US9439968B2 - Amine-containing lipidoids and uses thereof - Google Patents
Amine-containing lipidoids and uses thereof Download PDFInfo
- Publication number
- US9439968B2 US9439968B2 US14/987,717 US201614987717A US9439968B2 US 9439968 B2 US9439968 B2 US 9439968B2 US 201614987717 A US201614987717 A US 201614987717A US 9439968 B2 US9439968 B2 US 9439968B2
- Authority
- US
- United States
- Prior art keywords
- certain embodiments
- lipidoid
- lipidoids
- compound
- alkyl
- Prior art date
- Legal status (The legal status is an assumption and is not a legal conclusion. Google has not performed a legal analysis and makes no representation as to the accuracy of the status listed.)
- Active
Links
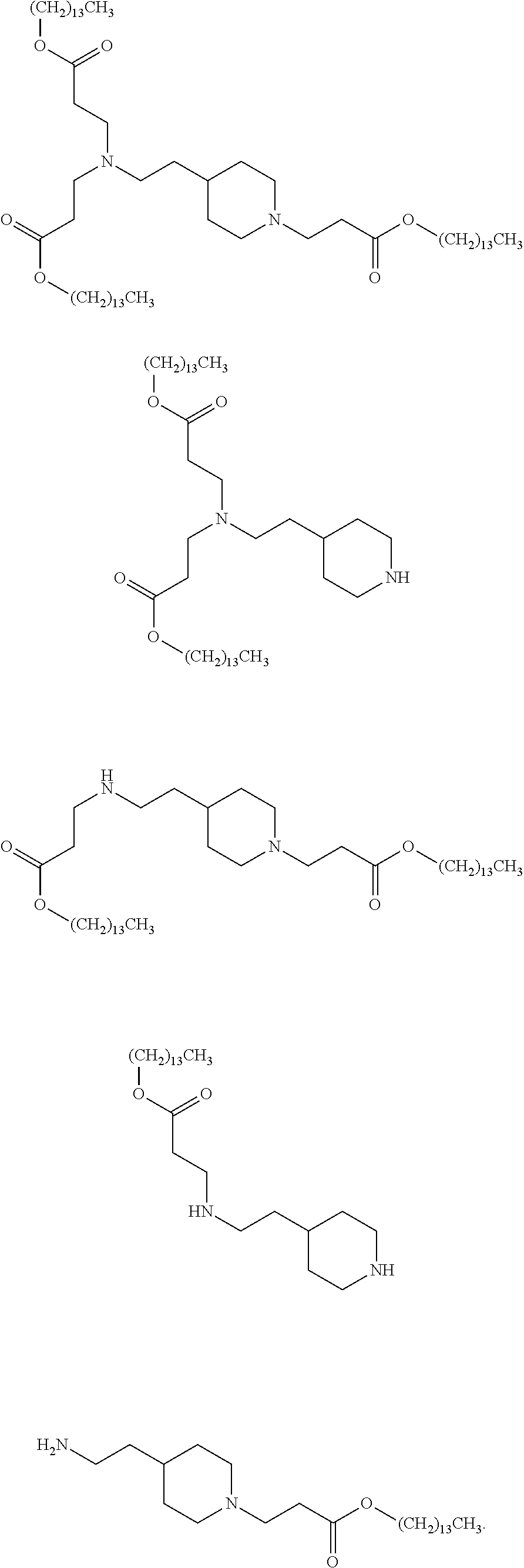
- 0 **N(*N(*)*)*N(*)* Chemical compound **N(*N(*)*)*N(*)* 0.000 description 54
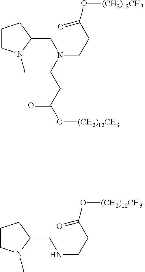
- IAIGBBDQYHZMAQ-UHFFFAOYSA-N CCCCCCCCCCCCCOC(=O)CCN(CCCN1CCN(CCCN(CCC(=O)OCCCCCCCCCCCCC)CCC(=O)OCCCCCCCCCCCCC)CC1)CCC(=O)OC.CCCCCCCCCCCCOC(=O)CCN(CCCN1CCN(CCCN(CCC(=O)OCCCCCCCCCCCC)CCC(=O)OCCCCCCCCCCCC)CC1)CCC(=O)OC.CCCCCCCCCCCOC(=O)CCN(CCCN1CCN(CCCN(CCC(=O)OCCCCCCCCCCC)CCC(=O)OCCCCCCCCCCC)CC1)CCC(=O)OC.CCCCCCCCCCOC(=O)CCN(CCCN1CCN(CCCN(CCC(=O)OCCCCCCCCCC)CCC(=O)OCCCCCCCCCC)CC1)CCC(=O)OC Chemical compound CCCCCCCCCCCCCOC(=O)CCN(CCCN1CCN(CCCN(CCC(=O)OCCCCCCCCCCCCC)CCC(=O)OCCCCCCCCCCCCC)CC1)CCC(=O)OC.CCCCCCCCCCCCOC(=O)CCN(CCCN1CCN(CCCN(CCC(=O)OCCCCCCCCCCCC)CCC(=O)OCCCCCCCCCCCC)CC1)CCC(=O)OC.CCCCCCCCCCCOC(=O)CCN(CCCN1CCN(CCCN(CCC(=O)OCCCCCCCCCCC)CCC(=O)OCCCCCCCCCCC)CC1)CCC(=O)OC.CCCCCCCCCCOC(=O)CCN(CCCN1CCN(CCCN(CCC(=O)OCCCCCCCCCC)CCC(=O)OCCCCCCCCCC)CC1)CCC(=O)OC IAIGBBDQYHZMAQ-UHFFFAOYSA-N 0.000 description 2
- FPADTTLUGOKFGB-UHFFFAOYSA-N C.CCCCCCCCCCCCCCOC(=O)CCN(CCC(=O)OC)CCN(C)CCCN(C)CCN(CCC(=O)OCCCCCCCCCCCCCC)CCC(=O)OCCCCCCCCCCCCCC.CCCCCCCCCCCCCOC(=O)CCN(CCC(=O)OC)CCN(C)CCCN(C)CCN(CCC(=O)OCCCCCCCCCCCCC)CCC(=O)OCCCCCCCCCCCCC.CCCCCCCCCCCCOC(=O)CCN(CCC(=O)OC)CCN(C)CCCN(C)CCN(CCC(=O)OCCCCCCCCCCCC)CCC(=O)OCCCCCCCCCCCC.CCCCCCCCCCCOC(=O)CCN(CCC(=O)OC)CCN(C)CCCN(C)CCN(CCC(=O)OCCCCCCCCCCC)CCC(=O)OCCCCCCCCCCC.CCCCCCCCCCOC(=O)CCN(CCC(=O)OC)CCN(C)CCCN(C)CCN(CCC(=O)OCCCCCCCCCC)CCC(=O)OCCCCCCCCCC Chemical compound C.CCCCCCCCCCCCCCOC(=O)CCN(CCC(=O)OC)CCN(C)CCCN(C)CCN(CCC(=O)OCCCCCCCCCCCCCC)CCC(=O)OCCCCCCCCCCCCCC.CCCCCCCCCCCCCOC(=O)CCN(CCC(=O)OC)CCN(C)CCCN(C)CCN(CCC(=O)OCCCCCCCCCCCCC)CCC(=O)OCCCCCCCCCCCCC.CCCCCCCCCCCCOC(=O)CCN(CCC(=O)OC)CCN(C)CCCN(C)CCN(CCC(=O)OCCCCCCCCCCCC)CCC(=O)OCCCCCCCCCCCC.CCCCCCCCCCCOC(=O)CCN(CCC(=O)OC)CCN(C)CCCN(C)CCN(CCC(=O)OCCCCCCCCCCC)CCC(=O)OCCCCCCCCCCC.CCCCCCCCCCOC(=O)CCN(CCC(=O)OC)CCN(C)CCCN(C)CCN(CCC(=O)OCCCCCCCCCC)CCC(=O)OCCCCCCCCCC FPADTTLUGOKFGB-UHFFFAOYSA-N 0.000 description 1
- TTXAUCZESZZJAP-UHFFFAOYSA-N C.CCCCCCCCCCCCCCOC(=O)CCN(CCC(=O)OC)CCN(C)CCN(C)CCN(CCC(=O)OCCCCCCCCCCCCCC)CCC(=O)OCCCCCCCCCCCCCC.CCCCCCCCCCCCCOC(=O)CCN(CCC(=O)OC)CCN(C)CCN(C)CCN(CCC(=O)OCCCCCCCCCCCCC)CCC(=O)OCCCCCCCCCCCCC.CCCCCCCCCCCCOC(=O)CCN(CCC(=O)OC)CCN(C)CCN(C)CCN(CCC(=O)OCCCCCCCCCCCC)CCC(=O)OCCCCCCCCCCCC.CCCCCCCCCCCOC(=O)CCN(CCC(=O)OC)CCN(C)CCN(C)CCN(CCC(=O)OCCCCCCCCCCC)CCC(=O)OCCCCCCCCCCC.CCCCCCCCCCOC(=O)CCN(CCC(=O)OC)CCN(C)CCN(C)CCN(CCC(=O)OCCCCCCCCCC)CCC(=O)OCCCCCCCCCC Chemical compound C.CCCCCCCCCCCCCCOC(=O)CCN(CCC(=O)OC)CCN(C)CCN(C)CCN(CCC(=O)OCCCCCCCCCCCCCC)CCC(=O)OCCCCCCCCCCCCCC.CCCCCCCCCCCCCOC(=O)CCN(CCC(=O)OC)CCN(C)CCN(C)CCN(CCC(=O)OCCCCCCCCCCCCC)CCC(=O)OCCCCCCCCCCCCC.CCCCCCCCCCCCOC(=O)CCN(CCC(=O)OC)CCN(C)CCN(C)CCN(CCC(=O)OCCCCCCCCCCCC)CCC(=O)OCCCCCCCCCCCC.CCCCCCCCCCCOC(=O)CCN(CCC(=O)OC)CCN(C)CCN(C)CCN(CCC(=O)OCCCCCCCCCCC)CCC(=O)OCCCCCCCCCCC.CCCCCCCCCCOC(=O)CCN(CCC(=O)OC)CCN(C)CCN(C)CCN(CCC(=O)OCCCCCCCCCC)CCC(=O)OCCCCCCCCCC TTXAUCZESZZJAP-UHFFFAOYSA-N 0.000 description 1
- HLHVXJFCYYDMBX-UHFFFAOYSA-N C.CCCCCCCCCCCCCCOC(=O)CCN(CCC(=O)OC)CCN(C)CCN(CCN(CCC(=O)OCCCCCCCCCCCCCC)CCC(=O)OCCCCCCCCCCCCCC)C1CCCCC1.CCCCCCCCCCCCCOC(=O)CCN(CCC(=O)OC)CCN(C)CCN(CCN(CCC(=O)OCCCCCCCCCCCCC)CCC(=O)OCCCCCCCCCCCCC)C1CCCCC1.CCCCCCCCCCCCOC(=O)CCN(CCC(=O)OC)CCN(C)CCN(CCN(CCC(=O)OCCCCCCCCCCCC)CCC(=O)OCCCCCCCCCCCC)C1CCCCC1.CCCCCCCCCCCOC(=O)CCN(CCC(=O)OC)CCN(C)CCN(CCN(CCC(=O)OCCCCCCCCCCC)CCC(=O)OCCCCCCCCCCC)C1CCCCC1.CCCCCCCCCCOC(=O)CCN(CCC(=O)OC)CCN(C)CCN(CCN(CCC(=O)OCCCCCCCCCC)CCC(=O)OCCCCCCCCCC)C1CCCCC1 Chemical compound C.CCCCCCCCCCCCCCOC(=O)CCN(CCC(=O)OC)CCN(C)CCN(CCN(CCC(=O)OCCCCCCCCCCCCCC)CCC(=O)OCCCCCCCCCCCCCC)C1CCCCC1.CCCCCCCCCCCCCOC(=O)CCN(CCC(=O)OC)CCN(C)CCN(CCN(CCC(=O)OCCCCCCCCCCCCC)CCC(=O)OCCCCCCCCCCCCC)C1CCCCC1.CCCCCCCCCCCCOC(=O)CCN(CCC(=O)OC)CCN(C)CCN(CCN(CCC(=O)OCCCCCCCCCCCC)CCC(=O)OCCCCCCCCCCCC)C1CCCCC1.CCCCCCCCCCCOC(=O)CCN(CCC(=O)OC)CCN(C)CCN(CCN(CCC(=O)OCCCCCCCCCCC)CCC(=O)OCCCCCCCCCCC)C1CCCCC1.CCCCCCCCCCOC(=O)CCN(CCC(=O)OC)CCN(C)CCN(CCN(CCC(=O)OCCCCCCCCCC)CCC(=O)OCCCCCCCCCC)C1CCCCC1 HLHVXJFCYYDMBX-UHFFFAOYSA-N 0.000 description 1
- FNKZCWLTXRLDTN-UHFFFAOYSA-N C.CCCCCCCCCCCCCCOC(=O)CCN(CCC(=O)OC)CCN(CC)CCN(CC)CCN(CCC(=O)OCCCCCCCCCCCCCC)CCC(=O)OCCCCCCCCCCCCCC.CCCCCCCCCCCCCOC(=O)CCN(CCC(=O)OC)CCN(CC)CCN(CC)CCN(CCC(=O)OCCCCCCCCCCCCC)CCC(=O)OCCCCCCCCCCCCC.CCCCCCCCCCCCOC(=O)CCN(CCC(=O)OC)CCN(CC)CCN(CC)CCN(CCC(=O)OCCCCCCCCCCCC)CCC(=O)OCCCCCCCCCCCC.CCCCCCCCCCCOC(=O)CCN(CCC(=O)OC)CCN(CC)CCN(CC)CCN(CCC(=O)OCCCCCCCCCCC)CCC(=O)OCCCCCCCCCCC.CCCCCCCCCCOC(=O)CCN(CCC(=O)OC)CCN(CC)CCN(CC)CCN(CCC(=O)OCCCCCCCCCC)CCC(=O)OCCCCCCCCCC Chemical compound C.CCCCCCCCCCCCCCOC(=O)CCN(CCC(=O)OC)CCN(CC)CCN(CC)CCN(CCC(=O)OCCCCCCCCCCCCCC)CCC(=O)OCCCCCCCCCCCCCC.CCCCCCCCCCCCCOC(=O)CCN(CCC(=O)OC)CCN(CC)CCN(CC)CCN(CCC(=O)OCCCCCCCCCCCCC)CCC(=O)OCCCCCCCCCCCCC.CCCCCCCCCCCCOC(=O)CCN(CCC(=O)OC)CCN(CC)CCN(CC)CCN(CCC(=O)OCCCCCCCCCCCC)CCC(=O)OCCCCCCCCCCCC.CCCCCCCCCCCOC(=O)CCN(CCC(=O)OC)CCN(CC)CCN(CC)CCN(CCC(=O)OCCCCCCCCCCC)CCC(=O)OCCCCCCCCCCC.CCCCCCCCCCOC(=O)CCN(CCC(=O)OC)CCN(CC)CCN(CC)CCN(CCC(=O)OCCCCCCCCCC)CCC(=O)OCCCCCCCCCC FNKZCWLTXRLDTN-UHFFFAOYSA-N 0.000 description 1
- VXSJNBZMBROIIR-UHFFFAOYSA-N C.CCCCCCCCCCCCCCOC(=O)CCN(CCC(=O)OCCCCCCCCCCCCCC)CCN(C)CCN(CCC)CCN(CCC(=O)OC)CCC(=O)OCCCCCCCCCCCCCC.CCCCCCCCCCCCCOC(=O)CCN(CCC(=O)OCCCCCCCCCCCCC)CCN(C)CCN(CCC)CCN(CCC(=O)OC)CCC(=O)OCCCCCCCCCCCCC.CCCCCCCCCCCCOC(=O)CCN(CCC(=O)OCCCCCCCCCCCC)CCN(C)CCN(CCC)CCN(CCC(=O)OC)CCC(=O)OCCCCCCCCCCCC.CCCCCCCCCCCOC(=O)CCN(CCC(=O)OCCCCCCCCCCC)CCN(C)CCN(CCC)CCN(CCC(=O)OC)CCC(=O)OCCCCCCCCCCC.CCCCCCCCCCOC(=O)CCN(CCC(=O)OCCCCCCCCCC)CCN(C)CCN(CCC)CCN(CCC(=O)OC)CCC(=O)OCCCCCCCCCC Chemical compound C.CCCCCCCCCCCCCCOC(=O)CCN(CCC(=O)OCCCCCCCCCCCCCC)CCN(C)CCN(CCC)CCN(CCC(=O)OC)CCC(=O)OCCCCCCCCCCCCCC.CCCCCCCCCCCCCOC(=O)CCN(CCC(=O)OCCCCCCCCCCCCC)CCN(C)CCN(CCC)CCN(CCC(=O)OC)CCC(=O)OCCCCCCCCCCCCC.CCCCCCCCCCCCOC(=O)CCN(CCC(=O)OCCCCCCCCCCCC)CCN(C)CCN(CCC)CCN(CCC(=O)OC)CCC(=O)OCCCCCCCCCCCC.CCCCCCCCCCCOC(=O)CCN(CCC(=O)OCCCCCCCCCCC)CCN(C)CCN(CCC)CCN(CCC(=O)OC)CCC(=O)OCCCCCCCCCCC.CCCCCCCCCCOC(=O)CCN(CCC(=O)OCCCCCCCCCC)CCN(C)CCN(CCC)CCN(CCC(=O)OC)CCC(=O)OCCCCCCCCCC VXSJNBZMBROIIR-UHFFFAOYSA-N 0.000 description 1
- WLTMRUZXSZOHNP-UHFFFAOYSA-N C.CCCCCCCCCCCCCOC(=O)CCN(CCC(=O)OC)CCN1CCN(CCN(CCC(=O)OCCCCCCCCCCCCC)CCC(=O)OCCCCCCCCCCCCC)CC1.CCCCCCCCCCCCOC(=O)CCN(CCC(=O)OC)CCN1CCN(CCN(CCC(=O)OCCCCCCCCCCCC)CCC(=O)OCCCCCCCCCCCC)CC1.CCCCCCCCCCCOC(=O)CCN(CCC(=O)OC)CCN1CCN(CCN(CCC(=O)OCCCCCCCCCCC)CCC(=O)OCCCCCCCCCCC)CC1.CCCCCCCCCCOC(=O)CCN(CCC(=O)OC)CCN1CCN(CCN(CCC(=O)OCCCCCCCCCC)CCC(=O)OCCCCCCCCCC)CC1 Chemical compound C.CCCCCCCCCCCCCOC(=O)CCN(CCC(=O)OC)CCN1CCN(CCN(CCC(=O)OCCCCCCCCCCCCC)CCC(=O)OCCCCCCCCCCCCC)CC1.CCCCCCCCCCCCOC(=O)CCN(CCC(=O)OC)CCN1CCN(CCN(CCC(=O)OCCCCCCCCCCCC)CCC(=O)OCCCCCCCCCCCC)CC1.CCCCCCCCCCCOC(=O)CCN(CCC(=O)OC)CCN1CCN(CCN(CCC(=O)OCCCCCCCCCCC)CCC(=O)OCCCCCCCCCCC)CC1.CCCCCCCCCCOC(=O)CCN(CCC(=O)OC)CCN1CCN(CCN(CCC(=O)OCCCCCCCCCC)CCC(=O)OCCCCCCCCCC)CC1 WLTMRUZXSZOHNP-UHFFFAOYSA-N 0.000 description 1
- YHLFKQBNEWOCKH-UHFFFAOYSA-N CCC(C)N(CCN(CCC(=O)OC)CCC(=O)OC)CCN(CCN(CCC(=O)OC)CCC(=O)OC)C1CCCCC1.CCC(C)N(CCN(CCC(=O)OC)CCC(=O)OC)CCN(CCN)C1CCCCC1.CCC(C)N(CCNCCC(=O)OC)CCN(CCN(CCC(=O)OC)CCC(=O)OC)C1CCCCC1.CCC(C)N(CCNCCC(=O)OC)CCN(CCNCCC(=O)OC)C1CCCCC1.CCCN(CCN(CCNCCC(=O)OC)C(C)CC)C1CCCCC1 Chemical compound CCC(C)N(CCN(CCC(=O)OC)CCC(=O)OC)CCN(CCN(CCC(=O)OC)CCC(=O)OC)C1CCCCC1.CCC(C)N(CCN(CCC(=O)OC)CCC(=O)OC)CCN(CCN)C1CCCCC1.CCC(C)N(CCNCCC(=O)OC)CCN(CCN(CCC(=O)OC)CCC(=O)OC)C1CCCCC1.CCC(C)N(CCNCCC(=O)OC)CCN(CCNCCC(=O)OC)C1CCCCC1.CCCN(CCN(CCNCCC(=O)OC)C(C)CC)C1CCCCC1 YHLFKQBNEWOCKH-UHFFFAOYSA-N 0.000 description 1
- RVHYPUORVDKRTM-UHFFFAOYSA-N CCCCCCCCCCC(O)CN(CCN1CCN(CCN(CC(O)CCCCCCCCCC)CC(O)CCCCCCCCCC)CC1)CCN(CC(O)CCCCCCCCCC)CC(O)CCCCCCCCCC Chemical compound CCCCCCCCCCC(O)CN(CCN1CCN(CCN(CC(O)CCCCCCCCCC)CC(O)CCCCCCCCCC)CC1)CCN(CC(O)CCCCCCCCCC)CC(O)CCCCCCCCCC RVHYPUORVDKRTM-UHFFFAOYSA-N 0.000 description 1
- FBTGNUUVSYKCFR-SQGZXBGYSA-N CCCCCCCCCCCCCCCOC(=O)CCN(CCC(=O)OCCCCCCCCCCCCCC)CCN1CCN(CCN(CCC(=O)OC)CCC(=O)OCCCCCCCCCCCCCC)CC1.CCCCCCCCCCCOC(=O)CCN(CCC(=O)OCCCCCCCCCCC)CCN1CCN(CCN(CCC(=O)OC)CCC(=O)OCCCCCCCCCCC)[C@@H](C)C1.CCCCCCCCCCOC(=O)CCN(CCC(=O)OCCCCCCCCCC)CCN1CCN(CCN(CCC(=O)OC)CCC(=O)OCCCCCCCCCC)[C@@H](C)C1 Chemical compound CCCCCCCCCCCCCCCOC(=O)CCN(CCC(=O)OCCCCCCCCCCCCCC)CCN1CCN(CCN(CCC(=O)OC)CCC(=O)OCCCCCCCCCCCCCC)CC1.CCCCCCCCCCCOC(=O)CCN(CCC(=O)OCCCCCCCCCCC)CCN1CCN(CCN(CCC(=O)OC)CCC(=O)OCCCCCCCCCCC)[C@@H](C)C1.CCCCCCCCCCOC(=O)CCN(CCC(=O)OCCCCCCCCCC)CCN1CCN(CCN(CCC(=O)OC)CCC(=O)OCCCCCCCCCC)[C@@H](C)C1 FBTGNUUVSYKCFR-SQGZXBGYSA-N 0.000 description 1
- JRFMDEFSCRQAPP-UHFFFAOYSA-N CCCCCCCCCCCCCCOC(=O)CCCCCC1CCN(CCC(=O)OCCCCCCCCCCCCCC)CC1.CCCCCCCCCCCCCCOC(=O)CCN(CCC(=O)OCCCCCCCCCCCCCC)CCC1CCN(CCC(=O)OCCCCCCCCCCCCCC)CC1.CCCCCCCCCCCCCCOC(=O)CCN(CCC(=O)OCCCCCCCCCCCCCC)CCC1CCNCC1.CCCCCCCCCCCCCCOC(=O)CCNCCC1CCNCC1.COC(=O)CCN1CCC(CCN)CC1 Chemical compound CCCCCCCCCCCCCCOC(=O)CCCCCC1CCN(CCC(=O)OCCCCCCCCCCCCCC)CC1.CCCCCCCCCCCCCCOC(=O)CCN(CCC(=O)OCCCCCCCCCCCCCC)CCC1CCN(CCC(=O)OCCCCCCCCCCCCCC)CC1.CCCCCCCCCCCCCCOC(=O)CCN(CCC(=O)OCCCCCCCCCCCCCC)CCC1CCNCC1.CCCCCCCCCCCCCCOC(=O)CCNCCC1CCNCC1.COC(=O)CCN1CCC(CCN)CC1 JRFMDEFSCRQAPP-UHFFFAOYSA-N 0.000 description 1
- GUUCDIGLFWBKPM-UHFFFAOYSA-N CCCCCCCCCCCCCCOC(=O)CCCCCN(CCC(=O)OCCCCCCCCCCCCCC)CCN1CCN(CCN(CCC(=O)OCCCCCCCCCCCCCC)CCC(=O)OCCCCCCCCCCCCCC)CC1.CCCCCCCCCCCCCCOC(=O)CCCCCN1CCN(CCN(CCC(=O)OCCCCCCCCCCCCCC)CCN(CCC(=O)OCCCCCCCCCCCCCC)CCC(=O)OCCCCCCCCCCCCCC)CC1.CCCCCCCCCCCCCCOC(=O)CCN(CCC(=O)OCCCCCCCCCCCCCC)CCN(CCC(=O)OCCCCCCCCCCCCCC)CCN1CCN(CCN(CCC(=O)OCCCCCCCCCCCCCC)CCC(=O)OCCCCCCCCCCCCCC)CC1.CCCCCCCCCCCCCCOC(=O)CCN(CCNCCN1CCN(CCN(CCC(=O)OCCCCCCCCCCCCCC)CCC(=O)OCCCCCCCCCCCCCC)CC1)CCC(=O)OCCCCCCCCCCCCCC Chemical compound CCCCCCCCCCCCCCOC(=O)CCCCCN(CCC(=O)OCCCCCCCCCCCCCC)CCN1CCN(CCN(CCC(=O)OCCCCCCCCCCCCCC)CCC(=O)OCCCCCCCCCCCCCC)CC1.CCCCCCCCCCCCCCOC(=O)CCCCCN1CCN(CCN(CCC(=O)OCCCCCCCCCCCCCC)CCN(CCC(=O)OCCCCCCCCCCCCCC)CCC(=O)OCCCCCCCCCCCCCC)CC1.CCCCCCCCCCCCCCOC(=O)CCN(CCC(=O)OCCCCCCCCCCCCCC)CCN(CCC(=O)OCCCCCCCCCCCCCC)CCN1CCN(CCN(CCC(=O)OCCCCCCCCCCCCCC)CCC(=O)OCCCCCCCCCCCCCC)CC1.CCCCCCCCCCCCCCOC(=O)CCN(CCNCCN1CCN(CCN(CCC(=O)OCCCCCCCCCCCCCC)CCC(=O)OCCCCCCCCCCCCCC)CC1)CCC(=O)OCCCCCCCCCCCCCC GUUCDIGLFWBKPM-UHFFFAOYSA-N 0.000 description 1
- JISTVTSVOQLNGV-UHFFFAOYSA-N CCCCCCCCCCCCCCOC(=O)CCCCCN1CCN(CCNCCN(CCC(=O)OCCCCCCCCCCCCCC)CCC(=O)OCCCCCCCCCCCCCC)CC1.CCCCCCCCCCCCCCOC(=O)CCCCCNCCN1CCN(CCN(CCC(=O)OCCCCCCCCCCCCCC)CCC(=O)OCCCCCCCCCCCCCC)CC1.CCCCCCCCCCCCCCOC(=O)CCN(CCC(=O)OCCCCCCCCCCCCCC)CCN(CCC(=O)OCCCCCCCCCCCCCC)CCN1CCN(CCN)CC1.CCCCCCCCCCCCCCOC(=O)CCN(CCN)CCN1CCN(CCN(CCC(=O)OCCCCCCCCCCCCCC)CCC(=O)OCCCCCCCCCCCCCC)CC1 Chemical compound CCCCCCCCCCCCCCOC(=O)CCCCCN1CCN(CCNCCN(CCC(=O)OCCCCCCCCCCCCCC)CCC(=O)OCCCCCCCCCCCCCC)CC1.CCCCCCCCCCCCCCOC(=O)CCCCCNCCN1CCN(CCN(CCC(=O)OCCCCCCCCCCCCCC)CCC(=O)OCCCCCCCCCCCCCC)CC1.CCCCCCCCCCCCCCOC(=O)CCN(CCC(=O)OCCCCCCCCCCCCCC)CCN(CCC(=O)OCCCCCCCCCCCCCC)CCN1CCN(CCN)CC1.CCCCCCCCCCCCCCOC(=O)CCN(CCN)CCN1CCN(CCN(CCC(=O)OCCCCCCCCCCCCCC)CCC(=O)OCCCCCCCCCCCCCC)CC1 JISTVTSVOQLNGV-UHFFFAOYSA-N 0.000 description 1
- STPIHYKRZZBBFJ-UHFFFAOYSA-N CCCCCCCCCCCCCCOC(=O)CCCCCNCCN1CCN(CCN)CC1.CCCCCCCCCCCCCCOC(=O)CCN(CCN)CCN1CCN(CCN)CC1.CCCCCCCCCCCCCCOC(=O)CCNCCN(CCC(=O)OCCCCCCCCCCCCCC)CCN1CCN(CCN)CC1.CCCCCCCCCCCCCCOC(=O)CCNCCN(CCC(=O)OCCCCCCCCCCCCCC)CCN1CCN(CCNCCC(=O)OCCCCCCCCCCCCCC)CC1.CCCCCCCCCCCCCCOC(=O)CCNCCN1CCN(CCN(CCN)CCC(=O)OCCCCCCCCCCCCCC)CC1.CCCCCCCCCCCCCCOC(=O)CCNCCN1CCN(CCNCCN)CC1.CCCCCCCCCCCCCCOC(=O)CCNCCNCCN1CCN(CCNCCC(=O)OCCCCCCCCCCCCCC)CC1 Chemical compound CCCCCCCCCCCCCCOC(=O)CCCCCNCCN1CCN(CCN)CC1.CCCCCCCCCCCCCCOC(=O)CCN(CCN)CCN1CCN(CCN)CC1.CCCCCCCCCCCCCCOC(=O)CCNCCN(CCC(=O)OCCCCCCCCCCCCCC)CCN1CCN(CCN)CC1.CCCCCCCCCCCCCCOC(=O)CCNCCN(CCC(=O)OCCCCCCCCCCCCCC)CCN1CCN(CCNCCC(=O)OCCCCCCCCCCCCCC)CC1.CCCCCCCCCCCCCCOC(=O)CCNCCN1CCN(CCN(CCN)CCC(=O)OCCCCCCCCCCCCCC)CC1.CCCCCCCCCCCCCCOC(=O)CCNCCN1CCN(CCNCCN)CC1.CCCCCCCCCCCCCCOC(=O)CCNCCNCCN1CCN(CCNCCC(=O)OCCCCCCCCCCCCCC)CC1 STPIHYKRZZBBFJ-UHFFFAOYSA-N 0.000 description 1
- WAXYJHLXRBTTJF-UHFFFAOYSA-N CCCCCCCCCCCCCCOC(=O)CCN(CCC(=O)OC)CC1=CC(CN(CCC(=O)OCCCCCCCCCCCCCC)CCC(=O)OCCCCCCCCCCCCCC)=CC=C1.CCCCCCCCCCCCOC(=O)CCN(CCC(=O)OCCCCCCCCCCCC)CC1=CC=CC(CN(CCC(=O)OCCCCCCCCCCCC)CCC(=O)OCCCCCCCCCCCC)=C1 Chemical compound CCCCCCCCCCCCCCOC(=O)CCN(CCC(=O)OC)CC1=CC(CN(CCC(=O)OCCCCCCCCCCCCCC)CCC(=O)OCCCCCCCCCCCCCC)=CC=C1.CCCCCCCCCCCCOC(=O)CCN(CCC(=O)OCCCCCCCCCCCC)CC1=CC=CC(CN(CCC(=O)OCCCCCCCCCCCC)CCC(=O)OCCCCCCCCCCCC)=C1 WAXYJHLXRBTTJF-UHFFFAOYSA-N 0.000 description 1
- FIFRAASEBUZYDL-UHFFFAOYSA-N CCCCCCCCCCCCCCOC(=O)CCN(CCC(=O)OC)CCN(C)CCN(CC)CCN(CCC(=O)OCCCCCCCCCCCCCC)CCC(=O)OCCCCCCCCCCCCCC.CCCCCCCCCCCCCOC(=O)CCN(CCC(=O)OC)CCN(C)CCN(CC)CCN(CCC(=O)OCCCCCCCCCCCCC)CCC(=O)OCCCCCCCCCCCCC Chemical compound CCCCCCCCCCCCCCOC(=O)CCN(CCC(=O)OC)CCN(C)CCN(CC)CCN(CCC(=O)OCCCCCCCCCCCCCC)CCC(=O)OCCCCCCCCCCCCCC.CCCCCCCCCCCCCOC(=O)CCN(CCC(=O)OC)CCN(C)CCN(CC)CCN(CCC(=O)OCCCCCCCCCCCCC)CCC(=O)OCCCCCCCCCCCCC FIFRAASEBUZYDL-UHFFFAOYSA-N 0.000 description 1
- XBFLEAODGXKNJY-UHFFFAOYSA-N CCCCCCCCCCCCCCOC(=O)CCN(CCC(=O)OC)CCN(C)CCN(CCN(C)CCN(CCC(=O)OCCCCCCCCCCCCCC)CCC(=O)OCCCCCCCCCCCCCC)CCN(C)CCN(CCC(=O)OCCCCCCCCCCCCCC)CCC(=O)OCCCCCCCCCCCCCC.CCCCCCCCCCCCCOC(=O)CCN(CCC(=O)OC)CCN(C)CCN(CCN(C)CCN(CCC(=O)OCCCCCCCCCCCCC)CCC(=O)OCCCCCCCCCCCCC)CCN(C)CCN(CCC(=O)OCCCCCCCCCCCCC)CCC(=O)OCCCCCCCCCCCCC Chemical compound CCCCCCCCCCCCCCOC(=O)CCN(CCC(=O)OC)CCN(C)CCN(CCN(C)CCN(CCC(=O)OCCCCCCCCCCCCCC)CCC(=O)OCCCCCCCCCCCCCC)CCN(C)CCN(CCC(=O)OCCCCCCCCCCCCCC)CCC(=O)OCCCCCCCCCCCCCC.CCCCCCCCCCCCCOC(=O)CCN(CCC(=O)OC)CCN(C)CCN(CCN(C)CCN(CCC(=O)OCCCCCCCCCCCCC)CCC(=O)OCCCCCCCCCCCCC)CCN(C)CCN(CCC(=O)OCCCCCCCCCCCCC)CCC(=O)OCCCCCCCCCCCCC XBFLEAODGXKNJY-UHFFFAOYSA-N 0.000 description 1
- AYHXVCQDSGSFCL-UHFFFAOYSA-N CCCCCCCCCCCCCCOC(=O)CCN(CCC(=O)OC)CCN(CC)CCCN(CC)CCN(CCC(=O)OCCCCCCCCCCCCCC)CCC(=O)OCCCCCCCCCCCCCC.CCCCCCCCCCCCCOC(=O)CCN(CCC(=O)OC)CCN(CC)CCCN(CC)CCN(CCC(=O)OCCCCCCCCCCCCC)CCC(=O)OCCCCCCCCCCCCC.CCCCCCCCCCCCOC(=O)CCN(CCC(=O)OC)CCN(CC)CCCN(CC)CCN(CCC(=O)OCCCCCCCCCCCC)CCC(=O)OCCCCCCCCCCCC.CCCCCCCCCCCOC(=O)CCN(CCC(=O)OC)CCN(CC)CCCN(CC)CCN(CCC(=O)OCCCCCCCCCCC)CCC(=O)OCCCCCCCCCCC.CCCCCCCCCCOC(=O)CCN(CCC(=O)OC)CCN(CC)CCCN(CC)CCN(CCC(=O)OCCCCCCCCCC)CCC(=O)OCCCCCCCCCC Chemical compound CCCCCCCCCCCCCCOC(=O)CCN(CCC(=O)OC)CCN(CC)CCCN(CC)CCN(CCC(=O)OCCCCCCCCCCCCCC)CCC(=O)OCCCCCCCCCCCCCC.CCCCCCCCCCCCCOC(=O)CCN(CCC(=O)OC)CCN(CC)CCCN(CC)CCN(CCC(=O)OCCCCCCCCCCCCC)CCC(=O)OCCCCCCCCCCCCC.CCCCCCCCCCCCOC(=O)CCN(CCC(=O)OC)CCN(CC)CCCN(CC)CCN(CCC(=O)OCCCCCCCCCCCC)CCC(=O)OCCCCCCCCCCCC.CCCCCCCCCCCOC(=O)CCN(CCC(=O)OC)CCN(CC)CCCN(CC)CCN(CCC(=O)OCCCCCCCCCCC)CCC(=O)OCCCCCCCCCCC.CCCCCCCCCCOC(=O)CCN(CCC(=O)OC)CCN(CC)CCCN(CC)CCN(CCC(=O)OCCCCCCCCCC)CCC(=O)OCCCCCCCCCC AYHXVCQDSGSFCL-UHFFFAOYSA-N 0.000 description 1
- WNPCDJGCUKCEBP-UHFFFAOYSA-N CCCCCCCCCCCCCCOC(=O)CCN(CCC(=O)OC)CCN(CC)CCN(CC)CCN(CC)CCN(CCC(=O)OCCCCCCCCCCCCCC)CCC(=O)OCCCCCCCCCCCCCC.CCCCCCCCCCCCCOC(=O)CCN(CCC(=O)OC)CCN(CC)CCN(CC)CCN(CC)CCN(CCC(=O)OCCCCCCCCCCCCC)CCC(=O)OCCCCCCCCCCCCC Chemical compound CCCCCCCCCCCCCCOC(=O)CCN(CCC(=O)OC)CCN(CC)CCN(CC)CCN(CC)CCN(CCC(=O)OCCCCCCCCCCCCCC)CCC(=O)OCCCCCCCCCCCCCC.CCCCCCCCCCCCCOC(=O)CCN(CCC(=O)OC)CCN(CC)CCN(CC)CCN(CC)CCN(CCC(=O)OCCCCCCCCCCCCC)CCC(=O)OCCCCCCCCCCCCC WNPCDJGCUKCEBP-UHFFFAOYSA-N 0.000 description 1
- SPBIBUPLZSLGJC-UHFFFAOYSA-N CCCCCCCCCCCCCCOC(=O)CCN(CCC(=O)OC)CCN(CCC(=O)OCCCCCCCCCCCCCC)CCN1CCN(CCN(CCC(=O)OCCCCCCCCCCCCCC)CCC(=O)OCCCCCCCCCCCCCC)CC1 Chemical compound CCCCCCCCCCCCCCOC(=O)CCN(CCC(=O)OC)CCN(CCC(=O)OCCCCCCCCCCCCCC)CCN1CCN(CCN(CCC(=O)OCCCCCCCCCCCCCC)CCC(=O)OCCCCCCCCCCCCCC)CC1 SPBIBUPLZSLGJC-UHFFFAOYSA-N 0.000 description 1
- BLWLWXMUFVZLTR-UHFFFAOYSA-N CCCCCCCCCCCCCCOC(=O)CCN(CCC(=O)OC)CCN(CCCC)CCN(CCCC)CCN(CCC(=O)OCCCCCCCCCCCCCC)CCC(=O)OCCCCCCCCCCCCCC.CCCCCCCCCCCCCOC(=O)CCN(CCC(=O)OC)CCN(CCCC)CCN(CCCC)CCN(CCC(=O)OCCCCCCCCCCCCC)CCC(=O)OCCCCCCCCCCCCC Chemical compound CCCCCCCCCCCCCCOC(=O)CCN(CCC(=O)OC)CCN(CCCC)CCN(CCCC)CCN(CCC(=O)OCCCCCCCCCCCCCC)CCC(=O)OCCCCCCCCCCCCCC.CCCCCCCCCCCCCOC(=O)CCN(CCC(=O)OC)CCN(CCCC)CCN(CCCC)CCN(CCC(=O)OCCCCCCCCCCCCC)CCC(=O)OCCCCCCCCCCCCC BLWLWXMUFVZLTR-UHFFFAOYSA-N 0.000 description 1
- CDJCVEVEVYMLNS-UHFFFAOYSA-N CCCCCCCCCCCCCCOC(=O)CCN(CCC(=O)OC)CCN1CCN(CCN(CCC(=O)OCCCCCCCCCCCCCC)CCC(=O)OCCCCCCCCCCCCCC)CC1 Chemical compound CCCCCCCCCCCCCCOC(=O)CCN(CCC(=O)OC)CCN1CCN(CCN(CCC(=O)OCCCCCCCCCCCCCC)CCC(=O)OCCCCCCCCCCCCCC)CC1 CDJCVEVEVYMLNS-UHFFFAOYSA-N 0.000 description 1
- OAPMLDDBWMDLGC-PHEFMCIRSA-N CCCCCCCCCCCCCCOC(=O)CCN(CCC(=O)OC)CCN1C[C@@H](C)N(CCN(CCC(=O)OCCCCCCCCCCCCCC)CCC(=O)OCCCCCCCCCCCCCC)C[C@@H]1C Chemical compound CCCCCCCCCCCCCCOC(=O)CCN(CCC(=O)OC)CCN1C[C@@H](C)N(CCN(CCC(=O)OCCCCCCCCCCCCCC)CCC(=O)OCCCCCCCCCCCCCC)C[C@@H]1C OAPMLDDBWMDLGC-PHEFMCIRSA-N 0.000 description 1
- LVBNAALPHUDRRQ-RXGONXFZSA-N CCCCCCCCCCCCCCOC(=O)CCN(CCC(=O)OC)CCN1C[C@@H](C)N(CCN(CCC(=O)OCCCCCCCCCCCCCC)CCC(=O)OCCCCCCCCCCCCCC)C[C@@H]1C.CCCCCCCCCCCCCOC(=O)CCN(CCC(=O)OC)CCN1C[C@@H](C)N(CCN(CCC(=O)OCCCCCCCCCCCCC)CCC(=O)OCCCCCCCCCCCCC)C[C@@H]1C.CCCCCCCCCCCCOC(=O)CCN(CCC(=O)OC)CCN1C[C@@H](C)N(CCN(CCC(=O)OCCCCCCCCCCCC)CCC(=O)OCCCCCCCCCCCC)C[C@@H]1C.CCCCCCCCCCCOC(=O)CCN(CCC(=O)OC)CCN1C[C@@H](C)N(CCN(CCC(=O)OCCCCCCCCCCC)CCC(=O)OCCCCCCCCCCC)C[C@@H]1C Chemical compound CCCCCCCCCCCCCCOC(=O)CCN(CCC(=O)OC)CCN1C[C@@H](C)N(CCN(CCC(=O)OCCCCCCCCCCCCCC)CCC(=O)OCCCCCCCCCCCCCC)C[C@@H]1C.CCCCCCCCCCCCCOC(=O)CCN(CCC(=O)OC)CCN1C[C@@H](C)N(CCN(CCC(=O)OCCCCCCCCCCCCC)CCC(=O)OCCCCCCCCCCCCC)C[C@@H]1C.CCCCCCCCCCCCOC(=O)CCN(CCC(=O)OC)CCN1C[C@@H](C)N(CCN(CCC(=O)OCCCCCCCCCCCC)CCC(=O)OCCCCCCCCCCCC)C[C@@H]1C.CCCCCCCCCCCOC(=O)CCN(CCC(=O)OC)CCN1C[C@@H](C)N(CCN(CCC(=O)OCCCCCCCCCCC)CCC(=O)OCCCCCCCCCCC)C[C@@H]1C LVBNAALPHUDRRQ-RXGONXFZSA-N 0.000 description 1
- FHZUFRSKHFUXHG-GOTSBHOMSA-N CCCCCCCCCCCCCCOC(=O)CCN(CCC(=O)OC)[C@@H](CO)[C@H](C)O Chemical compound CCCCCCCCCCCCCCOC(=O)CCN(CCC(=O)OC)[C@@H](CO)[C@H](C)O FHZUFRSKHFUXHG-GOTSBHOMSA-N 0.000 description 1
- AUTIVDWSVLECRK-IMCYPQRISA-N CCCCCCCCCCCCCCOC(=O)CCN(CCC(=O)OC)[C@H](CO)CC(C)C.CCCCCCCCCCCCOC(=O)CCN(CCC(=O)OC)[C@H](CO)CC(C)C.CCCCCCCCCCCOC(=O)CCN(CCC(=O)OC)[C@H](CO)CC(C)C Chemical compound CCCCCCCCCCCCCCOC(=O)CCN(CCC(=O)OC)[C@H](CO)CC(C)C.CCCCCCCCCCCCOC(=O)CCN(CCC(=O)OC)[C@H](CO)CC(C)C.CCCCCCCCCCCOC(=O)CCN(CCC(=O)OC)[C@H](CO)CC(C)C AUTIVDWSVLECRK-IMCYPQRISA-N 0.000 description 1
- OXCFHFSXTRZILS-UHFFFAOYSA-N CCCCCCCCCCCCCCOC(=O)CCN(CCC(=O)OCCCCCCCCCCCCCC)C1=CC=C2OCCOC2=C1 Chemical compound CCCCCCCCCCCCCCOC(=O)CCN(CCC(=O)OCCCCCCCCCCCCCC)C1=CC=C2OCCOC2=C1 OXCFHFSXTRZILS-UHFFFAOYSA-N 0.000 description 1
- XLTCFZPZNRSUAW-UHFFFAOYSA-N CCCCCCCCCCCCCCOC(=O)CCN(CCC(=O)OCCCCCCCCCCCCCC)C1=CC=C2OCCOC2=C1.CCCCCCCCCCCCCCOC(=O)CCNC1=CC=C2OCCOC2=C1 Chemical compound CCCCCCCCCCCCCCOC(=O)CCN(CCC(=O)OCCCCCCCCCCCCCC)C1=CC=C2OCCOC2=C1.CCCCCCCCCCCCCCOC(=O)CCNC1=CC=C2OCCOC2=C1 XLTCFZPZNRSUAW-UHFFFAOYSA-N 0.000 description 1
- WUKKHHMAGYDWRC-UHFFFAOYSA-N CCCCCCCCCCCCCCOC(=O)CCN(CCC(=O)OCCCCCCCCCCCCCC)CC(C)N(CCC(=O)OC)CCC(=O)OCCCCCCCCCCCCCC.CCCCCCCCCCCCCOC(=O)CCN(CCC(=O)OCCCCCCCCCCCCC)CC(C)N(CCC(=O)OC)CCC(=O)OCCCCCCCCCCCCC.CCCCCCCCCCCCOC(=O)CCN(CCC(=O)OCCCCCCCCCCCC)CC(C)N(CCC(=O)OC)CCC(=O)OCCCCCCCCCCCC.CCCCCCCCCCCOC(=O)CCN(CCC(=O)OCCCCCCCCCCC)CC(C)N(CCC(=O)OC)CCC(=O)OCCCCCCCCCCC.CCCCCCCCCCOC(=O)CCN(CCC(=O)OCCCCCCCCCC)CC(C)N(CCC(=O)OC)CCC(=O)OCCCCCCCCCC Chemical compound CCCCCCCCCCCCCCOC(=O)CCN(CCC(=O)OCCCCCCCCCCCCCC)CC(C)N(CCC(=O)OC)CCC(=O)OCCCCCCCCCCCCCC.CCCCCCCCCCCCCOC(=O)CCN(CCC(=O)OCCCCCCCCCCCCC)CC(C)N(CCC(=O)OC)CCC(=O)OCCCCCCCCCCCCC.CCCCCCCCCCCCOC(=O)CCN(CCC(=O)OCCCCCCCCCCCC)CC(C)N(CCC(=O)OC)CCC(=O)OCCCCCCCCCCCC.CCCCCCCCCCCOC(=O)CCN(CCC(=O)OCCCCCCCCCCC)CC(C)N(CCC(=O)OC)CCC(=O)OCCCCCCCCCCC.CCCCCCCCCCOC(=O)CCN(CCC(=O)OCCCCCCCCCC)CC(C)N(CCC(=O)OC)CCC(=O)OCCCCCCCCCC WUKKHHMAGYDWRC-UHFFFAOYSA-N 0.000 description 1
- DYDPZRLLNADVCQ-UHFFFAOYSA-N CCCCCCCCCCCCCCOC(=O)CCN(CCC(=O)OCCCCCCCCCCCCCC)CCC1CCN(CCC(=O)OC)CC1 Chemical compound CCCCCCCCCCCCCCOC(=O)CCN(CCC(=O)OCCCCCCCCCCCCCC)CCC1CCN(CCC(=O)OC)CC1 DYDPZRLLNADVCQ-UHFFFAOYSA-N 0.000 description 1
- BWVKDYLYKUTBKE-UHFFFAOYSA-N CCCCCCCCCCCCCCOC(=O)CCN(CCC(=O)OCCCCCCCCCCCCCC)CCN(C)CCN(CCCCC)CCN(CCC(=O)OC)CCC(=O)OCCCCCCCCCCCCCC.CCCCCCCCCCCCCOC(=O)CCN(CCC(=O)OCCCCCCCCCCCCC)CCN(C)CCN(CCCCC)CCN(CCC(=O)OC)CCC(=O)OCCCCCCCCCCCCC Chemical compound CCCCCCCCCCCCCCOC(=O)CCN(CCC(=O)OCCCCCCCCCCCCCC)CCN(C)CCN(CCCCC)CCN(CCC(=O)OC)CCC(=O)OCCCCCCCCCCCCCC.CCCCCCCCCCCCCOC(=O)CCN(CCC(=O)OCCCCCCCCCCCCC)CCN(C)CCN(CCCCC)CCN(CCC(=O)OC)CCC(=O)OCCCCCCCCCCCCC BWVKDYLYKUTBKE-UHFFFAOYSA-N 0.000 description 1
- NDVHJANNHDDPQU-UHFFFAOYSA-N CCCCCCCCCCCCCCOC(=O)CCN(CCC(=O)OCCCCCCCCCCCCCC)CCN(C)CCN(CCN(CCC(=O)OC)CCC(=O)OCCCCCCCCCCCCCC)C(C)C.CCCCCCCCCCCCCOC(=O)CCN(CCC(=O)OCCCCCCCCCCCCC)CCN(C)CCN(CCN(CCC(=O)OC)CCC(=O)OCCCCCCCCCCCCC)C(C)C.CCCCCCCCCCCCOC(=O)CCN(CCC(=O)OCCCCCCCCCCCC)CCN(C)CCN(CCN(CCC(=O)OC)CCC(=O)OCCCCCCCCCCCC)C(C)C.CCCCCCCCCCCOC(=O)CCN(CCC(=O)OCCCCCCCCCCC)CCN(C)CCN(CCN(CCC(=O)OC)CCC(=O)OCCCCCCCCCCC)C(C)C.CCCCCCCCCCOC(=O)CCN(CCC(=O)OCCCCCCCCCC)CCN(C)CCN(CCN(CCC(=O)OC)CCC(=O)OCCCCCCCCCC)C(C)C Chemical compound CCCCCCCCCCCCCCOC(=O)CCN(CCC(=O)OCCCCCCCCCCCCCC)CCN(C)CCN(CCN(CCC(=O)OC)CCC(=O)OCCCCCCCCCCCCCC)C(C)C.CCCCCCCCCCCCCOC(=O)CCN(CCC(=O)OCCCCCCCCCCCCC)CCN(C)CCN(CCN(CCC(=O)OC)CCC(=O)OCCCCCCCCCCCCC)C(C)C.CCCCCCCCCCCCOC(=O)CCN(CCC(=O)OCCCCCCCCCCCC)CCN(C)CCN(CCN(CCC(=O)OC)CCC(=O)OCCCCCCCCCCCC)C(C)C.CCCCCCCCCCCOC(=O)CCN(CCC(=O)OCCCCCCCCCCC)CCN(C)CCN(CCN(CCC(=O)OC)CCC(=O)OCCCCCCCCCCC)C(C)C.CCCCCCCCCCOC(=O)CCN(CCC(=O)OCCCCCCCCCC)CCN(C)CCN(CCN(CCC(=O)OC)CCC(=O)OCCCCCCCCCC)C(C)C NDVHJANNHDDPQU-UHFFFAOYSA-N 0.000 description 1
- LZODBALHUHXDME-UHFFFAOYSA-N CCCCCCCCCCCCCCOC(=O)CCN(CCC(=O)OCCCCCCCCCCCCCC)CCN(CCN(CCN(CCC(=O)OC)CCC(=O)OCCCCCCCCCCCCCC)C1CCCCC1)C(C)CC.CCCCCCCCCCCCCOC(=O)CCN(CCC(=O)OCCCCCCCCCCCCC)CCN(CCN(CCN(CCC(=O)OC)CCC(=O)OCCCCCCCCCCCCC)C1CCCCC1)C(C)CC Chemical compound CCCCCCCCCCCCCCOC(=O)CCN(CCC(=O)OCCCCCCCCCCCCCC)CCN(CCN(CCN(CCC(=O)OC)CCC(=O)OCCCCCCCCCCCCCC)C1CCCCC1)C(C)CC.CCCCCCCCCCCCCOC(=O)CCN(CCC(=O)OCCCCCCCCCCCCC)CCN(CCN(CCN(CCC(=O)OC)CCC(=O)OCCCCCCCCCCCCC)C1CCCCC1)C(C)CC LZODBALHUHXDME-UHFFFAOYSA-N 0.000 description 1
- ULUACXGSWYRWEH-WDLSKMLESA-N CCCCCCCCCCCCCCOC(=O)CCN(CCC(=O)OCCCCCCCCCCCCCC)CCN1CCN(CCN(CCC(=O)OC)CCC(=O)OCCCCCCCCCCCCCC)[C@@H](C)C1 Chemical compound CCCCCCCCCCCCCCOC(=O)CCN(CCC(=O)OCCCCCCCCCCCCCC)CCN1CCN(CCN(CCC(=O)OC)CCC(=O)OCCCCCCCCCCCCCC)[C@@H](C)C1 ULUACXGSWYRWEH-WDLSKMLESA-N 0.000 description 1
- HTHYDIWPYXFRRC-COOLBCGISA-N CCCCCCCCCCCCCCOC(=O)CCN(CCC(=O)OCCCCCCCCCCCCCC)CCN1CCN(CCN(CCC(=O)OC)CCC(=O)OCCCCCCCCCCCCCC)[C@@H](C)C1.CCCCCCCCCCCCCOC(=O)CCN(CCC(=O)OCCCCCCCCCCCCC)CCN1CCN(CCN(CCC(=O)OC)CCC(=O)OCCCCCCCCCCCCC)[C@@H](C)C1.CCCCCCCCCCCCOC(=O)CCN(CCC(=O)OCCCCCCCCCCCC)CCN1CCN(CCN(CCC(=O)OC)CCC(=O)OCCCCCCCCCCCC)[C@@H](C)C1.CCCCCCCCCCOC(=O)CCN(CCC(=O)OC)CCN1C[C@@H](C)N(CCN(CCC(=O)OCCCCCCCCCC)CCC(=O)OCCCCCCCCCC)C[C@@H]1C Chemical compound CCCCCCCCCCCCCCOC(=O)CCN(CCC(=O)OCCCCCCCCCCCCCC)CCN1CCN(CCN(CCC(=O)OC)CCC(=O)OCCCCCCCCCCCCCC)[C@@H](C)C1.CCCCCCCCCCCCCOC(=O)CCN(CCC(=O)OCCCCCCCCCCCCC)CCN1CCN(CCN(CCC(=O)OC)CCC(=O)OCCCCCCCCCCCCC)[C@@H](C)C1.CCCCCCCCCCCCOC(=O)CCN(CCC(=O)OCCCCCCCCCCCC)CCN1CCN(CCN(CCC(=O)OC)CCC(=O)OCCCCCCCCCCCC)[C@@H](C)C1.CCCCCCCCCCOC(=O)CCN(CCC(=O)OC)CCN1C[C@@H](C)N(CCN(CCC(=O)OCCCCCCCCCC)CCC(=O)OCCCCCCCCCC)C[C@@H]1C HTHYDIWPYXFRRC-COOLBCGISA-N 0.000 description 1
- LTIZTXSGFVRNPR-XYWXRVBDSA-N CCCCCCCCCCCCCCOC(=O)CCN(CCC(=O)OCCCCCCCCCCCCCC)[C@@H](CO)[C@H](C)O.CCCCCCCCCCCCCCOC(=O)CCN[C@@H](CO)[C@H](C)O Chemical compound CCCCCCCCCCCCCCOC(=O)CCN(CCC(=O)OCCCCCCCCCCCCCC)[C@@H](CO)[C@H](C)O.CCCCCCCCCCCCCCOC(=O)CCN[C@@H](CO)[C@H](C)O LTIZTXSGFVRNPR-XYWXRVBDSA-N 0.000 description 1
- QBKMNAKKUSOIQT-UHFFFAOYSA-N CCCCCCCCCCCCCCOC(=O)CCN(CCCN(C)CCCN(CCC(=O)OCCCCCCCCCCCCCC)CCC(=O)OCCCCCCCCCCCCCC)CCC(=O)OC.CCCCCCCCCCCCCOC(=O)CCN(CCCN(C)CCCN(CCC(=O)OCCCCCCCCCCCCC)CCC(=O)OCCCCCCCCCCCCC)CCC(=O)OC.CCCCCCCCCCCCOC(=O)CCN(CCCN(C)CCCN(CCC(=O)OCCCCCCCCCCCC)CCC(=O)OCCCCCCCCCCCC)CCC(=O)OC.CCCCCCCCCCCOC(=O)CCN(CCCN(C)CCCN(CCC(=O)OCCCCCCCCCCC)CCC(=O)OCCCCCCCCCCC)CCC(=O)OC.CCCCCCCCCCOC(=O)CCN(CCCN(C)CCCN(CCC(=O)OCCCCCCCCCC)CCC(=O)OCCCCCCCCCC)CCC(=O)OC Chemical compound CCCCCCCCCCCCCCOC(=O)CCN(CCCN(C)CCCN(CCC(=O)OCCCCCCCCCCCCCC)CCC(=O)OCCCCCCCCCCCCCC)CCC(=O)OC.CCCCCCCCCCCCCOC(=O)CCN(CCCN(C)CCCN(CCC(=O)OCCCCCCCCCCCCC)CCC(=O)OCCCCCCCCCCCCC)CCC(=O)OC.CCCCCCCCCCCCOC(=O)CCN(CCCN(C)CCCN(CCC(=O)OCCCCCCCCCCCC)CCC(=O)OCCCCCCCCCCCC)CCC(=O)OC.CCCCCCCCCCCOC(=O)CCN(CCCN(C)CCCN(CCC(=O)OCCCCCCCCCCC)CCC(=O)OCCCCCCCCCCC)CCC(=O)OC.CCCCCCCCCCOC(=O)CCN(CCCN(C)CCCN(CCC(=O)OCCCCCCCCCC)CCC(=O)OCCCCCCCCCC)CCC(=O)OC QBKMNAKKUSOIQT-UHFFFAOYSA-N 0.000 description 1
- DOPVLPKTSSGDAP-UHFFFAOYSA-N CCCCCCCCCCCCCCOC(=O)CCN(CCCN(CCC(=O)OC)C(C)C)CCC(=O)OCCCCCCCCCCCCCC.CCCCCCCCCCCCCOC(=O)CCN(CCCN(CCC(=O)OCCCCCCCCCCCCC)C(C)C)CCC(=O)OCCCCCCCCCCCCC Chemical compound CCCCCCCCCCCCCCOC(=O)CCN(CCCN(CCC(=O)OC)C(C)C)CCC(=O)OCCCCCCCCCCCCCC.CCCCCCCCCCCCCOC(=O)CCN(CCCN(CCC(=O)OCCCCCCCCCCCCC)C(C)C)CCC(=O)OCCCCCCCCCCCCC DOPVLPKTSSGDAP-UHFFFAOYSA-N 0.000 description 1
- HSNHOJKFHBYODD-UHFFFAOYSA-N CCCCCCCCCCCCCOC(=O)CCCCCN(CCC(=O)OCCCCCCCCCCCCC)CCN(CC)CC.CCCCCCCCCCCCCOC(=O)CCCCCNCCN(CC)CC.CCCCCCCCCCCCCOC(=O)CCN(CCC(=O)OCCCCCCCCCCCCC)CCN(CCC(=O)OCCCCCCCCCCCCC)CCN(CC)CC.CCCCCCCCCCCCCOC(=O)CCN(CCN)CCN(CC)CC.CCCCCCCCCCCCCOC(=O)CCN(CCNCCN(CC)CC)CCC(=O)OCCCCCCCCCCCCC Chemical compound CCCCCCCCCCCCCOC(=O)CCCCCN(CCC(=O)OCCCCCCCCCCCCC)CCN(CC)CC.CCCCCCCCCCCCCOC(=O)CCCCCNCCN(CC)CC.CCCCCCCCCCCCCOC(=O)CCN(CCC(=O)OCCCCCCCCCCCCC)CCN(CCC(=O)OCCCCCCCCCCCCC)CCN(CC)CC.CCCCCCCCCCCCCOC(=O)CCN(CCN)CCN(CC)CC.CCCCCCCCCCCCCOC(=O)CCN(CCNCCN(CC)CC)CCC(=O)OCCCCCCCCCCCCC HSNHOJKFHBYODD-UHFFFAOYSA-N 0.000 description 1
- LVBJVRPEMJHINZ-UHFFFAOYSA-N CCCCCCCCCCCCCOC(=O)CCN(C)CCCN(CC)CCCN(C)CCC(=O)OC Chemical compound CCCCCCCCCCCCCOC(=O)CCN(C)CCCN(CC)CCCN(C)CCC(=O)OC LVBJVRPEMJHINZ-UHFFFAOYSA-N 0.000 description 1
- KWRUIXWOGFHEKV-UHFFFAOYSA-N CCCCCCCCCCCCCOC(=O)CCN(C)CCCN(CC)CCCN(C)CCC(=O)OCCCCCCCCCCCCC.CCCCCCCCCCCCCOC(=O)CCN(C)CCCN(CC)CCCNC Chemical compound CCCCCCCCCCCCCOC(=O)CCN(C)CCCN(CC)CCCN(C)CCC(=O)OCCCCCCCCCCCCC.CCCCCCCCCCCCCOC(=O)CCN(C)CCCN(CC)CCCNC KWRUIXWOGFHEKV-UHFFFAOYSA-N 0.000 description 1
- NSFRKXHNHGAZPW-UHFFFAOYSA-N CCCCCCCCCCCCCOC(=O)CCN(C)CCN(CCN(C)CCC(=O)OC)CCN(C)CCC(=O)OCCCCCCCCCCCCC.CCCCCCCCCCCCOC(=O)CCN(C)CCN(CCN(C)CCC(=O)OCCCCCCCCCCCC)CCN(C)CCC(=O)OCCCCCCCCCCCC Chemical compound CCCCCCCCCCCCCOC(=O)CCN(C)CCN(CCN(C)CCC(=O)OC)CCN(C)CCC(=O)OCCCCCCCCCCCCC.CCCCCCCCCCCCOC(=O)CCN(C)CCN(CCN(C)CCC(=O)OCCCCCCCCCCCC)CCN(C)CCC(=O)OCCCCCCCCCCCC NSFRKXHNHGAZPW-UHFFFAOYSA-N 0.000 description 1
- XNDHCTXLSZTTMO-UHFFFAOYSA-N CCCCCCCCCCCCCOC(=O)CCN(CC(C)N(CCC(=O)OC)CCC(=O)OCCCCCCCCCCCCC)CC(C)N(CCC(=O)OCCCCCCCCCCCCC)CCC(=O)OCCCCCCCCCCCCC.CCCCCCCCCCCCOC(=O)CCN(CC(C)N(CCC(=O)OCCCCCCCCCCCC)CCC(=O)OCCCCCCCCCCCC)CC(C)N(CCC(=O)OCCCCCCCCCCCC)CCC(=O)OCCCCCCCCCCCC Chemical compound CCCCCCCCCCCCCOC(=O)CCN(CC(C)N(CCC(=O)OC)CCC(=O)OCCCCCCCCCCCCC)CC(C)N(CCC(=O)OCCCCCCCCCCCCC)CCC(=O)OCCCCCCCCCCCCC.CCCCCCCCCCCCOC(=O)CCN(CC(C)N(CCC(=O)OCCCCCCCCCCCC)CCC(=O)OCCCCCCCCCCCC)CC(C)N(CCC(=O)OCCCCCCCCCCCC)CCC(=O)OCCCCCCCCCCCC XNDHCTXLSZTTMO-UHFFFAOYSA-N 0.000 description 1
- TWNVXIYQVNNSFH-UHFFFAOYSA-N CCCCCCCCCCCCCOC(=O)CCN(CCC(=O)OC)CC1CCCN1C Chemical compound CCCCCCCCCCCCCOC(=O)CCN(CCC(=O)OC)CC1CCCN1C TWNVXIYQVNNSFH-UHFFFAOYSA-N 0.000 description 1
- BNFFROICTWKQSQ-UHFFFAOYSA-N CCCCCCCCCCCCCOC(=O)CCN(CCC(=O)OC)CCN(C)CCN(CCC(=O)OCCCCCCCCCCCCC)CCC(=O)OCCCCCCCCCCCCC.CCCCCCCCCCCCOC(=O)CCN(CCC(=O)OCCCCCCCCCCCC)CCN(C)CCN(CCC(=O)OCCCCCCCCCCCC)CCC(=O)OCCCCCCCCCCCC Chemical compound CCCCCCCCCCCCCOC(=O)CCN(CCC(=O)OC)CCN(C)CCN(CCC(=O)OCCCCCCCCCCCCC)CCC(=O)OCCCCCCCCCCCCC.CCCCCCCCCCCCOC(=O)CCN(CCC(=O)OCCCCCCCCCCCC)CCN(C)CCN(CCC(=O)OCCCCCCCCCCCC)CCC(=O)OCCCCCCCCCCCC BNFFROICTWKQSQ-UHFFFAOYSA-N 0.000 description 1
- YKESOLDSOXVNHE-UHFFFAOYSA-N CCCCCCCCCCCCCOC(=O)CCN(CCC(=O)OC)CCN1CCN(CCN(CCC(=O)OCCCCCCCCCCCCC)CCC(=O)OCCCCCCCCCCCCC)CC1.CCCCCCCCCCCCOC(=O)CCN(CCC(=O)OC)CCN1CCN(CCN(CCC(=O)OCCCCCCCCCCCC)CCC(=O)OCCCCCCCCCCCC)CC1.CCCCCCCCCCCOC(=O)CCN(CCC(=O)OC)CCN1CCN(CCN(CCC(=O)OCCCCCCCCCCC)CCC(=O)OCCCCCCCCCCC)CC1.CCCCCCCCCCOC(=O)CCN(CCC(=O)OC)CCN1CCN(CCN(CCC(=O)OCCCCCCCCCC)CCC(=O)OCCCCCCCCCC)CC1 Chemical compound CCCCCCCCCCCCCOC(=O)CCN(CCC(=O)OC)CCN1CCN(CCN(CCC(=O)OCCCCCCCCCCCCC)CCC(=O)OCCCCCCCCCCCCC)CC1.CCCCCCCCCCCCOC(=O)CCN(CCC(=O)OC)CCN1CCN(CCN(CCC(=O)OCCCCCCCCCCCC)CCC(=O)OCCCCCCCCCCCC)CC1.CCCCCCCCCCCOC(=O)CCN(CCC(=O)OC)CCN1CCN(CCN(CCC(=O)OCCCCCCCCCCC)CCC(=O)OCCCCCCCCCCC)CC1.CCCCCCCCCCOC(=O)CCN(CCC(=O)OC)CCN1CCN(CCN(CCC(=O)OCCCCCCCCCC)CCC(=O)OCCCCCCCCCC)CC1 YKESOLDSOXVNHE-UHFFFAOYSA-N 0.000 description 1
- ATDXOSXAPIKFEO-HMTLLDEGSA-N CCCCCCCCCCCCCOC(=O)CCN(CCC(=O)OC)CCN1C[C@@H](C)N(CCN(CCC(=O)OCCCCCCCCCCCCC)CCC(=O)OCCCCCCCCCCCCC)C[C@@H]1C.CCCCCCCCCCCCOC(=O)CCN(CCC(=O)OC)CCN1C[C@@H](C)N(CCN(CCC(=O)OCCCCCCCCCCCC)CCC(=O)OCCCCCCCCCCCC)C[C@@H]1C.CCCCCCCCCCCOC(=O)CCN(CCC(=O)OC)CCN1C[C@@H](C)N(CCN(CCC(=O)OCCCCCCCCCCC)CCC(=O)OCCCCCCCCCCC)C[C@@H]1C.CCCCCCCCCCOC(=O)CCN(CCC(=O)OC)CCN1C[C@@H](C)N(CCN(CCC(=O)OCCCCCCCCCC)CCC(=O)OCCCCCCCCCC)C[C@@H]1C Chemical compound CCCCCCCCCCCCCOC(=O)CCN(CCC(=O)OC)CCN1C[C@@H](C)N(CCN(CCC(=O)OCCCCCCCCCCCCC)CCC(=O)OCCCCCCCCCCCCC)C[C@@H]1C.CCCCCCCCCCCCOC(=O)CCN(CCC(=O)OC)CCN1C[C@@H](C)N(CCN(CCC(=O)OCCCCCCCCCCCC)CCC(=O)OCCCCCCCCCCCC)C[C@@H]1C.CCCCCCCCCCCOC(=O)CCN(CCC(=O)OC)CCN1C[C@@H](C)N(CCN(CCC(=O)OCCCCCCCCCCC)CCC(=O)OCCCCCCCCCCC)C[C@@H]1C.CCCCCCCCCCOC(=O)CCN(CCC(=O)OC)CCN1C[C@@H](C)N(CCN(CCC(=O)OCCCCCCCCCC)CCC(=O)OCCCCCCCCCC)C[C@@H]1C ATDXOSXAPIKFEO-HMTLLDEGSA-N 0.000 description 1
- RVDNPQDCEQDJGA-FGZHOGPDSA-N CCCCCCCCCCCCCOC(=O)CCN(CCC(=O)OC)[C@H](CO)[C@@H](C)O Chemical compound CCCCCCCCCCCCCOC(=O)CCN(CCC(=O)OC)[C@H](CO)[C@@H](C)O RVDNPQDCEQDJGA-FGZHOGPDSA-N 0.000 description 1
- NWZAHEKAAVIPDH-UHFFFAOYSA-N CCCCCCCCCCCCCOC(=O)CCN(CCC(=O)OCCCCCCCCCCCCC)CC1CCCN(C)C1 Chemical compound CCCCCCCCCCCCCOC(=O)CCN(CCC(=O)OCCCCCCCCCCCCC)CC1CCCN(C)C1 NWZAHEKAAVIPDH-UHFFFAOYSA-N 0.000 description 1
- QRPIIJMJGHFGCV-UHFFFAOYSA-N CCCCCCCCCCCCCOC(=O)CCN(CCC(=O)OCCCCCCCCCCCCC)CC1CCCN(C)C1.CCCCCCCCCCCCCOC(=O)CCNCC1CCCN(C)C1 Chemical compound CCCCCCCCCCCCCOC(=O)CCN(CCC(=O)OCCCCCCCCCCCCC)CC1CCCN(C)C1.CCCCCCCCCCCCCOC(=O)CCNCC1CCCN(C)C1 QRPIIJMJGHFGCV-UHFFFAOYSA-N 0.000 description 1
- MQOZHQOJQWVQIT-UHFFFAOYSA-N CCCCCCCCCCCCCOC(=O)CCN(CCC(=O)OCCCCCCCCCCCCC)CC1CCCN1C.COC(=O)CCNCC1CCCN1C Chemical compound CCCCCCCCCCCCCOC(=O)CCN(CCC(=O)OCCCCCCCCCCCCC)CC1CCCN1C.COC(=O)CCNCC1CCCN1C MQOZHQOJQWVQIT-UHFFFAOYSA-N 0.000 description 1
- HVFKYYSGGCGOMV-UHFFFAOYSA-N CCCCCCCCCCCCCOC(=O)CCN(CCC(=O)OCCCCCCCCCCCCC)CCN(CCC(=O)OC)CCN(CC)CC Chemical compound CCCCCCCCCCCCCOC(=O)CCN(CCC(=O)OCCCCCCCCCCCCC)CCN(CCC(=O)OC)CCN(CC)CC HVFKYYSGGCGOMV-UHFFFAOYSA-N 0.000 description 1
- PLVPDTLQXHVUTQ-ZQWYJCLMSA-N CCCCCCCCCCCCCOC(=O)CCN(CCC(=O)OCCCCCCCCCCCCC)CCN1CCN(CCN(CCC(=O)OC)CCC(=O)OCCCCCCCCCCCCC)[C@@H](C)C1.CCCCCCCCCCCCOC(=O)CCN(CCC(=O)OCCCCCCCCCCCC)CCN1CCN(CCN(CCC(=O)OC)CCC(=O)OCCCCCCCCCCCC)[C@@H](C)C1.CCCCCCCCCCCOC(=O)CCN(CCC(=O)OCCCCCCCCCCC)CCN1CCN(CCN(CCC(=O)OC)CCC(=O)OCCCCCCCCCCC)[C@@H](C)C1.CCCCCCCCCCOC(=O)CCN(CCC(=O)OCCCCCCCCCC)CCN1CCN(CCN(CCC(=O)OC)CCC(=O)OCCCCCCCCCC)[C@@H](C)C1 Chemical compound CCCCCCCCCCCCCOC(=O)CCN(CCC(=O)OCCCCCCCCCCCCC)CCN1CCN(CCN(CCC(=O)OC)CCC(=O)OCCCCCCCCCCCCC)[C@@H](C)C1.CCCCCCCCCCCCOC(=O)CCN(CCC(=O)OCCCCCCCCCCCC)CCN1CCN(CCN(CCC(=O)OC)CCC(=O)OCCCCCCCCCCCC)[C@@H](C)C1.CCCCCCCCCCCOC(=O)CCN(CCC(=O)OCCCCCCCCCCC)CCN1CCN(CCN(CCC(=O)OC)CCC(=O)OCCCCCCCCCCC)[C@@H](C)C1.CCCCCCCCCCOC(=O)CCN(CCC(=O)OCCCCCCCCCC)CCN1CCN(CCN(CCC(=O)OC)CCC(=O)OCCCCCCCCCC)[C@@H](C)C1 PLVPDTLQXHVUTQ-ZQWYJCLMSA-N 0.000 description 1
