DE102006015197A1 - Active ingredient combination with insecticidal properties - Google Patents
Active ingredient combination with insecticidal properties Download PDFInfo
- Publication number
- DE102006015197A1 DE102006015197A1 DE102006015197A DE102006015197A DE102006015197A1 DE 102006015197 A1 DE102006015197 A1 DE 102006015197A1 DE 102006015197 A DE102006015197 A DE 102006015197A DE 102006015197 A DE102006015197 A DE 102006015197A DE 102006015197 A1 DE102006015197 A1 DE 102006015197A1
- Authority
- DE
- Germany
- Prior art keywords
- spp
- der
- active
- plants
- aus der
- Prior art date
- Legal status (The legal status is an assumption and is not a legal conclusion. Google has not performed a legal analysis and makes no representation as to the accuracy of the status listed.)
- Withdrawn
Links
- 230000000749 insecticidal effect Effects 0.000 title claims abstract description 8
- 239000004480 active ingredient Substances 0.000 title abstract description 35
- 239000000203 mixture Substances 0.000 claims abstract description 27
- 230000000895 acaricidal effect Effects 0.000 claims abstract description 6
- WKBOTKDWSSQWDR-UHFFFAOYSA-N Bromine atom Chemical compound [Br] WKBOTKDWSSQWDR-UHFFFAOYSA-N 0.000 claims abstract description 3
- ZAMOUSCENKQFHK-UHFFFAOYSA-N Chlorine atom Chemical compound [Cl] ZAMOUSCENKQFHK-UHFFFAOYSA-N 0.000 claims abstract description 3
- GDTBXPJZTBHREO-UHFFFAOYSA-N bromine Substances BrBr GDTBXPJZTBHREO-UHFFFAOYSA-N 0.000 claims abstract description 3
- 229910052794 bromium Inorganic materials 0.000 claims abstract description 3
- 229910052801 chlorine Inorganic materials 0.000 claims abstract description 3
- 239000000460 chlorine Substances 0.000 claims abstract description 3
- PNDPGZBMCMUPRI-UHFFFAOYSA-N iodine Chemical compound II PNDPGZBMCMUPRI-UHFFFAOYSA-N 0.000 claims abstract description 3
- 238000002360 preparation method Methods 0.000 claims description 17
- 239000013543 active substance Substances 0.000 claims description 14
- 241001465754 Metazoa Species 0.000 claims description 12
- 241000607479 Yersinia pestis Species 0.000 claims description 12
- 239000000126 substance Substances 0.000 claims description 11
- 238000000034 method Methods 0.000 claims description 7
- 230000009261 transgenic effect Effects 0.000 claims description 6
- ZOCSXAVNDGMNBV-UHFFFAOYSA-N 5-amino-1-[2,6-dichloro-4-(trifluoromethyl)phenyl]-4-[(trifluoromethyl)sulfinyl]-1H-pyrazole-3-carbonitrile Chemical compound NC1=C(S(=O)C(F)(F)F)C(C#N)=NN1C1=C(Cl)C=C(C(F)(F)F)C=C1Cl ZOCSXAVNDGMNBV-UHFFFAOYSA-N 0.000 claims description 5
- IBSREHMXUMOFBB-JFUDTMANSA-N 5u8924t11h Chemical compound O1[C@@H](C)[C@H](O)[C@@H](OC)C[C@@H]1O[C@@H]1[C@@H](OC)C[C@H](O[C@@H]2C(=C/C[C@@H]3C[C@@H](C[C@@]4(O3)C=C[C@H](C)[C@@H](C(C)C)O4)OC(=O)[C@@H]3C=C(C)[C@@H](O)[C@H]4OC\C([C@@]34O)=C/C=C/[C@@H]2C)/C)O[C@H]1C.C1=C[C@H](C)[C@@H]([C@@H](C)CC)O[C@]11O[C@H](C\C=C(C)\[C@@H](O[C@@H]2O[C@@H](C)[C@H](O[C@@H]3O[C@@H](C)[C@H](O)[C@@H](OC)C3)[C@@H](OC)C2)[C@@H](C)\C=C\C=C/2[C@]3([C@H](C(=O)O4)C=C(C)[C@@H](O)[C@H]3OC\2)O)C[C@H]4C1 IBSREHMXUMOFBB-JFUDTMANSA-N 0.000 claims description 4
- 239000005660 Abamectin Substances 0.000 claims description 4
- JFLRKDZMHNBDQS-UCQUSYKYSA-N CC[C@H]1CCC[C@@H]([C@H](C(=O)C2=C[C@H]3[C@@H]4C[C@@H](C[C@H]4C(=C[C@H]3[C@@H]2CC(=O)O1)C)O[C@H]5[C@@H]([C@@H]([C@H]([C@@H](O5)C)OC)OC)OC)C)O[C@H]6CC[C@@H]([C@H](O6)C)N(C)C.CC[C@H]1CCC[C@@H]([C@H](C(=O)C2=C[C@H]3[C@@H]4C[C@@H](C[C@H]4C=C[C@H]3C2CC(=O)O1)O[C@H]5[C@@H]([C@@H]([C@H]([C@@H](O5)C)OC)OC)OC)C)O[C@H]6CC[C@@H]([C@H](O6)C)N(C)C Chemical compound CC[C@H]1CCC[C@@H]([C@H](C(=O)C2=C[C@H]3[C@@H]4C[C@@H](C[C@H]4C(=C[C@H]3[C@@H]2CC(=O)O1)C)O[C@H]5[C@@H]([C@@H]([C@H]([C@@H](O5)C)OC)OC)OC)C)O[C@H]6CC[C@@H]([C@H](O6)C)N(C)C.CC[C@H]1CCC[C@@H]([C@H](C(=O)C2=C[C@H]3[C@@H]4C[C@@H](C[C@H]4C=C[C@H]3C2CC(=O)O1)O[C@H]5[C@@H]([C@@H]([C@H]([C@@H](O5)C)OC)OC)OC)C)O[C@H]6CC[C@@H]([C@H](O6)C)N(C)C JFLRKDZMHNBDQS-UCQUSYKYSA-N 0.000 claims description 4
- 239000004606 Fillers/Extenders Substances 0.000 claims description 4
- 239000005899 Fipronil Substances 0.000 claims description 4
- 239000005930 Spinosad Substances 0.000 claims description 4
- 229950008167 abamectin Drugs 0.000 claims description 4
- CWFOCCVIPCEQCK-UHFFFAOYSA-N chlorfenapyr Chemical compound BrC1=C(C(F)(F)F)N(COCC)C(C=2C=CC(Cl)=CC=2)=C1C#N CWFOCCVIPCEQCK-UHFFFAOYSA-N 0.000 claims description 4
- 229940013764 fipronil Drugs 0.000 claims description 4
- 229940014213 spinosad Drugs 0.000 claims description 4
- 239000005907 Indoxacarb Substances 0.000 claims description 3
- VBCVPMMZEGZULK-NRFANRHFSA-N indoxacarb Chemical compound C([C@@]1(OC2)C(=O)OC)C3=CC(Cl)=CC=C3C1=NN2C(=O)N(C(=O)OC)C1=CC=C(OC(F)(F)F)C=C1 VBCVPMMZEGZULK-NRFANRHFSA-N 0.000 claims description 3
- 239000005900 Flonicamid Substances 0.000 claims description 2
- 239000005917 Methoxyfenozide Substances 0.000 claims description 2
- 229910052799 carbon Inorganic materials 0.000 claims description 2
- 125000004432 carbon atom Chemical group C* 0.000 claims description 2
- PSOVNZZNOMJUBI-UHFFFAOYSA-N chlorantraniliprole Chemical compound CNC(=O)C1=CC(Cl)=CC(C)=C1NC(=O)C1=CC(Br)=NN1C1=NC=CC=C1Cl PSOVNZZNOMJUBI-UHFFFAOYSA-N 0.000 claims description 2
- CXEGAUYXQAKHKJ-NSBHKLITSA-N emamectin B1a Chemical compound C1=C[C@H](C)[C@@H]([C@@H](C)CC)O[C@]11O[C@H](C\C=C(C)\[C@@H](O[C@@H]2O[C@@H](C)[C@H](O[C@@H]3O[C@@H](C)[C@H](NC)[C@@H](OC)C3)[C@@H](OC)C2)[C@@H](C)\C=C\C=C/2[C@]3([C@H](C(=O)O4)C=C(C)[C@@H](O)[C@H]3OC\2)O)C[C@H]4C1 CXEGAUYXQAKHKJ-NSBHKLITSA-N 0.000 claims description 2
- RLQJEEJISHYWON-UHFFFAOYSA-N flonicamid Chemical compound FC(F)(F)C1=CC=NC=C1C(=O)NCC#N RLQJEEJISHYWON-UHFFFAOYSA-N 0.000 claims description 2
- QCAWEPFNJXQPAN-UHFFFAOYSA-N methoxyfenozide Chemical compound COC1=CC=CC(C(=O)NN(C(=O)C=2C=C(C)C=C(C)C=2)C(C)(C)C)=C1C QCAWEPFNJXQPAN-UHFFFAOYSA-N 0.000 claims description 2
- 230000008569 process Effects 0.000 claims description 2
- 241000196324 Embryophyta Species 0.000 description 57
- 150000001875 compounds Chemical class 0.000 description 41
- 239000003995 emulsifying agent Substances 0.000 description 22
- 238000012360 testing method Methods 0.000 description 21
- 230000000694 effects Effects 0.000 description 20
- ZMXDDKWLCZADIW-UHFFFAOYSA-N N,N-Dimethylformamide Chemical compound CN(C)C=O ZMXDDKWLCZADIW-UHFFFAOYSA-N 0.000 description 19
- -1 benzoic acid dicarboxylic acid derivatives Chemical class 0.000 description 15
- 239000002904 solvent Substances 0.000 description 14
- 241000500437 Plutella xylostella Species 0.000 description 12
- 241000238876 Acari Species 0.000 description 11
- 240000008042 Zea mays Species 0.000 description 11
- 235000002017 Zea mays subsp mays Nutrition 0.000 description 11
- 238000009472 formulation Methods 0.000 description 11
- XLYOFNOQVPJJNP-UHFFFAOYSA-N water Substances O XLYOFNOQVPJJNP-UHFFFAOYSA-N 0.000 description 11
- 240000007124 Brassica oleracea Species 0.000 description 10
- RTZKZFJDLAIYFH-UHFFFAOYSA-N Diethyl ether Chemical compound CCOCC RTZKZFJDLAIYFH-UHFFFAOYSA-N 0.000 description 10
- 239000003795 chemical substances by application Substances 0.000 description 9
- 239000002917 insecticide Substances 0.000 description 9
- 239000000463 material Substances 0.000 description 9
- 229920000742 Cotton Polymers 0.000 description 8
- 244000299507 Gossypium hirsutum Species 0.000 description 8
- 241000257303 Hymenoptera Species 0.000 description 8
- 229920003171 Poly (ethylene oxide) Polymers 0.000 description 8
- 241001481703 Rhipicephalus <genus> Species 0.000 description 8
- 241000254173 Coleoptera Species 0.000 description 7
- 241000255925 Diptera Species 0.000 description 7
- 241000238631 Hexapoda Species 0.000 description 7
- 235000016383 Zea mays subsp huehuetenangensis Nutrition 0.000 description 7
- 125000002877 alkyl aryl group Chemical group 0.000 description 7
- 239000000890 drug combination Substances 0.000 description 7
- 239000008187 granular material Substances 0.000 description 7
- 235000009973 maize Nutrition 0.000 description 7
- 108090000623 proteins and genes Proteins 0.000 description 7
- CSCPPACGZOOCGX-UHFFFAOYSA-N Acetone Chemical compound CC(C)=O CSCPPACGZOOCGX-UHFFFAOYSA-N 0.000 description 6
- 241000256186 Anopheles <genus> Species 0.000 description 6
- 244000068988 Glycine max Species 0.000 description 6
- 235000010469 Glycine max Nutrition 0.000 description 6
- 241000555303 Mamestra brassicae Species 0.000 description 6
- 241000238887 Ornithodoros Species 0.000 description 6
- 241000238675 Periplaneta americana Species 0.000 description 6
- 241000256248 Spodoptera Species 0.000 description 6
- 239000012141 concentrate Substances 0.000 description 6
- 229920000151 polyglycol Polymers 0.000 description 6
- 239000010695 polyglycol Substances 0.000 description 6
- 241000239223 Arachnida Species 0.000 description 5
- 235000011303 Brassica alboglabra Nutrition 0.000 description 5
- 235000011302 Brassica oleracea Nutrition 0.000 description 5
- 235000003899 Brassica oleracea var acephala Nutrition 0.000 description 5
- 235000011301 Brassica oleracea var capitata Nutrition 0.000 description 5
- 235000001169 Brassica oleracea var oleracea Nutrition 0.000 description 5
- 241000256602 Isoptera Species 0.000 description 5
- 241000500881 Lepisma Species 0.000 description 5
- 241001608567 Phaedon cochleariae Species 0.000 description 5
- 241000258242 Siphonaptera Species 0.000 description 5
- 150000002170 ethers Chemical class 0.000 description 5
- 239000004009 herbicide Substances 0.000 description 5
- 238000002156 mixing Methods 0.000 description 5
- 239000007921 spray Substances 0.000 description 5
- 230000002195 synergetic effect Effects 0.000 description 5
- 241001143309 Acanthoscelides obtectus Species 0.000 description 4
- 241000238818 Acheta domesticus Species 0.000 description 4
- 241000256111 Aedes <genus> Species 0.000 description 4
- 241000238679 Amblyomma Species 0.000 description 4
- 241001427556 Anoplura Species 0.000 description 4
- 241001640910 Anthrenus Species 0.000 description 4
- 241001480748 Argas Species 0.000 description 4
- 241000244186 Ascaris Species 0.000 description 4
- 241000131286 Attagenus Species 0.000 description 4
- 241001573716 Blaniulus guttulatus Species 0.000 description 4
- 241000238657 Blattella germanica Species 0.000 description 4
- 241000257163 Calliphora vicina Species 0.000 description 4
- 241001098608 Ceratophyllus Species 0.000 description 4
- 241000258920 Chilopoda Species 0.000 description 4
- 241000359266 Chorioptes Species 0.000 description 4
- 241001414836 Cimex Species 0.000 description 4
- 241000256054 Culex <genus> Species 0.000 description 4
- 241001481695 Dermanyssus gallinae Species 0.000 description 4
- 241001124144 Dermaptera Species 0.000 description 4
- 241000238710 Dermatophagoides Species 0.000 description 4
- 241001641895 Dermestes Species 0.000 description 4
- IAZDPXIOMUYVGZ-UHFFFAOYSA-N Dimethylsulphoxide Chemical compound CS(C)=O IAZDPXIOMUYVGZ-UHFFFAOYSA-N 0.000 description 4
- 241000258963 Diplopoda Species 0.000 description 4
- 241000255581 Drosophila <fruit fly, genus> Species 0.000 description 4
- 241000371383 Fannia Species 0.000 description 4
- 241000255896 Galleria mellonella Species 0.000 description 4
- 241001660203 Gasterophilus Species 0.000 description 4
- 241000248126 Geophilus Species 0.000 description 4
- 241000790933 Haematopinus Species 0.000 description 4
- 241000258937 Hemiptera Species 0.000 description 4
- 241001466007 Heteroptera Species 0.000 description 4
- 241001480803 Hyalomma Species 0.000 description 4
- 241000257176 Hypoderma <fly> Species 0.000 description 4
- XEEYBQQBJWHFJM-UHFFFAOYSA-N Iron Chemical class [Fe] XEEYBQQBJWHFJM-UHFFFAOYSA-N 0.000 description 4
- 241001149911 Isopoda Species 0.000 description 4
- 241000238681 Ixodes Species 0.000 description 4
- 241000255777 Lepidoptera Species 0.000 description 4
- 241001113970 Linognathus Species 0.000 description 4
- 241000257162 Lucilia <blowfly> Species 0.000 description 4
- 241001177134 Lyctus Species 0.000 description 4
- 241000952627 Monomorium pharaonis Species 0.000 description 4
- 241000257229 Musca <genus> Species 0.000 description 4
- 241001671714 Nezara Species 0.000 description 4
- 241000384103 Oniscus asellus Species 0.000 description 4
- 241000238814 Orthoptera Species 0.000 description 4
- 241000517325 Pediculus Species 0.000 description 4
- 241000721454 Pemphigus Species 0.000 description 4
- 241000722350 Phlebotomus <genus> Species 0.000 description 4
- 241000908127 Porcellio scaber Species 0.000 description 4
- 241001649229 Psoroptes Species 0.000 description 4
- 241001105129 Ptinus Species 0.000 description 4
- 241001509970 Reticulitermes <genus> Species 0.000 description 4
- 241000722251 Rhodnius Species 0.000 description 4
- 241001510236 Rhyparobia maderae Species 0.000 description 4
- 241000318997 Rhyzopertha dominica Species 0.000 description 4
- 241000509416 Sarcoptes Species 0.000 description 4
- 241000256108 Simulium <genus> Species 0.000 description 4
- 235000002595 Solanum tuberosum Nutrition 0.000 description 4
- 244000061456 Solanum tuberosum Species 0.000 description 4
- 241000256247 Spodoptera exigua Species 0.000 description 4
- 241000256251 Spodoptera frugiperda Species 0.000 description 4
- 241001494139 Stomoxys Species 0.000 description 4
- 241000255626 Tabanus <genus> Species 0.000 description 4
- 241001414989 Thysanoptera Species 0.000 description 4
- 241000130771 Tinea pellionella Species 0.000 description 4
- 241000333690 Tineola bisselliella Species 0.000 description 4
- 241000511627 Tipula paludosa Species 0.000 description 4
- 241001414833 Triatoma Species 0.000 description 4
- 241001259047 Trichodectes Species 0.000 description 4
- 241000609108 Wohlfahrtia Species 0.000 description 4
- 241000353223 Xenopsylla cheopis Species 0.000 description 4
- 235000005824 Zea mays ssp. parviglumis Nutrition 0.000 description 4
- 241001414985 Zygentoma Species 0.000 description 4
- 150000001298 alcohols Chemical class 0.000 description 4
- AVKUERGKIZMTKX-NJBDSQKTSA-N ampicillin Chemical compound C1([C@@H](N)C(=O)N[C@H]2[C@H]3SC([C@@H](N3C2=O)C(O)=O)(C)C)=CC=CC=C1 AVKUERGKIZMTKX-NJBDSQKTSA-N 0.000 description 4
- 239000000969 carrier Substances 0.000 description 4
- 235000005822 corn Nutrition 0.000 description 4
- JHIVVAPYMSGYDF-UHFFFAOYSA-N cyclohexanone Chemical compound O=C1CCCCC1 JHIVVAPYMSGYDF-UHFFFAOYSA-N 0.000 description 4
- 150000002148 esters Chemical class 0.000 description 4
- 230000012173 estrus Effects 0.000 description 4
- 239000000417 fungicide Substances 0.000 description 4
- 239000003630 growth substance Substances 0.000 description 4
- 229910052500 inorganic mineral Inorganic materials 0.000 description 4
- 239000007788 liquid Substances 0.000 description 4
- 239000000843 powder Substances 0.000 description 4
- 150000003839 salts Chemical class 0.000 description 4
- VYPSYNLAJGMNEJ-UHFFFAOYSA-N silicon dioxide Inorganic materials O=[Si]=O VYPSYNLAJGMNEJ-UHFFFAOYSA-N 0.000 description 4
- ZWEHNKRNPOVVGH-UHFFFAOYSA-N 2-Butanone Chemical compound CCC(C)=O ZWEHNKRNPOVVGH-UHFFFAOYSA-N 0.000 description 3
- 241000411449 Anobium punctatum Species 0.000 description 3
- 241000238662 Blatta orientalis Species 0.000 description 3
- 240000002791 Brassica napus Species 0.000 description 3
- 235000006008 Brassica napus var napus Nutrition 0.000 description 3
- YMWUJEATGCHHMB-UHFFFAOYSA-N Dichloromethane Chemical compound ClCCl YMWUJEATGCHHMB-UHFFFAOYSA-N 0.000 description 3
- WSFSSNUMVMOOMR-UHFFFAOYSA-N Formaldehyde Chemical compound O=C WSFSSNUMVMOOMR-UHFFFAOYSA-N 0.000 description 3
- 241000237858 Gastropoda Species 0.000 description 3
- 241000832180 Hylotrupes bajulus Species 0.000 description 3
- 241000244206 Nematoda Species 0.000 description 3
- 244000061176 Nicotiana tabacum Species 0.000 description 3
- 235000002637 Nicotiana tabacum Nutrition 0.000 description 3
- 241001674048 Phthiraptera Species 0.000 description 3
- YXFVVABEGXRONW-UHFFFAOYSA-N Toluene Chemical compound CC1=CC=CC=C1 YXFVVABEGXRONW-UHFFFAOYSA-N 0.000 description 3
- 239000000654 additive Substances 0.000 description 3
- 238000009395 breeding Methods 0.000 description 3
- HPNSNYBUADCFDR-UHFFFAOYSA-N chromafenozide Chemical compound CC1=CC(C)=CC(C(=O)N(NC(=O)C=2C(=C3CCCOC3=CC=2)C)C(C)(C)C)=C1 HPNSNYBUADCFDR-UHFFFAOYSA-N 0.000 description 3
- 239000003814 drug Substances 0.000 description 3
- 229940079593 drug Drugs 0.000 description 3
- 235000013399 edible fruits Nutrition 0.000 description 3
- 239000000839 emulsion Substances 0.000 description 3
- 239000000499 gel Substances 0.000 description 3
- 238000010353 genetic engineering Methods 0.000 description 3
- XDDAORKBJWWYJS-UHFFFAOYSA-N glyphosate Chemical compound OC(=O)CNCP(O)(O)=O XDDAORKBJWWYJS-UHFFFAOYSA-N 0.000 description 3
- 230000002363 herbicidal effect Effects 0.000 description 3
- 239000011707 mineral Substances 0.000 description 3
- 235000015097 nutrients Nutrition 0.000 description 3
- 235000016709 nutrition Nutrition 0.000 description 3
- 239000003921 oil Substances 0.000 description 3
- 235000019198 oils Nutrition 0.000 description 3
- 239000000123 paper Substances 0.000 description 3
- 102000004169 proteins and genes Human genes 0.000 description 3
- 239000007787 solid Substances 0.000 description 3
- 238000003860 storage Methods 0.000 description 3
- CAAMSDWKXXPUJR-UHFFFAOYSA-N 3,5-dihydro-4H-imidazol-4-one Chemical class O=C1CNC=N1 CAAMSDWKXXPUJR-UHFFFAOYSA-N 0.000 description 2
- HBAQYPYDRFILMT-UHFFFAOYSA-N 8-[3-(1-cyclopropylpyrazol-4-yl)-1H-pyrazolo[4,3-d]pyrimidin-5-yl]-3-methyl-3,8-diazabicyclo[3.2.1]octan-2-one Chemical class C1(CC1)N1N=CC(=C1)C1=NNC2=C1N=C(N=C2)N1C2C(N(CC1CC2)C)=O HBAQYPYDRFILMT-UHFFFAOYSA-N 0.000 description 2
- 241001580860 Acarapis Species 0.000 description 2
- 241000934067 Acarus Species 0.000 description 2
- 241000934064 Acarus siro Species 0.000 description 2
- 241001558864 Aceria Species 0.000 description 2
- 241001351288 Achroia grisella Species 0.000 description 2
- 241000819811 Acronicta major Species 0.000 description 2
- 241001506009 Aculops Species 0.000 description 2
- 241000079319 Aculops lycopersici Species 0.000 description 2
- 241001506414 Aculus Species 0.000 description 2
- 241001227264 Adoretus Species 0.000 description 2
- 241000256118 Aedes aegypti Species 0.000 description 2
- 241000256173 Aedes albopictus Species 0.000 description 2
- 241000484420 Aedia leucomelas Species 0.000 description 2
- 241001164222 Aeneolamia Species 0.000 description 2
- 241000902874 Agelastica alni Species 0.000 description 2
- 241000902467 Agonoscena Species 0.000 description 2
- 241001136265 Agriotes Species 0.000 description 2
- 241000218473 Agrotis Species 0.000 description 2
- 241000449794 Alabama argillacea Species 0.000 description 2
- 241001155864 Aleurolobus barodensis Species 0.000 description 2
- 241001136547 Aleurothrixus Species 0.000 description 2
- 241001398046 Amphimallon solstitiale Species 0.000 description 2
- 241000839189 Amrasca Species 0.000 description 2
- 241000663922 Anasa tristis Species 0.000 description 2
- 241001147657 Ancylostoma Species 0.000 description 2
- 241000520197 Ancylostoma ceylanicum Species 0.000 description 2
- 241000498253 Ancylostoma duodenale Species 0.000 description 2
- 241000027431 Anoplophora Species 0.000 description 2
- 241000272517 Anseriformes Species 0.000 description 2
- 241000693245 Antestiopsis Species 0.000 description 2
- 241000254177 Anthonomus Species 0.000 description 2
- 241000625753 Anticarsia Species 0.000 description 2
- 241000625764 Anticarsia gemmatalis Species 0.000 description 2
- 241001414827 Aonidiella Species 0.000 description 2
- 241001600407 Aphis <genus> Species 0.000 description 2
- 241001227591 Apogonia Species 0.000 description 2
- 241000239290 Araneae Species 0.000 description 2
- 241000238901 Araneidae Species 0.000 description 2
- 241000838579 Arboridia Species 0.000 description 2
- 241001162025 Archips podana Species 0.000 description 2
- 241001480752 Argas persicus Species 0.000 description 2
- 241001480754 Argas reflexus Species 0.000 description 2
- 241000722809 Armadillidium vulgare Species 0.000 description 2
- 241000238421 Arthropoda Species 0.000 description 2
- 241000668391 Aspidiella Species 0.000 description 2
- 241000387313 Aspidiotus Species 0.000 description 2
- 241000238708 Astigmata Species 0.000 description 2
- 241001437124 Atanus Species 0.000 description 2
- 241001174347 Atomaria Species 0.000 description 2
- 241000982146 Atylotus Species 0.000 description 2
- 241001166626 Aulacorthum solani Species 0.000 description 2
- 241000221377 Auricularia Species 0.000 description 2
- 241000894006 Bacteria Species 0.000 description 2
- 241001490249 Bactrocera oleae Species 0.000 description 2
- 241000254123 Bemisia Species 0.000 description 2
- 241001028523 Bentholebouria blatta Species 0.000 description 2
- 241000219310 Beta vulgaris subsp. vulgaris Species 0.000 description 2
- 241001142392 Bibio Species 0.000 description 2
- 241000237359 Biomphalaria Species 0.000 description 2
- 241001631693 Blattella asahinai Species 0.000 description 2
- 241001674044 Blattodea Species 0.000 description 2
- 241000929635 Blissus Species 0.000 description 2
- ZOXJGFHDIHLPTG-UHFFFAOYSA-N Boron Chemical compound [B] ZOXJGFHDIHLPTG-UHFFFAOYSA-N 0.000 description 2
- 241000322475 Bovicola Species 0.000 description 2
- 241000913391 Brachionus forficula Species 0.000 description 2
- 241000273316 Brachycaudus Species 0.000 description 2
- 241000273318 Brachycaudus cardui Species 0.000 description 2
- 241001088081 Brachycolus Species 0.000 description 2
- 241001444260 Brassicogethes aeneus Species 0.000 description 2
- 241000941072 Braula Species 0.000 description 2
- 241000982105 Brevicoryne brassicae Species 0.000 description 2
- 241001643374 Brevipalpus Species 0.000 description 2
- 241001325378 Bruchus Species 0.000 description 2
- 241000244038 Brugia malayi Species 0.000 description 2
- 241000143302 Brugia timori Species 0.000 description 2
- 241000488564 Bryobia Species 0.000 description 2
- 241000398201 Bryobia praetiosa Species 0.000 description 2
- 241001517925 Bucculatrix Species 0.000 description 2
- 241000041029 Bulinus Species 0.000 description 2
- 241000931178 Bunostomum Species 0.000 description 2
- 241001491790 Bupalus piniaria Species 0.000 description 2
- 241000239324 Buthus occitanus Species 0.000 description 2
- 241000257160 Calliphora Species 0.000 description 2
- 241000906761 Calocoris Species 0.000 description 2
- 241000333978 Caloglyphus Species 0.000 description 2
- 241001489688 Camponotus herculeanus Species 0.000 description 2
- 241000613201 Campylomma livida Species 0.000 description 2
- 241001350371 Capua Species 0.000 description 2
- NYSZJNUIVUBQMM-BQYQJAHWSA-N Cardamonin Chemical compound COC1=CC(O)=CC(O)=C1C(=O)\C=C\C1=CC=CC=C1 NYSZJNUIVUBQMM-BQYQJAHWSA-N 0.000 description 2
- 241000781521 Cavelerius Species 0.000 description 2
- 241001427143 Cavelerius excavatus Species 0.000 description 2
- 241000255579 Ceratitis capitata Species 0.000 description 2
- 241000134979 Ceratovacuna lanigera Species 0.000 description 2
- 241001414824 Cercopidae Species 0.000 description 2
- 241001450758 Ceroplastes Species 0.000 description 2
- 241000893172 Chabertia Species 0.000 description 2
- 241001094931 Chaetosiphon fragaefolii Species 0.000 description 2
- 241001436125 Cheiridium Species 0.000 description 2
- 241001436044 Chelifer Species 0.000 description 2
- 241000426499 Chilo Species 0.000 description 2
- 241000255942 Choristoneura fumiferana Species 0.000 description 2
- 241000118402 Chromaphis juglandicola Species 0.000 description 2
- 241001367803 Chrysodeixis includens Species 0.000 description 2
- 241000669069 Chrysomphalus aonidum Species 0.000 description 2
- 241001124179 Chrysops Species 0.000 description 2
- 241001097338 Cicadulina Species 0.000 description 2
- 241001635683 Cimex hemipterus Species 0.000 description 2
