WO2017100744A1 - Aminolipidoids and uses thereof - Google Patents
Aminolipidoids and uses thereof Download PDFInfo
- Publication number
- WO2017100744A1 WO2017100744A1 PCT/US2016/066100 US2016066100W WO2017100744A1 WO 2017100744 A1 WO2017100744 A1 WO 2017100744A1 US 2016066100 W US2016066100 W US 2016066100W WO 2017100744 A1 WO2017100744 A1 WO 2017100744A1
- Authority
- WO
- WIPO (PCT)
- Prior art keywords
- compound
- group
- plant
- formulation
- certain embodiments
- Prior art date
- Legal status (The legal status is an assumption and is not a legal conclusion. Google has not performed a legal analysis and makes no representation as to the accuracy of the status listed.)
- Ceased
Links
- 0 CC*(*)C(*)*(CC)*C(C)C(*)**(C)C(*)*NC(C)(*)* Chemical compound CC*(*)C(*)*(CC)*C(C)C(*)**(C)C(*)*NC(C)(*)* 0.000 description 8
- BBZDNJJHSLDDFA-UHFFFAOYSA-N CC(C)CC(CCCOC(NC)=O)O Chemical compound CC(C)CC(CCCOC(NC)=O)O BBZDNJJHSLDDFA-UHFFFAOYSA-N 0.000 description 1
- TYGZBDJFJUVNGS-UHFFFAOYSA-N CCCC(CCCCC(ONS)=O)O Chemical compound CCCC(CCCCC(ONS)=O)O TYGZBDJFJUVNGS-UHFFFAOYSA-N 0.000 description 1
- PZJUCASQXTZZQS-UHFFFAOYSA-N CCCCCCCCNOC(CCCCC(CC)O)=O Chemical compound CCCCCCCCNOC(CCCCC(CC)O)=O PZJUCASQXTZZQS-UHFFFAOYSA-N 0.000 description 1
- ZOFDQEABXHLAOH-UHFFFAOYSA-N CCCNOC(CCCCC(CC)O)=O Chemical compound CCCNOC(CCCCC(CC)O)=O ZOFDQEABXHLAOH-UHFFFAOYSA-N 0.000 description 1
- KOFUAFUVKQNNIG-UHFFFAOYSA-N CCNCCCNCCC1=[I]C1NCCN(C)CCN Chemical compound CCNCCCNCCC1=[I]C1NCCN(C)CCN KOFUAFUVKQNNIG-UHFFFAOYSA-N 0.000 description 1
- VILCJCGEZXAXTO-UHFFFAOYSA-N NCCNCCNCCN Chemical compound NCCNCCNCCN VILCJCGEZXAXTO-UHFFFAOYSA-N 0.000 description 1
Classifications
-
- C—CHEMISTRY; METALLURGY
- C07—ORGANIC CHEMISTRY
- C07C—ACYCLIC OR CARBOCYCLIC COMPOUNDS
- C07C211/00—Compounds containing amino groups bound to a carbon skeleton
- C07C211/01—Compounds containing amino groups bound to a carbon skeleton having amino groups bound to acyclic carbon atoms
- C07C211/02—Compounds containing amino groups bound to a carbon skeleton having amino groups bound to acyclic carbon atoms of an acyclic saturated carbon skeleton
- C07C211/14—Amines containing amino groups bound to at least two aminoalkyl groups, e.g. diethylenetriamines
-
- A—HUMAN NECESSITIES
- A01—AGRICULTURE; FORESTRY; ANIMAL HUSBANDRY; HUNTING; TRAPPING; FISHING
- A01N—PRESERVATION OF BODIES OF HUMANS OR ANIMALS OR PLANTS OR PARTS THEREOF; BIOCIDES, e.g. AS DISINFECTANTS, AS PESTICIDES OR AS HERBICIDES; PEST REPELLANTS OR ATTRACTANTS; PLANT GROWTH REGULATORS
- A01N25/00—Biocides, pest repellants or attractants, or plant growth regulators, characterised by their forms, or by their non-active ingredients or by their methods of application, e.g. seed treatment or sequential application; Substances for reducing the noxious effect of the active ingredients to organisms other than pests
- A01N25/30—Biocides, pest repellants or attractants, or plant growth regulators, characterised by their forms, or by their non-active ingredients or by their methods of application, e.g. seed treatment or sequential application; Substances for reducing the noxious effect of the active ingredients to organisms other than pests characterised by the surfactants
-
- A—HUMAN NECESSITIES
- A61—MEDICAL OR VETERINARY SCIENCE; HYGIENE
- A61K—PREPARATIONS FOR MEDICAL, DENTAL OR TOILETRY PURPOSES
- A61K31/00—Medicinal preparations containing organic active ingredients
- A61K31/70—Carbohydrates; Sugars; Derivatives thereof
- A61K31/7088—Compounds having three or more nucleosides or nucleotides
-
- A—HUMAN NECESSITIES
- A61—MEDICAL OR VETERINARY SCIENCE; HYGIENE
- A61K—PREPARATIONS FOR MEDICAL, DENTAL OR TOILETRY PURPOSES
- A61K31/00—Medicinal preparations containing organic active ingredients
- A61K31/70—Carbohydrates; Sugars; Derivatives thereof
- A61K31/7088—Compounds having three or more nucleosides or nucleotides
- A61K31/7105—Natural ribonucleic acids, i.e. containing only riboses attached to adenine, guanine, cytosine or uracil and having 3'-5' phosphodiester links
-
- A—HUMAN NECESSITIES
- A61—MEDICAL OR VETERINARY SCIENCE; HYGIENE
- A61K—PREPARATIONS FOR MEDICAL, DENTAL OR TOILETRY PURPOSES
- A61K31/00—Medicinal preparations containing organic active ingredients
- A61K31/70—Carbohydrates; Sugars; Derivatives thereof
- A61K31/7088—Compounds having three or more nucleosides or nucleotides
- A61K31/713—Double-stranded nucleic acids or oligonucleotides
-
- A—HUMAN NECESSITIES
- A61—MEDICAL OR VETERINARY SCIENCE; HYGIENE
- A61K—PREPARATIONS FOR MEDICAL, DENTAL OR TOILETRY PURPOSES
- A61K47/00—Medicinal preparations characterised by the non-active ingredients used, e.g. carriers or inert additives; Targeting or modifying agents chemically bound to the active ingredient
-
- C—CHEMISTRY; METALLURGY
- C07—ORGANIC CHEMISTRY
- C07C—ACYCLIC OR CARBOCYCLIC COMPOUNDS
- C07C211/00—Compounds containing amino groups bound to a carbon skeleton
- C07C211/01—Compounds containing amino groups bound to a carbon skeleton having amino groups bound to acyclic carbon atoms
- C07C211/02—Compounds containing amino groups bound to a carbon skeleton having amino groups bound to acyclic carbon atoms of an acyclic saturated carbon skeleton
-
- C—CHEMISTRY; METALLURGY
- C07—ORGANIC CHEMISTRY
- C07C—ACYCLIC OR CARBOCYCLIC COMPOUNDS
- C07C215/00—Compounds containing amino and hydroxy groups bound to the same carbon skeleton
- C07C215/02—Compounds containing amino and hydroxy groups bound to the same carbon skeleton having hydroxy groups and amino groups bound to acyclic carbon atoms of the same carbon skeleton
- C07C215/04—Compounds containing amino and hydroxy groups bound to the same carbon skeleton having hydroxy groups and amino groups bound to acyclic carbon atoms of the same carbon skeleton the carbon skeleton being saturated
- C07C215/06—Compounds containing amino and hydroxy groups bound to the same carbon skeleton having hydroxy groups and amino groups bound to acyclic carbon atoms of the same carbon skeleton the carbon skeleton being saturated and acyclic
- C07C215/10—Compounds containing amino and hydroxy groups bound to the same carbon skeleton having hydroxy groups and amino groups bound to acyclic carbon atoms of the same carbon skeleton the carbon skeleton being saturated and acyclic with one amino group and at least two hydroxy groups bound to the carbon skeleton
-
- C—CHEMISTRY; METALLURGY
- C07—ORGANIC CHEMISTRY
- C07C—ACYCLIC OR CARBOCYCLIC COMPOUNDS
- C07C219/00—Compounds containing amino and esterified hydroxy groups bound to the same carbon skeleton
- C07C219/02—Compounds containing amino and esterified hydroxy groups bound to the same carbon skeleton having esterified hydroxy groups and amino groups bound to acyclic carbon atoms of the same carbon skeleton
- C07C219/04—Compounds containing amino and esterified hydroxy groups bound to the same carbon skeleton having esterified hydroxy groups and amino groups bound to acyclic carbon atoms of the same carbon skeleton the carbon skeleton being acyclic and saturated
- C07C219/06—Compounds containing amino and esterified hydroxy groups bound to the same carbon skeleton having esterified hydroxy groups and amino groups bound to acyclic carbon atoms of the same carbon skeleton the carbon skeleton being acyclic and saturated having the hydroxy groups esterified by carboxylic acids having the esterifying carboxyl groups bound to hydrogen atoms or to acyclic carbon atoms of an acyclic saturated carbon skeleton
-
- C—CHEMISTRY; METALLURGY
- C07—ORGANIC CHEMISTRY
- C07C—ACYCLIC OR CARBOCYCLIC COMPOUNDS
- C07C219/00—Compounds containing amino and esterified hydroxy groups bound to the same carbon skeleton
- C07C219/02—Compounds containing amino and esterified hydroxy groups bound to the same carbon skeleton having esterified hydroxy groups and amino groups bound to acyclic carbon atoms of the same carbon skeleton
- C07C219/04—Compounds containing amino and esterified hydroxy groups bound to the same carbon skeleton having esterified hydroxy groups and amino groups bound to acyclic carbon atoms of the same carbon skeleton the carbon skeleton being acyclic and saturated
- C07C219/08—Compounds containing amino and esterified hydroxy groups bound to the same carbon skeleton having esterified hydroxy groups and amino groups bound to acyclic carbon atoms of the same carbon skeleton the carbon skeleton being acyclic and saturated having at least one of the hydroxy groups esterified by a carboxylic acid having the esterifying carboxyl group bound to an acyclic carbon atom of an acyclic unsaturated carbon skeleton
-
- C—CHEMISTRY; METALLURGY
- C07—ORGANIC CHEMISTRY
- C07C—ACYCLIC OR CARBOCYCLIC COMPOUNDS
- C07C229/00—Compounds containing amino and carboxyl groups bound to the same carbon skeleton
- C07C229/02—Compounds containing amino and carboxyl groups bound to the same carbon skeleton having amino and carboxyl groups bound to acyclic carbon atoms of the same carbon skeleton
- C07C229/04—Compounds containing amino and carboxyl groups bound to the same carbon skeleton having amino and carboxyl groups bound to acyclic carbon atoms of the same carbon skeleton the carbon skeleton being acyclic and saturated
- C07C229/06—Compounds containing amino and carboxyl groups bound to the same carbon skeleton having amino and carboxyl groups bound to acyclic carbon atoms of the same carbon skeleton the carbon skeleton being acyclic and saturated having only one amino and one carboxyl group bound to the carbon skeleton
- C07C229/10—Compounds containing amino and carboxyl groups bound to the same carbon skeleton having amino and carboxyl groups bound to acyclic carbon atoms of the same carbon skeleton the carbon skeleton being acyclic and saturated having only one amino and one carboxyl group bound to the carbon skeleton the nitrogen atom of the amino group being further bound to acyclic carbon atoms or to carbon atoms of rings other than six-membered aromatic rings
- C07C229/16—Compounds containing amino and carboxyl groups bound to the same carbon skeleton having amino and carboxyl groups bound to acyclic carbon atoms of the same carbon skeleton the carbon skeleton being acyclic and saturated having only one amino and one carboxyl group bound to the carbon skeleton the nitrogen atom of the amino group being further bound to acyclic carbon atoms or to carbon atoms of rings other than six-membered aromatic rings to carbon atoms of hydrocarbon radicals substituted by amino or carboxyl groups, e.g. ethylenediamine-tetra-acetic acid, iminodiacetic acids
-
- C—CHEMISTRY; METALLURGY
- C07—ORGANIC CHEMISTRY
- C07D—HETEROCYCLIC COMPOUNDS
- C07D211/00—Heterocyclic compounds containing hydrogenated pyridine rings, not condensed with other rings
- C07D211/04—Heterocyclic compounds containing hydrogenated pyridine rings, not condensed with other rings with only hydrogen or carbon atoms directly attached to the ring nitrogen atom
- C07D211/06—Heterocyclic compounds containing hydrogenated pyridine rings, not condensed with other rings with only hydrogen or carbon atoms directly attached to the ring nitrogen atom having no double bonds between ring members or between ring members and non-ring members
- C07D211/08—Heterocyclic compounds containing hydrogenated pyridine rings, not condensed with other rings with only hydrogen or carbon atoms directly attached to the ring nitrogen atom having no double bonds between ring members or between ring members and non-ring members with hydrocarbon or substituted hydrocarbon radicals directly attached to ring carbon atoms
- C07D211/18—Heterocyclic compounds containing hydrogenated pyridine rings, not condensed with other rings with only hydrogen or carbon atoms directly attached to the ring nitrogen atom having no double bonds between ring members or between ring members and non-ring members with hydrocarbon or substituted hydrocarbon radicals directly attached to ring carbon atoms with substituted hydrocarbon radicals attached to ring carbon atoms
- C07D211/26—Heterocyclic compounds containing hydrogenated pyridine rings, not condensed with other rings with only hydrogen or carbon atoms directly attached to the ring nitrogen atom having no double bonds between ring members or between ring members and non-ring members with hydrocarbon or substituted hydrocarbon radicals directly attached to ring carbon atoms with substituted hydrocarbon radicals attached to ring carbon atoms with hydrocarbon radicals, substituted by nitrogen atoms
-
- C—CHEMISTRY; METALLURGY
- C07—ORGANIC CHEMISTRY
- C07D—HETEROCYCLIC COMPOUNDS
- C07D295/00—Heterocyclic compounds containing polymethylene-imine rings with at least five ring members, 3-azabicyclo [3.2.2] nonane, piperazine, morpholine or thiomorpholine rings, having only hydrogen atoms directly attached to the ring carbon atoms
- C07D295/04—Heterocyclic compounds containing polymethylene-imine rings with at least five ring members, 3-azabicyclo [3.2.2] nonane, piperazine, morpholine or thiomorpholine rings, having only hydrogen atoms directly attached to the ring carbon atoms with substituted hydrocarbon radicals attached to ring nitrogen atoms
- C07D295/12—Heterocyclic compounds containing polymethylene-imine rings with at least five ring members, 3-azabicyclo [3.2.2] nonane, piperazine, morpholine or thiomorpholine rings, having only hydrogen atoms directly attached to the ring carbon atoms with substituted hydrocarbon radicals attached to ring nitrogen atoms substituted by singly or doubly bound nitrogen atoms
- C07D295/125—Heterocyclic compounds containing polymethylene-imine rings with at least five ring members, 3-azabicyclo [3.2.2] nonane, piperazine, morpholine or thiomorpholine rings, having only hydrogen atoms directly attached to the ring carbon atoms with substituted hydrocarbon radicals attached to ring nitrogen atoms substituted by singly or doubly bound nitrogen atoms with the ring nitrogen atoms and the substituent nitrogen atoms attached to the same carbon chain, which is not interrupted by carbocyclic rings
- C07D295/13—Heterocyclic compounds containing polymethylene-imine rings with at least five ring members, 3-azabicyclo [3.2.2] nonane, piperazine, morpholine or thiomorpholine rings, having only hydrogen atoms directly attached to the ring carbon atoms with substituted hydrocarbon radicals attached to ring nitrogen atoms substituted by singly or doubly bound nitrogen atoms with the ring nitrogen atoms and the substituent nitrogen atoms attached to the same carbon chain, which is not interrupted by carbocyclic rings to an acyclic saturated chain
Definitions
- the present disclosure relates generally to novel aminolipidoids containing carbonyl group-based functionalities (hereinafter referred to as "aminolipidoids").
- aminolipidoids containing carbonyl group-based functionalities
- the present disclosure also relates generally to methods of preparing such aminolipidoids, their formulation with one or more active agents, and the delivery of such formulations to target organisms.
- a wide range of molecules have been employed for delivering polynucleotides and other active agents to cells.
- polymers such as polyethylenimine or poly(beta-aminoesters) have been used to effectively complex DNA for delivery into cells.
- Polymers in these classes of delivery agent typically contain amine functionalities that serve to electrostatically bind to DNA to form nanoparticles that are then taken up by the cell via endocytosis. Once in the cell, it is hypothesized that these amine groups serve to buffer the endosome and cause an influx of ions due to the proton-sponge mechanism. The resulting burst of the endocytic vesicle leads to the release of the payload of the particle, which is then free to travel to the nucleus where the DNA is expressed.
- RNA Ribonucleic acid
- RNA Ribonucleic acid
- RNA Ribonucleic acid
- the delivery system needs to protect RNA from nuclease degradation, allow for the proper concentration and distribution profile in the target tissues, facilitate efficient uptake of RNA into target cells, and release RNA into cytoplasm to knockout expression of the target gene.
- lipid-based delivery system generally consist of a positively charged headgroup and a hydrophobic tail.
- the charged portion serves to electrostatically bind the negatively charged RNA, while the hydrophobic tail leads to self- assembly into lipophilic particles.
- Such cationic lipids are promising but still fall short of the transfection efficiency achieved by viral vectors. Few advances have been made in the field, in part due to the limited structural diversity of these lipid-like molecules, which is a result of the difficult synthetic procedures oftentimes required to access these structures.
- many lipid-based nucleotide formulations are toxic and/or require the action of endosome formation to deliver their pay loads.
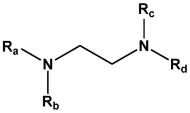
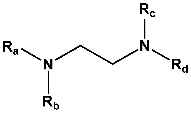
- One embodiment of the present invention is a compound of formula (I):
- V is a moiety derived from a compound comprising (1) at least one primary
- W is, independently, a primary or secondary amino group of moiety V;
- X is, independently, methylene, a group of formula (II):
- A is O or NR 3 , wherein R 3 is selected from the group
- Y is, independently, a single covalent bond, O, or a group of formula (IV):
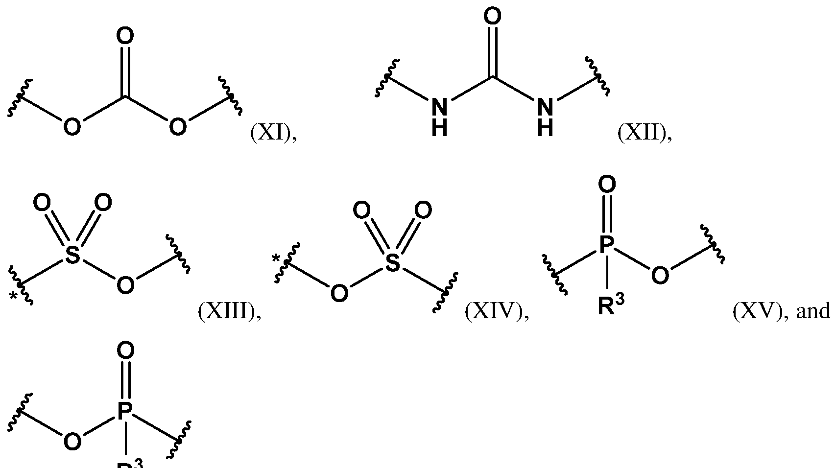
- Z is, independently, a group of formulae (V), (VI), (VII), (VIII), (IX), (X), (XI), (XII), (XIII), (XIV), (XV), (XVI), and (XVII):
- R is, independently, an optionally substituted aliphatic or cycloaliphatic
- R 1 and R 2 are each, independently, a halogen, an optionally substituted aliphatic or cycloaliphatic group, an optionally substituted heteroaliphatic or
- heterocycloaliphatic group an optionally substituted aralkyl group, an
- R is, independently, hydroxy, an optionally substituted aliphatic or
- heterocycloaliphatic group an optionally substituted aralkyl group, an
- p is an integer from 2 to 5,000; and wherein the optionally substituted aliphatic, cyclo aliphatic, hetero aliphatic,
- heterocycloaliphatic, and aralkyl groups or R, R 1 , R2 , and R 3 optionally comprise one or more groups of formulae (V), (VI), (VII), (VIII), (IX), (X), (XI), (XII), (XIII), (XIV), (XV), (XVI), and (XVII).
- Another embodiment of the present invention is the above compound, wherein said compound is a compound of formula (la):
- q is an integer from 0 to 18.
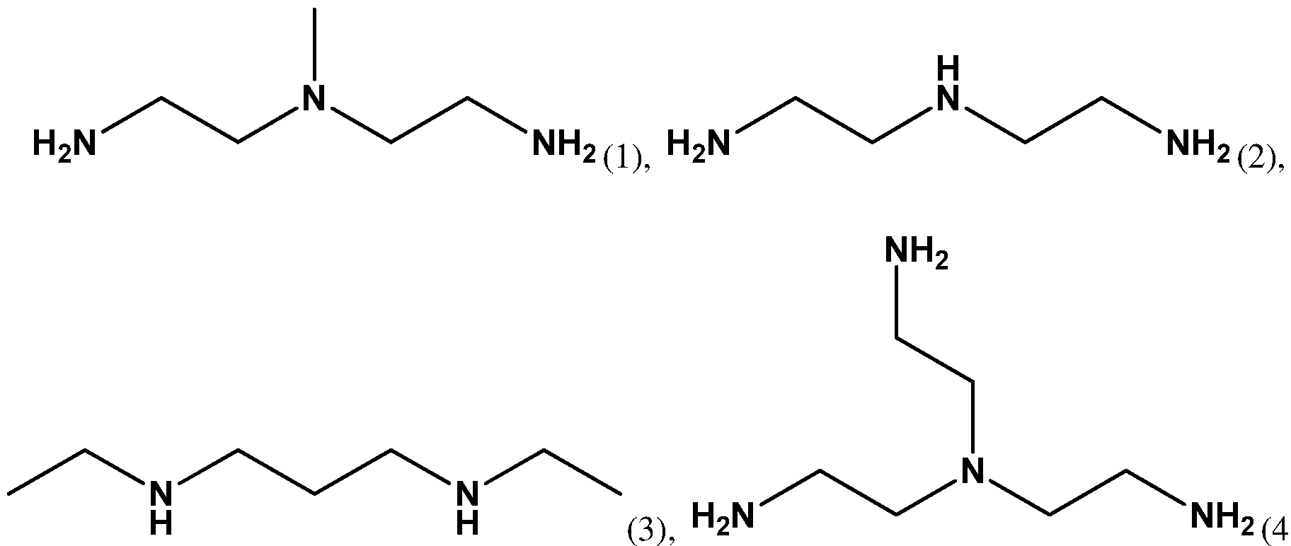
- V is derived from a compound having from 2 to 6 primary and/or secondary amino groups.
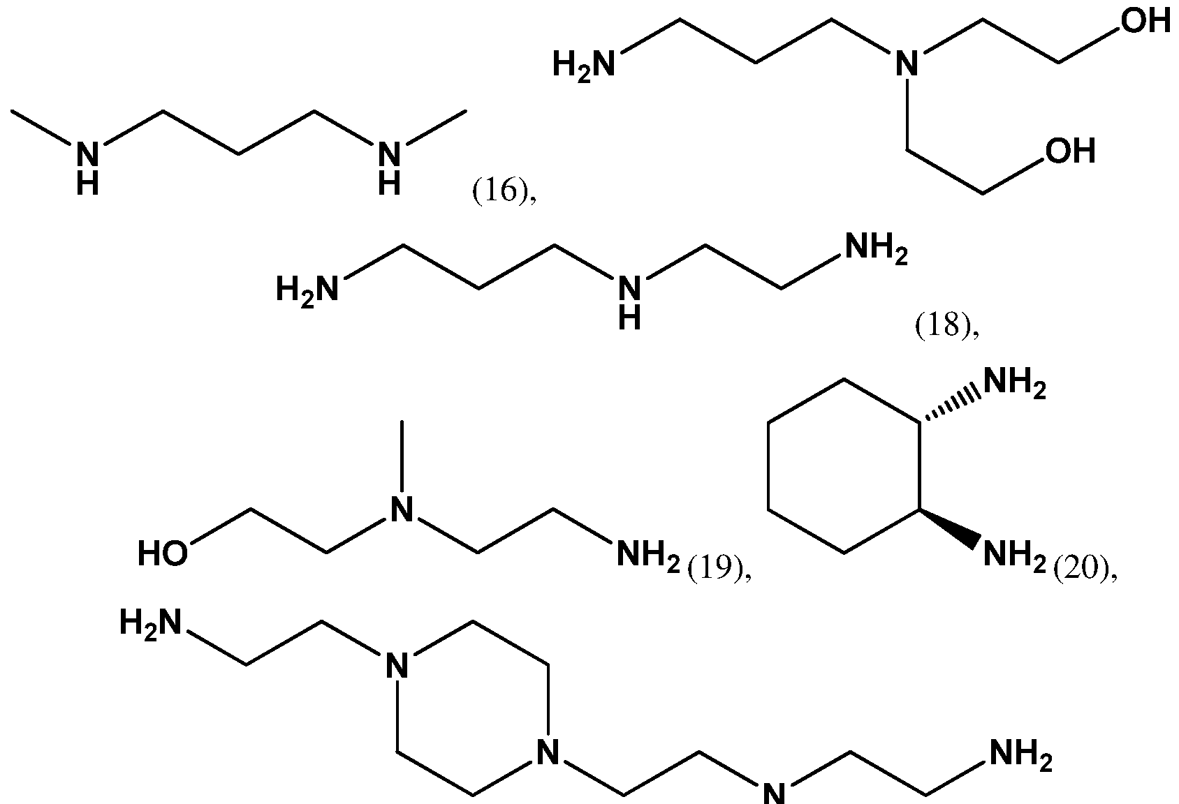
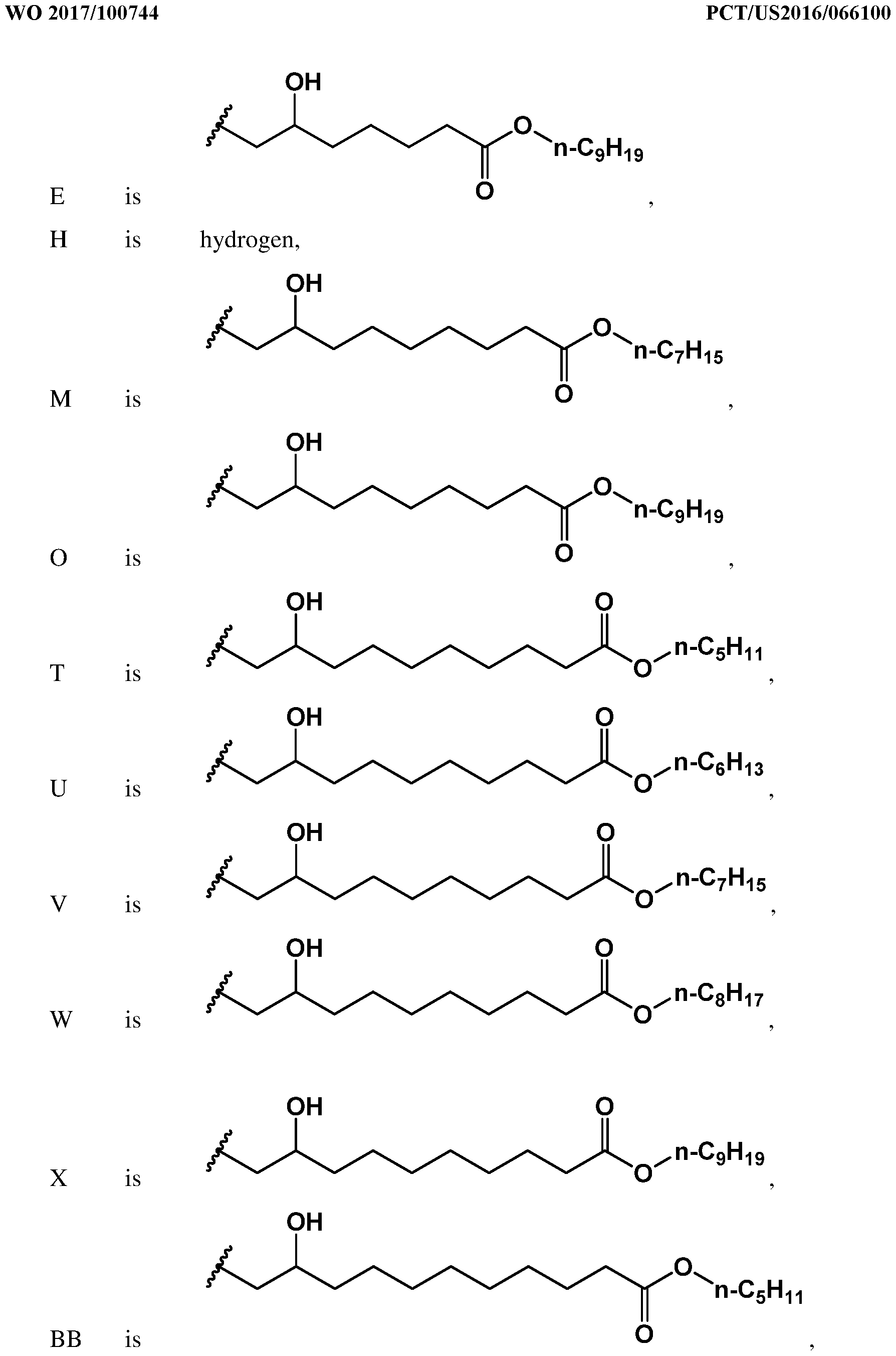
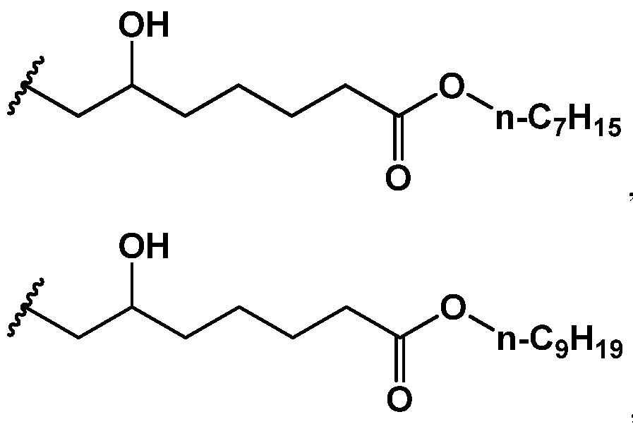
- V is derived from a compound selected from the group consisting of formulae (1) through (22):
- R is a Ci to C 2 o alkyl group.
- R is a Ci to C 12 alkyl group.
- Another embodiment of the present invention is the above compound, wherein said compound is a compound of formula (lb):
- q is an integer from 2 to 7.
- V is derived from a compound selected from the group consisting of formulae (1), (3), (5) through (8), and (21):
- n 0;
- q 2, 4, 5, or 6;
- R is a C 3 , C5, or C 7-11 n-alkyl group
- R is a Ci, C 3 , or C5-10 n-alkyl group or an isobutyl group;
- R is a Ci, C 3 , or C 4 _9 n-alkyl group
- R is a Ci or C 4 _9 n-alkyl group or an isobutyl group; and p is 1 or 2, when W is derived from a compound of formula (3);
- V is derived from a polyethyleneimine.
- Another embodiment of the present invention is the above compound, wherein the polyethyleneimine is branched.
- Another embodiment of the present invention is the above compound, wherein the polyethyleneimine is hyperbranched.
- Another embodiment of the present invention is the above compound, wherein the polyethyleneimine is dendritic.
- Another embodiment of the present invention is the above compound, wherein the branched polyethyleneimine has a number average molecular weight (M n ) in the range of from 600 to 10,000 Daltons.
- Another embodiment of the present invention is the above compound, wherein the branched polyethyleneimine has a number average molecular weight (M n ) of greater than 2,000 Daltons.
- Another embodiment of the present invention is the above compound, wherein the branched polyethyleneimine has a number average molecular weight (M n ) selected from the group consisting of 600, 1,200, 1,800, and 10,000 Daltons.
- M n number average molecular weight
- Another embodiment of the present invention is the above compound, wherein the branched polyethyleneimine comprises primary, secondary, and tertiary amino groups present in a ratio of 1:2: 1.
- Another embodiment of the present invention is the above compound, wherein the modified polyethyleneimine is linear.
- Another embodiment of the present invention is the above compound, wherein the linear polyethyleneimine has a number average molecular weight (M n ) of greater than 2,000 Daltons.
- Another embodiment of the present invention is the above compound, wherein the linear polyethyleneimine has a number average molecular weight (M n ) in the range of from 2,500 to 100,000 Daltons.
- M n number average molecular weight
- Another embodiment of the present invention is the above compound, wherein the polyethyleneimine has a number average molecular weight (M n ) of 2,500 Daltons.
- Another embodiment of the present invention is the above compound, wherein the polyethyleneimine is derived from the partial hydrolysis of a poly(2-alkyl-2-oxazoline).
- Another embodiment of the present invention is the above compound, wherein the poly(2-alkyl-2-oxazoline) is poly(2-ethyl-2-oxazoline).
- Another embodiment of the present invention is the above compound, wherein
- R is a biologically active compound selected from the group consisting of hormones and lipids.
- R is a plant or insect hormone or lipid.
- R is a biologically active compound independently selected from the group consisting of auxins, abscisic acid, coronantine, gibberellic acids, ecdysone, stigmasterol, sitosterol, cholesterol, tocopherols, and methoprene.
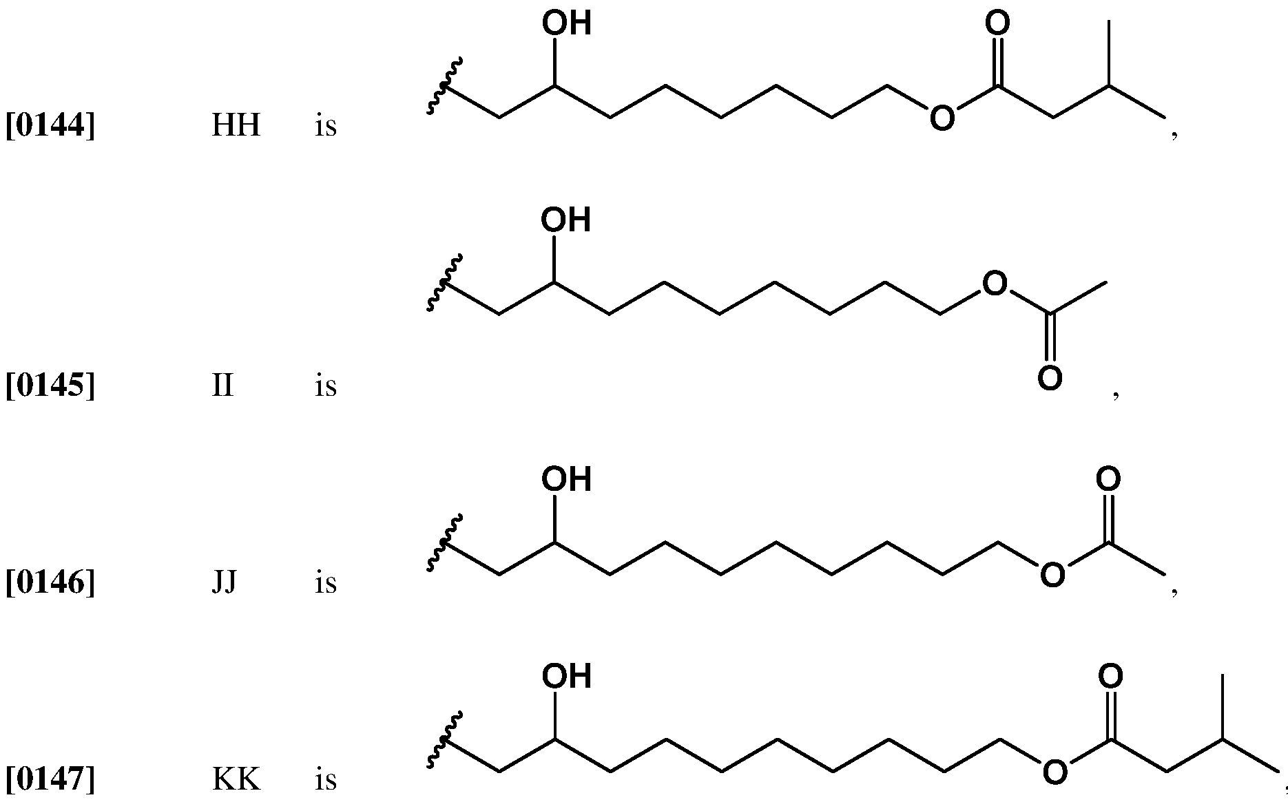
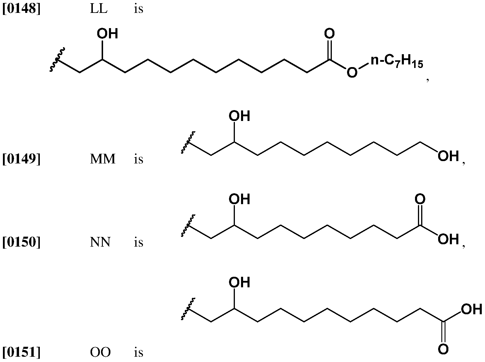
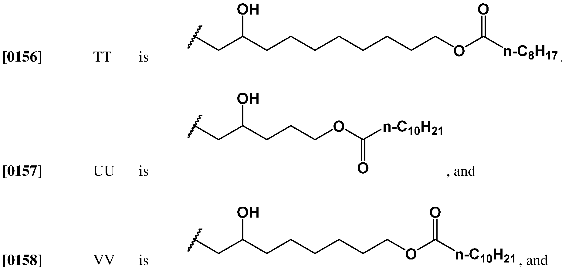
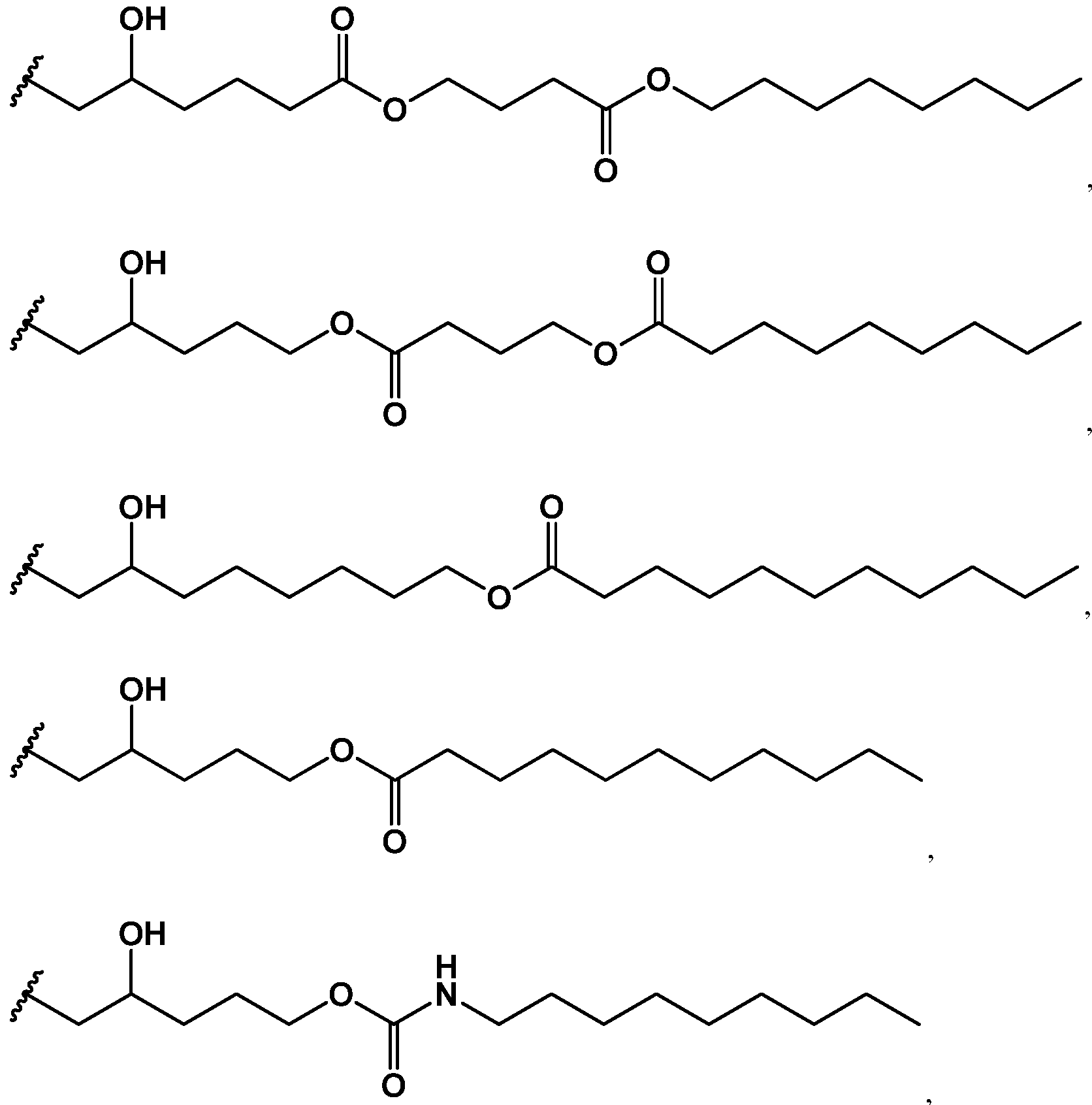
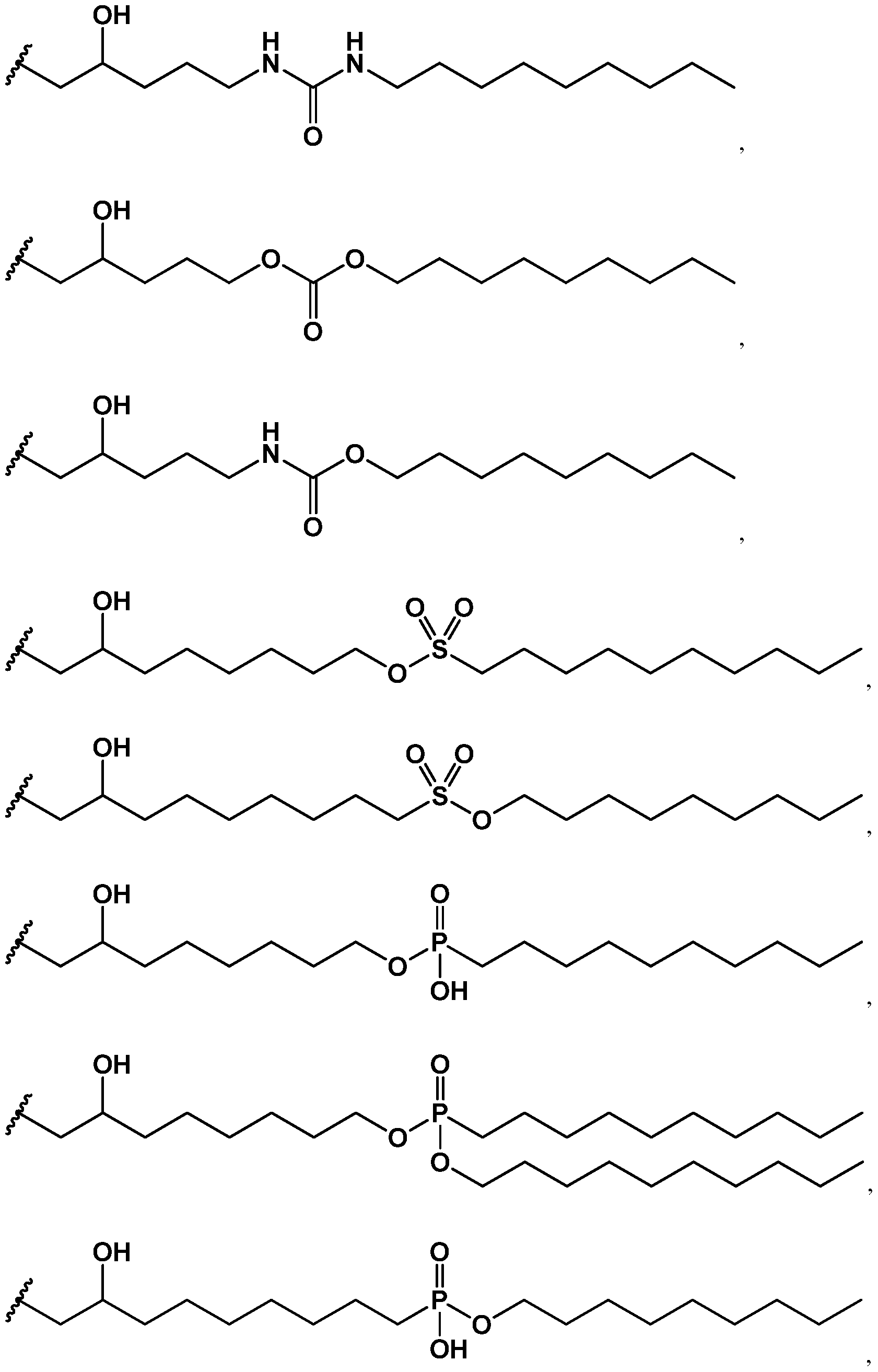
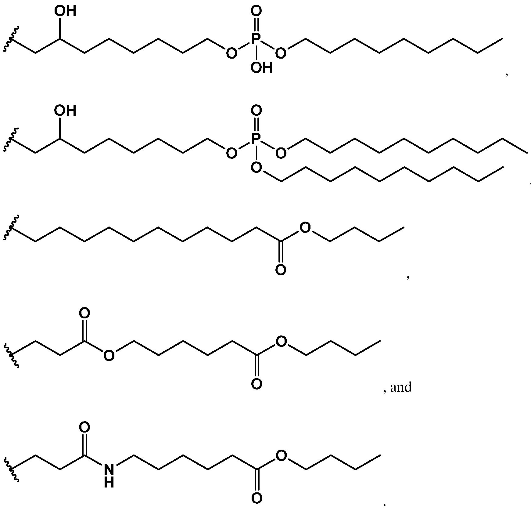
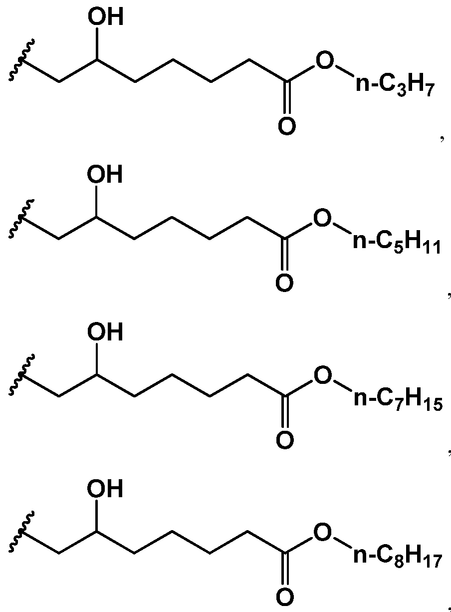
- Yet another embodiment of the present invention is a compound selected from the group consisting of compounds of formulae (23) through (108):
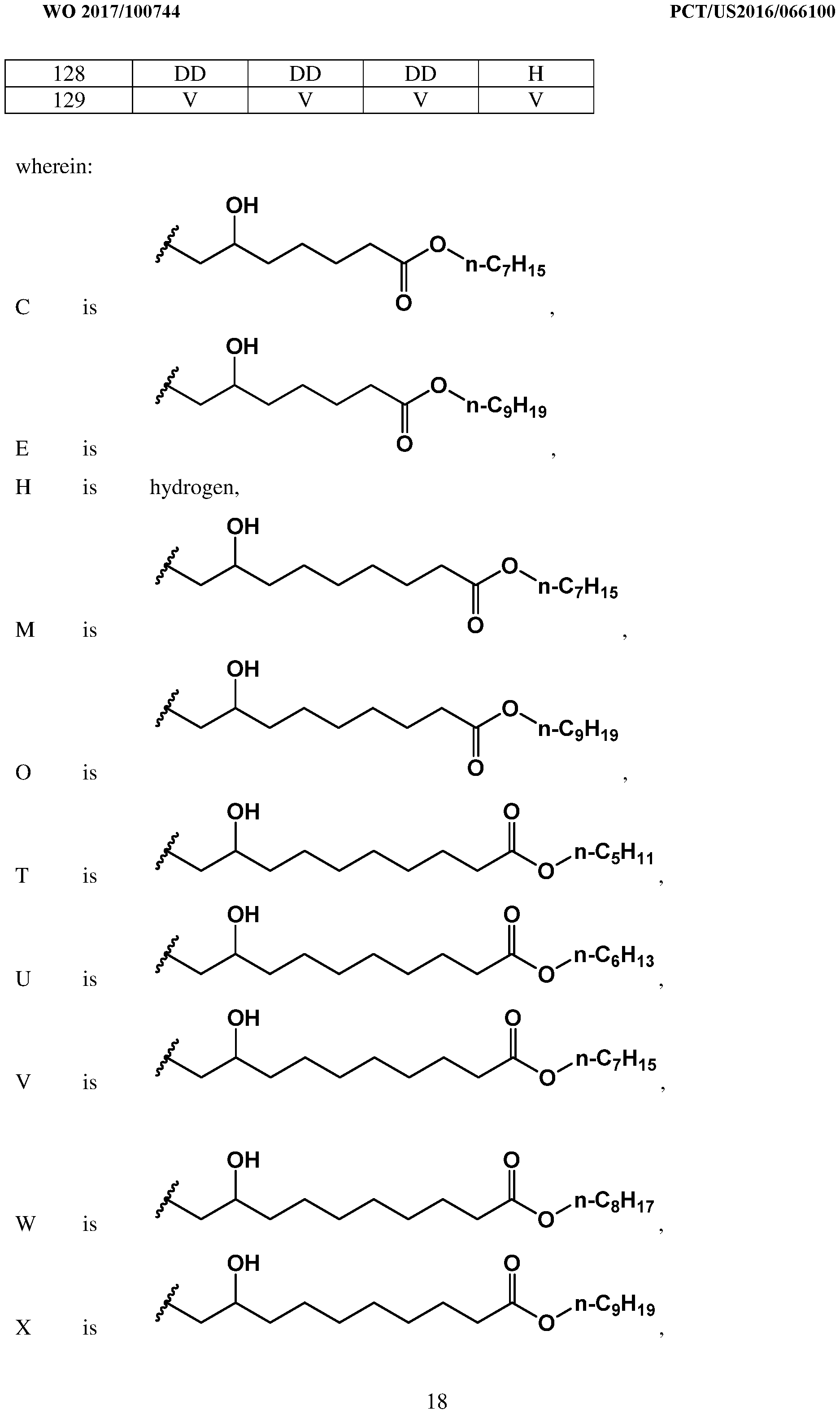
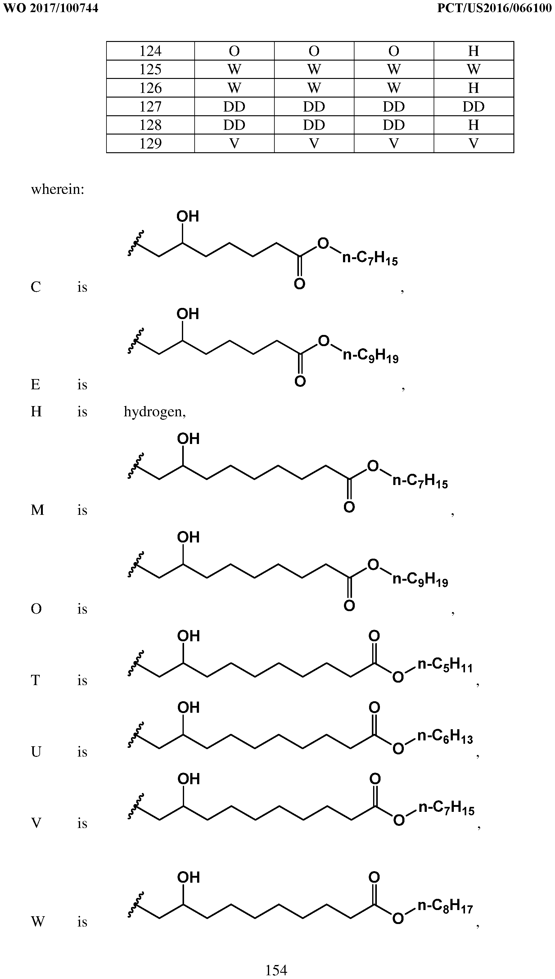
- Yet another embodiment of the present invention is a compound selected from the group consisting of compounds of formulae (109) through (129):
- Yet another embodiment of the present invention is a compound selected from the group consisting of compounds of formulae (130) through (163):
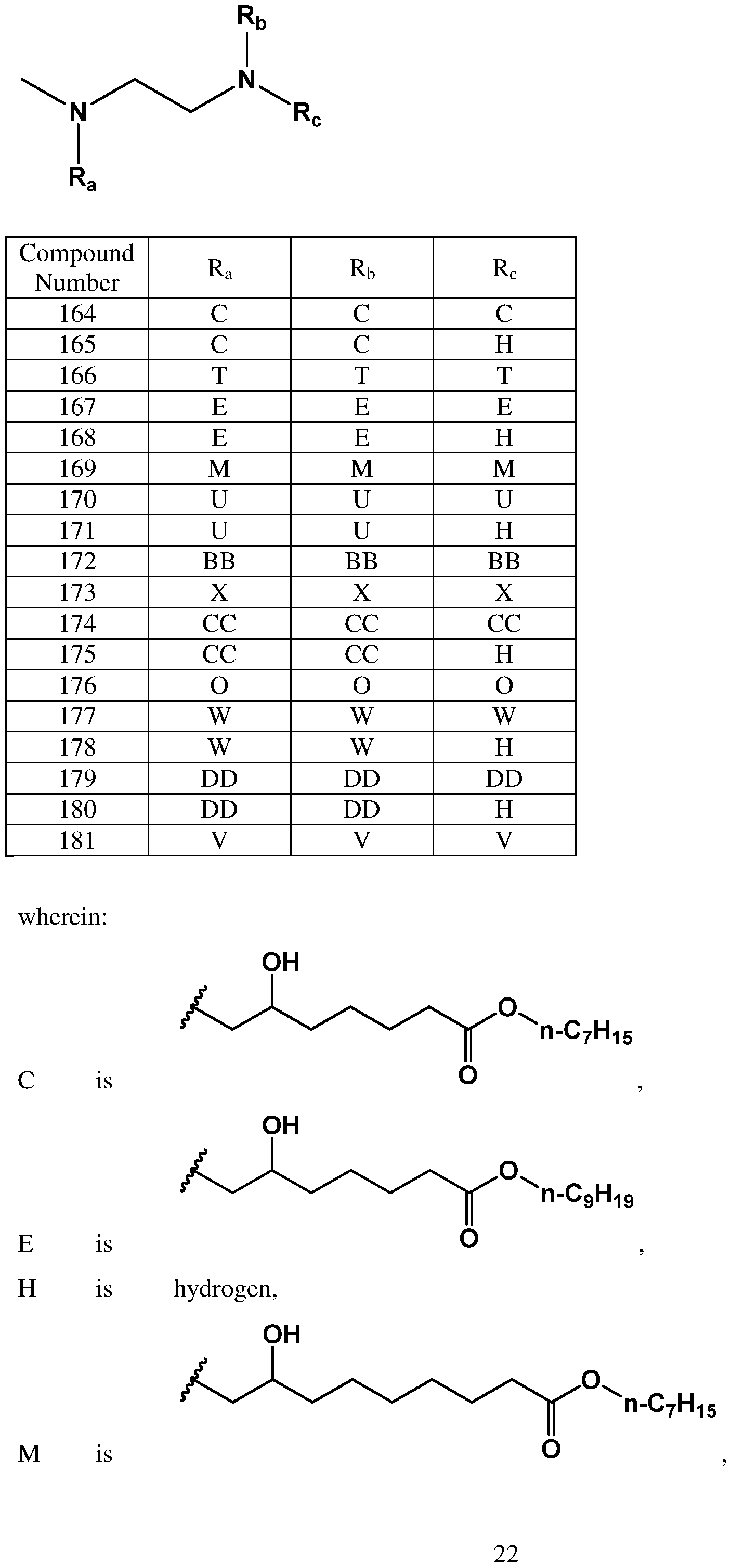
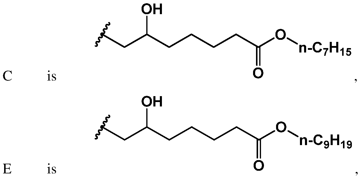
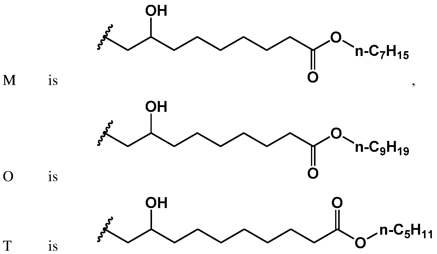
- Yet another embodiment of the present invention is a compound selected from the group consisting of compounds of formulae (164) through (181):
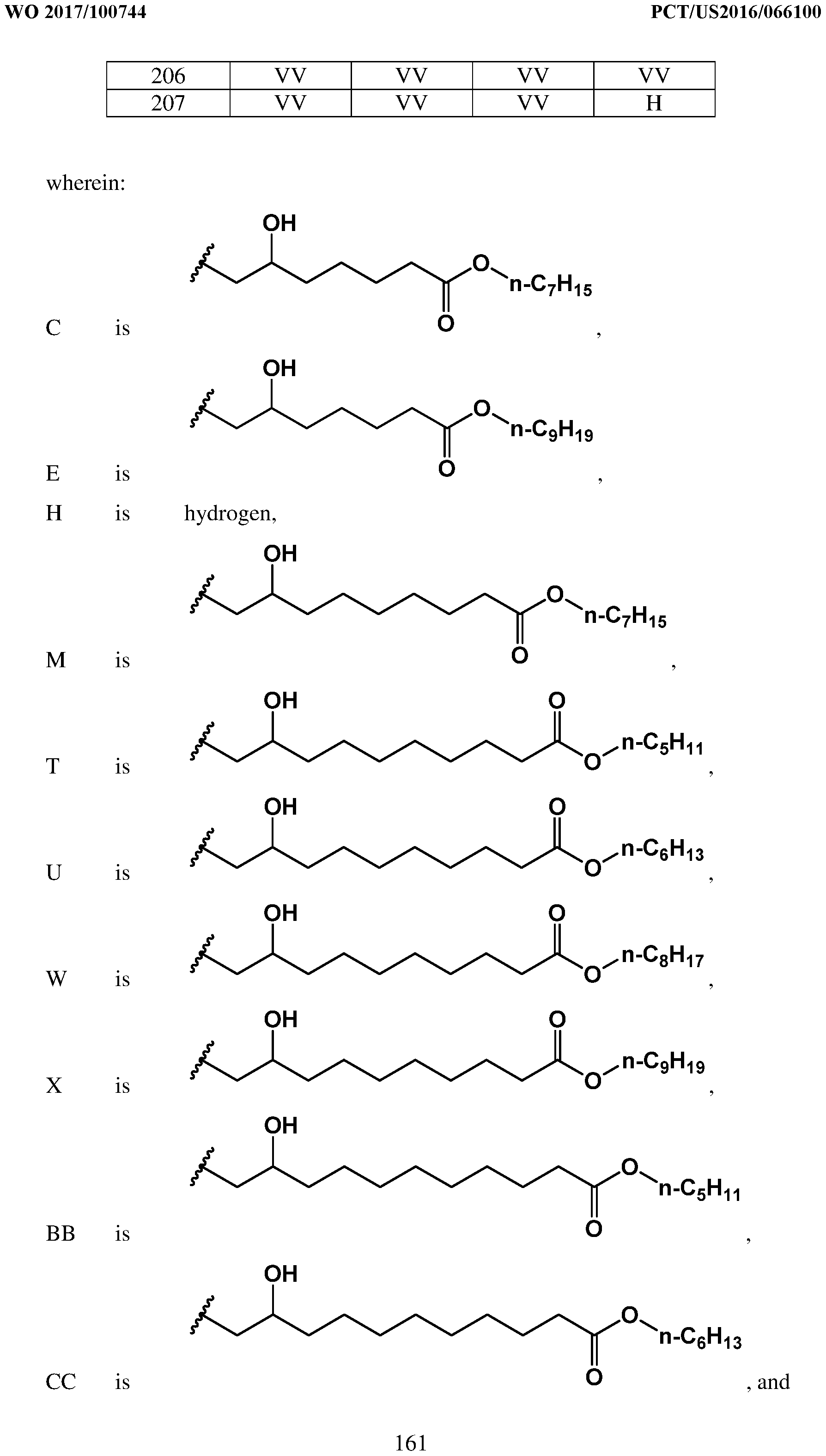
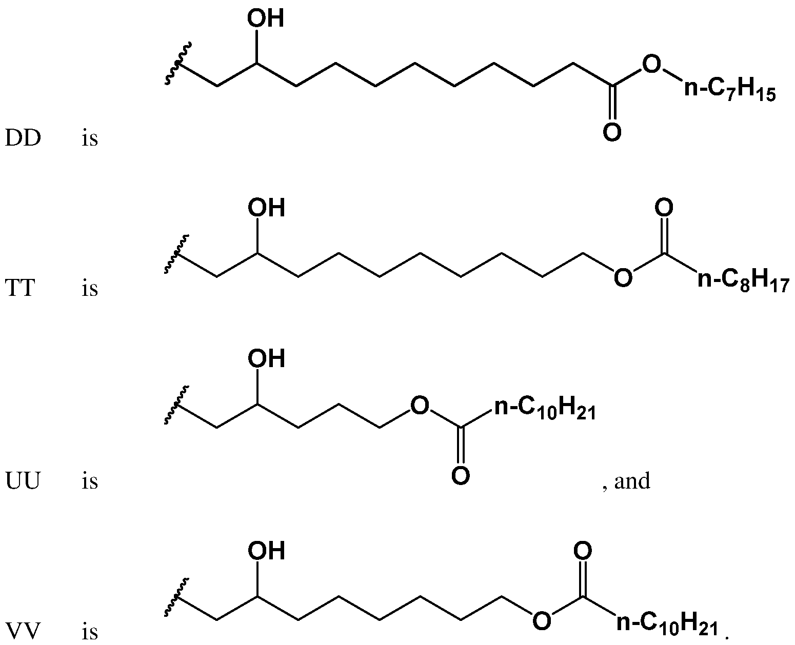
- Yet another embodiment of the present invention is a compound selected from the group consisting of compounds of formulae (182) through (207):
- Yet another embodiment of the present invention is a compound selected from the group consisting of compounds of formulae (208) through (218):
- Yet another embodiment of the present invention is a compound selected from the group consisting of compounds of formulae (219) through (220):
- Yet another embodiment of the present invention is a microparticle or nanoparticle comprising the above compound and an active agent to be delivered.
