methylpiperidin-4-yloxy)-5-(trifluoromethyl)benzamido)phenyl)-lH- pyrrolo[2,3-b]pyridine-5-carboxamide,
N-(5-(3-(4-hydroxypiperidin-l-yl)-5-(trifluoromethyl)benzamido)-2-methylphenyl)-lH- pyrrolo[2,3-b]pyridine-5-carboxamide,
N-(5-(3-(4-ethylpiperazin-l-yl)-5-(trifluoromethyl)benzamido)-2-methylphenyl)-4-
(methylamino) - 1 H-pyrrolo [2,3 -b]pyridine- 5 -carboxamide,
N-(2-methyl-5-(3-(trifluoromethyl)benzamido)phenyl)-4-(methylamino)-lH-pyrrolo[2,3- b]pyridine-5-carboxamide,
N-(2-methyl-5-(3-(4-methyl-lH-imidazol-l-yl)-5-(trifluoromethyl)benzamido)phenyl)-4-
(methylamino) - 1 H-pyrrolo [2,3 -b]pyridine- 5 -carboxamide,
N-(5-(3-(4-ethylpiperazin-l-yl)-5-(trifluoromethyl)benzamido)-2-methylphenyl)-4-
(methylamino) - 1 H-pyrrolo [2,3 -b]pyridine- 5 -carboxamide,
N-(5-(5-tert-butylthiophene-2-carboxamido)-2-methylphenyl)-4-(methylamino)-lH-pyrrolo[2,3- b]pyridine-5-carboxamide, P A T E N T
GNF Docket No.: P1267PC10
N-(5-(4-((4-ethylpiperazin-l-yl)methyl)-3-(trifluoromethyl)benzamido)-2-methylphenyl)-4-
(methylamino) - 1 H-pyrrolo [2,3 -b]pyridine- 5 -carboxamide,
N-(5-(l-tert-butyl-5-methyl-lH-pyrazole-3-carboxamido)-2-methylphenyl)-4-(methylamino)- lH-pyrrolo[2,3-b]pyridine-5-carboxamide,
N-(2-methyl-5-(3-methylbenzamido)phenyl)-4-(methylamino)-lH-pyrrolo[2,3-b]pyridine-5- carboxamide,
N-(5-(3-methoxybenzamido)-2-methylphenyl)-4-(methylamino)-lH-pyrrolo[2,3-b]pyridine-5- carboxamide,
N-(5-(2-tert-butylisonicotinamido)-2-methylphenyl)-4-(methylamino)-lH-pyrrolo[2,3- b]pyridine-5-carboxamide,
N-(5-(4-fluoro-3-(trifluoromethyl)benzamido)-2-methylphenyl)-4-(methylamino)-lH- pyrrolo[2,3-b]pyridine-5-carboxamide,
N-(5-(4-chloro-3-(trifluoromethyl)benzamido)-2-methylphenyl)-4-(methylamino)-lH- pyrrolo[2,3-b]pyridine-5-carboxamide,
N-(5-(3-fluoro-5-(trifluoromethyl)benzamido)-2-methylphenyl)-4-(methylamino)-lH- pyrrolo[2,3-b]pyridine-5-carboxamide,
N-(5-(3-chlorobenzamido)-2-methylphenyl)-4-(methylamino)-lH-pyrrolo[2,3-b]pyridine-5- carboxamide,
N-(5-(3-bromobenzamido)-2-methylphenyl)-4-(methylamino)-lH-pyrrolo[2,3-b]pyridine-5- carboxamide,
3 -tert-butyl-N- (4-methyl- 3 - (4- (methylamino) - 1 H-pyrrolo [2,3 -b]pyridine-5 - carboxamido)phenyl)isoxazole-5-carboxamide,
N-(2-methyl-5-(2-methyl-3-(trifluoromethyl)benzamido)phenyl)-4-(methylamino)-lH- pyrrolo[2,3-b]pyridine-5-carboxamide,
4-(isobutylamino)-N-(2-methyl-5-(2-methyl-3-(trifluoromethyl)benzamido)phenyl)-lH- pyrrolo[2,3-b]pyridine-5-carboxamide,
3-tert-butyl-N-(3-(4-(isobutylamino)-lH-pyrrolo[2,3-b]pyridine-5-carboxamido)-4- methylphenyl)isoxazole-5-carboxamide,
4-(2-(dimethylamino)ethylamino)-N-(5-(4-((4-ethylpiperazin-l-yl)methyl)-3-
(trifluoromethyl)benzamido)-2-methylphenyl)-lH-pyrrolo[2,3-b]pyridine-5-carboxamide,
4-(2-(dimethylamino)ethylamino)-N-(2-methyl-5-(3-(piperidin-4-yloxy)-5-
(trifluoromethyl)benzamido)phenyl)-lH-pyrrolo[2,3-b]pyridine-5-carboxamide, P A T E N T
GNF Docket No.: P1267PC10
N-(2-methyl-5-(2-methyl-3-(trifluoromethyl)benzamido)phenyl)-4-(2-morpholinoethylamino)- lH-pyrrolo[2,3-b]pyridine-5-carboxamide,
N-(2-methyl-5-(3-(piperidin-4-yloxy)-5-(trifluoromethyl)benzamido)phenyl)-4-(2- morpholinoethylamino)-lH-pyrrolo[2,3-b]pyridine-5-carboxamide,
4-(ethylamino)-N-(2-methyl-5-(3-(trifluoromethyl)benzamido)phenyl)-lH-pyrrolo[2,3- b]pyridine-5-carboxamide,
4-(2-(dimethylamino)ethylamino)-N-(2-methyl-5-(3-(trifluoromethyl)benzamido)phenyl)-lH- pyrrolo[2,3-b]pyridine-5-carboxamide,
N-(2-methyl-5-(3-(trifluoromethyl)benzamido)phenyl)-4-(2-morpholinoethylamino)-lH- pyrrolo[2,3-b]pyridine-5-carboxamide,
4-((dimethylamino)methylamino)-N-(2-methyl-5-(3-(trifluoromethyl)benzamido)phenyl)-lH- pyrrolo[2,3-b]pyridine-5-carboxamide,
N-(2-methyl-5-(3-(trifluoromethyl)benzamido)phenyl)-4-(2-(4-methylpiperazin-l- yl)ethylamino)-lH-pyrrolo[2,3-b]pyridine-5-carboxamide,
4-(3-(dimethylamino)propylamino)-N-(2-methyl-5-(3-(trifluoromethyl)benzamido)phenyl)-lH- pyrrolo[2,3-b]pyridine-5-carboxamide,
4-(3-aminopropylamino)-N-(2-methyl-5-(3-(trifluoromethyl)benzamido)phenyl)-lH- pyrrolo[2,3-b]pyridine-5-carboxamide,
N-(2-methyl-5-(3-(trifluoromethyl)benzamido)phenyl)-4-(2-(piperidin-l-yl)ethylamino)-lH- pyrrolo[2,3-b]pyridine-5-carboxamide,
N-(2-methyl-5-(3-(trifluoromethyl)benzamido)phenyl)-4-(4-methylpiperazin-l-ylamino)-lH- pyrrolo[2,3-b]pyridine-5-carboxamide,
4-(cyclopropylamino)-N-(2-methyl-5-(3-(trifluoromethyl)benzamido)phenyl)-lH-pyπOlo[2,3- b]pyridine-5-carboxamide,
4-(ethylamino)-N-(2-methyl-5-(3-(trifluoromethyl)benzamido)phenyl)-lH-pyrrolo[2,3- b]pyridine-5-carboxamide,
4-(diethylamino)-N-(2-methyl-5-(3-(trifluoromethyl)benzamido)phenyl)-lH-pyrrolo[2,3- b]pyridine-5-carboxamide,
N-(2-methyl-5-(3-(trifluoromethyl)benzamido)phenyl)-4-(2-(pyrrolidin-l-yl)ethylamino)-lH- pyrrolo[2,3-b]pyridine-5-carboxamide,
N-(2-methyl-5-(3-(trifluoromethyl)benzamido)phenyl)-4-(piperazin-l-yl)-lH-pyrrolo[2,3- b]pyridine-5-carboxamide, P A T E N T
GNF Docket No.: P1267PC10
N-(2-methyl-5-(3-(trifluoromethyl)benzamido)phenyl)-4-morpholino-lH-pyrrolo[2,3- b]pyridine-5-carboxamide,
N-(2-methyl-5-(3-(trifluoromethyl)benzamido)phenyl)-4-((tetrahydrofuran-2-yl)methylamino)- lH-pyrrolo[2,3-b]pyridine-5-carboxamide,
4-(dimethylamino)-N-(2-methyl-5-(3-(trifluoromethyl)benzamido)phenyl)-lH-pyrrolo[2,3- b]pyridine-5-carboxamide,
4-(2-hydroxyethylamino)-N-(2-methyl-5-(3-(trifluoromethyl)benzamido)phenyl)-lH- pyrrolo[2,3-b]pyridine-5-carboxamide,
N-(2-methyl-5-(3-(trifluoromethyl)benzamido)phenyl)-4-(2-(pyridin-3-yl)ethylamino)-lH- pyrrolo[2,3-b]pyridine-5-carboxamide,
N-(2-methyl-5-(3-(trifluoromethyl)benzamido)phenyl)-4-(pyridin-3-ylmethylamino)-lH- pyrrolo[2,3-b]pyridine-5-carboxamide,
4-(butylamino)-N-(2-methyl-5-(3-(trifluoromethyl)benzamido)phenyl)-lH-pyπOlo[2,3- b]pyridine-5-carboxamide,
4-(benzylamino)-N-(2-methyl-5-(3-(trifluoromethyl)benzamido)phenyl)-lH-pyπOlo[2,3- b]pyridine-5-carboxamide,
N-(2-methyl-5-(3-(trifluoromethyl)benzamido)phenyl)-7H-pyrrolo[2,3-d]pyrimidine-4- carboxamide,
N-(5-(4-((4-ethylpiperazin-l-yl)methyl)-3-(trifluoromethyl)phenylcarbamoyl)-2-methylphenyl)-
7H-pyrrolo[2,3-d]pyrimidine-4-carboxamide,
N-(2-methyl-5-(3-(trifluoromethyl)benzamido)phenyl)-7H-pyrrolo[2,3-d]pyrimidine-4- carboxamide,
N-(2-methyl-5-(3-(trifluoromethyl)benzamido)phenyl)-lH-pyrazolo[3,4-b]pyridine-5- carboxamide,
N-(5-(4-((4-ethylpiperazin-l-yl)methyl)-3-(trifluoromethyl)phenylcarbamoyl)-2-methylphenyl)- lH-pyrazolo[3,4-b]pyridine-5-carboxamide,
7-chloro-3-(methoxymethyl)-2-methyl-N-(2-methyl-5-(3-
(trifluoromethyl)phenylcarbamoyl)phenyl)-3H-imidazo[4,5-b]pyridine-6-carboxamide, and
7-chloro-3-(methoxymethyl)-2-methyl-N-(2-methyl-5-(3-(trifluoromethyl)benzamido)phenyl)-
3H-imidazo[4,5-b]pyridine-6-carboxamide.