- 241001327638 Cimex lectularius Species 0.000 description 2
- 241001152840 Cleonus Species 0.000 description 2
- 241001327942 Clonorchis Species 0.000 description 2
- 241000098277 Cnaphalocrocis Species 0.000 description 2
- 241001478240 Coccus Species 0.000 description 2
- 241000933851 Cochliomyia Species 0.000 description 2
- 241001427559 Collembola Species 0.000 description 2
- 241000683561 Conoderus Species 0.000 description 2
- 241001126268 Cooperia Species 0.000 description 2
- RYGMFSIKBFXOCR-UHFFFAOYSA-N Copper Chemical compound [Cu] RYGMFSIKBFXOCR-UHFFFAOYSA-N 0.000 description 2
- 241000304165 Cordylobia anthropophaga Species 0.000 description 2
- 241001212536 Cosmopolites Species 0.000 description 2
- 241000500845 Costelytra zealandica Species 0.000 description 2
- 241000720929 Creontiades dilutus Species 0.000 description 2
- 241001094916 Cryptomyzus ribis Species 0.000 description 2
- 241001152745 Cryptorhynchus lapathi Species 0.000 description 2
- 241000258922 Ctenocephalides Species 0.000 description 2
- 241000490513 Ctenocephalides canis Species 0.000 description 2
- 241000258924 Ctenocephalides felis Species 0.000 description 2
- 241001124552 Ctenolepisma Species 0.000 description 2
- 241000256059 Culex pipiens Species 0.000 description 2
- 241000256057 Culex quinquefasciatus Species 0.000 description 2
- 241000256061 Culex tarsalis Species 0.000 description 2
- 241000134316 Culicoides <genus> Species 0.000 description 2
- 241000721021 Curculio Species 0.000 description 2
- 241000692095 Cuterebra Species 0.000 description 2
- 241001635274 Cydia pomonella Species 0.000 description 2
- 201000003808 Cystic echinococcosis Diseases 0.000 description 2
- 241001260003 Dalbulus Species 0.000 description 2
- 241000268912 Damalinia Species 0.000 description 2
- 241001128004 Demodex Species 0.000 description 2
- 241001480824 Dermacentor Species 0.000 description 2
- 241001481694 Dermanyssus Species 0.000 description 2
- 241000202828 Dermatobia hominis Species 0.000 description 2
- 241001300085 Deroceras Species 0.000 description 2
- 241000489975 Diabrotica Species 0.000 description 2
- 241000108082 Dialeurodes Species 0.000 description 2
- 241000526124 Diaphorina Species 0.000 description 2
- 241000643949 Diaspis <angiosperm> Species 0.000 description 2
- 241001549096 Dichelops furcatus Species 0.000 description 2
- 241000577452 Dicrocoelium Species 0.000 description 2
- 241000180412 Dictyocaulus filaria Species 0.000 description 2
- 241000866683 Diphyllobothrium latum Species 0.000 description 2
- 241000511318 Diprion Species 0.000 description 2
- 241001319090 Dracunculus medinensis Species 0.000 description 2
- 241000193907 Dreissena Species 0.000 description 2
- 241001595884 Drosicha Species 0.000 description 2
- 241001581005 Dysaphis Species 0.000 description 2
- 241001425477 Dysdercus Species 0.000 description 2
- 241001516600 Dysmicoccus Species 0.000 description 2
- 241000353522 Earias insulana Species 0.000 description 2
- 241000244170 Echinococcus granulosus Species 0.000 description 2
- 241000244163 Echinococcus multilocularis Species 0.000 description 2
- 241000995023 Empoasca Species 0.000 description 2
- 241001222563 Empoasca onukii Species 0.000 description 2
- 241000498255 Enterobius vermicularis Species 0.000 description 2
- 241000488562 Eotetranychus Species 0.000 description 2
- 241000122098 Ephestia kuehniella Species 0.000 description 2
- 241001301805 Epilachna Species 0.000 description 2
- 241000079320 Epitrimerus Species 0.000 description 2
- 241001558857 Eriophyes Species 0.000 description 2
- 241000917109 Eriosoma Species 0.000 description 2
- 241001515686 Erythroneura Species 0.000 description 2
- FNELVJVBIYMIMC-UHFFFAOYSA-N Ethiprole Chemical compound N1=C(C#N)C(S(=O)CC)=C(N)N1C1=C(Cl)C=C(C(F)(F)F)C=C1Cl FNELVJVBIYMIMC-UHFFFAOYSA-N 0.000 description 2
- LYCAIKOWRPUZTN-UHFFFAOYSA-N Ethylene glycol Chemical compound OCCO LYCAIKOWRPUZTN-UHFFFAOYSA-N 0.000 description 2
- 241000060469 Eupoecilia ambiguella Species 0.000 description 2
- 241000483001 Euproctis chrysorrhoea Species 0.000 description 2
- 241000515838 Eurygaster Species 0.000 description 2
- 241000239245 Euscelis Species 0.000 description 2
- 241000098297 Euschistus Species 0.000 description 2
- 241000216093 Eusimulium Species 0.000 description 2
- 241001034433 Eutetranychus Species 0.000 description 2
- 241001585293 Euxoa Species 0.000 description 2
- 241000953886 Fannia canicularis Species 0.000 description 2
- 241000322646 Felicola Species 0.000 description 2
- 241000233488 Feltia Species 0.000 description 2
- 241000720914 Forficula auricularia Species 0.000 description 2
- 241000189565 Frankliniella Species 0.000 description 2
- 241000233866 Fungi Species 0.000 description 2
- 241000585112 Galba Species 0.000 description 2
- 241000982383 Gametis jucunda Species 0.000 description 2
- 241001057692 Geococcus coffeae Species 0.000 description 2
- 241001043186 Gibbium Species 0.000 description 2
- 241000257324 Glossina <genus> Species 0.000 description 2
- 239000005562 Glyphosate Substances 0.000 description 2
- 241001243091 Gryllotalpa Species 0.000 description 2
- 241000257224 Haematobia Species 0.000 description 2
- 241000562576 Haematopota Species 0.000 description 2
- 241000775881 Haematopota pluvialis Species 0.000 description 2
- 241000243976 Haemonchus Species 0.000 description 2
- 241000255990 Helicoverpa Species 0.000 description 2
- 241000256257 Heliothis Species 0.000 description 2
- 241000339323 Heliothrips Species 0.000 description 2
- 241001659688 Hercinothrips femoralis Species 0.000 description 2
- 241000920462 Heterakis Species 0.000 description 2
- 241001176496 Heteronychus arator Species 0.000 description 2
- 241000771999 Hippobosca Species 0.000 description 2
- 241001201623 Hofmannophila pseudospretella Species 0.000 description 2
- 241001288674 Holotrichia consanguinea Species 0.000 description 2
- 241001503238 Homalodisca vitripennis Species 0.000 description 2
- 241000957299 Homona magnanima Species 0.000 description 2
- 241001417351 Hoplocampa Species 0.000 description 2
- 241001251909 Hyalopterus pruni Species 0.000 description 2
- 241000561960 Hybomitra Species 0.000 description 2
- 241000238729 Hydrotaea Species 0.000 description 2
- 241000115042 Hylamorpha elegans Species 0.000 description 2
- 241001464384 Hymenolepis nana Species 0.000 description 2
- 241001508566 Hypera postica Species 0.000 description 2
- 241001590577 Hypodectes Species 0.000 description 2
- 241000577499 Hypothenemus Species 0.000 description 2
- 241001058149 Icerya Species 0.000 description 2
- 241001595209 Idiocerus Species 0.000 description 2
- 241000761334 Idioscopus Species 0.000 description 2
- UQSXHKLRYXJYBZ-UHFFFAOYSA-N Iron oxide Chemical compound [Fe]=O UQSXHKLRYXJYBZ-UHFFFAOYSA-N 0.000 description 2
- 241000397365 Javesella pellucida Species 0.000 description 2
- 241000896288 Kakothrips Species 0.000 description 2
- 241001506109 Kalotermes Species 0.000 description 2
- 241001467800 Knemidokoptes Species 0.000 description 2
- 241000256686 Lasius <genus> Species 0.000 description 2
- 241000599116 Lasius fuliginosus Species 0.000 description 2
- 241000948337 Lasius niger Species 0.000 description 2
- 241000051764 Lasius umbratus Species 0.000 description 2
- 241001163604 Latheticus oryzae Species 0.000 description 2
- 241000238866 Latrodectus mactans Species 0.000 description 2
- 241000669027 Lepidosaphes Species 0.000 description 2
- 241000258916 Leptinotarsa decemlineata Species 0.000 description 2
- 241000661345 Leptocorisa Species 0.000 description 2
- 241000560153 Leptoglossus phyllopus Species 0.000 description 2
- 241000272317 Lipaphis erysimi Species 0.000 description 2
- 241000692237 Lipoptena Species 0.000 description 2
- 241000322707 Liposcelis Species 0.000 description 2
- 241000594036 Liriomyza Species 0.000 description 2
- 241000966204 Lissorhoptrus oryzophilus Species 0.000 description 2
- 241001535742 Listrophorus Species 0.000 description 2
- 241000004742 Lithophane antennata Species 0.000 description 2
- 241000532753 Lixus Species 0.000 description 2
- 241000254023 Locusta Species 0.000 description 2
- 241000255134 Lutzomyia <genus> Species 0.000 description 2
- 241001414826 Lygus Species 0.000 description 2
- 241000721696 Lymantria Species 0.000 description 2
- 241000237354 Lymnaea Species 0.000 description 2
- 241000721715 Macrosiphum Species 0.000 description 2
- 241000927670 Mahanarva fimbriolata Species 0.000 description 2
- 241000255685 Malacosoma neustria Species 0.000 description 2
- 241001179564 Melanaphis sacchari Species 0.000 description 2
- 241001415013 Melanoplus Species 0.000 description 2
- 241000254099 Melolontha melolontha Species 0.000 description 2
- 241000771995 Melophagus Species 0.000 description 2
- 241000035436 Menopon Species 0.000 description 2
- 241001481698 Mesostigmata Species 0.000 description 2
- 241000131592 Metcalfiella Species 0.000 description 2
- 241000168713 Metopolophium dirhodum Species 0.000 description 2
- 241001497122 Migdolus Species 0.000 description 2
- 241001414825 Miridae Species 0.000 description 2
- 241001469521 Mocis latipes Species 0.000 description 2
- ZOKXTWBITQBERF-UHFFFAOYSA-N Molybdenum Chemical compound [Mo] ZOKXTWBITQBERF-UHFFFAOYSA-N 0.000 description 2
- 241001094463 Monellia Species 0.000 description 2
- 241001094800 Monelliopsis Species 0.000 description 2
- 241001442208 Monochamus Species 0.000 description 2
- 241001351098 Morellia Species 0.000 description 2
- 241000257159 Musca domestica Species 0.000 description 2
- 241001373727 Myobia Species 0.000 description 2
- 241001477928 Mythimna Species 0.000 description 2
- 241000409991 Mythimna separata Species 0.000 description 2
- 241000721623 Myzus Species 0.000 description 2
- LRHPLDYGYMQRHN-UHFFFAOYSA-N N-Butanol Chemical compound CCCCO LRHPLDYGYMQRHN-UHFFFAOYSA-N 0.000 description 2
- 241000133263 Nasonovia ribisnigri Species 0.000 description 2
- 241000196499 Naupactus xanthographus Species 0.000 description 2
- 241000041821 Necrobia Species 0.000 description 2
- 241001137882 Nematodirus Species 0.000 description 2
- 241000359016 Nephotettix Species 0.000 description 2
- 241001556089 Nilaparvata lugens Species 0.000 description 2
- 241001385056 Niptus hololeucus Species 0.000 description 2
- 241000562097 Notoedres Species 0.000 description 2
- 241000036147 Ochlerotatus taeniorhynchus Species 0.000 description 2
- 241000866537 Odontotermes Species 0.000 description 2
- 241001102020 Oebalus Species 0.000 description 2
- 241000510960 Oesophagostomum Species 0.000 description 2
- 241000488557 Oligonychus Species 0.000 description 2
- 241000243985 Onchocerca volvulus Species 0.000 description 2
- 241000565675 Oncomelania Species 0.000 description 2
- 241000777573 Oncometopia Species 0.000 description 2
- 241000963703 Onychiurus armatus Species 0.000 description 2
- 241001491877 Operophtera brumata Species 0.000 description 2
- 241000168255 Opiliones Species 0.000 description 2
- 241000242716 Opisthorchis Species 0.000 description 2
- 241001446191 Orthezia Species 0.000 description 2
- 241001250072 Oryctes rhinoceros Species 0.000 description 2
- 241000131101 Oryzaephilus surinamensis Species 0.000 description 2
- 241000975417 Oscinella frit Species 0.000 description 2
- 241000243795 Ostertagia Species 0.000 description 2
- 241001147398 Ostrinia nubilalis Species 0.000 description 2
- 241001480755 Otobius Species 0.000 description 2
- 241000790250 Otodectes Species 0.000 description 2
- 241001570894 Oulema oryzae Species 0.000 description 2
- 241001510250 Panchlora Species 0.000 description 2
- 241000486438 Panolis flammea Species 0.000 description 2
- 241000488585 Panonychus Species 0.000 description 2
- 241000919536 Panstrongylus Species 0.000 description 2
- 241001480233 Paragonimus Species 0.000 description 2
- 241001516563 Paratrioza Species 0.000 description 2
- 241001523676 Parcoblatta Species 0.000 description 2
- 241001130603 Parlatoria <angiosperm> Species 0.000 description 2
- 241000721451 Pectinophora gossypiella Species 0.000 description 2
- 241000517307 Pediculus humanus Species 0.000 description 2
- 241000517306 Pediculus humanus corporis Species 0.000 description 2
- 241000256682 Peregrinus maidis Species 0.000 description 2
- 241001510004 Periplaneta australasiae Species 0.000 description 2
- 241001510001 Periplaneta brunnea Species 0.000 description 2
- 241001510010 Periplaneta fuliginosa Species 0.000 description 2
- 241000218196 Persea Species 0.000 description 2
- 241000250508 Phalangium Species 0.000 description 2
- 241001058119 Phenacoccus Species 0.000 description 2
- 241001432757 Philipomyia Species 0.000 description 2
- 241000916808 Phloeomyzus passerinii Species 0.000 description 2
- 241001401861 Phorodon humuli Species 0.000 description 2
- 241001525654 Phyllocnistis citrella Species 0.000 description 2
- 241000497192 Phyllocoptruta oleivora Species 0.000 description 2
- 241001517955 Phyllonorycter blancardella Species 0.000 description 2
- 241001640279 Phyllophaga Species 0.000 description 2
- 241001516577 Phylloxera Species 0.000 description 2
- 241000203073 Phytoplasma sp. Species 0.000 description 2
- 241000255972 Pieris <butterfly> Species 0.000 description 2
- 241000690748 Piesma Species 0.000 description 2
- 241000940371 Piezodorus Species 0.000 description 2
- 241000669426 Pinnaspis aspidistrae Species 0.000 description 2
- 241000193804 Planococcus <bacterium> Species 0.000 description 2
- 241000595629 Plodia interpunctella Species 0.000 description 2
- 241000883286 Polydesmus Species 0.000 description 2
- 241000952063 Polyphagotarsonemus latus Species 0.000 description 2
- 241000254101 Popillia japonica Species 0.000 description 2
- 241000238705 Prostigmata Species 0.000 description 2
- 241001483625 Protopulvinaria pyriformis Species 0.000 description 2
- 235000005805 Prunus cerasus Nutrition 0.000 description 2
- 241001274600 Pseudacysta Species 0.000 description 2
- 241000721694 Pseudatomoscelis seriatus Species 0.000 description 2
- 241000669298 Pseudaulacaspis pentagona Species 0.000 description 2
- 241000722234 Pseudococcus Species 0.000 description 2
- 241001415024 Psocoptera Species 0.000 description 2
- 241001016411 Psorergates Species 0.000 description 2
- 241000526145 Psylla Species 0.000 description 2
- 241001534486 Pterolichus Species 0.000 description 2
- 241001454908 Pteromalus Species 0.000 description 2
- 241000517309 Pthirus Species 0.000 description 2
- 241000517304 Pthirus pubis Species 0.000 description 2
- 241001675082 Pulex Species 0.000 description 2
- 241000718000 Pulex irritans Species 0.000 description 2
- 241000932787 Pyrilla Species 0.000 description 2
- 241000944747 Quesada gigas Species 0.000 description 2
- 241001408411 Raillietia Species 0.000 description 2
- 241000549289 Rastrococcus Species 0.000 description 2
- 241001481696 Rhipicephalus sanguineus Species 0.000 description 2
- 241000298314 Rhipiphorothrips cruentatus Species 0.000 description 2
- 241001617044 Rhizoglyphus Species 0.000 description 2
- 241000125162 Rhopalosiphum Species 0.000 description 2
- 241000752065 Rhyzobius Species 0.000 description 2
- 241000914334 Sahlbergella singularis Species 0.000 description 2
- 241001450655 Saissetia Species 0.000 description 2
- 241000257190 Sarcophaga <genus> Species 0.000 description 2
- 241000304160 Sarcophaga carnaria Species 0.000 description 2
- 241000253973 Schistocerca gregaria Species 0.000 description 2
- 241000722027 Schizaphis graminum Species 0.000 description 2
- 241000365762 Scirtothrips Species 0.000 description 2
- 241000522594 Scorpio maurus Species 0.000 description 2
- 241001157779 Scutigera Species 0.000 description 2
- 241001313237 Scutigerella immaculata Species 0.000 description 2
- 241000669326 Selenaspidus articulatus Species 0.000 description 2
- 241000254181 Sitophilus Species 0.000 description 2
- 241000254179 Sitophilus granarius Species 0.000 description 2
- 241000254152 Sitophilus oryzae Species 0.000 description 2
- 241000254154 Sitophilus zeamais Species 0.000 description 2
- 241000336929 Sogata Species 0.000 description 2
- 241000176086 Sogatella furcifera Species 0.000 description 2
- 241000044136 Solenopotes Species 0.000 description 2
- 241000532885 Sphenophorus Species 0.000 description 2
- 241001414853 Spissistilus festinus Species 0.000 description 2
- 241001177161 Stegobium paniceum Species 0.000 description 2
- 241001161749 Stenchaetothrips biformis Species 0.000 description 2
- 241000283614 Stephanitis nashi Species 0.000 description 2
- 241001513492 Sternostoma Species 0.000 description 2
- 241001494115 Stomoxys calcitrans Species 0.000 description 2
- 241000098292 Striacosta albicosta Species 0.000 description 2
- 241000180126 Strongyloides fuelleborni Species 0.000 description 2
- 241000244177 Strongyloides stercoralis Species 0.000 description 2
- 241001301282 Succinea Species 0.000 description 2
- 235000021536 Sugar beet Nutrition 0.000 description 2
- 229940100389 Sulfonylurea Drugs 0.000 description 2
- 241001649251 Supella Species 0.000 description 2
- 241001649248 Supella longipalpa Species 0.000 description 2
- 241000883295 Symphyla Species 0.000 description 2
- 241000244159 Taenia saginata Species 0.000 description 2
- 241000244157 Taenia solium Species 0.000 description 2
- 241000189578 Taeniothrips Species 0.000 description 2
- 241000254109 Tenebrio molitor Species 0.000 description 2
- 241001374808 Tetramorium caespitum Species 0.000 description 2
- 241001454294 Tetranychus Species 0.000 description 2
- 241000239292 Theraphosidae Species 0.000 description 2
- 241000028626 Thermobia domestica Species 0.000 description 2
- 241000130764 Tinea Species 0.000 description 2
- 208000002474 Tinea Diseases 0.000 description 2
- 241001519477 Tinocallis Species 0.000 description 2
- 241001161507 Titanus Species 0.000 description 2
- 241001432111 Tomaspis Species 0.000 description 2
- 241001238451 Tortrix viridana Species 0.000 description 2
- 241000271862 Toxoptera Species 0.000 description 2
- 241000018137 Trialeurodes vaporariorum Species 0.000 description 2
- 241001414831 Triatoma infestans Species 0.000 description 2
- 241000254086 Tribolium <beetle> Species 0.000 description 2
- 241000243774 Trichinella Species 0.000 description 2
- 241000194297 Trichinella britovi Species 0.000 description 2
- 241000243776 Trichinella nativa Species 0.000 description 2
- 241000243779 Trichinella nelsoni Species 0.000 description 2
- 241000243777 Trichinella spiralis Species 0.000 description 2
- 241000255985 Trichoplusia Species 0.000 description 2
- 241001489151 Trichuris Species 0.000 description 2
- 241000790999 Trinoton Species 0.000 description 2
- 241001414858 Trioza Species 0.000 description 2
- 241000267823 Trogoderma Species 0.000 description 2
- 241001584775 Tunga penetrans Species 0.000 description 2
- 241001168740 Tychius Species 0.000 description 2
- 241000132125 Tyrophagus Species 0.000 description 2
- 241000669245 Unaspis Species 0.000 description 2
- 241000254198 Urocerus gigas Species 0.000 description 2
- 241000895647 Varroa Species 0.000 description 2
- 241000700605 Viruses Species 0.000 description 2
- 241001274787 Viteus Species 0.000 description 2
- 241000061203 Werneckiella Species 0.000 description 2
- 241000244005 Wuchereria bancrofti Species 0.000 description 2
- 235000013447 Xanthosoma atrovirens Nutrition 0.000 description 2
- 240000001781 Xanthosoma sagittifolium Species 0.000 description 2
- 241000353224 Xenopsylla Species 0.000 description 2
- 241001604425 Xylotrechus Species 0.000 description 2
- 241000885034 Xyphon Species 0.000 description 2
- 241001466337 Yponomeuta Species 0.000 description 2
- 241001035865 Zabrus Species 0.000 description 2
- HCHKCACWOHOZIP-UHFFFAOYSA-N Zinc Chemical compound [Zn] HCHKCACWOHOZIP-UHFFFAOYSA-N 0.000 description 2
- 239000000642 acaricide Substances 0.000 description 2
- 230000001133 acceleration Effects 0.000 description 2
- 239000000853 adhesive Substances 0.000 description 2
- 230000001070 adhesive effect Effects 0.000 description 2
- 150000001338 aliphatic hydrocarbons Chemical class 0.000 description 2
- 150000001412 amines Chemical class 0.000 description 2
- 230000000844 anti-bacterial effect Effects 0.000 description 2
- 125000003118 aryl group Chemical group 0.000 description 2
- 239000003899 bactericide agent Substances 0.000 description 2
- VEMKTZHHVJILDY-UXHICEINSA-N bioresmethrin Chemical compound CC1(C)[C@H](C=C(C)C)[C@H]1C(=O)OCC1=COC(CC=2C=CC=CC=2)=C1 VEMKTZHHVJILDY-UXHICEINSA-N 0.000 description 2
- 229910052796 boron Inorganic materials 0.000 description 2
- 230000001488 breeding effect Effects 0.000 description 2
- 150000004657 carbamic acid derivatives Chemical class 0.000 description 2
- 150000007942 carboxylates Chemical class 0.000 description 2
- 229920002678 cellulose Polymers 0.000 description 2
- 235000010980 cellulose Nutrition 0.000 description 2
- 150000008422 chlorobenzenes Chemical class 0.000 description 2
- 239000010941 cobalt Substances 0.000 description 2
- 229910017052 cobalt Inorganic materials 0.000 description 2
- GUTLYIVDDKVIGB-UHFFFAOYSA-N cobalt atom Chemical compound [Co] GUTLYIVDDKVIGB-UHFFFAOYSA-N 0.000 description 2
- 229910052802 copper Inorganic materials 0.000 description 2
- 239000010949 copper Substances 0.000 description 2
- 230000007123 defense Effects 0.000 description 2
- 238000011161 development Methods 0.000 description 2
- 230000018109 developmental process Effects 0.000 description 2
- 150000008037 diacylhydrazines Chemical class 0.000 description 2
- 238000007598 dipping method Methods 0.000 description 2
- 239000002270 dispersing agent Substances 0.000 description 2
- 239000000975 dye Substances 0.000 description 2
- 238000001704 evaporation Methods 0.000 description 2
- YYJNOYZRYGDPNH-MFKUBSTISA-N fenpyroximate Chemical compound C=1C=C(C(=O)OC(C)(C)C)C=CC=1CO/N=C/C=1C(C)=NN(C)C=1OC1=CC=CC=C1 YYJNOYZRYGDPNH-MFKUBSTISA-N 0.000 description 2
- 239000003337 fertilizer Substances 0.000 description 2
- 239000006260 foam Substances 0.000 description 2
- 229940097068 glyphosate Drugs 0.000 description 2
- 230000012010 growth Effects 0.000 description 2
- 238000003306 harvesting Methods 0.000 description 2
- 244000000013 helminth Species 0.000 description 2
- 229910052742 iron Inorganic materials 0.000 description 2
- 150000002576 ketones Chemical class 0.000 description 2
- 230000001418 larval effect Effects 0.000 description 2
- 239000010985 leather Substances 0.000 description 2
- 244000144972 livestock Species 0.000 description 2
- 239000003120 macrolide antibiotic agent Substances 0.000 description 2
- 229940041033 macrolides Drugs 0.000 description 2
- WPBNNNQJVZRUHP-UHFFFAOYSA-L manganese(2+);methyl n-[[2-(methoxycarbonylcarbamothioylamino)phenyl]carbamothioyl]carbamate;n-[2-(sulfidocarbothioylamino)ethyl]carbamodithioate Chemical class [Mn+2].[S-]C(=S)NCCNC([S-])=S.COC(=O)NC(=S)NC1=CC=CC=C1NC(=S)NC(=O)OC WPBNNNQJVZRUHP-UHFFFAOYSA-L 0.000 description 2
- 229910052750 molybdenum Inorganic materials 0.000 description 2
- 239000011733 molybdenum Substances 0.000 description 2
- 210000000056 organ Anatomy 0.000 description 2
- 244000045947 parasite Species 0.000 description 2
- 230000008635 plant growth Effects 0.000 description 2
- 239000004033 plastic Substances 0.000 description 2
- 229920003023 plastic Polymers 0.000 description 2
- 229920000642 polymer Polymers 0.000 description 2
- 229920005862 polyol Polymers 0.000 description 2
- 150000003077 polyols Chemical class 0.000 description 2
- 241000894007 species Species 0.000 description 2
- SRJQTHAZUNRMPR-UHFFFAOYSA-N spinosyn A Natural products CC1C(=O)C2=CC3C4CC(OC5C(C(OC)C(OC)C(C)O5)OC)CC4C=CC3C2CC(=O)OC(CC)CCCC1OC1CCC(N(C)C)C(C)O1 SRJQTHAZUNRMPR-UHFFFAOYSA-N 0.000 description 2
- SRJQTHAZUNRMPR-UYQKXTDMSA-N spinosyn A Chemical compound O([C@H]1CCC[C@@H](OC(=O)C[C@H]2[C@@H]3C=C[C@@H]4C[C@H](C[C@H]4[C@@H]3C=C2C(=O)[C@@H]1C)O[C@H]1[C@@H]([C@H](OC)[C@@H](OC)[C@H](C)O1)OC)CC)[C@H]1CC[C@H](N(C)C)[C@@H](C)O1 SRJQTHAZUNRMPR-UYQKXTDMSA-N 0.000 description 2