- Another embodiment of the present invention is the above microparticle or nanoparticle, wherein the active agent to be delivered is selected from the group consisting of polynucleotides, oligonucleotides, proteins, peptides, and small molecules.
- Another embodiment of the present invention is the above microparticle or nanoparticle, wherein the active agent to be delivered is an oligonucleotide or a
- Another embodiment of the present invention is the above microparticle or nanoparticle, wherein the oligonucleotide or polynucleotide is modified.
- Another embodiment of the present invention is the above microparticle or nanoparticle, wherein the oligonucleotide or polynucleotide is unmodified.
- Another embodiment of the present invention is the above microparticle or nanoparticle, wherein the active agent to be delivered is an RNA.
- Another embodiment of the present invention is the above microparticle or nanoparticle, wherein the RNA is a single-stranded RNA.
- Another embodiment of the present invention is the above microparticle or nanoparticle, wherein the RNA is a double-stranded RNA.
- RNA is a small interfering RNA (siRNA).
- RNA is a messenger RNA (mRNA).
- mRNA messenger RNA
- Yet another embodiment of the present invention is a formulation comprising the above compound and a first active agent to be delivered.
- Another embodiment of the present invention is the above formulation, wherein the first active agent to be delivered and the at least one compound are non- covalently associated to one another to form a non-covalent complex.
- Another embodiment of the present invention is the above formulation, further comprising at least one additional active agent to be delivered.
- Another embodiment of the present invention is the above formulation, wherein the at least one additional active agent to be delivered is contained within or on the surface of the non-covalent complex.
- Another embodiment of the present invention is the above formulation, wherein the at least one active additional agent to be delivered is not contained within or on the surface of the non-covalent complex.
- Another embodiment of the present invention is the above formulation, further comprising one or more excipients.
- Another embodiment of the present invention is the above formulation, wherein the one or more excipients is selected from the group consisting of fillers, extenders, binders, humectants, disintegrants, plasticizers, stabilizers, solution retarding agents, wetting agents, suspending agents, thickening agents, absorbents, lubricants, surfactants, buffering agents, diluents, solvents, emulsifying agents, suspending agents, sweetening agents, flavoring agents, perfuming agents, opacifying agents, separating agents, and coating permeability adjusters.
- Another embodiment of the present invention is the above formulation, wherein the one or more excipients is selected from the group consisting of sterols, carbohydrates, proteins, lipids, water-soluble polymers, and any combination thereof.
- Another embodiment of the present invention is the above formulation, wherein the one or more excipients comprises cholesterol.
- Another embodiment of the present invention is the above formulation, wherein the one or more excipients comprises a polyethylene glycol, a polypropylene oxide, a polyvinylpyrrolidone, a polyvinyl alcohol, polylactic acid, poly(lactic-co-glycolic acid), or any combination thereof.
- the one or more excipients comprises a polyethylene glycol, a polypropylene oxide, a polyvinylpyrrolidone, a polyvinyl alcohol, polylactic acid, poly(lactic-co-glycolic acid), or any combination thereof.
- Another embodiment of the present invention is the above formulation, wherein the first active agent to be delivered is an oligonucleotide or a polynucleotide.
- Another embodiment of the present invention is the above formulation, further comprising an agriculturally acceptable carrier.
- Another embodiment of the present invention is the above formulation, wherein the oligonucleotide or polynucleotide modulates the expression of a gene in a plant.
- Another embodiment of the present invention is the above formulation, wherein the oligonucleotide or polynucleotide modulates the expression of a gene in an insect.
- Another embodiment of the present invention is the above formulation, wherein the oligonucleotide or polynucleotide modulates the expression of a gene in a plant pathogen.
- Another embodiment of the present invention is the above formulation, wherein the at least one additional active agent is selected from the group consisting of an herbicide, an insecticide, a fungicide, a bactericide, a viricide, and any combination thereof.
- Yet another embodiment of the present invention is a method of regulating expression of a gene in an organism, comprising applying any one of the above formulations to the organism.
- Yet another embodiment of the present invention is a method of modulating a trait of a plant, comprising delivering to the plant an effective amount of the above formulation.
- Another embodiment of the present invention is above method of modulating a trait of a plant, wherein the trait is selected from the group consisting of total seed germination, rate of seed germination, disease tolerance, insect tolerance, drought tolerance, heat tolerance, cold tolerance, salinity tolerance, tolerance to heavy metals, total yield, seed yield, fruit yield, root growth, early vigor, plant growth, plant biomass, plant size, plant lifespan, total plant dry weight, above-ground dry weight, above-ground fresh weight, leaf area, stem volume, plant height, rosette diameter, leaf length, root length, root mass, tiller number, leaf number, fruit size, fruit freshness, fruit ripening time, fruit nutritional content, plant nutritional content, plant sensitivity to herbicide, and any combination thereof.
- Another embodiment of the present invention is above method of modulating a trait of a plant, wherein one or more of the traits is improved relative to a plant not treated with the formulation.
- Another embodiment of the present invention is above method of modulating a trait of a plant, wherein at least one trait selected from the group consisting of plant growth, plant lifespan, plant size, fruit size, fruit yield, total yield, fruit freshness, fruit ripening time, plant nutritional content, and fruit nutritional content, is improved relative to a plant not treated with the formulation.
- Another embodiment of the present invention is above method of modulating a trait of a plant, wherein one or more of the traits is decreased relative to a plant not treated with the formulation.
- Another embodiment of the present invention is above method of modulating a trait of a plant, wherein the plant growth and/or the plant lifespan is decreased relative to a plant not treated with the formulation.
- Another embodiment of the present invention is above method of modulating a trait of a plant, wherein the fruit ripening time is decreased relative to a plant not treated with the formulation.
- Another embodiment of the present invention is above method of modulating a trait of a plant, wherein the plant sensitivity to herbicide is increased relative to a plant not treated with the formulation.
- Yet another embodiment of the present invention is a method of modulating a trait of an insect, comprising delivering an effective amount of the above formulation to the insect, to a plant infested with the insect, or to a plant prior to infestation with the insect.
- Another embodiment of the present invention is the above method of modulating a trait of an insect, wherein the trait modulated is insect growth,
- Yet another embodiment of the present invention is method of modulating the pathogenicity of a plant pathogen, comprising applying the above formulation of to the plant pathogen, to a plant infected with the plant pathogen, or to a plant prior to infection with the plant pathogen.
- Yet another embodiment of the present invention plant cell, insect cell, fungal cell, bacterial cell, or mammalian cell comprising the above compound.
- the novel aminolipidoids of the present disclosure provide for several different advantages in the delivery of active agents to target organisms.
- the aminolipidoids may be used to complex oligonucleotides and polynucleotides, thereby enhancing their delivery to the target organism and preventing their degradation.
- These aminolipidoids may also be used generate formulations, such as microparticles, nanoparticles, picoparticles, liposomes, and micelles, containing the active agent to be delivered.
- These aminolipidoids, as well as the formulations thereof may be biocompatible and biodegradable and may be used to provide controlled, sustained release of the active agent to be delivered.
- These aminolipidoids and their corresponding formulations may also be responsive to pH changes given that these aminolipidoids are protonated at lower pH.
- These aminolipidoids may also act as proton sponges in the delivery of an active agent to a cell to cause endosome lysis.
- the aminolipidoids of the present disclosure possess ambiphilic functional groups capable of electrostatically binding to negatively charged active agent payloads.
- the presence of carbonyl group-based functionalities in the lipid "tails" of the aminolipidoids of the present disclosure result in these compounds possessing, desirably, both hydrophobic and hydrophilic characteristics.
- the aminolipidoids of the present disclosure may possess enhanced aqueous solubility of these compounds during formulation into a particle, as well as enhanced aqueous solubility of the resulting particle itself.
- the lipidoids of the present disclosure may have an enhanced toxicity profile (i.e., be less than toxic amine-based lipidoid compounds that do not possess such functionalities) and may be more readily processed by endogenous cellular machinery, thus better facilitating the release of active agent payloads at designated times and places.
- the present disclosure provides for novel aminolipidoids of formula (I):
- V is a moiety derived from a compound comprising (1) at least one primary amino group, (2) at least one primary amino group and at least one secondary amino group, or (3) at least two secondary amino groups, while W is, independently, a primary or secondary amino group of moiety V.
- V is derived from a compound having from 2 to 6 primary and/or secondary amino groups.
- V is derived from a compound selected from the group consisting of formulae (1) through (22):
- V is derived from a polyethyleneimine.
- the polyethyleneimine is branched or linear.
- the polyethyleneimine may be hyperbranched or dendritic.
- V is derived from a branched polyethyleneimine, the branched
- polyethyleneimine has a number average molecular weight (M n ) in the range of from 600 to 250,000 Daltons. In certain embodiments, when V is a branched polyethyleneimine, it has a number average molecular weight (M n ) in the range of from 600 to 10,000 Daltons. In certain other embodiments, when V is a branched polyethyleneimine, it has a number average molecular weight (M n ) of greater than 2,000 Daltons. In certain other embodiments, when V is a branched polyethyleneimine, it has a number average molecular weight (M n ) selected from the group consisting of 600, 1,200, 1,800, and 10,000 Daltons.
- the linear polyethyleneimine When V is derived from a linear polyethyleneimine, the linear polyethyleneimine has a number average molecular weight (M n ) of greater than 2,000 Daltons. In certain embodiments, when V is a linear polyethyleneimine, it has a number average molecular weight (M n ) in the range of from 2,500 to 100,000 Daltons. In certain other embodiments, when V is a linear polyethyleneimine, it has a number average molecular weight (M n ) of 2,500 Daltons.
- V when V is a branched modified polyethyleneimine, the branched polyethyleneimine can comprise primary, secondary, and tertiary amino groups in any suitable ratio. In certain embodiments, such branched modified polyethyleneimines can comprise primary, secondary, and tertiary amino groups present in a ratio of 1 :2: 1.
- V is a linear polyethyleneimine
- the linear polyethyleneimine is derived from the partial hydrolysis of a poly(2-alkyl-2-oxazoline).
- An example of such a poly(2-alkyl-2-oxazoline) includes, but is not limited to, poly(2-ethyl-2- oxazoline).
- the average molecular weight of the poly(2-alkyl-2- oxazoline) is in the range of from about 2,000 Daltons to aboute 5,000 Daltons.
- hydrolysis of the poly(2-alkyl-2-oxazoline) can be achieved and controlled by treatment with concencetrated acid (e.g. , HC1) over defined time periods. In certain embodiments, such treatment results in a hydrolysis percentage of 5, 10, 12.5, 15, 17.5, 20, 22.5, 25, and 50 %.
- X is, independently, methylene, a group of formula (II):
- A is O or NR 3 .
- R 3 is selected from the group consisting of H and Ci to Cio alkyl.
- the symbol * denotes the bond to W.
- Y is, independently, a single covalent bond, O, or a group of formula (IV):
- Z is, independently, a carbonyl group-based functionality of formulae (V), (VI), (VII), (VIII), (IX), (X), (XI), (XII), (XIII), (XIV), (XV), (XVI), and (XVII):
- n 0, 1, or 2
- Z when Z is a group of formulae (VII), (X), (XIII), or (XV), a fragment of formula (XVIII):
- n 0, 1, or 2
- cleavage e.g. , enzymatic hydrolysis
- the hydrogen is bonded to an oxygen that is single-bonded to the carbon, sulfur, or phosphorus atom of the group.
- a fragment of formula (XVIII) or (XIX), as depicted above can be produced by chemical and/or biological cleavage (e.g. , enzymatic hydrolysis) of the carboxylate, sulfonate, or phosphonate portion of the group.
- the fragment of formula (XVIII) or (XIX) is a surfactant.
- surfactants include, but are not limited to, carboxylates, such as nonanoic acid, sodium stearate, and
- perfluorooctanoate etc., sulfonates and sulfates, such as alkyl benzenesulfonates, dioctyl sulfosuccinate, sodium dodecylsulfate, and sodium laureth sulfate, and nonionic sufactants, such as alkyl alcohols (e.g. , cetyl alcohol, stearyl alcohol, and oleyl alcohol),
- alkyl alcohols e.g. , cetyl alcohol, stearyl alcohol, and oleyl alcohol
- polyoxyethylene ethers e.g. , Brij, ceteareth, octaethylene glycol decyl ether, and Triton-X
- these surfactants can be controlled. Controlled release of these surfactants affords a number of advantages in the use of the presently disclosed aminolipidoids of formula (I). First, they can assist formulation dissolution and, thus, delivery of the active agent by competing with the active agent for complexation to non- hydrolyzed aminolipidoids.
- these surfactants can interact with biological membranes to assist in delivery of the active agent to the cell interior.
- Molecules of this general class can facilitate endosomal escape, partially permeamblize and/or degrade cell membranes and other barriers, such as cell walls and cutin.
- R and R are each, independently, an optionally substituted aliphatic or cycloaliphatic group, an optionally substituted heteroaliphatic or heterocycloaliphatic group, an optionally substituted aralkyl group, an optionally substituted aryl group, or a biologically active compound.
- R is a Ci to C 20 alkyl group.
- R is a Ci to C 12 alkyl group.
- R is a hydroxy group, an alkyl group, or an alkoxy group.
- R is a Ci to C 2 o alkyl group or a Ci to C 2 o alkoxy group.
- R is a Ci to C 12 alkyl group or a Ci to C 12 alkoxy group.
- the biologically active compound can be selected from the group consisting of hormones and lipids.
- R and/or R is a plant or insect hormone or lipid.
- R and/or R is a biologically active compound independently selected from the group consisting of auxins, abscisic acid, coronantine, gibberellic acids, ecdysone, steroids, such as stigmasterol, sitosterol, and cholesterol, tocopherols, 4-chlorophenoxyacetic acid, 2-(3-chlorophenyoxy)acetic acid, and methoprene.
- R and/or R are, independently, an insecticide, such as one of those described herein in paragraphs [0245] and [0246], an herbicide, such as one of those described herein in paragraph [0247], or a fungicide, such as one of those described herein in paragraph [0248].
- the optionally substituted aliphatic, cycloaliphatic, heteroaliphatic, heterocycloaliphatic, and aralkyl groups or R and R can comprise one or more groups of formulae (V), (VI), (VII), (VIII), (IX), (X), (XI), (XII), (XIII), (XIV), (XV), (XVI), and (XVII).
- R and R are each, independently, a halogen, an optionally substituted aliphatic or cycloaliphatic group, an optionally substituted heteroaliphatic or heterocycloaliphatic group, an optionally substituted aralkyl group, an optionally substituted aryl group.
- halogen is defined as F, CI, Br, or I.
- the optionally substituted aliphatic, cycloaliphatic, heteroaliphatic, heterocycloaliphatic, and aralkyl groups or R 1 and R 2 can comprise one or more groups of formulae (V), (VI), (VII), (VIII), (IX), (X), (XI), (XII), (XIII), (XIV), (XV), (XVI), and (XVII).
- n is, independently, 0, 1, or 2
- o is 1 when W is a secondary amino group and is 1 or 2 when W is primary amino group
- p is an integer from 2 to 5,000.
- aminolipidoids of formula (I) is an aminolipidoid of formula (la):
- q is an integer from 0 to 18, while V, W, X, Z, R, Ri, R 2 , and o are as defined above.
- aminolipidoids of formula (I) is an aminolipidoid of formula (lb):
- aminolipidoids of formula (lb) In the aminolipidoids of formula (lb), q is an integer from 2 to 7, while V, W, X, Z, R, Ri, R 2 , n, and o are as defined above.
- V is derived from a compound selected from the group consisting of formulae (1), (3), (5) through (8), and (21):
- n 0 and p is 2, 4, 5, or 6.
- R is a C 3 , C5, or C 7-11 n- alkyl group
- R is a Ci, C 3 , or C5-10 n-alkyl group or an isobutyl group
- R when p is 5, R is a Ci, C 3 , or C 4 _9 n-alkyl group
- R is a Ci or C 4 _9 n-alkyl group or an isobutyl group.
- (1) p is 1 or 2, when W is derived from a compound of formula (3), (2) p is 1, 2, or 3, when W is derived from a compound of formula (5), (3) p is, 1, 2, 3, or 4, when W is derived from a compound of formula (1), (7), or (8), (4) m is 1, 2, 3, 4, or 5, when W is derived from a compound of formula (21), and (5) m is 1, 2, 3, 4, 5, or 6, when W is derived from a compound of formula (6).
- the aliphatic groups of the presently disclosed aminolipidoids refers to both saturated and unsaturated aliphatic hydrocarbyl groups, which can be straight chain (i.e., unbranched), branched, or cyclic (including polycyclic) and are optionally substituted with one or more functional groups.
- aliphatic groups include, but are not limited to, alkyl, alkenyl, alkynyl, cycloalkyl, cycloalkenyl, and cycloalkynyl groups, each of which are optionally substituted with one or more functional groups.
- alkyl refers to saturated hydrocarbyl groups, which can be unbranched, branched, or cyclic (i.e., alicyclic) alkyl groups.
- alkenyl and alkylene refers to unsaturated hydrocarbyl groups having at least one carbon-carbon double bond.
- alkynyl refers to unsaturated hydrocarbyl groups having at least one carbon-carbon triple bond.
- Examples of such aliphatic groups include, but are not limited to, methyl, ethyl, n-propyl, isopropyl, cyclopropyl, -CH 2 -cyclopropyl, n-butyl, sec-butyl, isobutyl, tert- butyl, cyclobutyl, -CH 2 -cyclobutyl, n-pentyl, sec-pentyl, isopentyl, tert-pentyl, neopentyl, cyclopentyl, -CH 2 -cyclopentyl, hexyl, cyclohexyl, -CH 2 -cyclohexyl, heptyl, cycloheptyl, octyl, nonyl, decyl, undecyl, dodecyl, tridecyl, tetradecyl, pentadecyl,
- heteroaliphatic groups of the presently disclosed aminolipidoids refers to aliphatic groups, as described above, that independently in one or more instances contain an oxygen, sulfur, nitrogen, phosphorus, or silicon atom between two carbon atoms of the aliphatic group.
- Such heteroaliphatic groups include saturated and unsaturated heterocycles.
- heterocycles refers to a non-aromatic partially unsaturated or fully saturated 3- to 10-membered ring system, which includes single rings of 3 to 8 atoms in size and bi- and tri-cyclic ring systems, which may include aromatic six-membered aryl or aromatic heterocyclic groups fused to a non-aromatic heterocyclic ring.
- heterocyclic rings include those having from one to three heteroatoms independently selected from oxygen, sulfur, and nitrogen, in which the nitrogen and sulfur heteroatoms may optionally be oxidized and the nitrogen heteroatom may optionally be quaternized.
- heterocycles include, but are not limited to, pyrrolidinyl, pyrazolinyl, pyrazolidinyl, imidazolinyl, imidazolidinyl, piperidinyl, piperazinyl, oxazolidinyl, isoxazolidinyl, morpholinyl, thiazolidinyl, isothiazolidinyl, 2,5-dihydro-lH- imidazole, and tetrahydrofuryl.
- the aliphatic and/or heteroaliphatic groups of the aminolipidoids of the present disclosure independently contain from 1 to 20, or from 1 to 12, or from 1 to 10, or from 1 to 8, or from 1 to 5, or from 1 to 4, or from 4 to 5, or from 4 to 8, or from 4 to 10, or from 4 to 12, or from 4 to 20, or from 5 to 20, or from 5 to 12, or from 5 to 10, or from 5 to 8, or from 8 to 10, or from 8 to 12, or from 8 to 20, or from 10 to 12, or from 10 to 20, or from 12 to 20 carbon atoms.
- the aryl and heteroaryl groups of the presently disclosed aminolipidoids refer to mono- or polycyclic aromatic carbocyclic groups and mono- or polycyclic aromatic heterocyclic groups. In certain embodiments, these groups have 3- 14 carbon atoms, each of which is optionally substituted. In certain embodiments, the aryl group is a mono- or bicyclic carbocyclic ring system having one or two aromatic rings.
- the heteroaryl group is a mono- or bicyclic heterocyclic ring system having one or two aromatic rings.
- the heteroaryl group (1) has from five to ten ring atoms of which one ring atom is selected from S, O, and N, (2) has zero, one, or two ring atoms that are additional heteroatoms independently selected from S, O, and N, and (3) the remaining ring atoms are carbon.
- heteroaryl groups include, but are not limited to, pyridyl, pyrazinyl, pyrimidinyl, pyrrolyl, pyrazolyl, imidazolyl, thiazolyl, oxazolyl, isooxazolyl, thiadiazolyl, oxadiazolyl, thiophenyl, furanyl, quinolinyl, and isoquinolinyl.
- aminolipidoids of the presented disclosure may be substituted with any number of substituents.
- substituted refers to the replacement of hydrogen radicals in a given structure with the radical of a specified substituent.
- substituents may be either the same or different at every position.
- substituted is contemplated to include all permissible substituents of organic compounds.
- permissible substituents include all acyclic and cyclic, branched and unbranched, carbocyclic and heterocyclic, aromatic and nonaromatic substituents of organic compounds.
- heteroatoms such as nitrogen, may have hydrogen substituents and/or any permissible substituents of organic compounds described herein which satisfy the valencies of the heteroatoms.
- the presently disclosed aminolipidoids are not intended to be limited in any manner by the permissible substituents of organic compounds. Any substituents disclosed herein may also be further substituted (e.g. , an aryl substituent may itself be substituted, such as with another aryl group, which, in turn, is further substituted with fluorine at one or more positions).
- Examples of optional substituents of the aminolipidoids of the present disclosure include, but are not limited to, aliphatic groups, heteroaliphatic groups, aryl groups, heteroaryl groups, arylalkyl groups, heteroarylalkyl groups, alkoxy groups, aryloxy groups, heteroalkoxy groups, heteroaryloxy groups, alkylthio groups, arylthio groups, heteroalkylthio groups, heteroarylthio groups, F, CI, Br, I, -OH, -N0 2 , -CN, -CF 3 , -CH 2 CF 3 , - CHC1 2 , -CH 2 OH, -CH 2 CH 2 OH, -CH 2 NH 2 , -CH 2 S0 2 R, -C(0)R, -C0 2 (R), -
- each R is, independently, hydrogen, an aliphatic group, a heteroaliphatic group, an aryl group, a heteroaryl group, an arylalkyl group, or a heteroarylalkyl group, wherein any of the aliphatic, heteroaliphatic, arylalkyl, or heteroarylalkyl substituents described above and herein may be optionally substituted, branched or unbranched, cyclic or acyclic, and wherein any of the aryl or heteroaryl substituents described above and herein may be optionally substituted.
- the presently disclosed aminolipidoids can be a salt, either from protonation by a mineral or organic acid or by quaternization of one more available tertiary nitrogens.
- counterions for such salts include, but are not limited to, halides, such as fluoride, chloride, bromide, or iodide, nitrate, hydrogen sulfate, dihydrogen phosphate, bicarbonate, nitrite, perchlorate, iodate, chlorate, bromate, chlorite, hypochlorite, hypobromite, cyanide, amide, cyanate, hydroxide, permanganate, an acid anion such as acetate or formate, or anions with negative charges greater than - 1 (e.g., having in some embodiments one or more than one adsorbent functional group as counterion), such as oxide, sulfide, nitride, arsenate, phosphate, arsenite, hydrogen
- the presently disclosed aminolipidoids, and optional substitutents thereon can contain isotopes of various common atoms. Examples of such
- isotopes include, but are not limited to, deuterium, C , N , O , and F .
- R, Ri, and R 2 can, independently, be perfluorinated Ci_ 2 o alkyl groups.
- the aminolipidoids of the present disclosure is a compound selected from the group consisting of compounds (23) through (108), as shown below in Table 1 :
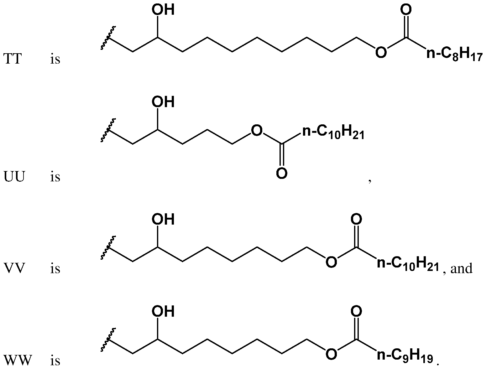
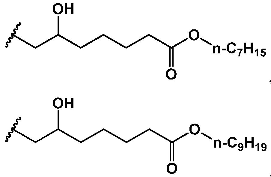
- aminolipidoids of the present disclosure is a compound selected from the group consisting of compounds (109) through (129), as shown below in Table 2:
- the aminolipidoids of the present disclosure is a compound selected from the group consisting of compounds (130) through (163), as shown below in Table 3:
- aminolipidoids of the present disclosure is a compound selected from the group consisting of compounds (164) through (181), as shown below in Table 4:
- aminolipidoids of the present disclosure is a compound selected from the group consisting of compounds (182) through (207), as shown below in Table 5:
- the aminolipidoids of the present disclosure is a compound selected from the group consisting of compounds (208) through (218), as shown below in Table 6: Table 6
- aminolipidoids of the present disclosure is a compound selected from the group consisting of compounds (219) through (220), as shown below in Table 7:
- the presently disclosed aminolipidoids are relatively non-cytotoxic. In certain embodiments, the presently disclosed aminolipidoids are biocompatible and biodegradable. In certain embodiments, the presently disclosed aminolipidoids have a pKa in the range of from about 3.0 to about 9.0, or in the range of from about 5.0 to about 8.0, or in the range of from about 5.5 to about 7.5, or in the range of from about 6.0 to about 7.0.
- aminolipidoids may exist in particular geometric or stereoisomeric forms.
- the present disclosure contemplates all such forms, including cis- and trans-isomers, R- and S-enantiomers, diastereomers, (D)-isomers, (L)-isomers, the racemic mixtures thereof, and other mixtures thereof, as falling within the scope of the invention.
- Additional asymmetric carbon atoms may be present in a substituent, such as an alkyl group. All such isomers, as well as mixtures thereof, are intended to be included in this disclosure.
- Isomeric mixtures containing any of a variety of isomer ratios may be utilized in accordance with the present disclosure.
- mixtures containing 50:50, 60:40, 70:30, 80:20, 90: 10, 95:5, 96:4, 97:3, 98:2, 99: 1, or 100:0 isomer ratios are all contemplated by the present disclosure.
- mixtures containing 50:50, 60:40, 70:30, 80:20, 90: 10, 95:5, 96:4, 97:3, 98:2, 99: 1, or 100:0 isomer ratios are all contemplated by the present disclosure.
- analogous ratios are contemplated for more complex isomer mixtures.
- a particular enantiomer of the presently disclosed aminolipidoids may be prepared by asymmetric synthesis, for example, by reacting an optionally substituted compound comprising (1) at least one primary amino group, (2) at least one primary amino group and at least one secondary amino group, or (3) at least two secondary amino groups with a chiral epoxide, acrylate, acrylamide, or aldehyde. It may also be prepared by derivation with a chiral auxiliary, where the resulting diastereomeric mixture is separated and the auxiliary group cleaved to provide the pure desired enantiomers.
- diastereomeric salts can be formed with an appropriate optic ally- active acid or base, followed by resolution of the diastereomers thus formed by fractional crystallization or chromatographic means well known in the art, and subsequent recovery of the pure enantiomers.
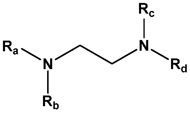
- the aminolipidoid can contain at least one stereocenter. Therefore, in certain embodiments of the presently disclosed lipidoids, each group of formula ( ⁇ ):
- the "enantiomeric excess" of a substance is a measure of how pure a desired enantiomer is relative to the undesired enantiomer. Enantiomeric excess is defined as the absolute difference between the mole fraction of each enantiomer which is most often expressed as a percent enantiomeric excess. For mixtures of diastereomers, there are analogous definitions and uses for "diastereomeric excess" and percent diastereomeric excess. For example, a sample with 70% of R isomer and 30% of S will have an
- the aminolipidoids of the present disclosure can have an enantiomeric excess or a diastereomeric excess up to and including 2%, 5%, 10%, 15%, 20%, 25%, 30%, 35%, 40%, 45%, 50%, 55%, 60%, 61%, 62%, 63%, 64%, 65%, 66%, 67%, 68%, 69%, 70%, 71%, 72%, 73%, 74%, 75%, 76%, 77%, 78%, 79%, 80%, 81%, 82%, 83%, 84%, 85%, 86%, 87%, 88%, 89%, 90%, 90.5%, 91%, 91.5%, 92%, 92.5%, 93%, 93.5%, 94%, 94.5%, 95%, 95.5%, 96%, 96.5%, 97%, 97.5%, 98%, 98.5%, 99%, 99.5%, or 100%.
- the presently disclosed amino lipidoids may be prepared by any method known in the art.
- the aminolipidoids of the present disclosure are synthesized by reacting an optionally substituted compound comprising (1) at least one primary amino group, (2) at least one primary amino group and at least one secondary amino group, or (3) at least two secondary amino groups with with one or more terminal epoxides, interior epoxides, acrylates, acrylamides, aldehydes, or any combination thereof, wherein each terminal epoxide, interior epoxide, acrylate, acylamide, and/or aldehyde contains a carbonyl group-based functionality of formulae (V), (VI), (VII), (VIII), (IX), (X), (XI), (XII), (XIII), (XIV), (XV), (XVI), or (XVII).
- these starting materials are commercially available and/or are easily and/or inexpensively prepared.
- the presently disclosed aminolipidoids are N-(2-aminoethyl)-2-aminoethyl-N-(2-aminoethyl)-2-aminoethyl-N-(2-aminoethyl)-2-aminoethyl-N-(2-aminoethyl)-2-aminoethyl-N-(2-aminoethyl)-2-aminoethyl-N-(2-aminoethyl)-2-aminoethyl-N-(2-aminoethyl)-2-aminoethyl-N-(2-aminoethyl)-2-aminoethyl-N-(2-aminoethyl)-2-aminoethyl-N-(2-aminoethyl)-2-aminoethyl-N-(2-aminoethyl)-2-aminoethyl-N
- the synthesis of the presently disclosed aminolipidoids is performed without solvent (i.e., neat).
- the synthesis of the presently disclosed lipidoids is performed in a suitable solvent, such as a lower alcohol (e.g., isopropanol) or DMF.
- these syntheses are performed at a temperature in the range of about 90 to about 120 °C for about 2 to about 96 hours.
- conventional heating sources can be employed.
- non-conventional heating sources such as microwave radiation, can be employed.
- the synthesized aminolipidoids may be purified by any technique known in the art including, but not limited to, precipitation, crystallization, chromatography (e.g. , silica gel chromatography, size exclusion chromatography, ion-exchange chromatography, and HPLC), and distillation.
- chromatography e.g. , silica gel chromatography, size exclusion chromatography, ion-exchange chromatography, and HPLC
- the crude product is purified by silica gel chromatography.
- the aminolipidoids of the present disclosure can be synthesized such that the aminolipidoid contains two or more different groups of Formula (II), two or more different groups of Formula (III), two or more different groups of Formula (IV), or one or more groups of Formulae (II), (III), and/or (IV).
- this can be achieved by reacting an optionally substituted compound comprising (1) at least one primary amino group, (2) at least one primary amino group and at least one secondary amino group, or (3) at least two secondary amino groups with a less-than-stoichiometric amount of a terminal epoxide, interior epoxide, acrylate, acrylamide, or aldehyde followed by reacting the now-partially substituted compound with a further, different terminal epoxide, interior epoxide, acrylate, acrylamide, or aldehyde and so on.
- this can be achived by reacting an optionally substituted compound comprising (1) at least one primary amino group, (2) at least one primary amino group and at least one secondary amino group, or (3) at least two secondary amino groups with a mixture of different terminal epoxides, interior epoxides, acrylates, acrylamides, and /or aldehydes.
- an optionally substituted compound comprising (1) at least one primary amino group, (2) at least one primary amino group and at least one secondary amino group, or (3) at least two secondary amino groups with a mixture of different terminal epoxides, interior epoxides, acrylates, acrylamides, and /or aldehydes.
- this can be achieved through substituting one or more of the amino groups of the optionally substituted compound comprising (1) at least one primary amino group, (2) at least one primary amino group and at least one secondary amino group, or (3) at least two secondary amino groups with a protecting group and then reacting the remaining unprotected amino groups of the partially protected comppund with a terminal epoxide, interior epoxide, acrylate, acrylamide, or aldehyde.
- the protecting groups can then be removed and the now unprotected amino groups of the partially modified compound can then be further reacted with a different terminal epoxide, interior epoxide, acrylate, acrylamide, or aldehyde.
- amino-protectlng groups examples include, but are not limited to, methyl carbamate, ethyl carbamante, 9-fluorenylmethyl carbamate (Fmoc), 9-(2- sulfo)fluorenylmethyl carbamate, 9-(2,7-dibromo)fluoroenylmethyl carbamate, 2,7-di-t-butyl- [9-(10,10-dioxo- 10,10, 10, 10-tetrahydiOthioxanthyl)]methyl carbamate (DBD-Tmoc), 4- methoxyphenacyl carbamate (Phenoc), 2,2,2-trichloroethyl carbamate (Troc), 2- trimethylsi!ylethyl carbamate (Teoc), 2-phenyl.ethyl carbamate (hZ), 1 -( 1 -adaxnantyl)- 1 - methylethyl
- tungsten)carbonyl]amine N-copper chelate, N-zinc chelate, N-nitroamine, N-nitrosoamine, amine N-oxide, diphenylphosphinamide (Dpp), dimethylthiophosphinamide (Mpt), diphenylthiophosphinami.de (Ppt), dialkyl phosphoramidates, dibenzyl phosphoramidate, diphenyl phosphoramidate, benzene sulfenamide, o-nitrobenzenesulfenamide (Nps), 2,4- dinitrobenzenesulfenamide, pentachlorobenzenesulfenamide, 2-nitro-4- methoxybenzenesulfenamide, triphenylmethylsulfenamide, 3-nitropyridinesulfenamide (Npys), p-toluenesulfonarmde (Ts), benzenesulfonamide, 2,3,6,-trimethyl-4- methoxybenz
- the present disclosure provides for formulations comprising the presently disclosed aminolipidoids that may be used to deliver one or more active agents to a target organism. Therefore, in certain embodiments, the presently disclosed formulations can comprise at least one aminolipidoid of the present disclosure and at least one active agent to be delivered. In certain embodiments, the at least one aminolipidoid of the present disclosure and a first active agent to be delivered are non-covalently associated to one another to form a non-covalent complex.
- non-covalently associated encompasses any kind of intermolecular interaction between the at least one aminolipidoid of the present disclosure and the first active agent to be delivered other than covalent interactions (i.e., interactions that involve the sharing of electrons).
- non- covalent interactions include, but are not limited to, electrostatic interactions, such as ionic interactions, hydrogen bonding, and halogen bonding, Van der Waals forces, such as the Keesom force, the Debye force, and London dispersion forces, ⁇ -effects, such as ⁇ - ⁇ interactions, cation- ⁇ interactions, anion- ⁇ interactions, and polar ⁇ interactions, and hydrophobic interactions.
- non-covalent complex encompasses a complex of at least one aminolipidoid of the present disclosure and a first active agent to be delivered wherein the least one aminolipidoid and the first active agent are associated to each other via non-covalent interactions, as defined above.
- the presently disclosed formulations further comprise at least one additional active agent to be delivered.
- this at least one additional active agent is part of the non-covalent complex of the least one aminolipidoid and the first active agent.
- the at least one additional active agent can be contained within the non-covalent complex or adhered to the surface of the non-covalent complex via non-covalent interactions, as defined above.
- the at least one additional active agent is not contained within the non-covalent complex or adhered to the surface of the non-covalent complex, e.g., the at least one additional active agent is simply in a physical mixture with the non-covalent complex.
- the first active agent is an oligonucleotide or a polynucleotide, and the at least one additional active agent is an herbicide, an insecticide, a fungicide, a bactericide, and/or a viricide.
- the first active agent is used to increase the sensitivity of the target organism to the additional active agent, for example, to increase the sensitivity of a plant to an herbicide, or to increase the sensitivity of an insect to an insecticide.
- the presently disclosed formulations may also comprise one or more excipients.
- Suitable excipients include, but are not limited to, fillers, extenders, binders, humectants, disintegrants, plasticizers, stabilizers, solution retarding agents, wetting agents, suspending agents, thickening agents, absorbents, lubricants, surfactants, buffering agents, diluents, solvents, emulsifying agents, suspending agents, sweetening agents, flavoring agents, perfuming agents, opacifying agents, separating agents, and coating permeability adjusters.
- the one or more excipients may be selected from the group consisting of sterols, carbohydrates, proteins, lipids, water-soluble polymers, and any combination thereof.
- the one or more excipients is a phytosterol.
- the one or more excipients is cholesterol.
- the one or more excipients comprises a water-soluble polymer such as polyethylene glycol (PEG), a polypropylene oxide (PPO), a polyvinylpyrrolidone (PVP), a polyvinyl alcohol (PVA), a polylactic acid (PLA), a poly(lactic-co-glycolic acid) (PLGA), or any combination thereof.
- the water-soluble polymer can be contained within or adhered to the surface of the non-covalent complexes of the present disclosure via non- covalent interactions, as defined above.
- the water-soluble polymer can be tethered to the surface of the non-covalent complexes of the present disclosure via a lipid tail that is covalently bound on one end to the water-soluble polymer and which is entrained within the surface and/or interior of the non-covalent complex.
- the presently disclosed formulations are combined with an agriculturally acceptable carrier.
- the agriculturally acceptable carrier can be solid or liquid and is a substance useful in formulation of agricultural products.
- Examples of such agricultural products include, but are not limited to, fertilizers, herbicides, insecticides, fungicides, bactericides, viricides, and nematicides.
- Examples of such agriculturally acceptable carriers for use in the presently disclosed formulations include, but are not limited to, surface active agents, stickers, spreader stickers, inert carriers, preservatives, humectants, dyes, UV (ultra-violet) protectants, buffers, flow agents, antifoams (e.g. ,
- polydimethylsiloxane sodium aluminosilicate, or other components which facilitate product handling and application of the compositions.
- agriculturally acceptable inert carriers include inorganic minerals, such as kaolin, mica, gypsum, fertilizer, carbonates, sulfates, and phosphates, organic materials, such as sugar, starches, and cyclodextrins, and botanical materials, such as wood products, cork, powdered corn cobs, rice hulls, peanut hulls, and walnut shells.
- Agriculturally acceptable carriers are described, for example, in U.S. Patent No. 6,984,609.
- the agriculturally acceptable carriers include, for example, natural or regenerated mineral substances, solvents, dispersants, wetting agents, tackifiers, thickeners, binders, or fertilizers. Such carriers are described, for example, in WO 97/33890.
- the presently disclosed formulations may further comprise one or more additional compounds to facilitate passage of the active agent(s) through the plant cell wall.
- additional compounds to facilitate passage of the active agent(s) through the plant cell wall.
- U.S. Patent No. 8,609,420 describes conjugation of the active agent to a semi-conductor nanoparticle within the size range of 3-5 nm (e.g., a "quantum dot") and one or more cell penetrating peptides to improve penetration of the plant cell and intracellular delivery of the active agent.
- U.S. Patent No. 8,686,222 describes interacting a polyamidoamine dendrimer and one or more cell penetrating peptides with the active agent to improve cell penetration.
- Patent No. 8,653,327 describes delivery of active agents through plant cell walls by coating a PEGylated semiconductor nanoparticle with the active agent.
- U.S. Patent No. 8,722,410 describes transferring active agents into plant cells by applying the active agent to a nanoparticle coated with a subcellular compartment targeting protein.
- U.S. Patent Nos. 8,609,420, 8,686,222, 8,653,327, and 8,722,410 are incorporated by reference herein in their entireties.
- the formulations of the present disclosure can take any form. Examples of such forms include, but are not limited to, complexes, particles (e.g. , microparticles, nanoparticles, and picoparticles), micelles, and liposomes.
- two or more active agents can be formulated with the presently disclosed aminolipidoids to form a single complex, particle, micelle or liposome containing the two or more active agents.
- the two or more active agents can be separately formulated to form a single complex, particle, micelle or liposome, each containing a single active agent, and are then combined to form a mixture prior to delivery to a target organism.
- the aminolipidoids of the present disclosure possess one or more primary, secondary, and/or tertiary amino groups that, although hindered, are available to interact with an active agent (e.g., a polynucleotide).
- an active agent e.g., a polynucleotide.
- a non-covalent complex is formed when an active agent is contacted with the presently disclosed aminolipidoids under conditions suitable to form an active agent/aminolipidoid non-covalent complex.
- multiple aminolipidoid molecules may non-covalently complex with an active agent molecule.
- the non-covalent complex may include 1-100 aminolipidoid molecules, 1- 1000 aminolipidoid molecules, 10-1000 aminolipidoid molecules, or 100-10,000
- the aminolipidoids of the present disclosure may be used to encapsulate active agents.
- the aminolipidoids of the present disclosure have several properties that make them particularly suitable in the preparation of drug delivery devices. These include, but are not limited to: (1) the ability of the lipidoid to complex and "protect” labile agents, (2) the ability to buffer the pH in the endosome (3) the ability to act as a "proton sponge” and cause endosomolysis, and (4) the ability to neutralize the charge on negatively charged agents.
- the aminolipidoids of the present disclosure are used to form particles containing at least one active agent to be delivered. These particles may include other materials, such as proteins, carbohydrates, synthetic polymers (e.g., PEG, PLGA), and natural polymers.
- the presently disclosed aminolipidoids are combined with an active agent to be delivered to a cell or a subject to form microparticles,
- the agent to be delivered by the particles, liposomes, or micelles may be in the form of a gas, liquid, or solid, and the agent may be a polynucleotide, protein, peptide, or small molecule.
- the presently disclosed aminolipidoids may be combined with other aminolipidoids of the present disclosure, polymers (synthetic or natural), surfactants, cholesterol, carbohydrates, proteins, and lipids, to form the particles.
- the diameter of the particles of the present disclosure range from 1 to 1,000 micrometers. In certain embodiments, the diameter of the particles range from 1 to 100 micrometers. In certain embodiments, the diameter of the particles range from 1 to 10 micrometers. In certain embodiments, the diameter of the particles range from 10 to 100 micrometers. In certain embodiments, the diameter of the particles range from 100 to 1,000 micrometers. In certain embodiments, the diameter of the particles range from 1 to 5 micrometers. In certain embodiments, the diameter of the particles range from 1 to 1,000 nm. In certain embodiments, the diameter of the particles range from 1 to 100 nm. In certain embodiments, the diameter of the particles range from 1 to 10 nm.
- the diameter of the particles range from 10 nm to 100 nm. In certain embodiments, the diameter of the particles range from 100 nm to 1,000 nm. In certain embodiments, the diameters of the particles range from 1 to 5 nm. In certain embodiments, the diameter of the particles range from 1 to 1,000 pm. In certain embodiments, the diameter of the particles range from 1 to 100 pm. In certain embodiments, the diameter of the particles range from 1 to 10 pm. In certain embodiments, the diameter of the particles range from 10 to 100 pm. In certain embodiments, the diameter of the particles range from 100 to 1,000 pm. In certain embodiments, the diameter of the particles range from 1 to 5 pm.
- the particles of the present disclosure may be prepared using any method known in the art. These include, but are not limited to, spray drying, single and double emulsion solvent evaporation, solvent extraction, phase separation, simple and complex coacervation, and other methods well known to those of ordinary skill in the art.
- methods of preparing the particles are the double emulsion process and spray drying.
- methods of preparing the particles are nanoprecipitation or flash precipitation, for example, as disclosed in U.S. Patent Nos. 8,207,290, 8,404,799, 8,546,521, 8,618,240, and 8,809,492, each of which are incorporated herein in its entirety.
- the conditions used in preparing the particles may be altered to yield particles of a desired size or property (e.g., hydrophobicity, hydrophilicity, external morphology, "stickiness", shape, etc.).
- the method of preparing the particle and the conditions (e.g., solvent, temperature, concentration, air flow rate, etc.) used may also depend on the agent being encapsulated and/or the composition of the matrix. Methods developed for making particles for delivery of encapsulated agents are described in the literature (e.g., Doubrow, M., Ed., "Microcapsules and Nanoparticles in Medicine and Pharmacy," CRC Press, Boca Raton, 1992; Mathiowitz and Langer, J. Controlled Release 5: 13-22, 1987; Mathiowitz et al. Reactive Polymers 6:275-283, 1987; Mathiowitz et al. J. Appl. Polymer Sci. 35:755-774, 1988; each of which is incorporated herein by reference in their entirety).
- the particles prepared by any of the above methods have a size range outside of the desired range, the particles can be sized, for example, using a sieve.
- the particle may also be coated.
- the particles are coated with a targeting agent.
- the particles are coated to achieve desirable surface properties (e.g., a particular charge).
- the aminolipidoids of the invention may be used to prepare micelles or liposomes containing an active agent to be delivered. Many techniques for preparing micelles and liposomes are known in the art, and any method may be used with the aminolipidoids of the present disclosure to make micelles and liposomes. Micelles and liposomes are particularly useful in delivering hydrophobic agents, such as hydrophobic small molecules.
- liposomes containing aminolipidoids of the present disclosure are formed through spontaneous assembly.
- these liposomes are formed when thin lipid films or lipid cakes are hydrated and stacks of lipid crystalline bilayers become fluid and swell.
- the hydrated lipid sheets detach during agitation and self- close to form large, multilamellar vesicles (LMV). This prevents interaction of water with the hydrocarbon core of the bilayers at the edges.
- LMV multilamellar vesicles
- the preparation of liposomes of the present disclosure involves preparing the aminolipidoids for hydration, hydrating the aminolipidoids with agitation, and sizing the vesicles to achieve a homogenous distribution of liposomes.
- Aminolipidoids are first dissolved in an organic solvent to assure a homogeneous mixture. The solvent is then removed to form a lipidoid film. This film is thoroughly dried to remove residual organic solvent by placing the vial or flask on a vacuum pump overnight. Hydration of the lipidoid film/cake is accomplished by adding an aqueous medium to the container of dry lipidoid and agitating the mixture.
- Disruption of LMV suspensions using sonic energy typically produces small unilamellar vesicles (SUV) with diameters in the range of from 15 to 50 nm.
- SUV small unilamellar vesicles
- Lipid extrusion is a technique in which a lipid suspension is forced through a polycarbonate filter with a defined pore size to yield particles having a diameter near the pore size of the filter used. Extrusion through filters with 100 nm pores typically yields large, unilamellar vesicles (LUV) with a mean diameter of from 120 to 140 nm.
- Certain aminolipidoids of the present disclosure can spontaneously self- assemble around certain molecules, such as DNA and RNA, to form liposomes.
- the application is the delivery of polynucleotides to a target cell.
- use of the aminolipidoids of the present disclosure allows for simple assembly of liposomes without the need for additional steps or devices such as an extruder.
- the complexes, microparticles, nanoparticles, picoparticles, liposomes, and micelles of the present disclosure may be modified to include targeting agents since it is often desirable to target a particular cell, collection of cells, or tissue.
- targeting agents that direct pharmaceutical compositions to particular cells are known in the art (e.g. , Cotten et al. Methods Enzym. 217:618, 1993; which is incorporated herein by reference in its entirety).
- the targeting agents may be included throughout the particle or may be only on the surface.
- the targeting agent may be a protein, peptide, carbohydrate, glycoprotein, lipid, small molecule, and/or nucleic acid.
- the targeting agent may be used to target specific cells or tissues or may be used to promote endocytosis or phagocytosis of the particle.
- targeting agents include, but are not limited to, antibodies, fragments of antibodies, low- density lipoproteins (LDLs), transferrin, asialycoproteins, gpl20 envelope protein of the human immunodeficiency virus (HIV), carbohydrates, receptor ligands, sialic acid, and aptamers.