- KCPZVHVDHUWJDM-MPJOGOADSA-N CCCCCCCCCCCCCOC(=O)CCN(CCC(=O)OCCCCCCCCCCCCC)[C@H](CO)[C@@H](C)O.COC(=O)CCN[C@H](CO)[C@@H](C)O Chemical compound CCCCCCCCCCCCCOC(=O)CCN(CCC(=O)OCCCCCCCCCCCCC)[C@H](CO)[C@@H](C)O.COC(=O)CCN[C@H](CO)[C@@H](C)O KCPZVHVDHUWJDM-MPJOGOADSA-N 0.000 description 1
- KVTSFGRZALHRAM-UHFFFAOYSA-N CCCCCCCCCCCCN(CCN)CCN.CN(CCN)CCN.NCCN(CCN)CCN Chemical compound CCCCCCCCCCCCN(CCN)CCN.CN(CCN)CCN.NCCN(CCN)CCN KVTSFGRZALHRAM-UHFFFAOYSA-N 0.000 description 1
- YSJREZPPPHVRMM-JSDKUZSOSA-N CCCCCCCCCCCCOC(=O)CCCC[C@@H]1CCCN1.CCCCCCCCCCCCOC(=O)CCCC[C@@H]1CCCN1CCC(=O)OCCCCCCCCCCCC.CCCCCCCCCCCCOC(=O)CCN(CCC(=O)OCCCCCCCCCCCC)C[C@@H]1CCCN1.CCCCCCCCCCCCOC(=O)CCN(CCC(=O)OCCCCCCCCCCCC)C[C@@H]1CCCN1CCC(=O)OCCCCCCCCCCCC.CCCCCCCCCCCCOC(=O)CCN1CCC[C@H]1CN Chemical compound CCCCCCCCCCCCOC(=O)CCCC[C@@H]1CCCN1.CCCCCCCCCCCCOC(=O)CCCC[C@@H]1CCCN1CCC(=O)OCCCCCCCCCCCC.CCCCCCCCCCCCOC(=O)CCN(CCC(=O)OCCCCCCCCCCCC)C[C@@H]1CCCN1.CCCCCCCCCCCCOC(=O)CCN(CCC(=O)OCCCCCCCCCCCC)C[C@@H]1CCCN1CCC(=O)OCCCCCCCCCCCC.CCCCCCCCCCCCOC(=O)CCN1CCC[C@H]1CN YSJREZPPPHVRMM-JSDKUZSOSA-N 0.000 description 1
- YGEQOXNAIWMMHT-UHFFFAOYSA-N CCCCCCCCCCCCOC(=O)CCN(CCC(=O)OC)CCN(C)CCN(CC)CCN(CCC(=O)OCCCCCCCCCCCC)CCC(=O)OCCCCCCCCCCCC.CCCCCCCCCCCOC(=O)CCN(CCC(=O)OC)CCN(C)CCN(CC)CCN(CCC(=O)OCCCCCCCCCCC)CCC(=O)OCCCCCCCCCCC.CCCCCCCCCCOC(=O)CCN(CCC(=O)OC)CCN(C)CCN(CC)CCN(CCC(=O)OCCCCCCCCCC)CCC(=O)OCCCCCCCCCC Chemical compound CCCCCCCCCCCCOC(=O)CCN(CCC(=O)OC)CCN(C)CCN(CC)CCN(CCC(=O)OCCCCCCCCCCCC)CCC(=O)OCCCCCCCCCCCC.CCCCCCCCCCCOC(=O)CCN(CCC(=O)OC)CCN(C)CCN(CC)CCN(CCC(=O)OCCCCCCCCCCC)CCC(=O)OCCCCCCCCCCC.CCCCCCCCCCOC(=O)CCN(CCC(=O)OC)CCN(C)CCN(CC)CCN(CCC(=O)OCCCCCCCCCC)CCC(=O)OCCCCCCCCCC YGEQOXNAIWMMHT-UHFFFAOYSA-N 0.000 description 1
- AKRIPCDCCFNFOV-UHFFFAOYSA-N CCCCCCCCCCCCOC(=O)CCN(CCC(=O)OC)CCN(C)CCN(CCN(C)CCN(CCC(=O)OCCCCCCCCCCCC)CCC(=O)OCCCCCCCCCCCC)CCN(C)CCN(CCC(=O)OCCCCCCCCCCCC)CCC(=O)OCCCCCCCCCCCC.CCCCCCCCCCCOC(=O)CCN(CCC(=O)OC)CCN(C)CCN(CCN(C)CCN(CCC(=O)OCCCCCCCCCCC)CCC(=O)OCCCCCCCCCCC)CCN(C)CCN(CCC(=O)OCCCCCCCCCCC)CCC(=O)OCCCCCCCCCCC.CCCCCCCCCCOC(=O)CCN(CCC(=O)OC)CCN(C)CCN(CCN(C)CCN(CCC(=O)OCCCCCCCCCC)CCC(=O)OCCCCCCCCCC)CCN(C)CCN(CCC(=O)OCCCCCCCCCC)CCC(=O)OCCCCCCCCCC Chemical compound CCCCCCCCCCCCOC(=O)CCN(CCC(=O)OC)CCN(C)CCN(CCN(C)CCN(CCC(=O)OCCCCCCCCCCCC)CCC(=O)OCCCCCCCCCCCC)CCN(C)CCN(CCC(=O)OCCCCCCCCCCCC)CCC(=O)OCCCCCCCCCCCC.CCCCCCCCCCCOC(=O)CCN(CCC(=O)OC)CCN(C)CCN(CCN(C)CCN(CCC(=O)OCCCCCCCCCCC)CCC(=O)OCCCCCCCCCCC)CCN(C)CCN(CCC(=O)OCCCCCCCCCCC)CCC(=O)OCCCCCCCCCCC.CCCCCCCCCCOC(=O)CCN(CCC(=O)OC)CCN(C)CCN(CCN(C)CCN(CCC(=O)OCCCCCCCCCC)CCC(=O)OCCCCCCCCCC)CCN(C)CCN(CCC(=O)OCCCCCCCCCC)CCC(=O)OCCCCCCCCCC AKRIPCDCCFNFOV-UHFFFAOYSA-N 0.000 description 1
- WMKMJNVUTNKKNP-UHFFFAOYSA-N CCCCCCCCCCCCOC(=O)CCN(CCC(=O)OC)CCN(CC)CCN(CC)CCN(CC)CCN(CCC(=O)OCCCCCCCCCCCC)CCC(=O)OCCCCCCCCCCCC.CCCCCCCCCCCOC(=O)CCN(CCC(=O)OC)CCN(CC)CCN(CC)CCN(CC)CCN(CCC(=O)OCCCCCCCCCCC)CCC(=O)OCCCCCCCCCCC.CCCCCCCCCCOC(=O)CCN(CCC(=O)OC)CCN(CC)CCN(CC)CCN(CC)CCN(CCC(=O)OCCCCCCCCCC)CCC(=O)OCCCCCCCCCC Chemical compound CCCCCCCCCCCCOC(=O)CCN(CCC(=O)OC)CCN(CC)CCN(CC)CCN(CC)CCN(CCC(=O)OCCCCCCCCCCCC)CCC(=O)OCCCCCCCCCCCC.CCCCCCCCCCCOC(=O)CCN(CCC(=O)OC)CCN(CC)CCN(CC)CCN(CC)CCN(CCC(=O)OCCCCCCCCCCC)CCC(=O)OCCCCCCCCCCC.CCCCCCCCCCOC(=O)CCN(CCC(=O)OC)CCN(CC)CCN(CC)CCN(CC)CCN(CCC(=O)OCCCCCCCCCC)CCC(=O)OCCCCCCCCCC WMKMJNVUTNKKNP-UHFFFAOYSA-N 0.000 description 1
- FXBOUALKOGPYRN-UHFFFAOYSA-N CCCCCCCCCCCCOC(=O)CCN(CCC(=O)OC)CCN(CCCC)CCN(CCCC)CCN(CCC(=O)OCCCCCCCCCCCC)CCC(=O)OCCCCCCCCCCCC.CCCCCCCCCCCOC(=O)CCN(CCC(=O)OC)CCN(CCCC)CCN(CCCC)CCN(CCC(=O)OCCCCCCCCCCC)CCC(=O)OCCCCCCCCCCC.CCCCCCCCCCOC(=O)CCN(CCC(=O)OC)CCN(CCCC)CCN(CCCC)CCN(CCC(=O)OCCCCCCCCCC)CCC(=O)OCCCCCCCCCC Chemical compound CCCCCCCCCCCCOC(=O)CCN(CCC(=O)OC)CCN(CCCC)CCN(CCCC)CCN(CCC(=O)OCCCCCCCCCCCC)CCC(=O)OCCCCCCCCCCCC.CCCCCCCCCCCOC(=O)CCN(CCC(=O)OC)CCN(CCCC)CCN(CCCC)CCN(CCC(=O)OCCCCCCCCCCC)CCC(=O)OCCCCCCCCCCC.CCCCCCCCCCOC(=O)CCN(CCC(=O)OC)CCN(CCCC)CCN(CCCC)CCN(CCC(=O)OCCCCCCCCCC)CCC(=O)OCCCCCCCCCC FXBOUALKOGPYRN-UHFFFAOYSA-N 0.000 description 1
- PLXGZHZFHNDLHU-HSZRJFAPSA-N CCCCCCCCCCCCOC(=O)CCN(CCC(=O)OC)[C@@H](CO)CC(C)C Chemical compound CCCCCCCCCCCCOC(=O)CCN(CCC(=O)OC)[C@@H](CO)CC(C)C PLXGZHZFHNDLHU-HSZRJFAPSA-N 0.000 description 1
- VHTLHNSSXFDICB-XZOQPEGZSA-N CCCCCCCCCCCCOC(=O)CCN(CCC(=O)OC)[C@H](CO)[C@@H](C)CC Chemical compound CCCCCCCCCCCCOC(=O)CCN(CCC(=O)OC)[C@H](CO)[C@@H](C)CC VHTLHNSSXFDICB-XZOQPEGZSA-N 0.000 description 1
- LGJXAJFIWHAOFV-UHFFFAOYSA-N CCCCCCCCCCCCOC(=O)CCN(CCC(=O)OCCCCCCCCCCCC)C1CC(C)(C)CC(C)(CN)C1.CCCCCCCCCCCCOC(=O)CCN(CCC(=O)OCCCCCCCCCCCC)CC1(C)CC(N)CC(C)(C)C1.CCCCCCCCCCCCOC(=O)CCNC1CC(C)(C)CC(C)(CN)C1.CCCCCCCCCCCCOC(=O)CCNCC1(C)CC(N)CC(C)(C)C1.CCCCCCCCCCCCOC(=O)CCNCC1(C)CC(NCCC(=O)OCCCCCCCCCCCC)CC(C)(C)C1 Chemical compound CCCCCCCCCCCCOC(=O)CCN(CCC(=O)OCCCCCCCCCCCC)C1CC(C)(C)CC(C)(CN)C1.CCCCCCCCCCCCOC(=O)CCN(CCC(=O)OCCCCCCCCCCCC)CC1(C)CC(N)CC(C)(C)C1.CCCCCCCCCCCCOC(=O)CCNC1CC(C)(C)CC(C)(CN)C1.CCCCCCCCCCCCOC(=O)CCNCC1(C)CC(N)CC(C)(C)C1.CCCCCCCCCCCCOC(=O)CCNCC1(C)CC(NCCC(=O)OCCCCCCCCCCCC)CC(C)(C)C1 LGJXAJFIWHAOFV-UHFFFAOYSA-N 0.000 description 1
- MCEBRCXNRMHMJJ-UHFFFAOYSA-N CCCCCCCCCCCCOC(=O)CCN(CCC(=O)OCCCCCCCCCCCC)CC1(C)CC(N(CCC(=O)OCCCCCCCCCCCC)CCC(=O)OCCCCCCCCCCCC)CC(C)(C)C1 Chemical compound CCCCCCCCCCCCOC(=O)CCN(CCC(=O)OCCCCCCCCCCCC)CC1(C)CC(N(CCC(=O)OCCCCCCCCCCCC)CCC(=O)OCCCCCCCCCCCC)CC(C)(C)C1 MCEBRCXNRMHMJJ-UHFFFAOYSA-N 0.000 description 1
- TXMVWGWIZGXESS-UHFFFAOYSA-N CCCCCCCCCCCCOC(=O)CCN(CCC(=O)OCCCCCCCCCCCC)CC1(C)CC(N(CCC(=O)OCCCCCCCCCCCC)CCC(=O)OCCCCCCCCCCCC)CC(C)(C)C1.CCCCCCCCCCCCOC(=O)CCNC1CC(C)(C)CC(C)(CN(CCC(=O)OCCCCCCCCCCCC)CCC(=O)OCCCCCCCCCCCC)C1.CCCCCCCCCCCCOC(=O)CCNCC1(C)CC(N(CCC(=O)OCCCCCCCCCCCC)CCC(=O)OCCCCCCCCCCCC)CC(C)(C)C1 Chemical compound CCCCCCCCCCCCOC(=O)CCN(CCC(=O)OCCCCCCCCCCCC)CC1(C)CC(N(CCC(=O)OCCCCCCCCCCCC)CCC(=O)OCCCCCCCCCCCC)CC(C)(C)C1.CCCCCCCCCCCCOC(=O)CCNC1CC(C)(C)CC(C)(CN(CCC(=O)OCCCCCCCCCCCC)CCC(=O)OCCCCCCCCCCCC)C1.CCCCCCCCCCCCOC(=O)CCNCC1(C)CC(N(CCC(=O)OCCCCCCCCCCCC)CCC(=O)OCCCCCCCCCCCC)CC(C)(C)C1 TXMVWGWIZGXESS-UHFFFAOYSA-N 0.000 description 1
- CWTMALWJZNJCJP-UHFFFAOYSA-N CCCCCCCCCCCCOC(=O)CCN(CCC(=O)OCCCCCCCCCCCC)CCN(C)CCN(CCCCC)CCN(CCC(=O)OC)CCC(=O)OCCCCCCCCCCCC.CCCCCCCCCCCOC(=O)CCN(CCC(=O)OCCCCCCCCCCC)CCN(C)CCN(CCCCC)CCN(CCC(=O)OC)CCC(=O)OCCCCCCCCCCC.CCCCCCCCCCOC(=O)CCN(CCC(=O)OCCCCCCCCCC)CCN(C)CCN(CCCCC)CCN(CCC(=O)OC)CCC(=O)OCCCCCCCCCC Chemical compound CCCCCCCCCCCCOC(=O)CCN(CCC(=O)OCCCCCCCCCCCC)CCN(C)CCN(CCCCC)CCN(CCC(=O)OC)CCC(=O)OCCCCCCCCCCCC.CCCCCCCCCCCOC(=O)CCN(CCC(=O)OCCCCCCCCCCC)CCN(C)CCN(CCCCC)CCN(CCC(=O)OC)CCC(=O)OCCCCCCCCCCC.CCCCCCCCCCOC(=O)CCN(CCC(=O)OCCCCCCCCCC)CCN(C)CCN(CCCCC)CCN(CCC(=O)OC)CCC(=O)OCCCCCCCCCC CWTMALWJZNJCJP-UHFFFAOYSA-N 0.000 description 1
- KFTRXJVQOHHLMA-UHFFFAOYSA-N CCCCCCCCCCCCOC(=O)CCN(CCC(=O)OCCCCCCCCCCCC)CCN(CCN(CCN(CCC(=O)OC)CCC(=O)OCCCCCCCCCCCC)C1CCCCC1)C(C)CC.CCCCCCCCCCCOC(=O)CCN(CCC(=O)OCCCCCCCCCCC)CCN(CCN(CCN(CCC(=O)OC)CCC(=O)OCCCCCCCCCCC)C1CCCCC1)C(C)CC.CCCCCCCCCCOC(=O)CCN(CCC(=O)OCCCCCCCCCC)CCN(CCN(CCN(CCC(=O)OC)CCC(=O)OCCCCCCCCCC)C1CCCCC1)C(C)CC Chemical compound CCCCCCCCCCCCOC(=O)CCN(CCC(=O)OCCCCCCCCCCCC)CCN(CCN(CCN(CCC(=O)OC)CCC(=O)OCCCCCCCCCCCC)C1CCCCC1)C(C)CC.CCCCCCCCCCCOC(=O)CCN(CCC(=O)OCCCCCCCCCCC)CCN(CCN(CCN(CCC(=O)OC)CCC(=O)OCCCCCCCCCCC)C1CCCCC1)C(C)CC.CCCCCCCCCCOC(=O)CCN(CCC(=O)OCCCCCCCCCC)CCN(CCN(CCN(CCC(=O)OC)CCC(=O)OCCCCCCCCCC)C1CCCCC1)C(C)CC KFTRXJVQOHHLMA-UHFFFAOYSA-N 0.000 description 1
- OXWNXNLJLLUANG-BHVANESWSA-N CCCCCCCCCCCCOC(=O)CCN(CCC(=O)OCCCCCCCCCCCC)C[C@@H]1CCCN1CCC(=O)OC Chemical compound CCCCCCCCCCCCOC(=O)CCN(CCC(=O)OCCCCCCCCCCCC)C[C@@H]1CCCN1CCC(=O)OC OXWNXNLJLLUANG-BHVANESWSA-N 0.000 description 1
- ZELONRLXEPXEBV-YBKFCYCUSA-N CCCCCCCCCCCCOC(=O)CCN(CCC(=O)OCCCCCCCCCCCC)[C@@H](CO)CC(C)C.CCCCCCCCCCCCOC(=O)CCN[C@@H](CO)CC(C)C Chemical compound CCCCCCCCCCCCOC(=O)CCN(CCC(=O)OCCCCCCCCCCCC)[C@@H](CO)CC(C)C.CCCCCCCCCCCCOC(=O)CCN[C@@H](CO)CC(C)C ZELONRLXEPXEBV-YBKFCYCUSA-N 0.000 description 1
- ODKWDKAQKRGDIY-IIQSTWTASA-N CCCCCCCCCCCCOC(=O)CCN(CCC(=O)OCCCCCCCCCCCC)[C@H](CO)[C@@H](C)CC.CC[C@H](C)[C@@H](CO)NCCC(=O)OC Chemical compound CCCCCCCCCCCCOC(=O)CCN(CCC(=O)OCCCCCCCCCCCC)[C@H](CO)[C@@H](C)CC.CC[C@H](C)[C@@H](CO)NCCC(=O)OC ODKWDKAQKRGDIY-IIQSTWTASA-N 0.000 description 1
- VLUWGHSOLYUVOV-UHFFFAOYSA-N CCCCCCCCCCCCOC(=O)CCN(CCCCCCCN(C)C)CCC(=O)OCCCCCCCCCCCC.CCCCCCCCCCCCOC(=O)CCN(CCCN(C)C)CCCN(CCC(=O)OCCCCCCCCCCCC)CCC(=O)OCCCCCCCCCCCC.CCCCCCCCCCCCOC(=O)CCN(CCCN)CCCN(C)C.CCCCCCCCCCCCOC(=O)CCNCCCCCCCN(C)C.CCCCCCCCCCCCOC(=O)CCNCCCN(CCCN(C)C)CCC(=O)OCCCCCCCCCCCC Chemical compound CCCCCCCCCCCCOC(=O)CCN(CCCCCCCN(C)C)CCC(=O)OCCCCCCCCCCCC.CCCCCCCCCCCCOC(=O)CCN(CCCN(C)C)CCCN(CCC(=O)OCCCCCCCCCCCC)CCC(=O)OCCCCCCCCCCCC.CCCCCCCCCCCCOC(=O)CCN(CCCN)CCCN(C)C.CCCCCCCCCCCCOC(=O)CCNCCCCCCCN(C)C.CCCCCCCCCCCCOC(=O)CCNCCCN(CCCN(C)C)CCC(=O)OCCCCCCCCCCCC VLUWGHSOLYUVOV-UHFFFAOYSA-N 0.000 description 1
- RIBALRFBADKKFC-UHFFFAOYSA-N CCCCCCCCCCCCOC(=O)CCN(CCCN(CCCN(C)C)CCC(=O)OC)CCC(=O)OCCCCCCCCCCCC Chemical compound CCCCCCCCCCCCOC(=O)CCN(CCCN(CCCN(C)C)CCC(=O)OC)CCC(=O)OCCCCCCCCCCCC RIBALRFBADKKFC-UHFFFAOYSA-N 0.000 description 1
- SLOWTABQQUGXJQ-UHFFFAOYSA-N CCCCCCCCCCCCOC(=O)CCN1CCN(CCC(=O)OCCCCCCCCCCCC)C2C1N(CCC(=O)OC)CCN2CCC(=O)OCCCCCCCCCCCC.CCCCCCCCCCCOC(=O)CCN1CCN(CCC(=O)OCCCCCCCCCCC)C2C1N(CCC(=O)OCCCCCCCCCCC)CCN2CCC(=O)OCCCCCCCCCCC Chemical compound CCCCCCCCCCCCOC(=O)CCN1CCN(CCC(=O)OCCCCCCCCCCCC)C2C1N(CCC(=O)OC)CCN2CCC(=O)OCCCCCCCCCCCC.CCCCCCCCCCCOC(=O)CCN1CCN(CCC(=O)OCCCCCCCCCCC)C2C1N(CCC(=O)OCCCCCCCCCCC)CCN2CCC(=O)OCCCCCCCCCCC SLOWTABQQUGXJQ-UHFFFAOYSA-N 0.000 description 1
- CAPNGDHXBHEBFJ-UHFFFAOYSA-N CCCCCN(CCC)CCN(C)CCNCCC(=O)OC.CCCCCN(CCN(C)CCN(CCC(=O)OC)CCC(=O)OC)CCN(CCC(=O)OC)CCC(=O)OC.CCCCCN(CCN(C)CCNCCC(=O)OC)CCN(CCC(=O)OC)CCC(=O)OC.CCCCCN(CCN)CCN(C)CCN(CCC(=O)OC)CCC(=O)OC.CCCCCN(CCNCCC(=O)OC)CCN(C)CCNCCC(=O)OC Chemical compound CCCCCN(CCC)CCN(C)CCNCCC(=O)OC.CCCCCN(CCN(C)CCN(CCC(=O)OC)CCC(=O)OC)CCN(CCC(=O)OC)CCC(=O)OC.CCCCCN(CCN(C)CCNCCC(=O)OC)CCN(CCC(=O)OC)CCC(=O)OC.CCCCCN(CCN)CCN(C)CCN(CCC(=O)OC)CCC(=O)OC.CCCCCN(CCNCCC(=O)OC)CCN(C)CCNCCC(=O)OC CAPNGDHXBHEBFJ-UHFFFAOYSA-N 0.000 description 1
- OQYPJNNBTAGWLU-UHFFFAOYSA-N CCCCN(C)CCCNCCC(=O)OC.COC(=O)CCN(CCCN(C)CCCN(CCC(=O)OC)CCC(=O)OC)CCC(=O)OC.COC(=O)CCN(CCCN(C)CCCN)CCC(=O)OC.COC(=O)CCNCCCN(C)CCCN.COC(=O)CCNCCCN(C)CCCN(CCC(=O)OC)CCC(=O)OC.COC(=O)CCNCCCN(C)CCCNCCC(=O)OC Chemical compound CCCCN(C)CCCNCCC(=O)OC.COC(=O)CCN(CCCN(C)CCCN(CCC(=O)OC)CCC(=O)OC)CCC(=O)OC.COC(=O)CCN(CCCN(C)CCCN)CCC(=O)OC.COC(=O)CCNCCCN(C)CCCN.COC(=O)CCNCCCN(C)CCCN(CCC(=O)OC)CCC(=O)OC.COC(=O)CCNCCCN(C)CCCNCCC(=O)OC OQYPJNNBTAGWLU-UHFFFAOYSA-N 0.000 description 1
- DPEASOQDSJKHSX-UHFFFAOYSA-N CCCCN(CCC)CCN(CCCC)CCNCCC(=O)OC.CCCCN(CCN(CCC(=O)OC)CCC(=O)OC)CCN(CCCC)CCN(CCC(=O)OC)CCC(=O)OC.CCCCN(CCN)CCN(CCCC)CCN(CCC(=O)OC)CCC(=O)OC.CCCCN(CCNCCC(=O)OC)CCN(CCCC)CCN(CCC(=O)OC)CCC(=O)OC.CCCCN(CCNCCC(=O)OC)CCN(CCCC)CCNCCC(=O)OC Chemical compound CCCCN(CCC)CCN(CCCC)CCNCCC(=O)OC.CCCCN(CCN(CCC(=O)OC)CCC(=O)OC)CCN(CCCC)CCN(CCC(=O)OC)CCC(=O)OC.CCCCN(CCN)CCN(CCCC)CCN(CCC(=O)OC)CCC(=O)OC.CCCCN(CCNCCC(=O)OC)CCN(CCCC)CCN(CCC(=O)OC)CCC(=O)OC.CCCCN(CCNCCC(=O)OC)CCN(CCCC)CCNCCC(=O)OC DPEASOQDSJKHSX-UHFFFAOYSA-N 0.000 description 1
- ZBYHWLKBQOLJHP-UHFFFAOYSA-N CCCCN1CCN(CCCNCCC(=O)OC)CC1.COC(=O)CCCCCCN1CCN(CCCN(CCC(=O)OC)CCC(=O)OC)CC1.COC(=O)CCN(CCCN1CCN(CCCN(CCC(=O)OC)CCC(=O)OC)CC1)CCC(=O)OC.COC(=O)CCN(CCCN1CCN(CCCN)CC1)CCC(=O)OC.COC(=O)CCNCCCN1CCN(CCCN)CC1.COC(=O)CCNCCCN1CCN(CCCNCCC(=O)OC)CC1 Chemical compound CCCCN1CCN(CCCNCCC(=O)OC)CC1.COC(=O)CCCCCCN1CCN(CCCN(CCC(=O)OC)CCC(=O)OC)CC1.COC(=O)CCN(CCCN1CCN(CCCN(CCC(=O)OC)CCC(=O)OC)CC1)CCC(=O)OC.COC(=O)CCN(CCCN1CCN(CCCN)CC1)CCC(=O)OC.COC(=O)CCNCCCN1CCN(CCCN)CC1.COC(=O)CCNCCCN1CCN(CCCNCCC(=O)OC)CC1 ZBYHWLKBQOLJHP-UHFFFAOYSA-N 0.000 description 1
- BPCRIISLEXAMKD-UHFFFAOYSA-N CCCN(C)CCCCCC(=O)OC.COC(=O)CCCCCN(C)CCCCCC(=O)OC.COC(=O)CCN(CCC(=O)OC)CCN(C)CCN.COC(=O)CCN(CCC(=O)OC)CCN(C)CCN(CCC(=O)OC)CCC(=O)OC.COC(=O)CCNCCN(C)CCN(CCC(=O)OC)CCC(=O)OC Chemical compound CCCN(C)CCCCCC(=O)OC.COC(=O)CCCCCN(C)CCCCCC(=O)OC.COC(=O)CCN(CCC(=O)OC)CCN(C)CCN.COC(=O)CCN(CCC(=O)OC)CCN(C)CCN(CCC(=O)OC)CCC(=O)OC.COC(=O)CCNCCN(C)CCN(CCC(=O)OC)CCC(=O)OC BPCRIISLEXAMKD-UHFFFAOYSA-N 0.000 description 1
- OKAOEOGTNVQEBS-UHFFFAOYSA-N CCCN(C)CCCN(C)CCNCCC(=O)OC.COC(=O)CCN(CCC(=O)OC)CCN(C)CCCN(C)CCN.COC(=O)CCN(CCC(=O)OC)CCN(C)CCCN(C)CCN(CCC(=O)OC)CCC(=O)OC.COC(=O)CCNCCN(C)CCCN(C)CCN(CCC(=O)OC)CCC(=O)OC.COC(=O)CCNCCN(C)CCCN(C)CCNCCC(=O)OC Chemical compound CCCN(C)CCCN(C)CCNCCC(=O)OC.COC(=O)CCN(CCC(=O)OC)CCN(C)CCCN(C)CCN.COC(=O)CCN(CCC(=O)OC)CCN(C)CCCN(C)CCN(CCC(=O)OC)CCC(=O)OC.COC(=O)CCNCCN(C)CCCN(C)CCN(CCC(=O)OC)CCC(=O)OC.COC(=O)CCNCCN(C)CCCN(C)CCNCCC(=O)OC OKAOEOGTNVQEBS-UHFFFAOYSA-N 0.000 description 1
- MZHFCEFRAZRMPK-UHFFFAOYSA-N CCCN(C)CCN(C)CCNCCC(=O)OC.COC(=O)CCN(CCC(=O)OC)CCN(C)CCN(C)CCN.COC(=O)CCN(CCC(=O)OC)CCN(C)CCN(C)CCN(CCC(=O)OC)CCC(=O)OC.COC(=O)CCNCCN(C)CCN(C)CCN(CCC(=O)OC)CCC(=O)OC.COC(=O)CCNCCN(C)CCN(C)CCNCCC(=O)OC Chemical compound CCCN(C)CCN(C)CCNCCC(=O)OC.COC(=O)CCN(CCC(=O)OC)CCN(C)CCN(C)CCN.COC(=O)CCN(CCC(=O)OC)CCN(C)CCN(C)CCN(CCC(=O)OC)CCC(=O)OC.COC(=O)CCNCCN(C)CCN(C)CCN(CCC(=O)OC)CCC(=O)OC.COC(=O)CCNCCN(C)CCN(C)CCNCCC(=O)OC MZHFCEFRAZRMPK-UHFFFAOYSA-N 0.000 description 1
- SSGACYOKVGEBGU-UHFFFAOYSA-N CCCN(C)CCN(CC)CCNCCC(=O)OC.CCN(CCN(C)CCN(CCC(=O)OC)CCC(=O)OC)CCN(CCC(=O)OC)CCC(=O)OC.CCN(CCN(C)CCN)CCN(CCC(=O)OC)CCC(=O)OC.CCN(CCNCCC(=O)OC)CCN(C)CCN(CCC(=O)OC)CCC(=O)OC.CCN(CCNCCC(=O)OC)CCN(C)CCNCCC(=O)OC Chemical compound CCCN(C)CCN(CC)CCNCCC(=O)OC.CCN(CCN(C)CCN(CCC(=O)OC)CCC(=O)OC)CCN(CCC(=O)OC)CCC(=O)OC.CCN(CCN(C)CCN)CCN(CCC(=O)OC)CCC(=O)OC.CCN(CCNCCC(=O)OC)CCN(C)CCN(CCC(=O)OC)CCC(=O)OC.CCN(CCNCCC(=O)OC)CCN(C)CCNCCC(=O)OC SSGACYOKVGEBGU-UHFFFAOYSA-N 0.000 description 1
- FCLCWQQZNGQRMF-UHFFFAOYSA-N CCCN(C)CCN(CCN(C)CCN)CCN(C)CCCCCC(=O)OC.COC(=O)CCCCCN(C)CCN(CCN(C)CCN)CCN(C)CCCCCC(=O)OC.COC(=O)CCN(CCC(=O)OC)CCN(C)CCN(CCN(C)CCN)CCN(C)CCN Chemical compound CCCN(C)CCN(CCN(C)CCN)CCN(C)CCCCCC(=O)OC.COC(=O)CCCCCN(C)CCN(CCN(C)CCN)CCN(C)CCCCCC(=O)OC.COC(=O)CCN(CCC(=O)OC)CCN(C)CCN(CCN(C)CCN)CCN(C)CCN FCLCWQQZNGQRMF-UHFFFAOYSA-N 0.000 description 1
- GJYXAEDQTXHMJW-UHFFFAOYSA-N CCCN(C)CCN(CCNCCC(=O)OC)C1CCCCC1.COC(=O)CCN(CCC(=O)OC)CCN(C)CCN(CCN(CCC(=O)OC)CCC(=O)OC)C1CCCCC1.COC(=O)CCN(CCC(=O)OC)CCN(CCN(C)CCN)C1CCCCC1.COC(=O)CCNCCN(C)CCN(CCNCCC(=O)OC)C1CCCCC1.COC(=O)CCNCCN(CCN(C)CCN(CCC(=O)OC)CCC(=O)OC)C1CCCCC1 Chemical compound CCCN(C)CCN(CCNCCC(=O)OC)C1CCCCC1.COC(=O)CCN(CCC(=O)OC)CCN(C)CCN(CCN(CCC(=O)OC)CCC(=O)OC)C1CCCCC1.COC(=O)CCN(CCC(=O)OC)CCN(CCN(C)CCN)C1CCCCC1.COC(=O)CCNCCN(C)CCN(CCNCCC(=O)OC)C1CCCCC1.COC(=O)CCNCCN(CCN(C)CCN(CCC(=O)OC)CCC(=O)OC)C1CCCCC1 GJYXAEDQTXHMJW-UHFFFAOYSA-N 0.000 description 1
- MYQIFMSLTHBZEV-UHFFFAOYSA-N CCCN(CC)CCCN(CC)CCNCCC(=O)OC.CCN(CCCN(CC)CCN(CCC(=O)OC)CCC(=O)OC)CCN(CCC(=O)OC)CCC(=O)OC.CCN(CCCN(CC)CCN(CCC(=O)OC)CCC(=O)OC)CCNCCC(=O)OC.CCN(CCCN(CC)CCNCCC(=O)OC)CCNCCC(=O)OC.CCN(CCN)CCCN(CC)CCN(CCC(=O)OC)CCC(=O)OC Chemical compound CCCN(CC)CCCN(CC)CCNCCC(=O)OC.CCN(CCCN(CC)CCN(CCC(=O)OC)CCC(=O)OC)CCN(CCC(=O)OC)CCC(=O)OC.CCN(CCCN(CC)CCN(CCC(=O)OC)CCC(=O)OC)CCNCCC(=O)OC.CCN(CCCN(CC)CCNCCC(=O)OC)CCNCCC(=O)OC.CCN(CCN)CCCN(CC)CCN(CCC(=O)OC)CCC(=O)OC MYQIFMSLTHBZEV-UHFFFAOYSA-N 0.000 description 1
- XEEQITONZZJAOF-UHFFFAOYSA-N CCCN(CC)CCN(CC)CCNCCC(=O)OC.CCN(CCN(CC)CCN(CCC(=O)OC)CCC(=O)OC)CCN(CCC(=O)OC)CCC(=O)OC.CCN(CCN)CCN(CC)CCN(CCC(=O)OC)CCC(=O)OC.CCN(CCNCCC(=O)OC)CCN(CC)CCN(CCC(=O)OC)CCC(=O)OC.CCN(CCNCCC(=O)OC)CCN(CC)CCNCCC(=O)OC Chemical compound CCCN(CC)CCN(CC)CCNCCC(=O)OC.CCN(CCN(CC)CCN(CCC(=O)OC)CCC(=O)OC)CCN(CCC(=O)OC)CCC(=O)OC.CCN(CCN)CCN(CC)CCN(CCC(=O)OC)CCC(=O)OC.CCN(CCNCCC(=O)OC)CCN(CC)CCN(CCC(=O)OC)CCC(=O)OC.CCN(CCNCCC(=O)OC)CCN(CC)CCNCCC(=O)OC XEEQITONZZJAOF-UHFFFAOYSA-N 0.000 description 1
- HJJGCYLKKDVVHJ-UHFFFAOYSA-N CCCN(CCC)CCN(C)CCNCCC(=O)OC.CCCN(CCN(C)CCN(CCC(=O)OC)CCC(=O)OC)CCN(CCC(=O)OC)CCC(=O)OC.CCCN(CCN(C)CCNCCC(=O)OC)CCN(CCC(=O)OC)CCC(=O)OC.CCCN(CCN)CCN(C)CCN(CCC(=O)OC)CCC(=O)OC.CCCN(CCNCCC(=O)OC)CCN(C)CCNCCC(=O)OC Chemical compound CCCN(CCC)CCN(C)CCNCCC(=O)OC.CCCN(CCN(C)CCN(CCC(=O)OC)CCC(=O)OC)CCN(CCC(=O)OC)CCC(=O)OC.CCCN(CCN(C)CCNCCC(=O)OC)CCN(CCC(=O)OC)CCC(=O)OC.CCCN(CCN)CCN(C)CCN(CCC(=O)OC)CCC(=O)OC.CCCN(CCNCCC(=O)OC)CCN(C)CCNCCC(=O)OC HJJGCYLKKDVVHJ-UHFFFAOYSA-N 0.000 description 1
- XDCFNWFZDQUUOA-UHFFFAOYSA-N CCCN(CCN(C)CCNCCC(=O)OC)C(C)C.COC(=O)CCN(CCC(=O)OC)CCN(C)CCN(CCN(CCC(=O)OC)CCC(=O)OC)C(C)C.COC(=O)CCN(CCC(=O)OC)CCN(C)CCN(CCN)C(C)C.COC(=O)CCNCCN(C)CCN(CCN(CCC(=O)OC)CCC(=O)OC)C(C)C.COC(=O)CCNCCN(C)CCN(CCNCCC(=O)OC)C(C)C Chemical compound CCCN(CCN(C)CCNCCC(=O)OC)C(C)C.COC(=O)CCN(CCC(=O)OC)CCN(C)CCN(CCN(CCC(=O)OC)CCC(=O)OC)C(C)C.COC(=O)CCN(CCC(=O)OC)CCN(C)CCN(CCN)C(C)C.COC(=O)CCNCCN(C)CCN(CCN(CCC(=O)OC)CCC(=O)OC)C(C)C.COC(=O)CCNCCN(C)CCN(CCNCCC(=O)OC)C(C)C XDCFNWFZDQUUOA-UHFFFAOYSA-N 0.000 description 1
- RDJOTGQKLBBWNA-UHFFFAOYSA-N CCN(CCN(CC)CCN(CCC(=O)OC)CCC(=O)OC)CCN(CC)CCN(CCC(=O)OC)CCC(=O)OC.CCN(CCN)CCN(CC)CCN(CC)CCN(CCC(=O)OC)CCC(=O)OC.CCN(CCNCCC(=O)OC)CCN(CC)CCN(CC)CCN(CCC(=O)OC)CCC(=O)OC Chemical compound CCN(CCN(CC)CCN(CCC(=O)OC)CCC(=O)OC)CCN(CC)CCN(CCC(=O)OC)CCC(=O)OC.CCN(CCN)CCN(CC)CCN(CC)CCN(CCC(=O)OC)CCC(=O)OC.CCN(CCNCCC(=O)OC)CCN(CC)CCN(CC)CCN(CCC(=O)OC)CCC(=O)OC RDJOTGQKLBBWNA-UHFFFAOYSA-N 0.000 description 1
- CMISTIVJESPSKD-UHFFFAOYSA-N CCN(CCN)CCN(CC)CCN(CC)CCNCCC(=O)OC.CCN(CCNCCC(=O)OC)CCN(CC)CCN(CC)CCNCCC(=O)OC Chemical compound CCN(CCN)CCN(CC)CCN(CC)CCNCCC(=O)OC.CCN(CCNCCC(=O)OC)CCN(CC)CCN(CC)CCNCCC(=O)OC CMISTIVJESPSKD-UHFFFAOYSA-N 0.000 description 1
- BBYQYVJCPNXDAJ-UHFFFAOYSA-N CNCCN(CCN(C)CCC(=O)OC)CCN(C)CCC(=O)OC.CNCCN(CCNC)CCN(C)CCC(=O)OC.COC(=O)CCN(C)CCN(CCN(C)CCC(=O)OC)CCN(C)CCC(=O)OC Chemical compound CNCCN(CCN(C)CCC(=O)OC)CCN(C)CCC(=O)OC.CNCCN(CCNC)CCN(C)CCC(=O)OC.COC(=O)CCN(C)CCN(CCN(C)CCC(=O)OC)CCN(C)CCC(=O)OC BBYQYVJCPNXDAJ-UHFFFAOYSA-N 0.000 description 1
- SFSSEDBHKOGHBH-UHFFFAOYSA-N COC(=O)CCCC(C)CN(CCC(=O)OC)CC(C)N(CCC(=O)OC)CCC(=O)OC.COC(=O)CCCC(C)CNCC(C)N.COC(=O)CCCC(C)CNCC(C)N(CCC(=O)OC)CCC(=O)OC.COC(=O)CCN(CC(C)N(CCC(=O)OC)CCC(=O)OC)CC(C)N(CCC(=O)OC)CCC(=O)OC.COC(=O)CCN(CC(C)N)CC(C)N.COC(=O)CCN(CC(C)N)CC(C)N(CCC(=O)OC)CCC(=O)OC.COC(=O)CCN(CCC(=O)OC)C(C)CNCC(C)N(CCC(=O)OC)CCC(=O)OC Chemical compound COC(=O)CCCC(C)CN(CCC(=O)OC)CC(C)N(CCC(=O)OC)CCC(=O)OC.COC(=O)CCCC(C)CNCC(C)N.COC(=O)CCCC(C)CNCC(C)N(CCC(=O)OC)CCC(=O)OC.COC(=O)CCN(CC(C)N(CCC(=O)OC)CCC(=O)OC)CC(C)N(CCC(=O)OC)CCC(=O)OC.COC(=O)CCN(CC(C)N)CC(C)N.COC(=O)CCN(CC(C)N)CC(C)N(CCC(=O)OC)CCC(=O)OC.COC(=O)CCN(CCC(=O)OC)C(C)CNCC(C)N(CCC(=O)OC)CCC(=O)OC SFSSEDBHKOGHBH-UHFFFAOYSA-N 0.000 description 1
- BACMGNOSEPKJKM-UHFFFAOYSA-N COC(=O)CCCCC(C)C.COC(=O)CCN(CCC(=O)OC)CC(C)N(CCC(=O)OC)CCC(=O)OC.COC(=O)CCNC(C)CN.COC(=O)CCNC(C)CN(CCC(=O)OC)CCC(=O)OC.COC(=O)CCNCC(C)N(CCC(=O)OC)CCC(=O)OC Chemical compound COC(=O)CCCCC(C)C.COC(=O)CCN(CCC(=O)OC)CC(C)N(CCC(=O)OC)CCC(=O)OC.COC(=O)CCNC(C)CN.COC(=O)CCNC(C)CN(CCC(=O)OC)CCC(=O)OC.COC(=O)CCNCC(C)N(CCC(=O)OC)CCC(=O)OC BACMGNOSEPKJKM-UHFFFAOYSA-N 0.000 description 1
- YDRMQHGPCITCCQ-UHFFFAOYSA-N COC(=O)CCCCC1=CC(CN)=CC=C1.COC(=O)CCCCC1=CC=CC(CNCCC(=O)OC)=C1.COC(=O)CCN(CCC(=O)OC)CC1=CC(CN)=CC=C1.COC(=O)CCN(CCC(=O)OC)CC1=CC=CC(CN(CCC(=O)OC)CCC(=O)OC)=C1.COC(=O)CCNCC1=CC=CC(CN(CCC(=O)OC)CCC(=O)OC)=C1 Chemical compound COC(=O)CCCCC1=CC(CN)=CC=C1.COC(=O)CCCCC1=CC=CC(CNCCC(=O)OC)=C1.COC(=O)CCN(CCC(=O)OC)CC1=CC(CN)=CC=C1.COC(=O)CCN(CCC(=O)OC)CC1=CC=CC(CN(CCC(=O)OC)CCC(=O)OC)=C1.COC(=O)CCNCC1=CC=CC(CN(CCC(=O)OC)CCC(=O)OC)=C1 YDRMQHGPCITCCQ-UHFFFAOYSA-N 0.000 description 1
- MOBJILYSUMRIDW-UHFFFAOYSA-N COC(=O)CCCCCCCC(C)C.COC(=O)CCN(CCCCC(C)C)CCC(=O)OC.COC(=O)CCN(CCCN(CCC(=O)OC)C(C)C)CCC(=O)OC.COC(=O)CCN(CCCN)C(C)C.COC(=O)CCNCCCN(CCC(=O)OC)C(C)C Chemical compound COC(=O)CCCCCCCC(C)C.COC(=O)CCN(CCCCC(C)C)CCC(=O)OC.COC(=O)CCN(CCCN(CCC(=O)OC)C(C)C)CCC(=O)OC.COC(=O)CCN(CCCN)C(C)C.COC(=O)CCNCCCN(CCC(=O)OC)C(C)C MOBJILYSUMRIDW-UHFFFAOYSA-N 0.000 description 1
- JWQHBBSAOJFYHE-UHFFFAOYSA-N COC(=O)CCCCCN(C)CCN(CCN(C)CCCCCC(=O)OC)CCN(C)CCN(CCC(=O)OC)CCC(=O)OC.COC(=O)CCCCCN(C)CCN(CCN(C)CCCCCC(=O)OC)CCN(C)CCNCCC(=O)OC.COC(=O)CCCCCN(C)CCN(CCN(C)CCN)CCN(C)CCN(CCC(=O)OC)CCC(=O)OC Chemical compound COC(=O)CCCCCN(C)CCN(CCN(C)CCCCCC(=O)OC)CCN(C)CCN(CCC(=O)OC)CCC(=O)OC.COC(=O)CCCCCN(C)CCN(CCN(C)CCCCCC(=O)OC)CCN(C)CCNCCC(=O)OC.COC(=O)CCCCCN(C)CCN(CCN(C)CCN)CCN(C)CCN(CCC(=O)OC)CCC(=O)OC JWQHBBSAOJFYHE-UHFFFAOYSA-N 0.000 description 1
- FJKDMBSNVXVESG-UHFFFAOYSA-N COC(=O)CCCCCN1CCN(CCN(CCC(=O)OC)CCC(=O)OC)CC1.COC(=O)CCCCCN1CCN(CCN)CC1.COC(=O)CCCCCN1CCN(CCNCCC(=O)OC)CC1.COC(=O)CCN(CCC(=O)OC)CCN1CCN(CCN(CCC(=O)OC)CCC(=O)OC)CC1.COC(=O)CCN(CCC(=O)OC)CCN1CCN(CCN)CC1 Chemical compound COC(=O)CCCCCN1CCN(CCN(CCC(=O)OC)CCC(=O)OC)CC1.COC(=O)CCCCCN1CCN(CCN)CC1.COC(=O)CCCCCN1CCN(CCNCCC(=O)OC)CC1.COC(=O)CCN(CCC(=O)OC)CCN1CCN(CCN(CCC(=O)OC)CCC(=O)OC)CC1.COC(=O)CCN(CCC(=O)OC)CCN1CCN(CCN)CC1 FJKDMBSNVXVESG-UHFFFAOYSA-N 0.000 description 1
- FKBXSGIBVHXLDF-DTKGQIJLSA-N COC(=O)CCCCCN1CCN(CCN(CCC(=O)OC)CCC(=O)OC)C[C@@H]1C.COC(=O)CCCCCN1CCN(CCNCCC(=O)OC)C[C@@H]1C.COC(=O)CCN(CCC(=O)OC)CCN1CCN(CCN(CCC(=O)OC)CCC(=O)OC)[C@@H](C)C1.COC(=O)CCN(CCC(=O)OC)CCN1CCN(CCN)C[C@@H]1C.COC(=O)CCN(CCC(=O)OC)CCN1CCN(CCN)[C@@H](C)C1.COC(=O)CCNCCN1CCN(CCN(CCC(=O)OC)CCC(=O)OC)[C@@H](C)C1 Chemical compound COC(=O)CCCCCN1CCN(CCN(CCC(=O)OC)CCC(=O)OC)C[C@@H]1C.COC(=O)CCCCCN1CCN(CCNCCC(=O)OC)C[C@@H]1C.COC(=O)CCN(CCC(=O)OC)CCN1CCN(CCN(CCC(=O)OC)CCC(=O)OC)[C@@H](C)C1.COC(=O)CCN(CCC(=O)OC)CCN1CCN(CCN)C[C@@H]1C.COC(=O)CCN(CCC(=O)OC)CCN1CCN(CCN)[C@@H](C)C1.COC(=O)CCNCCN1CCN(CCN(CCC(=O)OC)CCC(=O)OC)[C@@H](C)C1 FKBXSGIBVHXLDF-DTKGQIJLSA-N 0.000 description 1
- SGEUBUHJXGIVAH-IMECTCCJSA-N COC(=O)CCCCCN1CCN(CCN)C[C@@H]1C.COC(=O)CCNCCN1CCN(CCN)[C@@H](C)C1 Chemical compound COC(=O)CCCCCN1CCN(CCN)C[C@@H]1C.COC(=O)CCNCCN1CCN(CCN)[C@@H](C)C1 SGEUBUHJXGIVAH-IMECTCCJSA-N 0.000 description 1
- WUPVULYLWFDHIY-LJKHKJPYSA-N COC(=O)CCCCCN1C[C@@H](C)N(CCN(CCC(=O)OC)CCC(=O)OC)C[C@@H]1C.COC(=O)CCCCCN1C[C@@H](C)N(CCN)C[C@@H]1C.COC(=O)CCCCCN1C[C@@H](C)N(CCNCCC(=O)OC)C[C@@H]1C.COC(=O)CCN(CCC(=O)OC)CCN1C[C@@H](C)N(CCN(CCC(=O)OC)CCC(=O)OC)C[C@@H]1C.COC(=O)CCN(CCC(=O)OC)CCN1C[C@H](C)N(CCN)C[C@H]1C Chemical compound COC(=O)CCCCCN1C[C@@H](C)N(CCN(CCC(=O)OC)CCC(=O)OC)C[C@@H]1C.COC(=O)CCCCCN1C[C@@H](C)N(CCN)C[C@@H]1C.COC(=O)CCCCCN1C[C@@H](C)N(CCNCCC(=O)OC)C[C@@H]1C.COC(=O)CCN(CCC(=O)OC)CCN1C[C@@H](C)N(CCN(CCC(=O)OC)CCC(=O)OC)C[C@@H]1C.COC(=O)CCN(CCC(=O)OC)CCN1C[C@H](C)N(CCN)C[C@H]1C WUPVULYLWFDHIY-LJKHKJPYSA-N 0.000 description 1
- KTLIWKPVKNPXJA-UHFFFAOYSA-N COC(=O)CCN(CCC(=O)OC)CCN(C)CCN(CCN(C)CCN(CCC(=O)OC)CCC(=O)OC)CCN(C)CCN(CCC(=O)OC)CCC(=O)OC.COC(=O)CCN(CCC(=O)OC)CCN(C)CCN(CCN(C)CCN)CCN(C)CCN(CCC(=O)OC)CCC(=O)OC.COC(=O)CCNCCN(C)CCN(CCN(C)CCN(CCC(=O)OC)CCC(=O)OC)CCN(C)CCN(CCC(=O)OC)CCC(=O)OC Chemical compound COC(=O)CCN(CCC(=O)OC)CCN(C)CCN(CCN(C)CCN(CCC(=O)OC)CCC(=O)OC)CCN(C)CCN(CCC(=O)OC)CCC(=O)OC.COC(=O)CCN(CCC(=O)OC)CCN(C)CCN(CCN(C)CCN)CCN(C)CCN(CCC(=O)OC)CCC(=O)OC.COC(=O)CCNCCN(C)CCN(CCN(C)CCN(CCC(=O)OC)CCC(=O)OC)CCN(C)CCN(CCC(=O)OC)CCC(=O)OC KTLIWKPVKNPXJA-UHFFFAOYSA-N 0.000 description 1
- YVNWBNGJAOSVGT-MATWGEPFSA-N COC(=O)CCN(CCC(=O)OC)[C@H](CO)CC(C)C.COC(=O)CCN[C@H](CO)CC(C)C Chemical compound COC(=O)CCN(CCC(=O)OC)[C@H](CO)CC(C)C.COC(=O)CCN[C@H](CO)CC(C)C YVNWBNGJAOSVGT-MATWGEPFSA-N 0.000 description 1
- YHDMLQHZLUUNGQ-UHFFFAOYSA-N COC(=O)CCN1CCN(CCC(=O)OC)C2C1CCCN2CCC(=O)OC.COC(=O)CCN1CCN(CCC(=O)OC)C2C1N(CCC(=O)OC)CCN2CCC(=O)OC.COC(=O)CCN1CCNC2C1CCCN2CCC(=O)OC.COC(=O)CCN1CCNC2NCCCC21.COC(=O)CCN1CCNC2NCCN(CCC(=O)OC)C21 Chemical compound COC(=O)CCN1CCN(CCC(=O)OC)C2C1CCCN2CCC(=O)OC.COC(=O)CCN1CCN(CCC(=O)OC)C2C1N(CCC(=O)OC)CCN2CCC(=O)OC.COC(=O)CCN1CCNC2C1CCCN2CCC(=O)OC.COC(=O)CCN1CCNC2NCCCC21.COC(=O)CCN1CCNC2NCCN(CCC(=O)OC)C21 YHDMLQHZLUUNGQ-UHFFFAOYSA-N 0.000 description 1
Images
Classifications
-
- A—HUMAN NECESSITIES
- A61—MEDICAL OR VETERINARY SCIENCE; HYGIENE
- A61K—PREPARATIONS FOR MEDICAL, DENTAL OR TOILETRY PURPOSES
- A61K47/00—Medicinal preparations characterised by the non-active ingredients used, e.g. carriers or inert additives; Targeting or modifying agents chemically bound to the active ingredient
- A61K47/06—Organic compounds, e.g. natural or synthetic hydrocarbons, polyolefins, mineral oil, petrolatum or ozokerite
- A61K47/22—Heterocyclic compounds, e.g. ascorbic acid, tocopherol or pyrrolidones
-
- A—HUMAN NECESSITIES
- A61—MEDICAL OR VETERINARY SCIENCE; HYGIENE
- A61K—PREPARATIONS FOR MEDICAL, DENTAL OR TOILETRY PURPOSES
- A61K9/00—Medicinal preparations characterised by special physical form
- A61K9/48—Preparations in capsules, e.g. of gelatin, of chocolate
- A61K9/50—Microcapsules having a gas, liquid or semi-solid filling; Solid microparticles or pellets surrounded by a distinct coating layer, e.g. coated microspheres, coated drug crystals
- A61K9/51—Nanocapsules; Nanoparticles
- A61K9/5107—Excipients; Inactive ingredients
- A61K9/5123—Organic compounds, e.g. fats, sugars
-
- A—HUMAN NECESSITIES
- A61—MEDICAL OR VETERINARY SCIENCE; HYGIENE
- A61K—PREPARATIONS FOR MEDICAL, DENTAL OR TOILETRY PURPOSES
- A61K31/00—Medicinal preparations containing organic active ingredients
- A61K31/21—Esters, e.g. nitroglycerine, selenocyanates
- A61K31/215—Esters, e.g. nitroglycerine, selenocyanates of carboxylic acids
- A61K31/22—Esters, e.g. nitroglycerine, selenocyanates of carboxylic acids of acyclic acids, e.g. pravastatin
- A61K31/225—Polycarboxylic acids
-
- A—HUMAN NECESSITIES
- A61—MEDICAL OR VETERINARY SCIENCE; HYGIENE
- A61K—PREPARATIONS FOR MEDICAL, DENTAL OR TOILETRY PURPOSES
- A61K31/00—Medicinal preparations containing organic active ingredients
- A61K31/33—Heterocyclic compounds
- A61K31/335—Heterocyclic compounds having oxygen as the only ring hetero atom, e.g. fungichromin
- A61K31/357—Heterocyclic compounds having oxygen as the only ring hetero atom, e.g. fungichromin having two or more oxygen atoms in the same ring, e.g. crown ethers, guanadrel
-
- A—HUMAN NECESSITIES
- A61—MEDICAL OR VETERINARY SCIENCE; HYGIENE
- A61K—PREPARATIONS FOR MEDICAL, DENTAL OR TOILETRY PURPOSES
- A61K31/00—Medicinal preparations containing organic active ingredients
- A61K31/33—Heterocyclic compounds
- A61K31/395—Heterocyclic compounds having nitrogen as a ring hetero atom, e.g. guanethidine or rifamycins
- A61K31/40—Heterocyclic compounds having nitrogen as a ring hetero atom, e.g. guanethidine or rifamycins having five-membered rings with one nitrogen as the only ring hetero atom, e.g. sulpiride, succinimide, tolmetin, buflomedil
-
- A—HUMAN NECESSITIES
- A61—MEDICAL OR VETERINARY SCIENCE; HYGIENE
- A61K—PREPARATIONS FOR MEDICAL, DENTAL OR TOILETRY PURPOSES
- A61K31/00—Medicinal preparations containing organic active ingredients
- A61K31/33—Heterocyclic compounds
- A61K31/395—Heterocyclic compounds having nitrogen as a ring hetero atom, e.g. guanethidine or rifamycins
- A61K31/435—Heterocyclic compounds having nitrogen as a ring hetero atom, e.g. guanethidine or rifamycins having six-membered rings with one nitrogen as the only ring hetero atom
- A61K31/44—Non condensed pyridines; Hydrogenated derivatives thereof
- A61K31/445—Non condensed piperidines, e.g. piperocaine
-
- A—HUMAN NECESSITIES
- A61—MEDICAL OR VETERINARY SCIENCE; HYGIENE
- A61K—PREPARATIONS FOR MEDICAL, DENTAL OR TOILETRY PURPOSES
- A61K31/00—Medicinal preparations containing organic active ingredients
- A61K31/33—Heterocyclic compounds
- A61K31/395—Heterocyclic compounds having nitrogen as a ring hetero atom, e.g. guanethidine or rifamycins
- A61K31/495—Heterocyclic compounds having nitrogen as a ring hetero atom, e.g. guanethidine or rifamycins having six-membered rings with two or more nitrogen atoms as the only ring heteroatoms, e.g. piperazine or tetrazines
-
- A—HUMAN NECESSITIES
- A61—MEDICAL OR VETERINARY SCIENCE; HYGIENE
- A61K—PREPARATIONS FOR MEDICAL, DENTAL OR TOILETRY PURPOSES
- A61K31/00—Medicinal preparations containing organic active ingredients
- A61K31/33—Heterocyclic compounds
- A61K31/395—Heterocyclic compounds having nitrogen as a ring hetero atom, e.g. guanethidine or rifamycins
- A61K31/495—Heterocyclic compounds having nitrogen as a ring hetero atom, e.g. guanethidine or rifamycins having six-membered rings with two or more nitrogen atoms as the only ring heteroatoms, e.g. piperazine or tetrazines
- A61K31/4985—Pyrazines or piperazines ortho- or peri-condensed with heterocyclic ring systems
-
- A—HUMAN NECESSITIES
- A61—MEDICAL OR VETERINARY SCIENCE; HYGIENE
- A61K—PREPARATIONS FOR MEDICAL, DENTAL OR TOILETRY PURPOSES
- A61K31/00—Medicinal preparations containing organic active ingredients
- A61K31/56—Compounds containing cyclopenta[a]hydrophenanthrene ring systems; Derivatives thereof, e.g. steroids
- A61K31/57—Compounds containing cyclopenta[a]hydrophenanthrene ring systems; Derivatives thereof, e.g. steroids substituted in position 17 beta by a chain of two carbon atoms, e.g. pregnane or progesterone
- A61K31/573—Compounds containing cyclopenta[a]hydrophenanthrene ring systems; Derivatives thereof, e.g. steroids substituted in position 17 beta by a chain of two carbon atoms, e.g. pregnane or progesterone substituted in position 21, e.g. cortisone, dexamethasone, prednisone or aldosterone
-
- A—HUMAN NECESSITIES
- A61—MEDICAL OR VETERINARY SCIENCE; HYGIENE
- A61K—PREPARATIONS FOR MEDICAL, DENTAL OR TOILETRY PURPOSES
- A61K31/00—Medicinal preparations containing organic active ingredients
- A61K31/70—Carbohydrates; Sugars; Derivatives thereof
- A61K31/7028—Compounds having saccharide radicals attached to non-saccharide compounds by glycosidic linkages
- A61K31/7034—Compounds having saccharide radicals attached to non-saccharide compounds by glycosidic linkages attached to a carbocyclic compound, e.g. phloridzin
- A61K31/704—Compounds having saccharide radicals attached to non-saccharide compounds by glycosidic linkages attached to a carbocyclic compound, e.g. phloridzin attached to a condensed carbocyclic ring system, e.g. sennosides, thiocolchicosides, escin, daunorubicin
-
- A—HUMAN NECESSITIES
- A61—MEDICAL OR VETERINARY SCIENCE; HYGIENE
- A61K—PREPARATIONS FOR MEDICAL, DENTAL OR TOILETRY PURPOSES
- A61K31/00—Medicinal preparations containing organic active ingredients
- A61K31/70—Carbohydrates; Sugars; Derivatives thereof
- A61K31/7088—Compounds having three or more nucleosides or nucleotides
- A61K31/713—Double-stranded nucleic acids or oligonucleotides
-
- A—HUMAN NECESSITIES
- A61—MEDICAL OR VETERINARY SCIENCE; HYGIENE
- A61K—PREPARATIONS FOR MEDICAL, DENTAL OR TOILETRY PURPOSES
- A61K45/00—Medicinal preparations containing active ingredients not provided for in groups A61K31/00 - A61K41/00
- A61K45/06—Mixtures of active ingredients without chemical characterisation, e.g. antiphlogistics and cardiaca
-
- A—HUMAN NECESSITIES
- A61—MEDICAL OR VETERINARY SCIENCE; HYGIENE
- A61K—PREPARATIONS FOR MEDICAL, DENTAL OR TOILETRY PURPOSES
- A61K47/00—Medicinal preparations characterised by the non-active ingredients used, e.g. carriers or inert additives; Targeting or modifying agents chemically bound to the active ingredient
- A61K47/50—Medicinal preparations characterised by the non-active ingredients used, e.g. carriers or inert additives; Targeting or modifying agents chemically bound to the active ingredient the non-active ingredient being chemically bound to the active ingredient, e.g. polymer-drug conjugates
- A61K47/51—Medicinal preparations characterised by the non-active ingredients used, e.g. carriers or inert additives; Targeting or modifying agents chemically bound to the active ingredient the non-active ingredient being chemically bound to the active ingredient, e.g. polymer-drug conjugates the non-active ingredient being a modifying agent
- A61K47/54—Medicinal preparations characterised by the non-active ingredients used, e.g. carriers or inert additives; Targeting or modifying agents chemically bound to the active ingredient the non-active ingredient being chemically bound to the active ingredient, e.g. polymer-drug conjugates the non-active ingredient being a modifying agent the modifying agent being an organic compound