13. A pharmaceutical composition comprising a therapeutically effective amount of a compound of claim 1 and a pharmaceutically acceptable carrier. P A T E N T
GNF Docket No.: P1267PC10
14. A method for inhibiting a kinase, comprising administering to a system or a subject in need thereof, a therapeutically effective amount of a compound of Formula (1) or Formula (3),
or pharmaceutically acceptable salts or pharmaceutical compositions thereof, wherein:
X1 and X2 are independently CR or N;
X3 is CH or N, or C if attached to L1 or R4;
Y is a 5-7 membered aryl or heteroaryl containing N, O or S;
L1 and L2 are independently NRCO or CONR;
R and R1 are independently H or C1-6 alkyl;
R2 is halo, or an optionally halogenated C1-6 alkyl;
R3 is halo, an optionally halogenated Ci_6 alkyl, (CR2)qR8 or O(CR2)qR9;
R4 is H, halo, NR6R7, NR5(CR2)PNR6R7, NR5CONR6R7 or NR5CO2R6;
R5 is Ci_6 alkyl;
R6 and R7 are independently H, an optionally halogenated Ci_6 alkyl, C2-6 alkenyl or C2_6 alkynyl; Ci-6 alkanol, (CR2)q-R8 or (CR2)pO(CR2)qR9; or R6 and R7 together with N in NR6R7 may form an optionally substituted ring;
R8 and R9 are independently an optionally substituted C3-7 cycloalkyl, 5-7 membered aryl, heterocyclic or heteroaryl; or R9 is H;
R12 is halo, an optionally halogenated Ci_6 alkyl, OCi_6 alkyl, NR6R7, NR5(CR2)PNR6R7, NR5CONR6R7 or NR5CO2R6; P A T E N T
GNF Docket No.: P1267PC10 m and o are independently 1-4; and n, p and q are independently 0-4; thereby inhibiting said kinase.
15. The method of claim 14, wherein said kinase is AIk, AbI, Aurora-A, B-Raf, C- Raf, Bcr-Abl, BRK, BIk, Bmx, BTK, c-Kit, c-RAF, c-SRC, EphBl, EphB2, EphB4, FLTl, Fms, Flt3, Fyn, FRK3, JAK2, KDR, Lck, Lyn, PDGFRα, PDGFRβ, PKCα, p38 (p38 MAP kinase, SAPK2α), Src, SIK, Syk, Tie2 and TrkB kinases, or a combination thereof.
16. The method of claim 14, wherein said kinase is B-Raf, Bcr-Abl, Lck or a combination thereof.
17. The method of claim 14, comprising administering said compound to a cell or tissue system; or to a human or animal subject.
18. A method for treating a B-Raf, a Bcr-Abl, or a Lck-mediated condition, comprising administering to a system or subject in need of such treatment an effective amount of a compound of Formula (1) or Formula (3),
or pharmaceutically acceptable salts or pharmaceutical compositions thereof, wherein: X1 and X2 are independently CR or N; X3 is CH or N, or C if attached to L1 or R4; P A T E N T
GNF Docket No.: P1267PC10
Y is a 5-7 membered aryl or heteroaryl containing N, O or S; L1 and L2 are independently NRCO or CONR; R and R1 are independently H or C1-6 alkyl;
R ^2 i •s halo, or an optionally halogenated Ci_6 alkyl;
R3 is halo, an optionally halogenated Ci_6 alkyl, (CR2)qR8 or O(CR2)qR9;
R4 is H, halo, NR6R7, NR5(CR2)PNR6R7, NR5CONR6R7 or NR5CO2R6;
R5 is Ci_6 alkyl;
R6 and R7 are independently H, an optionally halogenated C1-6 alkyl, C2_6 alkenyl or C2_6 alkynyl; Ci_6 alkanol, (CR2)q-R8 or (CR2)pO(CR2)qR9; or R6 and R7 together with N in NR6R7 may form an optionally substituted ring;
R8 and R9 are independently an optionally substituted C3-7 cycloalkyl, 5-7 membered aryl, heterocyclic or heteroaryl; or R9 is H;
R12 is halo, an optionally halogenated Ci_6 alkyl, OCi_6 alkyl, NR6R7, NR5(CR2)PNR6R7, NR5CONR6R7 or NR5CO2R6; m and 0 are independently 1-4; and n, p and q are independently 0-4; thereby treating said condition.
19. The method of claim 18, comprising administering said compound to a cell or tissue system; or to a human or animal subject.
20. The method of claim 18, wherein said condition is a cell proliferative disorder or an autoimmune disorder.
21. The method of claim 20, wherein said cell proliferative disorder is melanoma, leukemia, chronic myelogenous leukemia, lymphoma, osteosarcoma, or a tumor of breast, renal, prostate, colorectal, thyroid, ovarian, pancreatic, neuronal, lung, uterine or gastrointestinal tumor.
22. The method of claim 20, wherein said autoimmune disorder is systemic lupus erythematosus, inflammatory bowel disease, rheumatoid arthritis, or multiple sclerosis. P A T E N T
GNF Docket No.: P1267PC10
23. A use of a compound of any one of claims 1-12, or pharmaceutically acceptable salts or pharmaceutical compositions thereof, for treating a B-Raf, a Bcr-Abl, or a Lck-mediated condition.
24. A use of a compound of any one of claims 1-12, or pharmaceutically acceptable salts or pharmaceutical compositions thereof, for the manufacture of a medicament for treating a B-Raf, Bcr-Abl, or Lck-mediated condition.
25. The use of claim 23 or 24, wherein said condition is a cell proliferative disorder or an autoimmune disorder.
26. The use of claim 25, wherein said cell proliferative disorder is melanoma, leukemia, chronic myelogenous leukemia, lymphoma, osteosarcoma, or a tumor of breast, renal, prostate, colorectal, thyroid, ovarian, pancreatic, neuronal, lung, uterine or gastrointestinal tumor.
27. The use of claim 25, wherein said autoimmune disorder is systemic lupus erythematosus, inflammatory bowel disease, rheumatoid arthritis, or multiple sclerosis.
Applications Claiming Priority (2)
| Application Number | Priority Date | Filing Date | Title |
|---|---|---|---|
| US91775807P | 2007-05-14 | 2007-05-14 | |
| US60/917,758 | 2007-05-14 |
Publications (1)
| Publication Number | Publication Date |
|---|---|
| WO2008144253A1 true WO2008144253A1 (en) | 2008-11-27 |
Family
ID=39661331
Family Applications (1)
| Application Number | Title | Priority Date | Filing Date |
|---|---|---|---|
| PCT/US2008/063187 Ceased WO2008144253A1 (en) | 2007-05-14 | 2008-05-09 | Protein kinase inhibitors and methods for using thereof |
Country Status (1)
| Country | Link |
|---|---|
| WO (1) | WO2008144253A1 (en) |
Cited By (101)
| Publication number | Priority date | Publication date | Assignee | Title |
|---|---|---|---|---|
| FR2941948A1 (en) * | 2009-02-12 | 2010-08-13 | Nova Decision | AZAINDOLE DERIVATIVES AS INHIBITOR OF ABL KINASE PROTEINS AND SRC |
| WO2011090738A3 (en) * | 2009-12-29 | 2011-11-24 | Dana-Farber Cancer Institute, Inc. | Type ii raf kinase inhibitors |
| WO2012097684A1 (en) * | 2011-01-21 | 2012-07-26 | Abbott Laboratories | Bicyclic carboxamide inhibitors of kinases |
| WO2012127030A1 (en) * | 2011-03-23 | 2012-09-27 | Proteosys Ag | Arylpiperazines as neuroprotective agents |
| WO2012143143A1 (en) * | 2011-04-21 | 2012-10-26 | Origenis Gmbh | Heterocyclic compounds as kinase inhibitors |
| US8338452B2 (en) | 2008-02-29 | 2012-12-25 | Array Biopharma Inc. | Raf inhibitor compounds and methods of use thereof |
| JP2013503905A (en) * | 2009-09-04 | 2013-02-04 | バイオジェン アイデック エムエイ インコーポレイテッド | Bruton type tyrosine kinase inhibitor |
| WO2013030802A1 (en) * | 2011-09-01 | 2013-03-07 | Novartis Ag | Bicyclic heterocycle derivatives for the treatment of pulmonary arterial hypertension |
| US8394795B2 (en) | 2008-02-29 | 2013-03-12 | Array Biopharma Inc. | Pyrazole [3, 4-B] pyridine Raf inhibitors |
| EP2567959A1 (en) * | 2011-09-12 | 2013-03-13 | Sanofi | 6-(4-Hydroxy-phenyl)-3-styryl-1H-pyrazolo[3,4-b]pyridine-4-carboxylic acid amide derivatives as kinase inhibitors |
| WO2013037390A1 (en) * | 2011-09-12 | 2013-03-21 | Sanofi | 6-(4-hydroxy-phenyl)-3-styryl-1h-pyrazolo[3,4-b]pyridine-4-carboxylic acid amide derivatives as kinase inhibitors |
| WO2013045413A1 (en) * | 2011-09-27 | 2013-04-04 | Sanofi | 6-(4-hydroxy-phenyl)-3-alkyl-1h-pyrazolo[3,4-b]pyridine-4-carboxylic acid amide derivatives as kinase inhibitors |
| WO2013060636A1 (en) * | 2011-10-25 | 2013-05-02 | Sanofi | 6-(4-hydroxy-phenyl)-1h-pyrazolo[3,4-b]pyridine-4-carboxylic acid amide derivatives as kinase inhibitors |
| WO2013163109A1 (en) * | 2012-04-23 | 2013-10-31 | Genentech, Inc. | Intermediates and processes for preparing compounds |
| WO2013167403A1 (en) * | 2012-05-09 | 2013-11-14 | Sanofi | Substituted 6-(4-hydroxy-phenyl)-1h-pyrazolo[3,4-b]pyridine derivatives as kinase inhibitors |
| CN103443102A (en) * | 2011-01-21 | 2013-12-11 | Abbvie公司 | Bicyclic carboxamide inhibitors of kinases |