- LDLs low- density lipoproteins
- transferrin transferrin
- asialycoproteins gpl20 envelope protein of the human immunodeficiency virus (HIV)
- HAV human immunodeficiency virus
- the formulations of the present disclosure can be formulated as a bait, a food substance, or an attractant.
- the formulations of the present disclosure can be incorporated into an insect bait suitable for oral administration of the formulation to the target insect.
- the bait may comprise a formulation comprising an active agent and an aminolipidoid of the present disclosure dispersed in a carrier and an edible insect attractant.
- the bait comprises an edible insect attractant and a nanoparticle or microparticle comprising at least one active agent and at least one aminolipidoid of the present disclosure, wherein the nanoparticle or microparticle is dispersed in a carrier.
- the formulation of the present disclosure and attractant can be mixed together before being dispersed in the desired carrier. Suitable attractants include any type of insect food and/or attractant which will lure the insect to the bait to ingest the bait.
- Exemplary insect foods or attractants include, but are not limited to, any type of insect food, including various sugars, proteins, carbohydrates, yeast, fats, and/or oils.
- the bait can be in any form suitable for delivery and ingestion of the composition, depending on the habitat and target insect, but will typically be a liquid, gel, self-sustaining gel-matrix, or solid bait (e.g. , tablets, granules, etc.).
- Exemplary carriers include, without limitation, agarose gel, gelatin gel, and/or pectin gel. In certain embodiments, the carrier is agarose gel, which is especially suited for aquatic habitats and breeding grounds. Insect baits are known in the art and are described, for example, in U.S. Pat. No. 8,841,272, which is incorporated herein by reference in its entirety.
- the presently disclosed formulations can be present in the bait in an effective amount (i.e. , concentration) for the activity of the active agent, such as gene silencing.
- concentration of the active agent in the bait may be about 0.001, 0.005, 0.01, 0.05, 0.1, 0.5, 1, 2, 3, 4, 5, 6, 7, 8, 9, 10, 11, 12, 13, 14, 15, 16, 17, 18, 19 or 20% by weight of the bait. Any of these values may be used to define a range for the concentration of the active agent in the bait.
- the concentration of the active agent in the bait may range from about 0.1 to about 1%, or from about 1 to about 5% by weight of the bait.
- the weight ratio of active agent to insect attractant (food) in the bait may be about 1 : 1, 1 :5, 1 : 10, 1 :20, 1 :30, 1 :40, 1 :50, 1 :60, 1 :70, 1 :80, 1 :90, 1 : 100, 1 : 150 or 1 :200. Any of these values may be used to define a range for the weight ratio of the active agent to the insect attractant in the bait.
- the weight ratio of the active agent to the insect attractant in the bait may be from about 1 :20 to about 1 :200, or from about 1 :50 to about 1 : 100.
- the concentration of a microparticle or nanoparticle comprising the at least one active agent and at least one aminolipidoid of the present disclosure in the bait may be about 0.001, 0.005, 0.01, 0.05, 0.1, 0.5, 1, 2, 3, 4, 5, 6, 7, 8, 9, 10, 11, 12, 13, 14, 15, 16, 17, 18, 19 or 20% by weight of the bait. Any of these values may be used to define a range for the concentration of the microparticle or nanoparticle in the bait. For example, the concentration of the microparticle or nanoparticle in the bait may range from about 0.1 to about 1%, or from about 1 to about 5% by weight of the bait.
- the weight ratio of the microparticle or nanoparticle to insect attractant (food) in the bait may be about 1 : 1, 1 :5, 1 : 10, 1 :20, 1 :30, 1 :40, 1 :50, 1 :60, 1 :70, 1 :80, 1 :90, 1 : 100, 1 : 150 or 1 :200. Any of these values may be used to define a range for the weight ratio of the microparticle or nanoparticle to the insect attractant in the bait.
- the weight ratio of the microparticle or nanoparticle to the insect attractant in the bait may be from about 1 :20 to about 1 :200, or from about 1 :50 to about 1 : 100.
- the presently disclosed aminolipidoid-based formulations can be used to deliver an active agent to target organisms for the purpose of killing and/or controlling the proliferation of the target organisms, such as insects, plant pathogens (e.g. , fungi, bacteria, viruses, and nematodes), and weeds.
- the presently disclosed aminolipidoid-based formulations comprise an insecticidal, nematidicidal, fungicidal, bacteriocidal, viricidal, or herbicidal active agent, or combinations thereof.
- these formulations are combined with an agriculturally acceptable carrier to form a insecticidal, nematodicidal, fungicidal, bacteriocidal, viricidal, or herbicidal formulation.
- a target organism is an organism in which the presently disclosed herbicidal, insecticidal, or fungicidal formulations are intended to be functional, for example, to mediate gene silencing or suppression.
- a target organism is also a host organism, as described herein below.
- a target organism is separate and distinct from a host organism that serves as a source of the active agent to be functional in the target organism.
- the insecticidal, nematidicidal, fungicidal, bacteriocidal, viricidal, or herbicidal formulation may further be combined with an agriculturally acceptable carrier.
- the agriculturally acceptale carrier can be solid or liquid and is a substance useful in formulation of agricultural products, for example, fertilizers, herbicides, insecticides, fungicides, bactericides, viricides, and nematicides.
- Agriculturally acceptable carriers include, for example, natural or regenerated mineral substances, solvents, dispersants, wetting agents, tackifiers, thickeners, binders or fertilizers. Such carriers are described for example, in WO 97/33890, which is incorporated herein by reference.
- the presently disclosed formulations can be applied to the crop area or plant to be treated, simultaneously or in succession with further compounds.
- further compounds can be, for example, fertilizers or micronutrient donors or other preparations, which influence the growth of plants. They can also be selective herbicides or non-selective herbicides as well as insecticides, fungicides, bactericides, nematicides, molluscicides or mixtures of several of these preparations, if desired together with further carriers, surfactants or application promoting adjuvants customarily employed in the art of formulation.
- Active agents that can be delivered to a target organism using the presently disclosed formulations include, but are not limited to, any type of molecule or compound including, but not limited to, nucleic acids, peptides, polypeptides, small molecules, and mixtures thereof.
- nucleic acids include, but are not limited to, interfering RNA molecules (e.g., siRNA, aiRNA, miRNA), antisense oligonucleotides, plasmids, ribozymes, immuno stimulatory oligonucleotides, and mixtures thereof.
- the active agent comprises a nucleic acid.
- the nucleic acid comprises an interfering RNA molecule such as, e.g. , an siRNA, aiRNA, miRNA, or mixtures thereof.
- the nucleic acid comprises single- stranded or double-stranded DNA, RNA, or a DNA/RNA hybrid such as, e.g. , an antisense oligonucleotide, a ribozyme, a plasmid, an immuno stimulatory
- oligonucleotide or mixtures thereof.
- presently disclosed particles are associated with a nucleic acid.
- the nucleic acid is fully encapsulated in a lipidoid particle.
- nucleic acid includes any oligonucleotide or
- polynucleotide with fragments containing up to 60 nucleotides generally termed
- oligonucleotides, and longer fragments termed polynucleotides.
- oligonucleotides of the invention are about 10, 15, 20, 25, 30, 35, 40, 45, 50, 55 or 60 nucleotides in length. Any of these values may be used to define a range for the size of the oligonucleotide. For example, the size of the oligonucleotide may range from 15-60, 20-60 or 25-60 nucleotides in length.
- the polynucleotide is 65, 70, 80, 90, 100, 150, 200, 250, 300, 350, 400, 450, 500, 550, 600, 650, 700, 750, 800, 850, 900, 950, 1000, 1100, 1200, 1300, 1400, 1500, 1600, 1700, 1800, 1900, 2000, or more nucleotides in length.
- the polynucleotide is at least 65, 70, 80, 90, 100, 150, 200, 250, 300, 350, 400, 450, 500, 550, 600, 650, 700, 750, 800, 850, 900, 950, 1000, 1100, 1200, 1300, 1400, 1500, 1600, 1700, 1800, 1900 or 2000 nucleotides in length. Any of these values may be used to define a range for the size of the polynucleotide.
- the polynucleotide may range from 100-150, 150-200, 200-250, 250-300, 300-350, 350-400, 450-500, 500-550, 550-600, 600-650, 650-700, 700-750, 750-800, 800-850, 850-900, 900- 950, or 950-1000 nucleotides in length.
- the nucleic acid may be administered alone in the particles of the present disclosure, or in combination (e.g. , co-administered) with particles of the present disclosure comprising peptides, polypeptides, or small molecules, such as conventional drugs.
- oligonucleotide refer to a polymer or oligomer of nucleotide or nucleoside monomers consisting of naturally-occurring bases, sugars, and intersugar (backbone) linkages.
- polynucleotide and oligonucleotide also include polymers or oligomers comprising non-naturally occurring monomers, or portions thereof, which function similarly. Such modified or substituted oligonucleotides are often preferred over native forms because of properties such as, for example, enhanced cellular uptake and increased stability in the presence of nucleases.
- Oligonucleotides are generally classified as deoxyribooligonucleotides or ribooligonucleotides.
- a deoxyribooligonucleotide consists of a 5-carbon sugar called deoxyribose joined covalently to phosphate at the 5' and 3 ' carbons of this sugar to form an alternating, unbranched polymer.
- a ribooligonucleotide consists of a similar repeating structure where the 5-carbon sugar is ribose.
- Nucleic acids that can be used in the presently disclosed formulations includes any form of nucleic acid that is known.
- the nucleic acids used herein can be single-stranded DNA or RNA, or double-stranded DNA or RNA, or DNA-RNA hybrids.
- double-stranded DNA are described herein and include, e.g., structural genes, genes including control and termination regions, and self-replicating systems such as viral or plasmid DNA.
- Examples of double-stranded RNA are described herein and include, e.g., siRNA and other RNAi agents such as aiRNA and pre-miRNA.
- Single-stranded nucleic acids include, e.g., antisense oligonucleotides, ribozymes, mature miRNA, and triplex-forming oligonucleotides.
- Nucleic acids that can be used in the formulations of the present disclosure may be of various lengths, which is generally dependent upon the particular form of nucleic acid.
- plasmids or genes may be from about 1,000 to about 100,000 nucleotide residues in length.
- oligonucleotides may range from about 10 to about 100 nucleotides in length. In certain embodiments,
- oligonucleotides both single-stranded, double- stranded, and triple-stranded, may range in length from about 10 to about 60 nucleotides, from about 15 to about 60 nucleotides, from about 20 to about 50 nucleotides, from about 15 to about 30 nucleotides, or from about 20 to about 30 nucleotides in length.
- an oligonucleotide (or a strand thereof) that can be used in the presently disclosed formulations specifically hybridizes to or is complementary to a target polynucleotide sequence.
- oligonucleotide indicates a sufficient degree of complementarity such that stable and specific binding occurs between the DNA or RNA target and the oligonucleotide. It is understood that an oligonucleotide need not be 100% complementary to its target nucleic acid sequence to be specifically hybridizable. In certain embodiments, an oligonucleotide is specifically hybridizable when binding of the oligonucleotide to the target sequence interferes with the normal function of the target sequence to cause a loss of utility or expression therefrom, and there is a sufficient degree of complementarity to avoid non-specific binding of the oligonucleotide to non-target sequences under conditions in which specific binding is desired. Thus, the oligonucleotide may include 1, 2, 3, or more base substitutions as compared to the region of a gene or mRNA sequence that it is targeting or to which it specifically hybridizes.
- the oligo- or polynucleotide is optionally purified and substantially pure. In some embodiments, the polynucleotide is greater than 50% pure. In some embodiments, the oligo- or polynucleotide is greater than 75% pure. In some embodiments, the oligo- or polynucleotide is greater than 95% pure.
- the oligo- or polynucleotide may be provided by any means known in the art. In certain embodiments, the oligo- or polynucleotide has been engineered using recombinant techniques. The oligo- or polynucleotide may also be obtained from natural sources and purified from contaminating components found normally in nature. The oligo- or polynucleotide may also be chemically synthesized in a laboratory. In certain embodiments, the oligo- or polynucleotide is synthesized using standard solid phase chemistry.
- the oligo- or polynucleotide may be modified by chemical or biological means. In certain embodiments, these modifications lead to increased stability of the oligo- or polynucleotide. Examples of such modifications include, but are not limited to, methylation, phosphorylation, and end-capping.
- the oligo- or polynucleotide to be delivered may be in any form.
- forms include, but are not limited to, a circular plasmid, a linearized plasmid, a cosmid, a viral genome, a modified viral genome, an artificial chromosome, dsRNA, ssRNA, dsDNA, ssDNA, RNA/DNA hybrids, dsRNA hairpins, siRNA, aiRNA, and miRNA.
- the oligo- or polynucleotide may be of any sequence. In certain embodiments,
- the oligo- or polynucleotide encodes a protein or peptide.
- the encoded proteins may be enzymes, structural proteins, receptors, soluble receptors, ion channels, or cytokines.
- the oligo- or polynucleotide may also comprise regulatory regions to control the expression of a gene. These regulatory regions may include, but are not limited to, promoters, enhancer elements, repressor elements, TATA box, ribosomal binding sites, and stop site for transcription.
- the polynucleotide is not intended to encode a protein.
- the polynucleotide may be used to fix an error in the genome of the cell being transfected.
- the nucleic acid is modified. As used herein, the term
- nucleic acid e.g., an oligonucleotide or polynucleotide
- a nucleic acid that contains variations of the standard bases, sugars and/or phosphate backbone chemical structures occurring in ribonucleic (i.e. , A, C, G and U) and deoxyribonucleic (i.e. , A, C, G and T) acids.
- ribonucleic i.e. , A, C, G and U
- deoxyribonucleic i.e. , A, C, G and T
- the oligo- or polynucleotide is an RNA that carries out RNA interference (RNAi).
- RNAi RNA interference
- interfering RNA or “RNAi” or “interfering RNA sequence” refers to single-stranded RNA (e.g. , mature miRNA) or double- stranded RNA (e.g., duplex RNA, such as siRNA, aiRNA, or pre-miRNA) that is capable of reducing or inhibiting the expression of a target gene or sequence (e.g. , by mediating the degradation or inhibiting the translation of mRNAs which are complementary to the interfering RNA sequence) when the interfering RNA is in the same cell as the target gene or sequence.
- Interfering RNA thus refers to the single- stranded RNA that is complementary to a target mRNA sequence or to the double- stranded RNA formed by two complementary strands or by a single, self-complementary strand.
- Interfering RNA may have substantial or complete identity to the target gene or sequence, or may comprise a region of mismatch (i.e. , a mismatch motif).
- the sequence of the interfering RNA can correspond to the full-length target gene, or a subsequence thereof.
- the active agent comprises an siRNA.
- the siRNA molecule can comprise a double-stranded region of about 15 to about 60 nucleotides in length (e.g., about 15 to 60, 15 to 50, 15 to 40, 15 to 30, 15 to 25, or 19 to 25 nucleotides in length, or 15, 16, 17, 18, 19, 20, 21, 22, 23, 24, or 25 nucleotides in length).
- the siRNA molecules used in the presently disclosed formulations are capable of silencing the expression of a target sequence in vitro and/or in vivo.
- the siRNA molecule comprises modified nucleotides including, but not limited to, 2'-0-methyl (2'OMe) nucleotides, 2'-deoxy-2'-fluoro(2'F) nucleotides, 2'-deoxy nucleotides, 2'-0-(2-methoxyethyl) (MOE) nucleotides, locked nucleic acid (LNA) nucleotides, and mixtures thereof.
- the siRNA comprises 2'OMe nucleotides (e.g.
- 2'OMe purine and/or pyrimidine nucleotides such as, for example, 2'OMe-guanosine nucleotides, 2'OMe-uridine nucleotides, 2'OMe-adenosine nucleotides, 2'OMe-cytosine nucleotides, and mixtures thereof.
- the siRNA does not comprise 2'OMe-cytosine nucleotides.
- the siRNA comprises a hairpin loop structure.
- the siRNA may comprise modified nucleotides in one strand (i.e. , sense or antisense) or both strands of the double- stranded region of the siRNA molecule.
- uridine and/or guanosine nucleotides are modified at selective positions in the double- stranded region of the siRNA duplex.
- uridine nucleotide modifications at least one, two, three, four, five, six, or more of the uridine nucleotides in the sense and/or antisense strand can be a modified uridine nucleotide such as a 2'OMe-uridine nucleotide.
- every uridine nucleotide in the sense and/or antisense strand is a 2'OMe-uridine nucleotide.
- at least one, two, three, four, five, six, or more of the guanosine nucleotides in the sense and/or antisense strand can be a modified guanosine nucleotide such as a 2'OMe- guanosine nucleotide.
- every guanosine nucleotide in the sense and/or antisense strand is a 2'OMe-guanosine nucleotide.
- 5'-GU-3' motifs in an siRNA sequence may be modified, e.g. , by introducing mismatches to eliminate the 5'-GU-3' motifs and/or by introducing modified nucleotides such as 2'OMe nucleotides.
- the 5'-GU-3' motif can be in the sense strand, the antisense strand, or both strands of the siRNA sequence.
- the 5'-GU-3 ' motifs may be adjacent to each other or, alternatively, they may be separated by 1, 2, 3, 4, 5, 6, 7, 8, 9, 10, 11, 12, or more nucleotides.
- a modified siRNA molecule is capable of silencing at least about 5%, 10%, 15%, 20%, 25%, 30%, 35%, 40%, 45%, 50%, 55%, 60%, 65%, 70%, 75%, 80%, 85%, 90%, 95%, or 100% of the expression of the target sequence relative to the corresponding unmodified siRNA sequence.
- the siRNA molecule does not comprise phosphate backbone modifications, e.g. , in the sense and/or antisense strand of the double- stranded region.
- the siRNA comprises one, two, three, four, or more phosphate backbone modifications, e.g. , in the sense and/or antisense strand of the double- stranded region.
- the siRNA does not comprise phosphate backbone modifications.
- the siRNA does not comprise 2'-deoxy nucleotides, e.g. , in the sense and/or antisense strand of the double- stranded region.
- the siRNA comprises one, two, three, four, or more 2'-deoxy nucleotides, e.g. , in the sense and/or antisense strand of the double- stranded region. In certain embodiments, the siRNA does not comprise 2'-deoxy nucleotides.
- the nucleotide at the 3 '-end of the double- stranded region in the sense and/or antisense strand is not a modified nucleotide.
- the nucleotides near the 3 '-end e.g. , within one, two, three, or four nucleotides of the 3 '-end) of the double- stranded region in the sense and/or antisense strand are not modified nucleotides.
- the siRNA molecules described herein may have 3' overhangs of one, two, three, four, or more nucleotides on one or both sides of the double- stranded region, or may lack overhangs (i.e. , have blunt ends) on one or both sides of the double- stranded region.
- the siRNA has 3' overhangs of two nucleotides on each side of the double-stranded region.
- the 3 ' overhang on the antisense strand has complementarity to the target sequence and the 3' overhang on the sense strand has complementarity to a complementary strand of the target sequence.
- the 3' overhangs do not have complementarity to the target sequence or the complementary strand thereof.
- the 3' overhangs comprise one, two, three, four, or more nucleotides such as 2'-deoxy(2'H) nucleotides. In certain embodiments, the 3' overhangs comprise deoxythymidine (dT) and/or uridine nucleotides. In certain embodiments, one or more of the nucleotides in the 3' overhangs on one or both sides of the double- stranded region comprise modified nucleotides.
- dT deoxythymidine
- uridine nucleotides in the 3' overhangs on one or both sides of the double- stranded region comprise modified nucleotides.
- modified nucleotides include, but are not limited to, 2'OMe nucleotides, 2'-deoxy-2'F nucleotides, 2'-deoxy nucleotides, 2'-0-2-MOE nucleotides, LNA nucleotides, and mixtures thereof.
- one, two, three, four, or more nucleotides in the 3 ' overhangs present on the sense and/or antisense strand of the siRNA comprise 2'OMe nucleotides (e.g.
- the siRNA may comprise at least one or a cocktail (e.g. , at least two, three, four, five, six, seven, eight, nine, ten, or more) of unmodified and/or modified siRNA sequences that silence target gene expression.
- a cocktail e.g. , at least two, three, four, five, six, seven, eight, nine, ten, or more
- the cocktail of siRNA may comprise sequences, which are directed to the same region or domain (e.g., a "hot spot") and/or to different regions or domains of one or more target genes.
- one or more (e.g., at least two, three, four, five, six, seven, eight, nine, ten, or more) modified siRNA that silence target gene expression are present in a cocktail.
- one or more (e.g., at least two, three, four, five, six, seven, eight, nine, ten, or more) unmodified siRNA sequences that silence target gene expression are present in a cocktail.
- the antisense strand of the siRNA molecule comprises or consists of a sequence that is at least about 80%, 85%, 90%, 95%, 96%, 97%, 98%, or 99% complementary to the target sequence or a portion thereof. In certain embodiments, the antisense strand of the siRNA molecule comprises or consists of a sequence that is 100% complementary to the target sequence or a portion thereof. In certain embodiments, the antisense strand of the siRNA molecule comprises or consists of a sequence that specifically hybridizes to the target sequence or a portion thereof.
- the sense strand of the siRNA molecule comprises or consists of a sequence that is at least about 80%, 85%, 90%, 95%, 96%, 97%, 98%, or 99% identical to the target sequence or a portion thereof. In certain embodiments, the sense strand of the siRNA molecule comprises or consists of a sequence that is 100% identical to the target sequence or a portion thereof.
- the siRNA that can be used in the presently disclosed formulations are capable of silencing the expression of a target gene of interest.
- Each strand of the siRNA duplex can be about 15 to about 60 nucleotides in length, or about 15 to about 30 nucleotides in length.
- the siRNA comprises at least one modified nucleotide.
- the modified siRNA contains at least one 2'OMe purine or pyrimidine nucleotide such as a 2'OMe-guanosine, 2'OMe-uridine, 2'OMe-adenosine, and/or 2'OMe- cytosine nucleotide.
- one or more of the uridine and/or guanosine nucleotides are modified.
- the modified nucleotides can be present in one strand (i.e. , sense or antisense) or both strands of the siRNA.
- the siRNA sequences may have overhangs or may lack overhangs (i.e., have blunt ends).
- the modified siRNA generally comprises from about 1% to about 100% (e.g.
- modified nucleotides in the double- stranded region of the siRNA duplex comprise modified nucleotides.
- one, two, three, four, five, six, seven, eight, nine, ten, or more of the nucleotides in the double-stranded region of the siRNA comprise modified nucleotides.
- less than about 25% e.g., less than about 25%, 24%,
- nucleotides in the double-stranded region of the siRNA comprise modified nucleotides.
- the resulting modified siRNA can comprise less than about 30% modified nucleotides (e.g., less than about 30%, 29%, 28%, 27%, 26%, 25%, 24%, 23%, 22%, 21%, 20%, 19%, 18%, 17%, 16%, 15%, 14%, 13%, 12%, 11%, 10%, 9%, 8%, 7%, 6%, 5%, 4%, 3%, 2%, or 1% modified nucleotides) or from about 1% to about 30% modified nucleotides (e.g.
- modified nucleotides suitable for use in the presently disclosed formulations include, but are not limited to, ribonucleotides having a 2'-0-methyl (2'OMe), 2'-deoxy-2'-fluoro(2'F), 2'-deoxy, 5-C-methyl, 2'-0-(2-methoxyethyl) (MOE), 4'-thio, 2'- amino, or 2'-C-allyl group.
- Modified nucleotides having a Northern conformation are also suitable for use in siRNA molecules.
- modified nucleotides include, without limitation, locked nucleic acid (LNA) nucleotides (e.g.
- siRNA molecules described herein include one or more G-clamp nucleotides.
- a G-clamp nucleotide refers to a modified cytosine analog wherein the modifications confer the ability to hydrogen bond both Watson-Crick and Hoogsteen faces of a complementary guanine nucleotide within a duplex.
- nucleotides having a nucleotide base analog such as, for example, C-phenyl, C-naphthyl, other aromatic derivatives, inosine, azole carboxamides, and nitroazole derivatives such as 3-nitropyrrole, 4- nitroindole, 5-nitroindole, and 6-nitroindole can be incorporated into siRNA molecules.
- the siRNA molecules may further comprise one or more chemical modifications such as terminal cap moieties, phosphate backbone
- terminal cap moieties include, but are not limited to, inverted deoxy abasic residues, glyceryl modifications, 4 ',5 '-methylene nucleotides, 1-( ⁇ - D-erythrofuranosyl) nucleotides, 4'-thio nucleotides, carbocyclic nucleotides, 1,5- anhydrohexitol nucleotides, L-nucleotides, a-nucleotides, modified base nucleotides, threo- pentofuranosyl nucleotides, acyclic 3 ',4'-seco nucleotides, acyclic 3,4-dihydroxybutyl nucleotides, acyclic 3,5-dihydroxypentyl nucleotides, 3 '-3 '-inverted nucleotide moieties, 3'- 3 '-inverted abasic moieties, 3 '-2 '
- phosphorodithioate methylphosphonate, phosphotriester, morpholino, amidate, carbamate, carboxymethyl, acetamidate, polyamide, sulfonate, sulfonamide, sulfamate, formacetal, thioformacetal, and alkylsilyl substitutions.
- Such chemical modifications can occur at the 5'- end and/or 3 '-end of the sense strand, antisense strand, or both strands of the siRNA.
- the sense and/or antisense strand of the siRNA molecule can further comprise a 3 '-terminal overhang having about 1 to about 4 (e.g. , 1, 2, 3, or 4) 2'-deoxy ribonucleotides and/or any combination of modified and unmodified nucleotides.
- the siRNA molecules can optionally comprise one or more non-nucleotides in one or both strands of the siRNA.
- non-nucleotide refers to any group or compound that can be incorporated into a nucleic acid chain in the place of one or more nucleotide units, including sugar and/or phosphate substitutions, and allows the remaining bases to exhibit their activity.
- the group or compound is abasic in that it does not contain a commonly recognized nucleotide base such as adenosine, guanine, cytosine, uracil, or thymine and therefore lacks a base at the 1 '-position.
- chemical modification of the siRNA comprises attaching a conjugate to the siRNA molecule.
- the conjugate can be attached at the 5' and/or 3 '-end of the sense and/or antisense strand of the siRNA via a covalent attachment such as, e.g., a biodegradable linker.
- the conjugate can also be attached to the siRNA, e.g., through a carbamate group or other linking group.
- the conjugate is a molecule that facilitates the delivery of the siRNA into a cell.
- the active agent comprises an asymmetrical interfering RNA (aiRNA).
- aiRNA duplexes of various lengths may be designed with overhangs at the 3' and 5' ends of the antisense strand to target an mRNA of interest.
- the sense strand of the aiRNA molecule is about 10-25, 12- 20, 12-19, 12- 18, 13-17, or 14-17 nucleotides in length, more typically 12, 13, 14, 15, 16, 17, 18, 19, or 20 nucleotides in length.
- the antisense strand of the aiRNA molecule is about 15-60, 15-50, or 15-40 nucleotides in length, or about 15-30, 15-25, or 19-25 nucleotides in length, or about 20-24, 21-22, or 21-23 nucleotides in length.
- the 5' antisense overhang contains one, two, three, four, or more nontargeting nucleotides (e.g., "AA”, “UU”, “dTdT”, etc.). In other words, “AA”, “UU”, “dTdT”, etc.). In other words, “AA”, “UU”, “dTdT”, etc.). In other words, “AA”, “UU”, “dTdT”, etc.).
- the 3' antisense overhang contains one, two, three, four, or more nontargeting nucleotides (e.g., "AA”, “UU”, “dTdT”, etc.).
- the aiRNA molecules described herein may comprise one or more modified nucleotides, e.g., in the double-stranded (duplex) region and/or in the antisense overhangs.
- aiRNA sequences may comprise one or more of the modified nucleotides described above for siRNA sequences.
- the aiRNA molecule comprises 2'OMe nucleotides such as, for example, 2'OMe-guanosine nucleotides, 2'OMe-uridine nucleotides, or mixtures thereof.
- aiRNA molecules may comprise an antisense strand which corresponds to the antisense strand of an siRNA molecule, e.g., one of the siRNA molecules described herein.
- aiRNA molecules may be used to silence the expression of any of a target gene.
- the aiRNA molecule comprises a double-stranded
- duplex region of about 10 to about 25 (base paired) nucleotides in length, wherein the aiRNA molecule comprises an antisense strand comprising 5' and 3 ' overhangs, and wherein the aiRNA molecule is capable of silencing target gene expression.
- each of the 5' and 3 ' overhangs on the antisense strand comprises or consists of one, two, three, four, five, six, seven, or more nucleotides.
- the active agent comprises a microRNAs (miRNA).
- miRNA are single- stranded RNA molecules of about 21-23 nucleotides in length, which regulate gene expression.
- the miRNA molecules described herein are about 15-100, 15-90, 15-80, 15-75, 15-70, 15-60, 15-50, or 15-40 nucleotides in length, or about 15-30, 15-25, or 19-25 nucleotides in length, or about 20-24, 21-22, or 21-23 nucleotides in length.
- the miRNA molecule comprises about 15 to about 60 nucleotides in length, wherein the miRNA molecule is capable of silencing target gene expression.
- miRNA molecules may comprise one or more modified nucleotides.
- miRNA sequences may comprise one or more of the modified nucleotides described above for siRNA sequences.
- the miRNA molecule comprises 2'OMe nucleotides such as, for example, 2'OMe-guanosine nucleotides, 2'OMe-uridine nucleotides, or mixtures thereof.
- the miRNA molecule comprises modified nucleotides selected from the group consisting of 2'F nucleotides, 2'-deoxy nucleotides, 2'-0-MOE nucleotides, LNA nucleotides, and mixtures thereof. dsRNA
- the active agent is a dsRNA (double-stranded RNA).
- the active agent is an shRNA (short hairpin RNA).
- the active agent is an antisense oligonucleotide.
- antisense polynucleotide or “antisense” include polynucleotides that are
- Antisense polynucleotides are single strands of DNA or RNA that are complementary to a chosen sequence.
- the polynucleotide is an antisense RNA.
- Antisense RNA is an antisense RNA.
- RNA polynucleotides prevent the translation of complementary RNA strands by binding to the RNA.
- Antisense DNA polynucleotides can be used to target a specific, complementary (coding or non-coding) RNA. If binding occurs, this DNA/RNA hybrid can be degraded by the enzyme RNase H.
- antisense polynucleotides comprise from about 10 to about 60 nucleotides, or from about 15 to about 30 nucleotides.
- the term also encompasses antisense polynucleotides that may not be exactly complementary to the desired target gene.
- the invention can be utilized in instances where non-target specific- activities are found with antisense, or where an antisense sequence containing one or more mismatches with the target sequence is the most preferred for a particular use.
- antisense polynucleotides are known in the art and can be readily adapted to produce an antisense polynucleotides that targets any polynucleotide sequence. Selection of antisense polynucleotide sequences specific for a given target sequence is based upon analysis of the chosen target sequence and determination of secondary structure, Tm, binding energy, and relative stability. Antisense polynucleotides may be selected based upon their relative inability to form dimers, hairpins, or other secondary structures that would reduce or prohibit specific binding to the target mRNA in a host cell.
- Highly preferred target regions of the mRNA include those regions at or near the AUG translation initiation codon and those sequences that are substantially complementary to 5' regions of the mRNA.
- the active agent is a ribozyme.
- Ribozymes are RNA- protein complexes having specific catalytic domains that possess endonuclease activity. For example, a large number of ribozymes accelerate phosphoester transfer reactions with a high degree of specificity, often cleaving only one of several phosphoesters in an oligonucleotide substrate. This specificity has been attributed to the requirement that the substrate bind via specific base-pairing interactions to the internal guide sequence ("IGS") of the ribozyme prior to chemical reaction.
- IGS internal guide sequence
- the enzymatic nucleic acid molecule may be formed in a hammerhead, hairpin, hepatitis ⁇ virus, group I intron or RNaseP RNA (in association with an RNA guide sequence), or Neurospora VS RNA motif, for example.
- Important characteristics of enzymatic nucleic acid molecules used according to the invention are that they have a specific substrate binding site which is complementary to one or more of the target gene DNA or RNA regions, and that they have nucleotide sequences within or surrounding that substrate binding site which impart an RNA cleaving activity to the molecule.
- Ribozyme activity can be optimized by altering the length of the ribozyme binding arms or chemically synthesizing ribozymes with modifications that prevent their degradation by serum ribonucleases, modifications which enhance their efficacy in cells, and removal of stem II bases to shorten RNA synthesis times and reduce chemical requirements.
- an insecticide for killing or controlling the proliferation of an insect is combined with the active agent described above.
- suitable insecticides include, but are not limited to, those provided in Table 1.
- acrinathrin allethrin (d-cis-trans, d-trans), cypermethrin (alpha-, beta-, theta-, zeta-), permethrin (cis-, trans-), beta-cyfluthrin, bifenthrin, bioallethrin, bioallethrin-S-cyclopentyl-isomer, bioethanomethrin, biopermethrin, bioresmethrin, chlovaporthrin, cis-cypermethrin, cis- resmethrin, cis-permethrin, clocythrin, cycloprothrin, cyfluthrin, cyhalothrin, cyphenothrin, DDT, deltamethrin, empenthrin (1R- isomer), esfenvalerate, etofenprox, fenflu
- fenpyrithrin, fenvalerate flubrocythrinate, flucythrinate, flufenprox, flumethrin, lluvalinate, fubfenprox, gamma-cyhalothrin, imiprothrin, kadethrin, lambda, cyhalothrin, metofluthrin, phenothrin (lR-trans isomer), prallethrin, profluthrin, protrifenbute, pyresmethrin, resmethrin, RU 15525, silalluofen, tau-lluvalinate, tefluthrin, terallethrin, tetramethrin (lR-isomer), tralocythrin, tralomethrin, transfluthrin, ZXI 8901, pyrethrins (pyrethrum)
- acetylcholine receptor modulators such as spinosyns
- spinosyns spinosyns spinosad cyclodiene camphechlor
- chlordane endosulfan
- gamma-HCH HCH
- heptachlor organochlorines lindane
- methoxychlor fiproles acetoprole
- ethiprole vaniliprole
- fipronil abamectin avermectin
- emamectin emamectin-benzoate
- fenoxycarb mectins hydroprene, kinoprene, methoprene, ivermectin, lepimectin,
- epofenonane pyriproxifen, milbemectin, milbemycin, triprene diacylhydrazines chromafenozide, halofenozide, methoxyfenozide, tebufenozide bistrifluoron, chlorfluazuron, diflubenzuron, fluazuron, flucycloxuron, benzoylureas flufenoxuron, hexaflumuron, lufenuron, novaluron, noviflumuron, penfluoron, teflubenzuron, triflumuron organotins azocyclotin, cyhexatin, fenbutatin oxide
- METIs of the intestinal membrane of insects such as Bacillus thuringiensis strains
- inhibitors of lipid synthesis such as tetronic acids and tetramic acids
- tetronic acids spirodiclofen, spiromesifen, spirotetramat cis-3-(2,5-dimethylphenyl)-8-methoxy-2-oxo-l-azaspiro[4.5]dec-3-en- 4-yl ethyl carbonate (alias: carbonic acid, 3-(2,5-dimethylphenyl)-8- methoxy-2-oxo-l-azaspiro[4.5]dec-3-en-4-yl ethyl ester; CAS Reg.
- tetramic acids No.: 382608-10-8 carboxamides (such as flonicamid), octopaminergic agonists (such as amitraz), inhibitors of the magnesium-stimulated ATPase (such as propargite), ryanodin receptor agonists (such as phthalamides or rynaxapyr)
- carboxamides such as flonicamid
- octopaminergic agonists such as amitraz
- inhibitors of the magnesium-stimulated ATPase such as propargite
- ryanodin receptor agonists such as phthalamides or rynaxapyr
- benzenedicarbo- xamide i.e., flubendiamide; CAS reg. No.: 272451- 65-7
- suitable insecticides include biologies, hormones or pheromones such as azadirachtin, Bacillus species, Beauveria species, codlemone, Metarrhizium species, Paecilomyces species, thuringiensis and Verticillium species, and active compounds having unknown or non-specified mechanisms of action such as fumigants (such as aluminium phosphide, methyl bromide and sulphuryl fluoride) and selective feeding inhibitors (such as cryolite, flonicamid and pymetrozine).
- fumigants such as aluminium phosphide, methyl bromide and sulphuryl fluoride
- selective feeding inhibitors such as cryolite, flonicamid and pymetrozine
- mite growth inhibitors include, but are not limited to, clofentezine, etoxazole and hexythiazox, amidoflumet, benclothiaz, benzoximate, bifenazate, bromopropylate, buprofezin,
- chinomethioat chlordimeform, chlorobenzilate, chloropicrin, clothiazoben, cycloprene, cyflumetofen, dicyclanil, fenoxacrim, fentrifanil, flubenzimine, flufenerim, flutenzin, gossyplure, hydramethylnone, japonilure, metoxadiazone, petroleum, piperonyl butoxide, potassium oleate, pyrafluprole, pyridalyl, pyriprole, sulfluramid, tetradifon, tetrasul, triarathene, verbutin, furthermore the compound 3-methylphenyl propylcarbamate
- an herbicide for killing or controlling the proliferation of weeds and other unwanted plants is combined with one of the active agents described above.
- herbicides include, but are not limited to, benzoic acid herbicides such as dicamba esters, phenoxyalkanoic acid herbicides such as 2,4-D, MCPA and 2,4-DB esters, aryloxyphenoxypropionic acid herbicides such as clodinafop, cyhalofop, fenoxaprop, fluazifop, haloxyfop and quizalofop esters, pyridinecarboxylic acid herbicides such as aminopyralid, picloram and clopyralid esters, pyrimidinecarboxylic acid herbicides such as aminocyclopyrachlor esters, pyridyloxyalkanoic acid herbicides such as fluoroxypyr and triclopyr esters, and hydroxybenzonitrile herbicides such as bromoxynil and i
- the herbicide is selected from the group consisting of 2,4-D, 2,4-DB, acetochlor, acifluorfen, alachlor, ametryn, amitrole, asulam, atrazine, azafenidin, benefin, bensulfuron, bensulide, bentazon, bromacil, bromoxynil, butylate, carfentrazone, chloramben, chlorimuron, chlorproham, chlorsulfuron, clethodim, clomazone, clopyralid, cloransulam, cyanazine, cycloate, DCPA, desmedipham, dichlobenil, diclofop, diclosulam, diethatyl, difenzoquat, diflufenzopyr, dimethenamid
- a fungicide for killing or controlling the proliferation of a fungus is combined with the active agent described above.
- exemplary fungicides include, but are not limited to, strobilurins, azoxystrobin, dimoxystrobin, enestroburin, fluoxastrobin, kresoxim-methyl, metominostrobin, picoxystrobin,pyraclostrobin,
- trifloxystrobin, orysastrobin carboxamides, carboxanilides, benalaxyl, benalaxyl-M, benodanil, carboxin, mebenil, mepronil, fenfuram, fenhexamid, flutolanil, furalaxyl, furcarbanil, furametpyr, metalaxyl, metalaxyl-M (mefenoxam), methfuroxam, metsulfovax, ofurace, oxadixyl, oxycarboxin, penthiopyrad, pyracarbolid, salicylanilide, tecloftalam, thifluzamide, tiadinil, N-biphenylamides, bixafen, boscalid, carboxylic acid morpholides, dimethomorph, flumorph, benzamides, flumetover, fluopicolid (picobenzamid), zo
- procymidone vinclozolin, acibenzolar-S -methyl, anilazine, captan, captafol, dazomet, diclomezin, fenoxanil, folpet, fenpropidin, famoxadon, fenamidon, octhilinone, probenazole, proquinazid, pyroquilon, quinoxyfen, tricyclazole, carbamates, dithiocarbamates, ferbam, mancozeb, maneb, metiram, metam, propineb, thiram, zineb, ziram, diethofencarb, flubenthiavalicarb, iprovalicarb, propamocarb, guanidines, dodine, iminoctadine, guazatine, kasugamycin, polyoxins, streptomycin, validamycin A, organometallic compounds, fentin salts, sulfur-
- organophosphorous compounds edifenphos, fosetyl, fosetyl- aluminum, iprobenfos, pyrazophos, tolclofos-methyl, Organochlorine compounds, thiophanate-methyl,
- chlorothalonil dichlofluanid, tolylfluanid, flusulfamide, phthalide, hexachlorobenzene, pencycuron, quintozene, nitrophenyl derivatives, binapacryl, dinocap, dinobuton, spiroxamine, cyflufenamid, cymoxanil, metrafenon, N-2-cyanophenyl-3,4-dichloroisothiazol-
- the present disclosure provides for a method of modulating a trait of a plant, comprising delivering to the plant an effective amount of a modified polyethyleneimine-based formulation comprising an oligonucleotide or polynucleotide that modulates the expression of a gene in the plant.
- Oligonucleotides or polynucleotides that modulate the expression of a gene in a plant include, but are not limited to, RNA molecules (e.g., siRNA, aiRNA, miRNA, dsRNA, and shRNA) and DNA molecules (e.g., antisense polynucleotides) that decrease expression of the gene in the plant, and RNA molecules (e.g.
- the oligonucleotide or polynucleotide modulates the expression of a gene that is endogenous to the plant. In other embodiments, the oligonucleotide or polynucleotide modulates the expression of a gene that is heterologous to the plant, e.g., a transgene that does not naturally occur within the plant. In certain embodiments, the oligonucleotide or polynucleotide that modulates the expression of a gene in the plant hybridizes to a gene or gene product that is endogenous to the plant.
- Traits that may be modulated in a plant include, but are not limited to, total seed germination, rate of seed germination, disease tolerance, insect tolerance, drought tolerance, heat tolerance, cold tolerance, salinity tolerance, tolerance to heavy metals, total yield, seed yield, fruit yield, root growth, early vigor, plant growth, plant biomass, plant size, plant lifespan, total plant dry weight, above-ground dry weight, above-ground fresh weight, leaf area, stem volume, plant height, rosette diameter, leaf length, root length, root mass, tiller number, leaf number, fruit size, fruit freshness, fruit ripening time, fruit nutritional content, plant nutritional content, and any combination thereof.
- the presently disclosed modified polyethylenimine-based formulations can be used to deliver an active agent to a plant (e.g. , a weed), for the purpose of killing and/or controlling the proliferation of the plant.
- one or more of the above-mentioned traits in a plant is increased or improved relative to a plant that is not treated with the modified
- polyethyleneimine-based formulation The trait in the plant as described herein may be increased by at least about 5, 10, 15, 20, 25, 30, 35, 40, 45, 50, 55, 60, 65, 70, 75, 80, 85, 90, 95, 100, 150, 200, 300, 400, 500, 600, 700, 800, 900, or 1000% by delivery of the modified polyethyleneimine-based formulation to the plant relative to a plant that is not treated with the formulation. In other embodiments, one or more of the above mentioned traits is decreased relative to a plant that is not treated with the modified polyethyleneimine-based formulation.
- the trait in the plant as described herein may be decreased by at least about 5, 10, 15, 20, 25, 30, 35, 40, 45, 50, 55, 60, 65, 70, 75, 80, 85, 90, 95, or 100% by delivery of the modified polyethyleneimine-based formulation to the plant relative to a plant that is not treated with the formulation.
- the present disclosure provides for a method of modulating a trait of an insect, comprising delivering to the insect, to a plant infested with the insect, or to a plant prior to infestation with the insect an effective amount of a modified
- RNA molecules e.g., siRNA, aiRNA, miRNA, dsRNA, and shRNA
- DNA molecules e.g. , antisense polynucleotides
- RNA molecules e.g., mRNA
- DNA molecules e.g. , expression cassettes and plasmids
- the oligonucleotide or polynucleotide that modulates the expression of a gene in the insect hybridizes to a gene or gene product that is endogenous to the insect.
- Traits that may be modulated in the insect include, but are not limited to, insect growth, development, activity,and/or lifespan.
- delivery of the formulation to the insect kills the insect.
- delivery of the formulation to the insect reduces its growth and/or lifespan, thereby reducing the damage done by the insect to a plant.
- delivery of the formulation to the insect causes the insect to remain in a young or immature stage, thus preventing the insect from completing its lifecycle.
- delivery of the formulation to the insect interferes with enzymes involved in the molting process that stimulate the synthesis and formation of chitin, which is an essential component of an insect' s exoskeleton. As a result, the insect fails to reach adulthood because it dies in an immature stage.
- delivery of the formulation to the insect disrupts the feeding activity of the insect. As a result, insects starve to death because they are unable to obtain nutrients.
- the delivery of the formulation to the insect decreases its growth, activity or lifespan by at least about 5, 10, 15, 20, 25, 30, 35, 40, 45, 50, 55, 60, 65, 70, 75, 80, 85, 90, 95, or 100% relative to an insect that is not treated with the
- the delivery of the formulation to the insect increases its growth, activity or lifespan by at least about 5, 10, 15, 20, 25, 30, 35, 40, 45, 50, 55, 60, 65, 70, 75, 80, 85, 90, 95, 100, 150, 200, 300, 400, 500, 600, 700, 800, 900 or 1000% relative to an insect that is not treated with the formulation.
- the present disclosure provides a method of modulating the pathogenicity of a plant pathogen, comprising applying to the plant pathogen, to a plant infected with the plant pathogen, or to a plant prior to infection with the plant pathogen a modified polyethyleneimine-based formulation comprising an oligonucleotide or polynucleotide that modulates expression of a gene in the plant pathogen.
- a modified polyethyleneimine-based formulation comprising an oligonucleotide or polynucleotide that modulates expression of a gene in the plant pathogen.
- the pathogenicity of the plant pathogen is decreased, for example by decreasing the growth, activity, or lifespan of the plant pathogen, or delaying the
- the formulation is used to kill the plant pathogen and/or control its proliferation.
- the pathogenicity of the plant pathogen is increased, for example, by increasing the growth, activity or lifespan of the plant pathogen, or accelerating its development.
- Increasing pathogenicity of a plant pathogen may be used, for example, to kill or reduce the growth of a plant such as a weed.
- the growth, activity or lifespan of the plant pathogen may be decreased by about 5, 10, 15, 20, 25, 30, 35, 40, 45, 50, 55, 60, 65, 70, 75, 80, 85, 90, 95, or 100% relative to a plant pathogen that is not treated with the modified polyethyleneimine-based formulation.
- the growth, activity or lifespan of the plant pathogen may be increased by about 5, 10, 15, 20, 25, 30, 35, 40, 45, 50, 55, 60, 65, 70, 75, 80, 85, 90, 95, 100, 150, 200, 300, 400, 500, 600, 700, 800, 900 or 1000% relative to a plant pathogen that is not treated with the modified polyethyleneimine-based formulation.
- the target organism is any organism in which one or more traits is modulated by the active agent.
- a target organism is also a host organism, as described herein below.
- the target organism is an organism comprising one or more genes that is targeted by an oligonucleotide or polynucleotide active agent.
- the target organism is a plant in which one or more yield-related traits is improved by the active agent.
- the target organism is a beneficial insect whose growth, fecundity, or disease resistance is improved by the active agent.
- the target organisms are plant pests or pathogens whose damage to the plant can be reduced or eliminated by active agents according to the invention.
- plant pests and pathogens include, but are not limited to, insects, nematodes, fungi, bacteria, viruses, and parasitic plants such as striga, dodder, and mistletoe.
- Insect pests that may be targeted according to the invention include, but are not limited to, chewing, sucking, and boring insects that belong, for example, to the non-limiting Orders Coleoptera, Diptera, Hemiptera, Heteroptera, Homoptera, Hymenoptera, Lepidoptera, and Orthoptera.
- the composition may be taken up by an insect by direct contact with the composition, for example, by topical adsorption or inhalation of the composition or by direct feeding on a bait comprising the composition, as described below.
- the compositions may also be taken up by the insect by direct feeding on a plant that has been treated with the composition. Examples of insect pests that may be targeted by the invention include, but are not limited to, those provided in Table 2.
- Pseudoplusia includes Soybean looper
- nematodes examples include, but are not limited to, those provided in Table 3.
- Root-knot fallax M. hapla, M. javanica, M. incognita, M. microtyla, M.
- fungi examples include, but are not limited to, those provided in Table 4.
- Exserohilum rostratum Helminthosporium rostratum
- Leaf (brown) rust Puccinia recondita (anamorph: Aecidium clematitis)
- bacteria examples include, but are not limited to, those shown in Table 5.
- plant viruses that may be targeted include, but are not limited to, those shown in the Table 6. [0266] Table 6.
- Bromoviruses Cassia yellow blotch bromovirus, Cowpea chlorotic mottle Bromoviridae bromovirus, Melandrium yellow fleck bromovirus, Spring
- Blueberry scorch carlavirus Cactus 2 carlavirus, Caper latent carlavirus, Carnation latent carlavirus, Chrysanthemum B carlavirus, Dandelion latent carlavirus, Elderberry carlavirus, Fig S carlavirus, Helenium S carlavirus, Honeysuckle latent carlavirus, Hop American latent carlavirus, Hop latent carlavirus, Hop mosaic carlavirus, Kalanchoe latent carlavirus,
- Lilac mottle carlavirus Lily symptomless carlavirus, Mulberry latent carlavirus, Muskmelon vein necrosis carlavirus, Nerine latent carlavirus, Passiflora latent carlavirus, Pea streak carlavirus, Poplar mosaic carlavirus, Potato M carlavirus, Potato S carlavirus, Red clover vein mosaic carlavirus, Shallot latent carlavirus, Strawberry pseudo mild yellow edge carlavirus
- Carmoviruses carmovirus, Cucumber soil-borne carmovirus, Galinsoga mosaic Tombusviridae carmovirus, Hibiscus chlorotic ringspot carmovirus, Melon
- necrotic spot carmovirus Pelargonium flower break carmovirus, Turnip crinkle carmovirus
- Blueberry red ringspot caulimovirus Carnation etched ring caulimovirus, Cauliflower mosaic caulimovirus, Dahlia mosaic caulimovirus, Figwort mosaic caulimovirus, Horseradish latent
- caulimovirus Mirabilis mosaic caulimovirus, Peanut chlorotic streak caulimovirus, Soybean chlorotic mottle caulimovirus, Sweet potato caulimovirus, Thistle mottle caulimovirus
- Comoviruses Comoviridae Bean pod mottle comovirus, Bean rugose mosaic comovirus,
- Broad bean stain comovirus Broad bean true mosaic comovirus, Cowpea mosaic comovirus, Cowpea severe mosaic comovirus,
- Glycine mosaic comovirus Pea mild mosaic comovirus, Potato Andean mottle comovirus, Quail pea mosaic comovirus, Radish mosaic comovirus, Red clover mottle comovirus, Squash mosaic comovirus, Ullucus C comovirus
- Cucumoviruses Cucumber mosaic cucumovirus, Peanut stunt cucumovirus, Bromoviridae Tomato aspermy cucumovirus
- Cytorhabdoviruses cytorhabdovirus, Cereal northern mosaic cytorhabdovirus, Rhabdoviridae Festuca leaf streak cytorhabdovirus, Lettuce necrotic yellows cytorhabdovirus, Sonchus cytorhabdovirus, Strawberry crinkle cytorhabdovirus
- Fijiviruses Reoviridae stunt fijivirus, Rice black- streaked dwarf fijivirus, Sugarcane Fiji disease fijivirus
- Peanut clump furovirus Potato mop-top furovirus, Sorghum chlorotic spot furovirus, Wheat soil-borne mosaic furovirus
- Hybrigeminiviruses Beet curly top hybrigeminivirus, Tomato pseudo curly top Geminiviridae hybrigeminiviru s
- Apple mosaic ilarvirus Asparagus 2 ilarvirus, Blueberry necrotic shock ilarvirus, Citrus leaf rugose ilarvirus, Citrus variegation ilarvirus, Elm mottle ilarvirus, Humulus japonicus ilarvirus, Hydrangea mosaic ilarvirus, Lilac ring mottle ilarvirus,
- Parietaria mottle ilarvirus Plum American line pattern ilarvirus, Prune dwarf ilarvirus, Prunus necrotic ringspot ilarvirus, Spinach latent ilarvirus, Tobacco streak ilarvirus, Tulare apple mosaic ilarvirus
- Ipomoviruses Potyviridae Sweet potato mild mottle ipomovirus, Sweet potato yellow dwarf ipomovirus
- Barley yellow dwarf luteovirus Bean leaf roll luteovirus, Beet mild yellowing luteovirus, Beet western yellows luteovirus, Carrot red leaf luteovirus, Groundnut rosette assistor luteovirus,
- Luteoviruses Potato leafroll luteovirus, Solanum yellows luteovirus, Soybean dwarf luteovirus, Soybean Indonesian dwarf luteovirus,
- Macluraviruses Maclura mosaic macluravirus, Narcissus latent macluravirus
- Chloris striate mosaic monogeminivirus Digitaria striate mosaic monogeminivirus, Digitaria streak monogeminivirus, Maize
- Monogeminiviruses streak monogeminivirus, Miscanthus streak monogeminivirus, Geminiviridae Panicum streak monogeminivirus, Paspalum striate mosaic
- Tobacco necrosis necrovirus Carnation yellow stripe necrovirus
- Arabis mosaic nepovirus Arracacha A nepovirus, Artichoke Italian latent nepovirus, Artichoke yellow ringspot nepovirus, Blueberry leaf mottle nepovirus, Cacao necrosis nepovirus, Cassava green mottle nepovirus, Cherry leaf roll nepovirus, Cherry rasp leaf nepovirus, Chicory yellow mottle nepovirus, Crimson clover latent nepovirus, Cycas necrotic stunt nepovirus, Grapevine Bulgarian latent nepovirus, Grapevine chrome mosaic
- Nepoviruses Comoviridae
- nucleorhabdovirus Potato yellow dwarf nucleorhabdovirus, Sonchus yellow net nucleorhabdovirus, Sowthistle yellow vein nucleorhabdovirus, Tomato vein clearing nucleorhabdovirus, Wheat American striate mosaic nucleorhabdovirus
- Phytoreoviruses Reoviridae Rice gall dwarf phytoreovirus, Rice bunchy stunt phytoreovirus,
- Nerine X potexvirus Papaya mosaic potexvirus, Pepino mosaic potexvirus, Plantago asiatica mosaic potexvirus, Plantain X potexvirus, Potato aucuba mosaic potexvirus, Potato X potexvirus, Tulip X potexvirus, Viola mottle potexvirus, White clover mosaic potexvirus
- Alstroemeria mosaic potyvirus Amaranthus leaf mottle potyvirus, Araujia mosaic potyvirus, Arracacha Y potyvirus, Artichoke latent potyvirus, Asparagus 1 potyvirus, Banana bract mosaic potyvirus, Bean common mosaic necrosis potyvirus, Bean common mosaic potyvirus, Bean yellow mosaic potyvirus, Beet mosaic potyvirus, Bidens mosaic potyvirus, Bidens mottle potyvirus, Cardamom mosaic potyvirus, Carnation vein mottle potyvirus, Carrot thin leaf potyvirus, Cassava brown streak
- Potyviruses Potyviridae potyvirus, Cassia yellow spot potyvirus, Celery mosaic
- Satellite RNAs RNA Cucumber mosaic satellite RNA, Grapevine fanleaf
- RNA Strawberry latent ringspot satellite RNA
- Tobacco ringspot satellite RNA Tobacco ringspot satellite RNA
- Tomato black ring satellite RNA Tomato black ring satellite RNA
- Satelliviruses satellivirus, Tobacco mosaic satellivirus, Tobacco necrosis satellivirus
- Sequiviruses Sequiviridae
- Bean southern mosaic sobemovirus Blueberry shoestring sobemovirus, Cocksfoot mottle sobemovirus, Lucerne transient streak sobemovirus, Rice yellow mottle sobemovirus,
- Sobemoviruses Rottboellia yellow mottle sobemovirus, Solanum nodiflorum mottle sobemovirus, Sowbane mosaic sobemovirus,
- tobamovirus Opuntia Sammons' tobamovirus, Sunn-hemp mosaic tobamovirus, Tobacco mild green mosaic tobamovirus, Tobacco mosaic tobamovirus, Tomato mosaic tobamovirus, Ullucus mild mottle tobamovirus
- Tymoviruses yellow mosaic tymovirus, Clitoria yellow vein tymovirus,
- Desmodium yellow mottle tymovirus Desmodium yellow mottle tymovirus, Dulcamara mottle tymovirus, Eggplant mosaic tymovirus, Erysimum latent
- tymovirus Kennedya yellow mosaic tymovirus, Melon rugose mosaic tymovirus, Okra mosaic tymovirus, Ononis yellow mosaic tymovirus, Passionfruit yellow mosaic tymovirus, Physalis mosaic tymovirus, Plantago mottle tymovirus, Potato Andean latent tymovirus, Scrophularia mottle tymovirus, Turnip yellow mosaic, tymovirus, Voandzeia necrotic mosaic tymovirus, Wild cucumber mosaic tymovirus
- Bean yellow vein banding umbravirus Carrot mottle mimic umbravirus, Carrot mottle umbravirus, Carrot mottle mimic
- Passionfruit vein-clearing rhabdovirus Patchouli mottle rhabdovirus, Pea stem necrosis virus, Peanut top paralysis potyvirus, Peanut veinal chlorosis rhabdovirus, Pecteilis mosaic potyvirus, Pepper mild mosaic potyvirus, Perilla mottle potyvirus, Pigeonpea proliferation rhabdovirus, Pigeonpea sterility mosaic virus, Plantain 7 potyvirus, Plantain mottle rhabdovirus, Pleioblastus chino potyvirus, Poplar decline potyvirus, Primula mottle potyvirus, Purple granadilla mosaic virus, Ranunculus repens symptomless rhabdovirus, Rice yellow stunt virus, Saintpaulia leaf necrosis rhabdovirus, Sambucus vein clearing rhabdovirus, Sarracenia purpurea rhabdovirus,
- Shamrock chlorotic ringspot potyvirus Soybean mild mosaic virus, Soybean rhabdovirus, Soybean spherical virus, Soybean yellow vein virus, Soybean Z potyvirus, Strawberry latent C rhabdovirus, Strawberry mottle virus, Strawberry pallidosis virus, Sunflower mosaic potyvirus, Sweet potato latent potyvirus, Teasel mosaic potyvirus, Thimbleberry ringspot virus, Tomato mild mottle potyvirus, Trichosanthes mottle potyvirus, Tulip halo necrosis virus, Tulip mosaic virus, Turnip vein- clearing virus, Urd bean leaf crinkle virus, Vigna sinensis mosaic rhabdovirus, Watercress yellow spot virus, Watermelonixie mosaic potyvirus, Wheat chlorotic spot rhabdovirus, White bryony potyvirus, Wineberry latent virus, Zinnia mild mottle potyvirus, Zoysia mosaic potyvirus,
- the target organism is a weed.