- A61K47/542—Carboxylic acids, e.g. a fatty acid or an amino acid
-
- A—HUMAN NECESSITIES
- A61—MEDICAL OR VETERINARY SCIENCE; HYGIENE
- A61K—PREPARATIONS FOR MEDICAL, DENTAL OR TOILETRY PURPOSES
- A61K47/00—Medicinal preparations characterised by the non-active ingredients used, e.g. carriers or inert additives; Targeting or modifying agents chemically bound to the active ingredient
- A61K47/50—Medicinal preparations characterised by the non-active ingredients used, e.g. carriers or inert additives; Targeting or modifying agents chemically bound to the active ingredient the non-active ingredient being chemically bound to the active ingredient, e.g. polymer-drug conjugates
- A61K47/51—Medicinal preparations characterised by the non-active ingredients used, e.g. carriers or inert additives; Targeting or modifying agents chemically bound to the active ingredient the non-active ingredient being chemically bound to the active ingredient, e.g. polymer-drug conjugates the non-active ingredient being a modifying agent
- A61K47/54—Medicinal preparations characterised by the non-active ingredients used, e.g. carriers or inert additives; Targeting or modifying agents chemically bound to the active ingredient the non-active ingredient being chemically bound to the active ingredient, e.g. polymer-drug conjugates the non-active ingredient being a modifying agent the modifying agent being an organic compound
- A61K47/543—Lipids, e.g. triglycerides; Polyamines, e.g. spermine or spermidine
-
- A—HUMAN NECESSITIES
- A61—MEDICAL OR VETERINARY SCIENCE; HYGIENE
- A61K—PREPARATIONS FOR MEDICAL, DENTAL OR TOILETRY PURPOSES
- A61K47/00—Medicinal preparations characterised by the non-active ingredients used, e.g. carriers or inert additives; Targeting or modifying agents chemically bound to the active ingredient
- A61K47/50—Medicinal preparations characterised by the non-active ingredients used, e.g. carriers or inert additives; Targeting or modifying agents chemically bound to the active ingredient the non-active ingredient being chemically bound to the active ingredient, e.g. polymer-drug conjugates
- A61K47/69—Medicinal preparations characterised by the non-active ingredients used, e.g. carriers or inert additives; Targeting or modifying agents chemically bound to the active ingredient the non-active ingredient being chemically bound to the active ingredient, e.g. polymer-drug conjugates the conjugate being characterised by physical or galenical forms, e.g. emulsion, particle, inclusion complex, stent or kit
- A61K47/6921—Medicinal preparations characterised by the non-active ingredients used, e.g. carriers or inert additives; Targeting or modifying agents chemically bound to the active ingredient the non-active ingredient being chemically bound to the active ingredient, e.g. polymer-drug conjugates the conjugate being characterised by physical or galenical forms, e.g. emulsion, particle, inclusion complex, stent or kit the form being a particulate, a powder, an adsorbate, a bead or a sphere
- A61K47/6925—Medicinal preparations characterised by the non-active ingredients used, e.g. carriers or inert additives; Targeting or modifying agents chemically bound to the active ingredient the non-active ingredient being chemically bound to the active ingredient, e.g. polymer-drug conjugates the conjugate being characterised by physical or galenical forms, e.g. emulsion, particle, inclusion complex, stent or kit the form being a particulate, a powder, an adsorbate, a bead or a sphere the form being a microcapsule, nanocapsule, microbubble or nanobubble
-
- A—HUMAN NECESSITIES
- A61—MEDICAL OR VETERINARY SCIENCE; HYGIENE
- A61K—PREPARATIONS FOR MEDICAL, DENTAL OR TOILETRY PURPOSES
- A61K9/00—Medicinal preparations characterised by special physical form
- A61K9/10—Dispersions; Emulsions
- A61K9/127—Synthetic bilayered vehicles, e.g. liposomes or liposomes with cholesterol as the only non-phosphatidyl surfactant
- A61K9/1271—Non-conventional liposomes, e.g. PEGylated liposomes or liposomes coated or grafted with polymers
- A61K9/1272—Non-conventional liposomes, e.g. PEGylated liposomes or liposomes coated or grafted with polymers comprising non-phosphatidyl surfactants as bilayer-forming substances, e.g. cationic lipids or non-phosphatidyl liposomes coated or grafted with polymers
-
- C—CHEMISTRY; METALLURGY
- C07—ORGANIC CHEMISTRY
- C07C—ACYCLIC OR CARBOCYCLIC COMPOUNDS
- C07C225/00—Compounds containing amino groups and doubly—bound oxygen atoms bound to the same carbon skeleton, at least one of the doubly—bound oxygen atoms not being part of a —CHO group, e.g. amino ketones
- C07C225/02—Compounds containing amino groups and doubly—bound oxygen atoms bound to the same carbon skeleton, at least one of the doubly—bound oxygen atoms not being part of a —CHO group, e.g. amino ketones having amino groups bound to acyclic carbon atoms of the carbon skeleton
- C07C225/04—Compounds containing amino groups and doubly—bound oxygen atoms bound to the same carbon skeleton, at least one of the doubly—bound oxygen atoms not being part of a —CHO group, e.g. amino ketones having amino groups bound to acyclic carbon atoms of the carbon skeleton the carbon skeleton being saturated
- C07C225/06—Compounds containing amino groups and doubly—bound oxygen atoms bound to the same carbon skeleton, at least one of the doubly—bound oxygen atoms not being part of a —CHO group, e.g. amino ketones having amino groups bound to acyclic carbon atoms of the carbon skeleton the carbon skeleton being saturated and acyclic
-
- C—CHEMISTRY; METALLURGY
- C07—ORGANIC CHEMISTRY
- C07C—ACYCLIC OR CARBOCYCLIC COMPOUNDS
- C07C229/00—Compounds containing amino and carboxyl groups bound to the same carbon skeleton
- C07C229/02—Compounds containing amino and carboxyl groups bound to the same carbon skeleton having amino and carboxyl groups bound to acyclic carbon atoms of the same carbon skeleton
- C07C229/04—Compounds containing amino and carboxyl groups bound to the same carbon skeleton having amino and carboxyl groups bound to acyclic carbon atoms of the same carbon skeleton the carbon skeleton being acyclic and saturated
- C07C229/06—Compounds containing amino and carboxyl groups bound to the same carbon skeleton having amino and carboxyl groups bound to acyclic carbon atoms of the same carbon skeleton the carbon skeleton being acyclic and saturated having only one amino and one carboxyl group bound to the carbon skeleton
- C07C229/10—Compounds containing amino and carboxyl groups bound to the same carbon skeleton having amino and carboxyl groups bound to acyclic carbon atoms of the same carbon skeleton the carbon skeleton being acyclic and saturated having only one amino and one carboxyl group bound to the carbon skeleton the nitrogen atom of the amino group being further bound to acyclic carbon atoms or to carbon atoms of rings other than six-membered aromatic rings
- C07C229/12—Compounds containing amino and carboxyl groups bound to the same carbon skeleton having amino and carboxyl groups bound to acyclic carbon atoms of the same carbon skeleton the carbon skeleton being acyclic and saturated having only one amino and one carboxyl group bound to the carbon skeleton the nitrogen atom of the amino group being further bound to acyclic carbon atoms or to carbon atoms of rings other than six-membered aromatic rings to carbon atoms of acyclic carbon skeletons
-
- C—CHEMISTRY; METALLURGY
- C07—ORGANIC CHEMISTRY
- C07C—ACYCLIC OR CARBOCYCLIC COMPOUNDS
- C07C229/00—Compounds containing amino and carboxyl groups bound to the same carbon skeleton
- C07C229/02—Compounds containing amino and carboxyl groups bound to the same carbon skeleton having amino and carboxyl groups bound to acyclic carbon atoms of the same carbon skeleton
- C07C229/04—Compounds containing amino and carboxyl groups bound to the same carbon skeleton having amino and carboxyl groups bound to acyclic carbon atoms of the same carbon skeleton the carbon skeleton being acyclic and saturated
- C07C229/06—Compounds containing amino and carboxyl groups bound to the same carbon skeleton having amino and carboxyl groups bound to acyclic carbon atoms of the same carbon skeleton the carbon skeleton being acyclic and saturated having only one amino and one carboxyl group bound to the carbon skeleton
- C07C229/10—Compounds containing amino and carboxyl groups bound to the same carbon skeleton having amino and carboxyl groups bound to acyclic carbon atoms of the same carbon skeleton the carbon skeleton being acyclic and saturated having only one amino and one carboxyl group bound to the carbon skeleton the nitrogen atom of the amino group being further bound to acyclic carbon atoms or to carbon atoms of rings other than six-membered aromatic rings
- C07C229/14—Compounds containing amino and carboxyl groups bound to the same carbon skeleton having amino and carboxyl groups bound to acyclic carbon atoms of the same carbon skeleton the carbon skeleton being acyclic and saturated having only one amino and one carboxyl group bound to the carbon skeleton the nitrogen atom of the amino group being further bound to acyclic carbon atoms or to carbon atoms of rings other than six-membered aromatic rings to carbon atoms of carbon skeletons containing rings
-
- C—CHEMISTRY; METALLURGY
- C07—ORGANIC CHEMISTRY
- C07C—ACYCLIC OR CARBOCYCLIC COMPOUNDS
- C07C229/00—Compounds containing amino and carboxyl groups bound to the same carbon skeleton
- C07C229/02—Compounds containing amino and carboxyl groups bound to the same carbon skeleton having amino and carboxyl groups bound to acyclic carbon atoms of the same carbon skeleton
- C07C229/04—Compounds containing amino and carboxyl groups bound to the same carbon skeleton having amino and carboxyl groups bound to acyclic carbon atoms of the same carbon skeleton the carbon skeleton being acyclic and saturated
- C07C229/24—Compounds containing amino and carboxyl groups bound to the same carbon skeleton having amino and carboxyl groups bound to acyclic carbon atoms of the same carbon skeleton the carbon skeleton being acyclic and saturated having more than one carboxyl group bound to the carbon skeleton, e.g. aspartic acid
-
- C—CHEMISTRY; METALLURGY
- C07—ORGANIC CHEMISTRY
- C07C—ACYCLIC OR CARBOCYCLIC COMPOUNDS
- C07C229/00—Compounds containing amino and carboxyl groups bound to the same carbon skeleton
- C07C229/02—Compounds containing amino and carboxyl groups bound to the same carbon skeleton having amino and carboxyl groups bound to acyclic carbon atoms of the same carbon skeleton
- C07C229/04—Compounds containing amino and carboxyl groups bound to the same carbon skeleton having amino and carboxyl groups bound to acyclic carbon atoms of the same carbon skeleton the carbon skeleton being acyclic and saturated
- C07C229/26—Compounds containing amino and carboxyl groups bound to the same carbon skeleton having amino and carboxyl groups bound to acyclic carbon atoms of the same carbon skeleton the carbon skeleton being acyclic and saturated having more than one amino group bound to the carbon skeleton, e.g. lysine
-
- C—CHEMISTRY; METALLURGY
- C07—ORGANIC CHEMISTRY
- C07C—ACYCLIC OR CARBOCYCLIC COMPOUNDS
- C07C229/00—Compounds containing amino and carboxyl groups bound to the same carbon skeleton
- C07C229/02—Compounds containing amino and carboxyl groups bound to the same carbon skeleton having amino and carboxyl groups bound to acyclic carbon atoms of the same carbon skeleton
- C07C229/28—Compounds containing amino and carboxyl groups bound to the same carbon skeleton having amino and carboxyl groups bound to acyclic carbon atoms of the same carbon skeleton the carbon skeleton being saturated and containing rings
-
- C—CHEMISTRY; METALLURGY
- C07—ORGANIC CHEMISTRY
- C07C—ACYCLIC OR CARBOCYCLIC COMPOUNDS
- C07C229/00—Compounds containing amino and carboxyl groups bound to the same carbon skeleton
- C07C229/02—Compounds containing amino and carboxyl groups bound to the same carbon skeleton having amino and carboxyl groups bound to acyclic carbon atoms of the same carbon skeleton
- C07C229/34—Compounds containing amino and carboxyl groups bound to the same carbon skeleton having amino and carboxyl groups bound to acyclic carbon atoms of the same carbon skeleton the carbon skeleton containing six-membered aromatic rings
-
- C—CHEMISTRY; METALLURGY
- C07—ORGANIC CHEMISTRY
- C07D—HETEROCYCLIC COMPOUNDS
- C07D207/00—Heterocyclic compounds containing five-membered rings not condensed with other rings, with one nitrogen atom as the only ring hetero atom
- C07D207/02—Heterocyclic compounds containing five-membered rings not condensed with other rings, with one nitrogen atom as the only ring hetero atom with only hydrogen or carbon atoms directly attached to the ring nitrogen atom
- C07D207/04—Heterocyclic compounds containing five-membered rings not condensed with other rings, with one nitrogen atom as the only ring hetero atom with only hydrogen or carbon atoms directly attached to the ring nitrogen atom having no double bonds between ring members or between ring members and non-ring members
- C07D207/08—Heterocyclic compounds containing five-membered rings not condensed with other rings, with one nitrogen atom as the only ring hetero atom with only hydrogen or carbon atoms directly attached to the ring nitrogen atom having no double bonds between ring members or between ring members and non-ring members with hydrocarbon radicals, substituted by hetero atoms, attached to ring carbon atoms
- C07D207/09—Radicals substituted by nitrogen atoms, not forming part of a nitro radical
-
- C—CHEMISTRY; METALLURGY
- C07—ORGANIC CHEMISTRY
- C07D—HETEROCYCLIC COMPOUNDS
- C07D211/00—Heterocyclic compounds containing hydrogenated pyridine rings, not condensed with other rings
- C07D211/04—Heterocyclic compounds containing hydrogenated pyridine rings, not condensed with other rings with only hydrogen or carbon atoms directly attached to the ring nitrogen atom
- C07D211/06—Heterocyclic compounds containing hydrogenated pyridine rings, not condensed with other rings with only hydrogen or carbon atoms directly attached to the ring nitrogen atom having no double bonds between ring members or between ring members and non-ring members
- C07D211/08—Heterocyclic compounds containing hydrogenated pyridine rings, not condensed with other rings with only hydrogen or carbon atoms directly attached to the ring nitrogen atom having no double bonds between ring members or between ring members and non-ring members with hydrocarbon or substituted hydrocarbon radicals directly attached to ring carbon atoms
- C07D211/10—Heterocyclic compounds containing hydrogenated pyridine rings, not condensed with other rings with only hydrogen or carbon atoms directly attached to the ring nitrogen atom having no double bonds between ring members or between ring members and non-ring members with hydrocarbon or substituted hydrocarbon radicals directly attached to ring carbon atoms with radicals containing only carbon and hydrogen atoms attached to ring carbon atoms
- C07D211/14—Heterocyclic compounds containing hydrogenated pyridine rings, not condensed with other rings with only hydrogen or carbon atoms directly attached to the ring nitrogen atom having no double bonds between ring members or between ring members and non-ring members with hydrocarbon or substituted hydrocarbon radicals directly attached to ring carbon atoms with radicals containing only carbon and hydrogen atoms attached to ring carbon atoms with hydrocarbon or substituted hydrocarbon radicals attached to the ring nitrogen atom
-
- C—CHEMISTRY; METALLURGY
- C07—ORGANIC CHEMISTRY
- C07D—HETEROCYCLIC COMPOUNDS
- C07D211/00—Heterocyclic compounds containing hydrogenated pyridine rings, not condensed with other rings
- C07D211/04—Heterocyclic compounds containing hydrogenated pyridine rings, not condensed with other rings with only hydrogen or carbon atoms directly attached to the ring nitrogen atom
- C07D211/06—Heterocyclic compounds containing hydrogenated pyridine rings, not condensed with other rings with only hydrogen or carbon atoms directly attached to the ring nitrogen atom having no double bonds between ring members or between ring members and non-ring members
- C07D211/08—Heterocyclic compounds containing hydrogenated pyridine rings, not condensed with other rings with only hydrogen or carbon atoms directly attached to the ring nitrogen atom having no double bonds between ring members or between ring members and non-ring members with hydrocarbon or substituted hydrocarbon radicals directly attached to ring carbon atoms
- C07D211/18—Heterocyclic compounds containing hydrogenated pyridine rings, not condensed with other rings with only hydrogen or carbon atoms directly attached to the ring nitrogen atom having no double bonds between ring members or between ring members and non-ring members with hydrocarbon or substituted hydrocarbon radicals directly attached to ring carbon atoms with substituted hydrocarbon radicals attached to ring carbon atoms
- C07D211/26—Heterocyclic compounds containing hydrogenated pyridine rings, not condensed with other rings with only hydrogen or carbon atoms directly attached to the ring nitrogen atom having no double bonds between ring members or between ring members and non-ring members with hydrocarbon or substituted hydrocarbon radicals directly attached to ring carbon atoms with substituted hydrocarbon radicals attached to ring carbon atoms with hydrocarbon radicals, substituted by nitrogen atoms
-
- C—CHEMISTRY; METALLURGY
- C07—ORGANIC CHEMISTRY
- C07D—HETEROCYCLIC COMPOUNDS
- C07D211/00—Heterocyclic compounds containing hydrogenated pyridine rings, not condensed with other rings
- C07D211/04—Heterocyclic compounds containing hydrogenated pyridine rings, not condensed with other rings with only hydrogen or carbon atoms directly attached to the ring nitrogen atom
- C07D211/06—Heterocyclic compounds containing hydrogenated pyridine rings, not condensed with other rings with only hydrogen or carbon atoms directly attached to the ring nitrogen atom having no double bonds between ring members or between ring members and non-ring members
- C07D211/08—Heterocyclic compounds containing hydrogenated pyridine rings, not condensed with other rings with only hydrogen or carbon atoms directly attached to the ring nitrogen atom having no double bonds between ring members or between ring members and non-ring members with hydrocarbon or substituted hydrocarbon radicals directly attached to ring carbon atoms
- C07D211/18—Heterocyclic compounds containing hydrogenated pyridine rings, not condensed with other rings with only hydrogen or carbon atoms directly attached to the ring nitrogen atom having no double bonds between ring members or between ring members and non-ring members with hydrocarbon or substituted hydrocarbon radicals directly attached to ring carbon atoms with substituted hydrocarbon radicals attached to ring carbon atoms
- C07D211/34—Heterocyclic compounds containing hydrogenated pyridine rings, not condensed with other rings with only hydrogen or carbon atoms directly attached to the ring nitrogen atom having no double bonds between ring members or between ring members and non-ring members with hydrocarbon or substituted hydrocarbon radicals directly attached to ring carbon atoms with substituted hydrocarbon radicals attached to ring carbon atoms with hydrocarbon radicals, substituted by carbon atoms having three bonds to hetero atoms with at the most one bond to halogen, e.g. ester or nitrile radicals
-
- C—CHEMISTRY; METALLURGY
- C07—ORGANIC CHEMISTRY
- C07D—HETEROCYCLIC COMPOUNDS
- C07D241/00—Heterocyclic compounds containing 1,4-diazine or hydrogenated 1,4-diazine rings
- C07D241/02—Heterocyclic compounds containing 1,4-diazine or hydrogenated 1,4-diazine rings not condensed with other rings
- C07D241/04—Heterocyclic compounds containing 1,4-diazine or hydrogenated 1,4-diazine rings not condensed with other rings having no double bonds between ring members or between ring members and non-ring members
-
- C—CHEMISTRY; METALLURGY
- C07—ORGANIC CHEMISTRY
- C07D—HETEROCYCLIC COMPOUNDS
- C07D295/00—Heterocyclic compounds containing polymethylene-imine rings with at least five ring members, 3-azabicyclo [3.2.2] nonane, piperazine, morpholine or thiomorpholine rings, having only hydrogen atoms directly attached to the ring carbon atoms
- C07D295/04—Heterocyclic compounds containing polymethylene-imine rings with at least five ring members, 3-azabicyclo [3.2.2] nonane, piperazine, morpholine or thiomorpholine rings, having only hydrogen atoms directly attached to the ring carbon atoms with substituted hydrocarbon radicals attached to ring nitrogen atoms
- C07D295/12—Heterocyclic compounds containing polymethylene-imine rings with at least five ring members, 3-azabicyclo [3.2.2] nonane, piperazine, morpholine or thiomorpholine rings, having only hydrogen atoms directly attached to the ring carbon atoms with substituted hydrocarbon radicals attached to ring nitrogen atoms substituted by singly or doubly bound nitrogen atoms
- C07D295/125—Heterocyclic compounds containing polymethylene-imine rings with at least five ring members, 3-azabicyclo [3.2.2] nonane, piperazine, morpholine or thiomorpholine rings, having only hydrogen atoms directly attached to the ring carbon atoms with substituted hydrocarbon radicals attached to ring nitrogen atoms substituted by singly or doubly bound nitrogen atoms with the ring nitrogen atoms and the substituent nitrogen atoms attached to the same carbon chain, which is not interrupted by carbocyclic rings
- C07D295/13—Heterocyclic compounds containing polymethylene-imine rings with at least five ring members, 3-azabicyclo [3.2.2] nonane, piperazine, morpholine or thiomorpholine rings, having only hydrogen atoms directly attached to the ring carbon atoms with substituted hydrocarbon radicals attached to ring nitrogen atoms substituted by singly or doubly bound nitrogen atoms with the ring nitrogen atoms and the substituent nitrogen atoms attached to the same carbon chain, which is not interrupted by carbocyclic rings to an acyclic saturated chain
-
- C—CHEMISTRY; METALLURGY
- C07—ORGANIC CHEMISTRY
- C07D—HETEROCYCLIC COMPOUNDS
- C07D295/00—Heterocyclic compounds containing polymethylene-imine rings with at least five ring members, 3-azabicyclo [3.2.2] nonane, piperazine, morpholine or thiomorpholine rings, having only hydrogen atoms directly attached to the ring carbon atoms
- C07D295/04—Heterocyclic compounds containing polymethylene-imine rings with at least five ring members, 3-azabicyclo [3.2.2] nonane, piperazine, morpholine or thiomorpholine rings, having only hydrogen atoms directly attached to the ring carbon atoms with substituted hydrocarbon radicals attached to ring nitrogen atoms
- C07D295/14—Heterocyclic compounds containing polymethylene-imine rings with at least five ring members, 3-azabicyclo [3.2.2] nonane, piperazine, morpholine or thiomorpholine rings, having only hydrogen atoms directly attached to the ring carbon atoms with substituted hydrocarbon radicals attached to ring nitrogen atoms substituted by carbon atoms having three bonds to hetero atoms with at the most one bond to halogen, e.g. ester or nitrile radicals
- C07D295/145—Heterocyclic compounds containing polymethylene-imine rings with at least five ring members, 3-azabicyclo [3.2.2] nonane, piperazine, morpholine or thiomorpholine rings, having only hydrogen atoms directly attached to the ring carbon atoms with substituted hydrocarbon radicals attached to ring nitrogen atoms substituted by carbon atoms having three bonds to hetero atoms with at the most one bond to halogen, e.g. ester or nitrile radicals with the ring nitrogen atoms and the carbon atoms with three bonds to hetero atoms attached to the same carbon chain, which is not interrupted by carbocyclic rings
- C07D295/15—Heterocyclic compounds containing polymethylene-imine rings with at least five ring members, 3-azabicyclo [3.2.2] nonane, piperazine, morpholine or thiomorpholine rings, having only hydrogen atoms directly attached to the ring carbon atoms with substituted hydrocarbon radicals attached to ring nitrogen atoms substituted by carbon atoms having three bonds to hetero atoms with at the most one bond to halogen, e.g. ester or nitrile radicals with the ring nitrogen atoms and the carbon atoms with three bonds to hetero atoms attached to the same carbon chain, which is not interrupted by carbocyclic rings to an acyclic saturated chain
-
- C—CHEMISTRY; METALLURGY
- C07—ORGANIC CHEMISTRY
- C07D—HETEROCYCLIC COMPOUNDS
- C07D295/00—Heterocyclic compounds containing polymethylene-imine rings with at least five ring members, 3-azabicyclo [3.2.2] nonane, piperazine, morpholine or thiomorpholine rings, having only hydrogen atoms directly attached to the ring carbon atoms
- C07D295/16—Heterocyclic compounds containing polymethylene-imine rings with at least five ring members, 3-azabicyclo [3.2.2] nonane, piperazine, morpholine or thiomorpholine rings, having only hydrogen atoms directly attached to the ring carbon atoms acylated on ring nitrogen atoms
-
- C—CHEMISTRY; METALLURGY
- C07—ORGANIC CHEMISTRY
- C07D—HETEROCYCLIC COMPOUNDS
- C07D319/00—Heterocyclic compounds containing six-membered rings having two oxygen atoms as the only ring hetero atoms
- C07D319/10—1,4-Dioxanes; Hydrogenated 1,4-dioxanes
- C07D319/14—1,4-Dioxanes; Hydrogenated 1,4-dioxanes condensed with carbocyclic rings or ring systems
- C07D319/16—1,4-Dioxanes; Hydrogenated 1,4-dioxanes condensed with carbocyclic rings or ring systems condensed with one six-membered ring
-
- C—CHEMISTRY; METALLURGY
- C07—ORGANIC CHEMISTRY
- C07D—HETEROCYCLIC COMPOUNDS
- C07D319/00—Heterocyclic compounds containing six-membered rings having two oxygen atoms as the only ring hetero atoms
- C07D319/10—1,4-Dioxanes; Hydrogenated 1,4-dioxanes
- C07D319/14—1,4-Dioxanes; Hydrogenated 1,4-dioxanes condensed with carbocyclic rings or ring systems
- C07D319/16—1,4-Dioxanes; Hydrogenated 1,4-dioxanes condensed with carbocyclic rings or ring systems condensed with one six-membered ring
- C07D319/18—Ethylenedioxybenzenes, not substituted on the hetero ring
-
- C—CHEMISTRY; METALLURGY
- C07—ORGANIC CHEMISTRY
- C07D—HETEROCYCLIC COMPOUNDS
- C07D487/00—Heterocyclic compounds containing nitrogen atoms as the only ring hetero atoms in the condensed system, not provided for by groups C07D451/00 - C07D477/00
- C07D487/02—Heterocyclic compounds containing nitrogen atoms as the only ring hetero atoms in the condensed system, not provided for by groups C07D451/00 - C07D477/00 in which the condensed system contains two hetero rings
- C07D487/04—Ortho-condensed systems
-
- C—CHEMISTRY; METALLURGY
- C12—BIOCHEMISTRY; BEER; SPIRITS; WINE; VINEGAR; MICROBIOLOGY; ENZYMOLOGY; MUTATION OR GENETIC ENGINEERING
- C12N—MICROORGANISMS OR ENZYMES; COMPOSITIONS THEREOF; PROPAGATING, PRESERVING, OR MAINTAINING MICROORGANISMS; MUTATION OR GENETIC ENGINEERING; CULTURE MEDIA
- C12N15/00—Mutation or genetic engineering; DNA or RNA concerning genetic engineering, vectors, e.g. plasmids, or their isolation, preparation or purification; Use of hosts therefor
- C12N15/09—Recombinant DNA-technology
- C12N15/11—DNA or RNA fragments; Modified forms thereof; Non-coding nucleic acids having a biological activity
- C12N15/111—General methods applicable to biologically active non-coding nucleic acids
-
- C—CHEMISTRY; METALLURGY
- C12—BIOCHEMISTRY; BEER; SPIRITS; WINE; VINEGAR; MICROBIOLOGY; ENZYMOLOGY; MUTATION OR GENETIC ENGINEERING
- C12N—MICROORGANISMS OR ENZYMES; COMPOSITIONS THEREOF; PROPAGATING, PRESERVING, OR MAINTAINING MICROORGANISMS; MUTATION OR GENETIC ENGINEERING; CULTURE MEDIA
- C12N15/00—Mutation or genetic engineering; DNA or RNA concerning genetic engineering, vectors, e.g. plasmids, or their isolation, preparation or purification; Use of hosts therefor
- C12N15/09—Recombinant DNA-technology
- C12N15/11—DNA or RNA fragments; Modified forms thereof; Non-coding nucleic acids having a biological activity
- C12N15/113—Non-coding nucleic acids modulating the expression of genes, e.g. antisense oligonucleotides; Antisense DNA or RNA; Triplex- forming oligonucleotides; Catalytic nucleic acids, e.g. ribozymes; Nucleic acids used in co-suppression or gene silencing
- C12N15/1137—Non-coding nucleic acids modulating the expression of genes, e.g. antisense oligonucleotides; Antisense DNA or RNA; Triplex- forming oligonucleotides; Catalytic nucleic acids, e.g. ribozymes; Nucleic acids used in co-suppression or gene silencing against enzymes
-
- C—CHEMISTRY; METALLURGY
- C12—BIOCHEMISTRY; BEER; SPIRITS; WINE; VINEGAR; MICROBIOLOGY; ENZYMOLOGY; MUTATION OR GENETIC ENGINEERING
- C12N—MICROORGANISMS OR ENZYMES; COMPOSITIONS THEREOF; PROPAGATING, PRESERVING, OR MAINTAINING MICROORGANISMS; MUTATION OR GENETIC ENGINEERING; CULTURE MEDIA
- C12N15/00—Mutation or genetic engineering; DNA or RNA concerning genetic engineering, vectors, e.g. plasmids, or their isolation, preparation or purification; Use of hosts therefor
- C12N15/09—Recombinant DNA-technology
- C12N15/87—Introduction of foreign genetic material using processes not otherwise provided for, e.g. co-transformation
- C12N15/88—Introduction of foreign genetic material using processes not otherwise provided for, e.g. co-transformation using microencapsulation, e.g. using amphiphile liposome vesicle
-
- A—HUMAN NECESSITIES
- A61—MEDICAL OR VETERINARY SCIENCE; HYGIENE
- A61K—PREPARATIONS FOR MEDICAL, DENTAL OR TOILETRY PURPOSES
- A61K47/00—Medicinal preparations characterised by the non-active ingredients used, e.g. carriers or inert additives; Targeting or modifying agents chemically bound to the active ingredient
- A61K47/06—Organic compounds, e.g. natural or synthetic hydrocarbons, polyolefins, mineral oil, petrolatum or ozokerite
- A61K47/16—Organic compounds, e.g. natural or synthetic hydrocarbons, polyolefins, mineral oil, petrolatum or ozokerite containing nitrogen, e.g. nitro-, nitroso-, azo-compounds, nitriles, cyanates
- A61K47/18—Amines; Amides; Ureas; Quaternary ammonium compounds; Amino acids; Oligopeptides having up to five amino acids
-
- C—CHEMISTRY; METALLURGY
- C07—ORGANIC CHEMISTRY
- C07C—ACYCLIC OR CARBOCYCLIC COMPOUNDS
- C07C2601/00—Systems containing only non-condensed rings
- C07C2601/12—Systems containing only non-condensed rings with a six-membered ring
- C07C2601/14—The ring being saturated
-
- C—CHEMISTRY; METALLURGY
- C12—BIOCHEMISTRY; BEER; SPIRITS; WINE; VINEGAR; MICROBIOLOGY; ENZYMOLOGY; MUTATION OR GENETIC ENGINEERING
- C12N—MICROORGANISMS OR ENZYMES; COMPOSITIONS THEREOF; PROPAGATING, PRESERVING, OR MAINTAINING MICROORGANISMS; MUTATION OR GENETIC ENGINEERING; CULTURE MEDIA
- C12N2310/00—Structure or type of the nucleic acid
- C12N2310/10—Type of nucleic acid
- C12N2310/14—Type of nucleic acid interfering nucleic acids [NA]
-
- C—CHEMISTRY; METALLURGY
- C12—BIOCHEMISTRY; BEER; SPIRITS; WINE; VINEGAR; MICROBIOLOGY; ENZYMOLOGY; MUTATION OR GENETIC ENGINEERING
- C12N—MICROORGANISMS OR ENZYMES; COMPOSITIONS THEREOF; PROPAGATING, PRESERVING, OR MAINTAINING MICROORGANISMS; MUTATION OR GENETIC ENGINEERING; CULTURE MEDIA
- C12N2320/00—Applications; Uses
- C12N2320/30—Special therapeutic applications
- C12N2320/32—Special delivery means, e.g. tissue-specific
Definitions
- RNA interference RNA interference
- mammalian cells Fire, et al. Nature 391:806-811 (1998)
- siRNA short interfering RNA
- Elbashir, et al. Nature 411:494-8 (2001) RNA interference
- siRNA can be used to alter the expression of nearly any gene in the body through the silencing of complementary messenger RNA.