| WO2014044691A1 (en) * | 2012-09-20 | 2014-03-27 | Bayer Pharma Aktiengesellschaft | Substituted pyrrolopyrimidinylamino-benzothiazolones as mknk kinase inhibitors |
| WO2014102377A1 (en) * | 2012-12-28 | 2014-07-03 | Oribase Pharma | Azaindole derivatives as multi kinase inhibitors |
| WO2014100620A3 (en) * | 2012-12-21 | 2014-08-21 | Plexxikon Inc. | Compounds and methods for kinase modulation, and indications therefor |
| WO2014132220A1 (en) * | 2013-03-01 | 2014-09-04 | Novartis Ag | Solid forms of bicyclic heterocyclic derivatives as pdgf receptor mediators |
| US8829195B2 (en) | 2012-05-15 | 2014-09-09 | Novartis Ag | Compounds and compositions for inhibiting the activity of ABL1, ABL2 and BCR-ABL1 |
| US8846712B2 (en) | 2011-09-12 | 2014-09-30 | Sanofi | 6-(4-hydroxy-phenyl)-3-styryl-1H-pyrazolo[3,4-b]pyridine-4-carboxylic acid amide derivatives as kinase inhibitors |
| CN104098564A (en) * | 2014-07-30 | 2014-10-15 | 天津市斯芬克司药物研发有限公司 | Pyrazol pyridine compound and preparation method thereof |
| CN104844566A (en) * | 2014-12-12 | 2015-08-19 | 中国科学院合肥物质科学研究院 | Kinase inhibitor with novel structure |
| CN104876879A (en) * | 2015-04-14 | 2015-09-02 | 中国科学院合肥物质科学研究院 | Novel BCR-ABL kinase inhibitor |
| WO2015089481A3 (en) * | 2013-12-13 | 2015-10-29 | Dana-Farber Cancer Institute, Inc. | Methods to treat lymphoplasmacytic lymphoma |
| US9233111B2 (en) | 2011-07-08 | 2016-01-12 | Novartis Ag | Pyrrolo pyrimidine derivatives |
| JP2016504345A (en) * | 2012-12-28 | 2016-02-12 | オリバーズ・ファルマ | Protein kinase inhibitors |
| US9266892B2 (en) | 2012-12-19 | 2016-02-23 | Incyte Holdings Corporation | Fused pyrazoles as FGFR inhibitors |
| US9278981B2 (en) | 2012-05-15 | 2016-03-08 | Novartis Ag | Compounds and compositions for inhibiting the activity of ABL1, ABL2 and BCR-ABL1 |
| JP2016507509A (en) * | 2012-12-28 | 2016-03-10 | オリバーズ・ファルマ | Azaindole derivatives as inhibitors of protein kinases |
| US9296701B2 (en) | 2012-04-24 | 2016-03-29 | Vertex Pharmaceuticals Incorporated | DNA-PK inhibitors |
| US9296757B2 (en) | 2012-05-21 | 2016-03-29 | Bayer Pharma Aktiengesellschaft | Substituted benzothienopyrimidines |
| US9315489B2 (en) | 2012-05-15 | 2016-04-19 | Novartis Ag | Compounds and compositions for inhibiting the activity of ABL1, ABL2 and BCR-ABL1 |
| WO2016065226A1 (en) * | 2014-10-24 | 2016-04-28 | Bristol-Myers Squibb Company | Indole carboxamides compounds useful as kinase inhobitors |
| US9340537B2 (en) | 2012-05-15 | 2016-05-17 | Novatis Ag | Benzamide derivatives for inhibiting the activity of ABL1, ABL2 and BCR-ABL1 |
| US9340557B2 (en) | 2013-03-12 | 2016-05-17 | Vertex Pharmaceuticals Incorporated | Substituted quinoxaline DNA-PK inhibitors |
| US9382239B2 (en) | 2011-11-17 | 2016-07-05 | Dana-Farber Cancer Institute, Inc. | Inhibitors of c-Jun-N-terminal kinase (JNK) |
| US9388185B2 (en) | 2012-08-10 | 2016-07-12 | Incyte Holdings Corporation | Substituted pyrrolo[2,3-b]pyrazines as FGFR inhibitors |
| CN105801584A (en) * | 2016-03-16 | 2016-07-27 | 中国药科大学 | Novel aromatic amide Raf kinase inhibitors and preparation method and application thereof |
| US9447106B2 (en) | 2013-04-25 | 2016-09-20 | Beigene, Ltd. | Substituted pyrazolo[1,5-a]pyrimidines as bruton's tyrosine kinase modulators |
| US9505784B2 (en) | 2009-06-12 | 2016-11-29 | Dana-Farber Cancer Institute, Inc. | Fused 2-aminothiazole compounds |
| US9533954B2 (en) | 2010-12-22 | 2017-01-03 | Incyte Corporation | Substituted imidazopyridazines and benzimidazoles as inhibitors of FGFR3 |
| US9533984B2 (en) | 2013-04-19 | 2017-01-03 | Incyte Holdings Corporation | Bicyclic heterocycles as FGFR inhibitors |
| US9580423B2 (en) | 2015-02-20 | 2017-02-28 | Incyte Corporation | Bicyclic heterocycles as FGFR4 inhibitors |
| US9611267B2 (en) | 2012-06-13 | 2017-04-04 | Incyte Holdings Corporation | Substituted tricyclic compounds as FGFR inhibitors |
| US9708318B2 (en) | 2015-02-20 | 2017-07-18 | Incyte Corporation | Bicyclic heterocycles as FGFR4 inhibitors |
| US9758522B2 (en) | 2012-10-19 | 2017-09-12 | Dana-Farber Cancer Institute, Inc. | Hydrophobically tagged small molecules as inducers of protein degradation |
| US9856223B2 (en) | 2013-12-13 | 2018-01-02 | Dana-Farber Cancer Institute, Inc. | Methods to treat lymphoplasmacytic lymphoma |
| US9862688B2 (en) | 2014-04-23 | 2018-01-09 | Dana-Farber Cancer Institute, Inc. | Hydrophobically tagged janus kinase inhibitors and uses thereof |
| JP2018502899A (en) * | 2015-01-20 | 2018-02-01 | 无▲錫▼福祈制▲薬▼有限公司Wuxi Fortune Pharmaceutical Co.,Ltd | JAK inhibitor |
| US9890156B2 (en) | 2015-02-20 | 2018-02-13 | Incyte Corporation | Bicyclic heterocycles as FGFR4 inhibitors |
| WO2018053437A1 (en) | 2016-09-19 | 2018-03-22 | Mei Pharma, Inc. | Combination therapy |
| US10000483B2 (en) | 2012-10-19 | 2018-06-19 | Dana-Farber Cancer Institute, Inc. | Bone marrow on X chromosome kinase (BMX) inhibitors and uses thereof |
| US10000482B2 (en) | 2012-10-19 | 2018-06-19 | Origenis Gmbh | Kinase inhibitors |
| US10017477B2 (en) | 2014-04-23 | 2018-07-10 | Dana-Farber Cancer Institute, Inc. | Janus kinase inhibitors and uses thereof |
| US10039761B2 (en) | 2013-10-17 | 2018-08-07 | Vertex Pharmaceuticals Incorporated | Co-crystals and pharmaceutical compositions comprising the same |
| US10112927B2 (en) | 2012-10-18 | 2018-10-30 | Dana-Farber Cancer Institute, Inc. | Inhibitors of cyclin-dependent kinase 7 (CDK7) |
| US10112957B2 (en) | 2014-10-22 | 2018-10-30 | Dana-Farber Cancer Institute, Inc. | Thiazolyl-containing compounds for treating proliferative diseases |
| US10550121B2 (en) | 2015-03-27 | 2020-02-04 | Dana-Farber Cancer Institute, Inc. | Inhibitors of cyclin-dependent kinases |
| US10611762B2 (en) | 2017-05-26 | 2020-04-07 | Incyte Corporation | Crystalline forms of a FGFR inhibitor and processes for preparing the same |
| US10618887B2 (en) | 2012-06-08 | 2020-04-14 | Sunesis Pharmaceuticals, Inc. | Pyrimidinyl tyrosine kinase inhibitors |
| US10702527B2 (en) | 2015-06-12 | 2020-07-07 | Dana-Farber Cancer Institute, Inc. | Combination therapy of transcription inhibitors and kinase inhibitors |
| WO2020156271A1 (en) * | 2019-02-02 | 2020-08-06 | 江苏威凯尔医药科技有限公司 | Janus kinase (jak) family inhibitor, preparation of same, and applications thereof |
| CN111518096A (en) * | 2019-02-02 | 2020-08-11 | 江苏威凯尔医药科技有限公司 | Janus kinase JAK family inhibitor and preparation and application thereof |
| US10851105B2 (en) | 2014-10-22 | 2020-12-01 | Incyte Corporation | Bicyclic heterocycles as FGFR4 inhibitors |
| US10870651B2 (en) | 2014-12-23 | 2020-12-22 | Dana-Farber Cancer Institute, Inc. | Inhibitors of cyclin-dependent kinase 7 (CDK7) |
| US10906889B2 (en) | 2013-10-18 | 2021-02-02 | Dana-Farber Cancer Institute, Inc. | Polycyclic inhibitors of cyclin-dependent kinase 7 (CDK7) |
| US10927117B2 (en) | 2016-08-16 | 2021-02-23 | Beigene Switzerland Gmbh | Crystalline form of (S)-7-(1-acryloylpiperidin-4-yl)-2-(4-phenoxyphenyl)-4,5,6,7-tetra-hydropyrazolo[1,5-a]pyrimidine-3-carboxamide, preparation, and uses thereof |
| US11040957B2 (en) | 2013-10-18 | 2021-06-22 | Dana-Farber Cancer Institute, Inc. | Heteroaromatic compounds useful for the treatment of proliferative diseases |
| US11110108B2 (en) | 2016-09-27 | 2021-09-07 | Vertex Pharmaceuticals Incorporated | Method for treating cancer using a combination of DNA-damaging agents and DNA-PK inhibitors |
| US11142507B2 (en) | 2015-09-09 | 2021-10-12 | Dana-Farber Cancer Institute, Inc. | Inhibitors of cyclin-dependent kinases |
| US11174243B2 (en) | 2016-07-21 | 2021-11-16 | Sunesis Pharmaceuticals, Inc. | Succinate forms and compositions of Bruton's tyrosine kinase inhibitors |
| US11174257B2 (en) | 2018-05-04 | 2021-11-16 | Incyte Corporation | Salts of an FGFR inhibitor |
| US11186637B2 (en) | 2013-09-13 | 2021-11-30 | Beigene Switzerland Gmbh | Anti-PD1 antibodies and their use as therapeutics and diagnostics |
| US11377449B2 (en) | 2017-08-12 | 2022-07-05 | Beigene, Ltd. | BTK inhibitors with improved dual selectivity |