- the term "weed" refers to any unwanted plant.
- the weed to be controlled may include monocotyledonous species, such as species of the genus Agrostis, Alopecurus, Avena, Bromus, Cyperus, Digitaria, Echinochloa, Lolium, Monochoria, Rottboellia, Sagittaria, Scirpus, Setaria, Sida or Sorghum, and dicotyledonous species, for example species of the genus Abutilon, Amaranthus, Chenopodium, Chrysanthemum, Conyza, Galium, Ipomoea, Nasturtium, Sinapis, Solarium, Stellaria, Veronica, Viola or Xanthium.
- Weeds can also include plants which may be considered crop plants but which are growing outside a crop area (escapes), or which grow from seed left over from a previous planting of a different crop (volunteers). Such volunteers or escapes may be tolerant to certain other herbicides.
- compositions of the present invention may be used to enhance a yield-related trait in a plant.
- Yield-related traits that may be enhanced by the compositions of the present invention include, but are not limited to, total seed germination, rate of seed germination, plant biomass, disease tolerance, insect tolerance, drought tolerance, heat tolerance, cold tolerance, salinity tolerance, tolerance to heavy metals, total yield, seed yield, root growth, early vigor, plant biomass, plant size, total plant dry weight, above-ground dry weight, above-ground fresh weight, leaf area, stem volume, plant height, rosette diameter, leaf length, root length, root mass, tiller number, and leaf number.
- Representative crop plants that may be target organisms include
- monocotyledonous and dicotyledonous plants including but not limited to fodder or forage legumes, ornamental plants, food crops, trees, or shrubs selected from Acer spp., Allium spp., Amaranthus spp., Ananas comosus, Apium graveolens, Arachis spp, Asparagus officinalis, Beta vulgaris, Brassica spp. (e.g., Brassica napus, Brassica rapa ssp.
- Camellia sinensis Canna indica, Cannabis saliva, Capsicum spp., Castanea spp., Cichorium endivia, Citrullus lanatus, Citrus spp., Cocos spp., Coffea spp., Coriandrum sativum, Corylus spp., Crataegus spp., Cucurbita spp., Cucumis spp., Daucus carota, Fagus spp., Ficus carica, Fragaria spp., Ginkgo biloba, Glycine spp.
- Lycopersicon esculenturn e.g., Lycopersicon esculenturn, Lycopersicon lycopersicum, Lycopersicon pyriforme
- Malus spp. Medicago sativa, Mentha spp., Miscanthus sinensis, Morus nigra, Musa spp., Nicotiana spp., Olea spp., Oryza spp.
- Triticum aestivum, Triticum durum, Triticum turgidum, Triticum hybernum, Triticum macha, Triticum sativum or Triticum vulgare e.g., Triticum aestivum, Triticum durum, Triticum turgidum, Triticum hybernum, Triticum macha, Triticum sativum or Triticum vulgare
- Vaccinium spp. Vicia spp., Vigna spp., Vzo/a odorata, Vitis spp., and Zea mays.
- rice, oilseed rape, canola, soybean, corn (maize), cotton, sugarcane, alfalfa, sorghum, and wheat e.g., Triticum aestivum, Triticum durum, Triticum turgidum, Triticum hybernum, Triticum macha, Triticum sativum or Tri
- a target gene of interest my also include a gene that is essential to the survival of an organism, such as a weed, insect, or plant pathogen, and can serve as a target for controlling growth and proliferation of the organism.
- dsRNA-mediated silencing of an essential gene in an insect pest can induce cessation of feeding and ultimately growth inhibition, morbidity, or mortality.
- certain coleopteran insect species most notably the western corn rootworm, Diabrotica virgifera virgifera, are extraordinarly sensitive to ingested dsRNAs.
- Highly efficacious dsRNAs yield LC50 values in the parts-per-billion (ppb or ng/ml) range with this species.
- RNAi provides a unique mode of action for the control of insect pests that could complement the current strategy of expressing Bacillus thuringiensis insecticidal proteins in plants of agricultural importance.
- dsRNAs targeting essential insect genes can be delivered via topical sprays for RNAi-mediated insect control.
- the compositions of the invention may be applied to an organism that is different from the target organism.
- the target organism is an insect
- the composition is applied to a non-target organism, such as a plant, that is a host for the insect.
- a non-target organism is any organism other than the target organism.
- a non-target organism can comprise a host organism and organisms that consume the host organism or otherwise contact polynucleotides (e.g., siRNAs or antisense polynucleotides) or proteins expressed in a host organism.
- polynucleotides e.g., siRNAs or antisense polynucleotides
- the target- specific design of polynucleotides such as RNAi and antisense polynucleotides, as described herein, provides that such polynucleotides have little or no gene silencing activity in non-target organisms.
- Non-target organisms include crop plants that may be infected with a target organism, such as a plant pathogen or insect.
- Representative crop plants include
- monocotyledonous and dicotyledonous plants including but not limited to fodder or forage legumes, ornamental plants, food crops, trees, or shrubs selected from Acer spp., Allium spp., Amaranthus spp., Ananas comosus, Apium graveolens, Arachis spp, Asparagus officinalis, Beta vulgaris, Brassica spp. (e.g., Brassica napus, Brassica rapa ssp.
- Camellia sinensis Canna indica, Cannabis saliva, Capsicum spp., Castanea spp., Cichorium endivia, Citrullus lanatus, Citrus spp., Cocos spp., Coffea spp., Coriandrum sativum, Corylus spp., Crataegus spp., Cucurbita spp., Cucumis spp., Daucus carota, Fagus spp., Ficus carica, Fragaria spp., Ginkgo biloba, Glycine spp.
- Lycopersicon esculenturn e.g., Lycopersicon esculenturn, Lycopersicon lycopersicum, Lycopersicon pyriforme
- Malus spp. Medicago sativa, Mentha spp., Miscanthus sinensis, Morus nigra, Musa spp., Nicotiana spp., Olea spp., Oryza spp.
- Triticum aestivum, Triticum durum, Triticum turgidum, Triticum hybernum, Triticum macha, Triticum sativum or Triticum vulgare e.g., Triticum aestivum, Triticum durum, Triticum turgidum, Triticum hybernum, Triticum macha, Triticum sativum or Triticum vulgare
- Vaccinium spp. Vicia spp., Vigna spp., Viola odorata, Vitis spp., and Zea mays.
- rice, oilseed rape, canola, soybean, corn (maize), cotton, sugarcane, alfalfa, sorghum, and wheat e.g., Triticum aestivum, Triticum durum, Triticum turgidum, Triticum hybernum, Triticum macha, Triticum sativum or Triticum vulgar
- the presently disclosed formulations can be applied as a spray or powder to the plant, plant part, seed, a pest, or an area of cultivation.
- the presently disclosed formulations may also be applied as concentrated emulsions, dusts, emulsifiable concentrates, fumigants, gels, granules, seed treatments, suspension concentrates,
- the presently disclosed formulations may be applied as aqueous suspensions or emulsions prepared from concentrated formulations.
- Such water-soluble, water-suspendable, or emulsifiable formulations can either be solids, usually known as wettable powders, or water dispersible granules, or liquids usually known as emulsifiable concentrates, or aqueous suspensions.
- Wettable powders which may be compacted to form water dispersible granules, comprise an intimate mixture of the composition, a carrier, and surfactants.
- the carrier may be selected from attapulgite clays, montmorillonite clays, diatomaceous earths, and purified silicates.
- Effective surfactants comprising from about 0.5% to about 10% of the wettable powder, include sulfonated lignins, condensed
- naphthalenesulfonates naphthalenesulfonates, alkylbenzenesulfonates, alkyl sulfates, and non-ionic surfactants such as ethylene oxide adducts of alkyl phenols.
- Emulsifiable concentrates can comprise a suitable concentration of the formulation, such as from about 50 to about 500 grams per liter of liquid dissolved in a carrier that is either a water-miscible solvent or a mixture of water-immiscible organic solvent and emulsifiers.
- Suitable organic solvents include aromatics, especially xylenes and petroleum fractions, especially the high-boiling naphthalenic and olefinic portions of petroleum, such as heavy aromatic naphtha.
- Other organic solvents may also be used, such as the terpenic solvents, including rosin derivatives, aliphatic ketones such as cyclohexanone, and complex alcohols such as 2-ethoxyethanol.
- Suitable emulsifiers for emulsifiable concentrates can be selected from conventional anionic and non-ionic surfactants.
- Aqueous suspensions comprise suspensions of water-insoluble forms of the presently disclosed formulations dispersed in an aqueous carrier at a concentration in the range from about 5% to about 50% by weight. Ingredients, such as inorganic salts and synthetic or natural gums, may also be added to increase the density and viscosity of the aqueous carrier.
- the presently disclosed formulations may also be applied as granular formulations, for example, for applications to the soil.
- Granular formulations may contain from about 0.5% to about 10% by weight of the composition, dispersed in a carrier that comprises clay or a similar substance.
- Such formulations may be prepared by dissolving the formulation in a suitable solvent and applying it to a granular carrier which has been preformed to a suitable particle size, for example, in the range of from about 0.5 to about 3 mm.
- Such formulations may also be prepared by making a dough or paste of the carrier and compound and crushing and drying to obtain the desired granular particle size.
- Dusts comprising the presently disclosed formulations may be prepared by intimately mixing the formulation in powdered form with a suitable dusty agricultural carrier, such as kaolin clay, ground volcanic rock, and the like. Dusts may contain from about 1% to about 10% by weight of the composition. They may be applied as a seed dressing or as a foliage application with a dust blower machine.
- a suitable dusty agricultural carrier such as kaolin clay, ground volcanic rock, and the like. Dusts may contain from about 1% to about 10% by weight of the composition. They may be applied as a seed dressing or as a foliage application with a dust blower machine.
- the presently disclosed formulations may also be applied in the form of a solution in an appropriate organic solvent (e.g., petroleum oil), such as the spray oils, which are widely used in agricultural chemistry.
- an appropriate organic solvent e.g., petroleum oil
- spray oils which are widely used in agricultural chemistry.
- the presently disclosed formulations may also be applied in the form of an aerosol composition.
- the formulation can be dissolved or dispersed in a carrier, which is a pressure-generating propellant mixture.
- the aerosol composition is packaged in a container from which the mixture is dispensed through an atomizing valve.
- the presently disclosed formulations may be applied to the crop area or plant to be treated, simultaneously or in succession, with further compounds.
- further compounds can be, for example, fertilizers or micronutrient donors or other preparations, which influence the growth of plants. They can also be selective herbicides or non-selective herbicides as well as insecticides, fungicides, bactericides, nematicides, or mixtures of several of these preparations, if desired together with further carriers, surfactants, or application promoting adjuvants customarily employed in the art of formulation.
- the presently disclosed aminolipidoid formulations can be used to deliver a therapeutic agent to a target in a subject for the purpose of treating or preventing a disease or disorder.
- the presently disclosed aminolipidoid formulations can be used to deliver a therapeutic agent to a target in a subject for the purpose of treating or preventing a disease or disorder.
- aminolipidoid formulations are combined with a pharmaceutically acceptable excipient and/or carrier to form a pharmaceutical formulation.
- the disease or disorder is treated or prevented by administering a therapeutically effective amount of the pharmaceutical formulation to a subject in need thereof.
- the subject is a mammal. In certain embodiments, the subject is a human.
- the presently disclosed aminolipidoid formulations i.e., complexes, microparticles, nanoparticles, picoparticles, liposomes, and micelles, are combined with one or more pharmaceutically acceptable excipients and/or carriers to form pharmaceutical formulations suitable to administer to mammals, including humans.
- excipients and carriers examples include, but are not limited to, fillers, extenders, binders, humectants, disintegrants, plasticizers, stabilizers, solution retarding agents, wetting agents, suspending agents, thickening agents, absorbents, lubricants, surfactants, buffering agents, diluents, solvents, emulsifying agents, suspending agents, sweetening agents, flavoring agents, perfuming agents, opacifying agents, separating agents, and coating permeability adjusters.
- Excipients and/or carriers may comprise about 1%, 2%, 3%, 4%, 5%, 10%, 15%, 20%, 25%, 30%, 40%, 50%, or higher percentage of the presently disclosed pharmaceutical formulations.
- compositions can be administered to mammals, including humans, by any conventional route. Examples of such routes include, but are not limited to, orally, rectally, parenterally, intracisternally, intravaginally, intranasally, intraperitoneally, topically, bucally, or as an oral or nasal spray.
- Dosage forms for oral administration include, but are not limited to, solid and liquid dosage forms. Solid dosage forms for oral administration include, but are not limited to, capsules, tablets, pills, powders, and granules. Liquid dosage forms for oral administration include, but are not limited to, emulsions, microemulsions, solutions, suspensions, syrups, and elixirs.
- Dosage forms for topical administration include, but are not limited to, ointments, pastes, creams, lotions, gels, powders, solutions, sprays, inhalants, and transdermal patches.
- parenteral administration and “administered parenterally” means modes of administration other than enteral and topical administration, usually by injection, and includes, but is not limited to, intravenous, intramuscular, intraarterial, intrathecal, intracapsular, intraorbital, intracardiac, intradermal, intraperitoneal, transtracheal, subcutaneous, subcuticular, intraarticular, subcapsular, subarachnoid, intraspinal, and intrasternal injection and infusion.
- the dosage will vary depending on the symptoms, age and body weight of the subject, the nature and severity of the disorder to be treated or prevented, the route of administration and the form of the drug, in general, a daily dosage of from 0.01 to 2000 mg of the therapeutic agent is recommended for an adult human patient, and this may be administered in a single dose or in divided doses.
- the term "therapeutic agent” includes any synthetic or naturally occurring biologically active compound or composition which, when administered to subject, induces a desired pharmacologic, immunogenic, and/or physiologic effect by local and/or systemic action.
- the term therefore encompasses those compounds or chemicals traditionally regarded as drugs, vaccines, and biopharmaceuticals, including molecules such as proteins, peptides, hormones, nucleic acids, and gene constructs. More particularly, the term “therapeutic agent” includes compounds or compositions for use in all of the major therapeutic areas.
- therapeutic agents include, but are not limited to, nucleic acids, adjuvants, anti-infectives such as antibiotics and antiviral agents, analgesics and analgesic combinations, anorexics, anti-inflammatory agents, anti-epileptics, local and general anesthetics, hypnotics, sedatives, antipsychotic agents, neuroleptic agents, antidepressants, anxiolytics, antagonists, neuron blocking agents, anticholinergic and cholinomimetic agents, antimuscarinic and muscarinic agents, antiadrenergics,
- nucleic acids such as antibiotics and antiviral agents, analgesics and analgesic combinations, anorexics, anti-inflammatory agents, anti-epileptics, local and general anesthetics, hypnotics, sedatives, antipsychotic agents, neuroleptic agents, antidepressants, anxiolytics, antagonists, neuron blocking agents, anticholinergic and chol
- antiarrhythmics antihypertensive agents, hormones, and nutrients, antiarthritics,
- antiasthmatic agents anticonvulsants, antihistamines, antinauseants, antineoplastics, antipruritics, antipyretics; antispasmodics, cardiovascular preparations (including calcium channel blockers, beta-blockers, beta-agonists and antiarrythmics), antihypertensives, diuretics, vasodilators, central nervous system stimulants, cough and cold preparations, decongestants, diagnostics, hormones, bone growth stimulants and bone resorption inhibitors, oncology drugs (e.g., chemotherapy drugs, hormonal therapeutic agents, immunotherapeutic agents, radiotherapeutic agents), lipid-lowering agents, antidepressants, stimulants, antibiotics, birth control medication, anti- angiogenics, cytovascular agents, signal
- the agent may be a biologically active agent used in medical, including veterinary, applications.
- the term therapeutic agent also includes without limitation, medicaments, vitamins; mineral supplements, substances used for the treatment, prevention, diagnosis, cure or mitigation of disease or illness, substances which affect the structure or function of the body, or pro-drugs, which become biologically active or more active after they have been placed in a predetermined physiological environment.
- These therapeutic agents may be administered alone with pharmaceutical formulations or in combination (e.g. , co-administered) with pharmaceutical formulations comprising nucleic acid, such as interfering RNA.
- nucleic acids include, but are not limited to, interfering RNA molecules (e.g., siRNA, aiRNA, miRNA), antisense oligonucleotides, plasmids, ribozymes, immuno stimulatory oligonucleotides, and mixtures thereof.
- interfering RNA molecules e.g., siRNA, aiRNA, miRNA
- antisense oligonucleotides e.g., aiRNA, miRNA
- plasmids plasmids
- ribozymes e.g., immuno stimulatory oligonucleotides, and mixtures thereof.
- Nucleic acids delivered as the therapeutic agent in the presently disclosed pharmaceutical formulations can be used to downregulate or silence the translation (i.e. , expression) of a target gene of interest in the target organism.
- classes of genes that can be downregulated or silenced include, but are not limited to, genes associated with viral infection and survival, genes associated with metabolic diseases and disorders (e.g. , liver diseases and disorders), genes associated with tumorigenesis and cell transformation (e.g., cancer), angiogenic genes, immunomodulator genes such as those associated with inflammatory and autoimmune responses, ligand receptor genes, and genes associated with neurodegenerative disorders.
- viral sequences that can be downregulated or silenced include filoviruses such as Ebola virus and Marburg virus, arenaviruses such as Lassa virus, Junin virus, Machupo virus, Guanarito virus, and Sabia virus, influenza viruses such as Influenza A, B, and C viruses, hepatitis viruses, Human Immunodeficiency Virus (HIV), herpes viruses, and Human Papilloma Viruses (HPV).
- filoviruses such as Ebola virus and Marburg virus
- arenaviruses such as Lassa virus, Junin virus, Machupo virus, Guanarito virus, and Sabia virus
- influenza viruses such as Influenza A, B, and C viruses
- hepatitis viruses such as Human Immunodeficiency Virus (HIV), herpes viruses, and Human Papilloma Viruses (HPV).
- Examples of peptides or polypeptide that may be used as therapeutic agents include, but are not limited to, an antibodies such as a polyclonal antibodies, a monoclonal antibodies, antibody fragments, humanized antibodies, recombinant antibodies, recombinant human antibodies, PrimatizedTM antibodies, cytokines, growth factors, apoptotic factors, differentiation-inducing factors, cell-surface receptors, ligands, hormones, or small molecules.
- an antibodies such as a polyclonal antibodies, a monoclonal antibodies, antibody fragments, humanized antibodies, recombinant antibodies, recombinant human antibodies, PrimatizedTM antibodies, cytokines, growth factors, apoptotic factors, differentiation-inducing factors, cell-surface receptors, ligands, hormones, or small molecules.
- oncology drugs examples include, but are not limited to, alkeran, allopurinol, altretamine, amifostine, anastrozole, araC, arsenic trioxide, bexarotene, biCNU, carmustine, CCNU, celecoxib, cladribine, cyclosporin A, cytosine arabinoside, Cytoxan, dexrazoxane, DTIC, estramustine, exemestane, FK506, gemtuzumab-ozogamicin, hydrea, hydroxyurea, idarubicin, interferon, letrozole, Leustatin, leuprolide, litretinoin, megastrol, L-PAM, mesna, methoxsalen, mithramycin, nitrogen mustard, pamidronate, Pegademase, pentostatin, porfimer sodium, prednisone
- anti-viral drugs examples include, but are not limited to, abacavir, aciclovir, acyclovir, adefovir, amantadine, amprenavir, arbidol, atazanavir, atripla, cidofovir, combivir, darunavir, delavirdine, didanosine, docosanol, edoxudine, efavirenz, emtricitabine, enfuvirtide, entecavir, entry inhibitors, famciclovir, fixed dose combinations, fomivirsen, fosamprenavir, foscamet, fosfonet, fusion inhibitors, ganciclovir, ibacitabine, immunovir, idoxuridine, imiquimod, indinavir, inosine, integrase inhibitors, interferon type III (e.g., IFN- ⁇ molecules such as IFN- ⁇ ,
- the therapeutic agent to be delivered may be a prophylactic agent.
- Prophylactic agents include, but are not limited to, antibiotics, nutritional supplements, and vaccines.
- Vaccines may comprise isolated proteins or peptides, inactivated organisms and viruses, dead organisms and viruses, genetically altered organisms or viruses, and cell extracts.
- Prophylactic agents may be combined with interleukins, interferon, cytokines, and adjuvants such as cholera toxin, alum, and Freund's adjuvant.
- prophylactic agents include, but are not limited to, (1) antigens of the following bacterial organisms: Streptococccus pneumoniae, Haemophilus influenzae, Staphylococcus aureus, Streptococcus pyrogenes, Corynebacterium diphtheriae, Listeria monocytogenes, Bacillus anthracis, Clostridium tetani, Clostridium botulinum, Clostridium perfringens, Neisseria meningitidis, Neisseria gonorrhoeae, Streptococcus mutans,
- Pent-4-en-l-ol (1.32 g, 15.38 mmol) and triethyleamine (TEA) (1.48 g, 14.65 mmol) were charged to a reaction vessel containing DCM (50.00 mL) as solvent and stirred at 0 °C for 5 minutes.
- Undecanoyl chloride (3.00 g, 14.65 mmol) was then added to the reaction vessel. The reaction mixture was then allowed to warm to ambient temperature and stirring continued for 4 hours. Thin-layer chromatography (TLC) indicated full conversion of the hept-6-enoic acid.
- n-Octanol (1.0 eq., 0.3 M) and TEA (1.05 eq.) is charged to a reaction vessel containing DCM as solvent and stirred at 0 °C for 5 minutes.
- 4-Bromobutyryl chloride (1.0 eq.) is then added to the reaction vessel dropwise over 5 minutes.
- the resulting reaction mixture is then allowed to warm to ambient temperature and stirring continued for 4 hours. Reaction progress and completion is monitored by TLC.
- the reaction mixture is then filtered, the DCM removed in vacuo, and the crude product purified via flash column chromatography to yield octyl 4-bromobutanoate.
- the octyl 4-bromobutanoate is then dissolved in dry dimethylformamide (DMF) and charged to a reaction vessel.
- K 2 CO 3 (2 eq.) and tetrabutylammonium iodide (TBAI) (0.02 eq.) are added to the DMF solution, followed by 5-hexenoic acid (0.95 eq.).
- the reaction mixture is stirred for 5 hours until TLC indicates full consumption of the hexenoic acid.
- the reaction mixture is then worked up according to standard procedures and purified by flash column chromatography to yield the desired di- ester intermediate.
- the pent-4-en-l-yl 4- bromobutanoate is then dissolved in dry dimethylformamide (DMF) and charged to a reaction vessel.
- K 2 CO 3 (2 eq.) and tetrabutylammonium iodide (TBAI) (0.02 eq.) are added to the DMF solution, followed by nonanoic acid (1.05 eq.).
- TBAI tetrabutylammonium iodide
- the reaction mixture is stirred for 5 hours until TLC indicates full consumption of pent-4-en-l-yl 4-bromobutanoate.
- the reaction mixture is then worked up according to standard procedures and purified by flash column chromatography to yield the desired di-ester intermediate.
- the diester intermediate (1.0 eq.) and sodium bicarbonate (4.0 eq.) are charged to a reaction vessel containing DCM as solvent and stirred at 0°C for 5 minutes.
- mCPBA acid (1.1 eq.) in DCM is then added to the reaction vessel dropwise over 5 minutes.
- the resulting reaction mixture was then allowed to warm to ambient temperature and stirring continued for 4 hours. Reaction progress and completion is monitored by TLC.
- the reaction mixture is then filtered, the DCM removed in vacuo, and the crude product purified via flash column chromatography to yield the desired product.
- Boc 4-Pentenamine (1.0 eq., 0.3 M) and sodium bicarbonate (4 eq.) are charged to a reaction vessel containing DCM as solvent and stirred at 0°C for 5 minutes.
- mCPBA 1.1 eq.
- the resulting reaction mixture was then allowed to warm to ambient temperature and stirring continued for 4 hours. Reaction progress and completion is monitored by TLC.
- the reaction mixture is then filtered, the DCM removed in vacuo, and the crude product purified via flash column chromatography to yield the Boc-protected epoxide intermediate.
- the intermediate is dissolved in DCM and the Boc protecting group is removed by the addition of trif uoroacetic acid (TFA) in DCM to yield 3-(oxiran-2-yl)propan-l-amine.
- TFA trif uoroacetic acid
- 1-n-octyl isocyanate and the 3- (oxiran-2-yl)propan-l -amine are dissolved in DCM and stirred for 2 hours until the reaction is complete to yield the desired urea product.
- Carbonyldiimidiazole (CDI) (1.0 eq.) and the 4-epoxy-pentan-l-ol are dissolved in DCM and stirred for 2 hours until the reaction is complete to yield the crude imidazole carbamate intermediate, which is then purified via flash column chromatography.
- Sodium hydride (NaH) (1.1 eq.) is added to a solution of 1-nonanol (1.0 eq., 0.2 M) in dry DMF and stirred for 2 hours at 70 °C.
- the reaction mixture is cooled down to ambient temperature, followed by addition of the imidazole carbamate intermediate. Reaction progress and completion is monitored by TLC.
- the reaction mixture is then worked up according to standard procedures and purified by flash column chromatography to yield the desired carbonate product.
- the epoxide intermediate (1.0 eq.) and triethylamine (1.05 eq.) are dissolved in DCM, to which n-decylsulfonyl chloride (1.0 eq.) is then slowly added.
- TLC indicates the reaction completion. Reaction progress and completion is monitored by TLC.
- the reaction mixture is then worked up according to standard procedures and purified by flash column chromatography to yield the desired sulfonate product.
- n-Decylphosphonic dichloride 1.0 eq.
- triethylamine 2.2 eq.
- DCM cooled to 0 °C
- the epoxide intermediate (0.95 eq.) is then slowly added, followed by the addition of water (4.0 eq.).
- Reaction progress and completion is monitored by TLC.
- the reaction mixture is then worked up according to standard procedures and purified by flash column chromatography to yield the desired product.
- n-Decylphosphonic dichloride 1.0 eq.
- triethylamine 2.2 eq.
- DCM cooled to 0 °C
- epoxide intermediate 0.95 eq.
- n-decanol 4.0 eq.
- Reaction progress and completion is monitored by TLC.
- the reaction mixture is then worked up according to standard procedures and purified by flash column chromatography to yield the desired product.
- 6-Bromohexanoic acid (1.0 eq.), N, N'-dicyclohexyl-carbodiimide (DCC) (1.1 eq.), and 4-(Dimethylamino)-pyridine DMAP (0.05 eq.) are charged to a reaction vessel containing DCM as solvent and stirred at 0°C.
- n-Butanol (1.05 eq.) is then added to the reaction mixture and stirring is continued for 10 minutes.
- the resulting reaction mixture was then allowed to warm to ambient temperature and stirring continued for 4 hours. Reaction progress and completion is monitored by TLC.
- the reaction mixture is then filtered, the DCM removed in vacuo, and the crude product purified via flash column chromatography to yield the ester intermediate.
- the ester intermediate is then dissolved in THF/H20 (3: 1), to which is then added sodium periodate (NaI04) (3 eq.) and stirred for 30 minutes.
- NaI04 sodium periodate
- Osmium tetroxide Os04 (0.005 eq.) is then carefully added to the reaction mixture and stirring is continued for 4 hours. Reaction progress and completion is monitored by TLC.
- Saturated sodium thiosulfate (Na 2 S203) solution is then slowly added to the reaction mixture to quench the reaction.
- the reaction mixture is then worked up according to standard procedures and purified by flash column chromatography to yield the desired product as a colorless oil.
- lipid tails containing a carbonyl group-based functionality of formulae (V), (VI), (VII), (VIII), (IX), (X), (XI), or (XII) are then added to the vial.
- the reaction mixture is stirred at 100 °C for 2 days, after which it is cooled to ambient temperature.
- the reaction mixture is then purified via flash column chromatographyto yield the corresponding aminolipidoid.
- Lipid Tails [0331] To a 2 dram vial flushed with argon is added a compound comprising (1) at least one primary amino group, (2) at least one primary amino group and at least one secondary amino group, or (3) at least two secondary amino groups in isopropanol as solvent with stirring.
- Acrylate "lipid tails” containing a carbonyl group-based functionality of formulae (V), (VI), (VII), (VIII), (IX), (X), (XI), or (XII) are then added to the vial.
- the reaction mixture is stirred at 100 °C for 2 days, after which it is cooled to ambient temperature.
- the reaction mixture is then purified via flash column chromatography to yield the corresponding aminolipidoid.
- the ethanolic solution is then added to the aqueous siRNA solution while stirring at 700 rpm to resultin the precipitation of aminolipidoid nanoparticles.
- the aminolipidoid nanoparticles are separated from the supernatant. Particle size of the aminolipidoid nanoparticles is determined by Dynamic Light Scattering.
- Lipidoid formulations of the present disclosure can be evaluated in insect feeding assays to determine their efficacy in RNA delivery to an insect cell.
- Two model insects are used: western tarnished plant bug (WTPB, Lygus hesperus) and tarnished plant bug (TPB, Lygus lineolaris).
- WTPB western tarnished plant bug
- TPB tarnished plant bug
- Each aminolipidoid of the present disclosure to be evaluated is separately formulated with an siRNA that targets an essential gene in TPB and an siRNA that targets an essential gene in WTPB according to the general procedure described above in Example 4.
- the feeding assay employed is based on a 96 well format and a sachet system as described by Habibi et al. (2002, Archives of Insect Biochem. and Phys.
- a sheet of Parafilm ® (Pechiney Plastic Packing, Chicago, 111.) is placed over a sheet of Parafilm ® (Pechiney Plastic Packing, Chicago, 111.) is placed over a sheet of Parafilm ® (Pechiney Plastic Packing, Chicago, 111.) is placed over a sheet of Parafilm ® (Pechiney Plastic Packing, Chicago, 111.) is placed over a sheet of Parafilm ® (Pechiney Plastic Packing, Chicago, 111.) is placed over a
- 96-well format vacuum manifold with a vacuum of approximately -20 millimeters mercury, which is sufficient to cause extrusion of the Parafilm ® into the wells.
- Forty microliters of test sample are added to the Parafilm ® wells.
- a sheet of Mylar film (Clear Lam Packaging, Inc., Elk Grove Village, 111.) is then placed over the Parafilm ® and sealed gently with a tacking iron (Bienfang Sealector II, Hunt Corporation, Philadelphia, Pa.).
- the Parafilm ® sachets are then placed over a flat-bottom 96-well plate containing the Lygus eggs suspended in agarose. Upon hatching, Lygus nymphs will feed by piercing the sachet that is presented above them.
- Insect diet sachets are replaced on days two and four. Stunting and mortality scores are determined on day 5 and compared to the untreated controls. Those siRNA formulations that significantly increase stunting and mortality relative to the untreated controls demonstrate that the formulations are effective in delivering the siRNAs to the insect cells.
Landscapes
- Chemical & Material Sciences (AREA)
- Organic Chemistry (AREA)
- Health & Medical Sciences (AREA)
- Life Sciences & Earth Sciences (AREA)
- General Health & Medical Sciences (AREA)
- Public Health (AREA)
- Animal Behavior & Ethology (AREA)
- Epidemiology (AREA)
- Pharmacology & Pharmacy (AREA)
- Medicinal Chemistry (AREA)
- Veterinary Medicine (AREA)
- Molecular Biology (AREA)
- Biochemistry (AREA)
- Plant Pathology (AREA)
- Environmental Sciences (AREA)
- Zoology (AREA)
- Wood Science & Technology (AREA)
- Dentistry (AREA)
- Engineering & Computer Science (AREA)
- Toxicology (AREA)
- Pest Control & Pesticides (AREA)
- Agronomy & Crop Science (AREA)
- Organic Low-Molecular-Weight Compounds And Preparation Thereof (AREA)
Abstract
The present disclosure is directed to novel aminolipidoids, formulations thereof further comprising at least one active agent, as well as methods of delivering the at least one active agent to a target organism.
Description
AMINOLIPIDOIDS AND USES THEREOF
RELATED APPLICATIONS
[0001] This application claims priority to U.S. Provisional Patent Application Serial
No. 62/266,321, filed December 11, 2015, and U.S. Provisional Patent Application Serial No. 62/341,188, filed May 25, 2016, each of which is hereby incorporated herein by reference in its entirety.
FIELD OF THE INVENTION
[0002] The present disclosure relates generally to novel aminolipidoids containing carbonyl group-based functionalities (hereinafter referred to as "aminolipidoids"). The present disclosure also relates generally to methods of preparing such aminolipidoids, their formulation with one or more active agents, and the delivery of such formulations to target organisms.
BACKGROUND OF THE INVENTION
[0003] A wide range of molecules have been employed for delivering polynucleotides and other active agents to cells. For example, polymers such as polyethylenimine or poly(beta-aminoesters) have been used to effectively complex DNA for delivery into cells. Polymers in these classes of delivery agent typically contain amine functionalities that serve to electrostatically bind to DNA to form nanoparticles that are then taken up by the cell via endocytosis. Once in the cell, it is hypothesized that these amine groups serve to buffer the endosome and cause an influx of ions due to the proton-sponge mechanism. The resulting burst of the endocytic vesicle leads to the release of the payload of the particle, which is then free to travel to the nucleus where the DNA is expressed.
[0004] While such polymer based systems have been used extensively for DNA delivery, the delivery of other molecules, such as RNA, presents distinct challenges. In many cases, polymeric materials do not work as effectively for RNA delivery. This is likely due to differences in the chemical structure of the RNA being delivered compared to DNA. RNA are generally short, linear fragments containing additional hydroxyl moieties on each ribose ring. These differences necessitate an alternative approach that is suited for complexation with short RNA strands. In particular, an improved delivery system is required for the use of RNA for agricultural and pharmaceutical applications. The delivery system needs to protect
RNA from nuclease degradation, allow for the proper concentration and distribution profile in the target tissues, facilitate efficient uptake of RNA into target cells, and release RNA into cytoplasm to knockout expression of the target gene.
[0005] Promising results have been achieved with materials that form liposomes or lipoplexes that entrap the RNA or form nanoparticles, which can then be internalized by a cell. The materials utilized to form a lipid-based delivery system generally consist of a positively charged headgroup and a hydrophobic tail. The charged portion serves to electrostatically bind the negatively charged RNA, while the hydrophobic tail leads to self- assembly into lipophilic particles. Such cationic lipids are promising but still fall short of the transfection efficiency achieved by viral vectors. Few advances have been made in the field, in part due to the limited structural diversity of these lipid-like molecules, which is a result of the difficult synthetic procedures oftentimes required to access these structures. Furthermore, many lipid-based nucleotide formulations are toxic and/or require the action of endosome formation to deliver their pay loads.
[0006] Thus, there exists a continuing need for novel amine-based lipidoid molecules that possess an improved toxicity profile and ability to deliver RNA and DNA, as well as other active agents, to cells over existing amine-based lipidoid materials.
EMBODIMENTS OF THE INVENTION
[0007] One embodiment of the present invention is a compound of formula (I):
wherein
V is a moiety derived from a compound comprising (1) at least one primary
amino group, (2) at least one primary amino group and at least one
secondary amino group, or (3) at least two secondary amino groups;
W is, independently, a primary or secondary amino group of moiety V;
a group of formula (III):
wherein
A is O or NR3, wherein R3 is selected from the group
consisting of H and Ci to C10 alkyl; and wherein * in both formulae (II) and (III) denotes the bond to W;
Y is, independently, a single covalent bond, O, or a group of formula (IV):
Z is, independently, a group of formulae (V), (VI), (VII), (VIII), (IX), (X), (XI), (XII), (XIII), (XIV), (XV), (XVI), and (XVII):
R (xvi),
wherein * in formulae (V) through (X), (XIII), (XIV), (XV), and (XVI) denotes the bond to the carbon substituted with R1;
R is, independently, an optionally substituted aliphatic or cycloaliphatic
group, an optionally substituted heteroaliphatic or heterocycloaliphatic
group, an optionally substituted aralkyl group, an optionally substituted
aryl group, or a biologically active compound;
R1 and R2 are each, independently, a halogen, an optionally substituted aliphatic or cycloaliphatic group, an optionally substituted heteroaliphatic or
heterocycloaliphatic group, an optionally substituted aralkyl group, an
optionally substituted aryl group;
R is, independently, hydroxy, an optionally substituted aliphatic or
cycloaliphatic group, an optionally substituted heteroaliphatic or
heterocycloaliphatic group, an optionally substituted aralkyl group, an
optionally substituted aryl group, or a biologically active compound; m is, independently, an integer from 0 to 20; n is, independently, 0, 1, or 2; o is 1 when W is a secondary amino group and is 1 or 2 when W is a
primary amino group;
p is an integer from 2 to 5,000; and wherein the optionally substituted aliphatic, cyclo aliphatic, hetero aliphatic,
heterocycloaliphatic, and aralkyl groups or R, R 1 , R2 , and R 3 optionally comprise one or more groups of formulae (V), (VI), (VII), (VIII), (IX), (X), (XI), (XII), (XIII), (XIV), (XV), (XVI), and (XVII).
[0008] Another embodiment of the present invention is the above compound, wherein said compound is a compound of formula (la):
[0009] Another embodiment of the present invention is the above compound, wherein
V is derived from a compound having from 2 to 6 primary and/or secondary amino groups.
[0010] Another embodiment of the present invention is the above compound, wherein
V is derived from a compound selected from the group consisting of formulae (1) through (22):
and H (22).
[0011] Another embodiment of the present invention is the above compound, wherein
R is a Ci to C2o alkyl group.
[0012] Another embodiment of the present invention is the above compound, wherein
R is a Ci to C12 alkyl group.
[0013] Another embodiment of the present invention is the above compound, wherein said compound is a compound of formula (lb):
[0014] Another embodiment of the present invention is the above compound, wherein
V is derived from a compound selected from the group consisting of formulae (1), (3), (5) through (8), and (21):
H2N (8), and
n is 0;
q is 2, 4, 5, or 6;
wherein
when p is 2, R is a C3, C5, or C7-11 n-alkyl group;
when p is 4, R is a Ci, C3, or C5-10 n-alkyl group or an isobutyl group;
when p is 5, R is a Ci, C3, or C4_9 n-alkyl group; and
when p is 6, R is a Ci or C4_9 n-alkyl group or an isobutyl group; and p is 1 or 2, when W is derived from a compound of formula (3);
is 1, 2, or 3, when W is derived from a compound of formula (5);
is, 1, 2, 3, or 4, when W is derived from a compound of formula (1), (7), or (8);
is 1, 2, 3, 4, or 5, when W is derived from a compound of formula (21); and is 1, 2, 3, 4, 5, or 6, when W is derived from a compound of formula (6).
[0015] Another embodiment of the present invention is the above compound, wherein
V is derived from a polyethyleneimine.
[0016] Another embodiment of the present invention is the above compound, wherein the polyethyleneimine is branched.
[0017] Another embodiment of the present invention is the above compound, wherein the polyethyleneimine is hyperbranched.
[0018] Another embodiment of the present invention is the above compound, wherein the polyethyleneimine is dendritic.
[0019] Another embodiment of the present invention is the above compound, wherein the branched polyethyleneimine has a number average molecular weight (Mn) in the range of from 600 to 10,000 Daltons.
[0020] Another embodiment of the present invention is the above compound, wherein the branched polyethyleneimine has a number average molecular weight (Mn) of greater than 2,000 Daltons.
[0021] Another embodiment of the present invention is the above compound, wherein the branched polyethyleneimine has a number average molecular weight (Mn) selected from the group consisting of 600, 1,200, 1,800, and 10,000 Daltons.
[0022] Another embodiment of the present invention is the above compound, wherein the branched polyethyleneimine comprises primary, secondary, and tertiary amino groups present in a ratio of 1:2: 1.
[0023] Another embodiment of the present invention is the above compound, wherein the modified polyethyleneimine is linear.
[0024] Another embodiment of the present invention is the above compound, wherein the linear polyethyleneimine has a number average molecular weight (Mn) of greater than 2,000 Daltons.
[0025] Another embodiment of the present invention is the above compound, wherein the linear polyethyleneimine has a number average molecular weight (Mn) in the range of from 2,500 to 100,000 Daltons.
[0026] Another embodiment of the present invention is the above compound, wherein the polyethyleneimine has a number average molecular weight (Mn) of 2,500 Daltons.
[0027] Another embodiment of the present invention is the above compound, wherein the polyethyleneimine is derived from the partial hydrolysis of a poly(2-alkyl-2-oxazoline).
[0028] Another embodiment of the present invention is the above compound, wherein the poly(2-alkyl-2-oxazoline) is poly(2-ethyl-2-oxazoline).
[0029] Another embodiment of the present invention is the above compound, wherein
R is a biologically active compound selected from the group consisting of hormones and lipids.
[0030] Another embodiment of the present invention is the above compound, wherein
R is a plant or insect hormone or lipid.
[0031] Another embodiment of the present invention is the above compound, wherein
R is a biologically active compound independently selected from the group consisting of auxins, abscisic acid, coronantine, gibberellic acids, ecdysone, stigmasterol, sitosterol, cholesterol, tocopherols, and methoprene.
[0032] Yet another embodiment of the present invention is a compound selected from the group consisting of compounds of formulae (23) through (108):
X X X H
E E E H
II II II II
II II II H
JJ JJ JJ JJ
JJ JJ JJ H
KK KK KK KK
KK KK KK H
FF FF FF FF
FF FF FF H
GG GG GG GG
GG GG GG H
GG H GG H
I I I I
I I I H
J J J J
J J J H
K K K K
K K K H
Y Y Y Y
Y Y Y H
Z Z Z Z
Z Z Z H
BB BB BB BB
BB BB BB H
AA AA AA AA
AA AA AA H
CC CC CC CC
CC CC CC H
DD DD DD DD
DD DD DD H
EE EE EE EE
EE EE EE H
FF FF FF FF
FF FF FF H
U U U U
U U U H
W W W H
L L L L
L L L H
N N N N
N N N H
P P P P
P P P H
D D D D
D D D H
F F F F
91 F F F H
92 G G G G
93 G G G H
94 MM MM MM MM
95 MM MM MM H
96 TT TT TT TT
97 TT TT TT H
98 UU UU UU UU
99 UU UU UU H
100 vv vv vv VV
101 vv vv vv H
102 WW WW WW WW
103 WW WW WW H
104 RR RR RR RR
105 RR RR RR H
106 QQ QQ QQ QQ
107 QQ QQ QQ H
108 ss ss ss SS wherein:
[0033] Yet another embodiment of the present invention is a compound selected from the group consisting of compounds of formulae (109) through (129):
[0034] Yet another embodiment of the present invention is a compound selected from the group consisting of compounds of formulae (130) through (163):
[0035] Yet another embodiment of the present invention is a compound selected from the group consisting of compounds of formulae (164) through (181):
n-CgH^
W is
[0036] Yet another embodiment of the present invention is a compound selected from the group consisting of compounds of formulae (182) through (207):
[0037] Yet another embodiment of the present invention is a compound selected from the group consisting of compounds of formulae (208) through (218):
wherein:
C is
n-CgH^
is
n-CgH^
[0038] Yet another embodiment of the present invention is a compound selected from the group consisting of compounds of formulae (219) through (220):
Compound
Number Ra Rb Rc Rd Re
219 JJ JJ JJ JJ JJ
220 Q Q Q Q Q wherein:
[0039] Yet another embodiment of the present invention is a microparticle or nanoparticle comprising the above compound and an active agent to be delivered.
[0040] Another embodiment of the present invention is the above microparticle or nanoparticle, wherein the active agent to be delivered is selected from the group consisting of polynucleotides, oligonucleotides, proteins, peptides, and small molecules.
[0041] Another embodiment of the present invention is the above microparticle or nanoparticle, wherein the active agent to be delivered is an oligonucleotide or a
polynucleotide.
[0042] Another embodiment of the present invention is the above microparticle or nanoparticle, wherein the oligonucleotide or polynucleotide is modified.
[0043] Another embodiment of the present invention is the above microparticle or nanoparticle, wherein the oligonucleotide or polynucleotide is unmodified.
[0044] Another embodiment of the present invention is the above microparticle or nanoparticle, wherein the active agent to be delivered is an RNA.
[0045] Another embodiment of the present invention is the above microparticle or nanoparticle, wherein the RNA is a single-stranded RNA.
[0046] Another embodiment of the present invention is the above microparticle or nanoparticle, wherein the RNA is a double-stranded RNA.
[0047] Another embodiment of the present invention is the above microparticle or nanoparticle, wherein the RNA is a small interfering RNA (siRNA).
[0048] Another embodiment of the present invention is the above microparticle or nanoparticle, wherein the RNA is a messenger RNA (mRNA).
[0049] Yet another embodiment of the present invention is a formulation comprising the above compound and a first active agent to be delivered.
[0050] Another embodiment of the present invention is the above formulation, wherein the first active agent to be delivered and the at least one compound are non- covalently associated to one another to form a non-covalent complex.
[0051] Another embodiment of the present invention is the above formulation, further comprising at least one additional active agent to be delivered.
[0052] Another embodiment of the present invention is the above formulation, wherein the at least one additional active agent to be delivered is contained within or on the surface of the non-covalent complex.
[0053] Another embodiment of the present invention is the above formulation, wherein the at least one active additional agent to be delivered is not contained within or on the surface of the non-covalent complex.
[0054] Another embodiment of the present invention is the above formulation, further comprising one or more excipients.
[0055] Another embodiment of the present invention is the above formulation, wherein the one or more excipients is selected from the group consisting of fillers, extenders, binders, humectants, disintegrants, plasticizers, stabilizers, solution retarding agents, wetting agents, suspending agents, thickening agents, absorbents, lubricants, surfactants, buffering agents, diluents, solvents, emulsifying agents, suspending agents, sweetening agents, flavoring agents, perfuming agents, opacifying agents, separating agents, and coating permeability adjusters.
[0056] Another embodiment of the present invention is the above formulation, wherein the one or more excipients is selected from the group consisting of sterols, carbohydrates, proteins, lipids, water-soluble polymers, and any combination thereof.
[0057] Another embodiment of the present invention is the above formulation, wherein the one or more excipients comprises cholesterol.
[0058] Another embodiment of the present invention is the above formulation, wherein the one or more excipients comprises a polyethylene glycol, a polypropylene oxide, a polyvinylpyrrolidone, a polyvinyl alcohol, polylactic acid, poly(lactic-co-glycolic acid), or any combination thereof.
[0059] Another embodiment of the present invention is the above formulation, wherein the first active agent to be delivered is an oligonucleotide or a polynucleotide.
[0060] Another embodiment of the present invention is the above formulation, further comprising an agriculturally acceptable carrier.
[0061] Another embodiment of the present invention is the above formulation, wherein the oligonucleotide or polynucleotide modulates the expression of a gene in a plant.
[0062] Another embodiment of the present invention is the above formulation, wherein the oligonucleotide or polynucleotide modulates the expression of a gene in an insect.
[0063] Another embodiment of the present invention is the above formulation, wherein the oligonucleotide or polynucleotide modulates the expression of a gene in a plant pathogen.
[0064] Another embodiment of the present invention is the above formulation, wherein the at least one additional active agent is selected from the group consisting of an herbicide, an insecticide, a fungicide, a bactericide, a viricide, and any combination thereof.
[0065] Yet another embodiment of the present invention is a method of regulating expression of a gene in an organism, comprising applying any one of the above formulations to the organism.
[0066] Yet another embodiment of the present invention is a method of modulating a trait of a plant, comprising delivering to the plant an effective amount of the above formulation.
[0067] Another embodiment of the present invention is above method of modulating a trait of a plant, wherein the trait is selected from the group consisting of total seed germination, rate of seed germination, disease tolerance, insect tolerance, drought tolerance, heat tolerance, cold tolerance, salinity tolerance, tolerance to heavy metals, total yield, seed yield, fruit yield, root growth, early vigor, plant growth, plant biomass, plant size, plant lifespan, total plant dry weight, above-ground dry weight, above-ground fresh weight, leaf area, stem volume, plant height, rosette diameter, leaf length, root length, root mass, tiller number, leaf number, fruit size, fruit freshness, fruit ripening time, fruit nutritional content, plant nutritional content, plant sensitivity to herbicide, and any combination thereof.
[0068] Another embodiment of the present invention is above method of modulating a trait of a plant, wherein one or more of the traits is improved relative to a plant not treated with the formulation.
[0069] Another embodiment of the present invention is above method of modulating a trait of a plant, wherein at least one trait selected from the group consisting of plant growth, plant lifespan, plant size, fruit size, fruit yield, total yield, fruit freshness, fruit ripening time, plant nutritional content, and fruit nutritional content, is improved relative to a plant not treated with the formulation.
[0070] Another embodiment of the present invention is above method of modulating a trait of a plant, wherein one or more of the traits is decreased relative to a plant not treated with the formulation.
[0071] Another embodiment of the present invention is above method of modulating a trait of a plant, wherein the plant growth and/or the plant lifespan is decreased relative to a plant not treated with the formulation.
[0072] Another embodiment of the present invention is above method of modulating a trait of a plant, wherein the fruit ripening time is decreased relative to a plant not treated with the formulation.
[0073] Another embodiment of the present invention is above method of modulating a trait of a plant, wherein the plant sensitivity to herbicide is increased relative to a plant not treated with the formulation.
[0074] Yet another embodiment of the present invention is a method of modulating a trait of an insect, comprising delivering an effective amount of the above formulation to the insect, to a plant infested with the insect, or to a plant prior to infestation with the insect.
[0075] Another embodiment of the present invention is the above method of modulating a trait of an insect, wherein the trait modulated is insect growth,
development,and/or lifespan.
[0076] Yet another embodiment of the present invention is method of modulating the pathogenicity of a plant pathogen, comprising applying the above formulation of to the plant pathogen, to a plant infected with the plant pathogen, or to a plant prior to infection with the plant pathogen.
[0077] Yet another embodiment of the present invention plant cell, insect cell, fungal cell, bacterial cell, or mammalian cell comprising the above compound.
DETAILED DESCRIPTION OF THE INVENTION
[0078] Any section headings used herein are for organizational purposes only and are not to be construed as limiting the subject matter described. All documents, or portions of documents, cited in this application, including but not limited to patents, patent applications, articles, books, and treatises, are hereby expressly incorporated by reference in their entirety for any purpose.
[0079] In this application, the use of the singular includes the plural unless specifically stated otherwise. In this application, the use of "or" means "and/or" unless stated otherwise. Furthermore, the use of the term "including", as well as other forms, such as "includes" and "included", is not limiting. Any ranges described herein will be understood to include the endpoints and all values between the endpoints.
[0080] The novel aminolipidoids of the present disclosure provide for several different advantages in the delivery of active agents to target organisms. For example, the aminolipidoids may be used to complex oligonucleotides and polynucleotides, thereby
enhancing their delivery to the target organism and preventing their degradation. These aminolipidoids may also be used generate formulations, such as microparticles, nanoparticles, picoparticles, liposomes, and micelles, containing the active agent to be delivered. These aminolipidoids, as well as the formulations thereof, may be biocompatible and biodegradable and may be used to provide controlled, sustained release of the active agent to be delivered. These aminolipidoids and their corresponding formulations may also be responsive to pH changes given that these aminolipidoids are protonated at lower pH. These aminolipidoids may also act as proton sponges in the delivery of an active agent to a cell to cause endosome lysis.
[0081] In particular, the aminolipidoids of the present disclosure possess ambiphilic functional groups capable of electrostatically binding to negatively charged active agent payloads. The presence of carbonyl group-based functionalities in the lipid "tails" of the aminolipidoids of the present disclosure result in these compounds possessing, desirably, both hydrophobic and hydrophilic characteristics. As a result, the aminolipidoids of the present disclosure may possess enhanced aqueous solubility of these compounds during formulation into a particle, as well as enhanced aqueous solubility of the resulting particle itself. Furthermore, as as a result of the presence of the carbonyl group-based functionalities in its lipid "tails," the lipidoids of the present disclosure may have an enhanced toxicity profile (i.e., be less than toxic amine-based lipidoid compounds that do not possess such functionalities) and may be more readily processed by endogenous cellular machinery, thus better facilitating the release of active agent payloads at designated times and places.