- Such precise genetic control offers a broad therapeutic potential that is typically not attainable using conventional small molecule drugs.
- siRNA delivery vehicles must negotiate a number of obstacles in vivo prior to delivering their payload to target cells.
- siRNA transport across the cellular membrane of the target cell As well as to facilitate endosomal escape prior to lysosomal digestion (Akinc, et al. J. Gene. Med. 7:657-63 (2005)). It is only once these barriers have been breached that siRNA can interact with the RNAi machinery within the cytoplasm and trigger the gene silencing process (Whitehead, et al. Nature Rev. Drug Discov. 8:129-38 (2009)).
- RNAi success in vivo has not consistently translated to success in the clinic. Because siRNA must be dosed repeatedly to achieve therapeutic effect, ideal delivery vehicles will offer a substantial therapeutic window in order to ensure the broadest clinical application. Although some materials have been identified that allow for potent gene silencing at siRNA doses as low as 0.01 mg/kg (Love, et al. Proc. Natl. Acad. Sci. USA 107:1864-9 (2010)), their clinical potential has been limited due to a lack of delivery vehicle degradability. There exists a continuing need for non-toxic, biodegradable, biocompatible lipids that can be used to transfect nucleic acids and other therapeutic agents. Such lipids would have several uses, including the delivery of siRNA.
- lipidoids for their lipid-like tails
- the compounds described herein may be prepared by the addition of a primary or secondary amine to an acrylate via a Michael addition reaction.
- the lipidoids described herein may be used in the delivery of therapeutic agents to a subject.
- the inventive lipidoids are particularly useful in delivering negatively charged agents.
- lipidoids described herein may be used to deliver DNA, RNA, or other polynucleotides to a subject or to a cell.
- lipidoids of the present invention are used to deliver siRNA.
- lipidoids described herein are useful as reagents.
- the present invention provides a compound of the Formula (I):
- a provided compound is of the Formula (I-a), (I-b), (I-c), (I-d), or (I-e):
- the present invention provides a compound of the Formula (II):
- a provided compound is of the Formula (II-a), (II-b), (II-c), (II-d), (II-e), or (II-f):
- the present invention provides a compound of the Formula (III):
- a provided compound is of the Formula (III-a), (III-b), (III-c), (III-d), or (III-e):
- the present invention provides a compound of Formula (IV)
- a provided compound is of the Formula (IV-a):
- the present invention provides a compound of Formula (V):
- a provided compound is of the Formula (V-a), (V-b), (V-c), or (V-d):
- the present invention provides a compound of formula
- R and R A are as defined herein.
- a lipidoid of the present invention is prepared from an alkylamine starting material that has at least one tertiary amine.
- a lipidoid of the present invention has three or more lipid-like tails.
- the lipid-like tails on a lipidoid of the present invention are between C 12 -C 14 in length, e.g., C 13 (e.g., derived from the O 13 acrylate shown in FIG. 1 ).
- a provided lipidoid is prepared from an alkylamine starting material that has at least one tertiary amine and has three or more C 13 tails.
- inventive lipidoids are combined with an agent to form nanoparticles, microparticles, liposomes, or micelles.
- the agent to be delivered by the nanoparticles, microparticles, liposomes, or micelles may be in the form of a gas, liquid, or solid, and the agent may be, for example, a polynucleotide, protein, peptide, or small molecule.
- inventive lipidoids may be combined with other lipids, polymers, surfactants, cholesterol, carbohydrates, proteins, etc. to form the particles.
- the particles may be combined with an excipient to form pharmaceutical or cosmetic compositions.
- Certain compounds of the present invention may exist in particular geometric or stereoisomeric forms.
- the present invention contemplates all such compounds, including cis- and trans-isomers, R- and S-enantiomers, diastereomers, (D)-isomers, (L)-isomers, the racemic mixtures thereof, and other mixtures thereof, as falling within the scope of the invention.
- Additional asymmetric carbon atoms may be present in a substituent such as an alkyl group. All such isomers, as well as mixtures thereof, are intended to be included in this invention.
- Isomeric mixtures containing any of a variety of isomer ratios may be utilized in accordance with the present invention. For example, where only two isomers are combined, mixtures containing 50:50, 60:40, 70:30, 80:20, 90:10, 95:5, 96:4, 97:3, 98:2, 99:1, or 100:0 isomer ratios are all contemplated by the present invention. Those of ordinary skill in the art will readily appreciate that analogous ratios are contemplated for more complex isomer mixtures.
- a particular enantiomer of a compound of the present invention may be prepared by asymmetric synthesis, or by derivation with a chiral auxiliary, where the resulting diastereomeric mixture is separated and the auxiliary group cleaved to provide the pure desired enantiomers.
- the molecule contains a basic functional group, such as amino, or an acidic functional group, such as carboxyl, diastereomeric salts are formed with an appropriate optically-active acid or base, followed by resolution of the diastereomers thus formed by fractional crystallization or chromatographic means well known in the art, and subsequent recovery of the pure enantiomers.
- structures depicted herein are also meant to include compounds that differ only in the presence of one or more isotopically enriched atoms.
- compounds having the present structures except for the replacement of hydrogen by deuterium or tritium, or the replacement of a carbon by a 13 C- or 14 C-enriched carbon are within the scope of this invention.
- Such compounds are useful, for example, as analytical tools or probes in biological assays.
- aliphatic includes both saturated and unsaturated, nonaromatic, straight chain (i.e., unbranched), branched, acyclic, and cyclic (i.e., carbocyclic) hydrocarbons.
- an aliphatic group is optionally substituted with one or more functional groups.
- “aliphatic” is intended herein to include alkyl, alkenyl, alkynyl, cycloalkyl, and cycloalkenyl moieties.
- alkyl refers to saturated, straight- or branched-chain hydrocarbon radicals derived from a hydrocarbon moiety containing between one and twenty carbon atoms by removal of a single hydrogen atom.
- alkyl radicals include, but are not limited to, methyl, ethyl, propyl, isopropyl, n-butyl, tert-butyl, n-pentyl, neopentyl, n-hexyl, n-heptyl, n-octyl, n-decyl, n-undecyl, and dodecyl.
- the alkyl groups employed in the inventive lipidoids contain 1-20 aliphatic carbon atoms. In certain other embodiments, the alkyl groups employed in the inventive lipidoids contain 1-10 aliphatic carbon atoms. In yet other embodiments, the alkyl groups contain 1-8 aliphatic carbon atoms. In still other embodiments, the alkyl groups employed in the invention contain 1-6 aliphatic carbon atoms. In yet other embodiments, the alkyl groups contain 1-4 carbon atoms.
- Illustrative alkyl groups thus include, but are not limited to, for example, methyl, ethyl, n-propyl, isopropyl, n-butyl, sec-butyl, isobutyl, tert-butyl, n-pentyl, sec-pentyl, isopentyl, tert-pentyl, n-hexyl, and sec-hexyl.
- alkenyl and alkynyl are given their ordinary meaning in the art and refer to unsaturated aliphatic groups analogous in length and possible substitution to the alkyls described above, but that contain at least one double or triple bond respectively.
- cycloalkyl refers saturated, cyclic hydrocarbon radicals derived from a hydrocarbon moiety containing between three and seven carbon atoms by removal of a single hydrogen atom. Suitable cycloalkyls include cyclopropyl, cyclobutyl, cyclopentyl, cyclohexyl, and cycloheptyl.
- cycloalkylalkyl refers to a cycloalkyl group attached via a straight chain or branched alkyl group.
- Suitable cycloalkylalkyl groups include, but are not limited to, —CH 2 (cyclopropyl), —CH 2 CH 2 (cyclopropyl), —CH 2 (cyclobutyl), —CH 2 CH 2 (cyclobutyl), —CH 2 (cyclopentyl), —CH 2 CH 2 (cyclopentyl), —CH 2 (cyclohexyl), —CH 2 CH 2 (cyclohexyl), —CH 2 (cycloheptyl), and —CH 2 CH 2 (cycloheptyl).
- alkylene refers to a bivalent alkyl group.
- An “alkylene” group is a polymethylene group, i.e., —(CH 2 ) k —, wherein k is a positive integer, e.g., from 1 to 20, from 1 to 10, from 1 to 6, from 1 to 4, from 1 to 3, from 1 to 2, or from 2 to 3.
- k is a positive integer, e.g., from 1 to 20, from 1 to 10, from 1 to 6, from 1 to 4, from 1 to 3, from 1 to 2, or from 2 to 3.
- one or more hydrogens on an alkylene group is replaced by a substituent (e.g., fluoro).
- Animal refers to humans as well as non-human animals, including, for example, mammals, birds, reptiles, amphibians, and fish.
- the non-human animal is a mammal (e.g., a rodent, a mouse, a rat, a rabbit, a monkey, a dog, a cat, a primate, or a pig).
- An animal may be a transgenic animal.
- association When two entities are “associated with” one another as described herein, they are linked by a direct or indirect covalent or non-covalent interaction. Preferably, the association is covalent. Desirable non-covalent interactions include hydrogen bonding, van der Waals interactions, hydrophobic interactions, magnetic interactions, electrostatic interactions, etc.
- Biocompatible The term “biocompatible”, as used herein is intended to describe compounds that are not toxic to cells. In certain embodiments, compounds are “biocompatible” if their addition to cells in vitro at a minimum therapeutically effective dose results in less than or equal to 20% cell death, and their administration in vivo does not induce inflammation or other such adverse effects.
- Biodegradable As used herein, “biodegradable” compounds are those that, when introduced into cells, are broken down by the cellular machinery or by hydrolysis into components that the cells can either reuse or dispose of without significant long-term toxic effect on the cells. In certain embodiments, the components do not induce inflammation or other adverse effects in vivo. In certain embodiments, the chemical reactions relied upon to break down the biodegradable compounds are uncatalyzed.
- peptide or “protein”: According to the present invention, a “peptide” or “protein” comprises a string of at least three amino acids linked together by peptide bonds.
- protein and “peptide” may be used interchangeably.
- Peptide may refer to an individual peptide or a collection of peptides. Inventive peptides preferably contain only natural amino acids, although non-natural amino acids (i.e., compounds that do not occur in nature but that can be incorporated into a polypeptide chain) and/or amino acid analogs as are known in the art may alternatively be employed.
- one or more of the amino acids in an inventive peptide may be modified, for example, by the addition of a chemical entity such as a carbohydrate group, a phosphate group, a farnesyl group, an isofarnesyl group, a fatty acid group, a linker for conjugation, functionalization, or other modification, etc.
- a chemical entity such as a carbohydrate group, a phosphate group, a farnesyl group, an isofarnesyl group, a fatty acid group, a linker for conjugation, functionalization, or other modification, etc.
- the modifications of the peptide lead to a more stable peptide (e.g., greater half-life in vivo). These modifications may include cyclization of the peptide, the incorporation of D-amino acids, etc. None of the modifications should substantially interfere with the desired biological activity of the peptide.
- Polynucleotide or oligonucleotide Polynucleotide or oligonucleotide refers to a polymer of nucleotides. Typically, a polynucleotide comprises at least three nucleotides.
- the polymer may include natural nucleosides (i.e., adenosine, thymidine, guanosine, cytidine, uridine, deoxyadenosine, deoxythymidine, deoxyguanosine, and deoxycytidine), nucleoside analogs (e.g., 2-aminoadenosine, 2-thiothymidine, inosine, pyrrolo-pyrimidine, 3-methyl adenosine, C5-propynylcytidine, C5-propynyluridine, C5-bromouridine, C5-fluorouridine, C5-iodouridine, C5-methylcytidine, 7-deazaadenosine, 7-deazaguanosine, 8-oxoadenosine, 8-oxoguanosine, O(6)-methylguanine, and 2-thiocytidine), chemically modified bases, biologically modified bases (
- Small molecule refers to organic compounds, whether naturally-occurring or artificially created (e.g., via chemical synthesis) that have relatively low molecular weight and that are not proteins, polypeptides, or nucleic acids. Typically, small molecules have a molecular weight of less than about 1500 g/mol. Also, small molecules typically have multiple carbon-carbon bonds.
- Known naturally-occurring small molecules include, but are not limited to, penicillin, erythromycin, taxol, cyclosporin, and rapamycin.
- Known synthetic small molecules include, but are not limited to, ampicillin, methicillin, sulfamethoxazole, sulfonamides, dexamethasone, and doxorubicin.
- FIG. 1 displays a subset of the large library of biodegradable lipidoids that were synthesized combinatorially through the conjugate addition of alkylamines (in red) to alkyl-acrylate tails (in blue). The rest of the alkylamines used in lipidoid library synthesis are shown in FIG. 2 .
- FIG. 2 shows additional alkylamines used in the lipidoid library.
- FIG. 3 shows the evaluation of lipidoids for an ability to deliver siRNA to HeLa cells.
- Relative luciferase activity values firefly lucifase activity normalized to control Renilla luciferase activity
- the tail length (b), tail substitution number (c) and alkyl-amine composition (d) influenced in vitro activity.
- FIG. 4 demonstrates that select lipidoids induced a high degree silencing of multiple targets in mice.
- FIG. 5 shows biodistribution images for Cy5.5-labeled siRNA delivered with the lipidoid 304O 13 .
- IVIS (a) and Odyssey (b) imaging show that, while naked siRNA is primarily cleared through the kidneys, 304O 13 mediates accumulation in the liver and spleen.
- Confocal microscopy of 304O 13 -treated liver shows siRNA (red) delivery into nearly all cells, including Kupffer cells and hepatocytes. In contrast, naked siRNA had a limited penetration depth from the blood vessels into hepatocellular tissue.
- FIG. 6 shows a comparison of (a) cytokine profiles 4 hours post-injection and (b) liver histology sections 72 hours post-injection for degradable (304O 13 ) and non-degradable (C12-200) lipid nanoparticles.
- FIG. 7 displays structure-function information of efficacious lipid nanoparticles.
- a Of the 108 lipid nanoparticles tested for siRNA delivery to hepatocytes in mice, 66 had 3 or more tails, 42 had a tertiary amine present in the original alkyl-amine, and 25 had an O 13 tail length. 88% of the lipid nanoparticles exhibiting all three “efficacy criteria” achieved complete FVII knockdown. The percentage of efficacious lipid nanoparticles decreased precipitously when any criterion were not met.
- (12 second generation lipid nanoparticles were made to meet all efficacy criteria by first synthesizing custom alkyl-amines and reacting them with O 13 tails.
- FIG. 10 shows that pKa values significantly influence delivery efficacy to hepatocytes in vivo. All lipidoid nanoparticles capable of mediating complete Factor VII gene silencing had pKa values greater or equal to 5.5.
- FIGS. 11A and 11B show degradation by hydrolysis of the lipidoid 304O 13 .
- Overlay of 1 H NMR spectra of the starting material 304O 13 , the crude reaction mixture, and authentic 1-tridecanol demonstrated that the 304O 13 had been consumed and that tridecanol had been formed in significant quantity under both acidic and basic conditions.
- FIG. 11A shows acidic hydrolysis condition
- FIG. 11B shows basic hydrolysis condition.
- FIG. 12 shows that clinical chemistry parameters were evaluated for negative control (PBS, black), 304O 13 (blue), and C12-200 (red) groups of C57BL/6 mice.
- the present invention provides lipidoids and lipidoid-based delivery systems.
- the systems described herein may be used in the pharmaceutical/drug delivery arts to delivery polynucleotides, proteins, small molecules, peptides, antigen, drugs, etc. to a patient, tissue, organ, cell, etc.
- the lipidoids of the present invention provide for several different uses in the drug delivery art.
- the lipidoids with their amine-containing hydrophilic portion may be used to complex polynucleotides and thereby enhance the delivery of polynucleotides and prevent their degradation.
- the lipidoids may also be used in the formation of nanoparticles, microparticles, liposomes, and micelles containing the agent to be delivered.
- the lipids are biocompatible and biodegradable, and particles formed therefrom are also biodegradable and biocompatible and may be used to provide controlled, sustained release of the agent.
- Provided lipidoids and their corresponding particles may also be responsive to pH changes given that these lipids are protonated at lower pH.
- the lipidoids of the present invention contain primary, secondary, or tertiary amines and salts thereof.
- the inventive lipidoids are biodegradable.
- inventive lipidoids are effective at delivering an agent (e.g., RNA) to a cell.
- a lipidoid of the present invention is prepared from an alkylamine starting material that has at least one tertiary amine. In some embodiments, a lipidoid of the present invention has three or more lipid-like tails. In some embodiments, the lipid-like tails on a lipidoid of the present invention are between C 10 -C 14 in length, e.g., C 12 -C 14 , e.g., C 13 . In certain embodiments, a provided lipidoid is prepared from an alkylamine starting material that has at least one tertiary amine and the lipidoid formed therefrom has three or more C 13 tails.
- a provided lipidoid is prepared from an alkylamine starting material that has at least one tertiary amine, provided that the amine is not amine 110, amine 113, or amine 115, and the lipidoid formed therefrom has three or more C 13 tails.
- a lipidoid of the present invention is of the Formula (I):
- each L is, independently, branched or unbranched C 1-6 alkylene, wherein L is optionally substituted with one or more fluorine radicals;
- each R A is, independently, branched or unbranched C 1-6 alkyl, C 3-7 cycloalkyl, or branched or unbranched C 4-12 cycloalkylalkyl, wherein R A is optionally substituted with one or more fluorine radicals;
- each R is, independently, hydrogen or —CH 2 CH 2 C( ⁇ O)OR B ;
- each R B is, independently, C 10-14 alkyl, wherein R B is optionally substituted with one or more fluorine radicals;
- q is 1, 2, or 3.
- a lipidoid of formula (I) is not
- each L is, independently, branched or unbranched C 1-6 alkylene, wherein L is optionally substituted with one or more fluorine radicals. In some embodiments, L is substituted with one or more fluorine radicals. In other embodiments, L is unsubstituted. In some embodiments, L is branched. In other embodiments, L is unbranched. In certain embodiments, L is C 1-4 alkylene. In certain embodiments, L is methylene, ethylene, or propylene.
- each R A is, independently, branched or unbranched C 1-6 alkyl, C 3-7 cycloalkyl, or branched or unbranched C 4-12 cycloalkylalkyl, wherein R A is optionally substituted with one or more fluorine radicals.
- R A is substituted with one or more fluorine radicals.
- R A when R A is methyl, it may be substituted with one, two, or three fluorine radicals to give —CH 2 F, —CHF 2 , or —CF 3 .
- R A is unsubstituted.
- all R A groups are the same. In other embodiments, the R A groups are different.
- R A is branched or unbranched C 1-6 alkyl. In certain embodiments, R A is branched C 1-6 alkyl. In certain embodiments, R A is unbranched C 1-6 alkyl. In certain embodiments, R A is C 1-3 alkyl. In certain embodiments, R A is methyl, ethyl, or propyl. In certain embodiments, R A is C 3-7 cycloalkyl. In certain embodiments, R A is cyclohexyl. In certain embodiments, R A is cyclopropyl, cyclobutyl, or cyclopentyl. In certain embodiments, R A is cycloheptyl. In some embodiments, R A is branched or unbranched C 4-12 cycloalkylalkyl.
- each R is, independently, hydrogen or —CH 2 CH 2 C( ⁇ O)OR B .
- at least three R groups are —CH 2 CH 2 C( ⁇ O)OR B .
- at least four R groups are —CH 2 CH 2 C( ⁇ O)OR B .
- all R groups are —CH 2 CH 2 C( ⁇ O)OR B .
- each R B is, independently, C 10-14 alkyl, wherein R B is optionally substituted with one or more fluorine radicals.
- R B is substituted with one or more fluorine radicals.
- R B may be substituted with one fluoro, or in other embodiments, may be perfluorinated.
- R B is unsubstituted.
- all R B groups are the same.
- R B is C 10 alkyl.
- R B is n-decyl.
- R B is C 11 alkyl.
- R B is n-undecyl.
- R B is C 12 alkyl. In some embodiments, R B is n-dodecyl. In certain embodiments, R B is C 13 alkyl. In some embodiments, R B is n-tridecyl. In certain embodiments, R B is C 14 alkyl. In some embodiments, R B is n-tetradecyl.
- q is 1, 2, or 3. In some embodiments, q is 1. In some embodiments, q is 2. In some embodiments, q is 3.
- a lipidoid of the present invention is of the Formula (I-a):
- R and R A are as defined above and described herein;
- each n is, independently, 0, 1, or 2;
- n 0, 1, or 2.
- n is 0. In some embodiments, m is 1. In some embodiments, m is 2.
- n is 0. In some embodiments, n is 1. In some embodiments, n is 2.
- m is 0, and n is 0. In some embodiments, m is 1, and n is 0. In some embodiments, m is 2, and n is 0. In some embodiments, m is 0, and n is 1. In some embodiments, m is 0, and n is 2. In some embodiments, m is 1, and n is 1.
- a lipidoid of the present invention is of the Formula (I-b):
- R and R A are as defined above and described herein.
- a lipidoid of the present invention is of the Formula (I-c):
- R and R A are as defined above and described herein.
- a lipidoid of the present invention is of the Formula (I-d):
- R and R A are as defined above and described herein.
- a lipidoid of the present invention is of the Formula (I-e):
- R and R A are as defined above and described herein.
- a lipidoid of the present invention is of one of the following formulae:
- a lipidoid of the present invention is of the Formula (II):
- each L is, independently, branched or unbranched C 1-6 alkylene, wherein L is optionally substituted with one or more fluorine radicals;
- each R A is, independently, branched or unbranched C 1-6 alkyl, C 3-7 cycloalkyl, or branched or unbranched C 4-12 cycloalkylalkyl, wherein R A is optionally substituted with one or more fluorine radicals;
- each R C is, independently, -L-N(R D ) 2 or —R;
- each R is, independently, hydrogen or —CH 2 CH 2 C( ⁇ O)OR D ;
- each R D is, independently, —R A or —R;
- each R B is, independently, C 10-14 alkyl, wherein R B is optionally substituted with one or more fluorine radicals.
- each L is, independently, branched or unbranched C 1-6 alkylene, wherein L is optionally substituted with one or more fluorine radicals. In some embodiments, L is substituted with one or more fluorine radicals. In other embodiments, L is unsubstituted. In some embodiments, L is branched. In other embodiments, L is unbranched. In certain embodiments, L is C 1-4 alkylene. In certain embodiments, L is methylene, ethylene, or propylene.
- each R A is, independently, branched or unbranched C 1-6 alkyl, C 3-7 cycloalkyl, or branched or unbranched C 4-12 cycloalkylalkyl, wherein R A is optionally substituted with one or more fluorine radicals.
- R A is substituted with one or more fluorine radicals.
- R A when R A is methyl, it may be substituted with one, two, or three fluorine radicals to give —CH 2 F, —CHF 2 , or —CF 3 .
- R A is unsubstituted.
- all R A groups are the same. In other embodiments, the R A groups are different.
- R A is branched or unbranched C 1-6 alkyl. In certain embodiments, R A is branched C 1-6 alkyl. In certain embodiments, R A is unbranched C 1-6 alkyl. In certain embodiments, R A is C 1-3 alkyl. In certain embodiments, R A is methyl, ethyl, or propyl. In certain embodiments, R A is C 3-7 cycloalkyl. In certain embodiments, R A is cyclohexyl. In certain embodiments, R A is cyclopropyl, cyclobutyl, or cyclopentyl. In certain embodiments, R A is cycloheptyl. In some embodiments, R A is branched or unbranched C 4-12 cycloalkylalkyl.
- each R C is, independently, -L-N(R D ) 2 or —R. In some embodiments, all R C groups are —R. In some embodiments, R C is -L-N(R D ) 2 .
- each R D is, independently, —R A or —R. In some embodiments, all R D groups are —R. In some embodiments, one R D on a nitrogen is —R, and the other is —R A .
- each R is, independently, hydrogen or —CH 2 CH 2 C( ⁇ O)OR D .
- at least one R group is —CH 2 CH 2 C( ⁇ O)OR D .
- at least two R groups are —CH 2 CH 2 C( ⁇ O)OR D .
- at least three R groups are —CH 2 CH 2 C( ⁇ O)OR D .
- at least four R groups are —CH 2 CH 2 C( ⁇ O)OR D .
- all R groups are —CH 2 CH 2 C( ⁇ O)OR D .
- each R B is, independently, C 10-14 alkyl, wherein R B is optionally substituted with one or more fluorine radicals.
- R D is substituted with one or more fluorine radicals.
- R B may be substituted with one fluoro, or in other embodiments, may be perfluorinated.
- R B is unsubstituted.
- all R B groups are the same.
- R B is C 10 alkyl.
- R B is n-decyl.
- R B is C 11 alkyl.
- R B is n-undecyl.
- R B is C 12 alkyl. In some embodiments, R B is n-dodecyl. In certain embodiments, R B is C 13 alkyl. In some embodiments, R B is n-tridecyl. In certain embodiments, R B is C 14 alkyl. In some embodiments, R B is n-tetradecyl.
- a lipidoid of the present invention is of the Formula (II-a):
- each v is, independently, 1, 2, or 3.
- v is 1. In certain embodiments, v is 2. In certain embodiments, v is 3.
- a lipidoid of the present invention is of the Formula (II-b):
- R A and R B are as defined above and described herein.
- a lipidoid of the present invention is of the formula:
- R B is as defined above and described herein.
- a lipidoid of the present invention is of the Formula (II-c):
- a lipidoid of the present invention is of the Formula (II-d):
- a lipidoid of the present invention is of the Formula (II-e):
- a lipidoid of the present invention is of the Formula (II-f):
- R A and R are as defined above and described herein.
- a lipidoid of the present invention is of the formula:
- a lipidoid of the present invention is of the Formula (III):
- each L is, independently, branched or unbranched C 1-6 alkylene, wherein L is optionally substituted with one or more fluorine radicals;
- each R is, independently, hydrogen or —CH 2 CH 2 C( ⁇ O)OR B ;
- each R B is, independently, C 10-14 alkyl, wherein R B is optionally substituted with one or more fluorine radicals;
- each R 1 is, independently, fluoro or C 1-6 alkyl optionally substituted with one or more fluorine radicals;
- j 0, 1, 2, 3, or 4;
- p 1 or 2.
- At least three R groups of formula (III) are —CH 2 CH 2 C( ⁇ O)OR B .
- each L is, independently, branched or unbranched C 1-6 alkylene, wherein L is optionally substituted with one or more fluorine radicals. In some embodiments, L is substituted with one or more fluorine radicals. In other embodiments, L is unsubstituted. In some embodiments, L is branched. In other embodiments, L is unbranched. In certain embodiments, L is C 1-4 alkylene. In certain embodiments, L is methylene, ethylene, or propylene.
- each R is, independently, hydrogen or —CH 2 CH 2 C( ⁇ O)OR B .
- at least three R groups are —CH 2 CH 2 C( ⁇ O)OR B .
- at least four R groups are —CH 2 CH 2 C( ⁇ O)OR B .
- all R groups are —CH 2 CH 2 C( ⁇ O)OR B .
- each R B is, independently, C 10-14 alkyl, wherein R B is optionally substituted with one or more fluorine radicals.
- R B is substituted with one or more fluorine radicals.
- R B may be substituted with one fluoro, or in other embodiments, may be perfluorinated.
- R B is unsubstituted.
- all R B groups are the same.
- R B is C 10 alkyl.
- R B is n-decyl.
- R B is C 11 alkyl.
- R B is n-undecyl.
- R B is C 12 alkyl. In some embodiments, R B is n-dodecyl. In certain embodiments, R B is C 13 alkyl. In some embodiments, R B is n-tridecyl. In certain embodiments, R B is C 14 alkyl. In some embodiments, R B is n-tetradecyl.
- p is 1. In certain embodiments, p is 2.
- each R 1 is, independently, fluoro or C 1-6 alkyl optionally substituted with one or more fluorine radicals.
- R 1 is fluoro.
- R 1 is C 1-6 alkyl optionally substituted with one or more fluorine radicals.
- R 1 is unsubstituted C 1-6 alkyl.
- R 1 is methyl or ethyl.
- R 1 is —CF 3 .
- j is 0. In some embodiments, j is 1. In some embodiments, j is 2. In some embodiments, j is 3. In some embodiments, j is 4.
- a lipidoid of the present invention is of the Formula (III-a):
- each w is, independently, 1, 2, or 3.
- w is 1. In certain embodiments, w is 2. In certain embodiments, w is 3.
- a lipidoid of the present invention is of the Formula (III-b):
- R 1 , j, w, and R are as defined above and described herein.
- a lipidoid of the present invention is of the Formula (III-c):
- a lipidoid of the present invention is of the Formula (III-d):
- a lipidoid of the present invention is of the Formula (III-e):
- a lipidoid of the present invention is of the formula:
- a lipidoid of the present invention is of the Formula (IV):
- each R is, independently, hydrogen or —CH 2 CH 2 C( ⁇ O)OR B ;
- each R B is, independently, C 10-14 alkyl, wherein R B is optionally substituted with one or more fluorine radicals;
- x is 1 or 2;
- y is 1 or 2.
- each R is, independently, hydrogen or —CH 2 CH 2 C( ⁇ O)OR B .
- at least one R group is —CH 2 CH 2 C( ⁇ O)OR B .
- at least two R groups are —CH 2 CH 2 C( ⁇ O)OR B .
- at least three R groups are —CH 2 CH 2 C( ⁇ O)OR B .
- at least four R groups are —CH 2 CH 2 C( ⁇ O)OR B .
- all R groups are —CH 2 CH 2 C( ⁇ O)OR B .
- each R B is, independently, C 10-14 alkyl, wherein R B is optionally substituted with one or more fluorine radicals.
- R B is substituted with one or more fluorine radicals.
- R B may be substituted with one fluoro, or in other embodiments, may be perfluorinated.
- R B is unsubstituted.
- all R B groups are the same.
- R B is C 10 alkyl.
- R B is n-decyl.
- R B is C 11 alkyl.
- R B is n-undecyl.
- R B is C 12 alkyl. In some embodiments, R B is n-dodecyl. In certain embodiments, R B is C 13 alkyl. In some embodiments, R B is n-tridecyl. In certain embodiments, R B is C 14 alkyl. In some embodiments, R B is n-tetradecyl.
- x is 1. In some embodiments, x is 2. In some embodiments, y is 1. In some embodiments, y is 2. In some embodiments, x is 1 and y is 1. In some embodiments, x is 2 and y is 2.
- a lipidoid of the present invention is of the Formula (IV-a):
- a lipidoid of the present invention is of the Formula (V):
- each L is, independently, branched or unbranched C 1-6 alkylene, wherein L is optionally substituted with one or more fluorine radicals;
- each R 2 is, independently, halo, C 1-6 aliphatic optionally substituted with one or more fluorine radicals, —OR x , —N(R y ) 2 , —SR x , —CN, —C( ⁇ Z)R y , —C( ⁇ Z)ZR y , or —ZC( ⁇ Z)ZR y ;
- Z is O or N
- each Rx is, independently, C 1-6 aliphatic
- each R y is, independently, hydrogen or C 1-6 aliphatic
- g 0, 1, 2, 3, or 4;
- each R is independently hydrogen or —CH 2 CH 2 C( ⁇ O)OR B ;
- each R B is independently C 10-14 alkyl, wherein R B is optionally substituted with one or more fluorine radicals.
- each L is, independently, branched or unbranched C 1-6 alkylene, wherein L is optionally substituted with one or more fluorine radicals. In some embodiments, L is substituted with one or more fluorine radicals. In other embodiments, L is unsubstituted. In some embodiments, L is branched. In other embodiments, L is unbranched. In certain embodiments, L is C 1-4 alkylene. In certain embodiments, L is methylene, ethylene, or propylene.
- each R is, independently, hydrogen or —CH 2 CH 2 C( ⁇ O)OR B .
- at least one R group is —CH 2 CH 2 C( ⁇ O)OR B .
- at least two R groups are —CH 2 CH 2 C( ⁇ O)OR B .
- at least three R groups are —CH 2 CH 2 C( ⁇ O)OR B .
- at least four R groups are —CH 2 CH 2 C( ⁇ O)OR B .
- all R groups are —CH 2 CH 2 C( ⁇ O)OR B .
- each R B is, independently, C 10-14 alkyl, wherein R B is optionally substituted with one or more fluorine radicals.
- R B is substituted with one or more fluorine radicals.
- R B may be substituted with one fluoro, or in other embodiments, may be perfluorinated.
- R B is unsubstituted.
- all R B groups are the same.
- R B is C 10 alkyl.
- R B is n-decyl.
- R B is C 11 alkyl.
- R B is n-undecyl.
- R B is C 12 alkyl. In some embodiments, R B is n-dodecyl. In certain embodiments, R B is C 13 alkyl. In some embodiments, R B is n-tridecyl. In certain embodiments, R B is C 14 alkyl. In some embodiments, R B is n-tetradecyl.
- each R 2 is, independently, halo, C 1-6 aliphatic optionally substituted with one or more fluorine radicals, —OR x , —N(R y ) 2 , —SW, —CN, —C( ⁇ Z)R y , —C( ⁇ Z)ZR y , —ZC( ⁇ Z)ZR y ; wherein Z is O or N; each Rx is, independently, C 1-6 aliphatic; and each R y is, independently, hydrogen or C 1-6 aliphatic.
- R 2 is halo.
- R 2 is fluoro.
- R 2 is C 1-6 aliphatic optionally substituted with one or more fluorine radicals.
- R 2 is C 1-6 alkyl.
- g is 0. In some embodiments, g is 1. In some embodiments, g is 2. In some embodiments, g is 3. In some embodiments, g is 4.
- a lipidoid of the present invention is of Formula (V-a):
- a lipidoid of the present invention is of Formula (V-b):
- a lipidoid of the present invention is of Formula (V-c):
- a lipidoid of the present invention is of Formula (V-d):
- a lipidoid of the present invention is of the formula:
- each R A is, independently, branched or unbranched C 1-6 alkyl, C 3-7 cycloalkyl, or branched or unbranched C 4-12 cycloalkylalkyl, wherein R A is optionally substituted with one or more fluorine radicals;
- each R is, independently, hydrogen or —CH 2 CH 2 C( ⁇ O)OR B ;
- each R B is, independently, C 10-14 alkyl, wherein R B is optionally substituted with one or more fluorine radicals.
- each R A is, independently, branched or unbranched C 1-6 alkyl, C 3-7 cycloalkyl, or branched or unbranched C 4-12 cycloalkylalkyl, wherein R A is optionally substituted with one or more fluorine radicals.
- R A is substituted with one or more fluorine radicals.
- R A when R A is methyl, it may be substituted with one, two, or three fluorine radicals to give —CH 2 F, —CHF 2 , or —CF 3 .
- R A is unsubstituted.
- all R A groups are the same. In other embodiments, the R A groups are different.
- R A is branched or unbranched C 1-6 alkyl. In certain embodiments, R A is branched C 1-6 alkyl. In certain embodiments, R A is unbranched C 1-6 alkyl. In certain embodiments, R A is C 1-3 alkyl. In certain embodiments, R A is methyl, ethyl, or propyl. In certain embodiments, R A is C 3-7 cycloalkyl. In certain embodiments, R A is cyclohexyl. In certain embodiments, R A is cyclopropyl, cyclobutyl, or cyclopentyl. In certain embodiments, R A is cycloheptyl. In some embodiments, R A is branched or unbranched C 4-12 cycloalkylalkyl.
- each R is, independently, hydrogen or —CH 2 CH 2 C( ⁇ O)OR B .
- at least one R group is —CH 2 CH 2 C( ⁇ O)OR B .
- at least two R groups are —CH 2 CH 2 C( ⁇ O)OR B .
- at least three R groups are —CH 2 CH 2 C( ⁇ O)OR B .
- at least four R groups are —CH 2 CH 2 C( ⁇ O)OR B .
- all R groups are —CH 2 CH 2 C( ⁇ O)OR B .
- each R B is, independently, C 10-14 alkyl, wherein R B is optionally substituted with one or more fluorine radicals.
- R B is substituted with one or more fluorine radicals.
- R B may be substituted with one fluoro, or in other embodiments, may be perfluorinated.
- R B is unsubstituted.
- all R B groups are the same.
- R B is C 10 alkyl.
- R B is n-decyl.
- R B is C 11 alkyl.
- R B is n-undecyl.
- R B is C 12 alkyl. In some embodiments, R B is n-dodecyl. In certain embodiments, R B is C 13 alkyl. In some embodiments, R B is n-tridecyl. In certain embodiments, R B is C 14 alkyl. In some embodiments, R B is n-tetradecyl.
- a lipidoid of the present invention is of the formula:
- a lipidoid of the present invention is a compound resulting from a Michael addition between any one of the amines shown in FIG. 1 or FIG. 2 and an acrylate shown in FIG. 1 .
- the number of equivalents of acrylate can be controlled to obtain the desired number of lipid tails on the inventive lipidoid.
- an inventive lipidoid is prepared by reacting amine 113 with acrylate O 10 , O 11 , O 12 , O 13 , or O 14 to form compound 113O 10 , 113O 11 , 113O 12 , 113O 13 , or 113O 14 .
- an inventive lipidoid is of one of the formulae below:
- the present invention provides a composition of one or more of the above lipidoids.
- an inventive lipidoid is of the formula:
- an inventive lipidoid is prepared by reacting amine 123 with acrylate O 10 , O 11 , O 12 , O 13 , or O 14 to form compound 123O 10 , 123O 11 , 123O 12 , 123O 13 , or 123O 14 .
- an inventive lipidoid is of one of the formulae below:
- the present invention provides a composition of one or more of the above lipidoids.
- an inventive lipidoid is of the formula:
- an inventive lipidoid is prepared by reacting amine 154 with acrylate O 10 , O 11 , O 12 , O 13 , or O 14 to form compound 154O 10 , 154O 11 , 154O 12 , 154O 13 , or 154O 14 .
- an inventive lipidoid is of one of the formulae below:
- the present invention provides a composition of one or more of the above lipidoids.
- an inventive lipidoid is of the formula:
- an inventive lipidoid is prepared by reacting amine 191 with acrylate O 10 , O 11 , O 12 , O 13 , or O 14 to form compound 191O 10 , 191O 11 , 191O 12 , 191O 13 , or 191O 14 .
- an inventive lipidoid is of one of the formulae below:
- the present invention provides a composition of one or more of the above lipidoids.
- an inventive lipidoid is of the formula:
- an inventive lipidoid is prepared by reacting amine 192 with acrylate O 10 , O 11 , O 12 , O 13 , or O 14 to form compound 192O 10 , 192O 11 , 192O 12 , 192O 13 , or 192O 14 .
- an inventive lipidoid is of one of the formulae below:
- the present invention provides a composition of one or more of the above lipidoids.
- an inventive lipidoid is of the formula:
- an inventive lipidoid is prepared by reacting amine 193 with acrylate O 10 , O 11 , O 12 , O 13 , or O 14 to form compound 193O 10 , 193O 11 , 193O 12 , 193O 13 , or 193O 14 .
- an inventive lipidoid is of one of the formulae below:
- the present invention provides a composition of one or more of the above lipidoids.
- an inventive lipidoid is of the formula:
- an inventive lipidoid is prepared by reacting amine 195 with acrylate O 10 , O 11 , O 12 , O 13 , or O 14 to form compound 195O 10 , 195O 11 , 195O 12 , 195O 13 , or 195O 14 .
- an inventive lipidoid is of one of the formulae below:
- the present invention provides a composition of one or more of the above lipidoids.
- an inventive lipidoid is of the formula:
- an inventive lipidoid is prepared by reacting amine 196 with acrylate O 10 , O 11 , O 12 , O 13 , or O 14 to form compound 196O 10 , 196O 11 , 196O 12 , 196O 13 , or 196O 14 .
- an inventive lipidoid is of one of the formulae below:
- the present invention provides a composition of one or more of the above lipidoids.
- an inventive lipidoid is of the formula:
- an inventive lipidoid is prepared by reacting amine 200 with acrylate O 10 , O 11 , O 12 , O 13 , or O 14 to form compound 200O 10 , 200O 11 , 200O 12 , 200O 13 , or 200O 14 .
- an inventive lipidoid is of one of the formulae below:
- the present invention provides a composition of one or more of the above lipidoids.
- an inventive lipidoid is of the formula:
- an inventive lipidoid is prepared by reacting amine 205 with acrylate O 10 , O 11 , O 12 , O 13 , or O 14 to form compound 205O 10 , 205O 11 , 205O 12 , 205O 13 , or 205O 14 .
- an inventive lipidoid is of one of the formulae below:
- the present invention provides a composition of one or more of the above lipidoids.
- an inventive lipidoid is of the formula:
- an inventive lipidoid is prepared by reacting amine 217 with acrylate O 10 , O 11 , O 12 , O 13 , or O 14 to form compound 217O 10 , 217O 11 , 217O 12 , 217O 13 , or 217O 14 .
- an inventive lipidoid is of one of the formulae below:
- the present invention provides a composition of one or more of the above lipidoids.
- an inventive lipidoid is of the formula:
- an inventive lipidoid is prepared by reacting amine 218 with acrylate O 10 , O 11 , O 12 , O 13 , or O 14 to form compound 218O 10 , 218O 11 , 218O 12 , 218O 13 , or 218O 14 .
- an inventive lipidoid is of one of the formulae below:
- the present invention provides a composition of one or more of the above lipidoids.
- an inventive lipidoid is of the formula:
- an inventive lipidoid is prepared by reacting amine 232 with acrylate O 10 , O 11 , O 12 , O 13 , or O 14 to form compound 232O 10 , 232O 11 , 232O 12 , 232O 13 , or 232O 14 .
- an inventive lipidoid is of one of the formulae below:
- the present invention provides a composition of one or more of the above lipidoids.
- an inventive lipidoid is of the formula:
- an inventive lipidoid is prepared by reacting amine 235 with acrylate O 10 , O 11 , O 12 , O 13 , or O 14 to form compound 235O 10 , 235O 11 , 235O 12 , 235O 13 , or 235O 14 .
- an inventive lipidoid is of one of the formulae below:
- the present invention provides a composition of one or more of the above lipidoids.
- an inventive lipidoid is of the formula:
- an inventive lipidoid is prepared by reacting amine 302 with acrylate O 10 , O 11 , O 12 , O 13 , or O 14 to form compound 302O 10 , 302O 11 , 302O 12 , 302O 13 , or 302O 14 .
- an inventive lipidoid is of one of the formulae below:
- the present invention provides a composition of one or more of the above lipidoids.
- an inventive lipidoid is of the formula:
- an inventive lipidoid is prepared by reacting amine 303 with acrylate O 10 , O 11 , O 12 , O 13 , or O 14 to form compound 303O 10 , 303O 11 , 303O 12 , 303O 13 , or 303O 14 .
- an inventive lipidoid is of one of the formulae below:
- the present invention provides a composition of one or more of the above lipidoids.
- an inventive lipidoid is of the formula:
- an inventive lipidoid is prepared by reacting amine 304 with acrylate O 10 , O 11 , O 12 , O 13 , or O 14 to form compound 304O 10 , 304O 11 , 304O 12 , 304O 13 , or 304O 14 .
- an inventive lipidoid is of one of the formulae below:
- the present invention provides a composition of one or more of the above lipidoids.
- an inventive lipidoid is of the formula:
- an inventive lipidoid is prepared by reacting amine 305 with acrylate O 10 , O 11 , O 12 , O 13 , or O 14 to form compound 305O 10 , 305O 11 , 305O 12 , 305O 13 , or 305O 14 .
- an inventive lipidoid is of one of the formulae below:
- an inventive lipidoid is of the formula:
- an inventive lipidoid is prepared by reacting amine 306 with acrylate O 10 , O 11 , O 12 , O 13 , or O 14 to form compound 306O 10 , 306O 11 , 306O 12 , 306O 13 , or 306O 14 .
- an inventive lipidoid is of one of the formulae below:
- an inventive lipidoid is of the formula:
- an inventive lipidoid is prepared by reacting amine 313 with acrylate O 10 , O 11 , O 12 , O 13 , or O 14 to form compound 313O 10 , 313O 11 , 313O 12 , 313O 13 , or 313O 14 .
- an inventive lipidoid is of one of the formulae below:
- an inventive lipidoid is of the formula:
- an inventive lipidoid is prepared by reacting amine 315 with acrylate O 10 , O 11 , O 12 , O 13 , or O 14 to form compound 315O 10 , 315O 11 , 315O 12 , 315O 13 , or 315O 14 .
- an inventive lipidoid is of one of the formulae below:
- the present invention provides a composition of one or more of the above lipidoids.
- an inventive lipidoid is of the formula:
- an inventive lipidoid is prepared by reacting amine 347 with acrylate O 10 , O 11 , O 12 , O 13 , or O 14 to form compound 347O 10 , 347O 11 , 347O 12 , 347O 13 , or 347O 14 .
- an inventive lipidoid is of one of the formulae below:
- the present invention provides a composition of one or more of the above lipidoids.
- an inventive lipidoid is of the formula:
- an inventive lipidoid is prepared by reacting amine 366 with acrylate O 10 , O 11 , O 12 , O 13 , or O 14 to form compound 366O 10 , 366O 11 , 366O 12 , 366O 13 , or 366O 14 .
- an inventive lipidoid is of one of the formulae below:
- the present invention provides a composition of one or more of the above lipidoids.
- an inventive lipidoid is of the formula:
- an inventive lipidoid is prepared by reacting amine 371 with acrylate O 10 , O 11 , O 12 , O 13 , or O 14 to form compound 371O 10 , 371O 11 , 371O 12 , 371O 13 , or 371O 14 .
- an inventive lipidoid is of one of the formulae below:
- the present invention provides a composition of one or more of the above lipidoids.
- an inventive lipidoid is of the formula:
- an inventive lipidoid is prepared by reacting amine 500 with acrylate O 10 , O 11 , O 12 , O 13 , or O 14 to form compound 500O 10 , 500O 11 , 500O 12 , 500O 13 , or 500O 14 .
- an inventive lipidoid is of one of the formulae below:
- an inventive lipidoid is of the formula:
- an inventive lipidoid is prepared by reacting amine 501 with acrylate O 10 , O 11 , O 12 , O 13 , O 13 , or O 14 to form compound 501O 10 , 501O 11 , 501O 12 , 501O 13 , or 501O 14 .
- an inventive lipidoid is of one of the formulae below:
- an inventive lipidoid is of the formula:
- an inventive lipidoid is prepared by reacting amine 502 with acrylate O 10 , O 11 , O 12 , O 13 , or O 14 to form compound 502O 10 , 502O 11 , 502O 12 , 502O 13 , or 502O 14 .
- an inventive lipidoid is of one of the formulae below:
- an inventive lipidoid is of the formula:
- an inventive lipidoid is prepared by reacting amine 503 with acrylate O 10 , O 11 , O 12 , O 13 , or O 14 to form compound 503O 10 , 503O 11 , 503O 12 , 503O 13 , or 503O 14 .