| US11407750B2 (en) | 2019-12-04 | 2022-08-09 | Incyte Corporation | Derivatives of an FGFR inhibitor |
| CN115073466A (en) * | 2021-03-10 | 2022-09-20 | 首药控股(北京)股份有限公司 | Preparation method of WEE1 tyrosine protein kinase inhibitor |
| US11466004B2 (en) | 2018-05-04 | 2022-10-11 | Incyte Corporation | Solid forms of an FGFR inhibitor and processes for preparing the same |
| US11512132B2 (en) | 2014-07-03 | 2022-11-29 | Beigene, Ltd. | Anti-PD-L1 antibodies and their use as therapeutics and diagnostics |
| US11534431B2 (en) | 2016-07-05 | 2022-12-27 | Beigene Switzerland Gmbh | Combination of a PD-1 antagonist and a RAF inhibitor for treating cancer |
| US11555038B2 (en) | 2017-01-25 | 2023-01-17 | Beigene, Ltd. | Crystalline forms of (S)-7-(1-(but-2-ynoyl)piperidin-4-yl)-2-(4-phenoxyphenyl)-4,5,6,7-tetrahydropyrazolo[1,5-a]pyrimidine-3-carboxamide, preparation, and uses thereof |
| US11566028B2 (en) | 2019-10-16 | 2023-01-31 | Incyte Corporation | Bicyclic heterocycles as FGFR inhibitors |
| US11591329B2 (en) | 2019-07-09 | 2023-02-28 | Incyte Corporation | Bicyclic heterocycles as FGFR inhibitors |
| US11597768B2 (en) | 2017-06-26 | 2023-03-07 | Beigene, Ltd. | Immunotherapy for hepatocellular carcinoma |
| US11607416B2 (en) | 2019-10-14 | 2023-03-21 | Incyte Corporation | Bicyclic heterocycles as FGFR inhibitors |
| US11628162B2 (en) | 2019-03-08 | 2023-04-18 | Incyte Corporation | Methods of treating cancer with an FGFR inhibitor |
| US11701357B2 (en) | 2016-08-19 | 2023-07-18 | Beigene Switzerland Gmbh | Treatment of B cell cancers using a combination comprising Btk inhibitors |
| US11786531B1 (en) | 2022-06-08 | 2023-10-17 | Beigene Switzerland Gmbh | Methods of treating B-cell proliferative disorder |
| US11786529B2 (en) | 2017-11-29 | 2023-10-17 | Beigene Switzerland Gmbh | Treatment of indolent or aggressive B-cell lymphomas using a combination comprising BTK inhibitors |
| CN116969976A (en) * | 2022-04-28 | 2023-10-31 | 杭州普济远成生物医药科技有限公司 | Deubiquitinating enzyme inhibitors and their applications |
| US11897891B2 (en) | 2019-12-04 | 2024-02-13 | Incyte Corporation | Tricyclic heterocycles as FGFR inhibitors |
| US11939331B2 (en) | 2021-06-09 | 2024-03-26 | Incyte Corporation | Tricyclic heterocycles as FGFR inhibitors |
| US12012409B2 (en) | 2020-01-15 | 2024-06-18 | Incyte Corporation | Bicyclic heterocycles as FGFR inhibitors |
| US12065494B2 (en) | 2021-04-12 | 2024-08-20 | Incyte Corporation | Combination therapy comprising an FGFR inhibitor and a Nectin-4 targeting agent |
| US12122767B2 (en) | 2019-10-01 | 2024-10-22 | Incyte Corporation | Bicyclic heterocycles as FGFR inhibitors |
| US12187701B2 (en) | 2018-06-25 | 2025-01-07 | Dana-Farber Cancer Institute, Inc. | Taire family kinase inhibitors and uses thereof |
| US12233069B2 (en) | 2019-06-10 | 2025-02-25 | Beigene Switzerland Gmbh | Oral solid tablet comprising Bruton's Tyrosine Kinase inhibitor and preparation method therefor |
| US12281126B2 (en) | 2018-12-28 | 2025-04-22 | Dana-Farber Cancer Institute, Inc. | Inhibitors of cyclin-dependent kinase 7 and uses thereof |
| US12428420B2 (en) | 2021-06-09 | 2025-09-30 | Incyte Corporation | Tricyclic heterocycles as FGFR inhibitors |
| US12435086B2 (en) | 2020-04-29 | 2025-10-07 | Plexxikon Inc. | Synthesis of heterocyclic compounds |
Citations (4)
| Publication number | Priority date | Publication date | Assignee | Title |
|---|---|---|---|---|
| WO2007017143A1 (en) * | 2005-07-29 | 2007-02-15 | F. Hoffmann-La Roche Ag | Azabenzimidazole derivatives, their manufacture and use as anti-cancer agents |
| WO2007042321A2 (en) * | 2005-10-13 | 2007-04-19 | Devgen N.V. | Kinase inhibitors |
| WO2007083978A1 (en) * | 2006-01-23 | 2007-07-26 | Crystalgenomics, Inc. | Imidazopyridine derivatives inhibiting protein kinase activity, method for the preparation thereof and pharmaceutical composition containing same |
| WO2008028617A1 (en) * | 2006-09-06 | 2008-03-13 | F. Hoffmann-La Roche Ag | Heteroaryl derivatives as protein kinase inhibitors |
-
2008
- 2008-05-09 WO PCT/US2008/063187 patent/WO2008144253A1/en not_active Ceased
Patent Citations (4)
| Publication number | Priority date | Publication date | Assignee | Title |
|---|---|---|---|---|
| WO2007017143A1 (en) * | 2005-07-29 | 2007-02-15 | F. Hoffmann-La Roche Ag | Azabenzimidazole derivatives, their manufacture and use as anti-cancer agents |
| WO2007042321A2 (en) * | 2005-10-13 | 2007-04-19 | Devgen N.V. | Kinase inhibitors |
| WO2007083978A1 (en) * | 2006-01-23 | 2007-07-26 | Crystalgenomics, Inc. | Imidazopyridine derivatives inhibiting protein kinase activity, method for the preparation thereof and pharmaceutical composition containing same |
| WO2008028617A1 (en) * | 2006-09-06 | 2008-03-13 | F. Hoffmann-La Roche Ag | Heteroaryl derivatives as protein kinase inhibitors |
Cited By (251)
| Publication number | Priority date | Publication date | Assignee | Title |
|---|---|---|---|---|
| US8338452B2 (en) | 2008-02-29 | 2012-12-25 | Array Biopharma Inc. | Raf inhibitor compounds and methods of use thereof |
| US8394795B2 (en) | 2008-02-29 | 2013-03-12 | Array Biopharma Inc. | Pyrazole [3, 4-B] pyridine Raf inhibitors |
| WO2010092489A1 (en) * | 2009-02-12 | 2010-08-19 | Nova Decision | Derivatives of azaindoles as inhibitors of protein kinases abl and src |
| FR2941948A1 (en) * | 2009-02-12 | 2010-08-13 | Nova Decision | AZAINDOLE DERIVATIVES AS INHIBITOR OF ABL KINASE PROTEINS AND SRC |
| US8580815B2 (en) | 2009-02-12 | 2013-11-12 | Oribase Pharma | Derivatives of azaindoles as inhibitors of protein kinases ABL and SRC |
| JP2012517465A (en) * | 2009-02-12 | 2012-08-02 | オリバーズ・ファルマ | Azaindole derivatives as inhibitors of protein kinases ABL and SRC |
| US9505784B2 (en) | 2009-06-12 | 2016-11-29 | Dana-Farber Cancer Institute, Inc. | Fused 2-aminothiazole compounds |
| US10577374B2 (en) | 2009-09-04 | 2020-03-03 | Sunesis Pharmaceuticals, Inc. | Bruton's tyrosine kinase inhibitors |
| US9790229B2 (en) | 2009-09-04 | 2017-10-17 | Sunesis Pharmaceuticals, Inc. | Bruton's tyrosine kinase inhibitors |
| US9249146B2 (en) | 2009-09-04 | 2016-02-02 | Biogen Ma Inc. | Bruton'S tyrosine kinase inhibitors |
| JP2018111726A (en) * | 2009-09-04 | 2018-07-19 | バイオジェン・エムエイ・インコーポレイテッドBiogen MA Inc. | Bruton type tyrosine kinase inhibitor |
| JP2013503905A (en) * | 2009-09-04 | 2013-02-04 | バイオジェン アイデック エムエイ インコーポレイテッド | Bruton type tyrosine kinase inhibitor |
| JP2017186373A (en) * | 2009-09-04 | 2017-10-12 | バイオジェン・エムエイ・インコーポレイテッドBiogen MA Inc. | Bruton type tyrosine kinase inhibitor |
| US9358231B2 (en) | 2009-12-29 | 2016-06-07 | Dana-Farber Cancer Institute, Inc. | Type II RAF kinase inhibitors |
| US9180127B2 (en) | 2009-12-29 | 2015-11-10 | Dana-Farber Cancer Institute, Inc. | Type II Raf kinase inhibitors |
| WO2011090738A3 (en) * | 2009-12-29 | 2011-11-24 | Dana-Farber Cancer Institute, Inc. | Type ii raf kinase inhibitors |
| AU2016201096B2 (en) * | 2009-12-29 | 2017-08-31 | Dana-Farber Cancer Institute, Inc. | Type ii raf kinase inhibitors |
| US11826365B2 (en) | 2009-12-29 | 2023-11-28 | Dana-Farber Cancer Institute, Inc. | Type II raf kinase inhibitors |
| EP2937345A3 (en) * | 2009-12-29 | 2015-12-02 | Dana-Farber Cancer Institute, Inc. | Type II raf kinase inhibitors |
| US20130040949A1 (en) * | 2009-12-29 | 2013-02-14 | Dana-Farber Cancer Institute, Inc. | Type ii raf kinase inhibitors |
| US20160046636A1 (en) * | 2009-12-29 | 2016-02-18 | Dana-Farber Cancer Institute, Inc. | Type ii raf kinase inhibitors |
| US10813930B2 (en) | 2010-12-22 | 2020-10-27 | Incyte Corporation | Substituted imidazopyridazines and benzimidazoles as inhibitors of FGFR3 |
| US10213427B2 (en) | 2010-12-22 | 2019-02-26 | Incyte Corporation | Substituted imidazopyridazines and benzimidazoles as inhibitors of FGFR3 |
| US9533954B2 (en) | 2010-12-22 | 2017-01-03 | Incyte Corporation | Substituted imidazopyridazines and benzimidazoles as inhibitors of FGFR3 |