- VESRDXZDAAOUHS-KXRJSVEISA-N spinosyn B Chemical compound O([C@H]1CCC[C@@H](OC(=O)C[C@H]2[C@@H]3C=C[C@@H]4C[C@H](C[C@H]4[C@@H]3C=C2C(=O)[C@@H]1C)O[C@H]1[C@@H]([C@H](OC)[C@@H](OC)[C@H](C)O1)OC)CC)[C@H]1CC[C@H](NC)[C@@H](C)O1 VESRDXZDAAOUHS-KXRJSVEISA-N 0.000 description 2
- RDECBWLKMPEKPM-UHFFFAOYSA-N spinosyn D Natural products CC1C(=O)C2=CC3C4CC(OC5C(C(OC)C(OC)C(C)O5)OC)CC4C(C)=CC3C2CC(=O)OC(CC)CCCC1OC1CCC(N(C)C)C(C)O1 RDECBWLKMPEKPM-UHFFFAOYSA-N 0.000 description 2
- 238000005507 spraying Methods 0.000 description 2
- 230000007480 spreading Effects 0.000 description 2
- 238000003892 spreading Methods 0.000 description 2
- 239000003381 stabilizer Substances 0.000 description 2
- 239000000725 suspension Substances 0.000 description 2
- 230000021918 systemic acquired resistance Effects 0.000 description 2
- 239000003053 toxin Substances 0.000 description 2
- 231100000765 toxin Toxicity 0.000 description 2
- 108700012359 toxins Proteins 0.000 description 2
- 229940116861 trichinella britovi Drugs 0.000 description 2
- 229940096911 trichinella spiralis Drugs 0.000 description 2
- 235000013311 vegetables Nutrition 0.000 description 2
- 230000017260 vegetative to reproductive phase transition of meristem Effects 0.000 description 2
- 239000011701 zinc Substances 0.000 description 2
- 229910052725 zinc Inorganic materials 0.000 description 2
- SMZOUWXMTYCWNB-UHFFFAOYSA-N 2-(2-methoxy-5-methylphenyl)ethanamine Chemical compound COC1=CC=C(C)C=C1CCN SMZOUWXMTYCWNB-UHFFFAOYSA-N 0.000 description 1
- NIXOWILDQLNWCW-UHFFFAOYSA-N 2-Propenoic acid Natural products OC(=O)C=C NIXOWILDQLNWCW-UHFFFAOYSA-N 0.000 description 1
- 244000215068 Acacia senegal Species 0.000 description 1
- 241000251468 Actinopterygii Species 0.000 description 1
- RGCKGOZRHPZPFP-UHFFFAOYSA-N Alizarin Natural products C1=CC=C2C(=O)C3=C(O)C(O)=CC=C3C(=O)C2=C1 RGCKGOZRHPZPFP-UHFFFAOYSA-N 0.000 description 1
- 241000294569 Aphelenchoides Species 0.000 description 1
- 241001149932 Archaeognatha Species 0.000 description 1
- 241000237518 Arion Species 0.000 description 1
- 240000003291 Armoracia rusticana Species 0.000 description 1
- 235000011330 Armoracia rusticana Nutrition 0.000 description 1
- 241000271566 Aves Species 0.000 description 1
- 241000193388 Bacillus thuringiensis Species 0.000 description 1
- 239000005711 Benzoic acid Substances 0.000 description 1
- WPYMKLBDIGXBTP-UHFFFAOYSA-N Benzoic acid Natural products OC(=O)C1=CC=CC=C1 WPYMKLBDIGXBTP-UHFFFAOYSA-N 0.000 description 1
- 241000238659 Blatta Species 0.000 description 1
- 241000283690 Bos taurus Species 0.000 description 1
- 241001669698 Bostrychus Species 0.000 description 1
- 241000243770 Bursaphelenchus Species 0.000 description 1
- 0 C[C@@](CS(C)(=O)=O)NC(c(c(C(Nc1c(C)cc(C(C)(*)C(F)(F)F)cc1)=O)ccc1)c1I)=O Chemical compound C[C@@](CS(C)(=O)=O)NC(c(c(C(Nc1c(C)cc(C(C)(*)C(F)(F)F)cc1)=O)ccc1)c1I)=O 0.000 description 1
- 229910021532 Calcite Inorganic materials 0.000 description 1
- 241000282832 Camelidae Species 0.000 description 1
- 241000282472 Canis lupus familiaris Species 0.000 description 1
- 241000466177 Cansumys canus Species 0.000 description 1
- 241000283707 Capra Species 0.000 description 1
- 229920002134 Carboxymethyl cellulose Polymers 0.000 description 1
- 241000700199 Cavia porcellus Species 0.000 description 1
- 241000668556 Chionaspis Species 0.000 description 1
- 241000027435 Chlorophorus Species 0.000 description 1
- 239000005887 Chromafenozide Substances 0.000 description 1
- 241001124134 Chrysomelidae Species 0.000 description 1
- 244000060011 Cocos nucifera Species 0.000 description 1
- 235000013162 Cocos nucifera Nutrition 0.000 description 1
- 241001509962 Coptotermes formosanus Species 0.000 description 1
- 241001506147 Cryptotermes brevis Species 0.000 description 1
- XDTMQSROBMDMFD-UHFFFAOYSA-N Cyclohexane Chemical compound C1CCCCC1 XDTMQSROBMDMFD-UHFFFAOYSA-N 0.000 description 1
- FBPFZTCFMRRESA-FSIIMWSLSA-N D-Glucitol Natural products OC[C@H](O)[C@H](O)[C@@H](O)[C@H](O)CO FBPFZTCFMRRESA-FSIIMWSLSA-N 0.000 description 1
- 241001523681 Dendrobium Species 0.000 description 1
- 241001399709 Dinoderus minutus Species 0.000 description 1
- 241000399949 Ditylenchus dipsaci Species 0.000 description 1
- 239000004129 EU approved improving agent Substances 0.000 description 1
- 241000223924 Eimeria Species 0.000 description 1
- 241000283086 Equidae Species 0.000 description 1
- 241000283074 Equus asinus Species 0.000 description 1
- 241000415266 Ernobius mollis Species 0.000 description 1
- 241000282326 Felis catus Species 0.000 description 1
- 239000005901 Flubendiamide Substances 0.000 description 1
- 241000287828 Gallus gallus Species 0.000 description 1
- 241001442498 Globodera Species 0.000 description 1
- 229920000084 Gum arabic Polymers 0.000 description 1
- 241000047428 Halter Species 0.000 description 1
- 241000239389 Heterobostrychus brunneus Species 0.000 description 1
- 241001480224 Heterodera Species 0.000 description 1
- 241001124200 Heterotermes indicola Species 0.000 description 1
- 241001387516 Kalotermes flavicollis Species 0.000 description 1
- 239000005909 Kieselgur Substances 0.000 description 1
- 241001470016 Laodelphax Species 0.000 description 1
- 241001470017 Laodelphax striatella Species 0.000 description 1
- 241001220360 Longidorus Species 0.000 description 1
- 235000007688 Lycopersicon esculentum Nutrition 0.000 description 1
- 241001518485 Lyctus africanus Species 0.000 description 1
- 241001043195 Lyctus brunneus Species 0.000 description 1
- 241000656865 Lyctus linearis Species 0.000 description 1
- 244000070406 Malus silvestris Species 0.000 description 1
- 241000721708 Mastotermes darwiniensis Species 0.000 description 1
- 241001143352 Meloidogyne Species 0.000 description 1
- NTIZESTWPVYFNL-UHFFFAOYSA-N Methyl isobutyl ketone Chemical compound CC(C)CC(C)=O NTIZESTWPVYFNL-UHFFFAOYSA-N 0.000 description 1
- UIHCLUNTQKBZGK-UHFFFAOYSA-N Methyl isobutyl ketone Natural products CCC(C)C(C)=O UIHCLUNTQKBZGK-UHFFFAOYSA-N 0.000 description 1
- 241000237852 Mollusca Species 0.000 description 1
- 241001147402 Monachus Species 0.000 description 1
- 241000699670 Mus sp. Species 0.000 description 1
- 241001477931 Mythimna unipuncta Species 0.000 description 1
- CTQNGGLPUBDAKN-UHFFFAOYSA-N O-Xylene Chemical compound CC1=CC=CC=C1C CTQNGGLPUBDAKN-UHFFFAOYSA-N 0.000 description 1
- 241000283973 Oryctolagus cuniculus Species 0.000 description 1
- 240000007594 Oryza sativa Species 0.000 description 1
- 235000007164 Oryza sativa Nutrition 0.000 description 1
- 229910019142 PO4 Inorganic materials 0.000 description 1
- 208000002193 Pain Diseases 0.000 description 1
- 241001494479 Pecora Species 0.000 description 1
- 241000286209 Phasianidae Species 0.000 description 1
- IHPVFYLOGNNZLA-UHFFFAOYSA-N Phytoalexin Natural products COC1=CC=CC=C1C1OC(C=C2C(OCO2)=C2OC)=C2C(=O)C1 IHPVFYLOGNNZLA-UHFFFAOYSA-N 0.000 description 1
- 240000004713 Pisum sativum Species 0.000 description 1
- 235000010582 Pisum sativum Nutrition 0.000 description 1
- 239000004372 Polyvinyl alcohol Substances 0.000 description 1
- 241000193943 Pratylenchus Species 0.000 description 1
- 241001384632 Priobium carpini Species 0.000 description 1
- 108010009736 Protein Hydrolysates Proteins 0.000 description 1
- 241001180370 Psylliodes chrysocephalus Species 0.000 description 1
- 241000396244 Ptilinus Species 0.000 description 1
- 241000220324 Pyrus Species 0.000 description 1
- 241000201375 Radopholus similis Species 0.000 description 1
- 241000700159 Rattus Species 0.000 description 1
- 108020004511 Recombinant DNA Proteins 0.000 description 1
- 241001509967 Reticulitermes flavipes Species 0.000 description 1
- 241000590363 Reticulitermes lucifugus Species 0.000 description 1
- 241000590379 Reticulitermes santonensis Species 0.000 description 1
- 241000855013 Rotylenchus Species 0.000 description 1
- 239000004113 Sepiolite Substances 0.000 description 1
- 241001177138 Sinoxylon Species 0.000 description 1
- 241001365173 Sirex juvencus Species 0.000 description 1
- 240000003768 Solanum lycopersicum Species 0.000 description 1
- 241000950030 Sternechus Species 0.000 description 1
- 241000282887 Suidae Species 0.000 description 1
- 239000005937 Tebufenozide Substances 0.000 description 1
- 241000352765 Thalloloma anguinum Species 0.000 description 1
- GWEVSGVZZGPLCZ-UHFFFAOYSA-N Titan oxide Chemical compound O=[Ti]=O GWEVSGVZZGPLCZ-UHFFFAOYSA-N 0.000 description 1
- 241001220308 Trichodorus Species 0.000 description 1
- 235000021307 Triticum Nutrition 0.000 description 1
- 244000098338 Triticum aestivum Species 0.000 description 1
- 241000215579 Trogoxylon Species 0.000 description 1
- 241000855019 Tylenchorhynchus Species 0.000 description 1
- 241001267618 Tylenchulus Species 0.000 description 1
- 241001267621 Tylenchulus semipenetrans Species 0.000 description 1
- 241000841223 Typhlocyba Species 0.000 description 1
- 241000122724 Urocerus augur Species 0.000 description 1
- BZHJMEDXRYGGRV-UHFFFAOYSA-N Vinyl chloride Chemical class ClC=C BZHJMEDXRYGGRV-UHFFFAOYSA-N 0.000 description 1
- 241000726445 Viroids Species 0.000 description 1
- 241000219094 Vitaceae Species 0.000 description 1
- 241000429635 Xestobium rufovillosum Species 0.000 description 1
- 241000201423 Xiphinema Species 0.000 description 1
- 241001510583 Xyleborus Species 0.000 description 1
- 241000964233 Zootermopsis nevadensis Species 0.000 description 1
- 239000000205 acacia gum Substances 0.000 description 1
- 235000010489 acacia gum Nutrition 0.000 description 1
- 239000002253 acid Substances 0.000 description 1
- 230000009471 action Effects 0.000 description 1
- 239000002671 adjuvant Substances 0.000 description 1
- 239000000443 aerosol Substances 0.000 description 1
- HFVAFDPGUJEFBQ-UHFFFAOYSA-M alizarin red S Chemical compound [Na+].O=C1C2=CC=CC=C2C(=O)C2=C1C=C(S([O-])(=O)=O)C(O)=C2O HFVAFDPGUJEFBQ-UHFFFAOYSA-M 0.000 description 1
- 150000008055 alkyl aryl sulfonates Chemical class 0.000 description 1
- 150000004996 alkyl benzenes Chemical class 0.000 description 1
- 125000000217 alkyl group Chemical group 0.000 description 1
- 150000008051 alkyl sulfates Chemical class 0.000 description 1
- 229940045714 alkyl sulfonate alkylating agent Drugs 0.000 description 1
- 150000008052 alkyl sulfonates Chemical class 0.000 description 1
- PNEYBMLMFCGWSK-UHFFFAOYSA-N aluminium oxide Inorganic materials [O-2].[O-2].[O-2].[Al+3].[Al+3] PNEYBMLMFCGWSK-UHFFFAOYSA-N 0.000 description 1
- 235000012211 aluminium silicate Nutrition 0.000 description 1
- 150000001408 amides Chemical class 0.000 description 1
- 150000003863 ammonium salts Chemical class 0.000 description 1
- 238000010171 animal model Methods 0.000 description 1
- 244000000054 animal parasite Species 0.000 description 1
- 125000000129 anionic group Chemical group 0.000 description 1
- 230000001857 anti-mycotic effect Effects 0.000 description 1
- 239000002519 antifouling agent Substances 0.000 description 1
- 239000002543 antimycotic Substances 0.000 description 1
- 239000003963 antioxidant agent Substances 0.000 description 1
- 235000021016 apples Nutrition 0.000 description 1
- 150000004945 aromatic hydrocarbons Chemical class 0.000 description 1
- 229960000892 attapulgite Drugs 0.000 description 1
- 239000005667 attractant Substances 0.000 description 1
- 229940097012 bacillus thuringiensis Drugs 0.000 description 1
- 238000003287 bathing Methods 0.000 description 1
- 235000010233 benzoic acid Nutrition 0.000 description 1
- 230000004071 biological effect Effects 0.000 description 1
- 230000015572 biosynthetic process Effects 0.000 description 1
- 238000010352 biotechnological method Methods 0.000 description 1
- 239000002775 capsule Substances 0.000 description 1
- 125000002915 carbonyl group Chemical group [*:2]C([*:1])=O 0.000 description 1
- 239000001768 carboxy methyl cellulose Substances 0.000 description 1
- 235000010948 carboxy methyl cellulose Nutrition 0.000 description 1
- 239000008112 carboxymethyl-cellulose Substances 0.000 description 1
- 239000001913 cellulose Substances 0.000 description 1
- 235000013339 cereals Nutrition 0.000 description 1
- 150000008280 chlorinated hydrocarbons Chemical class 0.000 description 1
- 235000020971 citrus fruits Nutrition 0.000 description 1
- 238000007796 conventional method Methods 0.000 description 1
- 238000005520 cutting process Methods 0.000 description 1
- 230000034994 death Effects 0.000 description 1
- 231100000517 death Toxicity 0.000 description 1
- 230000036576 dermal application Effects 0.000 description 1
- GUJOJGAPFQRJSV-UHFFFAOYSA-N dialuminum;dioxosilane;oxygen(2-);hydrate Chemical compound O.[O-2].[O-2].[O-2].[Al+3].[Al+3].O=[Si]=O.O=[Si]=O.O=[Si]=O.O=[Si]=O GUJOJGAPFQRJSV-UHFFFAOYSA-N 0.000 description 1
- 235000014113 dietary fatty acids Nutrition 0.000 description 1
- 239000003085 diluting agent Substances 0.000 description 1
- 238000010790 dilution Methods 0.000 description 1
- 239000012895 dilution Substances 0.000 description 1
- 230000009189 diving Effects 0.000 description 1
- 239000010459 dolomite Substances 0.000 description 1
- 229910000514 dolomite Inorganic materials 0.000 description 1
- 235000013601 eggs Nutrition 0.000 description 1
- 239000005712 elicitor Substances 0.000 description 1
- 238000005538 encapsulation Methods 0.000 description 1
- 244000079386 endoparasite Species 0.000 description 1
- 230000007613 environmental effect Effects 0.000 description 1
- 230000008020 evaporation Effects 0.000 description 1
- 230000003631 expected effect Effects 0.000 description 1
- 210000003414 extremity Anatomy 0.000 description 1
- 239000004744 fabric Substances 0.000 description 1
- 239000003925 fat Substances 0.000 description 1
- 239000000194 fatty acid Substances 0.000 description 1
- 229930195729 fatty acid Natural products 0.000 description 1
- 230000002349 favourable effect Effects 0.000 description 1
- 230000009969 flowable effect Effects 0.000 description 1
- ZGNITFSDLCMLGI-UHFFFAOYSA-N flubendiamide Chemical compound CC1=CC(C(F)(C(F)(F)F)C(F)(F)F)=CC=C1NC(=O)C1=CC=CC(I)=C1C(=O)NC(C)(C)CS(C)(=O)=O ZGNITFSDLCMLGI-UHFFFAOYSA-N 0.000 description 1
- 239000003205 fragrance Substances 0.000 description 1
- 230000004927 fusion Effects 0.000 description 1
- 230000002068 genetic effect Effects 0.000 description 1
- 235000003869 genetically modified organism Nutrition 0.000 description 1
- 239000003292 glue Substances 0.000 description 1
- 235000021021 grapes Nutrition 0.000 description 1
- 238000000227 grinding Methods 0.000 description 1
- 210000004209 hair Anatomy 0.000 description 1
- 125000000623 heterocyclic group Chemical group 0.000 description 1
- 235000012907 honey Nutrition 0.000 description 1
- 238000003898 horticulture Methods 0.000 description 1
- WGCNASOHLSPBMP-UHFFFAOYSA-N hydroxyacetaldehyde Natural products OCC=O WGCNASOHLSPBMP-UHFFFAOYSA-N 0.000 description 1
- 239000007943 implant Substances 0.000 description 1
- 230000006872 improvement Effects 0.000 description 1
- 238000001802 infusion Methods 0.000 description 1
- 239000007924 injection Substances 0.000 description 1
- 238000002347 injection Methods 0.000 description 1
- 239000001023 inorganic pigment Substances 0.000 description 1
- 239000000543 intermediate Substances 0.000 description 1
- 238000007918 intramuscular administration Methods 0.000 description 1
- 238000007912 intraperitoneal administration Methods 0.000 description 1
- 150000003951 lactams Chemical class 0.000 description 1
- 150000002596 lactones Chemical class 0.000 description 1
- 239000000787 lecithin Substances 0.000 description 1
- 235000010445 lecithin Nutrition 0.000 description 1
- 239000004611 light stabiliser Substances 0.000 description 1
- 229920005610 lignin Polymers 0.000 description 1
- 239000004579 marble Substances 0.000 description 1
- 235000012054 meals Nutrition 0.000 description 1
- 235000013372 meat Nutrition 0.000 description 1
- 239000012528 membrane Substances 0.000 description 1
- 229910052751 metal Inorganic materials 0.000 description 1
- 239000002184 metal Substances 0.000 description 1
- 125000000250 methylamino group Chemical group [H]N(*)C([H])([H])[H] 0.000 description 1
- 230000003641 microbiacidal effect Effects 0.000 description 1
- 230000000813 microbial effect Effects 0.000 description 1
- 229940124561 microbicide Drugs 0.000 description 1
- 244000005700 microbiome Species 0.000 description 1
- 235000013336 milk Nutrition 0.000 description 1
- 239000008267 milk Substances 0.000 description 1
- 210000004080 milk Anatomy 0.000 description 1
- 239000002480 mineral oil Substances 0.000 description 1
- 201000002266 mite infestation Diseases 0.000 description 1
- 230000004048 modification Effects 0.000 description 1
- 238000012986 modification Methods 0.000 description 1
- 239000000178 monomer Substances 0.000 description 1
- 229910052901 montmorillonite Inorganic materials 0.000 description 1
- 238000000465 moulding Methods 0.000 description 1
- 238000002703 mutagenesis Methods 0.000 description 1
- 231100000350 mutagenesis Toxicity 0.000 description 1
- 229940042880 natural phospholipid Drugs 0.000 description 1
- 229930014626 natural product Natural products 0.000 description 1
- 239000005645 nematicide Substances 0.000 description 1
- 230000035764 nutrition Effects 0.000 description 1
- 238000005457 optimization Methods 0.000 description 1
- 239000011368 organic material Substances 0.000 description 1
- 239000003960 organic solvent Substances 0.000 description 1
- 239000003973 paint Substances 0.000 description 1
- 229910052625 palygorskite Inorganic materials 0.000 description 1
- 230000003071 parasitic effect Effects 0.000 description 1
- 238000007911 parenteral administration Methods 0.000 description 1
- 235000021017 pears Nutrition 0.000 description 1
- 239000003208 petroleum Substances 0.000 description 1
- 239000000546 pharmaceutical excipient Substances 0.000 description 1
- 125000001997 phenyl group Chemical group [H]C1=C([H])C([H])=C(*)C([H])=C1[H] 0.000 description 1
- 235000021317 phosphate Nutrition 0.000 description 1
- 150000003904 phospholipids Chemical class 0.000 description 1
- 150000003013 phosphoric acid derivatives Chemical class 0.000 description 1
- 150000003014 phosphoric acid esters Chemical class 0.000 description 1
- 239000001007 phthalocyanine dye Substances 0.000 description 1
- 239000000280 phytoalexin Substances 0.000 description 1
- 150000001857 phytoalexin derivatives Chemical class 0.000 description 1
- 230000003032 phytopathogenic effect Effects 0.000 description 1
- 239000002798 polar solvent Substances 0.000 description 1
- 239000011118 polyvinyl acetate Substances 0.000 description 1
- 229920002689 polyvinyl acetate Polymers 0.000 description 1
- 229920002451 polyvinyl alcohol Polymers 0.000 description 1
- 235000012015 potatoes Nutrition 0.000 description 1
- 244000144977 poultry Species 0.000 description 1
- 239000004540 pour-on Substances 0.000 description 1
- 239000002243 precursor Substances 0.000 description 1
- 239000003755 preservative agent Substances 0.000 description 1
- 230000001902 propagating effect Effects 0.000 description 1
- 239000011814 protection agent Substances 0.000 description 1
- 239000003531 protein hydrolysate Substances 0.000 description 1
- 210000001938 protoplast Anatomy 0.000 description 1
- 239000008262 pumice Substances 0.000 description 1
- 239000010453 quartz Substances 0.000 description 1
- 230000009467 reduction Effects 0.000 description 1
- 235000009566 rice Nutrition 0.000 description 1
- 239000011435 rock Substances 0.000 description 1
- 229910052624 sepiolite Inorganic materials 0.000 description 1
- 235000019355 sepiolite Nutrition 0.000 description 1
- 150000004760 silicates Chemical class 0.000 description 1
- 239000000377 silicon dioxide Substances 0.000 description 1
- 239000002689 soil Substances 0.000 description 1
- 239000000243 solution Substances 0.000 description 1
- 239000000600 sorbitol Substances 0.000 description 1
- 238000001228 spectrum Methods 0.000 description 1
- 239000004544 spot-on Substances 0.000 description 1
- 239000010902 straw Substances 0.000 description 1
- 150000003871 sulfonates Chemical class 0.000 description 1
- 150000003457 sulfones Chemical class 0.000 description 1
- 150000003458 sulfonic acid derivatives Chemical class 0.000 description 1
- 150000003462 sulfoxides Chemical class 0.000 description 1
- 239000000829 suppository Substances 0.000 description 1
- 239000004094 surface-active agent Substances 0.000 description 1
- 238000003786 synthesis reaction Methods 0.000 description 1
- HOWHQWFXSLOJEF-MGZLOUMQSA-N systemin Chemical compound NCCCC[C@H](N)C(=O)N[C@@H](CCSC)C(=O)N[C@@H](CCC(N)=O)C(=O)N[C@@H]([C@@H](C)O)C(=O)N[C@@H](CC(O)=O)C(=O)OC(=O)[C@@H]1CCCN1C(=O)[C@H]1N(C(=O)[C@H](CC(O)=O)NC(=O)[C@H](CCCN=C(N)N)NC(=O)[C@H](CCCCN)NC(=O)[C@H](CO)NC(=O)[C@H]2N(CCC2)C(=O)[C@H]2N(CCC2)C(=O)[C@H](CCCCN)NC(=O)[C@H](CO)NC(=O)[C@H](CCC(N)=O)NC(=O)[C@@H](NC(=O)[C@H](C)N)C(C)C)CCC1 HOWHQWFXSLOJEF-MGZLOUMQSA-N 0.000 description 1
- 108010050014 systemin Proteins 0.000 description 1
- 239000003826 tablet Substances 0.000 description 1
- 239000000454 talc Substances 0.000 description 1
- 229910052623 talc Inorganic materials 0.000 description 1
- QYPNKSZPJQQLRK-UHFFFAOYSA-N tebufenozide Chemical compound C1=CC(CC)=CC=C1C(=O)NN(C(C)(C)C)C(=O)C1=CC(C)=CC(C)=C1 QYPNKSZPJQQLRK-UHFFFAOYSA-N 0.000 description 1
- OGIDPMRJRNCKJF-UHFFFAOYSA-N titanium oxide Inorganic materials [Ti]=O OGIDPMRJRNCKJF-UHFFFAOYSA-N 0.000 description 1
- 231100000419 toxicity Toxicity 0.000 description 1
- 230000001988 toxicity Effects 0.000 description 1
- 235000015112 vegetable and seed oil Nutrition 0.000 description 1
- 239000008158 vegetable oil Substances 0.000 description 1
- 239000003981 vehicle Substances 0.000 description 1
- 125000002348 vinylic group Chemical group 0.000 description 1
- 238000005406 washing Methods 0.000 description 1
- 239000001993 wax Substances 0.000 description 1
- 239000002023 wood Substances 0.000 description 1
- 210000002268 wool Anatomy 0.000 description 1
- 239000008096 xylene Substances 0.000 description 1
Classifications
-
- A—HUMAN NECESSITIES
- A01—AGRICULTURE; FORESTRY; ANIMAL HUSBANDRY; HUNTING; TRAPPING; FISHING
- A01N—PRESERVATION OF BODIES OF HUMANS OR ANIMALS OR PLANTS OR PARTS THEREOF; BIOCIDES, e.g. AS DISINFECTANTS, AS PESTICIDES OR AS HERBICIDES; PEST REPELLANTS OR ATTRACTANTS; PLANT GROWTH REGULATORS
- A01N41/00—Biocides, pest repellants or attractants, or plant growth regulators containing organic compounds containing a sulfur atom bound to a hetero atom
- A01N41/02—Biocides, pest repellants or attractants, or plant growth regulators containing organic compounds containing a sulfur atom bound to a hetero atom containing a sulfur-to-oxygen double bond
- A01N41/10—Sulfones; Sulfoxides
Landscapes
- Life Sciences & Earth Sciences (AREA)
- Agronomy & Crop Science (AREA)
- Pest Control & Pesticides (AREA)
- Plant Pathology (AREA)
- Health & Medical Sciences (AREA)
- Engineering & Computer Science (AREA)
- Dentistry (AREA)
- General Health & Medical Sciences (AREA)
- Wood Science & Technology (AREA)
- Zoology (AREA)
- Environmental Sciences (AREA)
- Agricultural Chemicals And Associated Chemicals (AREA)
Abstract
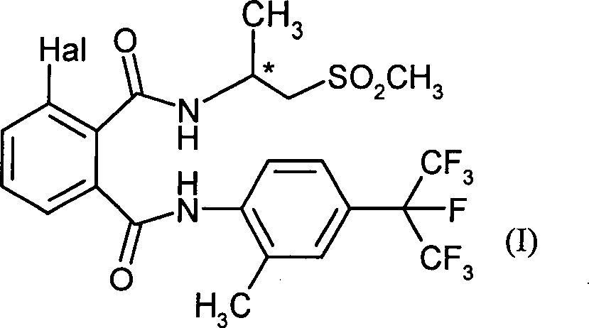
Die neuen Mischungen, enthaltend mindestens einen Wirkstoff der Formel (I), $F1 wobei Hal für Chlor, Brom oder Iod steht, und mindestens einen der in der Beschreibung aufgeführten Wirkstoffe (2-1) bis (2-13), besitzen sehr gute insektizide und akarizide Eigenschaften.The new mixtures containing at least one active ingredient of the formula (I), $ F1 where Hal stands for chlorine, bromine or iodine, and at least one of the active ingredients (2-1) to (2-13) listed in the description, have very good properties insecticidal and acaricidal properties.