- an inventive lipidoid is of one of the formulae below:
- an inventive lipidoid is of the formula:
- an inventive lipidoid is prepared by reacting amine 504 with acrylate O 10 , O 11 , O 12 , O 13 , or O 14 to form compound 504O 10 , 504O 11 , 504O 12 , 504O 13 , or 504O 14 .
- an inventive lipidoid is of one of the formulae below:
- an inventive lipidoid is of the formula:
- an inventive lipidoid is prepared by reacting amine 505 with acrylate O 10 , O 11 , O 12 , O 13 , or O 14 to form compound 505O 10 , 505O 11 , 505O 12 , 505O 13 , or 505O 14 .
- an inventive lipidoid is of one of the formulae below:
- an inventive lipidoid is of the formula:
- an inventive lipidoid is prepared by reacting amine 506 with acrylate O 10 , O 11 , O 12 , O 13 , or O 14 to form compound 506O 10 , 506O 11 , 506O 12 , 506O 13 , or 506O 14 .
- an inventive lipidoid is of one of the formulae below:
- an inventive lipidoid is of the formula:
- an inventive lipidoid is prepared by reacting amine 507 with acrylate O 10 , O 11 , O 12 , O 13 , or O 14 to form compound 507O 10 , 507O 11 , 507O 12 , 507O 13 , or 507O 14 .
- an inventive lipidoid is of one of the formulae below:
- an inventive lipidoid is of the formula:
- an inventive lipidoid is prepared by reacting amine 508 with acrylate O 10 , O 11 , O 12 , O 13 , or O 14 to form compound 508O 10 , 508O 11 , 508O 12 , 508O 13 , or 508O 14 .
- an inventive lipidoid is of one of the formulae below:
- an inventive lipidoid is of the formula:
- an inventive lipidoid is prepared by reacting amine 509 with acrylate O 10 , O 11 , O 12 , O 13 , or O 14 to form compound 509O 10 , 509O 11 , 509O 12 , 509O 13 , or 509O 14 .
- an inventive lipidoid is of one of the formulae below:
- an inventive lipidoid is of the formula:
- an inventive lipidoid is prepared by reacting amine 510 with acrylate O 10 , O 11 , O 12 , O 13 , or O 14 to form compound 510O 10 , 510O 11 , 510O 12 , 510O 13 , or 510O 14 .
- an inventive lipidoid is of one of the formulae below:
- an inventive lipidoid is of the formula:
- an inventive lipidoid is prepared by reacting amine 511 with acrylate O 10 , O 11 , O 12 , O 13 , or O 14 to form compound 511O 10 , 511O 11 , 511O 12 , 511O 13 , or 511O 14 .
- an inventive lipidoid is of one of the formulae below:
- an inventive lipidoid is of the formula:
- an inventive lipidoid is prepared by reacting amine 512 with acrylate O 10 , O 11 , O 12 , O 13 , or O 14 to form compound 512O 10 , 512O 11 , 512O 12 , 512O 13 , or 512O 14 .
- an inventive lipidoid is of one of the formulae below:
- an inventive lipidoid is of the formula:
- an inventive lipidoid is prepared by reacting amine 513 with acrylate O 10 , O 11 , O 12 , O 13 , or O 14 to form compound 513O 10 , 513O 11 , 513O 12 , 513O 13 , or 513O 14 .
- an inventive lipidoid is of one of the formulae below:
- an inventive lipidoid is of the formula:
- an inventive lipidoid is prepared by reacting amine 514 with acrylate O 10 , O 11 , O 12 , O 13 , or O 14 to form compound 514O 10 , 514O 11 , 514O 12 , 514O 13 , or 514O 14 .
- an inventive lipidoid is of one of the formulae below:
- an inventive lipidoid is of the formula:
- an inventive lipidoid is prepared by reacting amine 515 with acrylate O 10 , O 11 , O 12 , O 13 , or O 14 to form compound 515O 10 , 515O 11 , 515O 12 , 515O 13 , or 515O 14 .
- an inventive lipidoid is of one of the formulae below:
- the present invention provides a composition of one or more of the above lipidoids.
- an inventive lipidoid is of the formula:
- inventive lipidoids described herein may be prepared by any method known in the art.
- inventive lipidoids are prepared via the conjugate addition of primary or secondary amines to acrylates. Such syntheses are described in detail in U.S. Publication No. 2011/0009641, incorporated herein by reference.
- inventive lipidoids are prepared from commercially available starting materials, such acrylates and amines.
- inventive lipidoids are prepared from easily and/or inexpensively prepared starting materials.
- the lipidoids described herein can be prepared by total synthesis starting from commercially available starting materials. A particular lipidoid may be the desired final product of the synthesis, or a mixture of lipidoids may be the desired final product.
- Cationic lipids such as Lipofectamine have been prepared and studied for their ability to complex and transfect polynucleotides. The interaction of the lipid with the polynucleotide is thought to at least partially prevent the degradation of the polynucleotide.
- the neutral or slightly-positively-charged complex is also able to more easily pass through the hydrophobic membranes (e.g., cytoplasmic, lysosomal, endosomal, nuclear) of the cell.
- the complex is slightly positively charged.
- the complex has a positive ⁇ -potential. In certain embodiments, the ⁇ -potential is between +1 and +30.
- lipidoids of the present invention possess tertiary amines. Although these amines are hindered, they are available to interact with a polynucleotide (e.g., DNA, RNA, synthetic analogs of DNA and/or RNA, DNA/RNA hydrids, etc.).
- a polynucleotide e.g., DNA, RNA, synthetic analogs of DNA and/or RNA, DNA/RNA hydrids, etc.
- polynucleotides or derivatives thereof are contacted with the inventive lipidoids under conditions suitable to form polynucleotide/lipidoid complexes.
- the lipidoid is at least partially protonated so as to form a complex with the negatively charged polynucleotide.
- the polynucleotide/lipidoid complexes form nanoparticles that are useful in the delivery of polynucleotides to cells.
- multiple lipidoid molecules may be associated with a polynucleotide molecule.
- the complex may include 1-100 lipidoid molecules, 1-1000 lipidoid molecules, 10-1000 lipidoid molecules, or 100-10,000 lipidoid molecules.
- the complex may form a nanoparticle.
- the diameter of the nanoparticles ranges from 10-500 nm, from 10-1200 nm, or from 50-150 nm.
- nanoparticles may be associated with a targeting agent as described below.
- a polynucleotide to be complexed, encapsulated by the inventive lipidoids, or included in a composition with the inventive lipidoids may be any nucleic acid including but not limited to RNA and DNA.
- the polynucleotide is DNA.
- the polynucleotide is RNA.
- the polynucleotide is an siRNA.
- the polynucleotide is an shRNA.
- the polynucleotide is an mRNA.
- the polynucleotide is a dsRNA.
- the polynucleotide is an miRNA.
- the polynucleotide is an antisense RNA.
- the polynucleotides may be of any size or sequence, and they may be single- or double-stranded. In certain embodiments, the polynucleotide is greater than 100 base pairs long. In certain other embodiments, the polynucleotide is greater than 1000 base pairs long and may be greater than 10,000 base pairs long. In certain embodiments, the polynucleotide is purified and substantially pure. In certain embodiments, the polynucleotide is greater than 50% pure, greater than 75% pure, or greater than 95% pure. The polynucleotide may be provided by any means known in the art.
- the polynucleotide has been engineered using recombinant techniques (for a more detailed description of these techniques, please see Ausubel et al. Current Protocols in Molecular Biology (John Wiley & Sons, Inc., New York, 1999); Molecular Cloning: A Laboratory Manual, 2nd Ed., ed. by Sambrook, Fritsch, and Maniatis (Cold Spring Harbor Laboratory Press: 1989); each of which is incorporated herein by reference).
- the polynucleotide may also be obtained from natural sources and purified from contaminating components found normally in nature.
- the polynucleotide may also be chemically synthesized in a laboratory. In certain embodiments, the polynucleotide is synthesized using standard solid phase chemistry.
- the polynucleotide may be modified by chemical or biological means. In certain embodiments, these modifications lead to increased stability of the polynucleotide. Modifications include methylation, phosphorylation, end-capping, etc.
- Derivatives of polynucleotides may also be used in the present invention. These derivatives include modifications in the bases, sugars, and/or phosphate linkages of the polynucleotide.
- Modified bases include, but are not limited to, those found in the following nucleoside analogs: 2-aminoadenosine, 2-thiothymidine, inosine, pyrrolo-pyrimidine, 3-methyl adenosine, 5-methylcytidine, C5-bromouridine, C5-fluorouridine, C5-iodouridine, C5-propynyl-uridine, C5-propynyl-cytidine, C5-methylcytidine, 7-deazaadenosine, 7-deazaguanosine, 8-oxoadenosine, 8-oxoguanosine, O(6)-methylguanine, and 2-thiocytidine.
- Modified sugars include, but are not limited to, 2′-fluororibose, ribose, 2′-deoxyribose, 3′-azido-2′,3′-dideoxyribose, 2′,3′-dideoxyribose, arabinose (the 2′-epimer of ribose), acyclic sugars, and hexoses.
- the nucleosides may be strung together by linkages other than the phosphodiester linkage found in naturally occurring DNA and RNA.
- Modified linkages include, but are not limited to, phosphorothioate and 5′-N-phosphoramidite linkages. Combinations of the various modifications may be used in a single polynucleotide.
- modified polynucleotides may be provided by any means known in the art; however, as will be appreciated by those of skill in this art, the modified polynucleotides are preferably prepared using synthetic chemistry in vitro.
- the polynucleotides to be delivered may be in any form.
- the polynucleotide may be a circular plasmid, a linearized plasmid, a cosmid, a viral genome, a modified viral genome, an artificial chromosome, etc.
- the polynucleotide may be of any sequence.
- the polynucleotide encodes a protein or peptide.
- the encoded proteins may be enzymes, structural proteins, receptors, soluble receptors, ion channels, pharmaceutically active proteins, cytokines, interleukins, antibodies, antibody fragments, antigens, coagulation factors, albumin, growth factors, hormones, insulin, etc.
- the polynucleotide may also comprise regulatory regions to control the expression of a gene. These regulatory regions may include, but are not limited to, promoters, enhancer elements, repressor elements, TATA box, ribosomal binding sites, stop site for transcription, etc.
- the polynucleotide is not intended to encode a protein.
- the polynucleotide may be used to fix an error in the genome of the cell being transfected.
- the polynucleotide may also be provided as an antisense agent or RNA interference (RNAi) (Fire et al. Nature 391:806-811, 1998; incorporated herein by reference).
- Antisense therapy is meant to include, e.g., administration or in situ provision of single- or double-stranded oligonucleotides or their derivatives which specifically hybridize, e.g., bind, under cellular conditions, with cellular mRNA and/or genomic DNA, or mutants thereof, so as to inhibit expression of the encoded protein, e.g., by inhibiting transcription and/or translation (Crooke “Molecular mechanisms of action of antisense drugs” Biochim. Biophys.
- the binding may be by conventional base pair complementarity, or, for example, in the case of binding to DNA duplexes, through specific interactions in the major groove of the double helix (i.e., triple helix formation) (Chan et al. J. Mol. Med. 75(4):267-282, 1997; incorporated herein by reference).
- the polynucleotide to be delivered comprises a sequence encoding an antigenic peptide or protein.
- Nanoparticles containing these polynucleotides can be delivered to an individual to induce an immunologic response sufficient to decrease the chance of a subsequent infection and/or lessen the symptoms associated with such an infection.
- the polynucleotide of these vaccines may be combined with interleukins, interferon, cytokines, and adjuvants such as cholera toxin, alum, Freund's adjuvant, etc.
- An antigenic protein or peptides encoded by a polynucleotide may be derived from such bacterial organisms as Streptococccus pneumoniae, Haemophilus influenzae, Staphylococcus aureus, Streptococcus pyrogenes, Corynebacterium diphtheriae, Listeria monocytogenes, Bacillus anthracia, Clostridium tetani, Clostridium botulinum, Clostridium perfringens, Neisseria meningitidis, Neisseria gonorrhoeae, Streptococcus mutans, Pseudomonas aeruginosa, Salmonella typhi, Haemophilus parainfluenzae, Bordetella pertussis, Francisella tularensis, Yersinia pestis, Vibrio cholerae, Legionella pneumophila, Mycobacterium tuberculosis, Myco
- the lipidoids of the present invention may also be used to form drug delivery devices.
- Inventive lipidoids may be used to encapsulate agents including polynucleotides, small molecules, proteins, peptides, metals, organometallic compounds, etc.
- Lipidoids described herein have several properties that make them particularly suitable in the preparation of drug delivery devices. These include 1) the ability of the lipid to complex and “protect” labile agents; 2) the ability to buffer the pH in the endosome; 3) the ability to act as a “proton sponge” and cause endosomolysis; and 4) the ability to neutralize the charge on negatively charged agents.
- the diameter of the particles range from between 1 micrometer to 1,000 micrometers.
- the diameter of the particles range from between from 1 micrometer to 100 micrometers. In certain embodiments, the diameter of the particles range from between from 1 micrometer to 10 micrometers. In certain embodiments, the diameter of the particles range from between from 10 micrometer to 100 micrometers. In certain embodiments, the diameter of the particles range from between from 100 micrometer to 1,000 micrometers. In certain embodiments, the particles range from 1-5 micrometers. In certain embodiments, the diameter of the particles range from between 1 nm to 1,000 nm. In certain embodiments, the diameter of the particles range from between from 1 nm to 100 nm. In certain embodiments, the diameter of the particles range from between from 1 nm to 10 nm.
- the diameter of the particles range from between from 10 nm to 100 nm. In certain embodiments, the diameter of the particles range from between from 100 nm to 1,000 nm. In certain embodiments, the diameter of the particles range from between from 20 nm to 2,000 nm. In certain embodiments, the particles range from 1-5 nm. In certain embodiments, the diameter of the particles range from between 1 pm to 1,000 pm. In certain embodiments, the diameter of the particles range from between from 1 pm to 100 pm. In certain embodiments, the diameter of the particles range from between from 1 pm to 10 pm. In certain embodiments, the diameter of the particles range from between from 10 pm to 100 pm. In certain embodiments, the diameter of the particles range from between from 100 pm to 1,000 pm. In certain embodiments, the particles range from 1-5 pm.
- inventive particles may be prepared using any method known in this art. These include, but are not limited to, spray drying, single and double emulsion solvent evaporation, solvent extraction, phase separation, simple and complex coacervation, and other methods well known to those of ordinary skill in the art.
- methods of preparing the particles are the double emulsion process and spray drying.
- the conditions used in preparing the particles may be altered to yield particles of a desired size or property (e.g., hydrophobicity, hydrophilicity, external morphology, “stickiness”, shape, etc.).
- the method of preparing the particle and the conditions e.g., solvent, temperature, concentration, air flow rate, etc.
- the conditions e.g., solvent, temperature, concentration, air flow rate, etc.
- the composition of the matrix may also depend on the agent being encapsulated and/or the composition of the matrix.
- the particles prepared by any of the above methods have a size range outside of the desired range, the particles can be sized, for example, using a sieve.
- the particle may also be coated.
- the particles are coated with a targeting agent.
- the particles are coated to achieve desirable surface properties (e.g., a particular charge).
- the present invention provides a nanoparticle comprising an inventive lipidoid and one or more agents to be delivered.
- the agent is a polynucleotide, drug, protein or peptide, small molecule, or gas.
- the agent is RNA (e.g. mRNA, RNAi, dsRNA, siRNA, shRNA, miRNA, or antisense RNA).
- the nanoparticle further comprises cholesterol or a derivative thereof, such as 3 ⁇ [N—(N′,N′-dimethylaminoethane)-carbamoyl]cholesterol (DC-cholesterol).
- the nanoparticle further comprises a PEG-based material.
- the PEG-based material is PEG-ceramide, PEG-DMG, PEG-PE, poloxamer, or DSPE carboxy PEG.
- the PEG-based material is C14 PEG2000 DMG, C15 PEG2000 DMG, C16 PEG2000 DMG, C18 PEG2000 DMG, C14 PEG 2000 ceramide, C15 PEG2000 ceramide, C16 PEG2000 ceramide, C18 PEG2000 ceramide, C14 PEG2000 PE, C15 PEG2000 PE, C16 PEG2000 PE, C18 PEG2000 PE, C14 PEG350 PE, C14 PEG5000 PE, poloxamer F-127, poloxamer F-68, poloxamer L-64, or DSPE carboxy PEG.
- the nanoparticle further comprises a lipid.
- the nanoparticle further comprises DSPC, DOPC, or DOPE.
- the nanoparticle comprises a lipidoid, an agent (e.g., RNA), a lipid, cholesterol or a derivative thereof, and a PEG-based material.
- Lipidoids described herein may also be used to prepare micelles or liposomes.
- any agent may be included in a micelle or liposome.
- Micelles and liposomes are particularly useful in delivering hydrophobic agents such as hydrophobic small molecules.
- a lipoplex When the micelle or liposome is complexed with (e.g., encapsulates or covers) a polynucleotide it is referred to as a “lipoplex.”
- lipoplex a polynucleotide
- Many techniques for preparing micelles, liposomes, and lipoplexes are known in the art, and any method may be used with the inventive lipidoids to make micelles and liposomes.
- liposomes are formed through spontaneous assembly.
- liposomes are formed when thin lipid films or lipid cakes are hydrated and stacks of lipid crystalline bilayers become fluid and swell. The hydrated lipid sheets detach during agitation and self-close to form large, multilamellar vesicles (LMV). This prevents interaction of water with the hydrocarbon core of the bilayers at the edges. Once these particles have formed, reducing the size of the particle can be modified through input of sonic energy (sonication) or mechanical energy (extrusion). See Walde, P.
- Lipids are first dissolved in an organic solvent to assure a homogeneous mixture of lipids. The solvent is then removed to form a lipid film. This film is thoroughly dried to remove residual organic solvent by placing the vial or flask on a vacuum pump overnight. Hydration of the lipid film/cake is accomplished by adding an aqueous medium to the container of dry lipid and agitating the mixture. Disruption of LMV suspensions using sonic energy typically produces small unilamellar vesicles (SUV) with diameters in the range of 15-50 nm.
- SUV small unilamellar vesicles
- Lipid extrusion is a technique in which a lipid suspension is forced through a polycarbonate filter with a defined pore size to yield particles having a diameter near the pore size of the filter used. Extrusion through filters with 100 nm pores typically yields large, unilamellar vesicles (LUV) with a mean diameter of 120-140 nm.
- liposomes are formed comprising an inventive lipid, a PEG-based material, cholesterol or a derivative thereof, and a polynucleotide.
- the polynucleotide is an RNA molecule (e.g., an siRNA).
- the polynucleotide is a DNA molecule.
- the amount of lipidoid in the liposome ranges from 30-80 mol %, 40-70 mol %, or 60-70 mol %.
- the liposome comprises a PEG-based material.
- the amount of PEG-based material in the liposomes ranges from 5-20 mol %, 10-15 mol %, or 10 mol %.
- the liposome comprises cholesterol or a derivative thereof.
- the amount of cholesterol in the liposome ranges from 5-25 mol %, 10-20 mol %, or 15 mol %.
- the amount of cholesterol in the liposome is approximately 20 mol %.
- Certain lipidoids can spontaneously self assemble around certain molecules, such as DNA and RNA, to form liposomes.
- the application is the delivery of polynucleotides. Use of these lipidoids allows for simple assembly of liposomes without the need for additional steps or devices such as an extruder.
- the agents to be delivered by the system of the present invention may be therapeutic, diagnostic, or prophylactic agents. Any chemical compound to be administered to an individual may be delivered using the inventive inventive complexes, picoparticles, nanoparticles, microparticles, micelles, or liposomes.
- the agent may be a small molecule, organometallic compound, nucleic acid, protein, peptide, polynucleotide, targeting agent, an isotopically labeled chemical compound, drug, vaccine, immunological agent, etc.
- the agents are organic compounds with pharmaceutical activity.
- the agent is a clinically used drug.
- the drug is an antibiotic, chemotherapeutic, anti-viral agent, anesthetic, steroidal agent, anti-inflammatory agent, anti-neoplastic agent, antigen, vaccine, antibody, decongestant, antihypertensive, sedative, birth control agent, progestational agent, anti-cholinergic, analgesic, anti-depressant, anti-psychotic, ⁇ -adrenergic blocking agent, diuretic, cardiovascular active agent, vasoactive agent, non-steroidal anti-inflammatory agent, nutritional agent, etc.
- the agent to be delivered may be a mixture of agents.
- Diagnostic agents include gases; metals; commercially available imaging agents used in positron emissions tomography (PET), computer assisted tomography (CAT), single photon emission computerized tomography, x-ray, fluoroscopy, and magnetic resonance imaging (MRI); and contrast agents.
- PET positron emissions tomography
- CAT computer assisted tomography
- MRI magnetic resonance imaging
- suitable materials for use as contrast agents in MRI include gadolinium chelates, as well as iron, magnesium, manganese, copper, and chromium.
- Examples of materials useful for CAT and x-ray imaging include iodine-based materials.
- Prophylactic agents include, but are not limited to, antibiotics, nutritional supplements, and vaccines.
- Vaccines may comprise isolated proteins or peptides, inactivated organisms and viruses, dead organisms and viruses, genetically altered organisms or viruses, and cell extracts.
- Prophylactic agents may be combined with interleukins, interferon, cytokines, and adjuvants such as cholera toxin, alum, Freund's adjuvant, etc.
- Prophylactic agents include antigens of such bacterial organisms as Streptococccus pneumoniae, Haemophilus influenzae, Staphylococcus aureus, Streptococcus pyrogenes, Corynebacterium diphtheriae, Listeria monocytogenes, Bacillus anthracia, Clostridium tetani, Clostridium botulinum, Clostridium perfringens, Neisseria meningitidis, Neisseria gonorrhoeae, Streptococcus mutans, Pseudomonas aeruginosa, Salmonella typhi, Haemophilus parainfluenzae, Bordetella pertussis, Francisella tularensis, Yers
- the inventive lipidoids, and the complexes, liposomes, micelles, microparticles, picoparticles and nanoparticles prepared therefrom, may be modified to include targeting agents since it is often desirable to target a particular cell, collection of cells, or tissue.
- targeting agents that direct pharmaceutical compositions to particular cells are known in the art (see, for example, Cotten et al. Methods Enzym. 217:618, 1993; incorporated herein by reference).
- the targeting agents may be included throughout the particle or may be only on the surface.
- the targeting agent may be a protein, peptide, carbohydrate, glycoprotein, lipid, small molecule, etc.
- the targeting agent may be used to target specific cells or tissues or may be used to promote endocytosis or phagocytosis of the particle.
- targeting agents include, but are not limited to, antibodies, fragments of antibodies, low-density lipoproteins (LDLs), transferrin, asialycoproteins, gp120 envelope protein of the human immunodeficiency virus (HIV), carbohydrates, receptor ligands, sialic acid, etc.
- LDLs low-density lipoproteins
- transferrin asialycoproteins
- carbohydrates receptor ligands, sialic acid, etc.
- the targeting agent may be included in the mixture that is used to form the particles.
- the targeting agent may be associated with (i.e., by covalent, hydrophobic, hydrogen bonding, van der Waals, or other interactions) the formed particles using standard chemical techniques.
- an inventive lipidoid is a component of a composition which may be useful in a variety of medical and non-medical applications.
- pharmaceutical compositions comprising an inventive lipidoid may be useful in the delivery of an effective amount of an agent to a subject in need thereof.
- Nutraceutical compositions comprising an inventive lipidoid may be useful in the delivery of an effective amount of a nutraceutical, e.g., a dietary supplement, to a subject in need thereof.
- Cosmetic compositions comprising an inventive lipidoid may be formulated as a cream, ointment, balm, paste, film, or liquid, etc., and may be useful in the application of make-up, hair products, and materials useful for personal hygiene, etc.
- the composition comprises one or more lipidoids of the present invention.
- “One or more lipidoids” refers to one or more different types of lipidoids included in the composition, and encompasses 1, 2, 3, 4, 5, 6, 7, 8, 9, 10 or more different types of lipidoids.
- the inventive lipidoids are useful in compositions, either for delivery of an effective amount of an agent to a subject in need thereof (e.g., a pharmaceutical composition, a cosmetic composition) or for use as an excipient.
- cosmetic compositions may further use the inventive lipidoids as excipients rather than as a delivery system encapsulating an agent to be delivered.
- the composition is a pharmaceutical composition.
- the composition is a cosmetic composition.
- the composition further comprises an agent, as described herein.
- the agent is a small molecule, organometallic compound, nucleic acid, protein, peptide, polynucleotide, metal, targeting agent, an isotopically labeled chemical compound, drug, vaccine, or immunological agent.
- the agent is a polynucleotide.
- the polynucleotide is DNA or RNA.
- the RNA is mRNA, RNAi, dsRNA, siRNA, shRNA, miRNA, or antisense RNA.
- the polynucleotide and the one or more lipidoids are not covalently attached.
- the one or more lipidoids are in the form of a particle.
- the particle is a nanoparticle or microparticle.
- the one or more conjugated lipidoids are in the form of liposomes or micelles. It is understood that, in certain embodiments, these lipidoids self-assemble to provide a particle, micelle or liposome.
- the particle, liposome, or micelle encapsulates an agent.
- the agent to be delivered by the particles, liposomes, or micelles may be in the form of a gas, liquid, or solid.
- the inventive lipidoids may be combined with polymers (synthetic or natural), surfactants, cholesterol, carbohydrates, proteins, lipids etc. to form the particles. These particles may be combined with an excipient to form pharmaceutical and cosmetic compositions.
- the complexes, micelles, liposomes, or particles may be combined with one or more excipients to form a composition that is suitable to administer to animals including humans.
- the excipients may be chosen based on the route of administration as described below, the agent being delivered, time course of delivery of the agent, etc.
- composition comprising an inventive lipidoids and an excipient.
- excipient means a non-toxic, inert solid, semi-solid or liquid filler, diluent, encapsulating material or formulation auxiliary of any type.
- materials which can serve as excipients include, but are not limited to, sugars such as lactose, glucose, and sucrose; starches such as corn starch and potato starch; cellulose and its derivatives such as sodium carboxymethyl cellulose, ethyl cellulose, and cellulose acetate; powdered tragacanth; malt; gelatin; talc; excipients such as cocoa butter and suppository waxes; oils such as peanut oil, cottonseed oil; safflower oil; sesame oil; olive oil; corn oil and soybean oil; glycols such as propylene glycol; esters such as ethyl oleate and ethyl laurate; agar; detergents such as Tween 80; buffering agents such as magnesium hydroxide and aluminum hydroxide; alginic acid; pyrogen-free water; isotonic saline; Ringer's solution; ethyl alcohol; and phosphate buffer solutions, as well as other non-
- compositions of this invention can be administered to humans and/or to animals, orally, rectally, parenterally, intracisternally, intravaginally, intranasally, intraperitoneally, topically (as by powders, creams, ointments, or drops), bucally, or as an oral or nasal spray.
- Liquid dosage forms for oral administration include emulsions, microemulsions, solutions, suspensions, syrups, and elixirs.
- the liquid dosage forms may contain inert diluents commonly used in the art such as, for example, water or other solvents, solubilizing agents and emulsifiers such as ethyl alcohol, isopropyl alcohol, ethyl carbonate, ethyl acetate, benzyl alcohol, benzyl benzoate, propylene glycol, 1,3-butylene glycol, dimethylformamide, oils (in particular, cottonseed, groundnut, corn, germ, olive, castor, and sesame oils), glycerol, tetrahydrofurfuryl alcohol, polyethylene glycols and fatty acid esters of sorbitan, and mixture
- sterile injectable preparations for example, sterile injectable aqueous or oleaginous suspensions may be formulated according to the known art using suitable dispersing or wetting agents and suspending agents.
- the sterile injectable preparation may also be a sterile injectable solution, suspension, or emulsion in a nontoxic parenterally acceptable diluent or solvent, for example, as a solution in 1,3-butanediol.
- acceptable vehicles and solvents that may be employed are water, Ringer's solution, U.S.P. and isotonic sodium chloride solution.
- sterile, fixed oils are conventionally employed as a solvent or suspending medium.
- any bland fixed oil can be employed including synthetic mono- or diglycerides.
- fatty acids such as oleic acid are used in the preparation of injectables.
- the particles are suspended in a carrier fluid comprising 1% (w/v) sodium carboxymethyl cellulose and 0.1% (v/v) Tween 80.
- the injectable formulations can be sterilized, for example, by filtration through a bacteria-retaining filter, or by incorporating sterilizing agents in the form of sterile solid compositions which can be dissolved or dispersed in sterile water or other sterile injectable medium prior to use.
- compositions for rectal or vaginal administration are preferably suppositories which can be prepared by mixing the particles with suitable non-irritating excipients or carriers such as cocoa butter, polyethylene glycol, or a suppository wax which are solid at ambient temperature but liquid at body temperature and therefore melt in the rectum or vaginal cavity and release the particles.
- suitable non-irritating excipients or carriers such as cocoa butter, polyethylene glycol, or a suppository wax which are solid at ambient temperature but liquid at body temperature and therefore melt in the rectum or vaginal cavity and release the particles.
- Solid dosage forms for oral administration include capsules, tablets, pills, powders, and granules.
- the particles are mixed with at least one inert, pharmaceutically acceptable excipient or carrier such as sodium citrate or dicalcium phosphate and/or a) fillers or extenders such as starches, lactose, sucrose, glucose, mannitol, and silicic acid, b) binders such as, for example, carboxymethylcellulose, alginates, gelatin, polyvinylpyrrolidinone, sucrose, and acacia, c) humectants such as glycerol, d) disintegrating agents such as agar-agar, calcium carbonate, potato or tapioca starch, alginic acid, certain silicates, and sodium carbonate, e) solution retarding agents such as paraffin, f) absorption accelerators such as quaternary ammonium compounds, g) wetting agents such as, for example, cetyl alcohol and glycerol,
- compositions of a similar type may also be employed as fillers in soft and hard-filled gelatin capsules using such excipients as lactose or milk sugar as well as high molecular weight polyethylene glycols and the like.
- the solid dosage forms of tablets, dragees, capsules, pills, and granules can be prepared with coatings and shells such as enteric coatings and other coatings well known in the pharmaceutical formulating art. They may optionally contain opacifying agents and can also be of a composition that they release the active ingredient(s) only, or preferentially, in a certain part of the intestinal tract, optionally, in a delayed manner
- coatings and shells such as enteric coatings and other coatings well known in the pharmaceutical formulating art. They may optionally contain opacifying agents and can also be of a composition that they release the active ingredient(s) only, or preferentially, in a certain part of the intestinal tract, optionally, in a delayed manner
- embedding compositions which can be used include polymeric substances and waxes.
- compositions of a similar type may also be employed as fillers in soft and hard-filled gelatin capsules using such excipients as lactose or milk sugar as well as high molecular weight polyethylene glycols and the like.
- Dosage forms for topical or transdermal administration of an inventive pharmaceutical composition include ointments, pastes, creams, lotions, gels, powders, solutions, sprays, inhalants, or patches.
- the particles are admixed under sterile conditions with a pharmaceutically acceptable carrier and any needed preservatives or buffers as may be required.
- Ophthalmic formulation, ear drops, and eye drops are also contemplated as being within the scope of this invention.
- the ointments, pastes, creams, and gels may contain, in addition to the particles of this invention, excipients such as animal and vegetable fats, oils, waxes, paraffins, starch, tragacanth, cellulose derivatives, polyethylene glycols, silicones, bentonites, silicic acid, talc, and zinc oxide, or mixtures thereof.
- excipients such as animal and vegetable fats, oils, waxes, paraffins, starch, tragacanth, cellulose derivatives, polyethylene glycols, silicones, bentonites, silicic acid, talc, and zinc oxide, or mixtures thereof.
- Powders and sprays can contain, in addition to the particles of this invention, excipients such as lactose, talc, silicic acid, aluminum hydroxide, calcium silicates, and polyamide powder, or mixtures of these substances.
- Sprays can additionally contain customary propellants such as chlorofluorohydrocarbons.
- Transdermal patches have the added advantage of providing controlled delivery of a compound to the body.
- dosage forms can be made by dissolving or dispensing the microparticles or nanoparticles in a proper medium.
- Absorption enhancers can also be used to increase the flux of the compound across the skin. The rate can be controlled by either providing a rate controlling membrane or by dispersing the particles in a polymer matrix or gel.
- inventive lipidoids e.g., for the treatment of a disease, disorder or condition from which a subject suffers. It is contemplated that the inventive lipidoids will be useful in the treatment of a variety of diseases, disorders or conditions, especially as a system for delivering agents useful in the treatment of that particular disease, disorder or condition.
- a method of treating cancer comprising administering to a subject in need thereof an effective amount of a lipidoid of the present invention, or salt thereof, or a composition thereof.
- the method further comprises administering an anti-cancer agent.
- the lipidoid encapsulates the anti-cancer agent.
- the lipidoid and the anti-cancer agent form a particle (e.g., a nanoparticle, a microparticle, a micelle, a liposome, a lipoplex).
- a “subject” to which administration is contemplated includes, but is not limited to, humans (i.e., a male or female of any age group, e.g., a pediatric subject (e.g, infant, child, adolescent) or adult subject (e.g., young adult, middle-aged adult or senior adult)) and/or other non-human animals, for example mammals (e.g., primates (e.g., cynomolgus monkeys, rhesus monkeys); commercially relevant mammals such as cattle, pigs, horses, sheep, goats, cats, and/or dogs), birds (e.g., commercially relevant birds such as chickens, ducks, geese, and/or turkeys), reptiles, amphibians, and fish.
- the non-human animal is a mammal.
- the non-human animal may be a male or female and at any stage of development.
- a non-human animal may be a transgenic animal.
- the terms “treat,” “treating” and “treatment” contemplate an action that occurs while a subject is suffering from the specified disease, disorder or condition, which reduces the severity of the disease, disorder or condition, or retards or slows the progression of the disease, disorder or condition (“therapeutic treatment”), and also contemplates an action that occurs before a subject begins to suffer from the specified disease, disorder or condition (“prophylactic treatment”).
- the “effective amount” of a compound refers to an amount sufficient to elicit the desired biological response.
- the effective amount of a compound of the invention may vary depending on such factors as the desired biological endpoint, the pharmacokinetics of the compound, the disease being treated, the mode of administration, and the age, health, and condition of the subject.
- An effective amount encompasses therapeutic and prophylactic treatment.
- a “therapeutically effective amount” of a compound is an amount sufficient to provide a therapeutic benefit in the treatment of a disease, disorder or condition, or to delay or minimize one or more symptoms associated with the disease, disorder or condition.
- a therapeutically effective amount of a compound means an amount of therapeutic agent, alone or in combination with other therapies, which provides a therapeutic benefit in the treatment of the disease, disorder or condition.
- the term “therapeutically effective amount” can encompass an amount that improves overall therapy, reduces or avoids symptoms or causes of disease or condition, or enhances the therapeutic efficacy of another therapeutic agent.
- a “prophylactically effective amount” of a compound is an amount sufficient to prevent a disease, disorder or condition, or one or more symptoms associated with the disease, disorder or condition, or prevent its recurrence.
- a prophylactically effective amount of a compound means an amount of a therapeutic agent, alone or in combination with other agents, which provides a prophylactic benefit in the prevention of the disease, disorder or condition.
- the term “prophylactically effective amount” can encompass an amount that improves overall prophylaxis or enhances the prophylactic efficacy of another prophylactic agent.
- Exemplary cancers include, but are not limited to, acoustic neuroma, adenocarcinoma, adrenal gland cancer, anal cancer, angiosarcoma (e.g., lymphangiosarcoma, lymphangioendotheliosarcoma, hemangiosarcoma), appendix cancer, benign monoclonal gammopathy, biliary cancer (e.g., cholangiocarcinoma), bladder cancer, breast cancer (e.g., adenocarcinoma of the breast, papillary carcinoma of the breast, mammary cancer, medullary carcinoma of the breast), brain cancer (e.g., meningioma; glioma, e.g., astrocytoma, oligodendroglioma; medulloblastoma), bronchus cancer, carcinoid tumor, cervical cancer (e.g., cervical adenocarcinoma), choriocarcinoma, chordo
- HCC hepatocellular cancer
- lung cancer e.g., bronchogenic carcinoma, small cell lung cancer (SCLC), non-small cell lung cancer (NSCLC), adenocarcinoma of the lung
- myelofibrosis MF
- chronic idiopathic myelofibrosis chronic myelocytic leukemia (CML), chronic neutrophilic leukemia (CNL), hypereosinophilic syndrome (HES)
- neuroblastoma e.g., neurofibromatosis (NF) type 1 or type 2, schwannomatosis
- neuroendocrine cancer e.g., gastroenteropancreatic neuroendoctrine tumor (GEP-NET), carcinoid tumor
- osteosarcoma ovarian cancer (e.g., cystadenocarcinoma, ovarian embryonal carcinoma, ovarian adenocarcinoma), papillary adenocarcinoma, pancreatic cancer (e.g., pancreatic andenocarcinoma, intraductal papillary mucinous neoplasm (IPMN), Islet cell tumors), penile cancer (e.g., Paget's disease of the pen
- Anti-cancer agents encompass biotherapeutic anti-cancer agents as well as chemotherapeutic agents.
- biotherapeutic anti-cancer agents include, but are not limited to, interferons, cytokines (e.g., tumor necrosis factor, interferon ⁇ , interferon ⁇ ), vaccines, hematopoietic growth factors, monoclonal serotherapy, immunostimulants and/or immunodulatory agents (e.g., IL-1, 2, 4, 6, or 12), immune cell growth factors (e.g., GM-CSF) and antibodies (e.g.
- HERCEPTIN (trastuzumab), T-DM1, AVASTIN (bevacizumab), ERBITUX (cetuximab), VECTIBIX (panitumumab), RITUXAN (rituximab), BEXXAR (tositumomab)).
- chemotherapeutic agents include, but are not limited to, anti-estrogens (e.g. tamoxifen, raloxifene, and megestrol), LHRH agonists (e.g. goscrclin and leuprolide), anti-androgens (e.g. flutamide and bicalutamide), photodynamic therapies (e.g.
- vertoporfin BPD-MA
- phthalocyanine phthalocyanine
- photosensitizer Pc4 demethoxy-hypocrellin A (2BA-2-DMHA)
- nitrogen mustards e.g. cyclophosphamide, ifosfamide, trofosfamide, chlorambucil, estramustine, and melphalan
- nitrosoureas e.g. carmustine (BCNU) and lomustine (CCNU)
- alkylsulphonates e.g. busulfan and treosulfan
- triazenes e.g. dacarbazine, temozolomide
- platinum containing compounds e.g.
- paclitaxel or a paclitaxel equivalent such as nanoparticle albumin-bound paclitaxel (ABRAXANE), docosahexaenoic acid bound-paclitaxel (DHA-paclitaxel, Taxoprexin), polyglutamate bound-paclitaxel (PG-paclitaxel, paclitaxel poliglumex, CT-2103, XYOTAX), the tumor-activated prodrug (TAP) ANG 1005 (Angiopep-2 bound to three molecules of paclitaxel), paclitaxel-EC-1 (paclitaxel bound to the erbB2-recognizing peptide EC-1), and glucose-conjugated paclitaxel, e.g., 2′-paclitaxel methyl 2-glucopy
- etoposide etoposide phosphate, teniposide, topotecan, 9-aminocamptothecin, camptoirinotecan, irinotecan, crisnatol, mytomycin C
- anti-metabolites DHFR inhibitors (e.g. methotrexate, dichloromethotrexate, trimetrexate, edatrexate), IMP dehydrogenase inhibitors (e.g. mycophenolic acid, tiazofurin, ribavirin, and EICAR), ribonuclotide reductase inhibitors (e.g. hydroxyurea and deferoxamine), uracil analogs (e.g.
- 5-fluorouracil 5-fluorouracil
- floxuridine doxifluridine, ratitrexed, tegafur-uracil, capecitabine
- cytosine analogs e.g. cytarabine (ara C), cytosine arabinoside, and fludarabine
- purine analogs e.g. mercaptopurine and Thioguanine
- Vitamin D3 analogs e.g. EB 1089, CB 1093, and KH 1060
- isoprenylation inhibitors e.g. lovastatin
- dopaminergic neurotoxins e.g. 1-methyl-4-phenylpyridinium ion
- cell cycle inhibitors e.g.
- actinomycin e.g. actinomycin D, dactinomycin
- bleomycin e.g. bleomycin A2, bleomycin B2, peplomycin
- anthracycline e.g. daunorubicin, doxorubicin, pegylated liposomal doxorubicin, idarubicin, epirubicin, pirarubicin, zorubicin, mitoxantrone
- MDR inhibitors e.g. verapamil
- Ca 2+ ATPase inhibitors e.g.
- thapsigargin imatinib, thalidomide, lenalidomide, tyrosine kinase inhibitors (e.g., axitinib (AG013736), bosutinib (SKI-606), cediranib (RECENTINTM, AZD2171), dasatinib (SPRYCEL®, BMS-354825), erlotinib (TARCEVA®), gefitinib (IRESSA®), imatinib (Gleevec®, CGP57148B, STI-571), lapatinib (TYKERB®, TYVERB®), lestaurtinib (CEP-701), neratinib (HKI-272), nilotinib (TASIGNA®), semaxanib (semaxinib, SU5416), sunitinib (SUTENT®, SU11248), toceranib (PALLADIA®), vandetanib
- Lipidoids were synthesized through the conjugate addition of alkyl-acrylates to amines.
- Amines were purchased from Sigma Aldrich (St. Louis, Mo.), Alfa Aesar, Acros Organics, and CHESS Organics.
- Acrylates were purchased from Scientific Polymer Products (Ontario, N.Y.) and Hampford Research, Inc. (Stratford, Conn.) Amines were combined with acrylates stoichiometrically in a glass scintillation vial and were stirred at 90° C. for either for 3 days. In vitro experiments were conducted with crude materials, and in vivo experiments were performed with lipidoids purified via a Teledyne Isco Chromatography system (Lincoln, Nebr.).
- Nanoparticles were formed by mixing lipidoids, cholesterol (Sigma Aldrich), DSPC (Avanti Polar Lipids, Alabaster, Ala.) and mPEG2000-DMG (MW 2660, gift from Alnylam Pharamceuticals, Cambridge, Mass.) at a molar ratio of 38.5:50:(11.5 ⁇ X):X in a solution of 90% ethanol and 10% 10 mM sodium citrate (by volume).
- An siRNA solution was prepared by diluting siRNA in 10 mM sodium citrate such that the final weight ratio of total lipid (lipidoid+cholesterol+DSPC+PEG):siRNA was 10:1.
- lipid solution and siRNA solution were rapidly mixed together using either a microfluidic device (Chen, D. et al. J. Am. Chem. Soc. 134, 120410134818007 (2012)) or by pipet to form nanoparticles. Particles were diluted in phosphate buffered saline (PBS, Invitrogen) and then dialyzed against PBS for 90 minutes in 3500 MWCO cassettes (Pierce/Thermo Scientific, Rockford, Ill.).
- PBS phosphate buffered saline
- HeLa cells stably modified to express both firefly and Renilla luciferase were maintained at 37° C. in high glucose Dulbecco's Modified Eagles Medium without phenol red (Invitrogen, Carlsbad, Calif.) supplemented with 10% fetal bovine serum (FBS, Invitrogen). 12-16 hours prior to transfection, cells were seeded in white 96-well plates at a density of 15,000 cells per well. Cells were transfected with a 40 nM concentration of anti-firefly luciferase siRNA (Dharmacon, Lafayette, Colo.) that had been formulated with lipidoids into nanoparticles.
- FBS fetal bovine serum
- Firefly luciferase silencing was assessed with a Dual-Glo® Luciferase Assay kit (Promega, Madison, Wis.). Renilla luciferase activity served as a control. Data for certain lipidoids are shown in Table 1 below.
- mice Female C57BL/6 mice (Charles River Laboratories, Wilmington, Mass.) received injections through the lateral tail vein injections of PBS (negative control), or lipidoid nanoparticles containing either non-targeting siRNA (negative control) or anti-Factor VII siRNA diluted in PBS at a volume of 0.01 ml/g.
- PBS negative control
- lipidoid nanoparticles containing either non-targeting siRNA negative control
- anti-Factor VII siRNA diluted in PBS at a volume of 0.01 ml/g.
- the sequence of the siFVII provided by Alnylam Pharmaceuticals, was:
- mice Female C57BL/6 mice received tail vein injections of lipid nanoparticles containing siRNA that had been labeled with Cy5.5 on the 5′ end of the sense strand (provided by Alnylam Pharmaceuticals). Animals were dosed at 1 mg/kg of siRNA and volume of 0.01 ml/g. At one hour post-injection, mice were euthanized and organs were removed. Body-wide biodistribution was assessed by imaging whole organs with an IVIS® Spectrum system (Caliper Life Sciences, Hopkinton, Mass.) at excitation and emission wavelengths of 675 nm and 720 nm, respectively. Cell-specific distribution within hepatocytes was assessed by embedding, sectioning, and staining the whole liver with antibodies.
- IVIS® Spectrum system Caliper Life Sciences, Hopkinton, Mass.
- Imaging was conducted on a LSM 700 confocal microscope (Carl Zeiss, Inc., Peabody, Mass.).
- LSM 700 confocal microscope Carl Zeiss, Inc., Peabody, Mass.
- OCT optimal cutting temperature compound
- Cryostat sections were cut and collected on superfrost plus treated slides. Prepared frozen sections where kept at ⁇ 20° C. until needed.
- Odyssey imaging was conducted on 20 ⁇ m thick cryosections of tissue at a resolution of 21 ⁇ m (Lee, M. J.-E. et al., Rapid Pharmacokinetic and Biodistribution Studies Using Cholorotoxin-Conjugated Iron Oxide Nanoparticles: A Novel Non-Radioactive Method. PLoS ONE 5, e9536-e9536 (2010)).
- liver tissue was cryosectioned (12 pm) and fixed using 4% paraformaldehyde at room temperature for 30 min. All solutions were prepared in PBS. Sections were washed 2 ⁇ with PBS, permeabilized for 30 min with 0.1% Triton X100, and blocked for 1 hour with 5% normal goat serum. Sections then incubated for 1 hour in an immunostaining cocktail solution consisting of DAPI (3 ⁇ M), Alexa Fluor 488 conjugated anti-mouse F4/80 (1:200 dilution, BioLegend, San Diego, Calif.), Alexa Fluor® 555 Phalloidin (1:200 dilution, Life Technologies), and 5% normal goat serum.
- DAPI 3 ⁇ M
- Alexa Fluor 488 conjugated anti-mouse F4/80 (1:200 dilution, BioLegend, San Diego, Calif.
- Alexa Fluor® 555 Phalloidin (1:200 dilution, Life Technologies
- Blood clearance experiments were conducted by injecting LNPs containing Cy5.5-labeled siRNA at an siRNA dose of 0.5 mg/kg. Blood samples were collected as a function of time via the retroorbital vein, with the exception of final time points, which were collected via cardiac puncture. Serum, obtained by centrifugation, was diluted 1:30 in PBS and imaged and quantified using an Odyssey CLx imaging system (LI-COR Biosciences, Lincoln, Nebr.).
- Organs were harvested from animals that had received various doses of either 304O 13 or C12-200 lipid nanoparticles (C12-200 is a control non-degradable lipidoid shown below). Organs were fixed overnight in 4% paraformaldehyde and transferred to 70% ethanol prior to paraffin embedding, sectioning, and H & E staining.
- Cytokine analysis was done by injecting either 304O 13 or C12-200 nanoparticles at an siRNA dose of 3 mg/kg. Four hours post-injection, blood was harvested via cardiac stick and serum was isolated. Cytokine levels were quantified using an ELISA assay.
- Lipid nanoparticles were diluted to an siRNA concentration of ⁇ 5 ug/ml in 0.1 ⁇ PBS, pH 7.3.
- siRNA entrapment efficiency was determined using the Quant-iTTM RiboGreen® RNA assay (Invitrogen). Particle sizes were measured with a ZETAPa1s analyzer (Brookhaven Instruments, Holtsville, N.Y.). Sizes reported are the average effective diameter of each LNP. Zeta potential measurements were acquired on a Zetasizer Nano ZS (Malvern, Westborough, Mass.), and reported values were the average of 10-25 runs.
- Michael addition chemistry was employed to rapidly synthesize a library of 1400 lipid-like materials with the potential to serve as effective, biodegradable delivery vehicles ( FIG. 1 ).
- 280 alkyl-amines ( FIG. 2 ) were reacted combinatorially with 5 alkyl-acrylates to form lipidoids consisting of a polar, ionizable core surrounded by hydrophobic carbon tails.
- Alkyl-amines which were taken from commercially available supply, were chosen to maximize structural diversity and reactivity within a Michael addition scheme.
- the acrylate-based lipidoids provided herein also contain hydrolysable ester moieties, functional groups which are commonly incorporated into delivery vehicles to promote physiological degradation (Staubli, A., Ron, E. & Langer, R. J. Am. Chem. Soc. 112, 4419-4424 (1990); van Dijkhuizen-Radersma, et al. Biomaterials 23, 4719-4729 (2002); Geng, Y. & Discher, D. E. J. Am. Chem. Soc. 127, 12780-12781 (2005)).
- Proton NMR analysis indicated that a representative lipidoid, 304O 13 , degraded to the anticipated alkyl-alcohol product under hydrolytic conditions ( FIGS. 11A and 11B ).
- lipid nanoparticles containing siRNA, cholesterol and the helper lipids, DSPC and PEG(MW2000)-DMG.
- LNPs lipid nanoparticles
- the delivery potential of lipidoids was assessed by applying LNPs to HeLa cells that had been genetically modified to stably express two reporter luciferase proteins: firefly and Renilla.
- Firefly luciferase served as the target gene while Renilla luciferase served as a built-in control for toxicity and off-targeting effects.
- Relative luciferase activity which is the ratio of firefly to Renilla activity, is shown in FIG. 3 a after treatment with each LNP at an siRNA concentration of 40 nM.
- ⁇ 7% mediated target gene silencing of >50% shown in red circles).
- FIG. 3 c suggests that lipidoids with the greatest transfection potential were synthesized from alkyl-amines with three or more substitution sites.
- the effect of various functional groups within the alkyl-amine is analyzed in FIG. 3 d .
- the presence of tertiary and secondary amines, alcohols, and branched or linear chains conferred efficacy, while ethers and rings generally did not. Piperazine rings, however, were an exception, and generally produced efficacious materials.
- FIG. 4 c reveals that, for the lipidoid 304O 13 , there is a range of PEG % between 0.5 and 1.0 where optimal hepatocellular delivery is achieved.
- Optimized 304O 13 behaved in a dose dependent fashion ( FIG. 4 d ), and after a single injection at 0.1 mg/kg, Factor VII levels returned to baseline within 18 days.
- RNA interference therapy In addition to examining hepatocellular delivery, we also explored the ability of biodegradable lipidoid materials to deliver siRNA to leukocyte populations in vivo Immune cells are attractive targets for RNA interference therapy, as they have been implicated in various aspects of disease initiation and progression, including inflammation and autoimmune responses (Geissmann, F. et al. Science 327, 656-661 (2010); Grivennikov, et al. Cell 140, 883-899 (2010)). Although moderate levels of gene silencing have been achieved recently in leukocytes (Leuschner, F. et al. Nature Biotechnology 29, 1005-1010 (2011); Novobrantseva, T. I. et al.
- LNPs were formulated with siRNA specific against CD45, which is a tyrosine phosphatase protein found on the surface of all white blood cells.
- CD45 is a tyrosine phosphatase protein found on the surface of all white blood cells.
- 304O 13 and 306O 13 mediated the most robust CD45 silencing in immune cells isolated from both the peritoneal cavity and the spleen ( FIG. 4 e and f ).
- CD11b+ and CD11c+populations were subject to high levels of knockdown within the peritoneal cavity (up to 90%) and to a lesser degree within the spleen (up to 40%).
- the lipidoids 306O 12 , 306O 14 , and 315O 12 also offered modest CD45 silencing in several immune cell subpopulations ( FIG. 9 ).
- Nanoparticle characterization parameters for three of the top LNP candidates were similar (Table 1).
- Entrapment of siRNA refers to the percentage of siRNA in solution that is incorporated into the nanoparticle during formulation, as measured by an RNA dye-binding assay (Nolan, T., Hands, R. E. & Bustin, S. A. Quantification of mRNA using real-time RT-PCR. Nat. Protoc 1, 1559-1582 (2006)). These results are in keeping with a previous finding that efficacious lipidoid nanoparticles often have entrapment values of approximately 75%17. Zeta potential measurements were conducted under neutral pH conditions.
- pKa values which were obtained using a toluene nitrosulphonic acid (TNS) assay, evaluated the pKa of the nanoparticle surface (Heyes, J., Palmer, L., Bremner, K. & MacLachlan, I. Cationic lipid saturation influences intracellular delivery of encapsulated nucleic acids. J Control Release 107, 276-287 (2005)).
- the pKa values of top LNP candidates corroborate the results of another study in which surface pKa values in the 6-7 range conveyed efficacy in vivo (Jayaraman, M. M. et al., Maximizing the Potency of siRNA Lipid Nanoparticles for Hepatic Gene Silencing In Vivo. Angew. Chem. Int. Ed. 51, 8529-8533 (2012)).
- Serum clearance kinetics were assessed by measuring Cy5.5 signal in the mouse bloodstream as a function of time ( FIG. 5 d ). It should be noted that, while the first blood sample was drawn as quickly as possible (20 seconds), maximum signal may have occurred even earlier. Half of the material initially detected at 20 seconds had distributed to tissues by 6 minutes. At 90 minutes post-injection, only 4% of signal remained.
- C12-200 is a 5-tailed, lipidoid that has the same EC 50 as 304O 13 (0.01 mg/kg). It was chosen for comparison purposes because it does not contain any functional groups that are overtly sensitive to hydrolysis. We chose to examine the effect of doses that were at least 100-fold higher than the EC 50 .
- Serum cytokine levels for both materials were assessed in mice four hours after a 3 mg/kg IV bolus injection (total siRNA).