| CN103443102A (en) * | 2011-01-21 | 2013-12-11 | Abbvie公司 | Bicyclic carboxamide inhibitors of kinases |
| WO2012097684A1 (en) * | 2011-01-21 | 2012-07-26 | Abbott Laboratories | Bicyclic carboxamide inhibitors of kinases |
| WO2012127030A1 (en) * | 2011-03-23 | 2012-09-27 | Proteosys Ag | Arylpiperazines as neuroprotective agents |
| JP2014511884A (en) * | 2011-04-21 | 2014-05-19 | オリゲニス ゲーエムベーハー | Heterocyclic compounds as kinase inhibitors |
| CN103717597A (en) * | 2011-04-21 | 2014-04-09 | 原真股份有限公司 | Heterocyclic compounds as kinase inhibitors |
| WO2012143143A1 (en) * | 2011-04-21 | 2012-10-26 | Origenis Gmbh | Heterocyclic compounds as kinase inhibitors |
| US9499535B2 (en) | 2011-04-21 | 2016-11-22 | Origenis Gmbh | Kinase inhibitors |
| EA034193B1 (en) * | 2011-04-21 | 2020-01-15 | Оригенис Гмбх | Heterocyclic compounds as kinase inhibitors |
| US9233111B2 (en) | 2011-07-08 | 2016-01-12 | Novartis Ag | Pyrrolo pyrimidine derivatives |
| KR101687082B1 (en) | 2011-09-01 | 2016-12-15 | 노파르티스 아게 | Bicyclic Heterocycle Derivatives for the Treatment of Pulmonary Arterial Hypertension |
| KR20140059272A (en) * | 2011-09-01 | 2014-05-15 | 노파르티스 아게 | Bicyclic heterocycle derivatives for the treatment of pulmonary arterial hypertension |
| CN104024252A (en) * | 2011-09-01 | 2014-09-03 | 诺华股份有限公司 | Bicyclic heterocyclic derivatives for the treatment of pulmonary hypertension |
| EA024068B1 (en) * | 2011-09-01 | 2016-08-31 | Новартис Аг | Bicyclic heterocycle derivatives for the treatment of pulmonary arterial hypertension |
| CN105001218B (en) * | 2011-09-01 | 2017-04-12 | 诺华股份有限公司 | Bicyclic heterocycle derivatives for the treatment of pulmonary arterial hypertension |
| JP2014527544A (en) * | 2011-09-01 | 2014-10-16 | ノバルティス アーゲー | Bicyclic heterocyclic derivatives for the treatment of pulmonary arterial hypertension |
| WO2013030802A1 (en) * | 2011-09-01 | 2013-03-07 | Novartis Ag | Bicyclic heterocycle derivatives for the treatment of pulmonary arterial hypertension |
| CN104024252B (en) * | 2011-09-01 | 2015-08-26 | 诺华股份有限公司 | Bicyclic heterocyclic derivatives for the treatment of pulmonary hypertension |
| US9751876B2 (en) | 2011-09-01 | 2017-09-05 | Novartis Ag | Bicyclic heterocycle derivatives for the treatment of pulmonary arterial hypertension |
| AU2012303674B2 (en) * | 2011-09-01 | 2015-11-26 | Novartis Ag | Bicyclic heterocycle derivatives for the treatment of pulmonary arterial hypertension |
| US8883819B2 (en) | 2011-09-01 | 2014-11-11 | Irm Llc | Bicyclic heterocycle derivatives for the treatment of pulmonary arterial hypertension |
| CN105001218A (en) * | 2011-09-01 | 2015-10-28 | 诺华股份有限公司 | Bicyclic heterocycle derivatives for the treatment of pulmonary arterial hypertension |
| WO2013037390A1 (en) * | 2011-09-12 | 2013-03-21 | Sanofi | 6-(4-hydroxy-phenyl)-3-styryl-1h-pyrazolo[3,4-b]pyridine-4-carboxylic acid amide derivatives as kinase inhibitors |
| EP2567959A1 (en) * | 2011-09-12 | 2013-03-13 | Sanofi | 6-(4-Hydroxy-phenyl)-3-styryl-1H-pyrazolo[3,4-b]pyridine-4-carboxylic acid amide derivatives as kinase inhibitors |
| US8846712B2 (en) | 2011-09-12 | 2014-09-30 | Sanofi | 6-(4-hydroxy-phenyl)-3-styryl-1H-pyrazolo[3,4-b]pyridine-4-carboxylic acid amide derivatives as kinase inhibitors |
| US8686150B2 (en) | 2011-09-27 | 2014-04-01 | Sanofi | 6-(4-hydroxy-phenyl)-3-alkyl-1H-pyrazolo[3,4-b]pyridine-4-carboxylic acid amide derivatives as kinase inhibitors |
| WO2013045413A1 (en) * | 2011-09-27 | 2013-04-04 | Sanofi | 6-(4-hydroxy-phenyl)-3-alkyl-1h-pyrazolo[3,4-b]pyridine-4-carboxylic acid amide derivatives as kinase inhibitors |
| WO2013060636A1 (en) * | 2011-10-25 | 2013-05-02 | Sanofi | 6-(4-hydroxy-phenyl)-1h-pyrazolo[3,4-b]pyridine-4-carboxylic acid amide derivatives as kinase inhibitors |
| US9382239B2 (en) | 2011-11-17 | 2016-07-05 | Dana-Farber Cancer Institute, Inc. | Inhibitors of c-Jun-N-terminal kinase (JNK) |
| US10144730B2 (en) | 2011-11-17 | 2018-12-04 | Dana-Farber Cancer Institute, Inc. | Inhibitors of c-Jun-N-terminal kinase (JNK) |
| US10981903B2 (en) | 2011-11-17 | 2021-04-20 | Dana-Farber Cancer Institute, Inc. | Inhibitors of c-Jun-N-terminal kinase (JNK) |
| JP2015514784A (en) * | 2012-04-23 | 2015-05-21 | ジェネンテック, インコーポレイテッド | Intermediates and methods for the preparation of compounds |
| US9221813B2 (en) | 2012-04-23 | 2015-12-29 | Genentech, Inc. | Intermediates and processes for preparing compounds |
| CN104395311B (en) * | 2012-04-23 | 2017-04-19 | 基因泰克公司 | Intermediates and processes for preparing compounds |
| CN104395311A (en) * | 2012-04-23 | 2015-03-04 | 基因泰克公司 | Intermediates and processes for preparing compounds |
| WO2013163109A1 (en) * | 2012-04-23 | 2013-10-31 | Genentech, Inc. | Intermediates and processes for preparing compounds |
| KR20150005995A (en) * | 2012-04-23 | 2015-01-15 | 제넨테크, 인크. | Intermediates and processes for preparing compounds |
| KR102096679B1 (en) | 2012-04-23 | 2020-04-02 | 제넨테크, 인크. | Intermediates and processes for preparing compounds |
| US9296701B2 (en) | 2012-04-24 | 2016-03-29 | Vertex Pharmaceuticals Incorporated | DNA-PK inhibitors |
| US11021465B2 (en) | 2012-04-24 | 2021-06-01 | Vertex Pharmaceuticals Incorporated | DNA-PK inhibitors |
| US9878993B2 (en) | 2012-04-24 | 2018-01-30 | Vertex Pharmaceuticals Incorporated | DNA-PK inhibitors for treatment of cancer |
| US9592232B2 (en) | 2012-04-24 | 2017-03-14 | Vertex Pharmaceuticals Incorporated | DNA-PK inhibitors |
| US10501439B2 (en) | 2012-04-24 | 2019-12-10 | Vertex Pharmaceuticals Incorporated | DNA-PK inhibitors |
| US9376448B2 (en) | 2012-04-24 | 2016-06-28 | Vertex Pharmaceuticals Incorporated | DNA-PK inhibitors |
| US10076521B2 (en) | 2012-04-24 | 2018-09-18 | Vertex Pharamceuticals Incorporated | DNA-PK inhibitors |
| US9925188B2 (en) | 2012-04-24 | 2018-03-27 | Vertex Pharmaceuticals Incorporated | DNA-PK inhibitors and uses thereof |
| US10391095B2 (en) | 2012-04-24 | 2019-08-27 | Vertex Pharmaceuticals Incorporated | DNA-PK inhibitors |
| US10442791B2 (en) | 2012-04-24 | 2019-10-15 | Vertex Pharmaceuticals Incorporated | DNA-PK inhibitors |
| US11008305B2 (en) | 2012-04-24 | 2021-05-18 | Vertex Pharmaceuticals Incorporated | DNA-PK inhibitors |
| WO2013167403A1 (en) * | 2012-05-09 | 2013-11-14 | Sanofi | Substituted 6-(4-hydroxy-phenyl)-1h-pyrazolo[3,4-b]pyridine derivatives as kinase inhibitors |
| US9133181B2 (en) | 2012-05-09 | 2015-09-15 | Sanofi | Substituted 6-(4-hydroxy-phenyl)-1H-pyrazolo[3,4-b]pyridine derivatives as kinase inhibitors |
| US9896444B2 (en) | 2012-05-15 | 2018-02-20 | Novartis Ag | Benzamide derivatives for inhibiting the activity of ABL1, ABL2 and BCR-ABL1 |
| US9315489B2 (en) | 2012-05-15 | 2016-04-19 | Novartis Ag | Compounds and compositions for inhibiting the activity of ABL1, ABL2 and BCR-ABL1 |
| US9458112B2 (en) | 2012-05-15 | 2016-10-04 | Novartis Ag | Compounds and compositions for inhibiting the activity of ABL1, ABL2 and BCR-ABL1 |
| US9340537B2 (en) | 2012-05-15 | 2016-05-17 | Novatis Ag | Benzamide derivatives for inhibiting the activity of ABL1, ABL2 and BCR-ABL1 |
| US8829195B2 (en) | 2012-05-15 | 2014-09-09 | Novartis Ag | Compounds and compositions for inhibiting the activity of ABL1, ABL2 and BCR-ABL1 |
| US9278981B2 (en) | 2012-05-15 | 2016-03-08 | Novartis Ag | Compounds and compositions for inhibiting the activity of ABL1, ABL2 and BCR-ABL1 |
| US9296757B2 (en) | 2012-05-21 | 2016-03-29 | Bayer Pharma Aktiengesellschaft | Substituted benzothienopyrimidines |
| US10618887B2 (en) | 2012-06-08 | 2020-04-14 | Sunesis Pharmaceuticals, Inc. | Pyrimidinyl tyrosine kinase inhibitors |
| US10131667B2 (en) | 2012-06-13 | 2018-11-20 | Incyte Corporation | Substituted tricyclic compounds as FGFR inhibitors |
| US12534463B2 (en) | 2012-06-13 | 2026-01-27 | Incyte Corporation | Substituted tricyclic compounds as FGFR inhibitors |
| US11840534B2 (en) | 2012-06-13 | 2023-12-12 | Incyte Corporation | Substituted tricyclic compounds as FGFR inhibitors |