[0082] In one aspect, the present disclosure provides for novel aminolipidoids of formula (I):
[0083] In the presently disclosed aminolipidoids of formula (I), V is a moiety derived from a compound comprising (1) at least one primary amino group, (2) at least one primary amino group and at least one secondary amino group, or (3) at least two secondary amino
groups, while W is, independently, a primary or secondary amino group of moiety V. In certain embodiments, V is derived from a compound having from 2 to 6 primary and/or secondary amino groups. In certain other embodiments, V is derived from a compound selected from the group consisting of formulae (1) through (22):
and H (22).
[0084] In certain embodiments, V is derived from a polyethyleneimine. When V is derived from a polyethyleneimine, the polyethyleneimine is branched or linear. When V is derived from a branched polyethyleneimine, the polyethyleneimine may be hyperbranched or dendritic. When V is derived from a branched polyethyleneimine, the branched
polyethyleneimine has a number average molecular weight (Mn) in the range of from 600 to 250,000 Daltons. In certain embodiments, when V is a branched polyethyleneimine, it has a number average molecular weight (Mn) in the range of from 600 to 10,000 Daltons. In certain other embodiments, when V is a branched polyethyleneimine, it has a number average molecular weight (Mn) of greater than 2,000 Daltons. In certain other embodiments, when V is a branched polyethyleneimine, it has a number average molecular weight (Mn) selected from the group consisting of 600, 1,200, 1,800, and 10,000 Daltons. When V is derived from a linear polyethyleneimine, the linear polyethyleneimine has a number average molecular weight (Mn) of greater than 2,000 Daltons. In certain embodiments, when V is a linear polyethyleneimine, it has a number average molecular weight (Mn) in the range of from 2,500
to 100,000 Daltons. In certain other embodiments, when V is a linear polyethyleneimine, it has a number average molecular weight (Mn) of 2,500 Daltons.
[0085] In certain embodiments, when V is a branched modified polyethyleneimine, the branched polyethyleneimine can comprise primary, secondary, and tertiary amino groups in any suitable ratio. In certain embodiments, such branched modified polyethyleneimines can comprise primary, secondary, and tertiary amino groups present in a ratio of 1 :2: 1.
[0086] In certain embodiments, when V is a linear polyethyleneimine, the linear polyethyleneimine is derived from the partial hydrolysis of a poly(2-alkyl-2-oxazoline). An example of such a poly(2-alkyl-2-oxazoline) includes, but is not limited to, poly(2-ethyl-2- oxazoline). In certain embodiments, the average molecular weight of the poly(2-alkyl-2- oxazoline) is in the range of from about 2,000 Daltons to aboute 5,000 Daltons. In certain embodiments, hydrolysis of the poly(2-alkyl-2-oxazoline) can be achieved and controlled by treatment with concencetrated acid (e.g. , HC1) over defined time periods. In certain embodiments, such treatment results in a hydrolysis percentage of 5, 10, 12.5, 15, 17.5, 20, 22.5, 25, and 50 %.
[0087] In the presently disclosed aminolipidoids of formula (I), X is, independently, methylene, a group of formula (II):
or a group of formula (III):
In these groups of formula (III), A is O or NR3. R3 is selected from the group consisting of H and Ci to Cio alkyl. In both formulae (II) and (III), the symbol * denotes the bond to W.
[0088] In the presented disclosed aminolipidoids of formula (I), Y is, independently, a single covalent bond, O, or a group of formula (IV):
[0089] In the presently disclosed amino lipidoids of formula (I), Z is, independently, a carbonyl group-based functionality of formulae (V), (VI), (VII), (VIII), (IX), (X), (XI), (XII), (XIII), (XIV), (XV), (XVI), and (XVII):
(XI), H (xii)
In formulae (V) through (X), (XIII), (XIV), (XV), and (XVI), the symbol * denotes the bond to the carbon substituted with R1.
[0090] In certain embodiments of the presently disclosed aminolipidoids of formula
(I), when Z is a group of formulae (V), (IX), (XIV), or (XVI), a fragment of formula (XVII):
wherein n is 0, 1, or 2, can be produced by chemical and/or biological cleavage (e.g. , enzymatic hydrolysis) of the carboxylate, sulfonate, or phosphonate portion of the group. In certain other embodiments of the presently disclosed aminolipidoids of formula (I), when Z is a group of formulae (VII), (X), (XIII), or (XV), a fragment of formula (XVIII):
(XVIII) wherein n is 0, 1, or 2, can be produced by chemical and/or biological cleavage (e.g. , enzymatic hydrolysis) of the ester, amide, carbonate, anhydride, urea, sulfonate, sulfate or phosphonate portion of the group. In formula (XIX), the hydrogen is bonded to an oxygen that is single-bonded to the carbon, sulfur, or phosphorus atom of the group. In certain other embodiments of the presently disclosed aminolipidoids of formula (I), when Z is a group of formulae (XI) or (XV), a fragment of formula (XVIII) or (XIX), as depicted above, can be produced by chemical and/or biological cleavage (e.g. , enzymatic hydrolysis) of the carboxylate, sulfonate, or phosphonate portion of the group. In certain embodiments, the fragment of formula (XVIII) or (XIX) is a surfactant. Examples of such surfactants include, but are not limited to, carboxylates, such as nonanoic acid, sodium stearate, and
perfluorooctanoate, etc., sulfonates and sulfates, such as alkyl benzenesulfonates, dioctyl sulfosuccinate, sodium dodecylsulfate, and sodium laureth sulfate, and nonionic sufactants, such as alkyl alcohols (e.g. , cetyl alcohol, stearyl alcohol, and oleyl alcohol),
polyoxyethylene ethers (e.g. , Brij, ceteareth, octaethylene glycol decyl ether, and Triton-X) and others, such as glycerol monolaurate, sorbitans, and cocamides. In certain embodiments the release of these surfactants from the presently disclosed aminolipidoids of formula (I) via cleavage of the group Z, as described above, can be controlled. Controlled release of these
surfactants affords a number of advantages in the use of the presently disclosed aminolipidoids of formula (I). First, they can assist formulation dissolution and, thus, delivery of the active agent by competing with the active agent for complexation to non- hydrolyzed aminolipidoids. Second, these surfactants can interact with biological membranes to assist in delivery of the active agent to the cell interior. Molecules of this general class can facilitate endosomal escape, partially permeamblize and/or degrade cell membranes and other barriers, such as cell walls and cutin.
[0091] In the presently disclosed aminolipidoids of formula (I), R and R are each, independently, an optionally substituted aliphatic or cycloaliphatic group, an optionally substituted heteroaliphatic or heterocycloaliphatic group, an optionally substituted aralkyl group, an optionally substituted aryl group, or a biologically active compound. In certain embodiments, R is a Ci to C20 alkyl group. In certain other embodiments, R is a Ci to C12 alkyl group. In certain embodiments, R is a hydroxy group, an alkyl group, or an alkoxy group. In certain other embodiments, R is a Ci to C2o alkyl group or a Ci to C2o alkoxy group. In certain other embodiments, R is a Ci to C12 alkyl group or a Ci to C12 alkoxy group. In certain embodiments, when R and/or R is a biologically active compound, the biologically active compound can be selected from the group consisting of hormones and lipids. In certain embodiments, R and/or R is a plant or insect hormone or lipid. In certain other embodiments, R and/or R is a biologically active compound independently selected from the group consisting of auxins, abscisic acid, coronantine, gibberellic acids, ecdysone, steroids, such as stigmasterol, sitosterol, and cholesterol, tocopherols, 4-chlorophenoxyacetic acid, 2-(3-chlorophenyoxy)acetic acid, and methoprene. In certain other embodiments, R and/or R are, independently, an insecticide, such as one of those described herein in paragraphs [0245] and [0246], an herbicide, such as one of those described herein in paragraph [0247], or a fungicide, such as one of those described herein in paragraph [0248]. In certain embodiments, the optionally substituted aliphatic, cycloaliphatic, heteroaliphatic, heterocycloaliphatic, and aralkyl groups or R and R can comprise one or more groups of formulae (V), (VI), (VII), (VIII), (IX), (X), (XI), (XII), (XIII), (XIV), (XV), (XVI), and (XVII).
[0092] In the presently disclosed aminolipidoids of formula (I), 1 2
R and R are each, independently, a halogen, an optionally substituted aliphatic or cycloaliphatic group, an optionally substituted heteroaliphatic or heterocycloaliphatic group, an optionally substituted
aralkyl group, an optionally substituted aryl group. As used herein, halogen is defined as F, CI, Br, or I. In certain embodiments, the optionally substituted aliphatic, cycloaliphatic, heteroaliphatic, heterocycloaliphatic, and aralkyl groups or R 1 and R 2 can comprise one or more groups of formulae (V), (VI), (VII), (VIII), (IX), (X), (XI), (XII), (XIII), (XIV), (XV), (XVI), and (XVII).
[0093] In the presently disclosed aminolipidoids of formula (I), (1) m is,
independently, an integer from 0 to 20, (2) n is, independently, 0, 1, or 2, (3) o is 1 when W is a secondary amino group and is 1 or 2 when W is primary amino group, and (4) p is an integer from 2 to 5,000.
[0094] In certain embodiments, the aminolipidoids of formula (I) is an aminolipidoid of formula (la):
In the aminolipidoids of formula (la), q is an integer from 0 to 18, while V, W, X, Z, R, Ri, R2, and o are as defined above.
[0095] In certain embodiments, the aminolipidoids of formula (I) is an aminolipidoid of formula (lb):
In the aminolipidoids of formula (lb), q is an integer from 2 to 7, while V, W, X, Z, R, Ri, R2, n, and o are as defined above. In certain embodiments of aminolipidoids of formula (lb), V is
derived from a compound selected from the group consisting of formulae (1), (3), (5) through (8), and (21):
n is 0 and p is 2, 4, 5, or 6. In certain embodiments, (1) when p is 2, R is a C3, C5, or C7-11 n- alkyl group, (2) when p is 4, R is a Ci, C3, or C5-10 n-alkyl group or an isobutyl group, (3) when p is 5, R is a Ci, C3, or C4_9 n-alkyl group, and (4) when p is 6, R is a Ci or C4_9 n-alkyl group or an isobutyl group. In certain embodiments, (1) p is 1 or 2, when W is derived from a compound of formula (3), (2) p is 1, 2, or 3, when W is derived from a compound of formula (5), (3) p is, 1, 2, 3, or 4, when W is derived from a compound of formula (1), (7), or (8), (4) m is 1, 2, 3, 4, or 5, when W is derived from a compound of formula (21), and (5) m is 1, 2, 3, 4, 5, or 6, when W is derived from a compound of formula (6).
[0096] The aliphatic groups of the presently disclosed aminolipidoids refers to both saturated and unsaturated aliphatic hydrocarbyl groups, which can be straight chain (i.e., unbranched), branched, or cyclic (including polycyclic) and are optionally substituted with one or more functional groups. Examples of aliphatic groups include, but are not limited to, alkyl, alkenyl, alkynyl, cycloalkyl, cycloalkenyl, and cycloalkynyl groups, each of which are optionally substituted with one or more functional groups. As used herein, the term "alkyl" refers to saturated hydrocarbyl groups, which can be unbranched, branched, or cyclic (i.e., alicyclic) alkyl groups. As used herein, the terms "alkenyl" and "alkylene" refers to
unsaturated hydrocarbyl groups having at least one carbon-carbon double bond. As used herein, the term "alkynyl" refers to unsaturated hydrocarbyl groups having at least one carbon-carbon triple bond.
[0097] Examples of such aliphatic groups include, but are not limited to, methyl, ethyl, n-propyl, isopropyl, cyclopropyl, -CH2-cyclopropyl, n-butyl, sec-butyl, isobutyl, tert- butyl, cyclobutyl, -CH2-cyclobutyl, n-pentyl, sec-pentyl, isopentyl, tert-pentyl, neopentyl, cyclopentyl, -CH2-cyclopentyl, hexyl, cyclohexyl, -CH2-cyclohexyl, heptyl, cycloheptyl, octyl, nonyl, decyl, undecyl, dodecyl, tridecyl, tetradecyl, pentadecyl, hexadecyl, heptadecyl, octadecyl, nonadecyl, icosyl, ethenyl, propenyl, butenyl, pentenyl, hexenyl, heptenyl, octenyl, nonenyl, decenyl, undecenyl, dodecenyl, tridecenyl, tetradecenyl, pentadecenyl, hexadecenyl, heptadecenyl, octadecenyl, nonadecenyl, icosenyl, ethynyl, propynyl, butynyl, pentynyl, hexynyl, heptynyl, octynyl, nonynyl, decynyl, undecynyl, dodecynyl, tridecynyl,
tetradecynyl, pentadecynyl, hexadecynyl, heptadecynyl, octadecynyl, nonadecynyl, icosynyl, and all isomers thereof.
[0098] The hetero aliphatic groups of the presently disclosed aminolipidoids refers to aliphatic groups, as described above, that independently in one or more instances contain an oxygen, sulfur, nitrogen, phosphorus, or silicon atom between two carbon atoms of the aliphatic group. Such heteroaliphatic groups include saturated and unsaturated heterocycles. As used herein, the term "heterocycles," refers to a non-aromatic partially unsaturated or fully saturated 3- to 10-membered ring system, which includes single rings of 3 to 8 atoms in size and bi- and tri-cyclic ring systems, which may include aromatic six-membered aryl or aromatic heterocyclic groups fused to a non-aromatic heterocyclic ring. Such heterocyclic rings include those having from one to three heteroatoms independently selected from oxygen, sulfur, and nitrogen, in which the nitrogen and sulfur heteroatoms may optionally be oxidized and the nitrogen heteroatom may optionally be quaternized. Examples of such heterocycles include, but are not limited to, pyrrolidinyl, pyrazolinyl, pyrazolidinyl, imidazolinyl, imidazolidinyl, piperidinyl, piperazinyl, oxazolidinyl, isoxazolidinyl, morpholinyl, thiazolidinyl, isothiazolidinyl, 2,5-dihydro-lH- imidazole, and tetrahydrofuryl.
[0099] In certain embodiments, the aliphatic and/or heteroaliphatic groups of the aminolipidoids of the present disclosure independently contain from 1 to 20, or from 1 to 12, or from 1 to 10, or from 1 to 8, or from 1 to 5, or from 1 to 4, or from 4 to 5, or from 4 to 8, or from 4 to 10, or from 4 to 12, or from 4 to 20, or from 5 to 20, or from 5 to 12, or from 5 to
10, or from 5 to 8, or from 8 to 10, or from 8 to 12, or from 8 to 20, or from 10 to 12, or from 10 to 20, or from 12 to 20 carbon atoms.
[0100] The aryl and heteroaryl groups of the presently disclosed aminolipidoids refer to mono- or polycyclic aromatic carbocyclic groups and mono- or polycyclic aromatic heterocyclic groups. In certain embodiments, these groups have 3- 14 carbon atoms, each of which is optionally substituted. In certain embodiments, the aryl group is a mono- or bicyclic carbocyclic ring system having one or two aromatic rings. The term "carbocyclic" as used herein, refers to an aromatic or non-aromatic ring system in which each atom of the ring is a carbon atom. Examples of such aryl groups include, but are not limited to, phenyl, naphthyl, tetrahydronaphthyl, indanyl, and indenyl. In certain embodiments, the heteroaryl group is a mono- or bicyclic heterocyclic ring system having one or two aromatic rings. In certain embodiments, the heteroaryl group (1) has from five to ten ring atoms of which one ring atom is selected from S, O, and N, (2) has zero, one, or two ring atoms that are additional heteroatoms independently selected from S, O, and N, and (3) the remaining ring atoms are carbon. Examples of such heteroaryl groups include, but are not limited to, pyridyl, pyrazinyl, pyrimidinyl, pyrrolyl, pyrazolyl, imidazolyl, thiazolyl, oxazolyl, isooxazolyl, thiadiazolyl, oxadiazolyl, thiophenyl, furanyl, quinolinyl, and isoquinolinyl.
[0101] It will be appreciated that the aminolipidoids of the presented disclosure may be substituted with any number of substituents. In general, the term "substituted," whether preceded by the term "optionally" or not, and substituents contained in formulas of the present disclosure, refer to the replacement of hydrogen radicals in a given structure with the radical of a specified substituent. When more than one position in any given structure may be substituted with more than one substituent selected from a specified group, the substituent may be either the same or different at every position. As used herein, the term "substituted" is contemplated to include all permissible substituents of organic compounds. Broadly, permissible substituents include all acyclic and cyclic, branched and unbranched, carbocyclic and heterocyclic, aromatic and nonaromatic substituents of organic compounds. For purposes of this disclosure, heteroatoms, such as nitrogen, may have hydrogen substituents and/or any permissible substituents of organic compounds described herein which satisfy the valencies of the heteroatoms. Furthermore, the presently disclosed aminolipidoids are not intended to be limited in any manner by the permissible substituents of organic compounds. Any substituents disclosed herein may also be further substituted (e.g. , an aryl substituent
may itself be substituted, such as with another aryl group, which, in turn, is further substituted with fluorine at one or more positions).
[0102] Examples of optional substituents of the aminolipidoids of the present disclosure include, but are not limited to, aliphatic groups, heteroaliphatic groups, aryl groups, heteroaryl groups, arylalkyl groups, heteroarylalkyl groups, alkoxy groups, aryloxy groups, heteroalkoxy groups, heteroaryloxy groups, alkylthio groups, arylthio groups, heteroalkylthio groups, heteroarylthio groups, F, CI, Br, I, -OH, -N02, -CN, -CF3, -CH2CF3, - CHC12, -CH2OH, -CH2CH2OH, -CH2NH2, -CH2S02R, -C(0)R, -C02(R), -
CON(R)2, -OC(0)R, -OC02R, -OCON(R)2, -N(R)2, -S(0)2R, and -
NR(CO)R, wherein each R is, independently, hydrogen, an aliphatic group, a heteroaliphatic group, an aryl group, a heteroaryl group, an arylalkyl group, or a heteroarylalkyl group, wherein any of the aliphatic, heteroaliphatic, arylalkyl, or heteroarylalkyl substituents described above and herein may be optionally substituted, branched or unbranched, cyclic or acyclic, and wherein any of the aryl or heteroaryl substituents described above and herein may be optionally substituted.
[0103] In certain embodiments, the presently disclosed aminolipidoids can be a salt, either from protonation by a mineral or organic acid or by quaternization of one more available tertiary nitrogens. Examples of counterions for such salts include, but are not limited to, halides, such as fluoride, chloride, bromide, or iodide, nitrate, hydrogen sulfate, dihydrogen phosphate, bicarbonate, nitrite, perchlorate, iodate, chlorate, bromate, chlorite, hypochlorite, hypobromite, cyanide, amide, cyanate, hydroxide, permanganate, an acid anion such as acetate or formate, or anions with negative charges greater than - 1 (e.g., having in some embodiments one or more than one adsorbent functional group as counterion), such as oxide, sulfide, nitride, arsenate, phosphate, arsenite, hydrogen phosphate, sulfate, thio sulfate, sulfite, carbonate, chromate, dichromate, peroxide, or oxalate.
[0104] In certain embodiments, the presently disclosed aminolipidoids, and optional substitutents thereon, can contain isotopes of various common atoms. Examples of such
13 15 18 18
isotopes include, but are not limited to, deuterium, C , N , O , and F . In certain embodiments, R, Ri, and R2 can, independently, be perfluorinated Ci_2o alkyl groups.
[0105] In certain embodiments, the aminolipidoids of the present disclosure is a compound selected from the group consisting of compounds (23) through (108), as shown below in Table 1 :
Table 1
GG H GG H
I I I I
I I I H
J J J J
J J J H
K K K K
K K K H
Y Y Y Y
Y Y Y H
Z z Z Z
Z z z H
BB BB BB BB
BB BB BB H
AA AA AA AA
AA AA AA H
CC CC CC CC
CC CC CC H
DD DD DD DD
DD DD DD H
EE EE EE EE
EE EE EE H
FF FF FF FF
FF FF FF H
U U U U
U U U H
W W W H
L L L L
L L L H
N N N N
N N N H
P P P P
P P P H
D D D D
D D D H
F F F F
F F F H
G G G G
G G G H
MM MM MM MM
MM MM MM H
TT TT TT TT
TT TT TT H
UU UU UU UU
UU UU UU H
vv VV VV VV vv vv vv H
WW WW WW WW
103 WW WW WW H
104 RR RR RR RR
105 RR RR RR H
106 QQ QQ QQ QQ
107 QQ QQ QQ H
108 ss ss ss ss
[0106] In certain embodiments, the aminolipidoids of the present disclosure is a compound selected from the group consisting of compounds (109) through (129), as shown below in Table 2:
Table 2
[0107] In certain embodiments, the aminolipidoids of the present disclosure is a compound selected from the group consisting of compounds (130) through (163), as shown below in Table 3:
Table 3
[0108] In certain embodiments, the aminolipidoids of the present disclosure is a compound selected from the group consisting of compounds (164) through (181), as shown below in Table 4:
Table 4
[0109] In certain embodiments, the aminolipidoids of the present disclosure is a compound selected from the group consisting of compounds (182) through (207), as shown below in Table 5:
[0110] In certain embodiments, the aminolipidoids of the present disclosure is a compound selected from the group consisting of compounds (208) through (218), as shown below in Table 6:
Table 6
[0111] In certain embodiments, the aminolipidoids of the present disclosure is a compound selected from the group consisting of compounds (219) through (220), as shown below in Table 7:
Table 7
[0160] In certain embodiments, the moiety of the compound of formula (I) having the following formula:
can be one of the following moieties:
[0161] In certain embodiments, the presently disclosed aminolipidoids are relatively non-cytotoxic. In certain embodiments, the presently disclosed aminolipidoids are biocompatible and biodegradable. In certain embodiments, the presently disclosed aminolipidoids have a pKa in the range of from about 3.0 to about 9.0, or in the range of from about 5.0 to about 8.0, or in the range of from about 5.5 to about 7.5, or in the range of from about 6.0 to about 7.0.
[0162] The presently disclosed aminolipidoids may exist in particular geometric or stereoisomeric forms. The present disclosure contemplates all such forms, including cis- and trans-isomers, R- and S-enantiomers, diastereomers, (D)-isomers, (L)-isomers, the racemic mixtures thereof, and other mixtures thereof, as falling within the scope of the invention. Additional asymmetric carbon atoms may be present in a substituent, such as an alkyl group. All such isomers, as well as mixtures thereof, are intended to be included in this disclosure.
[0163] Isomeric mixtures containing any of a variety of isomer ratios may be utilized in accordance with the present disclosure. For example, where only two isomers are combined, mixtures containing 50:50, 60:40, 70:30, 80:20, 90: 10, 95:5, 96:4, 97:3, 98:2, 99: 1, or 100:0 isomer ratios are all contemplated by the present disclosure. Those of ordinary skill in the art will readily appreciate that analogous ratios are contemplated for more complex isomer mixtures.
[0164] If a particular enantiomer of the presently disclosed aminolipidoids is desired, it may be prepared by asymmetric synthesis, for example, by reacting an optionally substituted compound comprising (1) at least one primary amino group, (2) at least one primary amino group and at least one secondary amino group, or (3) at least two secondary amino groups with a chiral epoxide, acrylate, acrylamide, or aldehyde. It may also be prepared by derivation with a chiral auxiliary, where the resulting diastereomeric mixture is separated and the auxiliary group cleaved to provide the pure desired enantiomers.
Alternatively, where the molecule contains a basic functional group, such as amino, or an acidic functional group, such as carboxyl, diastereomeric salts can be formed with an appropriate optic ally- active acid or base, followed by resolution of the diastereomers thus formed by fractional crystallization or chromatographic means well known in the art, and subsequent recovery of the pure enantiomers.
[0165] In certain embodiments, where the presently disclosed aminolipidoids contain at least one group of formula (II), the aminolipidoid can contain at least one stereocenter. Therefore, in certain embodiments of the presently disclosed lipidoids, each group of formula (Π):
is, independently, a group of formulae (Ila) or (lib):
[0166] The "enantiomeric excess" of a substance is a measure of how pure a desired enantiomer is relative to the undesired enantiomer. Enantiomeric excess is defined as the absolute difference between the mole fraction of each enantiomer which is most often expressed as a percent enantiomeric excess. For mixtures of diastereomers, there are analogous definitions and uses for "diastereomeric excess" and percent diastereomeric excess. For example, a sample with 70% of R isomer and 30% of S will have an
enantiomeric excess of 40%. This can also be thought of as a mixture of 40% pure R with 60% of a racemic mixture (which contributes 30% R and 30% S to the overall composition).
[0167] The aminolipidoids of the present disclosure can have an enantiomeric excess or a diastereomeric excess up to and including 2%, 5%, 10%, 15%, 20%, 25%, 30%, 35%, 40%, 45%, 50%, 55%, 60%, 61%, 62%, 63%, 64%, 65%, 66%, 67%, 68%, 69%, 70%, 71%, 72%, 73%, 74%, 75%, 76%, 77%, 78%, 79%, 80%, 81%, 82%, 83%, 84%, 85%, 86%, 87%, 88%, 89%, 90%, 90.5%, 91%, 91.5%, 92%, 92.5%, 93%, 93.5%, 94%, 94.5%, 95%, 95.5%, 96%, 96.5%, 97%, 97.5%, 98%, 98.5%, 99%, 99.5%, or 100%.
[0168] The presently disclosed amino lipidoids may be prepared by any method known in the art. In certain embodiments, the aminolipidoids of the present disclosure are synthesized by reacting an optionally substituted compound comprising (1) at least one primary amino group, (2) at least one primary amino group and at least one secondary amino group, or (3) at least two secondary amino groups with with one or more terminal epoxides, interior epoxides, acrylates, acrylamides, aldehydes, or any combination thereof, wherein each terminal epoxide, interior epoxide, acrylate, acylamide, and/or aldehyde contains a carbonyl group-based functionality of formulae (V), (VI), (VII), (VIII), (IX), (X), (XI), (XII), (XIII), (XIV), (XV), (XVI), or (XVII). In certain embodiments, these starting materials are commercially available and/or are easily and/or inexpensively prepared.
[0169] In certain embodiments, the presently disclosed aminolipidoids are
synthesized by reacting an optionally substituted compound comprising (1) at least one primary amino group, (2) at least one primary amino group and at least one secondary amino group, or (3) at least two secondary amino group with a stoichiometric amount or
stoichiometric excess of a terminal epoxide, interior epoxide, acrylate, acrylamide, aldehyde, or any combination thereof. In certain embodiments, the synthesis of the presently disclosed aminolipidoids is performed without solvent (i.e., neat). In certain other embodiments, the synthesis of the presently disclosed lipidoids is performed in a suitable solvent, such as a
lower alcohol (e.g., isopropanol) or DMF. In certain embodiments, these syntheses are performed at a temperature in the range of about 90 to about 120 °C for about 2 to about 96 hours. In certain embodiments, conventional heating sources can be employed. In certain other embodiments, non-conventional heating sources, such as microwave radiation, can be employed. After the reaction is complete, the reaction mixture is cooled, any solvent used is removed in vacuo, and the crude product is purified or used "as is."
[0170] The synthesized aminolipidoids may be purified by any technique known in the art including, but not limited to, precipitation, crystallization, chromatography (e.g. , silica gel chromatography, size exclusion chromatography, ion-exchange chromatography, and HPLC), and distillation. In certain embodiments, the crude product is purified by silica gel chromatography.
[0171] In certain embodiments, the aminolipidoids of the present disclosure can be synthesized such that the aminolipidoid contains two or more different groups of Formula (II), two or more different groups of Formula (III), two or more different groups of Formula (IV), or one or more groups of Formulae (II), (III), and/or (IV). In certain embodiments, this can be achieved by reacting an optionally substituted compound comprising (1) at least one primary amino group, (2) at least one primary amino group and at least one secondary amino group, or (3) at least two secondary amino groups with a less-than-stoichiometric amount of a terminal epoxide, interior epoxide, acrylate, acrylamide, or aldehyde followed by reacting the now-partially substituted compound with a further, different terminal epoxide, interior epoxide, acrylate, acrylamide, or aldehyde and so on. In certain other embodiments, this can be achived by reacting an optionally substituted compound comprising (1) at least one primary amino group, (2) at least one primary amino group and at least one secondary amino group, or (3) at least two secondary amino groups with a mixture of different terminal epoxides, interior epoxides, acrylates, acrylamides, and /or aldehydes. In certain
embodiments this can be achieved through substituting one or more of the amino groups of the optionally substituted compound comprising (1) at least one primary amino group, (2) at least one primary amino group and at least one secondary amino group, or (3) at least two secondary amino groups with a protecting group and then reacting the remaining unprotected amino groups of the partially protected comppund with a terminal epoxide, interior epoxide, acrylate, acrylamide, or aldehyde. The protecting groups can then be removed and the now
unprotected amino groups of the partially modified compound can then be further reacted with a different terminal epoxide, interior epoxide, acrylate, acrylamide, or aldehyde.
[0172] Examples of amino-protectlng groups that may be used include, but are not limited to, methyl carbamate, ethyl carbamante, 9-fluorenylmethyl carbamate (Fmoc), 9-(2- sulfo)fluorenylmethyl carbamate, 9-(2,7-dibromo)fluoroenylmethyl carbamate, 2,7-di-t-butyl- [9-(10,10-dioxo- 10,10, 10, 10-tetrahydiOthioxanthyl)]methyl carbamate (DBD-Tmoc), 4- methoxyphenacyl carbamate (Phenoc), 2,2,2-trichloroethyl carbamate (Troc), 2- trimethylsi!ylethyl carbamate (Teoc), 2-phenyl.ethyl carbamate (hZ), 1 -( 1 -adaxnantyl)- 1 - methylethyl carbamate (Adpoc), 1 , 1 -dimethyl-2-haloethyl carbamate, l,i-dimethyi-2,2- dibromoethyl carbamate (DB-t-BOC), l,l-dimethyl-2,2,2-trichloroethyl carbamate
(TCBOC), 1 -methyl- 1 -(4-biphenylyl)ethyl carbamate (Bpoc), 1 -(3,5-di-t-butylphenyl)- 1■ methylethyl carbamate (t-Bumeoc), 2-(2'- and 4'-pyridyl)ethyl carbamate (Pyoc), 2~(N,N- dicyclohexylcarboxamido)ethyl carbamate, t-butyl carbamate (BOC), 1-adamantyl carbamate (Adoc), vinyl carbamate (Voc), ally] carbamate (Alloc), l-isopropylallyl carbamate (Ipaoc), cinnamyl carbamate (Coc), 4-nitrocinnamyl carbamate (Noc), 8-quinol.yl carbamate, N- hydiOxypiperidinyi carbamate, alkyldithio carbamate, benzyl carbamate (Cbz), p- methoxybenzyl carbamate (Moz), p-nitobenzyl carbamate, p-bromobenzyl carbamate, p- chiorobenzyl carbamate, 2,4-dichlorobenzyl carbamate, 4-methylsurfinylbenzyl carbamate (Msz), 9-anthrylmethyl carbamate, diphenylmethyl carbamate, 2-methylt oethyl carbamate, 2-methylsulfonylethyl carbamate, 2-(p-toluenesulfonyl)ethyl carbamate, [2-(l,3- dithianyl)]memyl carbamate (Drnoc), 4-methylthiophenyl carbamate (Mtpc), 2,4- dimethyithiophenyl carbamate (Bmpc), 2-phosphonioethyl carbamate (Peoc), 2- triphenylphosphonioisopropyl carbamate (Ppoc), l,l-dimethyl-2-cyanoethyl carbamate, m- chloro-p-acyloxybenzyl carbamate, p-(dihydroxyboryl)benzyl carbamate, 5- benzisoxazolylmethyl carbamate, 2-(trifluoromethyl)-6-chromonylmethyl carbamate (Tcroc), m-nitrophenyl carbamate, 3,5-dimethoxybenzyl carbamate, o-nitrobenzyl carbamate, 3,4- dimethoxy-6-nitrobenzyl carbamate, phenyl .(o-nitrophenyl)methyl carbamate, phenothiazinyl- (lO)-carbonyl derivative, N'-p-toluenesulfonylaminocarbonyl derivative, N'- phenylaminothiocarbonyl derivative, t-amyl carbamate, S -benzyl thiocarbamate, p- cyanobenzyl carbamate, cyclobutyl carbamate, cyclohexyl carbamate, cyclopentyl carbamate, cyclopropylmethyl carbamate, p-decyloxybenzyl carbamate, 2,2-dimethoxycarbonylvinyl carbamate, o-(N,N-dimelhylcarboxamido)benzyl carbamate, l,l-dimethyl-3-(N,N- dimethylcarboxamido)propyl carbamate, 1 , 1-dimethylpropynyl carbamate, di(2-
pyridyl)methyl carbamate, 2-furanylmethyl carbamate, 2-iodoethyl carbamate, isoborynl carbamate, isobutyl carbamate, isonicotinyl carbamate, p-(p'-methoxyphenylazo)benzyl carbamate, 1-methylcyclobiityl carbamate, 1-methylcyclohexyl carbamate, 1 -methyl- 1- cyclopropylmetbyl carbamate, 1 -methyl- l-(3,5-dimetlioxyphenyl)etliyl carbamate, 1-methyl- l-(p-phenylazophenyl)ethyl carbamate, l-methyl- l-phenylethyl carbamate, 1 -methyl- 1 -(4- pyridyl)ethyl carbamate, phenyl carbamate, p-(ph.enylazo)benzyl carbamate, 2,4,6-tri-t- butylphenyl carbamate, 4-(trimethylammonium)benzyl carbamate, 2,4,6-trimethylbenzyl carbamate, formamide, acetamide, chloroacetamide, trichloroacetamide, trifluoroacetamide, phenylacetami.de, 3-phenylpropanami.de, picolinamide, 3-pyridyl.carboxamide, N- benzoylphenylalanyl derivative, benzamide, p-phenylbenzamide, o-nitophenylacetamide, o- nitrophenoxyacetamide, acetoacetamide, (N'-dithiobenzyloxycarbonylamino)acetarnide, 3-(p- hydroxyphenyl)propanamide, 3-(o-nitrophenyl)propanamide, 2-methyl-2-(o- nitrophenoxy)propanamide, 2-methyl-2-(o-phenylazophenoxy)propanamide, 4- chlorobutanamide, 3-methyl-3-nitrobutanamide, o-nitrocinnamide, N-acetylmethionine derivative, o-nitrobenzamide, o-(benzoyloxymethyl)benzamide, 4,5-diphenyl-3-oxazolin-2- one, N-phthalimide, N-dithiasuccinimide (Dts), N-2,3-diphenylrnaleirnide, N-2,5- dimethylpyrrole, N- 1 , 1 ,4,4-tetramethyldisilylazacyclopentane adduct (STABASE), 5- substituted 1 ,3-dimethyl-l,3,5-tr.iazacyclohexan-2-one, 5-subst.ituted 1,3-dibenzyl-l ,3,5- triazacyclohexan-2-one, 1 -substituted 3,5-dinitro-4-pyridone, N-methylamine, N-allylamine, N-[2-(trimethylsilyl)ethoxy]methylamine (SEM), N-3-acetoxypropylamine, N-(l-isopropyl- 4-nitro-2-oxo-3-pyroolin-3-yl)amine, quaternary ammonium salts, N-benzylamine, N-di(4- methoxyphenyl)methylamine, N-5-di.benzosuberylam.ine, N-triphenylmethylamine (Tr), N- [(4-methoxyphenyl)diphenylmethyl]amine ( MTr), N-9-phenylfluorenyl amine (PhF), N- 2,7-dichloro-9-fluorenylmethyleneamine, N-ferrocenylmethylamino (Fcm), N-2- picolylamino N '-oxide, -l , 1-dimethylthiomethyleneamine, N-benzylideneamine, N-p- methoxybenzylideneamine, N-diphenylmethyleneamine, N- [(2- pyridyl)mesity].]methyleneamine, — (N',N'-dimetJiylaminometJiylene)amine, Ν,Ν'- isopropylidenediamine, N-p-nitrobenzylideneamine, N-salicylideneamine, N-5- chlorosalicylideneamine, N-(5-ch.loro-2-hydroxyphenyl)phenylmethyleneamine, N- cyclohexyiideneamine, N-(5,5-dimethyl-3-oxo- 1 -cyclohexenyl)amine, N-borane derivative, N-diphenylborinic acid derivative, N-[phenyl(pentacarbonylchromium- or
tungsten)carbonyl]amine, N-copper chelate, N-zinc chelate, N-nitroamine, N-nitrosoamine, amine N-oxide, diphenylphosphinamide (Dpp), dimethylthiophosphinamide (Mpt), diphenylthiophosphinami.de (Ppt), dialkyl phosphoramidates, dibenzyl phosphoramidate,
diphenyl phosphoramidate, benzene sulfenamide, o-nitrobenzenesulfenamide (Nps), 2,4- dinitrobenzenesulfenamide, pentachlorobenzenesulfenamide, 2-nitro-4- methoxybenzenesulfenamide, triphenylmethylsulfenamide, 3-nitropyridinesulfenamide (Npys), p-toluenesulfonarmde (Ts), benzenesulfonamide, 2,3,6,-trimethyl-4- methoxybenzenesulfonamide (Mtr), 2,4,6-trimethoxybenzenesulfonamide (Mtb), 2,6- dim.ethyl-4-meth.oxybenzenesulfonamide (Pme), 2,3,5,6-tetramethyl-4- methoxybenzenesulfonamide ( te), 4-metboxybenzenesulfonamide (Mbs), 2,4,6- trimethylbenzenesulfonamide (Mis), 2,6-dimethoxy-4-methylbenzenesulfonamide (iMds), 2,2,5,7, 8-pentaniethylchroman-6-sulfonamide (Pmc), metbanesulfonaniide (Ms), β- trimethylsilylethane sulfonamide (SES), 9-anthracenesulfonamide, 4-(4',8'- dirn.ethoxyr]apbl"hylmethyl)benzenesulfonamide (DNMBS), benzylsulfonamide,
trifluoromethyisulfonamide, and phenacylsulfonamide.
Formulations of Aminolipidoids
[0173] In another aspect, the present disclosure provides for formulations comprising the presently disclosed aminolipidoids that may be used to deliver one or more active agents to a target organism. Therefore, in certain embodiments, the presently disclosed formulations can comprise at least one aminolipidoid of the present disclosure and at least one active agent to be delivered. In certain embodiments, the at least one aminolipidoid of the present disclosure and a first active agent to be delivered are non-covalently associated to one another to form a non-covalent complex. As used herein, the term "non-covalently associated" encompasses any kind of intermolecular interaction between the at least one aminolipidoid of the present disclosure and the first active agent to be delivered other than covalent interactions (i.e., interactions that involve the sharing of electrons). Examples of such non- covalent interactions include, but are not limited to, electrostatic interactions, such as ionic interactions, hydrogen bonding, and halogen bonding, Van der Waals forces, such as the Keesom force, the Debye force, and London dispersion forces, π-effects, such as π-π interactions, cation-π interactions, anion-π interactions, and polar π interactions, and hydrophobic interactions. As such, the term "non-covalent complex," as used herein, encompasses a complex of at least one aminolipidoid of the present disclosure and a first active agent to be delivered wherein the least one aminolipidoid and the first active agent are associated to each other via non-covalent interactions, as defined above.
[0174] In certain embodiments, the presently disclosed formulations further comprise at least one additional active agent to be delivered. In certain embodiments, this at least one additional active agent is part of the non-covalent complex of the least one aminolipidoid and the first active agent. In other words, the at least one additional active agent can be contained within the non-covalent complex or adhered to the surface of the non-covalent complex via non-covalent interactions, as defined above. In certain other embodiments, the at least one additional active agent is not contained within the non-covalent complex or adhered to the surface of the non-covalent complex, e.g., the at least one additional active agent is simply in a physical mixture with the non-covalent complex. In certain embodiments, the first active agent is an oligonucleotide or a polynucleotide, and the at least one additional active agent is an herbicide, an insecticide, a fungicide, a bactericide, and/or a viricide. In certain embodiments, the first active agent is used to increase the sensitivity of the target organism to the additional active agent, for example, to increase the sensitivity of a plant to an herbicide, or to increase the sensitivity of an insect to an insecticide.
[0175] The presently disclosed formulations may also comprise one or more excipients. Suitable excipients include, but are not limited to, fillers, extenders, binders, humectants, disintegrants, plasticizers, stabilizers, solution retarding agents, wetting agents, suspending agents, thickening agents, absorbents, lubricants, surfactants, buffering agents, diluents, solvents, emulsifying agents, suspending agents, sweetening agents, flavoring agents, perfuming agents, opacifying agents, separating agents, and coating permeability adjusters. The one or more excipients may be selected from the group consisting of sterols, carbohydrates, proteins, lipids, water-soluble polymers, and any combination thereof. In certain embodiments, the one or more excipients is a phytosterol. In certain other embodiments, the one or more excipients is cholesterol. In certain other embodiments, the one or more excipients comprises a water-soluble polymer such as polyethylene glycol (PEG), a polypropylene oxide (PPO), a polyvinylpyrrolidone (PVP), a polyvinyl alcohol (PVA), a polylactic acid (PLA), a poly(lactic-co-glycolic acid) (PLGA), or any combination thereof. In certain embodiments, the water-soluble polymer can be contained within or adhered to the surface of the non-covalent complexes of the present disclosure via non- covalent interactions, as defined above. In certain other embodiments, the water-soluble polymer can be tethered to the surface of the non-covalent complexes of the present disclosure via a lipid tail that is covalently bound on one end to the water-soluble polymer and which is entrained within the surface and/or interior of the non-covalent complex.
[0176] In certain embodiments, the presently disclosed formulations are combined with an agriculturally acceptable carrier. The agriculturally acceptable carrier can be solid or liquid and is a substance useful in formulation of agricultural products. Examples of such agricultural products include, but are not limited to, fertilizers, herbicides, insecticides, fungicides, bactericides, viricides, and nematicides. Examples of such agriculturally acceptable carriers for use in the presently disclosed formulations include, but are not limited to, surface active agents, stickers, spreader stickers, inert carriers, preservatives, humectants, dyes, UV (ultra-violet) protectants, buffers, flow agents, antifoams (e.g. ,
polydimethylsiloxane), sodium aluminosilicate, or other components which facilitate product handling and application of the compositions. Examples of agriculturally acceptable inert carriers include inorganic minerals, such as kaolin, mica, gypsum, fertilizer, carbonates, sulfates, and phosphates, organic materials, such as sugar, starches, and cyclodextrins, and botanical materials, such as wood products, cork, powdered corn cobs, rice hulls, peanut hulls, and walnut shells. Agriculturally acceptable carriers are described, for example, in U.S. Patent No. 6,984,609. In certain embodiments, the agriculturally acceptable carriers include, for example, natural or regenerated mineral substances, solvents, dispersants, wetting agents, tackifiers, thickeners, binders, or fertilizers. Such carriers are described, for example, in WO 97/33890.
[0177] The presently disclosed formulations may further comprise one or more additional compounds to facilitate passage of the active agent(s) through the plant cell wall. Several technologies for facilitating passage of compounds through the plant cell wall are known in the art. For example, U.S. Patent No. 8,609,420 describes conjugation of the active agent to a semi-conductor nanoparticle within the size range of 3-5 nm (e.g., a "quantum dot") and one or more cell penetrating peptides to improve penetration of the plant cell and intracellular delivery of the active agent. U.S. Patent No. 8,686,222 describes interacting a polyamidoamine dendrimer and one or more cell penetrating peptides with the active agent to improve cell penetration. U.S. Patent No. 8,653,327 describes delivery of active agents through plant cell walls by coating a PEGylated semiconductor nanoparticle with the active agent. U.S. Patent No. 8,722,410 describes transferring active agents into plant cells by applying the active agent to a nanoparticle coated with a subcellular compartment targeting protein. U.S. Patent Nos. 8,609,420, 8,686,222, 8,653,327, and 8,722,410 are incorporated by reference herein in their entireties.
[0178] The formulations of the present disclosure can take any form. Examples of such forms include, but are not limited to, complexes, particles (e.g. , microparticles, nanoparticles, and picoparticles), micelles, and liposomes. In certain embodiments, two or more active agents (e.g., two or more siRNA) can be formulated with the presently disclosed aminolipidoids to form a single complex, particle, micelle or liposome containing the two or more active agents. Alternatively, in certain embodiments, the two or more active agents can be separately formulated to form a single complex, particle, micelle or liposome, each containing a single active agent, and are then combined to form a mixture prior to delivery to a target organism.
[0179] The aminolipidoids of the present disclosure possess one or more primary, secondary, and/or tertiary amino groups that, although hindered, are available to interact with an active agent (e.g., a polynucleotide). As such, a non-covalent complex is formed when an active agent is contacted with the presently disclosed aminolipidoids under conditions suitable to form an active agent/aminolipidoid non-covalent complex. In certain
embodiments, multiple aminolipidoid molecules may non-covalently complex with an active agent molecule. The non-covalent complex may include 1-100 aminolipidoid molecules, 1- 1000 aminolipidoid molecules, 10-1000 aminolipidoid molecules, or 100-10,000
aminolipidoid molecules.
[0180] The aminolipidoids of the present disclosure may be used to encapsulate active agents. The aminolipidoids of the present disclosure have several properties that make them particularly suitable in the preparation of drug delivery devices. These include, but are not limited to: (1) the ability of the lipidoid to complex and "protect" labile agents, (2) the ability to buffer the pH in the endosome (3) the ability to act as a "proton sponge" and cause endosomolysis, and (4) the ability to neutralize the charge on negatively charged agents. Thus, in certain embodiments, the aminolipidoids of the present disclosure are used to form particles containing at least one active agent to be delivered. These particles may include other materials, such as proteins, carbohydrates, synthetic polymers (e.g., PEG, PLGA), and natural polymers.
[0181] In certain embodiments, the presently disclosed aminolipidoids are combined with an active agent to be delivered to a cell or a subject to form microparticles,
nanoparticles, liposomes, or micelles. The agent to be delivered by the particles, liposomes, or micelles may be in the form of a gas, liquid, or solid, and the agent may be a
polynucleotide, protein, peptide, or small molecule. The presently disclosed aminolipidoids may be combined with other aminolipidoids of the present disclosure, polymers (synthetic or natural), surfactants, cholesterol, carbohydrates, proteins, and lipids, to form the particles.
[0182] In certain embodiments, the diameter of the particles of the present disclosure range from 1 to 1,000 micrometers. In certain embodiments, the diameter of the particles range from 1 to 100 micrometers. In certain embodiments, the diameter of the particles range from 1 to 10 micrometers. In certain embodiments, the diameter of the particles range from 10 to 100 micrometers. In certain embodiments, the diameter of the particles range from 100 to 1,000 micrometers. In certain embodiments, the diameter of the particles range from 1 to 5 micrometers. In certain embodiments, the diameter of the particles range from 1 to 1,000 nm. In certain embodiments, the diameter of the particles range from 1 to 100 nm. In certain embodiments, the diameter of the particles range from 1 to 10 nm. In certain embodiments, the diameter of the particles range from 10 nm to 100 nm. In certain embodiments, the diameter of the particles range from 100 nm to 1,000 nm. In certain embodiments, the diameters of the particles range from 1 to 5 nm. In certain embodiments, the diameter of the particles range from 1 to 1,000 pm. In certain embodiments, the diameter of the particles range from 1 to 100 pm. In certain embodiments, the diameter of the particles range from 1 to 10 pm. In certain embodiments, the diameter of the particles range from 10 to 100 pm. In certain embodiments, the diameter of the particles range from 100 to 1,000 pm. In certain embodiments, the diameter of the particles range from 1 to 5 pm.
[0183] The particles of the present disclosure may be prepared using any method known in the art. These include, but are not limited to, spray drying, single and double emulsion solvent evaporation, solvent extraction, phase separation, simple and complex coacervation, and other methods well known to those of ordinary skill in the art. In certain embodiments, methods of preparing the particles are the double emulsion process and spray drying. In other embodiments, methods of preparing the particles are nanoprecipitation or flash precipitation, for example, as disclosed in U.S. Patent Nos. 8,207,290, 8,404,799, 8,546,521, 8,618,240, and 8,809,492, each of which are incorporated herein in its entirety. The conditions used in preparing the particles may be altered to yield particles of a desired size or property (e.g., hydrophobicity, hydrophilicity, external morphology, "stickiness", shape, etc.). The method of preparing the particle and the conditions (e.g., solvent, temperature, concentration, air flow rate, etc.) used may also depend on the agent being
encapsulated and/or the composition of the matrix. Methods developed for making particles for delivery of encapsulated agents are described in the literature (e.g., Doubrow, M., Ed., "Microcapsules and Nanoparticles in Medicine and Pharmacy," CRC Press, Boca Raton, 1992; Mathiowitz and Langer, J. Controlled Release 5: 13-22, 1987; Mathiowitz et al. Reactive Polymers 6:275-283, 1987; Mathiowitz et al. J. Appl. Polymer Sci. 35:755-774, 1988; each of which is incorporated herein by reference in their entirety).
[0184] If the particles prepared by any of the above methods have a size range outside of the desired range, the particles can be sized, for example, using a sieve. The particle may also be coated. In certain embodiments, the particles are coated with a targeting agent. In other embodiments, the particles are coated to achieve desirable surface properties (e.g., a particular charge).
[0185] The aminolipidoids of the invention may be used to prepare micelles or liposomes containing an active agent to be delivered. Many techniques for preparing micelles and liposomes are known in the art, and any method may be used with the aminolipidoids of the present disclosure to make micelles and liposomes. Micelles and liposomes are particularly useful in delivering hydrophobic agents, such as hydrophobic small molecules.
[0186] In certain embodiments, liposomes containing aminolipidoids of the present disclosure are formed through spontaneous assembly. In other embodiments, these liposomes are formed when thin lipid films or lipid cakes are hydrated and stacks of lipid crystalline bilayers become fluid and swell. The hydrated lipid sheets detach during agitation and self- close to form large, multilamellar vesicles (LMV). This prevents interaction of water with the hydrocarbon core of the bilayers at the edges. Once these particles have formed, reducing the size of the particle can be modified through input of sonic energy (sonication) or mechanical energy (extrusion). See Walde, P. "Preparation of Vesicles (Liposomes)" In Encyclopedia of Nanoscience and Nanotechnology; Nalwa, H. S. Ed. American Scientific Publishers: Los Angeles, 2004; Vol. 9, pp. 43-79 and Szoka et al. "Comparative Properties and Methods of Preparation of Lipid Vesicles (Liposomes)" Ann. Rev. Biophys.
Bioeng. 9:467-508, 1980, each of which is incorporated herein in its entirety.
[0187] The preparation of liposomes of the present disclosure involves preparing the aminolipidoids for hydration, hydrating the aminolipidoids with agitation, and sizing the vesicles to achieve a homogenous distribution of liposomes. Aminolipidoids are first dissolved in an organic solvent to assure a homogeneous mixture. The solvent is then removed to form a lipidoid film. This film is thoroughly dried to remove residual organic solvent by placing the vial or flask on a vacuum pump overnight. Hydration of the lipidoid film/cake is accomplished by adding an aqueous medium to the container of dry lipidoid and agitating the mixture. Disruption of LMV suspensions using sonic energy typically produces small unilamellar vesicles (SUV) with diameters in the range of from 15 to 50 nm. Lipid extrusion is a technique in which a lipid suspension is forced through a polycarbonate filter with a defined pore size to yield particles having a diameter near the pore size of the filter used. Extrusion through filters with 100 nm pores typically yields large, unilamellar vesicles (LUV) with a mean diameter of from 120 to 140 nm.
[0188] Certain aminolipidoids of the present disclosure can spontaneously self- assemble around certain molecules, such as DNA and RNA, to form liposomes. In some embodiments, the application is the delivery of polynucleotides to a target cell. Thus, use of the aminolipidoids of the present disclosure allows for simple assembly of liposomes without the need for additional steps or devices such as an extruder.
[0189] The complexes, microparticles, nanoparticles, picoparticles, liposomes, and micelles of the present disclosure may be modified to include targeting agents since it is often desirable to target a particular cell, collection of cells, or tissue. A variety of targeting agents that direct pharmaceutical compositions to particular cells are known in the art (e.g. , Cotten et al. Methods Enzym. 217:618, 1993; which is incorporated herein by reference in its entirety). The targeting agents may be included throughout the particle or may be only on the surface. The targeting agent may be a protein, peptide, carbohydrate, glycoprotein, lipid, small molecule, and/or nucleic acid. The targeting agent may be used to target specific cells or tissues or may be used to promote endocytosis or phagocytosis of the particle. Examples of targeting agents include, but are not limited to, antibodies, fragments of antibodies, low- density lipoproteins (LDLs), transferrin, asialycoproteins, gpl20 envelope protein of the human immunodeficiency virus (HIV), carbohydrates, receptor ligands, sialic acid, and aptamers. If the targeting agent is included throughout the particle, the targeting agent may be included in the mixture that is used to form the particles. If the targeting agent is only on
the surface on the particle, the targeting agent may be associated with (i.e., by covalent, hydrophobic, hydrogen bonding, van der Waals, or other interactions) the formed particles using standard chemical techniques.
[0186] In certain embodiments, the formulations of the present disclosure can be formulated as a bait, a food substance, or an attractant. For example, the formulations of the present disclosure can be incorporated into an insect bait suitable for oral administration of the formulation to the target insect. The bait may comprise a formulation comprising an active agent and an aminolipidoid of the present disclosure dispersed in a carrier and an edible insect attractant. In certain embodiments, the bait comprises an edible insect attractant and a nanoparticle or microparticle comprising at least one active agent and at least one aminolipidoid of the present disclosure, wherein the nanoparticle or microparticle is dispersed in a carrier. The formulation of the present disclosure and attractant can be mixed together before being dispersed in the desired carrier. Suitable attractants include any type of insect food and/or attractant which will lure the insect to the bait to ingest the bait.
Exemplary insect foods or attractants include, but are not limited to, any type of insect food, including various sugars, proteins, carbohydrates, yeast, fats, and/or oils. The bait can be in any form suitable for delivery and ingestion of the composition, depending on the habitat and target insect, but will typically be a liquid, gel, self-sustaining gel-matrix, or solid bait (e.g. , tablets, granules, etc.). Exemplary carriers include, without limitation, agarose gel, gelatin gel, and/or pectin gel. In certain embodiments, the carrier is agarose gel, which is especially suited for aquatic habitats and breeding grounds. Insect baits are known in the art and are described, for example, in U.S. Pat. No. 8,841,272, which is incorporated herein by reference in its entirety.
[0187] The presently disclosed formulations can be present in the bait in an effective amount (i.e. , concentration) for the activity of the active agent, such as gene silencing. The concentration of the active agent in the bait may be about 0.001, 0.005, 0.01, 0.05, 0.1, 0.5, 1, 2, 3, 4, 5, 6, 7, 8, 9, 10, 11, 12, 13, 14, 15, 16, 17, 18, 19 or 20% by weight of the bait. Any of these values may be used to define a range for the concentration of the active agent in the bait. For example, the concentration of the active agent in the bait may range from about 0.1 to about 1%, or from about 1 to about 5% by weight of the bait. The weight ratio of active agent to insect attractant (food) in the bait may be about 1 : 1, 1 :5, 1 : 10, 1 :20, 1 :30, 1 :40, 1 :50, 1 :60, 1 :70, 1 :80, 1 :90, 1 : 100, 1 : 150 or 1 :200. Any of these values may be used to define a
range for the weight ratio of the active agent to the insect attractant in the bait. For example, the weight ratio of the active agent to the insect attractant in the bait may be from about 1 :20 to about 1 :200, or from about 1 :50 to about 1 : 100.