- IL-6, IP-10, KC, and MCP-1 were elevated in the C12-200 group compared to both PBS negative control and 304O 13 groups under these conditions ( FIG. 6 ).
- Clinical chemistry parameters were evaluated for both materials 72 hours after a single dose of 3 mg/kg and after four once weekly doses of 3 mg/kg each. There were no toxicologically significant increases in albumin, ALT, AST, ALP, total bilirubin, or GGT for either 304O 13 or C12-200 after single or multiple doses ( FIG. 12 ).
- liver necrosis was observed in mice administered 7.5 mg/kg of C12-200 and at 10 mg/kg of 304O 13 .
- Pancreatic inflammation and islet cell enlargement were detected at C12-200 doses ⁇ 2 mg/kg.
- a small amount of apoptosis in splenic red pulp was observed at 10 mg/kg for 304O 13 .
- Multi-dose studies were also conducted in which mice received four injections of 0.3, 1, 2, 3, or 5 mg/kg, once per week for four weeks.
- FIG. 7 a The data from the 108 materials tested in vivo at a total siRNA dose of 5 mg/kg are shown in FIG. 7 a .
- 25 of them contained an O 13 tail
- 66 of them had three or more tails
- 42 of them had been synthesized from an alkyl-amine that contained at least one tertiary amine.
- FIG. 7 b shows a second generation library of lipidoids from certain amines conjugated to an O 13 tail.
- 10 out of 12 of these materials mediated 100% Factor VII silencing at a dose of 5 mg/kg ( FIG. 7 c ).
- Knockdown was dose-dependent, with EC50 values varying from 0.05-1 mg/kg ( FIG. 7 c 1 ).
- Formulation optimization of the best second generation material, 503O 13 markedly decreased the EC 50 value to 0.01 mg/kg ( FIG. 7 e ).
- Several second generation materials also facilitated significant CD45 knockdown in monocyte, macrophage, dendritic cell, and B cell populations ( FIG. 13 ).
- the means are not intended to be limited to the means disclosed herein for performing the recited function, but are intended to cover in scope any means, known now or later developed, for performing the recited function.
- Use of terms such as “first”, “second”, “third”, etc., in the claims to modify a claim element does not by itself connote any priority, precedence, or order of one claim element over another or the temporal order in which acts of a method are performed, but are used merely as labels to distinguish one claim element having a certain name from another element having a same name (but for use of the ordinal term) to distinguish the claim elements.
Landscapes
- Chemical & Material Sciences (AREA)
- Health & Medical Sciences (AREA)
- Organic Chemistry (AREA)
- Life Sciences & Earth Sciences (AREA)
- General Health & Medical Sciences (AREA)
- Animal Behavior & Ethology (AREA)
- Medicinal Chemistry (AREA)
- Pharmacology & Pharmacy (AREA)
- Epidemiology (AREA)
- Public Health (AREA)
- Veterinary Medicine (AREA)
- Engineering & Computer Science (AREA)
- Genetics & Genomics (AREA)
- Bioinformatics & Cheminformatics (AREA)
- Biomedical Technology (AREA)
- Molecular Biology (AREA)
- Biotechnology (AREA)
- Wood Science & Technology (AREA)
- General Engineering & Computer Science (AREA)
- Zoology (AREA)
- Biophysics (AREA)
- Physics & Mathematics (AREA)
- Biochemistry (AREA)
- Plant Pathology (AREA)
- Microbiology (AREA)
- Nanotechnology (AREA)
- Emergency Medicine (AREA)
- Optics & Photonics (AREA)
- Dispersion Chemistry (AREA)
- Chemical Kinetics & Catalysis (AREA)
- General Chemical & Material Sciences (AREA)
- Oil, Petroleum & Natural Gas (AREA)
- Virology (AREA)
- Pharmaceuticals Containing Other Organic And Inorganic Compounds (AREA)
- Organic Low-Molecular-Weight Compounds And Preparation Thereof (AREA)
- Medicinal Preparation (AREA)
Abstract
Description
or a salt thereof, wherein L, R, RA, and q are as defined herein. In certain embodiments, a provided compound is of the Formula (I-a), (I-b), (I-c), (I-d), or (I-e):
or a salt thereof, wherein L, RC, and RA are as defined herein. In certain embodiments, a provided compound is of the Formula (II-a), (II-b), (II-c), (II-d), (II-e), or (II-f):
or a salt thereof, wherein p, R1, j, and R are as defined herein. In certain embodiments, a provided compound is of the Formula (III-a), (III-b), (III-c), (III-d), or (III-e):
or a salt thereof, wherein R, x, and y are as defined herein. In certain embodiments, a provided compound is of the Formula (IV-a):
or a salt thereof, wherein L, R2, g, and R are as defined herein. In certain embodiments, a provided compound is of the Formula (V-a), (V-b), (V-c), or (V-d):
wherein z is 11 or 12.
In some embodiments, the present invention provides a composition of one or more of the above lipidoids. In certain embodiments, an inventive lipidoid is of the formula:
In some embodiments, the present invention provides a composition of one or more of the above lipidoids. In certain embodiments, an inventive lipidoid is of the formula:
In some embodiments, the present invention provides a composition of one or more of the above lipidoids. In certain embodiments, an inventive lipidoid is of the formula:
In some embodiments, the present invention provides a composition of one or more of the above lipidoids. In certain embodiments, an inventive lipidoid is of the formula:
In some embodiments, the present invention provides a composition of one or more of the above lipidoids. In certain embodiments, an inventive lipidoid is of the formula:
In some embodiments, the present invention provides a composition of one or more of the above lipidoids. In certain embodiments, an inventive lipidoid is of the formula:
In some embodiments, the present invention provides a composition of one or more of the above lipidoids. In certain embodiments, an inventive lipidoid is of the formula:
In some embodiments, the present invention provides a composition of one or more of the above lipidoids. In certain embodiments, an inventive lipidoid is of the formula:
In some embodiments, the present invention provides a composition of one or more of the above lipidoids. In certain embodiments, an inventive lipidoid is of the formula:
wherein z is 11 or 12.
In some embodiments, the present invention provides a composition of one or more of the above lipidoids. In certain embodiments, an inventive lipidoid is of the formula:
In some embodiments, the present invention provides a composition of one or more of the above lipidoids. In certain embodiments, an inventive lipidoid is of the formula:
In some embodiments, the present invention provides a composition of one or more of the above lipidoids. In certain embodiments, an inventive lipidoid is of the formula:
In some embodiments, the present invention provides a composition of one or more of the above lipidoids. In certain embodiments, an inventive lipidoid is of the formula:
In some embodiments, the present invention provides a composition of one or more of the above lipidoids. In certain embodiments, an inventive lipidoid is of the formula:
wherein z is 11 or 12.
In some embodiments, the present invention provides a composition of one or more of the above lipidoids. In certain embodiments, an inventive lipidoid is of the formula:
wherein z is 9, 10, 11, 12, or 13.
In some embodiments, the present invention provides a composition of one or more of the above lipidoids. In certain embodiments, an inventive lipidoid is of the formula:
wherein z is 9, 10, 11, 12, or 13.
In some embodiments, the present invention provides a composition of one or more of the above lipidoids. In certain embodiments, an inventive lipidoid is of the formula:
wherein z is 9, 10, 11, or 12.
In some embodiments, the present invention provides a composition of one or more of the above lipidoids. In certain embodiments, an inventive lipidoid is of the formula:
In some embodiments, the present invention provides a composition of one or more of the above lipidoids. In certain embodiments, an inventive lipidoid is of the formula:
wherein z is 11 or 13.
In some embodiments, the present invention provides a composition of one or more of the above lipidoids. In certain embodiments, an inventive lipidoid is of the formula:
wherein z is 10 or 11.
In some embodiments, the present invention provides a composition of one or more of the above lipidoids. In certain embodiments, an inventive lipidoid is of the formula:
In some embodiments, the present invention provides a composition of one or more of the above lipidoids. In certain embodiments, an inventive lipidoid is of the formula:
wherein z is 9, 10, 11, 12, or 13.
In some embodiments, the present invention provides a composition of one or more of the above lipidoids. In certain embodiments, an inventive lipidoid is of the formula:
wherein z is 9, 10, 11, 12, or 13.
In some embodiments, the present invention provides a composition of one or more of the above lipidoids. In certain embodiments, an inventive lipidoid is of the formula:
wherein z is 9, 10, 11, 12, or 13.
In some embodiments, the present invention provides a composition of one or more of the above lipidoids. In certain embodiments, an inventive lipidoid is of the formula:
wherein z is 9, 10, 11, 12, or 13.
In some embodiments, the present invention provides a composition of one or more of the above lipidoids. In certain embodiments, an inventive lipidoid is of the formula:
wherein z is 9, 10, 11, 12, or 13.
In some embodiments, the present invention provides a composition of one or more of the above lipidoids. In certain embodiments, an inventive lipidoid is of the formula:
wherein z is 9, 10, 11, 12, or 13.
In some embodiments, the present invention provides a composition of one or more of the above lipidoids. In certain embodiments, an inventive lipidoid is of the formula:
wherein z is 9, 10, 11, 12, or 13.
In some embodiments, the present invention provides a composition of one or more of the above lipidoids. In certain embodiments, an inventive lipidoid is of the formula:
wherein z is 9, 10, 11, 12, or 13.
In some embodiments, the present invention provides a composition of one or more of the above lipidoids. In certain embodiments, an inventive lipidoid is of the formula:
wherein z is 9, 10, 11, 12, or 13.
In some embodiments, the present invention provides a composition of one or more of the above lipidoids. In certain embodiments, an inventive lipidoid is of the formula:
wherein z is 9, 10, 11, 12, or 13.
In some embodiments, the present invention provides a composition of one or more of the above lipidoids. In certain embodiments, an inventive lipidoid is of the formula:
wherein z is 9, 10, 11, 12, or 13.
In some embodiments, the present invention provides a composition of one or more of the above lipidoids. In certain embodiments, an inventive lipidoid is of the formula:
wherein z is 9, 10, 11, 12, or 13.
In some embodiments, the present invention provides a composition of one or more of the above lipidoids. In certain embodiments, an inventive lipidoid is of the formula:
wherein z is 9, 10, 11, 12, or 13.
In some embodiments, the present invention provides a composition of one or more of the above lipidoids. In certain embodiments, an inventive lipidoid is of the formula:
wherein z is 9, 10, 11, 12, or 13.
In some embodiments, the present invention provides a composition of one or more of the above lipidoids. In certain embodiments, an inventive lipidoid is of the formula:
wherein z is 9, 10, 11, 12, or 13.
In some embodiments, the present invention provides a composition of one or more of the above lipidoids. In certain embodiments, an inventive lipidoid is of the formula:
| TABLE 1 |
| In vitro data |
| Relative | |||||
| Luciferase | |||||
| Amine | Lipid tail | Activity | Stdev | ||
| 98 | O10 | 0.52 | 0.02 | ||
| O11 | 0.58 | 0.08 | |||
| O12 | 0.63 | 0.06 | |||
| O13 | 0.57 | 0.07 | |||
| O14 | 0.61 | 0.07 | |||
| 122 | O10 | 0.37 | 0.05 | ||
| O11 | 0.61 | 0.04 | |||
| O12 | 0.68 | 0.02 | |||
| O13 | 0.75 | 0.03 | |||
| O14 | 0.73 | 0.04 | |||
| 123 | O10 | 0.73 | 0.05 | ||
| O11 | 0.62 | 0.03 | |||
| O12 | 0.70 | 0.03 | |||
| O13 | 0.22 | 0.02 | |||
| O14 | 0.68 | 0.14 | |||
| 154 | O10 | 0.74 | 0.04 | ||
| O11 | 0.72 | 0.04 | |||
| O12 | 0.33 | 0.12 | |||
| O13 | 0.87 | 0.06 | |||
| O14 | 0.88 | 0.07 | |||
| 174 | O10 | 0.40 | 0.01 | ||
| O11 | 0.47 | 0.07 | |||
| O12 | 0.69 | 0.05 | |||
| O13 | 0.55 | 0.02 | |||
| O14 | 0.24 | 0.01 | |||
| 176 | O10 | 0.20 | 0.03 | ||
| O11 | 0.17 | 0.01 | |||
| O12 | 0.90 | 0.03 | |||
| O13 | 0.79 | 0.03 | |||
| O14 | 0.63 | 0.03 | |||
| 191 | O10 | 0.71 | 0.09 | ||
| O11 | 0.31 | 0.05 | |||
| O12 | 0.32 | 0.03 | |||
| O13 | 0.76 | 0.06 | |||
| O14 | 0.34 | 0.08 | |||
| 192 | O10 | 0.88 | 0.03 | ||
| O11 | 0.49 | 0.04 | |||
| O12 | 0.37 | 0.04 | |||
| O13 | 0.80 | 0.04 | |||
| O14 | 0.60 | 0.06 | |||
| 193 | O10 | 0.55 | 0.06 | ||
| O11 | 0.38 | 0.06 | |||
| O12 | 0.28 | 0.03 | |||
| O13 | 0.84 | 0.03 | |||
| O14 | 0.55 | 0.04 | |||
| 195 | O10 | 0.80 | 0.06 | ||
| O11 | 0.75 | 0.04 | |||
| O12 | 0.43 | 0.03 | |||
| O13 | 0.28 | 0.02 | |||
| O14 | 0.76 | 0.04 | |||
| 196 | O10 | 0.92 | 0.03 | ||
| O11 | 0.76 | 0.02 | |||
| O12 | 0.85 | 0.09 | |||
| O13 | 0.58 | 0.04 | |||
| O14 | 0.38 | 0.05 | |||
| 200 | O10 | 0.57 | 0.03 | ||
| O11 | 0.64 | 0.03 | |||
| O12 | 0.41 | 0.03 | |||
| O13 | 0.53 | 0.05 | |||
| O14 | 0.36 | 0.01 | |||
| 205 | O10 | 0.67 | 0.04 | ||
| O11 | 0.68 | 0.03 | |||
| O12 | 0.53 | 0.05 | |||
| O13 | 0.72 | 0.04 | |||
| O14 | 0.43 | 0.02 | |||
| 217 | O10 | NA | NA | ||
| O11 | NA | NA | |||
| O12 | 0.22 | 0.03 | |||
| O13 | 0.33 | 0.05 | |||
| O14 | NA | NA | |||
| 218 | O10 | 0.91 | 0.04 | ||
| O11 | 0.90 | 0.06 | |||
| O12 | 0.80 | 0.03 | |||
| O13 | 0.41 | 0.06 | |||
| O14 | 0.57 | 0.08 | |||
| 232 | O10 | 0.92 | 0.05 | ||
| O11 | 0.90 | 0.07 | |||
| O12 | 0.83 | 0.04 | |||
| O13 | 0.39 | 0.05 | |||
| O14 | 0.68 | 0.02 | |||
| 235 | O10 | 0.85 | 0.10 | ||
| O11 | 0.85 | 0.08 | |||
| O12 | 0.85 | 0.11 | |||
| O13 | 0.42 | 0.03 | |||
| O14 | 0.72 | 0.03 | |||
| 302 | O10 | 0.64 | 0.01 | ||
| O11 | 0.64 | 0.03 | |||
| O12 | 0.64 | 0.03 | |||
| O13 | 0.34 | 0.05 | |||
| O14 | 0.36 | 0.09 | |||
| 303 | O10 | 0.07 | 0.01 | ||
| O11 | 0.78 | 0.04 | |||
| O12 | 0.40 | 0.07 | |||
| O13 | 0.89 | 0.05 | |||
| O14 | 0.89 | 0.08 | |||
| 304 | O10 | 0.86 | 0.07 | ||
| O11 | 0.45 | 0.02 | |||
| O12 | 0.28 | 0.01 | |||
| O13 | 0.08 | 0.01 | |||
| O14 | 0.53 | 0.01 | |||
| 306 | O10 | 0.13 | 0.02 | ||
| O11 | 0.14 | 0.02 | |||
| O12 | 0.09 | 0.01 | |||
| O13 | 0.10 | 0.02 | |||
| O14 | 0.08 | 0.01 | |||
| 313 | O10 | 0.37 | 0.02 | ||
| O11 | 0.32 | 0.02 | |||
| O12 | 0.21 | 0.01 | |||
| O13 | 0.23 | 0.04 | |||
| O14 | 0.63 | 0.05 | |||
| 315 | O10 | 0.98 | 0.08 | ||
| O11 | 0.89 | 0.09 | |||
| O12 | 0.30 | 0.01 | |||
| O13 | 0.65 | 0.03 | |||
| O14 | 0.80 | 0.04 | |||
| 347 | O10 | 0.68 | 0.04 | ||
| O11 | 0.57 | 0.02 | |||
| O12 | 0.17 | 0.06 | |||
| O13 | 0.55 | 0.07 | |||
| O14 | 0.17 | 0.06 | |||
| 366 | O10 | 0.50 | 0.09 | ||
| O11 | 0.38 | 0.08 | |||
| O12 | 0.38 | 0.04 | |||
| O13 | 0.59 | 0.08 | |||
| O14 | 0.55 | 0.11 | |||
| 371 | O10 | 0.85 | 0.01 | ||
| O11 | 0.40 | 0.01 | |||
| O12 | 0.48 | 0.02 | |||
| O13 | 0.76 | 0.04 | |||
| O14 | 0.39 | 0.01 | |||
| 500 | O10 | 0.14 | 0.03 | ||
| O11 | 0.09 | 0.03 | |||
| O12 | 0.06 | 0.01 | |||
| O13 | 0.07 | 0.01 | |||
| O14 | 0.02 | 0.00 | |||
| 501 | O10 | 0.37 | 0.02 | ||
| O11 | 0.37 | 0.04 | |||
| O12 | 0.22 | 0.04 | |||
| O13 | 0.24 | 0.03 | |||
| O14 | 0.20 | 0.08 | |||
| 502 | O10 | 0.18 | 0.03 | ||
| O11 | 0.12 | 0.01 | |||
| O12 | 0.08 | 0.01 | |||
| O13 | 0.09 | 0.01 | |||
| O14 | 0.08 | 0.02 | |||
| 503 | O10 | 0.39 | 0.05 | ||
| O11 | 0.39 | 0.06 | |||
| O12 | 0.33 | 0.07 | |||
| O13 | 0.07 | 0.00 | |||
| O14 | 0.12 | 0.04 | |||
In Vivo Gene Silencing
| (SEQ ID NO.: 1) | |
| sense: 5′-GGAucAucucAAGucuuAcT*T-3′ | |
| (SEQ ID NO.: 2) | |
| antisense: 5′-GuAAGAcuuGAGAuGAuccT*T-3′ |
where 2′-fluoro-modified nucleotides are in lower case and phosphorothioate linkages are represented by asterisks. Two days post-injection, a 100 ul blood sample was obtained from mice and centrifuged at 13,000 rpm in serum separator tubes (Becton Dickinson). Serum levels of Factor VII were analyzed using a Biophen FVII assay kit as described previously (Aniara Corporation, Mason, Ohio) Semple, S. C. et al. Nature Biotechnology 1-7 (2010). Results shown in Table 2.
| TABLE 2 |
| Original Library FVII Activity Data |
| 5 mg/kg | 2 mg/kg | 0.5 mg/kg | 0.1 mg/kg |
| Rela- | Rela- | Rela- | Rela- | |||||
| tive | Stan- | tive | Stan- | tive | Stan- | tive | Stan- | |
| FVII | dard | FVII | dard | FVII | dard | FVII | dard | |
| Lip- | Ac- | Devi- | Ac- | Devi- | Ac- | Devi- | Ac- | Devi- |
| idoid | tivity | ation | tivity | ation | tivity | ation | tivity | ation |
| 64O14 | 0.92 | 0.05 | ||||||
| 68O10 | 0.91 | 0.20 | ||||||
| 68O11 | 1.03 | 0.11 | ||||||
| 77O13 | 0.85 | 0.10 | ||||||
| 77O14 | 0.74 | 0.02 | ||||||
| 80O13 | 0.66 | 0.23 | ||||||
| 81O13 | 0.43 | 0.18 | ||||||
| 86O12 | 0.87 | 0.07 | ||||||
| 87O13 | 0.77 | 0.03 | ||||||
| 94O14 | 0.13 | 0.06 | ||||||
| 99O11 | 0.53 | 0.07 | ||||||
| 109O11 | 0.85 | 0.05 | ||||||
| 109O12 | 0.82 | 0.06 | ||||||
| 109O13 | 0.38 | 0.09 | ||||||
| 110O10 | 0.35 | 0.11 | ||||||
| 110O13 | 0.75 | 0.07 | ||||||
| 113O10 | 0.15 | 0.06 | ||||||
| 113O11 | 0.57 | 0.20 | ||||||
| 113O12 | 0.01 | 0.00 | 0.09 | 0.10 | 0.49 | 0.08 | 0.59 | 0.08 |
| 113O13 | 0.00 | 0.00 | 0.00 | 0.00 | 0.04 | 0.11 | 0.48 | 0.12 |
| 113O14 | 0.75 | 0.14 | ||||||
| 120O11 | 0.93 | 0.04 | ||||||
| 120O12 | 0.88 | 0.15 | ||||||
| 120O13 | 0.92 | 0.08 | ||||||
| 120O14 | 0.79 | 0.05 | ||||||
| 122O10 | 0.13 | 0.06 | ||||||
| 122O12 | 0.82 | 0.06 | ||||||
| 123O12 | 0.93 | 0.07 | ||||||
| 123O13 | 0.00 | 0.00 | 0.00 | 0.00 | 0.50 | 0.22 | 0.86 | 0.13 |
| 134O13 | 0.89 | 0.16 | ||||||
| 144O13 | 0.93 | 0.17 | ||||||
| 154O12 | 0.99 | 0.11 | ||||||
| 156O11 | 0.77 | 0.09 | ||||||
| 156O12 | 1.06 | 0.06 | ||||||
| 158O14 | 0.91 | 0.04 | ||||||
| 159O14 | 0.80 | 0.01 | ||||||
| 161O14 | 0.85 | 0.05 | ||||||
| 164O14 | 0.90 | 0.08 | ||||||
| 166O10 | 0.99 | 0.03 | ||||||
| 166O14 | 0.83 | 0.08 | ||||||
| 191O11 | 0.61 | 0.19 | ||||||
| 191O12 | 0.80 | 0.19 | ||||||
| 191O14 | 0.61 | 0.10 | ||||||
| 193O10 | 0.70 | 0.12 | ||||||
| 193O11 | 0.61 | 0.13 | ||||||
| 193O12 | 0.70 | 0.09 | ||||||
| 195O12 | 0.43 | 0.07 | ||||||
| 195O13 | 0.56 | 0.04 | ||||||
| 196O13 | 0.80 | 0.01 | ||||||
| 196O14 | 0.82 | 0.06 | ||||||
| 200O10 | 0.56 | 0.17 | ||||||
| 200O11 | 0.67 | 0.07 | ||||||
| 200O12 | 0.62 | 0.00 | ||||||
| 200O13 | 0.40 | 0.10 | ||||||
| 200O14 | 0.91 | 0.20 | ||||||
| 205O12 | 0.78 | 0.10 | ||||||
| 205O14 | 0.83 | 0.09 | ||||||
| 217O12 | 0.58 | 0.13 | ||||||
| 217O13 | 0.02 | 0.01 | 0.33 | 0.28 | 0.85 | 0.13 | 0.92 | 0.12 |
| 218O13 | 0.73 | 0.16 | ||||||
| 219O13 | 0.00 | 0.00 | ||||||
| 235O13 | 0.39 | 0.07 | ||||||
| 25O13 | 0.25 | 0.23 | ||||||
| 302O13 | 1.03 | 0.22 | ||||||
| 302O14 | 0.84 | 0.29 | ||||||
| 303O10 | 0.95 | 0.26 | ||||||
| 303O12 | 0.01 | 0.01 | 0.20 | 0.09 | 0.91 | 0.04 | 0.95 | 0.05 |
| 304O11 | 0.57 | 0.02 | ||||||
| 304O12 | 0.81 | 0.24 | ||||||
| 304O13 | 0.01 | 0.00 | 0.02 | 0.01 | 0.23 | 0.06 | 0.54 | 0.26 |
| 304O14 | 0.58 | 0.13 | ||||||
| 305O12 | 0.75 | 0.11 | ||||||
| 305O13 | 0.00 | 0.00 | 0.06 | 0.04 | 0.25 | 0.06 | 0.96 | 0.17 |
| 306O10 | 0.00 | 0.00 | 0.00 | 0.01 | 0.23 | 0.07 | 0.69 | 0.13 |
| 306O11 | 0.02 | 0.01 | 0.00 | 0.00 | 0.40 | 0.15 | 0.59 | 0.17 |
| 306O12 | 0.00 | 0.00 | 0.00 | 0.00 | 0.20 | 0.15 | 0.37 | 0.02 |
| 306O13 | 0.00 | 0.00 | 0.00 | 0.01 | 0.04 | 0.07 | 0.71 | 0.14 |
| 306O14 | 0.85 | 0.05 | ||||||
| 313O10 | 0.00 | 0.00 | 0.21 | 0.11 | 0.74 | 0.10 | 1.04 | 0.13 |
| 313O11 | 0.01 | 0.02 | 0.38 | 0.16 | 0.75 | 0.05 | 0.73 | 0.07 |
| 313O12 | 0.01 | 0.04 | 0.52 | 0.25 | 0.89 | 0.33 | 0.95 | 0.26 |
| 313O13 | 0.01 | 0.01 | 0.09 | 0.04 | 0.09 | 0.08 | 0.86 | 0.24 |
| 313O14 | 0.67 | 0.04 | ||||||
| 315O12 | 0.99 | 0.39 | ||||||
| 31O14 | 0.88 | 0.14 | ||||||
| 32O14 | 0.80 | 0.06 | ||||||
| 347O10 | 0.92 | 0.08 | ||||||
| 347O11 | 0.85 | 0.16 | ||||||
| 347O12 | 0.15 | 0.08 | ||||||
| 347O13 | 0.67 | 0.22 | ||||||
| 36O14 | 0.69 | 0.25 | ||||||
| 371O11 | 0.78 | 0.09 | ||||||
| 371O12 | 0.78 | 0.06 | ||||||
| 371O14 | 0.85 | 0.03 | ||||||
Biodistribution and Immunostaining
| TABLE 3 |
| Characterization Parameters for 304O13 |
| siRNA Entrapment | Diameter | Zeta Potential | |||
| (%) | (nm) | (mV) | pKa | ||
| 304O13 | 84.2 | 86.0 | 13.7 | 6.8 |
| 306O12 | 79.0 | 98.2 | 12.5 | 6.8 |
| 113O13 | 75.8 | 91.1 | 16.5 | 6.0 |
Results and Discussion
Claims (29)
Priority Applications (2)
| Application Number | Priority Date | Filing Date | Title |
|---|---|---|---|
| US14/987,717 US9439968B2 (en) | 2012-08-13 | 2016-01-04 | Amine-containing lipidoids and uses thereof |
| US15/264,315 US20170152213A1 (en) | 2012-08-13 | 2016-09-13 | Amine-containing lipidoids and uses thereof |
Applications Claiming Priority (4)
| Application Number | Priority Date | Filing Date | Title |
|---|---|---|---|
| US201261682468P | 2012-08-13 | 2012-08-13 | |
| US201313966136A | 2013-08-13 | 2013-08-13 | |
| US14/089,603 US9227917B2 (en) | 2012-08-13 | 2013-11-25 | Amine-containing lipidoids and uses thereof |
| US14/987,717 US9439968B2 (en) | 2012-08-13 | 2016-01-04 | Amine-containing lipidoids and uses thereof |
Related Parent Applications (1)
| Application Number | Title | Priority Date | Filing Date |
|---|---|---|---|
| US14/089,603 Division US9227917B2 (en) | 2012-08-13 | 2013-11-25 | Amine-containing lipidoids and uses thereof |
Related Child Applications (1)
| Application Number | Title | Priority Date | Filing Date |
|---|---|---|---|
| US15/264,315 Continuation US20170152213A1 (en) | 2012-08-13 | 2016-09-13 | Amine-containing lipidoids and uses thereof |
Publications (2)
| Publication Number | Publication Date |
|---|---|
| US20160114042A1 US20160114042A1 (en) | 2016-04-28 |
| US9439968B2 true US9439968B2 (en) | 2016-09-13 |
Family
ID=49004050
Family Applications (3)
| Application Number | Title | Priority Date | Filing Date |
|---|---|---|---|
| US14/089,603 Active US9227917B2 (en) | 2012-08-13 | 2013-11-25 | Amine-containing lipidoids and uses thereof |
| US14/987,717 Active US9439968B2 (en) | 2012-08-13 | 2016-01-04 | Amine-containing lipidoids and uses thereof |
| US15/264,315 Abandoned US20170152213A1 (en) | 2012-08-13 | 2016-09-13 | Amine-containing lipidoids and uses thereof |
Family Applications Before (1)
| Application Number | Title | Priority Date | Filing Date |
|---|---|---|---|
| US14/089,603 Active US9227917B2 (en) | 2012-08-13 | 2013-11-25 | Amine-containing lipidoids and uses thereof |
Family Applications After (1)
| Application Number | Title | Priority Date | Filing Date |
|---|---|---|---|
| US15/264,315 Abandoned US20170152213A1 (en) | 2012-08-13 | 2016-09-13 | Amine-containing lipidoids and uses thereof |
Country Status (4)
| Country | Link |
|---|---|
| US (3) | US9227917B2 (en) |
| EP (1) | EP2882706A1 (en) |
| CA (1) | CA2884870C (en) |
| WO (1) | WO2014028487A1 (en) |
Cited By (11)
| Publication number | Priority date | Publication date | Assignee | Title |
|---|---|---|---|---|
| US9840479B2 (en) | 2014-07-02 | 2017-12-12 | Massachusetts Institute Of Technology | Polyamine-fatty acid derived lipidoids and uses thereof |
| US10086013B2 (en) | 2011-10-27 | 2018-10-02 | Massachusetts Institute Of Technology | Amino acid-, peptide- and polypeptide-lipids, isomers, compositions, and uses thereof |
| US10117934B2 (en) | 2011-03-28 | 2018-11-06 | Massachusetts Institute Of Technology | Conjugated lipomers and uses thereof |
| US10189802B2 (en) | 2008-11-07 | 2019-01-29 | Massachusetts Institute Of Technology | Aminoalcohol lipidoids and uses thereof |
| US10201618B2 (en) | 2015-06-19 | 2019-02-12 | Massachusetts Institute Of Technology | Alkenyl substituted 2,5-piperazinediones, compositions, and uses thereof |
| WO2023078954A1 (en) | 2021-11-02 | 2023-05-11 | Ziphius Vaccines Nv | Lipid nanoparticles for oligonucleotide delivery |
| WO2023078950A1 (en) | 2021-11-02 | 2023-05-11 | Ziphius Vaccines Nv | Lipid nanoparticles for oligonucleotide delivery |
| WO2023078946A1 (en) | 2021-11-02 | 2023-05-11 | Ziphius Vaccines Nv | Lipid nanoparticles for oligonucleotide delivery |
| US11773391B2 (en) | 2020-04-01 | 2023-10-03 | University of Pittsburgh—of the Commonwealth System of Higher Education | Therapeutic and diagnostic target for SARS-CoV-2 and COVID-19 |
| EP4333810A4 (en) * | 2021-05-07 | 2025-04-23 | Carnegie Mellon University | Lipid nanoparticle-mediated mrna delivery to the pancreas |
| US12458604B2 (en) | 2020-10-14 | 2025-11-04 | The Trustees Of The University Of Pennsylvania | Methods of lipid nanoparticle manufacture and compositions derived therefrom |
Families Citing this family (143)
| Publication number | Priority date | Publication date | Assignee | Title |
|---|---|---|---|---|
| EP1912679A4 (en) * | 2005-06-15 | 2009-07-29 | Massachusetts Inst Technology | LIPIDS CONTAINING AMINES AND USES |
| US9365634B2 (en) | 2007-05-29 | 2016-06-14 | Angiochem Inc. | Aprotinin-like polypeptides for delivering agents conjugated thereto to tissues |
| AU2009304560A1 (en) | 2008-10-15 | 2010-04-22 | Angiochem Inc. | Conjugates of GLP-1 agonists and uses thereof |
| ES2666559T3 (en) | 2009-12-01 | 2018-05-07 | Translate Bio, Inc. | Delivery of mrna for the augmentation of proteins and enzymes in human genetic diseases |
| WO2011097480A1 (en) | 2010-02-05 | 2011-08-11 | University Of Louisville Research Foundation, Inc. | Exosomal compositions and methods for the treatment of disease |
| EP2600901B1 (en) | 2010-08-06 | 2019-03-27 | ModernaTX, Inc. | A pharmaceutical formulation comprising engineered nucleic acids and medical use thereof |
| EP2609135A4 (en) | 2010-08-26 | 2015-05-20 | Massachusetts Inst Technology | POLY (BETA-AMINO ALCOHOLS), THEIR PREPARATION AND USES THEREOF |
| CN104531812A (en) | 2010-10-01 | 2015-04-22 | 现代治疗公司 | Engineered nucleic acids and methods of use thereof |
| US8710200B2 (en) | 2011-03-31 | 2014-04-29 | Moderna Therapeutics, Inc. | Engineered nucleic acids encoding a modified erythropoietin and their expression |
| BR112013031553A2 (en) | 2011-06-08 | 2020-11-10 | Shire Human Genetic Therapies, Inc. | compositions, mrna encoding a gland and its use, use of at least one mrna molecule and a vehicle for transfer and use of an mrna encoding for exogenous protein |
| US9464124B2 (en) | 2011-09-12 | 2016-10-11 | Moderna Therapeutics, Inc. | Engineered nucleic acids and methods of use thereof |
| BR112014007852B1 (en) | 2011-10-03 | 2021-11-03 | Moderna Therapeutics, Inc | MODIFIED ISOLATED POLYNUCLEOTIDE AND PHARMACEUTICAL COMPOSITION |
| WO2013070324A1 (en) | 2011-11-07 | 2013-05-16 | University Of Louisville Research Foundation, Inc. | Edible plant-derived microvesicle compositions for diagnosis and treatment of disease |
| ES2921724T1 (en) | 2011-12-07 | 2022-08-31 | Alnylam Pharmaceuticals Inc | Biodegradable lipids for the administration of active agents |
| PL2791160T3 (en) | 2011-12-16 | 2022-06-20 | Modernatx, Inc. | Modified mrna compositions |
| US9283287B2 (en) | 2012-04-02 | 2016-03-15 | Moderna Therapeutics, Inc. | Modified polynucleotides for the production of nuclear proteins |
| US9572897B2 (en) | 2012-04-02 | 2017-02-21 | Modernatx, Inc. | Modified polynucleotides for the production of cytoplasmic and cytoskeletal proteins |
| HK1206779A1 (en) | 2012-04-02 | 2016-01-15 | Modernatx, Inc. | Modified polynucleotides for the production of nuclear proteins |
| US10501512B2 (en) | 2012-04-02 | 2019-12-10 | Modernatx, Inc. | Modified polynucleotides |
| EP2859102A4 (en) | 2012-06-08 | 2016-05-11 | Shire Human Genetic Therapies | Nuclease resistant polynucleotides and uses thereof |
| CA2884870C (en) | 2012-08-13 | 2022-03-29 | Massachusetts Institute Of Technology | Amine-containing lipidoids and uses thereof |
| DK2922554T3 (en) | 2012-11-26 | 2022-05-23 | Modernatx Inc | Terminalt modificeret rna |
| WO2014153052A2 (en) | 2013-03-14 | 2014-09-25 | Shire Human Genetic Therapies, Inc. | Cftr mrna compositions and related methods and uses |
| EP2971010B1 (en) | 2013-03-14 | 2020-06-10 | ModernaTX, Inc. | Formulation and delivery of modified nucleoside, nucleotide, and nucleic acid compositions |
| EP4446413A3 (en) | 2013-03-14 | 2024-12-18 | Translate Bio, Inc. | Methods for purification of messenger rna |
| US8980864B2 (en) | 2013-03-15 | 2015-03-17 | Moderna Therapeutics, Inc. | Compositions and methods of altering cholesterol levels |
| WO2014179562A1 (en) | 2013-05-01 | 2014-11-06 | Massachusetts Institute Of Technology | 1,3,5-triazinane-2,4,6-trione derivatives and uses thereof |
| EP3013964B1 (en) * | 2013-06-28 | 2020-05-06 | ethris GmbH | Compositions for introducing rna into cells |
| US10023626B2 (en) | 2013-09-30 | 2018-07-17 | Modernatx, Inc. | Polynucleotides encoding immune modulating polypeptides |
| WO2015051214A1 (en) | 2013-10-03 | 2015-04-09 | Moderna Therapeutics, Inc. | Polynucleotides encoding low density lipoprotein receptor |
| ES2707966T3 (en) | 2013-10-22 | 2019-04-08 | Translate Bio Inc | MRNA therapy for the deficiency in argininosuccinate synthesis |
| AU2014340155B2 (en) | 2013-10-22 | 2018-11-01 | Massachusetts Institute Of Technology | Lipid formulations for delivery of messenger RNA |
| CN105658242A (en) | 2013-10-22 | 2016-06-08 | 夏尔人类遗传性治疗公司 | MRNA therapy for phenylketonuria |
| EP3110954A1 (en) * | 2014-02-26 | 2017-01-04 | Ethris GmbH | Compositions for gastrointestinal administration of rna |
| US20170035700A1 (en) * | 2014-04-11 | 2017-02-09 | University Of Louisville Research Foundation, Inc. | Coated edible plant-derived microvesicle compositions and methods for using the same |
| PL3981437T3 (en) | 2014-04-23 | 2025-02-24 | Modernatx, Inc. | Nucleic acid vaccines |
| CN106164248B (en) | 2014-04-25 | 2019-10-15 | 川斯勒佰尔公司 | Purification of messenger RNA |
| CN106659731A (en) | 2014-05-30 | 2017-05-10 | 夏尔人类遗传性治疗公司 | Topical compositions and methods for treating wounds |
| JP6599373B2 (en) | 2014-06-24 | 2019-10-30 | シャイアー ヒューマン ジェネティック セラピーズ インコーポレイテッド | Stereochemically enriched compositions for delivery of nucleic acids |
| EP3160938B1 (en) | 2014-06-25 | 2020-09-16 | Acuitas Therapeutics Inc. | Novel lipids and lipid nanoparticle formulations for delivery of nucleic acids |
| BR112017009505A2 (en) * | 2014-11-10 | 2018-02-06 | Ethris Gmbh | pharmaceutical composition, and matrix or support. |
| CN104922067A (en) * | 2014-12-08 | 2015-09-23 | 上海张江生物技术有限公司 | Drug-loading nano-liposome, and preparation method and application thereof |
| WO2016168469A1 (en) * | 2015-04-17 | 2016-10-20 | The Regents Of The University Of California | Fatty acid analogs and methods of use thereof |
| WO2016176330A1 (en) | 2015-04-27 | 2016-11-03 | The Trustees Of The University Of Pennsylvania | Nucleoside-modified rna for inducing an adaptive immune response |
| CA2987635C (en) | 2015-06-12 | 2023-09-12 | The Lubrizol Corporation | Michael adduct amino esters as total base number boosters for marine diesel engine lubricating compositions |
| EP3307326B9 (en) | 2015-06-15 | 2021-02-24 | Angiochem Inc. | Methods for the treatment of leptomeningeal carcinomatosis |
| AU2016285852B2 (en) | 2015-06-29 | 2020-12-17 | Acuitas Therapeutics Inc. | Lipids and lipid nanoparticle formulations for delivery of nucleic acids |
| ES2969082T3 (en) | 2015-09-17 | 2024-05-16 | Modernatx Inc | Compounds and compositions for intracellular administration of therapeutic agents |
| FI3368507T3 (en) * | 2015-10-28 | 2023-03-21 | Acuitas Therapeutics Inc | New lipids and lipid nanoparticle preparations for delivery of nucleic acids |
| LT3386484T (en) | 2015-12-10 | 2022-06-10 | Modernatx, Inc. | Compositions and methods for delivery of therapeutic agents |
| WO2017100744A1 (en) * | 2015-12-11 | 2017-06-15 | Preceres Inc. | Aminolipidoids and uses thereof |
| US10799463B2 (en) | 2015-12-22 | 2020-10-13 | Modernatx, Inc. | Compounds and compositions for intracellular delivery of agents |
| US10457631B2 (en) | 2016-04-06 | 2019-10-29 | Ohio State Innovation Foundation | Biodegradable amino-ester nanomaterials for nucleic acid delivery |
| WO2017192544A1 (en) | 2016-05-02 | 2017-11-09 | Massachusetts Institute Of Technology | AMPHIPHILIC NANOPARTICLES FOR CODELIVERY OF WATER-INSOLUBLE SMALL MOLECULES AND RNAi |
| EP3490611A4 (en) * | 2016-07-26 | 2020-04-15 | Trustees Of Tufts College | ANTIBODY CONJUGATED NANOPARTICLES AND THEIR MEDICAL USES |
| KR20190093816A (en) * | 2016-10-26 | 2019-08-26 | 큐어백 아게 | Lipid nanoparticle mRNA vaccine |
| US12491261B2 (en) | 2016-10-26 | 2025-12-09 | Acuitas Therapeutics, Inc. | Lipid nanoparticle formulations |
| US11583504B2 (en) | 2016-11-08 | 2023-02-21 | Modernatx, Inc. | Stabilized formulations of lipid nanoparticles |
| US11241490B2 (en) | 2017-01-11 | 2022-02-08 | The Trustees Of The University Of Pennsylvania | Nucleoside-modified RNA for inducing an immune response against zika virus |
| MX2019010155A (en) | 2017-02-27 | 2020-12-10 | Translate Bio Inc | Novel codon-optimized cftr mrna. |
| CA3055653A1 (en) | 2017-03-15 | 2018-09-20 | Modernatx, Inc. | Lipid nanoparticle formulation |
| DK3596042T3 (en) | 2017-03-15 | 2022-04-11 | Modernatx Inc | CRYSTAL FORMS OF AMINOLIPIDS |
| MX2019011004A (en) | 2017-03-15 | 2020-08-10 | Modernatx Inc | Compounds and compositions for intracellular delivery of therapeutic agents. |
| US10815520B2 (en) | 2017-04-07 | 2020-10-27 | University Of Louisville Research Foundation, Inc. | Nanovesicles, methods, and systems for diagnosis and prognosis of cancer |
| US11357856B2 (en) | 2017-04-13 | 2022-06-14 | Acuitas Therapeutics, Inc. | Lipids for delivery of active agents |
| CA3060514A1 (en) | 2017-04-20 | 2018-10-25 | Atyr Pharma, Inc. | Compositions and methods for treating lung inflammation |
| IL301115A (en) | 2017-04-28 | 2023-05-01 | Acuitas Therapeutics Inc | New lipid carbonyl and lipid nanoparticle formulations for delivery of nucleic acids |
| WO2018213476A1 (en) | 2017-05-16 | 2018-11-22 | Translate Bio, Inc. | Treatment of cystic fibrosis by delivery of codon-optimized mrna encoding cftr |
| US12077501B2 (en) | 2017-06-14 | 2024-09-03 | Modernatx, Inc. | Compounds and compositions for intracellular delivery of agents |
| MA49421A (en) | 2017-06-15 | 2020-04-22 | Modernatx Inc | RNA FORMULATIONS |
| CA3073020A1 (en) | 2017-08-16 | 2019-02-21 | Acuitas Therapeutics, Inc. | Lipids for use in lipid nanoparticle formulations |
| WO2019036030A1 (en) * | 2017-08-17 | 2019-02-21 | Acuitas Therapeutics, Inc. | Lipids for use in lipid nanoparticle formulations |
| US11542225B2 (en) | 2017-08-17 | 2023-01-03 | Acuitas Therapeutics, Inc. | Lipids for use in lipid nanoparticle formulations |
| WO2019036000A1 (en) | 2017-08-17 | 2019-02-21 | Acuitas Therapeutics, Inc. | Lipids for use in lipid nanoparticle formulations |
| WO2019046809A1 (en) | 2017-08-31 | 2019-03-07 | Modernatx, Inc. | Methods of making lipid nanoparticles |
| WO2019104242A1 (en) | 2017-11-22 | 2019-05-31 | University Of Louisville Research Foundation, Inc. | Edible plant-derived nanoparticles for regulation of gut microbiota |
| CR20200653A (en) | 2018-07-03 | 2021-02-11 | Gilead Sciences Inc | ANTIBODIES TARGETING HIV GP120 AND METHODS OF USE |
| CN112512559B (en) | 2018-07-26 | 2025-02-28 | Atyr医药公司 | Compositions and methods for treating NRP2-related diseases |
| KR20210060480A (en) | 2018-08-24 | 2021-05-26 | 트랜슬레이트 바이오 인코포레이티드 | Method for purifying messenger RNA |
| EP3853202A1 (en) | 2018-09-19 | 2021-07-28 | ModernaTX, Inc. | Compounds and compositions for intracellular delivery of therapeutic agents |
| CA3113025A1 (en) | 2018-09-19 | 2020-03-26 | Modernatx, Inc. | Peg lipids and uses thereof |
| JP7640452B2 (en) | 2018-09-19 | 2025-03-05 | モデルナティエックス インコーポレイテッド | Highly pure PEGylated lipids and their uses |
| CA3113651A1 (en) | 2018-09-20 | 2020-03-26 | Modernatx, Inc. | Preparation of lipid nanoparticles and methods of administration thereof |
| IL322436A (en) | 2018-09-21 | 2025-09-01 | Acuitas Therapeutics Inc | Systems and methods for manufacturing lipid nanoparticles and liposomes |
| CA3120647A1 (en) | 2018-11-21 | 2020-05-28 | Translate Bio, Inc. | Treatment of cystic fibrosis by delivery of nebulized mrna encoding cftr |
| CN113474328B (en) | 2019-01-11 | 2025-07-11 | 爱康泰生治疗公司 | Lipids for lipid nanoparticle delivery of active agents |
| WO2020263830A1 (en) | 2019-06-25 | 2020-12-30 | Gilead Sciences, Inc. | Flt3l-fc fusion proteins and methods of use |
| AU2020315598B2 (en) | 2019-07-16 | 2024-12-12 | Gilead Sciences, Inc. | HIV vaccines and methods of making and using |
| JP7638972B2 (en) | 2019-09-19 | 2025-03-04 | モデルナティエックス インコーポレイテッド | Branched tail lipid compounds and compositions for intracellular delivery of therapeutic agents - Patents.com |
| JP2022548320A (en) | 2019-09-23 | 2022-11-17 | オメガ セラピューティクス, インコーポレイテッド | Compositions and methods for modulating apolipoprotein B (APOB) gene expression |
| WO2021061815A1 (en) | 2019-09-23 | 2021-04-01 | Omega Therapeutics, Inc. | COMPOSITIONS AND METHODS FOR MODULATING HEPATOCYTE NUCLEAR FACTOR 4-ALPHA (HNF4α) GENE EXPRESSION |
| CA3149557A1 (en) | 2019-09-30 | 2021-04-08 | Scott J. Balsitis | Hbv vaccines and methods treating hbv |
| CN116096886A (en) | 2020-03-11 | 2023-05-09 | 欧米茄治疗公司 | Compositions and methods for modulating fork-box P3 (FOXP 3) gene expression |
| CN114206827B (en) | 2020-04-09 | 2023-05-23 | 苏州艾博生物科技有限公司 | Lipid nanoparticle compositions |
| TW202204622A (en) | 2020-04-09 | 2022-02-01 | 大陸商蘇州艾博生物科技有限公司 | Nucleic acid vaccines for coronavirus |
| WO2021226092A1 (en) * | 2020-05-04 | 2021-11-11 | Trustees Of Tufts College | Synthetic lipid-like materials for brain delivery |
| EP4164647A4 (en) * | 2020-06-12 | 2024-07-24 | Trustees Of Tufts College | PH-SENSITIVE LIPID NANOPARTICLES FOR INTRACELLULAR DELIVERY OF MRNA |
| EP4182297B1 (en) | 2020-07-16 | 2025-09-03 | Acuitas Therapeutics, Inc. | Cationic lipids for use in lipid nanoparticles |
| EP3954393A1 (en) | 2020-08-13 | 2022-02-16 | Bioasis Technologies Inc. | Combination therapies for delivery across the blood brain barrier |
| MX2023003344A (en) * | 2020-09-23 | 2023-06-05 | Translate Bio Inc | Piperazine-based cationic lipids. |
| CN116710074A (en) * | 2020-10-14 | 2023-09-05 | 乔治梅森研究基金会公司 | Methods of making lipid nanoparticles and compositions derived therefrom |
| TWI815194B (en) | 2020-10-22 | 2023-09-11 | 美商基利科學股份有限公司 | INTERLEUKIN-2-Fc FUSION PROTEINS AND METHODS OF USE |
| CN115216058A (en) * | 2020-11-11 | 2022-10-21 | 绍兴瑞康生物科技有限公司 | Steric-hindrance-adjustable weak-base light stabilizer and preparation method and application thereof |
| EP4247347A4 (en) * | 2020-11-30 | 2024-05-22 | Ege Universitesi | TARGETED NANOPARTICLES WITH TWO ACTIVE INGREDIENTS IN THE TREATMENT OF MELANOMAS |
| CN116323627B (en) * | 2021-01-14 | 2025-10-17 | 苏州艾博生物科技有限公司 | Lipid compounds and lipid nanoparticle compositions |
| WO2022152109A2 (en) * | 2021-01-14 | 2022-07-21 | Suzhou Abogen Biosciences Co., Ltd. | Lipid compounds and lipid nanoparticle compositions |
| US11524023B2 (en) | 2021-02-19 | 2022-12-13 | Modernatx, Inc. | Lipid nanoparticle compositions and methods of formulating the same |
| JP2024507394A (en) | 2021-02-26 | 2024-02-19 | エスリス ゲーエムベーハー | Formulations for aerosol formation and aerosols for delivering nucleic acids |
| PH12023552764A1 (en) * | 2021-04-13 | 2024-04-15 | Westgene Biopharma Co Ltd | Ionizable lipids and compositions for nucleic acid delivery |
| CN113402404B (en) * | 2021-04-30 | 2022-03-11 | 苏州科锐迈德生物医药科技有限公司 | Lipid compound, lipid carrier containing same, nucleic acid lipid nanoparticle composition and pharmaceutical preparation |
| CN116472275B (en) * | 2021-05-24 | 2025-08-26 | 苏州艾博生物科技有限公司 | Lipid compounds and lipid nanoparticle compositions |
| WO2022260772A1 (en) * | 2021-06-09 | 2022-12-15 | Carnegie Mellon University | Lipid nanoparticle formulations for gastrointestinal delivery |
| WO2023283359A2 (en) | 2021-07-07 | 2023-01-12 | Omega Therapeutics, Inc. | Compositions and methods for modulating secreted frizzled receptor protein 1 (sfrp1) gene expression |
| WO2023114943A2 (en) | 2021-12-16 | 2023-06-22 | Acuitas Therapeutics, Inc. | Lipids for use in lipid nanoparticle formulations |
| CA3241492A1 (en) * | 2021-12-23 | 2023-06-29 | Suzhou Abogen Biosciences Co., Ltd. | Lipid compound and lipid nanoparticle composition |
| CN114507195B (en) * | 2022-01-14 | 2024-02-13 | 华南理工大学 | A lipid compound, compositions containing the same and applications |
| KR20240082389A (en) * | 2022-01-17 | 2024-06-10 | 에스티팜 주식회사 | Ionizable lipids containing biodegradable disulfide bonds and lipid nanoparticles containing them |
| EP4466249A4 (en) * | 2022-01-21 | 2025-12-31 | Univ Of San Diego | Terpene-containing lipidoids for gene delivery |
| EP4465962A1 (en) * | 2022-01-21 | 2024-11-27 | Poseida Therapeutics, Inc. | Compositions and methods for delivery of nucleic acids |
| CN114409554A (en) * | 2022-01-27 | 2022-04-29 | 英维沃生物科技(苏州)有限公司 | Novel cationic lipid compound, composition and application thereof |
| WO2023196527A2 (en) * | 2022-04-08 | 2023-10-12 | SunVax mRNA Therapeutics Inc. | Ionizable lipid compounds and lipid nanoparticle compositions |
| WO2023201295A1 (en) * | 2022-04-14 | 2023-10-19 | The Trustees Of The University Of Pennsylvania | Biodegradable lipidoids and compositions and methods of use thereof for liver targeted delivery |
| AU2023307100A1 (en) | 2022-07-12 | 2025-01-02 | Gilead Sciences, Inc. | Hiv immunogenic polypeptides and vaccines and uses thereof |
| JP2025529925A (en) | 2022-08-26 | 2025-09-09 | エスリス ゲーエムベーハー | Stable lipid or lipidoid nanoparticle suspensions |
| EP4327829A1 (en) | 2022-08-26 | 2024-02-28 | Ethris GmbH | Stabilization of lipid or lipidoid nanoparticle suspensions |
| EP4581012A2 (en) * | 2022-08-31 | 2025-07-09 | Sail Biomedicines, Inc. | Novel ionizable lipids and lipid nanoparticles and methods of using the same |
| KR20250121393A (en) * | 2022-12-12 | 2025-08-12 | 스타르나 테라퓨틱스 | Novel compounds for targeted delivery and their uses |
| CA3267084A1 (en) * | 2022-12-23 | 2024-06-27 | Green Cross Corporation | Ionizable lipid and use thereof |
| WO2024177426A1 (en) * | 2023-02-24 | 2024-08-29 | 에스티팜 주식회사 | Lipid nanoparicles for in vivo drug delivery |
| WO2024199355A1 (en) * | 2023-03-29 | 2024-10-03 | Starna Therapeutics | Nucleic acids encoding therapeutic polypeptides and lipid nanoparticle composition comprising the nucleic acids |
| WO2024243438A2 (en) | 2023-05-23 | 2024-11-28 | Omega Therapeutics, Inc. | Compositions and methods for reducing cxcl9, cxcl10, and cxcl11 gene expression |
| WO2024240962A1 (en) | 2023-05-25 | 2024-11-28 | Ethris Gmbh | Gm-csf-encoding nucleic acids, pharmaceutical compositions, methods and uses thereof |
| WO2025045767A1 (en) | 2023-08-25 | 2025-03-06 | Ethris Gmbh | Stabilized lipid and lipidoid nanoparticle formulations with specific surfactant properties for enhanced pharmaceutical applications |
| CN119638646A (en) * | 2023-09-18 | 2025-03-18 | 华中师范大学 | Application of an ionizable lipid compound in a nucleic acid drug delivery system |
| CN117567301A (en) * | 2023-10-07 | 2024-02-20 | 中山大学 | A cationic lipid molecule and its preparation for use in lipid nanoparticle systems |
| TW202525812A (en) * | 2023-10-24 | 2025-07-01 | 南韓商綠十字股份有限公司 | Ionizable lipids and uses thereof |
| AR134145A1 (en) * | 2023-10-24 | 2025-12-03 | Green Cross Corp | IONIZABLE LIPIDS AND THEIR USES |
| WO2025088192A1 (en) | 2023-10-27 | 2025-05-01 | Xl-Protein Gmbh | Methods for the coupling of di(alkyl)amines to polypeptides |
| WO2025100828A1 (en) * | 2023-11-06 | 2025-05-15 | 주식회사 메디치바이오 | Novel ionizable lipid and lipid nanoparticle composition using same |
| WO2025140594A1 (en) * | 2023-12-29 | 2025-07-03 | 厦门赛诺邦格生物科技股份有限公司 | Asymmetric cationic lipid containing multiple tertiary amines |
| WO2025151735A1 (en) * | 2024-01-12 | 2025-07-17 | Carnegie Mellon University | Ionizable lipids for drug delivery |
| WO2025226959A1 (en) * | 2024-04-24 | 2025-10-30 | Board Of Regents Of The University Of Nebraska | Ionizable lipids and lipid nanoparticles and uses thereof |
| CN119320334A (en) * | 2024-12-19 | 2025-01-17 | 国家纳米科学中心 | Ionizable lipid compound with three-dimensional space structure, preparation method and application thereof |