| US11053246B2 (en) | 2012-06-13 | 2021-07-06 | Incyte Corporation | Substituted tricyclic compounds as FGFR inhibitors |
| US9611267B2 (en) | 2012-06-13 | 2017-04-04 | Incyte Holdings Corporation | Substituted tricyclic compounds as FGFR inhibitors |
| US9388185B2 (en) | 2012-08-10 | 2016-07-12 | Incyte Holdings Corporation | Substituted pyrrolo[2,3-b]pyrazines as FGFR inhibitors |
| US9745311B2 (en) | 2012-08-10 | 2017-08-29 | Incyte Corporation | Substituted pyrrolo[2,3-b]pyrazines as FGFR inhibitors |
| WO2014044691A1 (en) * | 2012-09-20 | 2014-03-27 | Bayer Pharma Aktiengesellschaft | Substituted pyrrolopyrimidinylamino-benzothiazolones as mknk kinase inhibitors |
| JP2015529232A (en) * | 2012-09-20 | 2015-10-05 | バイエル・ファルマ・アクティエンゲゼルシャフト | Substituted pyrrolopyrimidinylamino-benzothiazolone |
| US9382255B2 (en) | 2012-09-20 | 2016-07-05 | Bayer Pharma Aktiengesellschaft | Substituted pyrrolopyrimidinylamino-benzothiazolones as MKNK kinase inhibitors |
| US10112927B2 (en) | 2012-10-18 | 2018-10-30 | Dana-Farber Cancer Institute, Inc. | Inhibitors of cyclin-dependent kinase 7 (CDK7) |
| US10787436B2 (en) | 2012-10-18 | 2020-09-29 | Dana-Farber Cancer Institute, Inc. | Inhibitors of cyclin-dependent kinase 7 (CDK7) |
| US10752624B2 (en) | 2012-10-19 | 2020-08-25 | Origenis Gmbh | Kinase inhibitors |
| US9758522B2 (en) | 2012-10-19 | 2017-09-12 | Dana-Farber Cancer Institute, Inc. | Hydrophobically tagged small molecules as inducers of protein degradation |
| US10000482B2 (en) | 2012-10-19 | 2018-06-19 | Origenis Gmbh | Kinase inhibitors |
| US10000483B2 (en) | 2012-10-19 | 2018-06-19 | Dana-Farber Cancer Institute, Inc. | Bone marrow on X chromosome kinase (BMX) inhibitors and uses thereof |
| USRE48175E1 (en) | 2012-10-19 | 2020-08-25 | Dana-Farber Cancer Institute, Inc. | Hydrophobically tagged small molecules as inducers of protein degradation |
| US9266892B2 (en) | 2012-12-19 | 2016-02-23 | Incyte Holdings Corporation | Fused pyrazoles as FGFR inhibitors |
| US9676748B2 (en) | 2012-12-21 | 2017-06-13 | Plexxikon Inc. | Compounds and methods for kinase modulation, and indications therefor |
| WO2014100620A3 (en) * | 2012-12-21 | 2014-08-21 | Plexxikon Inc. | Compounds and methods for kinase modulation, and indications therefor |
| US10301280B2 (en) | 2012-12-21 | 2019-05-28 | Plexxikon Inc. | Compounds and methods for kinase modulation, and indications therefor |
| CN105308036A (en) * | 2012-12-21 | 2016-02-03 | 普莱希科公司 | Compounds and methods for kinase modulation, and indications therefor |
| CN105308036B (en) * | 2012-12-21 | 2019-06-21 | 普莱希科公司 | Compounds and methods for kinase modulation and their indications |
| TWI617552B (en) * | 2012-12-21 | 2018-03-11 | 普雷辛肯公司 | Compounds and methods for kinase regulation and its indications |
| JP2016509583A (en) * | 2012-12-21 | 2016-03-31 | プレキシコン インコーポレーテッドPlexxikon Inc. | Compounds and methods for kinase regulation and indications thereof |
| US9403823B2 (en) | 2012-12-28 | 2016-08-02 | Oribase Pharma | Protein kinase inhibitors |
| US9493455B2 (en) | 2012-12-28 | 2016-11-15 | Oribase Pharma | Azaindole derivatives as inhibitors of protein kinases |
| JP2016507509A (en) * | 2012-12-28 | 2016-03-10 | オリバーズ・ファルマ | Azaindole derivatives as inhibitors of protein kinases |
| WO2014102377A1 (en) * | 2012-12-28 | 2014-07-03 | Oribase Pharma | Azaindole derivatives as multi kinase inhibitors |
| JP2016504345A (en) * | 2012-12-28 | 2016-02-12 | オリバーズ・ファルマ | Protein kinase inhibitors |
| JP2016507508A (en) * | 2012-12-28 | 2016-03-10 | オリバーズ・ファルマ | Azaindole derivatives as multikinase inhibitors |
| FR3000492A1 (en) * | 2012-12-28 | 2014-07-04 | Oribase Pharma | NOVEL AZAINDOLE DERIVATIVES AS MULTIKINASE INHIBITORS |
| US9550772B2 (en) | 2012-12-28 | 2017-01-24 | Oribase Pharma | Azaindole derivatives as multi kinase inhibitors |
| WO2014132220A1 (en) * | 2013-03-01 | 2014-09-04 | Novartis Ag | Solid forms of bicyclic heterocyclic derivatives as pdgf receptor mediators |
| US9073921B2 (en) | 2013-03-01 | 2015-07-07 | Novartis Ag | Salt forms of bicyclic heterocyclic derivatives |
| US9340557B2 (en) | 2013-03-12 | 2016-05-17 | Vertex Pharmaceuticals Incorporated | Substituted quinoxaline DNA-PK inhibitors |
| US9987284B2 (en) | 2013-03-12 | 2018-06-05 | Vertex Pharmaceuticals Incorporated | Substituted benzooxadiazole DNA-PK inhibitors |
| US12251387B2 (en) | 2013-03-12 | 2025-03-18 | Vertex Pharmaceuticals Incorporated | Substituted quinoxalines and benzo[c][1,2,5]oxadiazoles as DNA-PK inhibitors |
| US10258627B2 (en) | 2013-03-12 | 2019-04-16 | Vertex Pharmaceutical Incorporated | DNA-PK inhibitors |
| US10786512B2 (en) | 2013-03-12 | 2020-09-29 | Vertex Pharmaceuticals Incorporated | DNA-PK inhibitors |
| US10973830B2 (en) | 2013-03-12 | 2021-04-13 | Vertex Pharmaceuticals Incorporated | Substituted quinoxaline DNA-PK inhibitors |
| US9359380B2 (en) | 2013-03-12 | 2016-06-07 | Vertex Pharmaceuticals Incorporated | DNA-PK inhibitors |
| US11813267B2 (en) | 2013-03-12 | 2023-11-14 | Vertex Pharmaceuticals Incorporated | DNA-PK inhibitors |
| US10040790B2 (en) | 2013-04-19 | 2018-08-07 | Incyte Holdings Corporation | Bicyclic heterocycles as FGFR inhibitors |
| US9533984B2 (en) | 2013-04-19 | 2017-01-03 | Incyte Holdings Corporation | Bicyclic heterocycles as FGFR inhibitors |
| US11530214B2 (en) | 2013-04-19 | 2022-12-20 | Incyte Holdings Corporation | Bicyclic heterocycles as FGFR inhibitors |
| US10450313B2 (en) | 2013-04-19 | 2019-10-22 | Incyte Holdings Corporation | Bicyclic heterocycles as FGFR inhibitors |
| US10947230B2 (en) | 2013-04-19 | 2021-03-16 | Incyte Corporation | Bicyclic heterocycles as FGFR inhibitors |
| US10570139B2 (en) | 2013-04-25 | 2020-02-25 | Beigene Switzerland Gmbh | Substituted pyrazolo[1,5-a]pyrimidines as Bruton's tyrosine kinase modulators |
| US10005782B2 (en) | 2013-04-25 | 2018-06-26 | Beigene, Ltd. | Substituted pyrazolo[1,5-a]pyrimidines as bruton's tyrosine kinase modulators |
| US11142528B2 (en) | 2013-04-25 | 2021-10-12 | Beigene Switzerland Gmbh | Substituted pyrazolo[1,5-a]pyrimidines as Bruton's tyrosine kinase modulators |
| US9556188B2 (en) | 2013-04-25 | 2017-01-31 | Beigene, Ltd. | Substituted imidazo[1,2-b]pyrazoles as bruton'S tyrosine kinase modulators |
| US9447106B2 (en) | 2013-04-25 | 2016-09-20 | Beigene, Ltd. | Substituted pyrazolo[1,5-a]pyrimidines as bruton's tyrosine kinase modulators |
| US11186637B2 (en) | 2013-09-13 | 2021-11-30 | Beigene Switzerland Gmbh | Anti-PD1 antibodies and their use as therapeutics and diagnostics |
| US11673951B2 (en) | 2013-09-13 | 2023-06-13 | Beigene Switzerland Gmbh | Anti-PD1 antibodies and their use as therapeutics and diagnostics |
| US10716789B2 (en) | 2013-10-17 | 2020-07-21 | Vertex Pharmaceuticals Incorporated | Co-crystals and pharmaceutical compositions comprising the same |
| US10039761B2 (en) | 2013-10-17 | 2018-08-07 | Vertex Pharmaceuticals Incorporated | Co-crystals and pharmaceutical compositions comprising the same |
| US11040957B2 (en) | 2013-10-18 | 2021-06-22 | Dana-Farber Cancer Institute, Inc. | Heteroaromatic compounds useful for the treatment of proliferative diseases |
| US10906889B2 (en) | 2013-10-18 | 2021-02-02 | Dana-Farber Cancer Institute, Inc. | Polycyclic inhibitors of cyclin-dependent kinase 7 (CDK7) |
| USRE50030E1 (en) | 2013-12-13 | 2024-07-02 | Dana-Farber Cancer Institute, Inc. | Methods to treat lymphoplasmacytic lymphoma |
| US9908872B2 (en) | 2013-12-13 | 2018-03-06 | Dana-Farber Cancer Institute, Inc. | Methods to treat lymphoplasmacytic lymphoma |
| WO2015089481A3 (en) * | 2013-12-13 | 2015-10-29 | Dana-Farber Cancer Institute, Inc. | Methods to treat lymphoplasmacytic lymphoma |
| US9856223B2 (en) | 2013-12-13 | 2018-01-02 | Dana-Farber Cancer Institute, Inc. | Methods to treat lymphoplasmacytic lymphoma |
| US10633348B2 (en) | 2013-12-13 | 2020-04-28 | Dana-Farber Cancer Institute, Inc. | Methods to treat lymphoplasmacytic lymphoma |
| US10597387B2 (en) | 2013-12-13 | 2020-03-24 | Dana-Farber Cancer Institute, Inc. | Methods to treat lymphoplasmacytic lymphoma |