Description
Die vorliegende Erfindung betrifft neue Wirkstoffkombinationen, die aus mindestens einer bekannten Verbindungen der Formel (I) einerseits und mindestens einem weiteren bekannten Wirkstoff aus den Klassen der Benzoedicarbonsäuren, der Makrolide, der Diacylhydrazine, der Carboxylate oder einer anderen Klasse bestehen und sehr gut zur Bekämpfung von tierischen Schädlingen wie Insekten und unerwünschten Akariden geeignet sind.The The present invention relates to novel drug combinations which from at least one known compound of formula (I) on the one hand and at least one further known active substance from the classes of Benzoedicarbonsäuren, the macrolides, the diacylhydrazines, the carboxylates or another Consist of class and very good for controlling animal pests like insects and unwanted Acarids are suitable.
Es
ist bereits bekannt, dass Verbindungen der Formel (I) wobei
Hal für Chlor,
Brom oder Iod steht,
* ein Kohlenstoffatom in der R- oder der
S-Konfiguration, bevorzugt in der S-Konfiguration, kennzeichnet,
insektizide
Wirkung aufweisen. Dies gilt für
die racemische Form der Verbindungen (EP-A 1 006 107) und in noch
höherem
Maß für die (S)-konfigurierten
Enantiomere (unveröffentlichte
japanische Patentanmeldung JP 2005-239974). Im Einzelnen seien die
Verbindungen (Ia), (Ib) und (Ic) genannt.It is already known that compounds of the formula (I) in which
Hal is chlorine, bromine or iodine,
* denotes a carbon atom in the R or S configuration, preferably in the S configuration,
have insecticidal activity. This applies to the racemic form of the compounds (EP-A 1 006 107) and, to an even greater degree, to the (S) -configured enantiomers (unpublished Japanese patent application JP 2005-239974). Specifically, the compounds (Ia), (Ib) and (Ic) may be mentioned.
Weiterhin ist schon bekannt, dass zahlreiche Heterocyclen, Organozinn-Verbindungen, Benzoylharnstoffe und Pyrethroide insektizide und akarizide Eigenschaften besitzen (vgl. WO 93-22 297, WO 93-10 083, DE-A 2 641 343, EP-A-347 488, EP-A-210 487, US-A 3 264 177 und EP-A-234 045). Allerdings ist die Wirkung dieser Stoffe nicht immer befriedigend.Furthermore, it is already known that numerous heterocycles, organotin compounds, Benzoylharn have substances and pyrethroids insecticidal and acaricidal properties (see, WO 93-22 297, WO 93-10 083, DE-A 2 641 343, EP-A-347 488, EP-A-210 487, US-A 3,264,177 and EP-A-234 045). However, the effect of these substances is not always satisfactory.
Es wurde nun gefunden, dass Wirkstoffkombinationen aus einer Verbindung der Formel (I) und mindestens einem der Wirkstoffe aus der Gruppe 2, ausgewählt aus
- (A) Benzoesäuredicarbonsäurederivaten, bevorzugt
- (2-1) Flubendiamid (bekannt aus EP-A 1 006 107) und/oder
- (B) Makroliden, bevorzugt
- (2-2) Spinosad (bekannt aus EP-A 0 375 316) ein Gemisch aus bevorzugt 85 % Spinosyn A (R = H) 15 % Spinosyn B (R = CH3) und/oder
- (2-3) Abamectin (bekannt aus DE-A 27 17 040) und/oder
- (2-4) Emamectin-Benzoat (bekannt aus EP-A 0 089 202) und/oder
- (C) Diacylhydrazinen, bevorzugt
- (2-5) Methoxyfenozide (bekannt aus EP-A 0 639 559) und/oder
- (2-6) Tebufenozide (bekannt aus EP-A-339 854) und/oder
- (2-7) Chromafenozide (ANS-118) (bekannt aus EP-A 0 496 342) und/oder
- (D) Carboxylaten, bevorzugt
- (2-8) Indoxacarb (bekannt aus WO 92/11249) und/oder
- (E) anderen insektizid wirksamen Substanzen, bevorzugt
- (2-9) Fipronil (bekannt aus EP-A 0 295 117) und/oder
- (2-10) Ethiprole (bekannt aus DE-A 196 53 417) und/oder
- (2-11) Flonicamid (bekannt aus EP-A 0 580 374) und/oder
- (2-12) Chlorfenapyr (bekannt aus EP-A 0 347 488) und/oder
- (2-13) (3-bromoN-{4-chlor-2-methyl-6-[(methylamino)carbonyl]phenyl}-1-(3-chlorpyridin-2-yl)-1H-pyrazol-5-carboxamid) (bekannt aus WO 03/015519) synergistisch wirksam sind und sich zur Bekämpfung tierischer Schädlinge eignen.
- (A) benzoic acid dicarboxylic acid derivatives, preferred
- (2-1) Flubendiamide (known from EP-A 1 006 107) and or
- (B) macrolides, preferred
- (2-2) spinosad (known from EP-A 0 375 316) a mixture of preferably 85% spinosyn A (R = H) 15% spinosyn B (R = CH 3 ) and / or
- (2-3) Abamectin (known from DE-A 27 17 040) and / or
- (2-4) emamectin benzoate (known from EP-A 0 089 202) and / or
- (C) Diacylhydrazines, preferred
- (2-5) methoxyfenozides (known from EP-A 0 639 559) and or
- (2-6) Tebufenozides (known from EP-A-339 854) and or
- (2-7) Chromafenozides (ANS-118) (known from EP-A 0 496 342) and or
- (D) Carboxylates, preferred
- (2-8) Indoxacarb (known from WO 92/11249) and or
- (E) other insecticidally active substances
- (2-9) fipronil (known from EP-A 0 295 117) and or
- (2-10) Ethiprole (known from DE-A 196 53 417) and or
- (2-11) flonicamide (known from EP-A 0 580 374) and or
- (2-12) Chlorfenapyr (known from EP-A 0 347 488) and or
- (2-13) (3-bromoN- {4-chloro-2-methyl-6 - [(methylamino) carbonyl] phenyl} -1- (3-chloropyridin-2-yl) -1H-pyra zol-5-carboxamide) (known from WO 03/015519) are synergistically effective and are suitable for controlling animal pests.
Überraschenderweise ist die insektizide Wirkung der erfindungsgemäßen Wirkstoffkombination wesentlich höher als die Summe der Wirkungen der einzelnen Wirkstoffe. Es liegt ein nicht vorhersehbarer echter synergistischer Effekt vor und nicht nur eine Wirkungsergänzung.Surprisingly the insecticidal activity of the active ingredient combination according to the invention is essential higher than the sum of the effects of each agent. It is not predictable true synergistic effect before and not just one Addition of activities.
Die erfindungsgemäßen Wirkstoffkombinationen enthalten neben mindestens einem Wirkstoff der Formel (I) in enantiomerenreiner Form oder als Mischung der beiden Enantiomere in beliebigem Verhältnis mindestens einen der oben aufgeführten Wirkstoffe (2-1) bis (2-13).The active compound combinations according to the invention contain in addition to at least one active ingredient of formula (I) in enantiomerically pure Form or as a mixture of the two enantiomers in any ratio at least one of the above Active ingredients (2-1) to (2-13).
Bevorzugt enthalten die erfindungsgemäßen Wirkstoffkombinationen einen der Wirkstoffe (Ia), (Ib) oder (Ic) und einen der oben einzeln aufgeführten Wirkstoffe (2-1) bis (2-13).Prefers contain the active compound combinations according to the invention one of the active ingredients (Ia), (Ib) or (Ic) and one of the above individually listed Active ingredients (2-1) to (2-13).
Besonders bevorzugt sind die in Tabelle 1 aufgeführten Mischungen. Tabelle 1 Particularly preferred are the mixtures listed in Table 1. Table 1
Ganz besonders bevorzugt sind die in Tabelle 2 aufgeführten Mischungen. Tabelle 2 Very particular preference is given to the mixtures listed in Table 2. Table 2
Insbesondere
bevorzugt für
die Behandlung von Saatgut sind Mischungen enthaltend
(Ib)
und Fipronil
(Ib) und Spinosad oder
(Ib) und Abamectin.Especially preferred for the treatment of seeds are mixtures containing
(Ib) and fipronil
(Ib) and spinosad or
(Ib) and abamectin.
Wenn
die Wirkstoffe in den erfindungsgemäßen Wirkstoffkombinationen
in bestimmten Gewichtsverhältnissen
vorhanden sind, zeigt sich der synergistische Effekt besonders deutlich.
Jedoch können
die Gewichtsverhältnisse
den Wirkstoffe in der Wirkstoffkombinationen in einem relativ großen Bereich
variiert werden. Im allgemeinen enthalten die erfindungsgemäßen Kombinationen
einen Wirkstoff der Formel (I) und einem der Wirkstoffe (2-1) bis
(2-13) in den in folgendem bevorzugten und besonders bevorzugten
Mischungsverhältnissen:
Bevorzugtes
Mischungsverhältnis:
125:1 bis 1:125
Besonders bevorzugtes Mischungsverhältnis: 25:1
bis 1:25If the active ingredients in the active compound combinations according to the invention are present in certain weight ratios, the synergistic effect is particularly pronounced. However, the weight ratios of the drugs in the drug combinations can be varied in a relatively wide range. In general, the combinations according to the invention comprise an active compound of the formula (I) and one of the active compounds (2-1) to (2-13) in the following preferred and particularly preferred mixing ratios:
Preferred mixing ratio: 125: 1 to 1: 125
Particularly preferred mixing ratio: 25: 1 to 1:25
Die Mischungsverhältnisse basieren auf Gewichtsverhältnissen. Das Verhältnis ist zu verstehen als Wirkstoff der Formel (I): Wirkstoff (2-1) bis (2-13).The mixing ratios based on weight ratios. The relationship is to be understood as active substance of the formula (I): active substance (2-1) bis (2-13).
Die erfindungsgemäßen Wirkstoffkombinationen eignen sich bei guter Pflanzenverträglichkeit, günstiger Warmblütertoxizität und guter Umweltverträglichkeit zum Schutz von Pflanzen und Pflanzenorganen, zur Steigerung der Ernteerträge, Verbesserung der Qualität des Erntegutes und zur Bekämpfung von tierischen Schädlingen, insbesondere Insekten, Spinnentieren, Helminthen, Nematoden und Mollusken, die in der Landwirtschaft, im Gartenbau, bei der Tierzucht, in Forsten, in Gärten und Freizeiteinrichtungen, im Vorrats- und Materialschutz sowie auf dem Hygienesektor vorkommen. Sie können vorzugsweise als Pflanzenschutzmittel eingesetzt werden. Sie sind gegen normal sensible und resistente Arten sowie gegen alle oder einzelne Entwicklungsstadien wirksam. Zu den oben erwähnten Schädlingen gehören:
- Aus der Ordnung der Anoplura (Phthiraptera) z.B. Damalinia spp., Haematopinus spp., Linognathus spp., Pediculus spp., Trichodectes spp.
- Aus der Klasse der Arachnida z.B. Acarus siro, Aceria sheldoni, Aculops spp., Aculus spp., Amblyomma spp., Argas spp., Boophilus spp., Brevipalpus spp., Bryobia praetiosa, Chorioptes spp., Dermanyssus gallinae, Eotetranychus spp., Epitrimerus pyri, Eutetranychus spp., Eriophyes spp., Hemitarsonemus spp., Hyalomma spp., Ixodes spp., Latrodectus mactans, Metatetranychus spp., Oligonychus spp., Ornithodoros spp., Panonychus spp., Phyllocoptruta oleivora, Polyphagotarsonemus latus, Psoroptes spp., Rhipicephalus spp., Rhizoglyphus spp., Sarcoptes spp., Scorpio maurus, Stenotarsonemus spp., Tarsonemus spp., Tetranychus spp., Vasates lycopersici.
- Aus der Klasse der Bivalva z.B. Dreissena spp.
- Aus der Ordnung der Chilopoda z.B. Geophilus spp., Scutigera spp.
- Aus der Ordnung der Coleoptera z.B. Acanthoscelides obtectus, Adoretus spp., Agelastica alni, Agriotes spp., Amphimallon solstitialis, Anobium punctatum, Anoplophora spp., Anthonomus spp., Anthrenus spp., Apogonia spp., Atomaria spp., Attagenus spp., Bruchidius obtectus, Bruchus spp., Ceuthorhynchus spp., Cleonus mendicus, Conoderus spp., Cosmopolites spp., Costelytra zealandica, Curculio spp., Cryptorhynchus lapathi, Dermestes spp., Diabrotica spp., Epilachna spp., Faustinus cubae, Gibbium psylloides, Heteronychus arator, Hylamorpha elegans, Hylotrupes bajulus, Hypera postica, Hypothenemus spp., Lachnosterna consanguinea, Leptinotarsa decemlineata, Lissorhoptrus oryzophilus, Lixus spp., Lyctus spp., Meligethes aeneus, Melolontha melolontha, Migdolus spp., Monochamus spp., Naupactus xanthographus, Niptus hololeucus, Oryctes rhinoceros, Oryzaephilus surinamensis, Otiorrhynchus sulcatus, Oxycetonia jucunda, Phaedon cochleariae, Phyllophaga spp., Popillia japonica, Premnotrypes spp., Psylliodes chrysocephala, Ptinus spp., Rhizobius ventralis, Rhizopertha dominica, Sitophilus spp., Sphenophorus spp., Sternechus spp., Symphyletes spp., Tenebrio molitor, Tribolium spp., Trogoderma spp., Tychius spp., Xylotrechus spp., Zabrus spp.
- Aus der Ordnung der Collembola z.B. Onychiurus armatus.
- Aus der Ordnung der Dermaptera z.B. Forficula auricularia.
- Aus der Ordnung der Diplopoda z.B. Blaniulus guttulatus.
- Aus der Ordnung der Diptera z.B. Aedes spp., Anopheles spp., Bibio hortulanus, Calliphora erythrocephala, Ceratitis capitata, Chrysomyia spp., Cochliomyia spp., Cordylobia anthropophaga, Culex spp., Cuterebra spp., Dacus oleae, Dermatobia hominis, Drosophila spp., Fannia spp., Gastrophilus spp., Hylemyia spp., Hyppobosca spp., Hypoderma spp., Liriomyza spp.. Lucilia spp., Musca spp., Nezara spp., Oestrus spp., Oscinella frit, Pegomyia hyoscyami, Phorbia spp., Stomoxys spp., Tabanus spp., Tannia spp., Tipula paludosa, Wohlfahrtia spp.
- Aus der Klasse der Gastropoda z.B. Arion spp., Biomphalaria spp., Bulinus spp., Deroceras spp., Galba spp., Lymnaea spp., Oncomelania spp., Succinea spp.
- Aus der Klasse der Helminthen z.B. Ancylostoma duodenale, Ancylostoma ceylanicum, Acylostoma braziliensis, Ancylostoma spp., Ascaris lubricoides, Ascaris spp., Brugia malayi, Brugia timori, Bunostomum spp., Chabertia spp., Clonorchis spp., Cooperia spp., Dicrocoelium spp, Dictyocaulus filaria, Diphyllobothrium latum, Dracunculus medinensis, Echinococcus granulosus, Echinococcus multilocularis, Enterobius vermicularis, Faciola spp., Haemonchus spp., Heterakis spp., Hymenolepis nana, Hyostrongulus spp., Loa Loa, Nematodirus spp., Oesophagostomum spp., Opisthorchis spp., Onchocerca volvulus, Ostertagia spp., Paragonimus spp., Schistosomen spp, Strongyloides fuelleborni, Strongyloides stercoralis, Stronyloides spp., Taenia saginata, Taenia solium, Trichinella spiralis, Trichinella nativa, Trichinella britovi, Trichinella nelsoni, Trichinella pseudopsiralis, Trichostrongulus spp., Trichuris trichuria, Wuchereria bancrofti.
- From the order of the Anoplura (Phthiraptera) eg Damalinia spp., Haematopinus spp., Linognathus spp., Pediculus spp., Trichodectes spp.
- From the class of the Arachnida eg Acarus siro, Aceria sheldoni, Aculops spp., Aculus spp., Amblyomma spp., Argas spp., Boophilus spp., Brevipalpus spp., Bryobia praetiosa, Chorioptes spp., Dermanyssus gallinae, Eotetranychus spp. Epitrimerus pyri, Eutetranychus spp., Eriophyes spp., Hemitarsonemus spp., Hyalomma spp., Ixodes spp., Latrodectus mactans, Metatetranychus spp., Oligonychus spp., Ornithodoros spp., Panonychus spp., Phyllocoptruta oleivora, Polyphagotarsonemus latus, Psoroptes spp , Rhipicephalus spp., Rhizoglyphus spp., Sarcoptes spp., Scorpio maurus, Stenotarsonemus spp., Tarsonemus spp., Tetranychus spp., Vasates lycopersici.
- From the class of Bivalva eg Dreissena spp.
- From the order of Chilopoda eg Geophilus spp., Scutigera spp.
- From the order Coleoptera eg Acanthoscelides obtectus, Adoretus spp., Agelastica alni, Agriotes spp., Amphimallon solstitialis, Anobium punctatum, Anoplophora spp., Anthonomus spp., Anthrenus spp., Apogonia spp., Atomaria spp., Attagenus spp. Bruchidius obtectus, Bruchus spp., Ceuthorhynchus spp., Cleonus mendicus, Conoderus spp., Cosmopolites spp., Costelytra zealandica, Curculio spp., Cryptorhynchus lapathi, Dermestes spp., Diabrotica spp., Epilachna spp., Faustinus cubae, Gibbium psylloides, Heteronychus arator, Hylamorpha elegans, Hylotrupes bajulus, Hypera postica, Hypothenemus spp., Lachnosterna consanguinea, Leptinotarsa decemlineata, Lissorhoptrus oryzophilus, Lixus spp., Lyctus spp., Meligethes aeneus, Melolontha melolontha, Migdolus spp., Monochamus spp., Naupactus xanthographus, Niptus hololeucus, Oryctes rhinoceros, Oryzaephilus surinamensis, Otiorrhynchus sulcatus, Oxycetonia jucunda, Phaedon cochleariae, Phyllophaga spp., Popillia japonica, Premnotrypes spp., Psylli or chrysocephala, Ptinus spp., Rhizobius ventralis, Rhizopertha dominica, Sitophilus spp., Sphenophorus spp., Starchus spp., Symphyletes spp., Tenebrio molitor, Tribolium spp., Trogoderma spp., Tychius spp., Xylotrechus spp., Zabrus spp ,
- From the order of the Collembola eg Onychiurus armatus.
- From the order of the Dermaptera eg Forficula auricularia.
- From the order of Diplopoda eg Blaniulus guttulatus.
- From the order of Diptera eg Aedes spp., Anopheles spp., Bibio hortulanus, Calliphora erythrocephala, Ceratitis capitata, Chrysomyia spp., Cochliomyia spp., Cordylobia anthropophaga, Culex spp., Cuterebra spp., Dacus oleae, Dermatobia hominis, Drosophila spp , Fannia spp., Gastrophilus spp., Hylemyia spp., Hyppobosca spp., Hypoderma spp., Liriomyza spp. Lucilia spp., Musca spp., Nezara spp., Oestrus spp., Oscinella frit, Pegomyia hyoscyami, Phorbia spp , Stomoxys spp., Tabanus spp., Tannia spp., Tipula paludosa, Wohlfahrtia spp.
- From the class Gastropoda eg Arion spp., Biomphalaria spp., Bulinus spp., Deroceras spp., Galba spp., Lymnaea spp., Oncomelania spp., Succinea spp.
- From the class of helminths, for example, Ancylostoma duodenale, Ancylostoma ceylanicum, Acylostoma braziliensis, Ancylostoma spp., Ascaris lubricoides, Ascaris spp., Brugia malayi, Brugia timori, Bunostomum spp., Chabertia spp., Clonorchis spp., Cooperia spp., Dicrocoelium spp , Dictyocaulus filaria, Diphyllobothrium latum, Dracunculus medinensis, Echinococcus granulosus, Echinococcus multilocularis, Enterobius vermicularis, Fa ciola spp., Haemonchus spp., Heterakis spp., Hymenolepis nana, Hyostrongulus spp., Loa Loa, Nematodirus spp., Oesophagostomum spp., Opisthorchis spp., Onchocerca volvulus, Ostertagia spp., Paragonimus spp., Schistosomen spp, Strongyloides fuelleborni Strongyloides stercoralis, Stronyloides spp., Taenia saginata, Taenia solium, Trichinella spiralis, Trichinella nativa, Trichinella britovi, Trichinella nelsoni, Trichinella pseudopsiralis, Trichostrongulus spp., Trichuris trichuria, Wuchereria bancrofti.
Weiterhin lassen sich Protozoen, wie Eimeria, bekämpfen.
- Aus der Ordnung der Heteroptera z.B. Anasa tristis, Antestiopsis spp., Blissus spp., Calocoris spp., Campylomma livida, Cavelerius spp., Cimex spp., Creontiades dilutus, Dasynus piperis, Dichelops furcatus, Diconocoris hewetti, Dysdercus spp., Euschistus spp., Eurygaster spp., Heliopeltis spp., Horcias nobilellus, Leptocorisa spp., Leptoglossus phyllopus, Lygus spp., Macropes excavatus, Miridae, Nezara spp., Oebalus spp., Pentomidae, Piesma quadrata, Piezodorus spp., Psallus seriatus, Pseudacysta persea, Rhodnius spp., Sahlbergella singularis, Scotinophora spp., Stephanitis nashi, Tibraca spp., Triatoma spp.
- Aus der Ordnung der Homoptera z.B. Acyrthosipon spp., Aeneolamia spp., Agonoscena spp., Aleurodes spp., Aleurolobus barodensis, Aleurothrixus spp., Amrasca spp., Anuraphis cardui, Aonidiella spp., Aphanostigma piri, Aphis spp., Arboridia apicalis, Aspidiella spp., Aspidiotus spp., Atanus spp., Aulacorthum solani, Bemisia spp., Brachycaudus helichrysii, Brachycolus spp., Brevicoryne brassicae, Calligypona marginata, Carneocephala fulgida, Ceratovacuna lanigera, Cercopidae, Ceroplastes spp., Chaetosiphon fragaefolii, Chionaspis tegalensis, Chlorita onukii, Chromaphis juglandicola, Chrysomphalus ficus, Cicadulina mbila, Coccomytilus halli, Coccus spp., Cryptomyzus ribis, Dalbulus spp., Dialeurodes spp., Diaphorina spp., Diaspis spp., Doralis spp., Drosicha spp., Dysaphis spp., Dysmicoccus spp., Empoasca spp., Eriosoma spp., Erythroneura spp., Euscelis bilobatus, Geococcus coffeae, Homalodisca coagulata, Hyalopterus arundinis, Icerya spp., Idiocerus spp., Idioscopus spp., Laodelphax striatellus, Lecanium spp., Lepidosaphes spp., Lipaphis erysimi, Macrosiphum spp., Mahanarva fimbriolata, Melanaphis sacchari, Metcalfiella spp., Metopolophium dirhodum, Monellia costalis, Monelliopsis pecanis, Myzus spp., Nasonovia ribisnigri, Nephotettix spp., Nilaparvata lugens, Oncometopia spp., Orthezia praelonga, Parabemisia myricae, Paratrioza spp., Parlatoria spp., Pemphigus spp., Pere grinus maidis, Phenacoccus spp., Phloeomyzus passerinii, Phorodon humuli, Phylloxera spp., Pinnaspis aspidistrae, Planococcus spp., Protopulvinaria pyriformis, Pseudaulacaspis pentagona, Pseudococcus spp., Psylla spp., Pteromalus spp., Pyrilla spp., Quadraspidiotus spp., Quesada gigas, Rastrococcus spp., Rhopalosiphum spp., Saissetia spp., Scaphoides titanus, Schizaphis graminum, Selenaspidus articulatus, Sogata spp., Sogatella furcifera, Sogatodes spp., Stictocephala festina, Tenalaphara malayensis, Tinocallis caryaefoliae, Tomaspis spp., Toxoptera spp., Trialeurodes vaporariorum, Trioza spp., Typhlocyba spp., Unaspis spp., Viteus vitifolii.