[0188] In certain embodiments, the concentration of a microparticle or nanoparticle comprising the at least one active agent and at least one aminolipidoid of the present disclosure in the bait may be about 0.001, 0.005, 0.01, 0.05, 0.1, 0.5, 1, 2, 3, 4, 5, 6, 7, 8, 9, 10, 11, 12, 13, 14, 15, 16, 17, 18, 19 or 20% by weight of the bait. Any of these values may be used to define a range for the concentration of the microparticle or nanoparticle in the bait. For example, the concentration of the microparticle or nanoparticle in the bait may range from about 0.1 to about 1%, or from about 1 to about 5% by weight of the bait. The weight ratio of the microparticle or nanoparticle to insect attractant (food) in the bait may be about 1 : 1, 1 :5, 1 : 10, 1 :20, 1 :30, 1 :40, 1 :50, 1 :60, 1 :70, 1 :80, 1 :90, 1 : 100, 1 : 150 or 1 :200. Any of these values may be used to define a range for the weight ratio of the microparticle or nanoparticle to the insect attractant in the bait. For example, the weight ratio of the microparticle or nanoparticle to the insect attractant in the bait may be from about 1 :20 to about 1 :200, or from about 1 :50 to about 1 : 100.
Herbicidal and Pesticidal Applications
[0189] In another aspect, the presently disclosed aminolipidoid-based formulations can be used to deliver an active agent to target organisms for the purpose of killing and/or controlling the proliferation of the target organisms, such as insects, plant pathogens (e.g. , fungi, bacteria, viruses, and nematodes), and weeds. In certain embodiments, the presently disclosed aminolipidoid-based formulations comprise an insecticidal, nematidicidal, fungicidal, bacteriocidal, viricidal, or herbicidal active agent, or combinations thereof. In certain embodiments, these formulations are combined with an agriculturally acceptable carrier to form a insecticidal, nematodicidal, fungicidal, bacteriocidal, viricidal, or herbicidal formulation.
[0190] A target organism is an organism in which the presently disclosed herbicidal, insecticidal, or fungicidal formulations are intended to be functional, for example, to mediate gene silencing or suppression. In certain embodiments, a target organism is also a host organism, as described herein below. In other embodiments, a target organism is separate
and distinct from a host organism that serves as a source of the active agent to be functional in the target organism.
[0191] The insecticidal, nematidicidal, fungicidal, bacteriocidal, viricidal, or herbicidal formulation may further be combined with an agriculturally acceptable carrier. The agriculturally acceptale carrier can be solid or liquid and is a substance useful in formulation of agricultural products, for example, fertilizers, herbicides, insecticides, fungicides, bactericides, viricides, and nematicides. Agriculturally acceptable carriers include, for example, natural or regenerated mineral substances, solvents, dispersants, wetting agents, tackifiers, thickeners, binders or fertilizers. Such carriers are described for example, in WO 97/33890, which is incorporated herein by reference.
[0192] The presently disclosed formulations can be applied to the crop area or plant to be treated, simultaneously or in succession with further compounds. These further compounds can be, for example, fertilizers or micronutrient donors or other preparations, which influence the growth of plants. They can also be selective herbicides or non-selective herbicides as well as insecticides, fungicides, bactericides, nematicides, molluscicides or mixtures of several of these preparations, if desired together with further carriers, surfactants or application promoting adjuvants customarily employed in the art of formulation.
Active Agents
[0193] Active agents that can be delivered to a target organism using the presently disclosed formulations include, but are not limited to, any type of molecule or compound including, but not limited to, nucleic acids, peptides, polypeptides, small molecules, and mixtures thereof. Examples of nucleic acids include, but are not limited to, interfering RNA molecules (e.g., siRNA, aiRNA, miRNA), antisense oligonucleotides, plasmids, ribozymes, immuno stimulatory oligonucleotides, and mixtures thereof.
[0194] In certain embodiments, the active agent comprises a nucleic acid. In certain embodiments, the nucleic acid comprises an interfering RNA molecule such as, e.g. , an siRNA, aiRNA, miRNA, or mixtures thereof. In certain embodiments, the nucleic acid comprises single- stranded or double-stranded DNA, RNA, or a DNA/RNA hybrid such as, e.g. , an antisense oligonucleotide, a ribozyme, a plasmid, an immuno stimulatory
oligonucleotide, or mixtures thereof.
[0195] In certain embodiments, presently disclosed particles are associated with a nucleic acid. In some embodiments, the nucleic acid is fully encapsulated in a lipidoid particle. As used herein, the term "nucleic acid" includes any oligonucleotide or
polynucleotide, with fragments containing up to 60 nucleotides generally termed
oligonucleotides, and longer fragments termed polynucleotides. In particular embodiments, oligonucleotides of the invention are about 10, 15, 20, 25, 30, 35, 40, 45, 50, 55 or 60 nucleotides in length. Any of these values may be used to define a range for the size of the oligonucleotide. For example, the size of the oligonucleotide may range from 15-60, 20-60 or 25-60 nucleotides in length. In particular embodiments, the polynucleotide is 65, 70, 80, 90, 100, 150, 200, 250, 300, 350, 400, 450, 500, 550, 600, 650, 700, 750, 800, 850, 900, 950, 1000, 1100, 1200, 1300, 1400, 1500, 1600, 1700, 1800, 1900, 2000, or more nucleotides in length. In particular embodiments, the polynucleotide is at least 65, 70, 80, 90, 100, 150, 200, 250, 300, 350, 400, 450, 500, 550, 600, 650, 700, 750, 800, 850, 900, 950, 1000, 1100, 1200, 1300, 1400, 1500, 1600, 1700, 1800, 1900 or 2000 nucleotides in length. Any of these values may be used to define a range for the size of the polynucleotide. For example, the polynucleotide may range from 100-150, 150-200, 200-250, 250-300, 300-350, 350-400, 450-500, 500-550, 550-600, 600-650, 650-700, 700-750, 750-800, 800-850, 850-900, 900- 950, or 950-1000 nucleotides in length. The nucleic acid may be administered alone in the particles of the present disclosure, or in combination (e.g. , co-administered) with particles of the present disclosure comprising peptides, polypeptides, or small molecules, such as conventional drugs.
[0196] In the context of this invention, the terms "polynucleotide" and
"oligonucleotide" refer to a polymer or oligomer of nucleotide or nucleoside monomers consisting of naturally-occurring bases, sugars, and intersugar (backbone) linkages. The terms "polynucleotide" and "oligonucleotide" also include polymers or oligomers comprising non-naturally occurring monomers, or portions thereof, which function similarly. Such modified or substituted oligonucleotides are often preferred over native forms because of properties such as, for example, enhanced cellular uptake and increased stability in the presence of nucleases.
[0197] Oligonucleotides are generally classified as deoxyribooligonucleotides or ribooligonucleotides. A deoxyribooligonucleotide consists of a 5-carbon sugar called deoxyribose joined covalently to phosphate at the 5' and 3 ' carbons of this sugar to form an
alternating, unbranched polymer. A ribooligonucleotide consists of a similar repeating structure where the 5-carbon sugar is ribose.
[0198] Nucleic acids that can be used in the presently disclosed formulations includes any form of nucleic acid that is known. The nucleic acids used herein can be single-stranded DNA or RNA, or double-stranded DNA or RNA, or DNA-RNA hybrids. Examples of double-stranded DNA are described herein and include, e.g., structural genes, genes including control and termination regions, and self-replicating systems such as viral or plasmid DNA. Examples of double-stranded RNA are described herein and include, e.g., siRNA and other RNAi agents such as aiRNA and pre-miRNA. Single-stranded nucleic acids include, e.g., antisense oligonucleotides, ribozymes, mature miRNA, and triplex-forming oligonucleotides.
[0199] Nucleic acids that can be used in the formulations of the present disclosure may be of various lengths, which is generally dependent upon the particular form of nucleic acid. For example, in certain embodiments, plasmids or genes may be from about 1,000 to about 100,000 nucleotide residues in length. In certain embodiments, oligonucleotides may range from about 10 to about 100 nucleotides in length. In certain embodiments,
oligonucleotides, both single-stranded, double- stranded, and triple-stranded, may range in length from about 10 to about 60 nucleotides, from about 15 to about 60 nucleotides, from about 20 to about 50 nucleotides, from about 15 to about 30 nucleotides, or from about 20 to about 30 nucleotides in length.
[0200] In certain embodiments, an oligonucleotide (or a strand thereof) that can be used in the presently disclosed formulations specifically hybridizes to or is complementary to a target polynucleotide sequence. The terms "specifically hybridizable" and
"complementary" as used herein indicate a sufficient degree of complementarity such that stable and specific binding occurs between the DNA or RNA target and the oligonucleotide. It is understood that an oligonucleotide need not be 100% complementary to its target nucleic acid sequence to be specifically hybridizable. In certain embodiments, an oligonucleotide is specifically hybridizable when binding of the oligonucleotide to the target sequence interferes with the normal function of the target sequence to cause a loss of utility or expression therefrom, and there is a sufficient degree of complementarity to avoid non-specific binding of the oligonucleotide to non-target sequences under conditions in which specific binding is desired. Thus, the oligonucleotide may include 1, 2, 3, or more base substitutions as
compared to the region of a gene or mRNA sequence that it is targeting or to which it specifically hybridizes.
[0201] In certain embodiments, the oligo- or polynucleotide is optionally purified and substantially pure. In some embodiments, the polynucleotide is greater than 50% pure. In some embodiments, the oligo- or polynucleotide is greater than 75% pure. In some embodiments, the oligo- or polynucleotide is greater than 95% pure. The oligo- or polynucleotide may be provided by any means known in the art. In certain embodiments, the oligo- or polynucleotide has been engineered using recombinant techniques. The oligo- or polynucleotide may also be obtained from natural sources and purified from contaminating components found normally in nature. The oligo- or polynucleotide may also be chemically synthesized in a laboratory. In certain embodiments, the oligo- or polynucleotide is synthesized using standard solid phase chemistry.
[0202] The oligo- or polynucleotide may be modified by chemical or biological means. In certain embodiments, these modifications lead to increased stability of the oligo- or polynucleotide. Examples of such modifications include, but are not limited to, methylation, phosphorylation, and end-capping.
[0203] The oligo- or polynucleotide to be delivered may be in any form. Examples of such forms include, but are not limited to, a circular plasmid, a linearized plasmid, a cosmid, a viral genome, a modified viral genome, an artificial chromosome, dsRNA, ssRNA, dsDNA, ssDNA, RNA/DNA hybrids, dsRNA hairpins, siRNA, aiRNA, and miRNA.
[0204] The oligo- or polynucleotide may be of any sequence. In certain
embodiments, the oligo- or polynucleotide encodes a protein or peptide. The encoded proteins may be enzymes, structural proteins, receptors, soluble receptors, ion channels, or cytokines. The oligo- or polynucleotide may also comprise regulatory regions to control the expression of a gene. These regulatory regions may include, but are not limited to, promoters, enhancer elements, repressor elements, TATA box, ribosomal binding sites, and stop site for transcription. In certain embodiments, the polynucleotide is not intended to encode a protein. For example, the polynucleotide may be used to fix an error in the genome of the cell being transfected.
[0205] In certain embodiments, the nucleic acid is modified. As used herein, the term
"modified" in reference to a nucleic acid (e.g., an oligonucleotide or polynucleotide) is defined as a nucleic acid that contains variations of the standard bases, sugars and/or phosphate backbone chemical structures occurring in ribonucleic (i.e. , A, C, G and U) and deoxyribonucleic (i.e. , A, C, G and T) acids. Particular modifications of nucleic acids are further described below.
[0206] In certain embodiments, the oligo- or polynucleotide is an RNA that carries out RNA interference (RNAi). The term "interfering RNA" or "RNAi" or "interfering RNA sequence" refers to single-stranded RNA (e.g. , mature miRNA) or double- stranded RNA (e.g., duplex RNA, such as siRNA, aiRNA, or pre-miRNA) that is capable of reducing or inhibiting the expression of a target gene or sequence (e.g. , by mediating the degradation or inhibiting the translation of mRNAs which are complementary to the interfering RNA sequence) when the interfering RNA is in the same cell as the target gene or sequence.
Interfering RNA thus refers to the single- stranded RNA that is complementary to a target mRNA sequence or to the double- stranded RNA formed by two complementary strands or by a single, self-complementary strand. Interfering RNA may have substantial or complete identity to the target gene or sequence, or may comprise a region of mismatch (i.e. , a mismatch motif). The sequence of the interfering RNA can correspond to the full-length target gene, or a subsequence thereof. siRNA
[0207] In certain embodiments, the active agent comprises an siRNA. The siRNA molecule can comprise a double-stranded region of about 15 to about 60 nucleotides in length (e.g., about 15 to 60, 15 to 50, 15 to 40, 15 to 30, 15 to 25, or 19 to 25 nucleotides in length, or 15, 16, 17, 18, 19, 20, 21, 22, 23, 24, or 25 nucleotides in length). The siRNA molecules used in the presently disclosed formulations are capable of silencing the expression of a target sequence in vitro and/or in vivo.
[0208] In certain embodiments, the siRNA molecule comprises modified nucleotides including, but not limited to, 2'-0-methyl (2'OMe) nucleotides, 2'-deoxy-2'-fluoro(2'F) nucleotides, 2'-deoxy nucleotides, 2'-0-(2-methoxyethyl) (MOE) nucleotides, locked nucleic acid (LNA) nucleotides, and mixtures thereof. In other embodiments, the siRNA comprises 2'OMe nucleotides (e.g. , 2'OMe purine and/or pyrimidine nucleotides) such as, for example,
2'OMe-guanosine nucleotides, 2'OMe-uridine nucleotides, 2'OMe-adenosine nucleotides, 2'OMe-cytosine nucleotides, and mixtures thereof. In certain embodiments, the siRNA does not comprise 2'OMe-cytosine nucleotides. In certain embodiments, the siRNA comprises a hairpin loop structure.
[0209] In certain embodiments, the siRNA may comprise modified nucleotides in one strand (i.e. , sense or antisense) or both strands of the double- stranded region of the siRNA molecule. In certain embodiments, uridine and/or guanosine nucleotides are modified at selective positions in the double- stranded region of the siRNA duplex. With regard to uridine nucleotide modifications, at least one, two, three, four, five, six, or more of the uridine nucleotides in the sense and/or antisense strand can be a modified uridine nucleotide such as a 2'OMe-uridine nucleotide. In certain embodiments, every uridine nucleotide in the sense and/or antisense strand is a 2'OMe-uridine nucleotide. With regard to guanosine nucleotide modifications, at least one, two, three, four, five, six, or more of the guanosine nucleotides in the sense and/or antisense strand can be a modified guanosine nucleotide such as a 2'OMe- guanosine nucleotide. In certain embodiments, every guanosine nucleotide in the sense and/or antisense strand is a 2'OMe-guanosine nucleotide.
[0210] In certain embodiments, at least one, two, three, four, five, six, seven, or more
5'-GU-3' motifs in an siRNA sequence may be modified, e.g. , by introducing mismatches to eliminate the 5'-GU-3' motifs and/or by introducing modified nucleotides such as 2'OMe nucleotides. The 5'-GU-3' motif can be in the sense strand, the antisense strand, or both strands of the siRNA sequence. The 5'-GU-3 ' motifs may be adjacent to each other or, alternatively, they may be separated by 1, 2, 3, 4, 5, 6, 7, 8, 9, 10, 11, 12, or more nucleotides.
[0211] In certain embodiments, a modified siRNA molecule is capable of silencing at least about 5%, 10%, 15%, 20%, 25%, 30%, 35%, 40%, 45%, 50%, 55%, 60%, 65%, 70%, 75%, 80%, 85%, 90%, 95%, or 100% of the expression of the target sequence relative to the corresponding unmodified siRNA sequence.
[0212] In certain embodiments, the siRNA molecule does not comprise phosphate backbone modifications, e.g. , in the sense and/or antisense strand of the double- stranded region. In certain embodiments, the siRNA comprises one, two, three, four, or more phosphate backbone modifications, e.g. , in the sense and/or antisense strand of the double-
stranded region. In certain embodiments, the siRNA does not comprise phosphate backbone modifications.
[0213] In certain embodiments, the siRNA does not comprise 2'-deoxy nucleotides, e.g. , in the sense and/or antisense strand of the double- stranded region. In certain
embodiments, the siRNA comprises one, two, three, four, or more 2'-deoxy nucleotides, e.g. , in the sense and/or antisense strand of the double- stranded region. In certain embodiments, the siRNA does not comprise 2'-deoxy nucleotides.
[0214] In certain embodiments, the nucleotide at the 3 '-end of the double- stranded region in the sense and/or antisense strand is not a modified nucleotide. In certain
embodiments, the nucleotides near the 3 '-end (e.g. , within one, two, three, or four nucleotides of the 3 '-end) of the double- stranded region in the sense and/or antisense strand are not modified nucleotides.
[0215] The siRNA molecules described herein may have 3' overhangs of one, two, three, four, or more nucleotides on one or both sides of the double- stranded region, or may lack overhangs (i.e. , have blunt ends) on one or both sides of the double- stranded region. In certain embodiments, the siRNA has 3' overhangs of two nucleotides on each side of the double-stranded region. In certain embodiments, the 3 ' overhang on the antisense strand has complementarity to the target sequence and the 3' overhang on the sense strand has complementarity to a complementary strand of the target sequence. Alternatively, the 3' overhangs do not have complementarity to the target sequence or the complementary strand thereof. In certain embodiments, the 3' overhangs comprise one, two, three, four, or more nucleotides such as 2'-deoxy(2'H) nucleotides. In certain embodiments, the 3' overhangs comprise deoxythymidine (dT) and/or uridine nucleotides. In certain embodiments, one or more of the nucleotides in the 3' overhangs on one or both sides of the double- stranded region comprise modified nucleotides. Examples of modified nucleotides are described above and include, but are not limited to, 2'OMe nucleotides, 2'-deoxy-2'F nucleotides, 2'-deoxy nucleotides, 2'-0-2-MOE nucleotides, LNA nucleotides, and mixtures thereof. In certain embodiments, one, two, three, four, or more nucleotides in the 3 ' overhangs present on the sense and/or antisense strand of the siRNA comprise 2'OMe nucleotides (e.g. , 2'OMe purine and/or pyrimidine nucleotides) such as, for example, 2'OMe-guanosine nucleotides, 2'OMe - uridine nucleotides, 2'OMe-adenosine nucleotides, 2'OMe-cytosine nucleotides, and mixtures thereof.
[0216] The siRNA may comprise at least one or a cocktail (e.g. , at least two, three, four, five, six, seven, eight, nine, ten, or more) of unmodified and/or modified siRNA sequences that silence target gene expression. The cocktail of siRNA may comprise sequences, which are directed to the same region or domain (e.g., a "hot spot") and/or to different regions or domains of one or more target genes. In certain embodiments, one or more (e.g., at least two, three, four, five, six, seven, eight, nine, ten, or more) modified siRNA that silence target gene expression are present in a cocktail. In certain embodiments, one or more (e.g., at least two, three, four, five, six, seven, eight, nine, ten, or more) unmodified siRNA sequences that silence target gene expression are present in a cocktail.
[0217] In certain embodiments, the antisense strand of the siRNA molecule comprises or consists of a sequence that is at least about 80%, 85%, 90%, 95%, 96%, 97%, 98%, or 99% complementary to the target sequence or a portion thereof. In certain embodiments, the antisense strand of the siRNA molecule comprises or consists of a sequence that is 100% complementary to the target sequence or a portion thereof. In certain embodiments, the antisense strand of the siRNA molecule comprises or consists of a sequence that specifically hybridizes to the target sequence or a portion thereof.
[0218] In certain embodiments, the sense strand of the siRNA molecule comprises or consists of a sequence that is at least about 80%, 85%, 90%, 95%, 96%, 97%, 98%, or 99% identical to the target sequence or a portion thereof. In certain embodiments, the sense strand of the siRNA molecule comprises or consists of a sequence that is 100% identical to the target sequence or a portion thereof.
[0219] The siRNA that can be used in the presently disclosed formulations are capable of silencing the expression of a target gene of interest. Each strand of the siRNA duplex can be about 15 to about 60 nucleotides in length, or about 15 to about 30 nucleotides in length. In certain embodiments, the siRNA comprises at least one modified nucleotide. In some embodiments, the modified siRNA contains at least one 2'OMe purine or pyrimidine nucleotide such as a 2'OMe-guanosine, 2'OMe-uridine, 2'OMe-adenosine, and/or 2'OMe- cytosine nucleotide. In certain embodiments, one or more of the uridine and/or guanosine nucleotides are modified. The modified nucleotides can be present in one strand (i.e. , sense or antisense) or both strands of the siRNA. The siRNA sequences may have overhangs or may lack overhangs (i.e., have blunt ends).
[0220] The modified siRNA generally comprises from about 1% to about 100% (e.g. , about 1%, 2%, 3%, 4%, 5%, 6%, 7%, 8%, 9%, 10%, 11%, 12%, 13%, 14%, 15%, 16%, 17%, 18%, 19%, 20%, 21%, 22%, 23%, 24%, 25%, 26%, 27%, 28%, 29%, 30%, 35%, 40%, 45%, 50%, 55%, 60%, 65%, 70%, 75%, 80%, 85%, 90%, 95%, or 100%) modified nucleotides in the double- stranded region of the siRNA duplex. In certain embodiments, one, two, three, four, five, six, seven, eight, nine, ten, or more of the nucleotides in the double-stranded region of the siRNA comprise modified nucleotides.
[0221] In certain embodiments, less than about 25% (e.g., less than about 25%, 24%,
23%, 22%, 21%, 20%, 19%, 18%, 17%, 16%, 15%, 14%, 13%, 12%, 11%, 10%, 9%, 8%, 7%, 6%, 5%, 4%, 3%, 2%, or 1%) of the nucleotides in the double-stranded region of the siRNA comprise modified nucleotides.
[0222] In certain embodiments, from about 1% to about 25% (e.g. , from about 1 %-
25%, 2%-25%, 3%-25%, 4%-25%, 5%-25%, 6%-25%, 7%-25%, 8%-25%, 9%-25%, 10%- 25%, l l%-25%, 12%-25%, 13%-25%, 14%-25%, 15%-25%, 16%-25%, 17%-25%, 18%- 25%, 19%-25%, 20%-25%, 21%-25%, 22%-25%, 23%-25%, 24%-25%, etc.) or from about 1% to about 20% (e.g., from about l%-20%, 2%-20%, 3%-20%, 4%-20%, 5%-20%, 6%- 20%, 7%-20%, 8%-20%, 9%-20%, 10%-20%, l l%-20%, 12%-20%, 13%-20%, 14%-20%, 15%-20%, 16%-20%, 17%-20%, 18%-20%, 19%-20%, 1%-19%, 2%-19%, 3%-19%, 4%- 19%, 5%-19%, 6%-19%, 7%-19%, 8%-19%, 9%- 19%, 10%- 19%, 11 %- 19%, 12%- 19%, 13%- 19%, 14%- 19%, 15%- 19%, 16%- 19%, 17%- 19%, 18%-19%, 1%-18%, 2%-18%, 3%- 18%, 4%-18%, 5%-18%, 6%-18%, 7%-18%, 8%- 18%, 9%- 18%, 10%- 18%, 11%- 18%, 12%- 18%, 13%-18%, 14%-18%, 15%-18%, 16%-18%, 17%-18%, 1%-17%, 2%-17%, 3%- 17%, 4%- 17%, 5%- 17%, 6%-17%, 7%-17%, 8%-17%, 9%-17%, 10%-17%, 11%-17%, 12%-17%, 13%- 17%, 14%- 17%, 15%- 17%, 16%- 17%, 1%-16%, 2%-16%, 3%-16%, 4%-16%, 5%- 16%, 6%-16%, 7%-16%, 8%-16%, 9%-16%, 10%-16%, 11%- 16%, 12%- 16%, 13%- 16%, 14%- 16%, 15%- 16%, 1 %- 15%, 2%- 15%, 3%-15%, 4%-15%, 5%-15%, 6%-15%, 7%-15%, 8%- 15%, 9%- 15%, 10%- 15%, 11%-15%, 12%-15%, 13%-15%, 14%-15%, etc.) of the nucleotides in the double- stranded region of the siRNA comprise modified nucleotides.
[0223] In certain embodiments, e.g. , when one or both strands of the siRNA are selectively modified at uridine and/or guanosine nucleotides, the resulting modified siRNA can comprise less than about 30% modified nucleotides (e.g., less than about 30%, 29%, 28%, 27%, 26%, 25%, 24%, 23%, 22%, 21%, 20%, 19%, 18%, 17%, 16%, 15%, 14%, 13%,
12%, 11%, 10%, 9%, 8%, 7%, 6%, 5%, 4%, 3%, 2%, or 1% modified nucleotides) or from about 1% to about 30% modified nucleotides (e.g. , from about l%-30%, 2%-30%, 3%-30%, 4%-30%, 5%-30%, 6%-30%, 7%-30%, 8%-30%, 9%-30%, 10%-30%, l l%-30%, 12%-30%, 13%-30%, 14%-30%, 15%-30%, 16%-30%, 17%-30%, 18%-30%, 19%-30%, 20%-30%, 21%-30%, 22%-30%, 23%-30%, 24%-30%, 25%-30%, 26%-30%, 27%-30%, 28%-30%, or 29%-30% modified nucleotides).
[0224] Examples of modified nucleotides suitable for use in the presently disclosed formulations include, but are not limited to, ribonucleotides having a 2'-0-methyl (2'OMe), 2'-deoxy-2'-fluoro(2'F), 2'-deoxy, 5-C-methyl, 2'-0-(2-methoxyethyl) (MOE), 4'-thio, 2'- amino, or 2'-C-allyl group. Modified nucleotides having a Northern conformation are also suitable for use in siRNA molecules. Such modified nucleotides include, without limitation, locked nucleic acid (LNA) nucleotides (e.g. , 2'-0, 4'-C-methylene-(D-ribofuranosyl) nucleotides), 2'-0-(2-methoxyethyl) (MOE) nucleotides, 2'-methyl-thio-ethyl nucleotides, 2'- deoxy-2'-fluoro(2'F) nucleotides, 2'-deoxy-2'-chloro(2'Cl) nucleotides, and 2'-azido nucleotides. In certain instances, the siRNA molecules described herein include one or more G-clamp nucleotides. A G-clamp nucleotide refers to a modified cytosine analog wherein the modifications confer the ability to hydrogen bond both Watson-Crick and Hoogsteen faces of a complementary guanine nucleotide within a duplex. In addition, nucleotides having a nucleotide base analog such as, for example, C-phenyl, C-naphthyl, other aromatic derivatives, inosine, azole carboxamides, and nitroazole derivatives such as 3-nitropyrrole, 4- nitroindole, 5-nitroindole, and 6-nitroindole can be incorporated into siRNA molecules.
[0225] In certain embodiments, the siRNA molecules may further comprise one or more chemical modifications such as terminal cap moieties, phosphate backbone
modifications, and the like. Examples of terminal cap moieties include, but are not limited to, inverted deoxy abasic residues, glyceryl modifications, 4 ',5 '-methylene nucleotides, 1-(β- D-erythrofuranosyl) nucleotides, 4'-thio nucleotides, carbocyclic nucleotides, 1,5- anhydrohexitol nucleotides, L-nucleotides, a-nucleotides, modified base nucleotides, threo- pentofuranosyl nucleotides, acyclic 3 ',4'-seco nucleotides, acyclic 3,4-dihydroxybutyl nucleotides, acyclic 3,5-dihydroxypentyl nucleotides, 3 '-3 '-inverted nucleotide moieties, 3'- 3 '-inverted abasic moieties, 3 '-2 '-inverted nucleotide moieties, 3'-2'-inverted abasic moieties, 5 '-5 '-inverted nucleotide moieties, 5 '-5 '-inverted abasic moieties, 3 '-5 '-inverted deoxy abasic moieties, 5 '-amino-alkyl phosphate, l,3-diamino-2-propyl phosphate, 3-aminopropyl
phosphate, 6-aminohexyl phosphate, 1,2-aminododecyl phosphate, hydroxypropyl phosphate, 1,4-butanediol phosphate, 3 '-phosphoramidate, 5'-phosphoramidate, hexylphosphate, aminohexyl phosphate, 3'-phosphate, 5'-amino, 3'-phosphorothioate, 5'-phosphorothioate, phosphorodithioate, and bridging or non-bridging methylphosphonate or 5'-mercapto moieties. Examples of phosphate backbone modifications (i.e. , resulting in modified internucleotide linkages) include, but are not limited to, phosphorothioate,
phosphorodithioate, methylphosphonate, phosphotriester, morpholino, amidate, carbamate, carboxymethyl, acetamidate, polyamide, sulfonate, sulfonamide, sulfamate, formacetal, thioformacetal, and alkylsilyl substitutions. Such chemical modifications can occur at the 5'- end and/or 3 '-end of the sense strand, antisense strand, or both strands of the siRNA.
[0226] In certain embodiments, the sense and/or antisense strand of the siRNA molecule can further comprise a 3 '-terminal overhang having about 1 to about 4 (e.g. , 1, 2, 3, or 4) 2'-deoxy ribonucleotides and/or any combination of modified and unmodified nucleotides.
[0227] The siRNA molecules can optionally comprise one or more non-nucleotides in one or both strands of the siRNA. As used herein, the term "non-nucleotide" refers to any group or compound that can be incorporated into a nucleic acid chain in the place of one or more nucleotide units, including sugar and/or phosphate substitutions, and allows the remaining bases to exhibit their activity. The group or compound is abasic in that it does not contain a commonly recognized nucleotide base such as adenosine, guanine, cytosine, uracil, or thymine and therefore lacks a base at the 1 '-position.
[0228] In certain embodiments, chemical modification of the siRNA comprises attaching a conjugate to the siRNA molecule. The conjugate can be attached at the 5' and/or 3 '-end of the sense and/or antisense strand of the siRNA via a covalent attachment such as, e.g., a biodegradable linker. The conjugate can also be attached to the siRNA, e.g., through a carbamate group or other linking group. In certain instances, the conjugate is a molecule that facilitates the delivery of the siRNA into a cell. aiRNA
[0229] In certain embodiments, the active agent comprises an asymmetrical interfering RNA (aiRNA). In certain embodiments, aiRNA duplexes of various lengths may be designed with overhangs at the 3' and 5' ends of the antisense strand to target an mRNA of
interest. In certain embodiments, the sense strand of the aiRNA molecule is about 10-25, 12- 20, 12-19, 12- 18, 13-17, or 14-17 nucleotides in length, more typically 12, 13, 14, 15, 16, 17, 18, 19, or 20 nucleotides in length. In certain embodiments, the antisense strand of the aiRNA molecule is about 15-60, 15-50, or 15-40 nucleotides in length, or about 15-30, 15-25, or 19-25 nucleotides in length, or about 20-24, 21-22, or 21-23 nucleotides in length.
[0230] In certain embodiments, the 5' antisense overhang contains one, two, three, four, or more nontargeting nucleotides (e.g., "AA", "UU", "dTdT", etc.). In other
embodiments, the 3' antisense overhang contains one, two, three, four, or more nontargeting nucleotides (e.g., "AA", "UU", "dTdT", etc.). In certain embodiments, the aiRNA molecules described herein may comprise one or more modified nucleotides, e.g., in the double-stranded (duplex) region and/or in the antisense overhangs. As a non-limiting example, aiRNA sequences may comprise one or more of the modified nucleotides described above for siRNA sequences. In certain embodiments, the aiRNA molecule comprises 2'OMe nucleotides such as, for example, 2'OMe-guanosine nucleotides, 2'OMe-uridine nucleotides, or mixtures thereof.
[0231] In certain embodiments, aiRNA molecules may comprise an antisense strand which corresponds to the antisense strand of an siRNA molecule, e.g., one of the siRNA molecules described herein. In certain embodiments, aiRNA molecules may be used to silence the expression of any of a target gene.
[0232] In certain embodiments, the aiRNA molecule comprises a double-stranded
(duplex) region of about 10 to about 25 (base paired) nucleotides in length, wherein the aiRNA molecule comprises an antisense strand comprising 5' and 3 ' overhangs, and wherein the aiRNA molecule is capable of silencing target gene expression.
[0233] In certain embodiments, each of the 5' and 3 ' overhangs on the antisense strand comprises or consists of one, two, three, four, five, six, seven, or more nucleotides.
[0234] In certain embodiments, the aiRNA molecule comprises modified nucleotides selected from the group consisting of 2'OMe nucleotides, 2'F nucleotides, 2'-deoxy nucleotides, 2'-0-MOE nucleotides, LNA nucleotides, and mixtures thereof.
miRNA
[0235] In certain embodiments, the active agent comprises a microRNAs (miRNA).
Generally, miRNA are single- stranded RNA molecules of about 21-23 nucleotides in length, which regulate gene expression. In certain embodiments, the miRNA molecules described herein are about 15-100, 15-90, 15-80, 15-75, 15-70, 15-60, 15-50, or 15-40 nucleotides in length, or about 15-30, 15-25, or 19-25 nucleotides in length, or about 20-24, 21-22, or 21-23 nucleotides in length. In certain embodiments, the miRNA molecule comprises about 15 to about 60 nucleotides in length, wherein the miRNA molecule is capable of silencing target gene expression.
[0236] In certain embodiments, miRNA molecules may comprise one or more modified nucleotides. As a non-limiting example, miRNA sequences may comprise one or more of the modified nucleotides described above for siRNA sequences. In certain embodiments, the miRNA molecule comprises 2'OMe nucleotides such as, for example, 2'OMe-guanosine nucleotides, 2'OMe-uridine nucleotides, or mixtures thereof. In certain embodiments, the miRNA molecule comprises modified nucleotides selected from the group consisting of 2'F nucleotides, 2'-deoxy nucleotides, 2'-0-MOE nucleotides, LNA nucleotides, and mixtures thereof. dsRNA
[0237] In certain embodiments, the active agent is a dsRNA (double-stranded RNA).
In certain embodiments, the active agent is an shRNA (short hairpin RNA).
Antisense Polynucleotide
[0238] In certain embodiments, the active agent is an antisense oligonucleotide. The terms "antisense polynucleotide" or "antisense" include polynucleotides that are
complementary to a targeted polynucleotide sequence. Antisense polynucleotides are single strands of DNA or RNA that are complementary to a chosen sequence.
[0239] In certain embodiments, the polynucleotide is an antisense RNA. Antisense
RNA polynucleotides prevent the translation of complementary RNA strands by binding to the RNA. Antisense DNA polynucleotides can be used to target a specific, complementary (coding or non-coding) RNA. If binding occurs, this DNA/RNA hybrid can be degraded by
the enzyme RNase H. In certain embodiments, antisense polynucleotides comprise from about 10 to about 60 nucleotides, or from about 15 to about 30 nucleotides. The term also encompasses antisense polynucleotides that may not be exactly complementary to the desired target gene. Thus, the invention can be utilized in instances where non-target specific- activities are found with antisense, or where an antisense sequence containing one or more mismatches with the target sequence is the most preferred for a particular use.
[0240] Methods of producing antisense polynucleotides are known in the art and can be readily adapted to produce an antisense polynucleotides that targets any polynucleotide sequence. Selection of antisense polynucleotide sequences specific for a given target sequence is based upon analysis of the chosen target sequence and determination of secondary structure, Tm, binding energy, and relative stability. Antisense polynucleotides may be selected based upon their relative inability to form dimers, hairpins, or other secondary structures that would reduce or prohibit specific binding to the target mRNA in a host cell. Highly preferred target regions of the mRNA include those regions at or near the AUG translation initiation codon and those sequences that are substantially complementary to 5' regions of the mRNA. These secondary structure analyses and target site selection considerations can be performed, for example, using v.4 of the OLIGO primer analysis software (Molecular Biology Insights) and/or the BLASTN 2.0.5 algorithm software
(Altschul et al., Nucleic Acids Res., 25:3389-402 (1997)).
Ribozymes
[0241] In certain embodiments, the active agent is a ribozyme. Ribozymes are RNA- protein complexes having specific catalytic domains that possess endonuclease activity. For example, a large number of ribozymes accelerate phosphoester transfer reactions with a high degree of specificity, often cleaving only one of several phosphoesters in an oligonucleotide substrate. This specificity has been attributed to the requirement that the substrate bind via specific base-pairing interactions to the internal guide sequence ("IGS") of the ribozyme prior to chemical reaction.
[0242] The enzymatic nucleic acid molecule may be formed in a hammerhead, hairpin, hepatitis δ virus, group I intron or RNaseP RNA (in association with an RNA guide sequence), or Neurospora VS RNA motif, for example. Important characteristics of enzymatic nucleic acid molecules used according to the invention are that they have a
specific substrate binding site which is complementary to one or more of the target gene DNA or RNA regions, and that they have nucleotide sequences within or surrounding that substrate binding site which impart an RNA cleaving activity to the molecule.
[0243] Methods of producing a ribozyme targeted to any polynucleotide sequence are known in the art. Ribozyme activity can be optimized by altering the length of the ribozyme binding arms or chemically synthesizing ribozymes with modifications that prevent their degradation by serum ribonucleases, modifications which enhance their efficacy in cells, and removal of stem II bases to shorten RNA synthesis times and reduce chemical requirements.
Insecticides
[0244] In certain embodiments, an insecticide for killing or controlling the proliferation of an insect is combined with the active agent described above. Examples of suitable insecticides include, but are not limited to, those provided in Table 1.
[0245] Table 1.
phenthoate, phorate, phosalone, phosmet, phosphamidon, phosphocarb, phoxim, pirimiphos (-methyl/-ethyl), profenofos, propaphos, propetamphos, prothiofos, prothoate, pyraclofos, pyridaphenthion, pyridathion, quinalphos, sebufos, sulfotep, sulprofos, tebupirimfos, temephos, terbufos, tetrachlorvinphos, thiometon, triazophos, triclorfon, vamidothion
acrinathrin, allethrin (d-cis-trans, d-trans), cypermethrin (alpha-, beta-, theta-, zeta-), permethrin (cis-, trans-), beta-cyfluthrin, bifenthrin, bioallethrin, bioallethrin-S-cyclopentyl-isomer, bioethanomethrin, biopermethrin, bioresmethrin, chlovaporthrin, cis-cypermethrin, cis- resmethrin, cis-permethrin, clocythrin, cycloprothrin, cyfluthrin, cyhalothrin, cyphenothrin, DDT, deltamethrin, empenthrin (1R- isomer), esfenvalerate, etofenprox, fenfluthrin, fenpropathrin, pyrethroids
fenpyrithrin, fenvalerate, flubrocythrinate, flucythrinate, flufenprox, flumethrin, lluvalinate, fubfenprox, gamma-cyhalothrin, imiprothrin, kadethrin, lambda, cyhalothrin, metofluthrin, phenothrin (lR-trans isomer), prallethrin, profluthrin, protrifenbute, pyresmethrin, resmethrin, RU 15525, silalluofen, tau-lluvalinate, tefluthrin, terallethrin, tetramethrin (lR-isomer), tralocythrin, tralomethrin, transfluthrin, ZXI 8901, pyrethrins (pyrethrum)
oxadiazines indoxacarb, acetylcholine receptor modulators (such as spinosyns) spinosyns spinosad cyclodiene camphechlor, chlordane, endosulfan, gamma-HCH, HCH, heptachlor, organochlorines lindane, methoxychlor fiproles acetoprole, ethiprole, vaniliprole, fipronil abamectin, avermectin, emamectin, emamectin-benzoate, fenoxycarb, mectins hydroprene, kinoprene, methoprene, ivermectin, lepimectin,
epofenonane, pyriproxifen, milbemectin, milbemycin, triprene diacylhydrazines chromafenozide, halofenozide, methoxyfenozide, tebufenozide bistrifluoron, chlorfluazuron, diflubenzuron, fluazuron, flucycloxuron, benzoylureas flufenoxuron, hexaflumuron, lufenuron, novaluron, noviflumuron, penfluoron, teflubenzuron, triflumuron organotins azocyclotin, cyhexatin, fenbutatin oxide
pyrroles chlorfenapyr dinitrophenols binapacyrl, dinobuton, dinocap, DNOC
fenazaquin, fenpyroximate, pyrimidifen, pyridaben, tebufenpyrad, tolfenpyrad, rotenone, acequinocyl, fluacrypyrim, microbial disrupters
METIs of the intestinal membrane of insects (such as Bacillus thuringiensis strains), inhibitors of lipid synthesis (such as tetronic acids and tetramic acids)
tetronic acids spirodiclofen, spiromesifen, spirotetramat cis-3-(2,5-dimethylphenyl)-8-methoxy-2-oxo-l-azaspiro[4.5]dec-3-en- 4-yl ethyl carbonate (alias: carbonic acid, 3-(2,5-dimethylphenyl)-8- methoxy-2-oxo-l-azaspiro[4.5]dec-3-en-4-yl ethyl ester; CAS Reg. tetramic acids No.: 382608-10-8), carboxamides (such as flonicamid), octopaminergic agonists (such as amitraz), inhibitors of the magnesium-stimulated ATPase (such as propargite), ryanodin receptor agonists (such as phthalamides or rynaxapyr)
N2-[l,l-dimethyl-2-(methylsulphonyl)ethyl]-3-iodo-Ni-[2-methyl- 4- [ 1 ,2,2,2-tetrafluoro- 1 -(trifluoromethyl)ethyl]phenyl] - 1 ,2- phthalamides
benzenedicarbo- xamide (i.e., flubendiamide; CAS reg. No.: 272451- 65-7)
[0246] Additional non-limiting examples of suitable insecticides include biologies, hormones or pheromones such as azadirachtin, Bacillus species, Beauveria species, codlemone, Metarrhizium species, Paecilomyces species, thuringiensis and Verticillium species, and active compounds having unknown or non-specified mechanisms of action such as fumigants (such as aluminium phosphide, methyl bromide and sulphuryl fluoride) and selective feeding inhibitors (such as cryolite, flonicamid and pymetrozine). Examples of mite growth inhibitors include, but are not limited to, clofentezine, etoxazole and hexythiazox, amidoflumet, benclothiaz, benzoximate, bifenazate, bromopropylate, buprofezin,
chinomethioat, chlordimeform, chlorobenzilate, chloropicrin, clothiazoben, cycloprene, cyflumetofen, dicyclanil, fenoxacrim, fentrifanil, flubenzimine, flufenerim, flutenzin, gossyplure, hydramethylnone, japonilure, metoxadiazone, petroleum, piperonyl butoxide, potassium oleate, pyrafluprole, pyridalyl, pyriprole, sulfluramid, tetradifon, tetrasul, triarathene, verbutin, furthermore the compound 3-methylphenyl propylcarbamate
(Tsumacide Z), the compound 3-(5-chloro-3-pyridinyl)-8-(2,2,2-trifluoroethyl)-8- azabicyclo[3.2.1]octa- ne-3-carbonitrile (CAS reg. No. 185982-80-3) and the corresponding 3-endo isomer (CAS reg. No. 185984-60-5) (cf. WO 96/37494, WO 98/25923), and also preparations comprising insecticidally effective plant extracts, nematodes, fungi, or viruses.
Herbicides
[0247] In certain embodiments, an herbicide for killing or controlling the proliferation of weeds and other unwanted plants is combined with one of the active agents described above. Examples of herbicides include, but are not limited to, benzoic acid herbicides such as dicamba esters, phenoxyalkanoic acid herbicides such as 2,4-D, MCPA and 2,4-DB esters, aryloxyphenoxypropionic acid herbicides such as clodinafop, cyhalofop, fenoxaprop, fluazifop, haloxyfop and quizalofop esters, pyridinecarboxylic acid herbicides such as aminopyralid, picloram and clopyralid esters, pyrimidinecarboxylic acid herbicides such as aminocyclopyrachlor esters, pyridyloxyalkanoic acid herbicides such as fluoroxypyr and triclopyr esters, and hydroxybenzonitrile herbicides such as bromoxynil and ioxynil esters, esters of the arylpyridine carboxylic acids and arylpyrimidine carboxylic acids of the following generic structures as disclosed in U.S. Pat. No. 7,314,849, U.S. Pat. No. 7,300,907 and U.S. Pat. No. 7,642,220. In certain embodiments, the herbicide is selected from the group consisting of 2,4-D, 2,4-DB, acetochlor, acifluorfen, alachlor, ametryn, amitrole, asulam, atrazine, azafenidin, benefin, bensulfuron, bensulide, bentazon, bromacil, bromoxynil, butylate, carfentrazone, chloramben, chlorimuron, chlorproham, chlorsulfuron, clethodim, clomazone, clopyralid, cloransulam, cyanazine, cycloate, DCPA, desmedipham, dichlobenil, diclofop, diclosulam, diethatyl, difenzoquat, diflufenzopyr, dimethenamid-p, diquat, diuron, DSMA, endothall, EPTC, ethalfluralin, ethametsulfuron, ethofumesate, fenoxaprop, fluazifop-P, flucarbazone, flufenacet, flumetsulam, flumiclorac, flumioxazin, fluometuron, fluroxypyr, fluthiacet, fomesafen, foramsulfuron, glufosinate, glyphosate, halosulfuron, haloxyfop, hexazinone, imazamethabenz, imazamox, imazapic, imazaquin, imazethapyr, isoxaben, isoxaflutole, lactofen, linuron, MCPA, MCPB, mesotrione, methazole, metolachlor-s, metribuzin, metsulfuron, molinate, MSMA, napropamide, naptalam, nicosulfuron, norflurazon, oryzalin, oxadiazon, oxasulfuron, oxyfluorfen, paraquat, pebulate, pelargonic acid, pendimethalin, phenmedipham, picloram, primisulfuron, prodiamine, prometryn, pronamide, propachlor, propanil, prosulfuron, pyrazon, pyridate, pyrithiobac, quinclorac, quizalofop, rimsulfuron, sethoxydim, siduron, simazine,
sulfentrazone, sulfometuron, sulfosulfuron, tebuthiuron, terbacil, thiazopyr, thifensulfuron, thiobencarb, tralkoxydim, triallate, triasulfuron, tribenuron, triclopyr, trifluralin,
triflusulfuron, vernolate, and any combination thereof.
Fungicides
[0248] In certain embodiments, a fungicide for killing or controlling the proliferation of a fungus is combined with the active agent described above. Exemplary fungicides include, but are not limited to, strobilurins, azoxystrobin, dimoxystrobin, enestroburin, fluoxastrobin, kresoxim-methyl, metominostrobin, picoxystrobin,pyraclostrobin,
trifloxystrobin, orysastrobin, carboxamides, carboxanilides, benalaxyl, benalaxyl-M, benodanil, carboxin, mebenil, mepronil, fenfuram, fenhexamid, flutolanil, furalaxyl, furcarbanil, furametpyr, metalaxyl, metalaxyl-M (mefenoxam), methfuroxam, metsulfovax, ofurace, oxadixyl, oxycarboxin, penthiopyrad, pyracarbolid, salicylanilide, tecloftalam, thifluzamide, tiadinil, N-biphenylamides, bixafen, boscalid, carboxylic acid morpholides, dimethomorph, flumorph, benzamides, flumetover, fluopicolid (picobenzamid), zoxamid, carboxamides, carpropamid, diclocymet, mandipropamid, silthiofam, azoles, triazoles, bitertanol, bromuconazole, cyproconazole, difenoconazole, diniconazole, enilconazole, epoxiconazole, fenbuconazole, flusilazol, fluquinconazole, flutriafol, hexaconazole, imibenconazole, ipconazole, metconazole, myclobutanil, penconazole, propiconazole, prothioconazole, simeconazole, tebuconazole, tetraconazole, triadimenol, triadimefon, triticonazole, Imidazoles, cyazofamid, imazalil, pefurazoate, prochloraz, triflumizole, benzimidazoles, benomyl, carbendazim, fuberidazole, thiabendazole, ethaboxam, etridiazole, hymexazol, nitrogen-containing heterocyclyl compounds, pyridines, fuazinam, pyrifenox, pyrimidines, bupirimate, cyprodinil, ferimzone, fenarimol, mepanipyrim, nuarimol, pyrimethanil, piperazines, triforine, pyrroles, fludioxonil, fenpiclonil, morpholines, aldimorph, dodemorph, fenpropimorph, tridemorph, dicarboximides, iprodione,
procymidone, vinclozolin, acibenzolar-S -methyl, anilazine, captan, captafol, dazomet, diclomezin, fenoxanil, folpet, fenpropidin, famoxadon, fenamidon, octhilinone, probenazole, proquinazid, pyroquilon, quinoxyfen, tricyclazole, carbamates, dithiocarbamates, ferbam, mancozeb, maneb, metiram, metam, propineb, thiram, zineb, ziram, diethofencarb, flubenthiavalicarb, iprovalicarb, propamocarb, guanidines, dodine, iminoctadine, guazatine, kasugamycin, polyoxins, streptomycin, validamycin A, organometallic compounds, fentin salts, sulfur-containing heterocyclyl compounds, isoprothiolane, dithianone,
organophosphorous compounds, edifenphos, fosetyl, fosetyl- aluminum, iprobenfos, pyrazophos, tolclofos-methyl, Organochlorine compounds, thiophanate-methyl,
chlorothalonil, dichlofluanid, tolylfluanid, flusulfamide, phthalide, hexachlorobenzene, pencycuron, quintozene, nitrophenyl derivatives, binapacryl, dinocap, dinobuton,
spiroxamine, cyflufenamid, cymoxanil, metrafenon, N-2-cyanophenyl-3,4-dichloroisothiazol-
5- carboxamide (isotianil), N-(3',4',5'-trifluorobiphenyl-2-yl)-3-difluoromethyl- 1- methylpyrazole-4-carboxamide, 3-[5-(4-chlorophenyl)-2,3-dimethylisoxazolidin-3-yl]- pyridine, N-(3',4'-dichloro-4-fluorobiphenyl-2-yl)-3-difluoromethyl- 1-methylpyrazol- e-4- carboxamide, 5-chloro-7-(4-methylpiperidin- l-yl)-6-(2,4,6-trifluorophenyl)-[l,2,4]tria- zolo[l,5-a]pyrimidine, 2-butoxy-6-iodo-3-propylchromen-4-one, N,N-dimethyl-3-(3-bromo-
6- fluoro-2-methylindole- 1 - sulfonyl)- [ 1 ,2,4] triazo- le- 1 -sulfonamide, methyl-(2-chloro-5 - [ 1 - (3-methylbenzyloxyimino)-ethyl]benzyl)carbamate, methyl-(2-chloro-5-[l-(6-methylpyridin- 2-ylmethoxy-imino)ethyl]benzyl)carbamate, methyl 3-(4-chlorophenyl)-3-(2- isopropoxycarbonylamino-3-methylbutyryl-amino)propionate, 4-fluorophenyl N-(l-(l-(4- cyanophenyl)ethanesulfonyl)but-2-yl)carbamate , N-(2-(4-[3-(4-chlorophenyl)prop-2- ynyloxy]-3-methoxyphenyl)ethyl)-2-metha- nesulfonylamino-3-methylbutyramide, N-(2-(4- [3-(4-chlorophenyl)prop-2-ynyloxy]-3-methoxyphenyl)ethyl)-2-ethan- esulfonylamino-3- methylbutyramide, N-(4'-bromobiphenyl-2-yl)-4-difluoromethyl-2-methylthiazol-5- carboxamide, N-(4'-trifluoromethylbiphenyl-2-yl)-4-difluoromethyl-2-methylthiazol-5- carboxamide, N-(4'-chloro-3'-fluorobiphenyl-2-yl)-4-difluoromethyl-2-methylt- hiazol-5- carboxamide, and methyl 2-(ortho-((2,5-dimethylphenyloxy-methylene)phenyl)-3- methoxyacrylate .
Modulation of Traits in Plants, Insects and Plant Pathogens Plants
[0249] In another aspect, the present disclosure provides for a method of modulating a trait of a plant, comprising delivering to the plant an effective amount of a modified polyethyleneimine-based formulation comprising an oligonucleotide or polynucleotide that modulates the expression of a gene in the plant. Oligonucleotides or polynucleotides that modulate the expression of a gene in a plant include, but are not limited to, RNA molecules (e.g., siRNA, aiRNA, miRNA, dsRNA, and shRNA) and DNA molecules (e.g., antisense polynucleotides) that decrease expression of the gene in the plant, and RNA molecules (e.g. , mRNA) and DNA molecules (e.g. , expression cassettes and plasmids) that increase expression of the gene in the plant. In certain embodiments, the oligonucleotide or polynucleotide modulates the expression of a gene that is endogenous to the plant. In other embodiments, the oligonucleotide or polynucleotide modulates the expression of a gene that is heterologous to the plant, e.g., a transgene that does not naturally occur within the plant. In
certain embodiments, the oligonucleotide or polynucleotide that modulates the expression of a gene in the plant hybridizes to a gene or gene product that is endogenous to the plant.
[0250] Traits that may be modulated in a plant include, but are not limited to, total seed germination, rate of seed germination, disease tolerance, insect tolerance, drought tolerance, heat tolerance, cold tolerance, salinity tolerance, tolerance to heavy metals, total yield, seed yield, fruit yield, root growth, early vigor, plant growth, plant biomass, plant size, plant lifespan, total plant dry weight, above-ground dry weight, above-ground fresh weight, leaf area, stem volume, plant height, rosette diameter, leaf length, root length, root mass, tiller number, leaf number, fruit size, fruit freshness, fruit ripening time, fruit nutritional content, plant nutritional content, and any combination thereof. In a particular embodiment, the presently disclosed modified polyethylenimine-based formulations can be used to deliver an active agent to a plant (e.g. , a weed), for the purpose of killing and/or controlling the proliferation of the plant.
[0251] In certain embodiments, one or more of the above-mentioned traits in a plant is increased or improved relative to a plant that is not treated with the modified
polyethyleneimine-based formulation. The trait in the plant as described herein may be increased by at least about 5, 10, 15, 20, 25, 30, 35, 40, 45, 50, 55, 60, 65, 70, 75, 80, 85, 90, 95, 100, 150, 200, 300, 400, 500, 600, 700, 800, 900, or 1000% by delivery of the modified polyethyleneimine-based formulation to the plant relative to a plant that is not treated with the formulation. In other embodiments, one or more of the above mentioned traits is decreased relative to a plant that is not treated with the modified polyethyleneimine-based formulation. The trait in the plant as described herein may be decreased by at least about 5, 10, 15, 20, 25, 30, 35, 40, 45, 50, 55, 60, 65, 70, 75, 80, 85, 90, 95, or 100% by delivery of the modified polyethyleneimine-based formulation to the plant relative to a plant that is not treated with the formulation.
Insects
[0252] In another aspect, the present disclosure provides for a method of modulating a trait of an insect, comprising delivering to the insect, to a plant infested with the insect, or to a plant prior to infestation with the insect an effective amount of a modified
polyethyleneimine-based formulation comprising an oligonucleotide or polynucleotide that modulates expression of a gene in the insect. Oligonucleotides or polynucleotides that
modulate the expression of a gene in the insect include, but are not limited to, RNA molecules (e.g., siRNA, aiRNA, miRNA, dsRNA, and shRNA) and DNA molecules (e.g. , antisense polynucleotides) that decrease expression of the gene in the insect, and RNA molecules (e.g., mRNA) and DNA molecules (e.g. , expression cassettes and plasmids) that increase expression of the gene in the insect. In certain embodiments, the oligonucleotide or polynucleotide that modulates the expression of a gene in the insect hybridizes to a gene or gene product that is endogenous to the insect.