| US9862688B2 (en) | 2014-04-23 | 2018-01-09 | Dana-Farber Cancer Institute, Inc. | Hydrophobically tagged janus kinase inhibitors and uses thereof |
| US10017477B2 (en) | 2014-04-23 | 2018-07-10 | Dana-Farber Cancer Institute, Inc. | Janus kinase inhibitors and uses thereof |
| US11512132B2 (en) | 2014-07-03 | 2022-11-29 | Beigene, Ltd. | Anti-PD-L1 antibodies and their use as therapeutics and diagnostics |
| CN104098564A (en) * | 2014-07-30 | 2014-10-15 | 天津市斯芬克司药物研发有限公司 | Pyrazol pyridine compound and preparation method thereof |
| US10464949B2 (en) | 2014-10-22 | 2019-11-05 | Dana-Farber Cancer Institute, Inc. | Thiazolyl-containing compounds for treating proliferative diseases |
| US10844077B2 (en) | 2014-10-22 | 2020-11-24 | Dana-Farber Cancer Institute, Inc. | Thiazolyl-containing compounds for treating proliferative diseases |
| US10112957B2 (en) | 2014-10-22 | 2018-10-30 | Dana-Farber Cancer Institute, Inc. | Thiazolyl-containing compounds for treating proliferative diseases |
| US10851105B2 (en) | 2014-10-22 | 2020-12-01 | Incyte Corporation | Bicyclic heterocycles as FGFR4 inhibitors |
| CN107108583A (en) * | 2014-10-24 | 2017-08-29 | 百时美施贵宝公司 | Indole carboxamide compounds useful as kinase inhibitors |
| US9688629B2 (en) | 2014-10-24 | 2017-06-27 | Bristol-Myers Squibb Company | Indole carboxamide compounds |
| US10329274B2 (en) | 2014-10-24 | 2019-06-25 | Bristol-Myers Squibb Company | Indole carboxamide compounds |
| EA032277B1 (en) * | 2014-10-24 | 2019-05-31 | Бристол-Майерс Сквибб Компани | Indole carboxamide compounds |
| AU2019283921B2 (en) * | 2014-10-24 | 2021-01-07 | Bristol-Myers Squibb Company | Indole carboxamide compounds useful as kinase inhibitors |
| EP3461821A1 (en) * | 2014-10-24 | 2019-04-03 | Bristol-Myers Squibb Company | Indole carboxamide compounds useful as kinase inhibitors |
| US9802915B2 (en) | 2014-10-24 | 2017-10-31 | Bristol-Myers Squibb Company | Indole carboxamide compounds |
| US9920031B2 (en) | 2014-10-24 | 2018-03-20 | Bristol-Myers Squibb Company | Indole carboxamide compounds |
| EA034931B1 (en) * | 2014-10-24 | 2020-04-08 | Бристол-Майерс Сквибб Компани | Indole carboxamide compounds |
| WO2016065226A1 (en) * | 2014-10-24 | 2016-04-28 | Bristol-Myers Squibb Company | Indole carboxamides compounds useful as kinase inhobitors |
| US10604504B2 (en) | 2014-10-24 | 2020-03-31 | Bristol-Myers Squibb Company | Indole carboxamide compounds |
| CN107108583B (en) * | 2014-10-24 | 2020-11-13 | 百时美施贵宝公司 | Indole carboxamide compounds useful as kinase inhibitors |
| US11623921B2 (en) | 2014-10-24 | 2023-04-11 | Bristol-Myers Squibb Company | Indole carboxamide compounds |
| CN104844566B (en) * | 2014-12-12 | 2018-05-18 | 合肥中科普瑞昇生物医药科技有限公司 | A kind of kinase inhibitor of new structure |
| CN104844566A (en) * | 2014-12-12 | 2015-08-19 | 中国科学院合肥物质科学研究院 | Kinase inhibitor with novel structure |
| US10870651B2 (en) | 2014-12-23 | 2020-12-22 | Dana-Farber Cancer Institute, Inc. | Inhibitors of cyclin-dependent kinase 7 (CDK7) |
| US12168663B2 (en) | 2014-12-23 | 2024-12-17 | Dana-Farber Cancer Institute, Inc. | Inhibitors of cyclin-dependent kinase 7 (CDK7) |
| JP2018502899A (en) * | 2015-01-20 | 2018-02-01 | 无▲錫▼福祈制▲薬▼有限公司Wuxi Fortune Pharmaceutical Co.,Ltd | JAK inhibitor |
| US10251892B2 (en) | 2015-02-20 | 2019-04-09 | Incyte Corporation | Bicyclic heterocycles as FGFR4 inhibitors |
| US9708318B2 (en) | 2015-02-20 | 2017-07-18 | Incyte Corporation | Bicyclic heterocycles as FGFR4 inhibitors |
| US9801889B2 (en) | 2015-02-20 | 2017-10-31 | Incyte Corporation | Bicyclic heterocycles as FGFR4 inhibitors |
| US10632126B2 (en) | 2015-02-20 | 2020-04-28 | Incyte Corporation | Bicyclic heterocycles as FGFR4 inhibitors |
| US11014923B2 (en) | 2015-02-20 | 2021-05-25 | Incyte Corporation | Bicyclic heterocycles as FGFR4 inhibitors |
| US9890156B2 (en) | 2015-02-20 | 2018-02-13 | Incyte Corporation | Bicyclic heterocycles as FGFR4 inhibitors |
| US9580423B2 (en) | 2015-02-20 | 2017-02-28 | Incyte Corporation | Bicyclic heterocycles as FGFR4 inhibitors |
| US11667635B2 (en) | 2015-02-20 | 2023-06-06 | Incyte Corporation | Bicyclic heterocycles as FGFR4 inhibitors |
| US10016438B2 (en) | 2015-02-20 | 2018-07-10 | Incyte Corporation | Bicyclic heterocycles as FGFR4 inhibitors |
| US10214528B2 (en) | 2015-02-20 | 2019-02-26 | Incyte Corporation | Bicyclic heterocycles as FGFR4 inhibitors |
| US10738048B2 (en) | 2015-02-20 | 2020-08-11 | Incyte Corporation | Bicyclic heterocycles as FGFR4 inhibitors |
| US11173162B2 (en) | 2015-02-20 | 2021-11-16 | Incyte Corporation | Bicyclic heterocycles as FGFR4 inhibitors |
| US10550121B2 (en) | 2015-03-27 | 2020-02-04 | Dana-Farber Cancer Institute, Inc. | Inhibitors of cyclin-dependent kinases |
| US12098154B2 (en) | 2015-03-27 | 2024-09-24 | Dana-Farber Cancer Institute, Inc. | Inhibitors of cyclin-dependent kinases |
| US11325910B2 (en) | 2015-03-27 | 2022-05-10 | Dana-Farber Cancer Institute, Inc. | Inhibitors of cyclin-dependent kinases |
| USRE50776E1 (en) | 2015-03-27 | 2026-02-03 | Dana-Farber Cancer Institute, Inc. | Inhibitors of cyclin-dependent kinases |
| CN104876879A (en) * | 2015-04-14 | 2015-09-02 | 中国科学院合肥物质科学研究院 | Novel BCR-ABL kinase inhibitor |
| CN104876879B (en) * | 2015-04-14 | 2018-05-18 | 中国科学院合肥物质科学研究院 | A kind of BCR-ABL kinase inhibitors |
| WO2016165205A1 (en) * | 2015-04-14 | 2016-10-20 | 中国科学院合肥物质科学研究院 | Novel bcr-abl kinase inhibitor |
| US10702527B2 (en) | 2015-06-12 | 2020-07-07 | Dana-Farber Cancer Institute, Inc. | Combination therapy of transcription inhibitors and kinase inhibitors |
| US11142507B2 (en) | 2015-09-09 | 2021-10-12 | Dana-Farber Cancer Institute, Inc. | Inhibitors of cyclin-dependent kinases |
| CN105801584A (en) * | 2016-03-16 | 2016-07-27 | 中国药科大学 | Novel aromatic amide Raf kinase inhibitors and preparation method and application thereof |
| US11534431B2 (en) | 2016-07-05 | 2022-12-27 | Beigene Switzerland Gmbh | Combination of a PD-1 antagonist and a RAF inhibitor for treating cancer |
| US11174243B2 (en) | 2016-07-21 | 2021-11-16 | Sunesis Pharmaceuticals, Inc. | Succinate forms and compositions of Bruton's tyrosine kinase inhibitors |
| US12103931B2 (en) | 2016-08-16 | 2024-10-01 | Beigene Switzerland Gmbh | Crystalline form of (S)-7-(1-acryloylpiperidin-4-yl)-2-(4-phenoxyphenyl)-4,5,6,7-tetra-hydropyrazolo[1,5-a]pyrimidine-3-carboxamide, preparation, and uses thereof |
| US11970500B1 (en) | 2016-08-16 | 2024-04-30 | Beigene Switzerland Gmbh | Crystalline form of (s)-7-(1-acryloylpiperidin-4-yl)- 2-(4-phenoxyphenyl)-4,5,6,7-tetra- hydropyrazolo[1,5-a]pyrimidine-3-carboxamide, preparation, and uses thereof |
| US11884674B2 (en) | 2016-08-16 | 2024-01-30 | Beigene Switzerland Gmbh | Crystalline form of (S)-7-(1-acryloylpiperidin-4-yl)-2-(4-phenoxyphenyl)-4,5,6,7-tetra- hydropyrazolo[1,5-a]pyrimidine-3-carboxamide, preparation, and uses thereof |
| US10927117B2 (en) | 2016-08-16 | 2021-02-23 | Beigene Switzerland Gmbh | Crystalline form of (S)-7-(1-acryloylpiperidin-4-yl)-2-(4-phenoxyphenyl)-4,5,6,7-tetra-hydropyrazolo[1,5-a]pyrimidine-3-carboxamide, preparation, and uses thereof |
| US11591340B2 (en) | 2016-08-16 | 2023-02-28 | Beigene Switzerland Gmbh | Crystalline form of (S)-7-(1-acryloylpiperidin-4-yl)-2-(4-phenoxyphenyl)-4,5,6,7-tetra- hydropyrazolo[1,5-a]pyrimidine-3-carboxamide, preparation, and uses thereof |
| US11814389B2 (en) | 2016-08-16 | 2023-11-14 | Beigene Switzerland Gmbh | Crystalline form of (S)-7-(1-acryloylpiperidin-4-yl)-2-(4-phenoxyphenyl)-4,5,6,7-tetra-hydropyrazolo[1,5-a]pyrimidine-3-carboxamide, preparation, and uses thereof |
| US11999743B2 (en) | 2016-08-16 | 2024-06-04 | Beigene Switzerland Gmbh | Crystalline form of (S)-7-(1-acryloylpiperidin-4-yl)-2-(4-phenoxyphenyl)-4,5,6,7-tetra-hydropyrazolo[1,5-a]pyrimidine-3-carboxamide, preparation, and uses thereof |