- Aus der Ordnung der Hymenoptera z.B. Diprion spp., Hoplocampa spp., Lasius spp., Monomorium pharaonis, Vespa spp.
- Aus der Ordnung der Isopoda z.B. Armadillidium vulgare, Oniscus asellus, Porcellio scaber.
- Aus der Ordnung der Isoptera z.B. Reticulitermes spp., Odontotermes spp.
- Aus der Ordnung der Lepidoptera z.B. Acronicta major, Aedia leucomelas, Agrotis spp., Alabama argillacea, Anticarsia spp., Barathra brassicae, Bucculatrix thurberiella, Bupalus piniarius, Cacoecia podana, Capua reticulana, Carpocapsa pomonella, Cheimatobia brumata, Chilo spp., Choristoneura fumiferana, Clysia ambiguella, Cnaphalocerus spp., Earias insulana, Ephestia kuehniella, Euproctis chrysorrhoea, Euxoa spp., Feltia spp., Galleria mellonella, Helicoverpa spp., Heliothis spp., Hofmannophila pseudospretella, Homona magnanima, Hyponomeuta padella, Laphygma spp., Lithocolletis blancardella, Lithophane antennata, Loxagrotis albicosta, Lymantria spp., Malacosoma neustria, Mamestra brassicae, Mocis repanda, Mythimna separata, Oria spp., Oulema oryzae, Panolis flammea, Pectinophora gossypiella, Phyllocnistis citrella, Pieris spp., Plutella xylostella, Prodenia spp., Pseudaletia spp., Pseudoplusia includens, Pyrausta nubilalis, Spodoptera spp., Thermesia gemmatalis, Tinea pellionella, Tineola bisselliella, Tortrix viridana, Trichoplusia spp.
- Aus der Ordnung der Orthoptera z.B. Acheta domesticus, Blatta orientalis, Blattella germanica, Gryllotalpa spp., Leucophaea maderae, Locusta spp., Melanoplus spp., Periplaneta americana, Schistocerca gregaria.
- Aus der Ordnung der Siphonaptera z.B. Ceratophyllus spp., Xenopsylla cheopis.
- Aus der Ordnung der Symphyla z.B. Scutigerella immaculata.
- Aus der Ordnung der Thysanoptera z.B. Baliothrips biformis, Enneothrips flavens, Frankliniella spp., Heliothrips spp., Hercinothrips femoralis, Kakothrips spp., Rhipiphorothrips cruentatus, Scirtothrips spp., Taeniothrips cardamoni, Thrips spp.
- Aus der Ordnung der Thysanura z.B. Lepisma saccharina.
- From the order of the Heteroptera eg Anasa tristis, Antestiopsis spp., Blissus spp., Calocoris spp., Campylomma livida, Cavelerius spp., Cimex spp., Creontiades dilutus, Dasynus piperis, Dichelops furcatus, Diconocoris hewetti, Dysdercus spp., Euschistus spp , Eurygaster spp., Heliopeltis spp., Horcias nobilellus, Leptocorisa spp., Leptoglossus phyllopus, Lygus spp., Macropes excavatus, Miridae, Nezara spp., Oebalus spp., Pentomidae, Piesma quadrata, Piezodorus spp., Psallus seriatus, Pseudacysta persea, Rhodnius spp., Sahlbergella singularis, Scotinophora spp., Stephanitis nashi, Tibraca spp., Triatoma spp.
- From the order of Homoptera eg Acyrthosipon spp., Aeneolamia spp., Agonoscena spp., Aleurodes spp., Aleurolobus barodensis, Aleurothrixus spp., Amrasca spp., Anuraphis cardui, Aonidiella spp., Aphanostigma piri, Aphis spp., Arboridia apicalis, Aspidiella spp., Aspidiotus spp., Atanus spp., Aulacorthum solani, Bemisia spp., Brachycaudus helichrysii, Brachycolus spp., Brevicoryne brassicae, Calligypona marginata, Carneocephala fulgida, Ceratovacuna lanigera, Cercopidae, Ceroplastes spp., Chaetosiphon fragaefolii, Chionetis tegalensis, Chlorita onukii, Chromaphis juglandicola, Chrysomphalus ficus, Cicadulina mbila, Coccomytilus halli, Coccus spp., Cryptomyzus ribis, Dalbulus spp., Dialeurodes spp., Diaphorina spp., Diaspis spp., Doralis spp., Drosicha spp., Dysaphis spp. Dysmicoccus spp., Empoasca spp., Eriosoma spp., Erythroneura spp., Euscelis bilobatus, Geococcus coffeae, Homalodisca coagulata, Hyalopterus arundinis, Icerya spp., Idiocerus spp., Idioscopus spp., Laodelphax striatel lucid, Lecanium spp., Lepidosaphes spp., Lipaphis erysimi, Macrosiphum spp., Mahanarva fimbriolata, Melanaphis sacchari, Metcalfiella spp., Metopolophium dirhodum, Monellia costalis, Monelliopsis pecanis, Myzus spp., Nasonovia ribisnigri, Nephotettix spp., Nilaparvata lugens, Oncometopia spp., Orthezia praelonga, Parabemisia myricae, Paratrioza spp., Parlatoria spp., Pemphigus spp., Peregrinus maidis, Phenacoccus spp., Phloeomyzus passerinii, Phorodon humuli, Phylloxera spp., Pinnaspis aspidistrae, Planococcus spp., Protopulvinaria pyriformis, Pseudaulacaspis pentagona, Pseudococcus spp., Psylla spp., Pteromalus spp., Pyrilla spp., Quadraspidiotus spp., Quesada gigas, Rastrococcus spp., Rhopalosiphum spp., Saissetia spp., Scaphoides titanus, Schizaphis graminum, Selenaspidus articulatus, Sogata spp. , Sogatella furcifera, Sogatodes spp., Stictocephala festina, Tenalaphara malayensis, Tinocallis caryaefoliae, Tomaspis spp., Toxoptera spp., Trialeurodes vaporariorum, Trioza spp., Typhlocyb a spp., Unaspis spp., Viteus vitifolii.
- From the order of Hymenoptera eg Diprion spp., Hoplocampa spp., Lasius spp., Monomorium pharaonis, Vespa spp.
- From the order of the Isopoda eg Armadillidium vulgare, Oniscus asellus, Porcellio scaber.
- From the order of the Isoptera eg Reticulitermes spp., Odontotermes spp.
- From the order of Lepidoptera, for example, Acronicta major, Aedia leucomelas, Agrotis spp., Alabama argillacea, Anticarsia spp., Barathra brassicae, Bucculatrix thurberiella, Bupalus piniarius, Cacoecia podana, Capua reticulana, Carpocapsa pomonella, Cheimatobia brumata, Chilo spp., Choristoneura fumiferana , Clysia ambiguella, Cnaphalocerus spp., Earias insulana, Ephestia kuehniella, Euproctis chrysorrhoea, Euxoa spp., Feltia spp., Galleria mellonella, Helicoverpa spp., Heliothis spp., Hofmannophila pseudospretella, Homona magnanima, Hyponomeuta padella, Laphygma spp., Lithocolletis blancardella, Lithophane antennata, Loxagrotis albicosta, Lymantria spp., Malacosoma neustria, Mamestra brassicae, Mocis repanda, Mythimna separata, Oria spp., Oulema oryzae, Panolis flammea, Pectinophora gossypiella, Phyllocnistis citrella, Pieris spp., Plutella xylostella, Prodenia spp. , Pseudaletia spp., Pseudoplusia includens, Pyrausta nubilalis, Spodoptera spp., Thermesia gemmatalis, Tinea pellionella, Tineola bisselliella, Tortrix viridana, Trichoplusia spp.
- From the order of the Orthoptera eg Acheta domesticus, Blatta orientalis, Blattella germanica, Gryllotalpa spp., Leucophaea maderae, Locusta spp., Melanoplus spp., Periplaneta americana, Schistocerca gregaria.
- From the order of Siphonaptera eg Ceratophyllus spp., Xenopsylla cheopis.
- From the order of Symphyla eg Scutigerella immaculata.
- From the order of the Thysanoptera eg Baliothrips biformis, Enneothrips flavens, Frankliniella spp., Heliothrips spp., Hercinothrips femoralis, Kakothrips spp., Rhipiphorothrips cruentatus, Scirtothrips spp., Taeniothrips cardamoni, Thrips spp.
- From the order of Thysanura eg Lepisma saccharina.
Zu den pflanzenparasitären Nematoden gehören z.B. Anguina spp., Aphelenchoides spp., Belonoaimus spp., Bursaphelenchus spp., Ditylenchus dipsaci, Globodera spp., Heliocotylenchus spp., Heterodera spp., Longidorus spp., Meloidogyne spp., Pratylenchus spp., Radopholus similis, Rotylenchus spp., Trichodorus spp., Tylenchorhynchus spp., Tylenchulus spp., Tylenchulus semipenetrans, Xiphinema spp.To the plant parasite Nematodes belong e.g. Anguina spp., Aphelenchoides spp., Belonoaimus spp., Bursaphelenchus spp., Ditylenchus dipsaci, Globodera spp., Heliocotylenchus spp., Heterodera spp., Longidorus spp., Meloidogyne spp., Pratylenchus spp., Radopholus similis, Rotylenchus spp., Trichodorus spp., Tylenchorhynchus spp., Tylenchulus spp., Tylenchulus semipenetrans, Xiphinema spp.
Die erfindungsgemäßen Wirkstoffkombinationen zeichnen sich insbesondere durch starke Wirkung gegen...The active compound combinations according to the invention are characterized in particular by strong effect against ...
Die erfindungsgemäßen Wirkstoffkombinationen können gegebenenfalls in bestimmten Konzentrationen bzw. Aufwandmengen auch als Herbizide, Safener, Wachstumsregulatoren oder Mittel zur Verbesserung der Pflanzeneigenschaften, oder als Mikrobizide, beispielsweise als Fungizide, Antimykotika, Bakterizide, Virizide (einschließlich Mittel gegen Viroide) oder als Mittel gegen MLO (Mycoplasma-like-organism) und RLO (Rickettsia-like-organism) verwendet werden. Sie lassen sich gegebenenfalls auch als Zwischen- oder Vorprodukte für die Synthese weiterer Wirkstoffe einsetzen.The active compound combinations according to the invention can optionally in certain concentrations or application rates also as herbicides, safeners, growth regulators or agents for Improvement of plant properties, or as microbicides, for example as fungicides, antimycotics, bactericides, viricides (including agents against viroids) or as an agent against MLO (Mycoplasma-like-organism) and RLO (Rickettsia-like-organism). They leave optionally also as intermediates or precursors for the synthesis use other active ingredients.
Erfindungsgemäß können alle Pflanzen und Pflanzenteile behandelt werden. Unter Pflanzen werden hierbei alle Pflanzen und Pflanzenpopulationen verstanden, wie erwünschte und unerwünschte Wildpflanzen oder Kulturpflanzen (einschließlich natürlich vorkommender Kulturpflanzen). Kulturpflanzen können Pflanzen sein, die durch konventionelle Züchtungs- und Optimierungsmethoden oder durch biotechnologische und gentechnologische Methoden oder Kombinationen dieser Methoden erhalten werden können, einschließlich der transgenen Pflanzen und einschließlich der durch Sortenschutzrechte schützbaren oder nicht schützbaren Pflanzensorten. Unter Pflanzenteilen sollen alle oberirdischen und unterirdischen Teile und Organe der Pflanzen, wie Sproß, Blatt, Blüte und Wurzel verstanden werden, wobei beispielhaft Blätter, Nadeln, Stengel, Stämme, Blüten, Fruchtkörper, Früchte und Saatgut sowie Wurzeln, Knollen und Rhizome aufgeführt werden. Zu den Pflanzenteilen gehört auch Erntegut sowie vegetatives und generatives Vermehrungsmaterial, beispielsweise Stecklinge, Knollen, Rhizome, Ableger und Saatgut.According to the invention, all Plants and parts of plants are treated. Among plants are here understood all plants and plant populations, as desired and undesirable Wild plants or crops (including naturally occurring crops). Crops can Be plants by conventional breeding and optimization methods or by biotechnological and genetic engineering methods or Combinations of these methods can be obtained, including transgenic ones Plants and including protected by plant variety rights or non-protectable plant varieties. Under plant parts are all above ground and underground Parts and organs of plants, such as shoot, leaf, flower and root By way of example, leaves, needles, stems, stems, flowers, fruiting bodies, fruits and Seeds and roots, tubers and rhizomes are listed. Part of the plant parts also harvested material as well as vegetative and generative propagation material, For example, cuttings, tubers, rhizomes, offshoots and seeds.
Die erfindungsgemäße Behandlung der Pflanzen und Pflanzenteile mit den Wirkstoffkombinationen erfolgt direkt oder durch Einwirkung auf deren Umgebung, Lebensraum oder Lagerraum nach den üblichen Behandlungsmethoden, z.B. durch Tauchen, Sprühen, Verdampfen, Vernebeln, Streuen, Aufstreichen, Injizieren und bei Vermehrungsmaterial, insbesondere bei Saatgut, weiterhin durch ein- oder mehrschichtiges Umhüllen.The Treatment according to the invention the plants and plant parts are carried out with the active ingredient combinations directly or by acting on their environment, habitat or Storage room after the usual Treatment methods, e.g. by dipping, spraying, evaporating, misting, Spreading, spreading, injecting and propagating material, in particular in seed, still by single or multi-layer wrapping.
Die Wirkstoffkombinationen können in die üblichen Formulierungen überführt werden, wie Lösungen, Emulsionen, Spritzpulver, wasser- und ölbasierte Suspensionen, Pulver, Stäubemittel, Pasten, lösliche Pulver, lösliche Granulate, Streugranulate, Suspensions-Emulsions-Konzentrate, Wirkstoff-imprägnierte Naturstoffe, Wirkstoff-imprägnierte synthetische Stoffe, Düngemittel sowie Feinstverkapselungen in polymeren Stoffen.The Drug combinations can in the usual Formulations are transferred, like solutions, emulsions, Spray powder, water and oil based Suspensions, powders, dusts, Pastes, soluble Powder, soluble Granules, granules, suspension emulsion concentrates, drug-impregnated Natural products, drug-impregnated synthetic substances, fertilizers as well as finest encapsulations in polymeric materials.
Diese Formulierungen werden in bekannter Weise hergestellt, z.B. durch Vermischen der Wirkstoffe mit Streckmitteln, also flüssigen Lösungsmitteln und/oder festen Trägerstoffen, gegebenenfalls unter Verwendung von oberflächenaktiven Mitteln, also Emulgiermitteln und/oder Dispergiermitteln und/oder schaumerzeugenden Mitteln. Die Herstellung der Formulierungen erfolgt entweder in geeigneten Anlagen oder auch vor oder während der Anwendung.These Formulations are prepared in a known manner, e.g. by Mixing the active ingredients with extenders, ie liquid solvents and / or solid carriers, optionally using surface-active agents, ie emulsifiers and / or dispersants and / or foam-forming agents. The Preparation of the formulations is carried out either in suitable plants or even before or during the application.
Als Hilfsstoffe können solche Stoffe Verwendung finden, die geeignet sind, dem Mittel selbst oder und/oder davon abgeleitete Zubereitungen (z.B. Spritzbrühen, Saatgutbeizen) besondere Eigenschaften zu verleihen, wie bestimmte technische Eigenschaften und/oder auch besondere biologische Eigenschaften. Als typische Hilfsmittel kommen in Frage: Streckmittel, Lösemittel und Trägerstoffe.When Excipients can find substances that are suitable to the agent itself or and / or preparations derived therefrom (for example spray liquor, seed dressing) to give special properties, such as certain technical properties and / or special biological properties. As typical Additives are suitable: extenders, solvents and carriers.
Als Streckmittel eignen sich z.B. Wasser, polare und unpolare organische chemische Flüssigkeiten z.B. aus den Klassen der aromatischen und nicht-aromatischen Kohlenwasserstoffe (wie Paraffine, Alkylbenzole, Alkylnaphthaline, Chlorbenzole), der Alkohole und Polyole (die ggf. auch substituiert, verethert und/oder verestert sein können), der Ketone (wie Aceton, Cyclohexanon), Ester (auch Fette und Öle) und (poly-)Ether, der einfachen und substituierten Amine, Amide, Lactame (wie N-Alkylpyrrolidone) und Lactone, der Sulfone und Sulfoxide (wie Dimethylsysulfoxid).When Extenders are suitable, e.g. Water, polar and nonpolar organic chemical liquids e.g. from the classes of aromatic and non-aromatic hydrocarbons (such as paraffins, alkylbenzenes, alkylnaphthalenes, chlorobenzenes), the Alcohols and polyols (which may also be substituted, etherified and / or esterified could be), ketones (such as acetone, cyclohexanone), esters (including fats and oils) and (poly) ethers, the simple and substituted amines, amides, lactams (such as N-alkylpyrrolidones) and lactones, the sulfones and sulfoxides (such as dimethylsulfoxide).
Im Falle der Benutzung von Wasser als Streckmittel können z.B. auch organische Lösemittel als Hilfslösungsmittel verwendet werden. Als flüssige Lösemittel kommen im wesentlichen in Frage: Aromaten, wie Xylol, Toluol, oder Alkylnaphthaline, chlorierte Aromaten und chlorierte aliphatische Kohlenwasserstoffe, wie Chlorbenzole, Chlorethylene oder Methylenchlorid, aliphatische Kohlenwasserstoffe, wie Cyclohexan oder Paraffine, z.B. Erdölfraktionen, mineralische und pflanzliche Öle, Alkohole, wie Butanol oder Glykol sowie deren Ether und Ester, Ketone wie Aceton, Methylethylketon, Methylisobutylketon oder Cyclohexanon, stark polare Lösungsmittel, wie Dimethylsulfoxid, sowie Wasser.in the Traps of using water as diluent may be e.g. also organic solvents as auxiliary solvent be used. As liquid solvent are essentially in question: aromatics, such as xylene, toluene, or Alkylnaphthalenes, chlorinated aromatics and chlorinated aliphatic Hydrocarbons, such as chlorobenzenes, chloroethylenes or methylene chloride, aliphatic hydrocarbons, such as cyclohexane or paraffins, e.g. Petroleum fractions, mineral and vegetable oils, Alcohols such as butanol or glycol and their ethers and esters, ketones such as acetone, methyl ethyl ketone, methyl isobutyl ketone or cyclohexanone, strongly polar solvents, such as dimethylsulfoxide, as well as water.
Als
feste Trägerstoffe
kommen in Frage:
z.B. Ammoniumsalze und natürliche Gesteinsmehle, wie Kaoline,
Tonerden, Talkum, Kreide, Quarz, Attapulgit, Montmorillonit oder
Diatomeenerde und synthetische Gesteinsmehle, wie hochdisperse Kieselsäure, Aluminiumoxid
und Silikate, als feste Trägerstoffe
für Granulate
kommen in Frage: z.B. gebrochene und fraktionierte natürliche Gesteine
wie Calcit, Marmor, Bims, Sepiolith, Dolomit sowie synthetische
Granulate aus anorganischen und organischen Mehlen sowie Granulate
aus organischem Material wie Papier, Sägemehl, Kokosnußschalen,
Maiskolben und Tabakstengeln; als Emulgier- und/oder schaumerzeugende
Mittel kommen in Frage: z.B. nichtionogene und anionische Emulgatoren,
wie Polyoxyethylen-Fettsäure-Ester,
Polyoxyethylen-Fettalkohol-Ether,
z.B. Alkylaryl-polyglykolether, Alkylsulfonate, Alkylsulfate, Arylsulfonate
sowie Eiweißhydrolysate; als
Dispergiermittel kommen in Frage nicht-ionische und/oder ionische
Stoffe, z.B. aus den Klassen der Alkohol-POE- und/oder POP-Ether,
Säure-
und/oder POP-POE-Ester,
Alkyl-Aryl- und/oder POP-POE-Ether, Fett- und/oder POP-POE-Addukte,
POE- und/oder POP-Polyol Derivate, POE- und/oder POP-Sorbitan- oder
-Zucker-Addukte, Alky- oder Aryl-Sulfate,
Sulfonate und Phosphate oder die entsprechenden PO-Ether-Addukte. Ferner
geeignete Oligo- oder Polymere, z.B. ausgehend von vinylischen Monomeren,
von Acrylsäure,
aus EO und/oder PO allein oder in Verbindung mit z.B. (poly-) Alkoholen
oder (poly-) Aminen. Ferner können
Einsatz finden Lignin und seine Sulfonsäure-Derivate, einfache und
modifizierte Cellulosen, aromatische und/oder aliphatische Sulfonsäuren sowie
deren Addukte mit Formaldehyd.Suitable solid carriers are:
for example, ammonium salts and ground natural minerals, such as kaolins, clays, talc, chalk, quartz, attapulgite, Montmorillonite or diatomaceous earth and ground synthetic minerals, such as finely divided silica, alumina and silicates, as solid carriers for granules in question: eg broken and fractionated natural rocks such as calcite, marble, pumice, sepiolite, dolomite and synthetic granules of inorganic and organic meals and granules made of organic material such as paper, sawdust, coconut shells, corn cobs and tobacco stalks; suitable emulsifiers and / or foam formers are: for example nonionic and anionic emulsifiers, such as polyoxyethylene fatty acid esters, polyoxyethylene fatty alcohol ethers, for example alkylaryl polyglycol ethers, alkylsulfonates, alkyl sulfates, arylsulfonates and protein hydrolysates; suitable dispersants are nonionic and / or ionic substances, for example from the classes of alcohol POE and / or POP ethers, acid and / or POP-POE esters, alkyl-aryl and / or POP POE ethers, fatty and / or POP-POE adducts, POE and / or POP polyol derivatives, POE and / or POP sorbitol or sugar adducts, alkyl or aryl sulfates, sulfonates and phosphates or the corresponding PO-ether adducts. Further suitable oligo- or polymers, for example starting from vinylic monomers, from acrylic acid, from EO and / or PO alone or in combination with, for example, (poly) alcohols or (poly) amines. Furthermore, find use lignin and its sulfonic acid derivatives, simple and modified celluloses, aromatic and / or aliphatic sulfonic acids and their adducts with formaldehyde.
Es können in den Formulierungen Haftmittel wie Carboxymethylcellulose, natürliche und synthetische pulvrige, körnige oder latexförmige Polymere verwendet werden, wie Gummiarabicum, Polyvinylalkohol, Polyvinylacetat, sowie natürliche Phospholipide, wie Kephaline und Lecithine und synthetische Phospholipide.It can in the formulations adhesives such as carboxymethylcellulose, natural and synthetic powdery, granular or latex-shaped Polymers such as gum arabic, polyvinyl alcohol, Polyvinyl acetate, as well as natural Phospholipids such as cephalins and lecithins and synthetic phospholipids.
Es können Farbstoffe wie anorganische Pigmente, z.B. Eisenoxid, Titanoxid, Ferrocyanblau und organische Farbstoffe, wie Alizarin-, Azo- und Metallphthalocyaninfarbstoffe und Spurennährstoffe wie Salze von Eisen, Mangan, Bor, Kupfer, Kobalt, Molybdän und Zink verwendet werden.It can Dyes such as inorganic pigments, e.g. Iron oxide, titanium oxide, Ferrocyan blue and organic dyes such as alizarin, azo and Metal phthalocyanine dyes and trace nutrients such as salts of iron, Manganese, boron, copper, cobalt, molybdenum and zinc are used.
Weitere Additive können Duftstoffe, mineralische oder vegetabile gegebenenfalls modifizierte Öle, Wachse und Nährstoffe (auch Spurennährstoffe), wie Salze von Eisen, Mangan, Bor, Kupfer, Kobalt, Molybdän und Zink sein.Further Additives can Fragrances, mineral or vegetable optionally modified oils, waxes and nutrients (also trace nutrients), such as salts of iron, manganese, boron, copper, cobalt, molybdenum and zinc be.
Weiterhin enthalten sein können Stabilisatoren wie Kältestabilisatoren, Konservierungsmittel, Oxidationsschutzmittel, Lichtschutzmittel oder andere die chemische und/oder physikalische Stabilität verbessernde Mittel.Farther may be included Stabilizers such as cold stabilizers, Preservatives, antioxidants, light stabilizers or other chemical and / or physical stability improving agents.
Die Formulierungen enthalten im allgemeinen zwischen 0,01 und 98 Gew.-% Wirkstoff, vorzugsweise zwischen 0,5 und 90 %.The Formulations generally contain between 0.01 and 98% by weight Active ingredient, preferably between 0.5 and 90%.
Die erfindungsgemäßen Wirkstoffkombinationen können in handelsüblichen Formulierungen sowie in den aus diesen Formulierungen bereiteten Anwendungsformen in Mischung mit anderen Wirkstoffen, wie Insektiziden, Lockstoffen, Sterilantien, Bakteriziden, Akariziden, Nematiziden, Fungiziden, wachstumsregulierenden Stoffen oder Herbiziden vorliegen. Zu den Insektiziden zählen beispielsweise Phosphorsäureester, Carbamate, Carbonsäureester, chlorierte Kohlenwasserstoffe, Phenylharnstoffe, durch Mikroorganismen hergestellte Stoffe u.a.The active compound combinations according to the invention can in commercial Formulations and in those prepared from these formulations Forms of use mixed with other active substances, such as insecticides, Attractants, sterilants, bactericides, acaricides, nematicides, Fungicides, growth regulators or herbicides. To the insecticides count For example, phosphoric acid esters, carbamates, Carbonsäureester, chlorinated hydrocarbons, phenylureas, by microorganisms Fabrics u.a.
Auch eine Mischung mit anderen bekannten Wirkstoffen, wie Herbiziden oder mit Düngemitteln und Wachstumsregulatoren ist möglich.Also a mixture with other known active substances, such as herbicides or with fertilizers and growth regulators is possible.
Die erfindungsgemäßen Wirkstoffkombinationen können ferner beim Einsatz als Insektizide in ihren handelsüblichen Formulierungen sowie in den aus diesen Formulierungen bereiteten Anwendungsformen in Mischung mit Synergisten vorliegen. Synergisten sind Verbindungen, durch die die Wirkung der Wirkstoffe gesteigert wird, ohne dass der zugesetzte Synergist selbst aktiv wirksam sein muss.The active compound combinations according to the invention can also when used as insecticides in their commercial Formulations and in those prepared from these formulations Application forms in mixture with synergists are present. synergists are compounds that increase the effect of the active ingredients without the added synergist itself being active got to.
Der Wirkstoffgehalt der aus den handelsüblichen Formulierungen bereiteten Anwendungsformen kann in weiten Bereichen variieren. Die Wirkstoffkonzentration der Anwendungsformen kann von 0,00000001 bis zu 95 Gew.-% Wirkstoff, vorzugsweise zwischen 0,00001 und 1 Gew.-% liegen.Of the Active substance content prepared from the commercial formulations Application forms can vary widely. The drug concentration of the application forms can be from 0.00000001 up to 95% by weight of active ingredient, preferably between 0.00001 and 1% by weight.
Die Anwendung geschieht in einer den Anwendungsformen angepassten üblichen Weise.The Application is done in a custom forms adapted to the applications Wise.