[0253] Traits that may be modulated in the insect include, but are not limited to, insect growth, development, activity,and/or lifespan. For example, in certain embodiments, delivery of the formulation to the insect kills the insect. In certain embodiments, delivery of the formulation to the insect reduces its growth and/or lifespan, thereby reducing the damage done by the insect to a plant. In certain embodiments, delivery of the formulation to the insect causes the insect to remain in a young or immature stage, thus preventing the insect from completing its lifecycle. For example, in certain embodiments, delivery of the formulation to the insect interferes with enzymes involved in the molting process that stimulate the synthesis and formation of chitin, which is an essential component of an insect' s exoskeleton. As a result, the insect fails to reach adulthood because it dies in an immature stage. In certain embodiments, delivery of the formulation to the insect disrupts the feeding activity of the insect. As a result, insects starve to death because they are unable to obtain nutrients.
[0254] In certain embodiments, the delivery of the formulation to the insect decreases its growth, activity or lifespan by at least about 5, 10, 15, 20, 25, 30, 35, 40, 45, 50, 55, 60, 65, 70, 75, 80, 85, 90, 95, or 100% relative to an insect that is not treated with the
formulation. In certain embodiments, the delivery of the formulation to the insect increases its growth, activity or lifespan by at least about 5, 10, 15, 20, 25, 30, 35, 40, 45, 50, 55, 60, 65, 70, 75, 80, 85, 90, 95, 100, 150, 200, 300, 400, 500, 600, 700, 800, 900 or 1000% relative to an insect that is not treated with the formulation.
Plant Pathogens
[0255] In another aspect, the present disclosure provides a method of modulating the pathogenicity of a plant pathogen, comprising applying to the plant pathogen, to a plant infected with the plant pathogen, or to a plant prior to infection with the plant pathogen a
modified polyethyleneimine-based formulation comprising an oligonucleotide or polynucleotide that modulates expression of a gene in the plant pathogen. For example, in certain embodiments, the pathogenicity of the plant pathogen is decreased, for example by decreasing the growth, activity, or lifespan of the plant pathogen, or delaying the
development of the plant pathogen. In a particular embodiment, the formulation is used to kill the plant pathogen and/or control its proliferation. In certain other embodiments, the pathogenicity of the plant pathogen is increased, for example, by increasing the growth, activity or lifespan of the plant pathogen, or accelerating its development. Increasing pathogenicity of a plant pathogen may be used, for example, to kill or reduce the growth of a plant such as a weed. In certain embodiments, the growth, activity or lifespan of the plant pathogen may be decreased by about 5, 10, 15, 20, 25, 30, 35, 40, 45, 50, 55, 60, 65, 70, 75, 80, 85, 90, 95, or 100% relative to a plant pathogen that is not treated with the modified polyethyleneimine-based formulation. In certain embodiments, the growth, activity or lifespan of the plant pathogen may be increased by about 5, 10, 15, 20, 25, 30, 35, 40, 45, 50, 55, 60, 65, 70, 75, 80, 85, 90, 95, 100, 150, 200, 300, 400, 500, 600, 700, 800, 900 or 1000% relative to a plant pathogen that is not treated with the modified polyethyleneimine-based formulation.
Target Organisms
[0256] In certain embodiments, the target organism is any organism in which one or more traits is modulated by the active agent. In certain embodiments, a target organism is also a host organism, as described herein below. For example, in some embodiments, the target organism is an organism comprising one or more genes that is targeted by an oligonucleotide or polynucleotide active agent. In some embodiments, the target organism is a plant in which one or more yield-related traits is improved by the active agent. In some embodiments, the target organism is a beneficial insect whose growth, fecundity, or disease resistance is improved by the active agent. In certain embodiments, the target organisms are plant pests or pathogens whose damage to the plant can be reduced or eliminated by active agents according to the invention. Examples of plant pests and pathogens include, but are not limited to, insects, nematodes, fungi, bacteria, viruses, and parasitic plants such as striga, dodder, and mistletoe. Insect pests that may be targeted according to the invention include, but are not limited to, chewing, sucking, and boring insects that belong, for example, to the
non-limiting Orders Coleoptera, Diptera, Hemiptera, Heteroptera, Homoptera, Hymenoptera, Lepidoptera, and Orthoptera.
Insects
[0257] In some embodiments the composition may be taken up by an insect by direct contact with the composition, for example, by topical adsorption or inhalation of the composition or by direct feeding on a bait comprising the composition, as described below. The compositions may also be taken up by the insect by direct feeding on a plant that has been treated with the composition. Examples of insect pests that may be targeted by the invention include, but are not limited to, those provided in Table 2.
[0258] Table 2.
Trichoplusia ni Cabbage looper
Keiferia lycopersicella Tomato pinworm
Manduca sexta Tobacco hornworm
Manduca quinquemaculata Tomato hornworm
Artogeia rapae Imported cabbageworm
Pieris brassicae Cabbage butterfly
Trichoplusia ni Cabbage looper
Plutella xylostella Diamondback moth
Spodoptera exigua Beet armyworm
Agrotis segetum Common cutworm
Phthorimaea operculella Potato tuberworm
Plutella xylostella Diamondback moth
Diatraea saccharalis Sugarcane borer
Crymodes devastator Glassy cutworm
Feltia ducens Dingy cutworm
Agrotis gladiaria Claybacked cutworm
Plathypena scabra Green cloverworm
Pseudoplusia includes Soybean looper
Anticarsia gemmatalis Velvetbean caterpillar
Coleoptera Diabrotica barberi Northern corn rootworm
Diabrotica undecimpunctata Southern corn rootworm
Diabrotica virgifera Western corn rootworm
Sitophilus zeamais Maize weevil
Leptinotarsa decemlineata Colorado potato beetle
Epitrix hirtipennis Tobacco flea beetle
Phyllotreta cruciferae Crucifer flea beetle
Phyllotreta pusilla Western black flea beetle
Anthonomus eugenii Pepper weevil
Leptinotarsa decemlineata Colorado potato beetle
Epitrix cucumeris Potato flea beetle
Hemicrepidus memnonius Wireworms Melanpotus spp.
Ceutorhychus assimilis Wireworms
Phyllotreta cruciferae Cabbage seedpod weevil
Melanolus spp. Crucifer flea beetle
Aeolus mellillus Wireworm
Aeolus mancus Wheat wireworm
Horistonotus uhlerii Sand wireworm
Sphenophorus maidis Maize billbug
Sphenophorus zeae Timothy bilibug
Sphenophorus parvulus Bluegrass billbug
Sphenophorus callosus Southern corn billbug
Phyllophaga spp. White grubs
Chaetocnema pulicaria Corn flea beetle
Popillia japonica Japanese beetle
Epilachna varivestis Mexican bean beetle
Cerotoma trifurcate Bean leaf beetle
Epicauta pestifera Epicauta lemniscata Blister beetles
Homoptera Rhopalosiphum maidis Corn leaf aphid
Anuraphis maidiradicis Corn root aphid
Myzus persicae Green peach aphid
Macrosiphum euphorbiae Potato aphid
Trileurodes vaporariorum Greenhouse whitefly
Bemisia tabaci Sweetpotato whitefly
Bemisia argentifolii Silverleaf whitefly
Brevicoryne brassicae Cabbage aphid
Myzus persicae Green peach aphid
Empoasca fabae Potato leafhopper
Paratrioza cockerelli Potato psyllid
Bemisia argentifolii Silverleaf whitefly
Bemisia tabaci Sweetpotato whitefly
Cavariella aegopodii Carrot aphid
Brevicoryne brassicae Cabbage aphid
Saccharosydne saccharivora West Indian canefly
Sipha flava Yellow sugarcane aphid
Spissistilus festinus Threecomered alfalfa hopper
Hemiptera Lygus lineolaris Lygus hesperus
Lygus rugulipennis Lygus bug
Acrosternum hilare Green stink bug
Euschistus servus Brown stick bug
Blissus leucopterus leucopterus Chinch bug
Diptera Liriomyza trifolii Leafminer
Liriomyza sativae Vegetable leafminer
Scrobipalpula absoluta Tomato leafminer
Delia platura Seedcorn maggot
Delia brassicae Cabbage maggot
Delia radicum Cabbage root fly
Psilia rosae Carrot rust fly
Tetanops myopaeformis Sugarbeet root maggot
Orthoptera Melanoplus differentialis Differential grasshopper
Melanoplus femurrubrum Redlegged grasshopper
Melanoplus bivittatus Two striped grasshopper
Nematodes
[0259] Examples of nematodes that may be targeted include, but are not limited to, those provided in Table 3.
[0260] Table 3.
Root-knot fallax, M. hapla, M. javanica, M. incognita, M. microtyla, M.
partityla, M. panyuensis, M. paranaensis
Spiral Helicotylenchus spp.
Sting Belonolaimus spp., B. longicaudatus
Paratrichodorus spp., P. christiei, P. minor, Quinisulcius acutus,
Stubby-root
Trichodorus spp.
Stunt Tylenchorhynchus dubius
Others Hirschmanniella species, Pratylenchoid magnicauda
Fungi
[0261] Examples of fungi that may be targeted include, but are not limited to, those provided in Table 4.
[0262] Table 4.
disease, ear and, stalk rot) Exserohilum rostratum = Helminthosporium rostratum)
seed rot and seedling blight
Diplodia leaf spot or leaf
Stenocarpella macrospora = Diplodia macrospore streak
Corn common rust Puccinia sorghi
Corn southern rust Puccinia polysora
Corn tropical rust Physopella pallescens, P. zeae = Angiospora zeae
Oat crown rust Puccinia coronata
Oat stem Rust Puccinia graminis
Stem rust Puccinia graminis = P. graminis f. sp. secalis
Leaf (brown) rust Puccinia recondita (anamorph: Aecidium clematitis)
Sugarcane common rust Puccinia melanocephala = P. eriantha
Wheat leaf (brown) rust Puccinia triticina = P. Recondita f. Sp. tritici = P. tritici-duri
Wheat stem (black) rust Puccinia graminis = P. graminis f. sp. tritici
Wheat stripe (yellow) rust Puccinia striiformis (anamorph: P. uredoglumarum)
Bean rust Uromyces appendiculatus
Cotton rust Puccinia schedonnardi
Cotton southwestern rust Puccinia cacabata
Cotton tropical rust Phakopsora gossypii
Peanut rust Puccinia arachidis
Potato common rust Puccinia pittierianap
Potato deforming rust Aecidium cantensis
Soybean rust Phakopsora pachyrhizi
Bacteria
[0263] Examples of bacteria that may be targeted include, but are not limited to, those shown in Table 5.
[0264] Table 5.
Viruses
[0265] Examples of plant viruses that may be targeted include, but are not limited to, those shown in the Table 6.
[0266] Table 6.
Bromoviruses: Cassia yellow blotch bromovirus, Cowpea chlorotic mottle Bromoviridae bromovirus, Melandrium yellow fleck bromovirus, Spring
beauty latent bromovirus
Barley mild mosaic bymovirus, Barley yellow mosaic bymovirus, Oat mosaic bymovirus, Rice necrosis mosaic
Bymoviruses: Potyviridae
bymovirus, Wheat spindle streak mosaic bymovirus, Wheat yellow mosaic bymovirus
Apple stem grooving capillovirus, Cherry A capillovirus, Citrus
Capilloviruses
tatter leaf capillovirus, Lilac chlorotic leafspot capillovirus
Blueberry scorch carlavirus, Cactus 2 carlavirus, Caper latent carlavirus, Carnation latent carlavirus, Chrysanthemum B carlavirus, Dandelion latent carlavirus, Elderberry carlavirus, Fig S carlavirus, Helenium S carlavirus, Honeysuckle latent carlavirus, Hop American latent carlavirus, Hop latent carlavirus, Hop mosaic carlavirus, Kalanchoe latent carlavirus,
Carlaviruses
Lilac mottle carlavirus, Lily symptomless carlavirus, Mulberry latent carlavirus, Muskmelon vein necrosis carlavirus, Nerine latent carlavirus, Passiflora latent carlavirus, Pea streak carlavirus, Poplar mosaic carlavirus, Potato M carlavirus, Potato S carlavirus, Red clover vein mosaic carlavirus, Shallot latent carlavirus, Strawberry pseudo mild yellow edge carlavirus
Bean mild mosaic carmovirus, Cardamine chlorotic fleck carmovirus, Carnation mottle carmovirus, Cucumber leaf spot
Carmoviruses: carmovirus, Cucumber soil-borne carmovirus, Galinsoga mosaic Tombusviridae carmovirus, Hibiscus chlorotic ringspot carmovirus, Melon
necrotic spot carmovirus, Pelargonium flower break carmovirus, Turnip crinkle carmovirus
Blueberry red ringspot caulimovirus, Carnation etched ring caulimovirus, Cauliflower mosaic caulimovirus, Dahlia mosaic caulimovirus, Figwort mosaic caulimovirus, Horseradish latent
Caulimoviruses
caulimovirus, Mirabilis mosaic caulimovirus, Peanut chlorotic streak caulimovirus, Soybean chlorotic mottle caulimovirus, Sweet potato caulimovirus, Thistle mottle caulimovirus
Beet yellow stunt clostero virus, Beet yellows clostero virus, Broad bean severe chlorosis clostero virus, Burdock yellows clostero virus, Carnation necrotic fleck closterovirus, Citrus
Closteroviruses
tristeza closterovirus, Clover yellows closterovirus, Grapevine stem pitting associated closterovirus, Wheat yellow leaf closterovirus
Comoviruses: Comoviridae Bean pod mottle comovirus, Bean rugose mosaic comovirus,
Broad bean stain comovirus, Broad bean true mosaic comovirus,
Cowpea mosaic comovirus, Cowpea severe mosaic comovirus,
Glycine mosaic comovirus, Pea mild mosaic comovirus, Potato Andean mottle comovirus, Quail pea mosaic comovirus, Radish mosaic comovirus, Red clover mottle comovirus, Squash mosaic comovirus, Ullucus C comovirus
Cucumoviruses: Cucumber mosaic cucumovirus, Peanut stunt cucumovirus, Bromoviridae Tomato aspermy cucumovirus
Barley yellow striate mosaic cytorhabdovirus, Broad bean yellow vein cytorhabdovirus, Broccoli necrotic yellows
Cytorhabdoviruses: cytorhabdovirus, Cereal northern mosaic cytorhabdovirus, Rhabdoviridae Festuca leaf streak cytorhabdovirus, Lettuce necrotic yellows cytorhabdovirus, Sonchus cytorhabdovirus, Strawberry crinkle cytorhabdovirus
Carnation ringspot dianthovirus, Red clover necrotic mosaic
Dianthoviruses
dianthovirus, Sweet clover necrotic mosaic dianthovirus
Enamoviruses Pea enation mosaic enamovirus
Maize rough dwarf fijivirus, Oat sterile dwarf fijivirus, Pangola
Fijiviruses: Reoviridae stunt fijivirus, Rice black- streaked dwarf fijivirus, Sugarcane Fiji disease fijivirus
Beet necrotic yellow vein furovirus, Beet soil-borne furovirus, Broad bean necrosis furovirus, Oat golden stripe furovirus,
Furoviruses
Peanut clump furovirus, Potato mop-top furovirus, Sorghum chlorotic spot furovirus, Wheat soil-borne mosaic furovirus
Anthoxanthum latent blanching hordeivirus, Barley stripe
Hordeiviruses mosaic hordeivirus, Lychnis ringspot hordeivirus, Poa semilatent hordeivirus
Hybrigeminiviruses : Beet curly top hybrigeminivirus, Tomato pseudo curly top Geminiviridae hybrigeminiviru s
Idaeoviruses Raspberry bushy dwarf idaeo virus
Apple mosaic ilarvirus, Asparagus 2 ilarvirus, Blueberry necrotic shock ilarvirus, Citrus leaf rugose ilarvirus, Citrus variegation ilarvirus, Elm mottle ilarvirus, Humulus japonicus ilarvirus, Hydrangea mosaic ilarvirus, Lilac ring mottle ilarvirus,
Ilarviruses: Bromoviridae
Parietaria mottle ilarvirus, Plum American line pattern ilarvirus, Prune dwarf ilarvirus, Prunus necrotic ringspot ilarvirus, Spinach latent ilarvirus, Tobacco streak ilarvirus, Tulare apple mosaic ilarvirus
Ipomoviruses: Potyviridae Sweet potato mild mottle ipomovirus, Sweet potato yellow
dwarf ipomovirus
Barley yellow dwarf luteovirus, Bean leaf roll luteovirus, Beet mild yellowing luteovirus, Beet western yellows luteovirus, Carrot red leaf luteovirus, Groundnut rosette assistor luteovirus,
Luteoviruses Potato leafroll luteovirus, Solanum yellows luteovirus, Soybean dwarf luteovirus, Soybean Indonesian dwarf luteovirus,
Strawberry mild yellow edge luteovirus, Subterranean clover red leaf luteovirus, Tobacco necrotic dwarf luteovirus
Machlomoviruses Maize chlorotic mottle machlomo virus
Macluraviruses Maclura mosaic macluravirus, Narcissus latent macluravirus
Bermuda grass etched-line marafivirus, Maize rayado fino
Marafiviruses
marafivirus, Oat blue dwarf marafivirus
Chloris striate mosaic monogeminivirus, Digitaria striate mosaic monogeminivirus, Digitaria streak monogeminivirus, Maize
Monogeminiviruses: streak monogeminivirus, Miscanthus streak monogeminivirus, Geminiviridae Panicum streak monogeminivirus, Paspalum striate mosaic
monogeminivirus, Sugarcane streak monogeminivirus, Tobacco yellow dwarf monogeminivirus, Wheat dwarf monogeminivirus
Banana bunchy top nanavirus, Coconut foliar decay nanavirus,
Nanaviruses Faba bean necrotic yellows nanavirus, Milk vetch dwarf
nanavirus, Subterranean clover stunt nanavirus
Tobacco necrosis necrovirus, Carnation yellow stripe necrovirus,
Necroviruses
Lisianthus necrosis necrovirus
Arabis mosaic nepovirus, Arracacha A nepovirus, Artichoke Italian latent nepovirus, Artichoke yellow ringspot nepovirus, Blueberry leaf mottle nepovirus, Cacao necrosis nepovirus, Cassava green mottle nepovirus, Cherry leaf roll nepovirus, Cherry rasp leaf nepovirus, Chicory yellow mottle nepovirus, Crimson clover latent nepovirus, Cycas necrotic stunt nepovirus, Grapevine Bulgarian latent nepovirus, Grapevine chrome mosaic
Nepoviruses: Comoviridae
nepovirus, Grapevine fanleaf nepovirus, Hibiscus latent ringspot nepovirus, Lucerne Australian latent nepovirus, Mulberry ringspot nepovirus, Myrobalan latent ringspot nepovirus, Olive latent ringspot nepovirus, Peach rosette mosaic nepovirus, Potato black ringspot nepovirus, Potato U nepovirus, Raspberry ringspot nepovirus, Tobacco ringspot nepovirus, Tomato black ring nepovirus, Tomato ringspot nepovirus
Carrot latent nucleorhabdovirus, Coriander feathery red vein nucleorhabdovirus, Cow parsnip mosaic nucleorhabdovirus, Cynodon chlorotic streak nucleorhabdovirus, Datura yellow vein nucleorhabdovirus, Eggplant mottled dwarf nucleorhabdovirus,
Nucleorhabdo viruses:
Maize mosaic nucleorhabdovirus, Pittosporum vein yellowing Rhabdoviridae
nucleorhabdovirus, Potato yellow dwarf nucleorhabdovirus, Sonchus yellow net nucleorhabdovirus, Sowthistle yellow vein nucleorhabdovirus, Tomato vein clearing nucleorhabdovirus, Wheat American striate mosaic nucleorhabdovirus
Echinochloa ragged stunt oryzavirus, Rice ragged stunt
Oryzaviruses: Reoviridae
oryzavirus
Cassava Ivorian bacilliform ourmiavirus, Epirus cherry
Ourmiaviruses ourmiavirus, Melon Ourmia ourmiavirus, Pelargonium zonate spot ourmiavirus
Clover wound tumor phytoreovirus, Rice dwarf phytoreovirus,
Phytoreoviruses: Reoviridae Rice gall dwarf phytoreovirus, Rice bunchy stunt phytoreovirus,
Sweet potato phytoreovirus
Asparagus 3 potexvirus, Cactus X potexvirus, Cassava X potexvirus, Chicory X potexvirus, Clover yellow mosaic potexvirus, Commelina X potexvirus, Cymbidium mosaic potexvirus, Daphne X potexvirus, Foxtail mosaic potexvirus, Hydrangea ringspot potexvirus, Lily X potexvirus, Narcissus
Potexviruses
mosaic potexvirus, Nerine X potexvirus, Papaya mosaic potexvirus, Pepino mosaic potexvirus, Plantago asiatica mosaic potexvirus, Plantain X potexvirus, Potato aucuba mosaic potexvirus, Potato X potexvirus, Tulip X potexvirus, Viola mottle potexvirus, White clover mosaic potexvirus
Alstroemeria mosaic potyvirus, Amaranthus leaf mottle potyvirus, Araujia mosaic potyvirus, Arracacha Y potyvirus, Artichoke latent potyvirus, Asparagus 1 potyvirus, Banana bract mosaic potyvirus, Bean common mosaic necrosis potyvirus, Bean common mosaic potyvirus, Bean yellow mosaic potyvirus, Beet mosaic potyvirus, Bidens mosaic potyvirus, Bidens mottle potyvirus, Cardamom mosaic potyvirus, Carnation vein mottle potyvirus, Carrot thin leaf potyvirus, Cassava brown streak
Potyviruses: Potyviridae potyvirus, Cassia yellow spot potyvirus, Celery mosaic
potyvirus, Chickpea bushy dwarf potyvirus, Chickpea distortion mosaic potyvirus, Clover yellow vein potyvirus, Commelina diffusa potyvirus, Commelina mosaic potyvirus, Cowpea green vein-banding potyvirus, Cowpea Moroccan aphid-borne mosaic potyvirus, Cowpea rugose mosaic potyvirus, Crinum mosaic potyvirus, Daphne Y potyvirus, Dasheen mosaic potyvirus, Datura Colombian potyvirus, Datura distortion mosaic potyvirus, Datura necrosis potyvirus, Datura shoestring
potyvirus, Dendrobium mosaic potyvirus, Desmodium mosaic potyvirus, Dioscorea alata potyvirus, Dioscorea green banding mosaic potyvirus, Eggplant green mosaic potyvirus, Euphorbia ringspot potyvirus, Freesia mosaic potyvirus, Groundnut eyespot potyvirus, Guar symptomless potyvirus, Guinea grass mosaic potyvirus, Helenium Y potyvirus, Henbane mosaic potyvirus, Hippeastrum mosaic potyvirus, Hyacinth mosaic potyvirus, Iris fulva mosaic potyvirus, Iris mild mosaic potyvirus, Iris severe mosaic potyvirus, Johnsongrass mosaic potyvirus, Kennedya Y potyvirus, Leek yellow stripe potyvirus, Lettuce mosaic potyvirus, Lily mottle potyvirus, Maize dwarf mosaic potyvirus, Malva vein clearing potyvirus, Marigold mottle potyvirus, Narcissus yellow stripe potyvirus, Nerine potyvirus, Onion yellow dwarf potyvirus, Ornithogalum mosaic potyvirus, Papaya ringspot potyvirus, Parsnip mosaic potyvirus, Passiflora ringspot potyvirus, Passiflora South African potyvirus, Passionfruit woodiness potyvirus, Patchouli mosaic potyvirus, Pea mosaic potyvirus, Pea seed-borne mosaic potyvirus, Peanut green mosaic potyvirus, Peanut mottle potyvirus, Pepper Indian mottle potyvirus, Pepper mottle potyvirus, Pepper severe mosaic potyvirus, Pepper veinal mottle potyvirus, Plum pox potyvirus, Pokeweed mosaic potyvirus, Potato A potyvirus, Potato V potyvirus, Potato Y potyvirus, Primula mosaic potyvirus, Ranunculus mottle potyvirus, Sorghum mosaic potyvirus, Soybean mosaic potyvirus, Statice Y potyvirus, Sugarcane mosaic potyvirus, Sweet potato feathery mottle potyvirus, Sweet potato G potyvirus, Swordbean distortion mosaic potyvirus, Tamarillo mosaic potyvirus, Telfairia mosaic potyvirus, Tobacco etch potyvirus, Tobacco vein-banding mosaic potyvirus, Tobacco vein mottling potyvirus, Tobacco wilt potyvirus, Tomato Peru potyvirus, Tradescantia-Zebrina potyvirus, Tropaeolum 1 potyvirus, Tropaeolum 2 potyvirus, Tuberose potyvirus, Tulip band-breaking potyvirus, Tulip breaking potyvirus, Tulip chlorotic blotch potyvirus, Turnip mosaic potyvirus, Ullucus mosaic potyvirus, Vallota mosaic potyvirus, Vanilla mosaic potyvirus, Vanilla necrosis potyvirus, Voandzeia distortion mosaic potyvirus, Watermelon mosaic 1 potyvirus, Watermelon mosaic 2 potyvirus, Wild potato mosaic potyvirus, Wisteria vein mosaic potyvirus, Yam mosaic potyvirus, Zucchini yellow fleck potyvirus, Zucchini yellow mosaic potyvirus
Rymoviruses: Potyviridae
Hordeum mosaic rymovirus, Oat necrotic mottle
Agropyron mosaic rymovirus, Ryegrass mosaic rymovirus, Wheat streak mosaic rymo virus
rymovirus
Arabis mosaic satellite RNA, Chicory yellow mottle satellite
Satellite RNAs RNA, Cucumber mosaic satellite RNA, Grapevine fanleaf
satellite RNA, Strawberry latent ringspot satellite RNA, Tobacco
ringspot satellite RNA, Tomato black ring satellite RNA, Velvet tobacco mottle satellite RNA
Maize white line mosaic satellivirus, Panicum mosaic
Satelliviruses satellivirus, Tobacco mosaic satellivirus, Tobacco necrosis satellivirus
Dandelion yellow mosaic sequivirus, Parsnip yellow fleck
Sequiviruses: Sequiviridae
sequivirus
Bean southern mosaic sobemovirus, Blueberry shoestring sobemovirus, Cocksfoot mottle sobemovirus, Lucerne transient streak sobemovirus, Rice yellow mottle sobemovirus,
Sobemoviruses Rottboellia yellow mottle sobemovirus, Solanum nodiflorum mottle sobemovirus, Sowbane mosaic sobemovirus,
Subterranean clover mottle sobemovirus, Turnip rosette sobemovirus, Velvet tobacco mottle, sobemovirus
Maize stripe tenuivirus, Rice grassy stunt tenuivirus, Rice hoja
Tenuiviruses
blanca tenuivirus, Rice stripe tenuivirus
Cucumber green mottle mosaic tobamovirus, Frangipani mosaic tobamovirus, Kyuri green mottle mosaic tobamovirus,
Odontoglossum ringspot tobamovirus, Paprika mild mottle tobamovirus, Pepper mild mottle tobamovirus, Ribgrass mosaic
Tobamoviruses
tobamovirus, Opuntia Sammons' tobamovirus, Sunn-hemp mosaic tobamovirus, Tobacco mild green mosaic tobamovirus, Tobacco mosaic tobamovirus, Tomato mosaic tobamovirus, Ullucus mild mottle tobamovirus
Pea early browning tobravirus, Pepper ringspot tobravirus,
Tobraviruses
Tobacco rattle tobravirus
Artichoke mottled crinkle tombusvirus, Carnation Italian ringspot tombusvirus, Cucumber necrosis tombusvirus, Cymbidium ringspot tombusvirus, Eggplant mottled crinkle
Tombusviruses:
tombusvirus, Grapevine Algerian latent tombusvirus, Lato River Tombusviridae
tombusvirus, Neckar River tombusvirus, Pelargonium leaf curl tombusvirus, Pepper Moroccan tombusvirus, Petunia asteroid mosaic tombusvirus, Tomato bushy stunt tombusvirus
Impatiens necrotic spot tospovirus, Peanut yellow spot
Tospoviruses: Bunyaviridae
to spo virus, Tomato spotted wilt tospovirus
Apple chlorotic leaf spot trichovirus, Heracleum latent
Trichoviruses
trichovirus, Potato T trichovirus
Abelia latent tymovirus, Belladonna mottle tymovirus, Cacao
Tymoviruses yellow mosaic tymovirus, Clitoria yellow vein tymovirus,
Desmodium yellow mottle tymovirus, Dulcamara mottle
tymovirus, Eggplant mosaic tymovirus, Erysimum latent
tymovirus, Kennedya yellow mosaic tymovirus, Melon rugose mosaic tymovirus, Okra mosaic tymovirus, Ononis yellow mosaic tymovirus, Passionfruit yellow mosaic tymovirus, Physalis mosaic tymovirus, Plantago mottle tymovirus, Potato Andean latent tymovirus, Scrophularia mottle tymovirus, Turnip yellow mosaic, tymovirus, Voandzeia necrotic mosaic tymovirus, Wild cucumber mosaic tymovirus
Bean yellow vein banding umbravirus, Carrot mottle mimic umbravirus, Carrot mottle umbravirus, Carrot mottle mimic
Umbraviruses
umbravirus, Groundnut rosette umbravirus, Lettuce speckles mottle umbravirus, Tobacco mottle umbravirus
Freesia leaf necrosis varicosavirus, Lettuce big-vein
Varicosaviruses
varicosavirus, Tobacco stunt varicosavirus
Anthriscus yellows waikavirus, Maize chlorotic dwarf
Waikaviruses: Sequiviridae
waikavirus, Rice tungro spherical waikavirus
Alsike clover vein mosaic virus, Alstroemeria streak potyvirus, Amaranthus mosaic potyvirus, Amazon lily mosaic potyvirus, Anthoxanthum mosaic potyvirus, Apple stem pitting virus, Aquilegia potyvirus, Asclepias rhabdovirus, Atropa belladonna rhabdovirus, Barley mosaic virus, Barley yellow streak mosaic virus, Beet distortion mosaic virus, Beet leaf curl rhabdovirus, Beet western yellows ST9-associated RNA virus, Black raspberry necrosis virus, Bramble yellow mosaic potyvirus, Brinjal mild mosaic potyvirus, Broad bean B virus, Broad bean V potyvirus, Broad bean yellow ringspot virus, Bryonia mottle potyvirus, Burdock mosaic virus, Burdock mottle virus, Callistephus chinensis chlorosis rhabdovirus, Canary reed mosaic potyvirus, Canavalia maritima mosaic potyvirus, Carnation rhabdovirus, Carrot mosaic potyvirus, Cassava
Putative Ungrouped Viruses symptomless rhabdovirus, Cassia mosaic virus, Cassia ringspot virus, Celery yellow mosaic potyvirus, Celery yellow net virus, Cereal flame chlorosis virus, Chickpea filiform potyvirus, Chilli veinal mottle potyvirus, Chrysanthemum spot potyvirus, Chrysanthemum vein chlorosis rhabdovirus, Citrus leprosis rhabdovirus, Citrus ringspot virus, Clover mild mosaic virus, Cocksfoot streak potyvirus, Colocasia bobone disease rhabdovirus, Cucumber toad-skin rhabdovirus, Cucumber vein yellowing virus, Cypripedium calceolus potyvirus, Datura innoxia Hungarian mosaic potyvirus, Dioscorea trifida potyvirus, Dock mottling mosaic potyvirus, Dodonaea yellows- associated virus, Eggplant severe mottle potyvirus, Euonymus fasciation rhabdovirus, Euonymus rhabdovirus, Fern potyvirus, Fig potyvirus, Gerbera symptomless rhabdovirus, Grapevine fleck virus, Grapevine stunt virus, Guar top necrosis virus, Habenaria mosaic potyvirus, Holcus lanatus yellowing
rhabdovirus, Holcus streak potyvirus, Iris germanica leaf stripe rhabdovirus, Iris Japanese necrotic ring virus, Isachne mosaic potyvirus, Kalanchoe isometric virus, Kenaf vein-clearing rhabdovirus, Launaea mosaic potyvirus, Lupin yellow vein rhabdovirus, Maize eyespot virus, Maize line virus, Maize mottle/chlorotic stunt virus, Maize white line mosaic virus, Malvastrum mottle virus, Melilotus mosaic potyvirus, Melon vein-banding mosaic potyvirus, Melothria mottle potyvirus, Mimosa mosaic virus, Mung bean mottle potyvirus, Narcissus degeneration potyvirus, Narcissus late season yellows potyvirus, Nerine Y potyvirus, Nothoscordum mosaic potyvirus, Oak ringspot virus, Orchid fleck rhabdovirus, Palm mosaic potyvirus, Parsley green mottle potyvirus, Parsley rhabdovirus, Parsnip leafcurl virus, Passionfruit Sri Lankan mottle potyvirus,
Passionfruit vein-clearing rhabdovirus, Patchouli mottle rhabdovirus, Pea stem necrosis virus, Peanut top paralysis potyvirus, Peanut veinal chlorosis rhabdovirus, Pecteilis mosaic potyvirus, Pepper mild mosaic potyvirus, Perilla mottle potyvirus, Pigeonpea proliferation rhabdovirus, Pigeonpea sterility mosaic virus, Plantain 7 potyvirus, Plantain mottle rhabdovirus, Pleioblastus chino potyvirus, Poplar decline potyvirus, Primula mottle potyvirus, Purple granadilla mosaic virus, Ranunculus repens symptomless rhabdovirus, Rice yellow stunt virus, Saintpaulia leaf necrosis rhabdovirus, Sambucus vein clearing rhabdovirus, Sarracenia purpurea rhabdovirus,
Shamrock chlorotic ringspot potyvirus, Soybean mild mosaic virus, Soybean rhabdovirus, Soybean spherical virus, Soybean yellow vein virus, Soybean Z potyvirus, Strawberry latent C rhabdovirus, Strawberry mottle virus, Strawberry pallidosis virus, Sunflower mosaic potyvirus, Sweet potato latent potyvirus, Teasel mosaic potyvirus, Thimbleberry ringspot virus, Tomato mild mottle potyvirus, Trichosanthes mottle potyvirus, Tulip halo necrosis virus, Tulip mosaic virus, Turnip vein- clearing virus, Urd bean leaf crinkle virus, Vigna sinensis mosaic rhabdovirus, Watercress yellow spot virus, Watermelon Moroccan mosaic potyvirus, Wheat chlorotic spot rhabdovirus, White bryony potyvirus, Wineberry latent virus, Zinnia mild mottle potyvirus, Zoysia mosaic potyvirus
Weeds
[0267] In certain embodiments, the target organism is a weed. As used herein, the term "weed" refers to any unwanted plant. The weed to be controlled may include monocotyledonous species, such as species of the genus Agrostis, Alopecurus, Avena, Bromus, Cyperus, Digitaria, Echinochloa, Lolium, Monochoria, Rottboellia, Sagittaria,
Scirpus, Setaria, Sida or Sorghum, and dicotyledonous species, for example species of the genus Abutilon, Amaranthus, Chenopodium, Chrysanthemum, Conyza, Galium, Ipomoea, Nasturtium, Sinapis, Solarium, Stellaria, Veronica, Viola or Xanthium. Weeds can also include plants which may be considered crop plants but which are growing outside a crop area (escapes), or which grow from seed left over from a previous planting of a different crop (volunteers). Such volunteers or escapes may be tolerant to certain other herbicides.
[0268] It has been demonstrated that several agriculturally relevant traits in plants can be modified via the introduction of transgenes that target the silencing of specific genes, including soybean oil composition and corn kernel protein composition. dsRNAs targeting specific genes in specific species can be applied topically to alter plant traits as well, and in some cases, offers the farmer more flexibility with regard to timing and endurance of application. In certain embodiments the compositions of the present invention may be used to enhance a yield-related trait in a plant. Yield-related traits that may be enhanced by the compositions of the present invention include, but are not limited to, total seed germination, rate of seed germination, plant biomass, disease tolerance, insect tolerance, drought tolerance, heat tolerance, cold tolerance, salinity tolerance, tolerance to heavy metals, total yield, seed yield, root growth, early vigor, plant biomass, plant size, total plant dry weight, above-ground dry weight, above-ground fresh weight, leaf area, stem volume, plant height, rosette diameter, leaf length, root length, root mass, tiller number, and leaf number.
Crop Plants
[0269] Representative crop plants that may be target organisms include
monocotyledonous and dicotyledonous plants including but not limited to fodder or forage legumes, ornamental plants, food crops, trees, or shrubs selected from Acer spp., Allium spp., Amaranthus spp., Ananas comosus, Apium graveolens, Arachis spp, Asparagus officinalis, Beta vulgaris, Brassica spp. (e.g., Brassica napus, Brassica rapa ssp. [canola, oilseed rape, turnip rape]), Camellia sinensis, Canna indica, Cannabis saliva, Capsicum spp., Castanea spp., Cichorium endivia, Citrullus lanatus, Citrus spp., Cocos spp., Coffea spp., Coriandrum sativum, Corylus spp., Crataegus spp., Cucurbita spp., Cucumis spp., Daucus carota, Fagus spp., Ficus carica, Fragaria spp., Ginkgo biloba, Glycine spp. (e.g., Glycine max, Soja hispida or Soja max), Gossypium hirsutum, Helianthus spp. (e.g., Helianthus annuus), Hibiscus spp., Hordeum spp. (e.g., Hordeum vulgare), Ipomoea batatas, Juglans spp., Lactuca sativa, Linum usitatissimum, Litchi chinensis, Lotus spp., Lujfa acutangula, Lupinus
spp., Lycopersicon spp. (e.g., Lycopersicon esculenturn, Lycopersicon lycopersicum, Lycopersicon pyriforme), Malus spp., Medicago sativa, Mentha spp., Miscanthus sinensis, Morus nigra, Musa spp., Nicotiana spp., Olea spp., Oryza spp. (e.g., Oryza sativa, Oryza latifolia), Panicum miliaceum, Panicum virgatum, Passiflora edulis, Petroselinum crispum, Phaseolus spp., Pinus spp., Pistacia vera, Pisum spp., Poa spp., Populus spp., Prunus spp., Pyrus communis, Quercus spp., Raphanus sativus, Rheum rhabarbarum, Ribes spp., Ricinus communis, Rubus spp., Saccharum spp., Salix sp., Sambucus spp., Secale cereale, Sesamum spp., Sinapis spp., Solanum spp. (e.g., Solanum tuberosum, Solanum integrifolium or Solanum lycopersicum), Sorghum bicolor, Sorghum halepense, Spinacia spp., Tamarindus indica, Theobroma cacao, Trifolium spp., Triticosecale rimpaui, Triticum spp. (e.g., Triticum aestivum, Triticum durum, Triticum turgidum, Triticum hybernum, Triticum macha, Triticum sativum or Triticum vulgare), Vaccinium spp., Vicia spp., Vigna spp., Vzo/a odorata, Vitis spp., and Zea mays. Especially preferred are rice, oilseed rape, canola, soybean, corn (maize), cotton, sugarcane, alfalfa, sorghum, and wheat.
[0270] In certain embodiments, a target gene of interest my also include a gene that is essential to the survival of an organism, such as a weed, insect, or plant pathogen, and can serve as a target for controlling growth and proliferation of the organism. For example, dsRNA-mediated silencing of an essential gene in an insect pest can induce cessation of feeding and ultimately growth inhibition, morbidity, or mortality. Recent studies have shown that certain coleopteran insect species, most notably the western corn rootworm, Diabrotica virgifera virgifera, are exquisitely sensitive to ingested dsRNAs. Highly efficacious dsRNAs yield LC50 values in the parts-per-billion (ppb or ng/ml) range with this species. RNAi provides a unique mode of action for the control of insect pests that could complement the current strategy of expressing Bacillus thuringiensis insecticidal proteins in plants of agricultural importance. In certain embodimetnts, dsRNAs targeting essential insect genes can be delivered via topical sprays for RNAi-mediated insect control.
Non-Target Organisms
[0271] In some embodiments, the compositions of the invention may be applied to an organism that is different from the target organism. For example, in some embodiments the target organism is an insect, and the composition is applied to a non-target organism, such as a plant, that is a host for the insect. As used herein, a "non-target organism" is any organism other than the target organism. Where the target organism and host organism differ, a non-
target organism can comprise a host organism and organisms that consume the host organism or otherwise contact polynucleotides (e.g., siRNAs or antisense polynucleotides) or proteins expressed in a host organism. The target- specific design of polynucleotides such as RNAi and antisense polynucleotides, as described herein, provides that such polynucleotides have little or no gene silencing activity in non-target organisms.
[0272] Non-target organisms include crop plants that may be infected with a target organism, such as a plant pathogen or insect. Representative crop plants include
monocotyledonous and dicotyledonous plants including but not limited to fodder or forage legumes, ornamental plants, food crops, trees, or shrubs selected from Acer spp., Allium spp., Amaranthus spp., Ananas comosus, Apium graveolens, Arachis spp, Asparagus officinalis, Beta vulgaris, Brassica spp. (e.g., Brassica napus, Brassica rapa ssp. [canola, oilseed rape, turnip rape]), Camellia sinensis, Canna indica, Cannabis saliva, Capsicum spp., Castanea spp., Cichorium endivia, Citrullus lanatus, Citrus spp., Cocos spp., Coffea spp., Coriandrum sativum, Corylus spp., Crataegus spp., Cucurbita spp., Cucumis spp., Daucus carota, Fagus spp., Ficus carica, Fragaria spp., Ginkgo biloba, Glycine spp. (e.g., Glycine max, Soja hispida or Soja max), Gossypium hirsutum, Helianthus spp. (e.g., Helianthus annuus), Hibiscus spp., Hordeum spp. (e.g., Hordeum vulgare), Ipomoea batatas, Juglans spp., Lactuca sativa, Linum usitatissimum, Litchi chinensis, Lotus spp., Lujfa acutangula, Lupinus spp., Lycopersicon spp. (e.g., Lycopersicon esculenturn, Lycopersicon lycopersicum, Lycopersicon pyriforme), Malus spp., Medicago sativa, Mentha spp., Miscanthus sinensis, Morus nigra, Musa spp., Nicotiana spp., Olea spp., Oryza spp. (e.g., Oryza sativa, Oryza latifolia), Panicum miliaceum, Panicum virgatum, Passiflora edulis, Petroselinum crispum, Phaseolus spp., Pinus spp., Pistacia vera, Pisum spp., Poa spp., Populus spp., Prunus spp., Pyrus communis, Quercus spp., Raphanus sativus, Rheum rhabarbarum, Ribes spp., Ricinus communis, Rubus spp., Saccharum spp., Salix sp., Sambucus spp., Secale cereale, Sesamum spp., Sinapis spp., Solanum spp. (e.g., Solanum tuberosum, Solanum integrifolium or Solanum lycopersicum), Sorghum bicolor, Sorghum halepense, Spinacia spp., Tamarindus indica, Theobroma cacao, Trifolium spp., Triticosecale rimpaui, Triticum spp. (e.g., Triticum aestivum, Triticum durum, Triticum turgidum, Triticum hybernum, Triticum macha, Triticum sativum or Triticum vulgare), Vaccinium spp., Vicia spp., Vigna spp., Viola odorata, Vitis spp., and Zea mays. Especially preferred are rice, oilseed rape, canola, soybean, corn (maize), cotton, sugarcane, alfalfa, sorghum, and wheat.
Application of the Formulations
[0273] In certain embodiments, the presently disclosed formulations can be applied as a spray or powder to the plant, plant part, seed, a pest, or an area of cultivation. The presently disclosed formulations may also be applied as concentrated emulsions, dusts, emulsifiable concentrates, fumigants, gels, granules, seed treatments, suspension concentrates,
suspoemulsions, tablets, water soluble liquids, water dispersible granules or dry flowables, wettable powders, and ultra- low volume solutions. For further information on formulation types see "Catalogue of Pesticide Formulation Types and International Coding System" Technical Monograph No. 2, 5th Edition by CropLife International (2002), which is incorporated herein by reference in its entirety. Agricultural formulations are also described, for example, in U.S. Pat. No. 8,815,27, which is incorporated herein by reference in its entirety. .
[0274] For example, the presently disclosed formulations may be applied as aqueous suspensions or emulsions prepared from concentrated formulations. Such water-soluble, water-suspendable, or emulsifiable formulations can either be solids, usually known as wettable powders, or water dispersible granules, or liquids usually known as emulsifiable concentrates, or aqueous suspensions. Wettable powders, which may be compacted to form water dispersible granules, comprise an intimate mixture of the composition, a carrier, and surfactants. The carrier may be selected from attapulgite clays, montmorillonite clays, diatomaceous earths, and purified silicates. Effective surfactants, comprising from about 0.5% to about 10% of the wettable powder, include sulfonated lignins, condensed
naphthalenesulfonates, naphthalenesulfonates, alkylbenzenesulfonates, alkyl sulfates, and non-ionic surfactants such as ethylene oxide adducts of alkyl phenols.
[0275] Emulsifiable concentrates can comprise a suitable concentration of the formulation, such as from about 50 to about 500 grams per liter of liquid dissolved in a carrier that is either a water-miscible solvent or a mixture of water-immiscible organic solvent and emulsifiers. Suitable organic solvents include aromatics, especially xylenes and petroleum fractions, especially the high-boiling naphthalenic and olefinic portions of petroleum, such as heavy aromatic naphtha. Other organic solvents may also be used, such as the terpenic solvents, including rosin derivatives, aliphatic ketones such as cyclohexanone, and complex alcohols such as 2-ethoxyethanol. Suitable emulsifiers for emulsifiable concentrates can be selected from conventional anionic and non-ionic surfactants.
[0276] Aqueous suspensions comprise suspensions of water-insoluble forms of the presently disclosed formulations dispersed in an aqueous carrier at a concentration in the range from about 5% to about 50% by weight. Ingredients, such as inorganic salts and synthetic or natural gums, may also be added to increase the density and viscosity of the aqueous carrier.
[0277] The presently disclosed formulations may also be applied as granular formulations, for example, for applications to the soil. Granular formulations may contain from about 0.5% to about 10% by weight of the composition, dispersed in a carrier that comprises clay or a similar substance. Such formulations may be prepared by dissolving the formulation in a suitable solvent and applying it to a granular carrier which has been preformed to a suitable particle size, for example, in the range of from about 0.5 to about 3 mm. Such formulations may also be prepared by making a dough or paste of the carrier and compound and crushing and drying to obtain the desired granular particle size.
[0278] Dusts comprising the presently disclosed formulations may be prepared by intimately mixing the formulation in powdered form with a suitable dusty agricultural carrier, such as kaolin clay, ground volcanic rock, and the like. Dusts may contain from about 1% to about 10% by weight of the composition. They may be applied as a seed dressing or as a foliage application with a dust blower machine.
[0279] The presently disclosed formulations may also be applied in the form of a solution in an appropriate organic solvent (e.g., petroleum oil), such as the spray oils, which are widely used in agricultural chemistry.
[0280] The presently disclosed formulations may also be applied in the form of an aerosol composition. The formulation can be dissolved or dispersed in a carrier, which is a pressure-generating propellant mixture. The aerosol composition is packaged in a container from which the mixture is dispensed through an atomizing valve.
[0281] The presently disclosed formulations may be applied to the crop area or plant to be treated, simultaneously or in succession, with further compounds. These further compounds can be, for example, fertilizers or micronutrient donors or other preparations, which influence the growth of plants. They can also be selective herbicides or non-selective herbicides as well as insecticides, fungicides, bactericides, nematicides, or mixtures of
several of these preparations, if desired together with further carriers, surfactants, or application promoting adjuvants customarily employed in the art of formulation.
Therapeutic Applications
[0282] In another aspect, the presently disclosed aminolipidoid formulations can be used to deliver a therapeutic agent to a target in a subject for the purpose of treating or preventing a disease or disorder. In certain embodiments, the presently disclosed
aminolipidoid formulations are combined with a pharmaceutically acceptable excipient and/or carrier to form a pharmaceutical formulation. In certain embodiments, the disease or disorder is treated or prevented by administering a therapeutically effective amount of the pharmaceutical formulation to a subject in need thereof. In certain embodiments, the subject is a mammal. In certain embodiments, the subject is a human.
[0283] In certain embodiments, the presently disclosed aminolipidoid formulations, i.e., complexes, microparticles, nanoparticles, picoparticles, liposomes, and micelles, are combined with one or more pharmaceutically acceptable excipients and/or carriers to form pharmaceutical formulations suitable to administer to mammals, including humans.
Examples of classes of such excipients and carriers include, but are not limited to, fillers, extenders, binders, humectants, disintegrants, plasticizers, stabilizers, solution retarding agents, wetting agents, suspending agents, thickening agents, absorbents, lubricants, surfactants, buffering agents, diluents, solvents, emulsifying agents, suspending agents, sweetening agents, flavoring agents, perfuming agents, opacifying agents, separating agents, and coating permeability adjusters. Excipients and/or carriers may comprise about 1%, 2%, 3%, 4%, 5%, 10%, 15%, 20%, 25%, 30%, 40%, 50%, or higher percentage of the presently disclosed pharmaceutical formulations.
[0284] The presently disclosed pharmaceutical compositions can be administered to mammals, including humans, by any conventional route. Examples of such routes include, but are not limited to, orally, rectally, parenterally, intracisternally, intravaginally, intranasally, intraperitoneally, topically, bucally, or as an oral or nasal spray. Dosage forms for oral administration include, but are not limited to, solid and liquid dosage forms. Solid dosage forms for oral administration include, but are not limited to, capsules, tablets, pills, powders, and granules. Liquid dosage forms for oral administration include, but are not limited to, emulsions, microemulsions, solutions, suspensions, syrups, and elixirs. Dosage
forms for topical administration include, but are not limited to, ointments, pastes, creams, lotions, gels, powders, solutions, sprays, inhalants, and transdermal patches.
[0285] As used herein, "parenteral administration" and "administered parenterally" means modes of administration other than enteral and topical administration, usually by injection, and includes, but is not limited to, intravenous, intramuscular, intraarterial, intrathecal, intracapsular, intraorbital, intracardiac, intradermal, intraperitoneal, transtracheal, subcutaneous, subcuticular, intraarticular, subcapsular, subarachnoid, intraspinal, and intrasternal injection and infusion.
[0286] Although the dosage will vary depending on the symptoms, age and body weight of the subject, the nature and severity of the disorder to be treated or prevented, the route of administration and the form of the drug, in general, a daily dosage of from 0.01 to 2000 mg of the therapeutic agent is recommended for an adult human patient, and this may be administered in a single dose or in divided doses.
[0287] As used herein, the term "therapeutic agent" includes any synthetic or naturally occurring biologically active compound or composition which, when administered to subject, induces a desired pharmacologic, immunogenic, and/or physiologic effect by local and/or systemic action. The term therefore encompasses those compounds or chemicals traditionally regarded as drugs, vaccines, and biopharmaceuticals, including molecules such as proteins, peptides, hormones, nucleic acids, and gene constructs. More particularly, the term "therapeutic agent" includes compounds or compositions for use in all of the major therapeutic areas.
[0288] Examples of such therapeutic agents include, but are not limited to, nucleic acids, adjuvants, anti-infectives such as antibiotics and antiviral agents, analgesics and analgesic combinations, anorexics, anti-inflammatory agents, anti-epileptics, local and general anesthetics, hypnotics, sedatives, antipsychotic agents, neuroleptic agents, antidepressants, anxiolytics, antagonists, neuron blocking agents, anticholinergic and cholinomimetic agents, antimuscarinic and muscarinic agents, antiadrenergics,
antiarrhythmics, antihypertensive agents, hormones, and nutrients, antiarthritics,
antiasthmatic agents, anticonvulsants, antihistamines, antinauseants, antineoplastics, antipruritics, antipyretics; antispasmodics, cardiovascular preparations (including calcium channel blockers, beta-blockers, beta-agonists and antiarrythmics), antihypertensives,
diuretics, vasodilators, central nervous system stimulants, cough and cold preparations, decongestants, diagnostics, hormones, bone growth stimulants and bone resorption inhibitors, oncology drugs (e.g., chemotherapy drugs, hormonal therapeutic agents, immunotherapeutic agents, radiotherapeutic agents), lipid-lowering agents, antidepressants, stimulants, antibiotics, birth control medication, anti- angiogenics, cytovascular agents, signal
transduction inhibitors, hormones, vasoconstrictors, and steroids, immunosuppressives, muscle relaxants, psychostimulants, sedatives, tranquilizers, proteins, peptides, and fragments thereof (whether naturally occurring, chemically synthesized or recombinantly produced), small molecules and other biologically active macromolecules such as, for example, proteins and enzymes. The agent may be a biologically active agent used in medical, including veterinary, applications. The term therapeutic agent also includes without limitation, medicaments, vitamins; mineral supplements, substances used for the treatment, prevention, diagnosis, cure or mitigation of disease or illness, substances which affect the structure or function of the body, or pro-drugs, which become biologically active or more active after they have been placed in a predetermined physiological environment. These therapeutic agents may be administered alone with pharmaceutical formulations or in combination (e.g. , co-administered) with pharmaceutical formulations comprising nucleic acid, such as interfering RNA.
[0289] Examples of nucleic acids include, but are not limited to, interfering RNA molecules (e.g., siRNA, aiRNA, miRNA), antisense oligonucleotides, plasmids, ribozymes, immuno stimulatory oligonucleotides, and mixtures thereof.
[0290] Nucleic acids delivered as the therapeutic agent in the presently disclosed pharmaceutical formulations can be used to downregulate or silence the translation (i.e. , expression) of a target gene of interest in the target organism. Examples of classes of genes that can be downregulated or silenced include, but are not limited to, genes associated with viral infection and survival, genes associated with metabolic diseases and disorders (e.g. , liver diseases and disorders), genes associated with tumorigenesis and cell transformation (e.g., cancer), angiogenic genes, immunomodulator genes such as those associated with inflammatory and autoimmune responses, ligand receptor genes, and genes associated with neurodegenerative disorders. Examples viral sequences that can be downregulated or silenced include filoviruses such as Ebola virus and Marburg virus, arenaviruses such as Lassa virus, Junin virus, Machupo virus, Guanarito virus, and Sabia virus, influenza viruses
such as Influenza A, B, and C viruses, hepatitis viruses, Human Immunodeficiency Virus (HIV), herpes viruses, and Human Papilloma Viruses (HPV).
[0291] Examples of peptides or polypeptide that may be used as therapeutic agents include, but are not limited to, an antibodies such as a polyclonal antibodies, a monoclonal antibodies, antibody fragments, humanized antibodies, recombinant antibodies, recombinant human antibodies, Primatized™ antibodies, cytokines, growth factors, apoptotic factors, differentiation-inducing factors, cell-surface receptors, ligands, hormones, or small molecules.