Citations (156)
| Publication number | Priority date | Publication date | Assignee | Title |
|---|---|---|---|---|
| US2647121A (en) | 1951-02-02 | 1953-07-28 | Ruth P Jacoby | Diamine-bis-acetamides |
| US2717909A (en) | 1953-09-24 | 1955-09-13 | Monsanto Chemicals | Hydroxyethyl-keryl-alkylene-ammonium compounds |
| US2844629A (en) | 1956-04-25 | 1958-07-22 | American Home Prod | Fatty acid amides and derivatives thereof |
| US3096560A (en) | 1958-11-21 | 1963-07-09 | William J Liebig | Process for synthetic vascular implants |
| FR1378382A (en) | 1962-12-01 | 1964-11-13 | Sandoz Sa | Amides of amino-propionic acid, usable in particular for the treatment of textile fibers |
| GB1072118A (en) | 1962-12-01 | 1967-06-14 | Sandoz Ag | Amides of aminopropionic acid |
| US3350325A (en) | 1964-07-31 | 1967-10-31 | Dow Chemical Co | Water soluble polymer of diglycidyl ether and an alkanolamine |
| US3535289A (en) | 1966-03-12 | 1970-10-20 | Nitto Electric Ind Co | Epoxy resin composition and its production |
| US3805301A (en) | 1972-07-28 | 1974-04-23 | Meadox Medicals Inc | Tubular grafts having indicia thereon |
| JPS49127908A (en) | 1973-04-20 | 1974-12-07 | ||
| DE2430998A1 (en) | 1973-06-28 | 1975-01-09 | Kuraray Co | NEW ORGANIC COMPOUNDS CONTAINING AN N, N-DIALKYL-SUBSTIBUTED AMIDE GROUP AND METHOD OF PREPARING THEREOF |
| JPS5123537A (en) | 1974-04-26 | 1976-02-25 | Adeka Argus Chemical Co Ltd | KASOZAISOSEIBUTSU |
| US3945052A (en) | 1972-05-01 | 1976-03-23 | Meadox Medicals, Inc. | Synthetic vascular graft and method for manufacturing the same |
| US3956502A (en) | 1974-09-04 | 1976-05-11 | Nalco Chemical Company | Polyamine alcohols as microbiocides |
| JPS51125144U (en) | 1975-03-31 | 1976-10-09 | ||
| DE2520814A1 (en) | 1975-05-09 | 1976-11-18 | Bayer Ag | Light stabilisation of polyurethanes - using polymeric tert. amines from aliphatic diamines and (meth)acrylic esters or amides |
| JPS5210847A (en) | 1975-07-16 | 1977-01-27 | Nippon Steel Corp | Pinch roll |
| DE2530243A1 (en) | 1975-07-07 | 1977-01-27 | Henkel & Cie Gmbh | Microbistatic and microbicidal N-substd. aminoalkanols - of reduced amine odour and improved skin compatibility |
| US4013507A (en) | 1973-09-18 | 1977-03-22 | California Institute Of Technology | Ionene polymers for selectively inhibiting the vitro growth of malignant cells |
| US4022833A (en) | 1973-02-14 | 1977-05-10 | Sterling Drug Inc. | N,N'-bridged-bis[2-alkyl-2-hydroxyethylamines] |
| JPS5278924U (en) | 1975-12-11 | 1977-06-13 | ||
| US4180068A (en) | 1978-04-13 | 1979-12-25 | Motion Control, Incorporated | Bi-directional flow catheter with retractable trocar/valve structure |
| US4182833A (en) | 1977-12-07 | 1980-01-08 | Celanese Polymer Specialties Company | Cationic epoxide-amine reaction products |
| DE2903979A1 (en) | 1979-02-02 | 1980-08-07 | Henkel Kgaa | Hydroxy-carboxylic acid amide derivs. - prepd. by acylating hydroxyalkyl alkylene di:amine and used as greying inhibitors in detergent compsns. |
| GB1602085A (en) | 1977-05-25 | 1981-11-04 | Teijin Ltd | Permselective membrane |
| US4308085A (en) | 1980-07-28 | 1981-12-29 | Jenoptik Jena Gmbh | Process for the preparation of high molecular thermoplastic epoxide-amine-polyadducts |
| US4323525A (en) | 1978-04-19 | 1982-04-06 | Imperial Chemical Industries Limited | Electrostatic spinning of tubular products |
| US4339369A (en) | 1981-04-23 | 1982-07-13 | Celanese Corporation | Cationic epoxide-amine reaction products |
| US4475972A (en) | 1981-10-01 | 1984-10-09 | Ontario Research Foundation | Implantable material |
| EP0211305A2 (en) | 1985-08-05 | 1987-02-25 | Miyoshi Yushi Kabushiki Kaisha | Metal scavenging process |
| US4720517A (en) | 1986-11-24 | 1988-01-19 | Ciba-Geigy Corporation | Compositions stabilized with N-hydroxyiminodiacetic and dipropionic acids and esters thereof |
| JPS63125144A (en) | 1986-10-29 | 1988-05-28 | 東燃化学株式会社 | Synthetic resin vessel and mold for manufacture thereof |
| US4762915A (en) | 1985-01-18 | 1988-08-09 | Liposome Technology, Inc. | Protein-liposome conjugates |
| US4873370A (en) | 1987-03-03 | 1989-10-10 | Pennzoil Products Company | Alkylene diamines for use in friction and wear reducing compositions |
| US4878908A (en) | 1974-08-05 | 1989-11-07 | Imperial Chemical Industries Plc | Fibrillar product |
| US4897355A (en) | 1985-01-07 | 1990-01-30 | Syntex (U.S.A.) Inc. | N[ω,(ω-1)-dialkyloxy]- and N-[ω,(ω-1)-dialkenyloxy]-alk-1-yl-N,N,N-tetrasubstituted ammonium lipids and uses therefor |
| US4946857A (en) | 1985-07-19 | 1990-08-07 | Kuraray Co., Ltd. | Terpene amino alcohols and medicinal uses thereof |
| US4966945A (en) | 1986-05-17 | 1990-10-30 | Schering Ag | Coating method using aqueous glycidyl compound-amine hardner-thermoplastic resin compositions |
| US5025005A (en) | 1984-04-03 | 1991-06-18 | Takeda Chemical Industries, Ltd. | Lipid derivatives, their production and use |
| US5047540A (en) | 1987-12-17 | 1991-09-10 | Shionogi & Co., Ltd. | Lipid derivatives |
| JPH04108173A (en) | 1990-08-22 | 1992-04-09 | Kao Corp | Softening finish |
| US5138067A (en) | 1987-12-17 | 1992-08-11 | Shionogi & Co. Ltd. | Lipid derivatives |
| US5171678A (en) | 1989-04-17 | 1992-12-15 | Centre National De La Recherche Scientifique | Lipopolyamines, their preparation and their use |
| US5201998A (en) | 1982-05-28 | 1993-04-13 | Ciba-Geigy Corporation | Process for sizing paper with anionic hydrophobic sizing agents and cationic retention aids |
| WO1993018229A1 (en) | 1992-03-12 | 1993-09-16 | Weyerhaeuser Company | Polyether-reinforced fiber-based materials |
| WO1993018754A1 (en) | 1992-03-11 | 1993-09-30 | Pharmaceutical Discovery Corporation | Self-assembling diketopiperazine drug delivery system |
| JPH06200073A (en) | 1992-09-30 | 1994-07-19 | Minnesota Mining & Mfg Co <3M> | Fluorochemical aminoalcohol |
| US5330768A (en) | 1991-07-05 | 1994-07-19 | Massachusetts Institute Of Technology | Controlled drug delivery using polymer/pluronic blends |
| JPH06211978A (en) | 1992-10-28 | 1994-08-02 | Takeda Chem Ind Ltd | New polyether polyol and production of polyurethane foam therefrom |
| US5334761A (en) | 1992-08-28 | 1994-08-02 | Life Technologies, Inc. | Cationic lipids |
| JPH0753535A (en) | 1993-07-31 | 1995-02-28 | Basf Ag | Preparation of n-(2-hydroxyethyl)piperazine |
| US5395619A (en) | 1993-03-03 | 1995-03-07 | Liposome Technology, Inc. | Lipid-polymer conjugates and liposomes |
| WO1995011004A1 (en) | 1993-10-22 | 1995-04-27 | Berol Nobel Ab | A personal care composition |
| WO1995014651A1 (en) | 1993-11-24 | 1995-06-01 | Megabios Corporation | Amphiphilic derivatives of piperazine |
| EP0673637A1 (en) | 1994-03-25 | 1995-09-27 | Dentsply GmbH | Dental filling composition and method |
| US5464924A (en) | 1994-01-07 | 1995-11-07 | The Dow Chemical Company | Flexible poly(amino ethers) for barrier packaging |
| WO1996026179A1 (en) | 1995-02-21 | 1996-08-29 | Imarx Pharmaceutical Corp. | Novel cationic lipids and the use thereof |
| WO1996036314A2 (en) | 1995-05-15 | 1996-11-21 | Pharmaceutical Discovery Corporation | Method for drug delivery to the pulmonary system |
| US5614548A (en) | 1988-10-25 | 1997-03-25 | Wake Forest University | Quaternary amine containing ether or ester lipid derivatives and therapeutic compositions |
| US5626869A (en) | 1992-03-27 | 1997-05-06 | Pharmacia & Upjohn Ab | Pharmaceutical composition containing a defined lipid system |
| WO1997023457A1 (en) | 1995-12-26 | 1997-07-03 | Celgene Corporation | Imides as pde iii, pde iv and tnf inhibitors |
| US5700437A (en) | 1993-10-06 | 1997-12-23 | The Kansai Electric Power Co., Inc. | Method for removing carbon dioxide from combustion exhaust gas |
| US5705188A (en) | 1993-02-19 | 1998-01-06 | Nippon Shinyaku Company, Ltd. | Drug composition containing nucleic acid copolymer |
| US5736573A (en) | 1996-07-31 | 1998-04-07 | Galat; Alexander | Lipid and water soluble derivatives of drugs |
| US5776747A (en) | 1994-07-20 | 1998-07-07 | Cytotherapeutics, Inc. | Method for controlling the distribution of cells within a bioartificial organ using polycthylene oxide-poly (dimethylsiloxane) copolymer |
| JPH10197978A (en) | 1997-01-09 | 1998-07-31 | Mitsubishi Paper Mills Ltd | Silver halide photographic material |
| US5817873A (en) | 1993-03-22 | 1998-10-06 | Guerbet S.A. | Polyiodinated compounds, their preparation and their use as contrast media for radiology |
| JPH115786A (en) | 1997-06-13 | 1999-01-12 | Pola Chem Ind Inc | Novel aminohydroxypropylpiperazine derivative |
| US5874105A (en) | 1996-01-31 | 1999-02-23 | Collaborative Laboratories, Inc. | Lipid vesicles formed with alkylammonium fatty acid salts |
| US5885613A (en) | 1994-09-30 | 1999-03-23 | The University Of British Columbia | Bilayer stabilizing components and their use in forming programmable fusogenic liposomes |
| JPH1180142A (en) | 1997-09-05 | 1999-03-26 | Pola Chem Ind Inc | Production of diphenylalkyl compound |
| US5976569A (en) | 1994-09-29 | 1999-11-02 | Emisphere Technologies, Inc. | Diketopiperazine-based delivery systems |
| EP0959092A1 (en) | 1998-05-20 | 1999-11-24 | Th. Goldschmidt AG | Process of production of polyaminoacidesters through esterification of polyaminoacids or of transesterification of polyaminoacidesters |
| WO2000003044A1 (en) | 1998-07-08 | 2000-01-20 | Crew Development Corporation | A method for isolation and production of magnesium metal, magnesium chloride, magnesite and magnesium based products |
| US6034056A (en) | 1994-12-24 | 2000-03-07 | Zeneca Limited | Fibronectin adhesion inhibitors |
| US6090384A (en) | 1992-08-04 | 2000-07-18 | Chisei Ra | Antiallergic compostion |
| US6120799A (en) | 1997-03-12 | 2000-09-19 | The Regents Of The University Of California | Cationic lipid compositions targeting angiogenic endothelial cells |
| WO2001015726A2 (en) | 1999-08-27 | 2001-03-08 | Inex Pharmaceuticals Corp. | Compositions for stimulating cytokine secretion and inducing an immune response |
| US6204297B1 (en) | 1996-11-26 | 2001-03-20 | Rhodia Inc. | Nonionic gemini surfactants |
| US6271209B1 (en) | 1998-04-03 | 2001-08-07 | Valentis, Inc. | Cationic lipid formulation delivering nucleic acid to peritoneal tumors |
| JP2001523215A (en) | 1995-04-17 | 2001-11-20 | イマークス ファーマシューティカル コーポレーション | Hybrid magnetic resonance contrast agent |
| US6331318B1 (en) | 1994-09-30 | 2001-12-18 | Emisphere Technologies Inc. | Carbon-substituted diketopiperazine delivery systems |
| US6335199B1 (en) | 1997-02-28 | 2002-01-01 | Transgene S.A. | Lipid compounds and compositions containing same used for the transfer of at least an active substance, in particular a polynucleotide, in a target cell and therapeutic use |
| WO2002022709A1 (en) | 2000-09-14 | 2002-03-21 | Epox Ltd. | Highly branched water-soluble polyamine oligomers, process for their preparation and applications thereof |
| WO2002031025A2 (en) | 2000-10-10 | 2002-04-18 | Massachusetts Institute Of Technology | Biodegradable poly(beta-amino esters) and uses thereof |
| JP2002167368A (en) | 2000-12-01 | 2002-06-11 | Nitto Denko Corp | Alkyl-substituted dendrimer and method for producing the same |
| US20020193622A1 (en) | 2001-04-23 | 2002-12-19 | Shin-Etsu Chemical Co., Ltd. | Novel tertiary amine compounds having an ester structure and processes for preparing same |
| EP1277829A2 (en) | 2001-07-20 | 2003-01-22 | Air Products And Chemicals, Inc. | Alkyl glycidyl ether-capped polyamine foam control agents |
| WO2003040288A2 (en) | 2001-11-09 | 2003-05-15 | Bayer Healthcare Ag | Isotopically coded affinity markers 3 |
| JP2003519199A (en) | 1999-12-30 | 2003-06-17 | ノバルティス アクチエンゲゼルシャフト | Novel colloid synthesis vector for gene therapy |
| WO2003070735A2 (en) | 2002-02-19 | 2003-08-28 | Novosom Ag | Components for producing amphoteric liposomes |
| US20030215395A1 (en) | 2002-05-14 | 2003-11-20 | Lei Yu | Controllably degradable polymeric biomolecule or drug carrier and method of synthesizing said carrier |
| US6696424B1 (en) | 1999-05-28 | 2004-02-24 | Vical Incorporated | Cytofectin dimers and methods of use thereof |
| WO2004043588A2 (en) | 2002-08-07 | 2004-05-27 | Massachusetts Institute Of Technology | Production of polymeric microarrays |
| WO2004048345A2 (en) | 2002-11-22 | 2004-06-10 | Novo Nordisk A/S | 2,5-diketopiperazines for the treatment of obesity |
| US20040181077A1 (en) | 2003-03-10 | 2004-09-16 | Air Products And Chemicals, Inc. | Tertiary alkanolamines containing surface active alkyl groups |
| US6821530B2 (en) | 2000-06-01 | 2004-11-23 | Shriners Hospitals For Children | Polymer composite compositions |
| US20040235982A1 (en) | 2003-05-19 | 2004-11-25 | Rabasco John Joseph | Polymer emulsions resistant to biodeterioration |
| WO2004106411A2 (en) | 2003-05-28 | 2004-12-09 | Massachusetts Institute Of Technology | Biodegradable poly(beta-amino esters) and uses thereof |
| WO2005028619A2 (en) | 2003-09-15 | 2005-03-31 | Massachusetts Institute Of Technology | Nanoliter-scale synthesis of arrayed biomaterials and screening thereof |
| US20050069590A1 (en) | 2003-09-30 | 2005-03-31 | Buehler Gail K. | Stable suspensions for medicinal dosages |
| US20050143332A1 (en) | 2002-05-28 | 2005-06-30 | Monahan Sean D. | Compositions and processes using siRNA, amphipathic compounds and polycations |
| US20050148786A1 (en) | 2003-11-10 | 2005-07-07 | Nippon Kayaku Kabushiki Kaisha | Diimmonium compound and use thereof |
| US20050244961A1 (en) | 2002-08-22 | 2005-11-03 | Robert Short | Cell culture surface |
| WO2005121348A1 (en) | 2004-06-07 | 2005-12-22 | Protiva Biotherapeutics, Inc. | Lipid encapsulated interfering rna |
| CA2518132A1 (en) | 2004-09-08 | 2006-03-08 | Bayer Materialscience Ag | Ahhesive compositions containing blocked polyurethane prepolymers |
| US7022214B2 (en) | 2004-01-21 | 2006-04-04 | Bio-Rad Laboratories, Inc. | Carrier ampholytes of high pH range |
| WO2006065266A2 (en) | 2004-04-20 | 2006-06-22 | Dendritic Nanotechnologies, Inc. | Dendritic polymers with enhanced amplification and interior functionality |
| WO2006082088A1 (en) | 2005-02-07 | 2006-08-10 | Glaxo Group Limited | Ester-linked gemini surfactant compounds for use in gene therapy |
| US20060223939A1 (en) | 2002-11-04 | 2006-10-05 | Ge Bayer Silicones Gmbh & Co. Kg | Linear polyamino and/or polyammonium polysiloxane copolymers I |
| WO2006105043A2 (en) | 2005-03-28 | 2006-10-05 | Dendritic Nanotechnologies, Inc. | Janus dendrimers and dendrons |
| US20060228404A1 (en) | 2004-03-04 | 2006-10-12 | Anderson Daniel G | Compositions and methods for treatment of hypertrophic tissues |
| WO2006138380A2 (en) | 2005-06-15 | 2006-12-28 | Massachusetts Institute Of Technology | Amine-containing lipids and uses thereof |
| WO2007096662A2 (en) | 2006-02-27 | 2007-08-30 | Technische Universität München | Cancer imaging and treatment |
| US20070275923A1 (en) | 2006-05-25 | 2007-11-29 | Nastech Pharmaceutical Company Inc. | CATIONIC PEPTIDES FOR siRNA INTRACELLULAR DELIVERY |
| WO2007143659A2 (en) | 2006-06-05 | 2007-12-13 | Massachusetts Institute Of Technology | Crosslinked, degradable polymers and uses thereof |
| WO2008011561A2 (en) | 2006-07-21 | 2008-01-24 | Massachusetts Institute Of Technology | End-modified poly(beta-amino esters) and uses thereof |
| WO2008036168A2 (en) | 2006-08-30 | 2008-03-27 | The Regents Of The University Of Michigan | New small molecule inhibitors of mdm2 and the uses thereof |
| WO2008113364A2 (en) | 2007-03-20 | 2008-09-25 | Recepticon Aps | Amino derivatives to prevent nephrotoxicity and cancer |
| WO2008119741A2 (en) | 2007-03-29 | 2008-10-09 | Novartis Ag | 3-imidazolyl-indoles for the treatment of proliferative diseases |
| JP2008247749A (en) | 2007-03-29 | 2008-10-16 | Research Institute Of Innovative Technology For The Earth | Novel triazine derivatives, their production and their use as gas separation membranes |
| US20090023673A1 (en) | 2006-10-03 | 2009-01-22 | Muthiah Manoharan | Lipid containing formulations |
| US7507859B2 (en) | 2003-06-16 | 2009-03-24 | Fifth Base Llc | Functional synthetic molecules and macromolecules for gene delivery |
| EP2045251A1 (en) | 2006-07-20 | 2009-04-08 | Consejo Superior de Investigaciones Cientificas | Compound that can inhibit ubc13-uev interactions, pharmaceutical compositions and therapeutic uses |
| WO2009046220A2 (en) | 2007-10-02 | 2009-04-09 | Mdrna, Inc. | Lipopeptides for delivery of nucleic acids |
| US7556684B2 (en) | 2004-02-26 | 2009-07-07 | Construction Research & Technology Gmbh | Amine containing strength improvement admixture |
| US20090221684A1 (en) | 2005-12-22 | 2009-09-03 | Trustees Of Boston University | Molecules for Gene Delivery and Gene Therapy, and Methods of Use Thereof |
| CN100569877C (en) | 2005-12-30 | 2009-12-16 | 财团法人工业技术研究院 | Branched structure compound containing multiple UV crosslinking reactive groups and application thereof |
| WO2010042877A1 (en) | 2008-10-09 | 2010-04-15 | Tekmira Pharmaceuticals Corporation | Improved amino lipids and methods for the delivery of nucleic acids |
| WO2010045512A2 (en) | 2008-10-16 | 2010-04-22 | Mdrna , Inc. | Processes and compositions for liposomal and efficient delivery of gene silencing therapeutics |
| WO2010053572A2 (en) | 2008-11-07 | 2010-05-14 | Massachusetts Institute Of Technology | Aminoalcohol lipidoids and uses thereof |
| US20100178699A1 (en) | 2007-05-01 | 2010-07-15 | Pgr-Solutions | Multi-chain lipophilic polyamines |
| WO2010099387A1 (en) | 2009-02-27 | 2010-09-02 | Corning Incorporated | Copolymer composition, membrane article, and methods thereof |
| US20100240072A1 (en) | 2007-08-30 | 2010-09-23 | Wester Hans Juergen | Cancer Imaging and Treatment |
| WO2010114789A1 (en) | 2009-04-02 | 2010-10-07 | The Siemon Company | Telecommunications patch panel |
| WO2010129709A1 (en) | 2009-05-05 | 2010-11-11 | Alnylam Pharmaceuticals, Inc. | Lipid compositions |
| WO2010144789A2 (en) | 2009-06-12 | 2010-12-16 | Mannkind Corporation | Diketopiperazine microparticles with defined specific surface areas |
| WO2011012746A2 (en) | 2009-07-30 | 2011-02-03 | Laboratorios Salvat, S.A. | Apaf-1 inhibitor compounds |
| WO2011068810A1 (en) | 2009-12-01 | 2011-06-09 | Shire Human Genetic Therapies | Delivery of mrna for the augmentation of proteins and enzymes in human genetic diseases |
| US20110158935A1 (en) | 2008-12-29 | 2011-06-30 | Kelly Sullivan Kraft | Substituted Diketopiperazine Analogs for Use as Drug Delivery Agents |
| CN101863544B (en) | 2010-06-29 | 2011-09-28 | 湖南科技大学 | Cyanuric acid-based heavy metal chelating flocculant and preparation method thereof |
| US20120009222A1 (en) | 2008-10-27 | 2012-01-12 | Massachusetts Institute Of Technology | Modulation of the immune response |
| WO2012027675A2 (en) | 2010-08-26 | 2012-03-01 | Massachusetts Institute Of Technology | Poly(beta-amino alcohols), their preparation, and uses thereof |
| US20120196923A1 (en) | 2009-05-15 | 2012-08-02 | Kaushal Rege | Polymers for delivering a substance into a cell |
| USRE43612E1 (en) | 2000-10-10 | 2012-08-28 | Massachusetts Institute Of Technology | Biodegradable poly(β-amino esters) and uses thereof |
| US20120251560A1 (en) | 2011-03-28 | 2012-10-04 | Massachusetts Institute Of Technology | Conjugated lipomers and uses thereof |
| WO2012133737A1 (en) | 2011-03-31 | 2012-10-04 | 公益財団法人地球環境産業技術研究機構 | Crosslinkable amine compound, polymer membrane using crosslinkable amine compound, and method for producing polymer membrane |
| WO2012170889A1 (en) | 2011-06-08 | 2012-12-13 | Shire Human Genetic Therapies, Inc. | Cleavable lipids |
| WO2012170930A1 (en) | 2011-06-08 | 2012-12-13 | Shire Human Genetic Therapies, Inc | Lipid nanoparticle compositions and methods for mrna delivery |
| US8361555B2 (en) | 2007-12-27 | 2013-01-29 | E I Du Pont De Nemours And Company | Hydroxy alkyl isocyanurates |
| WO2013063468A1 (en) | 2011-10-27 | 2013-05-02 | Massachusetts Institute Of Technology | Amino acid derivates functionalized on the n- terminal capable of forming drug incapsulating microspheres |
| WO2014028487A1 (en) | 2012-08-13 | 2014-02-20 | Massachusetts Institute Of Technology | Amine-containing lipidoids and uses thereof |
| JP2014172827A (en) | 2013-03-06 | 2014-09-22 | Jx Nippon Oil & Energy Corp | Friction modifier and lubricating-oil composition |
| WO2014179562A1 (en) | 2013-05-01 | 2014-11-06 | Massachusetts Institute Of Technology | 1,3,5-triazinane-2,4,6-trione derivatives and uses thereof |
| WO2014210356A1 (en) | 2013-06-26 | 2014-12-31 | Massachusetts Institute Of Technology | Multi-tailed lipids and uses thereof |
| EP2532649B1 (en) | 2011-06-07 | 2015-04-08 | Incella GmbH | Amino lipids, their synthesis and uses thereof |
-
2013
- 2013-08-13 CA CA2884870A patent/CA2884870C/en active Active
- 2013-08-13 EP EP13751043.4A patent/EP2882706A1/en not_active Withdrawn
- 2013-08-13 WO PCT/US2013/054726 patent/WO2014028487A1/en not_active Ceased
- 2013-11-25 US US14/089,603 patent/US9227917B2/en active Active
-
2016
- 2016-01-04 US US14/987,717 patent/US9439968B2/en active Active
- 2016-09-13 US US15/264,315 patent/US20170152213A1/en not_active Abandoned
Patent Citations (199)
| Publication number | Priority date | Publication date | Assignee | Title |
|---|---|---|---|---|
| US2647121A (en) | 1951-02-02 | 1953-07-28 | Ruth P Jacoby | Diamine-bis-acetamides |
| US2717909A (en) | 1953-09-24 | 1955-09-13 | Monsanto Chemicals | Hydroxyethyl-keryl-alkylene-ammonium compounds |
| US2844629A (en) | 1956-04-25 | 1958-07-22 | American Home Prod | Fatty acid amides and derivatives thereof |
| US3096560A (en) | 1958-11-21 | 1963-07-09 | William J Liebig | Process for synthetic vascular implants |
| FR1378382A (en) | 1962-12-01 | 1964-11-13 | Sandoz Sa | Amides of amino-propionic acid, usable in particular for the treatment of textile fibers |
| GB1072118A (en) | 1962-12-01 | 1967-06-14 | Sandoz Ag | Amides of aminopropionic acid |
| US3350325A (en) | 1964-07-31 | 1967-10-31 | Dow Chemical Co | Water soluble polymer of diglycidyl ether and an alkanolamine |
| US3535289A (en) | 1966-03-12 | 1970-10-20 | Nitto Electric Ind Co | Epoxy resin composition and its production |
| US3945052A (en) | 1972-05-01 | 1976-03-23 | Meadox Medicals, Inc. | Synthetic vascular graft and method for manufacturing the same |
| US3805301A (en) | 1972-07-28 | 1974-04-23 | Meadox Medicals Inc | Tubular grafts having indicia thereon |
| US4022833A (en) | 1973-02-14 | 1977-05-10 | Sterling Drug Inc. | N,N'-bridged-bis[2-alkyl-2-hydroxyethylamines] |
| JPS49127908A (en) | 1973-04-20 | 1974-12-07 | ||
| DE2430998A1 (en) | 1973-06-28 | 1975-01-09 | Kuraray Co | NEW ORGANIC COMPOUNDS CONTAINING AN N, N-DIALKYL-SUBSTIBUTED AMIDE GROUP AND METHOD OF PREPARING THEREOF |
| FR2235112A1 (en) | 1973-06-28 | 1975-01-24 | Kuraray Co | Cpds contg dialkyl-substd amide gps - used as surfactants, dispersants, solvents, chelating agents and polymer modifiers |
| JPS5024216A (en) | 1973-06-28 | 1975-03-15 | ||
| US4013507A (en) | 1973-09-18 | 1977-03-22 | California Institute Of Technology | Ionene polymers for selectively inhibiting the vitro growth of malignant cells |
| JPS5123537A (en) | 1974-04-26 | 1976-02-25 | Adeka Argus Chemical Co Ltd | KASOZAISOSEIBUTSU |
| US4878908A (en) | 1974-08-05 | 1989-11-07 | Imperial Chemical Industries Plc | Fibrillar product |
| US3956502A (en) | 1974-09-04 | 1976-05-11 | Nalco Chemical Company | Polyamine alcohols as microbiocides |
| JPS51125144U (en) | 1975-03-31 | 1976-10-09 | ||
| DE2520814A1 (en) | 1975-05-09 | 1976-11-18 | Bayer Ag | Light stabilisation of polyurethanes - using polymeric tert. amines from aliphatic diamines and (meth)acrylic esters or amides |
| DE2530243A1 (en) | 1975-07-07 | 1977-01-27 | Henkel & Cie Gmbh | Microbistatic and microbicidal N-substd. aminoalkanols - of reduced amine odour and improved skin compatibility |
| JPS5210847A (en) | 1975-07-16 | 1977-01-27 | Nippon Steel Corp | Pinch roll |
| JPS5278924U (en) | 1975-12-11 | 1977-06-13 | ||
| GB1602085A (en) | 1977-05-25 | 1981-11-04 | Teijin Ltd | Permselective membrane |
| US4182833A (en) | 1977-12-07 | 1980-01-08 | Celanese Polymer Specialties Company | Cationic epoxide-amine reaction products |
| US4180068A (en) | 1978-04-13 | 1979-12-25 | Motion Control, Incorporated | Bi-directional flow catheter with retractable trocar/valve structure |
| US4323525A (en) | 1978-04-19 | 1982-04-06 | Imperial Chemical Industries Limited | Electrostatic spinning of tubular products |
| DE2903979A1 (en) | 1979-02-02 | 1980-08-07 | Henkel Kgaa | Hydroxy-carboxylic acid amide derivs. - prepd. by acylating hydroxyalkyl alkylene di:amine and used as greying inhibitors in detergent compsns. |
| US4308085A (en) | 1980-07-28 | 1981-12-29 | Jenoptik Jena Gmbh | Process for the preparation of high molecular thermoplastic epoxide-amine-polyadducts |
| US4339369A (en) | 1981-04-23 | 1982-07-13 | Celanese Corporation | Cationic epoxide-amine reaction products |
| US4475972A (en) | 1981-10-01 | 1984-10-09 | Ontario Research Foundation | Implantable material |
| US5201998A (en) | 1982-05-28 | 1993-04-13 | Ciba-Geigy Corporation | Process for sizing paper with anionic hydrophobic sizing agents and cationic retention aids |
| US5025005A (en) | 1984-04-03 | 1991-06-18 | Takeda Chemical Industries, Ltd. | Lipid derivatives, their production and use |
| US4897355A (en) | 1985-01-07 | 1990-01-30 | Syntex (U.S.A.) Inc. | N[ω,(ω-1)-dialkyloxy]- and N-[ω,(ω-1)-dialkenyloxy]-alk-1-yl-N,N,N-tetrasubstituted ammonium lipids and uses therefor |
| US4762915A (en) | 1985-01-18 | 1988-08-09 | Liposome Technology, Inc. | Protein-liposome conjugates |
| US4946857A (en) | 1985-07-19 | 1990-08-07 | Kuraray Co., Ltd. | Terpene amino alcohols and medicinal uses thereof |
| EP0211305A2 (en) | 1985-08-05 | 1987-02-25 | Miyoshi Yushi Kabushiki Kaisha | Metal scavenging process |
| US4966945A (en) | 1986-05-17 | 1990-10-30 | Schering Ag | Coating method using aqueous glycidyl compound-amine hardner-thermoplastic resin compositions |
| JPS63125144A (en) | 1986-10-29 | 1988-05-28 | 東燃化学株式会社 | Synthetic resin vessel and mold for manufacture thereof |
| JPS63154788A (en) | 1986-11-24 | 1988-06-28 | チバ−ガイギー アクチェンゲゼルシャフト | Composition stabilized using n-hydroxyimino diacetate or-dipropionate or its ester |
| US4720517A (en) | 1986-11-24 | 1988-01-19 | Ciba-Geigy Corporation | Compositions stabilized with N-hydroxyiminodiacetic and dipropionic acids and esters thereof |
| US4873370A (en) | 1987-03-03 | 1989-10-10 | Pennzoil Products Company | Alkylene diamines for use in friction and wear reducing compositions |
| US5138067A (en) | 1987-12-17 | 1992-08-11 | Shionogi & Co. Ltd. | Lipid derivatives |
| US5047540A (en) | 1987-12-17 | 1991-09-10 | Shionogi & Co., Ltd. | Lipid derivatives |
| US5614548A (en) | 1988-10-25 | 1997-03-25 | Wake Forest University | Quaternary amine containing ether or ester lipid derivatives and therapeutic compositions |
| US5171678A (en) | 1989-04-17 | 1992-12-15 | Centre National De La Recherche Scientifique | Lipopolyamines, their preparation and their use |
| JPH04108173A (en) | 1990-08-22 | 1992-04-09 | Kao Corp | Softening finish |
| US5330768A (en) | 1991-07-05 | 1994-07-19 | Massachusetts Institute Of Technology | Controlled drug delivery using polymer/pluronic blends |
| US5352461A (en) | 1992-03-11 | 1994-10-04 | Pharmaceutical Discovery Corporation | Self assembling diketopiperazine drug delivery system |
| WO1993018754A1 (en) | 1992-03-11 | 1993-09-30 | Pharmaceutical Discovery Corporation | Self-assembling diketopiperazine drug delivery system |
| US5503852A (en) | 1992-03-11 | 1996-04-02 | Pharmaceutical Discovery Corporation | Method for making self-assembling diketopiperazine drug delivery system |
| WO1993018229A1 (en) | 1992-03-12 | 1993-09-16 | Weyerhaeuser Company | Polyether-reinforced fiber-based materials |
| US5626869A (en) | 1992-03-27 | 1997-05-06 | Pharmacia & Upjohn Ab | Pharmaceutical composition containing a defined lipid system |
| US6090384A (en) | 1992-08-04 | 2000-07-18 | Chisei Ra | Antiallergic compostion |
| US5334761A (en) | 1992-08-28 | 1994-08-02 | Life Technologies, Inc. | Cationic lipids |
| JPH06200073A (en) | 1992-09-30 | 1994-07-19 | Minnesota Mining & Mfg Co <3M> | Fluorochemical aminoalcohol |
| JPH06211978A (en) | 1992-10-28 | 1994-08-02 | Takeda Chem Ind Ltd | New polyether polyol and production of polyurethane foam therefrom |
| US5705188A (en) | 1993-02-19 | 1998-01-06 | Nippon Shinyaku Company, Ltd. | Drug composition containing nucleic acid copolymer |
| US5395619A (en) | 1993-03-03 | 1995-03-07 | Liposome Technology, Inc. | Lipid-polymer conjugates and liposomes |
| US5631018A (en) | 1993-03-03 | 1997-05-20 | Sequus Pharmaceuticals, Inc. | Lipid-polymer conjugates and liposomes |
| US5817873A (en) | 1993-03-22 | 1998-10-06 | Guerbet S.A. | Polyiodinated compounds, their preparation and their use as contrast media for radiology |
| US5455352A (en) | 1993-07-31 | 1995-10-03 | Basf Aktiengesellschaft | Preparation of N-(2-hydroxyethyl)-piperazine |
| JPH0753535A (en) | 1993-07-31 | 1995-02-28 | Basf Ag | Preparation of n-(2-hydroxyethyl)piperazine |
| US5700437A (en) | 1993-10-06 | 1997-12-23 | The Kansai Electric Power Co., Inc. | Method for removing carbon dioxide from combustion exhaust gas |
| WO1995011004A1 (en) | 1993-10-22 | 1995-04-27 | Berol Nobel Ab | A personal care composition |
| WO1995014651A1 (en) | 1993-11-24 | 1995-06-01 | Megabios Corporation | Amphiphilic derivatives of piperazine |
| JPH09505593A (en) | 1993-11-24 | 1997-06-03 | メガバイオス・コーポレイション | Amphiphilic derivatives of piperazine |
| US5464924A (en) | 1994-01-07 | 1995-11-07 | The Dow Chemical Company | Flexible poly(amino ethers) for barrier packaging |
| EP0673637A1 (en) | 1994-03-25 | 1995-09-27 | Dentsply GmbH | Dental filling composition and method |
| US5776747A (en) | 1994-07-20 | 1998-07-07 | Cytotherapeutics, Inc. | Method for controlling the distribution of cells within a bioartificial organ using polycthylene oxide-poly (dimethylsiloxane) copolymer |
| US5976569A (en) | 1994-09-29 | 1999-11-02 | Emisphere Technologies, Inc. | Diketopiperazine-based delivery systems |
| US6331318B1 (en) | 1994-09-30 | 2001-12-18 | Emisphere Technologies Inc. | Carbon-substituted diketopiperazine delivery systems |
| US5885613A (en) | 1994-09-30 | 1999-03-23 | The University Of British Columbia | Bilayer stabilizing components and their use in forming programmable fusogenic liposomes |
| US6034056A (en) | 1994-12-24 | 2000-03-07 | Zeneca Limited | Fibronectin adhesion inhibitors |
| WO1996026179A1 (en) | 1995-02-21 | 1996-08-29 | Imarx Pharmaceutical Corp. | Novel cationic lipids and the use thereof |
| JP2001523215A (en) | 1995-04-17 | 2001-11-20 | イマークス ファーマシューティカル コーポレーション | Hybrid magnetic resonance contrast agent |
| WO1996036314A2 (en) | 1995-05-15 | 1996-11-21 | Pharmaceutical Discovery Corporation | Method for drug delivery to the pulmonary system |
| WO1997023457A1 (en) | 1995-12-26 | 1997-07-03 | Celgene Corporation | Imides as pde iii, pde iv and tnf inhibitors |
| US5874105A (en) | 1996-01-31 | 1999-02-23 | Collaborative Laboratories, Inc. | Lipid vesicles formed with alkylammonium fatty acid salts |
| US5736573A (en) | 1996-07-31 | 1998-04-07 | Galat; Alexander | Lipid and water soluble derivatives of drugs |
| US6204297B1 (en) | 1996-11-26 | 2001-03-20 | Rhodia Inc. | Nonionic gemini surfactants |
| JPH10197978A (en) | 1997-01-09 | 1998-07-31 | Mitsubishi Paper Mills Ltd | Silver halide photographic material |
| US6335199B1 (en) | 1997-02-28 | 2002-01-01 | Transgene S.A. | Lipid compounds and compositions containing same used for the transfer of at least an active substance, in particular a polynucleotide, in a target cell and therapeutic use |
| US6756055B2 (en) | 1997-03-12 | 2004-06-29 | The Regents Of The University Of California | Cationic lipid compositions targeting angiogenic endothelial cells |
| US6120799A (en) | 1997-03-12 | 2000-09-19 | The Regents Of The University Of California | Cationic lipid compositions targeting angiogenic endothelial cells |
| JPH115786A (en) | 1997-06-13 | 1999-01-12 | Pola Chem Ind Inc | Novel aminohydroxypropylpiperazine derivative |
| JPH1180142A (en) | 1997-09-05 | 1999-03-26 | Pola Chem Ind Inc | Production of diphenylalkyl compound |
| US6271209B1 (en) | 1998-04-03 | 2001-08-07 | Valentis, Inc. | Cationic lipid formulation delivering nucleic acid to peritoneal tumors |
| EP0959092A1 (en) | 1998-05-20 | 1999-11-24 | Th. Goldschmidt AG | Process of production of polyaminoacidesters through esterification of polyaminoacids or of transesterification of polyaminoacidesters |
| WO2000003044A1 (en) | 1998-07-08 | 2000-01-20 | Crew Development Corporation | A method for isolation and production of magnesium metal, magnesium chloride, magnesite and magnesium based products |
| US6696424B1 (en) | 1999-05-28 | 2004-02-24 | Vical Incorporated | Cytofectin dimers and methods of use thereof |
| WO2001015726A2 (en) | 1999-08-27 | 2001-03-08 | Inex Pharmaceuticals Corp. | Compositions for stimulating cytokine secretion and inducing an immune response |
| JP2003519199A (en) | 1999-12-30 | 2003-06-17 | ノバルティス アクチエンゲゼルシャフト | Novel colloid synthesis vector for gene therapy |
| US6821530B2 (en) | 2000-06-01 | 2004-11-23 | Shriners Hospitals For Children | Polymer composite compositions |
| WO2002022709A1 (en) | 2000-09-14 | 2002-03-21 | Epox Ltd. | Highly branched water-soluble polyamine oligomers, process for their preparation and applications thereof |
| US6998115B2 (en) | 2000-10-10 | 2006-02-14 | Massachusetts Institute Of Technology | Biodegradable poly(β-amino esters) and uses thereof |
| US20120065358A1 (en) | 2000-10-10 | 2012-03-15 | Massachusetts Institute Of Technology | Biodegradable poly(beta-amino esters) and uses thereof |
| WO2002031025A2 (en) | 2000-10-10 | 2002-04-18 | Massachusetts Institute Of Technology | Biodegradable poly(beta-amino esters) and uses thereof |
| US20140094399A1 (en) | 2000-10-10 | 2014-04-03 | Massachusetts Institute Of Technology | Biodegradable poly(beta-amino esters) and uses thereof |
| US7427394B2 (en) | 2000-10-10 | 2008-09-23 | Massachusetts Institute Of Technology | Biodegradable poly(β-amino esters) and uses thereof |
| US20100036084A1 (en) | 2000-10-10 | 2010-02-11 | Massachusetts Institute Of Technology | Biodegradable poly(beta-amino esters) and uses thereof |
| US8287849B2 (en) | 2000-10-10 | 2012-10-16 | Massachusetts Institute Of Technology | Biodegradable poly(beta-amino esters) and uses thereof |
| US8557231B2 (en) | 2000-10-10 | 2013-10-15 | Massachusetts Institute Of Technology | Biodegradable poly(beta-amino esters) and uses thereof |
| USRE43612E1 (en) | 2000-10-10 | 2012-08-28 | Massachusetts Institute Of Technology | Biodegradable poly(β-amino esters) and uses thereof |
| JP2002167368A (en) | 2000-12-01 | 2002-06-11 | Nitto Denko Corp | Alkyl-substituted dendrimer and method for producing the same |
| US20020193622A1 (en) | 2001-04-23 | 2002-12-19 | Shin-Etsu Chemical Co., Ltd. | Novel tertiary amine compounds having an ester structure and processes for preparing same |
| US7084303B2 (en) | 2001-04-23 | 2006-08-01 | Shin-Etsu Chemical Co., Ltd. | Tertiary amine compounds having an ester structure and processes for preparing same |
| EP1277829A2 (en) | 2001-07-20 | 2003-01-22 | Air Products And Chemicals, Inc. | Alkyl glycidyl ether-capped polyamine foam control agents |
| WO2003040288A2 (en) | 2001-11-09 | 2003-05-15 | Bayer Healthcare Ag | Isotopically coded affinity markers 3 |
| WO2003070735A2 (en) | 2002-02-19 | 2003-08-28 | Novosom Ag | Components for producing amphoteric liposomes |
| US20030215395A1 (en) | 2002-05-14 | 2003-11-20 | Lei Yu | Controllably degradable polymeric biomolecule or drug carrier and method of synthesizing said carrier |
| US20050143332A1 (en) | 2002-05-28 | 2005-06-30 | Monahan Sean D. | Compositions and processes using siRNA, amphipathic compounds and polycations |
| WO2004043588A2 (en) | 2002-08-07 | 2004-05-27 | Massachusetts Institute Of Technology | Production of polymeric microarrays |
| US20050244961A1 (en) | 2002-08-22 | 2005-11-03 | Robert Short | Cell culture surface |
| US20060223939A1 (en) | 2002-11-04 | 2006-10-05 | Ge Bayer Silicones Gmbh & Co. Kg | Linear polyamino and/or polyammonium polysiloxane copolymers I |
| WO2004048345A2 (en) | 2002-11-22 | 2004-06-10 | Novo Nordisk A/S | 2,5-diketopiperazines for the treatment of obesity |
| US20070185128A1 (en) | 2002-11-22 | 2007-08-09 | Conde-Frieboes Kilian W | Compounds and compositions for treating obesity |
| US20040181077A1 (en) | 2003-03-10 | 2004-09-16 | Air Products And Chemicals, Inc. | Tertiary alkanolamines containing surface active alkyl groups |
| US20040235982A1 (en) | 2003-05-19 | 2004-11-25 | Rabasco John Joseph | Polymer emulsions resistant to biodeterioration |
| WO2004106411A2 (en) | 2003-05-28 | 2004-12-09 | Massachusetts Institute Of Technology | Biodegradable poly(beta-amino esters) and uses thereof |
| US7507859B2 (en) | 2003-06-16 | 2009-03-24 | Fifth Base Llc | Functional synthetic molecules and macromolecules for gene delivery |
| WO2005028619A2 (en) | 2003-09-15 | 2005-03-31 | Massachusetts Institute Of Technology | Nanoliter-scale synthesis of arrayed biomaterials and screening thereof |
| US20050069590A1 (en) | 2003-09-30 | 2005-03-31 | Buehler Gail K. | Stable suspensions for medicinal dosages |
| US20050148786A1 (en) | 2003-11-10 | 2005-07-07 | Nippon Kayaku Kabushiki Kaisha | Diimmonium compound and use thereof |
| US7022214B2 (en) | 2004-01-21 | 2006-04-04 | Bio-Rad Laboratories, Inc. | Carrier ampholytes of high pH range |
| US7556684B2 (en) | 2004-02-26 | 2009-07-07 | Construction Research & Technology Gmbh | Amine containing strength improvement admixture |
| US7972435B2 (en) | 2004-02-26 | 2011-07-05 | Construction Research & Technology Gmbh | Amine containing strength improvement admixture |
| US20060228404A1 (en) | 2004-03-04 | 2006-10-12 | Anderson Daniel G | Compositions and methods for treatment of hypertrophic tissues |
| WO2006065266A2 (en) | 2004-04-20 | 2006-06-22 | Dendritic Nanotechnologies, Inc. | Dendritic polymers with enhanced amplification and interior functionality |
| WO2005121348A1 (en) | 2004-06-07 | 2005-12-22 | Protiva Biotherapeutics, Inc. | Lipid encapsulated interfering rna |
| CA2518132A1 (en) | 2004-09-08 | 2006-03-08 | Bayer Materialscience Ag | Ahhesive compositions containing blocked polyurethane prepolymers |
| WO2006082088A1 (en) | 2005-02-07 | 2006-08-10 | Glaxo Group Limited | Ester-linked gemini surfactant compounds for use in gene therapy |
| WO2006105043A2 (en) | 2005-03-28 | 2006-10-05 | Dendritic Nanotechnologies, Inc. | Janus dendrimers and dendrons |
| US7977452B2 (en) | 2005-03-28 | 2011-07-12 | Dendritic Nanotechnologies, Inc. | Janus dendrimers and dendrons |
| WO2006138380A2 (en) | 2005-06-15 | 2006-12-28 | Massachusetts Institute Of Technology | Amine-containing lipids and uses thereof |
| US20110009641A1 (en) | 2005-06-15 | 2011-01-13 | Anderson Daniel G | Amine-containing lipids and uses thereof |
| EP1912679A2 (en) | 2005-06-15 | 2008-04-23 | Massachusetts Institute Of Technology | Amine-containing lipids and uses thereof |
| US9006487B2 (en) | 2005-06-15 | 2015-04-14 | Massachusetts Institute Of Technology | Amine-containing lipids and uses thereof |
| EP2476756A1 (en) | 2005-06-15 | 2012-07-18 | Massachusetts Institute of Technology | Amine-containing lipids and uses thereof |
| US20090221684A1 (en) | 2005-12-22 | 2009-09-03 | Trustees Of Boston University | Molecules for Gene Delivery and Gene Therapy, and Methods of Use Thereof |
| CN100569877C (en) | 2005-12-30 | 2009-12-16 | 财团法人工业技术研究院 | Branched structure compound containing multiple UV crosslinking reactive groups and application thereof |
| WO2007096662A2 (en) | 2006-02-27 | 2007-08-30 | Technische Universität München | Cancer imaging and treatment |
| US20070275923A1 (en) | 2006-05-25 | 2007-11-29 | Nastech Pharmaceutical Company Inc. | CATIONIC PEPTIDES FOR siRNA INTRACELLULAR DELIVERY |
| WO2007143659A2 (en) | 2006-06-05 | 2007-12-13 | Massachusetts Institute Of Technology | Crosslinked, degradable polymers and uses thereof |
| US8808681B2 (en) | 2006-06-05 | 2014-08-19 | Massachusetts Institute Of Technology | Crosslinked, degradable polymers and uses thereof |
| US20080145338A1 (en) | 2006-06-05 | 2008-06-19 | Daniel Griffith Anderson | Crosslinked, degradable polymers and uses thereof |
| CN101506196A (en) | 2006-07-20 | 2009-08-12 | 康斯乔最高科学研究公司 | Compound that can inhibit UBC13-UEV interactions, pharmaceutical compositions and therapeutic uses |
| EP2045251A1 (en) | 2006-07-20 | 2009-04-08 | Consejo Superior de Investigaciones Cientificas | Compound that can inhibit ubc13-uev interactions, pharmaceutical compositions and therapeutic uses |
| US20080242626A1 (en) | 2006-07-21 | 2008-10-02 | Massachusetts Institute Of Technology | End-Modified Poly(beta-amino esters) and Uses Thereof |
| WO2008011561A2 (en) | 2006-07-21 | 2008-01-24 | Massachusetts Institute Of Technology | End-modified poly(beta-amino esters) and uses thereof |
| US8071082B2 (en) | 2006-07-21 | 2011-12-06 | Massachusetts Institute Of Technology | End-modified poly(beta-amino esters) and uses thereof |
| US8562966B2 (en) | 2006-07-21 | 2013-10-22 | Massachusetts Institute Of Technology | End-modified poly(beta-amino esters) and uses thereof |
| WO2008036168A2 (en) | 2006-08-30 | 2008-03-27 | The Regents Of The University Of Michigan | New small molecule inhibitors of mdm2 and the uses thereof |
| US20090023673A1 (en) | 2006-10-03 | 2009-01-22 | Muthiah Manoharan | Lipid containing formulations |
| WO2008113364A2 (en) | 2007-03-20 | 2008-09-25 | Recepticon Aps | Amino derivatives to prevent nephrotoxicity and cancer |
| JP2008247749A (en) | 2007-03-29 | 2008-10-16 | Research Institute Of Innovative Technology For The Earth | Novel triazine derivatives, their production and their use as gas separation membranes |
| WO2008119741A2 (en) | 2007-03-29 | 2008-10-09 | Novartis Ag | 3-imidazolyl-indoles for the treatment of proliferative diseases |
| US20100178699A1 (en) | 2007-05-01 | 2010-07-15 | Pgr-Solutions | Multi-chain lipophilic polyamines |
| US20100240072A1 (en) | 2007-08-30 | 2010-09-23 | Wester Hans Juergen | Cancer Imaging and Treatment |
| WO2009046220A2 (en) | 2007-10-02 | 2009-04-09 | Mdrna, Inc. | Lipopeptides for delivery of nucleic acids |
| US8361555B2 (en) | 2007-12-27 | 2013-01-29 | E I Du Pont De Nemours And Company | Hydroxy alkyl isocyanurates |
| WO2010042877A1 (en) | 2008-10-09 | 2010-04-15 | Tekmira Pharmaceuticals Corporation | Improved amino lipids and methods for the delivery of nucleic acids |
| WO2010045512A2 (en) | 2008-10-16 | 2010-04-22 | Mdrna , Inc. | Processes and compositions for liposomal and efficient delivery of gene silencing therapeutics |
| US20120009222A1 (en) | 2008-10-27 | 2012-01-12 | Massachusetts Institute Of Technology | Modulation of the immune response |
| US20100331234A1 (en) | 2008-11-07 | 2010-12-30 | Massachusetts Institute Of Technology | Aminoalcohol lipidoids and uses thereof |
| US20150203439A1 (en) | 2008-11-07 | 2015-07-23 | Massachusetts Institute Of Technology | Aminoalcohol lipidoids and uses thereof |
| WO2010053572A2 (en) | 2008-11-07 | 2010-05-14 | Massachusetts Institute Of Technology | Aminoalcohol lipidoids and uses thereof |
| US8450298B2 (en) | 2008-11-07 | 2013-05-28 | Massachusetts Institute Of Technology | Aminoalcohol lipidoids and uses thereof |
| US20110293703A1 (en) | 2008-11-07 | 2011-12-01 | Massachusetts Institute Of Technology | Aminoalcohol lipidoids and uses thereof |
| US8969353B2 (en) | 2008-11-07 | 2015-03-03 | Massachusetts Institute Of Technology | Aminoalcohol lipidoids and uses thereof |
| US20110158935A1 (en) | 2008-12-29 | 2011-06-30 | Kelly Sullivan Kraft | Substituted Diketopiperazine Analogs for Use as Drug Delivery Agents |
| WO2010099387A1 (en) | 2009-02-27 | 2010-09-02 | Corning Incorporated | Copolymer composition, membrane article, and methods thereof |
| WO2010114789A1 (en) | 2009-04-02 | 2010-10-07 | The Siemon Company | Telecommunications patch panel |