| US11851437B2 (en) | 2016-08-16 | 2023-12-26 | Beigene Switzerland Gmbh | Crystalline form of (S)-7-(1-acryloylpiperidin-4-yl)-2-(4-phenoxyphenyl)-4,5,6,7-tetra-hydropyrazolo[1,5-a]pyrimidine-3-carboxamide, preparation, and uses thereof |
| US11701357B2 (en) | 2016-08-19 | 2023-07-18 | Beigene Switzerland Gmbh | Treatment of B cell cancers using a combination comprising Btk inhibitors |
| WO2018053437A1 (en) | 2016-09-19 | 2018-03-22 | Mei Pharma, Inc. | Combination therapy |
| US11110108B2 (en) | 2016-09-27 | 2021-09-07 | Vertex Pharmaceuticals Incorporated | Method for treating cancer using a combination of DNA-damaging agents and DNA-PK inhibitors |
| US11980633B2 (en) | 2016-09-27 | 2024-05-14 | Vertex Pharmaceuticals Incorporated | Method for treating cancer using a combination of DNA-damaging agents and DNA-PK inhibitors |
| US11555038B2 (en) | 2017-01-25 | 2023-01-17 | Beigene, Ltd. | Crystalline forms of (S)-7-(1-(but-2-ynoyl)piperidin-4-yl)-2-(4-phenoxyphenyl)-4,5,6,7-tetrahydropyrazolo[1,5-a]pyrimidine-3-carboxamide, preparation, and uses thereof |
| US11472801B2 (en) | 2017-05-26 | 2022-10-18 | Incyte Corporation | Crystalline forms of a FGFR inhibitor and processes for preparing the same |
| US10611762B2 (en) | 2017-05-26 | 2020-04-07 | Incyte Corporation | Crystalline forms of a FGFR inhibitor and processes for preparing the same |
| US11597768B2 (en) | 2017-06-26 | 2023-03-07 | Beigene, Ltd. | Immunotherapy for hepatocellular carcinoma |
| US11377449B2 (en) | 2017-08-12 | 2022-07-05 | Beigene, Ltd. | BTK inhibitors with improved dual selectivity |
| US11786529B2 (en) | 2017-11-29 | 2023-10-17 | Beigene Switzerland Gmbh | Treatment of indolent or aggressive B-cell lymphomas using a combination comprising BTK inhibitors |
| US12024517B2 (en) | 2018-05-04 | 2024-07-02 | Incyte Corporation | Salts of an FGFR inhibitor |
| US11174257B2 (en) | 2018-05-04 | 2021-11-16 | Incyte Corporation | Salts of an FGFR inhibitor |
| US11466004B2 (en) | 2018-05-04 | 2022-10-11 | Incyte Corporation | Solid forms of an FGFR inhibitor and processes for preparing the same |
| US12473286B2 (en) | 2018-05-04 | 2025-11-18 | Incyte Corporation | Salts of an FGFR inhibitor |
| US12187701B2 (en) | 2018-06-25 | 2025-01-07 | Dana-Farber Cancer Institute, Inc. | Taire family kinase inhibitors and uses thereof |
| US12281126B2 (en) | 2018-12-28 | 2025-04-22 | Dana-Farber Cancer Institute, Inc. | Inhibitors of cyclin-dependent kinase 7 and uses thereof |
| JP2022518556A (en) * | 2019-02-02 | 2022-03-15 | 江蘇威凱爾医薬科技有限公司 | Janus kinase (JAK) family inhibitors and their preparation and use |
| CN111518096A (en) * | 2019-02-02 | 2020-08-11 | 江苏威凯尔医药科技有限公司 | Janus kinase JAK family inhibitor and preparation and application thereof |
| WO2020156271A1 (en) * | 2019-02-02 | 2020-08-06 | 江苏威凯尔医药科技有限公司 | Janus kinase (jak) family inhibitor, preparation of same, and applications thereof |
| US12304910B2 (en) | 2019-02-02 | 2025-05-20 | Jiangsu Vcare Pharmatech Co., Ltd. | Janus kinase (JAK) family inhibitor, preparation of same, and applications thereof |
| JP7344304B2 (en) | 2019-02-02 | 2023-09-13 | 江蘇威凱爾医薬科技有限公司 | Janus kinase (JAK) family inhibitors and their preparation and use |
| JP2023113753A (en) * | 2019-02-02 | 2023-08-16 | 江蘇威凱爾医薬科技有限公司 | Janus kinase (JAK) family inhibitors and their preparation and use |
| CN111518096B (en) * | 2019-02-02 | 2022-02-11 | 江苏威凯尔医药科技有限公司 | Two-faced God kinase JAK family inhibitor and its preparation and application |
| JP7681059B2 (en) | 2019-02-02 | 2025-05-21 | 江蘇威凱爾医薬科技有限公司 | Janus kinase (JAK) family inhibitors and their preparation and use |
| US11628162B2 (en) | 2019-03-08 | 2023-04-18 | Incyte Corporation | Methods of treating cancer with an FGFR inhibitor |
| US12233069B2 (en) | 2019-06-10 | 2025-02-25 | Beigene Switzerland Gmbh | Oral solid tablet comprising Bruton's Tyrosine Kinase inhibitor and preparation method therefor |
| US11591329B2 (en) | 2019-07-09 | 2023-02-28 | Incyte Corporation | Bicyclic heterocycles as FGFR inhibitors |
| US12122767B2 (en) | 2019-10-01 | 2024-10-22 | Incyte Corporation | Bicyclic heterocycles as FGFR inhibitors |
| US12083124B2 (en) | 2019-10-14 | 2024-09-10 | Incyte Corporation | Bicyclic heterocycles as FGFR inhibitors |
| US11607416B2 (en) | 2019-10-14 | 2023-03-21 | Incyte Corporation | Bicyclic heterocycles as FGFR inhibitors |
| US11566028B2 (en) | 2019-10-16 | 2023-01-31 | Incyte Corporation | Bicyclic heterocycles as FGFR inhibitors |
| US11897891B2 (en) | 2019-12-04 | 2024-02-13 | Incyte Corporation | Tricyclic heterocycles as FGFR inhibitors |
| US12168660B2 (en) | 2019-12-04 | 2024-12-17 | Incyte Corporation | Derivatives of an FGFR inhibitor |
| US11407750B2 (en) | 2019-12-04 | 2022-08-09 | Incyte Corporation | Derivatives of an FGFR inhibitor |
| US12012409B2 (en) | 2020-01-15 | 2024-06-18 | Incyte Corporation | Bicyclic heterocycles as FGFR inhibitors |
| US12435086B2 (en) | 2020-04-29 | 2025-10-07 | Plexxikon Inc. | Synthesis of heterocyclic compounds |
| CN115073466A (en) * | 2021-03-10 | 2022-09-20 | 首药控股(北京)股份有限公司 | Preparation method of WEE1 tyrosine protein kinase inhibitor |
| US12065494B2 (en) | 2021-04-12 | 2024-08-20 | Incyte Corporation | Combination therapy comprising an FGFR inhibitor and a Nectin-4 targeting agent |
| US11939331B2 (en) | 2021-06-09 | 2024-03-26 | Incyte Corporation | Tricyclic heterocycles as FGFR inhibitors |
| US12428420B2 (en) | 2021-06-09 | 2025-09-30 | Incyte Corporation | Tricyclic heterocycles as FGFR inhibitors |
| CN116969976A (en) * | 2022-04-28 | 2023-10-31 | 杭州普济远成生物医药科技有限公司 | Deubiquitinating enzyme inhibitors and their applications |
| WO2023208174A1 (en) * | 2022-04-28 | 2023-11-02 | 杭州普济远成生物医药科技有限公司 | Deubiquitinase inhibitor and use thereof |
| JP2025516222A (en) * | 2022-04-28 | 2025-05-27 | 杭州普済遠成生物医薬科技有限公司 | Deubiquitinase inhibitors and their applications |
| US11786531B1 (en) | 2022-06-08 | 2023-10-17 | Beigene Switzerland Gmbh | Methods of treating B-cell proliferative disorder |
| US11911386B2 (en) | 2022-06-08 | 2024-02-27 | Beigene Switzerland Gmbh | Methods of treating B-cell proliferative disorder |
| US11896596B2 (en) | 2022-06-08 | 2024-02-13 | Beigene Switzerland Gmbh | Methods of treating B-cell proliferative disorder |
Similar Documents
| Publication | Publication Date | Title |
|---|---|---|
| WO2008144253A1 (en) | Protein kinase inhibitors and methods for using thereof | |
| AU2008265843B2 (en) | Protein kinase inhibitors and methods for using thereof | |
| WO2008112695A2 (en) | Pyrazolo [3,4-d] pyrimidines and 1, 2, 5, 6-tetraaza- as- indacenes as protein kinase inhibitors for cancer treatment | |
| KR101079520B1 (en) | Compositions and methods for modulating c-kit and pdgfr receptors | |
| AU2008289135B2 (en) | 2-heteroarylamino-pyrimidine derivatives as kinase inhibitors | |
| WO2008124393A1 (en) | Benzothiazole derivatives and their use as protein kinase inhibitors | |
| US20100184765A1 (en) | Protein Kinase Inhibitors and Methods for Using Thereof | |
| ES2477878T3 (en) | Compounds and compositions of 5- (4- (aloalkoxy) phenyl) pyrimidin-2-amine as kinase inhibitors | |
| EP2099797A2 (en) | Compounds and compositions as protein kinase inhibitors | |
| WO2006124731A2 (en) | Compounds and compositions as protein kinase inhibitors | |
| CA2664147A1 (en) | Protein kinase inhibitors and methods for using thereof | |
| KR20090029832A (en) | [4,5 '] bipyrimidinyl-6,4'-diamine derivatives as protein kinase inhibitors | |
| MXPA06015147A (en) | Compounds and compositions as protein kinase inhibitors. |
Legal Events
| Date | Code | Title | Description |
|---|---|---|---|
| 121 | Ep: the epo has been informed by wipo that ep was designated in this application |
Ref document number: 08769378 Country of ref document: EP Kind code of ref document: A1 |
|
| NENP | Non-entry into the national phase |
Ref country code: DE |
|
| 122 | Ep: pct application non-entry in european phase |
Ref document number: 08769378 Country of ref document: EP Kind code of ref document: A1 |








































