[0292] Examples of oncology drugs that may be used as therapeutic agents include, but are not limited to, alkeran, allopurinol, altretamine, amifostine, anastrozole, araC, arsenic trioxide, bexarotene, biCNU, carmustine, CCNU, celecoxib, cladribine, cyclosporin A, cytosine arabinoside, Cytoxan, dexrazoxane, DTIC, estramustine, exemestane, FK506, gemtuzumab-ozogamicin, hydrea, hydroxyurea, idarubicin, interferon, letrozole, Leustatin, leuprolide, litretinoin, megastrol, L-PAM, mesna, methoxsalen, mithramycin, nitrogen mustard, pamidronate, Pegademase, pentostatin, porfimer sodium, prednisone, rituxan, streptozocin, STI-571, taxotere, temozolamide, VM-26, toremifene, tretinoin, ATRA, valrubicin, velban, ellipticin and ellipticin analogs or derivatives, epothilones, intracellular kinase inhibitors, and camptothecins.
[0293] Examples of anti-viral drugs that may be used as therapeutic agents include, but are not limited to, abacavir, aciclovir, acyclovir, adefovir, amantadine, amprenavir, arbidol, atazanavir, atripla, cidofovir, combivir, darunavir, delavirdine, didanosine, docosanol, edoxudine, efavirenz, emtricitabine, enfuvirtide, entecavir, entry inhibitors, famciclovir, fixed dose combinations, fomivirsen, fosamprenavir, foscamet, fosfonet, fusion inhibitors, ganciclovir, ibacitabine, immunovir, idoxuridine, imiquimod, indinavir, inosine, integrase inhibitors, interferon type III (e.g., IFN-λ molecules such as IFN-λΙ, IFN- 2, and IFN- 3), interferon type II (e.g., IFN-γ), interferon type I (e.g., IFN-a such as PEGylated IFN-a, IFN-β, IFN-K, IFN-δ, IFN-ε, IFN-τ, IFN-co, and IFN-ζ, interferon, lamivudine, lopinavir, loviride, MK-0518, maraviroc, moroxydine, nelfinavir, nevirapine, nexavir, nucleoside analogues, oseltamivir, penciclovir, peramivir, pleconaril, podophyllotoxin, protease inhibitors, reverse transcriptase inhibitors, ribavirin, rimantadine, ritonavir, saquinavir, stavudine, synergistic enhancers, tenofovir, tenofovir disoproxil, tipranavir,
trifluridine, trizivir, tromantadine, truvada, valaciclovir, valganciclovir, vicriviroc, vidarabine, viramidine, zalcitabine, zanamivir, and zidovudine.
[0294] In certain embodiments, the therapeutic agent to be delivered may be a prophylactic agent. Prophylactic agents include, but are not limited to, antibiotics, nutritional supplements, and vaccines. Vaccines may comprise isolated proteins or peptides, inactivated organisms and viruses, dead organisms and viruses, genetically altered organisms or viruses, and cell extracts. Prophylactic agents may be combined with interleukins, interferon, cytokines, and adjuvants such as cholera toxin, alum, and Freund's adjuvant.
[0295] Examples of prophylactic agents include, but are not limited to, (1) antigens of the following bacterial organisms: Streptococccus pneumoniae, Haemophilus influenzae, Staphylococcus aureus, Streptococcus pyrogenes, Corynebacterium diphtheriae, Listeria monocytogenes, Bacillus anthracis, Clostridium tetani, Clostridium botulinum, Clostridium perfringens, Neisseria meningitidis, Neisseria gonorrhoeae, Streptococcus mutans,
Pseudomonas aeruginosa, Salmonella typhi, Haemophilus parainfluenzae, Bordetella pertussis, Francisella tularensis, Yersinia pestis, Vibrio cholerae, Legionella pneumophila, Mycobacterium tuberculosis, Mycobacterium leprae, Treponema pallidum, Leptospirosis interrogans, Borrelia burgdorferi, and Camphylobacter jejuni, (2) antigens of the following viruses: smallpox, influenza A and B, respiratory syncytial virus, parainfluenza, measles, HIV, varicella- zoster, herpes simplex 1 and 2, cytomegalovirus, Epstein-Barr virus, rotavirus, rhinovirus, adenovirus, papillomavirus, poliovirus, mumps, rabies, rubella, coxsackieviruses, equine encephalitis, Japanese encephalitis, yellow fever, Rift Valley fever, and hepatitis A, B, C, D, and E virus, and (3) antigens of the following fungal, protozoan, and parasitic organisms: Cryptococcus neoformans, Histoplasma capsulatum, Candida albicans, Candida tropicalis, Nocardia asteroides, Rickettsia ricketsii, Rickettsia typhi, Mycoplasma
pneumoniae, Chlamydial psittaci, Chlamydial trachomatis, Plasmodium falciparum,
Trypanosoma brucei, Entamoeba histolytica, Toxoplasma gondii, Trichomonas vaginalis, Schistosoma mansoni. These antigens may be in the form of whole killed organisms, peptides, proteins, glycoproteins, carbohydrates, or combinations thereof.
[0296] The present invention is further defined in the following Examples. It should be understood that these Examples, while indicating preferred embodiments of the invention, are given by way of illustration only. From the above discussion and these Examples, one skilled in the art can ascertain the essential characteristics of this invention, and without
departing from the spirit and scope thereof, can make various changes and modifications of the invention to adapt it to various uses and conditions.
EXAMPLES
[0297] Example 1 - Synthesis of Heptyl 5-(oxiran-2-yl)pentanoate
[0298] Hept-6-enoic acid (946.00 mg, 7.38 mmol), N,N'-dicyclohexyl-carbodiimide
(DCC, 1.83 g, 8.86 mmol) and dimethylaminepyridine (DMAP, 45.09 mg, 369.00 μπιοΐ) were charged to a reaction vessel containing dichloromethane (DCM, 24.60 mL) as solvent and stirred at 0 °C for 5 minutes. Heptan-l-ol (1.03 g, 8.86 mmol) was then added to the reaction vessel. The reaction mixture was then allowed to warm to ambient temperature and stirring continued for 4 hours. Thin-layer chromatography (TLC) indicated full conversion of the hept-6-enoic acid. The reaction mixture was then filtered, the DCM removed in vacuo, and the crude product purified via flash column chromatography to yield heptyl hept-6-enoate (1.50 g, 6.63 mmol) as a colorless oil in 89.8 % yield.
[0299] The heptyl hept-6-enoate (1.50 g, 6.63 mmol) and sodium bicarbonate (1.11 g,
13.26 mmol) were charged to reaction vessel containing DCM (22.10 mL) as solvent and stirred at 0°C for 10 minutes. meto-Chloroperoxybenzoic acid (mCPBA) (1.26 g, 7.29 mmol) in 5 mL DCM was then added to the reaction vessel dropwise over 5 minutes. The resulting reaction mixture was then allowed to warm to ambient temperature and stirring continued for 4 hours. TLC indicated full conversion of the heptyl hept-6-enoate. The reaction mixture was then filtered, the DCM removed in vacuo, and the crude product purified via flash column chromatography to yield the desired product (1.1 g, 4.45 mmol) as colorless oil in 68.6% yield. Structure was confirmed by 1H NMR.
[0300] Example 2 - Synthesis of 3-(oxiran-2-yl)propyl undecanoate
[0301] Pent-4-en-l-ol (1.32 g, 15.38 mmol) and triethyleamine (TEA) (1.48 g, 14.65 mmol) were charged to a reaction vessel containing DCM (50.00 mL) as solvent and stirred at 0 °C for 5 minutes. Undecanoyl chloride (3.00 g, 14.65 mmol) was then added to the reaction vessel. The reaction mixture was then allowed to warm to ambient temperature and stirring continued for 4 hours. Thin-layer chromatography (TLC) indicated full conversion of the hept-6-enoic acid. The reaction mixture was then filtered, the DCM removed in vacuo,
and the crude product purified via flash column chromatography to yield pent-4-en-l-yl undecanoate (3.5 g, 13.76 mmol) as a clear oil in 93.9 % yield.
[0302] The pent-4-en-l-yl undecanoate (3.5 g, 13.76 mmol) and sodium bicarbonate
(4.62 g, 55.04 mmol) were charged to a reaction vessel containing DCM (50.00 mL) as solvent and stirred at 0°C for 5 minutes. mCPBA (3.48 g, 15.14 mmol) in DCM was then added to the reaction vessel dropwise over 5 minutes. The resulting reaction mixture was then allowed to warm to ambient temperature and stirring continued for 4 hours. TLC indicated full conversion of the pent-4-en-l-yl undecanoate. The reaction mixture was then filtered, the DCM removed in vacuo, and the crude product purified via flash column chromatography to yield the desired product (2.5 g) as a clear oil.
[0303] Example 3 - Synthesis of Octyl 4-((4-(oxiran-2-yl)butanoyl)oxy)butanoate
[0304] n-Octanol (1.0 eq., 0.3 M) and TEA (1.05 eq.) is charged to a reaction vessel containing DCM as solvent and stirred at 0 °C for 5 minutes. 4-Bromobutyryl chloride (1.0 eq.) is then added to the reaction vessel dropwise over 5 minutes. The resulting reaction mixture is then allowed to warm to ambient temperature and stirring continued for 4 hours. Reaction progress and completion is monitored by TLC. The reaction mixture is then filtered, the DCM removed in vacuo, and the crude product purified via flash column chromatography to yield octyl 4-bromobutanoate. The octyl 4-bromobutanoate is then dissolved in dry dimethylformamide (DMF) and charged to a reaction vessel. K2CO3 (2 eq.) and tetrabutylammonium iodide (TBAI) (0.02 eq.) are added to the DMF solution, followed by 5-hexenoic acid (0.95 eq.). The reaction mixture is stirred for 5 hours until TLC indicates full consumption of the hexenoic acid. The reaction mixture is then worked up according to standard procedures and purified by flash column chromatography to yield the desired di- ester intermediate.
[0305] The diester intermediate (1.0 eq.) and sodium bicarbonate (4.0 eq.) are charged to a reaction vessel containing DCM as solvent and stirred at 0°C for 5 minutes. mCPBA (1.1 eq.) in DCM is then added to the reaction vessel dropwise over 5 minutes. The resulting reaction mixture was then allowed to warm to ambient temperature and stirring continued for 4 hours. Reaction progress and completion is monitored by TLC. The reaction mixture is then filtered, the DCM removed in vacuo, and the crude product purified via flash column chromatography to yield the desired product.
[0306] Example 4 - Synthesis of 4-(3-(oxiran-2-yl)propoxy)-4-oxobutyl nonanoate
[0307] 4-Penten-l-ol (1.0 eq., 0.3 M) and TEA (1.05 eq.) is charged to a reaction vessel containing DCM as solvent and stirred at 0 °C for 5 minutes. 4-Bromobutyryl chloride (1.0 eq.) is then added to the reaction vessel dropwise over 5 minutes. The resulting reaction mixture is then allowed to warm to ambient temperature and stirring continued for 4 hours. Reaction progress and completion is monitored by TLC. The reaction mixture is then filtered, the DCM removed in vacuo, and the crude product purified via flash column chromatography to yield pent-4-en-l-yl 4-bromobutanoate. The pent-4-en-l-yl 4- bromobutanoate is then dissolved in dry dimethylformamide (DMF) and charged to a reaction vessel. K2CO3 (2 eq.) and tetrabutylammonium iodide (TBAI) (0.02 eq.) are added to the DMF solution, followed by nonanoic acid (1.05 eq.). The reaction mixture is stirred for 5 hours until TLC indicates full consumption of pent-4-en-l-yl 4-bromobutanoate. The reaction mixture is then worked up according to standard procedures and purified by flash column chromatography to yield the desired di-ester intermediate.
[0308] The diester intermediate (1.0 eq.) and sodium bicarbonate (4.0 eq.) are charged to a reaction vessel containing DCM as solvent and stirred at 0°C for 5 minutes. mCPBA acid (1.1 eq.) in DCM is then added to the reaction vessel dropwise over 5 minutes. The resulting reaction mixture was then allowed to warm to ambient temperature and stirring continued for 4 hours. Reaction progress and completion is monitored by TLC. The reaction mixture is then filtered, the DCM removed in vacuo, and the crude product purified via flash column chromatography to yield the desired product.
[0309] Example 5 - Synthesis of 3-(Oxiran-2-yl)propyl nonylcarbamate
[0310] 4-Penten-l-ol (1.0 eq., 0.3 M) and sodium bicarbonate (4.0 eq.) are charged to a reaction vessel containing DCM as solvent and stirred at 0°C for 5 minutes. mCPBA (1.1 eq.) in DCM is then added to the reaction vessel dropwise over 5 minutes. The resulting reaction mixture was then allowed to warm to ambient temperature and stirring continued for 4 hours. Reaction progress and completion is monitored by TLC. The reaction mixture is then filtered, the DCM removed in vacuo, and the crude product purified via flash column chromatography to yield 4-epoxy-pentan-l-ol. 1-n-octyl isocyanate and the 4-epoxy-pentan- l-ol are dissolved in DCM and stirred for 2 hours until the reaction is complete to yield the desired carbamate product.
[0311] Example 6 - Synthesis of l-Nonyl-3-(3-(oxiran-2-yl)propyl)urea
[0312] Boc 4-Pentenamine (1.0 eq., 0.3 M) and sodium bicarbonate (4 eq.) are charged to a reaction vessel containing DCM as solvent and stirred at 0°C for 5 minutes. mCPBA (1.1 eq.) in DCM is then added to the reaction vessel dropwise over 5 minutes. The resulting reaction mixture was then allowed to warm to ambient temperature and stirring continued for 4 hours. Reaction progress and completion is monitored by TLC. The reaction mixture is then filtered, the DCM removed in vacuo, and the crude product purified via flash column chromatography to yield the Boc-protected epoxide intermediate. The intermediate is dissolved in DCM and the Boc protecting group is removed by the addition of trif uoroacetic acid (TFA) in DCM to yield 3-(oxiran-2-yl)propan-l-amine. 1-n-octyl isocyanate and the 3- (oxiran-2-yl)propan-l -amine are dissolved in DCM and stirred for 2 hours until the reaction is complete to yield the desired urea product.
[0313] Example 7 - Synthesis of Nonyl (3-(oxiran-2-yl)propyl) carbonate
[0314] 4-Penten-l-ol (1.0 eq., 0.3 M) and sodium bicarbonate (4 eq.) are charged to a reaction vessel containing DCM as solvent and stirred at 0°C for 5 minutes. mCPBA (1.1 eq.) in DCM is then added to the reaction vessel dropwise over 5 minutes. The resulting reaction mixture was then allowed to warm to ambient temperature and stirring continued for 4 hours. Reaction progress and completion is monitored by TLC. The reaction mixture is then filtered, the DCM removed in vacuo, and the crude product purified via flash column chromatography to yield 4-epoxy-pentan-l-ol. Carbonyldiimidiazole (CDI) (1.0 eq.) and the 4-epoxy-pentan-l-ol are dissolved in DCM and stirred for 2 hours until the reaction is complete to yield the crude imidazole carbamate intermediate, which is then purified via flash column chromatography. Sodium hydride (NaH) (1.1 eq.) is added to a solution of 1-nonanol (1.0 eq., 0.2 M) in dry DMF and stirred for 2 hours at 70 °C. The reaction mixture is cooled down to ambient temperature, followed by addition of the imidazole carbamate intermediate. Reaction progress and completion is monitored by TLC. The reaction mixture is then worked up according to standard procedures and purified by flash column chromatography to yield the desired carbonate product.
[0315] Example 8 - Synthesis of 6-(Oxiran-2-yl)hexyl decane-1- sulfonate
[0316] 7-Octen-l-ol (1.0 eq., 0.3 M) and sodium bicarbonate (4 eq.) are charged to a reaction vessel containing DCM as solvent and stirred at 0°C for 5 minutes. mCPBA (1.1
eq.) in DCM is then added to the reaction vessel dropwise over 5 minutes. The resulting reaction mixture was then allowed to warm to ambient temperature and stirring continued for 4 hours. Reaction progress and completion is monitored by TLC. The reaction mixture is then filtered, the DCM removed in vacuo, and the crude product purified via flash column chromatography to yield the epoxide intermediate. The epoxide intermediate (1.0 eq.) and triethylamine (1.05 eq.) are dissolved in DCM, to which n-decylsulfonyl chloride (1.0 eq.) is then slowly added. TLC indicates the reaction completion. Reaction progress and completion is monitored by TLC. The reaction mixture is then worked up according to standard procedures and purified by flash column chromatography to yield the desired sulfonate product.
[0317] Example 9 - Synthesis of Didecyl (6-(oxiran-2-yl)hexyl) phosphate
[0318] 7-Octen-l -bromide (1.0 eq., 0.3 M) and tridecyl phosphite (2.0 eq.) are charged to a reaction vessel containing DCM as solvent and stirred at 0°C under argon. The mixture is then heated to 150 °C for 12 hours. Reaction progress and completion is monitored by TLC. The crude product is purified via flash column chromatography to yield the alkene intermediate. The alkene intermediate (1.0 eq., 0.3 M) and sodium bicarbonate (4 eq.) are charged to a reaction vessel containing DCM as solvent and stirred at 0°C for 5 minutes. mCPBA (1.1 eq.) in DCM is then added to the reaction vessel dropwise over 5 minutes. The resulting reaction mixture was then allowed to warm to ambient temperature and stirring continued for 4 hours. Reaction progress and completion is monitored by TLC. The reaction mixture is then filtered, the DCM removed in vacuo, and the crude product purified via flash column chromatography to yield the desired sulfonamide product.
[0319] Example 10 - Synthesis of 6-(Oxiran-2-yl)hexyl hydrogen decylphosphonate
[0320] 7-Octen-l-ol (1.0 eq., 0.3 M) and sodium bicarbonate (4 eq.) are charged to a reaction vessel containing DCM as solvent and stirred at 0°C for 5 minutes. mCPBA (1.1 eq.) in DCM is then added to the reaction vessel dropwise over 5 minutes. The resulting reaction mixture was then allowed to warm to ambient temperature and stirring continued for 4 hours. Reaction progress and completion is monitored by TLC. The reaction mixture is then filtered, the DCM removed in vacuo, and the crude product purified via flash column chromatography to yield the epoxide intermediate. n-Decylphosphonic dichloride (1.0 eq.) and triethylamine (2.2 eq.) are dissolved in DCM, cooled to 0 °C, to which the epoxide
intermediate (0.95 eq.) is then slowly added, followed by the addition of water (4.0 eq.). Reaction progress and completion is monitored by TLC. The reaction mixture is then worked up according to standard procedures and purified by flash column chromatography to yield the desired product.
[0321] Example 11 - Synthesis of Decyl (6-(oxiran-2-yl)hexyl) decylphosphonate
[0322] 7-Octen-l-ol (1.0 eq., 0.3 M) and sodium bicarbonate (4 eq.) are charged to a reaction vessel containing DCM as solvent and stirred at 0°C for 5 minutes. mCPBA (1.1 eq.) in DCM is then added to the reaction vessel dropwise over 5 minutes. The resulting reaction mixture was then allowed to warm to ambient temperature and stirring continued for 4 hours. Reaction progress and completion is monitored by TLC. The reaction mixture is then filtered, the DCM removed in vacuo, and the crude product purified via flash column chromatography to yield the epoxide intermediate. n-Decylphosphonic dichloride (1.0 eq.) and triethylamine (2.2 eq.) are dissolved in DCM, cooled to 0 °C, to which the epoxide intermediate (0.95 eq.) is then slowly added, followed by the addition of n-decanol (4.0 eq.). Reaction progress and completion is monitored by TLC. The reaction mixture is then worked up according to standard procedures and purified by flash column chromatography to yield the desired product.
[0323] Example 12 - Synthesis of Butyl 6-(acryloyloxy)hexanoate
[0324] 6-Bromohexanoic acid (1.0 eq.), N, N'-dicyclohexyl-carbodiimide (DCC) (1.1 eq.), and 4-(Dimethylamino)-pyridine DMAP (0.05 eq.) are charged to a reaction vessel containing DCM as solvent and stirred at 0°C. n-Butanol (1.05 eq.) is then added to the reaction mixture and stirring is continued for 10 minutes. The resulting reaction mixture was then allowed to warm to ambient temperature and stirring continued for 4 hours. Reaction progress and completion is monitored by TLC. The reaction mixture is then filtered, the DCM removed in vacuo, and the crude product purified via flash column chromatography to yield the ester intermediate. Acrylic acid (1.1 eq.) was dissolved in dry DMF. Dry K2CO3 (4eq.) is then added to the solution, which is then stirred for 4 hours. The ester intermediate is then added to the reaction mixture and stirred overnight. Reaction progress and completion is monitored by TLC. The reaction mixture is then filtered, washed, solvent removed in vacuo, and the crude product purified via flash column chromatography to yield the desired product (1.1 g, 4.45 mmol) as a colorless oil in 68.6% yield.
[0325] Example 13 - Synthesis of Butyl 10-oxodecanoate
[0326] 10-undecenoic acid (1.0 eq.), DCC (1.1 eq.), and DMAP (0.05 eq.) are charged to a reaction vessel containing DCM as solvent and stirred at 0°C. n-Butanol (1.05 eq.) is then added to the reaction mixture and stirring is continued for 10 minutes. The resulting reaction mixture was then allowed to warm to ambient temperature and stirring continued for 4 hours. Reaction progress and completion is monitored by TLC. The reaction mixture is then filtered, the DCM removed in vacuo, and the crude product purified via flash column chromatography to yield the ester intermediate. The ester intermediate is then dissolved in THF/H20 (3: 1), to which is then added sodium periodate (NaI04) (3 eq.) and stirred for 30 minutes. Osmium tetroxide Os04 (0.005 eq.) is then carefully added to the reaction mixture and stirring is continued for 4 hours. Reaction progress and completion is monitored by TLC. Saturated sodium thiosulfate (Na2S203) solution is then slowly added to the reaction mixture to quench the reaction. The reaction mixture is then worked up according to standard procedures and purified by flash column chromatography to yield the desired product as a colorless oil.
[0327] Example 14 - General Procedure for Preparing Aminolipidoids From
Terminal Epoxide "Lipid Tails"
[0328] To a 2 dram vial flushed with argon is added a compound comprising (1) at least one primary amino group, (2) at least one primary amino group and at least one secondary amino group, or (3) at least two secondary amino groups in isopropanol as solvent with stirring. Terminal epoxide "lipid tails" containing a carbonyl group-based functionality of formulae (V), (VI), (VII), (VIII), (IX), (X), (XI), or (XII) are then added to the vial. The reaction mixture is stirred at 100 °C for 2 days, after which it is cooled to ambient temperature. The reaction mixture is then purified via flash column chromatographyto yield the corresponding aminolipidoid.
[0329] The above general procedure can be used to prepared any of the presently disclosed lipidoids of formula (I) where X is a group of formula (II). This general procedure can also be used to prepared any of the compounds of formulae (23) through (191) from their corresponding amine-group containing core and terminal epoxide "lipid tails."
[0330] Example 15 - General Procedure for Preparing Aminolipidoids From Acrylate
"Lipid Tails"
[0331] To a 2 dram vial flushed with argon is added a compound comprising (1) at least one primary amino group, (2) at least one primary amino group and at least one secondary amino group, or (3) at least two secondary amino groups in isopropanol as solvent with stirring. Acrylate "lipid tails" containing a carbonyl group-based functionality of formulae (V), (VI), (VII), (VIII), (IX), (X), (XI), or (XII) are then added to the vial. The reaction mixture is stirred at 100 °C for 2 days, after which it is cooled to ambient temperature. The reaction mixture is then purified via flash column chromatography to yield the corresponding aminolipidoid.
[0332] The above general procedure can be used to prepared any of the presently disclosed lipidoids of formula (I) where X is a group of formula (III).
[0333] Example 16 - General Procedure for Preparing Aminolipidoids From
Aledehyde "Lipid Tails"
[0334] To a 2 dram vial flushed with argon is added a compound comprising (1) at least one primary amino group, (2) at least one primary amino group and at least one secondary amino group, or (3) at least two secondary amino groups in DMF as solvent with stirring. Aldehyde "lipid tails" containing a carbonyl group-based functionality of formulae (V), (VI), (VII), (VIII), (IX), (X), (XI), or (XII) are then added to the vial. Sodium triacetoxyborohydride (NaBH(OAc)3) (4.0 eq.) is then added to the reaction mixture and stirring is continued for 24 hours. The reaction mixture is then purified via flash column chromatography to yield the corresponding aminolipidoid.
[0335] The above general procedure can be used to prepared any of the presently disclosed lipidoids of formula (I) where X is methylene.
[0336] Example 17 - General Procedure for Nanoparticle Formulation of Active
Agents with Aminolipidoids
[0337] Stock ethanolic solutions of one or more aminolipidoids of the present disclosure, l,2-distearoyl-sn-glycero-3-phosphocholine (DSPC), cholesterol, 1,2-dimyristoyl- sn-glycero-3-phosphoethanolamine-N-[methoxy(polyethylene glycol)-2000] (C14-PEG) are prepared and combined to yield a molar ratio of 50: 10:38.5: 1.5 with the organic solution of 10% 10 mM citrate buffer at pH 5. An siRNA is dissolved in 10 mM citrate at pH5 buffer at a concentration of 0.1 mg/mL. The ethanolic solution is then added to the aqueous siRNA
solution while stirring at 700 rpm to resultin the precipitation of aminolipidoid nanoparticles. The aminolipidoid nanoparticles are separated from the supernatant. Particle size of the aminolipidoid nanoparticles is determined by Dynamic Light Scattering.
[0338] Example 18 - General Procedure for Evaluating Lipidoid Formulations is
Insect Feeding Assays
[0339] Lipidoid formulations of the present disclosure can be evaluated in insect feeding assays to determine their efficacy in RNA delivery to an insect cell. Two model insects are used: western tarnished plant bug (WTPB, Lygus hesperus) and tarnished plant bug (TPB, Lygus lineolaris). Each aminolipidoid of the present disclosure to be evaluated is separately formulated with an siRNA that targets an essential gene in TPB and an siRNA that targets an essential gene in WTPB according to the general procedure described above in Example 4. The feeding assay employed is based on a 96 well format and a sachet system as described by Habibi et al. (2002, Archives of Insect Biochem. and Phys. 50: 62-74) and U.S. Patent No. 8,609,936, each of which is incorporated herein by reference in their entireties. The insect artificial diet is commercially available from Bio-Serv™ (Bio-Serv™ Diet F9644B, Frenchtown, N.J.).
[0340] Autoclaved boiling water is combined with Bio-Serv® Diet F9644B in a surface sterilized blender. Four surface sterilized chicken eggs are broken and the contents are added to the blender containing the diet mix. The mixture is blended until smooth and adjusted to one liter of volume and allowed to cool. Feeding samples are prepared by mixing the siRNA formulations described above in the desired concentration with an equivalent volume of the blended diet.
[0341] A sheet of Parafilm® (Pechiney Plastic Packing, Chicago, 111.) is placed over a
96-well format vacuum manifold with a vacuum of approximately -20 millimeters mercury, which is sufficient to cause extrusion of the Parafilm® into the wells. Forty microliters of test sample are added to the Parafilm® wells. A sheet of Mylar film (Clear Lam Packaging, Inc., Elk Grove Village, 111.) is then placed over the Parafilm® and sealed gently with a tacking iron (Bienfang Sealector II, Hunt Corporation, Philadelphia, Pa.). The Parafilm® sachets are then placed over a flat-bottom 96-well plate containing the Lygus eggs suspended in agarose. Upon hatching, Lygus nymphs will feed by piercing the sachet that is presented above them. Insect diet sachets are replaced on days two and four. Stunting and mortality
scores are determined on day 5 and compared to the untreated controls. Those siRNA formulations that significantly increase stunting and mortality relative to the untreated controls demonstrate that the formulations are effective in delivering the siRNAs to the insect cells.
Claims
1. A compound of formula (I):
wherein
V is a moiety derived from a compound comprising (1) at least one
primary amino group, (2) at least one primary amino group and at least one secondary amino group, or (3) at least two secondary amino groups;
W is, independently, a primary or secondary amino group of moiety V; X is, independently, methylene, a group of formula (II):
a group of formula (III):
wherein
A is O or NR3, wherein R3 is selected from the group consisting of H and Ci to Cio alkyl; and wherein * in both formulae (II) and (III) denotes the bond to W;
is, independently, a group of formulae (V), (VI), (VII), (VIII), (IX), (X), (XI), (XII), (XIII), (XIV), (XV), (XV), and (XVI):
wherein * in formulae (V) through (X), (XIII), (XIV), (XV), and (XVI) denotes the bond to the carbon substituted with R1; is, independently, an optionally substituted aliphatic or cycloaliphatic group, an optionally substituted heteroaliphatic or heterocycloaliphatic
group, an optionally substituted aralkyl group, an optionally substituted aryl group, or a biologically active compound;
R1 and R2 are each, independently, a halogen, an optionally substituted aliphatic or cycloaliphatic group, an optionally substituted heteroaliphatic or heterocycloaliphatic group, an optionally substituted aralkyl group, an optionally substituted aryl group;
R is, independently, hydroxy, an optionally substituted aliphatic or
cycloaliphatic group, an optionally substituted heteroaliphatic or heterocycloaliphatic group, an optionally substituted aralkyl group, an optionally substituted aryl group, or a biologically active compound; m is, independently, an integer from 0 to 20; n is, independently, 0, 1, or 2; o is 1 when W is a secondary amino group and is 1 or 2 when W is a primary amino group; p is an integer from 2 to 5,000; and wherein the optionally substituted aliphatic, cycloaliphatic, heteroaliphatic,
1 2 3
heterocycloaliphatic, and aralkyl groups or R, R , R , and R optionally comprise one or more groups of formulae (V), (VI), (VII), (VIII), (IX), (X), (XI), (XII), (XIII), (XIV), (XV), (XV), and (XVI).
2. The compound of claim 1, wherein said compound is a compound of formula (la):
wherein q is an integer from
The compound of claim 1, wherein V is derived from a compound having from 2 to 6 primary and/or secondary amino groups.
The compound of claim 1, wherein V is derived from a compound selected from the group consisting of formulae (1) through (22):
The compound of claim 1, wherein R is a Ci to C2o alkyl group.
The compound of claim 1, wherein R is a Ci to Ci2 alkyl group.
The compound of claim 1, wherein said compound is a compound of formula (lb):
8. The compound of claim 7, wherein
V is derived from a compound selected from the group consisting of formulae (1), (3), (5) through (8), and (21):
is 0; is 2, 4, 5, or 6; wherein when p is 2, R is a C3, C5, or C7-11 n-alkyl group; when p is 4, R is a Ci, C3, or Cs_io n-alkyl group or an isobutyl group; when p is 5, R is a Ci, C3, or C4_9 n-alkyl group; and when p is 6, R is a Ci or C4_9 n-alkyl group or an isobutyl group; and is 1 or 2, when W is derived from a compound of formula (3); is 1, 2, or 3, when W is derived from a compound of formula (5); is, 1, 2, 3, or 4, when W is derived from a compound of formula (1), (7), or (8);
is 1, 2, 3, 4, or 5, when W is derived from a compound of formula (21); and is 1, 2, 3, 4, 5, or 6, when W is derived from a compound of formula (6).
9. The compound of claim 1, wherein V is derived from a polyethyleneimine.
10. The compound of claim 9, wherein the polyethyleneimine is branched.
11. The compound of claim 10, wherein the polyethyleneimine is hyperbranched.
12. The compound of claim 10, wherein the polyethyleneimine is dendritic.
13. The compound of claim 10, wherein the branched polyethyleneimine has a number average molecular weight (Mn) in the range of from 600 to 10,000 Daltons.
14. The compound of claim 10, wherein the branched polyethyleneimine has a number average molecular weight (Mn) of greater than 2,000 Daltons.
15. The compound of claim 10, wherein the branched polyethyleneimine has a number average molecular weight (Mn) selected from the group consisting of 600, 1,200, 1,800, and 10,000 Daltons.
16. The compound of claim 10, wherein the branched polyethyleneimine comprises primary, secondary, and tertiary amino groups present in a ratio of 1:2: 1.
17. The compound of claim 9, wherein the modified polyethyleneimine is linear.
18. The compound of claim 17, wherein the linear polyethyleneimine has a number average molecular weight (Mn) of greater than 2,000 Daltons.
19. The compound of claim 17, wherein the linear polyethyleneimine has a number average molecular weight (Mn) in the range of from 2,500 to 100,000 Daltons.
20. The compound of claim 17, wherein the polyethyleneimine has a number average molecular weight (Mn) of 2,500 Daltons.
21. The compound of claim 9, wherein the polyethyleneimine is derived from the partial hydrolysis of a poly(2-alkyl-2-oxazoline).
22. The compound of claim 21, wherein the poly(2-alkyl-2-oxazoline) is poly(2-ethyl-2- oxazoline).
23. The compound of claim 1, wherein R is a biologically active compound selected from the group consisting of hormones and lipids.
24. The compound of claim 23, wherein R is a plant or insect hormone or lipid.
25. The compound of claim 1, wherein R is a biologically active compound
independently selected from the group consisting of auxins, abscisic acid, coronantine, gibberellic acids, ecdysone, stigmasterol, sitosterol, cholesterol, tocopherols, and methoprene.
26. A compound selected from the group consisting of compounds of formulae (23) through (108):
41 C C C C
42 C C C H
43 X X X X
44 X X X H
45 E E E H
46 II II II II
47 II II II H
48 JJ JJ JJ JJ
49 JJ JJ JJ H
50 KK KK KK KK
51 KK KK KK H
52 FF FF FF FF
53 FF FF FF H
54 GG GG GG GG
55 GG GG GG H
56 GG H GG H
57 I I I I
58 I I I H
59 J J J J
60 J J J H
61 K K K K
62 K K K H
63 Y Y Y Y
64 Y Y Y H
65 Z Z Z Z
66 Z Z Z H
67 BB BB BB BB
68 BB BB BB H
69 AA AA AA AA
70 AA AA AA H
71 CC CC CC CC
72 CC CC CC H
73 DD DD DD DD
74 DD DD DD H
75 EE EE EE EE
76 EE EE EE H
77 FF FF FF FF
78 FF FF FF H
79 U U U U
80 U U U H
81 W W W H
82 L L L L
83 L L L H
84 N N N N
85 N N N H
86 P P P P
150
A compound selected from the group consisting of compounds of formulae (109) through (129):
Compound
Number Ra Rb Rc Rd Re Rf
130 C C C C C C
131 C C C H C C
132 T T T T T T
133 T T T H T T
134 E E E E E E
135 E E E H E E
136 M M M M M M
137 M M M H M M
138 U U U U U U
139 U U U H U U
140 BB BB BB H BB BB
141 BB BB BB BB BB BB
142 X X X X X X
A compound selected from the group consisting of compounds of formulae (164) through (181):
A compound selected from the group consisting of compounds of formulae (182) through (207):
wherein:
C is
H is hydrogen,
A compound selected from the group consisting of compounds of formulae (219) through (220):
Compound
Number Ra Rb Rc Rd Re
219 JJ JJ JJ JJ JJ
220 Q Q Q Q Q
wherein:
A microparticle or nanoparticle comprising the compound of claim 1 and an active agent to be delivered.
The microparticle or nanoparticle of claim 33, wherein the active agent to be delivered is selected from the group consisting of polynucleotides, oligonucleotides, proteins, peptides, and small molecules.
The microparticle or nanoparticle of claim 34, wherein the active agent to be delivered is an oligonucleotide or a polynucleotide.
The microparticle or nanoparticle of claim 35, wherein the oligonucleotide or polynucleotide is modified.
The microparticle or nanoparticle of claim 35, wherein the oligonucleotide or polynucleotide is unmodified.
38. The microparticle or nanoparticle of claim 35, wherein the active agent to be delivered is an RNA.
39. The microparticle or nanoparticle of claim 38, wherein the RNA is a single-stranded RNA.
40. The microparticle or nanoparticle of claim 38, wherein the RNA is a double- stranded RNA.
41. The microparticle or nanoparticle of claim 38, wherein the RNA is a small interfering RNA (siRNA).
42. The microparticle or nanoparticle of claim 38, wherein the RNA is a messenger RNA (mRNA).
43. A formulation comprising the compound of claim 1 and a first active agent to be delivered.
44. The formulation of claim 43, wherein the first active agent to be delivered and at least one compound of claim 1 are non-covalently associated to one another to form a non- covalent complex.
45. The formulation of claim 44, further comprising at least one additional active agent to be delivered.
46. The formulation of claim 45, wherein the at least one additional active agent to be delivered is contained within or on the surface of the non-covalent complex.
47. The formulation of claim 45, wherein the at least one additional active agent to be delivered is not contained within or on the surface of the non-covalent complex.
48. The formulation of claims 43-47, further comprising one or more excipients.
49. The formulation of claim 48, wherein the one or more excipients is selected from the group consisting of fillers, extenders, binders, humectants, disintegrants, plasticizers, stabilizers, solution retarding agents, wetting agents, suspending agents, thickening agents, absorbents, lubricants, surfactants, buffering agents, diluents, solvents, emulsifying agents, suspending agents, sweetening agents, flavoring agents,
perfuming agents, opacifying agents, separating agents, and coating permeability adjusters.
50. The formulation of claim 48, wherein the one or more excipients is selected from the group consisting of sterols, carbohydrates, proteins, lipids, water-soluble polymers, and any combination thereof.
51. The formulation of claim 50, wherein the one or more excipients comprises
cholesterol.
52. The formulation of claim 50, wherein the one or more excipients comprises a
polyethylene glycol, a polypropylene oxide, a polyvinylpyrrolidone, a polyvinyl alcohol, polylactic acid, poly(lactic-co-glycolic acid), or any combination thereof.
53. The formulation of claim 43, wherein the first active agent to be delivered is an
oligonucleotide or a polynucleotide.
54. The formulation of claim 53, further comprising an agriculturally acceptable carrier.
55. The formulation of claim 54, wherein the oligonucleotide or polynucleotide
modulates the expression of a gene in a plant.
56. The formulation of claim 54, wherein the oligonucleotide or polynucleotide
modulates the expression of a gene in an insect.
57. The formulation of claim 54, wherein the oligonucleotide or polynucleotide
modulates the expression of a gene in a plant pathogen.
58. The formulation of claim 45, wherein the at least one additional active agent is
selected from the group consisting of an herbicide, an insecticide, a fungicide, a bactericide, a viricide, and any combination thereof.
59. A method of regulating expression of a gene in an organism, comprising applying the formulation of any one of claims 43-58 to the organism.
60. A method of modulating a trait of a plant, comprising delivering to the plant an e effective amount of the formulation of claim 55.
61. The method of claim 60, wherein the trait is selected from the group consisting of total seed germination, rate of seed germination, disease tolerance, insect tolerance, drought tolerance, heat tolerance, cold tolerance, salinity tolerance, tolerance to heavy metals, total yield, seed yield, fruit yield, root growth, early vigor, plant growth, plant biomass, plant size, plant lifespan, total plant dry weight, above-ground dry weight, above-ground fresh weight, leaf area, stem volume, plant height, rosette diameter, leaf length, root length, root mass, tiller number, leaf number, fruit size, fruit freshness, fruit ripening time, fruit nutritional content, plant nutritional content, plant sensitivity to herbicide, and any combination thereof.
62. The method of claim 61, wherein one or more of the traits is improved relative to a plant not treated with the formulation.
63. The method of claim 62, wherein at least one trait selected from the group consisting of plant growth, plant lifespan, plant size, fruit size, fruit yield, total yield, fruit freshness, fruit ripening time, plant nutritional content, and fruit nutritional content, is improved relative to a plant not treated with the formulation.
64. The method of claim 61, wherein one or more of the traits is decreased relative to a plant not treated with the formulation.
65. The method of claim 64, wherein the plant growth and/or the plant lifespan is
decreased relative to a plant not treated with the formulation.
66. The method of claim 64, wherein the fruit ripening time is decreased relative to a plant not treated with the formulation.
67. The method of claim 61, wherein the plant sensitivity to herbicide is increased relative to a plant not treated with the formulation.
68. A method of modulating a trait of an insect, comprising delivering an effective
amount of the formulation of claim 56 to the insect, to a plant infested with the insect, or to a plant prior to infestation with the insect.
69. The method of claim 68, wherein the trait modulated is insect growth, development, and/or lifespan.
A method of modulating the pathogenicity of a plant pathogen, comprising applying the formulation of claim 57 to the plant pathogen, to a plant infected with the plant pathogen, or to a plant prior to infection with the plant pathogen.
A plant cell, insect cell, fungal cell, bacterial cell, or mammalian cell comprising the compound of claim 1.
Applications Claiming Priority (4)
| Application Number | Priority Date | Filing Date | Title |
|---|---|---|---|
| US201562266321P | 2015-12-11 | 2015-12-11 | |
| US62/266,321 | 2015-12-11 | ||
| US201662341188P | 2016-05-25 | 2016-05-25 | |
| US62/341,188 | 2016-05-25 |
Publications (1)
| Publication Number | Publication Date |
|---|---|
| WO2017100744A1 true WO2017100744A1 (en) | 2017-06-15 |
Family
ID=59014385
Family Applications (1)
| Application Number | Title | Priority Date | Filing Date |
|---|---|---|---|
| PCT/US2016/066100 Ceased WO2017100744A1 (en) | 2015-12-11 | 2016-12-12 | Aminolipidoids and uses thereof |
Country Status (1)
| Country | Link |
|---|---|
| WO (1) | WO2017100744A1 (en) |
Cited By (19)
| Publication number | Priority date | Publication date | Assignee | Title |
|---|---|---|---|---|
| US20180369419A1 (en) * | 2015-12-22 | 2018-12-27 | Moderna TX, Inc. | Compounds and compositions for intracellular delivery of agents |
| CN109401081A (en) * | 2018-10-31 | 2019-03-01 | 江苏达胜高聚物股份有限公司 | A kind of heat resistant type CABLE MATERIALS and its preparation method and application |
| WO2019133190A1 (en) * | 2017-12-29 | 2019-07-04 | Texas Tech University System | High efficient delivery of plasmid dna into human and vertebrate primary cells in vitro and in vivo by nanocomplexes |
| WO2019176079A1 (en) * | 2018-03-16 | 2019-09-19 | 株式会社 東芝 | Biodegradable compound, lipid particle, lipid particle-containing composition, and kit |
| US10857105B2 (en) | 2017-03-15 | 2020-12-08 | MordernaTX, Inc. | Compounds and compositions for intracellular delivery of therapeutic agents |
| CN113018449A (en) * | 2021-05-14 | 2021-06-25 | 苏州艾博生物科技有限公司 | Cationic lipid compounds, compositions containing the same and uses thereof |
| US11066355B2 (en) | 2019-09-19 | 2021-07-20 | Modernatx, Inc. | Branched tail lipid compounds and compositions for intracellular delivery of therapeutic agents |
| US11203569B2 (en) | 2017-03-15 | 2021-12-21 | Modernatx, Inc. | Crystal forms of amino lipids |
| US11220476B2 (en) | 2015-09-17 | 2022-01-11 | Modernatx, Inc. | Compounds and compositions for intracellular delivery of therapeutic agents |
| CN114507195A (en) * | 2022-01-14 | 2022-05-17 | 华南理工大学 | Lipid compound, composition containing same and application |
| WO2022213895A1 (en) * | 2021-04-08 | 2022-10-13 | 厦门赛诺邦格生物科技股份有限公司 | Cationic lipid, liposome containing cationic lipid, and nucleic-acid pharmaceutical composition containing liposome and preparation and application thereof |
| US11583504B2 (en) | 2016-11-08 | 2023-02-21 | Modernatx, Inc. | Stabilized formulations of lipid nanoparticles |
| CN115956072A (en) * | 2021-09-07 | 2023-04-11 | 荣灿生物医药技术(上海)有限公司 | Cationic lipid compound and application thereof |
| US11964052B2 (en) | 2021-05-24 | 2024-04-23 | Suzhou Abogen Biosciences Co., Ltd. | Lipid compounds and lipid nanoparticle compositions |
| US11969506B2 (en) | 2017-03-15 | 2024-04-30 | Modernatx, Inc. | Lipid nanoparticle formulation |
| US12077501B2 (en) | 2017-06-14 | 2024-09-03 | Modernatx, Inc. | Compounds and compositions for intracellular delivery of agents |
| WO2024199114A1 (en) * | 2023-03-24 | 2024-10-03 | Starna Therapeutics | Nucleic acids encoding therapeutic polypeptides and lipid nanoparticle composition comprising the nucleic acids |
| WO2025064522A1 (en) * | 2023-09-21 | 2025-03-27 | Fujifilm Electronic Materials U.S.A., Inc. | Etching compositions |
| US12263248B2 (en) | 2018-09-19 | 2025-04-01 | Modernatx, Inc. | Compounds and compositions for intracellular delivery of therapeutic agents |
Citations (3)
| Publication number | Priority date | Publication date | Assignee | Title |
|---|---|---|---|---|
| US7084303B2 (en) * | 2001-04-23 | 2006-08-01 | Shin-Etsu Chemical Co., Ltd. | Tertiary amine compounds having an ester structure and processes for preparing same |
| US20110293703A1 (en) * | 2008-11-07 | 2011-12-01 | Massachusetts Institute Of Technology | Aminoalcohol lipidoids and uses thereof |
| US20140161830A1 (en) * | 2012-08-13 | 2014-06-12 | Massachusetts Institute Of Technology | Amine-containing lipidoids and uses thereof |
-
2016
- 2016-12-12 WO PCT/US2016/066100 patent/WO2017100744A1/en not_active Ceased
Patent Citations (3)
| Publication number | Priority date | Publication date | Assignee | Title |
|---|---|---|---|---|
| US7084303B2 (en) * | 2001-04-23 | 2006-08-01 | Shin-Etsu Chemical Co., Ltd. | Tertiary amine compounds having an ester structure and processes for preparing same |
| US20110293703A1 (en) * | 2008-11-07 | 2011-12-01 | Massachusetts Institute Of Technology | Aminoalcohol lipidoids and uses thereof |
| US20140161830A1 (en) * | 2012-08-13 | 2014-06-12 | Massachusetts Institute Of Technology | Amine-containing lipidoids and uses thereof |
Cited By (38)
| Publication number | Priority date | Publication date | Assignee | Title |
|---|---|---|---|---|
| US12151995B2 (en) | 2015-09-17 | 2024-11-26 | Modernatx, Inc. | Compounds and compositions for intracellular delivery of therapeutic agents |
| US11220476B2 (en) | 2015-09-17 | 2022-01-11 | Modernatx, Inc. | Compounds and compositions for intracellular delivery of therapeutic agents |
| US12404232B2 (en) | 2015-09-17 | 2025-09-02 | Modernatx, Inc. | Compounds and compositions for intracellular delivery of therapeutic agents |
| US10799463B2 (en) * | 2015-12-22 | 2020-10-13 | Modernatx, Inc. | Compounds and compositions for intracellular delivery of agents |
| US12396961B2 (en) | 2015-12-22 | 2025-08-26 | Modernatx, Inc. | Compounds and compositions for intracellular delivery of agents |
| US20180369419A1 (en) * | 2015-12-22 | 2018-12-27 | Moderna TX, Inc. | Compounds and compositions for intracellular delivery of agents |
| US11583504B2 (en) | 2016-11-08 | 2023-02-21 | Modernatx, Inc. | Stabilized formulations of lipid nanoparticles |
| US12144895B2 (en) | 2016-11-08 | 2024-11-19 | Modernatx, Inc. | Stabilized formulations of lipid nanoparticles |
| US11969506B2 (en) | 2017-03-15 | 2024-04-30 | Modernatx, Inc. | Lipid nanoparticle formulation |
| US12324859B2 (en) | 2017-03-15 | 2025-06-10 | Modernatx, Inc. | Compounds and compositions for intracellular delivery of therapeutic agents |
| US10857105B2 (en) | 2017-03-15 | 2020-12-08 | MordernaTX, Inc. | Compounds and compositions for intracellular delivery of therapeutic agents |
| US11203569B2 (en) | 2017-03-15 | 2021-12-21 | Modernatx, Inc. | Crystal forms of amino lipids |
| US12077501B2 (en) | 2017-06-14 | 2024-09-03 | Modernatx, Inc. | Compounds and compositions for intracellular delivery of agents |
| WO2019133190A1 (en) * | 2017-12-29 | 2019-07-04 | Texas Tech University System | High efficient delivery of plasmid dna into human and vertebrate primary cells in vitro and in vivo by nanocomplexes |
| US11560575B2 (en) | 2017-12-29 | 2023-01-24 | Texas Tech University System | High efficient delivery of plasmid DNA into human and vertebrate primary cells in vitro and in vivo by nanocomplexes |
| EP3792246A4 (en) * | 2018-03-16 | 2022-04-13 | Kabushiki Kaisha Toshiba | BIODEGRADABLE COMPOUND, LIPID PARTICLE, COMPOSITION CONTAINING LIPID PARTICLES AND KIT |
| US10945956B2 (en) | 2018-03-16 | 2021-03-16 | Kabushiki Kaisha Toshiba | Biodegradable compound, lipid particles, composition and kit comprising lipid particles |
| WO2019176079A1 (en) * | 2018-03-16 | 2019-09-19 | 株式会社 東芝 | Biodegradable compound, lipid particle, lipid particle-containing composition, and kit |
| JP7153109B2 (en) | 2018-03-16 | 2022-10-13 | 株式会社東芝 | Methods of Active Agent Delivery Using Lipid Particles Containing Biodegradable Compounds and Active Agents |
| JP2021121604A (en) * | 2018-03-16 | 2021-08-26 | 株式会社東芝 | Methods for delivering active agents using lipid particles containing biodegradable compounds and active agents |
| CN110506035A (en) * | 2018-03-16 | 2019-11-26 | 株式会社东芝 | Biological degradability compound, lipid particle, composition and kit containing lipid particle |
| JPWO2019176079A1 (en) * | 2018-03-16 | 2020-04-16 | 株式会社東芝 | Biodegradable compounds, lipid particles, compositions containing lipid particles, and kits |
| CN110506035B (en) * | 2018-03-16 | 2022-08-12 | 株式会社东芝 | Biodegradable compounds, lipid particles, compositions containing lipid particles, and kits |
| US12263248B2 (en) | 2018-09-19 | 2025-04-01 | Modernatx, Inc. | Compounds and compositions for intracellular delivery of therapeutic agents |
| CN109401081A (en) * | 2018-10-31 | 2019-03-01 | 江苏达胜高聚物股份有限公司 | A kind of heat resistant type CABLE MATERIALS and its preparation method and application |
| US11597698B2 (en) | 2019-09-19 | 2023-03-07 | Modernatx, Inc. | Branched tail lipid compounds and compositions for intracellular delivery of therapeutic agents |
| US12312293B2 (en) | 2019-09-19 | 2025-05-27 | Modernatx, Inc. | Branched tail lipid compounds and compositions for intracellular delivery of therapeutic agents |
| US11066355B2 (en) | 2019-09-19 | 2021-07-20 | Modernatx, Inc. | Branched tail lipid compounds and compositions for intracellular delivery of therapeutic agents |
| WO2022213895A1 (en) * | 2021-04-08 | 2022-10-13 | 厦门赛诺邦格生物科技股份有限公司 | Cationic lipid, liposome containing cationic lipid, and nucleic-acid pharmaceutical composition containing liposome and preparation and application thereof |
| CN113018449A (en) * | 2021-05-14 | 2021-06-25 | 苏州艾博生物科技有限公司 | Cationic lipid compounds, compositions containing the same and uses thereof |
| US11964052B2 (en) | 2021-05-24 | 2024-04-23 | Suzhou Abogen Biosciences Co., Ltd. | Lipid compounds and lipid nanoparticle compositions |
| CN115956072B (en) * | 2021-09-07 | 2024-06-28 | 荣灿生物医药技术(上海)有限公司 | Cationic lipid compound and application thereof |
| CN115956072A (en) * | 2021-09-07 | 2023-04-11 | 荣灿生物医药技术(上海)有限公司 | Cationic lipid compound and application thereof |
| CN114507195B (en) * | 2022-01-14 | 2024-02-13 | 华南理工大学 | A lipid compound, compositions containing the same and applications |
| WO2023134325A1 (en) * | 2022-01-14 | 2023-07-20 | 华南理工大学 | Lipid compound, composition containing same, and use |
| CN114507195A (en) * | 2022-01-14 | 2022-05-17 | 华南理工大学 | Lipid compound, composition containing same and application |
| WO2024199114A1 (en) * | 2023-03-24 | 2024-10-03 | Starna Therapeutics | Nucleic acids encoding therapeutic polypeptides and lipid nanoparticle composition comprising the nucleic acids |
| WO2025064522A1 (en) * | 2023-09-21 | 2025-03-27 | Fujifilm Electronic Materials U.S.A., Inc. | Etching compositions |
Similar Documents
| Publication | Publication Date | Title |
|---|---|---|
| WO2017100744A1 (en) | Aminolipidoids and uses thereof | |
| US20170325457A1 (en) | Formulations for the delivery of active agents to insects, plants, and plant pathogens | |
| US12409137B2 (en) | Modification of plant messenger packs with charged lipids | |
| US9409869B1 (en) | Hydrazinyl lipidoids and uses thereof | |
| US11827897B2 (en) | Agricultural compositions and related methods | |
| US12390528B2 (en) | Conjugated lipomers and uses thereof | |
| US20220273565A1 (en) | Modified plant messenger packs and uses thereof | |
| CA3223590A1 (en) | Modification of plant messenger packs | |
| US20250002941A1 (en) | A bacteria-derived lipid composition and use thereof | |
| Jiang et al. | A nano-delivery system enhances the stomach toxicity of methoxyfenozide against Spodoptera litura by suppressing the synthesis of insect cuticle protein | |
| WO2017205566A1 (en) | Oxidized aminolipidoids and uses thereof | |
| WO2024168193A2 (en) | Natural lipid particle formulations for agricultural applications | |
| WO2017112852A1 (en) | Modified polyethyleneimines and uses thereof | |
| CN113929696B (en) | Acyl thiourea psoralen derivatives, and preparation method and application thereof | |
| CN113929695B (en) | Sulfimide psoralen derivatives, and preparation method and application thereof | |
| Li et al. | Amphiphilic Block Copolymer Nanocarriers Co-Loaded with Pesticide and dsRNA for Synergistic Pest Control | |
| EA048989B1 (en) | MODIFIED PLANT MESSENGER PACKETS AND THEIR APPLICATION OPTIONS | |
| WO2026036021A1 (en) | Lipid nanoparticle formulations for agricultural applications | |
| CN119350315A (en) | A class of 2-(1H-indol-2-yl)-1,3,4-oxadiazole derivatives and their preparation method and use |
Legal Events
| Date | Code | Title | Description |
|---|---|---|---|
| 121 | Ep: the epo has been informed by wipo that ep was designated in this application |
Ref document number: 16874036 Country of ref document: EP Kind code of ref document: A1 |
|
| NENP | Non-entry into the national phase |
Ref country code: DE |
|
| 32PN | Ep: public notification in the ep bulletin as address of the adressee cannot be established |
Free format text: NOTING OF LOSS OF RIGHTS PURSUANT TO RULE 112(1) EPC (EPO FORM 1205 DATED 16/11/2018) |
|
| 122 | Ep: pct application non-entry in european phase |
Ref document number: 16874036 Country of ref document: EP Kind code of ref document: A1 |


















































































































