| US20120128760A1 (en) | 2009-05-05 | 2012-05-24 | Alnylam Pharmaceuticals, Inc. | Lipid compositions |
| WO2010129709A1 (en) | 2009-05-05 | 2010-11-11 | Alnylam Pharmaceuticals, Inc. | Lipid compositions |
| US20120196923A1 (en) | 2009-05-15 | 2012-08-02 | Kaushal Rege | Polymers for delivering a substance into a cell |
| WO2010144789A2 (en) | 2009-06-12 | 2010-12-16 | Mannkind Corporation | Diketopiperazine microparticles with defined specific surface areas |
| CA2769408A1 (en) | 2009-07-30 | 2011-02-03 | Laboratorios Salvat, S.A. | Apaf-1 inhibitor compounds |
| WO2011012746A2 (en) | 2009-07-30 | 2011-02-03 | Laboratorios Salvat, S.A. | Apaf-1 inhibitor compounds |
| WO2011068810A1 (en) | 2009-12-01 | 2011-06-09 | Shire Human Genetic Therapies | Delivery of mrna for the augmentation of proteins and enzymes in human genetic diseases |
| CN101863544B (en) | 2010-06-29 | 2011-09-28 | 湖南科技大学 | Cyanuric acid-based heavy metal chelating flocculant and preparation method thereof |
| US9193827B2 (en) | 2010-08-26 | 2015-11-24 | Massachusetts Institute Of Technology | Poly(beta-amino alcohols), their preparation, and uses thereof |
| US20130302401A1 (en) | 2010-08-26 | 2013-11-14 | Massachusetts Institute Of Technology | Poly(beta-amino alcohols), their preparation, and uses thereof |
| WO2012027675A2 (en) | 2010-08-26 | 2012-03-01 | Massachusetts Institute Of Technology | Poly(beta-amino alcohols), their preparation, and uses thereof |
| WO2012135025A2 (en) | 2011-03-28 | 2012-10-04 | Massachusetts Institute Of Technology | Conjugated lipomers and uses thereof |
| US20120251560A1 (en) | 2011-03-28 | 2012-10-04 | Massachusetts Institute Of Technology | Conjugated lipomers and uses thereof |
| WO2012133737A1 (en) | 2011-03-31 | 2012-10-04 | 公益財団法人地球環境産業技術研究機構 | Crosslinkable amine compound, polymer membrane using crosslinkable amine compound, and method for producing polymer membrane |
| EP2532649B1 (en) | 2011-06-07 | 2015-04-08 | Incella GmbH | Amino lipids, their synthesis and uses thereof |
| WO2012170930A1 (en) | 2011-06-08 | 2012-12-13 | Shire Human Genetic Therapies, Inc | Lipid nanoparticle compositions and methods for mrna delivery |
| WO2012170889A1 (en) | 2011-06-08 | 2012-12-13 | Shire Human Genetic Therapies, Inc. | Cleavable lipids |
| US20130158021A1 (en) | 2011-10-27 | 2013-06-20 | Massachusetts Institute Of Technology | Amino acid-, peptide-and polypeptide-lipids, isomers, compositions, and uses thereof |
| WO2013063468A1 (en) | 2011-10-27 | 2013-05-02 | Massachusetts Institute Of Technology | Amino acid derivates functionalized on the n- terminal capable of forming drug incapsulating microspheres |
| US20140161830A1 (en) | 2012-08-13 | 2014-06-12 | Massachusetts Institute Of Technology | Amine-containing lipidoids and uses thereof |
| WO2014028487A1 (en) | 2012-08-13 | 2014-02-20 | Massachusetts Institute Of Technology | Amine-containing lipidoids and uses thereof |
| JP2014172827A (en) | 2013-03-06 | 2014-09-22 | Jx Nippon Oil & Energy Corp | Friction modifier and lubricating-oil composition |
| US20140329884A1 (en) | 2013-05-01 | 2014-11-06 | Massachusetts Institute Of Technology | 1,3,5-triazinane-2,4,6-trione derivatives and uses thereof |
| WO2014179562A1 (en) | 2013-05-01 | 2014-11-06 | Massachusetts Institute Of Technology | 1,3,5-triazinane-2,4,6-trione derivatives and uses thereof |
| WO2014210356A1 (en) | 2013-06-26 | 2014-12-31 | Massachusetts Institute Of Technology | Multi-tailed lipids and uses thereof |
Non-Patent Citations (264)
| Title |
|---|
| Adami et al., An amino acid-based amphoteric liposomal delivery system for systemic administration of siRNA. Mol Ther. Jun. 2011;19(6):1141-51. |
| Akinc et al., A combinatorial library of lipid-like materials for delivery of RNAi therapeutics. Nat Biotech. 2008;26(5):561-69. |
| Akinc et al., Development of lipidoid-siRNA formulations for systemic delivery to the liver. Mol Ther. May 2009;17(5):872-9. doi: 10.1038/mt.2009.36. Epub Mar. 3, 2009. |
| Akinc et al., Exploring polyethylenimine-mediated DNA transfection and the proton sponge hypothesis. J Gene Med. May 2005;7(5):657-63. |
| Akinc et al., Targeted delivery of RNAi therapeutics with endogenous and exogenous ligand-based mechanisms. Mol Ther. Jul. 2010;18(7):1357-64. doi: 10.1038/mt.2010.85. Epub May 11, 2010. |
| Alshamsan et al., The induction of tumor apoptosis in B16 melanoma following STAT3 siRNA delivery with a lipid-substituted polyethylenimine. Biomaterials. Feb. 2010;31(6):1420-8. Epub Nov. 13. 2009. |
| Anderson et al., Nanoliter-scale synthesis of arrayed biomaterials and application to human embryonic stem cells. Nat. Biotechnol. Jul. 2004;22(7):863-6. Epub Jun. 13, 2004. |
| Anderson et al., Structure/property studies of polymeric gene delivery using a library of poly(beta-amino esters). Mol Ther. Mar. 2005;11(3):426-34. |
| Anderson, Biological Responses to Materials. Annu Rev Mater Res. 2001;31:81-110. |
| Anderson, Human gene therapy. Nature. Apr. 30, 1998;392(6679 Suppl):25-30. Review. |
| Asokan et al., Cytosolic delivery of macromolecules. 3. Synthesis and characterization of acid-sensitive bis-detergents. Bioconjug Chem. Nov.-Dec. 2004;15(6):1166-73. |
| Bajaj et al., Synthesis and gene transfection efficacies of PEI-cholesterol-based lipopolymers. Bioconjug Chem. Aug. 2008;19(8):1640-51. Epub Jul. 11, 2008. |
| Behr et al., Efficient gene transfer into mammalian primary endocrine cells with lipopolyamine-coated DNA. Proc Natl Acad Sci U S A. Sep. 1989;86(18):6982-6. |
| Behr, Synthetic gene-transfer vectors. Acc Chem Res. 1993;26:274-278. |
| Berge et al., Pharmaceutical salts. J Pharm Sci. Jan. 1977;66(1):1-19. |
| Bossle et al., Synthesis and biological activity of new 2-substituted analogs of fluphenazine. J Med Chem. Mar. 1, 1976;19(3):370-3. |
| Boussif et al., A versatile vector for gene and oligonucleotide transfer into cells in culture and in vivo: polyethylenimine. Proc Natl Acad Sci U S A. Aug. 1, 1995;92(16):7297-301. |
| Bratlie et al., Rapid biocompatibility analysis of materials via in vivo fluorescence imaging of mouse models. PLoS One. Apr. 6, 2010;5(4):e10032. |
| Braun et al., Structure/function relationships of polyamidoamine/DNA dendrimers as gene delivery vehicles. J Pharm Sci. Feb. 2005;94(2):423-36. |
| Breunig et al., Breaking up the correlation between efficacy and toxicity for nonviral gene delivery. Proc Natl Acad Sci U S A. Sep. 4, 2007;104(36):14454-9. Epub Aug. 28, 2007. |
| Breunig et al., Mechanistic investigation of poly(ethylene imine)-based siRNA delivery: disulfide bonds boost intracellular release of the cargo. J Control Release. Aug. 25, 2008;130(1):5763. Epub May 24, 2008. |
| Brey et al., Controlling poly(beta-amino ester) network properties through macromer branching. Acta Biomater. Mar. 2008;4(2):207-17. Epub Oct. 22, 2007. |
| Brey et al., Influence of macromer molecular weight and chemistry on poly(beta-amino ester) network properties and initial cell interactions. J Biomed Mater Res A. Jun. 1, 2008;85(3):731-41. |
| Brodbeck et al., Biomaterial surface chemistry dictates adherent monocyte/macrophage cytokine expression in vitro. Cytokine. Jun. 21, 2002;18(6):311-9. |
| Burnett et al., Current progress of siRNA/shRNA therapeutics in clinical trials. Biotechnol J. Sep. 2011;6(9):1130-46. doi: 10.1002/biot.201100054. Epub Jul. 11, 2011. |
| Byk et al., Synthesis, activity, and structure-activity relationship studies of novel cationic lipids for DNA transfer. J Med Chem. 1998;41(2):224-235. |
| Castanotto et al.,. The promises and pitfalls of RNA-interference-based therapeutics. Nature. Jan. 22, 2009;457(7228):426-33. doi: 10.1038/nature07758. |
| Chakraborty, Potentiality of Small Interfering RNAs (siRNA) as Recent Therapeutic Targets for Gene-Silencing. Curr Drug Targets. 2007;8:469-82. |
| Chan et al., Triplex DNA: fundamentals, advances, and potential applications for gene therapy. J Mol Med. Apr. 1997;75(4):267-82. Review. |
| Chang, Therapeutic applications of polymeric artificial cells. Nat Rev Drug Discov. Mar. 2005;4(3):221-35. |
| Chen et al., Polymeric growth factor delivery strategies for tissue engineering. Pharm Res. Aug. 2003;20(8):1103-12. |
| Chen et al., Rapid discovery of potent siRNA-containing lipid nanoparticles enabled by controlled microfluidic formulation. J Am Chem Soc. Apr. 25, 2012;134(16):6948-51. doi: 10.1021/ja301621z. Epub Apr. 10, 2012. |
| Chen et al., Tumor-targeted delivery of siRNA by non-viral vector: safe and effective cancer therapy. Expert Opin Drug Deliv. Dec. 2008;5(12):1301-11. doi: 10.1517/17425240802568505. |
| Chiang et al., Synthesis, characterization and properties of novel self-extinguishing organic-inorganic nanocomposites containing nitrogen, silicon and phosphorus via sol-gel method. Composite Science and Technology. 2008;68(14):2849-57. |
| Cotten et al., Receptor-mediated transport of DNA into eukaryotic cells. Methods Enzymol. 1993;217:618-44. |
| Creusat et al., Proton sponge trick for pH-sensitive disassembly of polyethylenimine-based siRNA delivery systems. Bioconjug Chem. May 19, 2010;21(5):994-1002. |
| Crooke, Evaluating the mechanism of action of antiproliferative antisense drugs. Antisense Nucleic Acid Drug Dev. Apr. 2000;10(2):123-6. |
| Crooke, Molecular mechanisms of action of antisense drugs. Biochim Biophys Acta. Dec. 10, 1999;1489(1):31-44. Review. |
| Crystal, Transfer of genes to humans: early lessons and obstacles to success. Science. Oct. 20, 1995;270(5235):404-10. Review. |
| Damen et al., Delivery of DNA and siRNA by novel gemini-like amphiphilic peptides. J Control Release. Jul. 1, 2010;145(1):33-9. doi: 10.1016/j.jconrel.2010.03.028. Epub Apr. 8, 2010. |
| Davis et al., Evidence of RNAi in humans from systemically administered siRNA via targeted nanoparticles. Nature. Apr. 15, 2010;464(7291):1067-70. Epub Mar. 21, 2010. |
| Davis, The first targeted delivery of siRNA in humans via a self-assembling, cyclodextrin polymer-based nanoparticle: from concept to clinic. Mol Pharm. May-Jun. 2009;6(3):659-68. doi: 10.1021/mp900015y. |
| Decher, Fuzzy Nanoassemblies: Toward Layered Polymeric Multicomposites. Science. 1997;277;1232-37. |
| Deshmukh et al., Liposome and polylysine mediated gene therapy. New J Chem. 1997;21:113-124. |
| Discher et al., Polymer vesicles. Science. Aug. 9, 2002;297(5583):967-73. Review. |
| Discher et al., Polymersomes: tough vesicles made from diblock copolymers. Science. May 14, 1999;284(5417):1143-6. |
| Dong et al., Lipopeptide nanoparticles for potent and selective siRNA delivery in rodents and nonhuman primates. Proc Natl Acad Sci U S A. Mar. 18, 2014;111(11):3955-60. doi: 10.1073/pnas.1322937111. Epub Feb. 10, 2014. |
| Elbashir et al., Duplexes of 21-nucleotide RNAs mediate RNA interference in cultured mammalian cells. Nature. May 24, 2001;411(6836):494-8. |
| Elbashir et al., RNA interference is mediated by 21- and 22-nucleotide RNAs. Genes Dev. 2001;15:188-200. |
| Ewert et al., Cationic lipid-DNA complexes for gene therapy: understanding the relationship between complex structure and gene delivery pathways at the molecular level. Curr Med Chem. Jan. 2004;11(2):133-49. |
| Extended European Search Report for EP 07798132.2, mailed Jul. 18, 2011. |
| Extended European Search Report for European Application No. 06784878.8, mailed Jun. 29, 2009. |
| Extended European Search Report for European Application No. 09825132.5, dated Jul. 16, 2013. |
| Extended European Search Report for European Application No. 11186795.8, mailed Jun. 19, 2012. |
| Extended European Search Report for European Application No. 11820727.3, mailed Apr. 22, 2015. |
| Extended European Search Report, mailed Jan. 28, 2008, for EP 07013193.3. |
| Extended European Search Report, mailed Oct. 5, 2009, for EP 07813156.2. |
| Felgner et al., Lipofection: a highly efficient, lipid-mediated DNA-transfection procedure. Proc Natl Acad Sci U S A. Nov. 1987;84(21):7413-7. |
| Fenske et al., Liposomal nanomedicines. Expert Opin Drug Deliv. Jan. 2008;5(1):25-44. |
| Ferruti et al., A novel modification of poly(l-lysine) leading to a soluble cationic polymer with reduced toxicity and with potential as a transfection agent. Macromol Chem Phys 1998;199:2565-75. |
| Ferruti et al., Linear amino polymers: Synthesis, protonation and complex formation. Advances in Polymer Science. 1984;58:55-92. |
| Fire et al., Potent and specific genetic interference by double-stranded RNA in Caenorhabditis elegans. Nature. Feb. 19, 1998;391(6669):806-11. |
| Frank-Kamenetsky et al., Therapeutic RNAi targeting PCSK9 acutely lowers plasma cholesterol in rodents and LDL cholesterol in nonhuman primates. Proc Natl Acad Sci U S A. Aug. 19, 2008;105(33):11915-20. doi: 10.1073/pnas.0805434105. Epub Aug. 11, 2008. |
| Furgeson et al., Modified linear polyethylenimine-cholesterol conjugates for DNA complexation. Bioconjug Chem. Jul.-Aug. 2003;14(4):840-7. |
| Furgeson et al., Novel water insoluble lipoparticulates for gene delivery. Pharm Res. Apr. 2002;19(4):382-90. |
| Gademann et al., The fourth helical secondary structure of beta-peptides: the (P)-28-helix of a beta-hexapeptide consisting of (2R,3S)-3-amino-2-hydroxy acid residues. Angew Chem Int Ed Engl. Apr. 4, 2003;42(13):1534-7. |
| Geisbert et al., Postexposure protection of non-human primates against a lethal Ebola virus challenge with RNA interference: a proof-of-concept study. Lancet. May 29, 2010;375(9729):1896-905. doi:10.1016/S0140-6736(10)60357-1. |
| Geng et al., Hydrolytic degradation of poly(ethylene oxide)-block-polycaprolactone worm micelles. J Am Chem Soc. Sep. 21, 2005;127(37):12780-1. |
| Giuliani et al., Beyond natural antimicrobial peptides: multimeric peptides and other peptidomimetic approaches. Cell Mol Life Sci. Jul. 2011;68(13):2255-66. doi: 10.1007/s00018-011-0717-3. Epub May 20, 2011. |
| Godbey et al., Size matters: molecular weight affects the efficiency of poly(ethylenimine) as a gene delivery vehicle. J Biomed Mater Res. Jun. 5, 1999;45(3):268-75. |
| Gonzalez et al., New class of polymers for the delivery of macromolecular therapeutics. Bioconjug Chem. Nov.-Dec. 1999;10(6):1068-74. |
| Grayson et al., Biophysical and structural characterization of polyethylenimine-mediated siRNA delivery in vitro. Pharm Res. Aug. 2006;23(8):1868-76. |
| Grunlan et al., Synthesis of 1,9-bis[glycidyloxypropyl]penta(1′H, 1′H, 2′H, 2′H-perfluoroalkylmethylsiloxane)s and copolymerization with piperazine. Polymer. 2004;45:2517-23. |
| Grzelinski et al., RNA interference-mediated gene silencing of pleiotrophin through polyethylenimine-complexed small interfering RNAs in vivo exerts antitumoral effects in glioblastoma xenografts. Hum Gene Ther. Jul. 2006;17(7):751-66. |
| Gunatillake et al., Recent developments in biodegradable synthetic polymers. Biotechnol Annu Rev. 2006;12:301-47. |
| Gupta et al., A review of in vitro-in vivo investigations on dendrimers: the novel nanoscopic drug carriers. Nanomedicine. Jun. 2006;2(2):66-73. |
| Haensler et al., Polyamidoamine cascade polymers mediate efficient transfection of cells in culture. Bioconjug Chem. Sep.-Oct. 1993;4(5):372-9. |
| Heyes et al., Cationic lipid saturation influences intracellular delivery of encapsulated nucleic acids. J Control Release. Oct. 3, 2005;107(2):276-87. |
| Hill et al., In vitro cytotoxicity of poly(amidoamine)s: relevance to DNA delivery. Biochim Biophys Acta. Apr. 19, 1999;1427(2):161-74. |
| Hoekenga, The treatment of malaria with hydroxychloroquine. Am J Trop Med Hyg. Mar. 1955;4(2):221-3. |
| Hofland et al., Formation of stable cationic lipid/DNA complexes for gene transfer. Proc Natl Acad Sci USA. Jul. 9, 1996;93(14):7305-9. |
| Hope et al., Cationic Lipids, Phosphatidylethanolamine and the Intracellular Delivery of Polymeric, Nucleic Acid-Based Drugs. Molecular Membrane Technology. 1998;15:1-14. |
| Howard, Delivery of RNA interference therapeutics using polycation-based nanoparticles. Adv Drug Deliv Rev. Jul. 25, 2009;61(9):710-20. Epub Apr. 5, 2009. |
| Hsu et al., Diethanolamine (DEA) degradation under gas-treating conditions. Industrial and Engineering Chemistry Product Research and Development. 1985;24(4):630-35. |
| Hunt et al., Effect of biomaterial surface charge on the inflammatory response: evaluation of cellular infiltration and TNF alpha production. J Biomed Mater Res. May 1996;31(1):139-44. |
| Ichimaru et al., Synthesis and characterization of new piperazine-type inhibitors for mitochondrial NADH-ubiquinone oxidoreductase (complex I). Biochemistry. Oct. 7, 2008;47(40):10816-26. Epub Sep. 10, 2008. |
| Ikeda et al., Role of micafungin in the antifungal armamentarium. Curr Med Chem. 2007;14(11):1263-75. |
| Incani et al., Lipid and hydrophobic modification of cationic carriers on route to superior gene vectors. Soft Matter. 2010;6:2124-38. |
| International Preliminary Examination Report for PCT/US2001/031270, mailed Aug. 19, 2003. |
| International Preliminary Report on Patentability for PCT/US2004/016521, mailed Dec. 15, 2005. |
| International Preliminary Report on Patentability for PCT/US2006/023171, mailed Jul. 3, 2008. |
| International Preliminary Report on Patentability for PCT/US2007/070430, mailed Dec. 24, 2008. |
| International Preliminary Report on Patentability for PCT/US2007/073976, mailed Feb. 5, 2009. |
| International Preliminary Report on Patentability for PCT/US2009/005810, mailed May 12, 2011. |
| International Preliminary Report on Patentability for PCT/US2009/006018, mailed May 19, 2011. |
| International Preliminary Report on Patentability for PCT/US2011/049360, mailed Mar. 7, 2013. |
| International Preliminary Report on Patentability for PCT/US2012/030349, mailed on Oct. 10, 2013. |
| International Preliminary Report on Patentability for PCT/US2012/062222, mailed May 8, 2014. |
| International Preliminary Report on Patentability for PCT/US2013/054726, mailed Feb. 26, 2015. |
| International Preliminary Report on Patentability for PCT/US2014/036355, mailed Nov. 12, 2015. |
| International Preliminary Report on Patentability for PCT/US2014/044408, mailed Jan. 7, 2016. |
| International Search Report and Written Opinion for PCT/US2004/016521, mailed Dec. 8, 2004. |
| International Search Report and Written Opinion for PCT/US2006/023171, mailed May 29, 2008. |
| International Search Report and Written Opinion for PCT/US2007/070430, mailed Dec. 13, 2007. |
| International Search Report and Written Opinion for PCT/US2007/073976, mailed Sep. 29, 2008. |
| International Search Report and Written Opinion for PCT/US2009/005810, mailed Jun. 16, 2010. |
| International Search Report and Written Opinion for PCT/US2009/006018, mailed May 25, 2010. |
| International Search Report and Written Opinion for PCT/US2011/049360, mailed Mar. 20, 2012. |
| International Search Report and Written Opinion for PCT/US2012/030349, mailed on Oct. 5, 2012. |
| International Search Report and Written Opinion for PCT/US2012/062222, mailed Mar. 27, 2013. |
| International Search Report and Written Opinion for PCT/US2013/054726, mailed Jan. 7, 2014. |
| International Search Report and Written Opinion for PCT/US2014/036355, mailed Aug. 5, 2014. |
| International Search Report and Written Opinion for PCT/US2014/044408, mailed Oct. 24, 2014. |
| International Search Report for PCT/US2001/031270, mailed May 22, 2002. |
| Invitation to Pay Additional Fees for PCT/US2004/016521, mailed Sep. 29, 2004. |
| Invitation to Pay Additional Fees for PCT/US2012/030349, mailed on Jul. 24, 2012. |
| Invitation to Pay Additional Fees for PCT/US2012/062222, mailed Dec. 14, 2012. |
| Invitation to Pay Additional Fees for PCT/US2013/054726, mailed Oct. 31, 2013. |
| Jayaraman et al., Maximizing the potency of siRNA lipid nanoparticles for hepatic gene silencing in vivo. Angew Chem Int Ed Engl. Aug. 20, 2012;51(34):8529-33. doi: 10.1002/anie.201203263. Epub Jul. 10, 2012. |
| Jiang et al., Electrochemically controlled release of lipid/DNA complexes: a new tool for synthetic gene delivery system. Electrochem Commun 2004;6:576-82. |
| Jiang et al., Hyaluronic acid-polyethyleneimine conjugate for target specific intracellular delivery of siRNA. Biopolymers. Jul. 2008;89(7):635-42. |
| Jiang et al., Ultralow-fouling, functionalizable, and hydrolyzable zwitterionic materials and their derivatives for biological applications. Adv Mater. Mar. 5, 2010;22(9):920-32. |
| John et al. Effective RNAi-mediated gene silencing without interruption of the endogenous microRNA pathway. Nature. Oct. 11, 2007;449(7163):745-7. Epub Sep. 26, 2007. |
| Jolck et al., Solid-phase synthesis of PEGylated lipopeptides using click chemistry. Bioconjug Chem. May 19, 2010;21(5):807-10. |
| Jon et al., Degradable poly(amino alcohol esters) as potential DNA vectors with low cytotoxicity. Biomacromolecules. Nov.-Dec. 2003;4(6):1759-62. |
| Juliano et al., Biological barriers to therapy with antisense and siRNA oligonucleotides. Mol Pharm. May-Jun. 2009;6(3):686-95. doi:10.1021/mp900093r. |
| Kabanov et al., DNA complexes with polycations for the delivery of genetic material into cells. Bioconjug Chem. Jan.-Feb. 1995;6(1):7-20. |
| Kamath et al., Surface chemistry influences implant-mediated host tissue responses. J Biomed Mater Res A. Sep. 2008;86(3):617-26. |
| Kanetani et al., Synthesis, and physicochemical and antimicrobial properties of 3-(3-alkyl-1-piperazinyl)-1-propanesulfonic acids and some related compounds. Nippon Kagaku Kaishi. 1983(12):1783-91. |
| Kaur et al., A delineation of diketopiperazine self-assembly processes: understanding the molecular events involved in Nepsilon-(fumaroyl)diketopiperazine of L-Lys (FDKP) interactions. Mol Pharm. Mar.-Apr. 2008;5(2):294-315. |
| Kim et al., Comparative evaluation of target-specific GFP gene silencing efficiencies for antisense ODN, synthetic siRNA, and siRNA plasmid complexed with PEI-PEG-FOL conjugate. Bioconjug Chem. Jan.-Feb. 2006;17(1):241-4. |
| Kim et al., Efficient siRNA delivery using water soluble lipopolymer for anti-angiogenic gene therapy. J Control Release. Apr. 23, 2007;118(3):357-63. Epub Jan. 9, 2007. |
| Kim et al., Local and systemic delivery of VEGF siRNA using polyelectrolyte complex micelles for effective treatment of cancer. J Control Release. Jul. 14, 2008;129(2):107-16. Epub Mar. 14, 2008. |
| Kim et al., Synthesis of biodegradable cross-linked poly(beta-amino ester) for gene delivery and its modification, inducing enhanced transfection efficiency and stepwise degradation. Bioconjug Chem. Sep.-Oct. 2005;16(5):1140-8. |
| Klibanov et al., Amphipathic polyethyleneglycols effectively prolong the circulation time of liposomes. FEBS Lett. Jul. 30, 1990;268(1):235-7. |
| Kukowska-Latallo et al., Efficient transfer of genetic material into mammalian cells using Starburst polyamidoamine dendrimers. Proc Natl Acad Sci USA. May 14, 1996;93(10):4897-902. |
| Kwon et al., Application of an HIV gp41-derived peptide for enhanced intracellular trafficking of synthetic gene and siRNA delivery vehicles. Bioconjug Chem. Apr. 2008;19(4):920-7. Epub Apr. 1, 2008. |
| Langer, Perspectives and challenges in tissue engineering and regenerative medicine. Adv Mater. Sep. 4, 2009;21(32-33):3235-6. |
| Lee et al., Stability and cellular uptake of polymerized siRNA (poly-siRNA)/polyethylenimine (PEI) complexes for efficient gene silencing. J Control Release. Feb. 15, 2010;141(3):339-46. Epub Oct. 14, 2009. |
| Leuschner et al., Therapeutic siRNA silencing in inflammatory monocytes in mice. Nat Biotechnol. Oct. 9, 2011;29(11):1005-10. doi: 10.1038/nbt.1989. |
| Li et al., Reverse Atom Transfer Radical Polymerization in Miniemulsion. Macromolecules. 2003;36(16):6028-6035. |
| Lim, et al., A self-destroying polycationic polymer: biodegradable poly(4-hydroxy-l-proline ester. J. Am. Chem. Soc. 1999;121:5633-5639. |
| Love et al., Lipid-like materials for low-dose, in vivo gene silencing. Proc Natl Acad Sci U S A. Feb. 2, 2010;107(5):1864-9. Epub Jan. 11, 2010. |
| Lukyanov et al., Micelles from lipid derivatives of water-soluble polymers as delivery systems for poorly soluble drugs. Adv Drug Deliv Rev. May 7, 2004;56(9):1273-89. |
| Luo et al., Synthetic DNA delivery systems. Nat Biotechnol. Jan. 2000;18(1):33-7. Review. |
| Lynn et al., Accelerated discovery of synthetic transfection vectors: parallel synthesis and screening of a degradable polymer library. J Am Chem Soc. Aug. 22, 2001;123(33):8155-6. |
| Lynn et al., Degradable Poly(β-amino esters): Synthesis, Characterization, and Self-Assembly with Plasmid DNA. J. Am. Chem. Soc. 2000;122 (44): 10761-8. |
| Lynn et al., pH-Responsive Polymer Microspheres: Rapid Release of Encapsulated Material within the Range of Intracellular pH. Angew Chem Int Ed Engl. May 4, 2001;40(9):1707-10. |
| Ma et al., Development of Cationic Polymer Coatings to Regulate Foreign Body Responses. Adv Mater. 2011;23:H189-94. |
| Margus et al., Cell-penetrating peptides as versatile vehicles for oligonucleotide delivery. Mol Ther. Mar. 2012;20(3):525-33. doi: 10.1038/mt.2011.284. Epub Jan. 10, 2012. |
| Martell et al., The Preparation and the Properties of Some N,N′-Disubstituted-ethylenediaminedipropionic Acids. J Am Chem Soc. 1950;72:5357-61. |
| Mathiowitz et al., Novel microcapsules for delivery systems. Reactive Polymers. 1987;6:275-283. |
| Mathiowitz et al., Polyanhydride microspheres as drug carriers I. Hot-melt microencapsulation. J Control Release. 1987;5:13-22. |
| Mathiowitz et al., Polyanhydride Microspheres as Drug Carriers. II. Microencapsulation by Solvent Removal. J Appl Polymer Sci. 1988;35:755-774. |
| Miller, Cationic Liposomes for Gene Therapy. Angew. Chem. Int. Ed. 1998;37:1769-1785. |
| Mintzer et al., Nonviral vectors for gene delivery. Chem Rev. Feb. 2009;109(2):259-302. |
| Morris et al., Lentiviral-mediated delivery of siRNAs for antiviral therapy. Gene Ther. 2006;13:553-58. |
| Moure et al. Chemical modulation of peptoids: synthesis and conformational studies on partially constrained derivatives. Chemistry. Jul. 4, 2011;17(28):7927-39. doi: 10.1002/chem.201100216. Epub May 24, 2011. |
| Narang et al., Cationic lipids with increased DNA binding affinity for nonviral gene transfer in dividing and nondividing cells. Bioconjug Chem. Jan.-Feb. 2005;16(1):156-68. |
| Navarro et al., Phospholipid-polyethylenimine conjugate-based micelle-like nanoparticles for siRNA delivery. Drug Deliv and Trans Res. 2011; 25-33. |
| Neamnark et al., Aliphatic lipid substitution on 2 kDa polyethylenimine improves plasmid delivery and transgene expression. Mol Pharm. Nov.-Dec. 2009;6(6):1798-815. |
| Nguyen et al., Drug delivery-mediated control of RNA immunostimulation. Mol Ther. Sep. 2009;17(9):1555-62. Epub Jul. 7, 2009. |
| Novobrantseva et al., Systemic RNAi-mediated Gene Silencing in Nonhuman Primate and Rodent Myeloid Cells. Mol Ther Nucleic Acids. Jan. 24, 2012;1:e4. doi: 10.1038/mtna.2011.3. |
| Parrish et al., Five- and six-membered ring opening of pyroglutamic diketopiperazine. J Org Chem. Mar. 22, 2002;67(6):1820-6. |
| Partial Supplementary European Search Report for European Application No. 11820727.3, mailed Nov. 26, 2014. |
| Philipp et al., Hydrophobically modified oligoethylenimines as highly efficient transfection agents for siRNA delivery. Bioconjug Chem. Nov. 2009;20(11):2055-61. |
| Phillips et al., Enhanced antibody response to liposome-associated protein antigens: preferential stimulation of IgG2a/b production. Vaccine. 1992;10(3):151-8. |
| Pollard et al., Ether amino alcohols. II. J Org Chem. 1952;17:1-3. |
| Prata et al., Lipophilic peptides for gene delivery. Bioconjug Chem. Feb. 2008;19(2):418-20. |
| Putnam et al., Poly(4-hydroxy-l-proline ester): Low-Temperature Polycondensation and Plasmid DNA Complexation. Macromolecules 1999;32:3658-62. |
| Ratner et al., Biomaterials: where we have been and where we are going. Annu Rev Biomed Eng. 2004;6:41-75. |
| Rogers et al., Synthetic Experiments in the Ferrichrome Series. Biochemistry. Dec. 1964;3:1850-5. |
| Ryng et al., Synthesis and Structure Elucidation of 5-Aminomethinimino-3-methyl-4-isoxazolecarboxylic Acid Phenylamides and Their Immunological Activity. Archiv der Pharmazie. Jan. 1, 1997;330(11):319-26. |
| Sahay et al., Endocytosis of nanomedicines. J Control Release. Aug. 3, 2010;145(3):182-95. Epub Mar. 10, 2010. |
| Sakiyama-Elbert et al., Functional Biomaterials: Design of Novel Biomaterials. Ann Rev Mater Res. 2001;31:183-201. |
| Saltzman, Chapter 19. Cell Interactions with Polymers. In: Principles of Tissue Engineering, 2d ed., 2000:221-35. |
| Sanford, The biolistic process. Trends Biotechnol. 1988;6:299-302. |
| Sato et al., Resolution of liver cirrhosis using vitamin A-coupled liposomes to deliver siRNA against a collagen-specific chaperone. Nat Biotechnol. Apr. 2008;26(4):431-42. doi: 10.1038/nbt1396. Epub Mar. 30, 2008. |
| Semple et al., Rational design of cationic lipids for siRNA delivery. Nat Biotechnol. Feb. 2010;28(2):172-6. doi:10.1038/nbt.1602. Epub Jan. 17, 2010. |
| Sen, Surfactin: biosynthesis, genetics and potential applications. Adv Exp Med Biol. 2010;672:316-23. |
| Shchori, Poly(secondary Amine)s from Diacrylates and Diamines. J Polym Sci Polymer. Jun. 1983;21(6):413-15. |
| Siegwart et al., Combinatorial synthesis of chemically diverse core-shell nanoparticles for intracellular delivery. Proc Natl Acad Sci U S A. Aug. 9, 2011;108(32):12996-3001. doi: 10.1073/pnas.1106379108. Epub Jul. 22, 2011. |
| Staubli et al., Hydrolytically degradable amino acid containing polymers. J Am Chem Soc. 1990;45:4419-24. |
| STN-CAS database Registry No. 1016794-08-3. Entered STN-CAS database on Apr. 23, 2008. |
| STN-CAS database Registry No. 1030297-07-4. Entered STN-CAS database on Jun. 24, 2008. |
| STN-CAS database Registry No. 1030297-42-7. Entered STN-CAS database on Jun. 24, 2008. |
| STN-CAS database Registry No. 1030297-62-1. Entered STN-CAS database on Jun. 24, 2008. |
| STN-CAS database Registry No. 1030297-62-1. Entered STN-CAS database on Jun. 24, 2008. With chemical structure. |
| STN-CAS database Registry No. 1043632-07-0. Entered STN-CAS database on Aug. 26, 2008. |
| STN-CAS database Registry No. 1044533-56-3. Entered STN-CAS database on Aug. 28, 2008. |
| STN-CAS database Registry No. 104538-56-9. Entered STN-CAS database on Oct. 4, 1986. |
| STN-CAS database Registry No. 105317-96-2. Entered STN-CAS database on Nov. 22, 1986. |
| STN-CAS database Registry No. 1056016. Entered STN-CAS database on Oct. 1, 2008. |
| STN-CAS database Registry No. 1067642-37-8. Entered STN-CAS database on Oct. 29, 2008. |
| STN-CAS database Registry No. 1071084-05-3. Entered STN-CAS database on Nov. 6, 2008. |
| STN-CAS database Registry No. 116071-63-7. Entered STN-CAS database on Aug. 27, 1988. |
| STN-CAS database Registry No. 136581-83-4. Entered STN-CAS database on Oct. 4, 1991. |
| STN-CAS database Registry No. 295781-15-6. Entered STN-CAS database on Oct. 19, 2000. |
| STN-CAS database Registry No. 302899-57-6. Entered STN-CAS database on Nov. 15, 2000. |
| STN-CAS database Registry No. 42381-51-1. Entered STN-CAS database on Nov. 16, 1984. |
| STN-CAS database Registry No. 488783-17-1. Entered STN-CAS database on Feb. 12, 2003. |
| STN-CAS database Registry No. 490035-26-2. Entered STN-CAS database on Feb. 14, 2003. |
| STN-CAS database Registry No. 51750-80-2. Entered STN-CAS database on Nov. 16, 1984. |
| STN-CAS database Registry No. 56619-89-7. Entered STN-CAS database on Nov. 16, 1984. |
| STN-CAS database Registry No. 60068-43-1. Entered STN-CAS database on Nov. 16, 1984. |
| STN-CAS database Registry No. 60068-44-2. Entered STN-CAS database on Nov. 16, 1984. |
| STN-CAS database Registry No. 63888-68-6. Entered STN-CAS database on Nov. 16, 1984. |
| STN-CAS database Registry No. 63888-69-7. Entered STN-CAS database on Nov. 16, 1984. |
| STN-CAS database Registry No. 63888-70-0. Entered STN-CAS database on Nov. 16, 1984. |
| STN-CAS database Registry No. 63888-73-3. Entered STN-CAS database on Nov. 16, 1984. |
| STN-CAS database Registry No. 698698-42-9. Entered STN-CAS database on Jun. 24, 2004. |
| STN-CAS database Registry No. 757226-26-9. Entered STN-CAS database on Oct. 6, 2004. |
| STN-CAS database Registry No. 85438-36-4. Entered STN-CAS database on Nov. 16, 1984. |
| STN-CAS database Registry No. 90018-95-4. Entered STN-CAS database on Nov. 16, 1984. |
| STN-CAS database Registry No. 909783-96-6. Entered STN-CAS database on Oct. 6, 2006. |
| STN-CAS database Registry No. 909784-08-3. Entered STN-CAS database on Oct. 6, 2006. |
| STN-CAS database Registry No. 909784-14-1. Entered STN-CAS database on Oct. 6, 2006. |
| STN-CAS database Registry No. 94159-80-5. Entered STN-CAS database on Sep. 8, 1985. |
| Suh et al., Ionization of Poly(ethylenimine) and Poly(allylamine) at Various PHS. Bioorg Chem. 1994;22:318-27. |
| Swali et al., Solid-Phase Dendrimer Synthesis and the Generation of Super-High-Loading Resin Beads for Combinatorial Chemistry. J Org Chem Am Chem Soc. 1997;62:4902-03. |
| Szoka et al., Comparative properties and methods of preparation of lipid vesicles (liposomes). Annu Rev Biophys Bioeng. 1980;9:467-508. |
| Tan et al., Engineering Nanocarriers for siRNA Delivery. Small. Apr. 4, 2011;7(7):841-56. doi: 10.1002/sm11.201001389. Epub Feb. 25, 2011. |
| Tang et al., In vitro gene delivery by degraded polyamidoamine dendrimers. Bioconjug Chem. Nov.-Dec. 1996;7(6):703-14. |
| Tarcha et al., Synthesis and characterization of chemically condensed oligoethylenimine containing beta-aminopropionamide linkages for siRNA delivery. Biomaterials. Sep. 2007;28(25):3731-40. Epub May 3, 2007. |
| Thiel et al., Therapeutic applications of DNA and RNA aptamers. Oligonucleotides. Sep. 2009;19(3):209-22. doi: 10.1089/oli.2009.0199. |
| Toom et al., Synthesis of amphiphilic amino alcohols. Synthetic Communication. 2008;38(23):4295-4313. |
| Tranchant et al., Physicochemical optimisation of plasmid delivery by cationic lipids. J Gene Med. Feb. 2004;6 Suppl 1:S24-35. |
| Tsvetkov et al., [Neoglycoconjugates based on dendrimeric poly(aminoamides)]. Bioorg Khim. Nov.-Dec. 2002;28(6):518-34. Russian. Published in English in Russian Journal of Bioorganic Chemistry, 2002:28(6):470-86. |
| U.S. Appl. No. 11/453,222, filed Jul. 14, 2006, Anderson et al. |
| U.S. Appl. No. 12/613,968, filed Nov. 6, 2009, Mahon et al. |
| U.S. Appl. No. 12/716,732, filed Mar. 3, 2010, Mahon et al. |
| U.S. Appl. No. 13/126,260, filed Apr. 27, 2011, Nguyen et al. |
| U.S. Appl. No. 13/128,020, filed Aug. 16, 2011, Mahon et al. |
| U.S. Appl. No. 13/428,695, filed Mar. 23, 2012, Dahlman et al. |
| U.S. Appl. No. 13/662,002, filed Oct. 26, 2012, Dong et al. |
| U.S. Appl. No. 13/819,280, filed Feb. 26, 2013, Ma et al. |
| U.S. Appl. No. 14/089,603, filed Aug. 13, 2013, Anderson et al. |
| U.S. Appl. No. 14/089,603, filed Nov. 25, 2013, Anderson et al. |
| U.S. Appl. No. 14/267,530, filed May 1, 2014, Dong et al. |
| U.S. Appl. No. 14/599,004, filed Jan. 16, 2015, Mahon et al. |
| U.S. Appl. No. 14/900,869, Dec. 22, 2015, Alibi et al. |
| U.S. Appl. No. 14/941,384, filed Nov. 13, 2015, Ma et al. |
| U.S. Appl. No. 14/995,842, filed Jan. 14, 2016, Dahlman et al. |
| Urban-Klein et al., RNAi-mediated gene-targeting through systemic application of polyethylenimine (PEI)-complexed siRNA in vivo. Gene Ther. Mar. 2005;12(5):461-6. |
| Van Balen et al., Liposome/water lipophilicity: methods, information content, and pharmaceutical applications. Med Res Rev. May 2004;24(3):299-324. |
| Van De Wetering et al., Structure-activity relationships of water-soluble cationic methacrylate/methacrylamide polymers for nonviral gene delivery. Bioconjug Chem. Jul.-Aug. 1999;10(4):589-97. |
| Van Dijkhuizen-Radersma et al., Biocompatibility and degradation of poly(ether-ester) microspheres: in vitro and in vivo evaluation. Biomaterials. Dec. 2002;23(24):4719-29. |
| Vandenbroucke et al., Prolonged gene silencing in hepatoma cells and primary hepatocytes after small interfering RNA delivery with biodegradable poly(beta-amino esters). J Gene Med. Jul. 2008;10(7):783-94. |
| Von Harpe et al., Characterization of commercially available and synthesized polyethylenimines for gene delivery. J Control Release. Nov. 3, 2000;69(2):309-22. |
| Walde et al., Preparation of Vesicles (Liposomes). In: Encyclopedia of Nanoscience and Nanotechnology. Nalwa, ed. American Scientific Publishers: Los Angeles. 2004;9:43-79. |
| Weinstein et al., RNAi nanomedicines: challenges and opportunities within the immune system. Nanotechnology. Jun. 11, 2010;21(23):232001. doi: 10.1088/0957-4484/21/23/232001. Epub May 13, 2010. |
| Werth et al., A low molecular weight fraction of polyethylenimine (PEI) displays increased transfection efficiency of DNA and siRNA in fresh or lyophilized complexes. J Control Release. May 15, 2006;112(2):257-70. Epub Mar. 6, 2006. |
| Whitehead et al., In vitro-in vivo translation of lipid nanoparticles for hepatocellular siRNA delivery. ACS Nano. Aug. 28, 2012;6(8):6922-9. doi: 10.1021/nn301922x. Epub Jul. 6, 2012. |
| Whitehead et al., Knocking down barriers: advances in siRNA delivery. Nat Rev Drug Discov. Feb. 2009;8(2):129-38. |
| Williams, On the mechanisms of biocompatibility. Biomaterials. Jul. 2008;29(20):2941-53. Epub Apr. 28, 2008. |
| Wintermantel et al., Blocked polyurethane prepolymers as component A in reactive adhesives. STN International HCAPLUS Database. 2006. Accession No. 2006:215601. |
| Written Opinion for PCT/US2001/031270, mailed Jan. 2, 2003. |
| Wu et al., Cationic lipid polymerization as a novel approach for constructing new DNA delivery agents. Bioconjug Chem. Mar.-Apr. 2001;12(2):251-7. |
| Yoshioka et al., Epoxy-based Electroactive Polymer Gels. Experimental Mechanics. 2002;42:404-08. |
| Zagridullin et al., Monobasic amines. II. Cycloalkylation and hydroxyalkylation of cyclic and acyclic di- and polyamines . . . Zhurnal Organicheskoi Khimii. 1990;26(1):184-88. Russian. |
| Zamora et al., RNA interference therapy in lung transplant patients infected with respiratory syncytial virus. Am J Respir Crit Care Med. Feb. 15, 2011;183(4):531-8. doi: 10.1164/rccm.201003-0422OC. Epub Sep. 17, 2010. |
| Zaugg et al., 3-Carboxy-2,5-piperazinedione and Derivatives. J Amer Chem Soc. Jun. 5, 1956;78(11):2626-2631. |
| Zhang et al., Ionization behavior of amino lipids for siRNA delivery: determination of ionization constants, SAR, and the impact of lipid pKa on cationic lipid-biomembrane interactions. Langmuir. Mar. 1, 2011;27(5):1907-14. doi: 10.1021/1a104590k. Epub Jan. 20, 2011. |
| Zintchenko et al., Simple modifications of branched PEI lead to highly efficient siRNA carriers with low toxicity. Bioconjug Chem. Jul. 2008;19(7):1448-55. Epub Jun. 14, 2008. |
Cited By (20)
| Publication number | Priority date | Publication date | Assignee | Title |
|---|---|---|---|---|
| US10844028B2 (en) | 2008-11-07 | 2020-11-24 | Massachusetts Institute Of Technology | Aminoalcohol lipidoids and uses thereof |
| US10189802B2 (en) | 2008-11-07 | 2019-01-29 | Massachusetts Institute Of Technology | Aminoalcohol lipidoids and uses thereof |
| US11414393B2 (en) | 2008-11-07 | 2022-08-16 | Massachusetts Institute Of Technology | Aminoalcohol lipidoids and uses thereof |
| US12390528B2 (en) | 2011-03-28 | 2025-08-19 | Massachusetts Institute Of Technology | Conjugated lipomers and uses thereof |
| US10117934B2 (en) | 2011-03-28 | 2018-11-06 | Massachusetts Institute Of Technology | Conjugated lipomers and uses thereof |
| US10933139B2 (en) | 2011-03-28 | 2021-03-02 | Massachusetts Institute Of Technology | Conjugated lipomers and uses thereof |
| US11458158B2 (en) | 2011-10-27 | 2022-10-04 | Massachusetts Institute Of Technology | Amino acid-, peptide- and polypeptide-lipids, isomers, compositions, and uses thereof |
| US10086013B2 (en) | 2011-10-27 | 2018-10-02 | Massachusetts Institute Of Technology | Amino acid-, peptide- and polypeptide-lipids, isomers, compositions, and uses thereof |
| US10682374B2 (en) | 2011-10-27 | 2020-06-16 | Massachusetts Intstitute Of Technology | Amino acid-, peptide- and polypeptide-lipids, isomers, compositions, and uses thereof |
| US9840479B2 (en) | 2014-07-02 | 2017-12-12 | Massachusetts Institute Of Technology | Polyamine-fatty acid derived lipidoids and uses thereof |
| US10695444B2 (en) | 2015-06-19 | 2020-06-30 | Massachusetts Institute Of Technology | Alkenyl substituted 2,5-piperazinediones, compositions, and uses thereof |
| US10201618B2 (en) | 2015-06-19 | 2019-02-12 | Massachusetts Institute Of Technology | Alkenyl substituted 2,5-piperazinediones, compositions, and uses thereof |
| US11773391B2 (en) | 2020-04-01 | 2023-10-03 | University of Pittsburgh—of the Commonwealth System of Higher Education | Therapeutic and diagnostic target for SARS-CoV-2 and COVID-19 |
| US12458604B2 (en) | 2020-10-14 | 2025-11-04 | The Trustees Of The University Of Pennsylvania | Methods of lipid nanoparticle manufacture and compositions derived therefrom |
| EP4333810A4 (en) * | 2021-05-07 | 2025-04-23 | Carnegie Mellon University | Lipid nanoparticle-mediated mrna delivery to the pancreas |
| WO2023078954A1 (en) | 2021-11-02 | 2023-05-11 | Ziphius Vaccines Nv | Lipid nanoparticles for oligonucleotide delivery |
| WO2023078950A1 (en) | 2021-11-02 | 2023-05-11 | Ziphius Vaccines Nv | Lipid nanoparticles for oligonucleotide delivery |
| WO2023078946A1 (en) | 2021-11-02 | 2023-05-11 | Ziphius Vaccines Nv | Lipid nanoparticles for oligonucleotide delivery |
| EP4613741A2 (en) | 2021-11-02 | 2025-09-10 | Ziphius Nv | Lipid nanoparticles for oligonucleotide delivery |
| EP4613740A2 (en) | 2021-11-02 | 2025-09-10 | Ziphius Nv | Lipid nanoparticles for oligonucleotide delivery |
Also Published As
| Publication number | Publication date |
|---|---|
| EP2882706A1 (en) | 2015-06-17 |
| US20160114042A1 (en) | 2016-04-28 |
| US9227917B2 (en) | 2016-01-05 |
| US20140161830A1 (en) | 2014-06-12 |
| US20170152213A1 (en) | 2017-06-01 |
| CA2884870A1 (en) | 2014-02-20 |
| CA2884870C (en) | 2022-03-29 |
| WO2014028487A1 (en) | 2014-02-20 |
Similar Documents
| Publication | Publication Date | Title |
|---|---|---|
| US9439968B2 (en) | Amine-containing lipidoids and uses thereof | |
| US12390528B2 (en) | Conjugated lipomers and uses thereof | |
| US9872911B2 (en) | Alpha-aminoamidine polymers and uses thereof | |
| US20230124955A1 (en) | Amino acid-, peptide- and polypeptide-lipids, isomers, compositions, and uses thereof | |
| US20220389422A1 (en) | Ionizable cationic lipids for rna delivery | |
| US11696953B2 (en) | Poly(beta-amino esters) and uses thereof | |
| US20230263742A1 (en) | A lipid | |
| US20240342294A1 (en) | Polymers containing beta-amino-ester (bae) and beta-thio-ester (bte) | |
| EA040020B1 (en) | AMINO ACID DERIVATIVES FUNCTIONALIZED AT THE N-TERMINAL, CAPABLE OF FORMING DRUG ENCAPSULATED MICROSPHERES | |
| HK1201525B (en) | Amino acid derivatives functionalized on the n-terminal capable of forming drug incapsulating microspheres |
Legal Events
| Date | Code | Title | Description |
|---|---|---|---|
| FEPP | Fee payment procedure |
Free format text: PAYOR NUMBER ASSIGNED (ORIGINAL EVENT CODE: ASPN); ENTITY STATUS OF PATENT OWNER: LARGE ENTITY |
|
| AS | Assignment |
Owner name: MASSACHUSETTS INSTITUTE OF TECHNOLOGY, MASSACHUSET Free format text: ASSIGNMENT OF ASSIGNORS INTEREST;ASSIGNORS:ANDERSON, DANIEL GRIFFITH;DORKIN, JOSEPH R.;VEGAS, ARTURO JOSE;AND OTHERS;SIGNING DATES FROM 20140106 TO 20140715;REEL/FRAME:037617/0763 |
|
| STCF | Information on status: patent grant |
Free format text: PATENTED CASE |
|
| AS | Assignment |
Owner name: NATIONAL INSTITUTES OF HEALTH (NIH), U.S. DEPT. OF Free format text: CONFIRMATORY LICENSE;ASSIGNOR:MASSACHUSETTS INSTITUTE OF TECHNOLOGY;REEL/FRAME:046317/0282 Effective date: 20180504 |
|
| MAFP | Maintenance fee payment |
Free format text: PAYMENT OF MAINTENANCE FEE, 4TH YEAR, LARGE ENTITY (ORIGINAL EVENT CODE: M1551); ENTITY STATUS OF PATENT OWNER: LARGE ENTITY Year of fee payment: 4 |
|
| MAFP | Maintenance fee payment |
Free format text: PAYMENT OF MAINTENANCE FEE, 8TH YEAR, LARGE ENTITY (ORIGINAL EVENT CODE: M1552); ENTITY STATUS OF PATENT OWNER: LARGE ENTITY Year of fee payment: 8 |























































































































