Wie bereits oben erwähnt, können erfindungsgemäß alle Pflanzen und deren Teile behandelt werden. In einer bevorzugten Ausführungsform werden wild vorkommende oder durch konventionelle biologische Zuchtmethoden, wie Kreuzung oder Protoplastenfusion erhaltenen Pflanzenarten und Pflanzensorten sowie deren Teile behandelt. In einer weiteren bevorzugten Ausführungsform werden transgene Pflanzen und Pflanzensorten, die durch gentechnologische Methoden gegebenenfalls in Kombination mit konventionellen Methoden erhalten wurden (Genetically Modified Organisms) und deren Teile behandelt. Die Begriffe "Teile" bzw. "Teile von Pflanzen" oder "Pflanzenteile" wurden oben erläutert.As already mentioned above, according to the invention all plants and their parts can be treated. In a preferred embodiment, wild-type or plant species obtained by conventional biological breeding methods, such as crossing or protoplast fusion, and plant cultivars and their parts are treated. In a further preferred embodiment, transgenic plants and Pflan cortes obtained by genetic engineering, if appropriate in combination with conventional methods (Genetically Modified Organisms), and parts thereof. The terms "parts" or "parts of plants" or "plant parts" have been explained above.
Besonders bevorzugt werden erfindungsgemäß Pflanzen der jeweils handelsüblichen oder in Gebrauch befindlichen Pflanzensorten behandelt. Unter Pflanzensorten versteht man Pflanzen mit neuen Eigenschaften ("Traits"), die sowohl durch konventionelle Züchtung, durch Mutagenese oder durch rekombinante DNA-Techniken gezüchtet worden sind. Dies können Sorten, Bio- und Genotypen sein.Especially plants according to the invention are preferred the respective commercial or plant varieties in use. Among plant varieties one understands plants with new characteristics ("Traits"), which by both conventional breeding, by mutagenesis or by recombinant DNA techniques are. This can Be varieties, biotypes and genotypes.
Je nach Pflanzenarten bzw. Pflanzensorten, deren Standort und Wachstumsbedingungen (Böden, Klima, Vegetationsperiode, Ernährung) können durch die erfindungsgemäße Behandlung auch überadditive ("synergistische") Effekte auftreten. So sind beispielsweise erniedrigte Aufwandmengen und/oder Erweiterungen des Wirkungsspektrums und/oder eine Verstärkung der Wirkung der erfindungsgemäß verwendbaren Stoffe und Mittel, besseres Pflanzenwachstum, erhöhte Toleranz gegenüber hohen oder niedrigen Temperaturen, erhöhte Toleranz gegen Trockenheit oder gegen Wasser- bzw. Bodensalzgehalt, erhöhte Blühleistung, erleichterte Ernte, Beschleunigung der Reife, höhere Ernteerträge, höhere Qualität und/oder höherer Ernährungswert der Ernteprodukte, höhere Lagerfähigkeit und/oder Bearbeitbarkeit der Ernteprodukte möglich, die über die eigentlich zu erwartenden Effekte hinausgehen.ever according to plant species or plant varieties, their location and growth conditions (Floors, Climate, vegetation period, nutrition) can by the treatment according to the invention also superadditives ("synergistic") effects occur. For example, reduced application rates and / or expansions of the Spectrum of action and / or an increase in the effect of the invention can be used Substances and agents, better plant growth, increased tolerance across from high or low temperatures, increased tolerance to dryness or against water or soil salt content, increased flowering efficiency, easier harvest, Acceleration of maturity, higher Crop yields, higher quality and / or higher Nutritional value of Harvested products, higher Shelf life and / or workability of the harvested products possible, beyond the actually expected Go beyond effects.
Zu den bevorzugten erfindungsgemäß zu behandelnden transgenen (gentechnologisch erhaltenen) Pflanzen bzw. Pflanzensorten gehören alle Pflanzen, die durch die gentechnologische Modifikation genetisches Material erhielten, welches diesen Pflanzen besondere vorteilhafte wertvolle Eigenschaften ("Traits") verleiht. Beispiele für solche Eigenschaften sind besseres Pflanzenwachstum, erhöhte Toleranz gegenüber hohen oder niedrigen Temperaturen, erhöhte Toleranz gegen Trockenheit oder gegen Wasser- bzw. Bodensalzgehalt, erhöhte Blühleistung, erleichterte Ernte, Beschleunigung der Reife, höhere Ernteerträge, höhere Qualität und/oder höherer Ernährungswert der Ernteprodukte, höhere Lagerfähigkeit und/oder Bearbeitbarkeit der Ernteprodukte. Weitere und besonders hervorgehobene Beispiele für solche Eigenschaften sind eine erhöhte Abwehr der Pflanzen gegen tierische und mikrobielle Schädlinge, wie gegenüber Insekten, Milben, pflanzenpathogenen Pilzen, Bakterien und/oder Viren sowie eine erhöhte Toleranz der Pflanzen gegen bestimmte herbizide Wirkstoffe. Als Beispiele transgener Pflanzen werden die wichtigen Kulturpflanzen, wie Getreide (Weizen, Reis), Mais, Soja, Kartoffel, Zuckerrüben, Tomaten, Erbsen und andere Gemüsesorten, Baumwolle, Tabak, Raps, sowie Obstpflanzen (mit den Früchten Äpfel, Birnen, Zitrusfrüchten und Weintrauben) erwähnt, wobei Mais, Soja, Kartoffel, Baumwolle, Tabak und Raps besonders hervorgehoben werden. Als Eigenschaften ("Traits") werden besonders hervorgehoben die erhöhte Abwehr der Pflanzen gegen Insekten, Spinnentiere, Nematoden und Schnecken durch in den Pflanzen entstehende Toxine, insbesondere solche, die durch das genetische Material aus Bacillus Thuringiensis (z.B. durch die Gene CryIA(a), CryIA(b), CryIA(c), CryIIA, CryIIIA, CryIIIB2, Cry9c Cry2Ab, Cry3Bb und CryIF sowie deren Kombinationen) in den Pflanzen erzeugt werden (im folgenden "Bt Pflanzen"). Als Eigenschaften ("Traits") werden auch besonders hervorgehoben die erhöhte Abwehr von Pflanzen gegen Pilze, Bakterien und Viren durch Systemische Akquirierte Resistenz (SAR), Systemin, Phytoalexine, Elicitoren sowie Resistenzgene und entsprechend exprimierte Proteine und Toxine. Als Eigenschaften ("Traits") werden weiterhin besonders hervorgehoben die erhöhte Toleranz der Pflanzen gegenüber bestimmten herbiziden Wirkstoffen, beispielsweise Imidazolinonen, Sulfonylharnstoffen, Glyphosate oder Phosphinotricin (z.B. "PAT"-Gen). Die jeweils die gewünschten Eigenschaften ("Traits") verleihenden Gene können auch in Kombinationen miteinander in den transgenen Pflanzen vorkommen. Als Beispiele für "Bt Pflanzen" seien Maissorten, Baumwollsorten, Sojasorten und Kartoffelsorten genannt, die unter den Handelsbezeichnungen YIELD GARD® (z.B. Mais, Baumwolle, Soja), KnockOut® (z.B. Mais), StarLink® (z.B. Mais), Bollgard® (Baumwolle), Nucotn® (Baumwolle) und NewLeaf® (Kartoffel) vertrieben werden. Als Beispiele für Herbizid-tolerante Pflanzen seien Maissorten, Baumwollsorten und Sojasorten genannt, die unter den Handelsbezeichnungen Roundup Ready® (Toleranz gegen Glyphosate z.B. Mais, Baumwolle, Soja), Liberty Link® (Toleranz gegen Phosphinotricin, z.B. Raps), IMI® (Toleranz gegen Imidazolinone) und STS® (Toleranz gegen Sulfonylharnstoffe z.B. Mais) vertrieben werden. Als Herbizid- resistente (konventionell auf Herbizid-Toleranz gezüchtete) Pflanzen seien auch die unter der Bezeichnung Clearfield® vertriebenen Sorten (z.B. Mais) erwähnt. Selbstverständlich gelten diese Aussagen auch für in der Zukunft entwickelte bzw. zukünftig auf den Markt kommende Pflanzensorten mit diesen oder zukünftig entwickelten genetischen Eigenschaften ("Traits").The preferred plants or plant varieties to be treated according to the invention to be treated include all plants which, as a result of the genetic engineering modification, obtained genetic material which gives these plants particularly advantageous valuable properties ("traits"). Examples of such properties are better plant growth, increased tolerance to high or low temperatures, increased tolerance to dryness or to bottoms salt, increased flowering, easier harvesting, acceleration of ripeness, higher crop yields, higher quality and / or higher nutritional value of the harvested products , higher shelf life and / or workability of the harvested products. Further and particularly emphasized examples of such properties are an increased defense of the plants against animal and microbial pests, as against insects, mites, phytopathogenic fungi, bacteria and / or viruses as well as an increased tolerance of the plants to certain herbicidal active substances. Examples of transgenic plants are the important crops such as cereals (wheat, rice), corn, soybeans, potatoes, sugar beets, tomatoes, peas and other vegetables, cotton, tobacco, oilseed rape and fruit plants (with the fruits apples, pears, citrus fruits and Grapes), with special emphasis on maize, soya, potato, cotton, tobacco and oilseed rape. Traits which are particularly emphasized are the increased defense of the plants against insects, arachnids, nematodes and snails by toxins which are formed in the plants, in particular those which are produced by the genetic material from Bacillus thuringiensis (for example by the genes CryIA (a) , CryIA (b), CryIA (c), CryIIA, CryIIIA, CryIIIB2, Cry9c Cry2Ab, Cry3Bb and CryIF and their combinations) in the plants (hereinafter "Bt plants"). Traits also highlight the increased resistance of plants to fungi, bacteria and viruses by systemic acquired resistance (SAR), systemin, phytoalexins, elicitors and resistance genes and correspondingly expressed proteins and toxins. Traits which are furthermore particularly emphasized are the increased tolerance of the plants to certain herbicidally active compounds, for example imidazolinones, sulfonylureas, glyphosate or phosphinotricin (eg "PAT" gene). The genes which confer the desired properties ("traits") can also occur in combinations with one another in the transgenic plants. Examples of "Bt plants" are maize varieties, cotton varieties, soya bean varieties and potato varieties which are sold under the trade names YIELD GARD ® (for example maize, cotton, soya beans), KnockOut ® (for example maize), StarLink ® (for example maize), Bollgard ® ( cotton), NuCOTN ® (cotton) and NewLeaf ® (potato). Examples of herbicide-tolerant plants are maize varieties, cotton varieties and soybean varieties may be mentioned, under the trade names Roundup Ready ® (tolerance to glyphosate, for example maize, cotton, soya bean), Liberty Link ® (tolerance to phosphinotricin, for example oilseed rape), IMI ® (tolerance against imidazolinone) and STS® (tolerance to sulfonylureas eg corn). As herbicide-resistant (conventionally grown on herbicide tolerance) plants are also sold under the name Clearfield ® varieties (eg corn). Of course, these statements also apply to future or future marketed plant varieties with these or future developed genetic traits.
Die aufgeführten Pflanzen können besonders vorteilhaft mit den erfindungsgemäßen Wirkstoffkombinationen behandelt werden. Die bei den Wirkstoffkombinationen oben angegebenen Vorzugsbereiche gelten auch für die Behandlung dieser Pflanzen. Besonders hervorgehoben sei die Pflanzenbehandlung mit den im vorliegenden Text speziell aufgeführten Wirkstoffkombinationen.The listed Plants can particularly advantageous with the active compound combinations according to the invention be treated. The specified in the drug combinations above Preferential ranges also apply to the treatment of these plants. Particularly emphasized is the Plant treatment with the active compound combinations specifically mentioned in the present text.
Die erfindungsgemäßen Wirkstoffkombinationen wirken nicht nur gegen Pflanzen-, Hygiene- und Vorratsschädlinge, sondern auch auf dem veterinärmedizinischen Sektor gegen tierische Parasiten (Ekto- und Endoparasiten) wie Schildzecken, Lederzecken, Räudemilben, Laufmilben, Fliegen (stechend und leckend), parasitierende Fliegenlarven, Läuse, Haarlinge, Federlinge und Flöhe. Zu diesen Parasiten gehören:
- Aus der Ordnung der Anoplurida z.B. Haematopinus spp., Linognathus spp., Pediculus spp., Phtirus spp., Solenopotes spp.
- Aus der Ordnung der Mallophagida und den Unterordnungen Amblycerina sowie Ischnocerina z.B. Trimenopon spp., Menopon spp., Trinoton spp., Bovicola spp., Werneckiella spp., Lepikentron spp., Damalina spp., Trichodectes spp., Felicola spp.
- Aus der Ordnung Diptera und den Unterordnungen Nematocerina sowie Brachycerina z.B. Aedes spp., Anopheles spp., Culex spp., Simulium spp., Eusimulium spp., Phlebotomus spp., Lutzomyia spp., Culicoides spp., Chrysops spp., Hybomitra spp., Atylotus spp., Tabanus spp., Haematopota spp., Philipomyia spp., Braula spp., Musca spp., Hydrotaea spp., Stomoxys spp., Haematobia spp., Morellia spp., Fannia spp., Glossina spp., Calliphora spp., Lucilia spp., Chrysomyia spp., Wohlfahrtia spp., Sarcophaga spp., Oestrus spp., Hypoderma spp., Gasterophilus spp., Hippobosca spp., Lipoptena spp., Melophagus spp.
- Aus der Ordnung der Siphonapterida z.B. Pulex spp., Ctenocephalides spp., Xenopsylla spp., Ceratophyllus spp.
- Aus der Ordnung der Heteropterida z.B. Cimex spp., Triatoma spp., Rhodnius spp., Panstrongylus spp.
- Aus der Ordnung der Blattarida z.B. Blatta orientalis, Periplaneta americana, Blattela germanica, Supella spp.
- Aus der Unterklasse der Acari (Acarina) und den Ordnungen der Meta- sowie Mesostigmata z.B. Argas spp., Ornithodorus spp., Otobius spp., Ixodes spp., Amblyomma spp., Boophilus spp., Dermacentor spp., Haemophysalis spp., Hyalomma spp., Rhipicephalus spp., Dermanyssus spp., Raillietia spp., Pneumonyssus spp., Sternostoma spp., Varroa spp.
- Aus der Ordnung der Actinedida (Prostigmata) und Acaridida (Astigmata) z.B. Acarapis spp., Cheyletiella spp., Ornithocheyletia spp., Myobia spp., Psorergates spp., Demodex spp., Trombicula spp., Listrophorus spp., Acarus spp., Tyrophagus spp., Caloglyphus spp., Hypodectes spp., Pterolichus spp., Psoroptes spp., Chorioptes spp., Otodectes spp., Sarcoptes spp., Notoedres spp., Knemidocoptes spp., Cytodites spp., Laminosioptes spp.
- From the order of the Anoplurida eg Haematopinus spp., Linognathus spp., Pediculus spp., Phtirus spp., Solenopotes spp.
- From the order of Mallophagida and the suborders Amblycerina and Ischnocerina eg Trimenopon spp., Menopon spp., Trinoton spp., Bovicola spp., Werneckiella spp., Lepikentron spp., Damalina spp., Trichodectes spp., Felicola spp.
- From the order Diptera and the suborders Nematocerina and Brachycerina eg Aedes spp., Anopheles spp., Culex spp., Simulium spp., Eusimulium spp., Phlebotomus spp., Lutzomyia spp., Culicoides spp., Chrysops spp., Hybomitra spp. , Atylotus spp., Tabanus spp., Haematopota spp., Philipomyia spp., Braula spp., Musca spp., Hydrotaea spp., Stomoxys spp., Haematobia spp., Morellia spp., Fannia spp., Glossina spp., Calliphora Spp., Lucilia spp., Chrysomyia spp., Wohlfahrtia spp., Sarcophaga spp., Oestrus spp., Hypoderma spp., Gasterophilus spp., Hippobosca spp., Lipoptena spp., Melophagus spp.
- From the order of the siphon adapter eg Pulex spp., Ctenocephalides spp., Xenopsylla spp., Ceratophyllus spp.
- From the order of the Heteropterida eg Cimex spp., Triatoma spp., Rhodnius spp., Panstrongylus spp.
- From the order Blattarida eg Blatta orientalis, Periplaneta americana, Blattela germanica, Supella spp.
- From the subclass of Acari (Acarina) and the orders of meta and mesostigmata eg Argas spp., Ornithodorus spp., Otobius spp., Ixodes spp., Amblyomma spp., Boophilus spp., Dermacentor spp., Haemophysalis spp., Hyalomma Spp., Rhipicephalus spp., Dermanyssus spp., Raillietia spp., Pneumonyssus spp., Sternostoma spp., Varroa spp.
- From the order of Actinedida (Prostigmata) and Acaridida (Astigmata) eg Acarapis spp., Cheyletiella spp., Ornithocheyletia spp., Myobia spp., Psorergates spp., Demodex spp., Trombicula spp., Listrophorus spp., Acarus spp. Tyrophagus spp., Caloglyphus spp., Hypodectes spp., Pterolichus spp., Psoroptes spp., Chorioptes spp., Otodectes spp., Sarcoptes spp., Notoedres spp., Knemidocoptes spp., Cytodites spp., Laminosioptes spp.
Die erfindungsgemäßen Wirkstoffkombinationen eignen sich auch zur Bekämpfung von Arthropoden, die landwirtschaftliche Nutztiere, wie z.B. Rinder, Schafe, Ziegen, Pferde, Schweine, Esel, Kamele, Büffel, Kaninchen, Hühner, Puten, Enten, Gänse, Bienen, sonstige Haustiere wie z.B. Hunde, Katzen, Stubenvögel, Aquarienfische sowie sogenannte Versuchstiere, wie z.B. Hamster, Meerschweinchen, Ratten und Mäuse befallen. Durch die Bekämpfung dieser Arthropoden sollen Todesfälle und Leistungsminderungen (bei Fleisch, Milch, Wolle, Häuten, Eiern, Honig usw.) vermindert werden, so dass durch den Einsatz der erfindungsgemäßen Wirkstoffkombinationen eine wirtschaftlichere und einfachere Tierhaltung möglich ist.The active compound combinations according to the invention are also suitable for fighting of arthropods, farm animals, e.g. Bovine, Sheep, goats, horses, pigs, donkeys, camels, buffalo, rabbits, Chicken, Turkeys, ducks, geese, Bees, other pets such as e.g. Dogs, cats, caged birds, aquarium fish and so-called experimental animals, e.g. Hamster, guinea pig, Rats and mice affected. By fighting These arthropods are said to be deaths and reductions in performance (in the case of meat, milk, wool, hides, eggs, Honey, etc.) are reduced, so that through the use of the active compound combinations according to the invention a more economical and easier animal husbandry is possible.
Die Anwendung der erfindungsgemäßen Wirkstoffkombinationen geschieht im Veterinärsektor und bei der Tierhaltung in bekannter Weise durch enterale Verabreichung in Form von beispielsweise Tabletten, Kapseln, Tränken, Drenchen, Granulaten, Pasten, Boli, des feed-through-Verfahrens, von Zäpfchen, durch parenterale Verabreichung, wie zum Beispiel durch Injektionen (intramuskulär, subcutan, intravenös, intraperitonal u.a.), Implantate, durch nasale Applikation, durch dermale Anwendung in Form beispielsweise des Tauchens oder Badens (Dippen), Sprühens (Spray), Aufgießens (Pour-on und Spot-on), des Waschens, des Einpuderns sowie mit Hilfe von wirkstoffhaltigen Formkörpern, wie Halsbändern, Ohrmarken, Schwanzmarken, Gliedmaßenbändern, Halftern, Markierungsvorrichtungen usw.The Application of the active compound combinations according to the invention happens in the veterinary sector and in animal husbandry in a known manner by enteral administration in the form of, for example, tablets, capsules, potions, drenches, Granules, pastes, boluses, the feed-through process, suppositories, by parenteral administration, such as by injections (Intramuscular, subcutaneously, intravenously, intraperitoneal, etc.), implants, by nasal application dermal application in the form of, for example, diving or bathing (Dipping), spraying (Spray), infusion (Pour-on and spot-on), washing, powdering and with help of active substance-containing moldings, like collars, Ear tags, tail tags, limb bands, halters, marking devices etc.
Bei der Anwendung für Vieh, Geflügel, Haustiere etc. kann man die Wirkstoffkombinationen als Formulierungen (beispielsweise Pulver, Emulsionen, fließfähige Mittel), die die Wirkstoffe in einer Menge von 1 bis 80 Gew.-% enthalten, direkt oder nach 100 bis 10 000-facher Verdünnung anwenden oder sie als chemisches Bad verwenden.at the application for Livestock, poultry, Pets etc. can be the drug combinations as formulations (For example, powders, emulsions, flowable agents) containing the active ingredients in an amount of 1 to 80 wt .-%, directly or after 100 up to 10 000-fold dilution apply or use as a chemical bath.
Außerdem wurde gefunden, dass die erfindungsgemäßen Wirkstoffkombinationen eine hohe insektizide Wirkung gegen Insekten zeigen, die technische Materialien zerstören.It was also found that the drug combinations of the invention show a high insecticidal activity against insects, the technical Destroy materials.
Beispielhaft
und vorzugsweise – ohne
jedoch zu limitieren – seien
die folgenden Insekten genannt:
Käfer wie Hylotrupes bajulus,
Chlorophorus pilosis, Anobium punctatum, Xestobium rufovillosum,
Ptilinus pecticornis, Dendrobium pertinex, Ernobius mollis, Priobium
carpini, Lyctus brunneus, Lyctus africanus, Lyctus planicollis,
Lyctus linearis, Lyctus pubescens, Trogoxylon aequale, Minthes rugicollis,
Xyleborus spec. Tryptodendron spec. Apate monachus, Bostrychus capucins,
Heterobostrychus brunneus, Sinoxylon spec. Dinoderus minutus;
Hautflügler wie
Sirex juvencus, Urocerus gigas, Urocerus gigas taignus, Urocerus
augur;
Termiten wie Kalotermes flavicollis, Cryptotermes brevis,
Heterotermes indicola, Reticulitermes flavipes, Reticulitermes santonensis,
Reticulitermes lucifugus, Mastotermes darwiniensis, Zootermopsis
nevadensis, Coptotermes formosanus;
Borstenschwänze wie
Lepisma saccharina.By way of example and preferably without limiting however, the following insects are mentioned:
Beetles such as Hylotrupes bajulus, Chlorophorus pilosis, Anobium punctatum, Xestobium rufovillosum, Ptilinus pecticornis, Dendrobium pertinex, Ernobius mollis, Priobium carpini, Lyctus brunneus, Lyctus africanus, Lyctus planicollis, Lyctus linearis, Lyctus pubescens, Trogoxylon aequale, Minthes rugicollis, Xyleborus spec. Tryptodendron spec. Apate monachus, Bostrychus capucins, Heterobostrychus brunneus, Sinoxylon spec. Dinoderus minutus;
Hymenoptera such as Sirex juvencus, Urocerus gigas, Urocerus gigas taignus, Urocerus augur;
Termites such as Kalotermes flavicollis, Cryptotermes brevis, Heterotermes indicola, Reticulitermes flavipes, Reticulitermes santonensis, Reticulitermes lucifugus, Mastotermes darwiniensis, Zootermopsis nevadensis, Coptotermes formosanus;
Bristle tails like Lepisma saccharina.
Unter technischen Materialien sind im vorliegenden Zusammenhang nicht-lebende Materialien zu verstehen, wie vorzugsweise Kunststoffe, Klebstoffe, Leime, Papiere und Kartone, Leder, Holz, Holzverarbeitungsprodukte und Anstrichmittel.Under technical materials are non-living in the present context Materials, such as preferably plastics, adhesives, Glues, papers and cartons, leather, wood, woodworking products and paints.
Die anwendungsfertigen Mittel können gegebenenfalls noch weitere Insektizide und gegebenenfalls noch ein oder mehrere Fungizide enthalten.The ready to use means optionally further insecticides and optionally also contain one or more fungicides.
Hinsichtlich möglicher zusätzlicher Zumischpartner sei auf die oben genannten Insektizide und Fungizide verwiesen.Regarding potential additional Zumischpartner be on the above insecticides and fungicides directed.
Zugleich können die erfindungsgemäßen Wirkstoffkombinationen zum Schutz vor Bewuchs von Gegenständen, insbesondere von Schiffskörpern, Sieben, Netzen, Bauwerken, Kaianlagen und Signalanlagen, welche mit See- oder Brackwasser in Verbindung kommen, eingesetzt werden.at the same time can the active compound combinations according to the invention for protection against the growth of objects, in particular hulls, sieves, Nets, structures, wharves and signal systems connected with sea or brackish water are used.
Weiter können die erfindungsgemäßen Wirkstoffkombinationen allein oder in Kombinationen mit anderen Wirkstoffen als Antifouling-Mittel eingesetzt werden.Further can the active compound combinations according to the invention alone or in combination with other active ingredients as antifouling agent be used.
Die Wirkstoffkombinationen eignen sich auch zur Bekämpfung von tierischen Schädlingen im Haushalts-, Hygiene- und Vorratsschutz, insbesondere von Insekten, Spinnentieren und Milben, die in geschlossenen Räumen, wie beispielsweise Wohnungen, Fabrikhallen, Büros, Fahrzeugkabinen u.ä. vorkommen. Sie können zur Bekämpfung dieser Schädlinge allein oder in Kombination mit anderen Wirk- und Hilfsstoffen in Haushaltsinsektizid-Produkten verwendet werden. Sie sind gegen sensible und resistente Arten sowie gegen alle Entwicklungsstadien wirksam. Zu diesen Schädlingen gehören:
- Aus der Ordnung der Scorpionidea z.B. Buthus occitanus.
- Aus der Ordnung der Acarina z.B. Argas persicus, Argas reflexus, Bryobia ssp., Dermanyssus gallinae, Glyciphagus domesticus, Ornithodorus moubat, Rhipicephalus sanguineus, Trombicula alfreddugesi, Neutrombicula autumnalis, Dermatophagoides pteronissimus, Dermatophagoides forinae.
- Aus der Ordnung der Araneae z.B. Aviculariidae, Araneidae.
- Aus der Ordnung der Opiliones z.B. Pseudoscorpiones chelifer, Pseudoscorpiones cheiridium, Opiliones phalangium.
- Aus der Ordnung der Isopoda z.B. Oniscus asellus, Porcellio scaber.
- Aus der Ordnung der Diplopoda z.B. Blaniulus guttulatus, Polydesmus spp.
- Aus der Ordnung der Chilopoda z.B. Geophilus spp.
- Aus der Ordnung der Zygentoma z.B. Ctenolepisma spp., Lepisma saccharina, Lepismodes inquilinus.
- Aus der Ordnung der Blattaria z.B. Blatta orientalies, Blattella germanica, Blattella asahinai, Leucophaea maderae, Panchlora spp., Parcoblatta spp., Periplaneta australasiae, Periplaneta americana, Periplaneta brunnea, Periplaneta fuliginosa, Supella longipalpa.
- Aus der Ordnung der Saltatoria z.B. Acheta domesticus.
- Aus der Ordnung der Dermaptera z.B. Forficula auricularia.
- Aus der Ordnung der Isoptera z.B. Kalotermes spp., Reticulitermes spp.
- Aus der Ordnung der Psocoptera z.B. Lepinatus spp., Liposcelis spp.
- Aus der Ordnung der Coleoptera z.B. Anthrenus spp., Attagenus spp., Dermestes spp., Latheticus oryzae, Necrobia spp., Ptinus spp., Rhizopertha dominica, Sitophilus granarius, Sitophilus oryzae, Sitophilus zeamais, Stegobium paniceum.
- Aus der Ordnung der Diptera z.B. Aedes aegypti, Aedes albopictus, Aedes taeniorhynchus, Anopheles spp., Calliphora erythrocephala, Chrysozona pluvialis, Culex quinquefasciatus, Culex pipiens, Culex tarsalis, Drosophila spp., Fannia canicularis, Musca domestica, Phlebotomus spp., Sarcophaga carnaria, Simulium spp., Stomoxys calcitrans, Tipula paludosa.
- Aus der Ordnung der Lepidoptera z.B. Achroia grisella, Galleria mellonella, Plodia interpunctella, Tinea cloacella, Tinea pellionella, Tineola bisselliella.
- Aus der Ordnung der Siphonaptera z.B. Ctenocephalides canis, Ctenocephalides felis, Pulex irritans, Tunga penetrans, Xenopsylla cheopis.
- Aus der Ordnung der Hymenoptera z.B. Camponotus herculeanus, Lasius fuliginosus, Lasius niger, Lasius umbratus, Monomorium pharaonis, Paravespula spp., Tetramorium caespitum.
- Aus der Ordnung der Anoplura z.B. Pediculus humanus capitis, Pediculus humanus corporis, Pemphigus spp., Phylloera vastatrix, Phthirus pubis.
- Aus der Ordnung der Heteroptera z.B. Cimex hemipterus, Cimex lectularius, Rhodinus prolixus, Triatoma infestans.
- From the order of Scorpionidea eg Buthus occitanus.
- From the order of the Acarina eg Argas persicus, Argas reflexus, Bryobia ssp., Dermanyssus gallinae, Glyciphagus domesticus, Ornithodorus moubat, Rhipicephalus sanguineus, Trombicula alfreddugesi, Neutrombicula autumnalis, Dermatophagoides pteronissimus, Dermatophagoides forinae.
- From the order of the Araneae eg Aviculariidae, Araneidae.
- From the order of the Opiliones eg Pseudoscorpiones chelifer, Pseudoscorpiones cheiridium, Opiliones phalangium.
- From the order of the Isopoda eg Oniscus asellus, Porcellio scaber.
- From the order of the Diplopoda eg Blaniulus guttulatus, Polydesmus spp.
- From the order of Chilopoda eg Geophilus spp.
- From the order of Zygentoma eg Ctenolepisma spp., Lepisma saccharina, Lepismodes inquilinus.
- From the order of the Blattaria eg Blatta orientalies, Blattella germanica, Blattella asahinai, Leucophaea maderae, Panchlora spp., Parcoblatta spp., Periplaneta australasiae, Periplaneta americana, Periplaneta brunnea, Periplaneta fuliginosa, Supella longipalpa.
- From the order of Saltatoria eg Acheta domesticus.
- From the order of the Dermaptera eg Forficula auricularia.
- From the order of the Isoptera eg Kalotermes spp., Reticulitermes spp.
- From the order of Psocoptera eg Lepinatus spp., Liposcelis spp.
- From the order of Coleoptera, for example, Anthrenus spp., Attagenus spp., Dermestes spp., Latheticus oryzae, Necrobia spp., Ptinus spp., Rhizopertha dominica, Sitophilus granarius, Sitophilus oryzae, Sitophilus zeamais, Stegobium paniceum.
- From the order of Diptera eg Aedes aegypti, Aedes albopictus, Aedes taeniorhynchus, Anopheles spp., Calliphora erythrocephala, Chrysozona pluvialis, Culex quinquefasciatus, Culex pipiens, Culex tarsalis, Drosophila spp., Fannia canicularis, Musca domestica, Phlebotomus spp., Sarcophaga carnaria , Simulium spp., Stomoxys calcitrans, Tipula paludosa.
- From the order of Lepidoptera eg Achroia grisella, Galleria mellonella, Plodia interpunctella, Tinea cloacella, Tinea pellionella, Tineola bisselliella.
- From the order of the Siphonaptera, for example, Ctenocephalides canis, Ctenocephalides felis, Pulex irritans, Tunga penetrans, Xenopsylla cheopis.
- From the order of the Hymenoptera, for example, Camponotus herculeanus, Lasius fuliginosus, Lasius niger, Lasius umbratus, Monomorium pharaonis, Paravespula spp., Tetramorium caespitum.
- From the order of Anoplura eg Pediculus humanus capitis, Pediculus humanus corporis, Pemphigus spp., Phylloera vastatrix, Phthirus pubis.
- From the order of Heteroptera eg Cimex hemipterus, Cimex lectularius, Rhodinus prolixus, Triatoma infestans.
Die Anwendung im Bereich der Haushaltsinsektizide erfolgt allein oder in Kombination mit anderen geeigneten Wirkstoffen wie Phosphorsäureestern, Carbamaten, Pyrethroiden, Neonicotinoiden, Wachstumsregulatoren oder Wirkstoffen aus anderen bekannten Insektizidklassen.The Application in the field of household insecticides takes place alone or in combination with other suitable active substances, such as phosphoric esters, Carbamates, pyrethroids, neonicotinoids, growth regulators or agents from other known classes of insecticides.
Die Anwendung erfolgt in Aerosolen, drucklosen Sprühmitteln, z.B. Pump- und Zerstäubersprays, Nebelautomaten, Foggern, Schäumen, Gelen, Verdampferprodukten mit Verdampferplättchen aus Cellulose oder Kunststoff, Flüssigverdampfern, Gel- und Membranverdampfern, propellergetriebenen Verdampfern, energielosen bzw. passiven Verdampfungssystemen, Mottenpapieren, Mottensäckchen und Mottengelen, als Granulate oder Stäube, in Streuködern oder Köderstationen.The Application is in aerosols, non-pressurized sprays, e.g. Pump and atomizer sprays, Fog machines, foggers, foams, Gels, evaporator products with evaporator plates made of cellulose or plastic, Liquid evaporators, Gel and membrane evaporators, propeller-driven evaporators, energy-free or passive evaporation systems, moth papers, moth bags and Moth gels, as granules or dusts, in straw baits or Bait stations.
Die gute insektizide und akarizide Wirkung der erfindungsgemäßen Wirkstoffkombinationen geht aus den nachfolgenden Beispielen hervor. Während die einzelnen Wirkstoffe in der Wirkung Schwächen aufweisen, zeigen die Kombinationen eine Wirkung, die über eine einfache Wirkungssummierung hinausgeht.The good insecticidal and acaricidal action of the active compound combinations according to the invention is apparent from the examples below. While the individual active ingredients weaknesses in effect show the combinations have an effect over a simple effect summation goes beyond.
Ein synergistischer Effekt liegt bei Insektiziden und Akariziden immer dann vor, wenn die Wirkung der Wirkstoffkombinationen größer ist als die Summe der Wirkungen der einzeln applizierten Wirkstoffe.One synergistic effect is always with insecticides and acaricides then if the effect of the drug combinations is greater as the sum of the effects of the individually applied active ingredients.
Die zu erwartende Wirkung für eine gegebene Kombination zweier Wirkstoffe kann nach S.R. Colby, Weeds 15 (1967), 20-22 wie folgt berechnet werden:
- Wenn
- X
- den Abtötungsgrad, ausgedrückt in % der unbehandelten Kontrolle, beim Einsatz des Wirkstoffes A in einer Aufwandmenge von m g/ha oder in einer Konzentration von m ppm bedeutet,
- Y
- den Abtötungsgrad, ausgedrückt in % der unbehandelten Kontrolle, beim Einsatz des Wirkstoffes B in einer Aufwandmenge von n g/ha oder in einer Konzentration von n ppm bedeutet und
- E
- den Abtötungsgrad, ausgedrückt in % der unbehandelten Kontrolle, beim Einsatz der Wirkstoffe A und B in Aufwandmengen von m und n g/ha oder in einer Konzentration von m und n ppm bedeutet,
- If
- X
- the degree of killing, expressed in% of the untreated control, when using the active substance A at a rate of mg / ha or in a concentration of m ppm,
- Y
- the degree of killing, expressed in% of the untreated control, when using the active ingredient B in an application rate of ng / ha or in a concentration of n ppm means and
- e
- the degree of killing, expressed as% of the untreated control, when using the active compounds A and B at application rates of m and ng / ha or in a concentration of m and n ppm,
Ist
der tatsächliche
Abtötungsgrad
größer als
berechnet, so ist die Kombination in ihrer Abtötung überadditiv, d.h. es liegt ein
synergistischer Effekt vor. In diesem Fall muss der tatsächlich beobachtete
Abtötungsgrad
größer sein
als der aus der oben angeführten
Formel errechnete Wert für
den erwarteten Abtötungsgrad (E). Beispiel
A Phaedon
cochleariae – Larven-Test
Zur Herstellung einer zweckmäßigen Wirkstoffzubereitung vermischt man 1 Gewichtsteil Wirkstoff mit den angegebenen Mengen Lösungsmittel und Emulgator und verdünnt das Konzentrat mit emulgatorhaltigem Wasser auf die gewünschte Konzentration.to Preparation of a suitable preparation of active ingredient 1 part by weight of active compound is mixed with the stated amounts solvent and emulsifier and diluted concentrate with emulsifier-containing water to the desired concentration.
Kohlblätter (Brassica oleracea) werden durch Tauchen in die Wirkstoffzubereitung der gewünschten Konzentration behandelt und mit Larven des Meerrettichblattkäfers (Phaedon cochleariae) besetzt, solange die Blätter noch feucht sind.Cabbage leaves (Brassica oleracea) are dipped in the preparation of active compound of the desired concentration treated and with larvae of the horseradish leaf beetle (Phaedon cochleariae) occupied as long as the leaves are still wet.
Nach der gewünschten Zeit wird die Abtötung in % bestimmt. Dabei bedeutet 100 %, dass alle Käferlarven abgetötet wurden; 0 % bedeutet, dass keine Käferlarven abgetötet wurden. Die ermittelten Abtötungswerte verrechnet man nach der Colby-Formel (siehe Blatt 1).To the desired Time will be the killing determined in%. 100% means that all beetle larvae have been killed; 0% means that no beetle larvae killed were. The determined kill values billed according to the Colby formula (see sheet 1).
Bei diesem Test zeigte die folgende Wirkstoffkombination gemäß vorliegender Anmeldung eine synergistisch verstärkte Wirksamkeit im Vergleich zu den einzeln angewendeten Wirkstoffen: Tabelle A Pflanzenschädigende Insekten Phaedon cochleariae Larven – Test
- * gef. = gefundene Wirkung
- ** ber. = nach der Colby-Formel berechnete Wirkung
- * gef. = found effect
- ** calc. = calculated according to the Colby formula
Zur Herstellung einer zweckmäßigen Wirkstoffzubereitung vermischt man 1 Gewichtsteil Wirkstoff mit den angegebenen Mengen Lösungsmittel und Emulgator und verdünnt das Konzentrat mit emulgatorhaltigem Wasser auf die gewünschte Konzentration.To prepare a suitable preparation of active compound, 1 part by weight of active compound is mixed with the stated amounts of solvent and emulsifier, and the concentrate is diluted with emulsifier-containing Water to the desired concentration.
Kohlblätter (Brassica oleracea) werden durch Tauchen in die Wirkstoffzubereitung der gewünschten Konzentration behandelt und mit Raupen der Kohlmotte (Plutella xylostella) besetzt, solange die Blätter noch feucht sind.Cabbage leaves (Brassica oleracea) are dipped in the preparation of active compound of the desired concentration treated with caterpillars of the cabbage moth (Plutella xylostella), as long as the leaves are still wet.
Nach der gewünschten Zeit wird die Abtötung in % bestimmt. Dabei bedeutet 100 %, dass alle Raupen abgetötet wurden; 0 % bedeutet, dass keine Raupen abgetötet wurden. Die ermittelten Abtötungswerte verrechnet man nach der Colby-Formel (siehe Blatt 1).To the desired Time will be the killing determined in%. 100% means that all caterpillars have been killed; 0% means that no caterpillars have been killed. The determined kill rates billed according to the Colby formula (see sheet 1).
Bei diesem Test zeigten die folgenden Wirkstoffkombinationen gemäß vorliegender Anmeldung eine synergistisch verstärkte Wirksamkeit im Vergleich zu den einzeln angewendeten Wirkstoffen: Tabelle B Pflanzenschädigende Insekten Plutella xylostella – Test (sensibler Stamm)
- * gef. = gefundene Wirkung
- ** ber. = nach der Colby-Formel berechnete Wirkung
- * gef. = gefundene Wirkung
- ** ber. = nach der Colby-Formel berechnete Wirkung
- * gef. = found effect
- ** calc. = calculated according to the Colby formula
- * gef. = found effect
- ** calc. = calculated according to the Colby formula
Zur Herstellung einer zweckmäßigen Wirkstoffzubereitung vermischt man 1 Gewichtsteil Wirkstoff mit den angegebenen Mengen Lösungsmittel und Emulgator und verdünnt das Konzentrat mit emulgatorhaltigem Wasser auf die gewünschte Konzentration.to Preparation of a suitable preparation of active ingredient 1 part by weight of active compound is mixed with the stated amounts solvent and emulsifier and diluted concentrate with emulsifier-containing water to the desired concentration.
Kohlblätter (Brassica oleracea) werden durch Tauchen in die Wirkstoffzubereitung der gewünschten Konzentration behandelt und mit Raupen der Kohlmotte (Plutella xylostella) besetzt, solange die Blätter noch feucht sind.Cabbage leaves (Brassica oleracea) are dipped in the preparation of active compound of the desired concentration treated with caterpillars of the cabbage moth (Plutella xylostella), as long as the leaves are still wet.
Nach der gewünschten Zeit wird die Abtötung in % bestimmt. Dabei bedeutet 100 %, dass alle Raupen abgetötet wurden; 0 % bedeutet, dass keine Raupen abgetötet wurden. Die ermittelten Abtötungswerte verrechnet man nach der Colby-Formel (siehe Blatt 1).To the desired Time will be the killing determined in%. 100% means that all caterpillars have been killed; 0% means that no caterpillars have been killed. The determined kill rates billed according to the Colby formula (see sheet 1).
Bei diesem Test zeigten die folgenden Wirkstoffkombinationen gemäß vorliegender Anmeldung eine synergistisch verstärkte Wirksamkeit im Vergleich zu den einzeln angewendeten Wirkstoffen: Tabelle C Pflanzenschädigende Insekten Plutella xylostella – Test (resistenter Stamm)
- * gef. = gefundene Wirkung
- ** ber. = nach der Colby-Formel berechnete Wirkung
- * gef. = found effect
- ** calc. = calculated according to the Colby formula
Zur Herstellung einer zweckmäßigen Wirkstoffzubereitung vermischt man 1 Gewichtsteil Wirkstoff mit den angegebenen Mengen Lösungsmittel und Emulgator und verdünnt das Konzentrat mit emulgatorhaltigem Wasser auf die gewünschte Konzentration.to Preparation of a suitable preparation of active ingredient 1 part by weight of active compound is mixed with the stated amounts solvent and emulsifier and diluted concentrate with emulsifier-containing water to the desired concentration.
Kohlblätter (Brassica oleracea) werden durch Tauchen in die Wirkstoffzubereitung der gewünschten Konzentration behandelt und mit Raupen der Zuckerrübeneule (Spodoptera exigua) besetzt, solange die Blätter noch feucht sind.Cabbage leaves (Brassica oleracea) are dipped in the preparation of active compound of the desired concentration treated with caterpillars of the sugar beet owl (Spodoptera exigua) occupied as long as the leaves are still wet.
Nach der gewünschten Zeit wird die Abtötung in % bestimmt. Dabei bedeutet 100 %, dass alle Raupen abgetötet wurden; 0 % bedeutet, dass keine Raupen abgetötet wurden. Die ermittelten Abtötungswerte verrechnet man nach der Colby-Formel (siehe Blatt 1).To the desired Time will be the killing determined in%. 100% means that all caterpillars have been killed; 0% means that no caterpillars have been killed. The determined kill rates billed according to the Colby formula (see sheet 1).
Bei diesem Test zeigte die folgende Wirkstoffkombination gemäß vorliegender Anmeldung eine synergistisch verstärkte Wirksamkeit im Vergleich zu den einzeln anwendeten Wirkstoffen: Tabelle D Pflanzenschädigende Insekten Spodoptera exigua – Test
- * gef. = gefundene Wirkung
- ** ber. = nach der Colby-Formel berechnete Wirkung
- * gef. = found effect
- ** calc. = calculated according to the Colby formula
Zur Herstellung einer zweckmäßigen Wirkstoffzubereitung vermischt man 1 Gewichtsteil Wirkstoff mit den angegebenen Mengen Lösungsmittel und Emulgator und verdünnt das Konzentrat mit emulgatorhaltigem Wasser auf die gewünschte Konzentration.to Preparation of a suitable preparation of active ingredient 1 part by weight of active compound is mixed with the stated amounts solvent and emulsifier and diluted concentrate with emulsifier-containing water to the desired concentration.
Kohlblätter (Brassica oleracea) werden durch Tauchen in die Wirkstoffzubereitung der gewünschten Konzentration behandelt und mit Raupen des Heerwurms (Spodoptera frugiperda) besetzt, solange die Blätter noch feucht sind.Cabbage leaves (Brassica oleracea) are dipped in the preparation of active compound of the desired concentration treated and occupied with caterpillars of the armyworm (Spodoptera frugiperda), while the leaves are still are wet.
Nach der gewünschten Zeit wird die Abtötung in % bestimmt. Dabei bedeutet 100 %, dass alle Raupen abgetötet wurden; 0 % bedeutet, dass keine Raupen abgetötet wurden. Die ermittelten Abtötungswerte verrechnet man nach der Colby-Formel (siehe Blatt 1).To the desired Time will be the killing determined in%. 100% means that all caterpillars have been killed; 0% means that no caterpillars have been killed. The determined kill rates billed according to the Colby formula (see sheet 1).
Bei diesem Test zeigte die folgende Wirkstoffkombination gemäß vorliegender Anmeldung eine synergistisch verstärkte Wirksamkeit im Vergleich zu den einzeln angewendeten Wirkstoffen: Tabelle E Pflanzenschädigende Insekten Spodoptera frugiperda – Test
- * gef. = gefundene Wirkung
- ** ber. = nach der Colby-Formel berechnete Wirkung
- * gef. = found effect
- ** calc. = calculated according to the Colby formula
Claims (8)
Priority Applications (4)
| Application Number | Priority Date | Filing Date | Title |
|---|---|---|---|
| DE102006015197A DE102006015197A1 (en) | 2006-03-06 | 2006-04-01 | Active ingredient combination with insecticidal properties |
| PCT/EP2007/001458 WO2007101540A1 (en) | 2006-03-06 | 2007-02-21 | Combinations of active ingredients with insecticidal properties |
| TW96107427A TW200812487A (en) | 2006-03-06 | 2007-03-05 | Active compound combinations having insecticidal properties |
| ARP070100924A AR059759A1 (en) | 2006-03-06 | 2007-03-06 | COMBINATIONS OF ACTIVE PRINCIPLES WITH INSECTICIATED PROPERTIES |
Applications Claiming Priority (3)
| Application Number | Priority Date | Filing Date | Title |
|---|---|---|---|
| DE102006010200 | 2006-03-06 | ||
| DE102006010200.2 | 2006-03-06 | ||
| DE102006015197A DE102006015197A1 (en) | 2006-03-06 | 2006-04-01 | Active ingredient combination with insecticidal properties |
Publications (1)
| Publication Number | Publication Date |
|---|---|
| DE102006015197A1 true DE102006015197A1 (en) | 2007-09-13 |
Family
ID=38036374
Family Applications (1)
| Application Number | Title | Priority Date | Filing Date |
|---|---|---|---|
| DE102006015197A Withdrawn DE102006015197A1 (en) | 2006-03-06 | 2006-04-01 | Active ingredient combination with insecticidal properties |
Country Status (4)
| Country | Link |
|---|---|
| AR (1) | AR059759A1 (en) |
| DE (1) | DE102006015197A1 (en) |
| TW (1) | TW200812487A (en) |
| WO (1) | WO2007101540A1 (en) |
Families Citing this family (194)
| Publication number | Priority date | Publication date | Assignee | Title |
|---|---|---|---|---|
| CN104381250B (en) | 2009-01-27 | 2017-04-12 | 巴斯夫欧洲公司 | Method for seed dressing |
| WO2010089244A1 (en) | 2009-02-03 | 2010-08-12 | Basf Se | Method for dressing seeds |
| JP2012519662A (en) | 2009-03-04 | 2012-08-30 | ビーエーエスエフ ソシエタス・ヨーロピア | 3-Arylquinazolin-4-one compounds for combating invertebrate pests |
| JP2012522750A (en) | 2009-04-01 | 2012-09-27 | ビーエーエスエフ ソシエタス・ヨーロピア | Isoxazoline compounds for combating invertebrate pests |
| CN104082289A (en) | 2009-04-28 | 2014-10-08 | 巴斯夫公司 | Foamable Pesticide Compositions |
| ES2472918T3 (en) | 2009-07-06 | 2014-07-03 | Basf Se | Pyridazine compounds to control invertebrate pests |
| CN102469785A (en) | 2009-07-24 | 2012-05-23 | 巴斯夫欧洲公司 | Pyridine derivatives for controlling invertebrate pests |
| MX2012001170A (en) | 2009-07-30 | 2012-07-20 | Merial Ltd | Insecticidal 4-amino-thieno[2,3-d]-pyrimidine compounds and methods of their use. |
| BR112012004222A2 (en) | 2009-08-28 | 2019-09-24 | Basf Corp | foaming pesticide compositions and methods of application |
| JP2013505909A (en) | 2009-09-24 | 2013-02-21 | ビーエーエスエフ ソシエタス・ヨーロピア | Aminoquinazoline compounds for combating invertebrate pests |
| WO2011057942A1 (en) | 2009-11-12 | 2011-05-19 | Basf Se | Insecticidal methods using pyridine compounds |
| WO2011061110A1 (en) | 2009-11-17 | 2011-05-26 | Basf Se | Fluorinated oxa or thia heteroarylalkylsulfide derivatives for combating invertebrate pests |
| WO2011064188A1 (en) | 2009-11-27 | 2011-06-03 | Basf Se | Insecticidal methods using nitrogen-containing heteroaromatic compounds |
| EP2507209B1 (en) | 2009-12-04 | 2015-07-08 | Merial, Inc. | Pesticidal bis-organosulfur compounds |
| WO2011069955A1 (en) | 2009-12-07 | 2011-06-16 | Basf Se | Sulfonimidamide compounds for combating animal pests |
| WO2011073444A2 (en) | 2009-12-18 | 2011-06-23 | Basf Se | Azoline compounds for combating invertebrate pests |
| EP2531493B1 (en) | 2010-02-01 | 2015-07-22 | Basf Se | Substituted ketonic isoxazoline compounds and derivatives for combating animal pests |
| WO2011117286A1 (en) | 2010-03-23 | 2011-09-29 | Basf Se | Pyridazine compounds for controlling invertebrate pests |
| WO2011117198A2 (en) | 2010-03-23 | 2011-09-29 | Basf Se | Pyridazine compounds for controlling invertebrate pests |
| WO2011117806A2 (en) | 2010-03-23 | 2011-09-29 | Basf Se | Pyridazine compounds for controlling invertebrate pests |
| US20130131091A1 (en) | 2010-05-24 | 2013-05-23 | Kimihiko Goto | Harmful organism control agent |
| AU2011257163B2 (en) | 2010-05-28 | 2014-07-24 | Basf Se | Pesticidal mixtures |
| WO2012007426A1 (en) | 2010-07-13 | 2012-01-19 | Basf Se | Azoline substituted isoxazoline benzamide compounds for combating animal pests |
| EP2595981B1 (en) | 2010-07-22 | 2014-12-10 | Basf Se | Novel hetaryl (thio)carboxamide compounds for controlling invertebrate pests |
| WO2012034961A1 (en) | 2010-09-13 | 2012-03-22 | Basf Se | Pyridine compounds for controlling invertebrate pests i |
| BR112013005484B1 (en) | 2010-09-13 | 2018-05-15 | Basf Se | METHOD TO CONTROL INVERTE PEST, METHOD TO PROTECT PLANT PROPAGATION MATERIAL AND AGRICULTURAL COMPOSITION |
| WO2012034959A2 (en) | 2010-09-13 | 2012-03-22 | Basf Se | Pyridine compounds for controlling invertebrate pests iii |
| KR20130143047A (en) | 2010-10-01 | 2013-12-30 | 바스프 에스이 | Imine substituted 2,4-diaryl-pyrroline derivatives as pesticides |
| BR112013007056A2 (en) | 2010-10-01 | 2019-09-24 | Basf Se | imine compounds |
| BR112013013623A2 (en) | 2010-12-10 | 2016-07-12 | Basf Se | methods for controlling invertebrate pests and for protecting plant and / or plant propagating material, plant propagating material, use of a compound of formula i and pyrazole compound of formula i |
| WO2012084670A1 (en) | 2010-12-20 | 2012-06-28 | Basf Se | Pesticidal active mixtures comprising pyrazole compounds |
| WO2012085081A1 (en) | 2010-12-22 | 2012-06-28 | Basf Se | Sulfoximinamide compounds for combating invertebrate pests ii |
| US9179680B2 (en) | 2011-04-06 | 2015-11-10 | Basf Se | Substituted pyrimidinium compounds for combating animal pests |
| AR085872A1 (en) | 2011-04-08 | 2013-10-30 | Basf Se | HETEROBICICLIC DERIVATIVES N-SUBSTITUTES USEFUL TO COMBAT PARASITES IN PLANTS AND / OR ANIMALS, COMPOSITIONS THAT CONTAIN THEM AND METHODS TO COMBAT SUCH PESTS |
| AU2012244846B2 (en) | 2011-04-21 | 2016-07-07 | Basf Se | Novel pesticidal pyrazole compounds |
| MX2014000359A (en) | 2011-07-15 | 2014-05-01 | Basf Se | Pesticidal methods using substituted 3-pyridyl thiazole compounds and derivatives for combating animal pests ii. |
| IN2014CN01025A (en) | 2011-08-12 | 2015-04-10 | Basf Se | |
| KR20140064849A (en) | 2011-08-12 | 2014-05-28 | 바스프 에스이 | Aniline type compound |
| IN2014CN00979A (en) | 2011-08-12 | 2015-04-10 | Basf Se | |
| CN103842354A (en) | 2011-08-12 | 2014-06-04 | 巴斯夫欧洲公司 | Anthranilamide compounds and their use as pesticides |
| AR087515A1 (en) | 2011-08-12 | 2014-03-26 | Basf Se | N-TIO-ANTRANILAMIDE COMPOUNDS AND THEIR USES AS PESTICIDES |
| EP2742027A1 (en) | 2011-08-12 | 2014-06-18 | Basf Se | N-thio-anthranilamide compounds and their use as pesticides |
| CN103842342A (en) | 2011-08-12 | 2014-06-04 | 巴斯夫欧洲公司 | Anthranilamide compounds and their use as pesticides |
| US20140243197A1 (en) | 2011-08-18 | 2014-08-28 | Basf Se | Carbamoylmethoxy- and carbamoylmethylthio- and carbamoylmethylamino benzamides for combating invertebrate pests |
| WO2013024170A1 (en) | 2011-08-18 | 2013-02-21 | Basf Se | Carbamoylmethoxy- and carbamoylmethylthio- and carbamoylmethylamino benzamides for combating invertebrate pests |
| WO2013024169A1 (en) | 2011-08-18 | 2013-02-21 | Basf Se | Carbamoylmethoxy- and carbamoylmethylthio- and carbamoylmethylamino benzamides for combating invertebrate pests |
| AU2012300903A1 (en) | 2011-09-02 | 2014-03-20 | Basf Se | Insecticidal active mixtures comprising arylquinazolinone compounds |
| CN104023535A (en) | 2011-09-02 | 2014-09-03 | 巴斯夫欧洲公司 | Use of pesticidal active 3-arylquinazolin-4-one derivatives in soil application methods |
| WO2013079601A1 (en) | 2011-12-02 | 2013-06-06 | Basf Se | Method and system for monitoring crops and/or infestation of crops with harmful organismus during storage |
| WO2013079600A1 (en) | 2011-12-02 | 2013-06-06 | Basf Se | Method and system for monitoring crops during storage |
| WO2013092868A1 (en) | 2011-12-21 | 2013-06-27 | Basf Se | N-thio-anthranilamide compounds and their use as pesticides |
| EP2794601B1 (en) | 2011-12-23 | 2019-02-20 | Basf Se | Isothiazoline compounds for combating invertebrate pests |
| WO2013113789A1 (en) | 2012-02-02 | 2013-08-08 | Basf Se | N-thio-anthranilamide compounds and their use as pesticides |
| CN105994275B (en) * | 2012-03-14 | 2019-01-01 | 陕西韦尔奇作物保护有限公司 | A kind of composition pesticide of ring tebufenozide and biogenic substances |
| US9487523B2 (en) | 2012-03-14 | 2016-11-08 | Merck Sharp & Dohme Corp. | Process for making CGRP receptor antagonists |
| WO2013144228A1 (en) | 2012-03-29 | 2013-10-03 | Basf Se | Pesticidal methods using heterocyclic compounds and derivatives for combating animal pests |
| US9334238B2 (en) | 2012-03-30 | 2016-05-10 | Basf Se | N-substituted pyridinylidenes for combating animal pests |
| WO2013144223A1 (en) | 2012-03-30 | 2013-10-03 | Basf Se | N-substituted pyrimidinylidene compounds and derivatives for combating animal pests |
| WO2013149940A1 (en) | 2012-04-02 | 2013-10-10 | Basf Se | Acrylamide compounds for combating invertebrate pests |
| MX2014011995A (en) | 2012-04-03 | 2015-09-04 | Basf Se | N- substituted hetero - bicyclic furanone derivatives for combating animal. |
| WO2013150115A1 (en) | 2012-04-05 | 2013-10-10 | Basf Se | N- substituted hetero - bicyclic compounds and derivatives for combating animal pests |
| AU2013255894A1 (en) | 2012-05-04 | 2014-11-13 | Basf Se | Substituted pyrazole-containing compounds and their use as pesticides |
| BR112014027133A2 (en) | 2012-05-09 | 2017-06-27 | Basf Se | compound, agricultural or veterinary composition, method for controlling invertebrate pests, plant propagating material and method for treating or protecting an animal. |
| JP6242872B2 (en) | 2012-05-24 | 2017-12-06 | ビーエーエスエフ ソシエタス・ヨーロピアBasf Se | N-thio-anthranilamide compounds and their use as pesticides |
| JP2015525223A (en) | 2012-06-14 | 2015-09-03 | ビーエーエスエフ ソシエタス・ヨーロピアBasf Se | Pest control method using substituted 3-pyridylthiazole compounds and derivatives for controlling animal pests |
| ES2800288T3 (en) | 2012-06-20 | 2020-12-29 | Basf Se | Pesticide mixtures comprising a pyrazole compound |
| EP2684879A1 (en) | 2012-07-09 | 2014-01-15 | Basf Se | Substituted mesoionic compounds for combating animal pests |
| US20150230470A1 (en) | 2012-09-21 | 2015-08-20 | Basf Se | Pyrethroid Insecticide For Protecting Plants And Seed |
| US20150237858A1 (en) | 2012-10-01 | 2015-08-27 | Basf Se | Method of controlling ryanodine-modulator insecticide resistant insects |
| US20150250175A1 (en) | 2012-10-01 | 2015-09-10 | Basf Se | Pesticidally active mixtures comprising anthranilamide compounds |
| WO2014053403A1 (en) | 2012-10-01 | 2014-04-10 | Basf Se | Method of controlling insecticide resistant insects |
| WO2014053401A2 (en) | 2012-10-01 | 2014-04-10 | Basf Se | Method of improving plant health |
| CN104768377A (en) | 2012-10-01 | 2015-07-08 | 巴斯夫欧洲公司 | Pesticidally active mixtures comprising anthranilamide compounds |
| EA201500386A1 (en) | 2012-10-01 | 2015-08-31 | Басф Се | PESTICIDAL MIXTURES CONTAINING JASMONIC ACID OR ITS DERIVATIVE |
| MX2015004175A (en) | 2012-10-01 | 2015-06-10 | Basf Se | Use of n-thio-anthranilamide compounds on cultivated plants. |
| WO2014053407A1 (en) | 2012-10-01 | 2014-04-10 | Basf Se | N-thio-anthranilamide compounds and their use as pesticides |
| WO2014079820A1 (en) | 2012-11-22 | 2014-05-30 | Basf Se | Use of anthranilamide compounds for reducing insect-vectored viral infections |
| WO2014079728A1 (en) | 2012-11-22 | 2014-05-30 | Basf Se | Pesticidal mixtures |
| WO2014079804A1 (en) | 2012-11-22 | 2014-05-30 | Basf Se | Pesticidal mixtures |
| WO2014079841A1 (en) | 2012-11-22 | 2014-05-30 | Basf Se | Pesticidal mixtures |
| WO2014079772A1 (en) | 2012-11-22 | 2014-05-30 | Basf Se | Pesticidal mixtures |
| WO2014079766A1 (en) | 2012-11-22 | 2014-05-30 | Basf Se | Pesticidal mixtures |
| WO2014079774A1 (en) | 2012-11-22 | 2014-05-30 | Basf Se | Pesticidal mixtures |
| WO2014079813A1 (en) | 2012-11-23 | 2014-05-30 | Basf Se | Pesticidal mixtures |
| WO2014079752A1 (en) | 2012-11-23 | 2014-05-30 | Basf Se | Pesticidal mixtures |
| CA2894023A1 (en) | 2012-12-14 | 2014-06-19 | Basf Se | Malononitrile compounds for controlling animal pests |
| KR20150100808A (en) | 2012-12-21 | 2015-09-02 | 바스프 에스이 | Cycloclavine and derivatives thereof for controlling invertebrate pests |
| BR112015015503A2 (en) | 2012-12-27 | 2017-07-11 | Basf Se | substituted compound, veterinary composition, use of a compound, method for the control of invertebrate pests and for the treatment or protection of an animal and plant propagation material |
| WO2014128136A1 (en) | 2013-02-20 | 2014-08-28 | Basf Se | Anthranilamide compounds and their use as pesticides |
| CN105263323B (en) * | 2013-04-19 | 2018-08-07 | 拜耳作物科学股份公司 | Insecticidal synergistic conjugates of phthalamide derivatives with abamectin, emamectin, rapamectin or mibaycin |
| BR112015025765A2 (en) * | 2013-04-19 | 2017-07-25 | Bayer Cropscience Ag | insecticidal synergistic combinations of phthaldimide and fipronil or etiprol derivatives |
| WO2014170300A1 (en) | 2013-04-19 | 2014-10-23 | Basf Se | N-substituted acyl-imino-pyridine compounds and derivatives for combating animal pests |
| BR112015031439A2 (en) | 2013-06-21 | 2017-07-25 | Basf Se | methods for pest control or control, for the treatment, prevention and protection of soybean crops, for the control and protection of soybean propagating material, for the control or control of pests and the use of a compound of formula I |
| EP3022185B1 (en) | 2013-07-15 | 2017-09-06 | Basf Se | Pesticide compounds |
| CN103461333A (en) * | 2013-09-05 | 2013-12-25 | 江苏龙灯化学有限公司 | Pesticide composition containing flubendiamide and methoxyfenozide |
| EA201600270A1 (en) | 2013-09-19 | 2016-08-31 | Басф Се | N-ACYLIMINO HETEROCYCLIC COMPOUNDS |
| CN103583519A (en) * | 2013-10-14 | 2014-02-19 | 广东中迅农科股份有限公司 | Insecticidal composition containing methoxyfenozide and flubendiamide |
| WO2015055497A1 (en) | 2013-10-16 | 2015-04-23 | Basf Se | Substituted pesticidal pyrazole compounds |
| CN106061254B (en) | 2013-10-18 | 2019-04-05 | 巴斯夫农业化学品有限公司 | Use of pesticide active carboxamide derivatives in soil and seed application and treatment methods |
| EP3083581A1 (en) | 2013-12-18 | 2016-10-26 | Basf Se | N-substituted imino heterocyclic compounds |
| WO2015091645A1 (en) | 2013-12-18 | 2015-06-25 | Basf Se | Azole compounds carrying an imine-derived substituent |
| WO2015104422A1 (en) | 2014-01-13 | 2015-07-16 | Basf Se | Dihydrothiophene compounds for controlling invertebrate pests |
| AR100304A1 (en) | 2014-02-05 | 2016-09-28 | Basf Corp | SEED COATING FORMULATION |
| EP3204390B1 (en) | 2014-10-06 | 2019-06-05 | Basf Se | Substituted pyrimidinium compounds for combating animal pests |
| BR112017009513A2 (en) | 2014-11-06 | 2018-02-06 | Basf Se | use of a heterobicyclic compound, use of compounds i, compounds, agricultural or veterinary composition, method for pest control or control, method for crop and seed protection |
| CN107207443A (en) | 2015-02-06 | 2017-09-26 | 巴斯夫欧洲公司 | It is used as the pyrazole compound of nitrification inhibitor |
| EP3255990B1 (en) | 2015-02-11 | 2020-06-24 | Basf Se | Pesticidal mixture comprising a pyrazole compound, an insecticide and a fungicide |
| WO2016162371A1 (en) | 2015-04-07 | 2016-10-13 | Basf Agrochemical Products B.V. | Use of an insecticidal carboxamide compound against pests on cultivated plants |
| JP6806981B2 (en) | 2015-05-12 | 2021-01-06 | ビーエイエスエフ・ソシエタス・エウロパエアBasf Se | Thioether compounds as nitrification inhibitors |
| WO2016198613A1 (en) | 2015-06-11 | 2016-12-15 | Basf Se | N-(thio)acylimino compounds |
| WO2016198611A1 (en) | 2015-06-11 | 2016-12-15 | Basf Se | N-(thio)acylimino heterocyclic compounds |
| WO2017016883A1 (en) | 2015-07-24 | 2017-02-02 | Basf Se | Process for preparation of cyclopentene compounds |
| US11142514B2 (en) | 2015-10-02 | 2021-10-12 | Basf Se | Imino compounds with a 2-chloropyrimidin-5-yl substituent as pest-control agents |
| CN113303339A (en) | 2015-11-30 | 2021-08-27 | 巴斯夫欧洲公司 | Mixture of cis-jasmone and bacillus amyloliquefaciens |
| US20190059381A1 (en) | 2016-02-19 | 2019-02-28 | Basf Se | Method for controlling pests of soybean, corn, and cotton plants |
| UY37137A (en) | 2016-02-24 | 2017-09-29 | Merial Inc | ANTIPARASITARY COMPOUNDS OF ISOXAZOLINE, INJECTABLE FORMULATIONS OF PROLONGED ACTION THAT INCLUDE THEM, METHODS AND USES OF THE SAME |
| BR112018068034A2 (en) | 2016-03-09 | 2019-01-08 | Basf Se | spiro compounds of formula I, composition, agricultural composition to combat animal pests, method of control or control of invertebrate pests, method of protecting plants, seeds and use of compounds |
| WO2017153218A1 (en) | 2016-03-11 | 2017-09-14 | Basf Se | Method for controlling pests of plants |
| PE20181898A1 (en) | 2016-04-01 | 2018-12-11 | Basf Se | BICYCLE COMPOUNDS |
| WO2017198588A1 (en) | 2016-05-18 | 2017-11-23 | Basf Se | Capsules comprising benzylpropargylethers for use as nitrification inhibitors |
| KR20190092539A (en) | 2016-12-16 | 2019-08-07 | 바스프 에스이 | Insecticide compound |
| WO2018162312A1 (en) | 2017-03-10 | 2018-09-13 | Basf Se | Spirocyclic derivatives |
| WO2018166855A1 (en) | 2017-03-16 | 2018-09-20 | Basf Se | Heterobicyclic substituted dihydroisoxazoles |
| KR102596592B1 (en) | 2017-03-28 | 2023-10-31 | 바스프 에스이 | insecticidal compounds |
| CN110461854A (en) | 2017-03-31 | 2019-11-15 | 巴斯夫欧洲公司 | Process for the preparation of chiral 2,3-dihydrothiazolo[3,2-A]pyrimidine-4-onium compounds |
| WO2018192793A1 (en) | 2017-04-20 | 2018-10-25 | Basf Se | Substituted rhodanine derivatives |
| EP3615530B1 (en) | 2017-04-26 | 2021-04-14 | Basf Se | Substituted succinimide derivatives as pesticides |
| CN110546152B (en) | 2017-05-10 | 2023-09-08 | 巴斯夫欧洲公司 | bicyclic pesticide compounds |
| WO2018224455A1 (en) | 2017-06-07 | 2018-12-13 | Basf Se | Substituted cyclopropyl derivatives |
| EP3638677A1 (en) | 2017-06-16 | 2020-04-22 | Basf Se | Mesoionic imidazolium compounds and derivatives for combating animal pests |
| EP3642203A1 (en) | 2017-06-19 | 2020-04-29 | Basf Se | Substituted pyrimidinium compounds and derivatives for combating animal pests |
| WO2018234488A1 (en) | 2017-06-23 | 2018-12-27 | Basf Se | SUBSTITUTED CYCLOPROPYL DERIVATIVES |
| WO2019042932A1 (en) | 2017-08-31 | 2019-03-07 | Basf Se | Method of controlling rice pests in rice |
| EP3453706A1 (en) | 2017-09-08 | 2019-03-13 | Basf Se | Pesticidal imidazole compounds |
| US11399543B2 (en) | 2017-10-13 | 2022-08-02 | Basf Se | Substituted 1,2,3,5-tetrahydroimidazo[1,2-a]pyrimidiniumolates for combating animal pests |
| WO2019121143A1 (en) | 2017-12-20 | 2019-06-27 | Basf Se | Substituted cyclopropyl derivatives |
| UA127604C2 (en) | 2017-12-21 | 2023-11-01 | Басф Се | PESTICIDE COMPOUNDS |
| US20200397001A1 (en) | 2018-01-05 | 2020-12-24 | Basf Se | Control of pests of soybean plants with mesoionic compounds |
| AU2019211978B2 (en) | 2018-01-09 | 2024-08-22 | Basf Se | Silylethynyl hetaryl compounds as nitrification inhibitors |
| WO2019137995A1 (en) | 2018-01-11 | 2019-07-18 | Basf Se | Novel pyridazine compounds for controlling invertebrate pests |
| KR102730587B1 (en) | 2018-02-28 | 2024-11-14 | 바스프 에스이 | Use of N-functionalized alkoxy pyrazole compounds as nitrification inhibitors |
| PE20211753A1 (en) | 2018-02-28 | 2021-09-06 | Basf Se | USE OF ALCOXYPYRAZOLES AS NITRIFICATION INHIBITORS |
| WO2019166558A1 (en) | 2018-02-28 | 2019-09-06 | Basf Se | Use of pyrazole propargyl ethers as nitrification inhibitors |
| WO2019175713A1 (en) | 2018-03-14 | 2019-09-19 | Basf Corporation | New catechol molecules and their use as inhibitors to p450 related metabolic pathways |
| WO2019175712A1 (en) | 2018-03-14 | 2019-09-19 | Basf Corporation | New uses for catechol molecules as inhibitors to glutathione s-transferase metabolic pathways |
| WO2019185413A1 (en) | 2018-03-27 | 2019-10-03 | Basf Se | Pesticidal substituted cyclopropyl derivatives |
| WO2019211106A1 (en) | 2018-04-30 | 2019-11-07 | Basf Se | Control of pests of soybean plants with mesoionic compounds |
| KR102727205B1 (en) | 2018-05-15 | 2024-11-06 | 바스프 에스이 | Mixtures containing benzpyrimoxane and oxazosulpirin, uses thereof and methods of application thereof |
| WO2019224092A1 (en) | 2018-05-22 | 2019-11-28 | Basf Se | Pesticidally active c15-derivatives of ginkgolides |
| WO2020002472A1 (en) | 2018-06-28 | 2020-01-02 | Basf Se | Use of alkynylthiophenes as nitrification inhibitors |
| CN112424147B (en) | 2018-07-23 | 2023-06-30 | 巴斯夫欧洲公司 | Use of substituted thiazolidine compounds as nitrification inhibitors |
| PL3826983T3 (en) | 2018-07-23 | 2024-09-09 | Basf Se | Use of substituted 2-thiazolines as nitrification inhibitors |
| EP3613736A1 (en) | 2018-08-22 | 2020-02-26 | Basf Se | Substituted glutarimide derivatives |
| AU2019348280A1 (en) | 2018-09-28 | 2021-04-22 | Basf Se | Method of controlling pests by seed treatment application of a mesoionic compound or mixture thereof |
| EP3628158A1 (en) | 2018-09-28 | 2020-04-01 | Basf Se | Pesticidal mixture comprising a mesoionic compound and a biopesticide |
| EP3628157A1 (en) | 2018-09-28 | 2020-04-01 | Basf Se | Method of controlling insecticide resistant insects and virus transmission to plants |
| EP3628156A1 (en) | 2018-09-28 | 2020-04-01 | Basf Se | Method for controlling pests of sugarcane, citrus, rapeseed, and potato plants |
| EP3643705A1 (en) | 2018-10-24 | 2020-04-29 | Basf Se | Pesticidal compounds |
| US12459934B2 (en) | 2018-11-28 | 2025-11-04 | Basf Se | Pesticidal compounds |
| WO2020126591A1 (en) | 2018-12-18 | 2020-06-25 | Basf Se | Substituted pyrimidinium compounds for combating animal pests |
| EP3696177A1 (en) | 2019-02-12 | 2020-08-19 | Basf Se | Heterocyclic compounds for the control of invertebrate pests |
| EP3769623A1 (en) | 2019-07-22 | 2021-01-27 | Basf Se | Mesoionic imidazolium compounds and derivatives for combating animal pests |
| BR112021019416A2 (en) | 2019-05-29 | 2021-12-07 | Basf Se | Compounds, composition, methods of protecting crops and combating, controlling, preventing or protecting against infestations, non-therapeutic method of treating infested animals, seed and use |
| EP3766879A1 (en) | 2019-07-19 | 2021-01-20 | Basf Se | Pesticidal pyrazole derivatives |
| JP7785003B2 (en) | 2019-12-23 | 2025-12-12 | ビーエーエスエフ ソシエタス・ヨーロピア | Enzyme-enhanced root uptake of pesticide compounds. |
| WO2021170463A1 (en) | 2020-02-28 | 2021-09-02 | BASF Agro B.V. | Methods and uses of a mixture comprising alpha-cypermethrin and dinotefuran for controlling invertebrate pests in turf |
| BR112022021631A2 (en) | 2020-04-28 | 2022-12-06 | Basf Se | COMPOUNDS, COMPOSITION, METHODS TO COMBAT OR CONTROL INVERTEBRATE PEST, TO PROTECT GROWING PLANTS AND TO TREAT OR PROTECT AN ANIMAL, SEED AND USE OF A COMPOUND |
| EP3909950A1 (en) | 2020-05-13 | 2021-11-17 | Basf Se | Heterocyclic compounds for the control of invertebrate pests |
| EP4288398A1 (en) | 2021-02-02 | 2023-12-13 | Basf Se | Synergistic action of dcd and alkoxypyrazoles as nitrification inhibitors |
| EP4043444A1 (en) | 2021-02-11 | 2022-08-17 | Basf Se | Substituted isoxazoline derivatives |
| US20240270658A1 (en) | 2021-05-21 | 2024-08-15 | Basf Se | Use of an N-Functionalized Alkoxy Pyrazole Compound as Nitrification Inhibitor |
| US20240351959A1 (en) | 2021-05-21 | 2024-10-24 | Basf Se | Use of ethynylpyridine compounds as nitrification inhibitors |
| CA3223077A1 (en) | 2021-06-21 | 2022-12-29 | Barbara Nave | Metal-organic frameworks with pyrazole-based building blocks |
| EP4119547A1 (en) | 2021-07-12 | 2023-01-18 | Basf Se | Triazole compounds for the control of invertebrate pests |
| EP4140986A1 (en) | 2021-08-23 | 2023-03-01 | Basf Se | Pyrazine compounds for the control of invertebrate pests |
| EP4140995A1 (en) | 2021-08-27 | 2023-03-01 | Basf Se | Pyrazine compounds for the control of invertebrate pests |
| EP4151631A1 (en) | 2021-09-20 | 2023-03-22 | Basf Se | Heterocyclic compounds for the control of invertebrate pests |
| EP4194453A1 (en) | 2021-12-08 | 2023-06-14 | Basf Se | Pyrazine compounds for the control of invertebrate pests |
| EP4198033A1 (en) | 2021-12-14 | 2023-06-21 | Basf Se | Heterocyclic compounds for the control of invertebrate pests |
| EP4198023A1 (en) | 2021-12-16 | 2023-06-21 | Basf Se | Pesticidally active thiosemicarbazone compounds |
| EP4238971A1 (en) | 2022-03-02 | 2023-09-06 | Basf Se | Substituted isoxazoline derivatives |
| WO2023203066A1 (en) | 2022-04-21 | 2023-10-26 | Basf Se | Synergistic action as nitrification inhibitors of dcd oligomers with alkoxypyrazole and its oligomers |
| CA3250199A1 (en) | 2022-04-25 | 2023-11-02 | Basf Se | An emulsifiable concentrate having a (substituted) benzaldehyde-based solvent system |
| AU2023317620A1 (en) | 2022-08-02 | 2025-02-13 | Basf Se | Pyrazolo pesticidal compounds |
| EP4342885A1 (en) | 2022-09-20 | 2024-03-27 | Basf Se | N-(3-(aminomethyl)-phenyl)-5-(4-phenyl)-5-(trifluoromethyl)-4,5-dihydroisoxazol-3-amine derivatives and similar compounds as pesticides |
| EP4389210A1 (en) | 2022-12-21 | 2024-06-26 | Basf Se | Heteroaryl compounds for the control of invertebrate pests |
| EP4455137A1 (en) | 2023-04-24 | 2024-10-30 | Basf Se | Pyrimidine compounds for the control of invertebrate pests |
| EP4467535A1 (en) | 2023-05-25 | 2024-11-27 | Basf Se | Lactam pesticidal compounds |
| EP4488273A1 (en) | 2023-07-06 | 2025-01-08 | Basf Se | Triazole compounds for the control of invertebrate pests |
| EP4488270A1 (en) | 2023-07-06 | 2025-01-08 | Basf Se | Triazole compounds for the control of invertebrate pests |
| EP4488269A1 (en) | 2023-07-06 | 2025-01-08 | Basf Se | Triazole compounds for the control of invertebrate pests |
| WO2025117659A1 (en) | 2023-11-29 | 2025-06-05 | Basf Corporation | Insecticide delivery by nanocarriers |
| EP4574819A1 (en) | 2023-12-22 | 2025-06-25 | Basf Se | Diazinone compounds for the control of invertebrate pests |
| WO2025242699A1 (en) | 2024-05-22 | 2025-11-27 | Basf Se | Method for improving rainfastness of an agrochemical active ingredient |
Family Cites Families (7)
| Publication number | Priority date | Publication date | Assignee | Title |
|---|---|---|---|---|
| CZ299375B6 (en) * | 1998-11-30 | 2008-07-09 | Nihon Nohyaku Co., Ltd. | Phthalimide derivatives or salts thereof, agricultural- horticultural insecticidal agent and application method thereof |
| WO2002087334A1 (en) * | 2001-04-17 | 2002-11-07 | Nihon Nohyaku Co., Ltd. | Pest control agent composition and method of using the same |
| DE10248257A1 (en) * | 2002-10-16 | 2004-04-29 | Bayer Cropscience Ag | Active ingredient combinations in insecticidal and acaricidal properties |
| DE10310906A1 (en) * | 2003-03-13 | 2004-09-23 | Bayer Cropscience Ag | Synergistic active agent combination, useful as insecticide, acaricide and/or fungicide, comprises N,N'-disubstituted phthalamide derivative and other active agent(s), e.g. strobilurins or triazoles |
| DE10330724A1 (en) * | 2003-07-08 | 2005-01-27 | Bayer Cropscience Ag | Drug combinations with insecticidal and acaricidal properties |
| DE10330723A1 (en) * | 2003-07-08 | 2005-02-03 | Bayer Cropscience Ag | Drug combinations with insecticidal and acaricidal properties |
| ZA200701486B (en) * | 2004-08-23 | 2008-07-30 | Nihon Nohyaku Co Ltd | Optically active phthalamide derivative, agricultural or horticultural insecticide, and method of using the same |
-
2006
- 2006-04-01 DE DE102006015197A patent/DE102006015197A1/en not_active Withdrawn
-
2007
- 2007-02-21 WO PCT/EP2007/001458 patent/WO2007101540A1/en not_active Ceased
- 2007-03-05 TW TW96107427A patent/TW200812487A/en unknown
- 2007-03-06 AR ARP070100924A patent/AR059759A1/en unknown
Also Published As
| Publication number | Publication date |
|---|---|
| TW200812487A (en) | 2008-03-16 |
| WO2007101540A1 (en) | 2007-09-13 |
| AR059759A1 (en) | 2008-04-30 |
Similar Documents
| Publication | Publication Date | Title |
|---|---|---|
| EP2558458B1 (en) | Novel heterocyclic compounds as pest control agents | |
| EP2001297B1 (en) | Active ingredient combinations with insecticidal properties | |
| DE102006015197A1 (en) | Active ingredient combination with insecticidal properties | |
| EP2001295B1 (en) | Active ingredient combinations with insecticidal and acaricidal properties | |
| EP2001873B1 (en) | Active ingredient combinations with insecticidal properties | |
| EP2001303B1 (en) | Active ingredient combinations with insecticidal properties | |
| WO2007112843A1 (en) | Active ingredient combinations with insecticidal properties | |
| WO2007112895A1 (en) | Active ingredient combinations with insecticidal properties | |
| EP2200435B1 (en) | Active ingredient combinations having insecticidal and acaricidal properties | |
| WO2007101542A1 (en) | Combinations of active ingredients with insecticidal properties | |
| WO2007112848A2 (en) | Active ingredient combinations with insecticidal and acaricidal properties | |
| WO2007101546A2 (en) | Combinations of active ingredients with insecticidal and acaricidal properties, containing phthalic acid diamides | |
| WO2007112846A1 (en) | Active substance combinations with insecticidal and acaricidal properties | |
| WO2007101539A2 (en) | Combinations of active ingredients with insecticidal and acaricidal properties | |
| WO2007101601A2 (en) | Combinations of active ingredients with insecticidal and acaricidal properties | |
| DE102006010204A1 (en) | Drug combinations with insecticidal and acaricidal properties | |
| DE102006010206A1 (en) | Drug combinations with insecticidal and acaricidal properties |
Legal Events
| Date | Code | Title | Description |
|---|---|---|---|
| 8139 | Disposal/non-payment of the annual fee |























